Plots of the potential energy vs interatomic spacing, r, are shown below for all diatom sets associated with the interatomic potential. This calculation provides insights into the functional form of the potential's two-body interactions. A system consisting of only two atoms is created, and the potential energy is evaluated for the atoms separated by 0.02 Å <= r <= 6.0> Å in intervals of 0.02 Å. Two plots are shown: one for the "standard" interaction distance range, and one for small values of r. The small r plot is useful for determining whether the potential is suitable for radiation studies.
The calculation method used is available as the iprPy diatom_scan calculation method.
Clicking on the image of a plot will open an interactive version of it in a new tab. The underlying data for the plots can be downloaded by clicking on the links above each plot.
Notes and Disclaimers:
Version Information:
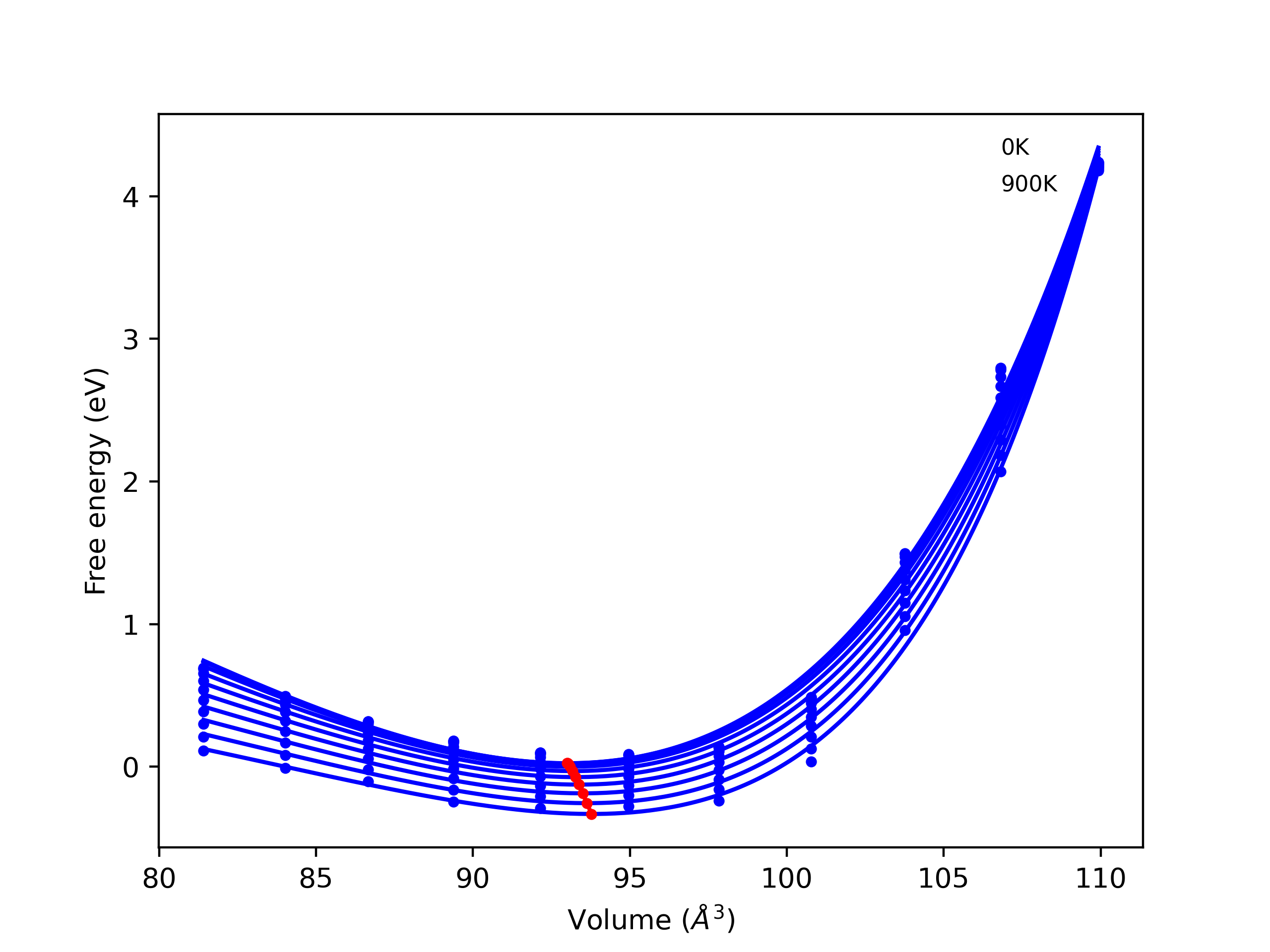
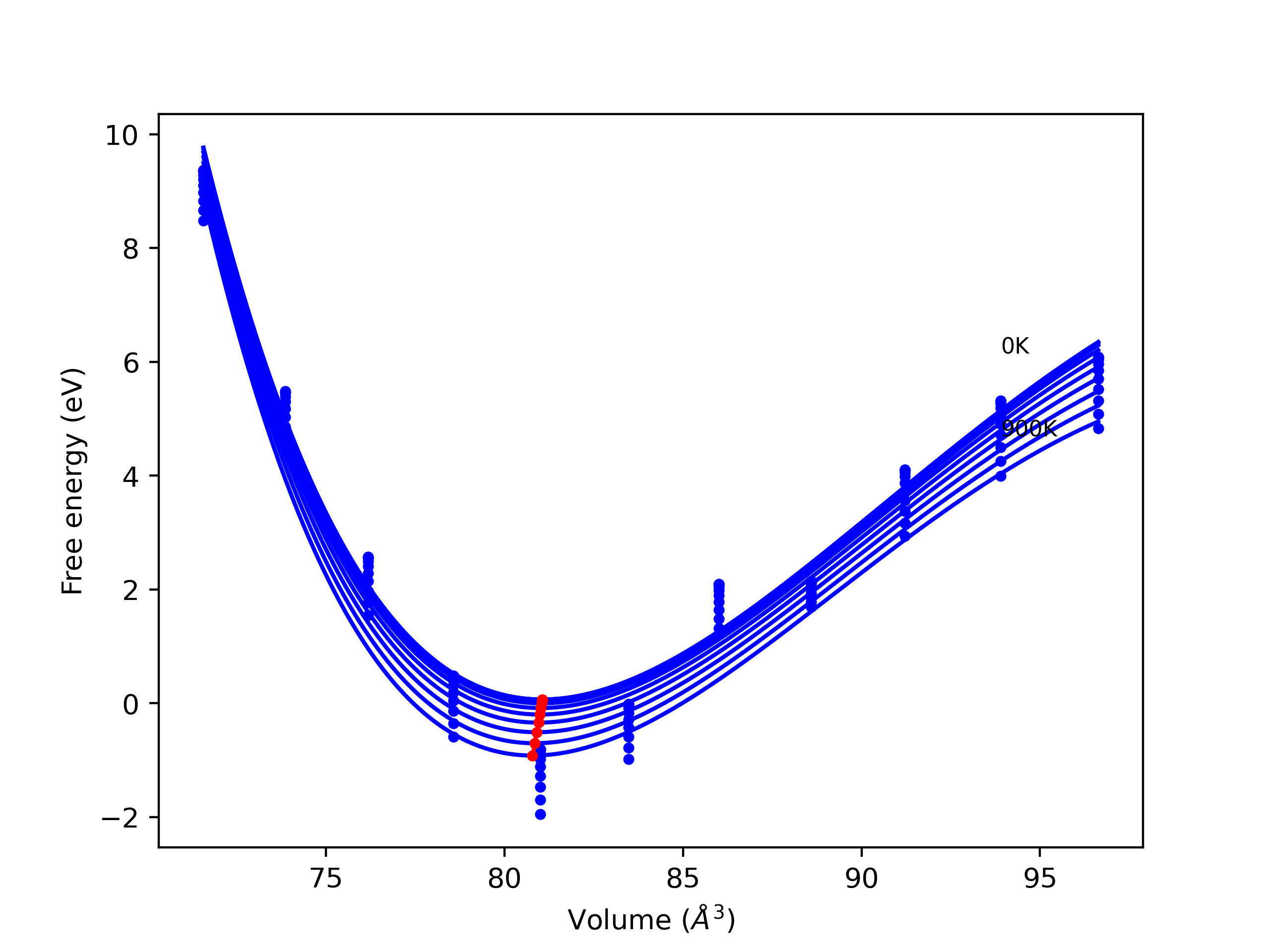
Plots of potential energy vs interatomic spacing, r, are shown below for a number of crystal structures. The structures are generated based on the ideal atomic positions and b/a and c/a lattice parameter ratios for a given crystal prototype. The size of the system is then uniformly scaled, and the energy calculated without relaxing the system. To obtain these plots, values of r are evaluated every 0.02 Å up to 6 Å.
The calculation method used is available as the iprPy E_vs_r_scan calculation method.
Clicking on the image of a plot will open an interactive version of it in a new tab. The underlying data for the plots can be downloaded by clicking on the links above each plot.
Notes and Disclaimers:
Version Information:
Computed lattice constants and cohesive/potential energies are displayed for a variety of crystal structures. The values displayed here are obtained using the following process.
The calculation methods used are implemented into iprPy as the following calculation styles
Notes and Disclaimers:
Version Information:
Download raw data (including filtered results)
Reference structure matches:
A1--Cu--fcc = oqmd-1214512
A15--beta-W = oqmd-1214957
A2--W--bcc = oqmd-1215135
A3'--alpha-La--double-hcp = oqmd-1215403
A3--Mg--hcp = oqmd-1215313
A4--C--dc = mp-66, oqmd-675640
A5--beta-Sn = oqmd-1215581
A6--In--bct = mp-1181996, oqmd-1215670
A7--alpha-As = oqmd-594528
Ah--alpha-Po--sc = mp-998866, oqmd-636457, oqmd-1214601
| prototype | method | Ecoh (eV/atom) | Epot (eV/atom) | a0 (Å) | b0 (Å) | c0 (Å) | α (degrees) | β (degrees) | γ (degrees) |
|---|---|---|---|---|---|---|---|---|---|
| A7--alpha-As | static | -3.0513 | -3.0513 | 2.849 | 2.849 | 10.5013 | 90.0 | 90.0 | 120.0 |
| A7--alpha-As | dynamic | -3.0513 | -3.0513 | 2.849 | 2.849 | 11.6641 | 90.0 | 90.0 | 120.0 |
| A4--C--dc | dynamic | -2.4646 | -2.4646 | 3.9452 | 3.9452 | 3.9452 | 90.0 | 90.0 | 90.0 |
| A6--In--bct | static | -2.3762 | -2.3762 | 1.7067 | 1.7067 | 6.5714 | 90.0 | 90.0 | 90.0 |
| A4--C--dc | static | -2.1515 | -2.1515 | 5.2782 | 5.2782 | 5.2782 | 90.0 | 90.0 | 90.0 |
| A7--alpha-As | box | -1.151 | -1.151 | 2.4809 | 2.4809 | 7.0052 | 90.0 | 90.0 | 120.0 |
| A15--beta-W | static | -1.0302 | -1.0302 | 4.5377 | 4.5377 | 4.5377 | 90.0 | 90.0 | 90.0 |
| A2--W--bcc | box | -0.9336 | -0.9336 | 2.6546 | 2.6546 | 2.6546 | 90.0 | 90.0 | 90.0 |
| A3'--alpha-La--double-hcp | box | -0.8388 | -0.8388 | 2.5676 | 2.5676 | 4.0522 | 90.0 | 90.0 | 120.0 |
| Ah--alpha-Po--sc | box | -0.829 | -0.829 | 1.7897 | 1.7897 | 1.7897 | 90.0 | 90.0 | 90.0 |
| A3--Mg--hcp | box | -0.3992 | -0.3992 | 1.895 | 1.895 | 6.65 | 90.0 | 90.0 | 120.0 |
| A5--beta-Sn | box | -0.2964 | -0.2964 | 3.4098 | 3.4098 | 1.854 | 90.0 | 90.0 | 90.0 |
| A1--Cu--fcc | box | -0.0 | -0.0 | 4.9502 | 4.9502 | 4.9502 | 90.0 | 90.0 | 90.0 |
| A3--Mg--hcp | box | -0.0 | -0.0 | 3.5003 | 3.5003 | 5.716 | 90.0 | 90.0 | 120.0 |
| A6--In--bct | box | -0.0 | -0.0 | 4.287 | 4.287 | 3.5003 | 90.0 | 90.0 | 90.0 |
| A3'--alpha-La--double-hcp | box | -0.0 | -0.0 | 3.5007 | 3.5007 | 11.4318 | 90.0 | 90.0 | 120.0 |
| A3--Mg--hcp | box | -0.0 | -0.0 | 3.5007 | 3.5007 | 5.7159 | 90.0 | 90.0 | 120.0 |
| A2--W--bcc | box | -0.0 | -0.0 | 4.0418 | 4.0418 | 4.0418 | 90.0 | 90.0 | 90.0 |
| Ah--alpha-Po--sc | box | -0.0 | -0.0 | 3.5003 | 3.5003 | 3.5003 | 90.0 | 90.0 | 90.0 |
| A4--C--dc | box | -0.0 | -0.0 | 8.0837 | 8.0837 | 8.0837 | 90.0 | 90.0 | 90.0 |
| A15--beta-W | static | 0.4823 | 0.4823 | 3.4046 | 3.4046 | 3.4046 | 90.0 | 90.0 | 90.0 |
| A1--Cu--fcc | static | 0.5445 | 0.5445 | 2.6929 | 2.6929 | 2.6929 | 90.0 | 90.0 | 90.0 |
| A2--W--bcc | static | 0.5737 | 0.5737 | 2.136 | 2.136 | 2.136 | 90.0 | 90.0 | 90.0 |
Download raw data (including filtered results)
Reference structure matches:
| prototype | method | Ecoh (eV/atom) | Epot (eV/atom) | a0 (Å) | b0 (Å) | c0 (Å) | α (degrees) | β (degrees) | γ (degrees) |
|---|---|---|---|---|---|---|---|---|---|
| oqmd-1232084 | dynamic | -3.4535 | -3.4535 | 4.7743 | 4.7743 | 2.5186 | 90.0 | 90.0 | 90.0 |
| oqmd-1232084 | box | -3.31 | -3.31 | 4.8786 | 4.8786 | 2.4566 | 90.0 | 90.0 | 90.0 |
| C1--CaF2--fluorite | dynamic | -3.1027 | -3.1027 | 4.4409 | 4.4409 | 4.4409 | 90.0 | 90.0 | 90.0 |
| C1--CaF2--fluorite | static | -2.6707 | -2.6707 | 5.6392 | 5.6392 | 5.6392 | 90.0 | 90.0 | 90.0 |
| C1--CaF2--fluorite | dynamic | -2.5013 | -2.5013 | 4.5914 | 4.5914 | 4.5914 | 90.0 | 90.0 | 90.0 |
| C1--CaF2--fluorite | dynamic | -2.4688 | -2.4688 | 7.2421 | 7.2421 | 7.2421 | 90.0 | 90.0 | 90.0 |
Download raw data (including filtered results)
Reference structure matches:
| prototype | method | Ecoh (eV/atom) | Epot (eV/atom) | a0 (Å) | b0 (Å) | c0 (Å) | α (degrees) | β (degrees) | γ (degrees) |
|---|---|---|---|---|---|---|---|---|---|
| oqmd-426162 | dynamic | -4.6332 | -4.6332 | 4.939 | 4.939 | 11.854 | 90.0 | 90.0 | 120.0 |
| oqmd-426162 | static | -4.3051 | -4.3051 | 4.6423 | 4.6423 | 14.3991 | 90.0 | 90.0 | 120.0 |
| oqmd-426162 | box | -4.181 | -4.181 | 4.894 | 4.894 | 12.7505 | 90.0 | 90.0 | 120.0 |
Download raw data (including filtered results)
Reference structure matches:
| prototype | method | Ecoh (eV/atom) | Epot (eV/atom) | a0 (Å) | b0 (Å) | c0 (Å) | α (degrees) | β (degrees) | γ (degrees) |
|---|---|---|---|---|---|---|---|---|---|
| oqmd-7999 | dynamic | -4.5066 | -4.5066 | 11.6088 | 4.1952 | 4.7767 | 90.0 | 93.3 | 90.0 |
| oqmd-7999 | static | -4.4866 | -4.4866 | 10.4353 | 4.7981 | 4.5643 | 90.0 | 99.0 | 90.0 |
| mp-2794 | static | -4.4866 | -4.4866 | 10.4354 | 4.7981 | 4.5643 | 90.0 | 99.0 | 90.0 |
| mp-645339 | box | -4.0791 | -4.0791 | 4.5516 | 4.7914 | 12.5295 | 90.0 | 103.4 | 90.0 |
Download raw data (including filtered results)
Reference structure matches:
D0_3--BiF3 = oqmd-310918
L1_2--AuCu3 = oqmd-344120
| prototype | method | Ecoh (eV/atom) | Epot (eV/atom) | a0 (Å) | b0 (Å) | c0 (Å) | α (degrees) | β (degrees) | γ (degrees) |
|---|---|---|---|---|---|---|---|---|---|
| L1_2--AuCu3 | static | -2.9594 | -2.9594 | 2.6122 | 2.6122 | 2.6122 | 90.0 | 90.0 | 90.0 |
| L1_2--AuCu3 | dynamic | -2.7478 | -2.7478 | 4.4447 | 4.4447 | 4.4447 | 90.0 | 90.0 | 90.0 |
| A15--Cr3Si | dynamic | -2.7201 | -2.7201 | 5.6214 | 5.6214 | 5.6214 | 90.0 | 90.0 | 90.0 |
| L1_2--AuCu3 | dynamic | -2.4976 | -2.4976 | 3.5051 | 3.5051 | 3.5051 | 90.0 | 90.0 | 90.0 |
| A15--Cr3Si | dynamic | -2.4236 | -2.4236 | 4.4293 | 4.4293 | 4.4293 | 90.0 | 90.0 | 90.0 |
| D0_3--BiF3 | dynamic | -2.237 | -2.237 | 5.9841 | 5.9841 | 5.9841 | 90.0 | 90.0 | 90.0 |
| A15--Cr3Si | static | -2.2179 | -2.2179 | 3.3409 | 3.3409 | 3.3409 | 90.0 | 90.0 | 90.0 |
| A15--Cr3Si | static | -2.2061 | -2.2061 | 3.4376 | 3.4376 | 3.4376 | 90.0 | 90.0 | 90.0 |
| D0_3--BiF3 | dynamic | -1.8304 | -1.8304 | 7.2592 | 7.2592 | 7.2592 | 90.0 | 90.0 | 90.0 |
| A15--Cr3Si | dynamic | -1.6436 | -1.6436 | 3.5434 | 3.5434 | 3.5434 | 90.0 | 90.0 | 90.0 |
| D0_3--BiF3 | static | -1.5823 | -1.5823 | 4.9331 | 4.9331 | 4.9331 | 90.0 | 90.0 | 90.0 |
| D0_3--BiF3 | static | -1.4537 | -1.4537 | 4.4388 | 4.4388 | 4.4388 | 90.0 | 90.0 | 90.0 |
| L1_2--AuCu3 | static | -1.2228 | -1.2228 | 2.9305 | 2.9305 | 2.9305 | 90.0 | 90.0 | 90.0 |
| L1_2--AuCu3 | box | -1.2084 | -1.2084 | 3.0336 | 3.0336 | 3.0336 | 90.0 | 90.0 | 90.0 |
Download raw data (including filtered results)
Reference structure matches:
| prototype | method | Ecoh (eV/atom) | Epot (eV/atom) | a0 (Å) | b0 (Å) | c0 (Å) | α (degrees) | β (degrees) | γ (degrees) |
|---|---|---|---|---|---|---|---|---|---|
| mp-18257 | static | -4.5025 | -4.5025 | 6.7118 | 6.7118 | 4.0952 | 90.0 | 90.0 | 120.0 |
| oqmd-42164 | static | -4.4782 | -4.4782 | 4.1261 | 6.7955 | 11.1746 | 90.0 | 90.0 | 90.0 |
| oqmd-13852 | static | -4.4633 | -4.4633 | 6.4566 | 6.4566 | 4.7745 | 90.0 | 90.0 | 120.0 |
| oqmd-13852 | dynamic | -4.3699 | -4.3699 | 6.5638 | 6.5638 | 4.7386 | 90.0 | 90.0 | 120.0 |
| mp-18257 | box | -4.1273 | -4.1273 | 6.7754 | 6.7754 | 4.4913 | 90.0 | 90.0 | 120.0 |
| oqmd-13852 | box | -4.127 | -4.127 | 6.7753 | 6.7753 | 4.4888 | 90.0 | 90.0 | 120.0 |
Download raw data (including filtered results)
Reference structure matches:
| prototype | method | Ecoh (eV/atom) | Epot (eV/atom) | a0 (Å) | b0 (Å) | c0 (Å) | α (degrees) | β (degrees) | γ (degrees) |
|---|---|---|---|---|---|---|---|---|---|
| mp-1192884 | box | -3.967 | -3.967 | 10.0546 | 10.0546 | 10.0546 | 90.0 | 90.0 | 90.0 |
Download raw data (including filtered results)
Reference structure matches:
B1--NaCl--rock-salt = oqmd-1105078, oqmd-1234885
B2--CsCl = oqmd-305893
| prototype | method | Ecoh (eV/atom) | Epot (eV/atom) | a0 (Å) | b0 (Å) | c0 (Å) | α (degrees) | β (degrees) | γ (degrees) |
|---|---|---|---|---|---|---|---|---|---|
| B1--NaCl--rock-salt | static | -4.5505 | -4.5505 | 3.8414 | 3.8414 | 3.8414 | 90.0 | 90.0 | 90.0 |
| oqmd-1228598 | dynamic | -4.5502 | -4.5502 | 2.5113 | 2.5113 | 2.525 | 90.0 | 90.0 | 120.0 |
| B2--CsCl | dynamic | -3.9748 | -3.9748 | 2.2216 | 2.2216 | 2.2216 | 90.0 | 90.0 | 90.0 |
| oqmd-1228598 | box | -3.9615 | -3.9615 | 2.4922 | 2.4922 | 2.6717 | 90.0 | 90.0 | 120.0 |
| oqmd-1225112 | box | -3.8827 | -3.8827 | 3.1685 | 3.1685 | 5.0131 | 90.0 | 90.0 | 120.0 |
| oqmd-1219433 | dynamic | -3.8365 | -3.8365 | 2.9617 | 4.1642 | 2.6198 | 90.0 | 90.0 | 90.0 |
| B3--ZnS--cubic-zinc-blende | static | -3.8 | -3.8 | 4.4354 | 4.4354 | 4.4354 | 90.0 | 90.0 | 90.0 |
| B2--CsCl | dynamic | -3.7852 | -3.7852 | 2.8172 | 2.8172 | 2.8172 | 90.0 | 90.0 | 90.0 |
| B2--CsCl | dynamic | -3.414 | -3.414 | 2.3056 | 2.3056 | 2.3056 | 90.0 | 90.0 | 90.0 |
| L1_0--AuCu | dynamic | -3.2576 | -3.2576 | 2.639 | 2.639 | 5.0406 | 90.0 | 90.0 | 90.0 |
| B1--NaCl--rock-salt | static | -3.0674 | -3.0674 | 4.8369 | 4.8369 | 4.8369 | 90.0 | 90.0 | 90.0 |
| B2--CsCl | box | -2.6123 | -2.6123 | 3.5957 | 3.5957 | 3.5957 | 90.0 | 90.0 | 90.0 |
| B3--ZnS--cubic-zinc-blende | static | -2.2309 | -2.2309 | 5.5605 | 5.5605 | 5.5605 | 90.0 | 90.0 | 90.0 |
| B1--NaCl--rock-salt | static | -2.0355 | -2.0355 | 6.267 | 6.267 | 6.267 | 90.0 | 90.0 | 90.0 |
| B3--ZnS--cubic-zinc-blende | dynamic | -1.8516 | -1.8516 | 7.242 | 7.242 | 7.242 | 90.0 | 90.0 | 90.0 |
Download raw data (including filtered results)
Reference structure matches:
| prototype | method | Ecoh (eV/atom) | Epot (eV/atom) | a0 (Å) | b0 (Å) | c0 (Å) | α (degrees) | β (degrees) | γ (degrees) |
|---|---|---|---|---|---|---|---|---|---|
| mp-1871 | dynamic | -4.6589 | -4.6589 | 4.5697 | 4.6783 | 2.5205 | 90.0 | 90.0 | 90.0 |
| oqmd-13851 | box | -4.5648 | -4.5648 | 4.3203 | 4.872 | 2.61 | 90.0 | 90.0 | 90.0 |
| mp-1102779 | static | -4.3869 | -4.3869 | 5.6511 | 2.4676 | 6.7184 | 90.0 | 90.0 | 90.0 |
| C1--CaF2--fluorite | dynamic | -4.2688 | -4.2688 | 4.4411 | 4.4411 | 4.4411 | 90.0 | 90.0 | 90.0 |
| mp-1102779 | box | -3.9358 | -3.9358 | 6.5987 | 2.4863 | 6.6847 | 90.0 | 90.0 | 90.0 |
| mp-568503 | dynamic | -3.5824 | -3.5824 | 3.5547 | 3.5547 | 2.3704 | 90.0 | 90.0 | 120.0 |
| C1--CaF2--fluorite | dynamic | -3.5192 | -3.5192 | 5.5894 | 5.5894 | 5.5894 | 90.0 | 90.0 | 90.0 |
| C1--CaF2--fluorite | static | -2.0311 | -2.0311 | 7.1293 | 7.1293 | 7.1293 | 90.0 | 90.0 | 90.0 |
Download raw data (including filtered results)
Reference structure matches:
D0_3--BiF3 = oqmd-309092
L1_2--AuCu3 = oqmd-345946
| prototype | method | Ecoh (eV/atom) | Epot (eV/atom) | a0 (Å) | b0 (Å) | c0 (Å) | α (degrees) | β (degrees) | γ (degrees) |
|---|---|---|---|---|---|---|---|---|---|
| mp-13154 | static | -4.5122 | -4.5122 | 4.4833 | 4.4833 | 4.6058 | 90.0 | 90.0 | 120.0 |
| oqmd-7808 | dynamic | -4.5122 | -4.5122 | 4.4832 | 4.4832 | 4.6063 | 90.0 | 90.0 | 120.0 |
| mp-13154 | dynamic | -4.5122 | -4.5122 | 4.483 | 4.483 | 4.607 | 90.0 | 90.0 | 120.0 |
| oqmd-7808 | static | -4.5122 | -4.5122 | 4.4815 | 4.4815 | 4.6133 | 90.0 | 90.0 | 120.0 |
| oqmd-3494 | static | -4.4223 | -4.4223 | 4.7855 | 6.9405 | 4.191 | 90.0 | 90.0 | 90.0 |
| mp-1182630 | dynamic | -4.3841 | -4.3841 | 5.0889 | 11.1678 | 2.8614 | 90.0 | 90.0 | 90.0 |
| oqmd-3494 | dynamic | -4.3736 | -4.3736 | 4.8076 | 6.6211 | 4.6646 | 90.0 | 90.0 | 90.0 |
| mp-510623 | static | -4.3669 | -4.3669 | 4.6179 | 6.5453 | 4.7902 | 90.0 | 90.0 | 90.0 |
| oqmd-41734 | box | -4.321 | -4.321 | 5.1235 | 7.0183 | 4.6281 | 90.0 | 90.0 | 90.0 |
| mp-1205444 | static | -4.3077 | -4.3077 | 7.5468 | 2.7563 | 14.3996 | 90.0 | 103.4 | 90.0 |
| mp-613523 | box | -4.2951 | -4.2951 | 5.111 | 7.0177 | 4.6221 | 90.0 | 90.0 | 90.0 |
| mp-1182630 | box | -4.2296 | -4.2296 | 5.8542 | 10.8156 | 2.5432 | 90.0 | 90.0 | 90.0 |
| mp-1205436 | dynamic | -4.1806 | -4.1806 | 7.7059 | 7.7059 | 3.847 | 90.0 | 90.0 | 90.0 |
| mp-1205444 | box | -4.1638 | -4.1638 | 7.8195 | 2.7098 | 14.2921 | 90.0 | 103.5 | 90.0 |
| mp-510623 | box | -4.1145 | -4.1145 | 4.7796 | 6.8672 | 4.5397 | 90.0 | 90.0 | 90.0 |
| A15--Cr3Si | dynamic | -4.0367 | -4.0367 | 4.3873 | 4.3873 | 4.3873 | 90.0 | 90.0 | 90.0 |
| oqmd-321460 | dynamic | -4.0247 | -4.0247 | 4.9047 | 4.9047 | 4.0301 | 90.0 | 90.0 | 120.0 |
| L1_2--AuCu3 | dynamic | -4.012 | -4.012 | 3.4679 | 3.4679 | 3.4679 | 90.0 | 90.0 | 90.0 |
| oqmd-298554 | static | -4.008 | -4.008 | 3.4741 | 3.4741 | 6.8949 | 90.0 | 90.0 | 90.0 |
| D0_3--BiF3 | static | -3.7423 | -3.7423 | 5.6935 | 5.6935 | 5.6935 | 90.0 | 90.0 | 90.0 |
| L1_2--AuCu3 | static | -3.0121 | -3.0121 | 4.3065 | 4.3065 | 4.3065 | 90.0 | 90.0 | 90.0 |
| A15--Cr3Si | static | -2.8222 | -2.8222 | 5.4962 | 5.4962 | 5.4962 | 90.0 | 90.0 | 90.0 |
| mp-1188724 | static | -1.1319 | -1.1319 | 14.3818 | 20.5229 | 14.6339 | 90.0 | 90.0 | 90.0 |
Download raw data (including filtered results)
Reference structure matches:
| prototype | method | Ecoh (eV/atom) | Epot (eV/atom) | a0 (Å) | b0 (Å) | c0 (Å) | α (degrees) | β (degrees) | γ (degrees) |
|---|---|---|---|---|---|---|---|---|---|
| oqmd-646134 | static | -4.2855 | -4.2855 | 3.816 | 3.816 | 3.816 | 90.0 | 90.0 | 90.0 |
| oqmd-646134 | box | -4.2808 | -4.2808 | 3.833 | 3.833 | 3.833 | 90.0 | 90.0 | 90.0 |
| mp-1078579 | dynamic | -4.2232 | -4.2232 | 5.919 | 2.7158 | 6.083 | 90.0 | 96.4 | 90.0 |
| mp-1078579 | static | -4.1391 | -4.1391 | 5.9145 | 2.7454 | 6.0496 | 90.0 | 95.6 | 90.0 |
| mp-1246 | box | -3.9871 | -3.9871 | 3.9166 | 3.9166 | 3.9166 | 90.0 | 90.0 | 90.0 |
| mp-1070333 | dynamic | -3.9659 | -3.9659 | 6.1292 | 6.1292 | 2.4077 | 90.0 | 90.0 | 90.0 |
| mp-1070333 | box | -3.8131 | -3.8131 | 6.2162 | 6.2162 | 2.3524 | 90.0 | 90.0 | 90.0 |
Download raw data (including filtered results)
Reference structure matches:
A1--Cu--fcc = mp-150, oqmd-7505, oqmd-1214525
A15--beta-W = oqmd-1214970
A2--W--bcc = mp-13, oqmd-8568, oqmd-22514, oqmd-1215148
A3'--alpha-La--double-hcp = oqmd-1215416
A3--Mg--hcp = mp-136, oqmd-30158, oqmd-51781, oqmd-1215326, oqmd-1215391
A4--C--dc = oqmd-1215505
A5--beta-Sn = oqmd-1215594
A6--In--bct = oqmd-1215683
Ah--alpha-Po--sc = mp-568345
| prototype | method | Ecoh (eV/atom) | Epot (eV/atom) | a0 (Å) | b0 (Å) | c0 (Å) | α (degrees) | β (degrees) | γ (degrees) |
|---|---|---|---|---|---|---|---|---|---|
| A2--W--bcc | dynamic | -4.013 | -4.013 | 2.8553 | 2.8553 | 2.8553 | 90.0 | 90.0 | 90.0 |
| A15--beta-W | dynamic | -3.928 | -3.928 | 4.5347 | 4.5347 | 4.5347 | 90.0 | 90.0 | 90.0 |
| oqmd-1214792 | dynamic | -3.9198 | -3.9198 | 8.8327 | 8.8327 | 8.8327 | 90.0 | 90.0 | 90.0 |
| oqmd-1214792 | box | -3.9145 | -3.9145 | 8.8246 | 8.8246 | 8.8246 | 90.0 | 90.0 | 90.0 |
| A3--Mg--hcp | dynamic | -3.8968 | -3.8968 | 2.6054 | 2.6054 | 4.1676 | 90.0 | 90.0 | 120.0 |
| oqmd-1216039 | dynamic | -3.8953 | -3.8953 | 2.5986 | 2.5986 | 18.8327 | 90.0 | 90.0 | 120.0 |
| oqmd-1216039 | box | -3.8952 | -3.8952 | 2.5987 | 2.5987 | 18.8303 | 90.0 | 90.0 | 120.0 |
| A3'--alpha-La--double-hcp | dynamic | -3.8945 | -3.8945 | 2.5954 | 2.5954 | 8.3884 | 90.0 | 90.0 | 120.0 |
| A1--Cu--fcc | dynamic | -3.8924 | -3.8924 | 3.6584 | 3.6584 | 3.6584 | 90.0 | 90.0 | 90.0 |
| A6--In--bct | box | -3.8918 | -3.8918 | 2.6195 | 2.6195 | 3.5442 | 90.0 | 90.0 | 90.0 |
| oqmd-1214881 | static | -3.8859 | -3.8859 | 6.1695 | 6.1695 | 6.1695 | 90.0 | 90.0 | 90.0 |
| oqmd-1214881 | box | -3.8854 | -3.8854 | 6.1645 | 6.1645 | 6.1645 | 90.0 | 90.0 | 90.0 |
| oqmd-1215237 | box | -3.8796 | -3.8796 | 2.5569 | 4.4126 | 4.316 | 90.0 | 90.0 | 90.0 |
| mp-1194030 | dynamic | -3.8538 | -3.8538 | 8.6028 | 8.6028 | 4.6037 | 90.0 | 90.0 | 90.0 |
| mp-1245108 | dynamic | -3.8525 | -3.8525 | 10.3946 | 10.691 | 10.7541 | 93.1 | 91.7 | 91.2 |
| mp-1245108 | static | -3.8436 | -3.8436 | 10.3718 | 10.7254 | 10.7648 | 87.4 | 89.9 | 87.9 |
| oqmd-21053 | box | -3.8417 | -3.8417 | 8.5047 | 8.5047 | 4.6372 | 90.0 | 90.0 | 90.0 |
| mp-1194030 | box | -3.8359 | -3.8359 | 8.4761 | 8.4761 | 4.6497 | 90.0 | 90.0 | 90.0 |
| mp-1245108 | box | -3.8015 | -3.8015 | 10.5221 | 10.5464 | 10.8796 | 90.4 | 91.7 | 91.8 |
| oqmd-1215059 | box | -3.7083 | -3.7083 | 2.7056 | 4.0924 | 8.9398 | 90.0 | 90.0 | 90.0 |
| A5--beta-Sn | static | -3.5209 | -3.5209 | 4.6587 | 4.6587 | 2.4313 | 90.0 | 90.0 | 90.0 |
| mp-1096950 | static | -3.4462 | -3.4462 | 2.5198 | 2.5198 | 2.4811 | 90.0 | 90.0 | 120.0 |
| Ah--alpha-Po--sc | static | -3.3138 | -3.3138 | 2.2375 | 2.2375 | 2.2375 | 90.0 | 90.0 | 90.0 |
| oqmd-21731 | box | -3.3137 | -3.3137 | 2.2375 | 2.2375 | 6.7128 | 90.0 | 90.0 | 90.0 |
| oqmd-1215950 | box | -3.0729 | -3.0729 | 3.8679 | 4.1397 | 3.882 | 90.0 | 119.6 | 90.0 |
| A7--alpha-As | box | -2.9866 | -2.9866 | 3.4218 | 3.4218 | 8.9702 | 90.0 | 90.0 | 120.0 |
| A4--C--dc | static | -2.596 | -2.596 | 5.4545 | 5.4545 | 5.4545 | 90.0 | 90.0 | 90.0 |
Static elastic constants are displayed for the unique structures identified in Crystal Structure Predictions above. The values displayed here are obtained by measuring the change in virial stresses due to applying small strains to the relaxed crystals. The initial structure and the strained states are all relaxed using force minimization.
The calculation method used is available as the iprPy elastic_constants_static calculation method.
Notes and Disclaimers:
Version Information:
| 23899.114 | 24007.673 | 24007.673 | -0.000 | -0.000 | -0.000 |
| 24007.673 | 23899.114 | 24007.673 | -0.000 | -0.000 | -0.000 |
| 24007.673 | 24007.673 | 23899.114 | -0.000 | 0.000 | -0.000 |
| 0.000 | 0.000 | 0.000 | -430.314 | -0.000 | -0.000 |
| 0.000 | 0.000 | 0.000 | -0.000 | -430.314 | -0.000 |
| 0.000 | 0.000 | 0.000 | 0.000 | 0.000 | -430.314 |
| 23904.993 | 24013.552 | 24013.552 | 0.000 | 0.000 | 0.000 |
| 24013.552 | 23904.993 | 24013.552 | 0.000 | 0.000 | 0.000 |
| 24013.552 | 24013.552 | 23904.993 | 0.000 | 0.000 | 0.000 |
| -0.000 | -0.000 | -0.000 | -430.314 | 0.000 | 0.000 |
| -0.000 | -0.000 | -0.000 | 0.000 | -430.314 | 0.000 |
| -0.000 | -0.000 | -0.000 | 0.000 | -0.000 | -430.314 |
| 23872.656 | 23981.214 | 23981.214 | -0.000 | -0.000 | -0.000 |
| 23981.214 | 23872.656 | 23981.214 | -0.000 | -0.000 | -0.000 |
| 23981.214 | 23981.214 | 23872.656 | 0.000 | 0.000 | -0.000 |
| 0.002 | 0.002 | 0.002 | -430.314 | -0.000 | -0.000 |
| 0.002 | 0.002 | 0.002 | -0.000 | -430.314 | -0.000 |
| 0.002 | 0.002 | 0.002 | -0.000 | -0.000 | -430.314 |
| 23931.451 | 24040.011 | 24040.011 | 0.000 | 0.000 | 0.000 |
| 24040.011 | 23931.451 | 24040.011 | 0.000 | 0.000 | 0.000 |
| 24040.011 | 24040.011 | 23931.451 | 0.000 | 0.000 | 0.000 |
| -0.002 | -0.002 | -0.002 | -430.314 | 0.000 | 0.000 |
| -0.002 | -0.002 | -0.002 | 0.000 | -430.314 | 0.000 |
| -0.002 | -0.002 | -0.002 | 0.000 | 0.000 | -430.314 |
| 23663.420 | 23771.968 | 23771.968 | 0.000 | -0.000 | -0.000 |
| 23771.968 | 23663.420 | 23771.968 | -0.000 | 0.000 | -0.000 |
| 23771.968 | 23771.968 | 23663.420 | -0.000 | -0.000 | -0.000 |
| 0.017 | 0.017 | 0.016 | -430.314 | -0.000 | -0.000 |
| 0.017 | 0.017 | 0.016 | -0.000 | -430.314 | -0.000 |
| 0.017 | 0.016 | 0.017 | 0.000 | 0.000 | -430.314 |
| 24196.027 | 24304.596 | 24304.596 | 0.000 | 0.000 | 0.000 |
| 24304.596 | 24196.027 | 24304.596 | 0.000 | 0.000 | 0.000 |
| 24304.596 | 24304.596 | 24196.027 | 0.000 | 0.000 | 0.000 |
| -0.017 | -0.017 | -0.016 | -430.314 | -0.000 | 0.000 |
| -0.017 | -0.017 | -0.016 | 0.000 | -430.314 | 0.000 |
| -0.017 | -0.016 | -0.017 | 0.000 | 0.000 | -430.314 |
| 0.002 | 0.001 | 0.001 | -0.000 | 0.000 | 0.000 |
| 0.001 | 0.002 | 0.001 | 0.000 | -0.000 | 0.000 |
| 0.001 | 0.001 | 0.002 | 0.000 | -0.000 | -0.000 |
| -0.000 | 0.000 | 0.000 | 0.001 | -0.000 | 0.000 |
| 0.000 | -0.000 | 0.000 | -0.000 | 0.001 | 0.000 |
| 0.000 | 0.000 | -0.000 | 0.000 | 0.000 | 0.001 |
| 0.002 | 0.001 | 0.001 | -0.000 | 0.000 | -0.000 |
| 0.001 | 0.002 | 0.001 | 0.000 | -0.000 | 0.000 |
| 0.001 | 0.001 | 0.002 | -0.000 | -0.000 | -0.000 |
| 0.000 | -0.000 | -0.000 | 0.001 | 0.000 | -0.000 |
| -0.000 | 0.000 | -0.000 | 0.000 | 0.001 | -0.000 |
| -0.000 | -0.000 | 0.000 | 0.000 | -0.000 | 0.001 |
| 0.002 | 0.001 | 0.001 | -0.000 | 0.000 | 0.000 |
| 0.001 | 0.002 | 0.001 | 0.000 | -0.000 | 0.000 |
| 0.001 | 0.001 | 0.002 | -0.000 | -0.000 | 0.000 |
| -0.000 | 0.000 | 0.000 | 0.001 | 0.000 | -0.000 |
| 0.000 | -0.000 | 0.000 | 0.000 | 0.001 | -0.000 |
| 0.000 | 0.000 | -0.000 | -0.000 | -0.000 | 0.001 |
| 0.002 | 0.001 | 0.001 | -0.000 | 0.000 | -0.000 |
| 0.001 | 0.002 | 0.001 | 0.000 | -0.000 | 0.000 |
| 0.001 | 0.001 | 0.002 | -0.000 | -0.000 | -0.000 |
| 0.000 | -0.000 | -0.000 | 0.001 | -0.000 | 0.000 |
| -0.000 | 0.000 | -0.000 | -0.000 | 0.001 | 0.000 |
| -0.000 | -0.000 | 0.000 | 0.000 | 0.000 | 0.001 |
| 0.002 | 0.001 | 0.001 | 0.000 | 0.000 | 0.000 |
| 0.001 | 0.002 | 0.001 | -0.000 | 0.000 | 0.000 |
| 0.001 | 0.001 | 0.002 | 0.000 | 0.000 | -0.000 |
| -0.000 | 0.000 | 0.000 | 0.001 | -0.000 | -0.000 |
| 0.000 | -0.000 | 0.000 | -0.000 | 0.001 | -0.000 |
| 0.000 | 0.000 | -0.000 | 0.000 | -0.000 | 0.001 |
| 0.002 | 0.001 | 0.001 | 0.000 | -0.000 | 0.000 |
| 0.001 | 0.002 | 0.001 | -0.000 | 0.000 | -0.000 |
| 0.001 | 0.001 | 0.002 | 0.000 | 0.000 | -0.000 |
| 0.000 | -0.000 | -0.000 | 0.001 | -0.000 | 0.000 |
| -0.000 | 0.000 | -0.000 | -0.000 | 0.001 | 0.000 |
| -0.000 | -0.000 | 0.000 | -0.000 | 0.000 | 0.001 |
| 21053.290 | 19986.563 | 19986.563 | 0.000 | 0.000 | 0.000 |
| 19986.563 | 21053.290 | 19986.563 | -0.000 | -0.000 | -0.000 |
| 19986.563 | 19986.563 | 21053.290 | -0.000 | -0.000 | 0.000 |
| -0.000 | -0.000 | -0.000 | -231.599 | -0.000 | -0.000 |
| -0.000 | -0.000 | -0.000 | -0.000 | -231.599 | -0.000 |
| -0.000 | -0.000 | -0.000 | -0.000 | -0.000 | -231.599 |
| 21050.772 | 19984.142 | 19984.142 | 0.000 | 0.000 | -0.000 |
| 19984.142 | 21050.772 | 19984.142 | -0.000 | 0.000 | 0.000 |
| 19984.142 | 19984.142 | 21050.772 | 0.000 | 0.000 | 0.000 |
| 0.000 | 0.000 | 0.000 | -231.598 | -0.000 | -0.000 |
| 0.000 | 0.000 | 0.000 | 0.000 | -231.599 | 0.000 |
| 0.000 | 0.000 | 0.000 | 0.000 | 0.000 | -231.598 |
| 21064.621 | 19997.457 | 19997.457 | -0.000 | 0.000 | 0.000 |
| 19997.457 | 21064.621 | 19997.457 | -0.000 | -0.000 | 0.000 |
| 19997.457 | 19997.457 | 21064.621 | -0.000 | -0.000 | 0.000 |
| 0.001 | 0.001 | 0.001 | -231.599 | 0.000 | 0.000 |
| 0.001 | 0.001 | 0.001 | -0.000 | -231.599 | -0.000 |
| 0.001 | 0.001 | 0.001 | 0.000 | -0.000 | -231.599 |
| 21039.441 | 19973.249 | 19973.249 | 0.000 | 0.000 | -0.000 |
| 19973.249 | 21039.441 | 19973.249 | 0.000 | 0.000 | -0.000 |
| 19973.249 | 19973.249 | 21039.441 | -0.000 | 0.000 | 0.000 |
| -0.001 | -0.001 | -0.001 | -231.599 | 0.000 | -0.000 |
| -0.001 | -0.001 | -0.001 | 0.000 | -231.599 | 0.000 |
| -0.001 | -0.001 | -0.001 | -0.000 | 0.000 | -231.599 |
| 467092.751 | 55.111 | 55.111 | -0.000 | 0.000 | 0.000 |
| 55.111 | 467092.751 | 55.111 | 0.000 | 0.000 | 0.000 |
| 55.111 | 55.111 | 467092.751 | 0.000 | 0.000 | 0.000 |
| 0.001 | 0.002 | 0.000 | 55.026 | 0.000 | 0.000 |
| 0.002 | 0.002 | -0.002 | 0.000 | 55.027 | 0.000 |
| 0.002 | 0.000 | 0.001 | 0.000 | 0.000 | 55.026 |
| -4522506352.125 | -4504146432.937 | -4511197813.700 | 3.415 | -0.056 | -0.009 |
| -4511884043.619 | -4522543538.856 | -4503632414.362 | 0.002 | 2.057 | 0.014 |
| -4504095725.976 | -4511516134.579 | -4522502398.474 | -0.005 | 0.003 | 20.234 |
| -0.000 | -0.001 | 0.002 | 55.027 | 0.000 | -0.000 |
| -0.001 | -0.000 | 0.002 | -0.000 | 55.111 | 0.000 |
| -0.001 | 0.002 | -0.000 | -0.000 | 0.000 | 55.027 |
| 380032019.919 | 453514806.138 | 455657978.455 | 0.000 | 0.001 | -0.000 |
| 470704010.184 | 404740227.534 | 466627328.735 | 0.000 | 0.002 | 0.001 |
| 457424424.275 | 457330112.870 | 430444554.441 | 0.000 | -0.001 | -0.000 |
| 0.000 | 0.000 | -0.023 | 55.026 | 0.000 | 0.000 |
| 0.000 | 0.000 | -0.023 | 0.000 | 55.026 | -0.000 |
| 0.000 | -0.023 | 0.000 | -0.000 | -0.000 | 55.026 |
| -451516898.364 | -451366013.885 | -450185186.933 | 0.000 | 0.000 | 0.000 |
| -449972873.595 | -451474221.292 | -451576780.865 | -0.003 | 0.008 | 0.003 |
| -451557952.815 | -449991869.755 | -451482327.363 | -0.002 | 0.002 | 0.019 |
| -0.000 | -0.000 | 0.023 | 55.026 | 0.000 | -0.000 |
| -0.000 | -0.000 | 0.023 | -0.000 | 55.026 | -0.000 |
| -0.000 | 0.023 | -0.000 | 0.000 | 0.000 | 55.026 |
| 45141235.576 | 44989143.028 | 45164601.575 | 0.002 | -0.001 | -0.000 |
| 45149597.235 | 45146050.846 | 44993845.913 | 0.001 | -0.001 | -0.001 |
| 44997803.787 | 45147980.187 | 45144946.302 | 0.003 | -0.001 | -0.006 |
| 0.000 | -0.000 | -0.233 | 55.111 | -0.000 | 0.000 |
| -0.000 | 0.000 | -0.233 | 0.000 | 55.111 | -0.000 |
| -0.000 | -0.233 | 0.000 | -0.000 | 0.000 | 55.111 |
| -45171885.189 | -45140802.620 | -44976114.000 | 0.004 | 0.000 | -0.001 |
| -44982332.631 | -45167404.903 | -45137800.266 | 0.010 | 0.004 | 0.001 |
| -45017330.506 | -45152694.469 | -45136213.127 | -0.000 | 0.000 | -0.001 |
| -0.000 | 0.000 | 0.233 | 55.111 | 0.000 | -0.000 |
| 0.000 | -0.000 | 0.233 | -0.000 | 55.111 | 0.000 |
| 0.000 | 0.233 | -0.000 | -0.000 | -0.000 | 55.111 |
| 20817.630 | 21124.221 | 21124.221 | -0.000 | -0.000 | -0.000 |
| 21124.221 | 20817.630 | 21124.221 | 0.000 | -0.000 | 0.000 |
| 21124.221 | 21124.221 | 20817.630 | -0.000 | -0.000 | -0.000 |
| 0.000 | 0.000 | 0.000 | -469.267 | -0.000 | 0.000 |
| 0.000 | 0.000 | 0.000 | -0.000 | -469.267 | -0.000 |
| 0.000 | 0.000 | 0.000 | -0.000 | -0.000 | -469.267 |
| 20829.536 | 21136.127 | 21136.127 | -0.000 | 0.000 | -0.000 |
| 21136.127 | 20829.536 | 21136.127 | 0.000 | 0.000 | -0.000 |
| 21136.127 | 21136.127 | 20829.536 | 0.000 | 0.000 | 0.000 |
| -0.000 | -0.000 | -0.000 | -469.267 | 0.000 | 0.000 |
| -0.000 | -0.000 | -0.000 | 0.000 | -469.267 | 0.000 |
| -0.000 | -0.000 | -0.000 | 0.000 | 0.000 | -469.267 |
| 20764.053 | 21070.642 | 21070.642 | 0.000 | -0.000 | 0.000 |
| 21070.642 | 20764.053 | 21070.642 | 0.000 | -0.000 | -0.000 |
| 21070.642 | 21070.642 | 20764.053 | -0.000 | 0.000 | -0.000 |
| 0.001 | 0.002 | 0.002 | -469.267 | -0.000 | -0.000 |
| 0.002 | 0.001 | 0.002 | -0.000 | -469.267 | -0.000 |
| 0.002 | 0.002 | 0.001 | 0.000 | -0.000 | -469.267 |
| 20883.113 | 21189.705 | 21189.705 | -0.000 | 0.000 | 0.000 |
| 21189.705 | 20883.113 | 21189.705 | 0.000 | 0.000 | 0.000 |
| 21189.705 | 21189.705 | 20883.113 | 0.000 | 0.000 | 0.000 |
| -0.001 | -0.002 | -0.002 | -469.267 | 0.000 | 0.000 |
| -0.002 | -0.001 | -0.002 | 0.000 | -469.267 | 0.000 |
| -0.002 | -0.002 | -0.001 | 0.000 | 0.000 | -469.267 |
| 20228.278 | 20534.854 | 20534.854 | -0.000 | -0.000 | 0.000 |
| 20534.854 | 20228.278 | 20534.854 | -0.000 | -0.000 | -0.000 |
| 20534.854 | 20534.854 | 20228.278 | 0.000 | -0.000 | 0.000 |
| 0.015 | 0.016 | 0.015 | -469.267 | 0.000 | -0.000 |
| 0.016 | 0.015 | 0.015 | 0.000 | -469.267 | -0.000 |
| 0.016 | 0.015 | 0.015 | -0.000 | -0.000 | -469.267 |
| 21418.877 | 21725.484 | 21725.484 | 0.000 | 0.000 | 0.000 |
| 21725.484 | 21418.877 | 21725.484 | 0.000 | 0.000 | 0.000 |
| 21725.484 | 21725.484 | 21418.877 | -0.000 | -0.000 | -0.000 |
| -0.015 | -0.016 | -0.015 | -469.267 | 0.000 | 0.000 |
| -0.016 | -0.015 | -0.015 | -0.000 | -469.267 | 0.000 |
| -0.016 | -0.015 | -0.015 | 0.000 | 0.000 | -469.267 |
| 530548.579 | 530375.565 | 530375.565 | 0.000 | 0.000 | 0.000 |
| 530375.565 | 530548.579 | 530375.565 | 0.000 | 0.000 | 0.000 |
| 530375.562 | 530375.562 | 530548.577 | 0.000 | 0.000 | -0.000 |
| 0.080 | 0.080 | 0.080 | -2271.223 | 0.000 | 0.000 |
| 0.080 | 0.080 | 0.080 | 0.000 | -2271.223 | 0.000 |
| 0.080 | 0.080 | 0.080 | 0.000 | 0.000 | -2271.223 |
| 530567.819 | 530394.783 | 530394.783 | -0.000 | -0.000 | 0.000 |
| 530394.783 | 530567.819 | 530394.783 | -0.000 | -0.000 | 0.000 |
| 530394.783 | 530394.783 | 530567.819 | -0.000 | -0.000 | -0.000 |
| -0.081 | -0.081 | -0.081 | -2271.223 | -0.000 | -0.000 |
| -0.081 | -0.081 | -0.081 | -0.000 | -2271.223 | -0.000 |
| -0.081 | -0.081 | -0.081 | -0.000 | -0.000 | -2271.223 |
| 530461.966 | 530289.046 | 530289.046 | 0.000 | 0.000 | 0.000 |
| 530289.046 | 530461.966 | 530289.046 | 0.000 | 0.000 | 0.000 |
| 530289.046 | 530289.046 | 530461.966 | -0.000 | -0.000 | 0.000 |
| 0.774 | 0.775 | 0.774 | -2271.223 | 0.000 | 0.000 |
| 0.775 | 0.774 | 0.774 | 0.000 | -2271.223 | 0.000 |
| 0.775 | 0.774 | 0.774 | 0.000 | 0.000 | -2271.223 |
| 530654.427 | 530481.295 | 530481.295 | -0.000 | -0.000 | -0.000 |
| 530481.295 | 530654.427 | 530481.295 | -0.000 | -0.000 | -0.000 |
| 530481.295 | 530481.295 | 530654.427 | -0.000 | -0.000 | 0.000 |
| -0.774 | -0.775 | -0.774 | -2271.223 | -0.000 | -0.000 |
| -0.775 | -0.774 | -0.774 | -0.000 | -2271.223 | -0.000 |
| -0.775 | -0.774 | -0.774 | -0.000 | -0.000 | -2271.223 |
| 529595.835 | 529423.868 | 529423.868 | 0.000 | 0.000 | 0.000 |
| 529423.868 | 529595.835 | 529423.868 | 0.000 | 0.000 | 0.000 |
| 529423.868 | 529423.868 | 529595.835 | 0.000 | 0.000 | 0.000 |
| 7.742 | 7.746 | 7.742 | -2271.223 | 0.000 | 0.000 |
| 7.746 | 7.742 | 7.742 | 0.000 | -2271.223 | 0.000 |
| 7.746 | 7.742 | 7.742 | 0.000 | 0.000 | -2271.223 |
| 531520.444 | 531346.357 | 531346.357 | -0.000 | -0.000 | -0.000 |
| 531346.357 | 531520.444 | 531346.357 | -0.000 | -0.000 | -0.000 |
| 531346.357 | 531346.357 | 531520.444 | -0.000 | -0.000 | -0.000 |
| -7.742 | -7.746 | -7.742 | -2271.223 | -0.000 | -0.000 |
| -7.746 | -7.742 | -7.742 | -0.000 | -2271.223 | -0.000 |
| -7.746 | -7.742 | -7.742 | -0.000 | -0.000 | -2271.223 |
| 0.001 | 0.001 | 0.001 | 0.000 | 0.000 | -0.000 |
| 0.001 | 0.001 | 0.001 | 0.000 | 0.000 | -0.000 |
| 0.001 | 0.001 | 0.001 | 0.000 | 0.000 | -0.000 |
| 0.000 | 0.000 | 0.000 | 0.001 | -0.000 | -0.000 |
| 0.000 | 0.000 | 0.000 | -0.000 | 0.001 | -0.000 |
| 0.000 | 0.000 | 0.000 | 0.000 | 0.000 | 0.001 |
| 0.001 | 0.001 | 0.001 | 0.000 | -0.000 | 0.000 |
| 0.001 | 0.001 | 0.001 | -0.000 | 0.000 | 0.000 |
| 0.001 | 0.001 | 0.001 | 0.000 | 0.000 | 0.000 |
| -0.000 | -0.000 | -0.000 | 0.001 | -0.000 | 0.000 |
| -0.000 | -0.000 | -0.000 | -0.000 | 0.001 | 0.000 |
| -0.000 | -0.000 | -0.000 | -0.000 | -0.000 | 0.001 |
| 0.001 | 0.001 | 0.001 | 0.000 | 0.000 | -0.000 |
| 0.001 | 0.001 | 0.001 | 0.000 | 0.000 | -0.000 |
| 0.001 | 0.001 | 0.001 | 0.000 | 0.000 | 0.000 |
| 0.000 | 0.000 | 0.000 | 0.001 | 0.000 | -0.000 |
| 0.000 | 0.000 | 0.000 | 0.000 | 0.001 | -0.000 |
| 0.000 | 0.000 | 0.000 | 0.000 | 0.000 | 0.001 |
| 0.001 | 0.001 | 0.001 | -0.000 | -0.000 | 0.000 |
| 0.001 | 0.001 | 0.001 | -0.000 | -0.000 | 0.000 |
| 0.001 | 0.001 | 0.001 | -0.000 | -0.000 | 0.000 |
| -0.000 | -0.000 | -0.000 | 0.001 | -0.000 | 0.000 |
| -0.000 | -0.000 | -0.000 | -0.000 | 0.001 | 0.000 |
| -0.000 | -0.000 | -0.000 | -0.000 | -0.000 | 0.001 |
| 0.001 | 0.001 | 0.001 | 0.000 | 0.000 | -0.000 |
| 0.001 | 0.001 | 0.001 | 0.000 | 0.000 | -0.000 |
| 0.001 | 0.001 | 0.001 | 0.000 | 0.000 | 0.000 |
| 0.000 | 0.000 | 0.000 | 0.001 | 0.000 | -0.000 |
| 0.000 | 0.000 | 0.000 | 0.000 | 0.001 | -0.000 |
| 0.000 | 0.000 | 0.000 | 0.000 | 0.000 | 0.001 |
| 0.001 | 0.001 | 0.001 | -0.000 | -0.000 | -0.000 |
| 0.001 | 0.001 | 0.001 | -0.000 | -0.000 | -0.000 |
| 0.001 | 0.001 | 0.001 | -0.000 | -0.000 | 0.000 |
| -0.000 | -0.000 | -0.000 | 0.001 | -0.000 | 0.000 |
| -0.000 | -0.000 | -0.000 | -0.000 | 0.001 | 0.000 |
| -0.000 | -0.000 | -0.000 | -0.000 | -0.000 | 0.001 |
| -0.002 | -0.001 | 0.001 | -0.000 | -0.000 | -0.000 |
| -0.001 | -0.002 | 0.001 | 0.000 | -0.000 | -0.000 |
| 0.001 | 0.001 | 0.002 | -0.000 | -0.000 | 0.000 |
| 0.000 | 0.000 | 0.000 | 0.001 | -0.000 | -0.000 |
| 0.000 | 0.000 | 0.000 | 0.000 | 0.001 | 0.000 |
| -0.000 | -0.000 | 0.000 | -0.000 | -0.000 | -0.001 |
| -0.002 | -0.001 | 0.001 | 0.000 | 0.000 | 0.000 |
| -0.001 | -0.002 | 0.001 | -0.000 | 0.000 | -0.000 |
| 0.001 | 0.001 | 0.002 | -0.000 | 0.000 | -0.000 |
| -0.000 | -0.000 | -0.000 | 0.001 | -0.000 | 0.000 |
| -0.000 | -0.000 | -0.000 | -0.000 | 0.001 | 0.000 |
| 0.000 | 0.000 | -0.000 | 0.000 | -0.000 | -0.001 |
| -0.002 | -0.001 | 0.001 | -0.000 | -0.000 | -0.000 |
| -0.001 | -0.002 | 0.001 | 0.000 | -0.000 | -0.000 |
| 0.001 | 0.001 | 0.002 | 0.000 | -0.000 | 0.000 |
| 0.000 | 0.000 | 0.000 | 0.001 | -0.000 | -0.000 |
| 0.000 | 0.000 | 0.000 | -0.000 | 0.001 | -0.000 |
| -0.000 | -0.000 | 0.000 | -0.000 | -0.000 | -0.001 |
| -0.002 | -0.001 | 0.001 | -0.000 | -0.000 | 0.000 |
| -0.001 | -0.002 | 0.001 | -0.000 | 0.000 | -0.000 |
| 0.001 | 0.001 | 0.002 | -0.000 | 0.000 | -0.000 |
| -0.000 | -0.000 | -0.000 | 0.001 | -0.000 | 0.000 |
| -0.000 | -0.000 | -0.000 | 0.000 | 0.001 | -0.000 |
| 0.000 | 0.000 | -0.000 | 0.000 | -0.000 | -0.001 |
| -0.002 | -0.001 | 0.001 | -0.000 | -0.000 | -0.000 |
| -0.001 | -0.002 | 0.001 | 0.000 | -0.000 | 0.000 |
| 0.001 | 0.001 | 0.002 | 0.000 | -0.000 | 0.000 |
| 0.000 | 0.000 | 0.000 | 0.001 | -0.000 | -0.000 |
| 0.000 | 0.000 | 0.000 | -0.000 | 0.001 | -0.000 |
| -0.000 | -0.000 | 0.000 | -0.000 | -0.000 | -0.001 |
| -0.002 | -0.001 | 0.001 | -0.000 | 0.000 | 0.000 |
| -0.001 | -0.002 | 0.001 | 0.000 | -0.000 | 0.000 |
| 0.001 | 0.001 | 0.002 | 0.000 | 0.000 | -0.000 |
| -0.000 | -0.000 | -0.000 | 0.001 | -0.000 | 0.000 |
| -0.000 | -0.000 | -0.000 | 0.000 | 0.001 | -0.000 |
| 0.000 | 0.000 | -0.000 | 0.000 | -0.000 | -0.001 |
| 0.002 | 0.001 | 0.001 | 0.000 | -0.000 | 0.000 |
| 0.001 | 0.002 | 0.001 | 0.000 | -0.000 | -0.000 |
| 0.001 | 0.001 | 0.003 | -0.000 | -0.000 | -0.000 |
| 0.000 | 0.000 | 0.000 | 0.001 | -0.000 | -0.000 |
| 0.000 | 0.000 | 0.000 | -0.000 | 0.001 | 0.000 |
| 0.000 | 0.000 | 0.000 | -0.000 | -0.000 | 0.001 |
| 0.002 | 0.001 | 0.001 | 0.000 | 0.000 | 0.000 |
| 0.001 | 0.002 | 0.001 | 0.000 | 0.000 | 0.000 |
| 0.001 | 0.001 | 0.003 | 0.000 | 0.000 | 0.000 |
| -0.000 | -0.000 | -0.000 | 0.001 | 0.000 | 0.000 |
| -0.000 | -0.000 | -0.000 | -0.000 | 0.001 | -0.000 |
| -0.000 | -0.000 | -0.000 | -0.000 | -0.000 | 0.001 |
| 0.002 | 0.001 | 0.001 | -0.000 | -0.000 | 0.000 |
| 0.001 | 0.002 | 0.001 | -0.000 | -0.000 | -0.000 |
| 0.001 | 0.001 | 0.003 | 0.000 | -0.000 | -0.000 |
| 0.000 | 0.000 | 0.000 | 0.001 | -0.000 | -0.000 |
| 0.000 | 0.000 | 0.000 | 0.000 | 0.001 | -0.000 |
| 0.000 | 0.000 | 0.000 | -0.000 | -0.000 | 0.001 |
| 0.002 | 0.001 | 0.001 | -0.000 | 0.000 | 0.000 |
| 0.001 | 0.002 | 0.001 | 0.000 | 0.000 | 0.000 |
| 0.001 | 0.001 | 0.003 | -0.000 | 0.000 | 0.000 |
| -0.000 | -0.000 | -0.000 | 0.001 | -0.000 | 0.000 |
| -0.000 | -0.000 | -0.000 | -0.000 | 0.001 | -0.000 |
| -0.000 | -0.000 | -0.000 | 0.000 | 0.000 | 0.001 |
| 0.002 | 0.001 | 0.001 | 0.000 | -0.000 | 0.000 |
| 0.001 | 0.002 | 0.001 | -0.000 | -0.000 | -0.000 |
| 0.001 | 0.001 | 0.003 | 0.000 | -0.000 | -0.000 |
| 0.000 | 0.000 | 0.000 | 0.001 | -0.000 | -0.000 |
| 0.000 | 0.000 | 0.000 | 0.000 | 0.001 | 0.000 |
| 0.000 | 0.000 | 0.000 | 0.000 | 0.000 | 0.001 |
| 0.002 | 0.001 | 0.001 | -0.000 | 0.000 | 0.000 |
| 0.001 | 0.002 | 0.001 | -0.000 | 0.000 | 0.000 |
| 0.001 | 0.001 | 0.003 | 0.000 | 0.000 | -0.000 |
| -0.000 | -0.000 | -0.000 | 0.001 | -0.000 | 0.000 |
| -0.000 | -0.000 | -0.000 | -0.000 | 0.001 | 0.000 |
| -0.000 | -0.000 | -0.000 | -0.000 | 0.000 | 0.001 |
| -0.002 | -0.001 | 0.001 | 0.000 | 0.000 | 0.000 |
| -0.001 | -0.002 | 0.001 | 0.000 | 0.000 | 0.000 |
| 0.001 | 0.001 | 0.002 | 0.000 | 0.000 | 0.000 |
| 0.000 | 0.000 | 0.000 | 0.001 | -0.000 | 0.000 |
| 0.000 | 0.000 | 0.000 | 0.000 | 0.001 | 0.000 |
| -0.000 | -0.000 | 0.000 | 0.000 | 0.000 | -0.001 |
| -0.002 | -0.001 | 0.001 | -0.000 | -0.000 | -0.000 |
| -0.001 | -0.002 | 0.001 | -0.000 | -0.000 | 0.000 |
| 0.001 | 0.001 | 0.002 | -0.000 | -0.000 | -0.000 |
| -0.000 | -0.000 | -0.000 | 0.001 | -0.000 | -0.000 |
| -0.000 | -0.000 | -0.000 | -0.000 | 0.001 | 0.000 |
| 0.000 | 0.000 | -0.000 | -0.000 | 0.000 | -0.001 |
| -0.002 | -0.001 | 0.001 | 0.000 | 0.000 | 0.000 |
| -0.001 | -0.002 | 0.001 | 0.000 | 0.000 | -0.000 |
| 0.001 | 0.001 | 0.002 | 0.000 | 0.000 | 0.000 |
| 0.000 | 0.000 | 0.000 | 0.001 | 0.000 | 0.000 |
| 0.000 | 0.000 | 0.000 | 0.000 | 0.001 | -0.000 |
| -0.000 | -0.000 | 0.000 | 0.000 | -0.000 | -0.001 |
| -0.002 | -0.001 | 0.001 | 0.000 | -0.000 | -0.000 |
| -0.001 | -0.002 | 0.001 | -0.000 | -0.000 | -0.000 |
| 0.001 | 0.001 | 0.002 | -0.000 | -0.000 | -0.000 |
| -0.000 | -0.000 | -0.000 | 0.001 | 0.000 | -0.000 |
| -0.000 | -0.000 | -0.000 | -0.000 | 0.001 | -0.000 |
| 0.000 | 0.000 | -0.000 | -0.000 | -0.000 | -0.001 |
| -0.002 | -0.001 | 0.001 | 0.000 | 0.000 | -0.000 |
| -0.001 | -0.002 | 0.001 | 0.000 | 0.000 | 0.000 |
| 0.001 | 0.001 | 0.002 | -0.000 | -0.000 | 0.000 |
| 0.000 | 0.000 | 0.000 | 0.001 | 0.000 | 0.000 |
| 0.000 | 0.000 | 0.000 | 0.000 | 0.001 | 0.000 |
| -0.000 | -0.000 | 0.000 | 0.000 | 0.000 | -0.001 |
| -0.002 | -0.001 | 0.001 | -0.000 | -0.000 | -0.000 |
| -0.001 | -0.002 | 0.001 | -0.000 | -0.000 | 0.000 |
| 0.001 | 0.001 | 0.002 | -0.000 | -0.000 | -0.000 |
| -0.000 | -0.000 | -0.000 | 0.001 | -0.000 | -0.000 |
| -0.000 | -0.000 | -0.000 | -0.000 | 0.001 | 0.000 |
| 0.000 | 0.000 | -0.000 | -0.000 | 0.000 | -0.001 |
| 5952.300 | 5782.291 | 5782.291 | -0.000 | -0.000 | -0.000 |
| 5782.291 | 5952.300 | 5782.291 | 0.000 | -0.000 | -0.000 |
| 5782.291 | 5782.291 | 5952.300 | 0.000 | -0.000 | -0.000 |
| -0.000 | -0.000 | -0.000 | 174.308 | -0.000 | -0.000 |
| -0.000 | -0.000 | -0.000 | 0.000 | 174.308 | -0.000 |
| -0.000 | -0.000 | -0.000 | 0.000 | -0.000 | 174.308 |
| 5951.234 | 5781.225 | 5781.225 | 0.000 | 0.000 | 0.000 |
| 5781.225 | 5951.234 | 5781.225 | -0.000 | 0.000 | 0.000 |
| 5781.225 | 5781.225 | 5951.234 | -0.000 | 0.000 | 0.000 |
| 0.000 | 0.000 | 0.000 | 174.308 | 0.000 | 0.000 |
| 0.000 | 0.000 | 0.000 | -0.000 | 174.308 | 0.000 |
| 0.000 | 0.000 | 0.000 | -0.000 | 0.000 | 174.308 |
| 5957.095 | 5787.088 | 5787.088 | -0.000 | -0.000 | -0.000 |
| 5787.088 | 5957.095 | 5787.088 | 0.000 | -0.000 | -0.000 |
| 5787.088 | 5787.088 | 5957.095 | 0.000 | -0.000 | -0.000 |
| 0.000 | 0.000 | 0.000 | 278.151 | -0.000 | -0.000 |
| 0.000 | 0.000 | 0.000 | -0.000 | 278.151 | -0.000 |
| 0.000 | 0.000 | 0.000 | -0.000 | -0.000 | 278.151 |
| 5921.300 | 5751.290 | 5751.290 | 0.000 | 0.000 | 0.000 |
| 5751.290 | 5921.300 | 5751.290 | -0.000 | 0.000 | 0.000 |
| 5751.290 | 5751.290 | 5921.300 | -0.000 | 0.000 | 0.000 |
| -0.000 | -0.000 | -0.000 | 278.151 | 0.000 | 0.000 |
| -0.000 | -0.000 | -0.000 | 0.000 | 278.151 | 0.000 |
| -0.000 | -0.000 | -0.000 | 0.000 | 0.000 | 278.151 |
| 6005.051 | 5835.054 | 5835.054 | -0.000 | -0.000 | -0.000 |
| 5835.054 | 6005.051 | 5835.054 | 0.000 | -0.000 | -0.000 |
| 5835.054 | 5835.054 | 6005.051 | 0.000 | -0.000 | -0.000 |
| -0.003 | -0.004 | -0.003 | 174.308 | -0.000 | -0.000 |
| -0.004 | -0.003 | -0.003 | 0.000 | 174.308 | -0.000 |
| -0.004 | -0.003 | -0.003 | 0.000 | -0.000 | 174.308 |
| 5987.397 | 5817.377 | 5817.377 | -0.000 | 0.000 | 0.000 |
| 5817.377 | 5987.397 | 5817.377 | -0.000 | 0.000 | 0.000 |
| 5817.377 | 5817.377 | 5987.397 | -0.000 | 0.000 | 0.000 |
| 0.003 | 0.004 | 0.003 | 174.308 | 0.000 | 0.000 |
| 0.004 | 0.003 | 0.003 | -0.000 | 174.308 | 0.000 |
| 0.004 | 0.003 | 0.003 | -0.000 | 0.000 | 174.308 |
| 107653.933 | 107653.935 | 107653.935 | -0.000 | -0.000 | -0.000 |
| 107653.935 | 107653.933 | 107653.935 | -0.000 | -0.000 | -0.000 |
| 107653.935 | 107653.935 | 107653.933 | -0.000 | -0.000 | -0.000 |
| 829057054.071 | 872135061.007 | 879599558.988 | -19293854.534 | 3166127.943 | 7624620.501 |
| 833158681.285 | 891629036.908 | 833142208.194 | 2635368.988 | -19111961.042 | 2415784.314 |
| 839592210.896 | 835651247.363 | 891102387.350 | 3027360.833 | 4092474.768 | -16676545.688 |
| 107658.830 | 107658.828 | 107658.828 | 0.000 | 0.000 | 0.000 |
| 107658.828 | 107658.830 | 107658.828 | 0.000 | 0.000 | 0.000 |
| 107658.828 | 107658.828 | 107658.830 | 0.000 | 0.000 | 0.000 |
| -893133925.088 | -838725945.917 | -844048752.983 | -4738055.044 | 7424746.210 | -1219328.856 |
| -836693817.788 | -912561396.282 | -844875809.386 | 6909973.676 | -11087454.097 | -2994007.091 |
| -836220459.881 | -837767372.984 | -900166075.025 | 5551741.125 | -240042.985 | -8649706.324 |
| 107631.894 | 107631.916 | 107631.916 | -0.000 | -0.000 | -0.000 |
| 107631.916 | 107631.894 | 107631.916 | -0.000 | -0.000 | -0.000 |
| 107631.916 | 107631.916 | 107631.894 | -0.000 | -0.000 | -0.000 |
| 91064897.846 | 83913611.270 | 85753484.697 | 1465019.809 | 315106.183 | 917930.764 |
| 84740821.001 | 90975646.539 | 86627623.373 | 291609.148 | 1516837.840 | 596649.666 |
| 85138813.465 | 86413896.302 | 89574767.918 | 301381.325 | 407328.260 | 1920449.600 |
| 107680.868 | 107680.847 | 107680.847 | 0.000 | 0.000 | 0.000 |
| 107680.847 | 107680.868 | 107680.847 | 0.000 | 0.000 | 0.000 |
| 107680.847 | 107680.847 | 107680.868 | 0.000 | 0.000 | 0.000 |
| -90067690.291 | -83790131.870 | -84163037.834 | 718813.685 | 589138.365 | 869814.539 |
| -82998472.125 | -90495903.413 | -84122234.645 | 584587.377 | 1056548.144 | 1031191.335 |
| -85508116.779 | -86412570.227 | -91333757.214 | 34821.824 | 1182107.826 | 124732.013 |
| 107411.500 | 107411.715 | 107411.715 | -0.000 | -0.000 | -0.000 |
| 107411.715 | 107411.500 | 107411.715 | -0.000 | -0.000 | -0.000 |
| 107411.715 | 107411.715 | 107411.500 | -0.000 | -0.000 | -0.000 |
| 13930250.785 | 13930439.633 | 13930439.736 | 51290.800 | 0.000 | 0.000 |
| 13930439.633 | 13930250.785 | 13930439.736 | 0.000 | 51290.800 | 0.000 |
| 13930439.635 | 13930439.737 | 13930250.786 | 0.000 | 0.000 | 51290.800 |
| 107901.240 | 107901.024 | 107901.024 | 0.000 | 0.000 | 0.000 |
| 107901.024 | 107901.240 | 107901.024 | 0.000 | 0.000 | 0.000 |
| 107901.024 | 107901.024 | 107901.240 | 0.000 | 0.000 | 0.000 |
| -13930250.790 | -13930439.639 | -13930439.742 | 51290.801 | -0.000 | -0.000 |
| -13930439.639 | -13930250.790 | -13930439.742 | -0.000 | 51290.801 | -0.000 |
| -13930439.645 | -13930439.747 | -13930250.796 | -0.000 | -0.000 | 51290.801 |
| 0.000 | 0.000 | 0.000 | -0.000 | -0.000 | -0.000 |
| 0.000 | 0.000 | 0.000 | -0.000 | -0.000 | -0.000 |
| 0.000 | 0.000 | 0.000 | -0.000 | -0.000 | -0.000 |
| 0.000 | 0.000 | 0.000 | 0.000 | 0.000 | -0.000 |
| 0.000 | 0.000 | 0.000 | 0.000 | 0.000 | -0.000 |
| 0.000 | 0.000 | 0.000 | 0.000 | -0.000 | 0.000 |
| 0.000 | 0.000 | 0.000 | 0.000 | 0.000 | 0.000 |
| 0.000 | 0.000 | 0.000 | 0.000 | 0.000 | 0.000 |
| 0.000 | 0.000 | 0.000 | 0.000 | 0.000 | 0.000 |
| -0.000 | -0.000 | -0.000 | 0.000 | 0.000 | 0.000 |
| -0.000 | -0.000 | -0.000 | 0.000 | 0.000 | 0.000 |
| -0.000 | -0.000 | -0.000 | 0.000 | 0.000 | 0.000 |
| 0.000 | 0.000 | 0.000 | -0.000 | -0.000 | -0.000 |
| 0.000 | 0.000 | 0.000 | -0.000 | -0.000 | -0.000 |
| 0.000 | 0.000 | 0.000 | -0.000 | -0.000 | -0.000 |
| 0.000 | 0.000 | 0.000 | 0.000 | 0.000 | -0.000 |
| 0.000 | 0.000 | 0.000 | 0.000 | 0.000 | -0.000 |
| 0.000 | 0.000 | 0.000 | 0.000 | -0.000 | 0.000 |
| 0.000 | 0.000 | 0.000 | 0.000 | 0.000 | 0.000 |
| 0.000 | 0.000 | 0.000 | 0.000 | 0.000 | 0.000 |
| 0.000 | 0.000 | 0.000 | 0.000 | 0.000 | 0.000 |
| -0.000 | -0.000 | -0.000 | 0.000 | 0.000 | 0.000 |
| -0.000 | -0.000 | -0.000 | 0.000 | 0.000 | 0.000 |
| -0.000 | -0.000 | -0.000 | 0.000 | 0.000 | 0.000 |
| 0.000 | 0.000 | 0.000 | -0.000 | -0.000 | -0.000 |
| 0.000 | 0.000 | 0.000 | -0.000 | -0.000 | -0.000 |
| 0.000 | 0.000 | 0.000 | -0.000 | -0.000 | -0.000 |
| 0.000 | 0.000 | 0.000 | 0.000 | 0.000 | -0.000 |
| 0.000 | 0.000 | 0.000 | 0.000 | 0.000 | -0.000 |
| 0.000 | 0.000 | 0.000 | 0.000 | -0.000 | 0.000 |
| 0.000 | 0.000 | 0.000 | 0.000 | 0.000 | 0.000 |
| 0.000 | 0.000 | 0.000 | 0.000 | 0.000 | 0.000 |
| 0.000 | 0.000 | 0.000 | 0.000 | 0.000 | 0.000 |
| -0.000 | -0.000 | -0.000 | 0.000 | 0.000 | 0.000 |
| -0.000 | -0.000 | -0.000 | 0.000 | 0.000 | 0.000 |
| -0.000 | -0.000 | -0.000 | 0.000 | 0.000 | 0.000 |
| 0.001 | 0.001 | 0.001 | -0.000 | -0.000 | -0.000 |
| 0.001 | 0.001 | 0.001 | -0.000 | -0.000 | -0.000 |
| 0.001 | 0.001 | 0.002 | -0.000 | -0.000 | -0.000 |
| 0.000 | 0.000 | 0.000 | 0.001 | -0.000 | -0.000 |
| 0.000 | 0.000 | 0.000 | -0.000 | 0.001 | -0.000 |
| 0.000 | 0.000 | 0.000 | -0.000 | -0.000 | 0.001 |
| 0.001 | 0.001 | 0.001 | 0.000 | 0.000 | 0.000 |
| 0.001 | 0.001 | 0.001 | 0.000 | 0.000 | 0.000 |
| 0.001 | 0.001 | 0.002 | 0.000 | 0.000 | 0.000 |
| -0.000 | -0.000 | -0.000 | 0.001 | 0.000 | 0.000 |
| -0.000 | -0.000 | -0.000 | 0.000 | 0.001 | 0.000 |
| -0.000 | -0.000 | -0.000 | 0.000 | 0.000 | 0.001 |
| 0.001 | 0.001 | 0.001 | -0.000 | -0.000 | -0.000 |
| 0.001 | 0.001 | 0.001 | -0.000 | -0.000 | -0.000 |
| 0.001 | 0.001 | 0.002 | -0.000 | -0.000 | -0.000 |
| 0.000 | 0.000 | 0.000 | 0.001 | -0.000 | -0.000 |
| 0.000 | 0.000 | 0.000 | -0.000 | 0.001 | -0.000 |
| 0.000 | 0.000 | 0.000 | -0.000 | -0.000 | 0.001 |
| 0.001 | 0.001 | 0.001 | 0.000 | 0.000 | 0.000 |
| 0.001 | 0.001 | 0.001 | 0.000 | 0.000 | 0.000 |
| 0.001 | 0.001 | 0.002 | 0.000 | 0.000 | 0.000 |
| -0.000 | -0.000 | -0.000 | 0.001 | 0.000 | 0.000 |
| -0.000 | -0.000 | -0.000 | 0.000 | 0.001 | 0.000 |
| -0.000 | -0.000 | -0.000 | 0.000 | 0.000 | 0.001 |
| 0.001 | 0.001 | 0.001 | -0.000 | -0.000 | -0.000 |
| 0.001 | 0.001 | 0.001 | -0.000 | -0.000 | -0.000 |
| 0.001 | 0.001 | 0.002 | -0.000 | -0.000 | -0.000 |
| 0.000 | 0.000 | 0.000 | 0.001 | -0.000 | -0.000 |
| 0.000 | 0.000 | 0.000 | -0.000 | 0.001 | -0.000 |
| 0.000 | 0.000 | 0.000 | -0.000 | -0.000 | 0.001 |
| 0.001 | 0.001 | 0.001 | 0.000 | 0.000 | 0.000 |
| 0.001 | 0.001 | 0.001 | 0.000 | 0.000 | 0.000 |
| 0.001 | 0.001 | 0.002 | 0.000 | 0.000 | 0.000 |
| -0.000 | -0.000 | -0.000 | 0.001 | 0.000 | 0.000 |
| -0.000 | -0.000 | -0.000 | 0.000 | 0.001 | 0.000 |
| -0.000 | -0.000 | -0.000 | 0.000 | 0.000 | 0.001 |
| -1267.998 | -1204.244 | -1163.573 | 141.950 | -0.000 | -0.000 |
| -1523.017 | -1096.414 | -1224.346 | 161.986 | 0.000 | 0.000 |
| 8033.944 | 8033.945 | 6651.637 | -0.000 | 0.000 | -0.000 |
| -226.262 | 226.263 | 0.000 | 264.845 | -0.000 | 0.000 |
| 0.000 | 0.001 | 0.000 | 0.000 | 264.845 | -226.262 |
| 0.000 | 0.001 | 0.000 | 0.000 | -226.262 | 265.151 |
| 1039.818 | 1102.840 | 741.888 | 141.497 | -0.000 | 0.000 |
| 1102.840 | 1039.818 | 741.887 | -141.496 | -0.000 | 0.000 |
| 1055.706 | 1055.705 | 889.109 | -0.000 | 0.000 | 0.000 |
| -226.262 | 226.261 | -0.000 | 264.845 | -0.000 | -0.000 |
| -0.000 | -0.001 | -0.000 | -0.000 | 264.845 | -226.262 |
| -0.000 | -0.001 | -0.000 | -0.000 | -226.262 | 265.151 |
| -105.890 | -485.758 | -387.088 | -133.019 | -0.000 | 0.000 |
| 7056.216 | 7133.529 | 5716.050 | -54.511 | 0.000 | -0.000 |
| 8039.878 | 8039.878 | 6656.546 | 0.000 | -0.000 | 0.000 |
| 20.739 | -261.591 | -99.446 | -190.638 | 0.000 | -0.000 |
| -680.702 | -680.702 | -562.114 | 0.000 | -148.062 | 106.820 |
| 1492.965 | 1492.965 | 1232.869 | 0.000 | 291.284 | -152.341 |
| 55.390 | 118.409 | -71.040 | 141.494 | -0.000 | 0.000 |
| 9607.450 | 10137.751 | 8009.836 | 226.260 | 0.000 | 0.000 |
| 184.171 | 184.171 | 169.408 | -0.000 | -0.000 | -0.000 |
| 94.889 | -209.180 | -47.190 | -204.113 | 0.000 | -0.000 |
| 680.702 | 680.702 | 562.114 | -0.000 | -148.062 | 106.820 |
| -1492.965 | -1492.965 | -1232.869 | -0.000 | 291.284 | -152.341 |
| -20.907 | 41.857 | -134.152 | 141.337 | 0.000 | 0.000 |
| -286.359 | -348.948 | -405.117 | -141.230 | -0.000 | -0.000 |
| -139.136 | -139.136 | -97.575 | -0.000 | 0.000 | 0.000 |
| 243.663 | -35.799 | 85.825 | -188.861 | 0.000 | 0.000 |
| 105.071 | 105.072 | 86.766 | 0.001 | -191.945 | 142.219 |
| -75.057 | -75.057 | -61.981 | 0.000 | 140.943 | -31.064 |
| -37.656 | 25.425 | -147.850 | 141.532 | -0.000 | -0.000 |
| -70.298 | -130.780 | -225.823 | -139.921 | -0.000 | -0.000 |
| -199.425 | -199.425 | -147.359 | -0.000 | 0.000 | -0.000 |
| 153.511 | -129.437 | 9.941 | -191.020 | 0.000 | -0.000 |
| -105.071 | -105.072 | -86.766 | -0.001 | -191.945 | 142.219 |
| 75.057 | 75.057 | 61.981 | -0.000 | 140.943 | -31.064 |
| 10463.924 | 11338.649 | 11338.649 | -0.000 | 0.000 | 0.000 |
| 11338.649 | 10463.924 | 11338.649 | -0.000 | 0.000 | -0.000 |
| 11338.649 | 11338.649 | 10463.924 | -0.000 | 0.000 | -0.000 |
| -0.000 | -0.000 | -0.000 | 223.849 | 0.000 | -0.000 |
| -0.000 | -0.000 | -0.000 | -0.000 | 223.849 | 0.000 |
| -0.000 | -0.000 | -0.000 | -0.000 | 0.000 | 223.849 |
| 10463.513 | 11338.239 | 11338.239 | 0.000 | -0.000 | 0.000 |
| 11338.239 | 10463.513 | 11338.239 | 0.000 | -0.000 | 0.000 |
| 11338.239 | 11338.239 | 10463.513 | 0.000 | -0.000 | 0.000 |
| 0.000 | 0.000 | 0.000 | 223.849 | -0.000 | 0.000 |
| 0.000 | 0.000 | 0.000 | 0.000 | 223.849 | 0.000 |
| 0.000 | 0.000 | 0.000 | 0.000 | -0.000 | 223.849 |
| 10465.777 | 11340.494 | 11340.494 | -0.000 | 0.000 | -0.000 |
| 11340.494 | 10465.777 | 11340.494 | -0.000 | 0.000 | 0.000 |
| 11340.494 | 11340.494 | 10465.777 | -0.000 | 0.000 | 0.000 |
| -0.001 | -0.001 | -0.000 | 223.849 | 0.000 | -0.000 |
| -0.001 | -0.001 | -0.000 | -0.000 | 223.849 | -0.000 |
| -0.001 | -0.000 | -0.001 | -0.000 | 0.000 | 223.849 |
| 10461.661 | 11336.394 | 11336.394 | 0.000 | -0.000 | 0.000 |
| 11336.394 | 10461.661 | 11336.394 | 0.000 | 0.000 | 0.000 |
| 11336.394 | 11336.394 | 10461.661 | 0.000 | -0.000 | -0.000 |
| 0.001 | 0.001 | 0.000 | 223.849 | -0.000 | 0.000 |
| 0.001 | 0.001 | 0.000 | 0.000 | 223.849 | 0.000 |
| 0.001 | 0.000 | 0.001 | 0.000 | -0.000 | 223.849 |
| 10484.299 | 11358.942 | 11358.942 | -0.000 | 0.000 | -0.000 |
| 11358.942 | 10484.299 | 11358.942 | -0.000 | 0.000 | -0.000 |
| 11358.942 | 11358.942 | 10484.299 | -0.000 | 0.000 | -0.000 |
| -0.006 | -0.006 | -0.005 | 223.849 | 0.000 | -0.000 |
| -0.006 | -0.006 | -0.005 | -0.000 | 223.849 | -0.000 |
| -0.006 | -0.005 | -0.006 | -0.000 | 0.000 | 223.849 |
| 10466.208 | 11341.016 | 11341.016 | 0.000 | -0.000 | -0.000 |
| 11341.016 | 10466.208 | 11341.016 | 0.000 | -0.000 | 0.000 |
| 11341.016 | 11341.016 | 10466.208 | 0.000 | -0.000 | 0.000 |
| 0.006 | 0.006 | 0.005 | 223.849 | -0.000 | 0.000 |
| 0.006 | 0.006 | 0.005 | 0.000 | 223.849 | -0.000 |
| 0.006 | 0.005 | 0.006 | 0.000 | -0.000 | 223.849 |
| 0.001 | -0.000 | -0.000 | -0.000 | 0.000 | -0.000 |
| -0.000 | 0.001 | -0.000 | 0.000 | -0.000 | -0.000 |
| -0.000 | -0.000 | 0.001 | 0.000 | 0.000 | -0.000 |
| 0.000 | -0.000 | -0.000 | 0.000 | -0.000 | 0.000 |
| -0.000 | 0.000 | -0.000 | 0.000 | 0.000 | 0.000 |
| -0.000 | -0.000 | 0.000 | 0.000 | 0.000 | 0.000 |
| 0.001 | -0.000 | -0.000 | -0.000 | 0.000 | 0.000 |
| -0.000 | 0.001 | -0.000 | -0.000 | -0.000 | 0.000 |
| -0.000 | -0.000 | 0.001 | 0.000 | 0.000 | -0.000 |
| -0.000 | 0.000 | 0.000 | 0.000 | 0.000 | -0.000 |
| 0.000 | -0.000 | 0.000 | -0.000 | 0.000 | 0.000 |
| 0.000 | 0.000 | -0.000 | -0.000 | -0.000 | 0.000 |
| 0.001 | -0.000 | -0.000 | -0.000 | -0.000 | 0.000 |
| -0.000 | 0.001 | -0.000 | 0.000 | -0.000 | -0.000 |
| -0.000 | -0.000 | 0.001 | 0.000 | 0.000 | -0.000 |
| 0.000 | -0.000 | -0.000 | 0.000 | -0.000 | -0.000 |
| -0.000 | 0.000 | -0.000 | 0.000 | 0.000 | 0.000 |
| -0.000 | -0.000 | 0.000 | 0.000 | -0.000 | 0.000 |
| 0.001 | -0.000 | -0.000 | -0.000 | -0.000 | -0.000 |
| -0.000 | 0.001 | -0.000 | -0.000 | -0.000 | -0.000 |
| -0.000 | -0.000 | 0.001 | 0.000 | 0.000 | -0.000 |
| -0.000 | 0.000 | 0.000 | 0.000 | 0.000 | -0.000 |
| 0.000 | -0.000 | 0.000 | -0.000 | 0.000 | 0.000 |
| 0.000 | 0.000 | -0.000 | -0.000 | -0.000 | 0.000 |
| 0.001 | -0.000 | -0.000 | -0.000 | 0.000 | -0.000 |
| -0.000 | 0.001 | -0.000 | 0.000 | -0.000 | -0.000 |
| -0.000 | -0.000 | 0.001 | -0.000 | 0.000 | -0.000 |
| 0.000 | -0.000 | -0.000 | 0.000 | -0.000 | 0.000 |
| -0.000 | 0.000 | -0.000 | -0.000 | 0.000 | -0.000 |
| -0.000 | -0.000 | 0.000 | 0.000 | -0.000 | 0.000 |
| 0.001 | -0.000 | -0.000 | -0.000 | 0.000 | 0.000 |
| -0.000 | 0.001 | -0.000 | 0.000 | -0.000 | 0.000 |
| -0.000 | -0.000 | 0.001 | 0.000 | 0.000 | -0.000 |
| -0.000 | 0.000 | 0.000 | 0.000 | 0.000 | -0.000 |
| 0.000 | -0.000 | 0.000 | 0.000 | 0.000 | -0.000 |
| 0.000 | 0.000 | -0.000 | -0.000 | 0.000 | 0.000 |
| 17044.831 | 16916.133 | 16916.133 | 0.000 | 0.000 | 0.000 |
| 16916.133 | 17044.831 | 16916.133 | 0.000 | 0.000 | 0.000 |
| 16916.133 | 16916.133 | 17044.831 | 0.000 | 0.000 | 0.000 |
| 0.003 | 0.002 | 0.003 | 16806.464 | -0.000 | 0.000 |
| 0.002 | 0.003 | 0.003 | -0.000 | 16806.464 | 0.000 |
| 0.002 | 0.003 | 0.003 | -0.000 | 0.000 | 16806.464 |
| 17044.828 | 16916.130 | 16916.130 | -0.000 | -0.000 | -0.000 |
| 16916.130 | 17044.828 | 16916.130 | 0.000 | -0.000 | 0.000 |
| 16916.130 | 16916.130 | 17044.828 | -0.000 | -0.000 | -0.000 |
| -0.003 | -0.002 | -0.003 | 16806.464 | -0.000 | -0.000 |
| -0.002 | -0.003 | -0.003 | -0.000 | 16806.464 | -0.000 |
| -0.002 | -0.003 | -0.003 | -0.000 | -0.000 | 16806.464 |
| 17044.842 | 16916.147 | 16916.147 | 0.000 | 0.000 | 0.000 |
| 16916.147 | 17044.842 | 16916.147 | 0.000 | 0.000 | 0.000 |
| 16916.147 | 16916.147 | 17044.842 | 0.000 | 0.000 | 0.000 |
| -0.002 | -0.002 | -0.002 | 53.878 | -0.000 | 0.000 |
| -0.002 | -0.002 | -0.002 | -0.000 | 53.878 | -0.000 |
| -0.002 | -0.002 | -0.002 | -0.000 | -0.000 | 53.878 |
| 17044.818 | 16916.116 | 16916.116 | -0.000 | -0.000 | -0.000 |
| 16916.116 | 17044.818 | 16916.116 | -0.000 | -0.000 | -0.000 |
| 16916.116 | 16916.116 | 17044.818 | -0.000 | -0.000 | -0.000 |
| 0.002 | 0.002 | 0.002 | 53.878 | -0.000 | 0.000 |
| 0.002 | 0.002 | 0.002 | -0.000 | 53.878 | 0.000 |
| 0.002 | 0.002 | 0.002 | -0.000 | 0.000 | 53.878 |
| 17044.948 | 16916.284 | 16916.284 | 0.000 | -0.000 | 0.000 |
| 16916.284 | 17044.948 | 16916.284 | -0.000 | 0.000 | 0.000 |
| 16916.284 | 16916.284 | 17044.948 | 0.000 | 0.000 | -0.000 |
| -0.018 | -0.017 | -0.017 | 53.867 | -0.000 | 0.000 |
| -0.017 | -0.018 | -0.017 | 0.000 | 53.867 | 0.000 |
| -0.017 | -0.017 | -0.018 | -0.000 | -0.000 | 53.867 |
| 17044.768 | 16916.035 | 16916.035 | 0.000 | 0.000 | -0.000 |
| 16916.035 | 17044.768 | 16916.035 | 0.000 | 0.000 | -0.000 |
| 16916.035 | 16916.035 | 17044.768 | -0.000 | -0.000 | -0.000 |
| 0.018 | 0.017 | 0.017 | 53.867 | -0.000 | -0.000 |
| 0.017 | 0.018 | 0.017 | -0.000 | 53.867 | -0.000 |
| 0.017 | 0.017 | 0.018 | -0.000 | -0.000 | 53.867 |
| 517.904 | 407.011 | 407.011 | 0.000 | -0.000 | 0.000 |
| 407.011 | 517.904 | 407.011 | -0.000 | 0.000 | 0.000 |
| 407.011 | 407.011 | 517.904 | 0.000 | 0.000 | -0.000 |
| 0.000 | 0.000 | 0.000 | 366.924 | 0.000 | -0.000 |
| 0.000 | 0.000 | 0.000 | 0.000 | 366.924 | 0.000 |
| 0.000 | 0.000 | 0.000 | -0.000 | 0.000 | 366.924 |
| 517.904 | 407.010 | 407.010 | -0.000 | 0.000 | 0.000 |
| 407.010 | 517.904 | 407.010 | 0.000 | -0.000 | 0.000 |
| 407.010 | 407.010 | 517.904 | 0.000 | -0.000 | 0.000 |
| -0.000 | -0.000 | -0.000 | 366.924 | 0.000 | -0.000 |
| -0.000 | -0.000 | -0.000 | 0.000 | 366.924 | -0.000 |
| -0.000 | -0.000 | -0.000 | -0.000 | 0.000 | 366.924 |
| 517.904 | 407.011 | 407.011 | -0.000 | 0.000 | 0.000 |
| 407.011 | 517.904 | 407.011 | 0.000 | 0.000 | 0.000 |
| 407.011 | 407.011 | 517.904 | 0.000 | 0.000 | 0.000 |
| 0.000 | 0.000 | 0.000 | 366.924 | 0.000 | 0.000 |
| 0.000 | 0.000 | 0.000 | 0.000 | 366.924 | 0.000 |
| 0.000 | 0.000 | 0.000 | 0.000 | 0.000 | 366.924 |
| 517.904 | 407.010 | 407.010 | -0.000 | 0.000 | 0.000 |
| 407.010 | 517.904 | 407.010 | 0.000 | -0.000 | -0.000 |
| 407.010 | 407.010 | 517.904 | -0.000 | -0.000 | 0.000 |
| -0.000 | -0.000 | -0.000 | 366.924 | -0.000 | 0.000 |
| -0.000 | -0.000 | -0.000 | -0.000 | 366.924 | -0.000 |
| -0.000 | -0.000 | -0.000 | 0.000 | -0.000 | 366.924 |
| 517.905 | 407.012 | 407.012 | 0.000 | 0.000 | -0.000 |
| 407.012 | 517.905 | 407.012 | -0.000 | -0.000 | 0.000 |
| 407.012 | 407.012 | 517.905 | 0.000 | 0.000 | -0.000 |
| -0.000 | -0.000 | -0.000 | 18.195 | -0.000 | 0.000 |
| -0.000 | -0.000 | -0.000 | -0.000 | 18.195 | 0.000 |
| -0.000 | -0.000 | -0.000 | 0.000 | 0.000 | 18.195 |
| 517.902 | 407.009 | 407.009 | 0.000 | -0.000 | -0.000 |
| 407.009 | 517.902 | 407.009 | -0.000 | -0.000 | -0.000 |
| 407.009 | 407.009 | 517.902 | -0.000 | -0.000 | -0.000 |
| 0.000 | 0.000 | 0.000 | 18.195 | -0.000 | 0.000 |
| 0.000 | 0.000 | 0.000 | -0.000 | 18.195 | -0.000 |
| 0.000 | 0.000 | 0.000 | -0.000 | -0.000 | 18.195 |
| 383.020 | 391.540 | 391.540 | -0.000 | -0.000 | 0.000 |
| 391.540 | 383.020 | 391.540 | -0.000 | -0.000 | 0.000 |
| 391.540 | 391.540 | 383.020 | -0.000 | -0.000 | 0.000 |
| 0.000 | -0.000 | 0.000 | 318.219 | -0.000 | 0.000 |
| -0.000 | 0.000 | 0.000 | -0.000 | 318.219 | 0.000 |
| -0.000 | 0.000 | 0.000 | -0.000 | -0.000 | 318.219 |
| 383.020 | 391.540 | 391.540 | 0.000 | 0.000 | -0.000 |
| 391.540 | 383.020 | 391.540 | 0.000 | 0.000 | -0.000 |
| 391.540 | 391.540 | 383.020 | -0.000 | -0.000 | -0.000 |
| -0.000 | 0.000 | -0.000 | 318.219 | 0.000 | -0.000 |
| 0.000 | -0.000 | -0.000 | 0.000 | 318.219 | -0.000 |
| 0.000 | -0.000 | -0.000 | 0.000 | 0.000 | 318.219 |
| 383.020 | 391.540 | 391.540 | -0.000 | -0.000 | -0.000 |
| 391.540 | 383.020 | 391.540 | -0.000 | -0.000 | 0.000 |
| 391.540 | 391.540 | 383.020 | -0.000 | -0.000 | 0.000 |
| 0.000 | -0.000 | 0.000 | 318.219 | -0.000 | 0.000 |
| -0.000 | 0.000 | 0.000 | -0.000 | 318.219 | 0.000 |
| -0.000 | 0.000 | 0.000 | -0.000 | -0.000 | 318.219 |
| 383.020 | 391.540 | 391.540 | 0.000 | 0.000 | -0.000 |
| 391.540 | 383.020 | 391.540 | 0.000 | 0.000 | -0.000 |
| 391.540 | 391.540 | 383.020 | 0.000 | 0.000 | -0.000 |
| -0.000 | 0.000 | -0.000 | 318.219 | 0.000 | -0.000 |
| 0.000 | -0.000 | -0.000 | 0.000 | 318.219 | -0.000 |
| 0.000 | -0.000 | -0.000 | 0.000 | 0.000 | 318.219 |
| 383.020 | 391.541 | 391.541 | -0.000 | -0.000 | 0.000 |
| 391.541 | 383.020 | 391.541 | -0.000 | -0.000 | 0.000 |
| 391.541 | 391.541 | 383.020 | 0.000 | -0.000 | 0.000 |
| 0.000 | -0.001 | -0.001 | -34.734 | -0.000 | 0.000 |
| -0.001 | 0.000 | -0.001 | -0.000 | -34.734 | 0.000 |
| -0.001 | -0.001 | 0.000 | -0.000 | 0.000 | -34.734 |
| 383.020 | 391.539 | 391.539 | -0.000 | 0.000 | -0.000 |
| 391.539 | 383.020 | 391.539 | 0.000 | -0.000 | -0.000 |
| 391.539 | 391.539 | 383.020 | 0.000 | 0.000 | -0.000 |
| -0.000 | 0.001 | 0.001 | -34.734 | 0.000 | -0.000 |
| 0.001 | -0.000 | 0.001 | 0.000 | -34.734 | -0.000 |
| 0.001 | 0.001 | -0.000 | 0.000 | 0.000 | -34.734 |
| 169.068 | 169.144 | 169.144 | 0.000 | 0.000 | 0.000 |
| 169.144 | 169.068 | 169.144 | 0.000 | 0.000 | 0.000 |
| 169.144 | 169.144 | 169.068 | 0.000 | 0.000 | 0.000 |
| -0.000 | -0.000 | -0.000 | -0.081 | 0.000 | -0.000 |
| -0.000 | -0.000 | -0.000 | 0.000 | -0.081 | -0.000 |
| -0.000 | -0.000 | -0.000 | -0.000 | -0.000 | -0.081 |
| 169.068 | 169.144 | 169.144 | -0.000 | -0.000 | -0.000 |
| 169.144 | 169.068 | 169.144 | -0.000 | -0.000 | -0.000 |
| 169.144 | 169.144 | 169.068 | -0.000 | -0.000 | -0.000 |
| 0.000 | 0.000 | 0.000 | -0.081 | -0.000 | 0.000 |
| 0.000 | 0.000 | 0.000 | -0.000 | -0.081 | 0.000 |
| 0.000 | 0.000 | 0.000 | 0.000 | 0.000 | -0.081 |
| 169.068 | 169.143 | 169.143 | 0.000 | 0.000 | 0.000 |
| 169.143 | 169.068 | 169.143 | 0.000 | 0.000 | 0.000 |
| 169.143 | 169.143 | 169.068 | 0.000 | 0.000 | 0.000 |
| -0.000 | -0.000 | -0.000 | -0.081 | -0.000 | 0.000 |
| -0.000 | -0.000 | -0.000 | -0.000 | -0.081 | 0.000 |
| -0.000 | -0.000 | -0.000 | -0.000 | 0.000 | -0.081 |
| 169.068 | 169.144 | 169.144 | -0.000 | -0.000 | 0.000 |
| 169.144 | 169.068 | 169.144 | -0.000 | -0.000 | 0.000 |
| 169.144 | 169.144 | 169.068 | -0.000 | -0.000 | -0.000 |
| 0.000 | 0.000 | 0.000 | -0.081 | -0.000 | 0.000 |
| 0.000 | 0.000 | 0.000 | -0.000 | -0.081 | 0.000 |
| 0.000 | 0.000 | 0.000 | -0.000 | -0.000 | -0.081 |
| 169.067 | 169.143 | 169.143 | 0.000 | 0.000 | -0.000 |
| 169.143 | 169.067 | 169.143 | 0.000 | 0.000 | -0.000 |
| 169.143 | 169.143 | 169.067 | 0.000 | 0.000 | 0.000 |
| -0.000 | -0.000 | -0.000 | -0.081 | 0.000 | 0.000 |
| -0.000 | -0.000 | -0.000 | 0.000 | -0.081 | 0.000 |
| -0.000 | -0.000 | -0.000 | 0.000 | 0.000 | -0.081 |
| 169.069 | 169.144 | 169.144 | -0.000 | -0.000 | -0.000 |
| 169.144 | 169.069 | 169.144 | -0.000 | -0.000 | -0.000 |
| 169.144 | 169.144 | 169.069 | -0.000 | -0.000 | -0.000 |
| 0.000 | 0.000 | 0.000 | -0.081 | 0.000 | -0.000 |
| 0.000 | 0.000 | 0.000 | 0.000 | -0.081 | -0.000 |
| 0.000 | 0.000 | 0.000 | 0.000 | 0.000 | -0.081 |
| 1404.869 | 1320.863 | 1639.964 | -0.000 | 0.000 | -0.000 |
| 1320.863 | 1404.869 | 1639.964 | 0.000 | 0.000 | -0.000 |
| 8747.307 | 8747.307 | 12795.835 | 0.000 | 0.000 | -0.000 |
| 0.037 | 0.037 | 0.052 | 979.295 | -0.000 | -0.000 |
| 0.037 | 0.037 | 0.052 | -0.000 | 979.295 | -0.000 |
| 0.026 | 0.026 | 0.036 | 0.000 | 0.000 | 1001.389 |
| 1069.610 | 985.623 | 1171.657 | -0.000 | 0.000 | 0.000 |
| 985.623 | 1069.610 | 1171.657 | 0.000 | -0.000 | 0.000 |
| 8747.303 | 8747.303 | 12795.832 | 0.000 | 0.000 | 0.000 |
| -0.038 | -0.037 | -0.052 | 979.295 | -0.000 | 0.000 |
| -0.037 | -0.038 | -0.052 | -0.000 | 979.295 | 0.000 |
| -0.026 | -0.026 | -0.036 | 0.000 | -0.000 | 1001.389 |
| -100112256.836 | -70588090.208 | -106767523.577 | 0.000 | 0.000 | -0.007 |
| -70588090.628 | -100112257.496 | -106767524.321 | 0.004 | 0.002 | 0.036 |
| 1164.214 | 1164.214 | 2203.085 | 0.000 | 0.000 | -0.000 |
| -0.012 | -0.012 | -0.017 | 979.296 | -0.000 | -0.000 |
| -0.012 | -0.012 | -0.017 | -0.000 | 979.296 | -0.000 |
| -0.002 | -0.002 | -0.003 | -0.000 | 0.000 | 1001.701 |
| 1075.741 | 991.736 | 1180.210 | 0.000 | -0.000 | 0.000 |
| 991.736 | 1075.741 | 1180.210 | -0.000 | 0.000 | 0.000 |
| 1164.247 | 1164.247 | 2203.138 | 0.000 | 0.000 | 0.000 |
| 0.012 | 0.012 | 0.017 | 979.296 | -0.000 | 0.000 |
| 0.012 | 0.012 | 0.017 | -0.000 | 979.296 | 0.000 |
| 0.002 | 0.002 | 0.003 | -0.000 | 0.000 | 1001.701 |
| 1070.040 | 986.055 | 1172.254 | -0.000 | 0.000 | -0.000 |
| 986.055 | 1070.040 | 1172.254 | 0.000 | -0.000 | -0.000 |
| 1037.503 | 1037.503 | 2026.074 | 0.000 | 0.000 | -0.000 |
| 0.040 | 0.038 | 0.054 | 979.301 | 0.000 | -0.000 |
| 0.038 | 0.040 | 0.054 | 0.000 | 979.301 | -0.000 |
| 0.001 | 0.003 | -0.001 | 0.000 | 0.000 | 1001.392 |
| 7059357.763 | 10011597.376 | 10677238.124 | -0.000 | -0.001 | 0.001 |
| 10011597.318 | 7059357.724 | 10677238.059 | -0.000 | 0.000 | -0.001 |
| 1164.237 | 1164.237 | 2203.130 | -0.000 | -0.000 | 0.000 |
| -0.040 | -0.038 | -0.054 | 979.301 | -0.000 | 0.000 |
| -0.038 | -0.040 | -0.054 | -0.000 | 979.301 | 0.000 |
| -0.001 | -0.003 | 0.001 | 0.000 | -0.000 | 1001.392 |
| 11113.742 | 7955.656 | 10211.940 | -1643.619 | 1.919 | 2.108 |
| 7967.599 | 11102.119 | 10214.413 | 1654.923 | 1.921 | 2.110 |
| 7490.785 | 7483.672 | 7187.782 | 4.330 | 1.579 | 1.734 |
| -876.585 | 876.588 | 0.001 | 7746.875 | -0.000 | 0.000 |
| -52.369 | -77.797 | 1404.918 | 13.374 | 438.769 | -2079.380 |
| 0.000 | 0.003 | 0.000 | -0.000 | -876.585 | 4714.522 |
| 14090.211 | 4661.172 | 7734.447 | -876.584 | 0.000 | -0.000 |
| 4661.173 | 14090.211 | 7734.447 | 876.584 | 0.000 | -0.000 |
| 7698.006 | 7698.004 | 9246.913 | 0.000 | 0.000 | -0.000 |
| -876.585 | 876.582 | -0.001 | 7746.875 | 0.000 | -0.000 |
| -234.798 | -225.183 | -3270.157 | -5.854 | 5565.394 | -1737.801 |
| -0.000 | -0.003 | -0.001 | 0.000 | -876.585 | 4714.521 |
| 14090.278 | 4661.179 | 7734.475 | -876.589 | -0.000 | 0.000 |
| 8231.924 | 10457.296 | 7540.656 | 1763.018 | 0.220 | 0.242 |
| 7407.600 | 7407.032 | 5862.708 | 0.346 | 0.126 | 0.139 |
| -9.405 | -43.013 | 127.958 | -312.528 | 0.247 | 0.295 |
| -15.163 | -16.363 | 186.012 | 0.644 | 1.143 | -69.699 |
| 8.824 | 7.559 | 192.481 | 0.700 | -1655.861 | 631.094 |
| 10022.216 | 8608.723 | 7166.173 | -1666.256 | -0.253 | -0.297 |
| 6256.962 | 12419.554 | 7339.023 | 1277.903 | -0.100 | -0.110 |
| 7355.801 | 7356.410 | 5203.113 | -0.371 | -0.135 | -0.149 |
| -2539.590 | 2452.885 | -616.324 | 3638.296 | -0.402 | -0.442 |
| 15.163 | 16.363 | -186.012 | -0.644 | 0.669 | -70.292 |
| -8.825 | -7.559 | -192.486 | -0.699 | -1656.375 | 630.546 |
| 9562.329 | 8983.381 | 7464.642 | 135.294 | 0.017 | 0.029 |
| 8727.599 | 9932.406 | 7442.415 | 1638.459 | 0.026 | 0.031 |
| 6473.860 | 6472.197 | 4518.983 | 0.727 | 0.280 | 0.403 |
| -1024.063 | 1013.438 | -43.201 | 860.135 | 0.034 | 0.048 |
| -1.393 | -1.538 | 19.601 | 0.019 | 9.963 | -78.973 |
| 0.859 | 0.698 | 18.014 | 0.099 | -1646.675 | 587.360 |
| 9910.667 | 8737.560 | 7401.529 | -1641.981 | -0.026 | -0.031 |
| 8798.096 | 9848.139 | 7391.547 | 1657.265 | -0.027 | -0.032 |
| 7162.400 | 7162.499 | 2982.614 | -0.060 | -0.022 | -0.024 |
| -1069.662 | 1080.040 | 40.659 | 788.957 | -0.035 | -0.049 |
| 1.394 | 1.541 | -19.509 | -0.019 | 10.632 | -84.031 |
| -0.859 | -0.698 | -18.014 | -0.099 | -1646.726 | 587.304 |
| 6873.902 | 2306.981 | 7780.511 | -26.079 | 0.000 | -0.000 |
| -128616.602 | -130554.500 | -253336.001 | 1078.200 | 0.000 | -0.000 |
| -151187.669 | -151187.668 | -305412.076 | -0.000 | 0.000 | -0.000 |
| -136631.124 | -136429.775 | -276053.315 | 3708.189 | 0.000 | 0.000 |
| 0.002 | 0.001 | 0.003 | -0.000 | 7749.803 | -26.079 |
| -131007.270 | -131007.379 | -254686.390 | -0.015 | -1042.386 | -652.751 |
| 134610.956 | 136439.682 | 262481.865 | -321.520 | -0.000 | -0.000 |
| 85377.602 | 88602.708 | 174384.885 | 72.052 | 0.000 | -0.000 |
| 114225.960 | 114225.960 | 220343.147 | -0.001 | -0.000 | 0.000 |
| -26.080 | 26.077 | -0.003 | 7749.803 | -0.000 | 0.000 |
| -0.002 | -0.001 | -0.003 | 0.000 | 7749.803 | -26.079 |
| 131007.270 | 131007.378 | 254686.390 | 0.015 | -1042.386 | -652.751 |
| -12496.176 | -12048.911 | -25353.915 | 128.969 | 0.000 | -0.000 |
| -15229.001 | -13142.658 | -30185.491 | 111.067 | 0.000 | -0.000 |
| -13018.828 | -13018.828 | -26091.128 | -0.000 | 0.000 | -0.000 |
| -15939.025 | -15713.931 | -31999.834 | 3064.808 | 0.000 | -0.000 |
| -13717.916 | -13717.899 | -26725.420 | -0.002 | 125.177 | -74.054 |
| -15396.126 | -15396.127 | -31129.700 | -0.000 | -110.198 | 1055.853 |
| 13889.794 | 10891.637 | 23550.805 | -79.827 | -0.000 | -0.000 |
| 16123.454 | 18165.556 | 33161.834 | 112.582 | -0.000 | 0.000 |
| 7780.490 | 7780.490 | 15967.092 | 0.000 | -0.000 | 0.000 |
| 13301.302 | 13472.153 | 26067.408 | 1600.499 | 0.000 | 0.000 |
| 13717.916 | 13717.899 | 26725.420 | 0.002 | 125.177 | -74.054 |
| 15396.126 | 15396.127 | 31129.700 | 0.000 | -110.198 | 1055.853 |
| 509.421 | -1433.609 | -2437.356 | -115.976 | 0.000 | -0.000 |
| -110.579 | 2.702 | -1609.886 | 243.221 | 0.000 | -0.000 |
| 53.922 | 53.921 | 413.723 | -0.000 | -0.000 | 0.000 |
| -2152.708 | -2239.150 | -4395.033 | 1787.393 | -0.000 | -0.000 |
| -1459.027 | -1459.014 | -2948.551 | 0.003 | 1173.658 | -191.466 |
| -1334.211 | -1334.208 | -2696.024 | 0.000 | -194.947 | 490.430 |
| 3442.162 | 1804.721 | 3801.144 | -126.448 | -0.000 | 0.000 |
| 1773.826 | 3230.955 | 3556.248 | 132.624 | -0.000 | 0.000 |
| 2679.793 | 2679.793 | 5512.967 | -0.000 | -0.000 | -0.000 |
| 1239.170 | 1405.274 | 2664.936 | 1999.414 | -0.000 | -0.000 |
| 1459.027 | 1459.014 | 2948.551 | -0.003 | 1173.658 | -191.466 |
| 1334.211 | 1334.208 | 2696.024 | -0.000 | -194.947 | 490.430 |
| -3442.762 | -31323.903 | 29209.366 | 0.003 | -14287.165 | -0.006 |
| -68650.044 | -87984.786 | -72858.730 | 0.016 | -80770.088 | -0.013 |
| -72283.890 | -80757.383 | -78359.281 | 0.017 | -81580.394 | -0.014 |
| -86409.936 | -94821.353 | -100666.493 | -1544.260 | -96254.564 | 1181.009 |
| -80212.374 | -91076.288 | -92607.456 | 0.018 | -98081.210 | -0.014 |
| 0.000 | 0.000 | 0.000 | -654.180 | 0.000 | 4428.574 |
| 16622.499 | 39973.618 | -12857.808 | -0.003 | 14830.039 | 0.006 |
| 97455.158 | 116532.926 | 178724.474 | -0.017 | 66055.310 | 0.017 |
| 8918.250 | 6716.722 | 18697.032 | -0.000 | 1239.620 | -0.000 |
| 86409.935 | 94821.353 | 100666.492 | -1544.298 | 96254.564 | 1181.039 |
| -554.160 | -654.612 | 1239.619 | -0.000 | 8867.757 | 0.000 |
| -0.000 | -0.000 | -0.000 | -654.180 | -0.000 | 4428.573 |
| 5190.343 | 1338.368 | 9812.973 | 0.000 | -897.041 | -0.001 |
| -6221.328 | -5529.645 | -13176.564 | 0.002 | -6508.207 | 0.001 |
| -5176.933 | -9088.398 | -10762.497 | 0.002 | -8412.662 | -0.000 |
| -8021.455 | -8939.871 | -9163.656 | -987.862 | -8954.854 | 1056.338 |
| -5687.127 | -7178.880 | -11783.134 | 0.002 | -7847.711 | 0.001 |
| -989.009 | -3552.141 | 2098.228 | -320.496 | -1451.635 | 1009.194 |
| 11356.242 | 10263.855 | 15923.530 | -0.002 | 10916.156 | 0.000 |
| 9276.800 | 7406.981 | 11221.193 | -0.001 | 5980.199 | 0.001 |
| 14202.202 | 21665.004 | 26257.064 | -0.004 | 5806.204 | -0.006 |
| 8021.455 | 8939.871 | 9163.655 | -987.865 | 8954.853 | 1056.340 |
| 1473.099 | 2956.783 | -34.687 | -0.000 | 7833.067 | 0.001 |
| 989.009 | 3552.141 | -2098.228 | -320.496 | 1451.635 | 1009.195 |
| 2259.493 | -205.288 | 2403.814 | 0.000 | 335.417 | -0.000 |
| 560.264 | 971.533 | 327.695 | 0.000 | -741.087 | -0.000 |
| 1403.693 | 475.360 | 1895.687 | 0.000 | -172.239 | -0.000 |
| -579.150 | -836.644 | -783.901 | 397.828 | -711.276 | 243.012 |
| -549.810 | -1160.174 | -1675.562 | 0.000 | 165.189 | -0.000 |
| -314.346 | -415.026 | -273.914 | 48.554 | -360.104 | 528.556 |
| 3082.151 | 2043.014 | 2668.540 | -0.000 | 983.123 | 0.000 |
| 929.409 | 2539.089 | 1822.978 | -0.000 | 607.431 | 0.001 |
| 2801.849 | 2802.885 | 4967.385 | -0.000 | 1334.544 | 0.000 |
| 579.150 | 836.644 | 783.901 | 397.827 | 711.276 | 243.012 |
| 1535.688 | 1720.332 | 1903.341 | -0.000 | 1399.400 | 0.000 |
| 314.346 | 415.026 | 273.914 | 48.553 | 360.104 | 528.556 |
| 56215.221 | 2950.260 | 44438.558 | 0.000 | 30468.368 | 0.000 |
| 51140.587 | 7101.332 | 41581.980 | 0.000 | 26535.196 | 0.000 |
| 139863.585 | 41798.764 | 127220.301 | 0.012 | 103532.837 | -0.002 |
| 46695.796 | -2312.950 | 34665.131 | 5030.702 | 27792.615 | -294.780 |
| 70390.959 | 59632.057 | -11657.024 | 0.001 | 68085.746 | 0.000 |
| 101527.125 | 227881.160 | 127475.863 | -394.228 | 60996.656 | 9344.216 |
| -80172.088 | -31316.972 | -13751.529 | -0.001 | -63648.433 | -0.000 |
| -64658.218 | -54807.690 | 20413.865 | -0.001 | -65420.636 | -0.000 |
| -136311.535 | -166924.279 | -112595.914 | -0.000 | -39316.093 | 0.000 |
| -46695.797 | 2312.950 | -34665.131 | 5030.702 | -27792.615 | -294.780 |
| -68085.622 | -59262.903 | 15362.834 | -0.000 | -62204.811 | 0.000 |
| -101527.123 | -227881.159 | -127475.863 | -394.236 | -60996.658 | 9344.216 |
| 11253.897 | 5118.879 | 10944.572 | 0.000 | 3457.832 | 0.000 |
| 9504.554 | 14214.427 | -8047.804 | 0.000 | -3874.527 | -0.000 |
| 13006.714 | 12902.984 | 9996.253 | 0.000 | 8825.940 | -0.000 |
| 8450.878 | 5889.875 | 2726.475 | -7384.404 | 8049.308 | 1258.172 |
| 8025.159 | 9938.401 | 1888.207 | 0.000 | 4589.422 | -0.000 |
| 6661.597 | 6285.461 | -1551.050 | 96.611 | 6743.873 | 218.433 |
| -275.024 | -5088.896 | 7238.411 | -0.000 | -6516.862 | -0.000 |
| -7523.946 | -6941.698 | 704.476 | -0.000 | -5599.150 | -0.000 |
| -3925.625 | -21458.924 | -4294.276 | 0.001 | 2182.153 | -0.000 |
| -8450.878 | -5889.875 | -2726.475 | -7384.404 | -8049.308 | 1258.172 |
| -4148.944 | -5051.829 | 1483.939 | -0.000 | -11031.509 | -0.000 |
| -6659.543 | -6288.661 | 1555.356 | 96.551 | -6744.153 | 220.717 |
| 3347.468 | 2078.368 | 1999.552 | 0.000 | 986.288 | -0.000 |
| 2446.273 | 3688.281 | 4241.813 | 0.000 | 1957.998 | 0.000 |
| 2729.213 | 2476.505 | 3754.906 | 0.000 | 1287.190 | 0.000 |
| 991.707 | 1233.194 | -587.780 | 1041.447 | 1078.881 | 602.532 |
| 825.194 | 546.810 | -409.428 | 0.000 | 1354.743 | -0.000 |
| 690.666 | 788.250 | -159.035 | 393.938 | 796.000 | 425.522 |
| 2313.680 | 1251.642 | 2820.411 | -0.000 | -651.733 | -0.000 |
| 423.737 | 1335.953 | 1215.914 | -0.000 | -145.775 | -0.000 |
| 1209.957 | 1034.821 | 3548.189 | -0.000 | -316.852 | 0.000 |
| -991.707 | -1233.194 | 587.780 | 1041.447 | -1078.881 | 602.532 |
| 90.098 | 622.474 | 1420.748 | -0.000 | 54.889 | -0.000 |
| -736.110 | -760.492 | 89.765 | 236.301 | -870.572 | 538.006 |
| 25549.943 | 22208.570 | 22208.570 | 0.000 | 0.000 | -0.000 |
| 22208.570 | 25549.943 | 22208.570 | -0.000 | 0.000 | 0.000 |
| 22208.570 | 22208.570 | 25549.943 | 0.000 | -0.000 | 0.000 |
| 0.000 | 0.004 | 0.004 | 13180.136 | 0.000 | 0.000 |
| 0.004 | -0.000 | 0.004 | 0.000 | 13180.137 | 0.000 |
| 0.004 | 0.004 | 0.000 | -0.000 | 0.000 | 13180.136 |
| 25553.902 | 22205.741 | 22205.741 | -0.000 | 0.000 | -0.000 |
| 22205.741 | 25553.902 | 22205.741 | -0.000 | -0.000 | 0.000 |
| 22205.741 | 22205.741 | 25553.902 | 0.000 | -0.000 | -0.000 |
| -0.000 | -0.004 | -0.004 | 13180.136 | -0.000 | -0.000 |
| -0.004 | 0.000 | -0.004 | -0.000 | 13180.137 | -0.000 |
| -0.004 | -0.004 | -0.000 | 0.000 | -0.000 | 13180.136 |
| 25560.855 | 22206.937 | 22206.937 | 0.000 | -0.000 | -0.000 |
| 22206.937 | 25560.855 | 22206.937 | -0.000 | 0.000 | -0.000 |
| 22206.937 | 22206.937 | 25560.855 | -0.000 | -0.000 | 0.000 |
| 0.013 | -0.011 | -0.012 | 183.450 | -0.000 | 0.000 |
| -0.011 | 0.013 | -0.012 | -0.000 | 183.450 | 0.000 |
| -0.011 | -0.012 | 0.013 | -0.000 | 0.000 | 183.450 |
| 25548.144 | 22204.797 | 22204.797 | 0.000 | 0.000 | 0.000 |
| 22204.797 | 25548.144 | 22204.797 | 0.000 | 0.000 | 0.000 |
| 22204.797 | 22204.797 | 25548.144 | 0.000 | 0.000 | 0.000 |
| -0.013 | 0.011 | 0.012 | 183.450 | 0.000 | -0.000 |
| 0.011 | -0.013 | 0.012 | 0.000 | 183.450 | -0.000 |
| 0.011 | 0.012 | -0.013 | 0.000 | -0.000 | 183.450 |
| 25587.621 | 22231.783 | 22231.783 | -0.000 | 0.000 | -0.000 |
| 22231.783 | 25587.621 | 22231.783 | -0.000 | -0.000 | 0.000 |
| 22231.783 | 22231.783 | 25587.621 | 0.000 | -0.000 | -0.000 |
| 0.049 | -0.073 | -0.079 | 183.443 | 0.000 | 0.000 |
| -0.073 | 0.049 | -0.079 | -0.000 | 183.443 | 0.000 |
| -0.073 | -0.079 | 0.049 | -0.000 | 0.000 | 183.443 |
| 25606.533 | 22137.193 | 22137.193 | -0.000 | -0.000 | -0.000 |
| 22137.193 | 25606.533 | 22137.193 | -0.000 | -0.000 | -0.000 |
| 22137.193 | 22137.193 | 25606.533 | -0.000 | -0.000 | -0.000 |
| -0.049 | 0.073 | 0.079 | 183.443 | 0.000 | -0.000 |
| 0.073 | -0.049 | 0.079 | -0.000 | 183.443 | 0.000 |
| 0.073 | 0.079 | -0.049 | 0.000 | -0.000 | 183.443 |
| 2844.087 | 934.240 | 934.240 | -0.000 | -0.000 | 0.000 |
| 934.240 | 2844.087 | 934.240 | -0.000 | -0.000 | 0.000 |
| 934.240 | 934.240 | 2844.087 | -0.000 | -0.000 | -0.000 |
| -0.000 | 0.000 | 0.000 | 788.427 | -0.000 | -0.000 |
| 0.000 | -0.000 | 0.000 | -0.000 | 788.427 | 0.000 |
| 0.000 | 0.000 | -0.000 | -0.000 | -0.000 | 788.427 |
| 2844.086 | 934.240 | 934.240 | -0.000 | 0.000 | -0.000 |
| 934.240 | 2844.086 | 934.240 | -0.000 | 0.000 | 0.000 |
| 934.240 | 934.240 | 2844.086 | 0.000 | 0.000 | 0.000 |
| 0.000 | -0.000 | -0.000 | 788.427 | 0.000 | -0.000 |
| -0.000 | 0.000 | -0.000 | 0.000 | 788.427 | -0.000 |
| -0.000 | -0.000 | 0.000 | -0.000 | 0.000 | 788.427 |
| 2896.565 | 908.004 | 908.004 | 0.000 | -0.000 | 0.000 |
| 908.004 | 2896.565 | 908.004 | -0.000 | -0.000 | 0.000 |
| 908.004 | 908.004 | 2896.565 | 0.000 | -0.000 | 0.000 |
| -0.000 | 0.001 | 0.001 | 788.427 | -0.000 | 0.000 |
| 0.001 | -0.000 | 0.001 | -0.000 | 788.427 | 0.000 |
| 0.001 | 0.001 | -0.000 | -0.000 | -0.000 | 788.427 |
| 2896.558 | 908.001 | 908.001 | 0.000 | 0.000 | -0.000 |
| 908.001 | 2896.558 | 908.001 | -0.000 | 0.000 | -0.000 |
| 908.001 | 908.001 | 2896.558 | -0.000 | 0.000 | 0.000 |
| 0.000 | -0.001 | -0.001 | 788.427 | 0.000 | -0.000 |
| -0.001 | 0.000 | -0.001 | 0.000 | 788.427 | -0.000 |
| -0.001 | -0.001 | 0.000 | 0.000 | 0.000 | 788.427 |
| 2844.123 | 934.252 | 934.252 | -0.000 | -0.000 | -0.000 |
| 934.252 | 2844.123 | 934.252 | -0.000 | -0.000 | 0.000 |
| 934.252 | 934.252 | 2844.123 | 0.000 | -0.000 | 0.000 |
| -0.002 | 0.009 | 0.009 | 788.427 | -0.000 | 0.000 |
| 0.009 | -0.002 | 0.009 | -0.000 | 788.427 | 0.000 |
| 0.009 | 0.009 | -0.002 | 0.000 | -0.000 | 788.427 |
| 2844.050 | 934.227 | 934.227 | 0.000 | 0.000 | -0.000 |
| 934.227 | 2844.050 | 934.227 | -0.000 | 0.000 | -0.000 |
| 934.227 | 934.227 | 2844.050 | -0.000 | 0.000 | 0.000 |
| 0.002 | -0.009 | -0.009 | 788.427 | 0.000 | -0.000 |
| -0.009 | 0.002 | -0.009 | -0.000 | 788.427 | -0.000 |
| -0.009 | -0.009 | 0.002 | 0.000 | 0.000 | 788.427 |
| 815.161 | 386.784 | 386.784 | -0.000 | -0.000 | -0.000 |
| 386.784 | 815.161 | 386.784 | -0.000 | -0.000 | -0.000 |
| 386.784 | 386.784 | 815.161 | -0.000 | 0.000 | -0.000 |
| -0.000 | -0.000 | -0.000 | 47.365 | -0.000 | -0.000 |
| -0.000 | -0.000 | -0.000 | -0.000 | 47.365 | -0.000 |
| -0.000 | -0.000 | -0.000 | -0.000 | -0.000 | 47.365 |
| 815.161 | 386.784 | 386.784 | 0.000 | 0.000 | -0.000 |
| 386.784 | 815.161 | 386.784 | 0.000 | 0.000 | -0.000 |
| 386.784 | 386.784 | 815.161 | 0.000 | -0.000 | 0.000 |
| -0.000 | 0.000 | 0.000 | 47.365 | 0.000 | 0.000 |
| 0.000 | 0.000 | 0.000 | 0.000 | 47.365 | 0.000 |
| 0.000 | 0.000 | 0.000 | 0.000 | 0.000 | 47.365 |
| 1068.089 | 260.320 | 260.320 | -0.000 | -0.000 | -0.000 |
| 260.320 | 1068.089 | 260.320 | -0.000 | -0.000 | 0.000 |
| 260.320 | 260.320 | 1068.089 | -0.000 | -0.000 | -0.000 |
| -0.000 | -0.000 | -0.000 | 47.365 | -0.000 | -0.000 |
| -0.000 | -0.000 | -0.000 | -0.000 | 47.365 | -0.000 |
| -0.000 | -0.000 | -0.000 | -0.000 | -0.000 | 47.365 |
| 815.161 | 386.784 | 386.784 | 0.000 | -0.000 | 0.000 |
| 386.784 | 815.161 | 386.784 | -0.000 | 0.000 | -0.000 |
| 386.784 | 386.784 | 815.161 | 0.000 | 0.000 | -0.000 |
| 0.000 | 0.000 | 0.000 | 47.365 | 0.000 | 0.000 |
| 0.000 | 0.000 | 0.000 | 0.000 | 47.365 | 0.000 |
| 0.000 | 0.000 | 0.000 | 0.000 | 0.000 | 47.365 |
| 815.162 | 386.786 | 386.786 | -0.000 | -0.000 | 0.000 |
| 386.786 | 815.162 | 386.786 | 0.000 | 0.000 | -0.000 |
| 386.786 | 386.786 | 815.162 | -0.000 | 0.000 | -0.000 |
| -0.000 | -0.000 | -0.001 | 47.365 | -0.000 | -0.000 |
| -0.000 | -0.000 | -0.001 | -0.000 | 47.365 | -0.000 |
| -0.000 | -0.001 | -0.000 | -0.000 | -0.000 | 47.365 |
| 815.159 | 386.783 | 386.783 | 0.000 | 0.000 | -0.000 |
| 386.783 | 815.159 | 386.783 | 0.000 | 0.000 | -0.000 |
| 386.783 | 386.783 | 815.159 | 0.000 | 0.000 | 0.000 |
| 0.000 | 0.000 | 0.001 | 47.365 | 0.000 | 0.000 |
| 0.000 | 0.000 | 0.001 | 0.000 | 47.365 | 0.000 |
| 0.000 | 0.001 | 0.000 | 0.000 | 0.000 | 47.365 |
| 409.791 | 228.897 | 228.897 | 0.000 | 0.000 | -0.000 |
| 228.897 | 409.791 | 228.897 | -0.000 | 0.000 | 0.000 |
| 228.897 | 228.897 | 409.791 | 0.000 | -0.000 | 0.000 |
| -0.000 | 0.000 | 0.000 | 3.196 | 0.000 | 0.000 |
| 0.000 | -0.000 | -0.000 | 0.000 | 3.196 | 0.000 |
| 0.000 | 0.000 | -0.000 | 0.000 | 0.000 | 3.196 |
| 409.791 | 228.897 | 228.897 | -0.000 | -0.000 | -0.000 |
| 228.897 | 409.791 | 228.897 | -0.000 | -0.000 | 0.000 |
| 228.897 | 228.897 | 409.791 | 0.000 | -0.000 | -0.000 |
| 0.000 | -0.000 | -0.000 | 3.196 | -0.000 | -0.000 |
| -0.000 | 0.000 | -0.000 | -0.000 | 3.196 | -0.000 |
| -0.000 | -0.000 | 0.000 | -0.000 | -0.000 | 3.196 |
| 409.791 | 228.897 | 228.897 | 0.000 | 0.000 | 0.000 |
| 228.897 | 409.791 | 228.897 | 0.000 | 0.000 | 0.000 |
| 228.897 | 228.897 | 409.791 | 0.000 | 0.000 | 0.000 |
| -0.000 | 0.000 | -0.000 | 3.196 | -0.000 | 0.000 |
| 0.000 | -0.000 | -0.000 | 0.000 | 3.196 | 0.000 |
| 0.000 | -0.000 | -0.000 | -0.000 | 0.000 | 3.196 |
| 594.002 | 136.792 | 136.792 | 0.000 | -0.000 | -0.000 |
| 136.792 | 594.002 | 136.792 | 0.000 | 0.000 | -0.000 |
| 136.792 | 136.792 | 594.002 | -0.000 | -0.000 | 0.000 |
| 0.000 | -0.000 | 0.000 | 3.196 | 0.000 | -0.000 |
| -0.000 | 0.000 | 0.000 | -0.000 | 3.196 | -0.000 |
| -0.000 | 0.000 | 0.000 | 0.000 | -0.000 | 3.196 |
| 409.789 | 228.897 | 228.897 | 0.000 | 0.000 | 0.000 |
| 228.897 | 409.789 | 228.897 | 0.000 | 0.000 | 0.000 |
| 228.897 | 228.897 | 409.789 | 0.000 | 0.000 | 0.000 |
| -0.000 | 0.000 | -0.000 | 3.196 | 0.000 | 0.000 |
| 0.000 | -0.000 | -0.000 | 0.000 | 3.196 | 0.000 |
| 0.000 | -0.000 | -0.000 | 0.000 | 0.000 | 3.196 |
| 409.792 | 228.898 | 228.898 | -0.000 | 0.000 | -0.000 |
| 228.898 | 409.792 | 228.898 | -0.000 | -0.000 | 0.000 |
| 228.898 | 228.898 | 409.792 | 0.000 | -0.000 | -0.000 |
| 0.000 | -0.000 | 0.000 | 3.196 | -0.000 | -0.000 |
| -0.000 | 0.000 | 0.000 | -0.000 | 3.196 | -0.000 |
| -0.000 | 0.000 | 0.000 | -0.000 | -0.000 | 3.196 |
| 14582.759 | 15794.691 | 15794.691 | 0.000 | 0.000 | -0.000 |
| 15794.691 | 14582.759 | 15794.691 | -0.000 | 0.000 | -0.000 |
| 15794.691 | 15794.691 | 14582.759 | 0.000 | 0.000 | -0.000 |
| -0.000 | -0.000 | -0.000 | -954.885 | -0.000 | -0.000 |
| -0.000 | -0.000 | -0.000 | -0.000 | -954.885 | -0.000 |
| -0.000 | -0.000 | -0.000 | -0.000 | 0.000 | -954.885 |
| 14582.440 | 15794.372 | 15794.372 | 0.000 | -0.000 | 0.000 |
| 15794.372 | 14582.440 | 15794.372 | -0.000 | -0.000 | 0.000 |
| 15794.372 | 15794.372 | 14582.440 | 0.000 | 0.000 | 0.000 |
| 0.000 | 0.000 | 0.000 | -954.885 | -0.000 | 0.000 |
| 0.000 | 0.000 | 0.000 | -0.000 | -954.885 | 0.000 |
| 0.000 | 0.000 | 0.000 | -0.000 | -0.000 | -954.885 |
| 14584.193 | 15796.126 | 15796.126 | -0.000 | 0.000 | -0.000 |
| 15796.126 | 14584.193 | 15796.126 | -0.000 | 0.000 | -0.000 |
| 15796.126 | 15796.126 | 14584.193 | 0.000 | 0.000 | -0.000 |
| -0.003 | -0.003 | -0.003 | -954.871 | -0.000 | -0.000 |
| -0.003 | -0.003 | -0.003 | -0.000 | -954.871 | -0.000 |
| -0.003 | -0.003 | -0.003 | 0.000 | -0.000 | -954.871 |
| 14581.006 | 15792.936 | 15792.936 | -0.000 | -0.000 | 0.000 |
| 15792.936 | 14581.006 | 15792.936 | -0.000 | -0.000 | 0.000 |
| 15792.936 | 15792.936 | 14581.006 | 0.000 | 0.000 | 0.000 |
| 0.003 | 0.003 | 0.003 | -954.871 | -0.000 | 0.000 |
| 0.003 | 0.003 | 0.003 | 0.000 | -954.871 | 0.000 |
| 0.003 | 0.003 | 0.003 | -0.000 | -0.000 | -954.871 |
| 14579.997 | 15791.948 | 15791.948 | -0.000 | 0.000 | -0.000 |
| 15791.948 | 14579.997 | 15791.948 | -0.000 | -0.000 | -0.000 |
| 15791.948 | 15791.948 | 14579.997 | -0.000 | 0.000 | -0.000 |
| -0.029 | -0.026 | -0.027 | -954.886 | 0.000 | -0.000 |
| -0.026 | -0.029 | -0.027 | -0.000 | -954.886 | -0.000 |
| -0.026 | -0.027 | -0.029 | -0.000 | -0.000 | -954.886 |
| 14566.668 | 15778.580 | 15778.580 | -0.000 | -0.000 | -0.000 |
| 15778.580 | 14566.668 | 15778.580 | -0.000 | -0.000 | 0.000 |
| 15778.580 | 15778.580 | 14566.668 | -0.000 | -0.000 | 0.000 |
| 0.029 | 0.026 | 0.027 | -954.886 | -0.000 | 0.000 |
| 0.026 | 0.029 | 0.027 | -0.000 | -954.886 | 0.000 |
| 0.026 | 0.027 | 0.029 | -0.000 | 0.000 | -954.886 |
| 1052.272 | -132.179 | -132.179 | 0.000 | -0.000 | 0.000 |
| -132.179 | 1052.272 | -132.179 | 0.000 | -0.000 | -0.000 |
| -132.179 | -132.179 | 1052.272 | -0.000 | 0.000 | 0.000 |
| 0.000 | 0.000 | 0.000 | -177.258 | -0.000 | -0.000 |
| 0.000 | 0.000 | 0.000 | -0.000 | -177.258 | 0.000 |
| 0.000 | 0.000 | 0.000 | 0.000 | 0.000 | -177.258 |
| 1052.272 | -132.179 | -132.179 | -0.000 | -0.000 | 0.000 |
| -132.179 | 1052.272 | -132.179 | -0.000 | -0.000 | -0.000 |
| -132.179 | -132.179 | 1052.272 | -0.000 | -0.000 | 0.000 |
| -0.000 | -0.000 | -0.000 | -177.258 | 0.000 | -0.000 |
| -0.000 | -0.000 | -0.000 | 0.000 | -177.258 | -0.000 |
| -0.000 | -0.000 | -0.000 | -0.000 | -0.000 | -177.258 |
| 222.048 | 45.138 | 45.138 | 0.000 | -0.000 | -0.000 |
| 45.138 | 222.048 | 45.138 | -0.000 | 0.000 | 0.000 |
| 45.138 | 45.138 | 222.048 | -0.000 | 0.000 | -0.000 |
| 0.000 | 0.000 | 0.000 | 44.811 | -0.000 | 0.000 |
| 0.000 | 0.000 | 0.000 | -0.000 | 44.811 | -0.000 |
| 0.000 | 0.000 | 0.000 | -0.000 | -0.000 | 44.811 |
| 222.048 | 45.138 | 45.138 | -0.000 | -0.000 | -0.000 |
| 45.138 | 222.048 | 45.138 | -0.000 | -0.000 | 0.000 |
| 45.138 | 45.138 | 222.048 | 0.000 | -0.000 | -0.000 |
| -0.000 | -0.000 | -0.000 | 44.811 | 0.000 | 0.000 |
| -0.000 | -0.000 | -0.000 | 0.000 | 44.811 | 0.000 |
| -0.000 | -0.000 | -0.000 | -0.000 | 0.000 | 44.811 |
| 222.048 | 45.138 | 45.138 | -0.000 | 0.000 | -0.000 |
| 45.138 | 222.048 | 45.138 | -0.000 | -0.000 | -0.000 |
| 45.138 | 45.138 | 222.048 | -0.000 | -0.000 | -0.000 |
| 0.000 | 0.000 | 0.000 | 45.138 | -0.000 | -0.000 |
| 0.000 | 0.000 | 0.000 | -0.000 | 45.138 | -0.000 |
| 0.000 | 0.000 | 0.000 | -0.000 | -0.000 | 45.138 |
| 222.049 | 45.138 | 45.138 | 0.000 | 0.000 | 0.000 |
| 45.138 | 222.049 | 45.138 | 0.000 | 0.000 | 0.000 |
| 45.138 | 45.138 | 222.049 | 0.000 | 0.000 | 0.000 |
| -0.000 | -0.000 | -0.000 | 45.138 | 0.000 | -0.000 |
| -0.000 | -0.000 | -0.000 | 0.000 | 45.138 | 0.000 |
| -0.000 | -0.000 | -0.000 | 0.000 | 0.000 | 45.138 |
| 222.044 | 45.139 | 45.139 | -0.000 | -0.000 | -0.000 |
| 45.139 | 222.044 | 45.139 | -0.000 | 0.000 | -0.000 |
| 45.139 | 45.139 | 222.044 | -0.000 | -0.000 | -0.000 |
| 0.001 | 0.001 | 0.001 | 45.138 | -0.000 | 0.000 |
| 0.001 | 0.001 | 0.001 | -0.000 | 45.138 | -0.000 |
| 0.001 | 0.001 | 0.001 | -0.000 | -0.000 | 45.138 |
| 222.052 | 45.137 | 45.137 | 0.000 | -0.000 | 0.000 |
| 45.137 | 222.052 | 45.137 | 0.000 | 0.000 | 0.000 |
| 45.137 | 45.137 | 222.052 | -0.000 | 0.000 | 0.000 |
| -0.001 | -0.001 | -0.001 | 45.138 | 0.000 | 0.000 |
| -0.001 | -0.001 | -0.001 | 0.000 | 45.138 | 0.000 |
| -0.001 | -0.001 | -0.001 | -0.000 | 0.000 | 45.138 |
| 182.925 | 182.994 | 182.994 | 0.000 | 0.000 | 0.000 |
| 182.994 | 182.925 | 182.994 | 0.000 | 0.000 | 0.000 |
| 182.994 | 182.994 | 182.925 | 0.000 | 0.000 | 0.000 |
| -0.000 | -0.000 | -0.000 | 29.361 | -0.000 | -0.000 |
| -0.000 | -0.000 | -0.000 | -0.000 | 29.361 | -0.000 |
| -0.000 | -0.000 | -0.000 | 0.000 | -0.000 | 29.361 |
| 182.925 | 182.994 | 182.994 | -0.000 | -0.000 | -0.000 |
| 182.994 | 182.925 | 182.994 | -0.000 | -0.000 | -0.000 |
| 182.994 | 182.994 | 182.925 | -0.000 | -0.000 | -0.000 |
| 0.000 | 0.000 | 0.000 | 29.361 | -0.000 | -0.000 |
| 0.000 | 0.000 | 0.000 | -0.000 | 29.361 | -0.000 |
| 0.000 | 0.000 | 0.000 | -0.000 | 0.000 | 29.361 |
| 182.924 | 182.994 | 182.994 | 0.000 | 0.000 | 0.000 |
| 182.994 | 182.924 | 182.994 | 0.000 | 0.000 | 0.000 |
| 182.994 | 182.994 | 182.924 | 0.000 | 0.000 | 0.000 |
| -0.000 | -0.000 | -0.000 | 29.361 | 0.000 | -0.000 |
| -0.000 | -0.000 | -0.000 | 0.000 | 29.361 | -0.000 |
| -0.000 | -0.000 | -0.000 | 0.000 | 0.000 | 29.361 |
| 182.925 | 182.994 | 182.994 | -0.000 | -0.000 | -0.000 |
| 182.994 | 182.925 | 182.994 | -0.000 | -0.000 | -0.000 |
| 182.994 | 182.994 | 182.925 | -0.000 | -0.000 | -0.000 |
| 0.000 | 0.000 | 0.000 | 29.361 | -0.000 | 0.000 |
| 0.000 | 0.000 | 0.000 | -0.000 | 29.361 | 0.000 |
| 0.000 | 0.000 | 0.000 | -0.000 | 0.000 | 29.361 |
| 182.924 | 182.994 | 182.994 | 0.000 | 0.000 | 0.000 |
| 182.994 | 182.924 | 182.994 | 0.000 | 0.000 | 0.000 |
| 182.994 | 182.994 | 182.924 | -0.000 | -0.000 | -0.000 |
| -0.000 | 0.000 | 0.000 | 29.361 | 0.000 | 0.000 |
| 0.000 | -0.000 | 0.000 | 0.000 | 29.361 | 0.000 |
| 0.000 | 0.000 | -0.000 | 0.000 | 0.000 | 29.361 |
| 182.924 | 182.994 | 182.994 | -0.000 | -0.000 | -0.000 |
| 182.994 | 182.924 | 182.994 | -0.000 | -0.000 | -0.000 |
| 182.994 | 182.994 | 182.924 | -0.000 | -0.000 | -0.000 |
| 0.000 | -0.000 | -0.000 | 29.361 | 0.000 | -0.000 |
| -0.000 | 0.000 | -0.000 | 0.000 | 29.361 | -0.000 |
| -0.000 | -0.000 | 0.000 | -0.000 | 0.000 | 29.361 |
| 19656.106 | 13981.604 | 13981.604 | 0.000 | 0.000 | -0.000 |
| 13981.604 | 19656.106 | 13981.604 | 0.000 | 0.000 | -0.000 |
| 13981.604 | 13981.604 | 19656.106 | 0.000 | 0.000 | 0.000 |
| 0.000 | 0.000 | 0.000 | 3152.168 | 0.000 | -0.000 |
| 0.000 | 0.000 | 0.000 | 0.000 | 3152.168 | -0.000 |
| 0.000 | 0.000 | 0.000 | 0.000 | 0.000 | 3152.168 |
| 19647.682 | 13975.719 | 13975.719 | -0.000 | -0.000 | -0.000 |
| 13975.719 | 19647.682 | 13975.719 | -0.000 | -0.000 | 0.000 |
| 13975.719 | 13975.719 | 19647.682 | 0.000 | 0.000 | 0.000 |
| -0.000 | -0.000 | -0.000 | 3152.168 | -0.000 | 0.000 |
| -0.000 | -0.000 | -0.000 | -0.000 | 3152.168 | 0.000 |
| -0.000 | -0.000 | -0.000 | -0.000 | -0.000 | 3152.168 |
| 19694.015 | 14008.086 | 14008.086 | 0.000 | 0.000 | -0.000 |
| 14008.086 | 19694.015 | 14008.086 | -0.000 | 0.000 | -0.000 |
| 14008.086 | 14008.086 | 19694.015 | 0.000 | 0.000 | -0.000 |
| 0.001 | 0.004 | 0.004 | 3152.168 | 0.000 | -0.000 |
| 0.004 | 0.001 | 0.004 | 0.000 | 3152.168 | 0.000 |
| 0.004 | 0.004 | 0.001 | 0.000 | 0.000 | 3152.168 |
| 19609.773 | 13949.238 | 13949.238 | -0.000 | -0.000 | -0.000 |
| 13949.238 | 19609.773 | 13949.238 | -0.000 | -0.000 | 0.000 |
| 13949.238 | 13949.238 | 19609.773 | -0.000 | -0.000 | -0.000 |
| -0.001 | -0.004 | -0.004 | 3152.168 | -0.000 | -0.000 |
| -0.004 | -0.001 | -0.004 | -0.000 | 3152.168 | 0.000 |
| -0.004 | -0.004 | -0.001 | -0.000 | -0.000 | 3152.168 |
| 20032.046 | 14252.418 | 14252.418 | 0.000 | 0.000 | -0.000 |
| 14252.418 | 20032.046 | 14252.418 | 0.000 | 0.000 | -0.000 |
| 14252.418 | 14252.418 | 20032.046 | 0.000 | 0.000 | 0.000 |
| 0.011 | 0.035 | 0.039 | 3152.168 | 0.000 | -0.000 |
| 0.035 | 0.011 | 0.039 | 0.000 | 3152.168 | -0.000 |
| 0.035 | 0.039 | 0.011 | 0.000 | 0.000 | 3152.168 |
| 19230.688 | 13684.423 | 13684.423 | -0.000 | -0.000 | 0.000 |
| 13684.423 | 19230.688 | 13684.423 | -0.000 | -0.000 | 0.000 |
| 13684.423 | 13684.423 | 19230.688 | 0.000 | -0.000 | 0.000 |
| -0.011 | -0.035 | -0.039 | 3152.168 | -0.000 | 0.000 |
| -0.035 | -0.011 | -0.039 | -0.000 | 3152.168 | 0.000 |
| -0.035 | -0.039 | -0.011 | -0.000 | -0.000 | 3152.168 |
| 371.491 | 110.731 | 110.731 | 0.000 | 0.000 | 0.000 |
| 110.731 | 371.491 | 110.731 | 0.000 | 0.000 | -0.000 |
| 110.731 | 110.731 | 371.491 | 0.000 | 0.000 | -0.000 |
| -0.000 | 0.000 | 0.000 | 91.643 | 0.000 | -0.000 |
| 0.000 | 0.000 | 0.000 | 0.000 | 91.643 | -0.000 |
| 0.000 | 0.000 | 0.000 | 0.000 | 0.000 | 91.643 |
| 371.491 | 110.731 | 110.731 | -0.000 | -0.000 | 0.000 |
| 110.731 | 371.491 | 110.731 | -0.000 | -0.000 | 0.000 |
| 110.731 | 110.731 | 371.491 | -0.000 | -0.000 | 0.000 |
| 0.000 | -0.000 | -0.000 | 91.643 | -0.000 | 0.000 |
| -0.000 | -0.000 | -0.000 | -0.000 | 91.643 | 0.000 |
| -0.000 | -0.000 | -0.000 | -0.000 | -0.000 | 91.643 |
| 371.492 | 110.731 | 110.731 | 0.000 | 0.000 | -0.000 |
| 110.731 | 371.492 | 110.731 | 0.000 | 0.000 | -0.000 |
| 110.731 | 110.731 | 371.492 | 0.000 | 0.000 | -0.000 |
| -0.000 | 0.000 | 0.000 | 91.643 | 0.000 | -0.000 |
| 0.000 | -0.000 | 0.000 | 0.000 | 91.643 | -0.000 |
| 0.000 | 0.000 | -0.000 | 0.000 | 0.000 | 91.643 |
| 371.491 | 110.731 | 110.731 | -0.000 | -0.000 | 0.000 |
| 110.731 | 371.491 | 110.731 | -0.000 | -0.000 | 0.000 |
| 110.731 | 110.731 | 371.491 | -0.000 | -0.000 | 0.000 |
| 0.000 | -0.000 | -0.000 | 91.643 | -0.000 | 0.000 |
| -0.000 | 0.000 | -0.000 | -0.000 | 91.643 | 0.000 |
| -0.000 | -0.000 | 0.000 | -0.000 | -0.000 | 91.643 |
| 371.496 | 110.733 | 110.733 | 0.000 | 0.000 | -0.000 |
| 110.733 | 371.496 | 110.733 | 0.000 | 0.000 | -0.000 |
| 110.733 | 110.733 | 371.496 | 0.000 | 0.000 | -0.000 |
| -0.000 | 0.002 | 0.002 | 91.643 | 0.000 | -0.000 |
| 0.002 | -0.000 | 0.002 | 0.000 | 91.643 | -0.000 |
| 0.002 | 0.002 | -0.000 | 0.000 | 0.000 | 91.643 |
| 371.487 | 110.729 | 110.729 | -0.000 | -0.000 | 0.000 |
| 110.729 | 371.487 | 110.729 | -0.000 | -0.000 | 0.000 |
| 110.729 | 110.729 | 371.487 | -0.000 | -0.000 | 0.000 |
| 0.000 | -0.002 | -0.002 | 91.643 | -0.000 | 0.000 |
| -0.002 | 0.000 | -0.002 | -0.000 | 91.643 | -0.000 |
| -0.002 | -0.002 | 0.000 | -0.000 | -0.000 | 91.643 |
| -242.423 | -170.020 | -170.020 | -0.000 | -0.000 | 0.000 |
| -170.020 | -242.423 | -170.020 | -0.000 | -0.000 | 0.000 |
| -170.020 | -170.020 | -242.423 | -0.000 | -0.000 | -0.000 |
| -0.000 | 0.000 | 0.000 | -189.542 | -0.000 | 0.000 |
| 0.000 | -0.000 | 0.000 | -0.000 | -189.542 | -0.000 |
| 0.000 | 0.000 | -0.000 | -0.000 | -0.000 | -189.542 |
| -242.423 | -170.020 | -170.020 | 0.000 | 0.000 | -0.000 |
| -170.020 | -242.423 | -170.020 | 0.000 | 0.000 | 0.000 |
| -170.020 | -170.020 | -242.423 | 0.000 | 0.000 | -0.000 |
| -0.000 | -0.000 | -0.000 | -189.542 | 0.000 | -0.000 |
| -0.000 | -0.000 | -0.000 | 0.000 | -189.542 | -0.000 |
| -0.000 | -0.000 | 0.000 | 0.000 | 0.000 | -189.542 |
| -242.423 | -170.019 | -170.019 | -0.000 | -0.000 | 0.000 |
| -170.019 | -242.423 | -170.019 | -0.000 | -0.000 | 0.000 |
| -170.019 | -170.019 | -242.423 | -0.000 | -0.000 | -0.000 |
| 0.000 | 0.000 | 0.000 | -189.542 | -0.000 | -0.000 |
| 0.000 | 0.000 | 0.000 | -0.000 | -189.542 | -0.000 |
| 0.000 | 0.000 | 0.000 | -0.000 | -0.000 | -189.542 |
| -242.424 | -170.020 | -170.020 | 0.000 | 0.000 | -0.000 |
| -170.020 | -242.424 | -170.020 | 0.000 | 0.000 | -0.000 |
| -170.020 | -170.020 | -242.424 | 0.000 | 0.000 | 0.000 |
| -0.000 | -0.000 | -0.000 | -189.542 | 0.000 | -0.000 |
| -0.000 | -0.000 | -0.000 | 0.000 | -189.542 | 0.000 |
| -0.000 | -0.000 | -0.000 | 0.000 | 0.000 | -189.542 |
| -242.417 | -170.018 | -170.018 | -0.000 | -0.000 | 0.000 |
| -170.018 | -242.417 | -170.018 | -0.000 | -0.000 | 0.000 |
| -170.018 | -170.018 | -242.417 | -0.000 | -0.000 | 0.000 |
| 0.000 | 0.002 | 0.002 | -189.542 | -0.000 | 0.000 |
| 0.002 | 0.000 | 0.002 | -0.000 | -189.542 | 0.000 |
| 0.002 | 0.002 | 0.000 | -0.000 | -0.000 | -189.542 |
| -242.429 | -170.022 | -170.022 | 0.000 | 0.000 | -0.000 |
| -170.022 | -242.429 | -170.022 | 0.000 | 0.000 | -0.000 |
| -170.022 | -170.022 | -242.429 | 0.000 | 0.000 | -0.000 |
| -0.000 | -0.002 | -0.002 | -189.542 | 0.000 | -0.000 |
| -0.002 | -0.000 | -0.002 | 0.000 | -189.542 | -0.000 |
| -0.002 | -0.002 | -0.000 | 0.000 | 0.000 | -189.542 |
| 714.767 | 423.368 | 423.368 | 0.000 | -0.000 | -0.000 |
| 423.368 | 714.767 | 423.368 | 0.000 | 0.000 | -0.000 |
| 423.368 | 423.368 | 714.767 | -0.000 | -0.000 | 0.000 |
| 0.000 | 0.000 | 0.000 | 400.412 | -0.000 | 0.000 |
| 0.000 | 0.000 | 0.000 | -0.000 | 400.412 | 0.000 |
| 0.000 | 0.000 | -0.000 | 0.000 | 0.000 | 400.412 |
| 714.767 | 423.368 | 423.368 | 0.000 | 0.000 | 0.000 |
| 423.368 | 714.767 | 423.368 | 0.000 | 0.000 | -0.000 |
| 423.368 | 423.368 | 714.767 | 0.000 | 0.000 | 0.000 |
| -0.000 | -0.000 | -0.000 | 400.412 | -0.000 | -0.000 |
| -0.000 | -0.000 | -0.000 | -0.000 | 400.412 | -0.000 |
| -0.000 | -0.000 | 0.000 | -0.000 | -0.000 | 400.412 |
| 714.767 | 423.368 | 423.368 | -0.000 | 0.000 | 0.000 |
| 423.368 | 714.767 | 423.368 | 0.000 | -0.000 | 0.000 |
| 423.368 | 423.368 | 714.767 | 0.000 | 0.000 | -0.000 |
| -0.000 | 0.000 | 0.000 | 400.412 | -0.000 | 0.000 |
| 0.000 | -0.000 | 0.000 | -0.000 | 400.412 | 0.000 |
| 0.000 | 0.000 | -0.000 | -0.000 | -0.000 | 400.412 |
| 714.766 | 423.368 | 423.368 | -0.000 | 0.000 | -0.000 |
| 423.368 | 714.766 | 423.368 | 0.000 | -0.000 | -0.000 |
| 423.368 | 423.368 | 714.766 | 0.000 | 0.000 | -0.000 |
| 0.000 | -0.000 | -0.000 | 400.412 | -0.000 | 0.000 |
| -0.000 | 0.000 | -0.000 | 0.000 | 400.412 | -0.000 |
| -0.000 | -0.000 | 0.000 | -0.000 | -0.000 | 400.412 |
| 714.770 | 423.370 | 423.370 | 0.000 | 0.000 | -0.000 |
| 423.370 | 714.770 | 423.370 | -0.000 | 0.000 | -0.000 |
| 423.370 | 423.370 | 714.770 | -0.000 | -0.000 | 0.000 |
| -0.000 | 0.001 | 0.002 | 400.412 | -0.000 | 0.000 |
| 0.001 | -0.000 | 0.002 | -0.000 | 400.412 | -0.000 |
| 0.001 | 0.002 | -0.000 | -0.000 | 0.000 | 400.412 |
| 714.764 | 423.366 | 423.366 | -0.000 | 0.000 | 0.000 |
| 423.366 | 714.764 | 423.366 | 0.000 | -0.000 | 0.000 |
| 423.366 | 423.366 | 714.764 | -0.000 | -0.000 | 0.000 |
| 0.000 | -0.001 | -0.002 | 400.412 | 0.000 | 0.000 |
| -0.001 | 0.000 | -0.002 | 0.000 | 400.412 | -0.000 |
| -0.001 | -0.002 | 0.000 | 0.000 | 0.000 | 400.412 |
| 443.486 | 223.717 | 223.717 | -0.000 | -0.000 | -0.000 |
| 223.717 | 443.486 | 223.717 | -0.000 | -0.000 | -0.000 |
| 223.717 | 223.717 | 443.486 | -0.000 | -0.000 | -0.000 |
| -0.000 | -0.000 | -0.000 | 223.717 | -0.000 | -0.000 |
| -0.000 | -0.000 | -0.000 | -0.000 | 223.717 | -0.000 |
| -0.000 | -0.000 | -0.000 | -0.000 | -0.000 | 223.717 |
| 443.486 | 223.717 | 223.717 | 0.000 | 0.000 | 0.000 |
| 223.717 | 443.486 | 223.717 | 0.000 | 0.000 | 0.000 |
| 223.717 | 223.717 | 443.486 | 0.000 | 0.000 | 0.000 |
| 0.000 | 0.000 | 0.000 | 223.717 | 0.000 | 0.000 |
| 0.000 | 0.000 | 0.000 | 0.000 | 223.717 | 0.000 |
| 0.000 | 0.000 | 0.000 | 0.000 | 0.000 | 223.717 |
| 443.486 | 223.717 | 223.717 | -0.000 | -0.000 | -0.000 |
| 223.717 | 443.486 | 223.717 | -0.000 | -0.000 | -0.000 |
| 223.717 | 223.717 | 443.486 | -0.000 | -0.000 | -0.000 |
| -0.000 | -0.000 | -0.000 | 223.717 | -0.000 | -0.000 |
| -0.000 | -0.000 | -0.000 | -0.000 | 223.717 | -0.000 |
| -0.000 | -0.000 | -0.000 | -0.000 | -0.000 | 223.717 |
| 443.487 | 223.717 | 223.717 | 0.000 | 0.000 | 0.000 |
| 223.717 | 443.487 | 223.717 | 0.000 | 0.000 | 0.000 |
| 223.717 | 223.717 | 443.487 | 0.000 | 0.000 | 0.000 |
| 0.000 | 0.000 | 0.000 | 223.717 | 0.000 | 0.000 |
| 0.000 | 0.000 | 0.000 | 0.000 | 223.717 | 0.000 |
| 0.000 | 0.000 | 0.000 | 0.000 | 0.000 | 223.717 |
| 443.484 | 223.716 | 223.716 | -0.000 | -0.000 | -0.000 |
| 223.716 | 443.484 | 223.716 | -0.000 | -0.000 | -0.000 |
| 223.716 | 223.716 | 443.484 | -0.000 | -0.000 | -0.000 |
| -0.000 | -0.001 | -0.001 | 223.717 | -0.000 | -0.000 |
| -0.001 | -0.000 | -0.001 | -0.000 | 223.717 | -0.000 |
| -0.001 | -0.001 | -0.000 | -0.000 | -0.000 | 223.717 |
| 443.489 | 223.718 | 223.718 | 0.000 | 0.000 | 0.000 |
| 223.718 | 443.489 | 223.718 | 0.000 | 0.000 | 0.000 |
| 223.718 | 223.718 | 443.489 | 0.000 | 0.000 | 0.000 |
| 0.000 | 0.001 | 0.001 | 223.717 | 0.000 | 0.000 |
| 0.001 | 0.000 | 0.001 | 0.000 | 223.717 | 0.000 |
| 0.001 | 0.001 | 0.000 | 0.000 | 0.000 | 223.717 |
| 4691.961 | 3632.064 | -24356.141 | 0.006 | -0.001 | -0.000 |
| 3648.952 | 4712.288 | -24188.983 | 0.006 | -0.001 | -0.000 |
| -1879.414 | -1879.414 | -72407.002 | 0.005 | -0.000 | 0.000 |
| -733.199 | -733.199 | -71303.183 | -1037.470 | -0.000 | 0.000 |
| -10224.655 | -10219.830 | -51694.184 | -0.003 | 3324.083 | 0.000 |
| -26866.851 | -26867.019 | -95239.642 | -0.014 | 0.002 | 44.694 |
| 968.471 | 329.917 | 1275.089 | -0.000 | 0.000 | 0.000 |
| -976.513 | -263.342 | 51519.169 | -0.006 | 0.001 | 0.000 |
| 20123.743 | 20123.743 | 69855.995 | -0.000 | 0.006 | 0.001 |
| 9647.924 | 9647.666 | 38791.925 | 3971.113 | -0.000 | 0.000 |
| 10224.655 | 10219.830 | 51694.185 | 0.003 | 3324.083 | 0.000 |
| 26866.851 | 26867.019 | 95239.647 | 0.015 | -0.002 | 44.694 |
| 682.416 | 281.064 | -5373.035 | 0.001 | -0.000 | 0.000 |
| -340.268 | -548.478 | -11154.942 | 0.000 | 0.000 | 0.000 |
| 240.301 | 240.301 | -6538.471 | 0.001 | -0.000 | -0.000 |
| 14.167 | 14.162 | -5415.312 | 710.102 | -0.000 | 0.000 |
| 0.001 | 0.000 | 0.005 | 0.000 | 1229.163 | 0.000 |
| -2757.270 | -2757.155 | -10569.722 | -0.001 | 0.000 | 102.770 |
| 3115.338 | 3350.396 | 12219.048 | 0.001 | -0.000 | -0.000 |
| 2915.177 | 3079.585 | 11456.599 | -0.002 | 0.000 | 0.000 |
| 310.687 | 310.687 | 5841.221 | -0.001 | 0.000 | 0.000 |
| -120.311 | -120.302 | 3588.109 | 2670.956 | 0.000 | 0.000 |
| -0.001 | -0.000 | -0.005 | -0.000 | 1229.163 | 0.000 |
| 2757.270 | 2757.155 | 10569.722 | 0.001 | -0.000 | 102.770 |
| 868.066 | 299.874 | 601.442 | 0.000 | -0.000 | 0.000 |
| 284.230 | 815.767 | 250.532 | 0.000 | -0.000 | 0.000 |
| 101.828 | 101.828 | -2654.177 | 0.000 | -0.000 | 0.000 |
| -258.643 | -259.509 | -1063.486 | 37.100 | -0.000 | 0.000 |
| -259.755 | -267.671 | -974.397 | -0.000 | 331.921 | -0.000 |
| 0.001 | 0.001 | 0.003 | 0.000 | 0.000 | 319.277 |
| 683.621 | 265.898 | 834.773 | -0.000 | 0.000 | -0.000 |
| 266.493 | 686.049 | 844.455 | -0.000 | 0.000 | 0.000 |
| 364.371 | 364.371 | 204.989 | 0.000 | -0.000 | 0.000 |
| 51.217 | 55.705 | 732.815 | -170.890 | -0.000 | 0.000 |
| 259.755 | 267.671 | 974.397 | 0.000 | 331.921 | -0.000 |
| -0.001 | -0.001 | -0.003 | -0.000 | -0.000 | 319.277 |
| 7258.813 | 2443.295 | 5759.180 | -0.001 | -0.000 | -0.000 |
| 24670.377 | 26779.560 | -18494.701 | -0.001 | -0.000 | 0.000 |
| 27488.775 | 27488.776 | -12996.059 | -0.001 | -0.000 | 0.000 |
| 22837.213 | 22837.214 | -21393.789 | 3164.778 | -0.001 | 0.000 |
| 16785.627 | 16785.629 | -47059.190 | -0.000 | 384.256 | 0.001 |
| 18097.329 | 18097.330 | -18836.401 | -0.001 | -0.001 | 1206.603 |
| -17799.289 | -20171.595 | 23846.688 | 0.001 | 0.000 | -0.000 |
| -22184.156 | -20029.279 | 25456.328 | 0.000 | 0.000 | -0.000 |
| 5759.178 | 5759.178 | 15803.466 | 0.000 | -0.000 | 0.000 |
| -21866.443 | -21866.445 | 35541.318 | -171.165 | 0.001 | -0.001 |
| -16785.627 | -16785.629 | 47059.190 | 0.000 | 384.258 | -0.000 |
| -18097.329 | -18097.330 | 18836.401 | 0.001 | 0.001 | 1206.603 |
| 2992.228 | 2222.135 | -2106.490 | -0.000 | -0.000 | 0.000 |
| 2224.454 | 2993.280 | -3146.692 | -0.000 | -0.000 | 0.000 |
| 6084.366 | 6084.367 | 4816.624 | -0.000 | -0.000 | 0.000 |
| 2607.180 | 2607.175 | -2442.393 | 2803.025 | -0.000 | 0.000 |
| 0.010 | 0.003 | 0.011 | -0.000 | 5718.864 | 0.000 |
| 1942.632 | 1942.632 | -4187.631 | -0.000 | -0.000 | 279.270 |
| -8960.141 | -7003.872 | 6022.419 | 0.000 | 0.000 | -0.000 |
| -1826.778 | -72.072 | 5878.207 | 0.000 | 0.000 | -0.000 |
| 5759.169 | 5759.169 | 15803.426 | 0.000 | -0.000 | 0.000 |
| -1794.037 | -1794.038 | 4429.109 | 446.185 | 0.000 | -0.000 |
| -0.010 | -0.003 | -0.011 | 0.000 | 5718.864 | 0.000 |
| -1942.632 | -1942.632 | 4187.631 | 0.000 | 0.000 | 279.270 |
| 1626.340 | 733.844 | 477.809 | -0.000 | -0.000 | 0.000 |
| 766.658 | 1407.014 | 1352.018 | -0.000 | -0.000 | 0.000 |
| 1771.677 | 1771.677 | 1487.633 | -0.000 | -0.000 | 0.000 |
| 185.142 | 185.154 | -418.550 | 477.225 | -0.000 | 0.000 |
| 185.159 | 185.147 | -418.557 | -0.000 | 477.066 | 0.000 |
| 335.221 | 335.246 | -314.091 | -0.000 | -0.000 | 488.591 |
| 1128.070 | 343.655 | 1243.305 | 0.000 | 0.000 | -0.000 |
| 172.939 | 1008.826 | 981.617 | 0.000 | 0.000 | -0.000 |
| 419.639 | 419.639 | 1874.722 | 0.000 | 0.000 | -0.000 |
| -185.142 | -185.154 | 418.550 | 477.225 | 0.000 | -0.000 |
| -185.159 | -185.147 | 418.557 | 0.000 | 477.066 | -0.000 |
| -335.221 | -335.246 | 314.091 | 0.000 | 0.000 | 488.591 |
| 969.797 | 330.429 | 1267.287 | -0.000 | -0.000 | -0.000 |
| 330.429 | 969.797 | 1267.287 | 0.000 | -0.000 | -0.000 |
| 210.617 | 210.618 | -1791.647 | -0.001 | 0.000 | -0.000 |
| 850.309 | 850.311 | 7341.972 | -1532.167 | 0.000 | -0.000 |
| 850.309 | 850.312 | 7341.973 | -0.001 | -1532.166 | -0.000 |
| 1548.609 | 1548.613 | 13371.423 | -0.002 | 0.001 | 34.931 |
| 969.796 | 330.429 | 1267.287 | -0.000 | 0.000 | 0.000 |
| -4687.352 | -4495.008 | 637.809 | 0.007 | -0.009 | 0.000 |
| 307.387 | 307.386 | 2466.556 | 0.001 | -0.000 | 0.000 |
| -850.310 | -850.312 | -7341.975 | -1532.166 | -0.000 | 0.000 |
| -850.310 | -850.312 | -7341.974 | 0.001 | -1532.167 | 0.000 |
| -1548.609 | -1548.613 | -13371.425 | 0.002 | -0.001 | 34.931 |
| 896.242 | 769.441 | 94.786 | -0.001 | 0.001 | -0.000 |
| 316.019 | 809.789 | 298.181 | -0.000 | 0.000 | -0.000 |
| 622.965 | 622.966 | 3361.110 | -0.000 | 0.000 | -0.000 |
| 449.673 | 449.719 | -5.904 | 13.662 | 0.001 | -0.000 |
| 38.683 | 38.684 | 233.659 | -0.000 | 313.985 | -0.000 |
| 45.002 | 45.002 | 388.569 | -0.000 | 0.000 | 236.935 |
| -57.057 | -4.023 | 536.666 | 0.000 | 0.000 | -0.000 |
| 226.305 | 707.177 | -542.161 | 0.000 | -0.000 | 0.000 |
| -95.175 | -95.175 | -641.221 | 0.000 | -0.001 | 0.000 |
| -449.674 | -449.720 | 5.904 | 13.662 | -0.001 | -0.000 |
| -458.555 | -458.492 | 14.910 | 0.001 | 6.619 | -0.000 |
| -45.002 | -45.002 | -388.569 | 0.000 | -0.000 | 236.935 |
| 822.142 | 291.521 | 306.613 | -0.000 | 0.000 | -0.000 |
| 330.435 | 969.809 | 1267.301 | -0.000 | -0.000 | -0.000 |
| 246.263 | 246.263 | -575.409 | -0.000 | 0.000 | -0.000 |
| 17.055 | 17.205 | 22.709 | 28.715 | 0.000 | -0.000 |
| 23.864 | 23.926 | 10.919 | -0.000 | 166.996 | -0.000 |
| 0.001 | 0.001 | 0.003 | 0.000 | -0.000 | 319.684 |
| 620.885 | 236.491 | 274.059 | 0.000 | -0.000 | 0.000 |
| 330.422 | 969.784 | 1267.273 | 0.000 | 0.000 | 0.000 |
| 217.755 | 217.755 | -677.260 | 0.000 | -0.000 | 0.000 |
| -17.055 | -17.205 | -22.709 | 28.715 | -0.000 | 0.000 |
| -23.864 | -23.926 | -10.919 | 0.000 | 166.996 | 0.000 |
| -0.001 | -0.001 | -0.003 | -0.000 | -0.000 | 319.684 |
| 326.221 | 296.879 | 296.879 | 0.000 | 0.000 | 0.000 |
| 296.879 | 326.221 | 296.879 | 0.000 | 0.000 | -0.000 |
| 296.879 | 296.879 | 326.222 | 0.000 | 0.000 | 0.000 |
| -0.000 | 0.000 | 0.000 | 277.337 | 0.000 | -0.000 |
| -0.000 | -0.000 | 0.000 | 0.000 | 277.337 | 0.000 |
| -0.000 | 0.000 | 0.000 | 0.000 | 0.000 | 277.337 |
| 131.764 | 299.354 | 299.354 | 0.000 | -0.000 | 0.000 |
| 299.354 | 131.764 | 299.354 | -0.000 | -0.000 | 0.000 |
| 299.354 | 299.354 | 131.764 | -0.000 | -0.000 | 0.000 |
| 0.000 | -0.000 | -0.000 | 277.337 | -0.000 | 0.000 |
| 0.000 | 0.000 | -0.000 | -0.000 | 277.337 | 0.000 |
| 0.000 | -0.000 | -0.000 | -0.000 | -0.000 | 277.337 |
| 140.839 | 311.697 | 311.697 | -0.000 | 0.000 | 0.000 |
| 311.697 | 140.839 | 311.697 | 0.000 | 0.000 | -0.000 |
| 311.697 | 311.697 | 140.839 | -0.000 | 0.000 | -0.000 |
| 0.000 | 0.000 | 0.000 | 277.337 | 0.000 | -0.000 |
| 0.000 | 0.000 | 0.000 | 0.000 | 277.337 | -0.000 |
| 0.000 | 0.000 | 0.000 | 0.000 | 0.000 | 277.337 |
| 326.218 | 296.876 | 296.876 | -0.000 | -0.000 | 0.000 |
| 296.876 | 326.218 | 296.876 | -0.000 | -0.000 | 0.000 |
| 296.876 | 296.876 | 326.218 | -0.000 | -0.000 | -0.000 |
| -0.000 | -0.000 | -0.000 | 277.337 | -0.000 | 0.000 |
| -0.000 | -0.000 | -0.000 | 0.000 | 277.337 | -0.000 |
| -0.000 | -0.000 | -0.000 | -0.000 | -0.000 | 277.337 |
| 326.255 | 296.907 | 296.907 | -0.000 | 0.000 | -0.000 |
| 296.907 | 326.255 | 296.907 | 0.000 | 0.000 | -0.000 |
| 296.907 | 296.907 | 326.255 | -0.000 | 0.000 | 0.000 |
| 0.000 | 0.001 | 0.001 | 277.337 | 0.000 | -0.000 |
| 0.001 | 0.000 | 0.001 | 0.000 | 277.337 | -0.000 |
| 0.001 | 0.001 | 0.000 | 0.000 | 0.000 | 277.337 |
| 164.803 | 323.295 | 323.295 | -0.000 | -0.000 | 0.000 |
| 323.295 | 164.803 | 323.295 | -0.000 | -0.000 | 0.000 |
| 323.295 | 323.295 | 164.803 | 0.000 | -0.000 | 0.000 |
| -0.000 | -0.001 | -0.001 | 277.337 | -0.000 | 0.000 |
| -0.001 | -0.000 | -0.001 | -0.000 | 277.337 | 0.000 |
| -0.001 | -0.001 | -0.000 | -0.000 | -0.000 | 277.337 |
| 71346.110 | -386.264 | -386.264 | 0.000 | 0.000 | 0.000 |
| -386.264 | 71346.110 | -386.264 | 0.000 | 0.000 | -0.000 |
| -386.264 | -386.264 | 71346.110 | -0.000 | -0.000 | 0.000 |
| 0.000 | -0.000 | -0.000 | -408.491 | 0.000 | -0.000 |
| -0.000 | 0.000 | -0.000 | 0.000 | -408.491 | -0.000 |
| -0.000 | -0.000 | 0.000 | -0.000 | -0.000 | -408.491 |
| 71348.532 | -386.263 | -386.263 | -0.000 | -0.000 | 0.000 |
| -386.263 | 71348.532 | -386.263 | -0.000 | -0.000 | 0.000 |
| -386.263 | -386.263 | 71348.532 | 0.000 | -0.000 | 0.000 |
| -0.000 | 0.000 | 0.000 | -408.491 | -0.000 | 0.000 |
| 0.000 | -0.000 | 0.000 | -0.000 | -408.491 | 0.000 |
| 0.000 | 0.000 | -0.000 | 0.000 | -0.000 | -408.491 |
| 71335.210 | -386.268 | -386.268 | -0.000 | 0.000 | -0.000 |
| -386.268 | 71335.210 | -386.268 | 0.000 | 0.000 | -0.000 |
| -386.268 | -386.268 | 71335.210 | 0.000 | 0.000 | 0.000 |
| 0.000 | 0.000 | -0.003 | -408.491 | -0.000 | 0.000 |
| 0.000 | 0.000 | -0.003 | -0.000 | -408.491 | -0.000 |
| 0.000 | -0.003 | 0.000 | 0.000 | 0.000 | -408.491 |
| 71359.431 | -386.260 | -386.260 | -0.000 | -0.000 | 0.000 |
| -386.260 | 71359.431 | -386.260 | -0.000 | -0.000 | 0.000 |
| -386.260 | -386.260 | 71359.431 | 0.000 | 0.000 | 0.000 |
| -0.000 | -0.000 | 0.003 | -408.491 | -0.000 | 0.000 |
| -0.000 | -0.000 | 0.003 | 0.000 | -408.491 | 0.000 |
| -0.000 | 0.003 | -0.000 | -0.000 | -0.000 | -408.491 |
| 71226.216 | -386.305 | -386.305 | 0.000 | 0.000 | -0.000 |
| -386.305 | 71226.216 | -386.305 | 0.000 | 0.000 | -0.000 |
| -386.305 | -386.305 | 71226.216 | 0.000 | 0.000 | -0.000 |
| 0.003 | 0.004 | -0.033 | -408.491 | 0.000 | -0.000 |
| 0.004 | 0.003 | -0.033 | -0.000 | -408.491 | -0.000 |
| 0.004 | -0.033 | 0.003 | 0.000 | 0.000 | -408.491 |
| 71468.425 | -386.222 | -386.222 | 0.000 | -0.000 | -0.000 |
| -386.222 | 71468.425 | -386.222 | -0.000 | 0.000 | 0.000 |
| -386.222 | -386.222 | 71468.425 | 0.000 | 0.000 | 0.000 |
| -0.003 | -0.004 | 0.033 | -408.491 | -0.000 | 0.000 |
| -0.004 | -0.003 | 0.033 | 0.000 | -408.491 | 0.000 |
| -0.004 | 0.033 | -0.003 | -0.000 | -0.000 | -408.491 |
| 1440.227 | -21.196 | -21.196 | 0.000 | 0.000 | -0.000 |
| -21.196 | 1440.227 | -21.196 | 0.000 | 0.000 | 0.000 |
| -21.196 | -21.196 | 1440.227 | 0.000 | 0.000 | -0.000 |
| 0.000 | 0.000 | -0.000 | -64.780 | 0.000 | -0.000 |
| 0.000 | 0.000 | -0.000 | 0.000 | -64.780 | -0.000 |
| 0.000 | -0.000 | 0.000 | 0.000 | 0.000 | -64.780 |
| 1440.228 | -21.196 | -21.196 | -0.000 | -0.000 | 0.000 |
| -21.196 | 1440.228 | -21.196 | -0.000 | -0.000 | 0.000 |
| -21.196 | -21.196 | 1440.228 | -0.000 | -0.000 | 0.000 |
| -0.000 | 0.000 | 0.000 | -64.780 | -0.000 | -0.000 |
| 0.000 | -0.000 | 0.000 | -0.000 | -64.780 | 0.000 |
| 0.000 | 0.000 | -0.000 | -0.000 | -0.000 | -64.780 |
| 1440.225 | -21.196 | -21.196 | 0.000 | 0.000 | -0.000 |
| -21.196 | 1440.225 | -21.196 | 0.000 | 0.000 | -0.000 |
| -21.196 | -21.196 | 1440.225 | 0.000 | 0.000 | -0.000 |
| 0.000 | 0.000 | -0.000 | -64.780 | 0.000 | -0.000 |
| 0.000 | 0.000 | -0.000 | 0.000 | -64.780 | -0.000 |
| 0.000 | -0.000 | 0.000 | 0.000 | 0.000 | -64.780 |
| 1440.230 | -21.196 | -21.196 | -0.000 | -0.000 | 0.000 |
| -21.196 | 1440.230 | -21.196 | -0.000 | -0.000 | 0.000 |
| -21.196 | -21.196 | 1440.230 | -0.000 | -0.000 | 0.000 |
| -0.000 | -0.000 | 0.000 | -64.780 | -0.000 | -0.000 |
| -0.000 | -0.000 | 0.000 | -0.000 | -64.780 | 0.000 |
| -0.000 | 0.000 | -0.000 | -0.000 | -0.000 | -64.780 |
| 1440.205 | -21.196 | -21.196 | 0.000 | 0.000 | -0.000 |
| -21.196 | 1440.205 | -21.196 | 0.000 | 0.000 | -0.000 |
| -21.196 | -21.196 | 1440.205 | 0.000 | 0.000 | 0.000 |
| 0.000 | 0.000 | -0.001 | -64.780 | 0.000 | 0.000 |
| 0.000 | 0.000 | -0.001 | 0.000 | -64.780 | -0.000 |
| 0.000 | -0.001 | 0.000 | 0.000 | 0.000 | -64.780 |
| 1440.250 | -21.196 | -21.196 | -0.000 | -0.000 | 0.000 |
| -21.196 | 1440.250 | -21.196 | -0.000 | -0.000 | 0.000 |
| -21.196 | -21.196 | 1440.250 | -0.000 | -0.000 | 0.000 |
| -0.000 | -0.000 | 0.001 | -64.780 | -0.000 | 0.000 |
| -0.000 | -0.000 | 0.001 | -0.000 | -64.780 | 0.000 |
| -0.000 | 0.001 | -0.000 | -0.000 | -0.000 | -64.780 |
| 573.413 | -2.932 | -2.932 | 0.000 | 0.000 | -0.000 |
| -2.932 | 573.413 | -2.932 | 0.000 | 0.000 | -0.000 |
| -2.932 | -2.932 | 573.413 | 0.000 | 0.000 | 0.000 |
| 0.000 | -0.000 | -0.000 | -2.932 | 0.000 | -0.000 |
| -0.000 | 0.000 | -0.000 | 0.000 | -2.932 | -0.000 |
| -0.000 | -0.000 | 0.000 | 0.000 | 0.000 | -2.932 |
| 573.413 | -2.932 | -2.932 | -0.000 | -0.000 | 0.000 |
| -2.932 | 573.413 | -2.932 | -0.000 | -0.000 | 0.000 |
| -2.932 | -2.932 | 573.413 | 0.000 | 0.000 | 0.000 |
| -0.000 | 0.000 | 0.000 | -2.932 | -0.000 | 0.000 |
| 0.000 | -0.000 | 0.000 | -0.000 | -2.932 | 0.000 |
| 0.000 | 0.000 | -0.000 | -0.000 | -0.000 | -2.932 |
| 573.412 | -2.932 | -2.932 | 0.000 | -0.000 | -0.000 |
| -2.932 | 573.412 | -2.932 | -0.000 | 0.000 | -0.000 |
| -2.932 | -2.932 | 573.412 | 0.000 | 0.000 | -0.000 |
| 0.000 | -0.000 | -0.000 | -2.932 | 0.000 | -0.000 |
| -0.000 | 0.000 | -0.000 | 0.000 | -2.932 | -0.000 |
| -0.000 | -0.000 | 0.000 | 0.000 | 0.000 | -2.932 |
| 573.413 | -2.932 | -2.932 | -0.000 | -0.000 | 0.000 |
| -2.932 | 573.413 | -2.932 | -0.000 | -0.000 | 0.000 |
| -2.932 | -2.932 | 573.413 | -0.000 | -0.000 | 0.000 |
| -0.000 | 0.000 | 0.000 | -2.932 | -0.000 | 0.000 |
| 0.000 | -0.000 | 0.000 | -0.000 | -2.932 | 0.000 |
| 0.000 | 0.000 | -0.000 | -0.000 | 0.000 | -2.932 |
| 573.407 | -2.932 | -2.932 | 0.000 | 0.000 | -0.000 |
| -2.932 | 573.407 | -2.932 | 0.000 | 0.000 | -0.000 |
| -2.932 | -2.932 | 573.407 | 0.000 | 0.000 | -0.000 |
| 0.000 | -0.000 | -0.000 | -2.932 | -0.000 | -0.000 |
| -0.000 | 0.000 | -0.000 | -0.000 | -2.932 | -0.000 |
| -0.000 | -0.000 | 0.000 | 0.000 | 0.000 | -2.932 |
| 573.418 | -2.932 | -2.932 | -0.000 | -0.000 | 0.000 |
| -2.932 | 573.418 | -2.932 | -0.000 | -0.000 | 0.000 |
| -2.932 | -2.932 | 573.418 | -0.000 | -0.000 | 0.000 |
| -0.000 | 0.000 | 0.000 | -2.932 | 0.000 | 0.000 |
| 0.000 | -0.000 | 0.000 | 0.000 | -2.932 | 0.000 |
| 0.000 | 0.000 | -0.000 | -0.000 | -0.000 | -2.932 |
| 1067.666 | 700.365 | 700.365 | 0.000 | 0.000 | -0.000 |
| 700.365 | 1067.666 | 700.365 | 0.000 | 0.000 | -0.000 |
| 700.365 | 700.365 | 1067.666 | -0.000 | -0.000 | -0.000 |
| 0.000 | 0.000 | 0.000 | 670.176 | 0.000 | -0.000 |
| 0.000 | 0.000 | 0.000 | 0.000 | 670.176 | -0.000 |
| 0.000 | 0.000 | 0.000 | 0.000 | 0.000 | 670.176 |
| 1067.666 | 700.364 | 700.364 | -0.000 | 0.000 | 0.000 |
| 700.364 | 1067.666 | 700.364 | -0.000 | -0.000 | -0.000 |
| 700.364 | 700.364 | 1067.666 | 0.000 | -0.000 | 0.000 |
| -0.000 | -0.000 | -0.000 | 670.176 | -0.000 | -0.000 |
| -0.000 | -0.000 | -0.000 | -0.000 | 670.176 | 0.000 |
| -0.000 | -0.000 | -0.000 | -0.000 | -0.000 | 670.176 |
| 1067.667 | 700.365 | 700.365 | -0.000 | 0.000 | -0.000 |
| 700.365 | 1067.667 | 700.365 | 0.000 | 0.000 | -0.000 |
| 700.365 | 700.365 | 1067.667 | -0.000 | -0.000 | -0.000 |
| 0.000 | 0.000 | 0.000 | 670.176 | 0.000 | 0.000 |
| 0.000 | 0.000 | 0.000 | 0.000 | 670.176 | -0.000 |
| 0.000 | 0.000 | 0.000 | 0.000 | 0.000 | 670.176 |
| 1067.665 | 700.364 | 700.364 | -0.000 | -0.000 | 0.000 |
| 700.364 | 1067.665 | 700.364 | 0.000 | -0.000 | -0.000 |
| 700.364 | 700.364 | 1067.665 | -0.000 | 0.000 | 0.000 |
| -0.000 | -0.000 | -0.000 | 670.176 | 0.000 | 0.000 |
| -0.000 | -0.000 | -0.000 | 0.000 | 670.176 | 0.000 |
| -0.000 | -0.000 | -0.000 | -0.000 | 0.000 | 670.176 |
| 1067.674 | 700.372 | 700.372 | 0.000 | 0.000 | 0.000 |
| 700.372 | 1067.674 | 700.372 | 0.000 | 0.000 | -0.000 |
| 700.372 | 700.372 | 1067.674 | 0.000 | 0.000 | -0.000 |
| 0.003 | 0.002 | 0.003 | 670.176 | -0.000 | 0.000 |
| 0.002 | 0.003 | 0.003 | 0.000 | 670.176 | -0.000 |
| 0.002 | 0.003 | 0.003 | 0.000 | 0.000 | 670.176 |
| 1067.658 | 700.357 | 700.357 | -0.000 | 0.000 | 0.000 |
| 700.357 | 1067.658 | 700.357 | -0.000 | -0.000 | 0.000 |
| 700.357 | 700.357 | 1067.658 | -0.000 | -0.000 | 0.000 |
| -0.003 | -0.002 | -0.003 | 670.176 | -0.000 | 0.000 |
| -0.002 | -0.003 | -0.003 | -0.000 | 670.176 | 0.000 |
| -0.002 | -0.003 | -0.003 | -0.000 | -0.000 | 670.176 |
| 877.593 | 804.779 | 804.779 | 0.000 | 0.000 | -0.000 |
| 804.779 | 877.593 | 804.779 | 0.000 | 0.000 | -0.000 |
| 804.779 | 804.779 | 877.593 | -0.000 | -0.000 | -0.000 |
| 0.000 | 0.000 | 0.000 | 784.367 | -0.000 | -0.000 |
| 0.000 | 0.000 | 0.000 | -0.000 | 784.367 | -0.000 |
| 0.000 | 0.000 | 0.000 | 0.000 | 0.000 | 784.367 |
| 877.593 | 804.779 | 804.779 | 0.000 | 0.000 | 0.000 |
| 804.779 | 877.593 | 804.779 | 0.000 | 0.000 | 0.000 |
| 804.779 | 804.779 | 877.593 | -0.000 | -0.000 | 0.000 |
| -0.000 | -0.000 | -0.000 | 784.367 | 0.000 | 0.000 |
| -0.000 | -0.000 | -0.000 | 0.000 | 784.367 | 0.000 |
| -0.000 | -0.000 | -0.000 | -0.000 | 0.000 | 784.367 |
| 877.593 | 804.779 | 804.779 | -0.000 | -0.000 | -0.000 |
| 804.779 | 877.593 | 804.779 | -0.000 | -0.000 | -0.000 |
| 804.779 | 804.779 | 877.593 | 0.000 | -0.000 | -0.000 |
| 0.000 | 0.000 | 0.000 | 784.367 | -0.000 | -0.000 |
| 0.000 | 0.000 | 0.000 | -0.000 | 784.367 | -0.000 |
| 0.000 | 0.000 | 0.000 | -0.000 | 0.000 | 784.367 |
| 877.593 | 804.779 | 804.779 | -0.000 | 0.000 | 0.000 |
| 804.779 | 877.593 | 804.779 | 0.000 | 0.000 | 0.000 |
| 804.779 | 804.779 | 877.593 | 0.000 | 0.000 | 0.000 |
| -0.000 | -0.000 | -0.000 | 784.367 | 0.000 | 0.000 |
| -0.000 | -0.000 | -0.000 | 0.000 | 784.367 | 0.000 |
| -0.000 | -0.000 | -0.000 | 0.000 | 0.000 | 784.367 |
| 877.594 | 804.782 | 804.782 | 0.000 | -0.000 | -0.000 |
| 804.782 | 877.594 | 804.782 | -0.000 | -0.000 | -0.000 |
| 804.782 | 804.782 | 877.594 | -0.000 | -0.000 | -0.000 |
| 0.002 | 0.000 | 0.002 | 784.367 | -0.000 | -0.000 |
| 0.000 | 0.002 | 0.002 | 0.000 | 784.367 | -0.000 |
| 0.000 | 0.002 | 0.002 | -0.000 | 0.000 | 784.367 |
| 877.593 | 804.777 | 804.777 | -0.000 | 0.000 | 0.000 |
| 804.777 | 877.593 | 804.777 | 0.000 | 0.000 | 0.000 |
| 804.777 | 804.777 | 877.593 | 0.000 | -0.000 | 0.000 |
| -0.002 | -0.000 | -0.002 | 784.367 | 0.000 | 0.000 |
| -0.000 | -0.002 | -0.002 | 0.000 | 784.367 | 0.000 |
| -0.000 | -0.002 | -0.002 | 0.000 | 0.000 | 784.367 |
| 231.154 | 325.375 | 325.375 | 0.000 | 0.000 | 0.000 |
| 325.375 | 231.154 | 325.375 | 0.000 | 0.000 | 0.000 |
| 325.375 | 325.375 | 231.154 | 0.000 | 0.000 | 0.000 |
| -0.000 | -0.000 | -0.000 | 301.326 | 0.000 | 0.000 |
| -0.000 | -0.000 | -0.000 | 0.000 | 301.326 | -0.000 |
| -0.000 | -0.000 | -0.000 | 0.000 | 0.000 | 301.326 |
| 231.154 | 325.375 | 325.375 | -0.000 | -0.000 | -0.000 |
| 325.375 | 231.154 | 325.375 | -0.000 | -0.000 | -0.000 |
| 325.375 | 325.375 | 231.154 | -0.000 | -0.000 | -0.000 |
| 0.000 | 0.000 | 0.000 | 301.326 | -0.000 | -0.000 |
| 0.000 | 0.000 | 0.000 | -0.000 | 301.326 | -0.000 |
| 0.000 | 0.000 | 0.000 | -0.000 | -0.000 | 301.326 |
| 231.154 | 325.375 | 325.375 | 0.000 | 0.000 | 0.000 |
| 325.375 | 231.154 | 325.375 | 0.000 | 0.000 | 0.000 |
| 325.375 | 325.375 | 231.154 | -0.000 | -0.000 | 0.000 |
| -0.000 | -0.000 | -0.000 | 301.326 | 0.000 | 0.000 |
| -0.000 | -0.000 | -0.000 | 0.000 | 301.326 | 0.000 |
| -0.000 | -0.000 | -0.000 | 0.000 | 0.000 | 301.326 |
| 231.154 | 325.375 | 325.375 | -0.000 | -0.000 | -0.000 |
| 325.375 | 231.154 | 325.375 | -0.000 | -0.000 | -0.000 |
| 325.375 | 325.375 | 231.154 | -0.000 | -0.000 | -0.000 |
| 0.000 | 0.000 | 0.000 | 301.326 | -0.000 | -0.000 |
| 0.000 | 0.000 | 0.000 | -0.000 | 301.326 | -0.000 |
| 0.000 | 0.000 | 0.000 | -0.000 | -0.000 | 301.326 |
| 231.153 | 325.375 | 325.375 | 0.000 | 0.000 | 0.000 |
| 325.375 | 231.153 | 325.375 | 0.000 | 0.000 | 0.000 |
| 325.375 | 325.375 | 231.153 | -0.000 | -0.000 | 0.000 |
| -0.001 | -0.002 | -0.001 | 301.326 | 0.000 | 0.000 |
| -0.002 | -0.001 | -0.001 | 0.000 | 301.326 | 0.000 |
| -0.002 | -0.001 | -0.001 | -0.000 | 0.000 | 301.326 |
| 231.156 | 325.376 | 325.376 | -0.000 | -0.000 | -0.000 |
| 325.376 | 231.156 | 325.376 | -0.000 | -0.000 | 0.000 |
| 325.376 | 325.376 | 231.156 | 0.000 | 0.000 | 0.000 |
| 0.001 | 0.002 | 0.001 | 301.326 | -0.000 | -0.000 |
| 0.002 | 0.001 | 0.001 | -0.000 | 301.326 | -0.000 |
| 0.002 | 0.001 | 0.001 | -0.000 | -0.000 | 301.326 |
| 10522.118 | 10529.983 | 10529.983 | -0.003 | -0.004 | -0.004 |
| 10529.983 | 10522.118 | 10529.983 | -0.004 | -0.003 | -0.004 |
| 10529.983 | 10529.983 | 10522.117 | -0.004 | -0.004 | -0.003 |
| -0.000 | -0.000 | -0.000 | -12.694 | -0.002 | -0.002 |
| -0.000 | -0.000 | -0.000 | -0.002 | -12.694 | -0.002 |
| -0.000 | -0.000 | -0.000 | -0.002 | -0.002 | -12.694 |
| 10522.261 | 10530.125 | 10530.125 | 0.003 | 0.004 | 0.004 |
| 10530.125 | 10522.261 | 10530.125 | 0.004 | 0.003 | 0.004 |
| 10530.125 | 10530.125 | 10522.261 | 0.004 | 0.004 | 0.004 |
| 0.000 | 0.000 | 0.000 | -12.690 | 0.002 | 0.002 |
| 0.000 | 0.000 | 0.000 | 0.002 | -12.690 | 0.002 |
| 0.000 | 0.000 | 0.000 | 0.002 | 0.002 | -12.690 |
| 10521.474 | 10529.341 | 10529.341 | -0.000 | -0.000 | -0.000 |
| 10529.341 | 10521.474 | 10529.341 | -0.000 | -0.000 | -0.000 |
| 10529.341 | 10529.341 | 10521.474 | -0.000 | -0.000 | -0.000 |
| -0.001 | -0.001 | -0.001 | -12.698 | -0.000 | -0.000 |
| -0.001 | -0.001 | -0.001 | -0.000 | -12.698 | -0.000 |
| -0.001 | -0.001 | -0.001 | -0.000 | -0.000 | -12.698 |
| 10522.904 | 10530.767 | 10530.767 | 0.000 | 0.000 | 0.000 |
| 10530.767 | 10522.904 | 10530.767 | 0.000 | 0.000 | 0.000 |
| 10530.767 | 10530.767 | 10522.904 | 0.000 | 0.000 | 0.000 |
| 0.001 | 0.001 | 0.001 | -12.697 | 0.000 | 0.000 |
| 0.001 | 0.001 | 0.001 | 0.000 | -12.697 | 0.000 |
| 0.001 | 0.001 | 0.001 | 0.000 | 0.000 | -12.697 |
| 10515.042 | 10522.928 | 10522.928 | -0.000 | -0.000 | -0.000 |
| 10522.928 | 10515.042 | 10522.928 | -0.000 | -0.000 | -0.000 |
| 10522.928 | 10522.928 | 10515.042 | -0.000 | -0.000 | -0.000 |
| -0.011 | -0.010 | -0.010 | -12.698 | -0.000 | -0.000 |
| -0.010 | -0.011 | -0.010 | -0.000 | -12.698 | -0.000 |
| -0.010 | -0.010 | -0.011 | -0.000 | -0.000 | -12.698 |
| 10529.336 | 10537.180 | 10537.180 | 0.000 | 0.000 | 0.000 |
| 10537.180 | 10529.336 | 10537.180 | 0.000 | 0.000 | 0.000 |
| 10537.180 | 10537.180 | 10529.336 | 0.000 | 0.000 | 0.000 |
| 0.011 | 0.010 | 0.010 | -12.698 | 0.000 | 0.000 |
| 0.010 | 0.011 | 0.010 | 0.000 | -12.698 | 0.000 |
| 0.010 | 0.010 | 0.011 | 0.000 | 0.000 | -12.698 |
| 138.208 | 199.237 | 199.237 | -0.000 | -0.000 | -0.000 |
| 199.237 | 138.208 | 199.237 | -0.000 | -0.000 | -0.000 |
| 199.237 | 199.237 | 138.208 | -0.000 | -0.000 | -0.000 |
| -0.000 | -0.000 | -0.000 | -71.968 | -0.000 | -0.000 |
| -0.000 | -0.000 | -0.000 | -0.000 | -71.968 | -0.000 |
| -0.000 | -0.000 | -0.000 | -0.000 | -0.000 | -71.968 |
| 138.208 | 199.237 | 199.237 | 0.000 | 0.000 | 0.000 |
| 199.237 | 138.208 | 199.237 | 0.000 | 0.000 | 0.000 |
| 199.237 | 199.237 | 138.208 | 0.000 | 0.000 | 0.000 |
| 0.000 | 0.000 | 0.000 | -71.968 | 0.000 | 0.000 |
| 0.000 | 0.000 | 0.000 | 0.000 | -71.968 | 0.000 |
| 0.000 | 0.000 | 0.000 | 0.000 | 0.000 | -71.968 |
| 138.208 | 199.237 | 199.237 | -0.000 | -0.000 | -0.000 |
| 199.237 | 138.208 | 199.237 | -0.000 | -0.000 | -0.000 |
| 199.237 | 199.237 | 138.208 | -0.000 | -0.000 | -0.000 |
| 0.000 | -0.000 | -0.000 | -71.968 | -0.000 | -0.000 |
| -0.000 | 0.000 | -0.000 | -0.000 | -71.968 | -0.000 |
| -0.000 | -0.000 | 0.000 | -0.000 | -0.000 | -71.968 |
| 138.208 | 199.238 | 199.238 | 0.000 | 0.000 | 0.000 |
| 199.238 | 138.208 | 199.238 | 0.000 | 0.000 | 0.000 |
| 199.238 | 199.238 | 138.208 | 0.000 | 0.000 | 0.000 |
| -0.000 | 0.000 | 0.000 | -71.968 | 0.000 | 0.000 |
| 0.000 | -0.000 | 0.000 | 0.000 | -71.968 | 0.000 |
| 0.000 | 0.000 | -0.000 | 0.000 | 0.000 | -71.968 |
| 138.206 | 199.236 | 199.236 | -0.000 | -0.000 | -0.000 |
| 199.236 | 138.206 | 199.236 | -0.000 | -0.000 | -0.000 |
| 199.236 | 199.236 | 138.206 | -0.000 | -0.000 | -0.000 |
| 0.000 | -0.000 | -0.000 | -71.968 | -0.000 | -0.000 |
| -0.000 | 0.000 | -0.000 | -0.000 | -71.968 | -0.000 |
| -0.000 | -0.000 | 0.000 | -0.000 | -0.000 | -71.968 |
| 138.209 | 199.239 | 199.239 | 0.000 | 0.000 | 0.000 |
| 199.239 | 138.209 | 199.239 | 0.000 | 0.000 | 0.000 |
| 199.239 | 199.239 | 138.209 | 0.000 | 0.000 | 0.000 |
| -0.000 | 0.000 | 0.000 | -71.968 | 0.000 | 0.000 |
| 0.000 | -0.000 | 0.000 | 0.000 | -71.968 | 0.000 |
| 0.000 | 0.000 | -0.000 | 0.000 | 0.000 | -71.968 |
| 84.445 | 84.521 | 84.521 | 0.000 | -0.000 | -0.000 |
| 84.521 | 84.445 | 84.521 | -0.000 | 0.000 | -0.000 |
| 84.521 | 84.521 | 84.445 | -0.000 | -0.000 | 0.000 |
| -0.000 | -0.000 | -0.000 | -0.081 | 0.000 | 0.000 |
| -0.000 | -0.000 | -0.000 | 0.000 | -0.081 | 0.000 |
| -0.000 | -0.000 | -0.000 | 0.000 | 0.000 | -0.081 |
| 84.445 | 84.521 | 84.521 | -0.000 | 0.000 | 0.000 |
| 84.521 | 84.445 | 84.521 | 0.000 | -0.000 | 0.000 |
| 84.521 | 84.521 | 84.445 | 0.000 | 0.000 | -0.000 |
| 0.000 | 0.000 | 0.000 | -0.081 | -0.000 | -0.000 |
| 0.000 | 0.000 | 0.000 | -0.000 | -0.081 | -0.000 |
| 0.000 | 0.000 | 0.000 | -0.000 | -0.000 | -0.081 |
| 84.445 | 84.521 | 84.521 | -0.000 | -0.000 | -0.000 |
| 84.521 | 84.445 | 84.521 | -0.000 | -0.000 | -0.000 |
| 84.521 | 84.521 | 84.445 | -0.000 | -0.000 | -0.000 |
| -0.000 | -0.000 | -0.000 | -0.081 | 0.000 | 0.000 |
| -0.000 | -0.000 | -0.000 | 0.000 | -0.081 | 0.000 |
| -0.000 | -0.000 | -0.000 | 0.000 | 0.000 | -0.081 |
| 84.445 | 84.521 | 84.521 | -0.000 | 0.000 | 0.000 |
| 84.521 | 84.445 | 84.521 | 0.000 | -0.000 | 0.000 |
| 84.521 | 84.521 | 84.445 | 0.000 | 0.000 | -0.000 |
| 0.000 | 0.000 | 0.000 | -0.081 | -0.000 | -0.000 |
| 0.000 | 0.000 | 0.000 | -0.000 | -0.081 | -0.000 |
| 0.000 | 0.000 | 0.000 | -0.000 | -0.000 | -0.081 |
| 84.445 | 84.521 | 84.521 | -0.000 | -0.000 | -0.000 |
| 84.521 | 84.445 | 84.521 | -0.000 | -0.000 | -0.000 |
| 84.521 | 84.521 | 84.445 | -0.000 | -0.000 | -0.000 |
| -0.000 | -0.000 | -0.000 | -0.081 | 0.000 | 0.000 |
| -0.000 | -0.000 | -0.000 | 0.000 | -0.081 | 0.000 |
| -0.000 | -0.000 | -0.000 | 0.000 | 0.000 | -0.081 |
| 84.445 | 84.521 | 84.521 | -0.000 | 0.000 | 0.000 |
| 84.521 | 84.445 | 84.521 | 0.000 | -0.000 | 0.000 |
| 84.521 | 84.521 | 84.445 | 0.000 | 0.000 | -0.000 |
| 0.000 | 0.000 | 0.000 | -0.081 | -0.000 | -0.000 |
| 0.000 | 0.000 | 0.000 | -0.000 | -0.081 | -0.000 |
| 0.000 | 0.000 | 0.000 | -0.000 | -0.000 | -0.081 |
| 203.892 | 153.077 | 471.144 | -0.000 | -0.000 | -0.000 |
| 153.077 | 203.892 | 471.144 | -0.000 | -0.000 | -0.000 |
| 471.144 | 471.144 | 1718.232 | -0.000 | -0.000 | -0.000 |
| -0.000 | -0.000 | -0.000 | 471.144 | -0.000 | -0.000 |
| -0.000 | -0.000 | -0.000 | -0.000 | 471.144 | -0.000 |
| -0.000 | -0.000 | -0.000 | -0.000 | -0.000 | 131.680 |
| 203.892 | 153.077 | 471.144 | 0.000 | -0.000 | -0.000 |
| 153.077 | 203.892 | 471.144 | -0.000 | 0.000 | -0.000 |
| 471.144 | 471.144 | 1718.232 | 0.000 | 0.000 | 0.000 |
| 0.000 | 0.000 | 0.000 | 471.144 | 0.000 | 0.000 |
| 0.000 | 0.000 | 0.000 | 0.000 | 471.144 | 0.000 |
| 0.000 | 0.000 | 0.000 | 0.000 | 0.000 | 131.680 |
| 203.892 | 153.077 | 471.144 | -0.000 | 0.000 | 0.000 |
| 153.077 | 203.892 | 471.144 | 0.000 | -0.000 | 0.000 |
| 471.143 | 471.143 | 1718.231 | -0.000 | -0.000 | -0.000 |
| -0.000 | -0.000 | -0.000 | 471.144 | -0.000 | -0.000 |
| -0.000 | -0.000 | -0.000 | -0.000 | 471.144 | -0.000 |
| -0.000 | -0.000 | -0.000 | 0.000 | -0.000 | 131.680 |
| 203.892 | 153.077 | 471.144 | 0.000 | 0.000 | 0.000 |
| 153.077 | 203.892 | 471.144 | 0.000 | 0.000 | 0.000 |
| 471.144 | 471.144 | 1718.233 | 0.000 | 0.000 | 0.000 |
| 0.000 | 0.000 | 0.000 | 471.144 | 0.000 | 0.000 |
| 0.000 | 0.000 | 0.000 | 0.000 | 471.144 | 0.000 |
| 0.000 | 0.000 | 0.000 | 0.000 | 0.000 | 131.680 |
| 203.890 | 153.077 | 471.143 | -0.000 | -0.000 | -0.000 |
| 153.077 | 203.890 | 471.143 | -0.000 | -0.000 | -0.000 |
| 471.142 | 471.142 | 1718.222 | -0.000 | -0.000 | -0.000 |
| -0.001 | -0.002 | -0.003 | 471.144 | 0.000 | -0.000 |
| -0.002 | -0.001 | -0.003 | 0.000 | 471.144 | -0.000 |
| -0.000 | -0.000 | -0.001 | -0.000 | -0.000 | 131.680 |
| 203.893 | 153.078 | 471.144 | 0.000 | 0.000 | 0.000 |
| 153.078 | 203.893 | 471.144 | 0.000 | 0.000 | 0.000 |
| 471.146 | 471.146 | 1718.243 | 0.000 | 0.000 | -0.000 |
| 0.001 | 0.002 | 0.003 | 471.144 | 0.000 | 0.000 |
| 0.002 | 0.001 | 0.003 | 0.000 | 471.144 | -0.000 |
| 0.000 | 0.000 | 0.001 | 0.000 | 0.000 | 131.680 |
| 1188.227 | 120.473 | 768.017 | 0.000 | -0.000 | 0.000 |
| 120.473 | 2415.078 | 910.885 | 0.000 | -0.000 | 0.000 |
| 768.017 | 910.885 | 1097.520 | 0.000 | -0.000 | -0.000 |
| -0.000 | 0.000 | 0.000 | 885.911 | -0.000 | 0.000 |
| 0.000 | -0.000 | 0.000 | -0.000 | 743.994 | 0.000 |
| -0.000 | 0.000 | -0.000 | 0.000 | -0.000 | 92.105 |
| 1188.227 | 120.473 | 768.017 | -0.000 | 0.000 | 0.000 |
| 120.473 | 2415.078 | 910.885 | -0.000 | 0.000 | -0.000 |
| 768.017 | 910.885 | 1097.520 | -0.000 | 0.000 | 0.000 |
| 0.000 | -0.000 | -0.000 | 885.911 | 0.000 | 0.000 |
| -0.000 | 0.000 | -0.000 | -0.000 | 743.994 | 0.000 |
| 0.000 | -0.000 | 0.000 | -0.000 | 0.000 | 92.105 |
| 1188.228 | 120.473 | 768.017 | 0.000 | -0.000 | 0.000 |
| 120.473 | 2415.079 | 910.886 | 0.000 | -0.000 | -0.000 |
| 768.017 | 910.885 | 1097.520 | 0.000 | -0.000 | 0.000 |
| -0.000 | 0.000 | 0.000 | 885.911 | -0.000 | 0.000 |
| 0.000 | -0.000 | 0.000 | 0.000 | 743.994 | -0.000 |
| 0.000 | -0.000 | -0.000 | 0.000 | -0.000 | 92.105 |
| 1188.227 | 120.473 | 768.016 | -0.000 | 0.000 | -0.000 |
| 120.473 | 2415.076 | 910.884 | -0.000 | 0.000 | -0.000 |
| 768.016 | 910.885 | 1097.520 | -0.000 | 0.000 | 0.000 |
| 0.000 | -0.000 | -0.000 | 885.911 | 0.000 | 0.000 |
| -0.000 | 0.000 | -0.000 | -0.000 | 743.994 | 0.000 |
| -0.000 | 0.000 | 0.000 | -0.000 | 0.000 | 92.105 |
| 1188.232 | 120.473 | 768.021 | 0.000 | -0.000 | -0.000 |
| 120.473 | 2415.091 | 910.892 | 0.000 | -0.000 | 0.000 |
| 768.020 | 910.888 | 1097.522 | 0.000 | -0.000 | -0.000 |
| -0.001 | 0.004 | 0.001 | 885.911 | -0.000 | -0.000 |
| 0.002 | -0.001 | 0.002 | 0.000 | 743.994 | 0.000 |
| 0.000 | -0.001 | -0.001 | 0.000 | -0.000 | 92.105 |
| 1188.223 | 120.472 | 768.012 | -0.000 | 0.000 | 0.000 |
| 120.472 | 2415.065 | 910.879 | -0.000 | 0.000 | -0.000 |
| 768.013 | 910.883 | 1097.519 | -0.000 | 0.000 | -0.000 |
| 0.001 | -0.004 | -0.001 | 885.911 | 0.000 | -0.000 |
| -0.002 | 0.001 | -0.002 | -0.000 | 743.994 | -0.000 |
| -0.000 | 0.001 | 0.001 | -0.000 | 0.000 | 92.105 |
| 23716.687 | 7913.068 | 3283.413 | -0.000 | -0.000 | 0.000 |
| 7913.049 | 23716.707 | 3283.413 | -0.000 | 0.000 | 0.000 |
| 8540.922 | 8540.924 | 12108.984 | 0.000 | -0.000 | 0.000 |
| 0.004 | 0.011 | 0.001 | 3243.398 | 0.000 | 0.000 |
| 0.011 | 0.004 | 0.001 | -0.000 | 3243.396 | -0.001 |
| -1042.414 | -1042.408 | 1593.292 | 0.000 | -0.000 | 685.508 |
| 12965.457 | 13930.084 | 6901.351 | -0.000 | -0.000 | -0.000 |
| 11542.247 | 12417.764 | 9144.836 | 0.000 | -0.000 | 0.000 |
| 11222.899 | 11222.899 | 8009.763 | -0.000 | -0.000 | -0.000 |
| 1038.859 | 1038.868 | -1587.869 | -83.414 | -0.000 | -0.000 |
| -0.011 | -0.004 | -0.001 | -0.000 | 3243.397 | 0.001 |
| 1042.414 | 1042.408 | -1593.292 | 0.000 | 0.000 | 685.508 |
| 11120.202 | 11518.033 | 10154.429 | 0.000 | 0.000 | -0.000 |
| 11452.981 | 11300.057 | 10066.718 | 0.000 | 0.000 | 0.000 |
| 9787.989 | 9787.989 | 10202.505 | 0.000 | 0.000 | 0.000 |
| -135.063 | -135.037 | 206.418 | -9.440 | 0.000 | 0.000 |
| 0.115 | 0.038 | 0.015 | -0.000 | 3243.397 | 0.000 |
| -63.204 | -63.114 | 96.581 | 0.000 | -0.000 | 2970.574 |
| 11615.248 | 11638.741 | 9684.778 | 0.000 | 0.000 | -0.000 |
| 11569.386 | 11399.031 | 9903.082 | -0.000 | -0.000 | -0.000 |
| 9854.427 | 9854.427 | 10101.885 | -0.000 | -0.000 | 0.000 |
| 135.063 | 135.037 | -206.418 | -9.440 | -0.000 | -0.000 |
| -0.115 | -0.038 | -0.015 | 0.000 | 3243.397 | 0.000 |
| 63.204 | 63.114 | -96.581 | -0.000 | -0.000 | 2970.574 |
| 11480.062 | 11475.895 | 9907.514 | 0.000 | -0.000 | -0.000 |
| 11487.480 | 11465.795 | 9909.558 | 0.000 | 0.000 | -0.000 |
| 9856.146 | 9856.146 | 10094.299 | 0.000 | 0.000 | 0.000 |
| -13.551 | -13.553 | 20.698 | -5.595 | 0.000 | 0.000 |
| -13.495 | -13.496 | 20.612 | 0.000 | -5.600 | 0.000 |
| -13.507 | -13.505 | 20.623 | -0.000 | 0.000 | 3.886 |
| 11377.257 | 11685.258 | 9835.096 | 0.000 | 0.000 | -0.000 |
| 11524.289 | 11491.367 | 9871.009 | 0.000 | 0.000 | -0.000 |
| 9888.207 | 9888.207 | 10054.173 | -0.000 | -0.000 | -0.000 |
| 13.551 | 13.553 | -20.698 | -5.595 | -0.000 | -0.000 |
| 13.495 | 13.496 | -20.612 | -0.000 | -5.600 | -0.000 |
| 13.507 | 13.505 | -20.623 | 0.000 | -0.000 | 3.886 |
| -14080323127.862 | -793487006.290 | -14600228769.960 | -0.006 | 0.000 | 0.003 |
| 1882381044.051 | -3812665683.662 | -2841654939.474 | 0.000 | -0.000 | 7.029 |
| -3140580274.354 | -1395707166.627 | -4864409926.167 | -53738889.933 | -4798342.667 | 36765348.546 |
| 1301133565.966 | -3794828958.890 | -3340299564.669 | -32809164.941 | 1180895.497 | -1521341.955 |
| -7232293052.328 | -111179184.525 | -7904537262.703 | 8197672.271 | 67272586.206 | -19472006.459 |
| -2388905926.181 | 458618085.316 | -2841656161.811 | 0.000 | 0.000 | -2466027290.366 |
| -1882377393.598 | 3812667876.618 | 2841656715.388 | -0.053 | 0.000 | 2.148 |
| 14080327475.044 | 793489377.598 | 14600232414.380 | 0.105 | 0.000 | 0.033 |
| 3119173459.184 | 1440154311.733 | 4879872030.906 | -24754669.185 | 8450479.744 | -31442303.076 |
| -1287867334.193 | 3801236360.501 | 3361281426.157 | -9965826.330 | 1603358.364 | 676675.974 |
| 7272821413.743 | 112008394.144 | 7947413725.366 | -5751682.912 | 7850396.561 | -48326067.862 |
| 2388905974.235 | -458618065.230 | 2841656223.527 | 0.001 | -0.002 | -2466027319.902 |
| -1408028821.006 | -79348158.990 | -1460020153.573 | 0.002 | -0.000 | 0.291 |
| 188238741.785 | -381264577.436 | -284164150.534 | -0.002 | -0.000 | -0.020 |
| -17479.594 | -17479.594 | -30639.077 | -0.000 | -0.000 | -0.000 |
| -0.640 | -1.920 | -2.211 | -17507.818 | -0.000 | -0.000 |
| -1.920 | -0.640 | -2.211 | -0.000 | -17507.818 | -0.000 |
| -238890684.430 | 45861630.364 | -284165388.412 | 0.000 | 0.000 | -246601897.687 |
| -188235076.247 | 381267441.468 | 284166547.925 | 0.003 | 0.000 | 0.019 |
| 1408036617.481 | 79351495.717 | 1460027811.986 | -0.027 | -0.000 | 10.784 |
| 312710680.448 | 143387947.871 | 488301196.985 | -66979.295 | -452680.128 | -2531947.642 |
| 0.640 | 1.920 | 2.211 | -17507.818 | 0.000 | 0.000 |
| 1.920 | 0.640 | 2.211 | 0.000 | -17507.818 | -0.000 |
| 238890684.680 | -45861630.430 | 284165388.579 | 0.000 | -0.000 | -246601897.697 |
| -140799391.693 | -7934274.640 | -145999293.558 | -0.000 | -0.000 | 0.037 |
| 18824511.581 | -38124466.158 | -28415071.065 | -0.000 | 0.000 | 0.001 |
| -31425059.726 | -14343233.143 | -48980961.332 | 89329.365 | 139.559 | 302806.985 |
| 18823803.363 | -38126678.979 | -28416564.341 | 1948.215 | -0.000 | 0.006 |
| -140803270.059 | -7934876.085 | -146002317.910 | -0.000 | 17668.424 | 0.002 |
| -23889156.009 | 4585983.281 | -28416308.667 | 0.000 | -0.000 | -24659358.632 |
| -18820846.032 | 38127330.225 | 28417468.455 | -0.000 | -0.000 | -0.002 |
| 140803799.164 | 7936662.828 | 146003008.110 | -0.001 | -0.000 | 0.387 |
| 31254570.589 | 14388373.486 | 48851671.521 | 215350.954 | -7133.590 | -311892.209 |
| -18823803.363 | 38126678.980 | 28416564.342 | 1948.215 | -0.000 | -0.005 |
| 140803270.026 | 7934876.075 | 146002317.871 | -0.000 | 17668.424 | -0.003 |
| 23889156.008 | -4585983.280 | 28416308.667 | -0.000 | 0.000 | -24659358.632 |
| 17098.778 | 13632.691 | 21238.233 | -0.000 | 0.000 | -0.000 |
| 13634.374 | 17097.096 | 21238.234 | -0.000 | 0.000 | -0.000 |
| 21238.236 | 21238.235 | 31838.109 | -0.000 | -0.000 | -0.000 |
| 0.004 | 0.001 | 0.004 | 21161.652 | 0.000 | -0.000 |
| 0.003 | 0.002 | 0.004 | 0.000 | 21161.652 | -0.001 |
| 0.001 | 0.001 | 0.001 | -0.000 | 0.000 | 7651.382 |
| 18061.173 | 12670.281 | 21238.223 | 0.000 | 0.000 | 0.000 |
| 13693.478 | 17037.976 | 21238.223 | 0.000 | -0.000 | 0.000 |
| 21238.221 | 21238.222 | 31838.091 | 0.000 | -0.000 | 0.000 |
| -0.004 | -0.001 | -0.004 | 21161.653 | 0.000 | 0.000 |
| -0.003 | -0.002 | -0.004 | -0.000 | 21161.652 | -0.000 |
| -0.001 | -0.001 | -0.001 | 0.000 | -0.000 | 7651.382 |
| 17106.368 | 13625.168 | 21238.279 | -0.000 | 0.000 | -0.000 |
| 13624.537 | 17107.000 | 21238.279 | -0.000 | 0.000 | -0.000 |
| 21238.297 | 21238.297 | 31838.190 | -0.000 | 0.000 | -0.000 |
| 0.026 | 0.025 | 0.042 | 21161.653 | 0.000 | -0.000 |
| 0.025 | 0.026 | 0.042 | -0.000 | 21161.653 | -0.000 |
| -0.003 | 0.003 | -0.001 | -0.000 | 0.000 | 1732.143 |
| 17089.478 | 13641.909 | 21238.178 | 0.000 | -0.000 | 0.000 |
| 13670.374 | 17061.013 | 21238.178 | 0.000 | -0.000 | 0.000 |
| 21238.159 | 21238.160 | 31838.010 | 0.000 | -0.000 | 0.000 |
| -0.026 | -0.025 | -0.042 | 21161.653 | -0.000 | 0.000 |
| -0.025 | -0.026 | -0.042 | 0.000 | 21161.653 | 0.000 |
| 0.003 | -0.003 | 0.001 | 0.000 | -0.000 | 1732.143 |
| 17098.322 | 13633.886 | 21238.732 | -0.000 | 0.000 | -0.000 |
| 13632.644 | 17099.564 | 21238.732 | -0.000 | 0.000 | -0.000 |
| 21238.915 | 21238.915 | 31839.002 | -0.000 | -0.000 | -0.000 |
| 0.262 | 0.251 | 0.417 | 21161.653 | 0.000 | -0.000 |
| 0.251 | 0.262 | 0.417 | -0.000 | 21161.653 | -0.000 |
| -0.026 | 0.033 | -0.009 | -0.000 | 0.000 | 1731.553 |
| 17097.544 | 13633.172 | 21237.725 | -0.000 | -0.000 | 0.000 |
| 13633.160 | 17097.556 | 21237.725 | 0.000 | -0.000 | 0.000 |
| 21237.541 | 21237.541 | 31837.197 | 0.000 | -0.000 | 0.000 |
| -0.262 | -0.251 | -0.417 | 21161.653 | -0.000 | 0.000 |
| -0.251 | -0.262 | -0.417 | 0.000 | 21161.653 | 0.000 |
| 0.026 | -0.033 | 0.009 | 0.000 | -0.000 | 1731.553 |
| 15659.211 | 14754.613 | 14754.613 | 0.000 | 0.000 | 0.000 |
| 14754.613 | 15659.211 | 14754.613 | 0.000 | 0.000 | 0.000 |
| 14754.613 | 14754.613 | 15659.211 | 0.000 | 0.000 | 0.000 |
| 0.002 | 0.002 | 0.002 | 14640.858 | 0.000 | 0.000 |
| 0.002 | 0.002 | 0.002 | 0.000 | 14640.858 | -0.000 |
| 0.002 | 0.002 | 0.002 | 0.000 | 0.000 | 14640.858 |
| 15659.206 | 14754.608 | 14754.608 | -0.000 | -0.000 | -0.000 |
| 14754.608 | 15659.206 | 14754.608 | -0.000 | -0.000 | -0.000 |
| 14754.608 | 14754.608 | 15659.206 | -0.000 | -0.000 | -0.000 |
| -0.002 | -0.002 | -0.002 | 14640.858 | -0.000 | -0.000 |
| -0.002 | -0.002 | -0.002 | -0.000 | 14640.857 | 0.000 |
| -0.002 | -0.002 | -0.002 | -0.000 | -0.000 | 14640.857 |
| 15659.233 | 14754.637 | 14754.637 | 0.000 | 0.000 | 0.000 |
| 14754.637 | 15659.233 | 14754.637 | 0.000 | 0.000 | 0.000 |
| 14754.637 | 14754.637 | 15659.233 | 0.000 | 0.000 | 0.000 |
| 0.023 | 0.020 | 0.023 | 14640.857 | 0.000 | 0.000 |
| 0.020 | 0.023 | 0.023 | 0.000 | 14640.857 | 0.000 |
| 0.020 | 0.023 | 0.023 | 0.000 | 0.000 | 14640.857 |
| 15659.183 | 14754.583 | 14754.583 | -0.000 | -0.000 | -0.000 |
| 14754.584 | 15659.183 | 14754.583 | -0.000 | -0.000 | -0.000 |
| 14754.583 | 14754.583 | 15659.183 | -0.000 | -0.000 | -0.000 |
| -0.023 | -0.020 | -0.023 | 14640.857 | -0.000 | -0.000 |
| -0.020 | -0.023 | -0.023 | -0.000 | 14640.857 | 0.000 |
| -0.020 | -0.023 | -0.023 | -0.000 | -0.000 | 14640.857 |
| 15659.456 | 14754.880 | 14754.880 | 0.000 | 0.000 | 0.000 |
| 14754.880 | 15659.456 | 14754.880 | 0.000 | 0.000 | 0.000 |
| 14754.880 | 14754.880 | 15659.456 | 0.000 | 0.000 | 0.000 |
| -0.005 | -0.014 | -0.013 | 779.884 | 0.000 | 0.000 |
| -0.014 | -0.005 | -0.013 | 0.000 | 779.884 | -0.000 |
| -0.014 | -0.013 | -0.005 | 0.000 | 0.000 | 779.884 |
| 15658.960 | 14754.341 | 14754.341 | -0.000 | -0.000 | -0.000 |
| 14754.341 | 15658.960 | 14754.341 | -0.000 | -0.000 | 0.000 |
| 14754.341 | 14754.341 | 15658.960 | -0.000 | -0.000 | 0.000 |
| 0.005 | 0.014 | 0.013 | 779.884 | -0.000 | -0.000 |
| 0.014 | 0.005 | 0.013 | -0.000 | 779.884 | -0.000 |
| 0.014 | 0.013 | 0.005 | -0.000 | -0.000 | 779.884 |
| 475.988 | 464.772 | 464.772 | -0.000 | -0.000 | 0.000 |
| 464.772 | 475.988 | 464.772 | -0.000 | -0.000 | -0.000 |
| 464.772 | 464.772 | 475.988 | -0.000 | -0.000 | -0.000 |
| 0.000 | 0.000 | 0.000 | 443.880 | -0.000 | -0.000 |
| 0.000 | 0.000 | 0.000 | -0.000 | 443.880 | 0.000 |
| 0.000 | 0.000 | 0.000 | -0.000 | -0.000 | 443.880 |
| 475.988 | 464.772 | 464.772 | 0.000 | 0.000 | 0.000 |
| 464.772 | 475.988 | 464.772 | 0.000 | 0.000 | 0.000 |
| 464.772 | 464.772 | 475.988 | 0.000 | 0.000 | 0.000 |
| -0.000 | -0.000 | -0.000 | 443.880 | 0.000 | 0.000 |
| -0.000 | -0.000 | -0.000 | 0.000 | 443.880 | 0.000 |
| -0.000 | -0.000 | -0.000 | 0.000 | 0.000 | 443.880 |
| 475.988 | 464.772 | 464.772 | -0.000 | -0.000 | -0.000 |
| 464.772 | 475.988 | 464.772 | -0.000 | -0.000 | -0.000 |
| 464.772 | 464.772 | 475.988 | -0.000 | -0.000 | -0.000 |
| -0.000 | -0.000 | -0.000 | 21.947 | -0.000 | -0.000 |
| -0.000 | -0.000 | -0.000 | -0.000 | 21.947 | -0.000 |
| -0.000 | -0.000 | -0.000 | -0.000 | -0.000 | 21.947 |
| 475.988 | 464.772 | 464.772 | 0.000 | 0.000 | 0.000 |
| 464.772 | 475.988 | 464.772 | 0.000 | 0.000 | 0.000 |
| 464.772 | 464.772 | 475.988 | 0.000 | 0.000 | 0.000 |
| 0.000 | 0.000 | 0.000 | 21.947 | 0.000 | -0.000 |
| 0.000 | 0.000 | 0.000 | 0.000 | 21.947 | -0.000 |
| 0.000 | 0.000 | 0.000 | 0.000 | 0.000 | 21.947 |
| 475.988 | 464.772 | 464.772 | -0.000 | -0.000 | -0.000 |
| 464.772 | 475.988 | 464.772 | -0.000 | -0.000 | -0.000 |
| 464.772 | 464.772 | 475.988 | -0.000 | -0.000 | 0.000 |
| -0.000 | -0.000 | -0.000 | 21.950 | -0.000 | -0.000 |
| -0.000 | -0.000 | -0.000 | -0.000 | 21.950 | -0.000 |
| -0.000 | -0.000 | -0.000 | 0.000 | -0.000 | 21.950 |
| 475.989 | 464.771 | 464.771 | 0.000 | 0.000 | 0.000 |
| 464.771 | 475.989 | 464.771 | 0.000 | 0.000 | 0.000 |
| 464.771 | 464.771 | 475.989 | 0.000 | 0.000 | 0.000 |
| 0.000 | 0.000 | 0.000 | 21.950 | 0.000 | 0.000 |
| 0.000 | 0.000 | 0.000 | 0.000 | 21.950 | 0.000 |
| 0.000 | 0.000 | 0.000 | 0.000 | 0.000 | 21.950 |
| 51.912 | 150.978 | 150.978 | -0.000 | -0.000 | -0.000 |
| 150.978 | 51.912 | 150.978 | -0.000 | -0.000 | -0.000 |
| 150.978 | 150.978 | 51.912 | 0.000 | 0.000 | -0.000 |
| -0.000 | -0.000 | -0.000 | -253.198 | 0.000 | -0.000 |
| -0.000 | -0.000 | -0.000 | -0.000 | -253.198 | -0.000 |
| -0.000 | -0.000 | -0.000 | 0.000 | -0.000 | -253.198 |
| 51.912 | 150.978 | 150.978 | 0.000 | 0.000 | 0.000 |
| 150.978 | 51.912 | 150.978 | 0.000 | 0.000 | 0.000 |
| 150.978 | 150.978 | 51.912 | 0.000 | -0.000 | 0.000 |
| 0.000 | 0.000 | 0.000 | -253.198 | -0.000 | 0.000 |
| 0.000 | 0.000 | 0.000 | -0.000 | -253.198 | 0.000 |
| 0.000 | 0.000 | 0.000 | 0.000 | 0.000 | -253.198 |
| 51.912 | 150.978 | 150.978 | 0.000 | -0.000 | -0.000 |
| 150.978 | 51.912 | 150.978 | -0.000 | 0.000 | -0.000 |
| 150.978 | 150.978 | 51.912 | -0.000 | -0.000 | -0.000 |
| -0.001 | -0.000 | -0.000 | -253.198 | 0.000 | -0.000 |
| -0.000 | -0.001 | -0.000 | 0.000 | -253.198 | -0.000 |
| -0.000 | -0.000 | -0.001 | -0.000 | -0.000 | -253.198 |
| 51.912 | 150.978 | 150.978 | 0.000 | 0.000 | 0.000 |
| 150.978 | 51.912 | 150.978 | 0.000 | 0.000 | 0.000 |
| 150.978 | 150.978 | 51.912 | 0.000 | 0.000 | 0.000 |
| 0.001 | 0.000 | 0.000 | -253.198 | -0.000 | 0.000 |
| 0.000 | 0.001 | 0.000 | 0.000 | -253.198 | 0.000 |
| 0.000 | 0.000 | 0.001 | 0.000 | 0.000 | -253.198 |
| 51.911 | 150.978 | 150.978 | -0.000 | 0.000 | -0.000 |
| 150.978 | 51.911 | 150.978 | -0.000 | -0.000 | -0.000 |
| 150.978 | 150.978 | 51.911 | -0.000 | -0.000 | 0.000 |
| -0.011 | -0.000 | -0.001 | -253.198 | -0.000 | -0.000 |
| -0.000 | -0.011 | -0.001 | -0.000 | -253.198 | -0.000 |
| -0.000 | -0.001 | -0.011 | -0.000 | -0.000 | -253.198 |
| 51.914 | 150.979 | 150.979 | -0.000 | -0.000 | 0.000 |
| 150.979 | 51.914 | 150.979 | -0.000 | -0.000 | -0.000 |
| 150.979 | 150.979 | 51.914 | 0.000 | 0.000 | -0.000 |
| 0.011 | 0.000 | 0.001 | -253.198 | -0.000 | -0.000 |
| 0.000 | 0.011 | 0.001 | -0.000 | -253.198 | 0.000 |
| 0.000 | 0.001 | 0.011 | 0.000 | -0.000 | -253.198 |
| 4139.395 | -36753.075 | -10894.430 | 0.000 | -0.001 | 0.000 |
| 41404.613 | -8068.649 | 6077.411 | 0.001 | -0.029 | -0.027 |
| 6800.523 | -7705.720 | -12641.959 | -0.000 | -0.001 | -0.000 |
| 39452.596 | 2087.103 | 14260.265 | 7501.343 | 0.001 | -0.000 |
| 0.001 | 0.000 | -0.000 | -0.000 | 2684.413 | 0.000 |
| 5251.153 | -13132.828 | -19378.299 | -0.000 | -0.001 | -672.505 |
| -3057.570 | 11969.603 | 18062.500 | 0.000 | 0.001 | 0.000 |
| -7977.828 | 7491.916 | -15537.639 | -0.000 | -0.001 | -0.003 |
| 10303.737 | 15973.409 | -19270.455 | 0.001 | -0.004 | 0.001 |
| -46599.442 | -16759.321 | -23004.061 | -6244.771 | -0.000 | 0.000 |
| -0.001 | -0.000 | 0.001 | 0.000 | 2684.413 | -0.000 |
| -11860.972 | -5544.609 | -29285.450 | -0.000 | 0.003 | -19407.740 |
| 665.995 | 622.721 | 4353.961 | 0.000 | -0.000 | 0.000 |
| 2220.588 | 779.845 | -519.058 | -0.000 | -0.000 | -0.000 |
| 3272.999 | 2892.012 | 2359.247 | 0.000 | -0.000 | -0.000 |
| 2119.517 | -575.453 | 306.013 | 303.632 | -0.000 | -0.000 |
| -650.452 | -1470.570 | -845.246 | -0.000 | -288.432 | 0.000 |
| 4321.177 | 946.271 | 1962.729 | -0.000 | -0.000 | 788.506 |
| 294.296 | 7189.840 | 4974.989 | 0.000 | -0.000 | -0.000 |
| -4024.345 | 1655.098 | 1419.169 | 0.009 | 0.005 | 0.004 |
| 470.415 | 1604.422 | 3605.502 | 0.000 | 0.000 | 0.000 |
| -2880.088 | -510.669 | -760.068 | 42.889 | 0.000 | 0.000 |
| 650.453 | 1470.570 | 845.246 | 0.000 | -288.432 | -0.000 |
| -4572.343 | -2348.980 | -2764.804 | 0.000 | -0.000 | 882.415 |
| 2053.148 | 1101.421 | 1344.702 | 0.000 | -0.000 | 0.000 |
| 1164.253 | 1054.306 | 1174.476 | 0.000 | -0.000 | 0.000 |
| 1305.141 | 1123.275 | 2450.299 | -0.000 | -0.000 | -0.000 |
| 171.709 | 73.835 | 249.126 | 296.137 | -0.000 | 0.000 |
| 97.207 | -44.817 | -32.651 | -0.000 | 471.253 | 0.000 |
| -21.757 | -554.367 | -274.788 | 0.000 | -0.000 | 846.404 |
| 1214.778 | 820.555 | 919.527 | 0.000 | -0.000 | -0.000 |
| 1276.448 | 2240.638 | 2021.388 | 0.000 | 0.000 | 0.000 |
| 1124.031 | 911.415 | 2221.642 | -0.000 | 0.000 | 0.000 |
| -171.709 | -73.834 | -249.125 | 296.137 | 0.000 | -0.000 |
| -443.372 | -208.641 | -229.972 | -0.001 | 371.070 | 0.000 |
| -228.075 | 22.215 | -66.897 | 0.000 | 0.000 | 702.031 |
| -2406264481.723 | -2334808745.037 | -4595459053.362 | 0.000 | 0.005 | -0.033 |
| -2406269047.504 | -2334805244.845 | -4595451786.422 | -241.796 | 0.400 | 56.940 |
| -2406264375.163 | -2334807731.561 | -4595456498.283 | -10.211 | 6.553 | -0.383 |
| -2406266486.132 | -2334809732.792 | -4595457881.054 | -806.501 | -0.481 | 0.013 |
| 560.904 | -76.665 | -676.473 | -0.000 | 2344.560 | -0.000 |
| 0.013 | -0.000 | -0.014 | -0.000 | -0.000 | 5651.347 |
| 2406269984.918 | 2334811695.246 | 4595464467.259 | 9.537 | -0.480 | -44.183 |
| 2406264101.196 | 2334807949.276 | 4595457762.930 | 60.120 | -3.649 | -13.130 |
| 2406290530.303 | 2334831295.037 | 4595486590.371 | 0.423 | -13.612 | -1.593 |
| 2406271434.298 | 2334820522.605 | 4595451443.695 | 19965.965 | -0.323 | 0.002 |
| 2406275611.609 | 2334810866.253 | 4595458672.056 | -33.031 | 4767.673 | -60.004 |
| 2406265648.230 | 2334823127.723 | 4595467940.406 | 0.005 | 0.000 | -111.635 |
| 8769.847 | 5360.350 | -744.328 | -0.000 | 0.000 | -0.000 |
| 14670.471 | 10408.364 | -806.481 | 0.000 | -0.000 | -0.000 |
| -240624421.616 | -233479373.399 | -459542987.388 | -3.732 | 0.125 | -2.911 |
| 0.251 | -0.011 | -0.267 | 9928.536 | 0.000 | 0.000 |
| -240624912.396 | -233479366.783 | -459543881.635 | -0.397 | 281.078 | -0.087 |
| 0.066 | 0.002 | -0.065 | -0.000 | 0.000 | 5651.347 |
| 240628488.509 | 233482619.034 | 459547526.387 | -0.266 | 3.294 | -1.367 |
| 240624286.745 | 233479116.296 | 459544508.646 | -0.118 | 1.587 | 80.619 |
| 240628598.616 | 233484125.434 | 459550026.736 | 0.074 | -0.026 | -1.524 |
| -0.251 | 0.011 | 0.267 | 9928.536 | -0.000 | 0.000 |
| 240626890.268 | 233480373.712 | 459545421.735 | 0.845 | 455.609 | -0.415 |
| -0.065 | -0.002 | 0.065 | 0.000 | 0.000 | 5651.347 |
| -24061092.262 | -23347264.019 | -45953745.745 | -0.830 | 0.558 | -0.452 |
| 14665.371 | 10400.400 | -812.195 | -0.000 | 0.000 | 0.000 |
| 12226.617 | 8633.861 | 367.063 | -0.000 | -0.000 | -0.000 |
| 2.500 | -0.105 | -2.662 | 9928.535 | -0.000 | -0.000 |
| 562.677 | -76.861 | -678.552 | -0.000 | 2344.396 | -0.000 |
| 0.653 | 0.024 | -0.643 | -0.000 | 0.000 | 5651.347 |
| 24064334.231 | 23348833.559 | 45955332.658 | 0.115 | 0.113 | -1.434 |
| 24063334.046 | 23349280.290 | 45955402.700 | 0.790 | 0.167 | 6.055 |
| 24063682.156 | 23349235.062 | 45956485.198 | 0.168 | 0.005 | -0.249 |
| -2.500 | 0.105 | 2.662 | 9928.535 | 0.000 | -0.000 |
| -562.677 | 76.861 | 678.552 | 0.000 | 2344.396 | 0.000 |
| -0.653 | -0.024 | 0.643 | 0.000 | -0.000 | 5651.347 |
| 19023.905 | 11031.150 | 3841.089 | -0.000 | -0.000 | -0.000 |
| 14134.913 | 11687.420 | 6337.715 | -0.000 | -0.000 | 0.000 |
| 11126.461 | 6437.033 | 3250.794 | -0.000 | -0.000 | 0.000 |
| 0.001 | 0.003 | 0.003 | 12090.293 | -0.000 | -0.000 |
| -7.770 | 4.494 | 8.508 | -0.000 | 867.232 | 0.000 |
| -8.657 | 5.010 | 9.481 | 0.000 | -0.000 | 8119.393 |
| 13097.400 | 13155.317 | 8912.623 | -0.000 | -0.000 | -0.000 |
| 13856.225 | 12052.536 | 6864.590 | 0.000 | 0.000 | -0.000 |
| 8568.652 | 7855.014 | 5984.594 | -0.000 | -0.000 | -0.000 |
| -0.001 | -0.003 | -0.003 | 12090.293 | -0.000 | 0.000 |
| 7.770 | -4.494 | -8.508 | -0.000 | 867.232 | -0.000 |
| 3.325 | -1.821 | -3.530 | -0.000 | 0.000 | 1147.138 |
| 5375.011 | 3263.698 | 1755.972 | 0.000 | -0.000 | 0.000 |
| 3284.090 | 2332.205 | 1222.223 | -0.000 | -0.000 | 0.000 |
| 1732.412 | 1262.659 | 2002.365 | 0.000 | 0.000 | 0.000 |
| -0.746 | 0.424 | 0.810 | 849.832 | 0.000 | 0.000 |
| -0.769 | 0.442 | 0.840 | 0.000 | 867.223 | 0.000 |
| -0.437 | 0.094 | 0.306 | 0.000 | 0.000 | 1147.200 |
| 5501.734 | 3236.585 | 1667.441 | 0.000 | 0.000 | -0.000 |
| 3284.737 | 2331.848 | 1221.536 | -0.000 | 0.000 | -0.000 |
| 1531.665 | 975.536 | 1783.719 | -0.000 | -0.000 | -0.000 |
| 0.746 | -0.424 | -0.810 | 849.832 | 0.000 | -0.000 |
| 0.769 | -0.442 | -0.840 | 0.000 | 867.223 | -0.000 |
| 0.276 | 0.012 | -0.115 | 0.000 | 0.000 | 1147.120 |
| 5337.124 | 3284.390 | 1796.103 | -0.000 | 0.000 | 0.000 |
| 3284.201 | 2331.927 | 1221.857 | -0.000 | 0.000 | 0.000 |
| 1805.940 | 1233.770 | 1936.694 | 0.000 | -0.000 | 0.000 |
| 0.242 | -0.212 | -0.330 | 752.053 | -0.000 | 0.000 |
| -0.074 | 0.022 | 0.069 | 0.000 | 867.223 | 0.000 |
| -0.110 | -0.012 | 0.031 | -0.000 | 0.000 | 1147.157 |
| 5454.253 | 3167.840 | 1614.840 | 0.000 | -0.000 | -0.000 |
| 3284.498 | 2332.038 | 1221.866 | -0.000 | 0.000 | -0.000 |
| 1826.169 | 1251.933 | 1947.001 | -0.000 | 0.000 | -0.000 |
| -0.242 | 0.212 | 0.330 | 752.053 | 0.000 | -0.000 |
| 0.074 | -0.022 | -0.069 | -0.000 | 867.223 | -0.000 |
| 0.110 | 0.012 | -0.031 | 0.000 | -0.000 | 1147.157 |
| 917.212 | 475.182 | 1014.227 | 0.000 | -0.000 | -0.000 |
| 475.182 | 917.211 | 1014.227 | 0.000 | 0.000 | -0.000 |
| 1014.227 | 1014.227 | 3060.228 | -0.000 | 0.000 | -0.000 |
| 0.000 | -0.000 | -0.000 | 988.576 | 0.000 | 0.000 |
| -0.000 | -0.000 | -0.000 | -0.000 | 988.576 | -0.000 |
| -0.000 | 0.000 | -0.000 | -0.000 | -0.000 | 333.309 |
| 917.211 | 475.181 | 1014.227 | -0.000 | -0.000 | 0.000 |
| 475.181 | 917.211 | 1014.227 | -0.000 | -0.000 | 0.000 |
| 1014.227 | 1014.227 | 3060.228 | -0.000 | -0.000 | -0.000 |
| -0.000 | 0.000 | 0.000 | 988.576 | -0.000 | -0.000 |
| 0.000 | 0.000 | 0.000 | 0.000 | 988.576 | 0.000 |
| 0.000 | -0.000 | 0.000 | 0.000 | 0.000 | 333.309 |
| 1029.509 | 362.892 | 1014.230 | -0.000 | -0.000 | 0.000 |
| 362.892 | 1029.509 | 1014.230 | -0.000 | 0.000 | -0.000 |
| 1014.230 | 1014.230 | 3060.230 | -0.000 | 0.000 | 0.000 |
| -0.000 | -0.000 | -0.001 | 988.576 | 0.000 | -0.000 |
| -0.000 | -0.000 | -0.001 | 0.000 | 988.576 | -0.000 |
| -0.000 | -0.000 | -0.000 | 0.000 | 0.000 | 221.015 |
| 917.206 | 475.178 | 1014.223 | -0.000 | -0.000 | 0.000 |
| 475.176 | 917.208 | 1014.223 | -0.000 | -0.000 | 0.000 |
| 1014.224 | 1014.224 | 3060.227 | 0.000 | -0.000 | -0.000 |
| 0.000 | 0.000 | 0.001 | 988.576 | -0.000 | 0.000 |
| 0.000 | 0.000 | 0.001 | -0.000 | 988.576 | 0.000 |
| 0.000 | 0.000 | 0.000 | -0.000 | -0.000 | 221.015 |
| 917.258 | 475.217 | 1014.262 | 0.000 | 0.000 | -0.000 |
| 475.234 | 917.241 | 1014.261 | 0.000 | 0.000 | -0.000 |
| 1014.254 | 1014.254 | 3060.235 | -0.000 | 0.000 | -0.000 |
| -0.002 | -0.004 | -0.006 | 988.576 | 0.000 | -0.000 |
| -0.004 | -0.002 | -0.006 | 0.000 | 988.576 | -0.000 |
| -0.002 | -0.001 | -0.000 | 0.000 | 0.000 | 221.015 |
| 917.164 | 475.146 | 1014.192 | 0.000 | -0.000 | 0.000 |
| 475.142 | 917.168 | 1014.192 | -0.000 | -0.000 | 0.000 |
| 1014.199 | 1014.199 | 3060.216 | 0.000 | -0.000 | 0.000 |
| 0.002 | 0.004 | 0.006 | 988.576 | -0.000 | 0.000 |
| 0.004 | 0.002 | 0.006 | -0.000 | 988.576 | 0.000 |
| 0.002 | 0.001 | 0.000 | -0.000 | -0.000 | 221.015 |
| 1705.354 | 1079.295 | 694.307 | 0.000 | -0.000 | 0.001 |
| 1248.093 | 1129.594 | 684.407 | 0.000 | 0.000 | 0.001 |
| 825.095 | 922.538 | 1102.259 | 0.000 | -0.000 | 0.001 |
| -26.328 | -83.722 | -97.798 | 397.501 | -0.000 | 0.001 |
| -42.851 | -42.797 | -59.456 | 0.000 | 310.062 | 0.001 |
| -41.944 | -44.876 | -61.381 | 0.000 | -0.000 | 696.908 |
| 1760.093 | 1262.793 | 907.699 | -0.000 | 0.000 | -0.001 |
| 1334.242 | 1213.468 | 801.628 | 0.000 | 0.000 | -0.001 |
| 594.204 | 130.037 | 182.424 | -0.000 | 0.000 | -0.002 |
| 26.328 | 83.722 | 97.798 | 397.502 | 0.000 | -0.001 |
| 42.851 | 42.797 | 59.456 | 0.000 | 310.063 | -0.001 |
| 41.938 | 44.889 | 61.394 | -0.000 | 0.000 | 696.856 |
| 1730.543 | 1161.273 | 789.878 | 0.000 | -0.000 | 0.000 |
| 1286.402 | 1169.331 | 739.137 | 0.000 | -0.000 | 0.000 |
| 939.281 | 768.384 | 974.566 | 0.000 | -0.000 | 0.000 |
| -3.315 | -11.066 | -12.872 | -152.689 | -0.000 | 0.000 |
| -4.128 | -7.585 | -9.420 | 0.000 | 310.400 | 0.000 |
| -3.973 | -5.198 | -6.825 | -0.000 | -0.000 | 709.282 |
| 1702.781 | 1273.592 | 900.766 | -0.000 | 0.000 | -0.000 |
| 1295.047 | 1177.746 | 750.896 | -0.000 | 0.000 | -0.000 |
| 947.884 | 776.429 | 985.916 | -0.000 | 0.000 | -0.000 |
| 3.315 | 11.066 | 12.872 | -152.689 | 0.000 | -0.000 |
| 4.131 | 7.595 | 9.433 | -0.000 | 310.384 | -0.000 |
| 4.001 | 5.048 | 6.673 | -0.000 | 0.000 | 706.391 |
| 1698.233 | 1270.695 | 896.216 | -0.000 | -0.000 | 0.000 |
| 1286.892 | 1178.757 | 749.356 | 0.000 | -0.000 | 0.000 |
| 942.536 | 773.301 | 980.872 | -0.000 | -0.000 | 0.000 |
| -0.424 | -0.426 | -0.583 | 389.390 | -0.000 | 0.000 |
| -0.426 | -0.426 | -0.585 | 0.000 | 310.064 | 0.000 |
| -0.402 | -0.487 | -0.648 | 0.000 | -0.000 | 705.385 |
| 1699.084 | 1268.193 | 893.812 | -0.000 | 0.000 | -0.000 |
| 1290.593 | 1175.257 | 746.801 | -0.000 | 0.000 | -0.000 |
| 943.511 | 773.487 | 981.357 | -0.000 | 0.000 | -0.000 |
| 0.424 | 0.426 | 0.583 | 389.390 | 0.000 | -0.000 |
| 0.426 | 0.426 | 0.585 | -0.000 | 310.064 | -0.000 |
| 0.402 | 0.489 | 0.651 | -0.000 | 0.000 | 705.400 |
| 1450.742 | 309.611 | 309.611 | 0.000 | 0.000 | 0.000 |
| 362.522 | 1344.919 | 362.522 | -0.000 | -0.000 | -0.000 |
| 309.611 | 309.611 | 1450.742 | -0.000 | 0.000 | 0.000 |
| -0.000 | 0.000 | 0.000 | 288.585 | -0.000 | 0.000 |
| 0.000 | 0.000 | 0.000 | -0.000 | 288.585 | 0.000 |
| 0.000 | 0.000 | -0.000 | -0.000 | -0.000 | 288.585 |
| 1450.741 | 309.610 | 309.610 | -0.000 | -0.000 | -0.000 |
| 309.610 | 1450.741 | 309.610 | 0.000 | -0.000 | -0.000 |
| 309.610 | 309.610 | 1450.741 | 0.000 | -0.000 | -0.000 |
| -0.000 | -0.000 | -0.000 | 288.585 | 0.000 | -0.000 |
| -0.000 | 0.000 | -0.000 | 0.000 | 288.585 | -0.000 |
| -0.000 | -0.000 | 0.000 | -0.000 | 0.000 | 288.585 |
| 1344.920 | 362.524 | 362.524 | -0.000 | -0.000 | 0.000 |
| 362.524 | 1344.920 | 362.524 | -0.000 | -0.000 | -0.000 |
| 362.524 | 362.524 | 1344.920 | -0.000 | 0.000 | 0.000 |
| 0.000 | -0.000 | -0.000 | 53.879 | 0.000 | 0.000 |
| -0.000 | 0.000 | -0.000 | -0.000 | 53.879 | 0.000 |
| -0.000 | -0.000 | 0.000 | -0.000 | 0.000 | 53.879 |
| 1450.739 | 309.609 | 309.609 | -0.000 | -0.000 | -0.000 |
| 309.609 | 1450.739 | 309.609 | -0.000 | -0.000 | 0.000 |
| 309.609 | 309.609 | 1450.739 | 0.000 | 0.000 | -0.000 |
| -0.000 | 0.000 | 0.000 | 53.879 | -0.000 | 0.000 |
| 0.000 | -0.000 | 0.000 | 0.000 | 53.879 | 0.000 |
| 0.000 | 0.000 | -0.000 | 0.000 | -0.000 | 53.879 |
| 1344.936 | 362.539 | 362.539 | -0.000 | -0.000 | -0.000 |
| 362.539 | 1344.936 | 362.539 | -0.000 | -0.000 | -0.000 |
| 362.539 | 362.539 | 1344.936 | -0.000 | 0.000 | 0.000 |
| 0.000 | -0.001 | -0.001 | 53.878 | 0.000 | 0.000 |
| -0.001 | 0.000 | -0.001 | -0.000 | 53.878 | -0.000 |
| -0.001 | -0.001 | 0.000 | 0.000 | -0.000 | 53.878 |
| 1344.890 | 362.509 | 362.509 | 0.000 | -0.000 | 0.000 |
| 362.509 | 1344.890 | 362.509 | 0.000 | 0.000 | 0.000 |
| 362.509 | 362.509 | 1344.890 | 0.000 | 0.000 | 0.000 |
| -0.000 | 0.001 | 0.001 | 53.878 | -0.000 | -0.000 |
| 0.001 | -0.000 | 0.001 | 0.000 | 53.878 | 0.000 |
| 0.001 | 0.001 | -0.000 | -0.000 | 0.000 | 53.878 |
| -344.764 | 397.106 | 397.106 | -0.000 | -0.000 | 0.000 |
| 397.106 | -344.764 | 397.106 | -0.000 | -0.000 | 0.000 |
| 397.106 | 397.106 | -344.764 | -0.000 | -0.000 | -0.000 |
| -0.000 | -0.000 | -0.000 | -316.017 | -0.000 | 0.000 |
| -0.000 | -0.000 | -0.000 | -0.000 | -316.017 | 0.000 |
| -0.000 | -0.000 | -0.000 | -0.000 | -0.000 | -316.017 |
| -344.764 | 397.106 | 397.106 | 0.000 | 0.000 | 0.000 |
| 397.106 | -344.764 | 397.106 | 0.000 | 0.000 | 0.000 |
| 397.106 | 397.106 | -344.764 | 0.000 | 0.000 | -0.000 |
| 0.000 | 0.000 | 0.000 | -316.017 | 0.000 | 0.000 |
| 0.000 | 0.000 | 0.000 | 0.000 | -316.017 | -0.000 |
| 0.000 | 0.000 | 0.000 | 0.000 | 0.000 | -316.017 |
| 314.302 | 67.572 | 67.572 | -0.000 | -0.000 | 0.000 |
| 67.572 | 314.302 | 67.572 | -0.000 | -0.000 | 0.000 |
| 67.572 | 67.572 | 314.302 | -0.000 | -0.000 | 0.000 |
| -0.000 | -0.000 | -0.000 | 44.565 | -0.000 | 0.000 |
| -0.000 | -0.000 | -0.000 | -0.000 | 44.565 | 0.000 |
| -0.000 | -0.000 | -0.000 | -0.000 | -0.000 | 44.565 |
| -344.762 | 397.105 | 397.105 | 0.000 | 0.000 | -0.000 |
| 397.105 | -344.762 | 397.105 | 0.000 | 0.000 | -0.000 |
| 397.105 | 397.105 | -344.762 | 0.000 | 0.000 | -0.000 |
| 0.000 | 0.000 | 0.000 | 44.565 | 0.000 | 0.000 |
| 0.000 | 0.000 | 0.000 | 0.000 | 44.565 | -0.000 |
| 0.000 | 0.000 | 0.000 | 0.000 | 0.000 | 44.565 |
| -344.786 | 397.111 | 397.111 | -0.000 | -0.000 | -0.000 |
| 397.111 | -344.786 | 397.111 | -0.000 | -0.000 | 0.000 |
| 397.111 | 397.111 | -344.786 | -0.000 | -0.000 | 0.000 |
| -0.003 | -0.003 | -0.004 | -316.017 | -0.000 | 0.000 |
| -0.003 | -0.003 | -0.004 | -0.000 | -316.017 | 0.000 |
| -0.003 | -0.004 | -0.003 | -0.000 | -0.000 | -316.017 |
| -344.740 | 397.099 | 397.099 | 0.000 | 0.000 | 0.000 |
| 397.099 | -344.740 | 397.099 | 0.000 | 0.000 | -0.000 |
| 397.099 | 397.099 | -344.740 | 0.000 | 0.000 | -0.000 |
| 0.003 | 0.003 | 0.004 | -316.017 | 0.000 | -0.000 |
| 0.003 | 0.003 | 0.004 | 0.000 | -316.017 | -0.000 |
| 0.003 | 0.004 | 0.003 | 0.000 | 0.000 | -316.017 |
| 60.445 | 402.302 | 402.302 | 0.000 | 0.000 | -0.000 |
| 402.302 | 60.445 | 402.302 | -0.000 | 0.000 | 0.000 |
| 402.302 | 402.302 | 60.445 | 0.000 | 0.000 | 0.000 |
| -0.000 | -0.000 | 0.000 | 224.331 | -0.000 | -0.000 |
| -0.000 | -0.000 | 0.000 | -0.000 | 224.331 | -0.000 |
| -0.000 | -0.000 | -0.000 | -0.000 | 0.000 | 224.331 |
| 60.445 | 402.302 | 402.302 | -0.000 | -0.000 | 0.000 |
| 402.302 | 60.445 | 402.302 | -0.000 | -0.000 | 0.000 |
| 402.302 | 402.302 | 60.445 | 0.000 | -0.000 | 0.000 |
| 0.000 | 0.000 | -0.000 | 224.331 | -0.000 | -0.000 |
| 0.000 | 0.000 | -0.000 | 0.000 | 224.331 | -0.000 |
| 0.000 | -0.000 | 0.000 | -0.000 | -0.000 | 224.331 |
| 60.444 | 402.302 | 402.302 | 0.000 | 0.000 | -0.000 |
| 402.302 | 60.444 | 402.302 | 0.000 | 0.000 | -0.000 |
| 402.302 | 402.302 | 60.444 | -0.000 | -0.000 | -0.000 |
| 0.000 | 0.000 | 0.000 | 381.649 | 0.000 | -0.000 |
| 0.000 | 0.000 | 0.000 | 0.000 | 381.649 | -0.000 |
| 0.000 | 0.000 | 0.000 | -0.000 | -0.000 | 381.649 |
| 60.445 | 402.302 | 402.302 | -0.000 | 0.000 | 0.000 |
| 402.302 | 60.445 | 402.302 | 0.000 | -0.000 | 0.000 |
| 402.302 | 402.302 | 60.445 | 0.000 | 0.000 | -0.000 |
| -0.000 | -0.000 | -0.000 | 381.649 | -0.000 | 0.000 |
| -0.000 | -0.000 | -0.000 | 0.000 | 381.649 | 0.000 |
| -0.000 | -0.000 | -0.000 | 0.000 | 0.000 | 381.649 |
| 60.439 | 402.304 | 402.304 | 0.000 | 0.000 | 0.000 |
| 402.304 | 60.439 | 402.304 | 0.000 | 0.000 | 0.000 |
| 402.304 | 402.304 | 60.439 | 0.000 | 0.000 | -0.000 |
| 0.000 | -0.000 | 0.000 | 224.331 | -0.000 | -0.000 |
| -0.000 | 0.000 | 0.000 | -0.000 | 224.331 | -0.000 |
| -0.000 | 0.000 | 0.000 | 0.000 | 0.000 | 224.331 |
| 60.449 | 402.300 | 402.300 | -0.000 | -0.000 | -0.000 |
| 402.300 | 60.449 | 402.300 | -0.000 | -0.000 | -0.000 |
| 402.300 | 402.300 | 60.449 | -0.000 | -0.000 | 0.000 |
| -0.000 | 0.000 | -0.000 | 224.331 | -0.000 | -0.000 |
| 0.000 | -0.000 | -0.000 | -0.000 | 224.331 | 0.000 |
| 0.000 | -0.000 | -0.000 | -0.000 | -0.000 | 224.331 |
| 882.748 | 514.090 | 514.090 | -0.000 | -0.000 | 0.000 |
| 514.090 | 882.748 | 514.090 | 0.000 | 0.000 | 0.000 |
| 514.090 | 514.090 | 882.748 | 0.000 | 0.000 | 0.000 |
| -0.000 | 0.000 | 0.000 | 494.711 | -0.000 | 0.000 |
| 0.000 | -0.000 | 0.000 | -0.000 | 494.711 | -0.000 |
| 0.000 | 0.000 | -0.000 | -0.000 | -0.000 | 494.711 |
| 882.748 | 514.090 | 514.090 | 0.000 | 0.000 | -0.000 |
| 514.090 | 882.748 | 514.090 | -0.000 | 0.000 | -0.000 |
| 514.090 | 514.090 | 882.748 | -0.000 | -0.000 | 0.000 |
| 0.000 | -0.000 | -0.000 | 494.711 | 0.000 | -0.000 |
| -0.000 | 0.000 | -0.000 | 0.000 | 494.711 | -0.000 |
| -0.000 | -0.000 | 0.000 | 0.000 | -0.000 | 494.711 |
| 882.747 | 514.089 | 514.089 | 0.000 | -0.000 | -0.000 |
| 514.089 | 882.747 | 514.089 | -0.000 | 0.000 | -0.000 |
| 514.089 | 514.089 | 882.747 | -0.000 | -0.000 | 0.000 |
| -0.000 | 0.000 | 0.000 | 494.711 | 0.000 | -0.000 |
| 0.000 | -0.000 | 0.000 | 0.000 | 494.711 | -0.000 |
| 0.000 | 0.000 | -0.000 | 0.000 | -0.000 | 494.711 |
| 882.749 | 514.090 | 514.090 | -0.000 | 0.000 | 0.000 |
| 514.090 | 882.749 | 514.090 | 0.000 | -0.000 | 0.000 |
| 514.090 | 514.090 | 882.749 | 0.000 | 0.000 | -0.000 |
| 0.000 | -0.000 | -0.000 | 494.711 | 0.000 | -0.000 |
| -0.000 | 0.000 | -0.000 | -0.000 | 494.711 | -0.000 |
| -0.000 | -0.000 | 0.000 | 0.000 | -0.000 | 494.711 |
| 882.742 | 514.086 | 514.086 | 0.000 | -0.000 | -0.000 |
| 514.086 | 882.742 | 514.086 | -0.000 | 0.000 | -0.000 |
| 514.086 | 514.086 | 882.742 | -0.000 | -0.000 | 0.000 |
| -0.000 | 0.001 | 0.002 | 494.711 | 0.000 | 0.000 |
| 0.001 | -0.000 | 0.002 | 0.000 | 494.711 | 0.000 |
| 0.001 | 0.002 | -0.000 | 0.000 | 0.000 | 494.711 |
| 882.754 | 514.094 | 514.094 | -0.000 | 0.000 | 0.000 |
| 514.094 | 882.754 | 514.094 | 0.000 | 0.000 | -0.000 |
| 514.094 | 514.094 | 882.754 | -0.000 | -0.000 | -0.000 |
| 0.000 | -0.001 | -0.002 | 494.711 | -0.000 | 0.000 |
| -0.001 | 0.000 | -0.002 | -0.000 | 494.711 | 0.000 |
| -0.001 | -0.002 | 0.000 | -0.000 | 0.000 | 494.711 |
| 235.907 | 135.910 | 135.910 | -0.000 | -0.000 | -0.000 |
| 135.910 | 235.907 | 135.910 | -0.000 | -0.000 | -0.000 |
| 135.910 | 135.910 | 235.907 | 0.000 | -0.000 | -0.000 |
| -0.000 | -0.000 | -0.000 | 114.003 | 0.000 | -0.000 |
| -0.000 | -0.000 | -0.000 | -0.000 | 114.003 | -0.000 |
| -0.000 | -0.000 | -0.000 | 0.000 | 0.000 | 114.003 |
| 235.907 | 135.910 | 135.910 | 0.000 | 0.000 | 0.000 |
| 135.910 | 235.907 | 135.910 | 0.000 | 0.000 | 0.000 |
| 135.910 | 135.910 | 235.907 | 0.000 | 0.000 | 0.000 |
| 0.000 | 0.000 | 0.000 | 114.003 | 0.000 | 0.000 |
| 0.000 | 0.000 | 0.000 | 0.000 | 114.003 | 0.000 |
| 0.000 | 0.000 | 0.000 | 0.000 | 0.000 | 114.003 |
| 235.907 | 135.910 | 135.910 | -0.000 | -0.000 | -0.000 |
| 135.910 | 235.907 | 135.910 | -0.000 | -0.000 | -0.000 |
| 135.910 | 135.910 | 235.907 | -0.000 | -0.000 | -0.000 |
| -0.000 | -0.000 | -0.000 | 114.003 | 0.000 | -0.000 |
| -0.000 | -0.000 | -0.000 | -0.000 | 114.003 | -0.000 |
| -0.000 | -0.000 | -0.000 | 0.000 | 0.000 | 114.003 |
| 235.907 | 135.910 | 135.910 | -0.000 | -0.000 | 0.000 |
| 135.910 | 235.907 | 135.910 | 0.000 | 0.000 | -0.000 |
| 135.910 | 135.910 | 235.907 | -0.000 | -0.000 | 0.000 |
| 0.000 | 0.000 | 0.000 | 114.003 | 0.000 | 0.000 |
| 0.000 | 0.000 | 0.000 | -0.000 | 114.003 | -0.000 |
| 0.000 | 0.000 | 0.000 | -0.000 | 0.000 | 114.003 |
| 235.905 | 135.909 | 135.909 | -0.000 | -0.000 | -0.000 |
| 135.909 | 235.905 | 135.909 | -0.000 | -0.000 | -0.000 |
| 135.909 | 135.909 | 235.905 | 0.000 | 0.000 | -0.000 |
| -0.000 | -0.001 | -0.001 | 114.003 | -0.000 | -0.000 |
| -0.001 | -0.000 | -0.001 | -0.000 | 114.003 | -0.000 |
| -0.001 | -0.001 | -0.000 | 0.000 | -0.000 | 114.003 |
| 235.909 | 135.911 | 135.911 | 0.000 | 0.000 | 0.000 |
| 135.911 | 235.909 | 135.911 | 0.000 | 0.000 | 0.000 |
| 135.911 | 135.911 | 235.909 | 0.000 | 0.000 | 0.000 |
| 0.000 | 0.001 | 0.001 | 114.003 | 0.000 | 0.000 |
| 0.001 | 0.000 | 0.001 | 0.000 | 114.003 | -0.000 |
| 0.001 | 0.001 | 0.000 | 0.000 | 0.000 | 114.003 |
| 2604.375 | 2008.611 | 2570.565 | -0.000 | -0.000 | 0.000 |
| -1585.481 | 1222.586 | -1977.235 | -0.000 | -0.000 | 0.000 |
| 835.982 | 2809.742 | 1556.127 | -0.000 | -0.000 | 0.000 |
| -0.000 | -0.010 | -0.000 | 552.380 | -0.000 | -0.000 |
| 243.237 | 7087.970 | 367.033 | -0.000 | -751.845 | -0.000 |
| -58.765 | 5160.025 | 88.792 | -0.000 | -0.000 | 215.533 |
| 319.783 | -5204.864 | -367.248 | 0.000 | 0.000 | -0.000 |
| -1372.071 | 889.611 | -1716.099 | 0.000 | 0.000 | -0.000 |
| 116.902 | -5080.057 | 589.824 | 0.000 | 0.000 | -0.000 |
| 0.000 | 0.010 | 0.000 | 552.380 | 0.000 | 0.000 |
| 3742.642 | -9888.853 | 4604.430 | -0.000 | 2738.938 | 0.000 |
| 58.765 | -5160.024 | -88.792 | -0.000 | 0.000 | 215.533 |
| 1374.725 | 648.839 | 1007.577 | 0.000 | -0.000 | -0.000 |
| 124.268 | 719.901 | 174.268 | -0.000 | -0.000 | -0.000 |
| 3265.699 | 18.255 | 4604.557 | -0.000 | -0.000 | -0.000 |
| -58.414 | 1444.161 | -60.742 | 262.746 | -0.000 | -0.000 |
| 175.374 | 1120.176 | 240.635 | -0.000 | 964.250 | 0.000 |
| 0.000 | -0.000 | -0.000 | 0.000 | -0.000 | 348.327 |
| 1372.938 | 118.378 | 998.000 | 0.000 | 0.000 | 0.000 |
| 22.467 | 342.011 | 39.460 | 0.000 | 0.000 | -0.000 |
| 1122.797 | -551.787 | 1888.423 | 0.000 | 0.000 | 0.000 |
| 58.414 | -1444.161 | 60.742 | 262.746 | 0.000 | -0.000 |
| -175.382 | -1120.172 | -240.644 | 0.000 | 964.249 | -0.000 |
| -0.000 | 0.000 | 0.000 | -0.000 | 0.000 | 348.327 |
| 1388.216 | 110.118 | 1019.976 | -0.000 | -0.000 | -0.000 |
| 113.064 | 362.427 | 156.902 | 0.000 | -0.000 | -0.000 |
| 1316.205 | 480.321 | 2113.880 | -0.000 | -0.000 | 0.000 |
| -44.351 | 176.047 | -53.087 | 199.352 | 0.000 | 0.000 |
| 1.317 | 49.008 | 2.081 | -0.000 | 1110.464 | -0.000 |
| 140.003 | -248.616 | 177.237 | 0.000 | -0.000 | 136.263 |
| 1421.946 | 17.531 | 1060.017 | -0.000 | 0.000 | 0.000 |
| 180.828 | -168.505 | 238.441 | 0.000 | 0.000 | 0.000 |
| 897.665 | 611.504 | 1344.455 | 0.000 | 0.000 | -0.000 |
| 44.351 | -176.047 | 53.087 | 199.352 | -0.000 | 0.000 |
| -1.317 | -49.008 | -2.081 | 0.000 | 1110.464 | 0.000 |
| 366.079 | 570.353 | 463.792 | -0.000 | -0.000 | 69.661 |
| 2533.597 | 658.404 | 1507.536 | 0.000 | 2.597 | 0.001 |
| 918.657 | -30706.179 | 1014.817 | 0.000 | 8.545 | 0.005 |
| 1109.697 | 115.515 | 1566.512 | 0.000 | -2.386 | 0.001 |
| 20.007 | 26.305 | 17.393 | 134.165 | -2.000 | 0.000 |
| 1.868 | 24.800 | 0.435 | 0.000 | 1153.888 | 0.000 |
| 3.728 | 12.150 | 2.667 | 0.000 | 1.274 | 322.614 |
| 1787.887 | -133.375 | 1124.110 | -0.000 | -2.677 | -0.004 |
| 597.794 | 1014.032 | 346.131 | -0.000 | -2.020 | -0.001 |
| 1107.906 | 16.322 | 1554.583 | -0.000 | -4.726 | -0.001 |
| -20.007 | -26.305 | -17.393 | 134.165 | 2.000 | -0.000 |
| -23.953 | -12.052 | -24.420 | -0.000 | 1121.818 | -0.003 |
| -3.728 | -12.150 | -2.667 | -0.000 | -1.274 | 322.613 |
| 1943.571 | -134.077 | 1116.140 | 0.000 | 0.108 | 0.000 |
| 537.231 | 1670.429 | 274.892 | 0.000 | 0.197 | 0.000 |
| 7406.231 | 403.108 | 6237.843 | 0.000 | 0.009 | 0.000 |
| 3.778 | 36.594 | 1.470 | 159.133 | 2.188 | 0.000 |
| -7.974 | 6.290 | -7.615 | 0.000 | 1162.329 | -0.000 |
| -0.006 | -0.162 | 0.000 | 0.000 | -0.000 | 756.219 |
| 10845.319 | 786.602 | 7645.645 | -0.000 | 0.000 | -0.000 |
| 46.549 | 133.582 | -30.341 | -0.000 | -0.178 | 0.000 |
| 7639.752 | 372.068 | 6423.576 | -0.000 | 0.000 | 0.000 |
| -4.172 | -36.491 | -1.835 | 158.804 | -2.193 | 0.000 |
| 26.596 | -14.856 | 25.032 | -0.000 | 1146.552 | -0.000 |
| 2.409 | -1.874 | 2.304 | -0.000 | -0.083 | 397.583 |
| 2123.851 | 349.253 | 1356.833 | 0.000 | 0.018 | 0.000 |
| 40.239 | 333.729 | -11.751 | 0.000 | 0.014 | 0.000 |
| 1134.206 | 40.411 | 1610.067 | 0.000 | 0.011 | 0.000 |
| 0.168 | -0.248 | 0.260 | 145.428 | -0.062 | 0.000 |
| 1.032 | -0.000 | 0.953 | 0.000 | 1159.077 | 0.000 |
| -2.688 | -1.952 | -2.551 | 0.000 | 0.061 | 191.940 |
| 1920.399 | 8.458 | 1090.347 | 0.000 | 0.003 | 0.000 |
| 234.767 | 100.558 | 92.736 | -0.000 | -0.015 | -0.000 |
| 1143.617 | 2.696 | 1620.279 | -0.000 | -0.009 | 0.000 |
| -0.409 | -1.344 | -0.424 | 144.880 | -0.245 | -0.000 |
| -1.032 | 0.000 | -0.953 | -0.000 | 1159.048 | -0.000 |
| 0.109 | 2.161 | 0.099 | 0.000 | -0.014 | 195.296 |
| 11499.123 | 6899.429 | 2143.769 | 0.000 | 0.000 | -1467.215 |
| 6899.429 | 11499.123 | 2143.769 | 0.000 | 0.000 | 1467.215 |
| 30286.095 | 30286.095 | -31421.289 | 0.000 | 0.001 | 0.000 |
| 69300.243 | 69300.246 | -41254.568 | -13236.363 | 0.030 | -0.003 |
| 69300.246 | 69300.241 | -41254.569 | -0.031 | -13236.363 | 0.001 |
| 28011.245 | 22747.445 | 38443.395 | -0.000 | -0.000 | -13412.755 |
| 11499.117 | 6899.427 | 2143.768 | -0.000 | -0.000 | -1467.214 |
| 6899.427 | 11499.117 | 2143.768 | 0.000 | -0.000 | 1467.214 |
| -18510.036 | -18510.037 | 27170.183 | 0.000 | -0.001 | 0.000 |
| -69300.242 | -69300.246 | 41254.569 | -13236.364 | 0.030 | 0.004 |
| -69300.246 | -69300.242 | 41254.568 | -0.030 | -13236.364 | -0.000 |
| -9468.830 | -14683.233 | 80293.388 | 0.000 | -0.000 | 68.094 |
| -642.692 | -188.948 | 1428.110 | -0.000 | 0.000 | 599.341 |
| 364.871 | 130.148 | 1224.664 | -0.000 | 0.000 | -411.605 |
| 970.602 | 970.602 | 3335.030 | 0.000 | 0.000 | 0.000 |
| 279.033 | 279.032 | -134.009 | 1419.271 | 0.000 | 0.000 |
| 279.032 | 279.033 | -134.009 | -0.000 | 1419.271 | -0.000 |
| 3501.530 | -1383.198 | -4653.384 | 0.000 | 0.000 | -3012.708 |
| -396.459 | -1357.574 | 2295.727 | -0.000 | 0.000 | -534.622 |
| 3743.036 | 5444.772 | 346.172 | 0.000 | -0.000 | 1004.930 |
| -2094.034 | -2094.034 | 7631.242 | -0.000 | -0.000 | -0.000 |
| -279.033 | -279.032 | 134.009 | 1419.271 | 0.000 | -0.000 |
| -279.032 | -279.033 | 134.009 | -0.000 | 1419.271 | 0.000 |
| 1383.198 | -3501.530 | 4653.384 | 0.000 | -0.000 | -3012.709 |
| 1138.063 | 633.819 | 452.300 | 0.000 | 0.000 | -86.386 |
| 696.119 | 1148.922 | 369.943 | -0.000 | -0.000 | -49.038 |
| 330.834 | 330.834 | 1722.681 | -0.000 | 0.000 | 0.000 |
| 120.477 | 120.488 | 132.384 | 126.348 | 0.002 | 0.011 |
| 120.488 | 120.477 | 132.384 | -0.002 | 126.348 | -0.011 |
| 49.796 | 105.837 | 0.320 | 0.000 | 0.000 | 349.758 |
| 1104.415 | 400.303 | 865.111 | 0.000 | -0.000 | 46.623 |
| 400.303 | 1104.415 | 865.111 | 0.000 | -0.000 | -46.623 |
| 416.542 | 416.542 | 1636.447 | 0.000 | -0.000 | -0.000 |
| -120.477 | -120.488 | -132.384 | 126.348 | 0.002 | -0.011 |
| -120.488 | -120.477 | -132.384 | -0.002 | 126.348 | 0.011 |
| -105.836 | -49.796 | -0.320 | -0.000 | -0.000 | 349.758 |
| 7001.333 | 7618.331 | 1910.893 | -0.019 | -1704.270 | -0.006 |
| 8391.115 | 12228.949 | 3751.365 | -0.020 | -2035.026 | -0.006 |
| 5491.532 | 6887.758 | 2552.716 | -0.019 | -1630.189 | -0.006 |
| 0.000 | 0.001 | 0.001 | 7521.049 | 0.000 | -682.364 |
| 2621.167 | 1766.949 | -960.529 | -0.020 | -1011.994 | -0.006 |
| 0.001 | 0.002 | 0.000 | -682.364 | -0.000 | 8892.400 |
| 7399.816 | 8796.516 | 2551.052 | 0.000 | -16.230 | -0.000 |
| -7295.558 | -16681.124 | -8264.224 | 0.014 | 1278.388 | 0.004 |
| 2572.299 | 7574.866 | 6106.414 | 0.000 | -100.323 | -0.000 |
| -0.000 | -0.001 | -0.001 | 7521.049 | -0.000 | -682.364 |
| -8243.947 | -17626.953 | -9275.109 | 0.013 | 4111.437 | 0.004 |
| -0.001 | -0.002 | -0.000 | -682.364 | 0.000 | 8892.400 |
| 7399.832 | 8796.533 | 2551.055 | -0.000 | -16.231 | 0.000 |
| 1988.362 | 2564.461 | 1032.025 | -0.004 | -431.824 | -0.001 |
| 2691.618 | 6880.344 | 5326.365 | -0.001 | -149.261 | -0.000 |
| 268.068 | 571.026 | 297.866 | 62.445 | -62.608 | 36.919 |
| -116.223 | -288.276 | -191.900 | -0.002 | 826.686 | -0.000 |
| 256.120 | 575.189 | 314.563 | 33.720 | -51.719 | 107.881 |
| 1199.259 | -490.606 | 15.844 | 0.001 | 346.342 | 0.000 |
| 401.964 | 249.117 | 407.033 | -0.001 | 233.671 | -0.000 |
| 2412.708 | 3519.563 | 2402.136 | 0.003 | 66.785 | 0.001 |
| -268.068 | -571.026 | -297.866 | 62.447 | 62.608 | 36.920 |
| -598.096 | -630.303 | -47.184 | 0.002 | 721.333 | 0.001 |
| -256.120 | -575.189 | -314.563 | 33.723 | 51.719 | 107.882 |
| 2210.200 | 1189.238 | 608.510 | 0.000 | 44.873 | 0.000 |
| 1126.895 | 1367.271 | 743.561 | 0.000 | -27.119 | 0.000 |
| 624.543 | 781.276 | 1629.416 | -0.000 | -23.974 | -0.000 |
| 61.610 | 52.610 | -7.469 | 254.009 | -20.416 | -56.891 |
| 62.853 | 144.030 | 30.702 | -0.000 | 450.380 | -0.000 |
| 67.155 | 49.969 | -19.093 | 153.132 | -36.630 | 304.006 |
| 2157.630 | 1142.222 | 614.775 | -0.000 | 103.730 | -0.000 |
| 1112.783 | 1431.454 | 824.516 | -0.000 | 2.731 | -0.000 |
| 614.017 | 709.119 | 1408.567 | -0.000 | 5.398 | 0.000 |
| -61.611 | -52.610 | 7.469 | 254.009 | 20.416 | -56.891 |
| 36.912 | 144.757 | 53.153 | 0.000 | 472.550 | 0.000 |
| -67.155 | -49.969 | 19.093 | 153.133 | 36.630 | 304.005 |
| 6016.607 | 3735.046 | -1368.916 | 90.752 | -2104.712 | -51.133 |
| 6440.501 | 6491.277 | 416.785 | 91.153 | -2005.522 | -51.359 |
| 5237.572 | 4260.453 | 364.994 | 90.970 | -2322.737 | -51.256 |
| 4024.796 | 1130.673 | -2704.982 | 3458.110 | -2730.264 | 1288.475 |
| 4495.533 | 1859.029 | -2295.782 | 90.921 | -2140.513 | -51.228 |
| 4019.171 | 1129.093 | -2701.202 | 1431.085 | -2726.449 | 2088.248 |
| -2031.318 | 1466.949 | 4032.997 | -91.104 | 3348.386 | 51.331 |
| -13950.041 | -17661.592 | -4452.515 | -80.339 | 3207.611 | 44.684 |
| -2808.570 | 1999.160 | 5771.737 | -90.999 | 3135.203 | 51.272 |
| -4024.645 | -1130.631 | 2704.881 | 3276.164 | 2730.162 | 1391.046 |
| -3533.783 | -395.157 | 3101.993 | -90.680 | 3309.458 | 51.092 |
| -4019.265 | -1129.120 | 2701.265 | 1249.288 | 2726.512 | 2190.622 |
| 1346.619 | 698.823 | 307.444 | 8.271 | 558.732 | -4.306 |
| 1681.379 | 840.990 | 175.503 | 9.381 | 892.441 | -5.904 |
| 791.198 | -768.567 | 302.584 | 6.856 | -942.296 | -3.739 |
| 585.290 | 272.298 | -261.777 | -42.527 | -358.622 | -109.562 |
| 754.114 | -71.438 | 471.556 | 9.006 | -690.310 | -4.899 |
| 610.424 | 286.854 | -269.528 | -195.280 | -373.001 | 146.463 |
| 1313.891 | 2168.065 | 1555.615 | -10.275 | 870.851 | 5.790 |
| 251.863 | 341.224 | -514.101 | -8.229 | 304.369 | 4.625 |
| -1445.109 | -790.244 | 1268.538 | -11.277 | 25.446 | 6.214 |
| -585.352 | -272.303 | 261.834 | -59.748 | 358.668 | -99.826 |
| 65.763 | 607.020 | 673.950 | -9.217 | 847.955 | 5.193 |
| -610.430 | -286.855 | 269.533 | -212.817 | 373.004 | 156.263 |
| 428.812 | 482.665 | 239.238 | 1.004 | 275.472 | -0.539 |
| 498.979 | 640.338 | 444.118 | 0.781 | 38.435 | -0.437 |
| 405.319 | 448.093 | 1069.883 | 1.064 | -9.218 | -0.595 |
| 57.379 | 25.668 | -26.899 | 262.529 | -35.536 | 52.376 |
| 295.535 | 132.349 | 174.223 | 0.744 | 48.547 | -0.452 |
| 59.712 | 26.329 | -28.466 | 57.870 | -37.108 | 350.320 |
| 167.286 | 502.063 | 330.984 | -0.866 | 325.401 | 0.528 |
| 268.264 | 642.337 | 398.064 | -0.823 | 147.041 | 0.473 |
| 317.167 | 670.593 | 1496.897 | -0.714 | 139.480 | 0.401 |
| -62.850 | -12.510 | -53.022 | 204.629 | 66.800 | 64.074 |
| 108.936 | -16.139 | 74.370 | -0.735 | 222.869 | 0.401 |
| -63.847 | -31.794 | -47.433 | 36.327 | 56.179 | 216.185 |
| 129.868 | 100.372 | 172.038 | -0.000 | -0.000 | 0.000 |
| 75.551 | 169.920 | 205.478 | 0.000 | 0.000 | -0.000 |
| 201.759 | 201.759 | 728.739 | -0.000 | -0.000 | 0.000 |
| -0.000 | -0.000 | 0.000 | 195.932 | 0.000 | -0.000 |
| -0.000 | -0.000 | 0.000 | -0.000 | 195.932 | -0.000 |
| 0.000 | -0.000 | 0.000 | -0.000 | 0.000 | 47.185 |
| 135.656 | 101.054 | 186.245 | 0.000 | 0.000 | -0.000 |
| 75.550 | 169.920 | 205.478 | -0.000 | 0.000 | 0.000 |
| 201.759 | 201.759 | 728.739 | 0.000 | 0.000 | -0.000 |
| 0.000 | 0.000 | -0.000 | 195.932 | 0.000 | -0.000 |
| 0.000 | -0.000 | -0.000 | -0.000 | 195.932 | 0.000 |
| -0.000 | 0.000 | -0.000 | -0.000 | 0.000 | 47.185 |
| -88870246.629 | -83963842.431 | -222151304.716 | -4436.280 | 551186.262 | 93693.345 |
| 100.652 | 132.653 | 178.765 | -0.000 | -0.000 | 0.000 |
| 201.759 | 201.759 | 728.740 | -0.000 | 0.000 | -0.000 |
| -0.000 | -0.000 | 0.000 | 195.932 | -0.000 | 0.000 |
| -0.000 | -0.000 | 0.000 | -0.000 | 195.932 | -0.000 |
| 0.000 | -0.000 | -0.000 | -0.000 | 0.000 | 47.185 |
| 133.232 | 100.717 | 180.183 | 0.000 | 0.000 | -0.000 |
| 75.550 | 169.919 | 205.478 | 0.000 | -0.000 | -0.000 |
| 143.178 | 143.178 | 471.493 | 0.000 | 0.000 | -0.000 |
| 0.000 | 0.000 | -0.000 | 195.932 | 0.000 | 0.000 |
| 0.000 | 0.000 | -0.000 | 0.000 | 195.932 | 0.000 |
| -0.000 | 0.000 | 0.000 | -0.000 | 0.000 | 47.185 |
| 169.923 | 75.555 | 205.477 | -0.000 | 0.000 | -0.000 |
| 100.681 | 132.923 | 179.408 | -0.000 | -0.000 | 0.000 |
| 201.760 | 201.760 | 728.742 | 0.000 | -0.000 | -0.000 |
| -0.000 | -0.001 | 0.000 | 195.932 | 0.000 | -0.000 |
| -0.014 | -0.013 | -0.057 | -0.000 | 110.446 | 0.000 |
| 0.000 | -0.001 | -0.000 | 0.000 | 0.000 | 47.185 |
| 4752340.449 | 4042933.385 | 9949884.802 | -0.025 | 0.126 | -0.077 |
| 75.546 | 169.916 | 205.479 | 0.000 | 0.000 | 0.000 |
| 201.759 | 201.759 | 728.737 | -0.000 | 0.000 | 0.000 |
| 0.000 | 0.001 | -0.000 | 195.932 | -0.000 | -0.000 |
| 0.014 | 0.013 | 0.057 | -0.000 | 110.446 | 0.000 |
| -0.000 | 0.001 | 0.000 | 0.000 | -0.000 | 47.185 |
| 5748.386 | 5248.529 | 5584.595 | 0.001 | 0.001 | 0.001 |
| 3521.699 | 4315.162 | 3736.939 | -0.000 | 0.000 | 0.000 |
| 1090.359 | 1090.270 | 874.653 | 0.002 | 0.002 | 0.004 |
| 0.007 | 0.020 | 0.015 | 7393.641 | 0.000 | 0.000 |
| 0.020 | 0.007 | 0.015 | 0.000 | 7393.641 | -0.001 |
| 2.263 | 2.249 | 2.638 | 0.000 | 0.001 | 439.021 |
| 2017.834 | 1115.539 | 986.851 | -0.001 | -0.001 | -0.000 |
| 3572.289 | 2507.850 | 2709.800 | 0.000 | -0.001 | -0.000 |
| 7422.291 | 7422.292 | 8279.157 | -0.000 | -0.000 | 0.000 |
| -0.007 | -0.020 | -0.015 | 7393.640 | -0.000 | -0.000 |
| -0.021 | -0.007 | -0.015 | -0.000 | 7393.641 | -0.000 |
| -2.263 | -2.249 | -2.638 | -0.000 | -0.001 | 439.020 |
| 2168.311 | 1134.381 | 1085.850 | 0.000 | 0.000 | 0.000 |
| 3832.329 | 3073.716 | 3192.698 | -0.000 | 0.000 | 0.000 |
| 1087.499 | 1087.490 | 871.355 | 0.000 | 0.000 | 0.000 |
| 0.295 | 0.237 | 0.311 | 177.439 | 0.000 | 0.000 |
| 0.086 | 0.262 | 0.202 | 0.000 | 2787.266 | 0.000 |
| 0.129 | 0.086 | 0.125 | 0.000 | 0.000 | 1084.358 |
| 3186.909 | 3856.460 | 3272.993 | 0.000 | -0.000 | -0.000 |
| 3549.356 | 10590.237 | 7422.100 | -0.000 | -0.000 | 0.000 |
| 1083.409 | 1083.403 | 866.575 | 0.000 | -0.000 | 0.000 |
| -0.296 | -0.237 | -0.311 | 177.439 | -0.000 | -0.000 |
| -0.086 | -0.262 | -0.202 | -0.000 | 2787.266 | -0.000 |
| -0.129 | -0.086 | -0.125 | -0.000 | -0.000 | 1084.358 |
| 1816.101 | 1261.344 | 954.143 | 0.000 | 0.000 | 0.000 |
| 1125.142 | 1842.438 | 889.906 | -0.000 | 0.000 | 0.000 |
| 1016.176 | 1016.175 | 787.954 | 0.000 | 0.000 | 0.000 |
| -0.065 | -0.718 | -0.458 | 329.661 | 0.000 | 0.000 |
| -0.252 | -0.284 | -0.314 | 0.000 | 149.046 | 0.000 |
| -0.031 | -0.191 | -0.132 | 0.000 | 0.000 | 598.841 |
| 1883.800 | 1235.339 | 978.536 | -0.000 | -0.000 | -0.000 |
| 1214.840 | 2255.380 | 1183.810 | 0.000 | -0.000 | -0.000 |
| 1084.650 | 1084.645 | 868.029 | 0.000 | 0.000 | 0.000 |
| 0.065 | 0.718 | 0.458 | 329.661 | -0.000 | -0.000 |
| 0.252 | 0.284 | 0.314 | -0.000 | 149.046 | -0.000 |
| 0.031 | 0.191 | 0.132 | -0.000 | -0.000 | 598.841 |
| 13959.539 | 12037.778 | 14353.570 | 0.003 | 0.009 | 0.000 |
| 9271.194 | 9095.684 | 9892.643 | 0.004 | 0.011 | 0.001 |
| 13098.176 | 13098.204 | 14914.764 | 0.013 | 0.036 | 0.004 |
| 10611.638 | 10611.635 | 12407.604 | -1847.320 | 0.004 | 0.000 |
| 63035.450 | 63035.546 | 73703.867 | -0.059 | -36017.988 | -0.012 |
| 6034.498 | 6034.499 | 7055.808 | 0.007 | 0.018 | -2139.609 |
| -9958.157 | -41954.719 | -31194.471 | 0.055 | 0.125 | -0.001 |
| -10766.693 | -9877.597 | -12914.165 | -0.005 | -0.014 | -0.000 |
| -10929.286 | -10929.179 | -13179.182 | 0.071 | 0.176 | 0.017 |
| -10611.638 | -10611.635 | -12407.604 | -1847.322 | -0.004 | -0.001 |
| -63037.581 | -63037.687 | -73706.364 | 0.030 | -36020.084 | 0.004 |
| -6034.492 | -6034.494 | -7055.801 | -0.007 | -0.018 | -2139.607 |
| 10594.449 | 3550.204 | 7424.228 | 0.000 | -0.000 | -0.000 |
| 2341.659 | 3082.202 | 2325.862 | -0.000 | -0.000 | 0.000 |
| 2284.994 | 2284.993 | 2271.487 | 0.000 | 0.000 | -0.000 |
| 971.746 | 971.619 | 1136.135 | -1006.166 | 0.000 | 0.000 |
| 409.343 | 409.526 | 478.727 | 0.001 | 2743.291 | -0.000 |
| 1033.729 | 1033.515 | 1208.557 | 0.001 | 0.001 | 917.583 |
| -2859.239 | -306.933 | -2696.055 | 0.001 | 0.002 | 0.000 |
| -26.861 | 884.730 | -343.518 | 0.000 | 0.000 | -0.000 |
| -156.712 | -156.737 | -583.480 | -0.021 | -0.052 | -0.004 |
| -971.746 | -971.619 | -1136.135 | -1006.160 | -0.000 | -0.000 |
| -409.343 | -409.525 | -478.726 | -0.000 | 2743.297 | -0.000 |
| -1033.729 | -1033.515 | -1208.557 | -0.001 | -0.001 | 917.583 |
| 1802.604 | 1659.899 | 1179.200 | 0.000 | 0.000 | 0.000 |
| 1226.669 | 1963.677 | 1020.092 | -0.000 | -0.000 | 0.000 |
| 1128.740 | 1128.740 | 919.543 | 0.000 | 0.000 | 0.000 |
| 91.667 | 90.988 | 106.784 | 267.757 | 0.000 | 0.000 |
| 88.175 | 88.795 | 103.461 | 0.000 | 300.176 | 0.000 |
| 95.821 | 95.834 | 112.044 | 0.000 | 0.000 | 405.074 |
| 1592.901 | 594.381 | 433.692 | -0.002 | -0.006 | 0.000 |
| 1144.285 | 1815.947 | 885.578 | -0.000 | -0.000 | -0.000 |
| 1285.759 | 1285.758 | 1103.139 | -0.000 | -0.000 | -0.000 |
| -91.667 | -90.988 | -106.784 | 267.757 | -0.000 | -0.000 |
| -171.832 | -172.250 | -201.159 | -0.000 | 302.991 | -0.000 |
| -95.821 | -95.834 | -112.044 | -0.000 | -0.000 | 405.074 |
| 28349815.883 | 46739364.035 | 7626083.919 | 4387415.470 | -1029861.818 | 3695737.236 |
| 29873578.957 | 48102702.046 | 7867430.325 | 3649485.311 | -975359.342 | 3657025.764 |
| 25293207.860 | 42199942.599 | 6670224.825 | 2963644.570 | -1244412.267 | 3399381.854 |
| 32397447.984 | 51248655.117 | 8881543.644 | 3622971.583 | -1154249.472 | 3751908.987 |
| 31799162.987 | 51403398.353 | 8161986.551 | 3353688.065 | -1101935.800 | 4092019.522 |
| 32579735.845 | 52150293.474 | 8439912.433 | 3226609.824 | -1018619.011 | 4214799.089 |
| -32455676.048 | -51920244.472 | -8077322.911 | -3078199.366 | 834251.676 | -4256766.254 |
| -38375514.609 | -58831674.545 | -10482915.662 | -4095654.556 | 63964.430 | -4449455.183 |
| -35092503.051 | -55982686.348 | -10615480.468 | -3502115.222 | 811992.296 | -4811325.896 |
| -36253528.658 | -57584340.278 | -9936233.837 | -3717659.289 | 137378.216 | -4197952.847 |
| -32496469.937 | -52157414.086 | -7512351.540 | -3255833.689 | 811908.789 | -3925931.430 |
| -38283345.302 | -58999426.545 | -10914440.423 | -2629422.154 | -179536.831 | -4158041.665 |
| 3366159.158 | 5372803.081 | 931623.934 | 309837.818 | -91619.297 | 399493.037 |
| 2604851.301 | 4342356.002 | 782619.748 | 309047.159 | -115333.022 | 347138.573 |
| 3202313.313 | 5115772.801 | 906181.992 | 414393.659 | -147152.869 | 404603.746 |
| 3236714.247 | 5145646.546 | 932695.411 | 350445.762 | -156805.163 | 404893.579 |
| 3288128.415 | 5235333.230 | 880640.768 | 322461.795 | -127972.891 | 413720.839 |
| 3236020.992 | 5190809.957 | 792567.752 | 324176.574 | -105840.734 | 414460.110 |
| -3571718.290 | -5651545.188 | -1044842.839 | -318135.492 | 6812.389 | -450299.884 |
| -3596306.384 | -5579544.444 | -1035579.928 | -296042.611 | 51724.702 | -404962.446 |
| -3228967.359 | -5245433.435 | -771797.491 | -366269.764 | 115575.088 | -444586.174 |
| -3217098.073 | -5169876.415 | -880234.828 | -356457.871 | 114331.076 | -397686.952 |
| -3463595.110 | -5687101.268 | -964720.522 | -395921.491 | 139934.692 | -417164.871 |
| -3867431.057 | -5996698.122 | -1076342.691 | -401468.218 | -55997.785 | -462725.989 |
| 324088.275 | 510783.950 | 84186.729 | 36075.310 | -6360.548 | 38021.450 |
| 369158.736 | 592466.476 | 106425.209 | 48141.965 | -1518.525 | 47472.824 |
| 322668.448 | 513125.376 | 89177.023 | 35182.290 | -9163.274 | 39260.115 |
| 327185.273 | 514132.894 | 91805.847 | 34626.902 | -13832.977 | 39227.232 |
| 265657.239 | 448401.002 | 66314.330 | 37515.877 | -5747.570 | 40532.596 |
| 317829.511 | 510232.456 | 80127.258 | 35946.615 | -9305.505 | 38857.256 |
| -320842.715 | -513110.356 | -72068.324 | -25280.343 | 5808.058 | -43286.332 |
| -311074.142 | -501762.266 | -75115.459 | -28611.897 | 3865.029 | -39027.455 |
| -340769.692 | -540123.011 | -88594.871 | -38577.595 | 3437.112 | -42060.752 |
| -315532.593 | -509106.776 | -76529.368 | -36569.970 | 6322.891 | -39563.580 |
| -322335.804 | -512831.670 | -87135.532 | -38984.326 | 6230.742 | -41195.818 |
| -370878.221 | -570933.673 | -99126.102 | -36908.517 | -2227.026 | -43953.415 |
| -4916.257 | -3866.184 | -2290.046 | -0.019 | 0.045 | -2.430 |
| 2648.576 | 1309.119 | 4522.207 | 0.117 | 0.531 | 249.797 |
| 5196.963 | 3128.457 | 12454.999 | -0.000 | -0.000 | -0.000 |
| 6209.193 | -3378.170 | 11658.301 | -1330.679 | 0.156 | 234.487 |
| 2327.995 | -1750.326 | 5047.723 | 0.120 | 296.162 | 260.285 |
| 7652.296 | -2870.760 | 9092.695 | -0.019 | 0.062 | 934.838 |
| -2856.356 | 926.847 | -10171.591 | -0.064 | -0.185 | -165.543 |
| 2455.880 | 11509.627 | 1702.386 | -0.048 | -0.003 | -137.997 |
| -6916.994 | -689.147 | -12977.241 | 0.003 | -0.105 | -63.468 |
| 1505774284.233 | 659553604.658 | 1591236646.467 | 5675213.070 | -37404293.727 | 12698804.047 |
| -2579.075 | 1976.775 | -6876.179 | -0.371 | -1481.928 | -766.473 |
| -94.662 | 316.336 | -2196.879 | -0.098 | -0.006 | -1394.927 |
| 1616.594 | 909.028 | 3194.170 | 0.009 | 0.001 | 22.640 |
| 321.397 | 1122.464 | 585.675 | 0.009 | 0.001 | 22.155 |
| 7393.136 | 2351.056 | 5621.252 | 0.008 | 0.000 | 22.011 |
| 453.912 | 1448.955 | 995.148 | 109.737 | 0.038 | 17.473 |
| 217.019 | -41.125 | 563.102 | 0.012 | 201.523 | 28.800 |
| 360.272 | -135.889 | 1003.660 | 0.007 | 0.019 | 116.713 |
| 161.094 | 574.611 | 324.880 | -0.007 | -0.001 | -19.339 |
| 186.720 | 713.746 | -209.051 | 0.029 | -0.058 | 50.486 |
| 201.888 | 446.570 | 698.321 | -0.011 | -0.056 | -27.360 |
| -155.407 | 54.878 | -392.859 | 174.433 | -0.066 | -17.551 |
| -309.269 | 19.779 | -719.823 | 0.031 | 178.085 | 56.290 |
| -506.051 | 872.521 | -907.720 | -0.005 | -0.057 | 208.719 |
| 267.132 | 442.093 | 460.354 | 0.001 | 0.002 | 1.743 |
| 445.376 | 1222.023 | 487.025 | -0.001 | 0.000 | -1.469 |
| 524.949 | 420.785 | 1358.087 | -0.002 | 0.005 | -3.727 |
| 24.673 | -2.306 | 62.703 | 120.532 | 0.005 | 1.764 |
| 24.743 | -2.536 | 64.212 | 0.001 | 231.713 | 2.367 |
| 15.237 | -6.695 | 28.553 | 0.001 | 0.000 | 101.462 |
| 253.619 | 485.773 | 674.636 | -0.001 | -0.000 | -1.603 |
| 415.371 | 1331.930 | 381.656 | -0.002 | -0.002 | -4.104 |
| 478.724 | 482.112 | 1260.475 | -0.001 | -0.006 | -1.875 |
| -20.964 | -9.149 | -76.206 | 106.319 | -0.006 | -1.740 |
| -22.511 | 3.912 | -57.041 | -0.001 | 197.264 | -1.845 |
| -14.996 | 6.296 | -27.599 | -0.001 | -0.000 | 102.160 |
| 748.363 | 650.317 | 523.132 | 0.000 | 0.000 | 0.000 |
| 650.317 | 748.363 | 523.132 | 0.000 | 0.000 | -0.000 |
| 523.148 | 523.148 | 565.236 | 0.000 | 0.000 | -0.000 |
| 0.000 | -0.000 | 0.000 | 333.942 | -0.000 | 0.000 |
| -0.000 | 0.000 | 0.000 | -0.000 | 333.942 | -0.000 |
| 0.000 | 0.000 | -0.000 | -0.000 | -0.000 | 481.710 |
| 748.364 | 650.318 | 523.132 | -0.000 | 0.000 | -0.000 |
| 650.318 | 748.364 | 523.132 | 0.000 | -0.000 | 0.000 |
| 523.148 | 523.148 | 565.236 | -0.000 | -0.000 | 0.000 |
| -0.000 | 0.000 | -0.000 | 333.942 | 0.000 | 0.000 |
| 0.000 | -0.000 | -0.000 | 0.000 | 333.942 | -0.000 |
| -0.000 | -0.000 | 0.000 | 0.000 | 0.000 | 481.710 |
| 748.362 | 650.317 | 523.132 | 0.000 | 0.000 | 0.000 |
| 650.317 | 748.362 | 523.132 | 0.000 | 0.000 | -0.000 |
| 523.147 | 523.147 | 565.235 | 0.000 | 0.000 | -0.000 |
| -0.000 | 0.000 | 0.000 | 504.173 | 0.000 | 0.000 |
| 0.000 | -0.000 | 0.000 | 0.000 | 504.173 | -0.000 |
| 0.000 | 0.000 | -0.000 | -0.000 | -0.000 | 481.710 |
| 896.026 | 502.657 | 523.133 | 0.000 | -0.000 | -0.000 |
| 502.657 | 896.026 | 523.133 | -0.000 | -0.000 | 0.000 |
| 523.148 | 523.148 | 565.236 | -0.000 | -0.000 | 0.000 |
| 0.000 | -0.000 | -0.000 | 504.173 | -0.000 | 0.000 |
| -0.000 | 0.000 | -0.000 | -0.000 | 504.173 | 0.000 |
| -0.000 | -0.000 | 0.000 | 0.000 | 0.000 | 481.710 |
| 748.352 | 650.308 | 523.126 | 0.000 | -0.000 | 0.000 |
| 650.308 | 748.352 | 523.126 | -0.000 | 0.000 | 0.000 |
| 523.146 | 523.146 | 565.229 | -0.000 | 0.000 | 0.000 |
| 0.000 | -0.001 | 0.001 | 333.942 | -0.000 | 0.000 |
| -0.001 | 0.000 | 0.001 | -0.000 | 333.942 | 0.000 |
| 0.001 | 0.002 | -0.000 | -0.000 | -0.000 | 481.710 |
| 748.375 | 650.327 | 523.138 | -0.000 | -0.000 | -0.000 |
| 650.327 | 748.375 | 523.138 | -0.000 | -0.000 | -0.000 |
| 523.149 | 523.149 | 565.242 | -0.000 | -0.000 | 0.000 |
| -0.000 | 0.001 | -0.001 | 333.942 | 0.000 | 0.000 |
| 0.001 | -0.000 | -0.001 | 0.000 | 333.942 | 0.000 |
| -0.001 | -0.002 | 0.000 | 0.000 | 0.000 | 481.710 |
| 1181.801 | 407.720 | 310.874 | 0.000 | -0.000 | -0.000 |
| 407.720 | 1181.801 | 310.874 | -0.000 | -0.000 | -0.000 |
| 295.063 | 295.063 | 1321.160 | -0.000 | -0.000 | 0.000 |
| 0.000 | -0.000 | 0.000 | 289.518 | 0.000 | -0.000 |
| 0.000 | -0.000 | 0.000 | 0.000 | 289.518 | -0.000 |
| 56.896 | 56.896 | 262.993 | -0.000 | -0.000 | 337.544 |
| 1062.723 | 384.946 | -16.970 | -0.000 | 0.000 | -0.000 |
| 385.971 | 1068.683 | -0.825 | 0.000 | 0.000 | -0.000 |
| 189.902 | 189.902 | 835.069 | 0.000 | 0.000 | -0.000 |
| 0.000 | -0.000 | -0.000 | 289.518 | 0.000 | 0.000 |
| 0.000 | 0.000 | -0.000 | -0.000 | 289.518 | -0.000 |
| -56.896 | -56.896 | -262.993 | 0.000 | 0.000 | 337.544 |
| 1181.801 | 407.720 | 310.874 | 0.000 | -0.000 | -0.000 |
| 462.573 | 1098.045 | 244.075 | -0.000 | 0.000 | 0.000 |
| 310.875 | 310.875 | 1394.249 | -0.000 | -0.000 | -0.000 |
| 0.000 | -0.000 | 0.000 | 289.518 | -0.000 | -0.000 |
| -0.000 | 0.000 | 0.000 | -0.000 | 289.518 | -0.000 |
| -0.000 | 0.000 | -0.000 | 0.000 | -0.000 | 387.040 |
| 1115.832 | 433.417 | 217.799 | 0.000 | 0.000 | -0.000 |
| 433.417 | 1115.833 | 217.800 | 0.000 | 0.000 | -0.000 |
| 310.876 | 310.876 | 1394.249 | 0.000 | -0.000 | 0.000 |
| 0.000 | 0.000 | -0.000 | 289.518 | 0.000 | 0.000 |
| 0.000 | -0.000 | -0.000 | -0.000 | 289.518 | 0.000 |
| 0.000 | -0.000 | 0.000 | -0.000 | 0.000 | 387.040 |
| 1096.498 | 452.447 | 217.107 | -0.000 | -0.000 | 0.000 |
| 407.716 | 1181.799 | 310.868 | -0.000 | -0.000 | -0.000 |
| 243.030 | 243.030 | 1080.679 | 0.000 | 0.000 | 0.000 |
| 0.000 | -0.000 | 0.001 | 289.518 | 0.000 | -0.000 |
| -0.000 | 0.000 | 0.001 | 0.000 | 289.518 | -0.000 |
| 0.529 | 0.531 | 2.446 | -0.000 | -0.000 | 341.096 |
| 1092.012 | 466.884 | 240.086 | 0.000 | 0.000 | -0.000 |
| 407.724 | 1181.803 | 310.880 | 0.000 | 0.000 | 0.000 |
| 241.934 | 241.933 | 1075.545 | 0.000 | 0.000 | -0.000 |
| -0.000 | 0.000 | -0.001 | 289.518 | 0.000 | 0.000 |
| 0.000 | -0.000 | -0.001 | -0.000 | 289.518 | -0.000 |
| -0.529 | -0.531 | -2.446 | 0.000 | 0.000 | 341.096 |
| -11482.228 | -4629.677 | -9527.518 | -0.096 | 15.016 | -44.881 |
| -10225.441 | -2651.775 | -12951.149 | -0.088 | 4.062 | -17.672 |
| -10690.397 | -4811.163 | -12276.820 | -0.085 | 1.183 | -10.483 |
| -1367.533 | -350.646 | -2702.589 | 752.922 | 8.325 | -14.280 |
| -12799.978 | -5612.907 | -15469.152 | -0.100 | 1484.159 | -17.264 |
| -1171.873 | -300.477 | -2315.916 | -0.016 | 7.134 | 3699.885 |
| 12640.573 | 7682.764 | 16460.501 | 0.128 | 2.629 | 7.993 |
| 6086.569 | 6118.718 | 3801.883 | 0.000 | -0.000 | -0.000 |
| 13443.275 | 5805.531 | 12918.680 | 0.098 | -15.306 | 45.763 |
| 1367.528 | 350.644 | 2702.579 | 752.970 | -8.325 | 14.280 |
| 1425.862 | 365.601 | 2817.863 | 0.019 | 6218.172 | 14.889 |
| 1180.366 | 302.654 | 2332.699 | 0.016 | -7.185 | 3707.554 |
| 11231.847 | 5190.968 | 7440.796 | -0.001 | 0.379 | -0.651 |
| 3670.228 | 2565.627 | 3670.083 | -0.002 | 0.973 | -1.669 |
| 7164.586 | 4102.564 | 4758.459 | -0.004 | 2.044 | -3.507 |
| -1892.260 | -741.928 | -1924.675 | 528.647 | -0.143 | -1.786 |
| -1142.682 | -460.743 | -1727.474 | -0.012 | 1171.311 | -5.003 |
| -278.929 | -71.529 | -551.211 | -0.004 | 1.698 | 492.042 |
| 12810.302 | 6086.553 | 7578.391 | 0.000 | -0.000 | 0.000 |
| 4172.127 | 2949.235 | 4258.456 | 0.002 | -0.889 | 1.524 |
| 7578.390 | 3801.874 | 12092.314 | 0.000 | -0.000 | -0.000 |
| 435.069 | 174.269 | 661.385 | 493.182 | -0.540 | 1.953 |
| 232.107 | 59.514 | 458.700 | 0.003 | 5403.714 | 2.424 |
| 279.323 | 71.630 | 551.990 | 0.004 | -1.700 | 490.029 |
| 818.617 | 726.029 | 787.254 | -0.001 | 0.085 | -0.148 |
| 606.727 | 1563.175 | 840.379 | -0.001 | 0.061 | -0.204 |
| 858.365 | 916.483 | 1712.027 | -0.000 | -0.179 | -0.378 |
| -61.856 | -26.117 | -89.625 | 523.888 | 0.030 | -0.220 |
| -32.302 | 5.547 | -90.735 | -0.002 | 449.153 | -0.788 |
| -333.210 | -125.220 | -338.070 | -0.001 | 0.418 | 133.230 |
| 1158.821 | 848.182 | 1139.043 | 0.001 | -0.084 | 0.150 |
| 819.277 | 1708.962 | 1185.237 | 0.001 | 0.018 | 0.262 |
| 991.209 | 1072.598 | 1688.700 | 0.002 | 0.328 | 0.509 |
| 61.856 | 26.117 | 89.625 | 523.889 | -0.030 | 0.220 |
| -186.853 | -44.555 | -193.738 | -0.002 | 445.786 | -1.782 |
| 333.214 | 125.222 | 338.074 | 0.001 | -0.418 | 133.530 |
| -5570.475 | 27.143 | -6407.594 | 0.000 | -0.000 | 119.981 |
| 2655.163 | 13291.858 | 3107.154 | -0.000 | 0.000 | -0.000 |
| -4469.113 | 516.884 | -2015.855 | -0.000 | -0.000 | 91.796 |
| -2987.108 | -88.040 | -2065.819 | -1487.887 | 0.000 | 31.988 |
| -4079.257 | -119.888 | -2828.788 | 0.000 | 1148.143 | 44.592 |
| -3035.434 | -89.450 | -2099.560 | 0.000 | -0.000 | -1307.838 |
| 14360.101 | 2643.055 | 5199.799 | -0.000 | -0.000 | -0.000 |
| 5284.062 | 4587.482 | 4159.022 | -0.000 | 0.000 | -49.707 |
| 5199.970 | 3095.216 | 12366.023 | 0.000 | -0.000 | 0.000 |
| 2987.108 | 88.040 | 2065.819 | -1487.887 | 0.000 | -31.988 |
| 8561.872 | 60.861 | 7063.203 | 0.000 | -3768.568 | -261.658 |
| 3078.886 | 90.714 | 2129.995 | -0.000 | 0.000 | -1425.790 |
| -446.799 | -713.478 | 159.846 | -0.000 | 0.000 | 40.373 |
| 374.228 | 1075.003 | 772.799 | 0.000 | -0.000 | -4.668 |
| 58.331 | 605.542 | 1463.443 | -0.000 | -0.000 | 9.497 |
| -466.330 | -11.375 | -350.181 | 128.078 | 0.000 | 8.582 |
| -625.039 | 99.372 | -82.983 | 0.000 | 217.741 | 36.759 |
| -188.247 | -5.557 | -130.013 | 0.000 | -0.000 | 152.859 |
| 866.666 | 501.431 | 1014.404 | -0.000 | 0.000 | -9.319 |
| 748.756 | 1211.486 | 733.248 | -0.000 | 0.000 | -10.810 |
| 989.913 | 653.667 | 2172.341 | 0.000 | 0.000 | -9.196 |
| 469.617 | 11.460 | 352.690 | 111.399 | 0.000 | -8.646 |
| 487.832 | 14.280 | 339.623 | 0.000 | 351.301 | -5.490 |
| 190.657 | 5.621 | 131.837 | 0.000 | 0.000 | 136.818 |
| 204.935 | 523.119 | 412.127 | -0.000 | -0.000 | 2.342 |
| 2.300 | 1124.586 | 199.589 | 0.000 | -0.000 | 0.708 |
| 423.182 | 474.582 | 1324.521 | -0.000 | -0.000 | 1.875 |
| -51.236 | 6.754 | -28.407 | 99.186 | -0.000 | 1.548 |
| -99.227 | 13.984 | -27.554 | 0.000 | 223.927 | 2.112 |
| -45.421 | -1.104 | -34.041 | 0.000 | -0.000 | 116.291 |
| 482.361 | 379.960 | 677.110 | 0.000 | 0.000 | -1.706 |
| 159.219 | 1285.651 | 322.521 | -0.000 | 0.000 | -0.702 |
| 531.365 | 663.127 | 1985.092 | -0.000 | 0.000 | -0.916 |
| 51.236 | -6.754 | 28.407 | 99.186 | -0.000 | -1.548 |
| 49.666 | -0.571 | 34.727 | -0.000 | 216.242 | -1.033 |
| 49.285 | 0.961 | 36.767 | -0.000 | 0.000 | 110.263 |
| -32295.227 | -32176.479 | -28227.541 | 0.000 | -0.000 | -163.539 |
| -32176.479 | -32295.227 | -28227.541 | 0.000 | 0.000 | 163.539 |
| -26263.005 | -26263.005 | -27979.960 | -0.000 | 0.000 | -0.000 |
| -32884.073 | -32884.213 | -28453.427 | 262.954 | 0.000 | 0.028 |
| -32884.213 | -32884.072 | -28453.428 | -0.000 | 262.954 | -0.028 |
| -33270.712 | -32989.684 | -28717.724 | -0.000 | 0.000 | 682.726 |
| 27722.729 | 27052.484 | 28965.231 | -0.000 | -0.000 | -29.179 |
| 27052.484 | 27722.729 | 28965.231 | -0.000 | -0.000 | 29.179 |
| 33602.667 | 33602.667 | 29710.939 | -0.000 | -0.000 | 0.000 |
| 32884.073 | 32884.211 | 28453.427 | 262.955 | 0.000 | -0.028 |
| 32884.212 | 32884.075 | 28453.428 | -0.000 | 262.955 | 0.028 |
| 32989.677 | 33270.710 | 28717.719 | 0.000 | -0.000 | 682.726 |
| -1423.068 | -1965.918 | -2536.648 | -0.000 | 0.000 | -54.912 |
| -1965.918 | -1423.068 | -2536.648 | 0.000 | 0.000 | 54.912 |
| -2841.424 | -2841.424 | -1878.624 | -0.000 | 0.000 | -0.000 |
| -3024.848 | -3024.868 | -3276.514 | 3104.860 | 0.000 | 0.004 |
| -3024.868 | -3024.848 | -3276.514 | -0.000 | 3104.860 | -0.004 |
| -2693.992 | -2607.316 | -2871.179 | 0.000 | 0.000 | 716.810 |
| 3786.970 | 3381.977 | 3181.233 | -0.000 | 0.000 | -82.758 |
| 3381.977 | 3786.970 | 3181.233 | -0.000 | -0.000 | 82.758 |
| 2695.298 | 2695.298 | 3385.603 | 0.000 | -0.000 | 0.000 |
| 3024.847 | 3024.868 | 3276.514 | 3104.860 | 0.000 | -0.004 |
| 3024.868 | 3024.847 | 3276.514 | -0.000 | 3104.860 | 0.004 |
| 2607.316 | 2693.992 | 2871.179 | 0.000 | -0.000 | 716.810 |
| 608.111 | 990.274 | 174.671 | 0.000 | 0.000 | -240.968 |
| 990.274 | 608.111 | 174.671 | -0.000 | 0.000 | 240.968 |
| 125.674 | 125.674 | 604.309 | -0.000 | 0.000 | -0.000 |
| -256.513 | -256.518 | -275.874 | 172.252 | -0.000 | 0.001 |
| -256.518 | -256.513 | -275.874 | 0.000 | 172.252 | -0.001 |
| -391.199 | -156.108 | -296.417 | 0.000 | 0.000 | 686.829 |
| 1395.550 | 1307.133 | 766.215 | 0.000 | -0.000 | -146.227 |
| 1307.133 | 1395.550 | 766.215 | 0.000 | -0.000 | 146.227 |
| 828.718 | 828.718 | 1366.526 | 0.000 | 0.000 | 0.000 |
| 256.513 | 256.518 | 275.874 | 172.252 | -0.000 | -0.001 |
| 256.518 | 256.513 | 275.874 | 0.000 | 172.252 | 0.001 |
| 156.109 | 391.198 | 296.417 | -0.000 | -0.000 | 686.829 |
| 230.425 | 200.790 | 66.955 | -0.000 | 0.000 | -68.870 |
| 200.790 | 230.425 | 66.955 | 0.000 | -0.000 | 68.870 |
| 197.819 | 197.819 | 445.615 | 0.000 | -0.000 | -0.000 |
| -343.980 | -343.980 | -136.463 | 105.600 | -0.000 | -0.000 |
| -343.980 | -343.980 | -136.463 | 0.000 | 105.600 | -0.000 |
| -133.009 | 133.009 | -0.000 | -0.000 | -0.000 | 468.719 |
| 938.026 | 797.270 | 333.832 | -0.000 | 0.000 | -82.012 |
| 797.270 | 938.026 | 333.832 | 0.000 | -0.000 | 82.012 |
| 197.819 | 197.819 | 445.615 | 0.000 | -0.000 | 0.000 |
| 343.980 | 343.980 | 136.463 | 105.600 | 0.000 | 0.000 |
| 343.980 | 343.980 | 136.463 | -0.000 | 105.600 | 0.000 |
| -133.009 | 133.009 | -0.000 | -0.000 | 0.000 | 468.719 |
| 703.715 | 587.814 | 169.879 | 0.000 | -0.000 | -31.014 |
| 587.814 | 703.715 | 169.879 | -0.000 | -0.000 | 31.014 |
| 147.321 | 147.321 | 395.824 | 0.000 | 0.000 | -0.000 |
| 0.000 | 0.000 | 0.000 | 175.406 | 0.000 | -0.000 |
| 0.000 | 0.000 | 0.000 | 0.000 | 175.406 | 0.000 |
| -133.009 | 133.009 | 0.000 | 0.000 | -0.000 | 468.719 |
| 755.260 | 624.087 | 215.667 | -0.000 | 0.000 | -34.124 |
| 624.087 | 755.260 | 215.667 | 0.000 | 0.000 | 34.124 |
| 197.550 | 197.550 | 421.954 | -0.000 | 0.000 | 0.000 |
| -0.000 | -0.000 | -0.000 | 175.406 | -0.000 | 0.000 |
| -0.000 | -0.000 | -0.000 | -0.000 | 175.406 | -0.000 |
| -53.035 | 106.821 | 10.879 | -0.000 | 0.000 | 404.202 |
| 1092.701 | 475.834 | 213.731 | 0.000 | -0.000 | -133.008 |
| 458.090 | 601.694 | 196.169 | 0.000 | -0.000 | 81.249 |
| 184.654 | 184.654 | 408.197 | -0.000 | -0.000 | -0.000 |
| -3.491 | -3.492 | -1.366 | 104.407 | 0.000 | -0.000 |
| -3.492 | -3.491 | -1.366 | -0.000 | 104.407 | 0.000 |
| -133.010 | 133.009 | 0.000 | 0.000 | 0.000 | 468.719 |
| 726.976 | 610.046 | 195.131 | 0.000 | 0.000 | -31.223 |
| 610.046 | 726.976 | 195.131 | -0.000 | -0.000 | 31.223 |
| 187.007 | 187.007 | 410.869 | -0.000 | -0.000 | 0.000 |
| 3.491 | 3.492 | 1.366 | 104.407 | 0.000 | 0.000 |
| 3.492 | 3.491 | 1.366 | -0.000 | 104.407 | -0.000 |
| -133.009 | 133.009 | -0.000 | -0.000 | 0.000 | 468.719 |
| 2328.093 | 2698.749 | 1552.700 | -0.000 | 1062.105 | -0.000 |
| -5163.695 | -2487.761 | -1076.450 | 283.119 | 1144.873 | -1282.448 |
| -6003.284 | -8636.629 | -5265.597 | -300.047 | 1438.730 | 1349.445 |
| 532.750 | 1690.372 | 635.771 | -6789.637 | 1423.153 | 3144.262 |
| 812.253 | 834.854 | 31.621 | -0.000 | 1511.885 | -0.000 |
| -5921.084 | -2727.895 | -172.269 | -3717.114 | -1126.582 | -497.112 |
| 2328.092 | 2698.748 | 1552.700 | -0.000 | 1062.104 | -0.000 |
| 5791.241 | 1901.229 | -284.546 | 241.536 | 711.272 | -1100.578 |
| 1547.475 | 5849.620 | 4959.585 | 0.000 | 31.621 | -0.000 |
| -0.000 | -0.001 | -0.001 | 5802.459 | -0.000 | 833.564 |
| 812.252 | 834.853 | 31.621 | -0.000 | 1511.884 | -0.000 |
| 4197.058 | 1377.736 | 765.919 | 1472.023 | -1974.189 | 773.975 |
| 873.441 | 383.508 | 431.091 | -24.200 | 376.058 | 109.559 |
| -269.241 | -39.056 | -181.427 | -0.067 | 284.743 | 38.058 |
| -96.689 | 135.504 | 690.026 | -3.156 | 154.899 | 14.705 |
| -0.746 | 62.536 | 32.579 | 34.987 | 41.505 | -86.574 |
| -370.368 | -103.156 | 25.068 | -25.302 | 295.266 | 115.040 |
| -437.911 | -126.771 | -203.593 | 29.549 | 279.366 | 206.285 |
| 1319.870 | -146.389 | -8.512 | -0.593 | 177.952 | 2.548 |
| 413.634 | 791.002 | 475.475 | 16.868 | 53.174 | -76.528 |
| 812.182 | 371.553 | 754.224 | 3.842 | -30.211 | -17.775 |
| 470.039 | 86.028 | 128.282 | 211.575 | -209.383 | -3.251 |
| 618.631 | 393.304 | 204.997 | 1.522 | 136.765 | -7.275 |
| 437.912 | 126.769 | 203.592 | 45.610 | -279.366 | 132.769 |
| 1099.793 | 386.972 | 441.021 | 0.428 | 125.122 | -1.947 |
| 342.124 | 651.268 | 350.960 | -0.643 | 120.954 | 2.910 |
| 346.738 | 298.558 | 679.886 | -1.519 | 97.129 | 6.904 |
| 0.145 | 6.139 | 3.074 | 204.393 | 4.272 | 2.419 |
| 73.803 | 2.718 | 2.935 | -0.275 | 340.202 | 1.260 |
| -83.473 | -66.701 | -17.754 | 25.022 | -32.659 | 190.563 |
| 1255.704 | 368.192 | 442.657 | 9.133 | 78.504 | -41.405 |
| 367.076 | 643.194 | 367.939 | -3.267 | 48.961 | 14.789 |
| 447.686 | 351.521 | 695.035 | 0.413 | 63.049 | -1.876 |
| -0.145 | -6.139 | -3.074 | 206.017 | -4.272 | -4.943 |
| 97.205 | 7.160 | 18.422 | -6.218 | 228.060 | 28.149 |
| 48.748 | 26.494 | 16.330 | 25.445 | -23.356 | 201.683 |
| 558.819 | 264.181 | 264.181 | -0.000 | -0.000 | -0.000 |
| 264.181 | 558.819 | 264.181 | 0.000 | -0.000 | -0.000 |
| 264.181 | 264.181 | 558.819 | -0.000 | -0.000 | -0.000 |
| 2.833 | 2.833 | 2.833 | 198.551 | -0.000 | -0.000 |
| 2.833 | 2.833 | 2.833 | -0.000 | 198.551 | -0.000 |
| 2.833 | 2.833 | 2.833 | -0.000 | -0.000 | 198.551 |
| 558.818 | 264.181 | 264.181 | -0.000 | 0.000 | 0.000 |
| 264.181 | 558.818 | 264.181 | 0.000 | -0.000 | 0.000 |
| 264.181 | 264.181 | 558.818 | 0.000 | 0.000 | 0.000 |
| -0.920 | -0.920 | -0.920 | 216.636 | 0.000 | 0.000 |
| -0.920 | -0.920 | -0.920 | 0.000 | 216.636 | 0.000 |
| -0.920 | -0.920 | -0.920 | -0.000 | 0.000 | 216.636 |
| 451.040 | 266.516 | 266.516 | -0.000 | -0.000 | -0.000 |
| 266.516 | 451.040 | 266.516 | -0.000 | -0.000 | -0.000 |
| 266.516 | 266.516 | 451.040 | -0.000 | -0.000 | -0.000 |
| 0.284 | 0.284 | 0.284 | 198.449 | -0.000 | -0.000 |
| 0.284 | 0.284 | 0.284 | -0.000 | 198.449 | -0.000 |
| 0.284 | 0.284 | 0.284 | -0.000 | -0.000 | 198.449 |
| 450.725 | 266.201 | 266.201 | 0.000 | 0.000 | 0.000 |
| 266.201 | 450.725 | 266.201 | 0.000 | 0.000 | 0.000 |
| 266.201 | 266.201 | 450.725 | 0.000 | 0.000 | 0.000 |
| -0.284 | -0.284 | -0.284 | 198.449 | 0.000 | 0.000 |
| -0.284 | -0.284 | -0.284 | 0.000 | 198.449 | 0.000 |
| -0.284 | -0.284 | -0.284 | 0.000 | 0.000 | 198.449 |
| 450.902 | 266.378 | 266.378 | 0.000 | -0.000 | -0.000 |
| 266.378 | 450.902 | 266.378 | -0.000 | 0.000 | -0.000 |
| 266.378 | 266.378 | 450.902 | -0.000 | -0.000 | 0.000 |
| 0.010 | 0.011 | 0.011 | 216.653 | -0.000 | -0.000 |
| 0.011 | 0.010 | 0.011 | -0.000 | 216.653 | -0.000 |
| 0.011 | 0.011 | 0.010 | -0.000 | -0.000 | 216.653 |
| 450.866 | 266.340 | 266.340 | 0.000 | 0.000 | 0.000 |
| 266.340 | 450.866 | 266.340 | 0.000 | 0.000 | 0.000 |
| 266.340 | 266.340 | 450.866 | 0.000 | 0.000 | 0.000 |
| -0.010 | -0.011 | -0.011 | 216.653 | 0.000 | 0.000 |
| -0.011 | -0.010 | -0.011 | 0.000 | 216.653 | 0.000 |
| -0.011 | -0.011 | -0.010 | -0.000 | 0.000 | 216.653 |
| 3476.990 | 2774.199 | 2774.199 | -0.000 | -0.000 | -0.000 |
| 2774.199 | 3476.990 | 2774.199 | -0.000 | -0.000 | -0.000 |
| 2774.199 | 2774.199 | 3476.990 | -0.000 | -0.000 | 0.000 |
| 2027.528 | 2027.528 | 2027.528 | 887.374 | -0.000 | 0.000 |
| 2027.528 | 2027.528 | 2027.528 | -0.000 | 887.374 | -0.000 |
| 2027.528 | 2027.528 | 2027.528 | 0.000 | -0.000 | 887.374 |
| -410.302 | -1112.605 | -1112.605 | 0.000 | 0.000 | 0.000 |
| -1112.605 | -410.302 | -1112.605 | 0.000 | 0.000 | 0.000 |
| -1112.605 | -1112.605 | -410.302 | 0.000 | 0.000 | 0.000 |
| -2027.528 | -2027.528 | -2027.528 | 887.374 | 0.000 | 0.000 |
| -2027.528 | -2027.528 | -2027.528 | 0.000 | 887.374 | 0.000 |
| -2027.528 | -2027.528 | -2027.528 | 0.000 | 0.000 | 887.374 |
| 1418.505 | 719.671 | 719.671 | 0.000 | 0.000 | 0.000 |
| 719.671 | 1418.505 | 719.671 | -0.000 | 0.000 | 0.000 |
| 719.671 | 719.671 | 1418.506 | 0.000 | 0.000 | 0.000 |
| 0.002 | 0.002 | 0.002 | 895.989 | -0.000 | -0.000 |
| 0.002 | 0.002 | 0.002 | -0.000 | 895.989 | -0.000 |
| 0.002 | 0.002 | 0.002 | -0.000 | -0.000 | 895.989 |
| 995.077 | 293.420 | 293.420 | 0.000 | 0.000 | 0.000 |
| 293.420 | 995.077 | 293.420 | 0.000 | 0.000 | 0.000 |
| 293.420 | 293.420 | 995.076 | 0.000 | 0.000 | 0.000 |
| -0.002 | -0.002 | -0.002 | 895.989 | 0.000 | 0.000 |
| -0.002 | -0.002 | -0.002 | 0.000 | 895.989 | 0.000 |
| -0.002 | -0.002 | -0.002 | 0.000 | 0.000 | 895.989 |
| 792.997 | 30.494 | 30.494 | 0.000 | 0.000 | 0.000 |
| 30.494 | 792.997 | 30.494 | 0.000 | 0.000 | 0.000 |
| 30.495 | 30.495 | 792.998 | 0.000 | 0.000 | 0.000 |
| -1750.250 | -1750.250 | -1750.250 | 307.766 | 0.000 | 0.000 |
| -1750.250 | -1750.250 | -1750.250 | 0.000 | 307.766 | 0.000 |
| -1751.279 | -1751.279 | -1751.279 | 0.000 | 0.000 | 307.791 |
| 978.048 | 672.400 | 672.400 | -0.004 | -0.005 | -0.005 |
| 672.399 | 978.048 | 672.399 | -0.005 | -0.004 | -0.005 |
| 672.397 | 672.397 | 978.047 | -0.005 | -0.005 | -0.004 |
| 21.199 | 21.199 | 21.199 | 219.837 | -0.000 | -0.000 |
| 3.146 | 3.146 | 3.146 | -0.000 | 254.267 | -0.000 |
| -5.302 | -5.302 | -5.302 | -0.000 | -0.000 | 250.368 |
| 1320.283 | 553.764 | 553.764 | 0.000 | 0.000 | -0.000 |
| 553.764 | 1320.283 | 553.764 | 0.000 | 0.000 | -0.000 |
| 553.764 | 553.764 | 1320.283 | -0.000 | -0.000 | 0.000 |
| 0.002 | 0.002 | 0.002 | 910.198 | 0.000 | -0.000 |
| 0.002 | 0.002 | 0.002 | 0.000 | 910.198 | -0.000 |
| 0.002 | 0.002 | 0.002 | 0.000 | -0.000 | 910.198 |
| 978.038 | 668.915 | 668.915 | -0.001 | -0.001 | -0.001 |
| 668.915 | 978.038 | 668.915 | -0.001 | -0.001 | -0.001 |
| 668.915 | 668.915 | 978.038 | -0.001 | -0.001 | -0.001 |
| -0.002 | -0.002 | -0.002 | 910.198 | 0.000 | 0.000 |
| -0.002 | -0.002 | -0.002 | 0.000 | 910.198 | 0.000 |
| -0.002 | -0.002 | -0.002 | 0.000 | 0.000 | 910.198 |
| 84.940 | 49.603 | 49.603 | 0.000 | 0.000 | 0.000 |
| 49.603 | 84.940 | 49.603 | 0.000 | 0.000 | 0.000 |
| 49.603 | 49.603 | 84.940 | 0.000 | 0.000 | 0.000 |
| -0.000 | 0.000 | 0.000 | 20.977 | 0.000 | 0.000 |
| 0.000 | -0.000 | 0.000 | 0.000 | 20.977 | 0.000 |
| 0.000 | 0.000 | -0.000 | -0.000 | 0.000 | 20.977 |
| 84.940 | 49.603 | 49.603 | -0.000 | -0.000 | -0.000 |
| 49.603 | 84.940 | 49.603 | -0.000 | -0.000 | -0.000 |
| 49.603 | 49.603 | 84.940 | -0.000 | -0.000 | -0.000 |
| 0.000 | -0.000 | -0.000 | 20.977 | -0.000 | -0.000 |
| -0.000 | 0.000 | -0.000 | -0.000 | 20.977 | -0.000 |
| -0.000 | -0.000 | 0.000 | -0.000 | -0.000 | 20.977 |
| 84.940 | 49.604 | 49.604 | 0.000 | 0.000 | -0.000 |
| 49.604 | 84.940 | 49.604 | 0.000 | 0.000 | 0.000 |
| 49.604 | 49.604 | 84.940 | 0.000 | 0.000 | 0.000 |
| -0.000 | 0.000 | 0.000 | 20.977 | 0.000 | 0.000 |
| 0.000 | -0.000 | 0.000 | 0.000 | 20.977 | -0.000 |
| 0.000 | 0.000 | -0.000 | 0.000 | 0.000 | 20.977 |
| 84.940 | 49.603 | 49.603 | -0.000 | -0.000 | -0.000 |
| 49.603 | 84.940 | 49.603 | -0.000 | -0.000 | -0.000 |
| 49.603 | 49.603 | 84.940 | -0.000 | -0.000 | -0.000 |
| 0.000 | -0.000 | -0.000 | 20.977 | -0.000 | -0.000 |
| -0.000 | 0.000 | -0.000 | -0.000 | 20.977 | -0.000 |
| -0.000 | -0.000 | 0.000 | -0.000 | -0.000 | 20.977 |
| 84.942 | 49.606 | 49.606 | 0.000 | 0.000 | 0.000 |
| 49.606 | 84.942 | 49.606 | 0.000 | 0.000 | 0.000 |
| 49.606 | 49.606 | 84.942 | 0.000 | 0.000 | 0.000 |
| -0.000 | 0.000 | 0.000 | 20.977 | 0.000 | -0.000 |
| 0.000 | -0.000 | 0.000 | 0.000 | 20.977 | -0.000 |
| 0.000 | 0.000 | -0.000 | 0.000 | 0.000 | 20.977 |
| 84.939 | 49.600 | 49.600 | -0.000 | -0.000 | 0.000 |
| 49.600 | 84.939 | 49.600 | -0.000 | -0.000 | -0.000 |
| 49.600 | 49.600 | 84.939 | -0.000 | -0.000 | 0.000 |
| 0.000 | -0.000 | -0.000 | 20.977 | -0.000 | -0.000 |
| -0.000 | 0.000 | -0.000 | -0.000 | 20.977 | -0.000 |
| -0.000 | -0.000 | 0.000 | -0.000 | -0.000 | 20.977 |
| 266.369 | 56.949 | 56.949 | -0.000 | 0.000 | -0.000 |
| 56.949 | 266.369 | 56.949 | -0.000 | 0.000 | 0.000 |
| 56.949 | 56.949 | 266.369 | -0.000 | 0.000 | 0.000 |
| 0.000 | 0.000 | 0.000 | 28.143 | -0.000 | -0.000 |
| 0.000 | 0.000 | 0.000 | -0.000 | 28.143 | 0.000 |
| 0.000 | 0.000 | 0.000 | -0.000 | -0.000 | 28.143 |
| 266.369 | 56.950 | 56.950 | 0.000 | 0.000 | -0.000 |
| 56.950 | 266.369 | 56.950 | 0.000 | 0.000 | -0.000 |
| 56.950 | 56.950 | 266.369 | 0.000 | -0.000 | -0.000 |
| -0.000 | -0.000 | -0.000 | 28.143 | -0.000 | 0.000 |
| -0.000 | -0.000 | -0.000 | 0.000 | 28.143 | -0.000 |
| -0.000 | -0.000 | -0.000 | 0.000 | 0.000 | 28.143 |
| 266.854 | 56.705 | 56.705 | -0.000 | 0.000 | 0.000 |
| 56.705 | 266.854 | 56.705 | -0.000 | -0.000 | 0.000 |
| 56.705 | 56.705 | 266.854 | -0.000 | 0.000 | -0.000 |
| 0.000 | 0.000 | 0.000 | 24.889 | -0.000 | -0.000 |
| 0.000 | 0.000 | 0.000 | -0.000 | 24.889 | 0.000 |
| 0.000 | 0.000 | 0.000 | -0.000 | -0.000 | 24.889 |
| 266.370 | 56.951 | 56.951 | 0.000 | 0.000 | -0.000 |
| 56.951 | 266.370 | 56.951 | -0.000 | -0.000 | -0.000 |
| 56.951 | 56.951 | 266.370 | 0.000 | 0.000 | -0.000 |
| -0.000 | -0.000 | -0.000 | 24.889 | 0.000 | -0.000 |
| -0.000 | -0.000 | -0.000 | 0.000 | 24.889 | -0.000 |
| -0.000 | -0.000 | -0.000 | 0.000 | 0.000 | 24.889 |
| 266.843 | 56.692 | 56.692 | -0.000 | 0.000 | 0.000 |
| 56.692 | 266.843 | 56.692 | -0.000 | -0.000 | 0.000 |
| 56.692 | 56.692 | 266.843 | -0.000 | -0.000 | 0.000 |
| -0.000 | 0.000 | 0.000 | 28.143 | -0.000 | -0.000 |
| 0.000 | -0.000 | 0.000 | -0.000 | 28.143 | -0.000 |
| 0.000 | 0.000 | -0.000 | -0.000 | -0.000 | 28.143 |
| 266.859 | 56.712 | 56.712 | 0.000 | -0.000 | -0.000 |
| 56.712 | 266.859 | 56.712 | 0.000 | 0.000 | -0.000 |
| 56.712 | 56.712 | 266.859 | 0.000 | 0.000 | -0.000 |
| 0.000 | -0.000 | -0.000 | 28.143 | 0.000 | -0.000 |
| -0.000 | 0.000 | -0.000 | 0.000 | 28.143 | 0.000 |
| -0.000 | -0.000 | 0.000 | 0.000 | -0.000 | 28.143 |
| 244.473 | 146.173 | 146.173 | 0.000 | 0.000 | 0.000 |
| 146.173 | 244.473 | 146.173 | 0.000 | 0.000 | -0.000 |
| 146.173 | 146.173 | 244.473 | 0.000 | 0.000 | -0.000 |
| 0.000 | 0.000 | 0.000 | 116.217 | -0.000 | -0.000 |
| 0.000 | 0.000 | 0.000 | -0.000 | 116.217 | 0.000 |
| 0.000 | 0.000 | 0.000 | 0.000 | 0.000 | 116.217 |
| 244.474 | 146.174 | 146.174 | -0.000 | -0.000 | -0.000 |
| 146.174 | 244.474 | 146.174 | -0.000 | -0.000 | 0.000 |
| 146.174 | 146.174 | 244.474 | -0.000 | 0.000 | -0.000 |
| -0.000 | -0.000 | -0.000 | 116.217 | 0.000 | -0.000 |
| -0.000 | -0.000 | -0.000 | -0.000 | 116.217 | -0.000 |
| -0.000 | -0.000 | -0.000 | -0.000 | -0.000 | 116.217 |
| 244.470 | 146.169 | 146.169 | 0.000 | -0.000 | 0.000 |
| 146.169 | 244.470 | 146.169 | 0.000 | 0.000 | 0.000 |
| 146.169 | 146.169 | 244.470 | 0.000 | 0.000 | 0.000 |
| 0.000 | -0.000 | 0.000 | 116.217 | 0.000 | -0.000 |
| -0.000 | 0.000 | 0.000 | 0.000 | 116.217 | 0.000 |
| -0.000 | 0.000 | 0.000 | 0.000 | 0.000 | 116.217 |
| 244.478 | 146.178 | 146.178 | -0.000 | -0.000 | 0.000 |
| 146.178 | 244.478 | 146.178 | -0.000 | -0.000 | -0.000 |
| 146.178 | 146.178 | 244.478 | -0.000 | -0.000 | -0.000 |
| -0.000 | 0.000 | -0.000 | 116.217 | 0.000 | -0.000 |
| 0.000 | -0.000 | -0.000 | -0.000 | 116.217 | 0.000 |
| 0.000 | -0.000 | -0.000 | -0.000 | -0.000 | 116.217 |
| 244.433 | 146.133 | 146.133 | 0.000 | 0.000 | 0.000 |
| 146.133 | 244.433 | 146.133 | 0.000 | 0.000 | -0.000 |
| 146.133 | 146.133 | 244.433 | 0.000 | -0.000 | 0.000 |
| 0.000 | -0.000 | 0.000 | 116.217 | -0.000 | 0.000 |
| -0.000 | 0.000 | 0.000 | 0.000 | 116.217 | 0.000 |
| -0.000 | 0.000 | 0.000 | 0.000 | 0.000 | 116.217 |
| 244.515 | 146.214 | 146.214 | -0.000 | -0.000 | -0.000 |
| 146.214 | 244.515 | 146.214 | -0.000 | -0.000 | -0.000 |
| 146.214 | 146.214 | 244.515 | -0.000 | 0.000 | -0.000 |
| -0.000 | 0.000 | -0.000 | 116.217 | -0.000 | -0.000 |
| 0.000 | -0.000 | -0.000 | -0.000 | 116.217 | -0.000 |
| 0.000 | -0.000 | -0.000 | -0.000 | -0.000 | 116.217 |
| 73.513 | 44.303 | 54.857 | -0.000 | -0.000 | 0.000 |
| 44.303 | 73.513 | 54.857 | -0.000 | -0.000 | 0.000 |
| 54.857 | 54.857 | 111.737 | -0.000 | -0.000 | -0.000 |
| -0.000 | -0.000 | 0.000 | 26.235 | -0.000 | -0.000 |
| -0.000 | -0.000 | 0.000 | -0.000 | 26.235 | 0.000 |
| -0.000 | 0.000 | -0.000 | -0.000 | -0.000 | 14.605 |
| 74.040 | 43.777 | 54.857 | 0.000 | 0.000 | 0.000 |
| 43.777 | 74.040 | 54.857 | -0.000 | 0.000 | 0.000 |
| 54.857 | 54.857 | 111.737 | -0.000 | 0.000 | 0.000 |
| 0.000 | 0.000 | -0.000 | 26.235 | -0.000 | 0.000 |
| 0.000 | 0.000 | -0.000 | 0.000 | 26.235 | 0.000 |
| 0.000 | -0.000 | 0.000 | 0.000 | 0.000 | 14.605 |
| 74.039 | 43.775 | 54.855 | -0.000 | -0.000 | -0.000 |
| 43.775 | 74.038 | 54.855 | 0.000 | 0.000 | 0.000 |
| 54.855 | 54.855 | 111.736 | -0.000 | -0.000 | -0.000 |
| -0.000 | -0.000 | 0.000 | 26.235 | 0.000 | 0.000 |
| -0.000 | -0.000 | 0.000 | 0.000 | 26.235 | 0.000 |
| -0.000 | 0.000 | -0.000 | 0.000 | -0.000 | 15.132 |
| 73.515 | 44.304 | 54.858 | 0.000 | 0.000 | -0.000 |
| 44.304 | 73.515 | 54.858 | 0.000 | 0.000 | -0.000 |
| 54.858 | 54.858 | 111.739 | 0.000 | 0.000 | 0.000 |
| 0.000 | 0.000 | -0.000 | 26.235 | -0.000 | -0.000 |
| 0.000 | 0.000 | -0.000 | -0.000 | 26.235 | -0.000 |
| 0.000 | -0.000 | 0.000 | -0.000 | 0.000 | 15.132 |
| 74.027 | 43.762 | 54.843 | -0.000 | -0.000 | -0.000 |
| 44.289 | 73.500 | 54.842 | -0.000 | -0.000 | 0.000 |
| 54.843 | 54.843 | 111.724 | -0.000 | -0.000 | 0.000 |
| -0.000 | -0.000 | 0.000 | 26.235 | -0.000 | 0.000 |
| -0.000 | -0.000 | 0.000 | 0.000 | 26.235 | 0.000 |
| -0.000 | 0.001 | -0.000 | -0.000 | -0.000 | 14.605 |
| 73.526 | 44.317 | 54.871 | 0.000 | 0.000 | -0.000 |
| 43.790 | 74.053 | 54.871 | -0.000 | 0.000 | -0.000 |
| 54.871 | 54.871 | 111.750 | 0.000 | 0.000 | 0.000 |
| 0.000 | 0.000 | -0.000 | 26.235 | 0.000 | -0.000 |
| 0.000 | 0.000 | -0.000 | -0.000 | 26.235 | -0.000 |
| 0.000 | -0.001 | 0.000 | 0.000 | 0.000 | 14.605 |
| 70.111 | 43.498 | 62.066 | 0.000 | 0.000 | 0.000 |
| 43.498 | 70.111 | 62.066 | 0.000 | 0.000 | 0.000 |
| 62.066 | 62.066 | 140.615 | 0.000 | 0.000 | 0.000 |
| -0.000 | -0.000 | 0.000 | 33.679 | 0.000 | 0.000 |
| -0.000 | -0.000 | 0.000 | 0.000 | 33.679 | 0.000 |
| -0.000 | 0.000 | -0.000 | 0.000 | 0.000 | 14.187 |
| 70.111 | 43.498 | 62.066 | 0.000 | -0.000 | -0.000 |
| 43.498 | 70.111 | 62.066 | -0.000 | -0.000 | -0.000 |
| 62.066 | 62.066 | 140.614 | 0.000 | -0.000 | -0.000 |
| -0.000 | 0.000 | -0.000 | 33.679 | 0.000 | -0.000 |
| 0.000 | 0.000 | -0.000 | -0.000 | 33.679 | -0.000 |
| 0.000 | -0.000 | 0.000 | -0.000 | -0.000 | 14.187 |
| 70.993 | 42.619 | 62.067 | 0.000 | 0.000 | 0.000 |
| 42.619 | 70.993 | 62.067 | 0.000 | 0.000 | 0.000 |
| 62.067 | 62.067 | 140.616 | -0.000 | 0.000 | 0.000 |
| -0.000 | -0.000 | 0.000 | 33.679 | 0.000 | 0.000 |
| -0.000 | -0.000 | 0.000 | 0.000 | 33.679 | 0.000 |
| -0.000 | 0.000 | -0.000 | 0.000 | 0.000 | 14.187 |
| 70.110 | 43.497 | 62.064 | 0.000 | 0.000 | -0.000 |
| 43.497 | 70.110 | 62.064 | 0.000 | -0.000 | -0.000 |
| 62.064 | 62.064 | 140.613 | -0.000 | 0.000 | -0.000 |
| 0.000 | 0.000 | -0.000 | 33.679 | -0.000 | -0.000 |
| 0.000 | 0.000 | -0.000 | -0.000 | 33.679 | -0.000 |
| 0.000 | -0.000 | 0.000 | -0.000 | -0.000 | 14.187 |
| 71.006 | 42.631 | 62.080 | 0.000 | 0.000 | -0.000 |
| 42.631 | 71.006 | 62.080 | 0.000 | 0.000 | 0.000 |
| 62.080 | 62.080 | 140.631 | -0.000 | 0.000 | 0.000 |
| -0.000 | -0.000 | 0.000 | 33.679 | 0.000 | 0.000 |
| -0.000 | -0.000 | 0.000 | 0.000 | 33.679 | 0.000 |
| -0.000 | 0.000 | -0.000 | 0.000 | 0.000 | 13.306 |
| 70.978 | 42.603 | 62.052 | -0.000 | -0.000 | -0.000 |
| 43.484 | 70.097 | 62.052 | -0.000 | -0.000 | -0.000 |
| 62.051 | 62.051 | 140.598 | 0.000 | 0.000 | -0.000 |
| 0.000 | 0.000 | -0.000 | 33.679 | -0.000 | -0.000 |
| 0.000 | 0.000 | -0.000 | -0.000 | 33.679 | -0.000 |
| 0.000 | -0.000 | 0.000 | -0.000 | -0.000 | 13.306 |
| 36.720 | 46.230 | 46.230 | -0.000 | 0.000 | -0.000 |
| 46.230 | 36.720 | 46.230 | 0.000 | -0.000 | -0.000 |
| 46.230 | 46.230 | 36.720 | 0.000 | 0.000 | -0.000 |
| -0.000 | -0.000 | -0.000 | -14.390 | -0.000 | -0.000 |
| -0.000 | -0.000 | -0.000 | -0.000 | -14.390 | -0.000 |
| -0.000 | -0.000 | -0.000 | -0.000 | -0.000 | -14.390 |
| 36.720 | 46.230 | 46.230 | -0.000 | 0.000 | 0.000 |
| 46.230 | 36.720 | 46.230 | 0.000 | -0.000 | 0.000 |
| 46.230 | 46.230 | 36.720 | 0.000 | 0.000 | -0.000 |
| 0.000 | 0.000 | 0.000 | -14.390 | -0.000 | 0.000 |
| 0.000 | 0.000 | 0.000 | -0.000 | -14.390 | 0.000 |
| 0.000 | 0.000 | 0.000 | -0.000 | 0.000 | -14.390 |
| 36.720 | 46.230 | 46.230 | 0.000 | -0.000 | -0.000 |
| 46.230 | 36.720 | 46.230 | -0.000 | 0.000 | -0.000 |
| 46.230 | 46.230 | 36.720 | -0.000 | -0.000 | 0.000 |
| -0.000 | -0.000 | -0.000 | 34.291 | -0.000 | -0.000 |
| -0.000 | -0.000 | -0.000 | -0.000 | 34.291 | -0.000 |
| -0.000 | -0.000 | -0.000 | -0.000 | -0.000 | 34.291 |
| 36.720 | 46.230 | 46.230 | 0.000 | 0.000 | 0.000 |
| 46.230 | 36.720 | 46.230 | 0.000 | 0.000 | 0.000 |
| 46.230 | 46.230 | 36.720 | 0.000 | 0.000 | 0.000 |
| 0.000 | 0.000 | 0.000 | 34.291 | 0.000 | 0.000 |
| 0.000 | 0.000 | 0.000 | 0.000 | 34.291 | 0.000 |
| 0.000 | 0.000 | 0.000 | 0.000 | 0.000 | 34.291 |
| 36.722 | 46.231 | 46.231 | -0.000 | -0.000 | -0.000 |
| 46.231 | 36.722 | 46.231 | -0.000 | -0.000 | -0.000 |
| 46.231 | 46.231 | 36.722 | -0.000 | -0.000 | -0.000 |
| -0.000 | -0.000 | -0.000 | -14.390 | 0.000 | -0.000 |
| -0.000 | -0.000 | -0.000 | 0.000 | -14.390 | -0.000 |
| -0.000 | -0.000 | -0.000 | 0.000 | -0.000 | -14.390 |
| 36.719 | 46.228 | 46.228 | 0.000 | 0.000 | 0.000 |
| 46.228 | 36.719 | 46.228 | 0.000 | 0.000 | 0.000 |
| 46.228 | 46.228 | 36.719 | 0.000 | 0.000 | 0.000 |
| 0.000 | 0.000 | 0.000 | -14.390 | -0.000 | 0.000 |
| 0.000 | 0.000 | 0.000 | -0.000 | -14.390 | 0.000 |
| 0.000 | 0.000 | 0.000 | -0.000 | 0.000 | -14.390 |
| 217.048 | -46.891 | 56.744 | -0.000 | -0.000 | -0.000 |
| -46.891 | 217.048 | 56.744 | 0.000 | 0.000 | -0.000 |
| 56.744 | 56.744 | 334.019 | -0.000 | -0.000 | -0.000 |
| -0.000 | 0.000 | -0.000 | 25.597 | -0.000 | -0.000 |
| -0.000 | 0.000 | -0.000 | 0.000 | 25.597 | -0.000 |
| -0.000 | 0.000 | -0.000 | 0.000 | -0.000 | -82.926 |
| 217.048 | -46.891 | 56.744 | 0.000 | 0.000 | 0.000 |
| -46.891 | 217.048 | 56.744 | 0.000 | 0.000 | 0.000 |
| 56.744 | 56.744 | 334.019 | -0.000 | 0.000 | 0.000 |
| 0.000 | -0.000 | 0.000 | 25.597 | 0.000 | -0.000 |
| 0.000 | -0.000 | 0.000 | -0.000 | 25.597 | -0.000 |
| 0.000 | -0.000 | 0.000 | 0.000 | 0.000 | -82.926 |
| 225.400 | -55.242 | 56.744 | 0.000 | -0.000 | -0.000 |
| -55.242 | 225.400 | 56.744 | 0.000 | -0.000 | -0.000 |
| 56.744 | 56.744 | 334.019 | 0.000 | -0.000 | -0.000 |
| -0.000 | -0.000 | -0.000 | 25.597 | -0.000 | 0.000 |
| -0.000 | -0.000 | -0.000 | 0.000 | 25.597 | -0.000 |
| -0.000 | -0.000 | -0.000 | 0.000 | -0.000 | -82.926 |
| 225.400 | -55.243 | 56.743 | -0.000 | -0.000 | 0.000 |
| -55.243 | 225.400 | 56.743 | -0.000 | 0.000 | 0.000 |
| 56.743 | 56.743 | 334.019 | -0.000 | 0.000 | 0.000 |
| 0.000 | 0.000 | 0.000 | 25.597 | 0.000 | 0.000 |
| 0.000 | 0.000 | 0.000 | -0.000 | 25.597 | 0.000 |
| 0.000 | 0.000 | 0.000 | -0.000 | 0.000 | -82.926 |
| 225.402 | -55.241 | 56.746 | 0.000 | -0.000 | -0.000 |
| -55.241 | 225.402 | 56.746 | 0.000 | -0.000 | -0.000 |
| 56.746 | 56.746 | 334.022 | 0.000 | 0.000 | -0.000 |
| -0.000 | -0.000 | -0.000 | 25.597 | -0.000 | -0.000 |
| -0.000 | -0.000 | -0.000 | 0.000 | 25.597 | 0.000 |
| -0.001 | -0.001 | -0.000 | -0.000 | -0.000 | -82.926 |
| 217.049 | -46.892 | 56.742 | 0.000 | 0.000 | 0.000 |
| -46.892 | 217.049 | 56.742 | -0.000 | -0.000 | 0.000 |
| 56.741 | 56.741 | 334.016 | -0.000 | -0.000 | 0.000 |
| 0.000 | 0.000 | 0.000 | 25.597 | 0.000 | 0.000 |
| 0.000 | 0.000 | 0.000 | -0.000 | 25.597 | 0.000 |
| 0.001 | 0.001 | 0.000 | 0.000 | 0.000 | -82.926 |
| 103.674 | 80.325 | 70.418 | 0.000 | -0.000 | 0.000 |
| 80.325 | 103.674 | 70.418 | 0.000 | 0.000 | -0.000 |
| 70.418 | 70.418 | 11.501 | -0.000 | -0.000 | 0.000 |
| 0.000 | 0.000 | 0.000 | 41.938 | 0.000 | -0.000 |
| 0.000 | 0.000 | 0.000 | 0.000 | 41.938 | 0.000 |
| 0.000 | 0.000 | 0.000 | 0.000 | 0.000 | 51.895 |
| 103.675 | 80.326 | 70.418 | -0.000 | 0.000 | -0.000 |
| 80.326 | 103.675 | 70.418 | 0.000 | 0.000 | 0.000 |
| 70.418 | 70.418 | 11.502 | -0.000 | -0.000 | -0.000 |
| -0.000 | -0.000 | -0.000 | 41.938 | 0.000 | -0.000 |
| -0.000 | -0.000 | -0.000 | 0.000 | 41.938 | -0.000 |
| -0.000 | -0.000 | -0.000 | -0.000 | 0.000 | 51.895 |
| 103.672 | 80.323 | 70.415 | 0.000 | -0.000 | 0.000 |
| 80.323 | 103.672 | 70.415 | 0.000 | -0.000 | 0.000 |
| 70.415 | 70.415 | 11.498 | 0.000 | -0.000 | 0.000 |
| 0.000 | 0.000 | 0.000 | 41.938 | 0.000 | 0.000 |
| 0.000 | 0.000 | 0.000 | 0.000 | 41.938 | 0.000 |
| 0.000 | 0.000 | 0.000 | -0.000 | -0.000 | 51.895 |
| 103.678 | 80.328 | 70.421 | -0.000 | 0.000 | -0.000 |
| 80.328 | 103.678 | 70.421 | 0.000 | 0.000 | -0.000 |
| 70.421 | 70.421 | 11.504 | -0.000 | -0.000 | -0.000 |
| -0.000 | -0.000 | -0.000 | 41.938 | -0.000 | -0.000 |
| -0.000 | -0.000 | -0.000 | -0.000 | 41.938 | -0.000 |
| -0.000 | -0.000 | -0.000 | -0.000 | -0.000 | 51.895 |
| 103.645 | 80.297 | 70.389 | 0.000 | -0.000 | 0.000 |
| 80.297 | 103.645 | 70.389 | 0.000 | 0.000 | 0.000 |
| 70.390 | 70.390 | 11.472 | 0.000 | 0.000 | 0.000 |
| 0.000 | 0.000 | 0.001 | 41.938 | -0.000 | 0.000 |
| 0.000 | 0.000 | 0.001 | -0.000 | 41.938 | 0.000 |
| 0.000 | 0.000 | 0.000 | 0.000 | 0.000 | 51.895 |
| 103.704 | 80.354 | 70.446 | 0.000 | 0.000 | -0.000 |
| 80.354 | 103.704 | 70.446 | -0.000 | 0.000 | -0.000 |
| 70.446 | 70.446 | 11.531 | -0.000 | -0.000 | -0.000 |
| -0.000 | -0.000 | -0.001 | 41.938 | -0.000 | -0.000 |
| -0.000 | -0.000 | -0.001 | 0.000 | 41.938 | -0.000 |
| -0.000 | -0.000 | -0.000 | -0.000 | -0.000 | 51.895 |
| -86.450 | -22.376 | 73.835 | -58.706 | 0.000 | -0.000 |
| -22.376 | -86.450 | 73.835 | 58.706 | 0.000 | 0.000 |
| 65.276 | 65.276 | 12.414 | -0.000 | 0.000 | 0.000 |
| -58.706 | 58.706 | 0.000 | 46.747 | -0.000 | -0.000 |
| -0.000 | -0.000 | -0.000 | -0.000 | 46.747 | -58.706 |
| -0.000 | -0.000 | 0.000 | -0.000 | -58.706 | -32.037 |
| -86.450 | -22.376 | 73.835 | -58.706 | 0.000 | -0.000 |
| -22.376 | -86.450 | 73.835 | 58.706 | -0.000 | -0.000 |
| 65.276 | 65.276 | 12.414 | -0.000 | -0.000 | -0.000 |
| -58.706 | 58.706 | 0.000 | 46.747 | 0.000 | 0.000 |
| 0.000 | 0.000 | 0.000 | 0.000 | 46.747 | -58.706 |
| 0.000 | 0.000 | -0.000 | 0.000 | -58.706 | -32.037 |
| -86.450 | -22.375 | 73.835 | -58.706 | 0.000 | 0.000 |
| -22.375 | -86.450 | 73.835 | 58.706 | 0.000 | 0.000 |
| 65.276 | 65.276 | 12.415 | 0.000 | -0.000 | 0.000 |
| -58.706 | 58.706 | -0.000 | 46.747 | -0.000 | -0.000 |
| -0.000 | -0.000 | -0.000 | -0.000 | 46.747 | -58.706 |
| 0.000 | -0.000 | 0.000 | -0.000 | -58.706 | -32.037 |
| -86.451 | -22.376 | 73.834 | -58.706 | 0.000 | -0.000 |
| -22.376 | -86.451 | 73.834 | 58.706 | -0.000 | -0.000 |
| 65.275 | 65.275 | 12.414 | -0.000 | 0.000 | -0.000 |
| -58.706 | 58.706 | 0.000 | 46.747 | 0.000 | 0.000 |
| 0.000 | 0.000 | 0.000 | 0.000 | 46.747 | -58.706 |
| -0.000 | 0.000 | -0.000 | 0.000 | -58.706 | -32.037 |
| -86.445 | -22.370 | 73.840 | -58.706 | 0.000 | 0.000 |
| -22.370 | -86.445 | 73.840 | 58.706 | -0.000 | 0.000 |
| 65.281 | 65.281 | 12.419 | 0.000 | 0.000 | 0.000 |
| -58.706 | 58.706 | -0.000 | 46.748 | -0.000 | 0.000 |
| -0.000 | 0.000 | -0.000 | -0.000 | 46.747 | -58.706 |
| 0.000 | -0.000 | 0.000 | -0.000 | -58.706 | -32.037 |
| -86.455 | -22.381 | 73.829 | -58.705 | -0.000 | -0.000 |
| -22.381 | -86.455 | 73.829 | 58.705 | 0.000 | 0.000 |
| 65.270 | 65.270 | 12.409 | 0.000 | -0.000 | -0.000 |
| -58.706 | 58.706 | 0.000 | 46.747 | 0.000 | -0.000 |
| 0.000 | -0.000 | 0.000 | 0.000 | 46.747 | -58.706 |
| -0.000 | 0.000 | -0.000 | 0.000 | -58.706 | -32.037 |
| 729.047 | 17.199 | 17.199 | 0.000 | 0.000 | 0.000 |
| 17.199 | 729.048 | 17.199 | 0.000 | 0.000 | 0.000 |
| 17.199 | 17.199 | 729.047 | -0.000 | -0.000 | 0.000 |
| -0.000 | 0.000 | 0.000 | -19.343 | 0.000 | 0.000 |
| -0.000 | 0.000 | 0.000 | -0.000 | -19.343 | 0.000 |
| -0.000 | 0.000 | 0.000 | -0.000 | -0.000 | -19.343 |
| 729.047 | 17.199 | 17.199 | -0.000 | -0.000 | -0.000 |
| 17.199 | 729.047 | 17.199 | -0.000 | -0.000 | 0.000 |
| 17.199 | 17.199 | 729.047 | 0.000 | 0.000 | -0.000 |
| 0.000 | -0.000 | -0.000 | -19.343 | 0.000 | -0.000 |
| 0.000 | -0.000 | -0.000 | 0.000 | -19.343 | -0.000 |
| -0.000 | -0.000 | -0.000 | 0.000 | 0.000 | -19.343 |
| 729.051 | 17.202 | 17.202 | 0.000 | 0.000 | 0.000 |
| 17.202 | 729.051 | 17.202 | 0.000 | 0.000 | 0.000 |
| 17.202 | 17.202 | 729.051 | -0.000 | 0.000 | 0.000 |
| 0.000 | 0.000 | 0.000 | -19.343 | 0.000 | 0.000 |
| 0.000 | 0.000 | 0.000 | -0.000 | -19.343 | 0.000 |
| 0.000 | 0.000 | 0.000 | 0.000 | 0.000 | -19.343 |
| 729.044 | 17.196 | 17.196 | -0.000 | 0.000 | -0.000 |
| 17.196 | 729.044 | 17.196 | -0.000 | -0.000 | -0.000 |
| 17.196 | 17.196 | 729.044 | -0.000 | -0.000 | -0.000 |
| -0.000 | -0.000 | -0.000 | -19.343 | 0.000 | -0.000 |
| -0.000 | -0.000 | -0.000 | 0.000 | -19.343 | -0.000 |
| -0.000 | -0.000 | -0.000 | 0.000 | 0.000 | -19.343 |
| 729.082 | 17.226 | 17.226 | -0.000 | -0.000 | -0.000 |
| 17.226 | 729.082 | 17.226 | -0.000 | -0.000 | 0.000 |
| 17.226 | 17.226 | 729.082 | -0.000 | -0.000 | 0.000 |
| 0.000 | 0.001 | 0.000 | -19.343 | -0.000 | 0.000 |
| 0.001 | 0.000 | 0.000 | -0.000 | -19.343 | 0.000 |
| 0.001 | 0.000 | 0.000 | -0.000 | -0.000 | -19.343 |
| 729.012 | 17.172 | 17.172 | 0.000 | -0.000 | -0.000 |
| 17.172 | 729.012 | 17.172 | -0.000 | -0.000 | -0.000 |
| 17.172 | 17.172 | 729.012 | 0.000 | -0.000 | -0.000 |
| -0.000 | -0.001 | -0.000 | -19.343 | 0.000 | -0.000 |
| -0.001 | -0.000 | -0.000 | 0.000 | -19.343 | -0.000 |
| -0.001 | -0.000 | -0.000 | -0.000 | -0.000 | -19.343 |
| 151.408 | 69.674 | -38.770 | 0.000 | 0.000 | -0.000 |
| 69.674 | 151.408 | -38.770 | 0.000 | -0.000 | -0.000 |
| -38.770 | -38.770 | 124.576 | 0.000 | -0.000 | -0.000 |
| -0.000 | -0.000 | -0.000 | -65.144 | -0.000 | -0.000 |
| -0.000 | -0.000 | -0.000 | 0.000 | -65.144 | -0.000 |
| -0.000 | 0.000 | -0.000 | 0.000 | -0.000 | 40.867 |
| 151.408 | 69.674 | -38.770 | -0.000 | -0.000 | 0.000 |
| 69.674 | 151.408 | -38.770 | -0.000 | 0.000 | 0.000 |
| -38.770 | -38.770 | 124.576 | -0.000 | -0.000 | 0.000 |
| 0.000 | 0.000 | 0.000 | -65.144 | 0.000 | 0.000 |
| 0.000 | 0.000 | 0.000 | -0.000 | -65.144 | 0.000 |
| 0.000 | -0.000 | 0.000 | -0.000 | -0.000 | 40.867 |
| 151.409 | 69.675 | -38.769 | 0.000 | 0.000 | -0.000 |
| 69.675 | 151.409 | -38.769 | 0.000 | 0.000 | -0.000 |
| -38.769 | -38.769 | 124.577 | -0.000 | -0.000 | -0.000 |
| -0.000 | -0.000 | -0.000 | -65.144 | 0.000 | -0.000 |
| -0.000 | -0.000 | -0.000 | 0.000 | -65.144 | -0.000 |
| -0.000 | 0.000 | -0.000 | 0.000 | 0.000 | 40.867 |
| 151.407 | 69.673 | -38.771 | -0.000 | -0.000 | -0.000 |
| 69.673 | 151.407 | -38.771 | -0.000 | -0.000 | 0.000 |
| -38.770 | -38.770 | 124.575 | -0.000 | -0.000 | 0.000 |
| 0.000 | 0.000 | 0.000 | -65.144 | 0.000 | 0.000 |
| 0.000 | 0.000 | 0.000 | -0.000 | -65.144 | 0.000 |
| 0.000 | -0.000 | 0.000 | -0.000 | -0.000 | 40.867 |
| 151.420 | 69.685 | -38.760 | 0.000 | 0.000 | -0.000 |
| 69.686 | 151.420 | -38.760 | 0.000 | -0.000 | -0.000 |
| -38.761 | -38.761 | 124.584 | -0.000 | -0.000 | -0.000 |
| -0.000 | -0.000 | -0.001 | -65.144 | 0.000 | -0.000 |
| -0.000 | -0.000 | -0.001 | 0.000 | -65.144 | -0.000 |
| -0.000 | 0.000 | -0.000 | 0.000 | 0.000 | 40.867 |
| 151.396 | 69.663 | -38.779 | -0.000 | -0.000 | 0.000 |
| 69.663 | 151.396 | -38.779 | -0.000 | 0.000 | 0.000 |
| -38.778 | -38.778 | 124.568 | -0.000 | 0.000 | 0.000 |
| 0.000 | 0.000 | 0.001 | -65.144 | -0.000 | 0.000 |
| 0.000 | 0.000 | 0.001 | -0.000 | -65.144 | 0.000 |
| 0.000 | -0.000 | 0.000 | -0.000 | -0.000 | 40.867 |
| 221.684 | 86.805 | 67.069 | 0.000 | 0.000 | -0.000 |
| 86.805 | 221.684 | 67.069 | 0.000 | -0.000 | 0.000 |
| 689.657 | 689.657 | 440.608 | 0.000 | 0.000 | 0.000 |
| 0.000 | 0.000 | 0.000 | 40.347 | -0.000 | 0.000 |
| 0.000 | 0.000 | 0.000 | 0.000 | 40.347 | 0.000 |
| 0.000 | 0.000 | 0.000 | 0.000 | 0.000 | 53.133 |
| -1362.090 | -1385.493 | 124.684 | -0.000 | -0.000 | -0.000 |
| -1385.493 | -1362.090 | 124.684 | -0.000 | -0.000 | 0.000 |
| 69.021 | 69.021 | 183.661 | -0.000 | -0.000 | -0.000 |
| -0.000 | -0.000 | -0.000 | 40.347 | -0.000 | 0.000 |
| -0.000 | -0.000 | -0.000 | -0.000 | 40.347 | -0.000 |
| -0.000 | -0.000 | -0.000 | -0.000 | -0.000 | 53.133 |
| 221.685 | 86.807 | 67.070 | 0.000 | 0.000 | 0.000 |
| 158.704 | 223.261 | 85.340 | 0.000 | 0.000 | 0.000 |
| 131.336 | 131.336 | 219.997 | 0.000 | 0.000 | 0.000 |
| 61.702 | 61.702 | 24.348 | 28.499 | -0.000 | 0.000 |
| 61.702 | 61.702 | 24.348 | -0.000 | 28.499 | 0.000 |
| 0.101 | 0.101 | 1.900 | 0.000 | 0.000 | 44.614 |
| 210.751 | 89.311 | 64.400 | -0.000 | -0.000 | -0.000 |
| 89.311 | 210.751 | 64.400 | -0.000 | -0.000 | -0.000 |
| 70.773 | 70.773 | 204.514 | -0.000 | 0.000 | -0.000 |
| -61.702 | -61.702 | -24.348 | 28.499 | -0.000 | -0.000 |
| -61.702 | -61.702 | -24.348 | -0.000 | 28.499 | -0.000 |
| -0.101 | -0.101 | -1.900 | -0.000 | -0.000 | 44.614 |
| 189.059 | 106.869 | 64.006 | 0.000 | 0.000 | 0.000 |
| 106.869 | 189.059 | 64.006 | 0.000 | 0.000 | 0.000 |
| 70.047 | 70.047 | 202.819 | 0.000 | 0.000 | 0.000 |
| 0.000 | 0.000 | 0.000 | 40.347 | 0.000 | 0.000 |
| 0.000 | 0.000 | 0.000 | 0.000 | 40.347 | 0.000 |
| 0.012 | 0.012 | 0.219 | 0.000 | 0.000 | 43.311 |
| 156.437 | 102.157 | 69.299 | -0.000 | -0.000 | -0.000 |
| 102.157 | 156.437 | 69.299 | -0.000 | 0.000 | -0.000 |
| 70.759 | 70.759 | 204.499 | -0.000 | -0.000 | -0.000 |
| -0.000 | -0.000 | -0.000 | 40.347 | -0.000 | 0.000 |
| -0.000 | -0.000 | -0.000 | -0.000 | 40.347 | -0.000 |
| -0.012 | -0.012 | -0.219 | -0.000 | -0.000 | 43.311 |
| 934.092 | 834.004 | 680.907 | 0.000 | 0.000 | 0.000 |
| 834.004 | 934.092 | 680.907 | -0.000 | 0.000 | 0.000 |
| 805.425 | 805.425 | 827.144 | 0.000 | -0.000 | 0.000 |
| 744.887 | 744.887 | 620.159 | 32.147 | 0.000 | 0.000 |
| 744.887 | 744.887 | 620.159 | -0.000 | 32.147 | 0.000 |
| 745.049 | 745.049 | 620.320 | -0.000 | -0.000 | 41.308 |
| -418.501 | -525.044 | -554.012 | -0.000 | -0.000 | -0.000 |
| -525.044 | -418.501 | -554.012 | -0.000 | -0.000 | -0.000 |
| 62.602 | 62.602 | 216.978 | -0.000 | 0.000 | -0.000 |
| -744.887 | -744.887 | -620.159 | 32.147 | 0.000 | -0.000 |
| -744.887 | -744.887 | -620.159 | -0.000 | 32.147 | -0.000 |
| -722.757 | -722.757 | -677.350 | -0.000 | 0.000 | 39.515 |
| 253.876 | 147.215 | 122.363 | 0.000 | 0.000 | 0.000 |
| 147.215 | 253.876 | 122.363 | 0.000 | 0.000 | 0.000 |
| 122.797 | 122.797 | 269.116 | -0.000 | 0.000 | 0.000 |
| 72.290 | 72.290 | 67.795 | 31.272 | -0.000 | 0.000 |
| 72.290 | 72.290 | 67.795 | 0.000 | 31.272 | 0.000 |
| 74.565 | 74.565 | 62.055 | -0.000 | -0.000 | 41.295 |
| 131.354 | 24.946 | -0.752 | -0.000 | -0.000 | -0.000 |
| 24.946 | 131.354 | -0.752 | 0.000 | -0.000 | -0.000 |
| 62.600 | 62.600 | 216.976 | -0.000 | -0.000 | -0.000 |
| -72.290 | -72.290 | -67.795 | 31.272 | -0.000 | -0.000 |
| -72.290 | -72.290 | -67.795 | -0.000 | 31.272 | -0.000 |
| -74.565 | -74.565 | -62.055 | -0.000 | -0.000 | 41.295 |
| 198.585 | 93.656 | 67.759 | 0.000 | 0.000 | 0.000 |
| 93.656 | 198.585 | 67.759 | 0.000 | -0.000 | 0.000 |
| 62.619 | 62.619 | 216.998 | -0.000 | 0.000 | 0.000 |
| -0.000 | 0.000 | 0.000 | 36.609 | 0.000 | -0.000 |
| 0.000 | -0.000 | 0.000 | 0.000 | 36.609 | 0.000 |
| -0.000 | 0.000 | 0.000 | -0.000 | 0.000 | 54.293 |
| 184.993 | 80.404 | 54.282 | -0.000 | 0.000 | -0.000 |
| 80.404 | 184.993 | 54.282 | -0.000 | -0.000 | -0.000 |
| 53.429 | 53.429 | 201.291 | -0.000 | -0.000 | -0.000 |
| 0.000 | -0.000 | -0.000 | 36.609 | 0.000 | -0.000 |
| -0.000 | 0.000 | -0.000 | 0.000 | 36.609 | -0.000 |
| 0.000 | -0.000 | -0.000 | 0.000 | 0.000 | 54.293 |
| 244.706 | -50.559 | 121.388 | -52.364 | -43.486 | -5.528 |
| 148.893 | -3.506 | 303.238 | -118.091 | 7.081 | 5.565 |
| -57.269 | -482.590 | 678.612 | 11.947 | 106.296 | -75.425 |
| 3.666 | 2.344 | -5.840 | 63.820 | 0.414 | -0.557 |
| 57.882 | -194.146 | 215.595 | -123.242 | 53.133 | 12.926 |
| -0.587 | -5.641 | 0.588 | -0.539 | 6.268 | 64.870 |
| 134.604 | 287.979 | -121.212 | 124.648 | -3.400 | -8.816 |
| 93.114 | 225.444 | 91.753 | 5.021 | -0.499 | -5.643 |
| 50.724 | 236.443 | 171.879 | 49.965 | 50.186 | 5.501 |
| 3.666 | 2.344 | -5.840 | 63.820 | 0.414 | -0.557 |
| 2.657 | -0.517 | 3.386 | 0.414 | 62.256 | 3.659 |
| -41.451 | 139.561 | -29.826 | 53.860 | 53.791 | 60.790 |
| 220.099 | 92.867 | 90.511 | 3.665 | 3.579 | 0.336 |
| 97.367 | 192.385 | 95.388 | -0.183 | -4.369 | -4.760 |
| 90.457 | 91.997 | 217.387 | -5.840 | 3.386 | 0.447 |
| 6.614 | -15.700 | 14.377 | 35.344 | 0.903 | 0.277 |
| 8.676 | -19.578 | 25.331 | -12.023 | 46.527 | 4.928 |
| 4.857 | -22.754 | 20.940 | -12.908 | 6.649 | 50.546 |
| 220.102 | 92.870 | 90.514 | 3.665 | 3.580 | 0.336 |
| 93.116 | 225.446 | 91.755 | 5.021 | -0.499 | -5.643 |
| 90.460 | 91.999 | 217.390 | -5.840 | 3.386 | 0.447 |
| -4.388 | 23.080 | -27.730 | 59.562 | -0.520 | -1.457 |
| 2.657 | -0.517 | 3.386 | 0.414 | 62.256 | 3.659 |
| -0.587 | -5.641 | 0.588 | -0.539 | 6.268 | 64.870 |
| 191.752 | 92.216 | 91.996 | 0.161 | 3.986 | 0.182 |
| 92.719 | 182.568 | 97.201 | 5.949 | 0.519 | -3.734 |
| 91.041 | 91.091 | 202.911 | -5.528 | 2.427 | 0.691 |
| 2.162 | 1.574 | -4.293 | 48.563 | 0.398 | -0.718 |
| 3.347 | -1.130 | 3.205 | 0.339 | 53.206 | 4.245 |
| -0.587 | -5.641 | 0.588 | -0.539 | 6.268 | 64.870 |
| 203.233 | 94.801 | 90.394 | 3.036 | 4.283 | -0.803 |
| 92.987 | 207.012 | 92.046 | 5.897 | 0.905 | -4.143 |
| 90.236 | 94.210 | 200.561 | -4.267 | 3.369 | 0.826 |
| 0.868 | 5.340 | -7.629 | 49.232 | 0.528 | -0.747 |
| 2.657 | -0.517 | 3.386 | 0.414 | 62.256 | 3.659 |
| 1.032 | 2.247 | -4.790 | -1.910 | 5.089 | 46.396 |
| 352.058 | 138.730 | -420.490 | -139.529 | 62.295 | 13.769 |
| 89.935 | 209.907 | 87.322 | 2.531 | 2.330 | -1.278 |
| 229.742 | 138.847 | -295.949 | -145.819 | 67.133 | 9.074 |
| 111.428 | 32.352 | -172.367 | -201.363 | 148.499 | 28.410 |
| 131.773 | 53.822 | -509.542 | -137.989 | 125.404 | 7.822 |
| 114.084 | 25.417 | -165.684 | -248.350 | 148.321 | 75.335 |
| 221.826 | 87.074 | 89.055 | -1.176 | -3.738 | 5.982 |
| 909.508 | 824.912 | 2450.412 | 328.064 | -665.287 | 370.036 |
| -45.196 | 35.118 | 725.482 | 131.725 | -65.052 | -7.964 |
| 489.717 | 409.458 | 1125.561 | 446.194 | -564.327 | -37.859 |
| -116.839 | -28.209 | 167.942 | 250.846 | -100.373 | -26.624 |
| -133.068 | -53.988 | 511.827 | 141.124 | -66.268 | 50.812 |
| 228.325 | 92.058 | 39.097 | -14.654 | 2.820 | 6.101 |
| 89.935 | 209.907 | 87.322 | 2.531 | 2.330 | -1.278 |
| 106.031 | 92.174 | 163.738 | -20.957 | 7.654 | 1.410 |
| -8.863 | 2.610 | -56.593 | 4.161 | 33.119 | 24.466 |
| 5.272 | 4.251 | -14.641 | -24.991 | 62.959 | 2.060 |
| 14.173 | -1.135 | -16.298 | -22.645 | 14.690 | 51.895 |
| 185.196 | 83.673 | 108.558 | 25.041 | -19.019 | 1.070 |
| 137.190 | 196.362 | 145.653 | 48.388 | -39.037 | -20.701 |
| 91.185 | 86.667 | 224.805 | -7.487 | 0.436 | 0.655 |
| -14.213 | -2.444 | 43.828 | 72.425 | -5.843 | 1.460 |
| -5.750 | 2.288 | 0.435 | 1.164 | 63.903 | -0.615 |
| -9.357 | -7.315 | 52.213 | 16.242 | -6.790 | 58.474 |
| 221.830 | 87.078 | 89.058 | -1.176 | -3.738 | 5.982 |
| 89.939 | 209.912 | 87.326 | 2.531 | 2.330 | -1.278 |
| 91.189 | 86.672 | 224.809 | -7.487 | 0.436 | 0.655 |
| 1.034 | 3.300 | -12.694 | 56.838 | 1.449 | 2.406 |
| -7.626 | 1.327 | -3.434 | -3.022 | 44.173 | 2.474 |
| 5.834 | -1.627 | -4.391 | 0.867 | 0.526 | 59.135 |
| 221.827 | 87.076 | 89.056 | -1.176 | -3.738 | 5.982 |
| 88.223 | 202.997 | 93.380 | 4.076 | 1.241 | -2.297 |
| 92.713 | 86.636 | 195.530 | -4.199 | 0.444 | -0.491 |
| -1.899 | 2.192 | -1.779 | 59.767 | 0.032 | 2.225 |
| -7.174 | 1.370 | 6.756 | 2.244 | 58.205 | -0.795 |
| 3.472 | -4.938 | 3.446 | 5.171 | -1.541 | 40.271 |
| 85.051 | 46.478 | 53.411 | -0.000 | -0.000 | 0.000 |
| 46.877 | 82.295 | 53.950 | -0.000 | -0.000 | 0.000 |
| 54.045 | 54.471 | 111.320 | 0.000 | -0.000 | -0.000 |
| -0.000 | -0.000 | 0.000 | 25.846 | -0.000 | -0.000 |
| -0.000 | 0.000 | 0.000 | -0.000 | 25.378 | -0.000 |
| -0.000 | 0.000 | -0.000 | -0.000 | -0.000 | 16.768 |
| 84.578 | 46.835 | 53.318 | 0.000 | 0.000 | -0.000 |
| 46.877 | 82.294 | 53.950 | 0.000 | 0.000 | 0.000 |
| 53.951 | 54.542 | 111.301 | 0.000 | 0.000 | -0.000 |
| 0.000 | 0.000 | -0.000 | 25.846 | 0.000 | 0.000 |
| 0.000 | -0.000 | -0.000 | 0.000 | 25.378 | -0.000 |
| 0.000 | -0.000 | 0.000 | 0.000 | -0.000 | 16.768 |
| 84.578 | 46.835 | 53.318 | -0.000 | -0.000 | 0.000 |
| 46.877 | 82.295 | 53.950 | -0.000 | -0.000 | -0.000 |
| 53.952 | 54.542 | 111.302 | -0.000 | -0.000 | -0.000 |
| -0.000 | -0.000 | -0.000 | 25.843 | -0.000 | 0.000 |
| -0.000 | -0.000 | 0.000 | -0.000 | 25.378 | -0.000 |
| -0.000 | 0.000 | -0.000 | -0.000 | -0.000 | 16.768 |
| 84.578 | 46.835 | 53.317 | 0.000 | 0.000 | -0.000 |
| 46.520 | 82.563 | 53.879 | 0.000 | 0.000 | 0.000 |
| 53.951 | 54.541 | 111.301 | 0.000 | 0.000 | 0.000 |
| 0.000 | 0.000 | 0.000 | 25.843 | 0.000 | 0.000 |
| 0.000 | 0.000 | -0.000 | 0.000 | 25.378 | -0.000 |
| 0.000 | -0.000 | 0.000 | 0.000 | 0.000 | 16.768 |
| 84.582 | 46.838 | 53.320 | -0.000 | -0.000 | 0.000 |
| 46.880 | 82.298 | 53.953 | -0.000 | -0.000 | -0.000 |
| 53.954 | 54.545 | 111.304 | -0.000 | 0.000 | -0.000 |
| -0.000 | -0.000 | -0.000 | 25.843 | -0.000 | -0.000 |
| -0.000 | -0.000 | 0.000 | -0.000 | 25.378 | 0.000 |
| -0.000 | 0.000 | -0.000 | -0.000 | -0.000 | 16.768 |
| 85.046 | 46.476 | 53.408 | 0.000 | 0.000 | 0.000 |
| 46.873 | 82.291 | 53.947 | 0.000 | -0.000 | -0.000 |
| 53.948 | 54.539 | 111.298 | 0.000 | 0.000 | 0.000 |
| 0.000 | 0.000 | 0.000 | 25.843 | 0.000 | 0.000 |
| 0.000 | 0.000 | -0.000 | 0.000 | 25.378 | 0.000 |
| 0.000 | -0.000 | 0.000 | 0.000 | 0.000 | 16.768 |
| -354.452 | -434.068 | -434.068 | -0.000 | -0.000 | -0.000 |
| -434.068 | -354.452 | -434.068 | -0.000 | -0.000 | -0.000 |
| -434.068 | -434.068 | -354.452 | -0.000 | -0.000 | -0.000 |
| 0.000 | 0.000 | 0.000 | 44.512 | 0.000 | -0.000 |
| 0.000 | 0.000 | 0.000 | -0.000 | 44.512 | 0.000 |
| 0.000 | 0.000 | 0.000 | -0.000 | 0.000 | 44.512 |
| 664.252 | 586.712 | 586.712 | 0.000 | 0.000 | 0.000 |
| 586.712 | 664.252 | 586.712 | 0.000 | 0.000 | 0.000 |
| 586.712 | 586.712 | 664.252 | 0.000 | 0.000 | 0.000 |
| -0.000 | -0.000 | -0.000 | 44.512 | 0.000 | 0.000 |
| -0.000 | -0.000 | -0.000 | -0.000 | 44.512 | 0.000 |
| -0.000 | -0.000 | -0.000 | 0.000 | 0.000 | 44.512 |
| 114.586 | 26.190 | 26.190 | 0.000 | 0.000 | -0.000 |
| 26.190 | 114.586 | 26.190 | -0.000 | 0.000 | -0.000 |
| 26.190 | 26.190 | 114.586 | -0.000 | -0.000 | 0.000 |
| -48.991 | -48.991 | -48.991 | 27.095 | -0.000 | -0.000 |
| -48.991 | -48.991 | -48.991 | 0.000 | 27.095 | -0.000 |
| -48.991 | -48.991 | -48.991 | -0.000 | -0.000 | 27.095 |
| 203.511 | 73.707 | 73.707 | 0.000 | 0.000 | 0.000 |
| 73.707 | 203.511 | 73.707 | -0.000 | -0.000 | -0.000 |
| 73.707 | 73.707 | 203.511 | 0.000 | -0.000 | -0.000 |
| 48.991 | 48.991 | 48.991 | 27.095 | 0.000 | 0.000 |
| 48.991 | 48.991 | 48.991 | 0.000 | 27.095 | 0.000 |
| 48.991 | 48.991 | 48.991 | 0.000 | 0.000 | 27.095 |
| 203.489 | 73.685 | 73.685 | -0.000 | -0.000 | -0.000 |
| 73.685 | 203.489 | 73.685 | 0.000 | -0.000 | -0.000 |
| 73.685 | 73.685 | 203.489 | -0.000 | -0.000 | -0.000 |
| 0.000 | -0.000 | -0.000 | 44.512 | 0.000 | -0.000 |
| -0.000 | 0.000 | -0.000 | 0.000 | 44.512 | -0.000 |
| -0.000 | -0.000 | 0.000 | -0.000 | -0.000 | 44.512 |
| 168.500 | 75.581 | 75.581 | 0.000 | 0.000 | 0.000 |
| 75.581 | 168.500 | 75.581 | -0.000 | 0.000 | -0.000 |
| 75.581 | 75.581 | 168.500 | -0.000 | -0.000 | 0.000 |
| -0.000 | 0.000 | 0.000 | 44.512 | -0.000 | -0.000 |
| 0.000 | -0.000 | 0.000 | 0.000 | 44.512 | 0.000 |
| 4.812 | 4.812 | 4.812 | 0.000 | -0.000 | 28.988 |
| 202.478 | 72.275 | 72.275 | -0.000 | -0.000 | -0.000 |
| 72.275 | 202.478 | 72.275 | -0.000 | -0.000 | 0.000 |
| 72.275 | 72.275 | 202.478 | -0.000 | -0.000 | -0.000 |
| 0.000 | 0.000 | 0.000 | 44.620 | 0.000 | -0.000 |
| 0.000 | 0.000 | -0.000 | -0.000 | 44.620 | -0.000 |
| 0.000 | -0.000 | 0.000 | -0.000 | -0.000 | 44.620 |
| 170.085 | 68.435 | 68.435 | 0.000 | 0.000 | 0.000 |
| 68.435 | 170.085 | 68.435 | 0.000 | 0.000 | 0.000 |
| 68.435 | 68.435 | 170.085 | 0.000 | 0.000 | 0.000 |
| -0.000 | 0.000 | -0.000 | 44.620 | -0.000 | 0.000 |
| 0.000 | -0.000 | -0.000 | -0.000 | 44.620 | 0.000 |
| 0.000 | 0.000 | -0.000 | 0.000 | 0.000 | 44.620 |
| 164.301 | 70.317 | 70.317 | -0.000 | -0.000 | -0.000 |
| 70.317 | 164.301 | 70.317 | -0.000 | -0.000 | -0.000 |
| 70.317 | 70.317 | 164.301 | -0.000 | -0.000 | -0.000 |
| -0.031 | -0.031 | -0.031 | 33.469 | -0.000 | -0.000 |
| -0.031 | -0.031 | -0.031 | -0.000 | 33.469 | -0.000 |
| -0.031 | -0.031 | -0.031 | -0.000 | -0.000 | 33.469 |
| 202.478 | 72.275 | 72.275 | 0.000 | 0.000 | 0.000 |
| 72.275 | 202.478 | 72.275 | 0.000 | 0.000 | 0.000 |
| 72.275 | 72.275 | 202.478 | 0.000 | 0.000 | -0.000 |
| 0.031 | 0.031 | 0.031 | 33.469 | 0.000 | 0.000 |
| 0.031 | 0.031 | 0.031 | 0.000 | 33.469 | 0.000 |
| 0.031 | 0.031 | 0.031 | 0.000 | 0.000 | 33.469 |
| 170.516 | 68.242 | 68.242 | 0.000 | -0.000 | -0.000 |
| 68.242 | 170.516 | 68.242 | -0.000 | 0.000 | -0.000 |
| 68.242 | 68.242 | 170.516 | -0.000 | -0.000 | 0.000 |
| -0.000 | -0.000 | -0.000 | 44.620 | -0.000 | 0.000 |
| -0.000 | -0.000 | -0.000 | -0.000 | 44.620 | -0.000 |
| -0.000 | -0.000 | -0.000 | -0.000 | -0.000 | 44.620 |
| 170.523 | 68.248 | 68.248 | 0.000 | 0.000 | 0.000 |
| 68.248 | 170.523 | 68.248 | 0.000 | 0.000 | 0.000 |
| 68.248 | 68.248 | 170.523 | 0.000 | 0.000 | 0.000 |
| 0.000 | 0.000 | 0.000 | 44.620 | -0.000 | -0.000 |
| 0.000 | 0.000 | 0.000 | -0.000 | 44.620 | 0.000 |
| 0.000 | 0.000 | 0.000 | 0.000 | 0.000 | 44.620 |
| 96.959 | 69.530 | 69.530 | -0.000 | 0.000 | -0.000 |
| 69.530 | 96.959 | 69.530 | -0.000 | 0.000 | -0.000 |
| 69.530 | 69.530 | 96.959 | -0.000 | -0.000 | -0.000 |
| -6.507 | -6.507 | -6.507 | 25.500 | 0.000 | -0.000 |
| -6.507 | -6.507 | -6.507 | -0.000 | 25.500 | -0.000 |
| -6.507 | -6.507 | -6.507 | -0.000 | 0.000 | 25.500 |
| 128.947 | 72.308 | 72.308 | 0.000 | -0.000 | 0.000 |
| 72.308 | 128.947 | 72.308 | -0.000 | -0.000 | 0.000 |
| 72.308 | 72.308 | 128.947 | 0.000 | -0.000 | 0.000 |
| 6.507 | 6.507 | 6.507 | 25.500 | -0.000 | 0.000 |
| 6.507 | 6.507 | 6.507 | 0.000 | 25.500 | 0.000 |
| 6.507 | 6.507 | 6.507 | 0.000 | -0.000 | 25.500 |
| 102.793 | 76.056 | 76.056 | -0.000 | -0.000 | -0.000 |
| 76.056 | 102.793 | 76.056 | -0.000 | 0.000 | -0.000 |
| 76.056 | 76.056 | 102.793 | -0.000 | -0.000 | -0.000 |
| -0.000 | 0.000 | 0.000 | 43.907 | -0.000 | -0.000 |
| 0.000 | -0.000 | 0.000 | -0.000 | 43.907 | -0.000 |
| 0.000 | 0.000 | -0.000 | -0.000 | 0.000 | 43.907 |
| 96.144 | 82.526 | 82.526 | 0.000 | -0.000 | 0.000 |
| 82.526 | 96.144 | 82.526 | 0.000 | -0.000 | 0.000 |
| 82.526 | 82.526 | 96.144 | 0.000 | -0.000 | 0.000 |
| 0.000 | -0.000 | -0.000 | 43.907 | -0.000 | 0.000 |
| -0.000 | 0.000 | -0.000 | 0.000 | 43.907 | 0.000 |
| -0.000 | -0.000 | 0.000 | 0.000 | -0.000 | 43.907 |
| 96.282 | 78.880 | 78.880 | -0.000 | 0.000 | -0.000 |
| 78.880 | 96.282 | 78.880 | -0.000 | 0.000 | -0.000 |
| 78.880 | 78.880 | 96.282 | -0.000 | 0.000 | -0.000 |
| -0.000 | 0.000 | 0.000 | 43.907 | 0.000 | -0.000 |
| 0.000 | -0.000 | 0.000 | -0.000 | 43.907 | -0.000 |
| 0.000 | 0.000 | -0.000 | -0.000 | 0.000 | 43.907 |
| 103.510 | 76.884 | 76.884 | 0.000 | -0.000 | 0.000 |
| 76.884 | 103.510 | 76.884 | 0.000 | -0.000 | 0.000 |
| 76.884 | 76.884 | 103.510 | 0.000 | 0.000 | 0.000 |
| 0.000 | -0.000 | -0.000 | 43.907 | 0.000 | 0.000 |
| -0.000 | 0.000 | -0.000 | 0.000 | 43.907 | 0.000 |
| -0.000 | -0.000 | 0.000 | 0.000 | -0.000 | 43.907 |
| 117.590 | 90.111 | 14.665 | 0.000 | 0.000 | 0.000 |
| 90.038 | 215.162 | -39.083 | 0.000 | 0.000 | -0.000 |
| 56.202 | 1.950 | 231.390 | -0.000 | 0.000 | 0.000 |
| -226999704.225 | 436564995.333 | -486590553.274 | -515003551.550 | -0.000 | -0.000 |
| 0.000 | 0.000 | 0.000 | 0.000 | 22.905 | 0.000 |
| 2.605 | 2.571 | 3.511 | 0.000 | 0.000 | 87.994 |
| 112.379 | 84.969 | 7.644 | -0.000 | -0.000 | -0.000 |
| 84.827 | 210.020 | -46.105 | 0.000 | -0.000 | -0.000 |
| 7.603 | -46.004 | 165.905 | -0.000 | -0.000 | -0.000 |
| 226999704.225 | -436564995.333 | 486590553.274 | -515003551.550 | -0.000 | 0.000 |
| -0.000 | -0.000 | -0.000 | -0.000 | 22.905 | -0.000 |
| -2.605 | -2.571 | -3.511 | -0.000 | -0.000 | 87.994 |
| 149.122 | 121.223 | 57.151 | 0.000 | 0.000 | 0.000 |
| 121.116 | 245.827 | 2.791 | -0.000 | 0.000 | 0.000 |
| 10.471 | -43.174 | 169.769 | -0.000 | 0.000 | 0.000 |
| -0.000 | -0.000 | -0.000 | -31.631 | 0.000 | 0.000 |
| 0.260 | 0.257 | 0.351 | 0.000 | -169.837 | 0.000 |
| 0.261 | 0.257 | 0.351 | -0.000 | 0.000 | 87.994 |
| 114.722 | 87.280 | 10.801 | -0.000 | -0.000 | -0.000 |
| 87.169 | 212.331 | -42.948 | -0.000 | -0.000 | -0.000 |
| 9.946 | -43.692 | 169.063 | -0.000 | -0.000 | -0.000 |
| 0.000 | 0.000 | 0.000 | -31.631 | -0.000 | -0.000 |
| -0.260 | -0.257 | -0.351 | -0.000 | -169.837 | -0.000 |
| -0.261 | -0.257 | -0.351 | 0.000 | -0.000 | 87.994 |
| 115.033 | 87.589 | 11.211 | 0.000 | 0.000 | 0.000 |
| 87.482 | 212.641 | -42.537 | -0.000 | 0.000 | -0.000 |
| 10.255 | -43.387 | 169.469 | 0.000 | 0.000 | 0.000 |
| -2269988.666 | 4365662.832 | -4865951.992 | -5149978.979 | 0.000 | 0.000 |
| 0.014 | 0.021 | 0.026 | 0.000 | -169.825 | 0.000 |
| -0.000 | -0.000 | -0.000 | 0.000 | 0.000 | 87.994 |
| 114.942 | 87.493 | 11.101 | 0.000 | 0.000 | -0.000 |
| 87.380 | 212.538 | -42.655 | -0.000 | -0.000 | -0.000 |
| 10.162 | -43.479 | 169.362 | -0.000 | -0.000 | -0.000 |
| 2269988.666 | -4365662.832 | 4865951.992 | -5149978.979 | -0.000 | -0.000 |
| -0.014 | -0.021 | -0.026 | -0.000 | -169.825 | -0.000 |
| 0.000 | 0.000 | 0.000 | -0.000 | -0.000 | 87.994 |
| 140.944 | 72.828 | 39.474 | -0.002 | -0.000 | -0.000 |
| 72.551 | 148.549 | 37.723 | -0.000 | -0.000 | 0.000 |
| 42.243 | 40.758 | 79.734 | -0.002 | -0.000 | -0.000 |
| 0.003 | -0.002 | 0.001 | 11.233 | -0.000 | -0.000 |
| 0.003 | -0.002 | 0.001 | -0.002 | 12.984 | -0.000 |
| 0.004 | -0.002 | 0.001 | -0.002 | -0.000 | 40.268 |
| 140.936 | 72.831 | 39.472 | 0.002 | -0.000 | 0.000 |
| 72.556 | 148.546 | 37.724 | 0.002 | 0.000 | 0.000 |
| 42.235 | 40.761 | 79.732 | 0.002 | 0.000 | -0.000 |
| -0.003 | 0.002 | -0.001 | 11.236 | 0.000 | 0.000 |
| -0.003 | 0.002 | -0.001 | 0.002 | 12.984 | 0.000 |
| -0.004 | 0.002 | -0.001 | 0.002 | 0.000 | 40.268 |
| 140.704 | 72.940 | 39.414 | -0.001 | 0.000 | 0.000 |
| 72.571 | 148.542 | 37.729 | -0.000 | 0.000 | 0.000 |
| 42.240 | 40.762 | 79.735 | -0.000 | -0.000 | -0.000 |
| 0.000 | -0.000 | 0.000 | 11.234 | -0.000 | 0.000 |
| 0.000 | -0.000 | 0.000 | -0.000 | 12.984 | 0.000 |
| 0.004 | -0.002 | 0.001 | -0.001 | -0.000 | 40.061 |
| 140.958 | 72.819 | 39.477 | -0.000 | 0.000 | -0.000 |
| 72.565 | 148.539 | 37.725 | 0.000 | 0.000 | 0.000 |
| 42.235 | 40.759 | 79.731 | 0.000 | 0.000 | -0.000 |
| -0.000 | 0.000 | -0.000 | 11.235 | -0.000 | -0.000 |
| -0.000 | 0.000 | -0.000 | 0.000 | 12.984 | -0.000 |
| -0.004 | 0.002 | -0.001 | 0.001 | -0.000 | 40.061 |
| 140.700 | 72.965 | 39.424 | 0.000 | -0.000 | -0.000 |
| 72.682 | 148.515 | 37.769 | 0.000 | -0.000 | -0.000 |
| 42.214 | 40.796 | 79.740 | -0.000 | -0.000 | -0.000 |
| -0.000 | -0.000 | -0.000 | 11.234 | -0.000 | -0.000 |
| -0.000 | -0.000 | -0.000 | -0.000 | 12.984 | 0.000 |
| -0.000 | 0.000 | -0.000 | -0.000 | -0.000 | 40.288 |
| 140.662 | 72.931 | 39.390 | -0.000 | -0.000 | 0.000 |
| 72.657 | 148.474 | 37.737 | -0.000 | 0.000 | 0.000 |
| 42.162 | 40.770 | 79.701 | 0.000 | -0.000 | 0.000 |
| 0.000 | 0.000 | 0.000 | 11.234 | -0.000 | -0.000 |
| 0.000 | 0.000 | 0.000 | 0.000 | 12.984 | 0.000 |
| 0.000 | -0.000 | 0.000 | 0.000 | -0.000 | 40.288 |
| 208.150 | 77.062 | 352.823 | -0.000 | -55.241 | 0.000 |
| 64.681 | 235.280 | 66.710 | -0.000 | 1.529 | 0.000 |
| 376.574 | 38.236 | 97.883 | -0.000 | -5.563 | 0.000 |
| 3.527 | 0.037 | -4.031 | 30.140 | 0.606 | -2.643 |
| -2.460 | -5.127 | -8.874 | -0.000 | -58.232 | 0.000 |
| 2.538 | 0.027 | -2.900 | -2.474 | 0.436 | 43.358 |
| 198.138 | 78.514 | 366.790 | 0.000 | -58.505 | -0.000 |
| 64.338 | 235.768 | 67.747 | 0.000 | -1.245 | -0.000 |
| 366.316 | 39.821 | 112.447 | 0.000 | -8.023 | -0.000 |
| -3.528 | -0.038 | 4.032 | 30.140 | -0.607 | -2.643 |
| -9.451 | -4.332 | 0.479 | 0.000 | -60.749 | -0.000 |
| -2.537 | -0.027 | 2.900 | -2.474 | -0.436 | 43.358 |
| 192.686 | 81.302 | 379.236 | 0.000 | -46.032 | -0.000 |
| 83.026 | 232.122 | 39.304 | 0.000 | -3.035 | -0.000 |
| 375.874 | 39.160 | 101.431 | 0.000 | 5.915 | -0.000 |
| 0.058 | -0.018 | -0.098 | 29.703 | 0.016 | -2.513 |
| -11.746 | -3.351 | 4.946 | 0.000 | -59.972 | -0.000 |
| 0.064 | -0.018 | -0.104 | -2.274 | 0.017 | 43.297 |
| 191.698 | 81.453 | 380.634 | -0.000 | -46.274 | 0.000 |
| 82.034 | 232.278 | 40.714 | -0.000 | -3.275 | 0.000 |
| 374.892 | 39.310 | 102.819 | -0.000 | 5.676 | 0.000 |
| -0.058 | 0.018 | 0.098 | 29.703 | -0.016 | -2.513 |
| -12.739 | -3.200 | 6.350 | -0.000 | -60.213 | 0.000 |
| -0.064 | 0.018 | 0.104 | -2.274 | -0.017 | 43.297 |
| 192.222 | 81.374 | 379.904 | 0.000 | -46.089 | -0.000 |
| 82.668 | 232.160 | 39.807 | 0.000 | -2.996 | -0.000 |
| 375.426 | 39.229 | 102.080 | 0.000 | 5.873 | -0.000 |
| 0.006 | -0.001 | -0.009 | 29.703 | 0.002 | -2.513 |
| -12.329 | -3.252 | 5.791 | 0.000 | -60.090 | -0.000 |
| 0.006 | -0.001 | -0.010 | -2.274 | 0.002 | 43.297 |
| 192.103 | 81.401 | 380.074 | -0.000 | -46.138 | 0.000 |
| 82.593 | 232.221 | 39.972 | -0.000 | -3.019 | 0.000 |
| 375.373 | 39.245 | 102.149 | -0.000 | 5.853 | 0.000 |
| -0.006 | 0.001 | 0.009 | 29.703 | -0.002 | -2.513 |
| -12.432 | -3.238 | 5.932 | -0.000 | -60.115 | 0.000 |
| -0.006 | 0.001 | 0.010 | -2.274 | -0.002 | 43.297 |
| 69.076 | 42.631 | 59.380 | 0.940 | 0.000 | 0.000 |
| 42.109 | 68.829 | 57.431 | -0.889 | 0.000 | 0.000 |
| 57.431 | 57.431 | 121.159 | -0.000 | 0.000 | -0.000 |
| 0.889 | -0.889 | 0.000 | 28.713 | 0.000 | -0.000 |
| -0.000 | -0.000 | 0.000 | 0.000 | 28.713 | 0.889 |
| -0.000 | 0.000 | -0.000 | 0.000 | 0.889 | 13.360 |
| 68.829 | 42.109 | 57.432 | 0.889 | -0.000 | -0.000 |
| 41.826 | 68.272 | 55.298 | -0.940 | 0.000 | -0.000 |
| 56.941 | 56.941 | 118.670 | -0.000 | -0.000 | -0.000 |
| 0.889 | -0.889 | -0.000 | 28.713 | -0.000 | -0.000 |
| 0.000 | 0.000 | -0.000 | -0.000 | 28.713 | 0.889 |
| 0.000 | -0.000 | 0.000 | -0.000 | 0.889 | 13.360 |
| 68.827 | 42.107 | 57.429 | 0.889 | 0.000 | 0.000 |
| 42.107 | 68.827 | 57.429 | -0.889 | 0.000 | -0.000 |
| 57.376 | 57.376 | 120.886 | -0.000 | 0.000 | -0.000 |
| 0.995 | -0.902 | 0.235 | 28.691 | 0.000 | 0.000 |
| 0.046 | 0.046 | 0.235 | 0.000 | 28.691 | 0.948 |
| 0.078 | 0.078 | 0.395 | 0.000 | 0.988 | 13.095 |
| 68.831 | 42.112 | 57.434 | 0.889 | -0.000 | 0.000 |
| 42.112 | 68.831 | 57.434 | -0.889 | -0.000 | -0.000 |
| 57.434 | 57.434 | 121.161 | 0.000 | -0.000 | -0.000 |
| 0.889 | -0.889 | -0.000 | 28.713 | -0.000 | -0.000 |
| -0.046 | -0.046 | -0.235 | -0.000 | 28.691 | 0.948 |
| -0.078 | -0.078 | -0.395 | -0.000 | 0.988 | 13.095 |
| 68.808 | 42.086 | 57.408 | 0.889 | 0.000 | 0.000 |
| 42.548 | 68.235 | 57.128 | -1.082 | 0.000 | -0.000 |
| 57.319 | 57.319 | 120.686 | 0.000 | 0.000 | -0.000 |
| 0.889 | -0.890 | 0.001 | 28.713 | 0.000 | 0.000 |
| -0.000 | -0.000 | 0.001 | 0.000 | 28.713 | 0.889 |
| -0.000 | 0.001 | -0.000 | 0.000 | 0.889 | 13.360 |
| 68.152 | 42.787 | 57.342 | 1.141 | -0.000 | 0.000 |
| 42.471 | 68.379 | 57.115 | -1.040 | -0.000 | 0.000 |
| 57.357 | 57.357 | 120.680 | -0.000 | -0.000 | 0.000 |
| 0.889 | -0.889 | -0.001 | 28.713 | -0.000 | 0.000 |
| 0.000 | 0.000 | -0.001 | -0.000 | 28.713 | 0.889 |
| 0.000 | -0.001 | 0.000 | -0.000 | 0.889 | 13.360 |
| 67.459 | 40.888 | 56.439 | 0.909 | 0.000 | 0.000 |
| 40.888 | 67.459 | 56.439 | -0.909 | 0.000 | -0.000 |
| 56.309 | 56.309 | 120.033 | 0.000 | 0.000 | 0.000 |
| 0.909 | -0.909 | 0.000 | 28.851 | -0.000 | 0.000 |
| -0.000 | -0.000 | 0.000 | 0.000 | 28.851 | 0.909 |
| -0.000 | 0.000 | -0.000 | 0.000 | 0.909 | 13.286 |
| 66.764 | 41.554 | 56.371 | 1.161 | 0.000 | -0.000 |
| 41.554 | 66.764 | 56.371 | -1.161 | -0.000 | 0.000 |
| 56.431 | 56.431 | 120.613 | 0.000 | 0.000 | 0.000 |
| 1.031 | -0.966 | 0.157 | 28.818 | 0.000 | 0.000 |
| 0.000 | 0.000 | -0.000 | -0.000 | 28.851 | 0.909 |
| 0.000 | -0.000 | 0.000 | -0.000 | 0.909 | 13.286 |
| 67.458 | 40.887 | 56.438 | 0.909 | -0.000 | 0.000 |
| 40.887 | 67.458 | 56.438 | -0.909 | -0.000 | 0.000 |
| 56.430 | 56.430 | 120.613 | 0.000 | 0.000 | 0.000 |
| 1.146 | -1.164 | -0.043 | 28.760 | 0.000 | 0.000 |
| -0.000 | -0.000 | 0.000 | 0.000 | 28.851 | 0.909 |
| -0.000 | 0.000 | -0.000 | 0.000 | 0.909 | 13.286 |
| 67.460 | 40.889 | 56.440 | 0.909 | 0.000 | 0.000 |
| 40.888 | 67.460 | 56.440 | -0.909 | 0.000 | 0.000 |
| 56.432 | 56.432 | 120.614 | 0.000 | 0.000 | 0.000 |
| 0.909 | -0.909 | -0.000 | 28.851 | 0.000 | 0.000 |
| 0.000 | 0.000 | -0.000 | -0.000 | 28.851 | 0.909 |
| 0.000 | -0.000 | 0.000 | -0.000 | 0.909 | 13.286 |
| 66.938 | 41.257 | 56.098 | 1.074 | -0.000 | 0.000 |
| 41.258 | 66.937 | 56.098 | -1.074 | -0.000 | 0.000 |
| 56.424 | 56.424 | 120.608 | 0.000 | -0.000 | -0.000 |
| 0.909 | -0.909 | 0.001 | 28.851 | -0.000 | -0.000 |
| -0.001 | -0.001 | -0.004 | 0.000 | 28.757 | 1.164 |
| -0.000 | 0.001 | -0.000 | 0.000 | 0.909 | 13.286 |
| 66.946 | 41.273 | 56.113 | 1.075 | 0.000 | -0.000 |
| 40.895 | 67.465 | 56.446 | -0.909 | 0.000 | 0.000 |
| 56.334 | 56.334 | 120.127 | 0.000 | -0.000 | -0.000 |
| 1.165 | -1.163 | 0.004 | 28.757 | 0.000 | -0.000 |
| 0.001 | 0.001 | 0.004 | -0.000 | 28.757 | 1.164 |
| 0.000 | -0.001 | 0.000 | -0.000 | 0.909 | 13.286 |
| -112.675 | -218.042 | -21.037 | -0.000 | -0.000 | -0.000 |
| -218.042 | -112.675 | -21.037 | -0.000 | -0.000 | -0.000 |
| -244.820 | -244.821 | 116.790 | -0.000 | -0.000 | -0.000 |
| 298.465 | 298.465 | -301.193 | 23.251 | 0.000 | 0.000 |
| 298.465 | 298.465 | -301.193 | -0.000 | 23.251 | 0.000 |
| -311.776 | -311.776 | -85.716 | -0.000 | -0.000 | 36.686 |
| 510.641 | 405.632 | 150.384 | 0.000 | 0.000 | 0.000 |
| 405.632 | 510.641 | 150.384 | 0.000 | 0.000 | 0.000 |
| 68.613 | 68.613 | 208.308 | 0.000 | 0.000 | 0.000 |
| -298.465 | -298.465 | 301.193 | 23.251 | 0.000 | -0.000 |
| -298.465 | -298.465 | 301.193 | 0.000 | 23.251 | -0.000 |
| 311.776 | 311.776 | 85.716 | -0.000 | -0.000 | 36.686 |
| 168.888 | 62.054 | 56.153 | -0.000 | -0.000 | -0.000 |
| 62.054 | 168.888 | 56.153 | -0.000 | -0.000 | -0.000 |
| 89.111 | 89.111 | 166.380 | -0.000 | -0.000 | -0.000 |
| -31.204 | -31.204 | -8.579 | 35.941 | -0.000 | -0.000 |
| -31.204 | -31.204 | -8.579 | -0.000 | 35.941 | -0.000 |
| -31.145 | -31.145 | -8.563 | -0.000 | -0.000 | 36.703 |
| 119.880 | 75.758 | 91.000 | 0.000 | 0.000 | 0.000 |
| 75.758 | 119.880 | 91.000 | 0.000 | 0.000 | 0.000 |
| 98.090 | 98.090 | 211.074 | -0.000 | -0.000 | -0.000 |
| 31.204 | 31.204 | 8.579 | 35.941 | 0.000 | 0.000 |
| 31.204 | 31.204 | 8.579 | -0.000 | 35.941 | -0.000 |
| 0.000 | 0.000 | -0.000 | 0.000 | 0.000 | 53.605 |
| 218.557 | 84.920 | 65.789 | -0.000 | -0.000 | -0.000 |
| 84.920 | 218.557 | 65.789 | -0.000 | -0.000 | -0.000 |
| 65.877 | 65.877 | 198.482 | -0.000 | -0.000 | 0.000 |
| -3.339 | -3.339 | -0.918 | 35.683 | -0.000 | -0.000 |
| -3.339 | -3.339 | -0.918 | -0.000 | 35.683 | -0.000 |
| -2.988 | -2.988 | -0.821 | 0.000 | -0.000 | 37.392 |
| 218.571 | 84.934 | 65.800 | -0.000 | 0.000 | 0.000 |
| 84.934 | 218.571 | 65.800 | 0.000 | 0.000 | 0.000 |
| 69.950 | 69.950 | 203.878 | -0.000 | -0.000 | 0.000 |
| 3.339 | 3.339 | 0.918 | 35.683 | 0.000 | 0.000 |
| 3.339 | 3.339 | 0.918 | -0.000 | 35.683 | 0.000 |
| 2.988 | 2.988 | 0.821 | 0.000 | 0.000 | 37.392 |
| 728.131 | 16.432 | 16.329 | -0.000 | 0.000 | 0.000 |
| 16.432 | 728.131 | 16.329 | 0.000 | 0.000 | 0.000 |
| 16.364 | 16.364 | 727.387 | 0.000 | 0.000 | -0.000 |
| 0.000 | 0.000 | 0.000 | -19.393 | 0.000 | -0.000 |
| 0.000 | 0.000 | 0.000 | 0.000 | -19.393 | -0.000 |
| 0.000 | 0.000 | 0.000 | -0.000 | 0.000 | -19.365 |
| 728.131 | 16.432 | 16.330 | -0.000 | -0.000 | -0.000 |
| 16.432 | 728.131 | 16.330 | -0.000 | -0.000 | -0.000 |
| 16.365 | 16.365 | 727.387 | 0.000 | -0.000 | 0.000 |
| -0.000 | -0.000 | -0.000 | -19.393 | -0.000 | 0.000 |
| -0.000 | -0.000 | -0.000 | 0.000 | -19.393 | 0.000 |
| -0.000 | -0.000 | -0.000 | -0.000 | -0.000 | -19.365 |
| 728.129 | 16.430 | 16.327 | 0.000 | 0.000 | -0.000 |
| 16.430 | 728.129 | 16.327 | 0.000 | 0.000 | 0.000 |
| 16.362 | 16.362 | 727.385 | -0.000 | -0.000 | -0.000 |
| 0.000 | 0.000 | 0.000 | -19.393 | 0.000 | -0.000 |
| 0.000 | 0.000 | 0.000 | -0.000 | -19.393 | -0.000 |
| 0.000 | 0.000 | 0.000 | 0.000 | 0.000 | -19.365 |
| 728.133 | 16.435 | 16.332 | -0.000 | -0.000 | -0.000 |
| 16.435 | 728.133 | 16.332 | -0.000 | -0.000 | -0.000 |
| 16.367 | 16.367 | 727.388 | -0.000 | -0.000 | 0.000 |
| -0.000 | -0.000 | -0.000 | -19.393 | -0.000 | 0.000 |
| -0.000 | -0.000 | -0.000 | 0.000 | -19.393 | 0.000 |
| -0.000 | -0.000 | -0.000 | -0.000 | -0.000 | -19.365 |
| 728.113 | 16.407 | 16.304 | 0.000 | 0.000 | 0.000 |
| 16.407 | 728.113 | 16.304 | 0.000 | 0.000 | 0.000 |
| 16.339 | 16.339 | 727.370 | -0.000 | 0.000 | -0.000 |
| 0.000 | 0.001 | 0.000 | -19.393 | 0.000 | -0.000 |
| 0.001 | 0.000 | 0.000 | 0.000 | -19.393 | -0.000 |
| 0.001 | 0.000 | 0.000 | -0.000 | 0.000 | -19.365 |
| 728.149 | 16.458 | 16.355 | -0.000 | -0.000 | -0.000 |
| 16.458 | 728.149 | 16.355 | -0.000 | -0.000 | -0.000 |
| 16.390 | 16.390 | 727.404 | -0.000 | -0.000 | 0.000 |
| -0.000 | -0.001 | -0.000 | -19.393 | -0.000 | 0.000 |
| -0.001 | -0.000 | -0.000 | -0.000 | -19.393 | 0.000 |
| -0.001 | -0.000 | -0.000 | 0.000 | -0.000 | -19.365 |
Phonon band structures and crystal properties estimated from quasi-harmonic approximation (QHA) calculations are displayed for select crystals. The calculations were performed using phonopy and LAMMPS. For the phonon calculations, 3x3 supercells of the potential-specific relaxed crystals were used. The QHA calculations were based on 11 strain states ranging from -0.05 to 0.05.
The calculation method used is available as the iprPy phonon calculation method.
Notes and Disclaimers:
Version Information:






























































































































































Static free surface formation energies are displayed for select crystals. The values displayed here are obtained by taking a perfect periodic bulk crystal, slicing along a crystallographic plane, and using force minimization to statically relax the surfaces. The free surface formation energy is computed by comparing the energy of the defect system to the bulk system and dividing by the total surface area created by the cut.
The calculation method used is available as the iprPy surface_energy_static calculation method.
Notes and Disclaimers:
Version Information:
| Surface | γfs (mJ/m2) |
|---|---|
| (111) 2 | -11994.69 |
| (331) 2 | -2160.53 |
| (322) | -1614.45 |
| (221) | -1498.26 |
| (110) | -1202.51 |
| (320) | -1195.04 |
| (210) | -1153.18 |
| (310) | -1136.74 |
| (321) | -960.39 |
| (211) | -956.24 |
| (331) 1 | -689.59 |
| (311) 1 | -596.45 |
| (311) 2 | 266.17 |
| (111) 1 | 493.74 |
| (100) | 1290.72 |
| Surface | γfs (mJ/m2) |
|---|---|
| (322) | -3534.54 |
| (321) | -2345.73 |
| (211) | -1051.15 |
| (111) | 1395.96 |
| (332) | 1535.41 |
| (100) | 1537.34 |
| (221) | 1595.00 |
| (331) | 1641.44 |
| (311) | 1669.48 |
| (110) | 1676.57 |
| (310) | 1729.35 |
| (320) | 1748.56 |
| (210) | 1760.77 |
| Surface | γfs (mJ/m2) |
|---|---|
| (211) 2 | 1517.69 |
| (332) 2 | 1582.86 |
| (210) | 1585.65 |
| (321) 2 | 1610.83 |
| (111) | 1616.51 |
| (311) | 1618.04 |
| (321) 1 | 1619.03 |
| (221) | 1625.19 |
| (322) | 1633.03 |
| (331) | 1657.76 |
| (100) | 1668.01 |
| (332) 1 | 1679.56 |
| (320) | 1686.64 |
| (310) | 1691.72 |
| (211) 1 | 1710.21 |
| (110) | 1719.41 |
| Surface | γfs (mJ/m2) |
|---|---|
| (110) | 1617.00 |
| (320) | 1742.00 |
| (100) | 1752.01 |
| (210) | 1790.89 |
| (310) | 1818.42 |
| (321) | 1821.30 |
| (331) | 1828.54 |
| (211) | 1852.56 |
| (311) | 1889.03 |
| (221) | 1895.30 |
| (322) | 1927.71 |
| (332) | 1934.29 |
| (111) | 1964.59 |
| Surface | γfs (mJ/m2) |
|---|---|
| (2021) 1 | -313.49 |
| (1012) 1 | 79.04 |
| (2130) | 493.43 |
| (2131) 1 | 497.86 |
| (2131) 2 | 501.03 |
| (2132) 2 | 521.84 |
| (2241) | 560.72 |
| (1121) | 572.00 |
| (2132) 1 | 711.34 |
| (2112) | 1012.73 |
| (0001) | 1396.43 |
| (1012) 2 | 1489.56 |
| (1011) 1 | 1536.72 |
| (2021) 2 | 1633.15 |
| (1120) | 1678.05 |
| (1010) | 1705.15 |
| (1011) 2 | 1740.33 |
| Surface | γfs (mJ/m2) |
|---|---|
| (2132) 2 | -1388.59 |
| (2132) 1 | -1037.87 |
| (1011) 1 | 62.23 |
| (2130) 2 | 482.65 |
| (2241) | 562.41 |
| (1121) | 598.40 |
| (2131) 1 | 627.03 |
| (0001) | 1397.33 |
| (1010) 1 | 1490.75 |
| (1011) 2 | 1493.61 |
| (2021) 1 | 1537.96 |
| (1012) 1 | 1643.74 |
| (2130) 1 | 1661.21 |
| (2112) | 1675.48 |
| (1012) 2 | 1675.92 |
| (1120) | 1678.88 |
| (2131) 2 | 1712.28 |
| (2021) 2 | 1752.49 |
| (1010) 2 | 1934.13 |
Static point defect formation energies, Ef, and elastic dipole tensors, pij, are displayed for select crystals. Relaxed defect configurations are obtained by taking a 12x12x12 supercell of a perfect periodic bulk crystal, inserting the point defect, and using force minimization to statically relax the atomic positions while keeping the system dimensions constant. Ef is computed by comparing the energy of the defect system to the same number of atoms in a perfect bulk crystal. pij is estimated as the difference in the system's global pressure with and without the defect multiplied by the system's volume.
Simple structural comparisons of the unrelaxed and relaxed defect configurations are used to help determine if the defect structure has relaxed to a different configuration. Relaxed structures that are identified as no longer consistent with the ideal defect definition are excluded from the table below. The only exception to this is if the lowest energy interstitial configuration does not coincide with a known ideal defect, its energies and pressure tensor are included under the listing "relaxed interstitial". The full list of calculation results including the transformed structures and the structural comparison values is included in the csv file available from the "Download raw data" link.
The calculation method used is available as the iprPy point_defect_static calculation method.
Notes and Disclaimers:
| Point Defect | Ef (eV) | p11 (eV) | p22 (eV) | p33 (eV) | p12 (eV) | p13 (eV) | p23 (eV) |
|---|---|---|---|---|---|---|---|
| 1nn divacancy | -2.057 | 129.267 | 129.267 | 129.267 | -1.182 | -1.182 | -1.182 |
| vacancy | -1.272 | 96.038 | 96.038 | 96.038 | -0.000 | -0.000 | -0.000 |
| Point Defect | Ef (eV) | p11 (eV) | p22 (eV) | p33 (eV) | p12 (eV) | p13 (eV) | p23 (eV) |
|---|---|---|---|---|---|---|---|
| relaxed interstitial | -356.056 | -2775.109 | -2733.734 | -2750.312 | 681.528 | 674.568 | 678.130 |
| vacancy | 1.765 | -1.534 | -1.534 | -1.534 | 0.000 | 0.000 | -0.000 |
| octahedral interstitial | 1.795 | 3.143 | 3.143 | 3.143 | 0.000 | -0.000 | -0.000 |
| 2nn divacancy | 3.503 | -3.437 | -3.437 | -2.675 | 0.000 | 0.000 | -0.000 |
| Point Defect | Ef (eV) | p11 (eV) | p22 (eV) | p33 (eV) | p12 (eV) | p13 (eV) | p23 (eV) |
|---|---|---|---|---|---|---|---|
| vacancy | 1.721 | -2.813 | -2.813 | -2.813 | -0.000 | 0.000 | -0.000 |
| 2nn divacancy | 3.203 | -6.148 | -6.148 | -6.655 | -0.000 | 0.000 | 0.000 |
| 1nn divacancy | 3.303 | -4.559 | -4.559 | -4.559 | 0.601 | 0.601 | 0.601 |
| 110 dumbbell | 3.530 | 18.169 | 14.996 | 14.996 | 0.000 | 0.000 | 3.719 |
| crowdion interstitial | 3.999 | 13.188 | 13.188 | 13.188 | 6.466 | 6.466 | 6.466 |
| 111 dumbbell | 4.006 | 12.828 | 12.828 | 12.828 | 6.362 | 6.362 | 6.362 |
| octahedral interstitial | 4.171 | 18.491 | 10.474 | 10.474 | -0.000 | 0.000 | -0.000 |
| Point Defect | Ef (eV) | p11 (eV) | p22 (eV) | p33 (eV) | p12 (eV) | p13 (eV) | p23 (eV) |
|---|---|---|---|---|---|---|---|
| relaxed interstitial | -216.599 | -1267.752 | -1886.751 | -2481.892 | -271.937 | -0.002 | -0.003 |
| 0001 dumbbell | 1.254 | -0.353 | -0.353 | 15.193 | -0.000 | 0.000 | 0.000 |
| vacancy | 1.768 | -1.625 | -1.625 | -1.759 | -0.000 | -0.000 | -0.000 |
Plots of the atomic structure of dislocation cores are shown here. The dislocations were constructed using dislocation monopole configurations in which a straight dislocation is created in the center of the system using anisotropic elasticity and the elastic constants computed above. A cylindrical region centered around the dislocation is allowed to relax while the remaining atoms are held fixed. The relaxation consists of 1 million NVT steps at 10 K followed by an energy/force minimization. The final plots show the atomic configuration near the center of the monopole system, and display differential displacement arrows and Nye tensor color maps that are both taken with respect to the Burgers vector direction.
These plots show a wide range of final structures, some corresponding to expected dislocation structures and others not. While the characterizations are dislocation-type dependent, some general classification guidelines are listed here.
The calculation method used is available as the iprPy dislocation_monopole calculation method.
Links are provided above the images allowing for users to download the final defect configuration and a corresponding defect-free configuration if they wish to further analyze the structures or use them for subsequent simulations.
Notes and Disclaimers:
Version Information:
Plots of lattice and elastic constants are shown as a function of temperature. The 0K points were taken from the Crystal Structure Predictions and the Elastic Constants Predictions sections above for the unique crystal structures relaxed with the "dynamic" method. Starting from the 0 K relaxed crystal unit cells, supercell systems are created by replicating all three dimensions by the same multiplier to achieve at least 4000 atoms. The systems are then relaxed at 50 K and zero pressure using 1 million NPT steps. Lattice constants are estimated by averaging the measured box dimensions. Temperatures are iteratively increased by 50 K, with each subsequent relaxation calculation starting from the final atomic configuration at the previous temperature and relaxing for another 1 million steps.
The elastic constants are calculated using the deformation–fluctuation hybrid method. Starting from the final atomic configurations of the dynamic relaxations, the system is allowed to evolve at constant volume with a Langevin thermostat. The Born matrix is computed during this run by evaluating how the atomic forces would vary due to applied linear strain fields. The elastic constants can then be estimated using the averaged Born matrix values and the averaged stresses on the system.
The calculation methods used are available as the iprPy relax_dynamic and elastic_constants_dynamic calculation methods.
Clicking on the image of a plot will open an interactive version of it in a new tab. The underlying data for the plots can be downloaded by clicking on the links above each plot.
Notes and Disclaimers:
Version Information:
Plots of radial distribution functions at different temperatures and the temperature-dependent diffusion and viscosity are shown here for elemental liquids. Melt phases are constructed by starting with a 10x10x10 fcc super cell and relaxing with 50,000 NPT steps at zero pressure and a high melting temperature (3000 K for most potentials and elements). Following the melt, liquid structures are relaxed by running NPT for 10,000 steps over which the temperature is dropped by 50 K, then 50,000 NPT at the target temperature to estimate the equilibrium volume, followed by 20,000 NVT steps at the averaged equilibrium volume and target temperature. Structures from the NVT run are sampled to compute the radial distribution function of the liquid at the corresponding temperature.
The final relaxed configurations at each temperature explored are used as the initial configurations for the diffusion and viscosity calculations. For diffusion, the system is integrated for 100 runs of 2,000 NVT steps during which both the mean squared displacement (MSD) and the velocity auto correlation function (VACF) are computed. From these simulations, three estimates of diffusion are computed: one from the MSD of the full 200,000 step run, one in which the MSD is reset for each short run and then averaged, and one from the VACF computed for each short run and averaged. For viscosity, the Green-Kubo method is used which is evaluated during a 1 million step NVT run.
The calculation methods used are available as the iprPy relax_liquid_redo, diffusion_liquid, and viscosity_green_kubo calculation methods.
Clicking on the image of a plot will open an interactive version of it in a new tab. The underlying data for the plots can be downloaded by clicking on the links above each plot.
Notes and Disclaimers:
Version Information:
Plots of internal energy, Gibbs free energy, entropy, heat capacity and volume are shown here as a function of temperature for various crystal structures and liquid phases. The included crystal structures correspond to those in the Solid Structures vs. Temperature section, and the liquid phases to those in the Liquid Properties section. Internal energy and volume are taken from the associated structure relaxations mentioned in those previous sections. Constant pressure heat capacity is estimated using 3-point numerical derivatives of enthalpy versus temperature. Note that since all simulations done here are at 0 pressure, internal energy and enthalpy are equivalent.
The Gibbs energies of the phases are estimated using thermodynamic integration between the interatomic potential in question and a simpler model with known Gibbs free energy values. For solids, the reference model is an Einstein solid, while for liquids it is the Uhlenbeck-Ford potential. Besides a short run at the start of the solid calculations to estimate Einstein model spring constants, the two calculations proceed similarly. Starting with the final relaxation configurations, the systems are stabilized for 25,000 steps. Then, over the next 50,000 steps the potential is swapped out for the reference potential. The system is then stabilized for another 25,000 steps with the reference model before a reverse swap of 50,000 steps is performed. The simulation ends with one final 25,000 step stabilization period. From the simulation, the irreversible work of transformation is estimated and used to compute the absolute Gibbs free energy of the target phase and potential relative to the reference potential. Entropy is estimated as the difference in enthalpy and Gibbs free energy and divided by temperature.
The calculation methods used are available as the iprPy relax_dynamic, relax_liquid_redo, free_energy, and free_energy_liquid calculation methods.
Clicking on the image of a plot will open an interactive version of it in a new tab. The underlying data for the plots can be downloaded by clicking on the links above each plot.
Notes and Disclaimers:
Version Information:






