Plots of the potential energy vs interatomic spacing, r, are shown below for all diatom sets associated with the interatomic potential. This calculation provides insights into the functional form of the potential's two-body interactions. A system consisting of only two atoms is created, and the potential energy is evaluated for the atoms separated by 0.02 Å <= r <= 6.0> Å in intervals of 0.02 Å. Two plots are shown: one for the "standard" interaction distance range, and one for small values of r. The small r plot is useful for determining whether the potential is suitable for radiation studies.
The calculation method used is available as the iprPy diatom_scan calculation method.
Clicking on the image of a plot will open an interactive version of it in a new tab. The underlying data for the plots can be downloaded by clicking on the links above each plot.
Notes and Disclaimers:
Version Information:
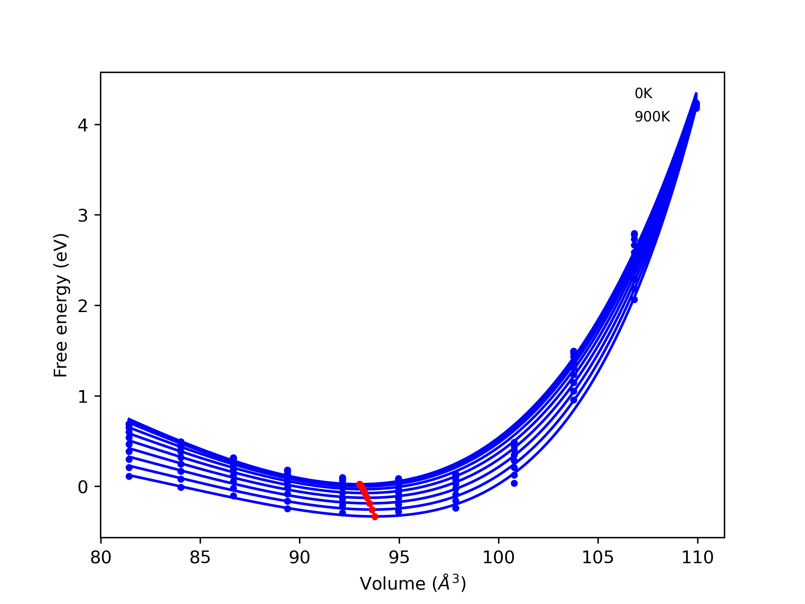
Plots of potential energy vs interatomic spacing, r, are shown below for a number of crystal structures. The structures are generated based on the ideal atomic positions and b/a and c/a lattice parameter ratios for a given crystal prototype. The size of the system is then uniformly scaled, and the energy calculated without relaxing the system. To obtain these plots, values of r are evaluated every 0.02 Å up to 6 Å.
The calculation method used is available as the iprPy E_vs_r_scan calculation method.
Clicking on the image of a plot will open an interactive version of it in a new tab. The underlying data for the plots can be downloaded by clicking on the links above each plot.
Notes and Disclaimers:
Version Information:
Computed lattice constants and cohesive/potential energies are displayed for a variety of crystal structures. The values displayed here are obtained using the following process.
The calculation methods used are implemented into iprPy as the following calculation styles
Notes and Disclaimers:
Version Information:
Download raw data (including filtered results)
Reference structure matches:
A1--Cu--fcc = oqmd-1214512
A15--beta-W = oqmd-1214957
A2--W--bcc = oqmd-1215135
A3'--alpha-La--double-hcp = oqmd-1215403
A3--Mg--hcp = oqmd-1215313
A4--C--dc = mp-66, oqmd-675640
A5--beta-Sn = oqmd-1215581
A6--In--bct = mp-1181996, oqmd-1215670
A7--alpha-As = oqmd-594528
Ah--alpha-Po--sc = mp-998866, oqmd-636457, oqmd-1214601
| prototype | method | Ecoh (eV/atom) | Epot (eV/atom) | a0 (Å) | b0 (Å) | c0 (Å) | α (degrees) | β (degrees) | γ (degrees) |
|---|---|---|---|---|---|---|---|---|---|
| oqmd-1215848 | dynamic | -3.1824 | -3.1824 | 4.4394 | 4.4394 | 1.5495 | 90.0 | 90.0 | 120.0 |
| mp-1182029 | static | -3.1824 | -3.1824 | 1.5495 | 3.5146 | 3.5003 | 90.0 | 100.4 | 90.0 |
| oqmd-1215046 | static | -3.1824 | -3.1824 | 1.5495 | 3.5152 | 6.1458 | 90.1 | 92.5 | 90.5 |
| mp-1197903 | static | -3.0677 | -3.0677 | 9.0913 | 10.5726 | 27.3253 | 98.3 | 96.3 | 105.1 |
| mp-1018088 | dynamic | -3.0544 | -3.0544 | 4.6521 | 4.6521 | 4.6521 | 90.0 | 90.0 | 90.0 |
| oqmd-590101 | dynamic | -3.0513 | -3.0513 | 2.849 | 2.849 | 7.8081 | 90.0 | 90.0 | 120.0 |
| oqmd-1215937 | static | -3.0513 | -3.0513 | 2.849 | 2.849 | 7.3725 | 90.0 | 90.0 | 120.0 |
| oqmd-1215937 | dynamic | -3.0513 | -3.0513 | 2.849 | 2.849 | 7.7553 | 90.0 | 90.0 | 120.0 |
| mp-1040425 | dynamic | -3.0513 | -3.0513 | 2.849 | 2.849 | 19.9983 | 90.0 | 90.0 | 120.0 |
| mp-990448 | static | -3.0513 | -3.0513 | 2.849 | 2.849 | 8.5238 | 90.0 | 90.0 | 120.0 |
| mp-568363 | dynamic | -3.0513 | -3.0513 | 2.849 | 4.9347 | 8.1499 | 90.0 | 90.0 | 90.0 |
| mp-937760 | dynamic | -3.0513 | -3.0513 | 2.849 | 4.9347 | 7.1733 | 90.0 | 90.0 | 90.0 |
| mp-990424 | static | -3.0513 | -3.0513 | 2.849 | 2.849 | 24.8349 | 90.0 | 90.0 | 120.0 |
| oqmd-1214690 | static | -3.0513 | -3.0513 | 2.849 | 4.9347 | 6.8126 | 90.0 | 90.0 | 90.0 |
| oqmd-1214690 | dynamic | -3.0513 | -3.0513 | 2.849 | 4.9347 | 7.4626 | 90.0 | 90.0 | 90.0 |
| mp-169 | static | -3.0513 | -3.0513 | 4.9347 | 2.849 | 3.7634 | 90.0 | 111.5 | 90.0 |
| mp-632329 | static | -3.0513 | -3.0513 | 4.9347 | 2.849 | 3.7364 | 90.0 | 94.2 | 90.0 |
| oqmd-589491 | dynamic | -3.0513 | -3.0513 | 2.849 | 2.849 | 35.0839 | 90.0 | 90.0 | 120.0 |
| mp-48 | dynamic | -3.0513 | -3.0513 | 2.849 | 2.849 | 7.8031 | 90.0 | 90.0 | 120.0 |
| mp-997182 | dynamic | -3.0513 | -3.0513 | 2.849 | 2.849 | 12.0458 | 90.0 | 90.0 | 120.0 |
| A7--alpha-As | dynamic | -3.0513 | -3.0513 | 2.849 | 2.849 | 12.5456 | 90.0 | 90.0 | 120.0 |
| A7--alpha-As | dynamic | -3.0513 | -3.0513 | 2.849 | 2.849 | 11.6641 | 90.0 | 90.0 | 120.0 |
| oqmd-590101 | static | -3.0513 | -3.0513 | 2.849 | 2.849 | 7.0022 | 90.0 | 90.0 | 120.0 |
| mp-569304 | static | -3.0513 | -3.0513 | 2.849 | 2.849 | 33.9833 | 90.0 | 90.0 | 120.0 |
| mp-606949 | static | -3.0513 | -3.0513 | 2.849 | 2.849 | 29.9058 | 90.0 | 90.0 | 120.0 |
| oqmd-589493 | static | -3.0513 | -3.0513 | 2.849 | 2.849 | 30.4263 | 90.0 | 90.0 | 120.0 |
| mp-568286 | static | -3.0513 | -3.0513 | 2.849 | 4.9348 | 7.036 | 90.0 | 90.0 | 90.0 |
| oqmd-610551 | static | -3.0513 | -3.0513 | 2.849 | 2.849 | 3.5023 | 90.0 | 90.0 | 120.0 |
| oqmd-683819 | static | -3.0513 | -3.0513 | 2.849 | 4.9347 | 6.8177 | 90.0 | 90.0 | 90.0 |
| oqmd-683820 | static | -3.0513 | -3.0513 | 2.849 | 4.9347 | 6.8106 | 90.0 | 90.0 | 90.0 |
| A7--alpha-As | static | -3.0513 | -3.0513 | 2.849 | 2.849 | 10.4979 | 90.0 | 90.0 | 120.0 |
| mp-568806 | static | -3.0513 | -3.0513 | 2.849 | 2.849 | 3.6562 | 90.0 | 90.0 | 120.0 |
| mp-569416 | static | -3.0513 | -3.0513 | 2.849 | 2.849 | 55.5451 | 90.0 | 90.0 | 120.0 |
| oqmd-610557 | static | -3.0513 | -3.0513 | 5.6977 | 7.0556 | 4.9345 | 90.0 | 90.0 | 90.0 |
| mp-568410 | dynamic | -3.051 | -3.051 | 5.6949 | 7.1512 | 4.9338 | 90.0 | 90.0 | 90.0 |
| mp-568410 | static | -3.0508 | -3.0508 | 5.6938 | 7.1766 | 4.9334 | 90.0 | 90.0 | 90.0 |
| oqmd-610556 | static | -3.0503 | -3.0503 | 5.6888 | 7.257 | 4.932 | 90.0 | 90.0 | 90.0 |
| mp-1096869 | static | -3.0381 | -3.0381 | 29.653 | 17.1265 | 3.5002 | 90.0 | 95.8 | 90.0 |
| mp-1182684 | static | -3.0188 | -3.0188 | 12.7408 | 16.0344 | 18.7315 | 90.0 | 90.0 | 90.0 |
| oqmd-1214868 | static | -3.0086 | -3.0086 | 7.6105 | 7.6105 | 7.6105 | 90.0 | 90.0 | 90.0 |
| mp-1192619 | static | -2.9979 | -2.9979 | 10.4574 | 10.4574 | 10.4574 | 90.0 | 90.0 | 90.0 |
| oqmd-1214779 | static | -2.9944 | -2.9944 | 10.0741 | 10.0741 | 10.0741 | 90.0 | 90.0 | 90.0 |
| mp-1196857 | static | -2.9922 | -2.9922 | 12.4638 | 21.9697 | 6.035 | 90.0 | 90.0 | 90.0 |
| mp-683919 | dynamic | -2.9873 | -2.9873 | 11.4963 | 19.2033 | 21.0308 | 90.0 | 90.0 | 90.0 |
| mp-1245190 | static | -2.982 | -2.982 | 11.3796 | 12.1016 | 12.3137 | 88.7 | 88.7 | 86.0 |
| mp-568028 | dynamic | -2.9795 | -2.9795 | 10.8086 | 16.7296 | 10.699 | 90.0 | 90.0 | 90.0 |
| mp-568028 | static | -2.9795 | -2.9795 | 11.2698 | 16.255 | 10.699 | 90.0 | 90.0 | 90.0 |
| mp-1147718 | dynamic | -2.9795 | -2.9795 | 11.2914 | 16.2713 | 10.6994 | 90.0 | 90.0 | 90.0 |
| mp-1147718 | static | -2.979 | -2.979 | 11.7181 | 16.8737 | 11.5695 | 90.0 | 90.0 | 90.0 |
| mp-1196583 | dynamic | -2.979 | -2.979 | 16.1214 | 16.1214 | 16.1214 | 90.0 | 90.0 | 90.0 |
| oqmd-677227 | static | -2.979 | -2.979 | 16.1417 | 16.1417 | 16.1417 | 90.0 | 90.0 | 90.0 |
| mp-1196583 | static | -2.979 | -2.979 | 16.3957 | 16.3957 | 16.3957 | 90.0 | 90.0 | 90.0 |
| oqmd-603085 | static | -2.979 | -2.979 | 16.102 | 16.102 | 16.102 | 90.0 | 90.0 | 90.0 |
| mp-667273 | static | -2.979 | -2.979 | 16.4661 | 16.4661 | 16.4661 | 90.0 | 90.0 | 90.0 |
| mp-680372 | dynamic | -2.9778 | -2.9778 | 11.111 | 11.111 | 25.8592 | 90.0 | 90.0 | 120.0 |
| mp-624889 | static | -2.9698 | -2.9698 | 5.3627 | 6.2727 | 6.0652 | 90.0 | 90.0 | 90.0 |
| mp-624889 | dynamic | -2.9698 | -2.9698 | 5.3627 | 6.2727 | 6.0015 | 90.0 | 90.0 | 90.0 |
| mp-1196583 | box | -2.9644 | -2.9644 | 16.3945 | 16.3945 | 16.3945 | 90.0 | 90.0 | 90.0 |
| mp-683919 | static | -2.9593 | -2.9593 | 11.6881 | 19.502 | 20.132 | 90.0 | 90.0 | 90.0 |
| oqmd-689315 | static | -2.9593 | -2.9593 | 11.6622 | 19.5326 | 20.1227 | 90.0 | 90.0 | 90.0 |
| oqmd-610552 | static | -2.9576 | -2.9576 | 5.3106 | 6.1885 | 7.1128 | 90.0 | 90.0 | 90.0 |
| mp-579909 | dynamic | -2.9576 | -2.9576 | 5.3106 | 6.1885 | 6.441 | 90.0 | 90.0 | 90.0 |
| mp-579909 | static | -2.9576 | -2.9576 | 5.3105 | 6.1887 | 7.5754 | 90.0 | 90.0 | 90.0 |
| mp-630227 | dynamic | -2.9457 | -2.9457 | 9.8194 | 10.6659 | 16.5109 | 90.0 | 90.0 | 90.0 |
| oqmd-677227 | box | -2.9217 | -2.9217 | 16.156 | 16.156 | 16.156 | 90.0 | 90.0 | 90.0 |
| oqmd-684627 | static | -2.9133 | -2.9133 | 10.1466 | 10.1466 | 17.4415 | 90.0 | 90.0 | 90.0 |
| oqmd-595714 | static | -2.9128 | -2.9128 | 10.2253 | 10.3087 | 16.6213 | 90.0 | 90.0 | 90.0 |
| mp-630227 | static | -2.9126 | -2.9126 | 10.2149 | 10.2161 | 17.9237 | 90.0 | 90.0 | 90.0 |
| oqmd-614417 | static | -2.8798 | -2.8798 | 10.1288 | 10.1288 | 28.1671 | 90.0 | 90.0 | 120.0 |
| mp-680372 | static | -2.8793 | -2.8793 | 10.1618 | 10.1618 | 29.5477 | 90.0 | 90.0 | 120.0 |
| mp-683919 | box | -2.8698 | -2.8698 | 11.6022 | 20.0156 | 20.6251 | 90.0 | 90.0 | 90.0 |
| oqmd-684315 | static | -2.8567 | -2.8567 | 11.7578 | 19.1999 | 10.8423 | 90.0 | 90.0 | 90.0 |
| mp-1147718 | box | -2.8308 | -2.8308 | 11.6371 | 16.6982 | 10.6455 | 90.0 | 90.0 | 90.0 |
| oqmd-689315 | box | -2.8195 | -2.8195 | 11.432 | 20.1422 | 20.7204 | 90.0 | 90.0 | 90.0 |
| mp-1205417 | dynamic | -2.808 | -2.808 | 13.3601 | 13.3601 | 7.7988 | 90.0 | 90.0 | 90.0 |
| mp-1205417 | static | -2.808 | -2.808 | 13.4122 | 13.4122 | 7.7511 | 90.0 | 90.0 | 90.0 |
| mp-1188817 | dynamic | -2.7369 | -2.7369 | 7.3016 | 7.3016 | 7.3016 | 90.0 | 90.0 | 90.0 |
| mp-630227 | box | -2.7304 | -2.7304 | 10.4226 | 10.5257 | 17.6059 | 90.0 | 90.0 | 90.0 |
| oqmd-637443 | static | -2.6818 | -2.6818 | 5.816 | 5.816 | 5.816 | 90.0 | 90.0 | 90.0 |
| mp-1244913 | box | -2.6514 | -2.6514 | 11.9391 | 12.0932 | 12.6009 | 91.3 | 95.4 | 92.3 |
| mp-1245190 | box | -2.6479 | -2.6479 | 11.6879 | 11.8095 | 11.991 | 91.4 | 92.0 | 90.9 |
| oqmd-614417 | box | -2.6346 | -2.6346 | 10.5919 | 10.5919 | 26.7628 | 90.0 | 90.0 | 120.0 |
| mp-680372 | box | -2.619 | -2.619 | 10.6098 | 10.6098 | 28.0588 | 90.0 | 90.0 | 120.0 |
| mp-1244964 | box | -2.6177 | -2.6177 | 11.4978 | 11.821 | 12.4693 | 90.7 | 94.4 | 92.3 |
| mp-568028 | box | -2.5896 | -2.5896 | 9.0769 | 15.8991 | 11.2072 | 90.0 | 90.0 | 90.0 |
| oqmd-637353 | dynamic | -2.4916 | -2.4916 | 4.8187 | 4.8187 | 2.7807 | 90.0 | 90.0 | 90.0 |
| A4--C--dc | dynamic | -2.4646 | -2.4646 | 3.9452 | 3.9452 | 3.9452 | 90.0 | 90.0 | 90.0 |
| mp-1078845 | dynamic | -2.4588 | -2.4588 | 4.6885 | 9.6374 | 2.7789 | 90.0 | 90.0 | 90.0 |
| mp-1078845 | static | -2.4588 | -2.4588 | 4.6885 | 9.6374 | 2.7789 | 90.0 | 90.0 | 90.0 |
| oqmd-599492 | dynamic | -2.4579 | -2.4579 | 2.7839 | 2.7839 | 18.2988 | 90.0 | 90.0 | 120.0 |
| oqmd-599494 | dynamic | -2.4569 | -2.4569 | 2.7831 | 2.7831 | 48.0616 | 90.0 | 90.0 | 120.0 |
| mp-569567 | static | -2.4569 | -2.4569 | 2.7832 | 2.7832 | 48.0582 | 90.0 | 90.0 | 120.0 |
| oqmd-599494 | static | -2.4557 | -2.4557 | 2.7859 | 2.7859 | 47.9718 | 90.0 | 90.0 | 120.0 |
| mp-611448 | static | -2.4557 | -2.4557 | 2.782 | 2.782 | 13.7423 | 90.0 | 90.0 | 120.0 |
| mp-611448 | dynamic | -2.4557 | -2.4557 | 2.7821 | 2.7821 | 13.742 | 90.0 | 90.0 | 120.0 |
| mp-569517 | dynamic | -2.4541 | -2.4541 | 2.7806 | 2.7806 | 34.3908 | 90.0 | 90.0 | 120.0 |
| mp-569517 | static | -2.4541 | -2.4541 | 2.7805 | 2.7805 | 34.3922 | 90.0 | 90.0 | 120.0 |
| oqmd-599490 | dynamic | -2.4516 | -2.4516 | 2.7784 | 2.7784 | 9.185 | 90.0 | 90.0 | 120.0 |
| mp-570002 | dynamic | -2.4456 | -2.4456 | 5.3725 | 5.3725 | 5.3725 | 90.0 | 90.0 | 90.0 |
| mp-47 | dynamic | -2.4403 | -2.4403 | 2.7682 | 2.7682 | 4.6247 | 90.0 | 90.0 | 120.0 |
| oqmd-637130 | static | -2.3865 | -2.3865 | 9.8196 | 2.7921 | 4.6135 | 90.0 | 90.0 | 90.0 |
| mp-1190171 | dynamic | -2.3865 | -2.3865 | 9.8196 | 2.7921 | 4.6135 | 90.0 | 90.0 | 90.0 |
| mp-1080826 | dynamic | -2.3848 | -2.3848 | 9.9013 | 2.7925 | 4.6049 | 90.0 | 96.6 | 90.0 |
| A6--In--bct | static | -2.3762 | -2.3762 | 1.7067 | 1.7067 | 6.5714 | 90.0 | 90.0 | 90.0 |
| oqmd-1216026 | static | -2.3762 | -2.3762 | 2.4137 | 2.4137 | 10.6485 | 90.0 | 92.7 | 90.0 |
| A6--In--bct | dynamic | -2.3762 | -2.3762 | 1.7067 | 1.7067 | 8.3485 | 90.0 | 90.0 | 90.0 |
| mp-1056957 | static | -2.3762 | -2.3762 | 2.4137 | 2.4137 | 6.8874 | 90.0 | 90.0 | 90.0 |
| mp-1097832 | dynamic | -2.3762 | -2.3762 | 2.4137 | 2.4137 | 9.8799 | 90.0 | 90.0 | 90.0 |
| oqmd-1216026 | dynamic | -2.3762 | -2.3762 | 2.4137 | 2.4137 | 12.5976 | 90.0 | 90.3 | 90.0 |
| oqmd-637352 | box | -2.2449 | -2.2449 | 9.8483 | 2.8006 | 4.6358 | 90.0 | 97.7 | 90.0 |
| mp-1080826 | box | -2.2393 | -2.2393 | 9.8529 | 2.7993 | 4.6367 | 90.0 | 97.7 | 90.0 |
| A4--C--dc | static | -2.1515 | -2.1515 | 5.2782 | 5.2782 | 5.2782 | 90.0 | 90.0 | 90.0 |
| mp-24 | dynamic | -1.9535 | -1.9535 | 4.8269 | 4.8269 | 4.8269 | 90.0 | 90.0 | 90.0 |
| mp-1205283 | box | -1.8547 | -1.8547 | 10.1299 | 19.086 | 10.3755 | 90.0 | 90.0 | 90.0 |
| oqmd-684315 | box | -1.8305 | -1.8305 | 15.4385 | 15.8202 | 10.1949 | 90.0 | 90.0 | 90.0 |
| Ah--alpha-Po--sc | static | -1.7288 | -1.7288 | 2.2937 | 2.2937 | 2.2937 | 90.0 | 90.0 | 90.0 |
| oqmd-610556 | box | -1.6362 | -1.6362 | 4.7282 | 5.5972 | 8.013 | 90.0 | 90.0 | 90.0 |
| A7--alpha-As | box | -1.151 | -1.151 | 2.4809 | 2.4809 | 7.0052 | 90.0 | 90.0 | 120.0 |
| A15--beta-W | static | -1.0302 | -1.0302 | 4.5377 | 4.5377 | 4.5377 | 90.0 | 90.0 | 90.0 |
| A2--W--bcc | box | -0.9336 | -0.9336 | 2.6546 | 2.6546 | 2.6546 | 90.0 | 90.0 | 90.0 |
| A3'--alpha-La--double-hcp | box | -0.8388 | -0.8388 | 2.5678 | 2.5678 | 4.0522 | 90.0 | 90.0 | 120.0 |
| Ah--alpha-Po--sc | box | -0.829 | -0.829 | 1.7897 | 1.7897 | 1.7897 | 90.0 | 90.0 | 90.0 |
| mp-24 | box | -0.8183 | -0.8183 | 5.1849 | 5.1849 | 5.1849 | 90.0 | 90.0 | 90.0 |
| A15--beta-W | static | -0.6191 | -0.6191 | 4.1246 | 4.1246 | 4.1246 | 90.0 | 90.0 | 90.0 |
| A3--Mg--hcp | box | -0.3992 | -0.3992 | 1.895 | 1.895 | 6.65 | 90.0 | 90.0 | 120.0 |
| A5--beta-Sn | box | -0.2964 | -0.2964 | 3.4098 | 3.4098 | 1.854 | 90.0 | 90.0 | 90.0 |
| A3--Mg--hcp | box | -0.0 | -0.0 | 3.5003 | 3.5003 | 5.716 | 90.0 | 90.0 | 120.0 |
| A1--Cu--fcc | box | -0.0 | -0.0 | 4.9502 | 4.9502 | 4.9502 | 90.0 | 90.0 | 90.0 |
| A6--In--bct | box | -0.0 | -0.0 | 4.287 | 4.287 | 3.5003 | 90.0 | 90.0 | 90.0 |
| A3--Mg--hcp | box | -0.0 | -0.0 | 3.5007 | 3.5007 | 5.7159 | 90.0 | 90.0 | 120.0 |
| A3'--alpha-La--double-hcp | box | -0.0 | -0.0 | 3.5007 | 3.5007 | 11.4318 | 90.0 | 90.0 | 120.0 |
| A2--W--bcc | box | -0.0 | -0.0 | 4.0418 | 4.0418 | 4.0418 | 90.0 | 90.0 | 90.0 |
| Ah--alpha-Po--sc | box | -0.0 | -0.0 | 3.5003 | 3.5003 | 3.5003 | 90.0 | 90.0 | 90.0 |
| A4--C--dc | box | -0.0 | -0.0 | 8.0837 | 8.0837 | 8.0837 | 90.0 | 90.0 | 90.0 |
| oqmd-599489 | box | -0.0 | -0.0 | 5.7121 | 5.7121 | 9.3467 | 90.0 | 90.0 | 120.0 |
| oqmd-599490 | box | -0.0 | -0.0 | 5.709 | 5.709 | 18.8377 | 90.0 | 90.0 | 120.0 |
| oqmd-599493 | box | -0.0 | -0.0 | 5.7086 | 5.7086 | 70.6921 | 90.0 | 90.0 | 120.0 |
| oqmd-637443 | box | -0.0 | -0.0 | 12.298 | 12.298 | 12.298 | 90.0 | 90.0 | 90.0 |
| mp-1188817 | box | -0.0 | -0.0 | 12.2901 | 12.2901 | 12.2901 | 90.0 | 90.0 | 90.0 |
| oqmd-599492 | box | -0.0 | -0.0 | 5.7146 | 5.7146 | 37.5129 | 90.0 | 90.0 | 120.0 |
| oqmd-599491 | box | -0.0 | -0.0 | 5.7143 | 5.7143 | 28.155 | 90.0 | 90.0 | 120.0 |
| mp-570002 | box | -0.0 | -0.0 | 11.5684 | 11.5684 | 11.5684 | 90.0 | 90.0 | 90.0 |
| mp-1192619 | box | -0.0 | -0.0 | 24.797 | 24.797 | 24.797 | 90.0 | 90.0 | 90.0 |
| A15--beta-W | static | 0.4823 | 0.4823 | 3.4046 | 3.4046 | 3.4046 | 90.0 | 90.0 | 90.0 |
| A1--Cu--fcc | static | 0.5445 | 0.5445 | 2.6929 | 2.6929 | 2.6929 | 90.0 | 90.0 | 90.0 |
| A2--W--bcc | static | 0.5737 | 0.5737 | 2.136 | 2.136 | 2.136 | 90.0 | 90.0 | 90.0 |
Download raw data (including filtered results)
Reference structure matches:
| prototype | method | Ecoh (eV/atom) | Epot (eV/atom) | a0 (Å) | b0 (Å) | c0 (Å) | α (degrees) | β (degrees) | γ (degrees) |
|---|---|---|---|---|---|---|---|---|---|
| oqmd-1232084 | dynamic | -3.4535 | -3.4535 | 4.7743 | 4.7743 | 2.5186 | 90.0 | 90.0 | 90.0 |
| oqmd-1232084 | box | -3.31 | -3.31 | 4.8786 | 4.8786 | 2.4566 | 90.0 | 90.0 | 90.0 |
| C1--CaF2--fluorite | dynamic | -3.1027 | -3.1027 | 4.4409 | 4.4409 | 4.4409 | 90.0 | 90.0 | 90.0 |
| C1--CaF2--fluorite | static | -2.6707 | -2.6707 | 5.6392 | 5.6392 | 5.6392 | 90.0 | 90.0 | 90.0 |
| C1--CaF2--fluorite | static | -2.57 | -2.57 | 4.1384 | 4.1384 | 4.1384 | 90.0 | 90.0 | 90.0 |
| C1--CaF2--fluorite | dynamic | -2.5013 | -2.5013 | 4.5914 | 4.5914 | 4.5914 | 90.0 | 90.0 | 90.0 |
| C1--CaF2--fluorite | dynamic | -2.4688 | -2.4688 | 7.2421 | 7.2421 | 7.2421 | 90.0 | 90.0 | 90.0 |
Download raw data (including filtered results)
Reference structure matches:
| prototype | method | Ecoh (eV/atom) | Epot (eV/atom) | a0 (Å) | b0 (Å) | c0 (Å) | α (degrees) | β (degrees) | γ (degrees) |
|---|---|---|---|---|---|---|---|---|---|
| oqmd-426162 | dynamic | -4.6332 | -4.6332 | 4.939 | 4.939 | 11.854 | 90.0 | 90.0 | 120.0 |
| oqmd-426162 | static | -4.3051 | -4.3051 | 4.6424 | 4.6424 | 14.3988 | 90.0 | 90.0 | 120.0 |
| oqmd-426162 | box | -4.181 | -4.181 | 4.894 | 4.894 | 12.7505 | 90.0 | 90.0 | 120.0 |
Download raw data (including filtered results)
Reference structure matches:
| prototype | method | Ecoh (eV/atom) | Epot (eV/atom) | a0 (Å) | b0 (Å) | c0 (Å) | α (degrees) | β (degrees) | γ (degrees) |
|---|---|---|---|---|---|---|---|---|---|
| oqmd-7999 | static | -4.4866 | -4.4866 | 10.4354 | 4.7981 | 4.5643 | 90.0 | 99.0 | 90.0 |
| mp-2794 | static | -4.4866 | -4.4866 | 10.4354 | 4.798 | 4.5643 | 90.0 | 99.0 | 90.0 |
| mp-645339 | box | -4.0791 | -4.0791 | 4.5516 | 4.7914 | 12.5295 | 90.0 | 103.4 | 90.0 |
| oqmd-7999 | box | -3.3385 | -3.3385 | 13.9186 | 3.3855 | 8.562 | 90.0 | 109.1 | 90.0 |
Download raw data (including filtered results)
Reference structure matches:
D0_3--BiF3 = oqmd-310918
L1_2--AuCu3 = oqmd-344120
| prototype | method | Ecoh (eV/atom) | Epot (eV/atom) | a0 (Å) | b0 (Å) | c0 (Å) | α (degrees) | β (degrees) | γ (degrees) |
|---|---|---|---|---|---|---|---|---|---|
| oqmd-319634 | static | -3.6049 | -3.6049 | 3.8231 | 3.8231 | 5.7253 | 90.0 | 90.0 | 120.0 |
| L1_2--AuCu3 | static | -2.9594 | -2.9594 | 2.6122 | 2.6122 | 2.6122 | 90.0 | 90.0 | 90.0 |
| L1_2--AuCu3 | dynamic | -2.7478 | -2.7478 | 4.4447 | 4.4447 | 4.4447 | 90.0 | 90.0 | 90.0 |
| A15--Cr3Si | dynamic | -2.7201 | -2.7201 | 5.6214 | 5.6214 | 5.6214 | 90.0 | 90.0 | 90.0 |
| oqmd-300376 | static | -2.5014 | -2.5014 | 2.53 | 2.53 | 11.5079 | 90.0 | 90.0 | 90.0 |
| L1_2--AuCu3 | dynamic | -2.4976 | -2.4976 | 3.5051 | 3.5051 | 3.5051 | 90.0 | 90.0 | 90.0 |
| A15--Cr3Si | dynamic | -2.4236 | -2.4236 | 4.4293 | 4.4293 | 4.4293 | 90.0 | 90.0 | 90.0 |
| D0_3--BiF3 | dynamic | -2.237 | -2.237 | 5.9841 | 5.9841 | 5.9841 | 90.0 | 90.0 | 90.0 |
| A15--Cr3Si | static | -2.2179 | -2.2179 | 3.3409 | 3.3409 | 3.3409 | 90.0 | 90.0 | 90.0 |
| A15--Cr3Si | static | -2.2061 | -2.2061 | 3.4376 | 3.4376 | 3.4376 | 90.0 | 90.0 | 90.0 |
| D0_3--BiF3 | dynamic | -1.8304 | -1.8304 | 7.2592 | 7.2592 | 7.2592 | 90.0 | 90.0 | 90.0 |
| D0_3--BiF3 | static | -1.7707 | -1.7707 | 4.1713 | 4.1713 | 4.1713 | 90.0 | 90.0 | 90.0 |
| A15--Cr3Si | dynamic | -1.6436 | -1.6436 | 3.5434 | 3.5434 | 3.5434 | 90.0 | 90.0 | 90.0 |
| D0_3--BiF3 | static | -1.5823 | -1.5823 | 4.9331 | 4.9331 | 4.9331 | 90.0 | 90.0 | 90.0 |
| D0_3--BiF3 | static | -1.4537 | -1.4537 | 4.4388 | 4.4388 | 4.4388 | 90.0 | 90.0 | 90.0 |
| D0_3--BiF3 | box | -1.4241 | -1.4241 | 4.3488 | 4.3488 | 4.3488 | 90.0 | 90.0 | 90.0 |
| L1_2--AuCu3 | static | -1.2228 | -1.2228 | 2.9305 | 2.9305 | 2.9305 | 90.0 | 90.0 | 90.0 |
| L1_2--AuCu3 | box | -1.2084 | -1.2084 | 3.0336 | 3.0336 | 3.0336 | 90.0 | 90.0 | 90.0 |
Download raw data (including filtered results)
Reference structure matches:
| prototype | method | Ecoh (eV/atom) | Epot (eV/atom) | a0 (Å) | b0 (Å) | c0 (Å) | α (degrees) | β (degrees) | γ (degrees) |
|---|---|---|---|---|---|---|---|---|---|
| mp-18257 | static | -4.5028 | -4.5028 | 6.7125 | 6.7125 | 4.079 | 90.0 | 90.0 | 120.0 |
| mp-21717 | static | -4.4782 | -4.4782 | 4.1261 | 6.7955 | 11.1748 | 90.0 | 90.0 | 90.0 |
| oqmd-13852 | static | -4.4633 | -4.4633 | 6.4565 | 6.4565 | 4.7747 | 90.0 | 90.0 | 120.0 |
| oqmd-13852 | dynamic | -4.3699 | -4.3699 | 6.5638 | 6.5638 | 4.7386 | 90.0 | 90.0 | 120.0 |
| mp-18257 | box | -4.1273 | -4.1273 | 6.7754 | 6.7754 | 4.4913 | 90.0 | 90.0 | 120.0 |
| oqmd-13852 | box | -4.127 | -4.127 | 6.7753 | 6.7753 | 4.4888 | 90.0 | 90.0 | 120.0 |
Download raw data (including filtered results)
Reference structure matches:
| prototype | method | Ecoh (eV/atom) | Epot (eV/atom) | a0 (Å) | b0 (Å) | c0 (Å) | α (degrees) | β (degrees) | γ (degrees) |
|---|---|---|---|---|---|---|---|---|---|
| mp-1192884 | box | -3.967 | -3.967 | 10.0546 | 10.0546 | 10.0546 | 90.0 | 90.0 | 90.0 |
Download raw data (including filtered results)
Reference structure matches:
B1--NaCl--rock-salt = oqmd-1105078, oqmd-1234885
B2--CsCl = oqmd-305893
| prototype | method | Ecoh (eV/atom) | Epot (eV/atom) | a0 (Å) | b0 (Å) | c0 (Å) | α (degrees) | β (degrees) | γ (degrees) |
|---|---|---|---|---|---|---|---|---|---|
| B1--NaCl--rock-salt | static | -4.5505 | -4.5505 | 3.8414 | 3.8414 | 3.8414 | 90.0 | 90.0 | 90.0 |
| oqmd-1228598 | dynamic | -4.5502 | -4.5502 | 2.5113 | 2.5113 | 2.525 | 90.0 | 90.0 | 120.0 |
| B1--NaCl--rock-salt | static | -4.0963 | -4.0963 | 3.5935 | 3.5935 | 3.5935 | 90.0 | 90.0 | 90.0 |
| B2--CsCl | dynamic | -3.9748 | -3.9748 | 2.2216 | 2.2216 | 2.2216 | 90.0 | 90.0 | 90.0 |
| oqmd-1228598 | box | -3.9615 | -3.9615 | 2.4922 | 2.4922 | 2.6717 | 90.0 | 90.0 | 120.0 |
| oqmd-1225112 | box | -3.8827 | -3.8827 | 3.1685 | 3.1685 | 5.0131 | 90.0 | 90.0 | 120.0 |
| B4--ZnS--wurtzite | box | -3.8785 | -3.8785 | 3.1391 | 3.1391 | 5.078 | 90.0 | 90.0 | 120.0 |
| oqmd-1219433 | dynamic | -3.8365 | -3.8365 | 2.9617 | 4.1642 | 2.6198 | 90.0 | 90.0 | 90.0 |
| B3--ZnS--cubic-zinc-blende | static | -3.8 | -3.8 | 4.4354 | 4.4354 | 4.4354 | 90.0 | 90.0 | 90.0 |
| B3--ZnS--cubic-zinc-blende | static | -3.7876 | -3.7876 | 4.132 | 4.132 | 4.132 | 90.0 | 90.0 | 90.0 |
| B2--CsCl | dynamic | -3.7852 | -3.7852 | 2.8172 | 2.8172 | 2.8172 | 90.0 | 90.0 | 90.0 |
| B4--ZnS--wurtzite | static | -3.6973 | -3.6973 | 2.5762 | 2.5762 | 7.3073 | 90.0 | 90.0 | 120.0 |
| B2--CsCl | dynamic | -3.414 | -3.414 | 2.3056 | 2.3056 | 2.3056 | 90.0 | 90.0 | 90.0 |
| B2--CsCl | box | -3.3677 | -3.3677 | 2.2661 | 2.2661 | 2.2661 | 90.0 | 90.0 | 90.0 |
| L1_0--AuCu | dynamic | -3.2576 | -3.2576 | 2.639 | 2.639 | 5.0406 | 90.0 | 90.0 | 90.0 |
| B1--NaCl--rock-salt | static | -3.0674 | -3.0674 | 4.8369 | 4.8369 | 4.8369 | 90.0 | 90.0 | 90.0 |
| B4--ZnS--wurtzite | dynamic | -3.0348 | -3.0348 | 2.7502 | 2.7502 | 11.6804 | 90.0 | 90.0 | 120.0 |
| L1_0--AuCu | box | -3.0141 | -3.0141 | 4.055 | 4.055 | 2.5256 | 90.0 | 90.0 | 90.0 |
| B2--CsCl | box | -2.6123 | -2.6123 | 3.5957 | 3.5957 | 3.5957 | 90.0 | 90.0 | 90.0 |
| B2--CsCl | static | -2.2782 | -2.2782 | 2.0809 | 2.0809 | 2.0809 | 90.0 | 90.0 | 90.0 |
| B4--ZnS--wurtzite | box | -2.2309 | -2.2309 | 3.9304 | 3.9304 | 6.4258 | 90.0 | 90.0 | 120.0 |
| B3--ZnS--cubic-zinc-blende | static | -2.2309 | -2.2309 | 5.5605 | 5.5605 | 5.5605 | 90.0 | 90.0 | 90.0 |
| B1--NaCl--rock-salt | static | -2.0355 | -2.0355 | 6.267 | 6.267 | 6.267 | 90.0 | 90.0 | 90.0 |
| B4--ZnS--wurtzite | static | -1.8516 | -1.8516 | 5.1079 | 5.1079 | 8.4042 | 90.0 | 90.0 | 120.0 |
| B4--ZnS--wurtzite | static | -1.8516 | -1.8516 | 5.1176 | 5.1176 | 8.373 | 90.0 | 90.0 | 120.0 |
| B4--ZnS--wurtzite | box | -1.8516 | -1.8516 | 5.1195 | 5.1195 | 8.3668 | 90.0 | 90.0 | 120.0 |
| B3--ZnS--cubic-zinc-blende | dynamic | -1.8516 | -1.8516 | 7.242 | 7.242 | 7.242 | 90.0 | 90.0 | 90.0 |
Download raw data (including filtered results)
Reference structure matches:
| prototype | method | Ecoh (eV/atom) | Epot (eV/atom) | a0 (Å) | b0 (Å) | c0 (Å) | α (degrees) | β (degrees) | γ (degrees) |
|---|---|---|---|---|---|---|---|---|---|
| oqmd-13851 | dynamic | -4.6589 | -4.6589 | 4.5697 | 4.6783 | 2.5205 | 90.0 | 90.0 | 90.0 |
| oqmd-13851 | box | -4.5648 | -4.5648 | 4.3203 | 4.872 | 2.61 | 90.0 | 90.0 | 90.0 |
| mp-1102779 | static | -4.3869 | -4.3869 | 5.6511 | 2.4676 | 6.7184 | 90.0 | 90.0 | 90.0 |
| C1--CaF2--fluorite | dynamic | -4.2688 | -4.2688 | 4.4411 | 4.4411 | 4.4411 | 90.0 | 90.0 | 90.0 |
| mp-1102779 | box | -3.9358 | -3.9358 | 6.5987 | 2.4863 | 6.6847 | 90.0 | 90.0 | 90.0 |
| C1--CaF2--fluorite | box | -3.7941 | -3.7941 | 4.5463 | 4.5463 | 4.5463 | 90.0 | 90.0 | 90.0 |
| C1--CaF2--fluorite | box | -3.7931 | -3.7931 | 4.5342 | 4.5342 | 4.5342 | 90.0 | 90.0 | 90.0 |
| mp-568503 | dynamic | -3.5824 | -3.5824 | 3.5547 | 3.5547 | 2.3704 | 90.0 | 90.0 | 120.0 |
| C1--CaF2--fluorite | dynamic | -3.5192 | -3.5192 | 5.5894 | 5.5894 | 5.5894 | 90.0 | 90.0 | 90.0 |
| C1--CaF2--fluorite | static | -3.0787 | -3.0787 | 4.1586 | 4.1586 | 4.1586 | 90.0 | 90.0 | 90.0 |
| C1--CaF2--fluorite | static | -2.0311 | -2.0311 | 7.1293 | 7.1293 | 7.1293 | 90.0 | 90.0 | 90.0 |
Download raw data (including filtered results)
Reference structure matches:
D0_3--BiF3 = oqmd-309092
L1_2--AuCu3 = oqmd-345946
| prototype | method | Ecoh (eV/atom) | Epot (eV/atom) | a0 (Å) | b0 (Å) | c0 (Å) | α (degrees) | β (degrees) | γ (degrees) |
|---|---|---|---|---|---|---|---|---|---|
| oqmd-7808 | dynamic | -4.5122 | -4.5122 | 4.4833 | 4.4833 | 4.6058 | 90.0 | 90.0 | 120.0 |
| mp-13154 | static | -4.5122 | -4.5122 | 4.4829 | 4.4829 | 4.6073 | 90.0 | 90.0 | 120.0 |
| oqmd-7808 | static | -4.5122 | -4.5122 | 4.4829 | 4.4829 | 4.6077 | 90.0 | 90.0 | 120.0 |
| mp-13154 | dynamic | -4.5122 | -4.5122 | 4.483 | 4.483 | 4.607 | 90.0 | 90.0 | 120.0 |
| oqmd-3494 | static | -4.4223 | -4.4223 | 4.7855 | 6.9405 | 4.191 | 90.0 | 90.0 | 90.0 |
| mp-1182630 | dynamic | -4.3841 | -4.3841 | 5.0889 | 11.1678 | 2.8614 | 90.0 | 90.0 | 90.0 |
| mp-510623 | static | -4.3669 | -4.3669 | 4.6179 | 6.5453 | 4.7902 | 90.0 | 90.0 | 90.0 |
| oqmd-41734 | box | -4.321 | -4.321 | 5.1235 | 7.0183 | 4.6281 | 90.0 | 90.0 | 90.0 |
| mp-1205444 | static | -4.307 | -4.307 | 7.5467 | 2.7573 | 14.3866 | 90.0 | 103.4 | 90.0 |
| mp-613523 | box | -4.2951 | -4.2951 | 5.111 | 7.0177 | 4.6221 | 90.0 | 90.0 | 90.0 |
| mp-1182630 | box | -4.2296 | -4.2296 | 5.8542 | 10.8156 | 2.5432 | 90.0 | 90.0 | 90.0 |
| mp-1205444 | box | -4.1638 | -4.1638 | 7.8195 | 2.7098 | 14.2921 | 90.0 | 103.5 | 90.0 |
| mp-510623 | box | -4.1145 | -4.1145 | 4.7796 | 6.8672 | 4.5397 | 90.0 | 90.0 | 90.0 |
| A15--Cr3Si | dynamic | -4.0367 | -4.0367 | 4.3873 | 4.3873 | 4.3873 | 90.0 | 90.0 | 90.0 |
| oqmd-321460 | dynamic | -4.0247 | -4.0247 | 4.9047 | 4.9047 | 4.0301 | 90.0 | 90.0 | 120.0 |
| L1_2--AuCu3 | dynamic | -4.012 | -4.012 | 3.4679 | 3.4679 | 3.4679 | 90.0 | 90.0 | 90.0 |
| oqmd-298554 | static | -4.008 | -4.008 | 3.4741 | 3.4741 | 6.8949 | 90.0 | 90.0 | 90.0 |
| D0_3--BiF3 | static | -3.7423 | -3.7423 | 5.6935 | 5.6935 | 5.6935 | 90.0 | 90.0 | 90.0 |
| mp-1205436 | box | -3.4826 | -3.4826 | 7.9474 | 7.9474 | 5.7125 | 90.0 | 90.0 | 90.0 |
| L1_2--AuCu3 | static | -3.0121 | -3.0121 | 4.3065 | 4.3065 | 4.3065 | 90.0 | 90.0 | 90.0 |
| A15--Cr3Si | static | -2.8222 | -2.8222 | 5.4962 | 5.4962 | 5.4962 | 90.0 | 90.0 | 90.0 |
| mp-1188724 | static | -1.1319 | -1.1319 | 14.3818 | 20.5229 | 14.6339 | 90.0 | 90.0 | 90.0 |
Download raw data (including filtered results)
Reference structure matches:
| prototype | method | Ecoh (eV/atom) | Epot (eV/atom) | a0 (Å) | b0 (Å) | c0 (Å) | α (degrees) | β (degrees) | γ (degrees) |
|---|---|---|---|---|---|---|---|---|---|
| oqmd-646134 | static | -4.2855 | -4.2855 | 3.816 | 3.816 | 3.816 | 90.0 | 90.0 | 90.0 |
| oqmd-646134 | box | -4.2808 | -4.2808 | 3.833 | 3.833 | 3.833 | 90.0 | 90.0 | 90.0 |
| mp-1078579 | dynamic | -4.2232 | -4.2232 | 5.919 | 2.7159 | 6.083 | 90.0 | 96.4 | 90.0 |
| mp-1246 | dynamic | -4.1772 | -4.1772 | 3.8512 | 3.8512 | 3.8512 | 90.0 | 90.0 | 90.0 |
| mp-1078579 | static | -4.1391 | -4.1391 | 5.9145 | 2.7454 | 6.0496 | 90.0 | 95.6 | 90.0 |
| mp-1246 | box | -3.9871 | -3.9871 | 3.9166 | 3.9166 | 3.9166 | 90.0 | 90.0 | 90.0 |
| mp-1070333 | dynamic | -3.9659 | -3.9659 | 6.1292 | 6.1292 | 2.4077 | 90.0 | 90.0 | 90.0 |
| mp-1070333 | box | -3.8131 | -3.8131 | 6.2162 | 6.2162 | 2.3524 | 90.0 | 90.0 | 90.0 |
Download raw data (including filtered results)
Reference structure matches:
A1--Cu--fcc = mp-150, oqmd-7505, oqmd-1214525
A15--beta-W = oqmd-1214970
A2--W--bcc = mp-13, oqmd-8568, oqmd-22514, oqmd-1215148
A3'--alpha-La--double-hcp = oqmd-1215416
A3--Mg--hcp = mp-136, oqmd-30158, oqmd-51781, oqmd-1215326, oqmd-1215391
A4--C--dc = oqmd-1215505
A5--beta-Sn = oqmd-1215594
A6--In--bct = oqmd-1215683
Ah--alpha-Po--sc = mp-568345
| prototype | method | Ecoh (eV/atom) | Epot (eV/atom) | a0 (Å) | b0 (Å) | c0 (Å) | α (degrees) | β (degrees) | γ (degrees) |
|---|---|---|---|---|---|---|---|---|---|
| A2--W--bcc | dynamic | -4.013 | -4.013 | 2.8553 | 2.8553 | 2.8553 | 90.0 | 90.0 | 90.0 |
| A15--beta-W | dynamic | -3.928 | -3.928 | 4.5347 | 4.5347 | 4.5347 | 90.0 | 90.0 | 90.0 |
| oqmd-1214792 | dynamic | -3.9198 | -3.9198 | 8.8328 | 8.8328 | 8.8328 | 90.0 | 90.0 | 90.0 |
| oqmd-1214792 | box | -3.9145 | -3.9145 | 8.8246 | 8.8246 | 8.8246 | 90.0 | 90.0 | 90.0 |
| A3--Mg--hcp | dynamic | -3.8968 | -3.8968 | 2.6054 | 2.6054 | 4.1676 | 90.0 | 90.0 | 120.0 |
| oqmd-1216039 | dynamic | -3.8953 | -3.8953 | 2.5986 | 2.5986 | 18.8327 | 90.0 | 90.0 | 120.0 |
| oqmd-1216039 | box | -3.8952 | -3.8952 | 2.5987 | 2.5987 | 18.8303 | 90.0 | 90.0 | 120.0 |
| A3'--alpha-La--double-hcp | dynamic | -3.8945 | -3.8945 | 2.5954 | 2.5954 | 8.3884 | 90.0 | 90.0 | 120.0 |
| A1--Cu--fcc | dynamic | -3.8924 | -3.8924 | 3.6584 | 3.6584 | 3.6584 | 90.0 | 90.0 | 90.0 |
| A6--In--bct | box | -3.8918 | -3.8918 | 2.6195 | 2.6195 | 3.5442 | 90.0 | 90.0 | 90.0 |
| oqmd-1214881 | static | -3.8859 | -3.8859 | 6.1695 | 6.1695 | 6.1695 | 90.0 | 90.0 | 90.0 |
| oqmd-1214881 | box | -3.8854 | -3.8854 | 6.1645 | 6.1645 | 6.1645 | 90.0 | 90.0 | 90.0 |
| oqmd-1215237 | box | -3.8796 | -3.8796 | 2.5569 | 4.4126 | 4.316 | 90.0 | 90.0 | 90.0 |
| mp-1194030 | dynamic | -3.8538 | -3.8538 | 8.6028 | 8.6028 | 4.6037 | 90.0 | 90.0 | 90.0 |
| mp-1245108 | dynamic | -3.8525 | -3.8525 | 10.3946 | 10.691 | 10.7541 | 93.1 | 91.7 | 91.2 |
| mp-1245108 | static | -3.8435 | -3.8435 | 10.3726 | 10.7237 | 10.7656 | 87.4 | 89.9 | 87.9 |
| oqmd-21053 | box | -3.8417 | -3.8417 | 8.5047 | 8.5047 | 4.6372 | 90.0 | 90.0 | 90.0 |
| mp-1194030 | box | -3.8359 | -3.8359 | 8.4761 | 8.4761 | 4.6497 | 90.0 | 90.0 | 90.0 |
| mp-1245108 | box | -3.8015 | -3.8015 | 10.5221 | 10.5464 | 10.8796 | 90.4 | 91.7 | 91.8 |
| oqmd-1215059 | box | -3.7083 | -3.7083 | 2.7056 | 4.0924 | 8.9398 | 90.0 | 90.0 | 90.0 |
| A5--beta-Sn | static | -3.5209 | -3.5209 | 4.6587 | 4.6587 | 2.4313 | 90.0 | 90.0 | 90.0 |
| mp-1096950 | box | -3.4462 | -3.4462 | 2.5198 | 2.5198 | 2.4811 | 90.0 | 90.0 | 120.0 |
| Ah--alpha-Po--sc | static | -3.3138 | -3.3138 | 2.2375 | 2.2375 | 2.2375 | 90.0 | 90.0 | 90.0 |
| oqmd-21731 | box | -3.3137 | -3.3137 | 2.2375 | 2.2375 | 6.7128 | 90.0 | 90.0 | 90.0 |
| oqmd-1215950 | box | -3.0729 | -3.0729 | 3.8679 | 4.1397 | 3.882 | 90.0 | 119.6 | 90.0 |
| A7--alpha-As | box | -2.9866 | -2.9866 | 3.4218 | 3.4218 | 8.9702 | 90.0 | 90.0 | 120.0 |
| A4--C--dc | static | -2.596 | -2.596 | 5.4545 | 5.4545 | 5.4545 | 90.0 | 90.0 | 90.0 |
Static elastic constants are displayed for the unique structures identified in Crystal Structure Predictions above. The values displayed here are obtained by measuring the change in virial stresses due to applying small strains to the relaxed crystals. The initial structure and the strained states are all relaxed using force minimization.
The calculation method used is available as the iprPy elastic_constants_static calculation method.
Notes and Disclaimers:
Version Information:
| 23899.121 | 24007.680 | 24007.680 | 0.000 | -0.000 | -0.000 |
| 24007.680 | 23899.121 | 24007.680 | 0.000 | -0.000 | -0.000 |
| 24007.680 | 24007.680 | 23899.121 | -0.000 | -0.000 | -0.000 |
| 0.000 | 0.000 | 0.000 | -430.314 | 0.000 | -0.000 |
| 0.000 | 0.000 | 0.000 | -0.000 | -430.314 | -0.000 |
| 0.000 | 0.000 | 0.000 | 0.000 | -0.000 | -430.314 |
| 23905.001 | 24013.559 | 24013.559 | -0.000 | 0.000 | -0.000 |
| 24013.559 | 23905.001 | 24013.559 | -0.000 | 0.000 | 0.000 |
| 24013.560 | 24013.560 | 23905.001 | -0.000 | 0.000 | 0.000 |
| -0.000 | -0.000 | -0.000 | -430.314 | 0.000 | -0.000 |
| -0.000 | -0.000 | -0.000 | 0.000 | -430.314 | 0.000 |
| -0.000 | -0.000 | -0.000 | 0.000 | 0.000 | -430.314 |
| 23872.663 | 23981.221 | 23981.221 | 0.000 | -0.000 | -0.000 |
| 23981.221 | 23872.663 | 23981.221 | -0.000 | -0.000 | -0.000 |
| 23981.221 | 23981.221 | 23872.663 | -0.000 | -0.000 | 0.000 |
| 0.002 | 0.002 | 0.002 | -430.314 | -0.000 | 0.000 |
| 0.002 | 0.002 | 0.002 | -0.000 | -430.314 | -0.000 |
| 0.002 | 0.002 | 0.002 | 0.000 | -0.000 | -430.314 |
| 23931.459 | 24040.018 | 24040.018 | 0.000 | 0.000 | -0.000 |
| 24040.018 | 23931.459 | 24040.018 | -0.000 | 0.000 | 0.000 |
| 24040.018 | 24040.018 | 23931.459 | 0.000 | 0.000 | 0.000 |
| -0.002 | -0.002 | -0.002 | -430.314 | 0.000 | 0.000 |
| -0.002 | -0.002 | -0.002 | -0.000 | -430.314 | 0.000 |
| -0.002 | -0.002 | -0.002 | 0.000 | 0.000 | -430.314 |
| 23663.423 | 23771.971 | 23771.971 | -0.000 | -0.000 | -0.000 |
| 23771.971 | 23663.423 | 23771.971 | 0.000 | -0.000 | -0.000 |
| 23771.971 | 23771.971 | 23663.423 | 0.000 | -0.000 | -0.000 |
| 0.017 | 0.017 | 0.016 | -430.314 | -0.000 | 0.000 |
| 0.017 | 0.017 | 0.016 | 0.000 | -430.314 | -0.000 |
| 0.017 | 0.016 | 0.017 | -0.000 | -0.000 | -430.314 |
| 24196.034 | 24304.603 | 24304.603 | -0.000 | 0.000 | 0.000 |
| 24304.603 | 24196.034 | 24304.603 | 0.000 | 0.000 | -0.000 |
| 24304.603 | 24304.603 | 24196.034 | 0.000 | 0.000 | -0.000 |
| -0.017 | -0.017 | -0.016 | -430.314 | 0.000 | 0.000 |
| -0.017 | -0.017 | -0.016 | 0.000 | -430.314 | 0.000 |
| -0.017 | -0.016 | -0.017 | 0.000 | 0.000 | -430.314 |
| 0.002 | 0.001 | 0.001 | -0.000 | 0.000 | 0.000 |
| 0.001 | 0.002 | 0.001 | 0.000 | -0.000 | 0.000 |
| 0.001 | 0.001 | 0.002 | -0.000 | -0.000 | 0.000 |
| -0.000 | 0.000 | 0.000 | 0.001 | -0.000 | -0.000 |
| 0.000 | -0.000 | 0.000 | -0.000 | 0.001 | -0.000 |
| 0.000 | 0.000 | -0.000 | 0.000 | -0.000 | 0.001 |
| 0.002 | 0.001 | 0.001 | 0.000 | 0.000 | 0.000 |
| 0.001 | 0.002 | 0.001 | 0.000 | 0.000 | 0.000 |
| 0.001 | 0.001 | 0.002 | -0.000 | 0.000 | -0.000 |
| 0.000 | -0.000 | -0.000 | 0.001 | -0.000 | 0.000 |
| -0.000 | 0.000 | -0.000 | -0.000 | 0.001 | -0.000 |
| -0.000 | -0.000 | 0.000 | -0.000 | -0.000 | 0.001 |
| 0.002 | 0.001 | 0.001 | 0.000 | 0.000 | 0.000 |
| 0.001 | 0.002 | 0.001 | 0.000 | -0.000 | 0.000 |
| 0.001 | 0.001 | 0.002 | -0.000 | -0.000 | 0.000 |
| -0.000 | 0.000 | 0.000 | 0.001 | -0.000 | -0.000 |
| 0.000 | -0.000 | 0.000 | -0.000 | 0.001 | 0.000 |
| 0.000 | 0.000 | -0.000 | 0.000 | 0.000 | 0.001 |
| 0.002 | 0.001 | 0.001 | -0.000 | -0.000 | -0.000 |
| 0.001 | 0.002 | 0.001 | -0.000 | 0.000 | 0.000 |
| 0.001 | 0.001 | 0.002 | -0.000 | -0.000 | -0.000 |
| 0.000 | -0.000 | -0.000 | 0.001 | -0.000 | 0.000 |
| -0.000 | 0.000 | -0.000 | -0.000 | 0.001 | 0.000 |
| -0.000 | -0.000 | 0.000 | 0.000 | 0.000 | 0.001 |
| 0.002 | 0.001 | 0.001 | -0.000 | -0.000 | -0.000 |
| 0.001 | 0.002 | 0.001 | -0.000 | -0.000 | -0.000 |
| 0.001 | 0.001 | 0.002 | -0.000 | -0.000 | 0.000 |
| -0.000 | 0.000 | 0.000 | 0.001 | 0.000 | 0.000 |
| 0.000 | -0.000 | 0.000 | -0.000 | 0.001 | 0.000 |
| 0.000 | 0.000 | -0.000 | 0.000 | 0.000 | 0.001 |
| 0.002 | 0.001 | 0.001 | 0.000 | 0.000 | 0.000 |
| 0.001 | 0.002 | 0.001 | 0.000 | 0.000 | 0.000 |
| 0.001 | 0.001 | 0.002 | -0.000 | -0.000 | -0.000 |
| 0.000 | -0.000 | -0.000 | 0.001 | -0.000 | -0.000 |
| -0.000 | 0.000 | -0.000 | -0.000 | 0.001 | 0.000 |
| -0.000 | -0.000 | 0.000 | 0.000 | 0.000 | 0.001 |
| 21287.231 | 19869.576 | 19869.576 | -0.000 | -0.000 | 0.000 |
| 19869.576 | 21287.231 | 19869.576 | -0.000 | 0.000 | 0.000 |
| 19869.576 | 19869.576 | 21287.231 | -0.000 | -0.000 | 0.000 |
| -0.000 | -0.000 | -0.000 | -231.599 | 0.000 | 0.000 |
| -0.000 | -0.000 | -0.000 | 0.000 | -231.599 | 0.000 |
| -0.000 | -0.000 | 0.000 | -0.000 | 0.000 | -231.598 |
| 21284.639 | 19867.160 | 19867.160 | 0.000 | 0.000 | -0.000 |
| 19867.160 | 21284.639 | 19867.160 | 0.000 | -0.000 | -0.000 |
| 19867.160 | 19867.160 | 21284.639 | -0.000 | 0.000 | -0.000 |
| 0.000 | 0.000 | 0.000 | -231.599 | -0.000 | -0.000 |
| 0.000 | 0.000 | 0.000 | 0.000 | -231.599 | -0.000 |
| 0.000 | 0.000 | -0.000 | 0.000 | 0.000 | -231.599 |
| 21298.894 | 19880.446 | 19880.446 | 0.000 | 0.000 | 0.000 |
| 19880.446 | 21298.894 | 19880.446 | 0.000 | -0.000 | 0.000 |
| 19880.446 | 19880.446 | 21298.894 | 0.000 | -0.000 | 0.000 |
| 2146281115.847 | 2131145542.639 | 2124130910.142 | 1096023.601 | 753833.703 | 3903822.397 |
| 2128523644.933 | 2145540521.734 | 2123703768.940 | 1807848.460 | -2697211.985 | 2272274.931 |
| 2127963114.950 | 2131932100.988 | 2146411578.995 | 59473.557 | 1438069.571 | -4522363.354 |
| 21039.419 | 19973.227 | 19973.227 | 0.000 | 0.000 | -0.000 |
| 19973.227 | 21039.419 | 19973.227 | 0.000 | 0.000 | -0.000 |
| 19973.227 | 19973.227 | 21039.419 | -0.000 | 0.000 | -0.000 |
| -2142408609.562 | -2129513142.973 | -2123605887.479 | -1891364.394 | 1364114.592 | -2894922.502 |
| -2127751008.691 | -2145545654.805 | -2128022590.430 | 730666.435 | -2779499.987 | 1789558.802 |
| -2127869505.556 | -2126086755.980 | -2145445800.701 | -2236071.095 | 3760864.477 | -5340276.443 |
| 21127.208 | 20064.506 | 20064.506 | 0.000 | -0.000 | 0.000 |
| 20064.506 | 21127.208 | 20064.506 | -0.000 | 0.000 | 0.000 |
| 20064.506 | 20064.506 | 21127.208 | 0.000 | -0.000 | 0.000 |
| 213614216.593 | 212312254.390 | 212339724.714 | -293857.802 | 431549.917 | -23105.400 |
| 212806617.453 | 214358782.845 | 213330595.148 | -571270.654 | -357955.422 | 83068.909 |
| 212173565.527 | 213034163.619 | 214069175.031 | -110578.866 | 30062.661 | -78467.377 |
| 20925.532 | 19864.581 | 19864.581 | -0.000 | 0.000 | -0.000 |
| 19864.581 | 20925.532 | 19864.581 | 0.000 | -0.000 | -0.000 |
| 19864.581 | 19864.581 | 20925.532 | 0.000 | -0.000 | -0.000 |
| -214166980.196 | -212497204.788 | -212136722.697 | 42830.635 | -83048.446 | 287745.942 |
| -212317894.894 | -213543333.045 | -212380250.042 | 4883.391 | -121427.142 | -26864.942 |
| -212880819.680 | -213523630.949 | -214227344.773 | 115770.924 | 142928.449 | -132722.011 |
| 6384623026.305 | 6243383239.831 | 6291047276.141 | 14026112.493 | -4858494.187 | -15722314.359 |
| 6318793360.497 | 6376688306.666 | 6247822149.728 | 2682562.701 | 12727998.295 | -26131488.507 |
| 6228680278.100 | 6306993602.844 | 6373606722.984 | -2439227.799 | -7874345.201 | -3130932.961 |
| 6247102044.181 | 6215999740.448 | 6364181323.571 | 383969.561 | -3357887.405 | 9184089.933 |
| 6552520189.359 | 6662312783.105 | 6605911450.791 | -10701354.875 | -927194.381 | -2429942.347 |
| 6541357223.243 | 6580201189.073 | 6629826497.752 | -3337434.545 | 8579635.297 | 3793208.301 |
| -6525752809.582 | -6374483084.487 | -6344052401.261 | -5086387.141 | 11642585.859 | -10720752.902 |
| -6410641017.203 | -6551317887.510 | -6430082081.297 | 12940.163 | -9088766.540 | 6527621.819 |
| -6351213695.945 | -6353405105.948 | -6501693199.421 | 4452141.404 | -8512307.184 | -10865797.014 |
| -6358405846.229 | -6335122007.982 | -6498411929.193 | 2277273.389 | 1406067.193 | -7620645.718 |
| -6824458601.447 | -6904825622.251 | -6708885623.833 | -80981.446 | -7789644.517 | 896183.067 |
| -6924302092.561 | -6993420731.887 | -6990454833.613 | -945821.112 | -1036183.983 | 10254405.475 |
| 636249246.025 | 620651414.141 | 628760097.861 | -9784.133 | 674348.666 | -91428.124 |
| 631705264.678 | 639269063.864 | 623859225.781 | 243912.771 | -552486.602 | -666713.380 |
| 625401076.076 | 633971219.260 | 641761368.392 | 917381.706 | -70882.511 | -1239143.910 |
| 688741623.548 | 673346796.593 | 681937260.197 | 471934.041 | 232012.540 | -1396284.262 |
| 691891261.720 | 693711190.223 | 705093059.644 | 846115.671 | -374209.534 | -97442.182 |
| 673101383.254 | 677561826.120 | 682240119.975 | 25479.631 | 979783.830 | -178940.977 |
| -642006273.710 | -618770377.989 | -617228905.213 | -1506747.113 | -1193041.898 | 27057.775 |
| -620349706.261 | -641334052.014 | -617595171.139 | -697037.048 | -38474.009 | -1105403.698 |
| -619482029.413 | -620424740.815 | -641367977.488 | 315039.961 | 71721.259 | 93147.642 |
| -652665584.421 | -628318991.570 | -627746414.206 | -135998.537 | -562525.137 | -221192.401 |
| -629838163.622 | -651345302.050 | -632948286.649 | 144970.622 | 510889.934 | 460943.036 |
| -629823610.998 | -631960640.667 | -655005896.278 | 807238.157 | -735210.910 | -462595.435 |
| 63938123.455 | 62270781.067 | 63037149.486 | 120813.834 | -44954.051 | 21149.662 |
| 62900988.046 | 63644158.068 | 62231747.121 | -15210.849 | -2440.368 | -31957.731 |
| 62436845.474 | 63008609.583 | 63760913.938 | -15311.242 | 29714.450 | 8253.659 |
| 66178619.832 | 64778885.478 | 64656554.366 | 49007.696 | 1616.858 | 18795.692 |
| 66419293.755 | 66317847.110 | 65660082.821 | 39292.850 | 1571.943 | -14591.406 |
| 66588001.790 | 66737483.079 | 67299609.157 | 24167.263 | -93338.788 | 18646.363 |
| -64469620.885 | -62672157.025 | -62398699.133 | -179898.977 | 99496.439 | 29395.243 |
| -63141167.927 | -64853637.571 | -63048702.060 | -56660.250 | -6843.194 | -43367.014 |
| -62678901.797 | -62734056.429 | -64557339.435 | 68586.592 | 20571.825 | 52211.067 |
| -68139688.279 | -67357474.120 | -67476692.587 | -97769.116 | 4825.735 | 50692.630 |
| -66482057.109 | -66423951.174 | -65793728.494 | -119565.375 | 102056.889 | -134197.444 |
| -66346275.592 | -67309956.154 | -67083052.380 | 22741.030 | -33478.447 | 11096.221 |
| 467092.752 | 55.111 | 55.111 | -0.000 | 0.000 | 0.000 |
| 55.111 | 467092.752 | 55.111 | 0.000 | 0.000 | -0.000 |
| 55.111 | 55.111 | 467092.752 | 0.000 | -0.000 | 0.000 |
| 0.003 | 0.002 | -0.003 | 55.026 | 0.000 | 0.000 |
| 0.001 | 0.005 | -0.001 | -0.000 | 55.027 | 0.000 |
| 0.002 | -0.002 | 0.002 | -0.000 | -0.000 | 55.026 |
| 10286299.948 | -4772398767.502 | -4773570085.576 | -0.017 | -0.004 | -0.015 |
| -4502719280.653 | -4521725737.469 | -4512158286.220 | -0.001 | 4.506 | 0.004 |
| -4511710855.830 | -4503507740.710 | -4522257271.159 | 0.000 | 0.000 | 0.102 |
| -0.002 | -0.001 | 0.003 | 55.027 | 0.000 | -0.000 |
| -0.001 | -0.005 | 0.002 | 0.000 | 55.027 | -0.000 |
| -0.001 | 0.003 | -0.002 | 0.000 | 0.000 | 55.027 |
| 451366087.265 | 450185790.338 | 451516971.969 | -0.000 | -0.000 | 0.000 |
| 451611896.871 | 451537865.107 | 449715596.903 | 0.027 | -0.002 | -0.018 |
| 451569408.637 | 450133107.305 | 451350570.079 | 0.002 | 0.000 | 0.016 |
| 0.000 | 0.000 | -0.023 | 55.026 | -0.000 | 0.000 |
| 0.000 | 0.000 | -0.023 | 0.000 | 55.026 | 0.000 |
| 0.000 | -0.023 | 0.000 | -0.000 | -0.000 | 55.026 |
| -451586865.382 | -451356858.718 | -450114901.207 | -0.000 | 0.000 | -0.000 |
| -449638504.736 | -451699450.727 | -451478268.830 | -0.011 | -0.031 | -0.001 |
| -451567449.319 | -449778896.125 | -451568181.958 | -0.000 | 0.002 | -0.000 |
| -0.000 | -0.000 | 0.023 | 55.026 | -0.000 | 0.000 |
| -0.000 | 0.000 | 0.023 | -0.000 | 55.026 | -0.000 |
| -0.000 | 0.023 | -0.000 | 0.000 | 0.000 | 55.026 |
| 45144226.845 | 44992163.597 | 45161986.350 | 0.000 | 0.001 | -0.000 |
| 45151675.961 | 45136741.416 | 45018802.429 | -0.000 | 0.000 | 0.000 |
| 45157260.358 | 44997903.995 | 45147642.723 | 0.001 | 0.000 | -0.001 |
| 0.000 | -0.000 | -0.233 | 55.111 | 0.000 | 0.000 |
| -0.000 | 0.000 | -0.234 | -0.000 | 55.026 | -0.000 |
| -0.000 | -0.233 | 0.000 | 0.000 | 0.000 | 55.111 |
| -45162206.378 | -45129103.641 | -44996633.518 | -0.001 | 0.000 | -0.007 |
| -45012630.855 | -45150226.070 | -45142293.064 | -0.001 | -0.002 | -0.001 |
| -45150164.597 | -44979497.978 | -45161224.499 | 0.004 | -0.000 | -0.002 |
| -0.000 | 0.000 | 0.233 | 55.111 | -0.000 | 0.000 |
| 0.000 | 0.000 | 0.234 | -0.000 | 55.026 | 0.000 |
| 0.000 | 0.233 | -0.000 | 0.000 | -0.000 | 55.111 |
| 20817.630 | 21124.221 | 21124.221 | -0.000 | -0.000 | -0.000 |
| 21124.221 | 20817.630 | 21124.221 | -0.000 | -0.000 | -0.000 |
| 21124.221 | 21124.221 | 20817.630 | -0.000 | -0.000 | -0.000 |
| 0.000 | 0.000 | 0.000 | -469.267 | 0.000 | -0.000 |
| 0.000 | 0.000 | 0.000 | 0.000 | -469.267 | -0.000 |
| 0.000 | 0.000 | 0.000 | 0.000 | -0.000 | -469.267 |
| 20829.536 | 21136.127 | 21136.127 | 0.000 | 0.000 | 0.000 |
| 21136.127 | 20829.536 | 21136.127 | 0.000 | 0.000 | 0.000 |
| 21136.127 | 21136.127 | 20829.536 | -0.000 | 0.000 | 0.000 |
| -0.000 | -0.000 | -0.000 | -469.267 | -0.000 | 0.000 |
| -0.000 | -0.000 | -0.000 | -0.000 | -469.267 | -0.000 |
| -0.000 | -0.000 | -0.000 | 0.000 | -0.000 | -469.267 |
| 20764.053 | 21070.642 | 21070.642 | 0.000 | 0.000 | -0.000 |
| 21070.642 | 20764.053 | 21070.642 | 0.000 | -0.000 | -0.000 |
| 21070.642 | 21070.642 | 20764.053 | 0.000 | 0.000 | -0.000 |
| 0.001 | 0.002 | 0.002 | -469.267 | 0.000 | -0.000 |
| 0.002 | 0.001 | 0.002 | 0.000 | -469.267 | -0.000 |
| 0.002 | 0.002 | 0.001 | 0.000 | 0.000 | -469.267 |
| 20883.113 | 21189.705 | 21189.705 | -0.000 | 0.000 | 0.000 |
| 21189.705 | 20883.113 | 21189.705 | 0.000 | 0.000 | 0.000 |
| 21189.705 | 21189.705 | 20883.113 | -0.000 | -0.000 | 0.000 |
| -0.001 | -0.002 | -0.002 | -469.267 | -0.000 | 0.000 |
| -0.002 | -0.001 | -0.002 | -0.000 | -469.267 | 0.000 |
| -0.002 | -0.002 | -0.001 | -0.000 | -0.000 | -469.267 |
| 20228.278 | 20534.854 | 20534.854 | 0.000 | -0.000 | -0.000 |
| 20534.854 | 20228.278 | 20534.854 | -0.000 | -0.000 | -0.000 |
| 20534.854 | 20534.854 | 20228.278 | 0.000 | -0.000 | -0.000 |
| 0.015 | 0.016 | 0.015 | -469.267 | 0.000 | -0.000 |
| 0.016 | 0.015 | 0.015 | 0.000 | -469.267 | -0.000 |
| 0.016 | 0.015 | 0.015 | 0.000 | 0.000 | -469.267 |
| 21418.877 | 21725.484 | 21725.484 | 0.000 | -0.000 | 0.000 |
| 21725.484 | 21418.877 | 21725.484 | -0.000 | 0.000 | 0.000 |
| 21725.484 | 21725.484 | 21418.877 | -0.000 | -0.000 | 0.000 |
| -0.015 | -0.016 | -0.015 | -469.267 | -0.000 | 0.000 |
| -0.016 | -0.015 | -0.015 | -0.000 | -469.267 | 0.000 |
| -0.016 | -0.015 | -0.015 | 0.000 | 0.000 | -469.267 |
| 530548.577 | 530375.562 | 530375.562 | -0.000 | -0.000 | -0.000 |
| 530375.562 | 530548.577 | 530375.562 | 0.000 | -0.000 | -0.000 |
| 530375.563 | 530375.563 | 530548.577 | -0.000 | 0.000 | -0.000 |
| 0.078 | 0.078 | 0.078 | -2271.223 | -0.000 | -0.000 |
| 0.078 | 0.078 | 0.078 | -0.000 | -2271.223 | -0.000 |
| 0.078 | 0.078 | 0.078 | -0.000 | 0.000 | -2271.223 |
| 530567.821 | 530394.785 | 530394.785 | 0.000 | 0.000 | 0.000 |
| 530394.785 | 530567.821 | 530394.785 | 0.000 | 0.000 | 0.000 |
| 530394.785 | 530394.785 | 530567.820 | 0.000 | 0.000 | 0.000 |
| -0.079 | -0.079 | -0.079 | -2271.223 | 0.000 | 0.000 |
| -0.079 | -0.079 | -0.079 | 0.000 | -2271.223 | 0.000 |
| -0.079 | -0.079 | -0.079 | 0.000 | 0.000 | -2271.223 |
| 530461.966 | 530289.046 | 530289.046 | -0.000 | -0.000 | -0.000 |
| 530289.046 | 530461.966 | 530289.046 | -0.000 | -0.000 | -0.000 |
| 530289.046 | 530289.046 | 530461.966 | 0.000 | -0.000 | -0.000 |
| 0.774 | 0.775 | 0.774 | -2271.223 | -0.000 | -0.000 |
| 0.775 | 0.774 | 0.774 | -0.000 | -2271.223 | -0.000 |
| 0.775 | 0.774 | 0.774 | -0.000 | -0.000 | -2271.223 |
| 530654.427 | 530481.295 | 530481.295 | 0.000 | 0.000 | 0.000 |
| 530481.295 | 530654.427 | 530481.295 | 0.000 | -0.000 | 0.000 |
| 530481.295 | 530481.295 | 530654.427 | -0.000 | -0.000 | 0.000 |
| -0.774 | -0.775 | -0.774 | -2271.223 | 0.000 | 0.000 |
| -0.775 | -0.774 | -0.774 | 0.000 | -2271.223 | 0.000 |
| -0.775 | -0.774 | -0.774 | 0.000 | 0.000 | -2271.223 |
| 529595.835 | 529423.868 | 529423.868 | 0.000 | -0.000 | -0.000 |
| 529423.868 | 529595.835 | 529423.868 | -0.000 | -0.000 | -0.000 |
| 529423.868 | 529423.868 | 529595.835 | 0.000 | 0.000 | -0.000 |
| 7.742 | 7.746 | 7.742 | -2271.223 | -0.000 | -0.000 |
| 7.746 | 7.742 | 7.742 | 0.000 | -2271.223 | -0.000 |
| 7.746 | 7.742 | 7.742 | 0.000 | -0.000 | -2271.223 |
| 531520.444 | 531346.357 | 531346.357 | -0.000 | 0.000 | 0.000 |
| 531346.357 | 531520.444 | 531346.357 | 0.000 | -0.000 | 0.000 |
| 531346.357 | 531346.357 | 531520.444 | 0.000 | 0.000 | 0.000 |
| -7.742 | -7.746 | -7.742 | -2271.223 | 0.000 | 0.000 |
| -7.746 | -7.742 | -7.742 | 0.000 | -2271.223 | 0.000 |
| -7.746 | -7.742 | -7.742 | -0.000 | 0.000 | -2271.223 |
| 0.001 | 0.001 | 0.001 | -0.000 | -0.000 | -0.000 |
| 0.001 | 0.001 | 0.001 | -0.000 | -0.000 | -0.000 |
| 0.001 | 0.001 | 0.001 | -0.000 | -0.000 | -0.000 |
| 0.000 | 0.000 | 0.000 | 0.001 | -0.000 | 0.000 |
| 0.000 | 0.000 | 0.000 | -0.000 | 0.001 | 0.000 |
| 0.000 | 0.000 | 0.000 | -0.000 | 0.000 | 0.001 |
| 0.001 | 0.001 | 0.001 | 0.000 | 0.000 | -0.000 |
| 0.001 | 0.001 | 0.001 | 0.000 | 0.000 | -0.000 |
| 0.001 | 0.001 | 0.001 | 0.000 | 0.000 | -0.000 |
| -0.000 | -0.000 | -0.000 | 0.001 | -0.000 | -0.000 |
| -0.000 | -0.000 | -0.000 | -0.000 | 0.001 | -0.000 |
| -0.000 | -0.000 | -0.000 | -0.000 | 0.000 | 0.001 |
| 0.001 | 0.001 | 0.001 | 0.000 | -0.000 | 0.000 |
| 0.001 | 0.001 | 0.001 | -0.000 | 0.000 | 0.000 |
| 0.001 | 0.001 | 0.001 | 0.000 | 0.000 | -0.000 |
| 0.000 | 0.000 | 0.000 | 0.001 | 0.000 | 0.000 |
| 0.000 | 0.000 | 0.000 | 0.000 | 0.001 | 0.000 |
| 0.000 | 0.000 | 0.000 | -0.000 | -0.000 | 0.001 |
| 0.001 | 0.001 | 0.001 | 0.000 | 0.000 | 0.000 |
| 0.001 | 0.001 | 0.001 | 0.000 | 0.000 | 0.000 |
| 0.001 | 0.001 | 0.001 | 0.000 | 0.000 | 0.000 |
| -0.000 | -0.000 | -0.000 | 0.001 | 0.000 | 0.000 |
| -0.000 | -0.000 | -0.000 | 0.000 | 0.001 | 0.000 |
| -0.000 | -0.000 | -0.000 | -0.000 | -0.000 | 0.001 |
| 0.001 | 0.001 | 0.001 | -0.000 | 0.000 | 0.000 |
| 0.001 | 0.001 | 0.001 | 0.000 | -0.000 | 0.000 |
| 0.001 | 0.001 | 0.001 | -0.000 | -0.000 | -0.000 |
| 0.000 | 0.000 | 0.000 | 0.001 | 0.000 | -0.000 |
| 0.000 | 0.000 | 0.000 | 0.000 | 0.001 | -0.000 |
| 0.000 | 0.000 | 0.000 | 0.000 | -0.000 | 0.001 |
| 0.001 | 0.001 | 0.001 | -0.000 | -0.000 | -0.000 |
| 0.001 | 0.001 | 0.001 | -0.000 | -0.000 | -0.000 |
| 0.001 | 0.001 | 0.001 | -0.000 | -0.000 | -0.000 |
| -0.000 | -0.000 | -0.000 | 0.001 | -0.000 | -0.000 |
| -0.000 | -0.000 | -0.000 | -0.000 | 0.001 | -0.000 |
| -0.000 | -0.000 | -0.000 | 0.000 | 0.000 | 0.001 |
| 14737847557.847 | 15512257330.790 | 14655207559.621 | -6173176.639 | 3051047.850 | 8677916.764 |
| 11335.329 | 11315.230 | 12840.707 | 0.000 | -0.000 | -0.000 |
| 12840.273 | 12840.273 | 15406.843 | 0.000 | 0.000 | -0.000 |
| 0.000 | 0.000 | -0.000 | -230.365 | -0.000 | -0.000 |
| 0.000 | 0.000 | -0.000 | -0.000 | -230.366 | -0.000 |
| 0.000 | 0.000 | -0.000 | 0.000 | -0.000 | -10.050 |
| -15485099809.060 | -15301693090.982 | -15082692694.717 | -18650250.310 | -2252076.712 | -15346037.437 |
| 11337.795 | 11317.695 | 12843.939 | -0.000 | 0.000 | 0.000 |
| 12844.511 | 12844.510 | 15412.397 | 0.000 | 0.000 | 0.000 |
| -0.000 | -0.000 | -0.000 | -230.365 | 0.000 | 0.000 |
| -0.000 | -0.000 | -0.000 | 0.000 | -230.365 | 0.000 |
| -0.000 | -0.000 | 0.000 | -0.000 | 0.000 | -10.050 |
| 1478228715.479 | 1550491884.780 | 1466639853.015 | 839559.527 | 2544071.971 | 2272589.985 |
| 1546354725.999 | 1530570340.439 | 1505336990.593 | -1209130.821 | -46751.262 | 267490.138 |
| 12821.206 | 12821.206 | 15381.847 | 0.000 | -0.000 | -0.000 |
| 0.001 | 0.001 | 0.001 | -230.365 | -0.000 | -0.000 |
| 0.001 | 0.001 | 0.001 | -0.000 | -230.365 | -0.000 |
| 1523397351.078 | 1496634280.540 | 1467833465.096 | -1972569.281 | -134393.293 | -36628344.022 |
| -1546442592.817 | -1530288833.222 | -1506145947.040 | 882862.459 | -363426.053 | -955398.968 |
| -1480745650.916 | -1553626634.311 | -1469896921.048 | -1270421.514 | -2437925.852 | -1042194.304 |
| 12863.578 | 12863.578 | 15437.393 | -0.000 | 0.000 | 0.000 |
| -0.001 | -0.001 | -0.001 | -230.365 | 0.000 | 0.000 |
| -0.001 | -0.001 | -0.001 | 0.000 | -230.365 | 0.000 |
| -1514976555.047 | -1488394221.178 | -1465671076.178 | -2210330.232 | -446551.272 | -40699012.699 |
| 149609164.903 | 156267631.962 | 147397843.093 | 63040.943 | 80892.253 | -98274.755 |
| 154657490.317 | 152982278.838 | 150586563.039 | -40788.256 | 125629.149 | 166732.759 |
| 12630.533 | 12630.533 | 15131.887 | -0.000 | -0.000 | -0.000 |
| 0.008 | 0.011 | 0.010 | -230.365 | -0.000 | -0.000 |
| 0.045 | -0.025 | 0.010 | 0.000 | -230.365 | -0.000 |
| 151503543.148 | 148331306.562 | 145926746.997 | 117678.599 | -232723.791 | -4109826.635 |
| -154553876.162 | -152845629.421 | -150685775.406 | 112531.875 | -21938.051 | -92075.080 |
| -149674635.679 | -156071137.363 | -147144611.183 | 35729.357 | 103188.422 | -21139.809 |
| 12995.120 | 12995.120 | 15609.837 | -0.000 | 0.000 | 0.000 |
| -0.008 | -0.011 | -0.010 | -230.365 | 0.000 | 0.000 |
| -0.045 | 0.025 | -0.010 | 0.000 | -230.365 | 0.000 |
| -153288819.612 | -149156384.655 | -146734944.609 | -48974.800 | -30720.046 | -3164970.289 |
| -0.002 | -0.001 | 0.001 | 0.000 | -0.000 | 0.000 |
| -0.001 | -0.002 | 0.001 | 0.000 | -0.000 | 0.000 |
| 0.001 | 0.001 | 0.002 | 0.000 | 0.000 | -0.000 |
| 0.000 | 0.000 | 0.000 | 0.001 | 0.000 | -0.000 |
| 0.000 | 0.000 | 0.000 | 0.000 | 0.001 | 0.000 |
| -0.000 | -0.000 | 0.000 | 0.000 | -0.000 | -0.001 |
| -0.002 | -0.001 | 0.001 | -0.000 | 0.000 | 0.000 |
| -0.001 | -0.002 | 0.001 | -0.000 | 0.000 | -0.000 |
| 0.001 | 0.001 | 0.002 | -0.000 | 0.000 | 0.000 |
| -0.000 | -0.000 | -0.000 | 0.001 | 0.000 | 0.000 |
| -0.000 | -0.000 | -0.000 | -0.000 | 0.001 | 0.000 |
| 0.000 | 0.000 | -0.000 | -0.000 | -0.000 | -0.001 |
| -0.002 | -0.001 | 0.001 | 0.000 | -0.000 | -0.000 |
| -0.001 | -0.002 | 0.001 | 0.000 | -0.000 | 0.000 |
| 0.001 | 0.001 | 0.002 | 0.000 | -0.000 | -0.000 |
| 0.000 | 0.000 | 0.000 | 0.001 | -0.000 | -0.000 |
| 0.000 | 0.000 | 0.000 | 0.000 | 0.001 | -0.000 |
| -0.000 | -0.000 | 0.000 | 0.000 | -0.000 | -0.001 |
| -0.002 | -0.001 | 0.001 | -0.000 | 0.000 | -0.000 |
| -0.001 | -0.002 | 0.001 | -0.000 | 0.000 | -0.000 |
| 0.001 | 0.001 | 0.002 | -0.000 | 0.000 | -0.000 |
| -0.000 | -0.000 | -0.000 | 0.001 | 0.000 | 0.000 |
| -0.000 | -0.000 | -0.000 | -0.000 | 0.001 | -0.000 |
| 0.000 | 0.000 | -0.000 | -0.000 | 0.000 | -0.001 |
| -0.002 | -0.001 | 0.001 | 0.000 | -0.000 | -0.000 |
| -0.001 | -0.002 | 0.001 | 0.000 | -0.000 | -0.000 |
| 0.001 | 0.001 | 0.002 | 0.000 | -0.000 | -0.000 |
| 0.000 | 0.000 | 0.000 | 0.001 | 0.000 | 0.000 |
| 0.000 | 0.000 | 0.000 | 0.000 | 0.001 | -0.000 |
| -0.000 | -0.000 | 0.000 | 0.000 | -0.000 | -0.001 |
| -0.002 | -0.001 | 0.001 | -0.000 | -0.000 | -0.000 |
| -0.001 | -0.002 | 0.001 | -0.000 | 0.000 | -0.000 |
| 0.001 | 0.001 | 0.002 | -0.000 | 0.000 | -0.000 |
| -0.000 | -0.000 | -0.000 | 0.001 | 0.000 | -0.000 |
| -0.000 | -0.000 | -0.000 | -0.000 | 0.001 | -0.000 |
| 0.000 | 0.000 | -0.000 | -0.000 | -0.000 | -0.001 |
| -7406.910 | -7152.806 | 0.001 | -0.000 | -0.000 | -0.000 |
| 1547007867.114 | 1416988719.444 | 1094389488.606 | 2667107.837 | 3498910.486 | -21823189.243 |
| 1524244739.304 | 1412118289.761 | 1102085662.158 | -285178.233 | 4662427.034 | -25173057.425 |
| 1796758815.530 | 1763817688.820 | 1278841007.852 | 1043409.743 | -726672.092 | -10279691.079 |
| 1742395321.241 | 1740389881.824 | 1264902226.448 | -3048767.183 | -1496399.246 | -9201185.033 |
| 1565109559.489 | 1475841316.690 | 1093197534.331 | -3633657.770 | -5327070.866 | 3413673.484 |
| -1469389503.930 | -1370556579.165 | -1131703799.939 | -7622593.556 | -2597203.031 | 25771571.095 |
| -1476673257.714 | -1377424206.185 | -1121890285.260 | 1141053.384 | -206441.059 | -25606535.426 |
| -1527028043.440 | -1449095906.045 | -1086684797.719 | 3012560.403 | -7954909.953 | 31782968.154 |
| -1774683291.477 | -1744095466.293 | -1271841340.283 | -1636619.964 | -6048192.662 | 7122938.269 |
| -1704225580.094 | -1699770203.859 | -1263633223.303 | 7206358.236 | -2364189.908 | 13072157.734 |
| -1495482766.966 | -1412276485.373 | -1058136244.044 | 10151144.965 | -191341.289 | 7912251.688 |
| 156477851.727 | 146189475.502 | 112537390.629 | -72917.851 | 30064.950 | 2282641.970 |
| 156980875.226 | 145394494.556 | 110846024.368 | 166243.070 | -471581.161 | -1483565.078 |
| 156845613.148 | 142914554.090 | 107341307.658 | -170848.025 | -34234.714 | -1677525.979 |
| 179781841.178 | 177930260.064 | 126529703.824 | -249499.973 | -390158.399 | 42243.325 |
| 174164129.715 | 171002933.465 | 125007721.078 | -247158.035 | 200791.812 | -730153.131 |
| 147895375.729 | 142249167.291 | 106058713.028 | 9814.328 | -46988.025 | -3243936.513 |
| -157569375.013 | -146118346.238 | -108047564.833 | 57195.654 | 213116.837 | 751495.685 |
| -7145.621 | -7399.723 | 0.001 | -0.000 | -0.000 | 0.000 |
| -157411350.594 | -142703010.095 | -108420026.256 | -99257.954 | 123595.805 | 1771705.733 |
| -182440641.545 | -178942943.201 | -126191504.104 | -263070.849 | 39277.030 | -110938.916 |
| -175955458.785 | -173012929.423 | -126450069.691 | -243277.179 | 688627.215 | -41495.681 |
| -157937424.279 | -143673897.780 | -110455471.338 | -95462.444 | 136497.855 | 1591493.504 |
| 15695752.601 | 14509400.819 | 10746415.629 | -3010.478 | -20729.261 | -137733.284 |
| 15296374.422 | 14045130.248 | 11831844.651 | 2778.479 | -50424.126 | -40097.896 |
| 15695938.446 | 14274459.513 | 10882468.170 | 27921.128 | 4651.747 | -251953.833 |
| 17831512.477 | 17388896.050 | 12674408.892 | 25117.500 | 8903.214 | -91854.652 |
| 17654311.240 | 17552239.310 | 12543673.825 | 76670.945 | 30315.228 | -15934.340 |
| 16047431.736 | 15307035.389 | 11229708.738 | 33704.993 | 7922.341 | -161535.508 |
| -7342.867 | -7088.782 | 0.001 | 0.000 | 0.000 | 0.000 |
| -13299027.399 | -12679833.801 | -11483351.500 | -55879.288 | 26804.672 | -87131.277 |
| -15334606.077 | -14259038.837 | -10994316.461 | -34548.445 | -8281.441 | 398630.107 |
| -17687656.625 | -17068891.226 | -12892512.193 | -22673.565 | -72043.112 | 3322.476 |
| -17206692.084 | -17320019.280 | -12544813.147 | 17483.717 | 34219.860 | 68582.482 |
| -15780416.478 | -14857767.009 | -10837068.094 | -41348.991 | 170821.598 | 78094.225 |
| 0.002 | 0.001 | 0.001 | -0.000 | -0.000 | 0.000 |
| 0.001 | 0.002 | 0.001 | 0.000 | -0.000 | -0.000 |
| 0.001 | 0.001 | 0.003 | 0.000 | -0.000 | 0.000 |
| 0.000 | 0.000 | 0.000 | 0.001 | -0.000 | -0.000 |
| 0.000 | 0.000 | 0.000 | -0.000 | 0.001 | -0.000 |
| 0.000 | 0.000 | 0.000 | 0.000 | -0.000 | 0.001 |
| 0.002 | 0.001 | 0.001 | -0.000 | 0.000 | 0.000 |
| 0.001 | 0.002 | 0.001 | -0.000 | 0.000 | 0.000 |
| 0.001 | 0.001 | 0.003 | 0.000 | 0.000 | -0.000 |
| -0.000 | -0.000 | -0.000 | 0.001 | -0.000 | 0.000 |
| -0.000 | -0.000 | -0.000 | 0.000 | 0.001 | -0.000 |
| -0.000 | -0.000 | -0.000 | -0.000 | -0.000 | 0.001 |
| 0.002 | 0.001 | 0.001 | -0.000 | -0.000 | -0.000 |
| 0.001 | 0.002 | 0.001 | 0.000 | -0.000 | 0.000 |
| 0.001 | 0.001 | 0.003 | -0.000 | -0.000 | 0.000 |
| 0.000 | 0.000 | 0.000 | 0.001 | -0.000 | 0.000 |
| 0.000 | 0.000 | 0.000 | -0.000 | 0.001 | -0.000 |
| 0.000 | 0.000 | 0.000 | -0.000 | -0.000 | 0.001 |
| 0.002 | 0.001 | 0.001 | 0.000 | 0.000 | -0.000 |
| 0.001 | 0.002 | 0.001 | -0.000 | 0.000 | -0.000 |
| 0.001 | 0.001 | 0.003 | -0.000 | 0.000 | -0.000 |
| -0.000 | -0.000 | -0.000 | 0.001 | -0.000 | 0.000 |
| -0.000 | -0.000 | -0.000 | 0.000 | 0.001 | -0.000 |
| -0.000 | -0.000 | -0.000 | 0.000 | -0.000 | 0.001 |
| 0.002 | 0.001 | 0.001 | -0.000 | -0.000 | 0.000 |
| 0.001 | 0.002 | 0.001 | 0.000 | 0.000 | -0.000 |
| 0.001 | 0.001 | 0.003 | 0.000 | -0.000 | -0.000 |
| 0.000 | 0.000 | 0.000 | 0.001 | -0.000 | -0.000 |
| 0.000 | 0.000 | 0.000 | 0.000 | 0.001 | 0.000 |
| 0.000 | 0.000 | 0.000 | 0.000 | -0.000 | 0.001 |
| 0.002 | 0.001 | 0.001 | -0.000 | 0.000 | 0.000 |
| 0.001 | 0.002 | 0.001 | 0.000 | 0.000 | 0.000 |
| 0.001 | 0.001 | 0.003 | -0.000 | 0.000 | 0.000 |
| -0.000 | -0.000 | -0.000 | 0.001 | 0.000 | 0.000 |
| -0.000 | -0.000 | -0.000 | -0.000 | 0.001 | 0.000 |
| -0.000 | -0.000 | -0.000 | 0.000 | -0.000 | 0.001 |
| -0.002 | -0.001 | 0.001 | 0.000 | -0.000 | 0.000 |
| -0.001 | -0.002 | 0.001 | 0.000 | -0.000 | -0.000 |
| 0.001 | 0.001 | 0.002 | 0.000 | -0.000 | -0.000 |
| 0.000 | 0.000 | 0.000 | 0.001 | -0.000 | -0.000 |
| 0.000 | 0.000 | 0.000 | 0.000 | 0.001 | 0.000 |
| -0.000 | -0.000 | 0.000 | 0.000 | 0.000 | -0.001 |
| -0.002 | -0.001 | 0.001 | -0.000 | 0.000 | -0.000 |
| -0.001 | -0.002 | 0.001 | -0.000 | 0.000 | 0.000 |
| 0.001 | 0.001 | 0.002 | -0.000 | 0.000 | 0.000 |
| -0.000 | -0.000 | -0.000 | 0.001 | 0.000 | 0.000 |
| -0.000 | -0.000 | -0.000 | -0.000 | 0.001 | 0.000 |
| 0.000 | 0.000 | -0.000 | -0.000 | 0.000 | -0.001 |
| -0.002 | -0.001 | 0.001 | 0.000 | -0.000 | -0.000 |
| -0.001 | -0.002 | 0.001 | -0.000 | -0.000 | -0.000 |
| 0.001 | 0.001 | 0.002 | 0.000 | -0.000 | -0.000 |
| 0.000 | 0.000 | 0.000 | 0.001 | -0.000 | -0.000 |
| 0.000 | 0.000 | 0.000 | 0.000 | 0.001 | -0.000 |
| -0.000 | -0.000 | 0.000 | 0.000 | -0.000 | -0.001 |
| -0.002 | -0.001 | 0.001 | 0.000 | 0.000 | 0.000 |
| -0.001 | -0.002 | 0.001 | -0.000 | 0.000 | 0.000 |
| 0.001 | 0.001 | 0.002 | -0.000 | 0.000 | 0.000 |
| -0.000 | -0.000 | -0.000 | 0.001 | 0.000 | 0.000 |
| -0.000 | -0.000 | -0.000 | -0.000 | 0.001 | -0.000 |
| 0.000 | 0.000 | -0.000 | -0.000 | -0.000 | -0.001 |
| -0.002 | -0.001 | 0.001 | 0.000 | -0.000 | -0.000 |
| -0.001 | -0.002 | 0.001 | -0.000 | -0.000 | -0.000 |
| 0.001 | 0.001 | 0.002 | -0.000 | -0.000 | 0.000 |
| 0.000 | 0.000 | 0.000 | 0.001 | 0.000 | -0.000 |
| 0.000 | 0.000 | 0.000 | 0.000 | 0.001 | 0.000 |
| -0.000 | -0.000 | 0.000 | 0.000 | -0.000 | -0.001 |
| -0.002 | -0.001 | 0.001 | 0.000 | 0.000 | -0.000 |
| -0.001 | -0.002 | 0.001 | -0.000 | 0.000 | 0.000 |
| 0.001 | 0.001 | 0.002 | -0.000 | 0.000 | 0.000 |
| -0.000 | -0.000 | -0.000 | 0.001 | 0.000 | 0.000 |
| -0.000 | -0.000 | -0.000 | -0.000 | 0.001 | 0.000 |
| 0.000 | 0.000 | -0.000 | -0.000 | -0.000 | -0.001 |
| 5905.755 | 5735.746 | 5735.746 | 0.000 | 0.000 | 0.000 |
| 5735.746 | 5905.755 | 5735.746 | -0.000 | 0.000 | 0.000 |
| 5735.746 | 5735.746 | 5905.755 | -0.000 | -0.000 | 0.000 |
| -0.000 | -0.000 | -0.000 | 174.308 | 0.000 | 0.000 |
| -0.000 | -0.000 | -0.000 | 0.000 | 174.308 | 0.000 |
| -0.000 | -0.000 | -0.000 | 0.000 | 0.000 | 174.308 |
| 5907.531 | 5737.521 | 5737.521 | -0.000 | -0.000 | -0.000 |
| 5737.522 | 5907.531 | 5737.521 | 0.000 | -0.000 | -0.000 |
| 5737.522 | 5737.521 | 5907.531 | 0.000 | -0.000 | -0.000 |
| 0.000 | 0.000 | 0.000 | 174.308 | -0.000 | -0.000 |
| 0.000 | 0.000 | 0.000 | -0.000 | 174.308 | -0.000 |
| 0.000 | 0.000 | 0.000 | -0.000 | -0.000 | 174.308 |
| 5941.372 | 5771.364 | 5771.364 | 0.000 | -0.000 | 0.000 |
| 5771.364 | 5941.372 | 5771.364 | 0.000 | 0.000 | 0.000 |
| 5771.364 | 5771.364 | 5941.372 | 0.000 | 0.000 | 0.000 |
| -0.000 | -0.000 | -0.000 | 174.308 | 0.000 | 0.000 |
| -0.000 | -0.000 | -0.000 | 0.000 | 174.308 | 0.000 |
| -0.000 | -0.000 | -0.000 | 0.000 | 0.000 | 174.308 |
| 5915.521 | 5745.511 | 5745.511 | -0.000 | -0.000 | -0.000 |
| 5745.511 | 5915.521 | 5745.511 | -0.000 | -0.000 | -0.000 |
| 5745.511 | 5745.511 | 5915.521 | -0.000 | -0.000 | -0.000 |
| 0.000 | 0.000 | 0.000 | 174.308 | -0.000 | -0.000 |
| 0.000 | 0.000 | 0.000 | -0.000 | 174.308 | -0.000 |
| 0.000 | 0.000 | 0.000 | -0.000 | -0.000 | 174.308 |
| 5998.314 | 5828.317 | 5828.317 | 0.000 | 0.000 | 0.000 |
| 5828.317 | 5998.314 | 5828.317 | -0.000 | 0.000 | 0.000 |
| 5828.317 | 5828.317 | 5998.314 | -0.000 | 0.000 | 0.000 |
| -0.003 | -0.004 | -0.003 | 174.308 | 0.000 | 0.000 |
| -0.004 | -0.003 | -0.003 | 0.000 | 174.308 | 0.000 |
| -0.004 | -0.003 | -0.003 | 0.000 | 0.000 | 174.308 |
| 5995.423 | 5825.402 | 5825.402 | -0.000 | -0.000 | -0.000 |
| 5825.402 | 5995.423 | 5825.402 | -0.000 | -0.000 | -0.000 |
| 5825.402 | 5825.402 | 5995.423 | -0.000 | -0.000 | -0.000 |
| 0.003 | 0.004 | 0.003 | 174.308 | -0.000 | -0.000 |
| 0.004 | 0.003 | 0.003 | -0.000 | 174.308 | -0.000 |
| 0.004 | 0.003 | 0.003 | -0.000 | -0.000 | 174.308 |
| 107653.994 | 107653.996 | 107653.996 | -0.000 | -0.000 | 0.000 |
| 107653.996 | 107653.994 | 107653.996 | -0.000 | -0.000 | 0.000 |
| 107653.996 | 107653.996 | 107653.993 | -0.000 | -0.000 | -0.000 |
| 901670499.137 | 840422140.399 | 849003206.218 | -9946255.358 | -2488604.525 | -935413.461 |
| 847562571.577 | 907531061.261 | 849948536.789 | 4140652.574 | -12370860.990 | -3626729.832 |
| 833820763.739 | 837412095.893 | 915154303.287 | -3255305.152 | -5893254.009 | -11355944.437 |
| 107658.888 | 107658.886 | 107658.886 | 0.000 | 0.000 | 0.000 |
| 107658.886 | 107658.888 | 107658.886 | 0.000 | 0.000 | 0.000 |
| 107658.886 | 107658.886 | 107658.888 | 0.000 | 0.000 | 0.000 |
| -893952172.741 | -844696267.548 | -839291184.035 | -12563398.815 | 2941132.199 | 7033499.911 |
| -841090850.560 | -892815678.007 | -844867596.242 | 4528829.431 | -12263184.500 | 10110161.290 |
| -842963575.053 | -847658613.996 | -888703245.765 | 1641243.881 | 3862851.433 | -6324697.202 |
| 107631.954 | 107631.975 | 107631.975 | -0.000 | -0.000 | 0.000 |
| 107631.975 | 107631.954 | 107631.975 | -0.000 | -0.000 | 0.000 |
| 107631.975 | 107631.975 | 107631.954 | -0.000 | -0.000 | -0.000 |
| 89844185.978 | 84227085.988 | 84972589.594 | 354335.746 | -147753.556 | -157533.654 |
| 84070271.106 | 90258247.157 | 85259459.302 | -216495.409 | -10821.569 | 252489.308 |
| 87853983.835 | 88638559.355 | 90570774.157 | 67348.143 | 113758.598 | -161642.764 |
| 107680.928 | 107680.906 | 107680.906 | 0.000 | 0.000 | -0.000 |
| 107680.906 | 107680.928 | 107680.906 | 0.000 | 0.000 | -0.000 |
| 107680.906 | 107680.906 | 107680.928 | 0.000 | 0.000 | 0.000 |
| -90264751.957 | -87614583.419 | -87728167.837 | 313428.845 | 243736.572 | 68017.136 |
| -87177007.387 | -88386307.729 | -87308471.106 | 324012.259 | 788083.947 | 31816.146 |
| -87545775.429 | -87384685.340 | -87847412.681 | 294561.436 | -13043.721 | 691636.182 |
| 107411.560 | 107411.775 | 107411.775 | 0.000 | -0.000 | 0.000 |
| 107411.775 | 107411.560 | 107411.775 | -0.000 | 0.000 | 0.000 |
| 107411.775 | 107411.775 | 107411.560 | -0.000 | -0.000 | 0.000 |
| 13930264.120 | 13930452.969 | 13930453.071 | 51290.845 | -0.000 | -0.000 |
| 13930452.969 | 13930264.120 | 13930453.071 | -0.000 | 51290.845 | -0.000 |
| 13930452.969 | 13930453.072 | 13930264.120 | -0.000 | -0.000 | 51290.845 |
| 107901.299 | 107901.083 | 107901.083 | 0.000 | 0.000 | -0.000 |
| 107901.083 | 107901.299 | 107901.083 | 0.000 | 0.000 | -0.000 |
| 107901.083 | 107901.083 | 107901.299 | 0.000 | 0.000 | 0.000 |
| -13930264.153 | -13930453.002 | -13930453.105 | 51290.848 | 0.000 | 0.000 |
| -13930453.002 | -13930264.153 | -13930453.105 | 0.000 | 51290.848 | 0.000 |
| -13930452.992 | -13930453.095 | -13930264.143 | 0.000 | 0.000 | 51290.847 |
| 0.000 | 0.000 | 0.000 | -0.000 | 0.000 | -0.000 |
| 0.000 | 0.000 | 0.000 | 0.000 | -0.000 | -0.000 |
| 0.000 | 0.000 | 0.000 | -0.000 | -0.000 | -0.000 |
| 0.000 | 0.000 | 0.000 | 0.000 | 0.000 | -0.000 |
| 0.000 | 0.000 | 0.000 | 0.000 | 0.000 | -0.000 |
| 0.000 | 0.000 | 0.000 | 0.000 | 0.000 | 0.000 |
| 0.000 | 0.000 | 0.000 | 0.000 | -0.000 | 0.000 |
| 0.000 | 0.000 | 0.000 | -0.000 | 0.000 | 0.000 |
| 0.000 | 0.000 | 0.000 | -0.000 | -0.000 | 0.000 |
| -0.000 | -0.000 | -0.000 | 0.000 | 0.000 | -0.000 |
| -0.000 | -0.000 | -0.000 | 0.000 | 0.000 | -0.000 |
| -0.000 | -0.000 | -0.000 | 0.000 | -0.000 | 0.000 |
| 0.000 | 0.000 | 0.000 | -0.000 | 0.000 | -0.000 |
| 0.000 | 0.000 | 0.000 | 0.000 | -0.000 | -0.000 |
| 0.000 | 0.000 | 0.000 | 0.000 | 0.000 | -0.000 |
| 0.000 | 0.000 | 0.000 | 0.000 | 0.000 | -0.000 |
| 0.000 | 0.000 | 0.000 | 0.000 | 0.000 | -0.000 |
| 0.000 | 0.000 | 0.000 | 0.000 | 0.000 | 0.000 |
| 0.000 | 0.000 | 0.000 | 0.000 | 0.000 | 0.000 |
| 0.000 | 0.000 | 0.000 | 0.000 | 0.000 | 0.000 |
| 0.000 | 0.000 | 0.000 | 0.000 | 0.000 | 0.000 |
| -0.000 | -0.000 | -0.000 | 0.000 | 0.000 | -0.000 |
| -0.000 | -0.000 | -0.000 | 0.000 | 0.000 | -0.000 |
| -0.000 | -0.000 | -0.000 | 0.000 | -0.000 | 0.000 |
| 0.000 | 0.000 | 0.000 | -0.000 | 0.000 | -0.000 |
| 0.000 | 0.000 | 0.000 | 0.000 | -0.000 | -0.000 |
| 0.000 | 0.000 | 0.000 | 0.000 | 0.000 | -0.000 |
| 0.000 | 0.000 | 0.000 | 0.000 | 0.000 | -0.000 |
| 0.000 | 0.000 | 0.000 | 0.000 | 0.000 | -0.000 |
| 0.000 | 0.000 | 0.000 | 0.000 | -0.000 | 0.000 |
| 0.000 | 0.000 | 0.000 | 0.000 | 0.000 | 0.000 |
| 0.000 | 0.000 | 0.000 | 0.000 | 0.000 | 0.000 |
| 0.000 | 0.000 | 0.000 | -0.000 | -0.000 | 0.000 |
| -0.000 | -0.000 | -0.000 | 0.000 | 0.000 | 0.000 |
| -0.000 | -0.000 | -0.000 | 0.000 | 0.000 | 0.000 |
| -0.000 | -0.000 | -0.000 | 0.000 | -0.000 | 0.000 |
| 12459.723 | 12992.430 | 12543.948 | -0.000 | -0.000 | 0.000 |
| 12992.430 | 12459.723 | 12543.948 | -0.000 | 0.000 | -0.000 |
| 12543.948 | 12543.948 | 11043.567 | -0.000 | -0.000 | 0.000 |
| 17656074149.070 | 17974752402.725 | 17870935883.445 | 8468626.145 | 37626802.370 | 21005239.672 |
| 18032425604.310 | 17668119410.043 | 17795360760.464 | -33120671.945 | 2874698.273 | -30765988.270 |
| -0.000 | -0.000 | -0.000 | -0.000 | 0.000 | 239.594 |
| 12459.720 | 12992.429 | 12543.946 | 0.000 | 0.000 | 0.000 |
| 12992.429 | 12459.720 | 12543.946 | 0.000 | 0.000 | -0.000 |
| 12543.946 | 12543.946 | 11043.565 | 0.000 | 0.000 | -0.000 |
| -17563704800.868 | -18025292355.183 | -17829036105.179 | 8442120.043 | 19511917.891 | 7044980.898 |
| -17989660370.271 | -17673251945.493 | -17801476564.431 | -5522129.350 | 46246070.727 | 11090456.495 |
| 0.000 | 0.000 | 0.000 | 0.000 | 0.000 | 239.594 |
| 12459.737 | 12992.434 | 12543.954 | -0.000 | 0.000 | 0.000 |
| 12992.434 | 12459.737 | 12543.954 | -0.000 | 0.000 | 0.000 |
| 12543.954 | 12543.954 | 11043.578 | -0.000 | -0.000 | 0.000 |
| 1761576746.533 | 1797839187.230 | 1780532573.023 | -1976143.400 | 2844981.789 | 544110.304 |
| 1807977314.768 | 1764244713.117 | 1793282203.104 | 240774.908 | 4123477.147 | 2068794.251 |
| -0.001 | -0.001 | -0.001 | -0.000 | 0.000 | 239.594 |
| 12459.706 | 12992.424 | 12543.940 | 0.000 | 0.000 | 0.000 |
| 12992.424 | 12459.706 | 12543.940 | 0.000 | 0.000 | -0.000 |
| 12543.941 | 12543.941 | 11043.554 | 0.000 | -0.000 | -0.000 |
| -1760753260.931 | -1803347154.877 | -1784606887.564 | -2090246.173 | 81091.490 | 1727698.964 |
| -1799365494.106 | -1753022388.624 | -1771360510.922 | -1385394.850 | 3333967.808 | 963736.708 |
| 0.001 | 0.001 | 0.001 | 0.000 | -0.000 | 239.594 |
| 12459.876 | 12992.475 | 12544.017 | -0.000 | 0.000 | 0.000 |
| 12992.475 | 12459.876 | 12544.017 | -0.000 | -0.000 | 0.000 |
| 12544.014 | 12544.014 | 11043.684 | -0.000 | 0.000 | 0.000 |
| 175302804.602 | 179352962.296 | 177654285.886 | 78019.456 | 73627.703 | 86545.292 |
| 179775100.199 | 175495811.768 | 177983399.360 | -212934.504 | -148784.929 | -217842.099 |
| -0.007 | -0.006 | -0.006 | 0.000 | -0.000 | 239.594 |
| 12459.567 | 12992.383 | 12543.877 | 0.000 | 0.000 | 0.000 |
| 12992.383 | 12459.567 | 12543.877 | 0.000 | 0.000 | -0.000 |
| 12543.880 | 12543.880 | 11043.448 | 0.000 | 0.000 | -0.000 |
| -176183852.839 | -180363048.843 | -178648531.171 | 213499.435 | 323186.829 | -265464.906 |
| -179950875.173 | -176369549.967 | -177934730.024 | 18172.885 | 99642.266 | 35270.635 |
| 0.007 | 0.006 | 0.006 | 0.000 | -0.000 | 239.594 |
| 0.001 | 0.001 | 0.001 | -0.000 | 0.000 | 0.000 |
| 0.001 | 0.001 | 0.001 | 0.000 | -0.000 | 0.000 |
| 0.001 | 0.001 | 0.002 | 0.000 | 0.000 | 0.000 |
| 0.000 | 0.000 | 0.000 | 0.001 | 0.000 | 0.000 |
| 0.000 | 0.000 | 0.000 | 0.000 | 0.001 | 0.000 |
| 0.000 | 0.000 | 0.000 | -0.000 | -0.000 | 0.001 |
| 0.001 | 0.001 | 0.001 | 0.000 | 0.000 | -0.000 |
| 0.001 | 0.001 | 0.001 | 0.000 | 0.000 | -0.000 |
| 0.001 | 0.001 | 0.002 | -0.000 | -0.000 | -0.000 |
| -0.000 | -0.000 | -0.000 | 0.001 | 0.000 | -0.000 |
| -0.000 | -0.000 | -0.000 | 0.000 | 0.001 | -0.000 |
| -0.000 | -0.000 | -0.000 | -0.000 | -0.000 | 0.001 |
| 0.001 | 0.001 | 0.001 | -0.000 | -0.000 | 0.000 |
| 0.001 | 0.001 | 0.001 | -0.000 | -0.000 | 0.000 |
| 0.001 | 0.001 | 0.002 | 0.000 | 0.000 | 0.000 |
| 0.000 | 0.000 | 0.000 | 0.001 | 0.000 | 0.000 |
| 0.000 | 0.000 | 0.000 | 0.000 | 0.001 | 0.000 |
| 0.000 | 0.000 | 0.000 | -0.000 | -0.000 | 0.001 |
| 0.001 | 0.001 | 0.001 | 0.000 | 0.000 | -0.000 |
| 0.001 | 0.001 | 0.001 | 0.000 | 0.000 | -0.000 |
| 0.001 | 0.001 | 0.002 | 0.000 | 0.000 | -0.000 |
| -0.000 | -0.000 | -0.000 | 0.001 | -0.000 | -0.000 |
| -0.000 | -0.000 | -0.000 | -0.000 | 0.001 | -0.000 |
| -0.000 | -0.000 | -0.000 | -0.000 | -0.000 | 0.001 |
| 0.001 | 0.001 | 0.001 | -0.000 | 0.000 | 0.000 |
| 0.001 | 0.001 | 0.001 | 0.000 | -0.000 | 0.000 |
| 0.001 | 0.001 | 0.002 | -0.000 | -0.000 | 0.000 |
| 0.000 | 0.000 | 0.000 | 0.001 | -0.000 | 0.000 |
| 0.000 | 0.000 | 0.000 | -0.000 | 0.001 | 0.000 |
| 0.000 | 0.000 | 0.000 | 0.000 | -0.000 | 0.001 |
| 0.001 | 0.001 | 0.001 | -0.000 | 0.000 | 0.000 |
| 0.001 | 0.001 | 0.001 | 0.000 | -0.000 | 0.000 |
| 0.001 | 0.001 | 0.002 | -0.000 | -0.000 | -0.000 |
| -0.000 | -0.000 | -0.000 | 0.001 | -0.000 | -0.000 |
| -0.000 | -0.000 | -0.000 | -0.000 | 0.001 | -0.000 |
| -0.000 | -0.000 | -0.000 | -0.000 | -0.000 | 0.001 |
| -1267.998 | -1204.245 | -1163.572 | 141.950 | -0.000 | 0.000 |
| -1523.017 | -1096.416 | -1224.345 | 161.986 | 0.001 | 0.000 |
| 8033.944 | 8033.944 | 6651.639 | -0.000 | 0.000 | 0.000 |
| -1733.765 | -1436.355 | -1308.919 | 168.701 | 0.001 | 0.000 |
| 0.000 | 0.000 | 0.001 | 0.000 | 264.845 | -226.261 |
| 0.000 | 0.000 | 0.001 | 0.000 | -226.261 | 265.151 |
| 1309.774 | 866.515 | 755.772 | -172.311 | -0.001 | -0.000 |
| 1102.841 | 1039.820 | 741.888 | -141.496 | -0.001 | -0.000 |
| 1055.706 | 1055.705 | 889.108 | -0.000 | -0.001 | -0.000 |
| -226.262 | 226.261 | -0.001 | 264.845 | -0.001 | -0.000 |
| -0.000 | -0.001 | -0.001 | -0.000 | 264.844 | -226.262 |
| -0.000 | -0.000 | -0.001 | 0.000 | -226.262 | 265.150 |
| -105.890 | -485.758 | -387.088 | -133.019 | 0.000 | 0.000 |
| -101.808 | 82.342 | -150.838 | 11.707 | 0.000 | 0.000 |
| 8039.878 | 8039.878 | 6656.546 | -0.000 | 0.000 | 0.000 |
| 20.739 | -261.591 | -99.446 | -190.638 | 0.000 | 0.000 |
| -680.702 | -680.702 | -562.114 | 0.000 | -148.062 | 106.820 |
| 1492.965 | 1492.965 | 1232.869 | 0.000 | 291.284 | -152.341 |
| 253.144 | -189.470 | -116.510 | -171.910 | -0.000 | -0.000 |
| -172.244 | 270.523 | -102.222 | 172.006 | -0.000 | -0.000 |
| 184.172 | 184.172 | 169.409 | 0.000 | -0.000 | -0.000 |
| 94.889 | -209.180 | -47.190 | -204.113 | -0.000 | -0.000 |
| 680.702 | 680.702 | 562.114 | -0.000 | -148.062 | 106.820 |
| -1492.965 | -1492.965 | -1232.869 | -0.000 | 291.284 | -152.341 |
| -20.907 | 41.857 | -134.152 | 141.337 | 0.000 | 0.000 |
| -286.359 | -348.948 | -405.117 | -141.230 | 0.000 | 0.000 |
| -139.136 | -139.136 | -97.575 | 0.000 | 0.000 | 0.000 |
| 127.280 | -151.818 | -10.132 | -188.635 | 0.000 | 0.000 |
| 105.071 | 105.072 | 86.766 | 0.001 | -191.945 | 142.219 |
| -75.057 | -75.057 | -61.981 | 0.000 | 140.943 | -31.064 |
| -37.656 | 25.425 | -147.850 | 141.532 | -0.000 | -0.000 |
| -70.298 | -130.780 | -225.823 | -139.921 | -0.000 | -0.000 |
| -199.425 | -199.425 | -147.359 | -0.000 | -0.000 | -0.000 |
| 129.185 | -154.062 | -10.271 | -191.206 | -0.000 | -0.000 |
| -105.071 | -105.072 | -86.766 | -0.001 | -191.945 | 142.219 |
| 75.057 | 75.057 | 61.981 | -0.000 | 140.943 | -31.064 |
| 5264.157 | 5153.357 | 0.000 | 0.000 | 0.000 | 0.000 |
| 5008.669 | 5408.844 | -0.000 | -0.000 | 0.000 | 0.000 |
| 0.000 | 0.000 | -0.000 | -0.000 | 0.000 | -0.000 |
| 0.000 | -0.000 | -0.000 | -0.000 | 0.000 | 0.000 |
| 0.000 | -0.000 | -0.000 | -0.000 | -0.000 | 0.000 |
| -0.000 | -0.000 | 0.000 | 0.000 | -0.000 | 55.400 |
| 5409.880 | 5009.705 | 0.000 | 0.000 | -0.000 | 0.000 |
| 5154.392 | 5265.192 | -0.000 | -0.000 | 0.000 | -0.000 |
| 0.000 | 0.000 | 0.000 | 0.000 | -0.000 | -0.000 |
| -0.000 | 0.000 | 0.000 | -0.000 | -0.000 | 0.000 |
| -0.000 | 0.000 | 0.000 | -0.000 | -0.000 | -0.000 |
| 0.000 | 0.000 | -0.000 | 0.000 | -0.000 | 55.400 |
| 5239.381 | 5128.577 | 0.000 | 0.000 | 0.000 | 0.000 |
| 4983.892 | 5384.068 | -0.000 | -0.000 | 0.000 | 0.000 |
| 0.000 | 0.000 | -0.000 | -0.000 | -0.000 | -0.000 |
| 0.000 | -0.000 | 0.000 | 0.000 | 0.000 | -0.000 |
| 0.000 | -0.000 | -0.000 | 0.000 | 0.000 | 0.000 |
| 0.000 | 0.000 | -0.000 | 0.000 | 0.000 | 200.088 |
| 5269.848 | 5159.053 | -0.000 | -0.000 | -0.000 | 0.000 |
| 5159.047 | 5269.854 | -0.000 | -0.000 | -0.000 | -0.000 |
| 0.000 | 0.000 | 0.000 | 0.000 | 0.000 | -0.000 |
| -0.000 | 0.000 | 0.000 | 0.000 | -0.000 | -0.000 |
| -0.000 | 0.000 | 0.000 | 0.000 | 0.000 | -0.000 |
| -0.000 | -0.000 | 0.000 | -0.000 | 0.000 | 200.088 |
| 5291.380 | 5180.541 | 0.000 | 0.000 | 0.000 | 0.000 |
| 5180.275 | 5291.647 | 0.000 | -0.000 | -0.000 | 0.000 |
| 0.000 | 0.000 | -0.000 | -0.000 | -0.000 | -0.000 |
| 0.000 | -0.000 | -0.000 | 0.000 | 0.000 | 0.000 |
| 0.000 | 0.000 | -0.000 | -0.000 | 0.000 | 0.000 |
| -0.004 | -0.003 | 0.000 | -0.000 | -0.000 | 55.399 |
| 5316.416 | 5205.656 | -0.000 | -0.000 | 0.000 | -0.000 |
| 5205.602 | 5316.470 | -0.000 | -0.000 | -0.000 | -0.000 |
| 0.000 | 0.000 | 0.000 | 0.000 | 0.000 | -0.000 |
| -0.000 | 0.000 | 0.000 | -0.000 | -0.000 | 0.000 |
| -0.000 | 0.000 | 0.000 | 0.000 | -0.000 | -0.000 |
| 0.004 | 0.003 | -0.000 | 0.000 | -0.000 | 55.399 |
| 5436.173 | 5418.132 | 0.000 | -0.000 | -0.000 | -0.000 |
| 5218.677 | 5635.628 | 0.000 | -0.000 | 0.000 | -0.000 |
| -0.000 | -0.000 | 0.000 | 0.000 | 0.000 | 0.000 |
| 0.000 | -0.000 | 0.000 | 0.000 | 0.000 | -0.000 |
| -0.000 | 0.000 | 0.000 | 0.000 | -0.000 | -0.000 |
| 0.000 | 0.000 | 0.000 | -0.000 | -0.000 | 9.020 |
| 5636.707 | 5219.755 | 0.000 | 0.000 | 0.000 | 0.000 |
| 5370.504 | 5485.953 | -0.000 | 0.000 | -0.000 | 0.000 |
| -0.000 | -0.000 | -0.000 | -0.000 | -0.000 | 0.000 |
| 0.000 | -0.000 | -0.000 | 0.000 | -0.000 | 0.000 |
| 0.000 | -0.000 | -0.000 | -0.000 | -0.000 | 0.000 |
| -0.000 | -0.000 | -0.000 | 0.000 | -0.000 | 9.020 |
| 5609.954 | 5193.001 | 0.000 | 0.000 | -0.000 | -0.000 |
| 5193.001 | 5609.954 | 0.000 | -0.000 | -0.000 | -0.000 |
| -0.000 | -0.000 | 0.000 | 0.000 | 0.000 | 0.000 |
| 0.000 | -0.000 | 0.000 | 0.000 | 0.000 | -0.000 |
| -0.000 | -0.000 | 0.000 | 0.000 | 0.000 | 0.000 |
| -0.000 | -0.000 | 0.000 | -0.000 | -0.000 | 57.228 |
| 5641.560 | 5224.609 | 0.000 | 0.000 | -0.000 | 0.000 |
| 5375.853 | 5490.317 | -0.000 | 0.000 | -0.000 | 0.000 |
| -0.000 | -0.000 | -0.000 | 0.000 | -0.000 | 0.000 |
| 0.000 | -0.000 | -0.000 | 0.000 | -0.000 | 0.000 |
| 0.000 | 0.000 | -0.000 | -0.000 | 0.000 | 0.000 |
| 0.000 | 0.000 | -0.000 | 0.000 | -0.000 | 57.228 |
| 5512.633 | 5398.232 | 0.000 | -0.000 | 0.000 | -0.000 |
| 5397.751 | 5513.114 | 0.000 | 0.000 | 0.000 | -0.000 |
| -0.000 | -0.000 | 0.000 | 0.000 | 0.000 | 0.000 |
| 0.000 | -0.000 | 0.000 | 0.000 | 0.000 | -0.000 |
| -0.000 | -0.000 | 0.000 | -0.000 | 0.000 | 0.000 |
| 0.001 | -0.009 | 0.000 | -0.000 | 0.000 | 57.722 |
| 5539.324 | 5423.921 | -0.000 | 0.000 | -0.000 | 0.000 |
| 5423.870 | 5539.376 | -0.000 | -0.000 | -0.000 | 0.000 |
| -0.000 | -0.000 | 0.000 | -0.000 | -0.000 | 0.000 |
| 0.000 | -0.000 | 0.000 | 0.000 | -0.000 | 0.000 |
| 0.000 | -0.000 | -0.000 | -0.000 | 0.000 | 0.000 |
| -0.001 | 0.009 | -0.000 | 0.000 | -0.000 | 57.722 |
| 10463.924 | 11338.649 | 11338.649 | -0.000 | -0.000 | -0.000 |
| 11338.649 | 10463.924 | 11338.649 | -0.000 | -0.000 | -0.000 |
| 11338.649 | 11338.649 | 10463.924 | -0.000 | -0.000 | -0.000 |
| -0.000 | -0.000 | -0.000 | 223.849 | -0.000 | -0.000 |
| -0.000 | -0.000 | -0.000 | -0.000 | 223.849 | -0.000 |
| -0.000 | -0.000 | -0.000 | -0.000 | -0.000 | 223.849 |
| 10463.513 | 11338.239 | 11338.239 | 0.000 | 0.000 | 0.000 |
| 11338.239 | 10463.513 | 11338.239 | 0.000 | 0.000 | 0.000 |
| 11338.239 | 11338.239 | 10463.513 | 0.000 | 0.000 | 0.000 |
| 0.000 | 0.000 | 0.000 | 223.849 | 0.000 | 0.000 |
| 0.000 | 0.000 | 0.000 | 0.000 | 223.849 | 0.000 |
| 0.000 | 0.000 | 0.000 | 0.000 | 0.000 | 223.849 |
| 10465.777 | 11340.494 | 11340.494 | -0.000 | -0.000 | -0.000 |
| 11340.494 | 10465.777 | 11340.494 | -0.000 | -0.000 | -0.000 |
| 11340.494 | 11340.494 | 10465.777 | -0.000 | -0.000 | -0.000 |
| -0.001 | -0.001 | -0.000 | 223.849 | -0.000 | -0.000 |
| -0.001 | -0.001 | -0.000 | -0.000 | 223.849 | -0.000 |
| -0.001 | -0.000 | -0.001 | -0.000 | -0.000 | 223.849 |
| 10461.661 | 11336.394 | 11336.394 | 0.000 | 0.000 | 0.000 |
| 11336.394 | 10461.661 | 11336.394 | 0.000 | 0.000 | 0.000 |
| 11336.394 | 11336.394 | 10461.661 | 0.000 | 0.000 | 0.000 |
| 0.001 | 0.001 | 0.000 | 223.849 | 0.000 | 0.000 |
| 0.001 | 0.001 | 0.000 | 0.000 | 223.849 | 0.000 |
| 0.001 | 0.000 | 0.001 | 0.000 | 0.000 | 223.849 |
| 10484.299 | 11358.942 | 11358.942 | -0.000 | -0.000 | -0.000 |
| 11358.942 | 10484.299 | 11358.942 | -0.000 | -0.000 | -0.000 |
| 11358.942 | 11358.942 | 10484.299 | -0.000 | -0.000 | -0.000 |
| -0.006 | -0.006 | -0.005 | 223.849 | -0.000 | -0.000 |
| -0.006 | -0.006 | -0.005 | -0.000 | 223.849 | -0.000 |
| -0.006 | -0.005 | -0.006 | -0.000 | -0.000 | 223.849 |
| 10466.208 | 11341.016 | 11341.016 | 0.000 | 0.000 | 0.000 |
| 11341.016 | 10466.208 | 11341.016 | 0.000 | 0.000 | 0.000 |
| 11341.016 | 11341.016 | 10466.208 | 0.000 | 0.000 | 0.000 |
| 0.006 | 0.006 | 0.005 | 223.849 | 0.000 | 0.000 |
| 0.006 | 0.006 | 0.005 | 0.000 | 223.849 | 0.000 |
| 0.006 | 0.005 | 0.006 | 0.000 | 0.000 | 223.849 |
| 266388.093 | 269170.084 | 269170.084 | 0.000 | -0.000 | -0.000 |
| 269170.084 | 266388.093 | 269170.084 | 0.000 | -0.000 | -0.000 |
| 269170.084 | 269170.084 | 266388.093 | -0.000 | -0.000 | -0.000 |
| 0.003 | 0.003 | 0.003 | 25.440 | -0.000 | -0.000 |
| 0.003 | 0.003 | 0.003 | -0.000 | 25.440 | -0.000 |
| 0.003 | 0.003 | 0.003 | -0.000 | -0.000 | 25.440 |
| 266398.865 | 269181.285 | 269181.285 | 0.000 | 0.000 | 0.000 |
| 269181.285 | 266398.865 | 269181.285 | 0.000 | 0.000 | 0.000 |
| 269181.285 | 269181.285 | 266398.865 | 0.000 | 0.000 | 0.000 |
| -0.002 | -0.002 | -0.002 | 25.440 | 0.000 | 0.000 |
| -0.002 | -0.002 | -0.002 | -0.000 | 25.440 | 0.000 |
| -0.002 | -0.002 | -0.002 | 0.000 | 0.000 | 25.440 |
| 266339.550 | 269119.609 | 269119.609 | -0.000 | -0.000 | -0.000 |
| 269119.609 | 266339.550 | 269119.609 | -0.000 | -0.000 | -0.000 |
| 269119.609 | 269119.609 | 266339.550 | 0.000 | -0.000 | -0.000 |
| -0.013 | -0.013 | -0.013 | 25.440 | -0.000 | -0.000 |
| -0.013 | -0.013 | -0.013 | -0.000 | 25.440 | -0.000 |
| -0.013 | -0.013 | -0.013 | 0.000 | -0.000 | 25.440 |
| 266447.402 | 269231.755 | 269231.755 | -0.000 | 0.000 | 0.000 |
| 269231.755 | 266447.402 | 269231.755 | -0.000 | 0.000 | 0.000 |
| 269231.755 | 269231.755 | 266447.402 | 0.000 | -0.000 | 0.000 |
| 0.013 | 0.013 | 0.013 | 25.440 | 0.000 | 0.000 |
| 0.013 | 0.013 | 0.013 | -0.000 | 25.440 | 0.000 |
| 0.013 | 0.013 | 0.013 | -0.000 | 0.000 | 25.440 |
| 265854.119 | 268614.904 | 268614.904 | -0.000 | 0.000 | -0.000 |
| 268614.904 | 265854.119 | 268614.904 | -0.000 | -0.000 | -0.000 |
| 268614.904 | 268614.904 | 265854.119 | -0.000 | -0.000 | -0.000 |
| -0.135 | -0.135 | -0.133 | 25.440 | -0.000 | -0.000 |
| -0.135 | -0.135 | -0.133 | -0.000 | 25.440 | -0.000 |
| -0.135 | -0.133 | -0.135 | -0.000 | -0.000 | 25.440 |
| 266932.653 | 269736.368 | 269736.368 | 0.000 | 0.000 | 0.000 |
| 269736.368 | 266932.653 | 269736.368 | 0.000 | 0.000 | 0.000 |
| 269736.368 | 269736.368 | 266932.653 | 0.000 | 0.000 | 0.000 |
| 0.135 | 0.135 | 0.133 | 25.440 | 0.000 | 0.000 |
| 0.135 | 0.135 | 0.133 | 0.000 | 25.440 | 0.000 |
| 0.135 | 0.133 | 0.135 | 0.000 | 0.000 | 25.440 |
| 0.001 | 0.000 | 0.000 | 0.000 | -0.000 | 0.000 |
| 0.000 | 0.001 | 0.000 | -0.000 | 0.000 | 0.000 |
| 0.000 | 0.000 | 0.001 | -0.000 | -0.000 | -0.000 |
| 0.000 | -0.000 | -0.000 | -0.000 | -0.000 | 0.000 |
| -0.000 | 0.000 | -0.000 | -0.000 | -0.000 | 0.000 |
| -0.000 | -0.000 | 0.000 | 0.000 | -0.000 | -0.000 |
| 0.001 | 0.000 | 0.000 | 0.000 | 0.000 | 0.000 |
| 0.000 | 0.001 | 0.000 | 0.000 | 0.000 | 0.000 |
| 0.000 | 0.000 | 0.001 | 0.000 | 0.000 | -0.000 |
| -0.000 | -0.000 | 0.000 | -0.000 | 0.000 | -0.000 |
| -0.000 | -0.000 | 0.000 | 0.000 | -0.000 | -0.000 |
| -0.000 | 0.000 | -0.000 | -0.000 | 0.000 | -0.000 |
| 0.001 | 0.000 | 0.000 | 0.000 | -0.000 | 0.000 |
| 0.000 | 0.001 | 0.000 | -0.000 | 0.000 | -0.000 |
| 0.000 | 0.000 | 0.001 | 0.000 | 0.000 | -0.000 |
| 0.000 | -0.000 | -0.000 | 0.000 | -0.000 | -0.000 |
| -0.000 | 0.000 | -0.000 | -0.000 | 0.000 | -0.000 |
| -0.000 | -0.000 | 0.000 | 0.000 | -0.000 | 0.000 |
| 0.001 | 0.000 | 0.000 | 0.000 | 0.000 | 0.000 |
| 0.000 | 0.001 | 0.000 | 0.000 | 0.000 | 0.000 |
| 0.000 | 0.000 | 0.001 | 0.000 | 0.000 | -0.000 |
| -0.000 | -0.000 | 0.000 | 0.000 | 0.000 | -0.000 |
| -0.000 | -0.000 | 0.000 | 0.000 | 0.000 | -0.000 |
| -0.000 | 0.000 | -0.000 | -0.000 | 0.000 | 0.000 |
| 0.001 | 0.000 | 0.000 | 0.000 | -0.000 | 0.000 |
| 0.000 | 0.001 | 0.000 | -0.000 | 0.000 | -0.000 |
| 0.000 | 0.000 | 0.001 | -0.000 | -0.000 | -0.000 |
| 0.000 | -0.000 | -0.000 | 0.000 | 0.000 | 0.000 |
| -0.000 | 0.000 | -0.000 | 0.000 | 0.000 | 0.000 |
| -0.000 | -0.000 | 0.000 | 0.000 | -0.000 | 0.000 |
| 0.001 | 0.000 | 0.000 | 0.000 | 0.000 | -0.000 |
| 0.000 | 0.001 | 0.000 | 0.000 | 0.000 | -0.000 |
| 0.000 | 0.000 | 0.001 | -0.000 | -0.000 | -0.000 |
| -0.000 | -0.000 | 0.000 | 0.000 | -0.000 | -0.000 |
| -0.000 | -0.000 | 0.000 | -0.000 | 0.000 | 0.000 |
| -0.000 | 0.000 | -0.000 | -0.000 | 0.000 | 0.000 |
| 4424.873 | 4001.358 | 4551.854 | 0.000 | 0.000 | -0.000 |
| 4001.358 | 4424.873 | 4551.854 | 0.000 | 0.000 | 0.000 |
| 4582.856 | 4582.856 | 5333.326 | 0.000 | 0.000 | 0.000 |
| -0.000 | -0.000 | 0.000 | 154.626 | 0.000 | 0.000 |
| -0.000 | 0.000 | 0.000 | 0.000 | 154.626 | 0.000 |
| 0.033 | 0.033 | 0.032 | -0.000 | 0.000 | 424.795 |
| 6150.249 | 5568.078 | 5559.211 | 0.000 | 0.000 | -0.000 |
| 5568.078 | 6150.249 | 5559.211 | -0.000 | -0.000 | -0.000 |
| 5559.219 | 5559.219 | 5930.703 | -0.000 | -0.000 | -0.000 |
| 0.000 | 0.000 | -0.000 | 154.626 | -0.000 | 0.000 |
| 0.000 | 0.000 | -0.000 | -0.000 | 154.626 | 0.000 |
| -0.033 | -0.033 | -0.032 | 0.000 | 0.000 | 424.795 |
| 4279.756 | 3868.128 | 4467.565 | 0.000 | 0.000 | 0.000 |
| 3868.128 | 4279.756 | 4467.565 | 0.000 | 0.000 | 0.000 |
| 4569.390 | 4569.390 | 5326.283 | 0.000 | 0.000 | -0.000 |
| 0.000 | 0.000 | 0.000 | 154.626 | 0.000 | 0.000 |
| 0.000 | 0.000 | 0.000 | 0.000 | 154.626 | 0.000 |
| 0.346 | 0.346 | 0.212 | 0.000 | 0.000 | 78.919 |
| 4368.648 | 4106.704 | 4565.692 | -0.000 | -0.000 | -0.000 |
| 4106.704 | 4368.648 | 4565.692 | -0.000 | -0.000 | -0.000 |
| 4544.687 | 4544.687 | 5308.500 | -0.000 | -0.000 | -0.000 |
| -0.000 | -0.000 | -0.000 | 154.626 | -0.000 | 0.000 |
| -0.000 | -0.000 | -0.000 | -0.000 | 154.626 | -0.000 |
| -0.346 | -0.346 | -0.212 | -0.000 | -0.000 | 78.919 |
| 4388.590 | 4127.195 | 4590.000 | 0.000 | 0.000 | 0.000 |
| 4127.195 | 4388.590 | 4590.000 | 0.000 | 0.000 | 0.000 |
| 4593.465 | 4593.465 | 5352.999 | 0.000 | 0.000 | 0.000 |
| 0.287 | 0.287 | 0.174 | 89.408 | 0.000 | 0.000 |
| 0.287 | 0.287 | 0.174 | 0.000 | 89.408 | 0.000 |
| 0.153 | 0.153 | 0.094 | 0.000 | 0.000 | 67.843 |
| 4409.998 | 3985.289 | 4537.881 | -0.000 | -0.000 | 0.000 |
| 3985.289 | 4409.998 | 4537.881 | -0.000 | -0.000 | 0.000 |
| 4557.380 | 4557.380 | 5313.556 | -0.000 | -0.000 | -0.000 |
| -0.287 | -0.287 | -0.174 | 89.408 | -0.000 | -0.000 |
| -0.287 | -0.287 | -0.174 | -0.000 | 89.408 | -0.000 |
| -0.153 | -0.153 | -0.094 | -0.000 | -0.000 | 67.843 |
| 0.000 | 0.000 | 0.000 | 0.000 | 0.000 | -0.000 |
| 0.000 | 0.000 | 0.000 | -0.000 | 0.000 | -0.000 |
| 0.000 | 0.000 | 0.000 | -0.000 | -0.000 | -0.000 |
| 0.000 | 0.000 | 0.000 | 0.000 | -0.000 | -0.000 |
| 0.000 | 0.000 | 0.000 | -0.000 | 0.000 | 0.000 |
| 0.000 | 0.000 | 0.000 | 0.000 | -0.000 | 0.000 |
| 0.000 | 0.000 | 0.000 | -0.000 | -0.000 | -0.000 |
| 0.000 | 0.000 | 0.000 | -0.000 | -0.000 | -0.000 |
| 0.000 | 0.000 | 0.000 | -0.000 | -0.000 | -0.000 |
| -0.000 | -0.000 | -0.000 | 0.000 | -0.000 | -0.000 |
| -0.000 | -0.000 | -0.000 | -0.000 | 0.000 | -0.000 |
| -0.000 | -0.000 | -0.000 | -0.000 | -0.000 | 0.000 |
| 0.000 | 0.000 | 0.000 | -0.000 | -0.000 | -0.000 |
| 0.000 | 0.000 | 0.000 | -0.000 | -0.000 | 0.000 |
| 0.000 | 0.000 | 0.000 | -0.000 | -0.000 | -0.000 |
| 0.000 | 0.000 | 0.000 | 0.000 | -0.000 | -0.000 |
| 0.000 | 0.000 | 0.000 | -0.000 | 0.000 | -0.000 |
| 0.000 | 0.000 | 0.000 | 0.000 | 0.000 | 0.000 |
| 0.000 | 0.000 | 0.000 | -0.000 | 0.000 | 0.000 |
| 0.000 | 0.000 | 0.000 | 0.000 | -0.000 | 0.000 |
| 0.000 | 0.000 | 0.000 | -0.000 | -0.000 | -0.000 |
| -0.000 | -0.000 | -0.000 | 0.000 | -0.000 | 0.000 |
| -0.000 | -0.000 | -0.000 | -0.000 | 0.000 | 0.000 |
| -0.000 | -0.000 | -0.000 | -0.000 | 0.000 | 0.000 |
| 0.000 | 0.000 | 0.000 | 0.000 | -0.000 | -0.000 |
| 0.000 | 0.000 | 0.000 | -0.000 | 0.000 | -0.000 |
| 0.000 | 0.000 | 0.000 | 0.000 | 0.000 | -0.000 |
| 0.000 | 0.000 | 0.000 | 0.000 | -0.000 | -0.000 |
| 0.000 | 0.000 | 0.000 | -0.000 | 0.000 | -0.000 |
| 0.000 | 0.000 | 0.000 | -0.000 | 0.000 | 0.000 |
| 0.000 | 0.000 | 0.000 | 0.000 | -0.000 | 0.000 |
| 0.000 | 0.000 | 0.000 | -0.000 | 0.000 | -0.000 |
| 0.000 | 0.000 | 0.000 | 0.000 | -0.000 | -0.000 |
| -0.000 | -0.000 | -0.000 | 0.000 | -0.000 | 0.000 |
| -0.000 | -0.000 | -0.000 | -0.000 | 0.000 | -0.000 |
| -0.000 | -0.000 | -0.000 | 0.000 | 0.000 | 0.000 |
| 1102.643 | 1079.434 | 0.000 | 0.000 | 0.000 | -0.000 |
| 1049.128 | 1132.949 | 0.000 | 0.000 | 0.000 | 0.000 |
| -0.000 | -0.000 | 0.000 | 0.000 | 0.000 | -0.000 |
| -0.000 | -0.000 | 0.000 | 0.000 | 0.000 | 0.000 |
| -0.000 | -0.000 | 0.000 | 0.000 | 0.000 | 0.000 |
| -0.000 | -0.000 | 0.000 | 0.000 | 0.000 | 11.604 |
| 1102.859 | 1079.651 | -0.000 | -0.000 | -0.000 | -0.000 |
| 1049.344 | 1133.166 | -0.000 | -0.000 | -0.000 | -0.000 |
| 0.000 | 0.000 | -0.000 | -0.000 | -0.000 | 0.000 |
| 0.000 | 0.000 | -0.000 | -0.000 | -0.000 | -0.000 |
| 0.000 | 0.000 | -0.000 | -0.000 | -0.000 | -0.000 |
| 0.000 | 0.000 | -0.000 | -0.000 | -0.000 | 11.604 |
| 1097.453 | 1074.244 | 0.000 | 0.000 | 0.000 | 0.000 |
| 1074.245 | 1097.452 | 0.000 | 0.000 | 0.000 | 0.000 |
| -0.000 | -0.000 | 0.000 | 0.000 | 0.000 | -0.000 |
| -0.000 | -0.000 | 0.000 | 0.000 | 0.000 | 0.000 |
| -0.000 | -0.000 | 0.000 | 0.000 | 0.000 | 0.000 |
| -0.000 | -0.000 | 0.000 | 0.000 | 0.000 | 11.604 |
| 1103.835 | 1080.627 | -0.000 | -0.000 | -0.000 | -0.000 |
| 1080.652 | 1103.810 | -0.000 | -0.000 | -0.000 | -0.000 |
| 0.000 | 0.000 | -0.000 | -0.000 | -0.000 | 0.000 |
| 0.000 | 0.000 | -0.000 | -0.000 | -0.000 | -0.000 |
| 0.000 | 0.000 | -0.000 | -0.000 | -0.000 | -0.000 |
| 0.000 | 0.000 | -0.000 | -0.000 | -0.000 | 11.604 |
| 1108.345 | 1085.128 | 0.000 | 0.000 | 0.000 | 0.000 |
| 1085.139 | 1108.333 | 0.000 | 0.000 | 0.000 | 0.000 |
| -0.000 | -0.000 | 0.000 | 0.000 | 0.000 | -0.000 |
| -0.000 | -0.000 | 0.000 | 0.000 | 0.000 | 0.000 |
| -0.000 | -0.000 | 0.000 | 0.000 | 0.000 | 0.000 |
| -0.001 | -0.001 | 0.000 | 0.000 | 0.000 | 11.604 |
| 1113.589 | 1090.389 | -0.000 | -0.000 | -0.000 | 0.000 |
| 1090.377 | 1113.600 | -0.000 | -0.000 | -0.000 | -0.000 |
| 0.000 | 0.000 | -0.000 | -0.000 | -0.000 | 0.000 |
| 0.000 | 0.000 | -0.000 | -0.000 | -0.000 | -0.000 |
| 0.000 | 0.000 | -0.000 | -0.000 | -0.000 | -0.000 |
| 0.001 | 0.001 | -0.000 | -0.000 | -0.000 | 11.604 |
| 6313.350 | 2813.821 | 5727.794 | 0.000 | -0.000 | -0.000 |
| 5965.307 | 6478.644 | 5983.496 | 0.000 | -0.000 | -0.000 |
| 7140.885 | 3433.487 | 8562.318 | 0.000 | -0.000 | -0.000 |
| 1704.326 | -1748.817 | 2884.950 | 102.955 | -0.000 | -0.000 |
| -0.000 | -0.000 | 0.000 | 0.000 | 147.176 | -0.000 |
| 16.787 | -2913.401 | -61.484 | 0.000 | -0.000 | -65.271 |
| 4257.501 | 7514.113 | 3054.445 | -0.000 | 0.000 | 0.000 |
| 3880.605 | 7718.684 | 3085.405 | -0.000 | -0.000 | 0.000 |
| 4185.415 | 7732.838 | 3599.708 | -0.000 | 0.000 | 0.000 |
| -1704.326 | 1748.817 | -2884.950 | 102.955 | 0.000 | 0.000 |
| 0.000 | 0.000 | -0.000 | -0.000 | 147.176 | 0.000 |
| -16.787 | 2913.401 | 61.484 | -0.000 | 0.000 | -65.271 |
| 6065.072 | 5252.500 | 5921.985 | 0.000 | 0.000 | -0.000 |
| 5542.903 | 5416.699 | 5844.526 | 0.000 | 0.000 | -0.000 |
| 5821.009 | 5396.802 | 6341.634 | 0.000 | -0.000 | -0.000 |
| 147.310 | -214.493 | 247.388 | 107.621 | -0.000 | -0.000 |
| -0.000 | -0.000 | 0.000 | 0.000 | 147.176 | -0.000 |
| 188.131 | -201.032 | 255.019 | 0.000 | -0.000 | 85.044 |
| 5609.006 | 5583.721 | 5384.345 | -0.000 | 0.000 | 0.000 |
| 5966.671 | 6479.036 | 5984.380 | -0.000 | 0.000 | 0.000 |
| 5609.469 | 5690.119 | 5901.977 | -0.000 | -0.000 | 0.000 |
| -147.310 | 214.493 | -247.388 | 107.621 | 0.000 | 0.000 |
| 0.000 | 0.000 | -0.000 | -0.000 | 147.176 | 0.000 |
| -188.131 | 201.032 | -255.019 | -0.000 | 0.000 | 85.044 |
| 5861.383 | 5371.554 | 5647.725 | 0.000 | -0.000 | -0.000 |
| 5411.501 | 5589.398 | 5602.912 | 0.000 | -0.000 | -0.000 |
| 5648.885 | 5552.765 | 6088.646 | 0.000 | -0.000 | -0.000 |
| 19.340 | -20.273 | 28.487 | 100.825 | 0.000 | -0.000 |
| 13.821 | -14.811 | 23.377 | 0.000 | 104.567 | -0.000 |
| 10.719 | -14.902 | 15.365 | 0.000 | -0.000 | 91.021 |
| 5838.362 | 5450.017 | 5633.882 | -0.000 | 0.000 | 0.000 |
| 5397.268 | 5650.194 | 5582.527 | -0.000 | 0.000 | 0.000 |
| 6016.558 | 5980.087 | 6408.061 | -0.000 | -0.000 | 0.000 |
| -19.340 | 20.273 | -28.487 | 100.825 | 0.000 | 0.000 |
| -13.821 | 14.811 | -23.377 | -0.000 | 104.567 | 0.000 |
| -10.719 | 14.902 | -15.365 | -0.000 | 0.000 | 91.021 |
| -149967811.158 | -62263924.081 | -11464980.687 | -1811290.615 | 114208.938 | 9854394.713 |
| -155341869.334 | -80989272.194 | -11945172.951 | 2396935.508 | -1831823.465 | 10098467.759 |
| -65412645.129 | -35446391.816 | -10043689.476 | -993756.011 | 572740.959 | 6629549.534 |
| -42808431.089 | -27484126.403 | -8183614.401 | -719751.454 | 158667.696 | 4608116.974 |
| -135696573.044 | -47477219.474 | -10442209.990 | -206468.247 | 112999.042 | 5931584.699 |
| -122315566.707 | -322038862.045 | -21609615.876 | 754009.444 | 704653.763 | 53490541.909 |
| 57469519.426 | 15377196.316 | 9492467.784 | 205873.062 | -76545.320 | -3932939.490 |
| 64882339.794 | 15282024.501 | 9858822.923 | 140648.924 | -417453.104 | -2266607.851 |
| 89855707.793 | 38374448.543 | 10584608.880 | 207362.531 | -463725.499 | -5382022.192 |
| 74573874.325 | 20790416.292 | 9867275.227 | 144515.004 | -212578.822 | -3170524.772 |
| 106409077.871 | 66796410.834 | 11657836.179 | 1199887.500 | -456477.545 | -6270807.798 |
| 122915945.353 | 72292727.310 | 12324253.551 | 795944.009 | 665169.307 | -7799043.672 |
| -13942604.195 | -6143814.957 | -1078691.417 | 15204.767 | 17656.328 | 882144.547 |
| -7614607.474 | -4856208.446 | -1053416.721 | -116596.395 | 138253.506 | 1770350.462 |
| -10053186.508 | -4405767.430 | -1086573.277 | -28734.387 | -2313.037 | 685095.907 |
| -5506117.107 | -2719311.577 | -918144.869 | -11667.461 | 7040.300 | 517217.595 |
| -5813112.907 | -2946455.668 | -941531.252 | -10282.174 | 23635.551 | 144211.815 |
| -10675789.147 | -6440444.115 | -1247485.199 | 255313.768 | -2521.461 | 1065372.483 |
| 9885785.777 | 4664651.824 | 1109687.963 | -30685.094 | -13496.656 | -780998.585 |
| 16439341.026 | 8988308.972 | 1277205.693 | -31707.983 | 10541.106 | -2343060.283 |
| 9762735.731 | 4800367.701 | 1102843.829 | -39285.967 | -3437.271 | -825397.842 |
| 14539056.155 | 6812958.722 | 1168916.648 | 152352.409 | -21941.981 | -1201516.828 |
| -87706.004 | -17331701.975 | 724214.072 | -145785.461 | 122239.911 | -1577480.072 |
| 5820730.166 | 1263137.596 | 937221.761 | 7052.528 | -15628.547 | -310364.865 |
| -888378.031 | -657482.520 | -128498.160 | 37707.568 | -2881.712 | 64071.426 |
| -550056.654 | -185665.958 | -93987.427 | -2400.390 | 2536.947 | 47633.095 |
| -966995.395 | -605588.018 | -121908.809 | -14662.233 | -22004.783 | 35405.566 |
| -688853.026 | 570228.935 | -81126.646 | -4757.726 | -4678.805 | 8574.002 |
| -1110750.772 | -350036.346 | -105894.187 | -4890.486 | 1403.730 | 36936.855 |
| -1205957.168 | -558958.107 | -113920.257 | -5229.753 | 2630.791 | 93826.279 |
| 447252.833 | 221776.114 | 86922.646 | -7523.635 | 2600.411 | -28742.180 |
| 892845.659 | 454361.055 | 107129.912 | 3327.389 | -2568.034 | -87968.377 |
| 954422.808 | 468651.494 | 108797.932 | -1069.746 | -4254.185 | -83233.944 |
| 474820.395 | 223117.104 | 86628.594 | -1017.499 | -732.286 | -45369.888 |
| 658618.383 | 339300.729 | 99804.078 | 2244.929 | -2451.238 | -58184.346 |
| 884221.660 | 436535.028 | 108352.671 | 900.696 | 1121.393 | -56765.422 |
| 1128.163 | 1414.225 | 7498.863 | 0.000 | 499.617 | 0.000 |
| 7260.280 | 7530.188 | 9346.306 | 0.000 | 397.214 | 0.000 |
| 2715.745 | 2917.995 | 9540.685 | 0.000 | 1809.607 | 0.000 |
| -4536.390 | -4008.265 | 1375.714 | 127.355 | -393.315 | -15.582 |
| -4607.699 | -4291.614 | 1594.668 | -0.000 | -12.217 | 0.000 |
| 2274.666 | 1906.624 | 3604.661 | -46.721 | 466.387 | 111.765 |
| 2604.703 | 2862.559 | 1530.485 | 0.000 | -519.778 | -0.000 |
| 5488.091 | 6236.231 | 6210.028 | 0.000 | 134.892 | -0.000 |
| 11078.013 | 8055.418 | 4193.177 | 0.000 | -448.801 | -0.000 |
| 4536.390 | 4008.265 | -1375.714 | 127.355 | 393.315 | -15.582 |
| 6034.186 | 3326.627 | -1596.871 | 0.000 | -210.263 | -0.000 |
| -2274.666 | -1906.624 | -3604.662 | -46.721 | -466.387 | 111.765 |
| 4694.097 | 4591.387 | 5518.205 | -0.000 | 104.280 | 0.000 |
| 4537.033 | 5321.892 | 5958.880 | -0.000 | 85.005 | 0.000 |
| 5015.571 | 5400.630 | 6647.150 | -0.000 | 98.589 | 0.000 |
| -633.744 | -448.448 | 147.102 | 110.209 | 58.572 | -7.029 |
| -457.783 | -447.464 | 182.493 | -0.000 | 130.752 | 0.000 |
| -622.743 | -308.951 | 146.784 | -12.201 | 62.091 | 76.996 |
| 5232.036 | 5180.372 | 5145.923 | 0.000 | -9.293 | -0.000 |
| 5606.582 | 5897.589 | 5588.737 | -0.000 | -9.118 | -0.000 |
| 5279.544 | 5565.163 | 6191.584 | 0.000 | 30.792 | -0.000 |
| 633.744 | 448.448 | -147.102 | 110.209 | -58.572 | -7.029 |
| -179.103 | -216.112 | -267.414 | 0.000 | 7.705 | -0.000 |
| 622.743 | 308.951 | -146.784 | -12.201 | -62.091 | 76.996 |
| 4849.619 | 4950.591 | 5428.352 | 0.000 | 72.322 | 0.000 |
| 4916.760 | 5565.400 | 5757.421 | 0.000 | 30.142 | 0.000 |
| 5352.877 | 5706.400 | 6417.242 | -0.000 | 86.677 | 0.000 |
| -59.064 | -30.370 | 19.816 | 127.455 | 8.239 | -17.108 |
| 20.868 | -10.412 | 107.578 | -0.000 | 135.162 | 0.000 |
| -60.886 | -25.547 | 14.259 | -14.870 | 7.075 | 79.432 |
| 4960.482 | 5004.018 | 5396.444 | 0.000 | 62.837 | -0.000 |
| 5014.433 | 5618.319 | 5718.186 | 0.000 | -4.074 | -0.000 |
| 5463.878 | 5775.532 | 6399.146 | -0.000 | 75.645 | -0.000 |
| 59.064 | 30.370 | -19.816 | 127.455 | -8.239 | -17.108 |
| 66.106 | -7.037 | 94.579 | -0.000 | 162.238 | -0.000 |
| 60.886 | 25.547 | -14.259 | -14.870 | -7.075 | 79.432 |
| 66.315 | 46.950 | 0.000 | -0.000 | 0.000 | -0.036 |
| 116.502 | 116.057 | 0.000 | -0.000 | 0.000 | -0.606 |
| 116.280 | 116.500 | 0.000 | -0.000 | 0.000 | -0.601 |
| 116.281 | 116.500 | 0.000 | -0.000 | 0.000 | -0.601 |
| 116.281 | 116.500 | 0.000 | -0.000 | 0.000 | -0.601 |
| 159.707 | 159.878 | 0.000 | 0.000 | 0.000 | -27.689 |
| -48.143 | -58.919 | -0.000 | 0.000 | -0.000 | 0.105 |
| -116.792 | -116.613 | -0.000 | 0.000 | -0.000 | 0.588 |
| -116.280 | -116.500 | -0.000 | 0.000 | -0.000 | 0.601 |
| -116.845 | -117.061 | -0.000 | 0.000 | -0.000 | 0.600 |
| -116.281 | -116.500 | -0.000 | 0.000 | -0.000 | 0.600 |
| -197.865 | -198.056 | -0.000 | -0.000 | -0.000 | -26.618 |
| 11.365 | 11.398 | 0.000 | -0.000 | 0.000 | -0.059 |
| 11.373 | 11.384 | 0.000 | -0.000 | 0.000 | -0.059 |
| 11.628 | 11.650 | 0.000 | -0.000 | 0.000 | -0.060 |
| 11.628 | 11.650 | 0.000 | -0.000 | 0.000 | -0.060 |
| 11.628 | 11.650 | 0.000 | -0.000 | 0.000 | -0.060 |
| 11.104 | 11.122 | 0.000 | -0.000 | 0.000 | 0.051 |
| -11.772 | -11.677 | -0.000 | 0.000 | -0.000 | 0.060 |
| -21.666 | -36.481 | -0.000 | -0.000 | -0.000 | 0.004 |
| -11.628 | -11.650 | -0.000 | 0.000 | -0.000 | 0.060 |
| -11.628 | -11.650 | -0.000 | 0.000 | -0.000 | 0.060 |
| -11.628 | -11.650 | -0.000 | 0.000 | -0.000 | 0.060 |
| -11.634 | -11.655 | -0.000 | 0.000 | -0.000 | 0.070 |
| 2.800 | 2.718 | -0.000 | 0.000 | 0.000 | -0.006 |
| 0.419 | 0.713 | -0.000 | 0.000 | 0.000 | -0.003 |
| 1.163 | 1.165 | 0.000 | -0.000 | 0.000 | -0.006 |
| 1.163 | 1.165 | 0.000 | -0.000 | 0.000 | -0.006 |
| 1.163 | 1.165 | 0.000 | -0.000 | 0.000 | -0.006 |
| 1.261 | 1.263 | -0.000 | 0.000 | 0.000 | 0.029 |
| -1.159 | -1.168 | -0.000 | 0.000 | -0.000 | 0.006 |
| -1.158 | -1.158 | 0.000 | 0.000 | -0.000 | 0.006 |
| -1.163 | -1.165 | -0.000 | 0.000 | -0.000 | 0.006 |
| -1.163 | -1.165 | -0.000 | 0.000 | -0.000 | 0.006 |
| -1.163 | -1.165 | -0.000 | 0.000 | -0.000 | 0.006 |
| -1.145 | -1.147 | -0.000 | 0.000 | -0.000 | 0.011 |
| -6244.188 | -6272.956 | -6309.527 | -0.000 | -0.000 | 0.000 |
| -6272.956 | -6244.188 | -6309.527 | -0.000 | -0.000 | 0.000 |
| -7629.855 | -7629.855 | -5581.103 | 0.000 | 0.000 | -0.000 |
| -7613.015 | -7613.015 | -9008.248 | -174.363 | -0.000 | 0.000 |
| -7613.015 | -7613.015 | -9008.248 | -0.000 | -174.363 | 0.000 |
| -7962.628 | -7962.628 | -12739.993 | -0.000 | -0.000 | -1133.603 |
| 1729.503 | 1693.199 | 1590.507 | -0.000 | -0.000 | -0.000 |
| 1693.199 | 1729.503 | 1590.507 | -0.000 | -0.000 | -0.000 |
| 9214.765 | 9214.765 | 9181.181 | -0.000 | 0.000 | -0.000 |
| 7613.015 | 7613.015 | 9008.248 | -174.363 | 0.000 | -0.000 |
| 7613.015 | 7613.015 | 9008.248 | 0.000 | -174.363 | -0.000 |
| 7962.628 | 7962.628 | 12739.993 | 0.000 | 0.000 | -1133.603 |
| 19.890 | -14.835 | -306.731 | -0.000 | -0.000 | -0.000 |
| -14.835 | 19.890 | -306.731 | 0.000 | -0.000 | -0.000 |
| 476.812 | 476.812 | 2174.898 | 0.000 | 0.000 | -0.000 |
| -563.098 | -563.098 | -586.511 | -56.602 | -0.000 | 0.000 |
| -563.098 | -563.098 | -586.511 | 0.000 | -56.602 | 0.000 |
| -815.615 | -815.615 | -865.111 | -0.000 | -0.000 | -28.834 |
| 1062.267 | 1027.917 | 1557.493 | 0.000 | 0.000 | 0.000 |
| 1027.917 | 1062.267 | 1557.493 | 0.000 | 0.000 | 0.000 |
| 1588.905 | 1588.905 | 5244.466 | -0.000 | 0.000 | -0.000 |
| 563.098 | 563.098 | 586.511 | -56.602 | 0.000 | -0.000 |
| 563.098 | 563.098 | 586.511 | -0.000 | -56.602 | -0.000 |
| 964.931 | 964.931 | 1457.477 | 0.000 | 0.000 | 124.320 |
| 492.263 | 490.259 | 952.774 | 0.000 | 0.000 | -0.000 |
| 490.258 | 492.263 | 952.773 | 0.000 | 0.000 | -0.000 |
| 880.809 | 880.809 | 1794.185 | 0.000 | -0.000 | 0.000 |
| -87.956 | -87.957 | -72.831 | 6.691 | 0.000 | -0.000 |
| -87.957 | -87.956 | -72.831 | 0.000 | 6.691 | -0.000 |
| -120.846 | -120.846 | -183.434 | -0.000 | -0.000 | 46.028 |
| 681.360 | 656.323 | 1096.346 | -0.000 | 0.000 | -0.000 |
| 656.323 | 681.360 | 1096.346 | -0.000 | 0.000 | -0.000 |
| 1180.306 | 1180.306 | 1972.179 | -0.000 | 0.000 | -0.000 |
| 87.956 | 87.957 | 72.831 | 6.691 | -0.000 | 0.000 |
| 87.957 | 87.956 | 72.831 | -0.000 | 6.691 | 0.000 |
| 120.846 | 120.846 | 183.434 | 0.000 | 0.000 | 46.028 |
| 7536.493 | 7407.066 | 0.000 | 0.000 | 0.000 | -0.000 |
| 7407.066 | 7536.493 | 0.000 | 0.000 | 0.000 | -0.000 |
| 0.000 | 0.000 | 0.000 | 0.000 | 0.000 | -0.000 |
| 0.000 | 0.000 | 0.000 | 0.000 | 0.000 | -0.000 |
| 0.000 | 0.000 | 0.000 | 0.000 | 0.000 | 0.000 |
| 0.000 | 0.000 | 0.000 | 0.000 | 0.000 | 250.855 |
| 7536.493 | 7407.065 | -0.000 | -0.000 | -0.000 | 0.000 |
| 7407.065 | 7536.493 | -0.000 | -0.000 | -0.000 | 0.000 |
| -0.000 | -0.000 | -0.000 | -0.000 | -0.000 | 0.000 |
| -0.000 | -0.000 | -0.000 | -0.000 | -0.000 | 0.000 |
| -0.000 | -0.000 | -0.000 | -0.000 | -0.000 | -0.000 |
| -0.000 | -0.000 | -0.000 | -0.000 | -0.000 | 250.855 |
| 7536.496 | 7407.070 | 0.000 | 0.000 | 0.000 | 0.000 |
| 7407.070 | 7536.496 | 0.000 | 0.000 | 0.000 | -0.000 |
| 0.000 | 0.000 | 0.000 | 0.000 | 0.000 | -0.000 |
| 0.000 | 0.000 | 0.000 | 0.000 | 0.000 | -0.000 |
| 0.000 | 0.000 | 0.000 | 0.000 | 0.000 | -0.000 |
| 0.001 | 0.001 | 0.000 | 0.000 | 0.000 | 250.855 |
| 7503.168 | 7373.739 | -0.000 | -0.000 | -0.000 | 0.000 |
| 7373.739 | 7503.168 | -0.000 | -0.000 | -0.000 | 0.000 |
| -0.000 | -0.000 | -0.000 | -0.000 | -0.000 | 0.000 |
| -0.000 | -0.000 | -0.000 | -0.000 | -0.000 | 0.000 |
| -0.000 | -0.000 | -0.000 | -0.000 | -0.000 | -0.000 |
| -0.001 | -0.001 | -0.000 | -0.000 | -0.000 | 250.855 |
| 7536.519 | 7407.106 | 0.000 | 0.000 | 0.000 | -0.000 |
| 7407.106 | 7536.519 | 0.000 | 0.000 | 0.000 | -0.000 |
| 0.000 | 0.000 | 0.000 | 0.000 | 0.000 | -0.000 |
| 0.000 | 0.000 | 0.000 | 0.000 | 0.000 | -0.000 |
| 0.000 | 0.000 | 0.000 | 0.000 | 0.000 | -0.000 |
| 0.009 | 0.010 | 0.000 | 0.000 | 0.000 | 250.855 |
| 7529.533 | 7400.091 | -0.000 | -0.000 | -0.000 | 0.000 |
| 7400.091 | 7529.533 | -0.000 | -0.000 | -0.000 | -0.000 |
| -0.000 | -0.000 | -0.000 | -0.000 | -0.000 | 0.000 |
| -0.000 | -0.000 | -0.000 | -0.000 | -0.000 | 0.000 |
| -0.000 | -0.000 | -0.000 | -0.000 | -0.000 | -0.000 |
| -0.009 | -0.010 | -0.000 | -0.000 | -0.000 | 250.855 |
| 1265.214 | 3307.054 | 1056.781 | -0.095 | -0.380 | 1.210 |
| 1933.071 | 2600.548 | 1834.759 | -0.000 | -0.000 | 0.000 |
| 2706.673 | 3712.956 | 147.319 | 0.099 | -0.399 | 0.063 |
| 3440.507 | 4432.812 | 3161.777 | -36.822 | -0.004 | 0.151 |
| 1684.918 | 2842.838 | 1669.293 | -0.109 | -81.974 | 1.316 |
| 2734.781 | 3824.945 | 2567.422 | -0.009 | -0.128 | -69.041 |
| -3403.176 | -4283.672 | -3123.455 | -0.053 | 0.021 | -0.210 |
| -16.477 | -657.713 | -58.486 | 0.072 | 0.186 | -0.869 |
| -3417.564 | -4352.907 | -3247.438 | -0.054 | 0.021 | -0.210 |
| -3440.767 | -4433.043 | -3161.997 | -36.954 | 0.004 | -0.150 |
| -1685.036 | -2843.038 | -1669.411 | 0.109 | -81.439 | -1.316 |
| -3409.273 | -3335.862 | -2226.890 | 0.089 | 0.039 | 137.982 |
| 203.160 | 198.834 | 117.599 | -0.002 | -0.012 | 0.053 |
| 142.817 | 319.091 | 141.369 | -0.004 | -0.014 | 0.060 |
| 68.172 | 160.635 | -27.267 | 0.001 | -0.010 | 0.016 |
| 125.768 | 212.190 | 124.570 | 15.469 | -0.021 | 0.098 |
| 424.872 | 495.220 | 389.535 | -0.001 | 23.189 | 0.043 |
| 378.278 | 454.957 | 347.655 | -0.000 | -0.009 | 12.291 |
| -270.042 | -334.626 | -239.016 | -0.002 | 0.007 | -0.042 |
| -363.662 | -349.169 | -334.495 | 0.002 | 0.012 | -0.054 |
| -215.885 | -308.118 | -242.601 | -0.002 | 0.007 | -0.042 |
| -125.782 | -212.213 | -124.584 | 15.454 | 0.021 | -0.098 |
| -253.977 | -344.846 | -236.521 | -0.001 | -5.663 | -0.044 |
| -327.008 | -380.393 | -235.567 | -0.000 | 0.010 | 38.316 |
| 46.335 | 23.529 | 14.859 | -0.000 | -0.001 | 0.006 |
| -4.041 | 55.748 | -4.368 | -0.000 | -0.001 | 0.007 |
| 27.462 | 35.546 | 50.249 | -0.000 | -0.001 | 0.006 |
| 28.885 | 36.632 | 27.041 | 13.811 | -0.001 | 0.006 |
| 28.759 | 36.602 | 26.957 | -0.000 | 14.100 | 0.006 |
| 20.287 | 28.777 | 19.009 | -0.000 | -0.001 | 19.048 |
| -4.193 | -58.024 | -47.420 | 0.000 | 0.001 | -0.006 |
| -45.360 | -4.149 | -43.851 | 0.000 | 0.001 | -0.007 |
| -73.357 | -80.466 | -17.441 | 0.000 | 0.001 | -0.006 |
| -28.885 | -36.632 | -27.041 | 13.812 | 0.001 | -0.006 |
| -28.759 | -36.602 | -26.957 | 0.000 | 14.102 | -0.006 |
| -20.282 | -28.772 | -19.005 | 0.000 | 0.001 | 19.045 |
| 10071.032 | 0.000 | 0.000 | -0.000 | -0.000 | 0.000 |
| 0.000 | 0.003 | -0.000 | -0.000 | 0.000 | 0.000 |
| 0.000 | 0.000 | 0.003 | 0.000 | -0.000 | 0.000 |
| 0.000 | -0.000 | -0.000 | 0.000 | 0.000 | -0.000 |
| 0.000 | 0.000 | -0.000 | 0.000 | 0.000 | 0.000 |
| 0.000 | -0.000 | -0.000 | -0.000 | 0.000 | -0.000 |
| 6189.713 | 0.000 | 0.000 | 0.000 | 0.000 | 0.000 |
| 0.000 | 0.000 | 0.000 | 0.000 | 0.000 | 0.000 |
| 0.000 | 0.000 | 0.000 | 0.000 | 0.000 | 0.000 |
| 0.000 | 0.000 | 0.000 | 0.000 | 0.000 | 0.000 |
| 0.000 | 0.000 | 0.000 | 0.000 | 0.000 | 0.000 |
| 0.000 | 0.000 | 0.000 | 0.000 | 0.000 | 0.000 |
| 10071.031 | 0.000 | 0.000 | 0.000 | -0.000 | -0.000 |
| -0.000 | 0.003 | 0.000 | 0.000 | -0.000 | 0.000 |
| 0.000 | 0.000 | 0.003 | -0.000 | -0.000 | 0.000 |
| -0.000 | 0.000 | 0.000 | 0.000 | -0.000 | -0.000 |
| -0.000 | -0.000 | -0.000 | -0.000 | 0.000 | -0.000 |
| -0.000 | 0.000 | 0.000 | 0.000 | -0.000 | -0.000 |
| 6189.712 | -0.000 | -0.000 | -0.000 | -0.000 | -0.000 |
| -0.000 | -0.000 | -0.000 | -0.000 | -0.000 | -0.000 |
| -0.000 | -0.000 | -0.000 | -0.000 | -0.000 | -0.000 |
| -0.000 | -0.000 | -0.000 | -0.000 | -0.000 | -0.000 |
| -0.000 | -0.000 | -0.000 | -0.000 | -0.000 | -0.000 |
| -0.000 | -0.000 | -0.000 | -0.000 | -0.000 | -0.000 |
| 10071.038 | 0.000 | -0.000 | 0.000 | 0.000 | 0.000 |
| -0.000 | 0.003 | -0.000 | -0.000 | 0.000 | -0.000 |
| 0.000 | 0.000 | 0.003 | 0.000 | -0.000 | 0.000 |
| -0.000 | 0.000 | -0.000 | 0.000 | 0.000 | -0.000 |
| -0.000 | 0.000 | -0.000 | -0.000 | 0.000 | 0.000 |
| 0.000 | -0.000 | 0.000 | 0.000 | -0.000 | -0.000 |
| 6189.716 | 0.000 | 0.000 | 0.000 | 0.000 | 0.000 |
| 0.000 | 0.000 | 0.000 | 0.000 | 0.000 | 0.000 |
| 0.000 | 0.000 | 0.000 | 0.000 | 0.000 | 0.000 |
| 0.000 | 0.000 | 0.000 | 0.000 | 0.000 | 0.000 |
| 0.000 | 0.000 | 0.000 | 0.000 | 0.000 | 0.000 |
| 0.000 | 0.000 | 0.000 | 0.000 | 0.000 | 0.000 |
| 10071.026 | 0.000 | -0.000 | -0.000 | 0.000 | -0.000 |
| 0.000 | 0.003 | -0.000 | -0.000 | 0.000 | -0.000 |
| 0.000 | 0.000 | 0.003 | -0.000 | -0.000 | 0.000 |
| 0.000 | 0.000 | 0.000 | 0.000 | -0.000 | -0.000 |
| -0.000 | -0.000 | -0.000 | -0.000 | 0.000 | -0.000 |
| -0.000 | 0.000 | -0.000 | 0.000 | 0.000 | -0.000 |
| 6189.709 | -0.000 | -0.000 | -0.000 | -0.000 | -0.000 |
| -0.000 | -0.000 | -0.000 | -0.000 | -0.000 | -0.000 |
| -0.000 | -0.000 | -0.000 | -0.000 | -0.000 | -0.000 |
| -0.000 | -0.000 | -0.000 | -0.000 | -0.000 | -0.000 |
| -0.000 | -0.000 | -0.000 | -0.000 | -0.000 | -0.000 |
| -0.000 | -0.000 | -0.000 | -0.000 | -0.000 | -0.000 |
| 10071.090 | 0.000 | 0.000 | 0.000 | -0.000 | 0.000 |
| 0.000 | 0.003 | -0.000 | 0.000 | 0.000 | -0.000 |
| 0.000 | 0.000 | 0.003 | 0.000 | -0.000 | 0.000 |
| 0.000 | 0.000 | -0.000 | 0.000 | 0.000 | -0.000 |
| -0.000 | 0.000 | -0.000 | -0.000 | 0.000 | 0.000 |
| 0.000 | -0.000 | -0.000 | -0.000 | 0.000 | -0.000 |
| 6189.748 | 0.000 | 0.000 | 0.000 | 0.000 | 0.000 |
| 0.000 | 0.000 | 0.000 | 0.000 | 0.000 | 0.000 |
| 0.000 | 0.000 | 0.000 | 0.000 | 0.000 | 0.000 |
| 0.000 | 0.000 | 0.000 | 0.000 | 0.000 | 0.000 |
| 0.000 | 0.000 | 0.000 | 0.000 | 0.000 | 0.000 |
| 0.000 | 0.000 | 0.000 | 0.000 | 0.000 | 0.000 |
| 10062.409 | 0.000 | 0.000 | 0.000 | -0.000 | -0.000 |
| -0.000 | 0.003 | 0.000 | 0.000 | -0.000 | 0.000 |
| 0.000 | 0.000 | 0.003 | 0.000 | -0.000 | -0.000 |
| -0.000 | 0.000 | 0.000 | 0.000 | -0.000 | -0.000 |
| -0.000 | -0.000 | -0.000 | -0.000 | 0.000 | -0.000 |
| -0.000 | 0.000 | 0.000 | 0.000 | -0.000 | -0.000 |
| 6184.413 | -0.000 | -0.000 | -0.000 | -0.000 | -0.000 |
| -0.000 | -0.000 | -0.000 | -0.000 | -0.000 | -0.000 |
| -0.000 | -0.000 | -0.000 | -0.000 | -0.000 | -0.000 |
| -0.000 | -0.000 | -0.000 | -0.000 | -0.000 | -0.000 |
| -0.000 | -0.000 | -0.000 | -0.000 | -0.000 | -0.000 |
| -0.000 | -0.000 | -0.000 | -0.000 | -0.000 | -0.000 |
| 0.000 | 0.000 | 0.000 | -0.000 | -0.000 | -0.000 |
| 0.000 | 0.000 | 0.000 | 0.000 | -0.000 | -0.000 |
| 0.000 | 0.000 | 0.000 | 0.000 | -0.000 | -0.000 |
| 0.000 | 0.000 | 0.000 | 0.000 | -0.000 | -0.000 |
| 0.000 | 0.000 | 0.000 | 0.000 | 0.000 | 0.000 |
| 0.000 | 0.000 | 0.000 | 0.000 | -0.000 | 0.000 |
| 0.000 | 0.000 | 0.000 | 0.000 | 0.000 | -0.000 |
| 0.000 | 0.000 | 0.000 | -0.000 | -0.000 | 0.000 |
| 0.000 | 0.000 | 0.000 | 0.000 | 0.000 | 0.000 |
| -0.000 | -0.000 | -0.000 | 0.000 | 0.000 | 0.000 |
| -0.000 | -0.000 | -0.000 | 0.000 | 0.000 | 0.000 |
| -0.000 | -0.000 | -0.000 | 0.000 | -0.000 | 0.000 |
| 0.000 | 0.000 | 0.000 | 0.000 | -0.000 | 0.000 |
| 0.000 | 0.000 | 0.000 | -0.000 | -0.000 | 0.000 |
| 0.000 | 0.000 | 0.000 | -0.000 | -0.000 | 0.000 |
| 0.000 | 0.000 | 0.000 | 0.000 | -0.000 | -0.000 |
| 0.000 | 0.000 | 0.000 | -0.000 | 0.000 | -0.000 |
| 0.000 | 0.000 | 0.000 | 0.000 | 0.000 | 0.000 |
| 0.000 | 0.000 | 0.000 | -0.000 | 0.000 | -0.000 |
| 0.000 | 0.000 | 0.000 | 0.000 | 0.000 | 0.000 |
| 0.000 | 0.000 | 0.000 | -0.000 | 0.000 | -0.000 |
| -0.000 | -0.000 | -0.000 | 0.000 | 0.000 | 0.000 |
| -0.000 | -0.000 | -0.000 | 0.000 | 0.000 | -0.000 |
| -0.000 | -0.000 | -0.000 | 0.000 | 0.000 | 0.000 |
| 0.000 | 0.000 | 0.000 | 0.000 | -0.000 | -0.000 |
| 0.000 | 0.000 | 0.000 | 0.000 | -0.000 | -0.000 |
| 0.000 | 0.000 | 0.000 | 0.000 | -0.000 | -0.000 |
| 0.000 | 0.000 | 0.000 | 0.000 | -0.000 | -0.000 |
| 0.000 | 0.000 | 0.000 | -0.000 | 0.000 | -0.000 |
| 0.000 | 0.000 | 0.000 | 0.000 | -0.000 | 0.000 |
| 0.000 | 0.000 | 0.000 | -0.000 | -0.000 | -0.000 |
| 0.000 | 0.000 | 0.000 | 0.000 | 0.000 | -0.000 |
| 0.000 | 0.000 | 0.000 | -0.000 | 0.000 | -0.000 |
| -0.000 | -0.000 | -0.000 | 0.000 | 0.000 | 0.000 |
| -0.000 | -0.000 | -0.000 | -0.000 | 0.000 | 0.000 |
| -0.000 | -0.000 | -0.000 | 0.000 | 0.000 | 0.000 |
| 2266.764 | 1683.381 | 1683.381 | 0.000 | 0.000 | 0.000 |
| 1683.381 | 2266.764 | 1683.381 | 0.000 | 0.000 | -0.000 |
| 1683.381 | 1683.381 | 2266.764 | 0.000 | -0.000 | -0.000 |
| 1319.343 | 1319.344 | 1319.343 | -673.379 | 0.000 | 0.000 |
| -0.000 | 0.000 | -0.000 | 0.000 | 291.691 | -0.000 |
| 2592.993 | 2592.993 | 2592.993 | -0.000 | 0.000 | -98.779 |
| -1694.849 | -1494.128 | -1494.128 | 0.000 | -0.000 | -0.000 |
| 265.368 | 202.375 | 265.368 | 0.000 | -0.000 | -0.000 |
| 265.401 | 265.401 | 202.423 | 0.000 | -0.000 | -0.000 |
| 0.000 | 0.000 | 0.000 | 291.691 | 0.000 | -0.000 |
| 0.000 | -0.000 | 0.000 | -0.000 | 291.691 | -0.000 |
| 0.000 | 0.000 | -0.000 | -0.000 | -0.000 | 291.691 |
| 407.634 | 585.601 | 585.601 | -0.000 | 0.000 | 0.000 |
| 585.602 | 407.636 | 585.602 | -0.000 | 0.000 | 0.000 |
| 585.605 | 585.605 | 407.640 | -0.000 | 0.000 | 0.000 |
| 61.158 | 61.158 | 61.158 | 5.123 | 0.000 | 0.000 |
| 46.289 | 46.289 | 46.289 | -0.000 | -46.905 | 0.000 |
| 114.772 | 114.772 | 114.772 | -0.000 | 0.000 | -37.187 |
| 37.554 | 25.863 | 25.863 | 0.000 | -0.000 | -0.000 |
| 25.862 | 37.554 | 25.862 | 0.000 | -0.000 | -0.000 |
| 25.858 | 25.858 | 37.549 | 0.000 | -0.000 | -0.000 |
| -46.121 | -46.121 | -46.121 | -45.672 | -0.000 | -0.000 |
| 202.575 | 202.575 | 202.575 | 0.000 | 68.798 | 0.000 |
| -61.158 | -61.158 | -61.158 | 0.000 | -0.000 | 5.121 |
| 18.269 | -12.828 | -12.825 | -0.000 | 0.000 | 0.000 |
| -12.825 | 18.269 | -12.828 | -0.000 | 0.000 | 0.000 |
| -12.828 | -12.825 | 18.269 | -0.000 | 0.000 | 0.000 |
| 6.897 | 6.897 | 6.897 | 5.161 | 0.000 | 0.000 |
| 5.870 | 5.870 | 5.870 | -0.000 | 8.275 | 0.000 |
| 7.811 | 7.811 | 7.811 | -0.000 | 0.000 | -2.433 |
| 2.948 | -19.926 | -19.926 | 0.000 | -0.000 | -0.000 |
| -19.926 | 2.948 | -19.926 | 0.000 | -0.000 | -0.000 |
| -10.473 | -10.473 | 9.605 | 0.000 | -0.000 | -0.000 |
| -5.868 | -5.868 | -5.868 | 8.283 | -0.000 | -0.000 |
| -6.898 | -6.898 | -6.898 | 0.000 | 5.159 | -0.000 |
| -23.030 | -23.030 | -23.030 | 0.000 | -0.000 | 6.900 |
| -2772.418 | -2544.442 | -2544.441 | 0.000 | -0.000 | 0.000 |
| -4126.227 | -4064.896 | -4126.227 | 0.000 | -0.000 | 0.000 |
| -2544.333 | -2544.333 | -2772.288 | 0.000 | -0.000 | 0.000 |
| -0.000 | -0.000 | -0.000 | 291.629 | -0.000 | 0.000 |
| -0.000 | 0.000 | -0.000 | 0.000 | 291.629 | -0.000 |
| 0.000 | 0.000 | 0.000 | 0.000 | -0.000 | 291.629 |
| 2266.277 | 1683.020 | 1683.020 | -0.000 | 0.000 | 0.000 |
| 1683.020 | 2266.277 | 1683.020 | -0.000 | -0.000 | -0.000 |
| 1683.020 | 1683.020 | 2266.277 | -0.000 | 0.000 | 0.000 |
| 0.000 | 0.000 | -0.000 | 291.629 | 0.000 | 0.000 |
| 0.000 | -0.000 | -0.000 | -0.000 | 291.629 | -0.000 |
| 0.000 | 0.000 | 0.000 | -0.000 | -0.000 | 291.629 |
| -428.648 | -557.704 | -557.704 | 0.000 | -0.000 | 0.000 |
| -557.712 | -428.655 | -557.712 | 0.000 | -0.000 | 0.000 |
| -551.479 | -551.479 | -425.780 | 0.000 | -0.000 | 0.000 |
| -406.565 | -406.565 | -406.565 | -17.902 | 0.000 | 0.000 |
| -220.185 | -220.185 | -220.185 | 0.000 | -5.846 | 0.000 |
| -406.267 | -406.267 | -406.267 | 0.000 | 0.000 | -17.890 |
| 204.417 | 1.665 | 1.665 | -0.000 | 0.000 | 0.000 |
| 274.898 | 234.260 | 274.898 | -0.000 | -0.000 | -0.000 |
| 272.246 | 272.246 | 229.213 | -0.000 | -0.000 | -0.000 |
| 406.454 | 406.454 | 406.454 | -17.891 | -0.000 | -0.000 |
| 408.365 | 408.365 | 408.365 | -0.000 | -18.021 | -0.000 |
| 406.198 | 406.198 | 406.197 | -0.000 | -0.000 | -17.885 |
| -27.183 | -57.361 | -57.364 | 0.000 | 0.000 | 0.000 |
| -57.365 | -27.183 | -57.361 | 0.000 | 0.000 | 0.000 |
| -57.360 | -57.364 | -27.184 | 0.000 | 0.000 | 0.000 |
| -28.844 | -28.845 | -28.845 | 28.104 | 0.000 | 0.000 |
| -40.954 | -40.954 | -40.954 | 0.000 | 10.523 | 0.000 |
| -40.954 | -40.954 | -40.954 | 0.000 | -0.000 | 10.523 |
| 46.867 | 16.265 | 16.265 | -0.000 | -0.000 | -0.000 |
| 26.655 | 82.582 | 26.655 | -0.000 | 0.000 | -0.000 |
| 26.653 | 26.653 | 82.580 | -0.000 | 0.000 | -0.000 |
| 40.954 | 40.954 | 40.954 | 10.523 | 0.000 | -0.000 |
| 40.954 | 40.954 | 40.954 | -0.000 | 10.523 | -0.000 |
| 40.954 | 40.954 | 40.954 | -0.000 | -0.000 | 10.523 |
| -9042470.170 | -26965914.856 | -22811474.217 | 36294.436 | 219911.646 | 260767.441 |
| -9092071.414 | -27197217.991 | -23080578.930 | -60856.674 | 81621.378 | 193378.707 |
| -9081221.426 | -26835857.476 | -23061557.665 | 66562.344 | 224230.943 | 141618.251 |
| -9101164.685 | -27129757.628 | -22868687.230 | 87249.774 | 96646.785 | 177593.079 |
| -8864868.949 | -26824710.861 | -22732867.368 | -13551.319 | 197437.507 | 153024.227 |
| -8627286.473 | -26820724.169 | -22683873.324 | 56361.692 | 288087.813 | 236131.710 |
| 9049881.998 | 26907096.309 | 22907516.596 | -158146.413 | -207689.636 | -154800.715 |
| 9063844.787 | 27003843.663 | 22844761.539 | -96151.923 | -230234.045 | -94246.071 |
| 9404046.058 | 27182469.219 | 23121816.595 | -99203.298 | -197849.886 | 36092.087 |
| 9190662.236 | 27065464.169 | 23017134.884 | -85307.747 | -321407.215 | 14364.513 |
| 9110630.659 | 26887030.793 | 22689135.879 | 21520.311 | -209586.180 | -323244.059 |
| 9243435.460 | 27101610.781 | 22766553.348 | -7511.314 | -211694.711 | -107285.179 |
| -928071.877 | -2697692.669 | -2320433.367 | -830.138 | 12716.286 | 15126.805 |
| -919084.026 | -2714005.010 | -2304913.220 | 7135.228 | 15447.798 | 3779.141 |
| -897878.155 | -2705706.176 | -2296771.202 | 348.917 | 24087.050 | 7811.611 |
| -921573.011 | -2717858.883 | -2299131.578 | 14561.043 | 18897.049 | 19824.485 |
| -904721.692 | -2714284.885 | -2290448.965 | 9706.538 | 22246.426 | 4837.346 |
| -896013.155 | -2680525.545 | -2262797.018 | 6951.188 | 18795.231 | -79.088 |
| 893132.463 | 2691662.947 | 2304733.624 | 538.802 | -20182.660 | -10150.565 |
| 906507.181 | 2695786.130 | 2282283.379 | -5145.952 | -21670.631 | -5844.815 |
| 907113.432 | 2715773.752 | 2326910.748 | -18501.602 | -17509.173 | -10963.744 |
| 898302.457 | 2698205.704 | 2273828.651 | -717.708 | -14457.515 | -20137.352 |
| 906157.860 | 2704425.831 | 2264945.861 | -1598.470 | -9062.673 | -17707.595 |
| 927338.449 | 2720900.750 | 2291690.835 | -13159.768 | -20996.995 | -22029.161 |
| -88992.867 | -270614.321 | -227375.336 | -156.912 | 1584.338 | 2686.540 |
| -90595.821 | -269216.818 | -229592.605 | 678.506 | 2777.133 | 1146.952 |
| -89212.562 | -269539.783 | -225416.432 | -263.766 | 1337.419 | 3122.465 |
| -90803.589 | -271574.522 | -230412.035 | -770.334 | 2157.751 | 1257.092 |
| -91874.970 | -269639.997 | -228375.973 | 2431.635 | 1361.585 | 293.727 |
| -90849.566 | -271149.766 | -228016.313 | 1456.943 | 2828.873 | 2308.700 |
| 88724.519 | 267322.035 | 227061.072 | -932.573 | -1954.823 | -1014.175 |
| 93781.222 | 270873.815 | 230233.122 | -2058.532 | -1548.160 | -1128.444 |
| 88913.758 | 269053.454 | 229492.328 | -1501.256 | -1880.831 | -753.525 |
| 89276.925 | 268158.873 | 230911.937 | -877.663 | -3046.166 | -581.205 |
| 91254.088 | 267800.004 | 226169.318 | -809.095 | -2692.071 | -2342.276 |
| 88016.894 | 268102.688 | 228514.525 | -129.669 | -1786.314 | -1563.482 |
| 2584.829 | 2214.392 | 2100.997 | 134.585 | -951.421 | 20.640 |
| 6768.530 | 5828.504 | 6185.007 | 1420.041 | -1899.428 | -124.980 |
| 2877.515 | 3143.616 | 1191.923 | 1329.884 | -1722.268 | 45.225 |
| 883.832 | 971.306 | 841.105 | 370.896 | -889.491 | -83.497 |
| 1361.981 | 1977.556 | 952.785 | 569.159 | -1717.020 | 33.958 |
| 911.076 | 925.856 | 816.837 | 142.684 | -813.303 | 218.839 |
| -1531.157 | -1734.758 | -633.202 | -478.840 | 1311.470 | -20.276 |
| 417.366 | 735.718 | 229.163 | -209.415 | 685.834 | 46.721 |
| 376.121 | 185.936 | 1081.689 | -285.774 | 632.621 | -5.333 |
| -2196.780 | -2425.203 | -1832.717 | -552.016 | 1349.011 | 83.544 |
| 552.975 | 650.898 | -96.650 | -275.378 | 297.759 | -45.510 |
| -1117.829 | -1273.802 | -514.101 | -597.046 | 1071.084 | -558.822 |
| 1182.098 | 1123.163 | 1093.151 | 13.973 | -231.209 | -7.106 |
| 906.724 | 678.060 | 1030.399 | 31.633 | -146.799 | -2.578 |
| 1097.321 | 1146.712 | 1125.334 | -9.720 | -198.809 | -57.323 |
| 71.525 | 111.738 | 43.090 | 144.873 | -146.846 | -51.506 |
| -67.905 | -1.480 | -55.664 | -11.474 | 185.053 | -35.441 |
| 80.962 | 93.575 | 18.712 | 25.011 | -105.577 | 96.951 |
| 706.066 | 791.903 | 906.140 | -66.682 | -52.617 | -103.345 |
| -261.020 | -281.687 | -309.073 | -23.156 | 139.780 | -40.592 |
| 6.064 | -76.505 | 186.904 | -36.326 | 107.571 | -20.871 |
| -203.380 | -291.851 | -141.926 | -75.530 | 180.735 | 39.691 |
| -205.743 | -173.136 | -157.581 | -54.316 | 47.410 | -27.170 |
| -167.463 | -150.094 | -109.968 | -61.320 | 121.899 | -59.719 |
| 147.242 | 107.407 | 120.620 | 0.074 | -18.796 | 5.212 |
| 87.483 | 117.094 | 85.232 | -4.272 | -4.812 | -11.294 |
| 118.207 | 95.524 | 132.980 | -0.743 | -9.226 | 9.128 |
| 21.019 | 14.711 | 16.295 | 16.186 | -14.359 | -4.880 |
| 28.966 | 33.690 | 28.039 | 4.037 | -3.929 | -11.208 |
| 31.996 | 23.326 | 31.152 | 8.639 | -16.724 | 13.814 |
| 63.003 | 31.574 | 43.644 | -13.963 | 0.760 | 16.406 |
| 7.372 | 36.645 | 11.307 | -6.916 | 14.844 | -3.877 |
| 9.858 | 19.716 | 59.546 | -7.326 | 13.826 | -1.602 |
| -21.665 | -29.435 | -21.013 | 6.560 | 11.911 | -3.434 |
| -95.771 | -90.358 | -78.272 | 0.246 | 43.021 | 17.823 |
| -35.045 | -29.558 | -43.272 | -8.913 | 27.345 | 20.488 |
| 514.278 | 2738.705 | 2213.567 | -472.745 | -713.115 | 273.772 |
| 708.373 | 2286.435 | 2837.066 | -189.196 | -438.558 | 321.647 |
| 1854.266 | 3504.568 | 3784.672 | 31.537 | -509.804 | 84.728 |
| 891.205 | 4228.581 | 1650.251 | 1214.945 | -313.075 | -626.400 |
| -5267.597 | -3068.785 | -2958.165 | 798.533 | -263.310 | -153.403 |
| 903.253 | 2623.756 | 2753.456 | -215.773 | -508.160 | 179.167 |
| -1058.019 | -2751.445 | -2813.262 | 345.080 | 565.514 | -261.494 |
| -1171.891 | -3092.304 | -3016.502 | 307.727 | 600.662 | -235.335 |
| 558.508 | -1492.383 | -1153.710 | 416.792 | 581.614 | -449.671 |
| -829.002 | -2596.181 | -2866.735 | 69.593 | 478.117 | -274.778 |
| -877.393 | -2579.639 | -2895.360 | 204.398 | 437.533 | -299.872 |
| -2045.730 | -3409.311 | -3766.276 | 35.617 | 358.883 | -74.108 |
| 259.603 | 431.011 | 461.505 | -26.067 | -55.139 | -4.818 |
| 335.043 | 613.173 | 553.580 | -47.256 | -88.644 | -1.713 |
| 426.181 | 666.486 | 656.175 | -36.980 | -87.849 | -24.025 |
| 91.761 | 238.338 | 241.949 | -96.595 | -72.409 | 32.181 |
| -105.840 | 62.462 | -82.235 | -16.186 | 90.999 | -2.564 |
| -130.997 | 81.963 | -23.025 | -44.723 | -20.938 | 80.058 |
| 324.991 | 323.014 | 320.194 | 2.813 | -23.006 | -79.237 |
| -101.399 | -281.363 | -163.210 | -11.238 | 16.075 | -14.519 |
| 1024.357 | 841.069 | 820.788 | -12.717 | -62.250 | -126.400 |
| -43.053 | -258.427 | -189.545 | 18.254 | 52.798 | -30.796 |
| -71.084 | -288.738 | -169.159 | 35.143 | 94.489 | 4.731 |
| -68.852 | -404.475 | -337.884 | -32.847 | 58.515 | -152.328 |
| 95.398 | 87.989 | 87.621 | -3.105 | -4.890 | 0.606 |
| 54.473 | 107.943 | 77.652 | -1.510 | 1.808 | 3.070 |
| 74.500 | 100.478 | 125.837 | -6.164 | -5.882 | -2.769 |
| -1.211 | 11.544 | 16.318 | 14.340 | -4.470 | 2.943 |
| -31.088 | -26.252 | -33.422 | -1.009 | 18.904 | 4.972 |
| -31.069 | -9.922 | -21.626 | -0.325 | -1.631 | 20.044 |
| -1.612 | -15.267 | -13.644 | -6.391 | 6.458 | 0.672 |
| 52.960 | 43.857 | 39.015 | -17.098 | 10.554 | -3.342 |
| 44.913 | 20.922 | 64.537 | -4.963 | 1.236 | -4.224 |
| -31.320 | -52.477 | -51.264 | 42.990 | 7.294 | -8.249 |
| -19.898 | -38.420 | -42.427 | 2.034 | 21.198 | -2.127 |
| -48.204 | -66.106 | -66.093 | -0.626 | 16.425 | 24.619 |
| 1006.096 | -1189.004 | -408.016 | -177.508 | -272.425 | 416.355 |
| 686.006 | 628.776 | 650.306 | 210.243 | -81.170 | -246.840 |
| 1548.932 | 1082.356 | 369.976 | -302.090 | -674.301 | 120.698 |
| 839.595 | 2013.699 | 2114.748 | -1979.974 | -244.945 | -54.402 |
| -387.129 | -641.332 | -298.014 | 376.226 | -431.133 | -226.865 |
| 1509.082 | 1250.355 | 1692.159 | 97.758 | 190.374 | -653.848 |
| -7432.368 | -4209.111 | -4325.653 | -288.959 | 158.794 | -354.924 |
| -4403.448 | -7603.404 | -5375.218 | 80.504 | -368.182 | 577.837 |
| -1608.383 | -642.628 | -2809.749 | -37.149 | 1077.677 | -712.772 |
| -1533.005 | -2150.807 | -1770.434 | -811.986 | 858.829 | -176.965 |
| 675.082 | 1003.973 | 624.533 | -451.021 | 56.479 | 221.854 |
| 4.439 | -15.046 | -40.053 | 34.489 | -9.445 | 366.214 |
| 1533.446 | 1133.408 | 1071.269 | 28.387 | 110.455 | -43.957 |
| 557.158 | 641.257 | 489.142 | -48.731 | 47.049 | -25.705 |
| 148.104 | 122.564 | 152.126 | 10.533 | -34.783 | -7.945 |
| -59.520 | -228.856 | -200.313 | 508.207 | -23.958 | 35.353 |
| -50.256 | -156.483 | -80.963 | -5.690 | -127.206 | 0.321 |
| -43.193 | -96.982 | -74.018 | 46.790 | -29.875 | 157.114 |
| 440.958 | 750.306 | 582.014 | -96.897 | 177.743 | -20.249 |
| 1116.950 | 1308.843 | 1021.822 | -105.708 | 146.895 | -76.088 |
| 509.989 | 475.058 | 400.726 | -81.815 | 42.205 | -23.798 |
| -147.656 | -71.086 | -95.663 | 96.179 | -9.728 | 3.136 |
| 153.141 | 128.413 | 141.140 | -46.031 | -64.879 | 19.832 |
| 2.915 | -22.113 | -37.643 | 21.890 | -6.638 | 259.651 |
| 74.544 | 10.519 | 19.868 | -4.683 | 6.264 | 2.744 |
| 49.576 | 57.423 | 36.594 | -3.843 | 3.700 | -6.315 |
| 100.909 | 73.783 | 93.297 | -26.049 | 13.893 | -13.886 |
| 7.956 | -1.868 | -2.636 | 13.170 | 1.887 | -1.068 |
| 19.868 | 20.324 | 9.127 | -3.775 | 17.228 | 4.777 |
| -6.557 | -11.435 | -5.086 | 8.962 | 3.770 | 18.353 |
| 68.854 | 14.890 | 14.499 | 2.703 | 4.194 | -4.115 |
| 13.683 | 52.706 | 20.330 | -15.761 | -3.153 | -1.199 |
| 38.253 | 47.361 | 58.698 | -12.789 | 3.763 | -13.992 |
| -60.078 | -72.055 | -54.816 | 29.950 | -0.159 | -0.916 |
| 151.490 | 147.040 | 129.672 | -26.773 | 74.436 | -0.149 |
| -9.901 | -3.674 | -3.180 | -5.384 | 11.326 | 11.673 |
| 6317.405 | 6091.166 | 6091.166 | 0.000 | 0.000 | -0.000 |
| 6091.166 | 6317.405 | 6091.166 | 0.000 | 0.000 | -0.000 |
| 6091.166 | 6091.166 | 6317.405 | 0.000 | 0.000 | -0.000 |
| -0.000 | -0.000 | -0.000 | 202.110 | 0.000 | -0.000 |
| -0.000 | -0.000 | -0.000 | 0.000 | 202.110 | -0.000 |
| -0.000 | -0.000 | -0.000 | 0.000 | 0.000 | 202.110 |
| 1907.105 | 1686.139 | 1686.139 | -0.000 | -0.000 | 0.000 |
| 1686.139 | 1907.105 | 1686.139 | -0.000 | 0.000 | 0.000 |
| 1686.139 | 1686.139 | 1907.105 | -0.000 | -0.000 | 0.000 |
| 0.000 | 0.000 | 0.000 | 202.110 | -0.000 | 0.000 |
| 0.000 | 0.000 | -0.000 | -0.000 | 202.110 | 0.000 |
| 0.000 | 0.000 | 0.000 | -0.000 | -0.000 | 202.110 |
| 1674.396 | 1453.545 | 1453.544 | 0.000 | 0.000 | -0.000 |
| 1453.544 | 1674.396 | 1453.545 | 0.000 | 0.000 | -0.000 |
| 1453.545 | 1453.544 | 1674.396 | 0.000 | -0.000 | -0.000 |
| -5.696 | -5.695 | -5.695 | 185.397 | 0.000 | -0.000 |
| -5.696 | -5.696 | -5.695 | 0.000 | 185.397 | -0.000 |
| -5.695 | -5.695 | -5.696 | 0.000 | 0.000 | 185.397 |
| 1726.867 | 1505.990 | 1505.990 | -0.000 | 0.000 | 0.000 |
| 1505.990 | 1726.867 | 1505.990 | -0.000 | -0.000 | 0.000 |
| -966150026.597 | -926077413.607 | -938387263.399 | 36043.219 | 2735100.348 | -23391.007 |
| 5.696 | 5.695 | 5.695 | 185.397 | -0.000 | 0.000 |
| 5.696 | 5.696 | 5.695 | -0.000 | 185.397 | 0.000 |
| 5.695 | 5.695 | 5.696 | -0.000 | -0.000 | 185.397 |
| 93695964.952 | 94583999.988 | 97343506.895 | 57839.905 | -305.056 | -1552.048 |
| 98753683.510 | 94827851.326 | 95919242.810 | 1202.281 | 85941.953 | 283.312 |
| 95324313.645 | 98124629.736 | 94199528.635 | 372.087 | 967.657 | -53948.782 |
| -0.476 | -0.475 | -0.475 | 185.577 | 0.000 | -0.000 |
| -5.970 | -5.971 | -5.970 | -0.000 | 174.181 | -0.000 |
| -0.475 | -0.475 | -0.476 | 0.000 | -0.000 | 185.577 |
| -92958112.978 | -95652705.273 | -91851986.983 | -269.911 | -744.975 | -223402.365 |
| -91818339.331 | -92913145.495 | -95639413.112 | -450397.710 | 1073.504 | 3005.750 |
| -96028523.578 | -92284137.169 | -93326652.507 | 2597.460 | 274233.827 | -6280.077 |
| 0.476 | 0.475 | 0.475 | 185.577 | -0.000 | 0.000 |
| 5.970 | 5.971 | 5.970 | -0.000 | 174.181 | 0.000 |
| 0.475 | 0.475 | 0.476 | -0.000 | -0.000 | 185.577 |
| 5154.356 | 5016.813 | 5016.813 | -0.000 | 0.000 | -0.000 |
| 5016.813 | 5154.356 | 5016.813 | -0.000 | 0.000 | -0.000 |
| 5016.813 | 5016.813 | 5154.356 | 0.000 | 0.000 | -0.000 |
| -0.000 | -0.000 | -0.000 | 170.644 | -0.000 | -0.000 |
| -0.000 | -0.000 | -0.000 | -0.000 | 170.644 | -0.000 |
| -0.000 | -0.000 | -0.000 | -0.000 | 0.000 | 170.644 |
| 5154.525 | 5016.982 | 5016.982 | 0.000 | -0.000 | 0.000 |
| 5016.982 | 5154.525 | 5016.982 | 0.000 | -0.000 | 0.000 |
| 5016.982 | 5016.982 | 5154.525 | -0.000 | 0.000 | 0.000 |
| 0.000 | 0.000 | 0.000 | 170.645 | 0.000 | 0.000 |
| 0.000 | 0.000 | 0.000 | 0.000 | 170.644 | 0.000 |
| 0.000 | 0.000 | 0.000 | 0.000 | -0.000 | 170.644 |
| 1202947674.106 | 1212260754.959 | 1254877754.472 | -1707408.367 | 57101.891 | -8825.713 |
| 1255790566.219 | 1204302539.667 | 1213093069.903 | 76231.680 | 657844.763 | 48690.347 |
| 1215859231.309 | 1258632431.038 | 1208099258.226 | 37688.371 | 10656.772 | -443681.713 |
| -0.001 | -0.001 | -0.001 | 170.644 | -0.000 | -0.000 |
| -0.001 | -0.001 | -0.001 | -0.000 | 170.644 | -0.000 |
| -0.001 | -0.001 | -0.001 | 0.000 | -0.000 | 170.644 |
| -1208538767.902 | -1250303070.915 | -1200923516.444 | -58834.052 | -8715.064 | 113159.064 |
| -1182802792.844 | -1194274003.623 | -1235051067.109 | -20013.687 | 3370.585 | 8997.971 |
| -1247461864.581 | -1198656953.535 | -1206358413.657 | 4085.467 | -89459.106 | 1856.313 |
| 0.001 | 0.001 | 0.001 | 170.644 | -0.000 | -0.000 |
| 0.001 | 0.001 | 0.001 | 0.000 | 170.644 | 0.000 |
| 0.001 | 0.001 | 0.001 | 0.000 | -0.000 | 170.644 |
| 117419474.209 | 118920751.345 | 122997929.665 | -381162.635 | -4300.481 | -11287.058 |
| 125135260.614 | 119914854.161 | 120883336.695 | 9383.083 | 77105.964 | 7355.719 |
| 121343279.143 | 125598057.929 | 120560460.907 | 6413.500 | -4011.345 | -119095.504 |
| 15.682 | 15.684 | 15.683 | 119.629 | 0.000 | -0.000 |
| -0.014 | -0.014 | -0.013 | -0.000 | 170.644 | -0.000 |
| 15.684 | 15.683 | 15.682 | -0.000 | 0.000 | 119.629 |
| -120220242.361 | -124328214.103 | -119409444.137 | 1594.379 | 5538.207 | 27522.849 |
| -118479459.567 | -119614584.927 | -123703232.352 | -6038.851 | 1976.831 | 178.392 |
| -124876045.351 | -119954737.668 | -120753117.950 | 4995.178 | 20310.421 | -1450.336 |
| -15.682 | -15.684 | -15.683 | 119.629 | -0.000 | 0.000 |
| 0.014 | 0.014 | 0.013 | -0.000 | 170.644 | 0.000 |
| -15.684 | -15.683 | -15.682 | 0.000 | -0.000 | 119.629 |
| 5807.217 | 5377.569 | 0.000 | 0.000 | 0.000 | -0.000 |
| 5532.913 | 5651.873 | 0.000 | 0.000 | 0.000 | -0.000 |
| -0.000 | 0.000 | 0.000 | 0.000 | 0.000 | -0.000 |
| -0.000 | 0.000 | 0.000 | 0.000 | 0.000 | -0.000 |
| -0.000 | 0.000 | 0.000 | 0.000 | 0.000 | -0.000 |
| -0.000 | 0.000 | 0.000 | 0.000 | 0.000 | 59.480 |
| 5652.984 | 5534.025 | -0.000 | -0.000 | -0.000 | 0.000 |
| 5534.024 | 5652.985 | -0.000 | -0.000 | -0.000 | 0.000 |
| 0.000 | -0.000 | -0.000 | -0.000 | -0.000 | 0.000 |
| 0.000 | -0.000 | -0.000 | -0.000 | -0.000 | 0.000 |
| 0.000 | -0.000 | -0.000 | -0.000 | -0.000 | 0.000 |
| 0.000 | -0.000 | -0.000 | -0.000 | -0.000 | 59.480 |
| 5625.239 | 5506.344 | 0.000 | 0.000 | 0.000 | -0.000 |
| 5506.315 | 5625.268 | 0.000 | 0.000 | 0.000 | -0.000 |
| -0.000 | 0.000 | 0.000 | 0.000 | 0.000 | -0.000 |
| -0.000 | 0.000 | 0.000 | 0.000 | 0.000 | -0.000 |
| -0.000 | 0.000 | 0.000 | 0.000 | 0.000 | -0.000 |
| 0.000 | 0.000 | 0.000 | 0.000 | 0.000 | 214.824 |
| 5813.330 | 5383.682 | -0.000 | -0.000 | -0.000 | -0.000 |
| 5539.022 | 5657.990 | -0.000 | -0.000 | -0.000 | 0.000 |
| 0.000 | -0.000 | -0.000 | -0.000 | -0.000 | 0.000 |
| 0.000 | -0.000 | -0.000 | -0.000 | -0.000 | 0.000 |
| 0.000 | -0.000 | -0.000 | -0.000 | -0.000 | 0.000 |
| -0.000 | -0.000 | -0.000 | -0.000 | -0.000 | 214.824 |
| 5681.101 | 5562.098 | 0.000 | 0.000 | 0.000 | -0.000 |
| 5562.127 | 5681.072 | 0.000 | 0.000 | 0.000 | -0.000 |
| -0.000 | 0.000 | 0.000 | 0.000 | 0.000 | -0.000 |
| -0.000 | 0.000 | 0.000 | 0.000 | 0.000 | -0.000 |
| -0.000 | 0.000 | 0.000 | 0.000 | 0.000 | -0.000 |
| 0.002 | 0.001 | 0.000 | 0.000 | 0.000 | 214.824 |
| 5707.981 | 5589.064 | -0.000 | -0.000 | -0.000 | 0.000 |
| 5589.005 | 5708.039 | -0.000 | -0.000 | -0.000 | 0.000 |
| 0.000 | -0.000 | -0.000 | -0.000 | -0.000 | 0.000 |
| 0.000 | -0.000 | -0.000 | -0.000 | -0.000 | 0.000 |
| 0.000 | -0.000 | -0.000 | -0.000 | -0.000 | 0.000 |
| -0.002 | -0.001 | -0.000 | -0.000 | -0.000 | 214.824 |
| 5666.830 | 5247.567 | 0.000 | 0.000 | 0.000 | -0.000 |
| 5399.157 | 5515.240 | 0.000 | 0.000 | 0.000 | -0.000 |
| 0.000 | -0.000 | 0.000 | 0.000 | 0.000 | -0.000 |
| 0.000 | -0.000 | 0.000 | 0.000 | 0.000 | -0.000 |
| 0.000 | -0.000 | 0.000 | 0.000 | 0.000 | -0.000 |
| 0.000 | -0.000 | 0.000 | 0.000 | 0.000 | 58.042 |
| 5516.325 | 5400.241 | -0.000 | -0.000 | -0.000 | 0.000 |
| 5400.240 | 5516.326 | -0.000 | -0.000 | -0.000 | 0.000 |
| -0.000 | 0.000 | -0.000 | -0.000 | -0.000 | 0.000 |
| -0.000 | 0.000 | -0.000 | -0.000 | -0.000 | 0.000 |
| -0.000 | 0.000 | -0.000 | -0.000 | -0.000 | 0.000 |
| -0.000 | 0.000 | -0.000 | -0.000 | -0.000 | 58.042 |
| 5489.251 | 5373.229 | 0.000 | 0.000 | 0.000 | -0.000 |
| 5373.201 | 5489.279 | 0.000 | 0.000 | 0.000 | -0.000 |
| 0.000 | -0.000 | 0.000 | 0.000 | 0.000 | -0.000 |
| 0.000 | -0.000 | 0.000 | 0.000 | 0.000 | -0.000 |
| 0.000 | -0.000 | 0.000 | 0.000 | 0.000 | -0.000 |
| 0.000 | 0.000 | 0.000 | 0.000 | 0.000 | 209.631 |
| 5672.794 | 5253.533 | -0.000 | -0.000 | -0.000 | 0.000 |
| 5405.118 | 5521.210 | -0.000 | -0.000 | -0.000 | 0.000 |
| -0.000 | 0.000 | -0.000 | -0.000 | -0.000 | 0.000 |
| -0.000 | 0.000 | -0.000 | -0.000 | -0.000 | 0.000 |
| -0.000 | 0.000 | -0.000 | -0.000 | -0.000 | 0.000 |
| -0.000 | -0.000 | -0.000 | -0.000 | -0.000 | 209.631 |
| 5543.762 | 5427.636 | 0.000 | 0.000 | 0.000 | -0.000 |
| 5427.665 | 5543.734 | 0.000 | 0.000 | 0.000 | -0.000 |
| 0.000 | -0.000 | 0.000 | 0.000 | 0.000 | -0.000 |
| 0.000 | -0.000 | 0.000 | 0.000 | 0.000 | -0.000 |
| 0.000 | -0.000 | 0.000 | 0.000 | 0.000 | -0.000 |
| 0.002 | 0.001 | 0.000 | 0.000 | 0.000 | 209.631 |
| 5569.992 | 5453.950 | -0.000 | -0.000 | -0.000 | 0.000 |
| 5453.893 | 5570.049 | -0.000 | -0.000 | -0.000 | 0.000 |
| -0.000 | 0.000 | -0.000 | -0.000 | -0.000 | 0.000 |
| -0.000 | 0.000 | -0.000 | -0.000 | -0.000 | 0.000 |
| -0.000 | 0.000 | -0.000 | -0.000 | -0.000 | 0.000 |
| -0.002 | -0.001 | -0.000 | -0.000 | -0.000 | 209.631 |
| 2004.998 | 1154.998 | 2096.458 | 0.034 | 0.023 | -8.037 |
| 2243.037 | 1660.068 | 2612.284 | 0.034 | 0.023 | -7.981 |
| 2521.724 | 1939.986 | 3156.439 | 0.034 | 0.023 | -8.050 |
| 654.369 | -158.579 | 347.985 | -6.324 | 0.056 | -15.113 |
| 654.845 | -158.416 | 348.337 | 0.078 | -24.755 | -15.109 |
| 654.332 | -158.418 | 348.018 | 0.079 | 0.056 | -85.117 |
| 1149.250 | 3890.950 | 3767.802 | -0.027 | -0.020 | 7.951 |
| 211.521 | 1462.684 | 941.657 | -0.043 | -0.019 | 11.689 |
| 249.161 | 1835.658 | 1738.422 | -0.033 | -0.022 | 7.912 |
| -654.368 | 158.579 | -347.984 | -6.482 | -0.056 | 15.113 |
| -1136.029 | -61.376 | -720.963 | -0.033 | 102.326 | 7.916 |
| -654.498 | 158.422 | -348.118 | -0.079 | -0.056 | -54.978 |
| 117.592 | -12.421 | 72.966 | 0.004 | 0.002 | -0.989 |
| 254.506 | 5.879 | 131.034 | 0.009 | 0.007 | -1.729 |
| -100.648 | -299.290 | -131.377 | 0.004 | 0.001 | -1.053 |
| 63.590 | -15.143 | 33.966 | 9.619 | 0.005 | -1.455 |
| 116.029 | 6.349 | 73.602 | 0.004 | 95.708 | -0.808 |
| 64.352 | -13.997 | 34.829 | 0.007 | 0.005 | -41.529 |
| 2059.089 | 1580.339 | 2418.447 | 0.000 | 0.000 | -0.001 |
| -37.970 | 201.220 | 137.930 | -0.004 | -0.003 | 0.969 |
| 942.060 | 1568.009 | 1776.650 | -0.004 | -0.003 | 1.017 |
| -63.589 | 15.144 | -33.965 | 9.608 | -0.005 | 1.455 |
| 261.620 | 663.691 | 699.832 | -0.005 | 86.695 | 0.864 |
| 41.150 | 164.977 | 129.742 | -0.004 | -0.002 | 28.141 |
| 50.962 | 18.467 | 19.074 | 0.000 | 0.000 | -0.108 |
| 39.456 | 51.143 | 20.021 | 0.000 | 0.000 | -0.108 |
| 44.865 | 21.877 | 117.216 | 0.001 | 0.000 | -0.112 |
| -31.349 | -68.475 | -76.266 | 18.609 | -0.000 | -0.107 |
| -4.798 | -22.967 | -20.133 | 0.001 | 15.919 | -0.112 |
| 7.673 | -0.235 | 5.057 | 0.001 | 0.000 | 15.435 |
| 82.697 | 74.264 | 86.180 | -0.001 | -0.000 | 0.109 |
| 37.382 | 119.874 | 91.481 | -0.000 | -0.000 | 0.107 |
| 58.517 | 100.853 | 179.299 | -0.001 | -0.000 | 0.112 |
| 9.134 | 33.219 | 28.336 | 16.874 | 0.000 | 0.106 |
| 4.798 | 22.967 | 20.133 | -0.000 | 15.919 | 0.112 |
| -7.677 | 0.234 | -5.059 | -0.001 | -0.000 | 15.662 |
| 5365.549 | 5252.668 | 0.000 | 0.000 | 0.000 | 0.000 |
| 5252.589 | 5365.630 | 0.000 | 0.000 | 0.000 | 0.000 |
| 0.000 | 0.000 | 0.000 | 0.000 | 0.000 | 0.000 |
| -0.000 | -0.000 | 0.000 | 0.000 | 0.000 | 0.000 |
| -0.000 | -0.000 | 0.000 | 0.000 | 0.000 | 0.000 |
| -0.040 | 0.040 | 0.000 | 0.000 | 0.000 | 56.481 |
| 5366.684 | 5253.644 | -0.000 | -0.000 | -0.000 | 0.000 |
| 5106.173 | 5514.156 | -0.000 | -0.000 | -0.000 | -0.000 |
| 0.000 | 0.000 | -0.000 | -0.000 | -0.000 | -0.000 |
| 0.000 | 0.000 | -0.000 | -0.000 | -0.000 | -0.000 |
| 0.000 | 0.000 | -0.000 | -0.000 | -0.000 | -0.000 |
| 0.040 | -0.040 | -0.000 | -0.000 | -0.000 | 56.481 |
| 5334.347 | 5221.391 | 0.000 | 0.000 | 0.000 | 0.000 |
| 5221.388 | 5334.351 | 0.000 | 0.000 | 0.000 | 0.000 |
| 0.000 | 0.000 | 0.000 | 0.000 | 0.000 | 0.000 |
| -0.000 | 0.000 | 0.000 | 0.000 | 0.000 | 0.000 |
| -0.000 | -0.000 | 0.000 | 0.000 | 0.000 | 0.000 |
| -0.004 | 0.004 | 0.000 | 0.000 | 0.000 | 56.481 |
| 5371.395 | 5258.431 | -0.000 | -0.000 | -0.000 | -0.000 |
| 5258.434 | 5371.395 | -0.000 | -0.000 | -0.000 | -0.000 |
| 0.000 | 0.000 | -0.000 | -0.000 | -0.000 | -0.000 |
| 0.000 | 0.000 | -0.000 | -0.000 | -0.000 | -0.000 |
| 0.000 | 0.000 | -0.000 | -0.000 | -0.000 | -0.000 |
| 0.004 | -0.004 | -0.000 | -0.000 | -0.000 | 56.481 |
| 5396.190 | 5283.190 | 0.000 | 0.000 | 0.000 | 0.000 |
| 5283.244 | 5396.137 | 0.000 | 0.000 | 0.000 | 0.000 |
| 0.000 | 0.000 | 0.000 | 0.000 | 0.000 | 0.000 |
| -0.000 | 0.000 | 0.000 | 0.000 | 0.000 | 0.000 |
| -0.000 | -0.000 | 0.000 | 0.000 | 0.000 | 0.000 |
| -0.004 | -0.003 | 0.000 | 0.000 | 0.000 | 56.481 |
| 5418.867 | 5305.947 | -0.000 | -0.000 | -0.000 | -0.000 |
| 5305.893 | 5418.924 | -0.000 | -0.000 | -0.000 | -0.000 |
| 0.000 | 0.000 | -0.000 | -0.000 | -0.000 | -0.000 |
| -0.000 | 0.000 | -0.000 | -0.000 | -0.000 | -0.000 |
| 0.000 | 0.000 | -0.000 | -0.000 | -0.000 | -0.000 |
| 0.004 | 0.003 | -0.000 | -0.000 | -0.000 | 56.481 |
| 5487.891 | 5383.079 | 0.000 | 0.000 | 0.000 | 0.000 |
| 5226.688 | 5644.282 | 0.000 | 0.000 | 0.000 | 0.000 |
| -0.000 | -0.000 | 0.000 | 0.000 | 0.000 | -0.000 |
| -0.000 | -0.000 | 0.000 | 0.000 | 0.000 | 0.000 |
| -0.000 | 0.000 | 0.000 | 0.000 | 0.000 | 0.000 |
| -5.405 | 5.405 | 0.000 | 0.000 | 0.000 | 57.811 |
| 5645.362 | 5227.768 | -0.000 | -0.000 | -0.000 | 0.000 |
| 5384.159 | 5488.971 | -0.000 | -0.000 | -0.000 | -0.000 |
| -0.000 | -0.000 | -0.000 | -0.000 | -0.000 | -0.000 |
| 0.000 | 0.000 | -0.000 | -0.000 | -0.000 | -0.000 |
| -0.000 | 0.000 | -0.000 | -0.000 | -0.000 | -0.000 |
| 5.405 | -5.405 | -0.000 | -0.000 | -0.000 | 57.811 |
| 5466.902 | 5352.367 | 0.000 | 0.000 | 0.000 | 0.000 |
| 5200.838 | 5618.432 | 0.000 | 0.000 | 0.000 | 0.000 |
| -0.000 | -0.000 | 0.000 | 0.000 | 0.000 | -0.000 |
| 0.000 | -0.000 | 0.000 | 0.000 | 0.000 | 0.000 |
| 0.000 | 0.000 | 0.000 | 0.000 | 0.000 | 0.000 |
| -0.541 | 0.540 | 0.000 | 0.000 | 0.000 | 57.811 |
| 5499.782 | 5383.071 | -0.000 | -0.000 | -0.000 | -0.000 |
| 5384.158 | 5498.695 | -0.000 | -0.000 | -0.000 | 0.000 |
| -0.000 | -0.000 | -0.000 | -0.000 | -0.000 | -0.000 |
| 0.000 | 0.000 | -0.000 | -0.000 | -0.000 | -0.000 |
| 0.000 | -0.000 | -0.000 | -0.000 | -0.000 | -0.000 |
| 0.541 | -0.540 | -0.000 | -0.000 | -0.000 | 57.811 |
| 5521.592 | 5406.149 | 0.000 | 0.000 | 0.000 | 0.000 |
| 5405.984 | 5521.756 | 0.000 | 0.000 | 0.000 | 0.000 |
| -0.000 | -0.000 | 0.000 | 0.000 | 0.000 | -0.000 |
| 0.000 | -0.000 | 0.000 | 0.000 | 0.000 | -0.000 |
| 0.000 | 0.000 | 0.000 | 0.000 | 0.000 | 0.000 |
| -0.058 | 0.050 | 0.000 | 0.000 | 0.000 | 57.811 |
| 5547.941 | 5432.138 | -0.000 | -0.000 | -0.000 | 0.000 |
| 5432.303 | 5547.776 | -0.000 | -0.000 | -0.000 | 0.000 |
| -0.000 | -0.000 | -0.000 | -0.000 | -0.000 | -0.000 |
| 0.000 | 0.000 | -0.000 | -0.000 | -0.000 | -0.000 |
| 0.000 | -0.000 | -0.000 | -0.000 | -0.000 | -0.000 |
| 0.058 | -0.050 | -0.000 | -0.000 | -0.000 | 57.811 |
| 5223.758 | 5113.808 | 0.000 | 0.000 | 0.000 | -0.000 |
| 5113.808 | 5223.757 | 0.000 | 0.000 | 0.000 | -0.000 |
| -0.000 | 0.000 | 0.000 | 0.000 | 0.000 | -0.000 |
| -0.000 | 0.000 | 0.000 | 0.000 | 0.000 | -0.000 |
| -0.000 | 0.000 | 0.000 | 0.000 | 0.000 | 0.000 |
| -0.000 | 0.000 | 0.000 | 0.000 | 0.000 | 54.975 |
| 5368.362 | 4971.258 | -0.000 | -0.000 | -0.000 | -0.000 |
| 5114.835 | 5224.784 | -0.000 | -0.000 | -0.000 | 0.000 |
| 0.000 | -0.000 | -0.000 | -0.000 | -0.000 | 0.000 |
| 0.000 | -0.000 | -0.000 | -0.000 | -0.000 | 0.000 |
| 0.000 | -0.000 | -0.000 | -0.000 | -0.000 | -0.000 |
| 0.000 | -0.000 | -0.000 | -0.000 | -0.000 | 54.975 |
| 5199.174 | 5089.220 | 0.000 | 0.000 | 0.000 | -0.000 |
| 5089.225 | 5199.167 | 0.000 | 0.000 | 0.000 | -0.000 |
| -0.000 | 0.000 | 0.000 | 0.000 | 0.000 | -0.000 |
| -0.000 | 0.000 | 0.000 | 0.000 | 0.000 | -0.000 |
| -0.000 | 0.000 | 0.000 | 0.000 | 0.000 | -0.000 |
| -0.000 | -0.000 | 0.000 | 0.000 | 0.000 | 54.975 |
| 5229.406 | 5119.460 | -0.000 | -0.000 | -0.000 | 0.000 |
| 5119.455 | 5229.410 | -0.000 | -0.000 | -0.000 | 0.000 |
| 0.000 | -0.000 | -0.000 | -0.000 | -0.000 | 0.000 |
| 0.000 | -0.000 | -0.000 | -0.000 | -0.000 | 0.000 |
| 0.000 | -0.000 | -0.000 | -0.000 | -0.000 | 0.000 |
| 0.000 | 0.000 | -0.000 | -0.000 | -0.000 | 54.975 |
| 5250.772 | 5140.782 | 0.000 | 0.000 | 0.000 | -0.000 |
| 5140.836 | 5250.717 | 0.000 | 0.000 | 0.000 | -0.000 |
| -0.000 | 0.000 | 0.000 | 0.000 | 0.000 | -0.000 |
| -0.000 | 0.000 | 0.000 | 0.000 | 0.000 | -0.000 |
| -0.000 | 0.000 | 0.000 | 0.000 | 0.000 | -0.000 |
| -0.004 | -0.003 | 0.000 | 0.000 | 0.000 | 54.975 |
| 5275.616 | 5165.705 | -0.000 | -0.000 | -0.000 | 0.000 |
| 5165.652 | 5275.668 | -0.000 | -0.000 | -0.000 | 0.000 |
| -0.000 | 0.000 | -0.000 | -0.000 | -0.000 | 0.000 |
| 0.000 | -0.000 | -0.000 | -0.000 | -0.000 | 0.000 |
| 0.000 | -0.000 | -0.000 | -0.000 | -0.000 | 0.000 |
| 0.004 | 0.003 | -0.000 | -0.000 | -0.000 | 54.975 |
| 5560.083 | 5148.719 | 0.000 | 0.000 | 0.000 | 0.000 |
| 5297.452 | 5411.350 | 0.000 | 0.000 | 0.000 | -0.000 |
| 0.000 | -0.000 | 0.000 | 0.000 | 0.000 | -0.000 |
| 0.000 | -0.000 | 0.000 | 0.000 | 0.000 | -0.000 |
| 0.000 | -0.000 | 0.000 | 0.000 | 0.000 | -0.000 |
| 0.000 | -0.000 | 0.000 | 0.000 | 0.000 | 56.949 |
| 5412.414 | 5298.516 | -0.000 | -0.000 | -0.000 | -0.000 |
| 5149.783 | 5561.147 | -0.000 | -0.000 | -0.000 | 0.000 |
| -0.000 | 0.000 | -0.000 | -0.000 | -0.000 | 0.000 |
| -0.000 | 0.000 | -0.000 | -0.000 | -0.000 | -0.000 |
| -0.000 | 0.000 | -0.000 | -0.000 | -0.000 | -0.000 |
| -0.000 | 0.000 | -0.000 | -0.000 | -0.000 | 56.949 |
| 5386.002 | 5271.856 | 0.000 | 0.000 | 0.000 | -0.000 |
| 5123.247 | 5534.612 | 0.000 | 0.000 | 0.000 | 0.000 |
| 0.000 | -0.000 | 0.000 | 0.000 | 0.000 | -0.000 |
| 0.000 | -0.000 | 0.000 | 0.000 | 0.000 | 0.000 |
| 0.000 | -0.000 | 0.000 | 0.000 | 0.000 | 0.000 |
| -0.000 | -0.000 | 0.000 | 0.000 | 0.000 | 56.949 |
| 5417.206 | 5303.301 | -0.000 | -0.000 | -0.000 | 0.000 |
| 5303.307 | 5417.201 | -0.000 | -0.000 | -0.000 | 0.000 |
| -0.000 | 0.000 | -0.000 | -0.000 | -0.000 | 0.000 |
| -0.000 | 0.000 | -0.000 | -0.000 | -0.000 | -0.000 |
| -0.000 | 0.000 | -0.000 | -0.000 | -0.000 | -0.000 |
| 0.000 | 0.000 | -0.000 | -0.000 | -0.000 | 56.949 |
| 5439.279 | 5325.452 | 0.000 | 0.000 | 0.000 | -0.000 |
| 5325.396 | 5439.335 | 0.000 | 0.000 | 0.000 | 0.000 |
| 0.000 | -0.000 | 0.000 | 0.000 | 0.000 | -0.000 |
| 0.000 | -0.000 | 0.000 | 0.000 | 0.000 | -0.000 |
| 0.000 | -0.000 | 0.000 | 0.000 | 0.000 | 0.000 |
| -0.004 | -0.004 | 0.000 | 0.000 | 0.000 | 56.949 |
| 5465.126 | 5351.157 | -0.000 | -0.000 | -0.000 | -0.000 |
| 5351.213 | 5465.070 | -0.000 | -0.000 | -0.000 | 0.000 |
| -0.000 | 0.000 | -0.000 | -0.000 | -0.000 | 0.000 |
| -0.000 | 0.000 | -0.000 | -0.000 | -0.000 | -0.000 |
| -0.000 | 0.000 | -0.000 | -0.000 | -0.000 | -0.000 |
| 0.004 | 0.004 | -0.000 | -0.000 | -0.000 | 56.949 |
| 5757.381 | 5636.200 | 0.000 | 0.000 | 0.000 | 0.000 |
| 5477.956 | 5915.625 | 0.000 | 0.000 | 0.000 | -0.000 |
| 0.000 | 0.000 | 0.000 | 0.000 | 0.000 | 0.000 |
| 0.000 | -0.000 | 0.000 | 0.000 | 0.000 | 0.000 |
| 0.000 | 0.000 | 0.000 | 0.000 | 0.000 | 0.000 |
| -0.000 | -0.000 | 0.000 | 0.000 | 0.000 | 60.591 |
| 5758.513 | 5637.332 | -0.000 | -0.000 | -0.000 | -0.000 |
| 5479.088 | 5916.757 | -0.000 | -0.000 | -0.000 | 0.000 |
| -0.000 | -0.000 | -0.000 | -0.000 | -0.000 | -0.000 |
| -0.000 | -0.000 | -0.000 | -0.000 | -0.000 | -0.000 |
| -0.000 | -0.000 | -0.000 | -0.000 | -0.000 | -0.000 |
| 0.000 | 0.000 | -0.000 | -0.000 | -0.000 | 60.590 |
| 5730.285 | 5609.100 | 0.000 | 0.000 | 0.000 | 0.000 |
| 5609.106 | 5730.279 | 0.000 | 0.000 | 0.000 | 0.000 |
| 0.000 | 0.000 | 0.000 | 0.000 | 0.000 | 0.000 |
| 0.000 | 0.000 | 0.000 | 0.000 | 0.000 | 0.000 |
| 0.000 | 0.000 | 0.000 | 0.000 | 0.000 | 0.000 |
| -0.000 | -0.000 | 0.000 | 0.000 | 0.000 | 60.590 |
| 5763.606 | 5642.429 | -0.000 | -0.000 | -0.000 | -0.000 |
| 5642.559 | 5763.476 | -0.000 | -0.000 | -0.000 | -0.000 |
| -0.000 | -0.000 | -0.000 | -0.000 | -0.000 | -0.000 |
| -0.000 | -0.000 | -0.000 | -0.000 | -0.000 | -0.000 |
| -0.000 | -0.000 | -0.000 | -0.000 | -0.000 | -0.000 |
| 0.000 | 0.000 | -0.000 | -0.000 | -0.000 | 60.590 |
| 5787.155 | 5665.930 | 0.000 | 0.000 | 0.000 | 0.000 |
| 5665.990 | 5787.096 | 0.000 | 0.000 | 0.000 | 0.000 |
| 0.000 | 0.000 | 0.000 | 0.000 | 0.000 | 0.000 |
| 0.000 | -0.000 | 0.000 | 0.000 | 0.000 | 0.000 |
| 0.000 | 0.000 | 0.000 | 0.000 | 0.000 | 0.000 |
| -0.004 | -0.004 | 0.000 | 0.000 | 0.000 | 60.591 |
| 5814.536 | 5693.399 | -0.000 | -0.000 | -0.000 | -0.000 |
| 5693.340 | 5814.596 | -0.000 | -0.000 | -0.000 | -0.000 |
| -0.000 | -0.000 | -0.000 | -0.000 | -0.000 | -0.000 |
| -0.000 | -0.000 | -0.000 | -0.000 | -0.000 | -0.000 |
| -0.000 | -0.000 | -0.000 | -0.000 | -0.000 | -0.000 |
| 0.004 | 0.004 | -0.000 | -0.000 | -0.000 | 60.591 |
| 3615.595 | 3539.493 | -0.000 | -0.000 | -0.000 | -0.000 |
| 3440.118 | 3714.970 | 0.000 | 0.000 | -0.000 | 0.000 |
| -0.000 | -0.000 | -0.000 | 0.000 | -0.000 | 0.000 |
| -0.000 | -0.000 | 0.000 | 0.000 | -0.000 | 0.000 |
| -0.000 | -0.000 | 0.000 | 0.000 | -0.000 | 0.000 |
| 0.000 | -0.000 | 0.000 | 0.000 | -0.000 | 137.426 |
| 3616.306 | 3540.204 | -0.000 | -0.000 | 0.000 | -0.000 |
| 3440.829 | 3715.681 | -0.000 | 0.000 | 0.000 | 0.000 |
| 0.000 | 0.000 | -0.000 | -0.000 | 0.000 | -0.000 |
| 0.000 | 0.000 | 0.000 | -0.000 | 0.000 | -0.000 |
| 0.000 | 0.000 | -0.000 | -0.000 | 0.000 | 0.000 |
| -0.000 | 0.000 | -0.000 | -0.000 | -0.000 | 137.426 |
| 3598.608 | 3522.505 | -0.000 | -0.000 | -0.000 | -0.000 |
| 3522.508 | 3598.604 | 0.000 | -0.000 | -0.000 | 0.000 |
| -0.000 | -0.000 | 0.000 | 0.000 | -0.000 | 0.000 |
| -0.000 | -0.000 | -0.000 | 0.000 | -0.000 | 0.000 |
| -0.000 | -0.000 | -0.000 | 0.000 | -0.000 | -0.000 |
| 0.000 | 0.000 | 0.000 | -0.000 | -0.000 | 137.426 |
| 3718.881 | 3444.028 | 0.000 | -0.000 | 0.000 | 0.000 |
| 3444.028 | 3718.881 | 0.000 | 0.000 | 0.000 | -0.000 |
| 0.000 | 0.000 | -0.000 | -0.000 | 0.000 | -0.000 |
| 0.000 | 0.000 | -0.000 | -0.000 | 0.000 | -0.000 |
| 0.000 | 0.000 | 0.000 | -0.000 | 0.000 | 0.000 |
| -0.000 | -0.000 | -0.000 | 0.000 | -0.000 | 137.426 |
| 3634.262 | 3558.167 | -0.000 | -0.000 | -0.000 | -0.000 |
| 3558.188 | 3634.241 | -0.000 | -0.000 | -0.000 | 0.000 |
| -0.000 | -0.000 | -0.000 | 0.000 | -0.000 | 0.000 |
| -0.000 | -0.000 | -0.000 | 0.000 | -0.000 | 0.000 |
| -0.000 | -0.000 | -0.000 | 0.000 | -0.000 | -0.000 |
| -0.003 | -0.002 | -0.000 | 0.000 | -0.000 | 38.050 |
| 3651.488 | 3575.414 | 0.000 | 0.000 | 0.000 | -0.000 |
| 3476.023 | 3750.871 | 0.000 | 0.000 | 0.000 | 0.000 |
| -0.000 | 0.000 | -0.000 | -0.000 | 0.000 | -0.000 |
| 0.000 | 0.000 | 0.000 | -0.000 | 0.000 | -0.000 |
| 0.000 | 0.000 | 0.000 | -0.000 | 0.000 | -0.000 |
| 0.003 | 0.002 | 0.000 | -0.000 | -0.000 | 38.050 |
| 4876.300 | 4764.068 | 0.000 | 0.000 | -0.000 | -0.001 |
| 4764.063 | 4876.304 | 0.000 | -0.000 | -0.000 | -0.001 |
| -0.018 | -0.018 | 0.000 | -0.000 | 0.000 | -0.000 |
| 0.000 | 0.000 | 0.000 | 0.000 | 0.000 | 0.000 |
| 0.000 | 0.000 | -0.000 | 0.000 | 0.000 | -0.000 |
| -0.003 | 0.002 | 0.000 | -0.000 | 0.000 | 56.121 |
| 4869.920 | 4772.266 | -0.000 | 0.000 | 0.000 | 0.001 |
| 4772.422 | 4869.764 | -0.000 | -0.000 | 0.000 | 0.001 |
| -0.018 | -0.019 | 0.000 | -0.000 | -0.000 | -0.000 |
| 0.000 | -0.000 | 0.000 | -0.000 | -0.000 | 0.000 |
| -0.000 | -0.000 | 0.000 | -0.000 | -0.000 | 0.000 |
| 0.003 | -0.002 | -0.000 | 0.000 | 0.000 | 56.123 |
| 4991.758 | 4640.431 | 0.000 | 0.000 | 0.000 | 0.000 |
| 4640.431 | 4991.758 | 0.000 | -0.000 | 0.000 | 0.000 |
| -0.018 | -0.018 | 0.000 | 0.000 | 0.000 | 0.000 |
| -0.000 | 0.000 | -0.000 | 0.000 | 0.000 | 0.000 |
| -0.000 | 0.000 | 0.000 | 0.000 | 0.000 | -0.000 |
| 0.000 | 0.000 | 0.000 | 0.000 | 0.000 | 175.663 |
| 4873.848 | 4776.517 | -0.000 | -0.000 | 0.000 | 0.000 |
| 4649.519 | 5000.845 | 0.000 | -0.000 | -0.000 | -0.000 |
| -0.018 | -0.018 | -0.000 | -0.000 | -0.000 | -0.000 |
| 0.000 | -0.000 | 0.000 | -0.000 | -0.000 | 0.000 |
| 0.000 | -0.000 | 0.000 | -0.000 | -0.000 | 0.000 |
| -0.000 | -0.000 | -0.000 | -0.000 | 0.000 | 175.663 |
| 4824.086 | 4726.718 | 0.000 | 0.000 | -0.000 | -0.000 |
| 4726.766 | 4824.038 | 0.000 | 0.000 | -0.000 | -0.000 |
| -0.018 | -0.018 | 0.000 | 0.000 | 0.000 | 0.000 |
| 0.000 | 0.000 | 0.000 | 0.000 | 0.000 | 0.000 |
| 0.000 | 0.000 | -0.000 | 0.000 | 0.000 | -0.000 |
| -0.004 | -0.003 | 0.000 | -0.000 | 0.000 | 48.667 |
| 4914.729 | 4817.430 | -0.000 | -0.000 | 0.000 | 0.000 |
| 4817.383 | 4914.777 | -0.000 | -0.000 | 0.000 | 0.000 |
| -0.018 | -0.018 | -0.000 | 0.000 | -0.000 | -0.000 |
| 0.000 | -0.000 | 0.000 | -0.000 | -0.000 | 0.000 |
| -0.000 | -0.000 | 0.000 | -0.000 | -0.000 | 0.000 |
| 0.004 | 0.003 | -0.000 | 0.000 | 0.000 | 48.667 |
| 2996.629 | 2659.599 | 8398.215 | 12.480 | -0.000 | -0.000 |
| 2445.637 | 2776.317 | 8607.943 | -11.998 | -0.000 | 0.000 |
| 2647.137 | 2647.137 | 9181.137 | -0.000 | -0.000 | 0.000 |
| -4247.399 | -4268.705 | 2900.860 | 120.127 | -0.000 | -0.000 |
| -1472.981 | -1472.981 | 2016.471 | 0.000 | 134.175 | 15.078 |
| 0.000 | -0.000 | -0.000 | 0.000 | 19.028 | 211.886 |
| 7673.995 | 7300.841 | 3975.816 | 15.165 | -0.000 | 0.000 |
| 5883.615 | 6307.387 | 5934.576 | -19.028 | 0.000 | -0.000 |
| 7430.510 | 7430.510 | 4557.609 | 0.000 | 0.000 | -0.000 |
| 1603.558 | 1574.021 | -2174.630 | 133.202 | 0.000 | -0.000 |
| 1472.981 | 1472.981 | -2016.471 | -0.000 | 134.175 | 15.078 |
| -0.000 | 0.000 | 0.000 | -0.000 | 19.028 | 211.886 |
| 6309.684 | 5885.911 | 5936.912 | 19.028 | 0.000 | 0.000 |
| 5374.581 | 5666.775 | 6361.195 | -9.273 | 0.000 | 0.000 |
| 5936.964 | 5936.964 | 6621.024 | 0.000 | 0.000 | -0.000 |
| -502.441 | -519.446 | 400.655 | 112.951 | -0.000 | -0.000 |
| -0.000 | -0.000 | -0.000 | 0.000 | 146.562 | 19.028 |
| 0.000 | 0.000 | 0.000 | 0.000 | 19.028 | 211.886 |
| 6509.812 | 6173.906 | 5716.416 | 12.389 | -0.000 | 0.000 |
| 5999.567 | 6373.786 | 5752.078 | -15.246 | 0.000 | 0.000 |
| 6477.417 | 6477.417 | 6241.044 | 0.000 | 0.000 | -0.000 |
| 527.209 | 509.756 | -367.241 | 113.858 | -0.000 | 0.000 |
| 0.000 | 0.000 | 0.000 | -0.000 | 146.562 | 19.028 |
| -0.000 | -0.000 | -0.000 | -0.000 | 19.028 | 211.886 |
| 6124.262 | 5825.726 | 6047.956 | 9.592 | -0.000 | 0.000 |
| 5825.425 | 6123.392 | 6048.383 | -9.551 | -0.000 | 0.000 |
| 5967.299 | 5967.299 | 6629.771 | 0.000 | 0.000 | -0.000 |
| -26.041 | -48.819 | 28.175 | 122.471 | 0.000 | 0.000 |
| -47.182 | -47.181 | 37.153 | -0.000 | 115.496 | 9.288 |
| -18.019 | -18.019 | 24.653 | 0.000 | 14.198 | 180.237 |
| 6220.024 | 5847.615 | 5900.139 | 15.108 | -0.000 | -0.000 |
| 5874.290 | 6161.750 | 5934.545 | -8.747 | 0.000 | -0.000 |
| 5913.352 | 5913.352 | 6596.965 | -0.000 | 0.000 | -0.000 |
| 31.047 | 1.795 | -22.470 | 132.756 | 0.000 | -0.000 |
| 47.182 | 47.181 | -37.153 | 0.000 | 115.496 | 9.288 |
| 18.019 | 18.019 | -24.653 | -0.000 | 14.198 | 180.237 |
| 6290.450 | 5866.698 | 5917.295 | 19.024 | 0.000 | 0.000 |
| 5251.099 | 5584.386 | 6981.185 | -12.164 | 0.000 | 0.000 |
| 5807.035 | 5807.035 | 7117.135 | 0.000 | 0.000 | 0.000 |
| -1203.815 | -1220.997 | 1177.572 | 113.272 | 0.000 | 0.000 |
| -109.785 | -109.785 | 492.306 | -0.000 | 138.818 | 16.558 |
| -109.812 | -109.812 | 492.426 | -0.000 | 16.558 | 195.712 |
| 6623.749 | 6272.487 | 5071.283 | 13.521 | -0.000 | -0.000 |
| 7046.722 | 7327.975 | 4783.469 | -8.499 | 0.000 | -0.000 |
| 6592.965 | 6592.965 | 5804.999 | -0.000 | 0.000 | -0.000 |
| 1093.388 | 1074.011 | -1051.559 | 117.111 | -0.000 | -0.000 |
| 109.785 | 109.785 | -492.307 | 0.000 | 138.818 | 16.558 |
| 109.812 | 109.812 | -492.426 | 0.000 | 16.558 | 195.712 |
| 6286.408 | 5862.656 | 5913.169 | 19.024 | -0.000 | 0.000 |
| 5708.490 | 5998.413 | 6085.527 | -8.926 | -0.000 | 0.000 |
| 5912.814 | 5912.814 | 6596.428 | -0.000 | -0.000 | 0.000 |
| -113.291 | -130.270 | 119.684 | 112.944 | -0.000 | 0.000 |
| -0.000 | -0.000 | -0.000 | 0.000 | 146.552 | 19.024 |
| -11.220 | -11.220 | 50.301 | 0.000 | 16.504 | 195.364 |
| 6242.046 | 5867.206 | 5861.631 | 15.292 | -0.000 | -0.000 |
| 5871.473 | 6295.224 | 5922.168 | -19.024 | -0.000 | -0.000 |
| 6109.663 | 6109.663 | 6432.931 | 0.000 | 0.000 | -0.000 |
| 36.903 | 9.057 | -101.570 | 130.553 | -0.000 | -0.000 |
| 0.000 | 0.000 | 0.000 | -0.000 | 146.552 | 19.024 |
| 11.220 | 11.220 | -50.301 | -0.000 | 16.504 | 195.364 |
| 6081.125 | 5799.778 | 5976.375 | 8.286 | -0.000 | 0.000 |
| 5802.510 | 6123.795 | 5944.652 | -11.207 | -0.000 | 0.000 |
| 5912.894 | 5912.894 | 6560.483 | 0.000 | 0.000 | 0.000 |
| -4.406 | -20.924 | 11.921 | 112.601 | 0.000 | 0.000 |
| -2.600 | -2.600 | 11.442 | 0.000 | 128.514 | 13.273 |
| 0.002 | 0.002 | 0.001 | 0.000 | 19.024 | 211.876 |
| 6247.939 | 5890.239 | 5976.913 | 13.984 | 0.000 | -0.000 |
| 5888.284 | 6152.767 | 6027.645 | -7.016 | -0.000 | -0.000 |
| 6039.352 | 6039.352 | 6587.995 | -0.000 | 0.000 | -0.000 |
| 20.987 | 4.143 | -11.628 | 113.113 | 0.000 | -0.000 |
| 2.600 | 2.600 | -11.442 | -0.000 | 128.514 | 13.273 |
| -0.002 | -0.002 | -0.001 | -0.000 | 19.024 | 211.876 |
| 6379.024 | 5954.268 | 5973.867 | 13.459 | 0.000 | 0.000 |
| 5954.268 | 6379.024 | 5973.867 | -13.459 | 0.000 | -0.000 |
| 5374.581 | 5374.581 | 7767.272 | -0.000 | 0.000 | 0.000 |
| 13.459 | -13.459 | -0.000 | 147.325 | 0.000 | 0.000 |
| -195.627 | -195.627 | 300.701 | -0.000 | 137.208 | 11.215 |
| -195.629 | -195.629 | 300.706 | 0.000 | 11.215 | 191.512 |
| 6671.956 | 6332.879 | 5284.597 | 8.880 | -0.000 | -0.000 |
| 6351.691 | 6674.315 | 5063.745 | -8.048 | 0.000 | 0.000 |
| 6439.028 | 6439.028 | 5572.250 | 0.000 | -0.000 | 0.000 |
| 250.130 | 228.998 | -400.427 | 134.283 | 0.000 | -0.000 |
| 195.627 | 195.627 | -300.701 | 0.000 | 137.208 | 11.215 |
| 195.629 | 195.629 | -300.705 | 0.000 | 11.215 | 191.512 |
| 6293.042 | 5925.331 | 6051.263 | 10.400 | 0.000 | 0.000 |
| 5906.503 | 6225.716 | 6131.507 | -7.871 | -0.000 | 0.000 |
| 5981.726 | 5981.726 | 6655.265 | -0.000 | 0.000 | 0.000 |
| -19.207 | -39.448 | 51.902 | 132.228 | 0.000 | 0.000 |
| -19.581 | -19.581 | 30.108 | 0.000 | 137.196 | 11.212 |
| -36.361 | -36.361 | 77.001 | 0.000 | 8.946 | 169.918 |
| 6337.162 | 5968.542 | 5953.225 | 10.448 | 0.000 | 0.000 |
| 5976.865 | 6322.098 | 5938.475 | -9.225 | 0.000 | 0.000 |
| 6048.667 | 6048.667 | 6504.282 | -0.000 | 0.000 | -0.000 |
| 44.228 | 25.604 | -68.942 | 128.534 | 0.000 | -0.000 |
| 19.581 | 19.581 | -30.108 | 0.000 | 137.196 | 11.212 |
| 36.361 | 36.361 | -77.001 | 0.000 | 8.946 | 169.918 |
| 6300.776 | 5968.614 | 6057.915 | 8.514 | 0.000 | 0.000 |
| 5966.864 | 6279.556 | 6070.730 | -7.490 | 0.000 | 0.000 |
| 6027.666 | 6027.666 | 6630.879 | 0.000 | -0.000 | -0.000 |
| 6.306 | -12.910 | 5.959 | 129.919 | -0.000 | 0.000 |
| -0.000 | -0.001 | -0.001 | 0.000 | 147.325 | 13.459 |
| 0.002 | 0.002 | 0.001 | 0.000 | 13.459 | 212.378 |
| 6264.483 | 5901.527 | 5951.292 | 10.135 | -0.000 | 0.000 |
| 5902.707 | 6220.356 | 5972.114 | -7.748 | 0.000 | 0.000 |
| 5994.969 | 5994.969 | 6495.660 | 0.000 | 0.000 | -0.000 |
| 12.999 | -8.331 | -3.846 | 134.731 | 0.000 | 0.000 |
| 0.000 | 0.001 | 0.001 | -0.000 | 147.325 | 13.459 |
| -0.002 | -0.002 | -0.001 | -0.000 | 13.459 | 212.378 |
| 6428.855 | 6004.084 | 6024.310 | 13.461 | -0.000 | -0.000 |
| 6004.084 | 6428.855 | 6024.310 | -13.461 | 0.000 | -0.000 |
| 5423.707 | 5423.707 | 6903.580 | -0.000 | -0.000 | -0.000 |
| 13.460 | -13.461 | 0.000 | 147.296 | 0.000 | 0.000 |
| -631.767 | -631.767 | 254.378 | 0.000 | 136.774 | 11.126 |
| -631.865 | -631.865 | 254.416 | 0.000 | 11.125 | 190.676 |
| 7009.117 | 6627.365 | 5795.833 | 11.147 | -0.000 | 0.000 |
| 6004.684 | 6429.455 | 6024.918 | -13.461 | 0.000 | -0.000 |
| 7486.050 | 7486.050 | 5621.532 | -0.000 | -0.000 | 0.000 |
| 642.893 | 620.641 | -254.378 | 136.774 | 0.000 | 0.000 |
| 631.767 | 631.767 | -254.378 | 0.000 | 136.774 | 11.126 |
| 631.865 | 631.865 | -254.416 | 0.000 | 11.125 | 190.676 |
| 6124.151 | 5837.150 | 6210.604 | 6.184 | 0.000 | -0.000 |
| 5965.393 | 6366.557 | 6048.195 | -12.191 | -0.000 | -0.000 |
| 5956.449 | 5956.449 | 6701.362 | 0.000 | 0.000 | -0.000 |
| -132.854 | -147.013 | 99.636 | 118.397 | 0.000 | -0.000 |
| -0.000 | -0.000 | -0.000 | 0.000 | 147.296 | 13.461 |
| -158.261 | -158.261 | 120.445 | -0.000 | 6.026 | 140.976 |
| 6441.114 | 6150.488 | 5986.222 | 6.373 | 0.000 | 0.000 |
| 6034.003 | 6439.361 | 6026.539 | -12.416 | -0.000 | 0.000 |
| 6087.146 | 6087.146 | 6644.619 | 0.000 | -0.000 | -0.000 |
| 169.437 | 157.885 | -123.783 | 112.125 | -0.000 | 0.000 |
| 0.000 | 0.000 | 0.000 | -0.000 | 147.296 | 13.461 |
| 158.261 | 158.261 | -120.445 | -0.000 | 6.026 | 140.976 |
| 6271.100 | 5951.742 | 6056.897 | 7.792 | 0.000 | -0.000 |
| 5951.083 | 6267.492 | 6058.626 | -7.633 | 0.000 | -0.000 |
| 6053.798 | 6053.798 | 6584.896 | 0.000 | -0.000 | -0.000 |
| -5.595 | -20.212 | 10.147 | 119.408 | 0.000 | -0.000 |
| -11.884 | -11.884 | 4.698 | 0.000 | 127.604 | 9.091 |
| -8.434 | -8.434 | 3.372 | 0.000 | 10.350 | 183.466 |
| 6337.356 | 6034.804 | 6105.897 | 6.886 | -0.000 | 0.000 |
| 6040.939 | 6318.584 | 6114.351 | -6.118 | -0.000 | 0.000 |
| 6127.339 | 6127.339 | 6635.270 | -0.000 | -0.000 | 0.000 |
| 20.904 | 2.640 | -4.656 | 127.788 | 0.000 | 0.000 |
| 11.884 | 11.884 | -4.698 | -0.000 | 127.604 | 9.091 |
| 8.434 | 8.434 | -3.372 | -0.000 | 10.350 | 183.466 |
| 0.000 | 0.000 | 0.000 | -0.000 | -0.000 | -0.000 |
| 0.000 | 0.000 | 0.000 | -0.000 | -0.000 | -0.000 |
| 0.000 | 0.000 | 0.000 | -0.000 | -0.000 | -0.000 |
| 0.000 | 0.000 | 0.000 | 0.000 | 0.000 | -0.000 |
| 0.000 | 0.000 | 0.000 | 0.000 | 0.000 | -0.000 |
| 0.000 | 0.000 | 0.000 | 0.000 | -0.000 | 0.000 |
| 0.000 | 0.000 | 0.000 | -0.000 | -0.000 | 0.000 |
| 0.000 | 0.000 | 0.000 | -0.000 | -0.000 | 0.000 |
| 0.000 | 0.000 | 0.000 | -0.000 | -0.000 | 0.000 |
| -0.000 | -0.000 | -0.000 | 0.000 | 0.000 | -0.000 |
| -0.000 | -0.000 | -0.000 | -0.000 | 0.000 | -0.000 |
| -0.000 | -0.000 | -0.000 | 0.000 | -0.000 | 0.000 |
| 0.000 | 0.000 | 0.000 | 0.000 | -0.000 | -0.000 |
| 0.000 | 0.000 | 0.000 | 0.000 | 0.000 | 0.000 |
| 0.000 | 0.000 | 0.000 | 0.000 | 0.000 | -0.000 |
| 0.000 | 0.000 | 0.000 | 0.000 | 0.000 | 0.000 |
| 0.000 | 0.000 | 0.000 | 0.000 | 0.000 | 0.000 |
| 0.000 | 0.000 | 0.000 | 0.000 | 0.000 | 0.000 |
| 0.000 | 0.000 | 0.000 | 0.000 | 0.000 | 0.000 |
| 0.000 | 0.000 | 0.000 | 0.000 | 0.000 | 0.000 |
| 0.000 | 0.000 | 0.000 | 0.000 | -0.000 | -0.000 |
| -0.000 | -0.000 | -0.000 | 0.000 | -0.000 | -0.000 |
| -0.000 | -0.000 | -0.000 | -0.000 | 0.000 | 0.000 |
| -0.000 | -0.000 | -0.000 | -0.000 | 0.000 | 0.000 |
| 0.000 | 0.000 | 0.000 | 0.000 | 0.000 | -0.000 |
| 0.000 | 0.000 | 0.000 | 0.000 | 0.000 | -0.000 |
| 0.000 | 0.000 | 0.000 | 0.000 | 0.000 | -0.000 |
| 0.000 | 0.000 | 0.000 | 0.000 | -0.000 | -0.000 |
| 0.000 | 0.000 | 0.000 | 0.000 | 0.000 | 0.000 |
| 0.000 | 0.000 | 0.000 | 0.000 | 0.000 | 0.000 |
| 0.000 | 0.000 | 0.000 | 0.000 | 0.000 | -0.000 |
| 0.000 | 0.000 | 0.000 | 0.000 | 0.000 | 0.000 |
| 0.000 | 0.000 | 0.000 | 0.000 | 0.000 | -0.000 |
| -0.000 | -0.000 | -0.000 | 0.000 | -0.000 | 0.000 |
| -0.000 | -0.000 | -0.000 | -0.000 | 0.000 | 0.000 |
| -0.000 | -0.000 | -0.000 | -0.000 | 0.000 | 0.000 |
| 4439.594 | 4125.064 | 0.000 | -0.000 | -0.000 | 0.000 |
| 4125.064 | 4439.594 | -0.000 | 0.000 | 0.000 | -0.000 |
| 0.050 | 0.050 | -0.000 | 0.000 | 0.000 | 0.000 |
| 0.000 | -0.000 | -0.000 | 0.000 | 0.000 | 0.000 |
| 0.000 | -0.000 | -0.000 | 0.000 | -0.000 | -0.000 |
| 0.000 | -0.000 | -0.000 | -0.000 | -0.000 | 157.265 |
| 4439.594 | 4125.064 | 0.000 | -0.000 | -0.000 | 0.000 |
| 4125.064 | 4439.594 | 0.000 | 0.000 | -0.000 | -0.000 |
| 0.050 | 0.050 | 0.000 | -0.000 | -0.000 | -0.000 |
| -0.000 | 0.000 | 0.000 | -0.000 | -0.000 | -0.000 |
| -0.000 | 0.000 | 0.000 | -0.000 | 0.000 | 0.000 |
| -0.000 | 0.000 | 0.000 | -0.000 | -0.000 | 157.265 |
| 4325.798 | 4238.862 | 0.000 | 0.000 | 0.000 | -0.000 |
| 4125.065 | 4439.596 | -0.000 | 0.000 | 0.000 | 0.000 |
| 0.050 | 0.050 | -0.000 | 0.000 | 0.000 | 0.000 |
| 0.000 | -0.000 | -0.000 | 0.000 | 0.000 | 0.000 |
| 0.000 | -0.000 | -0.000 | 0.000 | -0.000 | 0.000 |
| -0.000 | -0.000 | 0.000 | 0.000 | 0.000 | 43.467 |
| 4325.792 | 4238.862 | -0.000 | -0.000 | -0.000 | 0.000 |
| 4125.062 | 4439.592 | 0.000 | 0.000 | -0.000 | 0.000 |
| 0.050 | 0.050 | -0.000 | -0.000 | -0.000 | -0.000 |
| -0.000 | 0.000 | 0.000 | -0.000 | -0.000 | -0.000 |
| -0.000 | 0.000 | -0.000 | -0.000 | -0.000 | 0.000 |
| -0.000 | -0.000 | 0.000 | 0.000 | -0.000 | 157.265 |
| 4325.807 | 4238.880 | 0.000 | 0.000 | 0.000 | -0.000 |
| 4238.904 | 4325.783 | 0.000 | -0.000 | 0.000 | -0.000 |
| 0.050 | 0.050 | -0.000 | 0.000 | 0.000 | 0.000 |
| 0.000 | -0.000 | -0.000 | 0.000 | -0.000 | 0.000 |
| 0.000 | -0.000 | 0.000 | -0.000 | 0.000 | 0.000 |
| -0.003 | -0.003 | 0.000 | 0.000 | 0.000 | 43.467 |
| 4325.787 | 4238.841 | -0.000 | -0.000 | -0.000 | 0.000 |
| 4238.820 | 4325.808 | -0.000 | -0.000 | 0.000 | 0.000 |
| 0.050 | 0.050 | 0.000 | -0.000 | 0.000 | -0.000 |
| -0.000 | 0.000 | -0.000 | 0.000 | -0.000 | -0.000 |
| -0.000 | 0.000 | 0.000 | -0.000 | -0.000 | 0.000 |
| 0.003 | 0.003 | -0.000 | -0.000 | -0.000 | 43.467 |
| 4130.097 | 3824.530 | 0.000 | 0.000 | -0.000 | 0.000 |
| 3935.012 | 4019.616 | 0.000 | -0.000 | -0.000 | -0.000 |
| 0.000 | 0.000 | 0.000 | -0.000 | -0.000 | 0.000 |
| 0.000 | 0.000 | 0.000 | 0.000 | 0.000 | 0.000 |
| 0.000 | 0.000 | 0.000 | -0.000 | 0.000 | 0.000 |
| -0.000 | 0.000 | 0.000 | -0.000 | 0.000 | 42.302 |
| 4020.406 | 3935.802 | -0.000 | 0.000 | -0.000 | 0.000 |
| 3935.801 | 4020.407 | -0.000 | -0.000 | -0.000 | -0.000 |
| -0.000 | -0.000 | -0.000 | 0.000 | -0.000 | -0.000 |
| -0.000 | -0.000 | -0.000 | 0.000 | -0.000 | 0.000 |
| -0.000 | 0.000 | -0.000 | 0.000 | 0.000 | -0.000 |
| 0.000 | 0.000 | -0.000 | -0.000 | -0.000 | 42.302 |
| 4000.690 | 3916.082 | 0.000 | 0.000 | 0.000 | 0.000 |
| 3916.086 | 4000.686 | 0.000 | 0.000 | -0.000 | 0.000 |
| 0.000 | 0.000 | 0.000 | -0.000 | 0.000 | 0.000 |
| 0.000 | 0.000 | 0.000 | -0.000 | 0.000 | 0.000 |
| 0.000 | 0.000 | 0.000 | -0.000 | 0.000 | 0.000 |
| -0.000 | -0.000 | 0.000 | 0.000 | 0.000 | 42.302 |
| 4023.987 | 3939.336 | -0.000 | 0.000 | -0.000 | -0.000 |
| 3939.356 | 4023.966 | -0.000 | -0.000 | -0.000 | -0.000 |
| -0.000 | -0.000 | -0.000 | 0.000 | -0.000 | -0.000 |
| -0.000 | -0.000 | -0.000 | 0.000 | -0.000 | -0.000 |
| -0.000 | -0.000 | -0.000 | 0.000 | 0.000 | -0.000 |
| 0.000 | 0.000 | -0.000 | 0.000 | 0.000 | 42.302 |
| 4040.407 | 3955.772 | 0.000 | 0.000 | 0.000 | 0.000 |
| 3955.813 | 4040.366 | 0.000 | 0.000 | 0.000 | 0.000 |
| 0.000 | 0.000 | 0.000 | -0.000 | 0.000 | 0.000 |
| 0.000 | 0.000 | 0.000 | 0.000 | 0.000 | 0.000 |
| 0.000 | 0.000 | 0.000 | -0.000 | 0.000 | 0.000 |
| -0.003 | -0.003 | 0.000 | -0.000 | 0.000 | 42.302 |
| 4059.541 | 3974.925 | -0.000 | 0.000 | -0.000 | -0.000 |
| 3974.925 | 4059.541 | -0.000 | 0.000 | 0.000 | 0.000 |
| -0.000 | -0.000 | -0.000 | 0.000 | -0.000 | -0.000 |
| -0.000 | -0.000 | -0.000 | -0.000 | -0.000 | -0.000 |
| -0.000 | -0.000 | -0.000 | 0.000 | -0.000 | -0.000 |
| 0.003 | 0.003 | -0.000 | 0.000 | 0.000 | 42.302 |
| 6287.521 | 5863.205 | 5894.868 | 0.000 | -0.000 | -0.000 |
| 5811.895 | 6203.187 | 5906.962 | -0.000 | 0.000 | -0.000 |
| 5834.596 | 5834.596 | 6544.364 | -0.000 | 0.000 | -0.000 |
| -86.900 | -86.900 | 2.357 | 129.693 | -0.000 | -0.000 |
| -39.318 | -39.318 | 1.123 | -0.000 | 139.155 | -0.000 |
| -38.705 | -38.705 | 1.107 | 0.000 | 0.000 | 196.157 |
| 6277.770 | 5926.398 | 5916.624 | -0.000 | 0.000 | 0.000 |
| 5949.258 | 6293.058 | 5901.420 | 0.000 | 0.000 | 0.000 |
| 5945.265 | 5945.265 | 6535.984 | -0.000 | 0.000 | 0.000 |
| 86.900 | 86.900 | -2.357 | 129.693 | 0.000 | 0.000 |
| 39.318 | 39.318 | -1.123 | -0.000 | 139.155 | 0.000 |
| 38.705 | 38.705 | -1.107 | -0.000 | 0.000 | 196.157 |
| 6178.944 | 5828.734 | 5919.683 | 0.000 | -0.000 | -0.000 |
| 5842.507 | 6222.277 | 5909.808 | 0.000 | -0.000 | -0.000 |
| 5902.507 | 5902.507 | 6535.114 | -0.000 | 0.000 | -0.000 |
| -4.331 | -4.331 | 0.123 | 138.361 | -0.000 | -0.000 |
| -0.000 | -0.000 | -0.000 | -0.000 | 146.995 | -0.000 |
| 0.000 | 0.000 | 0.000 | -0.000 | -0.000 | 212.158 |
| 6287.518 | 5863.203 | 5894.862 | 0.000 | -0.000 | 0.000 |
| 5854.785 | 6131.809 | 5955.524 | 0.000 | 0.000 | 0.000 |
| 5912.659 | 5912.659 | 6532.904 | -0.000 | -0.000 | 0.000 |
| 4.331 | 4.331 | -0.123 | 138.361 | 0.000 | 0.000 |
| 0.000 | 0.000 | 0.000 | 0.000 | 146.995 | 0.000 |
| -0.000 | -0.000 | -0.000 | 0.000 | 0.000 | 212.158 |
| 6109.156 | 5844.323 | 5967.666 | -0.000 | -0.000 | -0.000 |
| 5838.266 | 6119.177 | 5965.726 | 0.000 | 0.000 | -0.000 |
| 5962.337 | 5962.337 | 6494.407 | 0.000 | 0.000 | -0.000 |
| -0.001 | -0.000 | -0.001 | 146.995 | 0.000 | -0.000 |
| -0.000 | -0.001 | -0.001 | 0.000 | 146.995 | -0.000 |
| -1.148 | -1.148 | 1.100 | -0.000 | -0.000 | 136.395 |
| 6287.281 | 5862.972 | 5894.605 | 0.000 | -0.000 | 0.000 |
| 5831.942 | 6092.595 | 5968.397 | 0.000 | 0.000 | 0.000 |
| 5967.588 | 5967.588 | 6476.537 | 0.000 | -0.000 | 0.000 |
| 0.001 | 0.000 | 0.001 | 146.995 | -0.000 | 0.000 |
| 0.000 | 0.001 | 0.001 | 0.000 | 146.995 | 0.000 |
| 1.148 | 1.148 | -1.100 | 0.000 | 0.000 | 136.395 |
| 6286.800 | 5862.486 | 5894.042 | -0.000 | -0.000 | -0.000 |
| 6086.218 | 6351.801 | 5745.838 | -0.000 | 0.000 | -0.000 |
| 5894.043 | 5894.043 | 6556.275 | 0.000 | 0.000 | 0.000 |
| 0.000 | -0.000 | 0.000 | 146.978 | 0.000 | 0.000 |
| 160.047 | 160.047 | -190.021 | -0.000 | 121.340 | -0.000 |
| 161.979 | 161.979 | -192.315 | 0.000 | 0.000 | 158.347 |
| 6286.799 | 5862.485 | 5894.041 | 0.000 | -0.000 | -0.000 |
| 5862.485 | 6286.799 | 5894.041 | -0.000 | 0.000 | 0.000 |
| 5894.041 | 5894.041 | 6556.272 | -0.000 | 0.000 | 0.000 |
| -0.000 | 0.000 | -0.000 | 146.978 | 0.000 | 0.000 |
| -160.047 | -160.047 | 190.021 | 0.000 | 121.340 | 0.000 |
| -161.979 | -161.979 | 192.315 | -0.000 | 0.000 | 158.347 |
| 6286.802 | 5862.488 | 5894.046 | -0.000 | 0.000 | -0.000 |
| 5848.832 | 6193.436 | 5907.708 | -0.000 | -0.000 | -0.000 |
| 5934.441 | 5934.441 | 6493.483 | -0.000 | -0.000 | -0.000 |
| 20.026 | 20.026 | -23.777 | 114.897 | -0.000 | 0.000 |
| -0.000 | -0.000 | -0.000 | 0.000 | 146.978 | -0.000 |
| 21.077 | 21.077 | -25.026 | 0.000 | -0.000 | 142.135 |
| 6286.796 | 5862.483 | 5894.036 | 0.000 | 0.000 | 0.000 |
| 5810.058 | 6123.314 | 5952.872 | 0.000 | 0.000 | 0.000 |
| 5937.279 | 5937.279 | 6512.017 | 0.000 | 0.000 | 0.000 |
| -20.026 | -20.026 | 23.777 | 114.897 | 0.000 | 0.000 |
| 0.000 | 0.000 | 0.000 | 0.000 | 146.978 | -0.000 |
| -21.077 | -21.077 | 25.026 | -0.000 | 0.000 | 142.135 |
| 6107.918 | 5852.282 | 5986.844 | -0.000 | -0.000 | -0.000 |
| 5870.856 | 6295.179 | 5902.576 | -0.000 | 0.000 | 0.000 |
| 5973.861 | 5973.861 | 6497.740 | 0.000 | -0.000 | 0.000 |
| -0.001 | -0.000 | -0.001 | 146.978 | 0.000 | 0.000 |
| -0.000 | -0.001 | -0.001 | 0.000 | 146.978 | -0.000 |
| 3.403 | 3.403 | -1.249 | -0.000 | 0.000 | 138.998 |
| 6281.939 | 5857.633 | 5889.073 | 0.000 | 0.000 | -0.000 |
| 5832.036 | 6112.193 | 5959.798 | -0.000 | -0.000 | 0.000 |
| 5954.525 | 5954.525 | 6487.542 | 0.000 | 0.000 | 0.000 |
| 0.001 | 0.000 | 0.001 | 146.978 | 0.000 | 0.000 |
| 0.000 | 0.001 | 0.001 | -0.000 | 146.978 | 0.000 |
| -3.403 | -3.403 | 1.249 | 0.000 | -0.000 | 138.998 |
| 1374.537 | 2001.207 | 689.751 | 0.001 | -0.001 | -0.829 |
| -1059.728 | 605.044 | -1647.791 | 0.001 | -0.001 | -1.147 |
| 2297.215 | 1692.251 | 2491.448 | 0.000 | -0.000 | 0.000 |
| 0.027 | 0.016 | 0.020 | 293.078 | -0.000 | -0.000 |
| -236.545 | 664.047 | -638.025 | 0.001 | 97.647 | -0.773 |
| -450.754 | 1289.532 | -1449.741 | 0.002 | -0.001 | -181.728 |
| -140.862 | -1550.478 | 809.308 | -0.001 | 0.001 | 1.063 |
| 2151.261 | 2245.131 | 1692.073 | -0.000 | 0.000 | 0.006 |
| 1656.196 | 453.194 | 2008.663 | -0.001 | 0.001 | 0.790 |
| -0.027 | -0.016 | -0.020 | 293.078 | -0.000 | -0.000 |
| 236.545 | -664.047 | 638.025 | -0.001 | 97.648 | 0.773 |
| 448.887 | -1284.680 | 1445.046 | -0.002 | 0.001 | -176.811 |
| 214.298 | 251.402 | 89.289 | 0.000 | -0.000 | -0.097 |
| -938.575 | -871.553 | -952.544 | 0.000 | -0.000 | -0.087 |
| 905.345 | 937.299 | 648.969 | 0.000 | -0.000 | -0.122 |
| -43.229 | 121.462 | -116.603 | -160.780 | -0.000 | -0.141 |
| -27.689 | 77.820 | -77.860 | 0.000 | -23.371 | -0.071 |
| 61.326 | 73.754 | -50.329 | 0.000 | -0.000 | 75.275 |
| -40.180 | -316.338 | -99.157 | -0.000 | 0.000 | 0.079 |
| -250.211 | -264.320 | -165.224 | -0.000 | 0.000 | 0.077 |
| 67.349 | -100.538 | 103.454 | -0.000 | 0.000 | 0.077 |
| 43.229 | -121.462 | 116.603 | -160.778 | 0.000 | 0.141 |
| 27.689 | -77.820 | 77.860 | -0.000 | -23.371 | 0.071 |
| 25.959 | -73.293 | 74.177 | -0.000 | 0.000 | 46.723 |
| 86.538 | 8.798 | 3.151 | 0.000 | -0.000 | -0.008 |
| 19.184 | 34.465 | -12.182 | 0.000 | -0.000 | -0.008 |
| 13.066 | 14.005 | 13.349 | 0.000 | -0.000 | -0.008 |
| -2.149 | 7.920 | -7.776 | 11.133 | -0.000 | -0.008 |
| -2.181 | 7.832 | -7.895 | 0.000 | 17.868 | -0.008 |
| -2.703 | 7.306 | -8.370 | 0.000 | -0.000 | 34.595 |
| 65.672 | -5.749 | 13.137 | -0.000 | 0.000 | 0.009 |
| -0.733 | 14.649 | 0.278 | -0.000 | 0.000 | 0.007 |
| 17.513 | -11.729 | 35.423 | -0.000 | 0.000 | 0.008 |
| 2.149 | -7.920 | 7.776 | 11.133 | -0.000 | 0.008 |
| 2.181 | -7.832 | 7.895 | 0.000 | 17.868 | 0.008 |
| 3.303 | -7.788 | 8.199 | -0.000 | 0.000 | 21.392 |
| 5560.878 | 5443.833 | 0.000 | 0.000 | 0.000 | -0.000 |
| 5443.833 | 5560.878 | 0.000 | 0.000 | 0.000 | -0.000 |
| -0.000 | -0.000 | 0.000 | 0.000 | 0.000 | 0.000 |
| -0.000 | -0.000 | 0.000 | 0.000 | 0.000 | 0.000 |
| -0.000 | -0.000 | 0.000 | 0.000 | 0.000 | -0.000 |
| -0.000 | -0.000 | 0.000 | 0.000 | 0.000 | 58.523 |
| 5561.972 | 5444.926 | -0.000 | -0.000 | -0.000 | -0.000 |
| 5444.927 | 5561.971 | -0.000 | -0.000 | -0.000 | 0.000 |
| 0.000 | 0.000 | -0.000 | -0.000 | -0.000 | -0.000 |
| 0.000 | 0.000 | -0.000 | -0.000 | -0.000 | -0.000 |
| 0.000 | 0.000 | -0.000 | -0.000 | -0.000 | -0.000 |
| 0.000 | 0.000 | -0.000 | -0.000 | -0.000 | 58.523 |
| 5534.703 | 5417.665 | 0.000 | 0.000 | 0.000 | -0.000 |
| 5417.660 | 5534.709 | 0.000 | 0.000 | 0.000 | 0.000 |
| -0.000 | -0.000 | 0.000 | 0.000 | 0.000 | -0.000 |
| -0.000 | -0.000 | 0.000 | 0.000 | 0.000 | 0.000 |
| -0.000 | -0.000 | 0.000 | 0.000 | 0.000 | -0.000 |
| -0.000 | -0.000 | 0.000 | 0.000 | 0.000 | 58.522 |
| 5566.896 | 5449.844 | -0.000 | -0.000 | -0.000 | -0.000 |
| 5449.850 | 5566.891 | -0.000 | -0.000 | -0.000 | 0.000 |
| 0.000 | 0.000 | -0.000 | -0.000 | -0.000 | 0.000 |
| 0.000 | 0.000 | -0.000 | -0.000 | -0.000 | -0.000 |
| 0.000 | 0.000 | -0.000 | -0.000 | -0.000 | 0.000 |
| 0.000 | 0.000 | -0.000 | -0.000 | -0.000 | 58.522 |
| 5589.577 | 5472.605 | 0.000 | 0.000 | 0.000 | -0.000 |
| 5472.548 | 5589.635 | 0.000 | 0.000 | 0.000 | 0.000 |
| -0.000 | -0.000 | 0.000 | 0.000 | 0.000 | -0.000 |
| -0.000 | -0.000 | 0.000 | 0.000 | 0.000 | 0.000 |
| -0.000 | -0.000 | 0.000 | 0.000 | 0.000 | -0.000 |
| -0.004 | -0.004 | 0.000 | 0.000 | 0.000 | 58.523 |
| 5616.140 | 5499.022 | -0.000 | -0.000 | -0.000 | -0.000 |
| 5499.080 | 5616.083 | -0.000 | -0.000 | -0.000 | -0.000 |
| 0.000 | 0.000 | -0.000 | -0.000 | -0.000 | 0.000 |
| 0.000 | 0.000 | -0.000 | -0.000 | -0.000 | -0.000 |
| 0.000 | 0.000 | -0.000 | -0.000 | -0.000 | -0.000 |
| 0.004 | 0.004 | -0.000 | -0.000 | -0.000 | 58.523 |
| 2444.517 | 1815.153 | 1815.106 | -0.004 | 0.002 | 0.007 |
| 1815.178 | 2444.765 | 1815.195 | -0.002 | 0.006 | 0.003 |
| 1815.138 | 1815.209 | 2444.641 | -0.002 | -0.000 | 0.004 |
| 0.028 | 0.024 | 0.021 | 312.098 | -0.000 | 0.001 |
| 0.041 | 0.064 | 0.044 | 0.001 | 312.152 | 0.000 |
| 0.049 | 0.041 | 0.064 | 0.001 | 0.000 | 312.105 |
| 3135.677 | 3094.427 | 2949.577 | 3.760 | 4.772 | -2.567 |
| 3022.945 | 3207.044 | 2949.796 | 3.759 | 4.769 | -2.565 |
| 3023.036 | 3094.168 | 3061.934 | 3.749 | 4.759 | -2.560 |
| -0.036 | -0.031 | -0.027 | 312.098 | -0.000 | 0.000 |
| -0.037 | -0.052 | -0.046 | -0.001 | 312.152 | 0.000 |
| 1897.410 | 1986.542 | 1804.555 | 4.690 | 5.977 | 85.665 |
| 830.574 | 749.660 | 771.861 | -0.562 | -0.723 | 0.391 |
| 763.900 | 824.488 | 774.870 | -0.557 | -0.721 | 0.391 |
| 163.938 | 157.231 | 184.776 | -0.342 | -0.433 | 0.234 |
| -233.960 | -240.623 | -227.128 | 44.716 | -0.444 | 0.239 |
| -233.228 | -240.005 | -226.445 | -0.353 | 45.300 | 0.241 |
| -183.807 | -192.421 | -174.959 | -0.453 | -0.577 | 96.395 |
| 568.715 | 554.622 | 545.189 | 0.238 | 0.300 | -0.159 |
| 547.067 | 571.079 | 543.136 | 0.234 | 0.299 | -0.158 |
| 553.116 | 557.246 | 566.138 | 0.243 | 0.306 | -0.162 |
| 183.411 | 191.917 | 174.349 | 97.140 | 0.576 | -0.309 |
| 184.226 | 193.009 | 175.233 | 0.456 | 96.132 | -0.312 |
| 236.264 | 242.747 | 229.624 | 0.344 | 0.435 | 42.594 |
| -14.661 | -63.372 | -61.849 | -0.044 | -0.058 | 0.032 |
| -62.393 | -14.889 | -61.644 | -0.044 | -0.058 | 0.033 |
| -62.597 | -63.343 | -14.075 | -0.043 | -0.058 | 0.033 |
| -29.756 | -30.476 | -29.128 | 11.795 | -0.044 | 0.024 |
| -29.755 | -30.373 | -29.089 | -0.034 | 12.243 | 0.024 |
| -29.789 | -30.453 | -29.064 | -0.034 | -0.044 | 12.031 |
| 44.276 | 19.857 | 19.332 | 0.029 | 0.035 | -0.017 |
| 20.313 | 44.946 | 18.880 | 0.029 | 0.034 | -0.017 |
| 19.490 | 20.957 | 43.922 | 0.028 | 0.034 | -0.017 |
| 29.762 | 30.481 | 29.133 | 11.811 | 0.044 | -0.024 |
| 29.758 | 30.377 | 29.092 | 0.034 | 12.302 | -0.024 |
| 27.888 | 28.167 | 27.883 | 0.037 | 0.048 | -1.349 |
| -13224.871 | -13443.868 | -9631.412 | -34.260 | 0.958 | 2.741 |
| -13603.664 | -13323.522 | -9676.756 | 51.166 | 0.985 | 2.590 |
| -708.984 | -706.949 | -2595.266 | 4.656 | -1.032 | 3.466 |
| -14801.615 | -14759.601 | -10732.569 | 102.974 | 0.838 | 2.945 |
| -2086.870 | -2084.845 | -3858.633 | 4.591 | 82.288 | -3.762 |
| -2085.977 | -2083.967 | -3856.988 | 4.595 | -8.236 | -21.964 |
| 3659.713 | 3694.307 | 5201.715 | -13.833 | 0.998 | -3.349 |
| 3696.305 | 3657.757 | 5201.791 | 4.840 | 0.998 | -3.349 |
| 3483.445 | 3481.458 | 5154.045 | -4.543 | 1.008 | -3.383 |
| 12759.864 | 12661.433 | 12343.048 | -366.167 | 1.442 | -5.198 |
| 2289.966 | 2287.750 | 4232.966 | -5.032 | 43.940 | -0.839 |
| 2085.916 | 2083.906 | 3856.875 | -4.595 | -6.202 | -28.792 |
| -535.088 | -447.348 | -368.563 | 40.766 | -0.113 | 0.160 |
| -1444.818 | -1275.627 | -1076.316 | 4.760 | -0.074 | 0.475 |
| -914.041 | -913.265 | -726.081 | 1.004 | -0.004 | 0.262 |
| -654.958 | -694.526 | -440.329 | -10.198 | 0.004 | 0.249 |
| -952.780 | -951.992 | -811.832 | 0.947 | 13.356 | -7.864 |
| -699.951 | -699.784 | -534.825 | 0.135 | -36.488 | 22.375 |
| 1318.738 | 1311.755 | 1429.426 | 16.206 | 0.098 | -0.160 |
| 814.375 | 889.968 | 557.326 | 21.323 | -0.018 | -0.207 |
| 1285.862 | 1284.976 | 1203.481 | -0.927 | 0.110 | -0.183 |
| 660.308 | 612.913 | 716.210 | -79.006 | 0.103 | -0.174 |
| 1456.343 | 1455.580 | 1082.254 | -1.368 | 41.992 | 44.697 |
| 511.046 | 510.659 | 309.318 | -0.343 | -25.604 | 38.212 |
| -12.618 | -54.546 | -33.032 | -3.576 | -0.000 | 0.024 |
| -51.099 | -10.206 | -35.766 | 3.599 | -0.000 | 0.023 |
| -78.680 | -78.578 | -66.935 | 0.124 | -0.009 | 0.017 |
| -92.107 | -78.246 | -75.109 | 20.253 | -0.002 | 0.031 |
| -100.807 | -100.911 | -73.469 | 0.152 | 14.294 | -2.869 |
| -79.388 | -79.372 | -45.171 | 0.114 | -14.648 | 18.821 |
| 108.140 | 60.641 | 38.505 | 18.449 | 0.009 | -0.027 |
| 140.942 | 182.021 | 138.168 | 3.718 | -0.000 | -0.024 |
| 154.621 | 154.552 | 103.849 | -0.103 | 0.004 | -0.029 |
| 75.500 | 79.015 | 48.414 | 23.814 | 0.001 | -0.029 |
| 78.579 | 78.354 | 49.789 | 0.039 | 11.059 | -0.664 |
| 113.800 | 113.612 | 79.179 | -0.121 | -6.260 | 15.496 |
| 417.340 | 2229.900 | 620.365 | -0.181 | -0.031 | -0.443 |
| 483.271 | 1917.581 | 452.561 | -0.200 | -0.035 | -0.490 |
| 707.936 | 2424.130 | 576.263 | -0.191 | -0.033 | -0.469 |
| 0.005 | 0.006 | 0.003 | 239.165 | 0.000 | -0.000 |
| -112.429 | 1389.285 | -259.130 | -0.166 | -48.189 | -0.406 |
| 1965.610 | 2150.117 | 895.553 | -0.514 | -0.026 | 50.856 |
| -3238.962 | -2318.018 | -3260.668 | 0.172 | 0.005 | 0.653 |
| 1038.325 | -175.656 | 1381.888 | 0.133 | 0.023 | 0.328 |
| 1208.760 | -147.913 | 1612.829 | 0.147 | 0.026 | 0.362 |
| -0.005 | -0.006 | -0.003 | 239.165 | 0.000 | -0.000 |
| 112.429 | -1389.287 | 259.131 | 0.165 | -48.133 | 0.406 |
| -1961.939 | -2166.418 | -890.848 | 0.518 | 0.026 | 48.352 |
| -667.984 | 161.063 | -188.876 | -0.056 | -0.005 | -0.085 |
| -86.795 | 97.327 | -46.601 | -0.016 | -0.002 | -0.044 |
| -279.558 | -225.142 | -392.478 | -0.041 | -0.002 | -0.061 |
| 69.980 | 243.131 | 6.618 | -45.215 | -0.004 | -0.072 |
| -12.518 | 154.149 | -28.769 | -0.018 | -87.531 | -0.045 |
| 34.528 | 194.682 | -7.137 | -0.041 | -0.003 | -94.125 |
| -219.537 | -326.820 | -213.628 | 0.033 | 0.002 | 0.064 |
| 183.082 | -157.186 | 269.107 | 0.055 | 0.003 | 0.066 |
| -213.755 | -282.249 | -107.421 | 0.030 | 0.002 | 0.052 |
| -173.752 | -156.130 | -116.430 | 5.094 | 0.002 | 0.081 |
| 12.521 | -154.189 | 28.776 | 0.018 | -87.626 | 0.045 |
| -34.415 | -194.565 | 7.187 | 0.041 | 0.003 | -94.050 |
| 16.184 | -5.149 | -11.234 | -0.004 | -0.000 | -0.006 |
| -2.600 | 44.513 | -6.421 | -0.004 | -0.000 | -0.006 |
| 10.423 | 21.123 | 61.846 | -0.003 | -0.000 | -0.005 |
| 7.172 | 17.177 | 1.908 | 18.597 | -0.000 | -0.006 |
| 8.121 | 17.665 | 2.441 | -0.004 | 15.800 | -0.006 |
| 7.538 | 16.515 | 2.038 | -0.003 | -0.000 | 9.133 |
| 7.525 | -12.203 | -2.069 | 0.004 | 0.000 | 0.005 |
| -8.468 | 21.787 | 10.702 | 0.003 | 0.000 | 0.005 |
| -8.521 | -13.977 | 47.887 | 0.003 | 0.000 | 0.005 |
| -7.171 | -17.178 | -1.906 | 18.608 | 0.000 | 0.006 |
| -4.562 | -10.539 | -1.483 | 0.001 | 19.121 | 0.004 |
| -7.539 | -16.515 | -2.038 | 0.003 | 0.000 | 9.142 |
| 5680.665 | 5260.603 | 0.000 | 0.000 | 0.000 | 0.000 |
| 5412.502 | 5528.912 | 0.000 | 0.000 | 0.000 | -0.000 |
| 0.000 | -0.000 | 0.000 | 0.000 | 0.000 | 0.000 |
| 0.000 | 0.000 | 0.000 | 0.000 | 0.000 | 0.000 |
| -0.000 | 0.000 | 0.000 | 0.000 | 0.000 | 0.000 |
| -0.000 | -0.000 | 0.000 | 0.000 | 0.000 | 58.162 |
| 5681.751 | 5261.690 | -0.000 | -0.000 | -0.000 | -0.000 |
| 5413.588 | 5530.000 | -0.000 | -0.000 | -0.000 | 0.000 |
| 0.000 | -0.000 | -0.000 | -0.000 | -0.000 | -0.000 |
| -0.000 | -0.000 | -0.000 | -0.000 | -0.000 | -0.000 |
| 0.000 | -0.000 | -0.000 | -0.000 | -0.000 | -0.000 |
| 0.000 | 0.000 | -0.000 | -0.000 | -0.000 | 58.162 |
| 5514.506 | 5398.337 | 0.000 | 0.000 | 0.000 | -0.000 |
| 5398.309 | 5514.712 | 0.000 | 0.000 | 0.000 | 0.000 |
| 0.000 | -0.000 | 0.000 | 0.000 | 0.000 | 0.000 |
| 0.000 | 0.000 | 0.000 | 0.000 | 0.000 | 0.000 |
| -0.000 | 0.000 | 0.000 | 0.000 | 0.000 | 0.000 |
| -0.000 | -0.000 | 0.000 | 0.000 | 0.000 | 58.162 |
| 5686.641 | 5266.581 | -0.000 | -0.000 | -0.000 | -0.000 |
| 5418.606 | 5534.764 | -0.000 | -0.000 | -0.000 | 0.000 |
| 0.000 | -0.000 | -0.000 | -0.000 | -0.000 | -0.000 |
| 0.000 | -0.000 | -0.000 | -0.000 | -0.000 | -0.000 |
| -0.000 | -0.000 | -0.000 | -0.000 | -0.000 | -0.000 |
| 0.000 | 0.000 | -0.000 | -0.000 | -0.000 | 58.162 |
| 5552.337 | 5436.063 | 0.000 | 0.000 | 0.000 | -0.000 |
| 5436.123 | 5552.462 | 0.000 | 0.000 | 0.000 | -0.000 |
| 0.000 | -0.000 | 0.000 | 0.000 | 0.000 | 0.000 |
| -0.000 | 0.000 | 0.000 | 0.000 | 0.000 | 0.000 |
| -0.000 | 0.000 | 0.000 | 0.000 | 0.000 | 0.000 |
| -0.004 | -0.004 | 0.000 | 0.000 | 0.000 | 58.162 |
| 5583.596 | 5467.406 | -0.000 | -0.000 | -0.000 | 0.000 |
| 5467.351 | 5583.835 | -0.000 | -0.000 | -0.000 | -0.000 |
| 0.000 | -0.000 | -0.000 | -0.000 | -0.000 | -0.000 |
| 0.000 | -0.000 | -0.000 | -0.000 | -0.000 | -0.000 |
| -0.000 | -0.000 | -0.000 | -0.000 | -0.000 | -0.000 |
| 0.004 | 0.004 | -0.000 | -0.000 | -0.000 | 58.162 |
| 5525.876 | 5409.583 | 0.000 | 0.000 | 0.000 | 0.000 |
| 5257.696 | 5677.763 | 0.000 | 0.000 | 0.000 | 0.000 |
| -0.003 | 0.003 | 0.000 | 0.000 | 0.000 | 0.000 |
| -0.003 | 0.003 | 0.000 | 0.000 | 0.000 | 0.000 |
| -0.003 | 0.003 | 0.000 | 0.000 | 0.000 | 0.000 |
| -0.008 | 0.008 | 0.000 | 0.000 | 0.000 | 58.154 |
| 5526.977 | 5410.655 | -0.000 | -0.000 | -0.000 | -0.000 |
| 5258.783 | 5678.849 | -0.000 | -0.000 | -0.000 | -0.000 |
| 0.003 | -0.003 | -0.000 | -0.000 | -0.000 | -0.000 |
| 0.003 | -0.003 | -0.000 | -0.000 | -0.000 | -0.000 |
| 0.003 | -0.003 | -0.000 | -0.000 | -0.000 | -0.000 |
| 0.008 | -0.008 | -0.000 | -0.000 | -0.000 | 58.154 |
| 5652.068 | 5232.001 | 0.000 | 0.000 | 0.000 | 0.000 |
| 5383.883 | 5500.184 | 0.000 | 0.000 | 0.000 | 0.000 |
| -0.000 | 0.000 | 0.000 | 0.000 | 0.000 | 0.000 |
| -0.000 | 0.000 | 0.000 | 0.000 | 0.000 | 0.000 |
| -0.000 | 0.000 | 0.000 | 0.000 | 0.000 | 0.000 |
| -0.001 | 0.000 | 0.000 | 0.000 | 0.000 | 58.154 |
| 5683.739 | 5263.673 | -0.000 | -0.000 | -0.000 | -0.000 |
| 5415.550 | 5531.863 | -0.000 | -0.000 | -0.000 | -0.000 |
| 0.000 | -0.000 | -0.000 | -0.000 | -0.000 | -0.000 |
| 0.000 | -0.000 | -0.000 | -0.000 | -0.000 | -0.000 |
| 0.000 | -0.000 | -0.000 | -0.000 | -0.000 | -0.000 |
| 0.001 | -0.000 | -0.000 | -0.000 | -0.000 | 58.154 |
| 5554.318 | 5437.969 | 0.000 | 0.000 | 0.000 | -0.000 |
| 5438.025 | 5554.261 | 0.000 | 0.000 | 0.000 | -0.000 |
| -0.000 | 0.000 | 0.000 | 0.000 | 0.000 | 0.000 |
| -0.000 | 0.000 | 0.000 | 0.000 | 0.000 | 0.000 |
| -0.000 | 0.000 | 0.000 | 0.000 | 0.000 | 0.000 |
| -0.004 | -0.003 | 0.000 | 0.000 | 0.000 | 58.154 |
| 5580.740 | 5464.474 | -0.000 | -0.000 | -0.000 | 0.000 |
| 5464.417 | 5580.796 | -0.000 | -0.000 | -0.000 | -0.000 |
| 0.000 | -0.000 | -0.000 | -0.000 | -0.000 | -0.000 |
| 0.000 | -0.000 | -0.000 | -0.000 | -0.000 | -0.000 |
| 0.000 | -0.000 | -0.000 | -0.000 | -0.000 | -0.000 |
| 0.004 | 0.003 | -0.000 | -0.000 | -0.000 | 58.154 |
| 1845.603 | 1709.055 | -0.000 | -0.000 | 0.000 | 0.000 |
| 1709.055 | 1845.603 | -0.000 | 0.000 | 0.000 | 0.000 |
| 0.000 | 0.000 | 0.000 | -0.000 | 0.000 | -0.000 |
| 0.000 | -0.000 | 0.000 | 0.000 | 0.000 | 0.000 |
| -0.000 | -0.000 | 0.000 | 0.000 | 0.000 | 0.000 |
| 0.000 | 0.000 | 0.000 | 0.000 | -0.000 | 68.274 |
| 1796.530 | 1758.834 | -0.000 | 0.000 | -0.000 | -0.000 |
| 1709.408 | 1845.956 | -0.000 | 0.000 | -0.000 | -0.000 |
| 0.000 | 0.000 | 0.000 | 0.000 | -0.000 | -0.000 |
| -0.000 | -0.000 | -0.000 | 0.000 | -0.000 | -0.000 |
| -0.000 | 0.000 | -0.000 | -0.000 | 0.000 | -0.000 |
| -0.000 | 0.000 | -0.000 | -0.000 | -0.000 | 68.274 |
| 1787.761 | 1749.972 | 0.000 | 0.000 | 0.000 | 0.000 |
| 1749.965 | 1787.768 | 0.000 | -0.000 | 0.000 | 0.000 |
| 0.000 | 0.000 | 0.000 | -0.000 | 0.000 | -0.000 |
| 0.000 | -0.000 | -0.000 | 0.000 | 0.000 | 0.000 |
| 0.000 | -0.000 | -0.000 | 0.000 | 0.000 | 0.000 |
| -0.000 | -0.000 | 0.000 | 0.000 | 0.000 | 18.903 |
| 1798.174 | 1760.370 | -0.000 | 0.000 | -0.000 | -0.000 |
| 1760.377 | 1798.167 | -0.000 | -0.000 | -0.000 | -0.000 |
| 0.000 | 0.000 | 0.000 | -0.000 | -0.000 | -0.000 |
| 0.000 | -0.000 | 0.000 | 0.000 | -0.000 | -0.000 |
| -0.000 | 0.000 | 0.000 | 0.000 | 0.000 | -0.000 |
| 0.000 | 0.000 | -0.000 | -0.000 | 0.000 | 18.903 |
| 1805.525 | 1767.705 | -0.000 | 0.000 | 0.000 | 0.000 |
| 1767.715 | 1805.515 | 0.000 | -0.000 | 0.000 | 0.000 |
| 0.000 | 0.000 | 0.000 | 0.000 | 0.000 | -0.000 |
| -0.000 | 0.000 | -0.000 | 0.000 | 0.000 | 0.000 |
| 0.000 | -0.000 | -0.000 | 0.000 | 0.000 | -0.000 |
| -0.001 | -0.001 | 0.000 | 0.000 | 0.000 | 18.904 |
| 1814.174 | 1776.162 | -0.000 | 0.000 | -0.000 | -0.000 |
| 1776.676 | 1813.659 | -0.000 | -0.000 | -0.000 | -0.000 |
| 0.000 | 0.000 | 0.000 | -0.000 | -0.000 | -0.000 |
| -0.000 | 0.000 | 0.000 | 0.000 | -0.000 | -0.000 |
| -0.000 | 0.000 | 0.000 | -0.000 | 0.000 | -0.000 |
| 0.001 | 0.001 | -0.000 | -0.000 | 0.000 | 18.904 |
| 1754.430 | 1624.628 | 0.000 | -0.000 | 0.000 | 0.000 |
| 1671.559 | 1707.499 | 0.000 | 0.000 | -0.000 | 0.000 |
| -0.000 | 0.000 | 0.000 | 0.000 | 0.000 | 0.000 |
| -0.000 | 0.000 | 0.000 | 0.000 | 0.000 | 0.000 |
| -0.000 | 0.000 | 0.000 | 0.000 | 0.000 | 0.000 |
| -0.000 | 0.000 | 0.000 | 0.000 | -0.000 | 17.970 |
| 1754.766 | 1624.964 | -0.000 | -0.000 | -0.000 | 0.000 |
| 1671.895 | 1707.835 | -0.000 | 0.000 | 0.000 | -0.000 |
| 0.000 | -0.000 | -0.000 | -0.000 | -0.000 | -0.000 |
| 0.000 | -0.000 | -0.000 | -0.000 | -0.000 | -0.000 |
| 0.000 | -0.000 | -0.000 | -0.000 | -0.000 | -0.000 |
| 0.000 | -0.000 | -0.000 | -0.000 | -0.000 | 17.970 |
| 1699.464 | 1663.524 | 0.000 | -0.000 | -0.000 | 0.000 |
| 1663.525 | 1699.463 | 0.000 | -0.000 | -0.000 | 0.000 |
| -0.000 | 0.000 | 0.000 | 0.000 | 0.000 | 0.000 |
| -0.000 | 0.000 | 0.000 | 0.000 | 0.000 | 0.000 |
| -0.000 | 0.000 | 0.000 | 0.000 | 0.000 | -0.000 |
| -0.000 | -0.000 | 0.000 | 0.000 | -0.000 | 17.970 |
| 1756.277 | 1626.475 | -0.000 | -0.000 | -0.000 | -0.000 |
| 1673.405 | 1709.347 | -0.000 | 0.000 | 0.000 | -0.000 |
| 0.000 | -0.000 | -0.000 | -0.000 | -0.000 | -0.000 |
| 0.000 | -0.000 | -0.000 | -0.000 | -0.000 | -0.000 |
| 0.000 | -0.000 | -0.000 | -0.000 | -0.000 | -0.000 |
| 0.000 | 0.000 | -0.000 | -0.000 | 0.000 | 17.970 |
| 1716.321 | 1680.383 | 0.000 | -0.000 | -0.000 | 0.000 |
| 1680.385 | 1716.319 | 0.000 | -0.000 | -0.000 | 0.000 |
| -0.000 | 0.000 | 0.000 | 0.000 | 0.000 | 0.000 |
| -0.000 | 0.000 | 0.000 | 0.000 | 0.000 | 0.000 |
| -0.000 | 0.000 | 0.000 | 0.000 | 0.000 | 0.000 |
| -0.001 | -0.001 | 0.000 | 0.000 | -0.000 | 17.970 |
| 1724.852 | 1688.121 | -0.000 | -0.000 | 0.000 | -0.000 |
| 1688.506 | 1724.467 | -0.000 | 0.000 | 0.000 | -0.000 |
| -0.000 | -0.000 | -0.000 | -0.000 | -0.000 | -0.000 |
| 0.000 | -0.000 | -0.000 | -0.000 | -0.000 | -0.000 |
| 0.000 | -0.000 | -0.000 | -0.000 | -0.000 | -0.000 |
| 0.001 | 0.001 | -0.000 | -0.000 | -0.000 | 17.970 |
| 2205.305 | 2158.887 | 0.000 | 0.000 | 0.000 | -0.000 |
| 2098.274 | 2265.918 | 0.000 | 0.000 | 0.000 | 0.000 |
| -0.000 | 0.000 | 0.000 | 0.000 | 0.000 | -0.000 |
| -0.000 | 0.000 | 0.000 | 0.000 | 0.000 | -0.000 |
| -0.000 | 0.000 | 0.000 | 0.000 | 0.000 | -0.000 |
| -0.000 | 0.000 | 0.000 | 0.000 | 0.000 | 23.209 |
| 2205.738 | 2159.321 | -0.000 | -0.000 | -0.000 | 0.000 |
| 2098.707 | 2266.352 | -0.000 | -0.000 | -0.000 | -0.000 |
| 0.000 | -0.000 | -0.000 | -0.000 | -0.000 | 0.000 |
| 0.000 | -0.000 | -0.000 | -0.000 | -0.000 | 0.000 |
| 0.000 | -0.000 | -0.000 | -0.000 | -0.000 | 0.000 |
| 0.000 | -0.000 | -0.000 | -0.000 | -0.000 | 23.209 |
| 2194.926 | 2148.507 | 0.000 | 0.000 | 0.000 | -0.000 |
| 2148.509 | 2194.923 | 0.000 | 0.000 | 0.000 | -0.000 |
| -0.000 | 0.000 | 0.000 | 0.000 | 0.000 | -0.000 |
| -0.000 | 0.000 | 0.000 | 0.000 | 0.000 | -0.000 |
| -0.000 | 0.000 | 0.000 | 0.000 | 0.000 | -0.000 |
| -0.000 | -0.000 | 0.000 | 0.000 | 0.000 | 23.209 |
| 2207.689 | 2161.273 | -0.000 | -0.000 | -0.000 | 0.000 |
| 2161.323 | 2207.639 | -0.000 | -0.000 | -0.000 | 0.000 |
| 0.000 | -0.000 | -0.000 | -0.000 | -0.000 | 0.000 |
| 0.000 | -0.000 | -0.000 | -0.000 | -0.000 | 0.000 |
| 0.000 | -0.000 | -0.000 | -0.000 | -0.000 | 0.000 |
| 0.000 | 0.000 | -0.000 | -0.000 | -0.000 | 23.209 |
| 2216.709 | 2170.275 | 0.000 | 0.000 | 0.000 | -0.000 |
| 2170.298 | 2216.686 | 0.000 | 0.000 | 0.000 | -0.000 |
| -0.000 | 0.000 | 0.000 | 0.000 | 0.000 | -0.000 |
| -0.000 | 0.000 | 0.000 | 0.000 | 0.000 | -0.000 |
| -0.000 | 0.000 | 0.000 | 0.000 | 0.000 | -0.000 |
| -0.002 | -0.001 | 0.000 | 0.000 | 0.000 | 23.209 |
| 2227.197 | 2180.797 | -0.000 | -0.000 | -0.000 | 0.000 |
| 2180.774 | 2227.220 | -0.000 | -0.000 | -0.000 | 0.000 |
| 0.000 | -0.000 | -0.000 | -0.000 | -0.000 | 0.000 |
| 0.000 | -0.000 | -0.000 | -0.000 | -0.000 | 0.000 |
| 0.000 | -0.000 | -0.000 | -0.000 | -0.000 | 0.000 |
| 0.002 | 0.001 | -0.000 | -0.000 | -0.000 | 23.209 |
| 3021.434 | 2797.892 | 0.000 | 0.000 | 0.000 | -0.000 |
| 2878.716 | 2940.610 | 0.000 | 0.000 | 0.000 | -0.000 |
| -0.000 | 0.000 | 0.000 | 0.000 | 0.000 | -0.000 |
| -0.000 | 0.000 | 0.000 | 0.000 | 0.000 | -0.000 |
| -0.000 | 0.000 | 0.000 | 0.000 | 0.000 | -0.000 |
| -0.000 | 0.000 | 0.000 | 0.000 | 0.000 | 30.947 |
| 2941.188 | 2879.294 | -0.000 | -0.000 | -0.000 | 0.000 |
| 2879.294 | 2941.188 | -0.000 | -0.000 | -0.000 | 0.000 |
| 0.000 | -0.000 | -0.000 | -0.000 | -0.000 | 0.000 |
| 0.000 | -0.000 | -0.000 | -0.000 | -0.000 | 0.000 |
| 0.000 | -0.000 | -0.000 | -0.000 | -0.000 | 0.000 |
| 0.000 | -0.000 | -0.000 | -0.000 | -0.000 | 30.947 |
| 2926.753 | 2864.892 | 0.000 | 0.000 | 0.000 | -0.000 |
| 2864.877 | 2926.767 | 0.000 | 0.000 | 0.000 | -0.000 |
| -0.000 | 0.000 | 0.000 | 0.000 | 0.000 | -0.000 |
| -0.000 | 0.000 | 0.000 | 0.000 | 0.000 | -0.000 |
| -0.000 | 0.000 | 0.000 | 0.000 | 0.000 | -0.000 |
| 0.000 | 0.000 | 0.000 | 0.000 | 0.000 | 111.771 |
| 3024.614 | 2801.073 | -0.000 | -0.000 | -0.000 | -0.000 |
| 2881.895 | 2943.792 | -0.000 | -0.000 | -0.000 | 0.000 |
| 0.000 | -0.000 | -0.000 | -0.000 | -0.000 | 0.000 |
| 0.000 | -0.000 | -0.000 | -0.000 | -0.000 | 0.000 |
| 0.000 | -0.000 | -0.000 | -0.000 | -0.000 | 0.000 |
| -0.000 | -0.000 | -0.000 | -0.000 | -0.000 | 111.771 |
| 2955.817 | 2893.901 | 0.000 | 0.000 | 0.000 | -0.000 |
| 2893.916 | 2955.802 | 0.000 | 0.000 | 0.000 | -0.000 |
| -0.000 | 0.000 | 0.000 | 0.000 | 0.000 | -0.000 |
| -0.000 | 0.000 | 0.000 | 0.000 | 0.000 | -0.000 |
| -0.000 | 0.000 | 0.000 | 0.000 | 0.000 | -0.000 |
| 0.001 | 0.001 | 0.000 | 0.000 | 0.000 | 111.771 |
| 2969.802 | 2907.931 | -0.000 | -0.000 | -0.000 | 0.000 |
| 2907.900 | 2969.833 | -0.000 | -0.000 | -0.000 | 0.000 |
| 0.000 | -0.000 | -0.000 | -0.000 | -0.000 | 0.000 |
| 0.000 | -0.000 | -0.000 | -0.000 | -0.000 | 0.000 |
| 0.000 | -0.000 | -0.000 | -0.000 | -0.000 | 0.000 |
| -0.001 | -0.001 | -0.000 | -0.000 | -0.000 | 111.771 |
| 2918.440 | 2702.519 | 0.000 | 0.000 | 0.000 | -0.000 |
| 2780.588 | 2840.371 | 0.000 | 0.000 | 0.000 | 0.000 |
| 0.000 | -0.000 | 0.000 | 0.000 | 0.000 | 0.000 |
| 0.000 | -0.000 | 0.000 | 0.000 | 0.000 | 0.000 |
| 0.000 | -0.000 | 0.000 | 0.000 | 0.000 | 0.000 |
| 0.000 | -0.000 | 0.000 | 0.000 | 0.000 | 29.892 |
| 2840.930 | 2781.146 | -0.000 | -0.000 | -0.000 | -0.000 |
| 2781.146 | 2840.930 | -0.000 | -0.000 | -0.000 | -0.000 |
| -0.000 | 0.000 | -0.000 | -0.000 | -0.000 | -0.000 |
| -0.000 | 0.000 | -0.000 | -0.000 | -0.000 | -0.000 |
| -0.000 | 0.000 | -0.000 | -0.000 | -0.000 | -0.000 |
| -0.000 | 0.000 | -0.000 | -0.000 | -0.000 | 29.892 |
| 2826.986 | 2767.235 | 0.000 | 0.000 | 0.000 | 0.000 |
| 2767.221 | 2827.001 | 0.000 | 0.000 | 0.000 | 0.000 |
| 0.000 | -0.000 | 0.000 | 0.000 | 0.000 | 0.000 |
| 0.000 | -0.000 | 0.000 | 0.000 | 0.000 | 0.000 |
| 0.000 | -0.000 | 0.000 | 0.000 | 0.000 | 0.000 |
| 0.000 | 0.000 | 0.000 | 0.000 | 0.000 | 107.961 |
| 2921.512 | 2705.591 | -0.000 | -0.000 | -0.000 | 0.000 |
| 2783.658 | 2843.445 | -0.000 | -0.000 | -0.000 | -0.000 |
| -0.000 | 0.000 | -0.000 | -0.000 | -0.000 | -0.000 |
| -0.000 | 0.000 | -0.000 | -0.000 | -0.000 | -0.000 |
| -0.000 | 0.000 | -0.000 | -0.000 | -0.000 | -0.000 |
| -0.000 | -0.000 | -0.000 | -0.000 | -0.000 | 107.961 |
| 2855.060 | 2795.255 | 0.000 | 0.000 | 0.000 | 0.000 |
| 2795.269 | 2855.046 | 0.000 | 0.000 | 0.000 | 0.000 |
| 0.000 | -0.000 | 0.000 | 0.000 | 0.000 | 0.000 |
| 0.000 | -0.000 | 0.000 | 0.000 | 0.000 | 0.000 |
| 0.000 | -0.000 | 0.000 | 0.000 | 0.000 | 0.000 |
| 0.001 | 0.001 | 0.000 | 0.000 | 0.000 | 107.961 |
| 2868.569 | 2808.806 | -0.000 | -0.000 | -0.000 | -0.000 |
| 2808.777 | 2868.598 | -0.000 | -0.000 | -0.000 | -0.000 |
| -0.000 | 0.000 | -0.000 | -0.000 | -0.000 | -0.000 |
| -0.000 | 0.000 | -0.000 | -0.000 | -0.000 | -0.000 |
| -0.000 | 0.000 | -0.000 | -0.000 | -0.000 | -0.000 |
| -0.001 | -0.001 | -0.000 | -0.000 | -0.000 | 107.961 |
| 5909.768 | 5785.380 | 0.000 | 0.000 | 0.000 | -0.000 |
| 5622.947 | 6072.200 | 0.000 | 0.000 | 0.000 | -0.000 |
| -0.000 | 0.000 | 0.000 | 0.000 | 0.000 | 0.000 |
| -0.000 | 0.000 | 0.000 | 0.000 | 0.000 | 0.000 |
| -0.000 | 0.000 | 0.000 | 0.000 | 0.000 | -0.000 |
| -0.001 | 0.001 | 0.000 | 0.000 | 0.000 | 62.194 |
| 6073.363 | 5624.109 | -0.000 | -0.000 | -0.000 | -0.000 |
| 5786.542 | 5910.929 | -0.000 | -0.000 | -0.000 | 0.000 |
| 0.000 | -0.000 | -0.000 | -0.000 | -0.000 | -0.000 |
| 0.000 | -0.000 | -0.000 | -0.000 | -0.000 | -0.000 |
| 0.000 | -0.000 | -0.000 | -0.000 | -0.000 | -0.000 |
| 0.001 | -0.001 | -0.000 | -0.000 | -0.000 | 62.194 |
| 5881.961 | 5757.567 | 0.000 | 0.000 | 0.000 | 0.000 |
| 5757.573 | 5881.953 | 0.000 | 0.000 | 0.000 | 0.000 |
| -0.000 | 0.000 | 0.000 | 0.000 | 0.000 | 0.000 |
| -0.000 | 0.000 | 0.000 | 0.000 | 0.000 | 0.000 |
| -0.000 | 0.000 | 0.000 | 0.000 | 0.000 | 0.000 |
| -0.000 | -0.000 | 0.000 | 0.000 | 0.000 | 62.194 |
| 5916.158 | 5791.774 | -0.000 | -0.000 | -0.000 | 0.000 |
| 5791.768 | 5916.163 | -0.000 | -0.000 | -0.000 | 0.000 |
| 0.000 | -0.000 | -0.000 | -0.000 | -0.000 | -0.000 |
| 0.000 | -0.000 | -0.000 | -0.000 | -0.000 | -0.000 |
| 0.000 | -0.000 | -0.000 | -0.000 | -0.000 | -0.000 |
| 0.000 | 0.000 | -0.000 | -0.000 | -0.000 | 62.194 |
| 5940.328 | 5815.894 | 0.000 | 0.000 | 0.000 | -0.000 |
| 5815.955 | 5940.266 | 0.000 | 0.000 | 0.000 | -0.000 |
| -0.000 | 0.000 | 0.000 | 0.000 | 0.000 | 0.000 |
| -0.000 | 0.000 | 0.000 | 0.000 | 0.000 | 0.000 |
| -0.000 | 0.000 | 0.000 | 0.000 | 0.000 | 0.000 |
| -0.004 | -0.004 | 0.000 | 0.000 | 0.000 | 62.194 |
| 5968.437 | 5844.092 | -0.000 | -0.000 | -0.000 | -0.000 |
| 5844.031 | 5968.496 | -0.000 | -0.000 | -0.000 | 0.000 |
| -0.000 | 0.000 | -0.000 | -0.000 | -0.000 | -0.000 |
| 0.000 | -0.000 | -0.000 | -0.000 | -0.000 | -0.000 |
| 0.000 | -0.000 | -0.000 | -0.000 | -0.000 | -0.000 |
| 0.004 | 0.004 | -0.000 | -0.000 | -0.000 | 62.194 |
| 0.000 | 0.000 | 0.000 | 0.000 | -0.000 | 0.000 |
| 0.000 | 0.000 | 0.000 | -0.000 | 0.000 | 0.000 |
| 0.000 | 0.000 | 7170.440 | -0.000 | 0.000 | 0.000 |
| 0.000 | 0.000 | -0.000 | -0.000 | 0.000 | -0.000 |
| -0.000 | 0.000 | -0.000 | -0.000 | -0.000 | 0.000 |
| 0.000 | 0.000 | 0.000 | 0.000 | -0.000 | 0.000 |
| -0.000 | -0.000 | -0.000 | -0.000 | -0.000 | -0.000 |
| -0.000 | -0.000 | -0.000 | 0.000 | -0.000 | -0.000 |
| -0.000 | -0.000 | 7170.439 | 0.000 | -0.000 | -0.000 |
| -0.000 | -0.000 | 0.000 | -0.000 | -0.000 | -0.000 |
| -0.000 | -0.000 | 0.000 | 0.000 | 0.000 | -0.000 |
| -0.000 | -0.000 | -0.000 | -0.000 | 0.000 | -0.000 |
| 0.000 | 0.000 | 0.000 | 0.000 | 0.000 | 0.000 |
| 0.000 | 0.000 | 0.000 | -0.000 | 0.000 | 0.000 |
| 0.000 | 0.000 | 7170.444 | -0.000 | 0.000 | 0.000 |
| 0.000 | -0.000 | -0.000 | -0.000 | -0.000 | -0.000 |
| 0.000 | 0.000 | -0.000 | 0.000 | -0.000 | 0.000 |
| 0.000 | 0.000 | 0.000 | 0.000 | 0.000 | 0.000 |
| -0.000 | -0.000 | -0.000 | -0.000 | 0.000 | -0.000 |
| -0.000 | -0.000 | -0.000 | 0.000 | -0.000 | -0.000 |
| -0.000 | -0.000 | 7170.435 | 0.000 | 0.000 | -0.000 |
| -0.000 | -0.000 | 0.000 | 0.000 | 0.000 | 0.000 |
| 0.000 | -0.000 | 0.000 | -0.000 | -0.000 | -0.000 |
| -0.000 | -0.000 | -0.000 | -0.000 | 0.000 | -0.000 |
| 0.000 | 0.000 | 0.000 | 0.000 | 0.000 | 0.000 |
| 0.000 | 0.000 | 0.000 | -0.000 | 0.000 | 0.000 |
| 0.000 | 0.000 | 7170.481 | -0.000 | 0.000 | 0.000 |
| 0.000 | -0.000 | -0.004 | 0.000 | -0.000 | -0.000 |
| -0.000 | 0.000 | -0.004 | 0.000 | 0.000 | 0.000 |
| 0.000 | 0.000 | 0.000 | 0.000 | -0.000 | 0.000 |
| -0.000 | -0.000 | -0.000 | -0.000 | 0.000 | -0.000 |
| -0.000 | -0.000 | -0.000 | 0.000 | -0.000 | -0.000 |
| -0.000 | -0.000 | 7164.300 | -0.000 | 0.000 | -0.000 |
| -0.000 | 0.000 | 0.004 | 0.000 | 0.000 | 0.000 |
| 0.000 | -0.000 | 0.004 | -0.000 | 0.000 | -0.000 |
| -0.000 | -0.000 | -0.000 | -0.000 | -0.000 | -0.000 |
| 5843.007 | 5410.711 | 0.000 | 0.000 | 0.000 | -0.000 |
| 5567.013 | 5686.705 | 0.000 | 0.000 | 0.000 | 0.000 |
| -0.000 | 0.000 | 0.000 | 0.000 | 0.000 | 0.000 |
| -0.000 | 0.000 | 0.000 | 0.000 | 0.000 | 0.000 |
| -0.000 | 0.000 | 0.000 | 0.000 | 0.000 | 0.000 |
| -0.000 | 0.000 | 0.000 | 0.000 | 0.000 | 59.847 |
| 5687.824 | 5568.131 | -0.000 | -0.000 | -0.000 | -0.000 |
| 5568.130 | 5687.824 | -0.000 | -0.000 | -0.000 | -0.000 |
| 0.000 | -0.000 | -0.000 | -0.000 | -0.000 | -0.000 |
| 0.000 | -0.000 | -0.000 | -0.000 | -0.000 | -0.000 |
| 0.000 | -0.000 | -0.000 | -0.000 | -0.000 | -0.000 |
| 0.000 | -0.000 | -0.000 | -0.000 | -0.000 | 59.847 |
| 5659.940 | 5540.243 | 0.000 | 0.000 | 0.000 | 0.000 |
| 5540.248 | 5659.934 | 0.000 | 0.000 | 0.000 | 0.000 |
| -0.000 | 0.000 | 0.000 | 0.000 | 0.000 | 0.000 |
| -0.000 | 0.000 | 0.000 | 0.000 | 0.000 | 0.000 |
| -0.000 | 0.000 | 0.000 | 0.000 | 0.000 | 0.000 |
| -0.000 | -0.000 | 0.000 | 0.000 | 0.000 | 59.847 |
| 5692.865 | 5573.155 | -0.000 | -0.000 | -0.000 | -0.000 |
| 5573.159 | 5692.860 | -0.000 | -0.000 | -0.000 | -0.000 |
| 0.000 | -0.000 | -0.000 | -0.000 | -0.000 | -0.000 |
| 0.000 | -0.000 | -0.000 | -0.000 | -0.000 | -0.000 |
| 0.000 | -0.000 | -0.000 | -0.000 | -0.000 | -0.000 |
| 0.000 | 0.000 | -0.000 | -0.000 | -0.000 | 59.847 |
| 5716.115 | 5596.378 | 0.000 | 0.000 | 0.000 | 0.000 |
| 5596.408 | 5716.086 | 0.000 | 0.000 | 0.000 | 0.000 |
| -0.000 | 0.000 | 0.000 | 0.000 | 0.000 | 0.000 |
| -0.000 | 0.000 | 0.000 | 0.000 | 0.000 | 0.000 |
| -0.000 | 0.000 | 0.000 | 0.000 | 0.000 | 0.000 |
| -0.004 | -0.004 | 0.000 | 0.000 | 0.000 | 59.847 |
| 5743.159 | 5623.509 | -0.000 | -0.000 | -0.000 | -0.000 |
| 5623.450 | 5743.218 | -0.000 | -0.000 | -0.000 | -0.000 |
| 0.000 | -0.000 | -0.000 | -0.000 | -0.000 | -0.000 |
| 0.000 | -0.000 | -0.000 | -0.000 | -0.000 | -0.000 |
| 0.000 | -0.000 | -0.000 | -0.000 | -0.000 | -0.000 |
| 0.004 | 0.004 | -0.000 | -0.000 | -0.000 | 59.847 |
| 2850.512 | 2554.428 | 2554.428 | -0.000 | 0.000 | 0.000 |
| 2554.428 | 2850.512 | 2554.428 | -0.000 | 0.000 | 0.000 |
| 2554.428 | 2554.428 | 2850.512 | -0.000 | 0.000 | 0.000 |
| -0.346 | -0.346 | -0.346 | 77.888 | 0.000 | 0.000 |
| -0.346 | -0.346 | -0.346 | -0.000 | 77.888 | -0.000 |
| -0.346 | -0.346 | -0.346 | -0.000 | 0.000 | 77.888 |
| 5393.464 | 5047.944 | 5047.944 | 0.000 | 0.000 | 0.000 |
| 5047.944 | 5393.464 | 5047.944 | 0.000 | 0.000 | 0.000 |
| 5047.944 | 5047.944 | 5393.464 | 0.000 | 0.000 | 0.000 |
| 0.346 | 0.346 | 0.346 | 77.888 | -0.000 | -0.000 |
| 0.346 | 0.346 | 0.346 | 0.000 | 77.888 | 0.000 |
| 0.346 | 0.346 | 0.346 | 0.000 | -0.000 | 77.888 |
| 2701.962 | 2662.705 | 2662.705 | -0.000 | 0.000 | 0.000 |
| 2662.705 | 2701.962 | 2662.705 | -0.000 | 0.000 | 0.000 |
| 2662.705 | 2662.705 | 2701.962 | -0.000 | 0.000 | 0.000 |
| -0.264 | -0.264 | -0.264 | 60.230 | 0.000 | -0.000 |
| -0.264 | -0.264 | -0.264 | -0.000 | 60.230 | 0.000 |
| -0.264 | -0.264 | -0.264 | -0.000 | 0.000 | 60.230 |
| 2776.562 | 2481.877 | 2481.877 | 0.000 | -0.000 | -0.000 |
| 2481.877 | 2776.562 | 2481.877 | 0.000 | -0.000 | -0.000 |
| 2481.877 | 2481.877 | 2776.562 | 0.000 | -0.000 | -0.000 |
| 0.264 | 0.264 | 0.264 | 60.230 | -0.000 | 0.000 |
| 0.264 | 0.264 | 0.264 | -0.000 | 60.230 | 0.000 |
| 0.264 | 0.264 | 0.264 | -0.000 | -0.000 | 60.230 |
| 2668.063 | 2628.840 | 2628.840 | 0.000 | -0.000 | -0.000 |
| 2628.840 | 2668.063 | 2628.840 | -0.000 | -0.000 | -0.000 |
| 2628.840 | 2628.840 | 2668.063 | -0.000 | -0.000 | -0.000 |
| -1.128 | -1.128 | -1.128 | 75.445 | 0.000 | 0.000 |
| -1.128 | -1.128 | -1.128 | -0.000 | 75.445 | 0.000 |
| -1.128 | -1.128 | -1.128 | -0.000 | 0.000 | 75.445 |
| 2709.179 | 2669.825 | 2669.825 | 0.000 | -0.000 | -0.000 |
| 2612.686 | 2651.820 | 2612.686 | -0.000 | 0.000 | 0.000 |
| 2612.686 | 2612.686 | 2651.820 | -0.000 | 0.000 | 0.000 |
| 1.128 | 1.128 | 1.128 | 75.445 | -0.000 | -0.000 |
| 1.128 | 1.128 | 1.128 | 0.000 | 75.445 | -0.000 |
| 1.128 | 1.128 | 1.128 | 0.000 | -0.000 | 75.445 |
| 4674.805 | 4344.199 | 0.000 | 0.000 | -0.000 | -0.000 |
| 4344.199 | 4674.805 | 0.000 | -0.000 | 0.000 | -0.000 |
| 0.038 | 0.038 | 0.003 | 0.000 | 0.000 | -0.000 |
| 0.000 | -0.000 | 0.000 | -0.000 | 0.000 | -0.000 |
| 0.000 | -0.000 | 0.000 | 0.000 | -0.000 | -0.000 |
| 0.000 | -0.000 | 0.000 | 0.000 | 0.000 | 165.303 |
| 4554.985 | 4463.675 | 0.000 | 0.000 | 0.000 | -0.001 |
| 4463.620 | 4555.040 | 0.002 | 0.000 | 0.000 | -0.001 |
| 0.038 | 0.038 | 0.003 | -0.000 | -0.000 | 0.000 |
| -0.000 | 0.000 | -0.000 | -0.000 | -0.000 | 0.000 |
| -0.000 | 0.000 | -0.000 | -0.000 | -0.000 | 0.000 |
| 0.000 | 0.000 | -0.000 | -0.000 | 0.000 | 165.303 |
| 4555.984 | 4464.562 | -0.000 | -0.000 | -0.000 | 0.000 |
| 4464.545 | 4556.001 | -0.000 | -0.000 | -0.000 | 0.000 |
| 0.038 | 0.038 | 0.003 | 0.000 | 0.000 | -0.000 |
| 0.000 | 0.000 | -0.000 | -0.000 | 0.000 | -0.000 |
| 0.000 | -0.000 | -0.000 | 0.000 | -0.000 | -0.000 |
| 0.000 | 0.000 | 0.000 | 0.000 | 0.000 | 165.303 |
| 4673.861 | 4343.255 | 0.000 | 0.000 | -0.000 | 0.000 |
| 4343.256 | 4673.861 | 0.000 | -0.000 | 0.000 | 0.000 |
| 0.038 | 0.038 | 0.003 | -0.000 | -0.000 | 0.000 |
| -0.000 | 0.000 | 0.000 | -0.000 | -0.000 | 0.000 |
| -0.000 | 0.000 | 0.000 | -0.000 | -0.000 | 0.000 |
| -0.000 | -0.000 | -0.000 | -0.000 | 0.000 | 165.303 |
| 4553.553 | 4462.100 | -0.000 | -0.000 | -0.000 | 0.000 |
| 4462.145 | 4553.508 | -0.000 | -0.000 | -0.000 | 0.000 |
| 0.038 | 0.038 | 0.003 | 0.000 | 0.000 | -0.000 |
| 0.000 | -0.000 | -0.000 | -0.000 | 0.000 | -0.000 |
| 0.000 | -0.000 | -0.000 | 0.000 | -0.000 | -0.000 |
| 0.001 | 0.001 | 0.000 | 0.000 | 0.000 | 165.303 |
| 4547.564 | 4454.125 | 0.000 | 0.000 | 0.000 | -0.000 |
| 4456.133 | 4545.556 | 0.000 | 0.000 | 0.000 | -0.000 |
| 0.038 | 0.038 | 0.003 | -0.000 | 0.000 | 0.000 |
| -0.000 | -0.000 | 0.000 | -0.000 | -0.000 | 0.000 |
| -0.000 | 0.000 | 0.000 | -0.000 | -0.000 | 0.000 |
| -0.001 | -0.001 | -0.000 | -0.000 | 0.000 | 165.303 |
| 6448.697 | 5969.909 | 0.000 | 0.000 | 0.000 | 0.000 |
| 6143.023 | 6275.582 | 0.000 | 0.000 | 0.000 | -0.000 |
| 0.002 | 0.002 | 0.001 | -0.000 | 0.000 | -0.000 |
| 0.000 | -0.000 | -0.000 | -0.000 | 0.000 | -0.000 |
| 0.000 | -0.000 | -0.000 | 0.000 | -0.000 | 0.000 |
| 0.000 | -0.000 | -0.000 | 0.000 | 0.000 | 66.280 |
| 6446.218 | 5967.430 | 0.000 | -0.000 | 0.000 | 0.000 |
| 5967.430 | 6446.218 | 0.000 | -0.000 | 0.000 | -0.000 |
| 0.002 | 0.002 | 0.001 | 0.000 | 0.000 | 0.000 |
| -0.000 | 0.000 | 0.000 | -0.000 | -0.000 | 0.000 |
| -0.000 | 0.000 | 0.000 | -0.000 | -0.000 | 0.000 |
| -0.000 | 0.000 | 0.000 | -0.000 | -0.000 | 66.280 |
| 6286.738 | 6154.173 | 0.000 | 0.000 | 0.000 | -0.000 |
| 6154.180 | 6286.732 | 0.000 | 0.000 | 0.000 | -0.000 |
| 0.002 | 0.002 | 0.001 | -0.000 | -0.000 | -0.000 |
| 0.000 | -0.000 | -0.000 | -0.000 | 0.000 | -0.000 |
| 0.000 | -0.000 | -0.000 | 0.000 | -0.000 | -0.000 |
| -0.000 | -0.000 | -0.000 | 0.000 | 0.000 | 66.280 |
| 6261.949 | 6129.393 | 0.000 | -0.000 | -0.000 | 0.000 |
| 5956.277 | 6435.064 | 0.000 | -0.000 | 0.000 | -0.000 |
| 0.002 | 0.002 | 0.001 | 0.000 | 0.000 | 0.000 |
| -0.000 | 0.000 | 0.000 | -0.000 | -0.000 | 0.000 |
| -0.000 | 0.000 | 0.000 | -0.000 | -0.000 | 0.000 |
| 0.000 | 0.000 | 0.000 | -0.000 | -0.000 | 66.280 |
| 6398.292 | 6265.684 | 0.000 | 0.000 | 0.000 | -0.000 |
| 6265.749 | 6398.227 | 0.000 | 0.000 | -0.000 | -0.000 |
| 0.002 | 0.002 | 0.001 | -0.000 | 0.000 | -0.000 |
| 0.000 | -0.000 | -0.000 | -0.000 | -0.000 | -0.000 |
| 0.000 | -0.000 | -0.000 | 0.000 | -0.000 | 0.000 |
| 0.002 | 0.001 | -0.000 | 0.000 | 0.000 | 239.394 |
| 6317.220 | 6184.708 | 0.000 | -0.000 | -0.000 | 0.000 |
| 6184.676 | 6317.253 | 0.000 | -0.000 | 0.000 | 0.000 |
| 0.002 | 0.002 | 0.001 | 0.000 | -0.000 | 0.000 |
| -0.000 | 0.000 | 0.000 | -0.000 | 0.000 | 0.000 |
| -0.000 | 0.000 | 0.000 | -0.000 | -0.000 | -0.000 |
| -0.002 | -0.001 | 0.000 | -0.000 | 0.000 | 239.394 |
| 6536.502 | 6118.069 | 6340.533 | 0.000 | 0.000 | -0.000 |
| 5933.678 | 6210.060 | 6341.126 | 0.000 | -0.000 | -0.000 |
| 6340.580 | 6340.580 | 7224.811 | 0.000 | 0.000 | -0.000 |
| 0.012 | 0.012 | -0.000 | 109.973 | -0.000 | -0.000 |
| 0.000 | 0.000 | -0.000 | 0.000 | 143.347 | -0.000 |
| 0.000 | 0.000 | 0.000 | 0.000 | -0.000 | 209.216 |
| 6207.235 | 5947.558 | 6339.263 | -0.000 | 0.000 | 0.000 |
| 6116.209 | 6534.641 | 6338.582 | -0.000 | 0.000 | 0.000 |
| 6339.170 | 6339.170 | 7222.663 | 0.000 | 0.000 | 0.000 |
| -0.012 | -0.012 | 0.000 | 109.973 | -0.000 | 0.000 |
| -0.000 | 0.000 | 0.000 | -0.000 | 143.347 | 0.000 |
| -0.000 | -0.000 | -0.000 | -0.000 | 0.000 | 209.216 |
| 6217.744 | 5941.354 | 6349.421 | 0.000 | -0.000 | -0.000 |
| 6126.438 | 6544.872 | 6349.310 | -0.000 | -0.000 | -0.000 |
| 6349.786 | 6349.786 | 7234.467 | 0.000 | 0.000 | -0.000 |
| 0.001 | 0.001 | -0.000 | 109.973 | -0.000 | -0.000 |
| -0.000 | -0.000 | -0.000 | 0.000 | 143.347 | -0.000 |
| 0.001 | 0.001 | -0.000 | -0.000 | -0.000 | 129.830 |
| 6199.544 | 5939.880 | 6330.954 | -0.000 | 0.000 | 0.000 |
| 6107.839 | 6526.271 | 6329.805 | -0.000 | 0.000 | 0.000 |
| 6330.230 | 6330.230 | 7213.004 | 0.000 | -0.000 | 0.000 |
| -0.001 | -0.001 | 0.000 | 109.973 | 0.000 | 0.000 |
| 0.000 | 0.000 | 0.000 | 0.000 | 143.347 | 0.000 |
| -0.001 | -0.001 | 0.000 | -0.000 | 0.000 | 129.830 |
| 6245.167 | 5968.752 | 6378.914 | 0.000 | -0.000 | -0.000 |
| 6153.577 | 6572.019 | 6377.770 | 0.000 | 0.000 | -0.000 |
| 6374.531 | 6374.531 | 7260.763 | 0.000 | -0.000 | -0.000 |
| -0.000 | -0.000 | -0.001 | 143.347 | 0.000 | -0.000 |
| -0.000 | -0.001 | -0.001 | 0.000 | 143.347 | -0.000 |
| 0.002 | 0.002 | 0.001 | 0.000 | 0.000 | 209.216 |
| 6442.571 | 6024.146 | 6242.032 | 0.000 | -0.000 | 0.000 |
| 5862.763 | 6122.432 | 6247.816 | -0.000 | -0.000 | 0.000 |
| 6237.272 | 6237.272 | 7116.441 | -0.000 | -0.000 | 0.000 |
| 0.001 | 0.000 | 0.001 | 143.347 | -0.000 | 0.000 |
| 0.000 | 0.000 | 0.001 | -0.000 | 143.347 | 0.000 |
| -0.002 | -0.002 | -0.001 | -0.000 | -0.000 | 209.216 |
| 0.000 | 0.000 | 0.000 | 0.000 | -0.000 | 0.000 |
| 0.000 | 0.000 | 0.000 | -0.000 | 0.000 | 0.000 |
| 0.000 | 0.000 | 0.000 | 0.000 | 0.000 | 0.000 |
| -0.000 | -0.000 | 0.000 | 0.000 | 0.000 | -0.000 |
| -0.000 | -0.000 | 0.000 | 0.000 | 0.000 | -0.000 |
| -0.000 | -0.000 | 0.000 | 0.000 | -0.000 | 0.000 |
| 0.000 | 0.000 | 0.000 | 0.000 | 0.000 | -0.000 |
| 0.000 | 0.000 | 0.000 | -0.000 | 0.000 | -0.000 |
| 0.000 | 0.000 | 0.000 | -0.000 | -0.000 | -0.000 |
| 0.000 | 0.000 | -0.000 | 0.000 | -0.000 | -0.000 |
| 0.000 | 0.000 | -0.000 | -0.000 | 0.000 | -0.000 |
| 0.000 | 0.000 | -0.000 | -0.000 | 0.000 | 0.000 |
| 0.000 | 0.000 | 0.000 | 0.000 | -0.000 | 0.000 |
| 0.000 | 0.000 | 0.000 | 0.000 | 0.000 | -0.000 |
| 0.000 | 0.000 | 0.000 | 0.000 | -0.000 | -0.000 |
| -0.000 | -0.000 | 0.000 | 0.000 | 0.000 | 0.000 |
| -0.000 | -0.000 | 0.000 | 0.000 | 0.000 | -0.000 |
| -0.000 | -0.000 | 0.000 | 0.000 | -0.000 | 0.000 |
| 0.000 | 0.000 | 0.000 | 0.000 | 0.000 | 0.000 |
| 0.000 | 0.000 | 0.000 | 0.000 | -0.000 | -0.000 |
| 0.000 | 0.000 | 0.000 | -0.000 | -0.000 | -0.000 |
| 0.000 | 0.000 | -0.000 | 0.000 | -0.000 | -0.000 |
| 0.000 | 0.000 | -0.000 | 0.000 | 0.000 | -0.000 |
| 0.000 | 0.000 | -0.000 | -0.000 | 0.000 | 0.000 |
| 0.000 | 0.000 | 0.000 | 0.000 | 0.000 | -0.000 |
| 0.000 | 0.000 | 0.000 | 0.000 | 0.000 | -0.000 |
| 0.000 | 0.000 | 0.000 | 0.000 | 0.000 | -0.000 |
| -0.000 | 0.000 | 0.000 | 0.000 | -0.000 | 0.000 |
| 0.000 | -0.000 | 0.000 | 0.000 | 0.000 | 0.000 |
| 0.000 | 0.000 | 0.000 | -0.000 | -0.000 | 0.000 |
| 0.000 | 0.000 | 0.000 | -0.000 | 0.000 | -0.000 |
| 0.000 | 0.000 | 0.000 | -0.000 | -0.000 | -0.000 |
| 0.000 | 0.000 | 0.000 | -0.000 | -0.000 | -0.000 |
| 0.000 | -0.000 | -0.000 | 0.000 | -0.000 | 0.000 |
| -0.000 | 0.000 | -0.000 | -0.000 | 0.000 | 0.000 |
| -0.000 | -0.000 | -0.000 | 0.000 | 0.000 | 0.000 |
| 6332.261 | 5909.470 | 5988.566 | 0.000 | -0.000 | -0.000 |
| 5909.470 | 6332.261 | 5988.566 | 0.000 | 0.000 | -0.000 |
| 5988.557 | 5988.557 | 6704.669 | 0.000 | -0.000 | -0.000 |
| -60.460 | -60.460 | 32.026 | 112.331 | -0.000 | -0.000 |
| 0.000 | -0.000 | -0.000 | 0.000 | 145.921 | -0.000 |
| -60.314 | -60.314 | 32.429 | 0.000 | -0.000 | 140.878 |
| 6332.779 | 5909.989 | 5989.099 | -0.000 | 0.000 | 0.000 |
| 5909.989 | 6332.779 | 5989.099 | -0.000 | 0.000 | 0.000 |
| 6103.601 | 6103.601 | 6643.825 | -0.000 | 0.000 | 0.000 |
| 60.460 | 60.460 | -32.026 | 112.331 | 0.000 | 0.000 |
| -0.000 | 0.000 | 0.000 | -0.000 | 145.921 | 0.000 |
| 60.314 | 60.314 | -32.429 | -0.000 | 0.000 | 140.878 |
| 6127.874 | 5847.657 | 6055.361 | 0.000 | -0.000 | -0.000 |
| 5847.656 | 6127.873 | 6055.362 | 0.000 | -0.000 | -0.000 |
| 5986.098 | 5986.098 | 6702.147 | -0.000 | -0.000 | -0.000 |
| -6.141 | -6.141 | 3.301 | 111.967 | -0.000 | -0.000 |
| -0.000 | -0.000 | -0.000 | -0.000 | 145.921 | 0.000 |
| 0.000 | 0.000 | 0.000 | 0.000 | -0.000 | 211.395 |
| 6335.112 | 5912.323 | 5991.495 | -0.000 | 0.000 | 0.000 |
| 5864.733 | 6144.638 | 6054.095 | -0.000 | 0.000 | 0.000 |
| 6061.897 | 6061.897 | 6670.554 | -0.000 | -0.000 | 0.000 |
| 6.141 | 6.141 | -3.301 | 111.967 | 0.000 | 0.000 |
| 0.000 | 0.000 | 0.000 | 0.000 | 145.921 | 0.000 |
| -0.000 | -0.000 | -0.000 | 0.000 | 0.000 | 211.395 |
| 6332.437 | 5909.639 | 5988.748 | 0.000 | -0.000 | -0.000 |
| 5858.440 | 6135.331 | 6054.137 | 0.000 | -0.000 | -0.000 |
| 6045.765 | 6045.765 | 6673.832 | -0.000 | -0.000 | -0.000 |
| -0.618 | -0.618 | 0.327 | 111.921 | -0.000 | 0.000 |
| -0.618 | -0.618 | 0.327 | 0.000 | 111.921 | -0.000 |
| 0.002 | 0.002 | 0.001 | 0.000 | -0.000 | 211.395 |
| 6161.165 | 5883.084 | 6080.623 | -0.000 | 0.000 | 0.000 |
| 5881.642 | 6162.820 | 6079.143 | 0.000 | -0.000 | 0.000 |
| 6070.171 | 6070.171 | 6702.675 | -0.000 | 0.000 | 0.000 |
| 0.618 | 0.618 | -0.327 | 111.921 | 0.000 | 0.000 |
| 0.618 | 0.618 | -0.327 | -0.000 | 111.921 | 0.000 |
| -0.002 | -0.002 | -0.001 | -0.000 | 0.000 | 211.395 |
| 0.000 | 0.000 | 0.000 | -0.000 | -0.000 | -0.000 |
| 0.000 | 0.000 | 0.000 | 0.000 | -0.000 | 0.000 |
| 0.000 | 0.000 | 0.000 | -0.000 | -0.000 | 0.000 |
| -0.000 | -0.000 | 0.000 | 0.000 | -0.000 | 0.000 |
| -0.000 | -0.000 | 0.000 | 0.000 | 0.000 | 0.000 |
| -0.000 | -0.000 | 0.000 | 0.000 | -0.000 | 0.000 |
| 0.000 | 0.000 | 0.000 | -0.000 | 0.000 | 0.000 |
| 0.000 | 0.000 | 0.000 | -0.000 | 0.000 | -0.000 |
| 0.000 | 0.000 | 0.000 | 0.000 | 0.000 | -0.000 |
| 0.000 | 0.000 | -0.000 | 0.000 | -0.000 | -0.000 |
| 0.000 | 0.000 | -0.000 | -0.000 | 0.000 | -0.000 |
| 0.000 | 0.000 | -0.000 | -0.000 | 0.000 | 0.000 |
| 0.000 | 0.000 | 0.000 | -0.000 | -0.000 | -0.000 |
| 0.000 | 0.000 | 0.000 | 0.000 | 0.000 | 0.000 |
| 0.000 | 0.000 | 0.000 | -0.000 | -0.000 | 0.000 |
| -0.000 | -0.000 | 0.000 | 0.000 | -0.000 | 0.000 |
| -0.000 | -0.000 | 0.000 | -0.000 | 0.000 | -0.000 |
| -0.000 | -0.000 | 0.000 | -0.000 | -0.000 | 0.000 |
| 0.000 | 0.000 | 0.000 | 0.000 | 0.000 | -0.000 |
| 0.000 | 0.000 | 0.000 | -0.000 | 0.000 | -0.000 |
| 0.000 | 0.000 | 0.000 | 0.000 | 0.000 | -0.000 |
| 0.000 | 0.000 | -0.000 | 0.000 | 0.000 | -0.000 |
| 0.000 | 0.000 | -0.000 | 0.000 | 0.000 | 0.000 |
| 0.000 | 0.000 | -0.000 | 0.000 | 0.000 | 0.000 |
| 0.000 | 0.000 | 0.000 | -0.000 | -0.000 | -0.000 |
| 0.000 | 0.000 | 0.000 | 0.000 | 0.000 | -0.000 |
| 0.000 | 0.000 | 0.000 | -0.000 | -0.000 | -0.000 |
| 0.000 | 0.000 | 0.000 | 0.000 | -0.000 | 0.000 |
| 0.000 | 0.000 | 0.000 | -0.000 | 0.000 | 0.000 |
| 0.000 | 0.000 | 0.000 | 0.000 | -0.000 | 0.000 |
| 0.000 | 0.000 | 0.000 | -0.000 | 0.000 | -0.000 |
| 0.000 | 0.000 | 0.000 | 0.000 | 0.000 | -0.000 |
| 0.000 | 0.000 | 0.000 | -0.000 | 0.000 | -0.000 |
| -0.000 | -0.000 | -0.000 | 0.000 | -0.000 | -0.000 |
| -0.000 | -0.000 | -0.000 | -0.000 | 0.000 | -0.000 |
| -0.000 | -0.000 | -0.000 | -0.000 | -0.000 | 0.000 |
| 6283.478 | 5859.176 | 5890.527 | 0.000 | -0.000 | -0.000 |
| 5859.176 | 6283.478 | 5890.527 | -0.000 | -0.000 | -0.000 |
| 5991.684 | 5991.684 | 6470.711 | -0.000 | 0.000 | -0.000 |
| -0.000 | 0.000 | 0.000 | 146.966 | -0.000 | -0.000 |
| -0.000 | -0.000 | -0.000 | -0.000 | 146.966 | -0.000 |
| 0.000 | 0.000 | 0.000 | -0.000 | -0.000 | 212.151 |
| 6284.407 | 5860.105 | 5891.473 | -0.000 | 0.000 | 0.000 |
| 5860.105 | 6284.407 | 5891.473 | 0.000 | 0.000 | 0.000 |
| 5923.410 | 5923.410 | 6503.086 | -0.000 | -0.000 | 0.000 |
| 0.000 | -0.000 | 0.000 | 146.966 | 0.000 | -0.000 |
| 0.000 | 0.000 | 0.000 | -0.000 | 146.966 | 0.000 |
| -0.000 | -0.000 | -0.000 | 0.000 | 0.000 | 212.151 |
| 6279.299 | 5854.996 | 5886.272 | -0.000 | 0.000 | -0.000 |
| 5825.239 | 6153.532 | 5917.911 | 0.000 | 0.000 | -0.000 |
| 5886.180 | 5886.180 | 6548.179 | -0.000 | -0.000 | -0.000 |
| 3.453 | 3.453 | -1.558 | 112.743 | 0.000 | -0.000 |
| 5.880 | 5.880 | 0.739 | -0.000 | 114.026 | -0.000 |
| 0.000 | 0.000 | 0.000 | 0.000 | -0.000 | 212.151 |
| 6110.578 | 5833.998 | 5966.650 | 0.000 | -0.000 | 0.000 |
| 5864.285 | 6288.586 | 5895.728 | 0.000 | 0.000 | 0.000 |
| 5915.481 | 5915.481 | 6518.867 | 0.000 | 0.000 | 0.000 |
| -3.453 | -3.453 | 1.558 | 112.743 | 0.000 | 0.000 |
| -5.880 | -5.880 | -0.739 | -0.000 | 114.026 | 0.000 |
| -0.000 | -0.000 | -0.000 | -0.000 | -0.000 | 212.151 |
| 6281.626 | 5857.316 | 5888.659 | 0.000 | 0.000 | -0.000 |
| 5833.226 | 6113.978 | 5956.967 | 0.000 | -0.000 | -0.000 |
| 5943.094 | 5943.094 | 6491.276 | -0.000 | -0.000 | -0.000 |
| 0.296 | 0.295 | -0.200 | 112.741 | 0.000 | -0.000 |
| -0.000 | -0.001 | -0.001 | 0.000 | 146.966 | -0.000 |
| 0.002 | 0.001 | 0.001 | 0.000 | -0.000 | 212.151 |
| 6205.264 | 5880.841 | 5981.106 | -0.000 | -0.000 | 0.000 |
| 5894.281 | 6165.524 | 6006.053 | -0.000 | -0.000 | 0.000 |
| 5988.710 | 5988.710 | 6553.994 | -0.000 | 0.000 | 0.000 |
| -0.296 | -0.295 | 0.200 | 112.741 | -0.000 | 0.000 |
| 0.000 | 0.001 | 0.001 | -0.000 | 146.966 | -0.000 |
| -0.002 | -0.001 | -0.001 | -0.000 | -0.000 | 212.151 |
| 0.000 | 0.000 | 0.000 | -0.000 | -0.000 | -0.000 |
| 0.000 | 0.000 | 0.000 | 0.000 | 0.000 | 0.000 |
| 0.000 | 0.000 | 0.000 | 0.000 | 0.000 | 0.000 |
| 0.000 | 0.000 | -0.000 | 0.000 | 0.000 | 0.000 |
| 0.000 | 0.000 | -0.000 | -0.000 | 0.000 | -0.000 |
| 0.000 | 0.000 | -0.000 | -0.000 | 0.000 | 0.000 |
| 0.000 | 0.000 | 0.000 | -0.000 | 0.000 | 0.000 |
| 0.000 | 0.000 | 0.000 | 0.000 | -0.000 | 0.000 |
| 0.000 | 0.000 | 0.000 | 0.000 | -0.000 | 0.000 |
| -0.000 | -0.000 | 0.000 | 0.000 | -0.000 | -0.000 |
| -0.000 | -0.000 | 0.000 | 0.000 | 0.000 | -0.000 |
| -0.000 | -0.000 | 0.000 | 0.000 | 0.000 | 0.000 |
| 0.000 | 0.000 | 0.000 | -0.000 | -0.000 | -0.000 |
| 0.000 | 0.000 | 0.000 | 0.000 | 0.000 | 0.000 |
| 0.000 | 0.000 | 0.000 | -0.000 | 0.000 | -0.000 |
| 0.000 | 0.000 | -0.000 | 0.000 | 0.000 | 0.000 |
| 0.000 | 0.000 | -0.000 | 0.000 | 0.000 | 0.000 |
| 0.000 | 0.000 | -0.000 | 0.000 | 0.000 | 0.000 |
| 0.000 | 0.000 | 0.000 | 0.000 | 0.000 | 0.000 |
| 0.000 | 0.000 | 0.000 | 0.000 | -0.000 | -0.000 |
| 0.000 | 0.000 | 0.000 | 0.000 | -0.000 | -0.000 |
| -0.000 | -0.000 | 0.000 | 0.000 | 0.000 | 0.000 |
| -0.000 | -0.000 | 0.000 | -0.000 | 0.000 | 0.000 |
| -0.000 | -0.000 | 0.000 | -0.000 | -0.000 | 0.000 |
| 0.000 | 0.000 | 0.000 | -0.000 | -0.000 | -0.000 |
| 0.000 | 0.000 | 0.000 | -0.000 | 0.000 | -0.000 |
| 0.000 | 0.000 | 0.000 | -0.000 | 0.000 | -0.000 |
| 0.000 | 0.000 | -0.000 | 0.000 | -0.000 | -0.000 |
| 0.000 | 0.000 | -0.000 | -0.000 | 0.000 | -0.000 |
| 0.000 | 0.000 | -0.000 | -0.000 | -0.000 | 0.000 |
| 0.000 | 0.000 | 0.000 | 0.000 | 0.000 | 0.000 |
| 0.000 | 0.000 | 0.000 | 0.000 | -0.000 | -0.000 |
| 0.000 | 0.000 | 0.000 | -0.000 | 0.000 | 0.000 |
| -0.000 | -0.000 | 0.000 | 0.000 | -0.000 | -0.000 |
| -0.000 | -0.000 | 0.000 | 0.000 | 0.000 | -0.000 |
| -0.000 | -0.000 | 0.000 | 0.000 | -0.000 | 0.000 |
| 5906.685 | 5558.481 | 5861.821 | 0.000 | -0.000 | -0.000 |
| 5604.381 | 5963.823 | 5865.506 | 0.000 | -0.000 | -0.000 |
| 5882.697 | 5882.697 | 6518.902 | 0.000 | -0.000 | -0.000 |
| -355.916 | -355.916 | -6.985 | 120.862 | 0.000 | -0.000 |
| -0.000 | -0.000 | -0.000 | 0.000 | 147.538 | -0.000 |
| 0.000 | -0.000 | -0.000 | -0.000 | 0.000 | 212.600 |
| 6395.625 | 6002.134 | 5911.455 | -0.000 | -0.000 | 0.000 |
| 5874.453 | 6299.654 | 5882.603 | -0.000 | -0.000 | 0.000 |
| 6346.130 | 6346.130 | 6550.927 | 0.000 | 0.000 | 0.000 |
| 355.916 | 355.916 | 6.985 | 120.862 | -0.000 | 0.000 |
| 0.000 | 0.000 | 0.000 | 0.000 | 147.538 | 0.000 |
| -0.000 | 0.000 | 0.000 | -0.000 | 0.000 | 212.600 |
| 6117.901 | 5830.279 | 5956.770 | -0.000 | 0.000 | -0.000 |
| 5848.636 | 6142.491 | 5970.234 | 0.000 | 0.000 | -0.000 |
| 5890.654 | 5890.654 | 6473.453 | -0.000 | 0.000 | -0.000 |
| -32.421 | -32.421 | -6.341 | 128.134 | 0.000 | -0.000 |
| -0.000 | -0.000 | -0.000 | -0.000 | 147.538 | -0.000 |
| 0.000 | 0.000 | 0.000 | -0.000 | -0.000 | 212.600 |
| 6190.196 | 5906.651 | 5949.509 | -0.000 | -0.000 | 0.000 |
| 5902.069 | 6248.204 | 5928.630 | -0.000 | -0.000 | 0.000 |
| 5992.916 | 5992.916 | 6434.692 | 0.000 | -0.000 | 0.000 |
| 32.421 | 32.421 | 6.341 | 128.134 | -0.000 | 0.000 |
| 0.000 | 0.000 | 0.000 | -0.000 | 147.538 | 0.000 |
| -0.000 | -0.000 | -0.000 | 0.000 | -0.000 | 212.600 |
| 6157.944 | 5870.121 | 5959.085 | -0.000 | 0.000 | -0.000 |
| 5867.643 | 6180.034 | 5944.204 | 0.000 | -0.000 | -0.000 |
| 5953.934 | 5953.934 | 6449.289 | -0.000 | 0.000 | -0.000 |
| -5.248 | -5.248 | -1.130 | 116.019 | 0.000 | -0.000 |
| -3.726 | -3.726 | -0.400 | 0.000 | 125.554 | -0.000 |
| 0.002 | 0.002 | 0.001 | -0.000 | 0.000 | 212.600 |
| 6150.608 | 5867.622 | 5950.828 | 0.000 | -0.000 | 0.000 |
| 5869.874 | 6147.342 | 5950.988 | 0.000 | -0.000 | 0.000 |
| 5878.795 | 5878.795 | 6514.948 | 0.000 | 0.000 | 0.000 |
| 5.248 | 5.248 | 1.130 | 116.019 | -0.000 | 0.000 |
| 3.726 | 3.726 | 0.400 | 0.000 | 125.554 | 0.000 |
| -0.002 | -0.002 | -0.001 | -0.000 | 0.000 | 212.600 |
| 0.000 | 0.000 | 0.000 | 0.000 | -0.000 | -0.000 |
| 0.000 | 0.000 | 0.000 | 0.000 | -0.000 | -0.000 |
| 0.000 | 0.000 | 0.000 | 0.000 | -0.000 | 0.000 |
| -0.000 | -0.000 | 0.000 | 0.000 | -0.000 | -0.000 |
| -0.000 | -0.000 | 0.000 | 0.000 | 0.000 | 0.000 |
| -0.000 | -0.000 | 0.000 | -0.000 | -0.000 | 0.000 |
| 0.000 | 0.000 | 0.000 | -0.000 | 0.000 | 0.000 |
| 0.000 | 0.000 | 0.000 | -0.000 | 0.000 | 0.000 |
| 0.000 | 0.000 | 0.000 | 0.000 | 0.000 | 0.000 |
| 0.000 | 0.000 | -0.000 | 0.000 | 0.000 | 0.000 |
| 0.000 | 0.000 | -0.000 | 0.000 | 0.000 | 0.000 |
| 0.000 | 0.000 | -0.000 | 0.000 | -0.000 | 0.000 |
| 0.000 | 0.000 | 0.000 | -0.000 | 0.000 | 0.000 |
| 0.000 | 0.000 | 0.000 | -0.000 | -0.000 | -0.000 |
| 0.000 | 0.000 | 0.000 | -0.000 | -0.000 | -0.000 |
| -0.000 | -0.000 | 0.000 | 0.000 | -0.000 | -0.000 |
| -0.000 | -0.000 | 0.000 | -0.000 | 0.000 | -0.000 |
| -0.000 | -0.000 | 0.000 | -0.000 | 0.000 | 0.000 |
| 0.000 | 0.000 | 0.000 | 0.000 | 0.000 | -0.000 |
| 0.000 | 0.000 | 0.000 | -0.000 | 0.000 | 0.000 |
| 0.000 | 0.000 | 0.000 | 0.000 | 0.000 | 0.000 |
| 0.000 | 0.000 | -0.000 | 0.000 | 0.000 | 0.000 |
| 0.000 | 0.000 | -0.000 | 0.000 | 0.000 | -0.000 |
| 0.000 | 0.000 | -0.000 | 0.000 | 0.000 | 0.000 |
| 0.000 | 0.000 | 0.000 | -0.000 | -0.000 | 0.000 |
| 0.000 | 0.000 | 0.000 | 0.000 | -0.000 | -0.000 |
| 0.000 | 0.000 | 0.000 | -0.000 | -0.000 | 0.000 |
| -0.000 | 0.000 | 0.000 | 0.000 | -0.000 | -0.000 |
| 0.000 | -0.000 | 0.000 | -0.000 | 0.000 | 0.000 |
| 0.000 | -0.000 | 0.000 | -0.000 | -0.000 | 0.000 |
| 0.000 | 0.000 | 0.000 | 0.000 | -0.000 | -0.000 |
| 0.000 | 0.000 | 0.000 | -0.000 | 0.000 | 0.000 |
| 0.000 | 0.000 | 0.000 | 0.000 | 0.000 | -0.000 |
| 0.000 | -0.000 | -0.000 | 0.000 | 0.000 | 0.000 |
| -0.000 | 0.000 | -0.000 | 0.000 | 0.000 | 0.000 |
| -0.000 | 0.000 | -0.000 | -0.000 | -0.000 | 0.000 |
| 0.000 | 0.000 | 0.000 | 0.000 | 0.000 | -0.000 |
| 0.000 | 0.000 | 0.000 | -0.000 | 0.000 | -0.000 |
| 0.000 | 0.000 | 0.000 | 0.000 | 0.000 | -0.000 |
| -0.000 | -0.000 | 0.000 | 0.000 | 0.000 | -0.000 |
| -0.000 | -0.000 | 0.000 | 0.000 | 0.000 | 0.000 |
| -0.000 | -0.000 | 0.000 | 0.000 | 0.000 | 0.000 |
| 0.000 | 0.000 | 0.000 | 0.000 | -0.000 | 0.000 |
| 0.000 | 0.000 | 0.000 | -0.000 | -0.000 | 0.000 |
| 0.000 | 0.000 | 0.000 | -0.000 | -0.000 | 0.000 |
| 0.000 | 0.000 | -0.000 | 0.000 | -0.000 | 0.000 |
| 0.000 | 0.000 | -0.000 | -0.000 | 0.000 | 0.000 |
| 0.000 | 0.000 | -0.000 | -0.000 | 0.000 | 0.000 |
| 0.000 | 0.000 | 0.000 | 0.000 | 0.000 | -0.000 |
| 0.000 | 0.000 | 0.000 | -0.000 | 0.000 | -0.000 |
| 0.000 | 0.000 | 0.000 | 0.000 | 0.000 | -0.000 |
| 0.000 | -0.000 | 0.000 | 0.000 | 0.000 | -0.000 |
| -0.000 | -0.000 | 0.000 | 0.000 | 0.000 | 0.000 |
| -0.000 | -0.000 | 0.000 | 0.000 | 0.000 | 0.000 |
| 0.000 | 0.000 | 0.000 | 0.000 | -0.000 | 0.000 |
| 0.000 | 0.000 | 0.000 | -0.000 | -0.000 | 0.000 |
| 0.000 | 0.000 | 0.000 | -0.000 | -0.000 | 0.000 |
| 0.000 | -0.000 | -0.000 | 0.000 | -0.000 | 0.000 |
| 0.000 | 0.000 | -0.000 | -0.000 | 0.000 | 0.000 |
| 0.000 | 0.000 | -0.000 | -0.000 | 0.000 | 0.000 |
| 0.000 | 0.000 | 0.000 | 0.000 | 0.000 | -0.000 |
| 0.000 | 0.000 | 0.000 | -0.000 | 0.000 | -0.000 |
| 0.000 | 0.000 | 0.000 | 0.000 | 0.000 | -0.000 |
| 0.000 | -0.000 | 0.000 | 0.000 | 0.000 | -0.000 |
| -0.000 | -0.000 | 0.000 | 0.000 | 0.000 | 0.000 |
| -0.000 | -0.000 | 0.000 | 0.000 | 0.000 | 0.000 |
| 0.000 | 0.000 | 0.000 | 0.000 | -0.000 | 0.000 |
| 0.000 | 0.000 | 0.000 | -0.000 | -0.000 | 0.000 |
| 0.000 | 0.000 | 0.000 | -0.000 | -0.000 | -0.000 |
| 0.000 | -0.000 | -0.000 | 0.000 | -0.000 | 0.000 |
| 0.000 | 0.000 | -0.000 | -0.000 | 0.000 | 0.000 |
| 0.000 | 0.000 | -0.000 | -0.000 | 0.000 | 0.000 |
| 6110.268 | 5753.750 | 5936.120 | 9.675 | -0.000 | 0.000 |
| 5706.663 | 6033.007 | 5962.833 | -8.094 | -0.000 | 0.000 |
| 5737.771 | 5737.771 | 6481.340 | -0.000 | 0.000 | 0.000 |
| -216.084 | -232.107 | -14.283 | 122.564 | -0.000 | 0.000 |
| -275.370 | -275.370 | 6.775 | 0.000 | 113.506 | 6.044 |
| 0.000 | 0.000 | 0.000 | -0.000 | 13.234 | 211.455 |
| 6506.805 | 6195.026 | 6012.323 | 7.330 | 0.000 | -0.000 |
| 6096.878 | 6460.583 | 6002.112 | -10.061 | 0.000 | -0.000 |
| 6238.931 | 6238.931 | 6515.169 | -0.000 | 0.000 | -0.000 |
| 171.166 | 151.019 | 32.398 | 131.872 | -0.000 | -0.000 |
| 275.370 | 275.370 | -6.774 | 0.000 | 113.506 | 6.043 |
| -0.000 | -0.000 | 0.000 | 0.000 | 13.234 | 211.455 |
| 6254.551 | 5910.890 | 5971.061 | 8.986 | 0.000 | 0.000 |
| 5912.849 | 6264.818 | 5967.691 | -9.432 | -0.000 | 0.000 |
| 5967.361 | 5967.361 | 6489.515 | 0.000 | 0.000 | 0.000 |
| -16.549 | -31.669 | -1.332 | 120.532 | 0.000 | 0.000 |
| -26.810 | -26.810 | 0.540 | -0.000 | 114.552 | 6.273 |
| -23.639 | -23.639 | -1.924 | -0.000 | 7.838 | 160.710 |
| 6299.227 | 5959.234 | 5985.615 | 8.790 | -0.000 | -0.000 |
| 5958.795 | 6300.158 | 5984.895 | -8.863 | -0.000 | -0.000 |
| 6005.869 | 6005.869 | 6515.337 | 0.000 | 0.000 | -0.000 |
| 27.486 | 7.975 | 3.569 | 130.457 | -0.000 | -0.000 |
| 26.810 | 26.810 | -0.540 | 0.000 | 114.552 | 6.273 |
| 23.639 | 23.639 | 1.924 | 0.000 | 7.838 | 160.710 |
| 6253.684 | 5955.272 | 6015.253 | 6.729 | 0.000 | 0.000 |
| 5940.886 | 6280.896 | 5987.171 | -8.791 | -0.000 | 0.000 |
| 6015.780 | 6015.780 | 6487.388 | -0.000 | 0.000 | 0.000 |
| 2.757 | -9.846 | -0.722 | 115.052 | -0.000 | 0.000 |
| -3.140 | -3.140 | -0.245 | -0.000 | 113.719 | 6.035 |
| -3.748 | -3.748 | -0.764 | -0.000 | 5.905 | 143.087 |
| 6349.941 | 5927.039 | 5936.389 | 13.233 | -0.000 | -0.000 |
| 5945.084 | 6228.813 | 6005.882 | -5.935 | -0.000 | -0.000 |
| 6004.777 | 6004.777 | 6472.890 | -0.000 | 0.000 | -0.000 |
| 9.053 | -2.846 | 0.180 | 113.315 | -0.000 | -0.000 |
| 3.140 | 3.140 | 0.245 | 0.000 | 113.719 | 6.035 |
| 3.748 | 3.748 | 0.764 | 0.000 | 5.905 | 143.087 |
| 6604.547 | 6472.056 | 0.000 | 0.000 | 0.000 | -0.000 |
| 6298.986 | 6777.619 | 0.000 | 0.000 | 0.000 | 0.000 |
| 0.010 | 0.010 | 0.000 | 0.000 | 0.000 | -0.000 |
| -0.000 | 0.000 | 0.000 | 0.000 | 0.000 | -0.000 |
| -0.000 | 0.000 | 0.000 | 0.000 | 0.000 | -0.000 |
| -0.000 | -0.000 | 0.000 | 0.000 | 0.000 | 239.316 |
| 6602.070 | 6469.579 | -0.000 | -0.000 | -0.000 | 0.000 |
| 6469.579 | 6602.070 | -0.000 | -0.000 | -0.000 | 0.000 |
| 0.010 | 0.010 | -0.000 | -0.000 | -0.000 | 0.000 |
| 0.000 | -0.000 | -0.000 | -0.000 | -0.000 | 0.000 |
| 0.000 | -0.000 | -0.000 | -0.000 | -0.000 | 0.000 |
| 0.000 | 0.000 | -0.000 | -0.000 | -0.000 | 239.316 |
| 6615.661 | 6483.242 | 0.000 | 0.000 | 0.000 | -0.000 |
| 6483.210 | 6615.693 | 0.000 | 0.000 | 0.000 | -0.000 |
| 0.010 | 0.010 | 0.000 | 0.000 | 0.000 | -0.000 |
| -0.000 | 0.000 | 0.000 | 0.000 | 0.000 | -0.000 |
| -0.000 | 0.000 | 0.000 | 0.000 | 0.000 | -0.000 |
| -0.001 | -0.000 | 0.000 | 0.000 | 0.000 | 66.246 |
| 6590.918 | 6458.432 | -0.000 | -0.000 | -0.000 | 0.000 |
| 6458.425 | 6590.924 | -0.000 | -0.000 | -0.000 | 0.000 |
| 0.010 | 0.010 | -0.000 | -0.000 | -0.000 | 0.000 |
| 0.000 | -0.000 | -0.000 | -0.000 | -0.000 | 0.000 |
| 0.000 | -0.000 | -0.000 | -0.000 | -0.000 | 0.000 |
| 0.001 | 0.000 | -0.000 | -0.000 | -0.000 | 66.246 |
| 6727.216 | 6594.678 | 0.000 | 0.000 | 0.000 | -0.000 |
| 6594.743 | 6727.151 | 0.000 | 0.000 | 0.000 | -0.000 |
| 0.010 | 0.010 | 0.000 | 0.000 | 0.000 | -0.000 |
| -0.000 | 0.000 | 0.000 | 0.000 | 0.000 | -0.000 |
| -0.000 | 0.000 | 0.000 | 0.000 | 0.000 | -0.000 |
| -0.005 | -0.004 | 0.000 | 0.000 | 0.000 | 66.246 |
| 6479.402 | 6346.958 | -0.000 | -0.000 | -0.000 | 0.000 |
| 6346.894 | 6479.467 | -0.000 | -0.000 | -0.000 | 0.000 |
| 0.010 | 0.010 | -0.000 | -0.000 | -0.000 | 0.000 |
| 0.000 | -0.000 | -0.000 | -0.000 | -0.000 | 0.000 |
| 0.000 | -0.000 | -0.000 | -0.000 | -0.000 | 0.000 |
| 0.005 | 0.004 | -0.000 | -0.000 | -0.000 | 66.246 |
| -58131452.432 | -23452613.138 | -37489485.292 | 170157.667 | 7294734.262 | 331409.074 |
| -57812017.831 | -22864981.107 | -37191786.008 | 176731.545 | 7553721.973 | 115656.122 |
| -57578560.833 | -22959282.005 | -37016825.152 | 337844.156 | 7465337.263 | 172577.866 |
| -57628202.878 | -22540341.748 | -37116541.497 | 285159.358 | 7345068.203 | 146109.907 |
| -58164596.886 | -23045974.184 | -37452259.277 | 126715.010 | 7335502.588 | 364404.912 |
| -59184860.038 | -25730341.196 | -38010363.928 | -87243.228 | 7102671.546 | 396002.728 |
| 59497914.525 | 24376398.719 | 37380805.860 | -43306.517 | -7629086.193 | -683077.347 |
| 57686803.594 | 21995222.678 | 37128543.023 | -227343.721 | -7325715.463 | -148701.991 |
| 58008698.881 | 23276986.783 | 37408289.191 | -283793.635 | -7344480.597 | -220408.467 |
| 58347086.813 | 23617123.799 | 37277528.560 | -279405.405 | -7388035.356 | -291827.608 |
| 58214192.243 | 23730150.200 | 37743832.923 | -124907.110 | -7066173.703 | -136347.257 |
| 58593988.097 | 23922891.461 | 37683908.524 | -47716.557 | -7217606.460 | -437791.040 |
| -5780427.662 | -2303304.113 | -3730174.132 | 21304.240 | 736115.089 | 20747.345 |
| -5891742.201 | -2411281.825 | -3743351.155 | 19309.701 | 730731.694 | 53726.368 |
| -5840901.288 | -2355986.735 | -3730166.383 | 16570.081 | 727978.367 | 23408.284 |
| -5810644.897 | -2357339.627 | -3761288.917 | 24944.288 | 726613.273 | 36779.030 |
| -5864037.144 | -2420348.427 | -3763363.142 | 2865.958 | 702438.331 | 25385.714 |
| -5770800.287 | -2373512.021 | -3762341.612 | 29024.212 | 727150.940 | 22317.835 |
| 5916323.975 | 2405734.303 | 3749824.664 | -6878.466 | -726788.697 | -35030.218 |
| 5890690.846 | 2462602.859 | 3771772.562 | -10603.957 | -722230.728 | -47799.827 |
| 5852587.698 | 2381259.838 | 3749210.118 | -10570.569 | -721724.574 | -22958.823 |
| 5827251.914 | 2271280.245 | 3724254.025 | -6497.552 | -731196.494 | -27317.161 |
| 5819086.982 | 2309655.315 | 3698332.575 | -22188.329 | -739098.703 | -13720.565 |
| 5735622.289 | 2287460.178 | 3704373.132 | -35922.295 | -727173.800 | -23035.082 |
| -593343.127 | -254754.610 | -376094.824 | 1669.431 | 71299.598 | 6528.566 |
| -578957.992 | -231380.733 | -375121.453 | 1750.076 | 73235.615 | 1912.116 |
| -584525.200 | -235623.233 | -380292.154 | -397.129 | 71388.299 | 3493.821 |
| -589911.829 | -245907.210 | -374378.970 | 2384.458 | 72839.871 | 4948.988 |
| -583223.586 | -231591.159 | -373251.990 | 1743.413 | 73727.660 | 1593.157 |
| -590004.480 | -245165.220 | -374289.267 | 1695.125 | 73546.749 | 4570.599 |
| 586685.896 | 238437.771 | 376503.458 | -1952.694 | -72950.299 | -3024.906 |
| 587979.515 | 234822.048 | 373801.434 | -1008.814 | -72784.253 | -3446.658 |
| 598617.697 | 256233.522 | 375100.725 | 116.135 | -72902.276 | -5185.690 |
| 577145.279 | 222629.505 | 371861.242 | -2564.551 | -73838.055 | -2984.570 |
| 580173.845 | 227420.378 | 370118.898 | -1535.730 | -74061.270 | -3550.856 |
| 571722.006 | 223340.183 | 371673.018 | -2958.260 | -74335.815 | 92.459 |
| 36024.228 | 36326.425 | 20933.420 | 60.586 | -73.411 | 76.701 |
| 35611.014 | 35864.792 | 20241.853 | 76.492 | -76.482 | 76.185 |
| 25395.250 | 25681.415 | 8237.898 | 92.818 | -102.285 | 85.269 |
| 36310.116 | 36597.359 | 21302.458 | 146.073 | -73.602 | 76.775 |
| 36317.438 | 36590.365 | 21302.310 | 68.180 | 4.278 | 69.618 |
| 36317.147 | 36590.073 | 21303.096 | 68.174 | -80.764 | 62.347 |
| -36566.996 | -36811.837 | -21630.865 | -75.285 | 73.770 | -76.836 |
| -36538.618 | -36839.872 | -21630.375 | -61.400 | 73.772 | -76.833 |
| -36724.676 | -36996.965 | -21630.340 | -68.009 | 73.410 | -76.585 |
| -36324.577 | -36583.206 | -21302.310 | 9.706 | 73.606 | -76.773 |
| -36317.270 | -36590.201 | -21302.460 | -68.177 | 151.496 | -83.931 |
| -36317.096 | -36590.016 | -21302.836 | -68.175 | 66.432 | -91.185 |
| 3015.167 | 3060.804 | 2184.640 | -6.894 | -5.523 | 7.837 |
| 3031.758 | 3044.405 | 2184.687 | 18.385 | -5.531 | 7.842 |
| 2110.994 | 2110.982 | 2442.770 | -0.012 | 0.008 | -0.006 |
| 3176.221 | 3191.758 | 1410.295 | -26.791 | -10.373 | 7.133 |
| 3171.942 | 3194.094 | 1410.040 | 8.976 | -45.948 | 10.411 |
| 3622.092 | 3649.265 | 2115.808 | 6.855 | -14.482 | -4.897 |
| 3224.315 | 2549.461 | 2107.700 | -115.765 | 0.007 | -0.008 |
| 2549.467 | 3224.275 | 2107.688 | 115.750 | 0.013 | -0.009 |
| -3897.629 | -3924.314 | -2325.822 | -6.634 | 7.144 | -7.493 |
| -3168.728 | -3197.474 | -1410.060 | -44.569 | 10.370 | -7.131 |
| -3172.997 | -3195.156 | -1410.317 | -8.978 | -25.413 | -3.809 |
| -3628.108 | -3655.340 | -2125.178 | -6.827 | 0.145 | -21.145 |
| 398.993 | 367.236 | 153.437 | -7.770 | -0.748 | 0.734 |
| 364.645 | 401.068 | 153.275 | 9.063 | -0.747 | 0.734 |
| 1360.211 | 1365.131 | 968.538 | 0.972 | -0.926 | 1.319 |
| 344.651 | 341.483 | 178.219 | 20.073 | -0.856 | 0.794 |
| 198.858 | 201.696 | 68.450 | 0.761 | 7.356 | 4.582 |
| 238.762 | 241.461 | 73.440 | 0.871 | 15.250 | 21.658 |
| -250.223 | -265.561 | -160.377 | -3.284 | 0.786 | -0.762 |
| -262.956 | -252.396 | -160.282 | 1.938 | 0.786 | -0.762 |
| 50.903 | 47.590 | 89.685 | -1.113 | 1.234 | -0.998 |
| -204.936 | -218.757 | -68.378 | -5.578 | 0.875 | -0.776 |
| -198.841 | -201.679 | -68.453 | -0.763 | 9.064 | 3.005 |
| -238.558 | -241.256 | -73.393 | -0.871 | 17.139 | 20.142 |
| 5346.463 | 8307.848 | -914.177 | 0.000 | 3552.985 | -0.000 |
| 1487.408 | 3553.907 | -4269.752 | 0.000 | 3250.011 | -0.000 |
| 4650.787 | 6414.520 | 2108.768 | 0.000 | 3922.318 | -0.000 |
| -21.834 | 461.465 | -794.138 | 166.786 | 8611.632 | -39.423 |
| -1622.895 | 358.517 | -8476.689 | -0.000 | 3293.311 | -0.000 |
| 1135.945 | 3179.882 | -4266.408 | -13.527 | 2630.387 | 90.742 |
| 5200.042 | 3240.013 | 11871.196 | -0.000 | -2206.563 | 0.000 |
| 6784.829 | 5851.609 | 14172.677 | -0.000 | -3644.487 | 0.000 |
| 3803.828 | 1242.361 | 11576.056 | -0.000 | -3575.833 | 0.000 |
| 21.834 | -461.465 | 794.138 | 166.786 | -8611.632 | -39.423 |
| 185.319 | 95.696 | 246.625 | -0.000 | 423.019 | 0.000 |
| -1135.946 | -3179.882 | 4266.408 | -13.527 | -2630.387 | 90.742 |
| 4123.003 | 4478.012 | 4023.613 | 0.000 | 14.894 | -0.000 |
| 4114.758 | 4817.665 | 4454.486 | 0.000 | 464.654 | -0.000 |
| 4508.212 | 4920.629 | 4950.730 | -0.000 | 235.170 | -0.000 |
| 50.429 | 322.049 | -617.667 | 135.105 | 355.758 | -16.425 |
| -171.830 | 16.886 | -718.001 | 0.000 | 270.971 | -0.000 |
| -69.924 | 88.680 | -478.881 | -19.326 | 324.339 | 96.579 |
| 4291.155 | 4103.350 | 5403.429 | 0.000 | -454.635 | 0.000 |
| 4263.433 | 4783.662 | 5451.822 | 0.000 | -578.361 | 0.000 |
| 4913.123 | 5030.844 | 6610.802 | -0.000 | -219.586 | 0.000 |
| -50.429 | -322.049 | 617.667 | 135.105 | -355.758 | -16.425 |
| 161.003 | -12.008 | 796.969 | 0.000 | -246.162 | 0.000 |
| 69.924 | -88.680 | 478.881 | -19.326 | -324.339 | 96.579 |
| 4347.048 | 4446.375 | 4785.260 | 0.000 | 9.216 | -0.000 |
| 4405.626 | 5135.787 | 5140.166 | 0.000 | -67.279 | -0.000 |
| 4872.462 | 5255.301 | 5842.891 | 0.000 | -19.107 | -0.000 |
| 10.741 | 30.052 | -39.979 | 134.694 | 27.834 | -18.130 |
| -65.642 | -79.638 | -116.028 | 0.000 | 182.088 | -0.000 |
| 3.549 | 7.054 | 3.849 | -39.053 | 95.099 | 118.792 |
| 4342.336 | 4369.732 | 4864.808 | -0.000 | -81.858 | 0.000 |
| 4404.563 | 5077.266 | 5226.243 | 0.000 | -136.693 | 0.000 |
| 4822.862 | 5182.688 | 5921.079 | -0.000 | -91.297 | 0.000 |
| -10.741 | -30.052 | 39.979 | 134.694 | -27.834 | -18.130 |
| -49.637 | -115.934 | 13.135 | -0.000 | 113.550 | 0.000 |
| -3.549 | -7.054 | -3.849 | -39.053 | -95.099 | 118.792 |
| 4198.966 | 4112.154 | 4112.154 | 0.000 | 0.000 | -0.000 |
| 4112.139 | 4198.973 | 4112.153 | -0.000 | 0.000 | -0.000 |
| 4112.139 | 4112.153 | 4198.973 | 0.000 | 0.000 | -0.000 |
| -34.406 | -34.393 | -34.393 | 43.821 | 0.000 | -0.000 |
| -34.406 | -34.393 | -34.393 | -0.000 | 43.821 | -0.000 |
| -34.406 | -34.393 | -34.393 | -0.000 | 0.000 | 43.821 |
| 4242.958 | 4160.401 | 4160.401 | -0.000 | -0.000 | 0.000 |
| 4160.412 | 4242.947 | 4160.402 | 0.000 | -0.000 | 0.000 |
| 4160.412 | 4160.402 | 4242.947 | -0.000 | -0.000 | 0.000 |
| 34.406 | 34.393 | 34.393 | 43.821 | -0.000 | 0.000 |
| 34.406 | 34.393 | 34.393 | -0.000 | 43.821 | 0.000 |
| 34.406 | 34.393 | 34.393 | -0.000 | -0.000 | 43.821 |
| 4223.632 | 4109.545 | 4109.545 | -0.000 | 0.000 | -0.000 |
| 4109.544 | 4223.633 | 4109.545 | 0.000 | 0.000 | -0.000 |
| 4109.544 | 4109.545 | 4223.633 | 0.000 | 0.000 | -0.000 |
| -6.599 | -6.597 | -6.597 | 48.735 | 0.000 | -0.000 |
| -6.599 | -6.597 | -6.597 | 0.000 | 48.735 | -0.000 |
| -6.599 | -6.597 | -6.597 | 0.000 | 0.000 | 48.735 |
| 4257.261 | 4143.277 | 4143.277 | 0.000 | -0.000 | 0.000 |
| 4143.278 | 4257.261 | 4143.277 | 0.000 | -0.000 | 0.000 |
| 4118.253 | 4118.252 | 4228.955 | -0.000 | -0.000 | 0.000 |
| 6.599 | 6.597 | 6.597 | 48.735 | -0.000 | 0.000 |
| 6.599 | 6.597 | 6.597 | 0.000 | 48.735 | 0.000 |
| 6.599 | 6.597 | 6.597 | -0.000 | -0.000 | 48.735 |
| 4207.028 | 4148.755 | 4148.755 | 0.000 | 0.000 | -0.000 |
| 4145.130 | 4170.974 | 4145.130 | 0.000 | 0.000 | -0.000 |
| 4145.130 | 4145.130 | 4170.974 | -0.000 | 0.000 | -0.000 |
| 0.014 | -0.033 | -0.033 | 49.515 | 0.000 | -0.000 |
| -0.033 | 0.014 | -0.033 | 0.000 | 49.515 | -0.000 |
| -0.033 | -0.033 | 0.014 | -0.000 | 0.000 | 49.515 |
| 4223.409 | 4167.365 | 4167.365 | 0.000 | -0.000 | 0.000 |
| 4167.365 | 4223.409 | 4167.365 | -0.000 | -0.000 | 0.000 |
| 4167.365 | 4167.365 | 4223.409 | -0.000 | -0.000 | 0.000 |
| -0.014 | 0.033 | 0.033 | 49.515 | -0.000 | 0.000 |
| 0.033 | -0.014 | 0.033 | 0.000 | 49.515 | 0.000 |
| 0.033 | 0.033 | -0.014 | 0.000 | -0.000 | 49.515 |
| 0.000 | 0.000 | 0.000 | -0.000 | -0.000 | -0.000 |
| 0.000 | 0.000 | 0.000 | -0.000 | -0.000 | 0.000 |
| 0.000 | 0.000 | 0.000 | 0.000 | -0.000 | -0.000 |
| 0.000 | 0.000 | 0.000 | 0.000 | -0.000 | -0.000 |
| 0.000 | 0.000 | 0.000 | 0.000 | 0.000 | -0.000 |
| 0.000 | 0.000 | 0.000 | -0.000 | -0.000 | 0.000 |
| 0.000 | 0.000 | 0.000 | -0.000 | 0.000 | -0.000 |
| 0.000 | 0.000 | 0.000 | -0.000 | 0.000 | 0.000 |
| 0.000 | 0.000 | 0.000 | -0.000 | 0.000 | -0.000 |
| -0.000 | -0.000 | -0.000 | 0.000 | 0.000 | 0.000 |
| -0.000 | -0.000 | -0.000 | -0.000 | 0.000 | -0.000 |
| -0.000 | -0.000 | -0.000 | -0.000 | 0.000 | 0.000 |
| 0.000 | 0.000 | 0.000 | 0.000 | -0.000 | 0.000 |
| 0.000 | 0.000 | 0.000 | 0.000 | -0.000 | -0.000 |
| 0.000 | 0.000 | 0.000 | 0.000 | -0.000 | -0.000 |
| 0.000 | 0.000 | 0.000 | 0.000 | -0.000 | 0.000 |
| 0.000 | 0.000 | 0.000 | -0.000 | 0.000 | -0.000 |
| 0.000 | 0.000 | 0.000 | -0.000 | 0.000 | 0.000 |
| 0.000 | 0.000 | 0.000 | 0.000 | 0.000 | 0.000 |
| 0.000 | 0.000 | 0.000 | -0.000 | -0.000 | -0.000 |
| 0.000 | 0.000 | 0.000 | -0.000 | 0.000 | 0.000 |
| -0.000 | -0.000 | -0.000 | 0.000 | 0.000 | 0.000 |
| -0.000 | -0.000 | -0.000 | -0.000 | 0.000 | 0.000 |
| -0.000 | -0.000 | -0.000 | -0.000 | 0.000 | 0.000 |
| 0.000 | 0.000 | 0.000 | 0.000 | -0.000 | -0.000 |
| 0.000 | 0.000 | 0.000 | 0.000 | -0.000 | -0.000 |
| 0.000 | 0.000 | 0.000 | 0.000 | -0.000 | -0.000 |
| 0.000 | 0.000 | 0.000 | 0.000 | -0.000 | -0.000 |
| 0.000 | 0.000 | 0.000 | 0.000 | 0.000 | -0.000 |
| 0.000 | 0.000 | 0.000 | 0.000 | 0.000 | 0.000 |
| 0.000 | 0.000 | 0.000 | 0.000 | 0.000 | 0.000 |
| 0.000 | 0.000 | 0.000 | -0.000 | 0.000 | -0.000 |
| 0.000 | 0.000 | 0.000 | -0.000 | 0.000 | 0.000 |
| -0.000 | -0.000 | -0.000 | 0.000 | 0.000 | 0.000 |
| -0.000 | -0.000 | -0.000 | -0.000 | 0.000 | -0.000 |
| -0.000 | -0.000 | -0.000 | 0.000 | 0.000 | 0.000 |
| 15382.125 | 15317.360 | 15317.359 | -0.000 | -0.000 | 0.000 |
| 15317.359 | 15382.125 | 15317.359 | -0.000 | 0.000 | -0.000 |
| 15317.359 | 15317.359 | 15382.124 | -0.000 | 0.000 | 0.000 |
| 10528.462 | 10528.462 | 10528.462 | -263.401 | 0.000 | 0.000 |
| 10528.462 | 10528.462 | 10528.462 | 0.000 | -263.401 | 0.000 |
| 10528.462 | 10528.462 | 10528.462 | -0.000 | 0.000 | -263.401 |
| -10699.300 | -10742.742 | -10742.745 | 0.000 | 0.000 | 0.000 |
| -10742.745 | -10699.300 | -10742.742 | -0.000 | -0.000 | -0.000 |
| -10742.742 | -10742.745 | -10699.300 | 0.000 | -0.000 | -0.000 |
| -10528.462 | -10528.462 | -10528.462 | -263.401 | 0.000 | -0.000 |
| -10528.462 | -10528.462 | -10528.462 | -0.000 | -263.401 | 0.000 |
| -10528.462 | -10528.462 | -10528.462 | -0.000 | -0.000 | -263.401 |
| 1091.626 | 1315.114 | 1315.113 | 0.000 | 0.000 | 0.000 |
| 1315.113 | 1091.626 | 1315.114 | 0.000 | 0.000 | 0.000 |
| 1315.114 | 1315.113 | 1091.626 | 0.000 | 0.000 | 0.000 |
| 0.000 | 0.000 | 0.000 | 304.804 | -0.000 | -0.000 |
| 0.000 | 0.000 | 0.000 | -0.000 | 304.804 | -0.000 |
| 0.000 | 0.000 | 0.000 | -0.000 | 0.000 | 304.804 |
| -2163.454 | -2135.928 | -2135.928 | 0.000 | -0.000 | -0.000 |
| -2135.928 | -2163.454 | -2135.928 | 0.000 | -0.000 | 0.000 |
| -2135.928 | -2135.928 | -2163.454 | 0.000 | -0.000 | -0.000 |
| -0.000 | -0.000 | -0.000 | 304.804 | 0.000 | -0.000 |
| -0.000 | -0.000 | -0.000 | 0.000 | 304.804 | -0.000 |
| -0.000 | -0.000 | -0.000 | 0.000 | -0.000 | 304.804 |
| 134.926 | 65.226 | 65.178 | -0.000 | 0.000 | 0.000 |
| 65.178 | 134.926 | 65.226 | -0.000 | 0.000 | 0.000 |
| 65.226 | 65.178 | 134.926 | -0.000 | 0.000 | 0.000 |
| 149.256 | 149.256 | 149.256 | 6.339 | -0.000 | -0.000 |
| 163.978 | 163.977 | 163.978 | -0.000 | -0.240 | 0.000 |
| 149.256 | 149.256 | 149.256 | 0.000 | -0.000 | 6.339 |
| -93.550 | -164.067 | -164.067 | 0.000 | -0.000 | -0.000 |
| -164.067 | -93.550 | -164.067 | 0.000 | -0.000 | -0.000 |
| -164.067 | -164.067 | -93.550 | 0.000 | 0.000 | -0.000 |
| -149.256 | -149.256 | -149.256 | 6.339 | 0.000 | -0.000 |
| -163.978 | -163.977 | -163.978 | 0.000 | -0.240 | -0.000 |
| -149.256 | -149.256 | -149.256 | -0.000 | -0.000 | 6.339 |
| 6644.238 | 6152.502 | 0.000 | 0.000 | 0.000 | 0.000 |
| 6329.032 | 6467.742 | 0.000 | 0.000 | 0.000 | -0.000 |
| 0.000 | 0.000 | 0.003 | 0.000 | 0.000 | 0.000 |
| -0.000 | 0.000 | 0.000 | 0.000 | 0.000 | 0.000 |
| -0.000 | -0.000 | 0.000 | 0.000 | -0.000 | 0.000 |
| -1.326 | 1.326 | -0.000 | 0.000 | 0.000 | 68.020 |
| 6468.973 | 6330.303 | -0.000 | -0.000 | 0.000 | 0.000 |
| 6332.954 | 6466.364 | 0.000 | -0.000 | 0.000 | 0.000 |
| 0.000 | 0.000 | 0.003 | -0.000 | 0.000 | -0.000 |
| 0.000 | -0.000 | -0.000 | 0.000 | -0.000 | -0.000 |
| 0.000 | 0.000 | -0.000 | -0.000 | -0.000 | -0.000 |
| 1.326 | -1.326 | 0.000 | -0.000 | -0.000 | 68.020 |
| 6425.147 | 6289.275 | -0.000 | 0.000 | 0.000 | -0.000 |
| 6289.017 | 6425.447 | 0.000 | 0.000 | 0.000 | -0.000 |
| 0.000 | 0.000 | 0.003 | 0.000 | 0.000 | 0.000 |
| -0.000 | 0.000 | 0.000 | 0.000 | 0.000 | 0.000 |
| -0.000 | -0.000 | -0.000 | 0.000 | -0.000 | 0.000 |
| -0.133 | 0.132 | -0.000 | 0.000 | -0.000 | 68.077 |
| 6473.559 | 6337.166 | -0.000 | -0.000 | -0.000 | 0.000 |
| 6337.425 | 6473.342 | 0.000 | -0.000 | -0.000 | 0.000 |
| 0.000 | 0.000 | 0.003 | -0.000 | -0.000 | -0.000 |
| 0.000 | -0.000 | -0.000 | 0.000 | -0.000 | -0.000 |
| 0.000 | 0.000 | 0.000 | -0.000 | -0.000 | 0.000 |
| 0.133 | -0.132 | 0.000 | -0.000 | -0.000 | 68.077 |
| 6505.097 | 6368.941 | -0.000 | -0.000 | 0.000 | -0.000 |
| 6368.982 | 6505.099 | 0.000 | 0.000 | 0.000 | -0.000 |
| 0.000 | 0.000 | 0.003 | 0.000 | 0.000 | 0.000 |
| -0.000 | 0.000 | 0.000 | 0.000 | 0.000 | 0.000 |
| -0.000 | -0.000 | -0.000 | 0.000 | -0.000 | -0.000 |
| -0.018 | 0.009 | -0.000 | 0.000 | 0.000 | 68.077 |
| 6530.663 | 6394.553 | -0.000 | -0.000 | 0.000 | 0.000 |
| 6394.513 | 6530.746 | 0.000 | 0.000 | -0.000 | 0.000 |
| 0.000 | 0.000 | 0.003 | -0.000 | 0.000 | -0.000 |
| 0.000 | -0.000 | -0.000 | 0.000 | -0.000 | -0.000 |
| 0.000 | 0.000 | 0.000 | -0.000 | -0.000 | 0.000 |
| 0.018 | -0.009 | 0.000 | -0.000 | -0.000 | 68.077 |
| 6474.492 | 6341.917 | 0.000 | 0.000 | 0.000 | -0.000 |
| 6162.098 | 6654.380 | 0.000 | 0.000 | 0.000 | 0.000 |
| -1.839 | 1.838 | 0.000 | 0.000 | 0.000 | 0.000 |
| -1.839 | 1.839 | 0.000 | 0.000 | 0.000 | 0.000 |
| -1.839 | 1.839 | 0.000 | 0.000 | 0.000 | 0.000 |
| -1.839 | 1.839 | 0.000 | 0.000 | 0.000 | 68.148 |
| 6479.443 | 6339.513 | -0.000 | -0.000 | -0.000 | -0.000 |
| 6163.372 | 6655.654 | -0.000 | -0.000 | -0.000 | -0.000 |
| 1.839 | -1.839 | -0.000 | -0.000 | -0.000 | -0.000 |
| 1.839 | -1.839 | -0.000 | -0.000 | -0.000 | -0.000 |
| 1.839 | -1.839 | -0.000 | -0.000 | -0.000 | -0.000 |
| 1.839 | -1.839 | -0.000 | -0.000 | -0.000 | 68.148 |
| 6450.184 | 6314.295 | 0.000 | 0.000 | 0.000 | -0.000 |
| 6313.933 | 6450.630 | 0.000 | 0.000 | 0.000 | -0.000 |
| -0.184 | 0.184 | 0.000 | 0.000 | 0.000 | 0.000 |
| -0.184 | 0.184 | 0.000 | 0.000 | 0.000 | 0.000 |
| -0.184 | 0.184 | 0.000 | 0.000 | 0.000 | -0.000 |
| -0.184 | 0.183 | 0.000 | 0.000 | 0.000 | 68.148 |
| 6483.516 | 6346.901 | -0.000 | -0.000 | -0.000 | -0.000 |
| 6347.262 | 6483.240 | -0.000 | -0.000 | -0.000 | -0.000 |
| 0.184 | -0.184 | -0.000 | -0.000 | -0.000 | -0.000 |
| 0.184 | -0.184 | -0.000 | -0.000 | -0.000 | -0.000 |
| 0.184 | -0.184 | -0.000 | -0.000 | -0.000 | -0.000 |
| 0.184 | -0.183 | -0.000 | -0.000 | -0.000 | 68.148 |
| 6507.801 | 6371.536 | 0.000 | 0.000 | 0.000 | 0.000 |
| 6371.568 | 6507.857 | 0.000 | 0.000 | 0.000 | -0.000 |
| -0.018 | 0.018 | 0.000 | 0.000 | 0.000 | 0.000 |
| -0.018 | 0.018 | 0.000 | 0.000 | 0.000 | 0.000 |
| -0.018 | 0.018 | 0.000 | 0.000 | 0.000 | 0.000 |
| -0.023 | 0.014 | 0.000 | 0.000 | 0.000 | 68.148 |
| 6540.633 | 6404.393 | -0.000 | -0.000 | -0.000 | -0.000 |
| 6404.364 | 6540.749 | -0.000 | -0.000 | -0.000 | 0.000 |
| 0.019 | -0.019 | -0.000 | -0.000 | -0.000 | -0.000 |
| 0.018 | -0.018 | -0.000 | -0.000 | -0.000 | -0.000 |
| 0.018 | -0.018 | -0.000 | -0.000 | -0.000 | -0.000 |
| 0.023 | -0.014 | -0.000 | -0.000 | -0.000 | 68.148 |
| -28664451.670 | -2251708.522 | -48579715.633 | 45837.977 | -88219.997 | -604349.417 |
| -31676668.534 | -4559824.338 | -56189163.216 | 61093.426 | -166933.354 | -77337.994 |
| -14754115.914 | 18110344.012 | -48076101.574 | 200240.549 | 3230.276 | -365625.854 |
| -28757934.669 | 2758868.118 | -46728473.578 | 26715.918 | -98542.497 | -266132.054 |
| -27155842.914 | -2223165.057 | -43548257.897 | 47075.145 | -212087.532 | -39249.753 |
| -25922089.857 | -1255902.927 | -42507893.672 | 53502.442 | -183389.550 | 23626.095 |
| 30986971.216 | 3355684.027 | 54705875.839 | -57111.845 | 143003.281 | 4672.029 |
| 29721528.499 | 3450042.691 | 50140455.398 | -97778.245 | 125007.484 | 112890.007 |
| 29140803.448 | 3096323.732 | 49588518.897 | -20936.197 | 100794.143 | 31037.622 |
| 30933006.188 | 5686440.350 | 47201634.793 | -19629.439 | 165800.498 | 37195.000 |
| 36358746.645 | 12033546.454 | 47253245.345 | -23646.166 | 239442.481 | 60341.537 |
| 33156647.745 | 6413350.755 | 57084005.531 | -277237.319 | 72071.872 | 926126.587 |
| -3328489.669 | -558753.393 | -5245031.382 | 8255.944 | -26650.023 | -3902.348 |
| -2730658.200 | -233428.115 | -4194345.407 | 2933.339 | -15561.137 | 6076.353 |
| -2911980.293 | -292081.106 | -4539460.503 | 3408.048 | -23876.585 | 2997.666 |
| -2900856.182 | -245658.403 | -4841104.672 | 610.526 | -3785.967 | -5792.270 |
| -3034703.558 | -333018.746 | -4335848.692 | 7121.145 | -16358.415 | 69516.853 |
| -2847682.892 | -254606.277 | -4568717.166 | 3647.383 | -16940.340 | -5146.496 |
| 2977758.066 | 360564.429 | 4939004.146 | -18585.461 | 3413.787 | -9969.323 |
| 3070388.228 | 354809.288 | 4962301.488 | -11994.340 | 19683.090 | 3983.007 |
| 2928450.471 | 146026.633 | 5294736.772 | -13678.022 | 126.709 | 6874.893 |
| 3638832.948 | 1162081.230 | 5171770.095 | 5661.235 | 28778.661 | 88683.765 |
| 2919154.512 | 321101.601 | 4644215.440 | 4473.879 | 9787.727 | 17077.258 |
| 3107069.427 | 366400.499 | 4688987.887 | 6459.186 | -14136.751 | -27858.251 |
| -331418.353 | -42537.359 | -510449.767 | 22.787 | 5035.054 | 6348.333 |
| -347056.582 | -70211.429 | -647178.968 | 1302.276 | -873.972 | -5891.099 |
| -285686.097 | -24603.904 | -447815.875 | 355.538 | -676.877 | 1492.546 |
| -292851.638 | -30509.644 | -473787.991 | 576.459 | -1441.263 | -705.180 |
| -290191.634 | -29351.762 | -472833.474 | 600.427 | -1814.715 | -1869.999 |
| -288713.718 | -20383.357 | -495545.305 | 292.099 | -1363.333 | 417.436 |
| 297980.067 | 28318.401 | 461724.671 | -465.638 | 2352.019 | -2882.958 |
| 285582.519 | 43145.770 | 482274.083 | -316.234 | 1666.034 | -454.480 |
| 335058.035 | 63629.124 | 521715.925 | -736.614 | 1430.842 | -103.872 |
| 283818.373 | 26891.219 | 440570.361 | -696.493 | 1169.599 | 878.909 |
| 290969.617 | 32956.372 | 515089.895 | -334.112 | 1572.192 | -1721.727 |
| 309075.074 | 39432.155 | 522535.445 | -743.395 | 1541.806 | 16.507 |
| 502.476 | -440.815 | -391.031 | 3.706 | -11.508 | 1.342 |
| 375.799 | -934.952 | -781.727 | 3.845 | -12.689 | 1.599 |
| -1075.489 | -2256.094 | -2529.540 | 4.015 | -7.315 | 0.213 |
| -619.798 | -942.190 | -871.332 | 322.871 | 1.708 | -0.734 |
| 221.392 | -363.423 | -324.744 | 3.188 | 71.214 | 0.488 |
| 281.708 | -461.321 | -412.120 | 4.050 | -9.469 | 17.363 |
| 101.909 | 1929.136 | 2014.862 | -2.314 | 13.244 | -1.973 |
| -209.060 | 764.479 | 1027.118 | -3.799 | 12.340 | -1.524 |
| -30.852 | 1026.775 | 1146.891 | -3.755 | 11.901 | -1.425 |
| -193.416 | 827.783 | 913.822 | 40.838 | 8.849 | -1.204 |
| -120.494 | 963.675 | 995.759 | -3.670 | 66.871 | -0.436 |
| -1067.342 | 1194.175 | 795.952 | -2.902 | 17.137 | -269.474 |
| 85.021 | 13.326 | 48.504 | 0.334 | -1.054 | 0.123 |
| 357.340 | 335.104 | 393.715 | 0.294 | -0.596 | 0.090 |
| -53.336 | -176.094 | -89.113 | 0.260 | -0.784 | 0.090 |
| 37.226 | -90.666 | -48.718 | 9.349 | -0.925 | 0.087 |
| 15.812 | -81.544 | -84.953 | 0.338 | 52.778 | 0.067 |
| 28.142 | -65.269 | -68.658 | 0.344 | -1.058 | -8.852 |
| -18.407 | 74.832 | 62.315 | -0.347 | 0.678 | -0.085 |
| -182.030 | 4.481 | -123.399 | -0.275 | 0.809 | -0.082 |
| -230.566 | -127.970 | -71.553 | -0.290 | 0.648 | -0.041 |
| -10.242 | 121.996 | 129.650 | 21.845 | 0.933 | -0.063 |
| -21.848 | 96.086 | 102.597 | -0.315 | 12.691 | -0.110 |
| -23.433 | 38.460 | 34.406 | -0.338 | 0.791 | 73.353 |
| -1.602 | -27.064 | -13.627 | 0.036 | -0.105 | 0.010 |
| 18.095 | -2.821 | -11.944 | 0.032 | -0.115 | 0.010 |
| -3.407 | -14.837 | 14.290 | 0.034 | -0.099 | 0.010 |
| 2.611 | -8.623 | -9.282 | 14.245 | -0.097 | 0.010 |
| 2.643 | -7.824 | -7.349 | 0.033 | 16.371 | 0.009 |
| 2.315 | -8.708 | -9.068 | 0.034 | -0.098 | 9.177 |
| 10.093 | -1.544 | -9.410 | -0.036 | 0.099 | -0.010 |
| -12.494 | 26.542 | -11.965 | -0.035 | 0.096 | -0.009 |
| -20.221 | -9.768 | -0.796 | -0.037 | 0.101 | -0.010 |
| -13.781 | 5.715 | -2.814 | -2.864 | 0.093 | -0.018 |
| -0.791 | 10.616 | 5.113 | -0.033 | 8.628 | -0.010 |
| -3.227 | 9.007 | 4.268 | -0.029 | 0.086 | 2.838 |
| 596754.392 | 598919.385 | 598919.385 | 0.000 | 0.000 | 0.000 |
| 598919.385 | 596754.392 | 598919.385 | 0.000 | 0.000 | 0.000 |
| 598919.384 | 598919.384 | 596754.391 | 0.000 | 0.000 | -0.000 |
| 0.011 | 0.011 | 0.011 | 1787.339 | 0.000 | 0.000 |
| 0.011 | 0.011 | 0.011 | 0.000 | 1787.339 | 0.000 |
| 0.011 | 0.011 | 0.011 | 0.000 | 0.000 | 1787.339 |
| 597694.181 | 599859.155 | 599859.155 | -0.000 | -0.000 | -0.000 |
| 599859.155 | 597694.181 | 599859.155 | -0.000 | -0.000 | -0.000 |
| 599859.158 | 599859.158 | 597694.183 | -0.000 | -0.000 | 0.000 |
| -0.011 | -0.011 | -0.011 | 1787.339 | -0.000 | -0.000 |
| -0.011 | -0.011 | -0.011 | -0.000 | 1787.339 | -0.000 |
| -0.011 | -0.011 | -0.011 | -0.000 | -0.000 | 1787.339 |
| 596614.273 | 598779.348 | 598779.348 | 0.000 | 0.000 | 0.000 |
| 598779.348 | 596614.273 | 598779.348 | 0.000 | 0.000 | 0.000 |
| 598779.348 | 598779.348 | 596614.272 | 0.000 | 0.000 | 0.000 |
| 0.097 | 0.097 | 0.097 | 1787.339 | 0.000 | 0.000 |
| 0.097 | 0.097 | 0.097 | 0.000 | 1787.339 | -0.000 |
| 0.097 | 0.097 | 0.097 | -0.000 | 0.000 | 1787.339 |
| 601923.246 | 604088.137 | 604088.137 | -0.000 | -0.000 | -0.000 |
| 604088.137 | 601923.246 | 604088.137 | -0.000 | -0.000 | -0.000 |
| 604088.137 | 604088.137 | 601923.246 | -0.000 | -0.000 | -0.000 |
| -0.097 | -0.097 | -0.097 | 1787.339 | -0.000 | 0.000 |
| -0.097 | -0.097 | -0.097 | -0.000 | 1787.339 | 0.000 |
| -0.097 | -0.097 | -0.097 | -0.000 | -0.000 | 1787.339 |
| 606005.707 | 608171.623 | 608171.623 | 0.000 | 0.000 | 0.000 |
| 608171.623 | 606005.707 | 608171.623 | 0.000 | 0.000 | 0.000 |
| 608171.623 | 608171.623 | 606005.707 | -0.000 | 0.000 | -0.000 |
| -0.279 | -0.263 | -0.267 | -2310.768 | 0.000 | 0.000 |
| -0.263 | -0.279 | -0.267 | -0.000 | -2310.768 | 0.000 |
| -0.263 | -0.267 | -0.279 | -0.000 | 0.000 | -2310.768 |
| 608523.374 | 610687.422 | 610687.422 | -0.000 | -0.000 | -0.000 |
| 610687.422 | 608523.374 | 610687.422 | 0.000 | -0.000 | -0.000 |
| 610687.422 | 610687.422 | 608523.374 | -0.000 | -0.000 | 0.000 |
| 0.279 | 0.263 | 0.267 | -2310.768 | -0.000 | 0.000 |
| 0.263 | 0.279 | 0.267 | 0.000 | -2310.768 | 0.000 |
| 0.263 | 0.267 | 0.279 | 0.000 | -0.000 | -2310.768 |
| 17044.829 | 16916.130 | 16916.130 | 0.000 | 0.000 | 0.000 |
| 16916.130 | 17044.829 | 16916.130 | 0.000 | -0.000 | 0.000 |
| 16916.130 | 16916.130 | 17044.828 | 0.000 | 0.000 | -0.000 |
| -0.000 | -0.000 | -0.000 | 53.867 | 0.000 | 0.000 |
| -0.000 | -0.000 | -0.000 | 0.000 | 53.867 | -0.000 |
| -0.000 | -0.000 | -0.000 | 0.000 | -0.000 | 53.867 |
| 17044.826 | 16916.127 | 16916.127 | -0.000 | 0.000 | 0.000 |
| 16916.127 | 17044.826 | 16916.127 | -0.000 | -0.000 | 0.000 |
| 16916.127 | 16916.127 | 17044.826 | -0.000 | -0.000 | 0.000 |
| 0.000 | 0.000 | 0.000 | 53.867 | -0.000 | -0.000 |
| 0.000 | 0.000 | 0.000 | -0.000 | 53.867 | -0.000 |
| 0.000 | 0.000 | 0.000 | -0.000 | -0.000 | 53.867 |
| 17044.839 | 16916.144 | 16916.144 | 0.000 | -0.000 | -0.000 |
| 16916.144 | 17044.839 | 16916.144 | -0.000 | 0.000 | -0.000 |
| 16916.144 | 16916.144 | 17044.839 | 0.000 | 0.000 | -0.000 |
| -0.002 | -0.002 | -0.002 | 53.879 | 0.000 | -0.000 |
| -0.002 | -0.002 | -0.002 | 0.000 | 53.879 | -0.000 |
| -0.002 | -0.002 | -0.002 | 0.000 | 0.000 | 53.879 |
| 17044.816 | 16916.113 | 16916.113 | -0.000 | -0.000 | 0.000 |
| 16916.113 | 17044.816 | 16916.113 | -0.000 | -0.000 | 0.000 |
| 16916.113 | 16916.113 | 17044.816 | -0.000 | -0.000 | 0.000 |
| 0.002 | 0.002 | 0.002 | 53.879 | -0.000 | -0.000 |
| 0.002 | 0.002 | 0.002 | -0.000 | 53.879 | 0.000 |
| 0.002 | 0.002 | 0.002 | -0.000 | 0.000 | 53.879 |
| 17044.946 | 16916.282 | 16916.282 | 0.000 | -0.000 | -0.000 |
| 16916.282 | 17044.946 | 16916.282 | 0.000 | 0.000 | -0.000 |
| 16916.282 | 16916.282 | 17044.946 | 0.000 | 0.000 | -0.000 |
| -0.018 | -0.017 | -0.017 | 54.974 | 0.000 | -0.000 |
| -0.017 | -0.018 | -0.017 | 0.000 | 54.974 | -0.000 |
| -0.017 | -0.017 | -0.018 | 0.000 | 0.000 | 54.974 |
| 17044.770 | 16916.037 | 16916.037 | -0.000 | -0.000 | -0.000 |
| 16916.037 | 17044.770 | 16916.037 | -0.000 | -0.000 | -0.000 |
| 16916.037 | 16916.037 | 17044.770 | -0.000 | -0.000 | 0.000 |
| 0.018 | 0.017 | 0.017 | 54.974 | -0.000 | 0.000 |
| 0.017 | 0.018 | 0.017 | -0.000 | 54.974 | 0.000 |
| 0.017 | 0.017 | 0.018 | -0.000 | -0.000 | 54.974 |
| 517.904 | 407.011 | 407.010 | 0.000 | -0.000 | -0.000 |
| 407.010 | 517.904 | 407.010 | -0.000 | -0.000 | 0.000 |
| 407.010 | 407.011 | 517.904 | -0.000 | -0.000 | -0.000 |
| 0.000 | 0.000 | 0.000 | 366.924 | 0.000 | 0.000 |
| 0.000 | 0.000 | 0.000 | 0.000 | 366.924 | -0.000 |
| 0.000 | 0.000 | 0.000 | -0.000 | -0.000 | 366.924 |
| 517.904 | 407.010 | 407.010 | -0.000 | 0.000 | 0.000 |
| 407.010 | 517.904 | 407.010 | 0.000 | -0.000 | 0.000 |
| 407.010 | 407.010 | 517.904 | -0.000 | 0.000 | 0.000 |
| -0.000 | -0.000 | -0.000 | 366.924 | -0.000 | 0.000 |
| -0.000 | -0.000 | -0.000 | -0.000 | 366.924 | 0.000 |
| -0.000 | -0.000 | -0.000 | 0.000 | 0.000 | 366.924 |
| 517.904 | 407.011 | 407.011 | -0.000 | -0.000 | -0.000 |
| 407.011 | 517.904 | 407.011 | -0.000 | 0.000 | -0.000 |
| 407.011 | 407.011 | 517.904 | 0.000 | 0.000 | 0.000 |
| 0.000 | 0.000 | 0.000 | 366.924 | 0.000 | -0.000 |
| 0.000 | 0.000 | 0.000 | -0.000 | 366.924 | -0.000 |
| 0.000 | 0.000 | 0.000 | -0.000 | -0.000 | 366.924 |
| 517.904 | 407.010 | 407.010 | -0.000 | 0.000 | -0.000 |
| 407.010 | 517.904 | 407.010 | 0.000 | -0.000 | -0.000 |
| 407.010 | 407.010 | 517.904 | -0.000 | 0.000 | 0.000 |
| -0.000 | -0.000 | -0.000 | 366.924 | -0.000 | -0.000 |
| -0.000 | -0.000 | -0.000 | 0.000 | 366.924 | 0.000 |
| -0.000 | -0.000 | -0.000 | 0.000 | 0.000 | 366.924 |
| 517.905 | 407.012 | 407.012 | -0.000 | -0.000 | -0.000 |
| 407.012 | 517.905 | 407.012 | -0.000 | -0.000 | -0.000 |
| 407.012 | 407.012 | 517.905 | -0.000 | -0.000 | 0.000 |
| -0.000 | -0.000 | -0.000 | 18.195 | -0.000 | -0.000 |
| -0.000 | -0.000 | -0.000 | 0.000 | 18.195 | -0.000 |
| -0.000 | -0.000 | -0.000 | -0.000 | -0.000 | 18.195 |
| 517.902 | 407.009 | 407.009 | 0.000 | 0.000 | 0.000 |
| 407.009 | 517.902 | 407.009 | 0.000 | 0.000 | 0.000 |
| 407.009 | 407.009 | 517.902 | 0.000 | 0.000 | 0.000 |
| 0.000 | 0.000 | 0.000 | 18.195 | 0.000 | -0.000 |
| 0.000 | 0.000 | 0.000 | -0.000 | 18.195 | 0.000 |
| 0.000 | 0.000 | 0.000 | -0.000 | 0.000 | 18.195 |
| 383.020 | 391.540 | 391.540 | 0.000 | 0.000 | 0.000 |
| 391.540 | 383.020 | 391.540 | 0.000 | 0.000 | 0.000 |
| 391.540 | 391.540 | 383.020 | 0.000 | 0.000 | 0.000 |
| 0.000 | -0.000 | 0.000 | 318.219 | 0.000 | 0.000 |
| 0.000 | 0.000 | 0.000 | 0.000 | 318.219 | 0.000 |
| 0.000 | 0.000 | 0.000 | -0.000 | -0.000 | 318.219 |
| 383.020 | 391.540 | 391.540 | -0.000 | -0.000 | 0.000 |
| 391.540 | 383.020 | 391.540 | -0.000 | -0.000 | -0.000 |
| 391.540 | 391.540 | 383.020 | -0.000 | -0.000 | 0.000 |
| -0.000 | 0.000 | -0.000 | 318.219 | -0.000 | 0.000 |
| -0.000 | -0.000 | -0.000 | -0.000 | 318.219 | -0.000 |
| -0.000 | -0.000 | -0.000 | 0.000 | -0.000 | 318.219 |
| 383.020 | 391.540 | 391.540 | 0.000 | 0.000 | 0.000 |
| 391.540 | 383.020 | 391.540 | 0.000 | 0.000 | -0.000 |
| 391.540 | 391.540 | 383.020 | 0.000 | 0.000 | 0.000 |
| 0.000 | -0.000 | 0.000 | 318.219 | 0.000 | 0.000 |
| -0.000 | 0.000 | 0.000 | 0.000 | 318.219 | 0.000 |
| -0.000 | 0.000 | 0.000 | 0.000 | -0.000 | 318.219 |
| 383.020 | 391.540 | 391.540 | -0.000 | -0.000 | 0.000 |
| 391.540 | 383.020 | 391.540 | -0.000 | -0.000 | 0.000 |
| 391.540 | 391.540 | 383.020 | -0.000 | -0.000 | -0.000 |
| -0.000 | 0.000 | -0.000 | 318.219 | -0.000 | -0.000 |
| 0.000 | -0.000 | -0.000 | -0.000 | 318.219 | 0.000 |
| 0.000 | -0.000 | -0.000 | -0.000 | 0.000 | 318.219 |
| 383.020 | 391.541 | 391.541 | 0.000 | 0.000 | -0.000 |
| 391.541 | 383.020 | 391.541 | 0.000 | 0.000 | 0.000 |
| 391.541 | 391.541 | 383.020 | 0.000 | 0.000 | 0.000 |
| 0.000 | -0.001 | -0.001 | -34.734 | 0.000 | 0.000 |
| -0.001 | 0.000 | -0.001 | 0.000 | -34.734 | 0.000 |
| -0.001 | -0.001 | 0.000 | 0.000 | 0.000 | -34.734 |
| 383.020 | 391.539 | 391.539 | -0.000 | -0.000 | 0.000 |
| 391.539 | 383.020 | 391.539 | -0.000 | -0.000 | 0.000 |
| 391.539 | 391.539 | 383.020 | -0.000 | -0.000 | 0.000 |
| -0.000 | 0.001 | 0.001 | -34.734 | -0.000 | -0.000 |
| 0.001 | -0.000 | 0.001 | -0.000 | -34.734 | 0.000 |
| 0.001 | 0.001 | -0.000 | -0.000 | -0.000 | -34.734 |
| 169.068 | 169.144 | 169.144 | -0.000 | -0.000 | -0.000 |
| 169.144 | 169.068 | 169.144 | -0.000 | -0.000 | -0.000 |
| 169.144 | 169.144 | 169.068 | -0.000 | -0.000 | -0.000 |
| -0.000 | -0.000 | -0.000 | -0.081 | -0.000 | -0.000 |
| -0.000 | -0.000 | -0.000 | -0.000 | -0.081 | -0.000 |
| -0.000 | -0.000 | -0.000 | -0.000 | -0.000 | -0.081 |
| 169.068 | 169.144 | 169.144 | 0.000 | 0.000 | 0.000 |
| 169.144 | 169.068 | 169.144 | 0.000 | 0.000 | 0.000 |
| 169.144 | 169.144 | 169.068 | 0.000 | 0.000 | 0.000 |
| 0.000 | 0.000 | 0.000 | -0.081 | 0.000 | 0.000 |
| 0.000 | 0.000 | 0.000 | 0.000 | -0.081 | 0.000 |
| 0.000 | 0.000 | 0.000 | 0.000 | 0.000 | -0.081 |
| 169.068 | 169.143 | 169.143 | -0.000 | -0.000 | -0.000 |
| 169.143 | 169.068 | 169.143 | -0.000 | -0.000 | -0.000 |
| 169.143 | 169.143 | 169.068 | -0.000 | -0.000 | -0.000 |
| -0.000 | -0.000 | -0.000 | -0.081 | -0.000 | -0.000 |
| -0.000 | -0.000 | -0.000 | -0.000 | -0.081 | -0.000 |
| -0.000 | -0.000 | -0.000 | -0.000 | -0.000 | -0.081 |
| 169.068 | 169.144 | 169.144 | 0.000 | 0.000 | 0.000 |
| 169.144 | 169.068 | 169.144 | 0.000 | 0.000 | 0.000 |
| 169.144 | 169.144 | 169.068 | 0.000 | 0.000 | 0.000 |
| 0.000 | 0.000 | 0.000 | -0.081 | 0.000 | 0.000 |
| 0.000 | 0.000 | 0.000 | 0.000 | -0.081 | 0.000 |
| 0.000 | 0.000 | 0.000 | 0.000 | 0.000 | -0.081 |
| 169.067 | 169.143 | 169.143 | -0.000 | -0.000 | -0.000 |
| 169.143 | 169.067 | 169.143 | -0.000 | -0.000 | -0.000 |
| 169.143 | 169.143 | 169.067 | -0.000 | -0.000 | -0.000 |
| -0.000 | -0.000 | -0.000 | -0.081 | -0.000 | 0.000 |
| -0.000 | -0.000 | -0.000 | -0.000 | -0.081 | 0.000 |
| -0.000 | -0.000 | -0.000 | -0.000 | -0.000 | -0.081 |
| 169.069 | 169.144 | 169.144 | 0.000 | 0.000 | 0.000 |
| 169.144 | 169.069 | 169.144 | 0.000 | 0.000 | 0.000 |
| 169.144 | 169.144 | 169.069 | 0.000 | 0.000 | 0.000 |
| 0.000 | 0.000 | 0.000 | -0.081 | 0.000 | -0.000 |
| 0.000 | 0.000 | 0.000 | 0.000 | -0.081 | -0.000 |
| 0.000 | 0.000 | 0.000 | 0.000 | 0.000 | -0.081 |
| 13170.171 | 13048.559 | 8017.180 | 0.000 | 0.000 | 0.000 |
| 13048.559 | 13170.171 | 8017.179 | 0.000 | 0.000 | -0.000 |
| 8700.427 | 8700.427 | 6977.990 | -0.000 | 0.000 | 0.000 |
| 11.772 | 11.772 | -99.426 | 942.092 | 0.000 | -0.000 |
| 11.772 | 11.772 | -99.426 | 0.000 | 942.092 | 0.000 |
| 4.758 | 4.759 | -40.172 | 0.000 | 0.000 | 12904.468 |
| 13085.033 | 12963.430 | 8736.197 | 0.000 | -0.000 | -0.000 |
| 12963.430 | 13085.033 | 8736.197 | 0.000 | -0.000 | -0.000 |
| 8690.857 | 8690.857 | 7058.796 | 0.000 | -0.000 | -0.000 |
| -11.772 | -11.772 | 99.426 | 942.092 | 0.000 | -0.000 |
| -11.772 | -11.772 | 99.425 | 0.000 | 942.092 | 0.000 |
| -4.759 | -4.759 | 40.172 | 0.000 | -0.000 | 12904.468 |
| 13090.332 | 12968.731 | 8691.660 | -0.000 | 0.000 | 0.000 |
| 12968.731 | 13090.332 | 8691.660 | 0.000 | -0.000 | 0.000 |
| 8696.239 | 8696.239 | 7013.451 | -0.000 | 0.000 | 0.000 |
| 0.479 | 0.479 | -4.052 | 932.549 | -0.000 | 0.000 |
| 0.479 | 0.479 | -4.052 | -0.000 | 932.549 | 0.000 |
| 0.497 | 0.499 | -4.000 | 0.000 | 0.000 | 12904.470 |
| 13077.080 | 12980.094 | 8699.228 | -0.000 | -0.000 | -0.000 |
| 12980.084 | 13077.091 | 8699.228 | -0.000 | 0.000 | -0.000 |
| 8695.152 | 8695.152 | 7022.437 | -0.000 | -0.000 | -0.000 |
| -0.479 | -0.479 | 4.052 | 932.549 | -0.000 | -0.000 |
| -0.479 | -0.479 | 4.052 | 0.000 | 932.549 | -0.000 |
| -0.497 | -0.499 | 4.000 | 0.000 | -0.000 | 12904.470 |
| 13090.076 | 12968.499 | 8695.596 | 0.000 | 0.000 | 0.000 |
| 12968.499 | 13090.076 | 8695.596 | -0.000 | 0.000 | 0.000 |
| 8694.273 | 8694.273 | 7030.913 | -0.000 | 0.000 | 0.000 |
| 0.042 | 0.041 | -0.391 | 932.663 | -0.000 | 0.000 |
| 0.041 | 0.042 | -0.391 | -0.000 | 932.663 | 0.000 |
| 0.258 | 0.284 | -0.225 | 0.000 | 0.000 | 12904.471 |
| 13089.590 | 12967.961 | 8695.761 | -0.000 | -0.000 | -0.000 |
| 12967.961 | 13089.590 | 8695.761 | 0.000 | -0.000 | -0.000 |
| 8695.489 | 8695.489 | 7018.722 | -0.000 | -0.000 | -0.000 |
| -0.042 | -0.041 | 0.391 | 932.663 | -0.000 | -0.000 |
| -0.041 | -0.042 | 0.391 | -0.000 | 932.663 | -0.000 |
| -0.258 | -0.284 | 0.225 | 0.000 | -0.000 | 12904.471 |
| 1404.872 | 1320.866 | 1639.968 | -0.000 | -0.000 | -0.000 |
| 1320.866 | 1404.872 | 1639.968 | -0.000 | -0.000 | -0.000 |
| 8747.306 | 8747.306 | 12795.835 | -0.000 | -0.000 | 0.000 |
| 0.040 | 0.040 | 0.055 | 979.298 | -0.000 | 0.000 |
| 0.040 | 0.040 | 0.055 | -0.000 | 979.298 | 0.000 |
| 0.027 | 0.027 | 0.038 | -0.000 | 0.000 | 1001.390 |
| 1069.324 | 985.337 | 1171.258 | 0.000 | 0.000 | -0.000 |
| 985.337 | 1069.324 | 1171.258 | 0.000 | 0.000 | -0.000 |
| 8747.303 | 8747.303 | 12795.832 | -0.000 | 0.000 | -0.000 |
| -0.040 | -0.040 | -0.055 | 979.298 | 0.000 | 0.000 |
| -0.040 | -0.040 | -0.055 | 0.000 | 979.298 | 0.000 |
| -0.027 | -0.027 | -0.038 | 0.000 | -0.000 | 1001.390 |
| -100112252.992 | -70588086.832 | -106767519.055 | -0.001 | -0.002 | -0.003 |
| -70588088.045 | -100112254.420 | -106767520.727 | -0.002 | -0.003 | -0.005 |
| 1164.197 | 1164.197 | 2203.060 | 0.000 | -0.000 | 0.000 |
| -0.011 | -0.012 | -0.016 | 979.296 | -0.000 | -0.000 |
| -0.012 | -0.011 | -0.016 | -0.000 | 979.296 | -0.000 |
| -0.002 | -0.001 | -0.002 | -0.000 | -0.000 | 1001.701 |
| 1062.058 | 978.091 | 1161.122 | 0.000 | -0.000 | -0.000 |
| 978.091 | 1062.058 | 1161.122 | -0.000 | 0.000 | -0.000 |
| 1164.270 | 1164.270 | 2203.169 | -0.000 | 0.000 | -0.000 |
| 0.011 | 0.012 | 0.016 | 979.296 | 0.000 | -0.000 |
| 0.012 | 0.011 | 0.016 | 0.000 | 979.296 | -0.000 |
| 0.002 | 0.001 | 0.002 | 0.000 | 0.000 | 1001.701 |
| 1070.040 | 986.055 | 1172.254 | -0.000 | -0.000 | -0.000 |
| 986.055 | 1070.040 | 1172.254 | 0.000 | -0.000 | -0.000 |
| 1037.503 | 1037.503 | 2026.074 | -0.000 | -0.000 | 0.000 |
| 0.041 | 0.039 | 0.055 | 979.301 | -0.000 | 0.000 |
| 0.039 | 0.041 | 0.055 | -0.000 | 979.301 | -0.000 |
| 0.001 | 0.003 | -0.001 | 0.000 | -0.000 | 1001.393 |
| 1068.642 | 984.654 | 1170.308 | 0.000 | 0.000 | 0.000 |
| 984.654 | 1068.642 | 1170.308 | 0.000 | 0.000 | 0.000 |
| 1164.237 | 1164.237 | 2203.130 | 0.000 | 0.000 | -0.000 |
| -0.041 | -0.039 | -0.055 | 979.301 | 0.000 | -0.000 |
| -0.039 | -0.041 | -0.055 | 0.000 | 979.301 | -0.000 |
| -0.001 | -0.003 | 0.001 | 0.000 | 0.000 | 1001.393 |
| 14090.228 | 4661.176 | 7734.457 | -876.585 | 0.001 | -0.000 |
| 10959.380 | 6572.219 | 4937.997 | 2568.724 | 0.084 | 0.228 |
| 6999.502 | 7009.464 | 2983.494 | -4.431 | 0.039 | 0.104 |
| -876.584 | 876.586 | 0.002 | 7746.879 | 0.000 | -0.000 |
| -2592.553 | -2535.082 | -430.807 | -19.064 | -11236.146 | -241.841 |
| -511.154 | -489.436 | -1761.081 | -9.660 | -2563.999 | -2145.833 |
| 14090.216 | 4661.175 | 7734.451 | -876.584 | -0.000 | 0.000 |
| 4661.174 | 14090.218 | 7734.451 | 876.584 | -0.001 | -0.000 |
| 18500.528 | 18489.175 | 20463.813 | 4.456 | -0.001 | -0.140 |
| -3671.599 | 6049.017 | 4184.362 | -2404.136 | -0.198 | -0.536 |
| -0.002 | -0.000 | -0.002 | 0.001 | 7746.879 | -876.585 |
| 511.135 | 489.418 | 1761.016 | 9.659 | -2564.104 | -2146.030 |
| 9699.364 | 8865.093 | 7343.351 | -1654.114 | 0.006 | 0.016 |
| 4661.192 | 14090.273 | 7734.479 | 876.591 | 0.000 | 0.000 |
| 7374.818 | 7375.479 | 5576.330 | -0.294 | 0.002 | 0.007 |
| 151.307 | -492.053 | -285.018 | -259.519 | 0.004 | 0.011 |
| -141.665 | -140.050 | -215.399 | -0.533 | -152.963 | -308.125 |
| -44.970 | -43.472 | -89.031 | -0.617 | -1648.486 | 521.942 |
| 10496.005 | 8195.381 | 7298.864 | -1752.700 | -0.004 | -0.012 |
| 8202.271 | 10489.023 | 7298.158 | 1755.130 | -0.004 | -0.012 |
| 7410.484 | 7409.837 | 5751.447 | 0.288 | -0.003 | -0.007 |
| -876.592 | 876.561 | -0.018 | 7746.879 | -0.000 | -0.000 |
| 141.665 | 140.050 | 215.399 | 0.533 | -152.970 | -308.153 |
| 44.970 | 43.472 | 89.031 | 0.617 | -1648.497 | 521.916 |
| 8653.072 | 9306.780 | 7163.480 | -23.055 | 0.000 | 0.002 |
| 8954.494 | 9679.534 | 7460.015 | 1398.978 | 0.001 | 0.002 |
| 6376.783 | 6376.918 | 4367.844 | -0.070 | 0.000 | 0.002 |
| -106.886 | 75.393 | -24.632 | -5.304 | 0.000 | 0.001 |
| -13.626 | -13.562 | -20.735 | -0.073 | 46.908 | -384.198 |
| -17.316 | -17.302 | -28.302 | -0.054 | -66.620 | 248.938 |
| 10113.929 | 8537.987 | 7389.847 | -1565.023 | -0.001 | -0.001 |
| 8201.949 | 10436.927 | 7209.857 | 1761.170 | -0.000 | -0.001 |
| 6634.165 | 6632.228 | 4691.902 | 0.686 | -0.007 | -0.020 |
| -389.575 | 416.722 | 20.920 | 57.573 | -0.001 | -0.002 |
| 13.626 | 13.562 | 20.735 | 0.073 | 46.907 | -384.200 |
| 17.316 | 17.302 | 28.302 | 0.054 | -66.621 | 248.935 |
| 2025.385 | 1006.239 | 1561.823 | -185.011 | -0.000 | -0.000 |
| 192.165 | 2112.554 | 826.907 | 116.751 | -0.000 | -0.000 |
| 1559.024 | 1559.030 | 3384.045 | -0.002 | -0.000 | -0.000 |
| -400.101 | 403.419 | 3.180 | 1357.864 | -0.000 | -0.000 |
| -1.891 | -1.881 | -3.843 | -0.002 | 1416.779 | -142.967 |
| -1.946 | -1.937 | -3.957 | -0.002 | -146.488 | 526.248 |
| 2117.522 | 195.997 | 835.851 | -116.712 | 0.000 | 0.000 |
| 189.130 | 2102.027 | 813.238 | 117.011 | 0.000 | 0.000 |
| 1438.541 | 1438.534 | 3140.391 | 0.002 | 0.000 | 0.000 |
| -26.079 | 26.078 | -0.001 | 7749.735 | 0.000 | 0.000 |
| 1.891 | 1.881 | 3.843 | 0.002 | 1416.780 | -142.966 |
| 1.946 | 1.937 | 3.957 | 0.002 | -146.488 | 526.248 |
| 2102.028 | 188.230 | 812.301 | -116.978 | -0.000 | -0.000 |
| 188.811 | 2103.341 | 814.216 | 116.953 | -0.000 | -0.000 |
| 1411.629 | 1411.630 | 3085.948 | -0.000 | -0.000 | -0.000 |
| -26.075 | 26.089 | 0.017 | 7749.735 | -0.000 | -0.000 |
| 0.246 | 0.216 | 0.450 | -0.000 | 1357.915 | -401.546 |
| 0.000 | 0.003 | 0.004 | -0.000 | -26.079 | 2283.434 |
| 2127.868 | 199.861 | 850.200 | -116.491 | 0.000 | 0.000 |
| 984.083 | 1974.089 | 1487.601 | 185.998 | 0.000 | 0.000 |
| 7780.421 | 7780.421 | 15967.071 | -0.000 | -0.000 | -0.000 |
| -142.773 | 143.171 | 0.405 | 1416.665 | 0.000 | 0.000 |
| -0.246 | -0.216 | -0.450 | 0.000 | 1357.915 | -401.546 |
| -0.000 | -0.003 | -0.004 | 0.000 | -26.079 | 2283.434 |
| 1818.181 | 858.077 | 1202.193 | -204.275 | -0.000 | -0.000 |
| 918.174 | 1838.173 | 1283.480 | 188.158 | -0.000 | -0.000 |
| 1196.931 | 1196.931 | 2651.726 | -0.000 | -0.000 | -0.000 |
| -400.846 | 402.206 | 1.379 | 1357.237 | -0.000 | -0.000 |
| -1.808 | -1.803 | -3.650 | 0.048 | 1235.460 | -26.454 |
| 0.007 | 0.034 | 0.040 | -0.000 | -26.078 | 2283.434 |
| 2007.007 | 956.907 | 1493.426 | -182.107 | 0.000 | 0.000 |
| 874.358 | 1536.293 | 933.250 | 220.338 | 0.000 | 0.000 |
| 1402.164 | 1402.164 | 3065.883 | 0.000 | 0.000 | 0.000 |
| -142.909 | 143.153 | 0.243 | 1415.459 | 0.000 | 0.000 |
| 1.808 | 1.803 | 3.650 | -0.048 | 1235.460 | -26.454 |
| -0.007 | -0.034 | -0.040 | 0.000 | -26.078 | 2283.434 |
| -13976.753 | -43757.275 | -57869.968 | -0.000 | -5000.621 | 0.002 |
| -36005.462 | 23704.686 | -1458.598 | -0.000 | -1110.270 | -0.000 |
| -66115.510 | -40577.208 | -139401.108 | 0.000 | 33825.816 | 0.011 |
| -31600.473 | -18328.741 | -94560.502 | 8186.848 | 2300.964 | 19.371 |
| -62693.889 | 37695.131 | -62966.795 | -0.000 | -34801.493 | 0.000 |
| -56176.508 | -4150.381 | -132654.559 | 1799.835 | -109200.688 | 733.027 |
| 10553.758 | 4434.739 | 8989.580 | -0.001 | -43.700 | 0.001 |
| 744.855 | 26663.813 | 47409.475 | -0.001 | 16093.872 | -0.036 |
| 71033.981 | -33477.870 | 70078.786 | 0.000 | 31569.254 | 0.000 |
| 31600.476 | 18328.741 | 94560.509 | 8186.849 | -2300.968 | 19.369 |
| 41649.193 | -16258.460 | 11136.860 | 0.000 | 5973.456 | 0.000 |
| 56176.507 | 4150.381 | 132654.559 | 1799.837 | 109200.688 | 733.026 |
| 2863.582 | 6732.227 | 6624.545 | -0.000 | 738.425 | -0.000 |
| -6064.984 | -5431.368 | -8328.571 | -0.000 | -1472.796 | 0.000 |
| -3774.998 | 1588.964 | -8145.395 | -0.000 | -3332.748 | -0.000 |
| -4516.749 | 1710.421 | -1013.269 | 4389.615 | -42.845 | -154.035 |
| -4919.559 | 4060.052 | -2279.117 | -0.000 | -4272.472 | -0.000 |
| -7976.953 | -5229.327 | -10035.828 | -830.169 | 2817.493 | 551.206 |
| 8254.004 | -3221.006 | 1957.284 | 0.000 | 5030.398 | 0.000 |
| 10681.759 | 5126.427 | 9159.205 | 0.000 | -678.815 | 0.000 |
| 11107.309 | 6315.978 | 14990.303 | 0.000 | 1969.161 | 0.000 |
| 4516.749 | -1710.421 | 1013.269 | 4389.615 | 42.845 | -154.035 |
| 12343.534 | 8683.730 | 16042.051 | 0.000 | -2731.600 | 0.000 |
| 7976.953 | 5229.327 | 10035.828 | -830.169 | -2817.493 | 551.206 |
| 2324.162 | 962.310 | 1796.297 | -0.000 | 684.970 | -0.000 |
| 919.816 | 2218.118 | 937.374 | -0.000 | 273.236 | -0.000 |
| 1988.364 | 1228.134 | 2474.073 | 0.000 | -51.254 | 0.000 |
| -431.075 | -606.619 | -1290.355 | 456.586 | -179.351 | 442.509 |
| 1199.431 | -428.531 | 2644.794 | 0.000 | 1123.006 | 0.000 |
| -419.104 | 191.192 | -236.561 | 70.094 | -85.247 | 565.595 |
| 1842.129 | 1076.602 | 2304.122 | 0.000 | 1054.167 | 0.000 |
| 2119.791 | 2505.475 | 3144.611 | 0.000 | 1431.133 | 0.000 |
| 949.516 | 1060.325 | 2540.250 | 0.000 | 468.937 | -0.000 |
| 431.075 | 606.619 | 1290.355 | 456.586 | 179.351 | 442.509 |
| 629.176 | -268.865 | -66.047 | 0.000 | 743.490 | 0.000 |
| 419.104 | -191.192 | 236.561 | 70.094 | 85.247 | 565.595 |
| -4232203.315 | -3383944.780 | -13057916.936 | -130884.965 | -683435.778 | 4049118.826 |
| -4356377.576 | -2481113.897 | -18461528.256 | -46524.255 | -1886650.369 | 1504787.427 |
| -4387996.401 | -3363008.195 | -13826806.380 | -90599.278 | -655731.620 | 3772176.935 |
| -3009410.015 | -2733456.336 | -7088601.277 | 2451.899 | 66516.803 | 1654507.935 |
| -3550597.700 | -3330817.188 | -9835245.055 | -141940.078 | -204153.613 | 4497295.080 |
| -4264210.415 | -3653671.576 | -14648708.132 | -448526.969 | -887237.492 | 3573096.112 |
| 4196793.399 | 2237147.602 | 19464237.400 | 101514.923 | 2101280.804 | -2625764.228 |
| 4121341.021 | 1629849.497 | 20727701.835 | 246380.813 | 2591210.748 | -3614712.426 |
| 2163470.094 | 1499572.366 | 4997708.405 | -84438.757 | -245057.703 | -839181.835 |
| 4334913.914 | 3436505.318 | 13308456.922 | 185701.988 | 631316.355 | -3891554.959 |
| 3526569.778 | 3214385.751 | 9553540.810 | 162652.162 | 343977.695 | -4400541.081 |
| 4296944.407 | 1716055.365 | 20754421.243 | 275531.531 | 2568451.572 | -2908496.978 |
| -341568.366 | -304527.294 | -941777.032 | -13680.074 | -25614.248 | 377528.248 |
| -349335.601 | -335810.187 | -966147.624 | -12598.569 | -12567.023 | 456262.150 |
| -324045.757 | -267555.036 | -765411.945 | -836.862 | 12303.372 | 184594.035 |
| -433425.036 | -266447.092 | -1998305.748 | 2589.829 | -223143.215 | 215244.498 |
| -317900.978 | -303275.824 | -833768.487 | -10194.192 | -10981.872 | 292465.896 |
| -431610.439 | -333743.195 | -1472059.342 | -24836.472 | -113627.508 | 360392.204 |
| 338222.693 | 326937.077 | 931861.643 | 11381.508 | 17068.659 | -403815.249 |
| 281641.614 | 260640.853 | 654615.720 | -8544.868 | -25454.625 | -142143.278 |
| 448062.673 | 342707.974 | 1707168.663 | 26138.013 | 132729.346 | -207951.753 |
| 345888.438 | 327966.768 | 966048.410 | 22465.730 | 18653.453 | -456304.950 |
| 339374.355 | 297511.001 | 876428.352 | 20379.828 | 4751.703 | -274094.306 |
| 425399.067 | 349620.917 | 1510626.734 | 23790.854 | 90499.755 | -328092.890 |
| -40241.855 | -31714.659 | -124314.938 | -1703.203 | -6113.123 | 40108.544 |
| -36489.317 | -30894.441 | -108395.471 | -1419.541 | -4001.628 | 48931.327 |
| -38274.899 | -32044.413 | -114976.972 | -1683.533 | -4849.118 | 45609.396 |
| -35392.306 | -33054.421 | -97805.959 | -1515.379 | -2469.513 | 44994.036 |
| -44178.237 | -21915.805 | -190573.933 | -1117.671 | -19844.949 | 26370.753 |
| -31891.541 | -30857.445 | -82969.581 | -1030.862 | -473.865 | 29061.341 |
| 35560.778 | 32844.219 | 103498.311 | 2406.441 | 1221.424 | -47188.133 |
| 31241.394 | 31565.240 | 76249.013 | 1617.802 | -841.226 | -20118.760 |
| 41397.280 | 33625.275 | 126695.462 | 1532.247 | 5949.325 | -41832.733 |
| 31601.431 | 31376.042 | 79911.811 | 685.634 | -35.520 | -25098.521 |
| 46407.770 | 38710.481 | 161525.991 | 2161.989 | 11317.272 | -30708.838 |
| 18710.551 | 13792.193 | 48486.370 | -570.137 | -1156.871 | -7209.437 |
| 20816667194.027 | 28436116444.546 | 28709795917.793 | -1886399.059 | -138593705.141 | 480234215.590 |
| 27974876989.454 | 19869961032.445 | 27599471914.168 | 668580090.048 | 293197669.996 | 216943793.723 |
| 26845370486.423 | 26667324686.511 | 19265058587.210 | -49596068.334 | 308787358.154 | 81201039.674 |
| -0.000 | 0.000 | 0.000 | 613.134 | 0.000 | -0.000 |
| 0.000 | -0.000 | 0.000 | -0.000 | 613.134 | -0.000 |
| 0.000 | 0.000 | 0.000 | -0.000 | 0.000 | 613.134 |
| -23964043284.626 | -22856009901.294 | -22903708135.073 | 374006084.734 | 272565031.764 | 1404524300.671 |
| -22998795106.697 | -24892552707.649 | -21712809573.654 | 1287962721.238 | -23773733.114 | -1436393600.773 |
| -27654695640.709 | -27043200243.860 | -26716773534.267 | 112315666.342 | 113905113.469 | 30528765.150 |
| 0.000 | -0.000 | -0.000 | 613.134 | -0.000 | 0.000 |
| -0.000 | 0.000 | -0.000 | 0.000 | 613.134 | 0.000 |
| -0.000 | -0.000 | -0.000 | 0.000 | -0.000 | 613.134 |
| 1883673594.728 | 2645537484.192 | 2733088339.583 | 36741055.112 | -91090090.489 | -11783612.056 |
| 2701519234.055 | 2005760483.902 | 2737840089.358 | -66425167.570 | -38153322.722 | -36172053.069 |
| 2846943872.731 | 2814899033.184 | 2281611038.697 | 3240970.219 | 11054230.234 | 11746767.645 |
| 0.002 | 0.008 | 0.007 | -5388.499 | 0.000 | -0.000 |
| 0.008 | 0.002 | 0.007 | -0.000 | -5388.499 | 0.000 |
| 0.008 | 0.007 | 0.002 | -0.000 | -0.000 | -5388.499 |
| -2291721119.782 | -2801063970.063 | -2615493823.291 | 2731500.377 | -6244010.142 | -5308245.182 |
| -2373207990.200 | -2338341057.565 | -2404612665.238 | -8149948.726 | -15180818.783 | 389147.673 |
| -2789191909.906 | -2727195741.020 | -2118751547.255 | 443033.875 | 415942.905 | -2574850.583 |
| -0.002 | -0.008 | -0.007 | -5388.499 | 0.000 | -0.000 |
| -0.008 | -0.002 | -0.007 | 0.000 | -5388.499 | 0.000 |
| -0.008 | -0.007 | -0.002 | 0.000 | -0.000 | -5388.499 |
| 237854739.014 | 277135428.780 | 285964839.744 | 4692040.448 | 3741162.497 | -141785.271 |
| 283943781.296 | 224203409.217 | 285621469.950 | -978516.558 | 2072860.464 | 4864171.298 |
| 270796636.595 | 278820861.546 | 221847318.580 | -4792719.673 | -443711.347 | -3790848.470 |
| 0.018 | 0.077 | 0.070 | -5388.482 | 0.000 | 0.000 |
| 0.077 | 0.018 | 0.070 | -0.000 | -5388.482 | -0.000 |
| 0.077 | 0.070 | 0.018 | -0.000 | -0.000 | -5388.482 |
| -273182366.563 | -253951956.902 | -224522712.137 | 159187.452 | -7880310.934 | 863486.289 |
| -237974793.842 | -275369494.938 | -242471976.576 | -8907633.588 | 970481.952 | -3361887.443 |
| -252088078.149 | -244934076.695 | -281206232.961 | 123524.930 | -1063943.533 | 852001.145 |
| -0.018 | -0.077 | -0.070 | -5388.482 | -0.000 | 0.000 |
| -0.077 | -0.018 | -0.070 | 0.000 | -5388.482 | 0.000 |
| -0.077 | -0.070 | -0.018 | 0.000 | -0.000 | -5388.482 |
| 25549.943 | 22208.570 | 22208.570 | 0.000 | 0.000 | 0.000 |
| 22208.570 | 25549.943 | 22208.570 | 0.000 | -0.000 | 0.000 |
| 22208.570 | 22208.570 | 25549.943 | 0.000 | -0.000 | 0.000 |
| 0.000 | 0.004 | 0.004 | 13180.136 | 0.000 | 0.000 |
| 0.004 | 0.000 | 0.004 | 0.000 | 13180.137 | 0.000 |
| 0.004 | 0.004 | 0.000 | 0.000 | 0.000 | 13180.136 |
| 25553.902 | 22205.741 | 22205.741 | -0.000 | 0.000 | -0.000 |
| 22205.741 | 25553.902 | 22205.741 | -0.000 | 0.000 | -0.000 |
| 22205.741 | 22205.741 | 25553.902 | -0.000 | 0.000 | -0.000 |
| -0.000 | -0.004 | -0.004 | 13180.136 | -0.000 | -0.000 |
| -0.004 | 0.000 | -0.004 | -0.000 | 13180.137 | -0.000 |
| -0.004 | -0.004 | -0.000 | -0.000 | -0.000 | 13180.136 |
| 25560.855 | 22206.937 | 22206.937 | 0.000 | 0.000 | 0.000 |
| 22206.937 | 25560.855 | 22206.937 | 0.000 | -0.000 | 0.000 |
| 22206.937 | 22206.937 | 25560.855 | 0.000 | -0.000 | 0.000 |
| 0.013 | -0.011 | -0.012 | 183.450 | -0.000 | 0.000 |
| -0.011 | 0.013 | -0.012 | 0.000 | 183.450 | 0.000 |
| -0.011 | -0.012 | 0.013 | 0.000 | 0.000 | 183.450 |
| 25548.144 | 22204.797 | 22204.797 | -0.000 | -0.000 | -0.000 |
| 22204.797 | 25548.144 | 22204.797 | -0.000 | -0.000 | -0.000 |
| 22204.797 | 22204.797 | 25548.144 | -0.000 | -0.000 | -0.000 |
| -0.013 | 0.011 | 0.012 | 183.450 | 0.000 | -0.000 |
| 0.011 | -0.013 | 0.012 | -0.000 | 183.450 | -0.000 |
| 0.011 | 0.012 | -0.013 | -0.000 | -0.000 | 183.450 |
| 25587.621 | 22231.783 | 22231.783 | 0.000 | 0.000 | 0.000 |
| 22231.783 | 25587.621 | 22231.783 | 0.000 | 0.000 | 0.000 |
| 22231.783 | 22231.783 | 25587.621 | 0.000 | 0.000 | 0.000 |
| 0.049 | -0.073 | -0.079 | 183.443 | 0.000 | 0.000 |
| -0.073 | 0.049 | -0.079 | -0.000 | 183.443 | 0.000 |
| -0.073 | -0.079 | 0.049 | 0.000 | 0.000 | 183.443 |
| 25606.533 | 22137.193 | 22137.193 | -0.000 | -0.000 | -0.000 |
| 22137.193 | 25606.533 | 22137.193 | -0.000 | 0.000 | -0.000 |
| 22137.193 | 22137.193 | 25606.533 | -0.000 | 0.000 | -0.000 |
| -0.049 | 0.073 | 0.079 | 183.443 | -0.000 | 0.000 |
| 0.073 | -0.049 | 0.079 | 0.000 | 183.443 | -0.000 |
| 0.073 | 0.079 | -0.049 | 0.000 | -0.000 | 183.443 |
| 2844.087 | 934.240 | 934.240 | 0.000 | 0.000 | -0.000 |
| 934.240 | 2844.087 | 934.240 | 0.000 | 0.000 | -0.000 |
| 934.240 | 934.240 | 2844.087 | 0.000 | -0.000 | -0.000 |
| -0.000 | 0.000 | 0.000 | 788.427 | -0.000 | -0.000 |
| 0.000 | -0.000 | 0.000 | 0.000 | 788.427 | -0.000 |
| 0.000 | 0.000 | -0.000 | 0.000 | -0.000 | 788.427 |
| 2844.086 | 934.240 | 934.240 | -0.000 | -0.000 | 0.000 |
| 934.240 | 2844.086 | 934.240 | -0.000 | -0.000 | 0.000 |
| 934.240 | 934.240 | 2844.086 | -0.000 | -0.000 | 0.000 |
| 0.000 | -0.000 | -0.000 | 788.427 | 0.000 | 0.000 |
| -0.000 | 0.000 | -0.000 | -0.000 | 788.427 | 0.000 |
| -0.000 | -0.000 | 0.000 | -0.000 | -0.000 | 788.427 |
| 2896.565 | 908.004 | 908.004 | 0.000 | -0.000 | -0.000 |
| 908.004 | 2896.565 | 908.004 | 0.000 | 0.000 | -0.000 |
| 908.004 | 908.004 | 2896.565 | 0.000 | -0.000 | -0.000 |
| -0.000 | 0.001 | 0.001 | 788.427 | 0.000 | -0.000 |
| 0.001 | -0.000 | 0.001 | 0.000 | 788.427 | -0.000 |
| 0.001 | 0.001 | -0.000 | 0.000 | 0.000 | 788.427 |
| 2844.083 | 934.239 | 934.239 | -0.000 | 0.000 | 0.000 |
| 934.239 | 2844.083 | 934.239 | -0.000 | -0.000 | 0.000 |
| 934.239 | 934.239 | 2844.083 | -0.000 | 0.000 | 0.000 |
| 0.000 | -0.001 | -0.001 | 788.427 | -0.000 | 0.000 |
| -0.001 | 0.000 | -0.001 | -0.000 | 788.427 | 0.000 |
| -0.001 | -0.001 | 0.000 | -0.000 | 0.000 | 788.427 |
| 2844.123 | 934.252 | 934.252 | 0.000 | 0.000 | -0.000 |
| 934.252 | 2844.123 | 934.252 | 0.000 | -0.000 | -0.000 |
| 934.252 | 934.252 | 2844.123 | 0.000 | -0.000 | -0.000 |
| -0.002 | 0.009 | 0.009 | 788.427 | 0.000 | -0.000 |
| 0.009 | -0.002 | 0.009 | 0.000 | 788.427 | -0.000 |
| 0.009 | 0.009 | -0.002 | 0.000 | -0.000 | 788.427 |
| 2844.050 | 934.227 | 934.227 | -0.000 | -0.000 | 0.000 |
| 934.227 | 2844.050 | 934.227 | -0.000 | 0.000 | 0.000 |
| 934.227 | 934.227 | 2844.050 | -0.000 | 0.000 | 0.000 |
| 0.002 | -0.009 | -0.009 | 788.427 | -0.000 | 0.000 |
| -0.009 | 0.002 | -0.009 | -0.000 | 788.427 | 0.000 |
| -0.009 | -0.009 | 0.002 | -0.000 | -0.000 | 788.427 |
| 815.161 | 386.784 | 386.784 | 0.000 | -0.000 | 0.000 |
| 386.784 | 815.161 | 386.784 | 0.000 | -0.000 | 0.000 |
| 386.784 | 386.784 | 815.161 | -0.000 | -0.000 | 0.000 |
| -0.000 | -0.000 | -0.000 | 47.365 | -0.000 | -0.000 |
| -0.000 | 0.000 | -0.000 | 0.000 | 47.365 | -0.000 |
| -0.000 | -0.000 | -0.000 | 0.000 | 0.000 | 47.365 |
| 815.161 | 386.784 | 386.784 | 0.000 | -0.000 | 0.000 |
| 386.784 | 815.161 | 386.784 | -0.000 | -0.000 | 0.000 |
| 386.784 | 386.784 | 815.161 | 0.000 | -0.000 | -0.000 |
| 0.000 | 0.000 | -0.000 | 47.365 | 0.000 | 0.000 |
| 0.000 | 0.000 | 0.000 | -0.000 | 47.365 | 0.000 |
| 0.000 | 0.000 | 0.000 | -0.000 | -0.000 | 47.365 |
| 815.161 | 386.784 | 386.784 | 0.000 | 0.000 | 0.000 |
| 386.784 | 815.161 | 386.784 | 0.000 | -0.000 | -0.000 |
| 386.784 | 386.784 | 815.161 | -0.000 | -0.000 | -0.000 |
| -0.000 | 0.000 | 0.000 | 216.661 | 0.000 | -0.000 |
| 0.000 | -0.000 | 0.000 | 0.000 | 216.661 | -0.000 |
| 0.000 | 0.000 | -0.000 | 0.000 | -0.000 | 216.661 |
| 1068.088 | 260.320 | 260.320 | 0.000 | 0.000 | 0.000 |
| 260.320 | 1068.088 | 260.320 | -0.000 | 0.000 | 0.000 |
| 260.320 | 260.320 | 1068.088 | 0.000 | 0.000 | 0.000 |
| 0.000 | -0.000 | -0.000 | 216.661 | -0.000 | -0.000 |
| -0.000 | 0.000 | -0.000 | -0.000 | 216.661 | 0.000 |
| -0.000 | -0.000 | 0.000 | 0.000 | 0.000 | 216.661 |
| 815.162 | 386.786 | 386.786 | 0.000 | -0.000 | -0.000 |
| 386.786 | 815.162 | 386.786 | 0.000 | 0.000 | -0.000 |
| 386.786 | 386.786 | 815.162 | 0.000 | 0.000 | 0.000 |
| -0.000 | -0.000 | -0.001 | 47.365 | 0.000 | 0.000 |
| -0.000 | -0.000 | -0.001 | -0.000 | 47.365 | -0.000 |
| -0.000 | -0.001 | -0.000 | -0.000 | 0.000 | 47.365 |
| 815.159 | 386.783 | 386.783 | -0.000 | 0.000 | 0.000 |
| 386.783 | 815.159 | 386.783 | 0.000 | -0.000 | 0.000 |
| 386.783 | 386.783 | 815.159 | 0.000 | 0.000 | 0.000 |
| 0.000 | 0.000 | 0.001 | 47.365 | -0.000 | -0.000 |
| 0.000 | 0.000 | 0.001 | -0.000 | 47.365 | 0.000 |
| 0.000 | 0.001 | 0.000 | -0.000 | -0.000 | 47.365 |
| 409.791 | 228.897 | 228.897 | 0.000 | 0.000 | -0.000 |
| 228.897 | 409.791 | 228.897 | -0.000 | -0.000 | -0.000 |
| 228.897 | 228.897 | 409.791 | 0.000 | -0.000 | 0.000 |
| -0.000 | 0.000 | 0.000 | 3.196 | 0.000 | 0.000 |
| 0.000 | -0.000 | -0.000 | 0.000 | 3.196 | 0.000 |
| 0.000 | 0.000 | -0.000 | 0.000 | 0.000 | 3.196 |
| 409.791 | 228.897 | 228.897 | -0.000 | -0.000 | -0.000 |
| 228.897 | 409.791 | 228.897 | -0.000 | 0.000 | 0.000 |
| 228.897 | 228.897 | 409.791 | -0.000 | 0.000 | 0.000 |
| 0.000 | -0.000 | -0.000 | 3.196 | -0.000 | 0.000 |
| -0.000 | 0.000 | -0.000 | -0.000 | 3.196 | -0.000 |
| -0.000 | -0.000 | 0.000 | -0.000 | -0.000 | 3.196 |
| 409.791 | 228.897 | 228.897 | 0.000 | -0.000 | -0.000 |
| 228.897 | 409.791 | 228.897 | -0.000 | -0.000 | -0.000 |
| 228.897 | 228.897 | 409.791 | -0.000 | -0.000 | 0.000 |
| -0.000 | 0.000 | -0.000 | 3.196 | -0.000 | -0.000 |
| 0.000 | -0.000 | -0.000 | 0.000 | 3.196 | 0.000 |
| 0.000 | -0.000 | -0.000 | -0.000 | 0.000 | 3.196 |
| 594.002 | 136.792 | 136.792 | 0.000 | 0.000 | -0.000 |
| 136.792 | 594.002 | 136.792 | 0.000 | 0.000 | -0.000 |
| 136.792 | 136.792 | 594.002 | -0.000 | -0.000 | -0.000 |
| 0.000 | -0.000 | 0.000 | 3.196 | 0.000 | -0.000 |
| -0.000 | 0.000 | 0.000 | -0.000 | 3.196 | -0.000 |
| -0.000 | 0.000 | 0.000 | 0.000 | -0.000 | 3.196 |
| 409.789 | 228.897 | 228.897 | 0.000 | 0.000 | -0.000 |
| 228.897 | 409.789 | 228.897 | -0.000 | -0.000 | 0.000 |
| 228.897 | 228.897 | 409.789 | 0.000 | -0.000 | 0.000 |
| -0.000 | 0.000 | -0.000 | 3.196 | 0.000 | 0.000 |
| 0.000 | -0.000 | -0.000 | 0.000 | 3.196 | -0.000 |
| 0.000 | -0.000 | -0.000 | 0.000 | 0.000 | 3.196 |
| 409.792 | 228.898 | 228.898 | -0.000 | -0.000 | 0.000 |
| 228.898 | 409.792 | 228.898 | -0.000 | -0.000 | -0.000 |
| 228.898 | 228.898 | 409.792 | -0.000 | 0.000 | -0.000 |
| 0.000 | -0.000 | 0.000 | 3.196 | -0.000 | -0.000 |
| -0.000 | 0.000 | 0.000 | -0.000 | 3.196 | -0.000 |
| -0.000 | 0.000 | 0.000 | -0.000 | -0.000 | 3.196 |
| 365283.657 | 366622.377 | 366622.377 | 0.000 | 0.000 | -0.000 |
| 366622.377 | 365283.657 | 366622.377 | -0.000 | 0.000 | -0.000 |
| 366622.373 | 366622.373 | 365283.654 | 0.000 | 0.000 | -0.000 |
| 31074442448.196 | 28899207742.416 | 28724489920.212 | -170259358.613 | 594201.396 | -44130046.052 |
| 28793434085.671 | 30860182616.538 | 28837866787.722 | -19154127.685 | -19677680.752 | -24442247.070 |
| 29376844499.804 | 29526968102.962 | 31192715595.965 | 48365254.708 | 14839997.002 | 1534529.632 |
| 364198.549 | 365537.257 | 365537.257 | -0.000 | -0.000 | 0.000 |
| 365537.257 | 364198.549 | 365537.257 | -0.000 | -0.000 | -0.000 |
| 365537.257 | 365537.257 | 364198.549 | -0.000 | -0.000 | -0.000 |
| -33083233934.820 | -33230518447.687 | -33232713938.637 | 125121589.845 | 1825001.787 | 8436201.428 |
| -29041500335.272 | -31492916784.649 | -29159117094.017 | -24312157.983 | -158018899.492 | -97802124.793 |
| -28848002307.484 | -28810089883.730 | -31063059712.580 | 41088845.726 | -123139944.031 | -202108051.728 |
| 370166.717 | 371505.485 | 371505.485 | 0.000 | -0.000 | 0.000 |
| 371505.485 | 370166.717 | 371505.485 | -0.000 | 0.000 | 0.000 |
| 371505.485 | 371505.485 | 370166.716 | 0.000 | 0.000 | -0.000 |
| 3132836062.530 | 2895475757.200 | 2789628289.433 | -8365499.151 | 9358628.801 | 18096484.619 |
| 2897749110.205 | 3141452293.872 | 2797413543.017 | -1570215.408 | 21867873.438 | 26030685.478 |
| 2847972705.692 | 2766018250.570 | 3077198914.051 | -4279863.284 | 7670995.368 | 41182685.909 |
| 359625.552 | 360964.213 | 360964.213 | -0.000 | -0.000 | -0.000 |
| 360964.213 | 359625.552 | 360964.213 | -0.000 | -0.000 | 0.000 |
| 360964.213 | 360964.213 | 359625.552 | -0.000 | -0.000 | 0.000 |
| -3128758669.812 | -2805766366.647 | -2831328570.941 | -12658074.756 | -15159913.410 | 18138760.211 |
| -2791110976.959 | -3086276100.295 | -2810142293.657 | -4289573.342 | -16699047.150 | -10189972.386 |
| -2821025187.739 | -2819573620.175 | -3117623486.651 | -13155984.516 | 5916042.358 | -5228846.510 |
| 383805.920 | 385145.196 | 385145.196 | 0.000 | 0.000 | -0.000 |
| 385145.196 | 383805.920 | 385145.196 | 0.000 | 0.000 | -0.000 |
| 385145.196 | 385145.196 | 383805.920 | 0.000 | 0.000 | 0.000 |
| 285834894.747 | 286196118.269 | 286196136.067 | 8898549.369 | 0.000 | 0.000 |
| 286182662.918 | 285821492.301 | 286182680.711 | 0.000 | 8895895.691 | 0.000 |
| 286180023.845 | 286180041.637 | 285818863.613 | 0.000 | 0.000 | 8895375.143 |
| 381251.229 | 382589.384 | 382589.384 | -0.000 | -0.000 | 0.000 |
| 382589.384 | 381251.229 | 382589.384 | -0.000 | -0.000 | 0.000 |
| 382589.385 | 382589.385 | 381251.229 | -0.000 | -0.000 | -0.000 |
| -285838424.596 | -286199662.037 | -286199679.837 | 8899248.122 | -0.000 | 0.000 |
| -286172235.135 | -285811105.562 | -286172252.924 | -0.000 | 8893838.716 | 0.000 |
| -286179984.222 | -286180002.014 | -285818824.146 | -0.000 | -0.000 | 8895367.328 |
| -273.647 | 469.366 | 469.366 | -0.000 | -0.000 | 0.000 |
| 469.366 | -273.647 | 469.366 | -0.000 | -0.000 | 0.000 |
| 469.366 | 469.366 | -273.647 | -0.000 | -0.000 | 0.000 |
| -0.000 | 0.000 | -0.000 | -4880.260 | -0.000 | 0.000 |
| 0.000 | -0.000 | -0.000 | -0.000 | -4880.260 | 0.000 |
| 0.000 | -0.000 | -0.000 | -0.000 | -0.000 | -4880.260 |
| -273.542 | 469.472 | 469.472 | 0.000 | 0.000 | -0.000 |
| 469.472 | -273.542 | 469.472 | 0.000 | 0.000 | -0.000 |
| 469.472 | 469.472 | -273.542 | 0.000 | 0.000 | -0.000 |
| 0.000 | -0.000 | -0.000 | -4880.260 | 0.000 | 0.000 |
| -0.000 | 0.000 | 0.000 | 0.000 | -4880.260 | -0.000 |
| -0.000 | 0.000 | 0.000 | 0.000 | 0.000 | -4880.260 |
| -274.121 | 468.891 | 468.891 | -0.000 | 0.000 | 0.000 |
| 468.891 | -274.121 | 468.891 | 0.000 | -0.000 | 0.000 |
| 468.891 | 468.891 | -274.121 | -0.000 | -0.000 | -0.000 |
| -0.002 | 0.001 | -0.000 | -4880.260 | -0.000 | 0.000 |
| 0.001 | -0.002 | -0.000 | -0.000 | -4880.260 | 0.000 |
| 0.001 | -0.000 | -0.002 | -0.000 | -0.000 | -4880.260 |
| -273.068 | 469.947 | 469.947 | 0.000 | 0.000 | -0.000 |
| 469.947 | -273.068 | 469.947 | 0.000 | 0.000 | -0.000 |
| 469.947 | 469.947 | -273.068 | 0.000 | 0.000 | -0.000 |
| 0.002 | -0.001 | 0.000 | -4880.260 | 0.000 | -0.000 |
| -0.001 | 0.002 | 0.000 | 0.000 | -4880.260 | 0.000 |
| -0.001 | 0.000 | 0.002 | 0.000 | 0.000 | -4880.260 |
| -278.862 | 464.141 | 464.141 | 0.000 | 0.000 | -0.000 |
| 464.141 | -278.862 | 464.141 | 0.000 | 0.000 | -0.000 |
| 464.141 | 464.141 | -278.862 | 0.000 | -0.000 | -0.000 |
| -0.018 | 0.006 | -0.003 | -4880.268 | -0.000 | -0.000 |
| 0.006 | -0.018 | -0.003 | -0.000 | -4880.268 | -0.000 |
| 0.006 | -0.003 | -0.018 | -0.000 | -0.000 | -4880.268 |
| -268.328 | 474.697 | 474.697 | 0.000 | 0.000 | -0.000 |
| 474.697 | -268.328 | 474.697 | 0.000 | 0.000 | -0.000 |
| 474.697 | 474.697 | -268.328 | 0.000 | 0.000 | -0.000 |
| 0.018 | -0.006 | 0.003 | -4880.268 | 0.000 | 0.000 |
| -0.006 | 0.018 | 0.003 | 0.000 | -4880.268 | 0.000 |
| -0.006 | 0.003 | 0.018 | 0.000 | 0.000 | -4880.268 |
| 1052.272 | -132.179 | -132.179 | -0.000 | -0.000 | 0.000 |
| -132.179 | 1052.272 | -132.179 | -0.000 | -0.000 | 0.000 |
| -132.179 | -132.179 | 1052.272 | -0.000 | -0.000 | -0.000 |
| 0.000 | 0.000 | -0.000 | -177.258 | -0.000 | 0.000 |
| 0.000 | 0.000 | -0.000 | -0.000 | -177.258 | -0.000 |
| 0.000 | 0.000 | -0.000 | 0.000 | -0.000 | -177.258 |
| 1052.272 | -132.179 | -132.179 | -0.000 | 0.000 | -0.000 |
| -132.179 | 1052.272 | -132.179 | -0.000 | 0.000 | -0.000 |
| -132.179 | -132.179 | 1052.272 | 0.000 | 0.000 | -0.000 |
| -0.000 | -0.000 | 0.000 | -177.258 | -0.000 | 0.000 |
| -0.000 | -0.000 | 0.000 | 0.000 | -177.258 | -0.000 |
| -0.000 | -0.000 | 0.000 | -0.000 | 0.000 | -177.258 |
| 1052.273 | -132.178 | -132.178 | -0.000 | -0.000 | 0.000 |
| -132.178 | 1052.273 | -132.178 | -0.000 | -0.000 | 0.000 |
| -132.178 | -132.178 | 1052.273 | 0.000 | 0.000 | 0.000 |
| 128943798.543 | -412373356.384 | -404643228.657 | -518282746.417 | -1152793.673 | 1155733.862 |
| -409981791.991 | 129601021.438 | -404536634.950 | 593057.571 | -515209976.228 | 55027.866 |
| -402460847.900 | -403238287.078 | 158095970.273 | 1681860.696 | -1853959.760 | -536567629.762 |
| 1052.271 | -132.179 | -132.179 | 0.000 | 0.000 | -0.000 |
| -132.179 | 1052.271 | -132.179 | -0.000 | 0.000 | -0.000 |
| -132.179 | -132.179 | 1052.271 | 0.000 | 0.000 | -0.000 |
| -100933279.128 | 383727662.528 | 379546298.234 | -476933851.407 | 2887259.435 | 1363411.945 |
| 393787545.537 | -96241812.035 | 391837846.661 | 2972988.274 | -485083520.138 | 2531585.878 |
| 393166028.337 | 393624667.836 | -126988821.551 | -3330704.911 | -2710140.603 | -502583796.827 |
| 1052.284 | -132.178 | -132.178 | 0.000 | -0.000 | -0.000 |
| -132.178 | 1052.284 | -132.178 | -0.000 | -0.000 | -0.000 |
| -132.178 | -132.178 | 1052.284 | -0.000 | -0.000 | 0.000 |
| 12499075.353 | -37195272.727 | -37310803.744 | -48298520.911 | -198757.908 | 209041.435 |
| -37266097.706 | 12569512.209 | -37366614.649 | 43228.582 | -48601139.658 | -18210.969 |
| -37346654.544 | -38954118.574 | 10539020.728 | 2934.769 | 12599.359 | -48089692.692 |
| 1052.261 | -132.179 | -132.179 | 0.000 | -0.000 | -0.000 |
| -132.179 | 1052.261 | -132.179 | -0.000 | 0.000 | -0.000 |
| -132.179 | -132.179 | 1052.261 | 0.000 | 0.000 | 0.000 |
| -14174373.423 | 38918352.827 | 39720977.658 | -51189389.204 | -367091.013 | -421428.506 |
| 39159343.533 | -14323956.823 | 40210765.738 | -198675.118 | -52025547.636 | -248068.754 |
| 37015990.062 | 39162271.426 | -11400382.574 | 363448.580 | 378077.170 | -48057401.818 |
| 222.048 | 45.138 | 45.138 | 0.000 | -0.000 | -0.000 |
| 45.138 | 222.048 | 45.138 | 0.000 | -0.000 | -0.000 |
| 45.138 | 45.138 | 222.048 | 0.000 | -0.000 | -0.000 |
| 0.000 | 0.000 | -0.000 | 44.811 | 0.000 | -0.000 |
| 0.000 | 0.000 | -0.000 | 0.000 | 44.811 | -0.000 |
| 0.000 | 0.000 | -0.000 | 0.000 | -0.000 | 44.811 |
| 222.048 | 45.138 | 45.138 | 0.000 | 0.000 | 0.000 |
| 45.138 | 222.048 | 45.138 | 0.000 | 0.000 | 0.000 |
| 45.138 | 45.138 | 222.048 | 0.000 | 0.000 | 0.000 |
| -0.000 | -0.000 | 0.000 | 44.811 | -0.000 | 0.000 |
| -0.000 | -0.000 | 0.000 | -0.000 | 44.811 | 0.000 |
| -0.000 | -0.000 | 0.000 | 0.000 | 0.000 | 44.811 |
| 222.048 | 45.138 | 45.138 | 0.000 | -0.000 | -0.000 |
| 45.138 | 222.048 | 45.138 | 0.000 | -0.000 | -0.000 |
| 45.138 | 45.138 | 222.048 | -0.000 | -0.000 | -0.000 |
| 0.000 | 0.000 | 0.000 | 44.811 | -0.000 | -0.000 |
| 0.000 | 0.000 | 0.000 | 0.000 | 44.811 | -0.000 |
| 0.000 | 0.000 | 0.000 | -0.000 | -0.000 | 44.811 |
| 222.049 | 45.138 | 45.138 | -0.000 | -0.000 | 0.000 |
| 45.138 | 222.049 | 45.138 | 0.000 | -0.000 | 0.000 |
| 45.138 | 45.138 | 222.049 | 0.000 | 0.000 | 0.000 |
| -0.000 | -0.000 | -0.000 | 44.811 | -0.000 | 0.000 |
| -0.000 | -0.000 | -0.000 | -0.000 | 44.811 | 0.000 |
| -0.000 | -0.000 | -0.000 | 0.000 | 0.000 | 44.811 |
| 222.044 | 45.139 | 45.139 | -0.000 | -0.000 | -0.000 |
| 45.139 | 222.044 | 45.139 | -0.000 | -0.000 | -0.000 |
| 45.139 | 45.139 | 222.044 | 0.000 | -0.000 | -0.000 |
| 0.001 | 0.001 | 0.001 | 45.138 | -0.000 | -0.000 |
| 0.001 | 0.001 | 0.001 | -0.000 | 45.138 | -0.000 |
| 0.001 | 0.001 | 0.001 | -0.000 | -0.000 | 45.138 |
| 222.052 | 45.137 | 45.137 | -0.000 | -0.000 | 0.000 |
| 45.137 | 222.052 | 45.137 | 0.000 | -0.000 | 0.000 |
| 45.137 | 45.137 | 222.052 | -0.000 | -0.000 | 0.000 |
| -0.001 | -0.001 | -0.001 | 45.138 | 0.000 | 0.000 |
| -0.001 | -0.001 | -0.001 | 0.000 | 45.138 | 0.000 |
| -0.001 | -0.001 | -0.001 | -0.000 | 0.000 | 45.138 |
| 182.925 | 182.994 | 182.994 | -0.000 | -0.000 | -0.000 |
| 182.994 | 182.925 | 182.994 | -0.000 | -0.000 | -0.000 |
| 182.994 | 182.994 | 182.925 | -0.000 | -0.000 | -0.000 |
| 0.000 | -0.000 | 0.000 | 29.361 | 0.000 | -0.000 |
| -0.000 | 0.000 | 0.000 | 0.000 | 29.361 | -0.000 |
| -0.000 | 0.000 | 0.000 | 0.000 | 0.000 | 29.361 |
| 182.925 | 182.994 | 182.994 | 0.000 | 0.000 | 0.000 |
| 182.994 | 182.925 | 182.994 | 0.000 | 0.000 | 0.000 |
| 182.994 | 182.994 | 182.925 | 0.000 | 0.000 | 0.000 |
| 0.000 | 0.000 | 0.000 | 29.361 | -0.000 | 0.000 |
| 0.000 | 0.000 | 0.000 | -0.000 | 29.361 | 0.000 |
| 0.000 | -0.000 | -0.000 | -0.000 | -0.000 | 29.361 |
| 182.924 | 182.994 | 182.994 | -0.000 | -0.000 | -0.000 |
| 182.994 | 182.924 | 182.994 | -0.000 | -0.000 | -0.000 |
| 182.994 | 182.994 | 182.924 | -0.000 | -0.000 | -0.000 |
| -0.000 | -0.000 | -0.000 | 29.361 | 0.000 | 0.000 |
| -0.000 | -0.000 | -0.000 | 0.000 | 29.361 | 0.000 |
| -0.000 | -0.000 | -0.000 | -0.000 | 0.000 | 29.361 |
| 182.925 | 182.994 | 182.994 | 0.000 | 0.000 | 0.000 |
| 182.994 | 182.925 | 182.994 | 0.000 | 0.000 | 0.000 |
| 182.994 | 182.994 | 182.925 | 0.000 | 0.000 | 0.000 |
| 0.000 | 0.000 | 0.000 | 29.361 | -0.000 | 0.000 |
| 0.000 | 0.000 | 0.000 | -0.000 | 29.361 | 0.000 |
| 0.000 | 0.000 | 0.000 | -0.000 | -0.000 | 29.361 |
| 182.924 | 182.994 | 182.994 | -0.000 | -0.000 | -0.000 |
| 182.994 | 182.924 | 182.994 | -0.000 | -0.000 | -0.000 |
| 182.994 | 182.994 | 182.924 | -0.000 | -0.000 | -0.000 |
| -0.000 | 0.000 | 0.000 | 29.361 | 0.000 | -0.000 |
| 0.000 | -0.000 | 0.000 | 0.000 | 29.361 | 0.000 |
| 0.000 | 0.000 | -0.000 | 0.000 | -0.000 | 29.361 |
| 182.924 | 182.994 | 182.994 | 0.000 | 0.000 | 0.000 |
| 182.994 | 182.924 | 182.994 | 0.000 | 0.000 | 0.000 |
| 182.994 | 182.994 | 182.924 | 0.000 | 0.000 | 0.000 |
| 0.000 | -0.000 | -0.000 | 29.361 | -0.000 | 0.000 |
| -0.000 | 0.000 | -0.000 | -0.000 | 29.361 | 0.000 |
| -0.000 | -0.000 | 0.000 | -0.000 | 0.000 | 29.361 |
| 19656.106 | 13981.604 | 13981.604 | -0.000 | 0.000 | -0.000 |
| 13981.604 | 19656.106 | 13981.604 | -0.000 | -0.000 | -0.000 |
| 13981.604 | 13981.604 | 19656.106 | -0.000 | -0.000 | 0.000 |
| 0.000 | 0.000 | 0.000 | 3152.168 | 0.000 | 0.000 |
| 0.000 | 0.000 | 0.000 | -0.000 | 3152.168 | 0.000 |
| 0.000 | 0.000 | 0.000 | -0.000 | -0.000 | 3152.168 |
| 19647.682 | 13975.719 | 13975.719 | 0.000 | 0.000 | 0.000 |
| 13975.719 | 19647.682 | 13975.719 | -0.000 | 0.000 | 0.000 |
| 13975.719 | 13975.719 | 19647.682 | -0.000 | 0.000 | 0.000 |
| -0.000 | -0.000 | -0.000 | 3152.168 | -0.000 | 0.000 |
| -0.000 | -0.000 | -0.000 | -0.000 | 3152.168 | 0.000 |
| -0.000 | -0.000 | -0.000 | -0.000 | 0.000 | 3152.168 |
| 19694.015 | 14008.086 | 14008.086 | -0.000 | -0.000 | -0.000 |
| 14008.086 | 19694.015 | 14008.086 | -0.000 | -0.000 | -0.000 |
| 14008.086 | 14008.086 | 19694.015 | 0.000 | -0.000 | 0.000 |
| 0.001 | 0.004 | 0.004 | 3152.168 | -0.000 | -0.000 |
| 0.004 | 0.001 | 0.004 | -0.000 | 3152.168 | -0.000 |
| 0.004 | 0.004 | 0.001 | -0.000 | -0.000 | 3152.168 |
| 19609.773 | 13949.238 | 13949.238 | 0.000 | 0.000 | -0.000 |
| 13949.238 | 19609.773 | 13949.238 | 0.000 | 0.000 | -0.000 |
| 13949.238 | 13949.238 | 19609.773 | 0.000 | 0.000 | 0.000 |
| -0.001 | -0.004 | -0.004 | 3152.168 | 0.000 | 0.000 |
| -0.004 | -0.001 | -0.004 | -0.000 | 3152.168 | -0.000 |
| -0.004 | -0.004 | -0.001 | 0.000 | 0.000 | 3152.168 |
| 20032.046 | 14252.418 | 14252.418 | -0.000 | -0.000 | -0.000 |
| 14252.418 | 20032.046 | 14252.418 | -0.000 | -0.000 | 0.000 |
| 14252.418 | 14252.418 | 20032.046 | -0.000 | -0.000 | -0.000 |
| 0.011 | 0.035 | 0.039 | 3152.168 | -0.000 | 0.000 |
| 0.035 | 0.011 | 0.039 | -0.000 | 3152.168 | 0.000 |
| 0.035 | 0.039 | 0.011 | -0.000 | -0.000 | 3152.168 |
| 19230.688 | 13684.423 | 13684.423 | 0.000 | 0.000 | -0.000 |
| 13684.423 | 19230.688 | 13684.423 | 0.000 | 0.000 | -0.000 |
| 13684.423 | 13684.423 | 19230.688 | -0.000 | 0.000 | 0.000 |
| -0.011 | -0.035 | -0.039 | 3152.168 | 0.000 | 0.000 |
| -0.035 | -0.011 | -0.039 | 0.000 | 3152.168 | -0.000 |
| -0.035 | -0.039 | -0.011 | 0.000 | 0.000 | 3152.168 |
| 371.491 | 110.731 | 110.731 | 0.000 | 0.000 | 0.000 |
| 110.731 | 371.491 | 110.731 | 0.000 | 0.000 | 0.000 |
| 110.731 | 110.731 | 371.491 | 0.000 | 0.000 | -0.000 |
| -0.000 | -0.000 | 0.000 | 91.643 | 0.000 | 0.000 |
| 0.000 | -0.000 | 0.000 | 0.000 | 91.643 | 0.000 |
| 0.000 | 0.000 | 0.000 | 0.000 | 0.000 | 91.643 |
| 371.491 | 110.731 | 110.731 | -0.000 | -0.000 | 0.000 |
| 110.731 | 371.491 | 110.731 | -0.000 | -0.000 | -0.000 |
| 110.731 | 110.731 | 371.491 | -0.000 | -0.000 | -0.000 |
| -0.000 | -0.000 | -0.000 | 91.643 | -0.000 | 0.000 |
| -0.000 | -0.000 | -0.000 | -0.000 | 91.643 | -0.000 |
| -0.000 | -0.000 | -0.000 | -0.000 | -0.000 | 91.643 |
| 371.492 | 110.731 | 110.731 | 0.000 | 0.000 | 0.000 |
| 110.731 | 371.492 | 110.731 | 0.000 | 0.000 | -0.000 |
| 110.731 | 110.731 | 371.492 | 0.000 | 0.000 | 0.000 |
| -0.000 | 0.000 | 0.000 | 91.643 | 0.000 | 0.000 |
| 0.000 | -0.000 | 0.000 | 0.000 | 91.643 | 0.000 |
| 0.000 | 0.000 | -0.000 | 0.000 | 0.000 | 91.643 |
| 371.491 | 110.731 | 110.731 | -0.000 | -0.000 | -0.000 |
| 110.731 | 371.491 | 110.731 | -0.000 | -0.000 | -0.000 |
| 110.731 | 110.731 | 371.491 | -0.000 | -0.000 | 0.000 |
| 0.000 | -0.000 | -0.000 | 91.643 | -0.000 | -0.000 |
| -0.000 | 0.000 | -0.000 | -0.000 | 91.643 | -0.000 |
| -0.000 | -0.000 | 0.000 | -0.000 | -0.000 | 91.643 |
| 371.496 | 110.733 | 110.733 | 0.000 | 0.000 | 0.000 |
| 110.733 | 371.496 | 110.733 | 0.000 | 0.000 | 0.000 |
| 110.733 | 110.733 | 371.496 | 0.000 | 0.000 | 0.000 |
| -0.000 | 0.002 | 0.002 | 91.643 | 0.000 | -0.000 |
| 0.002 | -0.000 | 0.002 | 0.000 | 91.643 | 0.000 |
| 0.002 | 0.002 | -0.000 | 0.000 | 0.000 | 91.643 |
| 371.487 | 110.729 | 110.729 | -0.000 | -0.000 | -0.000 |
| 110.729 | 371.487 | 110.729 | -0.000 | -0.000 | -0.000 |
| 110.729 | 110.729 | 371.487 | -0.000 | -0.000 | -0.000 |
| 0.000 | -0.002 | -0.002 | 91.643 | -0.000 | -0.000 |
| -0.002 | 0.000 | -0.002 | -0.000 | 91.643 | -0.000 |
| -0.002 | -0.002 | 0.000 | -0.000 | -0.000 | 91.643 |
| -242.423 | -170.020 | -170.020 | -0.000 | 0.000 | 0.000 |
| -170.020 | -242.423 | -170.020 | 0.000 | -0.000 | 0.000 |
| -170.020 | -170.020 | -242.423 | 0.000 | 0.000 | 0.000 |
| 0.000 | 0.000 | 0.000 | -189.542 | 0.000 | 0.000 |
| 0.000 | -0.000 | 0.000 | -0.000 | -189.542 | 0.000 |
| 0.000 | 0.000 | 0.000 | 0.000 | 0.000 | -189.542 |
| -242.423 | -170.020 | -170.020 | 0.000 | -0.000 | -0.000 |
| -170.020 | -242.423 | -170.020 | -0.000 | -0.000 | -0.000 |
| -170.020 | -170.020 | -242.423 | -0.000 | -0.000 | 0.000 |
| -0.000 | -0.000 | -0.000 | -189.542 | -0.000 | -0.000 |
| -0.000 | 0.000 | -0.000 | 0.000 | -189.542 | 0.000 |
| -0.000 | -0.000 | -0.000 | 0.000 | -0.000 | -189.542 |
| -242.423 | -170.019 | -170.019 | -0.000 | 0.000 | 0.000 |
| -170.019 | -242.423 | -170.019 | 0.000 | 0.000 | 0.000 |
| -170.019 | -170.019 | -242.423 | 0.000 | 0.000 | -0.000 |
| 0.000 | 0.000 | 0.000 | -189.542 | 0.000 | 0.000 |
| 0.000 | 0.000 | 0.000 | 0.000 | -189.542 | -0.000 |
| 0.000 | 0.000 | 0.000 | 0.000 | 0.000 | -189.542 |
| -242.424 | -170.020 | -170.020 | 0.000 | -0.000 | -0.000 |
| -170.020 | -242.424 | -170.020 | -0.000 | -0.000 | -0.000 |
| -170.020 | -170.020 | -242.424 | -0.000 | -0.000 | 0.000 |
| -0.000 | -0.000 | -0.000 | -189.542 | -0.000 | -0.000 |
| -0.000 | -0.000 | -0.000 | -0.000 | -189.542 | -0.000 |
| -0.000 | -0.000 | -0.000 | -0.000 | -0.000 | -189.542 |
| -242.417 | -170.018 | -170.018 | -0.000 | -0.000 | 0.000 |
| -170.018 | -242.417 | -170.018 | 0.000 | 0.000 | 0.000 |
| -170.018 | -170.018 | -242.417 | 0.000 | -0.000 | -0.000 |
| 0.000 | 0.002 | 0.002 | -189.542 | 0.000 | 0.000 |
| 0.002 | 0.000 | 0.002 | 0.000 | -189.542 | 0.000 |
| 0.002 | 0.002 | 0.000 | 0.000 | 0.000 | -189.542 |
| -242.429 | -170.022 | -170.022 | -0.000 | -0.000 | -0.000 |
| -170.022 | -242.429 | -170.022 | -0.000 | -0.000 | -0.000 |
| -170.022 | -170.022 | -242.429 | -0.000 | -0.000 | -0.000 |
| -0.000 | -0.002 | -0.002 | -189.542 | -0.000 | -0.000 |
| -0.002 | -0.000 | -0.002 | -0.000 | -189.542 | -0.000 |
| -0.002 | -0.002 | -0.000 | -0.000 | -0.000 | -189.542 |
| 714.767 | 423.368 | 423.368 | 0.000 | -0.000 | 0.000 |
| 423.368 | 714.767 | 423.368 | -0.000 | -0.000 | 0.000 |
| 423.368 | 423.368 | 714.767 | 0.000 | -0.000 | -0.000 |
| -0.000 | 0.000 | 0.000 | 400.412 | 0.000 | 0.000 |
| 0.000 | -0.000 | 0.000 | 0.000 | 400.412 | 0.000 |
| 0.000 | 0.000 | -0.000 | 0.000 | -0.000 | 400.412 |
| 714.767 | 423.368 | 423.368 | -0.000 | 0.000 | -0.000 |
| 423.368 | 714.767 | 423.368 | -0.000 | 0.000 | -0.000 |
| 423.368 | 423.368 | 714.767 | -0.000 | -0.000 | 0.000 |
| 0.000 | -0.000 | -0.000 | 400.412 | -0.000 | -0.000 |
| -0.000 | 0.000 | -0.000 | -0.000 | 400.412 | -0.000 |
| -0.000 | -0.000 | 0.000 | -0.000 | 0.000 | 400.412 |
| 714.767 | 423.368 | 423.368 | 0.000 | -0.000 | 0.000 |
| 423.368 | 714.767 | 423.368 | 0.000 | -0.000 | 0.000 |
| 423.368 | 423.368 | 714.767 | 0.000 | -0.000 | -0.000 |
| -0.000 | 0.000 | 0.000 | 400.412 | -0.000 | 0.000 |
| 0.000 | -0.000 | 0.000 | 0.000 | 400.412 | 0.000 |
| 0.000 | 0.000 | -0.000 | 0.000 | -0.000 | 400.412 |
| 714.766 | 423.368 | 423.368 | -0.000 | 0.000 | -0.000 |
| 423.368 | 714.766 | 423.368 | 0.000 | 0.000 | -0.000 |
| 423.368 | 423.368 | 714.766 | -0.000 | -0.000 | 0.000 |
| 0.000 | -0.000 | -0.000 | 400.412 | 0.000 | 0.000 |
| -0.000 | 0.000 | -0.000 | -0.000 | 400.412 | -0.000 |
| -0.000 | -0.000 | 0.000 | -0.000 | 0.000 | 400.412 |
| 714.770 | 423.370 | 423.370 | 0.000 | -0.000 | 0.000 |
| 423.370 | 714.770 | 423.370 | 0.000 | -0.000 | 0.000 |
| 423.370 | 423.370 | 714.770 | 0.000 | -0.000 | -0.000 |
| -0.000 | 0.001 | 0.002 | 400.412 | 0.000 | 0.000 |
| 0.001 | -0.000 | 0.002 | 0.000 | 400.412 | 0.000 |
| 0.001 | 0.002 | -0.000 | 0.000 | -0.000 | 400.412 |
| 714.764 | 423.366 | 423.366 | -0.000 | 0.000 | 0.000 |
| 423.366 | 714.764 | 423.366 | -0.000 | 0.000 | -0.000 |
| 423.366 | 423.366 | 714.764 | -0.000 | 0.000 | 0.000 |
| 0.000 | -0.001 | -0.002 | 400.412 | -0.000 | -0.000 |
| -0.001 | 0.000 | -0.002 | -0.000 | 400.412 | -0.000 |
| -0.001 | -0.002 | 0.000 | -0.000 | 0.000 | 400.412 |
| 443.486 | 223.717 | 223.717 | -0.000 | -0.000 | -0.000 |
| 223.717 | 443.486 | 223.717 | -0.000 | -0.000 | -0.000 |
| 223.717 | 223.717 | 443.486 | 0.000 | -0.000 | -0.000 |
| -0.000 | -0.000 | -0.000 | 223.717 | -0.000 | -0.000 |
| -0.000 | -0.000 | -0.000 | -0.000 | 223.717 | -0.000 |
| -0.000 | -0.000 | -0.000 | -0.000 | -0.000 | 223.717 |
| 443.486 | 223.717 | 223.717 | 0.000 | 0.000 | 0.000 |
| 223.717 | 443.486 | 223.717 | 0.000 | 0.000 | 0.000 |
| 223.717 | 223.717 | 443.486 | 0.000 | 0.000 | 0.000 |
| 0.000 | 0.000 | 0.000 | 223.717 | 0.000 | 0.000 |
| 0.000 | 0.000 | 0.000 | 0.000 | 223.717 | 0.000 |
| 0.000 | 0.000 | 0.000 | 0.000 | 0.000 | 223.717 |
| 443.486 | 223.717 | 223.717 | -0.000 | -0.000 | -0.000 |
| 223.717 | 443.486 | 223.717 | -0.000 | -0.000 | -0.000 |
| 223.717 | 223.717 | 443.486 | -0.000 | -0.000 | -0.000 |
| -0.000 | -0.000 | -0.000 | 223.717 | -0.000 | -0.000 |
| -0.000 | -0.000 | -0.000 | -0.000 | 223.717 | -0.000 |
| -0.000 | -0.000 | -0.000 | -0.000 | -0.000 | 223.717 |
| 443.487 | 223.717 | 223.717 | 0.000 | 0.000 | 0.000 |
| 223.717 | 443.487 | 223.717 | 0.000 | 0.000 | 0.000 |
| 223.717 | 223.717 | 443.487 | 0.000 | 0.000 | 0.000 |
| 0.000 | 0.000 | 0.000 | 223.717 | 0.000 | 0.000 |
| 0.000 | 0.000 | 0.000 | 0.000 | 223.717 | 0.000 |
| 0.000 | 0.000 | 0.000 | 0.000 | 0.000 | 223.717 |
| 443.484 | 223.716 | 223.716 | -0.000 | -0.000 | -0.000 |
| 223.716 | 443.484 | 223.716 | -0.000 | -0.000 | -0.000 |
| 223.716 | 223.716 | 443.484 | -0.000 | -0.000 | -0.000 |
| -0.000 | -0.001 | -0.001 | 223.717 | -0.000 | -0.000 |
| -0.001 | -0.000 | -0.001 | -0.000 | 223.717 | -0.000 |
| -0.001 | -0.001 | -0.000 | -0.000 | -0.000 | 223.717 |
| 443.489 | 223.718 | 223.718 | 0.000 | 0.000 | 0.000 |
| 223.718 | 443.489 | 223.718 | 0.000 | 0.000 | 0.000 |
| 223.718 | 223.718 | 443.489 | 0.000 | 0.000 | 0.000 |
| 0.000 | 0.001 | 0.001 | 223.717 | -0.000 | 0.000 |
| 0.001 | 0.000 | 0.001 | 0.000 | 223.717 | 0.000 |
| 0.001 | 0.001 | 0.000 | 0.000 | 0.000 | 223.717 |
| 968.467 | 329.916 | 1275.076 | 0.000 | 0.000 | 0.000 |
| 329.916 | 968.468 | 1275.076 | 0.000 | 0.000 | 0.000 |
| 8406.535 | 8406.536 | 1305.862 | -0.537 | -0.013 | -0.001 |
| 12472.799 | 12472.782 | 30543.531 | -274.633 | -0.026 | 0.000 |
| 7058.355 | 7059.445 | -3993.083 | 0.305 | 881.347 | 0.000 |
| 10198.876 | 10198.876 | 20816.134 | -0.574 | -0.021 | 210.214 |
| -9230.891 | -9729.200 | -12683.424 | 0.627 | 0.023 | -0.000 |
| -9729.218 | -9230.925 | -12685.343 | 0.627 | 0.023 | 0.000 |
| -9577.996 | -9577.996 | -91587.732 | 0.082 | 0.003 | -0.000 |
| -12472.812 | -12472.794 | -30543.586 | -273.259 | 0.026 | -0.000 |
| -7058.367 | -7059.456 | 3992.907 | -0.306 | 881.316 | 0.000 |
| -10198.876 | -10198.876 | -20816.128 | 0.574 | 0.021 | 210.214 |
| 1703.546 | 1292.211 | 2631.475 | -0.058 | -0.002 | 0.000 |
| 981.166 | 1343.694 | 1482.131 | 0.022 | 0.001 | 0.000 |
| 1315.514 | 1315.514 | 1820.127 | -0.060 | -0.002 | -0.000 |
| 0.000 | 0.001 | 0.005 | 1229.148 | 0.000 | 0.000 |
| 1015.965 | 1015.967 | 2274.055 | -0.058 | 225.291 | 0.000 |
| 944.003 | 944.002 | 8076.017 | -0.013 | -0.001 | -84.978 |
| -50.093 | -289.811 | -6300.689 | 0.006 | 0.000 | -0.000 |
| -1396.327 | -1655.689 | -15267.393 | 0.039 | 0.001 | -0.000 |
| -1122.843 | -1122.843 | -6796.869 | 0.038 | 0.001 | -0.000 |
| -0.000 | -0.001 | -0.005 | 1229.148 | -0.000 | -0.000 |
| -1015.965 | -1015.968 | -2274.055 | 0.058 | 225.295 | -0.000 |
| -944.003 | -944.002 | -8076.017 | 0.013 | 0.001 | -84.978 |
| 819.016 | 298.178 | 332.469 | -0.000 | -0.000 | 0.000 |
| 329.904 | 968.462 | 1275.071 | 0.000 | 0.000 | 0.000 |
| 256.495 | 256.495 | -470.761 | -0.000 | -0.000 | 0.000 |
| 12.500 | 12.495 | 106.903 | 290.876 | -0.000 | 0.000 |
| 104.728 | 104.532 | 236.687 | -0.006 | 187.139 | -0.000 |
| 90.349 | 90.577 | 120.747 | -0.000 | -0.000 | 116.897 |
| 585.276 | 169.103 | 110.503 | 0.005 | 0.000 | -0.000 |
| 329.928 | 968.474 | 1275.081 | -0.000 | -0.000 | -0.000 |
| 110.802 | 110.802 | -1244.147 | 0.004 | 0.000 | -0.000 |
| -83.782 | -83.868 | -117.096 | 123.048 | -0.000 | -0.000 |
| -104.728 | -104.532 | -236.687 | 0.006 | 187.140 | -0.000 |
| -90.349 | -90.577 | -120.747 | 0.000 | -0.000 | 116.897 |
| -25987.931 | -3995.882 | 13693.287 | -0.000 | 0.011 | 0.025 |
| 2497.557 | 5863.718 | 4276.951 | -0.000 | 0.006 | 0.027 |
| -18875.065 | -822.027 | 18967.321 | -0.000 | 0.008 | 0.025 |
| -2431.195 | -462.480 | 414.038 | 3982.514 | 0.006 | 0.028 |
| -382.316 | -73.375 | 65.369 | 0.000 | 6587.030 | 0.030 |
| -809.387 | -154.590 | 138.191 | 0.000 | 0.006 | 3848.163 |
| -258020904.214 | 278750932.316 | 609391301.549 | 927712.263 | -545956.965 | -524282.391 |
| -378038632.069 | 29973141.702 | -141145033.532 | 0.054 | 198.222 | 24.457 |
| -272802403.073 | 299214288.829 | 643212168.758 | -1016982.031 | 7070268.216 | -1281626.090 |
| 726.997 | 138.806 | -123.987 | 3982.548 | -0.001 | -0.029 |
| 2086.518 | 397.046 | -355.429 | -0.000 | 6586.963 | -0.028 |
| -259227546.593 | 317069673.653 | 659582163.834 | 1090062.861 | 15188421.484 | -460934.933 |
| -27194.017 | -4434.976 | 12476.591 | -0.002 | -0.100 | 0.002 |
| 2484.372 | 5861.703 | 4279.003 | -0.000 | 0.001 | 0.003 |
| -19341.593 | -916.680 | 18979.664 | -0.002 | -0.102 | 0.003 |
| -2437.275 | -462.804 | 414.635 | 3982.068 | 0.001 | 0.003 |
| -1918.693 | -364.352 | 326.534 | 0.000 | 6586.402 | 0.003 |
| -808.599 | -153.548 | 137.623 | 0.000 | 0.001 | 3847.922 |
| -23688839.482 | 28559218.162 | 62472284.926 | -82825.237 | 208587.455 | 51372.835 |
| -23921268.898 | 27216425.874 | 59043408.959 | 211985.882 | -83314.367 | 54303.724 |
| -24819611.804 | 29245294.447 | 63318621.028 | -61833.361 | -338263.904 | -19544.374 |
| 2266.387 | 430.343 | -385.553 | 3982.102 | -0.000 | -0.003 |
| 2089.570 | 396.810 | -355.616 | -0.000 | 6586.344 | -0.003 |
| 490.768 | 93.205 | -83.563 | 0.000 | -0.001 | 3848.010 |
| 1893324.487 | 2040934.165 | 2571790.778 | 0.001 | -2.324 | -0.061 |
| 2456.859 | 5852.919 | 4286.444 | -0.000 | 0.000 | 0.000 |
| -30011.343 | -3115.549 | 19508.653 | -0.000 | -0.005 | -0.001 |
| -2381.655 | -475.622 | 243.553 | 4043.761 | -0.005 | 0.002 |
| -2011.065 | -402.181 | 204.043 | -0.000 | 6631.619 | 0.000 |
| -878.661 | -172.380 | 107.607 | 0.006 | -0.005 | 3852.056 |
| -2209085.384 | 2945817.411 | 6351198.662 | 19216.312 | 37468.982 | -7838.253 |
| -1671730.543 | -2415718.615 | -3546497.253 | 0.002 | -1.357 | 0.035 |
| -2733577.118 | 2958748.229 | 6375795.232 | 13848.831 | -40549.878 | 8903.316 |
| 2364.516 | 472.301 | -241.060 | 4043.625 | 0.005 | 0.002 |
| 2028.180 | 405.500 | -206.506 | -0.000 | 6631.726 | -0.000 |
| 845.482 | 165.960 | -102.778 | 0.006 | 0.005 | 3852.028 |
| -13268.475 | -12549.465 | -39267.669 | 0.002 | 0.000 | 0.000 |
| -12521.603 | -13228.374 | -39118.882 | 0.002 | 0.000 | 0.000 |
| 5759.168 | 5759.168 | 15803.489 | -0.001 | -0.000 | -0.000 |
| -10651.691 | -10651.691 | -48028.005 | -213.377 | 0.000 | 0.000 |
| -7777.627 | -7777.626 | -12621.152 | 0.000 | 2722.211 | 0.000 |
| 0.000 | 0.000 | 0.001 | -0.001 | -0.000 | 2407.760 |
| 17249.888 | 16373.008 | 56234.554 | -0.001 | -0.000 | -0.000 |
| 11148.325 | 10905.205 | 41639.634 | -0.002 | -0.000 | -0.000 |
| 13424.624 | 13424.624 | 23457.064 | -0.001 | -0.000 | -0.000 |
| 10651.691 | 10651.691 | 48028.004 | -213.381 | -0.000 | -0.000 |
| 7777.627 | 7777.627 | 12621.152 | -0.000 | 2722.211 | 0.000 |
| -0.000 | -0.000 | -0.001 | 0.001 | -0.000 | 2407.760 |
| -329.308 | -1121.610 | -5027.238 | 0.000 | 0.000 | 0.000 |
| -876.124 | -714.003 | -1360.731 | 0.000 | 0.000 | 0.000 |
| -346.888 | -346.888 | -3106.961 | 0.000 | 0.000 | 0.000 |
| -947.944 | -947.945 | -4799.298 | 127.246 | 0.000 | 0.000 |
| -1618.793 | -1618.794 | -5784.935 | 0.000 | 448.475 | 0.000 |
| -1601.849 | -1601.849 | -5846.094 | 0.000 | 0.000 | 313.107 |
| 2834.734 | 2132.320 | 6731.489 | -0.000 | -0.000 | -0.000 |
| 2106.133 | 2810.022 | 6646.934 | -0.000 | -0.000 | -0.000 |
| 970.809 | 970.808 | 6759.107 | -0.000 | -0.000 | 0.000 |
| 947.944 | 947.945 | 4799.298 | 127.246 | -0.000 | -0.000 |
| 1618.793 | 1618.794 | 5784.935 | -0.000 | 448.475 | -0.000 |
| 1601.849 | 1601.849 | 5846.094 | -0.000 | -0.000 | 313.107 |
| 864.999 | 458.032 | 664.042 | 0.000 | 0.000 | 0.000 |
| 400.968 | 1482.529 | 2695.501 | 0.000 | 0.000 | 0.000 |
| 494.875 | 494.875 | 831.657 | 0.000 | 0.000 | 0.000 |
| -76.815 | -76.814 | -500.029 | 526.988 | 0.000 | 0.000 |
| -144.804 | -144.823 | -549.699 | 0.000 | 643.325 | 0.000 |
| -99.967 | -99.941 | -162.171 | 0.000 | 0.000 | 437.197 |
| 1225.087 | 595.535 | 1257.790 | -0.000 | -0.000 | -0.000 |
| 536.899 | 990.389 | 1116.437 | -0.000 | -0.000 | -0.000 |
| -370.864 | -370.864 | 1729.366 | -0.000 | -0.000 | -0.000 |
| 76.815 | 76.814 | 500.029 | 526.988 | -0.000 | -0.000 |
| 144.804 | 144.823 | 549.699 | -0.000 | 643.325 | 0.000 |
| 99.967 | 99.941 | 162.171 | -0.000 | -0.000 | 437.197 |
| 57129.317 | 57013.612 | -28137.626 | -0.001 | 0.000 | 0.000 |
| 65266.449 | 65354.014 | -7285.740 | -0.000 | 0.001 | 0.000 |
| 39434.318 | 39434.318 | -671364.001 | -0.000 | 0.001 | 0.000 |
| 56048.537 | 56048.530 | -32800.598 | 72.878 | -0.004 | 0.000 |
| 56663.493 | 56663.493 | -28834.649 | -0.001 | 25.023 | 0.000 |
| 57358.492 | 57358.491 | -21600.269 | -0.001 | 0.001 | 68.384 |
| -72194.698 | -72294.284 | 9216.741 | -0.000 | -0.001 | -0.000 |
| -72447.907 | -72354.826 | 25562.885 | -0.000 | -0.001 | -0.000 |
| -64706.587 | -64706.587 | 5637.153 | 0.000 | -0.001 | -0.000 |
| -56048.537 | -56048.531 | 32800.582 | 72.881 | 0.001 | -0.000 |
| -56663.493 | -56663.493 | 28834.645 | 0.001 | 25.021 | -0.000 |
| -57358.492 | -57358.491 | 21600.269 | 0.001 | -0.001 | 68.385 |
| 6100.980 | 5967.608 | -2618.798 | -0.000 | 0.000 | 0.000 |
| 8554.614 | 8716.828 | -2782.137 | -0.000 | 0.000 | -0.000 |
| 10408.793 | 10408.793 | -1666.825 | -0.000 | 0.000 | -0.000 |
| 5683.544 | 5683.498 | -4830.779 | 38.150 | 0.000 | 0.000 |
| 7376.462 | 7376.462 | -463.777 | 0.000 | 69.123 | 0.000 |
| 6496.492 | 6496.492 | -743.050 | -0.000 | 0.000 | 43.796 |
| -6748.604 | -6842.050 | 2361.603 | -0.000 | -0.000 | -0.000 |
| -7200.876 | -7094.337 | 549.633 | -0.000 | -0.000 | -0.000 |
| 487.371 | 487.371 | 31119.957 | 0.000 | -0.000 | -0.000 |
| -5684.625 | -5684.625 | 2778.413 | 19.638 | -0.000 | -0.000 |
| -7376.462 | -7376.462 | 463.777 | -0.000 | 69.123 | 0.000 |
| -6496.492 | -6496.492 | 743.050 | 0.000 | -0.000 | 43.796 |
| 1139.013 | 1034.493 | 311.135 | 0.000 | 0.000 | 0.000 |
| 1036.713 | 1142.273 | 343.118 | 0.000 | 0.000 | -0.000 |
| 847.170 | 847.170 | -1247.986 | -0.000 | 0.000 | 0.000 |
| 710.616 | 710.670 | -207.639 | 43.159 | 0.000 | 0.000 |
| 699.729 | 699.704 | -149.496 | 0.000 | 111.191 | -0.000 |
| 599.229 | 599.248 | 484.678 | -0.000 | -0.000 | 55.165 |
| -387.905 | -555.065 | -968.064 | -0.000 | 0.000 | 0.000 |
| -467.304 | -355.660 | 107.579 | -0.000 | -0.000 | -0.000 |
| -805.012 | -805.012 | -2541.623 | 0.000 | -0.000 | 0.000 |
| -710.616 | -710.670 | 207.639 | 43.159 | -0.000 | -0.000 |
| -613.171 | -613.208 | 190.070 | 0.000 | 97.084 | 0.000 |
| -599.229 | -599.248 | -484.678 | -0.000 | -0.000 | 55.165 |
| 175.576 | 330.780 | 330.780 | 0.000 | -0.000 | -0.000 |
| 330.780 | 175.576 | 330.780 | -0.000 | -0.000 | -0.000 |
| 330.780 | 330.780 | 175.576 | 0.000 | -0.000 | -0.000 |
| 0.000 | 0.000 | 0.000 | 277.337 | -0.000 | -0.000 |
| 0.000 | 0.000 | 0.000 | 0.000 | 277.337 | -0.000 |
| 0.000 | 0.000 | 0.000 | 0.000 | -0.000 | 277.337 |
| 131.764 | 299.354 | 299.354 | -0.000 | 0.000 | 0.000 |
| 299.354 | 131.764 | 299.354 | -0.000 | 0.000 | 0.000 |
| 299.354 | 299.354 | 131.764 | -0.000 | 0.000 | 0.000 |
| -0.000 | -0.000 | -0.000 | 277.337 | 0.000 | 0.000 |
| -0.000 | -0.000 | -0.000 | -0.000 | 277.337 | 0.000 |
| -0.000 | -0.000 | -0.000 | -0.000 | 0.000 | 277.337 |
| 140.839 | 311.697 | 311.697 | 0.000 | -0.000 | -0.000 |
| 311.697 | 140.839 | 311.697 | 0.000 | -0.000 | -0.000 |
| 311.697 | 311.697 | 140.839 | 0.000 | 0.000 | -0.000 |
| 0.000 | 0.000 | 0.000 | 277.337 | -0.000 | -0.000 |
| 0.000 | 0.000 | 0.000 | 0.000 | 277.337 | -0.000 |
| 0.000 | 0.000 | 0.000 | 0.000 | -0.000 | 277.337 |
| 326.218 | 296.876 | 296.876 | -0.000 | 0.000 | 0.000 |
| 296.876 | 326.218 | 296.876 | -0.000 | 0.000 | 0.000 |
| 296.876 | 296.876 | 326.218 | -0.000 | 0.000 | 0.000 |
| -0.000 | -0.000 | -0.000 | 277.337 | 0.000 | 0.000 |
| -0.000 | -0.000 | -0.000 | -0.000 | 277.337 | 0.000 |
| -0.000 | -0.000 | -0.000 | -0.000 | 0.000 | 277.337 |
| 326.255 | 296.907 | 296.907 | 0.000 | -0.000 | -0.000 |
| 296.907 | 326.255 | 296.907 | 0.000 | -0.000 | -0.000 |
| 296.907 | 296.907 | 326.255 | 0.000 | -0.000 | -0.000 |
| 0.000 | 0.001 | 0.001 | 277.337 | -0.000 | -0.000 |
| 0.001 | 0.000 | 0.001 | 0.000 | 277.337 | -0.000 |
| 0.001 | 0.001 | 0.000 | 0.000 | -0.000 | 277.337 |
| 164.803 | 323.295 | 323.295 | 0.000 | 0.000 | 0.000 |
| 323.295 | 164.803 | 323.295 | -0.000 | 0.000 | 0.000 |
| 323.295 | 323.295 | 164.803 | -0.000 | 0.000 | 0.000 |
| -0.000 | -0.001 | -0.001 | 277.337 | 0.000 | 0.000 |
| -0.001 | -0.000 | -0.001 | -0.000 | 277.337 | 0.000 |
| -0.001 | -0.001 | -0.000 | -0.000 | 0.000 | 277.337 |
| 869221.818 | 872500.270 | 872500.270 | -0.000 | -0.000 | -0.000 |
| 872500.270 | 869221.818 | 872500.270 | -0.000 | 0.000 | -0.000 |
| 872500.270 | 872500.270 | 869221.818 | -0.000 | -0.000 | -0.000 |
| -0.006 | -0.006 | -0.006 | 1335.005 | -0.000 | -0.000 |
| -0.006 | -0.006 | -0.006 | -0.000 | 1335.005 | -0.000 |
| -0.006 | -0.006 | -0.006 | 0.000 | -0.000 | 1335.005 |
| 871123.298 | 874402.251 | 874402.251 | 0.000 | 0.000 | 0.000 |
| 874402.251 | 871123.298 | 874402.251 | -0.000 | 0.000 | 0.000 |
| 874402.251 | 874402.251 | 871123.298 | 0.000 | 0.000 | -0.000 |
| 0.004 | 0.004 | 0.004 | 1335.005 | -0.000 | 0.000 |
| 0.004 | 0.004 | 0.004 | -0.000 | 1335.005 | 0.000 |
| 0.004 | 0.004 | 0.004 | 0.000 | 0.000 | 1335.005 |
| 860665.107 | 863941.328 | 863941.328 | 0.000 | 0.000 | 0.000 |
| 863941.328 | 860665.107 | 863941.328 | 0.000 | -0.000 | -0.000 |
| 863941.328 | 863941.328 | 860665.107 | 0.000 | -0.000 | -0.000 |
| -0.045 | -0.045 | -0.044 | 1335.005 | -0.000 | -0.000 |
| -0.045 | -0.045 | -0.044 | 0.000 | 1335.005 | -0.000 |
| -0.045 | -0.044 | -0.045 | -0.000 | -0.000 | 1335.005 |
| 879679.913 | 882961.147 | 882961.147 | -0.000 | 0.000 | -0.000 |
| 882961.147 | 879679.913 | 882961.147 | -0.000 | 0.000 | -0.000 |
| 882961.147 | 882961.147 | 879679.913 | 0.000 | 0.000 | 0.000 |
| 0.044 | 0.045 | 0.044 | 1335.005 | 0.000 | 0.000 |
| 0.045 | 0.044 | 0.044 | 0.000 | 1335.005 | 0.000 |
| 0.045 | 0.044 | 0.044 | 0.000 | 0.000 | 1335.005 |
| 867487.468 | 870741.182 | 870741.182 | -0.000 | 0.000 | -0.000 |
| 870741.182 | 867487.468 | 870741.182 | -0.000 | -0.000 | -0.000 |
| 870741.182 | 870741.182 | 867487.468 | -0.000 | -0.000 | -0.000 |
| -0.440 | -0.442 | -0.437 | 1335.005 | -0.000 | -0.000 |
| -0.442 | -0.440 | -0.437 | -0.000 | 1335.005 | -0.000 |
| -0.442 | -0.437 | -0.440 | 0.000 | -0.000 | 1335.005 |
| 879451.949 | 882755.965 | 882755.965 | 0.000 | -0.000 | -0.000 |
| 882755.965 | 879451.949 | 882755.965 | -0.000 | -0.000 | -0.000 |
| 882755.965 | 882755.965 | 879451.949 | 0.000 | 0.000 | -0.000 |
| 0.440 | 0.442 | 0.437 | 1335.005 | 0.000 | -0.000 |
| 0.442 | 0.440 | 0.437 | 0.000 | 1335.005 | 0.000 |
| 0.442 | 0.437 | 0.440 | 0.000 | 0.000 | 1335.005 |
| 71346.139 | -386.264 | -386.264 | 0.000 | -0.000 | 0.000 |
| -386.264 | 71346.139 | -386.264 | -0.000 | -0.000 | 0.000 |
| -386.264 | -386.264 | 71346.139 | 0.000 | -0.000 | -0.000 |
| -0.000 | 0.000 | -0.001 | -408.491 | -0.000 | 0.000 |
| -0.000 | -0.000 | -0.001 | 0.000 | -408.491 | -0.000 |
| -0.000 | -0.001 | -0.000 | 0.000 | -0.000 | -408.491 |
| 71348.561 | -386.263 | -386.263 | -0.000 | 0.000 | 0.000 |
| -386.263 | 71348.561 | -386.263 | -0.000 | -0.000 | 0.000 |
| -386.263 | -386.263 | 71348.561 | 0.000 | 0.000 | 0.000 |
| 0.000 | 0.000 | 0.001 | -408.490 | 0.000 | 0.000 |
| 0.000 | 0.000 | 0.001 | 0.000 | -408.490 | 0.000 |
| 0.000 | 0.001 | 0.000 | -0.000 | 0.000 | -408.491 |
| 71335.239 | -386.268 | -386.268 | 0.000 | -0.000 | -0.000 |
| -386.268 | 71335.239 | -386.268 | 0.000 | 0.000 | -0.000 |
| -386.268 | -386.268 | 71335.239 | 0.000 | -0.000 | -0.000 |
| 0.000 | 0.000 | -0.003 | -408.491 | -0.000 | -0.000 |
| 0.000 | 0.000 | -0.003 | 0.000 | -408.491 | -0.000 |
| 0.000 | -0.003 | 0.000 | 0.000 | -0.000 | -408.491 |
| 71359.460 | -386.260 | -386.260 | 0.000 | 0.000 | 0.000 |
| -386.260 | 71359.460 | -386.260 | -0.000 | 0.000 | 0.000 |
| -386.260 | -386.260 | 71359.460 | 0.000 | 0.000 | 0.000 |
| -0.000 | -0.000 | 0.003 | -408.491 | 0.000 | 0.000 |
| -0.000 | -0.000 | 0.003 | -0.000 | -408.491 | 0.000 |
| -0.000 | 0.003 | -0.000 | -0.000 | 0.000 | -408.490 |
| 71226.245 | -386.305 | -386.305 | 0.000 | -0.000 | 0.000 |
| -386.305 | 71226.245 | -386.305 | 0.000 | -0.000 | 0.000 |
| -386.305 | -386.305 | 71226.245 | 0.000 | -0.000 | -0.000 |
| 0.003 | 0.004 | -0.033 | -408.491 | 0.000 | -0.000 |
| 0.004 | 0.003 | -0.033 | 0.000 | -408.491 | -0.000 |
| 0.004 | -0.033 | 0.003 | 0.000 | -0.000 | -408.491 |
| 71468.454 | -386.222 | -386.222 | -0.000 | 0.000 | 0.000 |
| -386.222 | 71468.454 | -386.222 | 0.000 | -0.000 | 0.000 |
| -386.222 | -386.222 | 71468.454 | -0.000 | 0.000 | 0.000 |
| -0.003 | -0.004 | 0.033 | -408.491 | -0.000 | 0.000 |
| -0.004 | -0.003 | 0.033 | -0.000 | -408.491 | 0.000 |
| -0.004 | 0.033 | -0.003 | -0.000 | 0.000 | -408.491 |
| 1440.227 | -21.196 | -21.196 | 0.000 | 0.000 | -0.000 |
| -21.196 | 1440.227 | -21.196 | 0.000 | 0.000 | -0.000 |
| -21.196 | -21.196 | 1440.227 | 0.000 | 0.000 | 0.000 |
| -0.000 | 0.000 | -0.000 | -64.780 | 0.000 | 0.000 |
| -0.000 | 0.000 | -0.000 | 0.000 | -64.780 | -0.000 |
| -0.000 | -0.000 | 0.000 | 0.000 | 0.000 | -64.780 |
| 1440.228 | -21.196 | -21.196 | 0.000 | -0.000 | -0.000 |
| -21.196 | 1440.228 | -21.196 | -0.000 | 0.000 | -0.000 |
| -21.196 | -21.196 | 1440.228 | -0.000 | -0.000 | 0.000 |
| 0.000 | 0.000 | 0.000 | -64.780 | -0.000 | 0.000 |
| 0.000 | 0.000 | 0.000 | -0.000 | -64.780 | -0.000 |
| 0.000 | 0.000 | 0.000 | -0.000 | -0.000 | -64.780 |
| 1440.225 | -21.196 | -21.196 | 0.000 | 0.000 | -0.000 |
| -21.196 | 1440.225 | -21.196 | -0.000 | -0.000 | -0.000 |
| -21.196 | -21.196 | 1440.225 | -0.000 | 0.000 | -0.000 |
| 0.000 | 0.000 | -0.000 | -64.780 | 0.000 | 0.000 |
| 0.000 | 0.000 | -0.000 | 0.000 | -64.780 | 0.000 |
| 0.000 | -0.000 | 0.000 | 0.000 | 0.000 | -64.780 |
| 1440.230 | -21.196 | -21.196 | -0.000 | -0.000 | 0.000 |
| -21.196 | 1440.230 | -21.196 | -0.000 | -0.000 | -0.000 |
| -21.196 | -21.196 | 1440.230 | -0.000 | -0.000 | -0.000 |
| -0.000 | -0.000 | 0.000 | -64.780 | -0.000 | 0.000 |
| -0.000 | -0.000 | 0.000 | -0.000 | -64.780 | -0.000 |
| -0.000 | 0.000 | -0.000 | -0.000 | -0.000 | -64.780 |
| 1440.205 | -21.196 | -21.196 | 0.000 | 0.000 | 0.000 |
| -21.196 | 1440.205 | -21.196 | 0.000 | 0.000 | 0.000 |
| -21.196 | -21.196 | 1440.205 | 0.000 | 0.000 | -0.000 |
| 0.000 | 0.000 | -0.001 | -64.780 | 0.000 | 0.000 |
| 0.000 | 0.000 | -0.001 | 0.000 | -64.780 | 0.000 |
| 0.000 | -0.001 | 0.000 | 0.000 | 0.000 | -64.780 |
| 1440.250 | -21.196 | -21.196 | -0.000 | -0.000 | 0.000 |
| -21.196 | 1440.250 | -21.196 | -0.000 | 0.000 | 0.000 |
| -21.196 | -21.196 | 1440.250 | -0.000 | -0.000 | -0.000 |
| -0.000 | -0.000 | 0.001 | -64.780 | -0.000 | -0.000 |
| -0.000 | -0.000 | 0.001 | 0.000 | -64.780 | 0.000 |
| -0.000 | 0.001 | -0.000 | 0.000 | -0.000 | -64.780 |
| 573.413 | -2.932 | -2.932 | 0.000 | -0.000 | -0.000 |
| -2.932 | 573.413 | -2.932 | -0.000 | -0.000 | -0.000 |
| -2.932 | -2.932 | 573.413 | 0.000 | -0.000 | -0.000 |
| 0.000 | -0.000 | -0.000 | -2.932 | -0.000 | -0.000 |
| -0.000 | -0.000 | -0.000 | -0.000 | -2.932 | -0.000 |
| -0.000 | -0.000 | 0.000 | -0.000 | -0.000 | -2.932 |
| 573.413 | -2.932 | -2.932 | -0.000 | 0.000 | 0.000 |
| -2.932 | 573.413 | -2.932 | -0.000 | 0.000 | 0.000 |
| -2.932 | -2.932 | 573.413 | -0.000 | 0.000 | 0.000 |
| -0.000 | 0.000 | 0.000 | -2.932 | 0.000 | -0.000 |
| 0.000 | 0.000 | 0.000 | 0.000 | -2.932 | 0.000 |
| 0.000 | 0.000 | -0.000 | 0.000 | 0.000 | -2.932 |
| 573.412 | -2.932 | -2.932 | 0.000 | -0.000 | 0.000 |
| -2.932 | 573.412 | -2.932 | 0.000 | -0.000 | -0.000 |
| -2.932 | -2.932 | 573.412 | 0.000 | -0.000 | -0.000 |
| 0.000 | -0.000 | -0.000 | -2.932 | -0.000 | -0.000 |
| -0.000 | 0.000 | -0.000 | -0.000 | -2.932 | -0.000 |
| -0.000 | -0.000 | 0.000 | -0.000 | -0.000 | -2.932 |
| 573.413 | -2.932 | -2.932 | -0.000 | 0.000 | 0.000 |
| -2.932 | 573.413 | -2.932 | 0.000 | 0.000 | -0.000 |
| -2.932 | -2.932 | 573.413 | 0.000 | 0.000 | 0.000 |
| -0.000 | 0.000 | 0.000 | -2.932 | 0.000 | -0.000 |
| 0.000 | -0.000 | 0.000 | -0.000 | -2.932 | 0.000 |
| 0.000 | 0.000 | -0.000 | 0.000 | 0.000 | -2.932 |
| 573.407 | -2.932 | -2.932 | -0.000 | -0.000 | -0.000 |
| -2.932 | 573.407 | -2.932 | 0.000 | -0.000 | -0.000 |
| -2.932 | -2.932 | 573.407 | -0.000 | -0.000 | -0.000 |
| 0.000 | -0.000 | -0.000 | -2.932 | -0.000 | -0.000 |
| -0.000 | 0.000 | -0.000 | -0.000 | -2.932 | -0.000 |
| -0.000 | -0.000 | 0.000 | -0.000 | -0.000 | -2.932 |
| 573.418 | -2.932 | -2.932 | 0.000 | 0.000 | 0.000 |
| -2.932 | 573.418 | -2.932 | 0.000 | 0.000 | 0.000 |
| -2.932 | -2.932 | 573.418 | -0.000 | 0.000 | 0.000 |
| -0.000 | 0.000 | 0.000 | -2.932 | 0.000 | -0.000 |
| 0.000 | -0.000 | 0.000 | -0.000 | -2.932 | 0.000 |
| 0.000 | 0.000 | -0.000 | -0.000 | 0.000 | -2.932 |
| 1764516.670 | 1767108.697 | 1767108.697 | -0.000 | -0.000 | -0.000 |
| 1767108.697 | 1764516.670 | 1767108.697 | -0.000 | 0.000 | -0.000 |
| 1767108.703 | 1767108.703 | 1764516.676 | 0.000 | -0.000 | -0.000 |
| 0.145 | 0.145 | 0.145 | -9711.911 | -0.000 | -0.000 |
| 0.145 | 0.145 | 0.145 | -0.000 | -9711.911 | -0.000 |
| 0.146 | 0.145 | 0.145 | -0.000 | -0.000 | -9711.911 |
| 1779369.435 | 1781961.400 | 1781961.400 | 0.000 | 0.000 | 0.000 |
| 1781961.400 | 1779369.435 | 1781961.400 | -0.000 | 0.000 | 0.000 |
| 1781961.398 | 1781961.398 | 1779369.433 | 0.000 | 0.000 | 0.000 |
| -0.149 | -0.149 | -0.149 | -9711.911 | 0.000 | -0.000 |
| -0.149 | -0.149 | -0.149 | -0.000 | -9711.911 | 0.000 |
| -0.150 | -0.150 | -0.150 | 0.000 | 0.000 | -9711.910 |
| 1697679.051 | 1700271.343 | 1700271.343 | -0.000 | -0.000 | 0.000 |
| 1700271.343 | 1697679.051 | 1700271.343 | 0.000 | -0.000 | 0.000 |
| 1700271.342 | 1700271.342 | 1697679.050 | 0.000 | 0.000 | -0.000 |
| 1.488 | 1.489 | 1.487 | -9711.911 | 0.000 | -0.000 |
| 1.489 | 1.488 | 1.487 | -0.000 | -9711.911 | -0.000 |
| 1.489 | 1.488 | 1.488 | 0.000 | 0.000 | -9711.911 |
| 1734279.862 | 1736871.555 | 1736871.555 | -0.000 | 0.000 | 0.000 |
| 1736871.555 | 1734279.862 | 1736871.555 | -0.000 | 0.000 | 0.000 |
| 1736871.556 | 1736871.556 | 1734279.863 | 0.000 | 0.000 | -0.000 |
| -1.488 | -1.489 | -1.487 | -9711.911 | -0.000 | -0.000 |
| -1.489 | -1.488 | -1.487 | 0.000 | -9711.911 | 0.000 |
| -1.489 | -1.487 | -1.488 | -0.000 | 0.000 | -9711.911 |
| 1639178.768 | 1641773.630 | 1641773.630 | -0.000 | -0.000 | 0.000 |
| 1641773.630 | 1639178.768 | 1641773.630 | 0.000 | 0.000 | -0.000 |
| 1641773.630 | 1641773.630 | 1639178.768 | -0.000 | -0.000 | -0.000 |
| 14.875 | 14.887 | 14.869 | -9711.910 | -0.000 | 0.000 |
| 14.887 | 14.875 | 14.869 | 0.000 | -9711.910 | -0.000 |
| 14.887 | 14.869 | 14.875 | -0.000 | -0.000 | -9711.910 |
| 1644788.338 | 1647377.459 | 1647377.459 | 0.000 | -0.000 | 0.000 |
| 1647377.459 | 1644788.338 | 1647377.459 | 0.000 | 0.000 | -0.000 |
| 1647377.459 | 1647377.459 | 1644788.338 | 0.000 | 0.000 | 0.000 |
| -14.875 | -14.887 | -14.869 | -9711.910 | 0.000 | 0.000 |
| -14.887 | -14.875 | -14.869 | 0.000 | -9711.910 | 0.000 |
| -14.887 | -14.869 | -14.875 | -0.000 | 0.000 | -9711.910 |
| 27620.534 | 26564.547 | 26564.547 | -0.000 | 0.000 | 0.000 |
| 26564.547 | 27620.534 | 26564.547 | -0.000 | -0.000 | 0.000 |
| 26564.547 | 26564.547 | 27620.535 | -0.000 | -0.000 | 0.000 |
| 0.004 | 0.003 | 0.004 | 26163.431 | -0.000 | 0.000 |
| 0.004 | 0.004 | 0.004 | -0.000 | 26163.431 | 0.000 |
| 0.004 | 0.004 | 0.004 | -0.000 | 0.000 | 26163.431 |
| 27620.546 | 26564.557 | 26564.557 | 0.000 | -0.000 | -0.000 |
| 26564.557 | 27620.546 | 26564.557 | 0.000 | 0.000 | -0.000 |
| 26564.557 | 26564.557 | 27620.546 | 0.000 | -0.000 | -0.000 |
| -0.004 | -0.003 | -0.004 | 26163.431 | 0.000 | -0.000 |
| -0.003 | -0.004 | -0.004 | 0.000 | 26163.431 | -0.000 |
| -0.003 | -0.004 | -0.004 | 0.000 | 0.000 | 26163.431 |
| 27620.486 | 26564.502 | 26564.502 | -0.000 | -0.000 | 0.000 |
| 26564.502 | 27620.486 | 26564.502 | -0.000 | -0.000 | 0.000 |
| 26564.502 | 26564.502 | 27620.486 | -0.000 | 0.000 | 0.000 |
| 0.042 | 0.037 | 0.042 | 26163.431 | -0.000 | 0.000 |
| 0.037 | 0.042 | 0.042 | -0.000 | 26163.431 | 0.000 |
| 0.037 | 0.042 | 0.042 | -0.000 | 0.000 | 26163.431 |
| 27620.594 | 26564.601 | 26564.601 | 0.000 | 0.000 | -0.000 |
| 26564.601 | 27620.594 | 26564.601 | 0.000 | 0.000 | -0.000 |
| 26564.601 | 26564.601 | 27620.594 | 0.000 | 0.000 | -0.000 |
| -0.042 | -0.037 | -0.042 | 26163.431 | 0.000 | -0.000 |
| -0.037 | -0.042 | -0.042 | 0.000 | 26163.431 | -0.000 |
| -0.037 | -0.042 | -0.042 | 0.000 | -0.000 | 26163.431 |
| 27620.002 | 26564.058 | 26564.058 | -0.000 | -0.000 | 0.000 |
| 26564.058 | 27620.002 | 26564.058 | -0.000 | -0.000 | 0.000 |
| 26564.058 | 26564.058 | 27620.002 | -0.000 | -0.000 | 0.000 |
| 0.425 | 0.373 | 0.425 | 26163.431 | -0.000 | 0.000 |
| 0.373 | 0.425 | 0.425 | -0.000 | 26163.431 | 0.000 |
| 0.373 | 0.425 | 0.425 | -0.000 | 0.000 | 26163.431 |
| 27621.078 | 26565.046 | 26565.046 | 0.000 | -0.000 | -0.000 |
| 26565.046 | 27621.078 | 26565.046 | -0.000 | 0.000 | -0.000 |
| 26565.046 | 26565.046 | 27621.078 | 0.000 | 0.000 | -0.000 |
| -0.425 | -0.373 | -0.425 | 26163.431 | 0.000 | -0.000 |
| -0.373 | -0.425 | -0.425 | -0.000 | 26163.431 | -0.000 |
| -0.373 | -0.425 | -0.425 | 0.000 | -0.000 | 26163.431 |
| 2187.368 | 1522.173 | 1521.920 | -79.813 | -74.217 | -70.359 |
| 1522.176 | 2187.366 | 1521.920 | -74.218 | -79.812 | -70.359 |
| 1521.768 | 1521.766 | 2186.957 | -75.440 | -75.438 | -75.850 |
| -84.743 | -87.026 | -72.608 | 4988.613 | -214.961 | -230.284 |
| -87.024 | -84.746 | -72.608 | -214.962 | 4988.614 | -230.284 |
| -81.258 | -66.792 | -79.195 | -221.980 | -229.687 | 5020.361 |
| 2187.478 | 1522.540 | 1522.085 | -78.878 | -73.143 | -67.810 |
| 1522.538 | 2187.480 | 1522.086 | -73.142 | -78.879 | -67.810 |
| 1522.116 | 1522.118 | 2186.793 | -74.343 | -74.345 | -73.409 |
| -87.343 | -89.728 | -75.625 | 4990.456 | -214.113 | -228.510 |
| -89.730 | -87.341 | -75.625 | -214.112 | 4990.455 | -228.510 |
| -80.987 | -66.517 | -79.193 | -221.011 | -228.720 | 5023.420 |
| 2186.539 | 1521.752 | 1521.348 | -79.024 | -73.521 | -68.685 |
| 1521.753 | 2186.539 | 1521.348 | -73.521 | -79.023 | -68.685 |
| 1521.313 | 1521.313 | 2186.010 | -74.651 | -74.650 | -74.023 |
| -86.566 | -88.790 | -74.461 | 4988.350 | -215.484 | -230.906 |
| -88.790 | -86.566 | -74.461 | -215.485 | 4988.350 | -230.906 |
| -82.650 | -68.181 | -80.738 | -223.102 | -230.811 | 5020.686 |
| 2186.535 | 1521.751 | 1521.318 | -78.884 | -73.382 | -68.403 |
| 1521.751 | 2186.536 | 1521.318 | -73.382 | -78.884 | -68.403 |
| 1521.337 | 1521.338 | 2186.003 | -74.511 | -74.511 | -73.743 |
| -86.550 | -88.763 | -74.468 | 4988.486 | -215.326 | -230.612 |
| -88.763 | -86.550 | -74.469 | -215.326 | 4988.486 | -230.612 |
| -82.631 | -68.163 | -80.748 | -222.952 | -230.661 | 5020.983 |
| 2186.536 | 1521.775 | 1521.369 | -78.812 | -73.324 | -68.392 |
| 1521.775 | 2186.536 | 1521.369 | -73.324 | -78.812 | -68.392 |
| 1521.350 | 1521.350 | 2186.004 | -74.427 | -74.427 | -73.736 |
| -86.487 | -88.723 | -74.398 | 4988.390 | -215.472 | -230.771 |
| -88.723 | -86.487 | -74.398 | -215.472 | 4988.390 | -230.771 |
| -82.852 | -68.374 | -80.946 | -223.032 | -230.740 | 5020.791 |
| 2186.500 | 1521.745 | 1521.337 | -78.792 | -73.305 | -68.358 |
| 1521.745 | 2186.500 | 1521.337 | -73.305 | -78.792 | -68.358 |
| 1521.329 | 1521.329 | 2185.974 | -74.416 | -74.416 | -73.699 |
| -86.522 | -88.740 | -74.436 | 4988.408 | -215.438 | -230.723 |
| -88.740 | -86.522 | -74.436 | -215.438 | 4988.408 | -230.723 |
| -82.857 | -68.399 | -80.970 | -223.014 | -230.723 | 5020.816 |
| 1067.666 | 700.365 | 700.365 | 0.000 | -0.000 | -0.000 |
| 700.365 | 1067.666 | 700.365 | 0.000 | -0.000 | -0.000 |
| 700.365 | 700.365 | 1067.666 | 0.000 | -0.000 | 0.000 |
| 0.000 | 0.000 | 0.000 | 670.176 | -0.000 | -0.000 |
| 0.000 | 0.000 | 0.000 | 0.000 | 670.176 | -0.000 |
| 0.000 | 0.000 | 0.000 | 0.000 | -0.000 | 670.176 |
| 1067.666 | 700.364 | 700.364 | -0.000 | 0.000 | 0.000 |
| 700.364 | 1067.666 | 700.364 | -0.000 | 0.000 | 0.000 |
| 700.364 | 700.364 | 1067.666 | -0.000 | 0.000 | -0.000 |
| -0.000 | -0.000 | -0.000 | 670.176 | 0.000 | 0.000 |
| -0.000 | -0.000 | -0.000 | -0.000 | 670.176 | 0.000 |
| -0.000 | -0.000 | -0.000 | 0.000 | 0.000 | 670.176 |
| 1067.667 | 700.365 | 700.365 | 0.000 | -0.000 | -0.000 |
| 700.365 | 1067.667 | 700.365 | -0.000 | -0.000 | -0.000 |
| 700.365 | 700.365 | 1067.667 | 0.000 | -0.000 | 0.000 |
| 0.000 | 0.000 | 0.000 | 670.176 | -0.000 | -0.000 |
| 0.000 | 0.000 | 0.000 | 0.000 | 670.176 | -0.000 |
| 0.000 | 0.000 | 0.000 | 0.000 | -0.000 | 670.176 |
| 1067.665 | 700.364 | 700.364 | -0.000 | 0.000 | -0.000 |
| 700.364 | 1067.665 | 700.364 | -0.000 | 0.000 | 0.000 |
| 700.364 | 700.364 | 1067.665 | -0.000 | 0.000 | 0.000 |
| -0.000 | -0.000 | -0.000 | 670.176 | 0.000 | 0.000 |
| -0.000 | -0.000 | -0.000 | 0.000 | 670.176 | 0.000 |
| -0.000 | -0.000 | -0.000 | -0.000 | 0.000 | 670.176 |
| 1067.674 | 700.372 | 700.372 | 0.000 | -0.000 | -0.000 |
| 700.372 | 1067.674 | 700.372 | 0.000 | 0.000 | -0.000 |
| 700.372 | 700.372 | 1067.674 | 0.000 | 0.000 | -0.000 |
| 0.003 | 0.002 | 0.003 | 670.176 | 0.000 | -0.000 |
| 0.002 | 0.003 | 0.003 | 0.000 | 670.176 | -0.000 |
| 0.002 | 0.003 | 0.003 | 0.000 | -0.000 | 670.176 |
| 1067.658 | 700.357 | 700.357 | -0.000 | 0.000 | 0.000 |
| 700.357 | 1067.658 | 700.357 | -0.000 | 0.000 | 0.000 |
| 700.357 | 700.357 | 1067.658 | 0.000 | 0.000 | -0.000 |
| -0.003 | -0.002 | -0.003 | 670.176 | -0.000 | 0.000 |
| -0.002 | -0.003 | -0.003 | -0.000 | 670.176 | 0.000 |
| -0.002 | -0.003 | -0.003 | -0.000 | 0.000 | 670.176 |
| 877.593 | 804.779 | 804.779 | 0.000 | -0.000 | 0.000 |
| 804.779 | 877.593 | 804.779 | -0.000 | 0.000 | 0.000 |
| 804.779 | 804.779 | 877.593 | -0.000 | -0.000 | 0.000 |
| 0.000 | -0.000 | 0.000 | 784.367 | -0.000 | -0.000 |
| -0.000 | 0.000 | 0.000 | -0.000 | 784.367 | 0.000 |
| -0.000 | 0.000 | 0.000 | -0.000 | -0.000 | 784.367 |
| 877.593 | 804.779 | 804.779 | 0.000 | -0.000 | -0.000 |
| 804.779 | 877.593 | 804.779 | 0.000 | 0.000 | -0.000 |
| 804.779 | 804.779 | 877.593 | 0.000 | 0.000 | -0.000 |
| -0.000 | -0.000 | -0.000 | 784.367 | -0.000 | -0.000 |
| 0.000 | -0.000 | -0.000 | 0.000 | 784.367 | -0.000 |
| 0.000 | -0.000 | -0.000 | 0.000 | 0.000 | 784.367 |
| 877.593 | 804.779 | 804.779 | -0.000 | -0.000 | 0.000 |
| 804.779 | 877.593 | 804.779 | -0.000 | -0.000 | 0.000 |
| 804.779 | 804.779 | 877.593 | 0.000 | -0.000 | 0.000 |
| 0.000 | 0.000 | 0.000 | 784.367 | -0.000 | -0.000 |
| 0.000 | 0.000 | 0.000 | -0.000 | 784.367 | 0.000 |
| 0.000 | 0.000 | 0.000 | -0.000 | 0.000 | 784.367 |
| 877.593 | 804.779 | 804.779 | 0.000 | -0.000 | 0.000 |
| 804.779 | 877.593 | 804.779 | -0.000 | -0.000 | 0.000 |
| 804.779 | 804.779 | 877.593 | -0.000 | -0.000 | -0.000 |
| -0.000 | -0.000 | -0.000 | 784.367 | -0.000 | -0.000 |
| -0.000 | -0.000 | -0.000 | 0.000 | 784.367 | -0.000 |
| -0.000 | -0.000 | -0.000 | 0.000 | 0.000 | 784.367 |
| 877.594 | 804.782 | 804.782 | 0.000 | -0.000 | -0.000 |
| 804.782 | 877.594 | 804.782 | -0.000 | 0.000 | 0.000 |
| 804.782 | 804.782 | 877.594 | 0.000 | 0.000 | 0.000 |
| 0.002 | 0.000 | 0.002 | 784.367 | -0.000 | 0.000 |
| 0.000 | 0.002 | 0.002 | 0.000 | 784.367 | 0.000 |
| 0.000 | 0.002 | 0.002 | -0.000 | -0.000 | 784.367 |
| 877.593 | 804.777 | 804.777 | 0.000 | 0.000 | 0.000 |
| 804.777 | 877.593 | 804.777 | 0.000 | -0.000 | 0.000 |
| 804.777 | 804.777 | 877.593 | 0.000 | 0.000 | -0.000 |
| -0.002 | -0.000 | -0.002 | 784.367 | -0.000 | -0.000 |
| -0.000 | -0.002 | -0.002 | 0.000 | 784.367 | -0.000 |
| -0.000 | -0.002 | -0.002 | 0.000 | 0.000 | 784.367 |
| 231.154 | 325.375 | 325.375 | -0.000 | 0.000 | 0.000 |
| 325.375 | 231.154 | 325.375 | 0.000 | 0.000 | 0.000 |
| 325.375 | 325.375 | 231.154 | -0.000 | 0.000 | 0.000 |
| -0.000 | -0.000 | -0.000 | 301.326 | -0.000 | 0.000 |
| -0.000 | -0.000 | -0.000 | -0.000 | 301.326 | 0.000 |
| -0.000 | -0.000 | -0.000 | 0.000 | 0.000 | 301.326 |
| 231.154 | 325.375 | 325.375 | -0.000 | -0.000 | -0.000 |
| 325.375 | 231.154 | 325.375 | 0.000 | 0.000 | -0.000 |
| 325.375 | 325.375 | 231.154 | -0.000 | -0.000 | 0.000 |
| 0.000 | 0.000 | 0.000 | 301.326 | -0.000 | -0.000 |
| 0.000 | 0.000 | 0.000 | 0.000 | 301.326 | -0.000 |
| 0.000 | 0.000 | 0.000 | -0.000 | -0.000 | 301.326 |
| 231.154 | 325.375 | 325.375 | -0.000 | 0.000 | 0.000 |
| 325.375 | 231.154 | 325.375 | -0.000 | -0.000 | 0.000 |
| 325.375 | 325.375 | 231.154 | 0.000 | 0.000 | 0.000 |
| -0.000 | -0.000 | -0.000 | 301.326 | -0.000 | 0.000 |
| -0.000 | -0.000 | -0.000 | -0.000 | 301.326 | 0.000 |
| -0.000 | -0.000 | -0.000 | -0.000 | 0.000 | 301.326 |
| 231.154 | 325.375 | 325.375 | 0.000 | -0.000 | -0.000 |
| 325.375 | 231.154 | 325.375 | 0.000 | 0.000 | -0.000 |
| 325.375 | 325.375 | 231.154 | -0.000 | -0.000 | -0.000 |
| 0.000 | 0.000 | 0.000 | 301.326 | 0.000 | -0.000 |
| 0.000 | 0.000 | 0.000 | 0.000 | 301.326 | -0.000 |
| 0.000 | 0.000 | 0.000 | -0.000 | -0.000 | 301.326 |
| 231.153 | 325.375 | 325.375 | -0.000 | 0.000 | 0.000 |
| 325.375 | 231.153 | 325.375 | 0.000 | -0.000 | 0.000 |
| 325.375 | 325.375 | 231.153 | 0.000 | -0.000 | 0.000 |
| -0.001 | -0.002 | -0.001 | 301.326 | 0.000 | 0.000 |
| -0.002 | -0.001 | -0.001 | 0.000 | 301.326 | 0.000 |
| -0.002 | -0.001 | -0.001 | 0.000 | 0.000 | 301.326 |
| 231.156 | 325.376 | 325.376 | 0.000 | 0.000 | 0.000 |
| 325.376 | 231.156 | 325.376 | 0.000 | 0.000 | -0.000 |
| 325.376 | 325.376 | 231.156 | 0.000 | 0.000 | -0.000 |
| 0.001 | 0.002 | 0.001 | 301.326 | 0.000 | -0.000 |
| 0.002 | 0.001 | 0.001 | 0.000 | 301.326 | -0.000 |
| 0.002 | 0.001 | 0.001 | -0.000 | 0.000 | 301.326 |
| 294270.942 | 295262.737 | 295262.737 | 0.000 | 0.000 | 0.000 |
| 295262.737 | 294270.942 | 295262.737 | 0.000 | 0.000 | 0.000 |
| 295262.737 | 295262.737 | 294270.942 | 0.000 | 0.000 | -0.000 |
| 0.001 | 0.001 | 0.001 | 1660.087 | -0.000 | 0.000 |
| 0.001 | 0.001 | 0.001 | -0.000 | 1660.087 | 0.000 |
| 0.001 | 0.001 | 0.001 | -0.000 | 0.000 | 1660.087 |
| 294358.429 | 295350.212 | 295350.212 | -0.000 | -0.000 | -0.000 |
| 295350.212 | 294358.429 | 295350.212 | -0.000 | -0.000 | -0.000 |
| 295350.211 | 295350.211 | 294358.429 | -0.000 | -0.000 | -0.000 |
| -0.001 | -0.001 | -0.001 | 1660.087 | -0.000 | -0.000 |
| -0.001 | -0.001 | -0.001 | -0.000 | 1660.087 | -0.000 |
| -0.001 | -0.001 | -0.001 | -0.000 | -0.000 | 1660.087 |
| 293877.242 | 294869.090 | 294869.090 | 0.000 | 0.000 | 0.000 |
| 294869.090 | 293877.242 | 294869.090 | 0.000 | 0.000 | 0.000 |
| 294869.090 | 294869.090 | 293877.242 | 0.000 | 0.000 | 0.000 |
| -0.036 | -0.035 | -0.036 | -803.738 | -0.000 | -0.000 |
| -0.035 | -0.036 | -0.036 | -0.000 | -803.738 | -0.000 |
| -0.035 | -0.036 | -0.036 | -0.000 | -0.000 | -803.738 |
| 294752.130 | 295743.859 | 295743.859 | 0.000 | -0.000 | -0.000 |
| 295743.859 | 294752.130 | 295743.859 | -0.000 | 0.000 | -0.000 |
| 295743.859 | 295743.859 | 294752.130 | -0.000 | -0.000 | 0.000 |
| 0.036 | 0.035 | 0.036 | -803.738 | 0.000 | 0.000 |
| 0.035 | 0.036 | 0.036 | 0.000 | -803.738 | 0.000 |
| 0.035 | 0.035 | 0.036 | 0.000 | 0.000 | -803.738 |
| 294728.267 | 295720.658 | 295720.658 | 0.000 | 0.000 | 0.000 |
| 295720.658 | 294728.267 | 295720.658 | 0.000 | 0.000 | 0.000 |
| 295720.658 | 295720.658 | 294728.267 | 0.000 | 0.000 | 0.000 |
| -0.359 | -0.356 | -0.358 | -803.759 | -0.000 | -0.000 |
| -0.356 | -0.359 | -0.358 | -0.000 | -803.759 | -0.000 |
| -0.356 | -0.358 | -0.359 | -0.000 | -0.000 | -803.759 |
| 291626.906 | 292618.098 | 292618.098 | 0.000 | -0.000 | -0.000 |
| 292618.098 | 291626.906 | 292618.098 | -0.000 | 0.000 | -0.000 |
| 292618.098 | 292618.098 | 291626.906 | -0.000 | -0.000 | 0.000 |
| 0.359 | 0.356 | 0.358 | -803.759 | 0.000 | 0.000 |
| 0.356 | 0.359 | 0.358 | 0.000 | -803.759 | 0.000 |
| 0.356 | 0.358 | 0.359 | 0.000 | 0.000 | -803.759 |
| 10522.545 | 10530.410 | 10530.410 | 0.003 | 0.003 | 0.003 |
| 10530.410 | 10522.545 | 10530.410 | 0.003 | 0.003 | 0.003 |
| 10530.410 | 10530.410 | 10522.545 | 0.003 | 0.003 | 0.003 |
| -0.000 | -0.000 | -0.000 | -12.690 | 0.001 | 0.001 |
| -0.000 | -0.000 | -0.000 | 0.001 | -12.690 | 0.001 |
| -0.000 | -0.000 | -0.000 | 0.001 | 0.001 | -12.690 |
| 10522.688 | 10530.553 | 10530.553 | -0.002 | -0.003 | -0.003 |
| 10530.553 | 10522.688 | 10530.553 | -0.003 | -0.002 | -0.003 |
| 10530.553 | 10530.552 | 10522.688 | -0.003 | -0.003 | -0.002 |
| 0.000 | 0.000 | 0.000 | -12.692 | -0.001 | -0.001 |
| 0.000 | 0.000 | 0.000 | -0.001 | -12.692 | -0.001 |
| 0.000 | 0.000 | 0.000 | -0.001 | -0.001 | -12.692 |
| 10521.902 | 10529.769 | 10529.769 | 0.000 | 0.000 | 0.000 |
| 10529.769 | 10521.902 | 10529.769 | 0.000 | 0.000 | 0.000 |
| 10529.769 | 10529.769 | 10521.902 | 0.000 | 0.000 | 0.000 |
| -0.001 | -0.001 | -0.001 | -12.697 | 0.000 | 0.000 |
| -0.001 | -0.001 | -0.001 | 0.000 | -12.697 | 0.000 |
| -0.001 | -0.001 | -0.001 | 0.000 | 0.000 | -12.697 |
| 10523.332 | 10531.194 | 10531.194 | -0.000 | -0.000 | -0.000 |
| 10531.194 | 10523.332 | 10531.194 | -0.000 | -0.000 | -0.000 |
| 10531.194 | 10531.194 | 10523.332 | -0.000 | -0.000 | -0.000 |
| 0.001 | 0.001 | 0.001 | -12.697 | -0.000 | -0.000 |
| 0.001 | 0.001 | 0.001 | -0.000 | -12.697 | -0.000 |
| 0.001 | 0.001 | 0.001 | -0.000 | -0.000 | -12.697 |
| 10515.470 | 10523.355 | 10523.355 | 0.000 | 0.000 | 0.000 |
| 10523.355 | 10515.470 | 10523.355 | 0.000 | 0.000 | 0.000 |
| 10523.355 | 10523.355 | 10515.470 | 0.000 | 0.000 | 0.000 |
| -0.011 | -0.010 | -0.010 | -12.697 | 0.000 | 0.000 |
| -0.010 | -0.011 | -0.010 | 0.000 | -12.697 | 0.000 |
| -0.010 | -0.010 | -0.011 | 0.000 | 0.000 | -12.697 |
| 10529.764 | 10537.607 | 10537.607 | -0.000 | -0.000 | -0.000 |
| 10537.607 | 10529.764 | 10537.607 | -0.000 | -0.000 | -0.000 |
| 10537.607 | 10537.607 | 10529.764 | -0.000 | -0.000 | -0.000 |
| 0.011 | 0.010 | 0.010 | -12.697 | -0.000 | -0.000 |
| 0.010 | 0.011 | 0.010 | -0.000 | -12.697 | -0.000 |
| 0.010 | 0.010 | 0.011 | -0.000 | -0.000 | -12.697 |
| 138.208 | 199.237 | 199.237 | 0.000 | 0.000 | 0.000 |
| 199.237 | 138.208 | 199.237 | 0.000 | 0.000 | 0.000 |
| 199.237 | 199.237 | 138.208 | 0.000 | 0.000 | 0.000 |
| -0.000 | -0.000 | -0.000 | -71.968 | 0.000 | 0.000 |
| -0.000 | -0.000 | -0.000 | 0.000 | -71.968 | 0.000 |
| 0.000 | -0.000 | 0.000 | 0.000 | 0.000 | -71.968 |
| 138.208 | 199.237 | 199.237 | -0.000 | -0.000 | -0.000 |
| 199.237 | 138.208 | 199.237 | -0.000 | -0.000 | -0.000 |
| 199.237 | 199.237 | 138.208 | -0.000 | -0.000 | -0.000 |
| -0.000 | 0.000 | 0.000 | -71.968 | -0.000 | -0.000 |
| 0.000 | 0.000 | 0.000 | -0.000 | -71.968 | -0.000 |
| 0.000 | 0.000 | -0.000 | -0.000 | -0.000 | -71.968 |
| 138.208 | 199.237 | 199.237 | 0.000 | 0.000 | 0.000 |
| 199.237 | 138.208 | 199.237 | 0.000 | 0.000 | 0.000 |
| 199.237 | 199.237 | 138.208 | 0.000 | 0.000 | 0.000 |
| 0.000 | -0.000 | -0.000 | -71.968 | 0.000 | 0.000 |
| -0.000 | 0.000 | -0.000 | 0.000 | -71.968 | 0.000 |
| -0.000 | -0.000 | 0.000 | 0.000 | 0.000 | -71.968 |
| 138.208 | 199.238 | 199.238 | -0.000 | -0.000 | -0.000 |
| 199.238 | 138.208 | 199.238 | -0.000 | -0.000 | -0.000 |
| 199.238 | 199.238 | 138.208 | -0.000 | -0.000 | -0.000 |
| -0.000 | 0.000 | 0.000 | -71.968 | -0.000 | -0.000 |
| 0.000 | -0.000 | 0.000 | -0.000 | -71.968 | -0.000 |
| 0.000 | 0.000 | -0.000 | -0.000 | -0.000 | -71.968 |
| 138.206 | 199.236 | 199.236 | 0.000 | 0.000 | 0.000 |
| 199.236 | 138.206 | 199.236 | 0.000 | 0.000 | 0.000 |
| 199.236 | 199.236 | 138.206 | 0.000 | 0.000 | 0.000 |
| 0.000 | -0.000 | -0.000 | -71.968 | 0.000 | 0.000 |
| -0.000 | 0.000 | -0.000 | 0.000 | -71.968 | 0.000 |
| -0.000 | -0.000 | 0.000 | 0.000 | 0.000 | -71.968 |
| 138.209 | 199.239 | 199.239 | -0.000 | -0.000 | -0.000 |
| 199.239 | 138.209 | 199.239 | -0.000 | -0.000 | -0.000 |
| 199.239 | 199.239 | 138.209 | -0.000 | -0.000 | -0.000 |
| -0.000 | 0.000 | 0.000 | -71.968 | -0.000 | -0.000 |
| 0.000 | -0.000 | 0.000 | -0.000 | -71.968 | -0.000 |
| 0.000 | 0.000 | -0.000 | -0.000 | -0.000 | -71.968 |
| 84.445 | 84.521 | 84.521 | -0.000 | -0.000 | -0.000 |
| 84.521 | 84.445 | 84.521 | -0.000 | -0.000 | -0.000 |
| 84.521 | 84.521 | 84.445 | -0.000 | -0.000 | -0.000 |
| -0.000 | -0.000 | -0.000 | -0.081 | -0.000 | 0.000 |
| -0.000 | -0.000 | -0.000 | -0.000 | -0.081 | 0.000 |
| -0.000 | -0.000 | -0.000 | -0.000 | -0.000 | -0.081 |
| 84.445 | 84.521 | 84.521 | 0.000 | 0.000 | 0.000 |
| 84.521 | 84.445 | 84.521 | 0.000 | 0.000 | 0.000 |
| 84.521 | 84.521 | 84.445 | 0.000 | 0.000 | 0.000 |
| 0.000 | 0.000 | 0.000 | -0.081 | 0.000 | -0.000 |
| 0.000 | 0.000 | 0.000 | 0.000 | -0.081 | -0.000 |
| 0.000 | 0.000 | 0.000 | 0.000 | 0.000 | -0.081 |
| 84.445 | 84.521 | 84.521 | -0.000 | -0.000 | -0.000 |
| 84.521 | 84.445 | 84.521 | -0.000 | -0.000 | -0.000 |
| 84.521 | 84.521 | 84.445 | -0.000 | -0.000 | -0.000 |
| -0.000 | -0.000 | -0.000 | -0.081 | -0.000 | -0.000 |
| -0.000 | -0.000 | -0.000 | -0.000 | -0.081 | -0.000 |
| -0.000 | -0.000 | -0.000 | -0.000 | -0.000 | -0.081 |
| 84.445 | 84.521 | 84.521 | 0.000 | 0.000 | 0.000 |
| 84.521 | 84.445 | 84.521 | 0.000 | 0.000 | 0.000 |
| 84.521 | 84.521 | 84.445 | 0.000 | 0.000 | 0.000 |
| 0.000 | 0.000 | 0.000 | -0.081 | 0.000 | 0.000 |
| 0.000 | 0.000 | 0.000 | 0.000 | -0.081 | 0.000 |
| 0.000 | 0.000 | 0.000 | 0.000 | 0.000 | -0.081 |
| 84.445 | 84.521 | 84.521 | -0.000 | -0.000 | -0.000 |
| 84.521 | 84.445 | 84.521 | -0.000 | -0.000 | -0.000 |
| 84.521 | 84.521 | 84.445 | -0.000 | -0.000 | -0.000 |
| -0.000 | -0.000 | -0.000 | -0.081 | -0.000 | 0.000 |
| -0.000 | -0.000 | -0.000 | -0.000 | -0.081 | 0.000 |
| -0.000 | -0.000 | -0.000 | -0.000 | -0.000 | -0.081 |
| 84.445 | 84.521 | 84.521 | 0.000 | 0.000 | 0.000 |
| 84.521 | 84.445 | 84.521 | 0.000 | 0.000 | 0.000 |
| 84.521 | 84.521 | 84.445 | 0.000 | 0.000 | 0.000 |
| 0.000 | 0.000 | 0.000 | -0.081 | 0.000 | -0.000 |
| 0.000 | 0.000 | 0.000 | 0.000 | -0.081 | -0.000 |
| 0.000 | 0.000 | 0.000 | 0.000 | 0.000 | -0.081 |
| 203.892 | 153.077 | 471.144 | 0.000 | -0.000 | 0.000 |
| 153.077 | 203.892 | 471.144 | -0.000 | 0.000 | -0.000 |
| 471.144 | 471.144 | 1718.232 | 0.000 | 0.000 | 0.000 |
| -0.000 | -0.000 | -0.000 | 471.144 | 0.000 | 0.000 |
| -0.000 | -0.000 | -0.000 | 0.000 | 471.144 | 0.000 |
| -0.000 | 0.000 | 0.000 | 0.000 | 0.000 | 131.680 |
| 203.892 | 153.077 | 471.144 | -0.000 | -0.000 | -0.000 |
| 153.077 | 203.892 | 471.144 | -0.000 | -0.000 | -0.000 |
| 471.144 | 471.144 | 1718.232 | -0.000 | -0.000 | -0.000 |
| 0.000 | 0.000 | 0.000 | 471.144 | -0.000 | -0.000 |
| 0.000 | 0.000 | 0.000 | -0.000 | 471.144 | -0.000 |
| 0.000 | -0.000 | -0.000 | -0.000 | -0.000 | 131.680 |
| 203.892 | 153.077 | 471.144 | 0.000 | 0.000 | 0.000 |
| 153.077 | 203.892 | 471.144 | 0.000 | 0.000 | 0.000 |
| 471.143 | 471.143 | 1718.231 | -0.000 | -0.000 | 0.000 |
| -0.000 | -0.000 | -0.000 | 471.144 | 0.000 | -0.000 |
| -0.000 | -0.000 | -0.000 | 0.000 | 471.144 | 0.000 |
| -0.000 | -0.000 | -0.000 | 0.000 | 0.000 | 131.680 |
| 203.892 | 153.077 | 471.144 | -0.000 | 0.000 | -0.000 |
| 153.077 | 203.892 | 471.144 | 0.000 | -0.000 | -0.000 |
| 471.144 | 471.144 | 1718.233 | -0.000 | -0.000 | 0.000 |
| 0.000 | 0.000 | 0.000 | 471.144 | -0.000 | -0.000 |
| 0.000 | 0.000 | 0.000 | -0.000 | 471.144 | -0.000 |
| 0.000 | 0.000 | 0.000 | -0.000 | -0.000 | 131.680 |
| 203.890 | 153.077 | 471.143 | 0.000 | 0.000 | -0.000 |
| 153.077 | 203.890 | 471.143 | 0.000 | 0.000 | 0.000 |
| 471.142 | 471.142 | 1718.222 | 0.000 | 0.000 | -0.000 |
| -0.001 | -0.002 | -0.003 | 471.144 | 0.000 | 0.000 |
| -0.002 | -0.001 | -0.003 | 0.000 | 471.144 | 0.000 |
| -0.000 | -0.000 | -0.001 | 0.000 | 0.000 | 131.680 |
| 203.893 | 153.078 | 471.144 | -0.000 | -0.000 | 0.000 |
| 153.078 | 203.893 | 471.144 | -0.000 | -0.000 | 0.000 |
| 471.146 | 471.146 | 1718.243 | 0.000 | 0.000 | -0.000 |
| 0.001 | 0.002 | 0.003 | 471.144 | -0.000 | -0.000 |
| 0.002 | 0.001 | 0.003 | -0.000 | 471.144 | -0.000 |
| 0.000 | 0.000 | 0.001 | -0.000 | -0.000 | 131.680 |
| 589.246 | 600.621 | 233.108 | -0.000 | 0.000 | -0.000 |
| 600.621 | 589.246 | 233.108 | -0.000 | -0.000 | -0.000 |
| 233.108 | 233.108 | 197.018 | 0.000 | 0.000 | -0.000 |
| -0.000 | -0.000 | -0.000 | 232.635 | -0.000 | -0.000 |
| -0.000 | -0.000 | -0.000 | -0.000 | 232.635 | -0.000 |
| -0.000 | -0.000 | -0.000 | 0.000 | 0.000 | 600.615 |
| 589.246 | 600.621 | 233.108 | 0.000 | 0.000 | 0.000 |
| 600.621 | 589.246 | 233.108 | 0.000 | 0.000 | 0.000 |
| 233.108 | 233.108 | 197.018 | -0.000 | -0.000 | 0.000 |
| 0.000 | 0.000 | 0.000 | 232.635 | 0.000 | -0.000 |
| 0.000 | 0.000 | 0.000 | 0.000 | 232.635 | 0.000 |
| 0.000 | 0.000 | 0.000 | -0.000 | -0.000 | 600.615 |
| 589.246 | 600.621 | 233.108 | -0.000 | 0.000 | -0.000 |
| 600.621 | 589.246 | 233.108 | 0.000 | -0.000 | -0.000 |
| 233.108 | 233.108 | 197.018 | 0.000 | 0.000 | -0.000 |
| -0.000 | -0.000 | -0.000 | 232.635 | -0.000 | 0.000 |
| -0.000 | -0.000 | -0.000 | -0.000 | 232.635 | -0.000 |
| -0.000 | -0.000 | -0.000 | 0.000 | 0.000 | 600.615 |
| 589.247 | 600.621 | 233.108 | 0.000 | -0.000 | 0.000 |
| 600.621 | 589.247 | 233.108 | -0.000 | 0.000 | 0.000 |
| 233.108 | 233.108 | 197.018 | 0.000 | -0.000 | 0.000 |
| 0.000 | 0.000 | 0.000 | 232.635 | 0.000 | 0.000 |
| 0.000 | 0.000 | 0.000 | 0.000 | 232.635 | 0.000 |
| 0.000 | 0.000 | 0.000 | -0.000 | -0.000 | 600.615 |
| 589.245 | 600.619 | 233.108 | -0.000 | 0.000 | 0.000 |
| 600.619 | 589.245 | 233.108 | 0.000 | -0.000 | -0.000 |
| 233.108 | 233.108 | 197.019 | 0.000 | 0.000 | -0.000 |
| -0.001 | -0.001 | -0.000 | 232.635 | -0.000 | -0.000 |
| -0.001 | -0.001 | -0.000 | -0.000 | 232.635 | -0.000 |
| -0.003 | -0.002 | -0.001 | 0.000 | 0.000 | 600.615 |
| 589.249 | 600.622 | 233.109 | 0.000 | 0.000 | 0.000 |
| 600.622 | 589.249 | 233.109 | 0.000 | 0.000 | 0.000 |
| 233.108 | 233.108 | 197.018 | 0.000 | 0.000 | 0.000 |
| 0.001 | 0.001 | 0.000 | 232.635 | -0.000 | 0.000 |
| 0.001 | 0.001 | 0.000 | -0.000 | 232.635 | 0.000 |
| 0.003 | 0.002 | 0.001 | -0.000 | -0.000 | 600.615 |
| 1188.227 | 120.473 | 768.017 | 0.000 | 0.000 | 0.000 |
| 120.473 | 2415.078 | 910.885 | 0.000 | 0.000 | 0.000 |
| 768.017 | 910.885 | 1097.520 | 0.000 | -0.000 | 0.000 |
| 0.000 | 0.000 | 0.000 | 885.911 | 0.000 | 0.000 |
| 0.000 | 0.000 | 0.000 | 0.000 | 743.994 | 0.000 |
| 0.000 | 0.000 | 0.000 | 0.000 | -0.000 | 92.105 |
| 1188.227 | 120.473 | 768.017 | -0.000 | 0.000 | -0.000 |
| 120.473 | 2415.078 | 910.885 | -0.000 | -0.000 | -0.000 |
| 768.017 | 910.885 | 1097.520 | -0.000 | -0.000 | -0.000 |
| 0.000 | -0.000 | -0.000 | 885.911 | -0.000 | -0.000 |
| -0.000 | -0.000 | -0.000 | -0.000 | 743.994 | -0.000 |
| 0.000 | -0.000 | -0.000 | -0.000 | -0.000 | 92.105 |
| 1188.228 | 120.473 | 768.017 | -0.000 | -0.000 | 0.000 |
| 120.473 | 2415.079 | 910.886 | 0.000 | 0.000 | 0.000 |
| 768.017 | 910.885 | 1097.520 | -0.000 | 0.000 | 0.000 |
| -0.000 | 0.000 | 0.000 | 885.911 | 0.000 | 0.000 |
| 0.000 | -0.000 | 0.000 | 0.000 | 743.994 | 0.000 |
| 0.000 | -0.000 | -0.000 | 0.000 | 0.000 | 92.105 |
| 1188.227 | 120.473 | 768.016 | -0.000 | 0.000 | -0.000 |
| 120.473 | 2415.076 | 910.884 | -0.000 | -0.000 | -0.000 |
| 768.016 | 910.885 | 1097.520 | -0.000 | -0.000 | -0.000 |
| 0.000 | -0.000 | -0.000 | 885.911 | -0.000 | -0.000 |
| -0.000 | 0.000 | -0.000 | -0.000 | 743.994 | -0.000 |
| -0.000 | 0.000 | 0.000 | 0.000 | -0.000 | 92.105 |
| 1188.232 | 120.473 | 768.021 | 0.000 | 0.000 | 0.000 |
| 120.473 | 2415.091 | 910.892 | 0.000 | 0.000 | 0.000 |
| 768.020 | 910.888 | 1097.522 | -0.000 | 0.000 | 0.000 |
| -0.001 | 0.004 | 0.001 | 885.911 | 0.000 | 0.000 |
| 0.002 | -0.001 | 0.002 | 0.000 | 743.994 | 0.000 |
| 0.000 | -0.001 | -0.001 | 0.000 | 0.000 | 92.105 |
| 1188.223 | 120.472 | 768.012 | -0.000 | -0.000 | -0.000 |
| 120.472 | 2415.065 | 910.879 | -0.000 | -0.000 | -0.000 |
| 768.013 | 910.883 | 1097.519 | -0.000 | -0.000 | -0.000 |
| 0.001 | -0.004 | -0.001 | 885.911 | -0.000 | -0.000 |
| -0.002 | 0.001 | -0.002 | -0.000 | 743.994 | -0.000 |
| -0.000 | 0.001 | 0.001 | -0.000 | -0.000 | 92.105 |
| 23716.688 | 7913.068 | 3283.413 | -0.000 | 0.000 | -0.000 |
| 7913.049 | 23716.707 | 3283.413 | -0.000 | 0.000 | -0.000 |
| 8432.162 | 8432.162 | 12275.218 | -0.000 | -0.000 | 0.000 |
| -1008.967 | -1008.974 | 1542.179 | 12.296 | -0.000 | 0.000 |
| 0.012 | 0.004 | 0.001 | -0.000 | 3243.397 | -0.001 |
| -1349.284 | -1349.285 | 2062.336 | -0.000 | -0.000 | -10.226 |
| 12965.447 | 13930.081 | 6901.361 | 0.000 | 0.000 | -0.000 |
| 11542.235 | 12417.757 | 9144.851 | 0.000 | 0.000 | -0.000 |
| 11222.892 | 11222.892 | 8009.773 | 0.000 | -0.000 | -0.000 |
| 1008.967 | 1008.974 | -1542.179 | 12.297 | 0.000 | -0.000 |
| -0.012 | -0.004 | -0.001 | 0.000 | 3243.397 | 0.001 |
| 1349.284 | 1349.285 | -2062.336 | -0.000 | 0.000 | -10.227 |
| 11120.203 | 11518.034 | 10154.428 | -0.000 | -0.000 | 0.000 |
| 12354.634 | 12758.053 | 8263.849 | 0.000 | -0.000 | 0.000 |
| 9699.050 | 9699.050 | 10338.411 | -0.000 | -0.000 | 0.000 |
| -135.062 | -135.037 | 206.417 | -9.440 | -0.000 | 0.000 |
| -100.946 | -100.869 | 154.233 | -0.000 | 12.467 | 0.000 |
| -100.900 | -100.714 | 154.079 | -0.000 | -0.000 | 34.405 |
| 11484.266 | 10994.272 | 10277.573 | 0.000 | 0.000 | -0.000 |
| 11664.223 | 11661.217 | 9630.157 | -0.000 | 0.000 | -0.000 |
| 10138.589 | 10138.588 | 9667.444 | -0.000 | -0.000 | -0.000 |
| 135.062 | 135.037 | -206.417 | -9.440 | 0.000 | -0.000 |
| 100.946 | 100.869 | -154.233 | 0.000 | 12.467 | -0.000 |
| 100.900 | 100.714 | -154.078 | 0.000 | -0.000 | 34.405 |
| 11480.062 | 11475.895 | 9907.514 | -0.000 | -0.000 | 0.000 |
| 11487.480 | 11465.795 | 9909.557 | -0.000 | -0.000 | 0.000 |
| 9856.146 | 9856.146 | 10094.299 | -0.000 | 0.000 | 0.000 |
| -13.551 | -13.553 | 20.698 | -5.595 | -0.000 | 0.000 |
| -13.776 | -13.747 | 21.024 | -0.000 | 207.046 | 0.000 |
| -13.507 | -13.504 | 20.623 | -0.000 | 0.000 | 3.886 |
| 11377.257 | 11685.258 | 9835.096 | 0.000 | 0.000 | -0.000 |
| 11605.677 | 11409.748 | 9871.186 | -0.000 | 0.000 | -0.000 |
| 9889.000 | 9889.000 | 10052.958 | 0.000 | -0.000 | -0.000 |
| 13.551 | 13.553 | -20.698 | -5.595 | 0.000 | -0.000 |
| 13.776 | 13.747 | -21.024 | 0.000 | 207.046 | -0.000 |
| 13.507 | 13.504 | -20.623 | 0.000 | -0.000 | 3.886 |
| 2795.516 | 746.491 | 1532.592 | 54.445 | -1.332 | 20.325 |
| 725.708 | 2804.049 | 1275.203 | -53.899 | 4.255 | 19.956 |
| 1549.897 | 1313.307 | 2415.584 | 6.523 | -0.472 | -17.208 |
| 56.161 | -52.349 | 6.742 | 1575.156 | -68.901 | -2.796 |
| -1.831 | 4.159 | -0.793 | -68.879 | 1934.154 | 79.334 |
| 16.121 | 19.884 | -18.945 | -2.802 | 80.310 | 939.570 |
| 2797.276 | 747.233 | 1534.886 | 55.532 | -1.987 | 20.876 |
| 726.492 | 2804.311 | 1276.167 | -53.748 | 4.171 | 19.861 |
| 1551.657 | 1313.499 | 2417.337 | 6.596 | -1.105 | -17.283 |
| 57.027 | -52.092 | 7.775 | 1575.357 | -69.008 | -2.924 |
| -1.005 | 4.420 | 0.208 | -68.672 | 1934.063 | 79.220 |
| 16.960 | 20.160 | -17.917 | -2.344 | 80.247 | 939.446 |
| 2795.437 | 746.647 | 1532.285 | 54.530 | -1.511 | 20.747 |
| 726.283 | 2803.886 | 1275.864 | -54.483 | 4.329 | 19.920 |
| 1549.752 | 1313.694 | 2415.524 | 6.821 | -0.710 | -16.817 |
| 55.769 | -52.021 | 6.737 | 1574.519 | -68.260 | -2.770 |
| -1.811 | 4.199 | -0.724 | -68.453 | 1933.555 | 78.903 |
| 15.738 | 19.882 | -19.368 | -2.644 | 78.939 | 938.804 |
| 2795.544 | 746.669 | 1532.419 | 54.548 | -1.519 | 20.727 |
| 726.382 | 2803.911 | 1275.979 | -54.454 | 4.321 | 19.906 |
| 1549.861 | 1313.713 | 2415.655 | 6.839 | -0.717 | -16.836 |
| 55.870 | -51.997 | 6.858 | 1574.538 | -68.267 | -2.787 |
| -1.682 | 4.238 | -0.566 | -68.428 | 1933.548 | 78.886 |
| 15.813 | 19.912 | -19.256 | -2.576 | 78.884 | 938.781 |
| 2795.517 | 746.710 | 1532.363 | 54.565 | -1.534 | 20.740 |
| 726.277 | 2803.914 | 1275.842 | -54.497 | 4.355 | 19.891 |
| 1549.832 | 1313.739 | 2415.590 | 6.826 | -0.705 | -16.812 |
| 55.815 | -51.986 | 6.817 | 1574.523 | -68.456 | -2.772 |
| -1.768 | 4.225 | -0.687 | -68.473 | 1933.546 | 78.887 |
| 15.856 | 19.896 | -19.256 | -2.650 | 78.879 | 938.784 |
| 2795.452 | 746.683 | 1532.326 | 54.564 | -1.534 | 20.743 |
| 726.273 | 2803.872 | 1275.823 | -54.491 | 4.354 | 19.890 |
| 1549.807 | 1313.715 | 2415.572 | 6.827 | -0.706 | -16.813 |
| 55.812 | -52.002 | 6.809 | 1574.525 | -68.459 | -2.773 |
| -1.793 | 4.212 | -0.707 | -68.473 | 1933.545 | 78.886 |
| 15.844 | 19.890 | -19.256 | -2.649 | 78.879 | 938.783 |
| 17098.861 | 13632.773 | 21238.348 | -0.000 | -0.000 | -0.000 |
| 13634.454 | 17097.180 | 21238.348 | -0.000 | -0.000 | -0.000 |
| 21238.348 | 21238.349 | 31838.265 | -0.000 | -0.000 | -0.000 |
| 0.002 | 0.003 | 0.004 | 21161.715 | -0.000 | -0.000 |
| 0.002 | 0.003 | 0.004 | -0.000 | 21161.715 | -0.000 |
| -0.001 | 0.001 | -0.000 | -0.000 | -0.000 | 1732.204 |
| 17097.172 | 13634.447 | 21238.338 | 0.000 | 0.000 | 0.000 |
| 13632.766 | 17098.853 | 21238.338 | 0.000 | 0.000 | 0.000 |
| 21238.336 | 21238.335 | 31838.247 | 0.000 | 0.000 | 0.000 |
| -0.002 | -0.003 | -0.004 | 21161.715 | 0.000 | 0.000 |
| -0.002 | -0.003 | -0.004 | -0.000 | 21161.715 | 0.000 |
| 0.001 | -0.001 | 0.000 | 0.000 | 0.000 | 1732.204 |
| 17106.452 | 13625.249 | 21238.393 | -0.000 | -0.000 | 0.000 |
| 7714.434 | 23017.284 | 21238.408 | -0.000 | -0.000 | 0.000 |
| 21238.411 | 21238.411 | 31838.347 | -0.000 | -0.000 | -0.000 |
| 0.026 | 0.025 | 0.042 | 21161.715 | -0.000 | -0.000 |
| 0.025 | 0.026 | 0.042 | 0.000 | 21161.715 | 0.000 |
| 0.013 | 0.004 | 0.013 | -0.000 | -0.000 | 7651.401 |
| 17089.562 | 13641.990 | 21238.293 | 0.000 | 0.000 | 0.000 |
| 13632.189 | 17099.363 | 21238.293 | 0.000 | 0.000 | 0.000 |
| 21238.273 | 21238.273 | 31838.166 | 0.000 | 0.000 | 0.000 |
| -0.026 | -0.025 | -0.042 | 21161.715 | 0.000 | 0.000 |
| -0.025 | -0.026 | -0.042 | 0.000 | 21161.715 | 0.000 |
| -0.013 | -0.004 | -0.013 | 0.000 | 0.000 | 7651.401 |
| 17098.405 | 13633.967 | 21238.847 | -0.000 | -0.000 | -0.000 |
| 13632.877 | 17099.496 | 21238.847 | -0.000 | -0.000 | 0.000 |
| 21239.029 | 21239.029 | 31839.159 | -0.000 | -0.000 | -0.000 |
| 0.262 | 0.251 | 0.417 | 21161.715 | -0.000 | -0.000 |
| 0.251 | 0.262 | 0.417 | -0.000 | 21161.715 | -0.000 |
| 0.012 | -0.005 | -0.009 | -0.000 | -0.000 | 1731.555 |
| 17097.627 | 13633.254 | 21237.839 | 0.000 | 0.000 | 0.000 |
| 13549.750 | 17181.131 | 21237.839 | 0.000 | 0.000 | 0.000 |
| 21237.655 | 21237.655 | 31837.354 | 0.000 | 0.000 | 0.000 |
| -0.262 | -0.251 | -0.417 | 21161.715 | 0.000 | 0.000 |
| -0.251 | -0.262 | -0.417 | 0.000 | 21161.715 | -0.000 |
| -0.012 | 0.005 | 0.009 | 0.000 | 0.000 | 1731.555 |
| 850428.242 | 851334.251 | 851334.251 | 0.000 | -0.000 | -0.000 |
| 851334.251 | 850428.242 | 851334.251 | 0.000 | 0.000 | -0.000 |
| 851334.258 | 851334.258 | 850428.248 | 0.000 | 0.000 | -0.000 |
| 36889540366.657 | 36892731745.874 | 36892723045.445 | 292700722.022 | -282562.538 | 296430.496 |
| 36093582485.647 | 36087224114.165 | 36093653776.774 | -453948.215 | 409983413.089 | 453107.225 |
| 39469914729.804 | 39470656643.809 | 39470039273.653 | -292771.525 | 246495.803 | 29982667.977 |
| 844882.033 | 845788.008 | 845788.008 | -0.000 | 0.000 | 0.000 |
| 845788.008 | 844882.033 | 845788.008 | 0.000 | 0.000 | 0.000 |
| 845788.009 | 845788.009 | 844882.034 | -0.000 | -0.000 | -0.000 |
| -35874964870.547 | -35877991166.392 | -35878177094.530 | 24226560.541 | -244703.664 | 165378.305 |
| -34588650195.856 | -34585844658.837 | -34588523324.201 | 680122.311 | 147556643.795 | 922430.359 |
| -34283353463.492 | -34456165780.432 | -34777724459.547 | 18165460.223 | 9154348.114 | -89775320.983 |
| 873623.622 | 874529.792 | 874529.792 | 0.000 | 0.000 | -0.000 |
| 874529.792 | 873623.622 | 874529.792 | 0.000 | 0.000 | -0.000 |
| 874529.792 | 874529.792 | 873623.622 | 0.000 | 0.000 | -0.000 |
| 3325006481.428 | 3325180864.729 | 3325167842.043 | 15486983.136 | 403.571 | -12636.773 |
| 3753309913.469 | 4043351523.245 | 3758518371.979 | 2513800.611 | 5318062.411 | 661827.497 |
| 3809107550.623 | 3809016066.920 | 3809624898.940 | -31628.221 | -29913.509 | 6885340.193 |
| 819924.171 | 820829.996 | 820829.996 | 0.000 | -0.000 | 0.000 |
| 820829.996 | 819924.171 | 820829.996 | -0.000 | 0.000 | 0.000 |
| 820829.996 | 820829.996 | 819924.171 | -0.000 | 0.000 | 0.000 |
| -3836156369.948 | -3827603776.701 | -3826983741.887 | 4638899.554 | -317394.681 | 2399.303 |
| -3821508413.827 | -3821795267.174 | -3821518282.434 | 6090.567 | 7739058.367 | -9336.977 |
| -3550544924.480 | -3544740468.868 | -3641900108.783 | -247082.707 | -333253.091 | -3157201.992 |
| 849544.330 | 850452.057 | 850452.057 | 0.000 | 0.000 | -0.000 |
| 850452.057 | 849544.330 | 850452.057 | 0.000 | 0.000 | -0.000 |
| 850452.057 | 850452.057 | 849544.330 | 0.000 | -0.000 | -0.000 |
| 344839883.108 | 338762421.758 | 339499044.674 | -1243014.196 | 133944.241 | -72740.163 |
| 373365825.420 | 373338948.794 | 373367076.178 | 7471.187 | 2556394.203 | -9242.287 |
| 379713818.027 | 379715586.872 | 379721168.919 | 9395.745 | -10899.506 | 194240.019 |
| 847110.494 | 848014.756 | 848014.756 | -0.000 | 0.000 | 0.000 |
| 848014.756 | 847110.494 | 848014.756 | -0.000 | -0.000 | 0.000 |
| 848014.756 | 848014.756 | 847110.494 | -0.000 | -0.000 | 0.000 |
| -386662012.236 | -386646505.217 | -386643817.806 | 545671.086 | -9306.923 | -9221.217 |
| -344269649.311 | -349292170.480 | -343334407.835 | -207128.335 | 955875.373 | -180209.358 |
| -409466570.897 | -409380878.389 | -409924975.199 | 86322.457 | 52199.647 | -1368930.405 |
| 15659.210 | 14754.613 | 14754.613 | -0.000 | -0.000 | -0.000 |
| 14754.613 | 15659.211 | 14754.613 | -0.000 | -0.000 | 0.000 |
| 14754.613 | 14754.613 | 15659.210 | -0.000 | -0.000 | 0.000 |
| 0.002 | 0.002 | 0.002 | 14640.857 | -0.000 | -0.000 |
| 0.002 | 0.002 | 0.002 | -0.000 | 14640.857 | 0.000 |
| 0.002 | 0.002 | 0.002 | -0.000 | 0.000 | 14640.857 |
| 15659.206 | 14754.608 | 14754.608 | 0.000 | 0.000 | -0.000 |
| 14754.608 | 15659.206 | 14754.608 | 0.000 | 0.000 | 0.000 |
| 14754.608 | 14754.608 | 15659.206 | 0.000 | -0.000 | -0.000 |
| -0.002 | -0.002 | -0.002 | 14640.858 | 0.000 | -0.000 |
| -0.002 | -0.002 | -0.002 | 0.000 | 14640.857 | -0.000 |
| -0.002 | -0.002 | -0.002 | 0.000 | -0.000 | 14640.857 |
| 15659.233 | 14754.637 | 14754.637 | -0.000 | -0.000 | -0.000 |
| 14754.637 | 15659.233 | 14754.637 | -0.000 | -0.000 | -0.000 |
| 14754.637 | 14754.637 | 15659.233 | -0.000 | -0.000 | -0.000 |
| 0.023 | 0.020 | 0.023 | 14640.857 | 0.000 | -0.000 |
| 0.020 | 0.023 | 0.023 | 0.000 | 14640.857 | 0.000 |
| 0.020 | 0.023 | 0.023 | -0.000 | 0.000 | 14640.857 |
| 15659.183 | 14754.583 | 14754.584 | 0.000 | 0.000 | 0.000 |
| 14754.584 | 15659.183 | 14754.584 | 0.000 | 0.000 | -0.000 |
| 14754.583 | 14754.583 | 15659.183 | 0.000 | 0.000 | -0.000 |
| -0.023 | -0.020 | -0.023 | 14640.857 | -0.000 | -0.000 |
| -0.020 | -0.023 | -0.023 | -0.000 | 14640.857 | 0.000 |
| -0.020 | -0.023 | -0.023 | 0.000 | 0.000 | 14640.857 |
| 15659.456 | 14754.880 | 14754.880 | -0.000 | 0.000 | 0.000 |
| 14754.880 | 15659.456 | 14754.880 | -0.000 | -0.000 | 0.000 |
| 14754.880 | 14754.880 | 15659.456 | -0.000 | -0.000 | 0.000 |
| -0.005 | -0.014 | -0.013 | 779.884 | -0.000 | 0.000 |
| -0.014 | -0.005 | -0.013 | -0.000 | 779.884 | 0.000 |
| -0.014 | -0.013 | -0.005 | -0.000 | -0.000 | 779.884 |
| 15658.960 | 14754.341 | 14754.341 | 0.000 | 0.000 | 0.000 |
| 14754.341 | 15658.960 | 14754.341 | 0.000 | 0.000 | 0.000 |
| 14754.341 | 14754.341 | 15658.960 | 0.000 | 0.000 | -0.000 |
| 0.005 | 0.014 | 0.013 | 779.884 | 0.000 | -0.000 |
| 0.014 | 0.005 | 0.013 | 0.000 | 779.884 | -0.000 |
| 0.014 | 0.013 | 0.005 | 0.000 | 0.000 | 779.884 |
| -2076394537.779 | -2073015258.633 | -2073278984.718 | -4800313.315 | -3237591.149 | -3029171.109 |
| -2073015259.015 | -2076394538.254 | -2073278985.096 | -3237591.263 | -4800313.375 | -3029171.160 |
| -2074945087.367 | -2074945087.368 | -2078200396.426 | -2856268.949 | -2856268.955 | -4674170.856 |
| -3340131708.170 | -5010047079.747 | -5010047142.024 | -3113851999.516 | 0.775 | 0.236 |
| -5010047079.732 | -3340131708.156 | -5010047142.009 | 0.776 | -3113851999.499 | 0.236 |
| -5010047064.334 | -5010047126.611 | -3340131694.028 | 1.040 | 1.059 | -3113851983.197 |
| -12022.841 | -12497.691 | -12497.691 | 0.000 | -0.000 | -0.000 |
| -12497.691 | -12022.841 | -12497.691 | 0.000 | 0.000 | -0.000 |
| -12497.691 | -12497.691 | -12022.841 | -0.000 | -0.000 | 0.000 |
| 3340133082.274 | 5010048577.317 | 5010048639.594 | -3113853585.100 | 0.133 | -0.195 |
| 5010048577.383 | 3340133082.334 | 5010048639.660 | 0.133 | -3113853585.170 | -0.195 |
| 5010048781.953 | 5010048844.230 | 3340133270.038 | -0.005 | -0.076 | -3113853801.763 |
| -207776445.826 | -207355049.199 | -207350251.703 | -660821.396 | -714248.429 | -721716.733 |
| -207355049.230 | -207776445.844 | -207350251.735 | -714248.430 | -660821.387 | -721716.735 |
| -207256285.571 | -207256285.571 | -207662694.122 | -764533.131 | -764533.131 | -543518.895 |
| -334013043.152 | -501004273.740 | -501004336.017 | -311384849.086 | 0.006 | -0.002 |
| -501004273.740 | -334013043.152 | -501004336.017 | 0.006 | -311384849.086 | -0.002 |
| -501005553.291 | -501005615.568 | -334014217.212 | 0.009 | 0.003 | -311386203.838 |
| 207925156.823 | 207601205.730 | 207602687.911 | 471037.488 | 329759.428 | 329702.487 |
| 207601205.729 | 207925156.821 | 207602687.911 | 329759.436 | 471037.496 | 329702.491 |
| 207727107.466 | 207727107.466 | 208042104.156 | 273411.701 | 273411.701 | 491090.981 |
| 334013068.706 | 501004301.590 | 501004363.867 | -311384878.572 | 0.005 | -0.006 |
| 501004301.590 | 334013068.706 | 501004363.867 | 0.005 | -311384878.572 | -0.006 |
| 501004299.731 | 501004362.008 | 334013067.001 | -0.001 | -0.001 | -311384876.604 |
| -20824260.088 | -20792778.161 | -20793707.899 | -48565.917 | -53130.893 | -49285.517 |
| -20792778.162 | -20824260.091 | -20793707.901 | -53130.893 | -48565.917 | -49285.518 |
| -20820476.137 | -20820476.137 | -20848623.713 | -53062.032 | -53062.032 | -44049.655 |
| -33401063.390 | -50099869.701 | -50099931.977 | -31138003.349 | -0.000 | -0.000 |
| -50099869.701 | -33401063.390 | -50099931.977 | -0.000 | -31138003.349 | -0.000 |
| -50099869.705 | -50099931.981 | -33401063.393 | -0.000 | -0.000 | -31138003.353 |
| 21334349.557 | 21272873.671 | 21273867.450 | 67247.911 | 71242.848 | 73460.678 |
| 21282092.522 | 21345617.164 | 21285288.757 | 72185.682 | 66013.474 | 75006.663 |
| 20895325.130 | 20895325.130 | 20956831.135 | 67246.928 | 67246.928 | 56310.334 |
| 33401063.131 | 50099869.419 | 50099931.695 | -31138003.050 | -0.000 | -0.000 |
| 50099869.419 | 33401063.131 | 50099931.695 | 0.000 | -31138003.050 | -0.000 |
| 50099869.438 | 50099931.714 | 33401063.148 | -0.000 | -0.000 | -31138003.071 |
| 896.685 | 472.759 | 472.759 | -0.000 | -0.000 | -0.000 |
| 472.759 | 896.685 | 472.759 | 0.000 | -0.000 | -0.000 |
| 472.759 | 472.759 | 896.685 | -0.000 | -0.000 | -0.000 |
| -0.000 | 0.000 | 0.000 | 440.741 | -0.000 | -0.000 |
| -0.000 | 0.000 | 0.000 | -0.000 | 440.741 | -0.000 |
| -0.000 | 0.000 | 0.000 | -0.000 | -0.000 | 440.741 |
| 896.685 | 472.759 | 472.759 | 0.000 | 0.000 | -0.000 |
| 472.759 | 896.685 | 472.759 | 0.000 | 0.000 | 0.000 |
| 472.759 | 472.759 | 896.685 | -0.000 | 0.000 | -0.000 |
| 0.000 | -0.000 | 0.000 | 440.741 | 0.000 | 0.000 |
| 0.000 | -0.000 | 0.000 | 0.000 | 440.741 | 0.000 |
| 0.000 | -0.000 | -0.000 | 0.000 | 0.000 | 440.741 |
| 896.688 | 472.761 | 472.761 | -0.000 | -0.000 | -0.000 |
| 472.761 | 896.688 | 472.761 | -0.000 | -0.000 | -0.000 |
| 472.761 | 472.761 | 896.688 | -0.000 | -0.000 | -0.000 |
| 0.000 | 0.000 | 0.000 | 440.741 | -0.000 | -0.000 |
| 0.000 | 0.000 | 0.000 | -0.000 | 440.741 | -0.000 |
| 0.000 | 0.000 | 0.000 | -0.000 | -0.000 | 440.741 |
| 896.682 | 472.756 | 472.756 | 0.000 | 0.000 | 0.000 |
| 472.756 | 896.682 | 472.756 | 0.000 | -0.000 | 0.000 |
| 472.756 | 472.756 | 896.682 | 0.000 | 0.000 | -0.000 |
| -0.000 | -0.000 | -0.000 | 440.741 | 0.000 | -0.000 |
| -0.000 | -0.000 | -0.000 | 0.000 | 440.741 | 0.000 |
| -0.000 | -0.000 | -0.000 | 0.000 | 0.000 | 440.741 |
| 896.715 | 472.784 | 472.784 | -0.000 | -0.000 | -0.000 |
| 472.784 | 896.715 | 472.784 | -0.000 | 0.000 | -0.000 |
| 472.784 | 472.784 | 896.715 | -0.000 | -0.000 | -0.000 |
| 0.002 | 0.000 | 0.000 | 170.281 | -0.000 | -0.000 |
| 0.000 | 0.002 | 0.000 | -0.000 | 170.281 | -0.000 |
| 0.000 | 0.000 | 0.002 | -0.000 | -0.000 | 170.281 |
| 896.758 | 472.839 | 472.839 | 0.000 | 0.000 | 0.000 |
| 472.839 | 896.758 | 472.839 | 0.000 | 0.000 | 0.000 |
| 472.839 | 472.839 | 896.758 | 0.000 | 0.000 | 0.000 |
| -0.002 | -0.000 | -0.000 | 170.281 | 0.000 | 0.000 |
| -0.000 | -0.002 | -0.000 | 0.000 | 170.281 | 0.000 |
| -0.000 | -0.000 | -0.002 | 0.000 | 0.000 | 170.281 |
| 475.988 | 464.772 | 464.772 | 0.000 | -0.000 | -0.000 |
| 464.772 | 475.988 | 464.772 | 0.000 | 0.000 | -0.000 |
| 464.772 | 464.772 | 475.988 | 0.000 | -0.000 | -0.000 |
| 0.000 | 0.000 | 0.000 | 443.880 | 0.000 | -0.000 |
| 0.000 | 0.000 | 0.000 | 0.000 | 443.880 | -0.000 |
| 0.000 | 0.000 | 0.000 | -0.000 | 0.000 | 443.880 |
| 475.988 | 464.772 | 464.772 | -0.000 | -0.000 | 0.000 |
| 464.772 | 475.988 | 464.772 | -0.000 | -0.000 | 0.000 |
| 464.772 | 464.772 | 475.988 | -0.000 | -0.000 | 0.000 |
| -0.000 | 0.000 | -0.000 | 443.880 | -0.000 | 0.000 |
| -0.000 | -0.000 | -0.000 | -0.000 | 443.880 | 0.000 |
| -0.000 | -0.000 | -0.000 | 0.000 | -0.000 | 443.880 |
| 475.988 | 464.772 | 464.772 | 0.000 | 0.000 | -0.000 |
| 464.772 | 475.988 | 464.772 | 0.000 | -0.000 | 0.000 |
| 464.772 | 464.772 | 475.988 | 0.000 | 0.000 | -0.000 |
| -0.000 | -0.000 | -0.000 | 21.947 | 0.000 | -0.000 |
| -0.000 | -0.000 | -0.000 | 0.000 | 21.947 | -0.000 |
| -0.000 | -0.000 | -0.000 | 0.000 | -0.000 | 21.947 |
| 475.988 | 464.772 | 464.772 | -0.000 | -0.000 | 0.000 |
| 464.772 | 475.988 | 464.772 | -0.000 | -0.000 | 0.000 |
| 464.772 | 464.772 | 475.988 | -0.000 | -0.000 | 0.000 |
| 0.000 | 0.000 | 0.000 | 21.947 | -0.000 | 0.000 |
| 0.000 | 0.000 | 0.000 | -0.000 | 21.947 | 0.000 |
| 0.000 | 0.000 | 0.000 | -0.000 | -0.000 | 21.947 |
| 475.988 | 464.772 | 464.772 | 0.000 | -0.000 | -0.000 |
| 464.772 | 475.988 | 464.772 | 0.000 | 0.000 | -0.000 |
| 464.772 | 464.772 | 475.988 | -0.000 | 0.000 | -0.000 |
| -0.000 | -0.000 | -0.000 | 21.950 | -0.000 | -0.000 |
| -0.000 | -0.000 | -0.000 | 0.000 | 21.950 | -0.000 |
| -0.000 | -0.000 | -0.000 | 0.000 | 0.000 | 21.950 |
| 475.989 | 464.771 | 464.771 | -0.000 | -0.000 | 0.000 |
| 464.771 | 475.989 | 464.771 | -0.000 | -0.000 | 0.000 |
| 464.771 | 464.771 | 475.989 | -0.000 | -0.000 | 0.000 |
| 0.000 | 0.000 | 0.000 | 21.950 | 0.000 | 0.000 |
| 0.000 | 0.000 | 0.000 | -0.000 | 21.950 | 0.000 |
| 0.000 | 0.000 | 0.000 | -0.000 | -0.000 | 21.950 |
| 51.912 | 150.978 | 150.978 | -0.000 | -0.000 | -0.000 |
| 150.978 | 51.912 | 150.978 | -0.000 | -0.000 | -0.000 |
| 150.978 | 150.978 | 51.912 | -0.000 | -0.000 | -0.000 |
| -0.000 | 0.000 | -0.000 | -253.198 | -0.000 | -0.000 |
| 0.000 | -0.000 | -0.000 | -0.000 | -253.198 | 0.000 |
| 0.000 | 0.000 | -0.000 | -0.000 | -0.000 | -253.198 |
| 51.912 | 150.978 | 150.978 | 0.000 | 0.000 | 0.000 |
| 150.978 | 51.912 | 150.978 | 0.000 | 0.000 | 0.000 |
| 150.978 | 150.978 | 51.912 | 0.000 | 0.000 | 0.000 |
| 0.000 | -0.000 | 0.000 | -253.198 | 0.000 | 0.000 |
| -0.000 | 0.000 | 0.000 | 0.000 | -253.197 | 0.000 |
| -0.000 | -0.000 | 0.000 | 0.000 | 0.000 | -253.198 |
| 51.912 | 150.978 | 150.978 | -0.000 | -0.000 | 0.000 |
| 150.978 | 51.912 | 150.978 | -0.000 | -0.000 | 0.000 |
| 150.978 | 150.978 | 51.912 | -0.000 | -0.000 | -0.000 |
| -0.001 | -0.000 | -0.000 | -253.198 | -0.000 | -0.000 |
| -0.000 | -0.001 | -0.000 | -0.000 | -253.198 | -0.000 |
| -0.000 | -0.000 | -0.001 | -0.000 | -0.000 | -253.198 |
| 51.912 | 150.978 | 150.978 | 0.000 | 0.000 | -0.000 |
| 150.978 | 51.912 | 150.978 | 0.000 | 0.000 | -0.000 |
| 150.978 | 150.978 | 51.912 | 0.000 | 0.000 | 0.000 |
| 0.001 | 0.000 | 0.000 | -253.198 | 0.000 | 0.000 |
| 0.000 | 0.001 | 0.000 | 0.000 | -253.198 | 0.000 |
| 0.000 | 0.000 | 0.001 | 0.000 | 0.000 | -253.198 |
| 51.911 | 150.978 | 150.978 | -0.000 | -0.000 | 0.000 |
| 150.978 | 51.911 | 150.978 | -0.000 | -0.000 | 0.000 |
| 150.978 | 150.978 | 51.911 | -0.000 | -0.000 | -0.000 |
| -0.011 | -0.000 | -0.001 | -253.198 | -0.000 | -0.000 |
| -0.000 | -0.011 | -0.001 | -0.000 | -253.198 | 0.000 |
| -0.000 | -0.001 | -0.011 | -0.000 | -0.000 | -253.198 |
| 51.914 | 150.979 | 150.979 | 0.000 | 0.000 | 0.000 |
| 150.979 | 51.914 | 150.979 | 0.000 | 0.000 | 0.000 |
| 150.979 | 150.979 | 51.914 | 0.000 | 0.000 | -0.000 |
| 0.011 | 0.000 | 0.001 | -253.198 | 0.000 | 0.000 |
| 0.000 | 0.011 | 0.001 | 0.000 | -253.198 | 0.000 |
| 0.000 | 0.001 | 0.011 | 0.000 | 0.000 | -253.198 |
| -11026.405 | -32530.150 | -23066.301 | -0.002 | 0.001 | -0.029 |
| -14773.956 | -39773.558 | -24787.079 | -0.016 | 0.001 | -0.192 |
| -14081.346 | -14482.246 | 3351.606 | -0.012 | -0.000 | -0.153 |
| -14995.816 | -17928.295 | -5086.553 | 4145.588 | -0.000 | -0.013 |
| -17946.377 | -51262.957 | -35932.225 | 0.007 | -91.646 | 0.053 |
| -0.001 | -0.000 | 0.001 | -0.000 | -0.000 | 5600.018 |
| 19178.057 | 46944.372 | 34954.928 | 0.004 | -0.002 | 0.051 |
| 19634.621 | 22088.042 | 5894.565 | 0.001 | 0.000 | 0.016 |
| 2711.646 | 11594.605 | 12585.013 | 0.000 | 0.000 | -0.000 |
| 14995.816 | 17928.295 | 5086.553 | 4145.589 | 0.000 | 0.013 |
| 17946.383 | 51262.963 | 35932.227 | -0.007 | -91.645 | -0.053 |
| -0.001 | -0.002 | -0.001 | 0.000 | 0.000 | 5600.018 |
| -155.517 | -2569.082 | -626.454 | -0.000 | 0.000 | -0.003 |
| 1721.436 | 4203.272 | 3762.282 | -0.000 | 0.000 | -0.001 |
| -253.910 | -1430.046 | 1037.296 | -0.000 | 0.000 | -0.003 |
| 857.614 | 593.395 | 33.153 | -1246.195 | -0.000 | -0.003 |
| -890.668 | -1064.836 | -302.107 | -0.000 | 1460.454 | -0.001 |
| -1573.163 | -3060.064 | -1834.349 | -0.000 | 0.000 | 535.670 |
| 3192.675 | 2098.081 | 1207.331 | 0.000 | -0.000 | 0.003 |
| 3663.241 | 4829.467 | 2525.830 | 0.000 | 0.000 | 0.001 |
| 1378.693 | 1764.474 | 2927.514 | 0.000 | -0.000 | 0.003 |
| -857.614 | -593.395 | -33.153 | -1246.194 | 0.000 | 0.003 |
| 890.668 | 1064.836 | 302.107 | 0.000 | 1460.454 | 0.001 |
| 1573.163 | 3060.065 | 1834.350 | 0.000 | -0.000 | 535.675 |
| 1142.404 | 105.484 | 570.793 | -0.000 | 0.000 | 0.000 |
| 717.618 | 257.255 | 720.988 | -0.000 | 0.000 | -0.000 |
| 1379.624 | 1131.466 | 2306.730 | -0.000 | 0.000 | -0.000 |
| -122.671 | -205.295 | -103.314 | 436.917 | 0.000 | -0.000 |
| -238.106 | -428.539 | -284.388 | -0.000 | 352.493 | -0.002 |
| -199.899 | -385.403 | -202.558 | -0.000 | -0.000 | 657.905 |
| 2365.720 | 1072.552 | 896.445 | 0.000 | -0.000 | 0.000 |
| 987.386 | 1139.943 | 1146.661 | 0.000 | -0.000 | 0.000 |
| 1397.724 | 1658.248 | 2815.862 | 0.000 | -0.000 | 0.000 |
| 122.671 | 205.295 | 103.314 | 436.917 | -0.000 | 0.000 |
| 238.106 | 428.539 | 284.388 | 0.000 | 352.493 | 0.002 |
| 199.899 | 385.403 | 202.558 | 0.000 | 0.000 | 657.905 |
| -2406267169.445 | -2334806911.348 | -4595458931.324 | 1.969 | 0.034 | 0.327 |
| -2406249793.664 | -2334788373.882 | -4595441601.340 | -13.434 | 0.223 | 20.185 |
| -2406265289.118 | -2334808578.357 | -4595458104.031 | 0.007 | -0.029 | 0.024 |
| 0.030 | -0.001 | -0.031 | 9928.536 | 0.000 | 0.000 |
| 560.903 | -76.663 | -676.468 | 0.000 | 2344.559 | -0.000 |
| 0.010 | -0.001 | -0.011 | 0.000 | 0.000 | 5651.347 |
| 2406266863.435 | 2334811143.266 | 4595460896.143 | -28.698 | 1.600 | -47.577 |
| 2406273158.557 | 2334818960.395 | 4595465079.559 | -2.424 | -35.391 | 3.703 |
| 2406253210.797 | 2334806992.605 | 4595462779.845 | 0.158 | 1.766 | -11.106 |
| -0.029 | 0.001 | 0.031 | 9928.536 | -0.000 | 0.000 |
| -560.899 | 76.664 | 676.466 | -0.000 | 2344.560 | 0.000 |
| -0.011 | 0.001 | 0.011 | -0.000 | -0.000 | 5651.347 |
| 8769.847 | 5360.350 | -744.327 | 0.000 | -0.000 | -0.000 |
| 14670.470 | 10408.364 | -806.481 | 0.000 | 0.000 | -0.000 |
| -240626454.470 | -233480848.198 | -459544233.645 | 1.347 | -0.098 | 3.850 |
| -240626753.306 | -233481639.379 | -459547599.396 | 29.459 | -0.166 | -0.000 |
| -240628565.564 | -233482633.313 | -459546620.395 | 1.230 | 246.070 | 0.526 |
| -240617265.386 | -233475565.605 | -459543299.488 | 0.001 | 0.077 | 1273.568 |
| 240626858.926 | 233479085.237 | 459541959.624 | 3.501 | -0.090 | -2.822 |
| 240627198.795 | 233482810.225 | 459547158.797 | -18.381 | 0.756 | 15.045 |
| 240627552.809 | 233482177.666 | 459547714.757 | 3.242 | 3.690 | -2.035 |
| 240626930.325 | 233480528.688 | 459545130.763 | 277.245 | -0.835 | 0.008 |
| -561.057 | 76.681 | 676.651 | -0.000 | 2344.545 | 0.000 |
| -0.065 | -0.002 | 0.065 | -0.000 | -0.000 | 5651.347 |
| 8769.882 | 5359.221 | -745.921 | 0.000 | -0.000 | -0.000 |
| -24062209.695 | -23347411.384 | -45954027.849 | -0.670 | -0.018 | 4.058 |
| -24061705.298 | -23347102.870 | -45952794.669 | -0.200 | -0.234 | -0.192 |
| 2.500 | -0.105 | -2.662 | 9928.535 | -0.000 | -0.000 |
| 562.677 | -76.861 | -678.552 | 0.000 | 2344.396 | -0.000 |
| 0.653 | 0.024 | -0.643 | 0.000 | 0.000 | 5651.347 |
| 24064236.855 | 23348671.634 | 45955108.055 | 0.023 | 0.009 | 0.784 |
| 24063306.702 | 23349329.819 | 45955435.117 | 0.102 | -0.000 | -10.811 |
| 24063677.748 | 23349318.261 | 45956582.808 | 2.035 | 0.011 | -1.344 |
| -2.500 | 0.105 | 2.662 | 9928.535 | 0.000 | 0.000 |
| -562.677 | 76.861 | 678.552 | -0.000 | 2344.396 | 0.000 |
| -0.653 | -0.024 | 0.643 | -0.000 | -0.000 | 5651.347 |
| 13187.053 | 13165.986 | 8882.670 | 0.000 | -0.000 | -0.000 |
| 3678.722 | 2746.514 | 1488.697 | 0.000 | -0.000 | -0.000 |
| 2187.206 | 1641.200 | 2201.986 | 0.000 | -0.000 | -0.000 |
| 119.175 | 46.129 | -5.374 | 847.906 | -0.000 | 0.000 |
| 397.254 | 414.898 | 266.017 | -0.000 | 867.279 | -0.000 |
| 132.312 | 51.243 | -5.935 | 0.000 | -0.000 | 8117.516 |
| 19025.547 | 11031.149 | 3840.929 | 0.000 | 0.000 | 0.000 |
| 13599.718 | 12262.737 | 7212.966 | -0.000 | -0.000 | -0.000 |
| 1402.262 | 804.748 | 1658.259 | -0.000 | 0.000 | 0.000 |
| -119.175 | -46.129 | 5.374 | 847.906 | 0.000 | -0.000 |
| -397.254 | -414.898 | -266.017 | 0.000 | 867.279 | 0.000 |
| -132.312 | -51.243 | 5.935 | -0.000 | -0.000 | 8117.517 |
| 5731.241 | 3636.800 | 1995.623 | 0.000 | -0.000 | -0.000 |
| 3303.338 | 2400.732 | 1287.639 | 0.000 | -0.000 | -0.000 |
| 1772.578 | 1303.824 | 2028.356 | -0.000 | -0.000 | -0.000 |
| 0.010 | 0.032 | 0.034 | 12090.509 | -0.000 | -0.000 |
| 0.002 | 0.009 | 0.010 | -0.000 | 3811.055 | -0.000 |
| 38.694 | 39.640 | 25.070 | 0.000 | 0.000 | 1147.541 |
| 5297.643 | 3242.968 | 1769.451 | 0.000 | -0.000 | 0.000 |
| 3245.356 | 2291.496 | 1195.886 | 0.000 | 0.000 | -0.000 |
| 1754.742 | 1178.215 | 1900.090 | -0.000 | 0.000 | 0.000 |
| -0.010 | -0.032 | -0.034 | 12090.509 | 0.000 | 0.000 |
| -0.002 | -0.009 | -0.010 | 0.000 | 3811.055 | 0.000 |
| -38.561 | -39.806 | -25.313 | -0.000 | -0.000 | 1147.371 |
| 5343.938 | 3287.156 | 1795.901 | 0.000 | 0.000 | -0.000 |
| 2946.513 | 2251.132 | 1291.232 | 0.000 | -0.000 | -0.000 |
| 1812.605 | 1240.895 | 1941.290 | 0.000 | -0.000 | -0.000 |
| 1.791 | 1.390 | 0.690 | 849.870 | 0.000 | 0.000 |
| 2.052 | 1.691 | 0.893 | 0.000 | 866.916 | 0.000 |
| 3.895 | 4.115 | 2.653 | -0.000 | -0.000 | 1147.099 |
| 5307.404 | 3250.147 | 1772.731 | 0.000 | 0.000 | 0.000 |
| 3283.270 | 2334.732 | 1225.242 | -0.000 | 0.000 | 0.000 |
| 1792.942 | 1224.193 | 1932.277 | 0.000 | 0.000 | 0.000 |
| -1.791 | -1.390 | -0.690 | 849.870 | 0.000 | -0.000 |
| -2.052 | -1.691 | -0.893 | -0.000 | 866.916 | -0.000 |
| -3.895 | -4.115 | -2.653 | 0.000 | 0.000 | 1147.099 |
| 917.212 | 475.182 | 1014.227 | -0.000 | -0.000 | -0.000 |
| 362.888 | 1029.505 | 1014.227 | -0.000 | -0.000 | -0.000 |
| 1014.227 | 1014.227 | 3060.228 | 0.000 | -0.000 | -0.000 |
| 0.000 | -0.000 | -0.000 | 988.576 | 0.000 | 0.000 |
| -0.000 | -0.000 | -0.000 | 0.000 | 988.576 | 0.000 |
| 0.000 | -0.000 | 0.000 | 0.000 | -0.000 | 221.015 |
| 1029.505 | 362.887 | 1014.227 | -0.000 | 0.000 | -0.000 |
| 475.181 | 917.211 | 1014.227 | 0.000 | 0.000 | 0.000 |
| 1014.227 | 1014.227 | 3060.228 | 0.000 | 0.000 | 0.000 |
| -0.000 | 0.000 | 0.000 | 988.576 | -0.000 | -0.000 |
| 0.000 | 0.000 | 0.000 | -0.000 | 988.576 | -0.000 |
| -0.000 | 0.000 | -0.000 | -0.000 | -0.000 | 221.015 |
| 917.216 | 475.185 | 1014.230 | 0.000 | 0.000 | 0.000 |
| 475.187 | 917.214 | 1014.230 | -0.000 | -0.000 | 0.000 |
| 1014.230 | 1014.230 | 3060.230 | 0.000 | -0.000 | 0.000 |
| -0.000 | -0.000 | -0.001 | 988.576 | 0.000 | 0.000 |
| -0.000 | -0.000 | -0.001 | 0.000 | 988.576 | 0.000 |
| -0.000 | -0.000 | -0.000 | 0.000 | -0.000 | 221.015 |
| 917.206 | 475.178 | 1014.223 | -0.000 | 0.000 | -0.000 |
| 475.176 | 917.208 | 1014.223 | -0.000 | -0.000 | -0.000 |
| 1014.224 | 1014.224 | 3060.227 | -0.000 | 0.000 | -0.000 |
| 0.000 | 0.000 | 0.001 | 988.576 | -0.000 | -0.000 |
| 0.000 | 0.000 | 0.001 | -0.000 | 988.576 | -0.000 |
| 0.000 | 0.000 | 0.000 | -0.000 | -0.000 | 221.015 |
| 917.258 | 475.217 | 1014.262 | 0.000 | 0.000 | 0.000 |
| 475.234 | 917.241 | 1014.261 | 0.000 | 0.000 | 0.000 |
| 1014.254 | 1014.254 | 3060.235 | 0.000 | 0.000 | 0.000 |
| -0.001 | -0.005 | -0.006 | 988.576 | 0.000 | 0.000 |
| -0.004 | -0.002 | -0.006 | 0.000 | 988.576 | 0.000 |
| -0.002 | -0.001 | -0.000 | -0.000 | -0.000 | 221.015 |
| 917.164 | 475.146 | 1014.192 | -0.000 | -0.000 | -0.000 |
| 475.260 | 917.051 | 1014.192 | -0.000 | -0.000 | 0.000 |
| 1014.199 | 1014.199 | 3060.216 | -0.000 | -0.000 | -0.000 |
| 0.001 | 0.005 | 0.006 | 988.576 | 0.000 | -0.000 |
| 0.004 | 0.002 | 0.006 | -0.000 | 988.576 | -0.000 |
| 0.002 | 0.001 | 0.000 | -0.000 | -0.000 | 221.015 |
| 1669.094 | 1363.787 | 986.145 | 0.005 | 0.004 | 0.000 |
| 1247.236 | 1318.135 | 885.279 | 0.001 | 0.001 | -0.000 |
| 881.258 | 767.352 | 954.781 | -0.005 | -0.002 | 0.001 |
| -0.750 | 7.419 | 7.673 | 406.422 | 0.000 | -0.000 |
| 0.000 | 0.001 | 0.001 | -0.000 | 4016.769 | -0.000 |
| -31.419 | 90.651 | 86.596 | -0.003 | -0.001 | 706.095 |
| 1731.978 | 1166.849 | 796.287 | -0.000 | -0.000 | 0.000 |
| 1767.460 | 3383.697 | 3256.458 | -0.000 | -0.000 | 0.000 |
| 891.384 | 1090.592 | 1302.894 | -0.000 | -0.000 | 0.000 |
| 0.750 | -7.419 | -7.673 | 406.422 | -0.000 | 0.000 |
| -0.000 | -0.001 | -0.001 | -0.000 | 4016.769 | 0.000 |
| 31.419 | -90.651 | -86.595 | 0.004 | 0.002 | 706.094 |
| 1912.498 | 1780.623 | 1509.226 | 0.000 | 0.000 | -0.000 |
| 1287.885 | 1180.956 | 752.016 | -0.000 | -0.000 | -0.000 |
| 844.782 | 991.336 | 1181.998 | 0.000 | 0.000 | -0.000 |
| -0.163 | 1.017 | 1.033 | 384.010 | 0.000 | -0.000 |
| -2.204 | 8.552 | 8.415 | -0.000 | 310.004 | -0.000 |
| -2.158 | 6.397 | 6.130 | 0.000 | 0.000 | 709.298 |
| 1738.170 | 1190.822 | 823.857 | -0.000 | -0.000 | 0.000 |
| 1294.124 | 1162.657 | 734.501 | 0.000 | 0.000 | 0.000 |
| 946.155 | 757.850 | 965.538 | -0.000 | -0.000 | -0.000 |
| 0.163 | -1.017 | -1.033 | 384.011 | -0.000 | 0.000 |
| 2.204 | -8.552 | -8.415 | 0.000 | 310.004 | -0.000 |
| 2.840 | -8.240 | -7.877 | 0.000 | 0.000 | 704.835 |
| 1698.523 | 1270.541 | 896.146 | -0.000 | 0.000 | 0.000 |
| 1289.171 | 1174.554 | 745.605 | 0.000 | 0.000 | 0.000 |
| 942.685 | 774.232 | 981.914 | 0.000 | -0.000 | -0.000 |
| -0.390 | 0.117 | 0.008 | 389.378 | 0.000 | -0.000 |
| -0.029 | 0.157 | 0.164 | 0.000 | 309.875 | -0.000 |
| -0.260 | 0.710 | 0.674 | 0.000 | 0.000 | 705.104 |
| 1699.720 | 1269.058 | 894.939 | 0.000 | -0.000 | 0.000 |
| 1290.453 | 1173.990 | 745.404 | -0.000 | -0.000 | -0.000 |
| 944.848 | 784.004 | 993.008 | 0.000 | -0.000 | 0.000 |
| 0.390 | -0.117 | -0.008 | 389.378 | 0.000 | 0.000 |
| 0.029 | -0.157 | -0.164 | -0.000 | 309.875 | 0.000 |
| 0.298 | -0.862 | -0.825 | 0.000 | -0.000 | 705.452 |
| 11183.277 | 13274.131 | 9933.830 | 0.000 | -0.000 | -0.000 |
| -2573.333 | -3308.890 | -2181.817 | -0.000 | 0.000 | -0.001 |
| -4027.610 | -4304.996 | -1367.215 | 0.000 | -0.000 | -0.002 |
| -2401.483 | -241.847 | 856.174 | 677.490 | -0.000 | -0.000 |
| 0.000 | 0.001 | 0.001 | 0.000 | 3811.020 | -0.000 |
| -5844.026 | -5630.080 | -3398.310 | 0.000 | -0.000 | 1149.345 |
| 14642.651 | 13066.151 | 8095.549 | 0.000 | 0.000 | 0.000 |
| 9130.714 | 7964.058 | 4621.252 | 0.000 | 0.000 | 0.001 |
| 3841.091 | 12123.645 | 12829.134 | 0.000 | 0.000 | 0.000 |
| 2401.483 | 241.847 | -856.174 | 677.490 | 0.000 | 0.000 |
| -0.000 | -0.001 | -0.001 | 0.000 | 3811.020 | 0.000 |
| 5844.024 | 5630.080 | 3398.310 | -0.000 | 0.000 | 1149.347 |
| 4752.092 | 2720.637 | 1455.780 | 0.000 | -0.000 | -0.000 |
| 2662.977 | 1728.831 | 855.610 | -0.000 | 0.000 | -0.000 |
| 1583.475 | 936.760 | 1717.415 | 0.000 | 0.000 | -0.000 |
| -236.519 | -23.848 | 84.294 | 848.487 | -0.000 | -0.000 |
| -141.232 | -180.913 | -130.894 | 0.000 | 861.302 | -0.000 |
| -567.603 | -544.387 | -327.413 | -0.000 | 0.000 | 1140.500 |
| 5809.447 | 3863.750 | 2205.975 | 0.000 | 0.000 | 0.000 |
| 3869.670 | 2896.015 | 1562.381 | -0.000 | 0.000 | 0.000 |
| 2378.823 | 1782.960 | 2266.862 | 0.000 | -0.000 | 0.000 |
| 236.519 | 23.848 | -84.294 | 848.487 | 0.000 | 0.000 |
| 141.232 | 180.913 | 130.894 | 0.000 | 861.302 | 0.000 |
| 567.603 | 544.387 | 327.413 | 0.000 | 0.000 | 1140.500 |
| 5223.996 | 3136.976 | 1688.536 | -0.000 | 0.000 | -0.000 |
| 3099.631 | 2045.099 | 995.996 | -0.000 | -0.000 | -0.000 |
| 1643.090 | 1254.489 | 2035.114 | -0.000 | 0.000 | -0.000 |
| -23.538 | -2.660 | 8.089 | 752.267 | -0.000 | -0.000 |
| -23.537 | -2.450 | 8.315 | -0.000 | 868.722 | -0.000 |
| -58.549 | -56.231 | -33.864 | 0.000 | -0.000 | 1147.146 |
| 5351.567 | 3322.427 | 1830.782 | 0.000 | -0.000 | 0.000 |
| 3342.923 | 2388.375 | 1255.898 | 0.000 | 0.000 | 0.000 |
| 1884.161 | 1307.805 | 1980.729 | 0.000 | -0.000 | 0.000 |
| 23.538 | 2.660 | -8.089 | 752.267 | -0.000 | 0.000 |
| 23.537 | 2.450 | -8.315 | -0.000 | 868.722 | 0.000 |
| 57.759 | 55.469 | 33.405 | 0.000 | -0.000 | 1132.023 |
| 1450.742 | 309.611 | 309.611 | 0.000 | -0.000 | 0.000 |
| 309.611 | 1450.742 | 309.611 | -0.000 | -0.000 | 0.000 |
| 309.611 | 309.611 | 1450.742 | 0.000 | -0.000 | 0.000 |
| 0.000 | 0.000 | 0.000 | 288.585 | -0.000 | 0.000 |
| 0.000 | 0.000 | 0.000 | 0.000 | 288.585 | 0.000 |
| 0.000 | 0.000 | -0.000 | 0.000 | -0.000 | 288.585 |
| 1450.741 | 309.610 | 309.610 | -0.000 | 0.000 | -0.000 |
| 309.610 | 1450.741 | 309.610 | 0.000 | 0.000 | -0.000 |
| 309.610 | 309.610 | 1450.741 | 0.000 | 0.000 | -0.000 |
| -0.000 | -0.000 | -0.000 | 288.585 | 0.000 | -0.000 |
| -0.000 | -0.000 | -0.000 | -0.000 | 288.585 | -0.000 |
| -0.000 | -0.000 | 0.000 | -0.000 | 0.000 | 288.585 |
| 1344.920 | 362.524 | 362.524 | 0.000 | -0.000 | 0.000 |
| 362.524 | 1344.920 | 362.524 | -0.000 | -0.000 | 0.000 |
| 362.524 | 362.524 | 1344.920 | 0.000 | 0.000 | 0.000 |
| 0.000 | -0.000 | -0.000 | 53.879 | -0.000 | -0.000 |
| -0.000 | 0.000 | -0.000 | -0.000 | 53.879 | 0.000 |
| -0.000 | -0.000 | 0.000 | -0.000 | -0.000 | 53.879 |
| 1450.739 | 309.609 | 309.609 | 0.000 | 0.000 | -0.000 |
| 309.609 | 1450.739 | 309.609 | 0.000 | 0.000 | -0.000 |
| 309.609 | 309.609 | 1450.739 | 0.000 | 0.000 | -0.000 |
| -0.000 | 0.000 | 0.000 | 53.879 | 0.000 | -0.000 |
| 0.000 | -0.000 | 0.000 | 0.000 | 53.879 | -0.000 |
| 0.000 | 0.000 | -0.000 | -0.000 | 0.000 | 53.879 |
| 1344.936 | 362.539 | 362.539 | 0.000 | -0.000 | 0.000 |
| 362.539 | 1344.936 | 362.539 | 0.000 | -0.000 | 0.000 |
| 362.539 | 362.539 | 1344.936 | 0.000 | -0.000 | 0.000 |
| 0.000 | -0.001 | -0.001 | 53.878 | -0.000 | 0.000 |
| -0.001 | 0.000 | -0.001 | 0.000 | 53.878 | 0.000 |
| -0.001 | -0.001 | 0.000 | 0.000 | -0.000 | 53.878 |
| 1344.890 | 362.509 | 362.509 | -0.000 | 0.000 | -0.000 |
| 362.509 | 1344.890 | 362.509 | -0.000 | 0.000 | -0.000 |
| 362.509 | 362.509 | 1344.890 | 0.000 | 0.000 | -0.000 |
| -0.000 | 0.001 | 0.001 | 53.878 | 0.000 | -0.000 |
| 0.001 | -0.000 | 0.001 | 0.000 | 53.878 | -0.000 |
| 0.001 | 0.001 | -0.000 | -0.000 | 0.000 | 53.878 |
| -344.764 | 397.106 | 397.106 | -0.000 | 0.000 | -0.000 |
| 397.106 | -344.764 | 397.106 | -0.000 | 0.000 | -0.000 |
| 397.106 | 397.106 | -344.764 | 0.000 | 0.000 | -0.000 |
| -0.000 | -0.000 | -0.000 | -316.017 | 0.000 | -0.000 |
| -0.000 | -0.000 | -0.000 | -0.000 | -316.017 | -0.000 |
| -0.000 | -0.000 | -0.000 | 0.000 | 0.000 | -316.017 |
| -344.764 | 397.106 | 397.106 | 0.000 | -0.000 | 0.000 |
| 397.106 | -344.764 | 397.106 | 0.000 | -0.000 | 0.000 |
| 397.106 | 397.106 | -344.764 | 0.000 | -0.000 | -0.000 |
| 0.000 | 0.000 | 0.000 | -316.017 | -0.000 | -0.000 |
| 0.000 | 0.000 | 0.000 | -0.000 | -316.017 | 0.000 |
| 0.000 | 0.000 | 0.000 | 0.000 | -0.000 | -316.017 |
| 314.302 | 67.572 | 67.572 | 0.000 | 0.000 | -0.000 |
| 67.572 | 314.302 | 67.572 | -0.000 | 0.000 | 0.000 |
| 67.572 | 67.572 | 314.302 | -0.000 | -0.000 | -0.000 |
| -0.000 | -0.000 | -0.000 | 44.565 | 0.000 | 0.000 |
| -0.000 | -0.000 | -0.000 | 0.000 | 44.565 | 0.000 |
| -0.000 | -0.000 | -0.000 | 0.000 | 0.000 | 44.565 |
| -344.762 | 397.105 | 397.105 | 0.000 | 0.000 | 0.000 |
| 397.105 | -344.762 | 397.105 | 0.000 | -0.000 | 0.000 |
| 397.105 | 397.105 | -344.762 | 0.000 | -0.000 | 0.000 |
| 0.000 | 0.000 | 0.000 | 44.565 | -0.000 | 0.000 |
| 0.000 | 0.000 | 0.000 | 0.000 | 44.565 | -0.000 |
| 0.000 | 0.000 | 0.000 | 0.000 | -0.000 | 44.565 |
| -344.786 | 397.111 | 397.111 | -0.000 | -0.000 | -0.000 |
| 397.111 | -344.786 | 397.111 | -0.000 | 0.000 | -0.000 |
| 397.111 | 397.111 | -344.786 | -0.000 | 0.000 | -0.000 |
| -0.003 | -0.003 | -0.004 | -316.017 | 0.000 | 0.000 |
| -0.003 | -0.003 | -0.004 | 0.000 | -316.017 | -0.000 |
| -0.003 | -0.004 | -0.003 | -0.000 | 0.000 | -316.017 |
| -344.740 | 397.099 | 397.099 | 0.000 | -0.000 | 0.000 |
| 397.099 | -344.740 | 397.099 | -0.000 | -0.000 | 0.000 |
| 397.099 | 397.099 | -344.740 | 0.000 | 0.000 | 0.000 |
| 0.003 | 0.003 | 0.004 | -316.017 | 0.000 | 0.000 |
| 0.003 | 0.003 | 0.004 | -0.000 | -316.017 | 0.000 |
| 0.003 | 0.004 | 0.003 | 0.000 | -0.000 | -316.017 |
| 60.445 | 402.302 | 402.302 | -0.000 | -0.000 | -0.000 |
| 402.302 | 60.445 | 402.302 | -0.000 | -0.000 | -0.000 |
| 402.302 | 402.302 | 60.445 | -0.000 | 0.000 | -0.000 |
| 0.000 | -0.000 | 0.000 | 224.331 | -0.000 | -0.000 |
| 0.000 | 0.000 | 0.000 | -0.000 | 224.331 | -0.000 |
| 0.000 | 0.000 | 0.000 | -0.000 | -0.000 | 224.331 |
| 60.445 | 402.302 | 402.302 | 0.000 | 0.000 | 0.000 |
| 402.302 | 60.445 | 402.302 | 0.000 | 0.000 | 0.000 |
| 402.302 | 402.302 | 60.445 | 0.000 | 0.000 | 0.000 |
| -0.000 | -0.000 | -0.000 | 224.331 | 0.000 | 0.000 |
| -0.000 | -0.000 | -0.000 | 0.000 | 224.331 | 0.000 |
| -0.000 | -0.000 | -0.000 | 0.000 | 0.000 | 224.331 |
| 60.444 | 402.302 | 402.302 | -0.000 | -0.000 | -0.000 |
| 402.302 | 60.444 | 402.302 | -0.000 | -0.000 | -0.000 |
| 402.302 | 402.302 | 60.444 | 0.000 | -0.000 | -0.000 |
| 0.000 | -0.000 | 0.000 | 224.331 | -0.000 | -0.000 |
| -0.000 | 0.000 | 0.000 | -0.000 | 224.331 | -0.000 |
| -0.000 | 0.000 | 0.000 | -0.000 | -0.000 | 224.331 |
| 60.445 | 402.302 | 402.302 | 0.000 | 0.000 | 0.000 |
| 402.302 | 60.445 | 402.302 | 0.000 | 0.000 | 0.000 |
| 402.302 | 402.302 | 60.445 | 0.000 | 0.000 | 0.000 |
| -0.000 | 0.000 | -0.000 | 224.331 | 0.000 | 0.000 |
| 0.000 | -0.000 | -0.000 | 0.000 | 224.331 | 0.000 |
| 0.000 | -0.000 | -0.000 | 0.000 | 0.000 | 224.331 |
| 60.439 | 402.304 | 402.304 | -0.000 | -0.000 | -0.000 |
| 402.304 | 60.439 | 402.304 | -0.000 | -0.000 | -0.000 |
| 402.304 | 402.304 | 60.439 | -0.000 | -0.000 | -0.000 |
| 0.000 | -0.000 | 0.000 | 224.331 | -0.000 | -0.000 |
| -0.000 | 0.000 | 0.000 | -0.000 | 224.331 | -0.000 |
| -0.000 | 0.000 | 0.000 | -0.000 | -0.000 | 224.331 |
| 60.449 | 402.300 | 402.300 | 0.000 | 0.000 | 0.000 |
| 402.300 | 60.449 | 402.300 | 0.000 | 0.000 | 0.000 |
| 402.300 | 402.300 | 60.449 | 0.000 | 0.000 | 0.000 |
| -0.000 | 0.000 | -0.000 | 224.331 | -0.000 | 0.000 |
| 0.000 | -0.000 | -0.000 | 0.000 | 224.331 | 0.000 |
| 0.000 | -0.000 | -0.000 | 0.000 | 0.000 | 224.331 |
| 882.748 | 514.090 | 514.090 | -0.000 | -0.000 | 0.000 |
| 514.090 | 882.748 | 514.090 | -0.000 | -0.000 | 0.000 |
| 514.090 | 514.090 | 882.748 | -0.000 | -0.000 | 0.000 |
| -0.000 | 0.000 | 0.000 | 494.711 | -0.000 | 0.000 |
| 0.000 | -0.000 | 0.000 | -0.000 | 494.711 | 0.000 |
| 0.000 | 0.000 | -0.000 | -0.000 | -0.000 | 494.711 |
| 882.748 | 514.090 | 514.090 | 0.000 | 0.000 | -0.000 |
| 514.090 | 882.748 | 514.090 | 0.000 | 0.000 | -0.000 |
| 514.090 | 514.090 | 882.748 | 0.000 | 0.000 | -0.000 |
| 0.000 | -0.000 | -0.000 | 494.711 | 0.000 | -0.000 |
| -0.000 | 0.000 | -0.000 | 0.000 | 494.711 | -0.000 |
| -0.000 | -0.000 | 0.000 | 0.000 | -0.000 | 494.711 |
| 882.747 | 514.089 | 514.089 | -0.000 | -0.000 | 0.000 |
| 514.089 | 882.747 | 514.089 | -0.000 | -0.000 | -0.000 |
| 514.089 | 514.089 | 882.747 | -0.000 | -0.000 | 0.000 |
| -0.000 | 0.000 | 0.000 | 494.711 | -0.000 | 0.000 |
| 0.000 | -0.000 | 0.000 | -0.000 | 494.711 | -0.000 |
| 0.000 | 0.000 | -0.000 | -0.000 | 0.000 | 494.711 |
| 882.749 | 514.090 | 514.090 | 0.000 | 0.000 | -0.000 |
| 514.090 | 882.749 | 514.090 | 0.000 | 0.000 | -0.000 |
| 514.090 | 514.090 | 882.749 | 0.000 | 0.000 | -0.000 |
| 0.000 | -0.000 | -0.000 | 494.711 | 0.000 | 0.000 |
| -0.000 | 0.000 | -0.000 | 0.000 | 494.711 | -0.000 |
| -0.000 | -0.000 | 0.000 | 0.000 | -0.000 | 494.711 |
| 882.742 | 514.086 | 514.086 | -0.000 | -0.000 | -0.000 |
| 514.086 | 882.742 | 514.086 | -0.000 | -0.000 | -0.000 |
| 514.086 | 514.086 | 882.742 | -0.000 | -0.000 | 0.000 |
| -0.000 | 0.001 | 0.002 | 494.711 | -0.000 | -0.000 |
| 0.001 | -0.000 | 0.002 | -0.000 | 494.711 | 0.000 |
| 0.001 | 0.002 | -0.000 | -0.000 | -0.000 | 494.711 |
| 882.754 | 514.094 | 514.094 | 0.000 | 0.000 | 0.000 |
| 514.094 | 882.754 | 514.094 | 0.000 | 0.000 | -0.000 |
| 514.094 | 514.094 | 882.754 | 0.000 | 0.000 | 0.000 |
| 0.000 | -0.001 | -0.002 | 494.711 | 0.000 | -0.000 |
| -0.001 | 0.000 | -0.002 | 0.000 | 494.711 | 0.000 |
| -0.001 | -0.002 | 0.000 | 0.000 | 0.000 | 494.711 |
| 235.907 | 135.910 | 135.910 | 0.000 | -0.000 | 0.000 |
| 135.910 | 235.907 | 135.910 | -0.000 | -0.000 | -0.000 |
| 135.910 | 135.910 | 235.907 | -0.000 | -0.000 | -0.000 |
| -0.000 | -0.000 | -0.000 | 114.003 | 0.000 | 0.000 |
| -0.000 | -0.000 | -0.000 | -0.000 | 114.003 | -0.000 |
| -0.000 | -0.000 | -0.000 | -0.000 | -0.000 | 114.003 |
| 235.907 | 135.910 | 135.910 | 0.000 | 0.000 | 0.000 |
| 135.910 | 235.907 | 135.910 | -0.000 | 0.000 | 0.000 |
| 135.910 | 135.910 | 235.907 | 0.000 | -0.000 | 0.000 |
| 0.000 | 0.000 | 0.000 | 114.003 | 0.000 | 0.000 |
| 0.000 | 0.000 | 0.000 | 0.000 | 114.003 | -0.000 |
| 0.000 | 0.000 | 0.000 | -0.000 | 0.000 | 114.003 |
| 235.907 | 135.910 | 135.910 | -0.000 | -0.000 | 0.000 |
| 135.910 | 235.907 | 135.910 | -0.000 | -0.000 | -0.000 |
| 135.910 | 135.910 | 235.907 | -0.000 | -0.000 | -0.000 |
| -0.000 | -0.000 | -0.000 | 114.003 | 0.000 | 0.000 |
| -0.000 | -0.000 | -0.000 | -0.000 | 114.003 | -0.000 |
| -0.000 | -0.000 | -0.000 | 0.000 | 0.000 | 114.003 |
| 235.907 | 135.910 | 135.910 | -0.000 | 0.000 | 0.000 |
| 135.910 | 235.907 | 135.910 | -0.000 | 0.000 | 0.000 |
| 135.910 | 135.910 | 235.907 | -0.000 | -0.000 | -0.000 |
| 0.000 | 0.000 | 0.000 | 114.003 | 0.000 | 0.000 |
| 0.000 | 0.000 | 0.000 | 0.000 | 114.003 | 0.000 |
| 0.000 | 0.000 | 0.000 | -0.000 | -0.000 | 114.003 |
| 235.905 | 135.909 | 135.909 | 0.000 | -0.000 | -0.000 |
| 135.909 | 235.905 | 135.909 | 0.000 | -0.000 | -0.000 |
| 135.909 | 135.909 | 235.905 | 0.000 | 0.000 | -0.000 |
| -0.000 | -0.001 | -0.001 | 114.003 | -0.000 | 0.000 |
| -0.001 | -0.000 | -0.001 | -0.000 | 114.003 | -0.000 |
| -0.001 | -0.001 | -0.000 | 0.000 | 0.000 | 114.003 |
| 235.909 | 135.911 | 135.911 | 0.000 | 0.000 | 0.000 |
| 135.911 | 235.909 | 135.911 | 0.000 | -0.000 | 0.000 |
| 135.911 | 135.911 | 235.909 | 0.000 | 0.000 | -0.000 |
| 0.000 | 0.001 | 0.001 | 114.003 | 0.000 | 0.000 |
| 0.001 | 0.000 | 0.001 | 0.000 | 114.003 | 0.000 |
| 0.001 | 0.001 | 0.000 | 0.000 | 0.000 | 114.003 |
| 169.754 | 4543.511 | -496.719 | -0.000 | -0.000 | -0.000 |
| -2226.457 | 4005.669 | -2790.143 | -0.000 | -0.000 | -0.000 |
| 2355.881 | 11047.957 | 3486.289 | -0.000 | -0.000 | -0.000 |
| -2276.533 | 4492.095 | -3042.745 | -44.188 | 0.001 | -0.000 |
| -823.418 | 7186.557 | -1173.259 | -0.001 | 789.582 | -0.000 |
| -420.074 | 6614.202 | -495.638 | -0.000 | -0.000 | 342.969 |
| 1241.469 | -6220.474 | 800.142 | 0.000 | 0.000 | 0.000 |
| -1036.762 | -6015.475 | -1327.415 | 0.000 | 0.000 | 0.000 |
| 981.612 | -6060.259 | 1684.964 | 0.000 | 0.000 | 0.000 |
| 2276.534 | -4492.093 | 3042.746 | -44.188 | -0.000 | 0.000 |
| 2266.631 | -14879.737 | 2877.181 | -0.000 | 1956.858 | 0.000 |
| 420.074 | -6614.201 | 495.638 | 0.000 | 0.000 | 342.969 |
| 1330.717 | -52.194 | 945.818 | -0.000 | -0.000 | -0.000 |
| 372.180 | 13616.433 | 576.130 | -0.000 | 0.000 | -0.000 |
| 988.253 | 700.435 | 1726.711 | 0.000 | -0.000 | -0.000 |
| -103.248 | 707.585 | -128.970 | 266.435 | -0.000 | -0.000 |
| -35.827 | 561.823 | -42.284 | -0.000 | 1060.026 | -0.000 |
| -52.239 | 682.247 | -62.335 | -0.000 | -0.000 | 341.818 |
| -2894.488 | -3591.015 | -4410.770 | 0.000 | 0.000 | 0.000 |
| -244.186 | 8981.132 | -233.722 | 0.000 | 0.000 | 0.000 |
| 1313.450 | -1339.488 | 2129.564 | 0.000 | 0.000 | 0.000 |
| 103.248 | -707.585 | 128.970 | 266.435 | 0.000 | -0.000 |
| 35.827 | -561.823 | 42.284 | 0.000 | 1060.026 | 0.000 |
| 62.592 | -741.540 | 92.828 | -0.000 | -0.000 | 217.400 |
| 1457.587 | 72.906 | 1106.697 | -0.000 | -0.000 | -0.000 |
| 73.040 | 580.376 | 107.460 | 0.000 | -0.000 | -0.000 |
| 989.556 | 136.160 | 1385.000 | 0.000 | -0.000 | -0.000 |
| -75.377 | 613.208 | -92.582 | 207.036 | -0.000 | -0.000 |
| -11.296 | 55.084 | -16.605 | -0.000 | 851.715 | 0.000 |
| 0.005 | -0.003 | -0.000 | -0.000 | -0.000 | 348.328 |
| 1462.608 | -2.792 | 1111.844 | -0.000 | 0.000 | 0.000 |
| 191.580 | -204.873 | 252.239 | 0.000 | 0.000 | 0.000 |
| 992.203 | -139.514 | 1727.101 | -0.000 | 0.000 | 0.000 |
| 75.377 | -613.208 | 92.582 | 207.036 | 0.000 | 0.000 |
| 11.297 | -55.084 | 16.605 | 0.000 | 851.714 | -0.000 |
| -0.005 | 0.003 | 0.000 | 0.000 | -0.000 | 348.328 |
| -94.530 | -90.329 | 2192.419 | -0.006 | -25.953 | -0.024 |
| -1975.323 | -249.343 | 995.410 | -0.006 | -41.264 | -0.025 |
| -1111.918 | -149.975 | 2372.765 | -0.006 | -57.572 | -0.027 |
| -2108.525 | -467.943 | 928.346 | 145.566 | -41.668 | -0.024 |
| -2059.056 | -485.476 | 907.928 | -0.006 | 1154.859 | -0.027 |
| -2099.015 | -469.488 | 924.643 | -0.006 | -38.194 | 181.086 |
| 3849.563 | 631.552 | 170.188 | 0.006 | 37.561 | 0.024 |
| 2259.610 | 635.148 | -775.828 | 0.006 | 41.281 | 0.026 |
| 3234.762 | 530.638 | 658.308 | 0.006 | 44.048 | 0.025 |
| 2108.525 | 467.943 | -928.346 | 145.578 | 41.668 | 0.025 |
| 2060.070 | 485.453 | -908.319 | 0.006 | 1244.063 | 0.027 |
| 2112.594 | 483.080 | -924.238 | 0.006 | 42.374 | 174.434 |
| 1885.486 | -1742.113 | 1229.283 | -0.000 | -0.915 | -0.001 |
| -67.651 | 161.050 | 160.568 | -0.001 | -4.614 | -0.002 |
| 617.716 | -105.358 | 1567.666 | -0.001 | -2.753 | -0.003 |
| -209.171 | -35.757 | 88.331 | 139.904 | -4.408 | -0.002 |
| -205.107 | -54.230 | 92.898 | -0.001 | 1096.839 | -0.003 |
| -168.548 | -80.887 | 81.022 | -0.001 | 0.354 | 173.370 |
| 1936.184 | 192.298 | 1004.269 | 0.001 | 4.089 | 0.002 |
| 357.046 | 275.278 | -18.518 | 0.001 | 5.068 | 0.003 |
| 1324.888 | 88.730 | 1503.206 | 0.001 | 5.344 | 0.002 |
| 209.171 | 35.757 | -88.331 | 139.905 | 4.408 | 0.003 |
| 205.118 | 54.232 | -92.848 | 0.001 | 1104.592 | 0.003 |
| 211.907 | 49.504 | -90.976 | 0.001 | 3.596 | 196.224 |
| 1704.259 | 145.091 | 1109.085 | -0.000 | -0.371 | -0.000 |
| 107.479 | 217.125 | 68.345 | -0.000 | -0.383 | -0.000 |
| 1049.857 | 8.275 | 1555.347 | -0.000 | -0.579 | -0.000 |
| -20.312 | -5.822 | 9.335 | 143.582 | -0.482 | -0.000 |
| -21.322 | -4.465 | 9.485 | -0.000 | 1088.080 | -0.000 |
| -21.419 | -4.834 | 9.398 | -0.000 | -0.568 | 194.241 |
| 1746.900 | 155.172 | 1090.404 | 0.000 | 0.426 | 0.000 |
| 153.550 | 229.574 | 53.259 | 0.000 | 0.615 | 0.000 |
| 1117.546 | 80.241 | 1558.294 | 0.000 | 0.092 | 0.000 |
| 20.312 | 5.822 | -9.335 | 143.582 | 0.482 | 0.000 |
| 21.909 | 3.939 | -8.945 | 0.000 | 1089.106 | 0.000 |
| 21.345 | 4.698 | -9.436 | 0.000 | 0.489 | 194.309 |
| 4776.781 | 2105.493 | -9983.132 | 0.029 | 0.022 | -559.395 |
| 2247.172 | 4635.695 | -9982.511 | 0.029 | 0.022 | 599.946 |
| 3750.321 | 3750.321 | 4164.562 | -0.000 | 0.000 | 0.000 |
| 0.000 | 0.001 | 0.000 | 3694.160 | 0.000 | 0.000 |
| 0.001 | 0.000 | 0.000 | 0.000 | 3694.160 | -0.000 |
| -4457.402 | -3441.248 | -13110.625 | 0.029 | 0.022 | 3751.406 |
| 12962.572 | 7013.716 | 3751.968 | 0.000 | -0.000 | -161.153 |
| 7013.716 | 12962.572 | 3751.968 | -0.000 | -0.000 | 161.153 |
| 4690.850 | 4730.937 | 7423.576 | -0.008 | -0.006 | -5.744 |
| -0.000 | -0.001 | -0.000 | 3694.160 | -0.000 | -0.000 |
| -0.001 | -0.000 | -0.000 | 0.000 | 3694.160 | 0.000 |
| 3710.382 | 4985.752 | 13725.541 | -0.029 | -0.022 | 3164.680 |
| -3827.814 | -2550.132 | -1650.656 | 0.001 | 0.001 | 200.379 |
| -764.209 | -3950.642 | -2333.065 | 0.003 | 0.002 | 407.432 |
| -6121.418 | -6130.136 | -1366.555 | 0.002 | 0.001 | 1.379 |
| -399.792 | -414.339 | -1351.345 | 1409.869 | -0.000 | 2.085 |
| -399.795 | -414.338 | -1351.347 | 0.006 | 1409.864 | 2.086 |
| -1077.021 | 178.772 | -1490.966 | 0.003 | 0.003 | 3293.072 |
| -2051.589 | 962.703 | 1966.502 | -0.003 | -0.002 | -341.400 |
| 945.956 | -2038.618 | 1967.167 | -0.003 | -0.002 | 337.312 |
| -4001.696 | -3989.453 | 777.579 | -0.002 | -0.001 | -1.706 |
| 399.792 | 414.339 | 1351.344 | 1409.864 | -0.005 | -2.085 |
| 399.795 | 414.338 | 1351.348 | -0.000 | 1409.858 | -2.086 |
| -194.810 | 1092.850 | 1490.617 | -0.003 | -0.003 | 3289.324 |
| 1087.907 | 543.498 | 397.802 | 0.000 | 0.000 | -16.645 |
| 706.106 | 1436.356 | 706.112 | 0.000 | 0.000 | -120.188 |
| 384.086 | 383.301 | 1294.706 | 0.000 | 0.000 | 0.130 |
| -58.650 | -60.041 | -154.017 | 421.723 | 0.004 | 0.192 |
| -58.662 | -60.030 | -154.018 | -0.004 | 421.708 | 0.193 |
| 11.851 | -201.117 | -263.207 | 0.000 | 0.000 | 305.564 |
| 1615.006 | 875.832 | 849.062 | -0.000 | -0.000 | -124.123 |
| 876.777 | 1615.899 | 851.585 | -0.000 | -0.000 | 126.026 |
| 1453.616 | 1454.914 | 2082.525 | -0.000 | -0.000 | -0.183 |
| 58.650 | 60.041 | 154.017 | 421.725 | 0.004 | -0.192 |
| 58.662 | 60.030 | 154.018 | -0.004 | 421.708 | -0.193 |
| 137.257 | 363.437 | 188.107 | -0.000 | -0.000 | 314.043 |
| 28249.230 | 22036.934 | -27304.684 | 0.021 | -0.000 | 7613.388 |
| 22036.936 | 28249.229 | -27304.684 | 0.021 | -0.001 | -7613.389 |
| 2143.751 | 2143.750 | 10998.603 | -0.000 | 0.000 | -0.000 |
| 0.000 | 0.000 | 0.000 | 2103.939 | 0.000 | 0.000 |
| 0.000 | 0.000 | 0.000 | 0.000 | 2103.938 | -0.000 |
| -22912.084 | -21848.841 | 14477.335 | -0.137 | 0.010 | -2830.545 |
| -66492.457 | -66171.775 | 3125.216 | 0.000 | -0.000 | 1537.953 |
| -66171.776 | -66492.457 | 3125.216 | 0.000 | -0.000 | -1537.953 |
| -62344.253 | -62344.253 | -10220.927 | 0.007 | -0.001 | 0.000 |
| -0.000 | -0.000 | -0.000 | 2103.939 | 0.000 | -0.000 |
| -0.000 | -0.000 | -0.000 | 0.000 | 2103.938 | 0.000 |
| 21848.841 | 22912.082 | -14477.337 | 0.139 | -0.009 | -2830.543 |
| 7145.458 | 6193.375 | 2794.789 | -0.002 | 0.000 | 513.586 |
| 6193.376 | 7145.458 | 2794.789 | -0.002 | 0.000 | -513.586 |
| -891.376 | -891.376 | 4647.727 | -0.010 | 0.001 | -0.000 |
| 4970.233 | 4970.243 | 3045.417 | -190.782 | 0.006 | 0.004 |
| 4970.247 | 4970.236 | 3045.415 | -0.006 | -190.783 | -0.004 |
| 3085.335 | 4338.291 | 3179.043 | 0.000 | 0.000 | 1621.221 |
| -4299.850 | -6143.874 | 3589.360 | 0.001 | -0.000 | -2747.643 |
| -6143.874 | -4299.850 | 3589.360 | 0.001 | -0.000 | 2747.643 |
| -3033.046 | -3033.046 | -1294.872 | -0.000 | 0.000 | -0.000 |
| -4970.240 | -4970.250 | -3045.413 | -190.783 | 0.006 | -0.004 |
| -4970.246 | -4970.236 | -3045.415 | -0.007 | -190.783 | 0.004 |
| -4338.291 | -3085.336 | -3179.044 | -0.000 | -0.000 | 1621.220 |
| 1593.246 | 601.624 | 1174.302 | 0.000 | 0.000 | -263.531 |
| 601.624 | 1593.246 | 1174.302 | 0.000 | 0.000 | 263.531 |
| 305.267 | 305.267 | 1630.473 | 0.000 | -0.000 | -0.000 |
| 320.432 | 320.458 | 224.666 | 226.390 | 0.002 | 0.045 |
| 379.900 | 379.905 | 309.921 | -0.000 | 196.417 | 0.005 |
| 163.200 | 375.081 | 280.485 | -0.001 | 0.000 | 240.574 |
| 449.501 | 0.883 | 231.139 | -0.000 | -0.000 | 11.578 |
| 0.883 | 449.501 | 231.139 | -0.000 | -0.000 | -11.578 |
| -179.869 | -179.869 | -757.116 | -0.000 | -0.000 | 0.000 |
| -379.905 | -379.900 | -309.921 | 196.417 | 0.000 | 0.005 |
| -320.458 | -320.432 | -224.666 | -0.002 | 226.390 | 0.045 |
| -443.321 | -308.301 | -252.946 | -0.000 | 0.000 | 193.382 |
| 35432.857 | 28854.482 | 30308.633 | 0.016 | -11404.693 | -0.002 |
| 46262.880 | 64127.175 | 28852.226 | -0.009 | -10300.510 | -0.003 |
| 9657.484 | 2559.825 | 8267.225 | -0.006 | -20840.704 | -0.002 |
| 54455.988 | 81866.125 | 36151.044 | -20362.788 | -310.746 | 998.493 |
| -552.743 | -681.100 | -100.315 | 0.000 | 2533.248 | 0.000 |
| 0.001 | 0.002 | 0.001 | -682.381 | -0.000 | 8892.394 |
| 7399.817 | 8796.533 | 2551.087 | -0.000 | -16.236 | -0.000 |
| 8940.778 | 16933.382 | 7574.910 | 0.000 | -681.100 | -0.000 |
| -97.672 | 12730.422 | 3610.331 | 0.001 | -2772.434 | 0.000 |
| -54455.922 | -81865.946 | -36150.948 | -20362.714 | 310.686 | 998.494 |
| -53365.743 | -78376.330 | -33838.389 | 0.014 | 7202.174 | 0.004 |
| -0.001 | -0.002 | -0.001 | -682.381 | 0.000 | 8892.394 |
| -1453.244 | -10433.940 | -6194.627 | 0.000 | 188.445 | 0.000 |
| 4560.682 | 5636.819 | 2778.139 | 0.002 | -1304.790 | 0.001 |
| 5062.995 | 5336.584 | 1496.280 | -0.000 | -315.302 | -0.000 |
| 1765.777 | 12.763 | 162.732 | 1842.387 | -1307.141 | -1044.486 |
| 214.523 | -4973.829 | -2278.000 | -0.020 | 320.815 | -0.008 |
| 4198.643 | 2459.194 | -1835.720 | 138.500 | -326.801 | 454.448 |
| 337.400 | 2690.106 | 3875.713 | 0.000 | -45.373 | 0.000 |
| -3142.474 | -933.516 | 2812.956 | 0.000 | 256.374 | 0.000 |
| -5614.212 | -9244.810 | -3114.546 | -0.000 | 1756.311 | -0.000 |
| -1765.778 | -12.762 | -162.731 | 1842.390 | 1307.143 | -1044.486 |
| -1592.655 | -319.117 | -237.554 | -0.002 | 1596.787 | -0.001 |
| -4198.643 | -2459.194 | 1835.720 | 138.500 | 326.801 | 454.448 |
| 2914.971 | 1823.005 | 525.123 | -0.000 | 29.654 | -0.000 |
| 2084.181 | 2689.684 | 1098.971 | -0.000 | 46.712 | -0.000 |
| 728.255 | 780.109 | 1580.191 | 0.008 | -100.834 | 0.002 |
| 294.507 | 256.373 | -44.106 | 202.618 | -40.146 | 163.077 |
| 290.810 | 163.937 | 217.544 | 0.000 | 215.386 | 0.000 |
| 274.151 | 195.456 | 29.279 | -657.579 | -2.645 | 267.680 |
| 1904.382 | 917.972 | 426.248 | -0.001 | 196.155 | -0.000 |
| 684.817 | 1349.990 | 1178.518 | 0.000 | -41.509 | 0.000 |
| 358.495 | 284.365 | 1159.398 | 0.000 | 136.269 | 0.000 |
| -294.507 | -256.373 | 44.106 | 202.618 | 40.146 | 163.077 |
| -125.176 | -231.140 | -151.822 | -0.000 | 472.336 | -0.000 |
| -274.151 | -195.456 | -29.279 | -657.579 | 2.645 | 267.680 |
| 1462.627 | 2339.230 | 1765.630 | 0.000 | 1037.867 | 0.000 |
| 1780.504 | 5663.549 | 4009.522 | 0.000 | 2289.996 | 0.000 |
| 1560.934 | -1410.803 | -5666.339 | -495.282 | -2281.176 | -306.876 |
| -1644.858 | -5246.451 | -3962.622 | -2352.998 | -2615.884 | -1624.685 |
| 715.641 | 2289.275 | 1668.058 | 0.000 | 1340.973 | 0.000 |
| 2411.815 | 1678.913 | -4619.049 | -635.025 | -799.411 | -119.500 |
| 2169.522 | 4461.750 | 3546.001 | 472.793 | 2262.623 | 294.486 |
| 1062.301 | 2607.154 | 2066.084 | 471.376 | 1267.260 | 293.603 |
| -1744.786 | -81.911 | 6621.606 | 320.317 | 1395.262 | 197.774 |
| 1654.032 | 5275.712 | 3984.724 | -1472.076 | 2630.474 | -1075.801 |
| -1927.911 | -519.525 | 5809.570 | 173.166 | 1935.032 | 110.949 |
| -2410.200 | -1674.117 | 4622.323 | 8.105 | 801.705 | 277.573 |
| 1123.453 | 806.382 | 82.528 | -37.245 | 154.418 | -23.021 |
| 187.050 | 110.080 | 39.572 | -28.997 | -170.658 | -18.061 |
| 622.454 | 755.832 | 819.357 | -39.152 | 73.839 | -24.217 |
| -111.139 | -354.490 | -267.745 | -22.341 | -176.748 | -184.055 |
| -193.611 | -796.299 | -533.285 | -34.045 | -52.484 | -21.205 |
| 196.773 | 519.344 | -566.016 | -64.111 | -413.280 | 141.654 |
| 176.276 | -1968.750 | -1213.286 | 73.326 | -851.921 | 45.672 |
| 359.247 | 646.667 | 450.888 | 29.777 | 105.171 | 18.547 |
| 61.067 | 106.548 | 1530.915 | 15.495 | 127.796 | 9.809 |
| 111.450 | 355.481 | 268.493 | 28.201 | 177.243 | -152.510 |
| -11.795 | -234.269 | -96.320 | 37.331 | 241.739 | 23.252 |
| 82.518 | 263.201 | 198.795 | 489.552 | 131.232 | 618.115 |
| 827.894 | 487.159 | 358.349 | -4.706 | 131.685 | -2.905 |
| 354.446 | 666.973 | 449.235 | -2.758 | 91.959 | -1.718 |
| 353.600 | 388.691 | 1043.119 | -4.447 | 45.986 | -2.749 |
| 26.950 | 33.072 | -45.998 | 117.414 | -52.086 | 10.908 |
| 93.738 | 63.974 | 38.750 | -4.653 | 239.976 | -2.873 |
| 9.051 | 28.231 | -58.128 | 12.478 | -46.292 | 203.356 |
| 826.625 | 494.671 | 512.146 | 3.836 | 193.957 | 2.373 |
| 382.849 | 608.917 | 559.843 | 2.811 | 96.677 | 1.749 |
| 242.369 | 75.307 | 964.369 | 3.699 | -50.155 | 2.296 |
| -26.945 | -33.033 | 46.013 | 123.372 | 52.113 | 14.748 |
| 108.942 | 208.813 | 197.943 | 2.668 | 417.315 | 1.662 |
| -9.052 | -28.233 | 58.127 | 17.952 | 46.292 | 206.766 |
| 129.868 | 100.372 | 172.038 | -0.000 | -0.000 | -0.000 |
| 75.551 | 169.920 | 205.478 | 0.000 | -0.000 | -0.000 |
| 139.767 | 139.767 | 456.513 | -0.000 | -0.000 | -0.000 |
| -0.000 | -0.000 | 0.000 | 195.932 | 0.000 | -0.000 |
| -0.000 | -0.000 | 0.000 | 0.000 | 195.932 | 0.000 |
| -0.000 | -0.000 | 0.000 | 0.000 | 0.000 | 47.185 |
| 135.656 | 101.054 | 186.245 | 0.000 | 0.000 | 0.000 |
| 75.550 | 169.920 | 205.478 | -0.000 | -0.000 | 0.000 |
| 201.759 | 201.759 | 728.739 | -0.000 | 0.000 | -0.000 |
| 0.000 | 0.000 | -0.000 | 195.932 | -0.000 | -0.000 |
| 0.000 | -0.000 | -0.000 | -0.000 | 195.932 | -0.000 |
| 0.000 | -0.000 | -0.000 | -0.000 | -0.000 | 47.185 |
| -87767951.866 | -83158345.035 | -220233379.754 | 66969.358 | 319965.783 | 88007.611 |
| 100.652 | 132.653 | 178.765 | -0.000 | -0.000 | -0.000 |
| 142.558 | 142.558 | 468.769 | -0.000 | -0.000 | -0.000 |
| -0.675 | -0.675 | -2.963 | -61.035 | -0.000 | -0.000 |
| -0.000 | -0.000 | 0.000 | 0.000 | 195.932 | 0.000 |
| 0.000 | -0.000 | -0.000 | 0.000 | 0.000 | 47.185 |
| 133.232 | 100.717 | 180.183 | 0.000 | 0.000 | 0.000 |
| 75.550 | 169.919 | 205.478 | -0.000 | 0.000 | 0.000 |
| 143.178 | 143.178 | 471.493 | 0.000 | 0.000 | 0.000 |
| 0.675 | 0.675 | 2.963 | -61.035 | 0.000 | 0.000 |
| 0.000 | 0.000 | -0.000 | -0.000 | 195.932 | 0.000 |
| -0.000 | 0.000 | 0.000 | -0.000 | 0.000 | 47.185 |
| 169.923 | 75.555 | 205.477 | 0.000 | -0.000 | 0.000 |
| 101.549 | 116.254 | 144.713 | -0.000 | -0.000 | -0.000 |
| 201.760 | 201.760 | 728.742 | 0.000 | -0.000 | -0.000 |
| -9241257.721 | -8311819.190 | -20401162.429 | -6002536.076 | 4342.273 | 11362.337 |
| -0.014 | -0.013 | -0.057 | -0.000 | 110.446 | -0.000 |
| 0.000 | -0.001 | -0.000 | 0.000 | -0.000 | 47.185 |
| 4752340.926 | 4042929.571 | 9949883.110 | -0.035 | -0.001 | 0.863 |
| 75.546 | 169.916 | 205.479 | -0.000 | -0.000 | -0.000 |
| 201.759 | 201.759 | 728.737 | -0.000 | -0.000 | 0.000 |
| 9218342.480 | 8325571.217 | 20411197.564 | -6019621.945 | 25820.787 | -11703.483 |
| 0.014 | 0.013 | 0.057 | 0.000 | 110.446 | 0.000 |
| -0.000 | 0.001 | 0.000 | -0.000 | 0.000 | 47.185 |
| 10584.113 | 3546.911 | 7418.387 | -0.000 | 0.000 | -0.000 |
| -620.837 | 1265.996 | -467.877 | 0.029 | -0.027 | -0.013 |
| -949.247 | -949.479 | -1510.571 | 0.148 | -0.139 | -0.100 |
| -671.262 | -671.356 | -785.137 | 2870.879 | -0.046 | -0.033 |
| 0.020 | 0.008 | 0.015 | -0.000 | 7390.293 | 0.000 |
| -309.372 | -309.409 | -361.851 | 0.023 | -0.021 | 1799.338 |
| 4232.866 | 3107.119 | 3447.123 | 0.302 | -0.283 | 0.012 |
| 6630.020 | 4846.677 | 5866.191 | -0.058 | 0.054 | 0.039 |
| 7418.355 | 7418.355 | 8275.980 | -0.000 | 0.000 | 0.000 |
| 671.206 | 671.300 | 785.071 | 2871.160 | 0.046 | 0.033 |
| -0.021 | -0.006 | -0.015 | 0.000 | 7390.292 | 0.000 |
| 309.382 | 309.419 | 361.863 | -0.022 | 0.021 | 1799.312 |
| 3472.911 | 1975.878 | 2341.188 | 0.002 | -0.002 | -0.001 |
| 1778.628 | 1796.315 | 1245.400 | 0.001 | -0.001 | -0.001 |
| 845.648 | 845.625 | 588.788 | 0.015 | -0.014 | -0.010 |
| 0.069 | 0.205 | 0.154 | 7390.293 | -0.000 | -0.000 |
| 0.205 | 0.068 | 0.154 | -0.000 | 7390.293 | -0.000 |
| -75.890 | -75.911 | -88.770 | 0.001 | -0.001 | 846.454 |
| 720.973 | 2675.492 | 1141.036 | 0.004 | -0.003 | -0.001 |
| 3546.814 | 10583.800 | 7418.157 | -0.000 | -0.000 | 0.000 |
| 7418.214 | 7418.214 | 8275.824 | -0.000 | -0.000 | 0.000 |
| -0.069 | -0.205 | -0.154 | 7390.293 | 0.000 | -0.000 |
| -0.205 | -0.069 | -0.154 | 0.000 | 7390.293 | -0.000 |
| 75.890 | 75.911 | 88.770 | -0.001 | 0.001 | 846.456 |
| 2060.454 | 1100.580 | 1003.342 | 0.001 | -0.001 | -0.000 |
| 1073.623 | 2057.327 | 985.749 | 0.001 | -0.001 | -0.000 |
| 1063.101 | 1063.100 | 843.117 | 0.000 | -0.000 | -0.000 |
| -17.671 | -17.571 | -20.609 | 141.920 | -0.000 | -0.000 |
| -15.761 | -15.140 | -18.070 | 0.000 | 301.618 | -0.000 |
| -79.725 | -79.856 | -93.320 | -0.002 | 0.002 | 295.989 |
| 2038.282 | 1125.184 | 1004.792 | -0.000 | 0.000 | 0.000 |
| 1425.440 | 2621.800 | 1521.607 | -0.001 | 0.001 | 0.000 |
| 1097.029 | 1097.017 | 882.810 | 0.009 | -0.009 | -0.005 |
| 17.671 | 17.571 | 20.609 | 141.919 | 0.000 | 0.000 |
| 15.761 | 15.140 | 18.070 | -0.000 | 301.618 | 0.000 |
| 11.802 | 11.807 | 13.808 | -0.000 | 0.000 | 439.394 |
| 2081.140 | 1203.920 | 1075.538 | -0.048 | -0.253 | -0.019 |
| 5067.231 | 5389.947 | 5268.959 | -0.030 | -0.160 | -0.039 |
| 1082.805 | 1082.705 | 865.812 | -0.015 | -0.080 | -0.037 |
| 0.823 | 0.670 | 0.873 | 2787.401 | -0.211 | -0.049 |
| 1.527 | 1.454 | 1.743 | -0.014 | 175.322 | -0.029 |
| 0.003 | 0.009 | 0.007 | -0.000 | -0.000 | 3520.634 |
| 5755.025 | 5243.532 | 5585.495 | 0.035 | 0.182 | 0.042 |
| 3871.117 | 3087.900 | 3223.641 | 0.002 | 0.013 | 0.016 |
| 1084.470 | 1084.568 | 867.874 | 0.014 | 0.076 | 0.036 |
| -0.824 | -0.670 | -0.873 | 2787.185 | 0.213 | 0.049 |
| -9.069 | -11.400 | -11.968 | 0.012 | 159.606 | -0.797 |
| -0.003 | -0.009 | -0.007 | -0.000 | 0.000 | 3520.634 |
| 3698.214 | 3656.707 | 3455.118 | 0.000 | 0.001 | -0.001 |
| 1119.631 | 2135.045 | 1057.773 | -0.005 | -0.025 | -0.002 |
| 1083.489 | 1083.587 | 866.727 | 0.030 | 0.154 | 0.035 |
| 0.116 | 0.051 | 0.098 | 178.955 | -0.007 | -0.003 |
| 1.460 | 2.153 | 2.112 | -0.001 | 158.542 | 0.084 |
| 0.031 | 0.091 | 0.069 | -0.000 | -0.000 | 3520.634 |
| 1108.157 | 5228.491 | 2859.756 | 0.003 | 0.016 | 0.005 |
| 3660.547 | 2849.201 | 2960.962 | -0.000 | -0.001 | 0.001 |
| 1086.592 | 1086.401 | 870.188 | -0.069 | -0.356 | -0.068 |
| -0.116 | -0.051 | -0.098 | 178.957 | 0.008 | 0.003 |
| -0.706 | -1.060 | -1.033 | 0.001 | 159.038 | 0.001 |
| -0.031 | -0.091 | -0.069 | -0.000 | -0.000 | 3520.634 |
| 2081.726 | 1090.304 | 1009.444 | -0.000 | -0.001 | -0.000 |
| 2095.704 | 2376.921 | 1769.880 | -0.007 | -0.036 | -0.000 |
| 1083.791 | 1083.791 | 867.021 | -0.000 | -0.001 | -0.000 |
| -0.311 | -0.185 | -0.290 | 161.706 | -0.001 | -0.000 |
| -0.076 | -0.235 | -0.182 | -0.000 | 179.956 | -0.000 |
| 0.781 | 1.453 | 1.305 | -0.002 | -0.012 | 65.227 |
| 2115.669 | 1028.852 | 993.376 | 0.001 | 0.003 | 0.000 |
| 1215.508 | 2549.792 | 1356.335 | 0.001 | 0.003 | 0.000 |
| 1056.504 | 1056.481 | 835.104 | -0.008 | -0.041 | -0.008 |
| 0.311 | 0.185 | 0.290 | 161.706 | 0.001 | 0.000 |
| 0.076 | 0.235 | 0.182 | 0.000 | 179.958 | 0.000 |
| -0.781 | -1.453 | -1.305 | 0.002 | 0.012 | 65.225 |
| 6729.462 | 4575.603 | 2240.355 | -0.000 | -0.000 | 0.000 |
| -94588007.219 | -210592525.884 | -1014874709.456 | 3201312.810 | 42613702.218 | -6741044.779 |
| 16038.106 | 15615.988 | -3238.959 | 2.639 | -23.386 | 230.014 |
| -69361466.343 | -194255036.630 | -996404470.459 | 4503656.446 | 47981313.520 | 2246312.580 |
| 9553.074 | 7422.158 | 950.246 | -4.501 | -2850.614 | -383.141 |
| 8785.125 | 6825.508 | 873.858 | -4.139 | -15.546 | -4701.350 |
| -8110.156 | -6662.974 | -1054.237 | 2.651 | 9.956 | 225.640 |
| -9506.298 | -6502.466 | -649.303 | 2.989 | 11.224 | 254.393 |
| -14467.298 | -14503.760 | 6267.324 | -2.706 | 24.584 | -236.769 |
| 87993596.393 | 199710142.384 | 1026298367.253 | 6432777.806 | -46648297.355 | 6967447.713 |
| 104892446.178 | 195358717.928 | 1023624877.135 | -1032915.082 | -19187090.572 | 10178259.300 |
| -9096.494 | -7067.423 | -904.830 | 4.286 | 16.097 | -4299.923 |
| 1216.822 | 477.987 | 533.225 | -0.169 | -0.634 | -14.378 |
| 1063.270 | 1787.335 | 256.940 | -0.224 | -0.674 | -20.320 |
| 1224.781 | 1382.586 | -1006.554 | -0.252 | -1.051 | -22.176 |
| 767.858 | -589.835 | -817.685 | 115.686 | 4.103 | -16.615 |
| 0.002 | 0.002 | 0.005 | 0.000 | 2206.747 | 0.000 |
| -2188.946 | -1486.871 | -441.492 | -0.181 | 4.406 | -151.126 |
| 8653185.651 | 21712311.785 | 102821719.344 | -355287.724 | -4090803.682 | 294191.655 |
| -643.605 | 1142.212 | 706.459 | 0.302 | 1.257 | 9.927 |
| -1047.228 | -962.284 | -325.841 | -0.291 | 2.870 | -25.506 |
| -767.866 | 589.829 | 817.676 | 116.087 | -4.100 | 16.615 |
| -0.002 | -0.002 | -0.005 | 0.000 | 2206.747 | 0.000 |
| 2188.659 | 1486.640 | 441.471 | 0.181 | -4.406 | -118.687 |
| 788.935 | 176.627 | 201.285 | -0.024 | -0.063 | -2.046 |
| 228.159 | 1009.231 | 412.291 | -0.017 | -0.064 | -1.441 |
| 391.219 | 447.474 | -792.310 | -0.019 | -0.080 | -1.383 |
| 83.754 | 18.500 | -43.636 | 174.753 | -0.056 | -0.231 |
| -854733.530 | -1909758.132 | -10335947.109 | -52979.859 | 427991.954 | -69335.674 |
| -877734.410 | -1952799.476 | -10379683.399 | 59847.403 | 442892.006 | 32831.654 |
| 680.585 | 383.011 | 503.170 | -0.072 | 0.013 | 5.084 |
| 255.960 | 925.440 | 324.475 | 0.038 | 0.061 | 3.344 |
| 583.410 | 549.282 | -217.950 | -0.014 | 0.211 | -1.229 |
| -83.751 | -18.498 | 43.657 | 174.794 | 0.056 | 0.230 |
| 990622.476 | 2183430.750 | 10239485.179 | 65857.299 | -377787.355 | 13444.597 |
| 1036336.599 | 2217900.157 | 10235786.585 | -15743.285 | -526252.783 | 68251.875 |
| 12810.477 | 6086.648 | 7578.509 | -0.000 | 0.000 | -0.000 |
| 155211.581 | 58563.676 | 82736.526 | -0.001 | -0.002 | -0.001 |
| 126248.048 | 48455.467 | 172979.315 | 0.001 | 0.019 | -0.001 |
| 148270.812 | 56348.775 | 86554.477 | 5701.254 | -0.002 | -0.001 |
| 141359.037 | 35141.341 | 80914.072 | 0.001 | -13131.017 | -0.001 |
| -46888.991 | -98766.301 | -35163.300 | -0.000 | -0.002 | 2437.087 |
| 12810.471 | 6086.646 | 7578.506 | 0.000 | -0.000 | 0.000 |
| 16232.187 | 75159.936 | -21354.252 | -0.018 | -0.252 | 0.001 |
| 7578.506 | 3801.812 | 12091.950 | -0.000 | -0.000 | -0.000 |
| -148270.811 | -56348.773 | -86554.477 | 5701.256 | 0.002 | 0.001 |
| -141359.016 | -35141.321 | -80914.058 | -0.001 | -13131.020 | 0.001 |
| 46889.025 | 98766.355 | 35163.424 | -0.000 | 0.002 | 2437.044 |
| 9434.069 | 2893.426 | 7922.077 | 0.000 | 0.001 | -0.000 |
| -1801.713 | -3904.693 | 2843.705 | -0.000 | -0.035 | -0.001 |
| 8266.538 | 3044.504 | 8806.885 | 0.000 | 0.001 | -0.000 |
| 544.847 | -724.576 | 322.105 | 694.662 | 0.000 | -0.000 |
| 0.013 | 0.005 | 0.015 | -0.000 | 7535.728 | 0.000 |
| 12571.867 | 2661.739 | 17531.445 | 0.000 | 0.002 | 564.836 |
| -906.254 | 1714.684 | 3998.567 | -0.000 | -0.000 | 0.000 |
| -6223.928 | -1049.111 | -6143.158 | -0.000 | -0.000 | 0.000 |
| -4205.266 | -998.744 | -3273.268 | -0.000 | -0.000 | 0.000 |
| -544.847 | 724.576 | -322.105 | 694.661 | -0.000 | 0.000 |
| -0.013 | -0.005 | -0.015 | 0.000 | 7535.728 | -0.000 |
| -12571.867 | -2661.739 | -17531.445 | -0.000 | -0.002 | 564.836 |
| 451.891 | -137.212 | 982.490 | 0.000 | 0.001 | -0.000 |
| 286.408 | 653.663 | 1222.286 | 0.000 | -0.000 | -0.000 |
| 1147.240 | 890.441 | 1812.135 | 0.000 | 0.000 | -0.000 |
| 251.252 | -4.436 | 259.146 | 475.738 | 0.000 | -0.000 |
| 442.399 | 30.895 | 247.565 | 0.000 | 776.940 | -0.000 |
| 166.154 | -41.844 | 78.975 | 0.000 | 0.000 | 127.841 |
| 1066.005 | 1413.501 | 857.919 | -0.000 | 0.001 | 0.000 |
| 407.184 | 1626.122 | 801.213 | -0.000 | -0.000 | 0.000 |
| -472.850 | 697.740 | -320.772 | -0.000 | -0.001 | 0.000 |
| -251.252 | 4.436 | -259.146 | 475.738 | -0.000 | 0.000 |
| -442.399 | -30.895 | -247.565 | -0.000 | 776.940 | 0.000 |
| -166.154 | 41.844 | -78.975 | -0.000 | -0.000 | 127.841 |
| 174259827.949 | 132161493.917 | -258584949.823 | -0.000 | 0.009 | -75.548 |
| 4418.451 | 13125.343 | 1533.999 | 0.000 | 0.003 | 0.000 |
| 315021461.172 | 54790685.967 | -270950370.558 | 0.088 | -0.184 | 6294.368 |
| 158876289.895 | 136770600.796 | -257397583.487 | 107.283 | -0.006 | -199.594 |
| 158915883.840 | 136773405.856 | -257399757.276 | -0.001 | 204.871 | -227.010 |
| 3063.632 | 71.535 | -2648.813 | 0.000 | 0.000 | 1973.817 |
| -158908026.777 | -136789660.609 | 257378136.092 | 0.000 | 0.006 | -434.245 |
| -158886521.400 | -136783855.598 | 257403114.136 | 0.000 | 0.006 | -776.411 |
| -158915160.363 | -136771270.351 | 257403491.770 | 0.000 | 0.005 | 307.991 |
| -199425756.864 | -122839216.655 | 260012094.051 | 100.159 | 0.041 | -2.015 |
| -3057.247 | -71.369 | 2643.420 | -0.000 | 4762.780 | -0.000 |
| -194423516.869 | -124870392.229 | 259775357.385 | 0.001 | 0.031 | 93.981 |
| 26504764.910 | 8908450.595 | -26522755.205 | 0.000 | -0.008 | 220.296 |
| 4418.513 | 13125.334 | 1534.156 | 0.000 | 0.000 | 0.000 |
| 17074109.478 | 13329367.265 | -25832295.822 | -0.000 | -0.002 | -11.445 |
| 15888802.953 | 13678555.397 | -25740156.719 | 107.283 | -0.001 | 80.705 |
| 3057.016 | 71.337 | -2643.725 | 0.000 | 4763.003 | 0.000 |
| 3063.842 | 71.542 | -2649.141 | 0.000 | 0.000 | 1973.761 |
| -15888211.543 | -13677709.447 | 25741194.081 | 0.000 | 0.001 | -70.209 |
| -15891182.200 | -13675585.724 | 25740919.545 | 0.000 | 0.001 | 48.427 |
| -15887814.430 | -13678377.440 | 25740856.630 | 0.000 | 0.001 | -30.674 |
| -16035654.310 | -13637365.976 | 25752976.408 | 107.008 | 0.007 | 15.935 |
| -3057.559 | -71.348 | 2644.206 | -0.000 | 4763.003 | 0.000 |
| -28263332.722 | -7790670.225 | 26625593.726 | -0.003 | 0.021 | -556.119 |
| 1652561.149 | 1350117.954 | -2578730.969 | -0.000 | -0.000 | -1.465 |
| 4424.416 | 13124.677 | 1528.098 | 0.000 | 0.000 | -0.000 |
| 3560448.187 | 218052.077 | -2783190.904 | 0.000 | -0.006 | 69.484 |
| 1754633.109 | 1317652.430 | -2586679.686 | 104.406 | 0.003 | -0.688 |
| 1588954.134 | 1367983.222 | -2574029.374 | 0.003 | 204.919 | 8.433 |
| 2537310.827 | 958356.090 | -2639021.159 | -0.000 | -0.001 | 93.600 |
| -1588745.887 | -1367362.018 | 2574521.900 | 0.000 | 0.000 | -3.040 |
| -1588429.472 | -1366692.634 | 2574454.918 | 0.000 | 0.000 | -6.930 |
| -1588704.829 | -1367298.780 | 2575316.478 | 0.000 | 0.000 | 1.444 |
| -1588926.258 | -1367837.978 | 2574055.734 | 107.288 | 0.000 | -0.494 |
| -3063.660 | -70.876 | 2656.453 | -0.000 | 4765.229 | -0.000 |
| -3022268.390 | -642972.234 | 2688731.891 | 0.001 | 0.002 | 10.991 |
| 748.363 | 650.317 | 523.132 | -0.000 | -0.000 | 0.000 |
| 650.317 | 748.363 | 523.132 | -0.000 | -0.000 | 0.000 |
| 523.148 | 523.148 | 565.236 | -0.000 | -0.000 | 0.000 |
| 0.000 | -0.000 | 0.000 | 333.942 | -0.000 | 0.000 |
| -0.000 | 0.000 | 0.000 | -0.000 | 333.942 | 0.000 |
| 0.000 | 0.000 | -0.000 | -0.000 | -0.000 | 481.710 |
| 748.364 | 650.318 | 523.132 | 0.000 | 0.000 | -0.000 |
| 650.318 | 748.364 | 523.132 | 0.000 | 0.000 | -0.000 |
| 523.148 | 523.148 | 565.236 | 0.000 | 0.000 | -0.000 |
| -0.000 | 0.000 | -0.000 | 333.942 | 0.000 | -0.000 |
| 0.000 | -0.000 | -0.000 | 0.000 | 333.942 | -0.000 |
| -0.000 | -0.000 | 0.000 | 0.000 | 0.000 | 481.710 |
| 748.362 | 650.317 | 523.132 | -0.000 | -0.000 | 0.000 |
| 650.317 | 748.362 | 523.132 | -0.000 | -0.000 | 0.000 |
| 523.147 | 523.147 | 565.235 | -0.000 | -0.000 | 0.000 |
| -0.000 | 0.000 | 0.000 | 504.173 | -0.000 | 0.000 |
| 0.000 | -0.000 | 0.000 | -0.000 | 504.173 | 0.000 |
| 0.000 | 0.000 | -0.000 | -0.000 | -0.000 | 481.710 |
| 896.026 | 502.657 | 523.133 | -0.000 | 0.000 | -0.000 |
| 502.657 | 896.026 | 523.133 | 0.000 | 0.000 | -0.000 |
| 523.148 | 523.148 | 565.236 | 0.000 | 0.000 | -0.000 |
| 0.000 | -0.000 | -0.000 | 504.173 | 0.000 | -0.000 |
| -0.000 | 0.000 | -0.000 | 0.000 | 504.173 | -0.000 |
| -0.000 | -0.000 | 0.000 | 0.000 | 0.000 | 481.710 |
| 748.352 | 650.308 | 523.126 | -0.000 | -0.000 | 0.000 |
| 650.308 | 748.352 | 523.126 | -0.000 | -0.000 | 0.000 |
| 523.146 | 523.146 | 565.229 | -0.000 | -0.000 | 0.000 |
| 0.000 | -0.001 | 0.001 | 333.942 | -0.000 | 0.000 |
| -0.001 | 0.000 | 0.001 | -0.000 | 333.942 | 0.000 |
| 0.001 | 0.002 | -0.000 | -0.000 | -0.000 | 481.710 |
| 748.375 | 650.327 | 523.138 | 0.000 | 0.000 | -0.000 |
| 650.327 | 748.375 | 523.138 | 0.000 | 0.000 | -0.000 |
| 523.149 | 523.149 | 565.242 | 0.000 | 0.000 | -0.000 |
| -0.000 | 0.001 | -0.001 | 333.942 | 0.000 | -0.000 |
| 0.001 | -0.000 | -0.001 | 0.000 | 333.942 | -0.000 |
| -0.001 | -0.002 | 0.000 | 0.000 | 0.000 | 481.710 |
| 1215.154 | 532.425 | 676.192 | -0.000 | 0.000 | 0.000 |
| 532.425 | 1215.154 | 676.191 | -0.000 | 0.000 | 0.000 |
| 336.258 | 336.258 | 1511.592 | -0.000 | 0.000 | 0.000 |
| -0.000 | 0.000 | -0.000 | 289.519 | 0.000 | 0.000 |
| -0.000 | -0.000 | -0.000 | -0.000 | 289.519 | -0.000 |
| -0.000 | 0.000 | -0.000 | -0.000 | 0.000 | 387.040 |
| 1181.795 | 407.715 | 310.871 | 0.000 | -0.000 | -0.000 |
| 407.715 | 1181.795 | 310.871 | 0.000 | -0.000 | -0.000 |
| 148.696 | 148.696 | 644.625 | 0.000 | -0.000 | -0.000 |
| -0.000 | 0.000 | 0.000 | 289.519 | -0.000 | 0.000 |
| 0.000 | 0.000 | 0.000 | 0.000 | 289.519 | -0.000 |
| 0.000 | -0.000 | 0.000 | 0.000 | -0.000 | 387.040 |
| 1130.410 | 448.194 | 285.668 | -0.000 | 0.000 | 0.000 |
| 407.715 | 1181.795 | 310.871 | -0.000 | 0.000 | 0.000 |
| 310.871 | 310.871 | 1394.247 | -0.000 | 0.000 | 0.000 |
| 0.000 | -0.000 | 0.000 | 289.519 | 0.000 | 0.000 |
| -0.000 | 0.000 | 0.000 | -0.000 | 289.519 | 0.000 |
| -0.000 | 0.000 | -0.000 | -0.000 | 0.000 | 387.040 |
| 1181.795 | 407.716 | 310.872 | 0.000 | -0.000 | -0.000 |
| 429.262 | 1111.730 | 198.740 | 0.000 | -0.000 | -0.000 |
| 310.872 | 310.872 | 1394.247 | 0.000 | -0.000 | -0.000 |
| 0.000 | 0.000 | -0.000 | 289.519 | -0.000 | -0.000 |
| 0.000 | -0.000 | -0.000 | 0.000 | 289.519 | -0.000 |
| 0.000 | -0.000 | 0.000 | 0.000 | -0.000 | 387.040 |
| 1181.795 | 407.710 | 310.865 | -0.000 | 0.000 | 0.000 |
| 407.711 | 1181.793 | 310.865 | -0.000 | 0.000 | 0.000 |
| 243.404 | 243.404 | 1082.423 | -0.000 | 0.000 | 0.000 |
| 0.000 | -0.000 | 0.001 | 289.519 | 0.000 | -0.000 |
| -0.000 | 0.000 | 0.001 | -0.000 | 289.519 | -0.000 |
| 0.943 | 0.945 | 4.362 | -0.000 | 0.000 | 341.096 |
| 1096.129 | 449.538 | 209.533 | 0.000 | -0.000 | -0.000 |
| 407.719 | 1181.797 | 310.877 | 0.000 | -0.000 | -0.000 |
| 241.516 | 241.516 | 1073.633 | 0.000 | -0.000 | -0.000 |
| -0.000 | 0.000 | -0.001 | 289.519 | -0.000 | -0.000 |
| 0.000 | -0.000 | -0.001 | 0.000 | 289.519 | -0.000 |
| -0.943 | -0.945 | -4.362 | 0.000 | -0.000 | 341.096 |
| 14360.115 | 2643.060 | 5199.800 | -0.000 | 0.000 | -0.000 |
| 878.566 | 11886.743 | 3452.189 | -0.248 | 0.000 | 0.575 |
| 2758.441 | 3336.716 | 3152.288 | -0.550 | 0.000 | 1.277 |
| -2739.087 | 4315.321 | 415.815 | 111.736 | 0.001 | 0.741 |
| -2891.941 | 2979.668 | 220.597 | -0.363 | 69.929 | 0.843 |
| 0.001 | 0.000 | 0.000 | -0.000 | 0.000 | 2649.351 |
| 9433.390 | 1424.386 | 5958.097 | 0.321 | -0.000 | -0.745 |
| 5145.333 | 1062.039 | -1087.349 | 0.771 | -0.001 | -1.789 |
| 8282.594 | 1998.045 | 6704.829 | 0.279 | -0.000 | -0.646 |
| 2739.067 | -4315.330 | -415.803 | 112.425 | -0.001 | -0.741 |
| 2891.941 | -2979.668 | -220.597 | 0.363 | 69.928 | -0.843 |
| 2059.971 | -1069.126 | -978.195 | 0.358 | -0.000 | -8.794 |
| 449.243 | 920.231 | 1536.662 | -0.042 | 0.000 | 0.096 |
| -458.504 | 1948.730 | 658.565 | -0.108 | 0.000 | 0.251 |
| 708.803 | 1061.201 | 2465.728 | -0.031 | 0.000 | 0.073 |
| -177.101 | 67.895 | 104.548 | 262.577 | 0.000 | 0.075 |
| -307.489 | 330.047 | -57.534 | 0.042 | 207.044 | -0.099 |
| -277.780 | 289.919 | 19.324 | -0.034 | 0.000 | 110.731 |
| 675.745 | 214.951 | 656.242 | 0.035 | -0.000 | -0.081 |
| 756.319 | 855.704 | 502.909 | 0.037 | -0.000 | -0.085 |
| 656.711 | 317.516 | 1743.960 | 0.036 | -0.000 | -0.084 |
| 177.101 | -67.895 | -104.548 | 262.645 | -0.000 | -0.075 |
| 307.489 | -330.047 | 57.535 | -0.042 | 207.044 | 0.099 |
| 200.279 | -118.934 | -82.339 | 0.034 | -0.000 | 166.477 |
| 316.511 | 500.201 | 575.647 | -0.003 | 0.000 | 0.007 |
| 349.086 | 1249.608 | 472.337 | -0.004 | 0.000 | 0.009 |
| 514.153 | 529.368 | 1392.740 | -0.002 | 0.000 | 0.004 |
| -27.762 | 62.779 | 0.445 | 116.803 | 0.000 | 0.008 |
| -27.981 | 33.920 | 2.388 | -0.003 | 213.311 | 0.007 |
| -27.236 | 27.634 | 2.229 | -0.003 | 0.000 | 113.733 |
| 601.948 | 503.578 | 699.812 | 0.003 | -0.000 | -0.008 |
| 436.671 | 1185.705 | 504.755 | -0.005 | 0.000 | 0.013 |
| 637.821 | 343.340 | 1528.105 | 0.004 | -0.000 | -0.009 |
| 27.762 | -62.779 | -0.445 | 116.810 | -0.000 | -0.008 |
| 27.990 | -33.938 | -2.395 | 0.003 | 212.694 | -0.007 |
| 28.095 | -29.603 | -2.088 | 0.003 | -0.000 | 111.570 |
| 2090.927 | 717.044 | 797.087 | -0.052 | 0.026 | 0.015 |
| 3419.169 | 2374.672 | 2543.317 | -0.004 | 0.002 | 0.013 |
| 476.120 | 475.045 | 156.098 | -0.323 | 0.163 | 0.113 |
| 0.007 | 0.021 | 0.015 | 7388.526 | 0.000 | -0.001 |
| 0.022 | 0.005 | 0.015 | 0.000 | 7388.526 | 0.000 |
| -279.980 | -280.126 | -327.568 | -0.025 | 0.013 | 422.236 |
| 77.020 | 180.514 | -694.488 | 0.030 | -0.015 | 0.006 |
| 4235.734 | 3620.791 | 3749.639 | 0.005 | -0.003 | -0.013 |
| 7416.054 | 7416.054 | 8274.108 | 0.000 | -0.000 | 0.000 |
| -0.007 | -0.021 | -0.015 | 7388.526 | -0.000 | -0.001 |
| -0.018 | -0.009 | -0.015 | 0.000 | 7388.526 | 0.000 |
| 279.980 | 280.126 | 327.568 | 0.025 | -0.013 | 422.204 |
| 3111.625 | 3960.626 | 3290.968 | -0.001 | 0.001 | 0.002 |
| 3840.836 | 2836.958 | 3060.278 | -0.001 | 0.000 | 0.001 |
| 989.065 | 988.994 | 756.657 | -0.019 | 0.010 | 0.008 |
| 0.069 | 0.205 | 0.154 | 7388.526 | 0.000 | 0.000 |
| 0.205 | 0.069 | 0.154 | 0.000 | 7388.526 | 0.000 |
| -27.760 | -27.792 | -32.489 | -0.003 | 0.001 | 438.796 |
| 3271.831 | 1972.020 | 2221.668 | 0.007 | -0.004 | -0.001 |
| 1047.051 | 1886.887 | 870.758 | 0.009 | -0.005 | -0.002 |
| 7415.913 | 7415.913 | 8273.952 | 0.000 | -0.000 | 0.000 |
| -0.069 | -0.205 | -0.154 | 7388.526 | -0.000 | 0.000 |
| -0.205 | -0.068 | -0.154 | -0.000 | 7388.526 | 0.000 |
| 27.760 | 27.792 | 32.489 | 0.003 | -0.001 | 438.793 |
| 1681.706 | 1528.239 | 1032.159 | -0.001 | 0.001 | 0.000 |
| 1337.569 | 2352.770 | 1313.108 | -0.000 | 0.000 | 0.000 |
| 1076.853 | 1076.852 | 859.372 | -0.001 | 0.000 | 0.000 |
| -4.598 | -5.252 | -5.761 | 331.507 | 0.000 | 0.000 |
| -5.339 | -5.359 | -6.256 | -0.000 | 143.571 | 0.000 |
| -3.730 | -3.710 | -4.353 | -0.001 | 0.000 | 412.520 |
| 1654.670 | 54.350 | 154.401 | 0.000 | -0.000 | -0.000 |
| 1412.873 | 2602.884 | 1503.454 | 0.001 | -0.001 | -0.000 |
| 1088.890 | 1088.891 | 873.470 | 0.000 | -0.000 | -0.000 |
| 4.598 | 5.252 | 5.761 | 331.508 | -0.000 | -0.000 |
| 5.339 | 5.359 | 6.256 | 0.000 | 143.571 | -0.000 |
| 3.730 | 3.710 | 4.353 | 0.001 | -0.000 | 412.520 |
| -1725.367 | 817.503 | -1066.538 | -0.000 | 0.000 | 678.201 |
| 817.503 | -1725.367 | -1066.538 | -0.000 | 0.000 | -678.201 |
| -2031.233 | -2031.233 | -1598.716 | -0.000 | 0.000 | -0.000 |
| -6611.110 | -6611.113 | 33.197 | 181.120 | -0.000 | -0.001 |
| -6611.114 | -6611.111 | 33.195 | 0.000 | 181.112 | 0.000 |
| 8232.257 | -5744.227 | 1765.356 | -0.000 | -0.000 | -2089.039 |
| -1668.883 | 116.602 | -1672.139 | 0.000 | -0.000 | 525.216 |
| 116.602 | -1668.883 | -1672.139 | 0.000 | -0.000 | -525.216 |
| 7086.045 | 7086.045 | 954.568 | 0.000 | 0.000 | -0.000 |
| 6611.094 | 6611.097 | -33.219 | 181.136 | -0.000 | 0.001 |
| 6611.085 | 6611.082 | -33.234 | 0.000 | 181.140 | -0.001 |
| 5744.226 | -8232.258 | -1765.357 | 0.000 | -0.000 | -2089.039 |
| 1171.711 | 721.172 | 334.334 | -0.000 | 0.000 | 73.558 |
| 721.172 | 1171.711 | 334.334 | -0.000 | -0.000 | -73.558 |
| 479.143 | 479.143 | 997.692 | -0.000 | -0.000 | -0.000 |
| 58.688 | 58.649 | 83.263 | 131.050 | 0.000 | -0.008 |
| 58.649 | 58.688 | 83.263 | -0.000 | 131.050 | 0.008 |
| -494.902 | -754.391 | 37.212 | -0.000 | -0.000 | 687.190 |
| 1176.082 | 1577.945 | 759.846 | 0.000 | -0.000 | 244.551 |
| 1577.945 | 1176.082 | 759.846 | 0.000 | -0.000 | -244.551 |
| 587.381 | 587.381 | 1022.044 | 0.000 | 0.000 | 0.000 |
| -58.688 | -58.649 | -83.263 | 131.050 | 0.000 | 0.008 |
| -58.649 | -58.688 | -83.263 | 0.000 | 131.050 | -0.008 |
| 754.356 | 494.871 | -37.214 | 0.000 | 0.000 | 687.191 |
| 931.907 | 675.728 | 170.011 | -0.000 | 0.000 | 112.817 |
| 675.728 | 931.907 | 170.011 | -0.000 | 0.000 | -112.817 |
| 245.451 | 245.451 | 813.408 | -0.000 | 0.000 | -0.000 |
| -218.474 | -200.786 | -177.840 | 184.129 | -0.000 | 3.573 |
| -200.786 | -218.474 | -177.840 | 0.000 | 184.129 | -3.573 |
| 87.529 | -176.066 | -5.344 | -0.000 | -0.000 | 684.373 |
| 1494.518 | 716.045 | 495.502 | 0.000 | -0.000 | 7.318 |
| 716.045 | 1494.518 | 495.502 | 0.000 | -0.000 | -7.318 |
| 570.611 | 570.611 | 1085.944 | 0.000 | -0.000 | 0.000 |
| 218.474 | 200.786 | 177.840 | 184.129 | -0.000 | -3.573 |
| 200.786 | 218.474 | 177.840 | 0.000 | 184.129 | 3.573 |
| 187.169 | -56.545 | -1.143 | -0.000 | 0.000 | 686.481 |
| 230.422 | 200.789 | 66.955 | -0.000 | 0.000 | -68.870 |
| 200.789 | 230.422 | 66.955 | -0.000 | 0.000 | 68.870 |
| 197.819 | 197.819 | 445.615 | 0.000 | 0.000 | 0.000 |
| -343.983 | -343.983 | -136.463 | 105.599 | 0.000 | 0.000 |
| -137.492 | -137.492 | -154.000 | -0.000 | 154.298 | 0.000 |
| -401.803 | -266.007 | -133.179 | 0.000 | 0.000 | 389.169 |
| 1092.696 | 475.829 | 213.725 | -0.000 | 0.000 | -133.009 |
| 475.829 | 1092.696 | 213.725 | -0.000 | -0.000 | 133.009 |
| 197.819 | 197.819 | 445.615 | 0.000 | -0.000 | -0.000 |
| 137.492 | 137.492 | 154.000 | 154.298 | -0.000 | 0.000 |
| 343.983 | 343.983 | 136.463 | 0.000 | 105.599 | -0.000 |
| 266.007 | 401.803 | 133.179 | -0.000 | -0.000 | 389.169 |
| 703.715 | 587.814 | 169.879 | 0.000 | 0.000 | -31.014 |
| 587.814 | 703.715 | 169.879 | -0.000 | 0.000 | 31.014 |
| 173.763 | 173.763 | 395.691 | 0.000 | 0.000 | 0.000 |
| 0.000 | 0.000 | 0.000 | 175.406 | 0.000 | -0.000 |
| 0.000 | 0.000 | 0.000 | 0.000 | 175.406 | 0.000 |
| -106.822 | 53.035 | -10.878 | -0.000 | 0.000 | 404.202 |
| 755.260 | 624.087 | 215.667 | -0.000 | -0.000 | -34.124 |
| 624.087 | 755.260 | 215.667 | -0.000 | -0.000 | 34.124 |
| 197.550 | 197.550 | 421.954 | -0.000 | -0.000 | -0.000 |
| -0.000 | -0.000 | -0.000 | 175.406 | -0.000 | 0.000 |
| -0.000 | -0.000 | -0.000 | -0.000 | 175.406 | -0.000 |
| -53.035 | 106.822 | 10.878 | -0.000 | 0.000 | 404.202 |
| 1092.701 | 475.834 | 213.731 | 0.000 | 0.000 | -133.008 |
| 475.834 | 1092.701 | 213.731 | 0.000 | 0.000 | 133.008 |
| 184.658 | 184.658 | 408.209 | 0.000 | 0.000 | 0.000 |
| -3.491 | -3.492 | -1.366 | 104.407 | 0.000 | -0.000 |
| -3.492 | -3.491 | -1.366 | -0.000 | 104.407 | 0.000 |
| -133.010 | 133.009 | 0.000 | 0.000 | 0.000 | 468.719 |
| 726.976 | 610.046 | 195.131 | -0.000 | -0.000 | -31.223 |
| 610.046 | 726.976 | 195.131 | -0.000 | -0.000 | 31.223 |
| 187.007 | 187.007 | 410.869 | -0.000 | -0.000 | -0.000 |
| 3.491 | 3.492 | 1.366 | 104.407 | 0.000 | 0.000 |
| 3.492 | 3.491 | 1.366 | -0.000 | 104.407 | -0.000 |
| -133.009 | 133.009 | -0.000 | -0.000 | 0.000 | 468.719 |
| -1878.103 | -590.035 | -8629.377 | 0.219 | -2520.680 | 27.796 |
| -3451.609 | -2200.207 | -9267.834 | -4.883 | -4299.285 | 21.597 |
| 1828.384 | 5968.250 | 5078.994 | -0.000 | -84.588 | 0.001 |
| -11260.695 | -2704.019 | -1256.590 | 2285.044 | 474.502 | 91.482 |
| 5108.631 | 17645.004 | -3814.849 | -7.448 | -1075.151 | 32.800 |
| -16306.366 | -24796.964 | -12983.813 | 343.502 | 2141.089 | -30036.673 |
| 17857.622 | 15464.033 | 8197.601 | 5.865 | 2232.355 | -25.824 |
| 6561.175 | 12859.606 | 5968.248 | -0.000 | -47.417 | -0.000 |
| 6948.936 | 3521.012 | 5316.049 | 10.160 | -1152.701 | -49.029 |
| 6192.420 | 3109.806 | 6080.094 | 533.562 | 297.802 | -195.973 |
| -3673.534 | -13959.963 | 686.319 | 2.542 | -586.478 | -10.716 |
| 14522.455 | 22814.466 | 12754.589 | 313.361 | -4400.646 | -27156.151 |
| -1285.609 | -3209.300 | -1254.566 | -0.457 | 102.747 | 2.243 |
| -52.117 | 395.033 | 509.265 | -1.779 | -401.970 | 8.494 |
| -374.160 | 88.080 | 96.480 | -0.466 | 70.935 | 2.255 |
| -617.459 | -405.909 | -1342.616 | 145.010 | -272.400 | -149.508 |
| -104.065 | -166.260 | -63.671 | -0.786 | 62.739 | 3.750 |
| -389.751 | -423.273 | -60.187 | 39.902 | -507.786 | 223.302 |
| 1690.703 | 938.397 | 1905.890 | 0.336 | 570.310 | -1.637 |
| 502.180 | 789.056 | 433.609 | -0.131 | 359.249 | 0.585 |
| 2400.102 | 3263.638 | 1956.022 | 0.969 | 253.242 | -4.622 |
| 123.427 | 451.104 | 527.940 | -392.454 | -915.937 | -24.789 |
| 500.930 | 895.265 | 498.896 | 0.037 | 860.552 | -0.243 |
| 1203.273 | 386.535 | 148.941 | 103.898 | -20.020 | 216.030 |
| 1027.662 | 267.031 | 263.898 | -0.045 | 65.744 | 0.216 |
| 335.596 | 763.062 | 301.196 | -0.050 | 48.255 | 0.240 |
| 257.168 | 271.044 | 627.271 | -0.025 | 8.167 | 0.129 |
| -108.643 | -40.884 | -28.592 | 184.303 | 0.696 | 37.704 |
| 1.476 | 100.631 | 31.701 | -0.031 | 135.801 | 0.156 |
| -68.908 | -42.450 | -57.547 | -135.004 | -16.066 | 215.461 |
| 1279.496 | 416.750 | 426.600 | -0.031 | -13.233 | 0.143 |
| 344.178 | 714.781 | 463.844 | 0.039 | 112.759 | -0.258 |
| 540.393 | 561.426 | 935.632 | 0.046 | 114.172 | -0.220 |
| 107.553 | 41.360 | 25.444 | 184.480 | 5.030 | 46.003 |
| 103.218 | 191.141 | 151.015 | -0.021 | 256.091 | 0.096 |
| 34.860 | 42.646 | 11.463 | 36.602 | 30.306 | 200.358 |
| 558.819 | 264.181 | 264.181 | 0.000 | 0.000 | 0.000 |
| 264.181 | 558.819 | 264.181 | 0.000 | 0.000 | 0.000 |
| 264.181 | 264.181 | 558.819 | 0.000 | 0.000 | 0.000 |
| 0.920 | 0.920 | 0.920 | 216.636 | 0.000 | 0.000 |
| 0.920 | 0.920 | 0.920 | 0.000 | 216.636 | 0.000 |
| 0.920 | 0.920 | 0.920 | -0.000 | -0.000 | 216.636 |
| 449.311 | 264.787 | 264.787 | 0.000 | 0.000 | 0.000 |
| 264.787 | 449.311 | 264.787 | 0.000 | 0.000 | 0.000 |
| 264.787 | 264.787 | 449.311 | 0.000 | 0.000 | -0.000 |
| -0.920 | -0.920 | -0.920 | 216.636 | 0.000 | -0.000 |
| -0.920 | -0.920 | -0.920 | 0.000 | 216.636 | -0.000 |
| -0.920 | -0.920 | -0.920 | 0.000 | -0.000 | 216.636 |
| 451.040 | 266.516 | 266.516 | 0.000 | 0.000 | -0.000 |
| 266.516 | 451.040 | 266.516 | -0.000 | 0.000 | 0.000 |
| 266.516 | 266.516 | 451.040 | -0.000 | 0.000 | -0.000 |
| 0.284 | 0.284 | 0.284 | 198.449 | 0.000 | 0.000 |
| 0.284 | 0.284 | 0.284 | 0.000 | 198.449 | 0.000 |
| 0.284 | 0.284 | 0.284 | 0.000 | -0.000 | 198.449 |
| 450.725 | 266.201 | 266.201 | -0.000 | 0.000 | -0.000 |
| 266.201 | 450.725 | 266.201 | 0.000 | -0.000 | -0.000 |
| 266.201 | 266.201 | 450.725 | 0.000 | -0.000 | -0.000 |
| -0.284 | -0.284 | -0.284 | 198.449 | -0.000 | -0.000 |
| -0.284 | -0.284 | -0.284 | -0.000 | 198.449 | -0.000 |
| -0.284 | -0.284 | -0.284 | -0.000 | -0.000 | 198.449 |
| 450.902 | 266.378 | 266.378 | -0.000 | 0.000 | 0.000 |
| 266.378 | 450.902 | 266.378 | 0.000 | -0.000 | 0.000 |
| 266.378 | 266.378 | 450.902 | -0.000 | -0.000 | 0.000 |
| 0.029 | 0.029 | 0.030 | 198.448 | 0.000 | 0.000 |
| 0.029 | 0.029 | 0.030 | 0.000 | 198.448 | 0.000 |
| 0.029 | 0.030 | 0.029 | 0.000 | 0.000 | 198.448 |
| 450.866 | 266.340 | 266.340 | 0.000 | -0.000 | -0.000 |
| 266.340 | 450.866 | 266.340 | -0.000 | 0.000 | -0.000 |
| 266.340 | 266.340 | 450.866 | -0.000 | -0.000 | -0.000 |
| -0.029 | -0.029 | -0.030 | 198.448 | -0.000 | -0.000 |
| -0.029 | -0.029 | -0.030 | -0.000 | 198.448 | -0.000 |
| -0.029 | -0.030 | -0.029 | -0.000 | -0.000 | 198.448 |
| -39296.350 | -39576.926 | -39576.926 | 0.003 | 0.004 | 0.004 |
| -39576.926 | -39296.350 | -39576.926 | 0.004 | 0.003 | 0.004 |
| -39576.929 | -39576.929 | -39296.352 | 0.004 | 0.004 | 0.003 |
| -39658.730 | -39658.730 | -39658.730 | 888.905 | 0.000 | 0.000 |
| -39658.730 | -39658.730 | -39658.730 | 0.000 | 888.905 | 0.000 |
| -39658.730 | -39658.730 | -39658.730 | 0.000 | 0.000 | 888.905 |
| 42939.144 | 42236.343 | 42236.343 | 0.000 | 0.000 | -0.000 |
| 42236.343 | 42939.144 | 42236.343 | 0.000 | 0.000 | -0.000 |
| 42236.343 | 42236.343 | 42939.144 | 0.000 | 0.000 | 0.000 |
| 39658.729 | 39658.729 | 39658.729 | 888.905 | 0.000 | -0.000 |
| 39658.729 | 39658.729 | 39658.729 | 0.000 | 888.905 | -0.000 |
| 39658.728 | 39658.728 | 39658.728 | 0.000 | -0.000 | 888.905 |
| 2355.223 | 1657.256 | 1657.256 | 0.000 | 0.000 | 0.000 |
| 1657.256 | 2355.223 | 1657.256 | 0.000 | 0.000 | 0.000 |
| 1657.226 | 1657.226 | 2355.192 | 0.000 | 0.000 | 0.000 |
| -4132.158 | -4132.158 | -4132.158 | 130.731 | 0.000 | 0.000 |
| -4132.154 | -4132.154 | -4132.154 | 0.000 | 130.732 | 0.000 |
| -4440.743 | -4440.743 | -4440.743 | 0.000 | 0.000 | 278.265 |
| 7797.091 | 7246.538 | 7246.538 | -0.000 | -0.000 | -0.000 |
| 7246.539 | 7797.092 | 7246.539 | -0.000 | -0.000 | -0.000 |
| 7246.578 | 7246.578 | 7797.131 | -0.000 | -0.000 | -0.000 |
| 4132.180 | 4132.180 | 4132.180 | 130.724 | -0.000 | -0.000 |
| 4132.184 | 4132.184 | 4132.184 | -0.000 | 130.723 | -0.000 |
| 4132.149 | 4132.149 | 4132.149 | -0.000 | -0.000 | 130.732 |
| 354.720 | 74.265 | 74.265 | 0.000 | 0.000 | 0.000 |
| 74.263 | 354.718 | 74.263 | 0.000 | 0.000 | 0.000 |
| 318.692 | 318.692 | 503.565 | 0.000 | 0.000 | 0.000 |
| -1377.963 | -1377.963 | -1377.963 | 292.961 | 0.000 | 0.000 |
| -1738.582 | -1738.581 | -1738.582 | 0.000 | 306.278 | 0.000 |
| -78.740 | -78.740 | -78.739 | 0.000 | 0.000 | 296.740 |
| 1327.785 | 1055.428 | 1055.428 | -0.000 | -0.000 | -0.000 |
| 1147.522 | 1428.876 | 1147.522 | -0.000 | -0.000 | -0.000 |
| 1055.418 | 1055.418 | 1327.777 | -0.000 | -0.000 | -0.000 |
| -366.019 | -366.018 | -366.018 | 313.781 | -0.000 | -0.000 |
| 400.507 | 400.506 | 400.507 | -0.000 | 247.567 | -0.000 |
| 401.113 | 401.112 | 401.112 | -0.000 | -0.000 | 242.587 |
| 3519.146 | 2751.342 | 2751.342 | 0.000 | 0.000 | 0.000 |
| 2751.342 | 3519.146 | 2751.342 | 0.000 | 0.000 | 0.000 |
| 2751.342 | 2751.342 | 3519.146 | 0.000 | 0.000 | 0.000 |
| 0.009 | 0.009 | 0.009 | 910.198 | -0.000 | 0.000 |
| 0.009 | 0.009 | 0.009 | -0.000 | 910.198 | 0.000 |
| 0.009 | 0.009 | 0.009 | -0.000 | 0.000 | 910.198 |
| -91289.259 | -92056.416 | -92056.416 | -0.000 | -0.000 | -0.000 |
| -92056.416 | -91289.259 | -92056.416 | -0.000 | -0.000 | -0.000 |
| -92056.412 | -92056.412 | -91289.255 | -0.000 | -0.000 | -0.000 |
| -0.009 | -0.009 | -0.009 | 910.198 | -0.000 | -0.000 |
| -0.009 | -0.009 | -0.009 | -0.000 | 910.198 | -0.000 |
| -0.009 | -0.009 | -0.009 | -0.000 | -0.000 | 910.198 |
| 1320.672 | 554.153 | 554.153 | 0.000 | 0.000 | 0.000 |
| 554.153 | 1320.672 | 554.153 | 0.000 | 0.000 | 0.000 |
| 554.153 | 554.153 | 1320.672 | 0.000 | 0.000 | 0.000 |
| 0.003 | 0.003 | 0.003 | 910.198 | -0.000 | 0.000 |
| 0.003 | 0.003 | 0.003 | -0.000 | 910.198 | 0.000 |
| 0.003 | 0.003 | 0.003 | -0.000 | 0.000 | 910.198 |
| 1316.816 | 550.387 | 550.387 | -0.000 | -0.000 | -0.000 |
| 550.387 | 1316.816 | 550.387 | -0.000 | -0.000 | -0.000 |
| 550.388 | 550.388 | 1316.816 | -0.000 | -0.000 | -0.000 |
| -0.003 | -0.003 | -0.003 | 910.198 | 0.000 | -0.000 |
| -0.003 | -0.003 | -0.003 | 0.000 | 910.198 | -0.000 |
| -0.003 | -0.003 | -0.003 | 0.000 | -0.000 | 910.198 |
| 970.667 | 676.590 | 676.590 | 0.000 | 0.000 | 0.000 |
| 677.079 | 972.606 | 677.079 | 0.000 | 0.000 | 0.000 |
| 710.379 | 710.379 | 1474.919 | 0.000 | 0.000 | 0.000 |
| 7.104 | 7.103 | 7.104 | 254.752 | 0.000 | 0.000 |
| 7.103 | 7.104 | 7.104 | 0.000 | 254.752 | 0.000 |
| 7.102 | 7.102 | 7.102 | 0.000 | 0.000 | 254.752 |
| 976.471 | 669.322 | 669.322 | -0.000 | -0.000 | -0.000 |
| 669.322 | 976.471 | 669.322 | -0.000 | -0.000 | -0.000 |
| 669.322 | 669.322 | 976.471 | -0.000 | -0.000 | -0.000 |
| -7.081 | -7.080 | -7.081 | 254.752 | -0.000 | -0.000 |
| -7.080 | -7.081 | -7.081 | -0.000 | 254.752 | -0.000 |
| -7.081 | -7.081 | -7.081 | -0.000 | -0.000 | 254.752 |
| 84.940 | 49.603 | 49.603 | -0.000 | -0.000 | 0.000 |
| 49.603 | 84.940 | 49.603 | 0.000 | 0.000 | 0.000 |
| 49.603 | 49.603 | 84.940 | -0.000 | -0.000 | 0.000 |
| -0.000 | 0.000 | 0.000 | 20.977 | -0.000 | -0.000 |
| 0.000 | -0.000 | 0.000 | -0.000 | 20.977 | -0.000 |
| 0.000 | 0.000 | -0.000 | -0.000 | 0.000 | 20.977 |
| 84.940 | 49.603 | 49.603 | 0.000 | 0.000 | 0.000 |
| 49.603 | 84.940 | 49.603 | -0.000 | 0.000 | 0.000 |
| 49.603 | 49.603 | 84.940 | -0.000 | -0.000 | 0.000 |
| 0.000 | -0.000 | -0.000 | 20.977 | 0.000 | -0.000 |
| -0.000 | 0.000 | -0.000 | 0.000 | 20.977 | 0.000 |
| -0.000 | -0.000 | 0.000 | 0.000 | 0.000 | 20.977 |
| 84.940 | 49.604 | 49.604 | -0.000 | -0.000 | 0.000 |
| 49.604 | 84.940 | 49.604 | -0.000 | -0.000 | -0.000 |
| 49.604 | 49.604 | 84.940 | -0.000 | -0.000 | 0.000 |
| -0.000 | 0.000 | 0.000 | 20.977 | 0.000 | -0.000 |
| 0.000 | -0.000 | 0.000 | -0.000 | 20.977 | -0.000 |
| 0.000 | 0.000 | -0.000 | -0.000 | 0.000 | 20.977 |
| 84.940 | 49.603 | 49.603 | 0.000 | 0.000 | -0.000 |
| 49.603 | 84.940 | 49.603 | 0.000 | 0.000 | 0.000 |
| 49.603 | 49.603 | 84.940 | 0.000 | 0.000 | -0.000 |
| 0.000 | -0.000 | -0.000 | 20.977 | -0.000 | 0.000 |
| -0.000 | 0.000 | -0.000 | 0.000 | 20.977 | 0.000 |
| -0.000 | -0.000 | 0.000 | 0.000 | 0.000 | 20.977 |
| 84.942 | 49.606 | 49.606 | -0.000 | -0.000 | -0.000 |
| 49.606 | 84.942 | 49.606 | -0.000 | 0.000 | -0.000 |
| 49.606 | 49.606 | 84.942 | -0.000 | 0.000 | 0.000 |
| -0.000 | 0.000 | 0.000 | 20.977 | 0.000 | -0.000 |
| 0.000 | -0.000 | 0.000 | -0.000 | 20.977 | -0.000 |
| 0.000 | 0.000 | -0.000 | 0.000 | -0.000 | 20.977 |
| 84.939 | 49.600 | 49.600 | 0.000 | 0.000 | 0.000 |
| 49.600 | 84.939 | 49.600 | -0.000 | 0.000 | 0.000 |
| 49.600 | 49.600 | 84.939 | 0.000 | 0.000 | 0.000 |
| 0.000 | -0.000 | -0.000 | 20.977 | 0.000 | 0.000 |
| -0.000 | 0.000 | -0.000 | -0.000 | 20.977 | 0.000 |
| -0.000 | -0.000 | 0.000 | 0.000 | 0.000 | 20.977 |
| 266.369 | 56.949 | 56.949 | -0.000 | -0.000 | 0.000 |
| 56.949 | 266.369 | 56.949 | -0.000 | -0.000 | 0.000 |
| 56.949 | 56.949 | 266.369 | 0.000 | 0.000 | 0.000 |
| -0.000 | 0.000 | 0.000 | 28.143 | 0.000 | 0.000 |
| 0.000 | 0.000 | -0.000 | 0.000 | 28.143 | 0.000 |
| 0.000 | 0.000 | 0.000 | -0.000 | 0.000 | 28.143 |
| 266.369 | 56.949 | 56.949 | -0.000 | -0.000 | -0.000 |
| 56.949 | 266.369 | 56.949 | -0.000 | -0.000 | -0.000 |
| 56.949 | 56.949 | 266.369 | -0.000 | 0.000 | -0.000 |
| 0.000 | -0.000 | -0.000 | 28.143 | -0.000 | -0.000 |
| 0.000 | -0.000 | 0.000 | -0.000 | 28.143 | -0.000 |
| 0.000 | 0.000 | -0.000 | 0.000 | -0.000 | 28.143 |
| 266.368 | 56.948 | 56.948 | -0.000 | 0.000 | 0.000 |
| 56.948 | 266.368 | 56.948 | -0.000 | -0.000 | 0.000 |
| 56.948 | 56.948 | 266.368 | -0.000 | -0.000 | 0.000 |
| 0.000 | 0.000 | 0.000 | 24.889 | -0.000 | 0.000 |
| 0.000 | -0.000 | 0.000 | -0.000 | 24.889 | 0.000 |
| 0.000 | 0.000 | 0.000 | -0.000 | 0.000 | 24.889 |
| 266.370 | 56.951 | 56.951 | 0.000 | -0.000 | -0.000 |
| 56.951 | 266.370 | 56.951 | 0.000 | -0.000 | -0.000 |
| 56.951 | 56.951 | 266.370 | -0.000 | -0.000 | -0.000 |
| 0.000 | -0.000 | -0.000 | 24.889 | 0.000 | -0.000 |
| -0.000 | -0.000 | -0.000 | 0.000 | 24.889 | -0.000 |
| -0.000 | -0.000 | -0.000 | -0.000 | -0.000 | 24.889 |
| 266.843 | 56.691 | 56.691 | 0.000 | 0.000 | 0.000 |
| 56.691 | 266.843 | 56.691 | 0.000 | -0.000 | 0.000 |
| 56.691 | 56.691 | 266.843 | -0.000 | 0.000 | 0.000 |
| -0.000 | 0.000 | 0.000 | 28.143 | 0.000 | -0.000 |
| 0.000 | -0.000 | 0.000 | 0.000 | 28.143 | 0.000 |
| 0.000 | 0.000 | -0.000 | 0.000 | 0.000 | 28.143 |
| 266.859 | 56.712 | 56.712 | -0.000 | 0.000 | -0.000 |
| 56.712 | 266.859 | 56.712 | 0.000 | -0.000 | -0.000 |
| 56.712 | 56.712 | 266.859 | -0.000 | -0.000 | -0.000 |
| 0.000 | -0.000 | -0.000 | 28.143 | -0.000 | -0.000 |
| -0.000 | 0.000 | -0.000 | 0.000 | 28.143 | -0.000 |
| -0.000 | -0.000 | 0.000 | -0.000 | -0.000 | 28.143 |
| 244.473 | 146.173 | 146.173 | 0.000 | 0.000 | 0.000 |
| 146.173 | 244.473 | 146.173 | 0.000 | 0.000 | 0.000 |
| 146.173 | 146.173 | 244.473 | -0.000 | -0.000 | 0.000 |
| 0.000 | -0.000 | 0.000 | 116.217 | 0.000 | -0.000 |
| 0.000 | 0.000 | 0.000 | 0.000 | 116.217 | 0.000 |
| 0.000 | 0.000 | 0.000 | 0.000 | 0.000 | 116.217 |
| 244.474 | 146.174 | 146.174 | -0.000 | -0.000 | -0.000 |
| 146.174 | 244.474 | 146.174 | -0.000 | -0.000 | 0.000 |
| 146.174 | 146.174 | 244.474 | -0.000 | -0.000 | 0.000 |
| -0.000 | -0.000 | -0.000 | 116.217 | -0.000 | -0.000 |
| -0.000 | -0.000 | -0.000 | -0.000 | 116.217 | -0.000 |
| 0.000 | -0.000 | -0.000 | -0.000 | -0.000 | 116.217 |
| 244.470 | 146.169 | 146.169 | -0.000 | 0.000 | -0.000 |
| 146.169 | 244.470 | 146.169 | 0.000 | 0.000 | 0.000 |
| 146.169 | 146.169 | 244.470 | 0.000 | 0.000 | -0.000 |
| 0.000 | -0.000 | 0.000 | 116.217 | -0.000 | -0.000 |
| -0.000 | 0.000 | 0.000 | 0.000 | 116.217 | 0.000 |
| -0.000 | 0.000 | 0.000 | -0.000 | 0.000 | 116.217 |
| 244.478 | 146.177 | 146.177 | -0.000 | -0.000 | -0.000 |
| 146.177 | 244.478 | 146.177 | -0.000 | -0.000 | -0.000 |
| 146.177 | 146.177 | 244.478 | -0.000 | -0.000 | 0.000 |
| -0.000 | 0.000 | -0.000 | 116.217 | -0.000 | -0.000 |
| 0.000 | -0.000 | -0.000 | -0.000 | 116.217 | -0.000 |
| 0.000 | -0.000 | -0.000 | -0.000 | -0.000 | 116.217 |
| 244.433 | 146.133 | 146.133 | 0.000 | 0.000 | -0.000 |
| 146.133 | 244.433 | 146.133 | -0.000 | 0.000 | -0.000 |
| 146.133 | 146.133 | 244.433 | 0.000 | -0.000 | -0.000 |
| 0.000 | -0.000 | 0.000 | 116.217 | 0.000 | 0.000 |
| -0.000 | 0.000 | 0.000 | -0.000 | 116.217 | 0.000 |
| -0.000 | 0.000 | 0.000 | -0.000 | 0.000 | 116.217 |
| 244.515 | 146.214 | 146.214 | 0.000 | -0.000 | 0.000 |
| 146.214 | 244.515 | 146.214 | 0.000 | -0.000 | 0.000 |
| 146.214 | 146.214 | 244.515 | -0.000 | -0.000 | -0.000 |
| -0.000 | 0.000 | -0.000 | 116.217 | 0.000 | 0.000 |
| 0.000 | -0.000 | -0.000 | -0.000 | 116.217 | -0.000 |
| 0.000 | -0.000 | -0.000 | 0.000 | -0.000 | 116.217 |
| 74.039 | 43.776 | 54.856 | 0.000 | -0.000 | -0.000 |
| 43.776 | 74.039 | 54.856 | 0.000 | -0.000 | -0.000 |
| 54.856 | 54.856 | 111.737 | 0.000 | 0.000 | -0.000 |
| 0.000 | -0.000 | 0.000 | 26.235 | -0.000 | -0.000 |
| -0.000 | -0.000 | 0.000 | 0.000 | 26.235 | -0.000 |
| 0.000 | 0.000 | 0.000 | -0.000 | -0.000 | 15.132 |
| 73.513 | 44.303 | 54.857 | -0.000 | 0.000 | 0.000 |
| 43.776 | 74.040 | 54.857 | -0.000 | 0.000 | -0.000 |
| 54.857 | 54.857 | 111.737 | 0.000 | 0.000 | 0.000 |
| -0.000 | 0.000 | -0.000 | 26.235 | 0.000 | 0.000 |
| 0.000 | 0.000 | -0.000 | -0.000 | 26.235 | 0.000 |
| 0.000 | -0.000 | -0.000 | -0.000 | 0.000 | 15.132 |
| 74.038 | 43.775 | 54.855 | 0.000 | -0.000 | -0.000 |
| 44.301 | 73.512 | 54.855 | 0.000 | -0.000 | -0.000 |
| 54.855 | 54.855 | 111.736 | 0.000 | -0.000 | -0.000 |
| -0.000 | -0.000 | 0.000 | 26.235 | -0.000 | -0.000 |
| -0.000 | -0.000 | 0.000 | 0.000 | 26.235 | -0.000 |
| -0.000 | 0.000 | -0.000 | 0.000 | -0.000 | 14.605 |
| 74.041 | 43.777 | 54.858 | -0.000 | 0.000 | 0.000 |
| 43.777 | 74.041 | 54.858 | 0.000 | 0.000 | 0.000 |
| 54.858 | 54.858 | 111.738 | -0.000 | 0.000 | 0.000 |
| 0.000 | 0.000 | -0.000 | 26.235 | 0.000 | 0.000 |
| 0.000 | 0.000 | -0.000 | -0.000 | 26.235 | 0.000 |
| 0.000 | -0.000 | 0.000 | -0.000 | 0.000 | 14.605 |
| 74.027 | 43.762 | 54.842 | 0.000 | -0.000 | 0.000 |
| 43.763 | 74.026 | 54.842 | 0.000 | -0.000 | -0.000 |
| 54.843 | 54.843 | 111.724 | -0.000 | -0.000 | -0.000 |
| -0.000 | -0.000 | 0.000 | 26.235 | -0.000 | -0.000 |
| -0.000 | -0.000 | 0.000 | 0.000 | 26.235 | -0.000 |
| -0.000 | 0.001 | -0.000 | 0.000 | -0.000 | 15.132 |
| 74.052 | 43.790 | 54.871 | -0.000 | 0.000 | 0.000 |
| 43.790 | 74.053 | 54.871 | -0.000 | 0.000 | 0.000 |
| 54.870 | 54.870 | 111.750 | -0.000 | 0.000 | 0.000 |
| 0.000 | 0.000 | -0.000 | 26.235 | 0.000 | 0.000 |
| 0.000 | 0.000 | -0.000 | -0.000 | 26.235 | 0.000 |
| 0.000 | -0.001 | 0.000 | -0.000 | 0.000 | 15.132 |
| 70.111 | 43.498 | 62.066 | -0.000 | 0.000 | -0.000 |
| 42.617 | 70.992 | 62.066 | -0.000 | 0.000 | -0.000 |
| 62.066 | 62.066 | 140.615 | 0.000 | 0.000 | -0.000 |
| -0.000 | -0.000 | 0.000 | 33.679 | 0.000 | -0.000 |
| -0.000 | -0.000 | 0.000 | -0.000 | 33.679 | -0.000 |
| -0.000 | -0.000 | -0.000 | -0.000 | 0.000 | 13.306 |
| 70.111 | 43.498 | 62.066 | 0.000 | -0.000 | 0.000 |
| 42.617 | 70.992 | 62.066 | 0.000 | -0.000 | -0.000 |
| 62.066 | 62.066 | 140.614 | 0.000 | -0.000 | 0.000 |
| -0.000 | 0.000 | -0.000 | 33.679 | -0.000 | 0.000 |
| 0.000 | 0.000 | -0.000 | 0.000 | 33.679 | 0.000 |
| 0.000 | 0.000 | 0.000 | 0.000 | -0.000 | 13.306 |
| 70.112 | 43.499 | 62.067 | -0.000 | 0.000 | -0.000 |
| 42.619 | 70.993 | 62.067 | 0.000 | -0.000 | -0.000 |
| 62.067 | 62.067 | 140.616 | -0.000 | -0.000 | -0.000 |
| -0.000 | -0.000 | 0.000 | 33.679 | 0.000 | -0.000 |
| -0.000 | -0.000 | 0.000 | -0.000 | 33.679 | -0.000 |
| -0.000 | 0.000 | -0.000 | -0.000 | 0.000 | 14.187 |
| 70.110 | 43.497 | 62.064 | 0.000 | -0.000 | 0.000 |
| 42.616 | 70.990 | 62.064 | 0.000 | -0.000 | 0.000 |
| 62.064 | 62.064 | 140.613 | -0.000 | -0.000 | 0.000 |
| 0.000 | 0.000 | -0.000 | 33.679 | 0.000 | -0.000 |
| 0.000 | 0.000 | -0.000 | 0.000 | 33.679 | 0.000 |
| 0.000 | -0.000 | 0.000 | -0.000 | -0.000 | 14.187 |
| 71.006 | 42.631 | 62.080 | 0.000 | 0.000 | -0.000 |
| 43.512 | 70.124 | 62.080 | -0.000 | 0.000 | -0.000 |
| 62.080 | 62.080 | 140.631 | -0.000 | 0.000 | -0.000 |
| -0.000 | -0.000 | 0.000 | 33.679 | 0.000 | -0.000 |
| -0.000 | -0.000 | 0.000 | -0.000 | 33.679 | -0.000 |
| -0.000 | 0.000 | -0.000 | -0.000 | 0.000 | 14.187 |
| 70.978 | 42.603 | 62.052 | 0.000 | -0.000 | 0.000 |
| 43.484 | 70.097 | 62.052 | 0.000 | 0.000 | 0.000 |
| 62.051 | 62.051 | 140.598 | 0.000 | 0.000 | 0.000 |
| 0.000 | 0.000 | -0.000 | 33.679 | -0.000 | 0.000 |
| 0.000 | 0.000 | -0.000 | 0.000 | 33.679 | 0.000 |
| 0.000 | -0.000 | 0.000 | 0.000 | -0.000 | 14.187 |
| 36.721 | 46.230 | 46.230 | -0.000 | 0.000 | 0.000 |
| 46.230 | 36.721 | 46.230 | -0.000 | -0.000 | 0.000 |
| 46.230 | 46.230 | 36.721 | -0.000 | 0.000 | 0.000 |
| 0.000 | 0.000 | 0.000 | -14.390 | 0.000 | 0.000 |
| 0.000 | 0.000 | 0.000 | -0.000 | -14.390 | 0.000 |
| 0.000 | 0.000 | -0.000 | -0.000 | 0.000 | -14.390 |
| 36.720 | 46.230 | 46.230 | 0.000 | -0.000 | -0.000 |
| 46.230 | 36.720 | 46.230 | -0.000 | -0.000 | -0.000 |
| 46.230 | 46.230 | 36.720 | 0.000 | 0.000 | -0.000 |
| -0.000 | -0.000 | 0.000 | -14.390 | -0.000 | -0.000 |
| -0.000 | -0.000 | -0.000 | 0.000 | -14.390 | -0.000 |
| -0.000 | -0.000 | -0.000 | 0.000 | 0.000 | -14.390 |
| 36.721 | 46.230 | 46.230 | 0.000 | 0.000 | 0.000 |
| 46.230 | 36.721 | 46.230 | 0.000 | 0.000 | 0.000 |
| 46.230 | 46.230 | 36.721 | 0.000 | 0.000 | 0.000 |
| -0.000 | -0.000 | -0.000 | -14.390 | 0.000 | 0.000 |
| -0.000 | -0.000 | -0.000 | -0.000 | -14.390 | 0.000 |
| -0.000 | -0.000 | -0.000 | -0.000 | 0.000 | -14.390 |
| 36.720 | 46.230 | 46.230 | 0.000 | -0.000 | -0.000 |
| 46.230 | 36.720 | 46.230 | -0.000 | -0.000 | -0.000 |
| 46.230 | 46.230 | 36.720 | 0.000 | -0.000 | -0.000 |
| 0.000 | 0.000 | 0.000 | -14.390 | -0.000 | -0.000 |
| 0.000 | 0.000 | 0.000 | 0.000 | -14.390 | -0.000 |
| 0.000 | 0.000 | 0.000 | 0.000 | -0.000 | -14.390 |
| 36.722 | 46.232 | 46.232 | -0.000 | 0.000 | 0.000 |
| 46.232 | 36.722 | 46.232 | 0.000 | -0.000 | 0.000 |
| 46.232 | 46.232 | 36.722 | -0.000 | 0.000 | 0.000 |
| -0.000 | -0.000 | -0.000 | -14.390 | -0.000 | 0.000 |
| -0.000 | -0.000 | -0.000 | -0.000 | -14.390 | 0.000 |
| -0.000 | -0.000 | -0.000 | -0.000 | 0.000 | -14.390 |
| 36.719 | 46.228 | 46.228 | 0.000 | -0.000 | -0.000 |
| 46.228 | 36.719 | 46.228 | -0.000 | -0.000 | -0.000 |
| 46.228 | 46.228 | 36.719 | -0.000 | 0.000 | -0.000 |
| 0.000 | 0.000 | 0.000 | -14.390 | -0.000 | -0.000 |
| 0.000 | 0.000 | 0.000 | 0.000 | -14.390 | -0.000 |
| 0.000 | 0.000 | 0.000 | -0.000 | -0.000 | -14.390 |
| 225.400 | -55.242 | 56.744 | 0.000 | -0.000 | -0.000 |
| -55.242 | 225.400 | 56.744 | -0.000 | -0.000 | -0.000 |
| 56.744 | 56.744 | 334.020 | -0.000 | -0.000 | -0.000 |
| -0.000 | -0.000 | -0.000 | 25.597 | 0.000 | -0.000 |
| -0.000 | -0.000 | -0.000 | 0.000 | 25.597 | -0.000 |
| -0.000 | -0.000 | -0.000 | 0.000 | -0.000 | -82.926 |
| 217.048 | -46.890 | 56.744 | 0.000 | 0.000 | 0.000 |
| -46.890 | 217.048 | 56.744 | 0.000 | 0.000 | 0.000 |
| 56.744 | 56.744 | 334.020 | 0.000 | 0.000 | 0.000 |
| 0.000 | 0.000 | 0.000 | 25.597 | 0.000 | -0.000 |
| 0.000 | 0.000 | 0.000 | 0.000 | 25.597 | 0.000 |
| 0.000 | 0.000 | 0.000 | -0.000 | 0.000 | -82.926 |
| 217.049 | -46.890 | 56.744 | -0.000 | -0.000 | -0.000 |
| -46.890 | 217.049 | 56.744 | -0.000 | -0.000 | -0.000 |
| 56.744 | 56.744 | 334.020 | 0.000 | -0.000 | -0.000 |
| -0.000 | -0.000 | -0.000 | 25.597 | -0.000 | -0.000 |
| -0.000 | -0.000 | -0.000 | 0.000 | 25.597 | -0.000 |
| -0.000 | -0.000 | -0.000 | -0.000 | -0.000 | -82.926 |
| 225.400 | -55.242 | 56.744 | 0.000 | 0.000 | 0.000 |
| -55.242 | 225.400 | 56.744 | 0.000 | 0.000 | 0.000 |
| 56.744 | 56.744 | 334.020 | 0.000 | -0.000 | 0.000 |
| 0.000 | 0.000 | 0.000 | 25.597 | 0.000 | 0.000 |
| 0.000 | 0.000 | 0.000 | -0.000 | 25.597 | 0.000 |
| 0.000 | 0.000 | 0.000 | 0.000 | 0.000 | -82.926 |
| 217.050 | -46.889 | 56.746 | 0.000 | -0.000 | -0.000 |
| -46.889 | 217.050 | 56.746 | -0.000 | -0.000 | 0.000 |
| 56.746 | 56.746 | 334.023 | -0.000 | -0.000 | -0.000 |
| -0.000 | -0.000 | -0.000 | 25.597 | -0.000 | 0.000 |
| -0.000 | -0.000 | -0.000 | 0.000 | 25.597 | -0.000 |
| -0.001 | -0.001 | -0.000 | 0.000 | -0.000 | -82.926 |
| 217.049 | -46.891 | 56.742 | 0.000 | -0.000 | 0.000 |
| -46.891 | 217.049 | 56.742 | -0.000 | 0.000 | 0.000 |
| 56.742 | 56.742 | 334.017 | 0.000 | -0.000 | 0.000 |
| 0.000 | 0.000 | 0.000 | 25.597 | 0.000 | 0.000 |
| 0.000 | 0.000 | 0.000 | -0.000 | 25.597 | 0.000 |
| 0.001 | 0.001 | 0.000 | 0.000 | 0.000 | -82.926 |
| 103.674 | 80.325 | 70.418 | 0.000 | 0.000 | 0.000 |
| 80.325 | 103.674 | 70.418 | 0.000 | 0.000 | -0.000 |
| 70.418 | 70.418 | 11.501 | 0.000 | 0.000 | -0.000 |
| 0.000 | 0.000 | 0.000 | 41.938 | -0.000 | -0.000 |
| 0.000 | 0.000 | 0.000 | -0.000 | 41.938 | -0.000 |
| 0.000 | 0.000 | 0.000 | -0.000 | -0.000 | 51.895 |
| 103.675 | 80.326 | 70.418 | 0.000 | 0.000 | -0.000 |
| 80.326 | 103.675 | 70.418 | -0.000 | -0.000 | 0.000 |
| 70.418 | 70.418 | 11.502 | -0.000 | -0.000 | 0.000 |
| -0.000 | -0.000 | -0.000 | 41.938 | 0.000 | -0.000 |
| -0.000 | -0.000 | -0.000 | 0.000 | 41.938 | 0.000 |
| -0.000 | -0.000 | -0.000 | 0.000 | -0.000 | 51.895 |
| 103.672 | 80.323 | 70.415 | 0.000 | -0.000 | 0.000 |
| 80.323 | 103.672 | 70.415 | 0.000 | -0.000 | -0.000 |
| 70.415 | 70.415 | 11.498 | 0.000 | -0.000 | -0.000 |
| 0.000 | 0.000 | 0.000 | 41.938 | -0.000 | 0.000 |
| 0.000 | 0.000 | 0.000 | -0.000 | 41.938 | 0.000 |
| 0.000 | 0.000 | 0.000 | 0.000 | -0.000 | 51.895 |
| 103.678 | 80.328 | 70.421 | -0.000 | -0.000 | -0.000 |
| 80.328 | 103.678 | 70.421 | -0.000 | 0.000 | 0.000 |
| 70.421 | 70.421 | 11.504 | -0.000 | 0.000 | 0.000 |
| -0.000 | -0.000 | -0.000 | 41.938 | 0.000 | 0.000 |
| -0.000 | -0.000 | -0.000 | -0.000 | 41.938 | 0.000 |
| -0.000 | -0.000 | -0.000 | -0.000 | 0.000 | 51.895 |
| 103.645 | 80.297 | 70.389 | 0.000 | -0.000 | -0.000 |
| 80.297 | 103.645 | 70.389 | -0.000 | 0.000 | -0.000 |
| 70.390 | 70.390 | 11.472 | 0.000 | -0.000 | -0.000 |
| 0.000 | 0.000 | 0.001 | 41.938 | 0.000 | -0.000 |
| 0.000 | 0.000 | 0.001 | 0.000 | 41.938 | -0.000 |
| 0.000 | 0.000 | 0.000 | -0.000 | -0.000 | 51.895 |
| 103.704 | 80.354 | 70.446 | 0.000 | 0.000 | 0.000 |
| 80.354 | 103.704 | 70.446 | 0.000 | 0.000 | 0.000 |
| 70.446 | 70.446 | 11.531 | 0.000 | 0.000 | 0.000 |
| -0.000 | -0.000 | -0.001 | 41.938 | -0.000 | 0.000 |
| -0.000 | -0.000 | -0.001 | 0.000 | 41.938 | 0.000 |
| -0.000 | -0.000 | -0.000 | -0.000 | 0.000 | 51.895 |
| -86.450 | -22.376 | 73.835 | -58.706 | 0.000 | -0.000 |
| -22.376 | -86.450 | 73.835 | 58.706 | 0.000 | -0.000 |
| 65.276 | 65.276 | 12.414 | 0.000 | 0.000 | -0.000 |
| -58.706 | 58.705 | 0.000 | 46.747 | 0.000 | -0.000 |
| -0.000 | -0.000 | -0.000 | -0.000 | 46.747 | -58.706 |
| -0.000 | -0.000 | 0.000 | 0.000 | -58.706 | -32.037 |
| -86.450 | -22.376 | 73.835 | -58.706 | -0.000 | 0.000 |
| -22.376 | -86.450 | 73.835 | 58.706 | -0.000 | 0.000 |
| 65.276 | 65.276 | 12.414 | 0.000 | 0.000 | 0.000 |
| -58.706 | 58.706 | 0.000 | 46.747 | -0.000 | 0.000 |
| 0.000 | 0.000 | -0.000 | 0.000 | 46.747 | -58.706 |
| 0.000 | 0.000 | -0.000 | -0.000 | -58.706 | -32.037 |
| -86.450 | -22.375 | 73.835 | -58.706 | 0.000 | -0.000 |
| -22.375 | -86.450 | 73.835 | 58.706 | 0.000 | -0.000 |
| 65.276 | 65.276 | 12.415 | -0.000 | 0.000 | -0.000 |
| -58.706 | 58.706 | -0.000 | 46.747 | 0.000 | -0.000 |
| -0.000 | 0.000 | -0.000 | -0.000 | 46.747 | -58.706 |
| 0.000 | -0.000 | 0.000 | -0.000 | -58.706 | -32.037 |
| -86.451 | -22.376 | 73.834 | -58.706 | -0.000 | 0.000 |
| -22.376 | -86.451 | 73.834 | 58.706 | -0.000 | 0.000 |
| 65.275 | 65.275 | 12.414 | 0.000 | -0.000 | 0.000 |
| -58.706 | 58.706 | 0.000 | 46.747 | -0.000 | 0.000 |
| 0.000 | 0.000 | 0.000 | 0.000 | 46.747 | -58.706 |
| -0.000 | 0.000 | -0.000 | 0.000 | -58.706 | -32.037 |
| -86.445 | -22.370 | 73.840 | -58.706 | 0.000 | -0.000 |
| -22.370 | -86.445 | 73.840 | 58.706 | -0.000 | -0.000 |
| 65.281 | 65.281 | 12.419 | -0.000 | 0.000 | -0.000 |
| -58.706 | 58.706 | -0.000 | 46.748 | 0.000 | -0.000 |
| -0.000 | 0.000 | -0.000 | -0.000 | 46.747 | -58.706 |
| 0.000 | -0.000 | 0.000 | -0.000 | -58.706 | -32.037 |
| -86.455 | -22.381 | 73.829 | -58.705 | -0.000 | 0.000 |
| -22.381 | -86.455 | 73.829 | 58.705 | -0.000 | 0.000 |
| 65.270 | 65.270 | 12.409 | 0.000 | -0.000 | 0.000 |
| -58.706 | 58.706 | 0.000 | 46.747 | -0.000 | 0.000 |
| 0.000 | -0.000 | 0.000 | 0.000 | 46.747 | -58.706 |
| -0.000 | 0.000 | -0.000 | 0.000 | -58.706 | -32.037 |
| 729.047 | 17.199 | 17.199 | -0.000 | -0.000 | 0.000 |
| 17.199 | 729.047 | 17.199 | -0.000 | -0.000 | 0.000 |
| 17.199 | 17.199 | 729.047 | -0.000 | 0.000 | 0.000 |
| 0.000 | 0.000 | 0.000 | -19.343 | -0.000 | 0.000 |
| 0.000 | 0.000 | -0.000 | -0.000 | -19.343 | 0.000 |
| 0.000 | 0.000 | 0.000 | -0.000 | -0.000 | -19.343 |
| 729.047 | 17.199 | 17.199 | 0.000 | 0.000 | -0.000 |
| 17.199 | 729.047 | 17.199 | -0.000 | 0.000 | -0.000 |
| 17.199 | 17.199 | 729.047 | 0.000 | 0.000 | -0.000 |
| -0.000 | -0.000 | -0.000 | -19.343 | 0.000 | -0.000 |
| -0.000 | -0.000 | 0.000 | 0.000 | -19.343 | -0.000 |
| -0.000 | -0.000 | -0.000 | 0.000 | 0.000 | -19.343 |
| 729.051 | 17.202 | 17.202 | -0.000 | -0.000 | 0.000 |
| 17.202 | 729.051 | 17.202 | -0.000 | -0.000 | 0.000 |
| 17.202 | 17.202 | 729.051 | -0.000 | -0.000 | 0.000 |
| 0.000 | 0.000 | 0.000 | -19.343 | -0.000 | 0.000 |
| 0.000 | 0.000 | 0.000 | -0.000 | -19.343 | 0.000 |
| 0.000 | 0.000 | 0.000 | -0.000 | -0.000 | -19.343 |
| 729.044 | 17.196 | 17.196 | 0.000 | 0.000 | -0.000 |
| 17.196 | 729.044 | 17.196 | 0.000 | 0.000 | -0.000 |
| 17.196 | 17.196 | 729.044 | 0.000 | 0.000 | -0.000 |
| -0.000 | -0.000 | -0.000 | -19.343 | 0.000 | -0.000 |
| -0.000 | -0.000 | -0.000 | 0.000 | -19.343 | -0.000 |
| -0.000 | -0.000 | -0.000 | -0.000 | 0.000 | -19.343 |
| 729.082 | 17.226 | 17.226 | -0.000 | -0.000 | 0.000 |
| 17.226 | 729.082 | 17.226 | -0.000 | -0.000 | 0.000 |
| 17.226 | 17.226 | 729.082 | -0.000 | -0.000 | 0.000 |
| 0.000 | 0.001 | 0.000 | -19.343 | -0.000 | 0.000 |
| 0.001 | 0.000 | 0.000 | -0.000 | -19.343 | 0.000 |
| 0.001 | 0.000 | 0.000 | -0.000 | -0.000 | -19.343 |
| 729.012 | 17.172 | 17.172 | -0.000 | 0.000 | -0.000 |
| 17.172 | 729.012 | 17.172 | 0.000 | 0.000 | -0.000 |
| 17.172 | 17.172 | 729.012 | 0.000 | 0.000 | -0.000 |
| -0.000 | -0.001 | -0.000 | -19.343 | 0.000 | -0.000 |
| -0.001 | -0.000 | -0.000 | 0.000 | -19.343 | -0.000 |
| -0.001 | -0.000 | -0.000 | 0.000 | 0.000 | -19.343 |
| 151.408 | 69.674 | -38.770 | -0.000 | -0.000 | -0.000 |
| 69.674 | 151.408 | -38.770 | -0.000 | -0.000 | 0.000 |
| -38.770 | -38.770 | 124.576 | -0.000 | 0.000 | 0.000 |
| -0.000 | -0.000 | -0.000 | -65.144 | -0.000 | -0.000 |
| -0.000 | -0.000 | -0.000 | -0.000 | -65.144 | -0.000 |
| -0.000 | 0.000 | -0.000 | -0.000 | 0.000 | 40.867 |
| 151.408 | 69.674 | -38.770 | 0.000 | -0.000 | 0.000 |
| 69.674 | 151.408 | -38.770 | 0.000 | 0.000 | -0.000 |
| -38.770 | -38.770 | 124.576 | 0.000 | -0.000 | -0.000 |
| 0.000 | 0.000 | 0.000 | -65.144 | -0.000 | 0.000 |
| 0.000 | 0.000 | 0.000 | 0.000 | -65.144 | 0.000 |
| -0.000 | -0.000 | 0.000 | 0.000 | 0.000 | 40.867 |
| 151.409 | 69.675 | -38.769 | -0.000 | 0.000 | 0.000 |
| 69.675 | 151.409 | -38.769 | 0.000 | 0.000 | -0.000 |
| -38.769 | -38.769 | 124.577 | 0.000 | -0.000 | 0.000 |
| -0.000 | -0.000 | -0.000 | -65.144 | 0.000 | -0.000 |
| -0.000 | -0.000 | -0.000 | 0.000 | -65.144 | -0.000 |
| -0.000 | 0.000 | -0.000 | -0.000 | 0.000 | 40.867 |
| 151.407 | 69.673 | -38.771 | 0.000 | 0.000 | 0.000 |
| 69.673 | 151.407 | -38.771 | 0.000 | -0.000 | 0.000 |
| -38.770 | -38.770 | 124.575 | 0.000 | 0.000 | -0.000 |
| 0.000 | 0.000 | 0.000 | -65.144 | -0.000 | 0.000 |
| 0.000 | 0.000 | 0.000 | -0.000 | -65.144 | 0.000 |
| 0.000 | -0.000 | 0.000 | 0.000 | 0.000 | 40.867 |
| 151.420 | 69.685 | -38.760 | -0.000 | -0.000 | 0.000 |
| 69.686 | 151.420 | -38.760 | -0.000 | -0.000 | 0.000 |
| -38.761 | -38.761 | 124.584 | -0.000 | -0.000 | 0.000 |
| -0.000 | -0.000 | -0.001 | -65.144 | 0.000 | -0.000 |
| -0.000 | -0.000 | -0.001 | -0.000 | -65.144 | -0.000 |
| -0.000 | 0.000 | -0.000 | -0.000 | -0.000 | 40.867 |
| 151.396 | 69.663 | -38.779 | 0.000 | 0.000 | 0.000 |
| 69.663 | 151.396 | -38.779 | -0.000 | -0.000 | 0.000 |
| -38.778 | -38.778 | 124.568 | 0.000 | 0.000 | -0.000 |
| 0.000 | 0.000 | 0.001 | -65.144 | -0.000 | 0.000 |
| 0.000 | 0.000 | 0.001 | -0.000 | -65.144 | 0.000 |
| 0.000 | -0.000 | 0.000 | 0.000 | 0.000 | 40.867 |
| 221.684 | 86.805 | 67.069 | -0.000 | 0.000 | -0.000 |
| 86.805 | 221.684 | 67.069 | -0.000 | 0.000 | 0.000 |
| 689.657 | 689.657 | 440.609 | -0.000 | 0.000 | 0.000 |
| 0.000 | 0.000 | -0.000 | 40.347 | 0.000 | 0.000 |
| 0.000 | -0.000 | -0.000 | 0.000 | 40.347 | -0.000 |
| 1500.489 | 1500.489 | -65.468 | -0.000 | 0.000 | -8.095 |
| -1362.113 | -1385.515 | 124.691 | 0.000 | -0.000 | -0.000 |
| -1385.515 | -1362.113 | 124.691 | 0.000 | -0.000 | 0.000 |
| 69.021 | 69.021 | 183.661 | -0.000 | -0.000 | -0.000 |
| -0.000 | -0.000 | -0.000 | 40.347 | -0.000 | 0.000 |
| -0.000 | 0.000 | -0.000 | 0.000 | 40.347 | -0.000 |
| -1500.489 | -1500.489 | 65.468 | 0.000 | -0.000 | -8.095 |
| 221.685 | 86.807 | 67.070 | -0.000 | 0.000 | 0.000 |
| 86.807 | 221.685 | 67.070 | -0.000 | 0.000 | 0.000 |
| 131.336 | 131.336 | 219.997 | -0.000 | 0.000 | 0.000 |
| 61.702 | 61.702 | 24.348 | 28.499 | 0.000 | 0.000 |
| 61.702 | 61.702 | 24.348 | -0.000 | 28.499 | -0.000 |
| 0.101 | 0.101 | 1.900 | -0.000 | 0.000 | 44.614 |
| 210.751 | 89.311 | 64.400 | 0.000 | -0.000 | 0.000 |
| 89.311 | 210.751 | 64.400 | 0.000 | -0.000 | -0.000 |
| 70.773 | 70.773 | 204.514 | 0.000 | 0.000 | 0.000 |
| -61.702 | -61.702 | -24.348 | 28.499 | -0.000 | -0.000 |
| -61.702 | -61.702 | -24.348 | 0.000 | 28.499 | 0.000 |
| -0.101 | -0.101 | -1.900 | 0.000 | -0.000 | 44.614 |
| 189.059 | 106.869 | 64.006 | -0.000 | 0.000 | -0.000 |
| 106.869 | 189.059 | 64.006 | -0.000 | 0.000 | 0.000 |
| 70.047 | 70.047 | 202.819 | -0.000 | 0.000 | -0.000 |
| 0.011 | 0.011 | 0.199 | 38.632 | 0.000 | -0.000 |
| 0.011 | 0.011 | 0.199 | -0.000 | 38.632 | 0.000 |
| 0.012 | 0.012 | 0.219 | -0.000 | 0.000 | 43.311 |
| 221.666 | 86.788 | 67.052 | 0.000 | -0.000 | -0.000 |
| 86.788 | 221.666 | 67.052 | 0.000 | -0.000 | 0.000 |
| 70.759 | 70.759 | 204.499 | 0.000 | -0.000 | 0.000 |
| -0.011 | -0.011 | -0.199 | 38.632 | -0.000 | -0.000 |
| -0.011 | -0.011 | -0.199 | 0.000 | 38.632 | -0.000 |
| -0.012 | -0.012 | -0.219 | -0.000 | -0.000 | 43.311 |
| 205.919 | 79.705 | 62.597 | 0.000 | -0.000 | -0.000 |
| 79.705 | 205.919 | 62.597 | 0.000 | 0.000 | -0.000 |
| 69.068 | 69.068 | 222.429 | 0.000 | 0.000 | -0.000 |
| 4.616 | 4.616 | 14.581 | 33.075 | -0.000 | -0.000 |
| 4.616 | 4.616 | 14.581 | -0.000 | 33.075 | -0.000 |
| 0.000 | 0.000 | -0.000 | 0.000 | -0.000 | 54.293 |
| 184.462 | 83.451 | 45.280 | -0.000 | 0.000 | 0.000 |
| 83.451 | 184.462 | 45.280 | 0.000 | 0.000 | 0.000 |
| 57.377 | 57.377 | 195.162 | -0.000 | 0.000 | -0.000 |
| -4.616 | -4.616 | -14.581 | 33.075 | 0.000 | 0.000 |
| -4.616 | -4.616 | -14.581 | 0.000 | 33.075 | 0.000 |
| 0.000 | -0.000 | 0.000 | -0.000 | 0.000 | 54.293 |
| 205.921 | 79.707 | 62.598 | 0.000 | -0.000 | -0.000 |
| 79.707 | 205.921 | 62.598 | 0.000 | -0.000 | -0.000 |
| 60.846 | 60.846 | 208.763 | -0.000 | -0.000 | -0.000 |
| -0.000 | 0.000 | 0.000 | 36.609 | -0.000 | -0.000 |
| 0.000 | -0.000 | 0.000 | 0.000 | 36.609 | -0.000 |
| 0.713 | 0.713 | 1.465 | -0.000 | -0.000 | 38.991 |
| 205.917 | 79.704 | 62.595 | -0.000 | 0.000 | 0.000 |
| 79.704 | 205.917 | 62.595 | -0.000 | 0.000 | -0.000 |
| 62.595 | 62.595 | 216.967 | -0.000 | 0.000 | 0.000 |
| 0.000 | -0.000 | -0.000 | 36.609 | 0.000 | 0.000 |
| -0.000 | 0.000 | -0.000 | 0.000 | 36.609 | 0.000 |
| -0.713 | -0.713 | -1.465 | -0.000 | 0.000 | 38.991 |
| 178.648 | 94.803 | 58.606 | -0.000 | -0.000 | -0.000 |
| 94.803 | 178.648 | 58.606 | 0.000 | -0.000 | -0.000 |
| 61.431 | 61.431 | 208.633 | -0.000 | -0.000 | -0.000 |
| 0.068 | 0.068 | 0.215 | 31.394 | -0.000 | -0.000 |
| 0.068 | 0.068 | 0.215 | -0.000 | 31.394 | -0.000 |
| 0.071 | 0.071 | 0.147 | 0.000 | -0.000 | 38.971 |
| 189.375 | 88.265 | 60.634 | -0.000 | 0.000 | 0.000 |
| 88.265 | 189.375 | 60.634 | 0.000 | 0.000 | 0.000 |
| 62.580 | 62.580 | 216.950 | -0.000 | -0.000 | 0.000 |
| -0.068 | -0.068 | -0.215 | 31.394 | 0.000 | 0.000 |
| -0.068 | -0.068 | -0.215 | 0.000 | 31.394 | 0.000 |
| -0.071 | -0.071 | -0.147 | -0.000 | 0.000 | 38.971 |
| -74.001 | 98.428 | 184.361 | -286.631 | 146.263 | -158.446 |
| -167.021 | 192.535 | 186.266 | -282.302 | 142.056 | -160.921 |
| -170.564 | 96.226 | 281.291 | -293.313 | 146.001 | -157.358 |
| 3.667 | 2.345 | -5.842 | 63.820 | 0.413 | -0.558 |
| 6.149 | -52.568 | -0.057 | -114.677 | 55.755 | 178.353 |
| -262.060 | 1.196 | 94.180 | -287.954 | 148.234 | -109.864 |
| 447.675 | 90.264 | -3.885 | 288.002 | -137.681 | 156.473 |
| 90.186 | 259.788 | 95.299 | 121.011 | -1.651 | -178.597 |
| 351.043 | 88.063 | 93.019 | 281.301 | -137.937 | 157.568 |
| 3.667 | 2.345 | -5.842 | 63.820 | 0.413 | -0.558 |
| 264.261 | -4.305 | -90.007 | 287.788 | -97.306 | 161.785 |
| 259.550 | -6.966 | -94.066 | 286.666 | -135.708 | 205.065 |
| 220.109 | 92.880 | 90.522 | 3.664 | 3.577 | 0.333 |
| 93.126 | 225.457 | 91.764 | 5.019 | -0.500 | -5.643 |
| 90.978 | 87.276 | 202.514 | -16.502 | 3.102 | 18.072 |
| 3.667 | 2.345 | -5.842 | 63.820 | 0.413 | -0.558 |
| 3.260 | -4.957 | 2.611 | -10.600 | 54.020 | 21.575 |
| -1.243 | -9.637 | 0.560 | -12.942 | 6.752 | 73.774 |
| 204.843 | 98.442 | 91.002 | 13.959 | 3.558 | -17.923 |
| 93.075 | 212.062 | 92.638 | 16.935 | 0.144 | -21.819 |
| 90.469 | 92.010 | 217.401 | -5.842 | 3.385 | 0.445 |
| 2.230 | 8.304 | -4.696 | 65.294 | 0.683 | -18.407 |
| 2.622 | 5.645 | 3.196 | 12.553 | 53.486 | -13.279 |
| -1.833 | 0.883 | 1.138 | 10.245 | 6.339 | 39.364 |
| 220.104 | 92.875 | 90.516 | 3.664 | 3.577 | 0.333 |
| 93.427 | 206.007 | 92.309 | 4.121 | 0.373 | -2.500 |
| 90.462 | 92.003 | 217.395 | -5.842 | 3.385 | 0.445 |
| 2.560 | 2.514 | -5.005 | 52.414 | 0.910 | 0.689 |
| 2.655 | -0.518 | 3.385 | 0.413 | 62.255 | 3.660 |
| -0.586 | -5.642 | 0.587 | -0.540 | 6.268 | 64.870 |
| 220.112 | 92.883 | 90.525 | 3.664 | 3.577 | 0.333 |
| 95.924 | 195.952 | 91.294 | 7.682 | -1.212 | -2.685 |
| 92.294 | 92.142 | 190.500 | -3.646 | 2.857 | 1.179 |
| 3.234 | 3.641 | -6.435 | 49.996 | -0.507 | -0.237 |
| 2.655 | -0.518 | 3.385 | 0.413 | 62.255 | 3.660 |
| -0.587 | -5.642 | 0.587 | -0.540 | 6.268 | 64.870 |
| -623.126 | 62.875 | -1852.777 | 1078.206 | 150.053 | -448.308 |
| -89.296 | -157.439 | 824.485 | 110.454 | 37.849 | -186.999 |
| -1227.732 | 173.311 | -2300.972 | 1424.658 | 328.202 | -347.365 |
| -2236.709 | 220.440 | -3843.461 | 1412.542 | 361.259 | -353.440 |
| -5.751 | 2.288 | 0.435 | 1.164 | 63.903 | -0.615 |
| -386.029 | -342.001 | -296.890 | 602.930 | 362.614 | -93.667 |
| 360.730 | 512.461 | 44.551 | -198.034 | -222.462 | 187.381 |
| 478.433 | 505.005 | 382.174 | -598.417 | -360.654 | 126.889 |
| 271.684 | 446.037 | -525.608 | -114.924 | -34.499 | 184.803 |
| 388.643 | 339.113 | 289.929 | -561.235 | -361.763 | 134.670 |
| 380.923 | 337.132 | 296.831 | -601.108 | -324.390 | 133.455 |
| 183.224 | 357.099 | -735.854 | -105.575 | -36.209 | 242.451 |
| 221.821 | 87.070 | 89.050 | -1.176 | -3.738 | 5.982 |
| 89.931 | 209.903 | 87.317 | 2.530 | 2.330 | -1.277 |
| 7.745 | 79.101 | -60.121 | 103.308 | 16.403 | -51.050 |
| -199.497 | 19.778 | -323.608 | 190.369 | 57.920 | -27.938 |
| -5.751 | 2.288 | 0.435 | 1.164 | 63.903 | -0.615 |
| -76.624 | -9.915 | -198.093 | 109.456 | 20.787 | -18.116 |
| 229.715 | 122.810 | 17.016 | -11.365 | -7.457 | 23.480 |
| 168.512 | 143.924 | 274.844 | -103.741 | -14.683 | 37.446 |
| 162.388 | 84.478 | 326.261 | -111.755 | -15.306 | 38.657 |
| -0.927 | 2.696 | -7.488 | 62.153 | 1.164 | 2.263 |
| -5.751 | 2.288 | 0.435 | 1.164 | 63.903 | -0.615 |
| 195.190 | -20.294 | 303.342 | -144.532 | -51.765 | 66.825 |
| 209.541 | 83.017 | 98.620 | 0.601 | -3.479 | 3.013 |
| 88.122 | 186.174 | 87.822 | 4.491 | 3.593 | -5.575 |
| 91.183 | 86.666 | 224.804 | -7.488 | 0.435 | 0.655 |
| -24.048 | 7.373 | -41.038 | 55.244 | 6.791 | -0.291 |
| -5.751 | 2.288 | 0.435 | 1.164 | 63.903 | -0.615 |
| -1.385 | -8.776 | -3.577 | 7.741 | 4.347 | 39.347 |
| 212.869 | 90.645 | 83.048 | -1.662 | -4.249 | 6.889 |
| 91.612 | 205.151 | 79.886 | 1.379 | 1.441 | -0.529 |
| 91.183 | 86.666 | 224.803 | -7.487 | 0.435 | 0.655 |
| 1.594 | 6.486 | -14.810 | 55.885 | 0.231 | 4.244 |
| -5.751 | 2.288 | 0.435 | 1.164 | 63.903 | -0.615 |
| 5.011 | -1.277 | 1.168 | 2.305 | -0.053 | 63.332 |
| 85.051 | 46.478 | 53.411 | -0.000 | 0.000 | 0.000 |
| 46.877 | 82.295 | 53.950 | -0.000 | 0.000 | 0.000 |
| 54.045 | 54.471 | 111.320 | 0.000 | 0.000 | 0.000 |
| -0.000 | -0.000 | 0.000 | 25.846 | 0.000 | 0.000 |
| -0.000 | 0.000 | 0.000 | -0.000 | 25.378 | 0.000 |
| -0.000 | 0.000 | -0.000 | 0.000 | 0.000 | 17.250 |
| 84.578 | 46.835 | 53.318 | 0.000 | -0.000 | -0.000 |
| 46.877 | 82.294 | 53.950 | 0.000 | -0.000 | -0.000 |
| 53.951 | 54.542 | 111.301 | 0.000 | -0.000 | -0.000 |
| 0.000 | 0.000 | 0.000 | 25.846 | -0.000 | -0.000 |
| 0.000 | -0.000 | -0.000 | 0.000 | 25.378 | -0.000 |
| 0.000 | -0.000 | 0.000 | -0.000 | -0.000 | 17.250 |
| 84.578 | 46.835 | 53.318 | -0.000 | 0.000 | 0.000 |
| 46.877 | 82.295 | 53.950 | -0.000 | 0.000 | 0.000 |
| 53.952 | 54.542 | 111.302 | -0.000 | 0.000 | 0.000 |
| -0.000 | -0.000 | -0.000 | 25.843 | 0.000 | 0.000 |
| -0.000 | -0.000 | 0.000 | -0.000 | 25.378 | 0.000 |
| -0.000 | 0.000 | -0.000 | -0.000 | 0.000 | 16.768 |
| 84.578 | 46.835 | 53.317 | 0.000 | -0.000 | -0.000 |
| 46.520 | 82.563 | 53.879 | 0.000 | -0.000 | -0.000 |
| 54.045 | 54.471 | 111.319 | -0.000 | -0.000 | -0.000 |
| 0.000 | 0.000 | 0.000 | 25.843 | -0.000 | -0.000 |
| 0.000 | 0.000 | -0.000 | 0.000 | 25.378 | -0.000 |
| 0.000 | -0.000 | 0.000 | 0.000 | 0.000 | 16.768 |
| 84.582 | 46.838 | 53.320 | -0.000 | 0.000 | 0.000 |
| 46.880 | 82.298 | 53.953 | -0.000 | 0.000 | 0.000 |
| 53.954 | 54.545 | 111.304 | -0.000 | 0.000 | 0.000 |
| -0.000 | -0.000 | -0.000 | 25.843 | 0.000 | 0.000 |
| -0.000 | -0.000 | 0.000 | 0.000 | 25.378 | 0.000 |
| -0.000 | 0.000 | -0.000 | -0.000 | 0.000 | 16.768 |
| 85.046 | 46.476 | 53.408 | -0.000 | -0.000 | -0.000 |
| 46.873 | 82.291 | 53.947 | 0.000 | -0.000 | -0.000 |
| 53.948 | 54.539 | 111.298 | 0.000 | -0.000 | -0.000 |
| 0.000 | 0.000 | 0.000 | 25.843 | -0.000 | -0.000 |
| 0.000 | 0.000 | -0.000 | 0.000 | 25.378 | 0.000 |
| 0.000 | -0.000 | 0.000 | 0.000 | -0.000 | 16.768 |
| 203.507 | 73.704 | 73.704 | -0.000 | 0.000 | 0.000 |
| 73.704 | 203.507 | 73.704 | 0.000 | 0.000 | 0.000 |
| 73.704 | 73.704 | 203.507 | 0.000 | -0.000 | -0.000 |
| 806.361 | 806.361 | 806.361 | 34.965 | -0.000 | 0.000 |
| 806.361 | 806.361 | 806.361 | 0.000 | 34.965 | 0.000 |
| 806.361 | 806.361 | 806.361 | 0.000 | -0.000 | 34.965 |
| 203.508 | 73.704 | 73.704 | 0.000 | 0.000 | -0.000 |
| 73.704 | 203.508 | 73.704 | 0.000 | -0.000 | -0.000 |
| 73.704 | 73.704 | 203.508 | 0.000 | 0.000 | -0.000 |
| -806.361 | -806.361 | -806.361 | 34.965 | -0.000 | -0.000 |
| -806.361 | -806.361 | -806.361 | -0.000 | 34.965 | -0.000 |
| -806.361 | -806.361 | -806.361 | -0.000 | 0.000 | 34.965 |
| 256.397 | 155.309 | 155.309 | -0.000 | 0.000 | 0.000 |
| 155.309 | 256.397 | 155.309 | -0.000 | -0.000 | 0.000 |
| 155.309 | 155.309 | 256.397 | 0.000 | -0.000 | 0.000 |
| 22.760 | 22.760 | 22.760 | 28.635 | -0.000 | 0.000 |
| 22.760 | 22.760 | 22.760 | -0.000 | 28.635 | 0.000 |
| 22.760 | 22.760 | 22.760 | 0.000 | -0.000 | 28.635 |
| 203.510 | 73.706 | 73.706 | 0.000 | -0.000 | -0.000 |
| 73.706 | 203.510 | 73.706 | 0.000 | 0.000 | 0.000 |
| 73.706 | 73.706 | 203.510 | 0.000 | -0.000 | -0.000 |
| -22.760 | -22.760 | -22.760 | 28.635 | 0.000 | -0.000 |
| -22.760 | -22.760 | -22.760 | -0.000 | 28.635 | -0.000 |
| -22.760 | -22.760 | -22.760 | 0.000 | -0.000 | 28.635 |
| 164.268 | 69.436 | 69.436 | -0.000 | 0.000 | 0.000 |
| 69.436 | 164.268 | 69.436 | 0.000 | -0.000 | 0.000 |
| 69.436 | 69.436 | 164.268 | -0.000 | -0.000 | 0.000 |
| 8.648 | 8.648 | 8.648 | 34.273 | 0.000 | -0.000 |
| 8.648 | 8.648 | 8.648 | -0.000 | 34.273 | 0.000 |
| 8.648 | 8.648 | 8.648 | -0.000 | -0.000 | 34.273 |
| 160.116 | 65.951 | 65.951 | 0.000 | -0.000 | -0.000 |
| 65.951 | 160.116 | 65.951 | 0.000 | -0.000 | -0.000 |
| 65.951 | 65.951 | 160.116 | -0.000 | -0.000 | 0.000 |
| -8.648 | -8.648 | -8.648 | 34.273 | 0.000 | -0.000 |
| -8.648 | -8.648 | -8.648 | 0.000 | 34.273 | -0.000 |
| -8.648 | -8.648 | -8.648 | -0.000 | 0.000 | 34.273 |
| 202.834 | 72.614 | 72.614 | 0.000 | -0.000 | -0.000 |
| 72.614 | 202.834 | 72.614 | 0.000 | 0.000 | -0.000 |
| 72.614 | 72.614 | 202.834 | -0.000 | 0.000 | -0.000 |
| 0.000 | 0.000 | -0.000 | 44.624 | 0.000 | 0.000 |
| 0.000 | 0.000 | -0.000 | 0.000 | 44.624 | -0.000 |
| -0.000 | -0.000 | -0.000 | 0.000 | 0.000 | 44.624 |
| 202.834 | 72.615 | 72.615 | -0.000 | -0.000 | 0.000 |
| 72.615 | 202.834 | 72.615 | -0.000 | 0.000 | 0.000 |
| 72.615 | 72.615 | 202.834 | -0.000 | -0.000 | -0.000 |
| -0.000 | 0.000 | 0.000 | 44.624 | -0.000 | 0.000 |
| -0.000 | -0.000 | 0.000 | -0.000 | 44.624 | -0.000 |
| 0.000 | 0.000 | 0.000 | -0.000 | -0.000 | 44.624 |
| 202.833 | 72.613 | 72.613 | 0.000 | 0.000 | -0.000 |
| 72.613 | 202.833 | 72.613 | -0.000 | -0.000 | -0.000 |
| 72.613 | 72.613 | 202.833 | -0.000 | 0.000 | -0.000 |
| -0.000 | -0.000 | -0.000 | 44.624 | -0.000 | 0.000 |
| -0.000 | -0.000 | -0.000 | -0.000 | 44.624 | 0.000 |
| -0.000 | -0.000 | -0.000 | 0.000 | 0.000 | 44.624 |
| 170.794 | 68.528 | 68.528 | 0.000 | 0.000 | 0.000 |
| 68.528 | 170.794 | 68.528 | -0.000 | -0.000 | 0.000 |
| 68.528 | 68.528 | 170.794 | -0.000 | 0.000 | 0.000 |
| 0.000 | 0.000 | 0.000 | 44.624 | -0.000 | 0.000 |
| 0.000 | 0.000 | 0.000 | -0.000 | 44.624 | 0.000 |
| 0.000 | 0.000 | 0.000 | 0.000 | -0.000 | 44.624 |
| 170.874 | 68.567 | 68.567 | -0.000 | -0.000 | 0.000 |
| 68.567 | 170.874 | 68.567 | -0.000 | 0.000 | -0.000 |
| 68.567 | 68.567 | 170.874 | 0.000 | 0.000 | -0.000 |
| -0.000 | -0.000 | -0.000 | 44.624 | 0.000 | 0.000 |
| -0.000 | -0.000 | -0.000 | -0.000 | 44.624 | -0.000 |
| -0.000 | -0.000 | -0.000 | 0.000 | 0.000 | 44.624 |
| 164.456 | 70.704 | 70.704 | 0.000 | -0.000 | 0.000 |
| 70.704 | 164.456 | 70.704 | -0.000 | -0.000 | 0.000 |
| 70.704 | 70.704 | 164.456 | 0.000 | -0.000 | -0.000 |
| 0.000 | 0.000 | 0.000 | 44.624 | -0.000 | 0.000 |
| 0.000 | 0.000 | 0.000 | -0.000 | 44.624 | 0.000 |
| 0.000 | 0.000 | 0.000 | 0.000 | -0.000 | 44.624 |
| 96.959 | 69.530 | 69.530 | -0.000 | -0.000 | -0.000 |
| 69.530 | 96.959 | 69.530 | -0.000 | 0.000 | 0.000 |
| 69.530 | 69.530 | 96.959 | -0.000 | 0.000 | 0.000 |
| -6.507 | -6.507 | -6.507 | 25.500 | 0.000 | -0.000 |
| -6.507 | -6.507 | -6.507 | 0.000 | 25.500 | -0.000 |
| -6.507 | -6.507 | -6.507 | 0.000 | 0.000 | 25.500 |
| 128.947 | 72.308 | 72.308 | 0.000 | 0.000 | 0.000 |
| 72.308 | 128.947 | 72.308 | 0.000 | 0.000 | -0.000 |
| 72.308 | 72.308 | 128.947 | 0.000 | 0.000 | 0.000 |
| 6.507 | 6.507 | 6.507 | 25.500 | -0.000 | 0.000 |
| 6.507 | 6.507 | 6.507 | -0.000 | 25.500 | 0.000 |
| 6.507 | 6.507 | 6.507 | -0.000 | -0.000 | 25.500 |
| 102.793 | 76.056 | 76.056 | -0.000 | 0.000 | -0.000 |
| 76.056 | 102.793 | 76.056 | -0.000 | 0.000 | -0.000 |
| 76.056 | 76.056 | 102.793 | -0.000 | 0.000 | -0.000 |
| -0.000 | 0.000 | 0.000 | 43.907 | -0.000 | 0.000 |
| 0.000 | -0.000 | 0.000 | -0.000 | 43.907 | 0.000 |
| 0.000 | 0.000 | -0.000 | -0.000 | -0.000 | 43.907 |
| 96.144 | 82.526 | 82.526 | -0.000 | -0.000 | 0.000 |
| 82.526 | 96.144 | 82.526 | -0.000 | -0.000 | 0.000 |
| 82.526 | 82.526 | 96.144 | -0.000 | -0.000 | 0.000 |
| 0.000 | -0.000 | -0.000 | 43.907 | 0.000 | -0.000 |
| -0.000 | 0.000 | -0.000 | 0.000 | 43.907 | -0.000 |
| -0.000 | -0.000 | 0.000 | 0.000 | 0.000 | 43.907 |
| 96.282 | 78.880 | 78.880 | 0.000 | 0.000 | -0.000 |
| 78.880 | 96.282 | 78.880 | 0.000 | 0.000 | -0.000 |
| 78.880 | 78.880 | 96.282 | 0.000 | 0.000 | -0.000 |
| -0.000 | 0.000 | 0.000 | 43.907 | -0.000 | -0.000 |
| 0.000 | -0.000 | 0.000 | -0.000 | 43.907 | 0.000 |
| 0.000 | 0.000 | -0.000 | -0.000 | -0.000 | 43.907 |
| 103.510 | 76.884 | 76.884 | 0.000 | 0.000 | 0.000 |
| 76.884 | 103.510 | 76.884 | 0.000 | -0.000 | 0.000 |
| 76.884 | 76.884 | 103.510 | 0.000 | -0.000 | 0.000 |
| 0.000 | -0.000 | -0.000 | 43.907 | 0.000 | -0.000 |
| -0.000 | 0.000 | -0.000 | 0.000 | 43.907 | -0.000 |
| -0.000 | -0.000 | 0.000 | 0.000 | 0.000 | 43.907 |
| -908.112 | -920.783 | -920.783 | -0.000 | -0.000 | 0.000 |
| -920.783 | -908.112 | -920.783 | 0.000 | -0.000 | 0.000 |
| -920.783 | -920.783 | -908.112 | 0.000 | -0.000 | 0.000 |
| -1000.304 | -1000.304 | -1000.304 | 12.283 | -0.000 | 0.000 |
| -1000.304 | -1000.304 | -1000.304 | 0.000 | 12.283 | 0.000 |
| -1000.304 | -1000.304 | -1000.304 | 0.000 | -0.000 | 12.283 |
| 1079.738 | 1086.571 | 1086.571 | -0.000 | 0.000 | -0.000 |
| 1086.571 | 1079.738 | 1086.571 | -0.000 | 0.000 | -0.000 |
| 1086.571 | 1086.571 | 1079.738 | -0.000 | 0.000 | -0.000 |
| 1000.304 | 1000.304 | 1000.304 | 12.283 | 0.000 | -0.000 |
| 1000.304 | 1000.304 | 1000.304 | -0.000 | 12.283 | -0.000 |
| 1000.304 | 1000.304 | 1000.304 | -0.000 | 0.000 | 12.282 |
| -91.061 | -85.995 | -85.995 | -0.000 | -0.000 | 0.000 |
| -85.995 | -91.061 | -85.995 | -0.000 | -0.000 | 0.000 |
| -85.995 | -85.995 | -91.061 | -0.000 | -0.000 | 0.000 |
| -0.000 | -0.000 | -0.000 | 43.406 | -0.000 | 0.000 |
| -0.000 | -0.000 | -0.000 | 0.000 | 43.406 | 0.000 |
| -0.000 | -0.000 | -0.000 | 0.000 | 0.000 | 43.406 |
| 193.711 | 181.618 | 181.618 | 0.000 | 0.000 | -0.000 |
| 181.618 | 193.711 | 181.618 | -0.000 | 0.000 | -0.000 |
| 181.618 | 181.618 | 193.711 | -0.000 | 0.000 | -0.000 |
| 0.000 | 0.000 | 0.000 | 43.406 | -0.000 | -0.000 |
| 0.000 | 0.000 | 0.000 | 0.000 | 43.406 | -0.000 |
| 0.000 | 0.000 | 0.000 | -0.000 | -0.000 | 43.406 |
| 126.125 | 71.230 | 71.230 | 0.000 | -0.000 | 0.000 |
| 71.230 | 126.125 | 71.230 | 0.000 | -0.000 | 0.000 |
| 71.230 | 71.230 | 126.125 | 0.000 | -0.000 | -0.000 |
| -7.295 | -7.295 | -7.295 | 17.594 | -0.000 | 0.000 |
| -7.295 | -7.295 | -7.295 | 0.000 | 17.594 | 0.000 |
| -7.295 | -7.295 | -7.295 | 0.000 | -0.000 | 17.594 |
| 96.173 | 92.784 | 92.784 | 0.000 | 0.000 | -0.000 |
| 92.784 | 96.173 | 92.784 | 0.000 | 0.000 | -0.000 |
| 92.784 | 92.784 | 96.173 | 0.000 | 0.000 | -0.000 |
| 7.295 | 7.295 | 7.295 | 17.594 | 0.000 | -0.000 |
| 7.295 | 7.295 | 7.295 | -0.000 | 17.594 | -0.000 |
| 7.295 | 7.295 | 7.295 | -0.000 | 0.000 | 17.594 |
| 117.590 | 90.111 | 14.665 | -0.000 | 0.000 | -0.000 |
| 90.038 | 215.162 | -39.083 | 0.000 | 0.000 | -0.000 |
| 56.202 | 1.950 | 231.390 | -0.000 | -0.000 | -0.000 |
| -0.000 | -0.000 | 0.000 | -31.631 | 0.000 | -0.000 |
| -0.000 | -0.000 | 0.000 | 0.000 | 22.905 | 0.000 |
| 2.605 | 2.571 | 3.511 | -0.000 | 0.000 | 87.994 |
| 149.119 | 121.220 | 57.148 | -0.000 | -0.000 | 0.000 |
| 84.827 | 210.020 | -46.105 | 0.000 | 0.000 | -0.000 |
| 7.603 | -46.004 | 165.905 | 0.000 | -0.000 | 0.000 |
| 0.000 | 0.000 | 0.000 | -31.631 | -0.000 | -0.000 |
| 0.000 | 0.000 | -0.000 | -0.000 | 22.905 | -0.000 |
| -2.605 | -2.571 | -3.511 | -0.000 | -0.000 | 87.994 |
| 149.122 | 121.223 | 57.151 | 0.000 | 0.000 | -0.000 |
| 121.116 | 245.827 | 2.791 | 0.000 | -0.000 | 0.000 |
| 10.471 | -43.174 | 169.769 | 0.000 | 0.000 | -0.000 |
| -0.000 | -0.000 | -0.000 | -31.631 | 0.000 | 0.000 |
| -0.000 | -0.000 | -0.000 | -0.000 | 22.905 | -0.000 |
| 0.261 | 0.257 | 0.351 | 0.000 | 0.000 | 87.994 |
| 114.722 | 87.280 | 10.801 | -0.000 | -0.000 | -0.000 |
| 87.169 | 212.331 | -42.948 | 0.000 | 0.000 | 0.000 |
| 9.946 | -43.692 | 169.063 | -0.000 | -0.000 | 0.000 |
| 0.000 | 0.000 | 0.000 | -31.631 | 0.000 | 0.000 |
| 0.000 | 0.000 | 0.000 | 0.000 | 22.905 | 0.000 |
| -0.261 | -0.257 | -0.351 | -0.000 | -0.000 | 87.994 |
| 149.148 | 121.250 | 57.177 | -0.000 | -0.000 | 0.000 |
| 87.482 | 212.641 | -42.537 | 0.000 | 0.000 | -0.000 |
| 10.255 | -43.387 | 169.469 | -0.000 | 0.000 | -0.000 |
| -2269988.666 | 4365662.832 | -4865951.992 | -5149978.979 | 0.000 | 0.000 |
| 0.014 | 0.021 | 0.026 | -0.000 | -169.825 | 0.000 |
| -0.000 | -0.000 | -0.000 | 0.000 | 0.000 | 87.994 |
| 149.094 | 121.192 | 57.121 | 0.000 | -0.000 | 0.000 |
| 87.380 | 212.538 | -42.655 | -0.000 | -0.000 | 0.000 |
| 10.162 | -43.479 | 169.362 | -0.000 | -0.000 | -0.000 |
| 2269988.666 | -4365662.832 | 4865951.992 | -5149978.979 | -0.000 | 0.000 |
| -0.014 | -0.021 | -0.026 | 0.000 | -169.825 | -0.000 |
| 0.000 | 0.000 | 0.000 | -0.000 | -0.000 | 87.994 |
| 140.946 | 72.827 | 39.475 | -0.001 | -0.000 | 0.000 |
| 72.551 | 148.549 | 37.723 | 0.000 | -0.000 | 0.000 |
| 42.244 | 40.758 | 79.735 | -0.000 | -0.000 | 0.000 |
| 0.000 | 0.000 | 0.000 | 11.236 | 0.000 | 0.000 |
| -0.000 | 0.000 | 0.000 | 0.000 | 12.984 | 0.000 |
| 0.003 | -0.001 | 0.001 | -0.001 | -0.000 | 40.270 |
| 140.939 | 72.830 | 39.473 | 0.001 | 0.000 | -0.000 |
| 72.556 | 148.546 | 37.724 | 0.001 | 0.000 | -0.000 |
| 42.236 | 40.761 | 79.732 | 0.001 | 0.000 | -0.000 |
| -0.000 | -0.000 | -0.000 | 11.236 | 0.000 | -0.000 |
| 0.000 | -0.000 | -0.000 | -0.000 | 12.984 | -0.000 |
| -0.003 | 0.001 | -0.001 | 0.001 | -0.000 | 40.270 |
| 140.962 | 72.822 | 39.480 | 0.000 | -0.000 | 0.000 |
| 72.561 | 148.546 | 37.726 | -0.000 | -0.000 | 0.000 |
| 42.246 | 40.759 | 79.736 | 0.000 | -0.000 | 0.000 |
| 0.000 | -0.000 | 0.000 | 11.235 | 0.000 | 0.000 |
| -0.000 | -0.000 | -0.000 | -0.000 | 12.984 | 0.000 |
| 0.000 | -0.000 | 0.000 | -0.000 | 0.000 | 40.269 |
| 140.939 | 72.828 | 39.472 | 0.000 | 0.000 | -0.000 |
| 72.549 | 148.547 | 37.721 | -0.000 | 0.000 | -0.000 |
| 42.237 | 40.758 | 79.732 | 0.000 | 0.000 | -0.000 |
| -0.000 | 0.000 | -0.000 | 11.235 | 0.000 | -0.000 |
| 0.000 | 0.000 | 0.000 | -0.000 | 12.984 | -0.000 |
| -0.000 | 0.000 | -0.000 | 0.000 | 0.000 | 40.269 |
| 140.699 | 72.965 | 39.424 | -0.000 | -0.000 | 0.000 |
| 72.680 | 148.516 | 37.768 | -0.000 | 0.000 | 0.000 |
| 42.261 | 40.775 | 79.752 | 0.000 | -0.000 | 0.000 |
| -0.000 | -0.000 | -0.000 | 11.236 | -0.000 | 0.000 |
| -0.000 | -0.000 | -0.000 | -0.000 | 12.984 | 0.000 |
| 0.000 | 0.000 | -0.000 | -0.000 | -0.000 | 40.048 |
| 140.661 | 72.931 | 39.390 | 0.000 | 0.000 | -0.000 |
| 72.660 | 148.472 | 37.738 | 0.000 | 0.000 | -0.000 |
| 42.155 | 40.773 | 79.699 | 0.000 | 0.000 | -0.000 |
| 0.000 | 0.000 | 0.000 | 11.236 | 0.000 | -0.000 |
| 0.000 | 0.000 | 0.000 | 0.000 | 12.984 | -0.000 |
| -0.000 | -0.000 | 0.000 | 0.000 | 0.000 | 40.048 |
| 207.914 | 76.857 | 352.773 | -0.000 | -54.954 | 0.000 |
| 63.607 | 235.388 | 68.080 | -0.000 | 0.469 | 0.000 |
| 376.350 | 38.023 | 97.798 | -0.000 | -5.344 | 0.000 |
| 0.938 | -0.085 | -1.212 | 30.069 | 0.430 | -2.619 |
| -3.059 | -5.260 | -8.386 | -0.000 | -58.086 | 0.000 |
| 0.916 | -0.083 | -1.184 | -2.387 | 0.420 | 43.330 |
| 198.367 | 78.715 | 366.847 | 0.000 | -58.699 | -0.000 |
| 65.183 | 235.783 | 66.797 | 0.000 | -0.993 | -0.000 |
| 275.517 | 63.690 | 261.514 | 0.000 | 3.622 | -0.000 |
| -0.938 | 0.085 | 1.212 | 30.069 | -0.430 | -2.619 |
| -8.941 | -4.200 | 0.090 | 0.000 | -60.920 | -0.000 |
| -0.916 | 0.083 | 1.184 | -2.387 | -0.420 | 43.330 |
| 192.661 | 81.281 | 379.229 | 0.000 | -46.018 | -0.000 |
| 82.999 | 232.101 | 39.300 | 0.000 | -3.029 | -0.000 |
| 375.846 | 39.139 | 101.429 | 0.000 | 5.928 | -0.000 |
| 0.097 | -0.021 | -0.148 | 29.703 | 0.034 | -2.513 |
| -11.768 | -3.372 | 4.935 | 0.000 | -59.957 | -0.000 |
| 0.097 | -0.022 | -0.148 | -2.273 | 0.034 | 43.297 |
| 191.723 | 81.474 | 380.638 | -0.000 | -46.289 | 0.000 |
| 82.057 | 232.299 | 40.721 | -0.000 | -3.297 | 0.000 |
| 374.920 | 39.331 | 102.822 | -0.000 | 5.660 | 0.000 |
| -0.097 | 0.021 | 0.148 | 29.703 | -0.034 | -2.513 |
| -12.712 | -3.180 | 6.352 | -0.000 | -60.227 | 0.000 |
| -0.097 | 0.022 | 0.148 | -2.273 | -0.034 | 43.297 |
| 192.222 | 81.372 | 379.901 | 0.000 | -46.089 | -0.000 |
| 82.665 | 232.158 | 39.807 | 0.000 | -2.995 | -0.000 |
| 375.406 | 39.226 | 102.098 | 0.000 | 5.873 | -0.000 |
| 0.010 | -0.002 | -0.015 | 29.703 | 0.003 | -2.513 |
| -12.331 | -3.254 | 5.790 | 0.000 | -60.087 | -0.000 |
| 0.000 | 0.000 | 0.000 | -2.653 | 0.000 | 43.416 |
| 192.102 | 81.403 | 380.078 | -0.000 | -46.140 | 0.000 |
| 82.595 | 232.223 | 39.973 | -0.000 | -3.021 | 0.000 |
| 375.393 | 39.248 | 102.131 | -0.000 | 5.853 | 0.000 |
| -0.010 | 0.002 | 0.015 | 29.703 | -0.003 | -2.513 |
| -12.429 | -3.236 | 5.933 | -0.000 | -60.118 | 0.000 |
| -0.000 | -0.000 | -0.000 | -2.653 | -0.000 | 43.416 |
| 68.799 | 42.079 | 57.400 | 0.889 | 0.000 | 0.000 |
| 42.602 | 69.049 | 59.358 | -0.940 | -0.000 | 0.000 |
| 57.400 | 57.400 | 121.130 | 0.000 | -0.000 | 0.000 |
| 0.889 | -0.889 | 0.000 | 28.713 | 0.000 | 0.000 |
| -0.000 | 0.000 | 0.000 | 0.000 | 28.713 | 0.889 |
| -0.000 | 0.000 | -0.000 | 0.000 | 0.889 | 13.360 |
| 68.800 | 42.079 | 57.401 | 0.889 | -0.000 | -0.000 |
| 41.793 | 68.240 | 55.259 | -0.940 | 0.000 | -0.000 |
| 56.907 | 56.907 | 118.632 | -0.000 | 0.000 | -0.000 |
| 0.889 | -0.889 | -0.000 | 28.713 | 0.000 | -0.000 |
| 0.000 | -0.000 | -0.000 | -0.000 | 28.713 | 0.889 |
| 0.000 | -0.000 | 0.000 | -0.000 | 0.889 | 13.360 |
| 68.797 | 42.077 | 57.398 | 0.889 | -0.000 | 0.000 |
| 42.775 | 68.142 | 57.507 | -1.141 | -0.000 | 0.000 |
| 57.398 | 57.398 | 121.128 | 0.000 | -0.000 | 0.000 |
| 1.181 | -1.101 | 0.203 | 28.619 | -0.000 | 0.000 |
| -0.000 | -0.000 | 0.000 | 0.000 | 28.713 | 0.889 |
| -0.000 | 0.000 | -0.000 | 0.000 | 0.889 | 13.360 |
| 68.066 | 42.700 | 57.107 | 1.141 | 0.000 | -0.000 |
| 42.081 | 68.802 | 57.403 | -0.889 | 0.000 | -0.000 |
| 57.269 | 57.269 | 120.456 | -0.000 | 0.000 | -0.000 |
| 1.101 | -1.181 | -0.203 | 28.619 | 0.000 | -0.000 |
| 0.000 | 0.000 | -0.000 | -0.000 | 28.713 | 0.889 |
| 0.000 | -0.000 | 0.000 | -0.000 | 0.889 | 13.360 |
| 68.206 | 42.516 | 57.097 | 1.082 | -0.000 | 0.000 |
| 42.517 | 68.205 | 57.097 | -1.082 | -0.000 | 0.000 |
| 57.288 | 57.288 | 120.656 | 0.000 | -0.000 | 0.000 |
| 1.121 | -1.087 | 0.087 | 28.633 | -0.000 | 0.000 |
| -0.000 | -0.000 | 0.001 | 0.000 | 28.713 | 0.889 |
| -0.000 | 0.001 | -0.000 | 0.000 | 0.889 | 13.360 |
| 68.821 | 42.102 | 57.424 | 0.889 | 0.000 | -0.000 |
| 42.756 | 68.123 | 57.311 | -1.141 | 0.000 | -0.000 |
| 57.423 | 57.423 | 121.143 | -0.000 | 0.000 | -0.000 |
| 0.889 | -0.889 | -0.001 | 28.713 | -0.000 | -0.000 |
| 0.000 | 0.000 | -0.001 | -0.000 | 28.713 | 0.889 |
| 0.000 | -0.001 | 0.000 | -0.000 | 0.889 | 13.360 |
| 67.459 | 40.888 | 56.439 | 0.909 | -0.000 | 0.000 |
| 40.888 | 67.459 | 56.439 | -0.909 | 0.000 | -0.000 |
| 56.309 | 56.309 | 120.033 | 0.000 | -0.000 | 0.000 |
| 0.909 | -0.909 | 0.000 | 28.851 | 0.000 | 0.000 |
| 0.000 | 0.000 | 0.000 | 0.000 | 28.851 | 0.909 |
| 0.000 | 0.000 | -0.000 | 0.000 | 0.909 | 13.286 |
| 66.764 | 41.554 | 56.371 | 1.161 | 0.000 | -0.000 |
| 41.554 | 66.764 | 56.371 | -1.161 | 0.000 | -0.000 |
| 56.431 | 56.431 | 120.613 | -0.000 | 0.000 | -0.000 |
| 1.031 | -0.966 | 0.157 | 28.818 | -0.000 | -0.000 |
| -0.000 | -0.000 | -0.000 | -0.000 | 28.851 | 0.909 |
| -0.000 | -0.000 | 0.000 | -0.000 | 0.909 | 13.286 |
| 67.458 | 40.887 | 56.438 | 0.909 | -0.000 | -0.000 |
| 40.887 | 67.458 | 56.438 | -0.909 | 0.000 | -0.000 |
| 56.326 | 56.326 | 120.113 | 0.000 | -0.000 | -0.000 |
| 1.146 | -1.164 | -0.043 | 28.760 | 0.000 | -0.000 |
| -0.000 | -0.000 | 0.000 | 0.000 | 28.851 | 0.909 |
| -0.000 | 0.000 | -0.000 | 0.000 | 0.909 | 13.286 |
| 67.460 | 40.889 | 56.440 | 0.909 | 0.000 | -0.000 |
| 40.888 | 67.460 | 56.440 | -0.909 | -0.000 | 0.000 |
| 56.432 | 56.432 | 120.614 | -0.000 | -0.000 | -0.000 |
| 0.909 | -0.909 | -0.000 | 28.851 | 0.000 | 0.000 |
| 0.000 | 0.000 | -0.000 | -0.000 | 28.851 | 0.909 |
| 0.000 | -0.000 | 0.000 | -0.000 | 0.909 | 13.286 |
| 66.938 | 41.257 | 56.098 | 1.074 | -0.000 | 0.000 |
| 41.258 | 66.937 | 56.098 | -1.074 | 0.000 | -0.000 |
| 56.424 | 56.424 | 120.608 | 0.000 | 0.000 | -0.000 |
| 0.909 | -0.909 | 0.001 | 28.851 | 0.000 | 0.000 |
| -0.001 | -0.001 | -0.004 | 0.000 | 28.757 | 1.164 |
| -0.000 | 0.001 | -0.000 | 0.000 | 0.909 | 13.286 |
| 66.946 | 41.273 | 56.113 | 1.075 | 0.000 | 0.000 |
| 40.895 | 67.465 | 56.446 | -0.909 | -0.000 | 0.000 |
| 56.334 | 56.334 | 120.127 | -0.000 | -0.000 | -0.000 |
| 1.165 | -1.163 | 0.004 | 28.757 | -0.000 | -0.000 |
| 0.001 | 0.001 | 0.004 | -0.000 | 28.757 | 1.164 |
| 0.000 | -0.001 | 0.000 | -0.000 | 0.909 | 13.286 |
| -112.726 | -218.099 | -21.103 | -0.000 | 0.000 | -0.000 |
| -218.099 | -112.726 | -21.103 | -0.000 | 0.000 | -0.000 |
| -244.875 | -244.875 | 116.725 | -0.000 | -0.000 | -0.000 |
| 0.000 | 0.000 | 0.000 | 39.627 | 0.000 | -0.000 |
| 0.000 | 0.000 | -0.000 | 0.000 | 39.627 | -0.000 |
| -311.831 | -311.831 | -85.782 | -0.000 | -0.000 | 36.689 |
| 510.699 | 405.685 | 150.450 | 0.000 | 0.000 | 0.000 |
| 405.685 | 510.699 | 150.450 | 0.000 | 0.000 | 0.000 |
| 68.613 | 68.613 | 208.308 | -0.000 | -0.000 | 0.000 |
| -0.000 | -0.000 | -0.000 | 39.627 | -0.000 | 0.000 |
| -0.000 | -0.000 | -0.000 | -0.000 | 39.627 | 0.000 |
| 311.831 | 311.831 | 85.782 | 0.000 | -0.000 | 36.689 |
| 168.885 | 62.047 | 56.146 | 0.000 | -0.000 | -0.000 |
| 62.047 | 168.885 | 56.146 | -0.000 | 0.000 | -0.000 |
| 89.081 | 89.081 | 166.365 | -0.000 | 0.000 | -0.000 |
| -31.210 | -31.210 | -8.586 | 35.942 | 0.000 | -0.000 |
| -31.210 | -31.210 | -8.586 | 0.000 | 35.942 | -0.000 |
| 120.285 | 120.285 | -30.062 | 0.000 | 0.000 | 23.858 |
| 228.854 | 125.561 | 73.175 | -0.000 | 0.000 | 0.000 |
| 125.561 | 228.854 | 73.175 | 0.000 | -0.000 | 0.000 |
| 98.096 | 98.096 | 211.082 | 0.000 | -0.000 | 0.000 |
| 31.210 | 31.210 | 8.586 | 35.942 | -0.000 | 0.000 |
| 31.210 | 31.210 | 8.586 | 0.000 | 35.942 | 0.000 |
| -120.285 | -120.285 | 30.062 | -0.000 | -0.000 | 23.858 |
| 186.975 | 96.613 | 61.243 | 0.000 | 0.000 | -0.000 |
| 96.613 | 186.975 | 61.243 | -0.000 | -0.000 | -0.000 |
| 65.876 | 65.876 | 198.482 | 0.000 | 0.000 | -0.000 |
| -3.340 | -3.340 | -0.919 | 35.684 | 0.000 | -0.000 |
| -3.340 | -3.340 | -0.919 | -0.000 | 35.684 | -0.000 |
| -2.989 | -2.989 | -0.822 | 0.000 | 0.000 | 37.393 |
| 218.571 | 84.934 | 65.800 | -0.000 | 0.000 | 0.000 |
| 84.934 | 218.571 | 65.800 | 0.000 | -0.000 | 0.000 |
| 54.661 | 54.661 | 206.915 | 0.000 | -0.000 | 0.000 |
| 3.340 | 3.340 | 0.919 | 35.684 | -0.000 | 0.000 |
| 3.340 | 3.340 | 0.919 | -0.000 | 35.684 | 0.000 |
| 2.989 | 2.989 | 0.822 | 0.000 | 0.000 | 37.393 |
| 728.131 | 16.432 | 16.329 | 0.000 | 0.000 | 0.000 |
| 16.432 | 728.131 | 16.329 | 0.000 | 0.000 | -0.000 |
| 16.364 | 16.364 | 727.387 | -0.000 | 0.000 | -0.000 |
| -0.000 | 0.000 | 0.000 | -19.393 | 0.000 | 0.000 |
| -0.000 | 0.000 | 0.000 | -0.000 | -19.393 | 0.000 |
| -0.000 | 0.000 | 0.000 | 0.000 | 0.000 | -19.365 |
| 728.131 | 16.432 | 16.330 | -0.000 | -0.000 | -0.000 |
| 16.432 | 728.131 | 16.330 | 0.000 | -0.000 | -0.000 |
| 16.365 | 16.365 | 727.387 | 0.000 | -0.000 | 0.000 |
| 0.000 | -0.000 | -0.000 | -19.393 | -0.000 | -0.000 |
| 0.000 | -0.000 | -0.000 | 0.000 | -19.393 | -0.000 |
| 0.000 | -0.000 | -0.000 | -0.000 | -0.000 | -19.365 |
| 728.129 | 16.430 | 16.327 | -0.000 | 0.000 | -0.000 |
| 16.430 | 728.129 | 16.327 | -0.000 | 0.000 | -0.000 |
| 16.362 | 16.362 | 727.385 | -0.000 | 0.000 | 0.000 |
| 0.000 | 0.000 | 0.000 | -19.393 | 0.000 | 0.000 |
| 0.000 | 0.000 | 0.000 | 0.000 | -19.393 | 0.000 |
| 0.000 | 0.000 | 0.000 | -0.000 | 0.000 | -19.365 |
| 728.133 | 16.435 | 16.332 | -0.000 | -0.000 | 0.000 |
| 16.435 | 728.133 | 16.332 | -0.000 | -0.000 | 0.000 |
| 16.367 | 16.367 | 727.388 | -0.000 | -0.000 | -0.000 |
| -0.000 | -0.000 | -0.000 | -19.393 | -0.000 | 0.000 |
| -0.000 | -0.000 | -0.000 | -0.000 | -19.393 | -0.000 |
| -0.000 | -0.000 | -0.000 | 0.000 | -0.000 | -19.365 |
| 728.113 | 16.407 | 16.304 | 0.000 | 0.000 | 0.000 |
| 16.407 | 728.113 | 16.304 | 0.000 | 0.000 | -0.000 |
| 16.339 | 16.339 | 727.370 | 0.000 | 0.000 | 0.000 |
| 0.000 | 0.001 | 0.000 | -19.393 | 0.000 | 0.000 |
| 0.001 | 0.000 | 0.000 | -0.000 | -19.393 | 0.000 |
| 0.001 | 0.000 | 0.000 | -0.000 | 0.000 | -19.365 |
| 728.149 | 16.458 | 16.355 | -0.000 | -0.000 | 0.000 |
| 16.458 | 728.149 | 16.355 | 0.000 | -0.000 | -0.000 |
| 16.390 | 16.390 | 727.404 | -0.000 | -0.000 | 0.000 |
| -0.000 | -0.001 | -0.000 | -19.393 | -0.000 | 0.000 |
| -0.001 | -0.000 | -0.000 | 0.000 | -19.393 | -0.000 |
| -0.001 | -0.000 | -0.000 | 0.000 | -0.000 | -19.365 |
Phonon band structures and crystal properties estimated from quasi-harmonic approximation (QHA) calculations are displayed for select crystals. The calculations were performed using phonopy and LAMMPS. For the phonon calculations, 3x3 supercells of the potential-specific relaxed crystals were used. The QHA calculations were based on 11 strain states ranging from -0.05 to 0.05.
The calculation method used is available as the iprPy phonon calculation method.
Notes and Disclaimers:
Version Information:
















































































































































































































Static free surface formation energies are displayed for select crystals. The values displayed here are obtained by taking a perfect periodic bulk crystal, slicing along a crystallographic plane, and using force minimization to statically relax the surfaces. The free surface formation energy is computed by comparing the energy of the defect system to the bulk system and dividing by the total surface area created by the cut.
The calculation method used is available as the iprPy surface_energy_static calculation method.
Notes and Disclaimers:
Version Information:
| Surface | γfs (mJ/m2) |
|---|---|
| (111) 2 | -10603.33 |
| (331) 2 | -2160.53 |
| (322) | -1614.45 |
| (221) | -1498.26 |
| (110) | -1202.51 |
| (320) | -1195.04 |
| (210) | -1153.18 |
| (310) | -1136.74 |
| (321) | -960.39 |
| (211) | -956.24 |
| (331) 1 | -689.59 |
| (311) 1 | -596.45 |
| (311) 2 | 266.17 |
| (111) 1 | 493.74 |
| (100) | 1290.72 |
| Surface | γfs (mJ/m2) |
|---|---|
| (322) | -3670.05 |
| (321) | -2168.48 |
| (211) | -910.52 |
| (111) | 1395.96 |
| (332) | 1535.41 |
| (100) | 1537.34 |
| (221) | 1595.00 |
| (331) | 1641.44 |
| (311) | 1669.48 |
| (110) | 1676.57 |
| (310) | 1729.35 |
| (320) | 1748.56 |
| (210) | 1760.77 |
| Surface | γfs (mJ/m2) |
|---|---|
| (211) 2 | 1517.69 |
| (332) 2 | 1582.86 |
| (210) | 1585.65 |
| (321) 2 | 1610.83 |
| (111) | 1616.51 |
| (311) | 1618.04 |
| (321) 1 | 1619.03 |
| (221) | 1625.19 |
| (322) | 1633.03 |
| (331) | 1657.76 |
| (100) | 1668.01 |
| (332) 1 | 1679.56 |
| (320) | 1686.64 |
| (310) | 1691.72 |
| (211) 1 | 1710.21 |
| (110) | 1719.41 |
| Surface | γfs (mJ/m2) |
|---|---|
| (110) | 1617.00 |
| (320) | 1742.00 |
| (100) | 1752.01 |
| (210) | 1790.89 |
| (310) | 1818.42 |
| (321) | 1821.30 |
| (331) | 1828.54 |
| (211) | 1852.56 |
| (311) | 1889.03 |
| (221) | 1895.30 |
| (322) | 1927.71 |
| (332) | 1934.29 |
| (111) | 1964.59 |
| Surface | γfs (mJ/m2) |
|---|---|
| (2021) 1 | -313.49 |
| (1012) 1 | 79.04 |
| (2130) | 493.43 |
| (2131) 1 | 497.86 |
| (2131) 2 | 501.03 |
| (2132) 2 | 521.84 |
| (2241) | 560.72 |
| (1121) | 572.00 |
| (2132) 1 | 711.34 |
| (2112) | 1012.73 |
| (0001) | 1396.43 |
| (1012) 2 | 1489.56 |
| (1011) 1 | 1536.72 |
| (2021) 2 | 1633.15 |
| (1120) | 1678.05 |
| (1010) | 1705.15 |
| (1011) 2 | 1740.33 |
| Surface | γfs (mJ/m2) |
|---|---|
| (2132) 2 | -1388.59 |
| (2132) 1 | -1037.87 |
| (1011) 1 | 62.23 |
| (2130) 2 | 482.65 |
| (2241) | 562.41 |
| (1121) | 598.40 |
| (2131) 1 | 627.03 |
| (0001) | 1397.33 |
| (1010) 1 | 1490.75 |
| (1011) 2 | 1493.61 |
| (2021) 1 | 1537.96 |
| (1012) 1 | 1643.74 |
| (2130) 1 | 1661.21 |
| (2112) | 1675.48 |
| (1012) 2 | 1675.92 |
| (1120) | 1678.88 |
| (2131) 2 | 1712.28 |
| (2021) 2 | 1752.49 |
| (1010) 2 | 1934.13 |
Stacking fault energy plots and maps are displayed for select crystals. The values are computed by
The calculation method used is available as the iprPy stacking_fault_map_2D calculation method.
Notes and Disclaimers:
Version Information:
| E_usf a/2 [0 -1 1] | 1070.59 |
| τ_ideal a/2 [0 -1 1] | 17.33 |




| E_isf | -22.76 |
| E_usf a/2 [0 -1 1] | 16.88 |
| τ_ideal a/2 [0 -1 1] | 3.55 |




| E_usf a/2 [-1 1 -1] | 668.83 |
| τ_ideal a/2 [-1 1 -1] | 9.47 |




| E_usf a/2 [-1 -1 1] | 773.70 |
| τ_ideal a/2 [-1 -1 1] | 13.25 |




| E_usf a/2 [-1 -1 1] | 762.40 |
| τ_ideal a/2 [-1 -1 1] | 13.06 |




| E_isf | 25.78 |
| E_usf a/3 [-2 1 1 0] | 53.85 |
| τ_ideal a/3 [-2 1 1 0] | 3.21 |




| E_usf a/3 [-1 2 -1 0] | 326.72 |
| τ_ideal a/3 [-1 2 -1 0] | 5.66 |




| E_usf a/3 [-1 2 -1 0] | 1420.87 |
| τ_ideal a/3 [-1 2 -1 0] | 22.20 |




| E_usf a/3 [-1 2 -1 0] | 515.58 |
| E_usf a/3 [-2 1 1 3] | 2969.48 |
| τ_ideal a/3 [-1 2 -1 0] | 9.35 |
| τ_ideal a/3 [-2 1 1 3] | 51.92 |





| E_usf a/3 [-1 2 -1 0] | 726.73 |
| E_usf a/3 [-2 1 1 3] | 1182.84 |
| τ_ideal a/3 [-1 2 -1 0] | 11.84 |
| τ_ideal a/3 [-2 1 1 3] | 16.65 |





| E_usf a/3 [-2 1 1 3] | 1389.12 |
| τ_ideal a/3 [-2 1 1 3] | 17.60 |




Static point defect formation energies, Ef, and elastic dipole tensors, pij, are displayed for select crystals. Relaxed defect configurations are obtained by taking a 12x12x12 supercell of a perfect periodic bulk crystal, inserting the point defect, and using force minimization to statically relax the atomic positions while keeping the system dimensions constant. Ef is computed by comparing the energy of the defect system to the same number of atoms in a perfect bulk crystal. pij is estimated as the difference in the system's global pressure with and without the defect multiplied by the system's volume.
Simple structural comparisons of the unrelaxed and relaxed defect configurations are used to help determine if the defect structure has relaxed to a different configuration. Relaxed structures that are identified as no longer consistent with the ideal defect definition are excluded from the table below. The only exception to this is if the lowest energy interstitial configuration does not coincide with a known ideal defect, its energies and pressure tensor are included under the listing "relaxed interstitial". The full list of calculation results including the transformed structures and the structural comparison values is included in the csv file available from the "Download raw data" link.
The calculation method used is available as the iprPy point_defect_static calculation method.
Notes and Disclaimers:
| Point Defect | Ef (eV) | p11 (eV) | p22 (eV) | p33 (eV) | p12 (eV) | p13 (eV) | p23 (eV) |
|---|---|---|---|---|---|---|---|
| 1nn divacancy | -2.057 | 129.257 | 129.257 | 129.257 | -1.182 | -1.182 | -1.182 |
| vacancy | -1.272 | 96.029 | 96.029 | 96.029 | -0.000 | -0.000 | -0.000 |
| relaxed interstitial | 1.707 | 361.661 | 361.661 | 355.393 | -4.579 | 2.067 | 2.067 |
| 100 dumbbell | 2.099 | 263.823 | 263.823 | 269.204 | 0.000 | 0.000 | 0.000 |
| bond centered interstitial | 3.733 | 222.011 | 222.011 | 222.011 | 5.385 | 5.385 | 5.385 |
| Point Defect | Ef (eV) | p11 (eV) | p22 (eV) | p33 (eV) | p12 (eV) | p13 (eV) | p23 (eV) |
|---|---|---|---|---|---|---|---|
| relaxed interstitial | -355.233 | -2522.718 | -2524.184 | -2515.370 | -619.738 | 616.097 | -619.405 |
| vacancy | 1.765 | -1.534 | -1.534 | -1.534 | 0.000 | -0.000 | 0.000 |
| octahedral interstitial | 1.795 | 3.143 | 3.143 | 3.143 | 0.000 | 0.000 | 0.000 |
| 2nn divacancy | 3.503 | -3.437 | -3.437 | -2.675 | 0.000 | 0.000 | -0.000 |
| Point Defect | Ef (eV) | p11 (eV) | p22 (eV) | p33 (eV) | p12 (eV) | p13 (eV) | p23 (eV) |
|---|---|---|---|---|---|---|---|
| vacancy | 1.721 | -2.813 | -2.813 | -2.813 | 0.000 | 0.000 | 0.000 |
| 2nn divacancy | 3.203 | -6.148 | -6.148 | -6.655 | 0.000 | 0.000 | 0.000 |
| 1nn divacancy | 3.303 | -4.559 | -4.559 | -4.559 | 0.601 | 0.601 | 0.601 |
| 110 dumbbell | 3.530 | 18.169 | 14.996 | 14.996 | -0.000 | -0.000 | 3.719 |
| crowdion interstitial | 3.999 | 13.188 | 13.188 | 13.188 | 6.466 | 6.466 | 6.466 |
| octahedral interstitial | 4.171 | 18.491 | 10.474 | 10.474 | 0.000 | 0.000 | -0.000 |
| Point Defect | Ef (eV) | p11 (eV) | p22 (eV) | p33 (eV) | p12 (eV) | p13 (eV) | p23 (eV) |
|---|---|---|---|---|---|---|---|
| relaxed interstitial | -216.601 | -1267.194 | -1887.955 | -2482.736 | -271.887 | -0.000 | 0.000 |
| 0001 dumbbell | 1.254 | -0.353 | -0.353 | 15.193 | 0.000 | -0.000 | 0.000 |
| vacancy | 1.768 | -1.625 | -1.625 | -1.759 | 0.000 | 0.000 | -0.000 |
Plots of the atomic structure of dislocation cores are shown here. The dislocations were constructed using dislocation monopole configurations in which a straight dislocation is created in the center of the system using anisotropic elasticity and the elastic constants computed above. A cylindrical region centered around the dislocation is allowed to relax while the remaining atoms are held fixed. The relaxation consists of 1 million NVT steps at 10 K followed by an energy/force minimization. The final plots show the atomic configuration near the center of the monopole system, and display differential displacement arrows and Nye tensor color maps that are both taken with respect to the Burgers vector direction.
These plots show a wide range of final structures, some corresponding to expected dislocation structures and others not. While the characterizations are dislocation-type dependent, some general classification guidelines are listed here.
The calculation method used is available as the iprPy dislocation_monopole calculation method.
Links are provided above the images allowing for users to download the final defect configuration and a corresponding defect-free configuration if they wish to further analyze the structures or use them for subsequent simulations.
Notes and Disclaimers:
Version Information:
Plots of lattice and elastic constants are shown as a function of temperature. The 0K points were taken from the Crystal Structure Predictions and the Elastic Constants Predictions sections above for the unique crystal structures relaxed with the "dynamic" method. Starting from the 0 K relaxed crystal unit cells, supercell systems are created by replicating all three dimensions by the same multiplier to achieve at least 4000 atoms. The systems are then relaxed at 50 K and zero pressure using 1 million NPT steps. Lattice constants are estimated by averaging the measured box dimensions. Temperatures are iteratively increased by 50 K, with each subsequent relaxation calculation starting from the final atomic configuration at the previous temperature and relaxing for another 1 million steps.
The elastic constants are calculated using the deformation–fluctuation hybrid method. Starting from the final atomic configurations of the dynamic relaxations, the system is allowed to evolve at constant volume with a Langevin thermostat. The Born matrix is computed during this run by evaluating how the atomic forces would vary due to applied linear strain fields. The elastic constants can then be estimated using the averaged Born matrix values and the averaged stresses on the system.
The calculation methods used are available as the iprPy relax_dynamic and elastic_constants_dynamic calculation methods.
Clicking on the image of a plot will open an interactive version of it in a new tab. The underlying data for the plots can be downloaded by clicking on the links above each plot.
Notes and Disclaimers:
Version Information:
Plots of radial distribution functions at different temperatures and the temperature-dependent diffusion and viscosity are shown here for elemental liquids. Melt phases are constructed by starting with a 10x10x10 fcc super cell and relaxing with 50,000 NPT steps at zero pressure and a high melting temperature (3000 K for most potentials and elements). Following the melt, liquid structures are relaxed by running NPT for 10,000 steps over which the temperature is dropped by 50 K, then 50,000 NPT at the target temperature to estimate the equilibrium volume, followed by 20,000 NVT steps at the averaged equilibrium volume and target temperature. Structures from the NVT run are sampled to compute the radial distribution function of the liquid at the corresponding temperature.
The final relaxed configurations at each temperature explored are used as the initial configurations for the diffusion and viscosity calculations. For diffusion, the system is integrated for 100 runs of 2,000 NVT steps during which both the mean squared displacement (MSD) and the velocity auto correlation function (VACF) are computed. From these simulations, three estimates of diffusion are computed: one from the MSD of the full 200,000 step run, one in which the MSD is reset for each short run and then averaged, and one from the VACF computed for each short run and averaged. For viscosity, the Green-Kubo method is used which is evaluated during a 1 million step NVT run.
The calculation methods used are available as the iprPy relax_liquid_redo, diffusion_liquid, and viscosity_green_kubo calculation methods.
Clicking on the image of a plot will open an interactive version of it in a new tab. The underlying data for the plots can be downloaded by clicking on the links above each plot.
Notes and Disclaimers:
Version Information:
Estimated melting temperatures are tabulated below. The melting temperature is computed here using a two-phase solid-liquid atomic configuration. The two-phase configuration is created by starting with a crystalline system in which the c box vector is roughly twice the length of the other two box vectors. Based on some input temperature Tinit, an NPH plus a Berensen thermostat simulation is performed for 10,000 steps in which half the system is subjected to a temperature of 1.25*Tinit and the other half to a temperature of 0.5*Tinit. This is then followed by 10,000 steps during which the temperature of the two regions are both scaled to Tinit. The system is then ran for 200,000 NPH steps to equilibrate the system. For the second half of the final NPH run, the average temperature of the system is calculated and the polyhedral template matching algorithm is used to estimate the number of solid and liquid atoms for a number of configuration snapshots. If the averaged fraction of solid atoms is found to be between 0.25-0.75, then the averaged temperature provides an estimate of the melting temperature.
This calculation is iteratively performed where the Tinit value is adjusted up or down if the fraction of solid atoms is outside the range 0.25-0.75. Iterations are repeated until 10 calculations are performed that produce solid fractions in the target range, or 30 total calculations are performed.
The calculation method used is available as the iprPy melting_temperature calculation method.
Notes and Disclaimers:
Version Information:
| prototype | Tmelt | stderr |
|---|---|---|
| A2--W--bcc | 1793.82 | 1.42 |
| A3--Mg--hcp | 366.67 | 93.89 |
Plots of internal energy, Gibbs free energy, entropy, heat capacity and volume are shown here as a function of temperature for various crystal structures and liquid phases. The included crystal structures correspond to those in the Solid Structures vs. Temperature section, and the liquid phases to those in the Liquid Properties section. Internal energy and volume are taken from the associated structure relaxations mentioned in those previous sections. Constant pressure heat capacity is estimated using 3-point numerical derivatives of enthalpy versus temperature. Note that since all simulations done here are at 0 pressure, internal energy and enthalpy are equivalent.
The Gibbs energies of the phases are estimated using thermodynamic integration between the interatomic potential in question and a simpler model with known Gibbs free energy values. For solids, the reference model is an Einstein solid, while for liquids it is the Uhlenbeck-Ford potential. Besides a short run at the start of the solid calculations to estimate Einstein model spring constants, the two calculations proceed similarly. Starting with the final relaxation configurations, the systems are stabilized for 25,000 steps. Then, over the next 50,000 steps the potential is swapped out for the reference potential. The system is then stabilized for another 25,000 steps with the reference model before a reverse swap of 50,000 steps is performed. The simulation ends with one final 25,000 step stabilization period. From the simulation, the irreversible work of transformation is estimated and used to compute the absolute Gibbs free energy of the target phase and potential relative to the reference potential. Entropy is estimated as the difference in enthalpy and Gibbs free energy and divided by temperature.
The calculation methods used are available as the iprPy relax_dynamic, relax_liquid_redo, free_energy, and free_energy_liquid calculation methods.
Clicking on the image of a plot will open an interactive version of it in a new tab. The underlying data for the plots can be downloaded by clicking on the links above each plot.
Notes and Disclaimers:
Version Information:






