Plots of the potential energy vs interatomic spacing, r, are shown below for all diatom sets associated with the interatomic potential. This calculation provides insights into the functional form of the potential's two-body interactions. A system consisting of only two atoms is created, and the potential energy is evaluated for the atoms separated by 0.02 Å <= r <= 6.0> Å in intervals of 0.02 Å. Two plots are shown: one for the "standard" interaction distance range, and one for small values of r. The small r plot is useful for determining whether the potential is suitable for radiation studies.
The calculation method used is available as the iprPy diatom_scan calculation method.
Clicking on the image of a plot will open an interactive version of it in a new tab. The underlying data for the plots can be downloaded by clicking on the links above each plot.
Notes and Disclaimers:
Version Information:
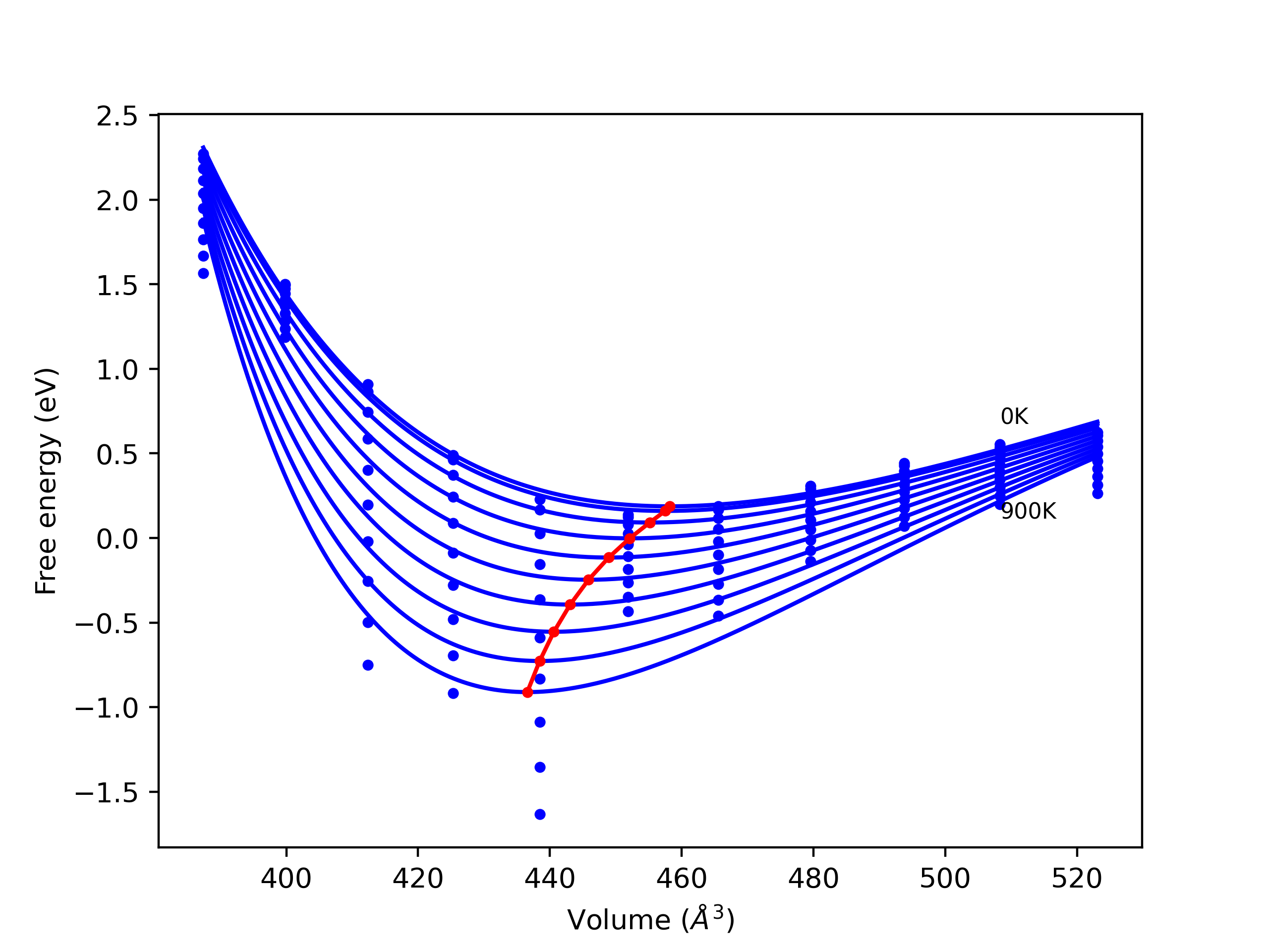
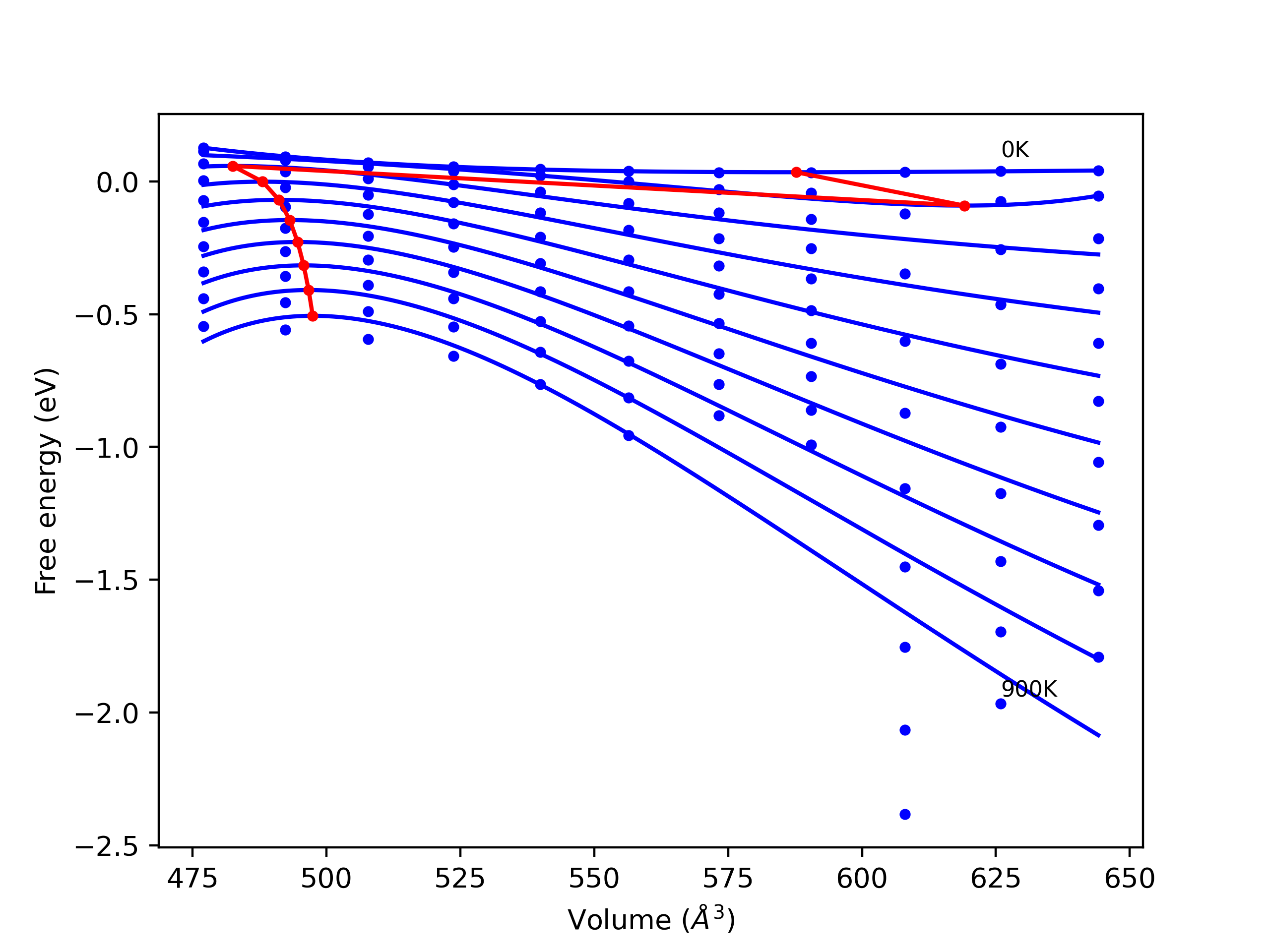
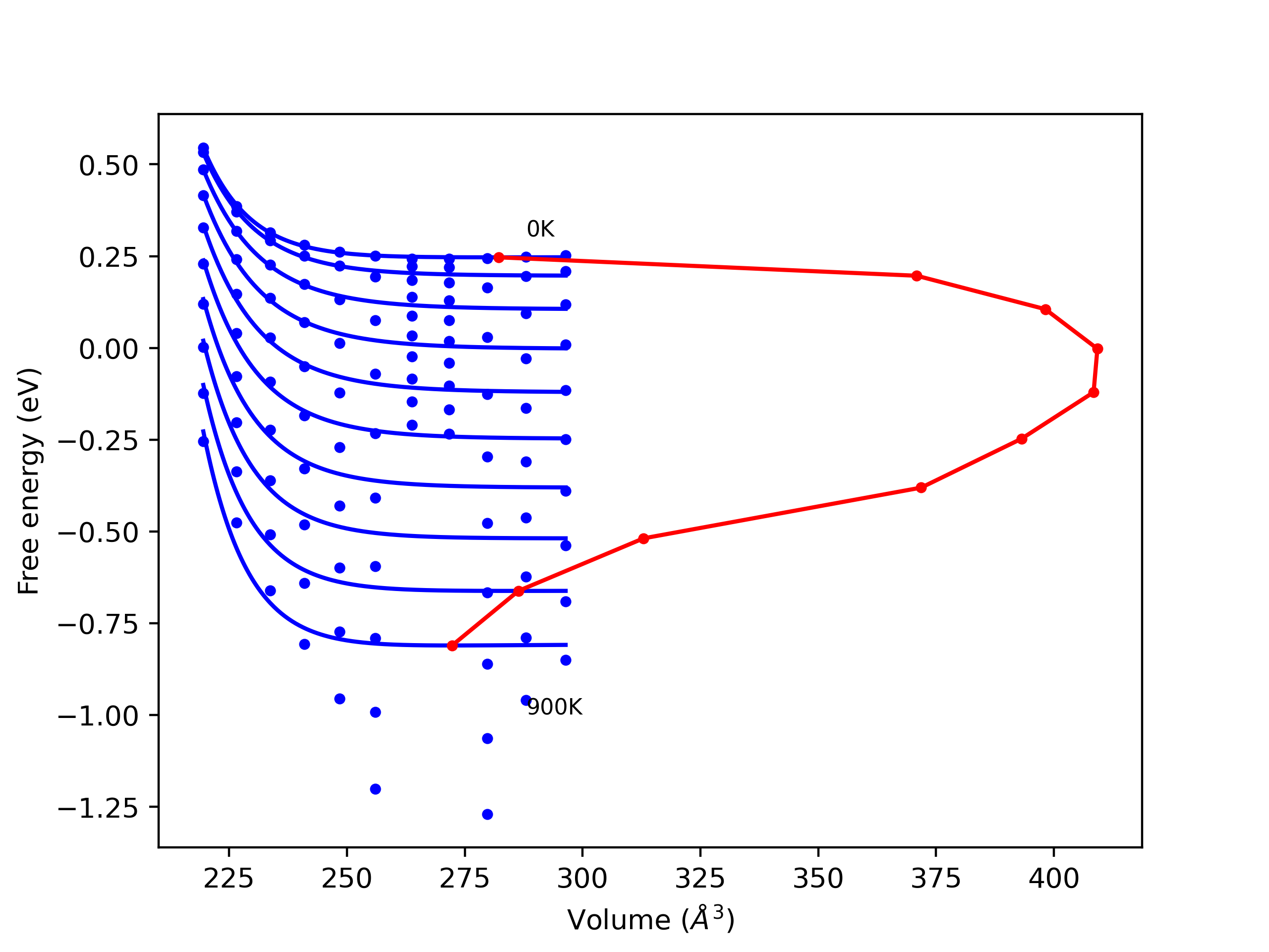
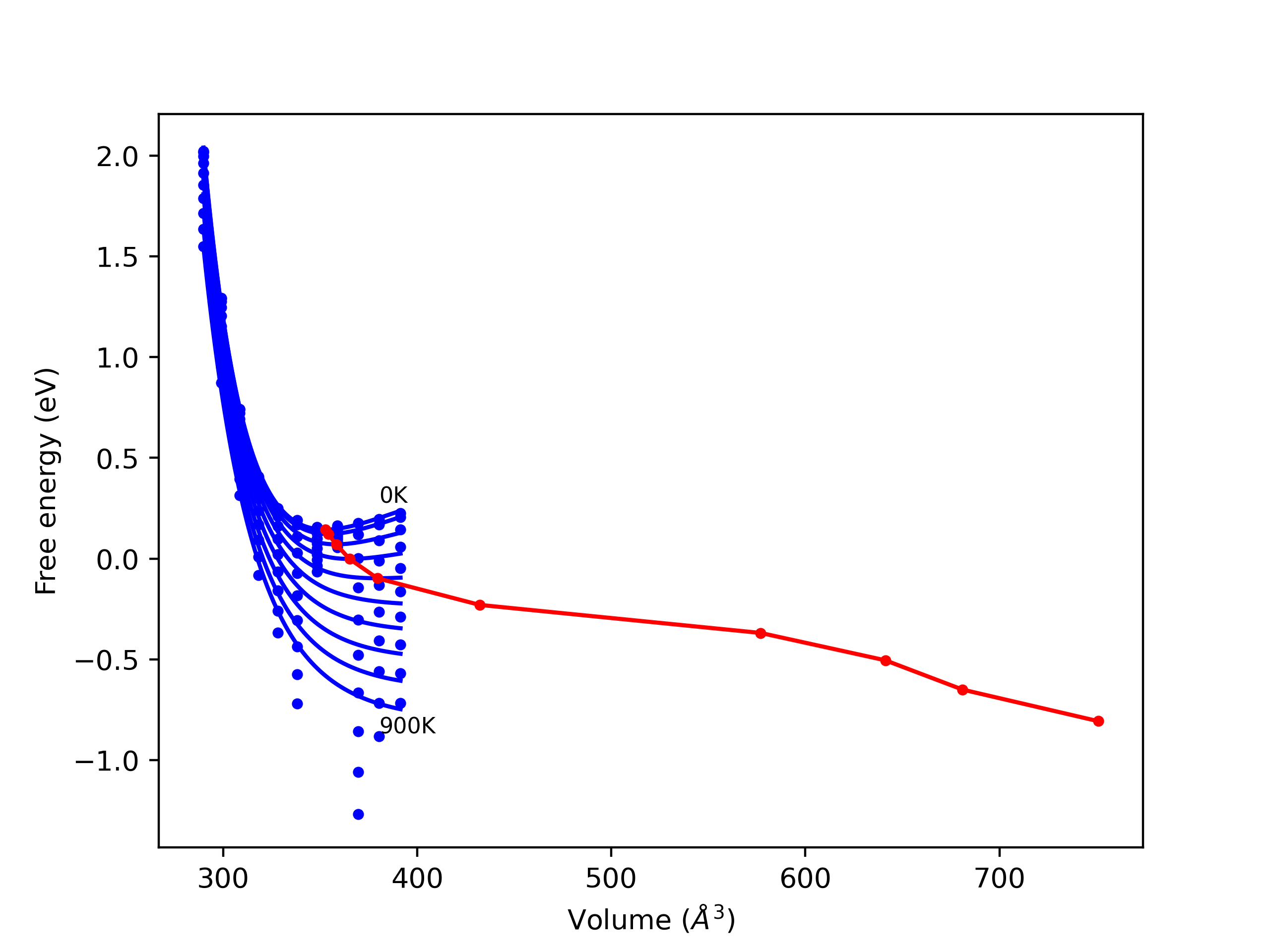
Plots of potential energy vs interatomic spacing, r, are shown below for a number of crystal structures. The structures are generated based on the ideal atomic positions and b/a and c/a lattice parameter ratios for a given crystal prototype. The size of the system is then uniformly scaled, and the energy calculated without relaxing the system. To obtain these plots, values of r are evaluated every 0.02 Å up to 6 Å.
The calculation method used is available as the iprPy E_vs_r_scan calculation method.
Clicking on the image of a plot will open an interactive version of it in a new tab. The underlying data for the plots can be downloaded by clicking on the links above each plot.
Notes and Disclaimers:
Version Information:
Computed lattice constants and cohesive/potential energies are displayed for a variety of crystal structures. The values displayed here are obtained using the following process.
The calculation methods used are implemented into iprPy as the following calculation styles
Notes and Disclaimers:
Version Information:
Download raw data (including filtered results)
Reference structure matches:
A1--Cu--fcc = mp-102, oqmd-592136, oqmd-594128, oqmd-1214517
A15--beta-W = oqmd-1214962, oqmd-1280314
A2--W--bcc = oqmd-1215140, oqmd-1215853
A3'--alpha-La--double-hcp = mp-1183710, oqmd-1215408
A3--Mg--hcp = mp-54, oqmd-592630, oqmd-637416, oqmd-1215318
A4--C--dc = oqmd-1215497
A5--beta-Sn = oqmd-1215586
A6--In--bct = oqmd-1215675
| prototype | method | Ecoh (eV/atom) | Epot (eV/atom) | a0 (Å) | b0 (Å) | c0 (Å) | α (degrees) | β (degrees) | γ (degrees) |
|---|---|---|---|---|---|---|---|---|---|
| A3--Mg--hcp | static | -4.4114 | -4.4114 | 2.5118 | 2.5118 | 4.1319 | 90.0 | 90.0 | 120.0 |
| A1--Cu--fcc | dynamic | -4.41 | -4.41 | 3.55 | 3.55 | 3.55 | 90.0 | 90.0 | 90.0 |
| A3--Mg--hcp | static | -4.4097 | -4.4097 | 2.52 | 2.52 | 4.1169 | 90.0 | 90.0 | 120.0 |
| A3'--alpha-La--double-hcp | dynamic | -4.4095 | -4.4095 | 2.5058 | 2.5058 | 8.2855 | 90.0 | 90.0 | 120.0 |
| A3'--alpha-La--double-hcp | static | -4.4094 | -4.4094 | 2.5192 | 2.5192 | 8.2363 | 90.0 | 90.0 | 120.0 |
| A6--In--bct | box | -4.4091 | -4.4091 | 2.5358 | 2.5358 | 3.4567 | 90.0 | 90.0 | 90.0 |
| A3--Mg--hcp | dynamic | -4.4086 | -4.4086 | 2.5015 | 2.5015 | 4.1901 | 90.0 | 90.0 | 120.0 |
| oqmd-1215229 | box | -4.4085 | -4.4085 | 2.4962 | 4.3413 | 4.1905 | 90.0 | 90.0 | 90.0 |
| oqmd-1216031 | dynamic | -4.4083 | -4.4083 | 2.5043 | 2.5043 | 18.7207 | 90.0 | 90.0 | 120.0 |
| A3'--alpha-La--double-hcp | dynamic | -4.4078 | -4.4078 | 2.5058 | 2.5058 | 8.2859 | 90.0 | 90.0 | 120.0 |
| A1--Cu--fcc | static | -4.3795 | -4.3795 | 3.4641 | 3.4641 | 3.4641 | 90.0 | 90.0 | 90.0 |
| A3--Mg--hcp | static | -4.3429 | -4.3429 | 2.4509 | 2.4509 | 3.9599 | 90.0 | 90.0 | 120.0 |
| A2--W--bcc | box | -4.3305 | -4.3305 | 2.915 | 2.915 | 2.915 | 90.0 | 90.0 | 90.0 |
| oqmd-1214873 | dynamic | -4.3086 | -4.3086 | 6.2094 | 6.2094 | 6.2094 | 90.0 | 90.0 | 90.0 |
| oqmd-1214873 | box | -4.3065 | -4.3065 | 6.2136 | 6.2136 | 6.2136 | 90.0 | 90.0 | 90.0 |
| oqmd-594127 | box | -4.282 | -4.282 | 8.0943 | 8.0943 | 9.6627 | 90.0 | 90.0 | 120.0 |
| oqmd-1214873 | static | -4.2775 | -4.2775 | 6.0887 | 6.0887 | 6.0887 | 90.0 | 90.0 | 90.0 |
| oqmd-1214784 | box | -4.266 | -4.266 | 8.863 | 8.863 | 8.863 | 90.0 | 90.0 | 90.0 |
| A15--beta-W | static | -4.2103 | -4.2103 | 4.5758 | 4.5758 | 4.5758 | 90.0 | 90.0 | 90.0 |
| mp-1193227 | box | -4.1801 | -4.1801 | 8.6265 | 8.6265 | 4.6318 | 90.0 | 90.0 | 90.0 |
| oqmd-631034 | box | -4.1799 | -4.1799 | 8.6275 | 8.6275 | 4.6298 | 90.0 | 90.0 | 90.0 |
| A15--beta-W | static | -4.1629 | -4.1629 | 4.4567 | 4.4567 | 4.4567 | 90.0 | 90.0 | 90.0 |
| oqmd-1215051 | static | -4.1416 | -4.1416 | 3.8972 | 8.6234 | 2.6833 | 90.0 | 90.0 | 90.0 |
| oqmd-631034 | static | -4.1174 | -4.1174 | 8.3665 | 8.3665 | 4.5207 | 90.0 | 90.0 | 90.0 |
| mp-1193227 | static | -4.1043 | -4.1043 | 8.332 | 8.332 | 4.5231 | 90.0 | 90.0 | 90.0 |
| oqmd-1214695 | static | -4.0875 | -4.0875 | 2.3826 | 2.3826 | 8.3971 | 90.0 | 90.0 | 90.0 |
| oqmd-1214695 | box | -4.0872 | -4.0872 | 2.382 | 2.382 | 8.4007 | 90.0 | 90.0 | 90.0 |
| mp-1072089 | static | -4.0793 | -4.0793 | 6.7548 | 6.7548 | 6.7548 | 90.0 | 90.0 | 90.0 |
| oqmd-1215051 | box | -4.0622 | -4.0622 | 3.3337 | 8.6177 | 3.3474 | 90.0 | 90.0 | 90.0 |
| A5--beta-Sn | static | -3.9555 | -3.9555 | 4.4894 | 4.4894 | 2.3862 | 90.0 | 90.0 | 90.0 |
| Ah--alpha-Po--sc | static | -3.6458 | -3.6458 | 2.3299 | 2.3299 | 2.3299 | 90.0 | 90.0 | 90.0 |
| A4--C--dc | static | -2.3701 | -2.3701 | 5.6627 | 5.6627 | 5.6627 | 90.0 | 90.0 | 90.0 |
| Ah--alpha-Po--sc | static | -0.433 | -0.433 | 3.8688 | 3.8688 | 3.8688 | 90.0 | 90.0 | 90.0 |
| A1--Cu--fcc | dynamic | -0.0028 | -0.0028 | 7.9124 | 7.9124 | 7.9124 | 90.0 | 90.0 | 90.0 |
| A3--Mg--hcp | dynamic | -0.0028 | -0.0028 | 5.5949 | 5.5949 | 9.1365 | 90.0 | 90.0 | 120.0 |
| A3'--alpha-La--double-hcp | dynamic | -0.0028 | -0.0028 | 5.5949 | 5.5949 | 18.2729 | 90.0 | 90.0 | 120.0 |
| A15--beta-W | static | -0.0022 | -0.0022 | 9.8016 | 9.8016 | 9.8016 | 90.0 | 90.0 | 90.0 |
| A2--W--bcc | dynamic | -0.0019 | -0.0019 | 6.4604 | 6.4604 | 6.4604 | 90.0 | 90.0 | 90.0 |
| Ah--alpha-Po--sc | dynamic | -0.0014 | -0.0014 | 5.5949 | 5.5949 | 5.5949 | 90.0 | 90.0 | 90.0 |
| A5--beta-Sn | dynamic | -0.0014 | -0.0014 | 10.8345 | 10.8345 | 5.5949 | 90.0 | 90.0 | 90.0 |
| A5--beta-Sn | static | -0.0009 | -0.0009 | 10.8068 | 10.8068 | 5.8053 | 90.0 | 90.0 | 90.0 |
| A4--C--dc | dynamic | -0.0009 | -0.0009 | 12.9209 | 12.9209 | 12.9209 | 90.0 | 90.0 | 90.0 |
| A5--beta-Sn | static | -0.0007 | -0.0007 | 10.8771 | 10.8771 | 6.0 | 90.0 | 90.0 | 90.0 |
| A7--alpha-As | static | -0.0007 | -0.0007 | 8.3583 | 8.3583 | 23.2179 | 90.0 | 90.0 | 120.0 |
| A7--alpha-As | dynamic | -0.0007 | -0.0007 | 7.7417 | 7.7417 | 27.6117 | 90.0 | 90.0 | 120.0 |
| A15--beta-W | dynamic | -0.0004 | -0.0004 | 11.1898 | 11.1898 | 11.1898 | 90.0 | 90.0 | 90.0 |
| A6--In--bct | static | -0.0 | -0.0 | 5.8053 | 5.8053 | 8.76 | 90.0 | 90.0 | 90.0 |
| A1--Cu--fcc | dynamic | 0.0591 | 0.0591 | 7.3078 | 7.3078 | 7.3078 | 90.0 | 90.0 | 90.0 |
| A3'--alpha-La--double-hcp | dynamic | 0.0591 | 0.0591 | 5.1674 | 5.1674 | 16.8767 | 90.0 | 90.0 | 120.0 |
| A3--Mg--hcp | dynamic | 0.0591 | 0.0591 | 5.1674 | 5.1674 | 8.4383 | 90.0 | 90.0 | 120.0 |
Download raw data (including filtered results)
Reference structure matches:
| prototype | method | Ecoh (eV/atom) | Epot (eV/atom) | a0 (Å) | b0 (Å) | c0 (Å) | α (degrees) | β (degrees) | γ (degrees) |
|---|---|---|---|---|---|---|---|---|---|
| C1--CaF2--fluorite | static | -3.6196 | -3.6196 | 5.506 | 5.506 | 5.506 | 90.0 | 90.0 | 90.0 |
| C1--CaF2--fluorite | dynamic | -3.6192 | -3.6192 | 5.506 | 5.506 | 5.506 | 90.0 | 90.0 | 90.0 |
| C1--CaF2--fluorite | box | -3.6187 | -3.6187 | 5.5083 | 5.5083 | 5.5083 | 90.0 | 90.0 | 90.0 |
| C1--CaF2--fluorite | dynamic | -0.034 | -0.034 | 10.3048 | 10.3048 | 10.3048 | 90.0 | 90.0 | 90.0 |
| C1--CaF2--fluorite | static | -0.0009 | -0.0009 | 13.8558 | 13.8558 | 13.8558 | 90.0 | 90.0 | 90.0 |
| C1--CaF2--fluorite | box | -0.0 | -0.0 | 13.4109 | 13.4109 | 13.4109 | 90.0 | 90.0 | 90.0 |
| C1--CaF2--fluorite | dynamic | 0.0 | 0.0 | 15.6671 | 15.6671 | 15.6671 | 90.0 | 90.0 | 90.0 |
Download raw data (including filtered results)
Reference structure matches:
| prototype | method | Ecoh (eV/atom) | Epot (eV/atom) | a0 (Å) | b0 (Å) | c0 (Å) | α (degrees) | β (degrees) | γ (degrees) |
|---|---|---|---|---|---|---|---|---|---|
| mp-1226444 | dynamic | -4.199 | -4.199 | 12.3153 | 12.3771 | 4.5915 | 90.0 | 90.0 | 90.0 |
| mp-1226444 | box | -4.1899 | -4.1899 | 12.3617 | 12.4651 | 4.5758 | 90.0 | 90.0 | 90.0 |
| mp-1226444 | static | -4.1831 | -4.1831 | 12.2224 | 12.3689 | 4.5241 | 90.0 | 90.0 | 90.0 |
Download raw data (including filtered results)
Reference structure matches:
| prototype | method | Ecoh (eV/atom) | Epot (eV/atom) | a0 (Å) | b0 (Å) | c0 (Å) | α (degrees) | β (degrees) | γ (degrees) |
|---|---|---|---|---|---|---|---|---|---|
| L2_1--AlCu2Mn--heusler | static | -4.0332 | -4.0332 | 5.7687 | 5.7687 | 5.7687 | 90.0 | 90.0 | 90.0 |
| L2_1--AlCu2Mn--heusler | dynamic | -0.7751 | -0.7751 | 11.411 | 11.411 | 11.411 | 90.0 | 90.0 | 90.0 |
| L2_1--AlCu2Mn--heusler | dynamic | -0.0008 | -0.0008 | 13.0352 | 13.0352 | 13.0352 | 90.0 | 90.0 | 90.0 |
Download raw data (including filtered results)
Reference structure matches:
| prototype | method | Ecoh (eV/atom) | Epot (eV/atom) | a0 (Å) | b0 (Å) | c0 (Å) | α (degrees) | β (degrees) | γ (degrees) |
|---|---|---|---|---|---|---|---|---|---|
| L2_1--AlCu2Mn--heusler | static | -4.2499 | -4.2499 | 5.7303 | 5.7303 | 5.7303 | 90.0 | 90.0 | 90.0 |
| L2_1--AlCu2Mn--heusler | static | -0.1739 | -0.1739 | 11.7863 | 11.7863 | 11.7863 | 90.0 | 90.0 | 90.0 |
| L2_1--AlCu2Mn--heusler | static | -0.0172 | -0.0172 | 13.8558 | 13.8558 | 13.8558 | 90.0 | 90.0 | 90.0 |
| L2_1--AlCu2Mn--heusler | box | -0.0 | -0.0 | 13.4009 | 13.4009 | 13.4009 | 90.0 | 90.0 | 90.0 |
| L2_1--AlCu2Mn--heusler | dynamic | 0.0 | 0.0 | 14.806 | 14.806 | 14.806 | 90.0 | 90.0 | 90.0 |
Download raw data (including filtered results)
Reference structure matches:
| prototype | method | Ecoh (eV/atom) | Epot (eV/atom) | a0 (Å) | b0 (Å) | c0 (Å) | α (degrees) | β (degrees) | γ (degrees) |
|---|---|---|---|---|---|---|---|---|---|
| L2_1--AlCu2Mn--heusler | static | -4.258 | -4.258 | 5.7499 | 5.7499 | 5.7499 | 90.0 | 90.0 | 90.0 |
| L2_1--AlCu2Mn--heusler | static | -0.002 | -0.002 | 13.8558 | 13.8558 | 13.8558 | 90.0 | 90.0 | 90.0 |
| L2_1--AlCu2Mn--heusler | dynamic | 0.0 | 0.0 | 15.2877 | 15.2877 | 15.2877 | 90.0 | 90.0 | 90.0 |
| L2_1--AlCu2Mn--heusler | box | 0.0 | 0.0 | 13.3968 | 13.3968 | 13.3968 | 90.0 | 90.0 | 90.0 |
Download raw data (including filtered results)
Reference structure matches:
| prototype | method | Ecoh (eV/atom) | Epot (eV/atom) | a0 (Å) | b0 (Å) | c0 (Å) | α (degrees) | β (degrees) | γ (degrees) |
|---|---|---|---|---|---|---|---|---|---|
| C1--CaF2--fluorite | static | -3.4058 | -3.4058 | 5.4677 | 5.4677 | 5.4677 | 90.0 | 90.0 | 90.0 |
| C1--CaF2--fluorite | dynamic | -0.3585 | -0.3585 | 11.509 | 11.509 | 11.509 | 90.0 | 90.0 | 90.0 |
| C1--CaF2--fluorite | dynamic | -0.0019 | -0.0019 | 12.9848 | 12.9848 | 12.9848 | 90.0 | 90.0 | 90.0 |
Download raw data (including filtered results)
Reference structure matches:
| prototype | method | Ecoh (eV/atom) | Epot (eV/atom) | a0 (Å) | b0 (Å) | c0 (Å) | α (degrees) | β (degrees) | γ (degrees) |
|---|---|---|---|---|---|---|---|---|---|
| L2_1--AlCu2Mn--heusler | static | -4.0667 | -4.0667 | 5.7522 | 5.7522 | 5.7522 | 90.0 | 90.0 | 90.0 |
| L2_1--AlCu2Mn--heusler | static | -0.227 | -0.227 | 10.0741 | 10.0741 | 10.0741 | 90.0 | 90.0 | 90.0 |
| L2_1--AlCu2Mn--heusler | box | -0.0483 | -0.0483 | 11.8758 | 11.8758 | 11.8758 | 90.0 | 90.0 | 90.0 |
| L2_1--AlCu2Mn--heusler | static | -0.012 | -0.012 | 13.8558 | 13.8558 | 13.8558 | 90.0 | 90.0 | 90.0 |
| L2_1--AlCu2Mn--heusler | box | -0.0 | -0.0 | 13.4008 | 13.4008 | 13.4008 | 90.0 | 90.0 | 90.0 |
| L2_1--AlCu2Mn--heusler | dynamic | 0.0 | 0.0 | 14.9627 | 14.9627 | 14.9627 | 90.0 | 90.0 | 90.0 |
Download raw data (including filtered results)
Reference structure matches:
| prototype | method | Ecoh (eV/atom) | Epot (eV/atom) | a0 (Å) | b0 (Å) | c0 (Å) | α (degrees) | β (degrees) | γ (degrees) |
|---|---|---|---|---|---|---|---|---|---|
| L2_1--AlCu2Mn--heusler | static | -4.0822 | -4.0822 | 5.7696 | 5.7696 | 5.7696 | 90.0 | 90.0 | 90.0 |
| L2_1--AlCu2Mn--heusler | dynamic | -0.2508 | -0.2508 | 11.5261 | 11.5261 | 11.5261 | 90.0 | 90.0 | 90.0 |
| L2_1--AlCu2Mn--heusler | dynamic | -0.0007 | -0.0007 | 13.034 | 13.034 | 13.034 | 90.0 | 90.0 | 90.0 |
Download raw data (including filtered results)
Reference structure matches:
| prototype | method | Ecoh (eV/atom) | Epot (eV/atom) | a0 (Å) | b0 (Å) | c0 (Å) | α (degrees) | β (degrees) | γ (degrees) |
|---|---|---|---|---|---|---|---|---|---|
| C1--CaF2--fluorite | static | -3.523 | -3.523 | 5.6156 | 5.6156 | 5.6156 | 90.0 | 90.0 | 90.0 |
| C1--CaF2--fluorite | dynamic | -0.2889 | -0.2889 | 11.7612 | 11.7612 | 11.7612 | 90.0 | 90.0 | 90.0 |
| C1--CaF2--fluorite | static | -0.022 | -0.022 | 13.8558 | 13.8558 | 13.8558 | 90.0 | 90.0 | 90.0 |
| C1--CaF2--fluorite | dynamic | 0.0 | 0.0 | 15.0126 | 15.0126 | 15.0126 | 90.0 | 90.0 | 90.0 |
| C1--CaF2--fluorite | box | 0.0116 | 0.0116 | 12.9007 | 12.9007 | 12.9007 | 90.0 | 90.0 | 90.0 |
Download raw data (including filtered results)
Reference structure matches:
| prototype | method | Ecoh (eV/atom) | Epot (eV/atom) | a0 (Å) | b0 (Å) | c0 (Å) | α (degrees) | β (degrees) | γ (degrees) |
|---|---|---|---|---|---|---|---|---|---|
| L2_1--AlCu2Mn--heusler | static | -4.2923 | -4.2923 | 5.7168 | 5.7168 | 5.7168 | 90.0 | 90.0 | 90.0 |
| L2_1--AlCu2Mn--heusler | box | -0.2131 | -0.2131 | 11.7553 | 11.7553 | 11.7553 | 90.0 | 90.0 | 90.0 |
| L2_1--AlCu2Mn--heusler | static | -0.0177 | -0.0177 | 13.8558 | 13.8558 | 13.8558 | 90.0 | 90.0 | 90.0 |
| L2_1--AlCu2Mn--heusler | box | -0.0 | -0.0 | 13.4009 | 13.4009 | 13.4009 | 90.0 | 90.0 | 90.0 |
| L2_1--AlCu2Mn--heusler | dynamic | 0.0 | 0.0 | 14.8194 | 14.8194 | 14.8194 | 90.0 | 90.0 | 90.0 |
| L2_1--AlCu2Mn--heusler | box | 0.0 | 0.0 | 13.4064 | 13.4064 | 13.4064 | 90.0 | 90.0 | 90.0 |
Download raw data (including filtered results)
Reference structure matches:
| prototype | method | Ecoh (eV/atom) | Epot (eV/atom) | a0 (Å) | b0 (Å) | c0 (Å) | α (degrees) | β (degrees) | γ (degrees) |
|---|---|---|---|---|---|---|---|---|---|
| C1--CaF2--fluorite | static | -3.66 | -3.66 | 5.506 | 5.506 | 5.506 | 90.0 | 90.0 | 90.0 |
| C1--CaF2--fluorite | box | -3.659 | -3.659 | 5.5545 | 5.5545 | 5.5545 | 90.0 | 90.0 | 90.0 |
| C1--CaF2--fluorite | dynamic | -3.6546 | -3.6546 | 5.506 | 5.506 | 5.506 | 90.0 | 90.0 | 90.0 |
| oqmd-1232456 | box | -2.9516 | -2.9516 | 4.9544 | 4.9544 | 3.9809 | 90.0 | 90.0 | 90.0 |
| oqmd-1232456 | static | -2.8928 | -2.8928 | 4.8268 | 4.8268 | 3.7982 | 90.0 | 90.0 | 90.0 |
| C1--CaF2--fluorite | box | -0.0084 | -0.0084 | 10.8484 | 10.8484 | 10.8484 | 90.0 | 90.0 | 90.0 |
| C1--CaF2--fluorite | static | -0.0017 | -0.0017 | 13.8558 | 13.8558 | 13.8558 | 90.0 | 90.0 | 90.0 |
| C1--CaF2--fluorite | dynamic | 0.0 | 0.0 | 15.6127 | 15.6127 | 15.6127 | 90.0 | 90.0 | 90.0 |
Download raw data (including filtered results)
Reference structure matches:
| prototype | method | Ecoh (eV/atom) | Epot (eV/atom) | a0 (Å) | b0 (Å) | c0 (Å) | α (degrees) | β (degrees) | γ (degrees) |
|---|---|---|---|---|---|---|---|---|---|
| oqmd-426534 | box | -3.7639 | -3.7639 | 6.1045 | 6.1045 | 12.0505 | 90.0 | 90.0 | 120.0 |
| oqmd-426534 | static | -3.709 | -3.709 | 5.9132 | 5.9132 | 11.7907 | 90.0 | 90.0 | 120.0 |
Download raw data (including filtered results)
Reference structure matches:
L1_2--AuCu3 = mp-1008280
| prototype | method | Ecoh (eV/atom) | Epot (eV/atom) | a0 (Å) | b0 (Å) | c0 (Å) | α (degrees) | β (degrees) | γ (degrees) |
|---|---|---|---|---|---|---|---|---|---|
| L1_2--AuCu3 | dynamic | -4.3572 | -4.3572 | 3.5463 | 3.5463 | 3.5463 | 90.0 | 90.0 | 90.0 |
| mp-1087479 | dynamic | -4.3522 | -4.3522 | 4.998 | 4.998 | 4.1662 | 90.0 | 90.0 | 120.0 |
| mp-1226209 | dynamic | -4.3502 | -4.3502 | 2.4958 | 2.4958 | 8.3555 | 90.0 | 90.0 | 120.0 |
| mp-1226209 | static | -4.3492 | -4.3492 | 2.5101 | 2.5101 | 8.2466 | 90.0 | 90.0 | 120.0 |
| mp-1226209 | box | -4.3477 | -4.3477 | 2.497 | 2.497 | 8.3512 | 90.0 | 90.0 | 120.0 |
| mp-1087479 | box | -4.3413 | -4.3413 | 5.0214 | 5.0214 | 4.1694 | 90.0 | 90.0 | 120.0 |
| mp-1087479 | static | -4.3393 | -4.3393 | 5.0226 | 5.0226 | 4.0825 | 90.0 | 90.0 | 120.0 |
| D0_3--BiF3 | static | -4.2686 | -4.2686 | 5.8045 | 5.8045 | 5.8045 | 90.0 | 90.0 | 90.0 |
| A15--Cr3Si | static | -4.1482 | -4.1482 | 4.6138 | 4.6138 | 4.6138 | 90.0 | 90.0 | 90.0 |
| A15--Cr3Si | dynamic | -0.0004 | -0.0004 | 11.1898 | 11.1898 | 11.1898 | 90.0 | 90.0 | 90.0 |
| L1_2--AuCu3 | dynamic | -0.0003 | -0.0003 | 7.997 | 7.997 | 7.997 | 90.0 | 90.0 | 90.0 |
| D0_3--BiF3 | dynamic | -0.0002 | -0.0002 | 13.059 | 13.059 | 13.059 | 90.0 | 90.0 | 90.0 |
| A15--Cr3Si | static | 0.0025 | 0.0025 | 9.798 | 9.798 | 9.798 | 90.0 | 90.0 | 90.0 |
| A15--Cr3Si | static | 0.0032 | 0.0032 | 9.6667 | 9.6667 | 9.6667 | 90.0 | 90.0 | 90.0 |
| A15--Cr3Si | static | 0.0082 | 0.0082 | 9.0292 | 9.0292 | 9.0292 | 90.0 | 90.0 | 90.0 |
| L1_2--AuCu3 | static | 0.0535 | 0.0535 | 7.2175 | 7.2175 | 7.2175 | 90.0 | 90.0 | 90.0 |
Download raw data (including filtered results)
Reference structure matches:
| prototype | method | Ecoh (eV/atom) | Epot (eV/atom) | a0 (Å) | b0 (Å) | c0 (Å) | α (degrees) | β (degrees) | γ (degrees) |
|---|---|---|---|---|---|---|---|---|---|
| mp-1183752 | dynamic | -4.1874 | -4.1874 | 3.5738 | 3.5738 | 7.1127 | 90.0 | 90.0 | 90.0 |
| L1_2--AuCu3 | dynamic | -4.1857 | -4.1857 | 3.5718 | 3.5718 | 3.5718 | 90.0 | 90.0 | 90.0 |
| D0_3--BiF3 | static | -4.0912 | -4.0912 | 5.805 | 5.805 | 5.805 | 90.0 | 90.0 | 90.0 |
| A15--Cr3Si | static | -3.9966 | -3.9966 | 4.627 | 4.627 | 4.627 | 90.0 | 90.0 | 90.0 |
| L1_2--AuCu3 | dynamic | -0.729 | -0.729 | 7.1863 | 7.1863 | 7.1863 | 90.0 | 90.0 | 90.0 |
| D0_3--BiF3 | box | -0.3367 | -0.3367 | 11.6511 | 11.6511 | 11.6511 | 90.0 | 90.0 | 90.0 |
| A15--Cr3Si | static | -0.0545 | -0.0545 | 8.6902 | 8.6902 | 8.6902 | 90.0 | 90.0 | 90.0 |
| L1_2--AuCu3 | dynamic | -0.0034 | -0.0034 | 7.9412 | 7.9412 | 7.9412 | 90.0 | 90.0 | 90.0 |
| D0_3--BiF3 | dynamic | -0.0023 | -0.0023 | 12.968 | 12.968 | 12.968 | 90.0 | 90.0 | 90.0 |
| A15--Cr3Si | dynamic | -0.0004 | -0.0004 | 11.1898 | 11.1898 | 11.1898 | 90.0 | 90.0 | 90.0 |
| A15--Cr3Si | static | 0.0027 | 0.0027 | 9.9617 | 9.9617 | 9.9617 | 90.0 | 90.0 | 90.0 |
| A15--Cr3Si | static | 0.0112 | 0.0112 | 10.6179 | 10.6179 | 10.6179 | 90.0 | 90.0 | 90.0 |
Download raw data (including filtered results)
Reference structure matches:
L1_2--AuCu3 = mp-1007852
| prototype | method | Ecoh (eV/atom) | Epot (eV/atom) | a0 (Å) | b0 (Å) | c0 (Å) | α (degrees) | β (degrees) | γ (degrees) |
|---|---|---|---|---|---|---|---|---|---|
| mp-1225083 | dynamic | -4.4047 | -4.4047 | 2.5233 | 2.5233 | 7.0531 | 90.0 | 90.0 | 90.0 |
| mp-1225083 | box | -4.4027 | -4.4027 | 2.522 | 2.522 | 7.0606 | 90.0 | 90.0 | 90.0 |
| L1_2--AuCu3 | dynamic | -4.3977 | -4.3977 | 3.5553 | 3.5553 | 3.5553 | 90.0 | 90.0 | 90.0 |
| D0_3--BiF3 | static | -4.3013 | -4.3013 | 5.7954 | 5.7954 | 5.7954 | 90.0 | 90.0 | 90.0 |
| A15--Cr3Si | static | -4.1967 | -4.1967 | 4.6026 | 4.6026 | 4.6026 | 90.0 | 90.0 | 90.0 |
| A15--Cr3Si | dynamic | -0.333 | -0.333 | 9.0121 | 9.0121 | 9.0121 | 90.0 | 90.0 | 90.0 |
| L1_2--AuCu3 | static | -0.2485 | -0.2485 | 7.1134 | 7.1134 | 7.1134 | 90.0 | 90.0 | 90.0 |
| A15--Cr3Si | box | -0.2252 | -0.2252 | 9.4518 | 9.4518 | 9.4518 | 90.0 | 90.0 | 90.0 |
| D0_3--BiF3 | box | -0.1916 | -0.1916 | 11.7291 | 11.7291 | 11.7291 | 90.0 | 90.0 | 90.0 |
| L1_2--AuCu3 | box | -0.1583 | -0.1583 | 7.5021 | 7.5021 | 7.5021 | 90.0 | 90.0 | 90.0 |
| L1_2--AuCu3 | static | -0.0216 | -0.0216 | 8.4849 | 8.4849 | 8.4849 | 90.0 | 90.0 | 90.0 |
| A15--Cr3Si | static | -0.0172 | -0.0172 | 10.7331 | 10.7331 | 10.7331 | 90.0 | 90.0 | 90.0 |
| D0_3--BiF3 | static | -0.0145 | -0.0145 | 13.8558 | 13.8558 | 13.8558 | 90.0 | 90.0 | 90.0 |
| A15--Cr3Si | dynamic | -0.0004 | -0.0004 | 11.1898 | 11.1898 | 11.1898 | 90.0 | 90.0 | 90.0 |
| L1_2--AuCu3 | dynamic | 0.0 | 0.0 | 10.0927 | 10.0927 | 10.0927 | 90.0 | 90.0 | 90.0 |
| D0_3--BiF3 | dynamic | 0.0 | 0.0 | 14.8733 | 14.8733 | 14.8733 | 90.0 | 90.0 | 90.0 |
| D0_3--BiF3 | box | 0.0 | 0.0 | 13.4064 | 13.4064 | 13.4064 | 90.0 | 90.0 | 90.0 |
| L1_2--AuCu3 | box | 0.0 | 0.0 | 8.2097 | 8.2097 | 8.2097 | 90.0 | 90.0 | 90.0 |
Download raw data (including filtered results)
Reference structure matches:
| prototype | method | Ecoh (eV/atom) | Epot (eV/atom) | a0 (Å) | b0 (Å) | c0 (Å) | α (degrees) | β (degrees) | γ (degrees) |
|---|---|---|---|---|---|---|---|---|---|
| mp-641526 | box | -4.3036 | -4.3036 | 5.7264 | 5.7264 | 5.7535 | 90.0 | 90.0 | 90.0 |
Download raw data (including filtered results)
Reference structure matches:
| prototype | method | Ecoh (eV/atom) | Epot (eV/atom) | a0 (Å) | b0 (Å) | c0 (Å) | α (degrees) | β (degrees) | γ (degrees) |
|---|---|---|---|---|---|---|---|---|---|
| mp-1084832 | static | -4.302 | -4.302 | 5.7236 | 5.7236 | 5.7236 | 90.0 | 90.0 | 90.0 |
Download raw data (including filtered results)
Reference structure matches:
D0_3--BiF3 = oqmd-308248
L1_2--AuCu3 = mp-1008349, oqmd-344812
| prototype | method | Ecoh (eV/atom) | Epot (eV/atom) | a0 (Å) | b0 (Å) | c0 (Å) | α (degrees) | β (degrees) | γ (degrees) |
|---|---|---|---|---|---|---|---|---|---|
| L1_2--AuCu3 | dynamic | -4.4193 | -4.4193 | 3.5418 | 3.5418 | 3.5418 | 90.0 | 90.0 | 90.0 |
| oqmd-297717 | dynamic | -4.4178 | -4.4178 | 3.5435 | 3.5435 | 7.0822 | 90.0 | 90.0 | 90.0 |
| oqmd-320326 | static | -4.4146 | -4.4146 | 5.0138 | 5.0138 | 4.1311 | 90.0 | 90.0 | 120.0 |
| mp-1226559 | dynamic | -4.4115 | -4.4115 | 2.496 | 2.496 | 8.3516 | 90.0 | 90.0 | 120.0 |
| mp-1183837 | dynamic | -4.411 | -4.411 | 4.9929 | 4.9929 | 4.1703 | 90.0 | 90.0 | 120.0 |
| oqmd-320326 | box | -4.4109 | -4.4109 | 4.9934 | 4.9934 | 4.1703 | 90.0 | 90.0 | 120.0 |
| D0_3--BiF3 | static | -4.3152 | -4.3152 | 5.8014 | 5.8014 | 5.8014 | 90.0 | 90.0 | 90.0 |
| A15--Cr3Si | static | -4.2196 | -4.2196 | 4.5922 | 4.5922 | 4.5922 | 90.0 | 90.0 | 90.0 |
| A15--Cr3Si | static | -0.0642 | -0.0642 | 8.9154 | 8.9154 | 8.9154 | 90.0 | 90.0 | 90.0 |
| A15--Cr3Si | dynamic | -0.0004 | -0.0004 | 11.1898 | 11.1898 | 11.1898 | 90.0 | 90.0 | 90.0 |
| L1_2--AuCu3 | dynamic | -0.0002 | -0.0002 | 8.0034 | 8.0034 | 8.0034 | 90.0 | 90.0 | 90.0 |
| D0_3--BiF3 | dynamic | -0.0001 | -0.0001 | 13.0695 | 13.0695 | 13.0695 | 90.0 | 90.0 | 90.0 |
| A15--Cr3Si | static | 0.0042 | 0.0042 | 10.7331 | 10.7331 | 10.7331 | 90.0 | 90.0 | 90.0 |
| A15--Cr3Si | box | 0.013 | 0.013 | 10.3611 | 10.3611 | 10.3611 | 90.0 | 90.0 | 90.0 |
Download raw data (including filtered results)
Reference structure matches:
| prototype | method | Ecoh (eV/atom) | Epot (eV/atom) | a0 (Å) | b0 (Å) | c0 (Å) | α (degrees) | β (degrees) | γ (degrees) |
|---|---|---|---|---|---|---|---|---|---|
| mp-601848 | box | -4.3049 | -4.3049 | 5.728 | 5.728 | 5.7286 | 90.0 | 90.0 | 90.0 |
Download raw data (including filtered results)
Reference structure matches:
| prototype | method | Ecoh (eV/atom) | Epot (eV/atom) | a0 (Å) | b0 (Å) | c0 (Å) | α (degrees) | β (degrees) | γ (degrees) |
|---|---|---|---|---|---|---|---|---|---|
| mp-1227307 | dynamic | -4.2064 | -4.2064 | 8.728 | 8.728 | 4.6036 | 90.0 | 90.0 | 90.0 |
| mp-1227307 | static | -4.1967 | -4.1967 | 8.7521 | 8.7521 | 4.6025 | 90.0 | 90.0 | 90.0 |
| mp-1227307 | box | -4.176 | -4.176 | 8.7938 | 8.7938 | 4.5975 | 90.0 | 90.0 | 90.0 |
Download raw data (including filtered results)
Reference structure matches:
| prototype | method | Ecoh (eV/atom) | Epot (eV/atom) | a0 (Å) | b0 (Å) | c0 (Å) | α (degrees) | β (degrees) | γ (degrees) |
|---|---|---|---|---|---|---|---|---|---|
| mp-601842 | box | -4.305 | -4.305 | 5.7114 | 5.7114 | 5.7114 | 90.0 | 90.0 | 90.0 |
Download raw data (including filtered results)
Reference structure matches:
| prototype | method | Ecoh (eV/atom) | Epot (eV/atom) | a0 (Å) | b0 (Å) | c0 (Å) | α (degrees) | β (degrees) | γ (degrees) |
|---|---|---|---|---|---|---|---|---|---|
| mp-1096987 | box | -3.5951 | -3.5951 | 5.2785 | 5.2785 | 4.8255 | 90.0 | 90.0 | 90.0 |
| mp-1096987 | static | -3.5923 | -3.5923 | 5.2308 | 5.2308 | 4.8485 | 90.0 | 90.0 | 90.0 |
Download raw data (including filtered results)
Reference structure matches:
B2--CsCl = mp-1010071
| prototype | method | Ecoh (eV/atom) | Epot (eV/atom) | a0 (Å) | b0 (Å) | c0 (Å) | α (degrees) | β (degrees) | γ (degrees) |
|---|---|---|---|---|---|---|---|---|---|
| L1_0--AuCu | dynamic | -4.3035 | -4.3035 | 2.5522 | 2.5522 | 3.3699 | 90.0 | 90.0 | 90.0 |
| B2--CsCl | static | -4.2118 | -4.2118 | 2.875 | 2.875 | 2.875 | 90.0 | 90.0 | 90.0 |
| B1--NaCl--rock-salt | static | -3.5908 | -3.5908 | 4.6725 | 4.6725 | 4.6725 | 90.0 | 90.0 | 90.0 |
| B3--ZnS--cubic-zinc-blende | static | -2.4186 | -2.4186 | 5.506 | 5.506 | 5.506 | 90.0 | 90.0 | 90.0 |
| B3--ZnS--cubic-zinc-blende | box | -2.4158 | -2.4158 | 5.5086 | 5.5086 | 5.5086 | 90.0 | 90.0 | 90.0 |
| B2--CsCl | dynamic | -0.2001 | -0.2001 | 5.245 | 5.245 | 5.245 | 90.0 | 90.0 | 90.0 |
| L1_0--AuCu | dynamic | -0.1852 | -0.1852 | 5.1816 | 5.1816 | 5.7192 | 90.0 | 90.0 | 90.0 |
| L1_0--AuCu | static | -0.0014 | -0.0014 | 6.2206 | 6.2206 | 8.1611 | 90.0 | 90.0 | 90.0 |
| B2--CsCl | static | -0.0014 | -0.0014 | 6.9279 | 6.9279 | 6.9279 | 90.0 | 90.0 | 90.0 |
| B1--NaCl--rock-salt | static | -0.0011 | -0.0011 | 11.9995 | 11.9995 | 11.9995 | 90.0 | 90.0 | 90.0 |
| B3--ZnS--cubic-zinc-blende | static | -0.0007 | -0.0007 | 13.8558 | 13.8558 | 13.8558 | 90.0 | 90.0 | 90.0 |
| L1_0--AuCu | dynamic | -0.0 | -0.0 | 5.6759 | 5.6759 | 11.3989 | 90.0 | 90.0 | 90.0 |
| L1_0--AuCu | box | -0.0 | -0.0 | 5.8025 | 5.8025 | 8.2157 | 90.0 | 90.0 | 90.0 |
| B2--CsCl | box | -0.0 | -0.0 | 6.7041 | 6.7041 | 6.7041 | 90.0 | 90.0 | 90.0 |
| B2--CsCl | box | -0.0 | -0.0 | 6.6978 | 6.6978 | 6.6978 | 90.0 | 90.0 | 90.0 |
| B3--ZnS--cubic-zinc-blende | box | -0.0 | -0.0 | 13.3956 | 13.3956 | 13.3956 | 90.0 | 90.0 | 90.0 |
| L1_0--AuCu | dynamic | 0.0 | 0.0 | 7.8876 | 7.8876 | 12.269 | 90.0 | 90.0 | 90.0 |
| B3--ZnS--cubic-zinc-blende | dynamic | 0.0 | 0.0 | 16.1332 | 16.1332 | 16.1332 | 90.0 | 90.0 | 90.0 |
| B2--CsCl | dynamic | 0.0 | 0.0 | 9.3992 | 9.3992 | 9.3992 | 90.0 | 90.0 | 90.0 |
| B1--NaCl--rock-salt | dynamic | 0.0 | 0.0 | 13.9674 | 13.9674 | 13.9674 | 90.0 | 90.0 | 90.0 |
| L1_0--AuCu | static | 0.0 | 0.0 | 5.81 | 5.81 | 8.1896 | 90.0 | 90.0 | 90.0 |
Download raw data (including filtered results)
Reference structure matches:
| prototype | method | Ecoh (eV/atom) | Epot (eV/atom) | a0 (Å) | b0 (Å) | c0 (Å) | α (degrees) | β (degrees) | γ (degrees) |
|---|---|---|---|---|---|---|---|---|---|
| mp-1077706 | static | -4.0348 | -4.0348 | 6.6644 | 6.6644 | 6.6644 | 90.0 | 90.0 | 90.0 |
| C1--CaF2--fluorite | static | -3.5699 | -3.5699 | 5.506 | 5.506 | 5.506 | 90.0 | 90.0 | 90.0 |
| C1--CaF2--fluorite | box | -3.5658 | -3.5658 | 5.5336 | 5.5336 | 5.5336 | 90.0 | 90.0 | 90.0 |
| C1--CaF2--fluorite | dynamic | -0.0613 | -0.0613 | 10.7525 | 10.7525 | 10.7525 | 90.0 | 90.0 | 90.0 |
| C1--CaF2--fluorite | static | -0.0009 | -0.0009 | 13.8558 | 13.8558 | 13.8558 | 90.0 | 90.0 | 90.0 |
| C1--CaF2--fluorite | dynamic | 0.0 | 0.0 | 15.667 | 15.667 | 15.667 | 90.0 | 90.0 | 90.0 |
| C1--CaF2--fluorite | box | 0.0 | 0.0 | 13.3999 | 13.3999 | 13.3999 | 90.0 | 90.0 | 90.0 |
Download raw data (including filtered results)
Reference structure matches:
| prototype | method | Ecoh (eV/atom) | Epot (eV/atom) | a0 (Å) | b0 (Å) | c0 (Å) | α (degrees) | β (degrees) | γ (degrees) |
|---|---|---|---|---|---|---|---|---|---|
| L2_1--AlCu2Mn--heusler | static | -3.984 | -3.984 | 5.6975 | 5.6975 | 5.6975 | 90.0 | 90.0 | 90.0 |
| L2_1--AlCu2Mn--heusler | static | -1.5386 | -1.5386 | 10.1517 | 10.1517 | 10.1517 | 90.0 | 90.0 | 90.0 |
| L2_1--AlCu2Mn--heusler | dynamic | -0.0 | -0.0 | 13.1801 | 13.1801 | 13.1801 | 90.0 | 90.0 | 90.0 |
Download raw data (including filtered results)
Reference structure matches:
| prototype | method | Ecoh (eV/atom) | Epot (eV/atom) | a0 (Å) | b0 (Å) | c0 (Å) | α (degrees) | β (degrees) | γ (degrees) |
|---|---|---|---|---|---|---|---|---|---|
| L2_1--AlCu2Mn--heusler | static | -4.2116 | -4.2116 | 5.6709 | 5.6709 | 5.6709 | 90.0 | 90.0 | 90.0 |
| L2_1--AlCu2Mn--heusler | box | -0.2113 | -0.2113 | 9.8717 | 9.8717 | 9.8717 | 90.0 | 90.0 | 90.0 |
| L2_1--AlCu2Mn--heusler | static | -0.1156 | -0.1156 | 12.1961 | 12.1961 | 12.1961 | 90.0 | 90.0 | 90.0 |
| L2_1--AlCu2Mn--heusler | static | -0.0002 | -0.0002 | 13.8558 | 13.8558 | 13.8558 | 90.0 | 90.0 | 90.0 |
| L2_1--AlCu2Mn--heusler | dynamic | 0.0 | 0.0 | 15.4128 | 15.4128 | 15.4128 | 90.0 | 90.0 | 90.0 |
Download raw data (including filtered results)
Reference structure matches:
| prototype | method | Ecoh (eV/atom) | Epot (eV/atom) | a0 (Å) | b0 (Å) | c0 (Å) | α (degrees) | β (degrees) | γ (degrees) |
|---|---|---|---|---|---|---|---|---|---|
| L2_1--AlCu2Mn--heusler | static | -4.2173 | -4.2173 | 5.6622 | 5.6622 | 5.6622 | 90.0 | 90.0 | 90.0 |
| L2_1--AlCu2Mn--heusler | static | -0.0022 | -0.0022 | 13.8558 | 13.8558 | 13.8558 | 90.0 | 90.0 | 90.0 |
| L2_1--AlCu2Mn--heusler | dynamic | 0.0 | 0.0 | 15.2491 | 15.2491 | 15.2491 | 90.0 | 90.0 | 90.0 |
| L2_1--AlCu2Mn--heusler | box | 0.0409 | 0.0409 | 10.971 | 10.971 | 10.971 | 90.0 | 90.0 | 90.0 |
Download raw data (including filtered results)
Reference structure matches:
| prototype | method | Ecoh (eV/atom) | Epot (eV/atom) | a0 (Å) | b0 (Å) | c0 (Å) | α (degrees) | β (degrees) | γ (degrees) |
|---|---|---|---|---|---|---|---|---|---|
| L1_2--AuCu3 | dynamic | -4.2521 | -4.2521 | 3.5367 | 3.5367 | 3.5367 | 90.0 | 90.0 | 90.0 |
| mp-1025503 | dynamic | -4.246 | -4.246 | 4.9941 | 4.9941 | 4.0913 | 90.0 | 90.0 | 120.0 |
| mp-1025503 | box | -4.2435 | -4.2435 | 4.9945 | 4.9945 | 4.0779 | 90.0 | 90.0 | 120.0 |
| D0_3--BiF3 | static | -4.1687 | -4.1687 | 5.6635 | 5.6635 | 5.6635 | 90.0 | 90.0 | 90.0 |
| A15--Cr3Si | dynamic | -4.1446 | -4.1446 | 4.536 | 4.536 | 4.536 | 90.0 | 90.0 | 90.0 |
| A15--Cr3Si | static | -0.2256 | -0.2256 | 8.3701 | 8.3701 | 8.3701 | 90.0 | 90.0 | 90.0 |
| L1_2--AuCu3 | static | -0.1967 | -0.1967 | 6.5238 | 6.5238 | 6.5238 | 90.0 | 90.0 | 90.0 |
| D0_3--BiF3 | static | -0.0976 | -0.0976 | 9.9841 | 9.9841 | 9.9841 | 90.0 | 90.0 | 90.0 |
| L1_2--AuCu3 | static | -0.0029 | -0.0029 | 8.4849 | 8.4849 | 8.4849 | 90.0 | 90.0 | 90.0 |
| D0_3--BiF3 | static | -0.0019 | -0.0019 | 13.8558 | 13.8558 | 13.8558 | 90.0 | 90.0 | 90.0 |
| A15--Cr3Si | static | -0.0005 | -0.0005 | 11.9995 | 11.9995 | 11.9995 | 90.0 | 90.0 | 90.0 |
| A15--Cr3Si | dynamic | 0.0 | 0.0 | 12.6604 | 12.6604 | 12.6604 | 90.0 | 90.0 | 90.0 |
| D0_3--BiF3 | dynamic | 0.0 | 0.0 | 15.2847 | 15.2847 | 15.2847 | 90.0 | 90.0 | 90.0 |
| L1_2--AuCu3 | dynamic | 0.0 | 0.0 | 10.513 | 10.513 | 10.513 | 90.0 | 90.0 | 90.0 |
| A15--Cr3Si | dynamic | 0.0 | 0.0 | 13.9658 | 13.9658 | 13.9658 | 90.0 | 90.0 | 90.0 |
| A15--Cr3Si | static | 0.0035 | 0.0035 | 10.7331 | 10.7331 | 10.7331 | 90.0 | 90.0 | 90.0 |
Download raw data (including filtered results)
Reference structure matches:
| prototype | method | Ecoh (eV/atom) | Epot (eV/atom) | a0 (Å) | b0 (Å) | c0 (Å) | α (degrees) | β (degrees) | γ (degrees) |
|---|---|---|---|---|---|---|---|---|---|
| L2_1--AlCu2Mn--heusler | static | -3.8028 | -3.8028 | 5.7328 | 5.7328 | 5.7328 | 90.0 | 90.0 | 90.0 |
| L2_1--AlCu2Mn--heusler | static | -0.9719 | -0.9719 | 11.5213 | 11.5213 | 11.5213 | 90.0 | 90.0 | 90.0 |
| L2_1--AlCu2Mn--heusler | dynamic | -0.0016 | -0.0016 | 13.0057 | 13.0057 | 13.0057 | 90.0 | 90.0 | 90.0 |
Download raw data (including filtered results)
Reference structure matches:
| prototype | method | Ecoh (eV/atom) | Epot (eV/atom) | a0 (Å) | b0 (Å) | c0 (Å) | α (degrees) | β (degrees) | γ (degrees) |
|---|---|---|---|---|---|---|---|---|---|
| L2_1--AlCu2Mn--heusler | static | -4.2661 | -4.2661 | 5.6592 | 5.6592 | 5.6592 | 90.0 | 90.0 | 90.0 |
| L2_1--AlCu2Mn--heusler | static | -0.3741 | -0.3741 | 11.2054 | 11.2054 | 11.2054 | 90.0 | 90.0 | 90.0 |
| L2_1--AlCu2Mn--heusler | static | -0.3257 | -0.3257 | 12.0989 | 12.0989 | 12.0989 | 90.0 | 90.0 | 90.0 |
| L2_1--AlCu2Mn--heusler | static | -0.0161 | -0.0161 | 13.8558 | 13.8558 | 13.8558 | 90.0 | 90.0 | 90.0 |
| L2_1--AlCu2Mn--heusler | box | -0.0 | -0.0 | 13.4008 | 13.4008 | 13.4008 | 90.0 | 90.0 | 90.0 |
| L2_1--AlCu2Mn--heusler | dynamic | 0.0 | 0.0 | 14.8609 | 14.8609 | 14.8609 | 90.0 | 90.0 | 90.0 |
| L2_1--AlCu2Mn--heusler | box | 0.0 | 0.0 | 13.4065 | 13.4065 | 13.4065 | 90.0 | 90.0 | 90.0 |
Download raw data (including filtered results)
Reference structure matches:
| prototype | method | Ecoh (eV/atom) | Epot (eV/atom) | a0 (Å) | b0 (Å) | c0 (Å) | α (degrees) | β (degrees) | γ (degrees) |
|---|---|---|---|---|---|---|---|---|---|
| mp-1096923 | dynamic | -4.3628 | -4.3628 | 10.0052 | 10.0058 | 10.0092 | 90.0 | 120.0 | 120.0 |
| mp-1096923 | static | -4.3566 | -4.3566 | 10.0019 | 10.0054 | 10.0079 | 120.0 | 90.0 | 120.0 |
| mp-1096923 | box | -4.3564 | -4.3564 | 10.0023 | 10.0065 | 10.008 | 119.9 | 90.0 | 120.0 |
| mp-1012640 | dynamic | -4.3517 | -4.3517 | 4.329 | 4.1111 | 5.0036 | 90.0 | 90.1 | 90.0 |
| mp-1012640 | box | -4.3492 | -4.3492 | 4.327 | 4.1089 | 5.0043 | 90.0 | 90.2 | 90.0 |
Download raw data (including filtered results)
Reference structure matches:
| prototype | method | Ecoh (eV/atom) | Epot (eV/atom) | a0 (Å) | b0 (Å) | c0 (Å) | α (degrees) | β (degrees) | γ (degrees) |
|---|---|---|---|---|---|---|---|---|---|
| L2_1--AlCu2Mn--heusler | static | -4.2632 | -4.2632 | 5.6554 | 5.6554 | 5.6554 | 90.0 | 90.0 | 90.0 |
| L2_1--AlCu2Mn--heusler | static | -0.0028 | -0.0028 | 13.8558 | 13.8558 | 13.8558 | 90.0 | 90.0 | 90.0 |
| L2_1--AlCu2Mn--heusler | dynamic | 0.0 | 0.0 | 15.1977 | 15.1977 | 15.1977 | 90.0 | 90.0 | 90.0 |
Download raw data (including filtered results)
Reference structure matches:
| prototype | method | Ecoh (eV/atom) | Epot (eV/atom) | a0 (Å) | b0 (Å) | c0 (Å) | α (degrees) | β (degrees) | γ (degrees) |
|---|---|---|---|---|---|---|---|---|---|
| L1_0--AuCu | dynamic | -3.9806 | -3.9806 | 5.1588 | 5.1588 | 6.8236 | 90.0 | 90.0 | 90.0 |
| L1_0--AuCu | dynamic | -3.9661 | -3.9661 | 2.5373 | 2.5373 | 3.5683 | 90.0 | 90.0 | 90.0 |
| B2--CsCl | static | -3.8555 | -3.8555 | 2.8896 | 2.8896 | 2.8896 | 90.0 | 90.0 | 90.0 |
| B1--NaCl--rock-salt | static | -3.4648 | -3.4648 | 4.8068 | 4.8068 | 4.8068 | 90.0 | 90.0 | 90.0 |
| B2--CsCl | dynamic | -3.2843 | -3.2843 | 5.7601 | 5.7601 | 5.7601 | 90.0 | 90.0 | 90.0 |
| B3--ZnS--cubic-zinc-blende | static | -2.4214 | -2.4214 | 5.4849 | 5.4849 | 5.4849 | 90.0 | 90.0 | 90.0 |
| B1--NaCl--rock-salt | dynamic | -1.2637 | -1.2637 | 9.9727 | 9.9727 | 9.9727 | 90.0 | 90.0 | 90.0 |
| B1--NaCl--rock-salt | static | -0.7135 | -0.7135 | 7.099 | 7.099 | 7.099 | 90.0 | 90.0 | 90.0 |
| B1--NaCl--rock-salt | dynamic | -0.597 | -0.597 | 7.7992 | 7.7992 | 7.7992 | 90.0 | 90.0 | 90.0 |
| B3--ZnS--cubic-zinc-blende | dynamic | -0.2691 | -0.2691 | 11.5047 | 11.5047 | 11.5047 | 90.0 | 90.0 | 90.0 |
| L1_0--AuCu | dynamic | -0.0042 | -0.0042 | 5.6165 | 5.6165 | 7.9602 | 90.0 | 90.0 | 90.0 |
| L1_0--AuCu | static | -0.0028 | -0.0028 | 5.8052 | 5.8052 | 7.6847 | 90.0 | 90.0 | 90.0 |
| B2--CsCl | dynamic | -0.0028 | -0.0028 | 6.4924 | 6.4924 | 6.4924 | 90.0 | 90.0 | 90.0 |
| L1_0--AuCu | box | -0.0028 | -0.0028 | 5.8027 | 5.8027 | 7.6884 | 90.0 | 90.0 | 90.0 |
| B1--NaCl--rock-salt | dynamic | -0.0021 | -0.0021 | 11.2452 | 11.2452 | 11.2452 | 90.0 | 90.0 | 90.0 |
| B3--ZnS--cubic-zinc-blende | dynamic | -0.0014 | -0.0014 | 12.9848 | 12.9848 | 12.9848 | 90.0 | 90.0 | 90.0 |
| L1_0--AuCu | static | -0.0 | -0.0 | 6.0 | 6.0 | 7.8405 | 90.0 | 90.0 | 90.0 |
| L1_0--AuCu | box | 0.0 | 0.0 | 6.0217 | 6.0217 | 7.8845 | 90.0 | 90.0 | 90.0 |
Download raw data (including filtered results)
Reference structure matches:
| prototype | method | Ecoh (eV/atom) | Epot (eV/atom) | a0 (Å) | b0 (Å) | c0 (Å) | α (degrees) | β (degrees) | γ (degrees) |
|---|---|---|---|---|---|---|---|---|---|
| C1--CaF2--fluorite | static | -3.2326 | -3.2326 | 5.5187 | 5.5187 | 5.5187 | 90.0 | 90.0 | 90.0 |
| C1--CaF2--fluorite | static | -2.1901 | -2.1901 | 11.5185 | 11.5185 | 11.5185 | 90.0 | 90.0 | 90.0 |
| C1--CaF2--fluorite | dynamic | -0.0019 | -0.0019 | 12.9848 | 12.9848 | 12.9848 | 90.0 | 90.0 | 90.0 |
Download raw data (including filtered results)
Reference structure matches:
| prototype | method | Ecoh (eV/atom) | Epot (eV/atom) | a0 (Å) | b0 (Å) | c0 (Å) | α (degrees) | β (degrees) | γ (degrees) |
|---|---|---|---|---|---|---|---|---|---|
| L2_1--AlCu2Mn--heusler | static | -3.8301 | -3.8301 | 5.6839 | 5.6839 | 5.6839 | 90.0 | 90.0 | 90.0 |
| L2_1--AlCu2Mn--heusler | box | -0.1106 | -0.1106 | 12.5951 | 12.5951 | 12.5951 | 90.0 | 90.0 | 90.0 |
| L2_1--AlCu2Mn--heusler | box | -0.0981 | -0.0981 | 10.3218 | 10.3218 | 10.3218 | 90.0 | 90.0 | 90.0 |
| L2_1--AlCu2Mn--heusler | static | -0.0219 | -0.0219 | 13.8558 | 13.8558 | 13.8558 | 90.0 | 90.0 | 90.0 |
| L2_1--AlCu2Mn--heusler | dynamic | 0.0 | 0.0 | 14.7509 | 14.7509 | 14.7509 | 90.0 | 90.0 | 90.0 |
| L2_1--AlCu2Mn--heusler | box | 0.0 | 0.0 | 13.4064 | 13.4064 | 13.4064 | 90.0 | 90.0 | 90.0 |
Download raw data (including filtered results)
Reference structure matches:
| prototype | method | Ecoh (eV/atom) | Epot (eV/atom) | a0 (Å) | b0 (Å) | c0 (Å) | α (degrees) | β (degrees) | γ (degrees) |
|---|---|---|---|---|---|---|---|---|---|
| L2_1--AlCu2Mn--heusler | static | -3.8489 | -3.8489 | 5.7263 | 5.7263 | 5.7263 | 90.0 | 90.0 | 90.0 |
| L2_1--AlCu2Mn--heusler | static | -0.2416 | -0.2416 | 11.497 | 11.497 | 11.497 | 90.0 | 90.0 | 90.0 |
| L2_1--AlCu2Mn--heusler | dynamic | -0.0014 | -0.0014 | 12.9995 | 12.9995 | 12.9995 | 90.0 | 90.0 | 90.0 |
Download raw data (including filtered results)
Reference structure matches:
| prototype | method | Ecoh (eV/atom) | Epot (eV/atom) | a0 (Å) | b0 (Å) | c0 (Å) | α (degrees) | β (degrees) | γ (degrees) |
|---|---|---|---|---|---|---|---|---|---|
| L1_2--AuCu3 | dynamic | -7.739 | -7.739 | 7.0715 | 7.0715 | 7.0715 | 90.0 | 90.0 | 90.0 |
| A15--Cr3Si | dynamic | -5.854 | -5.854 | 8.9275 | 8.9275 | 8.9275 | 90.0 | 90.0 | 90.0 |
| L1_2--AuCu3 | dynamic | -3.7518 | -3.7518 | 3.5851 | 3.5851 | 3.5851 | 90.0 | 90.0 | 90.0 |
| L1_2--AuCu3 | dynamic | -3.751 | -3.751 | 3.5013 | 3.5013 | 3.5013 | 90.0 | 90.0 | 90.0 |
| D0_3--BiF3 | static | -3.6315 | -3.6315 | 5.7738 | 5.7738 | 5.7738 | 90.0 | 90.0 | 90.0 |
| A15--Cr3Si | static | -3.5904 | -3.5904 | 4.6317 | 4.6317 | 4.6317 | 90.0 | 90.0 | 90.0 |
| D0_3--BiF3 | dynamic | -2.2697 | -2.2697 | 11.5366 | 11.5366 | 11.5366 | 90.0 | 90.0 | 90.0 |
| L1_2--AuCu3 | static | -1.2769 | -1.2769 | 5.3616 | 5.3616 | 5.3616 | 90.0 | 90.0 | 90.0 |
| L1_2--AuCu3 | dynamic | -0.0051 | -0.0051 | 7.951 | 7.951 | 7.951 | 90.0 | 90.0 | 90.0 |
| D0_3--BiF3 | dynamic | -0.0034 | -0.0034 | 12.984 | 12.984 | 12.984 | 90.0 | 90.0 | 90.0 |
| A15--Cr3Si | dynamic | -0.0007 | -0.0007 | 11.2439 | 11.2439 | 11.2439 | 90.0 | 90.0 | 90.0 |
Download raw data (including filtered results)
Reference structure matches:
| prototype | method | Ecoh (eV/atom) | Epot (eV/atom) | a0 (Å) | b0 (Å) | c0 (Å) | α (degrees) | β (degrees) | γ (degrees) |
|---|---|---|---|---|---|---|---|---|---|
| L2_1--AlCu2Mn--heusler | static | -4.0747 | -4.0747 | 5.6563 | 5.6563 | 5.6563 | 90.0 | 90.0 | 90.0 |
| L2_1--AlCu2Mn--heusler | box | -0.3519 | -0.3519 | 10.8742 | 10.8742 | 10.8742 | 90.0 | 90.0 | 90.0 |
| L2_1--AlCu2Mn--heusler | static | -0.2777 | -0.2777 | 12.4849 | 12.4849 | 12.4849 | 90.0 | 90.0 | 90.0 |
| L2_1--AlCu2Mn--heusler | static | -0.0429 | -0.0429 | 13.8558 | 13.8558 | 13.8558 | 90.0 | 90.0 | 90.0 |
| L2_1--AlCu2Mn--heusler | dynamic | 0.0 | 0.0 | 14.7014 | 14.7014 | 14.7014 | 90.0 | 90.0 | 90.0 |
| L2_1--AlCu2Mn--heusler | box | 0.0 | 0.0 | 13.4064 | 13.4064 | 13.4064 | 90.0 | 90.0 | 90.0 |
Download raw data (including filtered results)
Reference structure matches:
| prototype | method | Ecoh (eV/atom) | Epot (eV/atom) | a0 (Å) | b0 (Å) | c0 (Å) | α (degrees) | β (degrees) | γ (degrees) |
|---|---|---|---|---|---|---|---|---|---|
| L2_1--AlCu2Mn--heusler | static | -4.0775 | -4.0775 | 5.6922 | 5.6922 | 5.6922 | 90.0 | 90.0 | 90.0 |
| L2_1--AlCu2Mn--heusler | static | -0.3007 | -0.3007 | 10.0277 | 10.0277 | 10.0277 | 90.0 | 90.0 | 90.0 |
| L2_1--AlCu2Mn--heusler | static | -0.0007 | -0.0007 | 13.8558 | 13.8558 | 13.8558 | 90.0 | 90.0 | 90.0 |
| L2_1--AlCu2Mn--heusler | dynamic | 0.0 | 0.0 | 15.4072 | 15.4072 | 15.4072 | 90.0 | 90.0 | 90.0 |
| L2_1--AlCu2Mn--heusler | box | 0.0 | 0.0 | 13.3966 | 13.3966 | 13.3966 | 90.0 | 90.0 | 90.0 |
Download raw data (including filtered results)
Reference structure matches:
B2--CsCl = mp-2090
| prototype | method | Ecoh (eV/atom) | Epot (eV/atom) | a0 (Å) | b0 (Å) | c0 (Å) | α (degrees) | β (degrees) | γ (degrees) |
|---|---|---|---|---|---|---|---|---|---|
| L1_0--AuCu | dynamic | -4.3957 | -4.3957 | 2.56 | 2.56 | 3.4623 | 90.0 | 90.0 | 90.0 |
| mp-1225016 | static | -4.3241 | -4.3241 | 2.6208 | 4.2886 | 4.2602 | 90.0 | 90.0 | 90.0 |
| mp-1225016 | box | -4.3109 | -4.3109 | 2.9107 | 4.116 | 4.0675 | 90.0 | 90.0 | 90.0 |
| B2--CsCl | static | -4.3014 | -4.3014 | 2.85 | 2.85 | 2.85 | 90.0 | 90.0 | 90.0 |
| B1--NaCl--rock-salt | static | -3.5936 | -3.5936 | 4.6804 | 4.6804 | 4.6804 | 90.0 | 90.0 | 90.0 |
| B3--ZnS--cubic-zinc-blende | static | -2.4035 | -2.4035 | 5.3455 | 5.3455 | 5.3455 | 90.0 | 90.0 | 90.0 |
| L1_0--AuCu | dynamic | -0.4241 | -0.4241 | 5.6296 | 5.6296 | 6.3598 | 90.0 | 90.0 | 90.0 |
| B2--CsCl | dynamic | -0.4227 | -0.4227 | 5.8832 | 5.8832 | 5.8832 | 90.0 | 90.0 | 90.0 |
| B1--NaCl--rock-salt | dynamic | -0.357 | -0.357 | 10.2639 | 10.2639 | 10.2639 | 90.0 | 90.0 | 90.0 |
| B3--ZnS--cubic-zinc-blende | dynamic | -0.2614 | -0.2614 | 11.887 | 11.887 | 11.887 | 90.0 | 90.0 | 90.0 |
| L1_0--AuCu | static | -0.1568 | -0.1568 | 4.2426 | 4.2426 | 8.1631 | 90.0 | 90.0 | 90.0 |
| L1_0--AuCu | static | -0.0331 | -0.0331 | 6.2206 | 6.2206 | 8.1611 | 90.0 | 90.0 | 90.0 |
| B2--CsCl | static | -0.033 | -0.033 | 6.9279 | 6.9279 | 6.9279 | 90.0 | 90.0 | 90.0 |
| B1--NaCl--rock-salt | static | -0.0248 | -0.0248 | 11.9995 | 11.9995 | 11.9995 | 90.0 | 90.0 | 90.0 |
| B3--ZnS--cubic-zinc-blende | static | -0.0165 | -0.0165 | 13.8558 | 13.8558 | 13.8558 | 90.0 | 90.0 | 90.0 |
| L1_0--AuCu | dynamic | -0.0029 | -0.0029 | 5.6473 | 5.6473 | 10.2163 | 90.0 | 90.0 | 90.0 |
| L1_0--AuCu | static | -0.0 | -0.0 | 5.8052 | 5.8052 | 8.2028 | 90.0 | 90.0 | 90.0 |
| L1_0--AuCu | box | -0.0 | -0.0 | 5.8035 | 5.8035 | 8.2052 | 90.0 | 90.0 | 90.0 |
| B3--ZnS--cubic-zinc-blende | dynamic | 0.0 | 0.0 | 15.5683 | 15.5683 | 15.5683 | 90.0 | 90.0 | 90.0 |
| B2--CsCl | dynamic | 0.0 | 0.0 | 8.9116 | 8.9116 | 8.9116 | 90.0 | 90.0 | 90.0 |
| L1_0--AuCu | dynamic | 0.0 | 0.0 | 7.5826 | 7.5826 | 11.4655 | 90.0 | 90.0 | 90.0 |
| B1--NaCl--rock-salt | dynamic | 0.0 | 0.0 | 13.3924 | 13.3924 | 13.3924 | 90.0 | 90.0 | 90.0 |
| B3--ZnS--cubic-zinc-blende | box | 0.0 | 0.0 | 13.4064 | 13.4064 | 13.4064 | 90.0 | 90.0 | 90.0 |
| B3--ZnS--cubic-zinc-blende | static | 1.2199 | 1.2199 | 8.4853 | 8.4853 | 8.4853 | 90.0 | 90.0 | 90.0 |
| B3--ZnS--cubic-zinc-blende | dynamic | 1.2208 | 1.2208 | 8.3387 | 8.3387 | 8.3387 | 90.0 | 90.0 | 90.0 |
| L1_0--AuCu | box | 2.1696 | 2.1696 | 3.9077 | 3.9077 | 5.1997 | 90.0 | 90.0 | 90.0 |
Download raw data (including filtered results)
Reference structure matches:
| prototype | method | Ecoh (eV/atom) | Epot (eV/atom) | a0 (Å) | b0 (Å) | c0 (Å) | α (degrees) | β (degrees) | γ (degrees) |
|---|---|---|---|---|---|---|---|---|---|
| mp-18695 | box | -4.3016 | -4.3016 | 5.7281 | 5.7281 | 5.7281 | 90.0 | 90.0 | 90.0 |
Download raw data (including filtered results)
Reference structure matches:
| prototype | method | Ecoh (eV/atom) | Epot (eV/atom) | a0 (Å) | b0 (Å) | c0 (Å) | α (degrees) | β (degrees) | γ (degrees) |
|---|---|---|---|---|---|---|---|---|---|
| C1--CaF2--fluorite | static | -3.4946 | -3.4946 | 5.5045 | 5.5045 | 5.5045 | 90.0 | 90.0 | 90.0 |
| C1--CaF2--fluorite | dynamic | -0.3366 | -0.3366 | 11.8592 | 11.8592 | 11.8592 | 90.0 | 90.0 | 90.0 |
| C1--CaF2--fluorite | static | -0.333 | -0.333 | 12.0 | 12.0 | 12.0 | 90.0 | 90.0 | 90.0 |
| C1--CaF2--fluorite | static | -0.022 | -0.022 | 13.8558 | 13.8558 | 13.8558 | 90.0 | 90.0 | 90.0 |
| C1--CaF2--fluorite | dynamic | 0.0 | 0.0 | 15.0063 | 15.0063 | 15.0063 | 90.0 | 90.0 | 90.0 |
| C1--CaF2--fluorite | box | 0.0 | 0.0 | 13.4064 | 13.4064 | 13.4064 | 90.0 | 90.0 | 90.0 |
| C1--CaF2--fluorite | dynamic | 2.0488 | 2.0488 | 8.2166 | 8.2166 | 8.2166 | 90.0 | 90.0 | 90.0 |
Download raw data (including filtered results)
Reference structure matches:
| prototype | method | Ecoh (eV/atom) | Epot (eV/atom) | a0 (Å) | b0 (Å) | c0 (Å) | α (degrees) | β (degrees) | γ (degrees) |
|---|---|---|---|---|---|---|---|---|---|
| L2_1--AlCu2Mn--heusler | static | -4.3132 | -4.3132 | 5.6633 | 5.6633 | 5.6633 | 90.0 | 90.0 | 90.0 |
| L2_1--AlCu2Mn--heusler | dynamic | -0.2625 | -0.2625 | 11.8616 | 11.8616 | 11.8616 | 90.0 | 90.0 | 90.0 |
| L2_1--AlCu2Mn--heusler | static | -0.259 | -0.259 | 12.0 | 12.0 | 12.0 | 90.0 | 90.0 | 90.0 |
| L2_1--AlCu2Mn--heusler | static | -0.0173 | -0.0173 | 13.8558 | 13.8558 | 13.8558 | 90.0 | 90.0 | 90.0 |
| L2_1--AlCu2Mn--heusler | box | -0.0 | -0.0 | 13.4008 | 13.4008 | 13.4008 | 90.0 | 90.0 | 90.0 |
| L2_1--AlCu2Mn--heusler | dynamic | 0.0 | 0.0 | 14.8002 | 14.8002 | 14.8002 | 90.0 | 90.0 | 90.0 |
Download raw data (including filtered results)
Reference structure matches:
| prototype | method | Ecoh (eV/atom) | Epot (eV/atom) | a0 (Å) | b0 (Å) | c0 (Å) | α (degrees) | β (degrees) | γ (degrees) |
|---|---|---|---|---|---|---|---|---|---|
| L1_2--AuCu3 | dynamic | -4.3939 | -4.3939 | 3.568 | 3.568 | 3.568 | 90.0 | 90.0 | 90.0 |
| D0_3--BiF3 | static | -4.3189 | -4.3189 | 5.712 | 5.712 | 5.712 | 90.0 | 90.0 | 90.0 |
| mp-601820 | box | -4.3023 | -4.3023 | 4.0508 | 4.0508 | 2.8751 | 90.0 | 90.0 | 90.0 |
| A15--Cr3Si | static | -4.17 | -4.17 | 4.6239 | 4.6239 | 4.6239 | 90.0 | 90.0 | 90.0 |
| L1_2--AuCu3 | static | -3.1742 | -3.1742 | 4.3416 | 4.3416 | 4.3416 | 90.0 | 90.0 | 90.0 |
| A15--Cr3Si | static | -3.1647 | -3.1647 | 5.4888 | 5.4888 | 5.4888 | 90.0 | 90.0 | 90.0 |
| A15--Cr3Si | dynamic | -0.0019 | -0.0019 | 11.2995 | 11.2995 | 11.2995 | 90.0 | 90.0 | 90.0 |
| L1_2--AuCu3 | dynamic | -0.0012 | -0.0012 | 8.045 | 8.045 | 8.045 | 90.0 | 90.0 | 90.0 |
| D0_3--BiF3 | dynamic | -0.0008 | -0.0008 | 13.1375 | 13.1375 | 13.1375 | 90.0 | 90.0 | 90.0 |
| A15--Cr3Si | box | 0.2937 | 0.2937 | 9.159 | 9.159 | 9.159 | 90.0 | 90.0 | 90.0 |
| A15--Cr3Si | static | 0.8014 | 0.8014 | 9.798 | 9.798 | 9.798 | 90.0 | 90.0 | 90.0 |
| A15--Cr3Si | box | 0.8209 | 0.8209 | 9.9023 | 9.9023 | 9.9023 | 90.0 | 90.0 | 90.0 |
| L1_2--AuCu3 | static | 2.4842 | 2.4842 | 5.7844 | 5.7844 | 5.7844 | 90.0 | 90.0 | 90.0 |
| A15--Cr3Si | static | 3.4814 | 3.4814 | 6.8108 | 6.8108 | 6.8108 | 90.0 | 90.0 | 90.0 |
Download raw data (including filtered results)
Reference structure matches:
| prototype | method | Ecoh (eV/atom) | Epot (eV/atom) | a0 (Å) | b0 (Å) | c0 (Å) | α (degrees) | β (degrees) | γ (degrees) |
|---|---|---|---|---|---|---|---|---|---|
| mp-1080603 | box | -4.3013 | -4.3013 | 5.7358 | 5.7358 | 5.7358 | 90.0 | 90.0 | 90.0 |
Download raw data (including filtered results)
Reference structure matches:
| prototype | method | Ecoh (eV/atom) | Epot (eV/atom) | a0 (Å) | b0 (Å) | c0 (Å) | α (degrees) | β (degrees) | γ (degrees) |
|---|---|---|---|---|---|---|---|---|---|
| L2_1--AlCu2Mn--heusler | static | -4.3082 | -4.3082 | 5.6653 | 5.6653 | 5.6653 | 90.0 | 90.0 | 90.0 |
| L2_1--AlCu2Mn--heusler | static | -0.04 | -0.04 | 10.4505 | 10.4505 | 10.4505 | 90.0 | 90.0 | 90.0 |
| L2_1--AlCu2Mn--heusler | dynamic | -0.0163 | -0.0163 | 12.0 | 12.0 | 12.0 | 90.0 | 90.0 | 90.0 |
| L2_1--AlCu2Mn--heusler | dynamic | -0.0163 | -0.0163 | 12.0 | 12.0 | 12.0 | 90.0 | 90.0 | 90.0 |
| L2_1--AlCu2Mn--heusler | static | -0.0143 | -0.0143 | 12.0 | 12.0 | 12.0 | 90.0 | 90.0 | 90.0 |
| L2_1--AlCu2Mn--heusler | static | -0.002 | -0.002 | 13.8558 | 13.8558 | 13.8558 | 90.0 | 90.0 | 90.0 |
| L2_1--AlCu2Mn--heusler | dynamic | 0.0 | 0.0 | 15.28 | 15.28 | 15.28 | 90.0 | 90.0 | 90.0 |
| L2_1--AlCu2Mn--heusler | box | 0.0 | 0.0 | 13.399 | 13.399 | 13.399 | 90.0 | 90.0 | 90.0 |
| L2_1--AlCu2Mn--heusler | box | 0.0501 | 0.0501 | 11.0181 | 11.0181 | 11.0181 | 90.0 | 90.0 | 90.0 |
Download raw data (including filtered results)
Reference structure matches:
B1--NaCl--rock-salt = oqmd-1103760
B2--CsCl = mp-1006883, oqmd-304574
B3--ZnS--cubic-zinc-blende = oqmd-1219291
L1_0--AuCu = oqmd-336116
| prototype | method | Ecoh (eV/atom) | Epot (eV/atom) | a0 (Å) | b0 (Å) | c0 (Å) | α (degrees) | β (degrees) | γ (degrees) |
|---|---|---|---|---|---|---|---|---|---|
| oqmd-325658 | dynamic | -4.4291 | -4.4291 | 2.4993 | 2.4993 | 12.2417 | 90.0 | 90.0 | 120.0 |
| L1_0--AuCu | dynamic | -4.429 | -4.429 | 2.4996 | 2.4996 | 3.5324 | 90.0 | 90.0 | 90.0 |
| oqmd-1228970 | dynamic | -4.4188 | -4.4188 | 2.4938 | 2.4938 | 4.1645 | 90.0 | 90.0 | 120.0 |
| oqmd-1228970 | static | -4.4187 | -4.4187 | 2.4978 | 2.4978 | 4.1573 | 90.0 | 90.0 | 120.0 |
| oqmd-1219805 | dynamic | -4.4169 | -4.4169 | 4.1661 | 2.4931 | 4.3185 | 90.0 | 90.0 | 90.0 |
| oqmd-1228970 | box | -4.4124 | -4.4124 | 2.49 | 2.49 | 4.1365 | 90.0 | 90.0 | 120.0 |
| oqmd-1219805 | static | -4.4027 | -4.4027 | 4.0174 | 2.492 | 4.2603 | 90.0 | 90.0 | 90.0 |
| mp-1226063 | static | -4.3456 | -4.3456 | 2.6015 | 4.2295 | 4.2219 | 90.0 | 90.0 | 90.0 |
| mp-1226063 | box | -4.3053 | -4.3053 | 2.8645 | 4.0562 | 4.0463 | 90.0 | 90.0 | 90.0 |
| B2--CsCl | static | -4.3044 | -4.3044 | 2.8751 | 2.8751 | 2.8751 | 90.0 | 90.0 | 90.0 |
| B1--NaCl--rock-salt | static | -3.6457 | -3.6457 | 4.6726 | 4.6726 | 4.6726 | 90.0 | 90.0 | 90.0 |
| oqmd-1225484 | box | -3.0069 | -3.0069 | 4.1195 | 4.1195 | 4.709 | 90.0 | 90.0 | 120.0 |
| B3--ZnS--cubic-zinc-blende | static | -2.463 | -2.463 | 5.506 | 5.506 | 5.506 | 90.0 | 90.0 | 90.0 |
| B3--ZnS--cubic-zinc-blende | box | -2.4605 | -2.4605 | 5.5428 | 5.5428 | 5.5428 | 90.0 | 90.0 | 90.0 |
| L1_0--AuCu | static | -0.0025 | -0.0025 | 6.2206 | 6.2206 | 8.1611 | 90.0 | 90.0 | 90.0 |
| B2--CsCl | static | -0.0025 | -0.0025 | 6.9279 | 6.9279 | 6.9279 | 90.0 | 90.0 | 90.0 |
| B1--NaCl--rock-salt | static | -0.0019 | -0.0019 | 11.9995 | 11.9995 | 11.9995 | 90.0 | 90.0 | 90.0 |
| B3--ZnS--cubic-zinc-blende | static | -0.0013 | -0.0013 | 13.8558 | 13.8558 | 13.8558 | 90.0 | 90.0 | 90.0 |
| B2--CsCl | dynamic | 0.0 | 0.0 | 9.4147 | 9.4147 | 9.4147 | 90.0 | 90.0 | 90.0 |
| B3--ZnS--cubic-zinc-blende | dynamic | 0.0 | 0.0 | 16.1211 | 16.1211 | 16.1211 | 90.0 | 90.0 | 90.0 |
| L1_0--AuCu | dynamic | 0.0 | 0.0 | 7.8994 | 7.8994 | 12.3007 | 90.0 | 90.0 | 90.0 |
| B1--NaCl--rock-salt | dynamic | 0.0 | 0.0 | 13.9322 | 13.9322 | 13.9322 | 90.0 | 90.0 | 90.0 |
Download raw data (including filtered results)
Reference structure matches:
| prototype | method | Ecoh (eV/atom) | Epot (eV/atom) | a0 (Å) | b0 (Å) | c0 (Å) | α (degrees) | β (degrees) | γ (degrees) |
|---|---|---|---|---|---|---|---|---|---|
| C1--CaF2--fluorite | static | -3.6704 | -3.6704 | 5.506 | 5.506 | 5.506 | 90.0 | 90.0 | 90.0 |
| C1--CaF2--fluorite | box | -3.6594 | -3.6594 | 5.5039 | 5.5039 | 5.5039 | 90.0 | 90.0 | 90.0 |
| C1--CaF2--fluorite | static | -0.0017 | -0.0017 | 13.8558 | 13.8558 | 13.8558 | 90.0 | 90.0 | 90.0 |
| C1--CaF2--fluorite | dynamic | 0.0 | 0.0 | 15.6119 | 15.6119 | 15.6119 | 90.0 | 90.0 | 90.0 |
| C1--CaF2--fluorite | dynamic | 0.0019 | 0.0019 | 12.0 | 12.0 | 12.0 | 90.0 | 90.0 | 90.0 |
Download raw data (including filtered results)
Reference structure matches:
D0_3--BiF3 = oqmd-309784
L1_2--AuCu3 = mp-1183751, oqmd-343276
| prototype | method | Ecoh (eV/atom) | Epot (eV/atom) | a0 (Å) | b0 (Å) | c0 (Å) | α (degrees) | β (degrees) | γ (degrees) |
|---|---|---|---|---|---|---|---|---|---|
| L1_2--AuCu3 | dynamic | -4.4393 | -4.4393 | 3.5268 | 3.5268 | 3.5268 | 90.0 | 90.0 | 90.0 |
| oqmd-299242 | dynamic | -4.4379 | -4.4379 | 3.5287 | 3.5287 | 7.0547 | 90.0 | 90.0 | 90.0 |
| oqmd-318790 | box | -4.4232 | -4.4232 | 4.9815 | 4.9815 | 4.1496 | 90.0 | 90.0 | 120.0 |
| mp-1183785 | box | -4.4232 | -4.4232 | 4.9809 | 4.9809 | 4.149 | 90.0 | 90.0 | 120.0 |
| D0_3--BiF3 | box | -4.3116 | -4.3116 | 5.6562 | 5.6562 | 5.6562 | 90.0 | 90.0 | 90.0 |
| A15--Cr3Si | dynamic | -4.2945 | -4.2945 | 4.5081 | 4.5081 | 4.5081 | 90.0 | 90.0 | 90.0 |
| L1_2--AuCu3 | static | -0.0047 | -0.0047 | 8.4849 | 8.4849 | 8.4849 | 90.0 | 90.0 | 90.0 |
| D0_3--BiF3 | static | -0.0031 | -0.0031 | 13.8558 | 13.8558 | 13.8558 | 90.0 | 90.0 | 90.0 |
| A15--Cr3Si | static | -0.0007 | -0.0007 | 11.9995 | 11.9995 | 11.9995 | 90.0 | 90.0 | 90.0 |
| A15--Cr3Si | static | -0.0001 | -0.0001 | 10.7331 | 10.7331 | 10.7331 | 90.0 | 90.0 | 90.0 |
| A15--Cr3Si | dynamic | 0.0 | 0.0 | 13.9719 | 13.9719 | 13.9719 | 90.0 | 90.0 | 90.0 |
| A15--Cr3Si | dynamic | 0.0 | 0.0 | 12.7169 | 12.7169 | 12.7169 | 90.0 | 90.0 | 90.0 |
| D0_3--BiF3 | dynamic | 0.0 | 0.0 | 15.1731 | 15.1731 | 15.1731 | 90.0 | 90.0 | 90.0 |
| L1_2--AuCu3 | dynamic | 0.0 | 0.0 | 10.4676 | 10.4676 | 10.4676 | 90.0 | 90.0 | 90.0 |
| A15--Cr3Si | box | 0.0 | 0.0 | 11.6078 | 11.6078 | 11.6078 | 90.0 | 90.0 | 90.0 |
| A15--Cr3Si | static | 0.0042 | 0.0042 | 9.798 | 9.798 | 9.798 | 90.0 | 90.0 | 90.0 |
| D0_3--BiF3 | dynamic | 0.0044 | 0.0044 | 12.0 | 12.0 | 12.0 | 90.0 | 90.0 | 90.0 |
| A15--Cr3Si | box | 0.0073 | 0.0073 | 9.6173 | 9.6173 | 9.6173 | 90.0 | 90.0 | 90.0 |
| D0_3--BiF3 | box | 0.0087 | 0.0087 | 11.3315 | 11.3315 | 11.3315 | 90.0 | 90.0 | 90.0 |
| L1_2--AuCu3 | static | 0.0101 | 0.0101 | 7.3422 | 7.3422 | 7.3422 | 90.0 | 90.0 | 90.0 |
Download raw data (including filtered results)
Reference structure matches:
A1--Cu--fcc = mp-8633, oqmd-592135, oqmd-1214518
A15--beta-W = mp-17, oqmd-620565, oqmd-691761, oqmd-1214963, oqmd-1280318
A2--W--bcc = mp-90, oqmd-676284, oqmd-676532, oqmd-677049, oqmd-685486, oqmd-690214, oqmd-691769, oqmd-1215141
A3'--alpha-La--double-hcp = oqmd-1215409
A3--Mg--hcp = mp-89, oqmd-592444, oqmd-622452, oqmd-1215319
A4--C--dc = oqmd-1215498
A5--beta-Sn = oqmd-1215587
A6--In--bct = oqmd-1215676
A7--alpha-As = oqmd-1215765
| prototype | method | Ecoh (eV/atom) | Epot (eV/atom) | a0 (Å) | b0 (Å) | c0 (Å) | α (degrees) | β (degrees) | γ (degrees) |
|---|---|---|---|---|---|---|---|---|---|
| A1--Cu--fcc | dynamic | -4.2 | -4.2 | 3.53 | 3.53 | 3.53 | 90.0 | 90.0 | 90.0 |
| A3--Mg--hcp | dynamic | -4.1977 | -4.1977 | 2.4963 | 2.4963 | 3.9756 | 90.0 | 90.0 | 120.0 |
| A3--Mg--hcp | box | -4.1977 | -4.1977 | 2.4964 | 2.4964 | 3.9756 | 90.0 | 90.0 | 120.0 |
| A3'--alpha-La--double-hcp | dynamic | -4.1976 | -4.1976 | 2.4947 | 2.4947 | 8.0834 | 90.0 | 90.0 | 120.0 |
| oqmd-1216032 | dynamic | -4.1975 | -4.1975 | 2.4951 | 2.4951 | 18.0863 | 90.0 | 90.0 | 120.0 |
| oqmd-1216032 | box | -4.1967 | -4.1967 | 2.4944 | 2.4944 | 18.1339 | 90.0 | 90.0 | 120.0 |
| mp-1059289 | box | -4.148 | -4.148 | 2.406 | 4.4615 | 4.163 | 90.0 | 90.0 | 90.0 |
| A2--W--bcc | static | -4.1445 | -4.1445 | 2.7948 | 2.7948 | 2.7948 | 90.0 | 90.0 | 90.0 |
| oqmd-1215854 | static | -4.129 | -4.129 | 3.8877 | 3.8877 | 2.5444 | 90.0 | 90.0 | 120.0 |
| oqmd-1214874 | static | -4.1113 | -4.1113 | 6.1468 | 6.1468 | 6.1468 | 90.0 | 90.0 | 90.0 |
| oqmd-1214874 | dynamic | -4.1111 | -4.1111 | 6.1452 | 6.1452 | 6.1452 | 90.0 | 90.0 | 90.0 |
| oqmd-691775 | box | -4.1108 | -4.1108 | 2.4961 | 2.4961 | 6.2439 | 90.0 | 90.0 | 120.0 |
| oqmd-1214874 | box | -4.11 | -4.11 | 6.1489 | 6.1489 | 6.1489 | 90.0 | 90.0 | 90.0 |
| oqmd-1214785 | dynamic | -4.0891 | -4.0891 | 8.7649 | 8.7649 | 8.7649 | 90.0 | 90.0 | 90.0 |
| A15--beta-W | dynamic | -4.0863 | -4.0863 | 4.5564 | 4.5564 | 4.5564 | 90.0 | 90.0 | 90.0 |
| oqmd-1214785 | static | -4.0822 | -4.0822 | 8.7693 | 8.7693 | 8.7693 | 90.0 | 90.0 | 90.0 |
| oqmd-1214785 | box | -4.0819 | -4.0819 | 8.7809 | 8.7809 | 8.7809 | 90.0 | 90.0 | 90.0 |
| mp-1192789 | dynamic | -4.0467 | -4.0467 | 8.5569 | 8.5569 | 4.6203 | 90.0 | 90.0 | 90.0 |
| oqmd-631035 | dynamic | -4.0467 | -4.0467 | 8.5565 | 8.5565 | 4.6207 | 90.0 | 90.0 | 90.0 |
| mp-1192789 | static | -4.0413 | -4.0413 | 8.5737 | 8.5737 | 4.6113 | 90.0 | 90.0 | 90.0 |
| oqmd-631035 | static | -4.0339 | -4.0339 | 8.5693 | 8.5693 | 4.6152 | 90.0 | 90.0 | 90.0 |
| mp-1192789 | box | -4.0261 | -4.0261 | 8.6041 | 8.6041 | 4.6022 | 90.0 | 90.0 | 90.0 |
| oqmd-631035 | box | -4.0103 | -4.0103 | 8.5907 | 8.5907 | 4.6101 | 90.0 | 90.0 | 90.0 |
| oqmd-1215052 | static | -3.9085 | -3.9085 | 3.8958 | 8.7082 | 2.7571 | 90.0 | 90.0 | 90.0 |
| oqmd-1214696 | static | -3.8605 | -3.8605 | 2.8151 | 3.9851 | 8.1922 | 90.0 | 90.0 | 90.0 |
| A5--beta-Sn | static | -3.6955 | -3.6955 | 4.4659 | 4.4659 | 2.342 | 90.0 | 90.0 | 90.0 |
| Ah--alpha-Po--sc | static | -3.4947 | -3.4947 | 2.3439 | 2.3439 | 2.3439 | 90.0 | 90.0 | 90.0 |
| A7--alpha-As | box | -3.4944 | -3.4944 | 3.3141 | 3.3141 | 8.1227 | 90.0 | 90.0 | 120.0 |
| A4--C--dc | static | -2.4789 | -2.4789 | 5.4058 | 5.4058 | 5.4058 | 90.0 | 90.0 | 90.0 |
| oqmd-1215943 | static | -2.3607 | -2.3607 | 3.4641 | 3.4641 | 4.6089 | 90.0 | 90.0 | 120.0 |
| A1--Cu--fcc | static | -0.0037 | -0.0037 | 8.4849 | 8.4849 | 8.4849 | 90.0 | 90.0 | 90.0 |
| A6--In--bct | static | -0.0025 | -0.0025 | 5.8205 | 5.8205 | 8.7317 | 90.0 | 90.0 | 90.0 |
| A2--W--bcc | static | -0.0025 | -0.0025 | 6.9279 | 6.9279 | 6.9279 | 90.0 | 90.0 | 90.0 |
| Ah--alpha-Po--sc | static | -0.0019 | -0.0019 | 5.9997 | 5.9997 | 5.9997 | 90.0 | 90.0 | 90.0 |
| A4--C--dc | static | -0.0012 | -0.0012 | 13.8558 | 13.8558 | 13.8558 | 90.0 | 90.0 | 90.0 |
| A6--In--bct | static | -0.0012 | -0.0012 | 5.9997 | 5.9997 | 8.97 | 90.0 | 90.0 | 90.0 |
| A5--beta-Sn | static | -0.0012 | -0.0012 | 11.5723 | 11.5723 | 6.3459 | 90.0 | 90.0 | 90.0 |
| A15--beta-W | static | -0.0005 | -0.0005 | 11.9995 | 11.9995 | 11.9995 | 90.0 | 90.0 | 90.0 |
| A5--beta-Sn | static | -0.0 | -0.0 | 10.8949 | 10.8949 | 6.0 | 90.0 | 90.0 | 90.0 |
| A3--Mg--hcp | dynamic | 0.0 | 0.0 | 6.5938 | 6.5938 | 10.7677 | 90.0 | 90.0 | 120.0 |
| A7--alpha-As | dynamic | 0.0 | 0.0 | 8.6441 | 8.6441 | 24.3928 | 90.0 | 90.0 | 120.0 |
| A5--beta-Sn | dynamic | 0.0 | 0.0 | 14.0814 | 14.0814 | 6.3443 | 90.0 | 90.0 | 90.0 |
| A5--beta-Sn | dynamic | 0.0 | 0.0 | 15.0632 | 15.0632 | 6.6035 | 90.0 | 90.0 | 90.0 |
| A15--beta-W | dynamic | 0.0 | 0.0 | 13.9658 | 13.9658 | 13.9658 | 90.0 | 90.0 | 90.0 |
| A6--In--bct | dynamic | 0.0 | 0.0 | 8.5043 | 8.5043 | 9.3589 | 90.0 | 90.0 | 90.0 |
| A2--W--bcc | dynamic | 0.0 | 0.0 | 9.415 | 9.415 | 9.415 | 90.0 | 90.0 | 90.0 |
| A1--Cu--fcc | dynamic | 0.0 | 0.0 | 10.4952 | 10.4952 | 10.4952 | 90.0 | 90.0 | 90.0 |
| A3'--alpha-La--double-hcp | dynamic | 0.0 | 0.0 | 6.3599 | 6.3599 | 20.7713 | 90.0 | 90.0 | 120.0 |
| A15--beta-W | dynamic | 0.0 | 0.0 | 12.6594 | 12.6594 | 12.6594 | 90.0 | 90.0 | 90.0 |
| A4--C--dc | dynamic | 0.0 | 0.0 | 16.1217 | 16.1217 | 16.1217 | 90.0 | 90.0 | 90.0 |
| A6--In--bct | dynamic | 0.0 | 0.0 | 8.6994 | 8.6994 | 8.97 | 90.0 | 90.0 | 90.0 |
| A7--alpha-As | dynamic | 0.0 | 0.0 | 10.8776 | 10.8776 | 28.4353 | 90.0 | 90.0 | 120.0 |
| Ah--alpha-Po--sc | dynamic | 0.0 | 0.0 | 9.2247 | 9.2247 | 9.2247 | 90.0 | 90.0 | 90.0 |
| A15--beta-W | static | 0.0027 | 0.0027 | 10.7331 | 10.7331 | 10.7331 | 90.0 | 90.0 | 90.0 |
Download raw data (including filtered results)
Reference structure matches:
| prototype | method | Ecoh (eV/atom) | Epot (eV/atom) | a0 (Å) | b0 (Å) | c0 (Å) | α (degrees) | β (degrees) | γ (degrees) |
|---|---|---|---|---|---|---|---|---|---|
| C1--CaF2--fluorite | static | -3.3977 | -3.3977 | 5.4607 | 5.4607 | 5.4607 | 90.0 | 90.0 | 90.0 |
| C1--CaF2--fluorite | dynamic | -0.0003 | -0.0003 | 13.0563 | 13.0563 | 13.0563 | 90.0 | 90.0 | 90.0 |
Download raw data (including filtered results)
Reference structure matches:
| prototype | method | Ecoh (eV/atom) | Epot (eV/atom) | a0 (Å) | b0 (Å) | c0 (Å) | α (degrees) | β (degrees) | γ (degrees) |
|---|---|---|---|---|---|---|---|---|---|
| L2_1--AlCu2Mn--heusler | static | -3.9926 | -3.9926 | 5.6281 | 5.6281 | 5.6281 | 90.0 | 90.0 | 90.0 |
| L2_1--AlCu2Mn--heusler | static | -0.3289 | -0.3289 | 9.2632 | 9.2632 | 9.2632 | 90.0 | 90.0 | 90.0 |
| L2_1--AlCu2Mn--heusler | static | -0.0788 | -0.0788 | 12.2603 | 12.2603 | 12.2603 | 90.0 | 90.0 | 90.0 |
Download raw data (including filtered results)
Reference structure matches:
| prototype | method | Ecoh (eV/atom) | Epot (eV/atom) | a0 (Å) | b0 (Å) | c0 (Å) | α (degrees) | β (degrees) | γ (degrees) |
|---|---|---|---|---|---|---|---|---|---|
| L2_1--AlCu2Mn--heusler | static | -3.9996 | -3.9996 | 5.6166 | 5.6166 | 5.6166 | 90.0 | 90.0 | 90.0 |
| L2_1--AlCu2Mn--heusler | static | -0.0001 | -0.0001 | 13.8558 | 13.8558 | 13.8558 | 90.0 | 90.0 | 90.0 |
| L2_1--AlCu2Mn--heusler | dynamic | 0.0 | 0.0 | 15.3971 | 15.3971 | 15.3971 | 90.0 | 90.0 | 90.0 |
| L2_1--AlCu2Mn--heusler | box | 0.0 | 0.0 | 13.3817 | 13.3817 | 13.3817 | 90.0 | 90.0 | 90.0 |
| L2_1--AlCu2Mn--heusler | box | 0.0 | 0.0 | 13.3752 | 13.3752 | 13.3752 | 90.0 | 90.0 | 90.0 |
| L2_1--AlCu2Mn--heusler | static | 0.2415 | 0.2415 | 11.0207 | 11.0207 | 11.0207 | 90.0 | 90.0 | 90.0 |
Download raw data (including filtered results)
Reference structure matches:
| prototype | method | Ecoh (eV/atom) | Epot (eV/atom) | a0 (Å) | b0 (Å) | c0 (Å) | α (degrees) | β (degrees) | γ (degrees) |
|---|---|---|---|---|---|---|---|---|---|
| mp-1077708 | static | -4.0815 | -4.0815 | 6.6543 | 6.6543 | 6.6543 | 90.0 | 90.0 | 90.0 |
| C1--CaF2--fluorite | static | -3.4845 | -3.4845 | 5.5856 | 5.5856 | 5.5856 | 90.0 | 90.0 | 90.0 |
| oqmd-1240427 | static | -1.7582 | -1.7582 | 11.0006 | 11.0006 | 11.0006 | 90.0 | 90.0 | 90.0 |
| C1--CaF2--fluorite | dynamic | -0.1847 | -0.1847 | 12.1811 | 12.1811 | 12.1811 | 90.0 | 90.0 | 90.0 |
| C1--CaF2--fluorite | box | -0.1078 | -0.1078 | 9.861 | 9.861 | 9.861 | 90.0 | 90.0 | 90.0 |
Download raw data (including filtered results)
Reference structure matches:
| prototype | method | Ecoh (eV/atom) | Epot (eV/atom) | a0 (Å) | b0 (Å) | c0 (Å) | α (degrees) | β (degrees) | γ (degrees) |
|---|---|---|---|---|---|---|---|---|---|
| oqmd-426579 | box | -4.0076 | -4.0076 | 6.9036 | 6.9036 | 8.9218 | 90.0 | 90.0 | 120.0 |
Download raw data (including filtered results)
Reference structure matches:
L2_1--AlCu2Mn--heusler = oqmd-387658
| prototype | method | Ecoh (eV/atom) | Epot (eV/atom) | a0 (Å) | b0 (Å) | c0 (Å) | α (degrees) | β (degrees) | γ (degrees) |
|---|---|---|---|---|---|---|---|---|---|
| L2_1--AlCu2Mn--heusler | static | -4.2327 | -4.2327 | 5.5979 | 5.5979 | 5.5979 | 90.0 | 90.0 | 90.0 |
| L2_1--AlCu2Mn--heusler | static | -0.1395 | -0.1395 | 9.8749 | 9.8749 | 9.8749 | 90.0 | 90.0 | 90.0 |
| L2_1--AlCu2Mn--heusler | dynamic | -0.1286 | -0.1286 | 12.1915 | 12.1915 | 12.1915 | 90.0 | 90.0 | 90.0 |
| L2_1--AlCu2Mn--heusler | static | -0.0011 | -0.0011 | 13.8558 | 13.8558 | 13.8558 | 90.0 | 90.0 | 90.0 |
| L2_1--AlCu2Mn--heusler | dynamic | 0.0 | 0.0 | 15.3781 | 15.3781 | 15.3781 | 90.0 | 90.0 | 90.0 |
| L2_1--AlCu2Mn--heusler | box | 0.0 | 0.0 | 13.406 | 13.406 | 13.406 | 90.0 | 90.0 | 90.0 |
Download raw data (including filtered results)
Reference structure matches:
| prototype | method | Ecoh (eV/atom) | Epot (eV/atom) | a0 (Å) | b0 (Å) | c0 (Å) | α (degrees) | β (degrees) | γ (degrees) |
|---|---|---|---|---|---|---|---|---|---|
| mp-1077252 | static | -4.0606 | -4.0606 | 6.5876 | 6.5876 | 6.5876 | 90.0 | 90.0 | 90.0 |
| C1--CaF2--fluorite | static | -3.6417 | -3.6417 | 5.506 | 5.506 | 5.506 | 90.0 | 90.0 | 90.0 |
| C1--CaF2--fluorite | dynamic | -3.6414 | -3.6414 | 5.506 | 5.506 | 5.506 | 90.0 | 90.0 | 90.0 |
| oqmd-1232523 | box | -2.9365 | -2.9365 | 5.2226 | 5.2226 | 3.6918 | 90.0 | 90.0 | 90.0 |
| oqmd-1238640 | static | -1.649 | -1.649 | 11.012 | 11.012 | 11.012 | 90.0 | 90.0 | 90.0 |
| oqmd-1238640 | box | -1.6464 | -1.6464 | 11.0636 | 11.0636 | 11.0636 | 90.0 | 90.0 | 90.0 |
| C1--CaF2--fluorite | static | -0.0021 | -0.0021 | 13.8558 | 13.8558 | 13.8558 | 90.0 | 90.0 | 90.0 |
| C1--CaF2--fluorite | dynamic | 0.0 | 0.0 | 15.5773 | 15.5773 | 15.5773 | 90.0 | 90.0 | 90.0 |
Download raw data (including filtered results)
Reference structure matches:
L1_2--AuCu3 = mp-984711
| prototype | method | Ecoh (eV/atom) | Epot (eV/atom) | a0 (Å) | b0 (Å) | c0 (Å) | α (degrees) | β (degrees) | γ (degrees) |
|---|---|---|---|---|---|---|---|---|---|
| L1_2--AuCu3 | dynamic | -4.029 | -4.029 | 3.5467 | 3.5467 | 3.5467 | 90.0 | 90.0 | 90.0 |
| D0_3--BiF3 | static | -3.9511 | -3.9511 | 5.6147 | 5.6147 | 5.6147 | 90.0 | 90.0 | 90.0 |
| A15--Cr3Si | dynamic | -3.9283 | -3.9283 | 4.5679 | 4.5679 | 4.5679 | 90.0 | 90.0 | 90.0 |
| A15--Cr3Si | static | -0.0005 | -0.0005 | 11.9995 | 11.9995 | 11.9995 | 90.0 | 90.0 | 90.0 |
| L1_2--AuCu3 | dynamic | -0.0 | -0.0 | 8.1362 | 8.1362 | 8.1362 | 90.0 | 90.0 | 90.0 |
| L1_2--AuCu3 | static | -0.0 | -0.0 | 8.1423 | 8.1423 | 8.1423 | 90.0 | 90.0 | 90.0 |
| D0_3--BiF3 | static | -0.0 | -0.0 | 13.2963 | 13.2963 | 13.2963 | 90.0 | 90.0 | 90.0 |
| A15--Cr3Si | dynamic | 0.0 | 0.0 | 13.9658 | 13.9658 | 13.9658 | 90.0 | 90.0 | 90.0 |
| D0_3--BiF3 | dynamic | 0.0 | 0.0 | 13.4393 | 13.4393 | 13.4393 | 90.0 | 90.0 | 90.0 |
| A15--Cr3Si | dynamic | 0.0065 | 0.0065 | 10.6851 | 10.6851 | 10.6851 | 90.0 | 90.0 | 90.0 |
| D0_3--BiF3 | static | 0.3466 | 0.3466 | 10.8061 | 10.8061 | 10.8061 | 90.0 | 90.0 | 90.0 |
Download raw data (including filtered results)
Reference structure matches:
D0_3--BiF3 = mp-1008282, oqmd-310984
L1_2--AuCu3 = mp-1008285, oqmd-343214
| prototype | method | Ecoh (eV/atom) | Epot (eV/atom) | a0 (Å) | b0 (Å) | c0 (Å) | α (degrees) | β (degrees) | γ (degrees) |
|---|---|---|---|---|---|---|---|---|---|
| oqmd-300442 | dynamic | -4.2441 | -4.2441 | 3.5603 | 3.5603 | 7.0236 | 90.0 | 90.0 | 90.0 |
| oqmd-318728 | dynamic | -4.2418 | -4.2418 | 5.0166 | 5.0166 | 4.0484 | 90.0 | 90.0 | 120.0 |
| oqmd-318728 | box | -4.2417 | -4.2417 | 5.0173 | 5.0173 | 4.0513 | 90.0 | 90.0 | 120.0 |
| oqmd-318728 | static | -4.2398 | -4.2398 | 5.0189 | 5.0189 | 4.1217 | 90.0 | 90.0 | 120.0 |
| L1_2--AuCu3 | dynamic | -4.239 | -4.239 | 3.5503 | 3.5503 | 3.5503 | 90.0 | 90.0 | 90.0 |
| D0_3--BiF3 | static | -4.1861 | -4.1861 | 5.6104 | 5.6104 | 5.6104 | 90.0 | 90.0 | 90.0 |
| A15--Cr3Si | static | -4.1432 | -4.1432 | 4.5497 | 4.5497 | 4.5497 | 90.0 | 90.0 | 90.0 |
| D0_3--BiF3 | static | -0.1809 | -0.1809 | 9.3859 | 9.3859 | 9.3859 | 90.0 | 90.0 | 90.0 |
| L1_2--AuCu3 | box | -0.1703 | -0.1703 | 5.9899 | 5.9899 | 5.9899 | 90.0 | 90.0 | 90.0 |
| A15--Cr3Si | static | -0.1227 | -0.1227 | 9.5524 | 9.5524 | 9.5524 | 90.0 | 90.0 | 90.0 |
| D0_3--BiF3 | dynamic | -0.1189 | -0.1189 | 12.2007 | 12.2007 | 12.2007 | 90.0 | 90.0 | 90.0 |
| L1_2--AuCu3 | static | -0.1178 | -0.1178 | 7.5602 | 7.5602 | 7.5602 | 90.0 | 90.0 | 90.0 |
| A15--Cr3Si | box | -0.117 | -0.117 | 7.5718 | 7.5718 | 7.5718 | 90.0 | 90.0 | 90.0 |
| L1_2--AuCu3 | static | -0.0011 | -0.0011 | 8.4849 | 8.4849 | 8.4849 | 90.0 | 90.0 | 90.0 |
| D0_3--BiF3 | static | -0.0008 | -0.0008 | 13.8558 | 13.8558 | 13.8558 | 90.0 | 90.0 | 90.0 |
| A15--Cr3Si | static | -0.0005 | -0.0005 | 11.9995 | 11.9995 | 11.9995 | 90.0 | 90.0 | 90.0 |
| L1_2--AuCu3 | box | -0.0 | -0.0 | 8.2246 | 8.2246 | 8.2246 | 90.0 | 90.0 | 90.0 |
| D0_3--BiF3 | box | -0.0 | -0.0 | 13.4269 | 13.4269 | 13.4269 | 90.0 | 90.0 | 90.0 |
| L1_2--AuCu3 | dynamic | 0.0 | 0.0 | 10.531 | 10.531 | 10.531 | 90.0 | 90.0 | 90.0 |
| A15--Cr3Si | dynamic | 0.0 | 0.0 | 13.9658 | 13.9658 | 13.9658 | 90.0 | 90.0 | 90.0 |
| D0_3--BiF3 | dynamic | 0.0 | 0.0 | 15.4024 | 15.4024 | 15.4024 | 90.0 | 90.0 | 90.0 |
Download raw data (including filtered results)
Reference structure matches:
A15--Cr3Si = oqmd-1280316
D0_3--BiF3 = mp-1008275, oqmd-313086
L1_2--AuCu3 = mp-1008278, oqmd-344860
| prototype | method | Ecoh (eV/atom) | Epot (eV/atom) | a0 (Å) | b0 (Å) | c0 (Å) | α (degrees) | β (degrees) | γ (degrees) |
|---|---|---|---|---|---|---|---|---|---|
| L1_2--AuCu3 | dynamic | -4.2622 | -4.2622 | 3.5268 | 3.5268 | 3.5268 | 90.0 | 90.0 | 90.0 |
| mp-1008284 | dynamic | -4.2621 | -4.2621 | 3.5261 | 3.5261 | 7.0506 | 90.0 | 90.0 | 90.0 |
| oqmd-320374 | dynamic | -4.2556 | -4.2556 | 4.9856 | 4.9856 | 3.9891 | 90.0 | 90.0 | 120.0 |
| oqmd-320374 | box | -4.2345 | -4.2345 | 5.0137 | 5.0137 | 4.0014 | 90.0 | 90.0 | 120.0 |
| D0_3--BiF3 | static | -4.1927 | -4.1927 | 5.5857 | 5.5857 | 5.5857 | 90.0 | 90.0 | 90.0 |
| A15--Cr3Si | dynamic | -4.1577 | -4.1577 | 4.5419 | 4.5419 | 4.5419 | 90.0 | 90.0 | 90.0 |
| L1_2--AuCu3 | static | -0.0042 | -0.0042 | 8.4849 | 8.4849 | 8.4849 | 90.0 | 90.0 | 90.0 |
| D0_3--BiF3 | static | -0.0028 | -0.0028 | 13.8558 | 13.8558 | 13.8558 | 90.0 | 90.0 | 90.0 |
| A15--Cr3Si | static | -0.0005 | -0.0005 | 11.9995 | 11.9995 | 11.9995 | 90.0 | 90.0 | 90.0 |
| A15--Cr3Si | dynamic | 0.0 | 0.0 | 13.9658 | 13.9658 | 13.9658 | 90.0 | 90.0 | 90.0 |
| L1_2--AuCu3 | dynamic | 0.0 | 0.0 | 10.4803 | 10.4803 | 10.4803 | 90.0 | 90.0 | 90.0 |
| A15--Cr3Si | dynamic | 0.0 | 0.0 | 12.6587 | 12.6587 | 12.6587 | 90.0 | 90.0 | 90.0 |
| D0_3--BiF3 | dynamic | 0.0 | 0.0 | 15.2017 | 15.2017 | 15.2017 | 90.0 | 90.0 | 90.0 |
| A15--Cr3Si | dynamic | 0.0 | 0.0 | 12.3138 | 12.3138 | 12.3138 | 90.0 | 90.0 | 90.0 |
| A15--Cr3Si | static | 0.0022 | 0.0022 | 10.7331 | 10.7331 | 10.7331 | 90.0 | 90.0 | 90.0 |
| A15--Cr3Si | static | 0.0213 | 0.0213 | 9.798 | 9.798 | 9.798 | 90.0 | 90.0 | 90.0 |
Download raw data (including filtered results)
Reference structure matches:
| prototype | method | Ecoh (eV/atom) | Epot (eV/atom) | a0 (Å) | b0 (Å) | c0 (Å) | α (degrees) | β (degrees) | γ (degrees) |
|---|---|---|---|---|---|---|---|---|---|
| mp-1226243 | static | -4.1858 | -4.1858 | 2.8915 | 3.8821 | 19.4788 | 90.0 | 90.0 | 90.0 |
| mp-1226243 | box | -4.1828 | -4.1828 | 2.7869 | 3.9539 | 19.7927 | 90.0 | 90.0 | 90.0 |
Download raw data (including filtered results)
Reference structure matches:
| prototype | method | Ecoh (eV/atom) | Epot (eV/atom) | a0 (Å) | b0 (Å) | c0 (Å) | α (degrees) | β (degrees) | γ (degrees) |
|---|---|---|---|---|---|---|---|---|---|
| L1_0--AuCu | dynamic | -3.8647 | -3.8647 | 2.4841 | 2.4841 | 3.5641 | 90.0 | 90.0 | 90.0 |
| B2--CsCl | box | -3.7609 | -3.7609 | 2.8266 | 2.8266 | 2.8266 | 90.0 | 90.0 | 90.0 |
| B1--NaCl--rock-salt | static | -3.3718 | -3.3718 | 4.827 | 4.827 | 4.827 | 90.0 | 90.0 | 90.0 |
| B3--ZnS--cubic-zinc-blende | static | -2.5229 | -2.5229 | 5.3723 | 5.3723 | 5.3723 | 90.0 | 90.0 | 90.0 |
| B2--CsCl | dynamic | -1.0971 | -1.0971 | 5.0667 | 5.0667 | 5.0667 | 90.0 | 90.0 | 90.0 |
| B3--ZnS--cubic-zinc-blende | box | -0.6649 | -0.6649 | 7.6358 | 7.6358 | 7.6358 | 90.0 | 90.0 | 90.0 |
| B1--NaCl--rock-salt | box | -0.4048 | -0.4048 | 7.1953 | 7.1953 | 7.1953 | 90.0 | 90.0 | 90.0 |
| B1--NaCl--rock-salt | dynamic | -0.3838 | -0.3838 | 7.7764 | 7.7764 | 7.7764 | 90.0 | 90.0 | 90.0 |
| L1_0--AuCu | dynamic | -0.0011 | -0.0011 | 5.6411 | 5.6411 | 8.0129 | 90.0 | 90.0 | 90.0 |
| L1_0--AuCu | static | -0.0005 | -0.0005 | 5.8051 | 5.8051 | 7.7751 | 90.0 | 90.0 | 90.0 |
| B2--CsCl | dynamic | -0.0005 | -0.0005 | 6.5281 | 6.5281 | 6.5281 | 90.0 | 90.0 | 90.0 |
| B1--NaCl--rock-salt | dynamic | -0.0004 | -0.0004 | 11.3071 | 11.3071 | 11.3071 | 90.0 | 90.0 | 90.0 |
| B3--ZnS--cubic-zinc-blende | dynamic | -0.0002 | -0.0002 | 13.0563 | 13.0563 | 13.0563 | 90.0 | 90.0 | 90.0 |
| L1_0--AuCu | static | -0.0 | -0.0 | 6.0 | 6.0 | 7.8405 | 90.0 | 90.0 | 90.0 |
| L1_0--AuCu | box | 0.0 | 0.0 | 6.0217 | 6.0217 | 7.8846 | 90.0 | 90.0 | 90.0 |
Download raw data (including filtered results)
Reference structure matches:
| prototype | method | Ecoh (eV/atom) | Epot (eV/atom) | a0 (Å) | b0 (Å) | c0 (Å) | α (degrees) | β (degrees) | γ (degrees) |
|---|---|---|---|---|---|---|---|---|---|
| C1--CaF2--fluorite | static | -3.2738 | -3.2738 | 5.4589 | 5.4589 | 5.4589 | 90.0 | 90.0 | 90.0 |
| C1--CaF2--fluorite | dynamic | -0.9309 | -0.9309 | 10.0588 | 10.0588 | 10.0588 | 90.0 | 90.0 | 90.0 |
| C1--CaF2--fluorite | dynamic | -0.0003 | -0.0003 | 13.0563 | 13.0563 | 13.0563 | 90.0 | 90.0 | 90.0 |
Download raw data (including filtered results)
Reference structure matches:
| prototype | method | Ecoh (eV/atom) | Epot (eV/atom) | a0 (Å) | b0 (Å) | c0 (Å) | α (degrees) | β (degrees) | γ (degrees) |
|---|---|---|---|---|---|---|---|---|---|
| L2_1--AlCu2Mn--heusler | static | -3.8 | -3.8 | 5.6226 | 5.6226 | 5.6226 | 90.0 | 90.0 | 90.0 |
| L2_1--AlCu2Mn--heusler | static | -0.2714 | -0.2714 | 10.2465 | 10.2465 | 10.2465 | 90.0 | 90.0 | 90.0 |
| L2_1--AlCu2Mn--heusler | box | -0.1159 | -0.1159 | 12.5947 | 12.5947 | 12.5947 | 90.0 | 90.0 | 90.0 |
| L2_1--AlCu2Mn--heusler | static | -0.025 | -0.025 | 13.8558 | 13.8558 | 13.8558 | 90.0 | 90.0 | 90.0 |
| L2_1--AlCu2Mn--heusler | dynamic | 0.0 | 0.0 | 14.7449 | 14.7449 | 14.7449 | 90.0 | 90.0 | 90.0 |
| L2_1--AlCu2Mn--heusler | box | 0.0 | 0.0 | 13.4064 | 13.4064 | 13.4064 | 90.0 | 90.0 | 90.0 |
Download raw data (including filtered results)
Reference structure matches:
| prototype | method | Ecoh (eV/atom) | Epot (eV/atom) | a0 (Å) | b0 (Å) | c0 (Å) | α (degrees) | β (degrees) | γ (degrees) |
|---|---|---|---|---|---|---|---|---|---|
| L2_1--AlCu2Mn--heusler | static | -3.8081 | -3.8081 | 5.6465 | 5.6465 | 5.6465 | 90.0 | 90.0 | 90.0 |
| L2_1--AlCu2Mn--heusler | static | -0.4926 | -0.4926 | 10.0834 | 10.0834 | 10.0834 | 90.0 | 90.0 | 90.0 |
| L2_1--AlCu2Mn--heusler | dynamic | -0.0003 | -0.0003 | 13.0633 | 13.0633 | 13.0633 | 90.0 | 90.0 | 90.0 |
Download raw data (including filtered results)
Reference structure matches:
| prototype | method | Ecoh (eV/atom) | Epot (eV/atom) | a0 (Å) | b0 (Å) | c0 (Å) | α (degrees) | β (degrees) | γ (degrees) |
|---|---|---|---|---|---|---|---|---|---|
| L1_2--AuCu3 | dynamic | -3.7018 | -3.7018 | 3.5614 | 3.5614 | 3.5614 | 90.0 | 90.0 | 90.0 |
| D0_3--BiF3 | static | -3.5802 | -3.5802 | 5.7156 | 5.7156 | 5.7156 | 90.0 | 90.0 | 90.0 |
| A15--Cr3Si | static | -3.5482 | -3.5482 | 4.6762 | 4.6762 | 4.6762 | 90.0 | 90.0 | 90.0 |
| A15--Cr3Si | static | -1.0153 | -1.0153 | 8.185 | 8.185 | 8.185 | 90.0 | 90.0 | 90.0 |
| L1_2--AuCu3 | static | -0.8435 | -0.8435 | 6.9582 | 6.9582 | 6.9582 | 90.0 | 90.0 | 90.0 |
| D0_3--BiF3 | box | -0.3143 | -0.3143 | 10.2353 | 10.2353 | 10.2353 | 90.0 | 90.0 | 90.0 |
| D0_3--BiF3 | box | -0.1465 | -0.1465 | 11.4368 | 11.4368 | 11.4368 | 90.0 | 90.0 | 90.0 |
| L1_2--AuCu3 | dynamic | -0.0032 | -0.0032 | 7.9608 | 7.9608 | 7.9608 | 90.0 | 90.0 | 90.0 |
| D0_3--BiF3 | dynamic | -0.0022 | -0.0022 | 12.9999 | 12.9999 | 12.9999 | 90.0 | 90.0 | 90.0 |
| A15--Cr3Si | dynamic | -0.0007 | -0.0007 | 11.2439 | 11.2439 | 11.2439 | 90.0 | 90.0 | 90.0 |
Download raw data (including filtered results)
Reference structure matches:
| prototype | method | Ecoh (eV/atom) | Epot (eV/atom) | a0 (Å) | b0 (Å) | c0 (Å) | α (degrees) | β (degrees) | γ (degrees) |
|---|---|---|---|---|---|---|---|---|---|
| L2_1--AlCu2Mn--heusler | static | -4.0459 | -4.0459 | 5.6241 | 5.6241 | 5.6241 | 90.0 | 90.0 | 90.0 |
| L2_1--AlCu2Mn--heusler | static | -0.2611 | -0.2611 | 12.5019 | 12.5019 | 12.5019 | 90.0 | 90.0 | 90.0 |
| L2_1--AlCu2Mn--heusler | static | -0.2523 | -0.2523 | 10.5876 | 10.5876 | 10.5876 | 90.0 | 90.0 | 90.0 |
| L2_1--AlCu2Mn--heusler | static | -0.0261 | -0.0261 | 13.8558 | 13.8558 | 13.8558 | 90.0 | 90.0 | 90.0 |
| L2_1--AlCu2Mn--heusler | dynamic | 0.0 | 0.0 | 14.7345 | 14.7345 | 14.7345 | 90.0 | 90.0 | 90.0 |
| L2_1--AlCu2Mn--heusler | box | 0.0 | 0.0 | 13.4064 | 13.4064 | 13.4064 | 90.0 | 90.0 | 90.0 |
Download raw data (including filtered results)
Reference structure matches:
| prototype | method | Ecoh (eV/atom) | Epot (eV/atom) | a0 (Å) | b0 (Å) | c0 (Å) | α (degrees) | β (degrees) | γ (degrees) |
|---|---|---|---|---|---|---|---|---|---|
| L2_1--AlCu2Mn--heusler | static | -4.0478 | -4.0478 | 5.6056 | 5.6056 | 5.6056 | 90.0 | 90.0 | 90.0 |
| L2_1--AlCu2Mn--heusler | static | -0.001 | -0.001 | 13.8558 | 13.8558 | 13.8558 | 90.0 | 90.0 | 90.0 |
| L2_1--AlCu2Mn--heusler | dynamic | 0.0 | 0.0 | 15.3858 | 15.3858 | 15.3858 | 90.0 | 90.0 | 90.0 |
Download raw data (including filtered results)
Reference structure matches:
B1--NaCl--rock-salt = oqmd-1105105
B2--CsCl = oqmd-305920
B3--ZnS--cubic-zinc-blende = oqmd-1219336
L1_0--AuCu = oqmd-337462
| prototype | method | Ecoh (eV/atom) | Epot (eV/atom) | a0 (Å) | b0 (Å) | c0 (Å) | α (degrees) | β (degrees) | γ (degrees) |
|---|---|---|---|---|---|---|---|---|---|
| oqmd-1219850 | dynamic | -4.2898 | -4.2898 | 4.0715 | 2.527 | 4.3455 | 90.0 | 90.0 | 90.0 |
| L1_0--AuCu | dynamic | -4.2895 | -4.2895 | 2.5448 | 2.5448 | 3.5037 | 90.0 | 90.0 | 90.0 |
| oqmd-327004 | dynamic | -4.2894 | -4.2894 | 2.5233 | 2.5233 | 12.2865 | 90.0 | 90.0 | 120.0 |
| oqmd-1219850 | static | -4.2816 | -4.2816 | 4.0804 | 2.5646 | 4.3009 | 90.0 | 90.0 | 90.0 |
| oqmd-1219850 | box | -4.2758 | -4.2758 | 4.0847 | 2.5757 | 4.287 | 90.0 | 90.0 | 90.0 |
| oqmd-1229015 | dynamic | -4.2732 | -4.2732 | 2.5272 | 2.5272 | 4.0622 | 90.0 | 90.0 | 120.0 |
| B2--CsCl | static | -4.2347 | -4.2347 | 2.8094 | 2.8094 | 2.8094 | 90.0 | 90.0 | 90.0 |
| mp-1226211 | static | -4.2243 | -4.2243 | 3.0508 | 3.9066 | 3.8686 | 90.0 | 90.0 | 90.0 |
| mp-1226211 | box | -4.2195 | -4.2195 | 2.8874 | 3.9966 | 3.9727 | 90.0 | 90.0 | 90.0 |
| B1--NaCl--rock-salt | static | -3.489 | -3.489 | 4.7227 | 4.7227 | 4.7227 | 90.0 | 90.0 | 90.0 |
| oqmd-1225529 | static | -2.5024 | -2.5024 | 3.7716 | 3.7716 | 6.0 | 90.0 | 90.0 | 120.0 |
| B3--ZnS--cubic-zinc-blende | static | -2.4615 | -2.4615 | 5.2685 | 5.2685 | 5.2685 | 90.0 | 90.0 | 90.0 |
| L1_0--AuCu | dynamic | -0.3032 | -0.3032 | 5.275 | 5.275 | 6.6126 | 90.0 | 90.0 | 90.0 |
| B2--CsCl | dynamic | -0.278 | -0.278 | 6.0901 | 6.0901 | 6.0901 | 90.0 | 90.0 | 90.0 |
| B1--NaCl--rock-salt | dynamic | -0.2768 | -0.2768 | 10.4266 | 10.4266 | 10.4266 | 90.0 | 90.0 | 90.0 |
| B3--ZnS--cubic-zinc-blende | dynamic | -0.2731 | -0.2731 | 11.7616 | 11.7616 | 11.7616 | 90.0 | 90.0 | 90.0 |
| B2--CsCl | static | -0.2664 | -0.2664 | 5.2974 | 5.2974 | 5.2974 | 90.0 | 90.0 | 90.0 |
| B3--ZnS--cubic-zinc-blende | static | -0.2427 | -0.2427 | 10.1258 | 10.1258 | 10.1258 | 90.0 | 90.0 | 90.0 |
| B1--NaCl--rock-salt | static | -0.2347 | -0.2347 | 8.6062 | 8.6062 | 8.6062 | 90.0 | 90.0 | 90.0 |
| L1_0--AuCu | box | -0.0653 | -0.0653 | 4.8825 | 4.8825 | 6.4353 | 90.0 | 90.0 | 90.0 |
| L1_0--AuCu | static | -0.0 | -0.0 | 6.0186 | 6.0186 | 7.8821 | 90.0 | 90.0 | 90.0 |
| L1_0--AuCu | box | -0.0 | -0.0 | 6.0187 | 6.0187 | 7.8819 | 90.0 | 90.0 | 90.0 |
Download raw data (including filtered results)
Reference structure matches:
| prototype | method | Ecoh (eV/atom) | Epot (eV/atom) | a0 (Å) | b0 (Å) | c0 (Å) | α (degrees) | β (degrees) | γ (degrees) |
|---|---|---|---|---|---|---|---|---|---|
| C1--CaF2--fluorite | static | -3.5049 | -3.5049 | 5.4652 | 5.4652 | 5.4652 | 90.0 | 90.0 | 90.0 |
| oqmd-1240426 | static | -0.5677 | -0.5677 | 8.5861 | 8.5861 | 8.5861 | 90.0 | 90.0 | 90.0 |
| C1--CaF2--fluorite | dynamic | -0.366 | -0.366 | 11.7572 | 11.7572 | 11.7572 | 90.0 | 90.0 | 90.0 |
| C1--CaF2--fluorite | static | -0.3642 | -0.3642 | 10.8731 | 10.8731 | 10.8731 | 90.0 | 90.0 | 90.0 |
| oqmd-1240426 | box | -0.3258 | -0.3258 | 21.9236 | 21.9236 | 21.9236 | 90.0 | 90.0 | 90.0 |
| C1--CaF2--fluorite | static | 2.1016 | 2.1016 | 8.7496 | 8.7496 | 8.7496 | 90.0 | 90.0 | 90.0 |
Download raw data (including filtered results)
Reference structure matches:
L2_1--AlCu2Mn--heusler = oqmd-527070
| prototype | method | Ecoh (eV/atom) | Epot (eV/atom) | a0 (Å) | b0 (Å) | c0 (Å) | α (degrees) | β (degrees) | γ (degrees) |
|---|---|---|---|---|---|---|---|---|---|
| L2_1--AlCu2Mn--heusler | static | -4.284 | -4.284 | 5.6186 | 5.6186 | 5.6186 | 90.0 | 90.0 | 90.0 |
| L2_1--AlCu2Mn--heusler | static | -0.2919 | -0.2919 | 11.7222 | 11.7222 | 11.7222 | 90.0 | 90.0 | 90.0 |
| L2_1--AlCu2Mn--heusler | static | -0.2797 | -0.2797 | 10.9391 | 10.9391 | 10.9391 | 90.0 | 90.0 | 90.0 |
| L2_1--AlCu2Mn--heusler | static | -0.0003 | -0.0003 | 13.8558 | 13.8558 | 13.8558 | 90.0 | 90.0 | 90.0 |
| L2_1--AlCu2Mn--heusler | dynamic | 0.0 | 0.0 | 15.4165 | 15.4165 | 15.4165 | 90.0 | 90.0 | 90.0 |
Download raw data (including filtered results)
Reference structure matches:
D0_3--BiF3 = mp-1018067, oqmd-308186
L1_2--AuCu3 = mp-1018081, oqmd-346012
| prototype | method | Ecoh (eV/atom) | Epot (eV/atom) | a0 (Å) | b0 (Å) | c0 (Å) | α (degrees) | β (degrees) | γ (degrees) |
|---|---|---|---|---|---|---|---|---|---|
| oqmd-297657 | dynamic | -4.3459 | -4.3459 | 3.5783 | 3.5783 | 7.0647 | 90.0 | 90.0 | 90.0 |
| L1_2--AuCu3 | dynamic | -4.3435 | -4.3435 | 3.5697 | 3.5697 | 3.5697 | 90.0 | 90.0 | 90.0 |
| oqmd-321526 | dynamic | -4.338 | -4.338 | 5.0572 | 5.0572 | 4.0757 | 90.0 | 90.0 | 120.0 |
| oqmd-321526 | box | -4.3377 | -4.3377 | 5.0594 | 5.0594 | 4.0767 | 90.0 | 90.0 | 120.0 |
| D0_3--BiF3 | static | -4.2748 | -4.2748 | 5.6791 | 5.6791 | 5.6791 | 90.0 | 90.0 | 90.0 |
| A15--Cr3Si | static | -4.122 | -4.122 | 4.6607 | 4.6607 | 4.6607 | 90.0 | 90.0 | 90.0 |
| L1_2--AuCu3 | static | -3.113 | -3.113 | 4.3627 | 4.3627 | 4.3627 | 90.0 | 90.0 | 90.0 |
| L1_2--AuCu3 | static | -0.0098 | -0.0098 | 7.9728 | 7.9728 | 7.9728 | 90.0 | 90.0 | 90.0 |
| A15--Cr3Si | dynamic | -0.0019 | -0.0019 | 11.2995 | 11.2995 | 11.2995 | 90.0 | 90.0 | 90.0 |
| A15--Cr3Si | box | 0.0319 | 0.0319 | 9.0241 | 9.0241 | 9.0241 | 90.0 | 90.0 | 90.0 |
| A15--Cr3Si | static | 0.7759 | 0.7759 | 9.798 | 9.798 | 9.798 | 90.0 | 90.0 | 90.0 |
| A15--Cr3Si | box | 0.7957 | 0.7957 | 9.9205 | 9.9205 | 9.9205 | 90.0 | 90.0 | 90.0 |
| L1_2--AuCu3 | dynamic | 1.0016 | 1.0016 | 5.9254 | 5.9254 | 5.9254 | 90.0 | 90.0 | 90.0 |
| L1_2--AuCu3 | static | 1.0084 | 1.0084 | 6.0 | 6.0 | 6.0 | 90.0 | 90.0 | 90.0 |
| D0_3--BiF3 | box | 1.3963 | 1.3963 | 11.0575 | 11.0575 | 11.0575 | 90.0 | 90.0 | 90.0 |
| D0_3--BiF3 | static | 1.5752 | 1.5752 | 9.6246 | 9.6246 | 9.6246 | 90.0 | 90.0 | 90.0 |
Download raw data (including filtered results)
Reference structure matches:
| prototype | method | Ecoh (eV/atom) | Epot (eV/atom) | a0 (Å) | b0 (Å) | c0 (Å) | α (degrees) | β (degrees) | γ (degrees) |
|---|---|---|---|---|---|---|---|---|---|
| mp-1226230 | static | -4.279 | -4.279 | 2.7881 | 4.0681 | 20.3519 | 90.0 | 90.0 | 90.0 |
| mp-1226230 | box | -4.2773 | -4.2773 | 2.9394 | 3.9635 | 19.7728 | 90.0 | 90.0 | 90.0 |
Download raw data (including filtered results)
Reference structure matches:
| prototype | method | Ecoh (eV/atom) | Epot (eV/atom) | a0 (Å) | b0 (Å) | c0 (Å) | α (degrees) | β (degrees) | γ (degrees) |
|---|---|---|---|---|---|---|---|---|---|
| oqmd-835095 | static | -3.6021 | -3.6021 | 5.4533 | 5.4533 | 5.4533 | 90.0 | 90.0 | 90.0 |
| oqmd-959986 | static | -3.5922 | -3.5922 | 5.478 | 5.478 | 5.478 | 90.0 | 90.0 | 90.0 |
| oqmd-958168 | box | -3.5278 | -3.5278 | 5.5702 | 5.5702 | 5.5702 | 90.0 | 90.0 | 90.0 |
| oqmd-958168 | static | -3.4558 | -3.4558 | 5.3666 | 5.3666 | 5.3666 | 90.0 | 90.0 | 90.0 |
Download raw data (including filtered results)
Reference structure matches:
L2_1--AlCu2Mn--heusler = oqmd-528888
| prototype | method | Ecoh (eV/atom) | Epot (eV/atom) | a0 (Å) | b0 (Å) | c0 (Å) | α (degrees) | β (degrees) | γ (degrees) |
|---|---|---|---|---|---|---|---|---|---|
| L2_1--AlCu2Mn--heusler | static | -4.2832 | -4.2832 | 5.609 | 5.609 | 5.609 | 90.0 | 90.0 | 90.0 |
| L2_1--AlCu2Mn--heusler | static | -0.0636 | -0.0636 | 10.0557 | 10.0557 | 10.0557 | 90.0 | 90.0 | 90.0 |
| L2_1--AlCu2Mn--heusler | static | -0.0023 | -0.0023 | 13.8558 | 13.8558 | 13.8558 | 90.0 | 90.0 | 90.0 |
| L2_1--AlCu2Mn--heusler | dynamic | 0.0 | 0.0 | 15.2447 | 15.2447 | 15.2447 | 90.0 | 90.0 | 90.0 |
| L2_1--AlCu2Mn--heusler | box | 0.0 | 0.0 | 13.4054 | 13.4054 | 13.4054 | 90.0 | 90.0 | 90.0 |
| L2_1--AlCu2Mn--heusler | static | 0.0034 | 0.0034 | 12.0 | 12.0 | 12.0 | 90.0 | 90.0 | 90.0 |
| L2_1--AlCu2Mn--heusler | dynamic | 0.0037 | 0.0037 | 12.1496 | 12.1496 | 12.1496 | 90.0 | 90.0 | 90.0 |
Download raw data (including filtered results)
Reference structure matches:
B1--NaCl--rock-salt = oqmd-1106140
B2--CsCl = mp-1226196, oqmd-306955
B3--ZnS--cubic-zinc-blende = oqmd-1219358
L1_0--AuCu = oqmd-338497
| prototype | method | Ecoh (eV/atom) | Epot (eV/atom) | a0 (Å) | b0 (Å) | c0 (Å) | α (degrees) | β (degrees) | γ (degrees) |
|---|---|---|---|---|---|---|---|---|---|
| L1_0--AuCu | dynamic | -4.3246 | -4.3246 | 2.4925 | 2.4925 | 3.5233 | 90.0 | 90.0 | 90.0 |
| oqmd-328039 | dynamic | -4.3242 | -4.3242 | 2.4916 | 2.4916 | 12.2072 | 90.0 | 90.0 | 120.0 |
| oqmd-1219872 | dynamic | -4.3136 | -4.3136 | 4.0033 | 2.4897 | 4.312 | 90.0 | 90.0 | 90.0 |
| oqmd-1229037 | dynamic | -4.3128 | -4.3128 | 2.4871 | 2.4871 | 3.998 | 90.0 | 90.0 | 120.0 |
| oqmd-1219872 | box | -4.3123 | -4.3123 | 4.0118 | 2.4737 | 4.3376 | 90.0 | 90.0 | 90.0 |
| B2--CsCl | static | -4.2412 | -4.2412 | 2.791 | 2.791 | 2.791 | 90.0 | 90.0 | 90.0 |
| B1--NaCl--rock-salt | static | -3.5562 | -3.5562 | 4.6923 | 4.6923 | 4.6923 | 90.0 | 90.0 | 90.0 |
| oqmd-1225551 | box | -3.0171 | -3.0171 | 4.0665 | 4.0665 | 4.6796 | 90.0 | 90.0 | 120.0 |
| oqmd-1225551 | static | -2.9825 | -2.9825 | 3.9279 | 3.9279 | 4.6228 | 90.0 | 90.0 | 120.0 |
| B3--ZnS--cubic-zinc-blende | box | -2.5199 | -2.5199 | 5.4589 | 5.4589 | 5.4589 | 90.0 | 90.0 | 90.0 |
| L1_0--AuCu | static | -0.0031 | -0.0031 | 6.2206 | 6.2206 | 8.1611 | 90.0 | 90.0 | 90.0 |
| B2--CsCl | static | -0.0031 | -0.0031 | 6.9279 | 6.9279 | 6.9279 | 90.0 | 90.0 | 90.0 |
| B1--NaCl--rock-salt | static | -0.0023 | -0.0023 | 11.9995 | 11.9995 | 11.9995 | 90.0 | 90.0 | 90.0 |
| L1_0--AuCu | static | -0.0016 | -0.0016 | 6.0 | 6.0 | 7.8545 | 90.0 | 90.0 | 90.0 |
| B3--ZnS--cubic-zinc-blende | static | -0.0015 | -0.0015 | 13.8558 | 13.8558 | 13.8558 | 90.0 | 90.0 | 90.0 |
| L1_0--AuCu | dynamic | 0.0 | 0.0 | 7.8998 | 7.8998 | 12.3018 | 90.0 | 90.0 | 90.0 |
| B1--NaCl--rock-salt | dynamic | 0.0 | 0.0 | 13.9097 | 13.9097 | 13.9097 | 90.0 | 90.0 | 90.0 |
| B3--ZnS--cubic-zinc-blende | dynamic | 0.0 | 0.0 | 16.1081 | 16.1081 | 16.1081 | 90.0 | 90.0 | 90.0 |
| L1_0--AuCu | dynamic | 0.0 | 0.0 | 7.7377 | 7.7377 | 11.2396 | 90.0 | 90.0 | 90.0 |
| B2--CsCl | dynamic | 0.0 | 0.0 | 9.416 | 9.416 | 9.416 | 90.0 | 90.0 | 90.0 |
Download raw data (including filtered results)
Reference structure matches:
| prototype | method | Ecoh (eV/atom) | Epot (eV/atom) | a0 (Å) | b0 (Å) | c0 (Å) | α (degrees) | β (degrees) | γ (degrees) |
|---|---|---|---|---|---|---|---|---|---|
| mp-784631 | dynamic | -4.3661 | -4.3661 | 2.4913 | 3.5219 | 7.472 | 90.0 | 90.0 | 90.0 |
| mp-784631 | box | -4.3661 | -4.3661 | 2.4915 | 3.5211 | 7.4729 | 90.0 | 90.0 | 90.0 |
| mp-1077077 | static | -4.1174 | -4.1174 | 6.6113 | 6.6113 | 6.6113 | 90.0 | 90.0 | 90.0 |
| C1--CaF2--fluorite | static | -3.7051 | -3.7051 | 5.4442 | 5.4442 | 5.4442 | 90.0 | 90.0 | 90.0 |
| oqmd-1238639 | static | -1.6099 | -1.6099 | 11.012 | 11.012 | 11.012 | 90.0 | 90.0 | 90.0 |
| oqmd-1238639 | box | -1.6091 | -1.6091 | 11.1203 | 11.1203 | 11.1203 | 90.0 | 90.0 | 90.0 |
| C1--CaF2--fluorite | box | -0.5276 | -0.5276 | 4.2606 | 4.2606 | 4.2606 | 90.0 | 90.0 | 90.0 |
| C1--CaF2--fluorite | static | -0.0021 | -0.0021 | 13.8558 | 13.8558 | 13.8558 | 90.0 | 90.0 | 90.0 |
| C1--CaF2--fluorite | dynamic | 0.0 | 0.0 | 15.5773 | 15.5773 | 15.5773 | 90.0 | 90.0 | 90.0 |
| C1--CaF2--fluorite | dynamic | 0.0 | 0.0 | 14.1582 | 14.1582 | 14.1582 | 90.0 | 90.0 | 90.0 |
| C1--CaF2--fluorite | static | 0.0123 | 0.0123 | 12.0 | 12.0 | 12.0 | 90.0 | 90.0 | 90.0 |
Download raw data (including filtered results)
Reference structure matches:
D0_3--BiF3 = mp-1007975, oqmd-309832
L1_2--AuCu3 = mp-1007974, oqmd-348114
| prototype | method | Ecoh (eV/atom) | Epot (eV/atom) | a0 (Å) | b0 (Å) | c0 (Å) | α (degrees) | β (degrees) | γ (degrees) |
|---|---|---|---|---|---|---|---|---|---|
| L1_2--AuCu3 | dynamic | -4.3872 | -4.3872 | 3.5223 | 3.5223 | 3.5223 | 90.0 | 90.0 | 90.0 |
| mp-1007923 | dynamic | -4.3869 | -4.3869 | 3.5222 | 3.5222 | 7.042 | 90.0 | 90.0 | 90.0 |
| mp-1226338 | dynamic | -4.3869 | -4.3869 | 2.4902 | 2.4902 | 24.4124 | 90.0 | 90.0 | 120.0 |
| mp-1226338 | box | -4.3856 | -4.3856 | 2.4903 | 2.4903 | 24.39 | 90.0 | 90.0 | 120.0 |
| oqmd-323628 | dynamic | -4.3717 | -4.3717 | 4.9735 | 4.9735 | 4.0186 | 90.0 | 90.0 | 120.0 |
| oqmd-323628 | box | -4.3714 | -4.3714 | 4.9743 | 4.9743 | 4.0204 | 90.0 | 90.0 | 120.0 |
| D0_3--BiF3 | static | -4.2927 | -4.2927 | 5.506 | 5.506 | 5.506 | 90.0 | 90.0 | 90.0 |
| D0_3--BiF3 | static | -4.2896 | -4.2896 | 5.577 | 5.577 | 5.577 | 90.0 | 90.0 | 90.0 |
| A15--Cr3Si | dynamic | -4.2279 | -4.2279 | 4.5229 | 4.5229 | 4.5229 | 90.0 | 90.0 | 90.0 |
| L1_2--AuCu3 | static | -0.0051 | -0.0051 | 8.4849 | 8.4849 | 8.4849 | 90.0 | 90.0 | 90.0 |
| D0_3--BiF3 | static | -0.0034 | -0.0034 | 13.8558 | 13.8558 | 13.8558 | 90.0 | 90.0 | 90.0 |
| A15--Cr3Si | static | -0.0007 | -0.0007 | 11.9995 | 11.9995 | 11.9995 | 90.0 | 90.0 | 90.0 |
| A15--Cr3Si | dynamic | -0.0007 | -0.0007 | 11.999 | 11.999 | 11.999 | 90.0 | 90.0 | 90.0 |
| A15--Cr3Si | static | -0.0005 | -0.0005 | 10.7331 | 10.7331 | 10.7331 | 90.0 | 90.0 | 90.0 |
| D0_3--BiF3 | dynamic | 0.0 | 0.0 | 14.1135 | 14.1135 | 14.1135 | 90.0 | 90.0 | 90.0 |
| A15--Cr3Si | dynamic | 0.0 | 0.0 | 12.7165 | 12.7165 | 12.7165 | 90.0 | 90.0 | 90.0 |
| L1_2--AuCu3 | dynamic | 0.0 | 0.0 | 10.4493 | 10.4493 | 10.4493 | 90.0 | 90.0 | 90.0 |
| A15--Cr3Si | dynamic | 0.0 | 0.0 | 13.9719 | 13.9719 | 13.9719 | 90.0 | 90.0 | 90.0 |
| D0_3--BiF3 | dynamic | 0.0 | 0.0 | 15.1565 | 15.1565 | 15.1565 | 90.0 | 90.0 | 90.0 |
| A15--Cr3Si | box | 0.0 | 0.0 | 11.6078 | 11.6078 | 11.6078 | 90.0 | 90.0 | 90.0 |
| A15--Cr3Si | static | 0.0062 | 0.0062 | 9.798 | 9.798 | 9.798 | 90.0 | 90.0 | 90.0 |
| D0_3--BiF3 | static | 0.012 | 0.012 | 12.0 | 12.0 | 12.0 | 90.0 | 90.0 | 90.0 |
Download raw data (including filtered results)
Reference structure matches:
A1--Cu--fcc = mp-30, oqmd-592441, oqmd-593869, oqmd-594301, oqmd-594302, oqmd-594517, oqmd-594518, oqmd-594519, oqmd-594520, oqmd-598513, oqmd-635950, oqmd-1214520
A15--beta-W = oqmd-1214965
A2--W--bcc = oqmd-637373, oqmd-1215143
A3'--alpha-La--double-hcp = mp-989695, oqmd-1215411
A3--Mg--hcp = mp-989782, oqmd-1215321
A4--C--dc = oqmd-1215500
A5--beta-Sn = oqmd-1215589
A6--In--bct = mp-998890, mp-1010136, oqmd-1215678
| prototype | method | Ecoh (eV/atom) | Epot (eV/atom) | a0 (Å) | b0 (Å) | c0 (Å) | α (degrees) | β (degrees) | γ (degrees) |
|---|---|---|---|---|---|---|---|---|---|
| A3'--alpha-La--double-hcp | dynamic | -8.8573 | -8.8573 | 4.9895 | 4.9895 | 16.2956 | 90.0 | 90.0 | 120.0 |
| A1--Cu--fcc | dynamic | -8.8573 | -8.8573 | 7.0562 | 7.0562 | 7.0562 | 90.0 | 90.0 | 90.0 |
| A3--Mg--hcp | dynamic | -8.8573 | -8.8573 | 4.9895 | 4.9895 | 8.1478 | 90.0 | 90.0 | 120.0 |
| A5--beta-Sn | static | -5.0457 | -5.0457 | 3.4009 | 3.4009 | 1.9401 | 90.0 | 90.0 | 90.0 |
| A5--beta-Sn | box | -4.7558 | -4.7558 | 3.3549 | 3.3549 | 1.848 | 90.0 | 90.0 | 90.0 |
| A1--Cu--fcc | dynamic | -3.54 | -3.54 | 3.62 | 3.62 | 3.62 | 90.0 | 90.0 | 90.0 |
| A3'--alpha-La--double-hcp | dynamic | -3.5356 | -3.5356 | 2.5541 | 2.5541 | 8.3575 | 90.0 | 90.0 | 120.0 |
| oqmd-1216034 | dynamic | -3.5345 | -3.5345 | 2.5523 | 2.5523 | 18.8046 | 90.0 | 90.0 | 120.0 |
| A3--Mg--hcp | dynamic | -3.5314 | -3.5314 | 2.5486 | 2.5486 | 4.1779 | 90.0 | 90.0 | 120.0 |
| oqmd-1215232 | box | -3.5309 | -3.5309 | 2.5398 | 4.4287 | 4.179 | 90.0 | 90.0 | 90.0 |
| mp-1059259 | dynamic | -3.4777 | -3.4777 | 2.434 | 8.0546 | 2.4923 | 90.0 | 90.0 | 90.0 |
| mp-1059259 | box | -3.4759 | -3.4759 | 2.4376 | 8.0117 | 2.4979 | 90.0 | 90.0 | 90.0 |
| A6--In--bct | static | -3.4616 | -3.4616 | 3.1791 | 3.1791 | 2.5443 | 90.0 | 90.0 | 90.0 |
| A6--In--bct | static | -3.4615 | -3.4615 | 3.1785 | 3.1785 | 2.5445 | 90.0 | 90.0 | 90.0 |
| oqmd-1214876 | dynamic | -3.4307 | -3.4307 | 6.2845 | 6.2845 | 6.2845 | 90.0 | 90.0 | 90.0 |
| oqmd-1214787 | static | -3.4299 | -3.4299 | 8.9835 | 8.9835 | 8.9835 | 90.0 | 90.0 | 90.0 |
| oqmd-1214787 | box | -3.4298 | -3.4298 | 8.9821 | 8.9821 | 8.9821 | 90.0 | 90.0 | 90.0 |
| oqmd-1214876 | box | -3.4286 | -3.4286 | 6.2821 | 6.2821 | 6.2821 | 90.0 | 90.0 | 90.0 |
| oqmd-1215054 | box | -3.4231 | -3.4231 | 4.3121 | 9.0622 | 2.5264 | 90.0 | 90.0 | 90.0 |
| A2--W--bcc | static | -3.4143 | -3.4143 | 2.8928 | 2.8928 | 2.8928 | 90.0 | 90.0 | 90.0 |
| oqmd-1215054 | static | -3.4089 | -3.4089 | 4.1208 | 8.9583 | 2.6659 | 90.0 | 90.0 | 90.0 |
| oqmd-1214698 | box | -3.3971 | -3.3971 | 3.4789 | 8.5309 | 3.4789 | 90.0 | 90.0 | 90.0 |
| A15--beta-W | static | -3.3944 | -3.3944 | 4.6943 | 4.6943 | 4.6943 | 90.0 | 90.0 | 90.0 |
| mp-1120774 | dynamic | -3.3937 | -3.3937 | 2.5583 | 2.5583 | 24.7587 | 90.0 | 90.0 | 120.0 |
| mp-1120774 | static | -3.3937 | -3.3937 | 2.5583 | 2.5583 | 24.7708 | 90.0 | 90.0 | 120.0 |
| mp-1120774 | box | -3.3936 | -3.3936 | 2.5585 | 2.5585 | 24.7518 | 90.0 | 90.0 | 120.0 |
| A5--beta-Sn | static | -3.2921 | -3.2921 | 4.7235 | 4.7235 | 2.4559 | 90.0 | 90.0 | 90.0 |
| Ah--alpha-Po--sc | static | -3.28 | -3.28 | 2.4495 | 2.4495 | 2.4495 | 90.0 | 90.0 | 90.0 |
| Ah--alpha-Po--sc | dynamic | -3.2771 | -3.2771 | 2.4301 | 2.4301 | 2.4301 | 90.0 | 90.0 | 90.0 |
| oqmd-1277912 | box | -3.2728 | -3.2728 | 11.5012 | 11.5012 | 11.5012 | 90.0 | 90.0 | 90.0 |
| A7--alpha-As | dynamic | -3.1115 | -3.1115 | 2.5459 | 2.5459 | 20.8358 | 90.0 | 90.0 | 120.0 |
| A7--alpha-As | box | -2.8791 | -2.8791 | 3.3644 | 3.3644 | 11.24 | 90.0 | 90.0 | 120.0 |
| A5--beta-Sn | box | -2.5086 | -2.5086 | 3.9302 | 3.9302 | 5.2616 | 90.0 | 90.0 | 90.0 |
| A4--C--dc | static | -2.5086 | -2.5086 | 5.4551 | 5.4551 | 5.4551 | 90.0 | 90.0 | 90.0 |
| A15--beta-W | static | -2.4565 | -2.4565 | 8.8006 | 8.8006 | 8.8006 | 90.0 | 90.0 | 90.0 |
| A2--W--bcc | dynamic | -2.2989 | -2.2989 | 5.7625 | 5.7625 | 5.7625 | 90.0 | 90.0 | 90.0 |
| A1--Cu--fcc | dynamic | -1.4345 | -1.4345 | 5.3833 | 5.3833 | 5.3833 | 90.0 | 90.0 | 90.0 |
| A3'--alpha-La--double-hcp | dynamic | -1.4345 | -1.4345 | 3.8066 | 3.8066 | 12.4323 | 90.0 | 90.0 | 120.0 |
| A3--Mg--hcp | dynamic | -1.4345 | -1.4345 | 3.8066 | 3.8066 | 6.2161 | 90.0 | 90.0 | 120.0 |
| mp-1056079 | static | -1.3394 | -1.3394 | 11.5703 | 2.5799 | 22.2237 | 90.0 | 101.9 | 90.0 |
| A4--C--dc | static | -0.7902 | -0.7902 | 7.7745 | 7.7745 | 7.7745 | 90.0 | 90.0 | 90.0 |
| Ah--alpha-Po--sc | dynamic | -0.776 | -0.776 | 4.9897 | 4.9897 | 4.9897 | 90.0 | 90.0 | 90.0 |
| A5--beta-Sn | dynamic | -0.776 | -0.776 | 9.6624 | 9.6624 | 4.9897 | 90.0 | 90.0 | 90.0 |
| Ah--alpha-Po--sc | dynamic | -0.7386 | -0.7386 | 3.9022 | 3.9022 | 3.9022 | 90.0 | 90.0 | 90.0 |
| A5--beta-Sn | static | -0.6834 | -0.6834 | 7.231 | 7.231 | 3.8307 | 90.0 | 90.0 | 90.0 |
| A7--alpha-As | box | -0.6128 | -0.6128 | 5.5106 | 5.5106 | 13.4294 | 90.0 | 90.0 | 120.0 |
| A4--C--dc | static | -0.6088 | -0.6088 | 8.4853 | 8.4853 | 8.4853 | 90.0 | 90.0 | 90.0 |
| A4--C--dc | dynamic | -0.0638 | -0.0638 | 11.524 | 11.524 | 11.524 | 90.0 | 90.0 | 90.0 |
| A1--Cu--fcc | dynamic | -0.006 | -0.006 | 7.9506 | 7.9506 | 7.9506 | 90.0 | 90.0 | 90.0 |
| A3--Mg--hcp | dynamic | -0.006 | -0.006 | 5.622 | 5.622 | 9.1806 | 90.0 | 90.0 | 120.0 |
| A3'--alpha-La--double-hcp | dynamic | -0.006 | -0.006 | 5.622 | 5.622 | 18.3612 | 90.0 | 90.0 | 120.0 |
| A2--W--bcc | dynamic | -0.004 | -0.004 | 6.4917 | 6.4917 | 6.4917 | 90.0 | 90.0 | 90.0 |
| Ah--alpha-Po--sc | dynamic | -0.003 | -0.003 | 5.622 | 5.622 | 5.622 | 90.0 | 90.0 | 90.0 |
| A5--beta-Sn | dynamic | -0.003 | -0.003 | 10.8869 | 10.8869 | 5.622 | 90.0 | 90.0 | 90.0 |
| A6--In--bct | box | -0.002 | -0.002 | 5.622 | 5.622 | 8.4603 | 90.0 | 90.0 | 90.0 |
| A5--beta-Sn | static | -0.002 | -0.002 | 10.8628 | 10.8628 | 5.8049 | 90.0 | 90.0 | 90.0 |
| A4--C--dc | dynamic | -0.002 | -0.002 | 12.9834 | 12.9834 | 12.9834 | 90.0 | 90.0 | 90.0 |
| A5--beta-Sn | static | -0.0018 | -0.0018 | 10.8771 | 10.8771 | 6.0 | 90.0 | 90.0 | 90.0 |
| A7--alpha-As | dynamic | -0.0015 | -0.0015 | 8.8522 | 8.8522 | 19.2165 | 90.0 | 90.0 | 120.0 |
| A7--alpha-As | static | -0.0015 | -0.0015 | 8.3995 | 8.3995 | 23.3227 | 90.0 | 90.0 | 120.0 |
| A15--beta-W | dynamic | -0.0007 | -0.0007 | 11.2439 | 11.2439 | 11.2439 | 90.0 | 90.0 | 90.0 |
| A6--In--bct | static | -0.0 | -0.0 | 5.8049 | 5.8049 | 8.76 | 90.0 | 90.0 | 90.0 |
| A7--alpha-As | dynamic | 0.0718 | 0.0718 | 7.9843 | 7.9843 | 17.2689 | 90.0 | 90.0 | 120.0 |
| A7--alpha-As | static | 0.0718 | 0.0718 | 7.4556 | 7.4556 | 20.7163 | 90.0 | 90.0 | 120.0 |
| A15--beta-W | static | 0.0766 | 0.0766 | 10.0562 | 10.0562 | 10.0562 | 90.0 | 90.0 | 90.0 |
| A5--beta-Sn | box | 0.1005 | 0.1005 | 8.7801 | 8.7801 | 6.1339 | 90.0 | 90.0 | 90.0 |
Download raw data (including filtered results)
Reference structure matches:
| prototype | method | Ecoh (eV/atom) | Epot (eV/atom) | a0 (Å) | b0 (Å) | c0 (Å) | α (degrees) | β (degrees) | γ (degrees) |
|---|---|---|---|---|---|---|---|---|---|
| C1--CaF2--fluorite | static | -3.1486 | -3.1486 | 5.7099 | 5.7099 | 5.7099 | 90.0 | 90.0 | 90.0 |
| C1--CaF2--fluorite | dynamic | -0.1737 | -0.1737 | 12.5881 | 12.5881 | 12.5881 | 90.0 | 90.0 | 90.0 |
| C1--CaF2--fluorite | static | -0.0468 | -0.0468 | 10.3859 | 10.3859 | 10.3859 | 90.0 | 90.0 | 90.0 |
| C1--CaF2--fluorite | static | -0.0352 | -0.0352 | 13.8558 | 13.8558 | 13.8558 | 90.0 | 90.0 | 90.0 |
| C1--CaF2--fluorite | dynamic | 0.0 | 0.0 | 14.876 | 14.876 | 14.876 | 90.0 | 90.0 | 90.0 |
| C1--CaF2--fluorite | box | 0.0 | 0.0 | 13.4064 | 13.4064 | 13.4064 | 90.0 | 90.0 | 90.0 |
Download raw data (including filtered results)
Reference structure matches:
L2_1--AlCu2Mn--heusler = oqmd-405567
| prototype | method | Ecoh (eV/atom) | Epot (eV/atom) | a0 (Å) | b0 (Å) | c0 (Å) | α (degrees) | β (degrees) | γ (degrees) |
|---|---|---|---|---|---|---|---|---|---|
| L2_1--AlCu2Mn--heusler | static | -3.8459 | -3.8459 | 5.6107 | 5.6107 | 5.6107 | 90.0 | 90.0 | 90.0 |
| L2_1--AlCu2Mn--heusler | box | -0.1214 | -0.1214 | 12.5934 | 12.5934 | 12.5934 | 90.0 | 90.0 | 90.0 |
| L2_1--AlCu2Mn--heusler | static | -0.0354 | -0.0354 | 10.3887 | 10.3887 | 10.3887 | 90.0 | 90.0 | 90.0 |
| L2_1--AlCu2Mn--heusler | static | -0.0258 | -0.0258 | 13.8558 | 13.8558 | 13.8558 | 90.0 | 90.0 | 90.0 |
| L2_1--AlCu2Mn--heusler | dynamic | 0.0 | 0.0 | 14.7382 | 14.7382 | 14.7382 | 90.0 | 90.0 | 90.0 |
| L2_1--AlCu2Mn--heusler | box | 0.0 | 0.0 | 13.4064 | 13.4064 | 13.4064 | 90.0 | 90.0 | 90.0 |
Download raw data (including filtered results)
Reference structure matches:
| prototype | method | Ecoh (eV/atom) | Epot (eV/atom) | a0 (Å) | b0 (Å) | c0 (Å) | α (degrees) | β (degrees) | γ (degrees) |
|---|---|---|---|---|---|---|---|---|---|
| C1--CaF2--fluorite | static | -3.3045 | -3.3045 | 5.4777 | 5.4777 | 5.4777 | 90.0 | 90.0 | 90.0 |
| oqmd-1232654 | box | -2.9484 | -2.9484 | 5.2006 | 5.2006 | 3.9944 | 90.0 | 90.0 | 90.0 |
| C1--CaF2--fluorite | dynamic | -0.3292 | -0.3292 | 10.0018 | 10.0018 | 10.0018 | 90.0 | 90.0 | 90.0 |
| C1--CaF2--fluorite | dynamic | -0.0001 | -0.0001 | 13.0792 | 13.0792 | 13.0792 | 90.0 | 90.0 | 90.0 |
Download raw data (including filtered results)
Reference structure matches:
| prototype | method | Ecoh (eV/atom) | Epot (eV/atom) | a0 (Å) | b0 (Å) | c0 (Å) | α (degrees) | β (degrees) | γ (degrees) |
|---|---|---|---|---|---|---|---|---|---|
| oqmd-426732 | box | -3.6141 | -3.6141 | 6.07 | 6.07 | 12.242 | 90.0 | 90.0 | 120.0 |
| oqmd-426732 | static | -3.6008 | -3.6008 | 5.9473 | 5.9473 | 12.2122 | 90.0 | 90.0 | 120.0 |
Download raw data (including filtered results)
Reference structure matches:
D0_3--BiF3 = oqmd-314614
| prototype | method | Ecoh (eV/atom) | Epot (eV/atom) | a0 (Å) | b0 (Å) | c0 (Å) | α (degrees) | β (degrees) | γ (degrees) |
|---|---|---|---|---|---|---|---|---|---|
| L1_2--AuCu3 | dynamic | -3.7527 | -3.7527 | 3.4869 | 3.4869 | 3.4869 | 90.0 | 90.0 | 90.0 |
| oqmd-304072 | dynamic | -3.7513 | -3.7513 | 3.6727 | 3.6727 | 7.0395 | 90.0 | 90.0 | 90.0 |
| mp-1184444 | dynamic | -3.748 | -3.748 | 5.1105 | 5.1105 | 4.1435 | 90.0 | 90.0 | 120.0 |
| mp-1184444 | box | -3.7463 | -3.7463 | 5.1105 | 5.1105 | 4.1424 | 90.0 | 90.0 | 120.0 |
| L1_2--AuCu3 | dynamic | -3.7403 | -3.7403 | 3.6563 | 3.6563 | 3.6563 | 90.0 | 90.0 | 90.0 |
| mp-1224953 | static | -3.6732 | -3.6732 | 3.1319 | 3.8776 | 7.7307 | 90.0 | 90.0 | 90.0 |
| mp-1224953 | box | -3.6319 | -3.6319 | 2.8324 | 4.0479 | 8.0862 | 90.0 | 90.0 | 90.0 |
| A15--Cr3Si | static | -3.6052 | -3.6052 | 4.6678 | 4.6678 | 4.6678 | 90.0 | 90.0 | 90.0 |
| D0_3--BiF3 | static | -3.6045 | -3.6045 | 5.647 | 5.647 | 5.647 | 90.0 | 90.0 | 90.0 |
| D0_3--BiF3 | box | -0.1931 | -0.1931 | 9.8667 | 9.8667 | 9.8667 | 90.0 | 90.0 | 90.0 |
| L1_2--AuCu3 | box | -0.1514 | -0.1514 | 6.3426 | 6.3426 | 6.3426 | 90.0 | 90.0 | 90.0 |
| L1_2--AuCu3 | box | -0.1024 | -0.1024 | 7.7516 | 7.7516 | 7.7516 | 90.0 | 90.0 | 90.0 |
| D0_3--BiF3 | box | -0.1005 | -0.1005 | 12.6021 | 12.6021 | 12.6021 | 90.0 | 90.0 | 90.0 |
| A15--Cr3Si | static | -0.0443 | -0.0443 | 9.798 | 9.798 | 9.798 | 90.0 | 90.0 | 90.0 |
| A15--Cr3Si | box | -0.0405 | -0.0405 | 9.7965 | 9.7965 | 9.7965 | 90.0 | 90.0 | 90.0 |
| A15--Cr3Si | box | -0.0344 | -0.0344 | 8.0277 | 8.0277 | 8.0277 | 90.0 | 90.0 | 90.0 |
| L1_2--AuCu3 | static | -0.0296 | -0.0296 | 8.4849 | 8.4849 | 8.4849 | 90.0 | 90.0 | 90.0 |
| D0_3--BiF3 | static | -0.02 | -0.02 | 13.8558 | 13.8558 | 13.8558 | 90.0 | 90.0 | 90.0 |
| A15--Cr3Si | dynamic | -0.0007 | -0.0007 | 11.2439 | 11.2439 | 11.2439 | 90.0 | 90.0 | 90.0 |
| L1_2--AuCu3 | dynamic | 0.0 | 0.0 | 10.0368 | 10.0368 | 10.0368 | 90.0 | 90.0 | 90.0 |
| D0_3--BiF3 | dynamic | 0.0 | 0.0 | 14.7826 | 14.7826 | 14.7826 | 90.0 | 90.0 | 90.0 |
| D0_3--BiF3 | box | 0.0 | 0.0 | 13.4065 | 13.4065 | 13.4065 | 90.0 | 90.0 | 90.0 |
| L1_2--AuCu3 | box | 0.0 | 0.0 | 8.2098 | 8.2098 | 8.2098 | 90.0 | 90.0 | 90.0 |
| A15--Cr3Si | static | 0.0046 | 0.0046 | 10.7331 | 10.7331 | 10.7331 | 90.0 | 90.0 | 90.0 |
| A15--Cr3Si | box | 0.0878 | 0.0878 | 10.0839 | 10.0839 | 10.0839 | 90.0 | 90.0 | 90.0 |
Download raw data (including filtered results)
Reference structure matches:
D0_3--BiF3 = oqmd-313298
L1_2--AuCu3 = oqmd-345531
| prototype | method | Ecoh (eV/atom) | Epot (eV/atom) | a0 (Å) | b0 (Å) | c0 (Å) | α (degrees) | β (degrees) | γ (degrees) |
|---|---|---|---|---|---|---|---|---|---|
| L1_2--AuCu3 | dynamic | -3.7773 | -3.7773 | 3.4886 | 3.4886 | 3.4886 | 90.0 | 90.0 | 90.0 |
| oqmd-302756 | dynamic | -3.7602 | -3.7602 | 3.5845 | 3.5845 | 7.1678 | 90.0 | 90.0 | 90.0 |
| oqmd-321045 | dynamic | -3.7496 | -3.7496 | 5.0578 | 5.0578 | 4.1595 | 90.0 | 90.0 | 120.0 |
| oqmd-321045 | box | -3.7496 | -3.7496 | 5.0579 | 5.0579 | 4.1594 | 90.0 | 90.0 | 120.0 |
| mp-1225698 | box | -3.6615 | -3.6615 | 2.541 | 4.3684 | 8.7389 | 90.0 | 90.0 | 90.0 |
| mp-1225698 | static | -3.6574 | -3.6574 | 2.6318 | 4.2422 | 8.4862 | 90.0 | 90.0 | 90.0 |
| D0_3--BiF3 | static | -3.6284 | -3.6284 | 5.7153 | 5.7153 | 5.7153 | 90.0 | 90.0 | 90.0 |
| A15--Cr3Si | static | -3.6084 | -3.6084 | 4.6469 | 4.6469 | 4.6469 | 90.0 | 90.0 | 90.0 |
| A15--Cr3Si | box | -0.2161 | -0.2161 | 8.1033 | 8.1033 | 8.1033 | 90.0 | 90.0 | 90.0 |
| L1_2--AuCu3 | dynamic | -0.003 | -0.003 | 7.9575 | 7.9575 | 7.9575 | 90.0 | 90.0 | 90.0 |
| D0_3--BiF3 | dynamic | -0.002 | -0.002 | 12.9945 | 12.9945 | 12.9945 | 90.0 | 90.0 | 90.0 |
| A15--Cr3Si | dynamic | -0.0007 | -0.0007 | 11.2439 | 11.2439 | 11.2439 | 90.0 | 90.0 | 90.0 |
| D0_3--BiF3 | static | 0.5705 | 0.5705 | 10.9379 | 10.9379 | 10.9379 | 90.0 | 90.0 | 90.0 |
Download raw data (including filtered results)
Reference structure matches:
| prototype | method | Ecoh (eV/atom) | Epot (eV/atom) | a0 (Å) | b0 (Å) | c0 (Å) | α (degrees) | β (degrees) | γ (degrees) |
|---|---|---|---|---|---|---|---|---|---|
| mp-1224977 | dynamic | -3.7118 | -3.7118 | 2.5555 | 2.5555 | 31.3326 | 90.0 | 90.0 | 120.0 |
| mp-1224977 | box | -3.7084 | -3.7084 | 2.5525 | 2.5525 | 31.2057 | 90.0 | 90.0 | 120.0 |
Download raw data (including filtered results)
Reference structure matches:
B2--CsCl = oqmd-307730
| prototype | method | Ecoh (eV/atom) | Epot (eV/atom) | a0 (Å) | b0 (Å) | c0 (Å) | α (degrees) | β (degrees) | γ (degrees) |
|---|---|---|---|---|---|---|---|---|---|
| L1_0--AuCu | dynamic | -3.9617 | -3.9617 | 2.6303 | 2.6303 | 3.4701 | 90.0 | 90.0 | 90.0 |
| mp-1224945 | static | -3.8549 | -3.8549 | 2.731 | 4.2299 | 4.2094 | 90.0 | 90.0 | 90.0 |
| B2--CsCl | static | -3.8524 | -3.8524 | 2.8086 | 2.8086 | 2.8086 | 90.0 | 90.0 | 90.0 |
| mp-1224945 | box | -3.8499 | -3.8499 | 2.9048 | 4.1214 | 4.062 | 90.0 | 90.0 | 90.0 |
| B1--NaCl--rock-salt | dynamic | -3.3865 | -3.3865 | 4.8344 | 4.8344 | 4.8344 | 90.0 | 90.0 | 90.0 |
| B3--ZnS--cubic-zinc-blende | static | -2.5198 | -2.5198 | 5.3365 | 5.3365 | 5.3365 | 90.0 | 90.0 | 90.0 |
| B3--ZnS--cubic-zinc-blende | dynamic | -1.3566 | -1.3566 | 6.5122 | 6.5122 | 6.5122 | 90.0 | 90.0 | 90.0 |
| L1_0--AuCu | static | -0.374 | -0.374 | 4.2426 | 4.2426 | 6.8076 | 90.0 | 90.0 | 90.0 |
| B1--NaCl--rock-salt | static | -0.2894 | -0.2894 | 9.0245 | 9.0245 | 9.0245 | 90.0 | 90.0 | 90.0 |
| B3--ZnS--cubic-zinc-blende | box | -0.2768 | -0.2768 | 10.4797 | 10.4797 | 10.4797 | 90.0 | 90.0 | 90.0 |
| L1_0--AuCu | static | -0.262 | -0.262 | 5.6 | 5.6 | 7.491 | 90.0 | 90.0 | 90.0 |
| B2--CsCl | dynamic | -0.2605 | -0.2605 | 6.2941 | 6.2941 | 6.2941 | 90.0 | 90.0 | 90.0 |
| L1_0--AuCu | box | -0.2605 | -0.2605 | 5.8029 | 5.8029 | 7.1763 | 90.0 | 90.0 | 90.0 |
| B1--NaCl--rock-salt | dynamic | -0.2588 | -0.2588 | 10.8603 | 10.8603 | 10.8603 | 90.0 | 90.0 | 90.0 |
| B3--ZnS--cubic-zinc-blende | dynamic | -0.2569 | -0.2569 | 12.4604 | 12.4604 | 12.4604 | 90.0 | 90.0 | 90.0 |
| B2--CsCl | box | -0.2046 | -0.2046 | 5.2925 | 5.2925 | 5.2925 | 90.0 | 90.0 | 90.0 |
| L1_0--AuCu | static | -0.0529 | -0.0529 | 6.2206 | 6.2206 | 8.1611 | 90.0 | 90.0 | 90.0 |
| B2--CsCl | static | -0.0528 | -0.0528 | 6.9279 | 6.9279 | 6.9279 | 90.0 | 90.0 | 90.0 |
| B1--NaCl--rock-salt | static | -0.0398 | -0.0398 | 11.9995 | 11.9995 | 11.9995 | 90.0 | 90.0 | 90.0 |
| B3--ZnS--cubic-zinc-blende | static | -0.0266 | -0.0266 | 13.8558 | 13.8558 | 13.8558 | 90.0 | 90.0 | 90.0 |
| L1_0--AuCu | dynamic | -0.0035 | -0.0035 | 5.6454 | 5.6454 | 9.7521 | 90.0 | 90.0 | 90.0 |
| L1_0--AuCu | static | -0.0 | -0.0 | 5.8052 | 5.8052 | 8.203 | 90.0 | 90.0 | 90.0 |
| B1--NaCl--rock-salt | dynamic | 0.0 | 0.0 | 13.1388 | 13.1388 | 13.1388 | 90.0 | 90.0 | 90.0 |
| B2--CsCl | dynamic | 0.0 | 0.0 | 8.8105 | 8.8105 | 8.8105 | 90.0 | 90.0 | 90.0 |
| L1_0--AuCu | dynamic | 0.0 | 0.0 | 7.517 | 7.517 | 11.2956 | 90.0 | 90.0 | 90.0 |
| B3--ZnS--cubic-zinc-blende | dynamic | 0.0 | 0.0 | 15.3813 | 15.3813 | 15.3813 | 90.0 | 90.0 | 90.0 |
| L1_0--AuCu | box | 0.0 | 0.0 | 5.8052 | 5.8052 | 8.2096 | 90.0 | 90.0 | 90.0 |
| B3--ZnS--cubic-zinc-blende | box | 0.0 | 0.0 | 13.4064 | 13.4064 | 13.4064 | 90.0 | 90.0 | 90.0 |
| B1--NaCl--rock-salt | box | 0.0 | 0.0 | 11.6103 | 11.6103 | 11.6103 | 90.0 | 90.0 | 90.0 |
| B2--CsCl | box | 0.0 | 0.0 | 6.7032 | 6.7032 | 6.7032 | 90.0 | 90.0 | 90.0 |
| L1_0--AuCu | box | 0.0 | 0.0 | 5.8036 | 5.8036 | 8.2119 | 90.0 | 90.0 | 90.0 |
| B3--ZnS--cubic-zinc-blende | dynamic | 1.6199 | 1.6199 | 8.0378 | 8.0378 | 8.0378 | 90.0 | 90.0 | 90.0 |
| B3--ZnS--cubic-zinc-blende | static | 1.7163 | 1.7163 | 8.4853 | 8.4853 | 8.4853 | 90.0 | 90.0 | 90.0 |
| B1--NaCl--rock-salt | static | 2.0335 | 2.0335 | 7.1888 | 7.1888 | 7.1888 | 90.0 | 90.0 | 90.0 |
Download raw data (including filtered results)
Reference structure matches:
| prototype | method | Ecoh (eV/atom) | Epot (eV/atom) | a0 (Å) | b0 (Å) | c0 (Å) | α (degrees) | β (degrees) | γ (degrees) |
|---|---|---|---|---|---|---|---|---|---|
| C1--CaF2--fluorite | static | -3.286 | -3.286 | 5.4232 | 5.4232 | 5.4232 | 90.0 | 90.0 | 90.0 |
| C1--CaF2--fluorite | static | -3.0843 | -3.0843 | 6.1883 | 6.1883 | 6.1883 | 90.0 | 90.0 | 90.0 |
| C1--CaF2--fluorite | dynamic | -0.3796 | -0.3796 | 10.7286 | 10.7286 | 10.7286 | 90.0 | 90.0 | 90.0 |
| C1--CaF2--fluorite | dynamic | -0.3423 | -0.3423 | 12.4605 | 12.4605 | 12.4605 | 90.0 | 90.0 | 90.0 |
| C1--CaF2--fluorite | static | -0.0355 | -0.0355 | 13.8558 | 13.8558 | 13.8558 | 90.0 | 90.0 | 90.0 |
| C1--CaF2--fluorite | dynamic | 0.0 | 0.0 | 14.873 | 14.873 | 14.873 | 90.0 | 90.0 | 90.0 |
| C1--CaF2--fluorite | box | 0.0 | 0.0 | 13.4064 | 13.4064 | 13.4064 | 90.0 | 90.0 | 90.0 |
| C1--CaF2--fluorite | dynamic | 2.4527 | 2.4527 | 8.046 | 8.046 | 8.046 | 90.0 | 90.0 | 90.0 |
Download raw data (including filtered results)
Reference structure matches:
L2_1--AlCu2Mn--heusler = oqmd-527159
| prototype | method | Ecoh (eV/atom) | Epot (eV/atom) | a0 (Å) | b0 (Å) | c0 (Å) | α (degrees) | β (degrees) | γ (degrees) |
|---|---|---|---|---|---|---|---|---|---|
| L2_1--AlCu2Mn--heusler | static | -4.0944 | -4.0944 | 5.6258 | 5.6258 | 5.6258 | 90.0 | 90.0 | 90.0 |
| L2_1--AlCu2Mn--heusler | box | -0.2732 | -0.2732 | 10.7583 | 10.7583 | 10.7583 | 90.0 | 90.0 | 90.0 |
| L2_1--AlCu2Mn--heusler | static | -0.2593 | -0.2593 | 12.4587 | 12.4587 | 12.4587 | 90.0 | 90.0 | 90.0 |
| L2_1--AlCu2Mn--heusler | static | -0.0274 | -0.0274 | 13.8558 | 13.8558 | 13.8558 | 90.0 | 90.0 | 90.0 |
| L2_1--AlCu2Mn--heusler | dynamic | 0.0 | 0.0 | 14.7274 | 14.7274 | 14.7274 | 90.0 | 90.0 | 90.0 |
| L2_1--AlCu2Mn--heusler | box | 0.0 | 0.0 | 13.4064 | 13.4064 | 13.4064 | 90.0 | 90.0 | 90.0 |
Download raw data (including filtered results)
Reference structure matches:
D0_3--BiF3 = mp-1184260, oqmd-311223
| prototype | method | Ecoh (eV/atom) | Epot (eV/atom) | a0 (Å) | b0 (Å) | c0 (Å) | α (degrees) | β (degrees) | γ (degrees) |
|---|---|---|---|---|---|---|---|---|---|
| oqmd-300681 | dynamic | -4.1756 | -4.1756 | 3.6668 | 3.6668 | 6.9923 | 90.0 | 90.0 | 90.0 |
| L1_2--AuCu3 | static | -4.1738 | -4.1738 | 3.6291 | 3.6291 | 3.6291 | 90.0 | 90.0 | 90.0 |
| D0_3--BiF3 | static | -4.1002 | -4.1002 | 5.6799 | 5.6799 | 5.6799 | 90.0 | 90.0 | 90.0 |
| mp-1225131 | static | -4.0889 | -4.0889 | 3.0835 | 3.9324 | 7.7655 | 90.0 | 90.0 | 90.0 |
| A15--Cr3Si | static | -3.98 | -3.98 | 4.6912 | 4.6912 | 4.6912 | 90.0 | 90.0 | 90.0 |
| L1_2--AuCu3 | static | -3.1616 | -3.1616 | 4.3514 | 4.3514 | 4.3514 | 90.0 | 90.0 | 90.0 |
| A15--Cr3Si | static | -3.1424 | -3.1424 | 5.4762 | 5.4762 | 5.4762 | 90.0 | 90.0 | 90.0 |
| A15--Cr3Si | static | -0.4028 | -0.4028 | 8.6953 | 8.6953 | 8.6953 | 90.0 | 90.0 | 90.0 |
| A15--Cr3Si | box | -0.3934 | -0.3934 | 9.4392 | 9.4392 | 9.4392 | 90.0 | 90.0 | 90.0 |
| A15--Cr3Si | dynamic | -0.0019 | -0.0019 | 11.2995 | 11.2995 | 11.2995 | 90.0 | 90.0 | 90.0 |
| L1_2--AuCu3 | static | -0.0 | -0.0 | 8.2569 | 8.2569 | 8.2569 | 90.0 | 90.0 | 90.0 |
| D0_3--BiF3 | static | -0.0 | -0.0 | 13.4835 | 13.4835 | 13.4835 | 90.0 | 90.0 | 90.0 |
| D0_3--BiF3 | static | -0.0 | -0.0 | 13.3451 | 13.3451 | 13.3451 | 90.0 | 90.0 | 90.0 |
| L1_2--AuCu3 | box | -0.0 | -0.0 | 8.2061 | 8.2061 | 8.2061 | 90.0 | 90.0 | 90.0 |
| L1_2--AuCu3 | box | -0.0 | -0.0 | 8.2303 | 8.2303 | 8.2303 | 90.0 | 90.0 | 90.0 |
| D0_3--BiF3 | static | 0.6021 | 0.6021 | 11.2584 | 11.2584 | 11.2584 | 90.0 | 90.0 | 90.0 |
| D0_3--BiF3 | static | 2.3045 | 2.3045 | 9.1782 | 9.1782 | 9.1782 | 90.0 | 90.0 | 90.0 |
Download raw data (including filtered results)
Reference structure matches:
| prototype | method | Ecoh (eV/atom) | Epot (eV/atom) | a0 (Å) | b0 (Å) | c0 (Å) | α (degrees) | β (degrees) | γ (degrees) |
|---|---|---|---|---|---|---|---|---|---|
| mp-1224973 | dynamic | -4.1277 | -4.1277 | 2.5202 | 2.5202 | 6.196 | 90.0 | 90.0 | 120.0 |
| mp-1224973 | box | -4.1213 | -4.1213 | 2.52 | 2.52 | 6.2256 | 90.0 | 90.0 | 120.0 |
| oqmd-961306 | static | -3.4224 | -3.4224 | 5.4485 | 5.4485 | 5.4485 | 90.0 | 90.0 | 90.0 |
| oqmd-853002 | static | -3.3865 | -3.3865 | 5.423 | 5.423 | 5.423 | 90.0 | 90.0 | 90.0 |
| oqmd-958257 | box | -3.3547 | -3.3547 | 5.5784 | 5.5784 | 5.5784 | 90.0 | 90.0 | 90.0 |
| oqmd-958257 | static | -3.2838 | -3.2838 | 5.3666 | 5.3666 | 5.3666 | 90.0 | 90.0 | 90.0 |
Download raw data (including filtered results)
Reference structure matches:
L2_1--AlCu2Mn--heusler = oqmd-530208
| prototype | method | Ecoh (eV/atom) | Epot (eV/atom) | a0 (Å) | b0 (Å) | c0 (Å) | α (degrees) | β (degrees) | γ (degrees) |
|---|---|---|---|---|---|---|---|---|---|
| L2_1--AlCu2Mn--heusler | static | -4.0915 | -4.0915 | 5.6251 | 5.6251 | 5.6251 | 90.0 | 90.0 | 90.0 |
| L2_1--AlCu2Mn--heusler | static | -0.2981 | -0.2981 | 9.401 | 9.401 | 9.401 | 90.0 | 90.0 | 90.0 |
| L2_1--AlCu2Mn--heusler | box | -0.1013 | -0.1013 | 10.7833 | 10.7833 | 10.7833 | 90.0 | 90.0 | 90.0 |
| L2_1--AlCu2Mn--heusler | static | -0.0002 | -0.0002 | 13.8558 | 13.8558 | 13.8558 | 90.0 | 90.0 | 90.0 |
| L2_1--AlCu2Mn--heusler | box | -0.0 | -0.0 | 13.392 | 13.392 | 13.392 | 90.0 | 90.0 | 90.0 |
| L2_1--AlCu2Mn--heusler | dynamic | 0.0 | 0.0 | 13.975 | 13.975 | 13.975 | 90.0 | 90.0 | 90.0 |
| L2_1--AlCu2Mn--heusler | dynamic | 0.0 | 0.0 | 15.4116 | 15.4116 | 15.4116 | 90.0 | 90.0 | 90.0 |
| L2_1--AlCu2Mn--heusler | static | 0.0279 | 0.0279 | 12.0 | 12.0 | 12.0 | 90.0 | 90.0 | 90.0 |
Download raw data (including filtered results)
Reference structure matches:
B1--NaCl--rock-salt = oqmd-1106260
B2--CsCl = oqmd-307075
B3--ZnS--cubic-zinc-blende = oqmd-1222197
L1_0--AuCu = oqmd-338617
| prototype | method | Ecoh (eV/atom) | Epot (eV/atom) | a0 (Å) | b0 (Å) | c0 (Å) | α (degrees) | β (degrees) | γ (degrees) |
|---|---|---|---|---|---|---|---|---|---|
| L1_0--AuCu | dynamic | -3.9986 | -3.9986 | 2.4413 | 2.4413 | 3.5402 | 90.0 | 90.0 | 90.0 |
| oqmd-328159 | dynamic | -3.9923 | -3.9923 | 2.4845 | 2.4845 | 12.218 | 90.0 | 90.0 | 120.0 |
| mp-1184069 | dynamic | -3.9761 | -3.9761 | 2.4777 | 2.4777 | 4.0416 | 90.0 | 90.0 | 120.0 |
| oqmd-1220003 | static | -3.9722 | -3.9722 | 4.1316 | 2.5192 | 4.3404 | 90.0 | 90.0 | 90.0 |
| oqmd-1220003 | dynamic | -3.9721 | -3.9721 | 4.1346 | 2.5133 | 4.3496 | 90.0 | 90.0 | 90.0 |
| oqmd-1220003 | box | -3.9714 | -3.9714 | 4.1311 | 2.5162 | 4.343 | 90.0 | 90.0 | 90.0 |
| mp-1225695 | static | -3.874 | -3.874 | 2.6098 | 4.1841 | 4.1851 | 90.0 | 90.0 | 90.0 |
| B2--CsCl | box | -3.8557 | -3.8557 | 2.8195 | 2.8195 | 2.8195 | 90.0 | 90.0 | 90.0 |
| B1--NaCl--rock-salt | static | -3.4425 | -3.4425 | 4.8368 | 4.8368 | 4.8368 | 90.0 | 90.0 | 90.0 |
| oqmd-1225682 | box | -2.8259 | -2.8259 | 4.1037 | 4.1037 | 4.8604 | 90.0 | 90.0 | 120.0 |
| B3--ZnS--cubic-zinc-blende | static | -2.5518 | -2.5518 | 5.3872 | 5.3872 | 5.3872 | 90.0 | 90.0 | 90.0 |
| B1--NaCl--rock-salt | static | -0.5956 | -0.5956 | 7.1619 | 7.1619 | 7.1619 | 90.0 | 90.0 | 90.0 |
| B3--ZnS--cubic-zinc-blende | static | -0.5774 | -0.5774 | 7.6202 | 7.6202 | 7.6202 | 90.0 | 90.0 | 90.0 |
| B1--NaCl--rock-salt | dynamic | -0.3427 | -0.3427 | 7.7901 | 7.7901 | 7.7901 | 90.0 | 90.0 | 90.0 |
| B2--CsCl | static | -0.1583 | -0.1583 | 4.9902 | 4.9902 | 4.9902 | 90.0 | 90.0 | 90.0 |
| L1_0--AuCu | dynamic | -0.0006 | -0.0006 | 5.6448 | 5.6448 | 8.0356 | 90.0 | 90.0 | 90.0 |
| L1_0--AuCu | static | -0.0002 | -0.0002 | 5.8052 | 5.8052 | 7.8037 | 90.0 | 90.0 | 90.0 |
| B2--CsCl | dynamic | -0.0002 | -0.0002 | 6.5396 | 6.5396 | 6.5396 | 90.0 | 90.0 | 90.0 |
| B1--NaCl--rock-salt | dynamic | -0.0001 | -0.0001 | 11.3269 | 11.3269 | 11.3269 | 90.0 | 90.0 | 90.0 |
| B3--ZnS--cubic-zinc-blende | dynamic | -0.0001 | -0.0001 | 13.0791 | 13.0791 | 13.0791 | 90.0 | 90.0 | 90.0 |
| L1_0--AuCu | static | -0.0 | -0.0 | 6.0 | 6.0 | 7.8405 | 90.0 | 90.0 | 90.0 |
| L1_0--AuCu | box | 0.0 | 0.0 | 6.0215 | 6.0215 | 7.8844 | 90.0 | 90.0 | 90.0 |
Download raw data (including filtered results)
Reference structure matches:
| prototype | method | Ecoh (eV/atom) | Epot (eV/atom) | a0 (Å) | b0 (Å) | c0 (Å) | α (degrees) | β (degrees) | γ (degrees) |
|---|---|---|---|---|---|---|---|---|---|
| C1--CaF2--fluorite | static | -3.4938 | -3.4938 | 5.4379 | 5.4379 | 5.4379 | 90.0 | 90.0 | 90.0 |
| oqmd-1236617 | static | -1.5911 | -1.5911 | 11.2392 | 11.2392 | 11.2392 | 90.0 | 90.0 | 90.0 |
| C1--CaF2--fluorite | dynamic | -0.0001 | -0.0001 | 13.0791 | 13.0791 | 13.0791 | 90.0 | 90.0 | 90.0 |
Download raw data (including filtered results)
Reference structure matches:
D0_3--BiF3 = oqmd-310503
L1_2--AuCu3 = oqmd-348326
| prototype | method | Ecoh (eV/atom) | Epot (eV/atom) | a0 (Å) | b0 (Å) | c0 (Å) | α (degrees) | β (degrees) | γ (degrees) |
|---|---|---|---|---|---|---|---|---|---|
| oqmd-299961 | dynamic | -4.2165 | -4.2165 | 3.5336 | 3.5336 | 7.0693 | 90.0 | 90.0 | 90.0 |
| L1_2--AuCu3 | dynamic | -4.2146 | -4.2146 | 3.5321 | 3.5321 | 3.5321 | 90.0 | 90.0 | 90.0 |
| oqmd-323840 | dynamic | -4.2 | -4.2 | 4.9981 | 4.9981 | 4.1217 | 90.0 | 90.0 | 120.0 |
| oqmd-323840 | box | -4.2 | -4.2 | 4.998 | 4.998 | 4.1217 | 90.0 | 90.0 | 120.0 |
| mp-1225694 | static | -4.1077 | -4.1077 | 2.6283 | 4.1271 | 8.2647 | 90.0 | 90.0 | 90.0 |
| mp-1225694 | box | -4.0983 | -4.0983 | 2.8021 | 3.9698 | 7.9556 | 90.0 | 90.0 | 90.0 |
| D0_3--BiF3 | static | -4.0959 | -4.0959 | 5.6079 | 5.6079 | 5.6079 | 90.0 | 90.0 | 90.0 |
| A15--Cr3Si | dynamic | -4.0702 | -4.0702 | 4.5303 | 4.5303 | 4.5303 | 90.0 | 90.0 | 90.0 |
| L1_2--AuCu3 | static | -0.002 | -0.002 | 8.4849 | 8.4849 | 8.4849 | 90.0 | 90.0 | 90.0 |
| D0_3--BiF3 | static | -0.0013 | -0.0013 | 13.8558 | 13.8558 | 13.8558 | 90.0 | 90.0 | 90.0 |
| A15--Cr3Si | static | -0.0007 | -0.0007 | 11.9995 | 11.9995 | 11.9995 | 90.0 | 90.0 | 90.0 |
| L1_2--AuCu3 | dynamic | 0.0 | 0.0 | 10.5301 | 10.5301 | 10.5301 | 90.0 | 90.0 | 90.0 |
| A15--Cr3Si | dynamic | 0.0 | 0.0 | 13.9719 | 13.9719 | 13.9719 | 90.0 | 90.0 | 90.0 |
| D0_3--BiF3 | dynamic | 0.0 | 0.0 | 15.3541 | 15.3541 | 15.3541 | 90.0 | 90.0 | 90.0 |
| A15--Cr3Si | box | 0.0 | 0.0 | 11.6078 | 11.6078 | 11.6078 | 90.0 | 90.0 | 90.0 |
| A15--Cr3Si | dynamic | 0.0015 | 0.0015 | 10.4234 | 10.4234 | 10.4234 | 90.0 | 90.0 | 90.0 |
| A15--Cr3Si | static | 0.0018 | 0.0018 | 10.7331 | 10.7331 | 10.7331 | 90.0 | 90.0 | 90.0 |
| A15--Cr3Si | box | 0.0018 | 0.0018 | 10.7836 | 10.7836 | 10.7836 | 90.0 | 90.0 | 90.0 |
| D0_3--BiF3 | box | 0.0634 | 0.0634 | 10.6396 | 10.6396 | 10.6396 | 90.0 | 90.0 | 90.0 |
Download raw data (including filtered results)
Reference structure matches:
A1--Cu--fcc = mp-150, oqmd-7505, oqmd-1214525
A15--beta-W = oqmd-1214970
A2--W--bcc = mp-13, oqmd-8568, oqmd-22514, oqmd-1215148
A3'--alpha-La--double-hcp = oqmd-1215416
A3--Mg--hcp = mp-136, oqmd-30158, oqmd-51781, oqmd-1215326, oqmd-1215391
A4--C--dc = oqmd-1215505
A5--beta-Sn = oqmd-1215594
A6--In--bct = oqmd-1215683
Ah--alpha-Po--sc = mp-568345
| prototype | method | Ecoh (eV/atom) | Epot (eV/atom) | a0 (Å) | b0 (Å) | c0 (Å) | α (degrees) | β (degrees) | γ (degrees) |
|---|---|---|---|---|---|---|---|---|---|
| A1--Cu--fcc | dynamic | -4.4 | -4.4 | 3.56 | 3.56 | 3.56 | 90.0 | 90.0 | 90.0 |
| A3'--alpha-La--double-hcp | static | -4.396 | -4.396 | 2.5324 | 2.5324 | 8.208 | 90.0 | 90.0 | 120.0 |
| oqmd-1216039 | static | -4.3959 | -4.3959 | 2.5397 | 2.5397 | 18.4583 | 90.0 | 90.0 | 120.0 |
| A3--Mg--hcp | box | -4.3939 | -4.3939 | 2.5557 | 2.5557 | 4.0901 | 90.0 | 90.0 | 120.0 |
| A6--In--bct | static | -4.3936 | -4.3936 | 2.4659 | 2.4659 | 3.8274 | 90.0 | 90.0 | 90.0 |
| oqmd-1215237 | dynamic | -4.393 | -4.393 | 2.6256 | 4.3419 | 4.0736 | 90.0 | 90.0 | 90.0 |
| A3'--alpha-La--double-hcp | dynamic | -4.3928 | -4.3928 | 2.528 | 2.528 | 8.1775 | 90.0 | 90.0 | 120.0 |
| A3--Mg--hcp | box | -4.3864 | -4.3864 | 2.5403 | 2.5403 | 4.0725 | 90.0 | 90.0 | 120.0 |
| oqmd-1215237 | static | -4.382 | -4.382 | 2.4876 | 4.5782 | 4.0754 | 90.0 | 90.0 | 90.0 |
| mp-1245108 | dynamic | -4.3074 | -4.3074 | 10.2046 | 10.5949 | 11.1888 | 77.7 | 86.1 | 86.5 |
| A2--W--bcc | static | -4.3009 | -4.3009 | 2.8603 | 2.8603 | 2.8603 | 90.0 | 90.0 | 90.0 |
| oqmd-1214881 | dynamic | -4.268 | -4.268 | 6.1821 | 6.1821 | 6.1821 | 90.0 | 90.0 | 90.0 |
| oqmd-1214881 | box | -4.2624 | -4.2624 | 6.2032 | 6.2032 | 6.2032 | 90.0 | 90.0 | 90.0 |
| oqmd-1214792 | dynamic | -4.2486 | -4.2486 | 8.8205 | 8.8205 | 8.8205 | 90.0 | 90.0 | 90.0 |
| oqmd-1214792 | static | -4.2365 | -4.2365 | 8.8576 | 8.8576 | 8.8576 | 90.0 | 90.0 | 90.0 |
| oqmd-1215059 | box | -4.2108 | -4.2108 | 2.5058 | 4.2045 | 8.9768 | 90.0 | 90.0 | 90.0 |
| oqmd-1214792 | box | -4.2094 | -4.2094 | 8.8751 | 8.8751 | 8.8751 | 90.0 | 90.0 | 90.0 |
| oqmd-1215059 | static | -4.184 | -4.184 | 2.6892 | 4.0435 | 8.8879 | 90.0 | 90.0 | 90.0 |
| A15--beta-W | static | -4.1617 | -4.1617 | 4.6253 | 4.6253 | 4.6253 | 90.0 | 90.0 | 90.0 |
| mp-1245108 | box | -4.1441 | -4.1441 | 10.531 | 10.5831 | 10.8756 | 91.4 | 90.3 | 91.7 |
| mp-1245108 | static | -4.1439 | -4.1439 | 10.5399 | 10.5823 | 10.866 | 91.8 | 90.4 | 91.4 |
| mp-1194030 | box | -4.1403 | -4.1403 | 8.5471 | 8.5471 | 4.6722 | 90.0 | 90.0 | 90.0 |
| oqmd-21053 | box | -4.1354 | -4.1354 | 8.5478 | 8.5478 | 4.6764 | 90.0 | 90.0 | 90.0 |
| mp-1096950 | static | -4.0541 | -4.0541 | 2.4386 | 2.4386 | 2.3715 | 90.0 | 90.0 | 120.0 |
| A5--beta-Sn | static | -3.9434 | -3.9434 | 4.5776 | 4.5776 | 2.3976 | 90.0 | 90.0 | 90.0 |
| A5--beta-Sn | static | -3.9142 | -3.9142 | 4.5244 | 4.5244 | 2.4699 | 90.0 | 90.0 | 90.0 |
| oqmd-1214703 | static | -3.7372 | -3.7372 | 3.5056 | 3.5132 | 7.7194 | 90.0 | 90.0 | 90.0 |
| Ah--alpha-Po--sc | box | -3.5379 | -3.5379 | 2.331 | 2.331 | 2.331 | 90.0 | 90.0 | 90.0 |
| oqmd-21731 | box | -3.5378 | -3.5378 | 2.331 | 2.331 | 6.993 | 90.0 | 90.0 | 90.0 |
| Ah--alpha-Po--sc | dynamic | -3.2585 | -3.2585 | 2.6379 | 2.6379 | 2.6379 | 90.0 | 90.0 | 90.0 |
| A1--Cu--fcc | static | -3.1953 | -3.1953 | 4.3998 | 4.3998 | 4.3998 | 90.0 | 90.0 | 90.0 |
| A15--beta-W | static | -3.12 | -3.12 | 5.5597 | 5.5597 | 5.5597 | 90.0 | 90.0 | 90.0 |
| A4--C--dc | static | -2.5889 | -2.5889 | 5.3903 | 5.3903 | 5.3903 | 90.0 | 90.0 | 90.0 |
| A1--Cu--fcc | dynamic | -0.0154 | -0.0154 | 7.99 | 7.99 | 7.99 | 90.0 | 90.0 | 90.0 |
| A3'--alpha-La--double-hcp | dynamic | -0.0154 | -0.0154 | 5.6498 | 5.6498 | 18.452 | 90.0 | 90.0 | 120.0 |
| A3--Mg--hcp | dynamic | -0.0154 | -0.0154 | 5.6498 | 5.6498 | 9.226 | 90.0 | 90.0 | 120.0 |
| A2--W--bcc | dynamic | -0.0103 | -0.0103 | 6.5238 | 6.5238 | 6.5238 | 90.0 | 90.0 | 90.0 |
| A5--beta-Sn | dynamic | -0.0077 | -0.0077 | 10.9407 | 10.9407 | 5.6498 | 90.0 | 90.0 | 90.0 |
| Ah--alpha-Po--sc | dynamic | -0.0077 | -0.0077 | 5.6498 | 5.6498 | 5.6498 | 90.0 | 90.0 | 90.0 |
| A6--In--bct | static | -0.0051 | -0.0051 | 5.6498 | 5.6498 | 8.4239 | 90.0 | 90.0 | 90.0 |
| A6--In--bct | box | -0.0051 | -0.0051 | 5.6498 | 5.6498 | 8.4162 | 90.0 | 90.0 | 90.0 |
| A5--beta-Sn | static | -0.0051 | -0.0051 | 10.9203 | 10.9203 | 5.8052 | 90.0 | 90.0 | 90.0 |
| A4--C--dc | dynamic | -0.0051 | -0.0051 | 13.0476 | 13.0476 | 13.0476 | 90.0 | 90.0 | 90.0 |
| A5--beta-Sn | static | -0.0051 | -0.0051 | 10.8938 | 10.8938 | 6.0014 | 90.0 | 90.0 | 90.0 |
| A7--alpha-As | static | -0.0039 | -0.0039 | 8.4397 | 8.4397 | 23.4508 | 90.0 | 90.0 | 120.0 |
| A7--alpha-As | dynamic | -0.0039 | -0.0039 | 8.9165 | 8.9165 | 19.1005 | 90.0 | 90.0 | 120.0 |
| A15--beta-W | dynamic | -0.0019 | -0.0019 | 11.2995 | 11.2995 | 11.2995 | 90.0 | 90.0 | 90.0 |
| A6--In--bct | static | -0.0 | -0.0 | 5.8052 | 5.8052 | 8.76 | 90.0 | 90.0 | 90.0 |
| A7--alpha-As | dynamic | 0.4168 | 0.4168 | 6.7091 | 6.7091 | 19.6157 | 90.0 | 90.0 | 120.0 |
| A5--beta-Sn | static | 0.5463 | 0.5463 | 7.5902 | 7.5902 | 5.6352 | 90.0 | 90.0 | 90.0 |
| A4--C--dc | dynamic | 0.5525 | 0.5525 | 9.3538 | 9.3538 | 9.3538 | 90.0 | 90.0 | 90.0 |
| Ah--alpha-Po--sc | static | 0.8146 | 0.8146 | 4.0416 | 4.0416 | 4.0416 | 90.0 | 90.0 | 90.0 |
| A1--Cu--fcc | dynamic | 1.5797 | 1.5797 | 5.7241 | 5.7241 | 5.7241 | 90.0 | 90.0 | 90.0 |
| A3--Mg--hcp | dynamic | 1.5797 | 1.5797 | 4.0476 | 4.0476 | 6.6096 | 90.0 | 90.0 | 120.0 |
| A3'--alpha-La--double-hcp | dynamic | 1.5797 | 1.5797 | 4.0476 | 4.0476 | 13.2193 | 90.0 | 90.0 | 120.0 |
| A15--beta-W | static | 3.1773 | 3.1773 | 7.1817 | 7.1817 | 7.1817 | 90.0 | 90.0 | 90.0 |
| A2--W--bcc | static | 3.2855 | 3.2855 | 4.5367 | 4.5367 | 4.5367 | 90.0 | 90.0 | 90.0 |
| A2--W--bcc | box | 3.5367 | 3.5367 | 5.5586 | 5.5586 | 5.5586 | 90.0 | 90.0 | 90.0 |
| Ah--alpha-Po--sc | box | 5.0909 | 5.0909 | 3.5921 | 3.5921 | 3.5921 | 90.0 | 90.0 | 90.0 |
Download raw data (including filtered results)
Reference structure matches:
| prototype | method | Ecoh (eV/atom) | Epot (eV/atom) | a0 (Å) | b0 (Å) | c0 (Å) | α (degrees) | β (degrees) | γ (degrees) |
|---|---|---|---|---|---|---|---|---|---|
| mp-1224697 | dynamic | -4.4157 | -4.4157 | 2.5049 | 2.5049 | 6.1446 | 90.0 | 90.0 | 120.0 |
| mp-1224697 | box | -4.4082 | -4.4082 | 2.5058 | 2.5058 | 6.1157 | 90.0 | 90.0 | 120.0 |
| mp-1077745 | static | -4.0468 | -4.0468 | 6.6823 | 6.6823 | 6.6823 | 90.0 | 90.0 | 90.0 |
| C1--CaF2--fluorite | static | -3.5435 | -3.5435 | 5.4777 | 5.4777 | 5.4777 | 90.0 | 90.0 | 90.0 |
| oqmd-1232964 | static | -3.1589 | -3.1589 | 6.0125 | 6.0125 | 3.1739 | 90.0 | 90.0 | 90.0 |
| oqmd-1236414 | static | -0.5242 | -0.5242 | 8.6098 | 8.6098 | 8.6098 | 90.0 | 90.0 | 90.0 |
| C1--CaF2--fluorite | static | -0.0092 | -0.0092 | 12.0 | 12.0 | 12.0 | 90.0 | 90.0 | 90.0 |
| C1--CaF2--fluorite | dynamic | -0.0077 | -0.0077 | 11.7478 | 11.7478 | 11.7478 | 90.0 | 90.0 | 90.0 |
| C1--CaF2--fluorite | static | -0.001 | -0.001 | 13.8558 | 13.8558 | 13.8558 | 90.0 | 90.0 | 90.0 |
| C1--CaF2--fluorite | box | -0.0 | -0.0 | 13.3958 | 13.3958 | 13.3958 | 90.0 | 90.0 | 90.0 |
| C1--CaF2--fluorite | dynamic | 0.0 | 0.0 | 15.6616 | 15.6616 | 15.6616 | 90.0 | 90.0 | 90.0 |
| C1--CaF2--fluorite | static | 2.0289 | 2.0289 | 8.4853 | 8.4853 | 8.4853 | 90.0 | 90.0 | 90.0 |
| C1--CaF2--fluorite | dynamic | 2.043 | 2.043 | 8.3985 | 8.3985 | 8.3985 | 90.0 | 90.0 | 90.0 |
Download raw data (including filtered results)
Reference structure matches:
| prototype | method | Ecoh (eV/atom) | Epot (eV/atom) | a0 (Å) | b0 (Å) | c0 (Å) | α (degrees) | β (degrees) | γ (degrees) |
|---|---|---|---|---|---|---|---|---|---|
| oqmd-427042 | box | -3.6562 | -3.6562 | 6.1231 | 6.1231 | 12.1064 | 90.0 | 90.0 | 120.0 |
| oqmd-427042 | static | -3.63 | -3.63 | 5.9656 | 5.9656 | 12.0636 | 90.0 | 90.0 | 120.0 |
Download raw data (including filtered results)
Reference structure matches:
D0_3--BiF3 = mp-1007853, oqmd-312075
L1_2--AuCu3 = mp-999189, oqmd-343549
| prototype | method | Ecoh (eV/atom) | Epot (eV/atom) | a0 (Å) | b0 (Å) | c0 (Å) | α (degrees) | β (degrees) | γ (degrees) |
|---|---|---|---|---|---|---|---|---|---|
| mp-1007862 | dynamic | -4.4089 | -4.4089 | 3.5589 | 3.5589 | 7.0824 | 90.0 | 90.0 | 90.0 |
| mp-1224827 | dynamic | -4.4084 | -4.4084 | 2.5098 | 2.5098 | 24.5525 | 90.0 | 90.0 | 120.0 |
| mp-1224827 | static | -4.4084 | -4.4084 | 2.5098 | 2.5098 | 24.5522 | 90.0 | 90.0 | 120.0 |
| mp-1224827 | box | -4.4078 | -4.4078 | 2.5102 | 2.5102 | 24.5058 | 90.0 | 90.0 | 120.0 |
| L1_2--AuCu3 | dynamic | -4.4072 | -4.4072 | 3.56 | 3.56 | 3.56 | 90.0 | 90.0 | 90.0 |
| oqmd-319063 | static | -4.3971 | -4.3971 | 5.0294 | 5.0294 | 4.1357 | 90.0 | 90.0 | 120.0 |
| oqmd-319063 | dynamic | -4.3963 | -4.3963 | 5.045 | 5.045 | 4.088 | 90.0 | 90.0 | 120.0 |
| oqmd-319063 | box | -4.3953 | -4.3953 | 5.0433 | 5.0433 | 4.0863 | 90.0 | 90.0 | 120.0 |
| D0_3--BiF3 | static | -4.3241 | -4.3241 | 5.672 | 5.672 | 5.672 | 90.0 | 90.0 | 90.0 |
| mp-1224780 | static | -4.3223 | -4.3223 | 3.0754 | 3.8865 | 7.7432 | 90.0 | 90.0 | 90.0 |
| mp-1224780 | box | -4.3135 | -4.3135 | 2.8754 | 4.0032 | 7.9859 | 90.0 | 90.0 | 90.0 |
| A15--Cr3Si | static | -4.1854 | -4.1854 | 4.6388 | 4.6388 | 4.6388 | 90.0 | 90.0 | 90.0 |
| L1_2--AuCu3 | static | -3.1487 | -3.1487 | 4.3521 | 4.3521 | 4.3521 | 90.0 | 90.0 | 90.0 |
| A15--Cr3Si | static | -3.1452 | -3.1452 | 5.4745 | 5.4745 | 5.4745 | 90.0 | 90.0 | 90.0 |
| L1_2--AuCu3 | dynamic | -0.0073 | -0.0073 | 7.992 | 7.992 | 7.992 | 90.0 | 90.0 | 90.0 |
| D0_3--BiF3 | dynamic | -0.0049 | -0.0049 | 13.051 | 13.051 | 13.051 | 90.0 | 90.0 | 90.0 |
| A15--Cr3Si | dynamic | -0.0019 | -0.0019 | 11.2995 | 11.2995 | 11.2995 | 90.0 | 90.0 | 90.0 |
| A15--Cr3Si | box | 0.6482 | 0.6482 | 9.1097 | 9.1097 | 9.1097 | 90.0 | 90.0 | 90.0 |
| L1_2--AuCu3 | dynamic | 1.5942 | 1.5942 | 5.832 | 5.832 | 5.832 | 90.0 | 90.0 | 90.0 |
| D0_3--BiF3 | static | 2.2385 | 2.2385 | 9.3906 | 9.3906 | 9.3906 | 90.0 | 90.0 | 90.0 |
Download raw data (including filtered results)
Reference structure matches:
| prototype | method | Ecoh (eV/atom) | Epot (eV/atom) | a0 (Å) | b0 (Å) | c0 (Å) | α (degrees) | β (degrees) | γ (degrees) |
|---|---|---|---|---|---|---|---|---|---|
| mp-1225009 | dynamic | -4.4119 | -4.4119 | 2.5189 | 2.5189 | 17.6258 | 90.0 | 90.0 | 90.0 |
| mp-1225009 | box | -4.4078 | -4.4078 | 2.5177 | 2.5177 | 17.6421 | 90.0 | 90.0 | 90.0 |
Download raw data (including filtered results)
Reference structure matches:
B1--NaCl--rock-salt = oqmd-1105634
B2--CsCl = oqmd-306449
B3--ZnS--cubic-zinc-blende = oqmd-1222507
L1_0--AuCu = mp-2213, oqmd-17225, oqmd-30230, oqmd-337991
| prototype | method | Ecoh (eV/atom) | Epot (eV/atom) | a0 (Å) | b0 (Å) | c0 (Å) | α (degrees) | β (degrees) | γ (degrees) |
|---|---|---|---|---|---|---|---|---|---|
| mp-1224976 | dynamic | -4.4193 | -4.4193 | 2.5109 | 2.5109 | 12.2462 | 90.0 | 90.0 | 120.0 |
| L1_0--AuCu | dynamic | -4.4162 | -4.4162 | 2.5228 | 2.5228 | 3.5203 | 90.0 | 90.0 | 90.0 |
| oqmd-1220313 | dynamic | -4.4068 | -4.4068 | 4.0958 | 2.5148 | 4.3365 | 90.0 | 90.0 | 90.0 |
| oqmd-1220313 | box | -4.403 | -4.403 | 4.0927 | 2.5282 | 4.3148 | 90.0 | 90.0 | 90.0 |
| oqmd-1229478 | dynamic | -4.3987 | -4.3987 | 2.5145 | 2.5145 | 4.0832 | 90.0 | 90.0 | 120.0 |
| B2--CsCl | box | -4.3312 | -4.3312 | 2.8102 | 2.8102 | 2.8102 | 90.0 | 90.0 | 90.0 |
| mp-1224965 | static | -4.3246 | -4.3246 | 3.0321 | 3.9005 | 3.8702 | 90.0 | 90.0 | 90.0 |
| mp-1224965 | box | -4.3158 | -4.3158 | 2.8575 | 4.0059 | 3.9847 | 90.0 | 90.0 | 90.0 |
| B1--NaCl--rock-salt | static | -3.5482 | -3.5482 | 4.7184 | 4.7184 | 4.7184 | 90.0 | 90.0 | 90.0 |
| oqmd-1225992 | static | -3.1375 | -3.1375 | 4.2833 | 4.2833 | 4.9086 | 90.0 | 90.0 | 120.0 |
| B3--ZnS--cubic-zinc-blende | static | -2.4988 | -2.4988 | 5.2943 | 5.2943 | 5.2943 | 90.0 | 90.0 | 90.0 |
| L1_0--AuCu | dynamic | -0.0186 | -0.0186 | 5.6542 | 5.6542 | 6.5209 | 90.0 | 90.0 | 90.0 |
| B2--CsCl | static | -0.0158 | -0.0158 | 6.0 | 6.0 | 6.0 | 90.0 | 90.0 | 90.0 |
| B2--CsCl | dynamic | -0.0129 | -0.0129 | 5.8926 | 5.8926 | 5.8926 | 90.0 | 90.0 | 90.0 |
| B1--NaCl--rock-salt | dynamic | -0.0103 | -0.0103 | 10.3447 | 10.3447 | 10.3447 | 90.0 | 90.0 | 90.0 |
| B3--ZnS--cubic-zinc-blende | dynamic | -0.0056 | -0.0056 | 11.982 | 11.982 | 11.982 | 90.0 | 90.0 | 90.0 |
| L1_0--AuCu | dynamic | -0.0022 | -0.0022 | 5.6542 | 5.6542 | 11.7051 | 90.0 | 90.0 | 90.0 |
| L1_0--AuCu | static | -0.0015 | -0.0015 | 6.2206 | 6.2206 | 8.1611 | 90.0 | 90.0 | 90.0 |
| B2--CsCl | static | -0.0015 | -0.0015 | 6.9279 | 6.9279 | 6.9279 | 90.0 | 90.0 | 90.0 |
| B1--NaCl--rock-salt | static | -0.0011 | -0.0011 | 11.9995 | 11.9995 | 11.9995 | 90.0 | 90.0 | 90.0 |
| B3--ZnS--cubic-zinc-blende | static | -0.0008 | -0.0008 | 13.8558 | 13.8558 | 13.8558 | 90.0 | 90.0 | 90.0 |
| L1_0--AuCu | box | -0.0008 | -0.0008 | 5.6542 | 5.6542 | 7.6583 | 90.0 | 90.0 | 90.0 |
| B3--ZnS--cubic-zinc-blende | box | -0.0 | -0.0 | 13.4242 | 13.4242 | 13.4242 | 90.0 | 90.0 | 90.0 |
| B1--NaCl--rock-salt | dynamic | 0.0 | 0.0 | 13.9645 | 13.9645 | 13.9645 | 90.0 | 90.0 | 90.0 |
| B2--CsCl | dynamic | 0.0 | 0.0 | 9.4035 | 9.4035 | 9.4035 | 90.0 | 90.0 | 90.0 |
| B3--ZnS--cubic-zinc-blende | dynamic | 0.0 | 0.0 | 16.1333 | 16.1333 | 16.1333 | 90.0 | 90.0 | 90.0 |
| L1_0--AuCu | dynamic | 0.0 | 0.0 | 7.8919 | 7.8919 | 12.2806 | 90.0 | 90.0 | 90.0 |
| L1_0--AuCu | static | 0.0 | 0.0 | 5.8052 | 5.8052 | 8.175 | 90.0 | 90.0 | 90.0 |
| B1--NaCl--rock-salt | box | 0.0011 | 0.0011 | 11.07 | 11.07 | 11.07 | 90.0 | 90.0 | 90.0 |
| B2--CsCl | box | 0.0014 | 0.0014 | 6.3924 | 6.3924 | 6.3924 | 90.0 | 90.0 | 90.0 |
| L1_0--AuCu | box | 0.0014 | 0.0014 | 5.8036 | 5.8036 | 7.4313 | 90.0 | 90.0 | 90.0 |
| B2--CsCl | static | 2.0423 | 2.0423 | 4.2625 | 4.2625 | 4.2625 | 90.0 | 90.0 | 90.0 |
| B2--CsCl | static | 2.052 | 2.052 | 4.2093 | 4.2093 | 4.2093 | 90.0 | 90.0 | 90.0 |
Download raw data (including filtered results)
Reference structure matches:
| prototype | method | Ecoh (eV/atom) | Epot (eV/atom) | a0 (Å) | b0 (Å) | c0 (Å) | α (degrees) | β (degrees) | γ (degrees) |
|---|---|---|---|---|---|---|---|---|---|
| mp-1072076 | static | -4.2006 | -4.2006 | 6.6284 | 6.6284 | 6.6284 | 90.0 | 90.0 | 90.0 |
| C1--CaF2--fluorite | static | -3.5724 | -3.5724 | 5.5558 | 5.5558 | 5.5558 | 90.0 | 90.0 | 90.0 |
| oqmd-1236413 | static | -1.5807 | -1.5807 | 11.012 | 11.012 | 11.012 | 90.0 | 90.0 | 90.0 |
| oqmd-1236413 | box | -1.5799 | -1.5799 | 11.0488 | 11.0488 | 11.0488 | 90.0 | 90.0 | 90.0 |
| C1--CaF2--fluorite | dynamic | -0.0093 | -0.0093 | 12.0 | 12.0 | 12.0 | 90.0 | 90.0 | 90.0 |
| C1--CaF2--fluorite | static | -0.001 | -0.001 | 13.8558 | 13.8558 | 13.8558 | 90.0 | 90.0 | 90.0 |
| C1--CaF2--fluorite | dynamic | 0.0 | 0.0 | 15.6615 | 15.6615 | 15.6615 | 90.0 | 90.0 | 90.0 |
Download raw data (including filtered results)
Reference structure matches:
D0_3--BiF3 = mp-1007854, oqmd-308521
L1_2--AuCu3 = mp-1418, oqmd-7241, oqmd-347103
| prototype | method | Ecoh (eV/atom) | Epot (eV/atom) | a0 (Å) | b0 (Å) | c0 (Å) | α (degrees) | β (degrees) | γ (degrees) |
|---|---|---|---|---|---|---|---|---|---|
| mp-1225078 | dynamic | -4.4361 | -4.4361 | 2.494 | 2.494 | 24.4358 | 90.0 | 90.0 | 120.0 |
| mp-1225078 | box | -4.4361 | -4.4361 | 2.4941 | 2.4941 | 24.4421 | 90.0 | 90.0 | 120.0 |
| oqmd-297990 | dynamic | -4.4346 | -4.4346 | 3.5374 | 3.5374 | 7.0422 | 90.0 | 90.0 | 90.0 |
| L1_2--AuCu3 | dynamic | -4.4291 | -4.4291 | 3.5375 | 3.5375 | 3.5375 | 90.0 | 90.0 | 90.0 |
| mp-1079337 | dynamic | -4.419 | -4.419 | 4.0857 | 4.9925 | 4.3165 | 90.0 | 90.0 | 90.0 |
| oqmd-322617 | dynamic | -4.4176 | -4.4176 | 4.9948 | 4.9948 | 4.0937 | 90.0 | 90.0 | 120.0 |
| mp-1079337 | box | -4.4173 | -4.4173 | 4.0791 | 4.9986 | 4.3137 | 90.0 | 90.0 | 90.0 |
| oqmd-322617 | box | -4.4166 | -4.4166 | 4.9935 | 4.9935 | 4.0893 | 90.0 | 90.0 | 120.0 |
| D0_3--BiF3 | static | -4.331 | -4.331 | 5.5948 | 5.5948 | 5.5948 | 90.0 | 90.0 | 90.0 |
| A15--Cr3Si | static | -4.2852 | -4.2852 | 4.5129 | 4.5129 | 4.5129 | 90.0 | 90.0 | 90.0 |
| A15--Cr3Si | static | -0.0087 | -0.0087 | 9.2515 | 9.2515 | 9.2515 | 90.0 | 90.0 | 90.0 |
| L1_2--AuCu3 | static | -0.004 | -0.004 | 8.4849 | 8.4849 | 8.4849 | 90.0 | 90.0 | 90.0 |
| D0_3--BiF3 | dynamic | -0.0036 | -0.0036 | 12.0 | 12.0 | 12.0 | 90.0 | 90.0 | 90.0 |
| D0_3--BiF3 | static | -0.0027 | -0.0027 | 13.8558 | 13.8558 | 13.8558 | 90.0 | 90.0 | 90.0 |
| L1_2--AuCu3 | dynamic | -0.0024 | -0.0024 | 7.3461 | 7.3461 | 7.3461 | 90.0 | 90.0 | 90.0 |
| A15--Cr3Si | static | -0.0007 | -0.0007 | 11.9995 | 11.9995 | 11.9995 | 90.0 | 90.0 | 90.0 |
| D0_3--BiF3 | box | -0.0 | -0.0 | 13.4029 | 13.4029 | 13.4029 | 90.0 | 90.0 | 90.0 |
| L1_2--AuCu3 | dynamic | 0.0 | 0.0 | 10.4848 | 10.4848 | 10.4848 | 90.0 | 90.0 | 90.0 |
| A15--Cr3Si | dynamic | 0.0 | 0.0 | 13.9719 | 13.9719 | 13.9719 | 90.0 | 90.0 | 90.0 |
| D0_3--BiF3 | dynamic | 0.0 | 0.0 | 15.2128 | 15.2128 | 15.2128 | 90.0 | 90.0 | 90.0 |
| A15--Cr3Si | dynamic | 0.0 | 0.0 | 12.7171 | 12.7171 | 12.7171 | 90.0 | 90.0 | 90.0 |
| A15--Cr3Si | box | 0.0 | 0.0 | 11.6078 | 11.6078 | 11.6078 | 90.0 | 90.0 | 90.0 |
| L1_2--AuCu3 | box | 0.0 | 0.0 | 8.2088 | 8.2088 | 8.2088 | 90.0 | 90.0 | 90.0 |
| A15--Cr3Si | static | 0.0007 | 0.0007 | 10.7331 | 10.7331 | 10.7331 | 90.0 | 90.0 | 90.0 |
| A15--Cr3Si | static | 0.0007 | 0.0007 | 9.798 | 9.798 | 9.798 | 90.0 | 90.0 | 90.0 |
| A15--Cr3Si | box | 0.0014 | 0.0014 | 9.7236 | 9.7236 | 9.7236 | 90.0 | 90.0 | 90.0 |
Download raw data (including filtered results)
Reference structure matches:
A1--Cu--fcc = mp-23, oqmd-676148, oqmd-1214550
A15--beta-W = oqmd-1214995, oqmd-1280360
A2--W--bcc = mp-1008728, oqmd-22516, oqmd-1215173
A3'--alpha-La--double-hcp = oqmd-1215441
A3--Mg--hcp = mp-10257, oqmd-677944, oqmd-1215351
A4--C--dc = oqmd-1215530
A5--beta-Sn = oqmd-1215619
A6--In--bct = oqmd-1215708
| prototype | method | Ecoh (eV/atom) | Epot (eV/atom) | a0 (Å) | b0 (Å) | c0 (Å) | α (degrees) | β (degrees) | γ (degrees) |
|---|---|---|---|---|---|---|---|---|---|
| A1--Cu--fcc | dynamic | -4.45 | -4.45 | 3.52 | 3.52 | 3.52 | 90.0 | 90.0 | 90.0 |
| A3'--alpha-La--double-hcp | dynamic | -4.4399 | -4.4399 | 2.4865 | 2.4865 | 8.1188 | 90.0 | 90.0 | 120.0 |
| oqmd-1216067 | dynamic | -4.4366 | -4.4366 | 2.4857 | 2.4857 | 18.2401 | 90.0 | 90.0 | 120.0 |
| A3--Mg--hcp | dynamic | -4.4301 | -4.4301 | 2.4842 | 2.4842 | 4.0363 | 90.0 | 90.0 | 120.0 |
| oqmd-1215262 | box | -4.4294 | -4.4294 | 2.4741 | 4.319 | 4.0432 | 90.0 | 90.0 | 90.0 |
| A2--W--bcc | static | -4.3434 | -4.3434 | 2.753 | 2.753 | 2.753 | 90.0 | 90.0 | 90.0 |
| oqmd-1214906 | dynamic | -4.3386 | -4.3386 | 6.1209 | 6.1209 | 6.1209 | 90.0 | 90.0 | 90.0 |
| A2--W--bcc | static | -4.338 | -4.338 | 2.7863 | 2.7863 | 2.7863 | 90.0 | 90.0 | 90.0 |
| oqmd-1215886 | static | -4.3373 | -4.3373 | 3.8897 | 3.8897 | 2.451 | 90.0 | 90.0 | 120.0 |
| oqmd-1214906 | static | -4.3346 | -4.3346 | 6.0846 | 6.0846 | 6.0846 | 90.0 | 90.0 | 90.0 |
| oqmd-1214906 | box | -4.3345 | -4.3345 | 6.119 | 6.119 | 6.119 | 90.0 | 90.0 | 90.0 |
| oqmd-1214817 | dynamic | -4.3174 | -4.3174 | 8.7076 | 8.7076 | 8.7076 | 90.0 | 90.0 | 90.0 |
| oqmd-1214817 | box | -4.3149 | -4.3149 | 8.7189 | 8.7189 | 8.7189 | 90.0 | 90.0 | 90.0 |
| oqmd-1214817 | static | -4.3118 | -4.3118 | 8.6349 | 8.6349 | 8.6349 | 90.0 | 90.0 | 90.0 |
| A15--beta-W | dynamic | -4.3035 | -4.3035 | 4.5121 | 4.5121 | 4.5121 | 90.0 | 90.0 | 90.0 |
| A15--beta-W | static | -4.3008 | -4.3008 | 4.4567 | 4.4567 | 4.4567 | 90.0 | 90.0 | 90.0 |
| oqmd-1215084 | box | -4.1507 | -4.1507 | 2.5051 | 4.1667 | 8.8806 | 90.0 | 90.0 | 90.0 |
| oqmd-1214728 | box | -4.07 | -4.07 | 2.4097 | 2.4097 | 8.3137 | 90.0 | 90.0 | 90.0 |
| mp-1014111 | dynamic | -3.9028 | -3.9028 | 2.4636 | 2.4636 | 13.44 | 90.0 | 90.0 | 120.0 |
| mp-1014111 | box | -3.9028 | -3.9028 | 2.4636 | 2.4636 | 13.3815 | 90.0 | 90.0 | 120.0 |
| A5--beta-Sn | static | -3.8429 | -3.8429 | 4.5124 | 4.5124 | 2.3669 | 90.0 | 90.0 | 90.0 |
| mp-1094136 | static | -3.7275 | -3.7275 | 2.4162 | 4.2823 | 14.4192 | 87.4 | 89.7 | 90.0 |
| Ah--alpha-Po--sc | static | -3.617 | -3.617 | 2.3478 | 2.3478 | 2.3478 | 90.0 | 90.0 | 90.0 |
| A4--C--dc | static | -2.5669 | -2.5669 | 5.506 | 5.506 | 5.506 | 90.0 | 90.0 | 90.0 |
| A4--C--dc | dynamic | -2.5651 | -2.5651 | 5.506 | 5.506 | 5.506 | 90.0 | 90.0 | 90.0 |
| A4--C--dc | dynamic | -2.5643 | -2.5643 | 5.506 | 5.506 | 5.506 | 90.0 | 90.0 | 90.0 |
| oqmd-1215975 | static | -2.3592 | -2.3592 | 3.4641 | 3.4641 | 4.4174 | 90.0 | 90.0 | 120.0 |
| oqmd-1215975 | box | -0.5688 | -0.5688 | 2.8042 | 2.8042 | 9.0848 | 90.0 | 90.0 | 120.0 |
| A1--Cu--fcc | static | -0.0057 | -0.0057 | 8.4849 | 8.4849 | 8.4849 | 90.0 | 90.0 | 90.0 |
| A6--In--bct | static | -0.0038 | -0.0038 | 5.8205 | 5.8205 | 8.7317 | 90.0 | 90.0 | 90.0 |
| A2--W--bcc | static | -0.0038 | -0.0038 | 6.9279 | 6.9279 | 6.9279 | 90.0 | 90.0 | 90.0 |
| Ah--alpha-Po--sc | static | -0.0028 | -0.0028 | 5.9997 | 5.9997 | 5.9997 | 90.0 | 90.0 | 90.0 |
| A4--C--dc | static | -0.0019 | -0.0019 | 13.8558 | 13.8558 | 13.8558 | 90.0 | 90.0 | 90.0 |
| A6--In--bct | static | -0.0019 | -0.0019 | 5.9997 | 5.9997 | 8.97 | 90.0 | 90.0 | 90.0 |
| A5--beta-Sn | static | -0.0019 | -0.0019 | 11.5723 | 11.5723 | 6.3459 | 90.0 | 90.0 | 90.0 |
| A15--beta-W | static | -0.001 | -0.001 | 10.7331 | 10.7331 | 10.7331 | 90.0 | 90.0 | 90.0 |
| A15--beta-W | static | -0.0007 | -0.0007 | 11.9995 | 11.9995 | 11.9995 | 90.0 | 90.0 | 90.0 |
| A5--beta-Sn | static | -0.0001 | -0.0001 | 10.8911 | 10.8911 | 6.0 | 90.0 | 90.0 | 90.0 |
| A15--beta-W | dynamic | 0.0 | 0.0 | 12.7149 | 12.7149 | 12.7149 | 90.0 | 90.0 | 90.0 |
| A3--Mg--hcp | dynamic | 0.0 | 0.0 | 6.5403 | 6.5403 | 10.6803 | 90.0 | 90.0 | 120.0 |
| A3'--alpha-La--double-hcp | dynamic | 0.0 | 0.0 | 6.3444 | 6.3444 | 20.7207 | 90.0 | 90.0 | 120.0 |
| A7--alpha-As | dynamic | 0.0 | 0.0 | 10.8802 | 10.8802 | 28.4443 | 90.0 | 90.0 | 120.0 |
| Ah--alpha-Po--sc | dynamic | 0.0 | 0.0 | 9.2438 | 9.2438 | 9.2438 | 90.0 | 90.0 | 90.0 |
| A5--beta-Sn | dynamic | 0.0 | 0.0 | 15.061 | 15.061 | 6.6034 | 90.0 | 90.0 | 90.0 |
| A5--beta-Sn | dynamic | 0.0 | 0.0 | 14.0108 | 14.0108 | 6.3446 | 90.0 | 90.0 | 90.0 |
| A15--beta-W | dynamic | 0.0 | 0.0 | 13.9719 | 13.9719 | 13.9719 | 90.0 | 90.0 | 90.0 |
| A6--In--bct | dynamic | 0.0 | 0.0 | 8.7332 | 8.7332 | 8.97 | 90.0 | 90.0 | 90.0 |
| A4--C--dc | dynamic | 0.0 | 0.0 | 16.087 | 16.087 | 16.087 | 90.0 | 90.0 | 90.0 |
| A15--beta-W | dynamic | 0.0 | 0.0 | 12.0489 | 12.0489 | 12.0489 | 90.0 | 90.0 | 90.0 |
| A1--Cu--fcc | dynamic | 0.0 | 0.0 | 10.4348 | 10.4348 | 10.4348 | 90.0 | 90.0 | 90.0 |
| A2--W--bcc | dynamic | 0.0 | 0.0 | 9.413 | 9.413 | 9.413 | 90.0 | 90.0 | 90.0 |
| A6--In--bct | dynamic | 0.0 | 0.0 | 8.4576 | 8.4576 | 9.252 | 90.0 | 90.0 | 90.0 |
| A15--beta-W | box | 0.0 | 0.0 | 11.6078 | 11.6078 | 11.6078 | 90.0 | 90.0 | 90.0 |
| A4--C--dc | box | 0.0 | 0.0 | 13.4035 | 13.4035 | 13.4035 | 90.0 | 90.0 | 90.0 |
| Ah--alpha-Po--sc | box | 0.0 | 0.0 | 5.8039 | 5.8039 | 5.8039 | 90.0 | 90.0 | 90.0 |
| A5--beta-Sn | box | 0.0 | 0.0 | 11.2392 | 11.2392 | 5.8039 | 90.0 | 90.0 | 90.0 |
| A2--W--bcc | box | 0.0 | 0.0 | 6.7018 | 6.7018 | 6.7018 | 90.0 | 90.0 | 90.0 |
| A3--Mg--hcp | box | 0.0 | 0.0 | 5.8039 | 5.8039 | 9.4777 | 90.0 | 90.0 | 120.0 |
| A3'--alpha-La--double-hcp | box | 0.0 | 0.0 | 5.8039 | 5.8039 | 18.9555 | 90.0 | 90.0 | 120.0 |
| A1--Cu--fcc | box | 0.0 | 0.0 | 8.208 | 8.208 | 8.208 | 90.0 | 90.0 | 90.0 |
| A7--alpha-As | dynamic | 0.003 | 0.003 | 7.2485 | 7.2485 | 25.5378 | 90.0 | 90.0 | 120.0 |
| A7--alpha-As | dynamic | 0.003 | 0.003 | 8.0323 | 8.0323 | 18.6101 | 90.0 | 90.0 | 120.0 |
| A7--alpha-As | static | 0.003 | 0.003 | 7.7917 | 7.7917 | 21.6434 | 90.0 | 90.0 | 120.0 |
| A5--beta-Sn | static | 0.004 | 0.004 | 10.0194 | 10.0194 | 5.8034 | 90.0 | 90.0 | 90.0 |
| A4--C--dc | dynamic | 0.004 | 0.004 | 12.0448 | 12.0448 | 12.0448 | 90.0 | 90.0 | 90.0 |
| A5--beta-Sn | dynamic | 0.004 | 0.004 | 9.6523 | 9.6523 | 7.91 | 90.0 | 90.0 | 90.0 |
| A2--W--bcc | static | 0.0052 | 0.0052 | 6.0 | 6.0 | 6.0 | 90.0 | 90.0 | 90.0 |
| Ah--alpha-Po--sc | dynamic | 0.006 | 0.006 | 5.2156 | 5.2156 | 5.2156 | 90.0 | 90.0 | 90.0 |
| A15--beta-W | static | 0.0062 | 0.0062 | 9.798 | 9.798 | 9.798 | 90.0 | 90.0 | 90.0 |
| A15--beta-W | static | 0.0063 | 0.0063 | 9.2606 | 9.2606 | 9.2606 | 90.0 | 90.0 | 90.0 |
| A5--beta-Sn | static | 0.0076 | 0.0076 | 9.2564 | 9.2564 | 5.0911 | 90.0 | 90.0 | 90.0 |
| A2--W--bcc | dynamic | 0.008 | 0.008 | 6.0224 | 6.0224 | 6.0224 | 90.0 | 90.0 | 90.0 |
| A15--beta-W | box | 0.0097 | 0.0097 | 9.6198 | 9.6198 | 9.6198 | 90.0 | 90.0 | 90.0 |
| A1--Cu--fcc | dynamic | 0.0119 | 0.0119 | 7.376 | 7.376 | 7.376 | 90.0 | 90.0 | 90.0 |
| A3'--alpha-La--double-hcp | dynamic | 0.0119 | 0.0119 | 5.2156 | 5.2156 | 17.034 | 90.0 | 90.0 | 120.0 |
| A3--Mg--hcp | dynamic | 0.0119 | 0.0119 | 5.2156 | 5.2156 | 8.517 | 90.0 | 90.0 | 120.0 |
Static elastic constants are displayed for the unique structures identified in Crystal Structure Predictions above. The values displayed here are obtained by measuring the change in virial stresses due to applying small strains to the relaxed crystals. The initial structure and the strained states are all relaxed using force minimization.
The calculation method used is available as the iprPy elastic_constants_static calculation method.
Notes and Disclaimers:
Version Information:
| 195.007 | 275.187 | 275.187 | -0.000 | 0.000 | 0.000 |
| 275.187 | 195.007 | 275.187 | 0.000 | 0.000 | 0.000 |
| 275.187 | 275.187 | 195.007 | -0.000 | 0.000 | 0.000 |
| -83523533.125 | -83523534.792 | -83523533.125 | 83368789.498 | 0.000 | 0.000 |
| -83523534.792 | -83523533.125 | -83523533.125 | 0.000 | 83368789.498 | 0.000 |
| -83523534.792 | -83523533.125 | -83523533.125 | -0.000 | 0.000 | 83368789.498 |
| 167060248.455 | 167060325.283 | 167060325.283 | -0.000 | -0.000 | -0.000 |
| 167060325.283 | 167060248.455 | 167060325.283 | -0.000 | -0.000 | -0.000 |
| 167060325.283 | 167060325.283 | 167060248.455 | -0.000 | -0.000 | -0.000 |
| 83523533.125 | 83523534.792 | 83523533.125 | 83368789.498 | -0.000 | -0.000 |
| 83523534.792 | 83523533.125 | 83523533.125 | -0.000 | 83368789.498 | -0.000 |
| 83523534.792 | 83523533.125 | 83523533.125 | 0.000 | -0.000 | 83368789.498 |
| 195.003 | 275.182 | 275.182 | 0.000 | 0.000 | 0.000 |
| 275.182 | 195.003 | 275.182 | 0.000 | 0.000 | 0.000 |
| 275.182 | 275.182 | 195.003 | 0.000 | 0.000 | 0.000 |
| -8352336.852 | -8352338.520 | -8352336.852 | 8337085.108 | 0.000 | 0.000 |
| -8352338.520 | -8352336.852 | -8352336.852 | 0.000 | 8337085.108 | 0.000 |
| -8352338.520 | -8352336.852 | -8352336.852 | 0.000 | 0.000 | 8337085.108 |
| 16706168.451 | 16706245.279 | 16706245.279 | 0.000 | -0.000 | -0.000 |
| 16706245.279 | 16706168.451 | 16706245.279 | 0.000 | -0.000 | -0.000 |
| 16706245.279 | 16706245.279 | 16706168.451 | -0.000 | -0.000 | -0.000 |
| 8352336.852 | 8352338.520 | 8352336.852 | 8337085.108 | -0.000 | -0.000 |
| 8352338.520 | 8352336.852 | 8352336.852 | -0.000 | 8337085.108 | -0.000 |
| 8352338.520 | 8352336.852 | 8352336.852 | -0.000 | -0.000 | 8337085.108 |
| 194.956 | 275.136 | 275.136 | 0.000 | 0.000 | 0.000 |
| 275.136 | 194.956 | 275.136 | 0.000 | 0.000 | 0.000 |
| 275.136 | 275.136 | 194.956 | -0.000 | 0.000 | 0.000 |
| -835217.249 | -835218.915 | -835217.247 | 833914.645 | 0.000 | 0.000 |
| -835218.915 | -835217.249 | -835217.247 | 0.000 | 833914.645 | 0.000 |
| -835218.915 | -835217.247 | -835217.249 | 0.000 | 0.000 | 833914.645 |
| 1670760.450 | 1670837.277 | 1670837.277 | 0.000 | -0.000 | -0.000 |
| 1670837.277 | 1670760.450 | 1670837.277 | -0.000 | -0.000 | -0.000 |
| 1670837.277 | 1670837.277 | 1670760.450 | 0.000 | -0.000 | -0.000 |
| 835217.249 | 835218.915 | 835217.247 | 833914.645 | -0.000 | -0.000 |
| 835218.915 | 835217.249 | 835217.247 | -0.000 | 833914.645 | -0.000 |
| 835218.915 | 835217.247 | 835217.249 | -0.000 | -0.000 | 833914.645 |
| 264.677 | 191.718 | 191.718 | -0.000 | -0.000 | -0.000 |
| 191.718 | 264.677 | 191.718 | -0.000 | -0.000 | -0.000 |
| 191.718 | 191.718 | 264.677 | 0.000 | -0.000 | -0.000 |
| 0.000 | -0.000 | 0.000 | 142.089 | 0.000 | 0.000 |
| -0.000 | 0.000 | 0.000 | 0.000 | 142.089 | -0.000 |
| -0.000 | -0.000 | 0.000 | 0.000 | -0.000 | 142.089 |
| 264.677 | 191.718 | 191.718 | 0.000 | 0.000 | 0.000 |
| 191.718 | 264.677 | 191.718 | 0.000 | 0.000 | 0.000 |
| 191.718 | 191.718 | 264.677 | -0.000 | 0.000 | 0.000 |
| -0.000 | 0.000 | -0.000 | 142.089 | -0.000 | 0.000 |
| 0.000 | -0.000 | -0.000 | -0.000 | 142.089 | 0.000 |
| 0.000 | 0.000 | -0.000 | 0.000 | 0.000 | 142.089 |
| 264.676 | 191.718 | 191.718 | -0.000 | 0.000 | -0.000 |
| 191.718 | 264.676 | 191.718 | -0.000 | 0.000 | -0.000 |
| 191.718 | 191.718 | 264.676 | 0.000 | -0.000 | -0.000 |
| -0.000 | -0.000 | -0.000 | 142.089 | -0.000 | -0.000 |
| -0.000 | -0.000 | -0.000 | 0.000 | 142.089 | -0.000 |
| -0.000 | -0.000 | -0.000 | -0.000 | -0.000 | 142.089 |
| 264.677 | 191.718 | 191.718 | 0.000 | 0.000 | 0.000 |
| 191.718 | 264.677 | 191.718 | 0.000 | 0.000 | 0.000 |
| 191.718 | 191.718 | 264.677 | 0.000 | 0.000 | 0.000 |
| 0.000 | 0.000 | 0.000 | 142.089 | 0.000 | 0.000 |
| 0.000 | 0.000 | 0.000 | -0.000 | 142.089 | 0.000 |
| 0.000 | 0.000 | 0.000 | -0.000 | 0.000 | 142.089 |
| 264.673 | 191.718 | 191.718 | -0.000 | 0.000 | -0.000 |
| 191.718 | 264.673 | 191.718 | -0.000 | -0.000 | -0.000 |
| 191.718 | 191.718 | 264.673 | -0.000 | -0.000 | -0.000 |
| -0.000 | -0.000 | -0.000 | 142.089 | -0.000 | -0.000 |
| -0.000 | -0.000 | -0.000 | -0.000 | 142.089 | -0.000 |
| -0.000 | -0.000 | -0.000 | 0.000 | -0.000 | 142.089 |
| 264.680 | 191.718 | 191.718 | 0.000 | 0.000 | 0.000 |
| 191.718 | 264.680 | 191.718 | -0.000 | 0.000 | 0.000 |
| 191.718 | 191.718 | 264.680 | 0.000 | 0.000 | 0.000 |
| 0.000 | 0.000 | 0.000 | 142.089 | 0.000 | 0.000 |
| 0.000 | 0.000 | 0.000 | -0.000 | 142.089 | 0.000 |
| 0.000 | 0.000 | 0.000 | -0.000 | 0.000 | 142.089 |
| 10.139 | 4.950 | 4.950 | -0.000 | -0.000 | -0.000 |
| 4.950 | 10.139 | 4.950 | -0.000 | -0.000 | -0.000 |
| 4.950 | 4.950 | 10.139 | -0.000 | -0.000 | -0.000 |
| -0.000 | -0.000 | -0.000 | 5.189 | -0.000 | -0.000 |
| -0.000 | -0.000 | -0.000 | -0.000 | 5.189 | 0.000 |
| -0.000 | -0.000 | -0.000 | -0.000 | 0.000 | 5.189 |
| 10.139 | 4.950 | 4.950 | 0.000 | 0.000 | 0.000 |
| 4.950 | 10.139 | 4.950 | -0.000 | 0.000 | 0.000 |
| 4.950 | 4.950 | 10.139 | 0.000 | 0.000 | 0.000 |
| 0.000 | 0.000 | 0.000 | 5.189 | 0.000 | 0.000 |
| 0.000 | 0.000 | 0.000 | 0.000 | 5.189 | -0.000 |
| 0.000 | 0.000 | 0.000 | 0.000 | -0.000 | 5.189 |
| 10.139 | 4.950 | 4.950 | -0.000 | -0.000 | -0.000 |
| 4.950 | 10.139 | 4.950 | -0.000 | -0.000 | -0.000 |
| 4.950 | 4.950 | 10.139 | -0.000 | -0.000 | -0.000 |
| -0.000 | -0.000 | -0.000 | 5.189 | -0.000 | -0.000 |
| -0.000 | -0.000 | -0.000 | -0.000 | 5.189 | 0.000 |
| -0.000 | -0.000 | -0.000 | -0.000 | 0.000 | 5.189 |
| 10.139 | 4.950 | 4.950 | 0.000 | 0.000 | 0.000 |
| 4.950 | 10.139 | 4.950 | 0.000 | 0.000 | 0.000 |
| 4.950 | 4.950 | 10.139 | 0.000 | 0.000 | 0.000 |
| 0.000 | 0.000 | 0.000 | 5.189 | 0.000 | 0.000 |
| 0.000 | 0.000 | 0.000 | 0.000 | 5.189 | -0.000 |
| 0.000 | 0.000 | 0.000 | 0.000 | 0.000 | 5.189 |
| 10.139 | 4.950 | 4.950 | -0.000 | -0.000 | -0.000 |
| 4.950 | 10.139 | 4.950 | -0.000 | -0.000 | -0.000 |
| 4.950 | 4.950 | 10.139 | -0.000 | -0.000 | -0.000 |
| -0.000 | -0.000 | -0.000 | 5.189 | -0.000 | -0.000 |
| -0.000 | -0.000 | -0.000 | -0.000 | 5.189 | 0.000 |
| -0.000 | -0.000 | -0.000 | -0.000 | 0.000 | 5.189 |
| 10.139 | 4.950 | 4.950 | 0.000 | 0.000 | 0.000 |
| 4.950 | 10.139 | 4.950 | 0.000 | 0.000 | 0.000 |
| 4.950 | 4.950 | 10.139 | 0.000 | 0.000 | 0.000 |
| 0.000 | 0.000 | 0.000 | 5.189 | 0.000 | 0.000 |
| 0.000 | 0.000 | 0.000 | 0.000 | 5.189 | -0.000 |
| 0.000 | 0.000 | 0.000 | 0.000 | 0.000 | 5.189 |
| 6.089 | 3.045 | 3.045 | -0.000 | 0.000 | 0.000 |
| 3.045 | 6.089 | 3.045 | 0.000 | -0.000 | -0.000 |
| 3.045 | 3.045 | 6.089 | -0.000 | -0.000 | -0.000 |
| -0.000 | 0.000 | 0.000 | 3.044 | 0.000 | 0.000 |
| 0.000 | -0.000 | 0.000 | 0.000 | 3.044 | 0.000 |
| 0.000 | 0.000 | -0.000 | 0.000 | 0.000 | 3.044 |
| 6.089 | 3.045 | 3.045 | 0.000 | 0.000 | 0.000 |
| 3.045 | 6.089 | 3.045 | 0.000 | 0.000 | 0.000 |
| 3.045 | 3.045 | 6.089 | 0.000 | 0.000 | 0.000 |
| 0.000 | -0.000 | -0.000 | 3.044 | -0.000 | -0.000 |
| -0.000 | 0.000 | -0.000 | -0.000 | 3.044 | 0.000 |
| -0.000 | -0.000 | 0.000 | -0.000 | 0.000 | 3.044 |
| 6.089 | 3.045 | 3.045 | -0.000 | 0.000 | 0.000 |
| 3.045 | 6.089 | 3.045 | 0.000 | -0.000 | -0.000 |
| 3.045 | 3.045 | 6.089 | -0.000 | -0.000 | -0.000 |
| -0.000 | 0.000 | 0.000 | 3.044 | -0.000 | -0.000 |
| 0.000 | -0.000 | 0.000 | -0.000 | 3.044 | -0.000 |
| 0.000 | 0.000 | -0.000 | 0.000 | -0.000 | 3.044 |
| 6.088 | 3.045 | 3.045 | 0.000 | 0.000 | 0.000 |
| 3.045 | 6.088 | 3.045 | 0.000 | 0.000 | 0.000 |
| 3.045 | 3.045 | 6.088 | 0.000 | 0.000 | 0.000 |
| 0.000 | -0.000 | -0.000 | 3.044 | 0.000 | 0.000 |
| -0.000 | 0.000 | -0.000 | 0.000 | 3.044 | 0.000 |
| -0.000 | -0.000 | 0.000 | -0.000 | -0.000 | 3.044 |
| 6.090 | 3.045 | 3.045 | 0.000 | -0.000 | -0.000 |
| 3.045 | 6.090 | 3.045 | -0.000 | 0.000 | 0.000 |
| 3.045 | 3.045 | 6.090 | 0.000 | 0.000 | 0.000 |
| -0.000 | 0.001 | 0.001 | 3.044 | -0.000 | -0.000 |
| 0.001 | -0.000 | 0.001 | -0.000 | 3.044 | -0.000 |
| 0.001 | 0.001 | -0.000 | 0.000 | -0.000 | 3.044 |
| 6.087 | 3.044 | 3.044 | -0.000 | 0.000 | 0.000 |
| 3.044 | 6.087 | 3.044 | 0.000 | -0.000 | -0.000 |
| 3.044 | 3.044 | 6.087 | 0.000 | 0.000 | 0.000 |
| 0.000 | -0.001 | -0.001 | 3.044 | 0.000 | 0.000 |
| -0.001 | 0.000 | -0.001 | 0.000 | 3.044 | 0.000 |
| -0.001 | -0.001 | 0.000 | -0.000 | 0.000 | 3.044 |
| 728.660 | 155.585 | 155.585 | 0.000 | -0.000 | -0.000 |
| 155.585 | 728.660 | 155.585 | -0.000 | -0.000 | 0.000 |
| 155.585 | 155.585 | 728.660 | -0.000 | 0.000 | -0.000 |
| -112003987.847 | -112003600.560 | -112003599.473 | 54328794.073 | 0.000 | 0.000 |
| -112003600.560 | -112003987.847 | -112003599.473 | 0.000 | 54328794.073 | 0.000 |
| -112003600.560 | -112003599.473 | -112003987.847 | 0.000 | 0.000 | 54328794.073 |
| 305567329.136 | 183468765.990 | 183468765.990 | 0.000 | -0.000 | -0.000 |
| 183468765.990 | 305567329.136 | 183468765.990 | -0.000 | -0.000 | -0.000 |
| 183468765.990 | 183468765.990 | 305567329.136 | -0.000 | -0.000 | -0.000 |
| 112003987.847 | 112003600.560 | 112003599.473 | 54328794.073 | -0.000 | 0.000 |
| 112003600.560 | 112003987.847 | 112003599.473 | -0.000 | 54328794.073 | -0.000 |
| 112003600.560 | 112003599.473 | 112003987.847 | -0.000 | -0.000 | 54328794.073 |
| 728.739 | 155.522 | 155.522 | 0.000 | 0.000 | -0.000 |
| 155.522 | 728.739 | 155.522 | -0.000 | 0.000 | -0.000 |
| 155.522 | 155.522 | 728.739 | -0.000 | 0.000 | -0.000 |
| -11200533.897 | -11200225.181 | -11200224.095 | 5432751.302 | -0.000 | 0.000 |
| -11200225.181 | -11200533.897 | -11200224.095 | -0.000 | 5432751.302 | -0.000 |
| -11200225.181 | -11200224.095 | -11200533.897 | 0.000 | -0.000 | 5432751.302 |
| 30557356.875 | 18346912.348 | 18346912.348 | -0.000 | -0.000 | 0.000 |
| 18346912.348 | 30557356.875 | 18346912.348 | 0.000 | -0.000 | -0.000 |
| 18346912.348 | 18346912.348 | 30557356.875 | 0.000 | 0.000 | -0.000 |
| 11200533.897 | 11200225.181 | 11200224.095 | 5432751.302 | 0.000 | 0.000 |
| 11200225.181 | 11200533.897 | 11200224.095 | -0.000 | 5432751.302 | 0.000 |
| 11200225.181 | 11200224.095 | 11200533.897 | -0.000 | -0.000 | 5432751.302 |
| 728.327 | 155.498 | 155.498 | -0.000 | -0.000 | -0.000 |
| 155.498 | 728.327 | 155.498 | 0.000 | -0.000 | 0.000 |
| 155.498 | 155.498 | 728.327 | 0.000 | 0.000 | -0.000 |
| -1120158.755 | -1119913.041 | -1119911.955 | 543192.890 | -0.000 | 0.000 |
| -1119913.041 | -1120158.755 | -1119911.955 | 0.000 | 543192.890 | 0.000 |
| -1119913.041 | -1119911.955 | -1120158.755 | 0.000 | 0.000 | 543192.890 |
| 3057101.520 | 1834078.179 | 1834078.179 | 0.000 | -0.000 | 0.000 |
| 1834078.179 | 3057101.520 | 1834078.179 | -0.000 | 0.000 | -0.000 |
| 1834078.179 | 1834078.179 | 3057101.520 | -0.000 | -0.000 | 0.000 |
| 1120158.755 | 1119913.041 | 1119911.955 | 543192.890 | 0.000 | 0.000 |
| 1119913.041 | 1120158.755 | 1119911.955 | 0.000 | 543192.890 | 0.000 |
| 1119913.041 | 1119911.955 | 1120158.755 | -0.000 | -0.000 | 543192.890 |
| 509.339 | 83.775 | 83.775 | -0.000 | -0.000 | 0.000 |
| 83.775 | 509.339 | 83.775 | -0.000 | -0.000 | -0.000 |
| 83.775 | 83.775 | 509.339 | -0.000 | -0.000 | -0.000 |
| 0.001 | -0.000 | -0.001 | -730.360 | -0.000 | 0.000 |
| -0.000 | 0.000 | -0.001 | -0.000 | -730.360 | 0.000 |
| -0.000 | -0.001 | 0.001 | -0.000 | -0.000 | -730.360 |
| 509.339 | 83.775 | 83.775 | -0.000 | 0.000 | -0.000 |
| 83.775 | 509.339 | 83.775 | 0.000 | 0.000 | -0.000 |
| 83.775 | 83.775 | 509.339 | 0.000 | 0.000 | -0.000 |
| 0.000 | 0.000 | 0.000 | -730.360 | 0.000 | 0.000 |
| 0.000 | 0.001 | -0.001 | 0.000 | -730.360 | 0.000 |
| 0.000 | 0.000 | 0.000 | 0.000 | 0.000 | -730.360 |
| 506.212 | 85.339 | 85.339 | 0.000 | -0.000 | 0.000 |
| 85.339 | 506.212 | 85.339 | -0.000 | -0.000 | 0.000 |
| 85.339 | 85.339 | 506.212 | -0.000 | -0.000 | 0.000 |
| -0.000 | -0.000 | -0.000 | -190.703 | -0.000 | 0.000 |
| -0.000 | -0.000 | -0.000 | -0.000 | -190.703 | -0.000 |
| -0.000 | -0.000 | -0.000 | -0.000 | -0.000 | -190.703 |
| 509.339 | 83.775 | 83.775 | 0.000 | 0.000 | 0.000 |
| 83.775 | 509.339 | 83.775 | 0.000 | 0.000 | 0.000 |
| 83.775 | 83.775 | 509.339 | -0.000 | 0.000 | -0.000 |
| 0.000 | 0.000 | 0.000 | -190.703 | 0.000 | -0.000 |
| 0.000 | 0.000 | 0.000 | 0.000 | -190.703 | 0.000 |
| 0.000 | 0.000 | 0.000 | 0.000 | 0.000 | -190.703 |
| 506.215 | 85.339 | 85.339 | -0.000 | -0.000 | 0.000 |
| 85.339 | 506.215 | 85.339 | 0.000 | -0.000 | 0.000 |
| 85.339 | 85.339 | 506.215 | -0.000 | -0.000 | 0.000 |
| -3055007.684 | -3479745.928 | -3248952.522 | 99766.060 | 136918.630 | -23543.008 |
| -3165887.402 | -3027575.076 | -3434235.728 | 128061.993 | -30461.350 | 42351.393 |
| -3410590.927 | -3221682.711 | -3135965.773 | 18199.514 | -184717.300 | 64215.828 |
| 506.209 | 85.338 | 85.338 | 0.000 | 0.000 | 0.000 |
| 85.338 | 506.209 | 85.338 | 0.000 | 0.000 | -0.000 |
| 85.338 | 85.338 | 506.209 | 0.000 | 0.000 | -0.000 |
| 2934749.881 | 3127953.988 | 3236285.456 | -90345.409 | -117579.220 | 37968.015 |
| 3163777.099 | 3233282.632 | 3557149.390 | -57371.313 | -59465.591 | -27913.691 |
| 3547682.398 | 3233773.172 | 3252946.355 | -10021.149 | 59444.212 | 109387.664 |
| -336908.745 | 168521.008 | 168520.993 | -0.000 | 0.000 | 0.000 |
| 168520.992 | -336908.743 | 168521.007 | -0.000 | -0.000 | 0.000 |
| 168521.003 | 168520.989 | -336908.736 | -0.000 | -0.000 | -0.000 |
| -0.000 | -0.000 | -0.000 | 3.005 | -0.000 | 0.000 |
| -0.000 | -0.000 | -0.000 | 0.000 | 3.005 | -0.000 |
| -0.000 | -0.000 | -0.000 | -0.000 | -0.000 | 3.005 |
| 9.268 | 2.878 | 2.878 | 0.000 | 0.000 | 0.000 |
| 2.878 | 9.268 | 2.878 | -0.000 | -0.000 | 0.000 |
| 2.878 | 2.878 | 9.268 | -0.000 | 0.000 | -0.000 |
| 0.000 | 0.000 | 0.000 | 3.005 | -0.000 | 0.000 |
| 0.000 | 0.000 | 0.000 | -0.000 | 3.005 | 0.000 |
| 0.000 | 0.000 | 0.000 | 0.000 | 0.000 | 3.005 |
| -33677.261 | 16852.036 | 16852.036 | -0.000 | -0.000 | -0.000 |
| 16852.036 | -33677.261 | 16852.036 | -0.000 | -0.000 | -0.000 |
| 16852.036 | 16852.036 | -33677.261 | -0.000 | -0.000 | -0.000 |
| -0.000 | 0.000 | 0.000 | 0.796 | 0.000 | -0.000 |
| 0.000 | -0.000 | 0.000 | 0.000 | 0.796 | -0.000 |
| 0.000 | 0.000 | -0.000 | 0.000 | 0.000 | 0.796 |
| -65686.459 | 31629.022 | 31629.021 | 0.000 | 0.000 | -0.000 |
| 31629.021 | -65686.459 | 31629.022 | 0.000 | 0.000 | 0.000 |
| 31629.022 | 31629.021 | -65686.459 | 0.000 | -0.000 | 0.000 |
| 0.000 | -0.000 | -0.000 | 0.796 | 0.000 | 0.000 |
| -0.000 | 0.000 | -0.000 | -0.000 | 0.796 | -0.000 |
| -0.000 | -0.000 | 0.000 | -0.000 | -0.000 | 0.796 |
| -3354.034 | 1685.102 | 1685.102 | -0.000 | -0.000 | -0.000 |
| 1685.102 | -3354.034 | 1685.102 | -0.000 | -0.000 | -0.000 |
| 1685.102 | 1685.102 | -3354.034 | -0.000 | -0.000 | -0.000 |
| -0.000 | 0.000 | 0.000 | 0.454 | 0.000 | -0.000 |
| 0.000 | -0.000 | 0.000 | 0.000 | 0.454 | -0.000 |
| 0.000 | 0.000 | -0.000 | 0.000 | -0.000 | 0.454 |
| -6563.202 | 3166.563 | 3166.563 | 0.000 | 0.000 | 0.000 |
| 3166.563 | -6563.202 | 3166.563 | 0.000 | 0.000 | 0.000 |
| 3166.563 | 3166.563 | -6563.202 | 0.000 | 0.000 | 0.000 |
| 0.000 | -0.000 | -0.000 | 0.454 | -0.000 | 0.000 |
| -0.000 | 0.000 | -0.000 | -0.000 | 0.454 | 0.000 |
| -0.000 | -0.000 | 0.000 | -0.000 | -0.000 | 0.454 |
| 1.075 | -0.000 | -0.000 | 0.000 | -0.000 | -0.000 |
| -0.000 | 1.075 | -0.000 | -0.000 | 0.000 | 0.000 |
| -0.000 | -0.000 | 1.075 | -0.000 | 0.000 | 0.000 |
| 0.000 | -0.000 | 0.000 | 0.000 | 0.000 | -0.000 |
| -0.000 | 0.000 | 0.000 | 0.000 | 0.000 | -0.000 |
| -0.000 | 0.000 | 0.000 | 0.000 | -0.000 | 0.000 |
| 1.075 | -0.000 | -0.000 | 0.000 | 0.000 | 0.000 |
| -0.000 | 1.075 | -0.000 | 0.000 | 0.000 | 0.000 |
| -0.000 | -0.000 | 1.075 | 0.000 | -0.000 | 0.000 |
| -0.000 | 0.000 | -0.000 | 0.000 | -0.000 | 0.000 |
| 0.000 | -0.000 | -0.000 | -0.000 | 0.000 | 0.000 |
| 0.000 | -0.000 | -0.000 | -0.000 | 0.000 | 0.000 |
| 1.075 | -0.000 | -0.000 | 0.000 | 0.000 | -0.000 |
| -0.000 | 1.075 | -0.000 | -0.000 | 0.000 | 0.000 |
| -0.000 | -0.000 | 1.075 | 0.000 | -0.000 | 0.000 |
| 0.000 | -0.000 | -0.000 | 0.000 | 0.000 | -0.000 |
| -0.000 | 0.000 | -0.000 | -0.000 | 0.000 | -0.000 |
| -0.000 | -0.000 | 0.000 | 0.000 | -0.000 | 0.000 |
| 1.075 | -0.000 | -0.000 | 0.000 | 0.000 | 0.000 |
| -0.000 | 1.075 | -0.000 | 0.000 | 0.000 | 0.000 |
| -0.000 | -0.000 | 1.075 | 0.000 | 0.000 | 0.000 |
| -0.000 | 0.000 | 0.000 | 0.000 | -0.000 | -0.000 |
| 0.000 | -0.000 | 0.000 | 0.000 | 0.000 | 0.000 |
| 0.000 | 0.000 | -0.000 | -0.000 | -0.000 | 0.000 |
| 1.075 | -0.000 | -0.000 | -0.000 | 0.000 | 0.000 |
| -0.000 | 1.075 | -0.000 | -0.000 | 0.000 | -0.000 |
| -0.000 | -0.000 | 1.075 | -0.000 | -0.000 | -0.000 |
| 0.000 | -0.000 | -0.000 | 0.000 | -0.000 | 0.000 |
| -0.000 | 0.000 | -0.000 | -0.000 | 0.000 | -0.000 |
| -0.000 | -0.000 | 0.000 | 0.000 | -0.000 | 0.000 |
| 1.074 | -0.000 | -0.000 | 0.000 | 0.000 | 0.000 |
| -0.000 | 1.074 | -0.000 | -0.000 | 0.000 | -0.000 |
| -0.000 | -0.000 | 1.074 | -0.000 | -0.000 | 0.000 |
| -0.000 | 0.000 | 0.000 | 0.000 | 0.000 | 0.000 |
| 0.000 | -0.000 | 0.000 | 0.000 | 0.000 | 0.000 |
| 0.000 | 0.000 | -0.000 | -0.000 | 0.000 | 0.000 |
| 179.902 | 257.332 | 257.332 | 0.000 | -0.000 | 0.000 |
| 257.332 | 179.902 | 257.332 | -0.000 | 0.000 | 0.000 |
| 257.332 | 257.332 | 179.902 | 0.000 | 0.000 | 0.000 |
| -0.000 | -0.000 | -0.000 | 112.489 | 0.000 | 0.000 |
| -0.000 | 0.000 | -0.000 | 0.000 | 112.489 | -0.000 |
| -0.000 | -0.000 | 0.000 | 0.000 | -0.000 | 112.489 |
| 179.902 | 257.332 | 257.332 | 0.000 | 0.000 | -0.000 |
| 257.332 | 179.902 | 257.332 | 0.000 | 0.000 | -0.000 |
| 257.332 | 257.332 | 179.902 | -0.000 | 0.000 | -0.000 |
| 0.000 | 0.000 | 0.000 | 112.489 | -0.000 | 0.000 |
| 0.000 | -0.000 | 0.000 | -0.000 | 112.489 | -0.000 |
| 0.000 | 0.000 | -0.000 | -0.000 | -0.000 | 112.489 |
| 179.902 | 257.332 | 257.332 | 0.000 | 0.000 | -0.000 |
| 257.332 | 179.902 | 257.332 | -0.000 | -0.000 | -0.000 |
| 257.332 | 257.332 | 179.902 | -0.000 | -0.000 | 0.000 |
| -0.000 | -0.000 | -0.000 | 112.489 | -0.000 | 0.000 |
| -0.000 | -0.000 | -0.000 | -0.000 | 112.489 | 0.000 |
| -0.000 | -0.000 | -0.000 | 0.000 | 0.000 | 112.489 |
| 179.903 | 257.332 | 257.332 | -0.000 | 0.000 | 0.000 |
| 257.332 | 179.903 | 257.332 | 0.000 | -0.000 | 0.000 |
| 257.332 | 257.332 | 179.903 | 0.000 | -0.000 | -0.000 |
| 0.000 | 0.000 | 0.000 | 112.489 | 0.000 | 0.000 |
| 0.000 | 0.000 | 0.000 | -0.000 | 112.489 | -0.000 |
| 0.000 | 0.000 | 0.000 | 0.000 | -0.000 | 112.489 |
| 179.899 | 257.332 | 257.332 | 0.000 | 0.000 | 0.000 |
| 257.332 | 179.899 | 257.332 | 0.000 | 0.000 | 0.000 |
| 257.332 | 257.332 | 179.899 | 0.000 | -0.000 | 0.000 |
| -0.000 | -0.001 | -0.001 | 112.489 | -0.000 | 0.000 |
| -0.001 | -0.000 | -0.001 | -0.000 | 112.489 | 0.000 |
| -0.001 | -0.001 | -0.000 | 0.000 | 0.000 | 112.489 |
| 179.906 | 257.332 | 257.332 | 0.000 | 0.000 | -0.000 |
| 257.332 | 179.906 | 257.332 | -0.000 | -0.000 | -0.000 |
| 257.332 | 257.332 | 179.906 | -0.000 | -0.000 | -0.000 |
| 0.000 | 0.001 | 0.001 | 112.489 | 0.000 | 0.000 |
| 0.001 | 0.000 | 0.001 | 0.000 | 112.489 | -0.000 |
| 0.001 | 0.001 | 0.000 | 0.000 | 0.000 | 112.489 |
| 2.490 | 2.490 | 2.490 | -0.000 | -0.000 | -0.000 |
| 2.490 | 2.490 | 2.490 | -0.000 | -0.000 | -0.000 |
| 2.490 | 2.490 | 2.490 | -0.000 | -0.000 | -0.000 |
| 0.000 | 0.000 | 0.000 | 2.490 | -0.000 | -0.000 |
| 0.000 | 0.000 | 0.000 | -0.000 | 2.490 | -0.000 |
| 0.000 | 0.000 | 0.000 | -0.000 | -0.000 | 2.490 |
| 2.490 | 2.490 | 2.490 | 0.000 | 0.000 | 0.000 |
| 2.490 | 2.490 | 2.490 | 0.000 | 0.000 | 0.000 |
| 2.490 | 2.490 | 2.490 | 0.000 | 0.000 | 0.000 |
| -0.000 | -0.000 | -0.000 | 2.490 | 0.000 | 0.000 |
| -0.000 | -0.000 | -0.000 | 0.000 | 2.490 | 0.000 |
| -0.000 | -0.000 | -0.000 | 0.000 | 0.000 | 2.490 |
| 2.490 | 2.490 | 2.490 | -0.000 | -0.000 | -0.000 |
| 2.490 | 2.490 | 2.490 | -0.000 | -0.000 | -0.000 |
| 2.490 | 2.490 | 2.490 | -0.000 | -0.000 | -0.000 |
| 0.000 | 0.000 | 0.000 | 2.490 | -0.000 | -0.000 |
| 0.000 | 0.000 | 0.000 | -0.000 | 2.490 | -0.000 |
| 0.000 | 0.000 | 0.000 | -0.000 | -0.000 | 2.490 |
| 2.490 | 2.490 | 2.490 | 0.000 | -0.000 | 0.000 |
| 2.490 | 2.490 | 2.490 | -0.000 | 0.000 | 0.000 |
| 2.490 | 2.490 | 2.490 | 0.000 | 0.000 | 0.000 |
| -0.000 | -0.000 | -0.000 | 2.490 | 0.000 | 0.000 |
| -0.000 | -0.000 | -0.000 | 0.000 | 2.490 | 0.000 |
| -0.000 | -0.000 | -0.000 | 0.000 | 0.000 | 2.490 |
| 2.490 | 2.490 | 2.490 | -0.000 | 0.000 | -0.000 |
| 2.490 | 2.490 | 2.490 | 0.000 | -0.000 | -0.000 |
| 2.490 | 2.490 | 2.490 | -0.000 | -0.000 | -0.000 |
| 0.000 | 0.000 | 0.000 | 2.490 | -0.000 | -0.000 |
| 0.000 | 0.000 | 0.000 | -0.000 | 2.490 | -0.000 |
| 0.000 | 0.000 | 0.000 | -0.000 | -0.000 | 2.490 |
| 2.489 | 2.489 | 2.489 | 0.000 | -0.000 | 0.000 |
| 2.489 | 2.489 | 2.489 | -0.000 | 0.000 | 0.000 |
| 2.489 | 2.489 | 2.489 | 0.000 | 0.000 | 0.000 |
| -0.000 | -0.000 | -0.000 | 2.490 | 0.000 | -0.000 |
| -0.000 | -0.000 | -0.000 | 0.000 | 2.490 | -0.000 |
| -0.000 | -0.000 | -0.000 | 0.000 | -0.000 | 2.490 |
| 362.102 | 193.413 | 150.547 | -0.000 | 0.000 | 0.000 |
| 166.051 | 389.464 | 150.547 | -0.000 | 0.000 | 0.000 |
| 149.838 | 149.838 | 441.538 | -0.000 | 0.000 | 0.000 |
| -0.000 | -0.000 | -0.001 | 86.436 | 0.000 | 0.000 |
| -0.000 | -0.000 | -0.001 | 0.000 | 86.436 | 0.000 |
| -0.000 | -0.000 | -0.000 | -0.000 | 0.000 | 84.345 |
| 362.103 | 193.413 | 150.548 | 0.000 | -0.000 | -0.000 |
| 166.051 | 389.465 | 150.548 | 0.000 | -0.000 | -0.000 |
| 149.840 | 149.839 | 441.540 | 0.000 | -0.000 | -0.000 |
| 0.000 | 0.000 | 0.001 | 86.436 | -0.000 | -0.000 |
| 0.000 | 0.000 | 0.001 | 0.000 | 86.436 | -0.000 |
| 0.000 | 0.000 | 0.000 | 0.000 | -0.000 | 84.345 |
| 362.098 | 193.412 | 150.543 | -0.000 | 0.000 | 0.000 |
| 193.413 | 362.098 | 150.543 | -0.000 | 0.000 | 0.000 |
| 149.833 | 149.833 | 441.529 | 0.000 | 0.000 | 0.000 |
| -0.002 | -0.005 | -0.006 | 86.436 | 0.000 | 0.000 |
| -0.005 | -0.002 | -0.006 | -0.000 | 86.436 | 0.000 |
| -0.001 | -0.000 | -0.002 | -0.000 | 0.000 | 84.345 |
| 389.468 | 166.052 | 150.552 | 0.000 | -0.000 | -0.000 |
| 166.051 | 389.469 | 150.552 | 0.000 | -0.000 | -0.000 |
| 149.844 | 149.844 | 441.549 | 0.000 | -0.000 | -0.000 |
| 0.002 | 0.005 | 0.006 | 86.436 | -0.000 | -0.000 |
| 0.005 | 0.002 | 0.006 | 0.000 | 86.436 | -0.000 |
| 0.001 | 0.000 | 0.002 | 0.000 | -0.000 | 84.345 |
| 362.063 | 193.400 | 150.501 | -0.000 | 0.000 | 0.000 |
| 193.410 | 362.054 | 150.501 | -0.000 | 0.000 | 0.000 |
| 149.784 | 149.784 | 441.437 | -0.000 | 0.000 | 0.000 |
| -0.015 | -0.046 | -0.056 | 86.436 | 0.000 | 0.000 |
| -0.046 | -0.015 | -0.056 | -0.000 | 86.436 | 0.000 |
| -0.013 | -0.004 | -0.015 | -0.000 | 0.000 | 111.707 |
| 389.503 | 166.063 | 150.593 | 0.000 | -0.000 | -0.000 |
| 193.416 | 362.151 | 150.593 | 0.000 | -0.000 | -0.000 |
| 149.894 | 149.894 | 441.641 | 0.000 | -0.000 | -0.000 |
| 0.015 | 0.046 | 0.056 | 86.436 | -0.000 | -0.000 |
| 0.046 | 0.015 | 0.056 | 0.000 | 86.436 | -0.000 |
| 0.013 | 0.004 | 0.015 | 0.000 | -0.000 | 111.707 |
| 367.330 | 156.323 | 120.451 | 0.000 | 0.000 | 0.000 |
| 183.592 | 340.062 | 120.451 | -0.000 | -0.000 | 0.000 |
| 120.451 | 120.451 | 392.037 | -0.000 | -0.000 | 0.000 |
| 0.000 | -0.000 | -0.000 | 62.281 | 0.000 | 0.000 |
| -0.000 | -0.000 | -0.000 | -0.000 | 62.281 | 0.000 |
| -0.000 | -0.000 | -0.000 | 0.000 | -0.000 | 105.503 |
| 367.330 | 156.323 | 120.451 | 0.000 | -0.000 | -0.000 |
| 183.592 | 340.062 | 120.451 | 0.000 | 0.000 | -0.000 |
| 120.451 | 120.451 | 392.037 | 0.000 | 0.000 | 0.000 |
| -0.000 | 0.000 | -0.000 | 62.281 | 0.000 | -0.000 |
| 0.000 | 0.000 | 0.000 | -0.000 | 62.281 | -0.000 |
| 0.000 | -0.000 | -0.000 | -0.000 | 0.000 | 105.503 |
| 340.062 | 183.592 | 120.451 | 0.000 | -0.000 | 0.000 |
| 183.592 | 340.062 | 120.451 | 0.000 | -0.000 | 0.000 |
| 120.451 | 120.451 | 392.037 | 0.000 | -0.000 | -0.000 |
| -0.000 | -0.000 | -0.000 | 62.281 | -0.000 | 0.000 |
| -0.000 | -0.000 | -0.000 | 0.000 | 62.281 | 0.000 |
| -0.000 | -0.000 | -0.000 | 0.000 | -0.000 | 78.235 |
| 367.330 | 156.323 | 120.451 | -0.000 | -0.000 | -0.000 |
| 183.591 | 340.062 | 120.451 | -0.000 | 0.000 | -0.000 |
| 120.451 | 120.451 | 392.037 | 0.000 | -0.000 | -0.000 |
| 0.000 | 0.000 | 0.000 | 62.281 | 0.000 | -0.000 |
| 0.000 | 0.000 | 0.000 | -0.000 | 62.281 | -0.000 |
| 0.000 | 0.000 | 0.000 | -0.000 | 0.000 | 78.235 |
| 340.061 | 183.591 | 120.451 | 0.000 | -0.000 | 0.000 |
| 156.324 | 367.329 | 120.451 | 0.000 | 0.000 | 0.000 |
| 120.451 | 120.451 | 392.037 | 0.000 | -0.000 | -0.000 |
| 0.000 | -0.000 | -0.000 | 62.281 | 0.000 | 0.000 |
| -0.000 | 0.000 | -0.000 | -0.000 | 62.281 | 0.000 |
| -0.001 | -0.000 | -0.000 | -0.000 | -0.000 | 78.235 |
| 367.331 | 156.324 | 120.451 | -0.000 | 0.000 | -0.000 |
| 156.323 | 367.331 | 120.451 | 0.000 | -0.000 | -0.000 |
| 120.451 | 120.451 | 392.038 | 0.000 | -0.000 | -0.000 |
| -0.000 | 0.000 | 0.000 | 62.281 | -0.000 | -0.000 |
| 0.000 | -0.000 | 0.000 | -0.000 | 62.281 | -0.000 |
| 0.001 | 0.000 | 0.000 | -0.000 | 0.000 | 78.235 |
| 371.614 | 189.517 | 148.630 | 0.000 | -0.000 | -0.000 |
| 165.714 | 395.416 | 148.630 | -0.000 | -0.000 | -0.000 |
| 144.858 | 144.858 | 417.526 | -0.000 | -0.000 | -0.000 |
| -0.000 | -0.000 | -0.001 | 83.408 | -0.000 | -0.000 |
| -0.000 | -0.000 | -0.001 | 0.000 | 83.408 | -0.000 |
| -0.000 | -0.000 | -0.000 | 0.000 | -0.000 | 114.851 |
| 395.417 | 165.714 | 148.631 | 0.000 | 0.000 | 0.000 |
| 189.517 | 371.615 | 148.631 | 0.000 | 0.000 | 0.000 |
| 144.859 | 144.859 | 417.528 | 0.000 | 0.000 | 0.000 |
| 0.000 | 0.000 | 0.001 | 83.408 | 0.000 | 0.000 |
| 0.000 | 0.000 | 0.001 | -0.000 | 83.408 | 0.000 |
| 0.000 | 0.000 | 0.000 | 0.000 | 0.000 | 114.851 |
| 395.413 | 165.713 | 148.626 | -0.000 | -0.000 | -0.000 |
| 189.516 | 371.609 | 148.626 | 0.000 | -0.000 | -0.000 |
| 144.853 | 144.853 | 417.517 | 0.000 | -0.000 | -0.000 |
| -0.002 | -0.005 | -0.005 | 83.408 | -0.000 | -0.000 |
| -0.005 | -0.002 | -0.005 | 0.000 | 83.408 | -0.000 |
| -0.001 | -0.000 | -0.002 | -0.000 | -0.000 | 91.049 |
| 395.421 | 165.715 | 148.635 | -0.000 | 0.000 | 0.000 |
| 165.714 | 395.421 | 148.635 | 0.000 | 0.000 | 0.000 |
| 144.864 | 144.864 | 417.537 | 0.000 | 0.000 | 0.000 |
| 0.002 | 0.005 | 0.005 | 83.408 | 0.000 | 0.000 |
| 0.005 | 0.002 | 0.005 | -0.000 | 83.408 | 0.000 |
| 0.001 | 0.000 | 0.002 | 0.000 | 0.000 | 91.049 |
| 371.575 | 189.504 | 148.584 | -0.000 | -0.000 | -0.000 |
| 189.513 | 371.565 | 148.584 | -0.000 | -0.000 | -0.000 |
| 144.804 | 144.804 | 417.429 | -0.000 | -0.000 | -0.000 |
| -0.015 | -0.046 | -0.055 | 83.408 | -0.000 | -0.000 |
| -0.046 | -0.015 | -0.055 | -0.000 | 83.408 | -0.000 |
| -0.014 | -0.004 | -0.016 | 0.000 | -0.000 | 91.049 |
| 395.456 | 165.727 | 148.676 | 0.000 | 0.000 | 0.000 |
| 189.520 | 371.663 | 148.676 | 0.000 | 0.000 | 0.000 |
| 144.913 | 144.913 | 417.628 | 0.000 | 0.000 | 0.000 |
| 0.015 | 0.046 | 0.055 | 83.408 | 0.000 | 0.000 |
| 0.046 | 0.015 | 0.055 | 0.000 | 83.408 | 0.000 |
| 0.014 | 0.004 | 0.016 | 0.000 | 0.000 | 91.049 |
| 12.734 | 4.085 | 3.220 | 0.000 | 0.000 | 0.000 |
| 4.085 | 12.734 | 3.220 | 0.000 | -0.000 | -0.000 |
| 3.220 | 3.220 | 13.599 | -0.000 | 0.000 | 0.000 |
| -0.000 | -0.000 | -0.000 | 3.459 | 0.000 | 0.000 |
| -0.000 | -0.000 | -0.000 | -0.000 | 3.459 | -0.000 |
| -0.000 | -0.000 | -0.000 | -0.000 | 0.000 | 4.324 |
| 12.734 | 4.085 | 3.220 | -0.000 | -0.000 | -0.000 |
| 4.188 | 12.631 | 3.220 | 0.000 | -0.000 | -0.000 |
| 3.220 | 3.220 | 13.599 | 0.000 | -0.000 | -0.000 |
| 0.000 | 0.000 | 0.000 | 3.459 | -0.000 | -0.000 |
| 0.000 | 0.000 | 0.000 | 0.000 | 3.459 | -0.000 |
| 0.000 | 0.000 | 0.000 | 0.000 | -0.000 | 4.324 |
| 12.734 | 4.085 | 3.220 | 0.000 | 0.000 | 0.000 |
| 4.085 | 12.734 | 3.220 | 0.000 | -0.000 | 0.000 |
| 3.220 | 3.220 | 13.599 | 0.000 | 0.000 | 0.000 |
| -0.000 | -0.000 | -0.000 | 3.459 | 0.000 | 0.000 |
| -0.000 | -0.000 | -0.000 | -0.000 | 3.459 | 0.000 |
| -0.000 | -0.000 | -0.000 | 0.000 | 0.000 | 4.324 |
| 12.631 | 4.188 | 3.220 | 0.000 | -0.000 | -0.000 |
| 4.085 | 12.734 | 3.220 | 0.000 | 0.000 | -0.000 |
| 3.220 | 3.220 | 13.599 | 0.000 | -0.000 | -0.000 |
| 0.000 | 0.000 | 0.000 | 3.459 | -0.000 | -0.000 |
| 0.000 | 0.000 | 0.000 | 0.000 | 3.459 | 0.000 |
| 0.000 | 0.000 | 0.000 | -0.000 | -0.000 | 4.324 |
| 12.734 | 4.085 | 3.220 | 0.000 | 0.000 | 0.000 |
| 4.085 | 12.734 | 3.220 | 0.000 | -0.000 | 0.000 |
| 3.220 | 3.220 | 13.599 | -0.000 | 0.000 | 0.000 |
| -0.000 | -0.000 | -0.000 | 3.459 | -0.000 | 0.000 |
| -0.000 | -0.000 | -0.000 | -0.000 | 3.459 | 0.000 |
| -0.000 | -0.000 | -0.000 | 0.000 | 0.000 | 4.324 |
| 12.734 | 4.085 | 3.220 | -0.000 | -0.000 | -0.000 |
| 4.188 | 12.632 | 3.220 | 0.000 | -0.000 | 0.000 |
| 3.220 | 3.220 | 13.599 | 0.000 | -0.000 | -0.000 |
| 0.000 | 0.000 | 0.000 | 3.459 | 0.000 | -0.000 |
| 0.000 | 0.000 | 0.000 | 0.000 | 3.459 | 0.000 |
| 0.000 | 0.000 | 0.000 | -0.000 | -0.000 | 4.324 |
| 7.572 | 2.576 | 2.030 | 0.000 | -0.000 | 0.000 |
| 2.576 | 7.572 | 2.030 | 0.000 | -0.000 | 0.000 |
| 2.030 | 2.030 | 8.118 | 0.000 | -0.000 | -0.000 |
| 0.000 | 0.000 | 0.000 | 2.029 | -0.000 | -0.000 |
| 0.000 | 0.000 | 0.000 | 0.000 | 2.029 | 0.000 |
| 0.000 | 0.000 | 0.000 | 0.000 | 0.000 | 2.537 |
| 7.572 | 2.576 | 2.030 | -0.000 | 0.000 | -0.000 |
| 2.537 | 7.610 | 2.030 | -0.000 | 0.000 | 0.000 |
| 2.030 | 2.030 | 8.118 | 0.000 | 0.000 | -0.000 |
| -0.000 | -0.000 | -0.000 | 2.029 | 0.000 | 0.000 |
| -0.000 | -0.000 | -0.000 | -0.000 | 2.029 | 0.000 |
| -0.000 | -0.000 | -0.000 | -0.000 | 0.000 | 2.537 |
| 7.611 | 2.537 | 2.030 | 0.000 | 0.000 | -0.000 |
| 2.608 | 7.540 | 2.030 | 0.000 | 0.000 | 0.000 |
| 2.030 | 2.030 | 8.118 | -0.000 | -0.000 | -0.000 |
| 0.000 | 0.000 | 0.000 | 2.029 | -0.000 | -0.000 |
| 0.000 | 0.000 | 0.000 | 0.000 | 2.029 | 0.000 |
| 0.000 | 0.000 | 0.000 | 0.000 | 0.000 | 2.537 |
| 7.512 | 2.635 | 2.030 | -0.000 | -0.000 | -0.000 |
| 2.575 | 7.572 | 2.030 | -0.000 | 0.000 | -0.000 |
| 2.030 | 2.030 | 8.118 | -0.000 | 0.000 | -0.000 |
| -0.000 | -0.000 | -0.000 | 2.029 | 0.000 | -0.000 |
| -0.000 | -0.000 | -0.000 | -0.000 | 2.029 | 0.000 |
| -0.000 | -0.000 | -0.000 | -0.000 | 0.000 | 2.537 |
| 7.472 | 2.679 | 2.030 | 0.000 | -0.000 | 0.000 |
| 2.609 | 7.542 | 2.030 | 0.000 | 0.000 | 0.000 |
| 2.031 | 2.031 | 8.120 | 0.000 | -0.000 | 0.000 |
| 0.000 | 0.000 | 0.001 | 2.029 | -0.000 | -0.000 |
| 0.000 | 0.000 | 0.001 | 0.000 | 2.029 | -0.000 |
| 0.000 | 0.001 | 0.000 | 0.000 | -0.000 | 2.415 |
| 7.449 | 2.695 | 2.030 | -0.000 | 0.000 | -0.000 |
| 2.575 | 7.570 | 2.030 | -0.000 | 0.000 | -0.000 |
| 2.029 | 2.029 | 8.115 | 0.000 | 0.000 | 0.000 |
| -0.000 | -0.000 | -0.001 | 2.029 | 0.000 | 0.000 |
| -0.000 | -0.000 | -0.001 | -0.000 | 2.029 | -0.000 |
| -0.000 | -0.001 | -0.000 | -0.000 | -0.000 | 2.415 |
| 372.694 | 135.329 | 130.526 | -0.000 | 0.000 | 0.000 |
| 135.329 | 372.694 | 130.526 | -0.000 | 0.000 | 0.000 |
| 122.789 | 122.789 | 510.568 | -0.000 | -0.000 | 0.000 |
| 0.000 | 0.000 | 0.000 | 102.927 | 0.000 | 0.000 |
| 0.000 | 0.000 | 0.000 | -0.000 | 102.927 | 0.000 |
| 0.000 | 0.000 | 0.000 | -0.000 | 0.000 | 56.751 |
| 310.762 | 197.261 | 130.526 | 0.000 | 0.000 | -0.000 |
| 197.261 | 310.762 | 130.526 | -0.000 | -0.000 | -0.000 |
| 122.789 | 122.789 | 510.568 | 0.000 | -0.000 | -0.000 |
| -0.000 | -0.000 | -0.000 | 102.927 | -0.000 | -0.000 |
| -0.000 | -0.000 | -0.000 | 0.000 | 102.927 | -0.000 |
| 0.000 | -0.000 | -0.000 | 0.000 | -0.000 | 56.751 |
| 372.695 | 135.329 | 130.526 | -0.000 | 0.000 | -0.000 |
| 197.261 | 310.762 | 130.526 | -0.000 | 0.000 | 0.000 |
| 122.790 | 122.790 | 510.568 | 0.000 | 0.000 | 0.000 |
| 0.000 | 0.000 | 0.000 | 102.927 | 0.000 | 0.000 |
| 0.000 | 0.000 | 0.000 | -0.000 | 102.927 | 0.000 |
| 0.000 | 0.000 | 0.000 | -0.000 | 0.000 | 56.751 |
| 310.761 | 197.261 | 130.526 | 0.000 | -0.000 | -0.000 |
| 135.329 | 372.693 | 130.526 | 0.000 | -0.000 | -0.000 |
| 122.789 | 122.789 | 510.567 | 0.000 | -0.000 | -0.000 |
| -0.000 | -0.000 | -0.000 | 102.927 | -0.000 | -0.000 |
| -0.000 | -0.000 | -0.000 | 0.000 | 102.927 | -0.000 |
| -0.000 | -0.000 | -0.000 | 0.000 | 0.000 | 56.751 |
| 310.770 | 197.260 | 130.526 | 0.000 | 0.000 | 0.000 |
| 197.264 | 310.766 | 130.526 | -0.000 | 0.000 | 0.000 |
| 122.791 | 122.791 | 510.572 | -0.000 | 0.000 | 0.000 |
| 0.001 | 0.000 | 0.002 | 102.927 | 0.000 | 0.000 |
| 0.000 | 0.001 | 0.002 | -0.000 | 102.927 | 0.000 |
| 0.001 | 0.002 | 0.000 | -0.000 | 0.000 | 118.683 |
| 372.687 | 135.328 | 130.525 | 0.000 | -0.000 | -0.000 |
| 197.257 | 310.759 | 130.525 | 0.000 | -0.000 | -0.000 |
| 122.788 | 122.788 | 510.563 | 0.000 | -0.000 | -0.000 |
| -0.001 | -0.000 | -0.002 | 102.927 | -0.000 | -0.000 |
| -0.000 | -0.001 | -0.002 | 0.000 | 102.927 | -0.000 |
| -0.001 | -0.002 | -0.000 | 0.000 | -0.000 | 118.683 |
| 329.725 | 181.679 | 111.062 | -0.000 | -0.000 | 0.000 |
| 153.477 | 357.928 | 111.062 | -0.000 | -0.000 | -0.000 |
| 111.062 | 111.062 | 399.023 | -0.000 | -0.000 | 0.000 |
| -0.000 | -0.000 | 0.000 | 46.038 | -0.000 | 0.000 |
| -0.000 | -0.000 | 0.000 | -0.000 | 46.038 | 0.000 |
| -0.000 | -0.000 | 0.000 | -0.000 | 0.000 | 102.225 |
| 329.725 | 181.679 | 111.062 | 0.000 | 0.000 | -0.000 |
| 153.477 | 357.928 | 111.062 | 0.000 | 0.000 | 0.000 |
| 111.062 | 111.062 | 399.023 | 0.000 | 0.000 | 0.000 |
| 0.000 | 0.000 | -0.000 | 46.038 | 0.000 | -0.000 |
| 0.000 | 0.000 | -0.000 | 0.000 | 46.038 | 0.000 |
| 0.000 | 0.000 | -0.000 | 0.000 | 0.000 | 102.225 |
| 329.725 | 181.679 | 111.062 | -0.000 | -0.000 | 0.000 |
| 181.680 | 329.725 | 111.062 | -0.000 | -0.000 | 0.000 |
| 111.062 | 111.062 | 399.023 | -0.000 | -0.000 | -0.000 |
| -0.000 | -0.000 | -0.000 | 46.038 | -0.000 | -0.000 |
| -0.000 | -0.000 | -0.000 | -0.000 | 46.038 | 0.000 |
| -0.000 | -0.000 | -0.000 | -0.000 | -0.000 | 102.225 |
| 329.725 | 181.679 | 111.062 | 0.000 | 0.000 | -0.000 |
| 181.679 | 329.726 | 111.062 | 0.000 | 0.000 | -0.000 |
| 111.062 | 111.062 | 399.023 | 0.000 | 0.000 | -0.000 |
| 0.000 | 0.000 | 0.000 | 46.038 | 0.000 | -0.000 |
| 0.000 | 0.000 | 0.000 | 0.000 | 46.038 | 0.000 |
| 0.000 | 0.000 | 0.000 | 0.000 | 0.000 | 102.225 |
| 329.724 | 181.679 | 111.062 | -0.000 | -0.000 | 0.000 |
| 153.477 | 357.926 | 111.062 | -0.000 | -0.000 | 0.000 |
| 111.063 | 111.063 | 399.023 | -0.000 | -0.000 | 0.000 |
| 0.000 | -0.000 | -0.000 | 46.038 | -0.000 | 0.000 |
| -0.000 | 0.000 | -0.000 | -0.000 | 46.038 | 0.000 |
| -0.000 | -0.000 | -0.000 | -0.000 | 0.000 | 102.225 |
| 329.727 | 181.680 | 111.062 | 0.000 | 0.000 | -0.000 |
| 153.477 | 357.929 | 111.062 | 0.000 | 0.000 | -0.000 |
| 111.062 | 111.062 | 399.023 | 0.000 | 0.000 | 0.000 |
| -0.000 | 0.000 | 0.000 | 46.038 | 0.000 | -0.000 |
| 0.000 | -0.000 | 0.000 | 0.000 | 46.038 | -0.000 |
| 0.000 | 0.000 | 0.000 | 0.000 | 0.000 | 102.225 |
| 388.874 | 203.466 | 182.251 | -0.000 | -0.000 | 0.000 |
| 178.071 | 414.268 | 182.251 | -0.000 | 0.000 | -0.000 |
| 175.989 | 175.989 | 456.226 | -0.000 | -0.000 | 0.000 |
| -0.000 | -0.001 | -0.001 | 95.428 | -0.000 | 0.000 |
| -0.001 | -0.000 | -0.001 | -0.000 | 95.428 | 0.000 |
| -0.000 | -0.000 | -0.000 | -0.000 | -0.000 | 92.704 |
| 414.270 | 178.071 | 182.253 | 0.000 | 0.000 | -0.000 |
| 203.466 | 388.875 | 182.253 | 0.000 | -0.000 | -0.000 |
| 175.991 | 175.991 | 456.230 | 0.000 | 0.000 | -0.000 |
| 0.000 | 0.001 | 0.001 | 95.428 | -0.000 | -0.000 |
| 0.001 | 0.000 | 0.001 | 0.000 | 95.428 | 0.000 |
| 0.000 | 0.000 | 0.000 | 0.000 | 0.000 | 92.704 |
| 388.867 | 203.464 | 182.243 | -0.000 | -0.000 | 0.000 |
| 203.466 | 388.865 | 182.243 | -0.000 | -0.000 | 0.000 |
| 175.979 | 175.979 | 456.208 | -0.000 | 0.000 | 0.000 |
| -0.003 | -0.009 | -0.011 | 95.428 | -0.000 | 0.000 |
| -0.009 | -0.003 | -0.011 | -0.000 | 95.428 | 0.000 |
| -0.003 | -0.001 | -0.003 | -0.000 | -0.000 | 92.704 |
| 414.277 | 178.074 | 182.261 | 0.000 | -0.000 | -0.000 |
| 178.072 | 414.279 | 182.261 | 0.000 | 0.000 | 0.000 |
| 176.001 | 176.001 | 456.248 | 0.000 | 0.000 | -0.000 |
| 0.003 | 0.009 | 0.011 | 95.428 | 0.000 | -0.000 |
| 0.009 | 0.003 | 0.011 | 0.000 | 95.428 | -0.000 |
| 0.003 | 0.001 | 0.003 | 0.000 | 0.000 | 92.704 |
| 388.797 | 203.441 | 182.160 | -0.000 | -0.000 | 0.000 |
| 178.063 | 414.175 | 182.160 | -0.000 | -0.000 | -0.000 |
| 175.880 | 175.880 | 456.027 | -0.000 | -0.000 | 0.000 |
| -0.031 | -0.092 | -0.110 | 95.428 | -0.000 | 0.000 |
| -0.092 | -0.031 | -0.110 | -0.000 | 95.428 | 0.000 |
| -0.026 | -0.009 | -0.031 | -0.000 | -0.000 | 92.704 |
| 388.952 | 203.492 | 182.343 | 0.000 | 0.000 | -0.000 |
| 203.474 | 388.970 | 182.343 | 0.000 | 0.000 | -0.000 |
| 176.100 | 176.100 | 456.428 | 0.000 | 0.000 | -0.000 |
| 0.031 | 0.092 | 0.110 | 95.428 | 0.000 | -0.000 |
| 0.092 | 0.031 | 0.110 | 0.000 | 95.428 | -0.000 |
| 0.026 | 0.009 | 0.031 | 0.000 | 0.000 | 92.704 |
| 305.237 | 175.686 | 81.571 | 0.000 | -0.000 | -0.000 |
| 175.686 | 305.237 | 81.571 | 0.000 | -0.000 | 0.000 |
| 74.734 | 74.734 | 265.245 | 0.000 | -0.000 | -0.000 |
| 0.000 | 0.000 | 0.000 | -6.440 | -0.000 | -0.000 |
| 0.000 | 0.000 | 0.000 | -0.000 | -6.440 | -0.000 |
| 0.000 | 0.000 | 0.000 | -0.000 | -0.000 | 90.065 |
| 305.237 | 175.686 | 81.571 | 0.000 | 0.000 | -0.000 |
| 175.686 | 305.237 | 81.571 | -0.000 | 0.000 | -0.000 |
| 74.734 | 74.734 | 265.245 | 0.000 | 0.000 | 0.000 |
| -0.000 | -0.000 | -0.000 | -6.440 | 0.000 | -0.000 |
| -0.000 | -0.000 | -0.000 | 0.000 | -6.440 | 0.000 |
| -0.000 | -0.000 | -0.000 | 0.000 | 0.000 | 90.065 |
| 305.237 | 175.686 | 81.571 | -0.000 | -0.000 | 0.000 |
| 150.396 | 330.526 | 81.571 | -0.000 | -0.000 | -0.000 |
| 74.734 | 74.734 | 265.245 | -0.000 | -0.000 | 0.000 |
| 0.000 | 0.000 | 0.000 | -6.440 | -0.000 | -0.000 |
| 0.000 | 0.000 | 0.000 | -0.000 | -6.440 | 0.000 |
| -0.000 | -0.000 | 0.000 | -0.000 | -0.000 | 90.065 |
| 305.237 | 175.686 | 81.571 | 0.000 | 0.000 | -0.000 |
| 175.686 | 305.237 | 81.571 | -0.000 | 0.000 | -0.000 |
| 74.734 | 74.734 | 265.245 | 0.000 | 0.000 | 0.000 |
| -0.000 | -0.000 | -0.000 | -6.440 | 0.000 | -0.000 |
| -0.000 | -0.000 | -0.000 | 0.000 | -6.440 | 0.000 |
| 0.000 | 0.000 | -0.000 | 0.000 | 0.000 | 90.065 |
| 305.235 | 175.686 | 81.571 | 0.000 | -0.000 | 0.000 |
| 175.686 | 305.235 | 81.571 | 0.000 | -0.000 | 0.000 |
| 74.735 | 74.735 | 265.245 | -0.000 | -0.000 | -0.000 |
| 0.000 | 0.000 | 0.000 | -6.440 | -0.000 | 0.000 |
| 0.000 | 0.000 | 0.000 | -0.000 | -6.440 | 0.000 |
| -0.001 | -0.000 | -0.000 | 0.000 | -0.000 | 64.776 |
| 330.526 | 150.396 | 81.571 | 0.000 | 0.000 | -0.000 |
| 150.396 | 330.527 | 81.571 | -0.000 | 0.000 | -0.000 |
| 74.734 | 74.734 | 265.246 | 0.000 | 0.000 | 0.000 |
| -0.000 | -0.000 | -0.000 | -6.440 | 0.000 | 0.000 |
| -0.000 | -0.000 | -0.000 | 0.000 | -6.440 | -0.000 |
| 0.001 | 0.000 | 0.000 | -0.000 | 0.000 | 64.776 |
| 396.754 | 201.630 | 183.626 | 0.000 | 0.000 | 0.000 |
| 178.500 | 419.885 | 183.626 | 0.000 | 0.000 | 0.000 |
| 175.629 | 175.629 | 439.889 | 0.000 | 0.000 | 0.000 |
| -0.000 | -0.001 | -0.001 | 96.423 | 0.000 | 0.000 |
| -0.001 | -0.000 | -0.001 | 0.000 | 96.423 | 0.000 |
| -0.000 | -0.000 | -0.000 | -0.000 | 0.000 | 120.693 |
| 419.886 | 178.500 | 183.628 | -0.000 | -0.000 | -0.000 |
| 201.631 | 396.756 | 183.628 | -0.000 | -0.000 | -0.000 |
| 175.631 | 175.631 | 439.893 | -0.000 | -0.000 | -0.000 |
| 0.000 | 0.001 | 0.001 | 96.423 | -0.000 | -0.000 |
| 0.001 | 0.000 | 0.001 | -0.000 | 96.423 | -0.000 |
| 0.000 | 0.000 | 0.000 | 0.000 | -0.000 | 120.693 |
| 396.747 | 201.628 | 183.618 | 0.000 | 0.000 | 0.000 |
| 178.499 | 419.876 | 183.618 | 0.000 | 0.000 | 0.000 |
| 175.619 | 175.619 | 439.871 | 0.000 | 0.000 | 0.000 |
| -0.003 | -0.009 | -0.011 | 96.423 | 0.000 | 0.000 |
| -0.009 | -0.003 | -0.011 | -0.000 | 96.423 | 0.000 |
| -0.003 | -0.001 | -0.003 | 0.000 | 0.000 | 97.562 |
| 419.893 | 178.502 | 183.636 | -0.000 | -0.000 | -0.000 |
| 178.500 | 419.895 | 183.636 | -0.000 | -0.000 | -0.000 |
| 175.641 | 175.641 | 439.910 | -0.000 | -0.000 | -0.000 |
| 0.003 | 0.009 | 0.011 | 96.423 | -0.000 | -0.000 |
| 0.009 | 0.003 | 0.011 | -0.000 | 96.423 | -0.000 |
| 0.003 | 0.001 | 0.003 | -0.000 | -0.000 | 97.562 |
| 396.677 | 201.605 | 183.535 | 0.000 | 0.000 | 0.000 |
| 201.623 | 396.659 | 183.535 | 0.000 | 0.000 | 0.000 |
| 175.522 | 175.522 | 439.696 | 0.000 | 0.000 | 0.000 |
| -0.031 | -0.092 | -0.109 | 96.423 | 0.000 | 0.000 |
| -0.092 | -0.031 | -0.109 | 0.000 | 96.423 | 0.000 |
| -0.026 | -0.009 | -0.031 | 0.000 | 0.000 | 97.562 |
| 396.832 | 201.656 | 183.718 | -0.000 | -0.000 | -0.000 |
| 201.638 | 396.850 | 183.718 | -0.000 | -0.000 | -0.000 |
| 175.739 | 175.739 | 440.086 | -0.000 | -0.000 | -0.000 |
| 0.031 | 0.092 | 0.109 | 96.423 | -0.000 | -0.000 |
| 0.092 | 0.031 | 0.109 | -0.000 | 96.423 | -0.000 |
| 0.026 | 0.009 | 0.031 | -0.000 | -0.000 | 97.562 |
| 12.734 | 4.085 | 3.220 | -0.000 | 0.000 | 0.000 |
| 4.085 | 12.734 | 3.220 | -0.000 | 0.000 | 0.000 |
| 3.220 | 3.220 | 13.599 | -0.000 | -0.000 | -0.000 |
| -0.000 | -0.000 | -0.000 | 3.459 | -0.000 | -0.000 |
| -0.000 | -0.000 | -0.000 | -0.000 | 3.459 | -0.000 |
| -0.000 | -0.000 | -0.000 | -0.000 | 0.000 | 4.120 |
| 12.529 | 4.290 | 3.220 | -0.000 | -0.000 | 0.000 |
| 4.085 | 12.734 | 3.220 | 0.000 | -0.000 | -0.000 |
| 3.220 | 3.220 | 13.599 | 0.000 | 0.000 | 0.000 |
| 0.000 | 0.000 | 0.000 | 3.459 | 0.000 | 0.000 |
| 0.000 | 0.000 | 0.000 | 0.000 | 3.459 | 0.000 |
| 0.000 | 0.000 | 0.000 | 0.000 | -0.000 | 4.120 |
| 12.734 | 4.085 | 3.220 | -0.000 | 0.000 | 0.000 |
| 4.398 | 12.421 | 3.220 | 0.000 | 0.000 | -0.000 |
| 3.220 | 3.220 | 13.599 | -0.000 | -0.000 | -0.000 |
| -0.000 | -0.000 | -0.000 | 3.459 | 0.000 | -0.000 |
| -0.000 | -0.000 | -0.000 | -0.000 | 3.459 | -0.000 |
| -0.000 | -0.000 | -0.000 | -0.000 | 0.000 | 4.324 |
| 12.529 | 4.290 | 3.220 | -0.000 | -0.000 | 0.000 |
| 4.290 | 12.529 | 3.220 | 0.000 | -0.000 | 0.000 |
| 3.220 | 3.220 | 13.599 | 0.000 | 0.000 | 0.000 |
| 0.000 | 0.000 | 0.000 | 3.459 | 0.000 | 0.000 |
| 0.000 | 0.000 | 0.000 | -0.000 | 3.459 | 0.000 |
| 0.000 | 0.000 | 0.000 | 0.000 | -0.000 | 4.324 |
| 12.421 | 4.398 | 3.220 | -0.000 | 0.000 | -0.000 |
| 4.290 | 12.529 | 3.220 | -0.000 | 0.000 | -0.000 |
| 3.220 | 3.220 | 13.599 | -0.000 | -0.000 | -0.000 |
| -0.000 | -0.000 | -0.000 | 3.459 | 0.000 | 0.000 |
| -0.000 | -0.000 | -0.000 | 0.000 | 3.459 | 0.000 |
| -0.000 | -0.000 | -0.000 | -0.000 | 0.000 | 4.120 |
| 12.529 | 4.290 | 3.220 | 0.000 | -0.000 | 0.000 |
| 4.085 | 12.734 | 3.220 | -0.000 | -0.000 | -0.000 |
| 3.220 | 3.220 | 13.599 | 0.000 | 0.000 | 0.000 |
| 0.000 | 0.000 | 0.000 | 3.459 | -0.000 | -0.000 |
| 0.000 | 0.000 | 0.000 | 0.000 | 3.459 | 0.000 |
| 0.000 | 0.000 | 0.000 | 0.000 | -0.000 | 4.120 |
| 7.534 | 2.614 | 2.030 | -0.000 | 0.000 | 0.000 |
| 2.614 | 7.534 | 2.030 | 0.000 | 0.000 | 0.000 |
| 2.030 | 2.030 | 8.118 | -0.000 | 0.000 | 0.000 |
| 0.000 | 0.000 | 0.000 | 2.029 | -0.000 | -0.000 |
| 0.000 | 0.000 | 0.000 | 0.000 | 2.029 | -0.000 |
| 0.000 | 0.000 | 0.000 | 0.000 | 0.000 | 2.537 |
| 7.534 | 2.614 | 2.030 | 0.000 | -0.000 | -0.000 |
| 2.537 | 7.610 | 2.030 | 0.000 | 0.000 | 0.000 |
| 2.030 | 2.030 | 8.118 | 0.000 | -0.000 | -0.000 |
| -0.000 | -0.000 | -0.000 | 2.029 | -0.000 | 0.000 |
| -0.000 | -0.000 | -0.000 | -0.000 | 2.029 | -0.000 |
| -0.000 | -0.000 | -0.000 | -0.000 | -0.000 | 2.537 |
| 7.611 | 2.537 | 2.030 | 0.000 | 0.000 | -0.000 |
| 2.538 | 7.611 | 2.030 | -0.000 | -0.000 | 0.000 |
| 2.030 | 2.030 | 8.118 | -0.000 | 0.000 | 0.000 |
| 0.000 | 0.000 | 0.000 | 2.029 | 0.000 | 0.000 |
| 0.000 | 0.000 | 0.000 | -0.000 | 2.029 | 0.000 |
| 0.000 | 0.000 | 0.000 | 0.000 | 0.000 | 2.460 |
| 7.443 | 2.704 | 2.030 | 0.000 | -0.000 | -0.000 |
| 2.537 | 7.610 | 2.030 | 0.000 | -0.000 | 0.000 |
| 2.030 | 2.030 | 8.118 | 0.000 | -0.000 | -0.000 |
| -0.000 | -0.000 | -0.000 | 2.029 | -0.000 | -0.000 |
| -0.000 | -0.000 | -0.000 | 0.000 | 2.029 | 0.000 |
| -0.000 | -0.000 | -0.000 | -0.000 | -0.000 | 2.460 |
| 7.420 | 2.731 | 2.030 | -0.000 | 0.000 | 0.000 |
| 2.731 | 7.420 | 2.030 | -0.000 | 0.000 | 0.000 |
| 2.031 | 2.031 | 8.120 | -0.000 | 0.000 | 0.000 |
| 0.000 | 0.000 | 0.001 | 2.029 | 0.000 | -0.000 |
| 0.000 | 0.000 | 0.001 | -0.000 | 2.029 | 0.000 |
| 0.000 | 0.001 | 0.000 | -0.000 | 0.000 | 2.344 |
| 7.415 | 2.730 | 2.030 | 0.000 | -0.000 | -0.000 |
| 2.666 | 7.478 | 2.030 | 0.000 | -0.000 | -0.000 |
| 2.029 | 2.029 | 8.115 | -0.000 | -0.000 | 0.000 |
| -0.000 | -0.000 | -0.001 | 2.029 | -0.000 | 0.000 |
| -0.000 | -0.000 | -0.001 | 0.000 | 2.029 | -0.000 |
| -0.000 | -0.001 | -0.000 | -0.000 | -0.000 | 2.344 |
| 16.038 | 36.563 | 36.563 | -0.000 | -0.000 | -0.000 |
| 36.563 | 16.038 | 36.563 | -0.000 | -0.000 | -0.000 |
| 36.563 | 36.563 | 16.038 | -0.000 | -0.000 | -0.000 |
| -0.000 | 0.000 | 0.000 | 35.181 | 0.000 | -0.000 |
| 0.000 | 0.000 | 0.000 | 0.000 | 35.181 | 0.000 |
| 0.000 | 0.000 | 0.000 | 0.000 | -0.000 | 35.181 |
| 16.038 | 36.563 | 36.563 | 0.000 | 0.000 | 0.000 |
| 36.563 | 16.038 | 36.563 | 0.000 | 0.000 | 0.000 |
| 36.563 | 36.563 | 16.038 | 0.000 | 0.000 | 0.000 |
| -0.000 | -0.000 | -0.000 | 35.181 | 0.000 | -0.000 |
| -0.000 | -0.000 | -0.000 | 0.000 | 35.181 | -0.000 |
| -0.000 | -0.000 | -0.000 | 0.000 | 0.000 | 35.181 |
| 16.038 | 36.563 | 36.563 | -0.000 | -0.000 | -0.000 |
| 36.563 | 16.038 | 36.563 | -0.000 | -0.000 | -0.000 |
| 36.563 | 36.563 | 16.038 | -0.000 | -0.000 | -0.000 |
| 0.000 | -0.000 | -0.000 | -25.480 | -0.000 | -0.000 |
| -0.000 | 0.000 | -0.000 | -0.000 | -25.480 | -0.000 |
| -0.000 | -0.000 | 0.000 | -0.000 | -0.000 | -25.480 |
| 16.038 | 36.563 | 36.563 | 0.000 | 0.000 | 0.000 |
| 36.563 | 16.038 | 36.563 | 0.000 | 0.000 | 0.000 |
| 36.563 | 36.563 | 16.038 | 0.000 | 0.000 | 0.000 |
| -0.000 | 0.000 | 0.000 | -25.480 | 0.000 | 0.000 |
| 0.000 | -0.000 | 0.000 | 0.000 | -25.480 | 0.000 |
| 0.000 | 0.000 | -0.000 | 0.000 | 0.000 | -25.480 |
| 16.039 | 36.563 | 36.563 | -0.000 | -0.000 | -0.000 |
| 36.563 | 16.039 | 36.563 | -0.000 | -0.000 | -0.000 |
| 36.563 | 36.563 | 16.039 | -0.000 | -0.000 | -0.000 |
| 0.000 | 0.000 | 0.000 | 35.181 | -0.000 | -0.000 |
| 0.000 | 0.000 | 0.000 | -0.000 | 35.181 | -0.000 |
| 0.000 | 0.000 | 0.000 | -0.000 | -0.000 | 35.181 |
| 16.037 | 36.562 | 36.562 | 0.000 | 0.000 | 0.000 |
| 36.562 | 16.037 | 36.562 | 0.000 | 0.000 | 0.000 |
| 36.562 | 36.562 | 16.037 | 0.000 | 0.000 | 0.000 |
| -0.000 | -0.000 | -0.000 | 35.181 | -0.000 | -0.000 |
| -0.000 | -0.000 | -0.000 | -0.000 | 35.181 | -0.000 |
| -0.000 | -0.000 | -0.000 | -0.000 | 0.000 | 35.181 |
| 0.622 | 0.622 | 0.622 | -0.000 | 0.000 | 0.000 |
| 0.622 | 0.622 | 0.622 | 0.000 | -0.000 | 0.000 |
| 0.622 | 0.622 | 0.622 | 0.000 | 0.000 | -0.000 |
| 0.000 | 0.000 | 0.000 | 0.372 | 0.000 | 0.000 |
| 0.000 | 0.000 | 0.000 | 0.000 | 0.372 | 0.000 |
| 0.000 | 0.000 | 0.000 | 0.000 | 0.000 | 0.372 |
| 0.622 | 0.622 | 0.622 | 0.000 | -0.000 | -0.000 |
| 0.622 | 0.622 | 0.622 | -0.000 | 0.000 | -0.000 |
| 0.622 | 0.622 | 0.622 | -0.000 | -0.000 | 0.000 |
| -0.000 | -0.000 | -0.000 | 0.372 | -0.000 | -0.000 |
| -0.000 | -0.000 | -0.000 | -0.000 | 0.372 | -0.000 |
| -0.000 | -0.000 | -0.000 | -0.000 | -0.000 | 0.372 |
| 0.622 | 0.622 | 0.622 | 0.000 | 0.000 | 0.000 |
| 0.622 | 0.622 | 0.622 | 0.000 | 0.000 | 0.000 |
| 0.622 | 0.622 | 0.622 | 0.000 | 0.000 | 0.000 |
| 0.000 | 0.000 | 0.000 | 0.134 | 0.000 | 0.000 |
| 0.000 | 0.000 | 0.000 | 0.000 | 0.134 | 0.000 |
| 0.000 | 0.000 | 0.000 | 0.000 | 0.000 | 0.134 |
| 0.622 | 0.622 | 0.622 | -0.000 | -0.000 | -0.000 |
| 0.622 | 0.622 | 0.622 | -0.000 | -0.000 | -0.000 |
| 0.622 | 0.622 | 0.622 | -0.000 | -0.000 | -0.000 |
| -0.000 | -0.000 | -0.000 | 0.134 | -0.000 | -0.000 |
| -0.000 | -0.000 | -0.000 | -0.000 | 0.134 | -0.000 |
| -0.000 | -0.000 | -0.000 | -0.000 | -0.000 | 0.134 |
| 0.622 | 0.622 | 0.622 | -0.000 | 0.000 | 0.000 |
| 0.622 | 0.622 | 0.622 | 0.000 | -0.000 | 0.000 |
| 0.622 | 0.622 | 0.622 | 0.000 | 0.000 | -0.000 |
| -0.000 | -0.000 | -0.000 | 0.029 | 0.000 | 0.000 |
| -0.000 | -0.000 | -0.000 | 0.000 | 0.029 | 0.000 |
| -0.000 | -0.000 | -0.000 | 0.000 | 0.000 | 0.029 |
| 0.622 | 0.622 | 0.622 | -0.000 | -0.000 | -0.000 |
| 0.622 | 0.622 | 0.622 | -0.000 | -0.000 | -0.000 |
| 0.622 | 0.622 | 0.622 | -0.000 | -0.000 | -0.000 |
| 0.000 | 0.000 | 0.000 | 0.029 | -0.000 | -0.000 |
| 0.000 | 0.000 | 0.000 | -0.000 | 0.029 | -0.000 |
| 0.000 | 0.000 | 0.000 | -0.000 | -0.000 | 0.029 |
| 898.205 | 27.574 | 82.928 | 0.000 | -0.000 | 0.000 |
| 27.574 | 898.205 | 82.928 | 0.000 | -0.000 | -0.000 |
| 82.928 | 82.928 | 617.633 | -0.000 | -0.000 | -0.000 |
| 0.000 | 0.000 | 0.000 | -51.670 | -0.000 | -0.000 |
| 0.000 | -0.000 | 0.000 | -0.000 | -51.670 | -0.000 |
| -0.000 | -0.000 | 0.000 | -0.000 | -0.000 | -45.171 |
| 898.205 | 27.574 | 82.928 | -0.000 | 0.000 | -0.000 |
| 27.574 | 898.205 | 82.928 | -0.000 | 0.000 | -0.000 |
| 82.928 | 82.928 | 617.633 | 0.000 | 0.000 | 0.000 |
| 0.000 | -0.000 | -0.000 | -51.670 | 0.000 | -0.000 |
| -0.000 | 0.000 | -0.000 | -0.000 | -51.670 | -0.000 |
| 0.000 | 0.000 | -0.000 | 0.000 | 0.000 | -45.171 |
| -171744705.915 | 176169652.425 | 1422597.287 | -23687.427 | 410.103 | -0.500 |
| 176137312.090 | -171715329.154 | 1422296.013 | 1832.375 | -46032.642 | -0.046 |
| 82.928 | 82.928 | 617.633 | 0.000 | -0.000 | -0.000 |
| 0.000 | 0.000 | 0.000 | 6.245 | -0.000 | 0.000 |
| 0.000 | 0.000 | 0.000 | 0.000 | 6.245 | -0.000 |
| -0.000 | -0.000 | 0.000 | 0.000 | -0.000 | -45.171 |
| -176122778.838 | 171704839.056 | -1421734.454 | 2433.519 | -7506.485 | 0.601 |
| 171719267.080 | -176138500.710 | -1421893.211 | -26357.221 | 4723.901 | 0.251 |
| 82.928 | 82.928 | 617.632 | -0.000 | 0.000 | 0.000 |
| -0.000 | -0.000 | -0.000 | 6.245 | 0.000 | 0.000 |
| -0.000 | -0.000 | -0.000 | -0.000 | 6.245 | -0.000 |
| 0.000 | 0.000 | -0.000 | -0.000 | 0.000 | -45.171 |
| -17272308.180 | 17722132.582 | 136019.344 | 1554.129 | 8.934 | -0.000 |
| 17722428.391 | -17272608.030 | 135828.258 | -62.676 | 2955.619 | -0.001 |
| 82.929 | 82.929 | 617.638 | -0.000 | -0.000 | -0.000 |
| -0.000 | 0.000 | 0.000 | -51.670 | -0.000 | -0.000 |
| 0.000 | -0.000 | 0.000 | -0.000 | -51.670 | -0.000 |
| -0.002 | 0.000 | 0.000 | -0.000 | -0.000 | -45.171 |
| -17721474.534 | 17273348.725 | -135807.020 | 40.334 | -945.354 | -0.001 |
| 17273378.057 | -17721541.026 | -135806.687 | 1567.148 | 74.888 | -0.007 |
| 82.927 | 82.927 | 617.627 | -0.000 | 0.000 | 0.000 |
| 0.000 | -0.000 | -0.000 | -51.670 | 0.000 | -0.000 |
| -0.000 | 0.000 | -0.000 | -0.000 | -51.670 | 0.000 |
| 0.002 | -0.000 | -0.000 | 0.000 | -0.000 | -45.171 |
| 3.715 | 0.157 | 0.279 | 0.000 | 0.000 | 0.000 |
| 0.157 | 3.715 | 0.279 | -0.000 | 0.000 | 0.000 |
| 0.279 | 0.279 | 0.209 | 0.000 | 0.000 | 0.000 |
| -0.000 | 0.000 | 0.000 | 0.123 | 0.000 | 0.000 |
| 0.000 | 0.000 | 0.000 | 0.000 | 0.123 | 0.000 |
| -0.000 | 0.000 | -0.000 | 0.000 | -0.000 | 0.000 |
| 3.715 | 0.157 | 0.279 | -0.000 | -0.000 | 0.000 |
| 0.157 | 3.715 | 0.279 | -0.000 | -0.000 | -0.000 |
| 0.279 | 0.279 | 0.209 | -0.000 | -0.000 | -0.000 |
| 0.000 | -0.000 | -0.000 | 0.123 | -0.000 | -0.000 |
| -0.000 | -0.000 | -0.000 | -0.000 | 0.123 | -0.000 |
| 0.000 | -0.000 | 0.000 | -0.000 | -0.000 | 0.000 |
| 2.639 | 1.233 | 0.279 | -0.000 | 0.000 | -0.000 |
| 1.104 | 2.768 | 0.279 | 0.000 | -0.000 | -0.000 |
| 0.279 | 0.279 | 0.209 | 0.000 | 0.000 | 0.000 |
| 0.000 | 0.000 | 0.000 | 0.123 | 0.000 | -0.000 |
| 0.000 | 0.000 | 0.000 | 0.000 | 0.123 | -0.000 |
| -0.000 | -0.000 | -0.000 | 0.000 | -0.000 | 0.000 |
| 3.205 | 0.666 | 0.279 | -0.000 | -0.000 | -0.000 |
| 0.666 | 3.205 | 0.279 | -0.000 | -0.000 | -0.000 |
| 0.279 | 0.279 | 0.209 | 0.000 | -0.000 | 0.000 |
| -0.000 | -0.000 | -0.000 | 0.123 | -0.000 | -0.000 |
| -0.000 | -0.000 | -0.000 | -0.000 | 0.123 | -0.000 |
| 0.000 | 0.000 | 0.000 | -0.000 | -0.000 | 0.000 |
| 2.046 | 1.827 | 0.279 | -0.000 | 0.000 | -0.000 |
| 1.827 | 2.046 | 0.279 | 0.000 | 0.000 | -0.000 |
| 0.279 | 0.279 | 0.208 | 0.000 | 0.000 | -0.000 |
| 0.000 | -0.000 | -0.000 | 0.024 | 0.000 | -0.000 |
| -0.000 | 0.000 | -0.000 | 0.000 | 0.024 | -0.000 |
| -0.000 | -0.000 | -0.000 | 0.000 | 0.000 | 0.000 |
| 2.055 | 1.816 | 0.279 | -0.000 | 0.000 | 0.000 |
| 1.816 | 2.055 | 0.279 | 0.000 | -0.000 | 0.000 |
| 0.279 | 0.279 | 0.209 | -0.000 | -0.000 | 0.000 |
| -0.000 | 0.000 | 0.000 | 0.024 | -0.000 | -0.000 |
| 0.000 | -0.000 | 0.000 | -0.000 | 0.024 | -0.000 |
| 0.000 | 0.000 | 0.000 | -0.000 | 0.000 | 0.000 |
| 3.890 | 0.152 | 0.269 | -0.000 | 0.000 | 0.000 |
| 0.152 | 3.890 | 0.269 | 0.000 | -0.000 | -0.000 |
| 0.269 | 0.269 | 4.634 | 0.000 | 0.000 | -0.000 |
| 0.000 | 0.000 | -0.000 | 0.117 | -0.000 | 0.000 |
| 0.000 | 0.000 | -0.000 | -0.000 | 0.117 | 0.000 |
| 0.000 | -0.000 | -0.000 | -0.000 | 0.000 | -0.000 |
| 4.042 | -0.000 | 0.269 | -0.000 | -0.000 | 0.000 |
| -0.000 | 4.042 | 0.269 | 0.000 | -0.000 | 0.000 |
| 0.269 | 0.269 | 4.634 | 0.000 | 0.000 | 0.000 |
| -0.000 | -0.000 | 0.000 | 0.117 | 0.000 | -0.000 |
| -0.000 | -0.000 | 0.000 | 0.000 | 0.117 | 0.000 |
| 0.000 | 0.000 | 0.000 | 0.000 | -0.000 | -0.000 |
| 3.387 | 0.654 | 0.269 | 0.000 | 0.000 | 0.000 |
| 0.654 | 3.387 | 0.269 | 0.000 | 0.000 | 0.000 |
| 0.269 | 0.269 | 4.635 | -0.000 | -0.000 | -0.000 |
| 0.000 | 0.000 | -0.000 | 0.117 | -0.000 | 0.000 |
| 0.000 | 0.000 | -0.000 | -0.000 | 0.117 | 0.000 |
| -0.000 | -0.000 | -0.000 | -0.000 | 0.000 | 0.000 |
| 3.189 | 0.852 | 0.269 | 0.000 | 0.000 | 0.000 |
| 0.852 | 3.189 | 0.269 | 0.000 | 0.000 | -0.000 |
| 0.269 | 0.269 | 4.634 | 0.000 | 0.000 | -0.000 |
| -0.000 | -0.000 | 0.000 | 0.117 | 0.000 | 0.000 |
| -0.000 | -0.000 | 0.000 | 0.000 | 0.117 | 0.000 |
| 0.000 | 0.000 | 0.000 | 0.000 | -0.000 | 0.000 |
| 2.200 | 1.843 | 0.269 | -0.000 | 0.000 | -0.000 |
| 1.843 | 2.200 | 0.269 | -0.000 | 0.000 | 0.000 |
| 0.269 | 0.269 | 4.637 | -0.000 | -0.000 | 0.000 |
| 0.000 | -0.000 | -0.000 | 0.010 | 0.000 | -0.000 |
| -0.000 | 0.000 | -0.000 | 0.000 | 0.010 | -0.000 |
| -0.000 | -0.000 | -0.000 | 0.000 | -0.000 | 0.000 |
| 2.162 | 1.879 | 0.269 | 0.000 | 0.000 | 0.000 |
| 1.879 | 2.162 | 0.269 | 0.000 | -0.000 | -0.000 |
| 0.269 | 0.269 | 4.632 | 0.000 | -0.000 | 0.000 |
| -0.000 | 0.000 | 0.000 | 0.010 | -0.000 | -0.000 |
| 0.000 | -0.000 | 0.000 | -0.000 | 0.010 | -0.000 |
| -0.000 | 0.000 | 0.000 | -0.000 | -0.000 | 0.000 |
| 0.430 | -0.019 | 0.028 | -0.000 | -0.000 | -0.000 |
| -0.019 | 0.430 | 0.028 | -0.000 | 0.000 | -0.000 |
| 2714.121 | 2714.121 | -8271902.292 | -0.000 | 0.000 | -0.000 |
| 0.000 | 0.000 | 0.000 | 0.032 | -0.000 | -0.000 |
| 0.000 | 0.000 | 0.000 | -0.000 | 0.034 | -0.000 |
| 0.000 | 0.000 | 0.000 | -0.000 | -0.000 | 0.019 |
| 0.428 | -0.017 | 0.028 | 0.000 | 0.000 | 0.000 |
| -0.017 | 0.428 | 0.028 | 0.000 | -0.000 | 0.000 |
| 0.012 | 0.012 | 0.008 | 0.000 | -0.000 | 0.000 |
| -0.000 | -0.000 | -0.000 | 0.032 | -0.000 | -0.000 |
| -0.000 | -0.000 | -0.000 | 0.000 | 0.032 | 0.000 |
| -0.000 | -0.000 | -0.000 | 0.000 | -0.000 | 0.019 |
| 0.428 | -0.017 | 0.028 | -0.000 | -0.000 | -0.000 |
| -0.017 | 0.428 | 0.028 | -0.000 | -0.000 | -0.000 |
| 271.420 | 271.420 | -827194.628 | -0.000 | -0.000 | -0.000 |
| 0.000 | 0.000 | 0.000 | 0.032 | 0.000 | -0.000 |
| 0.000 | 0.000 | 0.000 | -0.000 | 0.032 | -0.000 |
| 0.000 | -0.000 | -0.000 | -0.000 | 0.000 | 0.019 |
| 0.427 | -0.017 | 0.028 | 0.000 | -0.000 | 0.000 |
| -0.017 | 0.427 | 0.028 | 0.000 | 0.000 | 0.000 |
| 0.012 | 0.012 | 0.008 | 0.000 | 0.000 | 0.000 |
| -0.000 | -0.000 | -0.000 | 0.034 | 0.000 | 0.000 |
| -0.000 | -0.000 | -0.000 | 0.000 | 0.032 | 0.000 |
| -0.000 | 0.000 | 0.000 | 0.000 | -0.000 | 0.019 |
| 0.346 | 0.065 | 0.028 | 0.000 | -0.000 | -0.000 |
| 0.064 | 0.347 | 0.028 | 0.000 | 0.000 | -0.000 |
| 27.150 | 27.150 | -82723.841 | -0.000 | 0.000 | -0.000 |
| 0.000 | 0.000 | 0.000 | 0.015 | -0.000 | 0.000 |
| 0.000 | 0.000 | 0.000 | -0.000 | 0.015 | -0.000 |
| -0.000 | -0.000 | -0.000 | -0.000 | 0.000 | 0.019 |
| 0.344 | 0.065 | 0.028 | 0.000 | 0.000 | 0.000 |
| 0.065 | 0.344 | 0.028 | 0.000 | -0.000 | 0.000 |
| 0.012 | 0.012 | 0.008 | 0.000 | -0.000 | 0.000 |
| -0.000 | -0.000 | -0.000 | 0.015 | 0.000 | 0.000 |
| -0.000 | -0.000 | -0.000 | 0.000 | 0.015 | 0.000 |
| 0.000 | 0.000 | 0.000 | 0.000 | -0.000 | 0.019 |
| 397.667 | 106.294 | 175.983 | -0.000 | -0.000 | 0.000 |
| 106.294 | 397.667 | 175.983 | 0.000 | 0.000 | 0.000 |
| 175.983 | 175.983 | 25.755 | -0.000 | -0.000 | -0.000 |
| 0.000 | -0.000 | 0.000 | 134.509 | 0.000 | 0.000 |
| -0.000 | 0.000 | -0.000 | 0.000 | 134.509 | 0.000 |
| -0.000 | -0.000 | 0.000 | 0.000 | 0.000 | 62.949 |
| 397.667 | 106.294 | 175.983 | -0.000 | 0.000 | 0.000 |
| 106.294 | 397.667 | 175.983 | -0.000 | 0.000 | -0.000 |
| 175.983 | 175.983 | 25.755 | 0.000 | 0.000 | -0.000 |
| -0.000 | 0.000 | -0.000 | 134.509 | -0.000 | -0.000 |
| 0.000 | -0.000 | 0.000 | 0.000 | 134.509 | 0.000 |
| 0.000 | 0.000 | 0.000 | -0.000 | -0.000 | 62.949 |
| 397.667 | 106.294 | 175.983 | 0.000 | -0.000 | 0.000 |
| 106.294 | 397.667 | 175.983 | -0.000 | -0.000 | -0.000 |
| 175.983 | 175.983 | 25.754 | 0.000 | 0.000 | -0.000 |
| 0.000 | -0.000 | 0.000 | 134.509 | -0.000 | 0.000 |
| -0.000 | 0.000 | 0.000 | -0.000 | 134.509 | 0.000 |
| -0.000 | -0.000 | 0.000 | 0.000 | -0.000 | 62.949 |
| 397.667 | 106.294 | 175.983 | -0.000 | 0.000 | -0.000 |
| 106.294 | 397.667 | 175.983 | -0.000 | 0.000 | -0.000 |
| 175.983 | 175.983 | 25.755 | -0.000 | 0.000 | -0.000 |
| -0.000 | 0.000 | -0.000 | 134.509 | -0.000 | 0.000 |
| 0.000 | -0.000 | -0.000 | -0.000 | 134.509 | 0.000 |
| 0.000 | 0.000 | -0.000 | -0.000 | -0.000 | 62.949 |
| 397.667 | 106.293 | 175.983 | -0.000 | -0.000 | -0.000 |
| 106.293 | 397.667 | 175.983 | 0.000 | 0.000 | 0.000 |
| 175.983 | 175.983 | 25.752 | 0.000 | -0.000 | 0.000 |
| 0.000 | -0.000 | 0.000 | 134.509 | -0.000 | 0.000 |
| -0.000 | 0.000 | 0.000 | 0.000 | 134.509 | 0.000 |
| -0.000 | -0.000 | 0.000 | -0.000 | -0.000 | 62.949 |
| 397.667 | 106.294 | 175.983 | 0.000 | 0.000 | 0.000 |
| 106.294 | 397.667 | 175.983 | 0.000 | 0.000 | 0.000 |
| 175.983 | 175.983 | 25.758 | 0.000 | 0.000 | -0.000 |
| -0.000 | 0.000 | -0.000 | 134.509 | 0.000 | -0.000 |
| 0.000 | -0.000 | -0.000 | -0.000 | 134.509 | -0.000 |
| 0.000 | 0.000 | -0.000 | -0.000 | 0.000 | 62.949 |
| 0.193 | -0.000 | 0.000 | 0.000 | 0.000 | -0.000 |
| -0.000 | 0.193 | 0.000 | 0.000 | 0.000 | -0.000 |
| -0.000 | -0.000 | 0.000 | 0.000 | 0.000 | 0.000 |
| 0.000 | 0.000 | 0.000 | 0.000 | 0.000 | -0.000 |
| 0.000 | 0.000 | 0.000 | 0.000 | 0.000 | -0.000 |
| 0.000 | 0.000 | 0.000 | 0.000 | 0.000 | 0.000 |
| 0.193 | -0.000 | -0.000 | -0.000 | -0.000 | 0.000 |
| -0.000 | 0.193 | -0.000 | -0.000 | -0.000 | 0.000 |
| -0.000 | -0.000 | -0.000 | -0.000 | -0.000 | 0.000 |
| -0.000 | 0.000 | -0.000 | -0.000 | -0.000 | 0.000 |
| 0.000 | -0.000 | -0.000 | -0.000 | -0.000 | 0.000 |
| -0.000 | -0.000 | -0.000 | -0.000 | -0.000 | 0.000 |
| 0.193 | -0.000 | 0.000 | 0.000 | 0.000 | -0.000 |
| -0.000 | 0.193 | 0.000 | 0.000 | 0.000 | -0.000 |
| -0.000 | -0.000 | 0.000 | 0.000 | 0.000 | 0.000 |
| 0.000 | 0.000 | 0.000 | 0.000 | 0.000 | -0.000 |
| 0.000 | 0.000 | 0.000 | 0.000 | 0.000 | -0.000 |
| 0.000 | -0.000 | 0.000 | 0.000 | 0.000 | 0.000 |
| 0.193 | -0.000 | -0.000 | -0.000 | -0.000 | 0.000 |
| -0.000 | 0.193 | -0.000 | -0.000 | -0.000 | 0.000 |
| -0.000 | -0.000 | -0.000 | -0.000 | -0.000 | 0.000 |
| -0.000 | -0.000 | -0.000 | -0.000 | -0.000 | 0.000 |
| -0.000 | -0.000 | -0.000 | -0.000 | -0.000 | 0.000 |
| -0.000 | 0.000 | -0.000 | -0.000 | -0.000 | 0.000 |
| 0.193 | -0.000 | 0.000 | 0.000 | 0.000 | -0.000 |
| -0.000 | 0.193 | 0.000 | 0.000 | 0.000 | -0.000 |
| -0.000 | -0.000 | 0.000 | 0.000 | 0.000 | 0.000 |
| 0.000 | 0.000 | 0.000 | 0.000 | 0.000 | -0.000 |
| 0.000 | 0.000 | 0.000 | 0.000 | 0.000 | -0.000 |
| 0.000 | -0.000 | 0.000 | 0.000 | 0.000 | 0.000 |
| 0.194 | -0.000 | -0.000 | -0.000 | -0.000 | 0.000 |
| -0.000 | 0.194 | -0.000 | -0.000 | -0.000 | 0.000 |
| -0.000 | -0.000 | -0.000 | -0.000 | -0.000 | 0.000 |
| -0.000 | -0.000 | -0.000 | -0.000 | -0.000 | 0.000 |
| -0.000 | -0.000 | -0.000 | -0.000 | -0.000 | 0.000 |
| -0.000 | 0.000 | -0.000 | -0.000 | -0.000 | 0.000 |
| 915.363 | 2.621 | 2.621 | 0.000 | 0.000 | 0.000 |
| 2.621 | 915.363 | 2.621 | 0.000 | 0.000 | 0.000 |
| 2.621 | 2.621 | 915.363 | 0.000 | 0.000 | 0.000 |
| 0.000 | 0.000 | -0.000 | -23.616 | 0.000 | 0.000 |
| 0.000 | 0.000 | 0.000 | 0.000 | -23.616 | 0.000 |
| 0.000 | 0.000 | 0.000 | -0.000 | 0.000 | -23.616 |
| 915.363 | 2.621 | 2.621 | -0.000 | -0.000 | -0.000 |
| 2.621 | 915.363 | 2.621 | -0.000 | 0.000 | -0.000 |
| 2.621 | 2.621 | 915.363 | -0.000 | -0.000 | -0.000 |
| -0.000 | -0.000 | 0.000 | -23.616 | -0.000 | -0.000 |
| -0.000 | -0.000 | 0.000 | -0.000 | -23.616 | -0.000 |
| -0.000 | -0.000 | -0.000 | 0.000 | -0.000 | -23.616 |
| 915.364 | 2.621 | 2.621 | 0.000 | 0.000 | 0.000 |
| 2.621 | 915.364 | 2.621 | 0.000 | 0.000 | 0.000 |
| 2.621 | 2.621 | 915.364 | 0.000 | 0.000 | 0.000 |
| -0.000 | 0.000 | -0.000 | -23.616 | 0.000 | 0.000 |
| 0.000 | -0.000 | -0.000 | 0.000 | -23.616 | 0.000 |
| 0.000 | -0.000 | -0.000 | 0.000 | 0.000 | -23.616 |
| 915.362 | 2.621 | 2.621 | -0.000 | -0.000 | -0.000 |
| 2.621 | 915.362 | 2.621 | -0.000 | -0.000 | -0.000 |
| 2.621 | 2.621 | 915.362 | -0.000 | -0.000 | -0.000 |
| 0.000 | -0.000 | 0.000 | -23.616 | -0.000 | -0.000 |
| -0.000 | 0.000 | 0.000 | -0.000 | -23.616 | -0.000 |
| -0.000 | 0.000 | 0.000 | -0.000 | -0.000 | -23.616 |
| 915.369 | 2.621 | 2.621 | 0.000 | -0.000 | 0.000 |
| 2.621 | 915.369 | 2.621 | 0.000 | 0.000 | 0.000 |
| 2.621 | 2.621 | 915.369 | 0.000 | 0.000 | 0.000 |
| -0.000 | 0.000 | -0.000 | -23.616 | -0.000 | 0.000 |
| 0.000 | -0.000 | -0.000 | 0.000 | -23.616 | 0.000 |
| 0.000 | -0.000 | -0.000 | 0.000 | 0.000 | -23.616 |
| 915.357 | 2.620 | 2.620 | -0.000 | 0.000 | -0.000 |
| 2.620 | 915.357 | 2.620 | -0.000 | -0.000 | -0.000 |
| 2.620 | 2.620 | 915.357 | -0.000 | -0.000 | -0.000 |
| 0.000 | -0.000 | 0.000 | -23.616 | 0.000 | -0.000 |
| -0.000 | 0.000 | 0.000 | -0.000 | -23.616 | -0.000 |
| -0.000 | 0.000 | 0.000 | -0.000 | -0.000 | -23.616 |
| 12.417 | 13.588 | 13.588 | -0.000 | 0.000 | 0.000 |
| 13.588 | 12.417 | 13.588 | -0.000 | 0.000 | 0.000 |
| 13.588 | 13.588 | 12.417 | -0.000 | 0.000 | 0.000 |
| 0.000 | -0.000 | -0.000 | 13.427 | 0.000 | 0.000 |
| -0.000 | 0.000 | -0.000 | -0.000 | 13.427 | -0.000 |
| -0.000 | -0.000 | 0.000 | -0.000 | 0.000 | 13.427 |
| 12.417 | 13.588 | 13.588 | -0.000 | -0.000 | -0.000 |
| 13.588 | 12.417 | 13.588 | 0.000 | -0.000 | -0.000 |
| 13.588 | 13.588 | 12.417 | 0.000 | -0.000 | -0.000 |
| -0.000 | 0.000 | 0.000 | 13.427 | -0.000 | -0.000 |
| 0.000 | -0.000 | 0.000 | 0.000 | 13.427 | -0.000 |
| 0.000 | 0.000 | -0.000 | 0.000 | -0.000 | 13.427 |
| 12.417 | 13.588 | 13.588 | 0.000 | 0.000 | -0.000 |
| 13.588 | 12.417 | 13.588 | -0.000 | 0.000 | 0.000 |
| 13.588 | 13.588 | 12.417 | -0.000 | 0.000 | 0.000 |
| -0.000 | -0.000 | -0.000 | 13.427 | 0.000 | 0.000 |
| -0.000 | -0.000 | -0.000 | -0.000 | 13.427 | 0.000 |
| -0.000 | -0.000 | -0.000 | -0.000 | 0.000 | 13.427 |
| 12.417 | 13.588 | 13.588 | 0.000 | -0.000 | -0.000 |
| 13.588 | 12.417 | 13.588 | 0.000 | -0.000 | -0.000 |
| 13.588 | 13.588 | 12.417 | 0.000 | -0.000 | -0.000 |
| 0.000 | 0.000 | 0.000 | 13.427 | -0.000 | -0.000 |
| 0.000 | 0.000 | 0.000 | 0.000 | 13.427 | 0.000 |
| 0.000 | 0.000 | 0.000 | 0.000 | -0.000 | 13.427 |
| 12.416 | 13.588 | 13.588 | -0.000 | 0.000 | 0.000 |
| 13.588 | 12.416 | 13.588 | -0.000 | 0.000 | 0.000 |
| 13.588 | 13.588 | 12.416 | -0.000 | 0.000 | 0.000 |
| -0.000 | -0.000 | -0.000 | 13.427 | 0.000 | -0.000 |
| -0.000 | -0.000 | -0.000 | -0.000 | 13.427 | 0.000 |
| -0.000 | -0.000 | -0.000 | -0.000 | 0.000 | 13.427 |
| 12.418 | 13.588 | 13.588 | 0.000 | -0.000 | -0.000 |
| 13.588 | 12.418 | 13.588 | 0.000 | -0.000 | -0.000 |
| 13.588 | 13.588 | 12.418 | 0.000 | -0.000 | -0.000 |
| 0.000 | 0.000 | 0.000 | 13.427 | -0.000 | -0.000 |
| 0.000 | 0.000 | 0.000 | 0.000 | 13.427 | -0.000 |
| 0.000 | 0.000 | 0.000 | 0.000 | -0.000 | 13.427 |
| 4.311 | -0.000 | -0.000 | 0.000 | -0.000 | -0.000 |
| -0.000 | 4.311 | -0.000 | -0.000 | -0.000 | 0.000 |
| -0.000 | -0.000 | 4.311 | 0.000 | 0.000 | -0.000 |
| 0.000 | 0.000 | -0.000 | -0.000 | 0.000 | 0.000 |
| 0.000 | 0.000 | -0.000 | -0.000 | -0.000 | 0.000 |
| 0.000 | -0.000 | 0.000 | 0.000 | -0.000 | -0.000 |
| 4.311 | -0.000 | -0.000 | 0.000 | 0.000 | 0.000 |
| -0.000 | 4.311 | -0.000 | 0.000 | 0.000 | -0.000 |
| -0.000 | -0.000 | 4.311 | 0.000 | -0.000 | 0.000 |
| -0.000 | 0.000 | 0.000 | -0.000 | -0.000 | -0.000 |
| 0.000 | -0.000 | 0.000 | 0.000 | -0.000 | -0.000 |
| 0.000 | 0.000 | -0.000 | -0.000 | 0.000 | -0.000 |
| 4.311 | -0.000 | -0.000 | 0.000 | 0.000 | -0.000 |
| -0.000 | 4.311 | -0.000 | 0.000 | 0.000 | -0.000 |
| -0.000 | -0.000 | 4.311 | -0.000 | -0.000 | 0.000 |
| 0.000 | 0.000 | -0.000 | -0.000 | -0.000 | 0.000 |
| 0.000 | 0.000 | -0.000 | -0.000 | -0.000 | -0.000 |
| 0.000 | -0.000 | 0.000 | 0.000 | -0.000 | -0.000 |
| 4.311 | -0.000 | -0.000 | 0.000 | 0.000 | 0.000 |
| -0.000 | 4.311 | -0.000 | -0.000 | 0.000 | 0.000 |
| -0.000 | -0.000 | 4.311 | -0.000 | -0.000 | 0.000 |
| -0.000 | 0.000 | 0.000 | -0.000 | 0.000 | -0.000 |
| 0.000 | -0.000 | 0.000 | 0.000 | -0.000 | 0.000 |
| 0.000 | 0.000 | -0.000 | -0.000 | 0.000 | -0.000 |
| 4.313 | -0.000 | -0.000 | -0.000 | -0.000 | -0.000 |
| -0.000 | 4.313 | -0.000 | -0.000 | -0.000 | 0.000 |
| -0.000 | -0.000 | 4.313 | 0.000 | 0.000 | -0.000 |
| 0.000 | -0.000 | -0.000 | 0.000 | 0.000 | 0.000 |
| -0.000 | 0.000 | -0.000 | 0.000 | 0.000 | 0.000 |
| -0.000 | -0.000 | 0.000 | -0.000 | 0.000 | 0.000 |
| 4.309 | -0.000 | -0.000 | -0.000 | -0.000 | -0.000 |
| -0.000 | 4.309 | -0.000 | -0.000 | -0.000 | -0.000 |
| -0.000 | -0.000 | 4.309 | 0.000 | 0.000 | -0.000 |
| -0.000 | -0.000 | 0.000 | 0.000 | -0.000 | -0.000 |
| -0.000 | -0.000 | 0.000 | -0.000 | 0.000 | -0.000 |
| -0.000 | 0.000 | -0.000 | 0.000 | -0.000 | 0.000 |
| 207.274 | 178.906 | 178.906 | 0.000 | -0.000 | -0.000 |
| 178.906 | 207.274 | 178.906 | 0.000 | 0.000 | -0.000 |
| 178.906 | 178.906 | 207.274 | 0.000 | 0.000 | -0.000 |
| -0.000 | -0.000 | -0.000 | 61.280 | 0.000 | 0.000 |
| -0.000 | -0.000 | -0.000 | 0.000 | 61.280 | -0.000 |
| -0.000 | -0.000 | -0.000 | 0.000 | 0.000 | 61.280 |
| 207.274 | 178.906 | 178.906 | -0.000 | -0.000 | 0.000 |
| 178.906 | 207.274 | 178.906 | 0.000 | 0.000 | -0.000 |
| 178.906 | 178.906 | 207.274 | 0.000 | 0.000 | -0.000 |
| 0.000 | 0.000 | 0.000 | 61.280 | 0.000 | 0.000 |
| 0.000 | 0.000 | 0.000 | -0.000 | 61.280 | 0.000 |
| -0.000 | 0.000 | 0.000 | 0.000 | 0.000 | 61.280 |
| 207.274 | 178.906 | 178.906 | 0.000 | -0.000 | -0.000 |
| 178.906 | 207.274 | 178.906 | 0.000 | -0.000 | -0.000 |
| 178.906 | 178.906 | 207.274 | -0.000 | 0.000 | 0.000 |
| -146312274.954 | -139093770.091 | -140400927.846 | -10136041.079 | 630538.792 | -246249.244 |
| -139010748.267 | -147433671.431 | -140701493.710 | 1751632.014 | -10749041.159 | -1680627.723 |
| -138053346.113 | -140029450.679 | -146575783.332 | 1841910.855 | 575213.338 | -9773907.482 |
| 207.274 | 178.906 | 178.906 | 0.000 | 0.000 | 0.000 |
| 178.906 | 207.274 | 178.906 | -0.000 | 0.000 | 0.000 |
| 178.906 | 178.906 | 207.274 | -0.000 | -0.000 | 0.000 |
| 144890872.339 | 136577150.632 | 139570589.258 | -10286049.367 | -1679192.601 | -926277.496 |
| 136417584.765 | 143914110.301 | 139215254.593 | 926690.077 | -9407757.659 | -651970.442 |
| 136315109.800 | 136949855.872 | 143544448.897 | 1243873.901 | -821662.207 | -10714895.655 |
| 207.275 | 178.906 | 178.906 | 0.000 | 0.000 | -0.000 |
| 178.906 | 207.275 | 178.906 | 0.000 | -0.000 | -0.000 |
| 178.906 | 178.906 | 207.275 | 0.000 | -0.000 | -0.000 |
| -14699970.058 | -13968796.670 | -14022061.380 | -1753625.853 | -136996.618 | 62994.465 |
| -13957482.155 | -14607123.980 | -13963670.964 | -129538.072 | -1766597.484 | 91622.498 |
| -13809154.952 | -13820723.283 | -14742872.285 | -113938.901 | 15222.396 | -1935487.061 |
| 207.273 | 178.906 | 178.906 | -0.000 | -0.000 | 0.000 |
| 178.906 | 207.273 | 178.906 | -0.000 | 0.000 | -0.000 |
| 178.906 | 178.906 | 207.273 | -0.000 | 0.000 | 0.000 |
| 14503440.999 | 14052211.840 | 13981059.985 | -1586427.647 | -177277.493 | -136658.004 |
| 13944003.116 | 14691827.536 | 13817299.324 | -96312.864 | -1948787.177 | -91629.428 |
| 14078108.212 | 13963436.955 | 14509144.813 | -78687.986 | -24050.468 | -1674620.243 |
| 555.687 | 191.713 | 134.353 | 0.000 | 0.000 | -0.000 |
| 191.713 | 555.687 | 134.353 | 0.000 | 0.000 | -0.000 |
| 138.729 | 138.729 | 589.011 | 0.000 | 0.000 | -0.000 |
| 0.000 | -0.000 | 0.000 | 76.113 | 0.000 | -0.000 |
| -0.000 | 0.000 | 0.000 | 0.000 | 76.113 | -0.000 |
| 0.000 | 0.000 | 0.000 | 0.000 | 0.000 | 114.445 |
| 555.687 | 191.713 | 134.354 | -0.000 | -0.000 | 0.000 |
| 191.713 | 555.687 | 134.354 | -0.000 | -0.000 | 0.000 |
| 138.729 | 138.729 | 589.011 | -0.000 | -0.000 | 0.000 |
| -0.000 | 0.000 | -0.000 | 76.113 | -0.000 | 0.000 |
| 0.000 | -0.000 | -0.000 | -0.000 | 76.113 | 0.000 |
| -0.000 | 0.000 | -0.000 | -0.000 | -0.000 | 114.445 |
| 555.685 | 191.713 | 134.352 | 0.000 | 0.000 | -0.000 |
| 191.713 | 555.685 | 134.352 | 0.000 | 0.000 | -0.000 |
| 138.728 | 138.728 | 589.011 | 0.000 | 0.000 | -0.000 |
| -0.000 | -0.001 | -0.001 | 76.113 | 0.000 | -0.000 |
| -0.001 | -0.000 | -0.001 | 0.000 | 76.113 | -0.000 |
| -0.000 | -0.000 | -0.000 | 0.000 | 0.000 | 114.445 |
| 555.689 | 191.713 | 134.355 | -0.000 | -0.000 | 0.000 |
| 191.713 | 555.689 | 134.355 | -0.000 | -0.000 | 0.000 |
| 138.729 | 138.729 | 589.012 | -0.000 | -0.000 | 0.000 |
| 0.000 | 0.001 | 0.001 | 76.113 | -0.000 | 0.000 |
| 0.001 | 0.000 | 0.001 | -0.000 | 76.113 | 0.000 |
| 0.000 | 0.000 | 0.000 | -0.000 | -0.000 | 114.445 |
| 555.668 | 191.711 | 134.343 | 0.000 | 0.000 | -0.000 |
| 191.711 | 555.668 | 134.343 | 0.000 | 0.000 | -0.000 |
| 138.722 | 138.722 | 589.007 | 0.000 | 0.000 | -0.000 |
| -0.002 | -0.011 | -0.006 | 76.113 | 0.000 | -0.000 |
| -0.011 | -0.002 | -0.006 | 0.000 | 76.113 | -0.000 |
| -0.002 | -0.002 | -0.002 | 0.000 | 0.000 | 114.445 |
| 555.706 | 191.715 | 134.364 | -0.000 | -0.000 | 0.000 |
| 191.715 | 555.706 | 134.364 | -0.000 | -0.000 | 0.000 |
| 138.735 | 138.735 | 589.015 | -0.000 | -0.000 | 0.000 |
| 0.002 | 0.011 | 0.006 | 76.113 | -0.000 | 0.000 |
| 0.011 | 0.002 | 0.006 | -0.000 | 76.113 | 0.000 |
| 0.002 | 0.002 | 0.002 | -0.000 | -0.000 | 114.445 |
| 367.694 | 122.131 | 89.691 | 0.000 | 0.000 | -0.000 |
| 122.131 | 367.694 | 89.691 | 0.000 | 0.000 | -0.000 |
| -18857.303 | -18857.302 | -982.639 | 0.000 | -0.000 | 0.000 |
| -19375.332 | -19375.331 | -1728.809 | -42.067 | -0.000 | -0.000 |
| -19375.332 | -19375.331 | -1728.809 | -0.000 | -42.067 | -0.000 |
| -18944.390 | -18944.390 | -1443.985 | 0.000 | -0.000 | 70.644 |
| 367.694 | 122.131 | 89.691 | 0.000 | -0.000 | 0.000 |
| 122.131 | 367.694 | 89.691 | -0.000 | -0.000 | 0.000 |
| 19031.240 | 19031.240 | 1903.969 | -0.000 | -0.000 | -0.000 |
| 19375.332 | 19375.331 | 1728.809 | -42.067 | 0.000 | 0.000 |
| 19375.332 | 19375.331 | 1728.809 | -0.000 | -42.067 | 0.000 |
| 18944.390 | 18944.390 | 1443.985 | -0.000 | 0.000 | 70.644 |
| -1810.834 | -1665.529 | -91.538 | 0.000 | 0.000 | 0.000 |
| -1665.529 | -1810.834 | -91.538 | 0.000 | -0.000 | 0.000 |
| -72.540 | -72.540 | 237.012 | -0.000 | -0.000 | 0.000 |
| -101.285 | -101.285 | -107.367 | 41.158 | -0.000 | 0.000 |
| -1893.242 | -1893.242 | -144.646 | 0.000 | -39.190 | 0.000 |
| -1891.280 | -1891.280 | -143.687 | 0.000 | -0.000 | 73.040 |
| 444.911 | 241.261 | 196.309 | -0.000 | 0.000 | -0.000 |
| 241.261 | 444.911 | 196.309 | -0.000 | 0.000 | -0.000 |
| 87.498 | 87.498 | 468.709 | -0.000 | 0.000 | 0.000 |
| 1893.242 | 1893.242 | 144.646 | -39.190 | 0.000 | -0.000 |
| 1893.242 | 1893.242 | 144.646 | -0.000 | -39.190 | -0.000 |
| 1891.280 | 1891.280 | 143.687 | 0.000 | -0.000 | 73.040 |
| -22.871 | 47.499 | 68.774 | 0.000 | 0.000 | 0.000 |
| 47.499 | -22.871 | 68.774 | 0.000 | 0.000 | 0.000 |
| 76.062 | 76.062 | 453.353 | -0.000 | 0.000 | 0.000 |
| -16.584 | -16.584 | -23.830 | 33.473 | 0.000 | 0.000 |
| -16.584 | -16.584 | -23.830 | -0.000 | 33.473 | 0.000 |
| 0.000 | 0.000 | 0.000 | 0.000 | -0.000 | 80.163 |
| 235.704 | 344.212 | 109.261 | -0.000 | 0.000 | -0.000 |
| 344.212 | 235.704 | 109.261 | -0.000 | -0.000 | -0.000 |
| 278.137 | 278.137 | 478.328 | -0.000 | -0.000 | 0.000 |
| 16.584 | 16.584 | 23.830 | 33.473 | -0.000 | -0.000 |
| 16.584 | 16.584 | 23.830 | -0.000 | 33.473 | -0.000 |
| -0.000 | -0.000 | -0.000 | 0.000 | -0.000 | 80.163 |
| 330.036 | 179.786 | 108.231 | -0.000 | -0.000 | 0.000 |
| 152.202 | 357.620 | 108.231 | -0.000 | -0.000 | 0.000 |
| 109.207 | 109.207 | 401.670 | -0.000 | -0.000 | 0.000 |
| -0.000 | -0.000 | -0.000 | 46.900 | -0.000 | 0.000 |
| -0.000 | 0.000 | 0.000 | -0.000 | 46.900 | 0.000 |
| -0.000 | -0.000 | 0.000 | 0.000 | -0.000 | 102.709 |
| 357.620 | 152.202 | 108.231 | -0.000 | -0.000 | -0.000 |
| 179.786 | 330.036 | 108.231 | 0.000 | 0.000 | -0.000 |
| 109.207 | 109.207 | 401.670 | 0.000 | 0.000 | -0.000 |
| 0.000 | -0.000 | -0.000 | 46.900 | 0.000 | -0.000 |
| 0.000 | 0.000 | -0.000 | 0.000 | 46.900 | -0.000 |
| 0.000 | 0.000 | -0.000 | -0.000 | 0.000 | 102.709 |
| 330.036 | 179.786 | 108.231 | -0.000 | -0.000 | 0.000 |
| 179.786 | 330.036 | 108.231 | -0.000 | -0.000 | 0.000 |
| 109.207 | 109.207 | 401.670 | -0.000 | -0.000 | 0.000 |
| -0.000 | -0.000 | -0.000 | 46.900 | -0.000 | 0.000 |
| -0.000 | -0.000 | -0.000 | 0.000 | 46.900 | 0.000 |
| -0.000 | -0.000 | -0.000 | -0.000 | -0.000 | 102.709 |
| 357.620 | 152.202 | 108.231 | -0.000 | 0.000 | -0.000 |
| 179.786 | 330.036 | 108.231 | 0.000 | 0.000 | -0.000 |
| 109.207 | 109.207 | 401.670 | 0.000 | 0.000 | -0.000 |
| 0.000 | 0.000 | 0.000 | 46.900 | 0.000 | -0.000 |
| 0.000 | 0.000 | 0.000 | 0.000 | 46.900 | -0.000 |
| 0.000 | 0.000 | 0.000 | 0.000 | 0.000 | 102.709 |
| 330.036 | 179.786 | 108.232 | -0.000 | -0.000 | 0.000 |
| 179.787 | 330.035 | 108.232 | -0.000 | -0.000 | 0.000 |
| 109.207 | 109.207 | 401.669 | -0.000 | -0.000 | 0.000 |
| 0.000 | -0.000 | -0.000 | 46.900 | -0.000 | 0.000 |
| -0.000 | 0.000 | -0.000 | -0.000 | 46.900 | 0.000 |
| -0.001 | -0.000 | -0.000 | -0.000 | -0.000 | 75.125 |
| 357.621 | 152.202 | 108.231 | 0.000 | -0.000 | -0.000 |
| 152.201 | 357.621 | 108.231 | -0.000 | -0.000 | -0.000 |
| 109.206 | 109.206 | 401.670 | 0.000 | 0.000 | -0.000 |
| -0.000 | 0.000 | 0.000 | 46.900 | 0.000 | -0.000 |
| 0.000 | -0.000 | 0.000 | 0.000 | 46.900 | -0.000 |
| 0.001 | 0.000 | 0.000 | 0.000 | 0.000 | 75.125 |
| 724.166 | -3.813 | 115.475 | 0.000 | -0.000 | -0.000 |
| -3.813 | 724.166 | 115.475 | 0.000 | -0.000 | -0.000 |
| 111.368 | 111.368 | 477.479 | 0.000 | -0.000 | -0.000 |
| -0.000 | 0.000 | 0.000 | -51.391 | -0.000 | 0.000 |
| 0.000 | -0.000 | 0.000 | 0.000 | -51.391 | -0.000 |
| 0.000 | 0.000 | 0.000 | 0.000 | -0.000 | -9.848 |
| 724.166 | -3.813 | 115.475 | -0.000 | 0.000 | 0.000 |
| -3.813 | 724.166 | 115.475 | -0.000 | 0.000 | 0.000 |
| 111.368 | 111.368 | 477.479 | -0.000 | -0.000 | 0.000 |
| 0.000 | -0.000 | -0.000 | -51.391 | 0.000 | 0.000 |
| -0.000 | 0.000 | -0.000 | -0.000 | -51.391 | 0.000 |
| -0.000 | -0.000 | -0.000 | 0.000 | 0.000 | -9.848 |
| 724.167 | -3.813 | 115.475 | 0.000 | -0.000 | -0.000 |
| -3.813 | 724.167 | 115.475 | 0.000 | -0.000 | -0.000 |
| 111.368 | 111.368 | 477.479 | -0.000 | 0.000 | -0.000 |
| 0.000 | 0.000 | 0.000 | -51.391 | -0.000 | -0.000 |
| 0.000 | 0.000 | 0.000 | 0.000 | -51.391 | -0.000 |
| 0.000 | 0.000 | 0.000 | -0.000 | -0.000 | -9.848 |
| 724.165 | -3.813 | 115.475 | -0.000 | 0.000 | 0.000 |
| -3.813 | 724.165 | 115.475 | 0.000 | 0.000 | 0.000 |
| 82.676 | 82.676 | 544.143 | 0.000 | 0.000 | 0.000 |
| -0.000 | -0.000 | -0.000 | -51.391 | 0.000 | 0.000 |
| -0.000 | -0.000 | -0.000 | -0.000 | -51.391 | 0.000 |
| -0.000 | -0.000 | -0.000 | 0.000 | 0.000 | -9.848 |
| 724.178 | -3.811 | 115.476 | 0.000 | -0.000 | -0.000 |
| -3.811 | 724.178 | 115.476 | 0.000 | -0.000 | -0.000 |
| 111.370 | 111.370 | 477.478 | -0.000 | -0.000 | -0.000 |
| 0.000 | 0.004 | 0.001 | -51.391 | -0.000 | -0.000 |
| 0.004 | 0.000 | 0.001 | 0.000 | -51.391 | -0.000 |
| 0.002 | 0.001 | 0.000 | 0.000 | -0.000 | -9.848 |
| 724.154 | -3.815 | 115.474 | 0.000 | 0.000 | 0.000 |
| -3.815 | 724.154 | 115.474 | -0.000 | 0.000 | 0.000 |
| 111.365 | 111.365 | 477.479 | -0.000 | 0.000 | 0.000 |
| -0.000 | -0.004 | -0.001 | -51.391 | 0.000 | 0.000 |
| -0.004 | -0.000 | -0.001 | -0.000 | -51.391 | 0.000 |
| -0.002 | -0.001 | -0.000 | -0.000 | 0.000 | -9.848 |
| 674.972 | -49.559 | 218.729 | -0.000 | 0.000 | -0.000 |
| -49.559 | 674.972 | 218.729 | 0.000 | -0.000 | 0.000 |
| 67.119 | 67.119 | 580.232 | -0.000 | -0.000 | -0.000 |
| -0.000 | 0.000 | 0.000 | 51.902 | -0.000 | 0.000 |
| 0.000 | 0.000 | 0.000 | 0.000 | 51.902 | -0.000 |
| -44.331 | -44.331 | 102.902 | 0.000 | -0.000 | -10.859 |
| 731.748 | 7.217 | 86.940 | -0.000 | 0.000 | 0.000 |
| 7.217 | 731.748 | 86.940 | -0.000 | 0.000 | -0.000 |
| 155.781 | 155.781 | 374.428 | -0.000 | 0.000 | -0.000 |
| 0.000 | -0.000 | -0.000 | 51.902 | 0.000 | 0.000 |
| -0.000 | -0.000 | -0.000 | -0.000 | 51.902 | 0.000 |
| 44.331 | 44.331 | -102.902 | -0.000 | 0.000 | -10.859 |
| 731.749 | 7.217 | 86.940 | 0.000 | -0.000 | 0.000 |
| 7.217 | 731.749 | 86.940 | 0.000 | 0.000 | -0.000 |
| 82.564 | 82.564 | 544.381 | 0.000 | -0.000 | -0.000 |
| -4.433 | -4.433 | 10.290 | -52.570 | -0.000 | 0.000 |
| -4.433 | -4.433 | 10.290 | 0.000 | -52.570 | -0.000 |
| -4.433 | -4.433 | 10.290 | 0.000 | 0.000 | -10.859 |
| 723.735 | -0.795 | 105.536 | -0.000 | -0.000 | 0.000 |
| -0.795 | 723.735 | 105.536 | -0.000 | -0.000 | -0.000 |
| 115.883 | 115.883 | 467.040 | -0.000 | 0.000 | 0.000 |
| 4.433 | 4.433 | -10.290 | -52.570 | 0.000 | 0.000 |
| 4.433 | 4.433 | -10.290 | -0.000 | -52.570 | 0.000 |
| 4.433 | 4.433 | -10.290 | -0.000 | 0.000 | -10.859 |
| 718.871 | -5.669 | 116.856 | 0.000 | -0.000 | -0.000 |
| -5.669 | 718.871 | 116.856 | 0.000 | -0.000 | 0.000 |
| 82.565 | 82.565 | 544.384 | 0.000 | -0.000 | -0.000 |
| -0.443 | -0.440 | 1.029 | -52.570 | -0.000 | 0.000 |
| -0.440 | -0.443 | 1.029 | 0.000 | -52.570 | 0.000 |
| -0.442 | -0.442 | 1.029 | 0.000 | -0.000 | -10.859 |
| 719.735 | -4.786 | 114.797 | -0.000 | 0.000 | 0.000 |
| -4.786 | 719.735 | 114.797 | -0.000 | 0.000 | 0.000 |
| 111.891 | 111.891 | 476.302 | -0.000 | 0.000 | -0.000 |
| 0.443 | 0.440 | -1.029 | -52.570 | -0.000 | 0.000 |
| 0.440 | 0.443 | -1.029 | -0.000 | -52.570 | 0.000 |
| 0.442 | 0.442 | -1.029 | -0.000 | 0.000 | -10.859 |
| -4.365 | -114.513 | -114.513 | -0.000 | 0.000 | 0.000 |
| -114.513 | -4.365 | -114.513 | 0.000 | 0.000 | 0.000 |
| -114.513 | -114.513 | -4.365 | 0.000 | -0.000 | 0.000 |
| -0.000 | -0.000 | 0.000 | 63.739 | 0.000 | -0.000 |
| 0.000 | 0.000 | 0.000 | 0.000 | 63.739 | -0.000 |
| 0.000 | 0.000 | 0.000 | 0.000 | 0.000 | 63.739 |
| 371.922 | 111.635 | 111.635 | -0.000 | -0.000 | 0.000 |
| 111.635 | 371.922 | 111.635 | 0.000 | -0.000 | 0.000 |
| 111.635 | 111.635 | 371.922 | 0.000 | 0.000 | 0.000 |
| -0.000 | -0.000 | -0.000 | 63.739 | -0.000 | 0.000 |
| -0.000 | -0.000 | -0.000 | 0.000 | 63.739 | 0.000 |
| -0.000 | -0.000 | -0.000 | -0.000 | -0.000 | 63.739 |
| 282.271 | 115.980 | 115.980 | 0.000 | -0.000 | 0.000 |
| 115.980 | 282.271 | 115.980 | 0.000 | 0.000 | 0.000 |
| 115.980 | 115.980 | 282.271 | 0.000 | -0.000 | 0.000 |
| -14.400 | -14.400 | -14.400 | 20.273 | 0.000 | 0.000 |
| -14.400 | -14.400 | -14.400 | 0.000 | 20.273 | 0.000 |
| -14.400 | -14.400 | -14.400 | 0.000 | 0.000 | 20.273 |
| 341.526 | 142.844 | 142.844 | -0.000 | -0.000 | 0.000 |
| 142.844 | 341.526 | 142.844 | 0.000 | 0.000 | 0.000 |
| 142.844 | 142.844 | 341.526 | -0.000 | -0.000 | 0.000 |
| 14.400 | 14.400 | 14.400 | 20.273 | -0.000 | -0.000 |
| 14.400 | 14.400 | 14.400 | -0.000 | 20.273 | -0.000 |
| 14.400 | 14.400 | 14.400 | -0.000 | 0.000 | 20.273 |
| 371.924 | 111.636 | 111.636 | 0.000 | -0.000 | -0.000 |
| 111.636 | 371.924 | 111.636 | -0.000 | -0.000 | -0.000 |
| 111.636 | 111.636 | 371.924 | 0.000 | -0.000 | -0.000 |
| -0.868 | -0.868 | -0.868 | 37.525 | 0.000 | 0.000 |
| -0.868 | -0.868 | -0.868 | 0.000 | 37.525 | 0.000 |
| -0.868 | -0.868 | -0.868 | 0.000 | -0.000 | 37.525 |
| 327.172 | 125.456 | 125.456 | -0.000 | 0.000 | 0.000 |
| 125.456 | 327.172 | 125.456 | 0.000 | -0.000 | 0.000 |
| 125.456 | 125.456 | 327.172 | -0.000 | -0.000 | -0.000 |
| 0.868 | 0.868 | 0.868 | 37.525 | 0.000 | 0.000 |
| 0.868 | 0.868 | 0.868 | -0.000 | 37.525 | 0.000 |
| 0.868 | 0.868 | 0.868 | -0.000 | -0.000 | 37.525 |
| 239.836 | 271.250 | 271.284 | -0.028 | -0.011 | 0.037 |
| 271.227 | 239.857 | 271.296 | -0.028 | -0.011 | 0.038 |
| 271.238 | 271.274 | 239.878 | -0.028 | -0.011 | 0.038 |
| 26.187 | 26.223 | 26.258 | -50.698 | -0.011 | 0.039 |
| 26.189 | 26.225 | 26.260 | -0.029 | -50.694 | 0.039 |
| 26.195 | 26.232 | 26.266 | -0.029 | -0.011 | -50.683 |
| 163.769 | 124.164 | 124.158 | 0.006 | 0.002 | -0.008 |
| 124.170 | 163.762 | 124.158 | 0.006 | 0.002 | -0.008 |
| 199.043 | 199.043 | 322.835 | -0.000 | -0.000 | -0.000 |
| -26.194 | -26.230 | -26.265 | -50.685 | 0.011 | -0.039 |
| -26.192 | -26.228 | -26.263 | 0.029 | -50.689 | -0.039 |
| -26.186 | -26.222 | -26.257 | 0.029 | 0.011 | -50.700 |
| 322.835 | 199.043 | 199.043 | 0.000 | -0.000 | 0.000 |
| 199.043 | 322.835 | 199.043 | 0.000 | 0.000 | 0.000 |
| 199.043 | 199.043 | 322.835 | 0.000 | -0.000 | 0.000 |
| 0.000 | 0.000 | 0.000 | 116.300 | -0.000 | 0.000 |
| 0.000 | 0.000 | 0.000 | -0.000 | 116.300 | 0.000 |
| 0.000 | 0.000 | 0.000 | 0.000 | -0.000 | 116.300 |
| 322.835 | 199.043 | 199.043 | -0.000 | -0.000 | -0.000 |
| 199.043 | 322.835 | 199.043 | -0.000 | 0.000 | -0.000 |
| 199.043 | 199.043 | 322.835 | -0.000 | -0.000 | -0.000 |
| -0.000 | -0.000 | -0.000 | 116.300 | 0.000 | -0.000 |
| -0.000 | -0.000 | -0.000 | -0.000 | 116.300 | -0.000 |
| -0.000 | -0.000 | -0.000 | -0.000 | -0.000 | 116.300 |
| 322.835 | 199.043 | 199.043 | -0.000 | 0.000 | 0.000 |
| 199.043 | 322.835 | 199.043 | 0.000 | 0.000 | 0.000 |
| 199.043 | 199.043 | 322.835 | -0.000 | 0.000 | 0.000 |
| 0.000 | 0.000 | 0.000 | 116.300 | -0.000 | 0.000 |
| 0.000 | 0.000 | 0.000 | -0.000 | 116.300 | 0.000 |
| 0.000 | 0.000 | 0.000 | 0.000 | 0.000 | 116.300 |
| 322.835 | 199.043 | 199.043 | -0.000 | 0.000 | -0.000 |
| 199.043 | 322.835 | 199.043 | -0.000 | 0.000 | -0.000 |
| 199.043 | 199.043 | 322.835 | -0.000 | 0.000 | -0.000 |
| -0.000 | -0.000 | -0.000 | 116.300 | -0.000 | 0.000 |
| -0.000 | -0.000 | -0.000 | -0.000 | 116.300 | 0.000 |
| -0.000 | -0.000 | -0.000 | 0.000 | 0.000 | 116.300 |
| 305.891 | 173.917 | 173.917 | 0.000 | 0.000 | -0.000 |
| 173.917 | 305.890 | 173.917 | -0.000 | -0.000 | -0.000 |
| 173.917 | 173.917 | 305.890 | 0.000 | 0.000 | -0.000 |
| 0.000 | -0.000 | 0.000 | 118.548 | -0.000 | -0.000 |
| -0.000 | -0.000 | -0.000 | -0.000 | 118.548 | -0.000 |
| 0.000 | -0.000 | -0.000 | 0.000 | 0.000 | 118.548 |
| 287.787 | 175.536 | 175.536 | 0.000 | -0.000 | -0.000 |
| 175.536 | 287.787 | 175.536 | 0.000 | -0.000 | -0.000 |
| 175.536 | 175.536 | 287.787 | 0.000 | -0.000 | -0.000 |
| -0.000 | 0.000 | 0.000 | 118.548 | 0.000 | 0.000 |
| 0.000 | 0.000 | -0.000 | -0.000 | 118.548 | 0.000 |
| 0.000 | 0.000 | -0.000 | -0.000 | -0.000 | 118.548 |
| 305.890 | 173.917 | 173.917 | -0.000 | 0.000 | 0.000 |
| 173.917 | 305.890 | 173.917 | -0.000 | -0.000 | -0.000 |
| 173.917 | 173.917 | 305.890 | 0.000 | 0.000 | 0.000 |
| 0.000 | -0.000 | 0.000 | 118.548 | 0.000 | -0.000 |
| -0.000 | 0.000 | 0.000 | -0.000 | 118.548 | -0.000 |
| -0.000 | 0.000 | 0.000 | -0.000 | 0.000 | 118.548 |
| 269.511 | 165.683 | 165.683 | 0.000 | -0.000 | 0.000 |
| 165.683 | 269.511 | 165.683 | 0.000 | -0.000 | 0.000 |
| 165.683 | 165.683 | 269.511 | 0.000 | -0.000 | 0.000 |
| -0.000 | 0.000 | -0.000 | 118.548 | -0.000 | 0.000 |
| 0.000 | -0.000 | -0.000 | -0.000 | 118.548 | 0.000 |
| 0.000 | -0.000 | -0.000 | -0.000 | -0.000 | 118.548 |
| 305.890 | 173.918 | 173.918 | 0.000 | 0.000 | -0.000 |
| 173.918 | 305.890 | 173.918 | 0.000 | 0.000 | -0.000 |
| 173.918 | 173.918 | 305.890 | -0.000 | -0.000 | -0.000 |
| -0.030 | -0.030 | -0.030 | 82.152 | 0.000 | 0.000 |
| -0.030 | -0.030 | -0.030 | -0.000 | 82.152 | 0.000 |
| -0.030 | -0.030 | -0.030 | -0.000 | 0.000 | 82.152 |
| 305.891 | 173.917 | 173.917 | -0.000 | -0.000 | 0.000 |
| 173.917 | 305.891 | 173.917 | -0.000 | 0.000 | -0.000 |
| 173.917 | 173.917 | 305.891 | -0.000 | -0.000 | 0.000 |
| 0.030 | 0.030 | 0.030 | 82.152 | -0.000 | -0.000 |
| 0.030 | 0.030 | 0.030 | 0.000 | 82.152 | -0.000 |
| 0.030 | 0.030 | 0.030 | 0.000 | -0.000 | 82.152 |
| 306.023 | 172.926 | 172.926 | 0.000 | 0.000 | 0.000 |
| 172.926 | 306.023 | 172.926 | -0.000 | 0.000 | -0.000 |
| 172.926 | 172.926 | 306.023 | -0.000 | 0.000 | 0.000 |
| -0.000 | 0.000 | 0.000 | 118.549 | 0.000 | -0.000 |
| -0.000 | 0.000 | 0.000 | 0.000 | 118.549 | -0.000 |
| -0.000 | 0.000 | 0.000 | -0.000 | 0.000 | 118.549 |
| 306.023 | 172.926 | 172.926 | -0.000 | -0.000 | 0.000 |
| 172.926 | 306.023 | 172.926 | 0.000 | -0.000 | 0.000 |
| 172.926 | 172.926 | 306.023 | 0.000 | -0.000 | -0.000 |
| 0.000 | -0.000 | 0.000 | 118.549 | -0.000 | 0.000 |
| 0.000 | -0.000 | -0.000 | 0.000 | 118.549 | 0.000 |
| 0.000 | -0.000 | 0.000 | -0.000 | -0.000 | 118.549 |
| 270.948 | 174.683 | 174.678 | 0.001 | -0.001 | -0.001 |
| 172.926 | 306.023 | 172.926 | -0.000 | 0.000 | 0.000 |
| 172.926 | 172.926 | 306.023 | -0.000 | 0.000 | 0.000 |
| 0.000 | -0.000 | 0.000 | 118.549 | 0.000 | -0.000 |
| -0.000 | 0.000 | 0.000 | -0.000 | 118.549 | -0.000 |
| -0.000 | 0.000 | 0.000 | -0.000 | 0.000 | 118.549 |
| 306.023 | 172.926 | 172.926 | -0.000 | -0.000 | -0.000 |
| 172.926 | 306.023 | 172.926 | 0.000 | -0.000 | -0.000 |
| 172.926 | 172.926 | 306.023 | 0.000 | -0.000 | 0.000 |
| -0.000 | 0.000 | -0.000 | 118.549 | -0.000 | 0.000 |
| 0.000 | -0.000 | -0.000 | 0.000 | 118.549 | 0.000 |
| 0.000 | -0.000 | -0.000 | 0.000 | -0.000 | 118.549 |
| 286.554 | 172.686 | 172.685 | 0.000 | -0.000 | -0.000 |
| 172.687 | 286.554 | 172.685 | 0.000 | -0.000 | -0.000 |
| 172.687 | 172.686 | 286.554 | 0.000 | -0.000 | -0.000 |
| 0.311 | 0.310 | 0.310 | 87.749 | -0.000 | -0.000 |
| 0.310 | 0.310 | 0.310 | 0.000 | 87.749 | -0.000 |
| 0.310 | 0.310 | 0.310 | 0.000 | -0.000 | 87.749 |
| 306.024 | 172.926 | 172.926 | -0.000 | -0.000 | 0.000 |
| 172.926 | 306.024 | 172.926 | 0.000 | -0.000 | 0.000 |
| 172.926 | 172.926 | 306.024 | 0.000 | -0.000 | 0.000 |
| -0.311 | -0.310 | -0.310 | 87.749 | 0.000 | 0.000 |
| -0.310 | -0.310 | -0.310 | -0.000 | 87.749 | 0.000 |
| -0.310 | -0.310 | -0.310 | -0.000 | 0.000 | 87.749 |
| 456.186 | 104.643 | 428.846 | -0.000 | 0.000 | 0.000 |
| 93.141 | 481.392 | 89.575 | 0.000 | -0.000 | 0.000 |
| 440.572 | 79.796 | 441.714 | 0.000 | -0.000 | -0.000 |
| -5.816 | 10.270 | -5.614 | -17.579 | -0.000 | 0.000 |
| -0.834 | 1.473 | -0.805 | -0.000 | 411.774 | -0.000 |
| -5.639 | 9.958 | -5.443 | -0.000 | 0.000 | -8.052 |
| 458.258 | 100.985 | 430.845 | 0.000 | 0.000 | 0.000 |
| 113.742 | 445.012 | 109.460 | 0.000 | -0.000 | 0.000 |
| 430.946 | 96.795 | 432.422 | 0.000 | -0.000 | 0.000 |
| 5.816 | -10.270 | 5.614 | -17.579 | -0.000 | -0.000 |
| 0.834 | -1.473 | 0.805 | 0.000 | 411.774 | 0.000 |
| 5.639 | -9.958 | 5.443 | 0.000 | -0.000 | -8.052 |
| 457.074 | 103.077 | 429.701 | -0.000 | -0.000 | -0.000 |
| 112.632 | 446.972 | 108.389 | -0.000 | 0.000 | 0.000 |
| 440.572 | 79.796 | 441.715 | 0.000 | -0.000 | -0.000 |
| -0.000 | -0.000 | -0.000 | 51.456 | 0.000 | -0.000 |
| 0.000 | -0.000 | 0.000 | -0.000 | 411.774 | -0.000 |
| -0.000 | -0.000 | -0.000 | -0.000 | 0.000 | 63.721 |
| 457.278 | 102.713 | 429.900 | 0.000 | 0.000 | 0.000 |
| 93.141 | 481.392 | 89.575 | 0.000 | -0.000 | -0.000 |
| 429.965 | 98.527 | 431.475 | -0.000 | -0.000 | 0.000 |
| 0.000 | 0.000 | 0.000 | 51.456 | 0.000 | -0.000 |
| -0.000 | 0.000 | -0.000 | 0.000 | 411.774 | 0.000 |
| 0.000 | 0.000 | 0.000 | 0.000 | -0.000 | 63.721 |
| 457.171 | 102.919 | 429.791 | 0.000 | 0.000 | -0.000 |
| 112.726 | 446.806 | 108.479 | -0.000 | -0.000 | 0.000 |
| 429.853 | 98.728 | 431.370 | -0.000 | -0.000 | -0.000 |
| -0.065 | 0.113 | -0.064 | -24.993 | 0.000 | 0.000 |
| 0.001 | -0.000 | 0.002 | 0.000 | 411.774 | -0.000 |
| -0.000 | -0.001 | -0.000 | -0.000 | 0.000 | 63.721 |
| 457.177 | 102.878 | 429.807 | 0.000 | 0.000 | 0.000 |
| 112.746 | 446.773 | 108.499 | 0.000 | 0.000 | 0.000 |
| 429.869 | 98.692 | 431.381 | 0.000 | 0.000 | 0.000 |
| 0.065 | -0.113 | 0.064 | -24.993 | 0.000 | 0.000 |
| -0.001 | 0.000 | -0.002 | -0.000 | 411.774 | -0.000 |
| 0.000 | 0.001 | 0.000 | 0.000 | 0.000 | 63.721 |
| 537.529 | 78.063 | 319.971 | -0.000 | 0.000 | 0.000 |
| 15.892 | 616.884 | 116.141 | 0.000 | -0.000 | 0.000 |
| 404.804 | 129.604 | 206.197 | 0.000 | -0.000 | 0.000 |
| 33.239 | 86.618 | -66.977 | -83.737 | -0.000 | 0.000 |
| 0.000 | 0.000 | 0.000 | 0.000 | 308.493 | -0.000 |
| 38.150 | 99.417 | -76.874 | -0.000 | -0.000 | -121.176 |
| 466.964 | -105.825 | 462.162 | 0.000 | -0.000 | 0.000 |
| -28.656 | 500.794 | 205.908 | -0.000 | 0.000 | 0.000 |
| 374.675 | 51.090 | 266.907 | -0.000 | 0.000 | -0.000 |
| -33.239 | -86.618 | 66.977 | -83.737 | 0.000 | 0.000 |
| -0.000 | -0.000 | -0.000 | -0.000 | 308.493 | -0.000 |
| -38.150 | -99.417 | 76.874 | -0.000 | 0.000 | -121.176 |
| 507.614 | 0.107 | 380.251 | 0.000 | 0.000 | -0.000 |
| 15.892 | 616.885 | 116.141 | 0.000 | -0.000 | -0.000 |
| 416.873 | 161.055 | 181.878 | 0.000 | -0.000 | 0.000 |
| 3.051 | 7.951 | -6.148 | -81.024 | -0.000 | 0.000 |
| 0.000 | 0.000 | 0.000 | 0.000 | 308.493 | -0.000 |
| 108569183.354 | -85605694.092 | -40711784.142 | 35.985 | 2268.769 | 4214896.446 |
| 508.629 | 2.754 | 378.203 | 0.000 | 0.000 | 0.000 |
| 1.258 | 578.750 | 145.628 | -0.000 | 0.000 | -0.000 |
| 404.804 | 129.604 | 206.196 | 0.000 | 0.000 | -0.000 |
| -3.051 | -7.951 | 6.148 | -81.024 | -0.000 | 0.000 |
| -0.000 | -0.000 | -0.000 | -0.000 | 308.493 | 0.000 |
| -108539011.553 | 85603318.316 | 40705847.598 | -9.231 | -856.309 | 4185709.491 |
| 508.637 | 2.755 | 378.206 | 0.000 | -0.000 | -0.000 |
| 4.914 | 588.280 | 138.265 | -0.000 | -0.000 | -0.000 |
| 404.805 | 129.604 | 206.201 | 0.000 | -0.000 | -0.000 |
| 2.087 | 5.439 | -4.205 | -82.813 | -0.000 | -0.000 |
| 0.334 | 0.866 | -0.669 | 0.000 | 308.493 | 0.000 |
| 661895.716 | -433171.747 | 184588.756 | 0.005 | -0.000 | -1832195.345 |
| 503.947 | -9.432 | 387.623 | 0.000 | 0.000 | -0.000 |
| 4.249 | 586.541 | 139.599 | -0.000 | 0.000 | -0.000 |
| 413.215 | 151.526 | 189.240 | 0.000 | 0.000 | 0.000 |
| -2.087 | -5.439 | 4.205 | -82.813 | 0.000 | 0.000 |
| -0.334 | -0.866 | 0.669 | -0.000 | 308.493 | 0.000 |
| -661895.726 | 433171.756 | -184588.753 | -0.005 | -0.000 | -1832195.361 |
| 322.649 | 178.293 | 109.816 | -0.000 | -0.000 | 0.000 |
| 178.909 | 340.817 | 112.030 | -0.000 | 0.000 | 0.000 |
| 110.156 | 111.778 | 399.413 | -0.000 | 0.000 | 0.000 |
| -0.000 | -0.000 | -0.000 | 47.432 | 0.000 | 0.000 |
| -0.000 | 0.000 | 0.000 | -0.000 | 44.456 | 0.000 |
| -0.000 | -0.000 | -0.000 | 0.000 | -0.000 | 101.337 |
| 322.649 | 178.293 | 109.816 | 0.000 | -0.000 | -0.000 |
| 178.909 | 340.817 | 112.030 | 0.000 | -0.000 | -0.000 |
| 110.156 | 111.778 | 399.413 | 0.000 | -0.000 | -0.000 |
| 0.000 | 0.000 | 0.000 | 47.432 | 0.000 | -0.000 |
| 0.000 | -0.000 | 0.000 | 0.000 | 44.456 | -0.000 |
| 0.000 | 0.000 | 0.000 | -0.000 | 0.000 | 101.337 |
| 322.649 | 178.293 | 109.816 | -0.000 | 0.000 | 0.000 |
| 178.909 | 340.817 | 112.030 | -0.000 | 0.000 | 0.000 |
| 110.168 | 111.767 | 399.413 | -0.000 | -0.000 | 0.000 |
| -0.000 | -0.000 | -0.000 | 47.432 | -0.000 | 0.000 |
| -0.000 | -0.000 | -0.000 | -0.000 | 44.456 | -0.000 |
| -0.000 | -0.000 | -0.000 | -0.000 | 0.000 | 70.561 |
| 351.735 | 151.966 | 109.413 | -0.000 | 0.000 | -0.000 |
| 152.582 | 364.646 | 112.395 | -0.000 | 0.000 | -0.000 |
| 109.765 | 112.131 | 399.419 | 0.000 | 0.000 | -0.000 |
| 0.000 | 0.000 | 0.000 | 47.432 | -0.000 | -0.000 |
| 0.000 | 0.000 | 0.000 | 0.000 | 44.456 | -0.000 |
| 0.000 | 0.000 | 0.000 | 0.000 | -0.000 | 70.561 |
| 351.734 | 151.966 | 109.413 | 0.000 | -0.000 | 0.000 |
| 178.910 | 340.815 | 112.030 | -0.000 | 0.000 | 0.000 |
| 109.766 | 112.132 | 399.418 | 0.000 | -0.000 | 0.000 |
| -0.000 | -0.000 | -0.000 | 47.432 | 0.000 | 0.000 |
| -0.000 | -0.000 | -0.000 | -0.000 | 44.456 | -0.000 |
| -0.001 | -0.000 | -0.000 | -0.000 | -0.000 | 70.561 |
| 322.650 | 178.293 | 109.816 | 0.000 | 0.000 | -0.000 |
| 178.908 | 340.819 | 112.030 | 0.000 | 0.000 | -0.000 |
| 110.168 | 111.766 | 399.413 | 0.000 | 0.000 | -0.000 |
| 0.000 | 0.000 | 0.000 | 47.432 | -0.000 | -0.000 |
| 0.000 | 0.000 | 0.000 | 0.000 | 44.456 | -0.000 |
| 0.001 | 0.000 | 0.000 | 0.000 | 0.000 | 70.561 |
| 315.578 | 141.670 | 118.376 | 0.000 | -0.000 | -0.000 |
| 145.369 | 319.278 | 119.176 | 0.000 | -0.000 | -0.000 |
| 99.442 | 99.442 | 518.807 | -0.000 | -0.000 | -0.000 |
| -9.322 | -9.322 | -2.014 | 47.609 | -0.000 | -0.000 |
| -7.501 | -7.501 | -1.621 | 0.000 | 47.609 | 0.000 |
| -1836003.332 | -2017008.129 | -120556.053 | 0.000 | -0.000 | 2005342.500 |
| 7982576.165 | 7596974.121 | 503458.135 | 0.000 | 0.000 | 0.000 |
| 4143617.885 | 11272724.176 | 482489.501 | 0.000 | 0.000 | 0.000 |
| 120.219 | 120.219 | 523.296 | -0.000 | -0.000 | 0.000 |
| 9.322 | 9.322 | 2.014 | 47.609 | 0.000 | 0.000 |
| 7.501 | 7.501 | 1.621 | 0.000 | 47.609 | 0.000 |
| 1836003.332 | 2017008.129 | 120556.053 | -0.000 | 0.000 | 2005342.500 |
| 331.934 | 158.030 | 121.911 | 0.000 | -0.000 | -0.000 |
| 156.083 | 329.987 | 121.491 | 0.000 | -0.000 | -0.000 |
| 113.734 | 113.734 | 521.895 | 0.000 | -0.000 | -0.000 |
| -578087.479 | -578041.174 | -36175.896 | 160949.137 | -0.000 | -0.000 |
| -583913.363 | -584009.190 | -37673.104 | -0.000 | -163232.533 | -0.000 |
| -578045.482 | -578044.972 | -36175.597 | 0.000 | -0.000 | 401195.110 |
| 1191255.508 | 1191095.722 | 81102.197 | -0.000 | 0.000 | 0.000 |
| 1191102.054 | 1191261.838 | 81103.553 | -0.000 | 0.000 | 0.000 |
| 1191202.457 | 1191202.457 | 81532.859 | -0.000 | 0.000 | 0.000 |
| 578087.479 | 578041.174 | 36175.896 | 160949.137 | 0.000 | 0.000 |
| 583913.363 | 584009.190 | 37673.104 | -0.000 | -163232.533 | 0.000 |
| 578045.482 | 578044.972 | 36175.597 | -0.000 | 0.000 | 401195.110 |
| 330.661 | 156.804 | 121.646 | -0.000 | -0.000 | -0.000 |
| 158.990 | 332.855 | 122.119 | 0.000 | -0.000 | -0.000 |
| 116.475 | 116.475 | 522.490 | 0.000 | -0.000 | -0.000 |
| -57811.817 | -57806.966 | -3618.364 | 16137.498 | -0.000 | -0.000 |
| -58387.140 | -58396.516 | -3766.220 | 0.000 | -16280.947 | -0.000 |
| -57814.691 | -57814.185 | -3620.128 | -0.000 | -0.000 | 40198.528 |
| 119269.811 | 119109.616 | 8188.764 | -0.000 | 0.000 | 0.000 |
| 119112.539 | 119272.725 | 8189.396 | -0.000 | 0.000 | 0.000 |
| 119222.164 | 119222.164 | 8621.338 | -0.000 | 0.000 | 0.000 |
| 57811.817 | 57806.966 | 3618.364 | 16137.498 | 0.000 | 0.000 |
| 58387.140 | 58396.516 | 3766.220 | -0.000 | -16280.947 | 0.000 |
| 57814.691 | 57814.185 | 3620.128 | -0.000 | 0.000 | 40198.528 |
| 515.743 | 180.240 | 130.828 | 0.000 | -0.000 | 0.000 |
| 180.240 | 515.743 | 130.828 | 0.000 | -0.000 | 0.000 |
| 129.835 | 129.836 | 538.423 | 0.000 | -0.000 | 0.000 |
| 0.000 | 0.000 | 0.000 | 68.398 | -0.000 | 0.000 |
| 0.000 | 0.000 | 0.000 | 0.000 | 68.398 | 0.000 |
| -0.000 | 0.000 | -0.000 | 0.000 | -0.000 | 106.867 |
| 515.743 | 180.240 | 130.828 | -0.000 | 0.000 | -0.000 |
| 180.240 | 515.743 | 130.828 | -0.000 | -0.000 | -0.000 |
| 129.835 | 129.835 | 538.423 | -0.000 | 0.000 | -0.000 |
| -0.000 | -0.000 | -0.000 | 68.398 | 0.000 | -0.000 |
| -0.000 | -0.000 | -0.000 | -0.000 | 68.398 | -0.000 |
| 0.000 | -0.000 | 0.000 | -0.000 | 0.000 | 106.866 |
| 515.742 | 180.239 | 130.828 | 0.000 | -0.000 | 0.000 |
| 180.239 | 515.742 | 130.828 | 0.000 | -0.000 | 0.000 |
| 129.835 | 129.835 | 538.423 | 0.000 | -0.000 | 0.000 |
| -0.000 | -0.000 | -0.000 | 68.398 | -0.000 | 0.000 |
| -0.000 | -0.000 | -0.000 | 0.000 | 68.398 | 0.000 |
| -0.001 | -0.001 | -0.000 | 0.000 | -0.000 | 106.867 |
| 515.744 | 180.241 | 130.829 | -0.000 | 0.000 | -0.000 |
| 180.241 | 515.744 | 130.829 | -0.000 | 0.000 | -0.000 |
| 129.836 | 129.836 | 538.423 | -0.000 | 0.000 | -0.000 |
| 0.000 | 0.000 | 0.000 | 68.398 | 0.000 | -0.000 |
| 0.000 | 0.000 | 0.000 | -0.000 | 68.398 | -0.000 |
| 0.001 | 0.001 | 0.000 | -0.000 | 0.000 | 106.867 |
| 515.733 | 180.228 | 130.825 | 0.000 | -0.000 | 0.000 |
| 180.228 | 515.733 | 130.825 | -0.000 | -0.000 | 0.000 |
| 118.283 | 118.283 | 528.118 | 0.000 | -0.000 | 0.000 |
| -57148.873 | -42938.248 | -29831.315 | -33063.064 | -0.000 | -0.000 |
| -42938.248 | -57148.873 | -29831.315 | 0.000 | -33063.064 | -0.000 |
| 5907.055 | 5907.048 | -4708.415 | 0.000 | -0.000 | -3169.353 |
| -3883.613 | -4090.001 | 5307.430 | -0.000 | 0.000 | 0.000 |
| -4090.001 | -3883.613 | 5307.430 | -0.000 | 0.000 | 0.000 |
| -4108.824 | -4108.824 | 5709.842 | 0.000 | 0.000 | 0.000 |
| 57148.873 | 42938.248 | 29831.315 | -33063.064 | 0.000 | 0.000 |
| 42938.248 | 57148.873 | 29831.315 | -0.000 | -33063.064 | 0.000 |
| -5907.055 | -5907.048 | 4708.415 | -0.000 | 0.000 | -3169.353 |
| 372.776 | 127.410 | 84.029 | -0.000 | -0.000 | 0.000 |
| 127.410 | 372.776 | 84.029 | -0.000 | -0.000 | 0.000 |
| 83.173 | 83.173 | 479.680 | -0.000 | 0.000 | 0.000 |
| -0.000 | -0.000 | -0.000 | 36.875 | -0.000 | 0.000 |
| -0.000 | -0.000 | -0.000 | -0.000 | 36.875 | 0.000 |
| -0.000 | -0.000 | -0.000 | -0.000 | -0.000 | 78.530 |
| 372.776 | 127.410 | 84.029 | 0.000 | 0.000 | 0.000 |
| 127.410 | 372.776 | 84.029 | 0.000 | -0.000 | 0.000 |
| 83.173 | 83.173 | 479.680 | 0.000 | 0.000 | -0.000 |
| 0.000 | 0.000 | 0.000 | 36.875 | 0.000 | 0.000 |
| 0.000 | 0.000 | 0.000 | 0.000 | 36.875 | -0.000 |
| 0.000 | 0.000 | 0.000 | 0.000 | 0.000 | 78.530 |
| 372.775 | 127.409 | 84.028 | -0.000 | -0.000 | 0.000 |
| 127.409 | 372.775 | 84.028 | -0.000 | -0.000 | -0.000 |
| 83.173 | 83.173 | 479.680 | -0.000 | 0.000 | 0.000 |
| -0.000 | -0.000 | -0.000 | 36.875 | -0.000 | -0.000 |
| -0.000 | -0.000 | -0.000 | -0.000 | 36.875 | 0.000 |
| -0.001 | -0.001 | -0.000 | -0.000 | -0.000 | 78.530 |
| 372.777 | 127.411 | 84.029 | 0.000 | 0.000 | -0.000 |
| 127.411 | 372.777 | 84.029 | -0.000 | 0.000 | -0.000 |
| 83.173 | 83.173 | 479.680 | 0.000 | -0.000 | 0.000 |
| 0.000 | 0.000 | 0.000 | 36.875 | 0.000 | -0.000 |
| 0.000 | 0.000 | 0.000 | 0.000 | 36.875 | -0.000 |
| 0.001 | 0.001 | 0.000 | 0.000 | 0.000 | 78.530 |
| 372.766 | 127.400 | 84.025 | -0.000 | -0.000 | 0.000 |
| 127.400 | 372.766 | 84.025 | -0.000 | -0.000 | 0.000 |
| 83.172 | 83.172 | 479.683 | -0.000 | 0.000 | 0.000 |
| -0.003 | -0.003 | -0.001 | 36.875 | 0.000 | 0.000 |
| -0.003 | -0.003 | -0.001 | -0.000 | 36.875 | -0.000 |
| -0.010 | -0.010 | -0.003 | -0.000 | -0.000 | 78.530 |
| 372.785 | 127.420 | 84.032 | 0.000 | 0.000 | 0.000 |
| 127.420 | 372.785 | 84.032 | 0.000 | 0.000 | -0.000 |
| 83.174 | 83.174 | 479.677 | 0.000 | 0.000 | -0.000 |
| 0.003 | 0.003 | 0.001 | 36.875 | 0.000 | -0.000 |
| 0.003 | 0.003 | 0.001 | 0.000 | 36.875 | -0.000 |
| 0.010 | 0.010 | 0.003 | 0.000 | 0.000 | 78.530 |
| 130.049 | 161.396 | 161.396 | 0.000 | 0.000 | -0.000 |
| 161.396 | 130.049 | 161.396 | 0.000 | 0.000 | -0.000 |
| 161.396 | 161.396 | 130.049 | 0.000 | -0.000 | -0.000 |
| -0.000 | -0.001 | -0.001 | 143.164 | 0.000 | -0.000 |
| -0.001 | -0.000 | -0.001 | -0.000 | 143.164 | -0.000 |
| -0.001 | -0.001 | -0.000 | 0.000 | 0.000 | 143.164 |
| 130.051 | 161.397 | 161.397 | -0.000 | -0.000 | 0.000 |
| 161.397 | 130.051 | 161.397 | -0.000 | -0.000 | 0.000 |
| 161.397 | 161.397 | 130.051 | -0.000 | -0.000 | 0.000 |
| 0.000 | 0.001 | 0.001 | 143.164 | -0.000 | 0.000 |
| 0.001 | 0.000 | 0.001 | -0.000 | 143.164 | 0.000 |
| 0.001 | 0.001 | 0.000 | -0.000 | -0.000 | 143.164 |
| 130.039 | 161.391 | 161.391 | 0.000 | 0.000 | -0.000 |
| 161.391 | 130.039 | 161.391 | 0.000 | 0.000 | -0.000 |
| 161.391 | 161.391 | 130.039 | 0.000 | 0.000 | -0.000 |
| -0.000 | -0.004 | -0.004 | -2.266 | 0.000 | -0.000 |
| -0.004 | -0.000 | -0.004 | 0.000 | -2.266 | -0.000 |
| -0.004 | -0.004 | -0.000 | 0.000 | 0.000 | -2.266 |
| 130.061 | 161.403 | 161.403 | -0.000 | -0.000 | 0.000 |
| 161.403 | 130.061 | 161.403 | -0.000 | -0.000 | 0.000 |
| 161.403 | 161.403 | 130.061 | -0.000 | 0.000 | 0.000 |
| 0.000 | 0.004 | 0.004 | -2.266 | -0.000 | 0.000 |
| 0.004 | 0.000 | 0.004 | -0.000 | -2.266 | 0.000 |
| 0.004 | 0.004 | 0.000 | -0.000 | -0.000 | -2.266 |
| 129.942 | 161.337 | 161.337 | 0.000 | 0.000 | -0.000 |
| 161.337 | 129.942 | 161.337 | 0.000 | 0.000 | -0.000 |
| 161.337 | 161.337 | 129.942 | 0.000 | 0.000 | -0.000 |
| -0.005 | -0.044 | -0.044 | -2.266 | 0.000 | -0.000 |
| -0.044 | -0.005 | -0.044 | 0.000 | -2.266 | -0.000 |
| -0.044 | -0.044 | -0.005 | 0.000 | 0.000 | -2.266 |
| 130.158 | 161.457 | 161.457 | -0.000 | -0.000 | 0.000 |
| 161.457 | 130.158 | 161.457 | -0.000 | 0.000 | 0.000 |
| 161.457 | 161.457 | 130.158 | -0.000 | -0.000 | 0.000 |
| 0.005 | 0.044 | 0.044 | -2.266 | -0.000 | 0.000 |
| 0.044 | 0.005 | 0.044 | -0.000 | -2.266 | 0.000 |
| 0.044 | 0.044 | 0.005 | -0.000 | -0.000 | -2.266 |
| 131.457 | 162.244 | 162.244 | 0.000 | 0.000 | -0.000 |
| 162.244 | 131.457 | 162.244 | 0.000 | -0.000 | 0.000 |
| 162.244 | 162.244 | 131.457 | 0.000 | -0.000 | 0.000 |
| -4344201.183 | -41491402.889 | -41491402.053 | 41790574.824 | 0.000 | -0.000 |
| -41491402.889 | -4344201.183 | -41491402.053 | 0.000 | 41790574.824 | -0.000 |
| -41491402.889 | -41491402.053 | -4344201.183 | 0.000 | 0.000 | 41790574.824 |
| 174786630.503 | 174786678.645 | 174786678.645 | -0.000 | -0.000 | 0.000 |
| 174786678.645 | 174786630.503 | 174786678.645 | -0.000 | -0.000 | -0.000 |
| 174786678.645 | 174786678.645 | 174786630.503 | -0.000 | -0.000 | -0.000 |
| 4344201.183 | 41491402.889 | 41491402.053 | 41790574.824 | -0.000 | 0.000 |
| 41491402.889 | 4344201.183 | 41491402.053 | -0.000 | 41790574.824 | 0.000 |
| 41491402.889 | 41491402.053 | 4344201.183 | -0.000 | -0.000 | 41790574.824 |
| 131.448 | 162.239 | 162.239 | 0.000 | 0.000 | 0.000 |
| 162.239 | 131.448 | 162.239 | 0.000 | 0.000 | 0.000 |
| 162.239 | 162.239 | 131.448 | 0.000 | 0.000 | 0.000 |
| -434418.761 | -4149130.405 | -4149129.569 | 4179024.539 | 0.000 | -0.000 |
| -4149130.405 | -434418.761 | -4149129.569 | 0.000 | 4179024.539 | 0.000 |
| -4149130.405 | -4149129.569 | -434418.761 | 0.000 | 0.000 | 4179024.539 |
| 17478734.245 | 17478782.387 | 17478782.387 | -0.000 | -0.000 | 0.000 |
| 17478782.387 | 17478734.245 | 17478782.387 | -0.000 | 0.000 | 0.000 |
| 17478782.387 | 17478782.387 | 17478734.245 | -0.000 | -0.000 | -0.000 |
| 434418.761 | 4149130.405 | 4149129.569 | 4179024.539 | -0.000 | 0.000 |
| 4149130.405 | 434418.761 | 4149129.569 | -0.000 | 4179024.539 | 0.000 |
| 4149130.405 | 4149129.569 | 434418.761 | -0.000 | -0.000 | 4179024.539 |
| 131.351 | 162.185 | 162.185 | 0.000 | 0.000 | 0.000 |
| 162.185 | 131.351 | 162.185 | 0.000 | 0.000 | 0.000 |
| 162.185 | 162.185 | 131.351 | 0.000 | -0.000 | -0.000 |
| -43440.521 | -414903.176 | -414902.340 | 417869.484 | 0.000 | -0.000 |
| -414903.176 | -43440.521 | -414902.340 | 0.000 | 417869.484 | -0.000 |
| -414903.176 | -414902.340 | -43440.521 | 0.000 | 0.000 | 417869.484 |
| 1747944.620 | 1747992.761 | 1747992.761 | -0.000 | -0.000 | -0.000 |
| 1747992.761 | 1747944.620 | 1747992.761 | -0.000 | -0.000 | -0.000 |
| 1747992.761 | 1747992.761 | 1747944.620 | -0.000 | -0.000 | -0.000 |
| 43440.521 | 414903.176 | 414902.340 | 417869.484 | -0.000 | -0.000 |
| 414903.176 | 43440.521 | 414902.340 | -0.000 | 417869.484 | 0.000 |
| 414903.176 | 414902.340 | 43440.521 | -0.000 | -0.000 | 417869.484 |
| 78.770 | 126.542 | 126.542 | 0.000 | -0.000 | 0.000 |
| 126.542 | 78.770 | 126.542 | 0.000 | 0.000 | 0.000 |
| 126.542 | 126.542 | 78.770 | 0.000 | 0.000 | 0.000 |
| 0.000 | -0.000 | -0.000 | -21.470 | -0.000 | -0.000 |
| 0.000 | -0.000 | 0.000 | 0.000 | -21.470 | 0.000 |
| 0.000 | -0.000 | 0.000 | 0.000 | 0.000 | -21.470 |
| 78.770 | 126.542 | 126.542 | -0.000 | -0.000 | 0.000 |
| 126.542 | 78.770 | 126.542 | -0.000 | -0.000 | -0.000 |
| 126.542 | 126.542 | 78.770 | -0.000 | 0.000 | -0.000 |
| -0.000 | 0.000 | -0.000 | -21.470 | 0.000 | 0.000 |
| -0.000 | 0.000 | -0.000 | -0.000 | -21.470 | 0.000 |
| -0.000 | 0.000 | -0.000 | -0.000 | -0.000 | -21.470 |
| 78.770 | 126.542 | 126.542 | 0.000 | -0.000 | -0.000 |
| 126.542 | 78.770 | 126.542 | -0.000 | 0.000 | -0.000 |
| 126.542 | 126.542 | 78.770 | -0.000 | 0.000 | -0.000 |
| 0.000 | 0.000 | 0.000 | -21.470 | 0.000 | 0.000 |
| 0.000 | 0.000 | 0.000 | 0.000 | -21.470 | 0.000 |
| 0.000 | 0.000 | 0.000 | 0.000 | 0.000 | -21.470 |
| 78.770 | 126.542 | 126.542 | -0.000 | 0.000 | 0.000 |
| 126.542 | 78.770 | 126.542 | -0.000 | -0.000 | 0.000 |
| 126.542 | 126.542 | 78.770 | -0.000 | -0.000 | -0.000 |
| -0.000 | -0.000 | -0.000 | -21.470 | -0.000 | -0.000 |
| -0.000 | -0.000 | -0.000 | -0.000 | -21.470 | 0.000 |
| -0.000 | -0.000 | -0.000 | -0.000 | -0.000 | -21.470 |
| 78.771 | 126.542 | 126.542 | 0.000 | 0.000 | 0.000 |
| 126.542 | 78.771 | 126.542 | 0.000 | 0.000 | -0.000 |
| 126.542 | 126.542 | 78.771 | 0.000 | 0.000 | 0.000 |
| 0.001 | 0.000 | 0.000 | -21.470 | 0.000 | -0.000 |
| 0.000 | 0.001 | 0.000 | 0.000 | -21.470 | 0.000 |
| 0.000 | 0.000 | 0.001 | 0.000 | 0.000 | -21.470 |
| 78.770 | 126.541 | 126.541 | -0.000 | -0.000 | -0.000 |
| 126.541 | 78.770 | 126.541 | -0.000 | -0.000 | -0.000 |
| 126.541 | 126.541 | 78.770 | 0.000 | 0.000 | -0.000 |
| -0.001 | -0.000 | -0.000 | -21.470 | -0.000 | -0.000 |
| -0.000 | -0.001 | -0.000 | -0.000 | -21.470 | 0.000 |
| -0.000 | -0.000 | -0.001 | 0.000 | -0.000 | -21.470 |
| 25.631 | -2.534 | -2.534 | 0.000 | -0.000 | -0.000 |
| -2.534 | 25.631 | -2.534 | 0.000 | 0.000 | -0.000 |
| -2.534 | -2.534 | 25.631 | 0.000 | 0.000 | -0.000 |
| 0.000 | -0.000 | 0.000 | 2.563 | 0.000 | 0.000 |
| -0.000 | 0.000 | 0.000 | 0.000 | 2.563 | -0.000 |
| -0.000 | 0.000 | 0.000 | 0.000 | 0.000 | 2.563 |
| 25.632 | -2.534 | -2.534 | -0.000 | 0.000 | 0.000 |
| -2.534 | 25.632 | -2.534 | -0.000 | -0.000 | 0.000 |
| -2.534 | -2.534 | 25.632 | -0.000 | 0.000 | 0.000 |
| -0.000 | -0.000 | 0.000 | 2.563 | -0.000 | 0.000 |
| -0.000 | -0.000 | 0.000 | -0.000 | 2.563 | 0.000 |
| -0.000 | -0.000 | -0.000 | -0.000 | -0.000 | 2.563 |
| 25.631 | -2.534 | -2.534 | 0.000 | -0.000 | -0.000 |
| -2.534 | 25.631 | -2.534 | 0.000 | -0.000 | -0.000 |
| -2.534 | -2.534 | 25.631 | 0.000 | -0.000 | -0.000 |
| -0.000 | -0.000 | -0.000 | 2.563 | 0.000 | -0.000 |
| -0.000 | -0.000 | -0.000 | 0.000 | 2.563 | -0.000 |
| -0.000 | -0.000 | -0.000 | 0.000 | 0.000 | 2.563 |
| 25.632 | -2.534 | -2.534 | -0.000 | 0.000 | 0.000 |
| -2.534 | 25.632 | -2.534 | -0.000 | -0.000 | 0.000 |
| -2.534 | -2.534 | 25.632 | -0.000 | 0.000 | 0.000 |
| 0.000 | 0.000 | 0.000 | 2.563 | -0.000 | 0.000 |
| 0.000 | 0.000 | 0.000 | -0.000 | 2.563 | 0.000 |
| 0.000 | 0.000 | 0.000 | -0.000 | -0.000 | 2.563 |
| 25.631 | -2.534 | -2.534 | 0.000 | 0.000 | -0.000 |
| -2.534 | 25.631 | -2.534 | 0.000 | 0.000 | -0.000 |
| -2.534 | -2.534 | 25.631 | 0.000 | -0.000 | -0.000 |
| -0.000 | -0.000 | -0.000 | 2.563 | 0.000 | -0.000 |
| -0.000 | -0.000 | -0.000 | 0.000 | 2.563 | -0.000 |
| -0.000 | -0.000 | -0.000 | 0.000 | 0.000 | 2.563 |
| 25.632 | -2.534 | -2.534 | -0.000 | -0.000 | 0.000 |
| -2.534 | 25.632 | -2.534 | -0.000 | -0.000 | 0.000 |
| -2.534 | -2.534 | 25.632 | -0.000 | -0.000 | 0.000 |
| 0.000 | 0.000 | 0.000 | 2.563 | -0.000 | 0.000 |
| 0.000 | 0.000 | 0.000 | -0.000 | 2.563 | 0.000 |
| 0.000 | 0.000 | 0.000 | -0.000 | -0.000 | 2.563 |
| -0.014 | -0.014 | -0.014 | 0.000 | -0.000 | -0.000 |
| -0.014 | -0.014 | -0.014 | -0.000 | 0.000 | -0.000 |
| -0.014 | -0.014 | -0.014 | -0.000 | -0.000 | -0.000 |
| 0.000 | 0.000 | 0.000 | -0.014 | 0.000 | -0.000 |
| 0.000 | 0.000 | 0.000 | 0.000 | -0.014 | -0.000 |
| 0.000 | 0.000 | 0.000 | 0.000 | -0.000 | -0.014 |
| -0.014 | -0.014 | -0.014 | -0.000 | -0.000 | -0.000 |
| -0.014 | -0.014 | -0.014 | -0.000 | -0.000 | -0.000 |
| -0.014 | -0.014 | -0.014 | -0.000 | -0.000 | 0.000 |
| -0.000 | -0.000 | -0.000 | -0.014 | -0.000 | 0.000 |
| -0.000 | -0.000 | -0.000 | -0.000 | -0.014 | 0.000 |
| -0.000 | -0.000 | -0.000 | -0.000 | 0.000 | -0.014 |
| -0.014 | -0.014 | -0.014 | 0.000 | 0.000 | -0.000 |
| -0.014 | -0.014 | -0.014 | 0.000 | 0.000 | -0.000 |
| -0.014 | -0.014 | -0.014 | 0.000 | 0.000 | -0.000 |
| 0.000 | 0.000 | 0.000 | -0.014 | 0.000 | -0.000 |
| 0.000 | 0.000 | 0.000 | 0.000 | -0.014 | -0.000 |
| 0.000 | 0.000 | 0.000 | 0.000 | 0.000 | -0.014 |
| -0.014 | -0.014 | -0.014 | 0.000 | -0.000 | -0.000 |
| -0.014 | -0.014 | -0.014 | -0.000 | 0.000 | -0.000 |
| -0.014 | -0.014 | -0.014 | 0.000 | 0.000 | 0.000 |
| -0.000 | -0.000 | -0.000 | -0.014 | -0.000 | 0.000 |
| -0.000 | -0.000 | -0.000 | -0.000 | -0.014 | 0.000 |
| -0.000 | -0.000 | -0.000 | -0.000 | 0.000 | -0.014 |
| 0.282 | 0.323 | 0.323 | -0.000 | 0.000 | 0.000 |
| 0.323 | 0.282 | 0.323 | -0.000 | 0.000 | 0.000 |
| 0.323 | 0.323 | 0.282 | -0.000 | -0.000 | 0.000 |
| -0.000 | -0.000 | -0.000 | 0.262 | 0.000 | 0.000 |
| -0.000 | -0.000 | -0.000 | 0.000 | 0.262 | -0.000 |
| -0.000 | -0.000 | -0.000 | 0.000 | 0.000 | 0.262 |
| 0.282 | 0.323 | 0.323 | -0.000 | -0.000 | 0.000 |
| 0.323 | 0.282 | 0.323 | 0.000 | -0.000 | -0.000 |
| 0.323 | 0.323 | 0.282 | -0.000 | -0.000 | 0.000 |
| 0.000 | 0.000 | 0.000 | 0.262 | -0.000 | 0.000 |
| 0.000 | 0.000 | 0.000 | -0.000 | 0.262 | -0.000 |
| 0.000 | 0.000 | 0.000 | -0.000 | -0.000 | 0.262 |
| 0.282 | 0.323 | 0.323 | 0.000 | 0.000 | -0.000 |
| 0.323 | 0.282 | 0.323 | -0.000 | -0.000 | -0.000 |
| 0.323 | 0.323 | 0.282 | 0.000 | 0.000 | 0.000 |
| -0.000 | -0.000 | -0.000 | 0.234 | 0.000 | 0.000 |
| -0.000 | -0.000 | -0.000 | 0.000 | 0.153 | -0.000 |
| -0.000 | -0.000 | -0.000 | 0.000 | 0.000 | 0.153 |
| 0.282 | 0.323 | 0.323 | -0.000 | -0.000 | 0.000 |
| 0.323 | 0.282 | 0.323 | -0.000 | -0.000 | 0.000 |
| 0.323 | 0.323 | 0.282 | -0.000 | -0.000 | 0.000 |
| 0.000 | 0.000 | 0.000 | 0.153 | -0.000 | 0.000 |
| 0.000 | 0.000 | 0.000 | -0.000 | 0.153 | 0.000 |
| 0.000 | 0.000 | 0.000 | -0.000 | -0.000 | 0.153 |
| 0.281 | 0.322 | 0.322 | 0.000 | 0.000 | -0.000 |
| 0.322 | 0.281 | 0.322 | 0.000 | 0.000 | 0.000 |
| 0.322 | 0.322 | 0.281 | -0.000 | -0.000 | 0.000 |
| -0.000 | -0.000 | -0.000 | -0.018 | 0.000 | -0.000 |
| -0.000 | -0.000 | -0.000 | 0.000 | -0.018 | 0.000 |
| -0.000 | -0.000 | -0.000 | 0.000 | 0.000 | -0.018 |
| 0.282 | 0.323 | 0.323 | 0.000 | 0.000 | 0.000 |
| 0.323 | 0.282 | 0.323 | -0.000 | -0.000 | 0.000 |
| 0.323 | 0.323 | 0.282 | -0.000 | -0.000 | 0.000 |
| 0.000 | 0.000 | 0.000 | -0.018 | -0.000 | -0.000 |
| 0.000 | 0.000 | 0.000 | -0.000 | -0.004 | 0.000 |
| 0.000 | 0.000 | 0.000 | -0.000 | -0.000 | -0.018 |
| 386.807 | 176.823 | 101.313 | -0.000 | -0.000 | 0.000 |
| 177.674 | 395.554 | 106.204 | -0.000 | -0.000 | 0.000 |
| 96.980 | 101.020 | 582.072 | -0.000 | -0.000 | 0.000 |
| -0.000 | -0.000 | -0.000 | 48.701 | -0.000 | 0.000 |
| -0.000 | -0.000 | 0.000 | -0.000 | 43.157 | 0.000 |
| -0.000 | -0.000 | -0.000 | -0.000 | 0.000 | 128.833 |
| 386.807 | 176.823 | 101.313 | 0.000 | -0.000 | -0.000 |
| 177.674 | 395.555 | 106.205 | 0.000 | 0.000 | -0.000 |
| 96.980 | 101.020 | 582.072 | 0.000 | -0.000 | -0.000 |
| 0.000 | 0.000 | 0.000 | 48.701 | 0.000 | -0.000 |
| 0.000 | 0.000 | -0.000 | 0.000 | 43.157 | -0.000 |
| 0.000 | 0.000 | -0.000 | 0.000 | -0.000 | 128.833 |
| 386.807 | 176.823 | 101.313 | -0.000 | -0.000 | 0.000 |
| 177.674 | 395.554 | 106.204 | -0.000 | 0.000 | 0.000 |
| 96.980 | 101.020 | 582.072 | -0.000 | -0.000 | 0.000 |
| 0.000 | -0.001 | -0.000 | 48.701 | -0.000 | 0.000 |
| 0.000 | 0.000 | -0.000 | -0.000 | 43.157 | 0.000 |
| 0.000 | 0.000 | 0.000 | -0.000 | -0.000 | 128.833 |
| 386.807 | 176.822 | 101.313 | 0.000 | -0.000 | -0.000 |
| 177.674 | 395.555 | 106.205 | 0.000 | -0.000 | -0.000 |
| 96.980 | 101.020 | 582.072 | 0.000 | -0.000 | -0.000 |
| -0.000 | 0.001 | 0.000 | 48.701 | 0.000 | -0.000 |
| -0.000 | -0.000 | 0.000 | 0.000 | 43.157 | -0.000 |
| -0.000 | -0.000 | -0.000 | 0.000 | -0.000 | 128.833 |
| 386.809 | 176.823 | 101.313 | -0.000 | -0.000 | 0.000 |
| 177.675 | 395.546 | 106.200 | 0.000 | -0.000 | 0.000 |
| 96.980 | 101.018 | 582.073 | -0.000 | -0.000 | 0.000 |
| 0.000 | -0.005 | -0.002 | 48.701 | -0.000 | 0.000 |
| 0.000 | 0.000 | -0.000 | -0.000 | 43.157 | 0.000 |
| 0.000 | 0.000 | 0.000 | -0.000 | -0.000 | 128.833 |
| 386.805 | 176.822 | 101.312 | 0.000 | -0.000 | -0.000 |
| 177.673 | 395.564 | 106.209 | 0.000 | 0.000 | -0.000 |
| 96.979 | 101.022 | 582.070 | 0.000 | -0.000 | -0.000 |
| -0.000 | 0.005 | 0.002 | 48.701 | 0.000 | -0.000 |
| -0.000 | -0.000 | 0.000 | 0.000 | 43.157 | -0.000 |
| -0.000 | -0.000 | -0.000 | 0.000 | 0.000 | 128.833 |
| 370.288 | 171.077 | 93.227 | -0.000 | 0.000 | -0.000 |
| 171.086 | 377.720 | 94.550 | -0.000 | 0.000 | 0.000 |
| 93.264 | 94.579 | 502.589 | -0.000 | 0.000 | -0.000 |
| -0.473 | 0.624 | 0.078 | 52.581 | 0.000 | 0.000 |
| -0.000 | -0.000 | -0.000 | -0.000 | 50.332 | -0.000 |
| -0.473 | 0.624 | 0.078 | 0.000 | 0.000 | 127.610 |
| 370.288 | 171.077 | 93.227 | 0.000 | -0.000 | -0.000 |
| 174.593 | 373.092 | 93.969 | -0.000 | -0.000 | -0.000 |
| 93.264 | 94.579 | 502.589 | 0.000 | -0.000 | 0.000 |
| 0.473 | -0.624 | -0.078 | 52.581 | -0.000 | 0.000 |
| -0.000 | 0.000 | 0.000 | 0.000 | 50.331 | -0.000 |
| 0.473 | -0.624 | -0.078 | 0.000 | -0.000 | 127.610 |
| 370.288 | 171.077 | 93.227 | -0.000 | 0.000 | -0.000 |
| 171.086 | 377.720 | 94.550 | 0.000 | 0.000 | -0.000 |
| 92.217 | 95.961 | 502.763 | -0.000 | 0.000 | -0.000 |
| -0.047 | 0.062 | 0.008 | 52.581 | 0.000 | -0.000 |
| -0.047 | 0.062 | 0.008 | -0.000 | 50.331 | 0.000 |
| -0.059 | 0.078 | 0.010 | -0.000 | 0.000 | 127.610 |
| 370.801 | 170.400 | 93.142 | 0.000 | -0.000 | 0.000 |
| 174.049 | 373.809 | 94.060 | 0.000 | -0.000 | 0.000 |
| 93.264 | 94.579 | 502.588 | 0.000 | -0.000 | 0.000 |
| 0.047 | -0.062 | -0.008 | 52.581 | -0.000 | -0.000 |
| 0.047 | -0.062 | -0.008 | 0.000 | 50.331 | -0.000 |
| 0.059 | -0.078 | -0.010 | 0.000 | -0.000 | 127.610 |
| 370.289 | 171.076 | 93.227 | -0.000 | 0.000 | 0.000 |
| 171.084 | 377.718 | 94.549 | -0.000 | 0.000 | -0.000 |
| 92.026 | 96.218 | 502.796 | -0.000 | 0.000 | 0.000 |
| -0.008 | 0.008 | 0.001 | 52.581 | 0.000 | -0.000 |
| -0.007 | 0.008 | 0.001 | -0.000 | 50.331 | -0.000 |
| -0.002 | -0.002 | -0.001 | -0.000 | 0.000 | 127.610 |
| 370.753 | 170.460 | 93.150 | 0.000 | -0.000 | 0.000 |
| 174.032 | 373.818 | 94.070 | 0.000 | -0.000 | -0.000 |
| 93.264 | 94.579 | 502.585 | 0.000 | -0.000 | 0.000 |
| 0.008 | -0.008 | -0.001 | 52.581 | -0.000 | -0.000 |
| 0.007 | -0.008 | -0.001 | 0.000 | 50.331 | 0.000 |
| 0.002 | 0.002 | 0.001 | 0.000 | -0.000 | 127.610 |
| -1097.448 | -1923.592 | 1659.767 | 0.001 | -0.052 | 0.000 |
| 165.565 | 359.097 | 94.853 | 0.000 | -0.000 | 0.000 |
| -371.313 | -669.299 | 725.284 | 0.000 | -0.028 | 0.000 |
| -466.085 | -764.518 | 221.954 | 49.898 | -0.028 | 0.000 |
| -2807.814 | -2745.801 | 2380.301 | 0.000 | 36.839 | 0.000 |
| 0.000 | 0.000 | 0.000 | -0.000 | -0.000 | 125.797 |
| 3056.643 | 2935.248 | -2266.982 | -0.000 | 0.030 | -0.000 |
| 1563.101 | 2397.117 | -1446.929 | -0.001 | 0.053 | -0.000 |
| 2915.490 | 2851.637 | -1886.627 | -0.000 | 0.030 | -0.000 |
| 466.085 | 764.518 | -221.954 | 49.898 | 0.028 | -0.000 |
| 2807.814 | 2745.801 | -2380.301 | -0.000 | 36.899 | -0.000 |
| -0.000 | -0.000 | -0.000 | 0.000 | 0.000 | 125.797 |
| 291.275 | 89.641 | 119.431 | 0.000 | -0.003 | 0.000 |
| 165.565 | 359.097 | 94.853 | 0.000 | -0.000 | 0.000 |
| 91.684 | 92.030 | 506.268 | -0.000 | -0.000 | 0.000 |
| -46.614 | -76.460 | 22.198 | 49.898 | -0.003 | 0.000 |
| -46.614 | -76.460 | 22.198 | 0.000 | 49.088 | 0.000 |
| -46.634 | -76.493 | 22.207 | 0.000 | -0.003 | 117.583 |
| 527.887 | 463.241 | -123.598 | -0.000 | 0.003 | -0.000 |
| 165.565 | 359.097 | 94.853 | 0.000 | -0.000 | -0.000 |
| 91.684 | 92.030 | 506.268 | 0.000 | -0.000 | -0.000 |
| 46.614 | 76.460 | -22.198 | 49.898 | 0.003 | -0.000 |
| 46.614 | 76.460 | -22.198 | -0.000 | 49.094 | -0.000 |
| 46.634 | 76.493 | -22.207 | -0.000 | 0.003 | 117.583 |
| 351.224 | 165.360 | 94.302 | -0.000 | -0.000 | 0.000 |
| 161.507 | 336.065 | 100.418 | 0.000 | -0.000 | 0.000 |
| 89.931 | 87.345 | 505.690 | 0.000 | -0.000 | 0.000 |
| -4.712 | -7.728 | 2.244 | 49.879 | -0.000 | 0.000 |
| -4.713 | -7.732 | 2.245 | 0.000 | 49.073 | 0.000 |
| 0.000 | 0.000 | 0.000 | -0.000 | -0.000 | 125.797 |
| 351.221 | 165.359 | 94.301 | -0.000 | 0.000 | -0.000 |
| 207.628 | 290.469 | 91.887 | -0.000 | 0.000 | -0.000 |
| 91.684 | 92.029 | 506.265 | 0.000 | 0.000 | -0.000 |
| 4.712 | 7.728 | -2.244 | 49.879 | 0.000 | -0.000 |
| 4.713 | 7.732 | -2.245 | -0.000 | 49.074 | -0.000 |
| -0.000 | -0.000 | -0.000 | -0.000 | 0.000 | 125.797 |
| 82.020 | 176.009 | 176.008 | 0.000 | 0.000 | 0.000 |
| 176.009 | 82.020 | 176.009 | 0.000 | -0.000 | 0.000 |
| 176.009 | 176.009 | 82.020 | -0.000 | -0.000 | 0.000 |
| 0.000 | -0.000 | -0.000 | 74.010 | -0.000 | 0.000 |
| -0.000 | 0.000 | -0.000 | -0.000 | 74.010 | 0.000 |
| -0.000 | 0.000 | -0.000 | -0.000 | -0.000 | 74.010 |
| 82.020 | 176.009 | 176.009 | -0.000 | 0.000 | 0.000 |
| 176.009 | 82.020 | 176.009 | -0.000 | -0.000 | 0.000 |
| 176.009 | 176.009 | 82.020 | -0.000 | 0.000 | 0.000 |
| -0.000 | -0.000 | 0.000 | 74.010 | 0.000 | -0.000 |
| 0.000 | -0.000 | 0.000 | 0.000 | 74.010 | 0.000 |
| 0.000 | 0.000 | 0.000 | 0.000 | 0.000 | 74.010 |
| 82.020 | 176.008 | 176.008 | 0.000 | -0.000 | 0.000 |
| 176.008 | 82.020 | 176.008 | -0.000 | -0.000 | -0.000 |
| 176.008 | 176.008 | 82.020 | -0.000 | -0.000 | 0.000 |
| -0.000 | -0.000 | -0.000 | 74.010 | -0.000 | 0.000 |
| -0.000 | -0.000 | -0.000 | -0.000 | 74.010 | 0.000 |
| -0.000 | -0.000 | -0.000 | 0.000 | -0.000 | 74.010 |
| 82.021 | 176.009 | 176.009 | -0.000 | 0.000 | 0.000 |
| 176.009 | 82.021 | 176.009 | -0.000 | -0.000 | -0.000 |
| 176.009 | 176.009 | 82.021 | 0.000 | 0.000 | -0.000 |
| 0.000 | 0.000 | 0.000 | 74.010 | 0.000 | 0.000 |
| 0.000 | 0.000 | 0.000 | 0.000 | 74.010 | -0.000 |
| 0.000 | 0.000 | 0.000 | -0.000 | 0.000 | 74.010 |
| 82.019 | 176.008 | 176.008 | -0.000 | -0.000 | -0.000 |
| 176.008 | 82.019 | 176.008 | -0.000 | 0.000 | 0.000 |
| 176.008 | 176.008 | 82.019 | -0.000 | -0.000 | 0.000 |
| -0.000 | -0.001 | -0.000 | 74.010 | -0.000 | -0.000 |
| -0.001 | -0.000 | -0.000 | -0.000 | 74.010 | 0.000 |
| -0.001 | -0.000 | -0.000 | -0.000 | -0.000 | 74.010 |
| 82.022 | 176.009 | 176.009 | -0.000 | 0.000 | -0.000 |
| 176.009 | 82.022 | 176.009 | 0.000 | -0.000 | -0.000 |
| 176.009 | 176.009 | 82.022 | 0.000 | 0.000 | -0.000 |
| 0.000 | 0.001 | 0.000 | 74.010 | 0.000 | -0.000 |
| 0.001 | 0.000 | 0.000 | 0.000 | 74.010 | 0.000 |
| 0.001 | 0.000 | 0.000 | 0.000 | 0.000 | 74.010 |
| 128.880 | 101.181 | 101.181 | 0.000 | 0.000 | -0.000 |
| 101.181 | 128.880 | 101.181 | 0.000 | 0.000 | -0.000 |
| 101.181 | 101.181 | 128.880 | 0.000 | 0.000 | -0.000 |
| -0.000 | -0.000 | -0.000 | 101.285 | 0.000 | -0.000 |
| -0.000 | -0.000 | -0.000 | 0.000 | 101.285 | -0.000 |
| -0.000 | -0.000 | -0.000 | 0.000 | 0.000 | 101.285 |
| 128.880 | 101.181 | 101.181 | -0.000 | -0.000 | 0.000 |
| 101.181 | 128.880 | 101.181 | -0.000 | -0.000 | 0.000 |
| 101.181 | 101.181 | 128.880 | -0.000 | -0.000 | 0.000 |
| 0.000 | 0.000 | 0.000 | 101.285 | -0.000 | 0.000 |
| 0.000 | 0.000 | 0.000 | -0.000 | 101.285 | 0.000 |
| 0.000 | 0.000 | 0.000 | -0.000 | -0.000 | 101.285 |
| 128.880 | 101.181 | 101.181 | 0.000 | 0.000 | -0.000 |
| 101.181 | 128.880 | 101.181 | 0.000 | 0.000 | -0.000 |
| 101.181 | 101.181 | 128.880 | 0.000 | 0.000 | -0.000 |
| 0.000 | -0.000 | -0.000 | 54.428 | 0.000 | -0.000 |
| -0.000 | 0.000 | -0.000 | 0.000 | 54.428 | -0.000 |
| -0.000 | -0.000 | 0.000 | 0.000 | 0.000 | 54.428 |
| 128.879 | 101.181 | 101.181 | -0.000 | -0.000 | 0.000 |
| 101.181 | 128.879 | 101.181 | -0.000 | -0.000 | 0.000 |
| 101.181 | 101.181 | 128.879 | -0.000 | -0.000 | 0.000 |
| -0.000 | 0.000 | 0.000 | 54.428 | -0.000 | 0.000 |
| 0.000 | -0.000 | 0.000 | -0.000 | 54.428 | 0.000 |
| 0.000 | 0.000 | -0.000 | -0.000 | -0.000 | 54.428 |
| 128.887 | 101.181 | 101.181 | 0.000 | 0.000 | -0.000 |
| 101.181 | 128.887 | 101.181 | 0.000 | 0.000 | -0.000 |
| 101.181 | 101.181 | 128.887 | 0.000 | 0.000 | -0.000 |
| 0.002 | -0.000 | -0.000 | 54.428 | 0.000 | -0.000 |
| -0.000 | 0.002 | -0.000 | 0.000 | 54.428 | -0.000 |
| -0.000 | -0.000 | 0.002 | 0.000 | 0.000 | 54.428 |
| 128.873 | 101.181 | 101.181 | -0.000 | -0.000 | 0.000 |
| 101.181 | 128.873 | 101.181 | -0.000 | -0.000 | 0.000 |
| 101.181 | 101.181 | 128.873 | -0.000 | -0.000 | 0.000 |
| -0.002 | 0.000 | 0.000 | 54.428 | -0.000 | 0.000 |
| 0.000 | -0.002 | 0.000 | -0.000 | 54.428 | 0.000 |
| 0.000 | 0.000 | -0.002 | -0.000 | -0.000 | 54.428 |
| 1.905 | 1.905 | 1.905 | -0.000 | -0.000 | 0.000 |
| 1.905 | 1.905 | 1.905 | -0.000 | -0.000 | 0.000 |
| 1.905 | 1.905 | 1.905 | 0.000 | 0.000 | -0.000 |
| 0.000 | 0.000 | 0.000 | 1.851 | 0.000 | -0.000 |
| 0.000 | 0.000 | 0.000 | 0.000 | 1.851 | -0.000 |
| 0.000 | 0.000 | 0.000 | 0.000 | -0.000 | 1.851 |
| 1.905 | 1.905 | 1.905 | 0.000 | 0.000 | 0.000 |
| 1.905 | 1.905 | 1.905 | 0.000 | 0.000 | 0.000 |
| 1.905 | 1.905 | 1.905 | 0.000 | 0.000 | 0.000 |
| -0.000 | -0.000 | -0.000 | 1.851 | -0.000 | 0.000 |
| -0.000 | -0.000 | -0.000 | -0.000 | 1.851 | 0.000 |
| -0.000 | -0.000 | -0.000 | -0.000 | 0.000 | 1.851 |
| 1.905 | 1.905 | 1.905 | 0.000 | 0.000 | -0.000 |
| 1.905 | 1.905 | 1.905 | 0.000 | 0.000 | -0.000 |
| 1.905 | 1.905 | 1.905 | 0.000 | 0.000 | 0.000 |
| 0.000 | 0.000 | 0.000 | 1.905 | -0.000 | -0.000 |
| 0.000 | 0.000 | 0.000 | -0.000 | 1.905 | -0.000 |
| 0.000 | 0.000 | 0.000 | -0.000 | -0.000 | 1.905 |
| 1.905 | 1.905 | 1.905 | -0.000 | -0.000 | -0.000 |
| 1.905 | 1.905 | 1.905 | -0.000 | -0.000 | -0.000 |
| 1.905 | 1.905 | 1.905 | -0.000 | -0.000 | 0.000 |
| -0.000 | -0.000 | -0.000 | 1.905 | 0.000 | 0.000 |
| -0.000 | -0.000 | -0.000 | 0.000 | 1.905 | 0.000 |
| -0.000 | -0.000 | -0.000 | 0.000 | 0.000 | 1.905 |
| 1.905 | 1.905 | 1.905 | -0.000 | -0.000 | -0.000 |
| 1.905 | 1.905 | 1.905 | -0.000 | -0.000 | -0.000 |
| 1.905 | 1.905 | 1.905 | -0.000 | -0.000 | -0.000 |
| 0.000 | 0.000 | 0.000 | 1.770 | 0.000 | 0.000 |
| 0.000 | 0.000 | 0.000 | 0.000 | 1.770 | 0.000 |
| 0.000 | 0.000 | 0.000 | 0.000 | -0.000 | 1.770 |
| 1.905 | 1.905 | 1.905 | -0.000 | -0.000 | -0.000 |
| 1.905 | 1.905 | 1.905 | -0.000 | -0.000 | -0.000 |
| 1.905 | 1.905 | 1.905 | -0.000 | -0.000 | 0.000 |
| -0.000 | -0.000 | -0.000 | 1.770 | -0.000 | -0.000 |
| -0.000 | -0.000 | -0.000 | -0.000 | 1.770 | -0.000 |
| -0.000 | -0.000 | -0.000 | -0.000 | 0.000 | 1.770 |
| 73.318 | 152.036 | 152.035 | 0.000 | 0.000 | -0.000 |
| 152.036 | 73.318 | 152.035 | 0.000 | 0.000 | -0.000 |
| 152.036 | 152.036 | 73.318 | 0.000 | 0.000 | 0.000 |
| 0.000 | 0.000 | 0.000 | 99.726 | 0.000 | -0.000 |
| 0.000 | 0.000 | 0.000 | 0.000 | 99.726 | -0.000 |
| 0.000 | 0.000 | 0.000 | 0.000 | 0.000 | 99.726 |
| 73.318 | 152.035 | 152.035 | -0.000 | -0.000 | 0.000 |
| 152.035 | 73.318 | 152.035 | -0.000 | -0.000 | -0.000 |
| 152.035 | 152.035 | 73.318 | -0.000 | -0.000 | 0.000 |
| -0.000 | -0.000 | -0.000 | 99.726 | -0.000 | -0.000 |
| -0.000 | -0.000 | -0.000 | -0.000 | 99.726 | 0.000 |
| -0.000 | -0.000 | -0.000 | -0.000 | -0.000 | 99.726 |
| 73.318 | 152.036 | 152.036 | 0.000 | 0.000 | -0.000 |
| 152.036 | 73.318 | 152.036 | 0.000 | 0.000 | -0.000 |
| 152.036 | 152.036 | 73.318 | -0.000 | 0.000 | 0.000 |
| 0.000 | 0.000 | 0.000 | 103.338 | 0.000 | 0.000 |
| 0.000 | 0.000 | 0.000 | 0.000 | 103.338 | -0.000 |
| 0.000 | 0.000 | 0.000 | 0.000 | 0.000 | 103.338 |
| 73.318 | 152.035 | 152.035 | -0.000 | -0.000 | -0.000 |
| 152.035 | 73.318 | 152.035 | -0.000 | -0.000 | -0.000 |
| 152.035 | 152.035 | 73.318 | -0.000 | -0.000 | 0.000 |
| -0.000 | -0.000 | -0.000 | 103.338 | -0.000 | 0.000 |
| -0.000 | -0.000 | -0.000 | -0.000 | 103.338 | 0.000 |
| -0.000 | -0.000 | -0.000 | -0.000 | -0.000 | 103.338 |
| 73.319 | 152.036 | 152.036 | 0.000 | 0.000 | -0.000 |
| 152.036 | 73.319 | 152.036 | 0.000 | 0.000 | -0.000 |
| 152.036 | 152.036 | 73.319 | 0.000 | 0.000 | -0.000 |
| 0.001 | 0.001 | 0.001 | 99.726 | 0.000 | -0.000 |
| 0.001 | 0.001 | 0.001 | 0.000 | 99.726 | -0.000 |
| 0.001 | 0.001 | 0.001 | 0.000 | 0.000 | 99.726 |
| 73.317 | 152.035 | 152.035 | -0.000 | -0.000 | 0.000 |
| 152.035 | 73.317 | 152.035 | -0.000 | -0.000 | 0.000 |
| 152.035 | 152.035 | 73.317 | -0.000 | -0.000 | 0.000 |
| -0.001 | -0.001 | -0.001 | 99.726 | -0.000 | 0.000 |
| -0.001 | -0.001 | -0.001 | -0.000 | 99.726 | 0.000 |
| -0.001 | -0.001 | -0.001 | -0.000 | -0.000 | 99.726 |
| 24.859 | 23.455 | 23.455 | 0.000 | -0.000 | 0.000 |
| 23.455 | 24.859 | 23.455 | 0.000 | -0.000 | 0.000 |
| 23.455 | 23.455 | 24.859 | 0.000 | -0.000 | 0.000 |
| -0.000 | -0.000 | -0.000 | -5.378 | 0.000 | 0.000 |
| -0.000 | -0.000 | -0.000 | 0.000 | -5.378 | 0.000 |
| -0.000 | -0.000 | -0.000 | -0.000 | 0.000 | -5.378 |
| 24.859 | 23.455 | 23.455 | 0.000 | -0.000 | 0.000 |
| 23.455 | 24.859 | 23.455 | -0.000 | -0.000 | 0.000 |
| 23.455 | 23.455 | 24.859 | -0.000 | -0.000 | -0.000 |
| 0.000 | 0.000 | 0.000 | -5.378 | -0.000 | 0.000 |
| 0.000 | 0.000 | 0.000 | -0.000 | -5.378 | 0.000 |
| 0.000 | 0.000 | 0.000 | 0.000 | 0.000 | -5.378 |
| 24.859 | 23.455 | 23.455 | 0.000 | 0.000 | -0.000 |
| 23.455 | 24.859 | 23.455 | 0.000 | 0.000 | -0.000 |
| 23.455 | 23.455 | 24.859 | -0.000 | 0.000 | 0.000 |
| -0.000 | -0.000 | -0.000 | -5.378 | 0.000 | -0.000 |
| -0.000 | -0.000 | -0.000 | 0.000 | -5.378 | -0.000 |
| -0.000 | -0.000 | -0.000 | 0.000 | -0.000 | -5.378 |
| 24.859 | 23.455 | 23.455 | -0.000 | -0.000 | -0.000 |
| 23.455 | 24.859 | 23.455 | -0.000 | -0.000 | -0.000 |
| 23.455 | 23.455 | 24.859 | -0.000 | -0.000 | -0.000 |
| 0.000 | 0.000 | 0.000 | -5.378 | -0.000 | 0.000 |
| 0.000 | 0.000 | 0.000 | -0.000 | -5.378 | 0.000 |
| 0.000 | 0.000 | 0.000 | -0.000 | 0.000 | -5.378 |
| 24.859 | 23.455 | 23.455 | 0.000 | 0.000 | 0.000 |
| 23.455 | 24.859 | 23.455 | 0.000 | 0.000 | -0.000 |
| 23.455 | 23.455 | 24.859 | 0.000 | 0.000 | 0.000 |
| -0.000 | -0.000 | -0.000 | -5.378 | 0.000 | 0.000 |
| -0.000 | -0.000 | -0.000 | 0.000 | -5.378 | 0.000 |
| -0.000 | -0.000 | -0.000 | 0.000 | 0.000 | -5.378 |
| 24.859 | 23.454 | 23.454 | -0.000 | -0.000 | 0.000 |
| 23.454 | 24.859 | 23.454 | -0.000 | -0.000 | 0.000 |
| 23.454 | 23.454 | 24.859 | -0.000 | -0.000 | -0.000 |
| 0.000 | 0.000 | 0.000 | -5.378 | -0.000 | -0.000 |
| 0.000 | 0.000 | 0.000 | 0.000 | -5.378 | -0.000 |
| 0.000 | 0.000 | 0.000 | -0.000 | 0.000 | -5.378 |
| 0.162 | 0.162 | 0.162 | -0.000 | -0.000 | 0.000 |
| 0.162 | 0.162 | 0.162 | -0.000 | -0.000 | 0.000 |
| 0.162 | 0.162 | 0.162 | -0.000 | -0.000 | 0.000 |
| 0.000 | 0.000 | 0.000 | 0.162 | 0.000 | 0.000 |
| 0.000 | 0.000 | 0.000 | 0.000 | 0.162 | 0.000 |
| 0.000 | 0.000 | 0.000 | -0.000 | 0.000 | 0.162 |
| 0.162 | 0.162 | 0.162 | 0.000 | 0.000 | -0.000 |
| 0.162 | 0.162 | 0.162 | 0.000 | 0.000 | -0.000 |
| 0.162 | 0.162 | 0.162 | 0.000 | 0.000 | -0.000 |
| -0.000 | -0.000 | -0.000 | 0.162 | 0.000 | -0.000 |
| -0.000 | -0.000 | -0.000 | 0.000 | 0.162 | -0.000 |
| -0.000 | -0.000 | -0.000 | -0.000 | 0.000 | 0.162 |
| 0.162 | 0.162 | 0.162 | -0.000 | -0.000 | 0.000 |
| 0.162 | 0.162 | 0.162 | -0.000 | -0.000 | 0.000 |
| 0.162 | 0.162 | 0.162 | -0.000 | -0.000 | 0.000 |
| 0.000 | 0.000 | 0.000 | 0.157 | -0.000 | 0.000 |
| 0.000 | 0.000 | 0.000 | -0.000 | 0.157 | 0.000 |
| 0.000 | 0.000 | 0.000 | -0.000 | -0.000 | 0.157 |
| 0.162 | 0.162 | 0.162 | -0.000 | 0.000 | -0.000 |
| 0.162 | 0.162 | 0.162 | 0.000 | -0.000 | -0.000 |
| 0.162 | 0.162 | 0.162 | 0.000 | 0.000 | -0.000 |
| -0.000 | -0.000 | -0.000 | 0.157 | -0.000 | -0.000 |
| -0.000 | -0.000 | -0.000 | -0.000 | 0.157 | -0.000 |
| -0.000 | -0.000 | -0.000 | -0.000 | 0.000 | 0.157 |
| 0.162 | 0.162 | 0.162 | -0.000 | -0.000 | 0.000 |
| 0.162 | 0.162 | 0.162 | -0.000 | -0.000 | 0.000 |
| 0.162 | 0.162 | 0.162 | 0.000 | 0.000 | 0.000 |
| -0.000 | -0.000 | -0.000 | 0.002 | -0.000 | 0.000 |
| -0.000 | -0.000 | -0.000 | -0.000 | 0.002 | 0.000 |
| -0.000 | -0.000 | -0.000 | -0.000 | -0.000 | 0.002 |
| 0.162 | 0.162 | 0.162 | 0.000 | -0.000 | -0.000 |
| 0.162 | 0.162 | 0.162 | -0.000 | 0.000 | -0.000 |
| 0.162 | 0.162 | 0.162 | 0.000 | 0.000 | -0.000 |
| 0.000 | 0.000 | 0.000 | 0.002 | 0.000 | -0.000 |
| 0.000 | 0.000 | 0.000 | 0.000 | 0.002 | -0.000 |
| 0.000 | 0.000 | 0.000 | 0.000 | 0.000 | 0.002 |
| 6.154 | 7.155 | 7.155 | 0.000 | -0.000 | -0.000 |
| 7.155 | 6.154 | 7.155 | -0.000 | -0.000 | -0.000 |
| 7.155 | 7.155 | 6.154 | -0.000 | -0.000 | 0.000 |
| -0.000 | -0.000 | -0.000 | 0.190 | -0.000 | 0.000 |
| -0.000 | -0.000 | -0.000 | -0.000 | 0.190 | 0.000 |
| -0.000 | -0.000 | -0.000 | -0.000 | -0.000 | 0.190 |
| 6.154 | 7.155 | 7.155 | -0.000 | -0.000 | -0.000 |
| 7.155 | 6.154 | 7.155 | 0.000 | 0.000 | -0.000 |
| 7.155 | 7.155 | 6.154 | 0.000 | 0.000 | -0.000 |
| 0.000 | 0.000 | 0.000 | 0.190 | 0.000 | -0.000 |
| 0.000 | 0.000 | 0.000 | 0.000 | 0.190 | -0.000 |
| 0.000 | 0.000 | 0.000 | 0.000 | 0.000 | 0.190 |
| 6.152 | 7.154 | 7.154 | 0.000 | -0.000 | 0.000 |
| 7.154 | 6.152 | 7.154 | 0.000 | -0.000 | 0.000 |
| 7.154 | 7.154 | 6.152 | -0.000 | -0.000 | 0.000 |
| -0.000 | -0.000 | -0.000 | 0.190 | -0.000 | 0.000 |
| -0.000 | -0.000 | -0.000 | -0.000 | 0.190 | 0.000 |
| -0.000 | -0.000 | -0.000 | -0.000 | -0.000 | 0.190 |
| 6.155 | 7.157 | 7.157 | -0.000 | 0.000 | -0.000 |
| 7.157 | 6.155 | 7.157 | 0.000 | -0.000 | -0.000 |
| 7.157 | 7.157 | 6.155 | 0.000 | 0.000 | -0.000 |
| 0.000 | 0.000 | 0.000 | 0.190 | 0.000 | -0.000 |
| 0.000 | 0.000 | 0.000 | 0.000 | 0.190 | -0.000 |
| 0.000 | 0.000 | 0.000 | 0.000 | 0.000 | 0.190 |
| 6.138 | 7.140 | 7.140 | -0.000 | -0.000 | 0.000 |
| 7.140 | 6.138 | 7.140 | -0.000 | 0.000 | 0.000 |
| 7.140 | 7.140 | 6.138 | -0.000 | -0.000 | 0.000 |
| -0.003 | -0.003 | -0.003 | 0.190 | -0.000 | 0.000 |
| -0.003 | -0.003 | -0.003 | -0.000 | 0.190 | 0.000 |
| -0.003 | -0.003 | -0.003 | -0.000 | -0.000 | 0.190 |
| 6.169 | 7.171 | 7.171 | -0.000 | 0.000 | -0.000 |
| 7.171 | 6.169 | 7.171 | 0.000 | 0.000 | -0.000 |
| 7.171 | 7.171 | 6.169 | 0.000 | 0.000 | -0.000 |
| 0.003 | 0.003 | 0.003 | 0.190 | 0.000 | -0.000 |
| 0.003 | 0.003 | 0.003 | 0.000 | 0.190 | -0.000 |
| 0.003 | 0.003 | 0.003 | 0.000 | 0.000 | 0.190 |
| 57.913 | 155.854 | 155.854 | -0.000 | 0.000 | -0.000 |
| 155.854 | 57.913 | 155.854 | -0.000 | -0.000 | -0.000 |
| 155.854 | 155.854 | 57.913 | -0.000 | -0.000 | -0.000 |
| -0.000 | -0.000 | -0.000 | 74.052 | 0.000 | -0.000 |
| -0.000 | 0.000 | 0.000 | -0.000 | 74.052 | -0.000 |
| -0.000 | -0.000 | -0.000 | -0.000 | -0.000 | 74.052 |
| 57.913 | 155.854 | 155.854 | 0.000 | -0.000 | 0.000 |
| 155.854 | 57.913 | 155.854 | 0.000 | 0.000 | 0.000 |
| 155.854 | 155.854 | 57.913 | 0.000 | -0.000 | 0.000 |
| 0.000 | 0.000 | 0.000 | 74.052 | -0.000 | 0.000 |
| 0.000 | -0.000 | 0.000 | 0.000 | 74.052 | 0.000 |
| 0.000 | 0.000 | 0.000 | 0.000 | 0.000 | 74.052 |
| 57.913 | 155.854 | 155.854 | -0.000 | 0.000 | -0.000 |
| 155.854 | 57.913 | 155.854 | -0.000 | -0.000 | -0.000 |
| 155.854 | 155.854 | 57.913 | -0.000 | -0.000 | -0.000 |
| 0.000 | -0.000 | -0.000 | 73.171 | -0.000 | -0.000 |
| -0.000 | 0.000 | -0.000 | -0.000 | 73.171 | -0.000 |
| -0.000 | -0.000 | -0.000 | -0.000 | 0.000 | 73.171 |
| 57.914 | 155.854 | 155.854 | 0.000 | -0.000 | 0.000 |
| 155.854 | 57.914 | 155.854 | 0.000 | 0.000 | 0.000 |
| 155.854 | 155.854 | 57.914 | 0.000 | -0.000 | 0.000 |
| -0.000 | 0.000 | 0.000 | 73.171 | 0.000 | 0.000 |
| 0.000 | -0.000 | 0.000 | 0.000 | 73.171 | 0.000 |
| 0.000 | 0.000 | 0.000 | 0.000 | 0.000 | 73.171 |
| 57.913 | 155.854 | 155.854 | -0.000 | 0.000 | -0.000 |
| 155.854 | 57.913 | 155.854 | -0.000 | 0.000 | -0.000 |
| 155.854 | 155.854 | 57.913 | -0.000 | 0.000 | -0.000 |
| 0.000 | -0.000 | -0.000 | 74.052 | -0.000 | -0.000 |
| -0.000 | 0.000 | -0.000 | -0.000 | 74.052 | -0.000 |
| -0.000 | -0.000 | 0.000 | -0.000 | 0.000 | 74.052 |
| 57.914 | 155.854 | 155.854 | 0.000 | -0.000 | 0.000 |
| 155.854 | 57.914 | 155.854 | -0.000 | 0.000 | 0.000 |
| 155.854 | 155.854 | 57.914 | -0.000 | 0.000 | 0.000 |
| -0.000 | 0.000 | 0.000 | 74.052 | -0.000 | 0.000 |
| 0.000 | -0.000 | 0.000 | 0.000 | 74.052 | 0.000 |
| 0.000 | 0.000 | -0.000 | 0.000 | 0.000 | 74.052 |
| 0.019 | 0.019 | 0.019 | -0.000 | 0.000 | 0.000 |
| 0.019 | 0.019 | 0.019 | 0.000 | -0.000 | 0.000 |
| 0.019 | 0.019 | 0.019 | -0.000 | -0.000 | -0.000 |
| 0.000 | 0.000 | 0.000 | 0.019 | 0.000 | 0.000 |
| 0.000 | 0.000 | 0.000 | 0.000 | 0.019 | 0.000 |
| 0.000 | 0.000 | 0.000 | 0.000 | 0.000 | 0.019 |
| 0.019 | 0.019 | 0.019 | 0.000 | -0.000 | 0.000 |
| 0.019 | 0.019 | 0.019 | -0.000 | 0.000 | 0.000 |
| 0.019 | 0.019 | 0.019 | -0.000 | -0.000 | 0.000 |
| -0.000 | -0.000 | -0.000 | 0.019 | 0.000 | -0.000 |
| -0.000 | -0.000 | -0.000 | 0.000 | 0.019 | -0.000 |
| -0.000 | -0.000 | -0.000 | 0.000 | 0.000 | 0.019 |
| 0.019 | 0.019 | 0.019 | -0.000 | -0.000 | -0.000 |
| 0.019 | 0.019 | 0.019 | -0.000 | -0.000 | -0.000 |
| 0.019 | 0.019 | 0.019 | -0.000 | -0.000 | -0.000 |
| 0.000 | 0.000 | 0.000 | 0.019 | -0.000 | -0.000 |
| 0.000 | 0.000 | 0.000 | -0.000 | 0.019 | -0.000 |
| 0.000 | 0.000 | 0.000 | -0.000 | 0.000 | 0.019 |
| 0.019 | 0.019 | 0.019 | 0.000 | 0.000 | 0.000 |
| 0.019 | 0.019 | 0.019 | 0.000 | 0.000 | 0.000 |
| 0.019 | 0.019 | 0.019 | 0.000 | 0.000 | 0.000 |
| -0.000 | -0.000 | -0.000 | 0.019 | 0.000 | 0.000 |
| -0.000 | -0.000 | -0.000 | 0.000 | 0.019 | 0.000 |
| -0.000 | -0.000 | -0.000 | 0.000 | 0.000 | 0.019 |
| 0.019 | 0.019 | 0.019 | -0.000 | 0.000 | 0.000 |
| 0.019 | 0.019 | 0.019 | 0.000 | -0.000 | 0.000 |
| 0.019 | 0.019 | 0.019 | 0.000 | 0.000 | -0.000 |
| 0.000 | 0.000 | 0.000 | 0.019 | -0.000 | -0.000 |
| 0.000 | 0.000 | 0.000 | -0.000 | 0.019 | -0.000 |
| 0.000 | 0.000 | 0.000 | -0.000 | -0.000 | 0.019 |
| 0.019 | 0.019 | 0.019 | 0.000 | -0.000 | -0.000 |
| 0.019 | 0.019 | 0.019 | -0.000 | 0.000 | -0.000 |
| 0.019 | 0.019 | 0.019 | 0.000 | 0.000 | 0.000 |
| -0.000 | -0.000 | -0.000 | 0.019 | 0.000 | -0.000 |
| -0.000 | -0.000 | -0.000 | 0.000 | 0.019 | -0.000 |
| -0.000 | -0.000 | -0.000 | 0.000 | -0.000 | 0.019 |
| 0.761 | 0.876 | 0.876 | 0.000 | -0.000 | 0.000 |
| 0.876 | 0.761 | 0.876 | 0.000 | 0.000 | 0.000 |
| 0.876 | 0.876 | 0.761 | 0.000 | -0.000 | 0.000 |
| -0.000 | -0.000 | -0.000 | 0.747 | 0.000 | 0.000 |
| -0.000 | -0.000 | -0.000 | 0.000 | 0.747 | 0.000 |
| -0.000 | -0.000 | -0.000 | 0.000 | 0.000 | 0.747 |
| 0.761 | 0.876 | 0.876 | -0.000 | 0.000 | -0.000 |
| 0.876 | 0.761 | 0.876 | -0.000 | 0.000 | -0.000 |
| 0.876 | 0.876 | 0.761 | -0.000 | -0.000 | -0.000 |
| 0.000 | 0.000 | 0.000 | 0.747 | -0.000 | -0.000 |
| 0.000 | 0.000 | 0.000 | -0.000 | 0.747 | -0.000 |
| 0.000 | 0.000 | 0.000 | -0.000 | -0.000 | 0.747 |
| 0.761 | 0.875 | 0.875 | -0.000 | -0.000 | 0.000 |
| 0.875 | 0.761 | 0.875 | -0.000 | -0.000 | 0.000 |
| 0.875 | 0.875 | 0.761 | 0.000 | -0.000 | 0.000 |
| -0.000 | -0.000 | -0.000 | 0.740 | 0.000 | -0.000 |
| -0.000 | -0.000 | -0.000 | 0.000 | 0.740 | 0.000 |
| -0.000 | -0.000 | -0.000 | 0.000 | 0.000 | 0.740 |
| 0.761 | 0.876 | 0.876 | -0.000 | 0.000 | -0.000 |
| 0.876 | 0.761 | 0.876 | -0.000 | 0.000 | -0.000 |
| 0.876 | 0.876 | 0.761 | -0.000 | -0.000 | -0.000 |
| 0.000 | 0.000 | 0.000 | 0.740 | -0.000 | -0.000 |
| 0.000 | 0.000 | 0.000 | -0.000 | 0.740 | -0.000 |
| 0.000 | 0.000 | 0.000 | -0.000 | -0.000 | 0.740 |
| 0.759 | 0.874 | 0.874 | 0.000 | 0.000 | 0.000 |
| 0.874 | 0.759 | 0.874 | 0.000 | 0.000 | 0.000 |
| 0.874 | 0.874 | 0.759 | 0.000 | 0.000 | 0.000 |
| -0.002 | -0.002 | -0.002 | 0.700 | 0.000 | 0.000 |
| -0.002 | -0.002 | -0.002 | 0.000 | 0.700 | 0.000 |
| -0.002 | -0.002 | -0.002 | 0.000 | 0.000 | 0.700 |
| 0.763 | 0.877 | 0.877 | 0.000 | -0.000 | -0.000 |
| 0.877 | 0.763 | 0.877 | -0.000 | 0.000 | -0.000 |
| 0.877 | 0.877 | 0.763 | -0.000 | -0.000 | -0.000 |
| 0.002 | 0.002 | 0.002 | 0.700 | -0.000 | -0.000 |
| 0.002 | 0.002 | 0.002 | -0.000 | 0.700 | -0.000 |
| 0.002 | 0.002 | 0.002 | -0.000 | -0.000 | 0.700 |
| 105.963 | 161.629 | 161.629 | 0.000 | -0.000 | 0.000 |
| 161.629 | 105.963 | 161.629 | 0.000 | 0.000 | 0.000 |
| 161.629 | 161.629 | 105.963 | 0.000 | -0.000 | 0.000 |
| 0.000 | 0.000 | 0.000 | -41.042 | -0.000 | 0.000 |
| 0.000 | 0.000 | 0.000 | 0.000 | -41.042 | 0.000 |
| 0.000 | 0.000 | 0.000 | -0.000 | -0.000 | -41.042 |
| 105.963 | 161.629 | 161.629 | -0.000 | 0.000 | -0.000 |
| 161.629 | 105.963 | 161.629 | -0.000 | 0.000 | -0.000 |
| 161.629 | 161.629 | 105.963 | -0.000 | -0.000 | -0.000 |
| -0.000 | -0.000 | -0.000 | -41.042 | 0.000 | 0.000 |
| -0.000 | -0.000 | -0.000 | -0.000 | -41.042 | -0.000 |
| 0.000 | -0.000 | -0.000 | -0.000 | 0.000 | -41.042 |
| 105.963 | 161.629 | 161.630 | 0.000 | 0.000 | 0.000 |
| 161.629 | 105.963 | 161.629 | 0.000 | -0.000 | 0.000 |
| 161.629 | 161.629 | 105.963 | 0.000 | 0.000 | 0.000 |
| 0.000 | 0.000 | 0.000 | -41.042 | 0.000 | 0.000 |
| 0.000 | 0.000 | 0.000 | 0.000 | -41.042 | 0.000 |
| 0.000 | 0.000 | 0.000 | 0.000 | -0.000 | -41.042 |
| 105.963 | 161.629 | 161.629 | -0.000 | -0.000 | -0.000 |
| 161.629 | 105.963 | 161.629 | -0.000 | 0.000 | -0.000 |
| 161.629 | 161.629 | 105.963 | -0.000 | 0.000 | -0.000 |
| -0.000 | -0.000 | -0.000 | -41.042 | -0.000 | -0.000 |
| -0.000 | -0.000 | -0.000 | -0.000 | -41.042 | -0.000 |
| -0.000 | -0.000 | -0.000 | -0.000 | 0.000 | -41.042 |
| 105.966 | 161.630 | 161.630 | 0.000 | 0.000 | 0.000 |
| 161.630 | 105.966 | 161.630 | 0.000 | 0.000 | 0.000 |
| 161.630 | 161.630 | 105.966 | 0.000 | -0.000 | -0.000 |
| 0.001 | 0.000 | 0.000 | -41.042 | -0.000 | 0.000 |
| 0.000 | 0.001 | 0.000 | 0.000 | -41.042 | 0.000 |
| 0.000 | 0.000 | 0.001 | 0.000 | -0.000 | -41.042 |
| 105.960 | 161.629 | 161.629 | -0.000 | 0.000 | -0.000 |
| 161.629 | 105.960 | 161.629 | -0.000 | -0.000 | -0.000 |
| 161.629 | 161.629 | 105.960 | 0.000 | 0.000 | 0.000 |
| -0.001 | -0.000 | -0.000 | -41.042 | 0.000 | -0.000 |
| -0.000 | -0.001 | -0.000 | -0.000 | -41.042 | -0.000 |
| -0.000 | -0.000 | -0.001 | 0.000 | 0.000 | -41.042 |
| 64.200 | 51.522 | 51.522 | -0.000 | -0.000 | 0.000 |
| 51.522 | 64.200 | 51.522 | -0.000 | -0.000 | 0.000 |
| 51.522 | 51.522 | 64.200 | -0.000 | -0.000 | -0.000 |
| 0.000 | -0.000 | 0.000 | 10.128 | -0.000 | -0.000 |
| -0.000 | 0.000 | 0.000 | -0.000 | 10.128 | -0.000 |
| -0.000 | -0.000 | 0.000 | -0.000 | 0.000 | 10.128 |
| 64.200 | 51.522 | 51.522 | 0.000 | 0.000 | 0.000 |
| 51.522 | 64.200 | 51.522 | 0.000 | 0.000 | 0.000 |
| 51.522 | 51.522 | 64.200 | 0.000 | 0.000 | 0.000 |
| -0.000 | 0.000 | -0.000 | 10.128 | 0.000 | 0.000 |
| 0.000 | -0.000 | -0.000 | 0.000 | 10.128 | -0.000 |
| 0.000 | 0.000 | -0.000 | 0.000 | -0.000 | 10.128 |
| 64.200 | 51.522 | 51.522 | -0.000 | 0.000 | -0.000 |
| 51.522 | 64.200 | 51.522 | 0.000 | -0.000 | -0.000 |
| 51.522 | 51.522 | 64.200 | -0.000 | -0.000 | -0.000 |
| -0.000 | -0.000 | -0.000 | 10.128 | -0.000 | -0.000 |
| -0.000 | -0.000 | -0.000 | -0.000 | 10.128 | -0.000 |
| -0.000 | -0.000 | -0.000 | 0.000 | 0.000 | 10.128 |
| 64.200 | 51.522 | 51.522 | 0.000 | 0.000 | 0.000 |
| 51.522 | 64.200 | 51.522 | 0.000 | 0.000 | 0.000 |
| 51.522 | 51.522 | 64.200 | 0.000 | 0.000 | -0.000 |
| 0.000 | 0.000 | 0.000 | 10.128 | 0.000 | 0.000 |
| 0.000 | 0.000 | 0.000 | 0.000 | 10.128 | 0.000 |
| 0.000 | 0.000 | 0.000 | 0.000 | -0.000 | 10.128 |
| 64.200 | 51.522 | 51.522 | -0.000 | -0.000 | 0.000 |
| 51.522 | 64.200 | 51.522 | -0.000 | -0.000 | 0.000 |
| 51.522 | 51.522 | 64.200 | -0.000 | -0.000 | -0.000 |
| -0.000 | -0.000 | -0.000 | 10.128 | -0.000 | -0.000 |
| -0.000 | -0.000 | -0.000 | -0.000 | 10.128 | -0.000 |
| -0.000 | -0.000 | -0.000 | -0.000 | -0.000 | 10.128 |
| 64.201 | 51.522 | 51.522 | 0.000 | -0.000 | 0.000 |
| 51.522 | 64.201 | 51.522 | -0.000 | 0.000 | 0.000 |
| 51.522 | 51.522 | 64.201 | 0.000 | 0.000 | 0.000 |
| 0.000 | 0.000 | 0.000 | 10.128 | 0.000 | 0.000 |
| 0.000 | 0.000 | 0.000 | 0.000 | 10.128 | 0.000 |
| 0.000 | 0.000 | 0.000 | -0.000 | -0.000 | 10.128 |
| 2.526 | 2.526 | 2.526 | -0.000 | -0.000 | -0.000 |
| 2.526 | 2.526 | 2.526 | -0.000 | -0.000 | -0.000 |
| 2.526 | 2.526 | 2.526 | -0.000 | -0.000 | 0.000 |
| 0.000 | 0.000 | 0.000 | 1.492 | -0.000 | -0.000 |
| 0.000 | 0.000 | 0.000 | -0.000 | 1.492 | -0.000 |
| 0.000 | 0.000 | 0.000 | -0.000 | 0.000 | 1.492 |
| 2.526 | 2.526 | 2.526 | -0.000 | -0.000 | -0.000 |
| 2.526 | 2.526 | 2.526 | -0.000 | -0.000 | -0.000 |
| 2.526 | 2.526 | 2.526 | -0.000 | -0.000 | -0.000 |
| -0.000 | -0.000 | -0.000 | 1.492 | 0.000 | -0.000 |
| -0.000 | -0.000 | -0.000 | 0.000 | 1.492 | -0.000 |
| -0.000 | -0.000 | -0.000 | -0.000 | 0.000 | 1.492 |
| 2.526 | 2.526 | 2.526 | 0.000 | 0.000 | -0.000 |
| 2.526 | 2.526 | 2.526 | 0.000 | 0.000 | -0.000 |
| 2.526 | 2.526 | 2.526 | -0.000 | -0.000 | -0.000 |
| 0.000 | -0.000 | -0.000 | 0.520 | 0.000 | 0.000 |
| -0.000 | 0.000 | -0.000 | 0.000 | 0.520 | 0.000 |
| -0.000 | -0.000 | 0.000 | -0.000 | 0.000 | 0.520 |
| 2.526 | 2.526 | 2.526 | 0.000 | -0.000 | 0.000 |
| 2.526 | 2.526 | 2.526 | -0.000 | 0.000 | 0.000 |
| 2.526 | 2.526 | 2.526 | 0.000 | 0.000 | -0.000 |
| -0.000 | 0.000 | 0.000 | 0.520 | -0.000 | 0.000 |
| 0.000 | -0.000 | 0.000 | -0.000 | 0.520 | 0.000 |
| 0.000 | 0.000 | -0.000 | -0.000 | -0.000 | 0.520 |
| 2.526 | 2.526 | 2.526 | 0.000 | 0.000 | 0.000 |
| 2.526 | 2.526 | 2.526 | 0.000 | 0.000 | 0.000 |
| 2.526 | 2.526 | 2.526 | 0.000 | 0.000 | -0.000 |
| -0.000 | -0.000 | -0.000 | 0.107 | 0.000 | -0.000 |
| -0.000 | -0.000 | -0.000 | 0.000 | 0.107 | -0.000 |
| -0.000 | -0.000 | -0.000 | 0.000 | 0.000 | 0.107 |
| 2.526 | 2.526 | 2.526 | 0.000 | -0.000 | 0.000 |
| 2.526 | 2.526 | 2.526 | -0.000 | 0.000 | 0.000 |
| 2.526 | 2.526 | 2.526 | -0.000 | -0.000 | 0.000 |
| 0.000 | 0.000 | 0.000 | 0.107 | -0.000 | -0.000 |
| 0.000 | 0.000 | 0.000 | -0.000 | 0.107 | -0.000 |
| 0.000 | 0.000 | 0.000 | -0.000 | -0.000 | 0.107 |
| 115.692 | 194.704 | 194.704 | 0.000 | 0.000 | -0.000 |
| 194.704 | 115.692 | 194.704 | 0.000 | -0.000 | 0.000 |
| 194.704 | 194.704 | 115.692 | 0.000 | 0.000 | -0.000 |
| -0.000 | -0.000 | -0.000 | 84.794 | -0.000 | 0.000 |
| -0.000 | -0.000 | -0.000 | 0.000 | 84.794 | -0.000 |
| -0.000 | -0.000 | 0.000 | 0.000 | 0.000 | 84.794 |
| 115.692 | 194.704 | 194.704 | -0.000 | 0.000 | 0.000 |
| 194.704 | 115.692 | 194.704 | 0.000 | -0.000 | 0.000 |
| 194.704 | 194.704 | 115.692 | -0.000 | -0.000 | 0.000 |
| 0.000 | 0.000 | 0.000 | 84.794 | 0.000 | 0.000 |
| 0.000 | 0.000 | 0.000 | -0.000 | 84.794 | 0.000 |
| 0.000 | 0.000 | 0.000 | -0.000 | -0.000 | 84.794 |
| 115.692 | 194.704 | 194.704 | 0.000 | 0.000 | -0.000 |
| 194.704 | 115.692 | 194.704 | 0.000 | 0.000 | -0.000 |
| 194.704 | 194.704 | 115.692 | 0.000 | 0.000 | -0.000 |
| 0.000 | -0.000 | 0.000 | 84.471 | 0.000 | -0.000 |
| -0.000 | 0.000 | 0.000 | -0.000 | 84.471 | -0.000 |
| -0.000 | 0.000 | 0.000 | -0.000 | 0.000 | 84.471 |
| 115.692 | 194.704 | 194.704 | 0.000 | 0.000 | 0.000 |
| 194.704 | 115.692 | 194.704 | -0.000 | 0.000 | 0.000 |
| 194.704 | 194.704 | 115.692 | -0.000 | -0.000 | -0.000 |
| -0.000 | 0.000 | -0.000 | 84.471 | -0.000 | 0.000 |
| 0.000 | -0.000 | -0.000 | 0.000 | 84.471 | 0.000 |
| 0.000 | -0.000 | -0.000 | 0.000 | 0.000 | 84.471 |
| 115.690 | 194.703 | 194.703 | 0.000 | 0.000 | 0.000 |
| 194.703 | 115.690 | 194.703 | 0.000 | -0.000 | 0.000 |
| 194.703 | 194.703 | 115.690 | 0.000 | 0.000 | -0.000 |
| 0.000 | -0.000 | 0.000 | 84.794 | 0.000 | -0.000 |
| -0.000 | 0.000 | 0.000 | 0.000 | 84.794 | -0.000 |
| -0.000 | 0.000 | 0.000 | 0.000 | 0.000 | 84.794 |
| 115.694 | 194.705 | 194.705 | -0.000 | -0.000 | 0.000 |
| 194.705 | 115.694 | 194.705 | -0.000 | -0.000 | 0.000 |
| 194.705 | 194.705 | 115.694 | 0.000 | 0.000 | 0.000 |
| -0.000 | 0.000 | -0.000 | 84.794 | -0.000 | 0.000 |
| 0.000 | -0.000 | -0.000 | -0.000 | 84.794 | 0.000 |
| 0.000 | -0.000 | -0.000 | -0.000 | -0.000 | 84.794 |
| 229.524 | -1.728 | -1.728 | 0.000 | 0.000 | -0.000 |
| -1.728 | 229.524 | -1.728 | 0.000 | 0.000 | 0.000 |
| -1.728 | -1.728 | 229.524 | 0.000 | 0.000 | -0.000 |
| -126717912.770 | -70508265.589 | -78160059.462 | 17302018.217 | -1270047.480 | 322948.153 |
| -73479163.959 | -122286203.872 | -77231705.148 | 583484.653 | 18160419.476 | -452122.674 |
| -74016571.277 | -78299505.937 | -122390636.323 | -159367.001 | -727386.540 | 21235785.114 |
| 229.524 | -1.728 | -1.728 | 0.000 | 0.000 | -0.000 |
| -1.728 | 229.524 | -1.728 | 0.000 | -0.000 | 0.000 |
| -1.728 | -1.728 | 229.524 | -0.000 | -0.000 | -0.000 |
| 126781024.908 | 69513375.186 | 67387849.862 | 17810552.391 | -357782.671 | -1011215.642 |
| 70805561.996 | 124684258.478 | 66307431.464 | 313489.015 | 17131748.746 | -930197.559 |
| 72317984.244 | 68794869.076 | 123288399.172 | 2429468.822 | -987632.059 | 18136558.044 |
| 229.525 | -1.728 | -1.728 | 0.000 | 0.000 | -0.000 |
| -1.728 | 229.525 | -1.728 | 0.000 | 0.000 | -0.000 |
| -1.728 | -1.728 | 229.525 | -0.000 | -0.000 | -0.000 |
| -12723570.808 | -7270352.051 | -6890122.838 | 1254387.911 | -143250.034 | -95208.639 |
| -7367434.946 | -12855677.189 | -7182987.709 | -38745.739 | 1265790.265 | -79886.364 |
| -7501592.267 | -6961321.976 | -12533449.620 | -232571.510 | -60085.274 | 1311498.482 |
| 229.524 | -1.728 | -1.728 | -0.000 | -0.000 | 0.000 |
| -1.728 | 229.524 | -1.728 | -0.000 | -0.000 | 0.000 |
| -1.728 | -1.728 | 229.524 | -0.000 | -0.000 | 0.000 |
| 13592568.552 | 6386986.352 | 6654405.654 | 2061905.811 | -107577.843 | -40000.997 |
| 6343381.516 | 13431322.659 | 6485574.321 | -77934.533 | 2084638.266 | -102473.861 |
| 6528991.566 | 6502917.143 | 14133923.686 | -197710.956 | 28219.195 | 2074233.765 |
| 229.530 | -1.727 | -1.727 | 0.000 | 0.000 | -0.000 |
| -1.727 | 229.530 | -1.727 | 0.000 | 0.000 | -0.000 |
| -1.727 | -1.727 | 229.530 | -0.000 | 0.000 | -0.000 |
| -1232365.050 | -829134.173 | -770707.818 | 218713.397 | 9781.676 | -7960.362 |
| -810587.184 | -1218515.397 | -799592.298 | 10221.673 | 209850.479 | 862.461 |
| -818039.708 | -778310.258 | -1166962.089 | -3035.238 | -3877.327 | 208202.311 |
| 229.519 | -1.728 | -1.728 | 0.000 | -0.000 | -0.000 |
| -1.728 | 229.519 | -1.728 | 0.000 | -0.000 | 0.000 |
| -1.728 | -1.728 | 229.519 | 0.000 | -0.000 | -0.000 |
| 1220352.134 | 585430.107 | 626493.019 | 202931.415 | -3822.146 | -13502.227 |
| 635223.500 | 1207298.265 | 660749.845 | -8292.495 | 191991.782 | 1902.475 |
| 627150.859 | 664514.192 | 1121746.496 | -11385.142 | 4664.611 | 177991.484 |
| 8.001 | 2.378 | 2.378 | -0.000 | -0.000 | 0.000 |
| 2.378 | 8.001 | 2.378 | -0.000 | -0.000 | 0.000 |
| 2.378 | 2.378 | 8.001 | -0.000 | -0.000 | 0.000 |
| 0.000 | 0.000 | 0.000 | -7.977 | -0.000 | 0.000 |
| 0.000 | 0.000 | 0.000 | 0.000 | -7.977 | 0.000 |
| 0.000 | 0.000 | 0.000 | -0.000 | -0.000 | -7.977 |
| 8.001 | 2.378 | 2.378 | 0.000 | -0.000 | -0.000 |
| 2.378 | 8.001 | 2.378 | -0.000 | 0.000 | -0.000 |
| 2.378 | 2.378 | 8.001 | -0.000 | 0.000 | -0.000 |
| -0.000 | -0.000 | -0.000 | -7.977 | 0.000 | -0.000 |
| -0.000 | -0.000 | -0.000 | 0.000 | -7.977 | -0.000 |
| -0.000 | -0.000 | -0.000 | 0.000 | 0.000 | -7.977 |
| 8.001 | 2.378 | 2.378 | -0.000 | -0.000 | 0.000 |
| 2.378 | 8.001 | 2.378 | -0.000 | -0.000 | 0.000 |
| 2.378 | 2.378 | 8.001 | -0.000 | -0.000 | 0.000 |
| 0.000 | 0.000 | 0.000 | -7.966 | -0.000 | 0.000 |
| 0.000 | 0.000 | 0.000 | -0.000 | -7.966 | 0.000 |
| 0.000 | 0.000 | 0.000 | -0.000 | -0.000 | -7.966 |
| 8.001 | 2.378 | 2.378 | 0.000 | -0.000 | -0.000 |
| 2.378 | 8.001 | 2.378 | 0.000 | 0.000 | -0.000 |
| 2.378 | 2.378 | 8.001 | 0.000 | 0.000 | -0.000 |
| -0.000 | -0.000 | -0.000 | -7.966 | 0.000 | -0.000 |
| -0.000 | -0.000 | -0.000 | 0.000 | -7.966 | -0.000 |
| -0.000 | -0.000 | -0.000 | 0.000 | 0.000 | -7.966 |
| 8.001 | 2.379 | 2.379 | 0.000 | 0.000 | 0.000 |
| 2.379 | 8.001 | 2.379 | -0.000 | -0.000 | 0.000 |
| 2.379 | 2.379 | 8.001 | 0.000 | -0.000 | 0.000 |
| -122543.497 | -35116.225 | 228.433 | -5809.335 | -540.736 | 2378.604 |
| -37765.358 | -123092.604 | 2741.658 | 1858.230 | -2732.602 | 891.285 |
| -40824.200 | -3143.150 | -129765.617 | -1000.132 | -983.148 | -10569.781 |
| 8.001 | 2.378 | 2.378 | 0.000 | -0.000 | -0.000 |
| 2.378 | 8.001 | 2.378 | 0.000 | 0.000 | -0.000 |
| 2.378 | 2.378 | 8.001 | 0.000 | -0.000 | -0.000 |
| 117646.080 | 17331.127 | 7929.923 | -5487.162 | -5562.502 | -294.166 |
| 13563.979 | 106172.297 | 2635.962 | -5419.269 | -4508.825 | 2144.628 |
| 10118.868 | -13002.250 | 111431.692 | 1810.841 | 3445.051 | -6810.613 |
| 0.138 | 0.138 | 0.138 | 0.000 | 0.000 | 0.000 |
| 0.138 | 0.138 | 0.138 | 0.000 | 0.000 | 0.000 |
| 0.138 | 0.138 | 0.138 | 0.000 | 0.000 | 0.000 |
| 0.000 | 0.000 | 0.000 | 0.131 | -0.000 | 0.000 |
| 0.000 | 0.000 | 0.000 | -0.000 | 0.131 | 0.000 |
| 0.000 | 0.000 | 0.000 | -0.000 | 0.000 | 0.131 |
| 0.138 | 0.138 | 0.138 | 0.000 | 0.000 | 0.000 |
| 0.138 | 0.138 | 0.138 | 0.000 | 0.000 | 0.000 |
| 0.138 | 0.138 | 0.138 | 0.000 | 0.000 | 0.000 |
| -0.000 | -0.000 | -0.000 | 0.131 | -0.000 | -0.000 |
| -0.000 | -0.000 | -0.000 | -0.000 | 0.131 | -0.000 |
| -0.000 | -0.000 | -0.000 | -0.000 | -0.000 | 0.131 |
| 0.138 | 0.138 | 0.138 | 0.000 | 0.000 | -0.000 |
| 0.138 | 0.138 | 0.138 | 0.000 | 0.000 | -0.000 |
| 0.138 | 0.138 | 0.138 | 0.000 | 0.000 | 0.000 |
| 0.000 | 0.000 | 0.000 | 0.131 | 0.000 | 0.000 |
| 0.000 | 0.000 | 0.000 | 0.000 | 0.131 | 0.000 |
| 0.000 | 0.000 | 0.000 | 0.000 | 0.000 | 0.131 |
| 0.138 | 0.138 | 0.138 | -0.000 | -0.000 | -0.000 |
| 0.138 | 0.138 | 0.138 | -0.000 | -0.000 | -0.000 |
| 0.138 | 0.138 | 0.138 | -0.000 | -0.000 | 0.000 |
| -0.000 | -0.000 | -0.000 | 0.131 | -0.000 | -0.000 |
| -0.000 | -0.000 | -0.000 | -0.000 | 0.131 | -0.000 |
| -0.000 | -0.000 | -0.000 | -0.000 | -0.000 | 0.131 |
| 0.138 | 0.138 | 0.138 | -0.000 | -0.000 | -0.000 |
| 0.138 | 0.138 | 0.138 | -0.000 | -0.000 | -0.000 |
| 0.138 | 0.138 | 0.138 | 0.000 | 0.000 | -0.000 |
| -0.000 | -0.000 | -0.000 | -0.123 | 0.000 | 0.000 |
| -0.000 | -0.000 | -0.000 | 0.000 | -0.123 | 0.000 |
| -0.000 | -0.000 | -0.000 | 0.000 | 0.000 | -0.123 |
| 0.137 | 0.137 | 0.137 | -0.000 | -0.000 | -0.000 |
| 0.137 | 0.137 | 0.137 | -0.000 | -0.000 | -0.000 |
| 0.137 | 0.137 | 0.137 | -0.000 | -0.000 | -0.000 |
| 0.000 | 0.000 | 0.000 | -0.123 | -0.000 | -0.000 |
| 0.000 | 0.000 | 0.000 | -0.000 | -0.123 | -0.000 |
| 0.000 | 0.000 | 0.000 | -0.000 | -0.000 | -0.123 |
| 4.340 | 5.037 | 5.037 | 0.000 | -0.000 | 0.000 |
| 5.037 | 4.340 | 5.037 | 0.000 | 0.000 | -0.000 |
| 5.037 | 5.037 | 4.340 | 0.000 | 0.000 | -0.000 |
| -0.000 | -0.000 | -0.000 | 4.075 | 0.000 | -0.000 |
| -0.000 | -0.000 | -0.000 | 0.000 | 4.075 | -0.000 |
| -0.000 | -0.000 | -0.000 | 0.000 | 0.000 | 4.075 |
| 4.340 | 5.037 | 5.037 | 0.000 | 0.000 | 0.000 |
| 5.037 | 4.340 | 5.037 | 0.000 | 0.000 | 0.000 |
| 5.037 | 5.037 | 4.340 | -0.000 | -0.000 | 0.000 |
| 0.000 | 0.000 | 0.000 | 4.075 | -0.000 | 0.000 |
| 0.000 | 0.000 | 0.000 | -0.000 | 4.075 | 0.000 |
| 0.000 | 0.000 | 0.000 | -0.000 | -0.000 | 4.075 |
| 4.339 | 5.036 | 5.036 | -0.000 | -0.000 | -0.000 |
| 5.036 | 4.339 | 5.036 | -0.000 | -0.000 | -0.000 |
| 5.036 | 5.036 | 4.339 | 0.000 | 0.000 | -0.000 |
| -0.001 | -0.001 | -0.001 | 4.075 | 0.000 | -0.000 |
| -0.001 | -0.001 | -0.001 | 0.000 | 4.075 | -0.000 |
| -0.001 | -0.001 | -0.001 | 0.000 | 0.000 | 4.075 |
| 4.341 | 5.038 | 5.038 | -0.000 | -0.000 | 0.000 |
| 5.038 | 4.341 | 5.038 | -0.000 | -0.000 | 0.000 |
| 5.038 | 5.038 | 4.341 | 0.000 | 0.000 | 0.000 |
| 0.001 | 0.001 | 0.001 | 4.075 | -0.000 | 0.000 |
| 0.001 | 0.001 | 0.001 | -0.000 | 4.075 | 0.000 |
| 0.001 | 0.001 | 0.001 | -0.000 | -0.000 | 4.075 |
| 4.329 | 5.026 | 5.026 | -0.000 | 0.000 | -0.000 |
| 5.026 | 4.329 | 5.026 | 0.000 | 0.000 | -0.000 |
| 5.026 | 5.026 | 4.329 | 0.000 | 0.000 | 0.000 |
| 0.022 | 0.022 | 0.022 | -9.310 | 0.000 | -0.000 |
| 0.022 | 0.022 | 0.022 | 0.000 | -9.310 | -0.000 |
| 0.022 | 0.022 | 0.022 | 0.000 | 0.000 | -9.310 |
| 4.351 | 5.048 | 5.048 | -0.000 | -0.000 | 0.000 |
| 5.048 | 4.351 | 5.048 | -0.000 | 0.000 | 0.000 |
| 5.048 | 5.048 | 4.351 | -0.000 | -0.000 | 0.000 |
| -0.022 | -0.022 | -0.022 | -9.310 | -0.000 | 0.000 |
| -0.022 | -0.022 | -0.022 | -0.000 | -9.310 | 0.000 |
| -0.022 | -0.022 | -0.022 | -0.000 | -0.000 | -9.310 |
| 84.637 | 187.931 | 187.931 | -0.000 | -0.000 | 0.000 |
| 187.931 | 84.637 | 187.931 | -0.000 | -0.000 | 0.000 |
| 187.931 | 187.931 | 84.637 | -0.000 | -0.000 | 0.000 |
| -0.000 | -0.000 | -0.000 | 79.072 | -0.000 | 0.000 |
| -0.000 | -0.000 | -0.000 | -0.000 | 79.072 | 0.000 |
| -0.000 | -0.000 | -0.000 | -0.000 | -0.000 | 79.072 |
| 84.637 | 187.931 | 187.931 | 0.000 | 0.000 | -0.000 |
| 187.931 | 84.637 | 187.931 | 0.000 | -0.000 | -0.000 |
| 187.931 | 187.931 | 84.637 | 0.000 | -0.000 | -0.000 |
| 0.000 | 0.000 | 0.000 | 79.072 | 0.000 | -0.000 |
| 0.000 | 0.000 | 0.000 | 0.000 | 79.072 | -0.000 |
| 0.000 | 0.000 | 0.000 | 0.000 | 0.000 | 79.072 |
| 84.637 | 187.931 | 187.931 | -0.000 | -0.000 | 0.000 |
| 187.931 | 84.637 | 187.931 | -0.000 | -0.000 | 0.000 |
| 187.931 | 187.931 | 84.637 | -0.000 | 0.000 | -0.000 |
| 0.000 | -0.000 | -0.000 | 79.072 | -0.000 | 0.000 |
| -0.000 | 0.000 | -0.000 | -0.000 | 79.072 | 0.000 |
| -0.000 | -0.000 | -0.000 | -0.000 | -0.000 | 79.072 |
| 84.637 | 187.931 | 187.931 | 0.000 | 0.000 | -0.000 |
| 187.931 | 84.637 | 187.931 | 0.000 | -0.000 | -0.000 |
| 187.931 | 187.931 | 84.637 | -0.000 | -0.000 | -0.000 |
| -0.000 | 0.000 | 0.000 | 79.072 | 0.000 | -0.000 |
| 0.000 | -0.000 | 0.000 | 0.000 | 79.072 | -0.000 |
| 0.000 | 0.000 | 0.000 | 0.000 | 0.000 | 79.072 |
| 84.637 | 187.931 | 187.931 | -0.000 | 0.000 | 0.000 |
| 187.931 | 84.637 | 187.931 | -0.000 | 0.000 | 0.000 |
| 187.931 | 187.931 | 84.637 | -0.000 | -0.000 | 0.000 |
| 0.000 | -0.000 | -0.000 | 79.072 | -0.000 | 0.000 |
| -0.000 | 0.000 | -0.000 | -0.000 | 79.072 | 0.000 |
| -0.000 | -0.000 | 0.000 | -0.000 | -0.000 | 79.072 |
| 84.637 | 187.931 | 187.931 | 0.000 | 0.000 | -0.000 |
| 187.931 | 84.637 | 187.931 | 0.000 | 0.000 | -0.000 |
| 187.931 | 187.931 | 84.637 | 0.000 | 0.000 | -0.000 |
| -0.000 | 0.000 | 0.000 | 79.072 | 0.000 | -0.000 |
| 0.000 | -0.000 | 0.000 | 0.000 | 79.072 | -0.000 |
| 0.000 | 0.000 | -0.000 | 0.000 | 0.000 | 79.072 |
| 63.040 | 53.642 | 53.642 | 0.000 | 0.000 | -0.000 |
| 53.642 | 63.040 | 53.642 | 0.000 | 0.000 | 0.000 |
| 53.642 | 53.642 | 63.040 | 0.000 | 0.000 | 0.000 |
| 0.000 | 0.000 | 0.000 | 14.151 | 0.000 | 0.000 |
| 0.000 | 0.000 | 0.000 | 0.000 | 14.151 | -0.000 |
| 0.000 | 0.000 | 0.000 | 0.000 | 0.000 | 14.151 |
| 63.040 | 53.642 | 53.642 | -0.000 | -0.000 | 0.000 |
| 53.642 | 63.040 | 53.642 | -0.000 | -0.000 | -0.000 |
| 53.642 | 53.642 | 63.040 | -0.000 | -0.000 | 0.000 |
| -0.000 | -0.000 | -0.000 | 14.151 | -0.000 | 0.000 |
| -0.000 | -0.000 | -0.000 | -0.000 | 14.151 | 0.000 |
| -0.000 | -0.000 | -0.000 | -0.000 | -0.000 | 14.151 |
| 63.041 | 53.642 | 53.642 | 0.000 | 0.000 | -0.000 |
| 53.642 | 63.041 | 53.642 | 0.000 | 0.000 | 0.000 |
| 53.642 | 53.642 | 63.041 | 0.000 | 0.000 | 0.000 |
| 0.001 | 0.000 | 0.000 | 14.151 | 0.000 | -0.000 |
| 0.000 | 0.001 | 0.000 | 0.000 | 14.151 | -0.000 |
| 0.000 | 0.000 | 0.001 | 0.000 | 0.000 | 14.151 |
| 63.039 | 53.642 | 53.642 | -0.000 | -0.000 | 0.000 |
| 53.642 | 63.039 | 53.642 | -0.000 | -0.000 | 0.000 |
| 53.642 | 53.642 | 63.039 | -0.000 | -0.000 | -0.000 |
| -0.001 | -0.000 | -0.000 | 14.151 | -0.000 | -0.000 |
| -0.000 | -0.001 | -0.000 | -0.000 | 14.151 | -0.000 |
| -0.000 | -0.000 | -0.001 | -0.000 | 0.000 | 14.151 |
| 63.048 | 53.642 | 53.642 | 0.000 | -0.000 | -0.000 |
| 53.642 | 63.048 | 53.642 | -0.000 | 0.000 | 0.000 |
| 53.642 | 53.642 | 63.048 | 0.000 | 0.000 | 0.000 |
| 0.005 | 0.001 | 0.001 | 14.151 | 0.000 | 0.000 |
| 0.001 | 0.005 | 0.001 | 0.000 | 14.151 | -0.000 |
| 0.001 | 0.001 | 0.005 | 0.000 | 0.000 | 14.151 |
| 63.033 | 53.642 | 53.642 | -0.000 | 0.000 | -0.000 |
| 53.642 | 63.033 | 53.642 | 0.000 | -0.000 | -0.000 |
| 53.642 | 53.642 | 63.033 | -0.000 | -0.000 | -0.000 |
| -0.005 | -0.001 | -0.001 | 14.151 | -0.000 | -0.000 |
| -0.001 | -0.005 | -0.001 | -0.000 | 14.151 | -0.000 |
| -0.001 | -0.001 | -0.005 | -0.000 | -0.000 | 14.151 |
| 1.585 | 1.585 | 1.585 | 0.000 | 0.000 | 0.000 |
| 1.585 | 1.585 | 1.585 | 0.000 | 0.000 | 0.000 |
| 1.585 | 1.585 | 1.585 | 0.000 | 0.000 | 0.000 |
| 0.000 | 0.000 | 0.000 | 1.448 | 0.000 | 0.000 |
| 0.000 | 0.000 | 0.000 | 0.000 | 1.448 | 0.000 |
| 0.000 | 0.000 | 0.000 | 0.000 | 0.000 | 1.448 |
| 1.585 | 1.585 | 1.585 | 0.000 | 0.000 | -0.000 |
| 1.585 | 1.585 | 1.585 | 0.000 | 0.000 | -0.000 |
| 1.585 | 1.585 | 1.585 | 0.000 | 0.000 | 0.000 |
| -0.000 | -0.000 | -0.000 | 1.448 | -0.000 | -0.000 |
| -0.000 | -0.000 | -0.000 | -0.000 | 1.448 | -0.000 |
| -0.000 | -0.000 | -0.000 | -0.000 | -0.000 | 1.448 |
| 1.585 | 1.585 | 1.585 | 0.000 | 0.000 | 0.000 |
| 1.585 | 1.585 | 1.585 | 0.000 | 0.000 | 0.000 |
| 1.585 | 1.585 | 1.585 | 0.000 | 0.000 | 0.000 |
| 0.000 | -0.000 | 0.000 | 1.448 | 0.000 | 0.000 |
| -0.000 | 0.000 | 0.000 | 0.000 | 1.448 | 0.000 |
| -0.000 | 0.000 | 0.000 | 0.000 | 0.000 | 1.448 |
| 1.585 | 1.585 | 1.585 | 0.000 | -0.000 | -0.000 |
| 1.585 | 1.585 | 1.585 | 0.000 | 0.000 | -0.000 |
| 1.585 | 1.585 | 1.585 | 0.000 | 0.000 | 0.000 |
| -0.000 | 0.000 | -0.000 | 1.448 | -0.000 | -0.000 |
| 0.000 | -0.000 | -0.000 | -0.000 | 1.448 | -0.000 |
| 0.000 | -0.000 | -0.000 | -0.000 | -0.000 | 1.448 |
| 1.585 | 1.585 | 1.585 | -0.000 | 0.000 | 0.000 |
| 1.585 | 1.585 | 1.585 | 0.000 | -0.000 | 0.000 |
| 1.585 | 1.585 | 1.585 | 0.000 | 0.000 | 0.000 |
| -0.000 | -0.000 | -0.000 | 1.120 | 0.000 | 0.000 |
| -0.000 | -0.000 | -0.000 | 0.000 | 1.120 | 0.000 |
| -0.000 | -0.000 | -0.000 | -0.000 | 0.000 | 1.120 |
| 1.585 | 1.585 | 1.585 | 0.000 | 0.000 | -0.000 |
| 1.585 | 1.585 | 1.585 | 0.000 | 0.000 | -0.000 |
| 1.585 | 1.585 | 1.585 | -0.000 | -0.000 | -0.000 |
| 0.000 | 0.000 | 0.000 | 1.120 | -0.000 | -0.000 |
| 0.000 | 0.000 | 0.000 | -0.000 | 1.120 | -0.000 |
| 0.000 | 0.000 | 0.000 | -0.000 | 0.000 | 1.120 |
| 90.763 | 107.475 | 107.475 | -0.000 | 0.000 | -0.000 |
| 107.475 | 90.763 | 107.475 | 0.000 | 0.000 | 0.000 |
| 107.475 | 107.475 | 90.763 | -0.000 | 0.000 | -0.000 |
| -0.000 | 0.000 | -0.000 | 104.796 | 0.000 | 0.000 |
| -0.000 | 0.000 | -0.000 | 0.000 | 104.796 | -0.000 |
| -0.000 | 0.000 | -0.000 | -0.000 | 0.000 | 104.796 |
| 90.763 | 107.475 | 107.475 | 0.000 | -0.000 | 0.000 |
| 107.475 | 90.763 | 107.475 | 0.000 | -0.000 | 0.000 |
| 107.475 | 107.475 | 90.763 | 0.000 | -0.000 | -0.000 |
| 0.000 | -0.000 | 0.000 | 104.796 | -0.000 | 0.000 |
| 0.000 | -0.000 | 0.000 | 0.000 | 104.796 | -0.000 |
| 0.000 | -0.000 | 0.000 | 0.000 | -0.000 | 104.796 |
| 90.763 | 107.475 | 107.475 | -0.000 | -0.000 | -0.000 |
| 107.475 | 90.763 | 107.475 | -0.000 | 0.000 | -0.000 |
| 107.475 | 107.475 | 90.763 | 0.000 | 0.000 | 0.000 |
| -0.000 | -0.000 | -0.000 | -6.833 | 0.000 | -0.000 |
| -0.000 | -0.000 | -0.000 | -0.000 | -6.833 | -0.000 |
| -0.000 | -0.000 | -0.000 | 0.000 | 0.000 | -6.833 |
| 90.763 | 107.475 | 107.475 | 0.000 | -0.000 | -0.000 |
| 107.475 | 90.763 | 107.475 | 0.000 | 0.000 | -0.000 |
| 107.475 | 107.475 | 90.763 | 0.000 | -0.000 | -0.000 |
| 0.000 | 0.000 | 0.000 | -6.833 | -0.000 | -0.000 |
| 0.000 | 0.000 | 0.000 | 0.000 | -6.833 | 0.000 |
| 0.000 | 0.000 | 0.000 | 0.000 | -0.000 | -6.833 |
| 90.761 | 107.475 | 107.475 | -0.000 | 0.000 | 0.000 |
| 107.475 | 90.761 | 107.475 | -0.000 | 0.000 | 0.000 |
| 107.475 | 107.475 | 90.761 | -0.000 | 0.000 | -0.000 |
| -0.000 | -0.001 | -0.001 | -6.833 | 0.000 | -0.000 |
| -0.001 | -0.000 | -0.001 | -0.000 | -6.833 | -0.000 |
| -0.001 | -0.001 | -0.000 | -0.000 | 0.000 | -6.833 |
| 90.765 | 107.475 | 107.475 | 0.000 | -0.000 | 0.000 |
| 107.475 | 90.765 | 107.475 | 0.000 | -0.000 | 0.000 |
| 107.475 | 107.475 | 90.765 | 0.000 | -0.000 | 0.000 |
| 0.000 | 0.001 | 0.001 | -6.833 | -0.000 | -0.000 |
| 0.001 | 0.000 | 0.001 | 0.000 | -6.833 | 0.000 |
| 0.001 | 0.001 | 0.000 | 0.000 | -0.000 | -6.833 |
| 32.651 | 31.286 | 31.286 | 0.000 | -0.000 | -0.000 |
| 31.286 | 32.651 | 31.286 | -0.000 | 0.000 | 0.000 |
| 31.286 | 31.286 | 32.651 | 0.000 | 0.000 | 0.000 |
| -0.000 | -0.000 | -0.000 | 1.227 | -0.000 | -0.000 |
| -0.000 | -0.000 | -0.000 | -0.000 | 1.227 | -0.000 |
| -0.000 | 0.000 | -0.000 | -0.000 | -0.000 | 1.227 |
| 32.651 | 31.286 | 31.286 | -0.000 | -0.000 | -0.000 |
| 31.286 | 32.651 | 31.286 | -0.000 | -0.000 | 0.000 |
| 31.286 | 31.286 | 32.651 | -0.000 | -0.000 | 0.000 |
| 0.000 | 0.000 | 0.000 | 1.227 | 0.000 | -0.000 |
| 0.000 | 0.000 | 0.000 | 0.000 | 1.227 | -0.000 |
| -0.000 | -0.000 | 0.000 | 0.000 | 0.000 | 1.227 |
| 32.651 | 31.286 | 31.286 | 0.000 | -0.000 | 0.000 |
| 31.286 | 32.651 | 31.286 | -0.000 | 0.000 | 0.000 |
| 31.286 | 31.286 | 32.651 | -0.000 | -0.000 | -0.000 |
| -0.000 | -0.000 | -0.000 | 1.227 | -0.000 | 0.000 |
| -0.000 | -0.000 | -0.000 | -0.000 | 1.227 | 0.000 |
| -0.000 | -0.000 | -0.000 | -0.000 | -0.000 | 1.227 |
| 32.651 | 31.286 | 31.286 | 0.000 | 0.000 | -0.000 |
| 31.286 | 32.651 | 31.286 | 0.000 | 0.000 | 0.000 |
| 31.286 | 31.286 | 32.651 | -0.000 | -0.000 | 0.000 |
| 0.000 | 0.000 | 0.000 | 1.227 | 0.000 | -0.000 |
| 0.000 | 0.000 | 0.000 | 0.000 | 1.227 | -0.000 |
| 0.000 | 0.000 | 0.000 | 0.000 | -0.000 | 1.227 |
| 32.651 | 31.287 | 31.287 | 0.000 | -0.000 | 0.000 |
| 31.287 | 32.651 | 31.287 | -0.000 | 0.000 | 0.000 |
| 31.287 | 31.287 | 32.651 | 0.000 | 0.000 | 0.000 |
| -0.000 | -0.000 | -0.000 | 1.227 | -0.000 | -0.000 |
| -0.000 | -0.000 | -0.000 | -0.000 | 1.227 | -0.000 |
| -0.000 | -0.000 | -0.000 | -0.000 | -0.000 | 1.227 |
| 32.651 | 31.286 | 31.286 | 0.000 | 0.000 | 0.000 |
| 31.286 | 32.651 | 31.286 | 0.000 | 0.000 | 0.000 |
| 31.286 | 31.286 | 32.651 | 0.000 | -0.000 | 0.000 |
| 0.000 | 0.000 | 0.000 | 1.227 | 0.000 | -0.000 |
| 0.000 | 0.000 | 0.000 | 0.000 | 1.227 | -0.000 |
| 0.000 | 0.000 | 0.000 | 0.000 | 0.000 | 1.227 |
| -10.188 | -10.188 | -10.188 | -0.000 | -0.000 | 0.000 |
| -10.188 | -10.188 | -10.188 | -0.000 | -0.000 | 0.000 |
| -10.188 | -10.188 | -10.188 | -0.000 | -0.000 | 0.000 |
| -25869743.144 | -48995307.475 | -48995312.625 | -79959299.304 | 21023.128 | -21067.333 |
| -48995307.475 | -25869743.144 | -48995312.625 | 21023.128 | -79959299.304 | -21067.333 |
| -49008929.625 | -49008934.587 | -25888542.436 | 11203.296 | -11246.581 | -79948425.175 |
| -10.188 | -10.188 | -10.188 | 0.000 | 0.000 | 0.000 |
| -10.188 | -10.188 | -10.188 | 0.000 | 0.000 | 0.000 |
| -10.188 | -10.188 | -10.188 | 0.000 | 0.000 | 0.000 |
| 23391346.877 | 47211988.310 | 47211991.483 | -81409369.147 | 5607.866 | 5604.876 |
| 47211988.309 | 23391346.878 | 47211991.482 | 5607.866 | -81409369.146 | 5604.876 |
| 47176171.850 | 47176175.220 | 23341615.996 | 7010.602 | 7006.955 | -81438447.030 |
| -10.188 | -10.188 | -10.188 | -0.000 | -0.000 | -0.000 |
| -10.188 | -10.188 | -10.188 | -0.000 | -0.000 | -0.000 |
| -10.188 | -10.188 | -10.188 | -0.000 | -0.000 | 0.000 |
| -2152400.380 | -4579063.452 | -4579065.100 | -8239552.298 | -0.031 | -0.031 |
| -4579063.452 | -2152400.380 | -4579065.100 | -0.031 | -8239552.298 | -0.031 |
| -4579063.236 | -4579064.884 | -2152400.481 | -0.028 | -0.029 | -8239551.845 |
| -10.188 | -10.188 | -10.188 | 0.000 | 0.000 | 0.000 |
| -10.188 | -10.188 | -10.188 | 0.000 | 0.000 | 0.000 |
| -10.188 | -10.188 | -10.188 | 0.000 | 0.000 | -0.000 |
| 2152335.478 | 4579195.055 | 4579196.703 | -8239834.445 | 0.001 | -0.001 |
| 4579195.055 | 2152335.478 | 4579196.703 | 0.001 | -8239834.445 | -0.001 |
| 4579196.056 | 4579197.704 | 2152334.989 | 0.001 | -0.001 | -8239836.584 |
| -10.188 | -10.188 | -10.188 | -0.000 | 0.000 | -0.000 |
| -10.188 | -10.188 | -10.188 | 0.000 | -0.000 | -0.000 |
| -10.188 | -10.188 | -10.188 | -0.000 | -0.000 | 0.000 |
| -215317.678 | -457740.284 | -457741.931 | -823598.797 | -0.000 | -0.000 |
| -457740.284 | -215317.678 | -457741.931 | -0.000 | -823598.797 | -0.000 |
| -457740.532 | -457742.179 | -215317.539 | 0.000 | 0.000 | -823599.355 |
| -10.188 | -10.188 | -10.188 | 0.000 | 0.000 | 0.000 |
| -10.188 | -10.188 | -10.188 | 0.000 | 0.000 | 0.000 |
| -10.188 | -10.188 | -10.188 | 0.000 | 0.000 | 0.000 |
| 215316.163 | 457742.981 | 457744.628 | -823604.870 | -0.000 | 0.000 |
| 457742.981 | 215316.163 | 457744.628 | -0.000 | -823604.870 | 0.000 |
| 457742.998 | 457744.646 | 215316.153 | -0.000 | 0.000 | -823604.910 |
| 5.872 | 6.832 | 6.832 | 0.000 | 0.000 | 0.000 |
| 6.832 | 5.872 | 6.832 | 0.000 | 0.000 | -0.000 |
| 6.832 | 6.832 | 5.872 | 0.000 | -0.000 | 0.000 |
| 0.000 | 0.000 | -0.000 | -0.791 | 0.000 | 0.000 |
| 0.000 | 0.000 | -0.000 | 0.000 | -0.791 | 0.000 |
| 0.000 | 0.000 | -0.000 | 0.000 | 0.000 | -0.791 |
| 5.872 | 6.833 | 6.833 | -0.000 | -0.000 | 0.000 |
| 6.833 | 5.872 | 6.833 | -0.000 | -0.000 | -0.000 |
| 6.833 | 6.833 | 5.872 | -0.000 | -0.000 | -0.000 |
| -0.000 | -0.000 | 0.000 | -0.791 | -0.000 | 0.000 |
| -0.000 | -0.000 | 0.000 | -0.000 | -0.791 | -0.000 |
| -0.000 | -0.000 | 0.000 | -0.000 | -0.000 | -0.791 |
| 5.871 | 6.831 | 6.831 | 0.000 | 0.000 | -0.000 |
| 6.831 | 5.871 | 6.831 | 0.000 | 0.000 | 0.000 |
| 6.831 | 6.831 | 5.871 | 0.000 | 0.000 | 0.000 |
| -0.000 | -0.000 | -0.000 | -0.995 | 0.000 | -0.000 |
| -0.000 | -0.000 | -0.000 | 0.000 | -0.995 | -0.000 |
| -0.000 | -0.000 | -0.000 | 0.000 | 0.000 | -0.995 |
| 5.874 | 6.834 | 6.834 | -0.000 | -0.000 | -0.000 |
| 6.834 | 5.874 | 6.834 | -0.000 | -0.000 | -0.000 |
| 6.834 | 6.834 | 5.874 | -0.000 | -0.000 | -0.000 |
| 0.000 | 0.000 | 0.000 | -0.995 | -0.000 | -0.000 |
| 0.000 | 0.000 | 0.000 | 0.000 | -0.995 | -0.000 |
| 0.000 | 0.000 | 0.000 | -0.000 | -0.000 | -0.995 |
| 5.857 | 6.818 | 6.818 | 0.000 | 0.000 | -0.000 |
| 6.818 | 5.857 | 6.818 | 0.000 | 0.000 | 0.000 |
| 6.818 | 6.818 | 5.857 | 0.000 | 0.000 | -0.000 |
| -0.000 | -0.000 | -0.000 | -0.995 | 0.000 | 0.000 |
| -0.000 | -0.000 | -0.000 | 0.000 | -0.995 | 0.000 |
| -0.000 | -0.000 | -0.000 | 0.000 | 0.000 | -0.995 |
| 5.887 | 6.847 | 6.847 | -0.000 | -0.000 | -0.000 |
| 6.847 | 5.887 | 6.847 | -0.000 | -0.000 | 0.000 |
| 6.847 | 6.847 | 5.887 | -0.000 | -0.000 | -0.000 |
| 0.000 | 0.000 | 0.000 | -0.995 | -0.000 | 0.000 |
| 0.000 | 0.000 | 0.000 | -0.000 | -0.995 | 0.000 |
| 0.000 | 0.000 | 0.000 | -0.000 | -0.000 | -0.995 |
| 60.875 | 150.293 | 150.293 | 0.000 | -0.000 | 0.000 |
| 150.293 | 60.875 | 150.293 | 0.000 | -0.000 | 0.000 |
| 150.293 | 150.293 | 60.875 | 0.000 | -0.000 | -0.000 |
| 0.000 | 0.000 | 0.000 | 118.060 | 0.000 | 0.000 |
| 0.000 | 0.000 | 0.000 | 0.000 | 118.060 | 0.000 |
| 0.000 | 0.000 | 0.000 | 0.000 | 0.000 | 118.060 |
| 60.875 | 150.293 | 150.293 | -0.000 | -0.000 | -0.000 |
| 150.293 | 60.875 | 150.293 | -0.000 | -0.000 | -0.000 |
| 150.293 | 150.293 | 60.875 | -0.000 | -0.000 | -0.000 |
| -0.000 | -0.000 | -0.000 | 118.060 | -0.000 | 0.000 |
| -0.000 | -0.000 | -0.000 | -0.000 | 118.060 | -0.000 |
| -0.000 | -0.000 | -0.000 | -0.000 | -0.000 | 118.060 |
| 60.875 | 150.293 | 150.293 | 0.000 | 0.000 | 0.000 |
| 150.293 | 60.875 | 150.293 | -0.000 | 0.000 | 0.000 |
| 150.293 | 150.293 | 60.875 | 0.000 | 0.000 | 0.000 |
| 0.000 | 0.000 | 0.000 | 118.060 | 0.000 | 0.000 |
| 0.000 | 0.000 | 0.000 | 0.000 | 118.060 | 0.000 |
| 0.000 | 0.000 | 0.000 | 0.000 | 0.000 | 118.060 |
| 60.875 | 150.293 | 150.293 | -0.000 | -0.000 | -0.000 |
| 150.293 | 60.875 | 150.293 | -0.000 | -0.000 | -0.000 |
| 150.293 | 150.293 | 60.875 | -0.000 | -0.000 | -0.000 |
| -0.000 | -0.000 | -0.000 | 118.060 | -0.000 | -0.000 |
| -0.000 | -0.000 | -0.000 | -0.000 | 118.060 | -0.000 |
| -0.000 | -0.000 | -0.000 | -0.000 | -0.000 | 118.060 |
| 60.875 | 150.294 | 150.294 | 0.000 | 0.000 | -0.000 |
| 150.294 | 60.875 | 150.294 | 0.000 | 0.000 | 0.000 |
| 150.294 | 150.294 | 60.875 | 0.000 | 0.000 | -0.000 |
| 0.001 | 0.000 | 0.001 | 116.783 | 0.000 | 0.000 |
| 0.000 | 0.001 | 0.001 | 0.000 | 116.783 | 0.000 |
| 0.000 | 0.001 | 0.001 | 0.000 | 0.000 | 116.783 |
| 60.874 | 150.293 | 150.293 | -0.000 | -0.000 | 0.000 |
| 150.293 | 60.874 | 150.293 | -0.000 | -0.000 | -0.000 |
| 150.293 | 150.293 | 60.874 | -0.000 | 0.000 | 0.000 |
| -0.001 | -0.000 | -0.001 | 116.783 | -0.000 | 0.000 |
| -0.000 | -0.001 | -0.001 | -0.000 | 116.783 | -0.000 |
| -0.000 | -0.001 | -0.001 | -0.000 | -0.000 | 116.783 |
| 33.374 | 32.513 | 32.513 | -0.000 | -0.000 | 0.000 |
| 32.513 | 33.374 | 32.513 | -0.000 | -0.000 | -0.000 |
| 32.513 | 32.513 | 33.374 | 0.000 | 0.000 | 0.000 |
| -0.000 | -0.000 | -0.000 | -2.667 | -0.000 | -0.000 |
| -0.000 | -0.000 | -0.000 | -0.000 | -2.667 | -0.000 |
| -0.000 | -0.000 | -0.000 | -0.000 | -0.000 | -2.667 |
| 33.374 | 32.513 | 32.513 | 0.000 | 0.000 | 0.000 |
| 32.513 | 33.374 | 32.513 | 0.000 | 0.000 | 0.000 |
| 32.513 | 32.513 | 33.374 | 0.000 | 0.000 | 0.000 |
| 0.000 | 0.000 | 0.000 | -2.667 | 0.000 | -0.000 |
| 0.000 | 0.000 | 0.000 | 0.000 | -2.667 | -0.000 |
| 0.000 | 0.000 | 0.000 | 0.000 | 0.000 | -2.667 |
| 33.375 | 32.513 | 32.513 | 0.000 | 0.000 | -0.000 |
| 32.513 | 33.375 | 32.513 | 0.000 | 0.000 | 0.000 |
| 32.513 | 32.513 | 33.375 | 0.000 | 0.000 | -0.000 |
| -0.000 | -0.000 | -0.000 | -2.667 | -0.000 | -0.000 |
| -0.000 | -0.000 | -0.000 | -0.000 | -2.667 | -0.000 |
| -0.000 | -0.000 | -0.000 | -0.000 | -0.000 | -2.667 |
| 33.374 | 32.513 | 32.513 | -0.000 | 0.000 | -0.000 |
| 32.513 | 33.374 | 32.513 | 0.000 | -0.000 | -0.000 |
| 32.513 | 32.513 | 33.374 | -0.000 | -0.000 | 0.000 |
| 0.000 | 0.000 | 0.000 | -2.667 | 0.000 | -0.000 |
| 0.000 | 0.000 | 0.000 | 0.000 | -2.667 | -0.000 |
| 0.000 | 0.000 | 0.000 | -0.000 | 0.000 | -2.667 |
| 33.375 | 32.514 | 32.514 | -0.000 | -0.000 | -0.000 |
| 32.514 | 33.375 | 32.514 | -0.000 | -0.000 | -0.000 |
| 32.514 | 32.514 | 33.375 | -0.000 | -0.000 | -0.000 |
| -0.000 | -0.000 | -0.000 | -2.667 | -0.000 | -0.000 |
| -0.000 | -0.000 | -0.000 | -0.000 | -2.667 | -0.000 |
| -0.000 | -0.000 | -0.000 | -0.000 | -0.000 | -2.667 |
| 33.374 | 32.513 | 32.513 | -0.000 | -0.000 | -0.000 |
| 32.513 | 33.374 | 32.513 | -0.000 | -0.000 | -0.000 |
| 32.513 | 32.513 | 33.374 | -0.000 | -0.000 | 0.000 |
| 0.000 | 0.000 | 0.000 | -2.667 | 0.000 | -0.000 |
| 0.000 | 0.000 | 0.000 | 0.000 | -2.667 | -0.000 |
| 0.000 | 0.000 | 0.000 | 0.000 | 0.000 | -2.667 |
| 0.166 | 0.166 | 0.166 | 0.000 | 0.000 | 0.000 |
| 0.166 | 0.166 | 0.166 | 0.000 | 0.000 | 0.000 |
| 0.166 | 0.166 | 0.166 | 0.000 | 0.000 | 0.000 |
| 0.000 | 0.000 | 0.000 | 0.166 | 0.000 | 0.000 |
| 0.000 | 0.000 | 0.000 | 0.000 | 0.166 | 0.000 |
| 0.000 | 0.000 | 0.000 | 0.000 | 0.000 | 0.166 |
| 0.166 | 0.166 | 0.166 | -0.000 | -0.000 | -0.000 |
| 0.166 | 0.166 | 0.166 | -0.000 | -0.000 | -0.000 |
| 0.166 | 0.166 | 0.166 | -0.000 | -0.000 | -0.000 |
| -0.000 | -0.000 | -0.000 | 0.166 | -0.000 | -0.000 |
| -0.000 | -0.000 | -0.000 | -0.000 | 0.166 | -0.000 |
| -0.000 | -0.000 | -0.000 | -0.000 | -0.000 | 0.166 |
| 0.166 | 0.166 | 0.166 | 0.000 | 0.000 | 0.000 |
| 0.166 | 0.166 | 0.166 | 0.000 | 0.000 | 0.000 |
| 0.166 | 0.166 | 0.166 | 0.000 | 0.000 | 0.000 |
| 0.000 | 0.000 | 0.000 | 0.161 | 0.000 | 0.000 |
| 0.000 | 0.000 | 0.000 | 0.000 | 0.161 | 0.000 |
| 0.000 | 0.000 | 0.000 | 0.000 | 0.000 | 0.161 |
| 0.166 | 0.166 | 0.166 | -0.000 | -0.000 | -0.000 |
| 0.166 | 0.166 | 0.166 | -0.000 | -0.000 | -0.000 |
| 0.166 | 0.166 | 0.166 | -0.000 | -0.000 | -0.000 |
| -0.000 | -0.000 | -0.000 | 0.161 | -0.000 | -0.000 |
| -0.000 | -0.000 | -0.000 | -0.000 | 0.161 | -0.000 |
| -0.000 | -0.000 | -0.000 | -0.000 | -0.000 | 0.161 |
| 0.166 | 0.166 | 0.166 | 0.000 | 0.000 | 0.000 |
| 0.166 | 0.166 | 0.166 | 0.000 | 0.000 | 0.000 |
| 0.166 | 0.166 | 0.166 | 0.000 | 0.000 | 0.000 |
| -0.000 | -0.000 | -0.000 | 0.020 | -0.000 | 0.000 |
| -0.000 | -0.000 | -0.000 | -0.000 | 0.020 | 0.000 |
| -0.000 | -0.000 | -0.000 | -0.000 | 0.000 | 0.020 |
| 0.166 | 0.166 | 0.166 | -0.000 | -0.000 | -0.000 |
| 0.166 | 0.166 | 0.166 | -0.000 | -0.000 | -0.000 |
| 0.166 | 0.166 | 0.166 | -0.000 | -0.000 | -0.000 |
| 0.000 | 0.000 | 0.000 | 0.020 | 0.000 | -0.000 |
| 0.000 | 0.000 | 0.000 | 0.000 | 0.020 | -0.000 |
| 0.000 | 0.000 | 0.000 | 0.000 | -0.000 | 0.020 |
| -0.197 | -0.197 | -0.197 | -0.000 | -0.000 | 0.000 |
| -0.197 | -0.197 | -0.197 | -0.000 | -0.000 | -0.000 |
| -0.197 | -0.197 | -0.197 | -0.000 | -0.000 | -0.000 |
| 0.000 | 0.000 | 0.000 | -0.197 | 0.000 | -0.000 |
| 0.000 | 0.000 | 0.000 | 0.000 | -0.197 | -0.000 |
| 0.000 | 0.000 | 0.000 | -0.000 | 0.000 | -0.197 |
| -0.197 | -0.197 | -0.197 | 0.000 | 0.000 | 0.000 |
| -0.197 | -0.197 | -0.197 | 0.000 | 0.000 | 0.000 |
| -0.197 | -0.197 | -0.197 | 0.000 | 0.000 | 0.000 |
| -0.000 | -0.000 | -0.000 | -0.197 | -0.000 | 0.000 |
| -0.000 | -0.000 | -0.000 | -0.000 | -0.197 | 0.000 |
| -0.000 | -0.000 | -0.000 | -0.000 | -0.000 | -0.197 |
| -0.197 | -0.197 | -0.197 | -0.000 | -0.000 | -0.000 |
| -0.197 | -0.197 | -0.197 | 0.000 | -0.000 | -0.000 |
| -0.197 | -0.197 | -0.197 | 0.000 | 0.000 | -0.000 |
| 0.000 | 0.000 | 0.000 | -0.203 | -0.000 | -0.000 |
| 0.000 | 0.000 | 0.000 | -0.000 | -0.203 | -0.000 |
| 0.000 | 0.000 | 0.000 | -0.000 | 0.000 | -0.203 |
| -0.197 | -0.197 | -0.197 | 0.000 | 0.000 | -0.000 |
| -0.197 | -0.197 | -0.197 | 0.000 | 0.000 | 0.000 |
| -0.197 | -0.197 | -0.197 | 0.000 | 0.000 | -0.000 |
| -0.000 | -0.000 | -0.000 | -0.203 | 0.000 | -0.000 |
| -0.000 | -0.000 | -0.000 | 0.000 | -0.203 | -0.000 |
| -0.000 | -0.000 | -0.000 | 0.000 | -0.000 | -0.203 |
| -0.197 | -0.197 | -0.197 | -0.000 | -0.000 | 0.000 |
| -0.197 | -0.197 | -0.197 | -0.000 | -0.000 | -0.000 |
| -0.197 | -0.197 | -0.197 | -0.000 | -0.000 | 0.000 |
| 2396.433 | 2407.450 | 2407.146 | -1982.503 | -4.559 | 4.564 |
| 2461.210 | 2450.136 | 2460.937 | -8.546 | -2026.518 | 8.558 |
| 2405.241 | 2404.997 | 2395.079 | -7.871 | 7.861 | -1975.447 |
| -0.197 | -0.197 | -0.197 | 0.000 | 0.000 | -0.000 |
| -0.197 | -0.197 | -0.197 | 0.000 | 0.000 | -0.000 |
| -0.197 | -0.197 | -0.197 | 0.000 | 0.000 | -0.000 |
| -293.240 | -295.415 | -295.372 | -126.267 | 0.051 | 0.059 |
| -302.793 | -300.469 | -302.734 | 0.439 | -130.700 | 0.448 |
| -389.495 | -389.369 | -385.195 | 1.323 | 1.340 | -200.284 |
| 6.351 | 7.385 | 7.385 | -0.000 | -0.000 | -0.000 |
| 7.385 | 6.351 | 7.385 | 0.000 | -0.000 | -0.000 |
| 7.385 | 7.385 | 6.351 | -0.000 | -0.000 | 0.000 |
| -0.000 | -0.000 | -0.000 | 0.951 | -0.000 | -0.000 |
| -0.000 | -0.000 | -0.000 | -0.000 | 0.951 | -0.000 |
| -0.000 | -0.000 | -0.000 | -0.000 | -0.000 | 0.951 |
| 6.351 | 7.385 | 7.385 | -0.000 | 0.000 | 0.000 |
| 7.385 | 6.351 | 7.385 | 0.000 | 0.000 | 0.000 |
| 7.385 | 7.385 | 6.351 | 0.000 | 0.000 | 0.000 |
| 0.000 | 0.000 | 0.000 | 0.951 | 0.000 | 0.000 |
| 0.000 | 0.000 | 0.000 | 0.000 | 0.951 | 0.000 |
| 0.000 | 0.000 | 0.000 | -0.000 | 0.000 | 0.951 |
| 6.350 | 7.384 | 7.384 | 0.000 | -0.000 | 0.000 |
| 7.384 | 6.350 | 7.384 | -0.000 | 0.000 | 0.000 |
| 7.384 | 7.384 | 6.350 | -0.000 | -0.000 | -0.000 |
| -0.000 | -0.000 | -0.000 | 0.951 | -0.000 | -0.000 |
| -0.000 | -0.000 | -0.000 | -0.000 | 0.951 | -0.000 |
| -0.000 | -0.000 | -0.000 | -0.000 | -0.000 | 0.951 |
| 6.353 | 7.387 | 7.387 | -0.000 | 0.000 | 0.000 |
| 7.387 | 6.353 | 7.387 | 0.000 | 0.000 | 0.000 |
| 7.387 | 7.387 | 6.353 | 0.000 | 0.000 | 0.000 |
| 0.000 | 0.000 | 0.000 | 0.951 | 0.000 | 0.000 |
| 0.000 | 0.000 | 0.000 | 0.000 | 0.951 | 0.000 |
| 0.000 | 0.000 | 0.000 | 0.000 | 0.000 | 0.951 |
| 6.335 | 7.369 | 7.369 | -0.000 | -0.000 | 0.000 |
| 7.369 | 6.335 | 7.369 | 0.000 | -0.000 | 0.000 |
| 7.369 | 7.369 | 6.335 | 0.000 | -0.000 | -0.000 |
| -0.004 | -0.004 | -0.004 | 0.951 | -0.000 | -0.000 |
| -0.004 | -0.004 | -0.004 | -0.000 | 0.951 | -0.000 |
| -0.004 | -0.004 | -0.004 | -0.000 | -0.000 | 0.951 |
| 6.367 | 7.401 | 7.401 | 0.000 | 0.000 | 0.000 |
| 7.401 | 6.367 | 7.401 | -0.000 | 0.000 | 0.000 |
| 7.401 | 7.401 | 6.367 | 0.000 | 0.000 | -0.000 |
| 0.004 | 0.004 | 0.004 | 0.951 | 0.000 | -0.000 |
| 0.004 | 0.004 | 0.004 | 0.000 | 0.951 | 0.000 |
| 0.004 | 0.004 | 0.004 | 0.000 | 0.000 | 0.951 |
| 138.458 | 177.481 | 177.481 | 0.000 | 0.000 | 0.000 |
| 177.481 | 138.458 | 177.481 | -0.000 | 0.000 | 0.000 |
| 177.481 | 177.481 | 138.458 | 0.000 | 0.000 | 0.000 |
| -5724579.203 | -53579621.048 | -53579619.971 | 53836897.220 | 0.000 | -0.000 |
| -53579621.048 | -5724579.203 | -53579619.971 | 0.000 | 53836897.220 | 0.000 |
| -53579621.048 | -53579619.971 | -5724579.203 | -0.000 | 0.000 | 53836897.220 |
| 225886755.574 | 225886816.848 | 225886816.848 | -0.000 | 0.000 | -0.000 |
| 225886816.848 | 225886755.574 | 225886816.848 | -0.000 | -0.000 | -0.000 |
| 225886816.848 | 225886816.848 | 225886755.574 | -0.000 | -0.000 | -0.000 |
| 5724579.203 | 53579621.048 | 53579619.971 | 53836897.220 | -0.000 | -0.000 |
| 53579621.048 | 5724579.203 | 53579619.971 | -0.000 | 53836897.220 | 0.000 |
| 53579621.048 | 53579619.971 | 5724579.203 | -0.000 | -0.000 | 53836897.220 |
| 138.446 | 177.474 | 177.474 | 0.000 | 0.000 | 0.000 |
| 177.474 | 138.446 | 177.474 | 0.000 | 0.000 | 0.000 |
| 177.474 | 177.474 | 138.446 | 0.000 | 0.000 | 0.000 |
| -572456.220 | -5357949.448 | -5357948.371 | 5383656.065 | 0.000 | 0.000 |
| -5357949.448 | -572456.220 | -5357948.371 | 0.000 | 5383656.065 | -0.000 |
| -5357949.448 | -5357948.371 | -572456.220 | 0.000 | 0.000 | 5383656.065 |
| 22588740.066 | 22588801.340 | 22588801.340 | -0.000 | -0.000 | -0.000 |
| 22588801.340 | 22588740.066 | 22588801.340 | -0.000 | -0.000 | 0.000 |
| 22588801.340 | 22588801.340 | 22588740.066 | -0.000 | -0.000 | -0.000 |
| 572456.220 | 5357949.448 | 5357948.371 | 5383656.065 | -0.000 | -0.000 |
| 5357949.448 | 572456.220 | 5357948.371 | -0.000 | 5383656.065 | 0.000 |
| 5357949.448 | 5357948.371 | 572456.220 | -0.000 | -0.000 | 5383656.065 |
| 138.321 | 177.405 | 177.405 | 0.000 | 0.000 | -0.000 |
| 177.405 | 138.321 | 177.405 | 0.000 | 0.000 | 0.000 |
| 177.405 | 177.405 | 138.321 | 0.000 | -0.000 | 0.000 |
| -57243.924 | -535782.312 | -535781.235 | 538331.981 | -0.000 | -0.000 |
| -535782.312 | -57243.924 | -535781.235 | 0.000 | 538331.981 | -0.000 |
| -535782.312 | -535781.235 | -57243.924 | 0.000 | 0.000 | 538331.981 |
| 2258938.516 | 2258999.789 | 2258999.789 | -0.000 | -0.000 | 0.000 |
| 2258999.789 | 2258938.516 | 2258999.789 | -0.000 | -0.000 | 0.000 |
| 2258999.789 | 2258999.789 | 2258938.516 | -0.000 | -0.000 | 0.000 |
| 57243.924 | 535782.312 | 535781.235 | 538331.981 | 0.000 | -0.000 |
| 535782.312 | 57243.924 | 535781.235 | -0.000 | 538331.981 | 0.000 |
| 535782.312 | 535781.235 | 57243.924 | 0.000 | -0.000 | 538331.981 |
| 71.681 | 132.947 | 132.947 | -0.000 | -0.000 | -0.000 |
| 132.947 | 71.681 | 132.947 | -0.000 | -0.000 | -0.000 |
| 132.947 | 132.947 | 71.681 | -0.000 | -0.000 | -0.000 |
| 0.000 | 0.000 | -0.000 | -28.244 | -0.000 | -0.000 |
| -0.000 | 0.000 | -0.000 | -0.000 | -28.244 | -0.000 |
| -0.000 | 0.000 | -0.000 | -0.000 | -0.000 | -28.244 |
| 71.682 | 132.947 | 132.947 | 0.000 | 0.000 | 0.000 |
| 132.947 | 71.682 | 132.947 | 0.000 | 0.000 | 0.000 |
| 132.947 | 132.947 | 71.682 | 0.000 | 0.000 | 0.000 |
| -0.000 | 0.000 | 0.000 | -28.244 | 0.000 | 0.000 |
| 0.000 | -0.000 | 0.000 | 0.000 | -28.244 | 0.000 |
| -0.000 | -0.000 | 0.000 | 0.000 | 0.000 | -28.244 |
| 71.681 | 132.947 | 132.947 | -0.000 | -0.000 | -0.000 |
| 132.947 | 71.681 | 132.947 | -0.000 | -0.000 | -0.000 |
| 132.947 | 132.947 | 71.681 | 0.000 | 0.000 | -0.000 |
| 0.000 | -0.000 | -0.000 | 118.795 | -0.000 | -0.000 |
| -0.000 | 0.000 | -0.000 | -0.000 | 118.795 | -0.000 |
| -0.000 | 0.000 | 0.000 | -0.000 | -0.000 | 118.795 |
| 71.682 | 132.947 | 132.947 | 0.000 | 0.000 | -0.000 |
| 132.947 | 71.682 | 132.947 | 0.000 | 0.000 | 0.000 |
| 132.947 | 132.947 | 71.682 | 0.000 | 0.000 | 0.000 |
| -0.000 | 0.000 | -0.000 | 118.795 | 0.000 | 0.000 |
| 0.000 | -0.000 | 0.000 | 0.000 | 118.795 | 0.000 |
| 0.000 | -0.000 | -0.000 | 0.000 | 0.000 | 118.795 |
| 71.681 | 132.947 | 132.947 | -0.000 | -0.000 | -0.000 |
| 132.947 | 71.681 | 132.947 | -0.000 | -0.000 | -0.000 |
| 132.947 | 132.947 | 71.681 | 0.000 | 0.000 | -0.000 |
| 0.000 | -0.001 | -0.001 | -28.244 | -0.000 | -0.000 |
| -0.001 | 0.000 | -0.001 | -0.000 | -28.244 | -0.000 |
| -0.001 | -0.001 | 0.000 | -0.000 | -0.000 | -28.244 |
| 71.682 | 132.947 | 132.947 | 0.000 | 0.000 | 0.000 |
| 132.947 | 71.682 | 132.947 | 0.000 | 0.000 | 0.000 |
| 132.947 | 132.947 | 71.682 | 0.000 | 0.000 | 0.000 |
| -0.000 | 0.001 | 0.001 | -28.244 | 0.000 | 0.000 |
| 0.001 | -0.000 | 0.001 | 0.000 | -28.244 | 0.000 |
| 0.001 | 0.001 | -0.000 | 0.000 | 0.000 | -28.244 |
| 67.747 | 116.008 | 116.008 | 0.000 | 0.000 | 0.000 |
| 116.008 | 67.747 | 116.008 | -0.000 | 0.000 | 0.000 |
| 116.008 | 116.008 | 67.747 | 0.000 | -0.000 | 0.000 |
| 0.000 | 0.000 | 0.000 | 105.427 | 0.000 | 0.000 |
| 0.000 | 0.000 | 0.000 | 0.000 | 105.427 | 0.000 |
| 0.000 | 0.000 | -0.000 | 0.000 | -0.000 | 105.427 |
| 67.747 | 116.008 | 116.008 | 0.000 | 0.000 | -0.000 |
| 116.008 | 67.747 | 116.008 | -0.000 | 0.000 | -0.000 |
| 116.008 | 116.008 | 67.747 | -0.000 | 0.000 | -0.000 |
| -0.000 | -0.000 | -0.000 | 105.427 | -0.000 | -0.000 |
| -0.000 | -0.000 | -0.000 | -0.000 | 105.427 | -0.000 |
| -0.000 | -0.000 | 0.000 | -0.000 | 0.000 | 105.427 |
| 67.747 | 116.008 | 116.008 | 0.000 | -0.000 | -0.000 |
| 116.008 | 67.747 | 116.008 | -0.000 | -0.000 | 0.000 |
| 116.008 | 116.008 | 67.747 | 0.000 | -0.000 | 0.000 |
| 0.000 | -0.000 | -0.000 | -24.382 | 0.000 | 0.000 |
| -0.000 | 0.000 | -0.000 | 0.000 | -24.382 | 0.000 |
| -0.000 | -0.000 | 0.000 | 0.000 | -0.000 | -24.382 |
| 67.747 | 116.008 | 116.008 | 0.000 | -0.000 | -0.000 |
| 116.008 | 67.747 | 116.008 | 0.000 | -0.000 | -0.000 |
| 116.008 | 116.008 | 67.747 | -0.000 | 0.000 | -0.000 |
| -0.000 | 0.000 | 0.000 | -24.382 | 0.000 | -0.000 |
| 0.000 | -0.000 | 0.000 | -0.000 | -24.382 | -0.000 |
| 0.000 | 0.000 | -0.000 | -0.000 | 0.000 | -24.382 |
| 67.747 | 116.008 | 116.008 | 0.000 | -0.000 | 0.000 |
| 116.008 | 67.747 | 116.008 | 0.000 | -0.000 | 0.000 |
| 116.008 | 116.008 | 67.747 | 0.000 | 0.000 | 0.000 |
| 0.000 | -0.000 | 0.000 | 105.427 | -0.000 | 0.000 |
| -0.000 | 0.000 | 0.000 | 0.000 | 105.427 | 0.000 |
| -0.000 | 0.000 | 0.000 | -0.000 | -0.000 | 105.427 |
| 67.748 | 116.008 | 116.008 | 0.000 | 0.000 | -0.000 |
| 116.008 | 67.748 | 116.008 | -0.000 | -0.000 | -0.000 |
| 116.008 | 116.008 | 67.748 | -0.000 | 0.000 | -0.000 |
| -0.000 | 0.000 | -0.000 | 105.427 | -0.000 | -0.000 |
| 0.000 | -0.000 | -0.000 | -0.000 | 105.427 | -0.000 |
| 0.000 | -0.000 | -0.000 | -0.000 | 0.000 | 105.427 |
| 9.359 | -2.042 | -2.042 | -0.000 | -0.000 | -0.000 |
| -2.042 | 9.359 | -2.042 | 0.000 | -0.000 | -0.000 |
| -2.042 | -2.042 | 9.359 | -0.000 | -0.000 | -0.000 |
| -0.000 | -0.000 | -0.000 | -2.070 | -0.000 | -0.000 |
| -0.000 | -0.000 | -0.000 | -0.000 | -2.070 | 0.000 |
| -0.000 | -0.000 | -0.000 | -0.000 | -0.000 | -2.070 |
| 9.359 | -2.042 | -2.042 | -0.000 | 0.000 | 0.000 |
| -2.042 | 9.359 | -2.042 | -0.000 | 0.000 | -0.000 |
| -2.042 | -2.042 | 9.359 | 0.000 | 0.000 | 0.000 |
| 0.000 | 0.000 | 0.000 | -2.070 | 0.000 | -0.000 |
| 0.000 | 0.000 | 0.000 | 0.000 | -2.070 | -0.000 |
| 0.000 | 0.000 | 0.000 | 0.000 | 0.000 | -2.070 |
| 9.359 | -2.042 | -2.042 | -0.000 | -0.000 | -0.000 |
| -2.042 | 9.359 | -2.042 | -0.000 | -0.000 | -0.000 |
| -2.042 | -2.042 | 9.359 | -0.000 | -0.000 | -0.000 |
| -0.000 | -0.000 | -0.000 | -2.070 | -0.000 | 0.000 |
| -0.000 | -0.000 | -0.000 | 0.000 | -2.070 | -0.000 |
| -0.000 | -0.000 | -0.000 | -0.000 | -0.000 | -2.070 |
| 9.359 | -2.042 | -2.042 | 0.000 | -0.000 | 0.000 |
| -2.042 | 9.359 | -2.042 | 0.000 | 0.000 | 0.000 |
| -2.042 | -2.042 | 9.359 | 0.000 | 0.000 | 0.000 |
| 0.000 | 0.000 | 0.000 | -2.070 | 0.000 | 0.000 |
| 0.000 | 0.000 | 0.000 | -0.000 | -2.070 | 0.000 |
| 0.000 | 0.000 | 0.000 | 0.000 | 0.000 | -2.070 |
| 9.360 | -2.043 | -2.043 | 0.000 | -0.000 | -0.000 |
| -2.043 | 9.360 | -2.043 | -0.000 | -0.000 | -0.000 |
| -2.043 | -2.043 | 9.360 | 0.000 | -0.000 | -0.000 |
| -0.000 | -0.000 | -0.000 | -2.070 | -0.000 | 0.000 |
| -0.000 | -0.000 | -0.000 | 0.000 | -2.070 | -0.000 |
| -0.000 | -0.000 | -0.000 | -0.000 | -0.000 | -2.070 |
| 9.358 | -2.042 | -2.042 | 0.000 | 0.000 | 0.000 |
| -2.042 | 9.358 | -2.042 | -0.000 | 0.000 | 0.000 |
| -2.042 | -2.042 | 9.358 | 0.000 | 0.000 | 0.000 |
| 0.000 | 0.000 | 0.000 | -2.070 | 0.000 | 0.000 |
| 0.000 | 0.000 | 0.000 | 0.000 | -2.070 | 0.000 |
| 0.000 | 0.000 | 0.000 | 0.000 | 0.000 | -2.070 |
| 0.479 | 0.553 | 0.553 | -0.000 | 0.000 | -0.000 |
| 0.553 | 0.479 | 0.553 | -0.000 | -0.000 | -0.000 |
| 0.553 | 0.553 | 0.479 | -0.000 | -0.000 | -0.000 |
| -0.000 | -0.000 | -0.000 | 0.470 | -0.000 | 0.000 |
| -0.000 | -0.000 | -0.000 | -0.000 | 0.425 | -0.000 |
| -0.000 | -0.000 | -0.000 | -0.000 | -0.000 | 0.470 |
| 0.479 | 0.553 | 0.553 | -0.000 | -0.000 | 0.000 |
| 0.553 | 0.479 | 0.553 | 0.000 | 0.000 | 0.000 |
| 0.553 | 0.553 | 0.479 | 0.000 | 0.000 | 0.000 |
| 0.000 | 0.000 | 0.000 | 0.470 | 0.000 | 0.000 |
| 0.000 | 0.000 | 0.000 | 0.000 | 0.470 | -0.000 |
| 0.000 | 0.000 | 0.000 | 0.000 | 0.000 | 0.470 |
| 0.479 | 0.553 | 0.553 | -0.000 | -0.000 | -0.000 |
| 0.553 | 0.479 | 0.553 | -0.000 | 0.000 | -0.000 |
| 0.553 | 0.553 | 0.479 | -0.000 | -0.000 | -0.000 |
| -0.000 | -0.000 | -0.000 | 0.281 | -0.000 | -0.000 |
| -0.000 | -0.000 | -0.000 | -0.000 | 0.281 | -0.000 |
| -0.000 | -0.000 | -0.000 | -0.000 | -0.000 | 0.347 |
| 0.479 | 0.553 | 0.553 | 0.000 | 0.000 | 0.000 |
| 0.553 | 0.479 | 0.553 | 0.000 | 0.000 | 0.000 |
| 0.553 | 0.553 | 0.479 | 0.000 | 0.000 | 0.000 |
| 0.000 | 0.000 | 0.000 | 0.281 | 0.000 | 0.000 |
| 0.000 | 0.000 | 0.000 | 0.000 | 0.281 | -0.000 |
| 0.000 | 0.000 | 0.000 | 0.000 | 0.000 | 0.281 |
| 0.478 | 0.552 | 0.552 | -0.000 | -0.000 | -0.000 |
| 0.552 | 0.478 | 0.552 | -0.000 | -0.000 | -0.000 |
| 0.552 | 0.552 | 0.478 | -0.000 | -0.000 | -0.000 |
| -0.000 | -0.000 | -0.000 | -0.040 | -0.000 | -0.000 |
| -0.000 | -0.000 | -0.000 | -0.000 | -0.040 | -0.000 |
| -0.000 | -0.000 | -0.000 | -0.000 | -0.000 | -0.040 |
| 0.480 | 0.554 | 0.554 | 0.000 | 0.000 | 0.000 |
| 0.554 | 0.480 | 0.554 | 0.000 | 0.000 | -0.000 |
| 0.554 | 0.554 | 0.480 | 0.000 | 0.000 | 0.000 |
| 0.000 | 0.000 | 0.000 | -0.040 | 0.000 | 0.000 |
| 0.000 | 0.000 | 0.000 | 0.000 | -0.040 | -0.000 |
| 0.000 | 0.000 | 0.000 | 0.000 | 0.000 | -0.040 |
| 71.320 | 175.599 | 158.579 | 0.000 | 0.000 | 0.000 |
| 175.599 | 71.320 | 158.579 | 0.000 | 0.000 | 0.000 |
| 112.857 | 112.857 | 454.481 | -0.000 | 0.000 | 0.000 |
| -0.000 | -0.000 | 0.000 | -78.470 | -0.000 | 0.000 |
| -0.000 | -0.000 | 0.000 | 0.000 | -78.470 | 0.000 |
| 0.000 | 0.000 | 0.000 | 0.000 | 0.000 | 146.249 |
| 71.320 | 175.599 | 158.579 | 0.000 | 0.000 | -0.000 |
| 175.599 | 71.320 | 158.579 | 0.000 | 0.000 | -0.000 |
| 144.769 | 144.769 | 305.631 | -0.000 | -0.000 | -0.000 |
| 0.000 | 0.000 | -0.000 | -78.470 | -0.000 | -0.000 |
| -0.000 | 0.000 | -0.000 | 0.000 | -78.470 | -0.000 |
| -0.000 | -0.000 | -0.000 | 0.000 | -0.000 | 146.249 |
| 78.164 | 182.441 | 126.661 | -0.000 | 0.000 | 0.000 |
| 182.441 | 78.164 | 126.661 | 0.000 | -0.000 | 0.000 |
| 144.770 | 144.770 | 305.629 | -0.000 | 0.000 | 0.000 |
| 0.000 | 0.000 | 0.000 | -78.470 | 0.000 | 0.000 |
| 0.000 | 0.000 | 0.000 | 0.000 | -78.470 | 0.000 |
| 0.000 | 0.000 | -0.000 | 0.000 | 0.000 | 146.249 |
| 71.320 | 175.599 | 158.579 | 0.000 | -0.000 | -0.000 |
| 175.599 | 71.320 | 158.579 | -0.000 | 0.000 | -0.000 |
| 144.769 | 144.769 | 305.632 | 0.000 | -0.000 | -0.000 |
| -0.000 | -0.000 | -0.000 | -78.470 | -0.000 | -0.000 |
| -0.000 | -0.000 | -0.000 | 0.000 | -78.470 | -0.000 |
| -0.000 | -0.000 | 0.000 | 0.000 | -0.000 | 146.249 |
| 71.320 | 175.600 | 158.578 | 0.000 | 0.000 | 0.000 |
| 175.600 | 71.320 | 158.578 | -0.000 | 0.000 | 0.000 |
| 144.773 | 144.773 | 305.614 | -0.000 | 0.000 | 0.000 |
| 0.000 | 0.000 | -0.000 | -78.467 | 0.000 | 0.000 |
| 0.000 | 0.000 | -0.000 | 0.000 | -78.467 | 0.000 |
| 0.000 | 0.000 | -0.001 | 0.000 | 0.000 | 146.249 |
| 78.164 | 182.441 | 126.661 | 0.000 | -0.000 | -0.000 |
| 182.441 | 78.164 | 126.661 | 0.000 | -0.000 | -0.000 |
| 144.765 | 144.765 | 305.648 | 0.000 | -0.000 | -0.000 |
| -0.000 | -0.000 | 0.000 | -78.467 | -0.000 | -0.000 |
| -0.000 | -0.000 | 0.000 | -0.000 | -78.467 | -0.000 |
| -0.000 | -0.000 | 0.001 | 0.000 | -0.000 | 146.249 |
| 33.056 | 111.618 | 70.944 | -0.000 | 0.000 | -0.000 |
| 111.618 | 33.056 | 70.944 | -0.000 | -0.000 | 0.000 |
| 57.975 | 57.975 | 203.896 | 0.000 | 0.000 | 0.000 |
| -3.220 | -3.220 | 12.413 | -84.460 | 0.000 | -0.000 |
| -3.220 | -3.220 | 12.413 | -0.000 | -84.460 | 0.000 |
| 0.000 | 0.000 | -0.000 | 0.000 | 0.000 | 121.500 |
| 35.838 | 114.399 | 60.221 | -0.000 | -0.000 | -0.000 |
| 114.399 | 35.838 | 60.221 | 0.000 | -0.000 | -0.000 |
| 60.757 | 60.757 | 193.171 | -0.000 | -0.000 | -0.000 |
| 3.220 | 3.220 | -12.413 | -84.460 | 0.000 | -0.000 |
| 3.220 | 3.220 | -12.413 | -0.000 | -84.460 | -0.000 |
| -0.000 | -0.000 | 0.000 | -0.000 | -0.000 | 121.500 |
| 34.308 | 112.870 | 66.118 | 0.000 | 0.000 | 0.000 |
| 112.870 | 34.308 | 66.118 | 0.000 | 0.000 | 0.000 |
| 59.228 | 59.228 | 199.069 | -0.000 | 0.000 | 0.000 |
| -0.325 | -0.324 | 1.251 | -85.350 | 0.000 | 0.000 |
| -0.324 | -0.325 | 1.251 | -0.000 | -85.350 | 0.000 |
| -0.156 | -0.156 | 0.601 | -0.000 | 0.000 | 114.096 |
| 34.586 | 113.148 | 65.046 | 0.000 | -0.000 | -0.000 |
| 113.148 | 34.586 | 65.046 | -0.000 | -0.000 | -0.000 |
| 59.505 | 59.505 | 197.998 | -0.000 | 0.000 | -0.000 |
| 0.325 | 0.324 | -1.251 | -85.350 | -0.000 | -0.000 |
| 0.324 | 0.325 | -1.251 | -0.000 | -85.350 | -0.000 |
| 0.156 | 0.156 | -0.601 | 0.000 | -0.000 | 114.096 |
| 41.047 | 119.608 | 40.142 | -0.000 | 0.000 | 0.000 |
| 119.608 | 41.047 | 40.142 | -0.000 | 0.000 | 0.000 |
| 59.355 | 59.355 | 198.580 | 0.000 | 0.000 | 0.000 |
| -0.033 | -0.032 | 0.125 | -85.359 | 0.000 | 0.000 |
| -0.032 | -0.033 | 0.125 | -0.000 | -85.359 | 0.000 |
| 0.000 | 0.000 | 0.000 | -0.000 | 0.000 | 121.500 |
| 25280055.792 | -1622898.375 | 2901982.791 | 21.169 | -30.935 | -5775.464 |
| 1606413.538 | -681303.232 | 7442776.098 | 60206.967 | -38876.068 | 135256.175 |
| 59.378 | 59.378 | 198.486 | 0.000 | -0.000 | 0.000 |
| 0.033 | 0.032 | -0.125 | -85.359 | -0.000 | -0.000 |
| 0.032 | 0.033 | -0.125 | 0.000 | -85.359 | -0.000 |
| -0.000 | -0.000 | -0.000 | -0.000 | -0.000 | 121.500 |
| 384.859 | 151.924 | 246.802 | -3.586 | 0.000 | 0.000 |
| 88.233 | 321.170 | 402.739 | 3.586 | -0.000 | -0.000 |
| 72.182 | 72.183 | 850.810 | -0.000 | 0.000 | -0.000 |
| -172128865.695 | -172304989.058 | 265118768.902 | 34441.651 | -0.000 | 0.000 |
| -27465970.502 | -9474192.577 | -5003376.536 | 6897196.275 | 11946384.725 | -15581340.319 |
| -27705195.977 | -27705198.492 | -7504877.641 | -1.331 | -11036993.576 | 17961640.595 |
| -1125391652.100 | 1795573415.851 | 185842910.094 | -1204818025.441 | 0.001 | -0.006 |
| 172218663.769 | 172218365.899 | -265116862.409 | -12.968 | 0.000 | 0.000 |
| 172218509.271 | 172218509.270 | -265116669.823 | 0.000 | 0.000 | -0.000 |
| 478390.719 | 36461940.783 | 5003165.229 | 13794484.636 | -0.000 | -0.000 |
| 27465970.501 | 9474192.577 | 5003376.536 | -6897196.275 | 11946384.726 | -15581340.319 |
| 27705195.977 | 27705198.492 | 7504877.641 | 1.331 | -11036993.576 | 17961640.595 |
| 408.738 | 175.806 | 188.325 | -3.585 | 0.000 | 0.000 |
| 111.518 | 344.447 | 345.731 | 3.584 | 0.000 | 0.000 |
| 92.856 | 92.856 | 800.195 | -0.000 | 0.000 | -0.000 |
| 112221005.730 | -185086777.455 | -14010041.658 | 127510977.465 | 0.003 | 0.005 |
| -2770576.121 | -2770592.048 | -750457.160 | -12.493 | 1285668.605 | -1320125.407 |
| -2770568.227 | -2770570.619 | -750349.834 | -1.226 | -1103701.622 | 1796261.966 |
| -113883532.356 | 187401629.735 | 13046318.855 | -128898283.259 | 0.365 | -0.310 |
| 60138137.214 | -35351633.975 | -6427350.804 | 7460759.680 | -0.035 | -0.038 |
| 17222068.214 | 17222068.214 | -26511272.423 | -0.000 | -0.000 | 0.000 |
| 47901.543 | 3646247.630 | 500162.170 | 1379528.708 | -0.000 | 0.000 |
| 2770576.121 | 2770592.048 | 750457.160 | 12.493 | 1285668.605 | -1320125.407 |
| 2770568.227 | 2770570.619 | 750349.834 | 1.226 | -1103701.622 | 1796261.966 |
| 410.817 | 177.930 | 183.075 | -3.571 | 0.000 | 0.000 |
| 113.578 | 346.429 | 340.709 | 3.568 | 0.000 | -0.000 |
| 95.900 | 95.900 | 792.746 | 0.000 | 0.000 | -0.000 |
| 10745905.936 | -17818183.436 | -1294564.094 | 12388541.830 | -0.000 | 0.000 |
| -277073.030 | -277077.054 | -74994.701 | -2.210 | 128646.516 | -132012.062 |
| -277104.353 | -277106.731 | -74899.830 | -1.214 | -110372.395 | 179724.159 |
| 1722286.034 | 1722591.196 | -2650949.242 | 13.609 | -0.000 | -0.000 |
| 4737710.676 | -2690948.851 | -1337387.477 | 137576.509 | -0.000 | -0.000 |
| 1722346.014 | 1722346.014 | -2650537.874 | 0.000 | 0.000 | -0.000 |
| 4851.899 | 364677.688 | 49863.551 | 138033.092 | -0.000 | 0.000 |
| 277073.030 | 277077.054 | 74994.701 | 2.210 | 128646.516 | -132012.062 |
| 277104.353 | 277106.731 | 74899.830 | 1.214 | -110372.395 | 179724.159 |
| -4457.994 | -4342.801 | 13551.418 | -12.777 | 0.000 | -0.000 |
| 114.342 | 303.930 | 82.466 | 3.417 | 0.000 | 0.000 |
| 80.691 | 80.691 | 435.172 | -0.000 | 0.000 | 0.000 |
| -4592.906 | -4567.351 | 13401.023 | -21.900 | 0.000 | 0.000 |
| -458.988 | -458.988 | 3922.921 | 0.000 | 24.187 | -12.304 |
| -458.975 | -458.975 | 3922.808 | 0.000 | -12.304 | 31.140 |
| 303.930 | 114.342 | 82.466 | -3.417 | -0.000 | -0.000 |
| 625.068 | 687.445 | -3811.671 | 12.297 | -0.000 | -0.000 |
| 566.153 | 566.153 | -3553.583 | -0.000 | -0.000 | 0.000 |
| 446.669 | 471.277 | -3922.793 | 24.188 | -0.000 | 0.000 |
| 458.988 | 458.988 | -3922.921 | 0.000 | 24.187 | -12.304 |
| 458.975 | 458.975 | -3922.807 | -0.000 | -12.304 | 31.140 |
| 181.818 | 120.645 | 504.038 | -12.381 | 0.000 | -0.000 |
| 114.342 | 303.930 | 82.466 | 3.417 | 0.000 | 0.000 |
| -311.483 | -311.483 | 1621.272 | -0.000 | 0.000 | 0.000 |
| -58.223 | -33.608 | 392.435 | 24.176 | 0.000 | -0.000 |
| -45.915 | -45.915 | 392.435 | 0.000 | 24.176 | -12.307 |
| 0.000 | 0.000 | 0.000 | 0.000 | -3.417 | 94.794 |
| 274.864 | 211.719 | -281.663 | -12.244 | -0.000 | 0.000 |
| 211.728 | 274.861 | -281.697 | 12.244 | -0.000 | 0.000 |
| 153.534 | 153.534 | -24.368 | -0.000 | -0.000 | 0.000 |
| 33.608 | 58.223 | -392.435 | 24.176 | -0.000 | -0.000 |
| 45.915 | 45.915 | -392.435 | -0.000 | 24.176 | -12.307 |
| -0.000 | -0.000 | -0.000 | -0.000 | -3.417 | 94.794 |
| 211.022 | 169.744 | 158.058 | -13.770 | 0.000 | -0.000 |
| 194.124 | 66.610 | 292.238 | 12.669 | 0.000 | -0.000 |
| 100.728 | 100.728 | 415.183 | -0.000 | 0.000 | 0.000 |
| -17.419 | 7.882 | 40.756 | 23.025 | 0.000 | 0.000 |
| -4.768 | -4.768 | 40.756 | 0.000 | 23.026 | -12.650 |
| -4.917 | -4.917 | 42.027 | 0.000 | -12.938 | 26.597 |
| 232.527 | 171.743 | 68.738 | -12.409 | -0.000 | 0.000 |
| 304.745 | 157.240 | 4.195 | 12.817 | -0.000 | -0.000 |
| 80.691 | 80.691 | 435.170 | 0.000 | -0.000 | 0.000 |
| -7.882 | 17.418 | -40.756 | 23.026 | -0.000 | 0.000 |
| 4.768 | 4.768 | -40.756 | -0.000 | 23.026 | -12.650 |
| 4.917 | 4.917 | -42.027 | -0.000 | -12.938 | 26.597 |
| 425.232 | 81.649 | 81.649 | -0.000 | -0.000 | 0.000 |
| 81.649 | 425.232 | 81.649 | -0.000 | -0.000 | 0.000 |
| 81.649 | 81.649 | 425.232 | -0.000 | -0.000 | 0.000 |
| 0.000 | -0.000 | -0.000 | -160.918 | -0.000 | -0.000 |
| -0.000 | -0.000 | -0.000 | -0.000 | -160.918 | -0.000 |
| -0.000 | -0.000 | 0.000 | -0.000 | -0.000 | -160.918 |
| 425.232 | 81.649 | 81.649 | 0.000 | 0.000 | -0.000 |
| 81.649 | 425.232 | 81.649 | 0.000 | 0.000 | -0.000 |
| 81.649 | 81.649 | 425.232 | 0.000 | 0.000 | 0.000 |
| -0.000 | 0.000 | 0.000 | -160.918 | -0.000 | -0.000 |
| 0.000 | 0.000 | 0.000 | 0.000 | -160.918 | 0.000 |
| 0.000 | 0.000 | -0.000 | 0.000 | 0.000 | -160.918 |
| 422.774 | 82.878 | 82.878 | -0.000 | 0.000 | 0.000 |
| 82.878 | 422.774 | 82.878 | -0.000 | 0.000 | -0.000 |
| 82.878 | 82.878 | 422.774 | -0.000 | -0.000 | 0.000 |
| 0.000 | 0.000 | 0.000 | -0.300 | 0.000 | 0.000 |
| 0.000 | 0.000 | 0.000 | -0.000 | -0.300 | 0.000 |
| 0.000 | 0.000 | 0.000 | -0.000 | -0.000 | -0.300 |
| 422.773 | 82.878 | 82.878 | 0.000 | 0.000 | -0.000 |
| 82.878 | 422.773 | 82.878 | 0.000 | -0.000 | 0.000 |
| 82.878 | 82.878 | 422.773 | 0.000 | 0.000 | -0.000 |
| -0.000 | -0.000 | -0.000 | -0.300 | -0.000 | -0.000 |
| -0.000 | -0.000 | -0.000 | 0.000 | -0.300 | -0.000 |
| -0.000 | -0.000 | -0.000 | 0.000 | 0.000 | -0.300 |
| 422.774 | 82.877 | 82.877 | -0.000 | -0.000 | -0.000 |
| 82.877 | 422.774 | 82.877 | -0.000 | -0.000 | 0.000 |
| 82.877 | 82.877 | 422.774 | -0.000 | -0.000 | -0.000 |
| -23842.205 | 707563.379 | 707554.836 | -4304038.220 | -0.000 | -0.000 |
| 707563.379 | -23842.205 | 707554.835 | -0.000 | -4304038.220 | -0.000 |
| 707563.379 | 707554.836 | -23842.205 | -0.000 | -0.000 | -4304038.220 |
| 425.230 | 81.650 | 81.650 | 0.000 | 0.000 | -0.000 |
| 81.650 | 425.230 | 81.650 | 0.000 | -0.000 | -0.000 |
| 81.650 | 81.650 | 425.230 | 0.000 | 0.000 | 0.000 |
| 23842.205 | -707563.379 | -707554.836 | -4304038.220 | 0.000 | -0.000 |
| -707563.380 | 23842.205 | -707554.835 | 0.000 | -4304038.220 | -0.000 |
| -707563.379 | -707554.836 | 23842.205 | 0.000 | -0.000 | -4304038.220 |
| 3.173 | 6.777 | 6.777 | -0.000 | -0.000 | 0.000 |
| 6.777 | 3.173 | 6.777 | -0.000 | -0.000 | 0.000 |
| 6.777 | 6.777 | 3.173 | -0.000 | -0.000 | 0.000 |
| -0.000 | 0.000 | 0.000 | -1.179 | -0.000 | 0.000 |
| 0.000 | -0.000 | 0.000 | -0.000 | -1.179 | 0.000 |
| 0.000 | 0.000 | -0.000 | -0.000 | -0.000 | -1.179 |
| 3.173 | 6.777 | 6.777 | -0.000 | -0.000 | -0.000 |
| 6.777 | 3.173 | 6.777 | -0.000 | -0.000 | -0.000 |
| 6.777 | 6.777 | 3.173 | 0.000 | -0.000 | -0.000 |
| 0.000 | -0.000 | -0.000 | -1.179 | 0.000 | -0.000 |
| -0.000 | 0.000 | -0.000 | 0.000 | -1.179 | -0.000 |
| -0.000 | -0.000 | 0.000 | 0.000 | 0.000 | -1.179 |
| 3.173 | 6.777 | 6.777 | 0.000 | 0.000 | 0.000 |
| 6.777 | 3.173 | 6.777 | -0.000 | 0.000 | 0.000 |
| 6.777 | 6.777 | 3.173 | -0.000 | -0.000 | 0.000 |
| -0.000 | 0.000 | 0.000 | -1.179 | -0.000 | 0.000 |
| 0.000 | -0.000 | 0.000 | -0.000 | -1.179 | 0.000 |
| 0.000 | 0.000 | -0.000 | -0.000 | -0.000 | -1.179 |
| 3.172 | 6.777 | 6.777 | -0.000 | -0.000 | -0.000 |
| 6.777 | 3.172 | 6.777 | 0.000 | -0.000 | -0.000 |
| 6.777 | 6.777 | 3.172 | -0.000 | -0.000 | -0.000 |
| 0.000 | -0.000 | -0.000 | -1.179 | 0.000 | -0.000 |
| -0.000 | 0.000 | -0.000 | 0.000 | -1.179 | -0.000 |
| -0.000 | -0.000 | 0.000 | 0.000 | 0.000 | -1.179 |
| 3.173 | 6.777 | 6.777 | -0.000 | 0.000 | 0.000 |
| 6.777 | 3.173 | 6.777 | 0.000 | -0.000 | 0.000 |
| 6.777 | 6.777 | 3.173 | -0.000 | -0.000 | 0.000 |
| -0.000 | 0.000 | 0.000 | -1.179 | -0.000 | -0.000 |
| 0.000 | -0.000 | 0.000 | -0.000 | -1.179 | 0.000 |
| 0.000 | 0.000 | -0.000 | -0.000 | -0.000 | -1.179 |
| 3.172 | 6.777 | 6.777 | 0.000 | -0.000 | -0.000 |
| 6.777 | 3.172 | 6.777 | 0.000 | 0.000 | -0.000 |
| 6.777 | 6.777 | 3.172 | -0.000 | -0.000 | -0.000 |
| 0.000 | -0.000 | -0.000 | -1.179 | 0.000 | -0.000 |
| -0.000 | 0.000 | -0.000 | 0.000 | -1.179 | -0.000 |
| -0.000 | -0.000 | 0.000 | 0.000 | 0.000 | -1.179 |
| 5.096 | 2.781 | 2.781 | -0.000 | -0.000 | 0.000 |
| 2.781 | 5.096 | 2.781 | 0.000 | -0.000 | 0.000 |
| 2.781 | 2.781 | 5.096 | 0.000 | 0.000 | -0.000 |
| 0.000 | 0.000 | 0.000 | 2.369 | -0.000 | -0.000 |
| 0.000 | 0.000 | 0.000 | 0.000 | 2.369 | -0.000 |
| 0.000 | 0.000 | 0.000 | -0.000 | 0.000 | 2.369 |
| 5.096 | 2.781 | 2.781 | 0.000 | 0.000 | -0.000 |
| 2.781 | 5.096 | 2.781 | 0.000 | 0.000 | -0.000 |
| 2.781 | 2.781 | 5.096 | -0.000 | -0.000 | -0.000 |
| -0.000 | -0.000 | -0.000 | 2.369 | -0.000 | -0.000 |
| -0.000 | -0.000 | -0.000 | -0.000 | 2.369 | 0.000 |
| -0.000 | -0.000 | -0.000 | 0.000 | -0.000 | 2.369 |
| -264218.450 | -137318.419 | -188554.191 | 26441.043 | -8752.489 | 32423.136 |
| -153713.263 | -234873.223 | -134811.092 | 22676.521 | -13957.566 | -13645.270 |
| -147932.504 | -200286.001 | -252994.653 | -28474.400 | 18312.168 | 14569.018 |
| 0.000 | 0.000 | 0.000 | 2.278 | -0.000 | -0.000 |
| 0.000 | 0.000 | 0.000 | 0.000 | 2.278 | -0.000 |
| 0.000 | 0.000 | 0.000 | 0.000 | 0.000 | 2.278 |
| 165985.066 | 501450.778 | 515869.006 | 20085.316 | 4472.148 | -3385.100 |
| 491709.063 | 168444.925 | 465412.153 | 16911.061 | -34508.040 | -49993.610 |
| 484047.386 | 451365.150 | 186156.839 | 11841.402 | 47915.104 | 25804.016 |
| -0.000 | -0.000 | -0.000 | 2.278 | -0.000 | -0.000 |
| -0.000 | -0.000 | -0.000 | -0.000 | 2.278 | 0.000 |
| -0.000 | -0.000 | -0.000 | -0.000 | 0.000 | 2.278 |
| -16025.508 | -10477.491 | -14246.642 | 998.222 | -958.313 | 493.844 |
| -18165.000 | -15271.954 | -13471.476 | -806.338 | 1196.207 | -871.209 |
| -11923.543 | -12488.360 | -17809.568 | -759.107 | -787.159 | 718.445 |
| 0.000 | 0.000 | 0.000 | 2.278 | 0.000 | 0.000 |
| 0.000 | 0.000 | 0.000 | 0.000 | 2.278 | -0.000 |
| 0.000 | 0.000 | 0.000 | 0.000 | -0.000 | 2.278 |
| 22792.281 | 50295.053 | 52739.282 | -1624.710 | -542.910 | -3879.774 |
| 55105.025 | 25296.362 | 56761.922 | -3143.745 | -4224.898 | 1625.417 |
| 62985.784 | 61358.355 | 27745.761 | -1734.307 | -3267.163 | -3322.643 |
| -0.000 | -0.000 | -0.000 | 2.278 | -0.000 | -0.000 |
| -0.000 | -0.000 | -0.000 | -0.000 | 2.278 | 0.000 |
| -0.000 | -0.000 | -0.000 | -0.000 | 0.000 | 2.278 |
| -12364329.410 | -12364328.878 | -12364328.878 | -0.000 | 0.000 | -0.000 |
| -12364328.878 | -12364329.410 | -12364328.878 | -0.000 | 0.000 | 0.000 |
| -12364328.878 | -12364328.878 | -12364329.410 | 0.000 | 0.000 | -0.000 |
| 5760395.058 | 1967296.949 | 1967296.871 | -3674589.064 | 0.000 | 0.000 |
| 1967296.941 | 5760395.056 | 1967296.871 | 0.000 | -3674589.065 | -0.000 |
| 1967296.948 | 1967296.871 | 5760395.058 | 0.000 | 0.000 | -3674589.064 |
| 2.268 | 1.776 | 1.776 | 0.000 | -0.000 | 0.000 |
| 1.776 | 2.268 | 1.776 | -0.000 | -0.000 | -0.000 |
| 1.776 | 1.776 | 2.268 | -0.000 | 0.000 | -0.000 |
| -5760395.058 | -1967296.948 | -1967296.871 | -3674589.064 | 0.000 | 0.000 |
| -1967296.945 | -5760395.059 | -1967296.876 | -0.000 | -3674589.064 | -0.000 |
| -1967296.948 | -1967296.871 | -5760395.058 | -0.000 | 0.000 | -3674589.064 |
| 373656.334 | 386014.747 | 392371.965 | 15925.969 | -16116.719 | -14713.143 |
| 376388.136 | 364783.821 | 361888.318 | -16975.521 | 22436.072 | -14085.191 |
| 367655.078 | 380933.987 | 372815.525 | -12540.924 | -33332.628 | 16644.377 |
| 576040.017 | 196730.239 | 196730.165 | -367456.634 | 0.000 | -0.000 |
| 196730.238 | 576040.017 | 196730.165 | 0.000 | -367456.634 | 0.000 |
| 196730.239 | 196730.165 | 576040.017 | 0.000 | 0.000 | -367456.634 |
| 2.268 | 1.776 | 1.776 | -0.000 | -0.000 | 0.000 |
| 1.776 | 2.268 | 1.776 | 0.000 | -0.000 | -0.000 |
| 1.776 | 1.776 | 2.268 | -0.000 | -0.000 | 0.000 |
| -576040.017 | -196730.239 | -196730.165 | -367456.634 | -0.000 | -0.000 |
| -196730.238 | -576040.017 | -196730.165 | -0.000 | -367456.634 | 0.000 |
| -196730.239 | -196730.165 | -576040.017 | -0.000 | -0.000 | -367456.634 |
| 30670.705 | 40419.285 | 36720.736 | 299.352 | -238.842 | 2309.193 |
| 37768.448 | 30100.781 | 41950.473 | 2792.818 | 373.467 | -396.760 |
| 39143.330 | 36489.602 | 31491.606 | -306.993 | 1650.345 | 1151.941 |
| 57604.510 | 19673.561 | 19673.490 | -36743.392 | 0.000 | 0.000 |
| 19673.561 | 57604.510 | 19673.490 | -0.000 | -36743.392 | 0.000 |
| 19673.561 | 19673.490 | 57604.510 | 0.000 | 0.000 | -36743.392 |
| 2.268 | 1.776 | 1.776 | -0.000 | -0.000 | 0.000 |
| 1.776 | 2.268 | 1.776 | 0.000 | -0.000 | -0.000 |
| 1.776 | 1.776 | 2.268 | -0.000 | -0.000 | 0.000 |
| -57604.510 | -19673.561 | -19673.490 | -36743.392 | -0.000 | -0.000 |
| -19673.561 | -57604.510 | -19673.490 | 0.000 | -36743.392 | 0.000 |
| -19673.561 | -19673.490 | -57604.510 | -0.000 | -0.000 | -36743.392 |
| 1.075 | -0.000 | -0.000 | 0.000 | -0.000 | -0.000 |
| -0.000 | 1.075 | -0.000 | -0.000 | 0.000 | 0.000 |
| -0.000 | -0.000 | 1.075 | -0.000 | 0.000 | 0.000 |
| 0.000 | -0.000 | 0.000 | 0.000 | 0.000 | -0.000 |
| -0.000 | 0.000 | 0.000 | 0.000 | 0.000 | -0.000 |
| -0.000 | 0.000 | 0.000 | 0.000 | -0.000 | 0.000 |
| 1.075 | -0.000 | -0.000 | 0.000 | 0.000 | 0.000 |
| -0.000 | 1.075 | -0.000 | 0.000 | 0.000 | 0.000 |
| -0.000 | -0.000 | 1.075 | 0.000 | -0.000 | 0.000 |
| -0.000 | 0.000 | -0.000 | 0.000 | -0.000 | 0.000 |
| 0.000 | -0.000 | -0.000 | -0.000 | 0.000 | 0.000 |
| 0.000 | -0.000 | -0.000 | -0.000 | 0.000 | 0.000 |
| 1.075 | -0.000 | -0.000 | 0.000 | 0.000 | -0.000 |
| -0.000 | 1.075 | -0.000 | -0.000 | 0.000 | 0.000 |
| -0.000 | -0.000 | 1.075 | 0.000 | -0.000 | 0.000 |
| 0.000 | -0.000 | -0.000 | 0.000 | 0.000 | -0.000 |
| -0.000 | 0.000 | -0.000 | -0.000 | 0.000 | -0.000 |
| -0.000 | -0.000 | 0.000 | 0.000 | -0.000 | 0.000 |
| 1.075 | -0.000 | -0.000 | 0.000 | 0.000 | 0.000 |
| -0.000 | 1.075 | -0.000 | 0.000 | 0.000 | 0.000 |
| -0.000 | -0.000 | 1.075 | 0.000 | 0.000 | 0.000 |
| -0.000 | 0.000 | 0.000 | 0.000 | -0.000 | -0.000 |
| 0.000 | -0.000 | 0.000 | 0.000 | 0.000 | 0.000 |
| 0.000 | 0.000 | -0.000 | -0.000 | -0.000 | 0.000 |
| 1.075 | -0.000 | -0.000 | -0.000 | 0.000 | 0.000 |
| -0.000 | 1.075 | -0.000 | -0.000 | 0.000 | -0.000 |
| -0.000 | -0.000 | 1.075 | -0.000 | -0.000 | -0.000 |
| 0.000 | -0.000 | -0.000 | 0.000 | -0.000 | 0.000 |
| -0.000 | 0.000 | -0.000 | -0.000 | 0.000 | -0.000 |
| -0.000 | -0.000 | 0.000 | 0.000 | -0.000 | 0.000 |
| 1.074 | -0.000 | -0.000 | 0.000 | 0.000 | 0.000 |
| -0.000 | 1.074 | -0.000 | -0.000 | 0.000 | -0.000 |
| -0.000 | -0.000 | 1.074 | -0.000 | -0.000 | 0.000 |
| -0.000 | 0.000 | 0.000 | 0.000 | 0.000 | 0.000 |
| 0.000 | -0.000 | 0.000 | 0.000 | 0.000 | 0.000 |
| 0.000 | 0.000 | -0.000 | -0.000 | 0.000 | 0.000 |
| 123.708 | 205.297 | 205.297 | -0.000 | 0.000 | -0.000 |
| 205.297 | 123.708 | 205.297 | -0.000 | 0.000 | -0.000 |
| 205.297 | 205.297 | 123.708 | -0.000 | -0.000 | -0.000 |
| 0.000 | -0.000 | -0.000 | 93.661 | -0.000 | -0.000 |
| 0.000 | 0.000 | -0.000 | -0.000 | 93.661 | -0.000 |
| -0.000 | 0.000 | -0.000 | -0.000 | -0.000 | 93.661 |
| 123.708 | 205.297 | 205.297 | -0.000 | 0.000 | -0.000 |
| 205.297 | 123.708 | 205.297 | -0.000 | -0.000 | -0.000 |
| 205.297 | 205.297 | 123.708 | 0.000 | -0.000 | 0.000 |
| -0.000 | 0.000 | 0.000 | 93.661 | -0.000 | 0.000 |
| -0.000 | -0.000 | 0.000 | 0.000 | 93.661 | 0.000 |
| -0.000 | 0.000 | 0.000 | 0.000 | 0.000 | 93.661 |
| 123.708 | 205.297 | 205.297 | 0.000 | -0.000 | -0.000 |
| 205.297 | 123.708 | 205.297 | -0.000 | -0.000 | 0.000 |
| 205.297 | 205.297 | 123.708 | -0.000 | 0.000 | -0.000 |
| 0.000 | -0.000 | -0.000 | 93.661 | -0.000 | -0.000 |
| -0.000 | 0.000 | -0.000 | -0.000 | 93.661 | -0.000 |
| -0.000 | -0.000 | 0.000 | -0.000 | -0.000 | 93.661 |
| 123.708 | 205.297 | 205.297 | -0.000 | -0.000 | 0.000 |
| 205.297 | 123.708 | 205.297 | 0.000 | -0.000 | 0.000 |
| 205.297 | 205.297 | 123.708 | 0.000 | 0.000 | 0.000 |
| -0.000 | 0.000 | 0.000 | 93.661 | 0.000 | 0.000 |
| 0.000 | -0.000 | 0.000 | 0.000 | 93.661 | 0.000 |
| 0.000 | 0.000 | -0.000 | 0.000 | -0.000 | 93.661 |
| 123.708 | 205.297 | 205.297 | 0.000 | 0.000 | -0.000 |
| 205.297 | 123.708 | 205.297 | -0.000 | 0.000 | -0.000 |
| 205.297 | 205.297 | 123.708 | -0.000 | -0.000 | 0.000 |
| 0.000 | -0.000 | -0.000 | 94.277 | 0.000 | -0.000 |
| -0.000 | 0.000 | -0.000 | -0.000 | 94.277 | -0.000 |
| -0.000 | -0.000 | 0.000 | -0.000 | -0.000 | 94.277 |
| 123.708 | 205.297 | 205.297 | -0.000 | -0.000 | -0.000 |
| 205.297 | 123.708 | 205.297 | -0.000 | -0.000 | 0.000 |
| 205.297 | 205.297 | 123.708 | 0.000 | -0.000 | 0.000 |
| -0.000 | 0.000 | 0.000 | 94.277 | -0.000 | 0.000 |
| 0.000 | -0.000 | 0.000 | 0.000 | 94.277 | 0.000 |
| 0.000 | 0.000 | -0.000 | 0.000 | 0.000 | 94.277 |
| 0.584 | 0.584 | 0.584 | -0.000 | 0.000 | 0.000 |
| 0.584 | 0.584 | 0.584 | 0.000 | 0.000 | 0.000 |
| 0.584 | 0.584 | 0.584 | -0.000 | -0.000 | 0.000 |
| -0.000 | -0.000 | -0.000 | 0.584 | -0.000 | 0.000 |
| -0.000 | -0.000 | -0.000 | -0.000 | 0.584 | 0.000 |
| -0.000 | -0.000 | -0.000 | -0.000 | -0.000 | 0.584 |
| 0.584 | 0.584 | 0.584 | 0.000 | -0.000 | -0.000 |
| 0.584 | 0.584 | 0.584 | 0.000 | -0.000 | 0.000 |
| 0.584 | 0.584 | 0.584 | -0.000 | -0.000 | 0.000 |
| 0.000 | 0.000 | 0.000 | 0.584 | -0.000 | -0.000 |
| 0.000 | 0.000 | 0.000 | -0.000 | 0.584 | -0.000 |
| 0.000 | 0.000 | 0.000 | 0.000 | 0.000 | 0.584 |
| 0.584 | 0.584 | 0.584 | -0.000 | 0.000 | 0.000 |
| 0.584 | 0.584 | 0.584 | 0.000 | 0.000 | 0.000 |
| 0.584 | 0.584 | 0.584 | 0.000 | 0.000 | 0.000 |
| -0.000 | -0.000 | -0.000 | 0.584 | 0.000 | -0.000 |
| -0.000 | -0.000 | -0.000 | -0.000 | 0.584 | 0.000 |
| -0.000 | -0.000 | -0.000 | -0.000 | 0.000 | 0.584 |
| 0.584 | 0.584 | 0.584 | 0.000 | -0.000 | -0.000 |
| 0.584 | 0.584 | 0.584 | 0.000 | -0.000 | -0.000 |
| 0.584 | 0.584 | 0.584 | 0.000 | 0.000 | 0.000 |
| 0.000 | 0.000 | 0.000 | 0.584 | -0.000 | -0.000 |
| 0.000 | 0.000 | 0.000 | 0.000 | 0.584 | -0.000 |
| 0.000 | 0.000 | 0.000 | 0.000 | -0.000 | 0.584 |
| 0.584 | 0.584 | 0.584 | -0.000 | 0.000 | 0.000 |
| 0.584 | 0.584 | 0.584 | -0.000 | -0.000 | 0.000 |
| 0.584 | 0.584 | 0.584 | 0.000 | 0.000 | -0.000 |
| -0.000 | -0.000 | -0.000 | 0.076 | -0.000 | 0.000 |
| -0.000 | -0.000 | -0.000 | -0.000 | 0.076 | 0.000 |
| -0.000 | -0.000 | -0.000 | -0.000 | -0.000 | 0.076 |
| 0.584 | 0.584 | 0.584 | 0.000 | -0.000 | -0.000 |
| 0.584 | 0.584 | 0.584 | -0.000 | -0.000 | -0.000 |
| 0.584 | 0.584 | 0.584 | -0.000 | -0.000 | -0.000 |
| 0.000 | 0.000 | 0.000 | 0.076 | 0.000 | -0.000 |
| 0.000 | 0.000 | 0.000 | 0.000 | 0.106 | -0.000 |
| 0.000 | 0.000 | 0.000 | 0.000 | 0.000 | 0.076 |
| 250.833 | 182.904 | 182.904 | -0.000 | -0.000 | -0.000 |
| 182.904 | 250.833 | 182.904 | -0.000 | -0.000 | -0.000 |
| 182.904 | 182.904 | 250.833 | 0.000 | 0.000 | -0.000 |
| -0.000 | -0.000 | 0.000 | 134.198 | 0.000 | -0.000 |
| -0.000 | -0.000 | -0.000 | -0.000 | 134.197 | -0.000 |
| -0.000 | -0.000 | -0.000 | -0.000 | -0.000 | 134.197 |
| 250.833 | 182.904 | 182.904 | 0.000 | 0.000 | 0.000 |
| 182.904 | 250.833 | 182.904 | 0.000 | 0.000 | 0.000 |
| 182.904 | 182.904 | 250.833 | 0.000 | 0.000 | 0.000 |
| 0.000 | 0.000 | -0.000 | 134.198 | -0.000 | 0.000 |
| 0.000 | 0.000 | 0.000 | 0.000 | 134.198 | 0.000 |
| 0.000 | 0.000 | 0.000 | 0.000 | 0.000 | 134.198 |
| 250.832 | 182.904 | 182.904 | -0.000 | -0.000 | -0.000 |
| 182.904 | 250.832 | 182.904 | -0.000 | -0.000 | -0.000 |
| 182.904 | 182.904 | 250.832 | -0.000 | -0.000 | -0.000 |
| -0.000 | -0.000 | -0.000 | 134.198 | 0.000 | -0.000 |
| -0.000 | -0.000 | -0.000 | -0.000 | 134.198 | -0.000 |
| -0.000 | -0.000 | -0.000 | -0.000 | -0.000 | 134.198 |
| 250.833 | 182.904 | 182.904 | 0.000 | 0.000 | 0.000 |
| 182.904 | 250.833 | 182.904 | 0.000 | 0.000 | 0.000 |
| 182.904 | 182.904 | 250.833 | 0.000 | 0.000 | 0.000 |
| 0.000 | 0.000 | 0.000 | 134.198 | -0.000 | 0.000 |
| 0.000 | 0.000 | 0.000 | -0.000 | 134.198 | 0.000 |
| 0.000 | 0.000 | 0.000 | 0.000 | 0.000 | 134.198 |
| 250.829 | 182.904 | 182.904 | -0.000 | 0.000 | -0.000 |
| 182.904 | 250.829 | 182.904 | -0.000 | -0.000 | -0.000 |
| 182.904 | 182.904 | 250.829 | -0.000 | -0.000 | -0.000 |
| -0.000 | -0.000 | -0.000 | 134.198 | -0.000 | -0.000 |
| -0.000 | -0.000 | -0.000 | -0.000 | 134.198 | -0.000 |
| -0.000 | -0.000 | -0.000 | -0.000 | -0.000 | 134.198 |
| 250.837 | 182.905 | 182.905 | 0.000 | 0.000 | 0.000 |
| 182.905 | 250.837 | 182.905 | 0.000 | 0.000 | 0.000 |
| 182.905 | 182.905 | 250.837 | 0.000 | 0.000 | 0.000 |
| 0.000 | 0.000 | 0.000 | 134.198 | 0.000 | 0.000 |
| 0.000 | 0.000 | 0.000 | 0.000 | 134.198 | 0.000 |
| 0.000 | 0.000 | 0.000 | 0.000 | 0.000 | 134.198 |
| 6.949 | 8.151 | 8.151 | 0.000 | -0.000 | 0.000 |
| 8.151 | 6.949 | 8.151 | -0.000 | 0.000 | 0.000 |
| 8.151 | 8.151 | 6.949 | -0.000 | -0.000 | 0.000 |
| 0.000 | 0.000 | 0.000 | 5.327 | 0.000 | 0.000 |
| 0.000 | 0.000 | 0.000 | -0.000 | 5.327 | 0.000 |
| -0.000 | 0.000 | 0.000 | -0.000 | -0.000 | 5.327 |
| 6.949 | 8.151 | 8.151 | -0.000 | -0.000 | -0.000 |
| 8.151 | 6.949 | 8.151 | -0.000 | 0.000 | -0.000 |
| 8.151 | 8.151 | 6.949 | -0.000 | -0.000 | -0.000 |
| -0.000 | -0.000 | -0.000 | 5.327 | -0.000 | 0.000 |
| -0.000 | -0.000 | -0.000 | -0.000 | 5.327 | -0.000 |
| -0.000 | -0.000 | -0.000 | 0.000 | -0.000 | 5.327 |
| 6.949 | 8.151 | 8.151 | -0.000 | 0.000 | 0.000 |
| 8.151 | 6.949 | 8.151 | 0.000 | -0.000 | 0.000 |
| 8.151 | 8.151 | 6.949 | -0.000 | -0.000 | 0.000 |
| 0.000 | 0.000 | 0.000 | 5.327 | 0.000 | 0.000 |
| 0.000 | 0.000 | 0.000 | 0.000 | 5.327 | 0.000 |
| 0.000 | 0.000 | 0.000 | 0.000 | -0.000 | 5.327 |
| 6.949 | 8.151 | 8.151 | 0.000 | -0.000 | -0.000 |
| 8.151 | 6.949 | 8.151 | 0.000 | 0.000 | 0.000 |
| 8.151 | 8.151 | 6.949 | 0.000 | -0.000 | 0.000 |
| -0.000 | -0.000 | -0.000 | 5.327 | 0.000 | -0.000 |
| -0.000 | -0.000 | -0.000 | 0.000 | 5.327 | -0.000 |
| -0.000 | -0.000 | -0.000 | -0.000 | 0.000 | 5.327 |
| 6.949 | 8.151 | 8.151 | -0.000 | -0.000 | 0.000 |
| 8.151 | 6.949 | 8.151 | -0.000 | -0.000 | -0.000 |
| 8.151 | 8.151 | 6.949 | -0.000 | 0.000 | 0.000 |
| 0.000 | 0.000 | 0.000 | 5.327 | -0.000 | -0.000 |
| 0.000 | 0.000 | 0.000 | -0.000 | 5.327 | 0.000 |
| 0.000 | 0.000 | 0.000 | 0.000 | 0.000 | 5.327 |
| 6.949 | 8.151 | 8.151 | -0.000 | 0.000 | 0.000 |
| 8.151 | 6.949 | 8.151 | -0.000 | 0.000 | -0.000 |
| 8.151 | 8.151 | 6.949 | -0.000 | 0.000 | 0.000 |
| -0.000 | -0.000 | -0.000 | 5.327 | -0.000 | 0.000 |
| -0.000 | -0.000 | -0.000 | -0.000 | 5.327 | 0.000 |
| -0.000 | -0.000 | -0.000 | -0.000 | -0.000 | 5.327 |
| 1.429 | 0.714 | 0.714 | -0.000 | -0.000 | -0.000 |
| 0.714 | 1.429 | 0.714 | -0.000 | -0.000 | -0.000 |
| 0.714 | 0.714 | 1.429 | -0.000 | -0.000 | 0.000 |
| -0.000 | -0.000 | -0.000 | 0.715 | -0.000 | 0.000 |
| -0.000 | 0.000 | -0.000 | -0.000 | 0.715 | 0.000 |
| -0.000 | -0.000 | -0.000 | -0.000 | -0.000 | 0.715 |
| 1.429 | 0.714 | 0.714 | -0.000 | -0.000 | 0.000 |
| 0.714 | 1.429 | 0.714 | -0.000 | -0.000 | -0.000 |
| 0.714 | 0.714 | 1.429 | 0.000 | 0.000 | 0.000 |
| 0.000 | 0.000 | 0.000 | 0.715 | 0.000 | 0.000 |
| 0.000 | -0.000 | 0.000 | 0.000 | 0.715 | 0.000 |
| 0.000 | 0.000 | 0.000 | 0.000 | 0.000 | 0.715 |
| 1.429 | 0.714 | 0.714 | -0.000 | -0.000 | 0.000 |
| 0.714 | 1.429 | 0.714 | -0.000 | -0.000 | -0.000 |
| 0.714 | 0.714 | 1.429 | -0.000 | -0.000 | 0.000 |
| -0.000 | -0.000 | -0.000 | 0.715 | -0.000 | -0.000 |
| -0.000 | -0.000 | -0.000 | -0.000 | 0.715 | 0.000 |
| -0.000 | -0.000 | -0.000 | -0.000 | -0.000 | 0.715 |
| 1.429 | 0.714 | 0.714 | 0.000 | 0.000 | -0.000 |
| 0.714 | 1.429 | 0.714 | 0.000 | 0.000 | -0.000 |
| 0.714 | 0.714 | 1.429 | 0.000 | 0.000 | -0.000 |
| 0.000 | 0.000 | 0.000 | 0.715 | 0.000 | -0.000 |
| 0.000 | 0.000 | 0.000 | 0.000 | 0.715 | -0.000 |
| 0.000 | 0.000 | 0.000 | 0.000 | 0.000 | 0.715 |
| 1.428 | 0.714 | 0.714 | -0.000 | -0.000 | -0.000 |
| 0.714 | 1.428 | 0.714 | -0.000 | -0.000 | -0.000 |
| 0.714 | 0.714 | 1.428 | -0.000 | -0.000 | 0.000 |
| -0.000 | -0.000 | -0.000 | 0.715 | -0.000 | 0.000 |
| -0.000 | -0.000 | -0.000 | 0.000 | 0.715 | 0.000 |
| -0.000 | -0.000 | -0.000 | 0.000 | 0.000 | 0.715 |
| 1.429 | 0.715 | 0.715 | 0.000 | 0.000 | 0.000 |
| 0.715 | 1.429 | 0.715 | 0.000 | 0.000 | 0.000 |
| 0.715 | 0.715 | 1.429 | 0.000 | 0.000 | -0.000 |
| 0.000 | 0.000 | 0.000 | 0.715 | 0.000 | -0.000 |
| 0.000 | 0.000 | 0.000 | -0.000 | 0.715 | 0.000 |
| 0.000 | 0.000 | 0.000 | -0.000 | 0.000 | 0.715 |
| 320.879 | 172.805 | 100.953 | 0.000 | -0.000 | -0.000 |
| 172.805 | 320.879 | 100.953 | 0.000 | -0.000 | -0.000 |
| 99.111 | 99.111 | 327.369 | 0.000 | 0.000 | -0.000 |
| 1.433 | 1.433 | 1.333 | 42.225 | -0.000 | -0.000 |
| -0.000 | 0.000 | 0.000 | -0.000 | 42.777 | -0.000 |
| -0.000 | 0.000 | 0.000 | 0.000 | -0.000 | 97.011 |
| 309.478 | 176.375 | 97.310 | -0.000 | 0.000 | 0.000 |
| 147.851 | 341.873 | 99.111 | -0.000 | 0.000 | 0.000 |
| 99.111 | 99.111 | 327.369 | 0.000 | 0.000 | 0.000 |
| -1.433 | -1.433 | -1.333 | 42.225 | 0.000 | 0.000 |
| 0.000 | -0.000 | -0.000 | -0.000 | 42.777 | 0.000 |
| 0.000 | -0.000 | -0.000 | -0.000 | 0.000 | 97.011 |
| 310.899 | 177.795 | 98.631 | 0.000 | -0.000 | -0.000 |
| 147.851 | 341.873 | 99.111 | 0.000 | -0.000 | -0.000 |
| 99.111 | 99.111 | 327.369 | -0.000 | -0.000 | -0.000 |
| 0.123 | 0.123 | 0.115 | 40.935 | -0.000 | -0.000 |
| 0.427 | 0.427 | 0.397 | 0.000 | 41.131 | -0.000 |
| -0.000 | 0.000 | -0.000 | 0.000 | -0.000 | 97.011 |
| 310.630 | 177.526 | 98.381 | -0.000 | 0.000 | 0.000 |
| 162.878 | 321.541 | 96.642 | 0.000 | 0.000 | 0.000 |
| 99.111 | 99.111 | 327.369 | -0.000 | 0.000 | 0.000 |
| -0.123 | -0.123 | -0.115 | 40.935 | 0.000 | 0.000 |
| -0.427 | -0.427 | -0.397 | -0.000 | 41.131 | 0.000 |
| 0.000 | -0.000 | 0.000 | -0.000 | 0.000 | 97.011 |
| 310.668 | 177.584 | 98.425 | -0.000 | -0.000 | -0.000 |
| 147.852 | 341.873 | 99.110 | -0.000 | -0.000 | -0.000 |
| 98.436 | 98.436 | 326.740 | 0.000 | -0.000 | -0.000 |
| 0.048 | 0.047 | 0.044 | 40.937 | 0.000 | -0.000 |
| 0.012 | 0.012 | 0.011 | 0.000 | 40.935 | -0.000 |
| -0.000 | 0.000 | -0.000 | 0.000 | -0.000 | 97.011 |
| 341.872 | 147.851 | 99.111 | -0.000 | 0.000 | 0.000 |
| 147.851 | 341.872 | 99.111 | -0.000 | 0.000 | 0.000 |
| 99.110 | 99.110 | 327.371 | -0.000 | 0.000 | 0.000 |
| -0.048 | -0.047 | -0.044 | 40.937 | -0.000 | 0.000 |
| -0.012 | -0.012 | -0.011 | 0.000 | 40.935 | 0.000 |
| 0.000 | -0.000 | 0.000 | -0.000 | 0.000 | 97.011 |
| 449.812 | 316.534 | 228.874 | -0.000 | -0.000 | 0.000 |
| 291.910 | 474.484 | 228.897 | 0.000 | 0.000 | 0.000 |
| 99.085 | 99.085 | 327.440 | 0.000 | -0.000 | 0.000 |
| 0.000 | -0.000 | -0.000 | 42.808 | 0.000 | 0.000 |
| 139.069 | 139.069 | 130.467 | -0.000 | 42.333 | 0.000 |
| -0.000 | -0.000 | -0.000 | 0.000 | 0.000 | 97.024 |
| 341.857 | 147.808 | 99.091 | -0.000 | -0.000 | 0.000 |
| 13.728 | 196.302 | -32.079 | -0.000 | -0.000 | -0.000 |
| 99.085 | 99.085 | 327.440 | 0.000 | 0.000 | -0.000 |
| 0.000 | 0.000 | 0.000 | 42.808 | -0.000 | 0.000 |
| -139.069 | -139.069 | -130.467 | 0.000 | 42.333 | 0.000 |
| 0.000 | 0.000 | 0.000 | -0.000 | -0.000 | 97.024 |
| 324.647 | 191.368 | 111.451 | -0.000 | 0.000 | 0.000 |
| 147.808 | 341.857 | 99.091 | 0.000 | 0.000 | 0.000 |
| 99.085 | 99.085 | 327.439 | -0.000 | -0.000 | 0.000 |
| 13.907 | 13.907 | 13.047 | 40.968 | 0.000 | 0.000 |
| -0.000 | -0.000 | -0.000 | -0.000 | 42.808 | 0.000 |
| 14.143 | 14.143 | 13.268 | 0.000 | 0.000 | 91.190 |
| 341.856 | 147.808 | 99.091 | -0.000 | -0.000 | -0.000 |
| 138.775 | 321.174 | 85.152 | -0.000 | -0.000 | -0.000 |
| 99.085 | 99.085 | 327.440 | 0.000 | 0.000 | -0.000 |
| -13.907 | -13.907 | -13.047 | 40.968 | 0.000 | -0.000 |
| 0.000 | 0.000 | 0.000 | 0.000 | 42.808 | -0.000 |
| -14.143 | -14.143 | -13.268 | -0.000 | -0.000 | 91.190 |
| 323.918 | 170.447 | 101.295 | -0.000 | -0.000 | 0.000 |
| 147.808 | 341.857 | 99.090 | 0.000 | 0.000 | 0.000 |
| 99.795 | 99.795 | 328.104 | -0.000 | 0.000 | 0.000 |
| 1.567 | 1.566 | 1.470 | 42.272 | 0.000 | 0.000 |
| 1.566 | 1.567 | 1.470 | -0.000 | 42.272 | 0.000 |
| -0.000 | 0.000 | -0.000 | 0.000 | 0.000 | 97.024 |
| 341.856 | 147.808 | 99.091 | -0.000 | -0.000 | 0.000 |
| 147.808 | 341.856 | 99.091 | -0.000 | -0.000 | -0.000 |
| 99.085 | 99.085 | 327.441 | 0.000 | -0.000 | 0.000 |
| -1.567 | -1.566 | -1.470 | 42.272 | -0.000 | 0.000 |
| -1.566 | -1.567 | -1.470 | 0.000 | 42.272 | -0.000 |
| 0.000 | -0.000 | 0.000 | -0.000 | -0.000 | 97.024 |
| 319.593 | 134.986 | 85.737 | 0.000 | -0.000 | -0.000 |
| 134.986 | 319.593 | 85.737 | 0.000 | -0.000 | 0.000 |
| 85.361 | 85.361 | 320.316 | -0.000 | -0.000 | 0.000 |
| -0.000 | 0.000 | -0.000 | 31.861 | 0.000 | -0.000 |
| -0.000 | 0.000 | -0.000 | 0.000 | 29.506 | -0.000 |
| -0.000 | 0.000 | -0.000 | 0.000 | 0.000 | 59.488 |
| 287.261 | 164.104 | 84.903 | -0.000 | 0.000 | 0.000 |
| 164.104 | 287.261 | 84.903 | -0.000 | 0.000 | 0.000 |
| 85.737 | 85.737 | 320.511 | -0.000 | -0.000 | -0.000 |
| 0.000 | -0.000 | -0.000 | 31.861 | -0.000 | -0.000 |
| 0.000 | -0.000 | 0.000 | 0.000 | 29.506 | 0.000 |
| 0.000 | -0.000 | 0.000 | -0.000 | 0.000 | 59.488 |
| 319.593 | 134.986 | 85.737 | -0.000 | 0.000 | 0.000 |
| 167.131 | 286.020 | 85.367 | -0.000 | -0.000 | 0.000 |
| 85.361 | 85.361 | 320.316 | -0.000 | -0.000 | -0.000 |
| -0.000 | -0.000 | -0.000 | 31.861 | -0.000 | -0.000 |
| -0.000 | -0.000 | -0.000 | 0.000 | 31.861 | -0.000 |
| -0.000 | -0.000 | -0.000 | 0.000 | -0.000 | 59.488 |
| 287.261 | 164.104 | 84.903 | 0.000 | 0.000 | 0.000 |
| 134.986 | 319.593 | 85.737 | 0.000 | -0.000 | -0.000 |
| 85.361 | 85.361 | 320.316 | -0.000 | -0.000 | 0.000 |
| 0.000 | 0.000 | 0.000 | 31.861 | 0.000 | -0.000 |
| 0.000 | 0.000 | 0.000 | -0.000 | 31.861 | 0.000 |
| 0.000 | 0.000 | 0.000 | -0.000 | 0.000 | 59.488 |
| 287.260 | 164.104 | 84.903 | 0.000 | -0.000 | -0.000 |
| 164.105 | 287.259 | 84.903 | 0.000 | -0.000 | 0.000 |
| 85.361 | 85.361 | 320.315 | 0.000 | 0.000 | 0.000 |
| 0.000 | -0.000 | 0.000 | 29.506 | -0.000 | -0.000 |
| -0.000 | 0.000 | 0.000 | 0.000 | 29.506 | -0.000 |
| -0.000 | -0.000 | -0.000 | 0.000 | -0.000 | 92.304 |
| 287.262 | 164.104 | 84.903 | -0.000 | -0.000 | 0.000 |
| 164.103 | 287.263 | 84.903 | -0.000 | 0.000 | -0.000 |
| 85.361 | 85.361 | 320.317 | 0.000 | -0.000 | 0.000 |
| -0.000 | 0.000 | -0.000 | 29.506 | 0.000 | 0.000 |
| 0.000 | -0.000 | -0.000 | -0.000 | 29.506 | -0.000 |
| 0.000 | 0.000 | 0.000 | 0.000 | 0.000 | 92.304 |
| 323.595 | 136.598 | 85.123 | 0.000 | -0.000 | 0.000 |
| 128.748 | 315.745 | 79.293 | 0.000 | -0.000 | 0.000 |
| 51.471 | 51.471 | 239.079 | 0.000 | -0.000 | 0.000 |
| -20726682.606 | -20726680.850 | -38037136.502 | 27752351.990 | -0.000 | 0.000 |
| -21107515.284 | -6524364.359 | -25354727.484 | 0.000 | 24031116.164 | 0.000 |
| -21107517.933 | -6524365.212 | -25354731.115 | 0.000 | -0.000 | 12629474.072 |
| 42226518.419 | 13052427.296 | 50722976.801 | 0.000 | 0.000 | -0.000 |
| 51798898.331 | 51799033.047 | 76623934.890 | -0.000 | 0.000 | -0.000 |
| 51798810.648 | 51798810.648 | 76624104.273 | -0.000 | 0.000 | -0.000 |
| 20726682.606 | 20726680.850 | 38037136.502 | 27752351.990 | 0.000 | -0.000 |
| 21107515.284 | 6524364.359 | 25354727.484 | -0.000 | 24031116.164 | 0.000 |
| 21107517.933 | 6524365.212 | 25354731.115 | -0.000 | 0.000 | 12629474.072 |
| 323.889 | 136.893 | 85.341 | 0.000 | -0.000 | 0.000 |
| 129.155 | 316.151 | 79.595 | 0.000 | -0.000 | -0.000 |
| 51.917 | 51.917 | 239.410 | 0.000 | -0.000 | 0.000 |
| -2072674.296 | -2072672.545 | -3803709.697 | 2775244.434 | -0.000 | 0.000 |
| -2110746.065 | -652434.291 | -2535465.589 | 0.000 | 2403125.336 | 0.000 |
| -2110748.921 | -652435.393 | -2535469.348 | 0.000 | -0.000 | 1263029.910 |
| 4222932.518 | 1305361.747 | 5072360.437 | -0.000 | 0.000 | -0.000 |
| 5180034.856 | 5180158.671 | 7662458.641 | -0.000 | 0.000 | -0.000 |
| 5179941.673 | 5179941.673 | 7662628.000 | -0.000 | 0.000 | -0.000 |
| 2072674.296 | 2072672.545 | 3803709.697 | 2775244.434 | 0.000 | -0.000 |
| 2110746.065 | 652434.291 | 2535465.589 | -0.000 | 2403125.336 | -0.000 |
| 2110748.921 | 652435.393 | 2535469.348 | -0.000 | 0.000 | 1263029.910 |
| 323.881 | 136.897 | 85.327 | 0.000 | -0.000 | 0.000 |
| 129.086 | 316.070 | 79.533 | 0.000 | -0.000 | -0.000 |
| 51.788 | 51.788 | 239.314 | 0.000 | -0.000 | 0.000 |
| -207273.392 | -207271.644 | -380366.986 | 277533.711 | -0.000 | 0.000 |
| -211069.150 | -65241.285 | -253539.410 | 0.000 | 240326.243 | -0.000 |
| -211072.022 | -65242.412 | -253543.175 | 0.000 | -0.000 | 126385.492 |
| 422573.948 | 130655.225 | 507298.807 | -0.000 | 0.000 | -0.000 |
| 518147.924 | 518271.710 | 766310.989 | 0.000 | 0.000 | -0.000 |
| 518054.775 | 518054.775 | 766480.373 | -0.000 | 0.000 | -0.000 |
| 207273.392 | 207271.644 | 380366.986 | 277533.711 | 0.000 | 0.000 |
| 211069.150 | 65241.285 | 253539.410 | -0.000 | 240326.243 | -0.000 |
| 211072.022 | 65242.412 | 253543.175 | -0.000 | 0.000 | 126385.492 |
| 362.089 | 35.109 | 35.109 | -0.000 | 0.000 | 0.000 |
| 35.109 | 362.089 | 35.109 | -0.000 | -0.000 | 0.000 |
| 35.109 | 35.109 | 362.089 | -0.000 | -0.000 | 0.000 |
| -0.000 | -0.000 | -0.000 | -228.511 | -0.000 | 0.000 |
| -0.000 | -0.000 | -0.000 | -0.000 | -228.511 | 0.000 |
| -0.000 | -0.000 | 0.000 | -0.000 | -0.000 | -228.511 |
| 366.315 | 32.996 | 32.996 | 0.000 | 0.000 | -0.000 |
| 32.996 | 366.315 | 32.996 | 0.000 | 0.000 | -0.000 |
| 32.996 | 32.996 | 366.315 | 0.000 | 0.000 | -0.000 |
| 0.000 | 0.000 | -0.000 | -228.511 | 0.000 | -0.000 |
| 0.000 | 0.000 | -0.000 | 0.000 | -228.511 | -0.000 |
| 0.000 | 0.000 | 0.000 | 0.000 | 0.000 | -228.511 |
| 366.315 | 32.996 | 32.996 | -0.000 | -0.000 | 0.000 |
| 32.996 | 366.315 | 32.996 | -0.000 | -0.000 | 0.000 |
| 32.996 | 32.996 | 366.315 | -0.000 | -0.000 | 0.000 |
| -44489693.577 | -36515566.698 | -41289369.558 | -3784570.359 | 73181.797 | 25712.705 |
| -37035107.282 | -43744153.539 | -40941920.516 | -222270.718 | -2149664.247 | -264799.087 |
| -34496066.544 | -37711001.958 | -41985205.492 | 165104.170 | 76358.336 | -2906702.030 |
| 366.315 | 32.996 | 32.996 | 0.000 | 0.000 | -0.000 |
| 32.996 | 366.315 | 32.996 | 0.000 | 0.000 | -0.000 |
| 32.996 | 32.996 | 366.315 | -0.000 | 0.000 | -0.000 |
| 44372198.788 | 38559147.692 | 44181050.864 | -1683541.588 | -238782.006 | -1063420.758 |
| 34126496.769 | 38791310.139 | 37841364.845 | 785591.510 | -3095062.146 | -117512.831 |
| 36272475.032 | 35178054.499 | 39689234.574 | 227629.027 | -402499.558 | -3622230.744 |
| 366.316 | 32.996 | 32.996 | -0.000 | -0.000 | 0.000 |
| 32.996 | 366.316 | 32.996 | -0.000 | -0.000 | 0.000 |
| 32.996 | 32.996 | 366.316 | -0.000 | -0.000 | 0.000 |
| -110605.620 | 1065556.829 | 1065546.843 | -4972080.031 | -0.000 | -0.000 |
| 1065556.850 | -110605.620 | 1065546.822 | -0.000 | -4972080.031 | -0.000 |
| 1065556.829 | 1065546.843 | -110605.620 | -0.000 | -0.000 | -4972080.031 |
| 366.313 | 32.997 | 32.997 | 0.000 | 0.000 | -0.000 |
| 32.997 | 366.313 | 32.997 | 0.000 | 0.000 | -0.000 |
| 32.997 | 32.997 | 366.313 | 0.000 | -0.000 | -0.000 |
| 110605.620 | -1065556.830 | -1065546.843 | -4972080.031 | 0.000 | -0.000 |
| -1065556.851 | 110605.620 | -1065546.821 | 0.000 | -4972080.030 | -0.000 |
| -1065556.830 | -1065546.843 | 110605.620 | 0.000 | -0.000 | -4972080.031 |
| 26.219 | 38.866 | 38.866 | -0.000 | 0.000 | -0.000 |
| 38.866 | 26.219 | 38.866 | 0.000 | 0.000 | -0.000 |
| 38.866 | 38.866 | 26.219 | -0.000 | -0.000 | -0.000 |
| -0.000 | -0.000 | -0.000 | 18.693 | 0.000 | -0.000 |
| -0.000 | -0.000 | -0.000 | -0.000 | 18.693 | -0.000 |
| -0.000 | -0.000 | -0.000 | -0.000 | -0.000 | 18.693 |
| 58.328 | 22.812 | 22.812 | 0.000 | -0.000 | 0.000 |
| 22.812 | 58.328 | 22.812 | 0.000 | -0.000 | 0.000 |
| 22.812 | 22.812 | 58.328 | 0.000 | -0.000 | 0.000 |
| 0.000 | 0.000 | 0.000 | 18.693 | 0.000 | 0.000 |
| 0.000 | 0.000 | 0.000 | 0.000 | 18.693 | 0.000 |
| 0.000 | 0.000 | 0.000 | 0.000 | -0.000 | 18.693 |
| -3165644.068 | -6800226.335 | -6392791.261 | -142333.560 | 104985.581 | -110352.594 |
| -8019517.643 | -3799399.711 | -6869303.992 | 71855.262 | 216046.644 | -266518.399 |
| -7938608.749 | -7651979.981 | -3013458.583 | -56714.910 | 226061.690 | 98666.251 |
| -0.000 | -0.000 | -0.000 | 18.693 | -0.000 | -0.000 |
| -0.000 | -0.000 | -0.000 | -0.000 | 18.693 | -0.000 |
| -0.000 | -0.000 | -0.000 | -0.000 | -0.000 | 18.693 |
| 8481737.659 | 7137242.429 | 6524987.024 | -161369.899 | -211691.581 | 162249.817 |
| 5667958.097 | 6079249.848 | 6305946.424 | -16826.982 | -188912.709 | 280219.548 |
| 6422570.633 | 5104563.629 | 7568392.726 | -360269.701 | 404220.350 | 441683.146 |
| 0.000 | 0.000 | 0.000 | 18.693 | 0.000 | 0.000 |
| 0.000 | 0.000 | 0.000 | -0.000 | 18.693 | 0.000 |
| 0.000 | 0.000 | 0.000 | 0.000 | 0.000 | 18.693 |
| -416258.318 | -807078.529 | -739049.264 | -14361.159 | 7879.279 | 70299.782 |
| -730910.992 | -296831.601 | -639562.727 | 34227.939 | 8551.704 | 892.819 |
| -688556.480 | -783980.103 | -330224.974 | 30115.992 | 25641.164 | -4993.349 |
| -0.000 | -0.001 | -0.001 | 18.693 | -0.000 | -0.000 |
| -0.001 | -0.000 | -0.001 | 0.000 | 18.693 | -0.000 |
| -0.001 | -0.001 | -0.000 | 0.000 | -0.000 | 18.693 |
| -5461010.901 | -1278544.548 | -1278544.547 | 0.000 | -0.000 | -0.000 |
| -1278544.547 | -5461010.901 | -1278544.548 | -0.000 | -0.000 | -0.000 |
| -1278544.548 | -1278544.547 | -5461010.901 | -0.000 | -0.000 | 0.000 |
| 0.000 | 0.001 | 0.001 | 18.693 | 0.000 | 0.000 |
| 0.001 | 0.000 | 0.001 | 0.000 | 18.693 | 0.000 |
| 0.001 | 0.001 | 0.000 | -0.000 | 0.000 | 18.693 |
| 17.528 | 5.336 | 5.336 | -0.000 | -0.000 | -0.000 |
| 5.336 | 17.528 | 5.336 | -0.000 | -0.000 | 0.000 |
| 5.336 | 5.336 | 17.528 | -0.000 | -0.000 | 0.000 |
| 0.000 | -0.000 | -0.000 | 0.317 | -0.000 | -0.000 |
| -0.000 | 0.000 | -0.000 | 0.000 | 0.317 | -0.000 |
| -0.000 | -0.000 | 0.000 | 0.000 | -0.000 | 0.317 |
| 17.528 | 5.336 | 5.336 | 0.000 | 0.000 | -0.000 |
| 5.336 | 17.528 | 5.336 | 0.000 | 0.000 | -0.000 |
| 5.336 | 5.336 | 17.528 | 0.000 | 0.000 | -0.000 |
| -0.000 | 0.000 | 0.000 | 0.317 | 0.000 | -0.000 |
| 0.000 | -0.000 | 0.000 | -0.000 | 0.317 | -0.000 |
| 0.000 | 0.000 | -0.000 | -0.000 | 0.000 | 0.317 |
| -1741479.018 | 2647770.581 | 2647770.545 | 0.000 | -0.000 | -0.000 |
| 2647770.546 | -1741479.018 | 2647770.583 | -0.000 | 0.000 | 0.000 |
| 2647770.573 | 2647770.538 | -1741479.016 | 0.000 | 0.000 | 0.000 |
| 0.000 | -0.000 | -0.000 | 0.317 | -0.000 | -0.000 |
| -0.000 | 0.000 | -0.000 | 0.000 | 0.317 | 0.000 |
| -0.000 | -0.000 | 0.000 | 0.000 | -0.000 | 0.317 |
| -8282817.722 | -504068.324 | -504068.066 | 0.000 | -0.000 | -0.000 |
| -504068.065 | -8282817.749 | -504068.326 | -0.000 | 0.000 | -0.000 |
| -504068.323 | -504068.067 | -8282817.708 | -0.000 | -0.000 | 0.000 |
| -0.000 | 0.000 | 0.000 | 0.317 | 0.000 | -0.000 |
| 0.000 | -0.000 | 0.000 | -0.000 | 0.317 | -0.000 |
| 0.000 | 0.000 | -0.000 | -0.000 | 0.000 | 0.317 |
| -174141.044 | 264767.361 | 264767.361 | 0.000 | -0.000 | 0.000 |
| 264767.361 | -174141.044 | 264767.361 | 0.000 | 0.000 | 0.000 |
| 264767.361 | 264767.361 | -174141.044 | 0.000 | 0.000 | 0.000 |
| 0.000 | -0.000 | -0.000 | 0.317 | -0.000 | 0.000 |
| -0.000 | 0.000 | -0.000 | 0.000 | 0.317 | 0.000 |
| -0.000 | -0.000 | 0.000 | 0.000 | -0.000 | 0.317 |
| -828256.891 | -50400.768 | -50400.768 | 0.000 | -0.000 | 0.000 |
| -50400.768 | -828256.890 | -50400.769 | -0.000 | 0.000 | -0.000 |
| -50400.768 | -50400.768 | -828256.889 | -0.000 | -0.000 | 0.000 |
| -0.000 | 0.000 | 0.000 | 0.317 | 0.000 | -0.000 |
| 0.000 | -0.000 | 0.000 | -0.000 | 0.317 | 0.000 |
| 0.000 | 0.000 | -0.000 | -0.000 | 0.000 | 0.317 |
| 7789503.429 | -9980884.552 | -9980848.833 | -0.000 | 0.000 | 0.000 |
| -9980848.726 | 7789503.429 | -9980884.562 | 0.000 | -0.000 | -0.000 |
| -9980884.491 | -9980848.788 | 7789503.429 | -0.000 | -0.000 | -0.000 |
| 0.000 | -0.000 | -0.000 | 1.413 | -0.000 | -0.000 |
| -0.000 | 0.000 | -0.000 | 0.000 | 1.413 | 0.000 |
| -0.000 | -0.000 | 0.000 | 0.000 | -0.000 | 1.413 |
| -7449105.280 | -1688071.393 | -1037850.708 | 6151.861 | -3890.202 | -30938.130 |
| -945015.408 | -7077422.140 | -1695116.332 | -36237.025 | -2150.562 | -4274.162 |
| -1561115.153 | -880716.227 | -6170674.418 | -1972.243 | -20697.223 | 1405.547 |
| -0.000 | 0.000 | 0.000 | 1.413 | 0.000 | -0.000 |
| 0.000 | 0.000 | 0.000 | -0.000 | 1.413 | -0.000 |
| 0.000 | 0.000 | -0.000 | -0.000 | 0.000 | 1.413 |
| 778948.926 | -998086.028 | -998085.555 | -0.000 | 0.000 | -0.000 |
| -998085.552 | 778948.926 | -998086.031 | -0.000 | 0.000 | -0.000 |
| -998086.030 | -998085.553 | 778948.926 | -0.000 | -0.000 | -0.000 |
| -0.000 | 0.000 | 0.000 | 0.139 | -0.000 | 0.000 |
| 0.000 | -0.000 | 0.000 | 0.000 | 0.139 | 0.000 |
| 0.000 | 0.000 | -0.000 | 0.000 | 0.000 | 0.139 |
| -692440.538 | -190169.896 | -124961.916 | -465.959 | -169.755 | -1511.178 |
| -103761.050 | -591524.697 | -174926.049 | -993.448 | 40.350 | -378.791 |
| -171604.943 | -104279.888 | -583968.905 | 310.127 | -905.553 | 410.614 |
| 0.000 | -0.000 | -0.000 | 0.139 | 0.000 | -0.000 |
| -0.000 | 0.000 | -0.000 | 0.000 | 0.139 | -0.000 |
| -0.000 | -0.000 | 0.000 | -0.000 | 0.000 | 0.139 |
| 77893.476 | -99807.581 | -99807.578 | -0.000 | 0.000 | 0.000 |
| -99807.578 | 77893.476 | -99807.581 | 0.000 | -0.000 | -0.000 |
| -99807.581 | -99807.578 | 77893.476 | -0.000 | -0.000 | -0.000 |
| -0.000 | 0.000 | 0.000 | -0.036 | -0.000 | 0.000 |
| 0.000 | -0.000 | 0.000 | 0.000 | -0.036 | 0.000 |
| 0.000 | 0.000 | -0.000 | 0.000 | -0.000 | -0.036 |
| -78324.201 | -18813.690 | -11819.388 | 24.148 | -12.795 | -25.190 |
| -9119.702 | -58760.584 | -15769.486 | 253.730 | -44.088 | -25.885 |
| -17017.731 | -10362.842 | -66343.556 | -114.937 | -8.956 | 177.544 |
| 0.000 | -0.000 | -0.000 | -0.036 | 0.000 | -0.000 |
| -0.000 | 0.000 | -0.000 | -0.000 | -0.036 | -0.000 |
| -0.000 | -0.000 | 0.000 | -0.000 | 0.000 | -0.036 |
| 1.075 | -0.000 | -0.000 | 0.000 | -0.000 | -0.000 |
| -0.000 | 1.075 | -0.000 | -0.000 | 0.000 | 0.000 |
| -0.000 | -0.000 | 1.075 | -0.000 | 0.000 | 0.000 |
| 0.000 | -0.000 | 0.000 | 0.000 | 0.000 | -0.000 |
| -0.000 | 0.000 | 0.000 | 0.000 | 0.000 | -0.000 |
| -0.000 | 0.000 | 0.000 | 0.000 | -0.000 | 0.000 |
| 1.075 | -0.000 | -0.000 | 0.000 | 0.000 | 0.000 |
| -0.000 | 1.075 | -0.000 | 0.000 | 0.000 | 0.000 |
| -0.000 | -0.000 | 1.075 | 0.000 | -0.000 | 0.000 |
| -0.000 | 0.000 | -0.000 | 0.000 | -0.000 | 0.000 |
| 0.000 | -0.000 | -0.000 | -0.000 | 0.000 | 0.000 |
| 0.000 | -0.000 | -0.000 | -0.000 | 0.000 | 0.000 |
| 1.075 | -0.000 | -0.000 | 0.000 | 0.000 | -0.000 |
| -0.000 | 1.075 | -0.000 | -0.000 | 0.000 | 0.000 |
| -0.000 | -0.000 | 1.075 | 0.000 | -0.000 | 0.000 |
| 0.000 | -0.000 | -0.000 | 0.000 | 0.000 | -0.000 |
| -0.000 | 0.000 | -0.000 | -0.000 | 0.000 | -0.000 |
| -0.000 | -0.000 | 0.000 | 0.000 | -0.000 | 0.000 |
| 1.075 | -0.000 | -0.000 | 0.000 | 0.000 | 0.000 |
| -0.000 | 1.075 | -0.000 | 0.000 | 0.000 | 0.000 |
| -0.000 | -0.000 | 1.075 | 0.000 | 0.000 | 0.000 |
| -0.000 | 0.000 | 0.000 | 0.000 | -0.000 | -0.000 |
| 0.000 | -0.000 | 0.000 | 0.000 | 0.000 | 0.000 |
| 0.000 | 0.000 | -0.000 | -0.000 | -0.000 | 0.000 |
| 1.075 | -0.000 | -0.000 | -0.000 | 0.000 | 0.000 |
| -0.000 | 1.075 | -0.000 | -0.000 | 0.000 | -0.000 |
| -0.000 | -0.000 | 1.075 | -0.000 | -0.000 | -0.000 |
| 0.000 | -0.000 | -0.000 | 0.000 | -0.000 | 0.000 |
| -0.000 | 0.000 | -0.000 | -0.000 | 0.000 | -0.000 |
| -0.000 | -0.000 | 0.000 | 0.000 | -0.000 | 0.000 |
| 1.074 | -0.000 | -0.000 | 0.000 | 0.000 | 0.000 |
| -0.000 | 1.074 | -0.000 | -0.000 | 0.000 | -0.000 |
| -0.000 | -0.000 | 1.074 | -0.000 | -0.000 | 0.000 |
| -0.000 | 0.000 | 0.000 | 0.000 | 0.000 | 0.000 |
| 0.000 | -0.000 | 0.000 | 0.000 | 0.000 | 0.000 |
| 0.000 | 0.000 | -0.000 | -0.000 | 0.000 | 0.000 |
| 129.334 | 225.569 | 225.569 | 0.000 | 0.000 | 0.000 |
| 225.569 | 129.334 | 225.569 | 0.000 | 0.000 | 0.000 |
| 225.569 | 225.569 | 129.334 | -0.000 | 0.000 | 0.000 |
| 0.000 | 0.000 | 0.000 | 91.417 | 0.000 | -0.000 |
| 0.000 | 0.000 | 0.000 | 0.000 | 91.417 | 0.000 |
| 0.000 | 0.000 | -0.000 | 0.000 | 0.000 | 91.417 |
| 129.334 | 225.569 | 225.569 | -0.000 | 0.000 | -0.000 |
| 225.569 | 129.334 | 225.569 | -0.000 | -0.000 | -0.000 |
| 225.569 | 225.569 | 129.334 | -0.000 | -0.000 | 0.000 |
| -0.000 | -0.000 | -0.000 | 91.417 | -0.000 | -0.000 |
| -0.000 | -0.000 | -0.000 | -0.000 | 91.417 | -0.000 |
| -0.000 | 0.000 | 0.000 | -0.000 | -0.000 | 91.417 |
| 129.334 | 225.569 | 225.569 | 0.000 | 0.000 | 0.000 |
| 225.569 | 129.334 | 225.569 | 0.000 | 0.000 | -0.000 |
| 225.569 | 225.569 | 129.334 | 0.000 | 0.000 | 0.000 |
| 0.000 | -0.000 | -0.000 | 91.417 | 0.000 | -0.000 |
| -0.000 | 0.000 | -0.000 | 0.000 | 91.417 | 0.000 |
| -0.000 | -0.000 | 0.000 | 0.000 | 0.000 | 91.417 |
| 129.334 | 225.569 | 225.569 | -0.000 | -0.000 | -0.000 |
| 225.569 | 129.334 | 225.569 | -0.000 | -0.000 | 0.000 |
| 225.569 | 225.569 | 129.334 | -0.000 | -0.000 | 0.000 |
| -0.000 | 0.000 | 0.000 | 91.417 | -0.000 | -0.000 |
| 0.000 | -0.000 | 0.000 | -0.000 | 91.417 | -0.000 |
| 0.000 | 0.000 | -0.000 | -0.000 | -0.000 | 91.417 |
| 129.334 | 225.570 | 225.570 | 0.000 | 0.000 | 0.000 |
| 225.570 | 129.334 | 225.570 | 0.000 | 0.000 | 0.000 |
| 225.570 | 225.570 | 129.334 | 0.000 | 0.000 | -0.000 |
| 0.000 | -0.000 | -0.000 | 91.548 | 0.000 | 0.000 |
| -0.000 | 0.000 | -0.000 | 0.000 | 91.548 | -0.000 |
| -0.000 | -0.000 | 0.000 | 0.000 | 0.000 | 91.548 |
| 129.335 | 225.569 | 225.569 | -0.000 | 0.000 | 0.000 |
| 225.569 | 129.335 | 225.569 | -0.000 | -0.000 | 0.000 |
| 225.569 | 225.569 | 129.335 | -0.000 | -0.000 | 0.000 |
| -0.000 | 0.000 | 0.000 | 91.548 | -0.000 | 0.000 |
| 0.000 | -0.000 | 0.000 | -0.000 | 91.548 | -0.000 |
| 0.000 | 0.000 | -0.000 | -0.000 | -0.000 | 91.548 |
| 82.751 | 87.943 | 87.943 | -0.000 | -0.000 | 0.000 |
| 87.943 | 82.751 | 87.943 | -0.000 | 0.000 | -0.000 |
| 87.943 | 87.943 | 82.751 | 0.000 | 0.000 | 0.000 |
| -0.000 | -0.000 | -0.000 | 90.363 | -0.000 | -0.000 |
| -0.000 | -0.000 | -0.000 | -0.000 | 90.363 | 0.000 |
| -0.000 | -0.000 | -0.000 | -0.000 | 0.000 | 90.363 |
| 82.751 | 87.943 | 87.943 | -0.000 | 0.000 | 0.000 |
| 87.943 | 82.751 | 87.943 | 0.000 | -0.000 | 0.000 |
| 87.943 | 87.943 | 82.751 | 0.000 | -0.000 | -0.000 |
| 0.000 | 0.000 | 0.000 | 90.363 | 0.000 | -0.000 |
| 0.000 | 0.000 | 0.000 | 0.000 | 90.363 | 0.000 |
| 0.000 | 0.000 | 0.000 | 0.000 | 0.000 | 90.363 |
| 82.751 | 87.943 | 87.943 | -0.000 | 0.000 | 0.000 |
| 87.943 | 82.751 | 87.943 | -0.000 | -0.000 | 0.000 |
| 87.943 | 87.943 | 82.751 | 0.000 | 0.000 | 0.000 |
| -0.000 | -0.000 | -0.000 | 90.363 | -0.000 | 0.000 |
| -0.000 | -0.000 | -0.000 | -0.000 | 90.363 | -0.000 |
| -0.000 | -0.000 | -0.000 | -0.000 | 0.000 | 90.363 |
| 82.752 | 87.943 | 87.943 | 0.000 | 0.000 | -0.000 |
| 87.943 | 82.752 | 87.943 | 0.000 | 0.000 | 0.000 |
| 87.943 | 87.943 | 82.752 | 0.000 | -0.000 | 0.000 |
| 0.000 | 0.000 | 0.000 | 90.363 | 0.000 | 0.000 |
| 0.000 | 0.000 | 0.000 | 0.000 | 90.363 | -0.000 |
| 0.000 | 0.000 | 0.000 | 0.000 | 0.000 | 90.363 |
| 82.750 | 87.942 | 87.942 | 0.000 | -0.000 | 0.000 |
| 87.942 | 82.750 | 87.942 | -0.000 | 0.000 | 0.000 |
| 87.942 | 87.942 | 82.750 | -0.000 | -0.000 | -0.000 |
| 0.000 | 0.000 | 0.000 | 72.350 | -0.000 | 0.000 |
| 0.000 | 0.000 | 0.000 | -0.000 | 72.350 | 0.000 |
| 0.000 | 0.000 | 0.000 | -0.000 | -0.000 | 72.350 |
| 82.753 | 87.943 | 87.943 | 0.000 | 0.000 | -0.000 |
| 87.943 | 82.753 | 87.943 | 0.000 | 0.000 | -0.000 |
| 87.943 | 87.943 | 82.753 | -0.000 | -0.000 | -0.000 |
| -0.000 | -0.000 | -0.000 | 72.350 | 0.000 | 0.000 |
| -0.000 | -0.000 | -0.000 | 0.000 | 72.350 | -0.000 |
| -0.000 | -0.000 | -0.000 | 0.000 | 0.000 | 72.350 |
| 3.827 | 3.827 | 3.827 | 0.000 | 0.000 | -0.000 |
| 3.827 | 3.827 | 3.827 | 0.000 | 0.000 | -0.000 |
| 3.827 | 3.827 | 3.827 | 0.000 | 0.000 | -0.000 |
| 0.000 | 0.000 | 0.000 | 3.014 | 0.000 | -0.000 |
| 0.000 | 0.000 | 0.000 | 0.000 | 3.014 | -0.000 |
| 0.000 | 0.000 | 0.000 | 0.000 | 0.000 | 3.014 |
| 3.827 | 3.827 | 3.827 | 0.000 | 0.000 | 0.000 |
| 3.827 | 3.827 | 3.827 | 0.000 | -0.000 | 0.000 |
| 3.827 | 3.827 | 3.827 | -0.000 | -0.000 | 0.000 |
| -0.000 | -0.000 | -0.000 | 3.014 | -0.000 | 0.000 |
| -0.000 | -0.000 | -0.000 | -0.000 | 3.014 | 0.000 |
| -0.000 | -0.000 | -0.000 | -0.000 | -0.000 | 3.014 |
| 3.827 | 3.827 | 3.827 | 0.000 | -0.000 | -0.000 |
| 3.827 | 3.827 | 3.827 | -0.000 | 0.000 | -0.000 |
| 3.827 | 3.827 | 3.827 | -0.000 | -0.000 | -0.000 |
| 0.000 | 0.000 | 0.000 | 3.827 | -0.000 | -0.000 |
| 0.000 | 0.000 | 0.000 | -0.000 | 3.827 | -0.000 |
| 0.000 | 0.000 | 0.000 | -0.000 | 0.000 | 3.827 |
| 3.827 | 3.827 | 3.827 | 0.000 | 0.000 | 0.000 |
| 3.827 | 3.827 | 3.827 | 0.000 | 0.000 | 0.000 |
| 3.827 | 3.827 | 3.827 | 0.000 | 0.000 | 0.000 |
| -0.000 | -0.000 | -0.000 | 3.827 | 0.000 | 0.000 |
| -0.000 | -0.000 | -0.000 | 0.000 | 3.827 | 0.000 |
| -0.000 | -0.000 | -0.000 | 0.000 | -0.000 | 3.827 |
| 3.827 | 3.827 | 3.827 | 0.000 | 0.000 | -0.000 |
| 3.827 | 3.827 | 3.827 | 0.000 | 0.000 | -0.000 |
| 3.827 | 3.827 | 3.827 | 0.000 | 0.000 | -0.000 |
| -0.000 | -0.000 | -0.000 | 2.587 | 0.000 | -0.000 |
| -0.000 | -0.000 | -0.000 | 0.000 | 2.587 | -0.000 |
| -0.000 | -0.000 | -0.000 | 0.000 | 0.000 | 2.587 |
| 3.827 | 3.827 | 3.827 | -0.000 | -0.000 | 0.000 |
| 3.827 | 3.827 | 3.827 | -0.000 | -0.000 | 0.000 |
| 3.827 | 3.827 | 3.827 | -0.000 | -0.000 | 0.000 |
| 0.000 | 0.000 | 0.000 | 2.587 | -0.000 | 0.000 |
| 0.000 | 0.000 | 0.000 | -0.000 | 2.587 | 0.000 |
| 0.000 | 0.000 | 0.000 | -0.000 | -0.000 | 2.587 |
| 238.901 | 146.717 | 146.717 | -0.000 | -0.000 | -0.000 |
| 146.717 | 238.901 | 146.717 | 0.000 | 0.000 | -0.000 |
| 146.717 | 146.717 | 238.901 | -0.000 | -0.000 | -0.000 |
| 0.000 | -0.000 | 0.000 | 124.352 | -0.000 | -0.000 |
| 0.000 | -0.000 | 0.000 | -0.000 | 124.352 | -0.000 |
| 0.000 | -0.000 | -0.000 | -0.000 | -0.000 | 124.352 |
| 238.902 | 146.717 | 146.717 | 0.000 | 0.000 | 0.000 |
| 146.717 | 238.902 | 146.717 | 0.000 | 0.000 | 0.000 |
| 146.717 | 146.717 | 238.902 | 0.000 | 0.000 | 0.000 |
| -0.000 | 0.000 | 0.000 | 124.352 | 0.000 | -0.000 |
| -0.000 | -0.000 | -0.000 | 0.000 | 124.352 | 0.000 |
| -0.000 | 0.000 | 0.000 | 0.000 | 0.000 | 124.352 |
| 238.901 | 146.717 | 146.717 | 0.000 | -0.000 | -0.000 |
| 146.717 | 238.901 | 146.717 | -0.000 | -0.000 | -0.000 |
| 146.717 | 146.717 | 238.901 | -0.000 | -0.000 | -0.000 |
| -0.000 | -0.000 | -0.000 | 124.352 | -0.000 | -0.000 |
| -0.000 | -0.000 | -0.000 | -0.000 | 124.352 | -0.000 |
| -0.000 | -0.000 | -0.000 | -0.000 | 0.000 | 124.352 |
| 238.902 | 146.718 | 146.718 | 0.000 | 0.000 | 0.000 |
| 146.718 | 238.902 | 146.718 | 0.000 | 0.000 | 0.000 |
| 146.718 | 146.718 | 238.902 | -0.000 | 0.000 | 0.000 |
| 0.000 | 0.000 | 0.000 | 124.352 | -0.000 | 0.000 |
| 0.000 | 0.000 | 0.000 | -0.000 | 124.352 | 0.000 |
| 0.000 | 0.000 | 0.000 | 0.000 | 0.000 | 124.352 |
| 238.899 | 146.717 | 146.717 | -0.000 | -0.000 | -0.000 |
| 146.717 | 238.899 | 146.717 | -0.000 | 0.000 | -0.000 |
| 146.717 | 146.717 | 238.899 | -0.000 | 0.000 | -0.000 |
| -0.000 | -0.000 | -0.000 | 124.352 | -0.000 | -0.000 |
| -0.000 | -0.000 | -0.000 | -0.000 | 124.352 | -0.000 |
| -0.000 | -0.000 | -0.000 | -0.000 | -0.000 | 124.352 |
| 238.904 | 146.718 | 146.718 | -0.000 | 0.000 | 0.000 |
| 146.718 | 238.904 | 146.718 | 0.000 | 0.000 | 0.000 |
| 146.718 | 146.718 | 238.904 | -0.000 | 0.000 | 0.000 |
| 0.000 | 0.000 | 0.000 | 124.352 | -0.000 | 0.000 |
| 0.000 | 0.000 | 0.000 | -0.000 | 124.352 | 0.000 |
| 0.000 | 0.000 | 0.000 | 0.000 | -0.000 | 124.352 |
| 348.121 | 197.947 | 197.947 | 0.000 | -0.000 | -0.000 |
| 197.947 | 348.121 | 197.947 | -0.000 | 0.000 | 0.000 |
| 197.947 | 197.947 | 348.121 | 0.000 | 0.000 | 0.000 |
| -0.000 | -0.000 | -0.000 | 187.253 | 0.000 | 0.000 |
| -0.000 | -0.000 | -0.000 | 0.000 | 187.253 | 0.000 |
| -0.000 | -0.000 | -0.000 | 0.000 | 0.000 | 187.253 |
| 348.121 | 197.947 | 197.947 | -0.000 | -0.000 | -0.000 |
| 197.947 | 348.121 | 197.947 | -0.000 | -0.000 | 0.000 |
| 197.947 | 197.947 | 348.121 | -0.000 | -0.000 | -0.000 |
| 0.000 | 0.000 | 0.000 | 187.253 | -0.000 | -0.000 |
| 0.000 | 0.000 | 0.000 | -0.000 | 187.253 | 0.000 |
| 0.000 | 0.000 | 0.000 | -0.000 | -0.000 | 187.253 |
| 348.121 | 197.947 | 197.947 | 0.000 | 0.000 | 0.000 |
| 197.947 | 348.121 | 197.947 | 0.000 | 0.000 | 0.000 |
| 197.947 | 197.947 | 348.121 | 0.000 | 0.000 | -0.000 |
| -0.000 | -0.000 | -0.000 | 187.253 | 0.000 | 0.000 |
| -0.000 | -0.000 | -0.000 | 0.000 | 187.253 | -0.000 |
| -0.000 | -0.000 | -0.000 | 0.000 | 0.000 | 187.253 |
| 348.121 | 197.947 | 197.947 | -0.000 | -0.000 | -0.000 |
| 197.947 | 348.121 | 197.947 | -0.000 | -0.000 | -0.000 |
| 197.947 | 197.947 | 348.121 | -0.000 | -0.000 | -0.000 |
| 0.000 | 0.000 | 0.000 | 187.253 | -0.000 | -0.000 |
| 0.000 | 0.000 | 0.000 | -0.000 | 187.253 | -0.000 |
| 0.000 | 0.000 | 0.000 | -0.000 | -0.000 | 187.253 |
| 348.120 | 197.947 | 197.947 | 0.000 | 0.000 | 0.000 |
| 197.947 | 348.120 | 197.947 | 0.000 | 0.000 | 0.000 |
| 197.947 | 197.947 | 348.120 | 0.000 | 0.000 | 0.000 |
| -0.000 | -0.001 | -0.000 | 187.253 | 0.000 | 0.000 |
| -0.001 | -0.000 | -0.000 | 0.000 | 187.253 | 0.000 |
| -0.001 | -0.000 | -0.000 | 0.000 | -0.000 | 187.253 |
| 348.121 | 197.947 | 197.947 | -0.000 | -0.000 | -0.000 |
| 197.947 | 348.121 | 197.947 | -0.000 | -0.000 | -0.000 |
| 197.947 | 197.947 | 348.121 | -0.000 | -0.000 | -0.000 |
| 0.000 | 0.001 | 0.000 | 187.253 | -0.000 | -0.000 |
| 0.001 | 0.000 | 0.000 | -0.000 | 187.253 | 0.000 |
| 0.001 | 0.000 | 0.000 | -0.000 | -0.000 | 187.253 |
| 9.373 | 4.686 | 4.686 | -0.000 | -0.000 | -0.000 |
| 4.686 | 9.373 | 4.686 | -0.000 | -0.000 | 0.000 |
| 4.686 | 4.686 | 9.373 | 0.000 | 0.000 | -0.000 |
| -0.000 | 0.000 | 0.000 | 4.686 | -0.000 | -0.000 |
| 0.000 | -0.000 | 0.000 | -0.000 | 4.686 | -0.000 |
| 0.000 | 0.000 | -0.000 | -0.000 | -0.000 | 4.686 |
| 9.373 | 4.686 | 4.686 | 0.000 | -0.000 | 0.000 |
| 4.686 | 9.373 | 4.686 | 0.000 | 0.000 | 0.000 |
| 4.686 | 4.686 | 9.373 | -0.000 | -0.000 | 0.000 |
| 0.000 | -0.000 | -0.000 | 4.686 | -0.000 | 0.000 |
| -0.000 | 0.000 | -0.000 | 0.000 | 4.686 | 0.000 |
| -0.000 | -0.000 | 0.000 | 0.000 | 0.000 | 4.686 |
| 9.373 | 4.686 | 4.686 | -0.000 | -0.000 | -0.000 |
| 4.686 | 9.373 | 4.686 | -0.000 | -0.000 | -0.000 |
| 4.686 | 4.686 | 9.373 | -0.000 | 0.000 | -0.000 |
| -0.000 | 0.000 | 0.000 | 4.686 | 0.000 | -0.000 |
| 0.000 | -0.000 | 0.000 | 0.000 | 4.686 | -0.000 |
| 0.000 | 0.000 | -0.000 | -0.000 | -0.000 | 4.686 |
| 9.373 | 4.686 | 4.686 | 0.000 | 0.000 | 0.000 |
| 4.686 | 9.373 | 4.686 | 0.000 | -0.000 | 0.000 |
| 4.686 | 4.686 | 9.373 | -0.000 | -0.000 | 0.000 |
| 0.000 | -0.000 | -0.000 | 4.686 | -0.000 | 0.000 |
| -0.000 | 0.000 | -0.000 | -0.000 | 4.686 | 0.000 |
| -0.000 | -0.000 | 0.000 | 0.000 | 0.000 | 4.686 |
| 9.373 | 4.687 | 4.687 | -0.000 | -0.000 | -0.000 |
| 4.687 | 9.373 | 4.687 | -0.000 | 0.000 | -0.000 |
| 4.687 | 4.687 | 9.373 | -0.000 | 0.000 | -0.000 |
| -0.000 | 0.000 | 0.000 | 4.686 | 0.000 | -0.000 |
| 0.000 | -0.000 | 0.000 | 0.000 | 4.686 | -0.000 |
| 0.000 | 0.000 | -0.000 | -0.000 | -0.000 | 4.686 |
| 9.373 | 4.686 | 4.686 | 0.000 | 0.000 | 0.000 |
| 4.686 | 9.373 | 4.686 | 0.000 | -0.000 | -0.000 |
| 4.686 | 4.686 | 9.373 | -0.000 | -0.000 | 0.000 |
| 0.000 | -0.000 | -0.000 | 4.686 | -0.000 | 0.000 |
| -0.000 | 0.000 | -0.000 | 0.000 | 4.686 | 0.000 |
| -0.000 | -0.000 | 0.000 | 0.000 | 0.000 | 4.686 |
| 245.867 | 150.407 | 147.207 | -0.000 | -0.000 | -0.000 |
| 150.407 | 245.867 | 147.207 | 0.000 | -0.000 | -0.000 |
| 147.207 | 147.207 | 222.927 | -0.000 | -0.000 | -0.000 |
| 0.000 | 0.000 | 0.000 | 125.518 | -0.000 | -0.000 |
| 0.000 | 0.000 | 0.000 | -0.000 | 125.518 | -0.000 |
| 0.000 | 0.000 | -0.000 | -0.000 | -0.000 | 125.617 |
| 245.867 | 150.407 | 147.207 | 0.000 | 0.000 | 0.000 |
| 150.407 | 245.867 | 147.207 | 0.000 | 0.000 | 0.000 |
| 147.207 | 147.207 | 222.927 | 0.000 | 0.000 | 0.000 |
| -0.000 | -0.000 | -0.000 | 125.518 | 0.000 | 0.000 |
| -0.000 | -0.000 | -0.000 | 0.000 | 125.518 | 0.000 |
| -0.000 | -0.000 | -0.000 | 0.000 | 0.000 | 125.617 |
| 245.857 | 150.416 | 147.207 | -0.000 | 0.000 | -0.000 |
| 150.416 | 245.857 | 147.207 | -0.000 | 0.000 | -0.000 |
| 147.207 | 147.207 | 222.927 | -0.000 | 0.000 | -0.000 |
| -0.000 | -0.000 | 0.000 | 125.518 | -0.000 | -0.000 |
| -0.000 | -0.000 | 0.000 | 0.000 | 125.518 | -0.000 |
| -0.000 | 0.000 | -0.000 | -0.000 | -0.000 | 125.617 |
| 245.867 | 150.407 | 147.207 | 0.000 | 0.000 | 0.000 |
| 150.407 | 245.867 | 147.207 | 0.000 | -0.000 | 0.000 |
| 147.207 | 147.207 | 222.927 | 0.000 | -0.000 | 0.000 |
| 0.000 | 0.000 | -0.000 | 125.518 | -0.000 | 0.000 |
| 0.000 | 0.000 | -0.000 | 0.000 | 125.518 | 0.000 |
| 0.000 | -0.000 | 0.000 | -0.000 | 0.000 | 125.617 |
| 245.868 | 150.407 | 147.207 | -0.000 | 0.000 | -0.000 |
| 150.407 | 245.868 | 147.207 | -0.000 | -0.000 | -0.000 |
| 147.206 | 147.206 | 222.924 | -0.000 | 0.000 | -0.000 |
| -0.000 | -0.000 | 0.000 | 125.524 | -0.000 | -0.000 |
| -0.000 | -0.000 | 0.000 | -0.000 | 125.524 | -0.000 |
| -0.000 | 0.000 | -0.000 | 0.000 | 0.000 | 125.617 |
| 245.868 | 150.407 | 147.207 | -0.000 | 0.000 | 0.000 |
| 150.407 | 245.868 | 147.207 | -0.000 | -0.000 | 0.000 |
| 147.207 | 147.207 | 222.930 | 0.000 | -0.000 | 0.000 |
| 0.000 | 0.000 | -0.000 | 125.524 | 0.000 | 0.000 |
| 0.000 | 0.000 | -0.000 | 0.000 | 125.524 | 0.000 |
| 0.000 | -0.000 | 0.000 | -0.000 | 0.000 | 125.617 |
| 480.488 | 94.765 | 94.765 | 0.000 | 0.000 | 0.000 |
| 94.765 | 480.488 | 94.765 | -0.000 | 0.000 | 0.000 |
| 94.765 | 94.765 | 480.488 | -0.000 | -0.000 | 0.000 |
| -0.000 | -0.000 | -0.000 | -329.473 | -0.000 | 0.000 |
| -0.000 | -0.000 | -0.000 | -0.000 | -329.473 | 0.000 |
| -0.000 | -0.000 | -0.000 | -0.000 | -0.000 | -329.473 |
| 476.215 | 96.901 | 96.901 | 0.000 | -0.000 | 0.000 |
| 96.901 | 476.215 | 96.901 | 0.000 | -0.000 | 0.000 |
| 96.901 | 96.901 | 476.215 | 0.000 | 0.000 | 0.000 |
| 0.000 | 0.000 | 0.000 | -329.473 | -0.000 | 0.000 |
| 0.000 | 0.000 | 0.000 | 0.000 | -329.473 | -0.000 |
| 0.000 | 0.000 | 0.000 | 0.000 | 0.000 | -329.473 |
| 480.488 | 94.765 | 94.765 | -0.000 | 0.000 | 0.000 |
| 94.765 | 480.488 | 94.765 | -0.000 | 0.000 | 0.000 |
| 94.765 | 94.765 | 480.488 | -0.000 | 0.000 | 0.000 |
| 0.000 | 0.000 | 0.000 | -8.700 | -0.000 | -0.000 |
| 0.000 | 0.000 | 0.000 | 0.000 | -8.700 | 0.000 |
| 0.000 | 0.000 | 0.000 | -0.000 | 0.000 | -8.700 |
| 476.214 | 96.901 | 96.901 | 0.000 | -0.000 | -0.000 |
| 96.901 | 476.214 | 96.901 | -0.000 | -0.000 | -0.000 |
| 96.901 | 96.901 | 476.214 | 0.000 | 0.000 | 0.000 |
| -0.000 | -0.000 | -0.000 | -8.700 | 0.000 | -0.000 |
| -0.000 | -0.000 | -0.000 | 0.000 | -8.700 | -0.000 |
| -0.000 | -0.000 | -0.000 | 0.000 | 0.000 | -8.700 |
| 480.490 | 94.765 | 94.765 | -0.000 | 0.000 | -0.000 |
| 94.765 | 480.490 | 94.765 | -0.000 | 0.000 | 0.000 |
| 94.765 | 94.765 | 480.490 | -0.000 | -0.000 | 0.000 |
| -8922019.551 | -9060624.154 | -7367209.820 | -96196.368 | -101209.362 | -131732.118 |
| -5404217.976 | -6359382.752 | -5331662.722 | -130170.665 | 36916.993 | 33250.703 |
| -5715184.638 | -5846384.453 | -6233840.668 | -7057.027 | -227200.064 | 111238.863 |
| 480.486 | 94.764 | 94.764 | 0.000 | -0.000 | 0.000 |
| 94.764 | 480.486 | 94.764 | 0.000 | -0.000 | 0.000 |
| 94.764 | 94.764 | 480.486 | 0.000 | -0.000 | -0.000 |
| 7472056.842 | 5232181.943 | 5585528.583 | 192286.267 | -40546.200 | -41086.357 |
| 5886434.919 | 6676697.383 | 5580394.946 | 161581.581 | 134911.061 | -99407.712 |
| 5135377.774 | 4824349.100 | 5911275.200 | 51060.864 | 130025.699 | 203647.940 |
| 162.277 | 139.612 | 139.612 | 0.000 | -0.000 | -0.000 |
| 139.612 | 162.277 | 139.612 | -0.000 | 0.000 | -0.000 |
| 139.612 | 139.612 | 162.277 | -0.000 | -0.000 | -0.000 |
| 0.000 | 0.000 | 0.000 | 9.248 | -0.000 | 0.000 |
| 0.000 | 0.000 | 0.000 | -0.000 | 9.248 | -0.000 |
| 0.000 | 0.000 | 0.000 | -0.000 | 0.000 | 9.248 |
| 162.277 | 139.612 | 139.612 | 0.000 | 0.000 | 0.000 |
| 139.612 | 162.277 | 139.612 | 0.000 | 0.000 | 0.000 |
| 139.612 | 139.612 | 162.277 | -0.000 | 0.000 | 0.000 |
| -0.000 | -0.000 | -0.000 | 9.248 | 0.000 | 0.000 |
| -0.000 | -0.000 | -0.000 | 0.000 | 9.248 | 0.000 |
| -0.000 | -0.000 | -0.000 | -0.000 | 0.000 | 9.248 |
| 162.277 | 139.612 | 139.612 | -0.000 | 0.000 | -0.000 |
| 139.612 | 162.277 | 139.612 | -0.000 | 0.000 | -0.000 |
| 139.612 | 139.612 | 162.277 | -0.000 | -0.000 | -0.000 |
| 0.000 | 0.000 | 0.000 | 9.248 | 0.000 | -0.000 |
| 0.000 | 0.000 | 0.000 | -0.000 | 9.248 | 0.000 |
| 0.000 | 0.000 | 0.000 | -0.000 | -0.000 | 9.248 |
| 162.277 | 139.612 | 139.612 | 0.000 | 0.000 | 0.000 |
| 139.612 | 162.277 | 139.612 | 0.000 | 0.000 | 0.000 |
| 139.612 | 139.612 | 162.277 | 0.000 | -0.000 | 0.000 |
| -0.000 | -0.000 | -0.000 | 9.248 | 0.000 | -0.000 |
| -0.000 | -0.000 | -0.000 | 0.000 | 9.248 | 0.000 |
| -0.000 | -0.000 | -0.000 | 0.000 | 0.000 | 9.248 |
| 162.280 | 139.613 | 139.613 | -0.000 | -0.000 | 0.000 |
| 139.613 | 162.280 | 139.613 | -0.000 | -0.000 | -0.000 |
| 139.613 | 139.613 | 162.280 | 0.000 | -0.000 | -0.000 |
| 0.000 | 0.000 | 0.000 | 9.248 | -0.000 | -0.000 |
| 0.000 | 0.000 | 0.000 | -0.000 | 9.248 | 0.000 |
| 0.000 | 0.000 | 0.000 | -0.000 | -0.000 | 9.248 |
| 162.273 | 139.610 | 139.610 | 0.000 | -0.000 | -0.000 |
| 139.610 | 162.273 | 139.610 | 0.000 | 0.000 | 0.000 |
| 139.610 | 139.610 | 162.273 | -0.000 | -0.000 | 0.000 |
| -0.000 | -0.000 | -0.000 | 9.248 | -0.000 | 0.000 |
| -0.000 | -0.000 | -0.000 | 0.000 | 9.248 | 0.000 |
| -0.000 | -0.000 | -0.000 | 0.000 | 0.000 | 9.248 |
| 36.443 | 73.415 | 73.415 | 0.000 | 0.000 | 0.000 |
| 73.415 | 36.443 | 73.415 | 0.000 | 0.000 | 0.000 |
| 73.415 | 73.415 | 36.443 | 0.000 | 0.000 | 0.000 |
| -0.000 | -0.000 | -0.000 | -16.132 | 0.000 | 0.000 |
| -0.000 | -0.000 | -0.000 | 0.000 | -16.132 | 0.000 |
| -0.000 | -0.000 | -0.000 | 0.000 | 0.000 | -16.132 |
| 45.923 | 68.675 | 68.675 | 0.000 | -0.000 | -0.000 |
| 68.675 | 45.923 | 68.675 | 0.000 | -0.000 | -0.000 |
| 68.675 | 68.675 | 45.923 | 0.000 | -0.000 | 0.000 |
| 0.000 | 0.000 | 0.000 | -16.132 | -0.000 | -0.000 |
| 0.000 | 0.000 | 0.000 | -0.000 | -16.132 | -0.000 |
| 0.000 | 0.000 | 0.000 | -0.000 | -0.000 | -16.132 |
| 45.923 | 68.675 | 68.675 | 0.000 | 0.000 | 0.000 |
| 68.675 | 45.923 | 68.675 | -0.000 | 0.000 | -0.000 |
| 68.675 | 68.675 | 45.923 | -0.000 | 0.000 | 0.000 |
| -0.000 | -0.000 | -0.000 | -6.652 | 0.000 | 0.000 |
| -0.000 | -0.000 | -0.000 | -0.000 | -6.652 | 0.000 |
| -0.000 | -0.000 | -0.000 | 0.000 | 0.000 | -6.652 |
| 1099846.672 | -476965.211 | -1215816.417 | -5628.818 | -7013.202 | 12287.658 |
| -233144.434 | 987980.030 | -324828.380 | 11227.297 | 3391.475 | 7773.509 |
| -246946.429 | -123524.632 | 973528.493 | 13727.860 | -7416.429 | 790.473 |
| 0.000 | 0.000 | 0.000 | -6.652 | -0.000 | -0.000 |
| 0.000 | 0.000 | 0.000 | -0.000 | -6.652 | -0.000 |
| 0.000 | 0.000 | 0.000 | -0.000 | -0.000 | -6.652 |
| -122188.723 | 16129.029 | -844.849 | -8480.412 | 133.152 | -1629.268 |
| -1658.171 | -128775.490 | 12055.746 | 2330.339 | -6620.618 | 158.244 |
| 11876.824 | -2155.624 | -137706.147 | 1839.421 | 333.668 | -9763.398 |
| -76646.136 | -38436.195 | -25057.179 | -55.034 | 281.255 | -1146.936 |
| -35999.576 | -75648.737 | -20109.441 | 254.229 | 260.491 | -1563.198 |
| -13451.856 | -11664.892 | -81653.118 | 2488.593 | -890.565 | 609.747 |
| 56604.536 | 43931.605 | 14279.572 | -567.285 | -1485.390 | 404.319 |
| -88172.373 | 52899.139 | -71263.894 | 665.414 | 37.380 | 989.417 |
| 36312.164 | 20908.107 | 60720.074 | -467.065 | -244.488 | -101.641 |
| 74176.851 | 16099.772 | 15407.019 | 666.531 | 623.351 | -1859.470 |
| 29002.246 | 79540.222 | 13836.948 | -733.898 | 878.231 | -1153.214 |
| 12508.625 | 31338.033 | 82654.388 | -713.481 | -2195.059 | -633.684 |
| 21.226 | 15.378 | 15.378 | -0.000 | -0.000 | -0.000 |
| 15.378 | 21.226 | 15.378 | -0.000 | 0.000 | -0.000 |
| 15.378 | 15.378 | 21.226 | 0.000 | -0.000 | -0.000 |
| 449615.473 | -18776124.556 | -18776124.249 | 15372407.834 | -0.000 | -0.000 |
| -18776124.556 | 449615.473 | -18776124.249 | -0.000 | 15372407.834 | -0.000 |
| -18776124.556 | -18776124.249 | 449615.473 | 0.000 | -0.000 | 15372407.834 |
| 76463469.868 | 37504387.743 | 37504387.743 | 0.000 | -0.000 | 0.000 |
| 37504387.743 | 76463469.868 | 37504387.743 | 0.000 | 0.000 | 0.000 |
| 37504387.743 | 37504387.743 | 76463469.868 | 0.000 | 0.000 | 0.000 |
| -449615.473 | 18776124.556 | 18776124.249 | 15372407.834 | 0.000 | 0.000 |
| 18776124.556 | -449615.473 | 18776124.249 | 0.000 | 15372407.834 | 0.000 |
| 18776124.556 | 18776124.249 | -449615.473 | -0.000 | 0.000 | 15372407.834 |
| 21.223 | 15.376 | 15.376 | -0.000 | -0.000 | -0.000 |
| 15.376 | 21.223 | 15.376 | -0.000 | 0.000 | -0.000 |
| 15.376 | 15.376 | 21.223 | -0.000 | -0.000 | -0.000 |
| 44961.685 | -1877608.299 | -1877607.992 | 1537243.666 | -0.000 | 0.000 |
| -1877608.299 | 44961.685 | -1877607.992 | -0.000 | 1537243.666 | -0.000 |
| -1877608.299 | -1877607.992 | 44961.685 | 0.000 | 0.000 | 1537243.666 |
| 7646347.500 | 3750439.218 | 3750439.218 | 0.000 | 0.000 | 0.000 |
| 3750439.218 | 7646347.500 | 3750439.218 | 0.000 | 0.000 | 0.000 |
| 3750439.218 | 3750439.218 | 7646347.500 | 0.000 | 0.000 | 0.000 |
| -44961.685 | 1877608.299 | 1877607.992 | 1537243.666 | -0.000 | 0.000 |
| 1877608.299 | -44961.685 | 1877607.992 | 0.000 | 1537243.666 | 0.000 |
| 1877608.299 | 1877607.992 | -44961.685 | 0.000 | -0.000 | 1537243.666 |
| 21.193 | 15.355 | 15.355 | -0.000 | 0.000 | -0.000 |
| 15.355 | 21.193 | 15.355 | -0.000 | 0.000 | -0.000 |
| 15.355 | 15.355 | 21.193 | -0.000 | -0.000 | -0.000 |
| 4496.306 | -187756.681 | -187756.374 | 153727.243 | -0.000 | -0.000 |
| -187756.681 | 4496.306 | -187756.374 | -0.000 | 153727.243 | -0.000 |
| -187756.681 | -187756.374 | 4496.306 | 0.000 | 0.000 | 153727.243 |
| 764635.264 | 375044.365 | 375044.365 | 0.000 | 0.000 | 0.000 |
| 375044.365 | 764635.264 | 375044.365 | 0.000 | 0.000 | 0.000 |
| 375044.365 | 375044.365 | 764635.264 | 0.000 | 0.000 | 0.000 |
| -4496.306 | 187756.681 | 187756.374 | 153727.243 | 0.000 | 0.000 |
| 187756.681 | -4496.306 | 187756.374 | 0.000 | 153727.243 | 0.000 |
| 187756.681 | 187756.374 | -4496.306 | 0.000 | -0.000 | 153727.243 |
| 1.075 | -0.000 | -0.000 | 0.000 | 0.000 | 0.000 |
| -0.000 | 1.075 | -0.000 | -0.000 | -0.000 | 0.000 |
| -0.000 | -0.000 | 1.075 | 0.000 | -0.000 | -0.000 |
| 0.000 | -0.000 | 0.000 | 0.000 | 0.000 | 0.000 |
| -0.000 | 0.000 | 0.000 | 0.000 | 0.000 | 0.000 |
| -0.000 | 0.000 | 0.000 | 0.000 | 0.000 | 0.000 |
| 1.075 | -0.000 | -0.000 | 0.000 | -0.000 | 0.000 |
| -0.000 | 1.075 | -0.000 | 0.000 | -0.000 | 0.000 |
| -0.000 | -0.000 | 1.075 | 0.000 | 0.000 | -0.000 |
| -0.000 | 0.000 | -0.000 | 0.000 | -0.000 | 0.000 |
| 0.000 | -0.000 | -0.000 | -0.000 | 0.000 | 0.000 |
| 0.000 | -0.000 | -0.000 | -0.000 | -0.000 | 0.000 |
| 1.075 | -0.000 | -0.000 | 0.000 | 0.000 | 0.000 |
| -0.000 | 1.075 | -0.000 | -0.000 | -0.000 | -0.000 |
| -0.000 | -0.000 | 1.075 | -0.000 | -0.000 | -0.000 |
| 0.000 | -0.000 | -0.000 | 0.000 | 0.000 | 0.000 |
| -0.000 | 0.000 | -0.000 | 0.000 | 0.000 | 0.000 |
| -0.000 | -0.000 | 0.000 | 0.000 | 0.000 | 0.000 |
| 1.075 | -0.000 | -0.000 | 0.000 | -0.000 | 0.000 |
| -0.000 | 1.075 | -0.000 | 0.000 | -0.000 | -0.000 |
| -0.000 | -0.000 | 1.075 | -0.000 | 0.000 | -0.000 |
| -0.000 | 0.000 | 0.000 | 0.000 | -0.000 | -0.000 |
| 0.000 | -0.000 | 0.000 | -0.000 | 0.000 | -0.000 |
| 0.000 | 0.000 | -0.000 | -0.000 | -0.000 | 0.000 |
| 1.075 | -0.000 | -0.000 | 0.000 | 0.000 | -0.000 |
| -0.000 | 1.075 | -0.000 | -0.000 | -0.000 | -0.000 |
| -0.000 | -0.000 | 1.075 | 0.000 | -0.000 | -0.000 |
| 0.000 | -0.000 | -0.000 | 0.000 | -0.000 | 0.000 |
| -0.000 | 0.000 | -0.000 | 0.000 | 0.000 | 0.000 |
| -0.000 | -0.000 | 0.000 | 0.000 | 0.000 | 0.000 |
| 1.074 | -0.000 | -0.000 | 0.000 | -0.000 | -0.000 |
| -0.000 | 1.074 | -0.000 | 0.000 | -0.000 | -0.000 |
| -0.000 | -0.000 | 1.074 | -0.000 | -0.000 | -0.000 |
| -0.000 | 0.000 | 0.000 | 0.000 | 0.000 | 0.000 |
| 0.000 | -0.000 | 0.000 | -0.000 | 0.000 | -0.000 |
| 0.000 | 0.000 | -0.000 | -0.000 | -0.000 | 0.000 |
| 144.777 | 217.228 | 217.228 | 0.000 | 0.000 | 0.000 |
| 217.228 | 144.777 | 217.228 | 0.000 | 0.000 | 0.000 |
| 217.228 | 217.228 | 144.777 | 0.000 | 0.000 | 0.000 |
| -0.000 | -0.000 | -0.000 | 102.321 | 0.000 | 0.000 |
| -0.000 | 0.000 | -0.000 | 0.000 | 102.321 | 0.000 |
| -0.000 | 0.000 | -0.000 | 0.000 | 0.000 | 102.321 |
| 144.777 | 217.228 | 217.228 | -0.000 | -0.000 | -0.000 |
| 217.228 | 144.777 | 217.228 | -0.000 | -0.000 | -0.000 |
| 217.228 | 217.228 | 144.777 | -0.000 | -0.000 | -0.000 |
| 0.000 | 0.000 | 0.000 | 102.321 | -0.000 | 0.000 |
| 0.000 | -0.000 | 0.000 | -0.000 | 102.321 | -0.000 |
| 0.000 | 0.000 | 0.000 | -0.000 | -0.000 | 102.321 |
| 144.777 | 217.228 | 217.228 | 0.000 | 0.000 | 0.000 |
| 217.228 | 144.777 | 217.228 | 0.000 | 0.000 | 0.000 |
| 217.228 | 217.228 | 144.777 | 0.000 | 0.000 | 0.000 |
| 0.000 | -0.000 | -0.000 | 101.745 | 0.000 | 0.000 |
| -0.000 | 0.000 | -0.000 | 0.000 | 101.745 | 0.000 |
| -0.000 | -0.000 | -0.000 | 0.000 | 0.000 | 101.745 |
| 144.777 | 217.228 | 217.228 | -0.000 | -0.000 | -0.000 |
| 217.228 | 144.777 | 217.228 | -0.000 | -0.000 | 0.000 |
| 217.228 | 217.228 | 144.777 | -0.000 | -0.000 | -0.000 |
| -0.000 | 0.000 | 0.000 | 101.745 | -0.000 | -0.000 |
| 0.000 | -0.000 | 0.000 | -0.000 | 101.745 | -0.000 |
| 0.000 | 0.000 | 0.000 | -0.000 | -0.000 | 101.745 |
| 144.775 | 217.227 | 217.227 | 0.000 | 0.000 | 0.000 |
| 217.227 | 144.775 | 217.227 | 0.000 | 0.000 | 0.000 |
| 217.227 | 217.227 | 144.775 | 0.000 | 0.000 | 0.000 |
| 0.000 | -0.000 | -0.000 | 102.321 | 0.000 | 0.000 |
| -0.000 | 0.000 | -0.000 | 0.000 | 102.321 | 0.000 |
| -0.000 | -0.000 | 0.000 | 0.000 | 0.000 | 102.321 |
| 144.780 | 217.229 | 217.229 | -0.000 | -0.000 | -0.000 |
| 217.229 | 144.780 | 217.229 | -0.000 | -0.000 | -0.000 |
| 217.229 | 217.229 | 144.780 | -0.000 | -0.000 | -0.000 |
| -0.000 | 0.000 | 0.000 | 102.321 | -0.000 | 0.000 |
| 0.000 | -0.000 | 0.000 | -0.000 | 102.321 | -0.000 |
| 0.000 | 0.000 | -0.000 | -0.000 | -0.000 | 102.321 |
| 32.974 | 35.043 | 35.043 | -0.000 | -0.000 | -0.000 |
| 35.043 | 32.974 | 35.043 | -0.000 | -0.000 | -0.000 |
| 35.043 | 35.043 | 32.974 | -0.000 | -0.000 | -0.000 |
| 0.000 | 0.000 | 0.000 | -24.580 | -0.000 | -0.000 |
| 0.000 | 0.000 | 0.000 | -0.000 | -24.580 | -0.000 |
| 0.000 | 0.000 | 0.000 | -0.000 | -0.000 | -24.580 |
| 32.974 | 35.043 | 35.043 | 0.000 | -0.000 | 0.000 |
| 35.043 | 32.974 | 35.043 | -0.000 | 0.000 | 0.000 |
| 35.043 | 35.043 | 32.974 | 0.000 | 0.000 | 0.000 |
| -0.000 | -0.000 | -0.000 | -24.580 | 0.000 | -0.000 |
| -0.000 | -0.000 | -0.000 | 0.000 | -24.580 | -0.000 |
| -0.000 | -0.000 | -0.000 | 0.000 | 0.000 | -24.580 |
| 32.974 | 35.043 | 35.043 | -0.000 | -0.000 | -0.000 |
| 35.043 | 32.974 | 35.043 | -0.000 | -0.000 | -0.000 |
| 35.043 | 35.043 | 32.974 | -0.000 | -0.000 | -0.000 |
| 0.000 | 0.000 | 0.000 | -24.580 | -0.000 | -0.000 |
| 0.000 | 0.000 | 0.000 | -0.000 | -24.580 | -0.000 |
| 0.000 | 0.000 | 0.000 | -0.000 | -0.000 | -24.580 |
| 32.974 | 35.043 | 35.043 | 0.000 | 0.000 | 0.000 |
| 35.043 | 32.974 | 35.043 | 0.000 | 0.000 | 0.000 |
| 35.043 | 35.043 | 32.974 | 0.000 | 0.000 | 0.000 |
| -0.000 | -0.000 | -0.000 | -24.580 | 0.000 | 0.000 |
| -0.000 | -0.000 | -0.000 | 0.000 | -24.580 | 0.000 |
| -0.000 | -0.000 | -0.000 | 0.000 | 0.000 | -24.580 |
| 32.975 | 35.044 | 35.044 | -0.000 | -0.000 | -0.000 |
| 35.044 | 32.975 | 35.044 | -0.000 | -0.000 | -0.000 |
| 35.044 | 35.044 | 32.975 | -0.000 | -0.000 | -0.000 |
| 0.001 | 0.000 | 0.000 | -24.580 | -0.000 | 0.000 |
| 0.000 | 0.001 | 0.000 | -0.000 | -24.580 | -0.000 |
| 0.000 | 0.000 | 0.001 | -0.000 | -0.000 | -24.580 |
| 32.974 | 35.043 | 35.043 | 0.000 | -0.000 | 0.000 |
| 35.043 | 32.974 | 35.043 | 0.000 | 0.000 | 0.000 |
| 35.043 | 35.043 | 32.974 | 0.000 | 0.000 | 0.000 |
| -0.001 | -0.000 | -0.000 | -24.580 | 0.000 | 0.000 |
| -0.000 | -0.001 | -0.000 | 0.000 | -24.580 | 0.000 |
| -0.000 | -0.000 | -0.001 | 0.000 | 0.000 | -24.580 |
| -0.159 | -0.159 | -0.159 | -0.000 | -0.000 | -0.000 |
| -0.159 | -0.159 | -0.159 | -0.000 | -0.000 | -0.000 |
| -0.159 | -0.159 | -0.159 | -0.000 | -0.000 | -0.000 |
| 0.000 | 0.000 | 0.000 | -0.159 | -0.000 | -0.000 |
| 0.000 | 0.000 | 0.000 | -0.000 | -0.159 | -0.000 |
| 0.000 | 0.000 | 0.000 | -0.000 | -0.000 | -0.159 |
| -0.159 | -0.159 | -0.159 | 0.000 | 0.000 | 0.000 |
| -0.159 | -0.159 | -0.159 | 0.000 | -0.000 | 0.000 |
| -0.159 | -0.159 | -0.159 | 0.000 | 0.000 | 0.000 |
| -0.000 | -0.000 | -0.000 | -0.159 | 0.000 | 0.000 |
| -0.000 | -0.000 | -0.000 | 0.000 | -0.159 | 0.000 |
| -0.000 | -0.000 | -0.000 | 0.000 | -0.000 | -0.159 |
| -0.159 | -0.159 | -0.159 | -0.000 | -0.000 | -0.000 |
| -0.159 | -0.159 | -0.159 | -0.000 | -0.000 | -0.000 |
| -0.159 | -0.159 | -0.159 | -0.000 | -0.000 | -0.000 |
| 8185.718 | 8247.830 | 8245.526 | -7605.243 | 7.096 | -7.595 |
| 7749.899 | 7684.941 | 7748.547 | -9.743 | -7181.761 | 9.500 |
| 4357.475 | 4357.386 | 4336.231 | -3.433 | 3.447 | -4068.161 |
| -0.159 | -0.159 | -0.159 | 0.000 | 0.000 | 0.000 |
| -0.159 | -0.159 | -0.159 | 0.000 | 0.000 | 0.000 |
| -0.159 | -0.159 | -0.159 | 0.000 | 0.000 | 0.000 |
| -2565.260 | -2577.281 | -2577.343 | -2427.065 | -4.785 | -4.802 |
| -2436.380 | -2425.329 | -2436.442 | -3.745 | -2294.422 | -3.763 |
| -2426.558 | -2426.620 | -2415.806 | -4.026 | -4.039 | -2285.295 |
| 5.218 | 6.061 | 6.061 | -0.000 | 0.000 | 0.000 |
| 6.061 | 5.218 | 6.061 | -0.000 | 0.000 | -0.000 |
| 6.061 | 6.061 | 5.218 | -0.000 | 0.000 | 0.000 |
| 0.000 | 0.000 | 0.000 | -2.985 | 0.000 | 0.000 |
| 0.000 | 0.000 | 0.000 | -0.000 | -2.985 | 0.000 |
| 0.000 | 0.000 | 0.000 | -0.000 | 0.000 | -2.985 |
| 5.219 | 6.061 | 6.061 | 0.000 | -0.000 | -0.000 |
| 6.061 | 5.219 | 6.061 | 0.000 | -0.000 | -0.000 |
| 6.061 | 6.061 | 5.219 | -0.000 | -0.000 | -0.000 |
| -0.000 | -0.000 | -0.000 | -2.985 | -0.000 | 0.000 |
| -0.000 | -0.000 | -0.000 | 0.000 | -2.985 | 0.000 |
| -0.000 | -0.000 | -0.000 | 0.000 | 0.000 | -2.985 |
| 5.217 | 6.060 | 6.060 | 0.000 | 0.000 | 0.000 |
| 6.060 | 5.217 | 6.060 | 0.000 | 0.000 | 0.000 |
| 6.060 | 6.060 | 5.217 | 0.000 | 0.000 | -0.000 |
| -0.001 | -0.001 | -0.001 | 4.957 | 0.000 | -0.000 |
| -0.001 | -0.001 | -0.001 | -0.000 | 4.957 | -0.000 |
| -0.001 | -0.001 | -0.001 | 0.000 | 0.000 | 4.957 |
| 5.220 | 6.063 | 6.063 | -0.000 | -0.000 | 0.000 |
| 6.063 | 5.220 | 6.063 | -0.000 | -0.000 | 0.000 |
| 6.063 | 6.063 | 5.220 | 0.000 | -0.000 | 0.000 |
| 0.001 | 0.001 | 0.001 | 4.957 | -0.000 | -0.000 |
| 0.001 | 0.001 | 0.001 | -0.000 | 4.957 | -0.000 |
| 0.001 | 0.001 | 0.001 | 0.000 | -0.000 | 4.957 |
| 5.205 | 6.048 | 6.048 | -0.000 | 0.000 | -0.000 |
| 6.048 | 5.205 | 6.048 | -0.000 | 0.000 | -0.000 |
| 6.048 | 6.048 | 5.205 | -0.000 | 0.000 | -0.000 |
| 0.008 | 0.008 | 0.008 | -4.303 | 0.000 | -0.000 |
| 0.008 | 0.008 | 0.008 | -0.000 | -4.303 | -0.000 |
| 0.008 | 0.008 | 0.008 | -0.000 | 0.000 | -4.303 |
| 5.231 | 6.074 | 6.074 | -0.000 | 0.000 | -0.000 |
| 6.074 | 5.231 | 6.074 | 0.000 | -0.000 | -0.000 |
| 6.074 | 6.074 | 5.231 | 0.000 | 0.000 | 0.000 |
| -0.008 | -0.008 | -0.008 | -4.303 | -0.000 | 0.000 |
| -0.008 | -0.008 | -0.008 | 0.000 | -4.303 | -0.000 |
| -0.008 | -0.008 | -0.008 | 0.000 | -0.000 | -4.303 |
| 220.598 | 149.316 | 149.316 | -0.000 | 0.000 | 0.000 |
| 149.316 | 220.598 | 149.316 | -0.000 | -0.000 | -0.000 |
| 149.316 | 149.316 | 220.598 | -0.000 | -0.000 | 0.000 |
| 0.000 | 0.000 | -0.000 | 120.086 | -0.000 | 0.000 |
| 0.000 | 0.000 | -0.000 | -0.000 | 120.086 | 0.000 |
| 0.000 | 0.000 | -0.000 | -0.000 | -0.000 | 120.086 |
| 220.598 | 149.316 | 149.316 | 0.000 | -0.000 | 0.000 |
| 149.316 | 220.598 | 149.316 | 0.000 | 0.000 | 0.000 |
| 149.316 | 149.316 | 220.598 | 0.000 | -0.000 | 0.000 |
| -0.000 | 0.000 | 0.000 | 120.086 | 0.000 | -0.000 |
| -0.000 | -0.000 | -0.000 | 0.000 | 120.086 | 0.000 |
| -0.000 | -0.000 | 0.000 | 0.000 | -0.000 | 120.086 |
| 220.598 | 149.316 | 149.316 | -0.000 | 0.000 | -0.000 |
| 149.316 | 220.598 | 149.316 | -0.000 | -0.000 | 0.000 |
| 149.316 | 149.316 | 220.598 | -0.000 | 0.000 | -0.000 |
| -0.000 | -0.000 | 0.000 | 120.086 | -0.000 | 0.000 |
| -0.000 | -0.000 | 0.000 | -0.000 | 120.086 | -0.000 |
| -0.000 | 0.000 | -0.000 | -0.000 | -0.000 | 120.086 |
| 220.598 | 149.316 | 149.316 | 0.000 | 0.000 | -0.000 |
| 149.316 | 220.598 | 149.316 | 0.000 | -0.000 | 0.000 |
| 149.316 | 149.316 | 220.598 | 0.000 | 0.000 | 0.000 |
| 0.000 | 0.000 | -0.000 | 120.086 | 0.000 | -0.000 |
| 0.000 | 0.000 | -0.000 | 0.000 | 120.086 | 0.000 |
| 0.000 | -0.000 | 0.000 | 0.000 | 0.000 | 120.086 |
| 220.597 | 149.316 | 149.316 | -0.000 | 0.000 | -0.000 |
| 149.316 | 220.597 | 149.316 | -0.000 | -0.000 | -0.000 |
| 149.316 | 149.316 | 220.597 | -0.000 | 0.000 | -0.000 |
| -0.000 | -0.000 | 0.000 | 120.086 | -0.000 | -0.000 |
| -0.000 | -0.000 | 0.000 | -0.000 | 120.086 | -0.000 |
| -0.000 | 0.000 | -0.000 | -0.000 | -0.000 | 120.086 |
| 220.599 | 149.316 | 149.316 | 0.000 | -0.000 | 0.000 |
| 149.316 | 220.599 | 149.316 | 0.000 | 0.000 | 0.000 |
| 149.316 | 149.316 | 220.599 | 0.000 | 0.000 | 0.000 |
| 0.000 | 0.000 | -0.000 | 120.086 | 0.000 | -0.000 |
| 0.000 | 0.000 | -0.000 | 0.000 | 120.086 | 0.000 |
| 0.000 | -0.000 | 0.000 | 0.000 | 0.000 | 120.086 |
| 149.109 | 141.831 | 141.831 | 0.000 | 0.000 | 0.000 |
| 141.831 | 149.109 | 141.831 | 0.000 | 0.000 | 0.000 |
| 141.831 | 141.831 | 149.109 | 0.000 | 0.000 | -0.000 |
| 0.000 | 0.000 | 0.000 | 7.277 | 0.000 | 0.000 |
| 0.000 | 0.000 | 0.000 | 0.000 | 7.277 | -0.000 |
| 0.000 | 0.000 | 0.000 | 0.000 | 0.000 | 7.277 |
| 149.109 | 141.831 | 141.831 | -0.000 | -0.000 | -0.000 |
| 141.831 | 149.109 | 141.831 | -0.000 | 0.000 | -0.000 |
| 141.831 | 141.831 | 149.109 | -0.000 | -0.000 | 0.000 |
| -0.000 | -0.000 | -0.000 | 7.277 | -0.000 | -0.000 |
| -0.000 | -0.000 | -0.000 | 0.000 | 7.277 | -0.000 |
| -0.000 | -0.000 | -0.000 | -0.000 | -0.000 | 7.277 |
| 149.109 | 141.832 | 141.832 | 0.000 | -0.000 | 0.000 |
| 141.832 | 149.109 | 141.832 | -0.000 | 0.000 | 0.000 |
| 141.832 | 141.832 | 149.109 | 0.000 | 0.000 | -0.000 |
| 0.000 | 0.000 | 0.000 | 7.277 | -0.000 | -0.000 |
| 0.000 | 0.000 | 0.000 | 0.000 | 7.277 | -0.000 |
| 0.000 | 0.000 | 0.000 | 0.000 | 0.000 | 7.277 |
| 149.109 | 141.831 | 141.831 | -0.000 | 0.000 | -0.000 |
| 141.831 | 149.109 | 141.831 | 0.000 | -0.000 | 0.000 |
| 141.831 | 141.831 | 149.109 | -0.000 | -0.000 | -0.000 |
| -0.000 | -0.000 | -0.000 | 7.277 | -0.000 | -0.000 |
| -0.000 | -0.000 | -0.000 | -0.000 | 7.277 | 0.000 |
| -0.000 | -0.000 | -0.000 | -0.000 | -0.000 | 7.277 |
| 149.111 | 141.832 | 141.832 | 0.000 | 0.000 | -0.000 |
| 141.832 | 149.111 | 141.832 | 0.000 | 0.000 | 0.000 |
| 141.832 | 141.832 | 149.111 | 0.000 | 0.000 | -0.000 |
| 0.000 | 0.000 | 0.000 | 7.277 | -0.000 | -0.000 |
| 0.000 | 0.000 | 0.000 | 0.000 | 7.277 | 0.000 |
| 0.000 | 0.000 | 0.000 | 0.000 | 0.000 | 7.277 |
| 149.108 | 141.831 | 141.831 | -0.000 | -0.000 | -0.000 |
| 141.831 | 149.108 | 141.831 | 0.000 | -0.000 | -0.000 |
| 141.831 | 141.831 | 149.108 | 0.000 | 0.000 | -0.000 |
| -0.000 | -0.000 | -0.000 | 7.277 | -0.000 | -0.000 |
| -0.000 | -0.000 | -0.000 | -0.000 | 7.277 | -0.000 |
| -0.000 | -0.000 | -0.000 | 0.000 | -0.000 | 7.277 |
| 70.158 | 75.360 | 75.360 | -0.000 | -0.000 | 0.000 |
| 75.360 | 70.158 | 75.360 | 0.000 | -0.000 | -0.000 |
| 75.360 | 75.360 | 70.158 | -0.000 | -0.000 | 0.000 |
| -0.000 | -0.000 | -0.000 | -6.026 | -0.000 | -0.000 |
| -0.000 | -0.000 | -0.000 | 0.000 | -6.026 | -0.000 |
| -0.000 | -0.000 | -0.000 | -0.000 | -0.000 | -6.026 |
| 70.158 | 75.360 | 75.360 | -0.000 | 0.000 | 0.000 |
| 75.360 | 70.158 | 75.360 | -0.000 | 0.000 | 0.000 |
| 75.360 | 75.360 | 70.158 | 0.000 | 0.000 | 0.000 |
| 0.000 | 0.000 | 0.000 | -6.026 | 0.000 | 0.000 |
| 0.000 | 0.000 | 0.000 | 0.000 | -6.026 | 0.000 |
| 0.000 | 0.000 | 0.000 | 0.000 | 0.000 | -6.026 |
| 70.158 | 75.360 | 75.360 | -0.000 | -0.000 | 0.000 |
| 75.360 | 70.158 | 75.360 | 0.000 | -0.000 | 0.000 |
| 75.360 | 75.360 | 70.158 | -0.000 | -0.000 | -0.000 |
| -0.000 | -0.000 | -0.000 | -6.026 | -0.000 | -0.000 |
| -0.000 | -0.000 | -0.000 | -0.000 | -6.026 | -0.000 |
| -0.000 | -0.000 | -0.000 | 0.000 | -0.000 | -6.026 |
| 70.158 | 75.360 | 75.360 | 0.000 | 0.000 | 0.000 |
| 75.360 | 70.158 | 75.360 | -0.000 | 0.000 | 0.000 |
| 75.360 | 75.360 | 70.158 | 0.000 | 0.000 | 0.000 |
| 0.000 | 0.000 | 0.000 | -6.026 | 0.000 | 0.000 |
| 0.000 | 0.000 | 0.000 | 0.000 | -6.026 | 0.000 |
| 0.000 | 0.000 | 0.000 | 0.000 | 0.000 | -6.026 |
| 70.157 | 75.359 | 75.359 | -0.000 | 0.000 | -0.000 |
| 75.359 | 70.157 | 75.359 | 0.000 | -0.000 | -0.000 |
| 75.359 | 75.359 | 70.157 | -0.000 | -0.000 | -0.000 |
| -0.000 | -0.000 | -0.000 | -6.026 | -0.000 | -0.000 |
| -0.000 | -0.000 | -0.000 | 0.000 | -6.026 | -0.000 |
| -0.000 | -0.000 | -0.000 | -0.000 | -0.000 | -6.026 |
| 70.159 | 75.360 | 75.360 | 0.000 | 0.000 | 0.000 |
| 75.360 | 70.159 | 75.360 | 0.000 | 0.000 | 0.000 |
| 75.360 | 75.360 | 70.159 | -0.000 | 0.000 | -0.000 |
| 0.000 | 0.000 | 0.000 | -6.026 | 0.000 | 0.000 |
| 0.000 | 0.000 | 0.000 | -0.000 | -6.026 | 0.000 |
| 0.000 | 0.000 | 0.000 | -0.000 | 0.000 | -6.026 |
| -0.390 | -0.195 | -0.195 | 0.000 | 0.000 | 0.000 |
| -0.195 | -0.390 | -0.195 | 0.000 | 0.000 | 0.000 |
| -0.195 | -0.195 | -0.390 | 0.000 | 0.000 | 0.000 |
| -0.000 | 0.000 | 0.000 | -0.195 | 0.000 | 0.000 |
| 0.000 | -0.000 | 0.000 | 0.000 | -0.195 | -0.000 |
| 0.000 | 0.000 | -0.000 | 0.000 | -0.000 | -0.195 |
| -0.390 | -0.195 | -0.195 | -0.000 | 0.000 | 0.000 |
| -0.195 | -0.390 | -0.195 | 0.000 | -0.000 | 0.000 |
| -0.195 | -0.195 | -0.390 | 0.000 | 0.000 | 0.000 |
| -0.000 | -0.000 | -0.000 | -0.195 | -0.000 | -0.000 |
| -0.000 | -0.000 | -0.000 | -0.000 | -0.195 | -0.000 |
| -0.000 | -0.000 | -0.000 | 0.000 | -0.000 | -0.195 |
| -0.389 | -0.195 | -0.195 | 0.000 | 0.000 | 0.000 |
| -0.195 | -0.389 | -0.195 | 0.000 | 0.000 | 0.000 |
| -0.195 | -0.195 | -0.389 | 0.000 | 0.000 | 0.000 |
| 0.000 | 0.000 | 0.000 | -0.195 | -0.000 | 0.000 |
| 0.000 | 0.000 | 0.000 | -0.000 | -0.195 | -0.000 |
| 0.000 | 0.000 | 0.000 | -0.000 | -0.000 | -0.195 |
| -0.390 | -0.195 | -0.195 | -0.000 | 0.000 | 0.000 |
| -0.195 | -0.390 | -0.195 | 0.000 | -0.000 | 0.000 |
| -0.195 | -0.195 | -0.390 | 0.000 | 0.000 | -0.000 |
| -0.000 | -0.000 | -0.000 | -0.195 | 0.000 | 0.000 |
| -0.000 | -0.000 | -0.000 | 0.000 | -0.195 | -0.000 |
| -0.000 | -0.000 | -0.000 | -0.000 | -0.000 | -0.195 |
| -0.389 | -0.194 | -0.194 | 0.000 | -0.000 | -0.000 |
| -0.194 | -0.389 | -0.194 | -0.000 | 0.000 | -0.000 |
| -0.194 | -0.194 | -0.389 | -0.000 | -0.000 | 0.000 |
| 0.000 | 0.000 | 0.000 | -0.195 | -0.000 | 0.000 |
| 0.000 | 0.000 | 0.000 | -0.000 | -0.195 | -0.000 |
| 0.000 | 0.000 | 0.000 | -0.000 | -0.000 | -0.195 |
| -0.390 | -0.195 | -0.195 | -0.000 | 0.000 | 0.000 |
| -0.195 | -0.390 | -0.195 | 0.000 | 0.000 | 0.000 |
| -0.195 | -0.195 | -0.390 | 0.000 | 0.000 | -0.000 |
| -0.000 | -0.000 | -0.000 | -0.195 | 0.000 | 0.000 |
| -0.000 | -0.000 | -0.000 | 0.000 | -0.195 | 0.000 |
| -0.000 | -0.000 | -0.000 | 0.000 | 0.000 | -0.195 |
| 13.193 | 8.068 | 8.068 | -0.000 | -0.000 | -0.000 |
| 8.068 | 13.193 | 8.068 | -0.000 | -0.000 | -0.000 |
| 8.068 | 8.068 | 13.193 | -0.000 | -0.000 | 0.000 |
| 0.000 | -0.000 | -0.000 | 5.824 | -0.000 | -0.000 |
| -0.000 | 0.000 | -0.000 | -0.000 | 5.824 | -0.000 |
| -0.000 | -0.000 | 0.000 | -0.000 | -0.000 | 5.824 |
| 13.194 | 8.068 | 8.068 | -0.000 | 0.000 | 0.000 |
| 8.068 | 13.194 | 8.068 | 0.000 | 0.000 | 0.000 |
| 8.068 | 8.068 | 13.194 | 0.000 | 0.000 | 0.000 |
| -0.000 | 0.000 | 0.000 | 5.824 | 0.000 | 0.000 |
| 0.000 | -0.000 | 0.000 | 0.000 | 5.824 | 0.000 |
| 0.000 | 0.000 | -0.000 | 0.000 | 0.000 | 5.824 |
| 13.188 | 8.066 | 8.066 | -0.000 | -0.000 | -0.000 |
| 8.066 | 13.188 | 8.066 | -0.000 | -0.000 | -0.000 |
| 8.066 | 8.066 | 13.188 | -0.000 | -0.000 | -0.000 |
| 0.000 | -0.002 | -0.002 | 5.824 | -0.000 | -0.000 |
| -0.002 | 0.000 | -0.002 | -0.000 | 5.824 | -0.000 |
| -0.002 | -0.002 | 0.000 | -0.000 | -0.000 | 5.824 |
| 13.198 | 8.070 | 8.070 | 0.000 | 0.000 | 0.000 |
| 8.070 | 13.198 | 8.070 | 0.000 | 0.000 | 0.000 |
| 8.070 | 8.070 | 13.198 | 0.000 | 0.000 | -0.000 |
| -0.000 | 0.002 | 0.002 | 5.824 | 0.000 | 0.000 |
| 0.002 | -0.000 | 0.002 | 0.000 | 5.824 | 0.000 |
| 0.002 | 0.002 | -0.000 | 0.000 | 0.000 | 5.824 |
| 13.146 | 8.044 | 8.044 | -0.000 | -0.000 | -0.000 |
| 8.044 | 13.146 | 8.044 | -0.000 | -0.000 | -0.000 |
| 8.044 | 8.044 | 13.146 | -0.000 | -0.000 | -0.000 |
| 0.000 | -0.024 | -0.024 | 5.824 | -0.000 | -0.000 |
| -0.024 | 0.000 | -0.024 | -0.000 | 5.824 | -0.000 |
| -0.024 | -0.024 | 0.000 | -0.000 | -0.000 | 5.824 |
| 13.240 | 8.091 | 8.091 | 0.000 | -0.000 | 0.000 |
| 8.091 | 13.240 | 8.091 | -0.000 | 0.000 | 0.000 |
| 8.091 | 8.091 | 13.240 | -0.000 | -0.000 | 0.000 |
| -0.000 | 0.024 | 0.024 | 5.824 | 0.000 | 0.000 |
| 0.024 | -0.000 | 0.024 | 0.000 | 5.824 | 0.000 |
| 0.024 | 0.024 | -0.000 | 0.000 | 0.000 | 5.824 |
| 346.565 | 98.748 | 176.884 | -0.000 | -0.000 | 0.000 |
| 98.748 | 346.565 | 176.884 | -0.000 | -0.000 | 0.000 |
| 176.908 | 176.908 | 234.863 | -0.000 | -0.000 | 0.000 |
| -0.068 | -0.068 | -0.011 | 125.427 | -0.000 | 0.000 |
| -0.068 | -0.068 | -0.011 | -0.000 | 125.427 | 0.000 |
| -0.046 | -0.046 | -0.008 | -0.000 | -0.000 | 39.677 |
| 346.382 | 98.565 | 176.853 | 0.000 | 0.000 | -0.000 |
| 98.565 | 346.382 | 176.853 | 0.000 | 0.000 | 0.000 |
| 177.000 | 177.000 | 234.878 | 0.000 | 0.000 | -0.000 |
| 0.068 | 0.068 | 0.011 | 125.427 | 0.000 | -0.000 |
| 0.068 | 0.068 | 0.011 | 0.000 | 125.427 | -0.000 |
| 0.046 | 0.046 | 0.008 | 0.000 | 0.000 | 39.677 |
| 346.331 | 98.515 | 176.845 | -0.000 | -0.000 | -0.000 |
| 98.515 | 346.331 | 176.845 | -0.000 | -0.000 | -0.000 |
| 176.949 | 176.949 | 234.869 | 0.000 | -0.000 | -0.000 |
| -0.008 | -0.008 | -0.001 | 125.419 | -0.000 | 0.000 |
| -0.008 | -0.008 | -0.001 | -0.000 | 125.419 | 0.000 |
| -0.005 | -0.005 | -0.001 | -0.000 | -0.000 | 39.677 |
| 346.341 | 98.524 | 176.846 | 0.000 | 0.000 | -0.000 |
| 98.524 | 346.341 | 176.846 | 0.000 | 0.000 | -0.000 |
| 176.958 | 176.958 | 234.871 | 0.000 | 0.000 | -0.000 |
| 0.008 | 0.008 | 0.001 | 125.419 | 0.000 | -0.000 |
| 0.008 | 0.008 | 0.001 | 0.000 | 125.419 | 0.000 |
| 0.005 | 0.005 | 0.001 | 0.000 | 0.000 | 39.677 |
| 346.565 | 98.748 | 176.884 | -0.000 | -0.000 | 0.000 |
| 98.748 | 346.565 | 176.884 | -0.000 | -0.000 | 0.000 |
| 176.954 | 176.954 | 234.869 | -0.000 | -0.000 | -0.000 |
| 0.000 | -0.000 | 0.000 | 125.460 | -0.000 | 0.000 |
| -0.000 | 0.000 | 0.000 | -0.000 | 125.460 | 0.000 |
| -0.001 | -0.001 | 0.000 | -0.000 | -0.000 | 39.677 |
| 346.336 | 98.520 | 176.846 | 0.000 | 0.000 | 0.000 |
| 98.520 | 346.336 | 176.846 | 0.000 | 0.000 | -0.000 |
| 176.954 | 176.954 | 234.872 | 0.000 | 0.000 | -0.000 |
| -0.000 | 0.000 | -0.000 | 125.460 | 0.000 | -0.000 |
| 0.000 | -0.000 | -0.000 | 0.000 | 125.460 | -0.000 |
| 0.001 | 0.001 | -0.000 | 0.000 | 0.000 | 39.677 |
| 346.260 | 99.167 | 177.233 | -0.000 | -0.000 | -0.000 |
| 99.167 | 346.260 | 177.233 | -0.000 | -0.000 | 0.000 |
| 177.208 | 177.208 | 231.633 | -0.000 | 0.000 | 0.000 |
| 0.000 | 0.000 | 0.000 | 125.375 | 0.000 | 0.000 |
| -0.000 | 0.000 | 0.000 | -0.000 | 125.375 | -0.000 |
| -0.000 | 0.000 | 0.000 | 0.000 | -0.000 | 40.193 |
| 346.260 | 99.167 | 177.233 | 0.000 | 0.000 | 0.000 |
| 99.167 | 346.260 | 177.233 | 0.000 | -0.000 | 0.000 |
| 177.208 | 177.208 | 231.633 | -0.000 | -0.000 | -0.000 |
| -0.000 | 0.000 | -0.000 | 125.375 | -0.000 | -0.000 |
| 0.000 | -0.000 | -0.000 | -0.000 | 125.375 | -0.000 |
| 0.000 | 0.000 | -0.000 | 0.000 | -0.000 | 40.193 |
| 346.484 | 99.390 | 177.208 | -0.000 | -0.000 | -0.000 |
| 99.390 | 346.484 | 177.208 | -0.000 | 0.000 | -0.000 |
| 177.233 | 177.233 | 231.630 | -0.000 | 0.000 | 0.000 |
| 0.000 | -0.000 | 0.000 | 125.375 | 0.000 | 0.000 |
| -0.000 | 0.000 | 0.000 | 0.000 | 125.375 | -0.000 |
| -0.000 | -0.000 | 0.000 | -0.000 | -0.000 | 40.193 |
| 346.260 | 99.167 | 177.233 | 0.000 | 0.000 | -0.000 |
| 99.167 | 346.260 | 177.233 | -0.000 | -0.000 | -0.000 |
| 177.233 | 177.233 | 231.630 | -0.000 | 0.000 | 0.000 |
| -0.000 | 0.000 | -0.000 | 125.375 | -0.000 | -0.000 |
| 0.000 | -0.000 | -0.000 | 0.000 | 125.375 | -0.000 |
| 0.000 | 0.000 | -0.000 | -0.000 | 0.000 | 40.193 |
| 346.261 | 99.167 | 177.233 | 0.000 | -0.000 | 0.000 |
| 99.167 | 346.261 | 177.233 | 0.000 | 0.000 | -0.000 |
| 177.233 | 177.233 | 231.629 | -0.000 | -0.000 | -0.000 |
| 0.000 | -0.000 | 0.000 | 125.375 | -0.000 | -0.000 |
| -0.000 | 0.000 | 0.000 | -0.000 | 125.375 | 0.000 |
| -0.000 | -0.000 | 0.000 | -0.000 | 0.000 | 40.193 |
| 346.260 | 99.167 | 177.233 | 0.000 | 0.000 | -0.000 |
| 99.167 | 346.260 | 177.233 | 0.000 | 0.000 | -0.000 |
| 177.232 | 177.232 | 231.631 | -0.000 | 0.000 | 0.000 |
| -0.000 | 0.000 | -0.000 | 125.375 | 0.000 | 0.000 |
| 0.000 | -0.000 | -0.000 | 0.000 | 125.375 | -0.000 |
| 0.000 | 0.000 | -0.000 | 0.000 | -0.000 | 40.193 |
| 153.237 | 187.248 | 187.248 | 0.000 | 0.000 | -0.000 |
| 187.248 | 153.237 | 187.248 | 0.000 | 0.000 | -0.000 |
| 187.248 | 187.248 | 153.237 | 0.000 | 0.000 | -0.000 |
| 0.000 | 0.000 | 0.000 | 147.911 | 0.000 | -0.000 |
| 0.000 | -0.000 | 0.000 | 0.000 | 147.911 | -0.000 |
| 0.000 | -0.000 | 0.000 | 0.000 | 0.000 | 147.911 |
| 153.237 | 187.248 | 187.248 | -0.000 | -0.000 | 0.000 |
| 187.248 | 153.237 | 187.248 | -0.000 | -0.000 | 0.000 |
| 187.248 | 187.248 | 153.237 | -0.000 | -0.000 | 0.000 |
| -0.000 | 0.000 | -0.000 | 147.911 | -0.000 | 0.000 |
| -0.000 | 0.000 | -0.000 | -0.000 | 147.911 | 0.000 |
| -0.000 | 0.000 | -0.000 | -0.000 | -0.000 | 147.911 |
| 153.237 | 187.248 | 187.248 | 0.000 | 0.000 | -0.000 |
| 187.248 | 153.237 | 187.248 | 0.000 | 0.000 | -0.000 |
| 187.248 | 187.248 | 153.237 | -0.000 | 0.000 | -0.000 |
| 0.000 | 0.000 | 0.000 | 147.911 | 0.000 | -0.000 |
| 0.000 | 0.000 | 0.000 | 0.000 | 147.911 | -0.000 |
| 0.000 | 0.000 | 0.000 | 0.000 | 0.000 | 147.911 |
| 153.237 | 187.248 | 187.248 | -0.000 | -0.000 | 0.000 |
| 187.248 | 153.237 | 187.248 | -0.000 | -0.000 | 0.000 |
| 187.248 | 187.248 | 153.237 | -0.000 | -0.000 | 0.000 |
| -0.000 | -0.000 | -0.000 | 147.911 | -0.000 | 0.000 |
| -0.000 | -0.000 | -0.000 | -0.000 | 147.911 | 0.000 |
| -0.000 | -0.000 | -0.000 | -0.000 | -0.000 | 147.911 |
| 153.237 | 187.249 | 187.249 | 0.000 | 0.000 | -0.000 |
| 187.249 | 153.237 | 187.249 | 0.000 | 0.000 | -0.000 |
| 187.249 | 187.249 | 153.237 | 0.000 | -0.000 | -0.000 |
| 0.001 | 0.000 | 0.001 | 147.911 | 0.000 | -0.000 |
| 0.000 | 0.001 | 0.001 | 0.000 | 147.911 | -0.000 |
| 0.000 | 0.001 | 0.001 | 0.000 | 0.000 | 147.911 |
| 153.237 | 187.247 | 187.247 | -0.000 | -0.000 | 0.000 |
| 187.247 | 153.237 | 187.247 | -0.000 | 0.000 | 0.000 |
| 187.247 | 187.247 | 153.237 | 0.000 | 0.000 | 0.000 |
| -0.001 | -0.000 | -0.001 | 147.911 | -0.000 | 0.000 |
| -0.000 | -0.001 | -0.001 | -0.000 | 147.911 | 0.000 |
| -0.000 | -0.001 | -0.001 | -0.000 | -0.000 | 147.911 |
| 478.869 | 93.726 | 93.726 | -0.000 | 0.000 | 0.000 |
| 93.726 | 478.869 | 93.726 | -0.000 | -0.000 | -0.000 |
| 93.726 | 93.726 | 478.869 | -0.000 | -0.000 | 0.000 |
| 0.000 | -0.000 | 0.000 | 14.402 | -0.000 | -0.000 |
| 0.000 | -0.000 | 0.000 | 0.000 | 14.402 | -0.000 |
| 0.000 | -0.000 | 0.000 | -0.000 | -0.000 | 14.402 |
| 476.052 | 95.135 | 95.135 | 0.000 | 0.000 | 0.000 |
| 95.135 | 476.052 | 95.135 | 0.000 | 0.000 | 0.000 |
| 95.135 | 95.135 | 476.052 | 0.000 | 0.000 | 0.000 |
| -0.000 | 0.000 | -0.000 | 14.402 | 0.000 | 0.000 |
| -0.000 | 0.000 | -0.000 | 0.000 | 14.402 | 0.000 |
| -0.000 | 0.000 | 0.000 | 0.000 | 0.000 | 14.402 |
| 476.052 | 95.135 | 95.135 | -0.000 | -0.000 | -0.000 |
| 95.135 | 476.052 | 95.135 | -0.000 | -0.000 | -0.000 |
| 95.135 | 95.135 | 476.052 | -0.000 | -0.000 | -0.000 |
| -18928131.018 | -18390427.684 | -17897999.778 | -3309018.351 | -533910.183 | 346957.902 |
| -15174100.376 | -18439557.752 | -17002828.880 | -347557.792 | -4643355.872 | -189913.620 |
| -15638765.979 | -15962495.041 | -22488164.833 | 150997.998 | 158419.026 | -5374440.159 |
| 476.052 | 95.135 | 95.135 | 0.000 | 0.000 | 0.000 |
| 95.135 | 476.052 | 95.135 | 0.000 | 0.000 | 0.000 |
| 95.135 | 95.135 | 476.052 | -0.000 | -0.000 | 0.000 |
| 19639800.855 | 16076874.180 | 17995075.860 | -4284404.823 | -398090.099 | -79142.572 |
| 16539586.105 | 19277974.718 | 16042085.911 | -61000.989 | -3924941.394 | 250040.313 |
| 16073167.590 | 15583390.259 | 18955074.445 | -362636.683 | -391602.189 | -4874379.250 |
| 476.053 | 95.134 | 95.134 | -0.000 | -0.000 | -0.000 |
| 95.134 | 476.053 | 95.134 | -0.000 | -0.000 | -0.000 |
| 95.134 | 95.134 | 476.053 | -0.000 | 0.000 | -0.000 |
| 207350.667 | 262336.895 | 262329.693 | -3601911.059 | 0.000 | 0.000 |
| 262336.895 | 207350.666 | 262329.693 | 0.000 | -3601911.059 | 0.000 |
| 262336.895 | 262329.693 | 207350.667 | 0.000 | 0.000 | -3601911.059 |
| 478.869 | 93.727 | 93.727 | 0.000 | 0.000 | 0.000 |
| 93.727 | 478.869 | 93.727 | 0.000 | 0.000 | 0.000 |
| 93.727 | 93.727 | 478.869 | 0.000 | 0.000 | 0.000 |
| -207350.667 | -262336.895 | -262329.693 | -3601911.059 | -0.000 | 0.000 |
| -262336.896 | -207350.667 | -262329.693 | -0.000 | -3601911.059 | 0.000 |
| -262336.895 | -262329.693 | -207350.667 | 0.000 | -0.000 | -3601911.059 |
| 12.233 | 9.763 | 9.763 | 0.000 | -0.000 | 0.000 |
| 9.763 | 12.233 | 9.763 | -0.000 | 0.000 | -0.000 |
| 9.763 | 9.763 | 12.233 | -0.000 | 0.000 | 0.000 |
| -0.000 | 0.000 | 0.000 | 2.627 | 0.000 | 0.000 |
| 0.000 | -0.000 | 0.000 | 0.000 | 2.627 | 0.000 |
| 0.000 | 0.000 | -0.000 | 0.000 | 0.000 | 2.627 |
| 12.233 | 9.763 | 9.763 | -0.000 | 0.000 | -0.000 |
| 9.763 | 12.233 | 9.763 | -0.000 | 0.000 | 0.000 |
| 9.763 | 9.763 | 12.233 | -0.000 | -0.000 | -0.000 |
| 0.000 | -0.000 | -0.000 | 2.627 | -0.000 | 0.000 |
| -0.000 | 0.000 | -0.000 | 0.000 | 2.627 | -0.000 |
| -0.000 | -0.000 | 0.000 | -0.000 | -0.000 | 2.627 |
| 12.233 | 9.763 | 9.763 | 0.000 | 0.000 | 0.000 |
| 9.763 | 12.233 | 9.763 | 0.000 | 0.000 | -0.000 |
| 9.763 | 9.763 | 12.233 | 0.000 | -0.000 | 0.000 |
| -0.000 | 0.000 | 0.000 | 2.627 | 0.000 | 0.000 |
| 0.000 | -0.000 | 0.000 | 0.000 | 2.627 | 0.000 |
| 0.000 | 0.000 | -0.000 | -0.000 | 0.000 | 2.627 |
| 12.233 | 9.763 | 9.763 | -0.000 | -0.000 | -0.000 |
| 9.763 | 12.233 | 9.763 | 0.000 | 0.000 | 0.000 |
| 9.763 | 9.763 | 12.233 | 0.000 | 0.000 | -0.000 |
| 0.000 | -0.000 | -0.000 | 2.627 | -0.000 | 0.000 |
| -0.000 | 0.000 | -0.000 | -0.000 | 2.627 | -0.000 |
| -0.000 | -0.000 | 0.000 | 0.000 | -0.000 | 2.627 |
| 12.233 | 9.763 | 9.763 | 0.000 | 0.000 | 0.000 |
| 9.763 | 12.233 | 9.763 | 0.000 | -0.000 | -0.000 |
| 9.763 | 9.763 | 12.233 | 0.000 | 0.000 | 0.000 |
| -0.000 | 0.000 | 0.000 | 2.627 | -0.000 | 0.000 |
| 0.000 | -0.000 | 0.000 | 0.000 | 2.627 | 0.000 |
| 0.000 | 0.000 | -0.000 | -0.000 | 0.000 | 2.627 |
| 12.233 | 9.763 | 9.763 | 0.000 | -0.000 | 0.000 |
| 9.763 | 12.233 | 9.763 | -0.000 | -0.000 | 0.000 |
| 9.763 | 9.763 | 12.233 | -0.000 | 0.000 | -0.000 |
| 0.000 | -0.000 | -0.000 | 2.627 | 0.000 | 0.000 |
| -0.000 | 0.000 | -0.000 | -0.000 | 2.627 | -0.000 |
| -0.000 | -0.000 | 0.000 | -0.000 | -0.000 | 2.627 |
| -5.455 | 0.000 | 0.000 | 0.000 | 0.000 | 0.000 |
| 0.000 | -5.455 | 0.000 | 0.000 | -0.000 | -0.000 |
| 0.000 | 0.000 | -5.455 | 0.000 | 0.000 | 0.000 |
| 0.000 | -0.000 | -0.000 | 0.000 | 0.000 | -0.000 |
| -0.000 | 0.000 | -0.000 | 0.000 | 0.000 | 0.000 |
| -0.000 | -0.000 | 0.000 | -0.000 | -0.000 | 0.000 |
| -5.455 | 0.000 | 0.000 | 0.000 | -0.000 | 0.000 |
| 0.000 | -5.455 | 0.000 | -0.000 | 0.000 | -0.000 |
| 0.000 | 0.000 | -5.455 | -0.000 | -0.000 | 0.000 |
| 0.000 | 0.000 | 0.000 | 0.000 | -0.000 | -0.000 |
| 0.000 | -0.000 | 0.000 | -0.000 | 0.000 | 0.000 |
| 0.000 | 0.000 | -0.000 | 0.000 | -0.000 | 0.000 |
| -5.455 | 0.000 | 0.000 | 0.000 | 0.000 | -0.000 |
| 0.000 | -5.455 | 0.000 | -0.000 | 0.000 | -0.000 |
| 0.000 | 0.000 | -5.455 | 0.000 | 0.000 | -0.000 |
| -0.000 | -0.000 | -0.000 | 0.000 | 0.000 | -0.000 |
| -0.000 | -0.000 | -0.000 | 0.000 | 0.000 | -0.000 |
| -0.000 | -0.000 | -0.000 | 0.000 | 0.000 | 0.000 |
| -5.455 | 0.000 | 0.000 | 0.000 | -0.000 | -0.000 |
| 0.000 | -5.455 | 0.000 | 0.000 | -0.000 | 0.000 |
| 0.000 | 0.000 | -5.455 | -0.000 | -0.000 | -0.000 |
| 0.000 | 0.000 | 0.000 | 0.000 | -0.000 | 0.000 |
| 0.000 | 0.000 | 0.000 | -0.000 | 0.000 | 0.000 |
| 0.000 | 0.000 | 0.000 | 0.000 | -0.000 | 0.000 |
| -5.455 | 0.000 | 0.000 | 0.000 | 0.000 | 0.000 |
| 0.000 | -5.455 | 0.000 | 0.000 | 0.000 | 0.000 |
| 0.000 | 0.000 | -5.455 | 0.000 | 0.000 | 0.000 |
| -0.000 | -0.000 | -0.000 | 0.000 | 0.000 | 0.000 |
| -0.000 | -0.000 | -0.000 | 0.000 | 0.000 | -0.000 |
| -0.000 | -0.000 | -0.000 | -0.000 | 0.000 | 0.000 |
| -5.454 | 0.000 | 0.000 | -0.000 | -0.000 | -0.000 |
| 0.000 | -5.454 | 0.000 | -0.000 | -0.000 | -0.000 |
| 0.000 | 0.000 | -5.454 | -0.000 | -0.000 | 0.000 |
| 0.000 | 0.000 | 0.000 | 0.000 | -0.000 | 0.000 |
| 0.000 | 0.000 | 0.000 | -0.000 | 0.000 | 0.000 |
| 0.000 | 0.000 | 0.000 | 0.000 | 0.000 | 0.000 |
| 3.199 | 0.819 | 0.819 | 0.000 | -0.000 | -0.000 |
| 0.819 | 3.199 | 0.819 | -0.000 | 0.000 | 0.000 |
| 0.819 | 0.819 | 3.199 | -0.000 | 0.000 | 0.000 |
| 15788.450 | -1460078.369 | -1460078.345 | 1181091.624 | -0.000 | -0.000 |
| -1460078.369 | 15788.450 | -1460078.345 | -0.000 | 1181091.624 | 0.000 |
| -1460078.369 | -1460078.345 | 15788.450 | -0.000 | -0.000 | 1181091.624 |
| 5887695.044 | 2918404.990 | 2918404.990 | 0.000 | 0.000 | -0.000 |
| 2918404.990 | 5887695.044 | 2918404.990 | -0.000 | 0.000 | -0.000 |
| 2918404.990 | 2918404.990 | 5887695.044 | 0.000 | 0.000 | 0.000 |
| -15788.450 | 1460078.369 | 1460078.345 | 1181091.624 | 0.000 | -0.000 |
| 1460078.369 | -15788.450 | 1460078.345 | 0.000 | 1181091.624 | -0.000 |
| 1460078.369 | 1460078.345 | -15788.450 | 0.000 | 0.000 | 1181091.624 |
| 3.094 | 0.871 | 0.871 | -0.000 | 0.000 | 0.000 |
| 0.871 | 3.094 | 0.871 | -0.000 | -0.000 | 0.000 |
| 0.871 | 0.871 | 3.094 | -0.000 | -0.000 | -0.000 |
| 1578.850 | -146007.502 | -146007.478 | 118109.313 | -0.000 | -0.000 |
| -146007.502 | 1578.850 | -146007.478 | -0.000 | 118109.313 | -0.000 |
| -146007.502 | -146007.478 | 1578.850 | -0.000 | 0.000 | 118109.313 |
| 588770.018 | 291840.618 | 291840.618 | 0.000 | 0.000 | -0.000 |
| 291840.618 | 588770.018 | 291840.618 | 0.000 | 0.000 | -0.000 |
| 291840.618 | 291840.618 | 588770.018 | 0.000 | 0.000 | -0.000 |
| -1578.850 | 146007.502 | 146007.478 | 118109.313 | -0.000 | 0.000 |
| 146007.502 | -1578.850 | 146007.478 | 0.000 | 118109.313 | -0.000 |
| 146007.502 | 146007.478 | -1578.850 | 0.000 | -0.000 | 118109.313 |
| 2.977 | 0.925 | 0.925 | -0.000 | -0.000 | -0.000 |
| 0.925 | 2.977 | 0.925 | -0.000 | -0.000 | -0.000 |
| 0.925 | 0.925 | 2.977 | -0.000 | -0.000 | -0.000 |
| 157.890 | -14600.416 | -14600.392 | 11811.081 | -0.000 | -0.000 |
| -14600.416 | 157.890 | -14600.392 | -0.000 | 11811.081 | 0.000 |
| -14600.416 | -14600.392 | 157.890 | 0.000 | 0.000 | 11811.081 |
| 58877.516 | 29184.181 | 29184.181 | 0.000 | 0.000 | -0.000 |
| 29184.181 | 58877.516 | 29184.181 | 0.000 | 0.000 | -0.000 |
| 29184.181 | 29184.181 | 58877.516 | -0.000 | 0.000 | -0.000 |
| -157.890 | 14600.416 | 14600.392 | 11811.081 | 0.000 | 0.000 |
| 14600.416 | -157.890 | 14600.392 | 0.000 | 11811.081 | 0.000 |
| 14600.416 | 14600.392 | -157.890 | 0.000 | -0.000 | 11811.081 |
| 1.075 | -0.000 | -0.000 | 0.000 | -0.000 | -0.000 |
| -0.000 | 1.075 | -0.000 | -0.000 | -0.000 | -0.000 |
| -0.000 | -0.000 | 1.075 | -0.000 | 0.000 | 0.000 |
| 0.000 | 0.000 | -0.000 | 0.000 | 0.000 | -0.000 |
| 0.000 | 0.000 | -0.000 | -0.000 | 0.000 | -0.000 |
| 0.000 | -0.000 | 0.000 | 0.000 | 0.000 | 0.000 |
| 1.075 | -0.000 | -0.000 | 0.000 | 0.000 | 0.000 |
| -0.000 | 1.075 | -0.000 | 0.000 | -0.000 | 0.000 |
| -0.000 | -0.000 | 1.075 | 0.000 | -0.000 | 0.000 |
| -0.000 | -0.000 | 0.000 | 0.000 | -0.000 | 0.000 |
| -0.000 | -0.000 | 0.000 | 0.000 | 0.000 | 0.000 |
| -0.000 | 0.000 | -0.000 | -0.000 | 0.000 | 0.000 |
| 1.075 | -0.000 | -0.000 | 0.000 | 0.000 | -0.000 |
| -0.000 | 1.075 | -0.000 | -0.000 | -0.000 | 0.000 |
| -0.000 | -0.000 | 1.075 | 0.000 | 0.000 | 0.000 |
| 0.000 | 0.000 | -0.000 | 0.000 | -0.000 | -0.000 |
| 0.000 | 0.000 | -0.000 | -0.000 | 0.000 | -0.000 |
| 0.000 | -0.000 | 0.000 | 0.000 | -0.000 | 0.000 |
| 1.075 | -0.000 | -0.000 | 0.000 | -0.000 | 0.000 |
| -0.000 | 1.075 | -0.000 | 0.000 | -0.000 | -0.000 |
| -0.000 | -0.000 | 1.075 | 0.000 | 0.000 | 0.000 |
| -0.000 | -0.000 | 0.000 | 0.000 | 0.000 | -0.000 |
| -0.000 | -0.000 | 0.000 | 0.000 | 0.000 | 0.000 |
| -0.000 | 0.000 | -0.000 | -0.000 | -0.000 | 0.000 |
| 1.075 | -0.000 | -0.000 | 0.000 | -0.000 | -0.000 |
| -0.000 | 1.075 | -0.000 | -0.000 | -0.000 | 0.000 |
| -0.000 | -0.000 | 1.075 | -0.000 | 0.000 | 0.000 |
| 0.000 | 0.000 | -0.000 | 0.000 | 0.000 | -0.000 |
| 0.000 | 0.000 | -0.000 | 0.000 | 0.000 | 0.000 |
| 0.000 | -0.000 | 0.000 | 0.000 | 0.000 | 0.000 |
| 1.074 | -0.000 | -0.000 | 0.000 | -0.000 | 0.000 |
| -0.000 | 1.074 | -0.000 | 0.000 | -0.000 | 0.000 |
| -0.000 | -0.000 | 1.074 | 0.000 | 0.000 | 0.000 |
| -0.000 | -0.000 | 0.000 | 0.000 | -0.000 | 0.000 |
| -0.000 | -0.000 | 0.000 | -0.000 | 0.000 | 0.000 |
| -0.000 | 0.000 | -0.000 | -0.000 | -0.000 | 0.000 |
| 120.641 | 214.390 | 214.390 | -0.000 | 0.000 | -0.000 |
| 214.390 | 120.641 | 214.390 | -0.000 | -0.000 | -0.000 |
| 214.390 | 214.390 | 120.641 | -0.000 | -0.000 | -0.000 |
| 0.000 | -0.000 | -0.000 | 98.786 | -0.000 | -0.000 |
| -0.000 | -0.000 | -0.000 | -0.000 | 98.786 | -0.000 |
| -0.000 | -0.000 | 0.000 | -0.000 | -0.000 | 98.786 |
| 120.641 | 214.390 | 214.390 | 0.000 | -0.000 | 0.000 |
| 214.390 | 120.641 | 214.390 | 0.000 | 0.000 | 0.000 |
| 214.390 | 214.390 | 120.641 | 0.000 | -0.000 | 0.000 |
| -0.000 | 0.000 | 0.000 | 98.786 | 0.000 | -0.000 |
| 0.000 | 0.000 | 0.000 | 0.000 | 98.786 | 0.000 |
| 0.000 | 0.000 | -0.000 | 0.000 | 0.000 | 98.786 |
| 120.641 | 214.390 | 214.390 | -0.000 | -0.000 | -0.000 |
| 214.390 | 120.641 | 214.390 | -0.000 | -0.000 | -0.000 |
| 214.390 | 214.390 | 120.641 | -0.000 | 0.000 | -0.000 |
| -0.000 | -0.000 | -0.000 | 98.786 | 0.000 | -0.000 |
| -0.000 | -0.000 | -0.000 | -0.000 | 98.786 | -0.000 |
| -0.000 | -0.000 | -0.000 | -0.000 | 0.000 | 98.786 |
| 120.641 | 214.390 | 214.390 | 0.000 | 0.000 | 0.000 |
| 214.390 | 120.641 | 214.390 | 0.000 | -0.000 | 0.000 |
| 214.390 | 214.390 | 120.641 | 0.000 | 0.000 | 0.000 |
| 0.000 | 0.000 | 0.000 | 98.786 | 0.000 | 0.000 |
| 0.000 | 0.000 | 0.000 | 0.000 | 98.786 | 0.000 |
| 0.000 | 0.000 | 0.000 | 0.000 | -0.000 | 98.786 |
| 120.640 | 214.390 | 214.390 | -0.000 | -0.000 | -0.000 |
| 214.390 | 120.640 | 214.390 | -0.000 | -0.000 | -0.000 |
| 214.390 | 214.390 | 120.640 | -0.000 | 0.000 | -0.000 |
| -0.000 | -0.001 | -0.000 | 98.757 | -0.000 | -0.000 |
| -0.001 | -0.000 | -0.000 | -0.000 | 98.757 | -0.000 |
| -0.001 | -0.000 | -0.000 | -0.000 | -0.000 | 98.757 |
| 120.642 | 214.390 | 214.390 | 0.000 | -0.000 | 0.000 |
| 214.390 | 120.642 | 214.390 | 0.000 | -0.000 | -0.000 |
| 214.390 | 214.390 | 120.642 | 0.000 | -0.000 | 0.000 |
| 0.000 | 0.001 | 0.000 | 98.757 | 0.000 | -0.000 |
| 0.001 | 0.000 | 0.000 | 0.000 | 98.757 | 0.000 |
| 0.001 | 0.000 | 0.000 | 0.000 | 0.000 | 98.757 |
| 0.344 | 0.344 | 0.344 | -0.000 | -0.000 | -0.000 |
| 0.344 | 0.344 | 0.344 | -0.000 | -0.000 | -0.000 |
| 0.344 | 0.344 | 0.344 | -0.000 | -0.000 | 0.000 |
| 0.000 | 0.000 | 0.000 | 0.345 | -0.000 | -0.000 |
| 0.000 | 0.000 | 0.000 | -0.000 | 0.345 | -0.000 |
| 0.000 | 0.000 | 0.000 | -0.000 | 0.000 | 0.345 |
| 0.344 | 0.344 | 0.344 | 0.000 | 0.000 | 0.000 |
| 0.344 | 0.344 | 0.344 | 0.000 | 0.000 | 0.000 |
| 0.344 | 0.344 | 0.344 | 0.000 | 0.000 | 0.000 |
| -0.000 | -0.000 | -0.000 | 0.345 | 0.000 | 0.000 |
| -0.000 | -0.000 | -0.000 | 0.000 | 0.345 | 0.000 |
| -0.000 | -0.000 | -0.000 | 0.000 | 0.000 | 0.345 |
| 0.344 | 0.344 | 0.344 | 0.000 | -0.000 | -0.000 |
| 0.344 | 0.344 | 0.344 | -0.000 | -0.000 | -0.000 |
| 0.344 | 0.344 | 0.344 | -0.000 | -0.000 | 0.000 |
| 0.000 | 0.000 | 0.000 | 0.302 | -0.000 | -0.000 |
| 0.000 | 0.000 | 0.000 | -0.000 | 0.302 | -0.000 |
| 0.000 | 0.000 | 0.000 | -0.000 | 0.000 | 0.302 |
| 0.344 | 0.344 | 0.344 | 0.000 | -0.000 | 0.000 |
| 0.344 | 0.344 | 0.344 | 0.000 | -0.000 | 0.000 |
| 0.344 | 0.344 | 0.344 | 0.000 | 0.000 | 0.000 |
| -0.000 | -0.000 | -0.000 | 0.302 | 0.000 | 0.000 |
| -0.000 | -0.000 | -0.000 | 0.000 | 0.302 | 0.000 |
| -0.000 | -0.000 | -0.000 | 0.000 | -0.000 | 0.302 |
| 0.344 | 0.344 | 0.344 | -0.000 | -0.000 | -0.000 |
| 0.344 | 0.344 | 0.344 | -0.000 | -0.000 | -0.000 |
| 0.344 | 0.344 | 0.344 | -0.000 | -0.000 | -0.000 |
| 0.000 | 0.000 | 0.000 | 0.032 | 0.000 | -0.000 |
| 0.000 | 0.000 | 0.000 | 0.000 | 0.032 | -0.000 |
| 0.000 | 0.000 | 0.000 | 0.000 | 0.000 | 0.032 |
| 0.344 | 0.344 | 0.344 | -0.000 | 0.000 | 0.000 |
| 0.344 | 0.344 | 0.344 | 0.000 | -0.000 | 0.000 |
| 0.344 | 0.344 | 0.344 | 0.000 | 0.000 | 0.000 |
| -0.000 | -0.000 | -0.000 | 0.032 | -0.000 | 0.000 |
| -0.000 | -0.000 | -0.000 | -0.000 | 0.032 | 0.000 |
| -0.000 | -0.000 | -0.000 | -0.000 | -0.000 | 0.032 |
| 254.854 | 180.802 | 180.802 | -0.000 | -0.000 | -0.000 |
| 180.802 | 254.854 | 180.802 | -0.000 | -0.000 | 0.000 |
| 180.802 | 180.802 | 254.854 | -0.000 | -0.000 | -0.000 |
| 0.000 | -0.000 | -0.000 | 137.290 | -0.000 | -0.000 |
| -0.000 | -0.000 | 0.000 | -0.000 | 137.290 | -0.000 |
| -0.000 | 0.000 | -0.000 | -0.000 | -0.000 | 137.290 |
| 254.854 | 180.802 | 180.802 | 0.000 | 0.000 | 0.000 |
| 180.802 | 254.854 | 180.802 | 0.000 | -0.000 | 0.000 |
| 180.802 | 180.802 | 254.854 | -0.000 | 0.000 | 0.000 |
| -0.000 | 0.000 | 0.000 | 137.290 | 0.000 | 0.000 |
| -0.000 | 0.000 | 0.000 | 0.000 | 137.290 | 0.000 |
| -0.000 | 0.000 | 0.000 | 0.000 | 0.000 | 137.290 |
| 254.853 | 180.802 | 180.802 | -0.000 | 0.000 | 0.000 |
| 180.802 | 254.853 | 180.802 | -0.000 | -0.000 | -0.000 |
| 180.802 | 180.802 | 254.853 | -0.000 | -0.000 | 0.000 |
| -0.000 | -0.000 | -0.000 | 137.290 | -0.000 | -0.000 |
| -0.000 | -0.000 | -0.000 | -0.000 | 137.290 | -0.000 |
| -0.000 | -0.000 | -0.000 | -0.000 | -0.000 | 137.290 |
| 254.854 | 180.802 | 180.802 | -0.000 | -0.000 | 0.000 |
| 180.802 | 254.854 | 180.802 | -0.000 | 0.000 | 0.000 |
| 180.802 | 180.802 | 254.854 | 0.000 | 0.000 | 0.000 |
| 0.000 | 0.000 | 0.000 | 137.290 | 0.000 | -0.000 |
| 0.000 | 0.000 | 0.000 | 0.000 | 137.290 | 0.000 |
| 0.000 | 0.000 | 0.000 | 0.000 | 0.000 | 137.290 |
| 254.850 | 180.802 | 180.802 | 0.000 | 0.000 | 0.000 |
| 180.802 | 254.850 | 180.802 | -0.000 | -0.000 | -0.000 |
| 180.802 | 180.802 | 254.850 | 0.000 | -0.000 | 0.000 |
| -0.000 | -0.000 | -0.000 | 137.290 | -0.000 | 0.000 |
| -0.000 | -0.000 | -0.000 | -0.000 | 137.290 | 0.000 |
| -0.000 | -0.000 | -0.000 | -0.000 | -0.000 | 137.290 |
| 254.857 | 180.802 | 180.802 | 0.000 | 0.000 | 0.000 |
| 180.802 | 254.857 | 180.802 | -0.000 | 0.000 | 0.000 |
| 180.802 | 180.802 | 254.857 | 0.000 | 0.000 | -0.000 |
| 0.000 | 0.000 | 0.000 | 137.290 | 0.000 | -0.000 |
| 0.000 | 0.000 | 0.000 | 0.000 | 137.290 | 0.000 |
| 0.000 | 0.000 | 0.000 | -0.000 | 0.000 | 137.290 |
| 0.846 | 0.423 | 0.423 | -0.000 | -0.000 | -0.000 |
| 0.423 | 0.846 | 0.423 | -0.000 | 0.000 | -0.000 |
| 0.423 | 0.423 | 0.846 | 0.000 | 0.000 | -0.000 |
| -0.000 | 0.000 | 0.000 | 0.423 | -0.000 | 0.000 |
| 0.000 | -0.000 | 0.000 | -0.000 | 0.423 | -0.000 |
| 0.000 | 0.000 | -0.000 | 0.000 | 0.000 | 0.423 |
| 0.846 | 0.423 | 0.423 | 0.000 | 0.000 | 0.000 |
| 0.423 | 0.846 | 0.423 | -0.000 | 0.000 | 0.000 |
| 0.423 | 0.423 | 0.846 | 0.000 | 0.000 | -0.000 |
| 0.000 | -0.000 | -0.000 | 0.423 | 0.000 | 0.000 |
| -0.000 | -0.000 | -0.000 | 0.000 | 0.423 | -0.000 |
| -0.000 | -0.000 | -0.000 | 0.000 | -0.000 | 0.423 |
| 0.846 | 0.423 | 0.423 | -0.000 | 0.000 | -0.000 |
| 0.423 | 0.846 | 0.423 | -0.000 | -0.000 | -0.000 |
| 0.423 | 0.423 | 0.846 | -0.000 | 0.000 | 0.000 |
| -0.000 | 0.000 | 0.000 | 0.423 | -0.000 | -0.000 |
| 0.000 | -0.000 | 0.000 | -0.000 | 0.423 | -0.000 |
| 0.000 | 0.000 | -0.000 | -0.000 | 0.000 | 0.423 |
| 0.846 | 0.423 | 0.423 | 0.000 | -0.000 | -0.000 |
| 0.423 | 0.846 | 0.423 | -0.000 | 0.000 | 0.000 |
| 0.423 | 0.423 | 0.846 | 0.000 | 0.000 | 0.000 |
| 0.000 | -0.000 | -0.000 | 0.423 | 0.000 | -0.000 |
| -0.000 | 0.000 | -0.000 | 0.000 | 0.423 | 0.000 |
| -0.000 | -0.000 | 0.000 | 0.000 | -0.000 | 0.423 |
| 0.846 | 0.423 | 0.423 | -0.000 | 0.000 | -0.000 |
| 0.423 | 0.846 | 0.423 | 0.000 | 0.000 | -0.000 |
| 0.423 | 0.423 | 0.846 | -0.000 | 0.000 | -0.000 |
| -0.000 | 0.000 | 0.000 | 0.423 | 0.000 | -0.000 |
| 0.000 | -0.000 | 0.000 | -0.000 | 0.423 | -0.000 |
| 0.000 | 0.000 | -0.000 | -0.000 | 0.000 | 0.423 |
| 0.845 | 0.423 | 0.423 | -0.000 | 0.000 | 0.000 |
| 0.423 | 0.845 | 0.423 | 0.000 | -0.000 | 0.000 |
| 0.423 | 0.423 | 0.845 | 0.000 | 0.000 | 0.000 |
| 0.000 | -0.000 | -0.000 | 0.423 | -0.000 | -0.000 |
| -0.000 | 0.000 | -0.000 | 0.000 | 0.423 | 0.000 |
| -0.000 | -0.000 | 0.000 | 0.000 | -0.000 | 0.423 |
| 345.767 | 145.694 | 99.268 | -0.000 | 0.000 | -0.000 |
| -219.886 | -71.575 | -133.233 | 0.000 | 0.000 | 0.000 |
| -292.130 | -292.130 | 109.150 | 0.000 | -0.000 | -0.000 |
| -391.308 | -391.308 | -232.411 | 44.623 | 0.000 | 0.000 |
| -391.308 | -391.308 | -232.411 | 0.000 | 44.623 | -0.000 |
| -0.000 | -0.000 | -0.000 | 0.000 | 0.000 | 100.036 |
| 731.858 | 541.914 | 331.590 | -0.000 | -0.000 | 0.000 |
| 562.729 | 711.040 | 331.589 | -0.000 | -0.000 | 0.000 |
| 490.485 | 490.485 | 573.972 | -0.000 | -0.000 | 0.000 |
| 391.308 | 391.308 | 232.411 | 44.623 | -0.000 | 0.000 |
| 391.308 | 391.308 | 232.411 | -0.000 | 44.623 | 0.000 |
| 0.000 | -0.000 | -0.000 | -0.000 | -0.000 | 100.036 |
| 345.767 | 145.694 | 99.268 | 0.000 | 0.000 | -0.000 |
| 145.694 | 345.767 | 99.268 | 0.000 | -0.000 | -0.000 |
| 60.079 | 60.079 | 318.339 | 0.000 | 0.000 | -0.000 |
| -39.131 | -39.131 | -23.241 | 44.623 | 0.000 | -0.000 |
| -39.131 | -39.131 | -23.241 | 0.000 | 44.623 | -0.000 |
| -0.000 | 0.000 | -0.000 | 0.000 | 0.000 | 100.036 |
| 379.666 | 189.717 | 122.409 | -0.000 | -0.000 | 0.000 |
| 189.753 | 379.694 | 122.428 | -0.000 | -0.000 | 0.000 |
| 138.308 | 138.308 | 364.802 | -0.000 | -0.000 | 0.000 |
| 39.131 | 39.131 | 23.241 | 44.623 | -0.000 | -0.000 |
| 39.131 | 39.131 | 23.241 | -0.000 | 44.623 | 0.000 |
| 0.000 | -0.000 | 0.000 | -0.000 | -0.000 | 100.036 |
| 315.820 | 167.510 | 96.854 | 0.000 | 0.000 | -0.000 |
| 146.728 | 336.307 | 96.767 | 0.000 | -0.000 | -0.000 |
| 95.265 | 95.265 | 339.235 | 0.000 | -0.000 | -0.000 |
| -3.916 | -3.916 | -2.326 | 44.623 | 0.000 | -0.000 |
| -3.916 | -3.916 | -2.326 | 0.000 | 44.623 | -0.000 |
| -4.069 | -4.068 | -2.417 | 0.000 | 0.000 | 94.771 |
| 323.644 | 175.334 | 101.501 | -0.000 | -0.000 | -0.000 |
| 154.889 | 344.408 | 101.596 | -0.000 | -0.000 | 0.000 |
| 99.268 | 99.268 | 341.616 | 0.000 | 0.000 | 0.000 |
| 3.916 | 3.916 | 2.326 | 44.623 | -0.000 | 0.000 |
| 3.916 | 3.916 | 2.326 | -0.000 | 44.623 | 0.000 |
| 4.069 | 4.068 | 2.417 | -0.000 | -0.000 | 94.771 |
| 301.679 | 164.475 | 85.225 | 0.000 | 0.000 | -0.000 |
| 138.211 | 329.732 | 86.343 | 0.000 | 0.000 | -0.000 |
| 86.274 | 86.274 | 327.209 | 0.000 | -0.000 | -0.000 |
| -0.000 | -0.000 | -0.000 | 32.802 | 0.000 | -0.000 |
| -0.000 | -0.000 | -0.000 | 0.000 | 32.802 | -0.000 |
| -0.000 | -0.000 | -0.000 | -0.000 | 0.000 | 95.760 |
| 329.732 | 138.211 | 86.344 | -0.000 | -0.000 | 0.000 |
| 138.211 | 329.732 | 86.344 | -0.000 | 0.000 | 0.000 |
| 86.274 | 86.274 | 327.210 | 0.000 | 0.000 | 0.000 |
| 0.000 | 0.000 | 0.000 | 32.802 | 0.000 | 0.000 |
| 0.000 | 0.000 | 0.000 | -0.000 | 32.802 | 0.000 |
| 0.000 | 0.000 | 0.000 | 0.000 | -0.000 | 95.760 |
| 329.730 | 138.211 | 86.341 | -0.000 | -0.000 | -0.000 |
| 160.636 | 303.284 | 83.827 | -0.000 | 0.000 | -0.000 |
| 85.111 | 85.111 | 325.752 | 0.000 | 0.000 | -0.000 |
| -0.001 | -0.004 | -0.005 | 26.913 | -0.000 | -0.000 |
| -0.004 | -0.001 | -0.005 | 0.000 | 26.913 | -0.000 |
| -0.001 | -0.000 | -0.001 | 0.000 | 0.000 | 95.760 |
| 329.734 | 138.212 | 86.346 | -0.000 | -0.000 | 0.000 |
| 160.635 | 303.291 | 83.833 | -0.000 | 0.000 | 0.000 |
| 86.277 | 86.277 | 327.214 | -0.000 | 0.000 | 0.000 |
| 0.001 | 0.004 | 0.005 | 26.913 | 0.000 | 0.000 |
| 0.004 | 0.001 | 0.005 | -0.000 | 26.913 | 0.000 |
| 0.001 | 0.000 | 0.001 | 0.000 | -0.000 | 95.760 |
| 329.713 | 138.205 | 86.321 | 0.000 | 0.000 | -0.000 |
| 138.209 | 329.709 | 86.321 | -0.000 | 0.000 | -0.000 |
| 85.079 | 85.079 | 325.693 | 0.000 | 0.000 | -0.000 |
| -0.008 | -0.023 | -0.028 | 32.802 | -0.000 | -0.000 |
| -0.023 | -0.008 | -0.028 | -0.000 | 32.802 | -0.000 |
| -0.008 | -0.003 | -0.009 | -0.000 | -0.000 | 68.730 |
| 329.750 | 138.218 | 86.366 | 0.000 | 0.000 | 0.000 |
| 138.213 | 329.755 | 86.366 | -0.000 | 0.000 | 0.000 |
| 85.150 | 85.150 | 325.824 | -0.000 | 0.000 | 0.000 |
| 0.008 | 0.023 | 0.028 | 32.802 | -0.000 | 0.000 |
| 0.023 | 0.008 | 0.028 | 0.000 | 32.802 | 0.000 |
| 0.008 | 0.003 | 0.009 | 0.000 | -0.000 | 68.730 |
| 350.315 | 144.993 | 111.335 | 0.000 | 0.000 | -0.000 |
| 144.993 | 350.315 | 111.335 | 0.000 | -0.000 | 0.000 |
| 102.345 | 102.345 | 348.959 | 0.000 | -0.000 | 0.000 |
| -1754646.923 | -1747528.697 | -2029118.148 | 1626180.333 | 0.000 | -0.000 |
| -1535393.963 | -1422374.759 | -1709617.896 | 0.000 | 1658530.892 | -0.000 |
| -0.000 | 0.000 | -0.000 | -0.000 | -0.000 | 102.661 |
| 189.777 | 19.366 | -301.896 | -0.000 | 0.000 | 0.000 |
| 85.173 | 257.301 | -109.344 | -0.000 | 0.000 | -0.000 |
| 103.495 | 103.495 | 352.279 | -0.000 | 0.000 | -0.000 |
| 1754646.923 | 1747528.697 | 2029118.148 | 1626180.333 | 0.000 | -0.000 |
| 1535393.963 | 1422374.759 | 1709617.896 | -0.000 | 1658530.892 | -0.000 |
| 0.000 | 0.000 | 0.000 | 0.000 | -0.000 | 102.661 |
| 350.313 | 144.993 | 111.332 | 0.000 | 0.000 | 0.000 |
| 143.152 | 348.470 | 106.013 | -0.000 | -0.000 | 0.000 |
| 102.346 | 102.346 | 348.961 | 0.000 | 0.000 | 0.000 |
| -175464.618 | -174749.817 | -202909.027 | 162650.810 | -0.000 | -0.000 |
| -153530.764 | -142234.415 | -170951.185 | 0.000 | 165892.377 | -0.000 |
| 7.640 | 7.640 | 22.064 | -0.000 | -0.000 | 86.064 |
| 318.729 | 148.316 | 70.525 | -0.000 | 0.000 | 0.000 |
| 149.774 | 319.629 | 73.929 | -0.000 | -0.000 | 0.000 |
| 95.500 | 95.500 | 329.192 | 0.000 | -0.000 | 0.000 |
| 175464.618 | 174749.817 | 202909.027 | 162650.810 | -0.000 | -0.000 |
| 153530.764 | 142234.415 | 170951.185 | -0.000 | 165892.377 | -0.000 |
| -7.640 | -7.640 | -22.064 | -0.000 | 0.000 | 86.064 |
| 350.296 | 144.987 | 111.312 | -0.000 | -0.000 | -0.000 |
| 142.506 | 347.771 | 104.078 | 0.000 | 0.000 | 0.000 |
| 102.147 | 102.147 | 348.385 | 0.000 | -0.000 | -0.000 |
| -17546.387 | -17471.937 | -20288.122 | 16297.849 | 0.000 | 0.000 |
| -15344.453 | -14220.384 | -17084.524 | 0.000 | 16628.515 | -0.000 |
| 4.317 | 4.321 | 12.483 | 0.000 | -0.000 | 86.070 |
| 325.486 | 155.044 | 89.990 | -0.000 | 0.000 | 0.000 |
| 152.864 | 322.762 | 82.903 | -0.000 | 0.000 | 0.000 |
| 99.360 | 99.360 | 340.337 | -0.000 | 0.000 | 0.000 |
| 17546.387 | 17471.937 | 20288.122 | 16297.849 | -0.000 | 0.000 |
| 15344.453 | 14220.384 | 17084.524 | -0.000 | 16628.515 | 0.000 |
| -4.317 | -4.321 | -12.483 | -0.000 | 0.000 | 86.070 |
| 311.253 | 133.279 | 63.815 | -0.000 | -0.000 | -0.000 |
| 159.102 | 285.389 | 63.697 | -0.000 | -0.000 | -0.000 |
| 57.353 | 57.353 | 201.214 | -0.000 | -0.000 | -0.000 |
| 0.019 | 0.019 | 0.110 | -1.414 | 0.000 | -0.000 |
| 0.019 | 0.019 | 0.110 | -0.000 | -1.414 | -0.000 |
| 0.006 | 0.006 | 0.035 | -0.000 | 0.000 | 63.132 |
| 285.396 | 159.071 | 63.626 | 0.000 | -0.000 | 0.000 |
| 159.071 | 285.396 | 63.626 | 0.000 | -0.000 | 0.000 |
| 57.436 | 57.436 | 201.689 | 0.000 | 0.000 | 0.000 |
| -0.019 | -0.019 | -0.110 | -1.414 | -0.000 | 0.000 |
| -0.019 | -0.019 | -0.110 | 0.000 | -1.414 | 0.000 |
| -0.006 | -0.006 | -0.035 | 0.000 | 0.000 | 63.132 |
| 284.993 | 159.510 | 63.731 | -0.000 | -0.000 | -0.000 |
| 159.089 | 285.391 | 63.665 | -0.000 | 0.000 | -0.000 |
| 57.436 | 57.436 | 201.689 | -0.000 | 0.000 | -0.000 |
| 0.000 | 0.000 | 0.000 | -1.318 | -0.000 | -0.000 |
| 0.000 | 0.000 | 0.000 | -0.000 | -1.318 | -0.000 |
| 0.001 | 0.001 | 0.004 | -0.000 | 0.000 | 63.131 |
| 311.253 | 133.279 | 63.815 | -0.000 | -0.000 | 0.000 |
| 159.405 | 285.162 | 63.914 | 0.000 | 0.000 | 0.000 |
| 57.436 | 57.436 | 201.689 | 0.000 | 0.000 | 0.000 |
| -0.000 | -0.000 | -0.000 | -1.318 | 0.000 | 0.000 |
| -0.000 | -0.000 | -0.000 | 0.000 | -1.318 | 0.000 |
| -0.001 | -0.001 | -0.004 | 0.000 | 0.000 | 63.131 |
| 311.253 | 133.279 | 63.815 | -0.000 | -0.000 | -0.000 |
| 159.409 | 285.158 | 63.917 | -0.000 | -0.000 | -0.000 |
| 57.436 | 57.436 | 201.688 | -0.000 | -0.000 | -0.000 |
| 0.000 | 0.000 | 0.000 | -1.318 | -0.000 | -0.000 |
| 0.000 | 0.000 | 0.000 | -0.000 | -1.318 | -0.000 |
| -0.001 | -0.000 | 0.000 | -0.000 | -0.000 | 63.131 |
| 311.254 | 133.279 | 63.815 | 0.000 | 0.000 | 0.000 |
| 159.407 | 285.162 | 63.917 | 0.000 | 0.000 | 0.000 |
| 57.349 | 57.349 | 201.195 | 0.000 | -0.000 | 0.000 |
| -0.000 | -0.000 | -0.000 | -1.318 | -0.000 | 0.000 |
| -0.000 | -0.000 | -0.000 | 0.000 | -1.318 | 0.000 |
| 0.001 | 0.000 | -0.000 | 0.000 | 0.000 | 63.131 |
| 246.202 | 169.472 | 170.838 | -0.000 | -0.000 | 0.000 |
| 169.472 | 246.202 | 170.838 | -0.000 | -0.000 | -0.000 |
| 170.838 | 170.838 | 244.194 | -0.000 | -0.000 | -0.000 |
| -0.000 | -0.000 | -0.000 | 136.441 | -0.000 | -0.000 |
| -0.000 | 0.000 | -0.000 | -0.000 | 136.441 | -0.000 |
| -0.000 | 0.000 | -0.000 | -0.000 | -0.000 | 137.097 |
| 246.405 | 169.269 | 170.838 | 0.000 | -0.000 | 0.000 |
| 169.269 | 246.405 | 170.838 | 0.000 | 0.000 | -0.000 |
| 170.838 | 170.838 | 244.194 | -0.000 | 0.000 | 0.000 |
| 0.000 | 0.000 | 0.000 | 136.441 | 0.000 | 0.000 |
| 0.000 | -0.000 | 0.000 | 0.000 | 136.441 | 0.000 |
| 0.000 | -0.000 | 0.000 | 0.000 | 0.000 | 137.097 |
| 246.405 | 169.269 | 170.838 | -0.000 | -0.000 | -0.000 |
| 169.269 | 246.405 | 170.838 | -0.000 | -0.000 | 0.000 |
| 170.838 | 170.838 | 244.194 | 0.000 | 0.000 | -0.000 |
| -0.000 | -0.000 | -0.000 | 136.441 | -0.000 | -0.000 |
| -0.000 | -0.000 | -0.000 | -0.000 | 136.441 | -0.000 |
| -0.000 | -0.000 | -0.000 | -0.000 | -0.000 | 137.097 |
| 246.406 | 169.269 | 170.838 | -0.000 | 0.000 | 0.000 |
| 169.269 | 246.406 | 170.838 | 0.000 | -0.000 | 0.000 |
| 170.838 | 170.838 | 244.195 | 0.000 | -0.000 | -0.000 |
| 0.000 | 0.000 | 0.000 | 136.441 | -0.000 | 0.000 |
| 0.000 | 0.000 | 0.000 | 0.000 | 136.441 | 0.000 |
| 0.000 | 0.000 | 0.000 | 0.000 | 0.000 | 137.097 |
| 246.402 | 169.269 | 170.838 | -0.000 | -0.000 | -0.000 |
| 169.269 | 246.402 | 170.838 | -0.000 | -0.000 | -0.000 |
| 170.838 | 170.838 | 244.190 | -0.000 | -0.000 | -0.000 |
| -0.000 | -0.000 | -0.000 | 136.441 | -0.000 | 0.000 |
| -0.000 | -0.000 | -0.000 | 0.000 | 136.441 | -0.000 |
| -0.000 | -0.000 | -0.000 | -0.000 | -0.000 | 137.097 |
| 246.206 | 169.472 | 170.838 | 0.000 | 0.000 | 0.000 |
| 169.472 | 246.206 | 170.838 | 0.000 | 0.000 | -0.000 |
| 170.838 | 170.838 | 244.198 | 0.000 | 0.000 | 0.000 |
| 0.000 | 0.000 | 0.000 | 136.441 | 0.000 | -0.000 |
| 0.000 | 0.000 | 0.000 | 0.000 | 136.441 | 0.000 |
| 0.000 | 0.000 | 0.000 | 0.000 | -0.000 | 137.097 |
| 322.106 | 168.397 | 98.997 | 0.000 | -0.000 | -0.000 |
| 171.290 | 319.960 | 99.230 | 0.000 | -0.000 | -0.000 |
| 99.199 | 99.199 | 341.426 | 0.000 | -0.000 | -0.000 |
| -0.000 | -0.000 | 0.000 | 44.770 | -0.000 | -0.000 |
| 0.112 | 0.112 | 0.070 | 0.000 | 44.525 | -0.000 |
| -0.000 | 0.000 | 0.000 | -0.000 | 0.000 | 100.070 |
| 345.772 | 145.632 | 99.278 | 0.000 | -0.000 | -0.000 |
| 145.632 | 345.772 | 99.278 | 0.000 | 0.000 | 0.000 |
| 99.245 | 99.245 | 341.454 | -0.000 | 0.000 | 0.000 |
| -0.000 | 0.000 | -0.000 | 44.770 | -0.000 | 0.000 |
| -0.112 | -0.112 | -0.070 | -0.000 | 44.525 | 0.000 |
| 0.000 | -0.000 | -0.000 | 0.000 | -0.000 | 100.070 |
| 345.772 | 145.632 | 99.278 | -0.000 | -0.000 | -0.000 |
| 167.307 | 322.911 | 98.908 | 0.000 | -0.000 | -0.000 |
| 99.245 | 99.245 | 341.454 | 0.000 | -0.000 | -0.000 |
| 0.015 | 0.015 | 0.009 | 44.450 | 0.000 | -0.000 |
| 0.015 | 0.015 | 0.009 | 0.000 | 44.450 | -0.000 |
| -0.000 | 0.000 | -0.000 | -0.000 | -0.000 | 100.070 |
| 345.772 | 145.632 | 99.278 | -0.000 | -0.000 | 0.000 |
| 167.043 | 323.116 | 98.890 | -0.000 | -0.000 | 0.000 |
| 99.245 | 99.245 | 341.454 | -0.000 | 0.000 | 0.000 |
| -0.015 | -0.015 | -0.009 | 44.450 | 0.000 | 0.000 |
| -0.015 | -0.015 | -0.009 | -0.000 | 44.450 | 0.000 |
| 0.000 | -0.000 | 0.000 | 0.000 | -0.000 | 100.070 |
| 323.002 | 167.188 | 98.900 | 0.000 | -0.000 | -0.000 |
| 171.252 | 319.914 | 99.204 | 0.000 | 0.000 | -0.000 |
| 99.159 | 99.159 | 341.399 | -0.000 | 0.000 | -0.000 |
| 0.001 | 0.001 | 0.001 | 44.449 | 0.000 | -0.000 |
| -0.000 | -0.000 | -0.000 | 0.000 | 44.770 | 0.000 |
| -0.000 | 0.000 | -0.000 | 0.000 | -0.000 | 100.070 |
| 323.022 | 167.164 | 98.898 | -0.000 | -0.000 | -0.000 |
| 167.163 | 323.023 | 98.898 | -0.000 | -0.000 | 0.000 |
| 99.157 | 99.157 | 341.401 | -0.000 | 0.000 | 0.000 |
| -0.001 | -0.001 | -0.001 | 44.449 | -0.000 | 0.000 |
| 0.000 | 0.000 | 0.000 | -0.000 | 44.770 | 0.000 |
| 0.000 | -0.000 | 0.000 | -0.000 | -0.000 | 100.070 |
| 290.208 | 160.941 | 59.712 | 0.000 | 0.000 | -0.000 |
| 138.066 | 313.363 | 59.823 | 0.000 | -0.000 | -0.000 |
| 55.112 | 55.112 | 218.571 | 0.000 | 0.000 | -0.000 |
| 0.000 | -0.000 | 0.000 | -8.241 | 0.000 | -0.000 |
| 0.000 | -0.000 | 0.000 | 0.000 | -8.775 | -0.000 |
| -0.000 | -0.000 | 0.000 | 0.000 | 0.000 | 65.606 |
| 292.597 | 157.630 | 59.344 | -0.000 | -0.000 | 0.000 |
| 138.066 | 313.363 | 59.823 | -0.000 | 0.000 | 0.000 |
| 54.987 | 54.987 | 218.472 | -0.000 | -0.000 | 0.000 |
| 0.000 | -0.000 | -0.000 | -8.241 | -0.000 | 0.000 |
| -0.000 | 0.000 | -0.000 | -0.000 | -8.775 | 0.000 |
| 0.000 | 0.000 | -0.000 | -0.000 | -0.000 | 65.606 |
| 313.363 | 138.066 | 59.823 | 0.000 | 0.000 | -0.000 |
| 160.941 | 290.208 | 59.712 | 0.000 | 0.000 | -0.000 |
| 55.112 | 55.112 | 218.571 | -0.000 | 0.000 | -0.000 |
| 0.000 | 0.000 | 0.000 | -8.775 | 0.000 | -0.000 |
| 0.000 | 0.000 | 0.000 | 0.000 | -8.241 | -0.000 |
| -0.000 | -0.000 | 0.000 | 0.000 | -0.000 | 87.648 |
| 313.363 | 138.066 | 59.823 | -0.000 | 0.000 | 0.000 |
| 138.066 | 313.363 | 59.823 | 0.000 | -0.000 | 0.000 |
| 55.112 | 55.112 | 218.571 | -0.000 | -0.000 | 0.000 |
| -0.000 | -0.000 | -0.000 | -8.775 | -0.000 | 0.000 |
| -0.000 | -0.000 | -0.000 | -0.000 | -8.241 | 0.000 |
| 0.000 | 0.000 | -0.000 | -0.000 | -0.000 | 87.648 |
| 313.363 | 138.066 | 59.824 | 0.000 | -0.000 | -0.000 |
| 160.947 | 290.170 | 59.700 | 0.000 | 0.000 | -0.000 |
| 54.988 | 54.988 | 218.471 | 0.000 | -0.000 | -0.000 |
| 0.000 | 0.000 | 0.000 | -8.775 | 0.000 | -0.000 |
| 0.000 | 0.000 | 0.000 | 0.000 | -8.241 | -0.000 |
| -0.001 | -0.000 | 0.000 | 0.000 | 0.000 | 65.606 |
| 313.363 | 138.066 | 59.823 | -0.000 | 0.000 | 0.000 |
| 138.066 | 313.363 | 59.823 | -0.000 | -0.000 | 0.000 |
| 54.987 | 54.987 | 218.472 | -0.000 | -0.000 | 0.000 |
| -0.000 | -0.000 | -0.000 | -8.775 | -0.000 | 0.000 |
| -0.000 | -0.000 | -0.000 | -0.000 | -8.241 | 0.000 |
| 0.001 | 0.000 | -0.000 | -0.000 | -0.000 | 65.606 |
| 223.566 | 70.116 | 149.713 | 0.000 | 0.000 | 0.000 |
| 70.116 | 223.566 | 149.713 | 0.000 | 0.000 | 0.000 |
| 150.138 | 150.138 | 257.811 | 0.000 | 0.000 | 0.000 |
| -0.002 | -0.002 | -0.006 | 93.479 | -0.000 | 0.000 |
| -0.002 | -0.002 | -0.006 | 0.000 | 93.479 | 0.000 |
| -0.005 | -0.005 | -0.011 | 0.000 | -0.000 | 10.750 |
| 223.565 | 70.115 | 149.715 | 0.000 | 0.000 | -0.000 |
| 70.115 | 223.565 | 149.715 | -0.000 | 0.000 | -0.000 |
| 149.742 | 149.742 | 257.286 | 0.000 | 0.000 | -0.000 |
| 0.002 | 0.002 | 0.006 | 93.479 | 0.000 | -0.000 |
| 0.002 | 0.002 | 0.006 | 0.000 | 93.479 | -0.000 |
| 0.005 | 0.005 | 0.011 | -0.000 | -0.000 | 10.750 |
| 223.543 | 70.094 | 149.725 | 0.000 | -0.000 | 0.000 |
| 70.094 | 223.543 | 149.725 | 0.000 | -0.000 | 0.000 |
| 150.138 | 150.138 | 257.811 | -0.000 | 0.000 | 0.000 |
| -0.000 | -0.000 | -0.001 | 93.479 | 0.000 | 0.000 |
| -0.000 | -0.000 | -0.001 | 0.000 | 93.479 | 0.000 |
| -0.000 | -0.000 | -0.001 | 0.000 | 0.000 | 10.750 |
| 223.914 | 70.449 | 150.138 | -0.000 | -0.000 | -0.000 |
| 70.449 | 223.914 | 150.138 | -0.000 | -0.000 | -0.000 |
| 150.138 | 150.138 | 257.810 | -0.000 | -0.000 | -0.000 |
| 0.000 | 0.000 | 0.001 | 93.479 | 0.000 | -0.000 |
| 0.000 | 0.000 | 0.001 | -0.000 | 93.479 | -0.000 |
| 0.000 | 0.000 | 0.001 | -0.000 | -0.000 | 10.750 |
| 223.916 | 70.449 | 150.138 | -0.000 | 0.000 | 0.000 |
| 70.449 | 223.916 | 150.138 | 0.000 | 0.000 | 0.000 |
| 150.138 | 150.138 | 257.816 | -0.000 | -0.000 | 0.000 |
| 0.000 | -0.000 | 0.000 | 93.584 | -0.000 | 0.000 |
| -0.000 | 0.000 | 0.000 | 0.000 | 93.584 | 0.000 |
| 0.000 | 0.000 | 0.000 | 0.000 | 0.000 | 10.919 |
| 223.912 | 70.449 | 150.138 | -0.000 | -0.000 | -0.000 |
| 70.449 | 223.912 | 150.138 | -0.000 | 0.000 | -0.000 |
| 149.740 | 149.740 | 257.278 | -0.000 | 0.000 | -0.000 |
| -0.000 | 0.000 | -0.000 | 93.584 | 0.000 | -0.000 |
| 0.000 | -0.000 | -0.000 | 0.000 | 93.584 | -0.000 |
| -0.000 | -0.000 | -0.000 | -0.000 | -0.000 | 10.919 |
| 96.087 | -56.537 | 76.601 | -0.000 | -0.000 | -0.000 |
| -56.537 | 96.087 | 76.601 | -0.000 | 0.000 | -0.000 |
| 149.924 | 149.924 | 255.994 | -0.000 | 0.000 | -0.000 |
| -126.036 | -126.036 | -72.513 | 93.160 | 0.000 | -0.000 |
| -126.036 | -126.036 | -72.513 | -0.000 | 93.160 | -0.000 |
| 0.000 | 0.000 | 0.000 | -0.000 | -0.000 | 10.362 |
| 222.765 | 70.111 | 149.913 | 0.000 | 0.000 | 0.000 |
| 70.111 | 222.765 | 149.913 | 0.000 | 0.000 | 0.000 |
| 275.189 | 275.189 | 327.455 | 0.000 | 0.000 | 0.000 |
| 126.036 | 126.036 | 72.513 | 93.160 | 0.000 | 0.000 |
| 126.036 | 126.036 | 72.513 | 0.000 | 93.160 | 0.000 |
| -0.000 | 0.000 | 0.000 | 0.000 | -0.000 | 10.362 |
| 210.679 | 58.042 | 143.509 | 0.000 | 0.000 | -0.000 |
| 58.042 | 210.679 | 143.509 | 0.000 | -0.000 | -0.000 |
| 149.924 | 149.924 | 255.994 | -0.000 | -0.000 | -0.000 |
| 0.000 | -0.000 | 0.000 | 93.300 | -0.000 | -0.000 |
| -0.000 | 0.000 | 0.000 | -0.000 | 93.300 | -0.000 |
| 0.000 | 0.000 | 0.000 | -0.000 | -0.000 | 10.362 |
| 222.765 | 70.111 | 149.913 | -0.000 | -0.000 | 0.000 |
| 70.111 | 222.765 | 149.913 | -0.000 | -0.000 | 0.000 |
| 149.924 | 149.924 | 255.993 | 0.000 | -0.000 | 0.000 |
| -0.000 | 0.000 | -0.000 | 93.300 | 0.000 | 0.000 |
| 0.000 | -0.000 | -0.000 | 0.000 | 93.300 | 0.000 |
| -0.000 | -0.000 | -0.000 | -0.000 | 0.000 | 10.362 |
| 220.941 | 68.314 | 148.458 | -0.000 | 0.000 | -0.000 |
| 68.314 | 220.941 | 148.458 | -0.000 | 0.000 | -0.000 |
| 149.925 | 149.925 | 255.999 | -0.000 | 0.000 | -0.000 |
| 0.000 | -0.000 | 0.001 | 93.300 | -0.000 | -0.000 |
| -0.000 | 0.000 | 0.001 | -0.000 | 93.300 | -0.000 |
| -1.264 | -1.264 | -0.727 | -0.000 | 0.000 | 10.244 |
| 223.330 | 70.707 | 149.818 | 0.000 | -0.000 | 0.000 |
| 70.707 | 223.330 | 149.818 | 0.000 | 0.000 | 0.000 |
| 150.342 | 150.342 | 255.650 | 0.000 | 0.000 | 0.000 |
| -0.000 | 0.000 | -0.001 | 93.300 | 0.000 | 0.000 |
| 0.000 | -0.000 | -0.001 | 0.000 | 93.300 | 0.000 |
| 1.264 | 1.264 | 0.727 | 0.000 | 0.000 | 10.244 |
| 168.565 | 195.336 | 196.013 | -0.000 | 0.000 | -0.000 |
| 195.336 | 168.565 | 196.013 | -0.000 | 0.000 | -0.000 |
| 196.000 | 196.000 | 168.811 | 0.000 | 0.000 | -0.000 |
| -0.000 | 0.000 | 0.000 | 143.897 | 0.000 | -0.000 |
| -0.000 | 0.000 | 0.000 | -0.000 | 143.897 | -0.000 |
| -0.000 | 0.000 | 0.000 | 0.000 | -0.000 | 148.310 |
| 176.398 | 203.469 | 220.324 | 0.000 | 0.000 | 0.000 |
| 203.469 | 176.398 | 220.324 | 0.000 | 0.000 | 0.000 |
| 204.079 | 204.079 | 192.676 | -0.000 | -0.000 | 0.000 |
| 0.000 | -0.000 | -0.000 | 143.897 | -0.000 | 0.000 |
| 0.000 | -0.000 | -0.000 | -0.000 | 143.897 | 0.000 |
| 0.000 | -0.000 | -0.000 | -0.000 | 0.000 | 148.310 |
| 167.450 | 194.522 | 193.521 | -0.000 | 0.000 | -0.000 |
| 194.522 | 167.450 | 193.521 | -0.000 | -0.000 | -0.000 |
| 196.000 | 196.000 | 168.811 | -0.000 | 0.000 | -0.000 |
| 0.000 | 0.000 | 0.000 | 143.897 | 0.000 | -0.000 |
| 0.000 | 0.000 | 0.000 | -0.000 | 143.897 | -0.000 |
| 0.000 | 0.000 | 0.000 | 0.000 | -0.000 | 148.310 |
| 169.077 | 196.148 | 198.394 | 0.000 | 0.000 | 0.000 |
| 196.148 | 169.077 | 198.394 | 0.000 | -0.000 | 0.000 |
| 196.758 | 196.758 | 170.746 | 0.000 | 0.000 | 0.000 |
| -0.000 | -0.000 | -0.000 | 143.897 | -0.000 | 0.000 |
| -0.000 | -0.000 | -0.000 | 0.000 | 143.897 | 0.000 |
| -0.000 | -0.000 | -0.000 | 0.000 | 0.000 | 148.310 |
| 168.565 | 195.337 | 196.014 | -0.000 | 0.000 | -0.000 |
| 195.337 | 168.565 | 196.014 | 0.000 | 0.000 | -0.000 |
| 196.001 | 196.001 | 168.811 | 0.000 | 0.000 | -0.000 |
| 0.001 | 0.001 | 0.001 | 143.897 | 0.000 | 0.000 |
| 0.001 | 0.001 | 0.001 | -0.000 | 143.897 | -0.000 |
| -0.081 | -0.080 | -0.242 | -0.000 | -0.000 | 148.187 |
| 168.564 | 195.335 | 196.012 | 0.000 | -0.000 | 0.000 |
| 195.335 | 168.564 | 196.012 | 0.000 | -0.000 | 0.000 |
| 196.025 | 196.025 | 168.553 | 0.000 | -0.000 | 0.000 |
| -0.001 | -0.001 | -0.001 | 143.897 | -0.000 | 0.000 |
| -0.001 | -0.001 | -0.001 | 0.000 | 143.897 | 0.000 |
| 0.081 | 0.080 | 0.242 | 0.000 | 0.000 | 148.187 |
| 457.356 | 177.862 | 108.577 | 0.000 | -0.000 | -0.000 |
| 177.862 | 457.356 | 108.577 | 0.000 | 0.000 | -0.000 |
| 107.413 | 107.413 | 624.039 | 0.000 | -0.000 | -0.000 |
| 0.000 | 0.000 | 0.000 | 44.527 | -0.000 | 0.000 |
| 0.000 | 0.000 | 0.000 | 0.000 | 44.527 | -0.000 |
| 0.000 | 0.000 | 0.000 | 0.000 | -0.000 | 113.944 |
| 457.356 | 177.862 | 108.577 | -0.000 | -0.000 | 0.000 |
| 177.862 | 457.356 | 108.577 | -0.000 | -0.000 | 0.000 |
| 107.413 | 107.413 | 624.041 | -0.000 | 0.000 | 0.000 |
| 0.000 | -0.000 | -0.000 | 44.527 | 0.000 | 0.000 |
| -0.000 | -0.000 | -0.000 | -0.000 | 44.527 | 0.000 |
| -0.000 | -0.000 | -0.000 | -0.000 | 0.000 | 113.944 |
| 457.356 | 177.862 | 108.577 | -0.000 | -0.000 | -0.000 |
| 177.862 | 457.356 | 108.577 | 0.000 | -0.000 | -0.000 |
| 107.412 | 107.412 | 624.031 | -0.000 | -0.000 | -0.000 |
| -0.000 | -0.000 | -0.001 | 44.527 | -0.000 | -0.000 |
| -0.000 | -0.000 | -0.001 | 0.000 | 44.527 | -0.000 |
| 0.000 | 0.000 | -0.000 | 0.000 | -0.000 | 113.944 |
| 457.356 | 177.862 | 108.577 | -0.000 | 0.000 | 0.000 |
| 177.862 | 457.356 | 108.577 | -0.000 | 0.000 | 0.000 |
| 107.414 | 107.414 | 624.050 | -0.000 | 0.000 | 0.000 |
| 0.000 | 0.000 | 0.001 | 44.527 | 0.000 | -0.000 |
| 0.000 | 0.000 | 0.001 | -0.000 | 44.527 | 0.000 |
| -0.000 | -0.000 | 0.000 | 0.000 | -0.000 | 113.944 |
| 457.358 | 177.862 | 108.576 | 0.000 | -0.000 | -0.000 |
| 177.862 | 457.358 | 108.576 | 0.000 | -0.000 | 0.000 |
| 107.405 | 107.405 | 623.946 | 0.000 | -0.000 | -0.000 |
| -0.000 | -0.001 | -0.008 | 44.527 | -0.000 | 0.000 |
| -0.001 | -0.000 | -0.008 | 0.000 | 44.527 | -0.000 |
| 0.000 | 0.000 | -0.000 | 0.000 | -0.000 | 113.944 |
| 457.354 | 177.862 | 108.578 | -0.000 | 0.000 | 0.000 |
| 177.862 | 457.354 | 108.578 | -0.000 | 0.000 | 0.000 |
| 107.421 | 107.421 | 624.134 | -0.000 | 0.000 | 0.000 |
| 0.000 | 0.001 | 0.008 | 44.527 | -0.000 | 0.000 |
| 0.001 | 0.000 | 0.008 | 0.000 | 44.527 | -0.000 |
| -0.000 | -0.000 | 0.000 | -0.000 | 0.000 | 113.944 |
| 405.516 | 150.339 | 93.975 | 0.000 | 0.000 | -0.000 |
| 150.339 | 405.516 | 93.975 | 0.000 | 0.000 | -0.000 |
| -61.003 | -61.003 | 522.215 | -0.000 | 0.000 | 0.000 |
| -603.680 | -603.680 | 30.331 | 32.751 | 0.000 | 0.000 |
| -603.680 | -603.680 | 30.331 | 0.000 | 32.751 | 0.000 |
| 0.000 | 0.000 | -0.000 | -0.000 | 0.000 | 101.700 |
| 405.516 | 150.339 | 93.975 | -0.000 | -0.000 | 0.000 |
| 150.339 | 405.516 | 93.975 | -0.000 | 0.000 | -0.000 |
| 93.975 | 93.975 | 498.859 | -0.000 | -0.000 | 0.000 |
| 603.680 | 603.680 | -30.331 | 32.751 | -0.000 | -0.000 |
| 603.680 | 603.680 | -30.331 | -0.000 | 32.751 | -0.000 |
| 0.000 | -0.000 | 0.000 | -0.000 | -0.000 | 101.700 |
| 358.438 | 145.461 | 100.913 | -0.000 | 0.000 | 0.000 |
| 145.461 | 358.438 | 100.913 | -0.000 | 0.000 | 0.000 |
| 93.975 | 93.975 | 498.859 | 0.000 | 0.000 | -0.000 |
| 0.000 | 0.000 | 0.000 | 49.753 | 0.000 | 0.000 |
| 0.000 | 0.000 | 0.000 | 0.000 | 49.753 | 0.000 |
| 0.000 | 0.000 | 0.000 | 0.000 | 0.000 | 101.700 |
| 405.515 | 150.339 | 93.975 | -0.000 | -0.000 | 0.000 |
| 150.339 | 405.515 | 93.975 | -0.000 | -0.000 | -0.000 |
| 93.975 | 93.975 | 498.858 | -0.000 | -0.000 | 0.000 |
| -0.000 | -0.000 | -0.000 | 49.753 | -0.000 | -0.000 |
| -0.000 | -0.000 | -0.000 | -0.000 | 49.753 | 0.000 |
| -0.000 | -0.000 | -0.000 | 0.000 | -0.000 | 101.700 |
| 345.164 | 170.172 | 101.824 | 0.000 | 0.000 | 0.000 |
| 170.172 | 345.164 | 101.824 | 0.000 | -0.000 | 0.000 |
| 97.652 | 97.652 | 491.788 | -0.000 | 0.000 | 0.000 |
| 0.000 | 0.000 | 0.000 | 49.753 | 0.000 | -0.000 |
| 0.000 | 0.000 | 0.000 | 0.000 | 49.753 | -0.000 |
| -2.571 | -2.571 | 0.064 | 0.000 | 0.000 | 50.078 |
| 405.513 | 150.338 | 93.975 | 0.000 | -0.000 | -0.000 |
| 150.338 | 405.513 | 93.975 | -0.000 | -0.000 | 0.000 |
| 93.974 | 93.974 | 498.855 | -0.000 | -0.000 | 0.000 |
| -0.000 | -0.000 | -0.000 | 49.753 | -0.000 | 0.000 |
| -0.000 | -0.000 | -0.000 | -0.000 | 49.753 | 0.000 |
| 2.571 | 2.571 | -0.064 | -0.000 | -0.000 | 50.078 |
| 152.905 | -39.594 | 237.520 | -0.004 | 0.017 | -0.000 |
| -39.594 | 152.905 | 237.520 | -0.004 | 0.017 | -0.000 |
| 91.995 | 91.995 | 502.158 | 0.000 | -0.000 | 0.000 |
| -193.876 | -193.876 | 135.978 | 43.631 | 0.017 | -0.000 |
| -193.876 | -193.876 | 135.978 | -0.004 | 43.651 | -0.000 |
| 0.000 | 0.000 | 0.000 | 0.000 | -0.000 | 96.950 |
| 541.090 | 348.067 | -34.520 | 0.004 | -0.017 | 0.000 |
| 348.067 | 541.090 | -34.520 | 0.004 | -0.017 | 0.000 |
| 549.428 | 549.428 | 239.029 | 0.001 | -0.007 | -0.000 |
| 193.876 | 193.876 | -135.978 | 43.638 | -0.017 | 0.000 |
| 193.875 | 193.875 | -135.978 | 0.004 | 43.617 | 0.000 |
| -0.000 | -0.000 | -0.000 | 0.000 | 0.000 | 96.950 |
| 325.613 | 135.435 | 115.411 | -0.000 | 0.002 | -0.000 |
| 135.435 | 325.613 | 115.411 | -0.000 | 0.002 | -0.000 |
| 43.363 | 43.363 | 493.567 | 0.000 | -0.001 | 0.000 |
| -44.258 | -44.259 | 24.376 | 38.636 | 0.001 | 0.000 |
| -44.259 | -44.258 | 24.376 | -0.000 | 38.636 | 0.000 |
| -59.441 | -59.441 | 14.728 | -0.000 | 0.001 | 29.317 |
| 392.300 | 142.430 | 93.754 | -0.000 | 0.000 | 0.000 |
| 142.430 | 392.300 | 93.754 | -0.000 | 0.000 | -0.000 |
| 91.995 | 91.995 | 502.158 | -0.000 | 0.000 | -0.000 |
| 44.258 | 44.259 | -24.376 | 38.636 | -0.001 | -0.000 |
| 44.259 | 44.258 | -24.376 | 0.000 | 38.635 | -0.000 |
| 59.441 | 59.441 | -14.728 | 0.000 | -0.001 | 29.317 |
| 314.990 | 163.880 | 106.939 | 0.000 | -0.000 | 0.000 |
| 163.880 | 314.990 | 106.939 | 0.000 | -0.000 | 0.000 |
| 101.361 | 101.361 | 485.948 | 0.000 | -0.000 | 0.000 |
| 0.000 | -0.003 | -0.000 | 49.178 | -0.000 | -0.000 |
| -0.003 | 0.000 | -0.000 | -0.000 | 49.178 | 0.000 |
| -2.694 | -2.693 | 1.889 | -0.000 | 0.000 | 63.476 |
| 392.317 | 142.430 | 93.757 | 0.000 | 0.000 | -0.000 |
| 142.430 | 392.317 | 93.757 | -0.000 | -0.000 | -0.000 |
| 107.082 | 107.082 | 484.878 | -0.000 | 0.000 | -0.000 |
| -0.000 | 0.003 | 0.000 | 49.178 | 0.000 | -0.000 |
| 0.003 | -0.000 | 0.000 | 0.000 | 49.178 | 0.000 |
| 2.694 | 2.693 | -1.889 | 0.000 | -0.000 | 63.476 |
| 142.828 | 184.219 | 184.219 | -0.000 | 0.000 | -0.000 |
| 184.219 | 142.828 | 184.219 | -0.000 | 0.000 | 0.000 |
| 184.219 | 184.219 | 142.828 | 0.000 | 0.000 | -0.000 |
| 0.004 | 0.004 | 0.004 | 155.695 | 0.000 | -0.000 |
| 0.004 | 0.004 | 0.004 | -0.000 | 155.695 | -0.000 |
| 0.004 | 0.004 | 0.004 | -0.000 | 0.000 | 155.695 |
| 143.040 | 184.170 | 184.170 | 0.000 | -0.000 | -0.000 |
| 184.169 | 143.040 | 184.169 | 0.000 | 0.000 | -0.000 |
| 184.169 | 184.169 | 143.040 | 0.000 | -0.000 | -0.000 |
| -0.004 | -0.004 | -0.004 | 155.695 | 0.000 | -0.000 |
| -0.004 | -0.004 | -0.004 | 0.000 | 155.695 | 0.000 |
| -0.004 | -0.004 | -0.004 | 0.000 | 0.000 | 155.695 |
| 143.040 | 184.170 | 184.170 | -0.000 | 0.000 | 0.000 |
| 184.170 | 143.040 | 184.170 | -0.000 | 0.000 | 0.000 |
| 184.170 | 184.170 | 143.040 | -0.000 | 0.000 | 0.000 |
| 0.001 | 0.000 | 0.001 | 155.695 | 0.000 | 0.000 |
| 0.000 | 0.001 | 0.001 | -0.000 | 155.695 | -0.000 |
| 0.000 | 0.001 | 0.001 | -0.000 | -0.000 | 155.695 |
| 142.821 | 184.212 | 184.212 | 0.000 | 0.000 | -0.000 |
| 184.212 | 142.821 | 184.212 | 0.000 | -0.000 | -0.000 |
| 184.212 | 184.212 | 142.821 | 0.000 | 0.000 | -0.000 |
| -0.001 | -0.000 | -0.001 | 155.695 | -0.000 | -0.000 |
| -0.000 | -0.001 | -0.001 | 0.000 | 155.695 | -0.000 |
| -0.000 | -0.001 | -0.001 | 0.000 | 0.000 | 155.695 |
| 142.821 | 184.213 | 184.213 | -0.000 | -0.000 | 0.000 |
| 184.213 | 142.821 | 184.213 | -0.000 | 0.000 | -0.000 |
| 184.213 | 184.213 | 142.821 | -0.000 | 0.000 | 0.000 |
| 0.001 | 0.000 | 0.001 | 155.695 | 0.000 | 0.000 |
| 0.000 | 0.001 | 0.001 | -0.000 | 155.695 | 0.000 |
| 0.000 | 0.001 | 0.001 | 0.000 | 0.000 | 155.695 |
| 142.822 | 184.212 | 184.212 | 0.000 | -0.000 | -0.000 |
| 184.212 | 142.822 | 184.212 | 0.000 | 0.000 | 0.000 |
| 184.212 | 184.212 | 142.822 | 0.000 | -0.000 | -0.000 |
| -0.001 | -0.000 | -0.001 | 155.695 | -0.000 | -0.000 |
| -0.000 | -0.001 | -0.001 | -0.000 | 155.695 | -0.000 |
| -0.000 | -0.001 | -0.001 | 0.000 | -0.000 | 155.695 |
| 142.432 | 183.510 | 183.510 | 0.000 | 0.000 | -0.000 |
| 183.510 | 142.432 | 183.510 | -0.000 | -0.000 | -0.000 |
| 183.510 | 183.510 | 142.432 | -0.000 | 0.000 | -0.000 |
| 0.000 | 0.000 | 0.000 | 155.465 | 0.000 | -0.000 |
| 0.000 | 0.000 | 0.000 | -0.000 | 155.465 | -0.000 |
| 0.000 | 0.000 | 0.000 | -0.000 | 0.000 | 155.465 |
| 142.665 | 183.742 | 183.742 | 0.000 | -0.000 | 0.000 |
| 183.742 | 142.665 | 183.742 | 0.000 | 0.000 | 0.000 |
| 183.742 | 183.742 | 142.665 | 0.000 | -0.000 | -0.000 |
| -0.000 | -0.000 | -0.000 | 155.465 | -0.000 | 0.000 |
| -0.000 | -0.000 | -0.000 | -0.000 | 155.465 | 0.000 |
| -0.000 | -0.000 | -0.000 | 0.000 | -0.000 | 155.465 |
| 142.770 | 183.580 | 183.580 | -0.000 | 0.000 | -0.000 |
| 183.580 | 142.770 | 183.580 | -0.000 | 0.000 | -0.000 |
| 183.580 | 183.580 | 142.770 | 0.000 | 0.000 | -0.000 |
| 0.000 | 0.000 | 0.000 | 155.465 | 0.000 | -0.000 |
| 0.000 | 0.000 | 0.000 | -0.000 | 155.465 | -0.000 |
| 0.000 | 0.000 | 0.000 | 0.000 | 0.000 | 155.465 |
| 142.771 | 183.580 | 183.580 | 0.000 | -0.000 | 0.000 |
| 183.580 | 142.771 | 183.580 | 0.000 | -0.000 | 0.000 |
| 183.580 | 183.580 | 142.771 | 0.000 | -0.000 | 0.000 |
| -0.000 | -0.000 | -0.000 | 155.465 | -0.000 | -0.000 |
| -0.000 | -0.000 | -0.000 | 0.000 | 155.465 | 0.000 |
| -0.000 | -0.000 | -0.000 | 0.000 | 0.000 | 155.465 |
| 142.549 | 183.626 | 183.626 | -0.000 | -0.000 | -0.000 |
| 183.626 | 142.549 | 183.626 | -0.000 | 0.000 | -0.000 |
| 183.626 | 183.626 | 142.549 | -0.000 | -0.000 | -0.000 |
| 0.001 | 0.000 | 0.001 | 155.465 | -0.000 | -0.000 |
| 0.000 | 0.001 | 0.001 | 0.000 | 155.465 | -0.000 |
| 0.000 | 0.001 | 0.001 | -0.000 | 0.000 | 155.465 |
| 142.771 | 183.579 | 183.579 | 0.000 | -0.000 | 0.000 |
| 183.579 | 142.771 | 183.579 | 0.000 | -0.000 | 0.000 |
| 183.579 | 183.579 | 142.771 | 0.000 | 0.000 | 0.000 |
| -0.001 | -0.000 | -0.001 | 155.465 | -0.000 | 0.000 |
| -0.000 | -0.001 | -0.001 | 0.000 | 155.465 | 0.000 |
| -0.000 | -0.001 | -0.001 | 0.000 | -0.000 | 155.465 |
| 164.515 | 338.447 | 88.973 | 0.000 | 0.000 | -0.000 |
| 338.447 | 164.515 | 88.973 | 0.000 | 0.000 | 0.000 |
| 70.648 | 70.648 | 469.620 | 0.000 | -0.000 | 0.000 |
| 0.000 | 0.000 | -0.000 | 52.837 | -0.000 | -0.000 |
| 0.000 | 0.000 | -0.000 | 0.000 | 52.837 | 0.000 |
| 0.000 | 0.000 | -0.000 | 0.000 | -0.000 | 100.105 |
| 166.511 | 332.200 | 97.139 | -0.000 | -0.000 | -0.000 |
| 332.200 | 166.511 | 97.139 | -0.000 | 0.000 | -0.000 |
| 81.240 | 81.240 | 429.000 | -0.000 | 0.000 | -0.000 |
| -0.000 | -0.000 | 0.000 | 52.837 | 0.000 | -0.000 |
| -0.000 | -0.000 | 0.000 | 0.000 | 52.837 | -0.000 |
| -0.000 | -0.000 | 0.000 | -0.000 | 0.000 | 100.105 |
| 162.631 | 343.826 | 82.294 | 0.000 | 0.000 | 0.000 |
| 343.826 | 162.631 | 82.294 | 0.000 | 0.000 | 0.000 |
| 70.648 | 70.648 | 469.620 | 0.000 | -0.000 | 0.000 |
| 0.000 | 0.000 | -0.000 | 52.837 | -0.000 | 0.000 |
| 0.000 | 0.000 | -0.000 | 0.000 | 52.837 | 0.000 |
| 0.143 | 0.143 | -0.550 | 0.000 | 0.000 | -91.637 |
| 391.044 | 121.146 | 71.348 | -0.000 | -0.000 | -0.000 |
| 121.146 | 391.044 | 71.348 | -0.000 | -0.000 | -0.000 |
| 70.648 | 70.648 | 469.620 | 0.000 | -0.000 | -0.000 |
| -0.000 | -0.000 | 0.000 | 52.837 | 0.000 | -0.000 |
| -0.000 | -0.000 | 0.000 | -0.000 | 52.837 | -0.000 |
| -0.143 | -0.143 | 0.550 | -0.000 | -0.000 | -91.637 |
| 165.319 | 335.514 | 93.073 | -0.000 | -0.000 | 0.000 |
| 335.514 | 165.319 | 93.073 | 0.000 | 0.000 | 0.000 |
| 70.648 | 70.648 | 469.622 | 0.000 | -0.000 | 0.000 |
| 0.072 | 0.070 | -0.279 | -205.825 | 0.000 | 0.000 |
| 0.070 | 0.072 | -0.279 | 0.000 | -205.825 | 0.000 |
| 0.014 | 0.014 | -0.055 | 0.000 | 0.000 | -91.641 |
| 165.350 | 335.432 | 93.151 | -0.000 | -0.000 | 0.000 |
| 335.432 | 165.350 | 93.151 | -0.000 | 0.000 | -0.000 |
| 70.648 | 70.648 | 469.618 | -0.000 | -0.000 | -0.000 |
| -0.072 | -0.070 | 0.279 | -205.825 | 0.000 | -0.000 |
| -0.070 | -0.072 | 0.279 | -0.000 | -205.825 | -0.000 |
| -0.014 | -0.014 | 0.055 | -0.000 | 0.000 | -91.641 |
| 345.502 | 113.867 | 58.677 | 0.000 | 0.000 | -0.000 |
| 113.867 | 345.502 | 58.677 | 0.000 | 0.000 | -0.000 |
| 86.956 | 86.956 | 348.793 | -0.000 | 0.000 | -0.000 |
| 0.000 | -0.000 | 0.000 | 39.843 | 0.000 | -0.000 |
| 0.000 | -0.000 | 0.000 | 0.000 | 39.843 | -0.000 |
| 28.720 | 28.720 | -127.077 | -0.000 | 0.000 | 17.211 |
| 345.502 | 113.867 | 58.677 | -0.000 | -0.000 | 0.000 |
| 113.867 | 345.502 | 58.677 | -0.000 | -0.000 | 0.000 |
| 52.670 | 52.670 | 500.217 | 0.000 | -0.000 | 0.000 |
| -0.000 | 0.000 | -0.000 | 39.843 | -0.000 | 0.000 |
| -0.000 | 0.000 | -0.000 | -0.000 | 39.843 | 0.000 |
| -28.720 | -28.720 | 127.077 | -0.000 | -0.000 | 17.211 |
| 345.503 | 113.867 | 58.677 | -0.000 | 0.000 | -0.000 |
| 113.867 | 345.503 | 58.677 | -0.000 | 0.000 | -0.000 |
| 63.818 | 63.818 | 451.172 | -0.000 | 0.000 | -0.000 |
| 2.551 | 2.551 | -11.168 | -220.787 | 0.000 | -0.000 |
| 2.551 | 2.551 | -11.168 | -0.000 | -220.787 | -0.000 |
| -0.000 | -0.000 | 0.000 | 0.000 | 0.000 | 103.469 |
| 120.488 | 329.779 | 78.703 | -0.000 | -0.000 | 0.000 |
| 329.779 | 120.488 | 78.703 | -0.000 | -0.000 | 0.000 |
| 52.670 | 52.670 | 500.217 | 0.000 | -0.000 | 0.000 |
| -2.551 | -2.551 | 11.168 | -220.787 | -0.000 | 0.000 |
| -2.551 | -2.551 | 11.168 | -0.000 | -220.787 | 0.000 |
| 0.000 | 0.000 | -0.000 | -0.000 | -0.000 | 103.469 |
| 123.335 | 332.633 | 66.118 | 0.000 | 0.000 | -0.000 |
| 332.633 | 123.335 | 66.118 | 0.000 | 0.000 | -0.000 |
| 61.505 | 61.505 | 461.415 | -0.000 | 0.000 | -0.000 |
| -0.041 | -0.042 | 0.205 | -221.038 | 0.000 | -0.000 |
| -0.042 | -0.041 | 0.205 | 0.000 | -221.038 | -0.000 |
| 0.285 | 0.285 | -1.265 | -0.000 | 0.000 | -83.225 |
| 122.823 | 332.106 | 68.402 | -0.000 | -0.000 | 0.000 |
| 332.106 | 122.823 | 68.402 | 0.000 | -0.000 | 0.000 |
| 52.670 | 52.670 | 500.212 | 0.000 | -0.000 | 0.000 |
| 0.041 | 0.042 | -0.205 | -221.038 | -0.000 | 0.000 |
| 0.042 | 0.041 | -0.205 | 0.000 | -221.038 | 0.000 |
| -0.285 | -0.285 | 1.265 | 0.000 | -0.000 | -83.225 |
| 757.742 | 11.853 | 11.853 | -0.000 | -0.000 | 0.000 |
| 11.853 | 757.742 | 11.853 | 0.000 | -0.000 | 0.000 |
| 11.853 | 11.853 | 757.742 | 0.000 | -0.000 | 0.000 |
| 0.000 | 0.000 | 0.000 | -12.708 | -0.000 | -0.000 |
| 0.000 | 0.000 | 0.000 | 0.000 | -12.708 | 0.000 |
| 0.000 | 0.000 | 0.000 | 0.000 | -0.000 | -12.708 |
| 757.742 | 11.853 | 11.853 | -0.000 | -0.000 | 0.000 |
| 11.853 | 757.742 | 11.853 | -0.000 | 0.000 | -0.000 |
| 11.853 | 11.853 | 757.742 | -0.000 | 0.000 | -0.000 |
| -0.000 | -0.000 | -0.000 | -12.708 | -0.000 | -0.000 |
| -0.000 | -0.000 | -0.000 | -0.000 | -12.708 | 0.000 |
| -0.000 | -0.000 | -0.000 | -0.000 | 0.000 | -12.708 |
| 757.743 | 11.853 | 11.853 | 0.000 | -0.000 | 0.000 |
| 11.853 | 757.743 | 11.853 | 0.000 | -0.000 | 0.000 |
| 11.853 | 11.853 | 757.743 | 0.000 | -0.000 | 0.000 |
| -0.000 | 0.000 | 0.000 | -12.708 | -0.000 | -0.000 |
| 0.000 | -0.000 | 0.000 | 0.000 | -12.708 | 0.000 |
| 0.000 | 0.000 | -0.000 | 0.000 | -0.000 | -12.708 |
| 757.741 | 11.853 | 11.853 | -0.000 | 0.000 | -0.000 |
| 11.853 | 757.741 | 11.853 | -0.000 | 0.000 | 0.000 |
| 11.853 | 11.853 | 757.741 | -0.000 | 0.000 | 0.000 |
| 0.000 | -0.000 | -0.000 | -12.708 | 0.000 | -0.000 |
| -0.000 | 0.000 | -0.000 | -0.000 | -12.708 | -0.000 |
| -0.000 | -0.000 | 0.000 | -0.000 | 0.000 | -12.708 |
| 757.753 | 11.854 | 11.854 | 0.000 | -0.000 | 0.000 |
| 11.854 | 757.753 | 11.854 | 0.000 | -0.000 | 0.000 |
| 11.854 | 11.854 | 757.753 | 0.000 | -0.000 | -0.000 |
| -0.000 | 0.001 | 0.001 | -12.708 | -0.000 | 0.000 |
| 0.001 | -0.000 | 0.001 | 0.000 | -12.708 | 0.000 |
| 0.001 | 0.001 | -0.000 | 0.000 | -0.000 | -12.708 |
| 757.732 | 11.851 | 11.851 | -0.000 | 0.000 | 0.000 |
| 11.851 | 757.732 | 11.851 | -0.000 | 0.000 | -0.000 |
| 11.851 | 11.851 | 757.732 | -0.000 | 0.000 | 0.000 |
| 0.000 | -0.001 | -0.001 | -12.708 | 0.000 | 0.000 |
| -0.001 | 0.000 | -0.001 | -0.000 | -12.708 | -0.000 |
| -0.001 | -0.001 | 0.000 | -0.000 | 0.000 | -12.708 |
| 1.013 | 0.027 | 0.027 | -0.000 | -0.000 | -0.000 |
| 0.027 | 1.013 | 0.027 | -0.000 | -0.000 | -0.000 |
| 0.027 | 0.027 | 1.013 | -0.000 | -0.000 | -0.000 |
| 0.000 | 0.000 | 0.000 | -0.024 | 0.000 | 0.000 |
| 0.000 | 0.000 | 0.000 | 0.000 | -0.024 | -0.000 |
| 0.000 | 0.000 | 0.000 | -0.000 | -0.000 | -0.024 |
| 1.014 | 0.027 | 0.027 | 0.000 | 0.000 | 0.000 |
| 0.027 | 1.014 | 0.027 | 0.000 | 0.000 | 0.000 |
| 0.027 | 0.027 | 1.014 | 0.000 | 0.000 | 0.000 |
| -0.000 | -0.000 | -0.000 | -0.024 | -0.000 | -0.000 |
| -0.000 | -0.000 | -0.000 | -0.000 | -0.024 | 0.000 |
| -0.000 | -0.000 | -0.000 | 0.000 | 0.000 | -0.024 |
| 1.013 | 0.027 | 0.027 | -0.000 | -0.000 | -0.000 |
| 0.027 | 1.013 | 0.027 | -0.000 | -0.000 | -0.000 |
| 0.027 | 0.027 | 1.013 | -0.000 | -0.000 | -0.000 |
| 0.000 | 0.000 | -0.000 | -0.024 | 0.000 | 0.000 |
| 0.000 | 0.000 | -0.000 | 0.000 | -0.024 | -0.000 |
| 0.000 | -0.000 | 0.000 | -0.000 | -0.000 | -0.024 |
| 1.014 | 0.027 | 0.027 | 0.000 | 0.000 | 0.000 |
| 0.027 | 1.014 | 0.027 | 0.000 | 0.000 | 0.000 |
| 0.027 | 0.027 | 1.014 | 0.000 | 0.000 | 0.000 |
| -0.000 | -0.000 | 0.000 | -0.024 | -0.000 | -0.000 |
| -0.000 | -0.000 | 0.000 | -0.000 | -0.024 | 0.000 |
| -0.000 | 0.000 | -0.000 | -0.000 | 0.000 | -0.024 |
| 1.007 | 0.027 | 0.027 | -0.000 | -0.000 | -0.000 |
| 0.027 | 1.007 | 0.027 | -0.000 | -0.000 | 0.000 |
| 0.027 | 0.027 | 1.007 | 0.000 | 0.000 | -0.000 |
| -0.000 | 0.000 | -0.000 | -0.024 | 0.000 | -0.000 |
| 0.000 | -0.000 | -0.000 | 0.000 | -0.024 | -0.000 |
| 0.000 | -0.000 | -0.000 | -0.000 | -0.000 | -0.024 |
| 1.020 | 0.027 | 0.027 | 0.000 | 0.000 | 0.000 |
| 0.027 | 1.020 | 0.027 | 0.000 | 0.000 | 0.000 |
| 0.027 | 0.027 | 1.020 | 0.000 | 0.000 | 0.000 |
| 0.000 | -0.000 | 0.000 | -0.024 | -0.000 | 0.000 |
| -0.000 | 0.000 | 0.000 | -0.000 | -0.024 | 0.000 |
| -0.000 | 0.000 | 0.000 | 0.000 | 0.000 | -0.024 |
| 61.548 | 148.556 | 148.556 | -0.000 | 0.000 | 0.000 |
| 148.556 | 61.548 | 148.556 | -0.000 | -0.000 | -0.000 |
| 148.556 | 148.556 | 61.548 | 0.000 | -0.000 | 0.000 |
| 0.000 | -0.000 | -0.000 | 69.932 | -0.000 | -0.000 |
| -0.000 | 0.000 | 0.000 | 0.000 | 69.932 | -0.000 |
| -0.000 | -0.000 | -0.000 | 0.000 | -0.000 | 69.932 |
| 61.548 | 148.556 | 148.556 | 0.000 | 0.000 | 0.000 |
| 148.556 | 61.548 | 148.556 | -0.000 | 0.000 | 0.000 |
| 148.556 | 148.556 | 61.548 | -0.000 | 0.000 | -0.000 |
| 0.000 | 0.000 | 0.000 | 69.932 | 0.000 | -0.000 |
| 0.000 | -0.000 | 0.000 | 0.000 | 69.932 | -0.000 |
| 0.000 | 0.000 | 0.000 | 0.000 | 0.000 | 69.932 |
| 61.547 | 148.556 | 148.556 | 0.000 | -0.000 | -0.000 |
| 148.556 | 61.547 | 148.556 | 0.000 | -0.000 | 0.000 |
| 148.556 | 148.556 | 61.547 | 0.000 | -0.000 | -0.000 |
| 0.000 | -0.000 | -0.000 | 69.932 | -0.000 | -0.000 |
| -0.000 | 0.000 | -0.000 | -0.000 | 69.932 | -0.000 |
| -0.000 | -0.000 | 0.000 | 0.000 | -0.000 | 69.932 |
| 61.548 | 148.556 | 148.556 | -0.000 | 0.000 | -0.000 |
| 148.556 | 61.548 | 148.556 | 0.000 | 0.000 | -0.000 |
| 148.556 | 148.556 | 61.548 | -0.000 | -0.000 | 0.000 |
| -0.000 | 0.000 | 0.000 | 69.932 | 0.000 | -0.000 |
| 0.000 | -0.000 | 0.000 | 0.000 | 69.932 | -0.000 |
| 0.000 | 0.000 | -0.000 | 0.000 | 0.000 | 69.932 |
| 61.547 | 148.555 | 148.555 | 0.000 | -0.000 | -0.000 |
| 148.555 | 61.547 | 148.555 | -0.000 | -0.000 | -0.000 |
| 148.555 | 148.555 | 61.547 | -0.000 | -0.000 | -0.000 |
| 0.000 | -0.000 | -0.000 | 69.932 | -0.000 | 0.000 |
| -0.000 | 0.000 | -0.000 | -0.000 | 69.932 | -0.000 |
| -0.000 | -0.000 | 0.000 | -0.000 | -0.000 | 69.932 |
| 61.548 | 148.556 | 148.556 | 0.000 | 0.000 | -0.000 |
| 148.556 | 61.548 | 148.556 | 0.000 | 0.000 | 0.000 |
| 148.556 | 148.556 | 61.548 | 0.000 | 0.000 | 0.000 |
| -0.000 | 0.000 | 0.000 | 69.932 | 0.000 | 0.000 |
| 0.000 | -0.000 | 0.000 | 0.000 | 69.932 | 0.000 |
| 0.000 | 0.000 | -0.000 | -0.000 | 0.000 | 69.932 |
| 126.666 | 24.135 | 24.135 | 0.000 | 0.000 | -0.000 |
| 24.135 | 126.666 | 24.135 | 0.000 | 0.000 | -0.000 |
| 24.135 | 24.135 | 126.666 | -0.000 | 0.000 | -0.000 |
| -0.000 | -0.000 | -0.000 | 25.040 | 0.000 | -0.000 |
| -0.000 | -0.000 | -0.000 | 0.000 | 25.040 | -0.000 |
| -0.000 | -0.000 | -0.000 | 0.000 | 0.000 | 25.040 |
| 126.666 | 24.135 | 24.135 | -0.000 | -0.000 | 0.000 |
| 24.135 | 126.666 | 24.135 | -0.000 | -0.000 | 0.000 |
| 24.135 | 24.135 | 126.666 | -0.000 | -0.000 | -0.000 |
| 0.000 | 0.000 | 0.000 | 25.040 | -0.000 | 0.000 |
| 0.000 | 0.000 | 0.000 | -0.000 | 25.040 | 0.000 |
| 0.000 | 0.000 | 0.000 | -0.000 | -0.000 | 25.040 |
| 126.666 | 24.135 | 24.135 | 0.000 | 0.000 | -0.000 |
| 24.135 | 126.666 | 24.135 | 0.000 | 0.000 | 0.000 |
| 24.135 | 24.135 | 126.666 | 0.000 | 0.000 | -0.000 |
| -0.000 | -0.000 | -0.000 | 25.040 | 0.000 | -0.000 |
| -0.000 | -0.000 | -0.000 | 0.000 | 25.040 | -0.000 |
| -0.000 | -0.000 | -0.000 | 0.000 | 0.000 | 25.040 |
| 126.666 | 24.135 | 24.135 | -0.000 | -0.000 | 0.000 |
| 24.135 | 126.666 | 24.135 | -0.000 | -0.000 | 0.000 |
| 24.135 | 24.135 | 126.666 | 0.000 | -0.000 | -0.000 |
| 0.000 | 0.000 | 0.000 | 25.040 | -0.000 | -0.000 |
| 0.000 | 0.000 | 0.000 | 0.000 | 25.040 | 0.000 |
| 0.000 | 0.000 | 0.000 | -0.000 | -0.000 | 25.040 |
| 126.670 | 24.135 | 24.135 | 0.000 | 0.000 | -0.000 |
| 24.135 | 126.670 | 24.135 | 0.000 | 0.000 | -0.000 |
| 24.135 | 24.135 | 126.670 | -0.000 | 0.000 | -0.000 |
| -0.000 | -0.000 | -0.000 | 25.040 | 0.000 | -0.000 |
| -0.000 | -0.000 | -0.000 | 0.000 | 25.040 | -0.000 |
| -0.000 | -0.000 | -0.000 | 0.000 | 0.000 | 25.040 |
| 126.662 | 24.135 | 24.135 | -0.000 | -0.000 | 0.000 |
| 24.135 | 126.662 | 24.135 | -0.000 | -0.000 | -0.000 |
| 24.135 | 24.135 | 126.662 | -0.000 | -0.000 | 0.000 |
| 0.000 | 0.000 | 0.000 | 25.040 | -0.000 | 0.000 |
| 0.000 | 0.000 | 0.000 | 0.000 | 25.040 | -0.000 |
| 0.000 | 0.000 | 0.000 | -0.000 | -0.000 | 25.040 |
| 0.038 | 0.038 | 0.038 | -0.000 | -0.000 | -0.000 |
| 0.038 | 0.038 | 0.038 | -0.000 | -0.000 | -0.000 |
| 0.038 | 0.038 | 0.038 | 0.000 | 0.000 | 0.000 |
| 0.000 | 0.000 | 0.000 | 0.038 | -0.000 | 0.000 |
| 0.000 | 0.000 | 0.000 | -0.000 | 0.038 | 0.000 |
| 0.000 | 0.000 | 0.000 | -0.000 | 0.000 | 0.038 |
| 0.038 | 0.038 | 0.038 | 0.000 | 0.000 | -0.000 |
| 0.038 | 0.038 | 0.038 | 0.000 | 0.000 | -0.000 |
| 0.038 | 0.038 | 0.038 | -0.000 | -0.000 | -0.000 |
| -0.000 | -0.000 | -0.000 | 0.038 | 0.000 | 0.000 |
| -0.000 | -0.000 | -0.000 | 0.000 | 0.038 | 0.000 |
| -0.000 | -0.000 | -0.000 | -0.000 | 0.000 | 0.038 |
| 0.038 | 0.038 | 0.038 | 0.000 | 0.000 | 0.000 |
| 0.038 | 0.038 | 0.038 | 0.000 | 0.000 | 0.000 |
| 0.038 | 0.038 | 0.038 | 0.000 | 0.000 | 0.000 |
| 0.000 | 0.000 | 0.000 | 0.038 | 0.000 | -0.000 |
| 0.000 | 0.000 | 0.000 | 0.000 | 0.038 | -0.000 |
| 0.000 | 0.000 | 0.000 | 0.000 | -0.000 | 0.038 |
| 0.038 | 0.038 | 0.038 | -0.000 | -0.000 | 0.000 |
| 0.038 | 0.038 | 0.038 | -0.000 | -0.000 | 0.000 |
| 0.038 | 0.038 | 0.038 | 0.000 | 0.000 | -0.000 |
| -0.000 | -0.000 | -0.000 | 0.038 | 0.000 | 0.000 |
| -0.000 | -0.000 | -0.000 | 0.000 | 0.038 | 0.000 |
| -0.000 | -0.000 | -0.000 | -0.000 | -0.000 | 0.038 |
| 0.038 | 0.038 | 0.038 | -0.000 | -0.000 | -0.000 |
| 0.038 | 0.038 | 0.038 | -0.000 | -0.000 | -0.000 |
| 0.038 | 0.038 | 0.038 | 0.000 | 0.000 | -0.000 |
| 0.000 | 0.000 | 0.000 | 0.038 | -0.000 | -0.000 |
| 0.000 | 0.000 | 0.000 | -0.000 | 0.038 | -0.000 |
| 0.000 | 0.000 | 0.000 | -0.000 | -0.000 | 0.038 |
| 0.038 | 0.038 | 0.038 | -0.000 | 0.000 | 0.000 |
| 0.038 | 0.038 | 0.038 | 0.000 | -0.000 | 0.000 |
| 0.038 | 0.038 | 0.038 | 0.000 | 0.000 | -0.000 |
| -0.000 | -0.000 | -0.000 | 0.038 | 0.000 | 0.000 |
| -0.000 | -0.000 | -0.000 | 0.000 | 0.038 | 0.000 |
| -0.000 | -0.000 | -0.000 | 0.000 | 0.000 | 0.038 |
| 0.027 | 0.027 | 0.027 | -0.000 | 0.000 | 0.000 |
| 0.027 | 0.027 | 0.027 | 0.000 | -0.000 | 0.000 |
| 0.027 | 0.027 | 0.027 | 0.000 | 0.000 | -0.000 |
| 0.000 | 0.000 | 0.000 | 0.027 | -0.000 | 0.000 |
| 0.000 | 0.000 | 0.000 | -0.000 | 0.027 | 0.000 |
| 0.000 | 0.000 | 0.000 | -0.000 | 0.000 | 0.027 |
| 0.027 | 0.027 | 0.027 | -0.000 | 0.000 | 0.000 |
| 0.027 | 0.027 | 0.027 | 0.000 | -0.000 | 0.000 |
| 0.027 | 0.027 | 0.027 | 0.000 | 0.000 | -0.000 |
| -0.000 | -0.000 | -0.000 | 0.027 | 0.000 | -0.000 |
| -0.000 | -0.000 | -0.000 | 0.000 | 0.027 | -0.000 |
| -0.000 | -0.000 | -0.000 | 0.000 | 0.000 | 0.027 |
| 0.027 | 0.027 | 0.027 | -0.000 | -0.000 | 0.000 |
| 0.027 | 0.027 | 0.027 | -0.000 | -0.000 | 0.000 |
| 0.027 | 0.027 | 0.027 | 0.000 | 0.000 | -0.000 |
| 0.000 | 0.000 | 0.000 | 0.027 | 0.000 | 0.000 |
| 0.000 | 0.000 | 0.000 | 0.000 | 0.027 | 0.000 |
| 0.000 | 0.000 | 0.000 | 0.000 | 0.000 | 0.027 |
| 0.027 | 0.027 | 0.027 | -0.000 | -0.000 | -0.000 |
| 0.027 | 0.027 | 0.027 | -0.000 | -0.000 | -0.000 |
| 0.027 | 0.027 | 0.027 | -0.000 | -0.000 | -0.000 |
| -0.000 | -0.000 | -0.000 | 0.027 | -0.000 | -0.000 |
| -0.000 | -0.000 | -0.000 | -0.000 | 0.027 | -0.000 |
| -0.000 | -0.000 | -0.000 | -0.000 | 0.000 | 0.027 |
| 0.027 | 0.027 | 0.027 | 0.000 | 0.000 | 0.000 |
| 0.027 | 0.027 | 0.027 | 0.000 | 0.000 | 0.000 |
| 0.027 | 0.027 | 0.027 | 0.000 | 0.000 | 0.000 |
| 0.000 | 0.000 | 0.000 | 0.027 | 0.000 | 0.000 |
| 0.000 | 0.000 | 0.000 | 0.000 | 0.027 | 0.000 |
| 0.000 | 0.000 | 0.000 | 0.000 | 0.000 | 0.027 |
| 0.027 | 0.027 | 0.027 | -0.000 | 0.000 | -0.000 |
| 0.027 | 0.027 | 0.027 | 0.000 | -0.000 | -0.000 |
| 0.027 | 0.027 | 0.027 | 0.000 | 0.000 | -0.000 |
| -0.000 | -0.000 | -0.000 | 0.027 | 0.000 | -0.000 |
| -0.000 | -0.000 | -0.000 | 0.000 | 0.027 | -0.000 |
| -0.000 | -0.000 | -0.000 | -0.000 | -0.000 | 0.027 |
| 0.563 | 0.645 | 0.645 | 0.000 | 0.000 | -0.000 |
| 0.645 | 0.563 | 0.645 | 0.000 | 0.000 | 0.000 |
| 0.645 | 0.645 | 0.563 | -0.000 | -0.000 | 0.000 |
| -0.000 | -0.000 | -0.000 | 0.555 | -0.000 | 0.000 |
| -0.000 | -0.000 | -0.000 | 0.000 | 0.555 | 0.000 |
| -0.000 | -0.000 | -0.000 | 0.000 | -0.000 | 0.555 |
| 0.563 | 0.646 | 0.646 | -0.000 | -0.000 | 0.000 |
| 0.646 | 0.563 | 0.646 | -0.000 | -0.000 | -0.000 |
| 0.646 | 0.646 | 0.563 | 0.000 | 0.000 | -0.000 |
| 0.000 | 0.000 | 0.000 | 0.555 | 0.000 | 0.000 |
| 0.000 | 0.000 | 0.000 | 0.000 | 0.555 | -0.000 |
| 0.000 | 0.000 | 0.000 | -0.000 | 0.000 | 0.555 |
| 0.563 | 0.645 | 0.645 | 0.000 | 0.000 | 0.000 |
| 0.645 | 0.563 | 0.645 | 0.000 | 0.000 | 0.000 |
| 0.645 | 0.645 | 0.563 | 0.000 | -0.000 | 0.000 |
| -0.000 | -0.000 | -0.000 | 0.555 | -0.000 | 0.000 |
| -0.000 | -0.000 | -0.000 | -0.000 | 0.555 | 0.000 |
| -0.000 | -0.000 | -0.000 | 0.000 | -0.000 | 0.555 |
| 0.563 | 0.646 | 0.646 | -0.000 | 0.000 | 0.000 |
| 0.646 | 0.563 | 0.646 | -0.000 | 0.000 | -0.000 |
| 0.646 | 0.646 | 0.563 | 0.000 | 0.000 | -0.000 |
| 0.000 | 0.000 | 0.000 | 0.555 | 0.000 | 0.000 |
| 0.000 | 0.000 | 0.000 | 0.000 | 0.555 | -0.000 |
| 0.000 | 0.000 | 0.000 | -0.000 | 0.000 | 0.555 |
| 0.562 | 0.644 | 0.644 | -0.000 | -0.000 | 0.000 |
| 0.644 | 0.562 | 0.644 | -0.000 | -0.000 | 0.000 |
| 0.644 | 0.644 | 0.562 | 0.000 | 0.000 | 0.000 |
| -0.001 | -0.001 | -0.001 | 0.555 | -0.000 | -0.000 |
| -0.001 | -0.001 | -0.001 | -0.000 | 0.555 | 0.000 |
| -0.001 | -0.001 | -0.001 | -0.000 | -0.000 | 0.555 |
| 0.565 | 0.647 | 0.647 | 0.000 | 0.000 | 0.000 |
| 0.647 | 0.565 | 0.647 | 0.000 | 0.000 | -0.000 |
| 0.647 | 0.647 | 0.565 | 0.000 | 0.000 | 0.000 |
| 0.001 | 0.001 | 0.001 | 0.555 | 0.000 | -0.000 |
| 0.001 | 0.001 | 0.001 | -0.000 | 0.555 | -0.000 |
| 0.001 | 0.001 | 0.001 | -0.000 | 0.000 | 0.555 |
| 57.139 | 81.820 | 81.820 | -0.000 | -0.000 | -0.000 |
| 81.820 | 57.139 | 81.820 | -0.000 | 0.000 | -0.000 |
| 81.820 | 81.820 | 57.139 | -0.000 | 0.000 | -0.000 |
| -1308158.276 | -15117427.174 | -15117426.863 | 15535406.475 | -0.000 | -0.000 |
| -15117427.174 | -1308158.276 | -15117426.863 | -0.000 | 15535406.475 | -0.000 |
| -15117427.174 | -15117426.863 | -1308158.276 | -0.000 | -0.000 | 15535406.475 |
| 63222546.042 | 63222577.408 | 63222577.408 | 0.000 | 0.000 | 0.000 |
| 63222577.408 | 63222546.042 | 63222577.408 | 0.000 | -0.000 | 0.000 |
| 63222577.408 | 63222577.408 | 63222546.042 | 0.000 | 0.000 | 0.000 |
| 1308158.276 | 15117427.174 | 15117426.863 | 15535406.475 | 0.000 | 0.000 |
| 15117427.174 | 1308158.276 | 15117426.863 | 0.000 | 15535406.475 | 0.000 |
| 15117427.174 | 15117426.863 | 1308158.276 | 0.000 | 0.000 | 15535406.475 |
| 57.135 | 81.818 | 81.818 | -0.000 | -0.000 | -0.000 |
| 81.818 | 57.135 | 81.818 | -0.000 | -0.000 | -0.000 |
| 81.818 | 81.818 | 57.135 | -0.000 | -0.000 | -0.000 |
| -130815.210 | -1511738.866 | -1511738.555 | 1553519.954 | 0.000 | -0.000 |
| -1511738.866 | -130815.210 | -1511738.555 | 0.000 | 1553519.954 | -0.000 |
| -1511738.866 | -1511738.555 | -130815.210 | 0.000 | -0.000 | 1553519.954 |
| 6322287.100 | 6322318.466 | 6322318.466 | 0.000 | 0.000 | 0.000 |
| 6322318.466 | 6322287.100 | 6322318.466 | 0.000 | 0.000 | 0.000 |
| 6322318.466 | 6322318.466 | 6322287.100 | 0.000 | 0.000 | 0.000 |
| 130815.210 | 1511738.866 | 1511738.555 | 1553519.954 | 0.000 | 0.000 |
| 1511738.866 | 130815.210 | 1511738.555 | 0.000 | 1553519.954 | 0.000 |
| 1511738.866 | 1511738.555 | 130815.210 | 0.000 | 0.000 | 1553519.954 |
| 57.098 | 81.798 | 81.798 | -0.000 | -0.000 | -0.000 |
| 81.798 | 57.098 | 81.798 | -0.000 | -0.000 | -0.000 |
| 81.798 | 81.798 | 57.098 | -0.000 | -0.000 | -0.000 |
| -13080.904 | -151170.042 | -151169.731 | 155331.339 | 0.000 | -0.000 |
| -151170.042 | -13080.904 | -151169.731 | -0.000 | 155331.339 | -0.000 |
| -151170.042 | -151169.731 | -13080.904 | -0.000 | -0.000 | 155331.339 |
| 632261.207 | 632292.572 | 632292.572 | 0.000 | 0.000 | 0.000 |
| 632292.572 | 632261.207 | 632292.572 | 0.000 | 0.000 | 0.000 |
| 632292.572 | 632292.572 | 632261.207 | 0.000 | 0.000 | 0.000 |
| 13080.904 | 151170.042 | 151169.731 | 155331.339 | -0.000 | 0.000 |
| 151170.042 | 13080.904 | 151169.731 | 0.000 | 155331.339 | 0.000 |
| 151170.042 | 151169.731 | 13080.904 | 0.000 | 0.000 | 155331.339 |
| 36.359 | 67.098 | 67.098 | 0.000 | 0.000 | 0.000 |
| 67.098 | 36.359 | 67.098 | 0.000 | 0.000 | 0.000 |
| 67.098 | 67.098 | 36.359 | 0.000 | 0.000 | 0.000 |
| -0.000 | -0.000 | 0.000 | -37.514 | 0.000 | 0.000 |
| -0.000 | 0.000 | -0.000 | 0.000 | -37.514 | 0.000 |
| -0.000 | -0.000 | 0.000 | 0.000 | 0.000 | -37.514 |
| 36.359 | 67.098 | 67.098 | -0.000 | -0.000 | -0.000 |
| 67.098 | 36.359 | 67.098 | -0.000 | -0.000 | -0.000 |
| 67.098 | 67.098 | 36.359 | -0.000 | -0.000 | 0.000 |
| 0.000 | 0.000 | 0.000 | -37.514 | -0.000 | 0.000 |
| 0.000 | 0.000 | -0.000 | -0.000 | -37.514 | -0.000 |
| 0.000 | 0.000 | -0.000 | -0.000 | -0.000 | -37.514 |
| 36.359 | 67.098 | 67.098 | 0.000 | 0.000 | 0.000 |
| 67.098 | 36.359 | 67.098 | 0.000 | 0.000 | 0.000 |
| 67.098 | 67.098 | 36.359 | 0.000 | 0.000 | 0.000 |
| 0.000 | -0.000 | -0.000 | -37.514 | 0.000 | 0.000 |
| -0.000 | 0.000 | -0.000 | 0.000 | -37.514 | 0.000 |
| -0.000 | -0.000 | 0.000 | 0.000 | 0.000 | -37.514 |
| 36.359 | 67.098 | 67.098 | -0.000 | -0.000 | -0.000 |
| 67.098 | 36.359 | 67.098 | -0.000 | -0.000 | -0.000 |
| 67.098 | 67.098 | 36.359 | -0.000 | -0.000 | -0.000 |
| -0.000 | 0.000 | 0.000 | -37.514 | -0.000 | -0.000 |
| 0.000 | -0.000 | 0.000 | -0.000 | -37.514 | -0.000 |
| 0.000 | 0.000 | -0.000 | -0.000 | -0.000 | -37.514 |
| 36.359 | 67.098 | 67.098 | 0.000 | 0.000 | 0.000 |
| 67.098 | 36.359 | 67.098 | 0.000 | 0.000 | 0.000 |
| 67.098 | 67.098 | 36.359 | 0.000 | 0.000 | 0.000 |
| 0.000 | -0.000 | -0.000 | -37.514 | 0.000 | 0.000 |
| -0.000 | 0.000 | -0.000 | 0.000 | -37.514 | 0.000 |
| -0.000 | -0.000 | 0.000 | 0.000 | 0.000 | -37.514 |
| 36.359 | 67.097 | 67.097 | -0.000 | -0.000 | -0.000 |
| 67.097 | 36.359 | 67.097 | -0.000 | -0.000 | -0.000 |
| 67.097 | 67.097 | 36.359 | -0.000 | -0.000 | -0.000 |
| -0.000 | 0.000 | 0.000 | -37.514 | -0.000 | -0.000 |
| 0.000 | -0.000 | 0.000 | -0.000 | -37.514 | -0.000 |
| 0.000 | 0.000 | -0.000 | -0.000 | -0.000 | -37.514 |
| 0.010 | 0.010 | 0.010 | -0.000 | 0.000 | -0.000 |
| 0.010 | 0.010 | 0.010 | 0.000 | -0.000 | -0.000 |
| 0.010 | 0.010 | 0.010 | 0.000 | 0.000 | -0.000 |
| 0.000 | 0.000 | 0.000 | 0.009 | -0.000 | -0.000 |
| 0.000 | 0.000 | 0.000 | -0.000 | 0.009 | -0.000 |
| 0.000 | 0.000 | 0.000 | -0.000 | 0.000 | 0.009 |
| 0.010 | 0.010 | 0.010 | -0.000 | 0.000 | 0.000 |
| 0.010 | 0.010 | 0.010 | 0.000 | -0.000 | 0.000 |
| 0.010 | 0.010 | 0.010 | 0.000 | 0.000 | -0.000 |
| -0.000 | -0.000 | -0.000 | 0.009 | 0.000 | -0.000 |
| -0.000 | -0.000 | -0.000 | 0.000 | 0.009 | -0.000 |
| -0.000 | -0.000 | -0.000 | 0.000 | -0.000 | 0.009 |
| 0.010 | 0.010 | 0.010 | 0.000 | 0.000 | -0.000 |
| 0.010 | 0.010 | 0.010 | 0.000 | 0.000 | -0.000 |
| 0.010 | 0.010 | 0.010 | -0.000 | -0.000 | 0.000 |
| 0.000 | 0.000 | 0.000 | 0.009 | -0.000 | 0.000 |
| 0.000 | 0.000 | 0.000 | -0.000 | 0.009 | 0.000 |
| 0.000 | 0.000 | 0.000 | -0.000 | 0.000 | 0.009 |
| 0.010 | 0.010 | 0.010 | -0.000 | 0.000 | 0.000 |
| 0.010 | 0.010 | 0.010 | 0.000 | -0.000 | 0.000 |
| 0.010 | 0.010 | 0.010 | 0.000 | 0.000 | -0.000 |
| -0.000 | -0.000 | -0.000 | 0.009 | 0.000 | 0.000 |
| -0.000 | -0.000 | -0.000 | 0.000 | 0.009 | 0.000 |
| -0.000 | -0.000 | -0.000 | 0.000 | 0.000 | 0.009 |
| 0.010 | 0.010 | 0.010 | 0.000 | 0.000 | 0.000 |
| 0.010 | 0.010 | 0.010 | 0.000 | 0.000 | 0.000 |
| 0.010 | 0.010 | 0.010 | 0.000 | 0.000 | 0.000 |
| 0.000 | 0.000 | 0.000 | 0.009 | -0.000 | -0.000 |
| 0.000 | 0.000 | 0.000 | -0.000 | 0.009 | -0.000 |
| 0.000 | 0.000 | 0.000 | -0.000 | 0.000 | 0.009 |
| 0.010 | 0.010 | 0.010 | 0.000 | 0.000 | 0.000 |
| 0.010 | 0.010 | 0.010 | 0.000 | 0.000 | 0.000 |
| 0.010 | 0.010 | 0.010 | 0.000 | 0.000 | 0.000 |
| -0.000 | -0.000 | -0.000 | 0.009 | -0.000 | 0.000 |
| -0.000 | -0.000 | -0.000 | -0.000 | 0.009 | 0.000 |
| -0.000 | -0.000 | -0.000 | -0.000 | 0.000 | 0.009 |
| 0.140 | 0.160 | 0.160 | -0.000 | 0.000 | -0.000 |
| 0.160 | 0.140 | 0.160 | 0.000 | 0.000 | -0.000 |
| 0.160 | 0.160 | 0.140 | 0.000 | 0.000 | -0.000 |
| -0.000 | -0.000 | -0.000 | 0.139 | 0.000 | -0.000 |
| -0.000 | -0.000 | -0.000 | -0.000 | 0.124 | -0.000 |
| -0.000 | -0.000 | -0.000 | 0.000 | 0.000 | 0.124 |
| 0.140 | 0.160 | 0.160 | 0.000 | -0.000 | -0.000 |
| 0.160 | 0.140 | 0.160 | -0.000 | 0.000 | 0.000 |
| 0.160 | 0.160 | 0.140 | -0.000 | -0.000 | 0.000 |
| 0.000 | 0.000 | 0.000 | 0.124 | -0.000 | 0.000 |
| 0.000 | 0.000 | 0.000 | -0.000 | 0.124 | 0.000 |
| 0.000 | 0.000 | 0.000 | -0.000 | -0.000 | 0.124 |
| 0.140 | 0.160 | 0.160 | -0.000 | 0.000 | 0.000 |
| 0.160 | 0.140 | 0.160 | -0.000 | -0.000 | 0.000 |
| 0.160 | 0.160 | 0.140 | 0.000 | 0.000 | -0.000 |
| -0.000 | -0.000 | -0.000 | 0.075 | 0.000 | -0.000 |
| -0.000 | -0.000 | -0.000 | 0.000 | 0.075 | 0.000 |
| -0.000 | -0.000 | -0.000 | 0.000 | 0.000 | 0.075 |
| 0.140 | 0.160 | 0.160 | 0.000 | -0.000 | 0.000 |
| 0.160 | 0.140 | 0.160 | -0.000 | 0.000 | 0.000 |
| 0.160 | 0.160 | 0.140 | -0.000 | -0.000 | 0.000 |
| 0.000 | 0.000 | 0.000 | 0.075 | -0.000 | 0.000 |
| 0.000 | 0.000 | 0.000 | -0.000 | 0.075 | -0.000 |
| 0.000 | 0.000 | 0.000 | -0.000 | -0.000 | 0.075 |
| 0.139 | 0.160 | 0.160 | 0.000 | 0.000 | 0.000 |
| 0.160 | 0.139 | 0.160 | 0.000 | 0.000 | 0.000 |
| 0.160 | 0.160 | 0.139 | -0.000 | -0.000 | 0.000 |
| -0.000 | -0.000 | -0.000 | -0.012 | 0.000 | -0.000 |
| -0.000 | -0.000 | -0.000 | 0.000 | -0.012 | -0.000 |
| -0.000 | -0.000 | -0.000 | 0.000 | 0.000 | -0.012 |
| 0.140 | 0.161 | 0.161 | -0.000 | -0.000 | 0.000 |
| 0.161 | 0.140 | 0.161 | -0.000 | -0.000 | 0.000 |
| 0.161 | 0.161 | 0.140 | -0.000 | -0.000 | -0.000 |
| 0.000 | 0.000 | 0.000 | -0.012 | -0.000 | 0.000 |
| 0.000 | 0.000 | 0.000 | -0.000 | -0.012 | 0.000 |
| 0.000 | 0.000 | 0.000 | -0.000 | -0.000 | -0.012 |
| 373.203 | 111.185 | 193.219 | 0.000 | -0.000 | 0.000 |
| 111.185 | 373.203 | 193.219 | 0.000 | -0.000 | 0.000 |
| 193.219 | 193.219 | 220.039 | -0.000 | -0.000 | 0.000 |
| 0.000 | 0.000 | 0.000 | 166.743 | 0.000 | -0.000 |
| 0.000 | 0.000 | 0.000 | -0.000 | 166.743 | 0.000 |
| 0.000 | -0.000 | 0.000 | -0.000 | -0.000 | 82.019 |
| 373.203 | 111.185 | 193.219 | -0.000 | -0.000 | -0.000 |
| 111.185 | 373.203 | 193.219 | -0.000 | 0.000 | -0.000 |
| 193.219 | 193.219 | 220.039 | -0.000 | 0.000 | -0.000 |
| -0.000 | -0.000 | -0.000 | 166.743 | -0.000 | -0.000 |
| -0.000 | -0.000 | -0.000 | -0.000 | 166.743 | -0.000 |
| 0.000 | -0.000 | -0.000 | -0.000 | 0.000 | 82.019 |
| 373.203 | 111.185 | 193.219 | 0.000 | 0.000 | 0.000 |
| 111.185 | 373.203 | 193.219 | 0.000 | -0.000 | 0.000 |
| 193.219 | 193.219 | 220.040 | -0.000 | -0.000 | 0.000 |
| 0.000 | 0.000 | 0.000 | 166.743 | 0.000 | 0.000 |
| 0.000 | 0.000 | 0.000 | 0.000 | 166.743 | 0.000 |
| 0.000 | 0.000 | 0.000 | -0.000 | 0.000 | 82.019 |
| 373.203 | 111.185 | 193.219 | -0.000 | 0.000 | -0.000 |
| 111.185 | 373.203 | 193.219 | 0.000 | -0.000 | -0.000 |
| 193.219 | 193.219 | 220.038 | 0.000 | -0.000 | -0.000 |
| -0.000 | -0.000 | -0.000 | 166.743 | -0.000 | 0.000 |
| -0.000 | -0.000 | -0.000 | 0.000 | 166.743 | -0.000 |
| -0.000 | -0.000 | -0.000 | 0.000 | 0.000 | 82.019 |
| 373.205 | 111.185 | 193.220 | -0.000 | -0.000 | 0.000 |
| 111.185 | 373.205 | 193.220 | -0.000 | -0.000 | 0.000 |
| 193.220 | 193.220 | 220.046 | 0.000 | -0.000 | 0.000 |
| 0.001 | 0.000 | 0.002 | 166.743 | -0.000 | 0.000 |
| 0.000 | 0.001 | 0.002 | 0.000 | 166.743 | 0.000 |
| 0.000 | 0.000 | 0.001 | -0.000 | 0.000 | 82.019 |
| 373.202 | 111.184 | 193.218 | 0.000 | 0.000 | -0.000 |
| 111.184 | 373.202 | 193.218 | 0.000 | 0.000 | -0.000 |
| 193.218 | 193.218 | 220.032 | -0.000 | 0.000 | -0.000 |
| -0.001 | -0.000 | -0.002 | 166.743 | 0.000 | -0.000 |
| -0.000 | -0.001 | -0.002 | -0.000 | 166.743 | -0.000 |
| -0.000 | -0.000 | -0.001 | 0.000 | 0.000 | 82.019 |
| 141.224 | 16.668 | 20.025 | 0.000 | 0.000 | -0.000 |
| 16.668 | 141.224 | 20.025 | 0.000 | 0.000 | -0.000 |
| 20.025 | 20.025 | 40.079 | 0.000 | 0.000 | -0.000 |
| 0.000 | 0.000 | 0.000 | 20.996 | 0.000 | -0.000 |
| 0.000 | 0.000 | 0.000 | 0.000 | 20.996 | -0.000 |
| 0.000 | 0.000 | 0.000 | 0.000 | 0.000 | 17.235 |
| 141.224 | 16.668 | 20.025 | -0.000 | -0.000 | 0.000 |
| 16.668 | 141.224 | 20.025 | -0.000 | -0.000 | 0.000 |
| 20.025 | 20.025 | 40.079 | -0.000 | -0.000 | 0.000 |
| -0.000 | -0.000 | -0.000 | 20.996 | -0.000 | 0.000 |
| -0.000 | -0.000 | -0.000 | -0.000 | 20.996 | 0.000 |
| -0.000 | -0.000 | -0.000 | -0.000 | -0.000 | 17.235 |
| 141.225 | 16.668 | 20.025 | 0.000 | -0.000 | -0.000 |
| 16.668 | 141.225 | 20.025 | -0.000 | 0.000 | -0.000 |
| 20.025 | 20.025 | 40.079 | 0.000 | 0.000 | -0.000 |
| 0.000 | 0.000 | 0.000 | 20.996 | 0.000 | -0.000 |
| 0.000 | 0.000 | 0.000 | 0.000 | 20.996 | 0.000 |
| 0.000 | 0.000 | 0.000 | 0.000 | 0.000 | 17.235 |
| 141.224 | 16.668 | 20.025 | -0.000 | -0.000 | 0.000 |
| 16.668 | 141.224 | 20.025 | -0.000 | -0.000 | 0.000 |
| 20.025 | 20.025 | 40.079 | -0.000 | -0.000 | 0.000 |
| -0.000 | -0.000 | -0.000 | 20.996 | -0.000 | 0.000 |
| -0.000 | -0.000 | -0.000 | -0.000 | 20.996 | 0.000 |
| -0.000 | -0.000 | -0.000 | -0.000 | -0.000 | 17.235 |
| 141.229 | 16.668 | 20.025 | 0.000 | 0.000 | -0.000 |
| 16.668 | 141.229 | 20.025 | 0.000 | 0.000 | -0.000 |
| 20.025 | 20.025 | 40.077 | 0.000 | 0.000 | -0.000 |
| 0.000 | 0.000 | 0.000 | 20.996 | 0.000 | -0.000 |
| 0.000 | 0.000 | 0.000 | 0.000 | 20.996 | 0.000 |
| 0.000 | 0.000 | 0.000 | 0.000 | 0.000 | 17.235 |
| 141.219 | 16.668 | 20.024 | -0.000 | 0.000 | 0.000 |
| 16.668 | 141.219 | 20.024 | 0.000 | -0.000 | 0.000 |
| 20.024 | 20.024 | 40.081 | -0.000 | -0.000 | 0.000 |
| -0.000 | -0.000 | -0.000 | 20.996 | -0.000 | 0.000 |
| -0.000 | -0.000 | -0.000 | -0.000 | 20.996 | 0.000 |
| -0.000 | -0.000 | -0.000 | -0.000 | -0.000 | 17.235 |
| 0.669 | -0.000 | 0.000 | 0.000 | 0.000 | 0.000 |
| -0.000 | 0.669 | 0.000 | 0.000 | 0.000 | 0.000 |
| 0.000 | 0.000 | 0.000 | 0.000 | 0.000 | 0.000 |
| 0.000 | -0.000 | 0.000 | 0.000 | 0.000 | 0.000 |
| -0.000 | 0.000 | 0.000 | 0.000 | 0.000 | 0.000 |
| 0.000 | 0.000 | 0.000 | 0.000 | 0.000 | 0.000 |
| 0.669 | -0.000 | -0.000 | -0.000 | -0.000 | -0.000 |
| -0.000 | 0.669 | -0.000 | -0.000 | -0.000 | -0.000 |
| -0.000 | -0.000 | -0.000 | -0.000 | -0.000 | -0.000 |
| -0.000 | 0.000 | -0.000 | -0.000 | -0.000 | -0.000 |
| 0.000 | -0.000 | -0.000 | -0.000 | -0.000 | -0.000 |
| -0.000 | -0.000 | -0.000 | -0.000 | -0.000 | -0.000 |
| 0.669 | -0.000 | 0.000 | 0.000 | 0.000 | 0.000 |
| -0.000 | 0.669 | 0.000 | 0.000 | 0.000 | 0.000 |
| 0.000 | 0.000 | 0.000 | 0.000 | 0.000 | 0.000 |
| 0.000 | -0.000 | 0.000 | 0.000 | 0.000 | 0.000 |
| 0.000 | 0.000 | 0.000 | 0.000 | 0.000 | 0.000 |
| -0.000 | -0.000 | 0.000 | 0.000 | 0.000 | 0.000 |
| 0.669 | -0.000 | -0.000 | -0.000 | -0.000 | -0.000 |
| -0.000 | 0.669 | -0.000 | -0.000 | -0.000 | -0.000 |
| -0.000 | -0.000 | -0.000 | -0.000 | -0.000 | -0.000 |
| -0.000 | -0.000 | -0.000 | -0.000 | -0.000 | -0.000 |
| -0.000 | -0.000 | -0.000 | -0.000 | -0.000 | -0.000 |
| -0.000 | 0.000 | -0.000 | -0.000 | -0.000 | -0.000 |
| 0.669 | -0.000 | 0.000 | 0.000 | 0.000 | 0.000 |
| -0.000 | 0.669 | 0.000 | 0.000 | 0.000 | 0.000 |
| 0.000 | 0.000 | 0.000 | 0.000 | 0.000 | 0.000 |
| 0.000 | -0.000 | 0.000 | 0.000 | 0.000 | 0.000 |
| -0.000 | 0.000 | 0.000 | 0.000 | 0.000 | 0.000 |
| 0.000 | -0.000 | 0.000 | 0.000 | 0.000 | 0.000 |
| 0.663 | -0.000 | -0.000 | -0.000 | -0.000 | -0.000 |
| -0.000 | 0.663 | -0.000 | -0.000 | -0.000 | -0.000 |
| -0.000 | -0.000 | -0.000 | -0.000 | -0.000 | -0.000 |
| -0.000 | 0.000 | -0.000 | -0.000 | -0.000 | -0.000 |
| 0.000 | -0.000 | -0.000 | -0.000 | -0.000 | -0.000 |
| -0.000 | 0.000 | -0.000 | -0.000 | -0.000 | -0.000 |
| -0.085 | 0.017 | 0.033 | 0.000 | -0.000 | -0.000 |
| 0.017 | -0.085 | 0.033 | -0.000 | 0.000 | -0.000 |
| 0.033 | 0.033 | 0.067 | -0.000 | -0.000 | -0.000 |
| 0.000 | 0.000 | 0.000 | 0.033 | 0.000 | -0.000 |
| 0.000 | 0.000 | 0.000 | 0.000 | 0.033 | -0.000 |
| 0.000 | 0.000 | 0.000 | 0.000 | 0.000 | 0.017 |
| -0.085 | 0.017 | 0.033 | -0.000 | -0.000 | 0.000 |
| 0.017 | -0.085 | 0.033 | -0.000 | -0.000 | 0.000 |
| 0.033 | 0.033 | 0.067 | -0.000 | -0.000 | 0.000 |
| -0.000 | -0.000 | -0.000 | 0.033 | -0.000 | 0.000 |
| -0.000 | -0.000 | -0.000 | -0.000 | 0.033 | 0.000 |
| -0.000 | -0.000 | -0.000 | -0.000 | -0.000 | 0.017 |
| -0.085 | 0.017 | 0.033 | 0.000 | 0.000 | -0.000 |
| 0.017 | -0.085 | 0.033 | 0.000 | 0.000 | -0.000 |
| 0.033 | 0.033 | 0.067 | 0.000 | 0.000 | -0.000 |
| 0.000 | 0.000 | 0.000 | 0.033 | -0.000 | -0.000 |
| 0.000 | 0.000 | 0.000 | -0.000 | 0.033 | -0.000 |
| 0.000 | 0.000 | 0.000 | 0.000 | 0.000 | 0.017 |
| -0.085 | 0.017 | 0.033 | -0.000 | -0.000 | 0.000 |
| 0.017 | -0.085 | 0.033 | -0.000 | -0.000 | 0.000 |
| 0.033 | 0.033 | 0.067 | 0.000 | 0.000 | 0.000 |
| -0.000 | -0.000 | -0.000 | 0.033 | 0.000 | 0.000 |
| -0.000 | -0.000 | -0.000 | 0.000 | 0.033 | 0.000 |
| -0.000 | -0.000 | -0.000 | -0.000 | 0.000 | 0.017 |
| -0.085 | 0.017 | 0.034 | 0.000 | -0.000 | 0.000 |
| 0.017 | -0.085 | 0.034 | -0.000 | 0.000 | 0.000 |
| 0.034 | 0.034 | 0.067 | 0.000 | 0.000 | -0.000 |
| 0.000 | 0.000 | 0.000 | 0.033 | 0.000 | -0.000 |
| 0.000 | 0.000 | 0.000 | 0.000 | 0.033 | -0.000 |
| 0.000 | 0.000 | 0.000 | -0.000 | 0.000 | 0.017 |
| -0.085 | 0.017 | 0.033 | -0.000 | 0.000 | 0.000 |
| 0.017 | -0.085 | 0.033 | 0.000 | -0.000 | 0.000 |
| 0.033 | 0.033 | 0.067 | -0.000 | -0.000 | 0.000 |
| -0.000 | -0.000 | -0.000 | 0.033 | -0.000 | 0.000 |
| -0.000 | -0.000 | -0.000 | -0.000 | 0.033 | 0.000 |
| -0.000 | -0.000 | -0.000 | -0.000 | 0.000 | 0.017 |
| 0.101 | 0.023 | 0.047 | -0.000 | -0.000 | 0.000 |
| 0.023 | 0.101 | 0.047 | -0.000 | -0.000 | 0.000 |
| 0.047 | 0.047 | 0.093 | 0.000 | 0.000 | 0.000 |
| 0.000 | 0.000 | 0.000 | 0.047 | -0.000 | 0.000 |
| 0.000 | 0.000 | 0.000 | -0.000 | 0.047 | 0.000 |
| 0.000 | 0.000 | 0.000 | -0.000 | -0.000 | 0.023 |
| 0.101 | 0.023 | 0.047 | 0.000 | 0.000 | -0.000 |
| 0.023 | 0.101 | 0.047 | 0.000 | 0.000 | -0.000 |
| 0.047 | 0.047 | 0.093 | 0.000 | 0.000 | -0.000 |
| -0.000 | -0.000 | -0.000 | 0.047 | -0.000 | -0.000 |
| -0.000 | -0.000 | -0.000 | -0.000 | 0.047 | -0.000 |
| -0.000 | -0.000 | -0.000 | 0.000 | 0.000 | 0.023 |
| 0.101 | 0.023 | 0.047 | -0.000 | -0.000 | 0.000 |
| 0.023 | 0.101 | 0.047 | -0.000 | -0.000 | 0.000 |
| 0.047 | 0.047 | 0.093 | -0.000 | -0.000 | 0.000 |
| 0.000 | 0.000 | 0.000 | 0.047 | -0.000 | 0.000 |
| 0.000 | 0.000 | 0.000 | -0.000 | 0.047 | 0.000 |
| 0.000 | 0.000 | 0.000 | -0.000 | 0.000 | 0.023 |
| 0.101 | 0.023 | 0.047 | 0.000 | 0.000 | -0.000 |
| 0.023 | 0.101 | 0.047 | 0.000 | 0.000 | -0.000 |
| 0.047 | 0.047 | 0.093 | -0.000 | -0.000 | -0.000 |
| -0.000 | -0.000 | -0.000 | 0.047 | 0.000 | -0.000 |
| -0.000 | -0.000 | -0.000 | 0.000 | 0.047 | -0.000 |
| -0.000 | -0.000 | -0.000 | 0.000 | 0.000 | 0.023 |
| 0.101 | 0.023 | 0.047 | -0.000 | -0.000 | 0.000 |
| 0.023 | 0.101 | 0.047 | -0.000 | -0.000 | 0.000 |
| 0.047 | 0.047 | 0.093 | 0.000 | 0.000 | 0.000 |
| 0.000 | 0.000 | 0.000 | 0.047 | 0.000 | 0.000 |
| 0.000 | 0.000 | 0.000 | 0.000 | 0.047 | 0.000 |
| 0.000 | 0.000 | 0.000 | -0.000 | -0.000 | 0.023 |
| 0.101 | 0.023 | 0.047 | 0.000 | 0.000 | -0.000 |
| 0.023 | 0.101 | 0.047 | 0.000 | 0.000 | -0.000 |
| 0.046 | 0.046 | 0.092 | 0.000 | 0.000 | -0.000 |
| -0.000 | -0.000 | -0.000 | 0.047 | 0.000 | -0.000 |
| -0.000 | -0.000 | -0.000 | 0.000 | 0.047 | -0.000 |
| -0.000 | -0.000 | -0.000 | 0.000 | 0.000 | 0.023 |
| 0.562 | 0.631 | 1.087 | 0.000 | 0.000 | -0.000 |
| 0.631 | 0.562 | 1.087 | 0.000 | 0.000 | -0.000 |
| 1.062 | 1.062 | 1.707 | -0.000 | 0.000 | -0.000 |
| -0.000 | -0.000 | -0.000 | 0.958 | 0.000 | 0.000 |
| -0.000 | -0.000 | -0.000 | 0.000 | 0.958 | -0.000 |
| -0.000 | -0.000 | -0.000 | 0.000 | 0.000 | 0.556 |
| 0.562 | 0.631 | 1.087 | -0.000 | -0.000 | 0.000 |
| 0.631 | 0.562 | 1.087 | -0.000 | -0.000 | -0.000 |
| 1.062 | 1.062 | 1.707 | -0.000 | -0.000 | 0.000 |
| 0.000 | 0.000 | 0.000 | 0.958 | 0.000 | 0.000 |
| 0.000 | 0.000 | 0.000 | -0.000 | 0.958 | 0.000 |
| 0.000 | 0.000 | 0.000 | 0.000 | -0.000 | 0.556 |
| 0.562 | 0.631 | 1.087 | 0.000 | 0.000 | 0.000 |
| 0.631 | 0.562 | 1.087 | 0.000 | 0.000 | -0.000 |
| 1.061 | 1.061 | 1.707 | -0.000 | 0.000 | -0.000 |
| -0.000 | -0.000 | -0.000 | 0.958 | 0.000 | -0.000 |
| -0.000 | -0.000 | -0.000 | 0.000 | 0.958 | 0.000 |
| -0.000 | -0.000 | -0.000 | 0.000 | 0.000 | 0.556 |
| 0.562 | 0.631 | 1.087 | -0.000 | -0.000 | 0.000 |
| 0.631 | 0.562 | 1.087 | -0.000 | -0.000 | -0.000 |
| 1.062 | 1.062 | 1.708 | -0.000 | -0.000 | 0.000 |
| 0.000 | 0.000 | 0.000 | 0.958 | 0.000 | -0.000 |
| 0.000 | 0.000 | 0.000 | 0.000 | 0.958 | 0.000 |
| 0.000 | 0.000 | 0.000 | -0.000 | -0.000 | 0.556 |
| 0.561 | 0.631 | 1.086 | -0.000 | -0.000 | -0.000 |
| 0.631 | 0.561 | 1.086 | -0.000 | 0.000 | -0.000 |
| 1.060 | 1.060 | 1.704 | -0.000 | -0.000 | -0.000 |
| -0.001 | -0.001 | -0.002 | 0.958 | 0.000 | -0.000 |
| -0.001 | -0.001 | -0.002 | 0.000 | 0.958 | 0.000 |
| -0.001 | -0.001 | -0.001 | -0.000 | 0.000 | 0.556 |
| 0.562 | 0.632 | 1.088 | 0.000 | -0.000 | 0.000 |
| 0.632 | 0.562 | 1.088 | 0.000 | -0.000 | 0.000 |
| 1.064 | 1.064 | 1.711 | 0.000 | 0.000 | 0.000 |
| 0.001 | 0.001 | 0.002 | 0.958 | -0.000 | 0.000 |
| 0.001 | 0.001 | 0.002 | -0.000 | 0.958 | -0.000 |
| 0.001 | 0.001 | 0.001 | 0.000 | 0.000 | 0.556 |
| 159.766 | 174.332 | 174.332 | 0.000 | -0.000 | 0.000 |
| 174.332 | 159.766 | 174.332 | -0.000 | 0.000 | -0.000 |
| 174.332 | 174.332 | 159.766 | -0.000 | -0.000 | 0.000 |
| -4374614.367 | -42702875.818 | -42702874.956 | 43119260.179 | 0.000 | -0.000 |
| -42702875.818 | -4374614.367 | -42702874.956 | -0.000 | 43119260.179 | 0.000 |
| -42702875.818 | -42702874.956 | -4374614.367 | -0.000 | -0.000 | 43119260.179 |
| 179626855.966 | 179626888.455 | 179626888.455 | 0.000 | -0.000 | -0.000 |
| 179626888.455 | 179626855.966 | 179626888.455 | 0.000 | -0.000 | -0.000 |
| 179626888.455 | 179626888.455 | 179626855.966 | 0.000 | -0.000 | -0.000 |
| 4374614.367 | 42702875.818 | 42702874.956 | 43119260.179 | -0.000 | -0.000 |
| 42702875.818 | 4374614.367 | 42702874.956 | 0.000 | 43119260.179 | -0.000 |
| 42702875.818 | 42702874.956 | 4374614.367 | 0.000 | 0.000 | 43119260.179 |
| 159.756 | 174.327 | 174.327 | -0.000 | 0.000 | 0.000 |
| 174.327 | 159.756 | 174.327 | -0.000 | 0.000 | 0.000 |
| 174.327 | 174.327 | 159.756 | -0.000 | 0.000 | 0.000 |
| -437460.002 | -4270277.366 | -4270276.503 | 4311889.286 | 0.000 | 0.000 |
| -4270277.366 | -437460.002 | -4270276.503 | -0.000 | 4311889.286 | 0.000 |
| -4270277.366 | -4270276.503 | -437460.002 | -0.000 | 0.000 | 4311889.286 |
| 17962780.454 | 17962812.942 | 17962812.942 | 0.000 | -0.000 | -0.000 |
| 17962812.942 | 17962780.454 | 17962812.942 | 0.000 | -0.000 | -0.000 |
| 17962812.942 | 17962812.942 | 17962780.454 | 0.000 | 0.000 | -0.000 |
| 437460.002 | 4270277.366 | 4270276.503 | 4311889.286 | -0.000 | -0.000 |
| 4270277.366 | 437460.002 | 4270276.503 | 0.000 | 4311889.286 | -0.000 |
| 4270277.366 | 4270276.503 | 437460.002 | 0.000 | 0.000 | 4311889.286 |
| 159.655 | 174.271 | 174.271 | -0.000 | 0.000 | 0.000 |
| 174.271 | 159.655 | 174.271 | -0.000 | 0.000 | -0.000 |
| 174.271 | 174.271 | 159.655 | -0.000 | 0.000 | 0.000 |
| -43744.567 | -427017.539 | -427016.677 | 431152.278 | 0.000 | 0.000 |
| -427017.539 | -43744.567 | -427016.677 | -0.000 | 431152.278 | -0.000 |
| -427017.539 | -427016.677 | -43744.567 | -0.000 | -0.000 | 431152.278 |
| 1796372.904 | 1796405.391 | 1796405.391 | 0.000 | -0.000 | 0.000 |
| 1796405.391 | 1796372.904 | 1796405.391 | 0.000 | 0.000 | 0.000 |
| 1796405.391 | 1796405.391 | 1796372.904 | 0.000 | -0.000 | 0.000 |
| 43744.567 | 427017.539 | 427016.677 | 431152.278 | -0.000 | -0.000 |
| 427017.539 | 43744.567 | 427016.677 | 0.000 | 431152.278 | -0.000 |
| 427017.539 | 427016.677 | 43744.567 | 0.000 | 0.000 | 431152.278 |
| 102.148 | 127.045 | 127.045 | -0.000 | -0.000 | 0.000 |
| 127.045 | 102.148 | 127.045 | -0.000 | -0.000 | 0.000 |
| 127.045 | 127.045 | 102.148 | -0.000 | -0.000 | 0.000 |
| -0.000 | -0.000 | 0.000 | 103.070 | -0.000 | 0.000 |
| -0.000 | -0.000 | 0.000 | -0.000 | 103.070 | 0.000 |
| -0.000 | -0.000 | 0.000 | -0.000 | -0.000 | 103.070 |
| 102.148 | 127.045 | 127.045 | 0.000 | 0.000 | 0.000 |
| 127.045 | 102.148 | 127.045 | 0.000 | 0.000 | -0.000 |
| 127.045 | 127.045 | 102.148 | 0.000 | 0.000 | 0.000 |
| 0.000 | 0.000 | -0.000 | 103.070 | 0.000 | -0.000 |
| 0.000 | 0.000 | 0.000 | 0.000 | 103.070 | -0.000 |
| 0.000 | 0.000 | -0.000 | 0.000 | 0.000 | 103.070 |
| 102.147 | 127.045 | 127.045 | -0.000 | -0.000 | 0.000 |
| 127.045 | 102.147 | 127.045 | -0.000 | -0.000 | 0.000 |
| 127.045 | 127.045 | 102.147 | -0.000 | -0.000 | 0.000 |
| 0.000 | -0.000 | -0.000 | -26.056 | -0.000 | 0.000 |
| -0.000 | 0.000 | -0.000 | -0.000 | -26.056 | 0.000 |
| -0.000 | -0.000 | 0.000 | -0.000 | -0.000 | -26.056 |
| 102.148 | 127.045 | 127.045 | 0.000 | 0.000 | -0.000 |
| 127.045 | 102.148 | 127.045 | 0.000 | 0.000 | -0.000 |
| 127.045 | 127.045 | 102.148 | 0.000 | 0.000 | -0.000 |
| -0.000 | 0.000 | 0.000 | -26.056 | 0.000 | 0.000 |
| 0.000 | -0.000 | 0.000 | 0.000 | -26.056 | -0.000 |
| 0.000 | 0.000 | -0.000 | 0.000 | 0.000 | -26.056 |
| 102.146 | 127.045 | 127.045 | -0.000 | -0.000 | 0.000 |
| 127.045 | 102.146 | 127.045 | -0.000 | -0.000 | 0.000 |
| 127.045 | 127.045 | 102.146 | -0.000 | 0.000 | 0.000 |
| 0.000 | -0.000 | 0.000 | 103.070 | -0.000 | 0.000 |
| -0.000 | 0.000 | 0.000 | -0.000 | 103.070 | 0.000 |
| -0.000 | 0.000 | 0.000 | -0.000 | -0.000 | 103.070 |
| 102.149 | 127.045 | 127.045 | 0.000 | 0.000 | -0.000 |
| 127.045 | 102.149 | 127.045 | 0.000 | 0.000 | -0.000 |
| 127.045 | 127.045 | 102.149 | -0.000 | 0.000 | -0.000 |
| -0.000 | 0.000 | -0.000 | 103.070 | 0.000 | -0.000 |
| 0.000 | -0.000 | -0.000 | 0.000 | 103.070 | -0.000 |
| 0.000 | -0.000 | -0.000 | 0.000 | 0.000 | 103.070 |
| 8.605 | 6.244 | 6.244 | -0.000 | -0.000 | -0.000 |
| 6.244 | 8.605 | 6.244 | -0.000 | -0.000 | 0.000 |
| 6.244 | 6.244 | 8.605 | -0.000 | -0.000 | -0.000 |
| 0.000 | -0.000 | -0.000 | 1.518 | -0.000 | 0.000 |
| -0.000 | 0.000 | -0.000 | -0.000 | 1.518 | -0.000 |
| -0.000 | -0.000 | 0.000 | -0.000 | -0.000 | 1.518 |
| 8.605 | 6.244 | 6.244 | -0.000 | 0.000 | 0.000 |
| 6.244 | 8.605 | 6.244 | 0.000 | 0.000 | 0.000 |
| 6.244 | 6.244 | 8.605 | 0.000 | 0.000 | 0.000 |
| -0.000 | 0.000 | 0.000 | 1.518 | 0.000 | 0.000 |
| 0.000 | -0.000 | 0.000 | 0.000 | 1.518 | 0.000 |
| 0.000 | 0.000 | -0.000 | 0.000 | 0.000 | 1.518 |
| 8.605 | 6.244 | 6.244 | -0.000 | -0.000 | -0.000 |
| 6.244 | 8.605 | 6.244 | -0.000 | -0.000 | -0.000 |
| 6.244 | 6.244 | 8.605 | -0.000 | -0.000 | -0.000 |
| 0.000 | 0.000 | 0.000 | 1.518 | -0.000 | -0.000 |
| 0.000 | 0.000 | 0.000 | -0.000 | 1.518 | -0.000 |
| 0.000 | 0.000 | 0.000 | -0.000 | -0.000 | 1.518 |
| 8.605 | 6.244 | 6.244 | 0.000 | 0.000 | -0.000 |
| 6.244 | 8.605 | 6.244 | 0.000 | 0.000 | 0.000 |
| 6.244 | 6.244 | 8.605 | 0.000 | 0.000 | -0.000 |
| -0.000 | -0.000 | -0.000 | 1.518 | 0.000 | 0.000 |
| -0.000 | -0.000 | -0.000 | 0.000 | 1.518 | 0.000 |
| -0.000 | -0.000 | -0.000 | 0.000 | 0.000 | 1.518 |
| 8.606 | 6.245 | 6.245 | 0.000 | -0.000 | -0.000 |
| 6.245 | 8.606 | 6.245 | -0.000 | 0.000 | 0.000 |
| 6.245 | 6.245 | 8.606 | -0.000 | -0.000 | 0.000 |
| 0.000 | 0.000 | 0.000 | 1.518 | -0.000 | -0.000 |
| 0.000 | 0.000 | 0.000 | -0.000 | 1.518 | -0.000 |
| 0.000 | 0.000 | 0.000 | -0.000 | -0.000 | 1.518 |
| 8.605 | 6.244 | 6.244 | -0.000 | 0.000 | 0.000 |
| 6.244 | 8.605 | 6.244 | -0.000 | 0.000 | -0.000 |
| 6.244 | 6.244 | 8.605 | 0.000 | 0.000 | 0.000 |
| -0.000 | -0.000 | -0.000 | 1.518 | 0.000 | 0.000 |
| -0.000 | -0.000 | -0.000 | 0.000 | 1.518 | 0.000 |
| -0.000 | -0.000 | -0.000 | 0.000 | 0.000 | 1.518 |
| -0.007 | -0.007 | -0.007 | 0.000 | -0.000 | 0.000 |
| -0.007 | -0.007 | -0.007 | -0.000 | 0.000 | 0.000 |
| -0.007 | -0.007 | -0.007 | -0.000 | -0.000 | 0.000 |
| -0.000 | -0.000 | -0.000 | -0.007 | 0.000 | 0.000 |
| -0.000 | -0.000 | -0.000 | 0.000 | -0.007 | 0.000 |
| -0.000 | -0.000 | -0.000 | 0.000 | -0.000 | -0.007 |
| -0.007 | -0.007 | -0.007 | -0.000 | -0.000 | -0.000 |
| -0.007 | -0.007 | -0.007 | -0.000 | -0.000 | -0.000 |
| -0.007 | -0.007 | -0.007 | -0.000 | -0.000 | -0.000 |
| 0.000 | 0.000 | 0.000 | -0.007 | -0.000 | -0.000 |
| 0.000 | 0.000 | 0.000 | -0.000 | -0.007 | -0.000 |
| 0.000 | 0.000 | 0.000 | -0.000 | -0.000 | -0.007 |
| -0.007 | -0.007 | -0.007 | 0.000 | 0.000 | 0.000 |
| -0.007 | -0.007 | -0.007 | 0.000 | 0.000 | 0.000 |
| -0.007 | -0.007 | -0.007 | 0.000 | 0.000 | 0.000 |
| -0.000 | -0.000 | -0.000 | -0.007 | -0.000 | 0.000 |
| -0.000 | -0.000 | -0.000 | -0.000 | -0.007 | 0.000 |
| -0.000 | -0.000 | -0.000 | -0.000 | 0.000 | -0.007 |
| -0.007 | -0.007 | -0.007 | 0.000 | -0.000 | -0.000 |
| -0.007 | -0.007 | -0.007 | -0.000 | 0.000 | -0.000 |
| -0.007 | -0.007 | -0.007 | -0.000 | -0.000 | -0.000 |
| 0.000 | 0.000 | 0.000 | -0.007 | 0.000 | -0.000 |
| 0.000 | 0.000 | 0.000 | 0.000 | -0.007 | -0.000 |
| 0.000 | 0.000 | 0.000 | -0.000 | -0.000 | -0.007 |
| 0.280 | 0.321 | 0.321 | -0.000 | -0.000 | 0.000 |
| 0.321 | 0.280 | 0.321 | -0.000 | 0.000 | -0.000 |
| 0.321 | 0.321 | 0.280 | -0.000 | -0.000 | 0.000 |
| -0.000 | -0.000 | -0.000 | 0.263 | 0.000 | 0.000 |
| -0.000 | -0.000 | -0.000 | -0.000 | 0.263 | -0.000 |
| -0.000 | -0.000 | -0.000 | 0.000 | 0.000 | 0.263 |
| 0.280 | 0.321 | 0.321 | 0.000 | 0.000 | -0.000 |
| 0.321 | 0.280 | 0.321 | 0.000 | -0.000 | -0.000 |
| 0.321 | 0.321 | 0.280 | -0.000 | -0.000 | -0.000 |
| 0.000 | 0.000 | 0.000 | 0.263 | -0.000 | -0.000 |
| 0.000 | 0.000 | 0.000 | 0.000 | 0.263 | -0.000 |
| 0.000 | 0.000 | 0.000 | -0.000 | -0.000 | 0.263 |
| 0.280 | 0.321 | 0.321 | -0.000 | 0.000 | 0.000 |
| 0.321 | 0.280 | 0.321 | -0.000 | 0.000 | 0.000 |
| 0.321 | 0.321 | 0.280 | -0.000 | 0.000 | -0.000 |
| -0.000 | -0.000 | -0.000 | 0.163 | 0.000 | 0.000 |
| -0.000 | -0.000 | -0.000 | -0.000 | 0.163 | 0.000 |
| -0.000 | -0.000 | -0.000 | 0.000 | 0.000 | 0.163 |
| 0.280 | 0.321 | 0.321 | 0.000 | -0.000 | -0.000 |
| 0.321 | 0.280 | 0.321 | 0.000 | -0.000 | -0.000 |
| 0.321 | 0.321 | 0.280 | 0.000 | -0.000 | -0.000 |
| 0.000 | 0.000 | 0.000 | 0.163 | -0.000 | -0.000 |
| 0.000 | 0.000 | 0.000 | 0.000 | 0.163 | -0.000 |
| 0.000 | 0.000 | 0.000 | -0.000 | -0.000 | 0.163 |
| 0.279 | 0.320 | 0.320 | 0.000 | -0.000 | 0.000 |
| 0.320 | 0.279 | 0.320 | 0.000 | 0.000 | 0.000 |
| 0.320 | 0.320 | 0.279 | -0.000 | -0.000 | -0.000 |
| -0.000 | -0.000 | -0.000 | -0.021 | 0.000 | -0.000 |
| -0.000 | -0.000 | -0.000 | -0.000 | -0.010 | -0.000 |
| -0.000 | -0.000 | -0.000 | 0.000 | 0.000 | 0.006 |
| 0.280 | 0.322 | 0.322 | 0.000 | -0.000 | -0.000 |
| 0.322 | 0.280 | 0.322 | 0.000 | -0.000 | -0.000 |
| 0.322 | 0.322 | 0.280 | 0.000 | -0.000 | -0.000 |
| 0.000 | 0.000 | 0.000 | -0.000 | 0.000 | -0.000 |
| 0.000 | 0.000 | 0.000 | 0.000 | 0.006 | 0.000 |
| 0.000 | 0.000 | 0.000 | -0.000 | -0.000 | -0.016 |
| 227.279 | 156.198 | 156.198 | 0.000 | 0.000 | 0.000 |
| 156.198 | 227.279 | 156.198 | 0.000 | 0.000 | 0.000 |
| 156.198 | 156.198 | 227.279 | 0.000 | 0.000 | 0.000 |
| -0.000 | -0.000 | -0.000 | 21.071 | 0.000 | 0.000 |
| -0.000 | -0.000 | -0.000 | 0.000 | 21.071 | 0.000 |
| -0.000 | -0.000 | -0.000 | 0.000 | 0.000 | 21.071 |
| 227.279 | 156.198 | 156.198 | -0.000 | 0.000 | -0.000 |
| 156.198 | 227.279 | 156.198 | -0.000 | -0.000 | -0.000 |
| 156.198 | 156.198 | 227.279 | 0.000 | 0.000 | -0.000 |
| 0.000 | 0.000 | 0.000 | 21.071 | -0.000 | -0.000 |
| 0.000 | 0.000 | 0.000 | -0.000 | 21.071 | -0.000 |
| 0.000 | 0.000 | 0.000 | -0.000 | -0.000 | 21.071 |
| 227.279 | 156.197 | 156.197 | 0.000 | 0.000 | 0.000 |
| 156.197 | 227.279 | 156.197 | 0.000 | -0.000 | 0.000 |
| 156.197 | 156.197 | 227.279 | 0.000 | 0.000 | 0.000 |
| -0.000 | 0.000 | 0.000 | 52.864 | 0.000 | 0.000 |
| 0.000 | -0.000 | 0.000 | 0.000 | 52.864 | 0.000 |
| 0.000 | 0.000 | -0.000 | 0.000 | -0.000 | 52.864 |
| 227.279 | 156.198 | 156.198 | -0.000 | 0.000 | -0.000 |
| 156.198 | 227.279 | 156.198 | -0.000 | -0.000 | -0.000 |
| 156.198 | 156.198 | 227.279 | -0.000 | 0.000 | -0.000 |
| 0.000 | -0.000 | -0.000 | 52.864 | -0.000 | -0.000 |
| -0.000 | 0.000 | -0.000 | -0.000 | 52.864 | -0.000 |
| -0.000 | -0.000 | 0.000 | 0.000 | 0.000 | 52.864 |
| 227.277 | 156.195 | 156.195 | 0.000 | 0.000 | 0.000 |
| 156.195 | 227.277 | 156.195 | 0.000 | 0.000 | 0.000 |
| 156.195 | 156.195 | 227.277 | 0.000 | -0.000 | 0.000 |
| -9960442.256 | -9709604.933 | -9690087.006 | -2008083.049 | -13212.851 | 8471.426 |
| -9606412.700 | -9905157.111 | -9636541.890 | -49149.256 | -2185739.503 | 10974.578 |
| -9770302.654 | -9776874.760 | -9922538.404 | -105404.227 | 5762.295 | -2111194.245 |
| 227.280 | 156.199 | 156.199 | -0.000 | 0.000 | -0.000 |
| 156.199 | 227.280 | 156.199 | -0.000 | 0.000 | -0.000 |
| 156.199 | 156.199 | 227.280 | -0.000 | -0.000 | -0.000 |
| 9978379.773 | 9974265.239 | 9832985.785 | -2125478.430 | 46034.267 | 7212.077 |
| 10011187.801 | 10044209.927 | 9822280.986 | 22037.623 | -1971189.245 | -34934.864 |
| 9833583.233 | 9773000.798 | 9983445.455 | 23742.511 | 102884.815 | -2115030.603 |
| 70.658 | 155.296 | 155.296 | -0.000 | 0.000 | 0.000 |
| 155.296 | 70.658 | 155.296 | 0.000 | -0.000 | 0.000 |
| 155.296 | 155.296 | 70.658 | -0.000 | 0.000 | 0.000 |
| 0.000 | 0.000 | -0.000 | 86.554 | 0.000 | 0.000 |
| 0.000 | 0.000 | -0.000 | -0.000 | 86.554 | 0.000 |
| 0.000 | 0.000 | 0.000 | -0.000 | -0.000 | 86.554 |
| 70.658 | 155.296 | 155.296 | 0.000 | 0.000 | -0.000 |
| 155.296 | 70.658 | 155.296 | -0.000 | 0.000 | -0.000 |
| 155.296 | 155.296 | 70.658 | 0.000 | -0.000 | -0.000 |
| -0.000 | -0.000 | 0.000 | 86.554 | -0.000 | -0.000 |
| -0.000 | -0.000 | 0.000 | -0.000 | 86.554 | -0.000 |
| -0.000 | -0.000 | -0.000 | 0.000 | 0.000 | 86.554 |
| 70.658 | 155.296 | 155.296 | -0.000 | -0.000 | 0.000 |
| 155.296 | 70.658 | 155.296 | -0.000 | -0.000 | 0.000 |
| 155.296 | 155.296 | 70.658 | -0.000 | -0.000 | -0.000 |
| 0.000 | 0.000 | 0.000 | 86.736 | 0.000 | 0.000 |
| 0.000 | 0.000 | 0.000 | 0.000 | 86.736 | 0.000 |
| 0.000 | 0.000 | 0.000 | -0.000 | 0.000 | 86.736 |
| 70.658 | 155.296 | 155.296 | 0.000 | 0.000 | -0.000 |
| 155.296 | 70.658 | 155.296 | -0.000 | 0.000 | -0.000 |
| 155.296 | 155.296 | 70.658 | 0.000 | -0.000 | -0.000 |
| -0.000 | -0.000 | -0.000 | 86.736 | 0.000 | -0.000 |
| -0.000 | -0.000 | -0.000 | 0.000 | 86.736 | -0.000 |
| -0.000 | -0.000 | -0.000 | 0.000 | -0.000 | 86.736 |
| 70.660 | 155.297 | 155.297 | -0.000 | -0.000 | 0.000 |
| 155.297 | 70.660 | 155.297 | 0.000 | -0.000 | 0.000 |
| 155.297 | 155.297 | 70.660 | 0.000 | -0.000 | 0.000 |
| 0.001 | 0.000 | 0.001 | 86.554 | 0.000 | -0.000 |
| 0.000 | 0.001 | 0.001 | -0.000 | 86.554 | 0.000 |
| 0.000 | 0.001 | 0.001 | 0.000 | 0.000 | 86.554 |
| 70.657 | 155.295 | 155.295 | -0.000 | -0.000 | -0.000 |
| 155.295 | 70.657 | 155.295 | 0.000 | 0.000 | -0.000 |
| 155.295 | 155.295 | 70.657 | 0.000 | -0.000 | 0.000 |
| -0.001 | -0.000 | -0.001 | 86.554 | -0.000 | -0.000 |
| -0.000 | -0.001 | -0.001 | 0.000 | 86.554 | -0.000 |
| -0.000 | -0.001 | -0.001 | -0.000 | -0.000 | 86.554 |
| 924.063 | 66.339 | 66.339 | 0.000 | 0.000 | 0.000 |
| 66.339 | 924.063 | 66.339 | 0.000 | 0.000 | 0.000 |
| 66.339 | 66.339 | 924.063 | 0.000 | 0.000 | 0.000 |
| 0.000 | 0.000 | 0.000 | 78.816 | 0.000 | 0.000 |
| 0.000 | 0.000 | 0.000 | -0.000 | 78.816 | 0.000 |
| 0.000 | -0.000 | 0.000 | 0.000 | 0.000 | 78.816 |
| 924.063 | 66.339 | 66.339 | -0.000 | -0.000 | -0.000 |
| 66.339 | 924.063 | 66.339 | -0.000 | -0.000 | -0.000 |
| 66.339 | 66.339 | 924.063 | -0.000 | -0.000 | -0.000 |
| -0.000 | -0.000 | -0.000 | 78.816 | -0.000 | -0.000 |
| -0.000 | 0.000 | -0.000 | -0.000 | 78.816 | -0.000 |
| -0.000 | -0.000 | -0.000 | -0.000 | -0.000 | 78.816 |
| 924.063 | 66.340 | 66.340 | 0.000 | 0.000 | 0.000 |
| 66.340 | 924.063 | 66.340 | 0.000 | 0.000 | 0.000 |
| 66.340 | 66.340 | 924.063 | -0.000 | 0.000 | 0.000 |
| 0.000 | 0.000 | -0.000 | -17.132 | 0.000 | 0.000 |
| 0.000 | 0.000 | -0.000 | 0.000 | -17.132 | 0.000 |
| 0.000 | -0.000 | 0.000 | 0.000 | 0.000 | -17.132 |
| 924.063 | 66.339 | 66.339 | -0.000 | 0.000 | -0.000 |
| 66.339 | 924.063 | 66.339 | -0.000 | -0.000 | -0.000 |
| 66.339 | 66.339 | 924.063 | -0.000 | -0.000 | -0.000 |
| -0.000 | -0.000 | 0.000 | -17.132 | -0.000 | -0.000 |
| -0.000 | -0.000 | 0.000 | -0.000 | -17.132 | -0.000 |
| -0.000 | 0.000 | -0.000 | -0.000 | -0.000 | -17.132 |
| 924.067 | 66.340 | 66.340 | 0.000 | 0.000 | 0.000 |
| 66.340 | 924.067 | 66.340 | 0.000 | 0.000 | 0.000 |
| 66.340 | 66.340 | 924.067 | 0.000 | 0.000 | 0.000 |
| 0.001 | 0.000 | -0.000 | -17.132 | 0.000 | 0.000 |
| 0.000 | 0.001 | -0.000 | 0.000 | -17.132 | 0.000 |
| 0.000 | -0.000 | 0.001 | 0.000 | 0.000 | -17.132 |
| 924.059 | 66.339 | 66.339 | -0.000 | -0.000 | -0.000 |
| 66.339 | 924.059 | 66.339 | -0.000 | -0.000 | -0.000 |
| 66.339 | 66.339 | 924.059 | -0.000 | -0.000 | -0.000 |
| -0.001 | -0.000 | 0.000 | -17.132 | -0.000 | -0.000 |
| -0.000 | -0.001 | 0.000 | -0.000 | -17.132 | -0.000 |
| -0.000 | 0.000 | -0.001 | -0.000 | -0.000 | -17.132 |
| 0.250 | 0.250 | 0.250 | -0.000 | -0.000 | 0.000 |
| 0.250 | 0.250 | 0.250 | -0.000 | -0.000 | 0.000 |
| 0.250 | 0.250 | 0.250 | -0.000 | -0.000 | 0.000 |
| -0.000 | -0.000 | -0.000 | 0.250 | -0.000 | 0.000 |
| -0.000 | -0.000 | -0.000 | -0.000 | 0.250 | 0.000 |
| -0.000 | -0.000 | -0.000 | 0.000 | -0.000 | 0.250 |
| 0.250 | 0.250 | 0.250 | 0.000 | -0.000 | -0.000 |
| 0.250 | 0.250 | 0.250 | -0.000 | 0.000 | -0.000 |
| 0.250 | 0.250 | 0.250 | -0.000 | -0.000 | -0.000 |
| 0.000 | 0.000 | 0.000 | 0.250 | 0.000 | -0.000 |
| 0.000 | 0.000 | 0.000 | 0.000 | 0.250 | -0.000 |
| 0.000 | 0.000 | 0.000 | 0.000 | -0.000 | 0.250 |
| 0.250 | 0.250 | 0.250 | 0.000 | -0.000 | 0.000 |
| 0.250 | 0.250 | 0.250 | -0.000 | -0.000 | 0.000 |
| 0.250 | 0.250 | 0.250 | 0.000 | 0.000 | 0.000 |
| -0.000 | -0.000 | -0.000 | 0.228 | 0.000 | 0.000 |
| -0.000 | -0.000 | -0.000 | 0.000 | 0.228 | 0.000 |
| -0.000 | -0.000 | -0.000 | 0.000 | -0.000 | 0.228 |
| 0.250 | 0.250 | 0.250 | -0.000 | -0.000 | -0.000 |
| 0.250 | 0.250 | 0.250 | -0.000 | -0.000 | -0.000 |
| 0.250 | 0.250 | 0.250 | -0.000 | -0.000 | -0.000 |
| 0.000 | 0.000 | 0.000 | 0.228 | -0.000 | -0.000 |
| 0.000 | 0.000 | 0.000 | -0.000 | 0.228 | -0.000 |
| 0.000 | 0.000 | 0.000 | -0.000 | -0.000 | 0.228 |
| 0.250 | 0.250 | 0.250 | 0.000 | 0.000 | 0.000 |
| 0.250 | 0.250 | 0.250 | 0.000 | 0.000 | 0.000 |
| 0.250 | 0.250 | 0.250 | 0.000 | 0.000 | 0.000 |
| -0.000 | -0.000 | -0.000 | -0.219 | -0.000 | 0.000 |
| -0.000 | -0.000 | -0.000 | -0.000 | -0.219 | 0.000 |
| -0.000 | -0.000 | -0.000 | -0.000 | -0.000 | -0.219 |
| 0.250 | 0.250 | 0.250 | -0.000 | -0.000 | -0.000 |
| 0.250 | 0.250 | 0.250 | -0.000 | -0.000 | -0.000 |
| 0.250 | 0.250 | 0.250 | -0.000 | -0.000 | -0.000 |
| 0.000 | 0.000 | 0.000 | -0.219 | 0.000 | -0.000 |
| 0.000 | 0.000 | 0.000 | 0.000 | -0.219 | -0.000 |
| 0.000 | 0.000 | 0.000 | 0.000 | 0.000 | -0.219 |
| 119.892 | 166.642 | 166.642 | 0.000 | 0.000 | 0.000 |
| 166.642 | 119.892 | 166.642 | -0.000 | -0.000 | 0.000 |
| 166.642 | 166.642 | 119.892 | -0.000 | -0.000 | 0.000 |
| -0.000 | 0.000 | -0.000 | 133.183 | -0.000 | 0.000 |
| -0.000 | -0.000 | -0.000 | -0.000 | 133.183 | 0.000 |
| -0.000 | -0.000 | -0.000 | -0.000 | -0.000 | 133.183 |
| 119.892 | 166.642 | 166.642 | 0.000 | 0.000 | -0.000 |
| 166.642 | 119.892 | 166.642 | -0.000 | 0.000 | -0.000 |
| 166.642 | 166.642 | 119.892 | 0.000 | 0.000 | -0.000 |
| 0.000 | 0.000 | 0.000 | 133.183 | 0.000 | -0.000 |
| 0.000 | 0.000 | 0.000 | 0.000 | 133.183 | -0.000 |
| 0.000 | -0.000 | 0.000 | 0.000 | 0.000 | 133.183 |
| 119.892 | 166.642 | 166.642 | -0.000 | -0.000 | 0.000 |
| 166.642 | 119.892 | 166.642 | -0.000 | -0.000 | 0.000 |
| 166.642 | 166.642 | 119.892 | -0.000 | -0.000 | 0.000 |
| 0.000 | 0.000 | 0.000 | 133.183 | -0.000 | 0.000 |
| 0.000 | 0.000 | 0.000 | -0.000 | 133.183 | 0.000 |
| 0.000 | 0.000 | 0.000 | -0.000 | -0.000 | 133.183 |
| 119.892 | 166.642 | 166.642 | 0.000 | 0.000 | -0.000 |
| 166.642 | 119.892 | 166.642 | -0.000 | 0.000 | -0.000 |
| 166.642 | 166.642 | 119.892 | -0.000 | 0.000 | -0.000 |
| -0.000 | -0.000 | -0.000 | 133.183 | 0.000 | -0.000 |
| -0.000 | -0.000 | -0.000 | 0.000 | 133.183 | -0.000 |
| -0.000 | -0.000 | -0.000 | 0.000 | 0.000 | 133.183 |
| 119.892 | 166.642 | 166.642 | 0.000 | -0.000 | 0.000 |
| 166.642 | 119.892 | 166.642 | 0.000 | -0.000 | 0.000 |
| 166.642 | 166.642 | 119.892 | -0.000 | -0.000 | 0.000 |
| 0.001 | 0.000 | 0.001 | 133.183 | -0.000 | 0.000 |
| 0.000 | 0.001 | 0.001 | -0.000 | 133.183 | 0.000 |
| 0.000 | 0.001 | 0.001 | -0.000 | -0.000 | 133.183 |
| 119.892 | 166.642 | 166.642 | 0.000 | 0.000 | -0.000 |
| 166.642 | 119.892 | 166.642 | 0.000 | 0.000 | -0.000 |
| 166.642 | 166.642 | 119.892 | 0.000 | 0.000 | -0.000 |
| -0.001 | -0.000 | -0.001 | 133.183 | 0.000 | -0.000 |
| -0.000 | -0.001 | -0.001 | 0.000 | 133.183 | -0.000 |
| -0.000 | -0.001 | -0.001 | 0.000 | 0.000 | 133.183 |
| 613.067 | 602.289 | 602.289 | -0.000 | -0.000 | 0.000 |
| 602.289 | 613.067 | 602.289 | -0.000 | -0.000 | 0.000 |
| 602.289 | 602.289 | 613.067 | -0.000 | -0.000 | 0.000 |
| 0.000 | 0.000 | 0.000 | -1.273 | -0.000 | 0.000 |
| 0.000 | 0.000 | 0.000 | -0.000 | -1.273 | 0.000 |
| 0.000 | 0.000 | 0.000 | -0.000 | -0.000 | -1.273 |
| 613.067 | 602.289 | 602.289 | 0.000 | 0.000 | -0.000 |
| 602.289 | 613.067 | 602.289 | 0.000 | 0.000 | -0.000 |
| 602.289 | 602.289 | 613.067 | 0.000 | 0.000 | 0.000 |
| -0.000 | -0.000 | -0.000 | -1.273 | 0.000 | -0.000 |
| -0.000 | -0.000 | -0.000 | 0.000 | -1.273 | -0.000 |
| -0.000 | -0.000 | -0.000 | 0.000 | 0.000 | -1.273 |
| 613.067 | 602.289 | 602.289 | -0.000 | -0.000 | 0.000 |
| 602.289 | 613.067 | 602.289 | -0.000 | -0.000 | 0.000 |
| 602.289 | 602.289 | 613.067 | -0.000 | -0.000 | 0.000 |
| 0.000 | 0.000 | 0.000 | -1.273 | -0.000 | 0.000 |
| 0.000 | 0.000 | 0.000 | -0.000 | -1.273 | 0.000 |
| 0.000 | 0.000 | 0.000 | -0.000 | -0.000 | -1.273 |
| 613.067 | 602.290 | 602.290 | 0.000 | 0.000 | -0.000 |
| 602.290 | 613.067 | 602.290 | 0.000 | 0.000 | -0.000 |
| 602.290 | 602.290 | 613.067 | 0.000 | 0.000 | -0.000 |
| -0.000 | -0.000 | -0.000 | -1.273 | 0.000 | -0.000 |
| -0.000 | -0.000 | -0.000 | 0.000 | -1.273 | -0.000 |
| -0.000 | -0.000 | -0.000 | 0.000 | 0.000 | -1.273 |
| 613.066 | 602.286 | 602.286 | -0.000 | -0.000 | 0.000 |
| 602.286 | 613.066 | 602.286 | -0.000 | -0.000 | 0.000 |
| 602.286 | 602.286 | 613.066 | -0.000 | -0.000 | 0.000 |
| 0.000 | 0.000 | 0.000 | -1.272 | -0.000 | 0.000 |
| 0.000 | 0.000 | 0.000 | -0.000 | -1.272 | 0.000 |
| 0.000 | 0.000 | 0.000 | -0.000 | -0.000 | -1.272 |
| 613.068 | 602.293 | 602.293 | 0.000 | 0.000 | -0.000 |
| 602.293 | 613.068 | 602.293 | 0.000 | 0.000 | -0.000 |
| 602.293 | 602.293 | 613.068 | 0.000 | 0.000 | -0.000 |
| -0.000 | -0.000 | -0.000 | -1.272 | 0.000 | -0.000 |
| -0.000 | -0.000 | -0.000 | 0.000 | -1.272 | -0.000 |
| -0.000 | -0.000 | -0.000 | 0.000 | 0.000 | -1.272 |
| 44.880 | 44.880 | 44.880 | 0.000 | 0.000 | 0.000 |
| 44.880 | 44.880 | 44.880 | 0.000 | 0.000 | -0.000 |
| 44.880 | 44.880 | 44.880 | 0.000 | 0.000 | 0.000 |
| 0.000 | 0.000 | 0.000 | 0.108 | 0.000 | 0.000 |
| 0.000 | 0.000 | 0.000 | 0.000 | 0.108 | -0.000 |
| 0.000 | 0.000 | 0.000 | 0.000 | -0.000 | 0.108 |
| 44.880 | 44.880 | 44.880 | -0.000 | -0.000 | 0.000 |
| 44.880 | 44.880 | 44.880 | -0.000 | -0.000 | 0.000 |
| 44.880 | 44.880 | 44.880 | -0.000 | -0.000 | 0.000 |
| -0.000 | -0.000 | -0.000 | 0.108 | 0.000 | -0.000 |
| -0.000 | -0.000 | -0.000 | 0.000 | 0.108 | 0.000 |
| -0.000 | -0.000 | -0.000 | 0.000 | -0.000 | 0.108 |
| 44.880 | 44.880 | 44.880 | 0.000 | 0.000 | -0.000 |
| 44.880 | 44.880 | 44.880 | 0.000 | 0.000 | 0.000 |
| 44.880 | 44.880 | 44.880 | -0.000 | -0.000 | -0.000 |
| -0.000 | -0.000 | -0.000 | 0.078 | 0.000 | -0.000 |
| -0.000 | -0.000 | -0.000 | 0.000 | 0.078 | -0.000 |
| -0.000 | -0.000 | -0.000 | 0.000 | -0.000 | 0.078 |
| 44.880 | 44.880 | 44.880 | -0.000 | -0.000 | 0.000 |
| 44.880 | 44.880 | 44.880 | -0.000 | -0.000 | -0.000 |
| 44.880 | 44.880 | 44.880 | -0.000 | -0.000 | 0.000 |
| 0.000 | 0.000 | 0.000 | 0.078 | -0.000 | -0.000 |
| 0.000 | 0.000 | 0.000 | -0.000 | 0.078 | -0.000 |
| 0.000 | 0.000 | 0.000 | -0.000 | -0.000 | 0.078 |
| 44.881 | 44.881 | 44.881 | 0.000 | 0.000 | 0.000 |
| 44.881 | 44.881 | 44.881 | 0.000 | 0.000 | -0.000 |
| 44.881 | 44.881 | 44.881 | 0.000 | 0.000 | 0.000 |
| -0.000 | -0.000 | -0.000 | 0.049 | -0.000 | 0.000 |
| -0.000 | -0.000 | -0.000 | 0.000 | 0.049 | -0.000 |
| -0.000 | -0.000 | -0.000 | -0.000 | -0.000 | 0.049 |
| 44.880 | 44.880 | 44.880 | 0.000 | -0.000 | 0.000 |
| 44.880 | 44.880 | 44.880 | -0.000 | 0.000 | 0.000 |
| 44.880 | 44.880 | 44.880 | -0.000 | -0.000 | 0.000 |
| 0.000 | 0.000 | 0.000 | 0.049 | 0.000 | 0.000 |
| 0.000 | 0.000 | 0.000 | 0.000 | 0.049 | 0.000 |
| 0.000 | 0.000 | 0.000 | -0.000 | 0.000 | 0.049 |
| 0.109 | 0.122 | 0.122 | 0.000 | -0.000 | 0.000 |
| 0.122 | 0.109 | 0.122 | -0.000 | -0.000 | -0.000 |
| 0.122 | 0.122 | 0.109 | 0.000 | -0.000 | 0.000 |
| -0.000 | -0.000 | -0.000 | 0.068 | -0.000 | 0.000 |
| -0.000 | -0.000 | -0.000 | 0.000 | 0.068 | 0.000 |
| -0.000 | -0.000 | -0.000 | 0.000 | -0.000 | 0.068 |
| 0.109 | 0.122 | 0.122 | -0.000 | 0.000 | 0.000 |
| 0.122 | 0.109 | 0.122 | -0.000 | -0.000 | 0.000 |
| 0.122 | 0.122 | 0.109 | -0.000 | -0.000 | -0.000 |
| 0.000 | 0.000 | 0.000 | 0.068 | 0.000 | -0.000 |
| 0.000 | 0.000 | 0.000 | -0.000 | 0.068 | -0.000 |
| 0.000 | 0.000 | 0.000 | -0.000 | -0.000 | 0.068 |
| 0.109 | 0.122 | 0.122 | 0.000 | -0.000 | 0.000 |
| 0.122 | 0.109 | 0.122 | 0.000 | 0.000 | 0.000 |
| 0.122 | 0.122 | 0.109 | 0.000 | -0.000 | 0.000 |
| -0.000 | -0.000 | -0.000 | 0.068 | -0.000 | 0.000 |
| -0.000 | -0.000 | -0.000 | 0.000 | 0.068 | 0.000 |
| -0.000 | -0.000 | -0.000 | -0.000 | -0.000 | 0.068 |
| 0.109 | 0.122 | 0.122 | -0.000 | 0.000 | -0.000 |
| 0.122 | 0.109 | 0.122 | 0.000 | 0.000 | -0.000 |
| 0.122 | 0.122 | 0.109 | 0.000 | 0.000 | -0.000 |
| 0.000 | 0.000 | 0.000 | 0.068 | 0.000 | 0.000 |
| 0.000 | 0.000 | 0.000 | -0.000 | 0.068 | -0.000 |
| 0.000 | 0.000 | 0.000 | 0.000 | 0.000 | 0.068 |
| 0.109 | 0.122 | 0.122 | 0.000 | -0.000 | 0.000 |
| 0.122 | 0.109 | 0.122 | 0.000 | 0.000 | 0.000 |
| 0.122 | 0.122 | 0.109 | 0.000 | -0.000 | 0.000 |
| 0.005 | 0.005 | 0.005 | -1.959 | 0.000 | 0.000 |
| 0.005 | 0.005 | 0.005 | 0.000 | -1.959 | 0.000 |
| 0.005 | 0.005 | 0.005 | 0.000 | 0.000 | -1.959 |
| 0.109 | 0.122 | 0.122 | -0.000 | 0.000 | 0.000 |
| 0.122 | 0.109 | 0.122 | -0.000 | 0.000 | -0.000 |
| 0.122 | 0.122 | 0.109 | 0.000 | 0.000 | -0.000 |
| -0.005 | -0.005 | -0.005 | -1.959 | -0.000 | -0.000 |
| -0.005 | -0.005 | -0.005 | -0.000 | -1.959 | -0.000 |
| -0.005 | -0.005 | -0.005 | -0.000 | -0.000 | -1.959 |
| 91.529 | 156.337 | 156.337 | -0.000 | -0.000 | 0.000 |
| 156.337 | 91.529 | 156.337 | -0.000 | -0.000 | 0.000 |
| 156.337 | 156.337 | 91.529 | -0.000 | -0.000 | 0.000 |
| 0.000 | 0.000 | -0.000 | 109.494 | -0.000 | -0.000 |
| 0.000 | 0.000 | -0.000 | -0.000 | 109.494 | 0.000 |
| 0.000 | 0.000 | -0.000 | -0.000 | -0.000 | 109.494 |
| 91.529 | 156.337 | 156.337 | 0.000 | 0.000 | -0.000 |
| 156.337 | 91.529 | 156.337 | 0.000 | 0.000 | -0.000 |
| 156.337 | 156.337 | 91.529 | 0.000 | 0.000 | -0.000 |
| -0.000 | -0.000 | 0.000 | 109.494 | 0.000 | -0.000 |
| -0.000 | -0.000 | 0.000 | 0.000 | 109.494 | -0.000 |
| -0.000 | -0.000 | 0.000 | 0.000 | 0.000 | 109.494 |
| 91.529 | 156.337 | 156.337 | -0.000 | -0.000 | 0.000 |
| 156.337 | 91.529 | 156.337 | -0.000 | -0.000 | 0.000 |
| 156.337 | 156.337 | 91.529 | -0.000 | -0.000 | 0.000 |
| 0.000 | 0.000 | 0.000 | 109.494 | -0.000 | 0.000 |
| 0.000 | 0.000 | 0.000 | -0.000 | 109.494 | 0.000 |
| 0.000 | 0.000 | 0.000 | -0.000 | -0.000 | 109.494 |
| 91.529 | 156.337 | 156.337 | 0.000 | 0.000 | -0.000 |
| 156.337 | 91.529 | 156.337 | 0.000 | 0.000 | -0.000 |
| 156.337 | 156.337 | 91.529 | 0.000 | 0.000 | -0.000 |
| -0.000 | -0.000 | -0.000 | 109.494 | 0.000 | -0.000 |
| -0.000 | -0.000 | -0.000 | 0.000 | 109.494 | 0.000 |
| -0.000 | -0.000 | -0.000 | 0.000 | 0.000 | 109.494 |
| 91.530 | 156.337 | 156.337 | -0.000 | -0.000 | 0.000 |
| 156.337 | 91.530 | 156.337 | -0.000 | -0.000 | -0.000 |
| 156.337 | 156.337 | 91.530 | -0.000 | -0.000 | 0.000 |
| 0.001 | 0.000 | 0.001 | 109.494 | -0.000 | 0.000 |
| 0.000 | 0.001 | 0.001 | -0.000 | 109.494 | 0.000 |
| 0.000 | 0.001 | 0.001 | -0.000 | -0.000 | 109.494 |
| 91.528 | 156.336 | 156.336 | 0.000 | 0.000 | 0.000 |
| 156.336 | 91.528 | 156.336 | 0.000 | 0.000 | -0.000 |
| 156.336 | 156.336 | 91.528 | 0.000 | 0.000 | -0.000 |
| -0.001 | -0.000 | -0.001 | 109.494 | 0.000 | -0.000 |
| -0.000 | -0.001 | -0.001 | 0.000 | 109.494 | -0.000 |
| -0.000 | -0.001 | -0.001 | 0.000 | 0.000 | 109.494 |
| 26.347 | -2.481 | -2.481 | -0.000 | 0.000 | 0.000 |
| -2.481 | 26.347 | -2.481 | -0.000 | 0.000 | 0.000 |
| -2.481 | -2.481 | 26.347 | -0.000 | -0.000 | 0.000 |
| 0.000 | 0.000 | -0.000 | -3.503 | -0.000 | 0.000 |
| 0.000 | 0.000 | -0.000 | -0.000 | -3.503 | 0.000 |
| 0.000 | 0.000 | -0.000 | -0.000 | -0.000 | -3.503 |
| 26.347 | -2.481 | -2.481 | 0.000 | 0.000 | -0.000 |
| -2.481 | 26.347 | -2.481 | 0.000 | 0.000 | -0.000 |
| -2.481 | -2.481 | 26.347 | -0.000 | -0.000 | -0.000 |
| -0.000 | -0.000 | 0.000 | -3.503 | 0.000 | -0.000 |
| -0.000 | -0.000 | 0.000 | 0.000 | -3.503 | -0.000 |
| -0.000 | -0.000 | 0.000 | 0.000 | 0.000 | -3.503 |
| 26.347 | -2.481 | -2.481 | -0.000 | 0.000 | 0.000 |
| -2.481 | 26.347 | -2.481 | -0.000 | -0.000 | 0.000 |
| -2.481 | -2.481 | 26.347 | -0.000 | 0.000 | 0.000 |
| -804887.790 | -825809.994 | -1659309.807 | 223118.720 | 187787.505 | 43305.964 |
| -746827.534 | -854094.535 | -1662558.417 | 174500.281 | 212111.523 | 24791.735 |
| -844928.737 | -1703858.691 | -794001.289 | 235195.781 | 36832.421 | 229610.879 |
| 26.346 | -2.481 | -2.481 | 0.000 | 0.000 | -0.000 |
| -2.481 | 26.346 | -2.481 | 0.000 | 0.000 | -0.000 |
| -2.481 | -2.481 | 26.346 | 0.000 | 0.000 | -0.000 |
| 791141.021 | 771854.450 | 1568441.096 | -139539.435 | -192348.874 | -64974.591 |
| 723937.902 | 781628.862 | 1526473.743 | -161440.747 | -112183.959 | -86666.087 |
| 740487.546 | 1593690.309 | 701305.153 | -164343.107 | -106522.768 | -130244.656 |
| 26.349 | -2.481 | -2.481 | -0.000 | 0.000 | 0.000 |
| -2.481 | 26.349 | -2.481 | 0.000 | 0.000 | 0.000 |
| -2.481 | -2.481 | 26.349 | -0.000 | 0.000 | 0.000 |
| -68854.439 | -47437.196 | -193585.099 | 15367.298 | 13158.637 | 1981.857 |
| -53406.760 | -72045.390 | -184769.836 | 12100.604 | 16691.324 | 5323.935 |
| -58882.073 | -222488.588 | -67008.455 | 16568.639 | 2887.933 | 22597.226 |
| 26.344 | -2.481 | -2.481 | 0.000 | 0.000 | -0.000 |
| -2.481 | 26.344 | -2.481 | 0.000 | 0.000 | -0.000 |
| -2.481 | -2.481 | 26.344 | 0.000 | 0.000 | -0.000 |
| 60378.655 | 53344.290 | 166131.453 | -4824.877 | -11151.392 | 977.292 |
| 58342.500 | 62200.070 | 156050.783 | -13081.103 | -5221.926 | -1518.850 |
| 63487.635 | 174197.500 | 66835.594 | -13103.010 | 1934.818 | -314.920 |
| 0.845 | 0.976 | 0.976 | -0.000 | 0.000 | -0.000 |
| 0.976 | 0.845 | 0.976 | -0.000 | 0.000 | -0.000 |
| 0.976 | 0.976 | 0.845 | -0.000 | 0.000 | -0.000 |
| -0.000 | -0.000 | -0.000 | 0.843 | 0.000 | -0.000 |
| -0.000 | -0.000 | -0.000 | -0.000 | 0.843 | -0.000 |
| -0.000 | -0.000 | -0.000 | -0.000 | 0.000 | 0.827 |
| 0.845 | 0.976 | 0.976 | 0.000 | -0.000 | -0.000 |
| 0.976 | 0.845 | 0.976 | 0.000 | -0.000 | -0.000 |
| 0.976 | 0.976 | 0.845 | 0.000 | -0.000 | -0.000 |
| 0.000 | 0.000 | 0.000 | 0.843 | -0.000 | 0.000 |
| 0.000 | 0.000 | 0.000 | 0.000 | 0.843 | -0.000 |
| 0.000 | 0.000 | 0.000 | 0.000 | -0.000 | 0.843 |
| 0.844 | 0.976 | 0.976 | 0.000 | 0.000 | 0.000 |
| 0.976 | 0.844 | 0.976 | -0.000 | 0.000 | -0.000 |
| 0.976 | 0.976 | 0.844 | -0.000 | 0.000 | 0.000 |
| -0.000 | -0.000 | -0.000 | 0.843 | 0.000 | 0.000 |
| -0.000 | -0.000 | -0.000 | -0.000 | 0.843 | -0.000 |
| -0.000 | -0.000 | -0.000 | -0.000 | 0.000 | 0.843 |
| 0.845 | 0.976 | 0.976 | -0.000 | -0.000 | 0.000 |
| 0.976 | 0.845 | 0.976 | 0.000 | -0.000 | -0.000 |
| 0.976 | 0.976 | 0.845 | 0.000 | -0.000 | 0.000 |
| 0.000 | 0.000 | 0.000 | 0.843 | -0.000 | -0.000 |
| 0.000 | 0.000 | 0.000 | -0.000 | 0.843 | 0.000 |
| 0.000 | 0.000 | 0.000 | 0.000 | -0.000 | 0.843 |
| 0.843 | 0.974 | 0.974 | 0.000 | 0.000 | -0.000 |
| 0.974 | 0.843 | 0.974 | -0.000 | 0.000 | -0.000 |
| 0.974 | 0.974 | 0.843 | -0.000 | 0.000 | -0.000 |
| -0.002 | -0.002 | -0.002 | 0.756 | 0.000 | -0.000 |
| -0.002 | -0.002 | -0.002 | -0.000 | 0.756 | 0.000 |
| -0.002 | -0.002 | -0.002 | -0.000 | 0.000 | 0.756 |
| 0.847 | 0.978 | 0.978 | -0.000 | -0.000 | 0.000 |
| 0.978 | 0.847 | 0.978 | -0.000 | -0.000 | -0.000 |
| 0.978 | 0.978 | 0.847 | -0.000 | -0.000 | 0.000 |
| 0.002 | 0.002 | 0.002 | 0.756 | -0.000 | 0.000 |
| 0.002 | 0.002 | 0.002 | 0.000 | 0.756 | -0.000 |
| 0.002 | 0.002 | 0.002 | 0.000 | -0.000 | 0.756 |
| 450.799 | 88.971 | 88.971 | 0.000 | -0.000 | 0.000 |
| 88.971 | 450.799 | 88.971 | 0.000 | -0.000 | 0.000 |
| 88.971 | 88.971 | 450.799 | 0.000 | -0.000 | 0.000 |
| -0.000 | 0.000 | -0.000 | 65.018 | 0.000 | 0.000 |
| 0.000 | -0.000 | -0.000 | -0.000 | 65.018 | 0.000 |
| 0.000 | -0.000 | -0.000 | 0.000 | -0.000 | 65.018 |
| 450.799 | 88.971 | 88.971 | 0.000 | 0.000 | -0.000 |
| 88.971 | 450.799 | 88.971 | -0.000 | 0.000 | -0.000 |
| 88.971 | 88.971 | 450.799 | -0.000 | 0.000 | -0.000 |
| 0.000 | -0.000 | 0.000 | 65.018 | -0.000 | -0.000 |
| -0.000 | 0.000 | 0.000 | -0.000 | 65.018 | -0.000 |
| -0.000 | 0.000 | -0.000 | -0.000 | 0.000 | 65.018 |
| 450.799 | 88.971 | 88.971 | 0.000 | -0.000 | -0.000 |
| 88.971 | 450.799 | 88.971 | 0.000 | 0.000 | 0.000 |
| 88.971 | 88.971 | 450.799 | 0.000 | -0.000 | 0.000 |
| 0.000 | 0.000 | -0.000 | 65.018 | 0.000 | -0.000 |
| 0.000 | 0.000 | -0.000 | 0.000 | 65.018 | 0.000 |
| 0.000 | -0.000 | 0.000 | -0.000 | -0.000 | 65.018 |
| 450.798 | 88.971 | 88.971 | 0.000 | 0.000 | -0.000 |
| 88.971 | 450.798 | 88.971 | -0.000 | 0.000 | -0.000 |
| 88.971 | 88.971 | 450.798 | 0.000 | 0.000 | -0.000 |
| -0.000 | -0.000 | 0.000 | 65.018 | 0.000 | -0.000 |
| -0.000 | -0.000 | 0.000 | 0.000 | 65.018 | -0.000 |
| -0.000 | 0.000 | -0.000 | -0.000 | 0.000 | 65.018 |
| 450.800 | 88.971 | 88.971 | -0.000 | -0.000 | 0.000 |
| 88.971 | 450.800 | 88.971 | 0.000 | 0.000 | 0.000 |
| 88.971 | 88.971 | 450.800 | -0.000 | -0.000 | 0.000 |
| 0.000 | 0.000 | -0.000 | 65.018 | -0.000 | 0.000 |
| 0.000 | 0.000 | -0.000 | -0.000 | 65.018 | 0.000 |
| 0.000 | -0.000 | 0.000 | 0.000 | -0.000 | 65.018 |
| 449.528 | 89.605 | 89.605 | -0.000 | 0.000 | 0.000 |
| 89.605 | 449.528 | 89.605 | -0.000 | 0.000 | -0.000 |
| 89.605 | 89.605 | 449.528 | -0.000 | 0.000 | -0.000 |
| -0.000 | -0.000 | 0.000 | 65.018 | 0.000 | -0.000 |
| -0.000 | -0.000 | 0.000 | -0.000 | 65.018 | -0.000 |
| -0.000 | 0.000 | -0.000 | 0.000 | 0.000 | 65.018 |
| 31.608 | 24.305 | 24.305 | -0.000 | -0.000 | -0.000 |
| 24.305 | 31.608 | 24.305 | -0.000 | -0.000 | -0.000 |
| 24.305 | 24.305 | 31.608 | -0.000 | 0.000 | -0.000 |
| -0.000 | 0.000 | -0.000 | -2.229 | 0.000 | -0.000 |
| 0.000 | -0.000 | 0.000 | -0.000 | -2.229 | -0.000 |
| 0.000 | 0.000 | -0.000 | -0.000 | -0.000 | -2.229 |
| 31.608 | 24.305 | 24.305 | 0.000 | 0.000 | 0.000 |
| 24.305 | 31.608 | 24.305 | 0.000 | 0.000 | 0.000 |
| 24.305 | 24.305 | 31.608 | -0.000 | 0.000 | 0.000 |
| 0.000 | -0.000 | -0.000 | -2.229 | 0.000 | 0.000 |
| -0.000 | 0.000 | -0.000 | 0.000 | -2.229 | 0.000 |
| -0.000 | -0.000 | 0.000 | 0.000 | 0.000 | -2.229 |
| 31.608 | 24.305 | 24.305 | -0.000 | -0.000 | -0.000 |
| 24.305 | 31.608 | 24.305 | -0.000 | -0.000 | -0.000 |
| 24.305 | 24.305 | 31.608 | 0.000 | -0.000 | -0.000 |
| -0.000 | 0.000 | 0.000 | -2.229 | 0.000 | -0.000 |
| 0.000 | -0.000 | 0.000 | -0.000 | -2.229 | -0.000 |
| 0.000 | 0.000 | -0.000 | -0.000 | -0.000 | -2.229 |
| 31.608 | 24.305 | 24.305 | 0.000 | 0.000 | 0.000 |
| 24.305 | 31.608 | 24.305 | 0.000 | 0.000 | 0.000 |
| 24.305 | 24.305 | 31.608 | 0.000 | 0.000 | 0.000 |
| 0.000 | -0.000 | -0.000 | -2.229 | 0.000 | 0.000 |
| -0.000 | 0.000 | -0.000 | 0.000 | -2.229 | 0.000 |
| -0.000 | -0.000 | 0.000 | 0.000 | 0.000 | -2.229 |
| 31.608 | 24.305 | 24.305 | 0.000 | -0.000 | -0.000 |
| 24.305 | 31.608 | 24.305 | -0.000 | -0.000 | -0.000 |
| 24.305 | 24.305 | 31.608 | 0.000 | -0.000 | -0.000 |
| -0.000 | 0.000 | 0.000 | -2.229 | -0.000 | -0.000 |
| 0.000 | -0.000 | 0.000 | -0.000 | -2.229 | -0.000 |
| 0.000 | 0.000 | -0.000 | -0.000 | -0.000 | -2.229 |
| 31.608 | 24.306 | 24.306 | -0.000 | 0.000 | 0.000 |
| 24.306 | 31.608 | 24.306 | 0.000 | 0.000 | 0.000 |
| 24.306 | 24.306 | 31.608 | 0.000 | 0.000 | 0.000 |
| 0.000 | -0.000 | -0.000 | -2.229 | 0.000 | 0.000 |
| -0.000 | 0.000 | -0.000 | 0.000 | -2.229 | 0.000 |
| -0.000 | -0.000 | 0.000 | 0.000 | 0.000 | -2.229 |
| 2.049 | 0.427 | 0.427 | 0.000 | -0.000 | 0.000 |
| 0.427 | 2.049 | 0.427 | 0.000 | -0.000 | -0.000 |
| 0.427 | 0.427 | 2.049 | 0.000 | -0.000 | 0.000 |
| 3620.526 | -824804.237 | -824804.224 | 656158.862 | -0.000 | 0.000 |
| -824804.237 | 3620.526 | -824804.224 | 0.000 | 656158.862 | -0.000 |
| -824804.237 | -824804.224 | 3620.526 | -0.000 | -0.000 | 656158.862 |
| 3303508.616 | 1648019.863 | 1648019.863 | -0.000 | 0.000 | 0.000 |
| 1648019.863 | 3303508.616 | 1648019.863 | -0.000 | -0.000 | -0.000 |
| 1648019.863 | 1648019.863 | 3303508.616 | -0.000 | 0.000 | 0.000 |
| -3620.526 | 824804.237 | 824804.224 | 656158.862 | 0.000 | 0.000 |
| 824804.237 | -3620.526 | 824804.224 | -0.000 | 656158.862 | 0.000 |
| 824804.237 | 824804.224 | -3620.526 | 0.000 | 0.000 | 656158.862 |
| 1.989 | 0.457 | 0.457 | 0.000 | -0.000 | -0.000 |
| 0.457 | 1.989 | 0.457 | 0.000 | -0.000 | -0.000 |
| 0.444 | 0.444 | 2.014 | 0.000 | -0.000 | 0.000 |
| 362.054 | -82480.233 | -82480.220 | 65615.985 | -0.000 | -0.000 |
| -82480.233 | 362.054 | -82480.220 | -0.000 | 65615.985 | -0.000 |
| -82480.233 | -82480.220 | 362.054 | -0.000 | -0.000 | 65615.985 |
| 330351.341 | 164802.044 | 164802.044 | -0.000 | 0.000 | 0.000 |
| 164802.044 | 330351.341 | 164802.044 | -0.000 | -0.000 | -0.000 |
| 164802.044 | 164802.044 | 330351.341 | -0.000 | -0.000 | 0.000 |
| -362.054 | 82480.233 | 82480.220 | 65615.985 | 0.000 | 0.000 |
| 82480.233 | -362.054 | 82480.220 | 0.000 | 65615.985 | -0.000 |
| 82480.233 | 82480.220 | -362.054 | 0.000 | -0.000 | 65615.985 |
| 1.945 | 0.476 | 0.476 | -0.000 | -0.000 | 0.000 |
| 0.476 | 1.945 | 0.476 | 0.000 | -0.000 | -0.000 |
| 0.476 | 0.476 | 1.945 | 0.000 | 0.000 | 0.000 |
| 36.207 | -8247.833 | -8247.820 | 6561.697 | -0.000 | 0.000 |
| -8247.833 | 36.207 | -8247.820 | 0.000 | 6561.697 | -0.000 |
| -8247.833 | -8247.820 | 36.207 | -0.000 | -0.000 | 6561.697 |
| 33035.614 | 16480.262 | 16480.262 | -0.000 | 0.000 | -0.000 |
| 16480.262 | 33035.614 | 16480.262 | -0.000 | -0.000 | -0.000 |
| 16480.262 | 16480.262 | 33035.614 | -0.000 | -0.000 | 0.000 |
| -36.207 | 8247.833 | 8247.820 | 6561.697 | 0.000 | -0.000 |
| 8247.833 | -36.207 | 8247.820 | 0.000 | 6561.697 | 0.000 |
| 8247.833 | 8247.820 | -36.207 | 0.000 | -0.000 | 6561.697 |
| 0.414 | 0.010 | 0.010 | 0.000 | 0.000 | 0.000 |
| 0.010 | 0.414 | 0.010 | 0.000 | -0.000 | -0.000 |
| 0.010 | 0.010 | 0.414 | -0.000 | 0.000 | 0.000 |
| 0.000 | 0.000 | 0.000 | -0.010 | 0.000 | 0.000 |
| 0.000 | 0.000 | 0.000 | 0.000 | -0.010 | 0.000 |
| 0.000 | 0.000 | 0.000 | 0.000 | 0.000 | -0.010 |
| 0.414 | 0.010 | 0.010 | 0.000 | -0.000 | -0.000 |
| 0.010 | 0.414 | 0.010 | -0.000 | -0.000 | -0.000 |
| 0.010 | 0.010 | 0.414 | -0.000 | 0.000 | 0.000 |
| -0.000 | -0.000 | -0.000 | -0.010 | -0.000 | 0.000 |
| -0.000 | -0.000 | -0.000 | -0.000 | -0.010 | -0.000 |
| -0.000 | -0.000 | -0.000 | -0.000 | -0.000 | -0.010 |
| 0.413 | 0.010 | 0.010 | 0.000 | 0.000 | 0.000 |
| 0.010 | 0.413 | 0.010 | 0.000 | -0.000 | -0.000 |
| 0.010 | 0.010 | 0.413 | -0.000 | 0.000 | 0.000 |
| 0.000 | 0.000 | -0.000 | -0.010 | -0.000 | -0.000 |
| 0.000 | 0.000 | -0.000 | 0.000 | -0.010 | 0.000 |
| 0.000 | -0.000 | 0.000 | 0.000 | 0.000 | -0.010 |
| 0.414 | 0.010 | 0.010 | 0.000 | -0.000 | -0.000 |
| 0.010 | 0.414 | 0.010 | 0.000 | -0.000 | 0.000 |
| 0.010 | 0.010 | 0.414 | 0.000 | -0.000 | 0.000 |
| -0.000 | -0.000 | 0.000 | -0.010 | 0.000 | 0.000 |
| -0.000 | -0.000 | 0.000 | -0.000 | -0.010 | -0.000 |
| -0.000 | 0.000 | -0.000 | -0.000 | 0.000 | -0.010 |
| 0.411 | 0.010 | 0.010 | 0.000 | 0.000 | 0.000 |
| 0.010 | 0.411 | 0.010 | 0.000 | -0.000 | -0.000 |
| 0.010 | 0.010 | 0.411 | -0.000 | 0.000 | 0.000 |
| 0.000 | 0.000 | -0.000 | -0.010 | 0.000 | -0.000 |
| 0.000 | 0.000 | -0.000 | -0.000 | -0.010 | 0.000 |
| 0.000 | -0.000 | 0.000 | 0.000 | 0.000 | -0.010 |
| 0.417 | 0.010 | 0.010 | 0.000 | -0.000 | -0.000 |
| 0.010 | 0.417 | 0.010 | 0.000 | -0.000 | 0.000 |
| 0.010 | 0.010 | 0.417 | 0.000 | -0.000 | 0.000 |
| -0.000 | -0.000 | 0.000 | -0.010 | -0.000 | 0.000 |
| -0.000 | -0.000 | 0.000 | 0.000 | -0.010 | -0.000 |
| -0.000 | 0.000 | -0.000 | -0.000 | -0.000 | -0.010 |
| 92.378 | 146.843 | 146.843 | -0.000 | 0.000 | -0.000 |
| 146.843 | 92.378 | 146.843 | -0.000 | -0.000 | -0.000 |
| 146.843 | 146.843 | 92.378 | 0.000 | 0.000 | -0.000 |
| 0.000 | 0.000 | 0.000 | 103.241 | 0.000 | -0.000 |
| 0.000 | 0.000 | 0.000 | -0.000 | 103.241 | -0.000 |
| 0.000 | 0.000 | 0.000 | -0.000 | -0.000 | 103.241 |
| 92.378 | 146.843 | 146.843 | 0.000 | 0.000 | 0.000 |
| 146.843 | 92.378 | 146.843 | -0.000 | -0.000 | -0.000 |
| 146.843 | 146.843 | 92.378 | 0.000 | 0.000 | 0.000 |
| -0.000 | -0.000 | -0.000 | 103.241 | -0.000 | 0.000 |
| -0.000 | -0.000 | -0.000 | 0.000 | 103.241 | 0.000 |
| -0.000 | -0.000 | -0.000 | 0.000 | 0.000 | 103.241 |
| 92.378 | 146.843 | 146.843 | -0.000 | -0.000 | -0.000 |
| 146.843 | 92.378 | 146.843 | 0.000 | -0.000 | -0.000 |
| 146.843 | 146.843 | 92.378 | -0.000 | -0.000 | -0.000 |
| 0.000 | 0.000 | 0.000 | 103.241 | -0.000 | -0.000 |
| 0.000 | 0.000 | 0.000 | -0.000 | 103.241 | -0.000 |
| 0.000 | 0.000 | 0.000 | -0.000 | -0.000 | 103.241 |
| 92.378 | 146.843 | 146.843 | 0.000 | -0.000 | 0.000 |
| 146.843 | 92.378 | 146.843 | 0.000 | 0.000 | 0.000 |
| 146.843 | 146.843 | 92.378 | 0.000 | 0.000 | 0.000 |
| -0.000 | -0.000 | -0.000 | 103.241 | 0.000 | 0.000 |
| -0.000 | -0.000 | -0.000 | 0.000 | 103.241 | 0.000 |
| -0.000 | -0.000 | -0.000 | 0.000 | 0.000 | 103.241 |
| 92.379 | 146.844 | 146.844 | -0.000 | -0.000 | -0.000 |
| 146.844 | 92.379 | 146.844 | -0.000 | 0.000 | -0.000 |
| 146.844 | 146.844 | 92.379 | 0.000 | -0.000 | -0.000 |
| 0.001 | 0.000 | 0.001 | 103.241 | -0.000 | -0.000 |
| 0.000 | 0.001 | 0.001 | -0.000 | 103.241 | -0.000 |
| 0.000 | 0.001 | 0.001 | -0.000 | -0.000 | 103.241 |
| 92.377 | 146.843 | 146.843 | -0.000 | 0.000 | 0.000 |
| 146.843 | 92.377 | 146.843 | 0.000 | -0.000 | 0.000 |
| 146.843 | 146.843 | 92.377 | 0.000 | 0.000 | 0.000 |
| -0.001 | -0.000 | -0.001 | 103.241 | 0.000 | 0.000 |
| -0.000 | -0.001 | -0.001 | 0.000 | 103.241 | 0.000 |
| -0.000 | -0.001 | -0.001 | 0.000 | 0.000 | 103.241 |
| 12.175 | 12.510 | 12.510 | -0.000 | -0.000 | -0.000 |
| 12.510 | 12.175 | 12.510 | -0.000 | -0.000 | -0.000 |
| 12.510 | 12.510 | 12.175 | -0.000 | -0.000 | -0.000 |
| 0.000 | -0.000 | 0.000 | -10.778 | -0.000 | -0.000 |
| -0.000 | 0.000 | 0.000 | -0.000 | -10.778 | -0.000 |
| -0.000 | -0.000 | 0.000 | -0.000 | -0.000 | -10.778 |
| 12.175 | 12.510 | 12.510 | 0.000 | -0.000 | 0.000 |
| 12.510 | 12.175 | 12.510 | 0.000 | 0.000 | 0.000 |
| 12.510 | 12.510 | 12.175 | 0.000 | 0.000 | 0.000 |
| -0.000 | 0.000 | 0.000 | -10.778 | 0.000 | 0.000 |
| 0.000 | -0.000 | -0.000 | 0.000 | -10.778 | 0.000 |
| 0.000 | 0.000 | -0.000 | 0.000 | 0.000 | -10.778 |
| 12.175 | 12.510 | 12.510 | -0.000 | -0.000 | -0.000 |
| 12.510 | 12.175 | 12.510 | -0.000 | -0.000 | 0.000 |
| 12.510 | 12.510 | 12.175 | -0.000 | -0.000 | -0.000 |
| 0.000 | 0.000 | 0.000 | 9.616 | -0.000 | -0.000 |
| 0.000 | 0.000 | 0.000 | -0.000 | 9.616 | -0.000 |
| 0.000 | 0.000 | 0.000 | -0.000 | -0.000 | 9.616 |
| 12.175 | 12.510 | 12.510 | 0.000 | 0.000 | 0.000 |
| 12.510 | 12.175 | 12.510 | 0.000 | 0.000 | 0.000 |
| 12.510 | 12.510 | 12.175 | -0.000 | -0.000 | 0.000 |
| -0.000 | -0.000 | -0.000 | 9.616 | 0.000 | 0.000 |
| -0.000 | -0.000 | -0.000 | 0.000 | 9.616 | 0.000 |
| -0.000 | -0.000 | -0.000 | 0.000 | 0.000 | 9.616 |
| 12.175 | 12.511 | 12.511 | -0.000 | -0.000 | -0.000 |
| 12.511 | 12.175 | 12.511 | -0.000 | -0.000 | -0.000 |
| 12.511 | 12.511 | 12.175 | -0.000 | -0.000 | -0.000 |
| 0.001 | -0.000 | -0.000 | -30.738 | -0.000 | -0.000 |
| -0.000 | 0.001 | -0.000 | -0.000 | -30.738 | -0.000 |
| -0.000 | -0.000 | 0.001 | -0.000 | -0.000 | -30.738 |
| 12.176 | 12.510 | 12.510 | 0.000 | 0.000 | 0.000 |
| 12.510 | 12.176 | 12.510 | 0.000 | 0.000 | 0.000 |
| 12.510 | 12.510 | 12.176 | 0.000 | 0.000 | 0.000 |
| -0.001 | 0.000 | 0.000 | -30.738 | 0.000 | 0.000 |
| 0.000 | -0.001 | 0.000 | 0.000 | -30.738 | 0.000 |
| 0.000 | 0.000 | -0.001 | 0.000 | 0.000 | -30.738 |
| 0.733 | 0.847 | 0.847 | -0.000 | -0.000 | 0.000 |
| 0.847 | 0.733 | 0.847 | -0.000 | -0.000 | 0.000 |
| 0.847 | 0.847 | 0.733 | -0.000 | -0.000 | 0.000 |
| -0.000 | -0.000 | -0.000 | 0.726 | -0.000 | 0.000 |
| -0.000 | -0.000 | -0.000 | -0.000 | 0.726 | 0.000 |
| -0.000 | -0.000 | -0.000 | -0.000 | -0.000 | 0.726 |
| 0.733 | 0.847 | 0.847 | 0.000 | 0.000 | -0.000 |
| 0.847 | 0.733 | 0.847 | 0.000 | 0.000 | -0.000 |
| 0.847 | 0.847 | 0.733 | -0.000 | 0.000 | -0.000 |
| 0.000 | 0.000 | 0.000 | 0.726 | 0.000 | -0.000 |
| 0.000 | 0.000 | 0.000 | 0.000 | 0.726 | -0.000 |
| 0.000 | 0.000 | 0.000 | 0.000 | 0.000 | 0.726 |
| 0.733 | 0.846 | 0.846 | -0.000 | -0.000 | 0.000 |
| 0.846 | 0.733 | 0.846 | -0.000 | -0.000 | 0.000 |
| 0.846 | 0.846 | 0.733 | -0.000 | -0.000 | 0.000 |
| -0.000 | -0.000 | -0.000 | 0.732 | -0.000 | 0.000 |
| -0.000 | -0.000 | -0.000 | -0.000 | 0.732 | 0.000 |
| -0.000 | -0.000 | -0.000 | 0.000 | -0.000 | 0.732 |
| 0.733 | 0.847 | 0.847 | 0.000 | 0.000 | -0.000 |
| 0.847 | 0.733 | 0.847 | 0.000 | 0.000 | 0.000 |
| 0.847 | 0.847 | 0.733 | -0.000 | -0.000 | -0.000 |
| 0.000 | 0.000 | 0.000 | 0.732 | 0.000 | -0.000 |
| 0.000 | 0.000 | 0.000 | -0.000 | 0.732 | -0.000 |
| 0.000 | 0.000 | 0.000 | -0.000 | 0.000 | 0.732 |
| 0.731 | 0.845 | 0.845 | -0.000 | -0.000 | 0.000 |
| 0.845 | 0.731 | 0.845 | -0.000 | -0.000 | 0.000 |
| 0.845 | 0.845 | 0.731 | 0.000 | -0.000 | 0.000 |
| -0.002 | -0.002 | -0.002 | 0.692 | -0.000 | 0.000 |
| -0.002 | -0.002 | -0.002 | -0.000 | 0.692 | 0.000 |
| -0.002 | -0.002 | -0.002 | -0.000 | -0.000 | 0.692 |
| 0.735 | 0.848 | 0.848 | -0.000 | 0.000 | -0.000 |
| 0.848 | 0.735 | 0.848 | 0.000 | 0.000 | -0.000 |
| 0.848 | 0.848 | 0.735 | 0.000 | 0.000 | -0.000 |
| 0.002 | 0.002 | 0.002 | 0.692 | 0.000 | -0.000 |
| 0.002 | 0.002 | 0.002 | 0.000 | 0.692 | -0.000 |
| 0.002 | 0.002 | 0.002 | 0.000 | -0.000 | 0.692 |
| 214.812 | 154.830 | 154.830 | -0.000 | -0.000 | 0.000 |
| 154.830 | 214.812 | 154.830 | -0.000 | -0.000 | 0.000 |
| 154.830 | 154.830 | 214.812 | 0.000 | -0.000 | 0.000 |
| 0.000 | -0.000 | -0.000 | 118.913 | -0.000 | 0.000 |
| -0.000 | 0.000 | -0.000 | -0.000 | 118.913 | 0.000 |
| -0.000 | -0.000 | 0.000 | -0.000 | -0.000 | 118.913 |
| 214.812 | 154.830 | 154.830 | 0.000 | 0.000 | -0.000 |
| 154.830 | 214.812 | 154.830 | -0.000 | 0.000 | -0.000 |
| 154.830 | 154.830 | 214.812 | 0.000 | 0.000 | -0.000 |
| 0.000 | 0.000 | 0.000 | 118.913 | 0.000 | -0.000 |
| 0.000 | -0.000 | 0.000 | 0.000 | 118.913 | -0.000 |
| 0.000 | 0.000 | -0.000 | 0.000 | 0.000 | 118.913 |
| 214.812 | 154.830 | 154.830 | 0.000 | -0.000 | 0.000 |
| 154.830 | 214.812 | 154.830 | 0.000 | -0.000 | 0.000 |
| 154.830 | 154.830 | 214.812 | 0.000 | -0.000 | 0.000 |
| -0.000 | -0.000 | -0.000 | 118.913 | -0.000 | -0.000 |
| -0.000 | -0.000 | -0.000 | -0.000 | 118.913 | 0.000 |
| -0.000 | -0.000 | -0.000 | -0.000 | -0.000 | 118.913 |
| 214.813 | 154.830 | 154.830 | 0.000 | 0.000 | 0.000 |
| 154.830 | 214.813 | 154.830 | 0.000 | 0.000 | -0.000 |
| 154.830 | 154.830 | 214.813 | 0.000 | 0.000 | -0.000 |
| 0.000 | 0.000 | 0.000 | 118.913 | 0.000 | -0.000 |
| 0.000 | 0.000 | 0.000 | 0.000 | 118.913 | -0.000 |
| 0.000 | 0.000 | 0.000 | 0.000 | 0.000 | 118.913 |
| 214.810 | 154.830 | 154.830 | 0.000 | 0.000 | 0.000 |
| 154.830 | 214.810 | 154.830 | 0.000 | -0.000 | 0.000 |
| 154.830 | 154.830 | 214.810 | -0.000 | -0.000 | -0.000 |
| -0.000 | -0.000 | -0.000 | 118.913 | -0.000 | 0.000 |
| -0.000 | -0.000 | -0.000 | -0.000 | 118.913 | 0.000 |
| -0.000 | -0.000 | -0.000 | 0.000 | -0.000 | 118.913 |
| 214.815 | 154.830 | 154.830 | 0.000 | 0.000 | -0.000 |
| 154.830 | 214.815 | 154.830 | 0.000 | 0.000 | -0.000 |
| 154.830 | 154.830 | 214.815 | -0.000 | 0.000 | -0.000 |
| 0.000 | 0.000 | 0.000 | 118.913 | 0.000 | -0.000 |
| 0.000 | 0.000 | 0.000 | -0.000 | 118.913 | -0.000 |
| 0.000 | 0.000 | 0.000 | -0.000 | 0.000 | 118.913 |
| 42.052 | 21.183 | 21.183 | -0.000 | 0.000 | -0.000 |
| 21.183 | 42.052 | 21.183 | 0.000 | -0.000 | -0.000 |
| 21.183 | 21.183 | 42.052 | -0.000 | -0.000 | -0.000 |
| -0.000 | 0.000 | 0.000 | 19.028 | 0.000 | -0.000 |
| 0.000 | -0.000 | 0.000 | -0.000 | 19.028 | -0.000 |
| 0.000 | 0.000 | -0.000 | -0.000 | -0.000 | 19.028 |
| 42.052 | 21.183 | 21.183 | -0.000 | -0.000 | -0.000 |
| 21.183 | 42.052 | 21.183 | -0.000 | -0.000 | -0.000 |
| 21.183 | 21.183 | 42.052 | -0.000 | -0.000 | -0.000 |
| 0.000 | -0.000 | -0.000 | 19.028 | -0.000 | -0.000 |
| -0.000 | 0.000 | -0.000 | 0.000 | 19.028 | 0.000 |
| -0.000 | -0.000 | 0.000 | -0.000 | 0.000 | 19.028 |
| 42.052 | 21.183 | 21.183 | -0.000 | 0.000 | -0.000 |
| 21.183 | 42.052 | 21.183 | 0.000 | -0.000 | 0.000 |
| 21.183 | 21.183 | 42.052 | 0.000 | 0.000 | -0.000 |
| -0.000 | 0.000 | 0.000 | 19.028 | -0.000 | -0.000 |
| 0.000 | -0.000 | 0.000 | 0.000 | 19.028 | -0.000 |
| 0.000 | 0.000 | -0.000 | -0.000 | -0.000 | 19.028 |
| 42.052 | 21.183 | 21.183 | 0.000 | -0.000 | -0.000 |
| 21.183 | 42.052 | 21.183 | -0.000 | 0.000 | 0.000 |
| 21.183 | 21.183 | 42.052 | 0.000 | 0.000 | 0.000 |
| 0.000 | -0.000 | -0.000 | 19.028 | -0.000 | -0.000 |
| -0.000 | 0.000 | -0.000 | -0.000 | 19.028 | 0.000 |
| -0.000 | -0.000 | 0.000 | -0.000 | 0.000 | 19.028 |
| 42.053 | 21.183 | 21.183 | 0.000 | -0.000 | -0.000 |
| 21.183 | 42.053 | 21.183 | -0.000 | 0.000 | -0.000 |
| 21.183 | 21.183 | 42.053 | 0.000 | 0.000 | -0.000 |
| -0.000 | 0.001 | 0.001 | 19.028 | -0.000 | 0.000 |
| 0.001 | -0.000 | 0.001 | -0.000 | 19.028 | -0.000 |
| 0.001 | 0.001 | -0.000 | -0.000 | -0.000 | 19.028 |
| 42.051 | 21.182 | 21.182 | 0.000 | -0.000 | -0.000 |
| 21.182 | 42.051 | 21.182 | -0.000 | -0.000 | 0.000 |
| 21.182 | 21.182 | 42.051 | -0.000 | -0.000 | 0.000 |
| 0.000 | -0.001 | -0.001 | 19.028 | -0.000 | 0.000 |
| -0.001 | 0.000 | -0.001 | -0.000 | 19.028 | 0.000 |
| -0.001 | -0.001 | 0.000 | 0.000 | 0.000 | 19.028 |
| 1.842 | 1.060 | 1.060 | 0.000 | 0.000 | 0.000 |
| 1.060 | 1.842 | 1.060 | 0.000 | 0.000 | -0.000 |
| 1.060 | 1.060 | 1.842 | -0.000 | -0.000 | 0.000 |
| 0.000 | -0.000 | -0.000 | 0.873 | -0.000 | -0.000 |
| -0.000 | 0.000 | -0.000 | 0.000 | 0.873 | 0.000 |
| -0.000 | -0.000 | 0.000 | 0.000 | 0.000 | 0.873 |
| 1.842 | 1.060 | 1.060 | -0.000 | -0.000 | 0.000 |
| 1.060 | 1.842 | 1.060 | -0.000 | -0.000 | 0.000 |
| 1.060 | 1.060 | 1.842 | -0.000 | -0.000 | -0.000 |
| 0.000 | 0.000 | 0.000 | 0.873 | 0.000 | -0.000 |
| 0.000 | -0.000 | 0.000 | -0.000 | 0.873 | -0.000 |
| 0.000 | 0.000 | -0.000 | -0.000 | -0.000 | 0.873 |
| 1.841 | 1.060 | 1.060 | 0.000 | 0.000 | 0.000 |
| 1.060 | 1.841 | 1.060 | 0.000 | 0.000 | 0.000 |
| 1.060 | 1.060 | 1.841 | 0.000 | 0.000 | 0.000 |
| -0.000 | -0.000 | -0.000 | 0.873 | 0.000 | -0.000 |
| -0.000 | -0.000 | -0.000 | 0.000 | 0.873 | -0.000 |
| -0.000 | -0.000 | -0.000 | 0.000 | 0.000 | 0.873 |
| 1.843 | 1.060 | 1.060 | -0.000 | -0.000 | -0.000 |
| 1.060 | 1.843 | 1.060 | -0.000 | 0.000 | -0.000 |
| 1.060 | 1.060 | 1.843 | -0.000 | 0.000 | -0.000 |
| 0.000 | 0.000 | 0.000 | 0.873 | -0.000 | 0.000 |
| 0.000 | 0.000 | 0.000 | -0.000 | 0.873 | -0.000 |
| 0.000 | 0.000 | 0.000 | -0.000 | -0.000 | 0.873 |
| 1.835 | 1.057 | 1.057 | 0.000 | 0.000 | 0.000 |
| 1.057 | 1.835 | 1.057 | 0.000 | 0.000 | 0.000 |
| 1.057 | 1.057 | 1.835 | 0.000 | 0.000 | 0.000 |
| -0.000 | -0.003 | -0.003 | 0.873 | 0.000 | -0.000 |
| -0.003 | -0.000 | -0.003 | 0.000 | 0.873 | 0.000 |
| -0.003 | -0.003 | -0.000 | -0.000 | 0.000 | 0.873 |
| 1.848 | 1.063 | 1.063 | -0.000 | 0.000 | -0.000 |
| 1.063 | 1.848 | 1.063 | -0.000 | 0.000 | -0.000 |
| 1.063 | 1.063 | 1.848 | 0.000 | 0.000 | 0.000 |
| 0.000 | 0.003 | 0.003 | 0.873 | -0.000 | 0.000 |
| 0.003 | 0.000 | 0.003 | -0.000 | 0.873 | -0.000 |
| 0.003 | 0.003 | 0.000 | 0.000 | 0.000 | 0.873 |
| -813.336 | -906.441 | -926.769 | 0.000 | -0.000 | -0.000 |
| 120.503 | 282.705 | 42.036 | 0.000 | -0.000 | -0.000 |
| 42.036 | 42.036 | 116.429 | 0.000 | -0.000 | -0.000 |
| -0.000 | 0.000 | -0.000 | 6.739 | 0.000 | -0.000 |
| 0.000 | 0.000 | 0.000 | 0.000 | 6.739 | -0.000 |
| -0.000 | 0.000 | 0.000 | 0.000 | -0.000 | 81.101 |
| 1328.419 | 1188.758 | 1006.728 | -0.000 | 0.000 | -0.000 |
| 1212.022 | 1305.126 | 1006.715 | -0.000 | -0.000 | 0.000 |
| 1099.203 | 1099.203 | 1081.286 | 0.000 | 0.000 | 0.000 |
| -0.000 | 0.000 | -0.000 | 6.739 | -0.000 | -0.000 |
| -0.000 | -0.000 | -0.000 | 0.000 | 6.739 | 0.000 |
| 0.000 | -0.000 | -0.000 | -0.000 | 0.000 | 81.101 |
| 139.965 | 46.860 | -56.708 | 0.000 | 0.000 | -0.000 |
| 23.483 | 163.119 | -56.810 | 0.000 | 0.000 | -0.000 |
| -65.950 | -65.950 | 17.871 | 0.000 | -0.000 | -0.000 |
| -105.912 | -105.912 | -96.664 | 0.608 | -0.000 | -0.000 |
| 0.000 | 0.000 | 0.000 | 0.000 | 6.739 | -0.000 |
| -106.047 | -106.047 | -96.787 | 0.000 | -0.000 | 69.817 |
| 282.705 | 120.503 | 42.036 | -0.000 | 0.000 | 0.000 |
| 120.503 | 282.705 | 42.036 | -0.000 | 0.000 | 0.000 |
| 145.896 | 145.896 | 211.220 | 0.000 | 0.000 | 0.000 |
| 105.912 | 105.912 | 96.664 | 0.608 | -0.000 | 0.000 |
| -0.000 | -0.000 | -0.000 | -0.000 | 6.739 | 0.000 |
| 106.047 | 106.047 | 96.787 | -0.000 | 0.000 | 69.817 |
| 235.237 | 142.145 | 30.251 | 0.000 | 0.000 | -0.000 |
| 118.768 | 256.265 | 29.179 | 0.000 | 0.000 | -0.000 |
| 29.381 | 29.381 | 104.877 | -0.000 | 0.000 | -0.000 |
| -10.787 | -10.787 | -9.845 | 5.585 | -0.000 | -0.000 |
| -10.789 | -10.789 | -9.846 | 0.000 | 5.585 | -0.000 |
| -12.054 | -12.053 | -11.001 | 0.000 | 0.000 | 68.276 |
| 279.139 | 144.286 | 51.263 | -0.000 | 0.000 | 0.000 |
| 120.502 | 282.705 | 42.036 | 0.000 | 0.000 | 0.000 |
| 50.565 | 50.565 | 124.214 | 0.000 | 0.000 | 0.000 |
| 10.787 | 10.787 | 9.845 | 5.585 | -0.000 | 0.000 |
| 10.789 | 10.789 | 9.846 | -0.000 | 5.585 | 0.000 |
| 12.054 | 12.053 | 11.001 | -0.000 | 0.000 | 68.276 |
| 249.369 | 153.253 | 43.323 | 0.000 | 0.000 | -0.000 |
| 120.381 | 283.028 | 43.712 | 0.000 | -0.000 | -0.000 |
| 43.344 | 43.344 | 111.166 | 0.000 | 0.000 | -0.000 |
| 0.000 | -0.000 | -0.000 | 8.404 | 0.000 | 0.000 |
| 1.924 | 1.924 | 1.900 | 0.000 | 2.175 | -0.000 |
| 4.411 | 4.411 | 4.357 | 0.000 | 0.000 | 54.659 |
| 283.028 | 120.381 | 43.712 | 0.000 | -0.000 | 0.000 |
| 120.381 | 283.028 | 43.712 | 0.000 | 0.000 | 0.000 |
| 39.497 | 39.497 | 107.366 | -0.000 | -0.000 | 0.000 |
| -0.000 | -0.000 | -0.000 | 8.404 | -0.000 | 0.000 |
| -1.924 | -1.924 | -1.900 | -0.000 | 2.175 | -0.000 |
| -4.411 | -4.411 | -4.357 | -0.000 | -0.000 | 54.659 |
| 283.028 | 120.381 | 43.712 | 0.000 | 0.000 | -0.000 |
| 120.381 | 283.028 | 43.712 | 0.000 | -0.000 | 0.000 |
| 43.457 | 43.457 | 111.277 | 0.000 | 0.000 | -0.000 |
| 0.000 | 0.000 | 0.000 | 8.404 | 0.000 | -0.000 |
| 0.000 | 0.000 | 0.000 | 0.000 | 8.404 | -0.000 |
| -0.000 | 0.000 | 0.000 | 0.000 | 0.000 | 81.324 |
| 253.037 | 140.636 | 38.903 | -0.000 | 0.000 | 0.000 |
| 140.636 | 253.037 | 38.903 | 0.000 | -0.000 | 0.000 |
| 43.457 | 43.457 | 111.277 | -0.000 | -0.000 | 0.000 |
| -0.000 | -0.000 | -0.000 | 8.404 | -0.000 | 0.000 |
| -0.000 | -0.000 | -0.000 | -0.000 | 8.404 | 0.000 |
| 0.000 | -0.000 | -0.000 | 0.000 | 0.000 | 81.324 |
| 252.343 | 141.899 | 39.185 | 0.000 | 0.000 | 0.000 |
| 120.381 | 283.028 | 43.712 | 0.000 | 0.000 | -0.000 |
| 43.457 | 43.457 | 111.276 | 0.000 | 0.000 | 0.000 |
| 0.000 | 0.000 | 0.000 | 8.404 | 0.000 | -0.000 |
| 0.000 | 0.000 | 0.000 | 0.000 | 8.404 | 0.000 |
| -0.000 | 0.000 | 0.000 | -0.000 | 0.000 | 81.324 |
| 283.028 | 120.381 | 43.712 | 0.000 | -0.000 | 0.000 |
| 141.665 | 252.471 | 39.132 | 0.000 | -0.000 | 0.000 |
| 43.456 | 43.456 | 111.278 | -0.000 | -0.000 | -0.000 |
| -0.000 | -0.000 | -0.000 | 8.404 | -0.000 | 0.000 |
| -0.000 | -0.000 | -0.000 | -0.000 | 8.404 | 0.000 |
| 0.000 | -0.000 | -0.000 | -0.000 | -0.000 | 81.324 |
| 58.985 | 169.449 | 169.449 | -0.000 | 0.000 | 0.000 |
| 169.449 | 58.985 | 169.449 | -0.000 | -0.000 | 0.000 |
| 169.449 | 169.449 | 58.985 | -0.000 | -0.000 | 0.000 |
| 0.000 | -0.000 | 0.000 | 69.079 | -0.000 | 0.000 |
| 0.000 | 0.000 | 0.000 | -0.000 | 69.079 | 0.000 |
| 0.000 | 0.000 | 0.000 | -0.000 | 0.000 | 69.079 |
| 58.985 | 169.449 | 169.449 | 0.000 | -0.000 | -0.000 |
| 169.449 | 58.985 | 169.449 | 0.000 | -0.000 | -0.000 |
| 169.449 | 169.449 | 58.985 | 0.000 | 0.000 | -0.000 |
| -0.000 | -0.000 | -0.000 | 69.079 | 0.000 | -0.000 |
| -0.000 | -0.000 | -0.000 | 0.000 | 69.079 | -0.000 |
| -0.000 | -0.000 | -0.000 | 0.000 | -0.000 | 69.079 |
| 58.985 | 169.449 | 169.449 | -0.000 | -0.000 | 0.000 |
| 169.449 | 58.985 | 169.449 | -0.000 | 0.000 | 0.000 |
| 169.449 | 169.449 | 58.985 | -0.000 | 0.000 | 0.000 |
| 0.000 | 0.000 | 0.000 | 69.079 | -0.000 | 0.000 |
| 0.000 | 0.000 | 0.000 | -0.000 | 69.079 | 0.000 |
| 0.000 | 0.000 | 0.000 | 0.000 | -0.000 | 69.079 |
| 58.985 | 169.449 | 169.449 | 0.000 | -0.000 | -0.000 |
| 169.449 | 58.985 | 169.449 | -0.000 | 0.000 | -0.000 |
| 169.449 | 169.449 | 58.985 | 0.000 | -0.000 | -0.000 |
| -0.000 | -0.000 | -0.000 | 69.079 | 0.000 | -0.000 |
| -0.000 | -0.000 | -0.000 | 0.000 | 69.079 | -0.000 |
| -0.000 | -0.000 | -0.000 | -0.000 | 0.000 | 69.079 |
| 58.985 | 169.449 | 169.449 | -0.000 | 0.000 | 0.000 |
| 169.449 | 58.985 | 169.449 | -0.000 | 0.000 | 0.000 |
| 169.449 | 169.449 | 58.985 | -0.000 | -0.000 | 0.000 |
| 0.001 | 0.000 | 0.000 | 67.193 | -0.000 | 0.000 |
| 0.000 | 0.001 | 0.000 | -0.000 | 67.193 | 0.000 |
| 0.000 | 0.000 | 0.001 | -0.000 | -0.000 | 67.193 |
| 58.985 | 169.449 | 169.449 | 0.000 | -0.000 | -0.000 |
| 169.449 | 58.985 | 169.449 | -0.000 | -0.000 | -0.000 |
| 169.449 | 169.449 | 58.985 | 0.000 | 0.000 | -0.000 |
| -0.001 | -0.000 | -0.000 | 67.193 | -0.000 | -0.000 |
| -0.000 | -0.001 | -0.000 | -0.000 | 67.193 | -0.000 |
| -0.000 | -0.000 | -0.001 | 0.000 | 0.000 | 67.193 |
| 151.163 | 160.741 | 160.741 | 0.000 | -0.000 | -0.000 |
| 160.741 | 151.163 | 160.741 | -0.000 | 0.000 | -0.000 |
| 160.741 | 160.741 | 151.163 | -0.000 | -0.000 | 0.000 |
| -0.000 | 0.000 | 0.000 | -487.428 | -0.000 | -0.000 |
| 0.000 | -0.000 | 0.000 | -0.000 | -487.428 | -0.000 |
| 0.000 | 0.000 | -0.000 | -0.000 | -0.000 | -487.428 |
| 151.163 | 160.741 | 160.741 | -0.000 | -0.000 | 0.000 |
| 160.741 | 151.163 | 160.741 | -0.000 | -0.000 | 0.000 |
| 160.741 | 160.741 | 151.163 | 0.000 | 0.000 | 0.000 |
| 0.000 | -0.000 | -0.000 | -487.428 | 0.000 | 0.000 |
| -0.000 | 0.000 | -0.000 | 0.000 | -487.428 | 0.000 |
| -0.000 | -0.000 | 0.000 | 0.000 | -0.000 | -487.428 |
| 151.162 | 160.741 | 160.741 | 0.000 | -0.000 | -0.000 |
| 160.741 | 151.162 | 160.741 | -0.000 | 0.000 | -0.000 |
| 160.741 | 160.741 | 151.162 | -0.000 | -0.000 | 0.000 |
| -0.000 | 0.000 | 0.000 | -487.428 | -0.000 | -0.000 |
| 0.000 | -0.000 | 0.000 | -0.000 | -487.428 | -0.000 |
| 0.000 | 0.000 | -0.000 | 0.000 | -0.000 | -487.428 |
| 151.163 | 160.741 | 160.741 | 0.000 | 0.000 | 0.000 |
| 160.741 | 151.163 | 160.741 | 0.000 | 0.000 | 0.000 |
| 160.741 | 160.741 | 151.163 | -0.000 | -0.000 | -0.000 |
| 0.000 | -0.000 | -0.000 | -487.428 | 0.000 | -0.000 |
| -0.000 | 0.000 | -0.000 | 0.000 | -487.428 | -0.000 |
| -0.000 | -0.000 | 0.000 | 0.000 | 0.000 | -487.428 |
| 151.159 | 160.741 | 160.741 | -0.000 | -0.000 | -0.000 |
| 160.741 | 151.159 | 160.741 | -0.000 | -0.000 | -0.000 |
| 160.741 | 160.741 | 151.159 | -0.000 | -0.000 | 0.000 |
| -0.001 | 0.001 | 0.000 | -487.428 | -0.000 | 0.000 |
| 0.001 | -0.001 | 0.000 | -0.000 | -487.428 | 0.000 |
| 0.001 | 0.000 | -0.001 | -0.000 | -0.000 | -487.428 |
| 151.166 | 160.741 | 160.741 | -0.000 | 0.000 | -0.000 |
| 160.741 | 151.166 | 160.741 | 0.000 | -0.000 | -0.000 |
| 160.741 | 160.741 | 151.166 | -0.000 | -0.000 | -0.000 |
| 0.001 | -0.001 | -0.000 | -487.428 | 0.000 | 0.000 |
| -0.001 | 0.001 | -0.000 | 0.000 | -487.428 | 0.000 |
| -0.001 | -0.000 | 0.001 | 0.000 | 0.000 | -487.428 |
| 3.171 | 3.171 | 3.171 | -0.000 | -0.000 | -0.000 |
| 3.171 | 3.171 | 3.171 | -0.000 | -0.000 | -0.000 |
| 3.171 | 3.171 | 3.171 | -0.000 | -0.000 | 0.000 |
| 0.000 | 0.000 | 0.000 | 3.171 | -0.000 | 0.000 |
| 0.000 | 0.000 | 0.000 | -0.000 | 3.171 | 0.000 |
| 0.000 | 0.000 | 0.000 | -0.000 | -0.000 | 3.171 |
| 3.171 | 3.171 | 3.171 | 0.000 | 0.000 | -0.000 |
| 3.171 | 3.171 | 3.171 | 0.000 | 0.000 | -0.000 |
| 3.171 | 3.171 | 3.171 | 0.000 | 0.000 | -0.000 |
| -0.000 | -0.000 | -0.000 | 3.171 | -0.000 | 0.000 |
| -0.000 | -0.000 | -0.000 | -0.000 | 3.171 | 0.000 |
| -0.000 | -0.000 | -0.000 | -0.000 | 0.000 | 3.171 |
| 3.171 | 3.171 | 3.171 | -0.000 | -0.000 | -0.000 |
| 3.171 | 3.171 | 3.171 | -0.000 | -0.000 | -0.000 |
| 3.171 | 3.171 | 3.171 | -0.000 | -0.000 | 0.000 |
| 0.000 | 0.000 | 0.000 | 3.032 | -0.000 | 0.000 |
| 0.000 | 0.000 | 0.000 | -0.000 | 3.032 | 0.000 |
| 0.000 | 0.000 | 0.000 | -0.000 | 0.000 | 3.032 |
| 3.171 | 3.171 | 3.171 | 0.000 | 0.000 | 0.000 |
| 3.171 | 3.171 | 3.171 | 0.000 | 0.000 | 0.000 |
| 3.171 | 3.171 | 3.171 | 0.000 | 0.000 | -0.000 |
| -0.000 | -0.000 | -0.000 | 3.032 | 0.000 | 0.000 |
| -0.000 | -0.000 | -0.000 | 0.000 | 3.032 | 0.000 |
| -0.000 | -0.000 | -0.000 | 0.000 | 0.000 | 3.032 |
| 3.171 | 3.171 | 3.171 | -0.000 | -0.000 | 0.000 |
| 3.171 | 3.171 | 3.171 | -0.000 | -0.000 | -0.000 |
| 3.171 | 3.171 | 3.171 | -0.000 | -0.000 | -0.000 |
| 0.000 | 0.000 | 0.000 | 3.010 | -0.000 | -0.000 |
| 0.000 | 0.000 | 0.000 | -0.000 | 3.010 | -0.000 |
| 0.000 | 0.000 | 0.000 | -0.000 | -0.000 | 3.010 |
| 3.171 | 3.171 | 3.171 | 0.000 | 0.000 | -0.000 |
| 3.171 | 3.171 | 3.171 | 0.000 | 0.000 | -0.000 |
| 3.171 | 3.171 | 3.171 | 0.000 | 0.000 | -0.000 |
| -0.000 | -0.000 | -0.000 | 3.010 | 0.000 | -0.000 |
| -0.000 | -0.000 | -0.000 | 0.000 | 3.010 | -0.000 |
| -0.000 | -0.000 | -0.000 | 0.000 | 0.000 | 3.010 |
| 151.232 | 183.455 | 183.455 | 0.000 | -0.000 | 0.000 |
| 183.455 | 151.232 | 183.455 | 0.000 | -0.000 | 0.000 |
| 183.455 | 183.455 | 151.232 | -0.000 | -0.000 | 0.000 |
| -0.000 | -0.000 | 0.000 | 181.349 | 0.000 | 0.000 |
| -0.000 | -0.000 | 0.000 | 0.000 | 181.349 | 0.000 |
| -0.000 | 0.000 | 0.000 | 0.000 | 0.000 | 181.349 |
| 151.232 | 183.455 | 183.455 | 0.000 | -0.000 | -0.000 |
| 183.455 | 151.232 | 183.455 | -0.000 | -0.000 | -0.000 |
| 183.455 | 183.455 | 151.232 | 0.000 | 0.000 | -0.000 |
| 0.000 | -0.000 | -0.000 | 181.349 | -0.000 | -0.000 |
| 0.000 | 0.000 | -0.000 | 0.000 | 181.349 | -0.000 |
| 0.000 | 0.000 | -0.000 | -0.000 | -0.000 | 181.349 |
| 151.232 | 183.455 | 183.455 | 0.000 | 0.000 | 0.000 |
| 183.455 | 151.232 | 183.455 | -0.000 | 0.000 | 0.000 |
| 183.455 | 183.455 | 151.232 | 0.000 | 0.000 | 0.000 |
| 0.000 | 0.000 | 0.000 | 180.135 | 0.000 | 0.000 |
| 0.000 | 0.000 | 0.000 | 0.000 | 180.135 | 0.000 |
| 0.000 | 0.000 | 0.000 | -0.000 | 0.000 | 180.135 |
| 151.232 | 183.455 | 183.455 | -0.000 | -0.000 | -0.000 |
| 183.455 | 151.232 | 183.455 | -0.000 | -0.000 | -0.000 |
| 183.455 | 183.455 | 151.232 | -0.000 | -0.000 | -0.000 |
| -0.000 | -0.000 | -0.000 | 180.135 | -0.000 | -0.000 |
| -0.000 | -0.000 | -0.000 | 0.000 | 180.135 | -0.000 |
| -0.000 | -0.000 | -0.000 | 0.000 | -0.000 | 180.135 |
| 151.232 | 183.456 | 183.456 | 0.000 | 0.000 | 0.000 |
| 183.456 | 151.232 | 183.456 | 0.000 | 0.000 | 0.000 |
| 183.456 | 183.456 | 151.232 | 0.000 | -0.000 | 0.000 |
| 0.001 | 0.000 | 0.001 | 181.349 | -0.000 | 0.000 |
| 0.000 | 0.001 | 0.001 | 0.000 | 181.349 | 0.000 |
| 0.000 | 0.001 | 0.001 | -0.000 | 0.000 | 181.349 |
| 151.232 | 183.455 | 183.455 | -0.000 | -0.000 | -0.000 |
| 183.455 | 151.232 | 183.455 | -0.000 | 0.000 | -0.000 |
| 183.455 | 183.455 | 151.232 | -0.000 | -0.000 | -0.000 |
| -0.001 | -0.000 | -0.001 | 181.349 | 0.000 | -0.000 |
| -0.000 | -0.001 | -0.001 | -0.000 | 181.349 | -0.000 |
| -0.000 | -0.001 | -0.001 | 0.000 | -0.000 | 181.349 |
| 77.081 | 81.544 | 81.544 | 0.000 | -0.000 | 0.000 |
| 81.544 | 77.081 | 81.544 | 0.000 | -0.000 | -0.000 |
| 81.544 | 81.544 | 77.081 | 0.000 | -0.000 | -0.000 |
| 0.000 | 0.000 | 0.000 | 2.774 | -0.000 | -0.000 |
| 0.000 | 0.000 | 0.000 | -0.000 | 2.774 | 0.000 |
| 0.000 | 0.000 | 0.000 | -0.000 | 0.000 | 2.774 |
| 77.081 | 81.544 | 81.544 | -0.000 | 0.000 | 0.000 |
| 81.544 | 77.081 | 81.544 | 0.000 | 0.000 | 0.000 |
| 81.544 | 81.544 | 77.081 | -0.000 | 0.000 | -0.000 |
| -0.000 | -0.000 | -0.000 | 2.774 | 0.000 | 0.000 |
| -0.000 | -0.000 | -0.000 | -0.000 | 2.774 | 0.000 |
| -0.000 | -0.000 | -0.000 | -0.000 | 0.000 | 2.774 |
| 77.082 | 81.544 | 81.544 | 0.000 | 0.000 | 0.000 |
| 81.544 | 77.082 | 81.544 | 0.000 | 0.000 | 0.000 |
| 81.544 | 81.544 | 77.082 | 0.000 | -0.000 | -0.000 |
| 0.000 | 0.000 | 0.000 | 3.059 | -0.000 | -0.000 |
| 0.000 | 0.000 | 0.000 | -0.000 | 3.059 | -0.000 |
| 0.000 | 0.000 | 0.000 | -0.000 | -0.000 | 3.059 |
| 77.081 | 81.544 | 81.544 | 0.000 | 0.000 | -0.000 |
| 81.544 | 77.081 | 81.544 | 0.000 | 0.000 | 0.000 |
| 81.544 | 81.544 | 77.081 | -0.000 | -0.000 | 0.000 |
| -0.000 | -0.000 | -0.000 | 3.059 | 0.000 | 0.000 |
| -0.000 | -0.000 | -0.000 | 0.000 | 3.059 | -0.000 |
| -0.000 | -0.000 | -0.000 | -0.000 | -0.000 | 3.059 |
| 77.085 | 81.546 | 81.546 | -0.000 | 0.000 | -0.000 |
| 81.546 | 77.085 | 81.546 | 0.000 | -0.000 | 0.000 |
| 81.546 | 81.546 | 77.085 | 0.000 | 0.000 | -0.000 |
| 0.000 | 0.000 | 0.000 | 3.059 | -0.000 | -0.000 |
| 0.000 | 0.000 | 0.000 | 0.000 | 3.059 | 0.000 |
| 0.000 | 0.000 | 0.000 | 0.000 | -0.000 | 3.059 |
| 77.078 | 81.543 | 81.543 | -0.000 | -0.000 | 0.000 |
| 81.543 | 77.078 | 81.543 | -0.000 | -0.000 | -0.000 |
| 81.543 | 81.543 | 77.078 | 0.000 | -0.000 | 0.000 |
| -0.000 | -0.000 | -0.000 | 3.059 | 0.000 | 0.000 |
| -0.000 | -0.000 | -0.000 | 0.000 | 3.059 | -0.000 |
| -0.000 | -0.000 | -0.000 | 0.000 | -0.000 | 3.059 |
| 56.786 | 56.786 | 56.786 | 0.000 | 0.000 | -0.000 |
| 56.786 | 56.786 | 56.786 | 0.000 | 0.000 | -0.000 |
| 56.786 | 56.786 | 56.786 | 0.000 | 0.000 | -0.000 |
| -0.000 | -0.000 | -0.000 | -7.559 | 0.000 | 0.000 |
| -0.000 | -0.000 | -0.000 | 0.000 | -7.559 | 0.000 |
| -0.000 | -0.000 | -0.000 | 0.000 | 0.000 | -7.559 |
| 56.786 | 56.786 | 56.786 | -0.000 | -0.000 | -0.000 |
| 56.786 | 56.786 | 56.786 | -0.000 | -0.000 | -0.000 |
| 56.786 | 56.786 | 56.786 | -0.000 | 0.000 | 0.000 |
| 0.000 | 0.000 | 0.000 | -7.559 | -0.000 | -0.000 |
| 0.000 | 0.000 | 0.000 | -0.000 | -7.559 | -0.000 |
| 0.000 | 0.000 | 0.000 | -0.000 | -0.000 | -7.559 |
| 56.786 | 56.786 | 56.786 | 0.000 | -0.000 | -0.000 |
| 56.786 | 56.786 | 56.786 | -0.000 | 0.000 | -0.000 |
| 56.786 | 56.786 | 56.786 | 0.000 | 0.000 | -0.000 |
| -321443.196 | -859547.008 | -859547.086 | -389867.003 | 0.000 | 0.000 |
| -859547.009 | -321443.197 | -859547.087 | 0.000 | -389867.001 | 0.000 |
| -859547.007 | -859547.085 | -321443.192 | 0.000 | 0.000 | -389867.006 |
| 56.786 | 56.786 | 56.786 | -0.000 | 0.000 | 0.000 |
| 56.786 | 56.786 | 56.786 | 0.000 | -0.000 | 0.000 |
| 56.786 | 56.786 | 56.786 | -0.000 | -0.000 | 0.000 |
| 321443.210 | 859547.014 | 859547.092 | -389866.990 | -0.000 | 0.000 |
| 859547.014 | 321443.209 | 859547.092 | -0.000 | -389866.991 | 0.000 |
| 859547.016 | 859547.094 | 321443.215 | -0.000 | -0.000 | -389866.986 |
| 56.786 | 56.786 | 56.786 | 0.000 | 0.000 | -0.000 |
| 56.786 | 56.786 | 56.786 | 0.000 | 0.000 | -0.000 |
| 56.786 | 56.786 | 56.786 | 0.000 | 0.000 | -0.000 |
| -32148.488 | -85958.458 | -85958.536 | -38988.457 | 0.000 | 0.000 |
| -85958.458 | -32148.488 | -85958.536 | 0.000 | -38988.457 | 0.000 |
| -85958.458 | -85958.536 | -32148.488 | 0.000 | 0.000 | -38988.457 |
| 56.787 | 56.786 | 56.786 | -0.000 | 0.000 | 0.000 |
| 56.786 | 56.787 | 56.786 | 0.000 | -0.000 | 0.000 |
| 56.786 | 56.786 | 56.787 | -0.000 | 0.000 | 0.000 |
| 32148.488 | 85958.458 | 85958.536 | -38988.457 | -0.000 | 0.000 |
| 85958.458 | 32148.488 | 85958.536 | -0.000 | -38988.457 | 0.000 |
| 85958.458 | 85958.536 | 32148.488 | -0.000 | -0.000 | -38988.457 |
| 0.165 | 0.165 | 0.165 | 0.000 | 0.000 | 0.000 |
| 0.165 | 0.165 | 0.165 | 0.000 | 0.000 | 0.000 |
| 0.165 | 0.165 | 0.165 | 0.000 | 0.000 | 0.000 |
| 0.000 | 0.000 | 0.000 | 0.165 | 0.000 | 0.000 |
| 0.000 | 0.000 | 0.000 | 0.000 | 0.165 | 0.000 |
| 0.000 | 0.000 | 0.000 | 0.000 | 0.000 | 0.165 |
| 0.165 | 0.165 | 0.165 | -0.000 | -0.000 | -0.000 |
| 0.165 | 0.165 | 0.165 | -0.000 | -0.000 | -0.000 |
| 0.165 | 0.165 | 0.165 | -0.000 | -0.000 | -0.000 |
| -0.000 | -0.000 | -0.000 | 0.165 | -0.000 | -0.000 |
| -0.000 | -0.000 | -0.000 | -0.000 | 0.165 | -0.000 |
| -0.000 | -0.000 | -0.000 | -0.000 | 0.000 | 0.165 |
| 0.165 | 0.165 | 0.165 | 0.000 | 0.000 | 0.000 |
| 0.165 | 0.165 | 0.165 | 0.000 | 0.000 | 0.000 |
| 0.165 | 0.165 | 0.165 | 0.000 | 0.000 | -0.000 |
| 0.000 | 0.000 | 0.000 | 0.160 | 0.000 | 0.000 |
| 0.000 | 0.000 | 0.000 | 0.000 | 0.160 | 0.000 |
| 0.000 | 0.000 | 0.000 | 0.000 | 0.000 | 0.160 |
| 0.165 | 0.165 | 0.165 | -0.000 | -0.000 | -0.000 |
| 0.165 | 0.165 | 0.165 | -0.000 | -0.000 | -0.000 |
| 0.165 | 0.165 | 0.165 | 0.000 | 0.000 | -0.000 |
| -0.000 | -0.000 | -0.000 | 0.160 | -0.000 | -0.000 |
| -0.000 | -0.000 | -0.000 | -0.000 | 0.160 | -0.000 |
| -0.000 | -0.000 | -0.000 | -0.000 | -0.000 | 0.160 |
| 0.165 | 0.165 | 0.165 | -0.000 | -0.000 | 0.000 |
| 0.165 | 0.165 | 0.165 | -0.000 | -0.000 | 0.000 |
| 0.165 | 0.165 | 0.165 | -0.000 | -0.000 | -0.000 |
| -0.000 | -0.000 | -0.000 | 0.004 | 0.000 | 0.000 |
| -0.000 | -0.000 | -0.000 | 0.000 | 0.004 | 0.000 |
| -0.000 | -0.000 | -0.000 | -0.000 | 0.000 | 0.004 |
| 0.164 | 0.164 | 0.164 | -0.000 | -0.000 | -0.000 |
| 0.164 | 0.164 | 0.164 | -0.000 | -0.000 | -0.000 |
| 0.164 | 0.164 | 0.164 | -0.000 | -0.000 | -0.000 |
| 0.000 | 0.000 | 0.000 | 0.004 | -0.000 | -0.000 |
| 0.000 | 0.000 | 0.000 | -0.000 | 0.004 | -0.000 |
| 0.000 | 0.000 | 0.000 | 0.000 | -0.000 | 0.004 |
| -0.211 | -0.211 | -0.211 | 0.000 | 0.000 | -0.000 |
| -0.211 | -0.211 | -0.211 | 0.000 | 0.000 | -0.000 |
| -0.211 | -0.211 | -0.211 | 0.000 | 0.000 | 0.000 |
| 0.000 | 0.000 | 0.000 | -0.218 | 0.000 | -0.000 |
| 0.000 | 0.000 | 0.000 | 0.000 | -0.218 | -0.000 |
| 0.000 | 0.000 | 0.000 | 0.000 | -0.000 | -0.218 |
| -0.211 | -0.211 | -0.211 | -0.000 | -0.000 | 0.000 |
| -0.211 | -0.211 | -0.211 | -0.000 | -0.000 | 0.000 |
| -0.211 | -0.211 | -0.211 | -0.000 | -0.000 | -0.000 |
| -0.000 | -0.000 | -0.000 | -0.218 | -0.000 | 0.000 |
| -0.000 | -0.000 | -0.000 | -0.000 | -0.218 | 0.000 |
| -0.000 | -0.000 | -0.000 | -0.000 | -0.000 | -0.218 |
| -0.211 | -0.211 | -0.211 | 0.000 | 0.000 | 0.000 |
| -0.211 | -0.211 | -0.211 | 0.000 | 0.000 | 0.000 |
| -0.211 | -0.211 | -0.211 | 0.000 | 0.000 | 0.000 |
| 55472.781 | 56008.616 | 56026.089 | -51682.044 | -460.577 | 490.624 |
| 56008.616 | 55472.781 | 56026.089 | -460.577 | -51682.044 | 490.624 |
| 54600.593 | 54617.697 | 54077.623 | -1292.663 | 1319.713 | -50465.293 |
| -0.211 | -0.211 | -0.211 | -0.000 | -0.000 | 0.000 |
| -0.211 | -0.211 | -0.211 | -0.000 | -0.000 | 0.000 |
| -0.211 | -0.211 | -0.211 | -0.000 | -0.000 | -0.000 |
| -28464.775 | -28696.141 | -28702.778 | -26507.363 | -776.119 | -788.655 |
| -28696.141 | -28464.775 | -28702.778 | -776.119 | -26507.363 | -788.655 |
| -29469.187 | -29476.166 | -29225.843 | -974.071 | -990.039 | -27235.198 |
| 5.559 | 6.499 | 6.499 | 0.000 | 0.000 | 0.000 |
| 6.499 | 5.559 | 6.499 | 0.000 | 0.000 | -0.000 |
| 6.499 | 6.499 | 5.559 | -0.000 | 0.000 | -0.000 |
| 0.000 | 0.000 | 0.000 | -1.413 | 0.000 | -0.000 |
| 0.000 | 0.000 | 0.000 | 0.000 | -1.413 | -0.000 |
| 0.000 | 0.000 | 0.000 | 0.000 | 0.000 | -1.413 |
| 5.559 | 6.499 | 6.499 | -0.000 | -0.000 | 0.000 |
| 6.499 | 5.559 | 6.499 | -0.000 | -0.000 | 0.000 |
| 6.499 | 6.499 | 5.559 | 0.000 | 0.000 | 0.000 |
| -0.000 | -0.000 | -0.000 | -1.413 | -0.000 | 0.000 |
| -0.000 | -0.000 | -0.000 | -0.000 | -1.413 | 0.000 |
| -0.000 | -0.000 | -0.000 | -0.000 | -0.000 | -1.413 |
| 5.557 | 6.497 | 6.497 | 0.000 | 0.000 | 0.000 |
| 6.497 | 5.557 | 6.497 | 0.000 | 0.000 | 0.000 |
| 6.497 | 6.497 | 5.557 | -0.000 | 0.000 | -0.000 |
| -0.001 | -0.001 | -0.001 | 5.474 | 0.000 | -0.000 |
| -0.001 | -0.001 | -0.001 | 0.000 | 5.474 | -0.000 |
| -0.001 | -0.001 | -0.001 | 0.000 | 0.000 | 5.474 |
| 5.560 | 6.500 | 6.500 | -0.000 | -0.000 | 0.000 |
| 6.500 | 5.560 | 6.500 | -0.000 | -0.000 | 0.000 |
| 6.500 | 6.500 | 5.560 | -0.000 | -0.000 | -0.000 |
| 0.001 | 0.001 | 0.001 | 5.474 | -0.000 | 0.000 |
| 0.001 | 0.001 | 0.001 | -0.000 | 5.474 | 0.000 |
| 0.001 | 0.001 | 0.001 | -0.000 | -0.000 | 5.474 |
| 5.544 | 6.484 | 6.484 | 0.000 | 0.000 | -0.000 |
| 6.484 | 5.544 | 6.484 | 0.000 | 0.000 | -0.000 |
| 6.484 | 6.484 | 5.544 | 0.000 | 0.000 | 0.000 |
| 0.002 | 0.002 | 0.002 | -1.413 | 0.000 | 0.000 |
| 0.002 | 0.002 | 0.002 | 0.000 | -1.413 | -0.000 |
| 0.002 | 0.002 | 0.002 | 0.000 | 0.000 | -1.413 |
| 5.573 | 6.513 | 6.513 | -0.000 | -0.000 | 0.000 |
| 6.513 | 5.573 | 6.513 | -0.000 | -0.000 | -0.000 |
| 6.513 | 6.513 | 5.573 | -0.000 | -0.000 | 0.000 |
| -0.002 | -0.002 | -0.002 | -1.413 | -0.000 | 0.000 |
| -0.002 | -0.002 | -0.002 | -0.000 | -1.413 | 0.000 |
| -0.002 | -0.002 | -0.002 | -0.000 | -0.000 | -1.413 |
| 299.302 | 74.470 | 123.139 | -0.000 | 0.506 | 0.000 |
| 74.465 | 247.737 | 74.247 | -0.000 | -0.142 | 0.000 |
| 15.721 | 84.640 | 427.963 | -0.000 | 13.546 | 0.000 |
| -96.633 | 19.283 | 149.187 | 33.845 | 8.262 | -0.323 |
| 0.127 | -0.210 | -0.773 | -0.000 | 87.460 | 0.000 |
| -38.365 | 11.560 | 74.783 | -0.041 | -1.496 | 32.222 |
| 299.302 | 74.470 | 123.139 | 0.000 | 0.506 | 0.000 |
| 109.161 | 232.411 | -4.101 | 0.000 | 1.901 | 0.000 |
| 166.354 | 58.737 | 205.257 | 0.000 | 2.271 | -0.000 |
| 96.633 | -19.283 | -149.187 | 33.845 | -8.262 | -0.323 |
| 41.122 | -11.340 | -74.885 | 0.000 | 78.190 | -0.000 |
| 38.365 | -11.560 | -74.783 | -0.041 | 1.496 | 32.222 |
| 299.302 | 74.470 | 123.139 | -0.000 | 0.506 | -0.000 |
| 63.030 | 247.089 | 85.494 | -0.000 | 1.630 | -0.000 |
| 123.229 | 74.340 | 295.596 | -0.000 | -0.773 | 0.000 |
| -9.616 | 1.923 | 14.861 | 33.847 | 0.818 | -0.321 |
| -1.741 | 1.739 | 9.442 | -0.000 | 75.065 | 0.000 |
| 0.000 | 0.000 | 0.000 | -0.118 | 0.000 | 34.540 |
| 288.731 | 71.149 | 122.878 | 0.000 | 2.283 | 0.000 |
| 74.465 | 247.737 | 74.247 | 0.000 | -0.142 | 0.000 |
| 123.229 | 74.340 | 295.595 | 0.000 | -0.773 | -0.000 |
| 9.616 | -1.923 | -14.861 | 33.847 | -0.818 | -0.321 |
| 7.996 | -1.006 | -8.640 | 0.000 | 73.760 | -0.000 |
| -0.000 | -0.000 | -0.000 | -0.118 | -0.000 | 34.540 |
| 299.303 | 74.470 | 123.140 | -0.000 | 0.506 | 0.000 |
| 74.465 | 247.736 | 74.247 | -0.000 | -0.142 | -0.000 |
| 127.017 | 69.814 | 280.073 | -0.000 | 1.142 | 0.000 |
| -0.433 | 0.131 | 0.843 | 34.099 | -0.017 | -0.100 |
| 0.128 | -0.210 | -0.773 | -0.000 | 87.460 | -0.000 |
| 0.000 | 0.000 | 0.000 | -0.118 | 0.000 | 34.540 |
| 277.700 | 72.478 | 136.941 | 0.000 | 3.524 | -0.000 |
| 74.465 | 247.737 | 74.246 | 0.000 | -0.142 | -0.000 |
| 123.229 | 74.340 | 295.595 | 0.000 | -0.773 | -0.000 |
| 0.433 | -0.131 | -0.843 | 34.099 | 0.017 | -0.100 |
| 5.126 | 0.619 | 0.560 | 0.000 | 66.885 | -0.000 |
| -0.000 | -0.000 | -0.000 | -0.118 | -0.000 | 34.540 |
| 297.891 | 74.025 | 122.738 | 0.000 | -0.512 | 0.000 |
| 74.025 | 247.623 | 73.983 | -0.000 | -0.213 | 0.000 |
| 165.502 | 64.418 | 255.500 | 0.000 | -18.446 | 0.000 |
| 18.226 | -6.310 | -11.721 | 33.645 | -14.771 | -0.154 |
| -0.662 | -0.213 | -1.005 | 0.000 | 86.892 | 0.000 |
| 0.000 | 0.000 | -0.000 | -0.130 | 0.000 | 34.162 |
| 248.057 | 78.577 | 155.061 | -0.000 | 21.139 | -0.000 |
| 74.025 | 247.623 | 73.983 | 0.000 | -0.213 | -0.000 |
| 122.740 | 73.983 | 295.573 | 0.000 | -1.005 | -0.000 |
| -18.226 | 6.310 | 11.721 | 33.645 | 14.771 | -0.154 |
| -19.014 | 5.181 | 7.113 | 0.000 | 88.732 | -0.000 |
| -0.000 | -0.000 | -0.000 | -0.130 | 0.000 | 34.162 |
| 286.338 | 69.927 | 125.086 | 0.000 | 0.344 | 0.000 |
| 73.113 | 244.236 | 70.576 | 0.000 | -0.774 | 0.000 |
| 137.604 | 70.074 | 272.805 | 0.000 | -1.250 | 0.000 |
| 2.582 | -0.480 | -1.314 | 33.515 | -1.727 | -0.230 |
| 5.293 | 0.251 | -1.140 | -0.000 | 62.613 | 0.000 |
| 2.183 | -0.533 | -0.750 | -0.049 | -1.145 | 32.124 |
| 283.265 | 71.399 | 126.310 | 0.000 | 2.499 | -0.000 |
| 74.025 | 247.623 | 73.983 | -0.000 | -0.213 | -0.000 |
| 131.636 | 71.385 | 277.720 | 0.000 | 2.360 | -0.000 |
| -2.582 | 0.480 | 1.314 | 33.515 | 1.727 | -0.230 |
| 0.585 | 1.497 | 2.136 | -0.000 | 68.568 | -0.000 |
| -2.183 | 0.533 | 0.750 | -0.049 | 1.145 | 32.124 |
| 275.664 | 72.185 | 137.884 | 0.000 | 2.406 | 0.000 |
| 72.539 | 245.026 | 70.541 | -0.000 | 0.582 | 0.000 |
| 122.740 | 73.983 | 295.573 | 0.000 | -1.005 | 0.000 |
| 0.000 | 0.000 | 0.000 | 34.331 | 0.000 | -0.130 |
| -0.661 | -0.213 | -1.005 | -0.000 | 86.892 | 0.000 |
| 0.432 | -0.105 | -0.148 | 0.031 | -0.226 | 30.132 |
| 283.207 | 70.446 | 126.103 | 0.000 | 1.801 | -0.000 |
| 71.592 | 245.152 | 71.208 | -0.000 | 0.571 | -0.000 |
| 137.863 | 70.775 | 272.626 | -0.000 | 0.465 | -0.000 |
| -0.000 | -0.000 | -0.000 | 34.331 | -0.000 | -0.130 |
| -0.662 | -0.213 | -1.005 | 0.000 | 86.893 | -0.000 |
| -0.432 | 0.105 | 0.148 | 0.031 | 0.226 | 30.132 |
| 351.157 | -48.357 | 65.180 | -86.530 | 114.757 | -1.152 |
| 121.580 | 335.947 | 110.091 | 60.297 | 0.484 | -0.186 |
| 110.975 | 110.139 | 352.013 | -0.135 | 0.311 | -0.769 |
| -34.436 | 34.915 | -0.135 | 71.834 | 0.311 | 0.215 |
| -13.632 | -93.699 | -51.454 | -25.695 | 116.134 | -51.392 |
| -0.265 | -0.130 | -0.659 | 0.325 | -9.171 | 83.090 |
| 332.973 | 223.687 | 158.259 | -7.932 | -6.512 | 43.008 |
| 121.580 | 335.947 | 110.091 | 60.297 | 0.484 | -0.186 |
| 120.596 | 199.770 | 395.231 | 25.722 | -44.725 | 16.330 |
| -34.436 | 34.915 | -0.135 | 71.834 | 0.311 | 0.215 |
| 0.497 | 0.374 | 0.311 | 0.311 | 71.904 | -34.579 |
| -0.265 | -0.130 | -0.659 | 0.325 | -9.171 | 83.090 |
| 325.047 | 133.902 | 110.785 | -34.059 | 39.208 | 26.336 |
| 116.028 | 319.470 | 100.340 | 56.821 | 5.009 | -2.217 |
| 110.975 | 110.139 | 352.013 | -0.135 | 0.311 | -0.769 |
| -34.436 | 34.914 | -0.135 | 71.834 | 0.311 | 0.215 |
| -0.740 | -9.024 | -4.685 | -2.327 | 75.437 | -36.051 |
| -0.265 | -0.130 | -0.659 | 0.325 | -9.171 | 83.090 |
| 320.051 | 138.991 | 111.467 | -31.300 | 34.185 | 27.666 |
| 113.637 | 344.520 | 108.952 | 64.442 | -7.269 | 2.021 |
| 107.692 | 115.084 | 348.439 | 2.354 | -4.027 | 0.990 |
| -34.436 | 34.915 | -0.135 | 71.834 | 0.311 | 0.215 |
| 0.497 | 0.374 | 0.311 | 0.311 | 71.904 | -34.579 |
| -3.457 | 17.153 | 3.638 | 5.503 | -17.091 | 84.025 |
| 318.746 | 128.813 | 105.936 | -34.167 | 39.186 | 25.804 |
| 117.302 | 327.932 | 105.011 | 59.162 | 0.926 | -0.679 |
| 106.187 | 104.791 | 342.853 | -0.504 | 0.951 | -0.889 |
| -34.370 | 33.353 | -0.781 | 70.768 | 0.728 | -0.003 |
| 0.549 | -0.567 | -0.013 | 0.007 | 71.370 | -34.518 |
| -0.265 | -0.130 | -0.659 | 0.325 | -9.171 | 83.090 |
| 325.046 | 133.902 | 110.785 | -34.059 | 39.208 | 26.336 |
| 121.579 | 335.946 | 110.091 | 60.297 | 0.484 | -0.186 |
| 110.974 | 110.138 | 352.012 | -0.135 | 0.311 | -0.769 |
| -34.436 | 34.915 | -0.135 | 71.834 | 0.311 | 0.215 |
| 0.497 | 0.374 | 0.311 | 0.311 | 71.904 | -34.579 |
| -0.265 | -0.130 | -0.659 | 0.325 | -9.171 | 83.090 |
| 75.593 | 150.455 | 150.455 | 0.000 | 0.000 | 0.000 |
| 150.455 | 75.593 | 150.455 | 0.000 | 0.000 | 0.000 |
| 150.455 | 150.455 | 75.593 | -0.000 | -0.000 | -0.000 |
| 0.000 | -0.000 | -0.000 | 116.155 | -0.000 | 0.000 |
| -0.000 | 0.000 | -0.000 | -0.000 | 116.155 | -0.000 |
| -0.000 | 0.000 | -0.000 | -0.000 | -0.000 | 116.155 |
| 75.593 | 150.455 | 150.455 | -0.000 | -0.000 | -0.000 |
| 150.455 | 75.593 | 150.455 | -0.000 | -0.000 | -0.000 |
| 150.455 | 150.455 | 75.593 | 0.000 | 0.000 | -0.000 |
| -0.000 | -0.000 | 0.000 | 116.155 | 0.000 | -0.000 |
| -0.000 | -0.000 | 0.000 | 0.000 | 116.155 | -0.000 |
| 0.000 | 0.000 | 0.000 | 0.000 | 0.000 | 116.155 |
| 75.593 | 150.455 | 150.455 | 0.000 | 0.000 | -0.000 |
| 150.455 | 75.593 | 150.455 | 0.000 | -0.000 | 0.000 |
| 150.455 | 150.455 | 75.593 | -0.000 | -0.000 | 0.000 |
| 0.000 | 0.000 | 0.000 | 118.360 | -0.000 | -0.000 |
| 0.000 | 0.000 | 0.000 | 0.000 | 118.360 | -0.000 |
| 0.000 | 0.000 | 0.000 | 0.000 | -0.000 | 118.360 |
| 75.593 | 150.455 | 150.455 | -0.000 | -0.000 | 0.000 |
| 150.455 | 75.593 | 150.455 | -0.000 | 0.000 | 0.000 |
| 150.455 | 150.455 | 75.593 | 0.000 | 0.000 | -0.000 |
| -0.000 | -0.000 | -0.000 | 118.360 | 0.000 | -0.000 |
| -0.000 | -0.000 | -0.000 | -0.000 | 118.360 | -0.000 |
| -0.000 | -0.000 | -0.000 | -0.000 | 0.000 | 118.360 |
| 75.594 | 150.456 | 150.456 | 0.000 | 0.000 | 0.000 |
| 150.456 | 75.594 | 150.456 | 0.000 | 0.000 | 0.000 |
| 150.456 | 150.456 | 75.594 | -0.000 | -0.000 | -0.000 |
| 0.001 | 0.000 | 0.001 | 118.360 | 0.000 | -0.000 |
| 0.000 | 0.001 | 0.001 | 0.000 | 118.360 | 0.000 |
| 0.000 | 0.001 | 0.001 | 0.000 | -0.000 | 118.360 |
| 75.593 | 150.455 | 150.455 | -0.000 | 0.000 | 0.000 |
| 150.455 | 75.593 | 150.455 | -0.000 | -0.000 | 0.000 |
| 150.455 | 150.455 | 75.593 | -0.000 | -0.000 | 0.000 |
| -0.001 | -0.000 | -0.001 | 118.360 | -0.000 | -0.000 |
| -0.000 | -0.001 | -0.001 | -0.000 | 118.360 | -0.000 |
| -0.000 | -0.001 | -0.001 | -0.000 | 0.000 | 118.360 |
| 1.039 | 1.203 | 1.203 | -0.000 | -0.000 | 0.000 |
| 1.203 | 1.039 | 1.203 | -0.000 | -0.000 | -0.000 |
| 1.203 | 1.203 | 1.039 | -0.000 | -0.000 | 0.000 |
| -0.000 | -0.000 | -0.000 | 1.036 | -0.000 | 0.000 |
| -0.000 | -0.000 | -0.000 | -0.000 | 1.036 | 0.000 |
| -0.000 | -0.000 | -0.000 | -0.000 | -0.000 | 1.036 |
| 1.039 | 1.203 | 1.203 | 0.000 | 0.000 | -0.000 |
| 1.203 | 1.039 | 1.203 | 0.000 | 0.000 | -0.000 |
| 1.203 | 1.203 | 1.039 | 0.000 | 0.000 | 0.000 |
| 0.000 | 0.000 | 0.000 | 1.035 | 0.000 | -0.000 |
| 0.000 | 0.000 | 0.000 | 0.000 | 1.035 | 0.000 |
| 0.000 | 0.000 | 0.000 | 0.000 | 0.000 | 1.036 |
| 1.039 | 1.203 | 1.203 | -0.000 | -0.000 | 0.000 |
| 1.203 | 1.039 | 1.203 | -0.000 | -0.000 | -0.000 |
| 1.203 | 1.203 | 1.039 | 0.000 | -0.000 | 0.000 |
| -0.000 | -0.000 | -0.000 | 1.036 | -0.000 | 0.000 |
| -0.000 | -0.000 | -0.000 | -0.000 | 1.036 | 0.000 |
| -0.000 | -0.000 | -0.000 | -0.000 | -0.000 | 1.036 |
| 1.039 | 1.204 | 1.204 | 0.000 | 0.000 | -0.000 |
| 1.204 | 1.039 | 1.204 | 0.000 | 0.000 | -0.000 |
| 1.204 | 1.204 | 1.039 | 0.000 | 0.000 | -0.000 |
| 0.000 | 0.000 | 0.000 | 1.036 | 0.000 | -0.000 |
| 0.000 | 0.000 | 0.000 | 0.000 | 1.036 | -0.000 |
| 0.000 | 0.000 | 0.000 | 0.000 | 0.000 | 1.036 |
| 1.037 | 1.201 | 1.201 | -0.000 | -0.000 | 0.000 |
| 1.201 | 1.037 | 1.201 | -0.000 | -0.000 | 0.000 |
| 1.201 | 1.201 | 1.037 | -0.000 | -0.000 | 0.000 |
| -0.003 | -0.003 | -0.003 | 1.033 | -0.000 | -0.000 |
| -0.003 | -0.003 | -0.003 | -0.000 | 1.033 | 0.000 |
| -0.003 | -0.003 | -0.003 | -0.000 | -0.000 | 1.033 |
| 1.042 | 1.206 | 1.206 | 0.000 | 0.000 | -0.000 |
| 1.206 | 1.042 | 1.206 | 0.000 | 0.000 | 0.000 |
| 1.206 | 1.206 | 1.042 | -0.000 | 0.000 | 0.000 |
| 0.003 | 0.003 | 0.003 | 1.033 | 0.000 | -0.000 |
| 0.003 | 0.003 | 0.003 | 0.000 | 1.033 | 0.000 |
| 0.003 | 0.003 | 0.003 | 0.000 | 0.000 | 1.033 |
| 570.799 | 12.955 | 12.955 | -0.000 | 0.000 | 0.000 |
| 12.955 | 570.799 | 12.955 | -0.000 | 0.000 | -0.000 |
| 12.955 | 12.955 | 570.799 | 0.000 | -0.000 | 0.000 |
| -0.000 | -0.000 | -0.000 | 12.189 | -0.000 | 0.000 |
| -0.000 | -0.000 | -0.000 | -0.000 | 12.189 | 0.000 |
| -0.000 | -0.000 | -0.000 | -0.000 | -0.000 | 12.189 |
| 570.799 | 12.955 | 12.955 | -0.000 | 0.000 | -0.000 |
| 12.955 | 570.799 | 12.955 | 0.000 | 0.000 | 0.000 |
| 12.955 | 12.955 | 570.799 | 0.000 | -0.000 | -0.000 |
| 0.000 | 0.000 | 0.000 | 12.189 | 0.000 | -0.000 |
| 0.000 | 0.000 | 0.000 | 0.000 | 12.189 | -0.000 |
| 0.000 | 0.000 | 0.000 | 0.000 | 0.000 | 12.189 |
| 570.799 | 12.955 | 12.955 | -0.000 | 0.000 | -0.000 |
| 12.955 | 570.799 | 12.955 | 0.000 | -0.000 | 0.000 |
| 12.955 | 12.955 | 570.799 | 0.000 | 0.000 | -0.000 |
| -0.000 | -0.000 | -0.000 | 12.189 | -0.000 | -0.000 |
| -0.000 | -0.000 | -0.000 | -0.000 | 12.189 | -0.000 |
| -0.000 | -0.000 | -0.000 | -0.000 | -0.000 | 12.189 |
| 570.799 | 12.955 | 12.955 | 0.000 | 0.000 | 0.000 |
| 12.955 | 570.799 | 12.955 | 0.000 | 0.000 | -0.000 |
| 12.955 | 12.955 | 570.799 | -0.000 | -0.000 | 0.000 |
| 0.000 | 0.000 | 0.000 | 12.189 | 0.000 | 0.000 |
| 0.000 | 0.000 | 0.000 | 0.000 | 12.189 | -0.000 |
| 0.000 | 0.000 | 0.000 | 0.000 | 0.000 | 12.189 |
| 570.798 | 12.954 | 12.954 | -0.000 | -0.000 | 0.000 |
| 12.954 | 570.798 | 12.954 | 0.000 | 0.000 | -0.000 |
| 12.954 | 12.954 | 570.798 | 0.000 | 0.000 | 0.000 |
| -0.001 | -0.001 | -0.001 | 12.189 | 0.000 | 0.000 |
| -0.001 | -0.001 | -0.001 | 0.000 | 12.189 | 0.000 |
| -0.001 | -0.001 | -0.001 | -0.000 | -0.000 | 12.189 |
| 570.799 | 12.956 | 12.956 | 0.000 | 0.000 | -0.000 |
| 12.956 | 570.799 | 12.956 | -0.000 | -0.000 | -0.000 |
| 12.956 | 12.956 | 570.799 | -0.000 | -0.000 | 0.000 |
| 0.001 | 0.001 | 0.001 | 12.189 | -0.000 | -0.000 |
| 0.001 | 0.001 | 0.001 | -0.000 | 12.189 | 0.000 |
| 0.001 | 0.001 | 0.001 | -0.000 | 0.000 | 12.189 |
| 439.923 | 135.938 | 135.937 | -0.000 | 0.000 | 0.000 |
| 135.938 | 439.923 | 135.937 | 0.000 | 0.000 | 0.000 |
| 135.938 | 135.938 | 439.923 | -0.000 | 0.000 | 0.000 |
| 0.000 | 0.000 | 0.000 | 148.146 | 0.000 | 0.000 |
| 0.000 | 0.000 | 0.000 | -0.000 | 148.146 | 0.000 |
| 0.000 | 0.000 | -0.000 | 0.000 | 0.000 | 148.146 |
| 439.923 | 135.937 | 135.937 | 0.000 | -0.000 | -0.000 |
| 135.937 | 439.923 | 135.937 | 0.000 | -0.000 | -0.000 |
| 135.937 | 135.937 | 439.923 | 0.000 | -0.000 | -0.000 |
| -0.000 | -0.000 | -0.000 | 148.146 | 0.000 | -0.000 |
| -0.000 | -0.000 | -0.000 | 0.000 | 148.146 | -0.000 |
| -0.000 | -0.000 | 0.000 | 0.000 | -0.000 | 148.146 |
| 439.923 | 135.938 | 135.938 | -0.000 | 0.000 | 0.000 |
| 135.938 | 439.923 | 135.938 | -0.000 | 0.000 | 0.000 |
| 135.938 | 135.938 | 439.923 | -0.000 | 0.000 | 0.000 |
| -0.000 | 0.000 | 0.000 | 148.146 | 0.000 | 0.000 |
| 0.000 | -0.000 | 0.000 | -0.000 | 148.146 | 0.000 |
| 0.000 | 0.000 | -0.000 | -0.000 | 0.000 | 148.146 |
| 439.923 | 135.937 | 135.937 | 0.000 | -0.000 | -0.000 |
| 135.937 | 439.923 | 135.937 | 0.000 | -0.000 | -0.000 |
| 135.937 | 135.937 | 439.923 | -0.000 | -0.000 | -0.000 |
| 0.000 | -0.000 | -0.000 | 148.146 | -0.000 | -0.000 |
| -0.000 | 0.000 | -0.000 | 0.000 | 148.146 | -0.000 |
| -0.000 | -0.000 | 0.000 | -0.000 | -0.000 | 148.146 |
| 439.926 | 135.938 | 135.938 | -0.000 | 0.000 | 0.000 |
| 135.938 | 439.926 | 135.938 | 0.000 | 0.000 | 0.000 |
| 135.938 | 135.938 | 439.926 | -0.000 | -0.000 | 0.000 |
| -0.000 | 0.001 | 0.001 | 148.146 | 0.000 | 0.000 |
| 0.001 | -0.000 | 0.001 | -0.000 | 148.146 | 0.000 |
| 0.001 | 0.001 | -0.000 | -0.000 | 0.000 | 148.146 |
| 439.920 | 135.937 | 135.937 | -0.000 | -0.000 | -0.000 |
| 135.937 | 439.920 | 135.937 | -0.000 | -0.000 | -0.000 |
| 135.937 | 135.937 | 439.920 | 0.000 | 0.000 | -0.000 |
| 0.000 | -0.001 | -0.001 | 148.146 | -0.000 | -0.000 |
| -0.001 | 0.000 | -0.001 | 0.000 | 148.146 | -0.000 |
| -0.001 | -0.001 | 0.000 | -0.000 | -0.000 | 148.146 |
| 89.768 | 40.383 | 40.383 | -0.000 | 0.000 | 0.000 |
| 40.383 | 89.768 | 40.383 | -0.000 | -0.000 | 0.000 |
| 40.383 | 40.383 | 89.768 | 0.000 | 0.000 | 0.000 |
| 0.000 | 0.000 | -0.000 | 39.662 | 0.000 | 0.000 |
| 0.000 | -0.000 | -0.000 | 0.000 | 39.662 | 0.000 |
| 0.000 | 0.000 | -0.000 | -0.000 | 0.000 | 39.662 |
| 89.768 | 40.383 | 40.383 | 0.000 | 0.000 | 0.000 |
| 40.383 | 89.768 | 40.383 | 0.000 | -0.000 | -0.000 |
| 40.383 | 40.383 | 89.768 | -0.000 | -0.000 | -0.000 |
| -0.000 | -0.000 | 0.000 | 39.662 | -0.000 | -0.000 |
| -0.000 | 0.000 | 0.000 | -0.000 | 39.662 | -0.000 |
| -0.000 | -0.000 | 0.000 | 0.000 | -0.000 | 39.662 |
| 89.768 | 40.384 | 40.384 | -0.000 | -0.000 | 0.000 |
| 40.384 | 89.768 | 40.384 | -0.000 | -0.000 | 0.000 |
| 40.384 | 40.384 | 89.768 | -0.000 | 0.000 | 0.000 |
| -0.000 | 0.000 | 0.000 | 39.662 | 0.000 | 0.000 |
| 0.000 | -0.000 | 0.000 | 0.000 | 39.662 | 0.000 |
| 0.000 | 0.000 | -0.000 | -0.000 | -0.000 | 39.662 |
| 89.768 | 40.383 | 40.383 | 0.000 | -0.000 | -0.000 |
| 40.383 | 89.768 | 40.383 | -0.000 | -0.000 | -0.000 |
| 40.383 | 40.383 | 89.768 | -0.000 | -0.000 | -0.000 |
| 0.000 | -0.000 | -0.000 | 39.662 | -0.000 | -0.000 |
| -0.000 | 0.000 | -0.000 | -0.000 | 39.662 | -0.000 |
| -0.000 | -0.000 | 0.000 | 0.000 | -0.000 | 39.662 |
| 89.767 | 40.384 | 40.384 | 0.000 | 0.000 | 0.000 |
| 40.384 | 89.767 | 40.384 | 0.000 | 0.000 | 0.000 |
| 40.384 | 40.384 | 89.767 | 0.000 | 0.000 | 0.000 |
| -0.000 | 0.000 | 0.000 | 39.662 | 0.000 | 0.000 |
| 0.000 | -0.000 | 0.000 | 0.000 | 39.662 | 0.000 |
| 0.000 | 0.000 | -0.000 | -0.000 | 0.000 | 39.662 |
| 89.768 | 40.383 | 40.383 | 0.000 | -0.000 | -0.000 |
| 40.383 | 89.768 | 40.383 | -0.000 | -0.000 | -0.000 |
| 40.383 | 40.383 | 89.768 | 0.000 | -0.000 | -0.000 |
| 0.000 | -0.000 | -0.000 | 39.662 | -0.000 | -0.000 |
| -0.000 | 0.000 | -0.000 | -0.000 | 39.662 | -0.000 |
| -0.000 | -0.000 | 0.000 | 0.000 | -0.000 | 39.662 |
| 451.269 | -0.413 | -0.413 | 0.000 | -0.000 | 0.000 |
| -0.413 | 451.269 | -0.413 | 0.000 | -0.000 | -0.000 |
| -0.413 | -0.413 | 451.269 | 0.000 | 0.000 | 0.000 |
| 0.000 | 0.000 | -0.000 | -0.000 | -0.000 | -0.000 |
| 0.000 | 0.000 | -0.000 | -0.000 | -0.000 | -0.000 |
| 0.000 | -0.000 | 0.000 | -0.000 | -0.000 | -0.000 |
| 451.270 | -0.413 | -0.413 | 0.000 | 0.000 | -0.000 |
| -0.413 | 451.270 | -0.413 | -0.000 | 0.000 | 0.000 |
| -0.413 | -0.413 | 451.270 | -0.000 | -0.000 | 0.000 |
| -0.000 | -0.000 | 0.000 | -0.000 | 0.000 | -0.000 |
| -0.000 | -0.000 | 0.000 | 0.000 | -0.000 | 0.000 |
| -0.000 | 0.000 | -0.000 | 0.000 | 0.000 | -0.000 |
| 451.269 | -0.413 | -0.413 | 0.000 | 0.000 | 0.000 |
| -0.413 | 451.269 | -0.413 | -0.000 | 0.000 | 0.000 |
| -0.413 | -0.413 | 451.269 | -0.000 | 0.000 | 0.000 |
| 0.000 | 0.000 | -0.000 | -0.000 | -0.000 | -0.000 |
| 0.000 | 0.000 | -0.000 | 0.000 | -0.000 | 0.000 |
| 0.000 | -0.000 | 0.000 | 0.000 | -0.000 | -0.000 |
| 451.270 | -0.413 | -0.413 | 0.000 | 0.000 | 0.000 |
| -0.413 | 451.270 | -0.413 | 0.000 | 0.000 | -0.000 |
| -0.413 | -0.413 | 451.270 | -0.000 | -0.000 | 0.000 |
| -0.000 | -0.000 | 0.000 | -0.000 | 0.000 | 0.000 |
| -0.000 | -0.000 | 0.000 | -0.000 | -0.000 | -0.000 |
| -0.000 | 0.000 | -0.000 | -0.000 | 0.000 | -0.000 |
| 451.268 | -0.413 | -0.413 | -0.000 | 0.000 | 0.000 |
| -0.413 | 451.268 | -0.413 | 0.000 | -0.000 | 0.000 |
| -0.413 | -0.413 | 451.268 | 0.000 | 0.000 | -0.000 |
| 0.000 | 0.000 | -0.000 | -0.000 | 0.000 | 0.000 |
| 0.000 | 0.000 | -0.000 | 0.000 | -0.000 | -0.000 |
| 0.000 | -0.000 | 0.000 | -0.000 | -0.000 | -0.000 |
| 451.271 | -0.413 | -0.413 | 0.000 | -0.000 | 0.000 |
| -0.413 | 451.271 | -0.413 | -0.000 | 0.000 | -0.000 |
| -0.413 | -0.413 | 451.271 | -0.000 | -0.000 | 0.000 |
| -0.000 | -0.000 | 0.000 | -0.000 | -0.000 | 0.000 |
| -0.000 | -0.000 | 0.000 | -0.000 | -0.000 | -0.000 |
| -0.000 | 0.000 | -0.000 | -0.000 | -0.000 | -0.000 |
| 8.751 | -0.000 | -0.000 | 0.000 | 0.000 | -0.000 |
| -0.000 | 8.751 | -0.000 | -0.000 | 0.000 | -0.000 |
| -0.000 | -0.000 | 8.751 | -0.000 | -0.000 | 0.000 |
| 0.000 | 0.000 | 0.000 | 0.000 | -0.000 | -0.000 |
| 0.000 | 0.000 | 0.000 | -0.000 | 0.000 | -0.000 |
| 0.000 | 0.000 | 0.000 | -0.000 | -0.000 | 0.000 |
| 8.751 | -0.000 | -0.000 | 0.000 | -0.000 | -0.000 |
| -0.000 | 8.751 | -0.000 | -0.000 | -0.000 | 0.000 |
| -0.000 | -0.000 | 8.751 | -0.000 | -0.000 | -0.000 |
| -0.000 | -0.000 | -0.000 | 0.000 | 0.000 | 0.000 |
| -0.000 | -0.000 | -0.000 | 0.000 | 0.000 | 0.000 |
| -0.000 | -0.000 | -0.000 | 0.000 | 0.000 | 0.000 |
| 8.751 | -0.000 | -0.000 | 0.000 | -0.000 | 0.000 |
| -0.000 | 8.751 | -0.000 | -0.000 | 0.000 | -0.000 |
| -0.000 | -0.000 | 8.751 | -0.000 | -0.000 | -0.000 |
| 0.000 | 0.000 | -0.000 | 0.000 | -0.000 | -0.000 |
| 0.000 | 0.000 | -0.000 | -0.000 | 0.000 | -0.000 |
| 0.000 | -0.000 | 0.000 | -0.000 | -0.000 | 0.000 |
| 8.751 | -0.000 | -0.000 | -0.000 | 0.000 | -0.000 |
| -0.000 | 8.751 | -0.000 | 0.000 | 0.000 | 0.000 |
| -0.000 | -0.000 | 8.751 | 0.000 | 0.000 | 0.000 |
| -0.000 | -0.000 | 0.000 | 0.000 | 0.000 | 0.000 |
| -0.000 | -0.000 | 0.000 | 0.000 | 0.000 | 0.000 |
| -0.000 | 0.000 | -0.000 | 0.000 | 0.000 | 0.000 |
| 8.751 | -0.000 | -0.000 | -0.000 | -0.000 | 0.000 |
| -0.000 | 8.751 | -0.000 | -0.000 | 0.000 | -0.000 |
| -0.000 | -0.000 | 8.751 | 0.000 | -0.000 | 0.000 |
| 0.000 | 0.000 | -0.000 | 0.000 | 0.000 | -0.000 |
| 0.000 | 0.000 | -0.000 | -0.000 | 0.000 | -0.000 |
| 0.000 | -0.000 | 0.000 | -0.000 | -0.000 | 0.000 |
| 8.750 | -0.000 | -0.000 | -0.000 | 0.000 | 0.000 |
| -0.000 | 8.750 | -0.000 | 0.000 | -0.000 | 0.000 |
| -0.000 | -0.000 | 8.750 | 0.000 | -0.000 | -0.000 |
| -0.000 | -0.000 | 0.000 | 0.000 | -0.000 | -0.000 |
| -0.000 | -0.000 | 0.000 | 0.000 | 0.000 | 0.000 |
| -0.000 | 0.000 | -0.000 | 0.000 | 0.000 | 0.000 |
| 90.074 | 204.309 | 204.309 | -0.000 | 0.000 | 0.000 |
| 204.309 | 90.074 | 204.309 | -0.000 | 0.000 | 0.000 |
| 204.309 | 204.309 | 90.074 | -0.000 | 0.000 | 0.000 |
| 0.000 | -0.000 | -0.000 | 77.331 | 0.000 | 0.000 |
| -0.000 | 0.000 | -0.000 | -0.000 | 77.331 | -0.000 |
| -0.000 | -0.000 | 0.000 | -0.000 | 0.000 | 77.331 |
| 90.074 | 204.309 | 204.309 | 0.000 | -0.000 | -0.000 |
| 204.309 | 90.074 | 204.309 | 0.000 | -0.000 | -0.000 |
| 204.309 | 204.309 | 90.074 | 0.000 | -0.000 | -0.000 |
| -0.000 | 0.000 | 0.000 | 77.331 | -0.000 | 0.000 |
| 0.000 | -0.000 | 0.000 | 0.000 | 77.331 | -0.000 |
| 0.000 | 0.000 | -0.000 | 0.000 | -0.000 | 77.331 |
| 90.074 | 204.309 | 204.309 | -0.000 | 0.000 | 0.000 |
| 204.309 | 90.074 | 204.309 | -0.000 | 0.000 | 0.000 |
| 204.309 | 204.309 | 90.074 | -0.000 | 0.000 | 0.000 |
| 0.000 | -0.000 | -0.000 | 77.331 | 0.000 | -0.000 |
| -0.000 | 0.000 | -0.000 | -0.000 | 77.331 | 0.000 |
| -0.000 | -0.000 | 0.000 | -0.000 | 0.000 | 77.331 |
| 90.074 | 204.309 | 204.309 | 0.000 | -0.000 | -0.000 |
| 204.309 | 90.074 | 204.309 | 0.000 | -0.000 | -0.000 |
| 204.309 | 204.309 | 90.074 | 0.000 | -0.000 | 0.000 |
| -0.000 | 0.000 | 0.000 | 77.331 | -0.000 | 0.000 |
| 0.000 | -0.000 | 0.000 | 0.000 | 77.331 | -0.000 |
| 0.000 | 0.000 | -0.000 | 0.000 | -0.000 | 77.331 |
| 90.073 | 204.310 | 204.310 | -0.000 | 0.000 | 0.000 |
| 204.310 | 90.073 | 204.310 | -0.000 | 0.000 | 0.000 |
| 204.310 | 204.310 | 90.073 | 0.000 | 0.000 | 0.000 |
| 0.000 | -0.000 | -0.000 | 77.331 | 0.000 | -0.000 |
| -0.000 | 0.000 | -0.000 | -0.000 | 77.331 | 0.000 |
| -0.000 | -0.000 | 0.000 | -0.000 | 0.000 | 77.331 |
| 90.075 | 204.309 | 204.309 | 0.000 | -0.000 | 0.000 |
| 204.309 | 90.075 | 204.309 | 0.000 | -0.000 | -0.000 |
| 204.309 | 204.309 | 90.075 | 0.000 | -0.000 | -0.000 |
| -0.000 | 0.000 | 0.000 | 77.331 | -0.000 | -0.000 |
| 0.000 | -0.000 | 0.000 | 0.000 | 77.331 | -0.000 |
| 0.000 | 0.000 | -0.000 | 0.000 | -0.000 | 77.331 |
| 515.115 | 478.852 | 478.852 | -0.000 | -0.000 | -0.000 |
| 478.852 | 515.115 | 478.852 | -0.000 | -0.000 | -0.000 |
| 478.852 | 478.852 | 515.115 | -0.000 | -0.000 | -0.000 |
| -0.000 | -0.000 | -0.000 | 480.062 | -0.000 | -0.000 |
| -0.000 | -0.000 | -0.000 | -0.000 | 480.062 | -0.000 |
| -0.000 | -0.000 | -0.000 | -0.000 | -0.000 | 480.062 |
| 515.115 | 478.852 | 478.852 | 0.000 | -0.000 | 0.000 |
| 478.852 | 515.115 | 478.852 | -0.000 | 0.000 | 0.000 |
| 478.852 | 478.852 | 515.115 | 0.000 | 0.000 | 0.000 |
| 0.000 | 0.000 | 0.000 | 480.062 | 0.000 | 0.000 |
| 0.000 | 0.000 | 0.000 | 0.000 | 480.062 | 0.000 |
| 0.000 | 0.000 | 0.000 | -0.000 | -0.000 | 480.062 |
| 515.112 | 478.852 | 478.852 | -0.000 | 0.000 | -0.000 |
| 478.852 | 515.112 | 478.852 | 0.000 | -0.000 | -0.000 |
| 478.852 | 478.852 | 515.112 | -0.000 | -0.000 | -0.000 |
| -0.000 | -0.000 | -0.000 | 480.062 | -0.000 | -0.000 |
| -0.000 | -0.000 | -0.000 | -0.000 | 480.062 | -0.000 |
| -0.000 | -0.000 | -0.000 | 0.000 | 0.000 | 480.062 |
| 515.117 | 478.852 | 478.852 | 0.000 | -0.000 | 0.000 |
| 478.852 | 515.117 | 478.852 | -0.000 | 0.000 | 0.000 |
| 478.852 | 478.852 | 515.117 | 0.000 | 0.000 | 0.000 |
| 0.000 | 0.000 | 0.000 | 480.062 | 0.000 | 0.000 |
| 0.000 | 0.000 | 0.000 | 0.000 | 480.062 | 0.000 |
| 0.000 | 0.000 | 0.000 | 0.000 | -0.000 | 480.062 |
| 515.090 | 478.852 | 478.852 | -0.000 | 0.000 | -0.000 |
| 478.852 | 515.090 | 478.852 | 0.000 | -0.000 | -0.000 |
| 478.852 | 478.852 | 515.090 | -0.000 | -0.000 | -0.000 |
| -0.000 | -0.001 | -0.000 | 480.062 | -0.000 | -0.000 |
| -0.001 | -0.000 | -0.000 | -0.000 | 480.062 | -0.000 |
| -0.001 | -0.000 | -0.000 | 0.000 | -0.000 | 480.062 |
| 515.140 | 478.852 | 478.852 | 0.000 | 0.000 | 0.000 |
| 478.852 | 515.140 | 478.852 | 0.000 | 0.000 | 0.000 |
| 478.852 | 478.852 | 515.140 | 0.000 | 0.000 | 0.000 |
| 0.000 | 0.001 | 0.000 | 480.062 | 0.000 | 0.000 |
| 0.001 | 0.000 | 0.000 | 0.000 | 480.062 | 0.000 |
| 0.001 | 0.000 | 0.000 | 0.000 | 0.000 | 480.062 |
| 5.053 | 5.053 | 5.053 | 0.000 | 0.000 | 0.000 |
| 5.053 | 5.053 | 5.053 | 0.000 | 0.000 | 0.000 |
| 5.053 | 5.053 | 5.053 | 0.000 | 0.000 | 0.000 |
| 0.000 | 0.000 | 0.000 | 5.053 | 0.000 | 0.000 |
| 0.000 | 0.000 | 0.000 | 0.000 | 5.053 | 0.000 |
| 0.000 | 0.000 | 0.000 | 0.000 | 0.000 | 5.053 |
| 5.053 | 5.053 | 5.053 | -0.000 | -0.000 | 0.000 |
| 5.053 | 5.053 | 5.053 | -0.000 | -0.000 | 0.000 |
| 5.053 | 5.053 | 5.053 | -0.000 | -0.000 | 0.000 |
| -0.000 | -0.000 | -0.000 | 5.053 | -0.000 | -0.000 |
| -0.000 | -0.000 | -0.000 | -0.000 | 5.053 | -0.000 |
| -0.000 | -0.000 | -0.000 | -0.000 | 0.000 | 5.053 |
| 5.053 | 5.053 | 5.053 | 0.000 | 0.000 | 0.000 |
| 5.053 | 5.053 | 5.053 | 0.000 | 0.000 | 0.000 |
| 5.053 | 5.053 | 5.053 | -0.000 | -0.000 | 0.000 |
| 0.000 | 0.000 | 0.000 | 5.053 | 0.000 | 0.000 |
| 0.000 | 0.000 | 0.000 | 0.000 | 5.053 | 0.000 |
| 0.000 | 0.000 | 0.000 | 0.000 | 0.000 | 5.053 |
| 5.053 | 5.053 | 5.053 | -0.000 | -0.000 | -0.000 |
| 5.053 | 5.053 | 5.053 | -0.000 | -0.000 | -0.000 |
| 5.053 | 5.053 | 5.053 | -0.000 | -0.000 | -0.000 |
| -0.000 | -0.000 | -0.000 | 5.053 | -0.000 | -0.000 |
| -0.000 | -0.000 | -0.000 | -0.000 | 5.053 | -0.000 |
| -0.000 | -0.000 | -0.000 | -0.000 | -0.000 | 5.053 |
| 5.053 | 5.053 | 5.053 | 0.000 | -0.000 | 0.000 |
| 5.053 | 5.053 | 5.053 | -0.000 | 0.000 | 0.000 |
| 5.053 | 5.053 | 5.053 | 0.000 | 0.000 | -0.000 |
| 0.000 | 0.000 | 0.000 | 5.053 | 0.000 | -0.000 |
| 0.000 | 0.000 | 0.000 | 0.000 | 5.053 | -0.000 |
| 0.000 | 0.000 | 0.000 | 0.000 | 0.000 | 5.053 |
| 5.052 | 5.052 | 5.052 | -0.000 | -0.000 | -0.000 |
| 5.052 | 5.052 | 5.052 | -0.000 | -0.000 | -0.000 |
| 5.052 | 5.052 | 5.052 | -0.000 | -0.000 | 0.000 |
| -0.000 | -0.000 | -0.000 | 5.053 | -0.000 | -0.000 |
| -0.000 | -0.000 | -0.000 | -0.000 | 5.053 | -0.000 |
| -0.000 | -0.000 | -0.000 | -0.000 | -0.000 | 5.053 |
| 38.731 | 66.874 | 66.874 | 0.000 | 0.000 | 0.000 |
| 66.874 | 38.731 | 66.874 | 0.000 | 0.000 | 0.000 |
| 66.874 | 66.874 | 38.731 | 0.000 | 0.000 | 0.000 |
| 0.000 | -0.000 | -0.000 | -51.993 | 0.000 | 0.000 |
| 0.000 | -0.000 | -0.000 | 0.000 | -51.993 | 0.000 |
| 0.000 | -0.000 | -0.000 | 0.000 | 0.000 | -51.993 |
| 38.731 | 66.874 | 66.874 | -0.000 | -0.000 | -0.000 |
| 66.874 | 38.731 | 66.874 | -0.000 | -0.000 | -0.000 |
| 66.874 | 66.874 | 38.731 | -0.000 | -0.000 | -0.000 |
| -0.000 | 0.000 | 0.000 | -51.993 | -0.000 | -0.000 |
| -0.000 | 0.000 | 0.000 | -0.000 | -51.993 | -0.000 |
| -0.000 | 0.000 | 0.000 | -0.000 | -0.000 | -51.993 |
| 38.731 | 66.874 | 66.874 | 0.000 | 0.000 | 0.000 |
| 66.874 | 38.731 | 66.874 | 0.000 | 0.000 | 0.000 |
| 66.874 | 66.874 | 38.731 | 0.000 | 0.000 | 0.000 |
| -0.000 | -0.000 | -0.000 | -51.993 | 0.000 | 0.000 |
| -0.000 | -0.000 | -0.000 | 0.000 | -51.993 | 0.000 |
| -0.000 | -0.000 | -0.000 | 0.000 | 0.000 | -51.993 |
| 38.731 | 66.874 | 66.874 | -0.000 | -0.000 | -0.000 |
| 66.874 | 38.731 | 66.874 | -0.000 | -0.000 | -0.000 |
| 66.874 | 66.874 | 38.731 | -0.000 | -0.000 | -0.000 |
| 0.000 | 0.000 | 0.000 | -51.993 | -0.000 | -0.000 |
| 0.000 | 0.000 | 0.000 | -0.000 | -51.993 | -0.000 |
| 0.000 | 0.000 | 0.000 | -0.000 | -0.000 | -51.993 |
| 38.730 | 66.874 | 66.874 | 0.000 | 0.000 | 0.000 |
| 66.874 | 38.730 | 66.874 | 0.000 | 0.000 | 0.000 |
| 66.874 | 66.874 | 38.730 | 0.000 | 0.000 | 0.000 |
| -0.000 | -0.000 | -0.000 | -51.993 | 0.000 | 0.000 |
| -0.000 | -0.000 | -0.000 | 0.000 | -51.993 | 0.000 |
| -0.000 | -0.000 | -0.000 | 0.000 | 0.000 | -51.993 |
| 38.732 | 66.874 | 66.874 | -0.000 | -0.000 | -0.000 |
| 66.874 | 38.732 | 66.874 | -0.000 | -0.000 | -0.000 |
| 66.874 | 66.874 | 38.732 | -0.000 | -0.000 | -0.000 |
| 0.000 | 0.000 | 0.000 | -51.993 | -0.000 | -0.000 |
| 0.000 | 0.000 | 0.000 | -0.000 | -51.993 | -0.000 |
| 0.000 | 0.000 | 0.000 | -0.000 | -0.000 | -51.993 |
| 25.879 | 25.879 | 25.879 | 0.000 | 0.000 | 0.000 |
| 25.879 | 25.879 | 25.879 | 0.000 | 0.000 | 0.000 |
| 25.879 | 25.879 | 25.879 | 0.000 | 0.000 | 0.000 |
| -0.000 | -0.000 | -0.000 | 0.000 | 0.000 | 0.000 |
| -0.000 | -0.000 | -0.000 | 0.000 | 0.000 | 0.000 |
| -0.000 | -0.000 | -0.000 | 0.000 | 0.000 | 0.000 |
| 25.879 | 25.879 | 25.879 | -0.000 | -0.000 | -0.000 |
| 25.879 | 25.879 | 25.879 | -0.000 | -0.000 | -0.000 |
| 25.879 | 25.879 | 25.879 | -0.000 | -0.000 | -0.000 |
| 0.000 | 0.000 | 0.000 | -0.000 | -0.000 | -0.000 |
| 0.000 | 0.000 | 0.000 | -0.000 | -0.000 | -0.000 |
| 0.000 | 0.000 | 0.000 | -0.000 | -0.000 | -0.000 |
| 25.879 | 25.879 | 25.879 | 0.000 | 0.000 | 0.000 |
| 25.879 | 25.879 | 25.879 | 0.000 | 0.000 | 0.000 |
| 25.879 | 25.879 | 25.879 | 0.000 | 0.000 | 0.000 |
| -0.000 | -0.000 | -0.000 | 0.012 | 0.000 | 0.000 |
| -0.000 | -0.000 | -0.000 | 0.000 | 0.012 | 0.000 |
| -0.000 | -0.000 | -0.000 | 0.000 | 0.000 | 0.012 |
| 25.879 | 25.879 | 25.879 | -0.000 | -0.000 | -0.000 |
| 25.879 | 25.879 | 25.879 | -0.000 | -0.000 | -0.000 |
| 25.879 | 25.879 | 25.879 | -0.000 | -0.000 | -0.000 |
| 0.000 | 0.000 | 0.000 | 0.012 | -0.000 | -0.000 |
| 0.000 | 0.000 | 0.000 | -0.000 | 0.012 | -0.000 |
| 0.000 | 0.000 | 0.000 | -0.000 | -0.000 | 0.012 |
| 25.895 | 25.895 | 25.895 | 0.000 | 0.000 | 0.000 |
| 25.895 | 25.895 | 25.895 | 0.000 | 0.000 | 0.000 |
| 25.895 | 25.895 | 25.895 | 0.000 | 0.000 | -0.000 |
| -0.000 | -0.000 | -0.000 | 0.000 | 0.000 | 0.000 |
| -0.000 | -0.000 | -0.000 | 0.000 | 0.000 | 0.000 |
| -0.000 | -0.000 | -0.000 | 0.000 | 0.000 | 0.000 |
| 25.880 | 25.880 | 25.880 | -0.000 | -0.000 | -0.000 |
| 25.880 | 25.880 | 25.880 | -0.000 | -0.000 | -0.000 |
| 25.880 | 25.880 | 25.880 | -0.000 | -0.000 | -0.000 |
| 0.000 | 0.000 | 0.000 | -0.000 | -0.000 | -0.000 |
| 0.000 | 0.000 | 0.000 | -0.000 | -0.000 | -0.000 |
| 0.000 | 0.000 | 0.000 | -0.000 | -0.000 | -0.000 |
| 1.263 | 1.263 | 1.263 | 0.000 | 0.000 | 0.000 |
| 1.263 | 1.263 | 1.263 | 0.000 | 0.000 | 0.000 |
| 1.263 | 1.263 | 1.263 | 0.000 | 0.000 | 0.000 |
| 0.000 | 0.000 | 0.000 | 0.229 | 0.000 | 0.000 |
| 0.000 | 0.000 | 0.000 | 0.000 | 0.229 | 0.000 |
| 0.000 | 0.000 | 0.000 | 0.000 | 0.000 | 0.229 |
| 1.263 | 1.263 | 1.263 | 0.000 | -0.000 | -0.000 |
| 1.263 | 1.263 | 1.263 | -0.000 | 0.000 | -0.000 |
| 1.263 | 1.263 | 1.263 | -0.000 | -0.000 | -0.000 |
| -0.000 | -0.000 | -0.000 | 0.229 | -0.000 | -0.000 |
| -0.000 | -0.000 | -0.000 | -0.000 | 0.229 | -0.000 |
| 0.000 | -0.000 | -0.000 | -0.000 | -0.000 | 0.229 |
| 1.263 | 1.263 | 1.263 | 0.000 | 0.000 | 0.000 |
| 1.263 | 1.263 | 1.263 | 0.000 | 0.000 | 0.000 |
| 1.263 | 1.263 | 1.263 | 0.000 | 0.000 | 0.000 |
| -0.000 | -0.000 | -0.000 | 0.041 | 0.000 | 0.000 |
| -0.000 | -0.000 | -0.000 | 0.000 | 0.041 | 0.000 |
| -0.000 | -0.000 | -0.000 | 0.000 | 0.000 | 0.041 |
| 1.263 | 1.263 | 1.263 | 0.000 | -0.000 | -0.000 |
| 1.263 | 1.263 | 1.263 | -0.000 | 0.000 | -0.000 |
| 1.263 | 1.263 | 1.263 | -0.000 | -0.000 | 0.000 |
| 0.000 | 0.000 | 0.000 | 0.041 | -0.000 | -0.000 |
| 0.000 | 0.000 | 0.000 | -0.000 | 0.041 | -0.000 |
| 0.000 | 0.000 | 0.000 | -0.000 | -0.000 | 0.041 |
| 1.263 | 1.263 | 1.263 | -0.000 | 0.000 | 0.000 |
| 1.263 | 1.263 | 1.263 | 0.000 | -0.000 | 0.000 |
| 1.263 | 1.263 | 1.263 | 0.000 | 0.000 | -0.000 |
| -0.000 | -0.000 | -0.000 | 0.008 | 0.000 | 0.000 |
| -0.000 | -0.000 | -0.000 | 0.000 | 0.008 | 0.000 |
| -0.000 | -0.000 | -0.000 | 0.000 | 0.000 | 0.008 |
| 1.263 | 1.263 | 1.263 | -0.000 | -0.000 | -0.000 |
| 1.263 | 1.263 | 1.263 | -0.000 | -0.000 | -0.000 |
| 1.263 | 1.263 | 1.263 | -0.000 | -0.000 | -0.000 |
| 0.000 | 0.000 | 0.000 | 0.008 | -0.000 | -0.000 |
| 0.000 | 0.000 | 0.000 | -0.000 | 0.008 | -0.000 |
| 0.000 | 0.000 | 0.000 | -0.000 | -0.000 | 0.008 |
| 217.012 | -1.512 | 77.790 | 0.000 | -0.000 | -0.000 |
| -1.512 | 217.012 | 77.790 | 0.000 | -0.000 | 0.000 |
| 77.790 | 77.790 | 158.113 | 0.000 | 0.000 | -0.000 |
| -0.000 | 0.000 | -0.000 | 107.880 | -0.000 | 0.000 |
| -0.000 | 0.000 | -0.000 | 0.000 | 107.880 | 0.000 |
| -0.000 | -0.000 | -0.000 | 0.000 | 0.000 | 40.709 |
| 217.012 | -1.512 | 77.790 | -0.000 | 0.000 | -0.000 |
| -1.512 | 217.012 | 77.790 | 0.000 | 0.000 | -0.000 |
| 77.790 | 77.790 | 158.113 | -0.000 | -0.000 | -0.000 |
| 0.000 | 0.000 | -0.000 | 107.880 | -0.000 | 0.000 |
| 0.000 | -0.000 | 0.000 | -0.000 | 107.880 | -0.000 |
| 0.000 | 0.000 | 0.000 | -0.000 | 0.000 | 40.709 |
| 217.012 | -1.512 | 77.790 | 0.000 | 0.000 | 0.000 |
| -1.512 | 217.012 | 77.790 | -0.000 | 0.000 | 0.000 |
| 77.790 | 77.790 | 158.113 | 0.000 | 0.000 | -0.000 |
| 0.000 | -0.000 | 0.000 | 107.880 | -0.000 | 0.000 |
| -0.000 | 0.000 | 0.000 | 0.000 | 107.880 | 0.000 |
| -0.000 | -0.000 | 0.000 | 0.000 | -0.000 | 40.709 |
| 217.012 | -1.511 | 77.790 | 0.000 | -0.000 | -0.000 |
| -1.511 | 217.012 | 77.790 | -0.000 | -0.000 | -0.000 |
| 77.790 | 77.790 | 158.113 | -0.000 | -0.000 | -0.000 |
| -0.000 | 0.000 | -0.000 | 107.880 | 0.000 | 0.000 |
| 0.000 | -0.000 | -0.000 | -0.000 | 107.880 | -0.000 |
| 0.000 | 0.000 | -0.000 | 0.000 | 0.000 | 40.709 |
| 217.010 | -1.513 | 77.789 | -0.000 | 0.000 | 0.000 |
| -1.513 | 217.010 | 77.789 | 0.000 | -0.000 | 0.000 |
| 77.790 | 77.790 | 158.111 | 0.000 | 0.000 | 0.000 |
| 0.000 | -0.000 | 0.000 | 107.880 | 0.000 | 0.000 |
| -0.000 | 0.000 | 0.000 | 0.000 | 107.880 | -0.000 |
| -0.000 | -0.000 | 0.000 | 0.000 | -0.000 | 40.709 |
| 217.013 | -1.510 | 77.791 | -0.000 | -0.000 | -0.000 |
| -1.510 | 217.013 | 77.791 | -0.000 | -0.000 | -0.000 |
| 77.791 | 77.791 | 158.114 | -0.000 | -0.000 | -0.000 |
| -0.000 | 0.000 | -0.000 | 107.880 | -0.000 | -0.000 |
| 0.000 | -0.000 | -0.000 | -0.000 | 107.880 | -0.000 |
| 0.000 | 0.000 | -0.000 | 0.000 | -0.000 | 40.709 |
| 1185.268 | 367.671 | 681.061 | 0.000 | 0.000 | 0.000 |
| 367.671 | 1185.268 | 681.061 | 0.000 | 0.000 | 0.000 |
| 681.061 | 681.061 | 1132.796 | 0.000 | 0.000 | -0.000 |
| -0.000 | -0.000 | -0.000 | 663.284 | 0.000 | -0.000 |
| -0.000 | -0.000 | -0.000 | 0.000 | 663.284 | 0.000 |
| -0.000 | -0.000 | -0.000 | 0.000 | 0.000 | 379.114 |
| 1185.268 | 367.671 | 681.061 | -0.000 | -0.000 | -0.000 |
| 367.671 | 1185.268 | 681.061 | -0.000 | -0.000 | -0.000 |
| 681.061 | 681.061 | 1132.796 | -0.000 | -0.000 | -0.000 |
| 0.000 | 0.000 | 0.000 | 663.284 | -0.000 | 0.000 |
| 0.000 | 0.000 | 0.000 | -0.000 | 663.284 | 0.000 |
| 0.000 | 0.000 | 0.000 | -0.000 | -0.000 | 379.114 |
| 1185.270 | 367.671 | 681.061 | 0.000 | 0.000 | 0.000 |
| 367.671 | 1185.270 | 681.061 | 0.000 | 0.000 | 0.000 |
| 681.061 | 681.061 | 1132.796 | 0.000 | 0.000 | -0.000 |
| -0.000 | -0.000 | -0.000 | 663.284 | 0.000 | -0.000 |
| -0.000 | -0.000 | -0.000 | 0.000 | 663.284 | -0.000 |
| -0.000 | -0.000 | -0.000 | 0.000 | 0.000 | 379.114 |
| 1185.266 | 367.671 | 681.061 | -0.000 | -0.000 | -0.000 |
| 367.671 | 1185.266 | 681.061 | -0.000 | -0.000 | -0.000 |
| 681.061 | 681.061 | 1132.797 | -0.000 | -0.000 | 0.000 |
| 0.000 | 0.000 | 0.000 | 663.284 | -0.000 | -0.000 |
| 0.000 | 0.000 | 0.000 | -0.000 | 663.284 | -0.000 |
| 0.000 | 0.000 | 0.000 | -0.000 | -0.000 | 379.114 |
| 1185.286 | 367.670 | 681.059 | 0.000 | 0.000 | 0.000 |
| 367.670 | 1185.286 | 681.059 | 0.000 | 0.000 | 0.000 |
| 681.058 | 681.058 | 1132.788 | 0.000 | 0.000 | -0.000 |
| -0.002 | -0.004 | -0.004 | 663.284 | 0.000 | -0.000 |
| -0.004 | -0.002 | -0.004 | 0.000 | 663.284 | -0.000 |
| -0.002 | -0.002 | -0.002 | 0.000 | 0.000 | 379.114 |
| 1185.249 | 367.671 | 681.063 | -0.000 | -0.000 | -0.000 |
| 367.671 | 1185.249 | 681.063 | -0.000 | -0.000 | -0.000 |
| 681.064 | 681.064 | 1132.805 | -0.000 | -0.000 | -0.000 |
| 0.002 | 0.004 | 0.004 | 663.284 | -0.000 | -0.000 |
| 0.004 | 0.002 | 0.004 | -0.000 | 663.284 | -0.000 |
| 0.002 | 0.002 | 0.002 | -0.000 | -0.000 | 379.114 |
| 14.902 | 3.084 | 6.195 | -0.000 | -0.000 | -0.000 |
| 3.084 | 14.902 | 6.195 | -0.000 | -0.000 | -0.000 |
| 6.195 | 6.195 | 12.445 | -0.000 | -0.000 | -0.000 |
| 0.000 | 0.000 | 0.000 | 6.195 | -0.000 | -0.000 |
| 0.000 | 0.000 | 0.000 | -0.000 | 6.195 | -0.000 |
| 0.000 | 0.000 | 0.000 | -0.000 | -0.000 | 3.084 |
| 14.902 | 3.084 | 6.195 | 0.000 | 0.000 | 0.000 |
| 3.084 | 14.902 | 6.195 | 0.000 | 0.000 | 0.000 |
| 6.195 | 6.195 | 12.445 | 0.000 | 0.000 | 0.000 |
| -0.000 | -0.000 | -0.000 | 6.195 | 0.000 | 0.000 |
| -0.000 | -0.000 | -0.000 | 0.000 | 6.195 | 0.000 |
| -0.000 | -0.000 | -0.000 | 0.000 | 0.000 | 3.084 |
| 14.902 | 3.084 | 6.195 | -0.000 | -0.000 | -0.000 |
| 3.084 | 14.902 | 6.195 | -0.000 | -0.000 | -0.000 |
| 6.195 | 6.195 | 12.445 | -0.000 | -0.000 | -0.000 |
| 0.000 | 0.000 | 0.000 | 6.195 | -0.000 | -0.000 |
| 0.000 | 0.000 | 0.000 | -0.000 | 6.195 | -0.000 |
| 0.000 | 0.000 | 0.000 | -0.000 | -0.000 | 3.084 |
| 14.902 | 3.084 | 6.195 | 0.000 | 0.000 | 0.000 |
| 3.084 | 14.902 | 6.195 | 0.000 | 0.000 | 0.000 |
| 6.195 | 6.195 | 12.445 | 0.000 | 0.000 | 0.000 |
| -0.000 | -0.000 | -0.000 | 6.195 | 0.000 | 0.000 |
| -0.000 | -0.000 | -0.000 | 0.000 | 6.195 | 0.000 |
| -0.000 | -0.000 | -0.000 | 0.000 | 0.000 | 3.084 |
| 14.904 | 3.084 | 6.195 | -0.000 | -0.000 | -0.000 |
| 3.084 | 14.904 | 6.195 | -0.000 | -0.000 | -0.000 |
| 6.195 | 6.195 | 12.445 | -0.000 | -0.000 | -0.000 |
| 0.000 | 0.000 | 0.000 | 6.195 | -0.000 | -0.000 |
| 0.000 | 0.000 | 0.000 | -0.000 | 6.195 | -0.000 |
| 0.000 | 0.000 | 0.000 | -0.000 | -0.000 | 3.084 |
| 14.901 | 3.084 | 6.195 | 0.000 | 0.000 | 0.000 |
| 3.084 | 14.901 | 6.195 | 0.000 | 0.000 | 0.000 |
| 6.195 | 6.195 | 12.445 | 0.000 | 0.000 | 0.000 |
| -0.000 | -0.000 | -0.000 | 6.195 | 0.000 | 0.000 |
| -0.000 | -0.000 | -0.000 | 0.000 | 6.195 | 0.000 |
| -0.000 | -0.000 | -0.000 | 0.000 | 0.000 | 3.084 |
| 3.240 | 3.408 | 5.983 | 0.000 | -0.000 | -0.000 |
| 3.408 | 3.240 | 5.983 | -0.000 | 0.000 | -0.000 |
| 5.983 | 5.983 | 10.504 | 0.000 | 0.000 | 0.000 |
| 0.000 | 0.000 | 0.000 | 5.984 | -0.000 | -0.000 |
| 0.000 | 0.000 | 0.000 | -0.000 | 5.984 | -0.000 |
| 0.000 | 0.000 | 0.000 | 0.000 | -0.000 | 3.408 |
| 3.240 | 3.408 | 5.983 | -0.000 | 0.000 | -0.000 |
| 3.408 | 3.240 | 5.983 | 0.000 | -0.000 | -0.000 |
| 5.983 | 5.983 | 10.504 | 0.000 | 0.000 | -0.000 |
| -0.000 | -0.000 | -0.000 | 5.984 | 0.000 | 0.000 |
| -0.000 | -0.000 | -0.000 | 0.000 | 5.984 | 0.000 |
| -0.000 | -0.000 | -0.000 | -0.000 | 0.000 | 3.408 |
| 3.240 | 3.408 | 5.983 | 0.000 | 0.000 | -0.000 |
| 3.408 | 3.240 | 5.983 | 0.000 | 0.000 | -0.000 |
| 5.983 | 5.983 | 10.504 | -0.000 | -0.000 | 0.000 |
| 0.000 | 0.000 | 0.000 | 5.984 | 0.000 | -0.000 |
| 0.000 | 0.000 | 0.000 | 0.000 | 5.984 | -0.000 |
| 0.000 | 0.000 | 0.000 | -0.000 | -0.000 | 3.408 |
| 3.240 | 3.408 | 5.983 | -0.000 | 0.000 | -0.000 |
| 3.408 | 3.240 | 5.983 | 0.000 | -0.000 | -0.000 |
| 5.983 | 5.983 | 10.504 | -0.000 | -0.000 | -0.000 |
| -0.000 | -0.000 | -0.000 | 5.984 | 0.000 | -0.000 |
| -0.000 | -0.000 | -0.000 | 0.000 | 5.984 | -0.000 |
| -0.000 | -0.000 | -0.000 | 0.000 | 0.000 | 3.408 |
| 3.239 | 3.408 | 5.983 | 0.000 | 0.000 | -0.000 |
| 3.408 | 3.239 | 5.983 | 0.000 | 0.000 | -0.000 |
| 5.983 | 5.983 | 10.504 | 0.000 | 0.000 | 0.000 |
| 0.000 | 0.000 | 0.000 | 5.984 | -0.000 | 0.000 |
| 0.000 | 0.000 | 0.000 | -0.000 | 5.984 | 0.000 |
| 0.000 | 0.000 | 0.000 | -0.000 | -0.000 | 3.408 |
| 3.240 | 3.408 | 5.983 | -0.000 | 0.000 | 0.000 |
| 3.408 | 3.240 | 5.983 | 0.000 | -0.000 | 0.000 |
| 5.983 | 5.983 | 10.503 | 0.000 | 0.000 | -0.000 |
| -0.000 | -0.000 | -0.000 | 5.984 | -0.000 | -0.000 |
| -0.000 | -0.000 | -0.000 | -0.000 | 5.984 | -0.000 |
| -0.000 | -0.000 | -0.000 | 0.000 | 0.000 | 3.408 |
| 3.582 | 3.413 | 5.980 | 0.000 | 0.000 | -0.000 |
| 3.413 | 3.582 | 5.980 | 0.000 | 0.000 | -0.000 |
| 5.980 | 5.980 | 10.480 | 0.000 | 0.000 | -0.000 |
| 0.000 | 0.000 | 0.000 | 5.981 | 0.000 | -0.000 |
| 0.000 | 0.000 | 0.000 | 0.000 | 5.981 | -0.000 |
| 0.000 | 0.000 | 0.000 | 0.000 | 0.000 | 3.413 |
| 3.582 | 3.413 | 5.980 | -0.000 | -0.000 | 0.000 |
| 3.413 | 3.582 | 5.980 | -0.000 | -0.000 | 0.000 |
| 5.980 | 5.980 | 10.480 | -0.000 | -0.000 | 0.000 |
| -0.000 | -0.000 | -0.000 | 5.981 | -0.000 | 0.000 |
| -0.000 | -0.000 | -0.000 | -0.000 | 5.981 | 0.000 |
| -0.000 | -0.000 | -0.000 | -0.000 | -0.000 | 3.413 |
| 3.581 | 3.413 | 5.980 | 0.000 | 0.000 | -0.000 |
| 3.413 | 3.581 | 5.980 | 0.000 | 0.000 | -0.000 |
| 5.980 | 5.980 | 10.480 | 0.000 | 0.000 | -0.000 |
| 0.000 | 0.000 | 0.000 | 5.981 | 0.000 | -0.000 |
| 0.000 | 0.000 | 0.000 | 0.000 | 5.981 | -0.000 |
| 0.000 | 0.000 | 0.000 | 0.000 | 0.000 | 3.413 |
| 3.582 | 3.413 | 5.980 | -0.000 | -0.000 | 0.000 |
| 3.413 | 3.582 | 5.980 | -0.000 | -0.000 | 0.000 |
| 5.980 | 5.980 | 10.480 | -0.000 | -0.000 | 0.000 |
| -0.000 | -0.000 | -0.000 | 5.981 | -0.000 | 0.000 |
| -0.000 | -0.000 | -0.000 | -0.000 | 5.981 | 0.000 |
| -0.000 | -0.000 | -0.000 | -0.000 | -0.000 | 3.413 |
| 3.581 | 3.413 | 5.981 | 0.000 | 0.000 | -0.000 |
| 3.413 | 3.581 | 5.981 | 0.000 | 0.000 | -0.000 |
| 5.981 | 5.981 | 10.480 | 0.000 | 0.000 | -0.000 |
| 0.000 | 0.000 | 0.000 | 5.981 | 0.000 | -0.000 |
| 0.000 | 0.000 | 0.000 | 0.000 | 5.981 | -0.000 |
| 0.000 | 0.000 | 0.000 | 0.000 | 0.000 | 3.413 |
| 3.582 | 3.413 | 5.980 | -0.000 | -0.000 | 0.000 |
| 3.413 | 3.582 | 5.980 | -0.000 | -0.000 | 0.000 |
| 5.980 | 5.980 | 10.480 | -0.000 | -0.000 | 0.000 |
| -0.000 | -0.000 | -0.000 | 5.981 | -0.000 | -0.000 |
| -0.000 | -0.000 | -0.000 | -0.000 | 5.981 | -0.000 |
| -0.000 | -0.000 | -0.000 | -0.000 | -0.000 | 3.413 |
| -21621920.027 | 425.686 | 726.896 | -0.000 | 0.000 | -0.000 |
| 425.686 | -21621920.027 | 726.896 | -0.000 | -0.000 | 0.000 |
| -0.860 | -0.860 | -1.453 | -0.000 | -0.000 | -0.000 |
| 0.000 | 0.000 | 0.000 | -0.847 | 0.000 | -0.000 |
| 0.000 | 0.000 | 0.000 | -0.000 | -0.847 | -0.000 |
| 0.000 | 0.000 | 0.000 | -0.000 | -0.000 | -0.496 |
| -0.496 | -0.506 | -0.863 | 0.000 | -0.000 | 0.000 |
| -0.506 | -0.496 | -0.863 | 0.000 | -0.000 | 0.000 |
| -0.860 | -0.860 | -1.453 | 0.000 | 0.000 | -0.000 |
| -0.000 | -0.000 | -0.000 | -0.847 | -0.000 | 0.000 |
| -0.000 | -0.000 | -0.000 | 0.000 | -0.847 | 0.000 |
| -0.000 | -0.000 | -0.000 | 0.000 | 0.000 | -0.496 |
| -2162204.385 | 42.114 | 71.913 | -0.000 | -0.000 | -0.000 |
| 42.114 | -2162204.385 | 71.913 | -0.000 | -0.000 | -0.000 |
| -0.860 | -0.860 | -1.453 | -0.000 | -0.000 | -0.000 |
| 0.000 | 0.000 | 0.000 | -0.847 | 0.000 | 0.000 |
| 0.000 | 0.000 | 0.000 | 0.000 | -0.847 | 0.000 |
| 0.000 | 0.000 | 0.000 | -0.000 | 0.000 | -0.496 |
| -0.496 | -0.506 | -0.863 | 0.000 | -0.000 | 0.000 |
| -0.506 | -0.496 | -0.863 | 0.000 | -0.000 | 0.000 |
| -0.860 | -0.860 | -1.453 | 0.000 | 0.000 | 0.000 |
| -0.000 | -0.000 | -0.000 | -0.847 | 0.000 | 0.000 |
| -0.000 | -0.000 | -0.000 | 0.000 | -0.847 | 0.000 |
| -0.000 | -0.000 | -0.000 | 0.000 | 0.000 | -0.496 |
| -216232.768 | 3.756 | 6.414 | -0.000 | -0.000 | -0.000 |
| 3.756 | -216232.768 | 6.414 | -0.000 | -0.000 | 0.000 |
| -0.860 | -0.860 | -1.452 | -0.000 | 0.000 | -0.000 |
| 0.000 | 0.000 | 0.000 | -0.847 | 0.000 | -0.000 |
| 0.000 | 0.000 | 0.000 | -0.000 | -0.847 | -0.000 |
| 0.000 | 0.000 | 0.000 | -0.000 | 0.000 | -0.496 |
| -0.496 | -0.506 | -0.863 | 0.000 | 0.000 | 0.000 |
| -0.506 | -0.496 | -0.863 | 0.000 | -0.000 | 0.000 |
| -0.860 | -0.860 | -1.453 | 0.000 | 0.000 | 0.000 |
| -0.000 | -0.000 | -0.000 | -0.847 | -0.000 | 0.000 |
| -0.000 | -0.000 | -0.000 | 0.000 | -0.847 | 0.000 |
| -0.000 | -0.000 | -0.000 | 0.000 | 0.000 | -0.496 |
| -0.043 | -0.043 | -0.074 | 0.000 | -0.000 | 0.000 |
| -0.043 | -0.043 | -0.074 | -0.000 | 0.000 | 0.000 |
| -0.074 | -0.074 | -0.127 | 0.000 | 0.000 | 0.000 |
| -0.000 | -0.000 | -0.000 | -0.074 | 0.000 | 0.000 |
| -0.000 | -0.000 | -0.000 | 0.000 | -0.074 | 0.000 |
| -0.000 | -0.000 | -0.000 | 0.000 | 0.000 | -0.043 |
| -0.043 | -0.043 | -0.074 | -0.000 | -0.000 | 0.000 |
| -0.043 | -0.043 | -0.074 | -0.000 | -0.000 | 0.000 |
| -0.074 | -0.074 | -0.127 | 0.000 | 0.000 | -0.000 |
| 0.000 | 0.000 | 0.000 | -0.074 | 0.000 | -0.000 |
| 0.000 | 0.000 | 0.000 | 0.000 | -0.074 | -0.000 |
| 0.000 | 0.000 | 0.000 | -0.000 | 0.000 | -0.043 |
| -0.043 | -0.043 | -0.074 | -0.000 | -0.000 | 0.000 |
| -0.043 | -0.043 | -0.074 | -0.000 | -0.000 | 0.000 |
| -0.074 | -0.074 | -0.127 | -0.000 | -0.000 | 0.000 |
| -0.000 | -0.000 | -0.000 | -0.074 | 0.000 | 0.000 |
| -0.000 | -0.000 | -0.000 | 0.000 | -0.074 | 0.000 |
| -0.000 | -0.000 | -0.000 | 0.000 | 0.000 | -0.043 |
| -0.043 | -0.043 | -0.074 | -0.000 | 0.000 | -0.000 |
| -0.043 | -0.043 | -0.074 | 0.000 | -0.000 | -0.000 |
| -0.074 | -0.074 | -0.127 | -0.000 | -0.000 | -0.000 |
| 0.000 | 0.000 | 0.000 | -0.074 | 0.000 | -0.000 |
| 0.000 | 0.000 | 0.000 | 0.000 | -0.074 | -0.000 |
| 0.000 | 0.000 | 0.000 | -0.000 | 0.000 | -0.043 |
| -0.043 | -0.043 | -0.074 | 0.000 | -0.000 | 0.000 |
| -0.043 | -0.043 | -0.074 | -0.000 | 0.000 | 0.000 |
| -0.074 | -0.074 | -0.127 | 0.000 | 0.000 | -0.000 |
| -0.000 | -0.000 | -0.000 | -0.074 | -0.000 | 0.000 |
| -0.000 | -0.000 | -0.000 | -0.000 | -0.074 | 0.000 |
| -0.000 | -0.000 | -0.000 | 0.000 | 0.000 | -0.043 |
| -0.043 | -0.043 | -0.074 | 0.000 | 0.000 | 0.000 |
| -0.043 | -0.043 | -0.074 | 0.000 | 0.000 | 0.000 |
| -0.074 | -0.074 | -0.126 | 0.000 | 0.000 | -0.000 |
| 0.000 | 0.000 | 0.000 | -0.074 | -0.000 | -0.000 |
| 0.000 | 0.000 | 0.000 | -0.000 | -0.074 | -0.000 |
| 0.000 | 0.000 | 0.000 | 0.000 | 0.000 | -0.043 |
| 84.397 | 127.811 | 127.811 | 0.000 | -0.000 | 0.000 |
| 127.810 | 84.397 | 127.811 | 0.000 | -0.000 | -0.000 |
| 127.810 | 127.811 | 84.397 | 0.000 | -0.000 | -0.000 |
| 0.000 | -0.000 | 0.000 | -65.801 | -0.000 | 0.000 |
| -0.000 | 0.000 | 0.000 | 0.000 | -65.801 | 0.000 |
| 0.000 | -0.000 | 0.000 | 0.000 | -0.000 | -65.801 |
| 84.397 | 127.810 | 127.810 | -0.000 | 0.000 | -0.000 |
| 127.810 | 84.397 | 127.810 | -0.000 | 0.000 | -0.000 |
| 127.810 | 127.810 | 84.397 | -0.000 | 0.000 | -0.000 |
| -0.000 | 0.000 | -0.000 | -65.801 | 0.000 | 0.000 |
| -0.000 | -0.000 | -0.000 | -0.000 | -65.800 | 0.000 |
| -0.000 | 0.000 | -0.000 | -0.000 | 0.000 | -65.801 |
| 84.398 | 127.811 | 127.811 | 0.000 | -0.000 | 0.000 |
| 127.811 | 84.398 | 127.811 | -0.000 | -0.000 | -0.000 |
| 127.811 | 127.811 | 84.398 | 0.000 | -0.000 | -0.000 |
| 0.000 | 0.000 | -0.000 | -65.801 | -0.000 | 0.000 |
| 0.000 | 0.000 | -0.000 | 0.000 | -65.801 | -0.000 |
| 0.000 | -0.000 | 0.000 | 0.000 | -0.000 | -65.801 |
| 84.397 | 127.810 | 127.810 | -0.000 | 0.000 | -0.000 |
| 127.810 | 84.397 | 127.810 | -0.000 | 0.000 | 0.000 |
| 127.810 | 127.810 | 84.397 | -0.000 | 0.000 | -0.000 |
| -0.000 | -0.000 | 0.000 | -65.801 | 0.000 | 0.000 |
| -0.000 | -0.000 | 0.000 | -0.000 | -65.801 | -0.000 |
| -0.000 | 0.000 | -0.000 | -0.000 | 0.000 | -65.801 |
| 84.400 | 127.811 | 127.811 | 0.000 | -0.000 | -0.000 |
| 127.811 | 84.400 | 127.811 | -0.000 | -0.000 | 0.000 |
| 127.811 | 127.811 | 84.400 | 0.000 | -0.000 | -0.000 |
| 0.000 | 0.000 | 0.000 | 103.900 | -0.000 | -0.000 |
| 0.000 | 0.000 | 0.000 | 0.000 | 103.900 | -0.000 |
| 0.000 | 0.000 | 0.000 | -0.000 | -0.000 | 103.900 |
| 84.395 | 127.810 | 127.810 | -0.000 | 0.000 | -0.000 |
| 127.810 | 84.395 | 127.810 | -0.000 | 0.000 | 0.000 |
| 127.810 | 127.810 | 84.395 | 0.000 | 0.000 | 0.000 |
| -0.000 | -0.000 | -0.000 | 103.900 | 0.000 | -0.000 |
| -0.000 | -0.000 | -0.000 | -0.000 | 103.900 | -0.000 |
| -0.000 | -0.000 | -0.000 | -0.000 | 0.000 | 103.900 |
| 237.020 | 239.754 | 239.754 | 0.000 | 0.000 | 0.000 |
| 239.754 | 237.020 | 239.754 | 0.000 | 0.000 | 0.000 |
| 239.754 | 239.754 | 237.020 | 0.000 | 0.000 | 0.000 |
| -0.000 | -0.000 | -0.000 | -2.743 | 0.000 | 0.000 |
| -0.000 | -0.000 | -0.000 | 0.000 | -2.743 | 0.000 |
| -0.000 | -0.000 | -0.000 | 0.000 | 0.000 | -2.743 |
| 237.020 | 239.754 | 239.754 | -0.000 | 0.000 | -0.000 |
| 239.754 | 237.020 | 239.754 | 0.000 | -0.000 | -0.000 |
| 239.754 | 239.754 | 237.020 | -0.000 | -0.000 | -0.000 |
| 0.000 | 0.000 | 0.000 | -2.743 | -0.000 | 0.000 |
| 0.000 | 0.000 | 0.000 | -0.000 | -2.743 | 0.000 |
| 0.000 | 0.000 | 0.000 | -0.000 | -0.000 | -2.743 |
| 237.019 | 239.754 | 239.754 | 0.000 | 0.000 | 0.000 |
| 239.754 | 237.019 | 239.754 | 0.000 | 0.000 | 0.000 |
| 239.754 | 239.754 | 237.019 | 0.000 | 0.000 | 0.000 |
| 0.000 | -0.000 | -0.000 | -2.743 | 0.000 | 0.000 |
| -0.000 | 0.000 | -0.000 | 0.000 | -2.743 | 0.000 |
| -0.000 | -0.000 | 0.000 | 0.000 | 0.000 | -2.743 |
| 237.020 | 239.754 | 239.754 | -0.000 | -0.000 | -0.000 |
| 239.754 | 237.020 | 239.754 | -0.000 | -0.000 | -0.000 |
| 239.754 | 239.754 | 237.020 | -0.000 | -0.000 | -0.000 |
| -0.000 | 0.000 | 0.000 | -2.743 | -0.000 | -0.000 |
| 0.000 | -0.000 | 0.000 | -0.000 | -2.743 | -0.000 |
| 0.000 | 0.000 | -0.000 | -0.000 | -0.000 | -2.743 |
| 237.019 | 239.754 | 239.754 | 0.000 | -0.000 | 0.000 |
| 239.754 | 237.019 | 239.754 | -0.000 | 0.000 | 0.000 |
| 239.754 | 239.754 | 237.019 | 0.000 | 0.000 | 0.000 |
| 0.000 | -0.000 | -0.000 | -2.790 | 0.000 | 0.000 |
| -0.000 | 0.000 | -0.000 | 0.000 | -2.790 | 0.000 |
| -0.000 | -0.000 | 0.000 | 0.000 | 0.000 | -2.790 |
| 237.020 | 239.754 | 239.754 | -0.000 | -0.000 | -0.000 |
| 239.754 | 237.020 | 239.754 | -0.000 | -0.000 | -0.000 |
| 239.754 | 239.754 | 237.020 | -0.000 | -0.000 | -0.000 |
| -0.000 | 0.000 | 0.000 | -2.790 | -0.000 | -0.000 |
| 0.000 | -0.000 | 0.000 | -0.000 | -2.790 | -0.000 |
| 0.000 | 0.000 | -0.000 | -0.000 | -0.000 | -2.790 |
| 2.526 | 2.526 | 2.526 | -0.000 | -0.000 | 0.000 |
| 2.526 | 2.526 | 2.526 | -0.000 | -0.000 | 0.000 |
| 2.526 | 2.526 | 2.526 | -0.000 | -0.000 | 0.000 |
| 0.000 | 0.000 | 0.000 | 2.526 | 0.000 | 0.000 |
| 0.000 | 0.000 | 0.000 | 0.000 | 2.526 | 0.000 |
| 0.000 | 0.000 | 0.000 | 0.000 | 0.000 | 2.526 |
| 2.526 | 2.526 | 2.526 | 0.000 | 0.000 | -0.000 |
| 2.526 | 2.526 | 2.526 | 0.000 | 0.000 | -0.000 |
| 2.526 | 2.526 | 2.526 | 0.000 | 0.000 | -0.000 |
| -0.000 | -0.000 | -0.000 | 2.526 | -0.000 | -0.000 |
| -0.000 | -0.000 | -0.000 | -0.000 | 2.526 | -0.000 |
| -0.000 | -0.000 | -0.000 | -0.000 | 0.000 | 2.526 |
| 2.526 | 2.526 | 2.526 | 0.000 | 0.000 | 0.000 |
| 2.526 | 2.526 | 2.526 | 0.000 | 0.000 | 0.000 |
| 2.526 | 2.526 | 2.526 | 0.000 | 0.000 | 0.000 |
| 0.000 | 0.000 | 0.000 | 0.881 | 0.000 | 0.000 |
| 0.000 | 0.000 | 0.000 | 0.000 | 0.881 | 0.000 |
| 0.000 | 0.000 | 0.000 | 0.000 | -0.000 | 0.881 |
| 2.526 | 2.526 | 2.526 | 0.000 | 0.000 | -0.000 |
| 2.526 | 2.526 | 2.526 | 0.000 | 0.000 | -0.000 |
| 2.526 | 2.526 | 2.526 | 0.000 | 0.000 | -0.000 |
| -0.000 | -0.000 | -0.000 | 0.881 | -0.000 | 0.000 |
| -0.000 | -0.000 | -0.000 | -0.000 | 0.881 | 0.000 |
| -0.000 | -0.000 | -0.000 | -0.000 | -0.000 | 0.881 |
| 2.526 | 2.526 | 2.526 | 0.000 | 0.000 | 0.000 |
| 2.526 | 2.526 | 2.526 | 0.000 | 0.000 | 0.000 |
| 2.526 | 2.526 | 2.526 | 0.000 | 0.000 | -0.000 |
| -0.000 | -0.000 | -0.000 | 0.022 | 0.000 | -0.000 |
| -0.000 | -0.000 | -0.000 | 0.000 | 0.022 | -0.000 |
| -0.000 | -0.000 | -0.000 | 0.000 | 0.000 | 0.022 |
| 2.526 | 2.526 | 2.526 | -0.000 | -0.000 | -0.000 |
| 2.526 | 2.526 | 2.526 | -0.000 | -0.000 | -0.000 |
| 2.526 | 2.526 | 2.526 | -0.000 | -0.000 | -0.000 |
| 0.000 | 0.000 | 0.000 | 0.022 | -0.000 | -0.000 |
| 0.000 | 0.000 | 0.000 | -0.000 | 0.022 | -0.000 |
| 0.000 | 0.000 | 0.000 | -0.000 | -0.000 | 0.022 |
| 100.675 | 198.536 | 198.536 | -0.000 | -0.000 | -0.000 |
| 198.536 | 100.675 | 198.536 | -0.000 | 0.000 | -0.000 |
| 198.536 | 198.536 | 100.675 | 0.000 | 0.000 | -0.000 |
| -0.000 | -0.000 | -0.000 | 125.516 | 0.000 | -0.000 |
| -0.000 | -0.000 | -0.000 | -0.000 | 125.516 | -0.000 |
| -0.000 | -0.000 | -0.000 | -0.000 | 0.000 | 125.516 |
| 100.675 | 198.536 | 198.536 | 0.000 | -0.000 | 0.000 |
| 198.536 | 100.675 | 198.536 | 0.000 | 0.000 | 0.000 |
| 198.536 | 198.536 | 100.675 | 0.000 | 0.000 | 0.000 |
| -0.000 | 0.000 | 0.000 | 125.516 | -0.000 | 0.000 |
| 0.000 | 0.000 | 0.000 | -0.000 | 125.516 | 0.000 |
| 0.000 | 0.000 | 0.000 | 0.000 | -0.000 | 125.516 |
| 100.675 | 198.536 | 198.536 | -0.000 | -0.000 | -0.000 |
| 198.536 | 100.675 | 198.536 | -0.000 | -0.000 | -0.000 |
| 198.536 | 198.536 | 100.675 | -0.000 | 0.000 | -0.000 |
| 0.000 | 0.000 | 0.000 | 125.516 | 0.000 | -0.000 |
| 0.000 | 0.000 | 0.000 | 0.000 | 125.516 | -0.000 |
| 0.000 | 0.000 | 0.000 | -0.000 | 0.000 | 125.516 |
| 100.675 | 198.536 | 198.536 | 0.000 | 0.000 | 0.000 |
| 198.536 | 100.675 | 198.536 | 0.000 | -0.000 | -0.000 |
| 198.536 | 198.536 | 100.675 | -0.000 | -0.000 | 0.000 |
| -0.000 | -0.000 | -0.000 | 125.516 | -0.000 | 0.000 |
| -0.000 | -0.000 | -0.000 | 0.000 | 125.516 | 0.000 |
| -0.000 | -0.000 | -0.000 | -0.000 | -0.000 | 125.516 |
| 100.675 | 198.537 | 198.537 | -0.000 | 0.000 | -0.000 |
| 198.537 | 100.675 | 198.537 | 0.000 | -0.000 | -0.000 |
| 198.537 | 198.537 | 100.675 | -0.000 | -0.000 | -0.000 |
| 0.001 | 0.000 | 0.001 | 125.516 | 0.000 | -0.000 |
| 0.000 | 0.001 | 0.001 | -0.000 | 125.516 | -0.000 |
| 0.000 | 0.001 | 0.001 | -0.000 | 0.000 | 125.516 |
| 100.674 | 198.535 | 198.535 | 0.000 | -0.000 | 0.000 |
| 198.535 | 100.674 | 198.535 | 0.000 | -0.000 | 0.000 |
| 198.535 | 198.535 | 100.674 | -0.000 | -0.000 | 0.000 |
| -0.001 | -0.000 | -0.001 | 125.516 | 0.000 | 0.000 |
| -0.000 | -0.001 | -0.001 | 0.000 | 125.516 | 0.000 |
| -0.000 | -0.001 | -0.001 | -0.000 | -0.000 | 125.516 |
| 1416.932 | 1437.397 | 1437.397 | 0.000 | -0.000 | -0.000 |
| 1437.397 | 1416.932 | 1437.397 | -0.000 | -0.000 | -0.000 |
| 1437.397 | 1437.397 | 1416.932 | -0.000 | -0.000 | -0.000 |
| -0.000 | -0.000 | -0.000 | -1.131 | 0.000 | -0.000 |
| -0.000 | -0.000 | -0.000 | 0.000 | -1.131 | -0.000 |
| -0.000 | -0.000 | -0.000 | -0.000 | -0.000 | -1.131 |
| 1416.932 | 1437.397 | 1437.397 | -0.000 | -0.000 | 0.000 |
| 1437.397 | 1416.932 | 1437.397 | -0.000 | -0.000 | 0.000 |
| 1437.397 | 1437.397 | 1416.932 | -0.000 | -0.000 | -0.000 |
| 101213746.161 | 50146581.838 | 55258830.511 | -40628116.466 | -837536.349 | 687496.123 |
| 50396272.074 | 99854335.795 | 54045802.040 | 967479.896 | -39857414.339 | 127482.403 |
| 0.000 | 0.000 | 0.000 | 0.000 | 0.000 | -1.131 |
| 1416.930 | 1437.395 | 1437.395 | -0.000 | 0.000 | -0.000 |
| 1437.395 | 1416.930 | 1437.395 | -0.000 | 0.000 | -0.000 |
| 1437.395 | 1437.395 | 1416.930 | 0.000 | 0.000 | 0.000 |
| -9894924.815 | -5388805.429 | -5259292.323 | -3818773.572 | -150710.465 | 43520.831 |
| -5739675.582 | -10306896.945 | -5350246.305 | 18750.469 | -4067834.363 | 95765.555 |
| -5557695.539 | -5363259.575 | -10084348.572 | -53811.192 | 154021.899 | -4337051.842 |
| 1416.933 | 1437.399 | 1437.399 | -0.000 | -0.000 | 0.000 |
| 1437.399 | 1416.933 | 1437.399 | -0.000 | -0.000 | 0.000 |
| 1437.399 | 1437.399 | 1416.933 | -0.000 | -0.000 | -0.000 |
| 9082474.149 | 5647176.435 | 5463656.622 | -1673119.706 | 69218.508 | -107529.295 |
| 5535643.580 | 8837590.309 | 5536278.691 | 47428.443 | -1824545.175 | -214241.225 |
| 5668716.856 | 5438153.052 | 8685227.473 | 82706.539 | 190337.629 | -1505144.549 |
| 1416.919 | 1437.376 | 1437.376 | 0.000 | 0.000 | -0.000 |
| 1437.376 | 1416.919 | 1437.376 | 0.000 | 0.000 | -0.000 |
| 1437.376 | 1437.376 | 1416.919 | 0.000 | 0.000 | -0.000 |
| -1006966.384 | -570834.032 | -552329.217 | -451501.914 | -6574.355 | -5609.645 |
| -548750.698 | -1083225.216 | -536160.211 | -4602.313 | -513762.356 | -9115.047 |
| -518798.323 | -483619.734 | -992537.022 | -10638.772 | -4939.207 | -479815.629 |
| 1416.944 | 1437.418 | 1437.418 | 0.000 | -0.000 | -0.000 |
| 1437.418 | 1416.944 | 1437.418 | 0.000 | -0.000 | -0.000 |
| 1437.418 | 1437.418 | 1416.944 | 0.000 | -0.000 | 0.000 |
| 1030684.853 | 515130.981 | 543645.706 | -553393.051 | 4070.514 | -6930.660 |
| 539872.148 | 1145622.200 | 552389.609 | -9961.819 | -628817.820 | -15046.127 |
| 523140.991 | 569284.324 | 1050412.575 | 3883.026 | -21942.932 | -536381.387 |
| 303.487 | 303.487 | 303.487 | 0.000 | 0.000 | 0.000 |
| 303.487 | 303.487 | 303.487 | 0.000 | 0.000 | 0.000 |
| 303.487 | 303.487 | 303.487 | 0.000 | 0.000 | -0.000 |
| 0.000 | 0.000 | 0.000 | -41.134 | -0.000 | 0.000 |
| 0.000 | 0.000 | 0.000 | -0.000 | -41.134 | -0.000 |
| 0.000 | 0.000 | 0.000 | -0.000 | -0.000 | -41.134 |
| 303.487 | 303.487 | 303.487 | -0.000 | -0.000 | -0.000 |
| 303.487 | 303.487 | 303.487 | -0.000 | -0.000 | -0.000 |
| 303.487 | 303.487 | 303.487 | -0.000 | -0.000 | 0.000 |
| -0.000 | -0.000 | -0.000 | -41.134 | 0.000 | -0.000 |
| -0.000 | -0.000 | -0.000 | 0.000 | -41.134 | -0.000 |
| -0.000 | -0.000 | -0.000 | 0.000 | -0.000 | -41.134 |
| 303.488 | 303.488 | 303.488 | 0.000 | 0.000 | 0.000 |
| 303.488 | 303.488 | 303.488 | 0.000 | 0.000 | 0.000 |
| 303.488 | 303.488 | 303.488 | 0.000 | 0.000 | -0.000 |
| 0.000 | 0.000 | 0.000 | 1.535 | -0.000 | 0.000 |
| 0.000 | 0.000 | 0.000 | -0.000 | 1.535 | -0.000 |
| 0.000 | 0.000 | 0.000 | -0.000 | -0.000 | 1.535 |
| 303.486 | 303.486 | 303.486 | -0.000 | -0.000 | -0.000 |
| 303.486 | 303.486 | 303.486 | -0.000 | -0.000 | -0.000 |
| 303.486 | 303.486 | 303.486 | -0.000 | -0.000 | -0.000 |
| -0.000 | -0.000 | -0.000 | 1.535 | 0.000 | -0.000 |
| -0.000 | -0.000 | -0.000 | 0.000 | 1.535 | -0.000 |
| -0.000 | -0.000 | -0.000 | 0.000 | 0.000 | 1.535 |
| 303.498 | 303.498 | 303.498 | 0.000 | 0.000 | 0.000 |
| 303.498 | 303.498 | 303.498 | 0.000 | 0.000 | 0.000 |
| 303.498 | 303.498 | 303.498 | 0.000 | 0.000 | -0.000 |
| 0.344 | 0.344 | 0.344 | -174.813 | -0.000 | 0.000 |
| 0.344 | 0.344 | 0.344 | -0.000 | -174.813 | -0.000 |
| 0.344 | 0.344 | 0.344 | -0.000 | -0.000 | -174.813 |
| 303.477 | 303.476 | 303.476 | -0.000 | -0.000 | 0.000 |
| 303.476 | 303.477 | 303.476 | -0.000 | -0.000 | -0.000 |
| 303.476 | 303.476 | 303.477 | -0.000 | -0.000 | 0.000 |
| -0.344 | -0.344 | -0.344 | -174.813 | -0.000 | -0.000 |
| -0.344 | -0.344 | -0.344 | -0.000 | -174.813 | 0.000 |
| -0.344 | -0.344 | -0.344 | -0.000 | -0.000 | -174.813 |
| -0.100 | -0.100 | -0.100 | -0.000 | -0.000 | -0.000 |
| -0.100 | -0.100 | -0.100 | -0.000 | -0.000 | -0.000 |
| -0.100 | -0.100 | -0.100 | -0.000 | -0.000 | -0.000 |
| 0.000 | 0.000 | 0.000 | -0.100 | 0.000 | 0.000 |
| 0.000 | 0.000 | 0.000 | 0.000 | -0.100 | 0.000 |
| 0.000 | 0.000 | 0.000 | -0.000 | -0.000 | -0.100 |
| -0.100 | -0.100 | -0.100 | 0.000 | -0.000 | 0.000 |
| -0.100 | -0.100 | -0.100 | -0.000 | 0.000 | 0.000 |
| -0.100 | -0.100 | -0.100 | -0.000 | -0.000 | -0.000 |
| -0.000 | -0.000 | -0.000 | -0.100 | 0.000 | 0.000 |
| -0.000 | -0.000 | -0.000 | 0.000 | -0.100 | 0.000 |
| -0.000 | -0.000 | -0.000 | 0.000 | -0.000 | -0.100 |
| -0.100 | -0.100 | -0.100 | 0.000 | 0.000 | 0.000 |
| -0.100 | -0.100 | -0.100 | 0.000 | 0.000 | 0.000 |
| -0.100 | -0.100 | -0.100 | 0.000 | 0.000 | 0.000 |
| 0.000 | 0.000 | 0.000 | -0.104 | -0.000 | -0.000 |
| 0.000 | 0.000 | 0.000 | -0.000 | -0.104 | -0.000 |
| 0.000 | 0.000 | 0.000 | -0.000 | -0.000 | -0.104 |
| -0.100 | -0.100 | -0.100 | 0.000 | -0.000 | -0.000 |
| -0.100 | -0.100 | -0.100 | -0.000 | 0.000 | -0.000 |
| -0.100 | -0.100 | -0.100 | -0.000 | -0.000 | 0.000 |
| -0.000 | -0.000 | -0.000 | -0.104 | 0.000 | 0.000 |
| -0.000 | -0.000 | -0.000 | 0.000 | -0.104 | 0.000 |
| -0.000 | -0.000 | -0.000 | 0.000 | 0.000 | -0.104 |
| -0.100 | -0.100 | -0.100 | 0.000 | -0.000 | -0.000 |
| -0.100 | -0.100 | -0.100 | -0.000 | 0.000 | -0.000 |
| -0.100 | -0.100 | -0.100 | -0.000 | -0.000 | 0.000 |
| 786.806 | 793.875 | 793.887 | -831.796 | -0.894 | 0.909 |
| 793.875 | 786.806 | 793.887 | -0.894 | -831.796 | 0.909 |
| 1340.311 | 1340.325 | 1323.255 | -1.213 | 1.201 | -1346.267 |
| -0.100 | -0.100 | -0.100 | 0.000 | 0.000 | 0.000 |
| -0.100 | -0.100 | -0.100 | 0.000 | 0.000 | 0.000 |
| -0.100 | -0.100 | -0.100 | 0.000 | 0.000 | 0.000 |
| -669.354 | -673.681 | -673.701 | -718.120 | -1.467 | -1.464 |
| -673.681 | -669.354 | -673.701 | -1.467 | -718.120 | -1.464 |
| -679.486 | -679.507 | -675.098 | -1.377 | -1.374 | -723.403 |
| 8.462 | 9.717 | 9.717 | -0.000 | -0.000 | -0.000 |
| 9.717 | 8.462 | 9.717 | -0.000 | -0.000 | -0.000 |
| 9.717 | 9.717 | 8.462 | -0.000 | -0.000 | -0.000 |
| 0.000 | 0.000 | 0.000 | -9.938 | -0.000 | -0.000 |
| 0.000 | 0.000 | 0.000 | -0.000 | -9.938 | -0.000 |
| 0.000 | 0.000 | 0.000 | -0.000 | -0.000 | -9.938 |
| 8.463 | 9.717 | 9.717 | 0.000 | 0.000 | 0.000 |
| 9.717 | 8.463 | 9.717 | 0.000 | 0.000 | 0.000 |
| 9.717 | 9.717 | 8.463 | 0.000 | 0.000 | -0.000 |
| -0.000 | -0.000 | -0.000 | -9.938 | 0.000 | 0.000 |
| -0.000 | -0.000 | -0.000 | 0.000 | -9.938 | 0.000 |
| -0.000 | -0.000 | -0.000 | 0.000 | 0.000 | -9.938 |
| 8.461 | 9.715 | 9.715 | -0.000 | -0.000 | 0.000 |
| 9.715 | 8.461 | 9.715 | -0.000 | -0.000 | -0.000 |
| 9.715 | 9.715 | 8.461 | -0.000 | -0.000 | -0.000 |
| 0.002 | 0.002 | 0.002 | -9.938 | -0.000 | 0.000 |
| 0.002 | 0.002 | 0.002 | -0.000 | -9.938 | -0.000 |
| 0.002 | 0.002 | 0.002 | -0.000 | -0.000 | -9.938 |
| 8.465 | 9.719 | 9.719 | 0.000 | 0.000 | 0.000 |
| 9.719 | 8.465 | 9.719 | 0.000 | 0.000 | 0.000 |
| 9.719 | 9.719 | 8.465 | 0.000 | 0.000 | 0.000 |
| -0.002 | -0.002 | -0.002 | -9.938 | 0.000 | 0.000 |
| -0.002 | -0.002 | -0.002 | 0.000 | -9.938 | 0.000 |
| -0.002 | -0.002 | -0.002 | 0.000 | 0.000 | -9.938 |
| 8.444 | 9.698 | 9.698 | -0.000 | -0.000 | -0.000 |
| 9.698 | 8.444 | 9.698 | -0.000 | -0.000 | -0.000 |
| 9.698 | 9.698 | 8.444 | -0.000 | 0.000 | -0.000 |
| 0.019 | 0.019 | 0.019 | -9.938 | -0.000 | -0.000 |
| 0.019 | 0.019 | 0.019 | -0.000 | -9.938 | -0.000 |
| 0.019 | 0.019 | 0.019 | -0.000 | -0.000 | -9.938 |
| 8.482 | 9.736 | 9.736 | 0.000 | 0.000 | 0.000 |
| 9.736 | 8.482 | 9.736 | 0.000 | 0.000 | 0.000 |
| 9.736 | 9.736 | 8.482 | 0.000 | 0.000 | 0.000 |
| -0.019 | -0.019 | -0.019 | -9.938 | 0.000 | 0.000 |
| -0.019 | -0.019 | -0.019 | 0.000 | -9.938 | 0.000 |
| -0.019 | -0.019 | -0.019 | 0.000 | 0.000 | -9.938 |
| 47.247 | 169.191 | 169.191 | -0.000 | 0.000 | 0.000 |
| 169.191 | 47.247 | 169.191 | -0.000 | 0.000 | -0.000 |
| 169.191 | 169.191 | 47.247 | -0.000 | 0.000 | -0.000 |
| 0.000 | -0.000 | -0.000 | 77.003 | 0.000 | -0.000 |
| -0.000 | -0.000 | -0.000 | -0.000 | 77.003 | 0.000 |
| -0.000 | -0.000 | -0.000 | -0.000 | 0.000 | 77.003 |
| 47.247 | 169.191 | 169.191 | 0.000 | -0.000 | -0.000 |
| 169.191 | 47.247 | 169.191 | 0.000 | -0.000 | 0.000 |
| 169.191 | 169.191 | 47.247 | 0.000 | -0.000 | 0.000 |
| 0.000 | 0.000 | 0.000 | 77.003 | -0.000 | -0.000 |
| 0.000 | 0.000 | 0.000 | 0.000 | 77.003 | 0.000 |
| 0.000 | 0.000 | 0.000 | 0.000 | -0.000 | 77.003 |
| 47.247 | 169.191 | 169.191 | -0.000 | 0.000 | -0.000 |
| 169.191 | 47.247 | 169.191 | -0.000 | 0.000 | -0.000 |
| 169.191 | 169.191 | 47.247 | -0.000 | 0.000 | -0.000 |
| 0.000 | 0.000 | 0.000 | 77.003 | -0.000 | 0.000 |
| 0.000 | 0.000 | 0.000 | -0.000 | 77.003 | -0.000 |
| 0.000 | 0.000 | 0.000 | -0.000 | 0.000 | 77.003 |
| 47.247 | 169.191 | 169.191 | 0.000 | -0.000 | 0.000 |
| 169.191 | 47.247 | 169.191 | 0.000 | -0.000 | 0.000 |
| 169.191 | 169.191 | 47.247 | 0.000 | -0.000 | -0.000 |
| -0.000 | -0.000 | -0.000 | 77.003 | 0.000 | 0.000 |
| -0.000 | -0.000 | -0.000 | 0.000 | 77.003 | 0.000 |
| -0.000 | -0.000 | -0.000 | 0.000 | -0.000 | 77.003 |
| 47.248 | 169.191 | 169.191 | -0.000 | 0.000 | -0.000 |
| 169.191 | 47.248 | 169.191 | -0.000 | 0.000 | -0.000 |
| 169.191 | 169.191 | 47.248 | -0.000 | 0.000 | -0.000 |
| 0.001 | 0.000 | 0.001 | 77.003 | 0.000 | -0.000 |
| 0.000 | 0.001 | 0.001 | -0.000 | 77.003 | -0.000 |
| 0.000 | 0.001 | 0.001 | -0.000 | 0.000 | 77.003 |
| 47.246 | 169.190 | 169.190 | 0.000 | -0.000 | 0.000 |
| 169.190 | 47.246 | 169.190 | 0.000 | -0.000 | 0.000 |
| 169.190 | 169.190 | 47.246 | 0.000 | -0.000 | 0.000 |
| -0.001 | -0.000 | -0.001 | 77.003 | -0.000 | 0.000 |
| -0.000 | -0.001 | -0.001 | 0.000 | 77.003 | 0.000 |
| -0.000 | -0.001 | -0.001 | 0.000 | -0.000 | 77.003 |
| 36.225 | 52.737 | 52.737 | -0.000 | -0.000 | 0.000 |
| 52.737 | 36.225 | 52.737 | -0.000 | -0.000 | 0.000 |
| 52.737 | 52.737 | 36.225 | -0.000 | -0.000 | 0.000 |
| -0.000 | -0.000 | -0.000 | -3538.838 | 0.000 | -0.000 |
| -0.000 | -0.000 | -0.000 | 0.000 | -3538.838 | -0.000 |
| -0.000 | -0.000 | -0.000 | 0.000 | 0.000 | -3538.838 |
| 36.224 | 52.737 | 52.737 | -0.000 | -0.000 | 0.000 |
| 52.737 | 36.224 | 52.737 | -0.000 | -0.000 | 0.000 |
| 52.737 | 52.737 | 36.224 | -0.000 | -0.000 | 0.000 |
| 0.000 | 0.000 | 0.000 | -3538.838 | -0.000 | -0.000 |
| 0.000 | 0.000 | 0.000 | -0.000 | -3538.838 | -0.000 |
| 0.000 | 0.000 | 0.000 | -0.000 | 0.000 | -3538.838 |
| 36.228 | 52.737 | 52.737 | -0.000 | 0.000 | 0.000 |
| 52.737 | 36.228 | 52.737 | 0.000 | -0.000 | 0.000 |
| 52.737 | 52.737 | 36.228 | -0.000 | -0.000 | 0.000 |
| -0.005 | -0.001 | -0.002 | -3538.838 | 0.000 | 0.000 |
| -0.001 | -0.005 | -0.002 | 0.000 | -3538.838 | 0.000 |
| -0.001 | -0.002 | -0.005 | 0.000 | 0.000 | -3538.838 |
| 36.221 | 52.737 | 52.737 | -0.000 | 0.000 | 0.000 |
| 52.737 | 36.221 | 52.737 | 0.000 | -0.000 | 0.000 |
| 52.737 | 52.737 | 36.221 | -0.000 | -0.000 | 0.000 |
| 0.005 | 0.001 | 0.002 | -3538.838 | -0.000 | -0.000 |
| 0.001 | 0.005 | 0.002 | -0.000 | -3538.838 | -0.000 |
| 0.001 | 0.002 | 0.005 | -0.000 | -0.000 | -3538.838 |
| 36.261 | 52.738 | 52.738 | -0.000 | -0.000 | -0.000 |
| 52.738 | 36.261 | 52.738 | -0.000 | -0.000 | -0.000 |
| 52.738 | 52.738 | 36.261 | -0.000 | -0.000 | 0.000 |
| -0.050 | -0.011 | -0.018 | -3538.839 | 0.000 | 0.000 |
| -0.011 | -0.050 | -0.018 | 0.000 | -3538.839 | 0.000 |
| -0.011 | -0.018 | -0.050 | 0.000 | 0.000 | -3538.839 |
| 36.187 | 52.737 | 52.737 | -0.000 | -0.000 | 0.000 |
| 52.737 | 36.187 | 52.737 | -0.000 | -0.000 | 0.000 |
| 52.737 | 52.737 | 36.187 | -0.000 | -0.000 | 0.000 |
| 0.050 | 0.011 | 0.018 | -3538.839 | -0.000 | -0.000 |
| 0.011 | 0.050 | 0.018 | -0.000 | -3538.839 | -0.000 |
| 0.011 | 0.018 | 0.050 | -0.000 | 0.000 | -3538.839 |
| 2.738 | 2.738 | 2.738 | -0.000 | -0.000 | -0.000 |
| 2.738 | 2.738 | 2.738 | -0.000 | -0.000 | -0.000 |
| 2.738 | 2.738 | 2.738 | -0.000 | -0.000 | -0.000 |
| 0.000 | 0.000 | 0.000 | 2.738 | 0.000 | 0.000 |
| 0.000 | 0.000 | 0.000 | 0.000 | 2.738 | 0.000 |
| 0.000 | 0.000 | 0.000 | 0.000 | 0.000 | 2.738 |
| 2.738 | 2.738 | 2.738 | -0.000 | -0.000 | 0.000 |
| 2.738 | 2.738 | 2.738 | -0.000 | -0.000 | 0.000 |
| 2.738 | 2.738 | 2.738 | -0.000 | -0.000 | 0.000 |
| -0.000 | -0.000 | -0.000 | 2.738 | -0.000 | 0.000 |
| -0.000 | -0.000 | -0.000 | -0.000 | 2.738 | 0.000 |
| -0.000 | -0.000 | -0.000 | -0.000 | -0.000 | 2.738 |
| 2.738 | 2.738 | 2.738 | -0.000 | -0.000 | -0.000 |
| 2.738 | 2.738 | 2.738 | -0.000 | -0.000 | -0.000 |
| 2.738 | 2.738 | 2.738 | -0.000 | -0.000 | -0.000 |
| 0.000 | 0.000 | 0.000 | 2.738 | 0.000 | 0.000 |
| 0.000 | 0.000 | 0.000 | 0.000 | 2.738 | 0.000 |
| 0.000 | 0.000 | 0.000 | 0.000 | 0.000 | 2.738 |
| 2.738 | 2.738 | 2.738 | 0.000 | 0.000 | 0.000 |
| 2.738 | 2.738 | 2.738 | 0.000 | 0.000 | 0.000 |
| 2.738 | 2.738 | 2.738 | 0.000 | 0.000 | 0.000 |
| -0.000 | -0.000 | -0.000 | 2.738 | -0.000 | 0.000 |
| -0.000 | -0.000 | -0.000 | -0.000 | 2.738 | 0.000 |
| -0.000 | -0.000 | -0.000 | -0.000 | -0.000 | 2.738 |
| 2.738 | 2.738 | 2.738 | 0.000 | 0.000 | -0.000 |
| 2.738 | 2.738 | 2.738 | 0.000 | 0.000 | -0.000 |
| 2.738 | 2.738 | 2.738 | 0.000 | 0.000 | -0.000 |
| 0.000 | 0.000 | 0.000 | 1.969 | 0.000 | -0.000 |
| 0.000 | 0.000 | 0.000 | 0.000 | 1.969 | -0.000 |
| 0.000 | 0.000 | 0.000 | 0.000 | 0.000 | 1.969 |
| 2.738 | 2.738 | 2.738 | -0.000 | -0.000 | 0.000 |
| 2.738 | 2.738 | 2.738 | -0.000 | -0.000 | 0.000 |
| 2.738 | 2.738 | 2.738 | -0.000 | -0.000 | 0.000 |
| -0.000 | -0.000 | -0.000 | 1.969 | -0.000 | 0.000 |
| -0.000 | -0.000 | -0.000 | -0.000 | 1.969 | 0.000 |
| -0.000 | -0.000 | -0.000 | -0.000 | -0.000 | 1.969 |
| 288.172 | 57.015 | 57.015 | -0.000 | 0.000 | -0.000 |
| 57.015 | 288.172 | 57.015 | -0.000 | 0.000 | -0.000 |
| 57.015 | 57.015 | 288.172 | -0.000 | 0.000 | -0.000 |
| 0.000 | 0.000 | 0.000 | -14.773 | 0.000 | -0.000 |
| 0.000 | 0.000 | 0.000 | -0.000 | -14.773 | -0.000 |
| 0.000 | -0.000 | 0.000 | -0.000 | 0.000 | -14.773 |
| 288.172 | 57.015 | 57.015 | 0.000 | -0.000 | 0.000 |
| 57.015 | 288.172 | 57.015 | 0.000 | -0.000 | 0.000 |
| 57.015 | 57.015 | 288.172 | 0.000 | -0.000 | 0.000 |
| 0.000 | -0.000 | -0.000 | -14.773 | -0.000 | 0.000 |
| -0.000 | -0.000 | 0.000 | -0.000 | -14.773 | 0.000 |
| -0.000 | -0.000 | -0.000 | -0.000 | -0.000 | -14.773 |
| 289.083 | 56.560 | 56.560 | -0.000 | 0.000 | -0.000 |
| 56.560 | 289.083 | 56.560 | -0.000 | 0.000 | 0.000 |
| 56.560 | 56.560 | 289.083 | 0.000 | 0.000 | -0.000 |
| -0.000 | 0.000 | 0.000 | 25.966 | 0.000 | -0.000 |
| 0.000 | -0.000 | 0.000 | 0.000 | 25.966 | -0.000 |
| 0.000 | 0.000 | -0.000 | -0.000 | 0.000 | 25.966 |
| 289.082 | 56.560 | 56.560 | 0.000 | -0.000 | 0.000 |
| 56.560 | 289.082 | 56.560 | 0.000 | -0.000 | 0.000 |
| 56.560 | 56.560 | 289.082 | -0.000 | -0.000 | 0.000 |
| 0.000 | -0.000 | -0.000 | 25.966 | -0.000 | 0.000 |
| -0.000 | 0.000 | -0.000 | 0.000 | 25.966 | 0.000 |
| -0.000 | -0.000 | 0.000 | 0.000 | -0.000 | 25.966 |
| 289.084 | 56.560 | 56.560 | -0.000 | 0.000 | -0.000 |
| 56.560 | 289.084 | 56.560 | -0.000 | 0.000 | -0.000 |
| 56.560 | 56.560 | 289.084 | 0.000 | 0.000 | -0.000 |
| 0.000 | -0.000 | -0.000 | -14.773 | 0.000 | -0.000 |
| -0.000 | 0.000 | -0.000 | 0.000 | -14.773 | -0.000 |
| -0.000 | -0.000 | 0.000 | 0.000 | 0.000 | -14.773 |
| 289.080 | 56.560 | 56.560 | 0.000 | -0.000 | 0.000 |
| 56.560 | 289.080 | 56.560 | 0.000 | -0.000 | 0.000 |
| 56.560 | 56.560 | 289.080 | 0.000 | -0.000 | 0.000 |
| -0.000 | 0.000 | 0.000 | -14.773 | -0.000 | 0.000 |
| 0.000 | -0.000 | 0.000 | -0.000 | -14.773 | 0.000 |
| 0.000 | 0.000 | -0.000 | -0.000 | -0.000 | -14.773 |
| 1063.953 | 856.558 | 856.558 | -0.000 | -0.000 | 0.000 |
| 856.558 | 1063.953 | 856.558 | -0.000 | -0.000 | 0.000 |
| 856.558 | 856.558 | 1063.953 | -0.000 | -0.000 | -0.000 |
| 0.000 | -0.000 | -0.000 | 454.813 | 0.000 | 0.000 |
| -0.000 | -0.000 | -0.000 | 0.000 | 454.813 | 0.000 |
| -0.000 | -0.000 | 0.000 | 0.000 | 0.000 | 454.813 |
| 1855.304 | 460.883 | 460.883 | 0.000 | -0.000 | -0.000 |
| 460.883 | 1855.304 | 460.883 | 0.000 | -0.000 | -0.000 |
| 460.883 | 460.883 | 1855.304 | 0.000 | -0.000 | -0.000 |
| -0.000 | 0.000 | 0.000 | 454.813 | -0.000 | -0.000 |
| 0.000 | 0.000 | 0.000 | -0.000 | 454.813 | -0.000 |
| 0.000 | 0.000 | 0.000 | -0.000 | -0.000 | 454.813 |
| 1063.952 | 856.557 | 856.557 | -0.000 | -0.000 | 0.000 |
| 856.557 | 1063.952 | 856.557 | -0.000 | -0.000 | 0.000 |
| 856.557 | 856.557 | 1063.952 | -0.000 | -0.000 | 0.000 |
| -0.000 | -0.000 | -0.000 | 86.918 | -0.000 | 0.000 |
| -0.000 | -0.000 | -0.000 | 0.000 | 86.918 | 0.000 |
| -0.000 | -0.000 | -0.000 | 0.000 | -0.000 | 86.918 |
| 1855.306 | 460.883 | 460.883 | -0.000 | -0.000 | -0.000 |
| 460.883 | 1855.306 | 460.883 | 0.000 | -0.000 | -0.000 |
| 460.883 | 460.883 | 1855.306 | -0.000 | -0.000 | -0.000 |
| 0.000 | 0.000 | 0.000 | 86.918 | 0.000 | -0.000 |
| 0.000 | 0.000 | 0.000 | -0.000 | 86.918 | -0.000 |
| 0.000 | 0.000 | 0.000 | -0.000 | 0.000 | 86.918 |
| 1063.936 | 856.556 | 856.556 | -0.000 | -0.000 | 0.000 |
| 856.556 | 1063.936 | 856.556 | -0.000 | -0.000 | -0.000 |
| 856.556 | 856.556 | 1063.936 | -0.000 | -0.000 | 0.000 |
| -0.002 | -0.000 | -0.000 | 86.917 | -0.000 | 0.000 |
| -0.000 | -0.002 | -0.000 | 0.000 | 86.917 | 0.000 |
| -0.000 | -0.000 | -0.002 | 0.000 | -0.000 | 86.917 |
| 1063.967 | 856.561 | 856.561 | 0.000 | 0.000 | -0.000 |
| 856.561 | 1063.967 | 856.561 | 0.000 | 0.000 | -0.000 |
| 856.561 | 856.561 | 1063.967 | 0.000 | 0.000 | -0.000 |
| 0.002 | 0.000 | 0.000 | 86.917 | 0.000 | -0.000 |
| 0.000 | 0.002 | 0.000 | -0.000 | 86.917 | -0.000 |
| 0.000 | 0.000 | 0.002 | -0.000 | 0.000 | 86.917 |
| 3.078 | -0.000 | -0.000 | -0.000 | -0.000 | 0.000 |
| -0.000 | 3.078 | -0.000 | -0.000 | -0.000 | 0.000 |
| -0.000 | -0.000 | 3.078 | 0.000 | -0.000 | -0.000 |
| -0.000 | -0.000 | -0.000 | 0.000 | -0.000 | -0.000 |
| -0.000 | -0.000 | -0.000 | -0.000 | 0.000 | -0.000 |
| -0.000 | -0.000 | -0.000 | -0.000 | 0.000 | 0.000 |
| 3.078 | 0.000 | 0.000 | 0.000 | 0.000 | -0.000 |
| 0.000 | 3.078 | 0.000 | 0.000 | 0.000 | 0.000 |
| 0.000 | 0.000 | 3.078 | -0.000 | 0.000 | 0.000 |
| 0.000 | 0.000 | 0.000 | 0.000 | 0.000 | 0.000 |
| 0.000 | 0.000 | 0.000 | 0.000 | 0.000 | -0.000 |
| 0.000 | 0.000 | 0.000 | 0.000 | 0.000 | 0.000 |
| 3.078 | -0.000 | -0.000 | -0.000 | -0.000 | -0.000 |
| -0.000 | 3.078 | -0.000 | -0.000 | -0.000 | 0.000 |
| -0.000 | -0.000 | 3.078 | -0.000 | 0.000 | -0.000 |
| -0.000 | 0.000 | -0.000 | 0.000 | 0.000 | -0.000 |
| -0.000 | -0.000 | -0.000 | -0.000 | 0.000 | 0.000 |
| 0.000 | -0.000 | -0.000 | -0.000 | -0.000 | 0.000 |
| 3.078 | 0.000 | 0.000 | 0.000 | 0.000 | -0.000 |
| 0.000 | 3.078 | 0.000 | 0.000 | 0.000 | -0.000 |
| 0.000 | 0.000 | 3.078 | 0.000 | -0.000 | 0.000 |
| 0.000 | 0.000 | 0.000 | 0.000 | -0.000 | 0.000 |
| 0.000 | 0.000 | 0.000 | 0.000 | 0.000 | 0.000 |
| 0.000 | 0.000 | 0.000 | 0.000 | 0.000 | 0.000 |
| 3.078 | -0.000 | -0.000 | -0.000 | -0.000 | -0.000 |
| -0.000 | 3.078 | -0.000 | -0.000 | -0.000 | 0.000 |
| -0.000 | -0.000 | 3.078 | 0.000 | -0.000 | -0.000 |
| -0.000 | -0.000 | -0.000 | 0.000 | -0.000 | -0.000 |
| -0.000 | -0.000 | -0.000 | -0.000 | 0.000 | 0.000 |
| -0.000 | -0.000 | -0.000 | -0.000 | -0.000 | 0.000 |
| 3.077 | 0.000 | 0.000 | 0.000 | 0.000 | 0.000 |
| 0.000 | 3.077 | 0.000 | 0.000 | 0.000 | 0.000 |
| 0.000 | 0.000 | 3.077 | 0.000 | -0.000 | 0.000 |
| 0.000 | 0.000 | 0.000 | 0.000 | 0.000 | -0.000 |
| 0.000 | 0.000 | 0.000 | 0.000 | 0.000 | -0.000 |
| 0.000 | 0.000 | 0.000 | 0.000 | 0.000 | 0.000 |
| 56.961 | 168.383 | 168.383 | -0.000 | -0.000 | -0.000 |
| 168.383 | 56.961 | 168.383 | 0.000 | -0.000 | -0.000 |
| 168.383 | 168.383 | 56.961 | 0.000 | -0.000 | -0.000 |
| 0.000 | -0.000 | 0.000 | 61.764 | -0.000 | -0.000 |
| 0.000 | -0.000 | 0.000 | 0.000 | 61.764 | -0.000 |
| 0.000 | -0.000 | 0.000 | 0.000 | -0.000 | 61.764 |
| 56.961 | 168.383 | 168.383 | -0.000 | -0.000 | 0.000 |
| 168.383 | 56.961 | 168.383 | -0.000 | 0.000 | 0.000 |
| 168.383 | 168.383 | 56.961 | -0.000 | -0.000 | 0.000 |
| -0.000 | 0.000 | -0.000 | 61.764 | 0.000 | 0.000 |
| -0.000 | 0.000 | -0.000 | 0.000 | 61.764 | 0.000 |
| -0.000 | 0.000 | -0.000 | -0.000 | 0.000 | 61.764 |
| 56.961 | 168.383 | 168.383 | -0.000 | -0.000 | -0.000 |
| 168.383 | 56.961 | 168.383 | -0.000 | -0.000 | -0.000 |
| 168.383 | 168.383 | 56.961 | -0.000 | -0.000 | -0.000 |
| 0.000 | -0.000 | -0.000 | 61.764 | -0.000 | 0.000 |
| -0.000 | 0.000 | -0.000 | 0.000 | 61.764 | -0.000 |
| -0.000 | -0.000 | 0.000 | 0.000 | -0.000 | 61.764 |
| 56.961 | 168.383 | 168.383 | 0.000 | 0.000 | 0.000 |
| 168.383 | 56.961 | 168.383 | 0.000 | -0.000 | 0.000 |
| 168.383 | 168.383 | 56.961 | -0.000 | -0.000 | 0.000 |
| -0.000 | 0.000 | 0.000 | 61.764 | 0.000 | 0.000 |
| 0.000 | -0.000 | 0.000 | 0.000 | 61.764 | 0.000 |
| 0.000 | 0.000 | -0.000 | -0.000 | 0.000 | 61.764 |
| 56.960 | 168.384 | 168.384 | 0.000 | -0.000 | -0.000 |
| 168.384 | 56.960 | 168.384 | 0.000 | -0.000 | -0.000 |
| 168.384 | 168.384 | 56.960 | -0.000 | -0.000 | -0.000 |
| 0.000 | -0.000 | -0.000 | 61.764 | 0.000 | -0.000 |
| -0.000 | 0.000 | -0.000 | 0.000 | 61.764 | -0.000 |
| -0.000 | -0.000 | 0.000 | 0.000 | -0.000 | 61.764 |
| 56.962 | 168.383 | 168.383 | -0.000 | 0.000 | 0.000 |
| 168.383 | 56.962 | 168.383 | 0.000 | -0.000 | 0.000 |
| 168.383 | 168.383 | 56.962 | -0.000 | -0.000 | 0.000 |
| -0.000 | 0.000 | 0.000 | 61.764 | -0.000 | 0.000 |
| 0.000 | -0.000 | 0.000 | -0.000 | 61.764 | 0.000 |
| 0.000 | 0.000 | -0.000 | -0.000 | 0.000 | 61.764 |
| 411.448 | 362.015 | 362.015 | -0.000 | 0.000 | 0.000 |
| 362.015 | 411.448 | 362.015 | 0.000 | -0.000 | 0.000 |
| 362.015 | 362.015 | 411.448 | -0.000 | -0.000 | 0.000 |
| -0.000 | -0.000 | -0.000 | 365.469 | 0.000 | 0.000 |
| -0.000 | -0.000 | -0.000 | 0.000 | 365.469 | 0.000 |
| -0.000 | -0.000 | -0.000 | 0.000 | 0.000 | 365.469 |
| 411.448 | 362.015 | 362.015 | 0.000 | 0.000 | -0.000 |
| 362.015 | 411.448 | 362.015 | 0.000 | 0.000 | -0.000 |
| 362.015 | 362.015 | 411.448 | 0.000 | 0.000 | -0.000 |
| 0.000 | 0.000 | 0.000 | 365.469 | -0.000 | -0.000 |
| 0.000 | 0.000 | 0.000 | -0.000 | 365.469 | -0.000 |
| 0.000 | 0.000 | 0.000 | -0.000 | -0.000 | 365.469 |
| 411.451 | 362.015 | 362.015 | -0.000 | 0.000 | 0.000 |
| 362.015 | 411.451 | 362.015 | 0.000 | -0.000 | 0.000 |
| 362.015 | 362.015 | 411.451 | -0.000 | -0.000 | 0.000 |
| -0.000 | -0.000 | -0.000 | 365.469 | 0.000 | 0.000 |
| -0.000 | -0.000 | -0.000 | 0.000 | 365.469 | 0.000 |
| -0.000 | -0.000 | -0.000 | 0.000 | 0.000 | 365.469 |
| 411.446 | 362.015 | 362.015 | 0.000 | 0.000 | 0.000 |
| 362.015 | 411.446 | 362.015 | 0.000 | 0.000 | 0.000 |
| 362.015 | 362.015 | 411.446 | 0.000 | 0.000 | -0.000 |
| 0.000 | 0.000 | 0.000 | 365.469 | -0.000 | -0.000 |
| 0.000 | 0.000 | 0.000 | -0.000 | 365.469 | -0.000 |
| 0.000 | 0.000 | 0.000 | -0.000 | -0.000 | 365.469 |
| 411.473 | 362.014 | 362.014 | -0.000 | 0.000 | 0.000 |
| 362.014 | 411.473 | 362.014 | 0.000 | -0.000 | 0.000 |
| 362.014 | 362.014 | 411.473 | -0.000 | -0.000 | 0.000 |
| -0.001 | -0.002 | -0.002 | 313.084 | -0.000 | -0.000 |
| -0.002 | -0.001 | -0.002 | -0.000 | 313.084 | -0.000 |
| -0.002 | -0.002 | -0.001 | -0.000 | -0.000 | 313.084 |
| 411.423 | 362.016 | 362.016 | 0.000 | 0.000 | 0.000 |
| 362.016 | 411.423 | 362.016 | 0.000 | 0.000 | 0.000 |
| 362.016 | 362.016 | 411.423 | 0.000 | 0.000 | -0.000 |
| 0.001 | 0.002 | 0.002 | 313.084 | 0.000 | 0.000 |
| 0.002 | 0.001 | 0.002 | 0.000 | 313.084 | 0.000 |
| 0.002 | 0.002 | 0.001 | 0.000 | -0.000 | 313.084 |
| 6.079 | 6.079 | 6.079 | -0.000 | 0.000 | -0.000 |
| 6.079 | 6.079 | 6.079 | 0.000 | -0.000 | -0.000 |
| 6.079 | 6.079 | 6.079 | -0.000 | -0.000 | 0.000 |
| 0.000 | 0.000 | 0.000 | 6.079 | 0.000 | -0.000 |
| 0.000 | 0.000 | 0.000 | 0.000 | 6.079 | -0.000 |
| 0.000 | 0.000 | 0.000 | 0.000 | 0.000 | 6.079 |
| 6.079 | 6.079 | 6.079 | -0.000 | -0.000 | -0.000 |
| 6.079 | 6.079 | 6.079 | -0.000 | -0.000 | -0.000 |
| 6.079 | 6.079 | 6.079 | -0.000 | -0.000 | -0.000 |
| -0.000 | -0.000 | -0.000 | 6.079 | -0.000 | 0.000 |
| -0.000 | -0.000 | -0.000 | -0.000 | 6.079 | 0.000 |
| -0.000 | -0.000 | -0.000 | -0.000 | -0.000 | 6.079 |
| 6.079 | 6.079 | 6.079 | -0.000 | 0.000 | 0.000 |
| 6.079 | 6.079 | 6.079 | 0.000 | -0.000 | 0.000 |
| 6.079 | 6.079 | 6.079 | -0.000 | -0.000 | 0.000 |
| 0.000 | 0.000 | 0.000 | 5.920 | -0.000 | -0.000 |
| 0.000 | 0.000 | 0.000 | -0.000 | 5.920 | -0.000 |
| 0.000 | 0.000 | 0.000 | -0.000 | -0.000 | 5.920 |
| 6.079 | 6.079 | 6.079 | 0.000 | 0.000 | 0.000 |
| 6.079 | 6.079 | 6.079 | 0.000 | 0.000 | 0.000 |
| 6.079 | 6.079 | 6.079 | 0.000 | 0.000 | 0.000 |
| -0.000 | -0.000 | -0.000 | 5.920 | 0.000 | 0.000 |
| -0.000 | -0.000 | -0.000 | 0.000 | 5.920 | 0.000 |
| -0.000 | -0.000 | -0.000 | 0.000 | -0.000 | 5.920 |
| 6.079 | 6.079 | 6.079 | -0.000 | 0.000 | 0.000 |
| 6.079 | 6.079 | 6.079 | 0.000 | -0.000 | 0.000 |
| 6.079 | 6.079 | 6.079 | -0.000 | -0.000 | -0.000 |
| 0.000 | 0.000 | 0.000 | 5.920 | -0.000 | -0.000 |
| 0.000 | 0.000 | 0.000 | -0.000 | 5.920 | -0.000 |
| 0.000 | 0.000 | 0.000 | -0.000 | 0.000 | 5.920 |
| 6.079 | 6.079 | 6.079 | -0.000 | -0.000 | 0.000 |
| 6.079 | 6.079 | 6.079 | -0.000 | -0.000 | 0.000 |
| 6.079 | 6.079 | 6.079 | -0.000 | -0.000 | -0.000 |
| -0.000 | -0.000 | -0.000 | 5.920 | 0.000 | -0.000 |
| -0.000 | -0.000 | -0.000 | 0.000 | 5.920 | -0.000 |
| -0.000 | -0.000 | -0.000 | -0.000 | -0.000 | 5.920 |
| 188.413 | -27.096 | -27.096 | 0.000 | -0.000 | -0.000 |
| -27.096 | 188.413 | -27.096 | 0.000 | 0.000 | -0.000 |
| -27.096 | -27.096 | 188.413 | 0.000 | 0.000 | -0.000 |
| 0.000 | 0.000 | 0.000 | 158.159 | 0.000 | -0.000 |
| 0.000 | 0.000 | 0.000 | 0.000 | 158.159 | -0.000 |
| 0.000 | 0.000 | 0.000 | -0.000 | 0.000 | 158.159 |
| 188.412 | -27.096 | -27.096 | -0.000 | -0.000 | 0.000 |
| -27.096 | 188.412 | -27.096 | -0.000 | 0.000 | -0.000 |
| -27.096 | -27.096 | 188.412 | -0.000 | 0.000 | 0.000 |
| -0.000 | -0.000 | -0.000 | 158.159 | -0.000 | 0.000 |
| -0.000 | -0.000 | -0.000 | -0.000 | 158.159 | 0.000 |
| -0.000 | -0.000 | -0.000 | -0.000 | -0.000 | 158.159 |
| 188.414 | -27.095 | -27.095 | 0.000 | 0.000 | -0.000 |
| -27.095 | 188.414 | -27.095 | -0.000 | 0.000 | -0.000 |
| -27.095 | -27.095 | 188.414 | 0.000 | 0.000 | -0.000 |
| 0.000 | 0.000 | 0.000 | 158.159 | -0.000 | -0.000 |
| 0.000 | 0.000 | 0.000 | 0.000 | 158.159 | -0.000 |
| 0.000 | 0.000 | 0.000 | -0.000 | 0.000 | 158.159 |
| 188.411 | -27.096 | -27.096 | -0.000 | -0.000 | 0.000 |
| -27.096 | 188.411 | -27.096 | -0.000 | -0.000 | 0.000 |
| -27.096 | -27.096 | 188.411 | -0.000 | -0.000 | 0.000 |
| -0.000 | -0.000 | -0.000 | 158.159 | -0.000 | 0.000 |
| -0.000 | -0.000 | -0.000 | -0.000 | 158.159 | 0.000 |
| -0.000 | -0.000 | -0.000 | -0.000 | -0.000 | 158.159 |
| 188.424 | -27.093 | -27.093 | 0.000 | 0.000 | -0.000 |
| -27.093 | 188.424 | -27.093 | 0.000 | 0.000 | -0.000 |
| -27.093 | -27.093 | 188.424 | 0.000 | 0.000 | -0.000 |
| 0.000 | 0.002 | 0.002 | 158.159 | 0.000 | -0.000 |
| 0.002 | 0.000 | 0.002 | 0.000 | 158.159 | -0.000 |
| 0.002 | 0.002 | 0.000 | 0.000 | 0.000 | 158.159 |
| 188.401 | -27.098 | -27.098 | -0.000 | 0.000 | 0.000 |
| -27.098 | 188.401 | -27.098 | -0.000 | 0.000 | 0.000 |
| -27.098 | -27.098 | 188.401 | -0.000 | 0.000 | 0.000 |
| -0.000 | -0.002 | -0.002 | 158.159 | 0.000 | 0.000 |
| -0.002 | -0.000 | -0.002 | -0.000 | 158.159 | 0.000 |
| -0.002 | -0.002 | -0.000 | -0.000 | -0.000 | 158.159 |
| 87.557 | 24.813 | 24.813 | -0.000 | -0.000 | -0.000 |
| 24.813 | 87.557 | 24.813 | -0.000 | -0.000 | -0.000 |
| 24.813 | 24.813 | 87.557 | -0.000 | -0.000 | -0.000 |
| -0.000 | 0.000 | 0.000 | 94.650 | -0.000 | -0.000 |
| -0.000 | 0.000 | 0.000 | -0.000 | 94.650 | -0.000 |
| -0.000 | 0.000 | -0.000 | -0.000 | -0.000 | 94.650 |
| 87.557 | 24.813 | 24.813 | -0.000 | 0.000 | 0.000 |
| 24.813 | 87.557 | 24.813 | 0.000 | 0.000 | 0.000 |
| 24.813 | 24.813 | 87.557 | -0.000 | 0.000 | 0.000 |
| 0.000 | -0.000 | -0.000 | 94.650 | 0.000 | 0.000 |
| 0.000 | -0.000 | -0.000 | 0.000 | 94.650 | 0.000 |
| 0.000 | -0.000 | 0.000 | 0.000 | 0.000 | 94.650 |
| 87.557 | 24.813 | 24.813 | -0.000 | -0.000 | -0.000 |
| 24.813 | 87.557 | 24.813 | -0.000 | -0.000 | -0.000 |
| 24.813 | 24.813 | 87.557 | 0.000 | -0.000 | -0.000 |
| -0.000 | 0.000 | 0.000 | 94.650 | -0.000 | -0.000 |
| -0.000 | -0.000 | 0.000 | 0.000 | 94.650 | -0.000 |
| 0.000 | 0.000 | -0.000 | -0.000 | -0.000 | 94.650 |
| 87.557 | 24.813 | 24.813 | -0.000 | 0.000 | 0.000 |
| 24.813 | 87.557 | 24.813 | 0.000 | 0.000 | 0.000 |
| 24.813 | 24.813 | 87.557 | -0.000 | 0.000 | 0.000 |
| 0.000 | -0.000 | -0.000 | 94.650 | 0.000 | 0.000 |
| -0.000 | 0.000 | -0.000 | 0.000 | 94.650 | 0.000 |
| -0.000 | -0.000 | 0.000 | 0.000 | 0.000 | 94.650 |
| 87.556 | 24.812 | 24.812 | -0.000 | -0.000 | -0.000 |
| 24.812 | 87.556 | 24.812 | -0.000 | -0.000 | -0.000 |
| 24.812 | 24.812 | 87.556 | -0.000 | -0.000 | -0.000 |
| -0.000 | 0.000 | 0.000 | 94.650 | -0.000 | -0.000 |
| 0.000 | -0.000 | 0.000 | -0.000 | 94.650 | -0.000 |
| 0.000 | 0.000 | -0.000 | -0.000 | -0.000 | 94.650 |
| 87.558 | 24.814 | 24.814 | 0.000 | 0.000 | 0.000 |
| 24.814 | 87.558 | 24.814 | 0.000 | 0.000 | 0.000 |
| 24.814 | 24.814 | 87.558 | 0.000 | 0.000 | 0.000 |
| 0.000 | -0.000 | -0.000 | 94.650 | 0.000 | 0.000 |
| -0.000 | 0.000 | -0.000 | 0.000 | 94.650 | 0.000 |
| -0.000 | -0.000 | 0.000 | 0.000 | 0.000 | 94.650 |
| 83.627 | 4.431 | 4.431 | 0.000 | 0.000 | -0.000 |
| 4.431 | 83.627 | 4.431 | 0.000 | 0.000 | -0.000 |
| 4.431 | 4.431 | 83.627 | 0.000 | 0.000 | -0.000 |
| -0.000 | -0.000 | 0.000 | 1.528 | 0.000 | 0.000 |
| -0.000 | -0.000 | 0.000 | 0.000 | 1.528 | -0.000 |
| -0.000 | -0.000 | 0.000 | 0.000 | 0.000 | 1.528 |
| 83.627 | 4.431 | 4.431 | -0.000 | -0.000 | 0.000 |
| 4.431 | 83.627 | 4.431 | -0.000 | -0.000 | 0.000 |
| 4.431 | 4.431 | 83.627 | -0.000 | -0.000 | 0.000 |
| 0.000 | 0.000 | 0.000 | 1.528 | -0.000 | 0.000 |
| 0.000 | 0.000 | -0.000 | -0.000 | 1.528 | 0.000 |
| 0.000 | 0.000 | -0.000 | -0.000 | -0.000 | 1.528 |
| 83.626 | 4.431 | 4.431 | 0.000 | 0.000 | -0.000 |
| 4.431 | 83.626 | 4.431 | 0.000 | 0.000 | -0.000 |
| 4.431 | 4.431 | 83.626 | -0.000 | 0.000 | -0.000 |
| -0.000 | -0.000 | -0.000 | 1.528 | 0.000 | -0.000 |
| -0.000 | 0.000 | -0.000 | 0.000 | 1.528 | -0.000 |
| -0.000 | -0.000 | 0.000 | 0.000 | 0.000 | 1.528 |
| 83.627 | 4.431 | 4.431 | -0.000 | -0.000 | 0.000 |
| 4.431 | 83.627 | 4.431 | -0.000 | -0.000 | 0.000 |
| 4.431 | 4.431 | 83.627 | -0.000 | -0.000 | 0.000 |
| 0.000 | 0.000 | 0.000 | 1.528 | -0.000 | 0.000 |
| 0.000 | -0.000 | 0.000 | -0.000 | 1.528 | 0.000 |
| 0.000 | 0.000 | -0.000 | -0.000 | -0.000 | 1.528 |
| 83.623 | 4.431 | 4.431 | 0.000 | 0.000 | -0.000 |
| 4.431 | 83.623 | 4.431 | 0.000 | -0.000 | -0.000 |
| 4.431 | 4.431 | 83.623 | 0.000 | 0.000 | -0.000 |
| 0.000 | -0.000 | -0.000 | 1.528 | 0.000 | -0.000 |
| -0.000 | 0.000 | -0.000 | 0.000 | 1.528 | -0.000 |
| -0.000 | -0.000 | 0.000 | 0.000 | 0.000 | 1.528 |
| 83.630 | 4.431 | 4.431 | -0.000 | -0.000 | 0.000 |
| 4.431 | 83.630 | 4.431 | -0.000 | -0.000 | 0.000 |
| 4.431 | 4.431 | 83.630 | 0.000 | -0.000 | 0.000 |
| -0.000 | 0.000 | 0.000 | 1.528 | -0.000 | 0.000 |
| 0.000 | -0.000 | 0.000 | -0.000 | 1.528 | 0.000 |
| 0.000 | 0.000 | -0.000 | -0.000 | -0.000 | 1.528 |
| 1931.946 | 969.020 | 969.020 | -0.000 | -0.000 | 0.000 |
| 969.020 | 1931.946 | 969.020 | -0.000 | -0.000 | 0.000 |
| 969.020 | 969.020 | 1931.946 | -0.000 | -0.000 | -0.000 |
| -0.000 | -0.000 | -0.000 | 973.632 | -0.000 | -0.000 |
| -0.000 | -0.000 | -0.000 | -0.000 | 973.632 | 0.000 |
| -0.000 | -0.000 | -0.000 | 0.000 | 0.000 | 973.632 |
| 1931.946 | 969.020 | 969.020 | 0.000 | 0.000 | 0.000 |
| 969.020 | 1931.946 | 969.020 | -0.000 | 0.000 | 0.000 |
| 969.020 | 969.020 | 1931.946 | 0.000 | 0.000 | -0.000 |
| 0.000 | 0.000 | 0.000 | 973.632 | 0.000 | 0.000 |
| 0.000 | 0.000 | 0.000 | 0.000 | 973.632 | -0.000 |
| 0.000 | 0.000 | 0.000 | 0.000 | 0.000 | 973.632 |
| 1931.944 | 969.019 | 969.019 | -0.000 | 0.000 | 0.000 |
| 969.019 | 1931.944 | 969.019 | 0.000 | -0.000 | -0.000 |
| 969.019 | 969.019 | 1931.944 | -0.000 | -0.000 | 0.000 |
| -0.000 | -0.001 | -0.001 | 973.632 | -0.000 | -0.000 |
| -0.001 | -0.000 | -0.001 | -0.000 | 973.632 | 0.000 |
| -0.001 | -0.001 | -0.000 | -0.000 | 0.000 | 973.632 |
| 1931.948 | 969.021 | 969.021 | 0.000 | -0.000 | -0.000 |
| 969.021 | 1931.948 | 969.021 | -0.000 | 0.000 | -0.000 |
| 969.021 | 969.021 | 1931.948 | 0.000 | 0.000 | -0.000 |
| 0.000 | 0.001 | 0.001 | 973.632 | 0.000 | 0.000 |
| 0.001 | 0.000 | 0.001 | 0.000 | 973.632 | 0.000 |
| 0.001 | 0.001 | 0.000 | -0.000 | -0.000 | 973.632 |
| 1931.928 | 969.013 | 969.013 | -0.000 | -0.000 | 0.000 |
| 969.013 | 1931.928 | 969.013 | -0.000 | 0.000 | 0.000 |
| 969.013 | 969.013 | 1931.928 | -0.000 | 0.000 | 0.000 |
| -0.001 | -0.010 | -0.008 | 973.632 | -0.000 | -0.000 |
| -0.010 | -0.001 | -0.008 | -0.000 | 973.632 | 0.000 |
| -0.010 | -0.008 | -0.001 | 0.000 | 0.000 | 973.632 |
| 1931.964 | 969.027 | 969.027 | -0.000 | -0.000 | -0.000 |
| 969.027 | 1931.964 | 969.027 | -0.000 | -0.000 | -0.000 |
| 969.027 | 969.027 | 1931.964 | -0.000 | -0.000 | -0.000 |
| 0.001 | 0.010 | 0.008 | 973.632 | 0.000 | -0.000 |
| 0.010 | 0.001 | 0.008 | 0.000 | 973.632 | -0.000 |
| 0.010 | 0.008 | 0.001 | -0.000 | -0.000 | 973.632 |
| 14.891 | 7.446 | 7.446 | -0.000 | -0.000 | -0.000 |
| 7.446 | 14.891 | 7.446 | -0.000 | -0.000 | -0.000 |
| 7.446 | 7.446 | 14.891 | -0.000 | -0.000 | -0.000 |
| -0.000 | 0.000 | 0.000 | 7.445 | -0.000 | -0.000 |
| 0.000 | -0.000 | 0.000 | -0.000 | 7.445 | -0.000 |
| 0.000 | 0.000 | -0.000 | -0.000 | -0.000 | 7.445 |
| 14.891 | 7.446 | 7.446 | 0.000 | 0.000 | 0.000 |
| 7.446 | 14.891 | 7.446 | 0.000 | 0.000 | 0.000 |
| 7.446 | 7.446 | 14.891 | 0.000 | 0.000 | 0.000 |
| 0.000 | -0.000 | -0.000 | 7.445 | 0.000 | 0.000 |
| -0.000 | 0.000 | -0.000 | 0.000 | 7.445 | 0.000 |
| -0.000 | -0.000 | 0.000 | 0.000 | 0.000 | 7.445 |
| 14.891 | 7.446 | 7.446 | -0.000 | -0.000 | -0.000 |
| 7.446 | 14.891 | 7.446 | -0.000 | -0.000 | -0.000 |
| 7.446 | 7.446 | 14.891 | -0.000 | -0.000 | -0.000 |
| -0.000 | 0.000 | 0.000 | 7.445 | -0.000 | -0.000 |
| 0.000 | -0.000 | 0.000 | -0.000 | 7.445 | -0.000 |
| 0.000 | 0.000 | -0.000 | -0.000 | -0.000 | 7.445 |
| 14.891 | 7.446 | 7.446 | 0.000 | -0.000 | -0.000 |
| 7.446 | 14.891 | 7.446 | -0.000 | 0.000 | 0.000 |
| 7.446 | 7.446 | 14.891 | 0.000 | 0.000 | 0.000 |
| 0.000 | -0.000 | -0.000 | 7.445 | 0.000 | 0.000 |
| -0.000 | 0.000 | -0.000 | 0.000 | 7.445 | 0.000 |
| -0.000 | -0.000 | 0.000 | 0.000 | 0.000 | 7.445 |
| 14.892 | 7.446 | 7.446 | -0.000 | -0.000 | -0.000 |
| 7.446 | 14.892 | 7.446 | -0.000 | -0.000 | -0.000 |
| 7.446 | 7.446 | 14.892 | -0.000 | -0.000 | -0.000 |
| -0.000 | 0.000 | 0.000 | 7.445 | -0.000 | -0.000 |
| 0.000 | -0.000 | 0.000 | -0.000 | 7.445 | -0.000 |
| 0.000 | 0.000 | -0.000 | -0.000 | -0.000 | 7.445 |
| 14.891 | 7.445 | 7.445 | 0.000 | 0.000 | 0.000 |
| 7.445 | 14.891 | 7.445 | 0.000 | 0.000 | 0.000 |
| 7.445 | 7.445 | 14.891 | 0.000 | 0.000 | 0.000 |
| 0.000 | -0.000 | -0.000 | 7.445 | 0.000 | 0.000 |
| -0.000 | 0.000 | -0.000 | 0.000 | 7.445 | 0.000 |
| -0.000 | -0.000 | 0.000 | 0.000 | 0.000 | 7.445 |
| 174.233 | 227.360 | 227.360 | 0.000 | 0.000 | 0.000 |
| 227.360 | 174.233 | 227.360 | 0.000 | -0.000 | 0.000 |
| 227.360 | 227.360 | 174.233 | 0.000 | -0.000 | 0.000 |
| 0.000 | 0.000 | 0.000 | 186.375 | -0.000 | 0.000 |
| -0.000 | 0.000 | 0.000 | 0.000 | 186.375 | 0.000 |
| 0.000 | -0.000 | 0.000 | 0.000 | -0.000 | 186.375 |
| 174.233 | 227.360 | 227.360 | -0.000 | -0.000 | -0.000 |
| 227.360 | 174.233 | 227.360 | -0.000 | -0.000 | -0.000 |
| 227.360 | 227.360 | 174.233 | -0.000 | -0.000 | 0.000 |
| -0.000 | -0.000 | -0.000 | 186.375 | 0.000 | 0.000 |
| -0.000 | -0.000 | -0.000 | -0.000 | 186.375 | -0.000 |
| 0.000 | 0.000 | -0.000 | -0.000 | -0.000 | 186.375 |
| 174.233 | 227.361 | 227.361 | 0.000 | 0.000 | 0.000 |
| 227.361 | 174.233 | 227.361 | 0.000 | 0.000 | 0.000 |
| 227.361 | 227.361 | 174.233 | 0.000 | -0.000 | 0.000 |
| 0.000 | 0.000 | 0.000 | 186.375 | -0.000 | -0.000 |
| 0.000 | 0.000 | 0.000 | 0.000 | 186.375 | 0.000 |
| 0.000 | 0.000 | 0.000 | 0.000 | 0.000 | 186.375 |
| 174.232 | 227.360 | 227.360 | -0.000 | -0.000 | -0.000 |
| 227.360 | 174.232 | 227.360 | -0.000 | -0.000 | 0.000 |
| 227.360 | 227.360 | 174.232 | -0.000 | -0.000 | -0.000 |
| -0.000 | -0.000 | -0.000 | 186.375 | 0.000 | 0.000 |
| -0.000 | -0.000 | -0.000 | -0.000 | 186.375 | -0.000 |
| -0.000 | -0.000 | -0.000 | -0.000 | -0.000 | 186.375 |
| 174.235 | 227.362 | 227.362 | 0.000 | -0.000 | 0.000 |
| 227.362 | 174.235 | 227.362 | 0.000 | -0.000 | 0.000 |
| 227.362 | 227.362 | 174.235 | 0.000 | -0.000 | -0.000 |
| 0.001 | 0.000 | 0.001 | 186.196 | 0.000 | 0.000 |
| 0.000 | 0.001 | 0.001 | 0.000 | 186.196 | -0.000 |
| 0.000 | 0.001 | 0.001 | 0.000 | 0.000 | 186.196 |
| 174.230 | 227.359 | 227.359 | -0.000 | 0.000 | -0.000 |
| 227.359 | 174.230 | 227.359 | -0.000 | -0.000 | 0.000 |
| 227.359 | 227.359 | 174.230 | -0.000 | -0.000 | -0.000 |
| -0.001 | -0.000 | -0.001 | 186.196 | -0.000 | -0.000 |
| -0.000 | -0.001 | -0.001 | -0.000 | 186.196 | -0.000 |
| -0.000 | -0.001 | -0.001 | -0.000 | -0.000 | 186.196 |
| 2141.208 | 2121.771 | 2121.771 | -0.000 | -0.000 | 0.000 |
| 2121.771 | 2141.208 | 2121.771 | -0.000 | -0.000 | -0.000 |
| 2121.771 | 2121.771 | 2141.208 | 0.000 | 0.000 | 0.000 |
| 0.000 | 0.000 | 0.000 | -0.922 | 0.000 | 0.000 |
| 0.000 | 0.000 | 0.000 | 0.000 | -0.922 | 0.000 |
| 0.000 | 0.000 | 0.000 | 0.000 | 0.000 | -0.922 |
| 2141.208 | 2121.772 | 2121.772 | -0.000 | -0.000 | -0.000 |
| 2121.772 | 2141.208 | 2121.772 | -0.000 | -0.000 | -0.000 |
| 2121.772 | 2121.772 | 2141.208 | 0.000 | -0.000 | -0.000 |
| -0.000 | -0.000 | -0.000 | -0.922 | -0.000 | -0.000 |
| -0.000 | -0.000 | -0.000 | 0.000 | -0.922 | -0.000 |
| -0.000 | -0.000 | -0.000 | -0.000 | -0.000 | -0.922 |
| 2141.209 | 2121.770 | 2121.770 | -0.000 | 0.000 | 0.000 |
| 2121.770 | 2141.209 | 2121.770 | -0.000 | 0.000 | 0.000 |
| 2121.770 | 2121.770 | 2141.209 | 0.000 | 0.000 | 0.000 |
| 12208086.977 | 12217757.070 | 12247002.524 | -2858.365 | 0.167 | -0.061 |
| 12217796.120 | 12208129.908 | 12247049.284 | 0.021 | -2842.316 | 0.026 |
| 12218189.176 | 12247568.610 | 12208656.490 | -0.000 | -0.002 | -6.867 |
| 2141.207 | 2121.773 | 2121.773 | 0.000 | -0.000 | -0.000 |
| 2121.773 | 2141.207 | 2121.773 | 0.000 | 0.000 | -0.000 |
| 2121.773 | 2121.773 | 2141.207 | -0.000 | -0.000 | -0.000 |
| -12239868.958 | -12251542.960 | -12237522.144 | -8.096 | 1.914 | 0.819 |
| -12251154.351 | -12239485.951 | -12237176.579 | -0.072 | -4.952 | -0.409 |
| -12251444.068 | -12237522.481 | -12239881.812 | -0.004 | -0.000 | -0.309 |
| 2141.219 | 2121.756 | 2121.756 | -0.000 | -0.000 | 0.000 |
| 2121.756 | 2141.219 | 2121.756 | -0.000 | -0.000 | 0.000 |
| 2121.756 | 2121.756 | 2141.219 | -0.000 | -0.000 | 0.000 |
| 1223988.147 | 1223752.219 | 1225144.375 | -0.341 | -0.000 | 0.000 |
| 1223752.247 | 1223988.175 | 1225144.418 | -0.000 | -0.338 | -0.000 |
| 1223752.234 | 1225144.403 | 1223988.160 | -0.000 | -0.000 | -0.334 |
| 2141.196 | 2121.787 | 2121.787 | 0.000 | 0.000 | -0.000 |
| 2121.787 | 2141.196 | 2121.787 | 0.000 | -0.000 | -0.000 |
| 2121.787 | 2121.787 | 2141.196 | -0.000 | -0.000 | -0.000 |
| -1223984.587 | -1223755.003 | -1225158.639 | -0.240 | -0.000 | 0.000 |
| -1223755.019 | -1223984.602 | -1225158.665 | -0.000 | -0.239 | 0.000 |
| -1223747.649 | -1225158.563 | -1223973.134 | -0.002 | 0.001 | 0.063 |
| 467.769 | 467.769 | 467.769 | 0.000 | 0.000 | 0.000 |
| 467.769 | 467.769 | 467.769 | 0.000 | 0.000 | 0.000 |
| 467.769 | 467.769 | 467.769 | 0.000 | -0.000 | 0.000 |
| 0.000 | 0.000 | 0.000 | 0.903 | 0.000 | -0.000 |
| 0.000 | 0.000 | 0.000 | -0.000 | 0.903 | 0.000 |
| 0.000 | 0.000 | 0.000 | -0.000 | -0.000 | 0.903 |
| 467.769 | 467.769 | 467.769 | 0.000 | -0.000 | -0.000 |
| 467.769 | 467.769 | 467.769 | 0.000 | -0.000 | -0.000 |
| 467.769 | 467.769 | 467.769 | -0.000 | 0.000 | 0.000 |
| -0.000 | -0.000 | -0.000 | 0.903 | -0.000 | -0.000 |
| -0.000 | -0.000 | -0.000 | 0.000 | 0.903 | -0.000 |
| -0.000 | -0.000 | -0.000 | -0.000 | 0.000 | 0.903 |
| 467.770 | 467.770 | 467.770 | 0.000 | -0.000 | -0.000 |
| 467.770 | 467.770 | 467.770 | 0.000 | 0.000 | 0.000 |
| 467.770 | 467.770 | 467.770 | 0.000 | 0.000 | -0.000 |
| 0.014 | 0.014 | 0.014 | -76.078 | 0.000 | 0.000 |
| 0.014 | 0.014 | 0.014 | 0.000 | -76.078 | 0.000 |
| 0.014 | 0.014 | 0.014 | 0.000 | 0.000 | -76.078 |
| 467.768 | 467.768 | 467.768 | 0.000 | -0.000 | 0.000 |
| 467.768 | 467.768 | 467.768 | -0.000 | 0.000 | -0.000 |
| 467.768 | 467.768 | 467.768 | -0.000 | -0.000 | -0.000 |
| -0.014 | -0.014 | -0.014 | -76.078 | 0.000 | 0.000 |
| -0.014 | -0.014 | -0.014 | 0.000 | -76.078 | -0.000 |
| -0.014 | -0.014 | -0.014 | 0.000 | -0.000 | -76.078 |
| 467.779 | 467.780 | 467.780 | 0.000 | 0.000 | -0.000 |
| 467.780 | 467.779 | 467.780 | 0.000 | 0.000 | -0.000 |
| 467.780 | 467.780 | 467.779 | 0.000 | 0.000 | -0.000 |
| 0.136 | 0.136 | 0.136 | -76.121 | 0.000 | -0.000 |
| 0.136 | 0.136 | 0.136 | -0.000 | -76.121 | -0.000 |
| 0.136 | 0.136 | 0.136 | -0.000 | -0.000 | -76.121 |
| 467.758 | 467.757 | 467.757 | -0.000 | 0.000 | -0.000 |
| 467.757 | 467.758 | 467.757 | -0.000 | -0.000 | -0.000 |
| 467.757 | 467.757 | 467.758 | 0.000 | 0.000 | -0.000 |
| -0.136 | -0.136 | -0.136 | -76.122 | -0.000 | 0.000 |
| -0.136 | -0.136 | -0.136 | 0.000 | -76.122 | 0.000 |
| -0.136 | -0.136 | -0.136 | -0.000 | -0.000 | -76.122 |
| -0.332 | -0.332 | -0.332 | 0.000 | -0.000 | 0.000 |
| -0.332 | -0.332 | -0.332 | -0.000 | 0.000 | 0.000 |
| -0.332 | -0.332 | -0.332 | 0.000 | 0.000 | 0.000 |
| 0.000 | 0.000 | 0.000 | -0.332 | 0.000 | 0.000 |
| 0.000 | 0.000 | 0.000 | 0.000 | -0.332 | 0.000 |
| 0.000 | 0.000 | 0.000 | -0.000 | 0.000 | -0.332 |
| -0.332 | -0.332 | -0.332 | -0.000 | -0.000 | -0.000 |
| -0.332 | -0.332 | -0.332 | -0.000 | -0.000 | -0.000 |
| -0.332 | -0.332 | -0.332 | -0.000 | -0.000 | -0.000 |
| -0.000 | -0.000 | -0.000 | -0.332 | 0.000 | -0.000 |
| -0.000 | -0.000 | -0.000 | 0.000 | -0.332 | -0.000 |
| -0.000 | -0.000 | -0.000 | -0.000 | 0.000 | -0.332 |
| -0.332 | -0.332 | -0.332 | -0.000 | -0.000 | -0.000 |
| -0.332 | -0.332 | -0.332 | -0.000 | -0.000 | -0.000 |
| -0.332 | -0.332 | -0.332 | -0.000 | -0.000 | -0.000 |
| 0.000 | 0.000 | 0.000 | -0.332 | -0.000 | 0.000 |
| 0.000 | 0.000 | 0.000 | -0.000 | -0.332 | 0.000 |
| 0.000 | 0.000 | 0.000 | -0.000 | -0.000 | -0.332 |
| -0.332 | -0.332 | -0.332 | 0.000 | 0.000 | 0.000 |
| -0.332 | -0.332 | -0.332 | 0.000 | 0.000 | 0.000 |
| -0.332 | -0.332 | -0.332 | 0.000 | 0.000 | -0.000 |
| -0.000 | -0.000 | -0.000 | -0.332 | 0.000 | -0.000 |
| -0.000 | -0.000 | -0.000 | 0.000 | -0.332 | -0.000 |
| -0.000 | -0.000 | -0.000 | 0.000 | -0.000 | -0.332 |
| -0.331 | -0.331 | -0.331 | -0.000 | -0.000 | -0.000 |
| -0.331 | -0.331 | -0.331 | -0.000 | -0.000 | -0.000 |
| -0.331 | -0.331 | -0.331 | -0.000 | -0.000 | 0.000 |
| 17821.199 | 17885.058 | 17886.147 | 12512.673 | -21.884 | -21.867 |
| 17885.058 | 17821.199 | 17886.147 | -21.884 | 12512.673 | -21.867 |
| 18193.794 | 18194.918 | 18124.494 | 5.035 | 5.052 | 12787.324 |
| -0.332 | -0.332 | -0.332 | -0.000 | -0.000 | -0.000 |
| -0.332 | -0.332 | -0.332 | -0.000 | -0.000 | -0.000 |
| -0.332 | -0.332 | -0.332 | -0.000 | -0.000 | -0.000 |
| -10151.514 | -10180.298 | -10182.909 | 6246.668 | 1.223 | -1.236 |
| -10180.297 | -10151.513 | -10182.909 | 1.223 | 6246.667 | -1.236 |
| -10196.736 | -10199.367 | -10167.995 | 1.279 | -1.174 | 6263.408 |
| 15.708 | 18.193 | 18.193 | -0.000 | -0.000 | -0.000 |
| 18.193 | 15.708 | 18.193 | -0.000 | -0.000 | 0.000 |
| 18.193 | 18.193 | 15.708 | -0.000 | -0.000 | -0.000 |
| -0.000 | -0.000 | -0.000 | 13.491 | -0.000 | 0.000 |
| -0.000 | -0.000 | -0.000 | -0.000 | 13.491 | -0.000 |
| -0.000 | -0.000 | -0.000 | -0.000 | -0.000 | 13.491 |
| 15.708 | 18.194 | 18.194 | 0.000 | 0.000 | -0.000 |
| 18.194 | 15.708 | 18.194 | 0.000 | 0.000 | -0.000 |
| 18.194 | 18.194 | 15.708 | -0.000 | 0.000 | 0.000 |
| 0.000 | 0.000 | 0.000 | 13.491 | 0.000 | 0.000 |
| 0.000 | 0.000 | 0.000 | 0.000 | 13.491 | -0.000 |
| 0.000 | 0.000 | 0.000 | 0.000 | 0.000 | 13.491 |
| 15.704 | 18.190 | 18.190 | -0.000 | -0.000 | -0.000 |
| 18.190 | 15.704 | 18.190 | -0.000 | -0.000 | 0.000 |
| 18.190 | 18.190 | 15.704 | -0.000 | -0.000 | 0.000 |
| -0.004 | -0.004 | -0.004 | 13.491 | -0.000 | 0.000 |
| -0.004 | -0.004 | -0.004 | -0.000 | 13.491 | -0.000 |
| -0.004 | -0.004 | -0.004 | -0.000 | -0.000 | 13.491 |
| 15.712 | 18.197 | 18.197 | 0.000 | 0.000 | -0.000 |
| 18.197 | 15.712 | 18.197 | 0.000 | 0.000 | -0.000 |
| 18.197 | 18.197 | 15.712 | 0.000 | -0.000 | 0.000 |
| 0.004 | 0.004 | 0.004 | 13.491 | 0.000 | 0.000 |
| 0.004 | 0.004 | 0.004 | 0.000 | 13.491 | -0.000 |
| 0.004 | 0.004 | 0.004 | 0.000 | 0.000 | 13.491 |
| 15.670 | 18.156 | 18.156 | -0.000 | -0.000 | 0.000 |
| 18.156 | 15.670 | 18.156 | -0.000 | -0.000 | -0.000 |
| 18.156 | 18.156 | 15.670 | 0.000 | 0.000 | 0.000 |
| -0.036 | -0.036 | -0.036 | 13.491 | -0.000 | 0.000 |
| -0.036 | -0.036 | -0.036 | -0.000 | 13.491 | 0.000 |
| -0.036 | -0.036 | -0.036 | -0.000 | -0.000 | 13.491 |
| 15.746 | 18.231 | 18.231 | 0.000 | 0.000 | -0.000 |
| 18.231 | 15.746 | 18.231 | 0.000 | 0.000 | 0.000 |
| 18.231 | 18.231 | 15.746 | 0.000 | 0.000 | 0.000 |
| 0.036 | 0.036 | 0.036 | 13.491 | 0.000 | -0.000 |
| 0.036 | 0.036 | 0.036 | 0.000 | 13.491 | 0.000 |
| 0.036 | 0.036 | 0.036 | 0.000 | 0.000 | 13.491 |
| 51.502 | 155.518 | 155.518 | -0.000 | -0.000 | 0.000 |
| 155.518 | 51.502 | 155.518 | -0.000 | -0.000 | 0.000 |
| 155.518 | 155.518 | 51.502 | -0.000 | -0.000 | -0.000 |
| 0.000 | 0.000 | 0.000 | 98.583 | -0.000 | 0.000 |
| 0.000 | 0.000 | 0.000 | -0.000 | 98.583 | -0.000 |
| 0.000 | 0.000 | 0.000 | -0.000 | -0.000 | 98.583 |
| 51.502 | 155.518 | 155.518 | 0.000 | 0.000 | 0.000 |
| 155.518 | 51.502 | 155.518 | 0.000 | 0.000 | 0.000 |
| 155.518 | 155.518 | 51.502 | 0.000 | -0.000 | 0.000 |
| -0.000 | -0.000 | -0.000 | 98.583 | 0.000 | -0.000 |
| -0.000 | -0.000 | -0.000 | 0.000 | 98.583 | 0.000 |
| -0.000 | -0.000 | -0.000 | 0.000 | 0.000 | 98.583 |
| 51.502 | 155.518 | 155.518 | -0.000 | -0.000 | -0.000 |
| 155.518 | 51.502 | 155.518 | -0.000 | -0.000 | 0.000 |
| 155.518 | 155.518 | 51.502 | -0.000 | 0.000 | 0.000 |
| 0.000 | 0.000 | 0.000 | 98.583 | -0.000 | -0.000 |
| 0.000 | 0.000 | 0.000 | -0.000 | 98.583 | -0.000 |
| 0.000 | 0.000 | 0.000 | -0.000 | -0.000 | 98.583 |
| 51.502 | 155.518 | 155.518 | 0.000 | 0.000 | -0.000 |
| 155.518 | 51.502 | 155.518 | 0.000 | -0.000 | -0.000 |
| 155.518 | 155.518 | 51.502 | -0.000 | -0.000 | 0.000 |
| -0.000 | -0.000 | -0.000 | 98.583 | 0.000 | -0.000 |
| -0.000 | -0.000 | -0.000 | 0.000 | 98.583 | -0.000 |
| -0.000 | -0.000 | -0.000 | 0.000 | 0.000 | 98.583 |
| 51.503 | 155.518 | 155.518 | -0.000 | -0.000 | -0.000 |
| 155.518 | 51.503 | 155.518 | -0.000 | -0.000 | 0.000 |
| 155.518 | 155.518 | 51.503 | -0.000 | -0.000 | -0.000 |
| 0.001 | 0.000 | 0.001 | 98.583 | -0.000 | 0.000 |
| 0.000 | 0.001 | 0.001 | -0.000 | 98.583 | 0.000 |
| 0.000 | 0.001 | 0.001 | -0.000 | -0.000 | 98.583 |
| 51.501 | 155.518 | 155.518 | 0.000 | 0.000 | -0.000 |
| 155.518 | 51.501 | 155.518 | 0.000 | 0.000 | 0.000 |
| 155.518 | 155.518 | 51.501 | 0.000 | 0.000 | 0.000 |
| -0.001 | -0.000 | -0.001 | 98.583 | 0.000 | 0.000 |
| -0.000 | -0.001 | -0.001 | 0.000 | 98.583 | 0.000 |
| -0.000 | -0.001 | -0.001 | 0.000 | 0.000 | 98.583 |
| 241.629 | 3.330 | 3.330 | -0.000 | -0.000 | 0.000 |
| 3.330 | 241.629 | 3.330 | 0.000 | 0.000 | 0.000 |
| 3.330 | 3.330 | 241.629 | -0.000 | -0.000 | 0.000 |
| -0.000 | -0.000 | -0.000 | 8.595 | 0.000 | 0.000 |
| -0.000 | -0.000 | -0.000 | -0.000 | 8.595 | 0.000 |
| -0.000 | -0.000 | -0.000 | -0.000 | -0.000 | 8.595 |
| 241.629 | 3.330 | 3.330 | 0.000 | 0.000 | -0.000 |
| 3.330 | 241.629 | 3.330 | -0.000 | -0.000 | -0.000 |
| 3.330 | 3.330 | 241.629 | -0.000 | -0.000 | -0.000 |
| 0.000 | 0.000 | 0.000 | 8.595 | -0.000 | -0.000 |
| 0.000 | 0.000 | 0.000 | -0.000 | 8.595 | -0.000 |
| 0.000 | 0.000 | 0.000 | 0.000 | 0.000 | 8.595 |
| 241.628 | 3.330 | 3.330 | -0.000 | 0.000 | 0.000 |
| 3.330 | 241.628 | 3.330 | -0.000 | 0.000 | 0.000 |
| 3.330 | 3.330 | 241.628 | -0.000 | 0.000 | 0.000 |
| -0.000 | -0.000 | -0.000 | 8.595 | 0.000 | 0.000 |
| -0.000 | -0.000 | -0.000 | -0.000 | 8.595 | 0.000 |
| -0.000 | -0.000 | -0.000 | -0.000 | -0.000 | 8.595 |
| 241.629 | 3.330 | 3.330 | -0.000 | -0.000 | -0.000 |
| 3.330 | 241.629 | 3.330 | -0.000 | -0.000 | -0.000 |
| 3.330 | 3.330 | 241.629 | 0.000 | -0.000 | -0.000 |
| 0.000 | 0.000 | 0.000 | 8.595 | -0.000 | -0.000 |
| 0.000 | 0.000 | 0.000 | 0.000 | 8.595 | -0.000 |
| 0.000 | 0.000 | 0.000 | 0.000 | -0.000 | 8.595 |
| 241.624 | 3.330 | 3.330 | -0.000 | -0.000 | 0.000 |
| 3.330 | 241.624 | 3.330 | 0.000 | 0.000 | 0.000 |
| 3.330 | 3.330 | 241.624 | -0.000 | -0.000 | 0.000 |
| 0.001 | 0.000 | 0.000 | -8.945 | 0.000 | 0.000 |
| 0.000 | 0.001 | 0.000 | -0.000 | -8.945 | 0.000 |
| 0.000 | 0.000 | 0.001 | -0.000 | 0.000 | -8.945 |
| 241.633 | 3.331 | 3.331 | 0.000 | -0.000 | -0.000 |
| 3.331 | 241.633 | 3.331 | 0.000 | 0.000 | -0.000 |
| 3.331 | 3.331 | 241.633 | -0.000 | -0.000 | -0.000 |
| -0.001 | -0.000 | -0.000 | -8.945 | -0.000 | -0.000 |
| -0.000 | -0.001 | -0.000 | 0.000 | -8.945 | -0.000 |
| -0.000 | -0.000 | -0.001 | 0.000 | -0.000 | -8.945 |
| 0.006 | 0.006 | 0.006 | -0.000 | -0.000 | -0.000 |
| 0.006 | 0.006 | 0.006 | -0.000 | -0.000 | -0.000 |
| 0.006 | 0.006 | 0.006 | -0.000 | -0.000 | 0.000 |
| 0.000 | 0.000 | 0.000 | 0.006 | 0.000 | -0.000 |
| 0.000 | 0.000 | 0.000 | 0.000 | 0.006 | -0.000 |
| 0.000 | 0.000 | 0.000 | 0.000 | 0.000 | 0.006 |
| 0.006 | 0.006 | 0.006 | 0.000 | 0.000 | 0.000 |
| 0.006 | 0.006 | 0.006 | 0.000 | 0.000 | 0.000 |
| 0.006 | 0.006 | 0.006 | 0.000 | 0.000 | 0.000 |
| -0.000 | -0.000 | -0.000 | 0.006 | 0.000 | 0.000 |
| -0.000 | -0.000 | -0.000 | 0.000 | 0.006 | 0.000 |
| -0.000 | -0.000 | -0.000 | 0.000 | 0.000 | 0.006 |
| 0.006 | 0.006 | 0.006 | -0.000 | 0.000 | 0.000 |
| 0.006 | 0.006 | 0.006 | 0.000 | -0.000 | 0.000 |
| 0.006 | 0.006 | 0.006 | -0.000 | -0.000 | 0.000 |
| 0.000 | 0.000 | 0.000 | 0.006 | 0.000 | -0.000 |
| 0.000 | 0.000 | 0.000 | 0.000 | 0.006 | -0.000 |
| 0.000 | 0.000 | 0.000 | 0.000 | 0.000 | 0.006 |
| 0.006 | 0.006 | 0.006 | 0.000 | -0.000 | -0.000 |
| 0.006 | 0.006 | 0.006 | -0.000 | 0.000 | -0.000 |
| 0.006 | 0.006 | 0.006 | 0.000 | 0.000 | 0.000 |
| -0.000 | -0.000 | -0.000 | 0.006 | -0.000 | -0.000 |
| -0.000 | -0.000 | -0.000 | -0.000 | 0.006 | -0.000 |
| -0.000 | -0.000 | -0.000 | -0.000 | 0.000 | 0.006 |
| 0.006 | 0.006 | 0.006 | -0.000 | 0.000 | 0.000 |
| 0.006 | 0.006 | 0.006 | 0.000 | -0.000 | 0.000 |
| 0.006 | 0.006 | 0.006 | -0.000 | -0.000 | -0.000 |
| 0.000 | 0.000 | 0.000 | 0.000 | -0.000 | 0.000 |
| 0.000 | 0.000 | 0.000 | -0.000 | 0.000 | 0.000 |
| 0.000 | 0.000 | 0.000 | -0.000 | 0.000 | 0.000 |
| 0.006 | 0.006 | 0.006 | 0.000 | -0.000 | -0.000 |
| 0.006 | 0.006 | 0.006 | 0.000 | 0.000 | -0.000 |
| 0.006 | 0.006 | 0.006 | -0.000 | -0.000 | -0.000 |
| -0.000 | -0.000 | -0.000 | 0.000 | 0.000 | -0.000 |
| -0.000 | -0.000 | -0.000 | 0.000 | 0.000 | -0.000 |
| -0.000 | -0.000 | -0.000 | 0.000 | 0.000 | 0.000 |
| 0.322 | 0.361 | 0.361 | 0.000 | -0.000 | -0.000 |
| 0.361 | 0.322 | 0.361 | 0.000 | 0.000 | -0.000 |
| 0.361 | 0.361 | 0.322 | -0.000 | -0.000 | 0.000 |
| -0.000 | -0.000 | -0.000 | 0.276 | 0.000 | -0.000 |
| -0.000 | -0.000 | -0.000 | 0.000 | 0.276 | 0.000 |
| -0.000 | -0.000 | -0.000 | 0.000 | 0.000 | 0.276 |
| 0.322 | 0.361 | 0.361 | -0.000 | -0.000 | -0.000 |
| 0.361 | 0.322 | 0.361 | -0.000 | -0.000 | -0.000 |
| 0.361 | 0.361 | 0.322 | 0.000 | 0.000 | 0.000 |
| 0.000 | 0.000 | 0.000 | 0.276 | -0.000 | 0.000 |
| 0.000 | 0.000 | 0.000 | -0.000 | 0.276 | -0.000 |
| 0.000 | 0.000 | 0.000 | -0.000 | 0.000 | 0.276 |
| 0.322 | 0.361 | 0.361 | 0.000 | 0.000 | 0.000 |
| 0.361 | 0.322 | 0.361 | 0.000 | -0.000 | -0.000 |
| 0.361 | 0.361 | 0.322 | 0.000 | 0.000 | 0.000 |
| -0.000 | -0.000 | -0.000 | 0.188 | 0.000 | -0.000 |
| -0.000 | -0.000 | -0.000 | 0.000 | 0.188 | 0.000 |
| -0.000 | -0.000 | -0.000 | 0.000 | 0.000 | 0.188 |
| 0.322 | 0.362 | 0.362 | -0.000 | -0.000 | -0.000 |
| 0.362 | 0.322 | 0.362 | -0.000 | -0.000 | -0.000 |
| 0.362 | 0.362 | 0.322 | 0.000 | 0.000 | -0.000 |
| 0.000 | 0.000 | 0.000 | 0.188 | 0.000 | 0.000 |
| 0.000 | 0.000 | 0.000 | 0.000 | 0.188 | -0.000 |
| 0.000 | 0.000 | 0.000 | -0.000 | -0.000 | 0.188 |
| 0.322 | 0.361 | 0.361 | -0.000 | 0.000 | -0.000 |
| 0.361 | 0.322 | 0.361 | 0.000 | -0.000 | -0.000 |
| 0.361 | 0.361 | 0.322 | 0.000 | 0.000 | -0.000 |
| 0.004 | 0.004 | 0.004 | -1.483 | 0.000 | -0.000 |
| 0.004 | 0.004 | 0.004 | -0.000 | -1.483 | -0.000 |
| 0.004 | 0.004 | 0.004 | -0.000 | 0.000 | -1.525 |
| 0.323 | 0.362 | 0.362 | -0.000 | -0.000 | 0.000 |
| 0.362 | 0.323 | 0.362 | -0.000 | -0.000 | 0.000 |
| 0.362 | 0.362 | 0.323 | 0.000 | 0.000 | -0.000 |
| -0.004 | -0.004 | -0.004 | -1.483 | 0.000 | 0.000 |
| -0.004 | -0.004 | -0.004 | 0.000 | -1.483 | 0.000 |
| -0.004 | -0.004 | -0.004 | 0.000 | -0.000 | -1.483 |
| 898.738 | 6.429 | 6.429 | 0.000 | 0.000 | 0.000 |
| 6.429 | 898.738 | 6.429 | 0.000 | 0.000 | 0.000 |
| 6.429 | 6.429 | 898.738 | 0.000 | 0.000 | 0.000 |
| 0.000 | 0.000 | 0.000 | -64.088 | 0.000 | 0.000 |
| -0.000 | 0.000 | -0.000 | -0.000 | -64.088 | 0.000 |
| 0.000 | 0.000 | 0.000 | 0.000 | 0.000 | -64.088 |
| 898.738 | 6.429 | 6.429 | 0.000 | -0.000 | -0.000 |
| 6.429 | 898.738 | 6.429 | -0.000 | -0.000 | -0.000 |
| 6.429 | 6.429 | 898.738 | -0.000 | -0.000 | -0.000 |
| -0.000 | -0.000 | -0.000 | -64.088 | -0.000 | -0.000 |
| -0.000 | -0.000 | 0.000 | 0.000 | -64.088 | -0.000 |
| 0.000 | -0.000 | -0.000 | 0.000 | -0.000 | -64.088 |
| 898.739 | 6.429 | 6.429 | -0.000 | 0.000 | 0.000 |
| 6.429 | 898.739 | 6.429 | -0.000 | 0.000 | 0.000 |
| 6.429 | 6.429 | 898.739 | -0.000 | 0.000 | 0.000 |
| 0.000 | 0.000 | 0.000 | -64.088 | 0.000 | -0.000 |
| 0.000 | 0.000 | 0.000 | -0.000 | -64.088 | 0.000 |
| 0.000 | 0.000 | 0.000 | 0.000 | 0.000 | -64.088 |
| 898.737 | 6.429 | 6.429 | -0.000 | -0.000 | -0.000 |
| 6.429 | 898.737 | 6.429 | -0.000 | -0.000 | -0.000 |
| 6.429 | 6.429 | 898.737 | 0.000 | -0.000 | -0.000 |
| -0.000 | -0.000 | -0.000 | -64.088 | -0.000 | -0.000 |
| -0.000 | -0.000 | -0.000 | 0.000 | -64.088 | -0.000 |
| -0.000 | -0.000 | -0.000 | 0.000 | -0.000 | -64.088 |
| 898.746 | 6.430 | 6.430 | -0.000 | 0.000 | 0.000 |
| 6.430 | 898.746 | 6.430 | -0.000 | 0.000 | -0.000 |
| 6.430 | 6.430 | 898.746 | 0.000 | 0.000 | 0.000 |
| 0.000 | 0.001 | 0.000 | -64.088 | 0.000 | -0.000 |
| 0.001 | 0.000 | 0.000 | -0.000 | -64.088 | 0.000 |
| 0.001 | 0.000 | 0.000 | -0.000 | 0.000 | -64.088 |
| 898.730 | 6.428 | 6.428 | 0.000 | -0.000 | -0.000 |
| 6.428 | 898.730 | 6.428 | 0.000 | -0.000 | -0.000 |
| 6.428 | 6.428 | 898.730 | 0.000 | -0.000 | -0.000 |
| -0.000 | -0.001 | -0.000 | -64.088 | -0.000 | -0.000 |
| -0.001 | -0.000 | -0.000 | 0.000 | -64.088 | -0.000 |
| -0.001 | -0.000 | -0.000 | 0.000 | -0.000 | -64.088 |
| 72.124 | 4.783 | 4.783 | -0.000 | 0.000 | 0.000 |
| 4.783 | 72.124 | 4.783 | 0.000 | -0.000 | -0.000 |
| 4.783 | 4.783 | 72.124 | -0.000 | 0.000 | -0.000 |
| 0.000 | -0.000 | -0.000 | -0.000 | 0.000 | -0.000 |
| -0.000 | 0.000 | -0.000 | 0.000 | -0.000 | 0.000 |
| -0.000 | -0.000 | 0.000 | 0.000 | 0.000 | -0.000 |
| 72.124 | 4.783 | 4.783 | 0.000 | -0.000 | -0.000 |
| 4.783 | 72.124 | 4.783 | -0.000 | 0.000 | 0.000 |
| 4.783 | 4.783 | 72.124 | 0.000 | 0.000 | 0.000 |
| -0.000 | 0.000 | 0.000 | -0.000 | -0.000 | -0.000 |
| 0.000 | -0.000 | 0.000 | -0.000 | -0.000 | -0.000 |
| 0.000 | 0.000 | -0.000 | -0.000 | -0.000 | -0.000 |
| 72.124 | 4.783 | 4.783 | -0.000 | 0.000 | 0.000 |
| 4.783 | 72.124 | 4.783 | 0.000 | 0.000 | 0.000 |
| 4.783 | 4.783 | 72.124 | -0.000 | 0.000 | 0.000 |
| -0.000 | -0.000 | -0.000 | 0.000 | -0.000 | -0.000 |
| -0.000 | -0.000 | -0.000 | 0.000 | 0.000 | 0.000 |
| -0.000 | -0.000 | -0.000 | 0.000 | -0.000 | 0.000 |
| 72.123 | 4.782 | 4.782 | -0.000 | 0.000 | 0.000 |
| 4.782 | 72.123 | 4.782 | 0.000 | -0.000 | 0.000 |
| 4.782 | 4.782 | 72.123 | -0.000 | -0.000 | -0.000 |
| 0.000 | 0.000 | 0.000 | 0.000 | -0.000 | -0.000 |
| 0.000 | 0.000 | 0.000 | 0.000 | 0.000 | -0.000 |
| 0.000 | 0.000 | 0.000 | -0.000 | -0.000 | 0.000 |
| 72.127 | 4.783 | 4.783 | -0.000 | 0.000 | -0.000 |
| 4.783 | 72.127 | 4.783 | -0.000 | -0.000 | -0.000 |
| 4.783 | 4.783 | 72.127 | 0.000 | 0.000 | 0.000 |
| -0.000 | -0.000 | -0.000 | 0.000 | -0.000 | 0.000 |
| -0.000 | -0.000 | -0.000 | -0.000 | 0.000 | -0.000 |
| -0.000 | -0.000 | -0.000 | 0.000 | -0.000 | 0.000 |
| 72.121 | 4.782 | 4.782 | 0.000 | -0.000 | -0.000 |
| 4.782 | 72.121 | 4.782 | 0.000 | 0.000 | 0.000 |
| 4.782 | 4.782 | 72.121 | 0.000 | 0.000 | 0.000 |
| 0.000 | 0.000 | 0.000 | 0.000 | 0.000 | -0.000 |
| 0.000 | 0.000 | 0.000 | -0.000 | 0.000 | 0.000 |
| 0.000 | 0.000 | 0.000 | 0.000 | -0.000 | 0.000 |
| 20.787 | 0.757 | 0.757 | 0.000 | 0.000 | 0.000 |
| 0.757 | 20.787 | 0.757 | 0.000 | 0.000 | -0.000 |
| 0.757 | 0.757 | 20.787 | 0.000 | 0.000 | 0.000 |
| 0.000 | 0.000 | 0.000 | -0.557 | 0.000 | 0.000 |
| 0.000 | 0.000 | 0.000 | 0.000 | -0.557 | 0.000 |
| 0.000 | 0.000 | 0.000 | 0.000 | 0.000 | -0.557 |
| 20.790 | 0.757 | 0.757 | -0.000 | -0.000 | -0.000 |
| 0.757 | 20.790 | 0.757 | -0.000 | -0.000 | -0.000 |
| 0.757 | 0.757 | 20.790 | -0.000 | -0.000 | -0.000 |
| -0.000 | -0.000 | -0.000 | -0.557 | -0.000 | -0.000 |
| -0.000 | -0.000 | -0.000 | -0.000 | -0.557 | -0.000 |
| -0.000 | -0.000 | -0.000 | -0.000 | -0.000 | -0.557 |
| 20.773 | 0.757 | 0.757 | 0.000 | 0.000 | 0.000 |
| 0.757 | 20.773 | 0.757 | 0.000 | 0.000 | -0.000 |
| 0.757 | 0.757 | 20.773 | 0.000 | 0.000 | 0.000 |
| 0.000 | 0.000 | -0.000 | -0.557 | 0.000 | 0.000 |
| 0.000 | 0.000 | -0.000 | 0.000 | -0.557 | 0.000 |
| 0.000 | -0.000 | 0.000 | 0.000 | 0.000 | -0.557 |
| 20.804 | 0.757 | 0.757 | -0.000 | -0.000 | -0.000 |
| 0.757 | 20.804 | 0.757 | -0.000 | -0.000 | 0.000 |
| 0.757 | 0.757 | 20.804 | -0.000 | -0.000 | -0.000 |
| -0.000 | -0.000 | 0.000 | -0.557 | -0.000 | -0.000 |
| -0.000 | -0.000 | 0.000 | -0.000 | -0.557 | -0.000 |
| -0.000 | 0.000 | -0.000 | -0.000 | -0.000 | -0.557 |
| 20.634 | 0.757 | 0.757 | 0.000 | 0.000 | 0.000 |
| 0.757 | 20.634 | 0.757 | 0.000 | 0.000 | 0.000 |
| 0.757 | 0.757 | 20.634 | 0.000 | 0.000 | 0.000 |
| -0.000 | 0.000 | -0.000 | -0.557 | 0.000 | 0.000 |
| 0.000 | -0.000 | -0.000 | 0.000 | -0.557 | 0.000 |
| 0.000 | -0.000 | -0.000 | 0.000 | 0.000 | -0.557 |
| 20.942 | 0.757 | 0.757 | -0.000 | -0.000 | -0.000 |
| 0.757 | 20.942 | 0.757 | -0.000 | -0.000 | 0.000 |
| 0.757 | 0.757 | 20.942 | 0.000 | 0.000 | -0.000 |
| 0.000 | -0.000 | 0.000 | -0.557 | -0.000 | -0.000 |
| -0.000 | 0.000 | 0.000 | -0.000 | -0.557 | -0.000 |
| -0.000 | 0.000 | 0.000 | -0.000 | -0.000 | -0.557 |
| 125.860 | 174.246 | 174.246 | 0.000 | 0.000 | 0.000 |
| 174.246 | 125.860 | 174.246 | 0.000 | 0.000 | 0.000 |
| 174.246 | 174.246 | 125.860 | 0.000 | 0.000 | 0.000 |
| 0.000 | -0.000 | 0.000 | 161.002 | 0.000 | 0.000 |
| 0.000 | 0.000 | 0.000 | 0.000 | 161.002 | 0.000 |
| 0.000 | 0.000 | 0.000 | -0.000 | 0.000 | 161.002 |
| 125.860 | 174.246 | 174.246 | -0.000 | -0.000 | 0.000 |
| 174.246 | 125.860 | 174.246 | -0.000 | -0.000 | 0.000 |
| 174.246 | 174.246 | 125.860 | 0.000 | 0.000 | 0.000 |
| -0.000 | -0.000 | -0.000 | 161.002 | -0.000 | -0.000 |
| -0.000 | -0.000 | -0.000 | -0.000 | 161.002 | 0.000 |
| -0.000 | -0.000 | -0.000 | 0.000 | -0.000 | 161.002 |
| 125.860 | 174.247 | 174.247 | -0.000 | 0.000 | 0.000 |
| 174.247 | 125.860 | 174.247 | 0.000 | 0.000 | 0.000 |
| 174.247 | 174.247 | 125.860 | 0.000 | 0.000 | -0.000 |
| 0.000 | 0.000 | 0.000 | 161.002 | 0.000 | 0.000 |
| 0.000 | 0.000 | 0.000 | 0.000 | 161.002 | 0.000 |
| 0.000 | 0.000 | 0.000 | 0.000 | -0.000 | 161.002 |
| 125.860 | 174.246 | 174.246 | -0.000 | -0.000 | -0.000 |
| 174.246 | 125.860 | 174.246 | -0.000 | -0.000 | -0.000 |
| 174.246 | 174.246 | 125.860 | -0.000 | -0.000 | 0.000 |
| -0.000 | -0.000 | -0.000 | 161.002 | -0.000 | -0.000 |
| -0.000 | -0.000 | -0.000 | 0.000 | 161.002 | -0.000 |
| -0.000 | -0.000 | -0.000 | -0.000 | -0.000 | 161.002 |
| 125.859 | 174.247 | 174.247 | 0.000 | -0.000 | -0.000 |
| 174.247 | 125.859 | 174.247 | -0.000 | 0.000 | 0.000 |
| 174.247 | 174.247 | 125.859 | -0.000 | -0.000 | 0.000 |
| 0.001 | 0.000 | 0.001 | 161.002 | -0.000 | 0.000 |
| 0.000 | 0.001 | 0.001 | 0.000 | 161.002 | 0.000 |
| 0.000 | 0.001 | 0.001 | 0.000 | 0.000 | 161.002 |
| 125.861 | 174.246 | 174.246 | -0.000 | -0.000 | 0.000 |
| 174.246 | 125.861 | 174.246 | -0.000 | 0.000 | 0.000 |
| 174.246 | 174.246 | 125.861 | -0.000 | 0.000 | 0.000 |
| -0.001 | -0.000 | -0.001 | 161.002 | 0.000 | -0.000 |
| -0.000 | -0.001 | -0.001 | -0.000 | 161.002 | -0.000 |
| -0.000 | -0.001 | -0.001 | -0.000 | -0.000 | 161.002 |
| 63.077 | 56.515 | 56.515 | -0.000 | -0.000 | 0.000 |
| 56.515 | 63.077 | 56.515 | -0.000 | -0.000 | 0.000 |
| 56.515 | 56.515 | 63.077 | -0.000 | -0.000 | -0.000 |
| 0.000 | 0.000 | 0.000 | 20.364 | -0.000 | 0.000 |
| 0.000 | 0.000 | 0.000 | -0.000 | 20.364 | 0.000 |
| 0.000 | 0.000 | 0.000 | -0.000 | -0.000 | 20.364 |
| 63.077 | 56.515 | 56.515 | 0.000 | 0.000 | -0.000 |
| 56.515 | 63.077 | 56.515 | 0.000 | 0.000 | -0.000 |
| 56.515 | 56.515 | 63.077 | 0.000 | 0.000 | -0.000 |
| -0.000 | -0.000 | -0.000 | 20.364 | 0.000 | -0.000 |
| -0.000 | -0.000 | -0.000 | 0.000 | 20.364 | -0.000 |
| -0.000 | -0.000 | -0.000 | 0.000 | 0.000 | 20.364 |
| 63.078 | 56.516 | 56.516 | -0.000 | -0.000 | 0.000 |
| 56.516 | 63.078 | 56.516 | -0.000 | -0.000 | 0.000 |
| 56.516 | 56.516 | 63.078 | -0.000 | -0.000 | 0.000 |
| 0.000 | 0.000 | 0.000 | 20.364 | -0.000 | 0.000 |
| 0.000 | 0.000 | 0.000 | -0.000 | 20.364 | 0.000 |
| 0.000 | 0.000 | 0.000 | -0.000 | -0.000 | 20.364 |
| 63.077 | 56.515 | 56.515 | 0.000 | 0.000 | -0.000 |
| 56.515 | 63.077 | 56.515 | 0.000 | 0.000 | -0.000 |
| 56.515 | 56.515 | 63.077 | 0.000 | 0.000 | -0.000 |
| -0.000 | -0.000 | -0.000 | 20.364 | 0.000 | -0.000 |
| -0.000 | -0.000 | -0.000 | 0.000 | 20.364 | -0.000 |
| -0.000 | -0.000 | -0.000 | 0.000 | 0.000 | 20.364 |
| 63.079 | 56.516 | 56.516 | -0.000 | -0.000 | -0.000 |
| 56.516 | 63.079 | 56.516 | -0.000 | -0.000 | -0.000 |
| 56.516 | 56.516 | 63.079 | -0.000 | -0.000 | 0.000 |
| 0.000 | 0.000 | 0.000 | 20.364 | -0.000 | 0.000 |
| 0.000 | 0.000 | 0.000 | -0.000 | 20.364 | 0.000 |
| 0.000 | 0.000 | 0.000 | -0.000 | -0.000 | 20.364 |
| 63.075 | 56.514 | 56.514 | 0.000 | 0.000 | -0.000 |
| 56.514 | 63.075 | 56.514 | 0.000 | 0.000 | -0.000 |
| 56.514 | 56.514 | 63.075 | 0.000 | 0.000 | -0.000 |
| -0.000 | -0.000 | -0.000 | 20.364 | 0.000 | -0.000 |
| -0.000 | -0.000 | -0.000 | 0.000 | 20.364 | -0.000 |
| -0.000 | -0.000 | -0.000 | 0.000 | 0.000 | 20.364 |
| 11.747 | 13.668 | 13.668 | -0.000 | -0.000 | -0.000 |
| 13.668 | 11.747 | 13.668 | -0.000 | -0.000 | 0.000 |
| 13.668 | 13.668 | 11.747 | -0.000 | -0.000 | 0.000 |
| -0.000 | -0.000 | -0.000 | 11.195 | -0.000 | -0.000 |
| -0.000 | -0.000 | -0.000 | -0.000 | 11.195 | -0.000 |
| -0.000 | -0.000 | -0.000 | -0.000 | -0.000 | 11.195 |
| 11.748 | 13.669 | 13.669 | 0.000 | 0.000 | 0.000 |
| 13.669 | 11.748 | 13.669 | 0.000 | 0.000 | 0.000 |
| 13.669 | 13.669 | 11.748 | 0.000 | 0.000 | 0.000 |
| 0.000 | 0.000 | 0.000 | 11.195 | 0.000 | 0.000 |
| 0.000 | 0.000 | 0.000 | 0.000 | 11.195 | 0.000 |
| 0.000 | 0.000 | 0.000 | 0.000 | 0.000 | 11.195 |
| 11.745 | 13.665 | 13.665 | -0.000 | -0.000 | -0.000 |
| 13.665 | 11.745 | 13.665 | -0.000 | -0.000 | -0.000 |
| 13.665 | 13.665 | 11.745 | -0.000 | -0.000 | 0.000 |
| -0.003 | -0.003 | -0.003 | 11.195 | -0.000 | -0.000 |
| -0.003 | -0.003 | -0.003 | -0.000 | 11.195 | -0.000 |
| -0.003 | -0.003 | -0.003 | -0.000 | -0.000 | 11.195 |
| 11.751 | 13.671 | 13.671 | 0.000 | 0.000 | -0.000 |
| 13.671 | 11.751 | 13.671 | 0.000 | 0.000 | -0.000 |
| 13.671 | 13.671 | 11.751 | 0.000 | 0.000 | -0.000 |
| 0.003 | 0.003 | 0.003 | 11.195 | 0.000 | -0.000 |
| 0.003 | 0.003 | 0.003 | 0.000 | 11.195 | 0.000 |
| 0.003 | 0.003 | 0.003 | 0.000 | 0.000 | 11.195 |
| 11.718 | 13.639 | 13.639 | -0.000 | -0.000 | 0.000 |
| 13.639 | 11.718 | 13.639 | -0.000 | -0.000 | 0.000 |
| 13.639 | 13.639 | 11.718 | -0.000 | -0.000 | 0.000 |
| -0.030 | -0.030 | -0.030 | 11.195 | -0.000 | 0.000 |
| -0.030 | -0.030 | -0.030 | -0.000 | 11.195 | -0.000 |
| -0.030 | -0.030 | -0.030 | -0.000 | -0.000 | 11.195 |
| 11.777 | 13.698 | 13.698 | 0.000 | 0.000 | -0.000 |
| 13.698 | 11.777 | 13.698 | 0.000 | 0.000 | -0.000 |
| 13.698 | 13.698 | 11.777 | 0.000 | 0.000 | 0.000 |
| 0.030 | 0.030 | 0.030 | 11.195 | 0.000 | 0.000 |
| 0.030 | 0.030 | 0.030 | 0.000 | 11.195 | -0.000 |
| 0.030 | 0.030 | 0.030 | 0.000 | 0.000 | 11.195 |
| 233.083 | 324.405 | 324.405 | 0.000 | 0.000 | 0.000 |
| 324.405 | 233.083 | 324.405 | 0.000 | 0.000 | 0.000 |
| 324.405 | 324.405 | 233.083 | 0.000 | 0.000 | 0.000 |
| -0.000 | 0.000 | -0.000 | 90.666 | 0.000 | -0.000 |
| -0.000 | 0.000 | 0.000 | -0.000 | 90.666 | -0.000 |
| -0.000 | 0.000 | -0.000 | -0.000 | 0.000 | 90.666 |
| 233.083 | 324.405 | 324.405 | -0.000 | -0.000 | -0.000 |
| 324.405 | 233.083 | 324.405 | -0.000 | -0.000 | -0.000 |
| 324.405 | 324.405 | 233.083 | -0.000 | -0.000 | -0.000 |
| 0.000 | -0.000 | -0.000 | 90.666 | -0.000 | 0.000 |
| 0.000 | -0.000 | -0.000 | -0.000 | 90.666 | 0.000 |
| 0.000 | -0.000 | 0.000 | -0.000 | -0.000 | 90.666 |
| 233.084 | 324.405 | 324.405 | 0.000 | 0.000 | 0.000 |
| 324.405 | 233.084 | 324.405 | 0.000 | 0.000 | 0.000 |
| 324.405 | 324.405 | 233.084 | 0.000 | 0.000 | 0.000 |
| 0.000 | 0.000 | 0.000 | 90.666 | 0.000 | -0.000 |
| 0.000 | 0.000 | 0.000 | 0.000 | 90.666 | -0.000 |
| 0.000 | 0.000 | 0.000 | 0.000 | 0.000 | 90.666 |
| 233.083 | 324.405 | 324.405 | -0.000 | -0.000 | -0.000 |
| 324.405 | 233.083 | 324.405 | -0.000 | -0.000 | -0.000 |
| 324.405 | 324.405 | 233.083 | -0.000 | -0.000 | -0.000 |
| -0.000 | -0.000 | -0.000 | 90.666 | -0.000 | 0.000 |
| -0.000 | -0.000 | -0.000 | 0.000 | 90.666 | 0.000 |
| -0.000 | -0.000 | -0.000 | 0.000 | -0.000 | 90.666 |
| 233.090 | 324.406 | 324.406 | 0.000 | 0.000 | 0.000 |
| 324.406 | 233.090 | 324.406 | 0.000 | 0.000 | 0.000 |
| 324.406 | 324.406 | 233.090 | 0.000 | 0.000 | 0.000 |
| -0.000 | 0.000 | 0.000 | -81.596 | 0.000 | 0.000 |
| 0.000 | -0.000 | 0.000 | 0.000 | -81.596 | 0.000 |
| 0.000 | 0.000 | -0.000 | 0.000 | 0.000 | -81.596 |
| 233.077 | 324.404 | 324.404 | -0.000 | -0.000 | -0.000 |
| 324.404 | 233.077 | 324.404 | -0.000 | -0.000 | -0.000 |
| 324.404 | 324.404 | 233.077 | -0.000 | -0.000 | -0.000 |
| 0.000 | -0.000 | -0.000 | -81.596 | -0.000 | -0.000 |
| -0.000 | 0.000 | -0.000 | -0.000 | -81.596 | -0.000 |
| -0.000 | -0.000 | 0.000 | -0.000 | -0.000 | -81.596 |
| 47.378 | 34.955 | 34.955 | -0.000 | -0.000 | -0.000 |
| 34.955 | 47.378 | 34.955 | -0.000 | -0.000 | -0.000 |
| 34.955 | 34.955 | 47.378 | -0.000 | -0.000 | -0.000 |
| 0.000 | -0.000 | -0.000 | 11.993 | -0.000 | -0.000 |
| -0.000 | 0.000 | -0.000 | -0.000 | 11.993 | -0.000 |
| -0.000 | -0.000 | -0.000 | -0.000 | -0.000 | 11.993 |
| 47.378 | 34.955 | 34.955 | 0.000 | 0.000 | 0.000 |
| 34.955 | 47.378 | 34.955 | 0.000 | 0.000 | 0.000 |
| 34.955 | 34.955 | 47.378 | 0.000 | 0.000 | 0.000 |
| -0.000 | 0.000 | 0.000 | 11.993 | 0.000 | 0.000 |
| 0.000 | -0.000 | 0.000 | 0.000 | 11.993 | 0.000 |
| 0.000 | 0.000 | 0.000 | -0.000 | 0.000 | 11.993 |
| 47.378 | 34.955 | 34.955 | 0.000 | -0.000 | -0.000 |
| 34.955 | 47.378 | 34.955 | -0.000 | 0.000 | -0.000 |
| 34.955 | 34.955 | 47.378 | -0.000 | -0.000 | 0.000 |
| 0.000 | -0.000 | -0.000 | 35.422 | -0.000 | -0.000 |
| -0.000 | 0.000 | -0.000 | -0.000 | 35.422 | -0.000 |
| -0.000 | -0.000 | 0.000 | -0.000 | -0.000 | 35.422 |
| 47.378 | 34.955 | 34.955 | -0.000 | 0.000 | 0.000 |
| 34.955 | 47.378 | 34.955 | 0.000 | 0.000 | 0.000 |
| 34.955 | 34.955 | 47.378 | 0.000 | 0.000 | -0.000 |
| -0.000 | 0.000 | 0.000 | 35.422 | 0.000 | 0.000 |
| 0.000 | -0.000 | 0.000 | 0.000 | 35.422 | 0.000 |
| 0.000 | 0.000 | -0.000 | 0.000 | 0.000 | 35.422 |
| 47.373 | 34.953 | 34.953 | -0.000 | -0.000 | -0.000 |
| 34.953 | 47.373 | 34.953 | -0.000 | -0.000 | -0.000 |
| 34.953 | 34.953 | 47.373 | -0.000 | -0.000 | -0.000 |
| -0.000 | -0.002 | -0.002 | 11.993 | -0.000 | -0.000 |
| -0.002 | -0.000 | -0.002 | -0.000 | 11.993 | -0.000 |
| -0.002 | -0.002 | -0.000 | -0.000 | -0.000 | 11.993 |
| 47.383 | 34.957 | 34.957 | 0.000 | 0.000 | 0.000 |
| 34.957 | 47.383 | 34.957 | 0.000 | 0.000 | 0.000 |
| 34.957 | 34.957 | 47.383 | 0.000 | 0.000 | 0.000 |
| 0.000 | 0.002 | 0.002 | 11.993 | 0.000 | 0.000 |
| 0.002 | 0.000 | 0.002 | -0.000 | 11.993 | 0.000 |
| 0.002 | 0.002 | 0.000 | 0.000 | 0.000 | 11.993 |
| -187950650.865 | -94872628.338 | -94872628.338 | 0.000 | 0.000 | 0.000 |
| -94872628.338 | -187950650.865 | -94872628.338 | 0.000 | 0.000 | 0.000 |
| -94872628.338 | -94872628.338 | -187950650.865 | 0.000 | 0.000 | 0.000 |
| -448885.038 | -47194510.785 | -47194511.720 | -46745625.190 | 0.000 | 0.000 |
| -47194510.785 | -448885.038 | -47194511.720 | 0.000 | -46745625.190 | 0.000 |
| -47194510.785 | -47194511.720 | -448885.038 | 0.000 | 0.000 | -46745625.190 |
| 14.428 | 13.394 | 13.394 | -0.000 | -0.000 | -0.000 |
| 13.394 | 14.428 | 13.394 | -0.000 | -0.000 | -0.000 |
| 13.394 | 13.394 | 14.428 | -0.000 | -0.000 | -0.000 |
| 448885.038 | 47194510.785 | 47194511.720 | -46745625.190 | -0.000 | -0.000 |
| 47194510.785 | 448885.038 | 47194511.720 | 0.000 | -46745625.190 | -0.000 |
| 47194510.785 | 47194511.720 | 448885.038 | -0.000 | -0.000 | -46745625.190 |
| -18795101.118 | -9487276.707 | -9487276.707 | 0.000 | 0.000 | 0.000 |
| -9487276.707 | -18795101.118 | -9487276.707 | 0.000 | 0.000 | 0.000 |
| -9487276.707 | -9487276.707 | -18795101.118 | 0.000 | 0.000 | 0.000 |
| -44888.320 | -4719463.027 | -4719463.962 | -4674574.150 | 0.000 | 0.000 |
| -4719463.027 | -44888.320 | -4719463.962 | 0.000 | -4674574.150 | 0.000 |
| -4719463.027 | -4719463.962 | -44888.320 | 0.000 | 0.000 | -4674574.150 |
| 14.428 | 13.394 | 13.394 | -0.000 | -0.000 | -0.000 |
| 13.394 | 14.428 | 13.394 | -0.000 | -0.000 | -0.000 |
| 13.394 | 13.394 | 14.428 | -0.000 | -0.000 | -0.000 |
| 44888.320 | 4719463.027 | 4719463.962 | -4674574.150 | -0.000 | -0.000 |
| 4719463.027 | 44888.320 | 4719463.962 | 0.000 | -4674574.150 | -0.000 |
| 4719463.027 | 4719463.962 | 44888.320 | -0.000 | -0.000 | -4674574.150 |
| -1879546.031 | -948741.487 | -948741.487 | -0.000 | -0.000 | -0.000 |
| -948741.487 | -1879546.031 | -948741.487 | -0.000 | 0.000 | -0.000 |
| -948741.487 | -948741.487 | -1879546.031 | -0.000 | -0.000 | 0.000 |
| -4488.649 | -471958.223 | -471959.158 | -467469.018 | -0.000 | -0.000 |
| -471958.223 | -4488.649 | -471959.158 | -0.000 | -467469.018 | 0.000 |
| -471958.223 | -471959.158 | -4488.649 | 0.000 | 0.000 | -467469.018 |
| 14.428 | 13.394 | 13.394 | -0.000 | -0.000 | -0.000 |
| 13.394 | 14.428 | 13.394 | -0.000 | -0.000 | -0.000 |
| 13.394 | 13.394 | 14.428 | -0.000 | -0.000 | -0.000 |
| 4488.649 | 471958.223 | 471959.158 | -467469.018 | -0.000 | -0.000 |
| 471958.223 | 4488.649 | 471959.158 | -0.000 | -467469.018 | -0.000 |
| 471958.223 | 471959.158 | 4488.649 | -0.000 | -0.000 | -467469.018 |
| 16.043 | 16.043 | 16.043 | 0.000 | 0.000 | 0.000 |
| 16.043 | 16.043 | 16.043 | 0.000 | 0.000 | 0.000 |
| 16.043 | 16.043 | 16.043 | 0.000 | 0.000 | 0.000 |
| -0.000 | -0.000 | -0.000 | -0.000 | -0.000 | -0.000 |
| -0.000 | -0.000 | -0.000 | -0.000 | -0.000 | -0.000 |
| -0.000 | -0.000 | -0.000 | -0.000 | -0.000 | -0.000 |
| 16.043 | 16.043 | 16.043 | 0.000 | -0.000 | -0.000 |
| 16.043 | 16.043 | 16.043 | -0.000 | 0.000 | -0.000 |
| 16.043 | 16.043 | 16.043 | -0.000 | -0.000 | 0.000 |
| 0.000 | 0.000 | 0.000 | 0.000 | 0.000 | 0.000 |
| 0.000 | 0.000 | 0.000 | 0.000 | 0.000 | 0.000 |
| 0.000 | 0.000 | 0.000 | 0.000 | 0.000 | 0.000 |
| 16.043 | 16.043 | 16.043 | -0.000 | 0.000 | 0.000 |
| 16.043 | 16.043 | 16.043 | 0.000 | -0.000 | 0.000 |
| 16.043 | 16.043 | 16.043 | 0.000 | 0.000 | -0.000 |
| -0.000 | -0.000 | -0.000 | -0.000 | -0.000 | -0.000 |
| -0.000 | -0.000 | -0.000 | -0.000 | -0.000 | -0.000 |
| -0.000 | -0.000 | -0.000 | -0.000 | -0.000 | -0.000 |
| 16.043 | 16.043 | 16.043 | -0.000 | -0.000 | -0.000 |
| 16.043 | 16.043 | 16.043 | -0.000 | -0.000 | -0.000 |
| 16.043 | 16.043 | 16.043 | -0.000 | -0.000 | -0.000 |
| 0.000 | 0.000 | 0.000 | 0.000 | 0.000 | 0.000 |
| 0.000 | 0.000 | 0.000 | 0.000 | 0.000 | 0.000 |
| 0.000 | 0.000 | 0.000 | 0.000 | 0.000 | 0.000 |
| 16.043 | 16.043 | 16.043 | -0.000 | 0.000 | 0.000 |
| 16.043 | 16.043 | 16.043 | 0.000 | -0.000 | 0.000 |
| 16.043 | 16.043 | 16.043 | 0.000 | 0.000 | -0.000 |
| -0.000 | -0.000 | -0.000 | 0.000 | -0.000 | -0.000 |
| -0.000 | -0.000 | -0.000 | -0.000 | 0.000 | -0.000 |
| -0.000 | -0.000 | -0.000 | -0.000 | -0.000 | 0.000 |
| 16.043 | 16.043 | 16.043 | 0.000 | -0.000 | -0.000 |
| 16.043 | 16.043 | 16.043 | -0.000 | 0.000 | -0.000 |
| 16.043 | 16.043 | 16.043 | -0.000 | -0.000 | 0.000 |
| 0.000 | 0.000 | 0.000 | 0.000 | 0.000 | 0.000 |
| 0.000 | 0.000 | 0.000 | 0.000 | 0.000 | 0.000 |
| 0.000 | 0.000 | 0.000 | 0.000 | 0.000 | 0.000 |
| -0.101 | -0.101 | -0.101 | -0.000 | 0.000 | 0.000 |
| -0.101 | -0.101 | -0.101 | 0.000 | -0.000 | 0.000 |
| -0.101 | -0.101 | -0.101 | 0.000 | 0.000 | -0.000 |
| 0.000 | 0.000 | 0.000 | -0.101 | -0.000 | -0.000 |
| 0.000 | 0.000 | 0.000 | -0.000 | -0.101 | -0.000 |
| 0.000 | 0.000 | 0.000 | -0.000 | 0.000 | -0.101 |
| -0.101 | -0.101 | -0.101 | 0.000 | 0.000 | 0.000 |
| -0.101 | -0.101 | -0.101 | 0.000 | 0.000 | 0.000 |
| -0.101 | -0.101 | -0.101 | 0.000 | 0.000 | 0.000 |
| -0.000 | -0.000 | -0.000 | -0.101 | 0.000 | -0.000 |
| -0.000 | -0.000 | -0.000 | 0.000 | -0.101 | -0.000 |
| -0.000 | -0.000 | -0.000 | 0.000 | 0.000 | -0.101 |
| -0.101 | -0.101 | -0.101 | -0.000 | 0.000 | 0.000 |
| -0.101 | -0.101 | -0.101 | 0.000 | -0.000 | 0.000 |
| -0.101 | -0.101 | -0.101 | 0.000 | 0.000 | -0.000 |
| 8816.508 | 8814.110 | 8824.289 | -5844.157 | -4464.691 | 4514.346 |
| 8814.081 | 8816.479 | 8824.260 | -4464.674 | -5844.134 | 4514.330 |
| 8718.574 | 8728.768 | 8721.082 | -4435.977 | 4486.612 | -5772.697 |
| -0.101 | -0.101 | -0.101 | 0.000 | 0.000 | 0.000 |
| -0.101 | -0.101 | -0.101 | 0.000 | 0.000 | 0.000 |
| -0.101 | -0.101 | -0.101 | 0.000 | 0.000 | 0.000 |
| -3268.291 | -3263.724 | -3264.010 | -1766.448 | -1297.922 | -1304.150 |
| -3263.724 | -3268.291 | -3264.010 | -1297.922 | -1766.448 | -1304.150 |
| -3478.845 | -3479.137 | -3483.676 | -1426.101 | -1431.943 | -1930.622 |
| -0.101 | -0.101 | -0.101 | -0.000 | -0.000 | -0.000 |
| -0.101 | -0.101 | -0.101 | -0.000 | -0.000 | -0.000 |
| -0.101 | -0.101 | -0.101 | -0.000 | -0.000 | -0.000 |
| 959.413 | 959.105 | 960.051 | -637.649 | -381.738 | 386.190 |
| 959.102 | 959.410 | 960.048 | -381.740 | -637.647 | 386.191 |
| 976.214 | 977.261 | 976.507 | -378.539 | 382.962 | -642.520 |
| -0.101 | -0.101 | -0.101 | 0.000 | -0.000 | -0.000 |
| -0.101 | -0.101 | -0.101 | -0.000 | 0.000 | -0.000 |
| -0.101 | -0.101 | -0.101 | 0.000 | 0.000 | 0.000 |
| -477.849 | -477.362 | -477.494 | -286.486 | -234.525 | -235.335 |
| -477.363 | -477.850 | -477.494 | -234.526 | -286.486 | -235.335 |
| -492.890 | -493.027 | -493.386 | -249.734 | -250.550 | -302.611 |
| 2.867 | 3.351 | 3.351 | 0.000 | -0.000 | 0.000 |
| 3.351 | 2.867 | 3.351 | 0.000 | 0.000 | 0.000 |
| 3.351 | 3.351 | 2.867 | 0.000 | -0.000 | 0.000 |
| 0.000 | 0.000 | 0.000 | -0.505 | 0.000 | 0.000 |
| 0.000 | 0.000 | 0.000 | 0.000 | -0.505 | 0.000 |
| 0.000 | 0.000 | 0.000 | 0.000 | -0.000 | -0.505 |
| 2.867 | 3.351 | 3.351 | -0.000 | 0.000 | -0.000 |
| 3.351 | 2.867 | 3.351 | -0.000 | 0.000 | -0.000 |
| 3.351 | 3.351 | 2.867 | -0.000 | 0.000 | 0.000 |
| -0.000 | -0.000 | -0.000 | -0.505 | 0.000 | -0.000 |
| -0.000 | -0.000 | -0.000 | -0.000 | -0.505 | -0.000 |
| -0.000 | 0.000 | -0.000 | -0.000 | -0.000 | -0.505 |
| 2.867 | 3.351 | 3.351 | 0.000 | 0.000 | 0.000 |
| 3.351 | 2.867 | 3.351 | 0.000 | -0.000 | 0.000 |
| 3.351 | 3.351 | 2.867 | 0.000 | 0.000 | 0.000 |
| -0.000 | -0.000 | -0.000 | -0.505 | 0.000 | 0.000 |
| -0.000 | -0.000 | -0.000 | 0.000 | -0.505 | 0.000 |
| -0.000 | -0.000 | -0.000 | 0.000 | -0.000 | -0.505 |
| 2.868 | 3.352 | 3.352 | -0.000 | 0.000 | -0.000 |
| 3.352 | 2.868 | 3.352 | -0.000 | -0.000 | -0.000 |
| 3.352 | 3.352 | 2.868 | -0.000 | 0.000 | -0.000 |
| 0.000 | 0.000 | 0.000 | -0.505 | 0.000 | -0.000 |
| 0.000 | 0.000 | 0.000 | -0.000 | -0.505 | -0.000 |
| 0.000 | 0.000 | 0.000 | -0.000 | -0.000 | -0.505 |
| 2.860 | 3.344 | 3.344 | 0.000 | -0.000 | 0.000 |
| 3.344 | 2.860 | 3.344 | 0.000 | 0.000 | 0.000 |
| 3.344 | 3.344 | 2.860 | 0.000 | -0.000 | 0.000 |
| -0.000 | -0.000 | -0.000 | -0.505 | -0.000 | 0.000 |
| -0.000 | -0.000 | -0.000 | 0.000 | -0.505 | 0.000 |
| -0.000 | -0.000 | -0.000 | 0.000 | -0.000 | -0.505 |
| 2.875 | 3.359 | 3.359 | -0.000 | 0.000 | -0.000 |
| 3.359 | 2.875 | 3.359 | -0.000 | -0.000 | -0.000 |
| 3.359 | 3.359 | 2.875 | -0.000 | -0.000 | -0.000 |
| 0.000 | 0.000 | 0.000 | -0.505 | 0.000 | -0.000 |
| 0.000 | 0.000 | 0.000 | -0.000 | -0.505 | -0.000 |
| 0.000 | 0.000 | 0.000 | -0.000 | 0.000 | -0.505 |
| 245.449 | 84.393 | 152.456 | -0.000 | -0.000 | -0.000 |
| 84.393 | 245.449 | 152.456 | -0.000 | -0.000 | -0.000 |
| 152.456 | 152.456 | 275.375 | -0.000 | -0.000 | -0.000 |
| 0.000 | 0.000 | 0.000 | 108.697 | -0.000 | 0.000 |
| 0.000 | 0.000 | 0.000 | -0.000 | 108.697 | -0.000 |
| 0.000 | 0.000 | 0.000 | -0.000 | -0.000 | 19.929 |
| 245.449 | 84.393 | 152.456 | 0.000 | 0.000 | 0.000 |
| 84.393 | 245.449 | 152.456 | -0.000 | 0.000 | 0.000 |
| 152.456 | 152.456 | 275.375 | 0.000 | 0.000 | 0.000 |
| -0.000 | -0.000 | -0.000 | 108.697 | 0.000 | -0.000 |
| -0.000 | -0.000 | -0.000 | 0.000 | 108.697 | 0.000 |
| -0.000 | -0.000 | -0.000 | 0.000 | 0.000 | 19.929 |
| 245.449 | 84.393 | 152.456 | -0.000 | -0.000 | -0.000 |
| 84.393 | 245.449 | 152.456 | 0.000 | -0.000 | -0.000 |
| 152.456 | 152.456 | 275.376 | -0.000 | -0.000 | -0.000 |
| 0.000 | -0.000 | 0.000 | 108.697 | -0.000 | 0.000 |
| -0.000 | 0.000 | 0.000 | -0.000 | 108.697 | -0.000 |
| 0.000 | 0.000 | 0.000 | -0.000 | -0.000 | 19.929 |
| 245.449 | 84.393 | 152.456 | 0.000 | 0.000 | 0.000 |
| 84.393 | 245.449 | 152.456 | -0.000 | 0.000 | 0.000 |
| 152.456 | 152.456 | 275.375 | -0.000 | -0.000 | 0.000 |
| -0.000 | 0.000 | -0.000 | 108.697 | 0.000 | -0.000 |
| 0.000 | -0.000 | -0.000 | 0.000 | 108.697 | 0.000 |
| -0.000 | -0.000 | -0.000 | 0.000 | 0.000 | 19.929 |
| 245.450 | 84.393 | 152.456 | 0.000 | -0.000 | -0.000 |
| 84.393 | 245.450 | 152.456 | 0.000 | -0.000 | -0.000 |
| 152.457 | 152.457 | 275.379 | -0.000 | 0.000 | -0.000 |
| 0.000 | -0.000 | 0.000 | 108.697 | -0.000 | -0.000 |
| -0.000 | 0.000 | 0.000 | 0.000 | 108.697 | -0.000 |
| 0.000 | 0.000 | 0.000 | -0.000 | -0.000 | 19.929 |
| 245.448 | 84.393 | 152.456 | -0.000 | 0.000 | 0.000 |
| 84.393 | 245.448 | 152.456 | 0.000 | 0.000 | 0.000 |
| 152.456 | 152.456 | 275.371 | 0.000 | 0.000 | 0.000 |
| -0.000 | 0.000 | -0.000 | 108.697 | 0.000 | 0.000 |
| 0.000 | -0.000 | -0.000 | 0.000 | 108.697 | 0.000 |
| -0.000 | -0.000 | -0.000 | 0.000 | 0.000 | 19.929 |
| 135.508 | 57.265 | -51.909 | 0.000 | 0.000 | 0.000 |
| 57.265 | 135.508 | -51.909 | 0.000 | 0.000 | 0.000 |
| -51.909 | -51.909 | -204.066 | 0.000 | 0.000 | 0.000 |
| 0.000 | 0.000 | 0.000 | -26.550 | 0.000 | -0.000 |
| 0.000 | 0.000 | 0.000 | 0.000 | -26.550 | 0.000 |
| -0.000 | -0.000 | 0.000 | 0.000 | 0.000 | 77.653 |
| 135.508 | 57.265 | -51.909 | -0.000 | -0.000 | 0.000 |
| 57.265 | 135.508 | -51.909 | -0.000 | -0.000 | 0.000 |
| -51.909 | -51.909 | -204.066 | -0.000 | -0.000 | 0.000 |
| -0.000 | -0.000 | -0.000 | -26.550 | -0.000 | -0.000 |
| -0.000 | -0.000 | -0.000 | -0.000 | -26.550 | 0.000 |
| 0.000 | 0.000 | -0.000 | -0.000 | -0.000 | 77.653 |
| 135.508 | 57.264 | -51.909 | 0.000 | 0.000 | -0.000 |
| 57.264 | 135.508 | -51.909 | 0.000 | 0.000 | -0.000 |
| -51.909 | -51.909 | -204.066 | 0.000 | 0.000 | 0.000 |
| 0.000 | 0.000 | 0.000 | -26.550 | 0.000 | -0.000 |
| 0.000 | 0.000 | 0.000 | 0.000 | -26.550 | -0.000 |
| -0.000 | -0.000 | 0.000 | 0.000 | 0.000 | 77.653 |
| 135.508 | 57.265 | -51.909 | -0.000 | -0.000 | -0.000 |
| 57.265 | 135.508 | -51.909 | -0.000 | -0.000 | -0.000 |
| -51.909 | -51.909 | -204.066 | -0.000 | -0.000 | 0.000 |
| -0.000 | -0.000 | -0.000 | -26.550 | -0.000 | 0.000 |
| -0.000 | -0.000 | -0.000 | -0.000 | -26.550 | 0.000 |
| 0.000 | 0.000 | -0.000 | -0.000 | -0.000 | 77.653 |
| 135.507 | 57.264 | -51.909 | 0.000 | 0.000 | -0.000 |
| 57.264 | 135.507 | -51.909 | -0.000 | 0.000 | -0.000 |
| -51.908 | -51.908 | -204.069 | 0.000 | 0.000 | -0.000 |
| 0.000 | 0.000 | 0.001 | -26.550 | 0.000 | 0.000 |
| 0.000 | 0.000 | 0.001 | 0.000 | -26.550 | 0.000 |
| -0.001 | -0.001 | 0.000 | 0.000 | 0.000 | 77.653 |
| 135.510 | 57.266 | -51.909 | -0.000 | -0.000 | -0.000 |
| 57.266 | 135.510 | -51.909 | -0.000 | -0.000 | 0.000 |
| -51.910 | -51.910 | -204.063 | -0.000 | -0.000 | -0.000 |
| -0.000 | -0.000 | -0.001 | -26.550 | -0.000 | -0.000 |
| -0.000 | -0.000 | -0.001 | -0.000 | -26.550 | 0.000 |
| 0.001 | 0.001 | -0.000 | -0.000 | -0.000 | 77.653 |
| -135119334.166 | -135119424.627 | -3961222.751 | -0.000 | 0.000 | -0.000 |
| -135119424.627 | -135119334.166 | -3961222.751 | -0.000 | 0.000 | -0.000 |
| 104.373 | 104.373 | 354.427 | -0.000 | -0.000 | 0.000 |
| 0.000 | -0.000 | 0.000 | 91.500 | -0.000 | -0.000 |
| -0.000 | 0.000 | 0.000 | -0.000 | 91.500 | -0.000 |
| -67643757.449 | -67643758.808 | -1981602.926 | -0.000 | 0.000 | -67948054.052 |
| 112.456 | 24.458 | 119.184 | 0.000 | 0.000 | 0.000 |
| 24.458 | 112.456 | 119.184 | 0.000 | 0.000 | 0.000 |
| 104.373 | 104.373 | 354.427 | 0.000 | -0.000 | -0.000 |
| -0.000 | 0.000 | -0.000 | 91.500 | 0.000 | 0.000 |
| 0.000 | -0.000 | -0.000 | 0.000 | 91.500 | 0.000 |
| 67643757.449 | 67643758.808 | 1981602.926 | -0.000 | -0.000 | -67948054.052 |
| -13511869.397 | -13511959.857 | -396013.668 | -0.000 | -0.000 | 0.000 |
| -13511959.857 | -13511869.397 | -396013.668 | -0.000 | -0.000 | 0.000 |
| 104.373 | 104.373 | 354.426 | -0.000 | 0.000 | -0.000 |
| -0.000 | -0.000 | -0.000 | 91.500 | -0.000 | 0.000 |
| -0.000 | -0.000 | -0.000 | -0.000 | 91.500 | -0.000 |
| -6764393.452 | -6764394.811 | -198159.484 | 0.000 | 0.000 | -6794795.728 |
| 112.456 | 24.458 | 119.184 | 0.000 | -0.000 | 0.000 |
| 24.458 | 112.456 | 119.184 | 0.000 | -0.000 | -0.000 |
| 104.373 | 104.373 | 354.428 | 0.000 | -0.000 | 0.000 |
| 0.000 | 0.000 | 0.000 | 91.500 | 0.000 | 0.000 |
| 0.000 | 0.000 | 0.000 | 0.000 | 91.500 | 0.000 |
| 6764393.452 | 6764394.811 | 198159.484 | -0.000 | -0.000 | -6794795.728 |
| -1351122.834 | -1351213.299 | -39492.760 | -0.000 | 0.000 | -0.000 |
| -1351213.299 | -1351122.834 | -39492.760 | -0.000 | -0.000 | -0.000 |
| 104.371 | 104.371 | 354.418 | -0.000 | -0.000 | -0.000 |
| -0.001 | -0.001 | -0.002 | 91.500 | 0.000 | -0.000 |
| -0.001 | -0.001 | -0.002 | -0.000 | 91.500 | -0.000 |
| -676457.011 | -676458.370 | -19815.140 | -0.000 | 0.000 | -679469.854 |
| 112.452 | 24.459 | 119.185 | 0.000 | -0.000 | 0.000 |
| 24.459 | 112.452 | 119.185 | 0.000 | -0.000 | -0.000 |
| 104.375 | 104.375 | 354.436 | 0.000 | -0.000 | 0.000 |
| 0.001 | 0.001 | 0.002 | 91.500 | 0.000 | 0.000 |
| 0.001 | 0.001 | 0.002 | 0.000 | 91.500 | 0.000 |
| 676457.011 | 676458.370 | 19815.140 | 0.000 | -0.000 | -679469.854 |
| 66.948 | 54.635 | 66.709 | -0.000 | -0.000 | -0.000 |
| 54.635 | 66.948 | 66.709 | -0.000 | -0.000 | 0.000 |
| 66.709 | 66.709 | 81.523 | -0.000 | -0.000 | 0.000 |
| 0.000 | 0.000 | 0.000 | 21.002 | -0.000 | -0.000 |
| 0.000 | 0.000 | 0.000 | -0.000 | 21.002 | -0.000 |
| 0.000 | 0.000 | 0.000 | -0.000 | -0.000 | 16.456 |
| 66.948 | 54.635 | 66.709 | 0.000 | 0.000 | -0.000 |
| 54.635 | 66.948 | 66.709 | 0.000 | 0.000 | -0.000 |
| 66.709 | 66.709 | 81.523 | 0.000 | 0.000 | 0.000 |
| -0.000 | -0.000 | -0.000 | 21.002 | 0.000 | 0.000 |
| -0.000 | -0.000 | -0.000 | 0.000 | 21.002 | 0.000 |
| -0.000 | -0.000 | -0.000 | 0.000 | 0.000 | 16.456 |
| 66.948 | 54.635 | 66.709 | -0.000 | -0.000 | -0.000 |
| 54.635 | 66.948 | 66.709 | -0.000 | -0.000 | -0.000 |
| 66.709 | 66.709 | 81.523 | -0.000 | -0.000 | -0.000 |
| 0.000 | 0.000 | 0.000 | 21.002 | -0.000 | -0.000 |
| 0.000 | 0.000 | 0.000 | -0.000 | 21.002 | -0.000 |
| 0.000 | 0.000 | 0.000 | -0.000 | -0.000 | 16.456 |
| 66.947 | 54.635 | 66.709 | 0.000 | 0.000 | 0.000 |
| 54.635 | 66.947 | 66.709 | 0.000 | 0.000 | -0.000 |
| 66.709 | 66.709 | 81.523 | 0.000 | 0.000 | -0.000 |
| -0.000 | -0.000 | -0.000 | 21.002 | 0.000 | -0.000 |
| -0.000 | -0.000 | -0.000 | 0.000 | 21.002 | -0.000 |
| -0.000 | -0.000 | -0.000 | 0.000 | 0.000 | 16.456 |
| 66.949 | 54.636 | 66.710 | -0.000 | -0.000 | -0.000 |
| 54.636 | 66.949 | 66.710 | -0.000 | -0.000 | -0.000 |
| 66.710 | 66.710 | 81.524 | -0.000 | -0.000 | 0.000 |
| 0.000 | 0.000 | 0.000 | 21.002 | -0.000 | 0.000 |
| 0.000 | 0.000 | 0.000 | -0.000 | 21.002 | 0.000 |
| 0.000 | 0.000 | 0.000 | -0.000 | -0.000 | 16.456 |
| 66.946 | 54.634 | 66.707 | 0.000 | -0.000 | 0.000 |
| 54.634 | 66.946 | 66.707 | -0.000 | 0.000 | 0.000 |
| 66.708 | 66.708 | 81.521 | 0.000 | 0.000 | 0.000 |
| -0.000 | -0.000 | -0.000 | 21.002 | 0.000 | 0.000 |
| -0.000 | -0.000 | -0.000 | 0.000 | 21.002 | 0.000 |
| -0.000 | -0.000 | -0.000 | 0.000 | 0.000 | 16.456 |
| 27.638 | -0.000 | 0.000 | 0.000 | 0.000 | -0.000 |
| -0.000 | 27.638 | 0.000 | 0.000 | 0.000 | -0.000 |
| -0.000 | -0.000 | 0.000 | 0.000 | 0.000 | 0.000 |
| -0.000 | 0.000 | 0.000 | 0.000 | 0.000 | -0.000 |
| 0.000 | -0.000 | 0.000 | 0.000 | 0.000 | 0.000 |
| -0.000 | -0.000 | 0.000 | 0.000 | 0.000 | 0.000 |
| 27.638 | -0.000 | -0.000 | -0.000 | -0.000 | -0.000 |
| -0.000 | 27.638 | -0.000 | -0.000 | -0.000 | -0.000 |
| 0.000 | 0.000 | -0.000 | -0.000 | -0.000 | -0.000 |
| 0.000 | 0.000 | -0.000 | -0.000 | -0.000 | -0.000 |
| 0.000 | 0.000 | -0.000 | -0.000 | -0.000 | -0.000 |
| -0.000 | 0.000 | -0.000 | -0.000 | -0.000 | -0.000 |
| 27.638 | -0.000 | 0.000 | 0.000 | 0.000 | -0.000 |
| -0.000 | 27.638 | 0.000 | 0.000 | 0.000 | -0.000 |
| -0.000 | -0.000 | 0.000 | 0.000 | 0.000 | 0.000 |
| -0.000 | -0.000 | 0.000 | 0.000 | 0.000 | 0.000 |
| -0.000 | -0.000 | 0.000 | 0.000 | 0.000 | 0.000 |
| -0.000 | -0.000 | 0.000 | 0.000 | 0.000 | -0.000 |
| 27.638 | -0.000 | -0.000 | -0.000 | -0.000 | 0.000 |
| -0.000 | 27.638 | -0.000 | -0.000 | -0.000 | -0.000 |
| 0.000 | 0.000 | -0.000 | -0.000 | -0.000 | -0.000 |
| 0.000 | 0.000 | -0.000 | -0.000 | -0.000 | 0.000 |
| 0.000 | 0.000 | -0.000 | -0.000 | -0.000 | -0.000 |
| -0.000 | 0.000 | -0.000 | -0.000 | -0.000 | 0.000 |
| 27.637 | -0.000 | 0.000 | 0.000 | 0.000 | 0.000 |
| -0.000 | 27.637 | 0.000 | 0.000 | 0.000 | 0.000 |
| -0.000 | -0.000 | 0.000 | 0.000 | 0.000 | 0.000 |
| -0.000 | -0.000 | 0.000 | 0.000 | 0.000 | 0.000 |
| -0.000 | -0.000 | 0.000 | 0.000 | 0.000 | 0.000 |
| -0.000 | -0.000 | 0.000 | 0.000 | 0.000 | 0.000 |
| 27.638 | -0.000 | -0.000 | -0.000 | -0.000 | -0.000 |
| -0.000 | 27.638 | -0.000 | -0.000 | -0.000 | 0.000 |
| 0.000 | 0.000 | -0.000 | -0.000 | -0.000 | -0.000 |
| 0.000 | -0.000 | -0.000 | -0.000 | -0.000 | 0.000 |
| -0.000 | 0.000 | -0.000 | -0.000 | -0.000 | -0.000 |
| 0.000 | 0.000 | -0.000 | -0.000 | -0.000 | 0.000 |
| -0.154 | 0.207 | 0.414 | -0.000 | 0.000 | -0.000 |
| 0.207 | -0.154 | 0.414 | 0.000 | -0.000 | -0.000 |
| 0.414 | 0.414 | 0.828 | -0.000 | -0.000 | -0.000 |
| 0.000 | 0.000 | 0.000 | 0.414 | -0.000 | -0.000 |
| 0.000 | 0.000 | 0.000 | -0.000 | 0.414 | -0.000 |
| 0.000 | 0.000 | 0.000 | -0.000 | 0.000 | 0.207 |
| -0.154 | 0.207 | 0.414 | 0.000 | 0.000 | 0.000 |
| 0.207 | -0.154 | 0.414 | 0.000 | 0.000 | 0.000 |
| 0.414 | 0.414 | 0.827 | -0.000 | -0.000 | 0.000 |
| -0.000 | -0.000 | -0.000 | 0.414 | -0.000 | 0.000 |
| -0.000 | -0.000 | -0.000 | -0.000 | 0.414 | 0.000 |
| -0.000 | -0.000 | -0.000 | 0.000 | 0.000 | 0.207 |
| -0.154 | 0.207 | 0.414 | -0.000 | 0.000 | -0.000 |
| 0.207 | -0.154 | 0.414 | 0.000 | -0.000 | -0.000 |
| 0.414 | 0.414 | 0.828 | -0.000 | -0.000 | -0.000 |
| 0.000 | 0.000 | 0.000 | 0.414 | -0.000 | -0.000 |
| 0.000 | 0.000 | 0.000 | -0.000 | 0.414 | -0.000 |
| 0.000 | 0.000 | 0.000 | -0.000 | -0.000 | 0.207 |
| -0.154 | 0.207 | 0.414 | 0.000 | 0.000 | 0.000 |
| 0.207 | -0.154 | 0.414 | 0.000 | 0.000 | 0.000 |
| 0.414 | 0.414 | 0.827 | 0.000 | 0.000 | 0.000 |
| -0.000 | -0.000 | -0.000 | 0.414 | 0.000 | 0.000 |
| -0.000 | -0.000 | -0.000 | 0.000 | 0.414 | 0.000 |
| -0.000 | -0.000 | -0.000 | 0.000 | 0.000 | 0.207 |
| -0.152 | 0.207 | 0.414 | -0.000 | -0.000 | -0.000 |
| 0.207 | -0.152 | 0.414 | -0.000 | -0.000 | -0.000 |
| 0.415 | 0.415 | 0.829 | -0.000 | -0.000 | -0.000 |
| 0.000 | 0.000 | 0.001 | 0.414 | -0.000 | -0.000 |
| 0.000 | 0.000 | 0.001 | -0.000 | 0.414 | -0.000 |
| 0.000 | 0.000 | 0.000 | 0.000 | 0.000 | 0.207 |
| -0.156 | 0.207 | 0.414 | 0.000 | -0.000 | 0.000 |
| 0.207 | -0.156 | 0.414 | -0.000 | 0.000 | 0.000 |
| 0.413 | 0.413 | 0.826 | 0.000 | 0.000 | 0.000 |
| -0.000 | -0.000 | -0.001 | 0.414 | 0.000 | 0.000 |
| -0.000 | -0.000 | -0.001 | 0.000 | 0.414 | 0.000 |
| -0.000 | -0.000 | -0.000 | 0.000 | -0.000 | 0.207 |
| 1.235 | 0.207 | 0.414 | 0.000 | 0.000 | 0.000 |
| 0.207 | 1.235 | 0.414 | 0.000 | 0.000 | 0.000 |
| 0.414 | 0.414 | 0.826 | 0.000 | 0.000 | 0.000 |
| 0.000 | 0.000 | 0.000 | 0.414 | 0.000 | -0.000 |
| 0.000 | 0.000 | 0.000 | 0.000 | 0.414 | -0.000 |
| 0.000 | 0.000 | 0.000 | 0.000 | 0.000 | 0.207 |
| 1.235 | 0.207 | 0.414 | -0.000 | -0.000 | -0.000 |
| 0.207 | 1.235 | 0.414 | -0.000 | -0.000 | -0.000 |
| 0.414 | 0.414 | 0.826 | -0.000 | -0.000 | 0.000 |
| -0.000 | -0.000 | -0.000 | 0.414 | 0.000 | 0.000 |
| -0.000 | -0.000 | -0.000 | 0.000 | 0.414 | 0.000 |
| -0.000 | -0.000 | -0.000 | -0.000 | -0.000 | 0.207 |
| 1.234 | 0.207 | 0.414 | 0.000 | -0.000 | -0.000 |
| 0.207 | 1.234 | 0.414 | -0.000 | 0.000 | -0.000 |
| 0.414 | 0.414 | 0.826 | 0.000 | 0.000 | 0.000 |
| 0.000 | 0.000 | 0.000 | 0.414 | 0.000 | 0.000 |
| 0.000 | 0.000 | 0.000 | 0.000 | 0.414 | 0.000 |
| 0.000 | 0.000 | 0.000 | 0.000 | 0.000 | 0.207 |
| 1.235 | 0.207 | 0.414 | -0.000 | -0.000 | 0.000 |
| 0.207 | 1.235 | 0.414 | -0.000 | -0.000 | 0.000 |
| 0.414 | 0.414 | 0.826 | -0.000 | -0.000 | 0.000 |
| -0.000 | -0.000 | -0.000 | 0.414 | -0.000 | -0.000 |
| -0.000 | -0.000 | -0.000 | -0.000 | 0.414 | -0.000 |
| -0.000 | -0.000 | -0.000 | -0.000 | -0.000 | 0.207 |
| 1.231 | 0.207 | 0.414 | 0.000 | 0.000 | 0.000 |
| 0.207 | 1.231 | 0.414 | 0.000 | 0.000 | 0.000 |
| 0.415 | 0.415 | 0.828 | 0.000 | 0.000 | -0.000 |
| 0.000 | 0.000 | 0.001 | 0.414 | 0.000 | 0.000 |
| 0.000 | 0.000 | 0.001 | 0.000 | 0.414 | 0.000 |
| 0.000 | 0.000 | 0.000 | 0.000 | 0.000 | 0.207 |
| 1.239 | 0.207 | 0.414 | -0.000 | -0.000 | 0.000 |
| 0.207 | 1.239 | 0.414 | -0.000 | -0.000 | 0.000 |
| 0.413 | 0.413 | 0.825 | -0.000 | -0.000 | -0.000 |
| -0.000 | -0.000 | -0.001 | 0.414 | -0.000 | 0.000 |
| -0.000 | -0.000 | -0.001 | -0.000 | 0.414 | 0.000 |
| -0.000 | -0.000 | -0.000 | -0.000 | -0.000 | 0.207 |
| 12.000 | 13.628 | 23.457 | 0.000 | 0.000 | 0.000 |
| 13.628 | 12.000 | 23.457 | 0.000 | 0.000 | 0.000 |
| 22.869 | 22.869 | 36.561 | 0.000 | 0.000 | -0.000 |
| -0.000 | -0.000 | -0.000 | 20.005 | 0.000 | 0.000 |
| -0.000 | -0.000 | -0.000 | 0.000 | 20.005 | 0.000 |
| -0.000 | -0.000 | -0.000 | 0.000 | 0.000 | 11.623 |
| 12.001 | 13.628 | 23.457 | -0.000 | -0.000 | -0.000 |
| 13.628 | 12.001 | 23.457 | -0.000 | -0.000 | -0.000 |
| 22.870 | 22.870 | 36.563 | -0.000 | -0.000 | -0.000 |
| 0.000 | 0.000 | 0.000 | 20.005 | -0.000 | -0.000 |
| 0.000 | 0.000 | 0.000 | -0.000 | 20.005 | -0.000 |
| 0.000 | 0.000 | 0.000 | -0.000 | -0.000 | 11.623 |
| 11.999 | 13.627 | 23.454 | 0.000 | 0.000 | 0.000 |
| 13.627 | 11.999 | 23.454 | 0.000 | 0.000 | 0.000 |
| 22.865 | 22.865 | 36.554 | 0.000 | 0.000 | 0.000 |
| -0.003 | -0.003 | -0.005 | 20.005 | 0.000 | 0.000 |
| -0.003 | -0.003 | -0.005 | 0.000 | 20.005 | 0.000 |
| -0.002 | -0.002 | -0.003 | 0.000 | 0.000 | 11.623 |
| 12.002 | 13.630 | 23.460 | -0.000 | -0.000 | -0.000 |
| 13.630 | 12.002 | 23.460 | -0.000 | -0.000 | -0.000 |
| 22.875 | 22.875 | 36.570 | -0.000 | -0.000 | -0.000 |
| 0.003 | 0.003 | 0.005 | 20.005 | -0.000 | -0.000 |
| 0.003 | 0.003 | 0.005 | -0.000 | 20.005 | -0.000 |
| 0.002 | 0.002 | 0.003 | -0.000 | -0.000 | 11.623 |
| 11.984 | 13.612 | 23.429 | 0.000 | 0.000 | 0.000 |
| 13.612 | 11.984 | 23.429 | 0.000 | 0.000 | -0.000 |
| 22.822 | 22.822 | 36.479 | 0.000 | 0.000 | 0.000 |
| -0.028 | -0.028 | -0.048 | 20.005 | 0.000 | 0.000 |
| -0.028 | -0.028 | -0.048 | 0.000 | 20.005 | 0.000 |
| -0.016 | -0.016 | -0.028 | 0.000 | 0.000 | 11.623 |
| 12.017 | 13.644 | 23.485 | -0.000 | -0.000 | -0.000 |
| 13.644 | 12.017 | 23.485 | -0.000 | -0.000 | -0.000 |
| 22.918 | 22.918 | 36.645 | -0.000 | -0.000 | -0.000 |
| 0.028 | 0.028 | 0.048 | 20.005 | -0.000 | -0.000 |
| 0.028 | 0.028 | 0.048 | -0.000 | 20.005 | -0.000 |
| 0.016 | 0.016 | 0.028 | -0.000 | -0.000 | 11.623 |
| 181.607 | 161.828 | 145.820 | -0.000 | -0.000 | -0.000 |
| 161.828 | 421.387 | 113.640 | -0.000 | -0.000 | -0.000 |
| 145.820 | 113.640 | 356.098 | 0.000 | 0.000 | -0.000 |
| -0.000 | 0.000 | -0.000 | -41.362 | 0.000 | -0.000 |
| -0.000 | 0.000 | -0.000 | -0.000 | 64.783 | -0.000 |
| -0.000 | 0.000 | -0.000 | -0.000 | 0.000 | 67.239 |
| 181.607 | 161.828 | 145.820 | -0.000 | 0.000 | 0.000 |
| 161.828 | 421.387 | 113.640 | 0.000 | 0.000 | 0.000 |
| 145.820 | 113.640 | 356.098 | 0.000 | 0.000 | 0.000 |
| 0.000 | -0.000 | 0.000 | -41.362 | -0.000 | 0.000 |
| 0.000 | -0.000 | 0.000 | 0.000 | 64.783 | 0.000 |
| 0.000 | -0.000 | 0.000 | 0.000 | 0.000 | 67.239 |
| 181.607 | 161.828 | 145.820 | 0.000 | 0.000 | -0.000 |
| 161.828 | 421.387 | 113.640 | -0.000 | 0.000 | 0.000 |
| 145.820 | 113.640 | 356.098 | -0.000 | 0.000 | -0.000 |
| -0.000 | -0.000 | -0.000 | -41.362 | 0.000 | -0.000 |
| -0.000 | -0.000 | 0.000 | -0.000 | 64.783 | -0.000 |
| -0.000 | 0.000 | -0.000 | 0.000 | -0.000 | 67.239 |
| 181.607 | 161.828 | 145.820 | 0.000 | -0.000 | 0.000 |
| 161.828 | 421.387 | 113.641 | 0.000 | -0.000 | 0.000 |
| 145.820 | 113.641 | 356.098 | 0.000 | -0.000 | 0.000 |
| 0.000 | 0.000 | 0.000 | -41.362 | -0.000 | 0.000 |
| 0.000 | 0.000 | -0.000 | 0.000 | 64.783 | 0.000 |
| 0.000 | -0.000 | 0.000 | 0.000 | 0.000 | 67.239 |
| 181.607 | 161.828 | 145.820 | 0.000 | 0.000 | -0.000 |
| 161.828 | 421.387 | 113.640 | -0.000 | -0.000 | -0.000 |
| 145.820 | 113.640 | 356.098 | 0.000 | -0.000 | -0.000 |
| -0.000 | -0.000 | -0.000 | -41.362 | 0.000 | -0.000 |
| -0.000 | -0.000 | 0.000 | -0.000 | 64.783 | -0.000 |
| -0.000 | 0.000 | -0.000 | -0.000 | -0.000 | 67.239 |
| 181.607 | 161.829 | 145.821 | 0.000 | 0.000 | 0.000 |
| 161.828 | 421.388 | 113.641 | 0.000 | 0.000 | 0.000 |
| 145.820 | 113.641 | 356.097 | -0.000 | -0.000 | 0.000 |
| 0.000 | 0.000 | 0.000 | -41.362 | -0.000 | 0.000 |
| 0.000 | 0.000 | -0.000 | -0.000 | 64.783 | 0.000 |
| 0.000 | -0.000 | 0.000 | 0.000 | -0.000 | 67.239 |
| 171.167 | 220.132 | 214.156 | -0.000 | 0.000 | 0.000 |
| 220.132 | 328.357 | 81.338 | -0.000 | -0.000 | 0.000 |
| 214.156 | 81.338 | 277.730 | -0.000 | 0.000 | 0.000 |
| -0.000 | -0.000 | -0.000 | -26.161 | 0.000 | 0.000 |
| -0.000 | -0.000 | 0.000 | -0.000 | 103.179 | 0.000 |
| -0.000 | -0.000 | -0.000 | -0.000 | -0.000 | 97.560 |
| 171.167 | 220.132 | 214.156 | 0.000 | 0.000 | -0.000 |
| 220.132 | 328.357 | 81.338 | 0.000 | 0.000 | -0.000 |
| 214.156 | 81.338 | 277.730 | -0.000 | 0.000 | 0.000 |
| -0.000 | 0.000 | 0.000 | -26.161 | 0.000 | -0.000 |
| 0.000 | 0.000 | -0.000 | 0.000 | 103.179 | -0.000 |
| -0.000 | 0.000 | 0.000 | 0.000 | 0.000 | 97.560 |
| 171.167 | 220.132 | 214.156 | -0.000 | -0.000 | -0.000 |
| 220.132 | 328.356 | 81.338 | -0.000 | 0.000 | 0.000 |
| 214.156 | 81.338 | 277.730 | -0.000 | -0.000 | -0.000 |
| -0.000 | -0.000 | -0.000 | -26.161 | -0.000 | 0.000 |
| -0.000 | -0.000 | 0.000 | -0.000 | 103.179 | 0.000 |
| -0.000 | 0.000 | -0.000 | -0.000 | -0.000 | 97.560 |
| 171.167 | 220.132 | 214.156 | 0.000 | 0.000 | 0.000 |
| 220.132 | 328.357 | 81.338 | 0.000 | 0.000 | -0.000 |
| 214.156 | 81.338 | 277.730 | 0.000 | 0.000 | -0.000 |
| 0.000 | 0.000 | 0.000 | -26.161 | 0.000 | -0.000 |
| 0.000 | 0.000 | -0.000 | 0.000 | 103.179 | -0.000 |
| 0.000 | -0.000 | 0.000 | 0.000 | 0.000 | 97.560 |
| 171.166 | 220.131 | 214.156 | -0.000 | -0.000 | 0.000 |
| 220.131 | 328.355 | 81.337 | -0.000 | -0.000 | -0.000 |
| 214.156 | 81.337 | 277.730 | -0.000 | -0.000 | 0.000 |
| -0.000 | -0.000 | -0.000 | -26.161 | -0.000 | 0.000 |
| -0.000 | -0.000 | 0.000 | -0.000 | 103.179 | 0.000 |
| -0.000 | 0.000 | -0.000 | -0.000 | -0.000 | 97.560 |
| 171.168 | 220.132 | 214.157 | 0.000 | 0.000 | -0.000 |
| 220.132 | 328.358 | 81.339 | 0.000 | 0.000 | -0.000 |
| 214.156 | 81.339 | 277.730 | 0.000 | 0.000 | -0.000 |
| 0.000 | 0.000 | 0.000 | -26.161 | 0.000 | -0.000 |
| 0.000 | 0.000 | -0.000 | 0.000 | 103.179 | -0.000 |
| 0.000 | -0.000 | 0.000 | 0.000 | 0.000 | 97.560 |
| 172.593 | 178.399 | 178.399 | -0.000 | -0.000 | 0.000 |
| 178.399 | 172.593 | 178.399 | -0.000 | -0.000 | 0.000 |
| 178.399 | 178.399 | 172.593 | -0.000 | -0.000 | 0.000 |
| 0.000 | 0.000 | -0.000 | 153.977 | -0.000 | -0.000 |
| 0.000 | 0.000 | -0.000 | -0.000 | 153.977 | 0.000 |
| 0.000 | 0.000 | -0.000 | -0.000 | -0.000 | 153.977 |
| 180.128 | 185.767 | 185.767 | -0.000 | -0.000 | -0.000 |
| 185.767 | 180.128 | 185.767 | -0.000 | -0.000 | 0.000 |
| 185.767 | 185.767 | 180.128 | 0.000 | 0.000 | -0.000 |
| -0.000 | 0.000 | 0.000 | 153.977 | 0.000 | -0.000 |
| -0.000 | 0.000 | 0.000 | 0.000 | 153.977 | -0.000 |
| -0.000 | -0.000 | 0.000 | 0.000 | 0.000 | 153.977 |
| 179.217 | 185.022 | 185.022 | -0.000 | -0.000 | 0.000 |
| 185.022 | 179.217 | 185.022 | -0.000 | -0.000 | 0.000 |
| 185.022 | 185.022 | 179.217 | -0.000 | -0.000 | 0.000 |
| -0.734 | -0.734 | -0.734 | 153.905 | -0.000 | -0.000 |
| -0.734 | -0.734 | -0.734 | -0.000 | 153.905 | 0.000 |
| -0.734 | -0.734 | -0.734 | -0.000 | -0.000 | 153.905 |
| 180.127 | 185.766 | 185.766 | 0.000 | -0.000 | -0.000 |
| 185.766 | 180.127 | 185.766 | 0.000 | 0.000 | -0.000 |
| 185.766 | 185.766 | 180.128 | 0.000 | 0.000 | -0.000 |
| 0.734 | 0.734 | 0.734 | 153.905 | 0.000 | -0.000 |
| 0.734 | 0.734 | 0.734 | 0.000 | 153.905 | -0.000 |
| 0.734 | 0.734 | 0.734 | -0.000 | 0.000 | 153.905 |
| 179.881 | 185.686 | 185.686 | -0.000 | -0.000 | 0.000 |
| 185.686 | 179.881 | 185.686 | -0.000 | -0.000 | 0.000 |
| 185.686 | 185.686 | 179.881 | -0.000 | -0.000 | -0.000 |
| -0.072 | -0.073 | -0.072 | 153.923 | -0.000 | 0.000 |
| -0.073 | -0.072 | -0.072 | -0.000 | 153.923 | 0.000 |
| -0.073 | -0.072 | -0.072 | -0.000 | -0.000 | 153.923 |
| 180.029 | 185.828 | 185.828 | 0.000 | 0.000 | -0.000 |
| 185.828 | 180.029 | 185.828 | 0.000 | 0.000 | -0.000 |
| 185.828 | 185.828 | 180.029 | 0.000 | 0.000 | -0.000 |
| 0.072 | 0.073 | 0.072 | 153.923 | 0.000 | -0.000 |
| 0.073 | 0.072 | 0.072 | 0.000 | 153.923 | 0.000 |
| 0.073 | 0.072 | 0.072 | 0.000 | 0.000 | 153.923 |
| 168.184 | 163.225 | 163.225 | -0.000 | -0.000 | -0.000 |
| 163.225 | 168.184 | 163.225 | -0.000 | -0.000 | 0.000 |
| 163.225 | 163.225 | 168.184 | -0.000 | -0.000 | 0.000 |
| 0.000 | 0.000 | 0.000 | 39.573 | -0.000 | 0.000 |
| 0.000 | 0.000 | 0.000 | -0.000 | 39.573 | 0.000 |
| 0.000 | 0.000 | 0.000 | -0.000 | -0.000 | 39.573 |
| 168.184 | 163.224 | 163.224 | 0.000 | 0.000 | -0.000 |
| 163.224 | 168.184 | 163.224 | -0.000 | 0.000 | -0.000 |
| 163.224 | 163.224 | 168.184 | 0.000 | 0.000 | 0.000 |
| -0.000 | -0.000 | -0.000 | 39.573 | 0.000 | 0.000 |
| -0.000 | -0.000 | -0.000 | 0.000 | 39.573 | -0.000 |
| -0.000 | -0.000 | 0.000 | 0.000 | 0.000 | 39.573 |
| 168.187 | 163.226 | 163.226 | -0.000 | 0.000 | 0.000 |
| 163.226 | 168.187 | 163.226 | -0.000 | -0.000 | 0.000 |
| 163.226 | 163.226 | 168.187 | -0.000 | -0.000 | 0.000 |
| 0.000 | 0.001 | 0.001 | 39.573 | -0.000 | -0.000 |
| 0.001 | 0.000 | 0.001 | -0.000 | 39.573 | 0.000 |
| 0.001 | 0.001 | 0.000 | -0.000 | -0.000 | 39.573 |
| 168.182 | 163.223 | 163.223 | 0.000 | -0.000 | 0.000 |
| 163.223 | 168.182 | 163.223 | 0.000 | 0.000 | -0.000 |
| 163.223 | 163.223 | 168.182 | 0.000 | 0.000 | -0.000 |
| -0.000 | -0.001 | -0.001 | 39.573 | 0.000 | -0.000 |
| -0.001 | -0.000 | -0.001 | 0.000 | 39.573 | -0.000 |
| -0.001 | -0.001 | -0.000 | 0.000 | 0.000 | 39.573 |
| 168.209 | 163.238 | 163.238 | -0.000 | -0.000 | 0.000 |
| 163.238 | 168.209 | 163.238 | -0.000 | -0.000 | 0.000 |
| 163.238 | 163.238 | 168.209 | -0.000 | -0.000 | 0.000 |
| 0.002 | 0.010 | 0.010 | 39.573 | -0.000 | -0.000 |
| 0.010 | 0.002 | 0.010 | -0.000 | 39.573 | 0.000 |
| 0.010 | 0.010 | 0.002 | -0.000 | -0.000 | 39.573 |
| 168.160 | 163.211 | 163.211 | 0.000 | 0.000 | -0.000 |
| 163.211 | 168.160 | 163.211 | 0.000 | 0.000 | -0.000 |
| 163.211 | 163.211 | 168.160 | 0.000 | 0.000 | -0.000 |
| -0.002 | -0.010 | -0.010 | 39.573 | 0.000 | -0.000 |
| -0.010 | -0.002 | -0.010 | 0.000 | 39.573 | -0.000 |
| -0.010 | -0.010 | -0.002 | 0.000 | 0.000 | 39.573 |
| 205.911 | 54.754 | 54.754 | 0.000 | 0.000 | 0.000 |
| 54.754 | 205.911 | 54.754 | 0.000 | 0.000 | 0.000 |
| 54.754 | 54.754 | 205.911 | 0.000 | 0.000 | 0.000 |
| 0.000 | -0.000 | -0.000 | 40.459 | 0.000 | 0.000 |
| -0.000 | 0.000 | -0.000 | 0.000 | 40.459 | 0.000 |
| -0.000 | -0.000 | 0.000 | 0.000 | 0.000 | 40.459 |
| 205.911 | 54.754 | 54.754 | -0.000 | -0.000 | -0.000 |
| 54.754 | 205.911 | 54.754 | -0.000 | -0.000 | -0.000 |
| 54.754 | 54.754 | 205.911 | -0.000 | -0.000 | -0.000 |
| -0.000 | 0.000 | 0.000 | 40.459 | -0.000 | -0.000 |
| 0.000 | -0.000 | 0.000 | -0.000 | 40.459 | -0.000 |
| 0.000 | 0.000 | -0.000 | -0.000 | -0.000 | 40.459 |
| 205.911 | 54.754 | 54.754 | 0.000 | 0.000 | 0.000 |
| 54.754 | 205.911 | 54.754 | 0.000 | 0.000 | 0.000 |
| 54.754 | 54.754 | 205.911 | -0.000 | 0.000 | 0.000 |
| 0.000 | -0.000 | -0.000 | 40.459 | 0.000 | 0.000 |
| -0.000 | 0.000 | -0.000 | -0.000 | 40.459 | 0.000 |
| -0.000 | -0.000 | 0.000 | 0.000 | 0.000 | 40.459 |
| 205.910 | 54.754 | 54.754 | -0.000 | -0.000 | -0.000 |
| 54.754 | 205.910 | 54.754 | -0.000 | -0.000 | 0.000 |
| 54.754 | 54.754 | 205.910 | -0.000 | -0.000 | -0.000 |
| -0.000 | 0.000 | 0.000 | 40.459 | -0.000 | -0.000 |
| 0.000 | -0.000 | 0.000 | -0.000 | 40.459 | -0.000 |
| 0.000 | 0.000 | -0.000 | -0.000 | -0.000 | 40.459 |
| 205.914 | 54.751 | 54.751 | 0.000 | 0.000 | 0.000 |
| 54.751 | 205.914 | 54.751 | 0.000 | 0.000 | 0.000 |
| 54.751 | 54.751 | 205.914 | 0.000 | 0.000 | 0.000 |
| 0.000 | -0.003 | -0.003 | 54.251 | 0.000 | 0.000 |
| -0.003 | 0.000 | -0.003 | 0.000 | 54.251 | 0.000 |
| -0.003 | -0.003 | 0.000 | 0.000 | 0.000 | 54.251 |
| 205.907 | 54.757 | 54.757 | -0.000 | -0.000 | -0.000 |
| 54.757 | 205.907 | 54.757 | -0.000 | -0.000 | -0.000 |
| 54.757 | 54.757 | 205.907 | -0.000 | -0.000 | -0.000 |
| -0.000 | 0.003 | 0.003 | 54.251 | -0.000 | -0.000 |
| 0.003 | -0.000 | 0.003 | -0.000 | 54.251 | -0.000 |
| 0.003 | 0.003 | -0.000 | -0.000 | -0.000 | 54.251 |
| 61.603 | 32.119 | 32.119 | -0.000 | -0.000 | 0.000 |
| 32.119 | 61.603 | 32.119 | -0.000 | -0.000 | 0.000 |
| 32.119 | 32.119 | 61.603 | -0.000 | -0.000 | -0.000 |
| -0.000 | -0.000 | -0.000 | 31.210 | -0.000 | 0.000 |
| -0.000 | -0.000 | -0.000 | -0.000 | 31.210 | 0.000 |
| -0.000 | -0.000 | -0.000 | -0.000 | -0.000 | 31.210 |
| 61.603 | 32.119 | 32.119 | 0.000 | 0.000 | -0.000 |
| 32.119 | 61.603 | 32.119 | 0.000 | -0.000 | -0.000 |
| 32.119 | 32.119 | 61.603 | 0.000 | 0.000 | -0.000 |
| 0.000 | 0.000 | 0.000 | 31.210 | 0.000 | -0.000 |
| 0.000 | 0.000 | 0.000 | 0.000 | 31.210 | 0.000 |
| 0.000 | 0.000 | 0.000 | 0.000 | 0.000 | 31.210 |
| 61.602 | 32.119 | 32.119 | -0.000 | -0.000 | 0.000 |
| 32.119 | 61.602 | 32.119 | -0.000 | -0.000 | -0.000 |
| 32.119 | 32.119 | 61.602 | -0.000 | -0.000 | 0.000 |
| -0.000 | -0.000 | -0.000 | 15.312 | -0.000 | 0.000 |
| -0.000 | -0.000 | -0.000 | -0.000 | 15.312 | 0.000 |
| -0.000 | -0.000 | -0.000 | -0.000 | -0.000 | 15.312 |
| 61.604 | 32.119 | 32.119 | 0.000 | 0.000 | -0.000 |
| 32.119 | 61.604 | 32.119 | 0.000 | 0.000 | -0.000 |
| 32.119 | 32.119 | 61.604 | 0.000 | 0.000 | -0.000 |
| 0.000 | 0.000 | 0.000 | 15.312 | 0.000 | -0.000 |
| 0.000 | 0.000 | 0.000 | 0.000 | 15.312 | -0.000 |
| 0.000 | 0.000 | 0.000 | 0.000 | 0.000 | 15.312 |
| 61.592 | 32.119 | 32.119 | -0.000 | -0.000 | 0.000 |
| 32.119 | 61.592 | 32.119 | -0.000 | -0.000 | 0.000 |
| 32.119 | 32.119 | 61.592 | -0.000 | -0.000 | 0.000 |
| -0.003 | -0.000 | -0.000 | 15.312 | -0.000 | 0.000 |
| -0.000 | -0.003 | -0.000 | -0.000 | 15.312 | 0.000 |
| -0.000 | -0.000 | -0.003 | -0.000 | -0.000 | 15.312 |
| 61.614 | 32.119 | 32.119 | 0.000 | 0.000 | -0.000 |
| 32.119 | 61.614 | 32.119 | 0.000 | 0.000 | -0.000 |
| 32.119 | 32.119 | 61.614 | 0.000 | -0.000 | -0.000 |
| 0.003 | 0.000 | 0.000 | 15.312 | 0.000 | 0.000 |
| 0.000 | 0.003 | 0.000 | 0.000 | 15.312 | 0.000 |
| 0.000 | 0.000 | 0.003 | 0.000 | -0.000 | 15.312 |
| -67458595.794 | -712580.386 | -712580.386 | -0.000 | -0.000 | -0.000 |
| -712580.386 | -67458595.794 | -712580.386 | -0.000 | -0.000 | -0.000 |
| -712580.386 | -712580.386 | -67458595.794 | -0.000 | -0.000 | 0.000 |
| 0.000 | 0.000 | 0.000 | 30.569 | -0.000 | -0.000 |
| 0.000 | 0.000 | 0.000 | -0.000 | 30.569 | -0.000 |
| 0.000 | 0.000 | 0.000 | -0.000 | -0.000 | 30.569 |
| 31.435 | 29.798 | 29.798 | 0.000 | 0.000 | -0.000 |
| 29.798 | 31.435 | 29.798 | 0.000 | 0.000 | 0.000 |
| 29.798 | 29.798 | 31.435 | 0.000 | 0.000 | 0.000 |
| -0.000 | -0.000 | -0.000 | 30.569 | 0.000 | -0.000 |
| -0.000 | -0.000 | -0.000 | 0.000 | 30.569 | -0.000 |
| -0.000 | -0.000 | -0.000 | 0.000 | 0.000 | 30.569 |
| -6745864.804 | -71230.070 | -71230.070 | -0.000 | -0.000 | -0.000 |
| -71230.070 | -6745864.804 | -71230.070 | -0.000 | -0.000 | -0.000 |
| -71230.070 | -71230.070 | -6745864.804 | -0.000 | -0.000 | -0.000 |
| 0.000 | 0.000 | 0.000 | 30.569 | -0.000 | -0.000 |
| 0.000 | 0.000 | 0.000 | -0.000 | 30.569 | -0.000 |
| 0.000 | 0.000 | 0.000 | -0.000 | -0.000 | 30.569 |
| 31.435 | 29.798 | 29.798 | 0.000 | 0.000 | 0.000 |
| 29.798 | 31.435 | 29.798 | 0.000 | 0.000 | 0.000 |
| 29.798 | 29.798 | 31.435 | 0.000 | 0.000 | 0.000 |
| -0.000 | -0.000 | -0.000 | 30.569 | 0.000 | 0.000 |
| -0.000 | -0.000 | -0.000 | 0.000 | 30.569 | -0.000 |
| -0.000 | -0.000 | -0.000 | 0.000 | 0.000 | 30.569 |
| -674591.543 | -7095.039 | -7095.039 | -0.000 | -0.000 | 0.000 |
| -7095.039 | -674591.543 | -7095.039 | -0.000 | -0.000 | 0.000 |
| -7095.039 | -7095.039 | -674591.543 | -0.000 | -0.000 | -0.000 |
| 0.000 | 0.000 | 0.000 | 30.569 | -0.000 | -0.000 |
| 0.000 | 0.000 | 0.000 | -0.000 | 30.569 | 0.000 |
| 0.000 | 0.000 | 0.000 | -0.000 | -0.000 | 30.569 |
| 31.435 | 29.798 | 29.798 | 0.000 | 0.000 | 0.000 |
| 29.798 | 31.435 | 29.798 | 0.000 | -0.000 | -0.000 |
| 29.798 | 29.798 | 31.435 | 0.000 | 0.000 | 0.000 |
| -0.000 | -0.000 | -0.000 | 30.569 | 0.000 | 0.000 |
| -0.000 | -0.000 | -0.000 | 0.000 | 30.569 | 0.000 |
| -0.000 | -0.000 | -0.000 | 0.000 | 0.000 | 30.569 |
| -0.201 | -0.201 | -0.201 | -0.000 | -0.000 | -0.000 |
| -0.201 | -0.201 | -0.201 | -0.000 | -0.000 | -0.000 |
| -0.201 | -0.201 | -0.201 | -0.000 | -0.000 | -0.000 |
| 0.000 | 0.000 | 0.000 | -0.201 | -0.000 | -0.000 |
| 0.000 | 0.000 | 0.000 | -0.000 | -0.201 | -0.000 |
| 0.000 | 0.000 | 0.000 | -0.000 | 0.000 | -0.201 |
| -0.201 | -0.201 | -0.201 | 0.000 | 0.000 | 0.000 |
| -0.201 | -0.201 | -0.201 | 0.000 | 0.000 | 0.000 |
| -0.201 | -0.201 | -0.201 | -0.000 | -0.000 | 0.000 |
| -0.000 | -0.000 | -0.000 | -0.201 | 0.000 | 0.000 |
| -0.000 | -0.000 | -0.000 | 0.000 | -0.201 | 0.000 |
| -0.000 | -0.000 | -0.000 | -0.000 | 0.000 | -0.201 |
| -0.201 | -0.201 | -0.201 | 0.000 | -0.000 | -0.000 |
| -0.201 | -0.201 | -0.201 | -0.000 | 0.000 | -0.000 |
| -0.201 | -0.201 | -0.201 | -0.000 | -0.000 | -0.000 |
| 234859.850 | 234774.928 | 234795.824 | -200608.727 | -4149.265 | 4106.539 |
| 234774.928 | 234859.850 | 234795.824 | -4149.265 | -200608.727 | 4106.539 |
| 220829.620 | 220844.593 | 220362.206 | -2197.957 | 2167.060 | -192065.827 |
| -0.201 | -0.201 | -0.201 | -0.000 | 0.000 | 0.000 |
| -0.201 | -0.201 | -0.201 | 0.000 | -0.000 | 0.000 |
| -0.201 | -0.201 | -0.201 | -0.000 | -0.000 | 0.000 |
| -184627.244 | -184711.022 | -184713.245 | -161495.457 | -6719.520 | -6711.069 |
| -184711.022 | -184627.244 | -184713.245 | -6719.520 | -161495.457 | -6711.069 |
| -183452.919 | -183453.233 | -183294.306 | -7535.453 | -7520.531 | -160658.108 |
| -0.201 | -0.201 | -0.201 | 0.000 | -0.000 | -0.000 |
| -0.201 | -0.201 | -0.201 | -0.000 | 0.000 | -0.000 |
| -0.201 | -0.201 | -0.201 | -0.000 | -0.000 | -0.000 |
| 198.426 | 199.337 | 199.337 | -44.693 | 6.241 | -6.241 |
| 199.337 | 198.426 | 199.337 | 6.241 | -44.693 | -6.241 |
| 199.115 | 199.115 | 198.117 | 4.915 | -4.915 | -47.912 |
| -0.202 | -0.202 | -0.202 | -0.000 | -0.000 | -0.000 |
| -0.202 | -0.202 | -0.202 | -0.000 | -0.000 | -0.000 |
| -0.202 | -0.202 | -0.202 | -0.000 | -0.000 | -0.000 |
| -1476.881 | -1492.410 | -1492.228 | -1267.037 | 1.560 | 1.573 |
| -1492.410 | -1476.881 | -1492.228 | 1.560 | -1267.037 | 1.573 |
| -1532.506 | -1532.319 | -1515.847 | 1.923 | 1.917 | -1303.454 |
| 5.736 | 6.704 | 6.704 | 0.000 | 0.000 | -0.000 |
| 6.704 | 5.736 | 6.704 | 0.000 | 0.000 | -0.000 |
| 6.704 | 6.704 | 5.736 | 0.000 | 0.000 | 0.000 |
| -0.000 | 0.000 | -0.000 | -0.849 | 0.000 | -0.000 |
| 0.000 | -0.000 | -0.000 | 0.000 | -0.849 | -0.000 |
| 0.000 | -0.000 | -0.000 | 0.000 | 0.000 | -0.849 |
| 5.737 | 6.705 | 6.705 | -0.000 | -0.000 | -0.000 |
| 6.705 | 5.737 | 6.705 | -0.000 | -0.000 | -0.000 |
| 6.705 | 6.705 | 5.737 | -0.000 | -0.000 | -0.000 |
| 0.000 | 0.000 | 0.000 | -0.849 | -0.000 | 0.000 |
| 0.000 | 0.000 | 0.000 | -0.000 | -0.849 | -0.000 |
| -0.000 | 0.000 | 0.000 | -0.000 | -0.000 | -0.849 |
| 5.735 | 6.703 | 6.703 | 0.000 | 0.000 | 0.000 |
| 6.703 | 5.735 | 6.703 | 0.000 | 0.000 | 0.000 |
| 6.703 | 6.703 | 5.735 | 0.000 | 0.000 | 0.000 |
| -0.000 | -0.000 | -0.000 | -0.849 | 0.000 | 0.000 |
| -0.000 | -0.000 | -0.000 | 0.000 | -0.849 | -0.000 |
| -0.000 | -0.000 | -0.000 | 0.000 | 0.000 | -0.849 |
| 5.738 | 6.706 | 6.706 | -0.000 | -0.000 | -0.000 |
| 6.706 | 5.738 | 6.706 | -0.000 | -0.000 | -0.000 |
| 6.706 | 6.706 | 5.738 | 0.000 | 0.000 | -0.000 |
| 0.000 | 0.000 | 0.000 | -0.849 | -0.000 | -0.000 |
| 0.000 | 0.000 | 0.000 | -0.000 | -0.849 | 0.000 |
| 0.000 | 0.000 | 0.000 | -0.000 | -0.000 | -0.849 |
| 5.722 | 6.689 | 6.689 | 0.000 | 0.000 | 0.000 |
| 6.689 | 5.722 | 6.689 | 0.000 | 0.000 | -0.000 |
| 6.689 | 6.689 | 5.722 | 0.000 | 0.000 | 0.000 |
| -0.000 | -0.000 | -0.000 | -1.005 | 0.000 | 0.000 |
| -0.000 | -0.000 | -0.000 | 0.000 | -1.005 | 0.000 |
| -0.000 | -0.000 | -0.000 | 0.000 | 0.000 | -1.005 |
| 5.751 | 6.719 | 6.719 | -0.000 | -0.000 | -0.000 |
| 6.719 | 5.751 | 6.719 | -0.000 | -0.000 | 0.000 |
| 6.719 | 6.719 | 5.751 | -0.000 | 0.000 | -0.000 |
| 0.000 | 0.000 | 0.000 | -1.005 | -0.000 | -0.000 |
| 0.000 | 0.000 | 0.000 | -0.000 | -1.005 | 0.000 |
| 0.000 | 0.000 | 0.000 | -0.000 | -0.000 | -1.005 |
| 147.117 | 188.000 | 188.000 | 0.000 | 0.000 | 0.000 |
| 188.000 | 147.117 | 188.000 | 0.000 | 0.000 | 0.000 |
| 188.000 | 188.000 | 147.117 | 0.000 | 0.000 | 0.000 |
| 0.000 | 0.000 | -0.000 | 180.841 | 0.000 | 0.000 |
| 0.000 | 0.000 | -0.000 | 0.000 | 180.841 | 0.000 |
| 0.000 | 0.000 | -0.000 | 0.000 | 0.000 | 180.841 |
| 147.117 | 187.999 | 188.000 | -0.000 | -0.000 | -0.000 |
| 188.000 | 147.117 | 188.000 | -0.000 | -0.000 | -0.000 |
| 188.000 | 187.999 | 147.117 | -0.000 | 0.000 | -0.000 |
| -0.000 | -0.000 | 0.000 | 180.841 | -0.000 | -0.000 |
| -0.000 | -0.000 | 0.000 | -0.000 | 180.841 | -0.000 |
| -0.000 | -0.000 | -0.000 | -0.000 | -0.000 | 180.841 |
| 147.117 | 188.000 | 188.000 | 0.000 | 0.000 | 0.000 |
| 188.000 | 147.117 | 188.000 | 0.000 | 0.000 | 0.000 |
| 188.000 | 188.000 | 147.117 | 0.000 | 0.000 | 0.000 |
| 0.000 | 0.000 | 0.000 | 181.244 | 0.000 | 0.000 |
| 0.000 | 0.000 | 0.000 | 0.000 | 181.244 | 0.000 |
| 0.000 | 0.000 | 0.000 | 0.000 | 0.000 | 181.244 |
| 147.117 | 187.999 | 187.999 | -0.000 | -0.000 | -0.000 |
| 187.999 | 147.117 | 187.999 | -0.000 | -0.000 | -0.000 |
| 187.999 | 187.999 | 147.117 | -0.000 | -0.000 | -0.000 |
| -0.000 | -0.000 | -0.000 | 181.244 | -0.000 | -0.000 |
| -0.000 | -0.000 | -0.000 | -0.000 | 181.244 | -0.000 |
| -0.000 | -0.000 | -0.000 | -0.000 | -0.000 | 181.244 |
| 147.117 | 188.000 | 188.000 | 0.000 | 0.000 | 0.000 |
| 188.000 | 147.117 | 188.000 | 0.000 | 0.000 | 0.000 |
| 188.000 | 188.000 | 147.117 | 0.000 | 0.000 | 0.000 |
| 0.001 | 0.000 | 0.001 | 180.841 | 0.000 | 0.000 |
| 0.000 | 0.001 | 0.001 | 0.000 | 180.841 | 0.000 |
| 0.000 | 0.001 | 0.001 | 0.000 | 0.000 | 180.841 |
| 147.117 | 187.999 | 187.999 | -0.000 | -0.000 | -0.000 |
| 187.999 | 147.117 | 187.999 | -0.000 | -0.000 | -0.000 |
| 187.999 | 187.999 | 147.117 | -0.000 | -0.000 | -0.000 |
| -0.001 | -0.000 | -0.001 | 180.841 | -0.000 | -0.000 |
| -0.000 | -0.001 | -0.001 | -0.000 | 180.841 | -0.000 |
| -0.000 | -0.001 | -0.001 | -0.000 | -0.000 | 180.841 |
| 62.677 | 35.316 | 35.316 | -0.000 | 0.000 | 0.000 |
| 35.316 | 62.677 | 35.316 | -0.000 | 0.000 | -0.000 |
| 35.316 | 35.316 | 62.677 | -0.000 | 0.000 | 0.000 |
| -0.000 | -0.000 | -0.000 | 34.454 | 0.000 | 0.000 |
| -0.000 | -0.000 | -0.000 | -0.000 | 34.454 | -0.000 |
| -0.000 | -0.000 | -0.000 | -0.000 | -0.000 | 34.454 |
| 62.677 | 35.316 | 35.316 | 0.000 | -0.000 | -0.000 |
| 35.316 | 62.677 | 35.316 | 0.000 | 0.000 | 0.000 |
| 35.316 | 35.316 | 62.677 | 0.000 | 0.000 | 0.000 |
| 0.000 | 0.000 | 0.000 | 34.454 | -0.000 | 0.000 |
| 0.000 | 0.000 | 0.000 | 0.000 | 34.454 | 0.000 |
| 0.000 | 0.000 | 0.000 | 0.000 | 0.000 | 34.454 |
| 62.678 | 35.316 | 35.316 | -0.000 | 0.000 | -0.000 |
| 35.316 | 62.678 | 35.316 | -0.000 | -0.000 | -0.000 |
| 35.316 | 35.316 | 62.678 | 0.000 | 0.000 | -0.000 |
| 0.000 | -0.000 | -0.000 | 20.867 | 0.000 | 0.000 |
| -0.000 | 0.000 | -0.000 | -0.000 | 20.867 | -0.000 |
| -0.000 | -0.000 | 0.000 | -0.000 | -0.000 | 20.867 |
| 62.676 | 35.316 | 35.316 | 0.000 | -0.000 | 0.000 |
| 35.316 | 62.676 | 35.316 | -0.000 | 0.000 | -0.000 |
| 35.316 | 35.316 | 62.676 | -0.000 | -0.000 | -0.000 |
| -0.000 | 0.000 | 0.000 | 20.867 | -0.000 | 0.000 |
| 0.000 | -0.000 | 0.000 | 0.000 | 20.867 | 0.000 |
| 0.000 | 0.000 | -0.000 | 0.000 | 0.000 | 20.867 |
| 62.687 | 35.316 | 35.316 | -0.000 | 0.000 | -0.000 |
| 35.316 | 62.687 | 35.316 | -0.000 | -0.000 | 0.000 |
| 35.316 | 35.316 | 62.687 | -0.000 | -0.000 | -0.000 |
| 0.002 | -0.000 | -0.000 | 20.867 | 0.000 | 0.000 |
| -0.000 | 0.002 | -0.000 | 0.000 | 20.867 | -0.000 |
| -0.000 | -0.000 | 0.002 | -0.000 | -0.000 | 20.867 |
| 62.668 | 35.316 | 35.316 | 0.000 | 0.000 | 0.000 |
| 35.316 | 62.668 | 35.316 | 0.000 | 0.000 | 0.000 |
| 35.316 | 35.316 | 62.668 | 0.000 | 0.000 | 0.000 |
| -0.002 | 0.000 | 0.000 | 20.867 | -0.000 | 0.000 |
| 0.000 | -0.002 | 0.000 | 0.000 | 20.867 | 0.000 |
| 0.000 | 0.000 | -0.002 | 0.000 | 0.000 | 20.867 |
| -64609323.380 | -522158.159 | -522158.159 | 0.000 | -0.000 | 0.000 |
| -522158.159 | -64609323.380 | -522158.159 | 0.000 | -0.000 | -0.000 |
| -522158.159 | -522158.159 | -64609323.380 | 0.000 | 0.000 | 0.000 |
| 0.000 | 0.000 | 0.000 | 33.238 | 0.000 | 0.000 |
| 0.000 | 0.000 | 0.000 | 0.000 | 33.238 | 0.000 |
| 0.000 | 0.000 | 0.000 | 0.000 | 0.000 | 33.238 |
| 33.615 | 31.833 | 31.833 | -0.000 | 0.000 | -0.000 |
| 31.833 | 33.615 | 31.833 | -0.000 | 0.000 | -0.000 |
| 31.833 | 31.833 | 33.615 | -0.000 | 0.000 | -0.000 |
| -0.000 | -0.000 | -0.000 | 33.238 | -0.000 | -0.000 |
| -0.000 | -0.000 | -0.000 | -0.000 | 33.238 | -0.000 |
| -0.000 | -0.000 | -0.000 | -0.000 | -0.000 | 33.238 |
| -6460934.291 | -52186.156 | -52186.156 | 0.000 | 0.000 | 0.000 |
| -52186.156 | -6460934.291 | -52186.156 | 0.000 | -0.000 | 0.000 |
| -52186.156 | -52186.156 | -6460934.291 | 0.000 | -0.000 | 0.000 |
| 0.000 | 0.000 | 0.000 | 33.238 | 0.000 | 0.000 |
| 0.000 | 0.000 | 0.000 | 0.000 | 33.238 | 0.000 |
| 0.000 | 0.000 | 0.000 | 0.000 | 0.000 | 33.238 |
| 33.615 | 31.833 | 31.833 | -0.000 | 0.000 | -0.000 |
| 31.833 | 33.615 | 31.833 | -0.000 | 0.000 | -0.000 |
| 31.833 | 31.833 | 33.615 | 0.000 | 0.000 | -0.000 |
| -0.000 | -0.000 | -0.000 | 33.238 | -0.000 | -0.000 |
| -0.000 | -0.000 | -0.000 | -0.000 | 33.238 | -0.000 |
| -0.000 | -0.000 | -0.000 | -0.000 | -0.000 | 33.238 |
| -646095.227 | -5188.955 | -5188.955 | -0.000 | -0.000 | 0.000 |
| -5188.955 | -646095.227 | -5188.955 | 0.000 | 0.000 | 0.000 |
| -5188.955 | -5188.955 | -646095.227 | -0.000 | -0.000 | 0.000 |
| 0.001 | 0.001 | 0.001 | 33.238 | -0.000 | 0.000 |
| 0.001 | 0.001 | 0.001 | 0.000 | 33.238 | 0.000 |
| 0.001 | 0.001 | 0.001 | 0.000 | 0.000 | 33.238 |
| 33.614 | 31.832 | 31.832 | -0.000 | 0.000 | -0.000 |
| 31.832 | 33.614 | 31.832 | -0.000 | -0.000 | -0.000 |
| 31.832 | 31.832 | 33.614 | -0.000 | 0.000 | -0.000 |
| -0.001 | -0.001 | -0.001 | 33.238 | 0.000 | -0.000 |
| -0.001 | -0.001 | -0.001 | 0.000 | 33.238 | -0.000 |
| -0.001 | -0.001 | -0.001 | -0.000 | -0.000 | 33.238 |
| 0.166 | 0.166 | 0.166 | 0.000 | 0.000 | 0.000 |
| 0.166 | 0.166 | 0.166 | 0.000 | 0.000 | 0.000 |
| 0.166 | 0.166 | 0.166 | 0.000 | 0.000 | 0.000 |
| 0.000 | 0.000 | 0.000 | 0.166 | -0.000 | 0.000 |
| 0.000 | 0.000 | 0.000 | -0.000 | 0.166 | 0.000 |
| 0.000 | 0.000 | 0.000 | -0.000 | -0.000 | 0.166 |
| 0.166 | 0.166 | 0.166 | 0.000 | 0.000 | 0.000 |
| 0.166 | 0.166 | 0.166 | 0.000 | 0.000 | 0.000 |
| 0.166 | 0.166 | 0.166 | 0.000 | 0.000 | 0.000 |
| -0.000 | -0.000 | -0.000 | 0.166 | 0.000 | 0.000 |
| -0.000 | -0.000 | -0.000 | 0.000 | 0.166 | 0.000 |
| -0.000 | -0.000 | -0.000 | -0.000 | -0.000 | 0.166 |
| 0.166 | 0.166 | 0.166 | 0.000 | -0.000 | -0.000 |
| 0.166 | 0.166 | 0.166 | -0.000 | 0.000 | -0.000 |
| 0.166 | 0.166 | 0.166 | 0.000 | 0.000 | -0.000 |
| 0.000 | 0.000 | 0.000 | 0.161 | 0.000 | -0.000 |
| 0.000 | 0.000 | 0.000 | 0.000 | 0.161 | -0.000 |
| 0.000 | 0.000 | 0.000 | 0.000 | 0.000 | 0.161 |
| 0.166 | 0.166 | 0.166 | -0.000 | -0.000 | -0.000 |
| 0.166 | 0.166 | 0.166 | -0.000 | -0.000 | -0.000 |
| 0.166 | 0.166 | 0.166 | -0.000 | -0.000 | -0.000 |
| -0.000 | -0.000 | -0.000 | 0.161 | -0.000 | 0.000 |
| -0.000 | -0.000 | -0.000 | -0.000 | 0.161 | 0.000 |
| -0.000 | -0.000 | -0.000 | -0.000 | 0.000 | 0.161 |
| 0.166 | 0.166 | 0.166 | 0.000 | 0.000 | 0.000 |
| 0.166 | 0.166 | 0.166 | 0.000 | 0.000 | 0.000 |
| 0.166 | 0.166 | 0.166 | 0.000 | 0.000 | 0.000 |
| -0.000 | -0.000 | -0.000 | 0.012 | 0.000 | 0.000 |
| -0.000 | -0.000 | -0.000 | 0.000 | 0.012 | 0.000 |
| -0.000 | -0.000 | -0.000 | -0.000 | -0.000 | 0.012 |
| 0.166 | 0.166 | 0.166 | 0.000 | 0.000 | 0.000 |
| 0.166 | 0.166 | 0.166 | 0.000 | 0.000 | 0.000 |
| 0.166 | 0.166 | 0.166 | 0.000 | 0.000 | 0.000 |
| 0.000 | 0.000 | 0.000 | 0.012 | -0.000 | 0.000 |
| 0.000 | 0.000 | 0.000 | -0.000 | 0.012 | 0.000 |
| 0.000 | 0.000 | 0.000 | 0.000 | 0.000 | 0.012 |
| 6.074 | 7.086 | 7.086 | 0.000 | 0.000 | 0.000 |
| 7.086 | 6.074 | 7.086 | 0.000 | 0.000 | -0.000 |
| 7.086 | 7.086 | 6.074 | 0.000 | -0.000 | -0.000 |
| -0.000 | -0.000 | -0.000 | 0.402 | 0.000 | 0.000 |
| -0.000 | -0.000 | -0.000 | 0.000 | 0.402 | -0.000 |
| -0.000 | -0.000 | -0.000 | 0.000 | 0.000 | 0.402 |
| 6.074 | 7.087 | 7.087 | -0.000 | -0.000 | 0.000 |
| 7.087 | 6.074 | 7.087 | -0.000 | -0.000 | -0.000 |
| 7.087 | 7.087 | 6.074 | 0.000 | 0.000 | -0.000 |
| 0.000 | 0.000 | 0.000 | 0.402 | -0.000 | -0.000 |
| 0.000 | 0.000 | 0.000 | -0.000 | 0.402 | 0.000 |
| 0.000 | 0.000 | 0.000 | -0.000 | -0.000 | 0.402 |
| 6.073 | 7.085 | 7.085 | 0.000 | 0.000 | -0.000 |
| 7.085 | 6.073 | 7.085 | 0.000 | 0.000 | -0.000 |
| 7.085 | 7.085 | 6.073 | 0.000 | 0.000 | 0.000 |
| -0.000 | -0.000 | -0.000 | 0.402 | 0.000 | 0.000 |
| -0.000 | -0.000 | -0.000 | 0.000 | 0.402 | -0.000 |
| -0.000 | -0.000 | -0.000 | 0.000 | 0.000 | 0.402 |
| 6.076 | 7.088 | 7.088 | -0.000 | -0.000 | 0.000 |
| 7.088 | 6.076 | 7.088 | -0.000 | -0.000 | 0.000 |
| 7.088 | 7.088 | 6.076 | -0.000 | -0.000 | 0.000 |
| 0.000 | 0.000 | 0.000 | 0.402 | -0.000 | -0.000 |
| 0.000 | 0.000 | 0.000 | -0.000 | 0.402 | 0.000 |
| 0.000 | 0.000 | 0.000 | -0.000 | -0.000 | 0.402 |
| 6.058 | 7.071 | 7.071 | 0.000 | 0.000 | -0.000 |
| 7.071 | 6.058 | 7.071 | 0.000 | 0.000 | -0.000 |
| 7.071 | 7.071 | 6.058 | 0.000 | 0.000 | 0.000 |
| -0.003 | -0.003 | -0.003 | 0.402 | -0.000 | 0.000 |
| -0.003 | -0.003 | -0.003 | 0.000 | 0.402 | 0.000 |
| -0.003 | -0.003 | -0.003 | 0.000 | 0.000 | 0.402 |
| 6.090 | 7.102 | 7.102 | -0.000 | -0.000 | -0.000 |
| 7.102 | 6.090 | 7.102 | -0.000 | -0.000 | -0.000 |
| 7.102 | 7.102 | 6.090 | -0.000 | -0.000 | -0.000 |
| 0.003 | 0.003 | 0.003 | 0.402 | 0.000 | -0.000 |
| 0.003 | 0.003 | 0.003 | -0.000 | 0.402 | 0.000 |
| 0.003 | 0.003 | 0.003 | -0.000 | -0.000 | 0.402 |
| 460.356 | 131.398 | 131.398 | 0.000 | 0.000 | 0.000 |
| 131.398 | 460.356 | 131.398 | 0.000 | 0.000 | 0.000 |
| 131.398 | 131.398 | 460.356 | 0.000 | 0.000 | 0.000 |
| 0.000 | 0.000 | 0.000 | 19.891 | -0.000 | -0.000 |
| 0.000 | 0.000 | 0.000 | 0.000 | 19.891 | -0.000 |
| 0.000 | 0.000 | 0.000 | 0.000 | -0.000 | 19.891 |
| 459.831 | 131.660 | 131.660 | -0.000 | 0.000 | 0.000 |
| 131.660 | 459.831 | 131.660 | -0.000 | 0.000 | 0.000 |
| 131.660 | 131.660 | 459.831 | -0.000 | 0.000 | -0.000 |
| -0.000 | -0.000 | -0.000 | 19.891 | 0.000 | -0.000 |
| -0.000 | -0.000 | -0.000 | -0.000 | 19.891 | -0.000 |
| -0.000 | -0.000 | -0.000 | -0.000 | 0.000 | 19.891 |
| 459.831 | 131.660 | 131.660 | 0.000 | 0.000 | 0.000 |
| 131.660 | 459.831 | 131.660 | -0.000 | -0.000 | 0.000 |
| 131.660 | 131.660 | 459.831 | -0.000 | -0.000 | 0.000 |
| -0.000 | -0.000 | -0.000 | -16.642 | -0.000 | 0.000 |
| -0.000 | -0.000 | -0.000 | 0.000 | -16.642 | -0.000 |
| -0.000 | -0.000 | -0.000 | 0.000 | -0.000 | -16.642 |
| 460.356 | 131.398 | 131.398 | -0.000 | 0.000 | -0.000 |
| 131.398 | 460.356 | 131.398 | -0.000 | 0.000 | 0.000 |
| 131.398 | 131.398 | 460.356 | 0.000 | 0.000 | -0.000 |
| 0.000 | 0.000 | 0.000 | -16.642 | 0.000 | 0.000 |
| 0.000 | 0.000 | 0.000 | -0.000 | -16.642 | 0.000 |
| 0.000 | 0.000 | 0.000 | -0.000 | 0.000 | -16.642 |
| 460.357 | 131.398 | 131.398 | -0.000 | -0.000 | -0.000 |
| 131.398 | 460.357 | 131.398 | -0.000 | -0.000 | -0.000 |
| 131.398 | 131.398 | 460.357 | -0.000 | -0.000 | -0.000 |
| -0.000 | -0.001 | -0.001 | -16.642 | 0.000 | 0.000 |
| -0.001 | -0.000 | -0.001 | 0.000 | -16.642 | -0.000 |
| -0.001 | -0.001 | -0.000 | 0.000 | 0.000 | -16.642 |
| 459.830 | 131.660 | 131.660 | -0.000 | 0.000 | 0.000 |
| 131.660 | 459.830 | 131.660 | 0.000 | -0.000 | 0.000 |
| 131.660 | 131.660 | 459.830 | -0.000 | -0.000 | -0.000 |
| 0.000 | 0.001 | 0.001 | -16.642 | -0.000 | 0.000 |
| 0.001 | 0.000 | 0.001 | -0.000 | -16.642 | 0.000 |
| 0.001 | 0.001 | 0.000 | -0.000 | 0.000 | -16.642 |
| 405.833 | 343.384 | 343.384 | -0.000 | 0.000 | 0.000 |
| 343.384 | 405.833 | 343.384 | -0.000 | 0.000 | 0.000 |
| 343.384 | 343.384 | 405.833 | -0.000 | 0.000 | 0.000 |
| -0.000 | -0.000 | -0.000 | -75.213 | 0.000 | 0.000 |
| -0.000 | 0.000 | -0.000 | -0.000 | -75.213 | 0.000 |
| -0.000 | -0.000 | -0.000 | -0.000 | 0.000 | -75.213 |
| 352.576 | 370.012 | 370.012 | 0.000 | -0.000 | -0.000 |
| 370.012 | 352.576 | 370.012 | 0.000 | -0.000 | -0.000 |
| 370.012 | 370.012 | 352.576 | 0.000 | -0.000 | -0.000 |
| 0.000 | 0.000 | 0.000 | -75.213 | -0.000 | -0.000 |
| 0.000 | -0.000 | 0.000 | 0.000 | -75.213 | -0.000 |
| 0.000 | 0.000 | 0.000 | 0.000 | -0.000 | -75.213 |
| 405.832 | 343.383 | 343.383 | -0.000 | 0.000 | 0.000 |
| 343.383 | 405.832 | 343.383 | -0.000 | 0.000 | 0.000 |
| 343.383 | 343.383 | 405.832 | -0.000 | 0.000 | 0.000 |
| -0.000 | -0.000 | -0.000 | -75.213 | 0.000 | 0.000 |
| -0.000 | -0.000 | -0.000 | -0.000 | -75.213 | 0.000 |
| -0.000 | -0.000 | -0.000 | -0.000 | 0.000 | -75.213 |
| 405.834 | 343.385 | 343.385 | 0.000 | -0.000 | -0.000 |
| 343.385 | 405.834 | 343.385 | 0.000 | -0.000 | -0.000 |
| 343.385 | 343.385 | 405.834 | 0.000 | -0.000 | -0.000 |
| 0.000 | 0.000 | 0.000 | -75.213 | -0.000 | -0.000 |
| 0.000 | 0.000 | 0.000 | 0.000 | -75.213 | -0.000 |
| 0.000 | 0.000 | 0.000 | 0.000 | -0.000 | -75.213 |
| 352.562 | 370.001 | 370.001 | -0.000 | 0.000 | 0.000 |
| 370.001 | 352.562 | 370.001 | 0.000 | 0.000 | 0.000 |
| 370.001 | 370.001 | 352.562 | -0.000 | 0.000 | 0.000 |
| 129870.265 | -10418.945 | -10420.320 | -912076.214 | 0.000 | 0.000 |
| -10418.944 | 129870.263 | -10420.320 | -0.000 | -912076.208 | -0.000 |
| -10418.945 | -10420.320 | 129870.266 | -0.000 | -0.000 | -912076.215 |
| 352.590 | 370.024 | 370.024 | 0.000 | -0.000 | -0.000 |
| 370.024 | 352.590 | 370.024 | 0.000 | -0.000 | -0.000 |
| 370.024 | 370.024 | 352.590 | 0.000 | -0.000 | -0.000 |
| -129870.265 | 10418.945 | 10420.320 | -912076.213 | -0.000 | -0.000 |
| 10418.944 | -129870.263 | 10420.320 | 0.000 | -912076.207 | -0.000 |
| 10418.945 | 10420.320 | -129870.265 | 0.000 | 0.000 | -912076.214 |
| -20.378 | 43.227 | 43.227 | -0.000 | 0.000 | -0.000 |
| 43.227 | -20.378 | 43.227 | -0.000 | -0.000 | -0.000 |
| 43.227 | 43.227 | -20.378 | 0.000 | -0.000 | -0.000 |
| 0.000 | 0.000 | 0.000 | -59.066 | -0.000 | -0.000 |
| 0.000 | 0.000 | 0.000 | -0.000 | -59.066 | -0.000 |
| 0.000 | 0.000 | 0.000 | -0.000 | -0.000 | -59.066 |
| -20.378 | 43.227 | 43.227 | 0.000 | -0.000 | 0.000 |
| 43.227 | -20.378 | 43.227 | 0.000 | -0.000 | 0.000 |
| 43.227 | 43.227 | -20.378 | -0.000 | 0.000 | 0.000 |
| -0.000 | -0.000 | -0.000 | -59.066 | 0.000 | 0.000 |
| -0.000 | -0.000 | -0.000 | 0.000 | -59.066 | 0.000 |
| -0.000 | -0.000 | -0.000 | 0.000 | 0.000 | -59.066 |
| -20.378 | 43.227 | 43.227 | -0.000 | 0.000 | -0.000 |
| 43.227 | -20.378 | 43.227 | -0.000 | -0.000 | -0.000 |
| 43.227 | 43.227 | -20.378 | -0.000 | 0.000 | -0.000 |
| 0.000 | 0.000 | 0.000 | -59.066 | -0.000 | -0.000 |
| 0.000 | 0.000 | 0.000 | -0.000 | -59.066 | -0.000 |
| 0.000 | 0.000 | 0.000 | -0.000 | -0.000 | -59.066 |
| -20.378 | 43.227 | 43.227 | 0.000 | -0.000 | 0.000 |
| 43.227 | -20.378 | 43.227 | 0.000 | -0.000 | 0.000 |
| 43.227 | 43.227 | -20.378 | 0.000 | 0.000 | 0.000 |
| -0.000 | -0.000 | -0.000 | -59.066 | -0.000 | -0.000 |
| -0.000 | -0.000 | -0.000 | 0.000 | -59.066 | 0.000 |
| -0.000 | -0.000 | -0.000 | 0.000 | 0.000 | -59.066 |
| -20.377 | 43.228 | 43.228 | -0.000 | 0.000 | -0.000 |
| 43.228 | -20.377 | 43.228 | -0.000 | -0.000 | -0.000 |
| 43.228 | 43.228 | -20.377 | -0.000 | -0.000 | -0.000 |
| 0.004 | 0.003 | 0.003 | -59.066 | -0.000 | -0.000 |
| 0.003 | 0.004 | 0.003 | -0.000 | -59.066 | -0.000 |
| 0.003 | 0.003 | 0.004 | -0.000 | -0.000 | -59.066 |
| -17.559 | 41.817 | 41.817 | -0.000 | 0.000 | 0.000 |
| 41.817 | -17.559 | 41.817 | -0.000 | -0.000 | 0.000 |
| 41.817 | 41.817 | -17.559 | -0.000 | -0.000 | 0.000 |
| -0.004 | -0.003 | -0.003 | -59.066 | 0.000 | 0.000 |
| -0.003 | -0.004 | -0.003 | 0.000 | -59.066 | 0.000 |
| -0.003 | -0.003 | -0.004 | 0.000 | 0.000 | -59.066 |
| 196.979 | 86.632 | 86.632 | 0.000 | 0.000 | -0.000 |
| 86.632 | 196.979 | 86.632 | 0.000 | 0.000 | -0.000 |
| 86.632 | 86.632 | 196.979 | -0.000 | 0.000 | 0.000 |
| 0.000 | 0.000 | 0.000 | 81.855 | 0.000 | -0.000 |
| 0.000 | 0.000 | 0.000 | -0.000 | 81.855 | 0.000 |
| 0.000 | 0.000 | 0.000 | 0.000 | 0.000 | 81.855 |
| 196.979 | 86.632 | 86.632 | -0.000 | -0.000 | -0.000 |
| 86.632 | 196.979 | 86.632 | -0.000 | -0.000 | 0.000 |
| 90.677 | 90.677 | 188.888 | -0.000 | 0.000 | 0.000 |
| -0.000 | -0.000 | -0.000 | 81.855 | -0.000 | -0.000 |
| -0.000 | -0.000 | -0.000 | 0.000 | 81.855 | -0.000 |
| -0.000 | -0.000 | -0.000 | -0.000 | -0.000 | 81.855 |
| 202.612 | 83.815 | 83.815 | 0.000 | 0.000 | 0.000 |
| 83.815 | 202.612 | 83.815 | -0.000 | -0.000 | 0.000 |
| 83.815 | 83.815 | 202.612 | 0.000 | 0.000 | 0.000 |
| 0.000 | 0.000 | 0.000 | 81.855 | 0.000 | -0.000 |
| 0.000 | 0.000 | 0.000 | -0.000 | 81.855 | 0.000 |
| 0.000 | 0.000 | 0.000 | 0.000 | 0.000 | 81.855 |
| 196.979 | 86.632 | 86.632 | -0.000 | -0.000 | -0.000 |
| 86.632 | 196.979 | 86.632 | -0.000 | -0.000 | -0.000 |
| 86.632 | 86.632 | 196.979 | -0.000 | -0.000 | -0.000 |
| -0.000 | -0.000 | -0.000 | 81.855 | 0.000 | -0.000 |
| -0.000 | -0.000 | -0.000 | 0.000 | 81.855 | -0.000 |
| -0.000 | -0.000 | -0.000 | 0.000 | -0.000 | 81.855 |
| 7527091.800 | 6775305.271 | 6640396.407 | -19417.598 | -25791.384 | 2527.444 |
| 6628394.995 | 7517432.134 | 6733679.727 | 10994.937 | 21441.101 | -841.305 |
| 6900134.416 | 6778290.833 | 7463867.395 | -18816.258 | 8489.633 | 16542.232 |
| 0.000 | 0.001 | 0.001 | 81.855 | 0.000 | -0.000 |
| 0.001 | 0.000 | 0.001 | -0.000 | 81.855 | -0.000 |
| 0.001 | 0.001 | 0.000 | 0.000 | 0.000 | 81.855 |
| -6691273.255 | -7002599.663 | -6815505.069 | -9731.687 | -12518.515 | 12780.069 |
| -6792072.820 | -6650126.749 | -6865384.073 | 7025.492 | -11601.136 | 14957.804 |
| -6763726.486 | -6676238.052 | -6657079.224 | 17737.653 | -27305.270 | -572.994 |
| -0.000 | -0.001 | -0.001 | 81.855 | -0.000 | -0.000 |
| -0.001 | -0.000 | -0.001 | -0.000 | 81.855 | 0.000 |
| -0.001 | -0.001 | -0.000 | -0.000 | -0.000 | 81.855 |
| 21018807.358 | 166985277.395 | 142599174.431 | -494900.143 | 805251.875 | 369074.543 |
| 151240284.694 | 49146554.220 | 168000435.877 | 698683.552 | 102100.788 | 514092.030 |
| 169785273.033 | 153306291.049 | 47559406.831 | 390172.903 | 628815.968 | 108440.963 |
| 187931574.339 | -10278021.619 | -61423613.950 | 19871.618 | 364442.489 | -64840.463 |
| -61233265.058 | 186582468.003 | -9550627.195 | -31254.807 | 1941.346 | 282783.129 |
| -10104582.497 | -61661780.157 | 187202814.787 | 310638.235 | -91955.928 | 32679.275 |
| -129.547 | -21.762 | -21.762 | -0.000 | -0.000 | 0.000 |
| -21.762 | -129.547 | -21.762 | -0.000 | -0.000 | -0.000 |
| -21.762 | -21.762 | -129.547 | -0.000 | -0.000 | 0.000 |
| -187698153.186 | 9638871.317 | 60994248.775 | 84158.499 | -248785.478 | 59192.902 |
| 61138572.479 | -188502271.633 | 9718565.480 | 18998.514 | 34212.537 | -239877.261 |
| 9727607.491 | 61405507.612 | -186920308.344 | -269437.163 | 56022.925 | 85697.354 |
| -14526945.198 | -14526818.293 | -14526818.293 | 0.000 | -0.000 | 0.000 |
| -14526818.293 | -14526945.198 | -14526818.293 | 0.000 | -0.000 | 0.000 |
| -14526818.293 | -14526818.293 | -14526945.198 | 0.000 | 0.000 | 0.000 |
| 18715707.875 | -1027476.786 | -6015164.303 | -7108.302 | 19002.548 | -4276.486 |
| -6162490.147 | 18745420.233 | -902694.313 | -361.478 | 9718.863 | 28882.083 |
| -1006051.413 | -6024177.468 | 18720666.717 | 13395.936 | -6963.593 | -6655.924 |
| -129.547 | -21.762 | -21.762 | -0.000 | -0.000 | 0.000 |
| -21.762 | -129.547 | -21.762 | -0.000 | -0.000 | -0.000 |
| -21.762 | -21.762 | -129.547 | -0.000 | -0.000 | 0.000 |
| -18754279.798 | 999497.997 | 6082156.253 | 7388.394 | -29610.977 | -2553.262 |
| 6250204.169 | -18637795.253 | 1000423.213 | -1136.217 | -18043.884 | -29367.722 |
| 983940.085 | 6080794.428 | -18702302.918 | -19660.883 | -4209.109 | 7611.930 |
| 190945.771 | 1663455.125 | 1387358.123 | -364.407 | 7872.962 | -6438.853 |
| 1400053.713 | 80271.005 | 1659311.683 | 1379.286 | -889.996 | 2970.067 |
| 1668235.714 | 1443797.183 | 266637.038 | -1710.468 | -632.525 | 6370.038 |
| 1951250.289 | 710427.333 | 781412.453 | -7157.294 | 3777.475 | 3944.816 |
| -1062188.383 | 1849090.935 | 137202.800 | -109.299 | -238.714 | -169.338 |
| 848533.212 | 928843.458 | 1975201.918 | -1914.538 | 11826.312 | 3672.131 |
| -169.961 | -1.548 | -1.548 | 0.000 | -0.000 | 0.000 |
| -1.548 | -169.961 | -1.548 | 0.000 | -0.000 | 0.000 |
| -1.548 | -1.548 | -169.961 | -0.000 | -0.000 | 0.000 |
| -1948470.343 | -773315.418 | -840757.865 | 5577.396 | -3311.975 | 1722.909 |
| 1062829.295 | -1854021.807 | -135548.878 | -43.236 | 135.529 | 274.447 |
| -806069.722 | -867535.563 | -1964347.821 | -4327.771 | -1596.810 | 967.956 |
| -113.528 | -14.652 | -14.652 | 0.000 | 0.000 | 0.000 |
| -14.652 | -113.528 | -14.652 | 0.000 | 0.000 | 0.000 |
| -14.652 | -14.652 | -113.528 | 0.000 | 0.000 | 0.000 |
| 1171279.760 | -13516385.869 | -13516790.759 | -44405189.313 | -1.035 | -0.175 |
| -13516749.633 | 1171261.885 | -13516363.924 | -0.226 | -44405144.990 | -0.203 |
| -13516380.177 | -13516788.128 | 1171269.847 | -0.244 | -0.970 | -44405188.878 |
| -113.528 | -14.652 | -14.652 | -0.000 | -0.000 | -0.000 |
| -14.652 | -113.528 | -14.652 | -0.000 | -0.000 | -0.000 |
| -14.652 | -14.652 | -113.528 | -0.000 | -0.000 | -0.000 |
| -1171370.832 | 13516569.554 | 13516988.223 | -44405469.334 | 1.022 | 0.096 |
| 13516854.290 | -1171284.185 | 13516456.127 | 0.222 | -44405307.343 | 0.231 |
| 13516564.854 | 13516986.448 | -1171359.781 | 0.207 | 0.983 | -44405471.387 |
| -12304021.995 | 11608057.923 | 11608022.511 | -0.002 | -0.014 | -0.002 |
| 11608022.557 | -12304022.038 | 11608057.896 | -0.003 | -0.011 | -0.002 |
| 11608057.945 | 11608022.523 | -12304022.072 | -0.004 | -0.013 | -0.001 |
| 163465.904 | -1347363.215 | -1347365.254 | -4401909.391 | -0.010 | -0.002 |
| -1347365.355 | 163465.335 | -1347362.633 | -0.002 | -4401909.328 | -0.002 |
| -1347363.156 | -1347365.238 | 163465.750 | -0.002 | -0.010 | -4401909.421 |
| -3939705.256 | -337309.863 | -337356.861 | 0.002 | 0.008 | 0.001 |
| -337356.671 | -3939704.975 | -337309.574 | 0.001 | 0.010 | 0.001 |
| -337309.853 | -337356.832 | -3939705.233 | 0.002 | 0.010 | 0.001 |
| -163467.130 | 1347365.927 | 1347367.888 | -4401913.199 | 0.010 | 0.001 |
| 1347366.076 | -163465.945 | 1347363.628 | 0.002 | -4401910.418 | 0.002 |
| 1347365.902 | 1347367.888 | -163467.002 | 0.002 | 0.009 | -4401913.255 |
| -1230546.118 | 1160794.523 | 1160794.170 | -0.000 | -0.000 | -0.000 |
| 1160794.171 | -1230546.119 | 1160794.523 | -0.000 | -0.000 | -0.000 |
| 1160794.523 | 1160794.170 | -1230546.119 | -0.000 | -0.000 | -0.000 |
| 14397.315 | -134996.355 | -134996.095 | -441879.143 | -0.000 | -0.000 |
| -134996.387 | 14397.307 | -134996.048 | -0.000 | -441879.136 | -0.000 |
| -134996.354 | -134996.095 | 14397.314 | -0.000 | -0.000 | -441879.144 |
| -394077.012 | -33763.768 | -33764.238 | 0.000 | 0.000 | 0.000 |
| -33764.236 | -394077.009 | -33763.765 | 0.000 | 0.000 | 0.000 |
| -33763.768 | -33764.238 | -394077.012 | 0.000 | 0.000 | 0.000 |
| -14397.324 | 134996.373 | 134996.115 | -441879.171 | 0.000 | 0.000 |
| 134996.395 | -14397.314 | 134996.059 | 0.000 | -441879.148 | 0.000 |
| 134996.373 | 134996.115 | -14397.323 | 0.000 | 0.000 | -441879.171 |
| 10.788 | 0.000 | 0.000 | -0.000 | -0.000 | 0.000 |
| 0.000 | 10.788 | 0.000 | -0.000 | 0.000 | -0.000 |
| 0.000 | 0.000 | 10.788 | -0.000 | -0.000 | -0.000 |
| 0.000 | -0.000 | -0.000 | -0.000 | -0.000 | 0.000 |
| -0.000 | 0.000 | -0.000 | -0.000 | -0.000 | -0.000 |
| -0.000 | -0.000 | 0.000 | -0.000 | -0.000 | -0.000 |
| 10.788 | -0.000 | -0.000 | 0.000 | 0.000 | 0.000 |
| -0.000 | 10.788 | -0.000 | 0.000 | -0.000 | 0.000 |
| -0.000 | -0.000 | 10.788 | 0.000 | -0.000 | 0.000 |
| -0.000 | 0.000 | 0.000 | -0.000 | 0.000 | -0.000 |
| 0.000 | -0.000 | 0.000 | 0.000 | -0.000 | -0.000 |
| 0.000 | 0.000 | -0.000 | 0.000 | 0.000 | -0.000 |
| 10.789 | 0.000 | 0.000 | -0.000 | -0.000 | 0.000 |
| 0.000 | 10.789 | 0.000 | -0.000 | 0.000 | -0.000 |
| 0.000 | 0.000 | 10.789 | -0.000 | -0.000 | -0.000 |
| 0.000 | -0.000 | -0.000 | 0.000 | 0.000 | -0.000 |
| -0.000 | 0.000 | -0.000 | -0.000 | 0.000 | 0.000 |
| -0.000 | -0.000 | 0.000 | -0.000 | 0.000 | 0.000 |
| 10.788 | -0.000 | -0.000 | 0.000 | 0.000 | 0.000 |
| -0.000 | 10.788 | -0.000 | 0.000 | -0.000 | 0.000 |
| -0.000 | -0.000 | 10.788 | 0.000 | 0.000 | 0.000 |
| -0.000 | 0.000 | 0.000 | 0.000 | -0.000 | -0.000 |
| 0.000 | -0.000 | 0.000 | 0.000 | 0.000 | -0.000 |
| 0.000 | 0.000 | -0.000 | 0.000 | -0.000 | 0.000 |
| 10.791 | 0.000 | 0.000 | -0.000 | 0.000 | -0.000 |
| 0.000 | 10.791 | 0.000 | -0.000 | 0.000 | -0.000 |
| 0.000 | 0.000 | 10.791 | -0.000 | -0.000 | -0.000 |
| 0.000 | -0.000 | -0.000 | 0.000 | -0.000 | 0.000 |
| -0.000 | 0.000 | -0.000 | -0.000 | 0.000 | -0.000 |
| -0.000 | -0.000 | 0.000 | -0.000 | 0.000 | 0.000 |
| 10.786 | -0.000 | -0.000 | 0.000 | 0.000 | 0.000 |
| -0.000 | 10.786 | -0.000 | 0.000 | -0.000 | 0.000 |
| -0.000 | -0.000 | 10.786 | 0.000 | -0.000 | 0.000 |
| -0.000 | 0.000 | 0.000 | 0.000 | 0.000 | -0.000 |
| 0.000 | -0.000 | 0.000 | 0.000 | 0.000 | 0.000 |
| 0.000 | 0.000 | -0.000 | 0.000 | 0.000 | 0.000 |
| 206.422 | 221.730 | 221.730 | -0.000 | 0.000 | -0.000 |
| 221.730 | 206.422 | 221.730 | -0.000 | 0.000 | -0.000 |
| 221.730 | 221.730 | 206.422 | -0.000 | 0.000 | 0.000 |
| 0.000 | -0.000 | 0.000 | 167.020 | 0.000 | -0.000 |
| 0.000 | -0.000 | 0.000 | -0.000 | 167.020 | -0.000 |
| 0.000 | -0.000 | 0.000 | -0.000 | 0.000 | 167.020 |
| 206.422 | 221.730 | 221.730 | 0.000 | -0.000 | 0.000 |
| 221.730 | 206.422 | 221.730 | 0.000 | -0.000 | 0.000 |
| 221.730 | 221.730 | 206.422 | 0.000 | -0.000 | 0.000 |
| -0.000 | 0.000 | -0.000 | 167.020 | -0.000 | 0.000 |
| -0.000 | 0.000 | -0.000 | 0.000 | 167.020 | 0.000 |
| -0.000 | 0.000 | -0.000 | 0.000 | -0.000 | 167.020 |
| 206.422 | 221.730 | 221.730 | -0.000 | 0.000 | -0.000 |
| 221.730 | 206.422 | 221.730 | -0.000 | 0.000 | -0.000 |
| 221.730 | 221.730 | 206.422 | -0.000 | 0.000 | -0.000 |
| 0.000 | 0.000 | 0.000 | 167.339 | 0.000 | -0.000 |
| 0.000 | 0.000 | 0.000 | -0.000 | 167.339 | -0.000 |
| 0.000 | 0.000 | 0.000 | -0.000 | 0.000 | 167.339 |
| 206.422 | 221.730 | 221.730 | 0.000 | -0.000 | 0.000 |
| 221.730 | 206.422 | 221.730 | 0.000 | -0.000 | -0.000 |
| 221.730 | 221.730 | 206.422 | 0.000 | -0.000 | 0.000 |
| -0.000 | -0.000 | -0.000 | 167.339 | -0.000 | -0.000 |
| -0.000 | -0.000 | -0.000 | 0.000 | 167.339 | 0.000 |
| -0.000 | -0.000 | -0.000 | 0.000 | -0.000 | 167.339 |
| 206.421 | 221.731 | 221.731 | -0.000 | 0.000 | -0.000 |
| 221.731 | 206.421 | 221.731 | -0.000 | 0.000 | -0.000 |
| 221.731 | 221.731 | 206.421 | -0.000 | 0.000 | -0.000 |
| 0.001 | 0.001 | 0.001 | 167.020 | 0.000 | -0.000 |
| 0.001 | 0.001 | 0.001 | -0.000 | 167.020 | -0.000 |
| 0.001 | 0.001 | 0.001 | -0.000 | 0.000 | 167.020 |
| 206.423 | 221.730 | 221.730 | 0.000 | -0.000 | -0.000 |
| 221.730 | 206.423 | 221.730 | 0.000 | -0.000 | -0.000 |
| 221.730 | 221.730 | 206.423 | 0.000 | -0.000 | 0.000 |
| -0.001 | -0.001 | -0.001 | 167.020 | -0.000 | 0.000 |
| -0.001 | -0.001 | -0.001 | 0.000 | 167.020 | 0.000 |
| -0.001 | -0.001 | -0.001 | 0.000 | -0.000 | 167.020 |
| 3.445 | 3.445 | 3.445 | -0.000 | -0.000 | 0.000 |
| 3.445 | 3.445 | 3.445 | -0.000 | -0.000 | -0.000 |
| 3.445 | 3.445 | 3.445 | -0.000 | -0.000 | -0.000 |
| 0.000 | 0.000 | 0.000 | 3.080 | -0.000 | -0.000 |
| 0.000 | 0.000 | 0.000 | -0.000 | 3.080 | -0.000 |
| 0.000 | 0.000 | 0.000 | -0.000 | 0.000 | 3.080 |
| 3.445 | 3.445 | 3.445 | 0.000 | 0.000 | 0.000 |
| 3.445 | 3.445 | 3.445 | 0.000 | 0.000 | 0.000 |
| 3.445 | 3.445 | 3.445 | -0.000 | 0.000 | 0.000 |
| -0.000 | -0.000 | -0.000 | 3.080 | 0.000 | -0.000 |
| -0.000 | -0.000 | -0.000 | 0.000 | 3.080 | -0.000 |
| -0.000 | -0.000 | -0.000 | 0.000 | 0.000 | 3.080 |
| 3.445 | 3.445 | 3.445 | -0.000 | -0.000 | 0.000 |
| 3.445 | 3.445 | 3.445 | -0.000 | -0.000 | 0.000 |
| 3.445 | 3.445 | 3.445 | -0.000 | -0.000 | 0.000 |
| -0.000 | -0.000 | -0.000 | 3.443 | 0.000 | 0.000 |
| -0.000 | -0.000 | -0.000 | 0.000 | 3.443 | 0.000 |
| -0.000 | -0.000 | -0.000 | 0.000 | -0.000 | 3.443 |
| 3.445 | 3.445 | 3.445 | 0.000 | 0.000 | 0.000 |
| 3.445 | 3.445 | 3.445 | 0.000 | 0.000 | 0.000 |
| 3.445 | 3.445 | 3.445 | 0.000 | 0.000 | 0.000 |
| 0.000 | 0.000 | 0.000 | 3.443 | -0.000 | -0.000 |
| 0.000 | 0.000 | 0.000 | -0.000 | 3.443 | -0.000 |
| 0.000 | 0.000 | 0.000 | -0.000 | 0.000 | 3.443 |
| 3.445 | 3.445 | 3.445 | -0.000 | -0.000 | -0.000 |
| 3.445 | 3.445 | 3.445 | -0.000 | -0.000 | -0.000 |
| 3.445 | 3.445 | 3.445 | -0.000 | -0.000 | 0.000 |
| 0.000 | 0.000 | 0.000 | 2.854 | -0.000 | -0.000 |
| 0.000 | 0.000 | 0.000 | -0.000 | 2.854 | -0.000 |
| 0.000 | 0.000 | 0.000 | -0.000 | -0.000 | 2.854 |
| 3.445 | 3.445 | 3.445 | 0.000 | 0.000 | 0.000 |
| 3.445 | 3.445 | 3.445 | 0.000 | 0.000 | 0.000 |
| 3.445 | 3.445 | 3.445 | 0.000 | 0.000 | -0.000 |
| -0.000 | -0.000 | -0.000 | 2.854 | 0.000 | 0.000 |
| -0.000 | -0.000 | -0.000 | 0.000 | 2.854 | -0.000 |
| -0.000 | -0.000 | -0.000 | 0.000 | -0.000 | 2.854 |
| 171.613 | 140.853 | 140.853 | -0.000 | 0.000 | 0.000 |
| 140.853 | 171.613 | 140.853 | 0.000 | 0.000 | 0.000 |
| 140.853 | 140.853 | 171.613 | -0.000 | 0.000 | 0.000 |
| -0.000 | 0.000 | 0.000 | 81.227 | 0.000 | 0.000 |
| 0.000 | -0.000 | 0.000 | 0.000 | 81.227 | 0.000 |
| 0.000 | 0.000 | -0.000 | -0.000 | 0.000 | 81.227 |
| 171.613 | 140.853 | 140.853 | 0.000 | -0.000 | -0.000 |
| 140.853 | 171.613 | 140.853 | -0.000 | -0.000 | -0.000 |
| 140.853 | 140.853 | 171.613 | -0.000 | -0.000 | -0.000 |
| 0.000 | -0.000 | -0.000 | 81.227 | -0.000 | -0.000 |
| -0.000 | 0.000 | -0.000 | -0.000 | 81.227 | -0.000 |
| -0.000 | -0.000 | 0.000 | -0.000 | -0.000 | 81.227 |
| 171.613 | 140.853 | 140.853 | -0.000 | 0.000 | 0.000 |
| 140.853 | 171.613 | 140.853 | 0.000 | 0.000 | 0.000 |
| 140.853 | 140.853 | 171.613 | -0.000 | 0.000 | 0.000 |
| -0.000 | 0.000 | 0.000 | 81.227 | 0.000 | 0.000 |
| 0.000 | -0.000 | 0.000 | -0.000 | 81.227 | 0.000 |
| 0.000 | 0.000 | -0.000 | -0.000 | 0.000 | 81.227 |
| 171.612 | 140.853 | 140.853 | 0.000 | -0.000 | -0.000 |
| 140.853 | 171.612 | 140.853 | -0.000 | -0.000 | -0.000 |
| 140.853 | 140.853 | 171.612 | -0.000 | -0.000 | -0.000 |
| 0.000 | -0.000 | -0.000 | 81.227 | -0.000 | -0.000 |
| -0.000 | 0.000 | -0.000 | -0.000 | 81.227 | -0.000 |
| -0.000 | -0.000 | 0.000 | -0.000 | -0.000 | 81.227 |
| 171.616 | 140.853 | 140.853 | 0.000 | 0.000 | 0.000 |
| 140.853 | 171.616 | 140.853 | 0.000 | 0.000 | 0.000 |
| 140.853 | 140.853 | 171.616 | -0.000 | 0.000 | 0.000 |
| -0.000 | 0.000 | 0.001 | 81.227 | -0.000 | 0.000 |
| 0.000 | -0.000 | 0.001 | 0.000 | 81.227 | 0.000 |
| 0.000 | 0.001 | -0.000 | 0.000 | 0.000 | 81.227 |
| 171.609 | 140.852 | 140.852 | 0.000 | -0.000 | -0.000 |
| 140.852 | 171.609 | 140.852 | -0.000 | -0.000 | -0.000 |
| 140.852 | 140.852 | 171.609 | -0.000 | -0.000 | -0.000 |
| 0.000 | -0.000 | -0.001 | 81.227 | -0.000 | -0.000 |
| -0.000 | 0.000 | -0.001 | -0.000 | 81.227 | -0.000 |
| -0.000 | -0.001 | 0.000 | -0.000 | -0.000 | 81.227 |
| 300.945 | 302.425 | 302.425 | 0.000 | -0.000 | -0.000 |
| 302.425 | 300.945 | 302.425 | 0.000 | -0.000 | -0.000 |
| 302.425 | 302.425 | 300.945 | 0.000 | 0.000 | -0.000 |
| -0.000 | -0.000 | -0.000 | 0.771 | -0.000 | -0.000 |
| -0.000 | -0.000 | -0.000 | 0.000 | 0.771 | -0.000 |
| -0.000 | -0.000 | -0.000 | 0.000 | -0.000 | 0.771 |
| 300.945 | 302.425 | 302.425 | -0.000 | 0.000 | 0.000 |
| 302.425 | 300.945 | 302.425 | -0.000 | 0.000 | 0.000 |
| 302.425 | 302.425 | 300.945 | -0.000 | 0.000 | 0.000 |
| 0.000 | 0.000 | 0.000 | 0.771 | 0.000 | -0.000 |
| 0.000 | 0.000 | 0.000 | -0.000 | 0.771 | -0.000 |
| 0.000 | 0.000 | 0.000 | -0.000 | 0.000 | 0.771 |
| 300.944 | 302.424 | 302.424 | 0.000 | -0.000 | 0.000 |
| 302.424 | 300.944 | 302.424 | 0.000 | -0.000 | -0.000 |
| 302.424 | 302.424 | 300.944 | 0.000 | -0.000 | -0.000 |
| -0.000 | -0.000 | -0.000 | 0.771 | -0.000 | 0.000 |
| -0.000 | -0.000 | -0.000 | 0.000 | 0.771 | 0.000 |
| -0.000 | -0.000 | -0.000 | 0.000 | -0.000 | 0.771 |
| 300.946 | 302.426 | 302.426 | -0.000 | 0.000 | -0.000 |
| 302.426 | 300.946 | 302.426 | -0.000 | 0.000 | -0.000 |
| 302.426 | 302.426 | 300.946 | -0.000 | 0.000 | -0.000 |
| 0.000 | 0.000 | 0.000 | 0.771 | 0.000 | 0.000 |
| 0.000 | 0.000 | 0.000 | -0.000 | 0.771 | 0.000 |
| 0.000 | 0.000 | 0.000 | -0.000 | 0.000 | 0.771 |
| 300.932 | 302.414 | 302.414 | 0.000 | -0.000 | 0.000 |
| 302.414 | 300.932 | 302.414 | 0.000 | -0.000 | 0.000 |
| 302.414 | 302.414 | 300.932 | 0.000 | -0.000 | 0.000 |
| -0.000 | -0.001 | -0.001 | 0.771 | -0.000 | -0.000 |
| -0.001 | -0.000 | -0.001 | 0.000 | 0.771 | 0.000 |
| -0.001 | -0.001 | -0.000 | 0.000 | -0.000 | 0.771 |
| 300.958 | 302.436 | 302.436 | -0.000 | 0.000 | 0.000 |
| 302.436 | 300.958 | 302.436 | -0.000 | -0.000 | -0.000 |
| 302.436 | 302.436 | 300.958 | -0.000 | 0.000 | 0.000 |
| 0.000 | 0.001 | 0.001 | 0.771 | 0.000 | -0.000 |
| 0.001 | 0.000 | 0.001 | -0.000 | 0.771 | -0.000 |
| 0.001 | 0.001 | 0.000 | -0.000 | 0.000 | 0.771 |
| 79.527 | 46.487 | 46.487 | 0.000 | -0.000 | -0.000 |
| 46.487 | 79.527 | 46.487 | -0.000 | 0.000 | 0.000 |
| 46.487 | 46.487 | 79.527 | 0.000 | -0.000 | 0.000 |
| 0.000 | 0.000 | 0.000 | 45.998 | -0.000 | -0.000 |
| 0.000 | 0.000 | 0.000 | -0.000 | 45.998 | -0.000 |
| 0.000 | 0.000 | 0.000 | 0.000 | 0.000 | 45.998 |
| 79.527 | 46.487 | 46.487 | 0.000 | 0.000 | 0.000 |
| 46.487 | 79.527 | 46.487 | 0.000 | 0.000 | -0.000 |
| 46.487 | 46.487 | 79.527 | -0.000 | -0.000 | -0.000 |
| -0.000 | -0.000 | -0.000 | 45.998 | 0.000 | 0.000 |
| -0.000 | -0.000 | -0.000 | 0.000 | 45.998 | 0.000 |
| -0.000 | -0.000 | 0.000 | 0.000 | 0.000 | 45.998 |
| 79.527 | 46.487 | 46.487 | -0.000 | -0.000 | 0.000 |
| 46.487 | 79.527 | 46.487 | -0.000 | -0.000 | -0.000 |
| 46.487 | 46.487 | 79.527 | -0.000 | -0.000 | -0.000 |
| -0.000 | 0.000 | 0.000 | 45.998 | 0.000 | -0.000 |
| 0.000 | -0.000 | 0.000 | 0.000 | 45.998 | -0.000 |
| 0.000 | 0.000 | -0.000 | 0.000 | -0.000 | 45.998 |
| 79.526 | 46.487 | 46.487 | 0.000 | 0.000 | 0.000 |
| 46.487 | 79.526 | 46.487 | -0.000 | -0.000 | -0.000 |
| 46.487 | 46.487 | 79.526 | -0.000 | 0.000 | -0.000 |
| 0.000 | -0.000 | -0.000 | 45.998 | -0.000 | -0.000 |
| -0.000 | 0.000 | -0.000 | -0.000 | 45.998 | 0.000 |
| -0.000 | -0.000 | 0.000 | 0.000 | 0.000 | 45.998 |
| 79.532 | 46.488 | 46.488 | -0.000 | -0.000 | -0.000 |
| 46.488 | 79.532 | 46.488 | -0.000 | -0.000 | -0.000 |
| 46.488 | 46.488 | 79.532 | -0.000 | -0.000 | 0.000 |
| -0.000 | 0.001 | 0.001 | 45.998 | -0.000 | -0.000 |
| 0.001 | -0.000 | 0.001 | -0.000 | 45.998 | 0.000 |
| 0.001 | 0.001 | -0.000 | -0.000 | -0.000 | 45.998 |
| 79.522 | 46.486 | 46.486 | 0.000 | 0.000 | 0.000 |
| 46.486 | 79.522 | 46.486 | -0.000 | 0.000 | -0.000 |
| 46.486 | 46.486 | 79.522 | -0.000 | -0.000 | 0.000 |
| 0.000 | -0.001 | -0.001 | 45.998 | 0.000 | 0.000 |
| -0.001 | 0.000 | -0.001 | -0.000 | 45.998 | 0.000 |
| -0.001 | -0.001 | 0.000 | -0.000 | 0.000 | 45.998 |
| 8.432 | 4.210 | 4.210 | -0.000 | -0.000 | -0.000 |
| 4.210 | 8.432 | 4.210 | -0.000 | -0.000 | -0.000 |
| 4.210 | 4.210 | 8.432 | -0.000 | -0.000 | 0.000 |
| -0.000 | -0.000 | -0.000 | 4.213 | -0.000 | 0.000 |
| -0.000 | -0.000 | -0.000 | -0.000 | 4.213 | 0.000 |
| -0.000 | -0.000 | -0.000 | -0.000 | -0.000 | 4.213 |
| 8.432 | 4.210 | 4.210 | 0.000 | 0.000 | 0.000 |
| 4.210 | 8.432 | 4.210 | 0.000 | 0.000 | 0.000 |
| 4.210 | 4.210 | 8.432 | 0.000 | 0.000 | 0.000 |
| 0.000 | 0.000 | 0.000 | 4.213 | 0.000 | 0.000 |
| 0.000 | 0.000 | 0.000 | 0.000 | 4.213 | -0.000 |
| 0.000 | 0.000 | 0.000 | 0.000 | 0.000 | 4.213 |
| 8.432 | 4.210 | 4.210 | -0.000 | -0.000 | 0.000 |
| 4.210 | 8.432 | 4.210 | -0.000 | -0.000 | 0.000 |
| 4.210 | 4.210 | 8.432 | -0.000 | -0.000 | -0.000 |
| -0.000 | -0.000 | -0.000 | 4.213 | -0.000 | -0.000 |
| -0.000 | -0.000 | -0.000 | -0.000 | 4.213 | -0.000 |
| -0.000 | -0.000 | -0.000 | -0.000 | -0.000 | 4.213 |
| 8.432 | 4.210 | 4.210 | 0.000 | 0.000 | 0.000 |
| 4.210 | 8.432 | 4.210 | 0.000 | 0.000 | 0.000 |
| 4.210 | 4.210 | 8.432 | 0.000 | 0.000 | 0.000 |
| 0.000 | 0.000 | 0.000 | 4.213 | 0.000 | 0.000 |
| 0.000 | 0.000 | 0.000 | 0.000 | 4.213 | 0.000 |
| 0.000 | 0.000 | 0.000 | 0.000 | 0.000 | 4.213 |
| 8.432 | 4.210 | 4.210 | -0.000 | -0.000 | -0.000 |
| 4.210 | 8.432 | 4.210 | -0.000 | -0.000 | 0.000 |
| 4.210 | 4.210 | 8.432 | -0.000 | -0.000 | -0.000 |
| -0.000 | -0.000 | -0.000 | 4.213 | -0.000 | 0.000 |
| -0.000 | -0.000 | -0.000 | -0.000 | 4.213 | 0.000 |
| -0.000 | -0.000 | -0.000 | -0.000 | -0.000 | 4.213 |
| 8.432 | 4.210 | 4.210 | 0.000 | 0.000 | -0.000 |
| 4.210 | 8.432 | 4.210 | 0.000 | 0.000 | -0.000 |
| 4.210 | 4.210 | 8.432 | 0.000 | 0.000 | 0.000 |
| 0.000 | 0.000 | 0.000 | 4.213 | 0.000 | 0.000 |
| 0.000 | 0.000 | 0.000 | 0.000 | 4.213 | 0.000 |
| 0.000 | 0.000 | 0.000 | 0.000 | 0.000 | 4.213 |
| 328.822 | 38.755 | 197.288 | 0.000 | 0.000 | 0.000 |
| 38.755 | 328.822 | 197.288 | 0.000 | 0.000 | 0.000 |
| 197.288 | 197.288 | 174.883 | -0.000 | 0.000 | -0.000 |
| -0.000 | 0.000 | 0.000 | 136.028 | -0.000 | 0.000 |
| 0.000 | -0.000 | 0.000 | -0.000 | 136.028 | 0.000 |
| 0.000 | -0.000 | 0.000 | 0.000 | -0.000 | -11.304 |
| 328.821 | 38.755 | 197.288 | 0.000 | -0.000 | -0.000 |
| 38.755 | 328.821 | 197.288 | 0.000 | -0.000 | -0.000 |
| 197.288 | 197.288 | 174.883 | 0.000 | -0.000 | -0.000 |
| 0.000 | -0.000 | -0.000 | 136.028 | -0.000 | 0.000 |
| -0.000 | 0.000 | -0.000 | -0.000 | 136.028 | -0.000 |
| -0.000 | -0.000 | -0.000 | -0.000 | -0.000 | -11.304 |
| 328.822 | 38.755 | 197.288 | -0.000 | 0.000 | 0.000 |
| 38.755 | 328.822 | 197.288 | -0.000 | 0.000 | 0.000 |
| 197.288 | 197.288 | 174.883 | 0.000 | 0.000 | -0.000 |
| -0.000 | 0.000 | 0.000 | 136.028 | 0.000 | 0.000 |
| 0.000 | -0.000 | 0.000 | 0.000 | 136.028 | 0.000 |
| 0.000 | 0.000 | -0.000 | -0.000 | 0.000 | -11.304 |
| 328.821 | 38.755 | 197.288 | 0.000 | -0.000 | 0.000 |
| 38.755 | 328.821 | 197.288 | -0.000 | 0.000 | -0.000 |
| 197.288 | 197.288 | 174.883 | -0.000 | 0.000 | -0.000 |
| 0.000 | -0.000 | -0.000 | 136.028 | 0.000 | 0.000 |
| -0.000 | 0.000 | -0.000 | -0.000 | 136.028 | -0.000 |
| -0.000 | -0.000 | 0.000 | 0.000 | -0.000 | -11.304 |
| 328.744 | 38.734 | 197.279 | 0.000 | 0.000 | 0.000 |
| 38.734 | 328.744 | 197.279 | 0.000 | 0.000 | 0.000 |
| 197.288 | 197.288 | 174.883 | -0.000 | 0.000 | 0.000 |
| -0.000 | 0.002 | 0.001 | 136.028 | 0.000 | 0.000 |
| 0.002 | -0.000 | 0.001 | -0.000 | 136.028 | 0.000 |
| 0.000 | 0.000 | -0.000 | 0.000 | 0.000 | -11.304 |
| 328.818 | 38.756 | 197.287 | -0.000 | -0.000 | 0.000 |
| 38.756 | 328.818 | 197.287 | 0.000 | -0.000 | -0.000 |
| 197.288 | 197.288 | 174.882 | -0.000 | -0.000 | 0.000 |
| 0.000 | -0.002 | -0.001 | 136.028 | -0.000 | -0.000 |
| -0.002 | 0.000 | -0.001 | -0.000 | 136.028 | -0.000 |
| -0.000 | -0.000 | 0.000 | -0.000 | -0.000 | -11.304 |
| 336.822 | 49.735 | 170.400 | -0.000 | 0.000 | 0.000 |
| 49.735 | 336.822 | 170.400 | -0.000 | -0.000 | 0.000 |
| 170.400 | 170.400 | 245.681 | 0.000 | 0.000 | 0.000 |
| -0.000 | 0.000 | 0.000 | 103.816 | 0.000 | 0.000 |
| 0.000 | 0.000 | 0.000 | -0.000 | 103.816 | 0.000 |
| 0.000 | 0.000 | -0.000 | -0.000 | 0.000 | -22.818 |
| 336.822 | 49.735 | 170.400 | 0.000 | -0.000 | -0.000 |
| 49.735 | 336.822 | 170.400 | 0.000 | 0.000 | -0.000 |
| 170.400 | 170.400 | 245.681 | -0.000 | -0.000 | -0.000 |
| 0.000 | -0.000 | -0.000 | 103.816 | 0.000 | -0.000 |
| -0.000 | -0.000 | 0.000 | -0.000 | 103.816 | -0.000 |
| -0.000 | -0.000 | 0.000 | -0.000 | -0.000 | -22.818 |
| 336.823 | 49.734 | 170.400 | 0.000 | 0.000 | 0.000 |
| 49.734 | 336.823 | 170.400 | 0.000 | 0.000 | 0.000 |
| 170.400 | 170.400 | 245.681 | -0.000 | 0.000 | 0.000 |
| -0.000 | 0.000 | 0.000 | 103.816 | -0.000 | 0.000 |
| 0.000 | -0.000 | 0.000 | 0.000 | 103.816 | 0.000 |
| 0.000 | -0.000 | -0.000 | -0.000 | 0.000 | -22.818 |
| 336.822 | 49.735 | 170.399 | 0.000 | 0.000 | -0.000 |
| 49.735 | 336.822 | 170.399 | -0.000 | -0.000 | -0.000 |
| 170.400 | 170.400 | 245.680 | -0.000 | -0.000 | -0.000 |
| 0.000 | -0.000 | -0.000 | 103.816 | 0.000 | -0.000 |
| -0.000 | 0.000 | -0.000 | -0.000 | 103.816 | -0.000 |
| -0.000 | 0.000 | 0.000 | 0.000 | -0.000 | -22.818 |
| 336.828 | 49.734 | 170.402 | -0.000 | -0.000 | 0.000 |
| 49.734 | 336.828 | 170.402 | 0.000 | -0.000 | 0.000 |
| 170.401 | 170.401 | 245.682 | 0.000 | 0.000 | 0.000 |
| -0.000 | 0.002 | 0.001 | 103.816 | 0.000 | 0.000 |
| 0.002 | -0.000 | 0.001 | 0.000 | 103.816 | 0.000 |
| 0.000 | -0.000 | -0.000 | -0.000 | 0.000 | -22.818 |
| 336.817 | 49.735 | 170.397 | 0.000 | -0.000 | -0.000 |
| 49.735 | 336.817 | 170.397 | -0.000 | 0.000 | -0.000 |
| 170.399 | 170.399 | 245.679 | 0.000 | -0.000 | -0.000 |
| 0.000 | -0.002 | -0.001 | 103.816 | -0.000 | -0.000 |
| -0.002 | 0.000 | -0.001 | -0.000 | 103.816 | -0.000 |
| -0.000 | 0.000 | 0.000 | 0.000 | -0.000 | -22.818 |
| 168.941 | 182.352 | 182.352 | 0.000 | -0.000 | 0.000 |
| 182.352 | 168.941 | 182.352 | 0.000 | -0.000 | 0.000 |
| 182.352 | 182.352 | 168.941 | 0.000 | 0.000 | -0.000 |
| 0.000 | -0.000 | 0.000 | 141.264 | 0.000 | 0.000 |
| 0.000 | -0.000 | 0.000 | 0.000 | 141.264 | -0.000 |
| 0.000 | -0.000 | 0.000 | -0.000 | -0.000 | 141.264 |
| 168.941 | 182.352 | 182.352 | -0.000 | 0.000 | 0.000 |
| 182.352 | 168.941 | 182.352 | 0.000 | -0.000 | -0.000 |
| 182.352 | 182.352 | 168.941 | -0.000 | -0.000 | -0.000 |
| -0.000 | 0.000 | -0.000 | 141.264 | 0.000 | -0.000 |
| -0.000 | 0.000 | -0.000 | 0.000 | 141.264 | -0.000 |
| -0.000 | 0.000 | -0.000 | -0.000 | 0.000 | 141.264 |
| 168.941 | 182.352 | 182.352 | -0.000 | -0.000 | 0.000 |
| 182.352 | 168.941 | 182.352 | 0.000 | -0.000 | -0.000 |
| 182.352 | 182.352 | 168.941 | 0.000 | -0.000 | -0.000 |
| 0.000 | 0.000 | 0.000 | 141.264 | -0.000 | 0.000 |
| 0.000 | 0.000 | 0.000 | -0.000 | 141.264 | 0.000 |
| 0.000 | 0.000 | 0.000 | 0.000 | -0.000 | 141.264 |
| 168.941 | 182.352 | 182.352 | 0.000 | 0.000 | 0.000 |
| 182.352 | 168.941 | 182.352 | -0.000 | 0.000 | 0.000 |
| 182.352 | 182.352 | 168.941 | -0.000 | 0.000 | 0.000 |
| -0.000 | -0.000 | -0.000 | 141.264 | 0.000 | 0.000 |
| -0.000 | -0.000 | -0.000 | -0.000 | 141.264 | 0.000 |
| -0.000 | -0.000 | -0.000 | -0.000 | 0.000 | 141.264 |
| 168.943 | 182.353 | 182.353 | 0.000 | -0.000 | 0.000 |
| 182.353 | 168.943 | 182.353 | -0.000 | -0.000 | -0.000 |
| 182.353 | 182.353 | 168.943 | 0.000 | 0.000 | -0.000 |
| 0.001 | 0.001 | 0.001 | 141.264 | -0.000 | 0.000 |
| 0.001 | 0.001 | 0.001 | -0.000 | 141.264 | -0.000 |
| 0.001 | 0.001 | 0.001 | -0.000 | -0.000 | 141.264 |
| 168.939 | 182.352 | 182.352 | -0.000 | -0.000 | -0.000 |
| 182.352 | 168.939 | 182.352 | -0.000 | -0.000 | 0.000 |
| 182.352 | 182.352 | 168.939 | -0.000 | -0.000 | -0.000 |
| -0.001 | -0.001 | -0.001 | 141.264 | 0.000 | -0.000 |
| -0.001 | -0.001 | -0.001 | 0.000 | 141.264 | 0.000 |
| -0.001 | -0.001 | -0.001 | -0.000 | 0.000 | 141.264 |
| 105.344 | 170.972 | 170.972 | -0.000 | 0.000 | -0.000 |
| 170.972 | 105.344 | 170.972 | 0.000 | 0.000 | -0.000 |
| 170.972 | 170.972 | 105.344 | 0.000 | 0.000 | 0.000 |
| 0.000 | 0.000 | 0.000 | 146.220 | 0.000 | -0.000 |
| 0.000 | 0.000 | 0.000 | 0.000 | 146.220 | 0.000 |
| 0.000 | 0.000 | 0.000 | 0.000 | 0.000 | 146.220 |
| 105.344 | 170.972 | 170.972 | -0.000 | -0.000 | -0.000 |
| 170.972 | 105.344 | 170.972 | -0.000 | -0.000 | 0.000 |
| 170.972 | 170.972 | 105.344 | -0.000 | -0.000 | -0.000 |
| -0.000 | -0.000 | -0.000 | 146.220 | -0.000 | -0.000 |
| -0.000 | -0.000 | -0.000 | -0.000 | 146.220 | -0.000 |
| -0.000 | -0.000 | -0.000 | -0.000 | -0.000 | 146.220 |
| 105.344 | 170.972 | 170.972 | 0.000 | 0.000 | 0.000 |
| 170.972 | 105.344 | 170.972 | 0.000 | 0.000 | 0.000 |
| 170.972 | 170.972 | 105.344 | 0.000 | 0.000 | 0.000 |
| 0.000 | 0.000 | 0.000 | 146.599 | 0.000 | -0.000 |
| 0.000 | 0.000 | 0.000 | 0.000 | 146.599 | 0.000 |
| 0.000 | 0.000 | 0.000 | 0.000 | 0.000 | 146.599 |
| 105.344 | 170.972 | 170.972 | 0.000 | 0.000 | 0.000 |
| 170.972 | 105.344 | 170.972 | 0.000 | 0.000 | 0.000 |
| 170.972 | 170.972 | 105.344 | 0.000 | 0.000 | -0.000 |
| -0.000 | -0.000 | -0.000 | 146.599 | -0.000 | -0.000 |
| -0.000 | -0.000 | -0.000 | -0.000 | 146.599 | -0.000 |
| -0.000 | -0.000 | -0.000 | -0.000 | -0.000 | 146.599 |
| 105.344 | 170.972 | 170.972 | -0.000 | 0.000 | -0.000 |
| 170.972 | 105.344 | 170.972 | -0.000 | 0.000 | -0.000 |
| 170.972 | 170.972 | 105.344 | 0.000 | 0.000 | -0.000 |
| 0.001 | 0.000 | 0.001 | 146.220 | 0.000 | -0.000 |
| 0.000 | 0.001 | 0.001 | 0.000 | 146.220 | 0.000 |
| 0.000 | 0.001 | 0.001 | 0.000 | 0.000 | 146.220 |
| 105.344 | 170.972 | 170.972 | -0.000 | 0.000 | -0.000 |
| 170.972 | 105.344 | 170.972 | -0.000 | -0.000 | -0.000 |
| 170.972 | 170.972 | 105.344 | -0.000 | -0.000 | -0.000 |
| -0.001 | -0.000 | -0.001 | 146.220 | -0.000 | -0.000 |
| -0.000 | -0.001 | -0.001 | -0.000 | 146.220 | -0.000 |
| -0.000 | -0.001 | -0.001 | -0.000 | -0.000 | 146.220 |
| 131.989 | 8.009 | 8.009 | 0.000 | 0.000 | 0.000 |
| 8.009 | 131.989 | 8.009 | 0.000 | 0.000 | 0.000 |
| 8.009 | 8.009 | 131.989 | 0.000 | 0.000 | -0.000 |
| -0.000 | -0.000 | 0.000 | 7.293 | 0.000 | -0.000 |
| -0.000 | -0.000 | 0.000 | 0.000 | 7.293 | -0.000 |
| -0.000 | 0.000 | -0.000 | 0.000 | -0.000 | 7.293 |
| 131.989 | 8.009 | 8.009 | -0.000 | -0.000 | 0.000 |
| 8.009 | 131.989 | 8.009 | -0.000 | -0.000 | 0.000 |
| 8.009 | 8.009 | 131.989 | 0.000 | 0.000 | -0.000 |
| 0.000 | 0.000 | -0.000 | 7.293 | -0.000 | 0.000 |
| 0.000 | 0.000 | -0.000 | -0.000 | 7.293 | 0.000 |
| 0.000 | 0.000 | 0.000 | -0.000 | 0.000 | 7.293 |
| 131.988 | 8.009 | 8.009 | 0.000 | 0.000 | -0.000 |
| 8.009 | 131.988 | 8.009 | 0.000 | -0.000 | -0.000 |
| 8.009 | 8.009 | 131.988 | 0.000 | 0.000 | -0.000 |
| -0.000 | -0.000 | -0.000 | 7.293 | 0.000 | -0.000 |
| -0.000 | -0.000 | -0.000 | 0.000 | 7.293 | -0.000 |
| -0.000 | -0.000 | -0.000 | -0.000 | -0.000 | 7.293 |
| 131.989 | 8.009 | 8.009 | -0.000 | -0.000 | -0.000 |
| 8.009 | 131.989 | 8.009 | -0.000 | -0.000 | 0.000 |
| 8.009 | 8.009 | 131.989 | -0.000 | -0.000 | 0.000 |
| 0.000 | 0.000 | 0.000 | 7.293 | -0.000 | -0.000 |
| 0.000 | 0.000 | 0.000 | -0.000 | 7.293 | 0.000 |
| 0.000 | 0.000 | 0.000 | -0.000 | 0.000 | 7.293 |
| 131.986 | 8.009 | 8.009 | 0.000 | -0.000 | -0.000 |
| 8.009 | 131.986 | 8.009 | 0.000 | 0.000 | -0.000 |
| 8.009 | 8.009 | 131.986 | 0.000 | -0.000 | 0.000 |
| -0.001 | -0.000 | -0.000 | -4.054 | 0.000 | -0.000 |
| -0.000 | -0.001 | -0.000 | -0.000 | -4.054 | -0.000 |
| -0.000 | -0.000 | -0.001 | -0.000 | -0.000 | -4.054 |
| 131.991 | 8.009 | 8.009 | -0.000 | 0.000 | -0.000 |
| 8.009 | 131.991 | 8.009 | -0.000 | 0.000 | -0.000 |
| 8.009 | 8.009 | 131.991 | -0.000 | 0.000 | -0.000 |
| 0.001 | 0.000 | 0.000 | -4.054 | -0.000 | 0.000 |
| 0.000 | 0.001 | 0.000 | -0.000 | -4.054 | 0.000 |
| 0.000 | 0.000 | 0.001 | 0.000 | 0.000 | -4.054 |
| -84.627 | 4.402 | 4.402 | 0.000 | 0.000 | 0.000 |
| 4.402 | -84.627 | 4.402 | 0.000 | 0.000 | 0.000 |
| 4.402 | 4.402 | -84.627 | 0.000 | 0.000 | 0.000 |
| 0.000 | 0.000 | 0.000 | -5.030 | 0.000 | 0.000 |
| 0.000 | 0.000 | 0.000 | 0.000 | -5.030 | 0.000 |
| 0.000 | 0.000 | 0.000 | 0.000 | 0.000 | -5.030 |
| -84.627 | 4.402 | 4.402 | -0.000 | -0.000 | -0.000 |
| 4.402 | -84.627 | 4.402 | -0.000 | -0.000 | -0.000 |
| 4.402 | 4.402 | -84.627 | -0.000 | -0.000 | -0.000 |
| -0.000 | -0.000 | -0.000 | -5.030 | -0.000 | -0.000 |
| -0.000 | -0.000 | -0.000 | -0.000 | -5.030 | -0.000 |
| -0.000 | -0.000 | -0.000 | -0.000 | -0.000 | -5.030 |
| -84.627 | 4.402 | 4.402 | 0.000 | 0.000 | 0.000 |
| 4.402 | -84.627 | 4.402 | 0.000 | 0.000 | 0.000 |
| 4.402 | 4.402 | -84.627 | 0.000 | 0.000 | 0.000 |
| 0.000 | 0.000 | 0.000 | -5.030 | 0.000 | 0.000 |
| 0.000 | 0.000 | 0.000 | 0.000 | -5.030 | 0.000 |
| 0.000 | 0.000 | 0.000 | 0.000 | 0.000 | -5.030 |
| -84.626 | 4.402 | 4.402 | -0.000 | -0.000 | -0.000 |
| 4.402 | -84.626 | 4.402 | -0.000 | -0.000 | -0.000 |
| 4.402 | 4.402 | -84.626 | -0.000 | -0.000 | -0.000 |
| -0.000 | -0.000 | -0.000 | -5.030 | -0.000 | -0.000 |
| -0.000 | -0.000 | -0.000 | -0.000 | -5.030 | -0.000 |
| -0.000 | -0.000 | -0.000 | -0.000 | -0.000 | -5.030 |
| -84.627 | 4.402 | 4.402 | 0.000 | 0.000 | -0.000 |
| 4.402 | -84.627 | 4.402 | 0.000 | 0.000 | 0.000 |
| 4.402 | 4.402 | -84.627 | 0.000 | 0.000 | 0.000 |
| 995852.467 | 1042222.572 | 1007092.848 | -46173.549 | 778.868 | 471.832 |
| 1045986.732 | 1000081.606 | 1007827.297 | 905.402 | -48344.223 | 469.348 |
| 1045446.252 | 1019270.387 | 997293.555 | 834.959 | 327.734 | -49155.004 |
| -84.626 | 4.402 | 4.402 | -0.000 | -0.000 | -0.000 |
| 4.402 | -84.626 | 4.402 | -0.000 | -0.000 | -0.000 |
| 4.402 | 4.402 | -84.626 | -0.000 | -0.000 | -0.000 |
| -59810.288 | -108824.890 | -81676.799 | -17602.806 | -1854.264 | -7254.000 |
| -993211.990 | -990733.071 | -994189.404 | -101.663 | -39117.934 | -589.767 |
| -94800.247 | -68935.846 | -64837.001 | -7268.503 | -4649.747 | -21710.039 |
| 40.884 | 2.981 | 2.981 | -0.000 | -0.000 | 0.000 |
| 2.981 | 40.884 | 2.981 | -0.000 | -0.000 | 0.000 |
| 2.981 | 2.981 | 40.884 | -0.000 | -0.000 | 0.000 |
| 0.000 | 0.000 | 0.000 | 1.729 | -0.000 | 0.000 |
| 0.000 | 0.000 | 0.000 | -0.000 | 1.729 | 0.000 |
| 0.000 | 0.000 | 0.000 | -0.000 | 0.000 | 1.729 |
| 62125380.427 | -174025.897 | -174025.897 | -0.000 | -0.000 | -0.000 |
| -174025.897 | 62125380.427 | -174025.897 | -0.000 | -0.000 | -0.000 |
| -174025.897 | -174025.897 | 62125380.427 | -0.000 | -0.000 | -0.000 |
| -0.000 | -0.000 | -0.000 | 1.729 | 0.000 | 0.000 |
| -0.000 | -0.000 | -0.000 | 0.000 | 1.729 | -0.000 |
| -0.000 | -0.000 | -0.000 | 0.000 | -0.000 | 1.729 |
| 40.869 | 2.982 | 2.982 | -0.000 | 0.000 | 0.000 |
| 2.982 | 40.869 | 2.982 | 0.000 | -0.000 | 0.000 |
| 2.982 | 2.982 | 40.869 | 0.000 | 0.000 | 0.000 |
| 0.000 | 0.000 | 0.000 | 1.728 | 0.000 | -0.000 |
| 0.000 | 0.000 | 0.000 | 0.000 | 1.728 | 0.000 |
| 0.000 | 0.000 | 0.000 | 0.000 | 0.000 | 1.728 |
| 6212540.000 | -17400.070 | -17400.070 | -0.000 | -0.000 | -0.000 |
| -17400.070 | 6212540.000 | -17400.070 | -0.000 | -0.000 | -0.000 |
| -17400.070 | -17400.070 | 6212540.000 | -0.000 | -0.000 | -0.000 |
| -0.000 | -0.000 | -0.000 | 1.728 | -0.000 | -0.000 |
| -0.000 | -0.000 | -0.000 | -0.000 | 1.728 | -0.000 |
| -0.000 | -0.000 | -0.000 | -0.000 | -0.000 | 1.728 |
| 40.714 | 2.982 | 2.982 | -0.000 | 0.000 | 0.000 |
| 2.982 | 40.714 | 2.982 | 0.000 | -0.000 | 0.000 |
| 2.982 | 2.982 | 40.714 | 0.000 | 0.000 | 0.000 |
| 0.001 | 0.001 | 0.001 | 1.729 | 0.000 | 0.000 |
| 0.001 | 0.001 | 0.001 | 0.000 | 1.729 | 0.000 |
| 0.001 | 0.001 | 0.001 | 0.000 | 0.000 | 1.729 |
| 621255.956 | -1737.487 | -1737.487 | -0.000 | -0.000 | -0.000 |
| -1737.487 | 621255.956 | -1737.487 | -0.000 | -0.000 | -0.000 |
| -1737.487 | -1737.487 | 621255.956 | -0.000 | -0.000 | -0.000 |
| -0.001 | -0.001 | -0.001 | 1.729 | -0.000 | 0.000 |
| -0.001 | -0.001 | -0.001 | -0.000 | 1.729 | -0.000 |
| -0.001 | -0.001 | -0.001 | -0.000 | 0.000 | 1.729 |
| 40.884 | 2.981 | 2.981 | -0.000 | -0.000 | 0.000 |
| 2.981 | 40.884 | 2.981 | -0.000 | -0.000 | -0.000 |
| 2.981 | 2.981 | 40.884 | -0.000 | -0.000 | 0.000 |
| 0.000 | 0.000 | 0.000 | 1.729 | -0.000 | 0.000 |
| 0.000 | 0.000 | 0.000 | -0.000 | 1.729 | -0.000 |
| 0.000 | 0.000 | 0.000 | -0.000 | 0.000 | 1.729 |
| 62125380.427 | -174025.897 | -174025.897 | -0.000 | -0.000 | 0.000 |
| -174025.897 | 62125380.427 | -174025.897 | -0.000 | -0.000 | 0.000 |
| -174025.897 | -174025.897 | 62125380.427 | -0.000 | -0.000 | 0.000 |
| -0.000 | -0.000 | -0.000 | 1.729 | 0.000 | 0.000 |
| -0.000 | -0.000 | -0.000 | 0.000 | 1.729 | 0.000 |
| -0.000 | -0.000 | -0.000 | 0.000 | -0.000 | 1.729 |
| 40.869 | 2.982 | 2.982 | 0.000 | 0.000 | -0.000 |
| 2.982 | 40.869 | 2.982 | 0.000 | 0.000 | 0.000 |
| 2.982 | 2.982 | 40.869 | 0.000 | 0.000 | -0.000 |
| 0.000 | 0.000 | 0.000 | 1.728 | 0.000 | -0.000 |
| 0.000 | 0.000 | 0.000 | -0.000 | 1.728 | -0.000 |
| 0.000 | 0.000 | 0.000 | 0.000 | 0.000 | 1.728 |
| 6212540.000 | -17400.070 | -17400.070 | -0.000 | -0.000 | 0.000 |
| -17400.070 | 6212540.000 | -17400.070 | -0.000 | -0.000 | 0.000 |
| -17400.070 | -17400.070 | 6212540.000 | -0.000 | -0.000 | 0.000 |
| -0.000 | -0.000 | -0.000 | 1.728 | -0.000 | 0.000 |
| -0.000 | -0.000 | -0.000 | -0.000 | 1.728 | 0.000 |
| -0.000 | -0.000 | -0.000 | -0.000 | -0.000 | 1.728 |
| 40.714 | 2.982 | 2.982 | -0.000 | 0.000 | -0.000 |
| 2.982 | 40.714 | 2.982 | 0.000 | -0.000 | -0.000 |
| 2.982 | 2.982 | 40.714 | 0.000 | 0.000 | 0.000 |
| 0.001 | 0.001 | 0.001 | 1.729 | 0.000 | -0.000 |
| 0.001 | 0.001 | 0.001 | 0.000 | 1.729 | -0.000 |
| 0.001 | 0.001 | 0.001 | 0.000 | 0.000 | 1.729 |
| 621255.956 | -1737.487 | -1737.487 | -0.000 | -0.000 | 0.000 |
| -1737.487 | 621255.956 | -1737.487 | -0.000 | -0.000 | 0.000 |
| -1737.487 | -1737.487 | 621255.956 | -0.000 | -0.000 | 0.000 |
| -0.001 | -0.001 | -0.001 | 1.729 | -0.000 | -0.000 |
| -0.001 | -0.001 | -0.001 | -0.000 | 1.729 | 0.000 |
| -0.001 | -0.001 | -0.001 | -0.000 | 0.000 | 1.729 |
| 40.884 | 2.981 | 2.981 | 0.000 | -0.000 | -0.000 |
| 2.981 | 40.884 | 2.981 | 0.000 | 0.000 | -0.000 |
| 2.981 | 2.981 | 40.884 | 0.000 | -0.000 | -0.000 |
| 0.000 | 0.000 | 0.000 | 1.729 | -0.000 | 0.000 |
| 0.000 | 0.000 | 0.000 | -0.000 | 1.729 | 0.000 |
| 0.000 | 0.000 | 0.000 | -0.000 | 0.000 | 1.729 |
| 62125380.417 | -174025.897 | -174025.897 | 0.000 | -0.000 | 0.000 |
| -174025.897 | 62125380.417 | -174025.897 | 0.000 | -0.000 | 0.000 |
| -174025.897 | -174025.897 | 62125380.417 | 0.000 | 0.000 | -0.000 |
| -0.000 | -0.000 | -0.000 | 1.729 | -0.000 | 0.000 |
| -0.000 | -0.000 | -0.000 | 0.000 | 1.729 | -0.000 |
| -0.000 | -0.000 | -0.000 | -0.000 | -0.000 | 1.729 |
| 40.869 | 2.982 | 2.982 | -0.000 | 0.000 | -0.000 |
| 2.982 | 40.869 | 2.982 | 0.000 | -0.000 | 0.000 |
| 2.982 | 2.982 | 40.869 | 0.000 | 0.000 | -0.000 |
| 0.000 | 0.000 | 0.000 | 1.729 | -0.000 | 0.000 |
| 0.000 | 0.000 | 0.000 | -0.000 | 1.729 | 0.000 |
| 0.000 | 0.000 | 0.000 | -0.000 | 0.000 | 1.729 |
| 6212539.999 | -17400.070 | -17400.070 | -0.000 | -0.000 | -0.000 |
| -17400.070 | 6212539.999 | -17400.070 | -0.000 | -0.000 | 0.000 |
| -17400.070 | -17400.070 | 6212539.999 | 0.000 | 0.000 | 0.000 |
| -0.000 | -0.000 | -0.000 | 1.729 | 0.000 | 0.000 |
| -0.000 | -0.000 | -0.000 | 0.000 | 1.729 | -0.000 |
| -0.000 | -0.000 | -0.000 | 0.000 | -0.000 | 1.729 |
| 40.714 | 2.982 | 2.982 | -0.000 | -0.000 | -0.000 |
| 2.982 | 40.714 | 2.982 | -0.000 | -0.000 | 0.000 |
| 2.982 | 2.982 | 40.714 | 0.000 | 0.000 | -0.000 |
| 1740.288 | 1740.288 | -621253.782 | 2.354 | -0.000 | -0.000 |
| 1740.288 | 1740.288 | -621253.782 | -0.000 | 2.354 | 0.000 |
| 1740.288 | -621253.782 | 1740.288 | 0.000 | 0.000 | 2.354 |
| 621255.956 | -1737.487 | -1737.487 | 0.000 | 0.000 | 0.000 |
| -1737.487 | 621255.956 | -1737.487 | 0.000 | -0.000 | 0.000 |
| -1737.487 | -1737.487 | 621255.956 | 0.000 | 0.000 | 0.000 |
| -1740.288 | -1740.288 | 621253.782 | 2.354 | 0.000 | -0.000 |
| -1740.288 | -1740.288 | 621253.782 | 0.000 | 2.354 | -0.000 |
| -1740.288 | 621253.782 | -1740.288 | -0.000 | -0.000 | 2.354 |
| -0.014 | -0.014 | -0.014 | 0.000 | -0.000 | -0.000 |
| -0.014 | -0.014 | -0.014 | -0.000 | 0.000 | -0.000 |
| -0.014 | -0.014 | -0.014 | -0.000 | -0.000 | 0.000 |
| 0.000 | 0.000 | 0.000 | -0.014 | 0.000 | 0.000 |
| 0.000 | 0.000 | 0.000 | 0.000 | -0.014 | 0.000 |
| 0.000 | 0.000 | 0.000 | 0.000 | 0.000 | -0.014 |
| -0.014 | -0.014 | -0.014 | -0.000 | -0.000 | -0.000 |
| -0.014 | -0.014 | -0.014 | -0.000 | -0.000 | -0.000 |
| -0.014 | -0.014 | -0.014 | -0.000 | -0.000 | -0.000 |
| -0.000 | -0.000 | -0.000 | -0.014 | -0.000 | 0.000 |
| -0.000 | -0.000 | -0.000 | -0.000 | -0.014 | 0.000 |
| -0.000 | -0.000 | -0.000 | -0.000 | -0.000 | -0.014 |
| -0.014 | -0.014 | -0.014 | 0.000 | -0.000 | -0.000 |
| -0.014 | -0.014 | -0.014 | -0.000 | 0.000 | -0.000 |
| -0.014 | -0.014 | -0.014 | -0.000 | -0.000 | 0.000 |
| 0.000 | 0.000 | 0.000 | -0.014 | 0.000 | 0.000 |
| 0.000 | 0.000 | 0.000 | 0.000 | -0.014 | 0.000 |
| 0.000 | 0.000 | 0.000 | 0.000 | -0.000 | -0.014 |
| -0.014 | -0.014 | -0.014 | 0.000 | -0.000 | -0.000 |
| -0.014 | -0.014 | -0.014 | -0.000 | 0.000 | -0.000 |
| -0.014 | -0.014 | -0.014 | -0.000 | -0.000 | -0.000 |
| -0.000 | -0.000 | -0.000 | -0.014 | -0.000 | 0.000 |
| -0.000 | -0.000 | -0.000 | -0.000 | -0.014 | 0.000 |
| -0.000 | -0.000 | -0.000 | -0.000 | -0.000 | -0.014 |
| -0.014 | -0.014 | -0.014 | -0.000 | 0.000 | -0.000 |
| -0.014 | -0.014 | -0.014 | 0.000 | -0.000 | -0.000 |
| -0.014 | -0.014 | -0.014 | 0.000 | 0.000 | 0.000 |
| -0.003 | -0.003 | -0.003 | -0.011 | 0.000 | -0.000 |
| -0.003 | -0.003 | -0.003 | 0.000 | -0.011 | -0.000 |
| -0.003 | -0.003 | -0.003 | 0.000 | 0.000 | -0.011 |
| -0.008 | -0.008 | -0.008 | -0.000 | -0.000 | 0.000 |
| -0.008 | -0.008 | -0.008 | -0.000 | -0.000 | 0.000 |
| -0.008 | -0.008 | -0.008 | -0.000 | -0.000 | 0.000 |
| 0.003 | 0.003 | 0.003 | -0.011 | -0.000 | 0.000 |
| 0.003 | 0.003 | 0.003 | -0.000 | -0.011 | 0.000 |
| 0.003 | 0.003 | 0.003 | -0.000 | 0.000 | -0.011 |
| 0.807 | 0.926 | 0.926 | -0.000 | 0.000 | 0.000 |
| 0.926 | 0.807 | 0.926 | 0.000 | 0.000 | 0.000 |
| 0.926 | 0.926 | 0.807 | -0.000 | -0.000 | -0.000 |
| -0.000 | -0.000 | -0.000 | 0.807 | 0.000 | -0.000 |
| -0.000 | -0.000 | -0.000 | 0.000 | 0.807 | -0.000 |
| -0.000 | -0.000 | -0.000 | -0.000 | -0.000 | 0.807 |
| 0.807 | 0.926 | 0.926 | -0.000 | 0.000 | 0.000 |
| 0.926 | 0.807 | 0.926 | -0.000 | -0.000 | -0.000 |
| 0.926 | 0.926 | 0.807 | 0.000 | 0.000 | -0.000 |
| 0.000 | 0.000 | 0.000 | 0.807 | -0.000 | -0.000 |
| 0.000 | 0.000 | 0.000 | -0.000 | 0.807 | 0.000 |
| 0.000 | 0.000 | 0.000 | 0.000 | 0.000 | 0.807 |
| 0.806 | 0.925 | 0.925 | -0.000 | -0.000 | -0.000 |
| 0.925 | 0.806 | 0.925 | 0.000 | -0.000 | -0.000 |
| 0.925 | 0.925 | 0.806 | -0.000 | -0.000 | -0.000 |
| -0.000 | -0.000 | -0.000 | 0.807 | 0.000 | 0.000 |
| -0.000 | -0.000 | -0.000 | 0.000 | 0.807 | -0.000 |
| -0.000 | -0.000 | -0.000 | -0.000 | 0.000 | 0.807 |
| 0.807 | 0.926 | 0.926 | -0.000 | -0.000 | -0.000 |
| 0.926 | 0.807 | 0.926 | -0.000 | -0.000 | 0.000 |
| 0.926 | 0.926 | 0.807 | -0.000 | -0.000 | 0.000 |
| 0.000 | 0.000 | 0.000 | 0.807 | -0.000 | -0.000 |
| 0.000 | 0.000 | 0.000 | -0.000 | 0.807 | 0.000 |
| 0.000 | 0.000 | 0.000 | 0.000 | 0.000 | 0.807 |
| 0.805 | 0.924 | 0.924 | 0.000 | 0.000 | -0.000 |
| 0.924 | 0.805 | 0.924 | 0.000 | 0.000 | -0.000 |
| 0.924 | 0.924 | 0.805 | -0.000 | -0.000 | -0.000 |
| -0.002 | -0.002 | -0.002 | 0.790 | 0.000 | -0.000 |
| -0.002 | -0.002 | -0.002 | 0.000 | 0.790 | -0.000 |
| -0.002 | -0.002 | -0.002 | -0.000 | 0.000 | 0.790 |
| 0.809 | 0.928 | 0.928 | -0.000 | -0.000 | 0.000 |
| 0.928 | 0.809 | 0.928 | -0.000 | -0.000 | 0.000 |
| 0.928 | 0.928 | 0.809 | 0.000 | 0.000 | -0.000 |
| 0.002 | 0.002 | 0.002 | 0.790 | -0.000 | -0.000 |
| 0.002 | 0.002 | 0.002 | -0.000 | 0.790 | 0.000 |
| 0.002 | 0.002 | 0.002 | 0.000 | 0.000 | 0.790 |
| 805.409 | 15.116 | 15.116 | -0.000 | -0.000 | 0.000 |
| 15.116 | 805.409 | 15.116 | 0.000 | 0.000 | 0.000 |
| 15.116 | 15.116 | 805.409 | 0.000 | -0.000 | 0.000 |
| 0.000 | 0.000 | 0.000 | -11.157 | 0.000 | 0.000 |
| 0.000 | 0.000 | 0.000 | 0.000 | -11.157 | 0.000 |
| 0.000 | 0.000 | 0.000 | 0.000 | -0.000 | -11.157 |
| 805.409 | 15.116 | 15.116 | 0.000 | 0.000 | -0.000 |
| 15.116 | 805.409 | 15.116 | 0.000 | -0.000 | -0.000 |
| 15.116 | 15.116 | 805.409 | -0.000 | -0.000 | -0.000 |
| -0.000 | 0.000 | -0.000 | -11.158 | -0.000 | -0.000 |
| -0.000 | -0.000 | -0.000 | -0.000 | -11.158 | -0.000 |
| -0.000 | -0.000 | -0.000 | -0.000 | -0.000 | -11.158 |
| 805.409 | 15.116 | 15.116 | 0.000 | -0.000 | 0.000 |
| 15.116 | 805.409 | 15.116 | 0.000 | 0.000 | 0.000 |
| 15.116 | 15.116 | 805.409 | 0.000 | 0.000 | 0.000 |
| 0.000 | 0.000 | 0.000 | -11.157 | 0.000 | 0.000 |
| 0.000 | 0.000 | 0.000 | 0.000 | -11.157 | 0.000 |
| 0.000 | 0.000 | 0.000 | 0.000 | 0.000 | -11.157 |
| 805.408 | 15.116 | 15.116 | -0.000 | -0.000 | -0.000 |
| 15.116 | 805.408 | 15.116 | -0.000 | 0.000 | -0.000 |
| 15.116 | 15.116 | 805.408 | -0.000 | -0.000 | -0.000 |
| -0.000 | -0.000 | -0.000 | -11.157 | -0.000 | -0.000 |
| -0.000 | -0.000 | -0.000 | -0.000 | -11.157 | -0.000 |
| -0.000 | -0.000 | -0.000 | -0.000 | -0.000 | -11.158 |
| 805.414 | 15.117 | 15.117 | 0.000 | -0.000 | 0.000 |
| 15.117 | 805.414 | 15.117 | -0.000 | 0.000 | 0.000 |
| 15.117 | 15.117 | 805.414 | 0.000 | -0.000 | 0.000 |
| 0.000 | 0.001 | 0.000 | -11.157 | 0.000 | 0.000 |
| 0.001 | 0.000 | 0.000 | -0.000 | -11.157 | 0.000 |
| 0.001 | 0.000 | 0.000 | -0.000 | 0.000 | -11.157 |
| 805.404 | 15.115 | 15.115 | -0.000 | -0.000 | -0.000 |
| 15.115 | 805.404 | 15.115 | -0.000 | -0.000 | -0.000 |
| 15.115 | 15.115 | 805.404 | 0.000 | -0.000 | -0.000 |
| -0.000 | -0.001 | -0.000 | -11.157 | -0.000 | -0.000 |
| -0.001 | -0.000 | -0.000 | 0.000 | -11.157 | -0.000 |
| -0.001 | -0.000 | -0.000 | 0.000 | -0.000 | -11.157 |
| 1.722 | 0.049 | 0.049 | 0.000 | 0.000 | 0.000 |
| 0.049 | 1.722 | 0.049 | 0.000 | 0.000 | -0.000 |
| 0.049 | 0.049 | 1.722 | -0.000 | -0.000 | 0.000 |
| 0.000 | 0.000 | 0.000 | -0.043 | 0.000 | -0.000 |
| 0.000 | 0.000 | 0.000 | -0.000 | -0.043 | -0.000 |
| 0.000 | 0.000 | 0.000 | -0.000 | -0.000 | -0.043 |
| 1.722 | 0.049 | 0.049 | 0.000 | 0.000 | 0.000 |
| 0.049 | 1.722 | 0.049 | 0.000 | 0.000 | 0.000 |
| 0.049 | 0.049 | 1.722 | 0.000 | 0.000 | -0.000 |
| -0.000 | -0.000 | -0.000 | -0.043 | 0.000 | 0.000 |
| -0.000 | -0.000 | -0.000 | 0.000 | -0.043 | 0.000 |
| -0.000 | -0.000 | -0.000 | 0.000 | 0.000 | -0.043 |
| 1.721 | 0.049 | 0.049 | -0.000 | -0.000 | -0.000 |
| 0.049 | 1.721 | 0.049 | -0.000 | -0.000 | -0.000 |
| 0.049 | 0.049 | 1.721 | -0.000 | -0.000 | 0.000 |
| 0.000 | 0.000 | -0.000 | -0.043 | -0.000 | -0.000 |
| 0.000 | 0.000 | -0.000 | -0.000 | -0.043 | -0.000 |
| 0.000 | -0.000 | 0.000 | -0.000 | -0.000 | -0.043 |
| 1.723 | 0.049 | 0.049 | 0.000 | 0.000 | 0.000 |
| 0.049 | 1.723 | 0.049 | 0.000 | 0.000 | 0.000 |
| 0.049 | 0.049 | 1.723 | 0.000 | 0.000 | 0.000 |
| -0.000 | -0.000 | 0.000 | -0.043 | -0.000 | 0.000 |
| -0.000 | -0.000 | 0.000 | -0.000 | -0.043 | -0.000 |
| -0.000 | 0.000 | -0.000 | 0.000 | 0.000 | -0.043 |
| 1.710 | 0.049 | 0.049 | 0.000 | 0.000 | 0.000 |
| 0.049 | 1.710 | 0.049 | 0.000 | 0.000 | -0.000 |
| 0.049 | 0.049 | 1.710 | -0.000 | -0.000 | 0.000 |
| -0.000 | 0.000 | -0.000 | -0.043 | -0.000 | -0.000 |
| 0.000 | -0.000 | -0.000 | -0.000 | -0.043 | -0.000 |
| 0.000 | -0.000 | -0.000 | 0.000 | 0.000 | -0.043 |
| 1.734 | 0.049 | 0.049 | -0.000 | -0.000 | -0.000 |
| 0.049 | 1.734 | 0.049 | -0.000 | -0.000 | 0.000 |
| 0.049 | 0.049 | 1.734 | 0.000 | 0.000 | 0.000 |
| 0.000 | -0.000 | 0.000 | -0.043 | 0.000 | 0.000 |
| -0.000 | 0.000 | 0.000 | 0.000 | -0.043 | 0.000 |
| -0.000 | 0.000 | 0.000 | -0.000 | -0.000 | -0.043 |
| 48.167 | 157.335 | 157.335 | -0.000 | 0.000 | 0.000 |
| 157.335 | 48.167 | 157.335 | -0.000 | -0.000 | 0.000 |
| 157.335 | 157.335 | 48.167 | -0.000 | 0.000 | 0.000 |
| -0.000 | -0.000 | -0.000 | 78.185 | 0.000 | 0.000 |
| -0.000 | 0.000 | -0.000 | -0.000 | 78.185 | 0.000 |
| -0.000 | -0.000 | -0.000 | -0.000 | -0.000 | 78.185 |
| 48.167 | 157.335 | 157.335 | 0.000 | -0.000 | -0.000 |
| 157.335 | 48.167 | 157.335 | 0.000 | -0.000 | -0.000 |
| 157.335 | 157.335 | 48.167 | 0.000 | 0.000 | -0.000 |
| -0.000 | 0.000 | 0.000 | 78.185 | -0.000 | -0.000 |
| 0.000 | -0.000 | 0.000 | 0.000 | 78.185 | -0.000 |
| 0.000 | 0.000 | 0.000 | 0.000 | 0.000 | 78.185 |
| 48.167 | 157.335 | 157.335 | -0.000 | 0.000 | 0.000 |
| 157.335 | 48.167 | 157.335 | -0.000 | 0.000 | 0.000 |
| 157.335 | 157.335 | 48.167 | -0.000 | 0.000 | 0.000 |
| 0.000 | -0.000 | -0.000 | 78.185 | -0.000 | 0.000 |
| -0.000 | 0.000 | -0.000 | -0.000 | 78.185 | 0.000 |
| -0.000 | -0.000 | 0.000 | -0.000 | -0.000 | 78.185 |
| 48.167 | 157.335 | 157.335 | 0.000 | 0.000 | -0.000 |
| 157.335 | 48.167 | 157.335 | 0.000 | 0.000 | -0.000 |
| 157.335 | 157.335 | 48.167 | 0.000 | 0.000 | -0.000 |
| -0.000 | 0.000 | 0.000 | 78.185 | 0.000 | -0.000 |
| 0.000 | -0.000 | 0.000 | 0.000 | 78.185 | -0.000 |
| 0.000 | 0.000 | -0.000 | 0.000 | 0.000 | 78.185 |
| 48.166 | 157.334 | 157.334 | 0.000 | 0.000 | 0.000 |
| 157.334 | 48.166 | 157.334 | -0.000 | -0.000 | 0.000 |
| 157.334 | 157.334 | 48.166 | 0.000 | -0.000 | 0.000 |
| 0.000 | -0.000 | -0.000 | 78.185 | -0.000 | 0.000 |
| -0.000 | 0.000 | -0.000 | -0.000 | 78.185 | 0.000 |
| -0.000 | -0.000 | 0.000 | -0.000 | -0.000 | 78.185 |
| 48.168 | 157.336 | 157.336 | 0.000 | 0.000 | -0.000 |
| 157.336 | 48.168 | 157.336 | 0.000 | -0.000 | -0.000 |
| 157.336 | 157.336 | 48.168 | 0.000 | -0.000 | -0.000 |
| -0.000 | 0.000 | 0.000 | 78.185 | 0.000 | -0.000 |
| 0.000 | -0.000 | 0.000 | 0.000 | 78.185 | -0.000 |
| 0.000 | 0.000 | -0.000 | 0.000 | 0.000 | 78.185 |
| 0.959 | 1.106 | 1.106 | 0.000 | 0.000 | -0.000 |
| 1.106 | 0.959 | 1.106 | -0.000 | 0.000 | -0.000 |
| 1.106 | 1.106 | 0.959 | -0.000 | 0.000 | -0.000 |
| -0.000 | -0.000 | -0.000 | 0.939 | 0.000 | -0.000 |
| -0.000 | -0.000 | -0.000 | -0.000 | 0.939 | -0.000 |
| -0.000 | -0.000 | -0.000 | -0.000 | 0.000 | 0.939 |
| 0.959 | 1.106 | 1.106 | 0.000 | -0.000 | 0.000 |
| 1.106 | 0.959 | 1.106 | 0.000 | -0.000 | 0.000 |
| 1.106 | 1.106 | 0.959 | 0.000 | 0.000 | 0.000 |
| 0.000 | 0.000 | 0.000 | 0.939 | -0.000 | 0.000 |
| 0.000 | 0.000 | 0.000 | -0.000 | 0.939 | 0.000 |
| 0.000 | 0.000 | 0.000 | 0.000 | -0.000 | 0.939 |
| 0.958 | 1.105 | 1.105 | 0.000 | -0.000 | -0.000 |
| 1.105 | 0.958 | 1.105 | 0.000 | 0.000 | -0.000 |
| 1.105 | 1.105 | 0.958 | 0.000 | 0.000 | -0.000 |
| -0.000 | -0.000 | -0.000 | 0.939 | 0.000 | -0.000 |
| -0.000 | -0.000 | -0.000 | 0.000 | 0.939 | -0.000 |
| -0.000 | -0.000 | -0.000 | 0.000 | 0.000 | 0.939 |
| 0.959 | 1.106 | 1.106 | 0.000 | -0.000 | 0.000 |
| 1.106 | 0.959 | 1.106 | -0.000 | -0.000 | 0.000 |
| 1.106 | 1.106 | 0.959 | -0.000 | -0.000 | 0.000 |
| 0.000 | 0.000 | 0.000 | 0.939 | -0.000 | 0.000 |
| 0.000 | 0.000 | 0.000 | 0.000 | 0.939 | 0.000 |
| 0.000 | 0.000 | 0.000 | -0.000 | -0.000 | 0.939 |
| 0.956 | 1.103 | 1.103 | -0.000 | 0.000 | -0.000 |
| 1.103 | 0.956 | 1.103 | 0.000 | 0.000 | -0.000 |
| 1.103 | 1.103 | 0.956 | 0.000 | 0.000 | -0.000 |
| -0.002 | -0.002 | -0.002 | 0.939 | 0.000 | -0.000 |
| -0.002 | -0.002 | -0.002 | 0.000 | 0.939 | -0.000 |
| -0.002 | -0.002 | -0.002 | -0.000 | -0.000 | 0.939 |
| 0.961 | 1.108 | 1.108 | -0.000 | -0.000 | 0.000 |
| 1.108 | 0.961 | 1.108 | -0.000 | -0.000 | 0.000 |
| 1.108 | 1.108 | 0.961 | 0.000 | -0.000 | 0.000 |
| 0.002 | 0.002 | 0.002 | 0.939 | -0.000 | 0.000 |
| 0.002 | 0.002 | 0.002 | 0.000 | 0.939 | 0.000 |
| 0.002 | 0.002 | 0.002 | 0.000 | -0.000 | 0.939 |
| 53.056 | 89.353 | 89.353 | -0.000 | -0.000 | -0.000 |
| 89.353 | 53.056 | 89.353 | -0.000 | -0.000 | -0.000 |
| 89.353 | 89.353 | 53.056 | -0.000 | -0.000 | -0.000 |
| -1961690.553 | -20942600.996 | -20942600.569 | 21353505.412 | -0.000 | 0.000 |
| -20942600.996 | -1961690.553 | -20942600.569 | -0.000 | 21353505.412 | -0.000 |
| -20942600.996 | -20942600.569 | -1961690.553 | -0.000 | -0.000 | 21353505.412 |
| 87860503.483 | 87860548.773 | 87860548.773 | 0.000 | 0.000 | 0.000 |
| 87860548.773 | 87860503.483 | 87860548.773 | 0.000 | 0.000 | 0.000 |
| 87860548.773 | 87860548.773 | 87860503.483 | 0.000 | 0.000 | 0.000 |
| 1961690.553 | 20942600.996 | 20942600.569 | 21353505.412 | 0.000 | -0.000 |
| 20942600.996 | 1961690.553 | 20942600.569 | 0.000 | 21353505.412 | 0.000 |
| 20942600.996 | 20942600.569 | 1961690.553 | -0.000 | 0.000 | 21353505.412 |
| 53.051 | 89.350 | 89.350 | -0.000 | -0.000 | -0.000 |
| 89.350 | 53.051 | 89.350 | -0.000 | -0.000 | -0.000 |
| 89.350 | 89.350 | 53.051 | -0.000 | -0.000 | -0.000 |
| -196168.267 | -2094254.909 | -2094254.482 | 2135330.624 | -0.000 | -0.000 |
| -2094254.909 | -196168.267 | -2094254.482 | -0.000 | 2135330.624 | -0.000 |
| -2094254.909 | -2094254.482 | -196168.267 | -0.000 | -0.000 | 2135330.624 |
| 8786072.926 | 8786118.215 | 8786118.215 | 0.000 | 0.000 | 0.000 |
| 8786118.215 | 8786072.926 | 8786118.215 | 0.000 | 0.000 | 0.000 |
| 8786118.215 | 8786118.215 | 8786072.926 | 0.000 | 0.000 | 0.000 |
| 196168.267 | 2094254.909 | 2094254.482 | 2135330.624 | -0.000 | -0.000 |
| 2094254.909 | 196168.267 | 2094254.482 | -0.000 | 2135330.624 | -0.000 |
| 2094254.909 | 2094254.482 | 196168.267 | -0.000 | 0.000 | 2135330.624 |
| 53.000 | 89.322 | 89.322 | -0.000 | -0.000 | -0.000 |
| 89.322 | 53.000 | 89.322 | -0.000 | -0.000 | -0.000 |
| 89.322 | 89.322 | 53.000 | -0.000 | -0.000 | -0.000 |
| -19616.040 | -209420.310 | -209419.883 | 213513.181 | -0.000 | 0.000 |
| -209420.310 | -19616.040 | -209419.883 | -0.000 | 213513.181 | 0.000 |
| -209420.310 | -209419.883 | -19616.040 | -0.000 | -0.000 | 213513.181 |
| 878629.872 | 878675.160 | 878675.160 | 0.000 | 0.000 | 0.000 |
| 878675.160 | 878629.872 | 878675.160 | 0.000 | 0.000 | 0.000 |
| 878675.160 | 878675.160 | 878629.872 | 0.000 | 0.000 | 0.000 |
| 19616.040 | 209420.310 | 209419.883 | 213513.181 | 0.000 | 0.000 |
| 209420.310 | 19616.040 | 209419.883 | 0.000 | 213513.181 | -0.000 |
| 209420.310 | 209419.883 | 19616.040 | 0.000 | 0.000 | 213513.181 |
| 28.867 | 63.560 | 63.560 | -0.000 | -0.000 | -0.000 |
| 63.560 | 28.867 | 63.560 | -0.000 | -0.000 | -0.000 |
| 63.560 | 63.560 | 28.867 | -0.000 | -0.000 | -0.000 |
| 0.000 | -0.000 | 0.000 | 54.930 | -0.000 | 0.000 |
| 0.000 | -0.000 | 0.000 | -0.000 | 54.930 | 0.000 |
| 0.000 | -0.000 | 0.000 | -0.000 | 0.000 | 54.930 |
| 28.867 | 63.560 | 63.560 | 0.000 | 0.000 | 0.000 |
| 63.560 | 28.867 | 63.560 | 0.000 | 0.000 | 0.000 |
| 63.560 | 63.560 | 28.867 | 0.000 | 0.000 | 0.000 |
| -0.000 | -0.000 | -0.000 | 54.930 | -0.000 | -0.000 |
| -0.000 | -0.000 | -0.000 | -0.000 | 54.930 | -0.000 |
| 0.000 | -0.000 | -0.000 | -0.000 | -0.000 | 54.930 |
| 28.867 | 63.560 | 63.560 | -0.000 | -0.000 | -0.000 |
| 63.560 | 28.867 | 63.560 | -0.000 | -0.000 | -0.000 |
| 63.560 | 63.560 | 28.867 | -0.000 | -0.000 | -0.000 |
| 0.000 | 0.000 | 0.000 | 54.930 | 0.000 | 0.000 |
| 0.000 | 0.000 | 0.000 | -0.000 | 54.930 | 0.000 |
| 0.000 | 0.000 | 0.000 | 0.000 | 0.000 | 54.930 |
| 28.866 | 63.560 | 63.560 | 0.000 | 0.000 | 0.000 |
| 63.560 | 28.866 | 63.560 | 0.000 | 0.000 | 0.000 |
| 63.560 | 63.560 | 28.866 | 0.000 | 0.000 | 0.000 |
| -0.000 | -0.000 | -0.000 | 54.930 | -0.000 | -0.000 |
| -0.000 | -0.000 | -0.000 | -0.000 | 54.930 | -0.000 |
| -0.000 | -0.000 | -0.000 | -0.000 | -0.000 | 54.930 |
| 28.868 | 63.560 | 63.560 | -0.000 | -0.000 | -0.000 |
| 63.560 | 28.868 | 63.560 | -0.000 | -0.000 | -0.000 |
| 63.560 | 63.560 | 28.868 | -0.000 | -0.000 | -0.000 |
| 0.000 | 0.000 | 0.000 | -34.665 | -0.000 | -0.000 |
| 0.000 | 0.000 | 0.000 | -0.000 | -34.665 | -0.000 |
| 0.000 | 0.000 | 0.000 | -0.000 | -0.000 | -34.665 |
| 28.865 | 63.559 | 63.559 | 0.000 | 0.000 | 0.000 |
| 63.559 | 28.865 | 63.559 | 0.000 | 0.000 | 0.000 |
| 63.559 | 63.559 | 28.865 | 0.000 | 0.000 | 0.000 |
| -0.000 | -0.000 | -0.000 | -34.665 | 0.000 | 0.000 |
| -0.000 | -0.000 | -0.000 | 0.000 | -34.665 | 0.000 |
| -0.000 | -0.000 | -0.000 | 0.000 | 0.000 | -34.665 |
| 0.237 | 0.274 | 0.274 | -0.000 | -0.000 | -0.000 |
| 0.274 | 0.237 | 0.274 | -0.000 | -0.000 | -0.000 |
| 0.274 | 0.274 | 0.237 | 0.000 | 0.000 | 0.000 |
| -0.000 | -0.000 | -0.000 | 0.191 | -0.000 | -0.000 |
| -0.000 | -0.000 | -0.000 | 0.000 | 0.191 | -0.000 |
| -0.000 | -0.000 | -0.000 | -0.000 | 0.000 | 0.191 |
| 0.237 | 0.274 | 0.274 | -0.000 | 0.000 | 0.000 |
| 0.274 | 0.237 | 0.274 | 0.000 | -0.000 | 0.000 |
| 0.274 | 0.274 | 0.237 | 0.000 | 0.000 | -0.000 |
| 0.000 | 0.000 | 0.000 | 0.191 | 0.000 | 0.000 |
| 0.000 | 0.000 | 0.000 | 0.000 | 0.191 | 0.000 |
| 0.000 | 0.000 | 0.000 | 0.000 | 0.000 | 0.191 |
| 0.237 | 0.274 | 0.274 | 0.000 | 0.000 | -0.000 |
| 0.274 | 0.237 | 0.274 | 0.000 | 0.000 | -0.000 |
| 0.274 | 0.274 | 0.237 | 0.000 | 0.000 | 0.000 |
| -0.000 | -0.000 | -0.000 | 0.056 | -0.000 | -0.000 |
| -0.000 | -0.000 | -0.000 | -0.000 | 0.056 | -0.000 |
| -0.000 | -0.000 | -0.000 | -0.000 | -0.000 | 0.056 |
| 0.237 | 0.274 | 0.274 | -0.000 | 0.000 | 0.000 |
| 0.274 | 0.237 | 0.274 | -0.000 | -0.000 | 0.000 |
| 0.274 | 0.274 | 0.237 | -0.000 | -0.000 | -0.000 |
| 0.000 | 0.000 | 0.000 | 0.056 | 0.000 | 0.000 |
| 0.000 | 0.000 | 0.000 | 0.000 | 0.056 | 0.000 |
| 0.000 | 0.000 | 0.000 | 0.000 | 0.000 | 0.056 |
| 0.237 | 0.274 | 0.274 | -0.000 | -0.000 | -0.000 |
| 0.274 | 0.237 | 0.274 | -0.000 | -0.000 | -0.000 |
| 0.274 | 0.274 | 0.237 | 0.000 | -0.000 | -0.000 |
| -0.000 | -0.000 | -0.000 | -0.029 | -0.000 | -0.000 |
| -0.000 | -0.000 | -0.000 | -0.000 | -0.029 | -0.000 |
| -0.000 | -0.000 | -0.000 | -0.000 | -0.000 | -0.029 |
| 0.238 | 0.275 | 0.275 | 0.000 | 0.000 | 0.000 |
| 0.275 | 0.238 | 0.275 | -0.000 | -0.000 | 0.000 |
| 0.275 | 0.275 | 0.238 | -0.000 | -0.000 | 0.000 |
| 0.000 | 0.000 | 0.000 | -0.029 | 0.000 | 0.000 |
| 0.000 | 0.000 | 0.000 | 0.000 | -0.029 | 0.000 |
| 0.000 | 0.000 | 0.000 | 0.000 | 0.000 | -0.029 |
| 339.393 | 74.236 | 170.874 | -0.000 | -0.000 | -0.000 |
| 74.236 | 339.393 | 170.874 | -0.000 | -0.000 | 0.000 |
| 170.874 | 170.874 | 249.967 | -0.000 | -0.000 | -0.000 |
| -0.000 | -0.000 | 0.000 | 132.808 | -0.000 | 0.000 |
| -0.000 | -0.000 | -0.000 | 0.000 | 132.808 | -0.000 |
| -0.000 | -0.000 | 0.000 | 0.000 | -0.000 | 39.631 |
| 339.393 | 74.236 | 170.874 | -0.000 | 0.000 | 0.000 |
| 74.236 | 339.393 | 170.874 | 0.000 | 0.000 | -0.000 |
| 170.874 | 170.874 | 249.967 | 0.000 | 0.000 | 0.000 |
| 0.000 | 0.000 | 0.000 | 132.808 | 0.000 | -0.000 |
| 0.000 | 0.000 | 0.000 | 0.000 | 132.808 | 0.000 |
| 0.000 | 0.000 | -0.000 | -0.000 | 0.000 | 39.631 |
| 339.393 | 74.236 | 170.874 | -0.000 | -0.000 | -0.000 |
| 74.236 | 339.393 | 170.874 | -0.000 | -0.000 | 0.000 |
| 170.874 | 170.874 | 249.966 | -0.000 | -0.000 | -0.000 |
| -0.000 | -0.000 | -0.000 | 132.808 | -0.000 | 0.000 |
| -0.000 | -0.000 | -0.000 | -0.000 | 132.808 | -0.000 |
| -0.000 | -0.000 | -0.000 | -0.000 | -0.000 | 39.631 |
| 339.393 | 74.236 | 170.874 | 0.000 | 0.000 | 0.000 |
| 74.236 | 339.393 | 170.874 | -0.000 | 0.000 | 0.000 |
| 170.874 | 170.874 | 249.967 | 0.000 | 0.000 | 0.000 |
| 0.000 | 0.000 | 0.000 | 132.808 | 0.000 | 0.000 |
| 0.000 | 0.000 | 0.000 | -0.000 | 132.808 | 0.000 |
| 0.000 | 0.000 | 0.000 | 0.000 | 0.000 | 39.631 |
| 339.392 | 74.235 | 170.874 | -0.000 | -0.000 | 0.000 |
| 74.235 | 339.392 | 170.874 | -0.000 | -0.000 | -0.000 |
| 170.874 | 170.874 | 249.963 | -0.000 | 0.000 | 0.000 |
| -0.000 | -0.000 | -0.000 | 132.808 | -0.000 | 0.000 |
| -0.000 | -0.000 | -0.000 | -0.000 | 132.808 | -0.000 |
| -0.001 | -0.001 | -0.000 | -0.000 | -0.000 | 39.631 |
| 339.395 | 74.237 | 170.874 | 0.000 | 0.000 | 0.000 |
| 74.237 | 339.395 | 170.874 | 0.000 | 0.000 | -0.000 |
| 170.874 | 170.874 | 249.970 | 0.000 | 0.000 | 0.000 |
| 0.000 | 0.000 | 0.000 | 132.808 | 0.000 | 0.000 |
| 0.000 | 0.000 | 0.000 | 0.000 | 132.808 | 0.000 |
| 0.001 | 0.001 | 0.000 | -0.000 | 0.000 | 39.631 |
| 0.963 | 1.087 | 1.872 | -0.000 | 0.000 | 0.000 |
| 1.087 | 0.963 | 1.872 | -0.000 | -0.000 | 0.000 |
| 1.827 | 1.827 | 2.930 | -0.000 | 0.000 | 0.000 |
| -0.000 | -0.000 | -0.000 | 1.635 | -0.000 | 0.000 |
| -0.000 | -0.000 | -0.000 | -0.000 | 1.635 | 0.000 |
| -0.000 | -0.000 | -0.000 | -0.000 | 0.000 | 0.950 |
| 0.963 | 1.087 | 1.872 | 0.000 | -0.000 | -0.000 |
| 1.087 | 0.963 | 1.872 | 0.000 | -0.000 | -0.000 |
| 1.827 | 1.827 | 2.930 | 0.000 | -0.000 | -0.000 |
| 0.000 | 0.000 | 0.000 | 1.635 | 0.000 | 0.000 |
| 0.000 | 0.000 | 0.000 | 0.000 | 1.635 | 0.000 |
| 0.000 | 0.000 | 0.000 | 0.000 | -0.000 | 0.950 |
| 0.963 | 1.087 | 1.871 | -0.000 | -0.000 | 0.000 |
| 1.087 | 0.963 | 1.871 | -0.000 | -0.000 | 0.000 |
| 1.826 | 1.826 | 2.929 | -0.000 | 0.000 | 0.000 |
| -0.000 | -0.000 | -0.000 | 1.635 | -0.000 | -0.000 |
| -0.000 | -0.000 | -0.000 | -0.000 | 1.635 | 0.000 |
| -0.000 | -0.000 | -0.000 | -0.000 | -0.000 | 0.950 |
| 0.963 | 1.088 | 1.872 | 0.000 | 0.000 | -0.000 |
| 1.088 | 0.963 | 1.872 | 0.000 | 0.000 | -0.000 |
| 1.827 | 1.827 | 2.930 | 0.000 | -0.000 | -0.000 |
| 0.000 | 0.000 | 0.000 | 1.635 | 0.000 | 0.000 |
| 0.000 | 0.000 | 0.000 | 0.000 | 1.635 | -0.000 |
| 0.000 | 0.000 | 0.000 | 0.000 | 0.000 | 0.950 |
| 0.962 | 1.086 | 1.869 | -0.000 | -0.000 | 0.000 |
| 1.086 | 0.962 | 1.869 | -0.000 | -0.000 | 0.000 |
| 1.823 | 1.823 | 2.923 | -0.000 | 0.000 | 0.000 |
| -0.002 | -0.002 | -0.004 | 1.635 | 0.000 | 0.000 |
| -0.002 | -0.002 | -0.004 | -0.000 | 1.635 | 0.000 |
| -0.001 | -0.001 | -0.002 | -0.000 | 0.000 | 0.950 |
| 0.964 | 1.089 | 1.874 | 0.000 | -0.000 | -0.000 |
| 1.089 | 0.964 | 1.874 | 0.000 | -0.000 | -0.000 |
| 1.830 | 1.830 | 2.936 | 0.000 | 0.000 | -0.000 |
| 0.002 | 0.002 | 0.004 | 1.635 | 0.000 | -0.000 |
| 0.002 | 0.002 | 0.004 | 0.000 | 1.635 | -0.000 |
| 0.001 | 0.001 | 0.002 | 0.000 | -0.000 | 0.950 |
| 429.747 | 164.287 | 174.050 | 0.000 | 0.000 | 0.000 |
| 161.315 | 314.312 | 24.697 | 0.000 | 0.000 | 0.000 |
| 171.176 | 24.794 | 344.809 | 0.000 | -0.000 | 0.000 |
| -170002746.885 | -27127869.151 | -27246050.373 | 28131336.610 | 0.000 | -0.000 |
| -170002727.748 | -27127865.041 | -27246046.874 | 0.000 | 69213638.784 | 0.000 |
| -170002727.688 | -27127865.031 | -27246046.863 | 0.000 | -0.000 | 69338723.126 |
| 340043008.265 | 54261941.585 | 54498314.122 | -0.000 | -0.000 | 0.000 |
| 340042874.691 | 54262117.194 | 54498188.943 | -0.000 | -0.000 | -0.000 |
| 340042884.960 | 54261826.675 | 54498510.201 | -0.000 | -0.000 | -0.000 |
| 170002746.885 | 27127869.151 | 27246050.373 | 28131336.610 | -0.000 | -0.000 |
| 170002727.748 | 27127865.041 | 27246046.874 | -0.000 | 69213638.784 | -0.000 |
| 170002727.688 | 27127865.031 | 27246046.863 | -0.000 | 0.000 | 69338723.126 |
| 429.698 | 164.279 | 174.042 | 0.000 | 0.000 | 0.000 |
| 161.314 | 314.312 | 24.697 | 0.000 | 0.000 | 0.000 |
| 171.174 | 24.794 | 344.809 | 0.000 | -0.000 | 0.000 |
| -17000262.042 | -2712785.235 | -2724602.881 | 2813057.855 | 0.000 | -0.000 |
| -17000242.909 | -2712781.126 | -2724599.383 | 0.000 | 6921449.848 | 0.000 |
| -17000242.849 | -2712781.115 | -2724599.372 | 0.000 | 0.000 | 6933952.861 |
| 34004536.526 | 5426314.889 | 5449961.295 | -0.000 | -0.000 | -0.000 |
| 34004402.952 | 5426490.498 | 5449836.117 | -0.000 | -0.000 | -0.000 |
| 34004413.221 | 5426199.980 | 5450157.374 | -0.000 | -0.000 | -0.000 |
| 17000262.042 | 2712785.235 | 2724602.881 | 2813057.855 | -0.000 | -0.000 |
| 17000242.909 | 2712781.126 | 2724599.383 | -0.000 | 6921449.848 | -0.000 |
| 17000242.849 | 2712781.115 | 2724599.372 | -0.000 | -0.000 | 6933952.861 |
| 429.207 | 164.198 | 173.962 | 0.000 | 0.000 | -0.000 |
| 161.302 | 314.312 | 24.695 | 0.000 | 0.000 | 0.000 |
| 171.162 | 24.792 | 344.810 | 0.000 | -0.000 | 0.000 |
| -1700013.565 | -271276.845 | -272458.133 | 281229.978 | 0.000 | 0.000 |
| -1699994.465 | -271272.741 | -272454.639 | 0.000 | 692230.939 | 0.000 |
| -1699994.405 | -271272.729 | -272454.630 | 0.000 | 0.000 | 693475.819 |
| 3400689.350 | 542752.219 | 545126.012 | -0.000 | -0.000 | -0.000 |
| 3400555.777 | 542927.826 | 545000.834 | 0.000 | 0.000 | -0.000 |
| 3400566.046 | 542637.310 | 545322.089 | 0.000 | -0.000 | 0.000 |
| 1700013.565 | 271276.845 | 272458.133 | 281229.978 | 0.000 | -0.000 |
| 1699994.465 | 271272.741 | 272454.639 | -0.000 | 692230.939 | -0.000 |
| 1699994.405 | 271272.729 | 272454.630 | -0.000 | 0.000 | 693475.819 |
| 70.171 | 170.714 | 187.662 | -0.000 | -0.000 | 0.000 |
| 170.714 | 199.448 | 33.828 | -0.000 | 0.000 | 0.000 |
| 187.662 | 33.828 | 228.172 | -0.000 | -0.000 | -0.000 |
| 0.000 | 0.000 | 0.000 | -56.140 | 0.000 | 0.000 |
| 0.000 | 0.000 | 0.000 | 0.000 | 92.070 | -0.000 |
| 0.000 | 0.000 | -0.000 | 0.000 | -0.000 | 83.826 |
| 70.171 | 170.714 | 187.662 | -0.000 | -0.000 | -0.000 |
| 170.714 | 199.448 | 33.828 | 0.000 | 0.000 | -0.000 |
| 187.662 | 33.828 | 228.172 | 0.000 | -0.000 | -0.000 |
| -0.000 | -0.000 | -0.000 | -56.140 | 0.000 | -0.000 |
| -0.000 | -0.000 | -0.000 | -0.000 | 92.070 | 0.000 |
| -0.000 | -0.000 | 0.000 | 0.000 | 0.000 | 83.826 |
| 70.171 | 170.714 | 187.662 | -0.000 | -0.000 | -0.000 |
| 170.714 | 199.448 | 33.828 | 0.000 | -0.000 | -0.000 |
| 187.662 | 33.828 | 228.172 | -0.000 | 0.000 | -0.000 |
| -0.000 | 0.000 | 0.000 | -56.140 | -0.000 | -0.000 |
| 0.000 | -0.000 | 0.000 | -0.000 | 92.070 | -0.000 |
| 0.000 | 0.000 | -0.000 | -0.000 | -0.000 | 83.826 |
| 70.171 | 170.714 | 187.662 | -0.000 | 0.000 | -0.000 |
| 170.714 | 199.448 | 33.828 | -0.000 | 0.000 | -0.000 |
| 187.662 | 33.828 | 228.172 | 0.000 | -0.000 | 0.000 |
| 0.000 | -0.000 | -0.000 | -56.140 | 0.000 | -0.000 |
| -0.000 | 0.000 | -0.000 | 0.000 | 92.070 | -0.000 |
| -0.000 | -0.000 | 0.000 | 0.000 | 0.000 | 83.826 |
| 70.172 | 170.715 | 187.663 | 0.000 | -0.000 | 0.000 |
| 170.715 | 199.449 | 33.828 | 0.000 | -0.000 | 0.000 |
| 187.664 | 33.828 | 228.174 | 0.000 | -0.000 | 0.000 |
| -0.000 | 0.000 | 0.000 | -56.140 | -0.000 | 0.000 |
| 0.000 | -0.000 | 0.001 | -0.000 | 92.070 | -0.000 |
| 0.000 | 0.001 | -0.000 | -0.000 | -0.000 | 83.826 |
| 70.170 | 170.714 | 187.662 | -0.000 | 0.000 | 0.000 |
| 170.713 | 199.447 | 33.828 | 0.000 | 0.000 | -0.000 |
| 187.661 | 33.828 | 228.170 | -0.000 | -0.000 | -0.000 |
| 0.000 | -0.000 | -0.000 | -56.140 | 0.000 | -0.000 |
| -0.000 | 0.000 | -0.001 | 0.000 | 92.070 | -0.000 |
| -0.000 | -0.001 | 0.000 | 0.000 | 0.000 | 83.826 |
| 341.559 | 138.755 | 112.250 | -44.125 | -0.000 | -0.000 |
| 138.755 | 341.559 | 112.250 | 44.125 | 0.000 | -0.000 |
| 112.250 | 112.250 | 384.959 | -0.000 | -0.000 | -0.000 |
| -44.125 | 44.125 | -0.000 | 70.398 | -0.000 | -0.000 |
| -0.000 | -0.000 | -0.000 | -0.000 | 70.398 | -44.125 |
| -0.000 | -0.000 | -0.000 | 0.000 | -44.125 | 101.402 |
| 341.559 | 138.755 | 112.250 | -44.125 | -0.000 | 0.000 |
| 138.755 | 341.559 | 112.250 | 44.125 | 0.000 | 0.000 |
| 112.250 | 112.250 | 384.959 | 0.000 | -0.000 | 0.000 |
| -44.125 | 44.125 | 0.000 | 70.398 | -0.000 | 0.000 |
| 0.000 | 0.000 | 0.000 | 0.000 | 70.398 | -44.125 |
| 0.000 | 0.000 | 0.000 | 0.000 | -44.125 | 101.402 |
| 341.559 | 138.755 | 112.250 | -44.125 | -0.000 | -0.000 |
| 138.755 | 341.559 | 112.250 | 44.125 | -0.000 | -0.000 |
| 112.250 | 112.250 | 384.959 | -0.000 | -0.000 | -0.000 |
| -44.125 | 44.125 | -0.000 | 70.398 | 0.000 | -0.000 |
| -0.000 | -0.000 | -0.000 | -0.000 | 70.398 | -44.125 |
| -0.000 | -0.000 | -0.000 | -0.000 | -44.125 | 101.402 |
| 341.559 | 138.755 | 112.250 | -44.125 | -0.000 | 0.000 |
| 138.755 | 341.559 | 112.250 | 44.125 | 0.000 | 0.000 |
| 112.250 | 112.250 | 384.959 | -0.000 | -0.000 | 0.000 |
| -44.125 | 44.125 | 0.000 | 70.398 | 0.000 | 0.000 |
| 0.000 | 0.000 | 0.000 | 0.000 | 70.398 | -44.125 |
| 0.000 | 0.000 | 0.000 | 0.000 | -44.125 | 101.402 |
| 341.558 | 138.754 | 112.249 | -44.125 | -0.000 | -0.000 |
| 138.754 | 341.557 | 112.249 | 44.125 | 0.000 | -0.000 |
| 112.249 | 112.249 | 384.958 | 0.000 | 0.000 | -0.000 |
| -44.125 | 44.124 | -0.001 | 70.398 | -0.000 | -0.000 |
| -0.001 | -0.000 | -0.001 | -0.000 | 70.398 | -44.125 |
| -0.000 | -0.000 | -0.000 | -0.000 | -44.125 | 101.402 |
| 341.560 | 138.755 | 112.250 | -44.124 | 0.000 | 0.000 |
| 138.755 | 341.560 | 112.250 | 44.124 | 0.000 | 0.000 |
| 112.250 | 112.250 | 384.960 | 0.000 | 0.000 | 0.000 |
| -44.125 | 44.126 | 0.001 | 70.397 | 0.000 | 0.000 |
| 0.001 | 0.000 | 0.001 | 0.000 | 70.398 | -44.125 |
| 0.000 | 0.000 | 0.000 | 0.000 | -44.125 | 101.402 |
| 249.018 | 73.218 | 69.054 | -0.000 | -0.000 | -0.000 |
| 60.183 | 289.304 | 141.167 | 0.000 | 0.000 | -0.000 |
| -16.621 | 282.812 | 176.406 | 0.000 | -0.000 | -0.000 |
| 0.000 | 0.000 | 0.000 | 111.269 | -0.000 | -0.000 |
| -41180829.117 | 126490550.526 | -208781638.765 | 0.000 | -443.362 | -0.000 |
| 0.000 | 0.000 | 0.000 | -0.000 | -0.000 | 35.142 |
| 41181213.396 | -126489445.653 | 208780495.399 | 0.000 | 0.000 | 0.000 |
| 60.183 | 289.304 | 141.167 | -0.000 | -0.000 | 0.000 |
| 41181028.876 | -126489324.813 | 208780699.797 | 0.000 | 0.000 | 0.000 |
| -0.000 | -0.000 | -0.000 | 111.269 | 0.000 | -0.000 |
| 41180829.117 | -126490550.526 | 208781638.765 | -0.000 | -443.362 | -0.000 |
| -0.000 | -0.000 | -0.000 | 0.000 | 0.000 | 35.142 |
| 249.065 | 73.161 | 69.146 | 0.000 | 0.000 | -0.000 |
| 60.183 | 289.304 | 141.167 | 0.000 | 0.000 | -0.000 |
| -16.728 | 282.945 | 176.187 | 0.000 | -0.000 | -0.000 |
| 0.000 | -0.000 | -0.000 | 111.269 | 0.000 | -0.000 |
| -4118094.375 | 12648941.424 | -20878024.903 | 0.000 | 41.580 | -0.000 |
| 0.000 | 0.000 | 0.000 | -0.000 | -0.000 | 35.142 |
| 4118354.993 | -12648864.771 | 20878092.269 | -0.000 | 0.000 | 0.000 |
| 60.183 | 289.304 | 141.167 | -0.000 | 0.000 | 0.000 |
| 4118170.474 | -12648743.931 | 20878296.668 | -0.000 | 0.000 | 0.000 |
| -0.000 | 0.000 | 0.000 | 111.269 | -0.000 | 0.000 |
| 4118094.375 | -12648941.424 | 20878024.903 | -0.000 | 41.580 | 0.000 |
| -0.000 | -0.000 | -0.000 | 0.000 | -0.000 | 35.142 |
| 249.055 | 73.179 | 69.120 | -0.000 | -0.000 | -0.000 |
| 60.183 | 289.302 | 141.164 | 0.000 | -0.000 | 0.000 |
| -16.743 | 282.972 | 176.143 | 0.000 | -0.000 | -0.000 |
| 0.000 | -0.001 | -0.001 | 111.268 | 0.000 | 0.000 |
| -411809.436 | 1264894.144 | -2087802.492 | -0.000 | 41.029 | -0.000 |
| 0.002 | 0.001 | 0.000 | 0.000 | -0.000 | 35.142 |
| 412069.980 | -1264822.963 | 2087877.678 | -0.000 | 0.000 | -0.000 |
| 60.183 | 289.306 | 141.167 | -0.000 | -0.000 | -0.000 |
| 411885.389 | -1264700.644 | 2088079.739 | -0.000 | 0.000 | -0.000 |
| -0.000 | 0.001 | 0.001 | 111.268 | -0.000 | 0.000 |
| 411809.436 | -1264894.144 | 2087802.492 | 0.000 | 41.029 | 0.000 |
| -0.002 | -0.001 | -0.000 | 0.000 | 0.000 | 35.142 |
| 258.105 | 60.334 | 77.521 | 0.000 | 0.000 | 0.000 |
| 58.936 | 286.282 | 155.258 | -0.000 | 0.000 | 0.000 |
| 77.947 | 152.474 | 315.916 | -0.000 | 0.000 | 0.000 |
| -0.000 | -0.000 | 0.000 | 93.396 | 0.000 | 0.000 |
| 0.019 | -1.049 | 0.846 | -0.000 | 34.437 | 0.000 |
| 0.019 | -1.081 | 0.873 | -0.000 | 0.000 | 16.265 |
| 258.058 | 60.606 | 77.447 | 0.000 | 0.000 | -0.000 |
| 58.950 | 291.791 | 150.429 | 0.000 | -0.000 | -0.000 |
| 77.385 | 131.546 | 336.013 | 0.000 | -0.000 | -0.000 |
| 0.000 | 0.000 | -0.000 | 93.396 | -0.000 | -0.000 |
| -0.019 | 1.049 | -0.846 | 0.000 | 34.437 | -0.000 |
| -0.019 | 1.081 | -0.873 | 0.000 | -0.000 | 16.265 |
| 258.071 | 60.105 | 77.839 | -0.000 | -0.000 | 0.000 |
| 59.102 | 287.129 | 153.951 | -0.000 | 0.000 | 0.000 |
| 77.966 | 154.166 | 314.382 | -0.000 | 0.000 | 0.000 |
| -0.018 | -0.225 | 0.256 | 70.159 | 0.000 | 0.000 |
| 0.001 | -0.073 | 0.059 | -0.000 | 34.439 | 0.000 |
| 0.002 | -0.108 | 0.087 | -0.000 | 0.000 | 16.265 |
| 258.073 | 60.203 | 77.748 | 0.000 | -0.000 | -0.000 |
| 58.937 | 289.209 | 152.716 | 0.000 | -0.000 | -0.000 |
| 78.131 | 147.369 | 319.712 | 0.000 | -0.000 | -0.000 |
| 0.018 | 0.225 | -0.256 | 70.159 | -0.000 | -0.000 |
| -0.001 | 0.073 | -0.059 | 0.000 | 34.439 | -0.000 |
| -0.002 | 0.108 | -0.087 | 0.000 | -0.000 | 16.265 |
| 258.066 | 59.796 | 78.122 | -0.000 | 0.000 | 0.000 |
| 59.104 | 287.297 | 153.798 | 0.000 | 0.000 | 0.000 |
| 77.968 | 154.337 | 314.228 | -0.000 | 0.000 | 0.000 |
| -0.002 | -0.024 | 0.028 | 70.151 | 0.000 | 0.000 |
| -0.000 | -0.018 | 0.016 | -0.000 | 34.437 | 0.000 |
| 0.001 | -0.011 | 0.009 | -0.000 | 0.000 | 16.265 |
| 258.069 | 59.832 | 78.087 | -0.000 | -0.000 | -0.000 |
| 58.936 | 288.960 | 152.934 | 0.000 | -0.000 | -0.000 |
| 78.126 | 147.117 | 319.949 | -0.000 | -0.000 | -0.000 |
| 0.002 | 0.024 | -0.028 | 70.151 | -0.000 | -0.000 |
| 0.000 | 0.018 | -0.016 | 0.000 | 34.437 | -0.000 |
| -0.001 | 0.011 | -0.009 | -0.000 | -0.000 | 16.265 |
| 117.265 | 164.611 | -33.836 | -0.000 | -0.000 | 0.000 |
| 75.942 | 205.934 | -33.836 | 0.000 | 0.000 | 0.000 |
| -33.834 | -33.834 | 465.194 | -0.000 | -0.000 | 0.000 |
| 0.000 | -0.000 | 0.000 | -43.570 | -0.000 | -0.000 |
| 0.000 | -0.000 | 0.000 | -0.000 | -43.570 | -0.000 |
| -0.000 | 0.000 | 0.000 | -0.000 | -0.000 | -23.673 |
| 117.265 | 164.611 | -33.836 | 0.000 | 0.000 | 0.000 |
| 75.942 | 205.934 | -33.836 | 0.000 | -0.000 | 0.000 |
| -33.834 | -33.834 | 465.194 | 0.000 | 0.000 | -0.000 |
| -0.000 | -0.000 | -0.000 | -43.570 | 0.000 | -0.000 |
| -0.000 | 0.000 | -0.000 | 0.000 | -43.570 | 0.000 |
| 0.000 | 0.000 | -0.000 | 0.000 | 0.000 | -23.673 |
| 205.934 | 75.942 | -33.836 | 0.000 | 0.000 | 0.000 |
| 75.942 | 205.934 | -33.836 | -0.000 | 0.000 | -0.000 |
| -33.834 | -33.834 | 465.194 | -0.000 | -0.000 | 0.000 |
| 0.000 | 0.000 | -0.000 | -43.570 | -0.000 | -0.000 |
| 0.000 | -0.000 | -0.000 | -0.000 | -43.570 | -0.000 |
| 0.000 | -0.000 | 0.000 | -0.000 | 0.000 | 64.996 |
| -33062903.562 | -61620929.810 | 214097660.641 | -2590.830 | 3.893 | -1359.236 |
| 75.942 | 205.934 | -33.836 | -0.000 | 0.000 | -0.000 |
| -33.834 | -33.834 | 465.193 | 0.000 | 0.000 | -0.000 |
| -0.000 | -0.000 | 0.000 | -43.570 | 0.000 | -0.000 |
| -0.000 | -0.000 | 0.000 | 0.000 | -43.570 | 0.000 |
| -0.000 | 0.000 | -0.000 | 0.000 | -0.000 | 64.996 |
| 117.270 | 164.607 | -33.836 | -0.000 | -0.000 | -0.000 |
| 164.616 | 117.261 | -33.836 | -0.000 | -0.000 | 0.000 |
| -33.834 | -33.834 | 465.198 | 0.000 | 0.000 | 0.000 |
| -0.000 | 0.000 | -0.000 | -43.570 | 0.000 | -0.000 |
| 0.000 | -0.000 | -0.000 | -0.000 | -43.570 | -0.000 |
| 0.000 | -0.000 | 0.000 | 0.000 | 0.000 | 64.996 |
| 117.261 | 164.615 | -33.836 | -0.000 | 0.000 | 0.000 |
| 164.660 | 117.215 | -33.836 | 0.000 | 0.000 | 0.000 |
| -33.834 | -33.834 | 465.190 | 0.000 | -0.000 | 0.000 |
| 0.000 | -0.000 | 0.000 | -43.570 | 0.000 | 0.000 |
| -0.000 | 0.000 | 0.000 | 0.000 | -43.570 | 0.000 |
| -0.000 | 0.000 | -0.000 | -0.000 | -0.000 | 64.996 |
| 265.624 | 153.025 | 54.400 | 0.000 | -0.000 | 0.000 |
| 126.944 | 291.706 | 54.400 | -0.000 | 0.000 | 0.000 |
| 53.384 | 53.384 | 212.638 | -0.000 | -0.000 | 0.000 |
| 0.000 | -0.000 | 0.000 | -7.142 | -0.000 | 0.000 |
| 0.000 | 0.000 | 0.000 | 0.000 | -7.142 | 0.000 |
| 0.000 | -0.000 | 0.000 | 0.000 | 0.000 | 56.299 |
| 265.624 | 153.025 | 54.400 | -0.000 | -0.000 | -0.000 |
| 153.025 | 265.624 | 54.400 | -0.000 | 0.000 | -0.000 |
| 53.384 | 53.384 | 212.638 | -0.000 | 0.000 | -0.000 |
| -0.000 | 0.000 | -0.000 | -7.142 | 0.000 | -0.000 |
| -0.000 | -0.000 | -0.000 | -0.000 | -7.142 | -0.000 |
| -0.000 | 0.000 | -0.000 | -0.000 | -0.000 | 56.299 |
| 265.624 | 153.025 | 54.400 | 0.000 | -0.000 | 0.000 |
| 153.025 | 265.624 | 54.400 | 0.000 | -0.000 | -0.000 |
| 53.384 | 53.384 | 212.638 | 0.000 | -0.000 | 0.000 |
| 0.000 | 0.000 | 0.000 | -7.142 | 0.000 | 0.000 |
| 0.000 | 0.000 | 0.000 | 0.000 | -7.142 | 0.000 |
| -0.000 | -0.000 | -0.000 | 0.000 | 0.000 | 56.299 |
| 291.706 | 126.944 | 54.400 | -0.000 | -0.000 | -0.000 |
| 126.944 | 291.706 | 54.400 | 0.000 | 0.000 | -0.000 |
| 53.384 | 53.384 | 212.638 | 0.000 | 0.000 | -0.000 |
| -0.000 | -0.000 | -0.000 | -7.142 | 0.000 | -0.000 |
| -0.000 | -0.000 | -0.000 | -0.000 | -7.142 | -0.000 |
| 0.000 | 0.000 | 0.000 | -0.000 | 0.000 | 56.299 |
| 265.623 | 153.025 | 54.400 | 0.000 | -0.000 | 0.000 |
| 126.944 | 291.705 | 54.400 | -0.000 | -0.000 | 0.000 |
| 53.384 | 53.384 | 212.637 | 0.000 | -0.000 | 0.000 |
| 0.000 | -0.000 | 0.000 | -7.142 | -0.000 | 0.000 |
| -0.000 | 0.000 | 0.000 | 0.000 | -7.142 | 0.000 |
| -0.000 | -0.000 | 0.000 | 0.000 | -0.000 | 82.381 |
| 291.706 | 126.944 | 54.400 | 0.000 | -0.000 | -0.000 |
| 153.024 | 265.626 | 54.400 | -0.000 | 0.000 | -0.000 |
| 53.384 | 53.384 | 212.639 | -0.000 | -0.000 | -0.000 |
| -0.000 | 0.000 | -0.000 | -7.142 | -0.000 | 0.000 |
| 0.000 | -0.000 | -0.000 | -0.000 | -7.142 | -0.000 |
| 0.000 | 0.000 | -0.000 | -0.000 | 0.000 | 82.381 |
| 379.500 | 154.869 | 158.200 | -0.000 | 0.000 | -0.000 |
| 177.477 | 356.891 | 158.200 | -0.000 | -0.000 | -0.000 |
| 157.855 | 157.855 | 427.939 | 0.000 | -0.000 | -0.000 |
| -88382063.903 | -88382056.256 | -164998316.429 | 116368021.449 | 0.000 | -0.000 |
| -89084236.802 | -28744395.137 | -109985690.688 | -0.000 | 100765539.706 | -0.000 |
| -89084248.572 | -28744399.563 | -109985706.561 | -0.000 | 0.000 | 52255931.219 |
| 178211601.514 | 57502628.202 | 220024261.562 | 0.000 | 0.000 | 0.000 |
| 176827825.172 | 176827977.240 | 330115469.587 | -0.000 | 0.000 | 0.000 |
| 176827762.068 | 176827762.068 | 330115694.037 | 0.000 | 0.000 | 0.000 |
| 88382063.903 | 88382056.256 | 164998316.429 | 116368021.449 | -0.000 | 0.000 |
| 89084236.802 | 28744395.137 | 109985690.688 | 0.000 | 100765539.706 | 0.000 |
| 89084248.572 | 28744399.563 | 109985706.561 | 0.000 | 0.000 | 52255931.219 |
| 379.493 | 154.866 | 158.191 | -0.000 | 0.000 | -0.000 |
| 154.868 | 379.491 | 158.191 | 0.000 | 0.000 | -0.000 |
| 157.844 | 157.844 | 427.919 | -0.000 | 0.000 | -0.000 |
| -8838192.352 | -8838184.707 | -16499797.385 | 11636867.098 | -0.000 | 0.000 |
| -8908401.680 | -2874431.240 | -10998539.400 | -0.000 | 10076618.418 | -0.000 |
| -8908413.447 | -2874435.665 | -10998555.269 | -0.000 | -0.000 | 5225667.161 |
| 17821459.719 | 5750386.575 | 22002512.224 | -0.000 | -0.000 | 0.000 |
| 17682902.380 | 17683099.577 | 33011631.524 | 0.000 | 0.000 | 0.000 |
| 17682861.841 | 17682861.841 | 33011855.973 | 0.000 | -0.000 | 0.000 |
| 8838192.352 | 8838184.707 | 16499797.385 | 11636867.098 | 0.000 | 0.000 |
| 8908401.680 | 2874431.240 | 10998539.400 | -0.000 | 10076618.418 | 0.000 |
| 8908413.447 | 2874435.665 | 10998555.269 | 0.000 | 0.000 | 5225667.161 |
| 379.422 | 154.843 | 158.105 | -0.000 | 0.000 | -0.000 |
| 177.470 | 356.795 | 158.105 | 0.000 | -0.000 | -0.000 |
| 157.737 | 157.737 | 427.718 | -0.000 | -0.000 | -0.000 |
| -883805.211 | -883797.596 | -1649945.534 | 1163751.617 | -0.000 | -0.000 |
| -890818.211 | -287434.864 | -1099824.325 | -0.000 | 1007726.242 | -0.000 |
| -890829.947 | -287439.279 | -1099840.154 | -0.000 | -0.000 | 522640.748 |
| 1782422.962 | 575184.991 | 2200337.290 | 0.000 | -0.000 | -0.000 |
| 1768412.357 | 1768609.555 | 3301247.717 | 0.000 | -0.000 | 0.000 |
| 1768371.818 | 1768371.818 | 3301472.168 | -0.000 | 0.000 | 0.000 |
| 883805.211 | 883797.596 | 1649945.534 | 1163751.617 | 0.000 | 0.000 |
| 890818.211 | 287434.864 | 1099824.325 | 0.000 | 1007726.242 | 0.000 |
| 890829.947 | 287439.279 | 1099840.154 | 0.000 | 0.000 | 522640.748 |
| 382.722 | 155.291 | 158.179 | 0.000 | -0.000 | 0.000 |
| 155.291 | 382.722 | 158.179 | 0.000 | -0.000 | 0.000 |
| 157.015 | 157.015 | 419.332 | 0.000 | -0.000 | 0.000 |
| -0.000 | -0.001 | -0.001 | 99.216 | -0.000 | 0.000 |
| -0.001 | -0.000 | -0.001 | 0.000 | 99.216 | 0.000 |
| -0.000 | -0.000 | -0.000 | 0.000 | -0.000 | 113.716 |
| 361.452 | 176.563 | 158.181 | 0.000 | -0.000 | -0.000 |
| 155.292 | 382.724 | 158.181 | 0.000 | 0.000 | -0.000 |
| 157.018 | 157.018 | 419.336 | -0.000 | 0.000 | -0.000 |
| 0.000 | 0.001 | 0.001 | 99.216 | -0.000 | -0.000 |
| 0.001 | 0.000 | 0.001 | -0.000 | 99.216 | -0.000 |
| 0.000 | 0.000 | 0.000 | -0.000 | 0.000 | 113.716 |
| 361.443 | 176.560 | 158.170 | -0.000 | -0.000 | 0.000 |
| 176.562 | 361.442 | 158.170 | 0.000 | 0.000 | 0.000 |
| 157.005 | 157.005 | 419.312 | -0.000 | 0.000 | 0.000 |
| -0.003 | -0.010 | -0.012 | 99.216 | 0.000 | 0.000 |
| -0.010 | -0.003 | -0.012 | -0.000 | 99.216 | 0.000 |
| -0.003 | -0.001 | -0.003 | -0.000 | -0.000 | 92.444 |
| 382.731 | 155.294 | 158.189 | 0.000 | -0.000 | -0.000 |
| 155.292 | 382.732 | 158.189 | -0.000 | 0.000 | -0.000 |
| 157.028 | 157.028 | 419.356 | 0.000 | 0.000 | -0.000 |
| 0.003 | 0.010 | 0.012 | 99.216 | -0.000 | -0.000 |
| 0.010 | 0.003 | 0.012 | 0.000 | 99.216 | -0.000 |
| 0.003 | 0.001 | 0.003 | -0.000 | 0.000 | 92.444 |
| 361.372 | 176.537 | 158.083 | -0.000 | 0.000 | 0.000 |
| 176.555 | 361.353 | 158.083 | 0.000 | 0.000 | 0.000 |
| 156.898 | 156.898 | 419.114 | -0.000 | -0.000 | 0.000 |
| -0.032 | -0.097 | -0.119 | 99.216 | -0.000 | 0.000 |
| -0.097 | -0.032 | -0.119 | -0.000 | 99.216 | 0.000 |
| -0.027 | -0.009 | -0.032 | -0.000 | -0.000 | 113.716 |
| 361.531 | 176.589 | 158.276 | 0.000 | 0.000 | -0.000 |
| 176.571 | 361.549 | 158.276 | 0.000 | 0.000 | -0.000 |
| 157.135 | 157.135 | 419.555 | -0.000 | 0.000 | -0.000 |
| 0.032 | 0.097 | 0.119 | 99.216 | -0.000 | -0.000 |
| 0.097 | 0.032 | 0.119 | 0.000 | 99.216 | -0.000 |
| 0.027 | 0.009 | 0.032 | 0.000 | 0.000 | 113.716 |
| 39.396 | 103.208 | 103.208 | -0.000 | -0.000 | -0.000 |
| 103.208 | 39.396 | 103.208 | -0.000 | -0.000 | -0.000 |
| 103.208 | 103.208 | 39.396 | -0.000 | -0.000 | -0.000 |
| -0.000 | -0.000 | -0.000 | -53.007 | -0.000 | -0.000 |
| -0.000 | -0.000 | -0.000 | -0.000 | -53.007 | -0.000 |
| -0.000 | -0.000 | -0.000 | -0.000 | -0.000 | -53.007 |
| 39.396 | 103.208 | 103.208 | 0.000 | 0.000 | 0.000 |
| 103.208 | 39.396 | 103.208 | 0.000 | 0.000 | 0.000 |
| 103.208 | 103.208 | 39.396 | 0.000 | 0.000 | 0.000 |
| 0.000 | 0.000 | 0.000 | -53.007 | 0.000 | 0.000 |
| 0.000 | 0.000 | 0.000 | 0.000 | -53.007 | 0.000 |
| 0.000 | 0.000 | 0.000 | 0.000 | 0.000 | -53.007 |
| 39.396 | 103.208 | 103.208 | -0.000 | -0.000 | -0.000 |
| 103.208 | 39.396 | 103.208 | -0.000 | -0.000 | -0.000 |
| 103.208 | 103.208 | 39.396 | -0.000 | -0.000 | -0.000 |
| 0.000 | -0.000 | -0.000 | -53.007 | -0.000 | 0.000 |
| -0.000 | 0.000 | -0.000 | -0.000 | -53.007 | -0.000 |
| -0.000 | -0.000 | 0.000 | -0.000 | -0.000 | -53.007 |
| 39.396 | 103.208 | 103.208 | 0.000 | 0.000 | 0.000 |
| 103.208 | 39.396 | 103.208 | 0.000 | 0.000 | 0.000 |
| 103.208 | 103.208 | 39.396 | 0.000 | 0.000 | 0.000 |
| -0.000 | 0.000 | 0.000 | -53.007 | 0.000 | 0.000 |
| 0.000 | -0.000 | 0.000 | 0.000 | -53.007 | 0.000 |
| 0.000 | 0.000 | -0.000 | 0.000 | 0.000 | -53.007 |
| 39.396 | 103.208 | 103.208 | -0.000 | -0.000 | -0.000 |
| 103.208 | 39.396 | 103.208 | -0.000 | -0.000 | -0.000 |
| 103.208 | 103.208 | 39.396 | -0.000 | -0.000 | -0.000 |
| 0.000 | 0.000 | -0.000 | -53.007 | -0.000 | -0.000 |
| 0.000 | 0.000 | -0.000 | -0.000 | -53.007 | -0.000 |
| 0.000 | -0.000 | 0.000 | -0.000 | -0.000 | -53.007 |
| 39.396 | 103.207 | 103.207 | 0.000 | 0.000 | 0.000 |
| 103.207 | 39.396 | 103.207 | 0.000 | -0.000 | 0.000 |
| 103.207 | 103.207 | 39.396 | 0.000 | 0.000 | 0.000 |
| -0.000 | -0.000 | 0.000 | -53.007 | 0.000 | 0.000 |
| -0.000 | -0.000 | 0.000 | 0.000 | -53.007 | 0.000 |
| -0.000 | 0.000 | -0.000 | 0.000 | 0.000 | -53.007 |
| 170.528 | 182.210 | 182.210 | -0.000 | -0.000 | 0.000 |
| 182.210 | 170.528 | 182.210 | -0.000 | -0.000 | 0.000 |
| 182.210 | 182.210 | 170.528 | 0.000 | 0.000 | 0.000 |
| -5724255.280 | -54365339.999 | -54365338.904 | 54721178.147 | 0.000 | 0.000 |
| -54365339.999 | -5724255.280 | -54365338.904 | -0.000 | 54721178.147 | 0.000 |
| -54365339.999 | -54365338.904 | -5724255.280 | 0.000 | 0.000 | 54721178.147 |
| 228971037.507 | 228971071.814 | 228971071.814 | -0.000 | 0.000 | 0.000 |
| 228971071.814 | 228971037.507 | 228971071.814 | 0.000 | -0.000 | -0.000 |
| 228971071.814 | 228971071.814 | 228971037.507 | -0.000 | -0.000 | -0.000 |
| 5724255.280 | 54365339.999 | 54365338.904 | 54721178.147 | -0.000 | -0.000 |
| 54365339.999 | 5724255.280 | 54365338.904 | -0.000 | 54721178.147 | 0.000 |
| 54365339.999 | 54365338.904 | 5724255.280 | -0.000 | -0.000 | 54721178.147 |
| 170.515 | 182.203 | 182.203 | -0.000 | 0.000 | -0.000 |
| 182.203 | 170.515 | 182.203 | 0.000 | -0.000 | -0.000 |
| 182.203 | 182.203 | 170.515 | 0.000 | 0.000 | 0.000 |
| -572423.769 | -5436521.119 | -5436520.025 | 5472083.138 | 0.000 | 0.000 |
| -5436521.119 | -572423.769 | -5436520.025 | -0.000 | 5472083.138 | 0.000 |
| -5436521.119 | -5436520.025 | -572423.769 | 0.000 | 0.000 | 5472083.138 |
| 22897195.860 | 22897230.167 | 22897230.167 | -0.000 | -0.000 | 0.000 |
| 22897230.167 | 22897195.860 | 22897230.167 | 0.000 | -0.000 | -0.000 |
| 22897230.167 | 22897230.167 | 22897195.860 | -0.000 | -0.000 | -0.000 |
| 572423.769 | 5436521.119 | 5436520.025 | 5472083.138 | -0.000 | 0.000 |
| 5436521.119 | 572423.769 | 5436520.025 | -0.000 | 5472083.138 | 0.000 |
| 5436521.119 | 5436520.025 | 572423.769 | -0.000 | -0.000 | 5472083.138 |
| 170.388 | 182.132 | 182.132 | -0.000 | 0.000 | -0.000 |
| 182.132 | 170.388 | 182.132 | -0.000 | -0.000 | -0.000 |
| 182.132 | 182.132 | 170.388 | -0.000 | -0.000 | -0.000 |
| -57240.620 | -543639.254 | -543638.159 | 547173.846 | 0.000 | 0.000 |
| -543639.254 | -57240.620 | -543638.159 | 0.000 | 547173.846 | -0.000 |
| -543639.254 | -543638.159 | -57240.620 | -0.000 | 0.000 | 547173.846 |
| 2289811.697 | 2289846.002 | 2289846.002 | -0.000 | 0.000 | -0.000 |
| 2289846.002 | 2289811.697 | 2289846.002 | -0.000 | -0.000 | 0.000 |
| 2289846.002 | 2289846.002 | 2289811.697 | -0.000 | -0.000 | -0.000 |
| 57240.620 | 543639.254 | 543638.159 | 547173.846 | -0.000 | 0.000 |
| 543639.254 | 57240.620 | 543638.159 | -0.000 | 547173.846 | 0.000 |
| 543639.254 | 543638.159 | 57240.620 | 0.000 | -0.000 | 547173.846 |
| 3.897 | -0.153 | -0.153 | 0.000 | -0.000 | -0.000 |
| -0.153 | 3.897 | -0.153 | -0.000 | 0.000 | -0.000 |
| -0.153 | -0.153 | 3.897 | -0.000 | -0.000 | -0.000 |
| -0.000 | -0.000 | -0.000 | -0.284 | -0.000 | 0.000 |
| -0.000 | -0.000 | -0.000 | -0.000 | -0.284 | -0.000 |
| -0.000 | -0.000 | -0.000 | -0.000 | -0.000 | -0.284 |
| 6354067.379 | 821.821 | 821.821 | 0.000 | -0.000 | 0.000 |
| 821.821 | 6354067.379 | 821.821 | -0.000 | 0.000 | 0.000 |
| 821.821 | 821.821 | 6354067.379 | 0.000 | 0.000 | 0.000 |
| 0.000 | 0.000 | 0.000 | -0.284 | 0.000 | 0.000 |
| 0.000 | 0.000 | 0.000 | 0.000 | -0.284 | 0.000 |
| 0.000 | 0.000 | 0.000 | 0.000 | 0.000 | -0.284 |
| 3.895 | -0.153 | -0.153 | 0.000 | 0.000 | -0.000 |
| -0.153 | 3.895 | -0.153 | 0.000 | 0.000 | 0.000 |
| -0.153 | -0.153 | 3.895 | 0.000 | 0.000 | 0.000 |
| -0.000 | -0.000 | -0.000 | -0.284 | 0.000 | -0.000 |
| -0.000 | -0.000 | -0.000 | 0.000 | -0.284 | -0.000 |
| -0.000 | -0.000 | -0.000 | -0.000 | -0.000 | -0.284 |
| 635406.556 | 82.046 | 82.046 | -0.000 | -0.000 | -0.000 |
| 82.046 | 635406.556 | 82.046 | -0.000 | -0.000 | 0.000 |
| 82.046 | 82.046 | 635406.556 | 0.000 | 0.000 | 0.000 |
| 0.000 | 0.000 | 0.000 | -0.284 | -0.000 | 0.000 |
| 0.000 | 0.000 | 0.000 | -0.000 | -0.284 | 0.000 |
| 0.000 | 0.000 | 0.000 | -0.000 | 0.000 | -0.284 |
| 3.879 | -0.153 | -0.153 | 0.000 | 0.000 | 0.000 |
| -0.153 | 3.879 | -0.153 | 0.000 | 0.000 | 0.000 |
| -0.153 | -0.153 | 3.879 | 0.000 | 0.000 | -0.000 |
| -0.000 | -0.000 | -0.000 | -0.277 | -0.000 | -0.000 |
| -0.000 | -0.000 | -0.000 | -0.000 | -0.277 | -0.000 |
| -0.000 | -0.000 | -0.000 | -0.000 | -0.000 | -0.277 |
| 63540.474 | 8.069 | 8.069 | -0.000 | -0.000 | 0.000 |
| 8.069 | 63540.474 | 8.069 | -0.000 | -0.000 | 0.000 |
| 8.069 | 8.069 | 63540.474 | 0.000 | 0.000 | -0.000 |
| 0.000 | 0.000 | 0.000 | -0.277 | 0.000 | 0.000 |
| 0.000 | 0.000 | 0.000 | 0.000 | -0.277 | 0.000 |
| 0.000 | 0.000 | 0.000 | 0.000 | 0.000 | -0.277 |
| 0.474 | 0.548 | 0.548 | 0.000 | -0.000 | -0.000 |
| 0.548 | 0.474 | 0.548 | 0.000 | -0.000 | -0.000 |
| 0.548 | 0.548 | 0.474 | 0.000 | -0.000 | -0.000 |
| -0.000 | -0.000 | -0.000 | 0.427 | -0.000 | -0.000 |
| -0.000 | -0.000 | -0.000 | 0.000 | 0.427 | -0.000 |
| -0.000 | -0.000 | -0.000 | 0.000 | -0.000 | 0.427 |
| 0.474 | 0.548 | 0.548 | -0.000 | -0.000 | 0.000 |
| 0.548 | 0.474 | 0.548 | -0.000 | 0.000 | 0.000 |
| 0.548 | 0.548 | 0.474 | -0.000 | -0.000 | 0.000 |
| 0.000 | 0.000 | 0.000 | 0.427 | 0.000 | 0.000 |
| 0.000 | 0.000 | 0.000 | -0.000 | 0.427 | 0.000 |
| 0.000 | 0.000 | 0.000 | -0.000 | 0.000 | 0.427 |
| 0.474 | 0.548 | 0.548 | 0.000 | -0.000 | -0.000 |
| 0.548 | 0.474 | 0.548 | 0.000 | -0.000 | -0.000 |
| 0.548 | 0.548 | 0.474 | 0.000 | -0.000 | -0.000 |
| -0.000 | -0.000 | -0.000 | 0.313 | -0.000 | -0.000 |
| -0.000 | -0.000 | -0.000 | 0.000 | 0.313 | -0.000 |
| -0.000 | -0.000 | -0.000 | 0.000 | -0.000 | 0.313 |
| 0.475 | 0.548 | 0.548 | -0.000 | 0.000 | 0.000 |
| 0.548 | 0.475 | 0.548 | -0.000 | 0.000 | 0.000 |
| 0.548 | 0.548 | 0.475 | -0.000 | 0.000 | 0.000 |
| 0.000 | 0.000 | 0.000 | 0.313 | 0.000 | 0.000 |
| 0.000 | 0.000 | 0.000 | -0.000 | 0.313 | 0.000 |
| 0.000 | 0.000 | 0.000 | -0.000 | 0.000 | 0.313 |
| 0.473 | 0.547 | 0.547 | 0.000 | -0.000 | 0.000 |
| 0.547 | 0.473 | 0.547 | 0.000 | -0.000 | 0.000 |
| 0.547 | 0.547 | 0.473 | 0.000 | -0.000 | -0.000 |
| -0.000 | -0.000 | -0.000 | -0.030 | -0.000 | -0.000 |
| -0.000 | -0.000 | -0.000 | 0.000 | -0.030 | -0.000 |
| -0.000 | -0.000 | -0.000 | 0.000 | -0.000 | -0.030 |
| 0.476 | 0.549 | 0.549 | 0.000 | 0.000 | 0.000 |
| 0.549 | 0.476 | 0.549 | 0.000 | 0.000 | 0.000 |
| 0.549 | 0.549 | 0.476 | -0.000 | 0.000 | 0.000 |
| 0.000 | 0.000 | 0.000 | -0.030 | 0.000 | 0.000 |
| 0.000 | 0.000 | 0.000 | 0.000 | -0.030 | 0.000 |
| 0.000 | 0.000 | 0.000 | -0.000 | 0.000 | -0.030 |
| 513.561 | 107.630 | 107.630 | -0.000 | 0.000 | 0.000 |
| 107.630 | 513.561 | 107.630 | 0.000 | -0.000 | -0.000 |
| 107.630 | 107.630 | 513.561 | 0.000 | -0.000 | -0.000 |
| -0.000 | -0.000 | 0.000 | 58.099 | 0.000 | -0.000 |
| -0.000 | -0.000 | 0.000 | -0.000 | 58.099 | -0.000 |
| -0.000 | -0.000 | 0.000 | -0.000 | -0.000 | 58.099 |
| 513.561 | 107.630 | 107.630 | 0.000 | 0.000 | -0.000 |
| 107.630 | 513.561 | 107.630 | -0.000 | -0.000 | 0.000 |
| 107.630 | 107.630 | 513.561 | 0.000 | -0.000 | 0.000 |
| 0.000 | 0.000 | -0.000 | 58.099 | -0.000 | 0.000 |
| 0.000 | 0.000 | -0.000 | -0.000 | 58.099 | 0.000 |
| 0.000 | 0.000 | -0.000 | -0.000 | 0.000 | 58.099 |
| 514.769 | 107.026 | 107.026 | 0.000 | 0.000 | 0.000 |
| 107.026 | 514.769 | 107.026 | 0.000 | -0.000 | 0.000 |
| 107.026 | 107.026 | 514.769 | -0.000 | 0.000 | -0.000 |
| 0.000 | 0.000 | -0.000 | 75.347 | -0.000 | -0.000 |
| 0.000 | 0.000 | -0.000 | -0.000 | 75.347 | -0.000 |
| 0.000 | -0.000 | 0.000 | 0.000 | -0.000 | 75.347 |
| 514.768 | 107.026 | 107.026 | 0.000 | 0.000 | 0.000 |
| 107.026 | 514.768 | 107.026 | 0.000 | 0.000 | 0.000 |
| 107.026 | 107.026 | 514.768 | -0.000 | 0.000 | 0.000 |
| -0.000 | -0.000 | -0.000 | 75.347 | -0.000 | -0.000 |
| -0.000 | -0.000 | -0.000 | -0.000 | 75.347 | 0.000 |
| -0.000 | 0.000 | -0.000 | -0.000 | 0.000 | 75.347 |
| 514.770 | 107.026 | 107.026 | 0.000 | -0.000 | -0.000 |
| 107.026 | 514.770 | 107.026 | 0.000 | 0.000 | -0.000 |
| 107.026 | 107.026 | 514.770 | -0.000 | -0.000 | -0.000 |
| 0.000 | 0.000 | -0.000 | 75.347 | 0.000 | 0.000 |
| 0.000 | 0.000 | -0.000 | 0.000 | 75.347 | 0.000 |
| 0.000 | -0.000 | 0.000 | 0.000 | 0.000 | 75.347 |
| 514.767 | 107.026 | 107.026 | 0.000 | -0.000 | 0.000 |
| 107.026 | 514.767 | 107.026 | -0.000 | 0.000 | 0.000 |
| 107.026 | 107.026 | 514.767 | 0.000 | 0.000 | -0.000 |
| -0.000 | -0.000 | 0.000 | 75.347 | -0.000 | 0.000 |
| -0.000 | -0.000 | 0.000 | -0.000 | 75.347 | 0.000 |
| -0.000 | 0.000 | -0.000 | -0.000 | 0.000 | 75.347 |
| -4.412 | -1.101 | -1.101 | -0.000 | 0.000 | -0.000 |
| -1.101 | -4.412 | -1.101 | -0.000 | -0.000 | -0.000 |
| -1.101 | -1.101 | -4.412 | 0.000 | 0.000 | -0.000 |
| 0.000 | 0.000 | 0.000 | -1.199 | 0.000 | 0.000 |
| 0.000 | 0.000 | 0.000 | 0.000 | -1.199 | 0.000 |
| 0.000 | 0.000 | 0.000 | 0.000 | -0.000 | -1.199 |
| -4.412 | -1.101 | -1.101 | -0.000 | -0.000 | -0.000 |
| -1.101 | -4.412 | -1.101 | -0.000 | -0.000 | -0.000 |
| -1.101 | -1.101 | -4.412 | -0.000 | -0.000 | 0.000 |
| -0.000 | -0.000 | -0.000 | -1.199 | 0.000 | 0.000 |
| -0.000 | -0.000 | -0.000 | 0.000 | -1.199 | -0.000 |
| -0.000 | -0.000 | -0.000 | 0.000 | 0.000 | -1.199 |
| -4.412 | -1.101 | -1.101 | -0.000 | 0.000 | 0.000 |
| -1.101 | -4.412 | -1.101 | 0.000 | 0.000 | -0.000 |
| -1.101 | -1.101 | -4.412 | -0.000 | 0.000 | -0.000 |
| 0.000 | 0.000 | 0.000 | -1.199 | 0.000 | 0.000 |
| 0.000 | 0.000 | 0.000 | 0.000 | -1.199 | -0.000 |
| 0.000 | 0.000 | 0.000 | -0.000 | 0.000 | -1.199 |
| -4.412 | -1.101 | -1.101 | -0.000 | 0.000 | -0.000 |
| -1.101 | -4.412 | -1.101 | 0.000 | 0.000 | 0.000 |
| -1.101 | -1.101 | -4.412 | -0.000 | -0.000 | -0.000 |
| -0.000 | -0.000 | -0.000 | -1.199 | 0.000 | 0.000 |
| -0.000 | -0.000 | -0.000 | -0.000 | -1.199 | 0.000 |
| -0.000 | -0.000 | -0.000 | 0.000 | 0.000 | -1.199 |
| -4.412 | -1.101 | -1.101 | -0.000 | -0.000 | 0.000 |
| -1.101 | -4.412 | -1.101 | -0.000 | -0.000 | -0.000 |
| -1.101 | -1.101 | -4.412 | 0.000 | -0.000 | 0.000 |
| 36197.299 | 49818.162 | 49818.255 | -11646.984 | -0.000 | -0.000 |
| 49818.176 | 36197.288 | 49818.269 | -0.000 | -11646.994 | -0.000 |
| 49818.162 | 49818.255 | 36197.299 | -0.000 | -0.000 | -11646.984 |
| -42296.550 | 1206.471 | 1206.471 | -0.000 | 0.000 | -0.000 |
| 1206.471 | -42296.550 | 1206.471 | 0.000 | -0.000 | 0.000 |
| 1206.471 | 1206.471 | -42296.550 | 0.000 | 0.000 | 0.000 |
| -36197.309 | -49818.134 | -49818.226 | -11646.965 | 0.000 | -0.000 |
| -49818.170 | -36197.292 | -49818.263 | 0.000 | -11646.990 | -0.000 |
| -49818.134 | -49818.226 | -36197.309 | -0.000 | 0.000 | -11646.965 |
| 1.487 | 1.753 | 1.753 | -0.000 | -0.000 | -0.000 |
| 1.753 | 1.487 | 1.753 | 0.000 | -0.000 | 0.000 |
| 1.753 | 1.753 | 1.487 | 0.000 | -0.000 | -0.000 |
| -5864569.415 | -5864570.453 | -5864570.355 | 4886971.389 | -0.000 | 0.000 |
| -5864570.453 | -5864569.415 | -5864570.355 | 0.000 | 4886971.389 | 0.000 |
| -5864570.453 | -5864570.355 | -5864569.415 | 0.000 | -0.000 | 4886971.389 |
| 11729138.120 | 11729140.120 | 11729140.120 | -0.000 | 0.000 | -0.000 |
| 11729140.120 | 11729138.120 | 11729140.120 | -0.000 | 0.000 | -0.000 |
| 11729140.120 | 11729140.120 | 11729138.120 | -0.000 | -0.000 | -0.000 |
| 5864569.415 | 5864570.453 | 5864570.355 | 4886971.389 | 0.000 | 0.000 |
| 5864570.453 | 5864569.415 | 5864570.355 | -0.000 | 4886971.389 | 0.000 |
| 5864570.453 | 5864570.355 | 5864569.415 | -0.000 | 0.000 | 4886971.389 |
| -0.943 | 2.967 | 2.967 | 0.000 | -0.000 | -0.000 |
| 2.967 | -0.943 | 2.967 | 0.000 | -0.000 | 0.000 |
| 2.967 | 2.967 | -0.943 | 0.000 | 0.000 | 0.000 |
| -390966.850 | -97744.194 | -97744.175 | 97738.907 | -0.000 | 0.000 |
| -97744.194 | -390966.850 | -97744.175 | 0.000 | 97738.907 | 0.000 |
| -97744.194 | -97744.175 | -390966.850 | 0.000 | -0.000 | 97738.907 |
| 1172911.764 | 1172913.763 | 1172913.763 | -0.000 | 0.000 | -0.000 |
| 1172913.763 | 1172911.764 | 1172913.763 | -0.000 | 0.000 | 0.000 |
| 1172913.763 | 1172913.763 | 1172911.764 | -0.000 | 0.000 | -0.000 |
| 390966.850 | 97744.194 | 97744.175 | 97738.907 | 0.000 | 0.000 |
| 97744.194 | 390966.850 | 97744.175 | -0.000 | 97738.907 | 0.000 |
| 97744.194 | 97744.175 | 390966.850 | -0.000 | 0.000 | 97738.907 |
| -0.946 | 2.962 | 2.962 | 0.000 | 0.000 | -0.000 |
| 2.962 | -0.946 | 2.962 | 0.000 | -0.000 | -0.000 |
| 2.962 | 2.962 | -0.946 | 0.000 | 0.000 | 0.000 |
| -39095.532 | -9774.167 | -9774.147 | 9773.450 | -0.000 | 0.000 |
| -9774.167 | -39095.532 | -9774.147 | 0.000 | 9773.450 | 0.000 |
| -9774.167 | -9774.147 | -39095.532 | 0.000 | -0.000 | 9773.450 |
| 78191.685 | 19548.567 | 19548.567 | -0.000 | 0.000 | -0.000 |
| 19548.567 | 78191.685 | 19548.567 | -0.000 | -0.000 | -0.000 |
| 19548.567 | 19548.567 | 78191.685 | -0.000 | -0.000 | -0.000 |
| 39095.532 | 9774.167 | 9774.147 | 9773.450 | 0.000 | -0.000 |
| 9774.167 | 39095.532 | 9774.147 | 0.000 | 9773.450 | 0.000 |
| 9774.167 | 9774.147 | 39095.532 | -0.000 | 0.000 | 9773.450 |
| 2.144 | 0.692 | 0.692 | 0.000 | -0.000 | 0.000 |
| 0.745 | 2.038 | 0.745 | 0.000 | -0.000 | 0.000 |
| 0.692 | 0.692 | 2.144 | 0.000 | 0.000 | 0.000 |
| 3160.624 | -1483410.682 | -1483410.658 | 1188664.375 | 0.000 | 0.000 |
| -1483410.682 | 3160.624 | -1483410.658 | 0.000 | 1188664.375 | 0.000 |
| -1483410.682 | -1483410.658 | 3160.624 | 0.000 | -0.000 | 1188664.375 |
| 5939206.847 | 2965899.736 | 2965899.736 | -0.000 | 0.000 | -0.000 |
| 2965899.736 | 5939206.847 | 2965899.736 | -0.000 | 0.000 | -0.000 |
| 2965899.736 | 2965899.736 | 5939206.847 | -0.000 | 0.000 | -0.000 |
| -3160.624 | 1483410.682 | 1483410.658 | 1188664.375 | -0.000 | -0.000 |
| 1483410.682 | -3160.624 | 1483410.658 | -0.000 | 1188664.375 | -0.000 |
| 1483410.682 | 1483410.658 | -3160.624 | -0.000 | -0.000 | 1188664.375 |
| -0.210 | 1.868 | 1.868 | 0.000 | -0.000 | 0.000 |
| 1.868 | -0.210 | 1.868 | 0.000 | 0.000 | 0.000 |
| 1.868 | 1.868 | -0.210 | 0.000 | 0.000 | 0.000 |
| 316.063 | -148340.735 | -148340.711 | 118866.684 | -0.000 | 0.000 |
| -148340.735 | 316.063 | -148340.711 | 0.000 | 118866.684 | 0.000 |
| -148340.735 | -148340.711 | 316.063 | 0.000 | -0.000 | 118866.684 |
| 593920.253 | 296589.998 | 296589.998 | -0.000 | 0.000 | -0.000 |
| 296589.998 | 593920.253 | 296589.998 | -0.000 | 0.000 | -0.000 |
| 296589.998 | 296589.998 | 593920.253 | -0.000 | 0.000 | -0.000 |
| -316.063 | 148340.735 | 148340.711 | 118866.684 | 0.000 | -0.000 |
| 148340.735 | -316.063 | 148340.711 | -0.000 | 118866.684 | -0.000 |
| 148340.735 | 148340.711 | -316.063 | -0.000 | 0.000 | 118866.684 |
| -0.207 | 1.864 | 1.864 | 0.000 | -0.000 | 0.000 |
| 1.864 | -0.207 | 1.864 | 0.000 | 0.000 | 0.000 |
| 1.864 | 1.864 | -0.207 | 0.000 | 0.000 | 0.000 |
| 31.607 | -14833.740 | -14833.717 | 11886.914 | 0.000 | 0.000 |
| -14833.740 | 31.607 | -14833.717 | 0.000 | 11886.914 | 0.000 |
| -14833.740 | -14833.717 | 31.607 | 0.000 | 0.000 | 11886.914 |
| 59391.593 | 29659.024 | 29659.024 | -0.000 | 0.000 | -0.000 |
| 29659.024 | 59391.593 | 29659.024 | -0.000 | 0.000 | -0.000 |
| 29659.024 | 29659.024 | 59391.593 | -0.000 | 0.000 | -0.000 |
| -31.607 | 14833.740 | 14833.717 | 11886.914 | -0.000 | -0.000 |
| 14833.740 | -31.607 | 14833.717 | -0.000 | 11886.914 | -0.000 |
| 14833.740 | 14833.717 | -31.607 | -0.000 | -0.000 | 11886.914 |
| -0.001 | 0.000 | 0.000 | 0.000 | -0.000 | -0.000 |
| 0.000 | -0.001 | 0.000 | -0.000 | 0.000 | 0.000 |
| 0.000 | 0.000 | -0.001 | -0.000 | 0.000 | 0.000 |
| 0.000 | 0.000 | 0.000 | -0.000 | 0.000 | -0.000 |
| 0.000 | 0.000 | 0.000 | 0.000 | -0.000 | -0.000 |
| 0.000 | 0.000 | 0.000 | 0.000 | -0.000 | -0.000 |
| -0.001 | 0.000 | 0.000 | 0.000 | 0.000 | -0.000 |
| 0.000 | -0.001 | 0.000 | 0.000 | 0.000 | -0.000 |
| 0.000 | 0.000 | -0.001 | -0.000 | 0.000 | 0.000 |
| -0.000 | -0.000 | -0.000 | -0.000 | -0.000 | -0.000 |
| -0.000 | -0.000 | -0.000 | -0.000 | -0.000 | -0.000 |
| -0.000 | -0.000 | -0.000 | -0.000 | 0.000 | -0.000 |
| -0.001 | 0.000 | 0.000 | 0.000 | -0.000 | -0.000 |
| 0.000 | -0.001 | 0.000 | -0.000 | 0.000 | -0.000 |
| 0.000 | 0.000 | -0.001 | -0.000 | 0.000 | 0.000 |
| 0.000 | 0.000 | 0.000 | -0.000 | -0.000 | -0.000 |
| 0.000 | 0.000 | 0.000 | -0.000 | -0.000 | -0.000 |
| 0.000 | 0.000 | 0.000 | 0.000 | -0.000 | -0.000 |
| -0.001 | 0.000 | 0.000 | 0.000 | 0.000 | -0.000 |
| 0.000 | -0.001 | 0.000 | 0.000 | 0.000 | -0.000 |
| 0.000 | 0.000 | -0.001 | 0.000 | -0.000 | 0.000 |
| -0.000 | -0.000 | -0.000 | -0.000 | 0.000 | -0.000 |
| -0.000 | -0.000 | -0.000 | 0.000 | -0.000 | 0.000 |
| -0.000 | -0.000 | -0.000 | -0.000 | 0.000 | -0.000 |
| -0.001 | 0.000 | 0.000 | 0.000 | -0.000 | -0.000 |
| 0.000 | -0.001 | 0.000 | -0.000 | 0.000 | 0.000 |
| 0.000 | 0.000 | -0.001 | 0.000 | 0.000 | 0.000 |
| 0.000 | 0.000 | 0.000 | -0.000 | 0.000 | 0.000 |
| 0.000 | 0.000 | 0.000 | -0.000 | -0.000 | 0.000 |
| 0.000 | 0.000 | 0.000 | 0.000 | -0.000 | -0.000 |
| -0.001 | 0.000 | 0.000 | 0.000 | 0.000 | 0.000 |
| 0.000 | -0.001 | 0.000 | -0.000 | 0.000 | -0.000 |
| 0.000 | 0.000 | -0.001 | -0.000 | 0.000 | 0.000 |
| -0.000 | -0.000 | -0.000 | -0.000 | -0.000 | -0.000 |
| -0.000 | -0.000 | -0.000 | 0.000 | -0.000 | 0.000 |
| -0.000 | -0.000 | -0.000 | -0.000 | 0.000 | -0.000 |
| 0.634 | 0.016 | 0.016 | -0.000 | -0.000 | -0.000 |
| 0.016 | 0.634 | 0.016 | 0.000 | -0.000 | -0.000 |
| 0.016 | 0.016 | 0.634 | -0.000 | 0.000 | -0.000 |
| 0.000 | 0.000 | 0.000 | -0.016 | -0.000 | 0.000 |
| 0.000 | 0.000 | 0.000 | -0.000 | -0.016 | -0.000 |
| 0.000 | 0.000 | 0.000 | -0.000 | -0.000 | -0.016 |
| 0.634 | 0.016 | 0.016 | 0.000 | 0.000 | 0.000 |
| 0.016 | 0.634 | 0.016 | 0.000 | 0.000 | -0.000 |
| 0.016 | 0.016 | 0.634 | 0.000 | -0.000 | 0.000 |
| -0.000 | -0.000 | -0.000 | -0.016 | 0.000 | 0.000 |
| -0.000 | -0.000 | -0.000 | 0.000 | -0.016 | 0.000 |
| -0.000 | -0.000 | -0.000 | 0.000 | 0.000 | -0.016 |
| 0.633 | 0.016 | 0.016 | -0.000 | -0.000 | 0.000 |
| 0.016 | 0.633 | 0.016 | -0.000 | -0.000 | 0.000 |
| 0.016 | 0.016 | 0.633 | 0.000 | 0.000 | -0.000 |
| 0.000 | 0.000 | -0.000 | -0.016 | -0.000 | -0.000 |
| 0.000 | 0.000 | -0.000 | -0.000 | -0.016 | -0.000 |
| 0.000 | -0.000 | 0.000 | 0.000 | -0.000 | -0.016 |
| 0.634 | 0.016 | 0.016 | 0.000 | 0.000 | 0.000 |
| 0.016 | 0.634 | 0.016 | 0.000 | 0.000 | 0.000 |
| 0.016 | 0.016 | 0.634 | 0.000 | 0.000 | 0.000 |
| -0.000 | -0.000 | 0.000 | -0.016 | 0.000 | 0.000 |
| -0.000 | -0.000 | 0.000 | 0.000 | -0.016 | -0.000 |
| -0.000 | 0.000 | -0.000 | 0.000 | 0.000 | -0.016 |
| 0.629 | 0.016 | 0.016 | -0.000 | -0.000 | -0.000 |
| 0.016 | 0.629 | 0.016 | -0.000 | -0.000 | -0.000 |
| 0.016 | 0.016 | 0.629 | -0.000 | 0.000 | -0.000 |
| 0.000 | 0.000 | -0.000 | -0.016 | 0.000 | -0.000 |
| 0.000 | 0.000 | -0.000 | 0.000 | -0.016 | -0.000 |
| 0.000 | -0.000 | 0.000 | -0.000 | -0.000 | -0.016 |
| 0.638 | 0.016 | 0.016 | 0.000 | 0.000 | 0.000 |
| 0.016 | 0.638 | 0.016 | 0.000 | 0.000 | 0.000 |
| 0.016 | 0.016 | 0.638 | 0.000 | -0.000 | 0.000 |
| -0.000 | -0.000 | 0.000 | -0.016 | -0.000 | -0.000 |
| -0.000 | -0.000 | 0.000 | -0.000 | -0.016 | 0.000 |
| -0.000 | 0.000 | -0.000 | 0.000 | 0.000 | -0.016 |
| 73.122 | 158.843 | 158.843 | -0.000 | -0.000 | 0.000 |
| 158.843 | 73.122 | 158.843 | -0.000 | 0.000 | -0.000 |
| 158.843 | 158.843 | 73.122 | -0.000 | -0.000 | 0.000 |
| 0.000 | 0.000 | 0.000 | 121.303 | 0.000 | 0.000 |
| 0.000 | 0.000 | -0.000 | -0.000 | 121.303 | -0.000 |
| -0.000 | 0.000 | -0.000 | -0.000 | 0.000 | 121.303 |
| 73.122 | 158.843 | 158.843 | 0.000 | -0.000 | 0.000 |
| 158.843 | 73.122 | 158.843 | 0.000 | 0.000 | -0.000 |
| 158.843 | 158.843 | 73.122 | 0.000 | -0.000 | 0.000 |
| -0.000 | -0.000 | -0.000 | 121.303 | -0.000 | 0.000 |
| -0.000 | -0.000 | 0.000 | 0.000 | 121.303 | -0.000 |
| -0.000 | -0.000 | 0.000 | 0.000 | -0.000 | 121.303 |
| 73.122 | 158.843 | 158.843 | -0.000 | -0.000 | -0.000 |
| 158.843 | 73.122 | 158.843 | -0.000 | 0.000 | 0.000 |
| 158.843 | 158.843 | 73.122 | -0.000 | -0.000 | 0.000 |
| 0.000 | 0.000 | 0.000 | 121.303 | 0.000 | 0.000 |
| 0.000 | 0.000 | 0.000 | -0.000 | 121.303 | 0.000 |
| 0.000 | 0.000 | 0.000 | -0.000 | 0.000 | 121.303 |
| 73.122 | 158.843 | 158.843 | 0.000 | 0.000 | -0.000 |
| 158.843 | 73.122 | 158.843 | 0.000 | -0.000 | -0.000 |
| 158.843 | 158.843 | 73.122 | -0.000 | -0.000 | 0.000 |
| -0.000 | -0.000 | -0.000 | 121.303 | -0.000 | -0.000 |
| -0.000 | -0.000 | -0.000 | 0.000 | 121.303 | -0.000 |
| -0.000 | -0.000 | -0.000 | 0.000 | -0.000 | 121.303 |
| 73.123 | 158.844 | 158.844 | -0.000 | 0.000 | 0.000 |
| 158.844 | 73.123 | 158.844 | -0.000 | 0.000 | 0.000 |
| 158.844 | 158.844 | 73.123 | -0.000 | 0.000 | 0.000 |
| 0.001 | 0.000 | 0.001 | 120.650 | -0.000 | 0.000 |
| 0.000 | 0.001 | 0.001 | -0.000 | 120.650 | 0.000 |
| 0.000 | 0.001 | 0.001 | -0.000 | -0.000 | 120.650 |
| 73.122 | 158.843 | 158.843 | 0.000 | 0.000 | 0.000 |
| 158.843 | 73.122 | 158.843 | 0.000 | -0.000 | -0.000 |
| 158.843 | 158.843 | 73.122 | 0.000 | -0.000 | -0.000 |
| -0.001 | -0.000 | -0.001 | 120.650 | 0.000 | -0.000 |
| -0.000 | -0.001 | -0.001 | 0.000 | 120.650 | -0.000 |
| -0.000 | -0.001 | -0.001 | 0.000 | 0.000 | 120.650 |
| 1.138 | -2.007 | -2.007 | -0.000 | 0.000 | -0.000 |
| -2.007 | 1.138 | -2.007 | -0.000 | 0.000 | -0.000 |
| -2.007 | -2.007 | 1.138 | 0.000 | 0.000 | 0.000 |
| -0.000 | -0.000 | -0.000 | -1.860 | 0.000 | -0.000 |
| -0.000 | -0.000 | -0.000 | 0.000 | -1.860 | -0.000 |
| -0.000 | -0.000 | -0.000 | -0.000 | -0.000 | -1.860 |
| 1.138 | -2.007 | -2.007 | -0.000 | 0.000 | 0.000 |
| -2.007 | 1.138 | -2.007 | 0.000 | 0.000 | 0.000 |
| -2.007 | -2.007 | 1.138 | 0.000 | 0.000 | 0.000 |
| 0.000 | 0.000 | 0.000 | -1.866 | -0.000 | 0.000 |
| 0.000 | 0.000 | 0.000 | -0.000 | -1.866 | 0.000 |
| 0.000 | 0.000 | 0.000 | -0.000 | -0.000 | -1.866 |
| 1.138 | -2.007 | -2.007 | -0.000 | -0.000 | -0.000 |
| -2.007 | 1.138 | -2.007 | -0.000 | 0.000 | -0.000 |
| -2.007 | -2.007 | 1.138 | -0.000 | -0.000 | -0.000 |
| -0.000 | -0.000 | -0.000 | -1.866 | 0.000 | -0.000 |
| -0.000 | -0.000 | -0.000 | 0.000 | -1.866 | 0.000 |
| -0.000 | -0.000 | -0.000 | 0.000 | 0.000 | -1.866 |
| 1.138 | -2.007 | -2.007 | 0.000 | -0.000 | 0.000 |
| -2.007 | 1.138 | -2.007 | -0.000 | -0.000 | 0.000 |
| -2.007 | -2.007 | 1.138 | -0.000 | -0.000 | 0.000 |
| 0.000 | 0.000 | 0.000 | -1.866 | -0.000 | 0.000 |
| 0.000 | 0.000 | 0.000 | -0.000 | -1.866 | 0.000 |
| 0.000 | 0.000 | 0.000 | -0.000 | -0.000 | -1.866 |
| 1.138 | -2.008 | -2.008 | -0.000 | 0.000 | -0.000 |
| -2.008 | 1.138 | -2.008 | 0.000 | -0.000 | -0.000 |
| -2.008 | -2.008 | 1.138 | 0.000 | -0.000 | 0.000 |
| -0.000 | -0.000 | -0.000 | -1.899 | 0.000 | -0.000 |
| -0.000 | -0.000 | -0.000 | 0.000 | -1.899 | -0.000 |
| -0.000 | -0.000 | -0.000 | 0.000 | 0.000 | -1.899 |
| 1.138 | -2.007 | -2.007 | -0.000 | -0.000 | -0.000 |
| -2.007 | 1.138 | -2.007 | -0.000 | -0.000 | -0.000 |
| -2.007 | -2.007 | 1.138 | -0.000 | -0.000 | 0.000 |
| 0.000 | 0.000 | 0.000 | -1.899 | -0.000 | 0.000 |
| 0.000 | 0.000 | 0.000 | -0.000 | -1.899 | 0.000 |
| 0.000 | 0.000 | 0.000 | -0.000 | 0.000 | -1.899 |
| 7.259 | 0.487 | 0.487 | 0.000 | 0.000 | 0.000 |
| 0.487 | 7.259 | 0.487 | 0.000 | 0.000 | 0.000 |
| 0.487 | 0.487 | 7.259 | 0.000 | 0.000 | 0.000 |
| -0.000 | -0.000 | -0.000 | 0.262 | 0.000 | 0.000 |
| -0.000 | -0.000 | -0.000 | 0.000 | 0.262 | -0.000 |
| -0.000 | -0.000 | -0.000 | 0.000 | 0.000 | 0.262 |
| 10604413.943 | -5414.721 | -5414.721 | -0.000 | -0.000 | -0.000 |
| -5414.721 | 10604413.943 | -5414.721 | -0.000 | -0.000 | -0.000 |
| -5414.721 | -5414.721 | 10604413.943 | -0.000 | -0.000 | 0.000 |
| 0.000 | 0.000 | 0.000 | 0.262 | -0.000 | 0.000 |
| 0.000 | 0.000 | 0.000 | -0.000 | 0.262 | 0.000 |
| 0.000 | 0.000 | 0.000 | -0.000 | -0.000 | 0.262 |
| 7.256 | 0.487 | 0.487 | 0.000 | 0.000 | -0.000 |
| 0.487 | 7.256 | 0.487 | 0.000 | 0.000 | -0.000 |
| 0.487 | 0.487 | 7.256 | 0.000 | 0.000 | 0.000 |
| -0.000 | -0.000 | -0.000 | 0.262 | 0.000 | 0.000 |
| -0.000 | -0.000 | -0.000 | 0.000 | 0.262 | -0.000 |
| -0.000 | -0.000 | -0.000 | 0.000 | 0.000 | 0.262 |
| 1060441.733 | -541.038 | -541.038 | -0.000 | -0.000 | -0.000 |
| -541.038 | 1060441.733 | -541.038 | -0.000 | 0.000 | -0.000 |
| -541.038 | -541.038 | 1060441.733 | -0.000 | -0.000 | -0.000 |
| 0.000 | 0.000 | 0.000 | 0.262 | -0.000 | 0.000 |
| 0.000 | 0.000 | 0.000 | -0.000 | 0.262 | 0.000 |
| 0.000 | 0.000 | 0.000 | -0.000 | -0.000 | 0.262 |
| 7.229 | 0.487 | 0.487 | 0.000 | 0.000 | 0.000 |
| 0.487 | 7.229 | 0.487 | 0.000 | 0.000 | 0.000 |
| 0.487 | 0.487 | 7.229 | 0.000 | 0.000 | 0.000 |
| -0.000 | -0.000 | -0.000 | 0.262 | 0.000 | -0.000 |
| -0.000 | -0.000 | -0.000 | 0.000 | 0.262 | 0.000 |
| -0.000 | -0.000 | -0.000 | 0.000 | 0.000 | 0.262 |
| 106044.512 | -53.670 | -53.670 | -0.000 | -0.000 | -0.000 |
| -53.670 | 106044.512 | -53.670 | -0.000 | -0.000 | -0.000 |
| -53.670 | -53.670 | 106044.512 | -0.000 | -0.000 | -0.000 |
| 0.000 | 0.000 | 0.000 | 0.262 | -0.000 | -0.000 |
| 0.000 | 0.000 | 0.000 | -0.000 | 0.262 | 0.000 |
| 0.000 | 0.000 | 0.000 | -0.000 | -0.000 | 0.262 |
| 1.169 | 1.354 | 1.354 | -0.000 | -0.000 | -0.000 |
| 1.354 | 1.169 | 1.354 | -0.000 | -0.000 | -0.000 |
| 1.354 | 1.354 | 1.169 | 0.000 | 0.000 | -0.000 |
| -0.000 | -0.000 | -0.000 | 1.156 | -0.000 | -0.000 |
| -0.000 | -0.000 | -0.000 | -0.000 | 1.156 | -0.000 |
| -0.000 | -0.000 | -0.000 | -0.000 | -0.000 | 1.156 |
| 1.169 | 1.354 | 1.354 | -0.000 | -0.000 | 0.000 |
| 1.354 | 1.169 | 1.354 | -0.000 | -0.000 | -0.000 |
| 1.354 | 1.354 | 1.169 | -0.000 | -0.000 | -0.000 |
| 0.000 | 0.000 | 0.000 | 1.156 | 0.000 | 0.000 |
| 0.000 | 0.000 | 0.000 | 0.000 | 1.156 | 0.000 |
| 0.000 | 0.000 | 0.000 | 0.000 | 0.000 | 1.156 |
| 1.169 | 1.354 | 1.354 | -0.000 | 0.000 | 0.000 |
| 1.354 | 1.169 | 1.354 | 0.000 | -0.000 | 0.000 |
| 1.354 | 1.354 | 1.169 | 0.000 | 0.000 | 0.000 |
| -0.000 | -0.000 | -0.000 | 1.148 | -0.000 | -0.000 |
| -0.000 | -0.000 | -0.000 | 0.000 | 1.148 | -0.000 |
| -0.000 | -0.000 | -0.000 | 0.000 | -0.000 | 1.148 |
| 1.170 | 1.354 | 1.354 | 0.000 | 0.000 | 0.000 |
| 1.354 | 1.170 | 1.354 | 0.000 | 0.000 | 0.000 |
| 1.354 | 1.354 | 1.170 | 0.000 | 0.000 | 0.000 |
| 0.000 | 0.000 | 0.000 | 1.148 | 0.000 | -0.000 |
| 0.000 | 0.000 | 0.000 | -0.000 | 1.148 | 0.000 |
| 0.000 | 0.000 | 0.000 | -0.000 | -0.000 | 1.148 |
| 1.167 | 1.351 | 1.351 | -0.000 | -0.000 | 0.000 |
| 1.351 | 1.167 | 1.351 | -0.000 | -0.000 | -0.000 |
| 1.351 | 1.351 | 1.167 | 0.000 | 0.000 | -0.000 |
| -0.003 | -0.003 | -0.003 | 1.132 | -0.000 | -0.000 |
| -0.003 | -0.003 | -0.003 | -0.000 | 1.132 | -0.000 |
| -0.003 | -0.003 | -0.003 | 0.000 | -0.000 | 1.132 |
| 1.172 | 1.357 | 1.357 | 0.000 | 0.000 | -0.000 |
| 1.357 | 1.172 | 1.357 | 0.000 | 0.000 | -0.000 |
| 1.357 | 1.357 | 1.172 | 0.000 | 0.000 | 0.000 |
| 0.003 | 0.003 | 0.003 | 1.132 | 0.000 | 0.000 |
| 0.003 | 0.003 | 0.003 | 0.000 | 1.132 | -0.000 |
| 0.003 | 0.003 | 0.003 | -0.000 | 0.000 | 1.132 |
| 244.728 | 158.536 | 158.536 | 0.000 | -0.000 | -0.000 |
| 158.536 | 244.728 | 158.536 | -0.000 | 0.000 | -0.000 |
| 158.536 | 158.536 | 244.728 | 0.000 | 0.000 | -0.000 |
| -0.000 | -0.000 | -0.000 | 128.476 | -0.000 | 0.000 |
| -0.000 | -0.000 | -0.000 | -0.000 | 128.476 | -0.000 |
| -0.000 | -0.000 | 0.000 | -0.000 | -0.000 | 128.476 |
| 244.728 | 158.536 | 158.536 | 0.000 | 0.000 | 0.000 |
| 158.536 | 244.728 | 158.536 | 0.000 | 0.000 | 0.000 |
| 158.536 | 158.536 | 244.728 | -0.000 | 0.000 | 0.000 |
| -0.000 | 0.000 | 0.000 | 128.476 | 0.000 | 0.000 |
| 0.000 | 0.000 | 0.000 | 0.000 | 128.476 | 0.000 |
| 0.000 | 0.000 | -0.000 | -0.000 | 0.000 | 128.476 |
| 244.728 | 158.536 | 158.536 | -0.000 | -0.000 | -0.000 |
| 158.536 | 244.728 | 158.536 | -0.000 | 0.000 | 0.000 |
| 158.536 | 158.536 | 244.728 | 0.000 | 0.000 | -0.000 |
| -0.000 | -0.000 | -0.000 | 128.476 | -0.000 | -0.000 |
| -0.000 | -0.000 | -0.000 | 0.000 | 128.476 | -0.000 |
| -0.000 | -0.000 | -0.000 | -0.000 | -0.000 | 128.476 |
| 244.728 | 158.536 | 158.536 | 0.000 | -0.000 | 0.000 |
| 158.536 | 244.728 | 158.536 | 0.000 | -0.000 | -0.000 |
| 158.536 | 158.536 | 244.728 | 0.000 | 0.000 | 0.000 |
| 0.000 | 0.000 | 0.000 | 128.476 | -0.000 | 0.000 |
| 0.000 | 0.000 | 0.000 | -0.000 | 128.476 | 0.000 |
| 0.000 | 0.000 | 0.000 | 0.000 | 0.000 | 128.476 |
| 244.725 | 158.536 | 158.536 | 0.000 | -0.000 | -0.000 |
| 158.536 | 244.725 | 158.536 | -0.000 | -0.000 | -0.000 |
| 158.536 | 158.536 | 244.725 | 0.000 | -0.000 | -0.000 |
| -0.000 | -0.000 | -0.000 | 128.476 | -0.000 | -0.000 |
| -0.000 | -0.000 | -0.000 | 0.000 | 128.476 | -0.000 |
| -0.000 | -0.000 | -0.000 | 0.000 | -0.000 | 128.476 |
| 244.732 | 158.536 | 158.536 | -0.000 | 0.000 | 0.000 |
| 158.536 | 244.732 | 158.536 | 0.000 | -0.000 | -0.000 |
| 158.536 | 158.536 | 244.732 | 0.000 | -0.000 | -0.000 |
| 0.000 | 0.000 | 0.000 | 128.476 | -0.000 | -0.000 |
| 0.000 | 0.000 | 0.000 | -0.000 | 128.476 | 0.000 |
| 0.000 | 0.000 | 0.000 | -0.000 | 0.000 | 128.476 |
| 1.041 | 0.513 | 0.513 | 0.000 | 0.000 | 0.000 |
| 0.513 | 1.041 | 0.513 | 0.000 | 0.000 | 0.000 |
| 0.513 | 0.513 | 1.041 | 0.000 | 0.000 | -0.000 |
| 0.000 | -0.000 | -0.000 | 0.515 | -0.000 | 0.000 |
| -0.000 | 0.000 | -0.000 | -0.000 | 0.515 | 0.000 |
| -0.000 | -0.000 | 0.000 | -0.000 | -0.000 | 0.515 |
| 1.041 | 0.513 | 0.513 | -0.000 | -0.000 | -0.000 |
| 0.513 | 1.041 | 0.513 | -0.000 | -0.000 | -0.000 |
| 0.513 | 0.513 | 1.041 | -0.000 | -0.000 | -0.000 |
| -0.000 | 0.000 | 0.000 | 0.515 | -0.000 | -0.000 |
| 0.000 | -0.000 | 0.000 | 0.000 | 0.515 | -0.000 |
| 0.000 | 0.000 | -0.000 | 0.000 | -0.000 | 0.515 |
| 1.041 | 0.513 | 0.513 | 0.000 | 0.000 | -0.000 |
| 0.513 | 1.041 | 0.513 | -0.000 | 0.000 | 0.000 |
| 0.513 | 0.513 | 1.041 | 0.000 | 0.000 | 0.000 |
| 0.000 | -0.000 | -0.000 | 0.515 | 0.000 | 0.000 |
| -0.000 | 0.000 | -0.000 | 0.000 | 0.515 | 0.000 |
| -0.000 | -0.000 | 0.000 | 0.000 | -0.000 | 0.515 |
| 1.041 | 0.513 | 0.513 | 0.000 | -0.000 | -0.000 |
| 0.513 | 1.041 | 0.513 | -0.000 | 0.000 | -0.000 |
| 0.513 | 0.513 | 1.041 | -0.000 | 0.000 | 0.000 |
| -0.000 | 0.000 | 0.000 | 0.515 | -0.000 | -0.000 |
| 0.000 | -0.000 | 0.000 | -0.000 | 0.515 | -0.000 |
| 0.000 | 0.000 | -0.000 | -0.000 | -0.000 | 0.515 |
| 1.040 | 0.513 | 0.513 | 0.000 | 0.000 | 0.000 |
| 0.513 | 1.040 | 0.513 | 0.000 | 0.000 | 0.000 |
| 0.513 | 0.513 | 1.040 | 0.000 | 0.000 | 0.000 |
| 0.000 | -0.000 | -0.000 | 0.515 | 0.000 | 0.000 |
| -0.000 | 0.000 | -0.000 | 0.000 | 0.515 | 0.000 |
| -0.000 | -0.000 | 0.000 | 0.000 | 0.000 | 0.515 |
| 1.041 | 0.513 | 0.513 | -0.000 | -0.000 | -0.000 |
| 0.513 | 1.041 | 0.513 | -0.000 | 0.000 | -0.000 |
| 0.513 | 0.513 | 1.041 | -0.000 | -0.000 | 0.000 |
| -0.000 | 0.000 | 0.000 | 0.515 | -0.000 | -0.000 |
| 0.000 | -0.000 | 0.000 | -0.000 | 0.515 | 0.000 |
| 0.000 | 0.000 | -0.000 | -0.000 | 0.000 | 0.515 |
| 2.940 | 1.696 | 1.696 | -0.000 | -0.000 | 0.000 |
| 1.696 | 2.940 | 1.696 | -0.000 | -0.000 | 0.000 |
| 1.696 | 1.696 | 2.940 | -0.000 | -0.000 | 0.000 |
| 0.000 | -0.000 | -0.000 | 1.390 | -0.000 | 0.000 |
| -0.000 | 0.000 | -0.000 | -0.000 | 1.390 | 0.000 |
| -0.000 | -0.000 | 0.000 | -0.000 | -0.000 | 1.390 |
| 2.940 | 1.697 | 1.697 | 0.000 | 0.000 | -0.000 |
| 1.697 | 2.940 | 1.697 | 0.000 | 0.000 | -0.000 |
| 1.697 | 1.697 | 2.940 | 0.000 | 0.000 | -0.000 |
| -0.000 | 0.000 | 0.000 | 1.390 | 0.000 | -0.000 |
| 0.000 | -0.000 | 0.000 | 0.000 | 1.390 | -0.000 |
| 0.000 | 0.000 | -0.000 | 0.000 | 0.000 | 1.390 |
| 2.939 | 1.696 | 1.696 | -0.000 | -0.000 | 0.000 |
| 1.696 | 2.939 | 1.696 | -0.000 | -0.000 | 0.000 |
| 1.696 | 1.696 | 2.939 | -0.000 | -0.000 | 0.000 |
| 0.000 | -0.001 | -0.001 | 1.390 | -0.000 | 0.000 |
| -0.001 | 0.000 | -0.001 | -0.000 | 1.390 | 0.000 |
| -0.001 | -0.001 | 0.000 | -0.000 | -0.000 | 1.390 |
| 2.941 | 1.697 | 1.697 | 0.000 | 0.000 | -0.000 |
| 1.697 | 2.941 | 1.697 | 0.000 | 0.000 | -0.000 |
| 1.697 | 1.697 | 2.941 | 0.000 | 0.000 | -0.000 |
| 0.000 | 0.001 | 0.001 | 1.390 | 0.000 | -0.000 |
| 0.001 | -0.000 | 0.001 | 0.000 | 1.390 | -0.000 |
| 0.001 | 0.001 | -0.000 | 0.000 | 0.000 | 1.390 |
| 2.929 | 1.691 | 1.691 | -0.000 | -0.000 | 0.000 |
| 1.691 | 2.929 | 1.691 | -0.000 | -0.000 | 0.000 |
| 1.691 | 1.691 | 2.929 | -0.000 | -0.000 | 0.000 |
| -0.000 | -0.005 | -0.005 | 1.390 | -0.000 | 0.000 |
| -0.005 | -0.000 | -0.005 | -0.000 | 1.390 | 0.000 |
| -0.005 | -0.005 | -0.000 | -0.000 | -0.000 | 1.390 |
| 2.950 | 1.702 | 1.702 | 0.000 | 0.000 | -0.000 |
| 1.702 | 2.950 | 1.702 | 0.000 | 0.000 | -0.000 |
| 1.702 | 1.702 | 2.950 | 0.000 | 0.000 | -0.000 |
| 0.000 | 0.005 | 0.005 | 1.390 | 0.000 | -0.000 |
| 0.005 | 0.000 | 0.005 | 0.000 | 1.390 | -0.000 |
| 0.005 | 0.005 | 0.000 | 0.000 | 0.000 | 1.390 |
| 268.981 | 131.114 | 23.035 | 0.000 | -0.000 | -0.000 |
| 135.885 | 266.280 | 23.509 | 0.000 | 0.000 | 0.000 |
| 23.706 | 23.706 | 137.062 | 0.000 | -0.000 | 0.000 |
| 0.537 | 0.537 | 0.246 | -10.486 | 0.000 | 0.000 |
| 0.537 | 0.537 | 0.246 | 0.000 | -10.486 | -0.000 |
| 1.040 | 1.040 | 0.477 | -0.000 | -0.000 | 67.573 |
| 272.443 | 125.720 | 22.592 | -0.000 | -0.000 | 0.000 |
| 116.424 | 286.839 | 23.761 | -0.000 | 0.000 | 0.000 |
| 23.077 | 23.077 | 136.774 | -0.000 | 0.000 | -0.000 |
| -0.537 | -0.537 | -0.246 | -10.486 | -0.000 | 0.000 |
| -0.537 | -0.537 | -0.246 | -0.000 | -10.486 | 0.000 |
| -1.040 | -1.040 | -0.477 | -0.000 | 0.000 | 67.573 |
| 270.574 | 128.436 | 22.786 | 0.000 | -0.000 | -0.000 |
| 135.601 | 266.009 | 23.382 | 0.000 | -0.000 | -0.000 |
| 23.773 | 23.773 | 137.093 | 0.000 | -0.000 | 0.000 |
| 0.031 | 0.031 | 0.014 | -10.966 | -0.000 | 0.000 |
| 0.031 | 0.031 | 0.014 | 0.000 | -10.966 | -0.000 |
| -0.000 | 0.000 | 0.000 | 0.000 | -0.000 | 85.207 |
| 286.839 | 116.424 | 23.761 | -0.000 | 0.000 | 0.000 |
| 116.424 | 286.839 | 23.761 | 0.000 | 0.000 | 0.000 |
| 23.360 | 23.360 | 136.904 | -0.000 | -0.000 | -0.000 |
| -0.031 | -0.031 | -0.014 | -10.966 | 0.000 | 0.000 |
| -0.031 | -0.031 | -0.014 | -0.000 | -10.966 | -0.000 |
| 0.000 | -0.000 | -0.000 | -0.000 | 0.000 | 85.207 |
| 286.840 | 116.425 | 23.761 | 0.000 | -0.000 | -0.000 |
| 135.682 | 265.966 | 23.390 | 0.000 | -0.000 | -0.000 |
| 23.395 | 23.395 | 136.919 | -0.000 | -0.000 | -0.000 |
| 0.000 | 0.000 | 0.000 | -10.281 | -0.000 | 0.000 |
| 0.018 | 0.018 | 0.009 | 0.000 | -10.966 | 0.000 |
| 0.010 | 0.011 | 0.005 | -0.000 | -0.000 | 66.618 |
| 270.774 | 128.132 | 22.762 | -0.000 | -0.000 | 0.000 |
| 135.565 | 265.976 | 23.366 | 0.000 | 0.000 | 0.000 |
| 23.388 | 23.388 | 136.916 | -0.000 | 0.000 | 0.000 |
| -0.000 | -0.000 | -0.000 | -10.281 | -0.000 | 0.000 |
| -0.018 | -0.018 | -0.009 | -0.000 | -10.966 | 0.000 |
| -0.010 | -0.011 | -0.005 | 0.000 | 0.000 | 66.618 |
| 237.461 | 147.580 | 146.743 | -0.000 | 0.000 | 0.000 |
| 147.580 | 237.461 | 146.743 | 0.000 | 0.000 | 0.000 |
| 146.743 | 146.743 | 233.297 | 0.000 | 0.000 | 0.000 |
| 0.000 | -0.000 | -0.000 | 127.635 | 0.000 | 0.000 |
| -0.000 | -0.000 | -0.000 | 0.000 | 127.635 | 0.000 |
| 0.000 | -0.000 | -0.000 | 0.000 | 0.000 | 128.240 |
| 237.656 | 147.385 | 146.743 | -0.000 | -0.000 | -0.000 |
| 147.385 | 237.656 | 146.743 | -0.000 | -0.000 | -0.000 |
| 146.743 | 146.743 | 233.298 | -0.000 | -0.000 | -0.000 |
| -0.000 | 0.000 | 0.000 | 127.635 | -0.000 | -0.000 |
| 0.000 | 0.000 | 0.000 | -0.000 | 127.635 | -0.000 |
| -0.000 | 0.000 | 0.000 | -0.000 | -0.000 | 128.240 |
| 237.656 | 147.385 | 146.743 | 0.000 | 0.000 | 0.000 |
| 147.385 | 237.656 | 146.743 | 0.000 | 0.000 | 0.000 |
| 146.743 | 146.743 | 233.297 | -0.000 | 0.000 | 0.000 |
| -0.000 | -0.000 | -0.000 | 127.518 | 0.000 | 0.000 |
| -0.000 | -0.000 | -0.000 | 0.000 | 127.518 | 0.000 |
| -0.000 | -0.000 | -0.000 | -0.000 | 0.000 | 128.240 |
| 237.461 | 147.580 | 146.743 | -0.000 | -0.000 | -0.000 |
| 147.580 | 237.461 | 146.743 | 0.000 | -0.000 | -0.000 |
| 146.743 | 146.743 | 233.298 | -0.000 | -0.000 | -0.000 |
| 0.000 | 0.000 | 0.000 | 127.518 | -0.000 | -0.000 |
| 0.000 | 0.000 | 0.000 | -0.000 | 127.518 | -0.000 |
| 0.000 | 0.000 | 0.000 | 0.000 | -0.000 | 128.240 |
| 237.458 | 147.580 | 146.743 | 0.000 | 0.000 | 0.000 |
| 147.580 | 237.458 | 146.743 | 0.000 | 0.000 | 0.000 |
| 146.743 | 146.743 | 233.294 | 0.000 | 0.000 | 0.000 |
| -0.000 | -0.000 | -0.000 | 127.635 | -0.000 | 0.000 |
| -0.000 | -0.000 | -0.000 | 0.000 | 127.635 | 0.000 |
| -0.000 | -0.000 | -0.000 | 0.000 | 0.000 | 128.240 |
| 237.464 | 147.580 | 146.743 | 0.000 | 0.000 | -0.000 |
| 147.580 | 237.464 | 146.743 | 0.000 | -0.000 | -0.000 |
| 146.743 | 146.743 | 233.301 | 0.000 | -0.000 | -0.000 |
| 0.000 | 0.000 | 0.000 | 127.635 | 0.000 | -0.000 |
| 0.000 | 0.000 | 0.000 | -0.000 | 127.635 | -0.000 |
| 0.000 | 0.000 | 0.000 | -0.000 | -0.000 | 128.240 |
| 270.158 | 128.581 | 22.620 | -0.000 | 0.000 | -0.000 |
| 135.290 | 265.935 | 23.201 | 0.000 | -0.000 | 0.000 |
| 23.226 | 23.226 | 137.017 | 0.000 | 0.000 | -0.000 |
| -0.000 | 0.000 | 0.000 | -10.445 | 0.000 | -0.000 |
| 0.000 | -0.000 | -0.000 | 0.000 | -10.445 | -0.000 |
| 0.068 | 0.068 | 0.032 | 0.000 | -0.000 | 65.296 |
| 286.516 | 116.241 | 23.559 | -0.000 | 0.000 | -0.000 |
| 116.241 | 286.516 | 23.559 | -0.000 | 0.000 | 0.000 |
| 23.541 | 23.541 | 137.164 | -0.000 | -0.000 | -0.000 |
| -0.000 | 0.000 | 0.000 | -10.445 | -0.000 | -0.000 |
| -0.000 | 0.000 | 0.000 | -0.000 | -10.445 | -0.000 |
| -0.068 | -0.068 | -0.032 | -0.000 | 0.000 | 65.296 |
| 265.868 | 135.344 | 23.198 | 0.000 | -0.000 | 0.000 |
| 116.242 | 286.516 | 23.559 | -0.000 | -0.000 | -0.000 |
| 23.541 | 23.541 | 137.164 | 0.000 | 0.000 | 0.000 |
| 0.000 | 0.000 | 0.000 | -10.445 | 0.000 | -0.000 |
| 0.034 | 0.034 | 0.016 | 0.000 | -11.127 | 0.000 |
| -0.000 | 0.000 | 0.000 | 0.000 | 0.000 | 85.137 |
| 270.546 | 127.989 | 22.573 | -0.000 | -0.000 | 0.000 |
| 116.241 | 286.516 | 23.559 | -0.000 | 0.000 | 0.000 |
| 23.161 | 23.161 | 136.987 | -0.000 | -0.000 | -0.000 |
| -0.000 | -0.000 | -0.000 | -10.445 | -0.000 | -0.000 |
| -0.034 | -0.034 | -0.016 | -0.000 | -11.127 | -0.000 |
| 0.000 | -0.000 | -0.000 | -0.000 | 0.000 | 85.137 |
| 286.517 | 116.242 | 23.559 | 0.000 | 0.000 | 0.000 |
| 116.242 | 286.517 | 23.559 | 0.000 | 0.000 | 0.000 |
| 23.541 | 23.541 | 137.163 | 0.000 | 0.000 | 0.000 |
| 0.000 | 0.000 | 0.000 | -10.445 | 0.000 | 0.000 |
| 0.003 | 0.004 | 0.002 | 0.000 | -11.128 | 0.000 |
| 0.000 | 0.001 | 0.000 | 0.000 | -0.000 | 65.295 |
| 270.514 | 128.037 | 22.576 | 0.000 | -0.000 | 0.000 |
| 128.036 | 270.514 | 22.576 | 0.000 | 0.000 | 0.000 |
| 23.166 | 23.166 | 136.990 | -0.000 | -0.000 | -0.000 |
| -0.000 | -0.000 | -0.000 | -10.445 | -0.000 | -0.000 |
| -0.003 | -0.004 | -0.002 | -0.000 | -11.128 | -0.000 |
| -0.000 | -0.001 | -0.000 | -0.000 | 0.000 | 65.295 |
| 198.660 | 140.483 | 140.483 | 0.000 | -0.000 | 0.000 |
| 140.483 | 198.660 | 140.483 | 0.000 | -0.000 | 0.000 |
| 140.483 | 140.483 | 198.660 | 0.000 | 0.000 | -0.000 |
| 0.000 | -0.000 | -0.000 | 111.690 | -0.000 | -0.000 |
| 0.000 | 0.000 | -0.000 | 0.000 | 111.690 | -0.000 |
| 0.000 | 0.000 | 0.000 | -0.000 | -0.000 | 111.690 |
| 198.660 | 140.483 | 140.483 | -0.000 | 0.000 | 0.000 |
| 140.483 | 198.660 | 140.483 | -0.000 | 0.000 | -0.000 |
| 140.483 | 140.483 | 198.660 | -0.000 | 0.000 | 0.000 |
| -0.000 | 0.000 | 0.000 | 111.690 | 0.000 | -0.000 |
| -0.000 | -0.000 | 0.000 | -0.000 | 111.690 | 0.000 |
| -0.000 | -0.000 | -0.000 | -0.000 | 0.000 | 111.690 |
| 198.660 | 140.483 | 140.483 | 0.000 | -0.000 | 0.000 |
| 140.483 | 198.660 | 140.483 | 0.000 | -0.000 | 0.000 |
| 140.483 | 140.483 | 198.660 | 0.000 | 0.000 | -0.000 |
| 0.000 | -0.000 | -0.000 | 111.690 | -0.000 | 0.000 |
| -0.000 | 0.000 | -0.000 | 0.000 | 111.690 | -0.000 |
| -0.000 | -0.000 | 0.000 | 0.000 | -0.000 | 111.690 |
| 198.660 | 140.483 | 140.483 | -0.000 | 0.000 | 0.000 |
| 140.483 | 198.660 | 140.483 | -0.000 | -0.000 | -0.000 |
| 140.483 | 140.483 | 198.660 | -0.000 | 0.000 | 0.000 |
| -0.000 | 0.000 | 0.000 | 111.690 | 0.000 | -0.000 |
| 0.000 | -0.000 | 0.000 | -0.000 | 111.690 | -0.000 |
| 0.000 | 0.000 | -0.000 | -0.000 | 0.000 | 111.690 |
| 198.658 | 140.483 | 140.483 | 0.000 | -0.000 | -0.000 |
| 140.483 | 198.658 | 140.483 | 0.000 | 0.000 | -0.000 |
| 140.483 | 140.483 | 198.658 | 0.000 | -0.000 | -0.000 |
| 0.000 | -0.000 | -0.000 | 111.690 | 0.000 | 0.000 |
| -0.000 | 0.000 | -0.000 | 0.000 | 111.690 | -0.000 |
| -0.000 | -0.000 | 0.000 | 0.000 | -0.000 | 111.690 |
| 198.662 | 140.484 | 140.484 | -0.000 | -0.000 | -0.000 |
| 140.484 | 198.662 | 140.484 | -0.000 | 0.000 | -0.000 |
| 140.484 | 140.484 | 198.662 | -0.000 | 0.000 | -0.000 |
| -0.000 | 0.000 | 0.000 | 111.690 | -0.000 | -0.000 |
| 0.000 | -0.000 | 0.000 | -0.000 | 111.690 | -0.000 |
| 0.000 | 0.000 | -0.000 | -0.000 | 0.000 | 111.690 |
| 2.281 | 1.318 | 1.318 | -0.000 | 0.000 | -0.000 |
| 1.318 | 2.281 | 1.318 | 0.000 | -0.000 | -0.000 |
| 1.318 | 1.318 | 2.281 | -0.000 | 0.000 | -0.000 |
| 0.000 | -0.000 | -0.000 | 1.081 | 0.000 | -0.000 |
| -0.000 | 0.000 | -0.000 | 0.000 | 1.081 | -0.000 |
| -0.000 | -0.000 | 0.000 | 0.000 | -0.000 | 1.081 |
| 2.281 | 1.318 | 1.318 | 0.000 | 0.000 | 0.000 |
| 1.318 | 2.281 | 1.318 | -0.000 | -0.000 | 0.000 |
| 1.318 | 1.318 | 2.281 | 0.000 | 0.000 | 0.000 |
| -0.000 | 0.000 | 0.000 | 1.081 | -0.000 | 0.000 |
| 0.000 | -0.000 | 0.000 | 0.000 | 1.081 | 0.000 |
| 0.000 | 0.000 | -0.000 | -0.000 | -0.000 | 1.081 |
| 2.280 | 1.317 | 1.317 | 0.000 | 0.000 | -0.000 |
| 1.317 | 2.280 | 1.317 | -0.000 | 0.000 | -0.000 |
| 1.317 | 1.317 | 2.280 | -0.000 | 0.000 | -0.000 |
| -0.000 | -0.000 | -0.000 | 1.081 | -0.000 | -0.000 |
| -0.000 | 0.000 | -0.000 | -0.000 | 1.081 | -0.000 |
| -0.000 | -0.000 | 0.000 | 0.000 | -0.000 | 1.081 |
| 2.281 | 1.318 | 1.318 | 0.000 | -0.000 | 0.000 |
| 1.318 | 2.281 | 1.318 | -0.000 | 0.000 | 0.000 |
| 1.318 | 1.318 | 2.281 | -0.000 | -0.000 | 0.000 |
| 0.000 | 0.000 | 0.000 | 1.081 | 0.000 | 0.000 |
| 0.000 | -0.000 | 0.000 | 0.000 | 1.081 | 0.000 |
| 0.000 | 0.000 | -0.000 | -0.000 | -0.000 | 1.081 |
| 2.272 | 1.314 | 1.314 | 0.000 | 0.000 | -0.000 |
| 1.314 | 2.272 | 1.314 | -0.000 | 0.000 | -0.000 |
| 1.314 | 1.314 | 2.272 | -0.000 | 0.000 | -0.000 |
| -0.000 | -0.004 | -0.004 | 1.081 | -0.000 | -0.000 |
| -0.004 | -0.000 | -0.004 | -0.000 | 1.081 | -0.000 |
| -0.004 | -0.004 | -0.000 | -0.000 | 0.000 | 1.081 |
| 2.289 | 1.322 | 1.322 | -0.000 | -0.000 | 0.000 |
| 1.322 | 2.289 | 1.322 | -0.000 | 0.000 | 0.000 |
| 1.322 | 1.322 | 2.289 | -0.000 | -0.000 | 0.000 |
| 0.000 | 0.004 | 0.004 | 1.081 | 0.000 | 0.000 |
| 0.004 | 0.000 | 0.004 | 0.000 | 1.081 | 0.000 |
| 0.004 | 0.004 | 0.000 | 0.000 | -0.000 | 1.081 |
| 391.397 | 85.483 | 85.483 | 0.000 | -0.000 | -0.000 |
| 85.483 | 391.397 | 85.483 | 0.000 | -0.000 | -0.000 |
| 85.483 | 85.483 | 391.397 | 0.000 | 0.000 | 0.000 |
| 0.000 | -0.000 | -0.000 | 26.174 | -0.000 | -0.000 |
| 0.000 | 0.000 | -0.000 | 0.000 | 26.174 | -0.000 |
| 0.000 | -0.000 | 0.000 | 0.000 | -0.000 | 26.174 |
| 391.397 | 85.483 | 85.483 | -0.000 | 0.000 | 0.000 |
| 85.483 | 391.397 | 85.483 | -0.000 | 0.000 | 0.000 |
| 85.483 | 85.483 | 391.397 | -0.000 | 0.000 | 0.000 |
| -0.000 | 0.000 | -0.000 | 26.174 | 0.000 | 0.000 |
| -0.000 | 0.000 | -0.000 | -0.000 | 26.174 | -0.000 |
| -0.000 | 0.000 | -0.000 | -0.000 | 0.000 | 26.174 |
| 390.484 | 85.940 | 85.940 | 0.000 | -0.000 | -0.000 |
| 85.940 | 390.484 | 85.940 | 0.000 | -0.000 | 0.000 |
| 85.940 | 85.940 | 390.484 | 0.000 | -0.000 | -0.000 |
| 0.000 | 0.000 | -0.000 | 48.840 | -0.000 | -0.000 |
| 0.000 | 0.000 | -0.000 | 0.000 | 48.840 | -0.000 |
| 0.000 | -0.000 | 0.000 | 0.000 | -0.000 | 48.840 |
| 391.397 | 85.483 | 85.483 | -0.000 | 0.000 | -0.000 |
| 85.483 | 391.397 | 85.483 | -0.000 | 0.000 | 0.000 |
| 85.483 | 85.483 | 391.397 | 0.000 | 0.000 | -0.000 |
| -0.000 | -0.000 | 0.000 | 48.840 | 0.000 | 0.000 |
| -0.000 | -0.000 | 0.000 | -0.000 | 48.840 | 0.000 |
| -0.000 | 0.000 | -0.000 | -0.000 | 0.000 | 48.840 |
| 390.485 | 85.940 | 85.940 | 0.000 | -0.000 | -0.000 |
| 85.940 | 390.485 | 85.940 | 0.000 | -0.000 | -0.000 |
| 85.940 | 85.940 | 390.485 | -0.000 | -0.000 | -0.000 |
| 0.000 | 0.000 | -0.000 | 48.840 | -0.000 | -0.000 |
| 0.000 | 0.000 | -0.000 | 0.000 | 48.840 | -0.000 |
| 0.000 | -0.000 | 0.000 | 0.000 | -0.000 | 48.840 |
| 391.396 | 85.483 | 85.483 | -0.000 | 0.000 | 0.000 |
| 85.483 | 391.396 | 85.483 | -0.000 | 0.000 | -0.000 |
| 85.483 | 85.483 | 391.396 | -0.000 | 0.000 | -0.000 |
| -0.000 | -0.000 | 0.000 | 48.840 | 0.000 | 0.000 |
| -0.000 | -0.000 | 0.000 | -0.000 | 48.840 | 0.000 |
| -0.000 | 0.000 | -0.000 | -0.000 | 0.000 | 48.840 |
| 3.080 | 0.720 | 0.720 | 0.000 | 0.000 | -0.000 |
| 0.720 | 3.080 | 0.720 | 0.000 | 0.000 | -0.000 |
| 0.720 | 0.720 | 3.080 | -0.000 | 0.000 | -0.000 |
| 9.535 | -1457264.109 | -1457264.086 | 1166037.924 | 0.000 | 0.000 |
| -1457264.109 | 9.535 | -1457264.086 | 0.000 | 1166037.924 | 0.000 |
| -1457264.109 | -1457264.086 | 9.535 | -0.000 | 0.000 | 1166037.924 |
| 5829075.166 | 2914524.084 | 2914524.084 | -0.000 | -0.000 | -0.000 |
| 2914524.084 | 5829075.166 | 2914524.084 | -0.000 | 0.000 | -0.000 |
| 2914524.084 | 2914524.084 | 5829075.166 | -0.000 | -0.000 | -0.000 |
| -9.535 | 1457264.109 | 1457264.086 | 1166037.924 | -0.000 | -0.000 |
| 1457264.109 | -9.535 | 1457264.086 | -0.000 | 1166037.924 | -0.000 |
| 1457264.109 | 1457264.086 | -9.535 | -0.000 | -0.000 | 1166037.924 |
| 2.978 | 0.770 | 0.770 | 0.000 | -0.000 | -0.000 |
| 0.770 | 2.978 | 0.770 | -0.000 | 0.000 | -0.000 |
| 0.770 | 0.770 | 2.978 | 0.000 | -0.000 | 0.000 |
| 0.953 | -145726.087 | -145726.064 | 116603.986 | 0.000 | 0.000 |
| -145726.087 | 0.953 | -145726.064 | 0.000 | 116603.986 | 0.000 |
| -145726.087 | -145726.064 | 0.953 | 0.000 | 0.000 | 116603.986 |
| 582907.996 | 291452.477 | 291452.477 | -0.000 | 0.000 | -0.000 |
| 291452.477 | 582907.996 | 291452.477 | -0.000 | 0.000 | -0.000 |
| 291452.477 | 291452.477 | 582907.996 | -0.000 | -0.000 | -0.000 |
| -0.953 | 145726.087 | 145726.064 | 116603.986 | -0.000 | 0.000 |
| 145726.087 | -0.953 | 145726.064 | -0.000 | 116603.986 | -0.000 |
| 145726.087 | 145726.064 | -0.953 | -0.000 | -0.000 | 116603.986 |
| 2.803 | 0.854 | 0.854 | 0.000 | 0.000 | 0.000 |
| 0.854 | 2.803 | 0.854 | 0.000 | 0.000 | 0.000 |
| 0.854 | 0.854 | 2.803 | 0.000 | 0.000 | -0.000 |
| 0.095 | -14572.285 | -14572.262 | 11660.592 | 0.000 | 0.000 |
| -14572.285 | 0.095 | -14572.262 | -0.000 | 11660.592 | 0.000 |
| -14572.285 | -14572.262 | 0.095 | 0.000 | 0.000 | 11660.592 |
| 58291.279 | 29145.317 | 29145.317 | -0.000 | 0.000 | -0.000 |
| 29145.317 | 58291.279 | 29145.317 | -0.000 | 0.000 | -0.000 |
| 29145.317 | 29145.317 | 58291.279 | -0.000 | -0.000 | -0.000 |
| -0.095 | 14572.285 | 14572.262 | 11660.592 | -0.000 | -0.000 |
| 14572.285 | -0.095 | 14572.262 | -0.000 | 11660.592 | 0.000 |
| 14572.285 | 14572.262 | -0.095 | -0.000 | -0.000 | 11660.592 |
| 0.414 | 0.010 | 0.010 | 0.000 | 0.000 | 0.000 |
| 0.010 | 0.414 | 0.010 | 0.000 | -0.000 | -0.000 |
| 0.010 | 0.010 | 0.414 | -0.000 | 0.000 | 0.000 |
| 0.000 | 0.000 | 0.000 | -0.010 | 0.000 | 0.000 |
| 0.000 | 0.000 | 0.000 | 0.000 | -0.010 | 0.000 |
| 0.000 | 0.000 | 0.000 | 0.000 | 0.000 | -0.010 |
| 0.414 | 0.010 | 0.010 | 0.000 | -0.000 | -0.000 |
| 0.010 | 0.414 | 0.010 | -0.000 | -0.000 | -0.000 |
| 0.010 | 0.010 | 0.414 | -0.000 | 0.000 | 0.000 |
| -0.000 | -0.000 | -0.000 | -0.010 | -0.000 | 0.000 |
| -0.000 | -0.000 | -0.000 | -0.000 | -0.010 | -0.000 |
| -0.000 | -0.000 | -0.000 | -0.000 | -0.000 | -0.010 |
| 0.413 | 0.010 | 0.010 | 0.000 | 0.000 | 0.000 |
| 0.010 | 0.413 | 0.010 | 0.000 | -0.000 | -0.000 |
| 0.010 | 0.010 | 0.413 | -0.000 | 0.000 | 0.000 |
| 0.000 | 0.000 | -0.000 | -0.010 | -0.000 | -0.000 |
| 0.000 | 0.000 | -0.000 | 0.000 | -0.010 | 0.000 |
| 0.000 | -0.000 | 0.000 | 0.000 | 0.000 | -0.010 |
| 0.414 | 0.010 | 0.010 | 0.000 | -0.000 | -0.000 |
| 0.010 | 0.414 | 0.010 | 0.000 | -0.000 | 0.000 |
| 0.010 | 0.010 | 0.414 | 0.000 | -0.000 | 0.000 |
| -0.000 | -0.000 | 0.000 | -0.010 | 0.000 | 0.000 |
| -0.000 | -0.000 | 0.000 | -0.000 | -0.010 | -0.000 |
| -0.000 | 0.000 | -0.000 | -0.000 | 0.000 | -0.010 |
| 0.411 | 0.010 | 0.010 | 0.000 | 0.000 | 0.000 |
| 0.010 | 0.411 | 0.010 | 0.000 | -0.000 | -0.000 |
| 0.010 | 0.010 | 0.411 | -0.000 | 0.000 | 0.000 |
| 0.000 | 0.000 | -0.000 | -0.010 | 0.000 | -0.000 |
| 0.000 | 0.000 | -0.000 | -0.000 | -0.010 | 0.000 |
| 0.000 | -0.000 | 0.000 | 0.000 | 0.000 | -0.010 |
| 0.417 | 0.010 | 0.010 | 0.000 | -0.000 | -0.000 |
| 0.010 | 0.417 | 0.010 | 0.000 | -0.000 | 0.000 |
| 0.010 | 0.010 | 0.417 | 0.000 | -0.000 | 0.000 |
| -0.000 | -0.000 | 0.000 | -0.010 | -0.000 | 0.000 |
| -0.000 | -0.000 | 0.000 | 0.000 | -0.010 | -0.000 |
| -0.000 | 0.000 | -0.000 | -0.000 | -0.000 | -0.010 |
| 172.896 | 172.326 | 172.326 | 0.000 | -0.000 | 0.000 |
| 172.326 | 172.896 | 172.326 | 0.000 | -0.000 | 0.000 |
| 172.326 | 172.326 | 172.896 | -0.000 | -0.000 | 0.000 |
| 0.000 | 0.000 | 0.000 | 137.025 | 0.000 | 0.000 |
| 0.000 | 0.000 | 0.000 | -0.000 | 137.025 | 0.000 |
| 0.000 | 0.000 | 0.000 | 0.000 | -0.000 | 137.025 |
| 172.896 | 172.326 | 172.326 | 0.000 | 0.000 | -0.000 |
| 172.326 | 172.896 | 172.326 | 0.000 | 0.000 | -0.000 |
| 172.326 | 172.326 | 172.896 | 0.000 | 0.000 | 0.000 |
| -0.000 | -0.000 | -0.000 | 137.025 | -0.000 | 0.000 |
| -0.000 | -0.000 | -0.000 | 0.000 | 137.025 | -0.000 |
| -0.000 | -0.000 | -0.000 | -0.000 | 0.000 | 137.025 |
| 172.896 | 172.326 | 172.326 | 0.000 | -0.000 | 0.000 |
| 172.326 | 172.896 | 172.326 | -0.000 | -0.000 | 0.000 |
| 172.326 | 172.326 | 172.896 | -0.000 | -0.000 | 0.000 |
| 0.000 | 0.000 | 0.000 | 137.025 | -0.000 | 0.000 |
| 0.000 | 0.000 | 0.000 | 0.000 | 137.025 | 0.000 |
| 0.000 | 0.000 | 0.000 | 0.000 | -0.000 | 137.025 |
| 172.896 | 172.326 | 172.326 | -0.000 | 0.000 | 0.000 |
| 172.326 | 172.896 | 172.326 | -0.000 | 0.000 | -0.000 |
| 172.326 | 172.326 | 172.896 | -0.000 | 0.000 | -0.000 |
| -0.000 | -0.000 | -0.000 | 137.025 | 0.000 | 0.000 |
| -0.000 | -0.000 | -0.000 | -0.000 | 137.025 | -0.000 |
| -0.000 | -0.000 | -0.000 | -0.000 | 0.000 | 137.025 |
| 172.897 | 172.326 | 172.326 | 0.000 | -0.000 | -0.000 |
| 172.326 | 172.897 | 172.326 | 0.000 | -0.000 | -0.000 |
| 172.326 | 172.326 | 172.897 | -0.000 | -0.000 | -0.000 |
| 0.001 | 0.000 | 0.001 | 137.025 | -0.000 | 0.000 |
| 0.000 | 0.001 | 0.001 | -0.000 | 137.025 | 0.000 |
| 0.000 | 0.001 | 0.001 | 0.000 | -0.000 | 137.025 |
| 172.895 | 172.326 | 172.326 | 0.000 | 0.000 | -0.000 |
| 172.326 | 172.895 | 172.326 | -0.000 | 0.000 | -0.000 |
| 172.326 | 172.326 | 172.895 | 0.000 | 0.000 | -0.000 |
| -0.001 | -0.000 | -0.001 | 137.025 | 0.000 | -0.000 |
| -0.000 | -0.001 | -0.001 | 0.000 | 137.025 | -0.000 |
| -0.000 | -0.001 | -0.001 | -0.000 | 0.000 | 137.025 |
| 0.907 | 1.052 | 1.052 | 0.000 | -0.000 | 0.000 |
| 1.052 | 0.907 | 1.052 | 0.000 | 0.000 | 0.000 |
| 1.052 | 1.052 | 0.907 | 0.000 | 0.000 | -0.000 |
| -0.000 | -0.000 | -0.000 | 0.907 | 0.000 | 0.000 |
| -0.000 | -0.000 | -0.000 | 0.000 | 0.907 | 0.000 |
| -0.000 | -0.000 | -0.000 | 0.000 | 0.000 | 0.907 |
| 0.907 | 1.052 | 1.052 | -0.000 | -0.000 | -0.000 |
| 1.052 | 0.907 | 1.052 | -0.000 | -0.000 | -0.000 |
| 1.052 | 1.052 | 0.907 | -0.000 | -0.000 | 0.000 |
| 0.000 | 0.000 | 0.000 | 0.907 | -0.000 | -0.000 |
| 0.000 | 0.000 | 0.000 | -0.000 | 0.907 | -0.000 |
| 0.000 | 0.000 | 0.000 | -0.000 | 0.000 | 0.907 |
| 0.907 | 1.052 | 1.052 | 0.000 | 0.000 | 0.000 |
| 1.052 | 0.907 | 1.052 | 0.000 | 0.000 | 0.000 |
| 1.052 | 1.052 | 0.907 | 0.000 | 0.000 | 0.000 |
| -0.000 | -0.000 | -0.000 | 0.907 | 0.000 | -0.000 |
| -0.000 | -0.000 | -0.000 | 0.000 | 0.907 | -0.000 |
| -0.000 | -0.000 | -0.000 | 0.000 | 0.000 | 0.907 |
| 0.907 | 1.052 | 1.052 | -0.000 | -0.000 | -0.000 |
| 1.052 | 0.907 | 1.052 | -0.000 | -0.000 | -0.000 |
| 1.052 | 1.052 | 0.907 | -0.000 | -0.000 | 0.000 |
| 0.000 | 0.000 | 0.000 | 0.907 | -0.000 | -0.000 |
| 0.000 | 0.000 | 0.000 | -0.000 | 0.907 | -0.000 |
| 0.000 | 0.000 | 0.000 | -0.000 | -0.000 | 0.907 |
| 0.905 | 1.049 | 1.049 | 0.000 | 0.000 | 0.000 |
| 1.049 | 0.905 | 1.049 | 0.000 | 0.000 | 0.000 |
| 1.049 | 1.049 | 0.905 | 0.000 | 0.000 | 0.000 |
| -0.002 | -0.002 | -0.002 | 0.907 | 0.000 | 0.000 |
| -0.002 | -0.002 | -0.002 | 0.000 | 0.907 | -0.000 |
| -0.002 | -0.002 | -0.002 | 0.000 | 0.000 | 0.907 |
| 0.909 | 1.054 | 1.054 | -0.000 | -0.000 | -0.000 |
| 1.054 | 0.909 | 1.054 | -0.000 | -0.000 | -0.000 |
| 1.054 | 1.054 | 0.909 | -0.000 | -0.000 | 0.000 |
| 0.002 | 0.002 | 0.002 | 0.907 | -0.000 | 0.000 |
| 0.002 | 0.002 | 0.002 | -0.000 | 0.907 | -0.000 |
| 0.002 | 0.002 | 0.002 | -0.000 | -0.000 | 0.907 |
| 233.301 | 141.546 | 63.699 | -0.000 | -0.000 | 0.000 |
| 106.101 | 268.747 | 63.699 | 0.000 | 0.000 | -0.000 |
| 63.699 | 63.699 | 210.077 | 0.000 | 0.000 | -0.000 |
| 0.000 | -0.000 | -0.000 | 40.592 | 0.000 | 0.000 |
| 0.000 | -0.000 | 0.000 | -0.000 | 40.592 | 0.000 |
| 0.000 | -0.000 | -0.000 | -0.000 | 0.000 | 81.323 |
| 233.301 | 141.546 | 63.699 | 0.000 | -0.000 | 0.000 |
| 141.546 | 233.301 | 63.699 | -0.000 | -0.000 | 0.000 |
| 63.699 | 63.699 | 210.077 | 0.000 | 0.000 | -0.000 |
| -0.000 | 0.000 | -0.000 | 40.592 | -0.000 | 0.000 |
| -0.000 | 0.000 | -0.000 | -0.000 | 40.592 | -0.000 |
| -0.000 | 0.000 | 0.000 | 0.000 | -0.000 | 81.323 |
| 233.301 | 141.546 | 63.699 | -0.000 | -0.000 | 0.000 |
| 106.101 | 268.747 | 63.699 | -0.000 | -0.000 | -0.000 |
| 63.700 | 63.700 | 210.077 | -0.000 | 0.000 | -0.000 |
| 0.000 | 0.000 | 0.000 | 40.592 | 0.000 | 0.000 |
| 0.000 | 0.000 | 0.000 | 0.000 | 40.592 | -0.000 |
| -0.000 | -0.000 | -0.000 | -0.000 | 0.000 | 45.877 |
| 233.301 | 141.546 | 63.699 | 0.000 | 0.000 | -0.000 |
| 106.101 | 268.747 | 63.699 | 0.000 | 0.000 | -0.000 |
| 63.699 | 63.699 | 210.077 | 0.000 | -0.000 | -0.000 |
| -0.000 | -0.000 | -0.000 | 40.592 | -0.000 | 0.000 |
| -0.000 | -0.000 | -0.000 | -0.000 | 40.592 | 0.000 |
| 0.000 | 0.000 | 0.000 | 0.000 | -0.000 | 45.877 |
| 233.300 | 141.546 | 63.699 | 0.000 | -0.000 | 0.000 |
| 106.101 | 268.746 | 63.700 | 0.000 | -0.000 | 0.000 |
| 63.700 | 63.700 | 210.080 | 0.000 | 0.000 | -0.000 |
| 0.000 | -0.000 | 0.001 | 40.592 | 0.000 | -0.000 |
| -0.000 | 0.000 | 0.001 | -0.000 | 40.592 | -0.000 |
| -0.001 | -0.000 | -0.000 | -0.000 | 0.000 | 45.877 |
| 233.302 | 141.547 | 63.700 | 0.000 | 0.000 | 0.000 |
| 141.546 | 233.303 | 63.700 | 0.000 | -0.000 | 0.000 |
| 63.699 | 63.699 | 210.074 | 0.000 | -0.000 | 0.000 |
| -0.000 | 0.000 | -0.001 | 40.592 | 0.000 | -0.000 |
| 0.000 | -0.000 | -0.001 | -0.000 | 40.592 | 0.000 |
| 0.001 | 0.000 | 0.000 | 0.000 | -0.000 | 45.877 |
| 281.554 | 108.073 | 90.551 | 0.000 | 0.000 | 0.000 |
| 148.033 | 241.593 | 90.551 | 0.000 | -0.000 | -0.000 |
| 90.551 | 90.551 | 241.356 | 0.000 | -0.000 | -0.000 |
| 0.000 | 0.000 | 0.000 | 72.068 | -0.000 | -0.000 |
| 0.000 | 0.000 | 0.000 | 0.000 | 72.068 | -0.000 |
| -0.000 | -0.000 | 0.000 | 0.000 | -0.000 | 46.780 |
| 241.593 | 148.033 | 90.551 | -0.000 | 0.000 | 0.000 |
| 148.033 | 241.593 | 90.551 | -0.000 | 0.000 | 0.000 |
| 90.551 | 90.551 | 241.356 | -0.000 | 0.000 | 0.000 |
| -0.000 | -0.000 | -0.000 | 72.068 | -0.000 | 0.000 |
| -0.000 | -0.000 | -0.000 | -0.000 | 72.068 | 0.000 |
| 0.000 | 0.000 | -0.000 | -0.000 | 0.000 | 46.780 |
| 241.593 | 148.033 | 90.551 | 0.000 | -0.000 | 0.000 |
| 148.034 | 241.593 | 90.551 | 0.000 | -0.000 | -0.000 |
| 90.551 | 90.551 | 241.356 | 0.000 | 0.000 | -0.000 |
| 0.000 | 0.000 | 0.000 | 72.068 | -0.000 | -0.000 |
| 0.000 | 0.000 | 0.000 | 0.000 | 72.068 | -0.000 |
| -0.000 | -0.000 | 0.000 | 0.000 | -0.000 | 46.780 |
| 281.554 | 108.073 | 90.551 | 0.000 | 0.000 | 0.000 |
| 108.073 | 281.554 | 90.551 | 0.000 | 0.000 | -0.000 |
| 90.551 | 90.551 | 241.355 | -0.000 | -0.000 | 0.000 |
| -0.000 | -0.000 | -0.000 | 72.068 | 0.000 | 0.000 |
| -0.000 | -0.000 | -0.000 | -0.000 | 72.068 | 0.000 |
| 0.000 | 0.000 | -0.000 | -0.000 | 0.000 | 46.780 |
| 281.553 | 108.072 | 90.551 | 0.000 | -0.000 | -0.000 |
| 148.034 | 241.591 | 90.551 | 0.000 | -0.000 | -0.000 |
| 90.552 | 90.552 | 241.360 | 0.000 | -0.000 | -0.000 |
| 0.000 | 0.000 | 0.002 | 72.068 | 0.000 | -0.000 |
| 0.000 | 0.000 | 0.002 | 0.000 | 72.068 | -0.000 |
| -0.001 | -0.000 | 0.000 | 0.000 | 0.000 | 46.780 |
| 281.555 | 108.073 | 90.551 | -0.000 | 0.000 | 0.000 |
| 148.033 | 241.596 | 90.551 | -0.000 | 0.000 | 0.000 |
| 90.550 | 90.550 | 241.351 | -0.000 | 0.000 | 0.000 |
| -0.000 | -0.000 | -0.002 | 72.068 | 0.000 | -0.000 |
| -0.000 | -0.000 | -0.002 | -0.000 | 72.068 | -0.000 |
| 0.001 | 0.000 | -0.000 | -0.000 | -0.000 | 46.780 |
| 241.703 | 148.055 | 90.541 | -0.000 | 0.000 | -0.000 |
| 148.055 | 241.703 | 90.541 | -0.000 | 0.000 | 0.000 |
| 90.536 | 90.536 | 241.194 | -0.000 | 0.000 | -0.000 |
| 0.000 | 0.000 | 0.000 | 72.021 | 0.000 | 0.000 |
| 0.000 | 0.000 | 0.000 | -0.000 | 72.021 | -0.000 |
| -0.000 | 0.000 | 0.000 | -0.000 | 0.000 | 46.824 |
| 281.634 | 108.124 | 90.541 | 0.000 | -0.000 | 0.000 |
| 148.055 | 241.703 | 90.541 | 0.000 | -0.000 | -0.000 |
| 90.536 | 90.536 | 241.194 | 0.000 | -0.000 | -0.000 |
| -0.000 | -0.000 | -0.000 | 72.021 | -0.000 | -0.000 |
| -0.000 | -0.000 | -0.000 | 0.000 | 72.021 | -0.000 |
| 0.000 | -0.000 | -0.000 | 0.000 | -0.000 | 46.824 |
| 241.703 | 148.055 | 90.541 | -0.000 | 0.000 | 0.000 |
| 148.055 | 241.703 | 90.541 | -0.000 | 0.000 | 0.000 |
| 90.536 | 90.536 | 241.194 | -0.000 | 0.000 | 0.000 |
| 0.000 | 0.000 | 0.000 | 72.021 | 0.000 | -0.000 |
| 0.000 | 0.000 | 0.000 | -0.000 | 72.021 | 0.000 |
| -0.000 | -0.000 | 0.000 | -0.000 | 0.000 | 86.755 |
| 281.634 | 108.124 | 90.541 | 0.000 | -0.000 | -0.000 |
| 148.055 | 241.704 | 90.541 | 0.000 | 0.000 | 0.000 |
| 90.535 | 90.535 | 241.193 | 0.000 | -0.000 | -0.000 |
| -0.000 | -0.000 | -0.000 | 72.021 | -0.000 | -0.000 |
| -0.000 | -0.000 | -0.000 | 0.000 | 72.021 | -0.000 |
| 0.000 | 0.000 | -0.000 | 0.000 | -0.000 | 86.755 |
| 241.703 | 148.054 | 90.542 | -0.000 | 0.000 | 0.000 |
| 148.056 | 241.701 | 90.542 | -0.000 | 0.000 | 0.000 |
| 90.537 | 90.537 | 241.198 | -0.000 | 0.000 | -0.000 |
| 0.000 | 0.000 | 0.002 | 72.021 | 0.000 | -0.000 |
| 0.001 | 0.000 | 0.002 | -0.000 | 72.021 | 0.000 |
| -0.000 | -0.000 | 0.000 | -0.000 | 0.000 | 86.755 |
| 281.635 | 108.124 | 90.541 | 0.000 | -0.000 | -0.000 |
| 148.055 | 241.705 | 90.541 | 0.000 | -0.000 | -0.000 |
| 90.534 | 90.534 | 241.189 | 0.000 | -0.000 | 0.000 |
| -0.000 | -0.000 | -0.002 | 72.021 | -0.000 | -0.000 |
| -0.001 | -0.000 | -0.002 | 0.000 | 72.021 | 0.000 |
| 0.000 | 0.000 | -0.000 | 0.000 | -0.000 | 86.755 |
| 23.726 | 64.506 | 64.506 | -0.000 | -0.000 | -0.000 |
| 64.506 | 23.726 | 64.506 | -0.000 | -0.000 | -0.000 |
| 64.506 | 64.506 | 23.726 | -0.000 | -0.000 | -0.000 |
| 0.000 | 0.000 | 0.000 | -51.986 | -0.000 | -0.000 |
| -0.000 | 0.000 | 0.000 | -0.000 | -51.986 | -0.000 |
| -0.000 | 0.000 | 0.000 | -0.000 | -0.000 | -51.986 |
| 23.726 | 64.506 | 64.506 | 0.000 | 0.000 | 0.000 |
| 64.506 | 23.726 | 64.506 | 0.000 | 0.000 | 0.000 |
| 64.506 | 64.506 | 23.726 | 0.000 | 0.000 | 0.000 |
| 0.000 | -0.000 | 0.000 | -51.986 | 0.000 | 0.000 |
| 0.000 | -0.000 | -0.000 | 0.000 | -51.986 | 0.000 |
| 0.000 | -0.000 | -0.000 | 0.000 | 0.000 | -51.986 |
| 23.726 | 64.506 | 64.506 | 0.000 | -0.000 | -0.000 |
| 64.506 | 23.726 | 64.506 | -0.000 | -0.000 | -0.000 |
| 64.506 | 64.506 | 23.726 | -0.000 | -0.000 | 0.000 |
| 0.000 | -0.000 | -0.000 | -51.986 | -0.000 | -0.000 |
| -0.000 | 0.000 | -0.000 | -0.000 | -51.986 | -0.000 |
| -0.000 | -0.000 | 0.000 | -0.000 | -0.000 | -51.986 |
| 23.726 | 64.506 | 64.506 | 0.000 | 0.000 | 0.000 |
| 64.506 | 23.726 | 64.506 | 0.000 | 0.000 | 0.000 |
| 64.506 | 64.506 | 23.726 | 0.000 | 0.000 | 0.000 |
| -0.000 | 0.000 | 0.000 | -51.986 | 0.000 | 0.000 |
| 0.000 | -0.000 | 0.000 | 0.000 | -51.986 | 0.000 |
| 0.000 | 0.000 | -0.000 | 0.000 | 0.000 | -51.986 |
| 23.728 | 64.506 | 64.506 | -0.000 | -0.000 | -0.000 |
| 64.506 | 23.728 | 64.506 | -0.000 | -0.000 | -0.000 |
| 64.506 | 64.506 | 23.728 | -0.000 | -0.000 | -0.000 |
| 0.000 | -0.000 | -0.000 | -51.986 | -0.000 | -0.000 |
| -0.000 | 0.000 | -0.000 | -0.000 | -51.986 | -0.000 |
| -0.000 | -0.000 | 0.000 | -0.000 | -0.000 | -51.986 |
| 23.725 | 64.507 | 64.507 | 0.000 | 0.000 | 0.000 |
| 64.507 | 23.725 | 64.507 | 0.000 | 0.000 | 0.000 |
| 64.507 | 64.507 | 23.725 | 0.000 | 0.000 | 0.000 |
| -0.000 | 0.000 | 0.000 | -51.986 | 0.000 | 0.000 |
| 0.000 | -0.000 | 0.000 | 0.000 | -51.986 | 0.000 |
| 0.000 | 0.000 | -0.000 | 0.000 | 0.000 | -51.986 |
| 0.227 | 0.263 | 0.263 | -0.000 | -0.000 | -0.000 |
| 0.263 | 0.227 | 0.263 | -0.000 | -0.000 | -0.000 |
| 0.263 | 0.263 | 0.227 | -0.000 | -0.000 | -0.000 |
| -0.000 | -0.000 | -0.000 | 0.185 | -0.000 | -0.000 |
| -0.000 | -0.000 | -0.000 | -0.000 | 0.185 | -0.000 |
| -0.000 | -0.000 | -0.000 | -0.000 | -0.000 | 0.185 |
| 0.227 | 0.263 | 0.263 | -0.000 | 0.000 | -0.000 |
| 0.263 | 0.227 | 0.263 | 0.000 | -0.000 | 0.000 |
| 0.263 | 0.263 | 0.227 | 0.000 | 0.000 | -0.000 |
| 0.000 | 0.000 | 0.000 | 0.185 | 0.000 | 0.000 |
| 0.000 | 0.000 | 0.000 | 0.000 | 0.185 | 0.000 |
| 0.000 | 0.000 | 0.000 | 0.000 | 0.000 | 0.185 |
| 0.227 | 0.263 | 0.263 | 0.000 | -0.000 | -0.000 |
| 0.263 | 0.227 | 0.263 | -0.000 | 0.000 | 0.000 |
| 0.263 | 0.263 | 0.227 | -0.000 | -0.000 | 0.000 |
| -0.000 | -0.000 | -0.000 | 0.057 | -0.000 | -0.000 |
| -0.000 | -0.000 | -0.000 | -0.000 | 0.057 | -0.000 |
| -0.000 | -0.000 | -0.000 | -0.000 | -0.000 | 0.057 |
| 0.227 | 0.263 | 0.263 | 0.000 | 0.000 | 0.000 |
| 0.263 | 0.227 | 0.263 | 0.000 | 0.000 | -0.000 |
| 0.263 | 0.263 | 0.227 | -0.000 | 0.000 | -0.000 |
| 0.000 | 0.000 | 0.000 | 0.057 | 0.000 | 0.000 |
| 0.000 | 0.000 | 0.000 | 0.000 | 0.057 | 0.000 |
| 0.000 | 0.000 | 0.000 | 0.000 | 0.000 | 0.057 |
| 0.226 | 0.262 | 0.262 | -0.000 | -0.000 | -0.000 |
| 0.262 | 0.226 | 0.262 | -0.000 | -0.000 | -0.000 |
| 0.262 | 0.262 | 0.226 | 0.000 | -0.000 | -0.000 |
| -0.000 | -0.000 | -0.000 | -0.029 | -0.000 | -0.000 |
| -0.000 | -0.000 | -0.000 | -0.000 | -0.029 | -0.000 |
| -0.000 | -0.000 | -0.000 | -0.000 | -0.000 | -0.029 |
| 0.227 | 0.264 | 0.264 | 0.000 | 0.000 | 0.000 |
| 0.264 | 0.227 | 0.264 | 0.000 | 0.000 | -0.000 |
| 0.264 | 0.264 | 0.227 | 0.000 | 0.000 | 0.000 |
| 0.000 | 0.000 | 0.000 | -0.029 | 0.000 | 0.000 |
| 0.000 | 0.000 | 0.000 | 0.000 | -0.029 | 0.000 |
| 0.000 | 0.000 | 0.000 | 0.000 | 0.000 | -0.029 |
| 573.010 | -30.405 | 17.703 | -0.000 | 0.000 | 0.000 |
| -30.405 | 573.010 | 17.703 | -0.000 | 0.000 | -0.000 |
| 17.703 | 17.703 | 494.378 | 0.000 | 0.000 | -0.000 |
| 0.000 | 0.000 | -0.000 | -7.864 | 0.000 | -0.000 |
| 0.000 | 0.000 | 0.000 | -0.000 | -7.864 | 0.000 |
| -0.000 | -0.000 | 0.000 | -0.000 | 0.000 | -57.339 |
| -1355.702 | 1898.307 | 17.702 | 0.001 | 0.000 | 0.000 |
| 1898.307 | -1355.702 | 17.702 | 0.000 | 0.000 | 0.000 |
| 17.703 | 17.703 | 494.378 | 0.000 | -0.000 | 0.000 |
| 0.000 | -0.000 | 0.000 | -7.864 | -0.000 | -0.000 |
| -0.000 | -0.000 | -0.000 | 0.000 | -7.864 | -0.000 |
| 0.000 | 0.000 | 0.000 | 0.000 | -0.000 | -57.339 |
| -619.076 | 1161.682 | 17.706 | 0.000 | -0.000 | 0.000 |
| 1161.682 | -619.076 | 17.706 | -0.000 | 0.000 | -0.000 |
| 17.703 | 17.703 | 494.379 | -0.000 | -0.000 | -0.000 |
| -0.000 | 0.000 | 0.000 | -44.413 | 0.000 | -0.000 |
| 0.000 | -0.000 | 0.000 | -0.000 | -44.413 | -0.000 |
| 0.000 | -0.000 | 0.000 | -0.000 | 0.000 | -57.339 |
| 573.010 | -30.405 | 17.703 | 0.000 | 0.000 | 0.000 |
| -30.405 | 573.010 | 17.703 | 0.000 | 0.000 | 0.000 |
| 17.703 | 17.703 | 494.377 | 0.000 | -0.000 | -0.000 |
| 0.000 | -0.000 | -0.000 | -44.413 | -0.000 | -0.000 |
| -0.000 | 0.000 | -0.000 | 0.000 | -44.413 | 0.000 |
| -0.000 | 0.000 | -0.000 | -0.000 | -0.000 | -57.339 |
| -2092.122 | 2634.771 | 17.854 | -0.006 | 0.006 | -0.000 |
| 2634.771 | -2092.122 | 17.854 | 0.004 | -0.004 | -0.000 |
| 17.703 | 17.703 | 494.384 | 0.000 | -0.000 | -0.000 |
| 0.000 | 0.001 | 0.000 | -7.864 | -0.000 | 0.000 |
| 0.001 | 0.000 | 0.000 | -0.000 | -7.864 | 0.000 |
| 0.000 | -0.000 | 0.000 | -0.000 | 0.000 | -57.339 |
| -2544.454 | 3086.995 | 17.497 | 0.000 | 0.000 | 0.000 |
| 3087.005 | -2544.465 | 17.497 | 0.000 | 0.000 | 0.000 |
| 17.702 | 17.702 | 494.372 | 0.000 | -0.000 | 0.000 |
| -0.000 | -0.001 | -0.000 | -7.864 | 0.000 | 0.000 |
| -0.001 | -0.000 | -0.000 | -0.000 | -7.864 | 0.000 |
| -0.000 | 0.000 | -0.000 | -0.000 | -0.000 | -57.339 |
| 1.776 | 0.066 | 0.194 | -0.000 | -0.000 | 0.000 |
| 0.066 | 1.776 | 0.194 | 0.000 | -0.000 | 0.000 |
| 0.167 | 0.167 | 3.292 | -0.000 | -0.000 | 0.000 |
| 0.000 | 0.000 | 0.000 | 0.046 | -0.000 | 0.000 |
| 0.000 | 0.000 | 0.000 | -0.000 | 0.085 | 0.000 |
| 0.000 | 0.000 | 0.000 | -0.000 | -0.000 | -0.027 |
| 1.776 | 0.066 | 0.194 | 0.000 | -0.000 | -0.000 |
| 0.066 | 1.776 | 0.194 | -0.000 | -0.000 | 0.000 |
| -18.911 | -18.911 | 5059701.189 | -0.000 | -0.000 | -0.000 |
| -0.000 | -0.000 | -0.000 | 0.046 | 0.000 | -0.000 |
| -0.000 | -0.000 | -0.000 | -0.000 | 0.046 | -0.000 |
| -0.000 | -0.000 | -0.000 | 0.000 | 0.000 | -0.027 |
| 1.541 | 0.301 | 0.194 | 0.000 | 0.000 | 0.000 |
| 0.301 | 1.541 | 0.194 | 0.000 | 0.000 | 0.000 |
| 0.167 | 0.167 | 3.291 | 0.000 | 0.000 | 0.000 |
| 0.000 | 0.000 | -0.000 | 0.046 | -0.000 | 0.000 |
| 0.000 | 0.000 | -0.000 | 0.000 | 0.046 | 0.000 |
| 0.000 | -0.000 | -0.000 | -0.000 | -0.000 | -0.027 |
| 1.541 | 0.301 | 0.194 | -0.000 | 0.000 | -0.000 |
| 0.301 | 1.541 | 0.194 | 0.000 | -0.000 | -0.000 |
| -1.741 | -1.741 | 505970.134 | -0.000 | -0.000 | -0.000 |
| -0.000 | -0.000 | 0.000 | 0.046 | 0.000 | -0.000 |
| -0.000 | -0.000 | 0.000 | 0.000 | 0.046 | -0.000 |
| -0.000 | 0.000 | 0.000 | 0.000 | 0.000 | -0.027 |
| 0.761 | 1.082 | 0.194 | -0.000 | -0.000 | 0.000 |
| 1.082 | 0.761 | 0.194 | -0.000 | -0.000 | -0.000 |
| 0.167 | 0.167 | 3.278 | -0.000 | -0.000 | 0.000 |
| 0.000 | -0.000 | -0.000 | -0.050 | 0.000 | 0.000 |
| -0.000 | 0.000 | -0.000 | 0.000 | -0.050 | 0.000 |
| 0.000 | -0.000 | -0.000 | 0.000 | -0.000 | -0.027 |
| 0.761 | 1.081 | 0.194 | -0.000 | -0.000 | -0.000 |
| 1.081 | 0.761 | 0.194 | -0.000 | -0.000 | 0.000 |
| -0.024 | -0.024 | 50597.029 | -0.000 | 0.000 | -0.000 |
| -0.000 | 0.000 | 0.000 | -0.050 | -0.000 | 0.000 |
| 0.000 | -0.000 | 0.000 | -0.000 | -0.050 | -0.000 |
| -0.000 | 0.000 | 0.000 | -0.000 | 0.000 | -0.027 |
| 1.274 | 0.040 | 0.105 | 0.000 | 0.000 | -0.000 |
| 0.040 | 1.274 | 0.105 | 0.000 | -0.000 | -0.000 |
| 0.138 | 0.138 | 0.009 | -0.000 | 0.000 | -0.000 |
| 0.000 | -0.000 | -0.000 | 0.093 | -0.000 | -0.000 |
| -0.000 | -0.000 | -0.000 | -0.000 | 0.072 | -0.000 |
| 0.000 | 0.000 | 0.000 | -0.000 | 0.000 | -0.040 |
| 1.253 | 0.060 | 0.105 | -0.000 | -0.000 | 0.000 |
| 0.060 | 1.253 | 0.105 | -0.000 | -0.000 | -0.000 |
| 0.138 | 0.138 | 0.009 | 0.000 | -0.000 | -0.000 |
| 0.000 | 0.000 | 0.000 | 0.072 | -0.000 | 0.000 |
| 0.000 | 0.000 | 0.000 | -0.000 | 0.072 | -0.000 |
| -0.000 | -0.000 | -0.000 | -0.000 | -0.000 | -0.040 |
| 1.212 | 0.100 | 0.105 | -0.000 | 0.000 | -0.000 |
| 0.100 | 1.212 | 0.105 | -0.000 | 0.000 | 0.000 |
| 0.138 | 0.138 | 0.009 | -0.000 | 0.000 | 0.000 |
| -0.000 | -0.000 | -0.000 | 0.072 | -0.000 | -0.000 |
| -0.000 | -0.000 | -0.000 | 0.000 | 0.072 | -0.000 |
| 0.000 | -0.000 | -0.000 | 0.000 | 0.000 | -0.040 |
| 1.214 | 0.100 | 0.105 | 0.000 | -0.000 | -0.000 |
| 0.100 | 1.214 | 0.105 | 0.000 | -0.000 | -0.000 |
| 0.138 | 0.138 | 0.009 | -0.000 | 0.000 | 0.000 |
| 0.000 | 0.000 | 0.000 | 0.072 | 0.000 | 0.000 |
| 0.000 | 0.000 | 0.000 | -0.000 | 0.072 | 0.000 |
| -0.000 | 0.000 | 0.000 | -0.000 | 0.000 | -0.040 |
| 0.277 | 1.030 | 0.104 | -0.000 | -0.000 | -0.000 |
| 1.030 | 0.277 | 0.104 | -0.000 | 0.000 | 0.000 |
| 0.138 | 0.138 | 0.009 | -0.000 | 0.000 | -0.000 |
| -0.000 | 0.000 | -0.000 | -0.003 | -0.000 | -0.000 |
| 0.000 | -0.000 | -0.000 | -0.000 | -0.003 | -0.000 |
| 0.000 | -0.000 | -0.000 | 0.000 | -0.000 | -0.040 |
| 0.288 | 1.032 | 0.105 | 0.000 | 0.000 | 0.000 |
| 1.032 | 0.288 | 0.105 | 0.000 | 0.000 | -0.000 |
| 0.138 | 0.138 | 0.009 | 0.000 | 0.000 | 0.000 |
| 0.000 | -0.000 | 0.000 | -0.003 | -0.000 | 0.000 |
| -0.000 | 0.000 | 0.000 | 0.000 | -0.003 | 0.000 |
| -0.000 | 0.000 | 0.000 | -0.000 | 0.000 | -0.040 |
| 0.563 | 0.944 | 2.124 | 0.000 | 0.000 | -0.000 |
| 0.944 | 0.563 | 2.124 | 0.000 | 0.000 | -0.000 |
| 2.052 | 2.052 | 4.360 | 0.000 | 0.000 | -0.000 |
| -2865886.754 | -2865886.840 | -6449659.142 | 4299324.511 | 0.000 | -0.000 |
| -2865886.840 | -2865886.754 | -6449659.142 | 0.000 | 4299324.511 | -0.000 |
| -2865887.033 | -2865886.976 | -6449659.641 | 0.000 | 0.000 | 2865902.009 |
| 5731788.601 | 5731788.867 | 12899352.862 | -0.000 | -0.000 | 0.000 |
| 5731788.867 | 5731788.601 | 12899352.862 | -0.000 | -0.000 | 0.000 |
| 5731788.867 | 5731788.867 | 12899352.862 | -0.000 | -0.000 | 0.000 |
| 2865886.754 | 2865886.840 | 6449659.142 | 4299324.511 | -0.000 | 0.000 |
| 2865886.840 | 2865886.754 | 6449659.142 | -0.000 | 4299324.511 | 0.000 |
| 2865887.033 | 2865886.976 | 6449659.641 | -0.000 | -0.000 | 2865902.009 |
| 0.563 | 0.944 | 2.124 | 0.000 | 0.000 | -0.000 |
| 0.944 | 0.563 | 2.124 | 0.000 | 0.000 | -0.000 |
| 2.052 | 2.052 | 4.359 | 0.000 | 0.000 | -0.000 |
| -286588.077 | -286588.163 | -644964.568 | 429933.291 | 0.000 | -0.000 |
| -286588.163 | -286588.077 | -644964.568 | 0.000 | 429933.291 | -0.000 |
| -286588.356 | -286588.299 | -644965.067 | 0.000 | 0.000 | 286590.574 |
| 573178.621 | 573178.887 | 1289935.286 | -0.000 | -0.000 | 0.000 |
| 573178.887 | 573178.621 | 1289935.286 | -0.000 | -0.000 | 0.000 |
| 573178.887 | 573178.887 | 1289935.286 | -0.000 | -0.000 | 0.000 |
| 286588.077 | 286588.163 | 644964.568 | 429933.291 | -0.000 | 0.000 |
| 286588.163 | 286588.077 | 644964.568 | -0.000 | 429933.291 | 0.000 |
| 286588.356 | 286588.299 | 644965.067 | -0.000 | -0.000 | 286590.574 |
| 0.562 | 0.943 | 2.122 | -0.000 | 0.000 | -0.000 |
| 0.943 | 0.562 | 2.122 | 0.000 | 0.000 | 0.000 |
| 2.048 | 2.048 | 4.350 | 0.000 | 0.000 | -0.000 |
| -28658.210 | -28658.296 | -64495.112 | 42994.167 | 0.000 | 0.000 |
| -28658.296 | -28658.210 | -64495.112 | 0.000 | 42994.167 | -0.000 |
| -28658.489 | -28658.431 | -64495.610 | 0.000 | 0.000 | 28659.430 |
| 57317.623 | 57317.889 | 128993.529 | -0.000 | -0.000 | 0.000 |
| 57317.889 | 57317.623 | 128993.529 | -0.000 | -0.000 | 0.000 |
| 57317.889 | 57317.889 | 128993.529 | -0.000 | -0.000 | 0.000 |
| 28658.210 | 28658.296 | 64495.112 | 42994.167 | -0.000 | -0.000 |
| 28658.296 | 28658.210 | 64495.112 | -0.000 | 42994.167 | 0.000 |
| 28658.489 | 28658.431 | 64495.610 | -0.000 | -0.000 | 28659.430 |
| 2.213 | 0.056 | 0.000 | 0.000 | 0.000 | 0.000 |
| 0.056 | 2.213 | 0.000 | 0.000 | 0.000 | -0.000 |
| 0.056 | 0.056 | 0.000 | 0.000 | 0.000 | 0.000 |
| 0.000 | 0.000 | 0.000 | 0.000 | 0.000 | -0.000 |
| 0.000 | 0.000 | 0.000 | 0.000 | 0.000 | -0.000 |
| 0.000 | 0.000 | 0.000 | 0.000 | 0.000 | -0.056 |
| 2.213 | 0.056 | -0.000 | -0.000 | -0.000 | 0.000 |
| 0.056 | 2.213 | -0.000 | -0.000 | -0.000 | 0.000 |
| 0.056 | 0.056 | -0.000 | -0.000 | -0.000 | -0.000 |
| -0.000 | -0.000 | -0.000 | -0.000 | -0.000 | 0.000 |
| -0.000 | -0.000 | -0.000 | -0.000 | -0.000 | 0.000 |
| -0.000 | -0.000 | -0.000 | -0.000 | -0.000 | -0.056 |
| 2.212 | 0.056 | 0.000 | 0.000 | 0.000 | -0.000 |
| 0.056 | 2.212 | 0.000 | 0.000 | 0.000 | -0.000 |
| 0.056 | 0.056 | 0.000 | 0.000 | 0.000 | 0.000 |
| 0.000 | 0.000 | 0.000 | 0.000 | 0.000 | -0.000 |
| 0.000 | 0.000 | 0.000 | 0.000 | 0.000 | -0.000 |
| 0.000 | -0.000 | 0.000 | 0.000 | 0.000 | -0.056 |
| 2.215 | 0.056 | -0.000 | -0.000 | -0.000 | -0.000 |
| 0.056 | 2.215 | -0.000 | -0.000 | -0.000 | 0.000 |
| 0.056 | 0.056 | -0.000 | -0.000 | -0.000 | -0.000 |
| -0.000 | -0.000 | -0.000 | -0.000 | -0.000 | 0.000 |
| -0.000 | -0.000 | -0.000 | -0.000 | -0.000 | 0.000 |
| -0.000 | 0.000 | -0.000 | -0.000 | -0.000 | -0.056 |
| 2.197 | 0.056 | 0.000 | 0.000 | 0.000 | 0.000 |
| 0.056 | 2.197 | 0.000 | 0.000 | 0.000 | -0.000 |
| 0.056 | 0.056 | 0.000 | 0.000 | 0.000 | 0.000 |
| 0.000 | 0.000 | 0.000 | 0.000 | 0.000 | -0.000 |
| 0.000 | 0.000 | 0.000 | 0.000 | 0.000 | -0.000 |
| 0.000 | -0.000 | 0.000 | 0.000 | 0.000 | -0.056 |
| 2.229 | 0.056 | -0.000 | -0.000 | -0.000 | 0.000 |
| 0.056 | 2.229 | -0.000 | -0.000 | -0.000 | 0.000 |
| 0.056 | 0.056 | -0.000 | -0.000 | -0.000 | -0.000 |
| -0.000 | -0.000 | -0.000 | -0.000 | -0.000 | 0.000 |
| -0.000 | -0.000 | -0.000 | -0.000 | -0.000 | 0.000 |
| -0.000 | 0.000 | -0.000 | -0.000 | -0.000 | -0.056 |
| 246.491 | 95.664 | 185.968 | -127.677 | 0.000 | 0.000 |
| 95.664 | 246.491 | 185.968 | 127.677 | -0.000 | 0.000 |
| 185.950 | 185.950 | 155.123 | -0.000 | -0.000 | 0.000 |
| -127.677 | 127.677 | 0.000 | 165.726 | -0.000 | 0.000 |
| -0.003 | -0.003 | -0.001 | 0.000 | 165.726 | -127.677 |
| 0.000 | 0.000 | 0.000 | -0.000 | -127.677 | 75.413 |
| 246.491 | 95.664 | 185.968 | -127.677 | 0.000 | -0.000 |
| 95.668 | 246.494 | 185.968 | 127.677 | -0.000 | -0.000 |
| 185.954 | 185.954 | 155.124 | 0.000 | 0.000 | 0.000 |
| -127.677 | 127.677 | -0.000 | 165.726 | 0.000 | 0.000 |
| 0.003 | 0.003 | 0.001 | 0.000 | 165.726 | -127.677 |
| 0.000 | -0.000 | -0.000 | 0.000 | -127.677 | 75.413 |
| 246.491 | 95.664 | 185.968 | -127.677 | 0.000 | -0.000 |
| 95.664 | 246.491 | 185.968 | 127.677 | -0.000 | 0.000 |
| 185.950 | 185.950 | 155.124 | -0.000 | -0.000 | 0.000 |
| -127.677 | 127.677 | 0.000 | 165.726 | 0.000 | -0.000 |
| -0.000 | -0.000 | 0.000 | -0.000 | 165.726 | -127.677 |
| -0.000 | 0.000 | 0.000 | -0.000 | -127.677 | 75.413 |
| 246.491 | 95.664 | 185.968 | -127.677 | 0.000 | -0.000 |
| 95.664 | 246.491 | 185.968 | 127.677 | 0.000 | -0.000 |
| 185.950 | 185.950 | 155.123 | 0.000 | -0.000 | -0.000 |
| -127.677 | 127.677 | -0.000 | 165.726 | 0.000 | -0.000 |
| 0.000 | 0.000 | -0.000 | 0.000 | 165.726 | -127.677 |
| 0.000 | -0.000 | -0.000 | 0.000 | -127.677 | 75.413 |
| 246.491 | 95.664 | 185.968 | -127.678 | -0.000 | -0.000 |
| 95.665 | 246.491 | 185.968 | 127.678 | -0.000 | 0.000 |
| 185.951 | 185.951 | 155.127 | 0.000 | -0.000 | 0.000 |
| -127.677 | 127.677 | 0.001 | 165.726 | -0.000 | -0.000 |
| 0.000 | 0.000 | 0.001 | -0.000 | 165.726 | -127.677 |
| -0.000 | -0.000 | 0.000 | -0.000 | -127.677 | 75.413 |
| 246.491 | 95.664 | 185.967 | -127.677 | 0.000 | 0.000 |
| 95.664 | 246.491 | 185.967 | 127.676 | 0.000 | 0.000 |
| 185.949 | 185.949 | 155.120 | 0.000 | 0.000 | -0.000 |
| -127.677 | 127.677 | -0.001 | 165.725 | 0.000 | -0.000 |
| -0.000 | -0.000 | -0.001 | 0.000 | 165.726 | -127.677 |
| 0.000 | 0.000 | -0.000 | 0.000 | -127.677 | 75.413 |
| 517.498 | 5.344 | 5.344 | -0.000 | 0.000 | -0.000 |
| 5.344 | 517.498 | 5.344 | -0.000 | -0.000 | 0.000 |
| 5.344 | 5.344 | 517.498 | -0.000 | -0.000 | -0.000 |
| -0.000 | 0.000 | -0.000 | -14.912 | -0.000 | 0.000 |
| 0.000 | 0.000 | -0.000 | -0.000 | -14.912 | 0.000 |
| -0.000 | -0.000 | -0.000 | -0.000 | -0.000 | -14.912 |
| 517.498 | 5.344 | 5.344 | -0.000 | -0.000 | 0.000 |
| 5.344 | 517.498 | 5.344 | -0.000 | -0.000 | -0.000 |
| 5.344 | 5.344 | 517.498 | 0.000 | -0.000 | -0.000 |
| 0.000 | -0.000 | 0.000 | -14.912 | -0.000 | -0.000 |
| -0.000 | -0.000 | 0.000 | 0.000 | -14.912 | -0.000 |
| -0.000 | 0.000 | -0.000 | 0.000 | 0.000 | -14.912 |
| 517.498 | 5.344 | 5.344 | -0.000 | -0.000 | -0.000 |
| 5.344 | 517.498 | 5.344 | -0.000 | -0.000 | 0.000 |
| 5.344 | 5.344 | 517.498 | -0.000 | -0.000 | 0.000 |
| 0.000 | 0.000 | -0.000 | -14.912 | -0.000 | 0.000 |
| 0.000 | 0.000 | -0.000 | -0.000 | -14.912 | 0.000 |
| 0.000 | -0.000 | 0.000 | -0.000 | -0.000 | -14.912 |
| 517.498 | 5.344 | 5.344 | 0.000 | 0.000 | -0.000 |
| 5.344 | 517.498 | 5.344 | 0.000 | 0.000 | -0.000 |
| 5.344 | 5.344 | 517.498 | 0.000 | 0.000 | -0.000 |
| -0.000 | -0.000 | 0.000 | -14.912 | 0.000 | -0.000 |
| -0.000 | -0.000 | 0.000 | -0.000 | -14.912 | -0.000 |
| -0.000 | 0.000 | -0.000 | -0.000 | -0.000 | -14.912 |
| 517.500 | 5.344 | 5.344 | 0.000 | -0.000 | 0.000 |
| 5.344 | 517.500 | 5.344 | 0.000 | -0.000 | 0.000 |
| 5.344 | 5.344 | 517.500 | -0.000 | -0.000 | 0.000 |
| 0.000 | 0.000 | -0.000 | -14.912 | 0.000 | 0.000 |
| 0.000 | 0.000 | -0.000 | -0.000 | -14.912 | 0.000 |
| 0.000 | -0.000 | 0.000 | 0.000 | -0.000 | -14.912 |
| 517.495 | 5.344 | 5.344 | 0.000 | 0.000 | -0.000 |
| 5.344 | 517.495 | 5.344 | 0.000 | 0.000 | -0.000 |
| 5.344 | 5.344 | 517.495 | 0.000 | -0.000 | -0.000 |
| -0.000 | -0.000 | 0.000 | -14.912 | -0.000 | -0.000 |
| -0.000 | -0.000 | 0.000 | 0.000 | -14.912 | -0.000 |
| -0.000 | 0.000 | -0.000 | -0.000 | 0.000 | -14.912 |
| 1.654 | 0.042 | 0.042 | -0.000 | 0.000 | 0.000 |
| 0.042 | 1.654 | 0.042 | -0.000 | 0.000 | 0.000 |
| 0.042 | 0.042 | 1.654 | 0.000 | 0.000 | 0.000 |
| 0.000 | 0.000 | 0.000 | -0.042 | 0.000 | 0.000 |
| 0.000 | 0.000 | 0.000 | 0.000 | -0.042 | 0.000 |
| 0.000 | 0.000 | 0.000 | 0.000 | 0.000 | -0.042 |
| 1.655 | 0.042 | 0.042 | 0.000 | -0.000 | -0.000 |
| 0.042 | 1.655 | 0.042 | -0.000 | -0.000 | -0.000 |
| 0.042 | 0.042 | 1.655 | -0.000 | -0.000 | -0.000 |
| -0.000 | -0.000 | -0.000 | -0.042 | -0.000 | -0.000 |
| -0.000 | -0.000 | -0.000 | -0.000 | -0.042 | -0.000 |
| -0.000 | -0.000 | -0.000 | -0.000 | -0.000 | -0.042 |
| 1.653 | 0.042 | 0.042 | 0.000 | 0.000 | 0.000 |
| 0.042 | 1.653 | 0.042 | -0.000 | 0.000 | 0.000 |
| 0.042 | 0.042 | 1.653 | 0.000 | 0.000 | 0.000 |
| 0.000 | 0.000 | -0.000 | -0.042 | 0.000 | 0.000 |
| 0.000 | 0.000 | -0.000 | 0.000 | -0.042 | 0.000 |
| 0.000 | -0.000 | 0.000 | 0.000 | 0.000 | -0.042 |
| 1.656 | 0.042 | 0.042 | -0.000 | -0.000 | -0.000 |
| 0.042 | 1.656 | 0.042 | 0.000 | -0.000 | -0.000 |
| 0.042 | 0.042 | 1.656 | -0.000 | -0.000 | -0.000 |
| -0.000 | -0.000 | 0.000 | -0.042 | -0.000 | -0.000 |
| -0.000 | -0.000 | 0.000 | -0.000 | -0.042 | -0.000 |
| -0.000 | 0.000 | -0.000 | -0.000 | -0.000 | -0.042 |
| 1.643 | 0.042 | 0.042 | 0.000 | 0.000 | 0.000 |
| 0.042 | 1.643 | 0.042 | 0.000 | 0.000 | 0.000 |
| 0.042 | 0.042 | 1.643 | 0.000 | 0.000 | 0.000 |
| 0.000 | 0.000 | -0.000 | -0.042 | 0.000 | 0.000 |
| 0.000 | 0.000 | -0.000 | 0.000 | -0.042 | 0.000 |
| 0.000 | -0.000 | 0.000 | 0.000 | 0.000 | -0.042 |
| 1.666 | 0.042 | 0.042 | -0.000 | -0.000 | -0.000 |
| 0.042 | 1.666 | 0.042 | 0.000 | -0.000 | -0.000 |
| 0.042 | 0.042 | 1.666 | -0.000 | -0.000 | -0.000 |
| -0.000 | -0.000 | 0.000 | -0.042 | -0.000 | -0.000 |
| -0.000 | -0.000 | 0.000 | -0.000 | -0.042 | -0.000 |
| -0.000 | 0.000 | -0.000 | -0.000 | -0.000 | -0.042 |
| 418.622 | 90.477 | 21.577 | 0.000 | 0.000 | 0.000 |
| 137.384 | 233.582 | 48.187 | -0.000 | 0.000 | -0.000 |
| 42.199 | 48.142 | 123.551 | -0.000 | 0.000 | 0.000 |
| -0.000 | 0.000 | 0.000 | 39.584 | 0.000 | 0.000 |
| -0.014 | 0.012 | 0.004 | -0.000 | 4.982 | 0.000 |
| -0.022 | 0.020 | 0.006 | -0.000 | 0.000 | 4.966 |
| 376.594 | 128.816 | 33.693 | 0.000 | -0.000 | -0.000 |
| 137.412 | 233.557 | 48.179 | 0.000 | -0.000 | 0.000 |
| 42.227 | 48.117 | 123.543 | 0.000 | -0.000 | -0.000 |
| 0.000 | -0.000 | -0.000 | 39.584 | -0.000 | -0.000 |
| 0.014 | -0.012 | -0.004 | 0.000 | 4.982 | 0.000 |
| 0.022 | -0.020 | -0.006 | 0.000 | -0.000 | 4.966 |
| 376.580 | 128.830 | 33.698 | -0.000 | 0.000 | 0.000 |
| 137.396 | 233.571 | 48.184 | -0.000 | 0.000 | 0.000 |
| 42.211 | 48.131 | 123.547 | -0.000 | 0.000 | 0.000 |
| -0.000 | 0.000 | 0.000 | 38.494 | 0.000 | 0.000 |
| -0.001 | 0.001 | 0.000 | -0.000 | 4.982 | -0.000 |
| -0.002 | 0.002 | 0.001 | -0.000 | 0.000 | 4.966 |
| 376.582 | 128.827 | 33.697 | 0.000 | -0.000 | -0.000 |
| 99.046 | 268.555 | 59.240 | 0.000 | -0.000 | 0.000 |
| 42.214 | 48.128 | 123.547 | 0.000 | -0.000 | 0.000 |
| 0.000 | -0.000 | -0.000 | 38.494 | -0.000 | -0.000 |
| 0.001 | -0.001 | -0.000 | 0.000 | 4.982 | -0.000 |
| 0.002 | -0.002 | -0.001 | 0.000 | -0.000 | 4.966 |
| 376.584 | 128.828 | 33.697 | -0.000 | 0.000 | 0.000 |
| 137.398 | 233.571 | 48.184 | -0.000 | 0.000 | 0.000 |
| 42.213 | 48.130 | 123.547 | -0.000 | 0.000 | 0.000 |
| 0.000 | 0.000 | 0.000 | 38.494 | 0.000 | 0.000 |
| -0.000 | 0.000 | 0.000 | -0.000 | 4.982 | 0.000 |
| -0.001 | -0.000 | -0.000 | -0.000 | 0.000 | 4.966 |
| 376.577 | 128.829 | 33.697 | 0.000 | -0.000 | 0.000 |
| 99.046 | 268.554 | 59.239 | 0.000 | -0.000 | 0.000 |
| 42.212 | 48.129 | 123.547 | 0.000 | -0.000 | -0.000 |
| -0.000 | -0.000 | -0.000 | 38.494 | -0.000 | 0.000 |
| 0.000 | -0.000 | -0.000 | 0.000 | 4.982 | 0.000 |
| 0.001 | 0.000 | 0.000 | 0.000 | -0.000 | 4.966 |
| 296.372 | 95.550 | 74.843 | 0.000 | 0.000 | 0.000 |
| 95.550 | 296.372 | 74.843 | 0.000 | 0.000 | 0.000 |
| 74.774 | 74.774 | 359.428 | -0.000 | 0.000 | -0.000 |
| -0.000 | -0.000 | -0.000 | 44.289 | 0.000 | -0.000 |
| -0.000 | -0.000 | -0.000 | -0.000 | 44.289 | 0.000 |
| -0.000 | -0.000 | -0.000 | 0.000 | 0.000 | 66.093 |
| 296.372 | 95.550 | 74.843 | -0.000 | -0.000 | -0.000 |
| 95.550 | 296.372 | 74.843 | -0.000 | -0.000 | 0.000 |
| 74.774 | 74.774 | 359.428 | 0.000 | 0.000 | -0.000 |
| 0.000 | 0.000 | 0.000 | 44.289 | -0.000 | -0.000 |
| 0.000 | 0.000 | 0.000 | -0.000 | 44.289 | 0.000 |
| 0.000 | 0.000 | 0.000 | -0.000 | -0.000 | 66.093 |
| 296.372 | 95.550 | 74.843 | 0.000 | 0.000 | 0.000 |
| 95.550 | 296.372 | 74.843 | -0.000 | 0.000 | -0.000 |
| 74.774 | 74.774 | 359.428 | 0.000 | 0.000 | 0.000 |
| -336527.215 | -336527.282 | -334433.807 | 335062.393 | 0.000 | 0.000 |
| -336527.282 | -336527.215 | -334433.807 | 0.000 | 335062.393 | 0.000 |
| -336530.297 | -336530.364 | -334421.872 | 0.000 | 0.000 | -336027.987 |
| 22138.890 | 21995.216 | -12910.773 | 0.000 | 0.000 | -0.000 |
| 21995.216 | 22138.890 | -12910.773 | 0.000 | 0.000 | -0.000 |
| 21950.303 | 21950.303 | -12629.300 | 0.000 | 0.000 | -0.000 |
| 336527.215 | 336527.282 | 334433.807 | 335062.393 | -0.000 | -0.000 |
| 336527.282 | 336527.215 | 334433.807 | -0.000 | 335062.393 | 0.000 |
| 336530.297 | 336530.364 | 334421.872 | -0.000 | -0.000 | -336027.987 |
| 296.372 | 95.548 | 74.841 | 0.000 | 0.000 | -0.000 |
| 95.548 | 296.372 | 74.841 | -0.000 | 0.000 | -0.000 |
| 74.772 | 74.772 | 359.428 | -0.000 | -0.000 | 0.000 |
| -33662.449 | -33662.380 | -33384.343 | -33414.642 | 0.000 | -0.000 |
| -33662.380 | -33662.449 | -33384.343 | 0.000 | -33414.642 | 0.000 |
| -33652.125 | -33652.058 | -33442.721 | 0.000 | 0.000 | 33668.926 |
| 2489.913 | 2346.104 | -1206.081 | 0.000 | 0.000 | -0.000 |
| 2346.104 | 2489.913 | -1206.081 | 0.000 | 0.000 | -0.000 |
| 2301.250 | 2301.250 | -924.615 | 0.000 | -0.000 | -0.000 |
| 33662.449 | 33662.380 | 33384.343 | -33414.642 | -0.000 | -0.000 |
| 33662.380 | 33662.449 | 33384.343 | 0.000 | -33414.642 | 0.000 |
| 33652.125 | 33652.058 | 33442.721 | -0.000 | -0.000 | 33668.926 |
| -8.934 | -188.180 | 249.455 | 0.000 | 0.000 | 0.000 |
| -188.180 | -8.934 | 249.455 | 0.000 | -0.000 | 0.000 |
| -216.803 | -216.803 | 535.166 | -0.000 | -0.000 | 0.000 |
| -290.724 | -290.724 | 174.524 | 42.309 | -0.000 | 0.000 |
| -290.724 | -290.724 | 174.524 | 0.000 | 42.309 | 0.000 |
| -0.000 | -0.000 | -0.000 | -0.000 | 0.000 | 65.567 |
| 464.794 | 384.721 | 113.542 | -0.000 | 0.000 | -0.000 |
| 384.721 | 464.794 | 113.542 | -0.000 | -0.000 | -0.000 |
| 302.883 | 302.883 | 271.196 | -0.000 | -0.000 | -0.000 |
| 290.724 | 290.724 | -174.524 | 42.309 | 0.000 | -0.000 |
| 290.724 | 290.724 | -174.524 | -0.000 | 42.309 | -0.000 |
| 0.000 | 0.000 | 0.000 | -0.000 | -0.000 | 65.567 |
| 252.639 | 73.419 | 92.420 | -0.000 | 0.000 | 0.000 |
| 73.419 | 252.639 | 92.420 | 0.000 | 0.000 | 0.000 |
| 73.864 | 73.864 | 362.035 | 0.000 | 0.000 | 0.000 |
| -22.921 | -22.921 | 8.676 | 37.769 | -0.000 | 0.000 |
| -22.921 | -22.921 | 8.676 | -0.000 | 37.769 | 0.000 |
| -22.959 | -22.959 | 8.747 | 0.000 | -0.000 | 33.194 |
| 310.885 | 131.726 | 57.434 | -0.000 | 0.000 | -0.000 |
| 131.726 | 310.885 | 57.434 | -0.000 | 0.000 | -0.000 |
| 73.864 | 73.864 | 362.035 | 0.000 | -0.000 | -0.000 |
| 22.921 | 22.921 | -8.676 | 37.769 | -0.000 | -0.000 |
| 22.921 | 22.921 | -8.676 | 0.000 | 37.769 | -0.000 |
| 22.959 | 22.959 | -8.747 | -0.000 | -0.000 | 33.194 |
| 275.823 | 100.575 | 77.015 | 0.000 | 0.000 | 0.000 |
| 100.575 | 275.823 | 77.015 | -0.000 | 0.000 | 0.000 |
| 71.242 | 71.242 | 359.208 | 0.000 | -0.000 | 0.000 |
| -2.405 | -2.407 | -0.611 | 32.936 | -0.000 | 0.000 |
| -2.407 | -2.405 | -0.611 | -0.000 | 32.936 | 0.000 |
| -0.005 | -0.005 | -0.002 | 0.000 | -0.000 | 65.567 |
| 281.724 | 108.381 | 72.782 | -0.000 | 0.000 | -0.000 |
| 108.381 | 281.724 | 72.782 | 0.000 | 0.000 | -0.000 |
| 73.865 | 73.865 | 362.033 | -0.000 | 0.000 | -0.000 |
| 2.405 | 2.407 | 0.611 | 32.936 | -0.000 | -0.000 |
| 2.407 | 2.405 | 0.611 | -0.000 | 32.936 | -0.000 |
| 0.005 | 0.005 | 0.002 | -0.000 | -0.000 | 65.567 |
| 288.658 | 92.629 | 75.992 | 0.000 | 0.000 | 0.000 |
| 92.629 | 288.658 | 75.992 | 0.000 | 0.000 | 0.000 |
| 753.428 | 753.428 | 895.598 | 0.000 | 0.000 | 0.000 |
| 678.940 | 678.940 | 530.759 | 41.305 | 0.000 | 0.000 |
| 678.940 | 678.940 | 530.759 | -0.000 | 41.305 | 0.000 |
| 678.937 | 678.937 | 530.757 | 0.000 | 0.000 | 45.564 |
| -423.147 | -567.899 | -454.586 | 0.000 | -0.000 | -0.000 |
| -567.899 | -423.147 | -454.586 | -0.000 | -0.000 | -0.000 |
| -604.447 | -604.447 | -165.910 | -0.000 | 0.000 | -0.000 |
| -678.940 | -678.940 | -530.759 | 41.305 | -0.000 | -0.000 |
| -678.940 | -678.940 | -530.759 | 0.000 | 41.305 | -0.000 |
| -678.937 | -678.937 | -530.757 | -0.000 | -0.000 | 45.564 |
| 323.813 | 179.011 | 129.323 | 0.000 | 0.000 | -0.000 |
| 179.011 | 323.813 | 129.323 | 0.000 | 0.000 | 0.000 |
| 73.570 | 73.570 | 367.683 | 0.000 | 0.000 | -0.000 |
| 0.000 | 0.000 | 0.000 | 44.756 | 0.000 | 0.000 |
| 0.000 | 0.000 | 0.000 | -0.000 | 44.756 | -0.000 |
| 67.895 | 67.895 | 53.077 | 0.000 | 0.000 | 45.564 |
| 187.722 | 43.126 | 23.038 | -0.000 | -0.000 | 0.000 |
| 43.126 | 187.722 | 23.038 | -0.000 | -0.000 | -0.000 |
| 73.570 | 73.570 | 367.683 | -0.000 | -0.000 | 0.000 |
| -0.000 | -0.000 | -0.000 | 44.756 | -0.000 | 0.000 |
| -0.000 | -0.000 | -0.000 | 0.000 | 44.756 | -0.000 |
| -67.895 | -67.895 | -53.077 | -0.000 | -0.000 | 45.564 |
| 260.362 | 120.293 | 82.108 | 0.000 | 0.000 | 0.000 |
| 120.293 | 260.362 | 82.108 | -0.000 | 0.000 | 0.000 |
| 73.570 | 73.570 | 367.685 | -0.000 | -0.000 | -0.000 |
| 0.000 | 0.000 | 0.000 | 44.756 | 0.000 | -0.000 |
| 0.000 | 0.000 | 0.000 | 0.000 | 44.756 | 0.000 |
| 6.805 | 6.805 | 5.320 | 0.000 | 0.000 | 45.516 |
| 288.656 | 92.629 | 75.992 | -0.000 | -0.000 | -0.000 |
| 92.629 | 288.656 | 75.992 | -0.000 | -0.000 | -0.000 |
| 73.570 | 73.570 | 367.681 | -0.000 | -0.000 | 0.000 |
| -0.000 | -0.000 | -0.000 | 44.756 | -0.000 | -0.000 |
| -0.000 | -0.000 | -0.000 | -0.000 | 44.756 | -0.000 |
| -6.805 | -6.805 | -5.320 | -0.000 | -0.000 | 45.516 |
| 126.998 | 112.961 | 145.608 | -0.000 | 0.000 | 0.000 |
| 100.341 | 233.130 | 25.434 | -0.000 | 0.000 | 0.000 |
| 130.612 | -10.394 | 667.092 | -0.000 | 0.000 | 0.000 |
| -857936970.588 | 1538515209.051 | -997432643.698 | -1231217638.813 | 64.479 | -453.016 |
| -31.248 | -4.306 | 14.837 | 0.000 | -183.833 | 0.000 |
| -6.095 | -0.840 | 2.894 | -0.000 | 0.000 | 97.216 |
| 84.583 | 107.116 | 165.747 | 0.000 | -0.000 | 0.000 |
| 112.530 | 234.810 | 19.646 | 0.000 | -0.000 | -0.000 |
| 142.801 | -8.714 | 661.304 | 0.000 | -0.000 | 0.000 |
| 858013743.744 | -1538486434.252 | 997423351.036 | -1231275001.847 | -2.446 | -417.049 |
| 31.248 | 4.306 | -14.837 | -0.000 | -183.833 | -0.000 |
| 6.095 | 0.840 | -2.894 | 0.000 | -0.000 | 97.216 |
| 77.879 | 106.192 | 168.931 | -0.000 | -0.000 | -0.000 |
| 113.121 | 234.891 | 19.366 | -0.000 | 0.000 | -0.000 |
| 113.673 | -12.728 | 675.136 | -0.000 | 0.000 | 0.000 |
| 0.000 | 0.000 | 0.000 | -54.005 | 0.000 | 0.000 |
| -3.336 | -0.460 | 1.584 | -0.000 | -200.957 | -0.000 |
| -0.609 | -0.084 | 0.289 | -0.000 | 0.000 | 97.216 |
| 126.998 | 112.961 | 145.608 | 0.000 | -0.000 | -0.000 |
| 107.045 | 234.053 | 22.250 | -0.000 | -0.000 | -0.000 |
| 137.316 | -9.470 | 663.908 | 0.000 | -0.000 | -0.000 |
| -0.000 | -0.000 | -0.000 | -54.005 | -0.000 | -0.000 |
| 3.336 | 0.460 | -1.584 | -0.000 | -200.957 | -0.000 |
| 0.609 | 0.084 | -0.289 | 0.000 | -0.000 | 97.216 |
| 78.428 | 106.269 | 168.671 | -0.000 | 0.000 | -0.000 |
| 113.122 | 234.894 | 19.366 | -0.000 | 0.000 | 0.000 |
| 136.647 | -9.561 | 664.232 | -0.000 | 0.000 | 0.000 |
| -8566301.915 | 15383432.553 | -9972487.367 | -12293435.313 | -13.399 | -20.476 |
| -0.334 | -0.046 | 0.159 | -0.000 | -201.142 | 0.000 |
| 0.000 | 0.001 | 0.000 | -0.000 | 0.000 | 97.216 |
| 78.549 | 106.284 | 168.612 | 0.000 | -0.000 | 0.000 |
| 106.495 | 233.975 | 22.510 | 0.000 | -0.000 | -0.000 |
| 136.766 | -9.546 | 664.164 | 0.000 | -0.000 | -0.000 |
| 8577932.396 | -15393138.445 | 9977929.926 | -12318910.876 | -0.000 | -0.000 |
| 0.334 | 0.046 | -0.159 | 0.000 | -201.142 | -0.000 |
| -0.000 | -0.001 | -0.000 | 0.000 | -0.000 | 97.216 |
| 282.943 | 76.235 | 76.235 | -0.000 | -0.000 | -0.000 |
| 76.235 | 282.943 | 76.235 | -0.000 | 0.000 | -0.000 |
| 76.235 | 76.235 | 282.943 | -0.000 | 0.000 | -0.000 |
| -0.000 | 0.000 | 0.000 | 44.264 | 0.000 | -0.000 |
| -0.000 | -0.000 | 0.000 | -0.000 | 44.264 | -0.000 |
| -0.000 | -0.000 | 0.000 | -0.000 | 0.000 | 44.264 |
| 200.453 | 128.839 | 128.839 | 0.000 | -0.000 | 0.000 |
| 128.839 | 200.453 | 128.839 | -0.000 | 0.000 | 0.000 |
| 128.839 | 128.839 | 200.453 | 0.000 | 0.000 | 0.000 |
| 0.000 | -0.000 | -0.000 | 44.264 | -0.000 | 0.000 |
| 0.000 | -0.000 | -0.000 | -0.000 | 44.264 | 0.000 |
| 0.000 | -0.000 | -0.000 | -0.000 | -0.000 | 44.264 |
| 282.943 | 76.235 | 76.235 | -0.000 | -0.000 | -0.000 |
| 76.235 | 282.943 | 76.235 | -0.000 | 0.000 | -0.000 |
| 76.235 | 76.235 | 282.943 | -0.000 | -0.000 | -0.000 |
| -0.000 | 0.000 | 0.000 | 44.264 | 0.000 | -0.000 |
| 0.000 | -0.000 | 0.000 | -0.000 | 44.264 | -0.000 |
| 0.000 | 0.000 | -0.000 | -0.000 | 0.000 | 44.264 |
| 282.943 | 76.235 | 76.235 | 0.000 | -0.000 | 0.000 |
| 76.235 | 282.943 | 76.235 | 0.000 | 0.000 | 0.000 |
| 76.235 | 76.235 | 282.943 | -0.000 | -0.000 | 0.000 |
| 0.000 | -0.000 | -0.000 | 44.264 | -0.000 | 0.000 |
| -0.000 | 0.000 | -0.000 | 0.000 | 44.264 | 0.000 |
| -0.000 | -0.000 | 0.000 | 0.000 | -0.000 | 44.264 |
| 225.277 | 84.453 | 84.453 | 0.000 | 0.000 | -0.000 |
| 84.453 | 225.277 | 84.453 | -0.000 | 0.000 | 0.000 |
| 84.453 | 84.453 | 225.277 | -0.000 | 0.000 | -0.000 |
| -0.072 | -0.072 | -0.072 | 20.836 | 0.000 | -0.000 |
| -0.072 | -0.072 | -0.072 | -0.000 | 20.836 | -0.000 |
| -0.072 | -0.072 | -0.072 | -0.000 | 0.000 | 20.836 |
| 282.942 | 76.235 | 76.235 | -0.000 | -0.000 | 0.000 |
| 76.235 | 282.942 | 76.235 | 0.000 | -0.000 | 0.000 |
| 76.235 | 76.235 | 282.942 | 0.000 | -0.000 | 0.000 |
| 0.072 | 0.072 | 0.072 | 20.836 | -0.000 | 0.000 |
| 0.072 | 0.072 | 0.072 | 0.000 | 20.836 | 0.000 |
| 0.072 | 0.072 | 0.072 | 0.000 | -0.000 | 20.836 |
| 183.453 | 43.760 | 43.760 | -0.000 | -0.000 | 0.000 |
| 43.760 | 183.453 | 43.760 | 0.000 | 0.000 | -0.000 |
| 43.760 | 43.760 | 183.453 | 0.000 | -0.000 | -0.000 |
| -0.000 | 0.000 | -0.000 | 43.960 | 0.000 | 0.000 |
| 0.000 | -0.000 | 0.000 | 0.000 | 43.960 | 0.000 |
| 0.000 | -0.000 | -0.000 | -0.000 | -0.000 | 43.960 |
| 274.834 | 135.151 | 135.151 | -0.000 | -0.000 | -0.000 |
| 135.151 | 274.834 | 135.151 | 0.000 | 0.000 | -0.000 |
| 135.151 | 135.151 | 274.834 | -0.000 | 0.000 | 0.000 |
| -0.000 | -0.000 | -0.000 | 43.960 | -0.000 | -0.000 |
| -0.000 | 0.000 | 0.000 | -0.000 | 43.960 | -0.000 |
| -0.000 | 0.000 | -0.000 | -0.000 | -0.000 | 43.960 |
| 221.217 | 82.901 | 82.901 | -0.000 | -0.000 | 0.000 |
| 82.901 | 221.217 | 82.901 | 0.000 | 0.000 | 0.000 |
| 82.901 | 82.901 | 221.217 | -0.000 | 0.000 | 0.000 |
| -4.560 | -4.560 | -4.560 | 5.754 | 0.000 | 0.000 |
| -4.560 | -4.560 | -4.560 | -0.000 | 5.754 | 0.000 |
| -4.560 | -4.560 | -4.560 | 0.000 | 0.000 | 5.754 |
| 222.051 | 78.668 | 78.668 | 0.000 | 0.000 | 0.000 |
| 78.668 | 222.051 | 78.668 | -0.000 | -0.000 | 0.000 |
| 78.668 | 78.668 | 222.051 | -0.000 | -0.000 | 0.000 |
| 4.560 | 4.560 | 4.560 | 5.754 | 0.000 | -0.000 |
| 4.560 | 4.560 | 4.560 | 0.000 | 5.754 | -0.000 |
| 4.560 | 4.560 | 4.560 | -0.000 | -0.000 | 5.754 |
| 223.949 | 82.714 | 82.714 | 0.000 | -0.000 | -0.000 |
| 82.714 | 223.949 | 82.714 | -0.000 | -0.000 | -0.000 |
| 82.714 | 82.714 | 223.949 | 0.000 | -0.000 | 0.000 |
| -0.122 | -0.122 | -0.122 | 18.420 | 0.000 | 0.000 |
| -0.122 | -0.122 | -0.122 | 0.000 | 18.420 | -0.000 |
| -0.122 | -0.122 | -0.122 | -0.000 | -0.000 | 18.420 |
| 221.788 | 80.842 | 80.842 | -0.000 | -0.000 | -0.000 |
| 80.842 | 221.788 | 80.842 | -0.000 | -0.000 | -0.000 |
| 80.842 | 80.842 | 221.788 | 0.000 | 0.000 | -0.000 |
| 0.122 | 0.122 | 0.122 | 18.420 | 0.000 | 0.000 |
| 0.122 | 0.122 | 0.122 | -0.000 | 18.420 | 0.000 |
| 0.122 | 0.122 | 0.122 | -0.000 | 0.000 | 18.420 |
| 372.537 | 202.429 | 202.429 | -0.000 | -0.000 | -0.000 |
| 202.429 | 372.537 | 202.429 | -0.000 | -0.000 | -0.000 |
| 202.429 | 202.429 | 372.537 | -0.000 | -0.000 | -0.000 |
| -162.068 | -162.068 | -162.068 | 10.208 | -0.000 | -0.000 |
| -162.068 | -162.068 | -162.068 | -0.000 | 10.208 | -0.000 |
| -162.068 | -162.068 | -162.068 | -0.000 | -0.000 | 10.208 |
| 275.611 | 74.810 | 74.810 | 0.000 | 0.000 | -0.000 |
| 74.810 | 275.611 | 74.810 | 0.000 | 0.000 | 0.000 |
| 74.810 | 74.810 | 275.611 | 0.000 | 0.000 | 0.000 |
| 162.068 | 162.068 | 162.068 | 10.208 | 0.000 | 0.000 |
| 162.068 | 162.068 | 162.068 | 0.000 | 10.208 | 0.000 |
| 162.068 | 162.068 | 162.068 | 0.000 | 0.000 | 10.208 |
| 196.297 | 68.957 | 68.957 | -0.000 | -0.000 | -0.000 |
| 68.957 | 196.297 | 68.957 | -0.000 | -0.000 | -0.000 |
| 68.957 | 68.957 | 196.297 | -0.000 | -0.000 | -0.000 |
| 12.145 | 12.145 | 12.145 | 25.376 | -0.000 | -0.000 |
| 12.145 | 12.145 | 12.145 | -0.000 | 25.376 | 0.000 |
| 12.145 | 12.145 | 12.145 | -0.000 | -0.000 | 25.376 |
| 239.103 | 68.898 | 68.898 | 0.000 | -0.000 | 0.000 |
| 68.898 | 239.103 | 68.898 | 0.000 | 0.000 | -0.000 |
| 68.898 | 68.898 | 239.103 | 0.000 | 0.000 | 0.000 |
| -12.145 | -12.145 | -12.145 | 25.376 | 0.000 | 0.000 |
| -12.145 | -12.145 | -12.145 | 0.000 | 25.376 | -0.000 |
| -12.145 | -12.145 | -12.145 | 0.000 | 0.000 | 25.376 |
| 246.420 | 84.125 | 84.125 | -0.000 | 0.000 | -0.000 |
| 84.125 | 246.420 | 84.125 | -0.000 | -0.000 | -0.000 |
| 84.125 | 84.125 | 246.420 | -0.000 | -0.000 | 0.000 |
| 1.300 | 1.300 | 1.300 | 24.108 | -0.000 | -0.000 |
| 1.300 | 1.300 | 1.300 | -0.000 | 24.108 | -0.000 |
| 1.300 | 1.300 | 1.300 | -0.000 | -0.000 | 24.108 |
| 246.226 | 80.523 | 80.523 | 0.000 | 0.000 | 0.000 |
| 80.523 | 246.226 | 80.523 | 0.000 | 0.000 | 0.000 |
| 80.523 | 80.523 | 246.226 | -0.000 | 0.000 | 0.000 |
| -1.300 | -1.300 | -1.300 | 24.108 | 0.000 | 0.000 |
| -1.300 | -1.300 | -1.300 | 0.000 | 24.108 | 0.000 |
| -1.300 | -1.300 | -1.300 | 0.000 | 0.000 | 24.108 |
| 227.709 | 127.864 | 127.864 | -0.000 | -0.000 | 0.000 |
| 127.864 | 227.709 | 127.864 | -0.000 | -0.000 | 0.000 |
| 127.864 | 127.864 | 227.709 | -0.000 | -0.000 | 0.000 |
| -0.000 | -0.000 | 0.000 | 59.917 | -0.000 | 0.000 |
| -0.000 | -0.000 | 0.000 | 0.000 | 59.917 | 0.000 |
| -0.000 | -0.000 | 0.000 | 0.000 | -0.000 | 59.917 |
| 239.653 | 122.149 | 122.149 | -0.000 | -0.000 | 0.000 |
| 122.149 | 239.653 | 122.149 | -0.000 | -0.000 | 0.000 |
| 122.149 | 122.149 | 239.653 | -0.000 | -0.000 | -0.000 |
| 0.000 | 0.000 | -0.000 | 59.917 | 0.000 | -0.000 |
| 0.000 | 0.000 | -0.000 | -0.000 | 59.917 | -0.000 |
| 0.000 | 0.000 | -0.000 | -0.000 | 0.000 | 59.917 |
| 239.653 | 122.149 | 122.149 | -0.000 | 0.000 | 0.000 |
| 122.149 | 239.653 | 122.149 | 0.000 | 0.000 | -0.000 |
| 122.149 | 122.149 | 239.653 | 0.000 | 0.000 | -0.000 |
| -0.000 | -0.000 | -0.000 | 59.917 | -0.000 | 0.000 |
| -0.000 | -0.000 | -0.000 | 0.000 | 59.917 | 0.000 |
| -0.000 | -0.000 | 0.000 | 0.000 | -0.000 | 59.917 |
| 205.005 | 138.329 | 138.329 | 0.000 | 0.000 | -0.000 |
| 138.329 | 205.005 | 138.329 | 0.000 | 0.000 | -0.000 |
| 122.149 | 122.149 | 239.653 | -0.000 | -0.000 | -0.000 |
| 0.000 | 0.000 | 0.000 | 59.917 | 0.000 | -0.000 |
| 0.000 | 0.000 | 0.000 | -0.000 | 59.917 | -0.000 |
| 0.000 | 0.000 | -0.000 | -0.000 | 0.000 | 59.917 |
| 205.009 | 138.327 | 138.327 | -0.000 | -0.000 | 0.000 |
| 138.327 | 205.009 | 138.327 | -0.000 | -0.000 | 0.000 |
| 138.327 | 138.327 | 205.009 | -0.000 | -0.000 | 0.000 |
| -0.000 | -0.000 | -0.000 | 59.917 | -0.000 | 0.000 |
| -0.000 | -0.000 | -0.000 | 0.000 | 59.917 | 0.000 |
| -0.000 | -0.000 | -0.000 | 0.000 | -0.000 | 59.917 |
| 227.709 | 127.864 | 127.864 | 0.000 | 0.000 | -0.000 |
| 127.864 | 227.709 | 127.864 | 0.000 | 0.000 | -0.000 |
| 127.864 | 127.864 | 227.709 | 0.000 | 0.000 | -0.000 |
| 0.000 | 0.000 | 0.000 | 59.917 | 0.000 | -0.000 |
| 0.000 | 0.000 | 0.000 | -0.000 | 59.917 | -0.000 |
| 0.000 | 0.000 | 0.000 | -0.000 | 0.000 | 59.917 |
| 234.300 | 120.738 | 120.738 | 0.000 | -0.000 | 0.000 |
| 120.738 | 234.300 | 120.738 | 0.000 | 0.000 | -0.000 |
| 120.738 | 120.738 | 234.300 | 0.000 | -0.000 | -0.000 |
| -0.000 | -0.000 | -0.000 | 90.293 | -0.000 | -0.000 |
| -0.000 | -0.000 | -0.000 | 0.000 | 90.293 | -0.000 |
| -0.000 | -0.000 | -0.000 | 0.000 | 0.000 | 90.293 |
| 234.300 | 120.738 | 120.738 | -0.000 | -0.000 | 0.000 |
| 120.738 | 234.300 | 120.738 | 0.000 | 0.000 | 0.000 |
| 120.738 | 120.738 | 234.300 | -0.000 | 0.000 | 0.000 |
| 0.000 | 0.000 | 0.000 | 90.293 | 0.000 | 0.000 |
| 0.000 | 0.000 | 0.000 | -0.000 | 90.293 | 0.000 |
| 0.000 | 0.000 | 0.000 | -0.000 | -0.000 | 90.293 |
| 234.299 | 120.737 | 120.737 | 0.000 | 0.000 | -0.000 |
| 120.737 | 234.299 | 120.737 | 0.000 | 0.000 | -0.000 |
| 120.737 | 120.737 | 234.299 | 0.000 | -0.000 | -0.000 |
| -0.000 | -0.000 | -0.000 | 90.293 | 0.000 | -0.000 |
| -0.000 | -0.000 | -0.000 | 0.000 | 90.293 | -0.000 |
| -0.000 | -0.000 | -0.000 | 0.000 | 0.000 | 90.293 |
| 234.300 | 120.738 | 120.738 | -0.000 | 0.000 | 0.000 |
| 120.738 | 234.300 | 120.738 | -0.000 | 0.000 | 0.000 |
| 120.738 | 120.738 | 234.300 | -0.000 | 0.000 | 0.000 |
| 0.000 | 0.000 | 0.000 | 90.293 | 0.000 | 0.000 |
| 0.000 | 0.000 | 0.000 | -0.000 | 90.293 | 0.000 |
| 0.000 | 0.000 | 0.000 | -0.000 | -0.000 | 90.293 |
| 234.294 | 120.733 | 120.733 | -0.000 | -0.000 | -0.000 |
| 120.733 | 234.294 | 120.733 | 0.000 | -0.000 | -0.000 |
| 120.733 | 120.733 | 234.294 | 0.000 | 0.000 | 0.000 |
| -0.003 | -0.005 | -0.005 | 90.293 | 0.000 | -0.000 |
| -0.005 | -0.003 | -0.005 | 0.000 | 90.293 | -0.000 |
| -0.005 | -0.005 | -0.003 | 0.000 | 0.000 | 90.293 |
| 234.307 | 120.742 | 120.742 | -0.000 | 0.000 | 0.000 |
| 120.742 | 234.307 | 120.742 | -0.000 | 0.000 | 0.000 |
| 120.742 | 120.742 | 234.307 | -0.000 | 0.000 | -0.000 |
| 0.003 | 0.005 | 0.005 | 90.293 | -0.000 | 0.000 |
| 0.005 | 0.003 | 0.005 | -0.000 | 90.293 | 0.000 |
| 0.005 | 0.005 | 0.003 | -0.000 | 0.000 | 90.293 |
| 227.461 | 127.044 | 127.045 | 0.000 | 0.000 | 0.000 |
| 127.045 | 227.461 | 127.045 | 0.000 | 0.000 | 0.000 |
| 127.045 | 127.044 | 227.461 | 0.000 | 0.000 | 0.000 |
| 0.000 | -0.000 | 0.000 | 91.452 | 0.000 | -0.000 |
| 0.000 | -0.000 | 0.000 | 0.000 | 91.452 | 0.000 |
| 0.000 | 0.000 | -0.000 | -0.000 | 0.000 | 91.452 |
| 238.927 | 121.352 | 121.352 | -0.000 | -0.000 | 0.000 |
| 121.352 | 238.927 | 121.352 | -0.000 | 0.000 | 0.000 |
| 121.352 | 121.352 | 238.927 | -0.000 | -0.000 | 0.000 |
| -0.000 | 0.000 | -0.000 | 91.452 | -0.000 | 0.000 |
| -0.000 | -0.000 | -0.000 | -0.000 | 91.452 | -0.000 |
| -0.000 | 0.000 | -0.000 | -0.000 | -0.000 | 91.452 |
| 227.269 | 126.901 | 126.901 | 0.000 | 0.000 | 0.000 |
| 126.901 | 227.269 | 126.901 | 0.000 | 0.000 | 0.000 |
| 126.901 | 126.901 | 227.269 | 0.000 | 0.000 | 0.000 |
| 0.041 | 0.041 | 0.041 | 60.111 | 0.000 | 0.000 |
| 0.041 | 0.041 | 0.041 | 0.000 | 60.111 | 0.000 |
| 0.041 | 0.041 | 0.041 | 0.000 | 0.000 | 60.111 |
| 227.184 | 126.889 | 126.889 | -0.000 | -0.000 | -0.000 |
| 126.889 | 227.184 | 126.889 | -0.000 | -0.000 | -0.000 |
| 126.889 | 126.889 | 227.184 | -0.000 | -0.000 | -0.000 |
| -0.041 | -0.041 | -0.041 | 60.111 | -0.000 | -0.000 |
| -0.041 | -0.041 | -0.041 | -0.000 | 60.111 | -0.000 |
| -0.041 | -0.041 | -0.041 | -0.000 | -0.000 | 60.111 |
| 238.926 | 121.352 | 121.352 | 0.000 | -0.000 | 0.000 |
| 121.352 | 238.926 | 121.352 | 0.000 | 0.000 | 0.000 |
| 121.352 | 121.352 | 238.926 | 0.000 | -0.000 | -0.000 |
| 0.002 | 0.002 | 0.002 | 64.100 | 0.000 | 0.000 |
| 0.002 | 0.002 | 0.002 | 0.000 | 64.100 | 0.000 |
| 0.002 | 0.002 | 0.002 | 0.000 | 0.000 | 64.100 |
| 227.224 | 126.893 | 126.893 | -0.000 | -0.000 | -0.000 |
| 126.893 | 227.224 | 126.893 | -0.000 | -0.000 | -0.000 |
| 126.893 | 126.893 | 227.224 | -0.000 | -0.000 | -0.000 |
| -0.002 | -0.002 | -0.002 | 64.100 | -0.000 | -0.000 |
| -0.002 | -0.002 | -0.002 | -0.000 | 64.100 | -0.000 |
| -0.002 | -0.002 | -0.002 | -0.000 | -0.000 | 64.100 |
| 341.739 | -8.747 | 191.945 | 0.000 | 0.000 | -0.000 |
| 2.507 | 361.079 | 63.254 | 0.000 | -0.000 | -0.000 |
| 196.961 | 58.024 | 103.792 | 0.000 | 0.000 | -0.000 |
| 0.650 | -1.632 | 3.362 | -180.103 | -0.000 | -0.000 |
| 0.000 | -0.000 | 0.000 | 0.000 | 180.433 | -0.000 |
| 0.000 | -0.000 | 0.000 | 0.000 | -0.000 | -21.835 |
| 339.821 | -3.928 | 182.020 | -0.000 | 0.000 | 0.000 |
| 0.834 | 365.282 | 54.596 | 0.000 | 0.000 | 0.000 |
| 195.259 | 62.301 | 94.984 | -0.000 | 0.000 | -0.000 |
| -0.650 | 1.632 | -3.362 | -180.103 | 0.000 | 0.000 |
| -0.000 | 0.000 | -0.000 | -0.000 | 180.433 | -0.000 |
| -0.000 | 0.000 | -0.000 | -0.000 | 0.000 | -21.835 |
| 341.739 | -8.747 | 191.945 | -0.000 | -0.000 | -0.000 |
| 1.699 | 363.110 | 59.071 | -0.000 | -0.000 | -0.000 |
| 201.278 | 47.176 | 126.136 | 0.000 | -0.000 | -0.000 |
| 0.722 | -1.813 | 3.734 | -181.527 | -0.000 | -0.000 |
| 0.000 | -0.000 | 0.000 | 0.000 | 180.433 | -0.000 |
| 0.000 | -0.000 | -0.000 | 0.000 | -0.000 | -21.835 |
| 341.739 | -8.747 | 191.944 | -0.000 | -0.000 | 0.000 |
| 1.528 | 363.539 | 58.186 | -0.000 | 0.000 | 0.000 |
| 201.278 | 47.176 | 126.136 | -0.000 | 0.000 | 0.000 |
| -0.722 | 1.813 | -3.734 | -181.527 | 0.000 | 0.000 |
| -0.000 | 0.000 | -0.000 | 0.000 | 180.433 | 0.000 |
| -0.000 | 0.000 | 0.000 | -0.000 | 0.000 | -21.835 |
| 341.742 | -8.746 | 191.946 | -0.000 | -0.000 | -0.000 |
| 1.621 | 363.307 | 58.671 | 0.000 | -0.000 | -0.000 |
| 196.145 | 60.075 | 99.570 | 0.000 | -0.000 | -0.000 |
| -0.000 | 0.000 | 0.000 | 30.584 | -0.000 | -0.000 |
| 0.001 | -0.000 | 0.001 | 0.000 | 180.433 | -0.000 |
| 0.000 | -0.000 | -0.000 | 0.000 | -0.000 | -21.835 |
| 341.736 | -8.747 | 191.943 | -0.000 | -0.000 | 0.000 |
| 1.605 | 363.345 | 58.581 | -0.000 | 0.000 | 0.000 |
| 201.278 | 47.176 | 126.135 | 0.000 | -0.000 | 0.000 |
| 0.000 | -0.000 | -0.000 | 30.584 | 0.000 | 0.000 |
| -0.001 | 0.000 | -0.001 | -0.000 | 180.433 | 0.000 |
| -0.000 | 0.000 | 0.000 | -0.000 | 0.000 | -21.835 |
| 272.835 | 120.880 | 101.841 | 80.603 | -0.000 | -0.000 |
| 120.880 | 272.835 | 101.841 | -80.603 | -0.000 | -0.000 |
| 113.982 | 113.982 | 168.058 | -0.000 | -0.000 | -0.000 |
| 80.603 | -80.603 | 0.000 | 74.251 | -0.000 | -0.000 |
| -0.000 | -0.000 | 0.000 | -0.000 | 74.251 | 80.603 |
| -0.001 | -0.001 | -0.000 | -0.000 | 80.603 | 75.979 |
| 272.843 | 120.881 | 101.841 | 80.604 | 0.000 | 0.000 |
| 120.882 | 272.842 | 101.841 | -80.603 | 0.000 | 0.000 |
| 113.982 | 113.982 | 168.058 | 0.000 | 0.000 | 0.000 |
| 80.603 | -80.603 | -0.000 | 74.251 | 0.000 | 0.000 |
| 0.000 | 0.000 | -0.000 | 0.000 | 74.251 | 80.603 |
| 0.001 | 0.001 | 0.000 | 0.000 | 80.603 | 75.979 |
| 272.799 | 120.875 | 101.840 | 80.602 | -0.000 | -0.000 |
| 120.871 | 272.802 | 101.840 | -80.600 | -0.000 | -0.000 |
| 113.982 | 113.982 | 168.058 | -0.000 | -0.000 | -0.000 |
| 80.603 | -80.604 | -0.000 | 74.251 | -0.000 | -0.000 |
| -0.001 | -0.000 | -0.000 | -0.000 | 74.251 | 80.603 |
| -0.006 | -0.009 | -0.000 | -0.001 | 80.603 | 75.979 |
| 272.878 | 120.887 | 101.842 | 80.605 | 0.000 | 0.000 |
| 120.890 | 272.875 | 101.842 | -80.606 | 0.000 | 0.000 |
| 113.982 | 113.982 | 168.058 | 0.000 | 0.000 | 0.000 |
| 80.604 | -80.602 | 0.000 | 74.251 | 0.000 | 0.000 |
| 0.001 | 0.000 | 0.000 | 0.000 | 74.251 | 80.603 |
| 0.006 | 0.009 | 0.000 | 0.001 | 80.603 | 75.979 |
| 272.442 | 120.821 | 101.833 | 80.586 | -0.000 | -0.000 |
| 120.788 | 272.475 | 101.833 | -80.575 | -0.000 | -0.000 |
| 113.982 | 113.982 | 168.057 | -0.000 | -0.000 | -0.000 |
| 80.600 | -80.612 | -0.000 | 74.252 | -0.000 | -0.000 |
| -0.009 | -0.003 | -0.000 | -0.000 | 74.251 | 80.603 |
| -0.060 | -0.092 | -0.003 | -0.006 | 80.603 | 75.979 |
| 273.235 | 120.940 | 101.850 | 80.620 | 0.000 | 0.000 |
| 120.973 | 273.203 | 101.850 | -80.632 | 0.000 | 0.000 |
| 113.982 | 113.982 | 168.059 | 0.000 | 0.000 | 0.000 |
| 80.606 | -80.594 | 0.000 | 74.251 | 0.000 | 0.000 |
| 0.009 | 0.003 | 0.000 | 0.000 | 74.251 | 80.603 |
| 0.060 | 0.092 | 0.003 | 0.006 | 80.603 | 75.979 |
| -3717433976.675 | -1914060714.074 | -1049774296.468 | -42554.878 | 4327.348 | 13043.378 |
| 225.799 | -128.049 | 12.052 | 0.000 | 0.000 | -0.000 |
| 80.997 | 80.997 | 352.554 | 0.000 | 0.000 | -0.000 |
| -0.000 | -0.000 | 0.000 | -10.242 | 0.000 | -0.000 |
| -0.000 | -0.000 | 0.000 | 0.000 | -10.242 | -0.000 |
| -2420379528.724 | -3271657447.056 | -1074799713.476 | 67383.498 | -54223.187 | -767113572.903 |
| 6.732 | 91.022 | 12.052 | -0.000 | -0.000 | -0.000 |
| 3717659511.281 | 1911754892.498 | 1049807131.209 | 30274.596 | 4265.133 | 68627.331 |
| 80.997 | 80.997 | 352.554 | -0.000 | -0.000 | 0.000 |
| 0.000 | -0.000 | -0.000 | -10.242 | 0.000 | 0.000 |
| 0.000 | -0.000 | -0.000 | -0.000 | -10.242 | 0.000 |
| 2419553787.048 | 3266561287.439 | 1072621660.750 | -14732.149 | -7369.406 | -768076988.771 |
| -371731848.070 | -191412371.794 | -104951561.119 | 1281.057 | -155.663 | 1056.918 |
| 2353967.236 | -91379210.312 | -4703062.887 | 0.216 | -0.000 | -11769.529 |
| 80.997 | 80.997 | 352.554 | 0.000 | 0.000 | -0.000 |
| -0.000 | 0.000 | 0.000 | -10.242 | -0.000 | 0.000 |
| 0.000 | 0.000 | 0.000 | 0.000 | -10.242 | -0.000 |
| -491591118.058 | -490873666.763 | 198073296.296 | 510464.189 | 357896.601 | 230701.605 |
| 10761009.215 | 3591733.275 | 10706.623 | -0.000 | 0.000 | -0.000 |
| 371758474.142 | 191479729.484 | 104966259.997 | -2525.321 | 564.140 | 16669.379 |
| 80.997 | 80.997 | 352.553 | 0.000 | -0.000 | 0.000 |
| -0.000 | -0.000 | -0.000 | -10.242 | 0.000 | -0.000 |
| -0.000 | -0.000 | -0.000 | -0.000 | -10.242 | 0.000 |
| 489918719.720 | 491025188.037 | -198281021.194 | 227319.222 | 202527.333 | 85741.513 |
| -37660758.597 | -18186003.658 | -10515011.326 | 0.559 | -0.000 | -750.640 |
| -45486.756 | -11202987.421 | -1067352.228 | 1.196 | -0.000 | 2518.790 |
| 80.998 | 80.998 | 352.560 | -0.000 | -0.000 | -0.000 |
| 0.000 | 0.001 | 0.001 | -10.242 | -0.000 | -0.000 |
| 0.001 | 0.000 | 0.001 | -0.000 | -10.242 | -0.000 |
| -48849093.912 | -48826153.577 | 19924827.957 | 47427.430 | 16325.810 | 21208.237 |
| 49300617.081 | 49271930.315 | -19678461.309 | 42222.223 | -34580.689 | 46731.893 |
| 38226211.978 | 18708682.248 | 10548235.535 | -0.563 | 0.000 | -0.004 |
| 80.995 | 80.995 | 352.547 | 0.000 | -0.000 | 0.000 |
| -0.000 | -0.001 | -0.001 | -10.242 | 0.000 | 0.000 |
| -0.001 | -0.000 | -0.001 | 0.000 | -10.242 | 0.000 |
| 24738498.534 | 32552838.803 | 10634844.162 | 23.846 | 21.755 | -7131095.045 |
| 242.541 | 135.895 | 64.560 | 13.602 | 0.000 | 0.000 |
| 135.895 | 242.541 | 64.560 | -13.602 | 0.000 | 0.000 |
| 67.181 | 67.181 | 201.012 | -0.000 | 0.000 | -0.000 |
| 12.454 | -12.390 | -0.711 | 44.451 | 0.000 | -0.000 |
| 0.000 | 0.000 | -0.000 | 0.000 | 44.481 | 11.915 |
| -0.000 | 0.000 | -0.000 | -0.000 | 11.915 | 82.021 |
| 271.140 | 107.099 | 66.751 | 11.915 | -0.000 | -0.000 |
| 107.099 | 271.140 | 66.751 | -11.915 | 0.000 | -0.000 |
| 67.181 | 67.181 | 201.012 | -0.000 | -0.000 | 0.000 |
| 11.915 | -11.915 | 0.000 | 44.481 | -0.000 | -0.000 |
| -0.000 | -0.000 | 0.000 | -0.000 | 44.481 | 11.915 |
| 0.000 | -0.000 | 0.000 | 0.000 | 11.915 | 82.021 |
| 271.140 | 107.099 | 66.751 | 11.915 | -0.000 | 0.000 |
| 139.216 | 239.030 | 66.684 | -13.802 | 0.000 | 0.000 |
| 67.235 | 67.235 | 199.823 | -0.000 | -0.000 | 0.000 |
| 11.915 | -11.915 | 0.000 | 44.481 | -0.000 | 0.000 |
| 0.000 | 0.000 | 0.000 | 0.000 | 44.481 | 11.915 |
| -0.000 | -0.000 | 0.000 | 0.000 | 11.915 | 82.021 |
| 239.144 | 139.054 | 67.212 | 13.794 | 0.000 | -0.000 |
| 107.099 | 271.141 | 66.751 | -11.915 | -0.000 | 0.000 |
| 67.181 | 67.181 | 201.012 | 0.000 | 0.000 | 0.000 |
| 13.287 | -13.305 | 0.194 | 44.399 | -0.000 | 0.000 |
| -0.000 | -0.000 | -0.000 | -0.000 | 44.481 | 11.915 |
| 0.000 | 0.000 | -0.000 | -0.000 | 11.915 | 82.021 |
| 271.140 | 107.099 | 66.751 | 11.915 | 0.000 | -0.000 |
| 107.099 | 271.140 | 66.751 | -11.915 | -0.000 | -0.000 |
| 67.182 | 67.182 | 201.016 | 0.000 | 0.000 | -0.000 |
| 13.803 | -13.802 | -0.005 | 44.369 | 0.000 | -0.000 |
| 0.000 | 0.001 | -0.005 | 0.000 | 44.370 | 13.803 |
| -0.000 | -0.000 | 0.000 | 0.000 | 11.915 | 82.021 |
| 271.141 | 107.099 | 66.751 | 11.915 | 0.000 | 0.000 |
| 107.099 | 271.141 | 66.751 | -11.915 | 0.000 | 0.000 |
| 67.230 | 67.230 | 199.893 | 0.000 | -0.000 | -0.000 |
| 13.793 | -13.796 | 0.025 | 44.370 | 0.000 | -0.000 |
| -0.000 | -0.001 | 0.005 | -0.000 | 44.370 | 13.803 |
| 0.000 | 0.000 | -0.000 | -0.000 | 11.915 | 82.021 |
| 240.434 | 139.582 | 72.753 | 15.254 | 0.000 | 0.000 |
| 139.582 | 240.434 | 72.753 | -15.254 | 0.000 | 0.000 |
| 72.592 | 72.592 | 220.533 | 0.000 | 0.000 | 0.000 |
| 15.124 | -15.096 | -0.113 | 50.263 | 0.000 | 0.000 |
| 0.000 | 0.000 | 0.000 | -0.000 | 50.477 | 12.547 |
| -0.000 | 0.000 | -0.000 | 0.000 | 12.547 | 82.976 |
| 273.016 | 107.064 | 72.490 | 12.547 | -0.000 | -0.000 |
| 107.064 | 273.016 | 72.490 | -12.547 | -0.000 | 0.000 |
| 72.490 | 72.490 | 221.356 | 0.000 | -0.000 | -0.000 |
| 12.547 | -12.547 | -0.000 | 50.477 | -0.000 | -0.000 |
| -0.000 | -0.000 | -0.000 | 0.000 | 50.477 | 12.547 |
| 0.000 | -0.000 | 0.000 | 0.000 | 12.547 | 82.976 |
| 273.016 | 107.064 | 72.490 | 12.547 | 0.000 | 0.000 |
| 107.064 | 273.016 | 72.490 | -12.547 | -0.000 | 0.000 |
| 72.588 | 72.588 | 220.561 | -0.000 | 0.000 | 0.000 |
| 15.259 | -15.256 | -0.012 | 50.251 | 0.000 | 0.000 |
| 0.001 | 0.002 | -0.012 | 0.000 | 50.251 | 15.258 |
| -0.000 | -0.000 | 0.000 | 0.000 | 12.547 | 82.976 |
| 240.388 | 139.667 | 72.591 | 15.259 | -0.000 | 0.000 |
| 107.064 | 273.016 | 72.490 | -12.547 | -0.000 | -0.000 |
| 72.587 | 72.587 | 220.566 | -0.000 | -0.000 | -0.000 |
| 12.547 | -12.547 | -0.000 | 50.477 | -0.000 | -0.000 |
| -0.001 | -0.002 | 0.012 | -0.000 | 50.251 | 15.258 |
| 0.000 | 0.000 | -0.000 | -0.000 | 12.547 | 82.976 |
| 240.489 | 139.496 | 72.870 | 15.248 | -0.000 | 0.000 |
| 139.497 | 240.488 | 72.870 | -15.249 | 0.000 | 0.000 |
| 72.589 | 72.589 | 220.568 | -0.000 | 0.000 | 0.000 |
| 15.261 | -15.259 | 0.000 | 50.250 | -0.000 | -0.000 |
| 0.002 | 0.001 | 0.002 | -0.000 | 50.476 | 12.548 |
| 0.003 | 0.002 | -0.001 | -0.001 | 15.261 | 50.358 |
| 273.007 | 107.062 | 72.488 | 12.549 | -0.000 | -0.000 |
| 107.062 | 273.007 | 72.488 | -12.549 | 0.000 | -0.000 |
| 72.488 | 72.488 | 221.352 | 0.000 | -0.000 | -0.000 |
| 12.546 | -12.550 | -0.002 | 50.476 | -0.000 | -0.000 |
| -0.002 | -0.001 | -0.002 | 0.000 | 50.476 | 12.548 |
| -0.003 | -0.002 | 0.001 | 0.001 | 15.261 | 50.358 |
| 296.565 | 95.632 | 74.756 | -0.000 | -0.000 | 0.000 |
| 95.632 | 296.565 | 74.756 | -0.000 | -0.000 | 0.000 |
| 74.789 | 74.789 | 358.646 | -0.000 | -0.000 | 0.000 |
| -3364616.766 | -3364616.833 | -3346093.497 | 3350778.680 | -0.000 | 0.000 |
| -3364616.833 | -3364616.766 | -3346093.497 | -0.000 | 3350778.680 | 0.000 |
| -3364617.096 | -3364617.029 | -3346093.758 | -0.000 | 0.000 | 3359760.327 |
| 272446.088 | 272291.191 | 114880.532 | -0.000 | -0.000 | 0.000 |
| 272291.191 | 272446.088 | 114880.532 | 0.000 | -0.000 | -0.000 |
| 272251.536 | 272251.536 | 115161.060 | 0.000 | 0.000 | 0.000 |
| 3364616.766 | 3364616.833 | 3346093.497 | 3350778.680 | -0.000 | -0.000 |
| 3364616.833 | 3364616.766 | 3346093.497 | -0.000 | 3350778.680 | -0.000 |
| 3364617.096 | 3364617.029 | 3346093.758 | 0.000 | -0.000 | 3359760.327 |
| 296.565 | 95.632 | 74.756 | -0.000 | 0.000 | 0.000 |
| 95.632 | 296.565 | 74.756 | 0.000 | -0.000 | 0.000 |
| 85.323 | 85.323 | 363.202 | 0.000 | 0.000 | 0.000 |
| -336458.524 | -336458.591 | -334607.637 | 335122.752 | -0.000 | 0.000 |
| -336458.591 | -336458.524 | -334607.637 | -0.000 | 335122.752 | 0.000 |
| -336461.104 | -336461.037 | -334608.713 | 0.000 | 0.000 | 336034.910 |
| 27486.276 | 27331.380 | 11554.968 | -0.000 | -0.000 | -0.000 |
| 27331.380 | 27486.276 | 11554.968 | -0.000 | -0.000 | -0.000 |
| 27291.725 | 27291.725 | 11835.495 | 0.000 | 0.000 | -0.000 |
| 336458.524 | 336458.591 | 334607.637 | 335122.752 | -0.000 | -0.000 |
| 336458.591 | 336458.524 | 334607.637 | 0.000 | 335122.752 | -0.000 |
| 336461.104 | 336461.037 | 334608.713 | 0.000 | -0.000 | 336034.910 |
| 296.564 | 95.630 | 74.754 | -0.000 | -0.000 | 0.000 |
| 95.630 | 296.564 | 74.754 | -0.000 | 0.000 | 0.000 |
| 74.787 | 74.787 | 358.646 | -0.000 | -0.000 | 0.000 |
| -33643.627 | -33643.694 | -33459.443 | 33555.056 | -0.000 | 0.000 |
| -33643.694 | -33643.627 | -33459.443 | -0.000 | 33555.056 | 0.000 |
| -33645.505 | -33645.438 | -33460.209 | -0.000 | -0.000 | 33662.367 |
| 2990.296 | 2835.399 | 1222.413 | -0.000 | -0.000 | -0.000 |
| 2835.399 | 2990.296 | 1222.413 | -0.000 | 0.000 | -0.000 |
| 2795.746 | 2795.746 | 1502.939 | -0.000 | 0.000 | -0.000 |
| 33643.627 | 33643.694 | 33459.443 | 33555.056 | 0.000 | -0.000 |
| 33643.694 | 33643.627 | 33459.443 | 0.000 | 33555.056 | -0.000 |
| 33645.505 | 33645.438 | 33460.209 | -0.000 | -0.000 | 33662.367 |
| 303.128 | 96.136 | 78.068 | -0.000 | 0.000 | 0.000 |
| 96.136 | 303.128 | 78.068 | -0.000 | 0.000 | 0.000 |
| 77.325 | 77.325 | 362.709 | -0.000 | 0.000 | 0.000 |
| -0.000 | -0.000 | -0.000 | 47.125 | 0.000 | 0.000 |
| -0.000 | -0.000 | -0.000 | 0.000 | 47.125 | 0.000 |
| -0.000 | -0.000 | -0.000 | 0.000 | -0.000 | 67.554 |
| 303.128 | 96.136 | 78.068 | 0.000 | 0.000 | -0.000 |
| 96.136 | 303.128 | 78.068 | 0.000 | 0.000 | -0.000 |
| 77.325 | 77.325 | 362.709 | 0.000 | -0.000 | -0.000 |
| 0.000 | 0.000 | 0.000 | 47.125 | 0.000 | -0.000 |
| 0.000 | 0.000 | 0.000 | -0.000 | 47.125 | -0.000 |
| 0.000 | 0.000 | 0.000 | -0.000 | 0.000 | 67.554 |
| 303.128 | 96.135 | 78.067 | 0.000 | -0.000 | 0.000 |
| 96.135 | 303.128 | 78.067 | -0.000 | -0.000 | 0.000 |
| 77.324 | 77.324 | 362.709 | 0.000 | 0.000 | 0.000 |
| -0.000 | -0.000 | -0.000 | 47.125 | 0.000 | 0.000 |
| -0.000 | -0.000 | -0.000 | -0.000 | 47.125 | 0.000 |
| -0.000 | -0.000 | -0.000 | -0.000 | 0.000 | 67.554 |
| 303.129 | 96.136 | 78.068 | -0.000 | 0.000 | -0.000 |
| 96.136 | 303.129 | 78.068 | 0.000 | -0.000 | -0.000 |
| 77.325 | 77.325 | 362.709 | 0.000 | -0.000 | -0.000 |
| 0.000 | 0.000 | 0.000 | 47.125 | 0.000 | -0.000 |
| 0.000 | 0.000 | 0.000 | -0.000 | 47.125 | -0.000 |
| 0.000 | 0.000 | 0.000 | 0.000 | -0.000 | 67.554 |
| 303.124 | 96.132 | 78.063 | -0.000 | -0.000 | 0.000 |
| 96.132 | 303.124 | 78.063 | 0.000 | -0.000 | 0.000 |
| 77.321 | 77.321 | 362.707 | -0.000 | -0.000 | 0.000 |
| -0.004 | -0.004 | -0.004 | 47.125 | -0.000 | 0.000 |
| -0.004 | -0.004 | -0.004 | -0.000 | 47.125 | 0.000 |
| -0.004 | -0.004 | -0.004 | -0.000 | 0.000 | 67.554 |
| 303.132 | 96.140 | 78.072 | 0.000 | 0.000 | -0.000 |
| 96.140 | 303.132 | 78.072 | 0.000 | -0.000 | -0.000 |
| 77.329 | 77.329 | 362.711 | 0.000 | -0.000 | -0.000 |
| 0.004 | 0.004 | 0.004 | 47.125 | 0.000 | -0.000 |
| 0.004 | 0.004 | 0.004 | 0.000 | 47.125 | -0.000 |
| 0.004 | 0.004 | 0.004 | 0.000 | -0.000 | 67.554 |
| 3024548.352 | 3024555.797 | -6180421.971 | -0.000 | 0.000 | -0.000 |
| 3024555.797 | 3024548.352 | -6180421.971 | -0.000 | 0.000 | -0.000 |
| 3024442.090 | 3024442.090 | -6180141.547 | -0.000 | 0.000 | -0.000 |
| 3024373.665 | 3024373.665 | -6180495.703 | 22.228 | 0.000 | -0.000 |
| 3024373.665 | 3024373.665 | -6180495.703 | 0.000 | 22.228 | -0.000 |
| 3024373.674 | 3024373.674 | -6180495.673 | -0.000 | 0.000 | 20.117 |
| -3024199.637 | -3024192.193 | 6180569.281 | -0.000 | -0.000 | 0.000 |
| -3024192.193 | -3024199.637 | 6180569.281 | 0.000 | -0.000 | 0.000 |
| -3024305.240 | -3024305.240 | 6180849.859 | 0.000 | -0.000 | 0.000 |
| -3024373.665 | -3024373.665 | 6180495.703 | 22.228 | -0.000 | 0.000 |
| -3024373.665 | -3024373.665 | 6180495.703 | 0.000 | 22.228 | 0.000 |
| -3024373.674 | -3024373.674 | 6180495.673 | -0.000 | -0.000 | 20.117 |
| 302612.053 | 302619.497 | -617975.838 | -0.000 | -0.000 | -0.000 |
| 302619.497 | 302612.053 | -617975.838 | 0.000 | -0.000 | -0.000 |
| 302505.791 | 302505.791 | -617695.415 | 0.000 | 0.000 | -0.000 |
| 302437.366 | 302437.366 | -618049.571 | 22.228 | -0.000 | -0.000 |
| 302437.366 | 302437.366 | -618049.571 | -0.000 | 22.228 | -0.000 |
| 302437.375 | 302437.375 | -618049.540 | 0.000 | 0.000 | 20.117 |
| -302263.338 | -302255.893 | 618123.148 | 0.000 | -0.000 | 0.000 |
| -302255.893 | -302263.338 | 618123.148 | -0.000 | 0.000 | 0.000 |
| -302368.941 | -302368.941 | 618403.726 | 0.000 | 0.000 | 0.000 |
| -302437.366 | -302437.366 | 618049.571 | 22.228 | -0.000 | 0.000 |
| -302437.366 | -302437.366 | 618049.571 | -0.000 | 22.228 | 0.000 |
| -302437.375 | -302437.375 | 618049.540 | 0.000 | 0.000 | 20.117 |
| 30418.421 | 30425.861 | -61731.225 | -0.000 | 0.000 | -0.000 |
| 30425.861 | 30418.421 | -61731.225 | -0.000 | 0.000 | -0.000 |
| 30312.160 | 30312.160 | -61450.801 | 0.000 | -0.000 | -0.000 |
| 30243.732 | 30243.732 | -61804.961 | 22.228 | 0.000 | -0.000 |
| 30243.732 | 30243.732 | -61804.961 | -0.000 | 22.228 | -0.000 |
| 30243.745 | 30243.745 | -61804.926 | 0.000 | 0.000 | 20.117 |
| -30069.706 | -30062.259 | 61878.534 | 0.000 | -0.000 | 0.000 |
| -30062.259 | -30069.706 | 61878.534 | 0.000 | -0.000 | 0.000 |
| -30175.310 | -30175.310 | 62159.113 | 0.000 | -0.000 | 0.000 |
| -30243.732 | -30243.732 | 61804.961 | 22.228 | -0.000 | 0.000 |
| -30243.732 | -30243.732 | 61804.961 | 0.000 | 22.228 | 0.000 |
| -30243.745 | -30243.745 | 61804.926 | -0.000 | -0.000 | 20.117 |
| 188.431 | 95.980 | 68.197 | 0.000 | -0.000 | -0.000 |
| 95.980 | 188.431 | 68.197 | 0.000 | -0.000 | -0.000 |
| 68.197 | 68.197 | 407.183 | 0.000 | -0.000 | -0.000 |
| -0.000 | 0.000 | 0.000 | -175.057 | 0.000 | 0.000 |
| -0.000 | 0.000 | 0.000 | 0.000 | -175.057 | 0.000 |
| 0.000 | -0.000 | 0.000 | 0.000 | -0.000 | 56.183 |
| 188.431 | 95.980 | 68.197 | -0.000 | 0.000 | 0.000 |
| 86.023 | 198.389 | 68.197 | -0.000 | 0.000 | 0.000 |
| 68.197 | 68.197 | 407.182 | -0.000 | 0.000 | 0.000 |
| 0.000 | -0.000 | -0.000 | -175.057 | -0.000 | -0.000 |
| 0.000 | -0.000 | -0.000 | -0.000 | -175.057 | -0.000 |
| -0.000 | 0.000 | -0.000 | -0.000 | 0.000 | 56.183 |
| 188.431 | 95.980 | 68.197 | 0.000 | -0.000 | -0.000 |
| 86.023 | 198.389 | 68.197 | 0.000 | -0.000 | -0.000 |
| 68.197 | 68.197 | 407.183 | 0.000 | -0.000 | -0.000 |
| 0.000 | 0.000 | 0.000 | 35.715 | -0.000 | -0.000 |
| 0.000 | 0.000 | 0.000 | 0.000 | 35.715 | -0.000 |
| 0.000 | -0.000 | -0.000 | 0.000 | -0.000 | 46.226 |
| 188.431 | 95.980 | 68.197 | -0.000 | 0.000 | 0.000 |
| 95.980 | 188.431 | 68.197 | -0.000 | 0.000 | 0.000 |
| 68.197 | 68.197 | 407.182 | -0.000 | 0.000 | 0.000 |
| -0.000 | -0.000 | -0.000 | 35.715 | 0.000 | 0.000 |
| -0.000 | -0.000 | -0.000 | -0.000 | 35.715 | 0.000 |
| -0.000 | 0.000 | 0.000 | -0.000 | 0.000 | 46.226 |
| 188.432 | 95.980 | 68.197 | 0.000 | -0.000 | -0.000 |
| 95.980 | 188.432 | 68.197 | 0.000 | -0.000 | -0.000 |
| 68.198 | 68.198 | 407.187 | 0.000 | -0.000 | -0.000 |
| 0.000 | -0.000 | 0.000 | -175.057 | 0.000 | 0.000 |
| -0.000 | 0.000 | 0.000 | 0.000 | -175.057 | 0.000 |
| 0.000 | 0.000 | 0.000 | 0.000 | -0.000 | 56.183 |
| 198.388 | 86.022 | 68.197 | -0.000 | 0.000 | 0.000 |
| 86.022 | 198.388 | 68.197 | -0.000 | 0.000 | 0.000 |
| 68.196 | 68.196 | 407.178 | -0.000 | 0.000 | 0.000 |
| -0.000 | 0.000 | -0.000 | -175.057 | -0.000 | -0.000 |
| 0.000 | -0.000 | -0.000 | -0.000 | -175.057 | -0.000 |
| -0.000 | -0.000 | -0.000 | -0.000 | 0.000 | 56.183 |
| 159.625 | 147.381 | 147.381 | 0.000 | 0.000 | -0.000 |
| 147.381 | 159.625 | 147.381 | 0.000 | -0.000 | -0.000 |
| 147.381 | 147.381 | 159.625 | 0.000 | 0.000 | -0.000 |
| 0.000 | -0.000 | 0.000 | 109.901 | -0.000 | -0.000 |
| 0.000 | -0.000 | 0.000 | 0.000 | 109.901 | -0.000 |
| 0.000 | -0.000 | 0.000 | 0.000 | -0.000 | 109.901 |
| 159.625 | 147.381 | 147.381 | 0.000 | 0.000 | 0.000 |
| 147.381 | 159.625 | 147.381 | -0.000 | 0.000 | 0.000 |
| 147.381 | 147.381 | 159.625 | -0.000 | 0.000 | 0.000 |
| -0.000 | 0.000 | -0.000 | 109.901 | 0.000 | 0.000 |
| -0.000 | 0.000 | -0.000 | -0.000 | 109.901 | 0.000 |
| -0.000 | 0.000 | -0.000 | -0.000 | 0.000 | 109.901 |
| 159.625 | 147.381 | 147.381 | -0.000 | -0.000 | -0.000 |
| 147.381 | 159.625 | 147.381 | 0.000 | 0.000 | -0.000 |
| 147.381 | 147.381 | 159.625 | 0.000 | -0.000 | -0.000 |
| 0.000 | -0.000 | 0.000 | 109.901 | 0.000 | -0.000 |
| 0.000 | 0.000 | 0.000 | 0.000 | 109.901 | -0.000 |
| 0.000 | 0.000 | 0.000 | -0.000 | -0.000 | 109.901 |
| 159.625 | 147.381 | 147.381 | -0.000 | -0.000 | 0.000 |
| 147.381 | 159.625 | 147.381 | -0.000 | 0.000 | 0.000 |
| 147.381 | 147.381 | 159.625 | -0.000 | 0.000 | 0.000 |
| -0.000 | 0.000 | -0.000 | 109.901 | -0.000 | 0.000 |
| -0.000 | -0.000 | -0.000 | -0.000 | 109.901 | 0.000 |
| -0.000 | -0.000 | -0.000 | -0.000 | 0.000 | 109.901 |
| 159.625 | 147.381 | 147.381 | -0.000 | -0.000 | -0.000 |
| 147.381 | 159.625 | 147.381 | 0.000 | -0.000 | -0.000 |
| 147.381 | 147.381 | 159.625 | -0.000 | -0.000 | -0.000 |
| 0.000 | -0.000 | -0.000 | -14.902 | -0.000 | -0.000 |
| -0.000 | 0.000 | -0.000 | 0.000 | -14.902 | -0.000 |
| -0.000 | -0.000 | 0.000 | 0.000 | -0.000 | -14.902 |
| 159.625 | 147.380 | 147.380 | 0.000 | 0.000 | 0.000 |
| 147.380 | 159.625 | 147.380 | -0.000 | 0.000 | 0.000 |
| 147.380 | 147.380 | 159.625 | 0.000 | 0.000 | 0.000 |
| -0.000 | 0.000 | 0.000 | -14.902 | 0.000 | 0.000 |
| 0.000 | -0.000 | 0.000 | -0.000 | -14.902 | 0.000 |
| 0.000 | 0.000 | -0.000 | -0.000 | 0.000 | -14.902 |
| 0.640 | 0.640 | 0.640 | 0.000 | 0.000 | -0.000 |
| 0.640 | 0.640 | 0.640 | 0.000 | 0.000 | -0.000 |
| 0.640 | 0.640 | 0.640 | 0.000 | 0.000 | -0.000 |
| 0.000 | 0.000 | 0.000 | 0.573 | 0.000 | -0.000 |
| 0.000 | 0.000 | 0.000 | 0.000 | 0.573 | -0.000 |
| 0.000 | 0.000 | 0.000 | 0.000 | -0.000 | 0.573 |
| 0.640 | 0.640 | 0.640 | -0.000 | -0.000 | 0.000 |
| 0.640 | 0.640 | 0.640 | -0.000 | -0.000 | 0.000 |
| 0.640 | 0.640 | 0.640 | -0.000 | -0.000 | 0.000 |
| -0.000 | -0.000 | -0.000 | 0.573 | -0.000 | 0.000 |
| -0.000 | -0.000 | -0.000 | -0.000 | 0.573 | 0.000 |
| -0.000 | -0.000 | -0.000 | -0.000 | 0.000 | 0.573 |
| 0.640 | 0.640 | 0.640 | 0.000 | 0.000 | 0.000 |
| 0.640 | 0.640 | 0.640 | 0.000 | 0.000 | 0.000 |
| 0.640 | 0.640 | 0.640 | 0.000 | 0.000 | 0.000 |
| 0.000 | 0.000 | 0.000 | 0.369 | 0.000 | 0.000 |
| 0.000 | 0.000 | 0.000 | 0.000 | 0.369 | 0.000 |
| 0.000 | 0.000 | 0.000 | 0.000 | -0.000 | 0.369 |
| 0.640 | 0.640 | 0.640 | 0.000 | 0.000 | 0.000 |
| 0.640 | 0.640 | 0.640 | 0.000 | 0.000 | 0.000 |
| 0.640 | 0.640 | 0.640 | 0.000 | 0.000 | 0.000 |
| -0.000 | -0.000 | -0.000 | 0.369 | -0.000 | 0.000 |
| -0.000 | -0.000 | -0.000 | -0.000 | 0.369 | 0.000 |
| -0.000 | -0.000 | -0.000 | -0.000 | 0.000 | 0.369 |
| 0.640 | 0.640 | 0.640 | 0.000 | 0.000 | -0.000 |
| 0.640 | 0.640 | 0.640 | 0.000 | 0.000 | -0.000 |
| 0.640 | 0.640 | 0.640 | 0.000 | 0.000 | -0.000 |
| -0.000 | -0.000 | -0.000 | 0.046 | -0.000 | 0.000 |
| -0.000 | -0.000 | -0.000 | -0.000 | 0.046 | 0.000 |
| -0.000 | -0.000 | -0.000 | -0.000 | -0.000 | 0.046 |
| 0.640 | 0.640 | 0.640 | -0.000 | -0.000 | 0.000 |
| 0.640 | 0.640 | 0.640 | -0.000 | -0.000 | 0.000 |
| 0.640 | 0.640 | 0.640 | -0.000 | -0.000 | 0.000 |
| 0.000 | 0.000 | 0.000 | 0.046 | 0.000 | 0.000 |
| 0.000 | 0.000 | 0.000 | 0.000 | 0.046 | 0.000 |
| 0.000 | 0.000 | 0.000 | 0.000 | -0.000 | 0.046 |
| 166.282 | 192.572 | 192.572 | -0.000 | -0.000 | -0.000 |
| 192.572 | 166.282 | 192.572 | 0.000 | 0.000 | -0.000 |
| 192.572 | 192.572 | 166.282 | 0.000 | 0.000 | -0.000 |
| 0.000 | -0.000 | -0.000 | 147.974 | -0.000 | -0.000 |
| -0.000 | -0.000 | -0.000 | -0.000 | 147.974 | -0.000 |
| -0.000 | 0.000 | -0.000 | -0.000 | -0.000 | 147.974 |
| 166.282 | 192.572 | 192.572 | 0.000 | 0.000 | 0.000 |
| 192.572 | 166.282 | 192.572 | -0.000 | 0.000 | 0.000 |
| 192.572 | 192.572 | 166.282 | -0.000 | 0.000 | 0.000 |
| -0.000 | 0.000 | 0.000 | 147.974 | 0.000 | 0.000 |
| 0.000 | 0.000 | 0.000 | 0.000 | 147.974 | 0.000 |
| 0.000 | -0.000 | 0.000 | 0.000 | 0.000 | 147.974 |
| 166.283 | 192.572 | 192.572 | -0.000 | -0.000 | -0.000 |
| 192.572 | 166.283 | 192.572 | -0.000 | -0.000 | -0.000 |
| 192.572 | 192.572 | 166.283 | -0.000 | -0.000 | -0.000 |
| 0.000 | 0.000 | 0.000 | 151.025 | 0.000 | -0.000 |
| 0.000 | 0.000 | 0.000 | -0.000 | 151.025 | -0.000 |
| 0.000 | 0.000 | 0.000 | -0.000 | -0.000 | 151.025 |
| 166.282 | 192.572 | 192.572 | 0.000 | 0.000 | 0.000 |
| 192.572 | 166.282 | 192.572 | 0.000 | -0.000 | 0.000 |
| 192.572 | 192.572 | 166.282 | 0.000 | 0.000 | 0.000 |
| -0.000 | -0.000 | -0.000 | 151.025 | -0.000 | 0.000 |
| -0.000 | -0.000 | -0.000 | 0.000 | 151.025 | 0.000 |
| -0.000 | -0.000 | -0.000 | 0.000 | 0.000 | 151.025 |
| 166.284 | 192.573 | 192.573 | -0.000 | -0.000 | -0.000 |
| 192.573 | 166.284 | 192.572 | -0.000 | -0.000 | -0.000 |
| 192.573 | 192.573 | 166.284 | -0.000 | 0.000 | -0.000 |
| 0.001 | 0.000 | 0.001 | 151.025 | -0.000 | -0.000 |
| 0.000 | 0.001 | 0.001 | -0.000 | 151.025 | -0.000 |
| 0.000 | 0.001 | 0.001 | -0.000 | -0.000 | 151.025 |
| 166.281 | 192.572 | 192.572 | -0.000 | -0.000 | 0.000 |
| 192.572 | 166.281 | 192.572 | 0.000 | 0.000 | 0.000 |
| 192.572 | 192.572 | 166.281 | 0.000 | 0.000 | 0.000 |
| -0.001 | -0.000 | -0.001 | 151.025 | 0.000 | 0.000 |
| -0.000 | -0.001 | -0.001 | 0.000 | 151.025 | 0.000 |
| -0.000 | -0.001 | -0.001 | 0.000 | 0.000 | 151.025 |
| 2308.510 | 2299.659 | 2299.659 | -0.000 | 0.000 | 0.000 |
| 2299.659 | 2308.510 | 2299.659 | 0.000 | 0.000 | 0.000 |
| 2299.659 | 2299.659 | 2308.510 | 0.000 | 0.000 | 0.000 |
| -0.000 | -0.000 | -0.000 | -5.415 | 0.000 | 0.000 |
| -0.000 | -0.000 | -0.000 | 0.000 | -5.415 | 0.000 |
| -0.000 | -0.000 | -0.000 | 0.000 | 0.000 | -5.415 |
| 2308.510 | 2299.660 | 2299.660 | -0.000 | -0.000 | -0.000 |
| 2299.660 | 2308.510 | 2299.660 | -0.000 | 0.000 | -0.000 |
| 2299.660 | 2299.660 | 2308.510 | -0.000 | -0.000 | -0.000 |
| 0.000 | 0.000 | 0.000 | -5.415 | -0.000 | -0.000 |
| 0.000 | 0.000 | 0.000 | -0.000 | -5.415 | -0.000 |
| 0.000 | 0.000 | 0.000 | -0.000 | -0.000 | -5.415 |
| 2308.507 | 2299.655 | 2299.655 | 0.000 | 0.000 | 0.000 |
| 2299.655 | 2308.507 | 2299.655 | 0.000 | 0.000 | 0.000 |
| 2299.655 | 2299.655 | 2308.507 | 0.000 | 0.000 | 0.000 |
| -0.000 | -0.000 | -0.000 | -3.770 | 0.000 | 0.000 |
| -0.000 | -0.000 | -0.000 | 0.000 | -3.770 | 0.000 |
| -0.000 | -0.000 | -0.000 | 0.000 | 0.000 | -3.770 |
| 2308.513 | 2299.664 | 2299.664 | -0.000 | -0.000 | -0.000 |
| 2299.664 | 2308.513 | 2299.664 | 0.000 | -0.000 | -0.000 |
| 2299.664 | 2299.664 | 2308.513 | -0.000 | -0.000 | -0.000 |
| 0.000 | 0.000 | 0.000 | -3.770 | -0.000 | -0.000 |
| 0.000 | 0.000 | 0.000 | -0.000 | -3.770 | -0.000 |
| 0.000 | 0.000 | 0.000 | -0.000 | -0.000 | -3.770 |
| 2308.476 | 2299.616 | 2299.616 | -0.000 | 0.000 | 0.000 |
| 2299.616 | 2308.476 | 2299.616 | 0.000 | 0.000 | 0.000 |
| 2299.616 | 2299.616 | 2308.476 | 0.000 | 0.000 | 0.000 |
| -1174570.886 | -47613.273 | -50842.463 | 192517.438 | -13836.880 | 7219.157 |
| -33977.484 | -1105109.865 | -21611.846 | -15022.295 | 179644.590 | -18247.563 |
| -28491.688 | 74128.787 | -1387444.432 | 8483.018 | -17767.764 | 243570.480 |
| 2308.544 | 2299.702 | 2299.702 | -0.000 | -0.000 | -0.000 |
| 2299.702 | 2308.544 | 2299.702 | -0.000 | -0.000 | -0.000 |
| 2299.702 | 2299.702 | 2308.544 | -0.000 | -0.000 | -0.000 |
| 1641976.346 | -9902.425 | -67134.043 | 302042.491 | -10477.182 | 20030.006 |
| -8165.316 | 1618132.312 | -107153.032 | 9788.845 | 316546.988 | -6818.173 |
| 51832.195 | 10419.641 | 1430258.208 | -5353.120 | 4855.438 | 267614.333 |
| 36.023 | 36.023 | 36.023 | -0.000 | -0.000 | 0.000 |
| 36.023 | 36.023 | 36.023 | -0.000 | -0.000 | 0.000 |
| 36.023 | 36.023 | 36.023 | -0.000 | -0.000 | -0.000 |
| 0.000 | 0.000 | 0.000 | -4.882 | -0.000 | 0.000 |
| 0.000 | 0.000 | 0.000 | -0.000 | -4.882 | 0.000 |
| 0.000 | 0.000 | 0.000 | -0.000 | -0.000 | -4.882 |
| 36.023 | 36.023 | 36.023 | 0.000 | 0.000 | 0.000 |
| 36.023 | 36.023 | 36.023 | 0.000 | -0.000 | 0.000 |
| 36.023 | 36.023 | 36.023 | 0.000 | 0.000 | -0.000 |
| -0.000 | -0.000 | -0.000 | -4.882 | 0.000 | -0.000 |
| -0.000 | -0.000 | -0.000 | 0.000 | -4.882 | 0.000 |
| -0.000 | -0.000 | -0.000 | 0.000 | -0.000 | -4.882 |
| 36.023 | 36.023 | 36.023 | -0.000 | 0.000 | 0.000 |
| 36.023 | 36.023 | 36.023 | 0.000 | -0.000 | 0.000 |
| 36.023 | 36.023 | 36.023 | -0.000 | -0.000 | -0.000 |
| 0.000 | 0.000 | 0.000 | -2.806 | -0.000 | 0.000 |
| 0.000 | 0.000 | 0.000 | -0.000 | -2.806 | -0.000 |
| 0.000 | 0.000 | 0.000 | 0.000 | -0.000 | -2.806 |
| 36.023 | 36.023 | 36.023 | -0.000 | -0.000 | -0.000 |
| 36.023 | 36.023 | 36.023 | -0.000 | -0.000 | -0.000 |
| 36.023 | 36.023 | 36.023 | 0.000 | 0.000 | 0.000 |
| -0.000 | -0.000 | -0.000 | -2.806 | 0.000 | -0.000 |
| -0.000 | -0.000 | -0.000 | 0.000 | -2.806 | -0.000 |
| -0.000 | -0.000 | -0.000 | -0.000 | 0.000 | -2.806 |
| 36.023 | 36.023 | 36.023 | -0.000 | -0.000 | 0.000 |
| 36.023 | 36.023 | 36.023 | -0.000 | 0.000 | 0.000 |
| 36.023 | 36.023 | 36.023 | -0.000 | 0.000 | 0.000 |
| 18046.562 | 7280.140 | 13220.086 | -2539.003 | 163.975 | -176.390 |
| 12230.375 | 22735.583 | 19341.838 | 83.386 | -304.862 | 19.565 |
| 9139.679 | 14159.504 | 21132.244 | -70.672 | -74.257 | -3431.032 |
| 36.023 | 36.023 | 36.023 | 0.000 | -0.000 | 0.000 |
| 36.023 | 36.023 | 36.023 | 0.000 | 0.000 | -0.000 |
| 36.023 | 36.023 | 36.023 | 0.000 | 0.000 | -0.000 |
| -17463.909 | -6298.539 | -11984.756 | -6985.225 | 24.497 | -200.047 |
| -6002.483 | -16265.151 | -10478.313 | -83.764 | -7269.876 | 122.458 |
| -6372.409 | -13043.026 | -17552.924 | 152.186 | -49.868 | -7381.781 |
| 130.197 | 169.450 | 169.450 | -0.000 | -0.000 | -0.000 |
| 169.450 | 130.197 | 169.450 | -0.000 | -0.000 | -0.000 |
| 169.450 | 169.450 | 130.197 | -0.000 | -0.000 | -0.000 |
| 0.000 | 0.000 | 0.000 | 125.443 | -0.000 | -0.000 |
| 0.000 | 0.000 | 0.000 | -0.000 | 125.443 | -0.000 |
| 0.000 | 0.000 | 0.000 | -0.000 | -0.000 | 125.443 |
| 130.197 | 169.450 | 169.450 | 0.000 | 0.000 | 0.000 |
| 169.450 | 130.197 | 169.450 | 0.000 | 0.000 | 0.000 |
| 169.450 | 169.450 | 130.197 | 0.000 | 0.000 | 0.000 |
| -0.000 | 0.000 | -0.000 | 125.443 | 0.000 | 0.000 |
| -0.000 | -0.000 | -0.000 | 0.000 | 125.443 | 0.000 |
| -0.000 | -0.000 | -0.000 | 0.000 | 0.000 | 125.443 |
| 130.197 | 169.450 | 169.450 | -0.000 | -0.000 | -0.000 |
| 169.450 | 130.197 | 169.450 | -0.000 | -0.000 | -0.000 |
| 169.450 | 169.450 | 130.197 | -0.000 | -0.000 | -0.000 |
| 0.000 | 0.000 | 0.000 | 125.443 | 0.000 | 0.000 |
| 0.000 | 0.000 | 0.000 | -0.000 | 125.443 | -0.000 |
| 0.000 | 0.000 | 0.000 | -0.000 | -0.000 | 125.443 |
| 130.197 | 169.450 | 169.450 | 0.000 | 0.000 | 0.000 |
| 169.450 | 130.197 | 169.450 | 0.000 | 0.000 | 0.000 |
| 169.450 | 169.450 | 130.197 | 0.000 | 0.000 | 0.000 |
| -0.000 | -0.000 | -0.000 | 125.443 | 0.000 | 0.000 |
| -0.000 | -0.000 | -0.000 | 0.000 | 125.443 | 0.000 |
| -0.000 | -0.000 | -0.000 | 0.000 | 0.000 | 125.443 |
| 130.198 | 169.450 | 169.450 | -0.000 | -0.000 | -0.000 |
| 169.450 | 130.198 | 169.450 | -0.000 | -0.000 | -0.000 |
| 169.450 | 169.450 | 130.198 | -0.000 | -0.000 | -0.000 |
| 0.001 | 0.000 | 0.001 | 125.440 | -0.000 | -0.000 |
| 0.000 | 0.001 | 0.001 | -0.000 | 125.440 | -0.000 |
| 0.000 | 0.001 | 0.001 | -0.000 | -0.000 | 125.440 |
| 130.195 | 169.449 | 169.449 | 0.000 | 0.000 | 0.000 |
| 169.449 | 130.195 | 169.449 | 0.000 | 0.000 | 0.000 |
| 169.449 | 169.449 | 130.195 | 0.000 | 0.000 | 0.000 |
| -0.001 | -0.000 | -0.001 | 125.440 | 0.000 | 0.000 |
| -0.000 | -0.001 | -0.001 | 0.000 | 125.440 | 0.000 |
| -0.000 | -0.001 | -0.001 | 0.000 | 0.000 | 125.440 |
| 145.723 | 1.517 | 1.517 | -0.000 | -0.000 | 0.000 |
| 1.517 | 145.723 | 1.517 | -0.000 | 0.000 | 0.000 |
| 1.517 | 1.517 | 145.723 | -0.000 | -0.000 | 0.000 |
| 0.000 | 0.000 | 0.000 | -20.334 | -0.000 | 0.000 |
| 0.000 | 0.000 | 0.000 | -0.000 | -20.334 | 0.000 |
| 0.000 | 0.000 | 0.000 | -0.000 | 0.000 | -20.334 |
| 145.723 | 1.517 | 1.517 | 0.000 | 0.000 | -0.000 |
| 1.517 | 145.723 | 1.517 | 0.000 | 0.000 | -0.000 |
| 1.517 | 1.517 | 145.723 | 0.000 | 0.000 | -0.000 |
| -0.000 | -0.000 | -0.000 | -20.334 | 0.000 | -0.000 |
| -0.000 | -0.000 | -0.000 | 0.000 | -20.334 | -0.000 |
| -0.000 | -0.000 | -0.000 | 0.000 | -0.000 | -20.334 |
| 145.723 | 1.517 | 1.517 | -0.000 | -0.000 | 0.000 |
| 1.517 | 145.723 | 1.517 | -0.000 | -0.000 | 0.000 |
| 1.517 | 1.517 | 145.723 | -0.000 | 0.000 | 0.000 |
| 0.000 | 0.000 | -0.000 | -20.334 | 0.000 | 0.000 |
| 0.000 | 0.000 | -0.000 | -0.000 | -20.334 | 0.000 |
| 0.000 | -0.000 | 0.000 | -0.000 | 0.000 | -20.334 |
| 145.723 | 1.517 | 1.517 | 0.000 | 0.000 | -0.000 |
| 1.517 | 145.723 | 1.517 | 0.000 | 0.000 | -0.000 |
| 1.517 | 1.517 | 145.723 | 0.000 | 0.000 | -0.000 |
| -0.000 | -0.000 | 0.000 | -20.334 | -0.000 | -0.000 |
| -0.000 | -0.000 | 0.000 | 0.000 | -20.334 | -0.000 |
| -0.000 | 0.000 | -0.000 | -0.000 | -0.000 | -20.334 |
| 145.724 | 1.518 | 1.518 | -0.000 | 0.000 | 0.000 |
| 1.518 | 145.724 | 1.518 | -0.000 | 0.000 | 0.000 |
| 1.518 | 1.518 | 145.724 | 0.000 | -0.000 | 0.000 |
| -212568.690 | -275485.750 | -257945.435 | -45606.752 | -55461.423 | -49329.763 |
| -275053.716 | -209766.192 | -255320.967 | -54835.654 | -45614.849 | -50272.481 |
| -266262.639 | -253572.423 | -206641.455 | -53255.765 | -50345.484 | -46831.944 |
| 145.722 | 1.517 | 1.517 | 0.000 | -0.000 | -0.000 |
| 1.517 | 145.722 | 1.517 | 0.000 | 0.000 | -0.000 |
| 1.517 | 1.517 | 145.722 | -0.000 | -0.000 | 0.000 |
| 348081.757 | 224498.369 | 258223.836 | 54898.905 | 74604.276 | 70135.640 |
| 222328.313 | 341586.327 | 255911.698 | 74081.883 | 51274.997 | 73604.236 |
| 226347.051 | 263473.641 | 345453.021 | 84750.066 | 77625.169 | 49848.425 |
| -0.091 | -0.091 | -0.091 | -0.000 | -0.000 | -0.000 |
| -0.091 | -0.091 | -0.091 | -0.000 | -0.000 | -0.000 |
| -0.091 | -0.091 | -0.091 | -0.000 | -0.000 | -0.000 |
| 0.000 | 0.000 | 0.000 | -0.094 | 0.000 | -0.000 |
| 0.000 | 0.000 | 0.000 | 0.000 | -0.094 | -0.000 |
| 0.000 | 0.000 | 0.000 | 0.000 | 0.000 | -0.094 |
| -0.091 | -0.091 | -0.091 | -0.000 | -0.000 | -0.000 |
| -0.091 | -0.091 | -0.091 | -0.000 | -0.000 | -0.000 |
| -0.091 | -0.091 | -0.091 | -0.000 | -0.000 | 0.000 |
| -0.000 | -0.000 | -0.000 | -0.094 | -0.000 | 0.000 |
| -0.000 | -0.000 | -0.000 | -0.000 | -0.094 | 0.000 |
| -0.000 | -0.000 | -0.000 | -0.000 | 0.000 | -0.094 |
| -0.091 | -0.091 | -0.091 | 0.000 | -0.000 | -0.000 |
| -0.091 | -0.091 | -0.091 | -0.000 | 0.000 | -0.000 |
| -0.091 | -0.091 | -0.091 | -0.000 | -0.000 | -0.000 |
| 0.000 | 0.000 | 0.000 | -0.094 | 0.000 | -0.000 |
| 0.000 | 0.000 | 0.000 | 0.000 | -0.094 | -0.000 |
| 0.000 | 0.000 | 0.000 | 0.000 | -0.000 | -0.094 |
| -0.091 | -0.091 | -0.091 | -0.000 | -0.000 | 0.000 |
| -0.091 | -0.091 | -0.091 | -0.000 | -0.000 | 0.000 |
| -0.091 | -0.091 | -0.091 | -0.000 | -0.000 | 0.000 |
| -0.000 | -0.000 | -0.000 | -0.094 | -0.000 | 0.000 |
| -0.000 | -0.000 | -0.000 | -0.000 | -0.094 | 0.000 |
| -0.000 | -0.000 | -0.000 | -0.000 | -0.000 | -0.094 |
| 0.059 | 0.059 | 0.059 | -0.000 | -0.000 | -0.000 |
| 0.059 | 0.059 | 0.059 | -0.000 | -0.000 | -0.000 |
| 0.059 | 0.059 | 0.059 | -0.000 | -0.000 | -0.000 |
| 0.000 | 0.000 | 0.000 | 0.059 | -0.000 | -0.000 |
| 0.000 | 0.000 | 0.000 | -0.000 | 0.059 | -0.000 |
| 0.000 | 0.000 | 0.000 | -0.000 | 0.000 | 0.059 |
| 0.059 | 0.059 | 0.059 | 0.000 | 0.000 | 0.000 |
| 0.059 | 0.059 | 0.059 | 0.000 | 0.000 | 0.000 |
| 0.059 | 0.059 | 0.059 | 0.000 | 0.000 | 0.000 |
| -0.000 | -0.000 | -0.000 | 0.059 | 0.000 | -0.000 |
| -0.000 | -0.000 | -0.000 | 0.000 | 0.059 | -0.000 |
| -0.000 | -0.000 | -0.000 | 0.000 | 0.000 | 0.059 |
| 0.059 | 0.059 | 0.059 | -0.000 | 0.000 | 0.000 |
| 0.059 | 0.059 | 0.059 | 0.000 | -0.000 | 0.000 |
| 0.059 | 0.059 | 0.059 | 0.000 | 0.000 | -0.000 |
| 0.000 | 0.000 | 0.000 | 0.058 | 0.000 | 0.000 |
| 0.000 | 0.000 | 0.000 | 0.000 | 0.058 | 0.000 |
| 0.000 | 0.000 | 0.000 | -0.000 | 0.000 | 0.058 |
| 0.059 | 0.059 | 0.059 | 0.000 | 0.000 | 0.000 |
| 0.059 | 0.059 | 0.059 | 0.000 | 0.000 | 0.000 |
| 0.059 | 0.059 | 0.059 | 0.000 | 0.000 | 0.000 |
| -0.000 | -0.000 | -0.000 | 0.058 | -0.000 | 0.000 |
| -0.000 | -0.000 | -0.000 | -0.000 | 0.058 | 0.000 |
| -0.000 | -0.000 | -0.000 | -0.000 | 0.000 | 0.058 |
| 0.059 | 0.059 | 0.059 | -0.000 | -0.000 | -0.000 |
| 0.059 | 0.059 | 0.059 | -0.000 | -0.000 | -0.000 |
| 0.059 | 0.059 | 0.059 | -0.000 | -0.000 | 0.000 |
| 0.000 | 0.000 | 0.000 | 0.026 | 0.000 | -0.000 |
| 0.000 | 0.000 | 0.000 | 0.000 | 0.026 | -0.000 |
| 0.000 | 0.000 | 0.000 | 0.000 | -0.000 | 0.026 |
| 0.058 | 0.058 | 0.058 | 0.000 | 0.000 | 0.000 |
| 0.058 | 0.058 | 0.058 | 0.000 | 0.000 | 0.000 |
| 0.058 | 0.058 | 0.058 | 0.000 | -0.000 | 0.000 |
| -0.000 | -0.000 | -0.000 | 0.026 | -0.000 | 0.000 |
| -0.000 | -0.000 | -0.000 | -0.000 | 0.026 | 0.000 |
| -0.000 | -0.000 | -0.000 | -0.000 | 0.000 | 0.026 |
| 0.097 | 0.105 | 0.105 | -0.000 | -0.000 | -0.000 |
| 0.105 | 0.097 | 0.105 | 0.000 | -0.000 | 0.000 |
| 0.105 | 0.105 | 0.097 | 0.000 | -0.000 | 0.000 |
| 0.000 | 0.000 | 0.000 | -0.128 | -0.000 | -0.000 |
| 0.000 | 0.000 | 0.000 | -0.000 | -0.128 | -0.000 |
| 0.000 | 0.000 | 0.000 | -0.000 | 0.000 | -0.128 |
| 0.097 | 0.105 | 0.105 | 0.000 | 0.000 | -0.000 |
| 0.105 | 0.097 | 0.105 | -0.000 | 0.000 | -0.000 |
| 0.105 | 0.105 | 0.097 | -0.000 | 0.000 | -0.000 |
| -0.000 | -0.000 | -0.000 | -0.128 | 0.000 | -0.000 |
| -0.000 | -0.000 | -0.000 | 0.000 | -0.128 | -0.000 |
| -0.000 | -0.000 | -0.000 | 0.000 | 0.000 | -0.128 |
| 0.097 | 0.105 | 0.105 | -0.000 | -0.000 | 0.000 |
| 0.105 | 0.097 | 0.105 | 0.000 | -0.000 | 0.000 |
| 0.105 | 0.105 | 0.097 | 0.000 | -0.000 | 0.000 |
| 0.001 | 0.001 | 0.001 | -1.172 | -0.000 | 0.000 |
| 0.001 | 0.001 | 0.001 | -0.000 | -1.172 | 0.000 |
| 0.001 | 0.001 | 0.001 | -0.000 | -0.000 | -1.172 |
| 0.097 | 0.105 | 0.105 | 0.000 | 0.000 | -0.000 |
| 0.105 | 0.097 | 0.105 | 0.000 | 0.000 | -0.000 |
| 0.105 | 0.105 | 0.097 | 0.000 | 0.000 | -0.000 |
| -0.001 | -0.001 | -0.001 | -1.172 | 0.000 | -0.000 |
| -0.001 | -0.001 | -0.001 | 0.000 | -1.172 | 0.000 |
| -0.001 | -0.001 | -0.001 | 0.000 | 0.000 | -1.172 |
| 0.097 | 0.105 | 0.105 | -0.000 | -0.000 | -0.000 |
| 0.105 | 0.097 | 0.105 | -0.000 | -0.000 | 0.000 |
| 0.105 | 0.105 | 0.097 | -0.000 | -0.000 | 0.000 |
| 11932.018 | 11950.788 | 11937.207 | -1419.224 | 308.146 | 484.598 |
| 12016.516 | 11998.663 | 12003.559 | 379.501 | -1763.924 | 473.390 |
| 12222.092 | 12209.195 | 12204.438 | 410.332 | 542.632 | -1739.557 |
| 0.097 | 0.105 | 0.105 | 0.000 | 0.000 | 0.000 |
| 0.105 | 0.097 | 0.105 | 0.000 | 0.000 | -0.000 |
| 0.105 | 0.105 | 0.097 | 0.000 | 0.000 | 0.000 |
| -11170.845 | -11215.047 | -11190.113 | -2142.423 | -292.581 | -118.170 |
| -11144.054 | -11099.159 | -11118.611 | -201.973 | -2081.273 | -92.535 |
| -11612.237 | -11592.625 | -11575.857 | -420.920 | -95.906 | -2856.213 |
| 137.670 | 113.456 | 113.456 | -0.000 | -0.000 | -0.000 |
| 113.456 | 137.670 | 113.456 | -0.000 | 0.000 | -0.000 |
| 113.456 | 113.456 | 137.670 | -0.000 | -0.000 | -0.000 |
| -0.000 | -0.000 | -0.000 | 99.315 | -0.000 | -0.000 |
| -0.000 | -0.000 | -0.000 | -0.000 | 99.315 | -0.000 |
| -0.000 | -0.000 | -0.000 | -0.000 | 0.000 | 99.315 |
| 137.670 | 113.456 | 113.456 | 0.000 | -0.000 | 0.000 |
| 113.456 | 137.670 | 113.456 | 0.000 | 0.000 | 0.000 |
| 113.456 | 113.456 | 137.670 | 0.000 | -0.000 | 0.000 |
| 0.000 | 0.000 | 0.000 | 99.315 | 0.000 | 0.000 |
| 0.000 | 0.000 | 0.000 | 0.000 | 99.315 | 0.000 |
| 0.000 | 0.000 | 0.000 | 0.000 | 0.000 | 99.315 |
| 137.670 | 113.456 | 113.456 | -0.000 | -0.000 | -0.000 |
| 113.456 | 137.670 | 113.456 | -0.000 | 0.000 | -0.000 |
| 113.456 | 113.456 | 137.670 | -0.000 | 0.000 | -0.000 |
| -0.000 | -0.000 | -0.000 | -1.335 | -0.000 | -0.000 |
| -0.000 | -0.000 | -0.000 | -0.000 | -1.335 | -0.000 |
| -0.000 | -0.000 | -0.000 | -0.000 | -0.000 | -1.335 |
| 137.670 | 113.456 | 113.456 | 0.000 | -0.000 | 0.000 |
| 113.456 | 137.670 | 113.456 | -0.000 | 0.000 | 0.000 |
| 113.456 | 113.456 | 137.670 | -0.000 | -0.000 | 0.000 |
| 0.000 | 0.000 | 0.000 | -1.335 | 0.000 | 0.000 |
| 0.000 | 0.000 | 0.000 | 0.000 | -1.335 | 0.000 |
| 0.000 | 0.000 | 0.000 | 0.000 | 0.000 | -1.335 |
| 137.670 | 113.456 | 113.456 | -0.000 | 0.000 | -0.000 |
| 113.456 | 137.670 | 113.456 | -0.000 | 0.000 | -0.000 |
| 113.456 | 113.456 | 137.670 | -0.000 | -0.000 | -0.000 |
| -0.000 | -0.001 | -0.001 | -1.335 | -0.000 | -0.000 |
| -0.001 | -0.000 | -0.001 | -0.000 | -1.335 | -0.000 |
| -0.001 | -0.001 | -0.000 | -0.000 | -0.000 | -1.335 |
| 137.671 | 113.456 | 113.456 | 0.000 | 0.000 | 0.000 |
| 113.456 | 137.671 | 113.456 | 0.000 | -0.000 | 0.000 |
| 113.456 | 113.456 | 137.671 | 0.000 | 0.000 | 0.000 |
| 0.000 | 0.001 | 0.001 | -1.335 | 0.000 | 0.000 |
| 0.001 | 0.000 | 0.001 | 0.000 | -1.335 | 0.000 |
| 0.001 | 0.001 | 0.000 | 0.000 | 0.000 | -1.335 |
| 200.160 | 206.680 | 206.680 | -0.000 | 0.000 | -0.000 |
| 206.680 | 200.160 | 206.680 | 0.000 | 0.000 | -0.000 |
| 206.680 | 206.680 | 200.160 | 0.000 | 0.000 | -0.000 |
| 0.000 | 0.000 | 0.000 | -3.433 | 0.000 | -0.000 |
| 0.000 | 0.000 | 0.000 | -0.000 | -3.433 | -0.000 |
| 0.000 | 0.000 | 0.000 | -0.000 | 0.000 | -3.433 |
| 200.160 | 206.680 | 206.680 | 0.000 | -0.000 | 0.000 |
| 206.680 | 200.160 | 206.680 | -0.000 | -0.000 | 0.000 |
| 206.680 | 206.680 | 200.160 | 0.000 | 0.000 | 0.000 |
| -0.000 | -0.000 | -0.000 | -3.433 | 0.000 | 0.000 |
| -0.000 | -0.000 | -0.000 | 0.000 | -3.433 | 0.000 |
| -0.000 | -0.000 | -0.000 | -0.000 | 0.000 | -3.433 |
| 200.160 | 206.680 | 206.680 | 0.000 | 0.000 | -0.000 |
| 206.680 | 200.160 | 206.680 | 0.000 | 0.000 | -0.000 |
| 206.680 | 206.680 | 200.160 | -0.000 | -0.000 | -0.000 |
| 0.000 | 0.000 | 0.000 | -3.433 | -0.000 | -0.000 |
| 0.000 | 0.000 | 0.000 | 0.000 | -3.433 | -0.000 |
| 0.000 | 0.000 | 0.000 | -0.000 | -0.000 | -3.433 |
| 200.160 | 206.680 | 206.680 | -0.000 | -0.000 | 0.000 |
| 206.680 | 200.160 | 206.680 | 0.000 | -0.000 | 0.000 |
| 206.680 | 206.680 | 200.160 | 0.000 | 0.000 | 0.000 |
| -0.000 | -0.000 | -0.000 | -3.433 | 0.000 | 0.000 |
| -0.000 | -0.000 | -0.000 | -0.000 | -3.433 | 0.000 |
| -0.000 | -0.000 | -0.000 | -0.000 | -0.000 | -3.433 |
| 200.160 | 206.680 | 206.680 | -0.000 | 0.000 | -0.000 |
| 206.680 | 200.160 | 206.680 | 0.000 | 0.000 | 0.000 |
| 206.680 | 206.680 | 200.160 | -0.000 | -0.000 | -0.000 |
| 2154393.545 | 2662273.372 | 2662274.855 | 741669.302 | -0.000 | -0.000 |
| 2662273.372 | 2154393.545 | 2662274.855 | -0.000 | 741669.302 | -0.000 |
| 2662273.372 | 2662274.855 | 2154393.545 | -0.000 | -0.000 | 741669.302 |
| 200.160 | 206.680 | 206.680 | -0.000 | 0.000 | 0.000 |
| 206.680 | 200.160 | 206.680 | 0.000 | -0.000 | 0.000 |
| 206.680 | 206.680 | 200.160 | 0.000 | 0.000 | 0.000 |
| -2154393.545 | -2662273.372 | -2662274.855 | 741669.302 | 0.000 | -0.000 |
| -2662273.372 | -2154393.545 | -2662274.855 | 0.000 | 741669.302 | -0.000 |
| -2662273.372 | -2662274.855 | -2154393.545 | 0.000 | 0.000 | 741669.302 |
| 49.925 | 49.925 | 49.925 | 0.000 | -0.000 | -0.000 |
| 49.925 | 49.925 | 49.925 | 0.000 | 0.000 | -0.000 |
| 49.925 | 49.925 | 49.925 | -0.000 | -0.000 | -0.000 |
| 0.000 | 0.000 | 0.000 | 0.718 | 0.000 | 0.000 |
| 0.000 | 0.000 | 0.000 | 0.000 | 0.718 | 0.000 |
| 0.000 | 0.000 | 0.000 | 0.000 | 0.000 | 0.718 |
| 49.925 | 49.925 | 49.925 | -0.000 | -0.000 | -0.000 |
| 49.925 | 49.925 | 49.925 | -0.000 | -0.000 | -0.000 |
| 49.925 | 49.925 | 49.925 | -0.000 | -0.000 | -0.000 |
| -0.000 | -0.000 | -0.000 | 0.718 | -0.000 | -0.000 |
| -0.000 | -0.000 | -0.000 | -0.000 | 0.718 | -0.000 |
| -0.000 | -0.000 | -0.000 | -0.000 | -0.000 | 0.718 |
| 49.925 | 49.925 | 49.925 | 0.000 | -0.000 | -0.000 |
| 49.925 | 49.925 | 49.925 | -0.000 | 0.000 | -0.000 |
| 49.925 | 49.925 | 49.925 | -0.000 | -0.000 | 0.000 |
| 0.000 | 0.000 | 0.000 | 0.718 | 0.000 | 0.000 |
| 0.000 | 0.000 | 0.000 | 0.000 | 0.718 | 0.000 |
| 0.000 | 0.000 | 0.000 | 0.000 | 0.000 | 0.718 |
| 49.925 | 49.925 | 49.925 | 0.000 | 0.000 | 0.000 |
| 49.925 | 49.925 | 49.925 | 0.000 | 0.000 | 0.000 |
| 49.925 | 49.925 | 49.925 | 0.000 | 0.000 | -0.000 |
| -0.000 | -0.000 | -0.000 | 0.718 | -0.000 | 0.000 |
| -0.000 | -0.000 | -0.000 | -0.000 | 0.718 | 0.000 |
| -0.000 | -0.000 | -0.000 | -0.000 | -0.000 | 0.718 |
| 49.926 | 49.926 | 49.926 | 0.000 | 0.000 | 0.000 |
| 49.926 | 49.926 | 49.926 | 0.000 | 0.000 | 0.000 |
| 49.926 | 49.926 | 49.926 | 0.000 | 0.000 | -0.000 |
| 0.000 | 0.000 | 0.000 | 0.640 | 0.000 | 0.000 |
| 0.000 | 0.000 | 0.000 | 0.000 | 0.640 | -0.000 |
| 0.000 | 0.000 | 0.000 | 0.000 | 0.000 | 0.640 |
| 49.925 | 49.925 | 49.925 | -0.000 | -0.000 | 0.000 |
| 49.925 | 49.925 | 49.925 | -0.000 | -0.000 | 0.000 |
| 49.925 | 49.925 | 49.925 | 0.000 | 0.000 | 0.000 |
| -0.000 | -0.000 | -0.000 | 0.640 | -0.000 | -0.000 |
| -0.000 | -0.000 | -0.000 | -0.000 | 0.640 | -0.000 |
| -0.000 | -0.000 | -0.000 | -0.000 | 0.000 | 0.640 |
| 355.330 | 191.406 | 191.406 | 0.000 | 0.000 | 0.000 |
| 191.406 | 355.330 | 191.406 | 0.000 | 0.000 | 0.000 |
| 191.406 | 191.406 | 355.330 | 0.000 | 0.000 | 0.000 |
| -0.000 | -0.000 | 0.000 | 116.029 | 0.000 | 0.000 |
| -0.000 | -0.000 | 0.000 | 0.000 | 116.029 | 0.000 |
| -0.000 | -0.000 | -0.000 | 0.000 | 0.000 | 116.029 |
| 355.330 | 191.406 | 191.406 | -0.000 | -0.000 | -0.000 |
| 191.406 | 355.330 | 191.406 | -0.000 | -0.000 | -0.000 |
| 191.406 | 191.406 | 355.330 | -0.000 | -0.000 | -0.000 |
| 0.000 | 0.000 | -0.000 | 116.029 | -0.000 | -0.000 |
| 0.000 | 0.000 | -0.000 | -0.000 | 116.029 | -0.000 |
| 0.000 | 0.000 | 0.000 | -0.000 | -0.000 | 116.029 |
| 355.330 | 191.406 | 191.406 | 0.000 | 0.000 | 0.000 |
| 191.406 | 355.330 | 191.406 | 0.000 | 0.000 | 0.000 |
| 191.406 | 191.406 | 355.330 | 0.000 | 0.000 | 0.000 |
| -0.000 | 0.000 | 0.000 | 123.152 | 0.000 | 0.000 |
| 0.000 | -0.000 | 0.000 | 0.000 | 123.152 | 0.000 |
| 0.000 | 0.000 | -0.000 | 0.000 | 0.000 | 123.152 |
| 355.330 | 191.406 | 191.406 | -0.000 | -0.000 | -0.000 |
| 191.406 | 355.330 | 191.406 | -0.000 | -0.000 | -0.000 |
| 191.406 | 191.406 | 355.330 | -0.000 | -0.000 | -0.000 |
| 0.000 | -0.000 | -0.000 | 123.152 | -0.000 | -0.000 |
| -0.000 | 0.000 | -0.000 | -0.000 | 123.152 | -0.000 |
| -0.000 | -0.000 | 0.000 | 0.000 | -0.000 | 123.152 |
| 355.331 | 191.405 | 191.405 | 0.000 | 0.000 | 0.000 |
| 191.405 | 355.331 | 191.405 | 0.000 | 0.000 | 0.000 |
| 191.405 | 191.405 | 355.331 | 0.000 | 0.000 | 0.000 |
| -0.000 | 0.000 | 0.000 | 116.029 | 0.000 | 0.000 |
| 0.000 | -0.000 | 0.000 | 0.000 | 116.029 | 0.000 |
| 0.000 | 0.000 | -0.000 | 0.000 | 0.000 | 116.029 |
| 355.329 | 191.407 | 191.407 | -0.000 | -0.000 | -0.000 |
| 191.407 | 355.329 | 191.407 | -0.000 | -0.000 | -0.000 |
| 191.407 | 191.407 | 355.329 | -0.000 | -0.000 | -0.000 |
| 0.000 | -0.000 | -0.000 | 116.029 | -0.000 | -0.000 |
| -0.000 | 0.000 | -0.000 | -0.000 | 116.029 | -0.000 |
| -0.000 | -0.000 | 0.000 | -0.000 | -0.000 | 116.029 |
| 22.435 | 26.123 | 26.123 | -0.000 | 0.000 | 0.000 |
| 26.123 | 22.435 | 26.123 | 0.000 | -0.000 | 0.000 |
| 26.123 | 26.123 | 22.435 | 0.000 | 0.000 | -0.000 |
| -0.000 | -0.000 | -0.000 | -4.948 | 0.000 | 0.000 |
| -0.000 | -0.000 | -0.000 | 0.000 | -4.948 | 0.000 |
| -0.000 | -0.000 | -0.000 | 0.000 | 0.000 | -4.948 |
| 22.435 | 26.123 | 26.123 | 0.000 | -0.000 | -0.000 |
| 26.123 | 22.435 | 26.123 | -0.000 | 0.000 | -0.000 |
| 26.123 | 26.123 | 22.435 | -0.000 | -0.000 | 0.000 |
| 0.000 | 0.000 | 0.000 | -4.948 | -0.000 | -0.000 |
| 0.000 | 0.000 | 0.000 | -0.000 | -4.948 | -0.000 |
| 0.000 | 0.000 | 0.000 | -0.000 | -0.000 | -4.948 |
| 22.435 | 26.123 | 26.123 | 0.000 | 0.000 | 0.000 |
| 26.123 | 22.435 | 26.123 | 0.000 | 0.000 | 0.000 |
| 26.123 | 26.123 | 22.435 | 0.000 | 0.000 | 0.000 |
| -0.000 | -0.000 | -0.000 | -4.948 | 0.000 | 0.000 |
| -0.000 | -0.000 | -0.000 | 0.000 | -4.948 | 0.000 |
| -0.000 | -0.000 | -0.000 | 0.000 | 0.000 | -4.948 |
| 22.435 | 26.123 | 26.123 | -0.000 | -0.000 | -0.000 |
| 26.123 | 22.435 | 26.123 | -0.000 | -0.000 | -0.000 |
| 26.123 | 26.123 | 22.435 | -0.000 | -0.000 | -0.000 |
| 0.000 | 0.000 | 0.000 | -4.948 | -0.000 | -0.000 |
| 0.000 | 0.000 | 0.000 | -0.000 | -4.948 | -0.000 |
| 0.000 | 0.000 | 0.000 | -0.000 | -0.000 | -4.948 |
| 22.435 | 26.123 | 26.123 | 0.000 | 0.000 | 0.000 |
| 26.123 | 22.435 | 26.123 | 0.000 | 0.000 | 0.000 |
| 26.123 | 26.123 | 22.435 | 0.000 | 0.000 | 0.000 |
| -0.000 | -0.000 | -0.000 | 25.900 | -0.000 | 0.000 |
| -0.000 | -0.000 | -0.000 | -0.000 | 25.900 | 0.000 |
| -0.000 | -0.000 | -0.000 | -0.000 | 0.000 | 25.900 |
| 22.435 | 26.123 | 26.123 | -0.000 | -0.000 | -0.000 |
| 26.123 | 22.435 | 26.123 | -0.000 | -0.000 | -0.000 |
| 26.123 | 26.123 | 22.435 | -0.000 | -0.000 | -0.000 |
| 0.000 | 0.000 | 0.000 | 25.900 | -0.000 | -0.000 |
| 0.000 | 0.000 | 0.000 | 0.000 | 25.900 | 0.000 |
| 0.000 | 0.000 | 0.000 | 0.000 | -0.000 | 25.900 |
| 374.658 | 277.359 | 119.876 | -4.881 | -0.000 | -0.000 |
| 277.359 | 374.658 | 119.876 | 4.881 | 0.000 | -0.000 |
| 150.640 | 150.640 | 528.562 | -0.000 | -0.000 | -0.000 |
| -4.559 | 4.559 | -0.000 | 15.822 | -0.000 | -0.000 |
| 25.572 | 25.572 | -36.239 | -0.000 | 11.468 | -4.902 |
| -0.000 | -0.000 | -0.000 | -0.000 | -4.559 | 110.834 |
| 415.429 | 193.761 | 151.399 | -4.559 | 0.000 | 0.000 |
| 193.761 | 415.429 | 151.399 | 4.559 | -0.000 | 0.000 |
| 129.154 | 129.154 | 559.932 | -0.000 | -0.000 | 0.000 |
| -30.474 | -20.670 | 36.238 | 11.468 | -0.000 | 0.000 |
| -25.572 | -25.572 | 36.238 | 0.000 | 11.468 | -4.902 |
| -0.000 | 0.000 | -0.000 | -0.000 | -4.559 | 110.834 |
| 415.429 | 193.761 | 151.399 | -4.559 | -0.000 | -0.000 |
| 193.761 | 415.429 | 151.399 | 4.559 | -0.000 | -0.000 |
| 150.640 | 150.640 | 528.562 | -0.000 | 0.000 | -0.000 |
| -4.559 | 4.559 | -0.000 | 15.822 | -0.000 | -0.000 |
| 0.000 | 0.000 | -0.000 | 0.000 | 15.822 | -4.559 |
| 2.946 | 2.946 | -4.175 | -0.000 | -4.954 | 34.473 |
| 415.429 | 193.761 | 151.399 | -4.559 | 0.000 | 0.000 |
| 271.175 | 324.547 | 159.349 | 4.994 | -0.000 | 0.000 |
| 150.640 | 150.640 | 528.562 | 0.000 | 0.000 | 0.000 |
| -4.559 | 4.559 | 0.000 | 15.822 | 0.000 | 0.000 |
| -0.000 | -0.000 | 0.000 | -0.000 | 15.822 | -4.559 |
| -2.946 | -2.946 | 4.175 | 0.000 | -4.954 | 34.473 |
| 334.218 | 269.091 | 154.086 | -4.964 | 0.000 | -0.000 |
| 269.087 | 334.222 | 154.086 | 4.964 | 0.000 | -0.000 |
| 158.289 | 158.289 | 520.318 | 0.000 | -0.000 | -0.000 |
| 91229.211 | 79399.798 | 175140.511 | -676297.072 | 0.000 | 0.000 |
| 0.000 | 0.000 | -0.000 | -0.000 | 15.822 | -4.559 |
| 0.000 | 0.001 | 0.000 | -0.000 | -4.559 | 110.834 |
| 290.704 | 292.136 | 164.135 | -3.230 | -0.000 | 0.000 |
| 193.760 | 415.427 | 151.399 | 4.559 | -0.000 | -0.000 |
| 150.641 | 150.641 | 528.565 | 0.000 | 0.000 | 0.000 |
| -4.559 | 4.559 | 0.000 | 15.822 | -0.000 | 0.000 |
| -0.000 | -0.000 | 0.000 | 0.000 | 15.822 | -4.559 |
| -0.000 | -0.001 | -0.000 | 0.000 | -4.559 | 110.834 |
| 164.672 | 174.581 | 174.581 | 0.000 | 0.000 | -0.000 |
| 174.581 | 164.672 | 174.581 | 0.000 | 0.000 | -0.000 |
| 174.581 | 174.581 | 164.672 | 0.000 | 0.000 | -0.000 |
| 0.000 | -0.000 | -0.000 | 177.787 | -0.000 | -0.000 |
| -0.000 | 0.000 | -0.000 | 0.000 | 177.787 | -0.000 |
| 0.000 | -0.000 | -0.000 | 0.000 | 0.000 | 177.787 |
| 164.672 | 174.581 | 174.581 | -0.000 | -0.000 | 0.000 |
| 174.581 | 164.672 | 174.581 | -0.000 | -0.000 | 0.000 |
| 174.581 | 174.581 | 164.672 | -0.000 | -0.000 | 0.000 |
| -0.000 | -0.000 | 0.000 | 177.787 | 0.000 | 0.000 |
| 0.000 | -0.000 | 0.000 | -0.000 | 177.787 | 0.000 |
| 0.000 | 0.000 | 0.000 | -0.000 | -0.000 | 177.787 |
| 164.672 | 174.581 | 174.581 | -0.000 | 0.000 | -0.000 |
| 174.581 | 164.672 | 174.581 | 0.000 | 0.000 | -0.000 |
| 174.581 | 174.581 | 164.672 | -0.000 | 0.000 | -0.000 |
| 0.000 | 0.000 | 0.000 | 174.168 | 0.000 | -0.000 |
| 0.000 | 0.000 | 0.000 | 0.000 | 174.168 | -0.000 |
| 0.000 | 0.000 | 0.000 | -0.000 | 0.000 | 174.168 |
| 164.672 | 174.581 | 174.581 | -0.000 | -0.000 | 0.000 |
| 174.581 | 164.672 | 174.581 | 0.000 | -0.000 | 0.000 |
| 174.581 | 174.581 | 164.672 | 0.000 | 0.000 | 0.000 |
| -0.000 | -0.000 | -0.000 | 174.168 | -0.000 | 0.000 |
| -0.000 | -0.000 | -0.000 | -0.000 | 174.168 | 0.000 |
| -0.000 | -0.000 | -0.000 | 0.000 | -0.000 | 174.168 |
| 164.634 | 174.582 | 174.582 | 0.000 | 0.000 | -0.000 |
| 174.582 | 164.634 | 174.582 | 0.000 | 0.000 | -0.000 |
| 174.582 | 174.582 | 164.634 | 0.000 | 0.000 | -0.000 |
| 0.001 | 0.000 | 0.001 | 174.168 | 0.000 | 0.000 |
| 0.000 | 0.001 | 0.001 | 0.000 | 174.168 | -0.000 |
| 0.000 | 0.001 | 0.001 | 0.000 | 0.000 | 174.168 |
| 164.671 | 174.581 | 174.581 | 0.000 | -0.000 | 0.000 |
| 174.581 | 164.671 | 174.581 | -0.000 | -0.000 | 0.000 |
| 174.581 | 174.581 | 164.671 | 0.000 | -0.000 | 0.000 |
| -0.001 | -0.000 | -0.001 | 174.168 | -0.000 | 0.000 |
| -0.000 | -0.001 | -0.001 | 0.000 | 174.168 | 0.000 |
| -0.000 | -0.001 | -0.001 | 0.000 | -0.000 | 174.168 |
| 220.403 | 221.526 | 221.526 | -0.000 | -0.000 | 0.000 |
| 221.526 | 220.403 | 221.526 | -0.000 | -0.000 | 0.000 |
| 221.526 | 221.526 | 220.403 | -0.000 | -0.000 | 0.000 |
| 0.000 | 0.000 | 0.000 | -0.837 | -0.000 | 0.000 |
| 0.000 | 0.000 | 0.000 | -0.000 | -0.837 | 0.000 |
| 0.000 | 0.000 | 0.000 | 0.000 | -0.000 | -0.837 |
| 220.403 | 221.526 | 221.526 | 0.000 | 0.000 | -0.000 |
| 221.526 | 220.403 | 221.526 | 0.000 | 0.000 | -0.000 |
| 221.526 | 221.526 | 220.403 | 0.000 | 0.000 | -0.000 |
| -0.000 | -0.000 | -0.000 | -0.837 | 0.000 | -0.000 |
| -0.000 | -0.000 | -0.000 | 0.000 | -0.837 | -0.000 |
| -0.000 | -0.000 | -0.000 | 0.000 | 0.000 | -0.837 |
| 220.403 | 221.526 | 221.526 | -0.000 | -0.000 | 0.000 |
| 221.526 | 220.403 | 221.526 | -0.000 | -0.000 | 0.000 |
| 221.526 | 221.526 | 220.403 | -0.000 | -0.000 | 0.000 |
| 0.000 | 0.000 | 0.000 | -1.485 | -0.000 | 0.000 |
| 0.000 | 0.000 | 0.000 | -0.000 | -1.485 | 0.000 |
| 0.000 | 0.000 | 0.000 | -0.000 | -0.000 | -1.485 |
| 220.404 | 221.526 | 221.526 | 0.000 | -0.000 | -0.000 |
| 221.526 | 220.404 | 221.526 | -0.000 | 0.000 | 0.000 |
| 221.526 | 221.526 | 220.404 | 0.000 | 0.000 | -0.000 |
| -0.000 | -0.000 | -0.000 | -1.485 | 0.000 | -0.000 |
| -0.000 | -0.000 | -0.000 | 0.000 | -1.485 | -0.000 |
| -0.000 | -0.000 | -0.000 | 0.000 | 0.000 | -1.485 |
| 220.403 | 221.526 | 221.526 | -0.000 | -0.000 | 0.000 |
| 221.526 | 220.403 | 221.526 | -0.000 | -0.000 | 0.000 |
| 221.526 | 221.526 | 220.403 | -0.000 | -0.000 | 0.000 |
| -804040.113 | 102952.827 | 116552.327 | 75066.671 | -2116.702 | -7343.549 |
| 104789.097 | -824531.534 | 103142.494 | 5499.805 | 73603.962 | 6260.352 |
| 109697.754 | 100906.083 | -772030.634 | 3337.919 | 1772.335 | 83602.682 |
| 220.404 | 221.527 | 221.527 | 0.000 | 0.000 | -0.000 |
| 221.527 | 220.404 | 221.527 | 0.000 | 0.000 | -0.000 |
| 221.527 | 221.527 | 220.404 | 0.000 | 0.000 | -0.000 |
| 745709.922 | -96819.998 | -82612.603 | -13673.605 | -1567.862 | -5178.027 |
| -112604.951 | 743777.940 | -105639.730 | 4113.544 | -12804.400 | 1319.480 |
| -124302.540 | -99246.534 | 748710.475 | 2893.593 | 5728.446 | -9417.154 |
| 50.053 | 50.053 | 50.053 | -0.000 | 0.000 | -0.000 |
| 50.053 | 50.053 | 50.053 | -0.000 | -0.000 | -0.000 |
| 50.053 | 50.053 | 50.053 | -0.000 | -0.000 | -0.000 |
| 0.000 | 0.000 | 0.000 | 0.757 | -0.000 | -0.000 |
| 0.000 | 0.000 | 0.000 | -0.000 | 0.757 | -0.000 |
| 0.000 | 0.000 | 0.000 | -0.000 | -0.000 | 0.757 |
| 50.053 | 50.053 | 50.053 | 0.000 | 0.000 | -0.000 |
| 50.053 | 50.053 | 50.053 | 0.000 | 0.000 | -0.000 |
| 50.053 | 50.053 | 50.053 | 0.000 | 0.000 | 0.000 |
| -0.000 | -0.000 | -0.000 | 0.757 | -0.000 | 0.000 |
| -0.000 | -0.000 | -0.000 | 0.000 | 0.757 | 0.000 |
| -0.000 | -0.000 | -0.000 | 0.000 | 0.000 | 0.757 |
| 50.053 | 50.053 | 50.053 | 0.000 | -0.000 | -0.000 |
| 50.053 | 50.053 | 50.053 | -0.000 | 0.000 | -0.000 |
| 50.053 | 50.053 | 50.053 | -0.000 | -0.000 | 0.000 |
| 0.000 | 0.000 | 0.000 | 0.757 | -0.000 | -0.000 |
| 0.000 | 0.000 | 0.000 | -0.000 | 0.757 | -0.000 |
| 0.000 | 0.000 | 0.000 | -0.000 | -0.000 | 0.757 |
| 50.053 | 50.053 | 50.053 | 0.000 | 0.000 | 0.000 |
| 50.053 | 50.053 | 50.053 | -0.000 | 0.000 | 0.000 |
| 50.053 | 50.053 | 50.053 | -0.000 | -0.000 | 0.000 |
| -0.000 | -0.000 | -0.000 | 0.757 | 0.000 | 0.000 |
| -0.000 | -0.000 | -0.000 | 0.000 | 0.757 | 0.000 |
| -0.000 | -0.000 | -0.000 | -0.000 | -0.000 | 0.757 |
| 50.054 | 50.054 | 50.054 | -0.000 | -0.000 | -0.000 |
| 50.054 | 50.054 | 50.054 | -0.000 | -0.000 | -0.000 |
| 50.054 | 50.054 | 50.054 | -0.000 | -0.000 | -0.000 |
| 0.000 | 0.000 | 0.000 | 0.758 | -0.000 | -0.000 |
| 0.000 | 0.000 | 0.000 | -0.000 | 0.758 | -0.000 |
| 0.000 | 0.000 | 0.000 | -0.000 | -0.000 | 0.758 |
| 50.053 | 50.053 | 50.053 | 0.000 | 0.000 | 0.000 |
| 50.053 | 50.053 | 50.053 | 0.000 | 0.000 | 0.000 |
| 50.053 | 50.053 | 50.053 | 0.000 | 0.000 | 0.000 |
| -0.000 | -0.000 | -0.000 | 0.758 | 0.000 | 0.000 |
| -0.000 | -0.000 | -0.000 | 0.000 | 0.758 | 0.000 |
| -0.000 | -0.000 | -0.000 | 0.000 | 0.000 | 0.758 |
| -0.011 | -0.011 | -0.011 | 0.000 | 0.000 | 0.000 |
| -0.011 | -0.011 | -0.011 | 0.000 | 0.000 | 0.000 |
| -0.011 | -0.011 | -0.011 | 0.000 | 0.000 | 0.000 |
| 0.000 | 0.000 | 0.000 | -0.011 | 0.000 | 0.000 |
| 0.000 | 0.000 | 0.000 | 0.000 | -0.011 | 0.000 |
| 0.000 | 0.000 | 0.000 | 0.000 | 0.000 | -0.011 |
| -0.011 | -0.011 | -0.011 | -0.000 | -0.000 | -0.000 |
| -0.011 | -0.011 | -0.011 | -0.000 | -0.000 | -0.000 |
| -0.011 | -0.011 | -0.011 | -0.000 | -0.000 | -0.000 |
| -0.000 | -0.000 | -0.000 | -0.011 | -0.000 | -0.000 |
| -0.000 | -0.000 | -0.000 | -0.000 | -0.011 | -0.000 |
| -0.000 | -0.000 | -0.000 | -0.000 | 0.000 | -0.011 |
| -0.011 | -0.011 | -0.011 | 0.000 | 0.000 | 0.000 |
| -0.011 | -0.011 | -0.011 | 0.000 | 0.000 | 0.000 |
| -0.011 | -0.011 | -0.011 | 0.000 | 0.000 | 0.000 |
| 0.000 | 0.000 | 0.000 | -0.011 | 0.000 | -0.000 |
| 0.000 | 0.000 | 0.000 | 0.000 | -0.011 | -0.000 |
| 0.000 | 0.000 | 0.000 | -0.000 | -0.000 | -0.011 |
| -0.011 | -0.011 | -0.011 | -0.000 | -0.000 | -0.000 |
| -0.011 | -0.011 | -0.011 | -0.000 | -0.000 | -0.000 |
| -0.011 | -0.011 | -0.011 | -0.000 | -0.000 | -0.000 |
| -0.000 | -0.000 | -0.000 | -0.011 | -0.000 | -0.000 |
| -0.000 | -0.000 | -0.000 | -0.000 | -0.011 | -0.000 |
| -0.000 | -0.000 | -0.000 | -0.000 | -0.000 | -0.011 |
| -0.011 | -0.011 | -0.011 | 0.000 | 0.000 | 0.000 |
| -0.011 | -0.011 | -0.011 | 0.000 | 0.000 | 0.000 |
| -0.011 | -0.011 | -0.011 | 0.000 | 0.000 | 0.000 |
| 0.000 | 0.000 | 0.000 | -0.011 | 0.000 | 0.000 |
| 0.000 | 0.000 | 0.000 | 0.000 | -0.011 | 0.000 |
| 0.000 | 0.000 | 0.000 | 0.000 | 0.000 | -0.011 |
| -0.011 | -0.011 | -0.011 | -0.000 | -0.000 | -0.000 |
| -0.011 | -0.011 | -0.011 | -0.000 | -0.000 | -0.000 |
| -0.011 | -0.011 | -0.011 | -0.000 | -0.000 | -0.000 |
| -0.000 | -0.000 | -0.000 | -0.011 | -0.000 | 0.000 |
| -0.000 | -0.000 | -0.000 | -0.000 | -0.011 | 0.000 |
| -0.000 | -0.000 | -0.000 | 0.000 | -0.000 | -0.011 |
| 0.395 | 0.457 | 0.457 | -0.000 | 0.000 | 0.000 |
| 0.457 | 0.395 | 0.457 | 0.000 | -0.000 | -0.000 |
| 0.457 | 0.457 | 0.395 | -0.000 | 0.000 | 0.000 |
| -0.000 | -0.000 | -0.000 | 0.395 | 0.000 | -0.000 |
| -0.000 | -0.000 | -0.000 | -0.000 | 0.395 | 0.000 |
| -0.000 | -0.000 | -0.000 | -0.000 | 0.000 | 0.395 |
| 0.395 | 0.457 | 0.457 | 0.000 | 0.000 | 0.000 |
| 0.457 | 0.395 | 0.457 | 0.000 | 0.000 | 0.000 |
| 0.457 | 0.457 | 0.395 | 0.000 | 0.000 | -0.000 |
| 0.000 | 0.000 | 0.000 | 0.395 | -0.000 | 0.000 |
| 0.000 | 0.000 | 0.000 | 0.000 | 0.395 | -0.000 |
| 0.000 | 0.000 | 0.000 | 0.000 | -0.000 | 0.395 |
| 0.395 | 0.457 | 0.457 | -0.000 | 0.000 | 0.000 |
| 0.457 | 0.395 | 0.457 | -0.000 | -0.000 | 0.000 |
| 0.457 | 0.457 | 0.395 | -0.000 | -0.000 | -0.000 |
| 0.000 | 0.000 | 0.000 | -0.081 | -0.000 | -0.000 |
| 0.000 | 0.000 | 0.000 | -0.000 | -0.081 | -0.000 |
| 0.000 | 0.000 | 0.000 | 0.000 | -0.000 | -0.081 |
| 0.395 | 0.457 | 0.457 | 0.000 | 0.000 | -0.000 |
| 0.457 | 0.395 | 0.457 | 0.000 | 0.000 | 0.000 |
| 0.457 | 0.457 | 0.395 | 0.000 | 0.000 | 0.000 |
| -0.000 | -0.000 | -0.000 | -0.081 | 0.000 | -0.000 |
| -0.000 | -0.000 | -0.000 | 0.000 | -0.081 | -0.000 |
| -0.000 | -0.000 | -0.000 | -0.000 | 0.000 | -0.081 |
| 0.394 | 0.456 | 0.456 | 0.000 | -0.000 | 0.000 |
| 0.456 | 0.394 | 0.456 | 0.000 | -0.000 | -0.000 |
| 0.456 | 0.456 | 0.394 | 0.000 | -0.000 | -0.000 |
| 0.002 | 0.002 | 0.002 | -1.109 | -0.000 | 0.000 |
| 0.002 | 0.002 | 0.002 | -0.000 | -1.109 | 0.000 |
| 0.002 | 0.002 | 0.002 | -0.000 | -0.000 | -1.109 |
| 0.396 | 0.458 | 0.458 | 0.000 | 0.000 | -0.000 |
| 0.458 | 0.396 | 0.458 | -0.000 | 0.000 | -0.000 |
| 0.458 | 0.458 | 0.396 | 0.000 | 0.000 | 0.000 |
| -0.002 | -0.002 | -0.002 | -1.109 | 0.000 | 0.000 |
| -0.002 | -0.002 | -0.002 | 0.000 | -1.109 | 0.000 |
| -0.002 | -0.002 | -0.002 | 0.000 | 0.000 | -1.109 |
| 162.842 | 151.193 | 151.193 | 0.000 | 0.000 | -0.000 |
| 151.193 | 162.842 | 151.193 | 0.000 | 0.000 | -0.000 |
| 151.193 | 151.193 | 162.842 | 0.000 | 0.000 | 0.000 |
| -0.000 | -0.001 | -0.001 | 8.360 | 0.000 | -0.000 |
| -0.001 | -0.000 | -0.001 | 0.000 | 8.360 | -0.000 |
| -0.001 | -0.001 | -0.000 | -0.000 | 0.000 | 8.360 |
| 162.844 | 151.194 | 151.194 | -0.000 | 0.000 | -0.000 |
| 151.194 | 162.844 | 151.194 | -0.000 | 0.000 | 0.000 |
| 151.194 | 151.194 | 162.844 | -0.000 | -0.000 | 0.000 |
| 0.000 | 0.001 | 0.001 | 8.360 | 0.000 | 0.000 |
| 0.001 | 0.000 | 0.001 | 0.000 | 8.360 | 0.000 |
| 0.001 | 0.001 | 0.000 | 0.000 | -0.000 | 8.360 |
| 162.830 | 151.186 | 151.186 | 0.000 | -0.000 | -0.000 |
| 151.186 | 162.830 | 151.186 | 0.000 | 0.000 | -0.000 |
| 151.186 | 151.186 | 162.830 | -0.000 | -0.000 | -0.000 |
| -0.001 | -0.005 | -0.005 | 8.360 | 0.000 | -0.000 |
| -0.005 | -0.001 | -0.005 | 0.000 | 8.360 | -0.000 |
| -0.005 | -0.005 | -0.001 | -0.000 | 0.000 | 8.360 |
| 162.856 | 151.201 | 151.201 | -0.000 | -0.000 | 0.000 |
| 151.201 | 162.856 | 151.201 | -0.000 | 0.000 | -0.000 |
| 151.201 | 151.201 | 162.856 | -0.000 | 0.000 | 0.000 |
| 0.001 | 0.005 | 0.005 | 8.360 | -0.000 | -0.000 |
| 0.005 | 0.001 | 0.005 | -0.000 | 8.360 | 0.000 |
| 0.005 | 0.005 | 0.001 | -0.000 | -0.000 | 8.360 |
| 162.711 | 151.121 | 151.121 | -0.000 | -0.000 | 0.000 |
| 151.121 | 162.711 | 151.121 | -0.000 | 0.000 | -0.000 |
| 151.121 | 151.121 | 162.711 | -0.000 | -0.000 | -0.000 |
| -0.021 | -0.072 | -0.071 | 133.833 | -0.000 | -0.000 |
| -0.072 | -0.021 | -0.071 | -0.000 | 133.833 | -0.000 |
| -0.072 | -0.071 | -0.021 | -0.000 | -0.000 | 133.833 |
| 162.968 | 151.263 | 151.263 | -0.000 | -0.000 | 0.000 |
| 151.263 | 162.968 | 151.263 | -0.000 | 0.000 | 0.000 |
| 151.263 | 151.263 | 162.968 | -0.000 | -0.000 | 0.000 |
| 0.021 | 0.072 | 0.071 | 133.833 | 0.000 | 0.000 |
| 0.072 | 0.021 | 0.071 | 0.000 | 133.833 | 0.000 |
| 0.072 | 0.071 | 0.021 | 0.000 | 0.000 | 133.833 |
| 165.368 | 152.714 | 152.714 | -0.000 | -0.000 | -0.000 |
| 152.714 | 165.368 | 152.714 | -0.000 | -0.000 | -0.000 |
| 152.714 | 152.714 | 165.368 | 0.000 | -0.000 | -0.000 |
| -5680020.035 | -51158790.672 | -51158789.649 | 51163595.625 | -0.000 | -0.000 |
| -51158790.672 | -5680020.035 | -51158789.649 | -0.000 | 51163595.625 | -0.000 |
| -51158790.672 | -51158789.649 | -5680020.035 | -0.000 | -0.000 | 51163595.625 |
| 215995655.410 | 215995663.721 | 215995663.721 | -0.000 | 0.000 | 0.000 |
| 215995663.721 | 215995655.410 | 215995663.721 | -0.000 | -0.000 | 0.000 |
| 215995663.721 | 215995663.721 | 215995655.410 | 0.000 | -0.000 | 0.000 |
| 5680020.035 | 51158790.672 | 51158789.649 | 51163595.625 | 0.000 | 0.000 |
| 51158790.672 | 5680020.035 | 51158789.649 | 0.000 | 51163595.625 | 0.000 |
| 51158790.672 | 51158789.649 | 5680020.035 | 0.000 | 0.000 | 51163595.625 |
| 165.356 | 152.708 | 152.708 | -0.000 | -0.000 | -0.000 |
| 152.708 | 165.356 | 152.708 | -0.000 | -0.000 | -0.000 |
| 152.708 | 152.708 | 165.356 | 0.000 | -0.000 | -0.000 |
| -568000.478 | -5115867.187 | -5115866.164 | 5116335.944 | -0.000 | -0.000 |
| -5115867.187 | -568000.478 | -5115866.164 | -0.000 | 5116335.944 | -0.000 |
| -5115867.187 | -5115866.164 | -568000.478 | -0.000 | -0.000 | 5116335.944 |
| 21599658.349 | 21599666.660 | 21599666.660 | 0.000 | 0.000 | -0.000 |
| 21599666.660 | 21599658.349 | 21599666.660 | 0.000 | 0.000 | 0.000 |
| 21599666.660 | 21599666.660 | 21599658.349 | 0.000 | 0.000 | 0.000 |
| 568000.478 | 5115867.187 | 5115866.164 | 5116335.944 | 0.000 | 0.000 |
| 5115867.187 | 568000.478 | 5115866.164 | 0.000 | 5116335.944 | 0.000 |
| 5115867.187 | 5115866.164 | 568000.478 | 0.000 | 0.000 | 5116335.944 |
| 165.237 | 152.642 | 152.642 | -0.000 | -0.000 | -0.000 |
| 152.642 | 165.237 | 152.642 | -0.000 | -0.000 | -0.000 |
| 152.642 | 152.642 | 165.237 | -0.000 | -0.000 | -0.000 |
| -56798.524 | -511574.865 | -511573.842 | 511609.637 | -0.000 | -0.000 |
| -511574.865 | -56798.524 | -511573.842 | -0.000 | 511609.637 | -0.000 |
| -511574.865 | -511573.842 | -56798.524 | -0.000 | -0.000 | 511609.637 |
| 2160058.644 | 2160066.953 | 2160066.953 | 0.000 | 0.000 | 0.000 |
| 2160066.953 | 2160058.644 | 2160066.953 | -0.000 | 0.000 | 0.000 |
| 2160066.953 | 2160066.953 | 2160058.644 | -0.000 | 0.000 | 0.000 |
| 56798.524 | 511574.865 | 511573.842 | 511609.637 | 0.000 | 0.000 |
| 511574.865 | 56798.524 | 511573.842 | 0.000 | 511609.637 | 0.000 |
| 511574.865 | 511573.842 | 56798.524 | 0.000 | 0.000 | 511609.637 |
| 0.565 | 0.655 | 0.655 | -0.000 | 0.000 | -0.000 |
| 0.655 | 0.565 | 0.655 | -0.000 | 0.000 | -0.000 |
| 0.655 | 0.655 | 0.565 | -0.000 | 0.000 | -0.000 |
| -0.000 | -0.000 | -0.000 | 0.565 | 0.000 | 0.000 |
| -0.000 | -0.000 | -0.000 | -0.000 | 0.565 | -0.000 |
| -0.000 | -0.000 | -0.000 | -0.000 | 0.000 | 0.565 |
| 0.565 | 0.655 | 0.655 | -0.000 | -0.000 | -0.000 |
| 0.655 | 0.565 | 0.655 | 0.000 | 0.000 | -0.000 |
| 0.655 | 0.655 | 0.565 | 0.000 | -0.000 | 0.000 |
| 0.000 | 0.000 | 0.000 | 0.565 | -0.000 | -0.000 |
| 0.000 | 0.000 | 0.000 | 0.000 | 0.565 | -0.000 |
| 0.000 | 0.000 | 0.000 | 0.000 | -0.000 | 0.565 |
| 0.565 | 0.655 | 0.655 | 0.000 | 0.000 | 0.000 |
| 0.655 | 0.565 | 0.655 | -0.000 | 0.000 | 0.000 |
| 0.655 | 0.655 | 0.565 | -0.000 | 0.000 | 0.000 |
| -0.000 | -0.000 | -0.000 | 0.501 | 0.000 | 0.000 |
| -0.000 | -0.000 | -0.000 | -0.000 | 0.501 | -0.000 |
| -0.000 | -0.000 | -0.000 | -0.000 | 0.000 | 0.501 |
| 0.565 | 0.655 | 0.655 | 0.000 | -0.000 | -0.000 |
| 0.655 | 0.565 | 0.655 | 0.000 | 0.000 | -0.000 |
| 0.655 | 0.655 | 0.565 | 0.000 | -0.000 | -0.000 |
| 0.000 | 0.000 | 0.000 | 0.501 | -0.000 | -0.000 |
| 0.000 | 0.000 | 0.000 | 0.000 | 0.501 | -0.000 |
| 0.000 | 0.000 | 0.000 | -0.000 | -0.000 | 0.501 |
| 0.564 | 0.654 | 0.654 | -0.000 | 0.000 | 0.000 |
| 0.654 | 0.564 | 0.654 | 0.000 | 0.000 | 0.000 |
| 0.654 | 0.654 | 0.564 | -0.000 | 0.000 | 0.000 |
| -0.000 | -0.000 | -0.000 | -0.018 | -0.000 | 0.000 |
| -0.000 | -0.000 | -0.000 | -0.000 | -0.018 | 0.000 |
| -0.000 | -0.000 | -0.000 | -0.000 | 0.000 | -0.018 |
| 0.566 | 0.657 | 0.657 | 0.000 | -0.000 | -0.000 |
| 0.657 | 0.566 | 0.657 | -0.000 | -0.000 | -0.000 |
| 0.657 | 0.657 | 0.566 | 0.000 | -0.000 | -0.000 |
| 0.000 | 0.000 | 0.000 | -0.018 | 0.000 | -0.000 |
| 0.000 | 0.000 | 0.000 | 0.000 | -0.018 | 0.000 |
| 0.000 | 0.000 | 0.000 | 0.000 | -0.000 | -0.018 |
| 251.010 | 95.400 | 95.400 | 0.000 | 0.000 | -0.000 |
| 95.400 | 251.010 | 95.400 | 0.000 | 0.000 | -0.000 |
| 95.400 | 95.400 | 251.010 | 0.000 | 0.000 | -0.000 |
| 0.000 | 0.000 | 0.000 | 88.232 | 0.000 | -0.000 |
| 0.000 | 0.000 | 0.000 | 0.000 | 88.232 | -0.000 |
| -0.000 | 0.000 | 0.000 | 0.000 | 0.000 | 88.232 |
| 251.010 | 95.400 | 95.400 | -0.000 | -0.000 | 0.000 |
| 95.400 | 251.010 | 95.400 | -0.000 | -0.000 | 0.000 |
| 95.400 | 95.400 | 251.010 | -0.000 | -0.000 | 0.000 |
| -0.000 | -0.000 | -0.000 | 88.232 | -0.000 | 0.000 |
| 0.000 | -0.000 | -0.000 | -0.000 | 88.232 | 0.000 |
| -0.000 | -0.000 | -0.000 | -0.000 | -0.000 | 88.232 |
| 251.010 | 95.400 | 95.400 | 0.000 | 0.000 | -0.000 |
| 95.400 | 251.010 | 95.400 | 0.000 | 0.000 | -0.000 |
| 95.400 | 95.400 | 251.010 | 0.000 | 0.000 | -0.000 |
| 0.000 | 0.000 | 0.000 | 96.090 | 0.000 | -0.000 |
| 0.000 | 0.000 | 0.000 | 0.000 | 96.090 | -0.000 |
| 0.000 | 0.000 | 0.000 | 0.000 | 0.000 | 96.090 |
| 251.010 | 95.400 | 95.400 | -0.000 | -0.000 | 0.000 |
| 95.400 | 251.010 | 95.400 | -0.000 | -0.000 | 0.000 |
| 95.400 | 95.400 | 251.010 | -0.000 | -0.000 | 0.000 |
| -0.000 | -0.000 | -0.000 | 96.090 | -0.000 | 0.000 |
| -0.000 | -0.000 | -0.000 | -0.000 | 96.090 | 0.000 |
| -0.000 | -0.000 | -0.000 | -0.000 | -0.000 | 96.090 |
| 251.010 | 95.400 | 95.400 | 0.000 | 0.000 | -0.000 |
| 95.400 | 251.010 | 95.400 | 0.000 | 0.000 | -0.000 |
| 95.400 | 95.400 | 251.010 | 0.000 | 0.000 | -0.000 |
| 0.000 | 0.000 | 0.001 | 96.090 | 0.000 | -0.000 |
| 0.000 | 0.000 | 0.001 | 0.000 | 96.090 | -0.000 |
| 0.000 | 0.001 | 0.000 | 0.000 | 0.000 | 96.090 |
| 251.010 | 95.401 | 95.401 | -0.000 | -0.000 | 0.000 |
| 95.401 | 251.010 | 95.401 | -0.000 | -0.000 | 0.000 |
| 95.401 | 95.401 | 251.010 | -0.000 | -0.000 | 0.000 |
| -0.000 | -0.000 | -0.001 | 96.090 | -0.000 | 0.000 |
| -0.000 | -0.000 | -0.001 | -0.000 | 96.090 | 0.000 |
| -0.000 | -0.001 | -0.000 | -0.000 | -0.000 | 96.090 |
| 44.408 | 110.288 | 84.659 | 0.000 | -0.000 | 0.000 |
| 110.288 | 44.408 | 84.659 | 0.000 | -0.000 | 0.000 |
| 91.473 | 91.473 | 76.152 | -0.000 | -0.000 | 0.000 |
| 0.000 | 0.000 | 0.000 | 44.960 | -0.000 | 0.000 |
| 0.000 | -0.000 | 0.000 | 0.000 | 44.960 | 0.000 |
| 2.780 | 2.780 | -10.963 | 0.000 | 0.000 | 92.893 |
| 39.860 | 105.737 | 102.597 | 0.000 | 0.000 | -0.000 |
| 105.737 | 39.860 | 102.597 | -0.000 | -0.000 | -0.000 |
| 86.857 | 86.857 | 94.354 | -0.000 | 0.000 | -0.000 |
| -0.000 | 0.000 | -0.000 | 44.960 | 0.000 | -0.000 |
| -0.000 | -0.000 | -0.000 | -0.000 | 44.960 | -0.000 |
| -2.780 | -2.780 | 10.963 | -0.000 | 0.000 | 92.893 |
| 42.372 | 108.250 | 92.690 | 0.000 | -0.000 | 0.000 |
| 108.250 | 42.372 | 92.690 | -0.000 | -0.000 | 0.000 |
| 89.396 | 89.396 | 84.343 | -0.000 | 0.000 | 0.000 |
| 0.000 | -0.000 | 0.000 | 44.960 | -0.000 | -0.000 |
| -0.000 | 0.000 | 0.000 | 0.000 | 44.960 | -0.000 |
| -0.000 | 0.000 | 0.000 | -0.000 | -0.000 | 104.284 |
| 49.895 | 115.596 | 63.377 | 0.000 | 0.000 | 0.000 |
| 115.596 | 49.895 | 63.377 | -0.000 | 0.000 | -0.000 |
| 59.344 | 59.344 | 202.833 | 0.000 | 0.000 | 0.000 |
| -0.000 | 0.000 | -0.000 | 44.960 | 0.000 | -0.000 |
| 0.000 | -0.000 | -0.000 | -0.000 | 44.960 | 0.000 |
| 0.000 | -0.000 | -0.000 | 0.000 | 0.000 | 104.284 |
| 49.894 | 115.596 | 63.377 | -0.000 | 0.000 | 0.000 |
| 115.596 | 49.894 | 63.377 | -0.000 | -0.000 | 0.000 |
| 89.188 | 89.188 | 85.164 | 0.000 | 0.000 | 0.000 |
| 0.042 | 0.042 | -0.164 | -60.082 | -0.000 | 0.000 |
| 0.042 | 0.042 | -0.164 | 0.000 | -60.082 | -0.000 |
| 0.028 | 0.028 | -0.111 | -0.000 | 0.000 | 92.717 |
| 42.123 | 107.999 | 93.677 | -0.000 | 0.000 | -0.000 |
| 107.999 | 42.123 | 93.677 | 0.000 | -0.000 | -0.000 |
| 89.141 | 89.141 | 85.342 | 0.000 | 0.000 | 0.000 |
| -0.042 | -0.042 | 0.164 | -60.082 | 0.000 | -0.000 |
| -0.042 | -0.042 | 0.164 | 0.000 | -60.082 | -0.000 |
| -0.028 | -0.028 | 0.111 | 0.000 | 0.000 | 92.717 |
| 21.575 | 22.484 | 22.484 | 0.000 | 0.000 | 0.000 |
| 22.484 | 21.575 | 22.484 | 0.000 | 0.000 | 0.000 |
| 22.484 | 22.484 | 21.575 | 0.000 | 0.000 | 0.000 |
| -708710.453 | -6378118.549 | -6378118.422 | 6377938.812 | 0.000 | 0.000 |
| -6378118.549 | -708710.453 | -6378118.422 | 0.000 | 6377938.812 | 0.000 |
| -6378118.549 | -6378118.422 | -708710.453 | 0.000 | 0.000 | 6377938.812 |
| 26930018.764 | 26930022.262 | 26930022.262 | -0.000 | -0.000 | -0.000 |
| 26930022.262 | 26930018.764 | 26930022.262 | -0.000 | -0.000 | -0.000 |
| 26930022.262 | 26930022.262 | 26930018.764 | -0.000 | -0.000 | -0.000 |
| 708710.453 | 6378118.549 | 6378118.422 | 6377938.812 | -0.000 | -0.000 |
| 6378118.549 | 708710.453 | 6378118.422 | -0.000 | 6377938.812 | -0.000 |
| 6378118.549 | 6378118.422 | 708710.453 | 0.000 | -0.000 | 6377938.812 |
| 21.574 | 22.483 | 22.483 | 0.000 | 0.000 | 0.000 |
| 22.483 | 21.574 | 22.483 | 0.000 | 0.000 | 0.000 |
| 22.483 | 22.483 | 21.574 | 0.000 | 0.000 | 0.000 |
| -70870.857 | -637810.387 | -637810.259 | 637792.360 | -0.000 | 0.000 |
| -637810.387 | -70870.857 | -637810.259 | -0.000 | 637792.360 | 0.000 |
| -637810.387 | -637810.259 | -70870.857 | -0.000 | 0.000 | 637792.360 |
| 2693014.368 | 2693017.865 | 2693017.865 | -0.000 | -0.000 | -0.000 |
| 2693017.865 | 2693014.368 | 2693017.865 | -0.000 | -0.000 | -0.000 |
| 2693017.865 | 2693017.865 | 2693014.368 | -0.000 | -0.000 | -0.000 |
| 70870.857 | 637810.387 | 637810.259 | 637792.360 | -0.000 | -0.000 |
| 637810.387 | 70870.857 | 637810.259 | -0.000 | 637792.360 | -0.000 |
| 637810.387 | 637810.259 | 70870.857 | -0.000 | -0.000 | 637792.360 |
| 21.559 | 22.475 | 22.475 | 0.000 | 0.000 | 0.000 |
| 22.475 | 21.559 | 22.475 | 0.000 | 0.000 | 0.000 |
| 22.475 | 22.475 | 21.559 | 0.000 | 0.000 | 0.000 |
| -7086.897 | -63779.573 | -63779.446 | 63777.720 | 0.000 | 0.000 |
| -63779.573 | -7086.897 | -63779.446 | -0.000 | 63777.720 | 0.000 |
| -63779.573 | -63779.446 | -7086.897 | 0.000 | 0.000 | 63777.720 |
| 269313.928 | 269317.426 | 269317.426 | -0.000 | -0.000 | -0.000 |
| 269317.426 | 269313.928 | 269317.426 | -0.000 | -0.000 | -0.000 |
| 269317.426 | 269317.426 | 269313.928 | -0.000 | -0.000 | -0.000 |
| 7086.897 | 63779.573 | 63779.446 | 63777.720 | -0.000 | -0.000 |
| 63779.573 | 7086.897 | 63779.446 | -0.000 | 63777.720 | -0.000 |
| 63779.573 | 63779.446 | 7086.897 | -0.000 | -0.000 | 63777.720 |
| 13.398 | 16.271 | 16.271 | 0.000 | 0.000 | 0.000 |
| 16.271 | 13.398 | 16.271 | 0.000 | 0.000 | 0.000 |
| 16.271 | 16.271 | 13.398 | 0.000 | 0.000 | 0.000 |
| 0.000 | -0.000 | -0.000 | -4.145 | 0.000 | 0.000 |
| -0.000 | -0.000 | -0.000 | 0.000 | -4.145 | 0.000 |
| -0.000 | -0.000 | 0.000 | 0.000 | 0.000 | -4.145 |
| 13.398 | 16.271 | 16.271 | -0.000 | -0.000 | -0.000 |
| 16.271 | 13.398 | 16.271 | -0.000 | -0.000 | -0.000 |
| 16.271 | 16.271 | 13.398 | -0.000 | -0.000 | -0.000 |
| 0.000 | 0.000 | 0.000 | -4.145 | -0.000 | -0.000 |
| 0.000 | -0.000 | 0.000 | -0.000 | -4.145 | -0.000 |
| 0.000 | 0.000 | -0.000 | -0.000 | -0.000 | -4.145 |
| 13.398 | 16.271 | 16.271 | 0.000 | 0.000 | 0.000 |
| 16.271 | 13.398 | 16.271 | 0.000 | 0.000 | 0.000 |
| 16.271 | 16.271 | 13.398 | 0.000 | 0.000 | 0.000 |
| -0.000 | -0.000 | -0.000 | -4.145 | 0.000 | 0.000 |
| -0.000 | -0.000 | -0.000 | 0.000 | -4.145 | 0.000 |
| -0.000 | -0.000 | -0.000 | 0.000 | 0.000 | -4.145 |
| 13.398 | 16.271 | 16.271 | -0.000 | -0.000 | -0.000 |
| 16.271 | 13.398 | 16.271 | -0.000 | -0.000 | -0.000 |
| 16.271 | 16.271 | 13.398 | -0.000 | -0.000 | -0.000 |
| 0.000 | 0.000 | 0.000 | -4.145 | -0.000 | -0.000 |
| 0.000 | 0.000 | 0.000 | -0.000 | -4.145 | -0.000 |
| 0.000 | 0.000 | 0.000 | -0.000 | -0.000 | -4.145 |
| 13.398 | 16.271 | 16.271 | 0.000 | 0.000 | 0.000 |
| 16.271 | 13.398 | 16.271 | 0.000 | 0.000 | 0.000 |
| 16.271 | 16.271 | 13.398 | 0.000 | 0.000 | 0.000 |
| -0.000 | -0.000 | -0.000 | -4.145 | 0.000 | 0.000 |
| -0.000 | -0.000 | -0.000 | 0.000 | -4.145 | 0.000 |
| -0.000 | -0.000 | -0.000 | 0.000 | 0.000 | -4.145 |
| 13.398 | 16.271 | 16.271 | -0.000 | -0.000 | -0.000 |
| 16.271 | 13.398 | 16.271 | -0.000 | -0.000 | -0.000 |
| 16.271 | 16.271 | 13.398 | -0.000 | -0.000 | -0.000 |
| 0.000 | 0.000 | 0.000 | -4.145 | -0.000 | -0.000 |
| 0.000 | 0.000 | 0.000 | -0.000 | -4.145 | -0.000 |
| 0.000 | 0.000 | 0.000 | -0.000 | -0.000 | -4.145 |
| 357.866 | 61.521 | 61.521 | 0.000 | 0.000 | -0.000 |
| 61.521 | 357.866 | 61.521 | -0.000 | 0.000 | -0.000 |
| 61.521 | 61.521 | 357.866 | 0.000 | 0.000 | 0.000 |
| 0.000 | -0.000 | 0.000 | 39.059 | 0.000 | 0.000 |
| 0.000 | -0.000 | -0.000 | -0.000 | 39.059 | -0.000 |
| 0.000 | -0.000 | 0.000 | 0.000 | 0.000 | 39.059 |
| 355.728 | 62.590 | 62.590 | -0.000 | -0.000 | -0.000 |
| 62.590 | 355.728 | 62.590 | -0.000 | -0.000 | 0.000 |
| 62.590 | 62.590 | 355.728 | -0.000 | -0.000 | 0.000 |
| -0.000 | 0.000 | -0.000 | 39.059 | -0.000 | 0.000 |
| -0.000 | 0.000 | 0.000 | -0.000 | 39.059 | 0.000 |
| -0.000 | 0.000 | -0.000 | -0.000 | -0.000 | 39.059 |
| 355.728 | 62.590 | 62.590 | 0.000 | 0.000 | 0.000 |
| 62.590 | 355.728 | 62.590 | 0.000 | 0.000 | -0.000 |
| 62.590 | 62.590 | 355.728 | 0.000 | 0.000 | -0.000 |
| 0.000 | 0.000 | 0.000 | 39.059 | 0.000 | -0.000 |
| 0.000 | 0.000 | 0.000 | 0.000 | 39.059 | -0.000 |
| 0.000 | 0.000 | 0.000 | 0.000 | 0.000 | 39.059 |
| 355.728 | 62.590 | 62.590 | -0.000 | -0.000 | 0.000 |
| 62.590 | 355.728 | 62.590 | -0.000 | -0.000 | 0.000 |
| 62.590 | 62.590 | 355.728 | -0.000 | -0.000 | -0.000 |
| -0.000 | -0.000 | -0.000 | 39.059 | -0.000 | -0.000 |
| -0.000 | -0.000 | -0.000 | 0.000 | 39.059 | 0.000 |
| -0.000 | -0.000 | -0.000 | -0.000 | -0.000 | 39.059 |
| 355.730 | 62.590 | 62.590 | 0.000 | 0.000 | 0.000 |
| 62.590 | 355.730 | 62.590 | -0.000 | 0.000 | 0.000 |
| 62.590 | 62.590 | 355.730 | 0.000 | 0.000 | 0.000 |
| 0.000 | 0.000 | -0.000 | 1.644 | 0.000 | -0.000 |
| 0.000 | 0.000 | -0.000 | 0.000 | 1.644 | 0.000 |
| 0.000 | -0.000 | 0.000 | 0.000 | 0.000 | 1.644 |
| 355.727 | 62.590 | 62.590 | -0.000 | -0.000 | -0.000 |
| 62.590 | 355.727 | 62.590 | -0.000 | -0.000 | -0.000 |
| 62.590 | 62.590 | 355.727 | -0.000 | -0.000 | -0.000 |
| -0.000 | -0.000 | 0.000 | 1.644 | -0.000 | 0.000 |
| -0.000 | -0.000 | 0.000 | -0.000 | 1.644 | -0.000 |
| -0.000 | 0.000 | -0.000 | -0.000 | -0.000 | 1.644 |
| 2.850 | 0.583 | 0.583 | -0.000 | -0.000 | -0.000 |
| 0.583 | 2.850 | 0.583 | -0.000 | -0.000 | 0.000 |
| 0.583 | 0.583 | 2.850 | -0.000 | 0.000 | 0.000 |
| -0.000 | -0.000 | -0.000 | 0.480 | 0.000 | -0.000 |
| -0.000 | -0.000 | -0.000 | -0.000 | 0.480 | 0.000 |
| -0.000 | -0.000 | -0.000 | -0.000 | 0.000 | 0.480 |
| 2.850 | 0.583 | 0.583 | 0.000 | 0.000 | -0.000 |
| 0.583 | 2.850 | 0.583 | 0.000 | 0.000 | -0.000 |
| 0.583 | 0.583 | 2.850 | 0.000 | -0.000 | -0.000 |
| 0.000 | 0.000 | 0.000 | 0.480 | -0.000 | -0.000 |
| 0.000 | 0.000 | 0.000 | 0.000 | 0.480 | -0.000 |
| 0.000 | 0.000 | 0.000 | 0.000 | 0.000 | 0.480 |
| 2.750 | 0.633 | 0.633 | 0.000 | -0.000 | 0.000 |
| 0.633 | 2.750 | 0.633 | 0.000 | 0.000 | 0.000 |
| 0.633 | 0.633 | 2.750 | 0.000 | -0.000 | 0.000 |
| -0.000 | -0.000 | -0.000 | 0.480 | -0.000 | -0.000 |
| -0.000 | -0.000 | -0.000 | 0.000 | 0.480 | 0.000 |
| -0.000 | -0.000 | -0.000 | -0.000 | -0.000 | 0.480 |
| 2.850 | 0.583 | 0.583 | 0.000 | 0.000 | -0.000 |
| 0.583 | 2.850 | 0.583 | 0.000 | -0.000 | -0.000 |
| 0.583 | 0.583 | 2.850 | 0.000 | 0.000 | -0.000 |
| 0.000 | 0.000 | 0.000 | 0.480 | 0.000 | -0.000 |
| 0.000 | 0.000 | 0.000 | 0.000 | 0.480 | -0.000 |
| 0.000 | 0.000 | 0.000 | 0.000 | 0.000 | 0.480 |
| 2.722 | 0.647 | 0.647 | -0.000 | 0.000 | 0.000 |
| 0.647 | 2.722 | 0.647 | 0.000 | 0.000 | 0.000 |
| 0.647 | 0.647 | 2.722 | 0.000 | 0.000 | -0.000 |
| -0.000 | -0.000 | -0.000 | 0.000 | 0.000 | 0.000 |
| -0.000 | -0.000 | -0.000 | 0.000 | 0.000 | 0.000 |
| -0.000 | -0.000 | -0.000 | 0.000 | 0.000 | 0.000 |
| 2.681 | 0.668 | 0.668 | -0.000 | -0.000 | -0.000 |
| 0.668 | 2.681 | 0.668 | -0.000 | -0.000 | 0.000 |
| 0.668 | 0.668 | 2.681 | -0.000 | -0.000 | -0.000 |
| 0.000 | 0.000 | 0.000 | 0.000 | -0.000 | 0.000 |
| 0.000 | 0.000 | 0.000 | -0.000 | 0.000 | 0.000 |
| 0.000 | 0.000 | 0.000 | -0.000 | -0.000 | 0.000 |
| 0.414 | 0.010 | 0.010 | 0.000 | 0.000 | 0.000 |
| 0.010 | 0.414 | 0.010 | 0.000 | -0.000 | -0.000 |
| 0.010 | 0.010 | 0.414 | -0.000 | 0.000 | 0.000 |
| 0.000 | 0.000 | 0.000 | -0.010 | 0.000 | 0.000 |
| 0.000 | 0.000 | 0.000 | 0.000 | -0.010 | 0.000 |
| 0.000 | 0.000 | 0.000 | 0.000 | 0.000 | -0.010 |
| 0.414 | 0.010 | 0.010 | 0.000 | -0.000 | -0.000 |
| 0.010 | 0.414 | 0.010 | -0.000 | -0.000 | -0.000 |
| 0.010 | 0.010 | 0.414 | -0.000 | 0.000 | 0.000 |
| -0.000 | -0.000 | -0.000 | -0.010 | -0.000 | 0.000 |
| -0.000 | -0.000 | -0.000 | -0.000 | -0.010 | -0.000 |
| -0.000 | -0.000 | -0.000 | -0.000 | -0.000 | -0.010 |
| 0.413 | 0.010 | 0.010 | 0.000 | 0.000 | 0.000 |
| 0.010 | 0.413 | 0.010 | 0.000 | -0.000 | -0.000 |
| 0.010 | 0.010 | 0.413 | -0.000 | 0.000 | 0.000 |
| 0.000 | 0.000 | -0.000 | -0.010 | -0.000 | -0.000 |
| 0.000 | 0.000 | -0.000 | 0.000 | -0.010 | 0.000 |
| 0.000 | -0.000 | 0.000 | 0.000 | 0.000 | -0.010 |
| 0.414 | 0.010 | 0.010 | 0.000 | -0.000 | -0.000 |
| 0.010 | 0.414 | 0.010 | 0.000 | -0.000 | 0.000 |
| 0.010 | 0.010 | 0.414 | 0.000 | -0.000 | 0.000 |
| -0.000 | -0.000 | 0.000 | -0.010 | 0.000 | 0.000 |
| -0.000 | -0.000 | 0.000 | -0.000 | -0.010 | -0.000 |
| -0.000 | 0.000 | -0.000 | -0.000 | 0.000 | -0.010 |
| 0.411 | 0.010 | 0.010 | 0.000 | 0.000 | 0.000 |
| 0.010 | 0.411 | 0.010 | 0.000 | -0.000 | -0.000 |
| 0.010 | 0.010 | 0.411 | -0.000 | 0.000 | 0.000 |
| 0.000 | 0.000 | -0.000 | -0.010 | 0.000 | -0.000 |
| 0.000 | 0.000 | -0.000 | -0.000 | -0.010 | 0.000 |
| 0.000 | -0.000 | 0.000 | 0.000 | 0.000 | -0.010 |
| 0.417 | 0.010 | 0.010 | 0.000 | -0.000 | -0.000 |
| 0.010 | 0.417 | 0.010 | 0.000 | -0.000 | 0.000 |
| 0.010 | 0.010 | 0.417 | 0.000 | -0.000 | 0.000 |
| -0.000 | -0.000 | 0.000 | -0.010 | -0.000 | 0.000 |
| -0.000 | -0.000 | 0.000 | 0.000 | -0.010 | -0.000 |
| -0.000 | 0.000 | -0.000 | -0.000 | -0.000 | -0.010 |
| 137.839 | 165.957 | 165.957 | -0.000 | -0.000 | -0.000 |
| 165.957 | 137.839 | 165.957 | -0.000 | 0.000 | -0.000 |
| 165.957 | 165.957 | 137.839 | -0.000 | 0.000 | -0.000 |
| 0.000 | 0.000 | 0.000 | 122.421 | 0.000 | 0.000 |
| 0.000 | 0.000 | 0.000 | -0.000 | 122.421 | -0.000 |
| 0.000 | 0.000 | 0.000 | 0.000 | 0.000 | 122.421 |
| 137.839 | 165.957 | 165.957 | 0.000 | 0.000 | 0.000 |
| 165.957 | 137.839 | 165.957 | 0.000 | -0.000 | 0.000 |
| 165.957 | 165.957 | 137.839 | 0.000 | 0.000 | 0.000 |
| -0.000 | -0.000 | -0.000 | 122.421 | -0.000 | 0.000 |
| -0.000 | -0.000 | -0.000 | 0.000 | 122.421 | 0.000 |
| -0.000 | -0.000 | -0.000 | -0.000 | -0.000 | 122.421 |
| 137.839 | 165.957 | 165.957 | -0.000 | 0.000 | -0.000 |
| 165.957 | 137.839 | 165.957 | -0.000 | 0.000 | 0.000 |
| 165.957 | 165.957 | 137.839 | -0.000 | -0.000 | -0.000 |
| 0.000 | 0.000 | 0.000 | 122.421 | 0.000 | 0.000 |
| 0.000 | 0.000 | 0.000 | -0.000 | 122.421 | -0.000 |
| 0.000 | 0.000 | 0.000 | 0.000 | 0.000 | 122.421 |
| 137.839 | 165.957 | 165.957 | 0.000 | 0.000 | 0.000 |
| 165.957 | 137.839 | 165.957 | 0.000 | -0.000 | 0.000 |
| 165.957 | 165.957 | 137.839 | 0.000 | -0.000 | 0.000 |
| -0.000 | -0.000 | -0.000 | 122.421 | -0.000 | -0.000 |
| -0.000 | -0.000 | -0.000 | 0.000 | 122.421 | 0.000 |
| -0.000 | -0.000 | -0.000 | -0.000 | -0.000 | 122.421 |
| 137.840 | 165.958 | 165.958 | -0.000 | 0.000 | 0.000 |
| 165.958 | 137.840 | 165.958 | 0.000 | 0.000 | -0.000 |
| 165.958 | 165.958 | 137.840 | -0.000 | -0.000 | -0.000 |
| 0.001 | 0.000 | 0.001 | 123.018 | 0.000 | -0.000 |
| 0.000 | 0.001 | 0.001 | -0.000 | 123.018 | -0.000 |
| 0.000 | 0.001 | 0.001 | -0.000 | 0.000 | 123.018 |
| 137.838 | 165.956 | 165.956 | -0.000 | -0.000 | 0.000 |
| 165.956 | 137.838 | 165.956 | -0.000 | -0.000 | 0.000 |
| 165.956 | 165.956 | 137.838 | 0.000 | -0.000 | 0.000 |
| -0.001 | -0.000 | -0.001 | 123.018 | -0.000 | 0.000 |
| -0.000 | -0.001 | -0.001 | 0.000 | 123.018 | 0.000 |
| -0.000 | -0.001 | -0.001 | 0.000 | -0.000 | 123.018 |
| 139.277 | 16.199 | 16.199 | 0.000 | -0.000 | 0.000 |
| 16.199 | 139.277 | 16.199 | -0.000 | -0.000 | -0.000 |
| 16.199 | 16.199 | 139.277 | 0.000 | -0.000 | -0.000 |
| -0.000 | -0.000 | -0.000 | -27.200 | -0.000 | 0.000 |
| -0.000 | -0.000 | -0.000 | 0.000 | -27.200 | -0.000 |
| -0.000 | -0.000 | -0.000 | -0.000 | -0.000 | -27.200 |
| 139.277 | 16.199 | 16.199 | -0.000 | 0.000 | -0.000 |
| 16.199 | 139.277 | 16.199 | -0.000 | 0.000 | 0.000 |
| 16.199 | 16.199 | 139.277 | 0.000 | 0.000 | -0.000 |
| 0.000 | 0.000 | 0.000 | -27.200 | 0.000 | 0.000 |
| 0.000 | 0.000 | 0.000 | -0.000 | -27.200 | 0.000 |
| 0.000 | 0.000 | 0.000 | -0.000 | 0.000 | -27.200 |
| 139.276 | 16.199 | 16.199 | 0.000 | -0.000 | 0.000 |
| 16.199 | 139.276 | 16.199 | 0.000 | -0.000 | 0.000 |
| 16.199 | 16.199 | 139.276 | 0.000 | 0.000 | -0.000 |
| -0.000 | -0.000 | -0.000 | -27.200 | -0.000 | -0.000 |
| -0.000 | -0.000 | -0.000 | 0.000 | -27.200 | 0.000 |
| -0.000 | -0.000 | -0.000 | -0.000 | -0.000 | -27.200 |
| 139.277 | 16.199 | 16.199 | 0.000 | 0.000 | 0.000 |
| 16.199 | 139.277 | 16.199 | 0.000 | 0.000 | -0.000 |
| 16.199 | 16.199 | 139.277 | -0.000 | 0.000 | -0.000 |
| 0.000 | 0.000 | 0.000 | -27.200 | 0.000 | -0.000 |
| 0.000 | 0.000 | 0.000 | -0.000 | -27.200 | -0.000 |
| 0.000 | 0.000 | 0.000 | 0.000 | 0.000 | -27.200 |
| 139.275 | 16.199 | 16.199 | 0.000 | -0.000 | 0.000 |
| 16.199 | 139.275 | 16.199 | 0.000 | -0.000 | 0.000 |
| 16.199 | 16.199 | 139.275 | 0.000 | -0.000 | 0.000 |
| -0.000 | -0.000 | -0.000 | -27.200 | -0.000 | -0.000 |
| -0.000 | -0.000 | -0.000 | 0.000 | -27.200 | -0.000 |
| -0.000 | -0.000 | -0.000 | 0.000 | -0.000 | -27.200 |
| 139.278 | 16.198 | 16.198 | -0.000 | -0.000 | -0.000 |
| 16.198 | 139.278 | 16.198 | -0.000 | -0.000 | -0.000 |
| 16.198 | 16.198 | 139.278 | -0.000 | 0.000 | -0.000 |
| 0.000 | 0.000 | 0.000 | -27.200 | 0.000 | -0.000 |
| 0.000 | 0.000 | 0.000 | -0.000 | -27.200 | -0.000 |
| 0.000 | 0.000 | 0.000 | -0.000 | 0.000 | -27.200 |
| 0.086 | 0.086 | 0.086 | 0.000 | -0.000 | -0.000 |
| 0.086 | 0.086 | 0.086 | -0.000 | 0.000 | -0.000 |
| 0.086 | 0.086 | 0.086 | 0.000 | 0.000 | -0.000 |
| -0.000 | -0.000 | -0.000 | 0.086 | 0.000 | -0.000 |
| -0.000 | -0.000 | -0.000 | 0.000 | 0.086 | -0.000 |
| -0.000 | -0.000 | -0.000 | 0.000 | 0.000 | 0.086 |
| 0.086 | 0.086 | 0.086 | -0.000 | 0.000 | 0.000 |
| 0.086 | 0.086 | 0.086 | 0.000 | -0.000 | 0.000 |
| 0.086 | 0.086 | 0.086 | 0.000 | 0.000 | -0.000 |
| 0.000 | 0.000 | 0.000 | 0.086 | -0.000 | 0.000 |
| 0.000 | 0.000 | 0.000 | 0.000 | 0.086 | 0.000 |
| 0.000 | 0.000 | 0.000 | 0.000 | 0.000 | 0.086 |
| 0.086 | 0.086 | 0.086 | -0.000 | -0.000 | -0.000 |
| 0.086 | 0.086 | 0.086 | -0.000 | -0.000 | -0.000 |
| 0.086 | 0.086 | 0.086 | 0.000 | 0.000 | -0.000 |
| -0.000 | -0.000 | -0.000 | -0.496 | 0.000 | -0.000 |
| -0.000 | -0.000 | -0.000 | 0.000 | -0.496 | -0.000 |
| -0.000 | -0.000 | -0.000 | 0.000 | -0.000 | -0.496 |
| 0.086 | 0.086 | 0.086 | -0.000 | -0.000 | 0.000 |
| 0.086 | 0.086 | 0.086 | -0.000 | -0.000 | 0.000 |
| 0.086 | 0.086 | 0.086 | -0.000 | -0.000 | -0.000 |
| 0.000 | 0.000 | 0.000 | -0.496 | -0.000 | -0.000 |
| 0.000 | 0.000 | 0.000 | -0.000 | -0.496 | -0.000 |
| 0.000 | 0.000 | 0.000 | 0.000 | -0.000 | -0.496 |
| 0.086 | 0.086 | 0.086 | -0.000 | 0.000 | -0.000 |
| 0.086 | 0.086 | 0.086 | 0.000 | -0.000 | 0.000 |
| 0.086 | 0.086 | 0.086 | 0.000 | 0.000 | -0.000 |
| -0.002 | -0.002 | -0.002 | -1.218 | -0.000 | -0.000 |
| -0.002 | -0.002 | -0.002 | -0.000 | -1.218 | 0.000 |
| -0.002 | -0.002 | -0.002 | 0.000 | -0.000 | -1.218 |
| 0.086 | 0.086 | 0.086 | 0.000 | -0.000 | 0.000 |
| 0.086 | 0.086 | 0.086 | -0.000 | 0.000 | 0.000 |
| 0.086 | 0.086 | 0.086 | -0.000 | -0.000 | 0.000 |
| 0.002 | 0.002 | 0.002 | -1.218 | 0.000 | -0.000 |
| 0.002 | 0.002 | 0.002 | 0.000 | -1.218 | -0.000 |
| 0.002 | 0.002 | 0.002 | 0.000 | 0.000 | -1.218 |
| 0.033 | 0.033 | 0.033 | -0.000 | 0.000 | -0.000 |
| 0.033 | 0.033 | 0.033 | 0.000 | -0.000 | -0.000 |
| 0.033 | 0.033 | 0.033 | 0.000 | 0.000 | -0.000 |
| -0.000 | -0.000 | -0.000 | 0.033 | 0.000 | -0.000 |
| -0.000 | -0.000 | -0.000 | 0.000 | 0.033 | -0.000 |
| -0.000 | -0.000 | -0.000 | -0.000 | 0.000 | 0.033 |
| 0.033 | 0.033 | 0.033 | -0.000 | 0.000 | 0.000 |
| 0.033 | 0.033 | 0.033 | 0.000 | -0.000 | 0.000 |
| 0.033 | 0.033 | 0.033 | -0.000 | -0.000 | -0.000 |
| 0.000 | 0.000 | 0.000 | 0.033 | -0.000 | 0.000 |
| 0.000 | 0.000 | 0.000 | -0.000 | 0.033 | 0.000 |
| 0.000 | 0.000 | 0.000 | -0.000 | 0.000 | 0.033 |
| 0.033 | 0.033 | 0.033 | 0.000 | 0.000 | -0.000 |
| 0.033 | 0.033 | 0.033 | -0.000 | 0.000 | -0.000 |
| 0.033 | 0.033 | 0.033 | 0.000 | 0.000 | 0.000 |
| -0.000 | -0.000 | -0.000 | 0.029 | 0.000 | -0.000 |
| -0.000 | -0.000 | -0.000 | 0.000 | 0.029 | -0.000 |
| -0.000 | -0.000 | -0.000 | -0.000 | -0.000 | 0.029 |
| 0.033 | 0.033 | 0.033 | 0.000 | 0.000 | 0.000 |
| 0.033 | 0.033 | 0.033 | 0.000 | 0.000 | 0.000 |
| 0.033 | 0.033 | 0.033 | 0.000 | 0.000 | 0.000 |
| 0.000 | 0.000 | 0.000 | 0.029 | 0.000 | 0.000 |
| 0.000 | 0.000 | 0.000 | 0.000 | 0.029 | 0.000 |
| 0.000 | 0.000 | 0.000 | -0.000 | 0.000 | 0.029 |
| 0.033 | 0.033 | 0.033 | -0.000 | 0.000 | -0.000 |
| 0.033 | 0.033 | 0.033 | 0.000 | -0.000 | -0.000 |
| 0.033 | 0.033 | 0.033 | -0.000 | -0.000 | -0.000 |
| -0.001 | -0.001 | -0.001 | -0.532 | -0.000 | 0.000 |
| -0.001 | -0.001 | -0.001 | -0.000 | -0.532 | 0.000 |
| -0.001 | -0.001 | -0.001 | -0.000 | 0.000 | -0.532 |
| 0.033 | 0.033 | 0.033 | 0.000 | -0.000 | 0.000 |
| 0.033 | 0.033 | 0.033 | -0.000 | 0.000 | 0.000 |
| 0.033 | 0.033 | 0.033 | 0.000 | 0.000 | 0.000 |
| 0.001 | 0.001 | 0.001 | -0.532 | -0.000 | -0.000 |
| 0.001 | 0.001 | 0.001 | -0.000 | -0.532 | -0.000 |
| 0.001 | 0.001 | 0.001 | -0.000 | -0.000 | -0.532 |
| 155.041 | 85.366 | 85.366 | 0.000 | 0.000 | 0.000 |
| 85.366 | 155.041 | 85.366 | 0.000 | 0.000 | 0.000 |
| 85.366 | 85.366 | 155.041 | 0.000 | 0.000 | 0.000 |
| 0.000 | -0.000 | 0.000 | 103.694 | 0.000 | 0.000 |
| 0.000 | 0.000 | 0.000 | 0.000 | 103.694 | 0.000 |
| 0.000 | 0.000 | 0.000 | 0.000 | -0.000 | 103.694 |
| 155.041 | 85.366 | 85.366 | -0.000 | -0.000 | -0.000 |
| 85.366 | 155.041 | 85.366 | -0.000 | 0.000 | -0.000 |
| 85.366 | 85.366 | 155.041 | -0.000 | -0.000 | -0.000 |
| -0.000 | 0.000 | -0.000 | 103.694 | -0.000 | -0.000 |
| -0.000 | -0.000 | -0.000 | -0.000 | 103.694 | -0.000 |
| -0.000 | -0.000 | -0.000 | -0.000 | -0.000 | 103.694 |
| 155.041 | 85.365 | 85.365 | 0.000 | -0.000 | -0.000 |
| 85.365 | 155.041 | 85.365 | 0.000 | 0.000 | 0.000 |
| 85.365 | 85.365 | 155.041 | -0.000 | -0.000 | 0.000 |
| 0.000 | -0.000 | 0.000 | 103.694 | 0.000 | 0.000 |
| -0.000 | 0.000 | 0.000 | 0.000 | 103.694 | 0.000 |
| -0.000 | 0.000 | 0.000 | 0.000 | 0.000 | 103.694 |
| 155.041 | 85.366 | 85.366 | -0.000 | -0.000 | -0.000 |
| 85.366 | 155.041 | 85.366 | -0.000 | -0.000 | -0.000 |
| 85.366 | 85.366 | 155.041 | -0.000 | 0.000 | -0.000 |
| -0.000 | 0.000 | -0.000 | 103.694 | -0.000 | 0.000 |
| 0.000 | -0.000 | -0.000 | 0.000 | 103.694 | -0.000 |
| 0.000 | -0.000 | -0.000 | -0.000 | -0.000 | 103.694 |
| 155.039 | 85.365 | 85.365 | -0.000 | 0.000 | -0.000 |
| 85.365 | 155.039 | 85.365 | 0.000 | 0.000 | 0.000 |
| 85.365 | 85.365 | 155.039 | 0.000 | 0.000 | 0.000 |
| 0.000 | -0.000 | 0.000 | 103.694 | 0.000 | 0.000 |
| -0.000 | 0.000 | 0.000 | 0.000 | 103.694 | 0.000 |
| -0.000 | 0.000 | 0.000 | 0.000 | -0.000 | 103.694 |
| 155.042 | 85.366 | 85.366 | -0.000 | -0.000 | -0.000 |
| 85.366 | 155.042 | 85.366 | -0.000 | -0.000 | 0.000 |
| 85.366 | 85.366 | 155.042 | -0.000 | -0.000 | -0.000 |
| -0.000 | 0.000 | -0.000 | 103.694 | -0.000 | -0.000 |
| 0.000 | -0.000 | -0.000 | -0.000 | 103.694 | -0.000 |
| 0.000 | -0.000 | -0.000 | -0.000 | 0.000 | 103.694 |
| 0.089 | 0.045 | 0.045 | -0.000 | -0.000 | -0.000 |
| 0.045 | 0.089 | 0.045 | -0.000 | -0.000 | -0.000 |
| 0.045 | 0.045 | 0.089 | -0.000 | -0.000 | -0.000 |
| -0.000 | -0.000 | -0.000 | 0.045 | -0.000 | 0.000 |
| -0.000 | -0.000 | -0.000 | 0.000 | 0.045 | 0.000 |
| -0.000 | -0.000 | -0.000 | 0.000 | 0.000 | 0.045 |
| 0.089 | 0.045 | 0.045 | -0.000 | 0.000 | 0.000 |
| 0.045 | 0.089 | 0.045 | 0.000 | -0.000 | 0.000 |
| 0.045 | 0.045 | 0.089 | 0.000 | 0.000 | -0.000 |
| -0.000 | 0.000 | 0.000 | 0.045 | 0.000 | 0.000 |
| 0.000 | 0.000 | 0.000 | -0.000 | 0.045 | 0.000 |
| 0.000 | 0.000 | 0.000 | -0.000 | 0.000 | 0.045 |
| 0.089 | 0.045 | 0.045 | 0.000 | -0.000 | -0.000 |
| 0.045 | 0.089 | 0.045 | -0.000 | 0.000 | -0.000 |
| 0.045 | 0.045 | 0.089 | -0.000 | -0.000 | -0.000 |
| -0.000 | -0.000 | -0.000 | 0.045 | -0.000 | -0.000 |
| -0.000 | -0.000 | -0.000 | 0.000 | 0.045 | 0.000 |
| -0.000 | -0.000 | -0.000 | -0.000 | 0.000 | 0.045 |
| 0.089 | 0.045 | 0.045 | 0.000 | -0.000 | -0.000 |
| 0.045 | 0.089 | 0.045 | -0.000 | 0.000 | -0.000 |
| 0.045 | 0.045 | 0.089 | 0.000 | 0.000 | 0.000 |
| 0.000 | 0.000 | 0.000 | 0.045 | -0.000 | 0.000 |
| 0.000 | 0.000 | 0.000 | -0.000 | 0.045 | 0.000 |
| 0.000 | 0.000 | 0.000 | 0.000 | 0.000 | 0.045 |
| 0.089 | 0.045 | 0.045 | -0.000 | -0.000 | 0.000 |
| 0.045 | 0.089 | 0.045 | -0.000 | -0.000 | 0.000 |
| 0.045 | 0.045 | 0.089 | -0.000 | -0.000 | -0.000 |
| -0.000 | -0.000 | -0.000 | 0.045 | -0.000 | -0.000 |
| -0.000 | -0.000 | -0.000 | -0.000 | 0.045 | -0.000 |
| -0.000 | -0.000 | -0.000 | -0.000 | -0.000 | 0.045 |
| 0.089 | 0.045 | 0.045 | 0.000 | 0.000 | 0.000 |
| 0.045 | 0.089 | 0.045 | 0.000 | 0.000 | 0.000 |
| 0.045 | 0.045 | 0.089 | 0.000 | -0.000 | -0.000 |
| 0.000 | 0.000 | 0.000 | 0.045 | 0.000 | -0.000 |
| 0.000 | 0.000 | 0.000 | 0.000 | 0.045 | -0.000 |
| 0.000 | 0.000 | 0.000 | 0.000 | -0.000 | 0.045 |
| 0.210 | 0.105 | 0.105 | -0.000 | 0.000 | 0.000 |
| 0.105 | 0.210 | 0.105 | 0.000 | -0.000 | 0.000 |
| 0.105 | 0.105 | 0.210 | 0.000 | 0.000 | 0.000 |
| 0.000 | -0.000 | -0.000 | 0.105 | -0.000 | 0.000 |
| -0.000 | 0.000 | -0.000 | 0.000 | 0.105 | 0.000 |
| -0.000 | -0.000 | 0.000 | 0.000 | 0.000 | 0.105 |
| 0.210 | 0.105 | 0.105 | -0.000 | -0.000 | -0.000 |
| 0.105 | 0.210 | 0.105 | -0.000 | -0.000 | -0.000 |
| 0.105 | 0.105 | 0.210 | -0.000 | -0.000 | -0.000 |
| 0.000 | 0.000 | 0.000 | 0.105 | -0.000 | -0.000 |
| 0.000 | 0.000 | 0.000 | 0.000 | 0.105 | 0.000 |
| 0.000 | 0.000 | 0.000 | -0.000 | 0.000 | 0.105 |
| 0.210 | 0.105 | 0.105 | -0.000 | 0.000 | 0.000 |
| 0.105 | 0.210 | 0.105 | 0.000 | -0.000 | 0.000 |
| 0.105 | 0.105 | 0.210 | 0.000 | 0.000 | -0.000 |
| -0.000 | -0.000 | -0.000 | 0.105 | 0.000 | -0.000 |
| -0.000 | -0.000 | -0.000 | 0.000 | 0.105 | -0.000 |
| -0.000 | -0.000 | -0.000 | 0.000 | -0.000 | 0.105 |
| 0.210 | 0.105 | 0.105 | 0.000 | -0.000 | -0.000 |
| 0.105 | 0.210 | 0.105 | -0.000 | 0.000 | -0.000 |
| 0.105 | 0.105 | 0.210 | -0.000 | -0.000 | 0.000 |
| 0.000 | 0.000 | 0.000 | 0.105 | -0.000 | -0.000 |
| 0.000 | 0.000 | 0.000 | -0.000 | 0.105 | -0.000 |
| 0.000 | 0.000 | 0.000 | -0.000 | -0.000 | 0.105 |
| 0.210 | 0.105 | 0.105 | 0.000 | 0.000 | 0.000 |
| 0.105 | 0.210 | 0.105 | 0.000 | 0.000 | 0.000 |
| 0.105 | 0.105 | 0.210 | 0.000 | 0.000 | 0.000 |
| -0.000 | -0.000 | -0.000 | 0.105 | 0.000 | -0.000 |
| -0.000 | -0.000 | -0.000 | 0.000 | 0.105 | -0.000 |
| -0.000 | -0.000 | -0.000 | 0.000 | -0.000 | 0.105 |
| 0.211 | 0.105 | 0.105 | 0.000 | -0.000 | -0.000 |
| 0.105 | 0.211 | 0.105 | -0.000 | 0.000 | -0.000 |
| 0.105 | 0.105 | 0.211 | -0.000 | -0.000 | 0.000 |
| 0.000 | 0.000 | 0.000 | 0.105 | -0.000 | -0.000 |
| 0.000 | 0.000 | 0.000 | -0.000 | 0.105 | 0.000 |
| 0.000 | 0.000 | 0.000 | -0.000 | 0.000 | 0.105 |
| 394.900 | 89.478 | 89.478 | 0.000 | 0.000 | -0.000 |
| 89.478 | 394.900 | 89.478 | -0.000 | 0.000 | -0.000 |
| 89.478 | 89.478 | 394.900 | -0.000 | 0.000 | 0.000 |
| -0.000 | 0.000 | 0.000 | -13.394 | 0.000 | -0.000 |
| 0.000 | 0.000 | 0.000 | 0.000 | -13.394 | -0.000 |
| -0.000 | 0.000 | -0.000 | 0.000 | 0.000 | -13.394 |
| 394.900 | 89.478 | 89.478 | 0.000 | -0.000 | 0.000 |
| 89.478 | 394.900 | 89.478 | -0.000 | -0.000 | 0.000 |
| 89.478 | 89.478 | 394.900 | 0.000 | -0.000 | 0.000 |
| 0.000 | -0.000 | -0.000 | -13.394 | -0.000 | -0.000 |
| -0.000 | -0.000 | -0.000 | -0.000 | -13.394 | 0.000 |
| 0.000 | -0.000 | 0.000 | -0.000 | -0.000 | -13.394 |
| 392.192 | 90.832 | 90.832 | 0.000 | 0.000 | 0.000 |
| 90.832 | 392.192 | 90.832 | 0.000 | 0.000 | -0.000 |
| 90.832 | 90.832 | 392.192 | 0.000 | 0.000 | -0.000 |
| 0.000 | 0.000 | -0.000 | -13.394 | 0.000 | 0.000 |
| 0.000 | 0.000 | -0.000 | 0.000 | -13.394 | -0.000 |
| 0.000 | -0.000 | 0.000 | 0.000 | 0.000 | -13.394 |
| 392.192 | 90.832 | 90.832 | 0.000 | -0.000 | 0.000 |
| 90.832 | 392.192 | 90.832 | 0.000 | -0.000 | 0.000 |
| 90.832 | 90.832 | 392.192 | 0.000 | -0.000 | 0.000 |
| -0.000 | -0.000 | 0.000 | -13.394 | -0.000 | 0.000 |
| -0.000 | -0.000 | 0.000 | -0.000 | -13.394 | 0.000 |
| -0.000 | 0.000 | -0.000 | -0.000 | -0.000 | -13.394 |
| 394.901 | 89.478 | 89.478 | 0.000 | 0.000 | -0.000 |
| 89.478 | 394.901 | 89.478 | -0.000 | -0.000 | -0.000 |
| 89.478 | 89.478 | 394.901 | 0.000 | 0.000 | 0.000 |
| 0.000 | 0.000 | -0.000 | -13.394 | 0.000 | -0.000 |
| 0.000 | 0.000 | -0.000 | 0.000 | -13.394 | -0.000 |
| 0.000 | -0.000 | 0.000 | 0.000 | 0.000 | -13.394 |
| 394.899 | 89.478 | 89.478 | -0.000 | -0.000 | 0.000 |
| 89.478 | 394.899 | 89.478 | 0.000 | -0.000 | 0.000 |
| 89.478 | 89.478 | 394.899 | -0.000 | -0.000 | 0.000 |
| -0.000 | -0.000 | 0.000 | -13.394 | -0.000 | 0.000 |
| -0.000 | -0.000 | 0.000 | -0.000 | -13.394 | 0.000 |
| -0.000 | 0.000 | -0.000 | -0.000 | -0.000 | -13.394 |
| 451712.476 | 14545429.093 | 4099002.691 | -7889472.287 | 1992799.640 | -1335474.409 |
| 3828097.886 | -2066450.513 | 13277893.965 | -2033605.293 | -4791166.625 | 151845.648 |
| 13987760.172 | 3223743.305 | -7571051.537 | 919530.511 | -2079116.617 | -8112492.210 |
| 4190820.123 | 2706650.057 | 1810662.998 | -2982404.284 | 922213.451 | -28297.854 |
| 6080299.804 | 9316055.963 | -2942411.060 | 1474403.709 | -384991.611 | -2040487.796 |
| -2878970.502 | -3602594.559 | 7393270.497 | -526569.492 | 1565387.647 | 4873140.556 |
| 528.556 | 539.466 | 539.466 | 0.000 | 0.000 | -0.000 |
| 539.466 | 528.556 | 539.466 | 0.000 | 0.000 | 0.000 |
| 539.466 | 539.466 | 528.556 | 0.000 | 0.000 | 0.000 |
| -10155994.343 | -2370264.377 | -5029994.452 | -2906925.299 | 549335.156 | -1200172.309 |
| -755249.152 | -12751028.001 | 786081.001 | -1401511.806 | -1097012.747 | -1090409.040 |
| 747465.089 | -7403128.227 | -8826473.088 | -140027.792 | 178632.507 | -756059.968 |
| 530.334 | 538.577 | 538.577 | -0.000 | -0.000 | -0.000 |
| 538.577 | 530.334 | 538.577 | 0.000 | 0.000 | -0.000 |
| 538.577 | 538.577 | 530.334 | 0.000 | 0.000 | -0.000 |
| 0.000 | -0.000 | -0.000 | -4.628 | -0.000 | -0.000 |
| -0.000 | 0.000 | -0.000 | 0.000 | -4.628 | -0.000 |
| -0.000 | -0.000 | 0.000 | -0.000 | -0.000 | -4.628 |
| 5250986.823 | -1113774.457 | -1418479.606 | 463071.078 | 55615.113 | -100647.113 |
| -1676334.725 | 5878271.746 | -1433874.949 | 34155.397 | 497672.687 | 10982.279 |
| -53577074.219 | -53577071.249 | -121630528.029 | 0.001 | 0.001 | -0.001 |
| -0.000 | 0.000 | 0.000 | -4.628 | 0.000 | 0.000 |
| 0.000 | -0.000 | 0.000 | 0.000 | -4.628 | 0.000 |
| 0.000 | 0.000 | -0.000 | 0.000 | 0.000 | -4.628 |
| 2695120.466 | 10594240.868 | 10594240.866 | -0.000 | -0.000 | 0.000 |
| 10594240.866 | 2695120.466 | 10594240.868 | -0.000 | -0.000 | -0.000 |
| 10594240.868 | 10594240.866 | 2695120.466 | -0.000 | -0.000 | -0.000 |
| 143363.996 | 13096.420 | -102726.511 | -449.010 | 6855.140 | 21277.524 |
| 15457.521 | 124851.395 | -85972.698 | -12692.927 | -8581.268 | 15298.917 |
| 69710.515 | -102223.459 | 163250.922 | 9424.938 | -9890.853 | -43943.462 |
| -12162582.116 | -5357499.579 | -5357499.581 | 0.000 | 0.000 | 0.000 |
| -5357499.581 | -12162582.116 | -5357499.579 | 0.000 | 0.000 | 0.000 |
| -5357499.579 | -5357499.581 | -12162582.116 | 0.000 | 0.000 | 0.000 |
| -82450.674 | -50771.688 | 104127.574 | -23447.640 | 6989.510 | -15648.901 |
| -83629.344 | -62361.515 | 75455.895 | 1983.950 | -25436.678 | 2699.054 |
| -7080.452 | 57433.960 | -45541.011 | -9714.352 | -11190.176 | 7075.138 |
| 94.059 | 95.626 | 95.626 | 0.000 | 0.000 | 0.000 |
| 95.626 | 94.059 | 95.626 | 0.000 | 0.000 | 0.000 |
| 95.626 | 95.626 | 94.059 | -0.000 | -0.000 | 0.000 |
| -0.000 | 0.000 | 0.000 | -0.002 | 0.000 | 0.000 |
| 0.000 | -0.000 | 0.000 | 0.000 | -0.002 | 0.000 |
| 0.000 | 0.000 | -0.000 | 0.000 | 0.000 | -0.002 |
| 94.142 | 95.584 | 95.584 | -0.000 | -0.000 | -0.000 |
| 95.584 | 94.142 | 95.584 | -0.000 | -0.000 | -0.000 |
| 95.584 | 95.584 | 94.142 | -0.000 | -0.000 | -0.000 |
| 0.000 | -0.000 | -0.000 | -0.002 | -0.000 | -0.000 |
| -0.000 | 0.000 | -0.000 | -0.000 | -0.002 | -0.000 |
| -0.000 | -0.000 | 0.000 | -0.000 | -0.000 | -0.002 |
| 94.142 | 95.584 | 95.584 | 0.000 | -0.000 | 0.000 |
| 95.584 | 94.142 | 95.584 | 0.000 | 0.000 | 0.000 |
| 95.584 | 95.584 | 94.142 | 0.000 | -0.000 | 0.000 |
| 0.000 | 0.000 | 0.000 | 0.081 | 0.000 | 0.000 |
| 0.000 | 0.000 | 0.000 | 0.000 | 0.081 | 0.000 |
| 0.000 | 0.000 | 0.000 | 0.000 | 0.000 | 0.081 |
| 94.142 | 95.584 | 95.584 | -0.000 | -0.000 | -0.000 |
| 95.584 | 94.142 | 95.584 | 0.000 | 0.000 | -0.000 |
| 95.584 | 95.584 | 94.142 | -0.000 | 0.000 | -0.000 |
| -0.000 | -0.000 | -0.000 | 0.081 | 0.000 | 0.000 |
| -0.000 | -0.000 | -0.000 | -0.000 | 0.081 | -0.000 |
| -0.000 | -0.000 | -0.000 | -0.000 | -0.000 | 0.081 |
| 94.145 | 95.586 | 95.586 | 0.000 | 0.000 | 0.000 |
| 95.586 | 94.145 | 95.586 | 0.000 | 0.000 | 0.000 |
| 95.586 | 95.586 | 94.145 | 0.000 | 0.000 | 0.000 |
| 0.000 | 0.000 | 0.000 | 0.081 | -0.000 | 0.000 |
| 0.000 | 0.000 | 0.000 | 0.000 | 0.081 | 0.000 |
| 0.000 | 0.000 | 0.000 | 0.000 | -0.000 | 0.081 |
| -316957.789 | -178135.095 | -178135.095 | 0.000 | -0.000 | 0.000 |
| -178135.095 | -316957.789 | -178135.095 | 0.000 | 0.000 | 0.000 |
| -178135.095 | -178135.095 | -316957.789 | 0.000 | 0.000 | -0.000 |
| -0.000 | -0.000 | -0.000 | 0.081 | -0.000 | -0.000 |
| -0.000 | -0.000 | -0.000 | -0.000 | 0.081 | -0.000 |
| -0.000 | -0.000 | -0.000 | -0.000 | 0.000 | 0.081 |
| 0.414 | 0.010 | 0.010 | 0.000 | 0.000 | 0.000 |
| 0.010 | 0.414 | 0.010 | 0.000 | -0.000 | -0.000 |
| 0.010 | 0.010 | 0.414 | -0.000 | 0.000 | 0.000 |
| 0.000 | 0.000 | 0.000 | -0.010 | 0.000 | 0.000 |
| 0.000 | 0.000 | 0.000 | 0.000 | -0.010 | 0.000 |
| 0.000 | 0.000 | 0.000 | 0.000 | 0.000 | -0.010 |
| 0.414 | 0.010 | 0.010 | 0.000 | -0.000 | -0.000 |
| 0.010 | 0.414 | 0.010 | -0.000 | -0.000 | -0.000 |
| 0.010 | 0.010 | 0.414 | -0.000 | 0.000 | 0.000 |
| -0.000 | -0.000 | -0.000 | -0.010 | -0.000 | 0.000 |
| -0.000 | -0.000 | -0.000 | -0.000 | -0.010 | -0.000 |
| -0.000 | -0.000 | -0.000 | -0.000 | -0.000 | -0.010 |
| 0.413 | 0.010 | 0.010 | 0.000 | 0.000 | 0.000 |
| 0.010 | 0.413 | 0.010 | 0.000 | -0.000 | -0.000 |
| 0.010 | 0.010 | 0.413 | -0.000 | 0.000 | 0.000 |
| 0.000 | 0.000 | -0.000 | -0.010 | -0.000 | -0.000 |
| 0.000 | 0.000 | -0.000 | 0.000 | -0.010 | 0.000 |
| 0.000 | -0.000 | 0.000 | 0.000 | 0.000 | -0.010 |
| 0.414 | 0.010 | 0.010 | 0.000 | -0.000 | -0.000 |
| 0.010 | 0.414 | 0.010 | 0.000 | -0.000 | 0.000 |
| 0.010 | 0.010 | 0.414 | 0.000 | -0.000 | 0.000 |
| -0.000 | -0.000 | 0.000 | -0.010 | 0.000 | 0.000 |
| -0.000 | -0.000 | 0.000 | -0.000 | -0.010 | -0.000 |
| -0.000 | 0.000 | -0.000 | -0.000 | 0.000 | -0.010 |
| 0.411 | 0.010 | 0.010 | 0.000 | 0.000 | 0.000 |
| 0.010 | 0.411 | 0.010 | 0.000 | -0.000 | -0.000 |
| 0.010 | 0.010 | 0.411 | -0.000 | 0.000 | 0.000 |
| 0.000 | 0.000 | -0.000 | -0.010 | 0.000 | -0.000 |
| 0.000 | 0.000 | -0.000 | -0.000 | -0.010 | 0.000 |
| 0.000 | -0.000 | 0.000 | 0.000 | 0.000 | -0.010 |
| 0.417 | 0.010 | 0.010 | 0.000 | -0.000 | -0.000 |
| 0.010 | 0.417 | 0.010 | 0.000 | -0.000 | 0.000 |
| 0.010 | 0.010 | 0.417 | 0.000 | -0.000 | 0.000 |
| -0.000 | -0.000 | 0.000 | -0.010 | -0.000 | 0.000 |
| -0.000 | -0.000 | 0.000 | 0.000 | -0.010 | -0.000 |
| -0.000 | 0.000 | -0.000 | -0.000 | -0.000 | -0.010 |
| 176.784 | 179.154 | 179.154 | -0.000 | -0.000 | -0.000 |
| 179.154 | 176.784 | 179.154 | -0.000 | -0.000 | -0.000 |
| 179.154 | 179.154 | 176.784 | -0.000 | -0.000 | 0.000 |
| -0.000 | 0.000 | -0.000 | 164.279 | 0.000 | 0.000 |
| -0.000 | 0.000 | 0.000 | -0.000 | 164.279 | 0.000 |
| -0.000 | 0.000 | -0.000 | -0.000 | -0.000 | 164.279 |
| 176.784 | 179.154 | 179.154 | 0.000 | 0.000 | 0.000 |
| 179.154 | 176.784 | 179.154 | 0.000 | 0.000 | 0.000 |
| 179.154 | 179.154 | 176.784 | 0.000 | 0.000 | -0.000 |
| 0.000 | -0.000 | -0.000 | 164.279 | -0.000 | 0.000 |
| 0.000 | -0.000 | -0.000 | 0.000 | 164.279 | -0.000 |
| 0.000 | -0.000 | 0.000 | 0.000 | 0.000 | 164.279 |
| 176.784 | 179.154 | 179.154 | -0.000 | -0.000 | 0.000 |
| 179.154 | 176.784 | 179.154 | -0.000 | -0.000 | -0.000 |
| 179.154 | 179.154 | 176.784 | -0.000 | -0.000 | -0.000 |
| 0.000 | 0.000 | 0.000 | 164.279 | -0.000 | 0.000 |
| 0.000 | 0.000 | 0.000 | -0.000 | 164.279 | 0.000 |
| 0.000 | 0.000 | 0.000 | -0.000 | -0.000 | 164.279 |
| 176.784 | 179.154 | 179.154 | 0.000 | 0.000 | 0.000 |
| 179.154 | 176.784 | 179.154 | 0.000 | 0.000 | 0.000 |
| 179.154 | 179.154 | 176.784 | 0.000 | 0.000 | -0.000 |
| -0.000 | -0.000 | -0.000 | 164.279 | 0.000 | 0.000 |
| -0.000 | -0.000 | -0.000 | 0.000 | 164.279 | -0.000 |
| -0.000 | -0.000 | -0.000 | 0.000 | 0.000 | 164.279 |
| 176.785 | 179.155 | 179.155 | -0.000 | 0.000 | 0.000 |
| 179.155 | 176.785 | 179.155 | -0.000 | -0.000 | 0.000 |
| 179.155 | 179.155 | 176.785 | -0.000 | -0.000 | 0.000 |
| 0.001 | 0.000 | 0.001 | 164.279 | 0.000 | 0.000 |
| 0.000 | 0.001 | 0.001 | -0.000 | 164.279 | 0.000 |
| 0.000 | 0.001 | 0.001 | -0.000 | -0.000 | 164.279 |
| 176.783 | 179.154 | 179.154 | 0.000 | 0.000 | -0.000 |
| 179.154 | 176.783 | 179.154 | 0.000 | 0.000 | 0.000 |
| 179.154 | 179.154 | 176.783 | 0.000 | 0.000 | 0.000 |
| -0.001 | -0.000 | -0.001 | 164.279 | -0.000 | 0.000 |
| -0.000 | -0.001 | -0.001 | 0.000 | 164.279 | -0.000 |
| -0.000 | -0.001 | -0.001 | 0.000 | -0.000 | 164.279 |
| 386.807 | 385.962 | 385.962 | -0.000 | 0.000 | -0.000 |
| 385.962 | 386.807 | 385.962 | -0.000 | 0.000 | 0.000 |
| 385.962 | 385.962 | 386.807 | -0.000 | -0.000 | 0.000 |
| 0.000 | 0.000 | 0.000 | -4.572 | 0.000 | -0.000 |
| 0.000 | 0.000 | -0.000 | 0.000 | -4.572 | -0.000 |
| -0.000 | -0.000 | -0.000 | -0.000 | 0.000 | -4.572 |
| 386.807 | 385.962 | 385.962 | 0.000 | 0.000 | -0.000 |
| 385.962 | 386.807 | 385.962 | 0.000 | -0.000 | 0.000 |
| 385.962 | 385.962 | 386.807 | 0.000 | -0.000 | 0.000 |
| -0.000 | -0.000 | -0.000 | -4.572 | -0.000 | -0.000 |
| -0.000 | -0.000 | -0.000 | 0.000 | -4.572 | -0.000 |
| -0.000 | -0.000 | 0.000 | 0.000 | -0.000 | -4.572 |
| 386.807 | 385.962 | 385.962 | -0.000 | -0.000 | -0.000 |
| 385.962 | 386.807 | 385.962 | -0.000 | -0.000 | -0.000 |
| 385.962 | 385.962 | 386.807 | 0.000 | 0.000 | -0.000 |
| -6747372.935 | 2893123.772 | 2643848.546 | -2514606.085 | -28915.824 | 100045.363 |
| 3028428.403 | -6969020.711 | 2932907.934 | -40511.063 | -2476865.700 | -138664.342 |
| 3351357.827 | 2822825.519 | -7263423.086 | 27727.510 | 84316.412 | -2519341.011 |
| 386.807 | 385.963 | 385.963 | 0.000 | 0.000 | -0.000 |
| 385.963 | 386.807 | 385.963 | 0.000 | 0.000 | -0.000 |
| 385.963 | 385.963 | 386.807 | -0.000 | -0.000 | 0.000 |
| 6061219.491 | -2656182.723 | -3258495.771 | -3519478.464 | 29808.664 | 43440.330 |
| -2836890.822 | 6276560.185 | -3536633.336 | 47397.064 | -3424026.122 | -16249.705 |
| -2400250.762 | -2998920.174 | 4758381.504 | -138528.277 | 139026.439 | -3535665.714 |
| 386.807 | 385.961 | 385.961 | -0.000 | 0.000 | 0.000 |
| 385.961 | 386.807 | 385.961 | -0.000 | 0.000 | -0.000 |
| 385.961 | 385.961 | 386.807 | -0.000 | -0.000 | 0.000 |
| -709835.579 | 264604.690 | 324417.698 | -315016.719 | -17047.135 | -2634.852 |
| 290253.733 | -700924.343 | 296798.828 | -10443.380 | -331173.569 | -8814.171 |
| 307289.527 | 328570.963 | -678090.507 | -3723.948 | -3241.485 | -318241.961 |
| 386.807 | 385.964 | 385.964 | -0.000 | -0.000 | 0.000 |
| 385.964 | 386.807 | 385.964 | 0.000 | -0.000 | -0.000 |
| 385.964 | 385.964 | 386.807 | 0.000 | 0.000 | -0.000 |
| 657653.675 | -305774.684 | -272186.029 | -310648.550 | 4058.335 | 358.938 |
| -275638.331 | 658060.798 | -272709.916 | -5416.130 | -340995.922 | 866.585 |
| -333515.080 | -283543.006 | 671567.331 | 2562.245 | -13876.067 | -304933.340 |
| 47.594 | 47.594 | 47.594 | -0.000 | -0.000 | 0.000 |
| 47.594 | 47.594 | 47.594 | -0.000 | -0.000 | 0.000 |
| 47.594 | 47.594 | 47.594 | 0.000 | 0.000 | 0.000 |
| 0.000 | 0.000 | 0.000 | 0.602 | -0.000 | 0.000 |
| 0.000 | 0.000 | 0.000 | -0.000 | 0.602 | 0.000 |
| 0.000 | 0.000 | 0.000 | 0.000 | -0.000 | 0.602 |
| 47.594 | 47.594 | 47.594 | -0.000 | 0.000 | 0.000 |
| 47.594 | 47.594 | 47.594 | 0.000 | -0.000 | 0.000 |
| 47.594 | 47.594 | 47.594 | 0.000 | 0.000 | -0.000 |
| -0.000 | -0.000 | -0.000 | 0.602 | 0.000 | -0.000 |
| -0.000 | -0.000 | -0.000 | -0.000 | 0.602 | -0.000 |
| -0.000 | -0.000 | -0.000 | 0.000 | -0.000 | 0.602 |
| 47.594 | 47.594 | 47.594 | 0.000 | 0.000 | 0.000 |
| 47.594 | 47.594 | 47.594 | 0.000 | 0.000 | 0.000 |
| 47.594 | 47.594 | 47.594 | -0.000 | -0.000 | 0.000 |
| 0.000 | 0.000 | 0.000 | 0.602 | -0.000 | 0.000 |
| 0.000 | 0.000 | 0.000 | -0.000 | 0.602 | 0.000 |
| 0.000 | 0.000 | 0.000 | -0.000 | -0.000 | 0.602 |
| 47.594 | 47.594 | 47.594 | 0.000 | 0.000 | -0.000 |
| 47.594 | 47.594 | 47.594 | -0.000 | 0.000 | -0.000 |
| 47.594 | 47.594 | 47.594 | -0.000 | -0.000 | -0.000 |
| -0.000 | -0.000 | -0.000 | 0.602 | 0.000 | -0.000 |
| -0.000 | -0.000 | -0.000 | 0.000 | 0.602 | 0.000 |
| -0.000 | -0.000 | -0.000 | -0.000 | -0.000 | 0.602 |
| 47.594 | 47.594 | 47.594 | -0.000 | -0.000 | -0.000 |
| 47.594 | 47.594 | 47.594 | 0.000 | -0.000 | 0.000 |
| 47.594 | 47.594 | 47.594 | -0.000 | -0.000 | 0.000 |
| 0.000 | 0.000 | 0.000 | 0.584 | -0.000 | 0.000 |
| 0.000 | 0.000 | 0.000 | -0.000 | 0.584 | 0.000 |
| 0.000 | 0.000 | 0.000 | -0.000 | -0.000 | 0.584 |
| 47.593 | 47.593 | 47.593 | -0.000 | 0.000 | 0.000 |
| 47.593 | 47.593 | 47.593 | 0.000 | 0.000 | 0.000 |
| 47.593 | 47.593 | 47.593 | -0.000 | 0.000 | -0.000 |
| -0.000 | -0.000 | -0.000 | 0.584 | 0.000 | -0.000 |
| -0.000 | -0.000 | -0.000 | 0.000 | 0.584 | -0.000 |
| -0.000 | -0.000 | -0.000 | 0.000 | 0.000 | 0.584 |
| 0.425 | 0.425 | 0.425 | -0.000 | -0.000 | -0.000 |
| 0.425 | 0.425 | 0.425 | -0.000 | -0.000 | -0.000 |
| 0.425 | 0.425 | 0.425 | -0.000 | -0.000 | -0.000 |
| 0.000 | 0.000 | 0.000 | 0.363 | -0.000 | 0.000 |
| 0.000 | 0.000 | 0.000 | -0.000 | 0.363 | 0.000 |
| 0.000 | 0.000 | 0.000 | -0.000 | -0.000 | 0.363 |
| 0.425 | 0.425 | 0.425 | 0.000 | 0.000 | 0.000 |
| 0.425 | 0.425 | 0.425 | 0.000 | 0.000 | 0.000 |
| 0.425 | 0.425 | 0.425 | 0.000 | 0.000 | 0.000 |
| -0.000 | -0.000 | -0.000 | 0.363 | 0.000 | 0.000 |
| -0.000 | -0.000 | -0.000 | 0.000 | 0.363 | 0.000 |
| -0.000 | -0.000 | -0.000 | 0.000 | 0.000 | 0.363 |
| 0.425 | 0.425 | 0.425 | 0.000 | -0.000 | 0.000 |
| 0.425 | 0.425 | 0.425 | -0.000 | 0.000 | 0.000 |
| 0.425 | 0.425 | 0.425 | -0.000 | -0.000 | 0.000 |
| -0.000 | -0.000 | -0.000 | -0.184 | -0.000 | -0.000 |
| -0.000 | -0.000 | -0.000 | -0.000 | -0.184 | -0.000 |
| -0.000 | -0.000 | -0.000 | -0.000 | -0.000 | -0.184 |
| 0.425 | 0.425 | 0.425 | 0.000 | 0.000 | 0.000 |
| 0.425 | 0.425 | 0.425 | 0.000 | 0.000 | 0.000 |
| 0.425 | 0.425 | 0.425 | 0.000 | 0.000 | -0.000 |
| 0.000 | 0.000 | 0.000 | -0.184 | 0.000 | 0.000 |
| 0.000 | 0.000 | 0.000 | 0.000 | -0.184 | 0.000 |
| 0.000 | 0.000 | 0.000 | 0.000 | 0.000 | -0.184 |
| 0.426 | 0.426 | 0.426 | -0.000 | -0.000 | -0.000 |
| 0.426 | 0.426 | 0.426 | -0.000 | -0.000 | -0.000 |
| 0.426 | 0.426 | 0.426 | -0.000 | -0.000 | 0.000 |
| -0.000 | -0.000 | -0.000 | -0.426 | -0.000 | -0.000 |
| -0.000 | -0.000 | -0.000 | -0.000 | -0.426 | -0.000 |
| -0.000 | -0.000 | -0.000 | -0.000 | -0.000 | -0.426 |
| 0.425 | 0.425 | 0.425 | 0.000 | 0.000 | -0.000 |
| 0.425 | 0.425 | 0.425 | 0.000 | 0.000 | -0.000 |
| 0.425 | 0.425 | 0.425 | 0.000 | 0.000 | -0.000 |
| 0.000 | 0.000 | 0.000 | -0.426 | 0.000 | 0.000 |
| 0.000 | 0.000 | 0.000 | 0.000 | -0.426 | 0.000 |
| 0.000 | 0.000 | 0.000 | 0.000 | 0.000 | -0.426 |
| 0.284 | 0.328 | 0.328 | -0.000 | -0.000 | -0.000 |
| 0.328 | 0.284 | 0.328 | -0.000 | -0.000 | 0.000 |
| 0.328 | 0.328 | 0.284 | -0.000 | -0.000 | 0.000 |
| -0.000 | -0.000 | -0.000 | 0.283 | 0.000 | -0.000 |
| -0.000 | -0.000 | -0.000 | -0.000 | 0.283 | 0.000 |
| -0.000 | -0.000 | -0.000 | -0.000 | 0.000 | 0.283 |
| 0.284 | 0.328 | 0.328 | 0.000 | -0.000 | 0.000 |
| 0.328 | 0.284 | 0.328 | 0.000 | -0.000 | 0.000 |
| 0.328 | 0.328 | 0.284 | -0.000 | -0.000 | -0.000 |
| 0.000 | 0.000 | 0.000 | 0.283 | -0.000 | 0.000 |
| 0.000 | 0.000 | 0.000 | 0.000 | 0.283 | -0.000 |
| 0.000 | 0.000 | 0.000 | 0.000 | -0.000 | 0.283 |
| 0.284 | 0.328 | 0.328 | -0.000 | -0.000 | -0.000 |
| 0.328 | 0.284 | 0.328 | -0.000 | -0.000 | 0.000 |
| 0.328 | 0.328 | 0.284 | 0.000 | -0.000 | -0.000 |
| 0.000 | 0.000 | 0.000 | -0.300 | 0.000 | 0.000 |
| 0.000 | 0.000 | 0.000 | -0.000 | -0.300 | -0.000 |
| 0.000 | 0.000 | 0.000 | -0.000 | 0.000 | -0.300 |
| 0.284 | 0.328 | 0.328 | 0.000 | -0.000 | 0.000 |
| 0.328 | 0.284 | 0.328 | -0.000 | -0.000 | 0.000 |
| 0.328 | 0.328 | 0.284 | 0.000 | -0.000 | -0.000 |
| -0.000 | -0.000 | -0.000 | -0.300 | -0.000 | 0.000 |
| -0.000 | -0.000 | -0.000 | 0.000 | -0.300 | -0.000 |
| -0.000 | -0.000 | -0.000 | 0.000 | -0.000 | -0.300 |
| 0.283 | 0.327 | 0.327 | -0.000 | -0.000 | 0.000 |
| 0.327 | 0.283 | 0.327 | -0.000 | -0.000 | -0.000 |
| 0.327 | 0.327 | 0.283 | -0.000 | -0.000 | -0.000 |
| 0.003 | 0.003 | 0.003 | -1.264 | -0.000 | 0.000 |
| 0.003 | 0.003 | 0.003 | -0.000 | -1.264 | 0.000 |
| 0.003 | 0.003 | 0.003 | -0.000 | 0.000 | -1.277 |
| 0.284 | 0.328 | 0.328 | 0.000 | -0.000 | 0.000 |
| 0.328 | 0.284 | 0.328 | -0.000 | -0.000 | 0.000 |
| 0.328 | 0.328 | 0.284 | 0.000 | -0.000 | 0.000 |
| -0.003 | -0.003 | -0.003 | -1.264 | 0.000 | 0.000 |
| -0.003 | -0.003 | -0.003 | 0.000 | -1.264 | -0.000 |
| -0.003 | -0.003 | -0.003 | 0.000 | -0.000 | -1.264 |
| 186.553 | 115.011 | 115.011 | -0.000 | 0.000 | 0.000 |
| 115.011 | 186.553 | 115.011 | 0.000 | 0.000 | 0.000 |
| 115.011 | 115.011 | 186.553 | 0.000 | 0.000 | 0.000 |
| -0.000 | 0.000 | 0.000 | 98.716 | 0.000 | 0.000 |
| 0.000 | 0.000 | 0.000 | 0.000 | 98.716 | 0.000 |
| 0.000 | 0.000 | 0.000 | 0.000 | 0.000 | 98.716 |
| 186.553 | 115.011 | 115.011 | 0.000 | -0.000 | -0.000 |
| 115.011 | 186.553 | 115.011 | 0.000 | -0.000 | -0.000 |
| 115.011 | 115.011 | 186.553 | -0.000 | -0.000 | -0.000 |
| 0.000 | -0.000 | -0.000 | 98.716 | -0.000 | -0.000 |
| 0.000 | -0.000 | -0.000 | 0.000 | 98.716 | -0.000 |
| 0.000 | -0.000 | 0.000 | 0.000 | -0.000 | 98.716 |
| 186.553 | 115.011 | 115.011 | -0.000 | 0.000 | 0.000 |
| 115.011 | 186.553 | 115.011 | -0.000 | 0.000 | 0.000 |
| 115.011 | 115.011 | 186.553 | -0.000 | 0.000 | 0.000 |
| -0.000 | 0.000 | 0.000 | 98.716 | 0.000 | 0.000 |
| 0.000 | -0.000 | 0.000 | 0.000 | 98.716 | 0.000 |
| 0.000 | 0.000 | -0.000 | 0.000 | 0.000 | 98.716 |
| 186.553 | 115.011 | 115.011 | 0.000 | -0.000 | -0.000 |
| 115.011 | 186.553 | 115.011 | 0.000 | -0.000 | -0.000 |
| 115.011 | 115.011 | 186.553 | 0.000 | -0.000 | -0.000 |
| 0.000 | -0.000 | -0.000 | 98.716 | -0.000 | -0.000 |
| -0.000 | 0.000 | -0.000 | -0.000 | 98.716 | -0.000 |
| -0.000 | -0.000 | 0.000 | -0.000 | -0.000 | 98.716 |
| 186.554 | 115.011 | 115.011 | -0.000 | 0.000 | 0.000 |
| 115.011 | 186.554 | 115.011 | -0.000 | 0.000 | 0.000 |
| 115.011 | 115.011 | 186.554 | 0.000 | 0.000 | 0.000 |
| -0.000 | 0.000 | 0.000 | 98.716 | 0.000 | 0.000 |
| 0.000 | -0.000 | 0.000 | -0.000 | 98.716 | 0.000 |
| 0.000 | 0.000 | -0.000 | 0.000 | 0.000 | 98.716 |
| 186.552 | 115.011 | 115.011 | 0.000 | -0.000 | -0.000 |
| 115.011 | 186.552 | 115.011 | 0.000 | -0.000 | -0.000 |
| 115.011 | 115.011 | 186.552 | -0.000 | -0.000 | -0.000 |
| 0.000 | -0.000 | -0.000 | 98.716 | -0.000 | -0.000 |
| -0.000 | 0.000 | -0.000 | 0.000 | 98.716 | -0.000 |
| -0.000 | -0.000 | 0.000 | 0.000 | -0.000 | 98.716 |
| 480.782 | 481.718 | 481.718 | 0.000 | 0.000 | -0.000 |
| 481.718 | 480.782 | 481.718 | 0.000 | 0.000 | 0.000 |
| 481.718 | 481.718 | 480.782 | -0.000 | -0.000 | -0.000 |
| 0.000 | 0.000 | 0.000 | -0.034 | 0.000 | -0.000 |
| 0.000 | 0.000 | 0.000 | 0.000 | -0.034 | -0.000 |
| 0.000 | 0.000 | 0.000 | 0.000 | 0.000 | -0.034 |
| 480.782 | 481.718 | 481.718 | -0.000 | -0.000 | -0.000 |
| 481.718 | 480.782 | 481.718 | -0.000 | -0.000 | 0.000 |
| 481.718 | 481.718 | 480.782 | 0.000 | 0.000 | 0.000 |
| -0.000 | -0.000 | -0.000 | -0.034 | -0.000 | 0.000 |
| -0.000 | -0.000 | -0.000 | -0.000 | -0.034 | 0.000 |
| -0.000 | -0.000 | -0.000 | 0.000 | 0.000 | -0.034 |
| 480.782 | 481.717 | 481.717 | 0.000 | 0.000 | 0.000 |
| 481.717 | 480.782 | 481.717 | 0.000 | 0.000 | 0.000 |
| 481.717 | 481.717 | 480.782 | -0.000 | 0.000 | -0.000 |
| 0.000 | 0.000 | 0.000 | -0.034 | 0.000 | -0.000 |
| 0.000 | 0.000 | 0.000 | 0.000 | -0.034 | 0.000 |
| 0.000 | 0.000 | 0.000 | 0.000 | -0.000 | -0.034 |
| 480.781 | 481.718 | 481.718 | 0.000 | -0.000 | 0.000 |
| 481.718 | 480.781 | 481.718 | -0.000 | -0.000 | 0.000 |
| 481.718 | 481.718 | 480.781 | -0.000 | -0.000 | 0.000 |
| -0.000 | -0.000 | -0.000 | -0.034 | -0.000 | -0.000 |
| -0.000 | -0.000 | -0.000 | 0.000 | -0.034 | -0.000 |
| -0.000 | -0.000 | -0.000 | 0.000 | -0.000 | -0.034 |
| 480.784 | 481.716 | 481.716 | 0.000 | 0.000 | -0.000 |
| 481.716 | 480.784 | 481.716 | 0.000 | 0.000 | 0.000 |
| 481.716 | 481.716 | 480.784 | -0.000 | -0.000 | -0.000 |
| 0.000 | 0.000 | 0.000 | -0.034 | 0.000 | 0.000 |
| 0.000 | 0.000 | 0.000 | 0.000 | -0.034 | -0.000 |
| 0.000 | 0.000 | 0.000 | -0.000 | 0.000 | -0.034 |
| 480.779 | 481.719 | 481.719 | -0.000 | -0.000 | -0.000 |
| 481.719 | 480.779 | 481.719 | -0.000 | -0.000 | -0.000 |
| 481.719 | 481.719 | 480.779 | 0.000 | 0.000 | 0.000 |
| -0.000 | -0.000 | -0.000 | -0.034 | -0.000 | -0.000 |
| -0.000 | -0.000 | -0.000 | -0.000 | -0.034 | -0.000 |
| -0.000 | -0.000 | -0.000 | -0.000 | -0.000 | -0.034 |
| 89.884 | 90.110 | 90.110 | -0.000 | 0.000 | -0.000 |
| 90.110 | 89.884 | 90.110 | 0.000 | -0.000 | -0.000 |
| 90.110 | 90.110 | 89.884 | 0.000 | 0.000 | 0.000 |
| 0.000 | 0.000 | 0.000 | 0.013 | -0.000 | -0.000 |
| 0.000 | 0.000 | 0.000 | -0.000 | 0.013 | -0.000 |
| 0.000 | 0.000 | 0.000 | -0.000 | 0.000 | 0.013 |
| 89.884 | 90.110 | 90.110 | 0.000 | -0.000 | -0.000 |
| 90.110 | 89.884 | 90.110 | 0.000 | 0.000 | -0.000 |
| 90.110 | 90.110 | 89.884 | 0.000 | -0.000 | -0.000 |
| -0.000 | -0.000 | -0.000 | 0.013 | -0.000 | -0.000 |
| -0.000 | -0.000 | -0.000 | -0.000 | 0.013 | 0.000 |
| -0.000 | -0.000 | -0.000 | -0.000 | -0.000 | 0.013 |
| 89.884 | 90.110 | 90.110 | 0.000 | 0.000 | -0.000 |
| 90.110 | 89.884 | 90.110 | -0.000 | 0.000 | -0.000 |
| 90.110 | 90.110 | 89.884 | 0.000 | 0.000 | -0.000 |
| 0.000 | 0.000 | 0.000 | 0.013 | 0.000 | -0.000 |
| 0.000 | 0.000 | 0.000 | -0.000 | 0.013 | 0.000 |
| 0.000 | 0.000 | 0.000 | 0.000 | 0.000 | 0.013 |
| 89.884 | 90.110 | 90.110 | -0.000 | 0.000 | -0.000 |
| 90.110 | 89.884 | 90.110 | -0.000 | -0.000 | 0.000 |
| 90.110 | 90.110 | 89.884 | 0.000 | -0.000 | -0.000 |
| -0.000 | -0.000 | -0.000 | 0.013 | 0.000 | -0.000 |
| -0.000 | -0.000 | -0.000 | 0.000 | 0.013 | 0.000 |
| -0.000 | -0.000 | -0.000 | -0.000 | -0.000 | 0.013 |
| 89.885 | 90.111 | 90.111 | 0.000 | 0.000 | -0.000 |
| 90.111 | 89.885 | 90.111 | 0.000 | 0.000 | 0.000 |
| 90.111 | 90.111 | 89.885 | -0.000 | 0.000 | -0.000 |
| 0.000 | 0.000 | 0.000 | 0.013 | -0.000 | 0.000 |
| 0.000 | 0.000 | 0.000 | -0.000 | 0.013 | 0.000 |
| 0.000 | 0.000 | 0.000 | -0.000 | 0.000 | 0.013 |
| 89.882 | 90.109 | 90.109 | 0.000 | -0.000 | 0.000 |
| 90.109 | 89.882 | 90.109 | -0.000 | -0.000 | 0.000 |
| 90.109 | 90.109 | 89.882 | 0.000 | -0.000 | -0.000 |
| -0.000 | -0.000 | -0.000 | 0.013 | 0.000 | 0.000 |
| -0.000 | -0.000 | -0.000 | 0.000 | 0.013 | 0.000 |
| -0.000 | -0.000 | -0.000 | 0.000 | -0.000 | 0.013 |
| -1.041 | -0.521 | -0.521 | -0.000 | 0.000 | 0.000 |
| -0.521 | -1.041 | -0.521 | 0.000 | -0.000 | 0.000 |
| -0.521 | -0.521 | -1.041 | 0.000 | 0.000 | 0.000 |
| 0.000 | 0.000 | 0.000 | -0.521 | -0.000 | 0.000 |
| 0.000 | 0.000 | 0.000 | -0.000 | -0.521 | 0.000 |
| 0.000 | 0.000 | 0.000 | -0.000 | 0.000 | -0.521 |
| -1.041 | -0.521 | -0.521 | -0.000 | -0.000 | -0.000 |
| -0.521 | -1.041 | -0.521 | -0.000 | -0.000 | -0.000 |
| -0.521 | -0.521 | -1.041 | -0.000 | -0.000 | -0.000 |
| -0.000 | -0.000 | -0.000 | -0.521 | -0.000 | -0.000 |
| -0.000 | -0.000 | -0.000 | -0.000 | -0.521 | 0.000 |
| -0.000 | -0.000 | -0.000 | -0.000 | 0.000 | -0.521 |
| -1.041 | -0.521 | -0.521 | -0.000 | -0.000 | -0.000 |
| -0.521 | -1.041 | -0.521 | -0.000 | -0.000 | -0.000 |
| -0.521 | -0.521 | -1.041 | -0.000 | -0.000 | 0.000 |
| 0.000 | 0.000 | 0.000 | -0.521 | 0.000 | 0.000 |
| 0.000 | 0.000 | 0.000 | 0.000 | -0.521 | 0.000 |
| 0.000 | 0.000 | 0.000 | 0.000 | 0.000 | -0.521 |
| -1.042 | -0.521 | -0.521 | 0.000 | 0.000 | 0.000 |
| -0.521 | -1.042 | -0.521 | 0.000 | 0.000 | 0.000 |
| -0.521 | -0.521 | -1.042 | 0.000 | 0.000 | -0.000 |
| -0.000 | -0.000 | -0.000 | -0.521 | -0.000 | -0.000 |
| -0.000 | -0.000 | -0.000 | -0.000 | -0.521 | -0.000 |
| -0.000 | -0.000 | -0.000 | -0.000 | -0.000 | -0.521 |
| -1.040 | -0.520 | -0.520 | -0.000 | 0.000 | 0.000 |
| -0.520 | -1.040 | -0.520 | 0.000 | -0.000 | 0.000 |
| -0.520 | -0.520 | -1.040 | 0.000 | 0.000 | 0.000 |
| 0.000 | 0.001 | 0.001 | -0.521 | 0.000 | 0.000 |
| 0.001 | 0.000 | 0.001 | 0.000 | -0.521 | 0.000 |
| 0.001 | 0.001 | 0.000 | 0.000 | 0.000 | -0.521 |
| -1.043 | -0.522 | -0.522 | 0.000 | 0.000 | 0.000 |
| -0.522 | -1.043 | -0.522 | 0.000 | 0.000 | 0.000 |
| -0.522 | -0.522 | -1.043 | 0.000 | 0.000 | -0.000 |
| -0.000 | -0.001 | -0.001 | -0.521 | -0.000 | -0.000 |
| -0.001 | -0.000 | -0.001 | -0.000 | -0.521 | -0.000 |
| -0.001 | -0.001 | -0.000 | -0.000 | -0.000 | -0.521 |
| 0.713 | 0.411 | 0.411 | -0.000 | -0.000 | -0.000 |
| 0.411 | 0.713 | 0.411 | -0.000 | -0.000 | -0.000 |
| 0.411 | 0.411 | 0.713 | 0.000 | 0.000 | 0.000 |
| 0.000 | -0.000 | -0.000 | 0.338 | 0.000 | 0.000 |
| -0.000 | 0.000 | -0.000 | 0.000 | 0.338 | -0.000 |
| -0.000 | -0.000 | 0.000 | 0.000 | 0.000 | 0.338 |
| 0.713 | 0.411 | 0.411 | 0.000 | 0.000 | 0.000 |
| 0.411 | 0.713 | 0.411 | -0.000 | 0.000 | -0.000 |
| 0.411 | 0.411 | 0.713 | -0.000 | 0.000 | -0.000 |
| -0.000 | 0.000 | 0.000 | 0.338 | -0.000 | -0.000 |
| 0.000 | -0.000 | 0.000 | -0.000 | 0.338 | -0.000 |
| 0.000 | 0.000 | -0.000 | -0.000 | 0.000 | 0.338 |
| 0.712 | 0.410 | 0.410 | -0.000 | -0.000 | -0.000 |
| 0.410 | 0.712 | 0.410 | -0.000 | -0.000 | -0.000 |
| 0.410 | 0.410 | 0.712 | -0.000 | 0.000 | -0.000 |
| -0.000 | -0.000 | -0.000 | 0.338 | 0.000 | 0.000 |
| -0.000 | -0.000 | -0.000 | 0.000 | 0.338 | -0.000 |
| -0.000 | -0.000 | -0.000 | 0.000 | -0.000 | 0.338 |
| 0.713 | 0.411 | 0.411 | 0.000 | 0.000 | 0.000 |
| 0.411 | 0.713 | 0.411 | 0.000 | 0.000 | 0.000 |
| 0.411 | 0.411 | 0.713 | 0.000 | 0.000 | 0.000 |
| 0.000 | 0.000 | 0.000 | 0.338 | -0.000 | -0.000 |
| 0.000 | 0.000 | 0.000 | -0.000 | 0.338 | -0.000 |
| 0.000 | 0.000 | 0.000 | 0.000 | -0.000 | 0.338 |
| 0.710 | 0.409 | 0.409 | -0.000 | 0.000 | -0.000 |
| 0.409 | 0.710 | 0.409 | 0.000 | -0.000 | -0.000 |
| 0.409 | 0.409 | 0.710 | 0.000 | 0.000 | 0.000 |
| -0.000 | -0.001 | -0.001 | 0.338 | 0.000 | 0.000 |
| -0.001 | -0.000 | -0.001 | 0.000 | 0.338 | 0.000 |
| -0.001 | -0.001 | -0.000 | 0.000 | -0.000 | 0.338 |
| 0.715 | 0.412 | 0.412 | 0.000 | 0.000 | -0.000 |
| 0.412 | 0.715 | 0.412 | 0.000 | 0.000 | -0.000 |
| 0.412 | 0.412 | 0.715 | -0.000 | -0.000 | -0.000 |
| 0.000 | 0.001 | 0.001 | 0.338 | -0.000 | -0.000 |
| 0.001 | 0.000 | 0.001 | -0.000 | 0.338 | 0.000 |
| 0.001 | 0.001 | 0.000 | -0.000 | 0.000 | 0.338 |
| 209.985 | 133.576 | 134.598 | 0.000 | -0.000 | -0.000 |
| 133.576 | 209.985 | 134.598 | 0.000 | -0.000 | 0.000 |
| 134.598 | 134.598 | 216.006 | 0.000 | 0.000 | 0.000 |
| -0.000 | -0.000 | -0.000 | 102.068 | -0.000 | 0.000 |
| 0.000 | -0.000 | 0.000 | -0.000 | 102.068 | 0.000 |
| 0.000 | 0.000 | -0.000 | -0.000 | 0.000 | 98.876 |
| 205.765 | 137.795 | 134.598 | -0.000 | -0.000 | -0.000 |
| 137.795 | 205.765 | 134.598 | -0.000 | -0.000 | -0.000 |
| 134.598 | 134.598 | 216.006 | -0.000 | 0.000 | -0.000 |
| 0.000 | 0.000 | 0.000 | 102.068 | 0.000 | 0.000 |
| -0.000 | 0.000 | 0.000 | -0.000 | 102.068 | -0.000 |
| -0.000 | -0.000 | 0.000 | -0.000 | -0.000 | 98.876 |
| 209.985 | 133.576 | 134.598 | 0.000 | -0.000 | -0.000 |
| 133.576 | 209.985 | 134.598 | 0.000 | -0.000 | -0.000 |
| 134.598 | 134.598 | 216.006 | 0.000 | -0.000 | 0.000 |
| -0.000 | -0.000 | 0.000 | 102.068 | -0.000 | -0.000 |
| -0.000 | -0.000 | 0.000 | 0.000 | 102.068 | 0.000 |
| 0.000 | 0.000 | -0.000 | 0.000 | 0.000 | 98.876 |
| 209.985 | 133.576 | 134.598 | -0.000 | -0.000 | 0.000 |
| 133.576 | 209.985 | 134.598 | -0.000 | -0.000 | -0.000 |
| 134.598 | 134.598 | 216.006 | -0.000 | -0.000 | -0.000 |
| 0.000 | 0.000 | -0.000 | 102.068 | 0.000 | -0.000 |
| 0.000 | 0.000 | -0.000 | -0.000 | 102.068 | -0.000 |
| -0.000 | -0.000 | 0.000 | 0.000 | -0.000 | 98.876 |
| 209.985 | 133.576 | 134.598 | 0.000 | -0.000 | -0.000 |
| 133.576 | 209.985 | 134.598 | 0.000 | -0.000 | -0.000 |
| 134.598 | 134.598 | 216.006 | 0.000 | 0.000 | 0.000 |
| -0.000 | -0.000 | 0.000 | 102.068 | 0.000 | 0.000 |
| -0.000 | -0.000 | 0.000 | 0.000 | 102.068 | 0.000 |
| 0.000 | 0.000 | -0.000 | 0.000 | 0.000 | 98.876 |
| 209.984 | 133.576 | 134.598 | -0.000 | -0.000 | 0.000 |
| 133.576 | 209.984 | 134.598 | -0.000 | -0.000 | -0.000 |
| 134.598 | 134.598 | 216.005 | -0.000 | -0.000 | 0.000 |
| 0.000 | 0.000 | -0.000 | 102.068 | -0.000 | 0.000 |
| 0.000 | 0.000 | -0.000 | -0.000 | 102.068 | 0.000 |
| -0.000 | -0.000 | 0.000 | -0.000 | -0.000 | 98.876 |
| 292.241 | 132.305 | 88.381 | -0.000 | -0.000 | -0.000 |
| 142.418 | 268.691 | 78.188 | 0.000 | 0.000 | 0.000 |
| 82.467 | 82.467 | 207.193 | 0.000 | -0.000 | 0.000 |
| 0.002 | 0.002 | 0.004 | 35.572 | -0.000 | 0.000 |
| 0.002 | 0.002 | 0.004 | -0.000 | 35.572 | 0.000 |
| -0.000 | 0.000 | -0.000 | -0.000 | 0.000 | 79.968 |
| 263.470 | 152.405 | 81.804 | 0.000 | 0.000 | -0.000 |
| 142.414 | 268.692 | 78.186 | 0.000 | 0.000 | -0.000 |
| 88.381 | 88.381 | 216.166 | -0.000 | -0.000 | -0.000 |
| -0.002 | -0.002 | -0.004 | 35.572 | -0.000 | 0.000 |
| -0.002 | -0.002 | -0.004 | -0.000 | 35.572 | -0.000 |
| 0.000 | -0.000 | 0.000 | 0.000 | -0.000 | 79.968 |
| 263.471 | 152.406 | 81.805 | -0.000 | -0.000 | 0.000 |
| 132.305 | 292.241 | 88.381 | -0.000 | -0.000 | 0.000 |
| 88.381 | 88.381 | 216.166 | -0.000 | -0.000 | -0.000 |
| 0.000 | 0.000 | 0.000 | 35.572 | -0.000 | 0.000 |
| 0.000 | 0.000 | 0.000 | 0.000 | 35.572 | 0.000 |
| -0.000 | -0.000 | -0.000 | 0.000 | 0.000 | 54.817 |
| 292.241 | 132.305 | 88.381 | 0.000 | -0.000 | 0.000 |
| 152.405 | 263.471 | 81.805 | 0.000 | -0.000 | -0.000 |
| 88.381 | 88.381 | 216.165 | -0.000 | -0.000 | 0.000 |
| -0.000 | -0.000 | -0.000 | 35.572 | -0.000 | -0.000 |
| -0.000 | -0.000 | -0.000 | -0.000 | 35.572 | -0.000 |
| 0.000 | 0.000 | 0.000 | -0.000 | -0.000 | 54.817 |
| 292.242 | 132.304 | 88.381 | -0.000 | 0.000 | 0.000 |
| 142.416 | 268.692 | 78.187 | 0.000 | 0.000 | 0.000 |
| 88.382 | 88.382 | 216.168 | -0.000 | 0.000 | -0.000 |
| 0.000 | -0.000 | 0.000 | 35.572 | 0.000 | 0.000 |
| -0.000 | 0.000 | 0.000 | -0.000 | 35.572 | 0.000 |
| -0.000 | 0.000 | 0.000 | -0.000 | 0.000 | 79.968 |
| 292.240 | 132.305 | 88.381 | 0.000 | 0.000 | 0.000 |
| 132.305 | 292.241 | 88.381 | 0.000 | -0.000 | 0.000 |
| 88.380 | 88.380 | 216.163 | -0.000 | -0.000 | 0.000 |
| -0.000 | 0.000 | -0.000 | 35.572 | 0.000 | -0.000 |
| 0.000 | -0.000 | -0.000 | -0.000 | 35.572 | -0.000 |
| 0.000 | -0.000 | -0.000 | 0.000 | -0.000 | 79.968 |
| 314.598 | 174.740 | 135.561 | -0.000 | 0.000 | -0.000 |
| 132.325 | 291.801 | 87.276 | 0.000 | 0.000 | 0.000 |
| 87.330 | 87.330 | 213.203 | -0.000 | 0.000 | 0.000 |
| -0.000 | 0.000 | 0.000 | 46.923 | -0.000 | 0.000 |
| 36.013 | 36.013 | 53.331 | -0.000 | 43.175 | -0.000 |
| 35.798 | 35.798 | 53.012 | 0.000 | 0.000 | 55.533 |
| 241.967 | 101.971 | 27.902 | 0.000 | 0.000 | -0.000 |
| 132.325 | 291.801 | 87.276 | -0.000 | 0.000 | 0.000 |
| 45.949 | 45.949 | 151.923 | -0.000 | -0.000 | -0.000 |
| -0.000 | 0.000 | -0.000 | 46.923 | 0.000 | 0.000 |
| -36.013 | -36.013 | -53.331 | 0.000 | 43.175 | -0.000 |
| -35.798 | -35.798 | -53.012 | -0.000 | 0.000 | 55.533 |
| 267.623 | 155.359 | 86.429 | -0.000 | -0.000 | 0.000 |
| 155.359 | 267.623 | 86.429 | -0.000 | -0.000 | 0.000 |
| 85.266 | 85.266 | 210.147 | -0.000 | -0.000 | -0.000 |
| 0.000 | 0.000 | 0.000 | 46.923 | -0.000 | 0.000 |
| 5.583 | 5.583 | 8.267 | -0.000 | 41.113 | -0.000 |
| 6.384 | 6.384 | 9.454 | -0.000 | 0.000 | 62.577 |
| 291.801 | 132.325 | 87.276 | -0.000 | 0.000 | 0.000 |
| 132.325 | 291.801 | 87.276 | -0.000 | 0.000 | -0.000 |
| 78.117 | 78.117 | 199.561 | 0.000 | -0.000 | -0.000 |
| -0.000 | -0.000 | -0.000 | 46.923 | 0.000 | 0.000 |
| -5.583 | -5.583 | -8.267 | -0.000 | 41.113 | -0.000 |
| -6.384 | -6.384 | -9.454 | 0.000 | 0.000 | 62.577 |
| 291.801 | 132.325 | 87.276 | -0.000 | 0.000 | 0.000 |
| 143.483 | 268.142 | 78.019 | -0.000 | -0.000 | -0.000 |
| 87.330 | 87.330 | 213.205 | -0.000 | 0.000 | 0.000 |
| 1.111 | 1.110 | 1.645 | 35.365 | 0.000 | -0.000 |
| 1.110 | 1.111 | 1.645 | 0.000 | 35.365 | -0.000 |
| 0.194 | 0.194 | 0.288 | -0.000 | 0.000 | 54.713 |
| 268.737 | 141.440 | 76.948 | 0.000 | -0.000 | -0.000 |
| 141.440 | 268.738 | 76.948 | 0.000 | 0.000 | -0.000 |
| 81.334 | 81.334 | 204.323 | -0.000 | -0.000 | -0.000 |
| -1.111 | -1.110 | -1.645 | 35.365 | 0.000 | -0.000 |
| -1.110 | -1.111 | -1.645 | 0.000 | 35.365 | -0.000 |
| -0.194 | -0.194 | -0.288 | -0.000 | -0.000 | 54.713 |
| -11318321.472 | -3560616.712 | -13510847.220 | 0.000 | 0.000 | -0.000 |
| 159287.636 | -7598353.112 | -6755273.804 | 0.000 | 0.000 | -0.000 |
| -13799134.464 | -13799134.464 | -23359299.028 | 0.000 | 0.000 | -0.000 |
| -5579338.414 | -5579338.122 | -10132461.754 | -7291968.332 | 0.000 | -0.000 |
| -5658852.848 | -1780201.519 | -6754937.087 | 0.000 | -6315009.432 | -0.000 |
| -5659251.804 | -1780345.631 | -6755409.589 | 0.000 | 0.000 | -3359154.119 |
| 324.216 | 169.801 | 114.206 | -0.000 | -0.000 | 0.000 |
| 194.957 | 349.371 | 142.247 | -0.000 | -0.000 | 0.000 |
| 199.056 | 199.056 | 340.307 | -0.000 | 0.000 | 0.000 |
| 5579338.414 | 5579338.122 | 10132461.754 | -7291968.332 | -0.000 | -0.000 |
| 5658852.848 | 1780201.519 | 6754937.087 | -0.000 | -6315009.432 | 0.000 |
| 5659251.804 | 1780345.631 | 6755409.589 | -0.000 | -0.000 | -3359154.119 |
| -1131575.252 | -355942.252 | -1351021.384 | 0.000 | 0.000 | -0.000 |
| -1379778.421 | -1379652.800 | -2335881.471 | -0.000 | -0.000 | -0.000 |
| -1379850.273 | -1379850.273 | -2335752.800 | 0.000 | -0.000 | -0.000 |
| -558026.749 | -558026.608 | -1013352.095 | -729186.186 | 0.000 | -0.000 |
| -565884.584 | -178018.897 | -675493.319 | 0.000 | -631471.593 | -0.000 |
| -565925.927 | -178034.855 | -675541.916 | 0.000 | 0.000 | -335846.357 |
| 290.546 | 136.132 | 76.675 | -0.000 | -0.000 | -0.000 |
| 162.980 | 317.391 | 106.601 | -0.000 | 0.000 | 0.000 |
| 171.168 | 171.168 | 309.221 | -0.000 | -0.000 | 0.000 |
| 558026.749 | 558026.608 | 1013352.095 | -729186.186 | -0.000 | -0.000 |
| 565884.584 | 178018.897 | 675493.319 | -0.000 | -631471.593 | 0.000 |
| 565925.927 | 178034.855 | 675541.916 | -0.000 | 0.000 | -335846.357 |
| -112901.622 | -35475.565 | -135039.798 | 0.000 | 0.000 | 0.000 |
| -137849.978 | -137724.350 | -233526.815 | -0.000 | -0.000 | -0.000 |
| -137921.845 | -137921.845 | -233398.163 | 0.000 | -0.000 | -0.000 |
| -55891.340 | -55891.240 | -101436.347 | -72907.140 | 0.000 | -0.000 |
| -56590.196 | -17802.709 | -67551.486 | -0.000 | -63118.245 | -0.000 |
| -56593.339 | -17803.776 | -67555.148 | 0.000 | 0.000 | -33515.580 |
| 287.816 | 133.403 | 73.633 | -0.000 | 0.000 | 0.000 |
| 159.502 | 313.885 | 102.711 | -0.000 | 0.000 | 0.000 |
| 168.898 | 168.898 | 306.705 | -0.000 | -0.000 | 0.000 |
| 55891.340 | 55891.240 | 101436.347 | -72907.140 | 0.000 | -0.000 |
| 56590.196 | 17802.709 | 67551.486 | 0.000 | -63118.245 | 0.000 |
| 56593.339 | 17803.776 | 67555.148 | -0.000 | -0.000 | -33515.580 |
| 427.450 | 95.527 | 95.527 | 0.000 | 0.000 | -0.000 |
| 95.527 | 427.450 | 95.527 | 0.000 | -0.000 | -0.000 |
| 95.527 | 95.527 | 427.450 | 0.000 | 0.000 | -0.000 |
| 0.000 | 0.000 | -0.000 | 35.342 | -0.000 | 0.000 |
| 0.000 | 0.000 | -0.000 | 0.000 | 35.342 | -0.000 |
| 0.000 | 0.000 | -0.000 | -0.000 | 0.000 | 35.342 |
| 428.622 | 94.941 | 94.941 | -0.000 | -0.000 | 0.000 |
| 94.941 | 428.622 | 94.941 | -0.000 | -0.000 | 0.000 |
| 94.941 | 94.941 | 428.622 | -0.000 | -0.000 | 0.000 |
| -0.000 | -0.000 | 0.000 | 35.342 | -0.000 | 0.000 |
| -0.000 | -0.000 | -0.000 | 0.000 | 35.342 | 0.000 |
| -0.000 | 0.000 | 0.000 | -0.000 | 0.000 | 35.342 |
| 428.623 | 94.941 | 94.941 | 0.000 | 0.000 | -0.000 |
| 94.941 | 428.623 | 94.941 | 0.000 | 0.000 | -0.000 |
| 94.941 | 94.941 | 428.623 | -0.000 | 0.000 | -0.000 |
| 0.000 | 0.000 | 0.000 | 58.662 | 0.000 | 0.000 |
| 0.000 | 0.000 | 0.000 | 0.000 | 58.662 | -0.000 |
| 0.000 | 0.000 | 0.000 | 0.000 | 0.000 | 58.662 |
| 427.450 | 95.527 | 95.527 | -0.000 | -0.000 | -0.000 |
| 95.527 | 427.450 | 95.527 | -0.000 | 0.000 | -0.000 |
| 95.527 | 95.527 | 427.450 | -0.000 | -0.000 | -0.000 |
| -0.000 | -0.000 | -0.000 | 58.662 | -0.000 | 0.000 |
| -0.000 | -0.000 | -0.000 | -0.000 | 58.662 | 0.000 |
| -0.000 | -0.000 | -0.000 | -0.000 | 0.000 | 58.662 |
| 427.452 | 95.528 | 95.528 | 0.000 | 0.000 | 0.000 |
| 95.528 | 427.452 | 95.528 | 0.000 | 0.000 | -0.000 |
| 95.528 | 95.528 | 427.452 | 0.000 | 0.000 | -0.000 |
| 0.000 | 0.000 | 0.000 | 58.662 | 0.000 | -0.000 |
| 0.000 | 0.000 | 0.000 | 0.000 | 58.662 | -0.000 |
| 0.000 | 0.000 | 0.000 | 0.000 | -0.000 | 58.662 |
| 427.448 | 95.527 | 95.527 | -0.000 | -0.000 | -0.000 |
| 95.527 | 427.448 | 95.527 | -0.000 | -0.000 | -0.000 |
| 95.527 | 95.527 | 427.448 | -0.000 | -0.000 | 0.000 |
| -0.000 | -0.000 | -0.000 | 58.662 | -0.000 | -0.000 |
| -0.000 | -0.000 | -0.000 | -0.000 | 58.662 | 0.000 |
| -0.000 | -0.000 | -0.000 | -0.000 | -0.000 | 58.662 |
| 0.567 | 1.599 | 1.599 | 0.000 | 0.000 | 0.000 |
| 1.599 | 0.567 | 1.599 | -0.000 | 0.000 | -0.000 |
| 1.599 | 1.599 | 0.567 | -0.000 | -0.000 | 0.000 |
| -3860150.192 | -3860150.866 | -3860150.801 | 3220184.953 | -0.000 | -0.000 |
| -3860150.866 | -3860150.192 | -3860150.801 | -0.000 | 3220184.953 | 0.000 |
| -3860150.866 | -3860150.801 | -3860150.192 | -0.000 | -0.000 | 3220184.953 |
| 7720619.910 | 7720622.054 | 7720622.054 | 0.000 | 0.000 | 0.000 |
| 7720622.054 | 7720619.910 | 7720622.054 | 0.000 | 0.000 | -0.000 |
| 7720622.054 | 7720622.054 | 7720619.910 | 0.000 | 0.000 | -0.000 |
| 3860150.192 | 3860150.866 | 3860150.801 | 3220184.953 | -0.000 | -0.000 |
| 3860150.866 | 3860150.192 | 3860150.801 | 0.000 | 3220184.953 | 0.000 |
| 3860150.866 | 3860150.801 | 3860150.192 | 0.000 | 0.000 | 3220184.953 |
| 0.566 | 1.599 | 1.599 | -0.000 | 0.000 | 0.000 |
| 1.599 | 0.566 | 1.599 | -0.000 | 0.000 | -0.000 |
| 1.599 | 1.599 | 0.566 | -0.000 | -0.000 | -0.000 |
| -386014.258 | -386014.942 | -386014.878 | 322018.384 | -0.000 | -0.000 |
| -386014.942 | -386014.258 | -386014.878 | -0.000 | 322018.384 | 0.000 |
| -386014.942 | -386014.878 | -386014.258 | -0.000 | -0.000 | 322018.384 |
| 772060.284 | 772062.428 | 772062.428 | 0.000 | 0.000 | -0.000 |
| 772062.428 | 772060.284 | 772062.428 | 0.000 | 0.000 | -0.000 |
| 772062.428 | 772062.428 | 772060.284 | 0.000 | 0.000 | 0.000 |
| 386014.258 | 386014.942 | 386014.878 | 322018.384 | 0.000 | -0.000 |
| 386014.942 | 386014.258 | 386014.878 | 0.000 | 322018.384 | -0.000 |
| 386014.942 | 386014.878 | 386014.258 | 0.000 | 0.000 | 322018.384 |
| -1.304 | 2.527 | 2.527 | -0.000 | -0.000 | 0.000 |
| 2.527 | -1.304 | 2.527 | -0.000 | -0.000 | -0.000 |
| 2.527 | 2.527 | -1.304 | -0.000 | 0.000 | 0.000 |
| -38600.666 | -38601.350 | -38601.286 | 32201.727 | -0.000 | 0.000 |
| -38601.350 | -38600.666 | -38601.286 | -0.000 | 32201.727 | -0.000 |
| -38601.350 | -38601.286 | -38600.666 | -0.000 | -0.000 | 32201.727 |
| 77204.321 | 77206.465 | 77206.465 | 0.000 | 0.000 | -0.000 |
| 77206.465 | 77204.321 | 77206.465 | 0.000 | 0.000 | -0.000 |
| 77206.465 | 77206.465 | 77204.321 | 0.000 | 0.000 | -0.000 |
| 38600.666 | 38601.350 | 38601.286 | 32201.727 | 0.000 | -0.000 |
| 38601.350 | 38600.666 | 38601.286 | 0.000 | 32201.727 | 0.000 |
| 38601.350 | 38601.286 | 38600.666 | 0.000 | 0.000 | 32201.727 |
| 3.701 | 0.882 | 0.882 | 0.000 | -0.000 | -0.000 |
| 0.882 | 3.701 | 0.882 | -0.000 | -0.000 | -0.000 |
| 0.882 | 0.882 | 3.701 | -0.000 | -0.000 | -0.000 |
| 10.707 | -1816405.671 | -1816405.642 | 1452992.821 | -0.000 | 0.000 |
| -1816405.671 | 10.707 | -1816405.642 | 0.000 | 1452992.821 | -0.000 |
| -1816405.671 | -1816405.642 | 10.707 | -0.000 | -0.000 | 1452992.821 |
| 7265652.378 | 3632806.441 | 3632806.441 | -0.000 | 0.000 | 0.000 |
| 3632806.441 | 7265652.378 | 3632806.441 | -0.000 | -0.000 | 0.000 |
| 3632806.441 | 3632806.441 | 7265652.378 | -0.000 | 0.000 | 0.000 |
| -10.707 | 1816405.671 | 1816405.642 | 1452992.821 | 0.000 | 0.000 |
| 1816405.671 | -10.707 | 1816405.642 | -0.000 | 1452992.821 | 0.000 |
| 1816405.671 | 1816405.642 | -10.707 | 0.000 | 0.000 | 1452992.821 |
| 3.445 | 1.010 | 1.010 | 0.000 | 0.000 | -0.000 |
| 1.010 | 3.445 | 1.010 | -0.000 | 0.000 | -0.000 |
| 1.010 | 1.010 | 3.445 | -0.000 | 0.000 | -0.000 |
| 1.071 | -181640.164 | -181640.135 | 145299.533 | -0.000 | -0.000 |
| -181640.164 | 1.071 | -181640.135 | -0.000 | 145299.533 | -0.000 |
| -181640.164 | -181640.135 | 1.071 | -0.000 | -0.000 | 145299.533 |
| 726565.717 | 363280.720 | 363280.720 | 0.000 | -0.000 | 0.000 |
| 363280.720 | 726565.717 | 363280.720 | -0.000 | 0.000 | 0.000 |
| 363280.720 | 363280.720 | 726565.717 | 0.000 | 0.000 | 0.000 |
| -1.071 | 181640.164 | 181640.135 | 145299.533 | 0.000 | 0.000 |
| 181640.164 | -1.071 | 181640.135 | 0.000 | 145299.533 | 0.000 |
| 181640.164 | 181640.135 | -1.071 | 0.000 | 0.000 | 145299.533 |
| 3.292 | 1.082 | 1.082 | -0.000 | 0.000 | -0.000 |
| 1.082 | 3.292 | 1.082 | -0.000 | 0.000 | -0.000 |
| 1.082 | 1.082 | 3.292 | -0.000 | 0.000 | -0.000 |
| 0.107 | -18163.614 | -18163.585 | 14530.204 | -0.000 | -0.000 |
| -18163.614 | 0.107 | -18163.585 | -0.000 | 14530.204 | -0.000 |
| -18163.614 | -18163.585 | 0.107 | 0.000 | -0.000 | 14530.204 |
| 72657.051 | 36328.147 | 36328.147 | -0.000 | -0.000 | 0.000 |
| 36328.147 | 72657.051 | 36328.147 | -0.000 | 0.000 | 0.000 |
| 36328.147 | 36328.147 | 72657.051 | -0.000 | 0.000 | 0.000 |
| -0.107 | 18163.614 | 18163.585 | 14530.204 | 0.000 | 0.000 |
| 18163.614 | -0.107 | 18163.585 | -0.000 | 14530.204 | -0.000 |
| 18163.614 | 18163.585 | -0.107 | -0.000 | 0.000 | 14530.204 |
| 0.414 | 0.010 | 0.010 | 0.000 | 0.000 | 0.000 |
| 0.010 | 0.414 | 0.010 | 0.000 | -0.000 | -0.000 |
| 0.010 | 0.010 | 0.414 | -0.000 | 0.000 | 0.000 |
| 0.000 | 0.000 | 0.000 | -0.010 | 0.000 | 0.000 |
| 0.000 | 0.000 | 0.000 | 0.000 | -0.010 | 0.000 |
| 0.000 | 0.000 | 0.000 | 0.000 | 0.000 | -0.010 |
| 0.414 | 0.010 | 0.010 | 0.000 | -0.000 | -0.000 |
| 0.010 | 0.414 | 0.010 | -0.000 | -0.000 | -0.000 |
| 0.010 | 0.010 | 0.414 | -0.000 | 0.000 | 0.000 |
| -0.000 | -0.000 | -0.000 | -0.010 | -0.000 | 0.000 |
| -0.000 | -0.000 | -0.000 | -0.000 | -0.010 | -0.000 |
| -0.000 | -0.000 | -0.000 | -0.000 | -0.000 | -0.010 |
| 0.413 | 0.010 | 0.010 | 0.000 | 0.000 | 0.000 |
| 0.010 | 0.413 | 0.010 | 0.000 | -0.000 | -0.000 |
| 0.010 | 0.010 | 0.413 | -0.000 | 0.000 | 0.000 |
| 0.000 | 0.000 | -0.000 | -0.010 | -0.000 | -0.000 |
| 0.000 | 0.000 | -0.000 | 0.000 | -0.010 | 0.000 |
| 0.000 | -0.000 | 0.000 | 0.000 | 0.000 | -0.010 |
| 0.414 | 0.010 | 0.010 | 0.000 | -0.000 | -0.000 |
| 0.010 | 0.414 | 0.010 | 0.000 | -0.000 | 0.000 |
| 0.010 | 0.010 | 0.414 | 0.000 | -0.000 | 0.000 |
| -0.000 | -0.000 | 0.000 | -0.010 | 0.000 | 0.000 |
| -0.000 | -0.000 | 0.000 | -0.000 | -0.010 | -0.000 |
| -0.000 | 0.000 | -0.000 | -0.000 | 0.000 | -0.010 |
| 0.411 | 0.010 | 0.010 | 0.000 | 0.000 | 0.000 |
| 0.010 | 0.411 | 0.010 | 0.000 | -0.000 | -0.000 |
| 0.010 | 0.010 | 0.411 | -0.000 | 0.000 | 0.000 |
| 0.000 | 0.000 | -0.000 | -0.010 | 0.000 | -0.000 |
| 0.000 | 0.000 | -0.000 | -0.000 | -0.010 | 0.000 |
| 0.000 | -0.000 | 0.000 | 0.000 | 0.000 | -0.010 |
| 0.417 | 0.010 | 0.010 | 0.000 | -0.000 | -0.000 |
| 0.010 | 0.417 | 0.010 | 0.000 | -0.000 | 0.000 |
| 0.010 | 0.010 | 0.417 | 0.000 | -0.000 | 0.000 |
| -0.000 | -0.000 | 0.000 | -0.010 | -0.000 | 0.000 |
| -0.000 | -0.000 | 0.000 | 0.000 | -0.010 | -0.000 |
| -0.000 | 0.000 | -0.000 | -0.000 | -0.000 | -0.010 |
| 153.568 | 163.354 | 163.354 | -0.000 | -0.000 | 0.000 |
| 163.354 | 153.568 | 163.354 | 0.000 | -0.000 | -0.000 |
| 163.354 | 163.354 | 153.568 | -0.000 | -0.000 | 0.000 |
| 0.000 | 0.000 | -0.000 | 143.030 | -0.000 | 0.000 |
| 0.000 | 0.000 | 0.000 | 0.000 | 143.030 | 0.000 |
| 0.000 | 0.000 | 0.000 | 0.000 | -0.000 | 143.030 |
| 153.568 | 163.354 | 163.354 | -0.000 | 0.000 | -0.000 |
| 163.354 | 153.568 | 163.354 | -0.000 | 0.000 | -0.000 |
| 163.354 | 163.354 | 153.568 | -0.000 | 0.000 | -0.000 |
| -0.000 | -0.000 | -0.000 | 143.030 | 0.000 | -0.000 |
| -0.000 | -0.000 | -0.000 | -0.000 | 143.030 | -0.000 |
| -0.000 | -0.000 | -0.000 | -0.000 | 0.000 | 143.030 |
| 153.568 | 163.354 | 163.354 | 0.000 | -0.000 | 0.000 |
| 163.354 | 153.568 | 163.354 | 0.000 | -0.000 | 0.000 |
| 163.354 | 163.354 | 153.568 | 0.000 | -0.000 | -0.000 |
| 0.000 | 0.000 | 0.000 | 143.030 | -0.000 | 0.000 |
| 0.000 | 0.000 | 0.000 | 0.000 | 143.030 | 0.000 |
| 0.000 | 0.000 | 0.000 | 0.000 | -0.000 | 143.030 |
| 153.568 | 163.354 | 163.354 | -0.000 | 0.000 | -0.000 |
| 163.354 | 153.568 | 163.354 | -0.000 | 0.000 | -0.000 |
| 163.354 | 163.354 | 153.568 | -0.000 | 0.000 | -0.000 |
| -0.000 | -0.000 | -0.000 | 143.030 | 0.000 | -0.000 |
| -0.000 | -0.000 | -0.000 | -0.000 | 143.030 | -0.000 |
| -0.000 | -0.000 | -0.000 | -0.000 | 0.000 | 143.030 |
| 153.569 | 163.354 | 163.354 | 0.000 | -0.000 | -0.000 |
| 163.354 | 153.569 | 163.354 | 0.000 | -0.000 | -0.000 |
| 163.354 | 163.354 | 153.569 | 0.000 | -0.000 | 0.000 |
| 0.001 | 0.000 | 0.001 | 143.030 | -0.000 | 0.000 |
| 0.000 | 0.001 | 0.001 | 0.000 | 143.030 | 0.000 |
| 0.000 | 0.001 | 0.001 | 0.000 | -0.000 | 143.030 |
| 153.567 | 163.354 | 163.354 | -0.000 | 0.000 | 0.000 |
| 163.354 | 153.567 | 163.354 | 0.000 | 0.000 | 0.000 |
| 163.354 | 163.354 | 153.567 | 0.000 | 0.000 | -0.000 |
| -0.001 | -0.000 | -0.001 | 143.030 | 0.000 | 0.000 |
| -0.000 | -0.001 | -0.001 | -0.000 | 143.030 | -0.000 |
| -0.000 | -0.001 | -0.001 | -0.000 | 0.000 | 143.030 |
| 1.018 | 1.181 | 1.181 | -0.000 | -0.000 | 0.000 |
| 1.181 | 1.018 | 1.181 | -0.000 | 0.000 | -0.000 |
| 1.181 | 1.181 | 1.018 | 0.000 | -0.000 | 0.000 |
| -0.000 | -0.000 | -0.000 | 1.018 | -0.000 | -0.000 |
| -0.000 | -0.000 | -0.000 | 0.000 | 1.018 | -0.000 |
| -0.000 | -0.000 | -0.000 | 0.000 | -0.000 | 1.018 |
| 1.018 | 1.181 | 1.181 | -0.000 | -0.000 | -0.000 |
| 1.181 | 1.018 | 1.181 | -0.000 | 0.000 | 0.000 |
| 1.181 | 1.181 | 1.018 | -0.000 | 0.000 | 0.000 |
| 0.000 | 0.000 | 0.000 | 1.018 | -0.000 | 0.000 |
| 0.000 | 0.000 | 0.000 | -0.000 | 1.018 | 0.000 |
| 0.000 | 0.000 | 0.000 | -0.000 | 0.000 | 1.018 |
| 1.018 | 1.181 | 1.181 | 0.000 | -0.000 | -0.000 |
| 1.181 | 1.018 | 1.181 | 0.000 | -0.000 | -0.000 |
| 1.181 | 1.181 | 1.018 | 0.000 | -0.000 | -0.000 |
| -0.000 | -0.000 | -0.000 | 1.018 | 0.000 | -0.000 |
| -0.000 | -0.000 | -0.000 | 0.000 | 1.018 | -0.000 |
| -0.000 | -0.000 | -0.000 | 0.000 | -0.000 | 1.018 |
| 1.019 | 1.181 | 1.181 | -0.000 | -0.000 | 0.000 |
| 1.181 | 1.019 | 1.181 | -0.000 | 0.000 | 0.000 |
| 1.181 | 1.181 | 1.019 | -0.000 | -0.000 | 0.000 |
| 0.000 | 0.000 | 0.000 | 1.018 | -0.000 | 0.000 |
| 0.000 | 0.000 | 0.000 | -0.000 | 1.018 | 0.000 |
| 0.000 | 0.000 | 0.000 | -0.000 | 0.000 | 1.018 |
| 1.016 | 1.179 | 1.179 | 0.000 | -0.000 | 0.000 |
| 1.179 | 1.016 | 1.179 | 0.000 | -0.000 | 0.000 |
| 1.179 | 1.179 | 1.016 | 0.000 | -0.000 | 0.000 |
| -0.003 | -0.003 | -0.003 | 1.018 | -0.000 | -0.000 |
| -0.003 | -0.003 | -0.003 | 0.000 | 1.018 | -0.000 |
| -0.003 | -0.003 | -0.003 | -0.000 | -0.000 | 1.018 |
| 1.021 | 1.184 | 1.184 | -0.000 | 0.000 | 0.000 |
| 1.184 | 1.021 | 1.184 | -0.000 | 0.000 | 0.000 |
| 1.184 | 1.184 | 1.021 | -0.000 | 0.000 | -0.000 |
| 0.003 | 0.003 | 0.003 | 1.018 | 0.000 | 0.000 |
| 0.003 | 0.003 | 0.003 | -0.000 | 1.018 | 0.000 |
| 0.003 | 0.003 | 0.003 | 0.000 | 0.000 | 1.018 |
| 202.685 | 134.253 | 134.253 | -0.000 | -0.000 | -0.000 |
| 134.253 | 202.685 | 134.253 | -0.000 | 0.000 | -0.000 |
| 134.253 | 134.253 | 202.685 | -0.000 | -0.000 | -0.000 |
| 0.000 | -0.000 | 0.000 | 115.132 | -0.000 | -0.000 |
| -0.000 | 0.000 | 0.000 | -0.000 | 115.132 | -0.000 |
| -0.000 | 0.000 | 0.000 | -0.000 | -0.000 | 115.132 |
| 202.685 | 134.253 | 134.253 | 0.000 | 0.000 | 0.000 |
| 134.253 | 202.685 | 134.253 | 0.000 | 0.000 | -0.000 |
| 134.253 | 134.253 | 202.685 | 0.000 | -0.000 | 0.000 |
| 0.000 | 0.000 | -0.000 | 115.132 | 0.000 | 0.000 |
| -0.000 | -0.000 | -0.000 | 0.000 | 115.132 | 0.000 |
| 0.000 | -0.000 | -0.000 | 0.000 | 0.000 | 115.132 |
| 202.685 | 134.253 | 134.253 | -0.000 | -0.000 | -0.000 |
| 134.253 | 202.685 | 134.253 | -0.000 | -0.000 | 0.000 |
| 134.253 | 134.253 | 202.685 | -0.000 | 0.000 | -0.000 |
| 0.000 | -0.000 | -0.000 | 115.132 | -0.000 | -0.000 |
| -0.000 | 0.000 | -0.000 | -0.000 | 115.132 | -0.000 |
| -0.000 | -0.000 | 0.000 | -0.000 | -0.000 | 115.132 |
| 202.686 | 134.253 | 134.253 | 0.000 | 0.000 | 0.000 |
| 134.253 | 202.686 | 134.253 | 0.000 | -0.000 | 0.000 |
| 134.253 | 134.253 | 202.686 | 0.000 | -0.000 | 0.000 |
| -0.000 | 0.000 | 0.000 | 115.132 | 0.000 | -0.000 |
| 0.000 | -0.000 | 0.000 | 0.000 | 115.132 | 0.000 |
| 0.000 | 0.000 | -0.000 | 0.000 | -0.000 | 115.132 |
| 202.683 | 134.253 | 134.253 | -0.000 | -0.000 | -0.000 |
| 134.253 | 202.683 | 134.253 | -0.000 | -0.000 | -0.000 |
| 134.253 | 134.253 | 202.683 | -0.000 | -0.000 | -0.000 |
| 0.000 | -0.000 | -0.000 | 115.132 | -0.000 | 0.000 |
| -0.000 | 0.000 | -0.000 | -0.000 | 115.132 | -0.000 |
| -0.000 | -0.000 | 0.000 | -0.000 | -0.000 | 115.132 |
| 202.688 | 134.253 | 134.253 | 0.000 | 0.000 | 0.000 |
| 134.253 | 202.688 | 134.253 | 0.000 | -0.000 | -0.000 |
| 134.253 | 134.253 | 202.688 | 0.000 | 0.000 | 0.000 |
| -0.000 | 0.000 | 0.000 | 115.132 | 0.000 | 0.000 |
| 0.000 | -0.000 | 0.000 | 0.000 | 115.132 | 0.000 |
| 0.000 | 0.000 | -0.000 | 0.000 | 0.000 | 115.132 |
| 2.561 | 1.480 | 1.480 | 0.000 | -0.000 | -0.000 |
| 1.480 | 2.561 | 1.480 | 0.000 | -0.000 | 0.000 |
| 1.480 | 1.480 | 2.561 | -0.000 | -0.000 | 0.000 |
| 0.000 | -0.000 | -0.000 | 1.214 | -0.000 | -0.000 |
| -0.000 | 0.000 | -0.000 | -0.000 | 1.214 | 0.000 |
| -0.000 | -0.000 | 0.000 | -0.000 | -0.000 | 1.214 |
| 2.561 | 1.480 | 1.480 | -0.000 | 0.000 | -0.000 |
| 1.480 | 2.561 | 1.480 | -0.000 | 0.000 | -0.000 |
| 1.480 | 1.480 | 2.561 | -0.000 | 0.000 | -0.000 |
| -0.000 | 0.000 | 0.000 | 1.214 | 0.000 | -0.000 |
| 0.000 | -0.000 | 0.000 | 0.000 | 1.214 | -0.000 |
| 0.000 | 0.000 | -0.000 | 0.000 | 0.000 | 1.214 |
| 2.560 | 1.479 | 1.479 | 0.000 | 0.000 | 0.000 |
| 1.479 | 2.560 | 1.479 | 0.000 | -0.000 | 0.000 |
| 1.479 | 1.479 | 2.560 | 0.000 | -0.000 | 0.000 |
| -0.000 | -0.000 | -0.000 | 1.214 | -0.000 | 0.000 |
| -0.000 | -0.000 | -0.000 | 0.000 | 1.214 | 0.000 |
| -0.000 | -0.000 | -0.000 | 0.000 | -0.000 | 1.214 |
| 2.562 | 1.480 | 1.480 | 0.000 | 0.000 | -0.000 |
| 1.480 | 2.562 | 1.480 | 0.000 | 0.000 | -0.000 |
| 1.480 | 1.480 | 2.562 | -0.000 | 0.000 | -0.000 |
| 0.000 | 0.000 | 0.000 | 1.214 | 0.000 | -0.000 |
| 0.000 | 0.000 | 0.000 | -0.000 | 1.214 | 0.000 |
| 0.000 | 0.000 | 0.000 | -0.000 | 0.000 | 1.214 |
| 2.552 | 1.475 | 1.475 | 0.000 | -0.000 | 0.000 |
| 1.475 | 2.552 | 1.475 | 0.000 | -0.000 | -0.000 |
| 1.475 | 1.475 | 2.552 | 0.000 | -0.000 | -0.000 |
| -0.000 | -0.005 | -0.005 | 1.214 | -0.000 | 0.000 |
| -0.005 | -0.000 | -0.005 | 0.000 | 1.214 | 0.000 |
| -0.005 | -0.005 | -0.000 | 0.000 | -0.000 | 1.214 |
| 2.570 | 1.484 | 1.484 | -0.000 | 0.000 | 0.000 |
| 1.484 | 2.570 | 1.484 | -0.000 | 0.000 | -0.000 |
| 1.484 | 1.484 | 2.570 | -0.000 | 0.000 | -0.000 |
| 0.000 | 0.005 | 0.005 | 1.214 | 0.000 | -0.000 |
| 0.005 | 0.000 | 0.005 | -0.000 | 1.214 | -0.000 |
| 0.005 | 0.005 | 0.000 | -0.000 | 0.000 | 1.214 |
| 200.035 | 132.444 | 133.327 | 0.000 | -0.000 | 0.000 |
| 132.444 | 200.035 | 133.327 | 0.000 | -0.000 | -0.000 |
| 133.327 | 133.327 | 200.878 | 0.000 | 0.000 | 0.000 |
| -0.000 | -0.000 | -0.000 | 114.922 | 0.000 | 0.000 |
| -0.000 | 0.000 | -0.000 | 0.000 | 114.922 | 0.000 |
| -0.000 | 0.000 | -0.000 | 0.000 | 0.000 | 115.334 |
| 199.214 | 133.265 | 133.327 | -0.000 | -0.000 | -0.000 |
| 133.265 | 199.214 | 133.327 | -0.000 | -0.000 | 0.000 |
| 133.327 | 133.327 | 200.878 | -0.000 | -0.000 | -0.000 |
| 0.000 | 0.000 | 0.000 | 114.922 | -0.000 | -0.000 |
| 0.000 | -0.000 | 0.000 | -0.000 | 114.922 | -0.000 |
| 0.000 | -0.000 | 0.000 | -0.000 | -0.000 | 115.334 |
| 200.034 | 132.444 | 133.327 | -0.000 | -0.000 | 0.000 |
| 132.444 | 200.034 | 133.327 | -0.000 | 0.000 | 0.000 |
| 133.327 | 133.327 | 200.877 | 0.000 | 0.000 | 0.000 |
| 0.000 | -0.000 | 0.000 | 115.358 | 0.000 | 0.000 |
| -0.000 | 0.000 | 0.000 | 0.000 | 115.358 | 0.000 |
| -0.000 | -0.000 | 0.000 | 0.000 | 0.000 | 115.334 |
| 200.035 | 132.444 | 133.327 | -0.000 | 0.000 | -0.000 |
| 132.444 | 200.035 | 133.327 | -0.000 | -0.000 | -0.000 |
| 133.327 | 133.327 | 200.878 | -0.000 | -0.000 | -0.000 |
| -0.000 | 0.000 | -0.000 | 115.358 | 0.000 | -0.000 |
| 0.000 | -0.000 | -0.000 | -0.000 | 115.358 | -0.000 |
| 0.000 | 0.000 | -0.000 | -0.000 | -0.000 | 115.334 |
| 200.032 | 132.444 | 133.327 | -0.000 | -0.000 | 0.000 |
| 132.444 | 200.032 | 133.327 | -0.000 | 0.000 | 0.000 |
| 133.327 | 133.327 | 200.876 | 0.000 | -0.000 | 0.000 |
| 0.000 | -0.000 | 0.000 | 115.358 | 0.000 | 0.000 |
| -0.000 | 0.000 | 0.000 | -0.000 | 115.358 | 0.000 |
| -0.000 | -0.000 | 0.000 | 0.000 | 0.000 | 115.334 |
| 199.216 | 133.265 | 133.327 | -0.000 | 0.000 | -0.000 |
| 133.265 | 199.216 | 133.327 | -0.000 | -0.000 | -0.000 |
| 133.327 | 133.327 | 200.880 | -0.000 | -0.000 | -0.000 |
| -0.000 | 0.000 | -0.000 | 115.358 | -0.000 | -0.000 |
| 0.000 | -0.000 | -0.000 | -0.000 | 115.358 | -0.000 |
| 0.000 | 0.000 | -0.000 | -0.000 | -0.000 | 115.334 |
| 371.995 | 232.036 | 271.186 | -0.000 | -0.000 | -0.000 |
| 251.154 | 352.852 | 271.163 | -0.000 | -0.000 | -0.000 |
| 79.382 | 79.382 | 219.309 | -0.000 | -0.000 | -0.000 |
| 0.000 | 0.000 | 0.000 | 62.406 | -0.000 | -0.000 |
| 0.000 | 0.000 | 0.000 | -0.000 | 62.406 | -0.000 |
| 107.676 | 107.676 | 192.103 | -0.000 | -0.000 | 50.850 |
| 282.283 | 106.731 | 79.382 | 0.000 | -0.000 | 0.000 |
| 106.731 | 282.283 | 79.382 | -0.000 | 0.000 | 0.000 |
| -28.622 | -28.622 | 26.621 | 0.000 | -0.000 | 0.000 |
| -0.000 | -0.000 | -0.000 | 62.406 | 0.000 | 0.000 |
| -0.000 | -0.000 | -0.000 | 0.000 | 62.406 | -0.000 |
| -107.676 | -107.676 | -192.103 | 0.000 | 0.000 | 50.850 |
| 282.283 | 106.731 | 79.382 | 0.000 | 0.000 | -0.000 |
| 106.731 | 282.283 | 79.382 | 0.000 | 0.000 | -0.000 |
| 79.383 | 79.383 | 219.309 | -0.000 | -0.000 | -0.000 |
| 0.000 | 0.000 | 0.000 | 62.406 | -0.000 | -0.000 |
| 0.000 | 0.000 | 0.000 | -0.000 | 62.406 | 0.000 |
| 10.922 | 10.922 | 19.486 | -0.000 | -0.000 | 69.726 |
| 253.139 | 113.669 | 59.573 | 0.000 | 0.000 | 0.000 |
| 106.731 | 282.284 | 79.382 | -0.000 | -0.000 | 0.000 |
| 79.382 | 79.382 | 219.308 | 0.000 | 0.000 | -0.000 |
| -0.000 | -0.000 | -0.000 | 62.406 | 0.000 | 0.000 |
| -0.000 | -0.000 | -0.000 | -0.000 | 62.406 | 0.000 |
| -10.922 | -10.922 | -19.486 | 0.000 | 0.000 | 69.726 |
| 282.282 | 106.730 | 79.383 | -0.000 | 0.000 | -0.000 |
| 138.699 | 253.369 | 82.109 | -0.000 | -0.000 | -0.000 |
| 79.384 | 79.384 | 219.313 | -0.000 | -0.000 | -0.000 |
| 0.000 | 0.001 | 0.002 | 62.406 | -0.000 | 0.000 |
| 0.001 | 0.000 | 0.002 | -0.000 | 62.406 | -0.000 |
| -0.000 | -0.000 | 0.000 | -0.000 | 0.000 | 87.776 |
| 282.285 | 106.731 | 79.382 | -0.000 | -0.000 | 0.000 |
| 106.731 | 282.284 | 79.382 | 0.000 | -0.000 | -0.000 |
| 79.381 | 79.381 | 219.304 | 0.000 | 0.000 | 0.000 |
| -0.000 | -0.001 | -0.002 | 62.406 | 0.000 | 0.000 |
| -0.001 | -0.000 | -0.002 | 0.000 | 62.406 | 0.000 |
| 0.000 | 0.000 | -0.000 | 0.000 | -0.000 | 87.776 |
| 288.826 | 112.803 | 66.320 | -0.000 | -0.000 | -0.000 |
| 112.803 | 288.826 | 66.320 | -0.000 | -0.000 | -0.000 |
| 64.875 | 64.875 | 158.601 | -0.000 | -0.000 | -0.000 |
| 0.000 | -0.000 | 0.000 | 43.632 | -0.000 | -0.000 |
| -0.005 | -0.005 | -0.009 | -0.000 | 42.704 | -0.000 |
| -0.004 | -0.004 | -0.007 | -0.000 | -0.000 | 57.382 |
| 257.855 | 143.325 | 65.926 | 0.000 | 0.000 | 0.000 |
| 112.803 | 288.826 | 66.320 | 0.000 | 0.000 | -0.000 |
| 65.275 | 65.275 | 159.304 | 0.000 | 0.000 | 0.000 |
| -0.000 | -0.000 | -0.000 | 43.632 | 0.000 | 0.000 |
| 0.005 | 0.005 | 0.009 | 0.000 | 42.704 | 0.000 |
| 0.004 | 0.004 | 0.007 | 0.000 | 0.000 | 57.382 |
| 288.826 | 112.803 | 66.320 | -0.000 | -0.000 | -0.000 |
| 143.323 | 257.853 | 65.923 | -0.000 | -0.000 | -0.000 |
| 64.877 | 64.877 | 158.605 | -0.000 | -0.000 | -0.000 |
| -0.000 | -0.000 | -0.001 | 42.704 | -0.000 | -0.000 |
| 0.000 | 0.000 | 0.000 | -0.000 | 43.632 | 0.000 |
| -0.000 | -0.000 | 0.000 | -0.000 | -0.000 | 88.012 |
| 288.826 | 112.803 | 66.320 | 0.000 | 0.000 | 0.000 |
| 112.803 | 288.826 | 66.320 | 0.000 | 0.000 | -0.000 |
| 64.877 | 64.877 | 158.604 | 0.000 | 0.000 | 0.000 |
| 0.000 | 0.000 | 0.001 | 42.704 | 0.000 | 0.000 |
| -0.000 | -0.000 | -0.000 | 0.000 | 43.632 | 0.000 |
| 0.000 | 0.000 | -0.000 | 0.000 | 0.000 | 88.012 |
| 288.826 | 112.803 | 66.321 | -0.000 | -0.000 | -0.000 |
| 142.422 | 258.253 | 65.484 | -0.000 | -0.000 | 0.000 |
| 65.276 | 65.276 | 159.309 | -0.000 | -0.000 | -0.000 |
| 0.000 | 0.001 | 0.002 | 43.632 | -0.000 | 0.000 |
| 0.001 | 0.000 | 0.002 | -0.000 | 43.632 | -0.000 |
| -0.000 | -0.000 | 0.000 | -0.000 | -0.000 | 88.012 |
| 257.818 | 143.404 | 65.961 | 0.000 | 0.000 | 0.000 |
| 142.421 | 258.256 | 65.483 | 0.000 | 0.000 | 0.000 |
| 65.273 | 65.273 | 159.300 | 0.000 | 0.000 | 0.000 |
| -0.000 | -0.001 | -0.002 | 43.632 | 0.000 | 0.000 |
| -0.001 | -0.000 | -0.002 | 0.000 | 43.632 | -0.000 |
| 0.000 | 0.000 | -0.000 | 0.000 | 0.000 | 88.012 |
| 157.355 | 164.060 | 160.655 | -0.000 | 0.000 | 0.000 |
| 163.447 | 303.696 | 16.440 | -0.000 | 0.000 | 0.000 |
| 160.720 | 17.256 | 298.646 | -0.000 | 0.000 | -0.000 |
| 0.259 | 0.079 | 0.400 | -4.820 | -0.000 | 0.000 |
| 0.042 | 0.013 | 0.064 | -0.000 | 137.123 | 0.000 |
| 0.000 | 0.000 | -0.000 | 0.000 | 0.000 | 142.008 |
| 155.116 | 163.579 | 156.859 | 0.000 | -0.000 | -0.000 |
| 163.377 | 303.672 | 16.335 | 0.000 | -0.000 | 0.000 |
| 160.720 | 17.256 | 298.646 | 0.000 | -0.000 | -0.000 |
| -0.259 | -0.079 | -0.400 | -4.820 | 0.000 | 0.000 |
| -0.042 | -0.013 | -0.064 | 0.000 | 137.123 | 0.000 |
| -0.000 | -0.000 | 0.000 | 0.000 | 0.000 | 142.008 |
| 157.355 | 164.060 | 160.655 | -0.000 | 0.000 | -0.000 |
| 163.951 | 303.929 | 17.081 | -0.000 | -0.000 | 0.000 |
| 160.721 | 17.256 | 298.646 | -0.000 | -0.000 | 0.000 |
| -0.165 | -0.042 | -0.269 | -5.049 | -0.000 | 0.000 |
| 0.004 | 0.001 | 0.007 | -0.000 | 137.123 | -0.000 |
| 0.000 | 0.000 | -0.000 | -0.000 | -0.000 | 142.008 |
| 155.146 | 163.587 | 156.907 | 0.000 | -0.000 | -0.000 |
| 163.951 | 303.929 | 17.081 | 0.000 | 0.000 | -0.000 |
| 160.720 | 17.256 | 298.646 | 0.000 | 0.000 | -0.000 |
| 0.165 | 0.042 | 0.268 | -5.049 | -0.000 | -0.000 |
| -0.004 | -0.001 | -0.007 | 0.000 | 137.123 | -0.000 |
| -0.000 | -0.000 | 0.000 | 0.000 | 0.000 | 142.008 |
| 157.356 | 164.061 | 160.656 | -0.000 | -0.000 | -0.000 |
| 163.952 | 303.931 | 17.081 | -0.000 | -0.000 | -0.000 |
| 157.695 | 16.764 | 293.247 | -0.000 | 0.000 | 0.000 |
| -0.000 | 0.000 | 0.000 | -4.649 | -0.000 | -0.000 |
| 0.001 | 0.000 | 0.002 | -0.000 | 137.123 | -0.000 |
| 0.000 | 0.001 | -0.000 | -0.000 | -0.000 | 142.008 |
| 157.354 | 164.060 | 160.655 | 0.000 | 0.000 | -0.000 |
| 163.949 | 303.927 | 17.081 | 0.000 | -0.000 | -0.000 |
| 160.719 | 17.256 | 298.644 | 0.000 | 0.000 | 0.000 |
| 0.000 | -0.000 | -0.000 | -4.649 | 0.000 | -0.000 |
| -0.001 | -0.000 | -0.002 | 0.000 | 137.123 | 0.000 |
| -0.000 | -0.001 | 0.000 | 0.000 | 0.000 | 142.008 |
| 72.735 | 181.339 | 162.915 | 0.000 | -0.000 | 0.000 |
| 181.306 | 381.544 | 31.246 | 0.000 | -0.000 | -0.000 |
| 164.557 | 32.920 | 234.866 | 0.000 | -0.000 | 0.000 |
| -0.000 | 0.000 | -0.000 | 8.697 | -0.000 | 0.000 |
| -0.000 | -0.000 | -0.000 | 0.000 | 138.499 | 0.000 |
| -5094321.827 | -82479801.720 | -10592.049 | -0.000 | -0.000 | 20475026.167 |
| 10188723.002 | 164959833.325 | 21351.369 | -0.000 | 0.000 | -0.000 |
| 10188825.444 | 164959940.437 | 21219.716 | -0.000 | 0.000 | -0.000 |
| 164.557 | 32.921 | 234.866 | -0.000 | 0.000 | -0.000 |
| 0.000 | 0.000 | 0.000 | 8.697 | 0.000 | -0.000 |
| 0.000 | 0.000 | -0.000 | -0.000 | 138.499 | -0.000 |
| 5094321.827 | 82479801.720 | 10592.049 | -0.000 | 0.000 | 20475026.167 |
| 72.735 | 181.339 | 162.915 | 0.000 | -0.000 | 0.000 |
| 181.303 | 381.506 | 31.246 | 0.000 | -0.000 | 0.000 |
| 164.557 | 32.920 | 234.866 | 0.000 | -0.000 | 0.000 |
| -0.000 | 0.000 | 0.000 | 8.697 | -0.000 | 0.000 |
| 0.000 | -0.000 | 0.000 | 0.000 | 138.499 | 0.000 |
| -509431.846 | -8247968.696 | -1059.207 | 0.000 | -0.000 | 2047638.786 |
| 1018937.514 | 16496139.381 | 2281.771 | -0.000 | 0.000 | -0.000 |
| 1019039.955 | 16496246.493 | 2150.118 | -0.000 | 0.000 | -0.000 |
| 164.557 | 32.921 | 234.865 | -0.000 | 0.000 | -0.000 |
| 0.000 | -0.000 | 0.000 | 8.697 | 0.000 | -0.000 |
| -0.000 | 0.000 | -0.000 | 0.000 | 138.499 | -0.000 |
| 509431.846 | 8247968.696 | 1059.207 | -0.000 | 0.000 | 2047638.786 |
| 72.736 | 181.338 | 162.916 | 0.000 | -0.000 | 0.000 |
| 181.281 | 381.134 | 31.245 | -0.000 | -0.000 | 0.000 |
| 164.558 | 32.920 | 234.869 | 0.000 | -0.000 | 0.000 |
| -0.000 | 0.000 | 0.000 | 8.697 | -0.000 | 0.000 |
| 0.000 | -0.000 | 0.001 | 0.000 | 138.499 | 0.000 |
| -50942.848 | -824785.404 | -105.923 | 0.000 | -0.000 | 204900.045 |
| 101958.964 | 1649769.986 | 374.811 | -0.000 | 0.000 | -0.000 |
| 102061.406 | 1649877.097 | 243.158 | -0.000 | 0.000 | -0.000 |
| 164.556 | 32.921 | 234.863 | -0.000 | 0.000 | -0.000 |
| 0.000 | -0.000 | -0.000 | 8.697 | 0.000 | -0.000 |
| -0.000 | 0.000 | -0.001 | -0.000 | 138.499 | -0.000 |
| 50942.848 | 824785.404 | 105.923 | -0.000 | 0.000 | 204900.045 |
| 414.408 | 19.064 | 19.064 | -0.000 | 0.000 | -0.000 |
| 19.064 | 414.408 | 19.064 | 0.000 | -0.000 | -0.000 |
| 19.064 | 19.064 | 414.408 | 0.000 | 0.000 | -0.000 |
| -0.000 | -0.000 | -0.000 | 17.830 | -0.000 | -0.000 |
| -0.000 | 0.000 | -0.000 | 0.000 | 17.830 | -0.000 |
| -0.000 | -0.000 | -0.000 | 0.000 | 0.000 | 17.830 |
| 414.408 | 19.064 | 19.064 | 0.000 | -0.000 | 0.000 |
| 19.064 | 414.408 | 19.064 | -0.000 | -0.000 | 0.000 |
| 19.064 | 19.064 | 414.408 | -0.000 | 0.000 | 0.000 |
| 0.000 | -0.000 | 0.000 | 17.830 | 0.000 | 0.000 |
| 0.000 | -0.000 | 0.000 | 0.000 | 17.830 | 0.000 |
| 0.000 | 0.000 | 0.000 | 0.000 | -0.000 | 17.830 |
| 414.408 | 19.064 | 19.064 | -0.000 | -0.000 | -0.000 |
| 19.064 | 414.408 | 19.064 | -0.000 | 0.000 | -0.000 |
| 19.064 | 19.064 | 414.408 | 0.000 | 0.000 | -0.000 |
| -0.000 | -0.000 | -0.000 | 17.830 | 0.000 | -0.000 |
| -0.000 | -0.000 | -0.000 | 0.000 | 17.830 | -0.000 |
| -0.000 | -0.000 | -0.000 | -0.000 | -0.000 | 17.830 |
| 414.408 | 19.064 | 19.064 | -0.000 | 0.000 | 0.000 |
| 19.064 | 414.408 | 19.064 | 0.000 | -0.000 | 0.000 |
| 19.064 | 19.064 | 414.408 | -0.000 | 0.000 | 0.000 |
| 0.000 | 0.000 | 0.000 | 17.830 | -0.000 | 0.000 |
| 0.000 | 0.000 | 0.000 | -0.000 | 17.830 | 0.000 |
| 0.000 | 0.000 | 0.000 | 0.000 | -0.000 | 17.830 |
| 414.407 | 19.063 | 19.063 | 0.000 | -0.000 | -0.000 |
| 19.063 | 414.407 | 19.063 | -0.000 | -0.000 | -0.000 |
| 19.063 | 19.063 | 414.407 | -0.000 | 0.000 | -0.000 |
| -0.000 | -0.001 | -0.001 | 17.830 | 0.000 | -0.000 |
| -0.001 | -0.000 | -0.001 | 0.000 | 17.830 | -0.000 |
| -0.001 | -0.001 | -0.000 | -0.000 | -0.000 | 17.830 |
| 414.409 | 19.064 | 19.064 | -0.000 | -0.000 | 0.000 |
| 19.064 | 414.409 | 19.064 | 0.000 | 0.000 | 0.000 |
| 19.064 | 19.064 | 414.409 | -0.000 | -0.000 | 0.000 |
| 0.000 | 0.001 | 0.001 | 17.830 | -0.000 | 0.000 |
| 0.001 | 0.000 | 0.001 | -0.000 | 17.830 | 0.000 |
| 0.001 | 0.001 | 0.000 | 0.000 | 0.000 | 17.830 |
| 320.679 | 118.109 | 118.109 | 0.000 | 0.000 | 0.000 |
| 118.109 | 320.679 | 118.109 | -0.000 | 0.000 | 0.000 |
| 118.109 | 118.109 | 320.679 | -0.000 | -0.000 | 0.000 |
| -0.000 | -0.000 | -0.000 | 119.269 | -0.000 | 0.000 |
| -0.000 | -0.000 | -0.000 | -0.000 | 119.269 | 0.000 |
| -0.000 | -0.000 | 0.000 | -0.000 | 0.000 | 119.269 |
| 320.679 | 118.109 | 118.109 | -0.000 | -0.000 | -0.000 |
| 118.109 | 320.679 | 118.109 | 0.000 | -0.000 | 0.000 |
| 118.109 | 118.109 | 320.679 | 0.000 | -0.000 | -0.000 |
| 0.000 | 0.000 | 0.000 | 119.269 | 0.000 | -0.000 |
| 0.000 | 0.000 | 0.000 | 0.000 | 119.269 | -0.000 |
| 0.000 | 0.000 | -0.000 | 0.000 | -0.000 | 119.269 |
| 320.679 | 118.109 | 118.109 | -0.000 | 0.000 | 0.000 |
| 118.109 | 320.679 | 118.109 | -0.000 | 0.000 | 0.000 |
| 118.109 | 118.109 | 320.679 | -0.000 | 0.000 | 0.000 |
| -0.000 | -0.000 | -0.000 | 119.269 | -0.000 | 0.000 |
| -0.000 | -0.000 | -0.000 | -0.000 | 119.269 | 0.000 |
| -0.000 | -0.000 | -0.000 | 0.000 | 0.000 | 119.269 |
| 320.679 | 118.109 | 118.109 | -0.000 | -0.000 | -0.000 |
| 118.109 | 320.679 | 118.109 | -0.000 | -0.000 | 0.000 |
| 118.109 | 118.109 | 320.679 | 0.000 | 0.000 | -0.000 |
| 0.000 | 0.000 | 0.000 | 119.269 | 0.000 | -0.000 |
| 0.000 | 0.000 | 0.000 | 0.000 | 119.269 | -0.000 |
| 0.000 | 0.000 | 0.000 | 0.000 | 0.000 | 119.269 |
| 320.678 | 118.109 | 118.109 | 0.000 | -0.000 | 0.000 |
| 118.109 | 320.678 | 118.109 | -0.000 | 0.000 | 0.000 |
| 118.109 | 118.109 | 320.678 | -0.000 | -0.000 | 0.000 |
| -0.000 | -0.001 | -0.001 | 119.269 | -0.000 | 0.000 |
| -0.001 | -0.000 | -0.001 | -0.000 | 119.269 | 0.000 |
| -0.001 | -0.001 | -0.000 | 0.000 | 0.000 | 119.269 |
| 320.680 | 118.110 | 118.110 | -0.000 | -0.000 | -0.000 |
| 118.110 | 320.680 | 118.110 | 0.000 | 0.000 | 0.000 |
| 118.110 | 118.110 | 320.680 | 0.000 | 0.000 | -0.000 |
| 0.000 | 0.001 | 0.001 | 119.269 | 0.000 | -0.000 |
| 0.001 | 0.000 | 0.001 | 0.000 | 119.269 | -0.000 |
| 0.001 | 0.001 | 0.000 | -0.000 | -0.000 | 119.269 |
| 87.698 | 44.124 | 44.124 | -0.000 | -0.000 | -0.000 |
| 44.124 | 87.698 | 44.124 | -0.000 | -0.000 | -0.000 |
| 44.124 | 44.124 | 87.698 | 0.000 | 0.000 | 0.000 |
| 0.000 | -0.000 | 0.000 | 44.002 | -0.000 | -0.000 |
| 0.000 | -0.000 | 0.000 | -0.000 | 44.002 | -0.000 |
| 0.000 | 0.000 | 0.000 | -0.000 | -0.000 | 44.002 |
| 87.698 | 44.124 | 44.124 | 0.000 | 0.000 | 0.000 |
| 44.124 | 87.698 | 44.124 | 0.000 | 0.000 | 0.000 |
| 44.124 | 44.124 | 87.698 | 0.000 | 0.000 | 0.000 |
| -0.000 | -0.000 | -0.000 | 44.002 | 0.000 | 0.000 |
| -0.000 | 0.000 | -0.000 | 0.000 | 44.002 | 0.000 |
| -0.000 | -0.000 | -0.000 | 0.000 | 0.000 | 44.002 |
| 87.698 | 44.124 | 44.124 | -0.000 | -0.000 | -0.000 |
| 44.124 | 87.698 | 44.124 | -0.000 | -0.000 | -0.000 |
| 44.124 | 44.124 | 87.698 | 0.000 | -0.000 | -0.000 |
| -0.000 | 0.000 | 0.000 | 44.002 | -0.000 | 0.000 |
| 0.000 | -0.000 | 0.000 | -0.000 | 44.002 | -0.000 |
| 0.000 | 0.000 | -0.000 | -0.000 | -0.000 | 44.002 |
| 87.698 | 44.124 | 44.124 | 0.000 | 0.000 | 0.000 |
| 44.124 | 87.698 | 44.124 | 0.000 | 0.000 | 0.000 |
| 44.124 | 44.124 | 87.698 | -0.000 | -0.000 | 0.000 |
| 0.000 | -0.000 | -0.000 | 44.002 | 0.000 | -0.000 |
| -0.000 | 0.000 | -0.000 | 0.000 | 44.002 | 0.000 |
| -0.000 | -0.000 | 0.000 | 0.000 | 0.000 | 44.002 |
| 87.699 | 44.124 | 44.124 | -0.000 | 0.000 | 0.000 |
| 44.124 | 87.699 | 44.124 | -0.000 | -0.000 | -0.000 |
| 44.124 | 44.124 | 87.699 | -0.000 | 0.000 | 0.000 |
| -0.000 | 0.000 | 0.000 | 44.002 | -0.000 | -0.000 |
| 0.000 | -0.000 | 0.000 | -0.000 | 44.002 | 0.000 |
| 0.000 | 0.000 | -0.000 | -0.000 | -0.000 | 44.002 |
| 87.698 | 44.124 | 44.124 | 0.000 | 0.000 | -0.000 |
| 44.124 | 87.698 | 44.124 | 0.000 | 0.000 | -0.000 |
| 44.124 | 44.124 | 87.698 | -0.000 | 0.000 | 0.000 |
| 0.000 | -0.000 | -0.000 | 44.002 | 0.000 | -0.000 |
| -0.000 | 0.000 | -0.000 | 0.000 | 44.002 | -0.000 |
| -0.000 | -0.000 | 0.000 | 0.000 | 0.000 | 44.002 |
| 2.216 | -0.000 | -0.000 | 0.000 | 0.000 | 0.000 |
| -0.000 | 2.216 | -0.000 | 0.000 | 0.000 | 0.000 |
| -0.000 | -0.000 | 2.216 | -0.000 | 0.000 | 0.000 |
| 0.000 | -0.000 | 0.000 | 0.000 | 0.000 | 0.000 |
| -0.000 | 0.000 | 0.000 | 0.000 | 0.000 | 0.000 |
| -0.000 | 0.000 | 0.000 | 0.000 | 0.000 | 0.000 |
| 2.216 | -0.000 | -0.000 | 0.000 | -0.000 | -0.000 |
| -0.000 | 2.216 | -0.000 | -0.000 | 0.000 | 0.000 |
| -0.000 | -0.000 | 2.216 | 0.000 | 0.000 | 0.000 |
| -0.000 | 0.000 | -0.000 | 0.000 | 0.000 | -0.000 |
| 0.000 | -0.000 | -0.000 | 0.000 | 0.000 | -0.000 |
| 0.000 | -0.000 | -0.000 | -0.000 | -0.000 | 0.000 |
| 2.216 | -0.000 | -0.000 | 0.000 | 0.000 | -0.000 |
| -0.000 | 2.216 | -0.000 | 0.000 | -0.000 | -0.000 |
| -0.000 | -0.000 | 2.216 | -0.000 | -0.000 | -0.000 |
| 0.000 | -0.000 | -0.000 | 0.000 | 0.000 | 0.000 |
| -0.000 | 0.000 | -0.000 | 0.000 | 0.000 | 0.000 |
| -0.000 | -0.000 | 0.000 | 0.000 | 0.000 | 0.000 |
| 2.216 | -0.000 | -0.000 | -0.000 | -0.000 | -0.000 |
| -0.000 | 2.216 | -0.000 | -0.000 | -0.000 | -0.000 |
| -0.000 | -0.000 | 2.216 | -0.000 | -0.000 | 0.000 |
| -0.000 | 0.000 | 0.000 | 0.000 | -0.000 | -0.000 |
| 0.000 | -0.000 | 0.000 | -0.000 | 0.000 | -0.000 |
| 0.000 | 0.000 | -0.000 | -0.000 | -0.000 | 0.000 |
| 2.217 | -0.000 | -0.000 | -0.000 | -0.000 | -0.000 |
| -0.000 | 2.217 | -0.000 | -0.000 | -0.000 | -0.000 |
| -0.000 | -0.000 | 2.217 | -0.000 | -0.000 | -0.000 |
| -0.000 | -0.000 | -0.000 | 0.000 | -0.000 | 0.000 |
| -0.000 | -0.000 | -0.000 | -0.000 | 0.000 | 0.000 |
| -0.000 | -0.000 | -0.000 | 0.000 | 0.000 | 0.000 |
| 2.216 | -0.000 | -0.000 | 0.000 | 0.000 | 0.000 |
| -0.000 | 2.216 | -0.000 | 0.000 | 0.000 | 0.000 |
| -0.000 | -0.000 | 2.216 | 0.000 | 0.000 | 0.000 |
| 0.000 | 0.000 | 0.000 | 0.000 | 0.000 | -0.000 |
| 0.000 | 0.000 | 0.000 | 0.000 | 0.000 | -0.000 |
| 0.000 | 0.000 | 0.000 | -0.000 | -0.000 | 0.000 |
| 85.351 | 152.113 | 152.113 | -0.000 | 0.000 | 0.000 |
| 152.113 | 85.351 | 152.113 | -0.000 | -0.000 | 0.000 |
| 152.113 | 152.113 | 85.351 | -0.000 | -0.000 | 0.000 |
| 0.000 | 0.000 | 0.000 | 101.341 | 0.000 | -0.000 |
| 0.000 | 0.000 | 0.000 | -0.000 | 101.341 | 0.000 |
| 0.000 | 0.000 | 0.000 | 0.000 | 0.000 | 101.341 |
| 85.351 | 152.113 | 152.113 | -0.000 | 0.000 | 0.000 |
| 152.113 | 85.351 | 152.113 | 0.000 | -0.000 | 0.000 |
| 152.113 | 152.113 | 85.351 | -0.000 | 0.000 | -0.000 |
| -0.000 | 0.000 | -0.000 | 101.341 | -0.000 | -0.000 |
| -0.000 | -0.000 | -0.000 | 0.000 | 101.341 | -0.000 |
| -0.000 | -0.000 | -0.000 | -0.000 | 0.000 | 101.341 |
| 85.351 | 152.113 | 152.113 | -0.000 | 0.000 | 0.000 |
| 152.113 | 85.351 | 152.113 | 0.000 | -0.000 | 0.000 |
| 152.113 | 152.113 | 85.351 | -0.000 | 0.000 | 0.000 |
| 0.000 | 0.000 | 0.000 | 101.341 | 0.000 | 0.000 |
| 0.000 | 0.000 | 0.000 | -0.000 | 101.341 | 0.000 |
| 0.000 | 0.000 | 0.000 | -0.000 | -0.000 | 101.341 |
| 85.351 | 152.113 | 152.113 | 0.000 | -0.000 | -0.000 |
| 152.113 | 85.351 | 152.113 | -0.000 | -0.000 | -0.000 |
| 152.113 | 152.113 | 85.351 | 0.000 | -0.000 | 0.000 |
| -0.000 | -0.000 | -0.000 | 101.341 | 0.000 | 0.000 |
| -0.000 | -0.000 | -0.000 | 0.000 | 101.341 | 0.000 |
| -0.000 | -0.000 | -0.000 | 0.000 | -0.000 | 101.341 |
| 85.353 | 152.114 | 152.114 | -0.000 | 0.000 | 0.000 |
| 152.114 | 85.353 | 152.114 | -0.000 | 0.000 | -0.000 |
| 152.114 | 152.114 | 85.353 | -0.000 | -0.000 | 0.000 |
| 0.001 | 0.000 | 0.001 | 101.341 | -0.000 | 0.000 |
| 0.000 | 0.001 | 0.001 | 0.000 | 101.341 | -0.000 |
| 0.000 | 0.001 | 0.001 | -0.000 | 0.000 | 101.341 |
| 85.350 | 152.113 | 152.113 | 0.000 | -0.000 | 0.000 |
| 152.113 | 85.350 | 152.113 | 0.000 | -0.000 | -0.000 |
| 152.113 | 152.113 | 85.350 | 0.000 | -0.000 | -0.000 |
| -0.001 | -0.000 | -0.001 | 101.341 | 0.000 | 0.000 |
| -0.000 | -0.001 | -0.001 | 0.000 | 101.341 | -0.000 |
| -0.000 | -0.001 | -0.001 | -0.000 | -0.000 | 101.341 |
| 691.995 | 54.718 | 54.718 | -0.000 | 0.000 | 0.000 |
| 54.718 | 691.995 | 54.718 | -0.000 | 0.000 | -0.000 |
| 54.718 | 54.718 | 691.995 | -0.000 | -0.000 | 0.000 |
| -0.000 | -0.000 | -0.000 | 57.317 | -0.000 | 0.000 |
| -0.000 | -0.000 | -0.000 | -0.000 | 57.317 | -0.000 |
| -0.000 | -0.000 | -0.000 | -0.000 | -0.000 | 57.317 |
| 691.995 | 54.718 | 54.718 | 0.000 | -0.000 | -0.000 |
| 54.718 | 691.995 | 54.718 | 0.000 | -0.000 | 0.000 |
| 54.718 | 54.718 | 691.995 | 0.000 | -0.000 | -0.000 |
| 0.000 | 0.000 | 0.000 | 57.317 | 0.000 | -0.000 |
| 0.000 | 0.000 | 0.000 | 0.000 | 57.317 | -0.000 |
| 0.000 | 0.000 | 0.000 | 0.000 | 0.000 | 57.317 |
| 691.996 | 54.718 | 54.718 | -0.000 | -0.000 | -0.000 |
| 54.718 | 691.996 | 54.718 | -0.000 | -0.000 | 0.000 |
| 54.718 | 54.718 | 691.996 | -0.000 | -0.000 | -0.000 |
| 0.000 | -0.000 | -0.000 | 57.317 | -0.000 | -0.000 |
| -0.000 | 0.000 | -0.000 | -0.000 | 57.317 | 0.000 |
| -0.000 | -0.000 | 0.000 | -0.000 | -0.000 | 57.317 |
| 691.994 | 54.718 | 54.718 | 0.000 | 0.000 | -0.000 |
| 54.718 | 691.994 | 54.718 | -0.000 | -0.000 | -0.000 |
| 54.718 | 54.718 | 691.994 | 0.000 | 0.000 | -0.000 |
| -0.000 | 0.000 | 0.000 | 57.317 | 0.000 | 0.000 |
| 0.000 | -0.000 | 0.000 | 0.000 | 57.317 | 0.000 |
| 0.000 | 0.000 | -0.000 | 0.000 | 0.000 | 57.317 |
| 692.005 | 54.718 | 54.718 | -0.000 | -0.000 | 0.000 |
| 54.718 | 692.005 | 54.718 | -0.000 | 0.000 | -0.000 |
| 54.718 | 54.718 | 692.005 | -0.000 | -0.000 | -0.000 |
| 0.000 | -0.000 | -0.000 | 57.317 | -0.000 | 0.000 |
| -0.000 | 0.000 | -0.000 | -0.000 | 57.317 | -0.000 |
| -0.000 | -0.000 | 0.000 | -0.000 | -0.000 | 57.317 |
| 691.985 | 54.718 | 54.718 | 0.000 | -0.000 | -0.000 |
| 54.718 | 691.985 | 54.718 | 0.000 | -0.000 | 0.000 |
| 54.718 | 54.718 | 691.985 | -0.000 | -0.000 | 0.000 |
| -0.000 | 0.000 | 0.000 | 57.317 | 0.000 | -0.000 |
| 0.000 | -0.000 | 0.000 | 0.000 | 57.317 | -0.000 |
| 0.000 | 0.000 | -0.000 | 0.000 | 0.000 | 57.317 |
| 1.279 | 1.279 | 1.279 | -0.000 | -0.000 | 0.000 |
| 1.279 | 1.279 | 1.279 | -0.000 | -0.000 | 0.000 |
| 1.279 | 1.279 | 1.279 | 0.000 | 0.000 | -0.000 |
| 0.000 | 0.000 | 0.000 | 1.279 | 0.000 | 0.000 |
| 0.000 | 0.000 | 0.000 | 0.000 | 1.279 | 0.000 |
| 0.000 | 0.000 | 0.000 | 0.000 | -0.000 | 1.279 |
| 1.279 | 1.279 | 1.279 | -0.000 | -0.000 | -0.000 |
| 1.279 | 1.279 | 1.279 | -0.000 | -0.000 | -0.000 |
| 1.279 | 1.279 | 1.279 | -0.000 | -0.000 | -0.000 |
| -0.000 | -0.000 | -0.000 | 1.279 | 0.000 | -0.000 |
| -0.000 | -0.000 | -0.000 | 0.000 | 1.279 | -0.000 |
| -0.000 | -0.000 | -0.000 | 0.000 | 0.000 | 1.279 |
| 1.279 | 1.279 | 1.279 | 0.000 | 0.000 | 0.000 |
| 1.279 | 1.279 | 1.279 | 0.000 | 0.000 | 0.000 |
| 1.279 | 1.279 | 1.279 | 0.000 | 0.000 | -0.000 |
| 0.000 | 0.000 | 0.000 | 1.279 | 0.000 | 0.000 |
| 0.000 | 0.000 | 0.000 | 0.000 | 1.279 | 0.000 |
| 0.000 | 0.000 | 0.000 | -0.000 | 0.000 | 1.279 |
| 1.279 | 1.279 | 1.279 | 0.000 | 0.000 | 0.000 |
| 1.279 | 1.279 | 1.279 | -0.000 | -0.000 | 0.000 |
| 1.279 | 1.279 | 1.279 | -0.000 | -0.000 | 0.000 |
| -0.000 | -0.000 | -0.000 | 1.279 | -0.000 | 0.000 |
| -0.000 | -0.000 | -0.000 | -0.000 | 1.279 | 0.000 |
| -0.000 | -0.000 | -0.000 | 0.000 | 0.000 | 1.279 |
| 1.279 | 1.279 | 1.279 | 0.000 | 0.000 | -0.000 |
| 1.279 | 1.279 | 1.279 | 0.000 | 0.000 | -0.000 |
| 1.279 | 1.279 | 1.279 | -0.000 | -0.000 | -0.000 |
| 0.000 | 0.000 | 0.000 | 1.279 | 0.000 | -0.000 |
| 0.000 | 0.000 | 0.000 | 0.000 | 1.279 | -0.000 |
| 0.000 | 0.000 | 0.000 | 0.000 | -0.000 | 1.279 |
| 1.279 | 1.279 | 1.279 | 0.000 | 0.000 | 0.000 |
| 1.279 | 1.279 | 1.279 | 0.000 | 0.000 | 0.000 |
| 1.279 | 1.279 | 1.279 | 0.000 | 0.000 | 0.000 |
| -0.000 | -0.000 | -0.000 | 1.279 | 0.000 | -0.000 |
| -0.000 | -0.000 | -0.000 | 0.000 | 1.279 | -0.000 |
| -0.000 | -0.000 | -0.000 | 0.000 | 0.000 | 1.279 |
| 84.823 | 93.932 | 93.932 | 0.000 | 0.000 | 0.000 |
| 93.932 | 84.823 | 93.932 | 0.000 | 0.000 | 0.000 |
| 93.932 | 93.932 | 84.823 | 0.000 | 0.000 | 0.000 |
| 0.000 | 0.000 | -0.000 | -43.244 | 0.000 | 0.000 |
| 0.000 | 0.000 | -0.000 | -0.000 | -43.244 | 0.000 |
| 0.000 | 0.000 | -0.000 | -0.000 | 0.000 | -43.244 |
| 84.823 | 93.932 | 93.932 | -0.000 | -0.000 | -0.000 |
| 93.932 | 84.823 | 93.932 | -0.000 | -0.000 | -0.000 |
| 93.932 | 93.932 | 84.823 | -0.000 | -0.000 | -0.000 |
| -0.000 | -0.000 | 0.000 | -43.244 | -0.000 | -0.000 |
| -0.000 | -0.000 | 0.000 | 0.000 | -43.244 | -0.000 |
| -0.000 | -0.000 | 0.000 | 0.000 | -0.000 | -43.244 |
| 84.823 | 93.932 | 93.932 | 0.000 | 0.000 | 0.000 |
| 93.932 | 84.823 | 93.932 | -0.000 | 0.000 | 0.000 |
| 93.932 | 93.932 | 84.823 | 0.000 | 0.000 | 0.000 |
| 0.000 | 0.000 | 0.000 | -43.244 | 0.000 | 0.000 |
| 0.000 | 0.000 | 0.000 | 0.000 | -43.244 | 0.000 |
| 0.000 | 0.000 | 0.000 | 0.000 | 0.000 | -43.244 |
| 84.823 | 93.932 | 93.932 | 0.000 | -0.000 | -0.000 |
| 93.932 | 84.823 | 93.932 | -0.000 | -0.000 | -0.000 |
| 93.932 | 93.932 | 84.823 | -0.000 | -0.000 | -0.000 |
| -0.000 | -0.000 | -0.000 | -43.244 | -0.000 | -0.000 |
| -0.000 | -0.000 | -0.000 | 0.000 | -43.244 | -0.000 |
| -0.000 | -0.000 | -0.000 | 0.000 | -0.000 | -43.244 |
| 84.823 | 93.933 | 93.933 | 0.000 | 0.000 | 0.000 |
| 93.933 | 84.823 | 93.933 | -0.000 | 0.000 | -0.000 |
| 93.933 | 93.933 | 84.823 | 0.000 | 0.000 | 0.000 |
| 0.000 | 0.000 | 0.000 | -43.244 | 0.000 | 0.000 |
| 0.000 | 0.000 | 0.000 | -0.000 | -43.244 | 0.000 |
| 0.000 | 0.000 | 0.000 | -0.000 | 0.000 | -43.244 |
| 84.823 | 93.932 | 93.932 | -0.000 | -0.000 | -0.000 |
| 93.932 | 84.823 | 93.932 | 0.000 | -0.000 | -0.000 |
| 93.932 | 93.932 | 84.823 | -0.000 | -0.000 | -0.000 |
| -0.000 | -0.000 | -0.000 | -43.244 | -0.000 | -0.000 |
| -0.000 | -0.000 | -0.000 | -0.000 | -43.244 | -0.000 |
| -0.000 | -0.000 | -0.000 | 0.000 | -0.000 | -43.244 |
| 52.766 | 17.435 | 17.435 | 0.000 | 0.000 | 0.000 |
| 17.435 | 52.766 | 17.435 | 0.000 | 0.000 | 0.000 |
| 17.435 | 17.435 | 52.766 | 0.000 | 0.000 | 0.000 |
| 444327797.542 | -49356732.508 | -49356742.098 | -479454931.301 | 0.003 | 0.003 |
| -49356732.508 | 444327797.542 | -49356742.098 | 0.003 | -479454931.301 | 0.003 |
| -49356732.508 | -49356742.098 | 444327797.542 | 0.003 | 0.003 | -479454931.301 |
| 52.766 | 17.435 | 17.435 | 0.000 | -0.000 | -0.000 |
| 17.435 | 52.766 | 17.435 | -0.000 | -0.000 | -0.000 |
| 17.435 | 17.435 | 52.766 | -0.000 | -0.000 | -0.000 |
| -444327797.542 | 49356732.509 | 49356742.098 | -479454931.301 | -0.000 | 0.001 |
| 49356732.509 | -444327797.542 | 49356742.098 | -0.000 | -479454931.301 | 0.001 |
| 49356732.509 | 49356742.098 | -444327797.542 | -0.000 | 0.001 | -479454931.301 |
| 52.766 | 17.435 | 17.435 | -0.000 | 0.000 | 0.000 |
| 17.435 | 52.766 | 17.435 | 0.000 | -0.000 | 0.000 |
| 17.435 | 17.435 | 52.766 | 0.000 | 0.000 | -0.000 |
| 44432785.333 | -4935658.110 | -4935667.699 | -47945458.234 | -0.000 | -0.000 |
| -4935658.110 | 44432785.333 | -4935667.699 | -0.000 | -47945458.234 | -0.000 |
| -4935658.110 | -4935667.699 | 44432785.333 | -0.000 | -0.000 | -47945458.234 |
| 52.766 | 17.435 | 17.435 | -0.000 | -0.000 | -0.000 |
| 17.435 | 52.766 | 17.435 | -0.000 | -0.000 | -0.000 |
| 17.435 | 17.435 | 52.766 | -0.000 | -0.000 | -0.000 |
| -44432785.333 | 4935658.110 | 4935667.699 | -47945458.234 | 0.000 | -0.000 |
| 4935658.110 | -44432785.333 | 4935667.699 | 0.000 | -47945458.234 | -0.000 |
| 4935658.110 | 4935667.699 | -44432785.333 | 0.000 | -0.000 | -47945458.234 |
| 52.766 | 17.435 | 17.435 | -0.000 | 0.000 | 0.000 |
| 17.435 | 52.766 | 17.435 | 0.000 | -0.000 | 0.000 |
| 17.435 | 17.435 | 52.766 | 0.000 | 0.000 | -0.000 |
| 4443284.180 | -493550.699 | -493560.289 | -4794510.990 | 0.000 | 0.000 |
| -493550.699 | 4443284.180 | -493560.289 | 0.000 | -4794510.990 | 0.000 |
| -493550.699 | -493560.289 | 4443284.180 | 0.000 | 0.000 | -4794510.990 |
| 52.765 | 17.434 | 17.434 | 0.000 | -0.000 | -0.000 |
| 17.434 | 52.765 | 17.434 | -0.000 | -0.000 | -0.000 |
| 17.434 | 17.434 | 52.765 | -0.000 | -0.000 | -0.000 |
| -4443284.180 | 493550.699 | 493560.289 | -4794510.990 | -0.000 | 0.000 |
| 493550.699 | -4443284.180 | 493560.289 | -0.000 | -4794510.990 | 0.000 |
| 493550.699 | 493560.289 | -4443284.180 | -0.000 | 0.000 | -4794510.990 |
| 0.320 | 0.320 | 0.320 | -0.000 | -0.000 | -0.000 |
| 0.320 | 0.320 | 0.320 | -0.000 | -0.000 | -0.000 |
| 0.320 | 0.320 | 0.320 | -0.000 | -0.000 | -0.000 |
| 0.000 | 0.000 | 0.000 | 0.253 | -0.000 | -0.000 |
| 0.000 | 0.000 | 0.000 | -0.000 | 0.253 | -0.000 |
| 0.000 | 0.000 | 0.000 | -0.000 | -0.000 | 0.253 |
| 0.320 | 0.320 | 0.320 | 0.000 | 0.000 | 0.000 |
| 0.320 | 0.320 | 0.320 | 0.000 | 0.000 | 0.000 |
| 0.320 | 0.320 | 0.320 | 0.000 | 0.000 | 0.000 |
| -0.000 | -0.000 | -0.000 | 0.253 | 0.000 | 0.000 |
| -0.000 | -0.000 | -0.000 | 0.000 | 0.253 | 0.000 |
| -0.000 | -0.000 | -0.000 | 0.000 | 0.000 | 0.253 |
| 0.320 | 0.320 | 0.320 | -0.000 | -0.000 | -0.000 |
| 0.320 | 0.320 | 0.320 | -0.000 | -0.000 | -0.000 |
| 0.320 | 0.320 | 0.320 | -0.000 | -0.000 | -0.000 |
| 0.000 | 0.000 | 0.000 | 0.099 | -0.000 | -0.000 |
| 0.000 | 0.000 | 0.000 | -0.000 | 0.099 | -0.000 |
| 0.000 | 0.000 | 0.000 | -0.000 | -0.000 | 0.099 |
| 0.320 | 0.320 | 0.320 | 0.000 | 0.000 | 0.000 |
| 0.320 | 0.320 | 0.320 | 0.000 | 0.000 | 0.000 |
| 0.320 | 0.320 | 0.320 | 0.000 | 0.000 | 0.000 |
| -0.000 | -0.000 | -0.000 | 0.099 | 0.000 | 0.000 |
| -0.000 | -0.000 | -0.000 | 0.000 | 0.099 | 0.000 |
| -0.000 | -0.000 | -0.000 | 0.000 | 0.000 | 0.099 |
| 0.320 | 0.320 | 0.320 | -0.000 | -0.000 | -0.000 |
| 0.320 | 0.320 | 0.320 | -0.000 | -0.000 | -0.000 |
| 0.320 | 0.320 | 0.320 | -0.000 | -0.000 | -0.000 |
| -0.000 | -0.000 | -0.000 | 0.010 | -0.000 | -0.000 |
| -0.000 | -0.000 | -0.000 | -0.000 | 0.010 | -0.000 |
| -0.000 | -0.000 | -0.000 | -0.000 | -0.000 | 0.010 |
| 0.320 | 0.320 | 0.320 | 0.000 | 0.000 | 0.000 |
| 0.320 | 0.320 | 0.320 | 0.000 | 0.000 | 0.000 |
| 0.320 | 0.320 | 0.320 | 0.000 | 0.000 | 0.000 |
| 0.000 | 0.000 | 0.000 | 0.010 | 0.000 | 0.000 |
| 0.000 | 0.000 | 0.000 | 0.000 | 0.010 | 0.000 |
| 0.000 | 0.000 | 0.000 | 0.000 | 0.000 | 0.010 |
| 156.570 | -77.696 | 25.625 | -0.000 | 0.000 | 0.000 |
| -77.696 | 156.570 | 25.625 | -0.000 | 0.000 | 0.000 |
| 25.625 | 25.625 | 146.362 | 0.000 | 0.000 | 0.000 |
| 0.000 | -0.000 | 0.000 | 108.932 | 0.000 | 0.000 |
| -0.000 | 0.000 | 0.000 | 0.000 | 108.932 | 0.000 |
| 0.000 | -0.000 | 0.000 | 0.000 | 0.000 | 46.092 |
| 156.570 | -77.696 | 25.625 | 0.000 | -0.000 | -0.000 |
| -77.696 | 156.570 | 25.625 | -0.000 | -0.000 | -0.000 |
| 25.625 | 25.625 | 146.362 | -0.000 | -0.000 | -0.000 |
| -0.000 | 0.000 | -0.000 | 108.932 | -0.000 | -0.000 |
| 0.000 | -0.000 | -0.000 | -0.000 | 108.932 | -0.000 |
| 0.000 | 0.000 | -0.000 | -0.000 | -0.000 | 46.092 |
| 156.571 | -77.696 | 25.625 | -0.000 | 0.000 | 0.000 |
| -77.696 | 156.571 | 25.625 | -0.000 | 0.000 | 0.000 |
| 25.625 | 25.625 | 146.362 | -0.000 | 0.000 | 0.000 |
| 0.000 | -0.000 | 0.000 | 108.932 | 0.000 | 0.000 |
| -0.000 | 0.000 | 0.000 | 0.000 | 108.932 | 0.000 |
| 0.000 | 0.000 | 0.000 | 0.000 | 0.000 | 46.092 |
| 156.570 | -77.696 | 25.625 | 0.000 | -0.000 | -0.000 |
| -77.696 | 156.570 | 25.625 | 0.000 | -0.000 | -0.000 |
| 25.625 | 25.625 | 146.362 | -0.000 | -0.000 | -0.000 |
| -0.000 | 0.000 | -0.000 | 108.932 | -0.000 | -0.000 |
| 0.000 | -0.000 | -0.000 | 0.000 | 108.932 | -0.000 |
| -0.000 | -0.000 | -0.000 | -0.000 | -0.000 | 46.092 |
| 156.575 | -77.697 | 25.625 | 0.000 | 0.000 | 0.000 |
| -77.697 | 156.575 | 25.625 | -0.000 | 0.000 | 0.000 |
| 25.625 | 25.625 | 146.363 | -0.000 | 0.000 | 0.000 |
| 0.000 | -0.000 | 0.000 | 108.932 | 0.000 | 0.000 |
| -0.000 | 0.000 | 0.000 | -0.000 | 108.932 | 0.000 |
| 0.000 | 0.000 | 0.000 | 0.000 | 0.000 | 46.092 |
| 156.566 | -77.696 | 25.625 | -0.000 | 0.000 | -0.000 |
| -77.696 | 156.566 | 25.625 | 0.000 | -0.000 | -0.000 |
| 25.625 | 25.625 | 146.361 | -0.000 | -0.000 | -0.000 |
| -0.000 | 0.000 | -0.000 | 108.932 | -0.000 | -0.000 |
| 0.000 | -0.000 | -0.000 | -0.000 | 108.932 | -0.000 |
| -0.000 | -0.000 | -0.000 | 0.000 | -0.000 | 46.092 |
| 7.151 | 0.778 | 1.570 | 0.000 | 0.000 | 0.000 |
| 0.778 | 7.151 | 1.570 | 0.000 | 0.000 | 0.000 |
| 1.570 | 1.570 | 3.168 | -0.000 | -0.000 | 0.000 |
| 0.000 | 0.000 | 0.000 | 1.570 | 0.000 | 0.000 |
| 0.000 | 0.000 | 0.000 | 0.000 | 1.570 | 0.000 |
| 0.000 | 0.000 | 0.000 | 0.000 | 0.000 | 0.778 |
| 7.151 | 0.778 | 1.570 | -0.000 | 0.000 | -0.000 |
| 0.778 | 7.151 | 1.570 | 0.000 | -0.000 | -0.000 |
| 1.570 | 1.570 | 3.168 | -0.000 | -0.000 | -0.000 |
| -0.000 | -0.000 | -0.000 | 1.570 | -0.000 | -0.000 |
| -0.000 | -0.000 | -0.000 | -0.000 | 1.570 | -0.000 |
| -0.000 | -0.000 | -0.000 | 0.000 | -0.000 | 0.778 |
| 7.151 | 0.778 | 1.570 | 0.000 | 0.000 | 0.000 |
| 0.778 | 7.151 | 1.570 | 0.000 | 0.000 | 0.000 |
| 1.570 | 1.570 | 3.168 | 0.000 | 0.000 | 0.000 |
| 0.000 | 0.000 | 0.000 | 1.570 | 0.000 | 0.000 |
| 0.000 | 0.000 | 0.000 | 0.000 | 1.570 | 0.000 |
| 0.000 | 0.000 | 0.000 | -0.000 | 0.000 | 0.778 |
| 7.151 | 0.778 | 1.570 | -0.000 | -0.000 | -0.000 |
| 0.778 | 7.151 | 1.570 | -0.000 | -0.000 | -0.000 |
| 1.570 | 1.570 | 3.168 | -0.000 | -0.000 | -0.000 |
| -0.000 | -0.000 | -0.000 | 1.570 | -0.000 | -0.000 |
| -0.000 | -0.000 | -0.000 | -0.000 | 1.570 | -0.000 |
| -0.000 | -0.000 | -0.000 | -0.000 | 0.000 | 0.778 |
| 7.152 | 0.778 | 1.570 | 0.000 | -0.000 | 0.000 |
| 0.778 | 7.152 | 1.570 | -0.000 | 0.000 | 0.000 |
| 1.570 | 1.570 | 3.168 | -0.000 | -0.000 | 0.000 |
| 0.000 | 0.000 | 0.000 | 1.570 | -0.000 | 0.000 |
| 0.000 | 0.000 | 0.000 | -0.000 | 1.570 | 0.000 |
| 0.000 | 0.000 | 0.000 | 0.000 | 0.000 | 0.778 |
| 7.151 | 0.778 | 1.570 | 0.000 | -0.000 | -0.000 |
| 0.778 | 7.151 | 1.570 | -0.000 | 0.000 | -0.000 |
| 1.570 | 1.570 | 3.168 | -0.000 | -0.000 | -0.000 |
| -0.000 | -0.000 | -0.000 | 1.570 | -0.000 | -0.000 |
| -0.000 | -0.000 | -0.000 | -0.000 | 1.570 | -0.000 |
| -0.000 | -0.000 | -0.000 | -0.000 | 0.000 | 0.778 |
| 0.907 | 0.849 | 1.524 | -0.000 | -0.000 | 0.000 |
| 0.849 | 0.907 | 1.524 | -0.000 | -0.000 | 0.000 |
| 1.524 | 1.524 | 2.733 | -0.000 | -0.000 | -0.000 |
| 0.000 | 0.000 | 0.000 | 1.524 | -0.000 | 0.000 |
| 0.000 | 0.000 | 0.000 | -0.000 | 1.524 | 0.000 |
| 0.000 | 0.000 | 0.000 | -0.000 | -0.000 | 0.849 |
| 0.907 | 0.849 | 1.524 | 0.000 | 0.000 | -0.000 |
| 0.849 | 0.907 | 1.524 | 0.000 | 0.000 | -0.000 |
| 1.524 | 1.524 | 2.733 | 0.000 | 0.000 | 0.000 |
| -0.000 | -0.000 | -0.000 | 1.524 | 0.000 | -0.000 |
| -0.000 | -0.000 | -0.000 | 0.000 | 1.524 | -0.000 |
| -0.000 | -0.000 | -0.000 | 0.000 | -0.000 | 0.849 |
| 0.907 | 0.849 | 1.524 | -0.000 | -0.000 | 0.000 |
| 0.849 | 0.907 | 1.524 | -0.000 | -0.000 | 0.000 |
| 1.524 | 1.524 | 2.733 | -0.000 | -0.000 | -0.000 |
| 0.000 | 0.000 | 0.000 | 1.524 | -0.000 | 0.000 |
| 0.000 | 0.000 | 0.000 | -0.000 | 1.524 | 0.000 |
| 0.000 | 0.000 | 0.000 | 0.000 | 0.000 | 0.849 |
| 0.907 | 0.849 | 1.524 | 0.000 | 0.000 | -0.000 |
| 0.849 | 0.907 | 1.524 | 0.000 | 0.000 | -0.000 |
| 1.524 | 1.524 | 2.733 | -0.000 | -0.000 | 0.000 |
| -0.000 | -0.000 | -0.000 | 1.524 | 0.000 | 0.000 |
| -0.000 | -0.000 | -0.000 | 0.000 | 1.524 | 0.000 |
| -0.000 | -0.000 | -0.000 | -0.000 | -0.000 | 0.849 |
| 0.906 | 0.849 | 1.524 | -0.000 | -0.000 | -0.000 |
| 0.849 | 0.906 | 1.524 | -0.000 | -0.000 | -0.000 |
| 1.524 | 1.524 | 2.734 | -0.000 | -0.000 | -0.000 |
| 0.000 | 0.000 | 0.000 | 1.524 | -0.000 | 0.000 |
| 0.000 | 0.000 | 0.000 | -0.000 | 1.524 | 0.000 |
| 0.000 | 0.000 | 0.000 | 0.000 | 0.000 | 0.849 |
| 0.907 | 0.849 | 1.524 | -0.000 | -0.000 | -0.000 |
| 0.849 | 0.907 | 1.524 | -0.000 | -0.000 | -0.000 |
| 1.524 | 1.524 | 2.733 | -0.000 | -0.000 | 0.000 |
| -0.000 | -0.000 | -0.000 | 1.524 | 0.000 | 0.000 |
| -0.000 | -0.000 | -0.000 | 0.000 | 1.524 | 0.000 |
| -0.000 | -0.000 | -0.000 | 0.000 | 0.000 | 0.849 |
| -13235937.920 | -3.173 | -5.418 | -0.000 | -0.000 | 0.000 |
| -3.173 | -13235937.920 | -5.418 | -0.000 | -0.000 | 0.000 |
| -0.229 | -0.229 | -0.386 | -0.000 | -0.000 | -0.000 |
| 0.000 | 0.000 | 0.000 | -0.225 | -0.000 | 0.000 |
| 0.000 | 0.000 | 0.000 | -0.000 | -0.225 | 0.000 |
| 0.000 | 0.000 | 0.000 | -0.000 | -0.000 | -0.132 |
| -0.132 | -0.135 | -0.230 | 0.000 | 0.000 | -0.000 |
| -0.135 | -0.132 | -0.230 | 0.000 | -0.000 | -0.000 |
| -0.229 | -0.229 | -0.386 | 0.000 | 0.000 | 0.000 |
| -0.000 | -0.000 | -0.000 | -0.225 | 0.000 | -0.000 |
| -0.000 | -0.000 | -0.000 | 0.000 | -0.225 | -0.000 |
| -0.000 | -0.000 | -0.000 | 0.000 | 0.000 | -0.132 |
| -1323601.220 | -0.439 | -0.749 | -0.000 | -0.000 | 0.000 |
| -0.439 | -1323601.220 | -0.749 | -0.000 | -0.000 | -0.000 |
| -0.229 | -0.229 | -0.386 | -0.000 | -0.000 | -0.000 |
| 0.000 | 0.000 | 0.000 | -0.225 | 0.000 | 0.000 |
| 0.000 | 0.000 | 0.000 | 0.000 | -0.225 | -0.000 |
| 0.000 | 0.000 | 0.000 | 0.000 | 0.000 | -0.132 |
| -0.132 | -0.135 | -0.230 | 0.000 | -0.000 | -0.000 |
| -0.135 | -0.132 | -0.230 | -0.000 | -0.000 | -0.000 |
| -0.229 | -0.229 | -0.386 | 0.000 | -0.000 | -0.000 |
| -0.000 | -0.000 | -0.000 | -0.225 | -0.000 | -0.000 |
| -0.000 | -0.000 | -0.000 | 0.000 | -0.225 | -0.000 |
| -0.000 | -0.000 | -0.000 | -0.000 | 0.000 | -0.132 |
| -132367.518 | -0.165 | -0.282 | 0.000 | 0.000 | 0.000 |
| -0.165 | -132367.518 | -0.282 | 0.000 | 0.000 | -0.000 |
| -0.229 | -0.229 | -0.386 | -0.000 | 0.000 | -0.000 |
| 0.000 | 0.000 | 0.000 | -0.225 | 0.000 | -0.000 |
| 0.000 | 0.000 | 0.000 | 0.000 | -0.225 | -0.000 |
| 0.000 | 0.000 | 0.000 | -0.000 | 0.000 | -0.132 |
| -0.132 | -0.135 | -0.230 | 0.000 | 0.000 | 0.000 |
| -0.135 | -0.132 | -0.230 | 0.000 | 0.000 | 0.000 |
| -0.229 | -0.229 | -0.387 | -0.000 | -0.000 | -0.000 |
| -0.000 | -0.000 | -0.000 | -0.225 | 0.000 | -0.000 |
| -0.000 | -0.000 | -0.000 | 0.000 | -0.225 | -0.000 |
| -0.000 | -0.000 | -0.000 | 0.000 | 0.000 | -0.132 |
| -0.009 | -0.009 | -0.015 | -0.000 | -0.000 | -0.000 |
| -0.009 | -0.009 | -0.015 | -0.000 | -0.000 | -0.000 |
| -0.015 | -0.015 | -0.026 | 0.000 | 0.000 | -0.000 |
| -0.000 | -0.000 | -0.000 | -0.015 | -0.000 | -0.000 |
| -0.000 | -0.000 | -0.000 | -0.000 | -0.015 | -0.000 |
| -0.000 | -0.000 | -0.000 | -0.000 | -0.000 | -0.009 |
| -0.009 | -0.009 | -0.015 | 0.000 | -0.000 | 0.000 |
| -0.009 | -0.009 | -0.015 | -0.000 | 0.000 | 0.000 |
| -0.015 | -0.015 | -0.026 | 0.000 | 0.000 | 0.000 |
| 0.000 | 0.000 | 0.000 | -0.015 | -0.000 | 0.000 |
| 0.000 | 0.000 | 0.000 | -0.000 | -0.015 | 0.000 |
| 0.000 | 0.000 | 0.000 | -0.000 | -0.000 | -0.009 |
| -0.009 | -0.009 | -0.015 | -0.000 | 0.000 | -0.000 |
| -0.009 | -0.009 | -0.015 | 0.000 | -0.000 | -0.000 |
| -0.015 | -0.015 | -0.026 | 0.000 | 0.000 | -0.000 |
| -0.000 | -0.000 | -0.000 | -0.015 | -0.000 | -0.000 |
| -0.000 | -0.000 | -0.000 | -0.000 | -0.015 | -0.000 |
| -0.000 | -0.000 | -0.000 | -0.000 | -0.000 | -0.009 |
| -0.009 | -0.009 | -0.015 | 0.000 | -0.000 | 0.000 |
| -0.009 | -0.009 | -0.015 | -0.000 | 0.000 | 0.000 |
| -0.015 | -0.015 | -0.026 | -0.000 | -0.000 | 0.000 |
| 0.000 | 0.000 | 0.000 | -0.015 | 0.000 | 0.000 |
| 0.000 | 0.000 | 0.000 | 0.000 | -0.015 | 0.000 |
| 0.000 | 0.000 | 0.000 | -0.000 | -0.000 | -0.009 |
| -0.009 | -0.009 | -0.015 | -0.000 | -0.000 | -0.000 |
| -0.009 | -0.009 | -0.015 | -0.000 | -0.000 | -0.000 |
| -0.015 | -0.015 | -0.026 | -0.000 | -0.000 | 0.000 |
| -0.000 | -0.000 | -0.000 | -0.015 | -0.000 | -0.000 |
| -0.000 | -0.000 | -0.000 | -0.000 | -0.015 | -0.000 |
| -0.000 | -0.000 | -0.000 | 0.000 | 0.000 | -0.009 |
| -0.009 | -0.009 | -0.015 | 0.000 | 0.000 | 0.000 |
| -0.009 | -0.009 | -0.015 | 0.000 | 0.000 | 0.000 |
| -0.015 | -0.015 | -0.026 | 0.000 | 0.000 | 0.000 |
| 0.000 | 0.000 | 0.000 | -0.015 | 0.000 | 0.000 |
| 0.000 | 0.000 | 0.000 | 0.000 | -0.015 | 0.000 |
| 0.000 | 0.000 | 0.000 | 0.000 | 0.000 | -0.009 |
| 163.989 | 135.672 | 135.672 | -0.000 | -0.000 | 0.000 |
| 135.672 | 163.989 | 135.672 | -0.000 | -0.000 | -0.000 |
| 135.672 | 135.672 | 163.989 | -0.000 | 0.000 | 0.000 |
| 0.000 | 0.000 | 0.000 | -24.226 | 0.000 | 0.000 |
| -0.000 | 0.000 | -0.000 | -0.000 | -24.226 | 0.000 |
| 0.000 | 0.000 | 0.000 | 0.000 | -0.000 | -24.226 |
| 163.989 | 135.672 | 135.672 | 0.000 | -0.000 | -0.000 |
| 135.672 | 163.989 | 135.672 | -0.000 | 0.000 | -0.000 |
| 135.672 | 135.672 | 163.989 | 0.000 | -0.000 | -0.000 |
| -0.000 | -0.000 | -0.000 | -24.226 | 0.000 | 0.000 |
| 0.000 | -0.000 | -0.000 | -0.000 | -24.226 | 0.000 |
| 0.000 | -0.000 | -0.000 | -0.000 | 0.000 | -24.226 |
| 163.989 | 135.672 | 135.672 | -0.000 | -0.000 | 0.000 |
| 135.672 | 163.989 | 135.672 | -0.000 | -0.000 | 0.000 |
| 135.672 | 135.672 | 163.989 | -0.000 | -0.000 | 0.000 |
| 0.000 | -0.000 | -0.000 | -24.226 | -0.000 | -0.000 |
| -0.000 | 0.000 | -0.000 | -0.000 | -24.226 | 0.000 |
| -0.000 | -0.000 | 0.000 | -0.000 | -0.000 | -24.226 |
| 163.989 | 135.672 | 135.672 | 0.000 | 0.000 | -0.000 |
| 135.672 | 163.989 | 135.672 | 0.000 | 0.000 | -0.000 |
| 135.672 | 135.672 | 163.989 | 0.000 | 0.000 | -0.000 |
| -0.000 | 0.000 | 0.000 | -24.226 | 0.000 | -0.000 |
| 0.000 | -0.000 | 0.000 | -0.000 | -24.226 | -0.000 |
| 0.000 | 0.000 | -0.000 | 0.000 | 0.000 | -24.226 |
| 163.991 | 135.673 | 135.673 | -0.000 | 0.000 | 0.000 |
| 135.673 | 163.991 | 135.673 | -0.000 | 0.000 | 0.000 |
| 135.673 | 135.673 | 163.991 | -0.000 | -0.000 | 0.000 |
| 0.001 | -0.000 | -0.000 | -24.226 | 0.000 | 0.000 |
| -0.000 | 0.001 | -0.000 | 0.000 | -24.226 | 0.000 |
| -0.000 | -0.000 | 0.001 | -0.000 | -0.000 | -24.226 |
| 163.988 | 135.672 | 135.672 | 0.000 | 0.000 | -0.000 |
| 135.672 | 163.988 | 135.672 | 0.000 | 0.000 | -0.000 |
| 135.672 | 135.672 | 163.988 | 0.000 | 0.000 | -0.000 |
| -0.001 | 0.000 | 0.000 | -24.226 | 0.000 | 0.000 |
| 0.000 | -0.001 | 0.000 | 0.000 | -24.226 | -0.000 |
| 0.000 | 0.000 | -0.001 | 0.000 | 0.000 | -24.226 |
| 491.071 | 20.572 | 20.572 | -0.000 | -0.000 | -0.000 |
| 20.572 | 491.071 | 20.572 | -0.000 | -0.000 | -0.000 |
| 20.572 | 20.572 | 491.071 | -0.000 | -0.000 | -0.000 |
| 0.000 | 0.000 | 0.000 | 21.043 | -0.000 | 0.000 |
| 0.000 | 0.000 | 0.000 | 0.000 | 21.043 | -0.000 |
| 0.000 | 0.000 | -0.000 | -0.000 | -0.000 | 21.043 |
| 491.071 | 20.572 | 20.572 | 0.000 | 0.000 | -0.000 |
| 20.572 | 491.071 | 20.572 | 0.000 | -0.000 | -0.000 |
| 20.572 | 20.572 | 491.071 | 0.000 | 0.000 | 0.000 |
| -0.000 | -0.000 | -0.000 | 21.043 | 0.000 | 0.000 |
| -0.000 | -0.000 | -0.000 | -0.000 | 21.043 | 0.000 |
| -0.000 | -0.000 | 0.000 | 0.000 | 0.000 | 21.043 |
| 491.071 | 20.572 | 20.572 | -0.000 | 0.000 | -0.000 |
| 20.572 | 491.071 | 20.572 | -0.000 | 0.000 | 0.000 |
| 20.572 | 20.572 | 491.071 | 0.000 | 0.000 | -0.000 |
| 0.000 | 0.000 | 0.000 | 21.043 | -0.000 | 0.000 |
| 0.000 | 0.000 | 0.000 | -0.000 | 21.043 | -0.000 |
| 0.000 | 0.000 | 0.000 | -0.000 | -0.000 | 21.043 |
| 491.072 | 20.572 | 20.572 | 0.000 | -0.000 | -0.000 |
| 20.572 | 491.072 | 20.572 | 0.000 | 0.000 | -0.000 |
| 20.572 | 20.572 | 491.072 | 0.000 | -0.000 | 0.000 |
| -0.000 | -0.000 | -0.000 | 21.043 | 0.000 | 0.000 |
| -0.000 | -0.000 | -0.000 | 0.000 | 21.043 | 0.000 |
| -0.000 | -0.000 | -0.000 | 0.000 | 0.000 | 21.043 |
| 491.064 | 20.572 | 20.572 | -0.000 | -0.000 | -0.000 |
| 20.572 | 491.064 | 20.572 | -0.000 | -0.000 | 0.000 |
| 20.572 | 20.572 | 491.064 | 0.000 | 0.000 | 0.000 |
| 0.000 | 0.000 | 0.000 | 21.043 | -0.000 | -0.000 |
| 0.000 | 0.000 | 0.000 | -0.000 | 21.043 | -0.000 |
| 0.000 | 0.000 | 0.000 | -0.000 | 0.000 | 21.043 |
| 491.079 | 20.571 | 20.571 | 0.000 | -0.000 | -0.000 |
| 20.571 | 491.079 | 20.571 | 0.000 | -0.000 | -0.000 |
| 20.571 | 20.571 | 491.079 | 0.000 | 0.000 | -0.000 |
| -0.000 | -0.000 | -0.000 | 21.043 | 0.000 | -0.000 |
| -0.000 | -0.000 | -0.000 | 0.000 | 21.043 | 0.000 |
| -0.000 | -0.000 | -0.000 | 0.000 | -0.000 | 21.043 |
| 0.640 | 0.640 | 0.640 | 0.000 | 0.000 | 0.000 |
| 0.640 | 0.640 | 0.640 | 0.000 | 0.000 | 0.000 |
| 0.640 | 0.640 | 0.640 | 0.000 | 0.000 | -0.000 |
| 0.000 | 0.000 | 0.000 | 0.573 | 0.000 | -0.000 |
| 0.000 | 0.000 | 0.000 | 0.000 | 0.573 | -0.000 |
| 0.000 | 0.000 | 0.000 | 0.000 | 0.000 | 0.573 |
| 0.640 | 0.640 | 0.640 | -0.000 | 0.000 | -0.000 |
| 0.640 | 0.640 | 0.640 | 0.000 | -0.000 | -0.000 |
| 0.640 | 0.640 | 0.640 | -0.000 | -0.000 | 0.000 |
| -0.000 | -0.000 | -0.000 | 0.573 | -0.000 | -0.000 |
| -0.000 | -0.000 | -0.000 | -0.000 | 0.573 | -0.000 |
| -0.000 | -0.000 | -0.000 | -0.000 | -0.000 | 0.573 |
| 0.640 | 0.640 | 0.640 | 0.000 | 0.000 | -0.000 |
| 0.640 | 0.640 | 0.640 | 0.000 | 0.000 | -0.000 |
| 0.640 | 0.640 | 0.640 | 0.000 | 0.000 | -0.000 |
| 0.000 | 0.000 | 0.000 | 0.573 | 0.000 | -0.000 |
| 0.000 | 0.000 | 0.000 | 0.000 | 0.573 | -0.000 |
| 0.000 | 0.000 | 0.000 | 0.000 | 0.000 | 0.573 |
| 0.640 | 0.640 | 0.640 | -0.000 | -0.000 | -0.000 |
| 0.640 | 0.640 | 0.640 | -0.000 | -0.000 | -0.000 |
| 0.640 | 0.640 | 0.640 | -0.000 | -0.000 | 0.000 |
| -0.000 | -0.000 | -0.000 | 0.573 | -0.000 | -0.000 |
| -0.000 | -0.000 | -0.000 | -0.000 | 0.573 | -0.000 |
| -0.000 | -0.000 | -0.000 | -0.000 | -0.000 | 0.573 |
| 0.640 | 0.640 | 0.640 | 0.000 | -0.000 | 0.000 |
| 0.640 | 0.640 | 0.640 | -0.000 | 0.000 | 0.000 |
| 0.640 | 0.640 | 0.640 | 0.000 | 0.000 | 0.000 |
| -0.000 | -0.000 | -0.000 | 0.057 | 0.000 | -0.000 |
| -0.000 | -0.000 | -0.000 | 0.000 | 0.057 | -0.000 |
| -0.000 | -0.000 | -0.000 | 0.000 | 0.000 | 0.057 |
| 0.640 | 0.640 | 0.640 | -0.000 | -0.000 | 0.000 |
| 0.640 | 0.640 | 0.640 | -0.000 | -0.000 | 0.000 |
| 0.640 | 0.640 | 0.640 | -0.000 | -0.000 | 0.000 |
| 0.000 | 0.000 | 0.000 | 0.057 | -0.000 | -0.000 |
| 0.000 | 0.000 | 0.000 | -0.000 | 0.057 | -0.000 |
| 0.000 | 0.000 | 0.000 | -0.000 | -0.000 | 0.057 |
| 170.028 | 228.804 | 228.803 | -0.000 | 0.000 | -0.000 |
| 228.803 | 170.028 | 228.803 | -0.000 | -0.000 | -0.000 |
| 228.803 | 228.804 | 170.028 | 0.000 | 0.000 | -0.000 |
| 0.000 | 0.000 | 0.000 | 158.114 | 0.000 | -0.000 |
| 0.000 | 0.000 | 0.000 | 0.000 | 158.114 | -0.000 |
| 0.000 | 0.000 | 0.000 | 0.000 | 0.000 | 158.114 |
| 170.028 | 228.803 | 228.803 | 0.000 | 0.000 | 0.000 |
| 228.803 | 170.028 | 228.803 | 0.000 | 0.000 | 0.000 |
| 228.803 | 228.803 | 170.028 | -0.000 | 0.000 | 0.000 |
| -0.000 | -0.000 | -0.000 | 158.114 | -0.000 | 0.000 |
| -0.000 | -0.000 | -0.000 | -0.000 | 158.114 | 0.000 |
| -0.000 | -0.000 | -0.000 | -0.000 | -0.000 | 158.114 |
| 170.029 | 228.804 | 228.804 | -0.000 | -0.000 | -0.000 |
| 228.804 | 170.029 | 228.804 | -0.000 | -0.000 | -0.000 |
| 228.804 | 228.804 | 170.029 | 0.000 | 0.000 | -0.000 |
| 0.000 | 0.000 | 0.000 | 151.475 | 0.000 | -0.000 |
| 0.000 | 0.000 | 0.000 | 0.000 | 151.475 | -0.000 |
| 0.000 | 0.000 | 0.000 | 0.000 | 0.000 | 151.475 |
| 170.028 | 228.803 | 228.803 | 0.000 | 0.000 | 0.000 |
| 228.803 | 170.028 | 228.803 | 0.000 | 0.000 | 0.000 |
| 228.803 | 228.803 | 170.028 | 0.000 | -0.000 | 0.000 |
| -0.000 | -0.000 | -0.000 | 151.475 | -0.000 | 0.000 |
| -0.000 | -0.000 | -0.000 | -0.000 | 151.475 | 0.000 |
| -0.000 | -0.000 | -0.000 | -0.000 | -0.000 | 151.475 |
| 170.030 | 228.805 | 228.805 | -0.000 | -0.000 | -0.000 |
| 228.805 | 170.030 | 228.805 | -0.000 | -0.000 | -0.000 |
| 228.805 | 228.805 | 170.030 | -0.000 | -0.000 | -0.000 |
| 0.001 | 0.000 | 0.001 | 151.475 | 0.000 | -0.000 |
| 0.000 | 0.001 | 0.001 | -0.000 | 151.475 | -0.000 |
| 0.000 | 0.001 | 0.001 | 0.000 | 0.000 | 151.475 |
| 170.027 | 228.802 | 228.802 | -0.000 | 0.000 | 0.000 |
| 228.802 | 170.027 | 228.802 | 0.000 | 0.000 | 0.000 |
| 228.802 | 228.802 | 170.027 | -0.000 | -0.000 | 0.000 |
| -0.001 | -0.000 | -0.001 | 151.475 | -0.000 | 0.000 |
| -0.000 | -0.001 | -0.001 | -0.000 | 151.475 | 0.000 |
| -0.000 | -0.001 | -0.001 | -0.000 | -0.000 | 151.475 |
| 924.418 | 686.472 | 686.472 | -0.000 | -0.000 | 0.000 |
| 686.472 | 924.418 | 686.472 | -0.000 | 0.000 | 0.000 |
| 686.472 | 686.472 | 924.418 | 0.000 | 0.000 | 0.000 |
| 0.000 | -0.000 | 0.000 | 17.813 | 0.000 | -0.000 |
| -0.000 | 0.000 | 0.000 | -0.000 | 17.813 | 0.000 |
| -0.000 | 0.000 | 0.000 | -0.000 | 0.000 | 17.813 |
| 924.418 | 686.472 | 686.472 | 0.000 | -0.000 | -0.000 |
| 686.472 | 924.418 | 686.472 | 0.000 | 0.000 | -0.000 |
| 686.472 | 686.472 | 924.418 | -0.000 | -0.000 | -0.000 |
| -0.000 | 0.000 | -0.000 | 17.813 | -0.000 | 0.000 |
| 0.000 | -0.000 | -0.000 | -0.000 | 17.813 | -0.000 |
| -0.000 | -0.000 | -0.000 | 0.000 | -0.000 | 17.813 |
| 924.416 | 686.470 | 686.470 | -0.000 | 0.000 | -0.000 |
| 686.470 | 924.416 | 686.470 | -0.000 | 0.000 | 0.000 |
| 686.470 | 686.470 | 924.416 | -0.000 | 0.000 | 0.000 |
| 0.000 | 0.000 | 0.000 | 17.812 | -0.000 | 0.000 |
| 0.000 | 0.000 | 0.000 | -0.000 | 17.812 | -0.000 |
| 0.000 | 0.000 | 0.000 | -0.000 | -0.000 | 17.812 |
| 924.420 | 686.473 | 686.473 | 0.000 | -0.000 | -0.000 |
| 686.473 | 924.420 | 686.473 | 0.000 | -0.000 | -0.000 |
| 686.473 | 686.473 | 924.420 | 0.000 | -0.000 | -0.000 |
| -0.000 | -0.000 | -0.000 | 17.812 | 0.000 | -0.000 |
| -0.000 | -0.000 | -0.000 | 0.000 | 17.812 | -0.000 |
| -0.000 | -0.000 | -0.000 | 0.000 | 0.000 | 17.812 |
| 924.401 | 686.458 | 686.458 | -0.000 | 0.000 | 0.000 |
| 686.458 | 924.401 | 686.458 | -0.000 | 0.000 | 0.000 |
| 686.458 | 686.458 | 924.401 | -0.000 | 0.000 | 0.000 |
| 0.000 | 0.000 | 0.000 | 17.812 | 0.000 | 0.000 |
| 0.000 | 0.000 | 0.000 | -0.000 | 17.812 | -0.000 |
| 0.000 | 0.000 | 0.000 | -0.000 | 0.000 | 17.812 |
| 924.436 | 686.486 | 686.486 | 0.000 | -0.000 | -0.000 |
| 686.486 | 924.436 | 686.486 | 0.000 | -0.000 | -0.000 |
| 686.486 | 686.486 | 924.436 | -0.000 | -0.000 | -0.000 |
| -0.000 | -0.000 | -0.000 | 17.812 | -0.000 | -0.000 |
| -0.000 | -0.000 | -0.000 | 0.000 | 17.812 | 0.000 |
| -0.000 | -0.000 | -0.000 | 0.000 | 0.000 | 17.812 |
| 323.956 | 323.956 | 323.956 | 0.000 | 0.000 | -0.000 |
| 323.956 | 323.956 | 323.956 | 0.000 | 0.000 | -0.000 |
| 323.956 | 323.956 | 323.956 | 0.000 | 0.000 | -0.000 |
| 0.001 | 0.001 | 0.001 | -65.117 | 0.000 | 0.000 |
| 0.001 | 0.001 | 0.001 | 0.000 | -65.117 | 0.000 |
| 0.001 | 0.001 | 0.001 | 0.000 | 0.000 | -65.117 |
| 323.956 | 323.955 | 323.955 | -0.000 | -0.000 | 0.000 |
| 323.955 | 323.956 | 323.955 | -0.000 | -0.000 | -0.000 |
| 323.955 | 323.955 | 323.956 | -0.000 | -0.000 | 0.000 |
| -0.001 | -0.001 | -0.001 | -65.117 | -0.000 | -0.000 |
| -0.001 | -0.001 | -0.001 | -0.000 | -65.117 | 0.000 |
| -0.001 | -0.001 | -0.001 | -0.000 | -0.000 | -65.117 |
| 323.957 | 323.957 | 323.957 | 0.000 | -0.000 | -0.000 |
| 323.957 | 323.957 | 323.957 | -0.000 | 0.000 | -0.000 |
| 323.957 | 323.957 | 323.957 | 0.000 | 0.000 | 0.000 |
| 0.000 | 0.000 | 0.000 | 0.931 | 0.000 | -0.000 |
| 0.000 | 0.000 | 0.000 | -0.000 | 0.931 | -0.000 |
| 0.000 | 0.000 | 0.000 | -0.000 | -0.000 | 0.931 |
| 323.954 | 323.954 | 323.954 | -0.000 | 0.000 | 0.000 |
| 323.954 | 323.954 | 323.954 | 0.000 | -0.000 | -0.000 |
| 323.954 | 323.954 | 323.954 | -0.000 | -0.000 | -0.000 |
| -0.000 | -0.000 | -0.000 | 0.931 | 0.000 | 0.000 |
| -0.000 | -0.000 | -0.000 | 0.000 | 0.931 | 0.000 |
| -0.000 | -0.000 | -0.000 | 0.000 | 0.000 | 0.931 |
| 323.967 | 323.968 | 323.968 | 0.000 | 0.000 | -0.000 |
| 323.968 | 323.967 | 323.968 | 0.000 | 0.000 | -0.000 |
| 323.968 | 323.968 | 323.967 | 0.000 | 0.000 | -0.000 |
| 322536.483 | 315131.715 | 309476.365 | -6480.321 | -2059.244 | -43836.351 |
| 313737.588 | 313928.208 | 306824.792 | -1652.728 | -3527.609 | -45170.808 |
| 317552.307 | 309425.641 | 313743.563 | -791.261 | -48202.651 | -4631.880 |
| 323.944 | 323.944 | 323.944 | -0.000 | 0.000 | 0.000 |
| 323.944 | 323.944 | 323.944 | 0.000 | -0.000 | 0.000 |
| 323.944 | 323.944 | 323.944 | -0.000 | -0.000 | 0.000 |
| -492888.287 | -500804.006 | -499808.715 | 300.264 | -227.748 | 2755.286 |
| -307978.500 | -308283.159 | -314953.716 | 619.691 | 8223.440 | 56865.826 |
| -311500.617 | -323422.627 | -320320.702 | 1336.730 | 51351.709 | 3365.036 |
| -0.124 | -0.124 | -0.124 | -0.000 | -0.000 | -0.000 |
| -0.124 | -0.124 | -0.124 | -0.000 | -0.000 | -0.000 |
| -0.124 | -0.124 | -0.124 | -0.000 | -0.000 | 0.000 |
| 0.000 | 0.000 | 0.000 | -0.124 | -0.000 | -0.000 |
| 0.000 | 0.000 | 0.000 | -0.000 | -0.124 | -0.000 |
| 0.000 | 0.000 | 0.000 | -0.000 | -0.000 | -0.124 |
| -0.124 | -0.124 | -0.124 | 0.000 | 0.000 | 0.000 |
| -0.124 | -0.124 | -0.124 | 0.000 | 0.000 | 0.000 |
| -0.124 | -0.124 | -0.124 | 0.000 | 0.000 | -0.000 |
| -0.000 | -0.000 | -0.000 | -0.124 | 0.000 | 0.000 |
| -0.000 | -0.000 | -0.000 | 0.000 | -0.124 | 0.000 |
| -0.000 | -0.000 | -0.000 | 0.000 | 0.000 | -0.124 |
| -0.124 | -0.124 | -0.124 | -0.000 | -0.000 | -0.000 |
| -0.124 | -0.124 | -0.124 | -0.000 | -0.000 | -0.000 |
| -0.124 | -0.124 | -0.124 | -0.000 | -0.000 | -0.000 |
| 0.000 | 0.000 | 0.000 | -0.128 | -0.000 | -0.000 |
| 0.000 | 0.000 | 0.000 | -0.000 | -0.128 | -0.000 |
| 0.000 | 0.000 | 0.000 | -0.000 | 0.000 | -0.128 |
| -0.124 | -0.124 | -0.124 | 0.000 | 0.000 | -0.000 |
| -0.124 | -0.124 | -0.124 | 0.000 | 0.000 | -0.000 |
| -0.124 | -0.124 | -0.124 | 0.000 | 0.000 | -0.000 |
| -0.000 | -0.000 | -0.000 | -0.128 | 0.000 | 0.000 |
| -0.000 | -0.000 | -0.000 | 0.000 | -0.128 | 0.000 |
| -0.000 | -0.000 | -0.000 | 0.000 | 0.000 | -0.128 |
| -0.124 | -0.124 | -0.124 | -0.000 | -0.000 | 0.000 |
| -0.124 | -0.124 | -0.124 | -0.000 | -0.000 | 0.000 |
| -0.124 | -0.124 | -0.124 | -0.000 | -0.000 | -0.000 |
| 16137.890 | 16311.004 | 16308.996 | -14939.585 | 52.771 | -53.375 |
| 16310.998 | 16137.884 | 16308.989 | 52.771 | -14939.580 | -53.375 |
| 16618.104 | 16616.119 | 16439.824 | 51.987 | -52.297 | -15230.231 |
| -0.125 | -0.125 | -0.125 | 0.000 | 0.000 | -0.000 |
| -0.125 | -0.125 | -0.125 | 0.000 | 0.000 | -0.000 |
| -0.125 | -0.125 | -0.125 | 0.000 | 0.000 | -0.000 |
| -3532.700 | -3560.464 | -3560.477 | -3312.089 | -6.118 | -6.125 |
| -3560.464 | -3532.700 | -3560.477 | -6.118 | -3312.089 | -6.125 |
| -3593.481 | -3593.489 | -3565.529 | -6.527 | -6.525 | -3342.050 |
| 9.577 | 11.011 | 11.011 | 0.000 | -0.000 | -0.000 |
| 11.011 | 9.577 | 11.011 | 0.000 | 0.000 | -0.000 |
| 11.011 | 11.011 | 9.577 | -0.000 | -0.000 | -0.000 |
| 0.000 | 0.000 | 0.000 | -3.879 | -0.000 | -0.000 |
| 0.000 | 0.000 | 0.000 | -0.000 | -3.879 | -0.000 |
| 0.000 | 0.000 | 0.000 | -0.000 | -0.000 | -3.879 |
| 9.578 | 11.011 | 11.011 | -0.000 | -0.000 | 0.000 |
| 11.011 | 9.578 | 11.011 | -0.000 | -0.000 | -0.000 |
| 11.011 | 11.011 | 9.578 | -0.000 | -0.000 | -0.000 |
| -0.000 | -0.000 | -0.000 | -3.879 | 0.000 | 0.000 |
| -0.000 | -0.000 | -0.000 | 0.000 | -3.879 | 0.000 |
| -0.000 | -0.000 | -0.000 | 0.000 | -0.000 | -3.879 |
| 9.575 | 11.009 | 11.009 | 0.000 | -0.000 | -0.000 |
| 11.009 | 9.575 | 11.009 | -0.000 | 0.000 | -0.000 |
| 11.009 | 11.009 | 9.575 | -0.000 | -0.000 | -0.000 |
| 0.001 | 0.001 | 0.001 | -3.879 | 0.000 | -0.000 |
| 0.001 | 0.001 | 0.001 | -0.000 | -3.879 | -0.000 |
| 0.001 | 0.001 | 0.001 | -0.000 | -0.000 | -3.879 |
| 9.580 | 11.013 | 11.013 | -0.000 | -0.000 | 0.000 |
| 11.013 | 9.580 | 11.013 | -0.000 | 0.000 | 0.000 |
| 11.013 | 11.013 | 9.580 | -0.000 | -0.000 | 0.000 |
| -0.001 | -0.001 | -0.001 | -3.879 | -0.000 | 0.000 |
| -0.001 | -0.001 | -0.001 | 0.000 | -3.879 | 0.000 |
| -0.001 | -0.001 | -0.001 | 0.000 | 0.000 | -3.879 |
| 9.556 | 10.989 | 10.989 | 0.000 | -0.000 | -0.000 |
| 10.989 | 9.556 | 10.989 | -0.000 | 0.000 | 0.000 |
| 10.989 | 10.989 | 9.556 | 0.000 | 0.000 | 0.000 |
| 0.005 | 0.005 | 0.005 | -3.879 | -0.000 | -0.000 |
| 0.005 | 0.005 | 0.005 | -0.000 | -3.879 | -0.000 |
| 0.005 | 0.005 | 0.005 | -0.000 | 0.000 | -3.879 |
| 9.599 | 11.033 | 11.033 | 0.000 | -0.000 | 0.000 |
| 11.033 | 9.599 | 11.033 | -0.000 | 0.000 | 0.000 |
| 11.033 | 11.033 | 9.599 | 0.000 | 0.000 | -0.000 |
| -0.005 | -0.005 | -0.005 | -3.879 | 0.000 | -0.000 |
| -0.005 | -0.005 | -0.005 | 0.000 | -3.879 | -0.000 |
| -0.005 | -0.005 | -0.005 | 0.000 | 0.000 | -3.879 |
| 78.216 | 152.965 | 152.965 | -0.000 | -0.000 | -0.000 |
| 152.965 | 78.216 | 152.965 | -0.000 | 0.000 | 0.000 |
| 152.965 | 152.965 | 78.216 | -0.000 | 0.000 | -0.000 |
| 0.000 | -0.000 | -0.000 | 109.435 | 0.000 | 0.000 |
| -0.000 | -0.000 | -0.000 | 0.000 | 109.435 | -0.000 |
| -0.000 | -0.000 | 0.000 | -0.000 | 0.000 | 109.435 |
| 78.216 | 152.965 | 152.966 | 0.000 | -0.000 | -0.000 |
| 152.965 | 78.216 | 152.966 | 0.000 | 0.000 | -0.000 |
| 152.965 | 152.965 | 78.216 | 0.000 | -0.000 | -0.000 |
| -0.000 | 0.000 | 0.000 | 109.435 | -0.000 | 0.000 |
| 0.000 | 0.000 | 0.000 | 0.000 | 109.435 | 0.000 |
| 0.000 | 0.000 | 0.000 | -0.000 | -0.000 | 109.435 |
| 78.216 | 152.966 | 152.966 | -0.000 | 0.000 | -0.000 |
| 152.966 | 78.216 | 152.966 | -0.000 | 0.000 | 0.000 |
| 152.966 | 152.966 | 78.216 | -0.000 | 0.000 | -0.000 |
| 0.000 | 0.000 | 0.000 | 109.435 | 0.000 | 0.000 |
| 0.000 | 0.000 | 0.000 | 0.000 | 109.435 | -0.000 |
| 0.000 | 0.000 | 0.000 | -0.000 | 0.000 | 109.435 |
| 78.216 | 152.965 | 152.965 | 0.000 | 0.000 | -0.000 |
| 152.965 | 78.216 | 152.965 | 0.000 | -0.000 | 0.000 |
| 152.965 | 152.965 | 78.216 | 0.000 | -0.000 | 0.000 |
| -0.000 | -0.000 | -0.000 | 109.435 | -0.000 | 0.000 |
| -0.000 | -0.000 | -0.000 | 0.000 | 109.435 | -0.000 |
| -0.000 | -0.000 | -0.000 | 0.000 | -0.000 | 109.435 |
| 78.217 | 152.966 | 152.966 | -0.000 | 0.000 | 0.000 |
| 152.966 | 78.217 | 152.966 | -0.000 | 0.000 | 0.000 |
| 152.966 | 152.966 | 78.217 | -0.000 | 0.000 | 0.000 |
| 0.001 | 0.000 | 0.001 | 109.435 | 0.000 | -0.000 |
| 0.000 | 0.001 | 0.001 | -0.000 | 109.435 | -0.000 |
| 0.000 | 0.001 | 0.001 | -0.000 | 0.000 | 109.435 |
| 78.215 | 152.965 | 152.965 | 0.000 | 0.000 | -0.000 |
| 152.965 | 78.215 | 152.965 | 0.000 | 0.000 | -0.000 |
| 152.965 | 152.965 | 78.215 | -0.000 | -0.000 | -0.000 |
| -0.001 | -0.000 | -0.001 | 109.435 | -0.000 | -0.000 |
| -0.000 | -0.001 | -0.001 | 0.000 | 109.435 | 0.000 |
| -0.000 | -0.001 | -0.001 | 0.000 | -0.000 | 109.435 |
| 390.559 | 18.017 | 18.017 | 0.000 | 0.000 | 0.000 |
| 18.017 | 390.559 | 18.017 | 0.000 | 0.000 | 0.000 |
| 18.017 | 18.017 | 390.559 | 0.000 | 0.000 | 0.000 |
| 0.000 | 0.000 | 0.000 | 23.018 | 0.000 | 0.000 |
| 0.000 | 0.000 | 0.000 | 0.000 | 23.018 | 0.000 |
| 0.000 | 0.000 | 0.000 | 0.000 | 0.000 | 23.018 |
| 390.559 | 18.017 | 18.017 | -0.000 | -0.000 | -0.000 |
| 18.017 | 390.559 | 18.017 | -0.000 | -0.000 | -0.000 |
| 18.017 | 18.017 | 390.559 | -0.000 | -0.000 | -0.000 |
| -0.000 | -0.000 | -0.000 | 23.018 | -0.000 | -0.000 |
| -0.000 | -0.000 | -0.000 | -0.000 | 23.018 | -0.000 |
| -0.000 | -0.000 | -0.000 | -0.000 | -0.000 | 23.018 |
| 390.560 | 18.017 | 18.017 | 0.000 | 0.000 | 0.000 |
| 18.017 | 390.560 | 18.017 | 0.000 | 0.000 | 0.000 |
| 18.017 | 18.017 | 390.560 | 0.000 | 0.000 | 0.000 |
| 0.000 | 0.000 | 0.000 | 22.741 | 0.000 | 0.000 |
| 0.000 | 0.000 | 0.000 | 0.000 | 22.741 | 0.000 |
| 0.000 | 0.000 | 0.000 | 0.000 | 0.000 | 22.741 |
| 390.558 | 18.017 | 18.017 | -0.000 | -0.000 | -0.000 |
| 18.017 | 390.558 | 18.017 | -0.000 | -0.000 | -0.000 |
| 18.017 | 18.017 | 390.558 | -0.000 | -0.000 | -0.000 |
| -0.000 | -0.000 | -0.000 | 22.741 | -0.000 | -0.000 |
| -0.000 | -0.000 | -0.000 | -0.000 | 22.741 | -0.000 |
| -0.000 | -0.000 | -0.000 | -0.000 | -0.000 | 22.741 |
| 390.568 | 18.017 | 18.017 | 0.000 | 0.000 | 0.000 |
| 18.017 | 390.568 | 18.017 | 0.000 | 0.000 | 0.000 |
| 18.017 | 18.017 | 390.568 | 0.000 | 0.000 | 0.000 |
| 0.000 | 0.000 | 0.000 | 22.741 | 0.000 | 0.000 |
| 0.000 | 0.000 | 0.000 | 0.000 | 22.741 | 0.000 |
| 0.000 | 0.000 | 0.000 | 0.000 | 0.000 | 22.741 |
| 390.550 | 18.017 | 18.017 | -0.000 | -0.000 | -0.000 |
| 18.017 | 390.550 | 18.017 | -0.000 | -0.000 | -0.000 |
| 18.017 | 18.017 | 390.550 | -0.000 | -0.000 | -0.000 |
| -0.000 | -0.000 | -0.000 | 22.741 | -0.000 | -0.000 |
| -0.000 | -0.000 | -0.000 | -0.000 | 22.741 | -0.000 |
| -0.000 | -0.000 | -0.000 | -0.000 | -0.000 | 22.741 |
| 0.925 | 0.925 | 0.925 | 0.000 | -0.000 | 0.000 |
| 0.925 | 0.925 | 0.925 | -0.000 | 0.000 | 0.000 |
| 0.925 | 0.925 | 0.925 | 0.000 | 0.000 | -0.000 |
| 0.000 | 0.000 | 0.000 | 0.925 | 0.000 | 0.000 |
| 0.000 | 0.000 | 0.000 | 0.000 | 0.925 | 0.000 |
| 0.000 | 0.000 | 0.000 | 0.000 | 0.000 | 0.925 |
| 0.925 | 0.925 | 0.925 | -0.000 | -0.000 | -0.000 |
| 0.925 | 0.925 | 0.925 | -0.000 | -0.000 | -0.000 |
| 0.925 | 0.925 | 0.925 | -0.000 | -0.000 | -0.000 |
| -0.000 | -0.000 | -0.000 | 0.925 | -0.000 | -0.000 |
| -0.000 | -0.000 | -0.000 | -0.000 | 0.925 | -0.000 |
| -0.000 | -0.000 | -0.000 | -0.000 | -0.000 | 0.925 |
| 0.925 | 0.925 | 0.925 | 0.000 | 0.000 | -0.000 |
| 0.925 | 0.925 | 0.925 | 0.000 | 0.000 | -0.000 |
| 0.925 | 0.925 | 0.925 | 0.000 | 0.000 | 0.000 |
| 0.000 | 0.000 | 0.000 | 0.925 | 0.000 | 0.000 |
| 0.000 | 0.000 | 0.000 | 0.000 | 0.925 | 0.000 |
| 0.000 | 0.000 | 0.000 | 0.000 | 0.000 | 0.925 |
| 0.925 | 0.925 | 0.925 | -0.000 | -0.000 | -0.000 |
| 0.925 | 0.925 | 0.925 | -0.000 | -0.000 | -0.000 |
| 0.925 | 0.925 | 0.925 | -0.000 | -0.000 | -0.000 |
| -0.000 | -0.000 | -0.000 | 0.925 | -0.000 | -0.000 |
| -0.000 | -0.000 | -0.000 | -0.000 | 0.925 | -0.000 |
| -0.000 | -0.000 | -0.000 | -0.000 | -0.000 | 0.925 |
| 0.925 | 0.925 | 0.925 | 0.000 | 0.000 | 0.000 |
| 0.925 | 0.925 | 0.925 | 0.000 | 0.000 | 0.000 |
| 0.925 | 0.925 | 0.925 | 0.000 | 0.000 | 0.000 |
| 0.000 | 0.000 | 0.000 | 0.848 | -0.000 | 0.000 |
| 0.000 | 0.000 | 0.000 | -0.000 | 0.848 | 0.000 |
| 0.000 | 0.000 | 0.000 | 0.000 | 0.000 | 0.848 |
| 0.925 | 0.925 | 0.925 | -0.000 | 0.000 | -0.000 |
| 0.925 | 0.925 | 0.925 | 0.000 | -0.000 | -0.000 |
| 0.925 | 0.925 | 0.925 | -0.000 | -0.000 | -0.000 |
| -0.000 | -0.000 | -0.000 | 0.848 | 0.000 | -0.000 |
| -0.000 | -0.000 | -0.000 | 0.000 | 0.848 | -0.000 |
| -0.000 | -0.000 | -0.000 | -0.000 | -0.000 | 0.848 |
| 254.574 | 65.494 | 65.494 | -0.000 | -0.000 | -0.000 |
| 65.494 | 254.574 | 65.494 | -0.000 | -0.000 | -0.000 |
| 65.494 | 65.494 | 254.574 | -0.000 | -0.000 | -0.000 |
| -0.000 | 0.000 | -0.000 | 23.178 | -0.000 | -0.000 |
| -0.000 | -0.000 | 0.000 | -0.000 | 23.178 | -0.000 |
| -0.000 | 0.000 | 0.000 | -0.000 | -0.000 | 23.178 |
| 255.211 | 65.176 | 65.176 | -0.000 | 0.000 | 0.000 |
| 65.176 | 255.211 | 65.176 | -0.000 | -0.000 | 0.000 |
| 65.176 | 65.176 | 255.211 | 0.000 | 0.000 | 0.000 |
| 0.000 | -0.000 | 0.000 | 23.178 | 0.000 | 0.000 |
| 0.000 | 0.000 | -0.000 | 0.000 | 23.178 | 0.000 |
| -0.000 | 0.000 | -0.000 | 0.000 | 0.000 | 23.178 |
| 254.575 | 65.494 | 65.494 | -0.000 | -0.000 | -0.000 |
| 65.494 | 254.575 | 65.494 | -0.000 | -0.000 | -0.000 |
| 65.494 | 65.494 | 254.575 | -0.000 | -0.000 | -0.000 |
| -0.000 | 0.000 | 0.000 | 23.178 | -0.000 | -0.000 |
| 0.000 | -0.000 | 0.000 | -0.000 | 23.178 | -0.000 |
| 0.000 | 0.000 | -0.000 | -0.000 | -0.000 | 23.178 |
| 255.211 | 65.176 | 65.176 | 0.000 | -0.000 | 0.000 |
| 65.176 | 255.211 | 65.176 | 0.000 | 0.000 | 0.000 |
| 65.176 | 65.176 | 255.211 | 0.000 | 0.000 | 0.000 |
| 0.000 | -0.000 | -0.000 | 23.178 | 0.000 | 0.000 |
| -0.000 | 0.000 | -0.000 | 0.000 | 23.178 | 0.000 |
| -0.000 | -0.000 | 0.000 | 0.000 | 0.000 | 23.178 |
| 254.576 | 65.495 | 65.495 | -0.000 | -0.000 | -0.000 |
| 65.495 | 254.576 | 65.495 | -0.000 | -0.000 | -0.000 |
| 65.495 | 65.495 | 254.576 | -0.000 | -0.000 | -0.000 |
| -0.000 | 0.000 | 0.000 | 23.178 | -0.000 | -0.000 |
| 0.000 | -0.000 | 0.000 | -0.000 | 23.178 | -0.000 |
| 0.000 | 0.000 | -0.000 | 0.000 | -0.000 | 23.178 |
| 255.209 | 65.176 | 65.176 | 0.000 | 0.000 | 0.000 |
| 65.176 | 255.209 | 65.176 | 0.000 | 0.000 | 0.000 |
| 65.176 | 65.176 | 255.209 | 0.000 | 0.000 | 0.000 |
| 0.000 | -0.000 | -0.000 | 23.178 | 0.000 | 0.000 |
| -0.000 | 0.000 | -0.000 | 0.000 | 23.178 | 0.000 |
| -0.000 | -0.000 | 0.000 | 0.000 | 0.000 | 23.178 |
| -69438215.915 | -46813636.847 | -40444539.297 | 1699405.787 | -68590.220 | -2475692.657 |
| -34914967.521 | -67456909.049 | -44157495.077 | -2919194.481 | -53447.175 | -675665.805 |
| -49864294.094 | -25100368.984 | -56341608.760 | -2851296.652 | 1228015.101 | -1323411.556 |
| -0.000 | -0.000 | -0.000 | 164.607 | -0.000 | -0.000 |
| -0.000 | -0.000 | -0.000 | -0.000 | 164.607 | -0.000 |
| -0.000 | -0.000 | -0.000 | -0.000 | -0.000 | 164.607 |
| 512.110 | 405.101 | 405.101 | 0.000 | 0.000 | 0.000 |
| 405.101 | 512.110 | 405.101 | 0.000 | 0.000 | 0.000 |
| 405.101 | 405.101 | 512.110 | 0.000 | 0.000 | 0.000 |
| 0.000 | 0.000 | 0.000 | 164.607 | 0.000 | 0.000 |
| 0.000 | 0.000 | 0.000 | -0.000 | 164.607 | 0.000 |
| 0.000 | 0.000 | 0.000 | -0.000 | 0.000 | 164.607 |
| -6300235.931 | -3988054.012 | -3113397.187 | 208405.585 | -29363.844 | -66141.032 |
| -3549242.691 | -8288304.613 | -5526365.842 | 67532.700 | 233647.971 | -85390.947 |
| -5618675.443 | -3370122.111 | -6669526.940 | -268129.547 | -426242.171 | 354674.697 |
| -0.000 | -0.000 | -0.000 | 164.607 | -0.000 | 0.000 |
| -0.000 | -0.000 | -0.000 | -0.000 | 164.607 | -0.000 |
| -0.000 | -0.000 | -0.000 | -0.000 | -0.000 | 164.607 |
| -7853299.807 | 16704419.425 | 9192973.184 | -73379.283 | -777763.780 | -149795.029 |
| 8147902.080 | -9906877.294 | 17676868.810 | 86275.504 | -537893.768 | -200685.355 |
| 15682455.897 | 7569593.757 | -5667142.481 | -242054.422 | -225907.949 | 25814.763 |
| 0.000 | 0.000 | 0.000 | 164.607 | 0.000 | 0.000 |
| 0.000 | 0.000 | 0.000 | 0.000 | 164.607 | 0.000 |
| 0.000 | 0.000 | 0.000 | 0.000 | 0.000 | 164.607 |
| -600783.112 | -702228.615 | -584077.493 | 3359.577 | -18781.898 | -61241.331 |
| -459338.122 | -585046.074 | -629121.823 | -20170.800 | -27243.725 | -162.176 |
| -679610.275 | -519890.069 | -624748.481 | 1759.177 | -24100.745 | 7638.582 |
| -0.000 | -0.001 | -0.001 | 164.612 | -0.000 | -0.000 |
| -0.001 | -0.000 | -0.001 | -0.000 | 164.612 | -0.000 |
| -0.001 | -0.001 | -0.000 | -0.000 | -0.000 | 164.612 |
| -627934.691 | 1557983.263 | 906366.965 | 27965.552 | 5284.091 | 16824.600 |
| 1083506.763 | -389201.575 | 1654495.390 | 32119.877 | -16751.321 | 10248.616 |
| 1259672.390 | 1034416.199 | -686588.799 | -4098.094 | 7838.046 | 18804.798 |
| 0.000 | 0.001 | 0.001 | 164.612 | 0.000 | 0.000 |
| 0.001 | 0.000 | 0.001 | 0.000 | 164.612 | 0.000 |
| 0.001 | 0.001 | 0.000 | 0.000 | 0.000 | 164.612 |
| 3.078 | -0.000 | -0.000 | 0.000 | -0.000 | 0.000 |
| -0.000 | 3.078 | -0.000 | -0.000 | -0.000 | 0.000 |
| -0.000 | -0.000 | 3.078 | 0.000 | -0.000 | 0.000 |
| -0.000 | -0.000 | -0.000 | 0.000 | -0.000 | 0.000 |
| -0.000 | -0.000 | -0.000 | 0.000 | 0.000 | 0.000 |
| -0.000 | -0.000 | -0.000 | 0.000 | -0.000 | 0.000 |
| 3.078 | 0.000 | 0.000 | -0.000 | 0.000 | -0.000 |
| 0.000 | 3.078 | 0.000 | 0.000 | 0.000 | -0.000 |
| 0.000 | 0.000 | 3.078 | -0.000 | 0.000 | -0.000 |
| 0.000 | -0.000 | 0.000 | 0.000 | 0.000 | -0.000 |
| -0.000 | 0.000 | 0.000 | -0.000 | 0.000 | -0.000 |
| -0.000 | 0.000 | 0.000 | -0.000 | 0.000 | 0.000 |
| 3.078 | -0.000 | -0.000 | 0.000 | -0.000 | 0.000 |
| -0.000 | 3.078 | -0.000 | -0.000 | -0.000 | 0.000 |
| -0.000 | -0.000 | 3.078 | 0.000 | 0.000 | 0.000 |
| -0.000 | 0.000 | -0.000 | 0.000 | 0.000 | 0.000 |
| 0.000 | -0.000 | -0.000 | -0.000 | 0.000 | 0.000 |
| 0.000 | -0.000 | -0.000 | 0.000 | -0.000 | 0.000 |
| 3.078 | 0.000 | 0.000 | -0.000 | 0.000 | -0.000 |
| 0.000 | 3.078 | 0.000 | 0.000 | 0.000 | -0.000 |
| 0.000 | 0.000 | 3.078 | 0.000 | -0.000 | -0.000 |
| 0.000 | 0.000 | 0.000 | 0.000 | -0.000 | -0.000 |
| -0.000 | 0.000 | 0.000 | 0.000 | 0.000 | -0.000 |
| 0.000 | 0.000 | 0.000 | -0.000 | 0.000 | 0.000 |
| 3.078 | -0.000 | -0.000 | 0.000 | -0.000 | 0.000 |
| -0.000 | 3.078 | -0.000 | -0.000 | -0.000 | 0.000 |
| -0.000 | -0.000 | 3.078 | 0.000 | -0.000 | 0.000 |
| -0.000 | -0.000 | -0.000 | 0.000 | -0.000 | 0.000 |
| -0.000 | -0.000 | -0.000 | -0.000 | 0.000 | 0.000 |
| -0.000 | -0.000 | -0.000 | 0.000 | -0.000 | 0.000 |
| 3.077 | 0.000 | 0.000 | -0.000 | 0.000 | -0.000 |
| 0.000 | 3.077 | 0.000 | 0.000 | 0.000 | 0.000 |
| 0.000 | 0.000 | 3.077 | 0.000 | 0.000 | -0.000 |
| 0.000 | -0.000 | 0.000 | 0.000 | 0.000 | -0.000 |
| -0.000 | 0.000 | 0.000 | 0.000 | 0.000 | -0.000 |
| -0.000 | 0.000 | 0.000 | -0.000 | 0.000 | 0.000 |
| 59.987 | 156.731 | 156.731 | 0.000 | 0.000 | -0.000 |
| 156.731 | 59.987 | 156.731 | 0.000 | 0.000 | -0.000 |
| 156.731 | 156.731 | 59.987 | -0.000 | -0.000 | -0.000 |
| 0.000 | -0.000 | -0.000 | 64.966 | 0.000 | -0.000 |
| 0.000 | 0.000 | -0.000 | -0.000 | 64.966 | -0.000 |
| 0.000 | -0.000 | -0.000 | -0.000 | -0.000 | 64.966 |
| 59.987 | 156.731 | 156.731 | 0.000 | 0.000 | 0.000 |
| 156.731 | 59.987 | 156.731 | 0.000 | -0.000 | 0.000 |
| 156.731 | 156.731 | 59.987 | 0.000 | 0.000 | 0.000 |
| -0.000 | -0.000 | 0.000 | 64.966 | 0.000 | 0.000 |
| -0.000 | 0.000 | 0.000 | 0.000 | 64.966 | 0.000 |
| -0.000 | -0.000 | 0.000 | 0.000 | 0.000 | 64.966 |
| 59.987 | 156.731 | 156.731 | 0.000 | 0.000 | 0.000 |
| 156.731 | 59.987 | 156.731 | -0.000 | 0.000 | -0.000 |
| 156.731 | 156.731 | 59.987 | 0.000 | -0.000 | -0.000 |
| 0.000 | 0.000 | 0.000 | 65.465 | -0.000 | -0.000 |
| 0.000 | 0.000 | 0.000 | -0.000 | 65.465 | -0.000 |
| 0.000 | 0.000 | 0.000 | -0.000 | 0.000 | 65.465 |
| 59.987 | 156.731 | 156.731 | 0.000 | 0.000 | 0.000 |
| 156.731 | 59.987 | 156.731 | -0.000 | 0.000 | -0.000 |
| 156.731 | 156.731 | 59.987 | -0.000 | -0.000 | 0.000 |
| -0.000 | -0.000 | -0.000 | 65.465 | -0.000 | 0.000 |
| -0.000 | -0.000 | -0.000 | 0.000 | 65.465 | 0.000 |
| -0.000 | -0.000 | -0.000 | 0.000 | 0.000 | 65.465 |
| 59.988 | 156.731 | 156.731 | 0.000 | -0.000 | -0.000 |
| 156.731 | 59.988 | 156.731 | 0.000 | 0.000 | 0.000 |
| 156.731 | 156.731 | 59.988 | 0.000 | 0.000 | -0.000 |
| 0.001 | 0.000 | 0.000 | 65.465 | 0.000 | -0.000 |
| 0.000 | 0.001 | 0.000 | 0.000 | 65.465 | -0.000 |
| 0.000 | 0.001 | 0.001 | -0.000 | 0.000 | 65.465 |
| 59.985 | 156.730 | 156.730 | -0.000 | -0.000 | 0.000 |
| 156.730 | 59.985 | 156.730 | -0.000 | -0.000 | 0.000 |
| 156.730 | 156.730 | 59.985 | 0.000 | 0.000 | 0.000 |
| -0.001 | -0.000 | -0.000 | 65.465 | 0.000 | 0.000 |
| -0.000 | -0.001 | -0.001 | -0.000 | 65.465 | 0.000 |
| -0.000 | -0.001 | -0.001 | 0.000 | 0.000 | 65.465 |
| 309.984 | 30.802 | 30.802 | -0.000 | -0.000 | 0.000 |
| 30.802 | 309.984 | 30.802 | -0.000 | -0.000 | 0.000 |
| 30.802 | 30.802 | 309.984 | 0.000 | 0.000 | 0.000 |
| -0.000 | -0.000 | 0.000 | 22.093 | 0.000 | -0.000 |
| -0.000 | -0.000 | 0.000 | -0.000 | 22.093 | -0.000 |
| -0.000 | -0.000 | 0.000 | 0.000 | 0.000 | 22.093 |
| 309.984 | 30.802 | 30.802 | 0.000 | 0.000 | -0.000 |
| 30.802 | 309.984 | 30.802 | 0.000 | 0.000 | 0.000 |
| 30.802 | 30.802 | 309.984 | 0.000 | 0.000 | -0.000 |
| 0.000 | 0.000 | -0.000 | 22.093 | 0.000 | 0.000 |
| 0.000 | 0.000 | -0.000 | 0.000 | 22.093 | 0.000 |
| 0.000 | 0.000 | -0.000 | -0.000 | -0.000 | 22.093 |
| 309.985 | 30.802 | 30.802 | -0.000 | -0.000 | 0.000 |
| 30.802 | 309.985 | 30.802 | -0.000 | -0.000 | 0.000 |
| 30.802 | 30.802 | 309.985 | 0.000 | 0.000 | 0.000 |
| -0.000 | -0.000 | -0.000 | 22.093 | -0.000 | 0.000 |
| -0.000 | -0.000 | -0.000 | -0.000 | 22.093 | -0.000 |
| -0.000 | -0.000 | -0.000 | -0.000 | -0.000 | 22.093 |
| 309.984 | 30.802 | 30.802 | 0.000 | 0.000 | -0.000 |
| 30.802 | 309.984 | 30.802 | 0.000 | 0.000 | 0.000 |
| 30.802 | 30.802 | 309.984 | 0.000 | 0.000 | 0.000 |
| 0.000 | 0.000 | 0.000 | 22.093 | 0.000 | 0.000 |
| 0.000 | 0.000 | 0.000 | 0.000 | 22.093 | 0.000 |
| 0.000 | 0.000 | 0.000 | 0.000 | 0.000 | 22.093 |
| 309.989 | 30.802 | 30.802 | -0.000 | 0.000 | -0.000 |
| 30.802 | 309.989 | 30.802 | -0.000 | 0.000 | -0.000 |
| 30.802 | 30.802 | 309.989 | 0.000 | -0.000 | -0.000 |
| -0.000 | -0.000 | -0.000 | 22.093 | -0.000 | -0.000 |
| -0.000 | -0.000 | -0.000 | -0.000 | 22.093 | -0.000 |
| -0.000 | -0.000 | -0.000 | -0.000 | 0.000 | 22.093 |
| 309.979 | 30.802 | 30.802 | 0.000 | 0.000 | -0.000 |
| 30.802 | 309.979 | 30.802 | 0.000 | 0.000 | -0.000 |
| 30.802 | 30.802 | 309.979 | 0.000 | 0.000 | -0.000 |
| 0.000 | 0.000 | 0.000 | 22.093 | -0.000 | 0.000 |
| 0.000 | 0.000 | 0.000 | 0.000 | 22.093 | 0.000 |
| 0.000 | 0.000 | 0.000 | 0.000 | -0.000 | 22.093 |
| 41.529 | 48.878 | 48.878 | -0.000 | -0.000 | -0.000 |
| 48.878 | 41.529 | 48.878 | -0.000 | -0.000 | -0.000 |
| 48.878 | 48.878 | 41.529 | -0.000 | -0.000 | -0.000 |
| -0.000 | 0.000 | 0.000 | -552.790 | -0.000 | 0.000 |
| 0.000 | -0.000 | 0.000 | -0.000 | -552.790 | 0.000 |
| 0.000 | 0.000 | -0.000 | -0.000 | -0.000 | -552.790 |
| 41.530 | 48.878 | 48.878 | 0.000 | 0.000 | -0.000 |
| 48.878 | 41.530 | 48.878 | 0.000 | 0.000 | 0.000 |
| 48.878 | 48.878 | 41.530 | 0.000 | 0.000 | -0.000 |
| 0.000 | -0.000 | -0.000 | -552.790 | 0.000 | 0.000 |
| -0.000 | 0.000 | -0.000 | 0.000 | -552.790 | 0.000 |
| -0.000 | -0.000 | 0.000 | 0.000 | 0.000 | -552.790 |
| 41.529 | 48.878 | 48.878 | -0.000 | -0.000 | -0.000 |
| 48.878 | 41.529 | 48.878 | -0.000 | -0.000 | -0.000 |
| 48.878 | 48.878 | 41.529 | -0.000 | -0.000 | -0.000 |
| -0.001 | 0.001 | 0.001 | -552.790 | -0.000 | -0.000 |
| 0.001 | -0.001 | 0.001 | -0.000 | -552.790 | -0.000 |
| 0.001 | 0.001 | -0.001 | -0.000 | -0.000 | -552.790 |
| 41.531 | 48.878 | 48.878 | 0.000 | 0.000 | 0.000 |
| 48.878 | 41.531 | 48.878 | 0.000 | 0.000 | 0.000 |
| 48.878 | 48.878 | 41.531 | 0.000 | 0.000 | 0.000 |
| 0.001 | -0.001 | -0.001 | -552.790 | 0.000 | -0.000 |
| -0.001 | 0.001 | -0.001 | 0.000 | -552.790 | -0.000 |
| -0.001 | -0.001 | 0.001 | 0.000 | 0.000 | -552.790 |
| 41.519 | 48.878 | 48.878 | -0.000 | -0.000 | -0.000 |
| 48.878 | 41.519 | 48.878 | -0.000 | -0.000 | -0.000 |
| 48.878 | 48.878 | 41.519 | -0.000 | -0.000 | -0.000 |
| -0.006 | 0.010 | 0.009 | -552.790 | -0.000 | 0.000 |
| 0.010 | -0.006 | 0.009 | -0.000 | -552.790 | 0.000 |
| 0.010 | 0.009 | -0.006 | -0.000 | -0.000 | -552.790 |
| 41.540 | 48.878 | 48.878 | 0.000 | -0.000 | 0.000 |
| 48.878 | 41.540 | 48.878 | -0.000 | 0.000 | 0.000 |
| 48.878 | 48.878 | 41.540 | 0.000 | 0.000 | 0.000 |
| 0.006 | -0.010 | -0.009 | -552.790 | 0.000 | -0.000 |
| -0.010 | 0.006 | -0.009 | 0.000 | -552.790 | -0.000 |
| -0.010 | -0.009 | 0.006 | 0.000 | 0.000 | -552.790 |
| 4.165 | 4.165 | 4.165 | -0.000 | -0.000 | -0.000 |
| 4.165 | 4.165 | 4.165 | -0.000 | -0.000 | -0.000 |
| 4.165 | 4.165 | 4.165 | -0.000 | -0.000 | -0.000 |
| 0.000 | 0.000 | 0.000 | 4.165 | -0.000 | 0.000 |
| 0.000 | 0.000 | 0.000 | -0.000 | 3.727 | 0.000 |
| 0.000 | 0.000 | 0.000 | -0.000 | -0.000 | 3.727 |
| 4.165 | 4.165 | 4.165 | 0.000 | 0.000 | 0.000 |
| 4.165 | 4.165 | 4.165 | 0.000 | 0.000 | 0.000 |
| 4.165 | 4.165 | 4.165 | 0.000 | 0.000 | -0.000 |
| -0.000 | -0.000 | -0.000 | 4.165 | -0.000 | -0.000 |
| -0.000 | -0.000 | -0.000 | 0.000 | 3.727 | -0.000 |
| -0.000 | -0.000 | -0.000 | -0.000 | -0.000 | 4.165 |
| 4.165 | 4.165 | 4.165 | -0.000 | 0.000 | 0.000 |
| 4.165 | 4.165 | 4.165 | 0.000 | -0.000 | 0.000 |
| 4.165 | 4.165 | 4.165 | -0.000 | -0.000 | 0.000 |
| 0.000 | 0.000 | 0.000 | 3.585 | -0.000 | 0.000 |
| 0.000 | 0.000 | 0.000 | -0.000 | 3.585 | 0.000 |
| 0.000 | 0.000 | 0.000 | -0.000 | 0.000 | 3.585 |
| 4.165 | 4.165 | 4.165 | 0.000 | 0.000 | -0.000 |
| 4.165 | 4.165 | 4.165 | 0.000 | 0.000 | -0.000 |
| 4.165 | 4.165 | 4.165 | 0.000 | 0.000 | -0.000 |
| -0.000 | -0.000 | -0.000 | 3.585 | 0.000 | -0.000 |
| -0.000 | -0.000 | -0.000 | 0.000 | 3.585 | -0.000 |
| -0.000 | -0.000 | -0.000 | 0.000 | -0.000 | 3.585 |
| 4.165 | 4.165 | 4.165 | -0.000 | -0.000 | 0.000 |
| 4.165 | 4.165 | 4.165 | -0.000 | -0.000 | 0.000 |
| 4.165 | 4.165 | 4.165 | -0.000 | -0.000 | 0.000 |
| 0.000 | 0.000 | 0.000 | 3.539 | -0.000 | 0.000 |
| 0.000 | 0.000 | 0.000 | -0.000 | 3.539 | 0.000 |
| 0.000 | 0.000 | 0.000 | -0.000 | 0.000 | 3.539 |
| 4.165 | 4.165 | 4.165 | 0.000 | 0.000 | 0.000 |
| 4.165 | 4.165 | 4.165 | 0.000 | 0.000 | 0.000 |
| 4.165 | 4.165 | 4.165 | 0.000 | 0.000 | -0.000 |
| -0.000 | -0.000 | -0.000 | 3.539 | 0.000 | 0.000 |
| -0.000 | -0.000 | -0.000 | 0.000 | 3.539 | 0.000 |
| -0.000 | -0.000 | -0.000 | 0.000 | 0.000 | 3.539 |
| 86.867 | 15.575 | 15.575 | -0.000 | 0.000 | 0.000 |
| 15.575 | 86.867 | 15.575 | -0.000 | 0.000 | 0.000 |
| 15.575 | 15.575 | 86.867 | 0.000 | 0.000 | 0.000 |
| -0.000 | 0.000 | 0.000 | 94.608 | 0.000 | -0.000 |
| 0.000 | 0.000 | 0.000 | 0.000 | 94.608 | 0.000 |
| 0.000 | 0.000 | 0.000 | 0.000 | 0.000 | 94.608 |
| 86.867 | 15.575 | 15.575 | 0.000 | -0.000 | 0.000 |
| 15.575 | 86.867 | 15.575 | -0.000 | -0.000 | 0.000 |
| 15.575 | 15.575 | 86.867 | -0.000 | -0.000 | -0.000 |
| 0.000 | -0.000 | -0.000 | 94.608 | -0.000 | -0.000 |
| -0.000 | -0.000 | -0.000 | 0.000 | 94.608 | 0.000 |
| -0.000 | -0.000 | -0.000 | 0.000 | -0.000 | 94.608 |
| 86.867 | 15.575 | 15.575 | -0.000 | 0.000 | 0.000 |
| 15.575 | 86.867 | 15.575 | -0.000 | 0.000 | -0.000 |
| 15.575 | 15.575 | 86.867 | 0.000 | 0.000 | -0.000 |
| 0.000 | 0.000 | 0.000 | 94.608 | 0.000 | -0.000 |
| 0.000 | 0.000 | 0.000 | 0.000 | 94.608 | -0.000 |
| 0.000 | 0.000 | 0.000 | -0.000 | 0.000 | 94.608 |
| 86.867 | 15.576 | 15.576 | 0.000 | -0.000 | 0.000 |
| 15.576 | 86.867 | 15.576 | 0.000 | -0.000 | 0.000 |
| 15.576 | 15.576 | 86.867 | -0.000 | -0.000 | 0.000 |
| -0.000 | -0.000 | -0.000 | 94.608 | -0.000 | -0.000 |
| -0.000 | -0.000 | -0.000 | 0.000 | 94.608 | 0.000 |
| -0.000 | -0.000 | -0.000 | 0.000 | -0.000 | 94.608 |
| 86.868 | 15.575 | 15.575 | -0.000 | 0.000 | -0.000 |
| 15.575 | 86.868 | 15.575 | 0.000 | 0.000 | 0.000 |
| 15.575 | 15.575 | 86.868 | -0.000 | 0.000 | 0.000 |
| 0.000 | 0.000 | 0.000 | 94.608 | 0.000 | 0.000 |
| 0.000 | 0.000 | 0.000 | -0.000 | 94.608 | -0.000 |
| 0.000 | 0.000 | 0.000 | 0.000 | 0.000 | 94.608 |
| 86.867 | 15.576 | 15.576 | -0.000 | -0.000 | 0.000 |
| 15.576 | 86.867 | 15.576 | -0.000 | -0.000 | 0.000 |
| 15.576 | 15.576 | 86.867 | -0.000 | -0.000 | -0.000 |
| -0.000 | -0.000 | -0.000 | 94.608 | -0.000 | 0.000 |
| -0.000 | -0.000 | -0.000 | 0.000 | 94.608 | 0.000 |
| -0.000 | -0.000 | -0.000 | -0.000 | -0.000 | 94.608 |
| 210.276 | 119.509 | 119.509 | -0.000 | -0.000 | -0.000 |
| 119.509 | 210.276 | 119.509 | 0.000 | -0.000 | -0.000 |
| 119.509 | 119.509 | 210.276 | -0.000 | -0.000 | -0.000 |
| -0.000 | 0.000 | 0.000 | 106.229 | -0.000 | 0.000 |
| 0.000 | 0.000 | 0.000 | 0.000 | 106.229 | -0.000 |
| 0.000 | 0.000 | -0.000 | -0.000 | 0.000 | 106.229 |
| 210.276 | 119.509 | 119.509 | -0.000 | 0.000 | 0.000 |
| 119.509 | 210.276 | 119.509 | -0.000 | -0.000 | 0.000 |
| 119.509 | 119.509 | 210.276 | -0.000 | -0.000 | -0.000 |
| 0.000 | -0.000 | -0.000 | 106.229 | 0.000 | -0.000 |
| -0.000 | 0.000 | -0.000 | 0.000 | 106.229 | 0.000 |
| -0.000 | -0.000 | -0.000 | -0.000 | 0.000 | 106.229 |
| 210.276 | 119.509 | 119.509 | -0.000 | -0.000 | -0.000 |
| 119.509 | 210.276 | 119.509 | 0.000 | -0.000 | -0.000 |
| 119.509 | 119.509 | 210.276 | 0.000 | -0.000 | -0.000 |
| 0.000 | 0.000 | 0.000 | 106.229 | -0.000 | -0.000 |
| 0.000 | 0.000 | 0.000 | 0.000 | 106.229 | -0.000 |
| 0.000 | 0.000 | 0.000 | 0.000 | -0.000 | 106.229 |
| 210.276 | 119.509 | 119.509 | 0.000 | 0.000 | 0.000 |
| 119.509 | 210.276 | 119.509 | 0.000 | 0.000 | 0.000 |
| 119.509 | 119.509 | 210.276 | 0.000 | 0.000 | 0.000 |
| -0.000 | -0.000 | -0.000 | 106.229 | 0.000 | 0.000 |
| -0.000 | -0.000 | -0.000 | -0.000 | 106.229 | -0.000 |
| -0.000 | -0.000 | -0.000 | 0.000 | -0.000 | 106.229 |
| 210.276 | 119.510 | 119.510 | -0.000 | -0.000 | 0.000 |
| 119.510 | 210.276 | 119.510 | -0.000 | -0.000 | 0.000 |
| 119.510 | 119.510 | 210.276 | 0.000 | 0.000 | 0.000 |
| 0.000 | 0.000 | 0.000 | 106.229 | -0.000 | -0.000 |
| 0.000 | 0.000 | 0.000 | -0.000 | 106.229 | 0.000 |
| 0.000 | 0.000 | 0.000 | -0.000 | 0.000 | 106.229 |
| 210.276 | 119.509 | 119.509 | 0.000 | -0.000 | 0.000 |
| 119.509 | 210.276 | 119.509 | 0.000 | 0.000 | -0.000 |
| 119.509 | 119.509 | 210.276 | 0.000 | 0.000 | -0.000 |
| -0.000 | -0.000 | -0.000 | 106.229 | 0.000 | -0.000 |
| -0.000 | -0.000 | -0.000 | 0.000 | 106.229 | 0.000 |
| -0.000 | -0.000 | -0.000 | 0.000 | 0.000 | 106.229 |
| 10.202 | 5.101 | 5.101 | 0.000 | 0.000 | 0.000 |
| 5.101 | 10.202 | 5.101 | 0.000 | 0.000 | 0.000 |
| 5.101 | 5.101 | 10.202 | 0.000 | 0.000 | 0.000 |
| -0.000 | 0.000 | 0.000 | 5.101 | 0.000 | 0.000 |
| 0.000 | -0.000 | 0.000 | 0.000 | 5.101 | -0.000 |
| 0.000 | 0.000 | -0.000 | 0.000 | -0.000 | 5.101 |
| 10.202 | 5.101 | 5.101 | -0.000 | 0.000 | 0.000 |
| 5.101 | 10.202 | 5.101 | -0.000 | -0.000 | -0.000 |
| 5.101 | 5.101 | 10.202 | -0.000 | -0.000 | -0.000 |
| 0.000 | -0.000 | -0.000 | 5.101 | -0.000 | -0.000 |
| -0.000 | 0.000 | -0.000 | -0.000 | 5.101 | 0.000 |
| -0.000 | -0.000 | 0.000 | -0.000 | 0.000 | 5.101 |
| 10.202 | 5.101 | 5.101 | 0.000 | -0.000 | -0.000 |
| 5.101 | 10.202 | 5.101 | -0.000 | 0.000 | 0.000 |
| 5.101 | 5.101 | 10.202 | 0.000 | 0.000 | 0.000 |
| -0.000 | 0.000 | 0.000 | 5.101 | 0.000 | 0.000 |
| 0.000 | -0.000 | 0.000 | 0.000 | 5.101 | -0.000 |
| 0.000 | 0.000 | -0.000 | 0.000 | -0.000 | 5.101 |
| 10.202 | 5.101 | 5.101 | -0.000 | 0.000 | 0.000 |
| 5.101 | 10.202 | 5.101 | 0.000 | -0.000 | -0.000 |
| 5.101 | 5.101 | 10.202 | -0.000 | -0.000 | -0.000 |
| 0.000 | -0.000 | -0.000 | 5.101 | -0.000 | -0.000 |
| -0.000 | 0.000 | -0.000 | -0.000 | 5.101 | 0.000 |
| -0.000 | -0.000 | 0.000 | 0.000 | 0.000 | 5.101 |
| 10.203 | 5.101 | 5.101 | 0.000 | -0.000 | -0.000 |
| 5.101 | 10.203 | 5.101 | 0.000 | 0.000 | 0.000 |
| 5.101 | 5.101 | 10.203 | 0.000 | 0.000 | 0.000 |
| -0.000 | 0.000 | 0.000 | 5.101 | 0.000 | 0.000 |
| 0.000 | -0.000 | 0.000 | 0.000 | 5.101 | -0.000 |
| 0.000 | 0.000 | -0.000 | 0.000 | -0.000 | 5.101 |
| 10.201 | 5.100 | 5.100 | -0.000 | -0.000 | -0.000 |
| 5.100 | 10.201 | 5.100 | -0.000 | -0.000 | -0.000 |
| 5.100 | 5.100 | 10.201 | -0.000 | -0.000 | -0.000 |
| 0.000 | -0.000 | -0.000 | 5.101 | -0.000 | -0.000 |
| -0.000 | 0.000 | -0.000 | -0.000 | 5.101 | 0.000 |
| -0.000 | -0.000 | 0.000 | -0.000 | 0.000 | 5.101 |
| 219.273 | 233.012 | 233.012 | -0.000 | -0.000 | -0.000 |
| 233.012 | 219.274 | 233.012 | -0.000 | -0.000 | -0.000 |
| 233.012 | 233.012 | 219.274 | -0.000 | 0.000 | -0.000 |
| 0.000 | -0.000 | 0.000 | 199.273 | -0.000 | -0.000 |
| 0.000 | 0.000 | 0.000 | -0.000 | 199.273 | -0.000 |
| 0.000 | 0.000 | 0.000 | -0.000 | 0.000 | 199.273 |
| 219.273 | 233.012 | 233.012 | 0.000 | -0.000 | 0.000 |
| 233.012 | 219.273 | 233.012 | 0.000 | 0.000 | 0.000 |
| 233.012 | 233.012 | 219.273 | 0.000 | -0.000 | 0.000 |
| -0.000 | 0.000 | -0.000 | 199.273 | 0.000 | 0.000 |
| -0.000 | -0.000 | -0.000 | 0.000 | 199.273 | 0.000 |
| -0.000 | -0.000 | -0.000 | 0.000 | -0.000 | 199.273 |
| 219.274 | 233.012 | 233.012 | -0.000 | 0.000 | -0.000 |
| 233.012 | 219.274 | 233.012 | -0.000 | -0.000 | -0.000 |
| 233.012 | 233.012 | 219.274 | -0.000 | 0.000 | -0.000 |
| 0.000 | 0.000 | 0.000 | 199.273 | 0.000 | -0.000 |
| 0.000 | 0.000 | 0.000 | -0.000 | 199.273 | -0.000 |
| 0.000 | 0.000 | 0.000 | -0.000 | 0.000 | 199.273 |
| 219.273 | 233.012 | 233.012 | 0.000 | -0.000 | 0.000 |
| 233.012 | 219.273 | 233.012 | 0.000 | -0.000 | 0.000 |
| 233.012 | 233.012 | 219.273 | 0.000 | -0.000 | 0.000 |
| -0.000 | -0.000 | -0.000 | 199.273 | -0.000 | 0.000 |
| -0.000 | -0.000 | -0.000 | -0.000 | 199.273 | 0.000 |
| -0.000 | -0.000 | -0.000 | 0.000 | -0.000 | 199.273 |
| 219.276 | 233.013 | 233.013 | -0.000 | 0.000 | -0.000 |
| 233.013 | 219.276 | 233.013 | -0.000 | -0.000 | -0.000 |
| 233.013 | 233.013 | 219.276 | -0.000 | 0.000 | -0.000 |
| 0.001 | 0.000 | 0.001 | 199.273 | 0.000 | -0.000 |
| 0.000 | 0.001 | 0.001 | -0.000 | 199.273 | -0.000 |
| 0.000 | 0.001 | 0.001 | 0.000 | 0.000 | 199.273 |
| 219.271 | 233.011 | 233.011 | 0.000 | 0.000 | 0.000 |
| 233.011 | 219.271 | 233.011 | 0.000 | -0.000 | 0.000 |
| 233.011 | 233.011 | 219.271 | 0.000 | -0.000 | 0.000 |
| -0.001 | -0.000 | -0.001 | 199.273 | -0.000 | 0.000 |
| -0.000 | -0.001 | -0.001 | -0.000 | 199.273 | 0.000 |
| -0.000 | -0.001 | -0.001 | 0.000 | -0.000 | 199.273 |
| 2723.778 | 2723.591 | 2723.591 | -0.000 | -0.000 | -0.000 |
| 2723.591 | 2723.778 | 2723.591 | -0.000 | -0.000 | -0.000 |
| 2723.591 | 2723.591 | 2723.778 | 0.000 | 0.000 | -0.000 |
| 0.000 | 0.000 | 0.000 | -1.845 | -0.000 | -0.000 |
| 0.000 | 0.000 | 0.000 | 0.000 | -1.845 | 0.000 |
| 0.000 | 0.000 | 0.000 | -0.000 | -0.000 | -1.845 |
| 2723.779 | 2723.591 | 2723.591 | 0.000 | 0.000 | 0.000 |
| 2723.591 | 2723.779 | 2723.591 | 0.000 | 0.000 | 0.000 |
| 2723.591 | 2723.591 | 2723.779 | 0.000 | 0.000 | 0.000 |
| -0.000 | -0.000 | -0.000 | -1.845 | 0.000 | 0.000 |
| -0.000 | -0.000 | -0.000 | -0.000 | -1.845 | 0.000 |
| -0.000 | -0.000 | -0.000 | 0.000 | 0.000 | -1.845 |
| 2723.773 | 2723.587 | 2723.587 | -0.000 | -0.000 | 0.000 |
| 2723.587 | 2723.773 | 2723.587 | -0.000 | -0.000 | -0.000 |
| 2723.587 | 2723.587 | 2723.773 | -0.000 | -0.000 | -0.000 |
| 0.000 | 0.000 | 0.000 | -1.845 | -0.000 | 0.000 |
| 0.000 | 0.000 | 0.000 | 0.000 | -1.845 | -0.000 |
| 0.000 | 0.000 | 0.000 | -0.000 | -0.000 | -1.845 |
| 2723.783 | 2723.595 | 2723.595 | 0.000 | 0.000 | -0.000 |
| 2723.595 | 2723.783 | 2723.595 | 0.000 | 0.000 | 0.000 |
| 2723.595 | 2723.595 | 2723.783 | -0.000 | -0.000 | 0.000 |
| -0.000 | -0.000 | -0.000 | -1.845 | 0.000 | 0.000 |
| -0.000 | -0.000 | -0.000 | 0.000 | -1.845 | -0.000 |
| -0.000 | -0.000 | -0.000 | 0.000 | 0.000 | -1.845 |
| 2723.729 | 2723.547 | 2723.547 | 0.000 | -0.000 | -0.000 |
| 2723.547 | 2723.729 | 2723.547 | -0.000 | -0.000 | -0.000 |
| 2723.547 | 2723.547 | 2723.729 | -0.000 | -0.000 | -0.000 |
| 0.001 | 0.001 | 0.001 | -1.759 | -0.000 | -0.000 |
| 0.001 | 0.001 | 0.001 | -0.000 | -1.845 | -0.000 |
| 0.001 | 0.001 | 0.001 | -0.000 | -0.000 | -1.845 |
| 2723.828 | 2723.635 | 2723.635 | 0.000 | 0.000 | -0.000 |
| 2723.635 | 2723.828 | 2723.635 | 0.000 | 0.000 | -0.000 |
| 2723.635 | 2723.635 | 2723.828 | 0.000 | 0.000 | 0.000 |
| -0.001 | -0.001 | -0.001 | -1.845 | 0.000 | 0.000 |
| -0.001 | -0.001 | -0.001 | 0.000 | -1.845 | -0.000 |
| -0.001 | -0.001 | -0.001 | 0.000 | 0.000 | -1.845 |
| 416.828 | 416.828 | 416.828 | 0.000 | -0.000 | 0.000 |
| 416.828 | 416.828 | 416.828 | -0.000 | 0.000 | 0.000 |
| 416.828 | 416.828 | 416.828 | -0.000 | -0.000 | 0.000 |
| 0.000 | 0.000 | 0.000 | 0.870 | -0.000 | 0.000 |
| 0.000 | 0.000 | 0.000 | 0.000 | 0.870 | -0.000 |
| 0.000 | 0.000 | 0.000 | 0.000 | -0.000 | 0.870 |
| 416.828 | 416.828 | 416.828 | -0.000 | 0.000 | -0.000 |
| 416.828 | 416.828 | 416.828 | 0.000 | -0.000 | -0.000 |
| 416.828 | 416.828 | 416.828 | -0.000 | -0.000 | -0.000 |
| -0.000 | -0.000 | -0.000 | 0.870 | -0.000 | -0.000 |
| -0.000 | -0.000 | -0.000 | -0.000 | 0.870 | -0.000 |
| -0.000 | -0.000 | -0.000 | -0.000 | 0.000 | 0.870 |
| 416.829 | 416.829 | 416.829 | 0.000 | 0.000 | 0.000 |
| 416.829 | 416.829 | 416.829 | 0.000 | 0.000 | 0.000 |
| 416.829 | 416.829 | 416.829 | 0.000 | 0.000 | 0.000 |
| 0.000 | 0.000 | 0.000 | -0.286 | -0.000 | -0.000 |
| 0.000 | 0.000 | 0.000 | -0.000 | -0.286 | 0.000 |
| 0.000 | 0.000 | 0.000 | -0.000 | -0.000 | -0.286 |
| 416.827 | 416.827 | 416.827 | -0.000 | 0.000 | -0.000 |
| 416.827 | 416.827 | 416.827 | 0.000 | -0.000 | -0.000 |
| 416.827 | 416.827 | 416.827 | 0.000 | 0.000 | -0.000 |
| -0.000 | -0.000 | -0.000 | -0.286 | 0.000 | -0.000 |
| -0.001 | -0.001 | -0.001 | 0.000 | -7.465 | 0.000 |
| -0.001 | -0.001 | -0.001 | -0.000 | 0.000 | -7.465 |
| 416.838 | 416.839 | 416.839 | 0.000 | -0.000 | -0.000 |
| 416.839 | 416.838 | 416.839 | -0.000 | 0.000 | -0.000 |
| 416.839 | 416.839 | 416.838 | 0.000 | -0.000 | 0.000 |
| 0.002 | 0.002 | 0.002 | 0.870 | 0.000 | 0.000 |
| 0.002 | 0.002 | 0.002 | 0.000 | 0.870 | 0.000 |
| 0.002 | 0.002 | 0.002 | 0.000 | -0.000 | 0.870 |
| 416.818 | 416.817 | 416.817 | -0.000 | 0.000 | -0.000 |
| 416.817 | 416.818 | 416.817 | 0.000 | -0.000 | -0.000 |
| 416.817 | 416.817 | 416.818 | -0.000 | -0.000 | -0.000 |
| -0.002 | -0.002 | -0.002 | 0.870 | -0.000 | -0.000 |
| -0.002 | -0.002 | -0.002 | -0.000 | 0.870 | -0.000 |
| -0.002 | -0.002 | -0.002 | -0.000 | 0.000 | 0.870 |
| -0.140 | -0.140 | -0.140 | -0.000 | -0.000 | 0.000 |
| -0.140 | -0.140 | -0.140 | -0.000 | -0.000 | 0.000 |
| -0.140 | -0.140 | -0.140 | 0.000 | 0.000 | 0.000 |
| 0.000 | 0.000 | 0.000 | -0.143 | -0.000 | 0.000 |
| 0.000 | 0.000 | 0.000 | -0.000 | -0.143 | 0.000 |
| 0.000 | 0.000 | 0.000 | 0.000 | -0.000 | -0.143 |
| -0.140 | -0.140 | -0.140 | 0.000 | 0.000 | 0.000 |
| -0.140 | -0.140 | -0.140 | 0.000 | 0.000 | 0.000 |
| -0.140 | -0.140 | -0.140 | 0.000 | 0.000 | -0.000 |
| -0.000 | -0.000 | -0.000 | -0.143 | 0.000 | -0.000 |
| -0.000 | -0.000 | -0.000 | 0.000 | -0.143 | -0.000 |
| -0.000 | -0.000 | -0.000 | 0.000 | 0.000 | -0.143 |
| -0.140 | -0.140 | -0.140 | -0.000 | 0.000 | -0.000 |
| -0.140 | -0.140 | -0.140 | 0.000 | -0.000 | -0.000 |
| -0.140 | -0.140 | -0.140 | -0.000 | -0.000 | 0.000 |
| 3819.996 | 3856.636 | 3856.752 | -3501.551 | -5.449 | 5.508 |
| 3856.636 | 3819.995 | 3856.752 | -5.449 | -3501.551 | 5.508 |
| 3852.832 | 3853.010 | 3818.235 | -4.898 | 4.837 | -3485.585 |
| -0.140 | -0.140 | -0.140 | 0.000 | -0.000 | -0.000 |
| -0.140 | -0.140 | -0.140 | -0.000 | 0.000 | -0.000 |
| -0.140 | -0.140 | -0.140 | -0.000 | -0.000 | 0.000 |
| -2107.819 | -2124.549 | -2124.638 | -1923.362 | -4.683 | -4.733 |
| -2124.549 | -2107.819 | -2124.638 | -4.683 | -1923.362 | -4.733 |
| -2151.993 | -2152.095 | -2135.499 | -4.630 | -4.696 | -1943.609 |
| 9.141 | 10.664 | 10.664 | 0.000 | 0.000 | 0.000 |
| 10.664 | 9.141 | 10.664 | 0.000 | 0.000 | 0.000 |
| 10.664 | 10.664 | 9.141 | 0.000 | 0.000 | -0.000 |
| 0.000 | 0.000 | 0.000 | -2.394 | 0.000 | 0.000 |
| 0.000 | 0.000 | 0.000 | 0.000 | -2.394 | 0.000 |
| 0.000 | 0.000 | 0.000 | 0.000 | 0.000 | -2.394 |
| 9.141 | 10.665 | 10.665 | -0.000 | -0.000 | -0.000 |
| 10.665 | 9.141 | 10.665 | -0.000 | -0.000 | -0.000 |
| 10.665 | 10.665 | 9.141 | 0.000 | 0.000 | -0.000 |
| -0.000 | -0.000 | -0.000 | -2.394 | -0.000 | -0.000 |
| -0.000 | -0.000 | -0.000 | -0.000 | -2.394 | -0.000 |
| -0.000 | -0.000 | -0.000 | -0.000 | -0.000 | -2.394 |
| 9.138 | 10.662 | 10.662 | 0.000 | 0.000 | 0.000 |
| 10.662 | 9.138 | 10.662 | 0.000 | 0.000 | 0.000 |
| 10.662 | 10.662 | 9.138 | -0.000 | -0.000 | 0.000 |
| 0.000 | 0.000 | 0.000 | -2.394 | 0.000 | 0.000 |
| 0.000 | 0.000 | 0.000 | -0.000 | -2.394 | 0.000 |
| 0.000 | 0.000 | 0.000 | -0.000 | 0.000 | -2.394 |
| 9.143 | 10.667 | 10.667 | -0.000 | -0.000 | -0.000 |
| 10.667 | 9.143 | 10.667 | -0.000 | -0.000 | -0.000 |
| 10.667 | 10.667 | 9.143 | 0.000 | -0.000 | -0.000 |
| -0.000 | -0.000 | -0.000 | -2.394 | -0.000 | 0.000 |
| -0.000 | -0.000 | -0.000 | 0.000 | -2.394 | -0.000 |
| -0.000 | -0.000 | -0.000 | 0.000 | -0.000 | -2.394 |
| 9.118 | 10.641 | 10.641 | 0.000 | 0.000 | 0.000 |
| 10.641 | 9.118 | 10.641 | 0.000 | 0.000 | 0.000 |
| 10.641 | 10.641 | 9.118 | 0.000 | 0.000 | 0.000 |
| 0.001 | 0.001 | 0.001 | -2.394 | -0.000 | 0.000 |
| 0.001 | 0.001 | 0.001 | 0.000 | -2.394 | 0.000 |
| 0.001 | 0.001 | 0.001 | 0.000 | 0.000 | -2.394 |
| 9.164 | 10.688 | 10.688 | -0.000 | -0.000 | -0.000 |
| 10.688 | 9.164 | 10.688 | -0.000 | -0.000 | -0.000 |
| 10.688 | 10.688 | 9.164 | -0.000 | -0.000 | -0.000 |
| -0.001 | -0.001 | -0.001 | -2.394 | -0.000 | -0.000 |
| -0.001 | -0.001 | -0.001 | 0.000 | -2.394 | -0.000 |
| -0.001 | -0.001 | -0.001 | -0.000 | -0.000 | -2.394 |
| 127.969 | 174.663 | 174.663 | 0.000 | 0.000 | -0.000 |
| 174.663 | 127.969 | 174.663 | 0.000 | 0.000 | 0.000 |
| 174.663 | 174.663 | 127.969 | -0.000 | -0.000 | 0.000 |
| -0.000 | -0.000 | 0.000 | 137.029 | 0.000 | -0.000 |
| -0.000 | -0.000 | 0.000 | 0.000 | 137.029 | 0.000 |
| -0.000 | -0.000 | 0.000 | 0.000 | 0.000 | 137.029 |
| 127.969 | 174.663 | 174.663 | -0.000 | -0.000 | 0.000 |
| 174.663 | 127.969 | 174.663 | -0.000 | -0.000 | 0.000 |
| 174.663 | 174.663 | 127.968 | 0.000 | -0.000 | 0.000 |
| 0.000 | 0.000 | -0.000 | 137.029 | -0.000 | -0.000 |
| -0.000 | 0.000 | -0.000 | -0.000 | 137.029 | -0.000 |
| 0.000 | 0.000 | -0.000 | -0.000 | -0.000 | 137.029 |
| 127.969 | 174.663 | 174.663 | 0.000 | 0.000 | -0.000 |
| 174.663 | 127.969 | 174.663 | 0.000 | 0.000 | 0.000 |
| 174.663 | 174.663 | 127.969 | -0.000 | 0.000 | 0.000 |
| 0.000 | 0.000 | 0.000 | 137.029 | 0.000 | 0.000 |
| 0.000 | 0.000 | 0.000 | 0.000 | 137.029 | 0.000 |
| 0.000 | 0.000 | 0.000 | 0.000 | 0.000 | 137.029 |
| 127.968 | 174.663 | 174.663 | -0.000 | -0.000 | -0.000 |
| 174.663 | 127.968 | 174.663 | -0.000 | -0.000 | -0.000 |
| 174.663 | 174.663 | 127.968 | -0.000 | -0.000 | 0.000 |
| -0.000 | -0.000 | -0.000 | 137.029 | -0.000 | -0.000 |
| -0.000 | -0.000 | -0.000 | -0.000 | 137.029 | -0.000 |
| -0.000 | -0.000 | -0.000 | -0.000 | -0.000 | 137.029 |
| 127.970 | 174.664 | 174.664 | 0.000 | 0.000 | 0.000 |
| 174.664 | 127.970 | 174.664 | 0.000 | 0.000 | 0.000 |
| 174.664 | 174.664 | 127.970 | 0.000 | 0.000 | 0.000 |
| 0.001 | 0.000 | 0.001 | 136.402 | 0.000 | 0.000 |
| 0.000 | 0.001 | 0.001 | 0.000 | 136.402 | 0.000 |
| 0.000 | 0.001 | 0.001 | -0.000 | 0.000 | 136.402 |
| 127.967 | 174.663 | 174.663 | 0.000 | -0.000 | -0.000 |
| 174.663 | 127.967 | 174.663 | -0.000 | -0.000 | -0.000 |
| 174.663 | 174.663 | 127.967 | 0.000 | -0.000 | -0.000 |
| -0.001 | -0.000 | -0.001 | 136.402 | -0.000 | -0.000 |
| -0.000 | -0.001 | -0.001 | -0.000 | 136.402 | -0.000 |
| -0.000 | -0.001 | -0.001 | 0.000 | -0.000 | 136.402 |
| 0.390 | 0.447 | 0.447 | 0.000 | -0.000 | -0.000 |
| 0.447 | 0.390 | 0.447 | 0.000 | 0.000 | -0.000 |
| 0.447 | 0.447 | 0.390 | 0.000 | -0.000 | -0.000 |
| -0.000 | -0.000 | -0.000 | 0.376 | 0.000 | -0.000 |
| -0.000 | -0.000 | -0.000 | -0.000 | 0.261 | -0.000 |
| -0.000 | -0.000 | -0.000 | 0.000 | 0.000 | 0.261 |
| 0.390 | 0.447 | 0.447 | 0.000 | 0.000 | -0.000 |
| 0.447 | 0.390 | 0.447 | -0.000 | 0.000 | 0.000 |
| 0.447 | 0.447 | 0.390 | -0.000 | -0.000 | 0.000 |
| 0.000 | 0.000 | 0.000 | 0.376 | -0.000 | 0.000 |
| 0.000 | 0.000 | 0.000 | -0.000 | 0.376 | 0.000 |
| 0.000 | 0.000 | 0.000 | -0.000 | -0.000 | 0.376 |
| 0.390 | 0.447 | 0.447 | 0.000 | 0.000 | -0.000 |
| 0.447 | 0.390 | 0.447 | 0.000 | -0.000 | -0.000 |
| 0.447 | 0.447 | 0.390 | 0.000 | -0.000 | 0.000 |
| 0.000 | 0.000 | 0.000 | -0.287 | 0.000 | -0.000 |
| 0.000 | 0.000 | 0.000 | 0.000 | -0.287 | -0.000 |
| 0.000 | 0.000 | 0.000 | 0.000 | 0.000 | -0.287 |
| 0.390 | 0.447 | 0.447 | -0.000 | -0.000 | 0.000 |
| 0.447 | 0.390 | 0.447 | -0.000 | -0.000 | 0.000 |
| 0.447 | 0.447 | 0.390 | 0.000 | 0.000 | 0.000 |
| -0.000 | -0.000 | -0.000 | -0.287 | -0.000 | 0.000 |
| -0.000 | -0.000 | -0.000 | -0.000 | -0.287 | 0.000 |
| -0.000 | -0.000 | -0.000 | -0.000 | -0.000 | -0.287 |
| 0.389 | 0.446 | 0.446 | 0.000 | 0.000 | -0.000 |
| 0.446 | 0.389 | 0.446 | 0.000 | 0.000 | -0.000 |
| 0.446 | 0.446 | 0.389 | -0.000 | -0.000 | 0.000 |
| 0.003 | 0.003 | 0.003 | -1.320 | 0.000 | -0.000 |
| 0.003 | 0.003 | 0.003 | 0.000 | -1.285 | -0.000 |
| 0.003 | 0.003 | 0.003 | 0.000 | 0.000 | -1.320 |
| 0.391 | 0.448 | 0.448 | -0.000 | 0.000 | -0.000 |
| 0.448 | 0.391 | 0.448 | -0.000 | -0.000 | 0.000 |
| 0.448 | 0.448 | 0.391 | 0.000 | 0.000 | 0.000 |
| -0.003 | -0.003 | -0.003 | -1.320 | -0.000 | 0.000 |
| -0.003 | -0.003 | -0.003 | -0.000 | -1.320 | 0.000 |
| -0.003 | -0.003 | -0.003 | -0.000 | -0.000 | -1.320 |
| 647.830 | -6.995 | -6.995 | 0.000 | 0.000 | 0.000 |
| -6.995 | 647.830 | -6.995 | 0.000 | 0.000 | 0.000 |
| -6.995 | -6.995 | 647.830 | 0.000 | 0.000 | 0.000 |
| -0.000 | -0.000 | -0.000 | -58.735 | 0.000 | 0.000 |
| -0.000 | -0.000 | 0.000 | -0.000 | -58.735 | 0.000 |
| -0.000 | -0.000 | -0.000 | 0.000 | 0.000 | -58.735 |
| 647.830 | -6.995 | -6.995 | 0.000 | -0.000 | -0.000 |
| -6.995 | 647.830 | -6.995 | -0.000 | -0.000 | -0.000 |
| -6.995 | -6.995 | 647.830 | 0.000 | -0.000 | -0.000 |
| 0.000 | 0.000 | 0.000 | -58.735 | -0.000 | -0.000 |
| 0.000 | -0.000 | 0.000 | 0.000 | -58.735 | -0.000 |
| 0.000 | 0.000 | 0.000 | -0.000 | -0.000 | -58.735 |
| 647.830 | -6.995 | -6.995 | 0.000 | 0.000 | 0.000 |
| -6.995 | 647.830 | -6.995 | 0.000 | 0.000 | 0.000 |
| -6.995 | -6.995 | 647.830 | -0.000 | 0.000 | 0.000 |
| -0.000 | -0.000 | -0.000 | -58.735 | 0.000 | 0.000 |
| -0.000 | -0.000 | -0.000 | 0.000 | -58.735 | 0.000 |
| -0.000 | -0.000 | -0.000 | 0.000 | 0.000 | -58.735 |
| 647.830 | -6.995 | -6.995 | -0.000 | -0.000 | -0.000 |
| -6.995 | 647.830 | -6.995 | -0.000 | 0.000 | -0.000 |
| -6.995 | -6.995 | 647.830 | 0.000 | -0.000 | -0.000 |
| 0.000 | 0.000 | 0.000 | -58.735 | -0.000 | -0.000 |
| 0.000 | 0.000 | 0.000 | -0.000 | -58.735 | -0.000 |
| 0.000 | 0.000 | 0.000 | -0.000 | -0.000 | -58.735 |
| 647.831 | -6.996 | -6.996 | 0.000 | 0.000 | 0.000 |
| -6.996 | 647.831 | -6.996 | 0.000 | 0.000 | 0.000 |
| -6.996 | -6.996 | 647.831 | 0.000 | 0.000 | 0.000 |
| -0.000 | -0.000 | -0.001 | -58.735 | -0.000 | 0.000 |
| -0.000 | -0.000 | -0.001 | 0.000 | -58.735 | 0.000 |
| -0.000 | -0.001 | -0.000 | 0.000 | 0.000 | -58.735 |
| 647.829 | -6.995 | -6.995 | -0.000 | -0.000 | -0.000 |
| -6.995 | 647.829 | -6.995 | -0.000 | -0.000 | -0.000 |
| -6.995 | -6.995 | 647.829 | -0.000 | -0.000 | -0.000 |
| 0.000 | 0.000 | 0.001 | -58.735 | -0.000 | -0.000 |
| 0.000 | 0.000 | 0.001 | -0.000 | -58.735 | -0.000 |
| 0.000 | 0.001 | 0.000 | 0.000 | -0.000 | -58.735 |
| 144.151 | 152.407 | 152.407 | -0.000 | -0.000 | -0.000 |
| 152.407 | 144.151 | 152.407 | -0.000 | -0.000 | -0.000 |
| 152.407 | 152.407 | 144.151 | 0.000 | 0.000 | -0.000 |
| -0.000 | -0.000 | -0.000 | -0.000 | 0.000 | 0.000 |
| -0.000 | -0.000 | -0.000 | -0.000 | -0.000 | 0.000 |
| -0.000 | -0.000 | -0.000 | -0.000 | 0.000 | -0.000 |
| 144.151 | 152.407 | 152.407 | -0.000 | -0.000 | -0.000 |
| 152.407 | 144.151 | 152.407 | -0.000 | -0.000 | -0.000 |
| 152.407 | 152.407 | 144.151 | -0.000 | -0.000 | -0.000 |
| 0.000 | 0.000 | 0.000 | -0.000 | -0.000 | -0.000 |
| 0.000 | 0.000 | 0.000 | 0.000 | -0.000 | -0.000 |
| 0.000 | 0.000 | 0.000 | 0.000 | -0.000 | -0.000 |
| 144.151 | 152.407 | 152.407 | 0.000 | 0.000 | -0.000 |
| 152.407 | 144.151 | 152.407 | 0.000 | -0.000 | 0.000 |
| 152.407 | 152.407 | 144.151 | -0.000 | -0.000 | 0.000 |
| -0.000 | -0.000 | -0.000 | 0.000 | 0.000 | 0.000 |
| -0.000 | -0.000 | -0.000 | 0.000 | 0.000 | 0.000 |
| -0.000 | -0.000 | -0.000 | -0.000 | 0.000 | 0.000 |
| 144.151 | 152.407 | 152.407 | -0.000 | 0.000 | 0.000 |
| 152.407 | 144.151 | 152.407 | -0.000 | -0.000 | -0.000 |
| 152.407 | 152.407 | 144.151 | -0.000 | -0.000 | -0.000 |
| 0.000 | 0.000 | 0.000 | 0.000 | -0.000 | -0.000 |
| 0.000 | 0.000 | 0.000 | -0.000 | 0.000 | -0.000 |
| 0.000 | 0.000 | 0.000 | 0.000 | 0.000 | 0.000 |
| 144.153 | 152.407 | 152.407 | -0.000 | -0.000 | 0.000 |
| 152.407 | 144.153 | 152.407 | -0.000 | -0.000 | 0.000 |
| 152.407 | 152.407 | 144.153 | 0.000 | 0.000 | 0.000 |
| -0.000 | -0.000 | -0.000 | 0.000 | -0.000 | -0.000 |
| -0.000 | -0.000 | -0.000 | 0.000 | 0.000 | -0.000 |
| -0.000 | -0.000 | -0.000 | 0.000 | 0.000 | 0.000 |
| 144.149 | 152.407 | 152.407 | 0.000 | 0.000 | 0.000 |
| 152.407 | 144.149 | 152.407 | -0.000 | -0.000 | -0.000 |
| 152.407 | 152.407 | 144.149 | -0.000 | -0.000 | 0.000 |
| 0.000 | 0.000 | 0.000 | 0.000 | -0.000 | -0.000 |
| 0.000 | 0.000 | 0.000 | -0.000 | 0.000 | -0.000 |
| 0.000 | 0.000 | 0.000 | -0.000 | -0.000 | 0.000 |
| 48.776 | 45.264 | 45.264 | -0.000 | -0.000 | 0.000 |
| 45.264 | 48.776 | 45.264 | -0.000 | -0.000 | -0.000 |
| 45.264 | 45.264 | 48.776 | 0.000 | -0.000 | 0.000 |
| -0.000 | -0.000 | -0.000 | -0.000 | -0.000 | -0.000 |
| -0.000 | -0.000 | -0.000 | -0.000 | -0.000 | -0.000 |
| -0.000 | -0.000 | -0.000 | -0.000 | -0.000 | -0.000 |
| 48.776 | 45.264 | 45.264 | -0.000 | -0.000 | -0.000 |
| 45.264 | 48.776 | 45.264 | -0.000 | -0.000 | 0.000 |
| 45.264 | 45.264 | 48.776 | -0.000 | -0.000 | -0.000 |
| 0.000 | 0.000 | 0.000 | -0.000 | 0.000 | 0.000 |
| 0.000 | 0.000 | 0.000 | 0.000 | -0.000 | 0.000 |
| 0.000 | 0.000 | 0.000 | 0.000 | 0.000 | -0.000 |
| 48.777 | 45.264 | 45.264 | -0.000 | -0.000 | -0.000 |
| 45.264 | 48.777 | 45.264 | -0.000 | -0.000 | 0.000 |
| 45.264 | 45.264 | 48.777 | -0.000 | -0.000 | -0.000 |
| -0.000 | -0.000 | -0.000 | 0.000 | 0.000 | -0.000 |
| -0.000 | -0.000 | -0.000 | -0.000 | 0.000 | -0.000 |
| -0.000 | -0.000 | -0.000 | -0.000 | 0.000 | 0.000 |
| 48.776 | 45.264 | 45.264 | -0.000 | -0.000 | 0.000 |
| 45.264 | 48.776 | 45.264 | -0.000 | -0.000 | 0.000 |
| 45.264 | 45.264 | 48.776 | -0.000 | -0.000 | 0.000 |
| 0.000 | 0.000 | 0.000 | 0.000 | -0.000 | 0.000 |
| 0.000 | 0.000 | 0.000 | 0.000 | 0.000 | 0.000 |
| 0.000 | 0.000 | 0.000 | -0.000 | 0.000 | 0.000 |
| 48.777 | 45.264 | 45.264 | -0.000 | -0.000 | -0.000 |
| 45.264 | 48.777 | 45.264 | -0.000 | -0.000 | -0.000 |
| 45.264 | 45.264 | 48.777 | 0.000 | 0.000 | 0.000 |
| -0.000 | -0.000 | -0.000 | 0.000 | 0.000 | 0.000 |
| -0.000 | -0.000 | -0.000 | 0.000 | 0.000 | -0.000 |
| -0.000 | -0.000 | -0.000 | 0.000 | 0.000 | 0.000 |
| 48.776 | 45.264 | 45.264 | -0.000 | -0.000 | 0.000 |
| 45.264 | 48.776 | 45.264 | -0.000 | -0.000 | 0.000 |
| 45.264 | 45.264 | 48.776 | -0.000 | -0.000 | -0.000 |
| 0.000 | 0.000 | 0.000 | 0.000 | -0.000 | 0.000 |
| 0.000 | 0.000 | 0.000 | -0.000 | 0.000 | -0.000 |
| 0.000 | 0.000 | 0.000 | -0.000 | -0.000 | 0.000 |
| 188.498 | 177.667 | 177.667 | 0.000 | 0.000 | 0.000 |
| 177.667 | 188.498 | 177.667 | 0.000 | 0.000 | 0.000 |
| 177.667 | 177.667 | 188.498 | 0.000 | 0.000 | 0.000 |
| 0.000 | 0.000 | 0.000 | 198.902 | 0.000 | -0.000 |
| 0.000 | 0.000 | 0.000 | -0.000 | 198.902 | 0.000 |
| 0.000 | 0.000 | 0.000 | -0.000 | 0.000 | 198.902 |
| 188.498 | 177.667 | 177.667 | 0.000 | -0.000 | -0.000 |
| 177.667 | 188.498 | 177.667 | -0.000 | -0.000 | -0.000 |
| 177.667 | 177.667 | 188.498 | -0.000 | 0.000 | -0.000 |
| -0.000 | -0.000 | -0.000 | 198.902 | -0.000 | -0.000 |
| -0.000 | -0.000 | -0.000 | -0.000 | 198.902 | -0.000 |
| -0.000 | -0.000 | -0.000 | 0.000 | -0.000 | 198.902 |
| 188.498 | 177.667 | 177.667 | 0.000 | 0.000 | 0.000 |
| 177.667 | 188.498 | 177.667 | -0.000 | 0.000 | 0.000 |
| 177.667 | 177.667 | 188.498 | 0.000 | 0.000 | 0.000 |
| 0.000 | 0.000 | 0.000 | 198.902 | 0.000 | 0.000 |
| 0.000 | 0.000 | 0.000 | -0.000 | 198.902 | 0.000 |
| 0.000 | 0.000 | 0.000 | 0.000 | 0.000 | 198.902 |
| 188.498 | 177.667 | 177.667 | -0.000 | -0.000 | -0.000 |
| 177.667 | 188.498 | 177.667 | 0.000 | -0.000 | -0.000 |
| 177.667 | 177.667 | 188.498 | -0.000 | -0.000 | -0.000 |
| -0.000 | -0.000 | -0.000 | 198.902 | -0.000 | -0.000 |
| -0.000 | -0.000 | -0.000 | 0.000 | 198.902 | -0.000 |
| -0.000 | -0.000 | -0.000 | -0.000 | -0.000 | 198.902 |
| 188.500 | 177.668 | 177.668 | 0.000 | 0.000 | 0.000 |
| 177.668 | 188.500 | 177.668 | 0.000 | 0.000 | 0.000 |
| 177.668 | 177.668 | 188.500 | -0.000 | 0.000 | 0.000 |
| 0.001 | 0.000 | 0.001 | 198.902 | 0.000 | 0.000 |
| 0.000 | 0.001 | 0.001 | 0.000 | 198.902 | 0.000 |
| 0.000 | 0.001 | 0.001 | -0.000 | 0.000 | 198.902 |
| 188.496 | 177.667 | 177.667 | -0.000 | -0.000 | -0.000 |
| 177.667 | 188.496 | 177.667 | -0.000 | -0.000 | -0.000 |
| 177.667 | 177.667 | 188.496 | -0.000 | -0.000 | -0.000 |
| -0.001 | -0.000 | -0.001 | 198.902 | -0.000 | -0.000 |
| -0.000 | -0.001 | -0.001 | -0.000 | 198.902 | -0.000 |
| -0.000 | -0.001 | -0.001 | -0.000 | -0.000 | 198.902 |
| 980.769 | 979.377 | 979.377 | 0.000 | 0.000 | 0.000 |
| 979.377 | 980.769 | 979.377 | 0.000 | -0.000 | -0.000 |
| 979.377 | 979.377 | 980.769 | 0.000 | -0.000 | -0.000 |
| 0.000 | 0.000 | 0.000 | -0.742 | 0.000 | 0.000 |
| 0.000 | 0.000 | 0.000 | 0.000 | -0.742 | -0.000 |
| 0.000 | 0.000 | 0.000 | 0.000 | -0.000 | -0.742 |
| 980.769 | 979.377 | 979.377 | 0.000 | 0.000 | -0.000 |
| 979.377 | 980.769 | 979.377 | 0.000 | 0.000 | -0.000 |
| 979.377 | 979.377 | 980.769 | 0.000 | 0.000 | -0.000 |
| -0.000 | -0.000 | -0.000 | -0.742 | 0.000 | -0.000 |
| -0.000 | -0.000 | -0.000 | -0.000 | -0.742 | -0.000 |
| -0.000 | -0.000 | -0.000 | -0.000 | 0.000 | -0.742 |
| 980.768 | 979.376 | 979.376 | -0.000 | 0.000 | -0.000 |
| 979.376 | 980.768 | 979.376 | 0.000 | -0.000 | 0.000 |
| 979.376 | 979.376 | 980.768 | -0.000 | -0.000 | -0.000 |
| 0.000 | 0.000 | 0.000 | -0.742 | -0.000 | 0.000 |
| 0.000 | 0.000 | 0.000 | 0.000 | -0.742 | 0.000 |
| 0.000 | 0.000 | 0.000 | -0.000 | -0.000 | -0.742 |
| 980.769 | 979.378 | 979.378 | -0.000 | 0.000 | -0.000 |
| 979.378 | 980.769 | 979.378 | -0.000 | -0.000 | -0.000 |
| 979.378 | 979.378 | 980.769 | 0.000 | -0.000 | 0.000 |
| -0.000 | -0.000 | -0.000 | -0.742 | 0.000 | -0.000 |
| -0.000 | -0.000 | -0.000 | 0.000 | -0.742 | -0.000 |
| -0.000 | -0.000 | -0.000 | -0.000 | 0.000 | -0.742 |
| 980.761 | 979.370 | 979.370 | -0.000 | 0.000 | 0.000 |
| 979.370 | 980.761 | 979.370 | 0.000 | 0.000 | -0.000 |
| 979.370 | 979.370 | 980.761 | -0.000 | -0.000 | 0.000 |
| 0.001 | 0.001 | 0.001 | -0.742 | 0.000 | 0.000 |
| 0.001 | 0.001 | 0.001 | 0.000 | -0.742 | 0.000 |
| 0.001 | 0.001 | 0.001 | -0.000 | -0.000 | -0.742 |
| 980.776 | 979.384 | 979.384 | 0.000 | 0.000 | 0.000 |
| 979.384 | 980.776 | 979.384 | 0.000 | 0.000 | 0.000 |
| 979.384 | 979.384 | 980.776 | -0.000 | 0.000 | 0.000 |
| -0.001 | -0.001 | -0.001 | -0.742 | -0.000 | -0.000 |
| -0.001 | -0.001 | -0.001 | -0.000 | -0.742 | 0.000 |
| -0.001 | -0.001 | -0.001 | 0.000 | 0.000 | -0.742 |
| 100.140 | 100.140 | 100.140 | 0.000 | 0.000 | 0.000 |
| 100.140 | 100.140 | 100.140 | 0.000 | 0.000 | 0.000 |
| 100.140 | 100.140 | 100.140 | -0.000 | -0.000 | 0.000 |
| 0.000 | 0.000 | 0.000 | 1.606 | 0.000 | 0.000 |
| 0.000 | 0.000 | 0.000 | 0.000 | 1.606 | 0.000 |
| 0.000 | 0.000 | 0.000 | 0.000 | 0.000 | 1.606 |
| 100.140 | 100.140 | 100.140 | 0.000 | -0.000 | -0.000 |
| 100.140 | 100.140 | 100.140 | -0.000 | 0.000 | -0.000 |
| 100.140 | 100.140 | 100.140 | 0.000 | -0.000 | 0.000 |
| -0.000 | -0.000 | -0.000 | 1.606 | -0.000 | -0.000 |
| -0.000 | -0.000 | -0.000 | -0.000 | 1.606 | -0.000 |
| -0.000 | -0.000 | -0.000 | -0.000 | -0.000 | 1.606 |
| 100.140 | 100.140 | 100.140 | 0.000 | 0.000 | 0.000 |
| 100.140 | 100.140 | 100.140 | 0.000 | 0.000 | 0.000 |
| 100.140 | 100.140 | 100.140 | 0.000 | 0.000 | -0.000 |
| 0.000 | 0.000 | 0.000 | 1.606 | 0.000 | 0.000 |
| 0.000 | 0.000 | 0.000 | 0.000 | 1.606 | 0.000 |
| 0.000 | 0.000 | 0.000 | 0.000 | 0.000 | 1.606 |
| 100.140 | 100.140 | 100.140 | -0.000 | -0.000 | -0.000 |
| 100.140 | 100.140 | 100.140 | -0.000 | -0.000 | -0.000 |
| 100.140 | 100.140 | 100.140 | -0.000 | -0.000 | 0.000 |
| -0.000 | -0.000 | -0.000 | 1.606 | 0.000 | -0.000 |
| -0.000 | -0.000 | -0.000 | 0.000 | 1.606 | -0.000 |
| -0.000 | -0.000 | -0.000 | -0.000 | -0.000 | 1.606 |
| 100.141 | 100.141 | 100.141 | 0.000 | 0.000 | 0.000 |
| 100.141 | 100.141 | 100.141 | 0.000 | 0.000 | 0.000 |
| 100.141 | 100.141 | 100.141 | 0.000 | 0.000 | 0.000 |
| 0.000 | 0.000 | 0.000 | 1.606 | 0.000 | 0.000 |
| 0.000 | 0.000 | 0.000 | 0.000 | 1.606 | 0.000 |
| 0.000 | 0.000 | 0.000 | 0.000 | 0.000 | 1.606 |
| 100.139 | 100.139 | 100.139 | 0.000 | -0.000 | -0.000 |
| 100.139 | 100.139 | 100.139 | -0.000 | 0.000 | -0.000 |
| 100.139 | 100.139 | 100.139 | 0.000 | 0.000 | -0.000 |
| -0.000 | -0.000 | -0.000 | 1.606 | -0.000 | -0.000 |
| -0.000 | -0.000 | -0.000 | -0.000 | 1.606 | -0.000 |
| -0.000 | -0.000 | -0.000 | -0.000 | -0.000 | 1.606 |
| 250.826 | 331.571 | 331.571 | 0.000 | 0.000 | 0.000 |
| 331.571 | 250.826 | 331.571 | 0.000 | 0.000 | 0.000 |
| 331.571 | 331.571 | 250.826 | 0.000 | 0.000 | 0.000 |
| -0.000 | 0.000 | -0.000 | -118.152 | 0.000 | 0.000 |
| 0.000 | 0.000 | -0.000 | 0.000 | -118.152 | 0.000 |
| 0.000 | 0.000 | -0.000 | 0.000 | 0.000 | -118.152 |
| 250.826 | 331.571 | 331.571 | -0.000 | -0.000 | -0.000 |
| 331.571 | 250.826 | 331.571 | -0.000 | -0.000 | -0.000 |
| 331.571 | 331.571 | 250.826 | -0.000 | -0.000 | -0.000 |
| -0.000 | -0.000 | -0.000 | -118.152 | -0.000 | -0.000 |
| -0.000 | -0.000 | 0.000 | -0.000 | -118.152 | -0.000 |
| -0.000 | -0.000 | -0.000 | -0.000 | -0.000 | -118.152 |
| 250.826 | 331.571 | 331.571 | 0.000 | 0.000 | 0.000 |
| 331.571 | 250.826 | 331.571 | 0.000 | 0.000 | 0.000 |
| 331.571 | 331.571 | 250.826 | 0.000 | 0.000 | 0.000 |
| 0.000 | -0.000 | -0.000 | 85.777 | 0.000 | 0.000 |
| -0.000 | 0.000 | -0.000 | 0.000 | 85.777 | -0.000 |
| -0.000 | -0.000 | 0.000 | 0.000 | 0.000 | 85.777 |
| 250.826 | 331.571 | 331.571 | -0.000 | -0.000 | -0.000 |
| 331.571 | 250.826 | 331.571 | -0.000 | -0.000 | -0.000 |
| 331.571 | 331.571 | 250.826 | -0.000 | -0.000 | -0.000 |
| -0.000 | 0.000 | 0.000 | 85.777 | 0.000 | -0.000 |
| 0.000 | -0.000 | 0.000 | 0.000 | 85.777 | 0.000 |
| 0.000 | 0.000 | -0.000 | 0.000 | -0.000 | 85.777 |
| 250.824 | 331.571 | 331.571 | 0.000 | 0.000 | 0.000 |
| 331.571 | 250.824 | 331.571 | 0.000 | 0.000 | 0.000 |
| 331.571 | 331.571 | 250.824 | 0.000 | 0.000 | 0.000 |
| -0.000 | -0.000 | -0.000 | -118.152 | 0.000 | 0.000 |
| -0.000 | -0.000 | -0.000 | 0.000 | -118.152 | 0.000 |
| -0.000 | -0.000 | -0.000 | 0.000 | 0.000 | -118.152 |
| 250.828 | 331.571 | 331.571 | -0.000 | -0.000 | -0.000 |
| 331.571 | 250.828 | 331.571 | -0.000 | -0.000 | -0.000 |
| 331.571 | 331.571 | 250.828 | -0.000 | -0.000 | -0.000 |
| 0.000 | 0.000 | 0.000 | -118.152 | -0.000 | -0.000 |
| 0.000 | 0.000 | 0.000 | -0.000 | -118.152 | -0.000 |
| 0.000 | 0.000 | 0.000 | -0.000 | -0.000 | -118.152 |
| 27.129 | 27.129 | 27.129 | -0.000 | -0.000 | -0.000 |
| 27.129 | 27.129 | 27.129 | -0.000 | -0.000 | -0.000 |
| 27.129 | 27.129 | 27.129 | -0.000 | -0.000 | -0.000 |
| 0.000 | 0.000 | 0.000 | -1.688 | -0.000 | -0.000 |
| 0.000 | 0.000 | 0.000 | -0.000 | -1.688 | -0.000 |
| 0.000 | 0.000 | 0.000 | -0.000 | -0.000 | -1.688 |
| 27.129 | 27.129 | 27.129 | 0.000 | 0.000 | 0.000 |
| 27.129 | 27.129 | 27.129 | 0.000 | 0.000 | 0.000 |
| 27.129 | 27.129 | 27.129 | 0.000 | 0.000 | 0.000 |
| -0.000 | -0.000 | -0.000 | -1.688 | 0.000 | 0.000 |
| -0.000 | -0.000 | -0.000 | 0.000 | -1.688 | 0.000 |
| -0.000 | -0.000 | -0.000 | 0.000 | 0.000 | -1.688 |
| 27.129 | 27.129 | 27.129 | -0.000 | -0.000 | -0.000 |
| 27.129 | 27.129 | 27.129 | -0.000 | -0.000 | -0.000 |
| 27.129 | 27.129 | 27.129 | -0.000 | -0.000 | -0.000 |
| 0.000 | 0.000 | 0.000 | -1.089 | 0.000 | 0.000 |
| 0.000 | 0.000 | 0.000 | 0.000 | -1.089 | 0.000 |
| 0.000 | 0.000 | 0.000 | 0.000 | 0.000 | -1.089 |
| 27.129 | 27.129 | 27.129 | 0.000 | 0.000 | 0.000 |
| 27.129 | 27.129 | 27.129 | 0.000 | 0.000 | 0.000 |
| 27.129 | 27.129 | 27.129 | 0.000 | 0.000 | 0.000 |
| -0.000 | -0.000 | -0.000 | -1.089 | -0.000 | -0.000 |
| -0.000 | -0.000 | -0.000 | -0.000 | -1.089 | -0.000 |
| -0.000 | -0.000 | -0.000 | -0.000 | -0.000 | -1.089 |
| 27.129 | 27.129 | 27.129 | -0.000 | -0.000 | -0.000 |
| 27.129 | 27.129 | 27.129 | -0.000 | -0.000 | -0.000 |
| 27.129 | 27.129 | 27.129 | -0.000 | -0.000 | -0.000 |
| 256667.523 | 258002.197 | 258002.234 | 18556.638 | -0.001 | -0.001 |
| 258002.197 | 256667.523 | 258002.234 | -0.001 | 18556.638 | -0.001 |
| 258002.197 | 258002.234 | 256667.523 | -0.001 | -0.001 | 18556.638 |
| 27.129 | 27.129 | 27.129 | 0.000 | 0.000 | 0.000 |
| 27.129 | 27.129 | 27.129 | 0.000 | 0.000 | 0.000 |
| 27.129 | 27.129 | 27.129 | 0.000 | 0.000 | 0.000 |
| -256667.523 | -258002.197 | -258002.234 | 18556.637 | -0.000 | -0.000 |
| -258002.197 | -256667.523 | -258002.234 | -0.000 | 18556.637 | -0.000 |
| -258002.197 | -258002.234 | -256667.523 | -0.000 | -0.000 | 18556.637 |
| 11.841 | 11.841 | 11.841 | -0.000 | -0.000 | -0.000 |
| 11.841 | 11.841 | 11.841 | -0.000 | -0.000 | -0.000 |
| 11.841 | 11.841 | 11.841 | -0.000 | -0.000 | -0.000 |
| -0.000 | -0.000 | -0.000 | 0.563 | 0.000 | 0.000 |
| -0.000 | -0.000 | -0.000 | 0.000 | 0.563 | 0.000 |
| -0.000 | -0.000 | -0.000 | 0.000 | 0.000 | 0.563 |
| 11.841 | 11.841 | 11.841 | 0.000 | 0.000 | 0.000 |
| 11.841 | 11.841 | 11.841 | 0.000 | 0.000 | 0.000 |
| 11.841 | 11.841 | 11.841 | 0.000 | 0.000 | 0.000 |
| 0.000 | 0.000 | 0.000 | 0.563 | 0.000 | -0.000 |
| 0.000 | 0.000 | 0.000 | 0.000 | 0.563 | -0.000 |
| 0.000 | 0.000 | 0.000 | 0.000 | -0.000 | 0.563 |
| 11.841 | 11.841 | 11.841 | -0.000 | -0.000 | -0.000 |
| 11.841 | 11.841 | 11.841 | -0.000 | -0.000 | -0.000 |
| 11.841 | 11.841 | 11.841 | -0.000 | -0.000 | -0.000 |
| -0.000 | -0.000 | -0.000 | 0.169 | -0.000 | -0.000 |
| -0.000 | -0.000 | -0.000 | -0.000 | 0.169 | -0.000 |
| -0.000 | -0.000 | -0.000 | -0.000 | -0.000 | 0.113 |
| 11.841 | 11.841 | 11.841 | 0.000 | 0.000 | 0.000 |
| 11.841 | 11.841 | 11.841 | 0.000 | 0.000 | 0.000 |
| 11.841 | 11.841 | 11.841 | 0.000 | 0.000 | 0.000 |
| 0.000 | 0.000 | 0.000 | 0.113 | 0.000 | 0.000 |
| 0.000 | 0.000 | 0.000 | 0.000 | 0.113 | 0.000 |
| 0.000 | 0.000 | 0.000 | 0.000 | 0.000 | 0.113 |
| 11.841 | 11.841 | 11.841 | -0.000 | -0.000 | -0.000 |
| 11.841 | 11.841 | 11.841 | -0.000 | -0.000 | -0.000 |
| 11.841 | 11.841 | 11.841 | -0.000 | -0.000 | -0.000 |
| -0.000 | -0.000 | -0.000 | 0.563 | -0.000 | 0.000 |
| -0.000 | -0.000 | -0.000 | -0.000 | 0.563 | 0.000 |
| -0.000 | -0.000 | -0.000 | -0.000 | 0.000 | 0.563 |
| 11.841 | 11.841 | 11.841 | 0.000 | 0.000 | 0.000 |
| 11.841 | 11.841 | 11.841 | 0.000 | 0.000 | 0.000 |
| 11.841 | 11.841 | 11.841 | 0.000 | 0.000 | 0.000 |
| 0.000 | 0.000 | 0.000 | 0.563 | 0.000 | -0.000 |
| 0.000 | 0.000 | 0.000 | 0.000 | 0.563 | -0.000 |
| 0.000 | 0.000 | 0.000 | 0.000 | -0.000 | 0.563 |
| 239.804 | 81.980 | 137.308 | 0.000 | 0.000 | -0.000 |
| 81.980 | 239.804 | 137.308 | -0.000 | 0.000 | -0.000 |
| 137.308 | 137.308 | 239.497 | 0.000 | 0.000 | -0.000 |
| 0.000 | -0.000 | 0.000 | 87.928 | 0.000 | -0.000 |
| -0.000 | -0.000 | 0.000 | 0.000 | 87.928 | -0.000 |
| 0.000 | 0.000 | 0.000 | 0.000 | 0.000 | 13.134 |
| 239.804 | 81.980 | 137.308 | -0.000 | -0.000 | 0.000 |
| 81.980 | 239.804 | 137.308 | -0.000 | -0.000 | 0.000 |
| 137.308 | 137.308 | 239.497 | -0.000 | -0.000 | 0.000 |
| -0.000 | -0.000 | -0.000 | 87.928 | -0.000 | 0.000 |
| 0.000 | -0.000 | -0.000 | -0.000 | 87.928 | 0.000 |
| -0.000 | -0.000 | -0.000 | -0.000 | -0.000 | 13.134 |
| 239.804 | 81.980 | 137.308 | 0.000 | 0.000 | -0.000 |
| 81.980 | 239.804 | 137.308 | 0.000 | 0.000 | -0.000 |
| 137.308 | 137.308 | 239.497 | 0.000 | 0.000 | -0.000 |
| 0.000 | -0.000 | 0.000 | 87.928 | 0.000 | -0.000 |
| -0.000 | 0.000 | 0.000 | 0.000 | 87.928 | -0.000 |
| 0.000 | 0.000 | 0.000 | 0.000 | 0.000 | 13.134 |
| 239.804 | 81.980 | 137.308 | -0.000 | 0.000 | 0.000 |
| 81.980 | 239.804 | 137.308 | -0.000 | -0.000 | 0.000 |
| 137.308 | 137.308 | 239.496 | -0.000 | -0.000 | 0.000 |
| -0.000 | 0.000 | -0.000 | 87.928 | -0.000 | 0.000 |
| 0.000 | -0.000 | -0.000 | -0.000 | 87.928 | 0.000 |
| -0.000 | -0.000 | -0.000 | -0.000 | -0.000 | 13.134 |
| 239.805 | 81.979 | 137.308 | 0.000 | 0.000 | -0.000 |
| 81.979 | 239.805 | 137.308 | 0.000 | 0.000 | -0.000 |
| 137.308 | 137.308 | 239.498 | 0.000 | -0.000 | -0.000 |
| 0.000 | -0.000 | 0.000 | 87.928 | 0.000 | -0.000 |
| -0.000 | 0.000 | 0.000 | 0.000 | 87.928 | -0.000 |
| 0.000 | 0.000 | 0.000 | 0.000 | 0.000 | 13.134 |
| 239.803 | 81.980 | 137.308 | -0.000 | -0.000 | 0.000 |
| 81.980 | 239.803 | 137.308 | 0.000 | -0.000 | 0.000 |
| 137.308 | 137.308 | 239.495 | -0.000 | -0.000 | 0.000 |
| -0.000 | 0.000 | -0.000 | 87.928 | -0.000 | 0.000 |
| 0.000 | -0.000 | -0.000 | -0.000 | 87.928 | 0.000 |
| -0.000 | -0.000 | -0.000 | -0.000 | -0.000 | 13.134 |
| -131.075 | 24.911 | 43.261 | -0.000 | -0.000 | -0.000 |
| 24.911 | -131.075 | 43.261 | -0.000 | -0.000 | -0.000 |
| 43.261 | 43.261 | 75.136 | -0.000 | -0.000 | -0.000 |
| 0.000 | 0.000 | 0.000 | 43.231 | -0.000 | -0.000 |
| 0.000 | 0.000 | 0.000 | -0.000 | 43.231 | -0.000 |
| 0.000 | 0.000 | 0.000 | -0.000 | 0.000 | 24.885 |
| -131.075 | 24.911 | 43.261 | 0.000 | 0.000 | 0.000 |
| 24.911 | -131.075 | 43.261 | 0.000 | 0.000 | 0.000 |
| 43.261 | 43.261 | 75.136 | 0.000 | 0.000 | 0.000 |
| -0.000 | -0.000 | -0.000 | 43.231 | 0.000 | 0.000 |
| -0.000 | -0.000 | -0.000 | 0.000 | 43.231 | 0.000 |
| -0.000 | -0.000 | -0.000 | 0.000 | 0.000 | 24.885 |
| -131.074 | 24.911 | 43.261 | -0.000 | -0.000 | -0.000 |
| 24.911 | -131.074 | 43.261 | -0.000 | -0.000 | -0.000 |
| 43.261 | 43.261 | 75.136 | -0.000 | -0.000 | 0.000 |
| 0.000 | 0.000 | 0.000 | 43.231 | -0.000 | 0.000 |
| 0.000 | 0.000 | 0.000 | -0.000 | 43.231 | 0.000 |
| 0.000 | 0.000 | 0.000 | -0.000 | -0.000 | 24.885 |
| -131.075 | 24.910 | 43.260 | 0.000 | 0.000 | 0.000 |
| 24.910 | -131.075 | 43.260 | 0.000 | 0.000 | 0.000 |
| 43.260 | 43.260 | 75.136 | 0.000 | 0.000 | 0.000 |
| -0.000 | -0.000 | -0.000 | 43.231 | 0.000 | 0.000 |
| -0.000 | -0.000 | -0.000 | 0.000 | 43.231 | 0.000 |
| -0.000 | -0.000 | -0.000 | 0.000 | -0.000 | 24.885 |
| -131.071 | 24.911 | 43.261 | -0.000 | -0.000 | -0.000 |
| 24.911 | -131.071 | 43.261 | -0.000 | -0.000 | -0.000 |
| 43.261 | 43.261 | 75.137 | -0.000 | -0.000 | 0.000 |
| 0.000 | 0.000 | 0.001 | 43.231 | -0.000 | -0.000 |
| 0.000 | 0.000 | 0.001 | -0.000 | 43.231 | -0.000 |
| 0.000 | 0.000 | 0.000 | -0.000 | -0.000 | 24.885 |
| -131.079 | 24.910 | 43.260 | 0.000 | 0.000 | -0.000 |
| 24.910 | -131.079 | 43.260 | 0.000 | 0.000 | -0.000 |
| 43.260 | 43.260 | 75.135 | 0.000 | 0.000 | 0.000 |
| -0.000 | -0.000 | -0.001 | 43.231 | 0.000 | 0.000 |
| -0.000 | -0.000 | -0.001 | 0.000 | 43.231 | 0.000 |
| -0.000 | -0.000 | -0.000 | 0.000 | 0.000 | 24.885 |
| 282.048 | 280.249 | -171.639 | 0.000 | -0.000 | 0.000 |
| 280.249 | 282.048 | -171.639 | -0.000 | 0.000 | 0.000 |
| -171.639 | -171.639 | 114.376 | 0.000 | 0.000 | 0.000 |
| 0.000 | 0.000 | -0.000 | 3.036 | 0.000 | 0.000 |
| 0.000 | 0.000 | -0.000 | 0.000 | 3.036 | 0.000 |
| 0.000 | 0.000 | -0.000 | 0.000 | 0.000 | 1.932 |
| 282.049 | 280.249 | -171.639 | -0.000 | -0.000 | -0.000 |
| 280.249 | 282.049 | -171.639 | -0.000 | -0.000 | -0.000 |
| -171.639 | -171.639 | 114.376 | -0.000 | -0.000 | -0.000 |
| -0.000 | -0.000 | 0.000 | 3.036 | -0.000 | -0.000 |
| -0.000 | -0.000 | 0.000 | -0.000 | 3.036 | -0.000 |
| -0.000 | -0.000 | 0.000 | -0.000 | 0.000 | 1.932 |
| 282.048 | 280.249 | -171.639 | 0.000 | -0.000 | 0.000 |
| 280.249 | 282.048 | -171.639 | -0.000 | 0.000 | -0.000 |
| -171.639 | -171.639 | 114.376 | 0.000 | 0.000 | 0.000 |
| 0.000 | 0.000 | -0.000 | 3.036 | 0.000 | 0.000 |
| 0.000 | 0.000 | -0.000 | 0.000 | 3.036 | 0.000 |
| 0.000 | 0.000 | -0.000 | -0.000 | -0.000 | 1.932 |
| 282.049 | 280.249 | -171.639 | -0.000 | -0.000 | -0.000 |
| 280.249 | 282.049 | -171.639 | -0.000 | -0.000 | -0.000 |
| -171.639 | -171.639 | 114.376 | -0.000 | -0.000 | -0.000 |
| -0.000 | -0.000 | 0.000 | 3.036 | -0.000 | -0.000 |
| -0.000 | -0.000 | 0.000 | -0.000 | 3.036 | -0.000 |
| -0.000 | -0.000 | 0.000 | 0.000 | -0.000 | 1.932 |
| 282.046 | 280.247 | -171.637 | 0.000 | -0.000 | 0.000 |
| 280.247 | 282.046 | -171.637 | -0.000 | 0.000 | -0.000 |
| -171.640 | -171.640 | 114.375 | 0.000 | 0.000 | -0.000 |
| 0.000 | 0.000 | -0.000 | 3.036 | 0.000 | 0.000 |
| 0.000 | 0.000 | -0.000 | 0.000 | 3.036 | 0.000 |
| 0.000 | 0.000 | -0.000 | 0.000 | 0.000 | 1.932 |
| 282.051 | 280.251 | -171.641 | -0.000 | -0.000 | -0.000 |
| 280.251 | 282.051 | -171.641 | -0.000 | -0.000 | -0.000 |
| -171.638 | -171.638 | 114.376 | -0.000 | -0.000 | -0.000 |
| -0.000 | -0.000 | 0.000 | 3.036 | -0.000 | -0.000 |
| -0.000 | -0.000 | 0.000 | -0.000 | 3.036 | -0.000 |
| -0.000 | -0.000 | 0.000 | -0.000 | 0.000 | 1.932 |
| 0.034 | 0.034 | 0.059 | 0.000 | 0.000 | 0.000 |
| 0.034 | 0.034 | 0.059 | 0.000 | 0.000 | 0.000 |
| 0.059 | 0.059 | 0.101 | 0.000 | 0.000 | 0.000 |
| 0.000 | 0.000 | 0.000 | 0.059 | 0.000 | -0.000 |
| 0.000 | 0.000 | 0.000 | 0.000 | 0.059 | -0.000 |
| 0.000 | 0.000 | 0.000 | 0.000 | 0.000 | 0.034 |
| 0.034 | 0.034 | 0.059 | -0.000 | -0.000 | 0.000 |
| 0.034 | 0.034 | 0.059 | -0.000 | -0.000 | 0.000 |
| 0.059 | 0.059 | 0.101 | -0.000 | -0.000 | -0.000 |
| -0.000 | -0.000 | -0.000 | 0.059 | -0.000 | 0.000 |
| -0.000 | -0.000 | -0.000 | -0.000 | 0.059 | 0.000 |
| -0.000 | -0.000 | -0.000 | 0.000 | -0.000 | 0.034 |
| 0.034 | 0.034 | 0.059 | 0.000 | 0.000 | 0.000 |
| 0.034 | 0.034 | 0.059 | 0.000 | 0.000 | 0.000 |
| 0.059 | 0.059 | 0.101 | 0.000 | 0.000 | -0.000 |
| 0.000 | 0.000 | 0.000 | 0.059 | 0.000 | 0.000 |
| 0.000 | 0.000 | 0.000 | 0.000 | 0.059 | 0.000 |
| 0.000 | 0.000 | 0.000 | 0.000 | 0.000 | 0.034 |
| 0.034 | 0.034 | 0.059 | -0.000 | -0.000 | -0.000 |
| 0.034 | 0.034 | 0.059 | -0.000 | -0.000 | -0.000 |
| 0.059 | 0.059 | 0.101 | -0.000 | -0.000 | 0.000 |
| -0.000 | -0.000 | -0.000 | 0.059 | -0.000 | 0.000 |
| -0.000 | -0.000 | -0.000 | -0.000 | 0.059 | 0.000 |
| -0.000 | -0.000 | -0.000 | -0.000 | 0.000 | 0.034 |
| 0.034 | 0.034 | 0.059 | 0.000 | -0.000 | -0.000 |
| 0.034 | 0.034 | 0.059 | -0.000 | 0.000 | -0.000 |
| 0.059 | 0.059 | 0.101 | 0.000 | 0.000 | 0.000 |
| 0.000 | 0.000 | 0.000 | 0.059 | 0.000 | -0.000 |
| 0.000 | 0.000 | 0.000 | 0.000 | 0.059 | -0.000 |
| 0.000 | 0.000 | 0.000 | 0.000 | 0.000 | 0.034 |
| 0.034 | 0.034 | 0.059 | -0.000 | -0.000 | -0.000 |
| 0.034 | 0.034 | 0.059 | -0.000 | -0.000 | -0.000 |
| 0.059 | 0.059 | 0.100 | -0.000 | -0.000 | 0.000 |
| -0.000 | -0.000 | -0.000 | 0.059 | -0.000 | 0.000 |
| -0.000 | -0.000 | -0.000 | -0.000 | 0.059 | 0.000 |
| -0.000 | -0.000 | -0.000 | -0.000 | -0.000 | 0.034 |
| 0.034 | 0.034 | 0.059 | 0.000 | 0.000 | -0.000 |
| 0.034 | 0.034 | 0.059 | 0.000 | 0.000 | -0.000 |
| 0.059 | 0.059 | 0.101 | -0.000 | -0.000 | 0.000 |
| 0.000 | 0.000 | 0.000 | 0.059 | -0.000 | -0.000 |
| 0.000 | 0.000 | 0.000 | -0.000 | 0.059 | -0.000 |
| 0.000 | 0.000 | 0.000 | 0.000 | -0.000 | 0.034 |
| 0.034 | 0.034 | 0.059 | -0.000 | 0.000 | -0.000 |
| 0.034 | 0.034 | 0.059 | 0.000 | -0.000 | -0.000 |
| 0.059 | 0.059 | 0.101 | 0.000 | 0.000 | 0.000 |
| -0.000 | -0.000 | -0.000 | 0.059 | -0.000 | -0.000 |
| -0.000 | -0.000 | -0.000 | -0.000 | 0.059 | -0.000 |
| -0.000 | -0.000 | -0.000 | 0.000 | 0.000 | 0.034 |
| 0.034 | 0.034 | 0.059 | 0.000 | 0.000 | -0.000 |
| 0.034 | 0.034 | 0.059 | 0.000 | 0.000 | -0.000 |
| 0.059 | 0.059 | 0.101 | -0.000 | -0.000 | 0.000 |
| 0.000 | 0.000 | 0.000 | 0.059 | 0.000 | -0.000 |
| 0.000 | 0.000 | 0.000 | 0.000 | 0.059 | -0.000 |
| 0.000 | 0.000 | 0.000 | -0.000 | 0.000 | 0.034 |
| 0.034 | 0.034 | 0.059 | 0.000 | 0.000 | 0.000 |
| 0.034 | 0.034 | 0.059 | 0.000 | 0.000 | 0.000 |
| 0.059 | 0.059 | 0.101 | -0.000 | -0.000 | -0.000 |
| -0.000 | -0.000 | -0.000 | 0.059 | 0.000 | 0.000 |
| -0.000 | -0.000 | -0.000 | 0.000 | 0.059 | 0.000 |
| -0.000 | -0.000 | -0.000 | 0.000 | 0.000 | 0.034 |
| 0.034 | 0.034 | 0.059 | -0.000 | -0.000 | -0.000 |
| 0.034 | 0.034 | 0.059 | -0.000 | -0.000 | -0.000 |
| 0.059 | 0.059 | 0.101 | 0.000 | 0.000 | -0.000 |
| 0.000 | 0.000 | 0.000 | 0.059 | 0.000 | -0.000 |
| 0.000 | 0.000 | 0.000 | 0.000 | 0.059 | -0.000 |
| 0.000 | 0.000 | 0.000 | 0.000 | 0.000 | 0.034 |
| 0.034 | 0.034 | 0.059 | -0.000 | 0.000 | -0.000 |
| 0.034 | 0.034 | 0.059 | 0.000 | -0.000 | -0.000 |
| 0.059 | 0.059 | 0.100 | 0.000 | 0.000 | -0.000 |
| -0.000 | -0.000 | -0.000 | 0.059 | -0.000 | 0.000 |
| -0.000 | -0.000 | -0.000 | -0.000 | 0.059 | 0.000 |
| -0.000 | -0.000 | -0.000 | 0.000 | 0.000 | 0.034 |
| 150.997 | 167.404 | 176.756 | -0.000 | 0.000 | 0.000 |
| 167.404 | 306.652 | 31.888 | -0.000 | 0.000 | 0.000 |
| 176.756 | 31.888 | 294.369 | -0.000 | 0.000 | 0.000 |
| -0.000 | 0.000 | -0.000 | 3.694 | -0.000 | 0.000 |
| 0.000 | 0.000 | 0.000 | -0.000 | 146.754 | 0.000 |
| 0.000 | 0.000 | -0.000 | -0.000 | 0.000 | 135.295 |
| 150.997 | 167.404 | 176.756 | 0.000 | -0.000 | -0.000 |
| 167.404 | 306.652 | 31.888 | 0.000 | -0.000 | -0.000 |
| 176.756 | 31.888 | 294.369 | 0.000 | -0.000 | -0.000 |
| 0.000 | -0.000 | -0.000 | 3.694 | -0.000 | 0.000 |
| -0.000 | -0.000 | -0.000 | 0.000 | 146.754 | -0.000 |
| -0.000 | -0.000 | 0.000 | 0.000 | -0.000 | 135.295 |
| 150.998 | 167.404 | 176.756 | -0.000 | 0.000 | 0.000 |
| 167.404 | 306.652 | 31.888 | -0.000 | 0.000 | 0.000 |
| 176.756 | 31.888 | 294.369 | 0.000 | 0.000 | 0.000 |
| -0.000 | 0.000 | 0.000 | 3.694 | -0.000 | 0.000 |
| 0.000 | -0.000 | 0.000 | -0.000 | 146.754 | 0.000 |
| 0.000 | 0.000 | -0.000 | -0.000 | 0.000 | 135.295 |
| 150.997 | 167.404 | 176.756 | 0.000 | -0.000 | -0.000 |
| 167.404 | 306.652 | 31.888 | 0.000 | -0.000 | -0.000 |
| 176.756 | 31.888 | 294.369 | 0.000 | -0.000 | -0.000 |
| 0.000 | -0.000 | -0.000 | 3.694 | -0.000 | -0.000 |
| -0.000 | 0.000 | -0.000 | 0.000 | 146.754 | -0.000 |
| -0.000 | -0.000 | 0.000 | 0.000 | -0.000 | 135.295 |
| 150.999 | 167.404 | 176.757 | -0.000 | 0.000 | -0.000 |
| 167.405 | 306.654 | 31.888 | -0.000 | 0.000 | 0.000 |
| 176.757 | 31.888 | 294.372 | 0.000 | -0.000 | 0.000 |
| -0.000 | 0.000 | 0.000 | 3.694 | 0.000 | 0.000 |
| 0.001 | -0.000 | 0.002 | 0.000 | 146.754 | 0.000 |
| 0.001 | 0.002 | -0.000 | -0.000 | 0.000 | 135.295 |
| 150.996 | 167.403 | 176.755 | 0.000 | 0.000 | -0.000 |
| 167.402 | 306.649 | 31.888 | 0.000 | -0.000 | -0.000 |
| 176.754 | 31.888 | 294.366 | 0.000 | -0.000 | -0.000 |
| 0.000 | -0.000 | -0.000 | 3.694 | -0.000 | -0.000 |
| -0.001 | 0.000 | -0.002 | 0.000 | 146.754 | -0.000 |
| -0.001 | -0.002 | 0.000 | 0.000 | -0.000 | 135.295 |
| -3075406.424 | 283024.555 | -52023371.948 | 0.000 | -0.000 | 0.000 |
| 163.804 | 282.434 | 92.283 | 0.000 | -0.000 | 0.000 |
| -3075293.019 | 282956.008 | -52023306.414 | 0.000 | 0.000 | 0.000 |
| 0.000 | 0.000 | 0.000 | 56.489 | 0.000 | -0.000 |
| -1537479.978 | 141439.797 | -26008252.152 | 0.000 | -6900488.994 | 0.000 |
| 0.000 | 0.000 | -0.000 | 0.000 | -0.000 | 110.511 |
| 62.467 | 160.710 | 175.265 | -0.000 | 0.000 | -0.000 |
| 163.804 | 282.434 | 92.283 | -0.000 | -0.000 | -0.000 |
| 178.455 | 92.379 | 270.385 | -0.000 | 0.000 | -0.000 |
| -0.000 | -0.000 | -0.000 | 56.489 | -0.000 | -0.000 |
| 1537479.978 | -141439.797 | 26008252.152 | -0.000 | -6900488.994 | -0.000 |
| -0.000 | -0.000 | -0.000 | -0.000 | 0.000 | 110.511 |
| -307484.607 | 28447.054 | -5202182.407 | 0.000 | 0.000 | 0.000 |
| 163.804 | 282.434 | 92.283 | 0.000 | -0.000 | 0.000 |
| -307371.202 | 28378.507 | -5202116.861 | 0.000 | 0.000 | 0.000 |
| -0.000 | 0.000 | 0.000 | 56.489 | 0.000 | 0.000 |
| -153748.195 | 14143.951 | -2600829.116 | 0.000 | -689928.739 | 0.000 |
| 0.000 | 0.000 | -0.000 | 0.000 | 0.000 | 110.511 |
| 62.466 | 160.709 | 175.265 | -0.000 | -0.000 | -0.000 |
| 163.804 | 282.433 | 92.283 | -0.000 | -0.000 | -0.000 |
| 178.455 | 92.379 | 270.385 | -0.000 | 0.000 | -0.000 |
| 0.000 | -0.000 | -0.000 | 56.489 | -0.000 | -0.000 |
| 153748.195 | -14143.951 | 2600829.116 | -0.000 | -689928.739 | -0.000 |
| -0.000 | -0.000 | 0.000 | 0.000 | 0.000 | 110.511 |
| -30692.424 | 2989.304 | -520063.452 | 0.000 | -0.000 | 0.000 |
| 163.805 | 282.435 | 92.283 | 0.000 | -0.000 | -0.000 |
| -30579.011 | 2920.757 | -519997.787 | 0.000 | -0.000 | 0.000 |
| -0.000 | 0.000 | 0.000 | 56.489 | -0.000 | 0.000 |
| -15375.016 | 1414.367 | -260086.806 | 0.000 | -68872.712 | 0.000 |
| 0.001 | 0.002 | -0.000 | 0.000 | -0.000 | 110.511 |
| 62.465 | 160.709 | 175.264 | -0.000 | -0.000 | -0.000 |
| 163.803 | 282.432 | 92.283 | -0.000 | 0.000 | -0.000 |
| 178.454 | 92.379 | 270.382 | 0.000 | -0.000 | -0.000 |
| 0.000 | -0.000 | -0.000 | 56.489 | 0.000 | -0.000 |
| 15375.016 | -1414.367 | 260086.806 | -0.000 | -68872.712 | -0.000 |
| -0.001 | -0.002 | 0.000 | -0.000 | 0.000 | 110.511 |
| 328.386 | 125.433 | 116.760 | -0.000 | 0.000 | -0.000 |
| 129.363 | 303.778 | 141.760 | 0.000 | -0.000 | -0.000 |
| 114.060 | 140.710 | 277.207 | -0.000 | 0.000 | 0.000 |
| 0.000 | 0.000 | 0.000 | 48.782 | 0.000 | -0.000 |
| 0.000 | 0.000 | 0.000 | 0.000 | 76.396 | -0.000 |
| 0.000 | -0.000 | 0.000 | -0.000 | 0.000 | 72.166 |
| 328.386 | 125.433 | 116.760 | 0.000 | -0.000 | 0.000 |
| 126.368 | 288.004 | 152.327 | 0.000 | -0.000 | 0.000 |
| 115.754 | 152.327 | 268.617 | 0.000 | -0.000 | 0.000 |
| -0.000 | -0.000 | -0.000 | 48.782 | -0.000 | -0.000 |
| -0.000 | -0.000 | -0.000 | -0.000 | 76.396 | -0.000 |
| -0.000 | 0.000 | -0.000 | -0.000 | -0.000 | 72.166 |
| 336.415 | 129.363 | 125.624 | 0.000 | -0.000 | -0.000 |
| 126.368 | 288.004 | 152.327 | -0.000 | 0.000 | -0.000 |
| 125.624 | 141.760 | 294.445 | 0.000 | -0.000 | -0.000 |
| 0.000 | 0.000 | 0.000 | 48.627 | -0.000 | -0.000 |
| 0.000 | 0.000 | 0.000 | -0.000 | 61.872 | -0.000 |
| 0.000 | 0.000 | 0.000 | -0.000 | 0.000 | 72.166 |
| 328.386 | 125.433 | 116.760 | 0.000 | -0.000 | 0.000 |
| 129.363 | 303.778 | 141.760 | -0.000 | 0.000 | 0.000 |
| 125.624 | 141.760 | 294.444 | 0.000 | 0.000 | 0.000 |
| -0.000 | -0.000 | -0.000 | 48.627 | 0.000 | 0.000 |
| -0.000 | -0.000 | -0.000 | 0.000 | 61.872 | 0.000 |
| -0.000 | -0.000 | -0.000 | 0.000 | -0.000 | 72.166 |
| 336.416 | 129.363 | 125.625 | 0.000 | -0.000 | 0.000 |
| 126.368 | 288.006 | 152.327 | -0.000 | 0.000 | -0.000 |
| 115.754 | 152.327 | 268.620 | -0.000 | 0.000 | 0.000 |
| 0.000 | 0.000 | 0.001 | 48.627 | -0.000 | -0.000 |
| 0.000 | 0.000 | 0.000 | -0.000 | 60.640 | -0.000 |
| 0.000 | 0.000 | 0.000 | -0.000 | 0.000 | 72.166 |
| 336.414 | 129.363 | 125.623 | -0.000 | 0.000 | 0.000 |
| 126.368 | 288.002 | 152.327 | 0.000 | -0.000 | 0.000 |
| 115.753 | 152.327 | 268.614 | 0.000 | -0.000 | 0.000 |
| -0.000 | -0.000 | -0.001 | 48.627 | 0.000 | 0.000 |
| -0.000 | -0.000 | -0.000 | 0.000 | 60.640 | -0.000 |
| -0.000 | -0.000 | -0.000 | 0.000 | -0.000 | 72.166 |
| 320.051 | 120.785 | 125.621 | -0.000 | -0.000 | -0.000 |
| 117.003 | 244.689 | 148.657 | 0.000 | -0.000 | -0.000 |
| 116.607 | 145.582 | 318.538 | -0.000 | -0.000 | -0.000 |
| 7.466 | 6.086 | 6.838 | 48.551 | -0.000 | -0.000 |
| 5.857 | 4.774 | 5.364 | -0.000 | 55.838 | -0.000 |
| 2.536 | 2.067 | 2.323 | -0.000 | -0.000 | 58.977 |
| 309.985 | 114.964 | 115.261 | 0.000 | 0.000 | 0.000 |
| 115.901 | 235.056 | 151.831 | -0.000 | 0.000 | 0.000 |
| 124.145 | 145.871 | 328.246 | -0.000 | 0.000 | 0.000 |
| -7.466 | -6.086 | -6.838 | 48.551 | 0.000 | 0.000 |
| -5.857 | -4.774 | -5.364 | 0.000 | 55.838 | 0.000 |
| -2.536 | -2.067 | -2.323 | 0.000 | 0.000 | 58.977 |
| 312.541 | 117.033 | 117.609 | -0.000 | -0.000 | -0.000 |
| 118.393 | 239.379 | 153.017 | 0.000 | -0.000 | -0.000 |
| 116.150 | 150.515 | 315.578 | 0.000 | -0.000 | 0.000 |
| 0.933 | 0.760 | 0.854 | 42.429 | -0.000 | -0.000 |
| 0.279 | 0.384 | 0.180 | 0.000 | 51.987 | -0.000 |
| 0.254 | 0.207 | 0.232 | -0.000 | -0.000 | 58.977 |
| 320.051 | 120.785 | 125.621 | 0.000 | -0.000 | 0.000 |
| 117.940 | 238.593 | 152.801 | -0.000 | 0.000 | 0.000 |
| 115.696 | 149.729 | 315.362 | 0.000 | 0.000 | 0.000 |
| -0.933 | -0.760 | -0.854 | 42.429 | 0.000 | 0.000 |
| -0.279 | -0.384 | -0.180 | -0.000 | 51.987 | 0.000 |
| -0.254 | -0.207 | -0.232 | 0.000 | 0.000 | 58.977 |
| 312.336 | 116.866 | 117.420 | -0.000 | -0.000 | -0.000 |
| 118.189 | 239.026 | 152.919 | 0.000 | -0.000 | -0.000 |
| 115.944 | 150.161 | 315.481 | 0.000 | -0.000 | -0.000 |
| -0.000 | -0.000 | 0.000 | 73.115 | -0.000 | -0.000 |
| 0.072 | 0.059 | 0.066 | -0.000 | 52.617 | -0.000 |
| 0.026 | 0.021 | 0.023 | -0.000 | -0.000 | 58.977 |
| 312.292 | 116.830 | 117.381 | -0.000 | 0.000 | 0.000 |
| 113.954 | 245.379 | 144.345 | 0.000 | 0.000 | 0.000 |
| 115.216 | 143.601 | 317.669 | 0.000 | 0.000 | 0.000 |
| 0.000 | 0.000 | -0.000 | 73.115 | 0.000 | 0.000 |
| -0.072 | -0.059 | -0.066 | 0.000 | 52.617 | 0.000 |
| -0.026 | -0.021 | -0.023 | 0.000 | 0.000 | 58.977 |
| 313.146 | 119.246 | 120.436 | -0.000 | 0.000 | 0.000 |
| 123.722 | 253.966 | 152.100 | -0.000 | -0.000 | 0.000 |
| 117.612 | 146.727 | 328.890 | -0.000 | 0.000 | -0.000 |
| 1.957 | 1.115 | 2.037 | 42.246 | 0.000 | -0.000 |
| 5.569 | 2.969 | 5.871 | 0.000 | 53.922 | -0.000 |
| 0.000 | 0.000 | 0.000 | 0.000 | 0.000 | 58.819 |
| 309.058 | 117.067 | 116.126 | 0.000 | -0.000 | 0.000 |
| 114.051 | 241.719 | 144.510 | 0.000 | -0.000 | 0.000 |
| 113.747 | 144.572 | 324.850 | 0.000 | -0.000 | 0.000 |
| -1.957 | -1.115 | -2.037 | 42.246 | -0.000 | -0.000 |
| -5.569 | -2.969 | -5.871 | -0.000 | 53.922 | 0.000 |
| -0.000 | -0.000 | -0.000 | -0.000 | -0.000 | 58.819 |
| 311.307 | 118.266 | 118.497 | -0.000 | 0.000 | 0.000 |
| 115.497 | 240.037 | 146.936 | -0.000 | 0.000 | 0.000 |
| 115.900 | 145.754 | 327.107 | 0.000 | 0.000 | -0.000 |
| 0.846 | 0.451 | 0.892 | 42.509 | 0.000 | -0.000 |
| 0.248 | 0.138 | 0.260 | 0.000 | 50.308 | -0.000 |
| 0.204 | 0.109 | 0.216 | -0.000 | 0.000 | 58.819 |
| 318.766 | 122.222 | 126.368 | 0.000 | -0.000 | 0.000 |
| 115.218 | 240.509 | 146.413 | 0.000 | 0.000 | 0.000 |
| 115.957 | 150.432 | 325.459 | -0.000 | -0.000 | -0.000 |
| -0.846 | -0.451 | -0.892 | 42.509 | -0.000 | 0.000 |
| -0.248 | -0.138 | -0.260 | -0.000 | 50.308 | 0.000 |
| -0.204 | -0.109 | -0.216 | 0.000 | 0.000 | 58.819 |
| 318.767 | 122.222 | 126.368 | -0.000 | 0.000 | -0.000 |
| 119.483 | 233.674 | 154.257 | 0.000 | 0.000 | -0.000 |
| 116.182 | 150.559 | 325.696 | 0.000 | 0.000 | 0.000 |
| 0.020 | 0.012 | 0.022 | 41.983 | -0.000 | -0.000 |
| 0.068 | 0.036 | 0.071 | 0.000 | 50.821 | -0.000 |
| 0.000 | 0.000 | -0.000 | -0.000 | 0.000 | 58.819 |
| 311.079 | 117.951 | 118.328 | 0.000 | -0.000 | 0.000 |
| 115.341 | 240.307 | 146.641 | 0.000 | -0.000 | 0.000 |
| 115.687 | 145.635 | 326.883 | -0.000 | -0.000 | -0.000 |
| -0.020 | -0.012 | -0.022 | 41.983 | 0.000 | 0.000 |
| -0.068 | -0.036 | -0.071 | -0.000 | 50.821 | 0.000 |
| -0.000 | -0.000 | 0.000 | 0.000 | -0.000 | 58.819 |
| 315.010 | 225.420 | 175.959 | 0.000 | 0.000 | 0.000 |
| 305.773 | 150.613 | 274.468 | -0.000 | 0.000 | -0.000 |
| 185.049 | 185.049 | 338.198 | -0.000 | 0.000 | 0.000 |
| -0.000 | 0.000 | 0.000 | 3.058 | 0.000 | -0.000 |
| -0.000 | 0.000 | 0.000 | -0.000 | 3.058 | 0.000 |
| 13.152 | 13.152 | -30.831 | -0.000 | 0.000 | -72.470 |
| 129.285 | 274.024 | 336.681 | 0.000 | -0.000 | -0.000 |
| 291.133 | 129.771 | 316.057 | 0.000 | 0.000 | -0.000 |
| 4689651.200 | 4689651.200 | 21308062.646 | 0.000 | -0.000 | -0.000 |
| 0.000 | -0.000 | -0.000 | 3.058 | -0.000 | -0.000 |
| 0.000 | -0.000 | -0.000 | 0.000 | 3.058 | -0.000 |
| -13.152 | -13.152 | 30.831 | 0.000 | -0.000 | -72.470 |
| 315.010 | 225.420 | 175.959 | -0.000 | 0.000 | 0.000 |
| 284.394 | 139.679 | 312.343 | -0.000 | 0.000 | 0.000 |
| 185.049 | 185.049 | 338.195 | -0.000 | 0.000 | 0.000 |
| 0.000 | 0.000 | 0.000 | 3.058 | 0.000 | 0.000 |
| 0.799 | 0.799 | -1.872 | -0.000 | -55.178 | 0.000 |
| 0.000 | -0.000 | 0.000 | 0.000 | -0.000 | 44.795 |
| 139.250 | 297.824 | 297.104 | 0.000 | 0.000 | -0.000 |
| 297.831 | 139.233 | 297.116 | 0.000 | -0.000 | -0.000 |
| 469295.055 | 469295.055 | 2130735.381 | 0.000 | -0.000 | -0.000 |
| -0.000 | -0.000 | -0.000 | 3.058 | -0.000 | -0.000 |
| -0.799 | -0.799 | 1.872 | 0.000 | -55.178 | -0.000 |
| -0.000 | 0.000 | -0.000 | -0.000 | 0.000 | 44.795 |
| 140.402 | 298.629 | 294.813 | -0.000 | 0.000 | 0.000 |
| 298.635 | 140.388 | 294.822 | -0.000 | -0.000 | 0.000 |
| 322.591 | 322.591 | 15.732 | -0.000 | -0.000 | -0.000 |
| 0.080 | 0.081 | -0.187 | -55.176 | -0.000 | -0.000 |
| 0.081 | 0.080 | -0.187 | -0.000 | -55.176 | 0.000 |
| 0.000 | -0.000 | 0.000 | -0.000 | -0.000 | 44.795 |
| 138.622 | 283.366 | 314.785 | 0.000 | 0.000 | 0.000 |
| 298.557 | 140.013 | 295.350 | 0.000 | 0.000 | -0.000 |
| 47223.696 | 47223.696 | 213086.558 | 0.000 | 0.000 | -0.000 |
| -0.080 | -0.081 | 0.187 | -55.176 | -0.000 | -0.000 |
| -0.081 | -0.080 | 0.187 | 0.000 | -55.176 | -0.000 |
| -0.000 | 0.000 | -0.000 | 0.000 | 0.000 | 44.795 |
| 207.265 | 114.751 | 83.618 | 0.000 | 0.000 | 0.000 |
| 114.751 | 207.265 | 83.618 | -0.000 | 0.000 | 0.000 |
| 83.618 | 83.618 | 272.442 | 0.000 | 0.000 | -0.000 |
| 0.000 | -0.000 | -0.000 | 66.524 | 0.000 | -0.000 |
| 0.000 | -0.000 | -0.000 | -0.000 | 66.524 | -0.000 |
| 0.000 | -0.000 | -0.000 | -0.000 | 0.000 | 46.257 |
| 207.265 | 114.751 | 83.618 | 0.000 | -0.000 | 0.000 |
| 114.751 | 207.265 | 83.618 | 0.000 | -0.000 | 0.000 |
| 83.618 | 83.618 | 272.442 | 0.000 | -0.000 | 0.000 |
| -0.000 | 0.000 | 0.000 | 66.524 | -0.000 | 0.000 |
| -0.000 | 0.000 | 0.000 | 0.000 | 66.524 | -0.000 |
| -0.000 | 0.000 | 0.000 | 0.000 | -0.000 | 46.257 |
| 232.013 | 90.003 | 83.618 | -0.000 | 0.000 | 0.000 |
| 90.003 | 232.013 | 83.618 | -0.000 | 0.000 | -0.000 |
| 83.618 | 83.618 | 272.442 | -0.000 | 0.000 | 0.000 |
| -0.000 | -0.000 | 0.000 | 66.524 | 0.000 | 0.000 |
| -0.000 | -0.000 | 0.000 | 0.000 | 66.524 | 0.000 |
| 0.000 | 0.000 | -0.000 | -0.000 | 0.000 | 46.257 |
| 232.012 | 90.003 | 83.618 | 0.000 | -0.000 | -0.000 |
| 114.751 | 207.264 | 83.618 | 0.000 | -0.000 | 0.000 |
| 83.618 | 83.618 | 272.442 | 0.000 | -0.000 | 0.000 |
| 0.000 | 0.000 | -0.000 | 66.524 | -0.000 | 0.000 |
| 0.000 | 0.000 | -0.000 | 0.000 | 66.524 | 0.000 |
| -0.000 | -0.000 | 0.000 | 0.000 | -0.000 | 46.257 |
| 207.267 | 114.751 | 83.617 | -0.000 | 0.000 | -0.000 |
| 114.751 | 207.267 | 83.617 | -0.000 | 0.000 | 0.000 |
| 83.618 | 83.618 | 272.442 | -0.000 | 0.000 | -0.000 |
| 0.000 | -0.000 | 0.000 | 66.524 | 0.000 | 0.000 |
| -0.000 | 0.000 | 0.000 | -0.000 | 66.524 | 0.000 |
| 0.000 | 0.001 | -0.000 | -0.000 | 0.000 | 46.257 |
| 207.262 | 114.751 | 83.618 | 0.000 | -0.000 | -0.000 |
| 114.751 | 207.263 | 83.618 | 0.000 | -0.000 | -0.000 |
| 83.618 | 83.618 | 272.441 | 0.000 | -0.000 | -0.000 |
| -0.000 | 0.000 | -0.000 | 66.524 | -0.000 | -0.000 |
| 0.000 | -0.000 | -0.000 | 0.000 | 66.524 | -0.000 |
| -0.000 | -0.001 | 0.000 | 0.000 | -0.000 | 46.257 |
| 254.333 | 117.016 | 88.821 | -28.608 | -0.000 | 0.000 |
| 117.016 | 254.333 | 88.821 | 28.608 | -0.000 | 0.000 |
| 88.821 | 88.821 | 252.765 | 0.000 | -0.000 | 0.000 |
| -28.608 | 28.608 | 0.000 | 48.954 | -0.000 | 0.000 |
| 0.000 | -0.000 | 0.000 | 0.000 | 48.954 | -28.608 |
| 0.000 | 0.000 | 0.000 | 0.000 | -28.608 | 68.658 |
| 254.333 | 117.016 | 88.821 | -28.608 | 0.000 | -0.000 |
| 117.016 | 254.333 | 88.821 | 28.608 | 0.000 | -0.000 |
| 88.821 | 88.821 | 252.765 | -0.000 | 0.000 | -0.000 |
| -28.608 | 28.608 | -0.000 | 48.954 | 0.000 | -0.000 |
| -0.000 | 0.000 | -0.000 | -0.000 | 48.954 | -28.608 |
| -0.000 | -0.000 | -0.000 | -0.000 | -28.608 | 68.658 |
| 254.333 | 117.016 | 88.821 | -28.608 | -0.000 | 0.000 |
| 117.016 | 254.333 | 88.821 | 28.608 | -0.000 | 0.000 |
| 88.821 | 88.821 | 252.765 | 0.000 | -0.000 | 0.000 |
| -28.608 | 28.608 | 0.000 | 48.954 | -0.000 | 0.000 |
| 0.000 | 0.000 | 0.000 | -0.000 | 48.954 | -28.608 |
| 0.000 | 0.000 | 0.000 | 0.000 | -28.608 | 68.658 |
| 254.333 | 117.016 | 88.821 | -28.608 | 0.000 | -0.000 |
| 117.016 | 254.333 | 88.821 | 28.608 | 0.000 | -0.000 |
| 88.820 | 88.820 | 252.765 | -0.000 | 0.000 | 0.000 |
| -28.608 | 28.608 | -0.000 | 48.954 | 0.000 | -0.000 |
| -0.000 | -0.000 | -0.000 | 0.000 | 48.954 | -28.608 |
| -0.000 | -0.000 | -0.000 | -0.000 | -28.608 | 68.658 |
| 254.335 | 117.016 | 88.821 | -28.608 | -0.000 | 0.000 |
| 117.017 | 254.335 | 88.821 | 28.608 | -0.000 | 0.000 |
| 88.821 | 88.821 | 252.766 | 0.000 | -0.000 | 0.000 |
| -28.608 | 28.609 | 0.000 | 48.954 | -0.000 | 0.000 |
| 0.000 | 0.000 | 0.000 | -0.000 | 48.954 | -28.608 |
| 0.000 | 0.001 | 0.000 | 0.000 | -28.608 | 68.658 |
| 254.331 | 117.016 | 88.820 | -28.609 | 0.000 | -0.000 |
| 117.016 | 254.332 | 88.820 | 28.609 | 0.000 | -0.000 |
| 88.820 | 88.820 | 252.764 | -0.000 | 0.000 | -0.000 |
| -28.609 | 28.608 | -0.000 | 48.954 | 0.000 | -0.000 |
| -0.000 | -0.000 | -0.000 | 0.000 | 48.954 | -28.608 |
| -0.000 | -0.001 | -0.000 | -0.000 | -28.608 | 68.658 |
| 191.689 | 163.061 | 163.061 | 0.000 | -0.000 | 0.000 |
| 163.061 | 191.689 | 163.061 | -0.000 | -0.000 | 0.000 |
| 163.061 | 163.061 | 191.689 | 0.000 | -0.000 | 0.000 |
| -0.000 | 0.000 | 0.000 | 174.628 | -0.000 | 0.000 |
| -0.000 | -0.000 | -0.000 | 0.000 | 174.628 | 0.000 |
| -0.000 | -0.000 | -0.000 | 0.000 | -0.000 | 174.628 |
| 191.689 | 163.061 | 163.061 | -0.000 | 0.000 | -0.000 |
| 163.061 | 191.689 | 163.061 | -0.000 | 0.000 | -0.000 |
| 163.061 | 163.061 | 191.689 | -0.000 | 0.000 | -0.000 |
| 0.000 | -0.000 | 0.000 | 174.628 | 0.000 | -0.000 |
| 0.000 | 0.000 | 0.000 | -0.000 | 174.628 | -0.000 |
| 0.000 | 0.000 | 0.000 | -0.000 | 0.000 | 174.628 |
| 191.689 | 163.061 | 163.061 | 0.000 | -0.000 | 0.000 |
| 163.061 | 191.689 | 163.061 | 0.000 | -0.000 | 0.000 |
| 163.061 | 163.061 | 191.689 | 0.000 | -0.000 | 0.000 |
| 0.000 | -0.000 | 0.000 | 174.628 | -0.000 | 0.000 |
| -0.000 | 0.000 | 0.000 | 0.000 | 174.628 | 0.000 |
| -0.000 | 0.000 | 0.000 | 0.000 | -0.000 | 174.628 |
| 191.689 | 163.061 | 163.061 | -0.000 | 0.000 | -0.000 |
| 163.061 | 191.689 | 163.061 | -0.000 | 0.000 | -0.000 |
| 163.061 | 163.061 | 191.689 | -0.000 | 0.000 | -0.000 |
| -0.000 | 0.000 | -0.000 | 174.628 | 0.000 | -0.000 |
| 0.000 | -0.000 | -0.000 | -0.000 | 174.628 | -0.000 |
| 0.000 | -0.000 | -0.000 | -0.000 | 0.000 | 174.628 |
| 191.689 | 163.062 | 163.062 | 0.000 | -0.000 | 0.000 |
| 163.062 | 191.689 | 163.062 | 0.000 | -0.000 | 0.000 |
| 163.062 | 163.062 | 191.689 | 0.000 | -0.000 | 0.000 |
| -0.000 | -0.001 | -0.000 | 40.623 | -0.000 | 0.000 |
| -0.001 | -0.000 | -0.000 | 0.000 | 40.623 | 0.000 |
| -0.001 | -0.000 | -0.000 | 0.000 | -0.000 | 40.623 |
| 191.689 | 163.061 | 163.061 | -0.000 | 0.000 | -0.000 |
| 163.061 | 191.689 | 163.061 | -0.000 | 0.000 | -0.000 |
| 163.061 | 163.061 | 191.689 | 0.000 | 0.000 | -0.000 |
| 0.000 | 0.001 | 0.000 | 40.623 | 0.000 | -0.000 |
| 0.001 | 0.000 | 0.000 | -0.000 | 40.623 | -0.000 |
| 0.001 | 0.000 | 0.000 | -0.000 | 0.000 | 40.623 |
| 20.953 | 10.685 | 10.685 | 0.000 | 0.000 | 0.000 |
| 10.685 | 20.953 | 10.685 | 0.000 | 0.000 | 0.000 |
| 10.685 | 10.685 | 20.953 | 0.000 | 0.000 | 0.000 |
| 0.000 | 0.000 | 0.000 | 7.894 | 0.000 | 0.000 |
| 0.000 | 0.000 | 0.000 | 0.000 | 7.894 | 0.000 |
| 0.000 | 0.000 | -0.000 | 0.000 | 0.000 | 7.894 |
| 20.953 | 10.685 | 10.685 | -0.000 | -0.000 | -0.000 |
| 10.685 | 20.953 | 10.685 | -0.000 | 0.000 | -0.000 |
| 10.685 | 10.685 | 20.953 | -0.000 | -0.000 | -0.000 |
| -0.000 | -0.000 | -0.000 | 7.894 | -0.000 | -0.000 |
| -0.000 | 0.000 | -0.000 | -0.000 | 7.894 | -0.000 |
| -0.000 | -0.000 | 0.000 | -0.000 | -0.000 | 7.894 |
| 20.953 | 10.685 | 10.685 | 0.000 | 0.000 | 0.000 |
| 10.685 | 20.953 | 10.685 | 0.000 | -0.000 | 0.000 |
| 10.685 | 10.685 | 20.953 | 0.000 | 0.000 | 0.000 |
| 0.000 | 0.000 | 0.000 | 11.326 | 0.000 | 0.000 |
| 0.000 | 0.000 | 0.000 | 0.000 | 11.326 | 0.000 |
| 0.000 | 0.000 | 0.000 | 0.000 | 0.000 | 11.326 |
| 20.953 | 10.685 | 10.685 | -0.000 | -0.000 | -0.000 |
| 10.685 | 20.953 | 10.685 | -0.000 | -0.000 | -0.000 |
| 10.685 | 10.685 | 20.953 | -0.000 | -0.000 | -0.000 |
| -0.000 | -0.000 | -0.000 | 11.326 | -0.000 | -0.000 |
| -0.000 | -0.000 | -0.000 | -0.000 | 11.326 | -0.000 |
| -0.000 | -0.000 | -0.000 | -0.000 | -0.000 | 11.326 |
| 20.954 | 10.686 | 10.686 | 0.000 | 0.000 | 0.000 |
| 10.686 | 20.954 | 10.686 | 0.000 | 0.000 | 0.000 |
| 10.686 | 10.686 | 20.954 | 0.000 | 0.000 | 0.000 |
| 0.000 | 0.000 | 0.000 | 11.326 | 0.000 | 0.000 |
| 0.000 | 0.000 | 0.000 | 0.000 | 11.326 | 0.000 |
| 0.000 | 0.000 | 0.000 | 0.000 | 0.000 | 11.326 |
| 20.952 | 10.685 | 10.685 | -0.000 | -0.000 | -0.000 |
| 10.685 | 20.952 | 10.685 | -0.000 | -0.000 | -0.000 |
| 10.685 | 10.685 | 20.952 | -0.000 | -0.000 | -0.000 |
| -0.000 | -0.000 | -0.000 | 11.326 | -0.000 | -0.000 |
| -0.000 | -0.000 | -0.000 | -0.000 | 11.326 | -0.000 |
| -0.000 | -0.000 | -0.000 | -0.000 | -0.000 | 11.326 |
| 275.868 | 280.610 | 280.610 | -0.000 | 0.000 | 0.000 |
| 280.610 | 275.868 | 280.610 | -0.000 | -0.000 | -0.000 |
| 280.610 | 280.610 | 275.868 | -0.000 | 0.000 | 0.000 |
| 0.000 | 0.000 | 0.000 | 0.869 | -0.000 | 0.000 |
| 0.000 | 0.000 | 0.000 | 0.000 | 0.869 | -0.000 |
| 0.000 | 0.000 | 0.000 | 0.000 | 0.000 | 0.869 |
| 275.868 | 280.610 | 280.610 | -0.000 | -0.000 | -0.000 |
| 280.610 | 275.868 | 280.610 | -0.000 | -0.000 | 0.000 |
| 280.610 | 280.610 | 275.868 | 0.000 | -0.000 | -0.000 |
| -0.000 | -0.000 | -0.000 | 0.869 | 0.000 | -0.000 |
| -0.000 | -0.000 | -0.000 | -0.000 | 0.869 | -0.000 |
| -0.000 | -0.000 | -0.000 | -0.000 | -0.000 | 0.869 |
| 275.869 | 280.611 | 280.611 | 0.000 | 0.000 | 0.000 |
| 280.611 | 275.869 | 280.611 | 0.000 | 0.000 | 0.000 |
| 280.611 | 280.611 | 275.869 | 0.000 | 0.000 | 0.000 |
| 0.000 | 0.000 | 0.000 | 0.869 | -0.000 | 0.000 |
| 0.000 | 0.000 | 0.000 | -0.000 | 0.869 | 0.000 |
| 0.000 | 0.000 | 0.000 | -0.000 | 0.000 | 0.869 |
| 275.866 | 280.610 | 280.610 | -0.000 | -0.000 | -0.000 |
| 280.610 | 275.866 | 280.610 | -0.000 | -0.000 | -0.000 |
| 280.610 | 280.610 | 275.866 | -0.000 | -0.000 | -0.000 |
| -0.000 | -0.000 | -0.000 | 0.869 | 0.000 | 0.000 |
| -0.000 | -0.000 | -0.000 | 0.000 | 0.869 | -0.000 |
| -0.000 | -0.000 | -0.000 | 0.000 | -0.000 | 0.869 |
| 275.883 | 280.615 | 280.615 | 0.000 | 0.000 | 0.000 |
| 280.615 | 275.883 | 280.615 | 0.000 | 0.000 | -0.000 |
| 280.615 | 280.615 | 275.883 | 0.000 | -0.000 | 0.000 |
| 0.000 | 0.000 | 0.000 | 0.766 | 0.000 | 0.000 |
| 0.000 | 0.000 | 0.000 | 0.000 | 0.766 | 0.000 |
| 0.000 | 0.000 | 0.000 | 0.000 | 0.000 | 0.766 |
| 275.853 | 280.606 | 280.606 | -0.000 | -0.000 | -0.000 |
| 280.606 | 275.853 | 280.606 | -0.000 | -0.000 | -0.000 |
| 280.606 | 280.606 | 275.853 | 0.000 | 0.000 | -0.000 |
| -0.000 | -0.000 | -0.000 | 0.766 | 0.000 | -0.000 |
| -0.000 | -0.000 | -0.000 | -0.000 | 0.766 | -0.000 |
| -0.000 | -0.000 | -0.000 | -0.000 | -0.000 | 0.766 |
| 26.152 | 26.007 | 26.007 | -0.000 | 0.000 | -0.000 |
| 26.007 | 26.152 | 26.007 | 0.000 | 0.000 | -0.000 |
| 26.007 | 26.007 | 26.152 | 0.000 | 0.000 | -0.000 |
| -0.000 | -0.000 | -0.000 | 0.997 | 0.000 | -0.000 |
| -0.000 | -0.000 | -0.000 | 0.000 | 0.997 | -0.000 |
| -0.000 | -0.000 | -0.000 | 0.000 | 0.000 | 0.997 |
| 26.152 | 26.007 | 26.007 | -0.000 | 0.000 | 0.000 |
| 26.007 | 26.152 | 26.007 | 0.000 | 0.000 | 0.000 |
| 26.007 | 26.007 | 26.152 | 0.000 | 0.000 | 0.000 |
| 0.000 | 0.000 | 0.000 | 0.997 | -0.000 | 0.000 |
| 0.000 | 0.000 | 0.000 | -0.000 | 0.997 | 0.000 |
| 0.000 | 0.000 | 0.000 | -0.000 | 0.000 | 0.997 |
| 26.152 | 26.007 | 26.007 | 0.000 | 0.000 | -0.000 |
| 26.007 | 26.152 | 26.007 | 0.000 | 0.000 | -0.000 |
| 26.007 | 26.007 | 26.152 | 0.000 | 0.000 | -0.000 |
| -0.000 | -0.000 | -0.000 | 0.997 | 0.000 | -0.000 |
| -0.000 | -0.000 | -0.000 | 0.000 | 0.997 | 0.000 |
| -0.000 | -0.000 | -0.000 | 0.000 | 0.000 | 0.997 |
| 26.153 | 26.007 | 26.007 | -0.000 | 0.000 | 0.000 |
| 26.007 | 26.153 | 26.007 | 0.000 | -0.000 | 0.000 |
| 26.007 | 26.007 | 26.153 | -0.000 | -0.000 | 0.000 |
| 0.000 | 0.000 | 0.000 | 0.997 | -0.000 | 0.000 |
| 0.000 | 0.000 | 0.000 | -0.000 | 0.997 | 0.000 |
| 0.000 | 0.000 | 0.000 | -0.000 | -0.000 | 0.997 |
| 26.151 | 26.007 | 26.007 | -0.000 | 0.000 | -0.000 |
| 26.007 | 26.151 | 26.007 | 0.000 | -0.000 | -0.000 |
| 26.007 | 26.007 | 26.151 | 0.000 | 0.000 | -0.000 |
| -0.000 | -0.000 | -0.000 | 1.213 | 0.000 | -0.000 |
| -0.000 | -0.000 | -0.000 | 0.000 | 1.213 | -0.000 |
| -0.000 | -0.000 | -0.000 | -0.000 | -0.000 | 1.213 |
| 26.153 | 26.007 | 26.007 | -0.000 | 0.000 | -0.000 |
| 26.007 | 26.153 | 26.007 | 0.000 | -0.000 | 0.000 |
| 26.007 | 26.007 | 26.153 | -0.000 | -0.000 | 0.000 |
| 0.000 | 0.000 | 0.000 | 1.213 | 0.000 | -0.000 |
| 0.000 | 0.000 | 0.000 | 0.000 | 1.213 | -0.000 |
| 0.000 | 0.000 | 0.000 | 0.000 | -0.000 | 1.213 |
| 311.472 | 317.372 | 317.372 | 0.000 | -0.000 | -0.000 |
| 317.372 | 311.472 | 317.372 | -0.000 | 0.000 | 0.000 |
| 317.372 | 317.372 | 311.472 | -0.000 | -0.000 | -0.000 |
| 0.000 | -0.000 | 0.000 | -30.498 | -0.000 | -0.000 |
| 0.000 | 0.000 | 0.000 | -0.000 | -30.498 | -0.000 |
| 0.000 | 0.000 | 0.000 | -0.000 | -0.000 | -30.498 |
| 311.472 | 317.372 | 317.372 | -0.000 | -0.000 | -0.000 |
| 317.372 | 311.472 | 317.372 | -0.000 | -0.000 | -0.000 |
| 317.372 | 317.372 | 311.472 | -0.000 | -0.000 | -0.000 |
| 0.000 | -0.000 | -0.000 | -30.498 | 0.000 | -0.000 |
| -0.000 | 0.000 | -0.000 | -0.000 | -30.497 | 0.000 |
| -0.000 | 0.000 | -0.000 | 0.000 | 0.000 | -30.498 |
| 311.472 | 317.372 | 317.372 | 0.000 | -0.000 | -0.000 |
| 317.372 | 311.472 | 317.372 | 0.000 | -0.000 | -0.000 |
| 317.372 | 317.372 | 311.472 | -0.000 | -0.000 | 0.000 |
| -22039996.307 | -24031037.114 | -23798923.992 | -5303518.397 | -257622.209 | -155534.862 |
| -23685137.727 | -22362183.485 | -23939507.383 | 196116.743 | -5539036.886 | -344305.818 |
| -24472030.256 | -23936765.609 | -22298901.827 | 109646.182 | -526421.612 | -5433620.569 |
| 311.472 | 317.372 | 317.372 | -0.000 | -0.000 | -0.000 |
| 317.372 | 311.472 | 317.372 | -0.000 | -0.000 | -0.000 |
| 317.372 | 317.372 | 311.472 | -0.000 | -0.000 | -0.000 |
| 23513900.185 | 25142843.635 | 25145839.157 | -5579558.363 | 13199.370 | -108760.491 |
| 25115895.171 | 22743976.416 | 24663933.096 | -36654.519 | -5714730.315 | 45430.236 |
| 24343506.031 | 24706102.180 | 22318510.199 | 49604.189 | 51703.118 | -5399327.184 |
| 311.473 | 317.371 | 317.371 | 0.000 | -0.000 | 0.000 |
| 317.371 | 311.473 | 317.371 | -0.000 | -0.000 | -0.000 |
| 317.371 | 317.371 | 311.473 | 0.000 | 0.000 | 0.000 |
| -2326186.049 | -2441561.739 | -2493732.129 | -558128.553 | 1198.962 | 7016.148 |
| -2433103.879 | -2329237.314 | -2452625.056 | 14835.660 | -543516.958 | 18772.373 |
| -2463031.854 | -2478921.986 | -2357852.358 | 704.712 | 8912.820 | -564500.130 |
| 311.472 | 317.372 | 317.372 | -0.000 | -0.000 | -0.000 |
| 317.372 | 311.472 | 317.372 | -0.000 | -0.000 | -0.000 |
| 317.372 | 317.372 | 311.472 | -0.000 | -0.000 | -0.000 |
| 2355731.441 | 2551302.099 | 2526711.268 | -557061.569 | 38801.461 | 34116.191 |
| 2532709.718 | 2353534.723 | 2525128.495 | -13228.751 | -547477.859 | 11970.213 |
| 2541000.844 | 2542310.153 | 2365222.127 | -7174.232 | 58430.061 | -591571.899 |
| 0.906 | 0.906 | 0.906 | 0.000 | 0.000 | 0.000 |
| 0.906 | 0.906 | 0.906 | 0.000 | 0.000 | 0.000 |
| 0.906 | 0.906 | 0.906 | 0.000 | 0.000 | 0.000 |
| 0.000 | 0.000 | 0.000 | 0.907 | 0.000 | 0.000 |
| 0.000 | 0.000 | 0.000 | 0.000 | 0.907 | 0.000 |
| 0.000 | 0.000 | 0.000 | 0.000 | 0.000 | 0.907 |
| 0.906 | 0.906 | 0.906 | -0.000 | -0.000 | -0.000 |
| 0.906 | 0.906 | 0.906 | -0.000 | -0.000 | -0.000 |
| 0.906 | 0.906 | 0.906 | -0.000 | -0.000 | -0.000 |
| -0.000 | -0.000 | -0.000 | 0.907 | 0.000 | -0.000 |
| -0.000 | -0.000 | -0.000 | 0.000 | 0.907 | -0.000 |
| -0.000 | -0.000 | -0.000 | 0.000 | -0.000 | 0.907 |
| 0.906 | 0.906 | 0.906 | 0.000 | 0.000 | 0.000 |
| 0.906 | 0.906 | 0.906 | 0.000 | 0.000 | 0.000 |
| 0.906 | 0.906 | 0.906 | 0.000 | 0.000 | 0.000 |
| -0.000 | -0.000 | -0.000 | 0.007 | 0.000 | 0.000 |
| -0.000 | -0.000 | -0.000 | 0.000 | 0.007 | 0.000 |
| -0.000 | -0.000 | -0.000 | 0.000 | 0.000 | 0.007 |
| 0.906 | 0.906 | 0.906 | -0.000 | -0.000 | -0.000 |
| 0.906 | 0.906 | 0.906 | -0.000 | -0.000 | -0.000 |
| 0.906 | 0.906 | 0.906 | -0.000 | -0.000 | -0.000 |
| 0.000 | 0.000 | 0.000 | 0.007 | -0.000 | -0.000 |
| 0.000 | 0.000 | 0.000 | -0.000 | 0.007 | -0.000 |
| 0.000 | 0.000 | 0.000 | -0.000 | -0.000 | 0.007 |
| 0.906 | 0.906 | 0.906 | 0.000 | 0.000 | 0.000 |
| 0.906 | 0.906 | 0.906 | 0.000 | 0.000 | 0.000 |
| 0.906 | 0.906 | 0.906 | 0.000 | 0.000 | 0.000 |
| 0.000 | 0.000 | 0.000 | 0.907 | 0.000 | 0.000 |
| 0.000 | 0.000 | 0.000 | 0.000 | 0.907 | 0.000 |
| 0.000 | 0.000 | 0.000 | 0.000 | 0.000 | 0.907 |
| 0.906 | 0.906 | 0.906 | -0.000 | -0.000 | -0.000 |
| 0.906 | 0.906 | 0.906 | -0.000 | -0.000 | -0.000 |
| 0.906 | 0.906 | 0.906 | -0.000 | -0.000 | -0.000 |
| -0.000 | -0.000 | -0.000 | 0.907 | 0.000 | -0.000 |
| -0.000 | -0.000 | -0.000 | 0.000 | 0.907 | -0.000 |
| -0.000 | -0.000 | -0.000 | 0.000 | -0.000 | 0.907 |
| 189.327 | 186.342 | 186.342 | -0.000 | -0.000 | -0.000 |
| 186.342 | 189.327 | 186.342 | -0.000 | 0.000 | -0.000 |
| 186.342 | 186.342 | 189.327 | -0.000 | -0.000 | -0.000 |
| 0.000 | -0.000 | -0.000 | 202.076 | 0.000 | -0.000 |
| -0.000 | -0.000 | -0.000 | 0.000 | 202.076 | -0.000 |
| 0.000 | -0.000 | 0.000 | 0.000 | 0.000 | 202.076 |
| 189.327 | 186.342 | 186.342 | 0.000 | 0.000 | 0.000 |
| 186.342 | 189.327 | 186.342 | 0.000 | 0.000 | 0.000 |
| 186.342 | 186.342 | 189.327 | -0.000 | -0.000 | 0.000 |
| -0.000 | 0.000 | 0.000 | 202.076 | 0.000 | 0.000 |
| -0.000 | 0.000 | -0.000 | 0.000 | 202.076 | 0.000 |
| -0.000 | 0.000 | -0.000 | -0.000 | -0.000 | 202.076 |
| 189.327 | 186.342 | 186.342 | -0.000 | -0.000 | -0.000 |
| 186.342 | 189.327 | 186.342 | -0.000 | -0.000 | -0.000 |
| 186.342 | 186.342 | 189.327 | 0.000 | -0.000 | -0.000 |
| 0.000 | 0.000 | 0.000 | 202.076 | 0.000 | -0.000 |
| 0.000 | 0.000 | 0.000 | 0.000 | 202.076 | -0.000 |
| 0.000 | 0.000 | 0.000 | 0.000 | -0.000 | 202.076 |
| 189.327 | 186.342 | 186.342 | -0.000 | 0.000 | 0.000 |
| 186.342 | 189.327 | 186.342 | 0.000 | 0.000 | -0.000 |
| 186.342 | 186.342 | 189.327 | -0.000 | 0.000 | 0.000 |
| -0.000 | -0.000 | -0.000 | 202.076 | -0.000 | 0.000 |
| -0.000 | -0.000 | -0.000 | 0.000 | 202.076 | 0.000 |
| -0.000 | -0.000 | -0.000 | -0.000 | 0.000 | 202.076 |
| 189.329 | 186.343 | 186.343 | -0.000 | -0.000 | -0.000 |
| 186.343 | 189.329 | 186.343 | -0.000 | -0.000 | -0.000 |
| 186.343 | 186.343 | 189.329 | 0.000 | 0.000 | -0.000 |
| 0.001 | 0.000 | 0.001 | 201.794 | -0.000 | -0.000 |
| 0.000 | 0.001 | 0.001 | 0.000 | 201.794 | -0.000 |
| 0.000 | 0.001 | 0.001 | -0.000 | -0.000 | 201.794 |
| 189.326 | 186.342 | 186.342 | 0.000 | -0.000 | 0.000 |
| 186.342 | 189.326 | 186.342 | 0.000 | 0.000 | 0.000 |
| 186.342 | 186.342 | 189.326 | -0.000 | 0.000 | 0.000 |
| -0.001 | -0.000 | -0.001 | 201.794 | 0.000 | -0.000 |
| -0.000 | -0.001 | -0.001 | -0.000 | 201.794 | 0.000 |
| -0.000 | -0.001 | -0.001 | 0.000 | 0.000 | 201.794 |
| 179.275 | 198.139 | 198.139 | 0.000 | 0.000 | 0.000 |
| 198.139 | 179.275 | 198.139 | 0.000 | 0.000 | 0.000 |
| 198.139 | 198.139 | 179.275 | 0.000 | 0.000 | 0.000 |
| 0.000 | 0.000 | -0.000 | 1.286 | 0.000 | 0.000 |
| 0.000 | 0.000 | -0.000 | 0.000 | 1.285 | 0.000 |
| -0.000 | 0.000 | -0.000 | -0.000 | 0.000 | 1.285 |
| 179.274 | 198.139 | 198.139 | -0.000 | -0.000 | -0.000 |
| 198.139 | 179.274 | 198.139 | -0.000 | -0.000 | -0.000 |
| 198.139 | 198.139 | 179.274 | -0.000 | -0.000 | -0.000 |
| -0.000 | -0.000 | 0.000 | 1.285 | -0.000 | -0.000 |
| -0.000 | -0.000 | 0.000 | -0.000 | 1.285 | -0.000 |
| -0.000 | -0.000 | 0.000 | -0.000 | 0.000 | 1.285 |
| 179.276 | 198.139 | 198.139 | 0.000 | 0.000 | 0.000 |
| 198.139 | 179.276 | 198.139 | 0.000 | 0.000 | -0.000 |
| 198.139 | 198.139 | 179.276 | 0.000 | 0.000 | 0.000 |
| 0.000 | 0.000 | 0.000 | 1.301 | 0.000 | 0.000 |
| 0.000 | 0.000 | 0.000 | 0.000 | 1.301 | 0.000 |
| 0.000 | 0.000 | 0.000 | 0.000 | 0.000 | 1.301 |
| 179.273 | 198.138 | 198.138 | -0.000 | -0.000 | -0.000 |
| 198.138 | 179.273 | 198.138 | -0.000 | -0.000 | -0.000 |
| 198.138 | 198.138 | 179.273 | -0.000 | -0.000 | -0.000 |
| -0.000 | -0.000 | -0.000 | 1.301 | -0.000 | -0.000 |
| -0.000 | -0.000 | -0.000 | -0.000 | 1.301 | -0.000 |
| -0.000 | -0.000 | -0.000 | -0.000 | -0.000 | 1.301 |
| 179.289 | 198.143 | 198.143 | 0.000 | 0.000 | 0.000 |
| 198.143 | 179.289 | 198.143 | 0.000 | 0.000 | 0.000 |
| 198.143 | 198.143 | 179.289 | 0.000 | -0.000 | 0.000 |
| 0.000 | 0.000 | 0.000 | 1.301 | -0.000 | 0.000 |
| 0.000 | 0.000 | 0.000 | 0.000 | 1.301 | 0.000 |
| 0.000 | 0.000 | 0.000 | 0.000 | 0.000 | 1.301 |
| 179.261 | 198.134 | 198.134 | -0.000 | -0.000 | -0.000 |
| 198.134 | 179.261 | 198.134 | -0.000 | -0.000 | 0.000 |
| 198.134 | 198.134 | 179.261 | -0.000 | -0.000 | -0.000 |
| -0.000 | -0.000 | -0.000 | 1.301 | -0.000 | -0.000 |
| -0.000 | -0.000 | -0.000 | -0.000 | 1.301 | -0.000 |
| -0.000 | -0.000 | -0.000 | -0.000 | -0.000 | 1.301 |
| 20.579 | 21.819 | 21.819 | 0.000 | 0.000 | 0.000 |
| 21.819 | 20.579 | 21.819 | 0.000 | 0.000 | -0.000 |
| 21.819 | 21.819 | 20.579 | 0.000 | -0.000 | -0.000 |
| -0.000 | -0.000 | -0.000 | 2.226 | 0.000 | -0.000 |
| -0.000 | -0.000 | -0.000 | 0.000 | 2.226 | -0.000 |
| -0.000 | -0.000 | -0.000 | -0.000 | -0.000 | 2.226 |
| 20.579 | 21.819 | 21.819 | -0.000 | -0.000 | 0.000 |
| 21.819 | 20.579 | 21.819 | -0.000 | -0.000 | 0.000 |
| 21.819 | 21.819 | 20.579 | -0.000 | -0.000 | 0.000 |
| 0.000 | 0.000 | 0.000 | 2.226 | -0.000 | -0.000 |
| 0.000 | 0.000 | 0.000 | -0.000 | 2.226 | 0.000 |
| 0.000 | 0.000 | 0.000 | -0.000 | 0.000 | 2.226 |
| 20.579 | 21.819 | 21.819 | 0.000 | -0.000 | -0.000 |
| 21.819 | 20.579 | 21.819 | -0.000 | 0.000 | 0.000 |
| 21.819 | 21.819 | 20.579 | 0.000 | 0.000 | -0.000 |
| -0.000 | -0.000 | -0.000 | 2.226 | -0.000 | -0.000 |
| -0.000 | -0.000 | -0.000 | 0.000 | 2.226 | 0.000 |
| -0.000 | -0.000 | -0.000 | 0.000 | -0.000 | 2.226 |
| 20.579 | 21.819 | 21.819 | -0.000 | 0.000 | 0.000 |
| 21.819 | 20.579 | 21.819 | 0.000 | 0.000 | -0.000 |
| 21.819 | 21.819 | 20.579 | -0.000 | -0.000 | 0.000 |
| 0.000 | 0.000 | 0.000 | 2.226 | 0.000 | 0.000 |
| 0.000 | 0.000 | 0.000 | -0.000 | 2.226 | 0.000 |
| 0.000 | 0.000 | 0.000 | 0.000 | 0.000 | 2.226 |
| 20.580 | 21.819 | 21.819 | 0.000 | 0.000 | -0.000 |
| 21.819 | 20.580 | 21.819 | 0.000 | -0.000 | -0.000 |
| 21.819 | 21.819 | 20.580 | 0.000 | 0.000 | -0.000 |
| -0.000 | -0.000 | -0.000 | 2.226 | 0.000 | 0.000 |
| -0.000 | -0.000 | -0.000 | 0.000 | 2.226 | 0.000 |
| -0.000 | -0.000 | -0.000 | 0.000 | 0.000 | 2.226 |
| 20.579 | 21.819 | 21.819 | -0.000 | 0.000 | -0.000 |
| 21.819 | 20.579 | 21.819 | 0.000 | -0.000 | -0.000 |
| 21.819 | 21.819 | 20.579 | -0.000 | -0.000 | 0.000 |
| 0.000 | 0.000 | 0.000 | 2.226 | -0.000 | 0.000 |
| 0.000 | 0.000 | 0.000 | -0.000 | 2.226 | 0.000 |
| 0.000 | 0.000 | 0.000 | 0.000 | 0.000 | 2.226 |
| 0.163 | 0.179 | 0.179 | 0.000 | 0.000 | -0.000 |
| 0.179 | 0.163 | 0.179 | 0.000 | 0.000 | 0.000 |
| 0.179 | 0.179 | 0.163 | 0.000 | 0.000 | 0.000 |
| -0.000 | -0.000 | -0.000 | 0.164 | 0.000 | -0.000 |
| -0.000 | -0.000 | -0.000 | 0.000 | 0.164 | -0.000 |
| -0.000 | -0.000 | -0.000 | 0.000 | 0.000 | 0.164 |
| 0.163 | 0.179 | 0.179 | -0.000 | 0.000 | 0.000 |
| 0.179 | 0.163 | 0.179 | -0.000 | -0.000 | 0.000 |
| 0.179 | 0.179 | 0.163 | -0.000 | 0.000 | 0.000 |
| 0.000 | 0.000 | 0.000 | 0.164 | -0.000 | 0.000 |
| 0.000 | 0.000 | 0.000 | -0.000 | 0.164 | 0.000 |
| 0.000 | 0.000 | 0.000 | -0.000 | -0.000 | 0.164 |
| 0.163 | 0.179 | 0.179 | 0.000 | 0.000 | -0.000 |
| 0.179 | 0.163 | 0.179 | 0.000 | -0.000 | -0.000 |
| 0.179 | 0.179 | 0.163 | 0.000 | 0.000 | 0.000 |
| -0.000 | -0.000 | -0.000 | 0.114 | 0.000 | 0.000 |
| -0.000 | -0.000 | -0.000 | 0.000 | 0.114 | -0.000 |
| -0.000 | -0.000 | -0.000 | 0.000 | 0.000 | 0.114 |
| 0.163 | 0.179 | 0.179 | -0.000 | 0.000 | -0.000 |
| 0.179 | 0.163 | 0.179 | -0.000 | -0.000 | 0.000 |
| 0.179 | 0.179 | 0.163 | -0.000 | 0.000 | -0.000 |
| 0.000 | 0.000 | 0.000 | 0.114 | -0.000 | 0.000 |
| 0.000 | 0.000 | 0.000 | -0.000 | 0.114 | 0.000 |
| 0.000 | 0.000 | 0.000 | -0.000 | -0.000 | 0.114 |
| 0.162 | 0.179 | 0.179 | 0.000 | 0.000 | -0.000 |
| 0.179 | 0.162 | 0.179 | 0.000 | 0.000 | -0.000 |
| 0.179 | 0.179 | 0.162 | 0.000 | 0.000 | -0.000 |
| 0.003 | 0.003 | 0.003 | -1.336 | 0.000 | 0.000 |
| 0.003 | 0.003 | 0.003 | 0.000 | -1.336 | 0.000 |
| 0.003 | 0.003 | 0.003 | 0.000 | 0.000 | -1.336 |
| 0.163 | 0.180 | 0.180 | -0.000 | -0.000 | 0.000 |
| 0.180 | 0.163 | 0.180 | -0.000 | 0.000 | 0.000 |
| 0.180 | 0.180 | 0.163 | -0.000 | -0.000 | 0.000 |
| -0.003 | -0.003 | -0.003 | -1.336 | -0.000 | -0.000 |
| -0.003 | -0.003 | -0.003 | -0.000 | -1.336 | 0.000 |
| -0.003 | -0.003 | -0.003 | -0.000 | -0.000 | -1.336 |
| 458.665 | 157.330 | 157.330 | 0.000 | 0.000 | -0.000 |
| 157.330 | 458.665 | 157.330 | 0.000 | 0.000 | -0.000 |
| 157.330 | 157.330 | 458.665 | 0.000 | 0.000 | -0.000 |
| -0.000 | 0.000 | -0.000 | 6.143 | 0.000 | -0.000 |
| -0.000 | 0.000 | -0.000 | 0.000 | 6.143 | -0.000 |
| -0.000 | -0.000 | -0.000 | 0.000 | 0.000 | 6.143 |
| 458.416 | 157.454 | 157.454 | -0.000 | -0.000 | 0.000 |
| 157.454 | 458.416 | 157.454 | -0.000 | -0.000 | 0.000 |
| 157.454 | 157.454 | 458.416 | 0.000 | -0.000 | 0.000 |
| -0.000 | 0.000 | 0.000 | 6.143 | -0.000 | 0.000 |
| 0.000 | 0.000 | 0.000 | -0.000 | 6.143 | 0.000 |
| 0.000 | 0.000 | -0.000 | -0.000 | -0.000 | 6.143 |
| 458.416 | 157.454 | 157.454 | -0.000 | -0.000 | -0.000 |
| 157.454 | 458.416 | 157.454 | -0.000 | 0.000 | -0.000 |
| 157.454 | 157.454 | 458.416 | -0.000 | -0.000 | -0.000 |
| -0.000 | -0.000 | -0.000 | 6.143 | 0.000 | 0.000 |
| -0.000 | -0.000 | -0.000 | 0.000 | 6.143 | -0.000 |
| -0.000 | -0.000 | -0.000 | -0.000 | 0.000 | 6.143 |
| 458.417 | 157.454 | 157.454 | -0.000 | -0.000 | 0.000 |
| 157.454 | 458.417 | 157.454 | 0.000 | -0.000 | 0.000 |
| 157.454 | 157.454 | 458.417 | 0.000 | 0.000 | 0.000 |
| 0.000 | 0.000 | 0.000 | 6.143 | -0.000 | 0.000 |
| 0.000 | 0.000 | 0.000 | -0.000 | 6.143 | 0.000 |
| 0.000 | 0.000 | 0.000 | -0.000 | -0.000 | 6.143 |
| 458.415 | 157.454 | 157.454 | -0.000 | -0.000 | -0.000 |
| 157.454 | 458.415 | 157.454 | 0.000 | 0.000 | -0.000 |
| 157.454 | 157.454 | 458.415 | -0.000 | 0.000 | -0.000 |
| -0.000 | -0.001 | -0.001 | 6.143 | 0.000 | -0.000 |
| -0.001 | -0.000 | -0.001 | 0.000 | 6.143 | -0.000 |
| -0.001 | -0.001 | -0.000 | 0.000 | 0.000 | 6.143 |
| 458.418 | 157.454 | 157.454 | -0.000 | -0.000 | 0.000 |
| 157.454 | 458.418 | 157.454 | 0.000 | -0.000 | 0.000 |
| 157.454 | 157.454 | 458.418 | 0.000 | -0.000 | 0.000 |
| 0.000 | 0.001 | 0.001 | 6.143 | -0.000 | 0.000 |
| 0.001 | 0.000 | 0.001 | -0.000 | 6.143 | 0.000 |
| 0.001 | 0.001 | 0.000 | -0.000 | -0.000 | 6.143 |
| 141.527 | 232.009 | 232.009 | 0.000 | 0.000 | -0.000 |
| 232.009 | 141.527 | 232.009 | -0.000 | -0.000 | 0.000 |
| 232.009 | 232.009 | 141.527 | 0.000 | -0.000 | 0.000 |
| -0.000 | -0.000 | -0.000 | 112.986 | 0.000 | -0.000 |
| -0.000 | -0.000 | -0.000 | 0.000 | 112.986 | 0.000 |
| -0.000 | -0.000 | -0.000 | -0.000 | -0.000 | 112.986 |
| 141.526 | 232.009 | 232.009 | 0.000 | -0.000 | -0.000 |
| 232.009 | 141.526 | 232.009 | 0.000 | 0.000 | -0.000 |
| 232.009 | 232.009 | 141.526 | 0.000 | -0.000 | -0.000 |
| 0.000 | 0.000 | 0.000 | 112.986 | -0.000 | -0.000 |
| 0.000 | 0.000 | 0.000 | -0.000 | 112.986 | -0.000 |
| 0.000 | 0.000 | 0.000 | 0.000 | -0.000 | 112.986 |
| 141.528 | 232.008 | 232.008 | -0.000 | 0.000 | 0.000 |
| 232.008 | 141.528 | 232.008 | -0.000 | 0.000 | 0.000 |
| 232.008 | 232.008 | 141.528 | 0.000 | -0.000 | 0.000 |
| -0.000 | -0.000 | 0.000 | 112.986 | 0.000 | 0.000 |
| -0.000 | -0.000 | 0.000 | 0.000 | 112.986 | -0.000 |
| -0.000 | 0.000 | -0.000 | -0.000 | 0.000 | 112.986 |
| 141.525 | 232.009 | 232.009 | -0.000 | -0.000 | 0.000 |
| 232.009 | 141.525 | 232.009 | 0.000 | -0.000 | 0.000 |
| 232.009 | 232.009 | 141.525 | -0.000 | 0.000 | -0.000 |
| 0.000 | 0.000 | -0.000 | 112.986 | -0.000 | 0.000 |
| 0.000 | 0.000 | -0.000 | -0.000 | 112.986 | 0.000 |
| 0.000 | -0.000 | 0.000 | -0.000 | -0.000 | 112.986 |
| 141.544 | 232.002 | 232.002 | 0.000 | 0.000 | 0.000 |
| 232.002 | 141.544 | 232.002 | -0.000 | 0.000 | 0.000 |
| 232.002 | 232.002 | 141.544 | -0.000 | 0.000 | 0.000 |
| -0.001 | -0.000 | 0.000 | 112.986 | 0.000 | 0.000 |
| -0.000 | -0.001 | 0.000 | -0.000 | 112.986 | 0.000 |
| -0.000 | 0.000 | -0.001 | -0.000 | -0.000 | 112.986 |
| 141.509 | 232.015 | 232.015 | -0.000 | -0.000 | 0.000 |
| 232.015 | 141.509 | 232.015 | 0.000 | -0.000 | -0.000 |
| 232.015 | 232.015 | 141.509 | -0.000 | 0.000 | -0.000 |
| 0.001 | 0.000 | -0.000 | 112.986 | -0.000 | 0.000 |
| 0.000 | 0.001 | -0.000 | -0.000 | 112.986 | -0.000 |
| 0.000 | -0.000 | 0.001 | 0.000 | 0.000 | 112.986 |
| 177560114.087 | 136190366.142 | 136065706.766 | -85692.265 | -88249.049 | -169727.873 |
| 136899239.350 | 176894486.061 | 137073104.615 | -484182.718 | -507325.024 | -181525.176 |
| 137489248.924 | 138103441.396 | 176083358.624 | -489195.355 | 203867.312 | 391771.660 |
| 177407289.833 | 137770848.118 | 138230156.384 | 3036801.989 | 272438.883 | 386756.533 |
| 136650311.822 | 179537707.596 | 136808582.820 | -320428.072 | 4362091.043 | 29031.601 |
| 138071729.701 | 137481243.368 | 177408321.609 | -50456.694 | 542684.811 | 3451213.087 |
| -97.971 | -14.402 | -14.402 | -0.000 | 0.000 | -0.000 |
| -14.402 | -97.971 | -14.402 | 0.000 | 0.000 | -0.000 |
| -14.402 | -14.402 | -97.971 | -0.000 | 0.000 | -0.000 |
| -175272513.329 | -137690212.192 | -137035078.757 | 3583857.382 | -108654.548 | 844794.303 |
| -137444769.140 | -176046726.546 | -138459405.074 | 174984.649 | 3786785.781 | 846041.181 |
| -137204141.203 | -137071092.284 | -177105240.312 | -846801.982 | 510124.109 | 3876213.180 |
| -14609191.443 | -14609088.533 | -14609088.533 | -0.000 | -0.000 | 0.000 |
| -14609088.533 | -14609191.443 | -14609088.533 | 0.000 | -0.000 | 0.000 |
| -14609088.533 | -14609088.533 | -14609191.443 | 0.000 | -0.000 | 0.000 |
| 17683701.722 | 13444854.371 | 13579633.020 | 392130.369 | 99102.245 | 92722.752 |
| 13762053.263 | 17724426.883 | 13855563.310 | 52090.369 | 396239.505 | -16608.913 |
| 13868012.855 | 13705178.045 | 17641622.919 | 89192.057 | 66345.452 | 336857.062 |
| -97.971 | -14.402 | -14.402 | 0.000 | 0.000 | -0.000 |
| -14.402 | -97.971 | -14.402 | -0.000 | 0.000 | -0.000 |
| -14.402 | -14.402 | -97.971 | 0.000 | 0.000 | -0.000 |
| -17923329.925 | -13770125.648 | -13814304.008 | 446430.532 | 28077.352 | 34746.696 |
| -13626968.909 | -17760942.149 | -13789019.219 | -20895.255 | 387639.187 | -38478.456 |
| -13806310.446 | -13701541.315 | -17816466.074 | -9874.097 | -32564.935 | 440649.588 |
| 1740593.844 | 1362614.731 | 1361686.342 | -1787.909 | 684.589 | -329.450 |
| 1360194.543 | 1727154.663 | 1350228.948 | -3865.523 | -2865.463 | -226.551 |
| 1330070.149 | 1342984.811 | 1727418.310 | -2342.728 | -1662.614 | 832.395 |
| 1716753.426 | 1421550.805 | 1387665.947 | 10070.787 | -4511.612 | -3072.913 |
| 1423275.385 | 1742380.071 | 1408072.374 | 2551.226 | 3655.661 | 3119.003 |
| 1423775.468 | 1392057.153 | 1719360.420 | -1578.562 | 1885.051 | 8737.003 |
| -123.093 | -1.832 | -1.832 | 0.000 | 0.000 | -0.000 |
| -1.832 | -123.093 | -1.832 | 0.000 | 0.000 | -0.000 |
| -1.832 | -1.832 | -123.093 | -0.000 | 0.000 | -0.000 |
| -1706614.719 | -1411681.308 | -1387582.115 | 12029.293 | -5705.272 | -2019.565 |
| -1422757.312 | -1730855.574 | -1403801.695 | 8725.486 | 4299.535 | -982.892 |
| -1409933.409 | -1393832.244 | -1727765.047 | 3115.347 | 669.440 | 10129.281 |
| -92182294.972 | 88016212.625 | 88041467.858 | 0.216 | -0.006 | 0.186 |
| 88041453.024 | -92182307.629 | 88016186.568 | 0.253 | -0.045 | 0.101 |
| 88016201.301 | 88041439.748 | -92182307.152 | 0.149 | 0.022 | 0.169 |
| 636662.297 | -7359508.208 | -7360075.446 | -31992994.110 | -0.021 | 0.094 |
| -7360083.479 | 636625.599 | -7359494.285 | 0.152 | -31993036.250 | 0.129 |
| -7359493.043 | -7360072.558 | 636647.129 | 0.162 | -0.067 | -31992990.864 |
| -27565018.588 | -22063015.686 | -22077358.994 | 2849.511 | 5921.702 | 5921.220 |
| -22077353.202 | -27565015.381 | -22063006.495 | 5921.142 | 2849.648 | 5921.406 |
| -22063016.859 | -22077349.691 | -27565016.849 | 5921.370 | 5921.314 | 2849.535 |
| -636704.768 | 7359557.691 | 7360147.109 | -31993097.214 | 0.032 | -0.091 |
| 7360090.281 | -636658.187 | 7359533.521 | -0.147 | -31993052.949 | -0.104 |
| 7359544.779 | 7360148.917 | -636692.710 | -0.154 | 0.113 | -31993098.961 |
| -9225702.631 | 8790811.383 | 8791065.950 | 0.002 | -0.000 | 0.001 |
| 8791065.813 | -9225702.753 | 8790811.123 | 0.002 | -0.000 | 0.001 |
| 8790811.273 | 8791065.700 | -9225702.742 | 0.002 | -0.000 | 0.002 |
| 70199.774 | -741580.661 | -741581.648 | -3205240.650 | -0.000 | 0.001 |
| -741581.306 | 70199.187 | -741578.992 | 0.002 | -3205238.789 | 0.001 |
| -741580.325 | -741581.481 | 70199.523 | 0.002 | -0.001 | -3205240.322 |
| -2757351.688 | -2208780.870 | -2208924.969 | 284.960 | 592.143 | 592.138 |
| -2208924.942 | -2757351.661 | -2208780.769 | 592.138 | 284.961 | 592.139 |
| -2208780.855 | -2208924.883 | -2757351.667 | 592.139 | 592.139 | 284.960 |
| -70199.239 | 741578.865 | 741580.294 | -3205237.227 | 0.000 | -0.001 |
| 741582.354 | -70199.309 | 741579.631 | -0.002 | -3205240.841 | -0.001 |
| 741578.751 | 741580.353 | -70199.109 | -0.002 | 0.001 | -3205237.327 |
| -922726.763 | 878988.269 | 878990.813 | 0.000 | 0.000 | 0.000 |
| 878990.812 | -922726.764 | 878988.267 | 0.000 | -0.000 | 0.000 |
| 878988.269 | 878990.811 | -922726.764 | 0.000 | -0.000 | 0.000 |
| 11672.533 | -74581.421 | -74579.358 | -315660.238 | -0.000 | 0.000 |
| -74581.299 | 11672.526 | -74579.485 | 0.000 | -315660.254 | 0.000 |
| -74581.418 | -74579.358 | 11672.530 | 0.000 | -0.000 | -315660.239 |
| -275946.520 | -220963.884 | -220965.324 | -0.000 | 0.000 | -0.000 |
| -220965.323 | -275946.520 | -220963.883 | -0.000 | 0.000 | -0.000 |
| -220963.884 | -220965.323 | -275946.520 | -0.000 | 0.000 | -0.000 |
| -11672.528 | 74581.417 | 74579.351 | -315660.231 | 0.000 | -0.000 |
| 74581.268 | -11672.504 | 74579.455 | -0.000 | -315660.203 | -0.000 |
| 74581.416 | 74579.353 | -11672.527 | -0.000 | 0.000 | -315660.234 |
| 10.788 | -0.000 | -0.000 | 0.000 | 0.000 | 0.000 |
| -0.000 | 10.788 | -0.000 | 0.000 | 0.000 | -0.000 |
| -0.000 | -0.000 | 10.788 | -0.000 | 0.000 | 0.000 |
| -0.000 | -0.000 | -0.000 | -0.000 | 0.000 | 0.000 |
| -0.000 | -0.000 | -0.000 | 0.000 | -0.000 | 0.000 |
| -0.000 | -0.000 | -0.000 | 0.000 | 0.000 | -0.000 |
| 10.788 | 0.000 | 0.000 | -0.000 | -0.000 | -0.000 |
| 0.000 | 10.788 | 0.000 | -0.000 | -0.000 | 0.000 |
| 0.000 | 0.000 | 10.788 | 0.000 | -0.000 | -0.000 |
| 0.000 | 0.000 | 0.000 | -0.000 | -0.000 | -0.000 |
| 0.000 | 0.000 | 0.000 | -0.000 | -0.000 | -0.000 |
| 0.000 | 0.000 | 0.000 | -0.000 | 0.000 | -0.000 |
| 10.789 | -0.000 | -0.000 | 0.000 | 0.000 | 0.000 |
| -0.000 | 10.789 | -0.000 | 0.000 | 0.000 | -0.000 |
| -0.000 | -0.000 | 10.789 | -0.000 | 0.000 | 0.000 |
| -0.000 | -0.000 | -0.000 | 0.000 | 0.000 | 0.000 |
| -0.000 | -0.000 | -0.000 | -0.000 | 0.000 | 0.000 |
| -0.000 | -0.000 | -0.000 | 0.000 | -0.000 | 0.000 |
| 10.788 | 0.000 | 0.000 | -0.000 | -0.000 | -0.000 |
| 0.000 | 10.788 | 0.000 | -0.000 | -0.000 | -0.000 |
| 0.000 | 0.000 | 10.788 | -0.000 | 0.000 | -0.000 |
| 0.000 | 0.000 | 0.000 | 0.000 | -0.000 | -0.000 |
| 0.000 | 0.000 | 0.000 | 0.000 | 0.000 | -0.000 |
| 0.000 | 0.000 | 0.000 | -0.000 | -0.000 | 0.000 |
| 10.791 | -0.000 | -0.000 | 0.000 | -0.000 | 0.000 |
| -0.000 | 10.791 | -0.000 | -0.000 | 0.000 | 0.000 |
| -0.000 | -0.000 | 10.791 | 0.000 | 0.000 | 0.000 |
| -0.000 | -0.000 | -0.000 | 0.000 | 0.000 | 0.000 |
| -0.000 | -0.000 | -0.000 | 0.000 | 0.000 | 0.000 |
| -0.000 | -0.000 | -0.000 | 0.000 | -0.000 | 0.000 |
| 10.786 | 0.000 | 0.000 | -0.000 | 0.000 | -0.000 |
| 0.000 | 10.786 | 0.000 | -0.000 | -0.000 | 0.000 |
| 0.000 | 0.000 | 10.786 | 0.000 | 0.000 | -0.000 |
| 0.000 | 0.000 | 0.000 | 0.000 | -0.000 | -0.000 |
| 0.000 | 0.000 | 0.000 | -0.000 | 0.000 | -0.000 |
| 0.000 | 0.000 | 0.000 | -0.000 | -0.000 | 0.000 |
| 198.985 | 200.240 | 200.240 | 0.000 | 0.000 | -0.000 |
| 200.240 | 198.985 | 200.240 | -0.000 | 0.000 | -0.000 |
| 200.240 | 200.240 | 198.985 | -0.000 | -0.000 | -0.000 |
| 0.000 | 0.000 | 0.000 | 176.412 | 0.000 | -0.000 |
| 0.000 | 0.000 | 0.000 | 0.000 | 176.412 | -0.000 |
| 0.000 | 0.000 | 0.000 | -0.000 | 0.000 | 176.412 |
| 198.985 | 200.240 | 200.240 | -0.000 | 0.000 | 0.000 |
| 200.240 | 198.985 | 200.240 | 0.000 | 0.000 | 0.000 |
| 200.240 | 200.240 | 198.985 | -0.000 | -0.000 | 0.000 |
| -0.000 | -0.000 | -0.000 | 176.412 | -0.000 | 0.000 |
| -0.000 | -0.000 | -0.000 | -0.000 | 176.412 | 0.000 |
| -0.000 | -0.000 | -0.000 | -0.000 | -0.000 | 176.413 |
| 198.985 | 200.240 | 200.240 | 0.000 | 0.000 | -0.000 |
| 200.240 | 198.985 | 200.240 | 0.000 | 0.000 | -0.000 |
| 200.240 | 200.240 | 198.985 | -0.000 | 0.000 | -0.000 |
| 0.000 | 0.000 | 0.000 | 180.440 | 0.000 | 0.000 |
| 0.000 | 0.000 | 0.000 | -0.000 | 180.440 | -0.000 |
| 0.000 | 0.000 | 0.000 | -0.000 | 0.000 | 180.440 |
| 198.985 | 200.240 | 200.240 | -0.000 | -0.000 | 0.000 |
| 200.240 | 198.985 | 200.240 | -0.000 | 0.000 | 0.000 |
| 200.240 | 200.240 | 198.985 | -0.000 | -0.000 | 0.000 |
| -0.000 | -0.000 | -0.000 | 180.440 | -0.000 | -0.000 |
| -0.000 | -0.000 | -0.000 | -0.000 | 180.440 | 0.000 |
| -0.000 | -0.000 | -0.000 | 0.000 | -0.000 | 180.440 |
| 198.985 | 200.240 | 200.240 | -0.000 | 0.000 | -0.000 |
| 200.240 | 198.985 | 200.240 | -0.000 | 0.000 | -0.000 |
| 200.240 | 200.240 | 198.985 | 0.000 | 0.000 | -0.000 |
| 0.001 | 0.001 | 0.001 | 176.412 | -0.000 | -0.000 |
| 0.001 | 0.001 | 0.001 | -0.000 | 176.412 | -0.000 |
| 0.001 | 0.001 | 0.001 | 0.000 | 0.000 | 176.412 |
| 198.985 | 200.239 | 200.239 | 0.000 | -0.000 | 0.000 |
| 200.239 | 198.985 | 200.239 | -0.000 | -0.000 | -0.000 |
| 200.239 | 200.239 | 198.985 | 0.000 | -0.000 | 0.000 |
| -0.001 | -0.001 | -0.001 | 176.412 | 0.000 | 0.000 |
| -0.001 | -0.001 | -0.001 | 0.000 | 176.412 | 0.000 |
| -0.001 | -0.001 | -0.001 | -0.000 | -0.000 | 176.412 |
| 28.887 | 104.866 | 104.866 | 0.000 | 0.000 | 0.000 |
| 104.866 | 28.887 | 104.866 | 0.000 | 0.000 | 0.000 |
| 104.866 | 104.866 | 28.887 | -0.000 | -0.000 | 0.000 |
| -0.000 | -0.000 | -0.000 | 39.045 | 0.000 | 0.000 |
| -0.000 | -0.000 | -0.000 | 0.000 | 39.045 | 0.000 |
| -0.000 | -0.000 | -0.000 | 0.000 | 0.000 | 39.045 |
| 28.887 | 104.867 | 104.867 | -0.000 | -0.000 | -0.000 |
| 104.867 | 28.887 | 104.867 | -0.000 | -0.000 | -0.000 |
| 104.867 | 104.867 | 28.887 | 0.000 | 0.000 | -0.000 |
| 0.000 | 0.000 | 0.000 | 39.045 | -0.000 | -0.000 |
| 0.000 | 0.000 | 0.000 | -0.000 | 39.045 | -0.000 |
| 0.000 | 0.000 | 0.000 | -0.000 | -0.000 | 39.045 |
| 28.886 | 104.866 | 104.866 | 0.000 | 0.000 | 0.000 |
| 104.866 | 28.886 | 104.866 | 0.000 | 0.000 | 0.000 |
| 104.866 | 104.866 | 28.886 | 0.000 | 0.000 | 0.000 |
| 67481212.960 | 88123493.580 | 94388974.913 | 27202731.116 | 559162.822 | 37794.542 |
| 87442800.045 | 68341695.097 | 94410497.556 | -725293.767 | 28342878.115 | -1563297.363 |
| 87414271.294 | 95908040.266 | 67944271.575 | 236962.063 | -1061305.747 | 28316530.982 |
| 28.888 | 104.867 | 104.867 | 0.000 | 0.000 | -0.000 |
| 104.867 | 28.888 | 104.867 | 0.000 | 0.000 | -0.000 |
| 104.867 | 104.867 | 28.888 | 0.000 | 0.000 | -0.000 |
| -71952677.970 | -87299146.309 | -94879452.774 | 28593306.639 | 372057.519 | -64680.633 |
| -85444049.712 | -71427727.935 | -93277174.373 | 335399.176 | 28315889.185 | -446398.407 |
| -88249893.657 | -95689807.986 | -71851272.590 | -47266.470 | 262120.376 | 28830379.113 |
| 28.879 | 104.866 | 104.866 | 0.000 | 0.000 | 0.000 |
| 104.866 | 28.879 | 104.866 | 0.000 | 0.000 | 0.000 |
| 104.866 | 104.866 | 28.879 | 0.000 | 0.000 | 0.000 |
| 2702190.150 | 359469.312 | 359459.636 | -4838004.644 | 0.000 | 0.000 |
| 359469.312 | 2702190.150 | 359459.636 | 0.000 | -4838004.644 | 0.000 |
| 359469.312 | 359459.636 | 2702190.150 | 0.000 | 0.000 | -4838004.644 |
| 28.895 | 104.867 | 104.867 | 0.000 | -0.000 | -0.000 |
| 104.867 | 28.895 | 104.867 | 0.000 | -0.000 | -0.000 |
| 104.867 | 104.867 | 28.895 | -0.000 | -0.000 | -0.000 |
| -2702190.150 | -359469.312 | -359459.636 | -4838004.644 | -0.000 | 0.000 |
| -359469.312 | -2702190.150 | -359459.636 | -0.000 | -4838004.644 | -0.000 |
| -359469.312 | -359459.636 | -2702190.150 | -0.000 | -0.000 | -4838004.644 |
| 229.107 | -20.464 | -20.464 | -0.000 | 0.000 | 0.000 |
| -20.464 | 229.107 | -20.464 | 0.000 | -0.000 | 0.000 |
| -20.464 | -20.464 | 229.107 | 0.000 | 0.000 | 0.000 |
| 0.000 | 0.000 | 0.000 | -28.014 | 0.000 | -0.000 |
| 0.000 | 0.000 | 0.000 | 0.000 | -28.014 | -0.000 |
| 0.000 | 0.000 | 0.000 | -0.000 | 0.000 | -28.014 |
| 229.107 | -20.464 | -20.464 | -0.000 | -0.000 | 0.000 |
| -20.464 | 229.107 | -20.464 | -0.000 | -0.000 | 0.000 |
| -20.464 | -20.464 | 229.107 | -0.000 | -0.000 | 0.000 |
| -0.000 | -0.000 | -0.000 | -28.014 | -0.000 | -0.000 |
| -0.000 | -0.000 | -0.000 | -0.000 | -28.014 | -0.000 |
| -0.000 | -0.000 | -0.000 | 0.000 | -0.000 | -28.014 |
| 229.108 | -20.464 | -20.464 | -0.000 | 0.000 | -0.000 |
| -20.464 | 229.108 | -20.464 | 0.000 | 0.000 | -0.000 |
| -20.464 | -20.464 | 229.108 | 0.000 | 0.000 | -0.000 |
| 0.000 | 0.000 | -0.000 | -28.014 | 0.000 | 0.000 |
| 0.000 | 0.000 | -0.000 | 0.000 | -28.014 | -0.000 |
| 0.000 | -0.000 | 0.000 | 0.000 | 0.000 | -28.014 |
| 229.106 | -20.464 | -20.464 | -0.000 | -0.000 | -0.000 |
| -20.464 | 229.106 | -20.464 | -0.000 | -0.000 | -0.000 |
| -20.464 | -20.464 | 229.106 | -0.000 | -0.000 | -0.000 |
| -0.000 | -0.000 | 0.000 | -28.014 | -0.000 | 0.000 |
| -0.000 | -0.000 | 0.000 | -0.000 | -28.014 | 0.000 |
| -0.000 | 0.000 | -0.000 | 0.000 | -0.000 | -28.014 |
| 229.118 | -20.464 | -20.464 | 0.000 | 0.000 | -0.000 |
| -20.464 | 229.118 | -20.464 | 0.000 | 0.000 | -0.000 |
| -20.464 | -20.464 | 229.118 | 0.000 | 0.000 | -0.000 |
| 0.000 | 0.000 | -0.000 | -28.014 | 0.000 | 0.000 |
| 0.000 | 0.000 | -0.000 | 0.000 | -28.014 | -0.000 |
| 0.000 | -0.000 | 0.000 | 0.000 | 0.000 | -28.014 |
| 229.096 | -20.464 | -20.464 | -0.000 | -0.000 | 0.000 |
| -20.464 | 229.096 | -20.464 | -0.000 | -0.000 | -0.000 |
| -20.464 | -20.464 | 229.096 | -0.000 | -0.000 | 0.000 |
| -0.000 | -0.000 | 0.000 | -28.014 | -0.000 | 0.000 |
| -0.000 | -0.000 | 0.000 | -0.000 | -28.014 | 0.000 |
| -0.000 | 0.000 | -0.000 | 0.000 | -0.000 | -28.014 |
| 176.612 | 152.000 | 152.000 | -0.000 | 0.000 | 0.000 |
| 152.000 | 176.612 | 152.000 | 0.000 | -0.000 | -0.000 |
| 152.000 | 152.000 | 176.612 | -0.000 | 0.000 | -0.000 |
| -0.000 | -0.000 | 0.000 | 75.052 | 0.000 | -0.000 |
| 0.000 | -0.000 | -0.000 | -0.000 | 75.052 | 0.000 |
| 0.000 | 0.000 | -0.000 | -0.000 | 0.000 | 75.052 |
| 176.612 | 152.000 | 152.000 | 0.000 | -0.000 | -0.000 |
| 152.000 | 176.612 | 152.000 | 0.000 | -0.000 | -0.000 |
| 152.000 | 152.000 | 176.612 | 0.000 | -0.000 | -0.000 |
| 0.000 | -0.000 | -0.000 | 75.052 | 0.000 | -0.000 |
| -0.000 | 0.000 | -0.000 | 0.000 | 75.052 | -0.000 |
| -0.000 | -0.000 | 0.000 | 0.000 | -0.000 | 75.052 |
| 176.613 | 152.000 | 152.000 | 0.000 | 0.000 | 0.000 |
| 152.000 | 176.613 | 152.000 | -0.000 | 0.000 | 0.000 |
| 152.000 | 152.000 | 176.613 | -0.000 | 0.000 | 0.000 |
| -0.000 | 0.000 | 0.000 | 75.052 | 0.000 | 0.000 |
| 0.000 | -0.000 | 0.000 | -0.000 | 75.052 | 0.000 |
| 0.000 | 0.000 | -0.000 | -0.000 | 0.000 | 75.052 |
| 176.612 | 152.000 | 152.000 | -0.000 | -0.000 | -0.000 |
| 152.000 | 176.612 | 152.000 | 0.000 | 0.000 | -0.000 |
| 152.000 | 152.000 | 176.612 | 0.000 | -0.000 | -0.000 |
| 0.000 | -0.000 | -0.000 | 75.052 | 0.000 | -0.000 |
| -0.000 | 0.000 | -0.000 | 0.000 | 75.052 | -0.000 |
| -0.000 | -0.000 | 0.000 | 0.000 | 0.000 | 75.052 |
| 176.616 | 152.000 | 152.000 | -0.000 | 0.000 | 0.000 |
| 152.000 | 176.616 | 152.000 | -0.000 | 0.000 | 0.000 |
| 152.000 | 152.000 | 176.616 | -0.000 | -0.000 | -0.000 |
| -0.000 | 0.000 | 0.001 | 75.052 | -0.000 | -0.000 |
| 0.000 | -0.000 | 0.001 | -0.000 | 75.052 | 0.000 |
| 0.000 | 0.001 | -0.000 | -0.000 | 0.000 | 75.052 |
| 176.608 | 151.999 | 151.999 | 0.000 | -0.000 | -0.000 |
| 151.999 | 176.608 | 151.999 | 0.000 | 0.000 | -0.000 |
| 151.999 | 151.999 | 176.608 | 0.000 | -0.000 | 0.000 |
| 0.000 | -0.000 | -0.001 | 75.052 | 0.000 | -0.000 |
| -0.000 | 0.000 | -0.001 | 0.000 | 75.052 | 0.000 |
| -0.000 | -0.001 | 0.000 | 0.000 | -0.000 | 75.052 |
| 366.115 | 359.667 | 359.667 | 0.000 | -0.000 | 0.000 |
| 359.667 | 366.115 | 359.667 | -0.000 | -0.000 | -0.000 |
| 359.667 | 359.667 | 366.115 | -0.000 | -0.000 | -0.000 |
| -0.000 | -0.000 | -0.000 | 7.929 | -0.000 | -0.000 |
| -0.000 | -0.000 | -0.000 | -0.000 | 7.929 | 0.000 |
| -0.000 | -0.000 | -0.000 | -0.000 | -0.000 | 7.929 |
| 366.115 | 359.667 | 359.667 | -0.000 | 0.000 | -0.000 |
| 359.667 | 366.115 | 359.667 | 0.000 | 0.000 | -0.000 |
| 359.667 | 359.667 | 366.115 | 0.000 | 0.000 | 0.000 |
| 0.000 | 0.000 | 0.000 | 7.929 | 0.000 | -0.000 |
| 0.000 | 0.000 | 0.000 | -0.000 | 7.929 | -0.000 |
| 0.000 | 0.000 | 0.000 | 0.000 | 0.000 | 7.929 |
| 366.114 | 359.666 | 359.666 | -0.000 | -0.000 | 0.000 |
| 359.666 | 366.114 | 359.666 | -0.000 | -0.000 | 0.000 |
| 359.666 | 359.666 | 366.114 | 0.000 | -0.000 | 0.000 |
| -0.000 | -0.000 | -0.000 | 7.929 | -0.000 | 0.000 |
| -0.000 | -0.000 | -0.000 | 0.000 | 7.929 | -0.000 |
| -0.000 | -0.000 | -0.000 | -0.000 | -0.000 | 7.929 |
| 366.116 | 359.668 | 359.668 | -0.000 | 0.000 | -0.000 |
| 359.668 | 366.116 | 359.668 | 0.000 | 0.000 | -0.000 |
| 359.668 | 359.668 | 366.116 | -0.000 | 0.000 | -0.000 |
| 0.000 | 0.000 | 0.000 | 7.929 | 0.000 | 0.000 |
| 0.000 | 0.000 | 0.000 | 0.000 | 7.929 | -0.000 |
| 0.000 | 0.000 | 0.000 | 0.000 | 0.000 | 7.929 |
| 366.103 | 359.658 | 359.658 | -0.000 | -0.000 | 0.000 |
| 359.658 | 366.103 | 359.658 | 0.000 | -0.000 | 0.000 |
| 359.658 | 359.658 | 366.103 | 0.000 | -0.000 | 0.000 |
| -0.000 | -0.001 | -0.000 | 7.929 | -0.000 | 0.000 |
| -0.001 | -0.000 | -0.000 | 0.000 | 7.929 | 0.000 |
| -0.001 | -0.000 | -0.000 | 0.000 | -0.000 | 7.929 |
| 366.127 | 359.677 | 359.677 | -0.000 | 0.000 | -0.000 |
| 359.677 | 366.127 | 359.677 | -0.000 | -0.000 | -0.000 |
| 359.677 | 359.677 | 366.127 | 0.000 | 0.000 | -0.000 |
| 0.000 | 0.001 | 0.000 | 7.929 | 0.000 | 0.000 |
| 0.001 | 0.000 | 0.000 | -0.000 | 7.929 | -0.000 |
| 0.001 | 0.000 | 0.000 | -0.000 | 0.000 | 7.929 |
| 248.463 | 88.450 | 88.450 | -0.000 | -0.000 | 0.000 |
| 88.450 | 248.463 | 88.450 | -0.000 | -0.000 | -0.000 |
| 88.450 | 88.450 | 248.463 | -0.000 | -0.000 | -0.000 |
| -0.000 | -0.000 | -0.000 | 83.380 | -0.000 | -0.000 |
| -0.000 | 0.000 | -0.000 | -0.000 | 83.380 | 0.000 |
| -0.000 | -0.000 | 0.000 | -0.000 | -0.000 | 83.380 |
| 248.463 | 88.450 | 88.450 | 0.000 | 0.000 | -0.000 |
| 88.450 | 248.463 | 88.450 | 0.000 | 0.000 | -0.000 |
| 88.450 | 88.450 | 248.463 | 0.000 | 0.000 | -0.000 |
| 0.000 | 0.000 | 0.000 | 83.380 | 0.000 | 0.000 |
| 0.000 | -0.000 | 0.000 | 0.000 | 83.380 | -0.000 |
| 0.000 | 0.000 | -0.000 | 0.000 | 0.000 | 83.380 |
| 248.462 | 88.450 | 88.450 | -0.000 | 0.000 | -0.000 |
| 88.450 | 248.462 | 88.450 | -0.000 | -0.000 | 0.000 |
| 88.450 | 88.450 | 248.462 | 0.000 | -0.000 | 0.000 |
| -0.000 | -0.000 | -0.000 | 83.380 | -0.000 | -0.000 |
| -0.000 | -0.000 | -0.000 | -0.000 | 83.380 | -0.000 |
| -0.000 | -0.000 | -0.000 | -0.000 | -0.000 | 83.380 |
| 248.465 | 88.450 | 88.450 | -0.000 | 0.000 | -0.000 |
| 88.450 | 248.465 | 88.450 | 0.000 | 0.000 | 0.000 |
| 88.450 | 88.450 | 248.465 | -0.000 | 0.000 | -0.000 |
| 0.000 | 0.000 | 0.000 | 83.380 | 0.000 | 0.000 |
| 0.000 | 0.000 | 0.000 | 0.000 | 83.380 | -0.000 |
| 0.000 | 0.000 | 0.000 | 0.000 | 0.000 | 83.380 |
| 248.448 | 88.450 | 88.450 | -0.000 | -0.000 | -0.000 |
| 88.450 | 248.448 | 88.450 | -0.000 | -0.000 | 0.000 |
| 88.450 | 88.450 | 248.448 | 0.000 | -0.000 | -0.000 |
| -0.000 | -0.001 | -0.001 | 83.380 | -0.000 | -0.000 |
| -0.001 | -0.000 | -0.001 | -0.000 | 83.380 | 0.000 |
| -0.001 | -0.001 | -0.000 | -0.000 | -0.000 | 83.380 |
| 248.478 | 88.451 | 88.451 | -0.000 | 0.000 | 0.000 |
| 88.451 | 248.478 | 88.451 | 0.000 | 0.000 | 0.000 |
| 88.451 | 88.451 | 248.478 | 0.000 | 0.000 | 0.000 |
| 0.000 | 0.001 | 0.001 | 83.380 | 0.000 | 0.000 |
| 0.001 | 0.000 | 0.001 | 0.000 | 83.380 | -0.000 |
| 0.001 | 0.001 | 0.000 | 0.000 | 0.000 | 83.380 |
| -232813952.074 | 543882.909 | 543882.909 | 0.000 | 0.000 | 0.000 |
| 543882.909 | -232813952.074 | 543882.909 | 0.000 | -0.000 | 0.000 |
| 543882.909 | 543882.909 | -232813952.074 | 0.000 | 0.000 | -0.000 |
| 0.000 | 0.000 | 0.000 | 71.057 | 0.000 | -0.000 |
| 0.000 | 0.000 | 0.000 | 0.000 | 71.057 | -0.000 |
| 0.000 | 0.000 | 0.000 | 0.000 | 0.000 | 71.057 |
| 127.645 | 69.818 | 69.818 | 0.000 | 0.000 | 0.000 |
| 69.818 | 127.645 | 69.818 | -0.000 | -0.000 | 0.000 |
| 69.818 | 69.818 | 127.645 | -0.000 | 0.000 | 0.000 |
| -0.000 | -0.000 | -0.000 | 71.057 | -0.000 | 0.000 |
| -0.000 | -0.000 | -0.000 | -0.000 | 71.057 | -0.000 |
| -0.000 | -0.000 | -0.000 | -0.000 | -0.000 | 71.057 |
| -23281408.800 | 54450.578 | 54450.578 | -0.000 | 0.000 | -0.000 |
| 54450.578 | -23281408.800 | 54450.578 | 0.000 | 0.000 | -0.000 |
| 54450.578 | 54450.578 | -23281408.800 | -0.000 | -0.000 | -0.000 |
| -0.000 | 0.000 | 0.000 | 71.057 | 0.000 | 0.000 |
| 0.000 | -0.000 | 0.000 | 0.000 | 71.057 | -0.000 |
| 0.000 | 0.000 | -0.000 | 0.000 | 0.000 | 71.057 |
| 127.645 | 69.817 | 69.817 | -0.000 | -0.000 | 0.000 |
| 69.817 | 127.645 | 69.817 | -0.000 | -0.000 | 0.000 |
| 69.817 | 69.817 | 127.645 | 0.000 | 0.000 | 0.000 |
| 0.000 | -0.000 | -0.000 | 71.057 | -0.000 | -0.000 |
| -0.000 | 0.000 | -0.000 | -0.000 | 71.057 | 0.000 |
| -0.000 | -0.000 | 0.000 | -0.000 | 0.000 | 71.057 |
| -2328153.905 | 5507.346 | 5507.346 | -0.000 | 0.000 | 0.000 |
| 5507.346 | -2328153.905 | 5507.346 | 0.000 | 0.000 | 0.000 |
| 5507.346 | 5507.346 | -2328153.905 | 0.000 | 0.000 | -0.000 |
| -0.000 | 0.001 | 0.001 | 71.057 | -0.000 | -0.000 |
| 0.001 | -0.000 | 0.001 | 0.000 | 71.057 | 0.000 |
| 0.001 | 0.001 | -0.000 | 0.000 | 0.000 | 71.057 |
| 127.643 | 69.816 | 69.816 | 0.000 | -0.000 | -0.000 |
| 69.816 | 127.643 | 69.816 | -0.000 | 0.000 | 0.000 |
| 69.816 | 69.816 | 127.643 | 0.000 | 0.000 | -0.000 |
| 0.000 | -0.001 | -0.001 | 71.057 | 0.000 | 0.000 |
| -0.001 | 0.000 | -0.001 | -0.000 | 71.057 | 0.000 |
| -0.001 | -0.001 | 0.000 | -0.000 | -0.000 | 71.057 |
| 35.166 | 17.578 | 17.578 | -0.000 | -0.000 | -0.000 |
| 17.578 | 35.166 | 17.578 | -0.000 | -0.000 | 0.000 |
| 17.578 | 17.578 | 35.166 | 0.000 | 0.000 | -0.000 |
| -0.000 | 0.000 | 0.000 | 17.580 | 0.000 | -0.000 |
| 0.000 | -0.000 | 0.000 | 0.000 | 17.580 | -0.000 |
| 0.000 | 0.000 | -0.000 | -0.000 | -0.000 | 17.580 |
| 35.166 | 17.578 | 17.578 | -0.000 | 0.000 | 0.000 |
| 17.578 | 35.166 | 17.578 | 0.000 | -0.000 | 0.000 |
| 17.578 | 17.578 | 35.166 | -0.000 | -0.000 | -0.000 |
| 0.000 | -0.000 | -0.000 | 17.580 | -0.000 | -0.000 |
| -0.000 | 0.000 | -0.000 | -0.000 | 17.580 | 0.000 |
| -0.000 | -0.000 | 0.000 | 0.000 | 0.000 | 17.580 |
| 35.166 | 17.578 | 17.578 | 0.000 | -0.000 | -0.000 |
| 17.578 | 35.166 | 17.578 | -0.000 | -0.000 | 0.000 |
| 17.578 | 17.578 | 35.166 | 0.000 | 0.000 | -0.000 |
| -0.000 | 0.000 | 0.000 | 17.580 | 0.000 | 0.000 |
| 0.000 | -0.000 | 0.000 | 0.000 | 17.580 | -0.000 |
| 0.000 | 0.000 | -0.000 | 0.000 | -0.000 | 17.580 |
| 35.166 | 17.578 | 17.578 | -0.000 | -0.000 | -0.000 |
| 17.578 | 35.166 | 17.578 | -0.000 | -0.000 | 0.000 |
| 17.578 | 17.578 | 35.166 | -0.000 | -0.000 | 0.000 |
| 0.000 | -0.000 | -0.000 | 17.580 | -0.000 | -0.000 |
| -0.000 | 0.000 | -0.000 | -0.000 | 17.580 | 0.000 |
| -0.000 | -0.000 | 0.000 | -0.000 | 0.000 | 17.580 |
| 35.168 | 17.579 | 17.579 | -0.000 | 0.000 | 0.000 |
| 17.579 | 35.168 | 17.579 | -0.000 | -0.000 | -0.000 |
| 17.579 | 17.579 | 35.168 | 0.000 | 0.000 | -0.000 |
| -0.000 | 0.001 | 0.001 | 17.580 | 0.000 | -0.000 |
| 0.001 | -0.000 | 0.001 | 0.000 | 17.580 | -0.000 |
| 0.001 | 0.001 | -0.000 | -0.000 | -0.000 | 17.580 |
| 35.165 | 17.577 | 17.577 | -0.000 | 0.000 | 0.000 |
| 17.577 | 35.165 | 17.577 | 0.000 | -0.000 | -0.000 |
| 17.577 | 17.577 | 35.165 | -0.000 | -0.000 | 0.000 |
| 0.000 | -0.001 | -0.001 | 17.580 | -0.000 | -0.000 |
| -0.001 | 0.000 | -0.001 | -0.000 | 17.580 | 0.000 |
| -0.001 | -0.001 | 0.000 | 0.000 | 0.000 | 17.580 |
| 160.371 | 142.121 | 147.496 | 0.000 | -0.000 | -0.000 |
| 142.121 | 160.371 | 147.496 | 0.000 | -0.000 | -0.000 |
| 147.496 | 147.496 | 251.830 | 0.000 | 0.000 | -0.000 |
| -0.000 | -0.000 | 0.000 | 84.111 | 0.000 | -0.000 |
| 0.000 | -0.000 | 0.000 | 0.000 | 84.111 | -0.000 |
| 0.000 | 0.000 | 0.000 | 0.000 | 0.000 | 72.173 |
| 160.371 | 142.121 | 147.496 | -0.000 | -0.000 | 0.000 |
| 142.121 | 160.371 | 147.496 | -0.000 | -0.000 | 0.000 |
| 147.496 | 147.496 | 251.830 | -0.000 | -0.000 | 0.000 |
| -0.000 | -0.000 | -0.000 | 84.111 | 0.000 | 0.000 |
| -0.000 | 0.000 | -0.000 | -0.000 | 84.111 | 0.000 |
| -0.000 | -0.000 | -0.000 | -0.000 | -0.000 | 72.173 |
| 160.371 | 142.121 | 147.496 | 0.000 | -0.000 | -0.000 |
| 142.121 | 160.371 | 147.496 | 0.000 | -0.000 | -0.000 |
| 147.496 | 147.496 | 251.831 | 0.000 | 0.000 | -0.000 |
| -0.000 | 0.000 | 0.000 | 86.470 | 0.000 | -0.000 |
| 0.000 | -0.000 | 0.000 | 0.000 | 86.470 | -0.000 |
| 0.000 | 0.000 | -0.000 | 0.000 | 0.000 | 72.173 |
| 160.370 | 142.121 | 147.495 | -0.000 | -0.000 | 0.000 |
| 142.121 | 160.370 | 147.495 | -0.000 | 0.000 | 0.000 |
| 147.495 | 147.495 | 251.830 | -0.000 | -0.000 | 0.000 |
| 0.000 | -0.000 | -0.000 | 86.470 | 0.000 | 0.000 |
| -0.000 | 0.000 | -0.000 | -0.000 | 86.470 | 0.000 |
| -0.000 | -0.000 | 0.000 | -0.000 | -0.000 | 72.173 |
| 160.374 | 142.122 | 147.496 | 0.000 | -0.000 | -0.000 |
| 142.122 | 160.374 | 147.496 | 0.000 | 0.000 | -0.000 |
| 147.496 | 147.496 | 251.837 | 0.000 | 0.000 | -0.000 |
| -0.000 | 0.000 | 0.001 | 84.111 | 0.000 | -0.000 |
| 0.000 | -0.000 | 0.001 | 0.000 | 84.111 | -0.000 |
| 0.000 | 0.000 | -0.000 | 0.000 | -0.000 | 72.173 |
| 160.367 | 142.121 | 147.495 | -0.000 | -0.000 | 0.000 |
| 142.121 | 160.367 | 147.495 | -0.000 | -0.000 | 0.000 |
| 147.495 | 147.495 | 251.824 | -0.000 | 0.000 | 0.000 |
| 0.000 | -0.000 | -0.001 | 84.111 | -0.000 | 0.000 |
| -0.000 | 0.000 | -0.001 | -0.000 | 84.111 | 0.000 |
| -0.000 | -0.000 | 0.000 | -0.000 | 0.000 | 72.173 |
| 244.757 | 152.854 | 157.761 | -0.000 | -0.000 | -0.000 |
| 134.737 | 270.529 | 162.482 | -0.000 | 0.000 | 0.000 |
| 162.482 | 162.482 | 459.227 | -0.000 | -0.000 | 0.000 |
| 0.000 | -0.000 | -0.000 | 106.860 | 0.000 | 0.000 |
| 0.011 | 0.011 | 0.014 | 0.000 | 102.548 | 0.000 |
| 0.000 | 0.000 | -0.000 | -0.000 | 0.000 | 67.896 |
| 257.137 | 134.937 | 154.347 | 0.000 | 0.000 | 0.000 |
| 152.845 | 244.747 | 157.750 | 0.000 | 0.000 | -0.000 |
| 162.482 | 162.482 | 459.227 | 0.000 | -0.000 | -0.000 |
| -0.000 | 0.000 | -0.000 | 106.860 | 0.000 | 0.000 |
| -0.011 | -0.011 | -0.014 | -0.000 | 102.548 | -0.000 |
| -0.000 | -0.000 | 0.000 | 0.000 | 0.000 | 67.896 |
| 257.134 | 134.945 | 154.351 | 0.000 | -0.000 | -0.000 |
| 152.850 | 244.753 | 157.756 | 0.000 | 0.000 | 0.000 |
| 162.482 | 162.482 | 459.227 | 0.000 | -0.000 | 0.000 |
| 0.001 | 0.001 | 0.001 | 102.548 | -0.000 | -0.000 |
| -0.000 | -0.000 | 0.000 | -0.000 | 106.860 | 0.000 |
| 0.002 | 0.002 | 0.003 | -0.000 | -0.000 | 48.669 |
| 257.134 | 134.944 | 154.350 | 0.000 | 0.000 | -0.000 |
| 134.944 | 257.134 | 154.350 | 0.000 | 0.000 | -0.000 |
| 157.602 | 157.602 | 453.209 | 0.000 | 0.000 | -0.000 |
| -0.001 | -0.001 | -0.001 | 102.548 | -0.000 | -0.000 |
| 0.000 | 0.000 | -0.000 | 0.000 | 106.860 | 0.000 |
| -0.002 | -0.002 | -0.003 | 0.000 | 0.000 | 48.669 |
| 257.136 | 134.945 | 154.350 | -0.000 | -0.000 | -0.000 |
| 134.737 | 270.531 | 162.482 | 0.000 | -0.000 | 0.000 |
| 162.482 | 162.482 | 459.227 | 0.000 | 0.000 | 0.000 |
| 0.000 | -0.000 | 0.000 | 102.548 | -0.000 | 0.000 |
| -0.000 | -0.000 | 0.000 | 0.000 | 106.860 | 0.000 |
| 0.000 | 0.001 | -0.000 | 0.000 | -0.000 | 67.896 |
| 270.527 | 134.737 | 162.482 | 0.000 | 0.000 | 0.000 |
| 134.736 | 270.528 | 162.482 | 0.000 | 0.000 | -0.000 |
| 157.602 | 157.602 | 453.209 | 0.000 | 0.000 | 0.000 |
| -0.000 | 0.000 | -0.000 | 102.548 | 0.000 | -0.000 |
| 0.000 | 0.000 | -0.000 | -0.000 | 106.860 | 0.000 |
| -0.000 | -0.001 | 0.000 | 0.000 | 0.000 | 67.896 |
| 241.714 | 153.005 | 157.643 | 0.000 | 0.000 | 0.000 |
| 134.633 | 254.358 | 154.132 | 0.000 | 0.000 | 0.000 |
| 157.506 | 157.506 | 452.276 | 0.000 | 0.000 | 0.000 |
| 0.000 | 0.000 | 0.000 | 106.644 | 0.000 | 0.000 |
| 0.000 | 0.000 | 0.000 | 0.000 | 106.644 | 0.000 |
| 0.000 | 0.000 | 0.000 | -0.000 | -0.000 | 66.967 |
| 241.572 | 152.862 | 157.468 | -0.000 | -0.000 | -0.000 |
| 134.200 | 268.134 | 162.310 | 0.000 | 0.000 | -0.000 |
| 157.367 | 157.367 | 452.107 | -0.000 | -0.000 | 0.000 |
| -0.000 | -0.000 | -0.000 | 106.644 | -0.000 | -0.000 |
| 0.000 | -0.000 | -0.000 | -0.000 | 106.644 | -0.000 |
| -0.000 | -0.000 | -0.000 | -0.000 | 0.000 | 66.967 |
| 254.396 | 134.524 | 154.088 | 0.000 | 0.000 | 0.000 |
| 134.200 | 268.134 | 162.310 | 0.000 | -0.000 | 0.000 |
| 157.443 | 157.443 | 452.200 | 0.000 | 0.000 | 0.000 |
| 0.000 | 0.000 | 0.000 | 106.644 | 0.000 | 0.000 |
| 0.000 | 0.000 | 0.000 | 0.000 | 106.644 | 0.000 |
| 0.000 | 0.000 | 0.000 | 0.000 | -0.000 | 66.967 |
| 254.404 | 134.500 | 154.079 | -0.000 | -0.000 | -0.000 |
| 134.500 | 254.404 | 154.079 | -0.000 | -0.000 | -0.000 |
| 162.347 | 162.347 | 458.210 | -0.000 | 0.000 | -0.000 |
| -0.000 | -0.000 | -0.000 | 106.644 | -0.000 | 0.000 |
| -0.000 | -0.000 | -0.000 | -0.000 | 106.644 | 0.000 |
| -0.000 | -0.000 | -0.000 | 0.000 | 0.000 | 66.967 |
| 254.403 | 134.513 | 154.084 | 0.000 | 0.000 | 0.000 |
| 134.513 | 254.403 | 154.084 | 0.000 | 0.000 | 0.000 |
| 157.438 | 157.438 | 452.194 | 0.000 | -0.000 | 0.000 |
| 0.000 | 0.000 | 0.000 | 106.644 | 0.000 | 0.000 |
| 0.000 | 0.000 | 0.000 | 0.000 | 106.644 | 0.000 |
| 0.000 | 0.001 | 0.000 | 0.000 | -0.000 | 66.967 |
| 268.131 | 134.200 | 162.310 | -0.000 | 0.000 | -0.000 |
| 152.849 | 241.459 | 157.393 | -0.000 | -0.000 | -0.000 |
| 157.435 | 157.435 | 452.189 | -0.000 | -0.000 | -0.000 |
| -0.000 | -0.000 | -0.000 | 106.644 | -0.000 | -0.000 |
| -0.000 | -0.000 | -0.000 | -0.000 | 106.644 | -0.000 |
| -0.000 | -0.001 | -0.000 | -0.000 | 0.000 | 66.967 |
| -671.598 | 183.592 | -1321.444 | 0.000 | -0.000 | -0.000 |
| -695.826 | 398.993 | -1460.769 | -0.000 | 0.000 | 0.000 |
| 191.001 | 42.895 | 390.253 | 0.000 | -0.000 | 0.000 |
| -888.056 | -8.625 | -1498.335 | -0.632 | -0.000 | -0.000 |
| -0.000 | 0.000 | -0.000 | -0.000 | 159.438 | -0.000 |
| -849.717 | 8.350 | -1428.384 | 0.000 | -0.000 | 162.445 |
| 1050.953 | 177.243 | 1577.539 | 0.000 | 0.000 | -0.000 |
| 1080.288 | 416.243 | 1535.905 | 0.000 | 0.000 | 0.000 |
| 999.009 | 17.114 | 1742.867 | 0.000 | 0.000 | -0.000 |
| 888.056 | 8.625 | 1498.335 | -0.632 | 0.000 | 0.000 |
| 0.000 | -0.000 | 0.000 | -0.000 | 159.438 | 0.000 |
| 849.717 | -8.350 | 1428.384 | -0.000 | 0.000 | 162.445 |
| 224.284 | 195.152 | 191.002 | -0.000 | -0.000 | -0.000 |
| 100.644 | 405.534 | -117.337 | -0.000 | 0.000 | 0.000 |
| 87.919 | 36.671 | 214.677 | -0.000 | -0.000 | -0.000 |
| -88.806 | -0.862 | -149.834 | -0.632 | -0.000 | 0.000 |
| 0.000 | 0.000 | 0.000 | -0.000 | 159.438 | -0.000 |
| -88.826 | -0.862 | -149.867 | 0.000 | -0.000 | 162.445 |
| 305.347 | 193.077 | 326.864 | 0.000 | 0.000 | 0.000 |
| 270.547 | 403.863 | 168.272 | 0.000 | -0.000 | -0.000 |
| 191.000 | 42.895 | 390.253 | 0.000 | -0.000 | -0.000 |
| 88.806 | 0.862 | 149.834 | -0.632 | 0.000 | -0.000 |
| -0.000 | -0.000 | -0.000 | -0.000 | 159.438 | 0.000 |
| 88.826 | 0.862 | 149.867 | -0.000 | 0.000 | 162.445 |
| 206.754 | 191.982 | 160.470 | -0.000 | 0.000 | -0.000 |
| 177.102 | 404.786 | 11.186 | 0.000 | -0.000 | 0.000 |
| 164.840 | 36.708 | 344.234 | -0.000 | -0.000 | -0.000 |
| -8.883 | -0.086 | -14.987 | -0.632 | -0.000 | -0.000 |
| -9.229 | -0.090 | -15.570 | -0.000 | 155.861 | -0.000 |
| -8.495 | 0.086 | -14.280 | -0.000 | -0.000 | 162.445 |
| 209.930 | 185.511 | 163.775 | 0.000 | 0.000 | 0.000 |
| 201.185 | 407.682 | 52.673 | 0.000 | 0.000 | 0.000 |
| 157.984 | 25.380 | 329.093 | -0.000 | -0.000 | 0.000 |
| 8.883 | 0.086 | 14.987 | -0.632 | 0.000 | -0.000 |
| 9.229 | 0.090 | 15.570 | 0.000 | 155.861 | -0.000 |
| 8.495 | -0.086 | 14.280 | 0.000 | 0.000 | 162.445 |
| 203.375 | 204.457 | 214.189 | 0.000 | -0.000 | -0.000 |
| 198.367 | 349.973 | 43.001 | 0.000 | 0.000 | -0.000 |
| 213.940 | 51.839 | 357.582 | 0.000 | -0.000 | -0.000 |
| -4.181 | -1.049 | -6.086 | 16.177 | -0.000 | -0.000 |
| -1.809 | -0.523 | -2.634 | 0.000 | 153.823 | -0.000 |
| 0.000 | 0.000 | 0.000 | 0.000 | -0.000 | 163.360 |
| 181.372 | 199.102 | 182.162 | -0.000 | -0.000 | 0.000 |
| 204.938 | 351.898 | 52.568 | -0.000 | -0.000 | 0.000 |
| 181.301 | 43.880 | 310.073 | -0.000 | -0.000 | 0.000 |
| 4.181 | 1.049 | 6.086 | 16.177 | 0.000 | 0.000 |
| 1.809 | 0.523 | 2.634 | -0.000 | 153.823 | 0.000 |
| -0.000 | -0.000 | -0.000 | 0.000 | -0.000 | 163.360 |
| 184.678 | 200.768 | 186.983 | 0.000 | 0.000 | -0.000 |
| 204.938 | 351.899 | 52.568 | 0.000 | 0.000 | -0.000 |
| 186.762 | 46.475 | 318.035 | 0.000 | -0.000 | -0.000 |
| -0.000 | 0.000 | 0.000 | 16.623 | 0.000 | -0.000 |
| 0.000 | -0.000 | 0.000 | 0.000 | 172.325 | -0.000 |
| -0.135 | -0.034 | -0.197 | 0.000 | 0.000 | 163.360 |
| 203.375 | 204.457 | 214.189 | -0.000 | -0.000 | -0.000 |
| 199.361 | 350.332 | 44.449 | 0.000 | -0.000 | 0.000 |
| 213.940 | 51.839 | 357.582 | -0.000 | -0.000 | 0.000 |
| 0.000 | -0.000 | -0.000 | 16.623 | -0.000 | 0.000 |
| -0.000 | 0.000 | -0.000 | -0.000 | 172.325 | 0.000 |
| 0.135 | 0.034 | 0.197 | -0.000 | -0.000 | 163.360 |
| 180.020 | 198.745 | 180.191 | 0.000 | -0.000 | -0.000 |
| 204.939 | 351.902 | 52.568 | 0.000 | 0.000 | -0.000 |
| 186.890 | 46.504 | 318.222 | 0.000 | 0.000 | -0.000 |
| -0.001 | -0.004 | -0.001 | 16.625 | 0.000 | -0.000 |
| -0.014 | -0.005 | -0.019 | -0.000 | 159.400 | -0.000 |
| 0.001 | -0.001 | -0.001 | 0.000 | 0.000 | 163.361 |
| 180.041 | 198.751 | 180.226 | 0.000 | -0.000 | 0.000 |
| 199.900 | 350.384 | 45.236 | -0.000 | 0.000 | 0.000 |
| 213.939 | 51.841 | 357.579 | -0.000 | 0.000 | 0.000 |
| 0.001 | 0.004 | 0.001 | 16.625 | -0.000 | 0.000 |
| 0.014 | 0.005 | 0.019 | -0.000 | 159.400 | 0.000 |
| -0.001 | 0.001 | 0.001 | -0.000 | -0.000 | 163.361 |
| 126.169 | 120.799 | 120.799 | 0.000 | 0.000 | 0.000 |
| 120.799 | 126.169 | 120.799 | 0.000 | 0.000 | 0.000 |
| 120.799 | 120.799 | 126.169 | 0.000 | 0.000 | 0.000 |
| -0.000 | -0.000 | 0.000 | 131.812 | 0.000 | 0.000 |
| -0.000 | 0.000 | 0.000 | -0.000 | 131.812 | 0.000 |
| -0.000 | -0.000 | 0.000 | 0.000 | 0.000 | 131.812 |
| 126.169 | 120.799 | 120.799 | -0.000 | -0.000 | -0.000 |
| 120.799 | 126.169 | 120.799 | -0.000 | -0.000 | -0.000 |
| 120.799 | 120.799 | 126.169 | -0.000 | -0.000 | -0.000 |
| 0.000 | 0.000 | -0.000 | 131.812 | -0.000 | -0.000 |
| 0.000 | 0.000 | -0.000 | -0.000 | 131.812 | -0.000 |
| 0.000 | 0.000 | -0.000 | -0.000 | -0.000 | 131.812 |
| 126.169 | 120.799 | 120.799 | 0.000 | 0.000 | 0.000 |
| 120.799 | 126.169 | 120.799 | 0.000 | 0.000 | 0.000 |
| 120.799 | 120.799 | 126.169 | 0.000 | -0.000 | 0.000 |
| 0.000 | -0.000 | -0.000 | 14.743 | 0.000 | 0.000 |
| -0.000 | 0.000 | -0.000 | 0.000 | 14.743 | 0.000 |
| -0.000 | -0.000 | 0.000 | 0.000 | 0.000 | 14.743 |
| 126.169 | 120.799 | 120.799 | -0.000 | -0.000 | -0.000 |
| 120.799 | 126.169 | 120.799 | -0.000 | -0.000 | -0.000 |
| 120.799 | 120.799 | 126.169 | -0.000 | -0.000 | -0.000 |
| -0.000 | 0.000 | 0.000 | 14.743 | -0.000 | -0.000 |
| 0.000 | -0.000 | 0.000 | -0.000 | 14.743 | -0.000 |
| 0.000 | 0.000 | -0.000 | -0.000 | -0.000 | 14.743 |
| 126.170 | 120.799 | 120.799 | 0.000 | 0.000 | 0.000 |
| 120.799 | 126.170 | 120.799 | 0.000 | 0.000 | 0.000 |
| 120.799 | 120.799 | 126.170 | 0.000 | 0.000 | 0.000 |
| 0.000 | -0.000 | -0.000 | 14.743 | 0.000 | 0.000 |
| -0.000 | 0.000 | -0.000 | 0.000 | 14.743 | 0.000 |
| -0.000 | -0.000 | 0.000 | 0.000 | 0.000 | 14.743 |
| 126.169 | 120.799 | 120.799 | -0.000 | -0.000 | -0.000 |
| 120.799 | 126.169 | 120.799 | -0.000 | -0.000 | -0.000 |
| 120.799 | 120.799 | 126.169 | -0.000 | -0.000 | -0.000 |
| -0.000 | 0.000 | 0.000 | 14.743 | -0.000 | -0.000 |
| 0.000 | -0.000 | 0.000 | -0.000 | 14.743 | -0.000 |
| 0.000 | 0.000 | -0.000 | -0.000 | -0.000 | 14.743 |
| 295.431 | 248.405 | 248.405 | 0.000 | 0.000 | -0.000 |
| 248.405 | 295.431 | 248.405 | 0.000 | -0.000 | 0.000 |
| 248.405 | 248.405 | 295.431 | 0.000 | -0.000 | -0.000 |
| -4426.138 | -58213998.393 | -58213997.462 | 46567862.822 | -0.000 | 0.000 |
| -58213998.393 | -4426.138 | -58213997.462 | 0.000 | 46567862.822 | 0.000 |
| -58213998.393 | -58213997.462 | -4426.138 | 0.000 | -0.000 | 46567862.822 |
| 232856482.895 | 116437220.094 | 116437220.093 | -0.000 | 0.000 | -0.000 |
| 116437220.094 | 232856482.895 | 116437220.094 | -0.000 | 0.000 | -0.000 |
| 116437220.094 | 116437220.094 | 232856482.895 | 0.000 | 0.000 | -0.000 |
| 4426.138 | 58213998.393 | 58213997.462 | 46567862.822 | 0.000 | -0.000 |
| 58213998.393 | 4426.138 | 58213997.462 | -0.000 | 46567862.822 | 0.000 |
| 58213998.393 | 58213997.462 | 4426.138 | -0.000 | 0.000 | 46567862.822 |
| 295.401 | 248.400 | 248.400 | 0.000 | -0.000 | 0.000 |
| 248.400 | 295.401 | 248.400 | -0.000 | -0.000 | 0.000 |
| 248.400 | 248.400 | 295.401 | -0.000 | -0.000 | -0.000 |
| -442.615 | -5821386.840 | -5821385.908 | 4656960.394 | -0.000 | -0.000 |
| -5821386.840 | -442.615 | -5821385.908 | 0.000 | 4656960.394 | 0.000 |
| -5821386.840 | -5821385.908 | -442.615 | 0.000 | -0.000 | 4656960.394 |
| 23285822.164 | 11643922.389 | 11643922.389 | -0.000 | 0.000 | -0.000 |
| 11643922.389 | 23285822.164 | 11643922.389 | -0.000 | 0.000 | -0.000 |
| 11643922.389 | 11643922.389 | 23285822.164 | 0.000 | 0.000 | -0.000 |
| 442.615 | 5821386.840 | 5821385.908 | 4656960.394 | 0.000 | -0.000 |
| 5821386.840 | 442.615 | 5821385.908 | -0.000 | 4656960.394 | -0.000 |
| 5821386.840 | 5821385.908 | 442.615 | -0.000 | 0.000 | 4656960.394 |
| 295.092 | 248.353 | 248.353 | 0.000 | 0.000 | 0.000 |
| 248.353 | 295.092 | 248.353 | 0.000 | -0.000 | 0.000 |
| 248.353 | 248.353 | 295.092 | 0.000 | -0.000 | 0.000 |
| -44.263 | -582125.708 | -582124.776 | 465870.132 | -0.000 | 0.000 |
| -582125.708 | -44.263 | -582124.776 | 0.000 | 465870.132 | -0.000 |
| -582125.708 | -582124.776 | -44.263 | -0.000 | -0.000 | 465870.132 |
| 2328756.091 | 1164592.618 | 1164592.618 | -0.000 | 0.000 | -0.000 |
| 1164592.618 | 2328756.091 | 1164592.618 | -0.000 | 0.000 | 0.000 |
| 1164592.618 | 1164592.618 | 2328756.091 | -0.000 | 0.000 | -0.000 |
| 44.263 | 582125.708 | 582124.776 | 465870.132 | 0.000 | 0.000 |
| 582125.708 | 44.263 | 582124.776 | -0.000 | 465870.132 | -0.000 |
| 582125.708 | 582124.776 | 44.263 | -0.000 | 0.000 | 465870.132 |
| 137.225 | 118.934 | 118.934 | -0.000 | -0.000 | -0.000 |
| 118.934 | 137.225 | 118.934 | -0.000 | -0.000 | -0.000 |
| 118.934 | 118.934 | 137.225 | -0.000 | -0.000 | -0.000 |
| -0.000 | -0.000 | -0.000 | 107.496 | -0.000 | 0.000 |
| 0.000 | -0.000 | -0.000 | -0.000 | 107.496 | -0.000 |
| -0.000 | -0.000 | -0.000 | -0.000 | -0.000 | 107.496 |
| 137.225 | 118.934 | 118.934 | 0.000 | 0.000 | 0.000 |
| 118.934 | 137.225 | 118.934 | 0.000 | 0.000 | 0.000 |
| 118.934 | 118.934 | 137.225 | 0.000 | 0.000 | 0.000 |
| -0.000 | 0.000 | 0.000 | 107.496 | 0.000 | 0.000 |
| 0.000 | 0.000 | 0.000 | 0.000 | 107.496 | 0.000 |
| -0.000 | 0.000 | -0.000 | 0.000 | 0.000 | 107.496 |
| 137.225 | 118.934 | 118.934 | -0.000 | -0.000 | -0.000 |
| 118.934 | 137.225 | 118.934 | -0.000 | -0.000 | -0.000 |
| 118.934 | 118.934 | 137.225 | -0.000 | -0.000 | -0.000 |
| 0.000 | -0.000 | -0.000 | -4.646 | -0.000 | -0.000 |
| -0.000 | 0.000 | -0.000 | -0.000 | -4.646 | -0.000 |
| -0.000 | -0.000 | 0.000 | -0.000 | -0.000 | -4.646 |
| 137.225 | 118.934 | 118.934 | 0.000 | 0.000 | 0.000 |
| 118.934 | 137.225 | 118.934 | 0.000 | 0.000 | 0.000 |
| 118.934 | 118.934 | 137.225 | 0.000 | 0.000 | 0.000 |
| -0.000 | 0.000 | 0.000 | -4.646 | 0.000 | 0.000 |
| 0.000 | -0.000 | 0.000 | 0.000 | -4.646 | 0.000 |
| 0.000 | 0.000 | -0.000 | 0.000 | 0.000 | -4.646 |
| 137.225 | 118.934 | 118.934 | -0.000 | -0.000 | -0.000 |
| 118.934 | 137.225 | 118.934 | -0.000 | -0.000 | -0.000 |
| 118.934 | 118.934 | 137.225 | -0.000 | -0.000 | -0.000 |
| 0.000 | 0.000 | 0.000 | 107.496 | -0.000 | -0.000 |
| 0.000 | 0.000 | 0.000 | -0.000 | 107.496 | -0.000 |
| 0.000 | 0.000 | 0.000 | -0.000 | -0.000 | 107.496 |
| 137.225 | 118.933 | 118.933 | 0.000 | 0.000 | 0.000 |
| 118.933 | 137.225 | 118.933 | 0.000 | 0.000 | -0.000 |
| 118.933 | 118.933 | 137.225 | 0.000 | 0.000 | 0.000 |
| -0.000 | -0.000 | -0.000 | 107.496 | 0.000 | 0.000 |
| -0.000 | -0.000 | -0.000 | 0.000 | 107.496 | 0.000 |
| -0.000 | -0.000 | -0.000 | 0.000 | 0.000 | 107.496 |
| 103.119 | 113.045 | 113.045 | 0.000 | -0.000 | -0.000 |
| 113.045 | 103.118 | 113.045 | 0.000 | -0.000 | 0.000 |
| 113.045 | 113.045 | 103.119 | 0.000 | -0.000 | -0.000 |
| 0.000 | -0.000 | -0.000 | 120.138 | -0.000 | 0.000 |
| -0.000 | -0.000 | -0.000 | 0.000 | 120.138 | -0.000 |
| -0.000 | -0.000 | -0.000 | -0.000 | -0.000 | 120.138 |
| 103.119 | 113.045 | 113.045 | 0.000 | -0.000 | -0.000 |
| 113.045 | 103.119 | 113.045 | -0.000 | -0.000 | -0.000 |
| 113.045 | 113.045 | 103.119 | -0.000 | -0.000 | 0.000 |
| 0.000 | 0.000 | 0.000 | 120.138 | 0.000 | -0.000 |
| 0.000 | 0.000 | 0.000 | -0.000 | 120.138 | -0.000 |
| 0.000 | 0.000 | 0.000 | -0.000 | 0.000 | 120.138 |
| 103.119 | 113.045 | 113.045 | -0.000 | -0.000 | -0.000 |
| 113.045 | 103.119 | 113.045 | -0.000 | -0.000 | 0.000 |
| 113.045 | 113.045 | 103.119 | 0.000 | 0.000 | 0.000 |
| 0.000 | -0.000 | -0.000 | 120.138 | -0.000 | 0.000 |
| -0.000 | 0.000 | -0.000 | 0.000 | 120.138 | 0.000 |
| -0.000 | -0.000 | 0.000 | -0.000 | -0.000 | 120.138 |
| 103.118 | 113.045 | 113.045 | -0.000 | -0.000 | -0.000 |
| 113.045 | 103.118 | 113.045 | -0.000 | -0.000 | -0.000 |
| 113.045 | 113.045 | 103.118 | -0.000 | -0.000 | -0.000 |
| -0.000 | 0.000 | 0.000 | 120.138 | 0.000 | -0.000 |
| 0.000 | -0.000 | 0.000 | 0.000 | 120.138 | 0.000 |
| 0.000 | 0.000 | -0.000 | -0.000 | 0.000 | 120.138 |
| 103.119 | 113.045 | 113.045 | 0.000 | -0.000 | -0.000 |
| 113.045 | 103.119 | 113.045 | -0.000 | -0.000 | -0.000 |
| 113.045 | 113.045 | 103.119 | 0.000 | -0.000 | -0.000 |
| 0.000 | -0.000 | -0.000 | 120.138 | -0.000 | 0.000 |
| -0.000 | 0.000 | -0.000 | 0.000 | 120.138 | 0.000 |
| -0.000 | -0.000 | 0.000 | 0.000 | -0.000 | 120.138 |
| 103.118 | 113.045 | 113.045 | -0.000 | -0.000 | 0.000 |
| 113.045 | 103.118 | 113.045 | -0.000 | 0.000 | 0.000 |
| 113.045 | 113.045 | 103.118 | 0.000 | 0.000 | -0.000 |
| -0.000 | 0.000 | 0.000 | 120.138 | 0.000 | 0.000 |
| 0.000 | -0.000 | 0.000 | 0.000 | 120.138 | -0.000 |
| 0.000 | 0.000 | -0.000 | 0.000 | 0.000 | 120.138 |
| 167.104 | 187.234 | 187.234 | 0.000 | 0.000 | 0.000 |
| 187.234 | 167.104 | 187.234 | 0.000 | 0.000 | 0.000 |
| 187.234 | 187.234 | 167.104 | 0.000 | 0.000 | 0.000 |
| 0.000 | 0.000 | -0.000 | 167.705 | 0.000 | 0.000 |
| 0.000 | 0.000 | -0.000 | 0.000 | 167.705 | 0.000 |
| 0.000 | 0.000 | 0.000 | 0.000 | 0.000 | 167.705 |
| 167.104 | 187.234 | 187.234 | -0.000 | -0.000 | -0.000 |
| 187.234 | 167.104 | 187.234 | -0.000 | -0.000 | -0.000 |
| 187.234 | 187.234 | 167.104 | -0.000 | -0.000 | -0.000 |
| -0.000 | -0.000 | 0.000 | 167.705 | -0.000 | -0.000 |
| -0.000 | -0.000 | 0.000 | -0.000 | 167.705 | -0.000 |
| -0.000 | -0.000 | -0.000 | -0.000 | -0.000 | 167.705 |
| 167.104 | 187.234 | 187.234 | 0.000 | 0.000 | 0.000 |
| 187.234 | 167.104 | 187.234 | 0.000 | 0.000 | -0.000 |
| 187.234 | 187.234 | 167.104 | 0.000 | 0.000 | 0.000 |
| 0.000 | 0.000 | 0.000 | 173.076 | 0.000 | 0.000 |
| 0.000 | 0.000 | 0.000 | 0.000 | 173.076 | 0.000 |
| 0.000 | 0.000 | 0.000 | 0.000 | 0.000 | 173.076 |
| 167.104 | 187.234 | 187.234 | -0.000 | -0.000 | -0.000 |
| 187.234 | 167.104 | 187.234 | -0.000 | -0.000 | -0.000 |
| 187.234 | 187.234 | 167.104 | -0.000 | 0.000 | -0.000 |
| -0.000 | -0.000 | -0.000 | 173.076 | -0.000 | -0.000 |
| -0.000 | -0.000 | -0.000 | -0.000 | 173.076 | -0.000 |
| -0.000 | -0.000 | -0.000 | -0.000 | -0.000 | 173.076 |
| 167.105 | 187.234 | 187.234 | 0.000 | 0.000 | 0.000 |
| 187.234 | 167.105 | 187.234 | 0.000 | 0.000 | 0.000 |
| 187.234 | 187.234 | 167.105 | 0.000 | 0.000 | 0.000 |
| 0.001 | 0.000 | 0.001 | 167.705 | 0.000 | 0.000 |
| 0.000 | 0.001 | 0.001 | 0.000 | 167.705 | 0.000 |
| 0.000 | 0.001 | 0.001 | 0.000 | 0.000 | 167.705 |
| 167.103 | 187.233 | 187.233 | -0.000 | -0.000 | -0.000 |
| 187.233 | 167.103 | 187.233 | -0.000 | -0.000 | -0.000 |
| 187.233 | 187.233 | 167.103 | -0.000 | -0.000 | -0.000 |
| -0.001 | -0.000 | -0.001 | 167.705 | -0.000 | -0.000 |
| -0.000 | -0.001 | -0.001 | -0.000 | 167.705 | -0.000 |
| -0.000 | -0.001 | -0.001 | -0.000 | -0.000 | 167.705 |
| 35.985 | 7.957 | 7.957 | -0.000 | 0.000 | 0.000 |
| 7.957 | 35.985 | 7.957 | -0.000 | 0.000 | -0.000 |
| 7.957 | 7.957 | 35.985 | -0.000 | 0.000 | -0.000 |
| 0.000 | 0.000 | -0.000 | -0.879 | 0.000 | -0.000 |
| 0.000 | 0.000 | -0.000 | 0.000 | -0.879 | -0.000 |
| 0.000 | 0.000 | -0.000 | 0.000 | 0.000 | -0.879 |
| 35.985 | 7.957 | 7.957 | 0.000 | -0.000 | 0.000 |
| 7.957 | 35.985 | 7.957 | 0.000 | -0.000 | 0.000 |
| 7.957 | 7.957 | 35.985 | 0.000 | -0.000 | 0.000 |
| -0.000 | -0.000 | 0.000 | -0.879 | -0.000 | 0.000 |
| -0.000 | -0.000 | 0.000 | -0.000 | -0.879 | 0.000 |
| -0.000 | -0.000 | 0.000 | -0.000 | -0.000 | -0.879 |
| 35.984 | 7.957 | 7.957 | -0.000 | -0.000 | -0.000 |
| 7.957 | 35.984 | 7.957 | -0.000 | 0.000 | -0.000 |
| 7.957 | 7.957 | 35.984 | 0.000 | 0.000 | -0.000 |
| -0.000 | -0.000 | -0.000 | 7.867 | 0.000 | -0.000 |
| -0.000 | -0.000 | -0.000 | 0.000 | 7.867 | -0.000 |
| -0.000 | -0.000 | -0.000 | 0.000 | 0.000 | 7.867 |
| 35.985 | 7.957 | 7.957 | 0.000 | -0.000 | 0.000 |
| 7.957 | 35.985 | 7.957 | 0.000 | 0.000 | 0.000 |
| 7.957 | 7.957 | 35.985 | 0.000 | -0.000 | 0.000 |
| 0.000 | 0.000 | 0.000 | 7.867 | -0.000 | -0.000 |
| 0.000 | 0.000 | 0.000 | -0.000 | 7.867 | 0.000 |
| 0.000 | 0.000 | 0.000 | -0.000 | -0.000 | 7.867 |
| 35.981 | 7.957 | 7.957 | -0.000 | 0.000 | -0.000 |
| 7.957 | 35.981 | 7.957 | -0.000 | 0.000 | -0.000 |
| 7.957 | 7.957 | 35.981 | 0.000 | 0.000 | -0.000 |
| -0.000 | 0.000 | 0.000 | -4.293 | 0.000 | -0.000 |
| 0.000 | -0.000 | 0.000 | 0.000 | -4.293 | -0.000 |
| 0.000 | 0.000 | -0.000 | 0.000 | 0.000 | -4.293 |
| 35.989 | 7.957 | 7.957 | 0.000 | -0.000 | 0.000 |
| 7.957 | 35.989 | 7.957 | 0.000 | 0.000 | 0.000 |
| 7.957 | 7.957 | 35.989 | 0.000 | -0.000 | 0.000 |
| 0.000 | -0.000 | -0.000 | -4.293 | -0.000 | 0.000 |
| -0.000 | 0.000 | -0.000 | 0.000 | -4.293 | 0.000 |
| -0.000 | -0.000 | 0.000 | -0.000 | -0.000 | -4.293 |
| 5.573 | 2.644 | 2.644 | -0.000 | -0.000 | 0.000 |
| 2.644 | 5.573 | 2.644 | -0.000 | -0.000 | 0.000 |
| 2.644 | 2.644 | 5.573 | -0.000 | -0.000 | 0.000 |
| 0.000 | 0.000 | 0.000 | 2.493 | -0.000 | -0.000 |
| 0.000 | 0.000 | 0.000 | -0.000 | 2.493 | 0.000 |
| 0.000 | 0.000 | 0.000 | -0.000 | -0.000 | 2.493 |
| 4739203.094 | 1142.895 | 1142.895 | 0.000 | 0.000 | -0.000 |
| 1142.895 | 4739203.094 | 1142.895 | 0.000 | 0.000 | -0.000 |
| 1142.895 | 1142.895 | 4739203.094 | 0.000 | 0.000 | -0.000 |
| -0.000 | -0.000 | -0.000 | 2.493 | 0.000 | 0.000 |
| -0.000 | -0.000 | -0.000 | 0.000 | 2.493 | -0.000 |
| -0.000 | -0.000 | -0.000 | 0.000 | 0.000 | 2.493 |
| 5.571 | 2.644 | 2.644 | -0.000 | -0.000 | -0.000 |
| 2.644 | 5.571 | 2.644 | -0.000 | -0.000 | 0.000 |
| 2.644 | 2.644 | 5.571 | -0.000 | -0.000 | -0.000 |
| 0.000 | 0.000 | 0.000 | 2.493 | -0.000 | 0.000 |
| 0.000 | 0.000 | 0.000 | -0.000 | 2.493 | 0.000 |
| 0.000 | 0.000 | 0.000 | -0.000 | -0.000 | 2.493 |
| 473922.533 | 116.670 | 116.670 | 0.000 | 0.000 | -0.000 |
| 116.670 | 473922.533 | 116.670 | 0.000 | 0.000 | -0.000 |
| 116.670 | 116.670 | 473922.533 | 0.000 | 0.000 | -0.000 |
| -0.000 | -0.000 | -0.000 | 2.493 | 0.000 | 0.000 |
| -0.000 | -0.000 | -0.000 | 0.000 | 2.493 | -0.000 |
| -0.000 | -0.000 | -0.000 | 0.000 | 0.000 | 2.493 |
| 5.560 | 2.645 | 2.645 | -0.000 | -0.000 | -0.000 |
| 2.645 | 5.560 | 2.645 | -0.000 | -0.000 | 0.000 |
| 2.645 | 2.645 | 5.560 | -0.000 | -0.000 | -0.000 |
| 0.001 | 0.001 | 0.001 | 2.493 | -0.000 | -0.000 |
| 0.001 | 0.001 | 0.001 | -0.000 | 2.493 | 0.000 |
| 0.001 | 0.001 | 0.001 | -0.000 | -0.000 | 2.493 |
| 47394.476 | 14.047 | 14.047 | 0.000 | 0.000 | -0.000 |
| 14.047 | 47394.476 | 14.047 | 0.000 | 0.000 | 0.000 |
| 14.047 | 14.047 | 47394.476 | 0.000 | 0.000 | -0.000 |
| -0.001 | -0.001 | -0.001 | 2.493 | 0.000 | -0.000 |
| -0.001 | -0.001 | -0.001 | 0.000 | 2.493 | -0.000 |
| -0.001 | -0.001 | -0.001 | 0.000 | 0.000 | 2.493 |
| 1.196 | 1.196 | 1.196 | -0.000 | -0.000 | -0.000 |
| 1.196 | 1.196 | 1.196 | -0.000 | -0.000 | -0.000 |
| 1.196 | 1.196 | 1.196 | -0.000 | -0.000 | -0.000 |
| -0.000 | -0.000 | -0.000 | 1.223 | -0.000 | -0.000 |
| -0.000 | -0.000 | -0.000 | -0.000 | 1.223 | -0.000 |
| -0.000 | -0.000 | -0.000 | -0.000 | 0.000 | 1.223 |
| 1.196 | 1.196 | 1.196 | 0.000 | 0.000 | 0.000 |
| 1.196 | 1.196 | 1.196 | 0.000 | 0.000 | 0.000 |
| 1.196 | 1.196 | 1.196 | 0.000 | 0.000 | -0.000 |
| 0.000 | 0.000 | 0.000 | 1.223 | 0.000 | 0.000 |
| 0.000 | 0.000 | 0.000 | 0.000 | 1.223 | 0.000 |
| 0.000 | 0.000 | 0.000 | -0.000 | 0.000 | 1.223 |
| 1.196 | 1.196 | 1.196 | 0.000 | 0.000 | -0.000 |
| 1.196 | 1.196 | 1.196 | 0.000 | 0.000 | -0.000 |
| 1.196 | 1.196 | 1.196 | 0.000 | 0.000 | -0.000 |
| -0.000 | -0.000 | -0.000 | 1.094 | 0.000 | -0.000 |
| -0.000 | -0.000 | -0.000 | 0.000 | 1.094 | -0.000 |
| -0.000 | -0.000 | -0.000 | 0.000 | 0.000 | 1.094 |
| 1.196 | 1.196 | 1.196 | -0.000 | -0.000 | 0.000 |
| 1.196 | 1.196 | 1.196 | -0.000 | -0.000 | 0.000 |
| 1.196 | 1.196 | 1.196 | -0.000 | -0.000 | 0.000 |
| 0.000 | 0.000 | 0.000 | 1.094 | -0.000 | 0.000 |
| 0.000 | 0.000 | 0.000 | -0.000 | 1.094 | 0.000 |
| 0.000 | 0.000 | 0.000 | 0.000 | -0.000 | 1.094 |
| 1.196 | 1.196 | 1.196 | -0.000 | -0.000 | -0.000 |
| 1.196 | 1.196 | 1.196 | -0.000 | -0.000 | -0.000 |
| 1.196 | 1.196 | 1.196 | 0.000 | 0.000 | -0.000 |
| -0.000 | -0.000 | -0.000 | 1.094 | 0.000 | 0.000 |
| -0.000 | -0.000 | -0.000 | 0.000 | 1.094 | -0.000 |
| -0.000 | -0.000 | -0.000 | 0.000 | -0.000 | 1.094 |
| 1.196 | 1.196 | 1.196 | -0.000 | 0.000 | 0.000 |
| 1.196 | 1.196 | 1.196 | 0.000 | -0.000 | 0.000 |
| 1.196 | 1.196 | 1.196 | 0.000 | 0.000 | -0.000 |
| 0.000 | 0.000 | 0.000 | 1.094 | -0.000 | -0.000 |
| 0.000 | 0.000 | 0.000 | -0.000 | 1.094 | -0.000 |
| 0.000 | 0.000 | 0.000 | 0.000 | 0.000 | 1.094 |
| -0.006 | -0.006 | -0.006 | 0.000 | 0.000 | 0.000 |
| -0.006 | -0.006 | -0.006 | 0.000 | 0.000 | 0.000 |
| -0.006 | -0.006 | -0.006 | 0.000 | 0.000 | -0.000 |
| 0.000 | 0.000 | 0.000 | -0.006 | 0.000 | 0.000 |
| 0.000 | 0.000 | 0.000 | 0.000 | -0.006 | 0.000 |
| 0.000 | 0.000 | 0.000 | -0.000 | -0.000 | -0.006 |
| -0.006 | -0.006 | -0.006 | -0.000 | -0.000 | -0.000 |
| -0.006 | -0.006 | -0.006 | -0.000 | -0.000 | -0.000 |
| -0.006 | -0.006 | -0.006 | -0.000 | -0.000 | 0.000 |
| -0.000 | -0.000 | -0.000 | -0.006 | -0.000 | 0.000 |
| -0.000 | -0.000 | -0.000 | -0.000 | -0.006 | 0.000 |
| -0.000 | -0.000 | -0.000 | -0.000 | -0.000 | -0.006 |
| -0.006 | -0.006 | -0.006 | 0.000 | -0.000 | -0.000 |
| -0.006 | -0.006 | -0.006 | -0.000 | 0.000 | -0.000 |
| -0.006 | -0.006 | -0.006 | -0.000 | -0.000 | 0.000 |
| 0.000 | 0.000 | 0.000 | -0.006 | -0.000 | -0.000 |
| 0.000 | 0.000 | 0.000 | -0.000 | -0.006 | -0.000 |
| 0.000 | 0.000 | 0.000 | -0.000 | -0.000 | -0.006 |
| -0.006 | -0.006 | -0.006 | -0.000 | -0.000 | 0.000 |
| -0.006 | -0.006 | -0.006 | -0.000 | -0.000 | 0.000 |
| -0.006 | -0.006 | -0.006 | 0.000 | 0.000 | -0.000 |
| -0.000 | -0.000 | -0.000 | -0.006 | 0.000 | 0.000 |
| -0.000 | -0.000 | -0.000 | 0.000 | -0.006 | 0.000 |
| -0.000 | -0.000 | -0.000 | 0.000 | -0.000 | -0.006 |
| 0.899 | 1.035 | 1.035 | 0.000 | 0.000 | -0.000 |
| 1.035 | 0.899 | 1.035 | 0.000 | 0.000 | -0.000 |
| 1.035 | 1.035 | 0.899 | 0.000 | 0.000 | 0.000 |
| -0.000 | -0.000 | -0.000 | 0.888 | 0.000 | 0.000 |
| -0.000 | -0.000 | -0.000 | 0.000 | 0.888 | -0.000 |
| -0.000 | -0.000 | -0.000 | 0.000 | 0.000 | 0.888 |
| 0.899 | 1.035 | 1.035 | -0.000 | -0.000 | 0.000 |
| 1.035 | 0.899 | 1.035 | -0.000 | -0.000 | -0.000 |
| 1.035 | 1.035 | 0.899 | -0.000 | -0.000 | -0.000 |
| 0.000 | 0.000 | 0.000 | 0.888 | -0.000 | -0.000 |
| 0.000 | 0.000 | 0.000 | -0.000 | 0.888 | -0.000 |
| 0.000 | 0.000 | 0.000 | -0.000 | -0.000 | 0.888 |
| 0.899 | 1.034 | 1.034 | 0.000 | 0.000 | -0.000 |
| 1.034 | 0.899 | 1.034 | 0.000 | 0.000 | 0.000 |
| 1.034 | 1.034 | 0.899 | 0.000 | 0.000 | 0.000 |
| -0.000 | -0.000 | -0.000 | 0.888 | 0.000 | 0.000 |
| -0.000 | -0.000 | -0.000 | 0.000 | 0.888 | 0.000 |
| -0.000 | -0.000 | -0.000 | 0.000 | 0.000 | 0.888 |
| 0.900 | 1.035 | 1.035 | -0.000 | -0.000 | -0.000 |
| 1.035 | 0.900 | 1.035 | -0.000 | -0.000 | -0.000 |
| 1.035 | 1.035 | 0.900 | -0.000 | -0.000 | -0.000 |
| 0.000 | 0.000 | 0.000 | 0.888 | -0.000 | -0.000 |
| 0.000 | 0.000 | 0.000 | -0.000 | 0.888 | -0.000 |
| 0.000 | 0.000 | 0.000 | -0.000 | -0.000 | 0.888 |
| 0.897 | 1.032 | 1.032 | 0.000 | 0.000 | 0.000 |
| 1.032 | 0.897 | 1.032 | 0.000 | 0.000 | 0.000 |
| 1.032 | 1.032 | 0.897 | 0.000 | 0.000 | 0.000 |
| -0.002 | -0.002 | -0.002 | 0.849 | 0.000 | 0.000 |
| -0.002 | -0.002 | -0.002 | 0.000 | 0.849 | 0.000 |
| -0.002 | -0.002 | -0.002 | 0.000 | 0.000 | 0.849 |
| 0.902 | 1.037 | 1.037 | -0.000 | -0.000 | -0.000 |
| 1.037 | 0.902 | 1.037 | -0.000 | -0.000 | -0.000 |
| 1.037 | 1.037 | 0.902 | -0.000 | -0.000 | -0.000 |
| 0.002 | 0.002 | 0.002 | 0.849 | -0.000 | 0.000 |
| 0.002 | 0.002 | 0.002 | -0.000 | 0.849 | -0.000 |
| 0.002 | 0.002 | 0.002 | -0.000 | -0.000 | 0.849 |
| 558.019 | 7.447 | 7.447 | 0.000 | -0.000 | 0.000 |
| 7.447 | 558.019 | 7.447 | 0.000 | -0.000 | 0.000 |
| 7.447 | 7.447 | 558.019 | 0.000 | -0.000 | 0.000 |
| -0.000 | 0.000 | 0.000 | -15.058 | 0.000 | 0.000 |
| -0.000 | 0.000 | 0.000 | 0.000 | -15.058 | 0.000 |
| -0.000 | -0.000 | 0.000 | 0.000 | -0.000 | -15.058 |
| 558.019 | 7.447 | 7.447 | -0.000 | -0.000 | -0.000 |
| 7.447 | 558.019 | 7.447 | -0.000 | 0.000 | -0.000 |
| 7.447 | 7.447 | 558.019 | -0.000 | -0.000 | -0.000 |
| 0.000 | -0.000 | -0.000 | -15.058 | -0.000 | -0.000 |
| 0.000 | -0.000 | -0.000 | -0.000 | -15.058 | -0.000 |
| 0.000 | 0.000 | -0.000 | -0.000 | 0.000 | -15.058 |
| 558.020 | 7.447 | 7.447 | 0.000 | -0.000 | 0.000 |
| 7.447 | 558.020 | 7.447 | 0.000 | -0.000 | 0.000 |
| 7.447 | 7.447 | 558.020 | 0.000 | -0.000 | 0.000 |
| 0.000 | 0.000 | 0.000 | -15.058 | 0.000 | 0.000 |
| 0.000 | 0.000 | 0.000 | 0.000 | -15.058 | 0.000 |
| 0.000 | 0.000 | 0.000 | 0.000 | 0.000 | -15.058 |
| 558.019 | 7.447 | 7.447 | -0.000 | 0.000 | -0.000 |
| 7.447 | 558.019 | 7.447 | -0.000 | -0.000 | -0.000 |
| 7.447 | 7.447 | 558.019 | -0.000 | 0.000 | -0.000 |
| -0.000 | -0.000 | -0.000 | -15.058 | -0.000 | -0.000 |
| -0.000 | -0.000 | -0.000 | -0.000 | -15.058 | -0.000 |
| -0.000 | -0.000 | -0.000 | -0.000 | -0.000 | -15.058 |
| 558.025 | 7.448 | 7.448 | 0.000 | 0.000 | 0.000 |
| 7.448 | 558.025 | 7.448 | 0.000 | 0.000 | 0.000 |
| 7.448 | 7.448 | 558.025 | 0.000 | -0.000 | 0.000 |
| 0.000 | 0.001 | 0.000 | -15.058 | 0.000 | 0.000 |
| 0.001 | 0.000 | 0.000 | 0.000 | -15.058 | 0.000 |
| 0.001 | 0.000 | 0.000 | 0.000 | -0.000 | -15.058 |
| 558.014 | 7.447 | 7.447 | -0.000 | 0.000 | -0.000 |
| 7.447 | 558.014 | 7.447 | -0.000 | 0.000 | -0.000 |
| 7.447 | 7.447 | 558.014 | -0.000 | -0.000 | -0.000 |
| -0.000 | -0.001 | -0.000 | -15.058 | -0.000 | -0.000 |
| -0.001 | -0.000 | -0.000 | -0.000 | -15.058 | -0.000 |
| -0.001 | -0.000 | -0.000 | -0.000 | 0.000 | -15.058 |
| 2.061 | 0.052 | 0.052 | -0.000 | -0.000 | 0.000 |
| 0.052 | 2.061 | 0.052 | -0.000 | -0.000 | -0.000 |
| 0.052 | 0.052 | 2.061 | -0.000 | -0.000 | -0.000 |
| 0.000 | -0.000 | 0.000 | -0.052 | -0.000 | 0.000 |
| -0.000 | 0.000 | 0.000 | -0.000 | -0.052 | -0.000 |
| 0.000 | 0.000 | 0.000 | -0.000 | -0.000 | -0.052 |
| 2.062 | 0.052 | 0.052 | 0.000 | 0.000 | 0.000 |
| 0.052 | 2.062 | 0.052 | 0.000 | 0.000 | -0.000 |
| 0.052 | 0.052 | 2.062 | -0.000 | -0.000 | 0.000 |
| -0.000 | -0.000 | -0.000 | -0.052 | 0.000 | 0.000 |
| -0.000 | -0.000 | -0.000 | 0.000 | -0.052 | 0.000 |
| -0.000 | -0.000 | -0.000 | 0.000 | 0.000 | -0.052 |
| 2.060 | 0.052 | 0.052 | -0.000 | -0.000 | -0.000 |
| 0.052 | 2.060 | 0.052 | -0.000 | -0.000 | 0.000 |
| 0.052 | 0.052 | 2.060 | 0.000 | 0.000 | -0.000 |
| 0.000 | 0.000 | -0.000 | -0.052 | -0.000 | 0.000 |
| 0.000 | 0.000 | -0.000 | -0.000 | -0.052 | -0.000 |
| 0.000 | -0.000 | 0.000 | -0.000 | -0.000 | -0.052 |
| 2.063 | 0.052 | 0.052 | 0.000 | 0.000 | 0.000 |
| 0.052 | 2.063 | 0.052 | 0.000 | 0.000 | 0.000 |
| 0.052 | 0.052 | 2.063 | -0.000 | -0.000 | -0.000 |
| -0.000 | -0.000 | 0.000 | -0.052 | 0.000 | 0.000 |
| -0.000 | -0.000 | 0.000 | 0.000 | -0.052 | 0.000 |
| -0.000 | 0.000 | -0.000 | 0.000 | 0.000 | -0.052 |
| 2.047 | 0.052 | 0.052 | -0.000 | -0.000 | 0.000 |
| 0.052 | 2.047 | 0.052 | -0.000 | -0.000 | -0.000 |
| 0.052 | 0.052 | 2.047 | 0.000 | 0.000 | 0.000 |
| 0.000 | 0.000 | -0.000 | -0.052 | 0.000 | -0.000 |
| 0.000 | 0.000 | -0.000 | -0.000 | -0.052 | -0.000 |
| 0.000 | -0.000 | 0.000 | -0.000 | -0.000 | -0.052 |
| 2.076 | 0.052 | 0.052 | 0.000 | 0.000 | -0.000 |
| 0.052 | 2.076 | 0.052 | 0.000 | 0.000 | 0.000 |
| 0.052 | 0.052 | 2.076 | 0.000 | 0.000 | 0.000 |
| -0.000 | -0.000 | 0.000 | -0.052 | -0.000 | -0.000 |
| -0.000 | -0.000 | 0.000 | 0.000 | -0.052 | 0.000 |
| -0.000 | 0.000 | -0.000 | 0.000 | 0.000 | -0.052 |
| 140.411 | 160.872 | 160.872 | -0.000 | -0.000 | -0.000 |
| 160.872 | 140.411 | 160.872 | -0.000 | -0.000 | 0.000 |
| 160.872 | 160.872 | 140.411 | -0.000 | -0.000 | 0.000 |
| 0.000 | 0.000 | -0.000 | 148.842 | -0.000 | -0.000 |
| 0.000 | 0.000 | -0.000 | 0.000 | 148.842 | 0.000 |
| 0.000 | 0.000 | -0.000 | 0.000 | 0.000 | 148.842 |
| 140.411 | 160.872 | 160.872 | -0.000 | -0.000 | -0.000 |
| 160.872 | 140.411 | 160.872 | 0.000 | 0.000 | -0.000 |
| 160.872 | 160.872 | 140.411 | -0.000 | -0.000 | -0.000 |
| -0.000 | -0.000 | 0.000 | 148.842 | -0.000 | -0.000 |
| -0.000 | -0.000 | 0.000 | 0.000 | 148.842 | -0.000 |
| -0.000 | -0.000 | 0.000 | 0.000 | -0.000 | 148.842 |
| 140.411 | 160.872 | 160.872 | 0.000 | -0.000 | 0.000 |
| 160.872 | 140.411 | 160.872 | 0.000 | -0.000 | 0.000 |
| 160.872 | 160.872 | 140.411 | 0.000 | -0.000 | 0.000 |
| 0.000 | 0.000 | 0.000 | 148.842 | -0.000 | 0.000 |
| 0.000 | 0.000 | 0.000 | 0.000 | 148.842 | 0.000 |
| 0.000 | 0.000 | 0.000 | -0.000 | -0.000 | 148.842 |
| 140.411 | 160.872 | 160.872 | 0.000 | -0.000 | -0.000 |
| 160.872 | 140.411 | 160.872 | -0.000 | 0.000 | 0.000 |
| 160.872 | 160.872 | 140.411 | 0.000 | 0.000 | -0.000 |
| -0.000 | -0.000 | -0.000 | 148.842 | 0.000 | -0.000 |
| -0.000 | -0.000 | -0.000 | -0.000 | 148.842 | -0.000 |
| -0.000 | -0.000 | -0.000 | 0.000 | 0.000 | 148.842 |
| 140.411 | 160.872 | 160.872 | -0.000 | -0.000 | 0.000 |
| 160.872 | 140.411 | 160.872 | 0.000 | -0.000 | 0.000 |
| 160.872 | 160.872 | 140.411 | -0.000 | -0.000 | 0.000 |
| 0.001 | 0.000 | 0.001 | 148.842 | -0.000 | 0.000 |
| 0.000 | 0.001 | 0.001 | -0.000 | 148.842 | 0.000 |
| 0.000 | 0.001 | 0.001 | -0.000 | -0.000 | 148.842 |
| 140.410 | 160.872 | 160.872 | 0.000 | 0.000 | -0.000 |
| 160.872 | 140.410 | 160.872 | -0.000 | -0.000 | -0.000 |
| 160.872 | 160.872 | 140.410 | 0.000 | 0.000 | -0.000 |
| -0.001 | -0.000 | -0.001 | 148.842 | 0.000 | -0.000 |
| -0.000 | -0.001 | -0.001 | -0.000 | 148.842 | -0.000 |
| -0.000 | -0.001 | -0.001 | 0.000 | 0.000 | 148.842 |
| 1.130 | 1.310 | 1.310 | -0.000 | 0.000 | 0.000 |
| 1.310 | 1.130 | 1.310 | -0.000 | -0.000 | 0.000 |
| 1.310 | 1.310 | 1.130 | -0.000 | 0.000 | -0.000 |
| -0.000 | -0.000 | -0.000 | 1.130 | 0.000 | -0.000 |
| -0.000 | -0.000 | -0.000 | -0.000 | 1.130 | -0.000 |
| -0.000 | -0.000 | -0.000 | -0.000 | -0.000 | 1.130 |
| 1.130 | 1.311 | 1.311 | 0.000 | -0.000 | -0.000 |
| 1.311 | 1.130 | 1.311 | 0.000 | 0.000 | -0.000 |
| 1.311 | 1.311 | 1.130 | -0.000 | -0.000 | -0.000 |
| 0.000 | 0.000 | 0.000 | 1.130 | -0.000 | 0.000 |
| 0.000 | 0.000 | 0.000 | 0.000 | 1.130 | -0.000 |
| 0.000 | 0.000 | 0.000 | 0.000 | 0.000 | 1.130 |
| 1.130 | 1.310 | 1.310 | -0.000 | 0.000 | 0.000 |
| 1.310 | 1.130 | 1.310 | -0.000 | 0.000 | 0.000 |
| 1.310 | 1.310 | 1.130 | -0.000 | 0.000 | -0.000 |
| -0.000 | -0.000 | -0.000 | 1.130 | 0.000 | -0.000 |
| -0.000 | -0.000 | -0.000 | -0.000 | 1.130 | 0.000 |
| -0.000 | -0.000 | -0.000 | 0.000 | 0.000 | 1.130 |
| 1.130 | 1.311 | 1.311 | 0.000 | -0.000 | 0.000 |
| 1.311 | 1.130 | 1.311 | -0.000 | -0.000 | 0.000 |
| 1.311 | 1.311 | 1.130 | -0.000 | -0.000 | 0.000 |
| 0.000 | 0.000 | 0.000 | 1.130 | -0.000 | -0.000 |
| 0.000 | 0.000 | 0.000 | 0.000 | 1.130 | 0.000 |
| 0.000 | 0.000 | 0.000 | 0.000 | 0.000 | 1.130 |
| 1.127 | 1.308 | 1.308 | -0.000 | 0.000 | -0.000 |
| 1.308 | 1.127 | 1.308 | -0.000 | 0.000 | -0.000 |
| 1.308 | 1.308 | 1.127 | -0.000 | -0.000 | 0.000 |
| -0.003 | -0.003 | -0.003 | 1.130 | 0.000 | -0.000 |
| -0.003 | -0.003 | -0.003 | -0.000 | 1.130 | 0.000 |
| -0.003 | -0.003 | -0.003 | -0.000 | 0.000 | 1.130 |
| 1.133 | 1.313 | 1.313 | -0.000 | -0.000 | 0.000 |
| 1.313 | 1.133 | 1.313 | 0.000 | -0.000 | 0.000 |
| 1.313 | 1.313 | 1.133 | 0.000 | -0.000 | 0.000 |
| 0.003 | 0.003 | 0.003 | 1.130 | -0.000 | 0.000 |
| 0.003 | 0.003 | 0.003 | 0.000 | 1.130 | 0.000 |
| 0.003 | 0.003 | 0.003 | 0.000 | -0.000 | 1.130 |
| -1.796 | 53.627 | 53.627 | 0.000 | -0.000 | -0.000 |
| 53.627 | -1.796 | 53.627 | -0.000 | 0.000 | -0.000 |
| 53.627 | 53.627 | -1.796 | -0.000 | -0.000 | -0.000 |
| -0.000 | 0.000 | 0.000 | 46.051 | -0.000 | 0.000 |
| -0.000 | 0.000 | 0.000 | -0.000 | 46.051 | 0.000 |
| -0.000 | 0.000 | -0.000 | -0.000 | 0.000 | 46.051 |
| -1.796 | 53.627 | 53.627 | -0.000 | 0.000 | 0.000 |
| 53.627 | -1.796 | 53.627 | 0.000 | 0.000 | 0.000 |
| 53.627 | 53.627 | -1.796 | 0.000 | 0.000 | 0.000 |
| 0.000 | 0.000 | -0.000 | 46.051 | -0.000 | 0.000 |
| 0.000 | -0.000 | -0.000 | -0.000 | 46.051 | 0.000 |
| 0.000 | 0.000 | -0.000 | -0.000 | -0.000 | 46.051 |
| -1.795 | 53.627 | 53.627 | -0.000 | -0.000 | -0.000 |
| 53.627 | -1.795 | 53.627 | -0.000 | 0.000 | 0.000 |
| 53.627 | 53.627 | -1.795 | -0.000 | -0.000 | -0.000 |
| 0.000 | 0.000 | 0.000 | 46.051 | 0.000 | -0.000 |
| 0.000 | 0.000 | 0.000 | 0.000 | 46.051 | 0.000 |
| 0.000 | 0.000 | 0.000 | 0.000 | 0.000 | 46.051 |
| -1.796 | 53.627 | 53.627 | -0.000 | -0.000 | 0.000 |
| 53.627 | -1.796 | 53.627 | 0.000 | -0.000 | -0.000 |
| 53.627 | 53.627 | -1.796 | 0.000 | -0.000 | -0.000 |
| -0.000 | -0.000 | -0.000 | 46.051 | -0.000 | 0.000 |
| -0.000 | -0.000 | -0.000 | 0.000 | 46.051 | -0.000 |
| -0.000 | -0.000 | -0.000 | 0.000 | -0.000 | 46.051 |
| -1.795 | 53.627 | 53.627 | 0.000 | 0.000 | -0.000 |
| 53.627 | -1.795 | 53.627 | -0.000 | 0.000 | 0.000 |
| 53.627 | 53.627 | -1.795 | 0.000 | 0.000 | 0.000 |
| 0.000 | 0.000 | 0.000 | 46.051 | -0.000 | 0.000 |
| 0.000 | 0.000 | 0.000 | -0.000 | 46.051 | 0.000 |
| 0.000 | 0.000 | 0.000 | -0.000 | 0.000 | 46.051 |
| -1.796 | 53.627 | 53.627 | 0.000 | 0.000 | 0.000 |
| 53.627 | -1.796 | 53.627 | 0.000 | -0.000 | 0.000 |
| 53.627 | 53.627 | -1.796 | 0.000 | -0.000 | 0.000 |
| -0.000 | -0.000 | -0.000 | 46.051 | -0.000 | -0.000 |
| -0.000 | -0.000 | -0.000 | -0.000 | 46.051 | -0.000 |
| -0.000 | -0.000 | -0.000 | -0.000 | -0.000 | 46.051 |
| 0.282 | 0.328 | 0.328 | -0.000 | 0.000 | 0.000 |
| 0.328 | 0.282 | 0.328 | -0.000 | 0.000 | 0.000 |
| 0.328 | 0.328 | 0.282 | 0.000 | 0.000 | -0.000 |
| -0.000 | -0.000 | -0.000 | 0.282 | 0.000 | -0.000 |
| -0.000 | -0.000 | -0.000 | 0.000 | 0.282 | -0.000 |
| -0.000 | -0.000 | -0.000 | 0.000 | 0.000 | 0.282 |
| 0.282 | 0.328 | 0.328 | -0.000 | -0.000 | 0.000 |
| 0.328 | 0.282 | 0.328 | -0.000 | -0.000 | -0.000 |
| 0.328 | 0.328 | 0.282 | 0.000 | 0.000 | 0.000 |
| 0.000 | 0.000 | 0.000 | 0.218 | 0.000 | 0.000 |
| 0.000 | 0.000 | 0.000 | 0.000 | 0.218 | 0.000 |
| 0.000 | 0.000 | 0.000 | 0.000 | -0.000 | 0.282 |
| 0.282 | 0.328 | 0.328 | -0.000 | -0.000 | -0.000 |
| 0.328 | 0.282 | 0.328 | -0.000 | 0.000 | -0.000 |
| 0.328 | 0.328 | 0.282 | -0.000 | -0.000 | -0.000 |
| -0.000 | -0.000 | -0.000 | 0.042 | -0.000 | -0.000 |
| -0.000 | -0.000 | -0.000 | -0.000 | 0.042 | -0.000 |
| -0.000 | -0.000 | -0.000 | -0.000 | -0.000 | 0.042 |
| 0.283 | 0.328 | 0.328 | 0.000 | 0.000 | 0.000 |
| 0.328 | 0.283 | 0.328 | 0.000 | 0.000 | 0.000 |
| 0.328 | 0.328 | 0.283 | 0.000 | -0.000 | 0.000 |
| 0.000 | 0.000 | 0.000 | 0.042 | 0.000 | 0.000 |
| 0.000 | 0.000 | 0.000 | 0.000 | 0.042 | 0.000 |
| 0.000 | 0.000 | 0.000 | 0.000 | 0.000 | 0.042 |
| 0.282 | 0.327 | 0.327 | -0.000 | 0.000 | -0.000 |
| 0.327 | 0.282 | 0.327 | -0.000 | 0.000 | 0.000 |
| 0.327 | 0.327 | 0.282 | -0.000 | -0.000 | -0.000 |
| -0.000 | -0.000 | -0.000 | -0.039 | -0.000 | -0.000 |
| -0.000 | -0.000 | -0.000 | -0.000 | -0.039 | -0.000 |
| -0.000 | -0.000 | -0.000 | -0.000 | -0.000 | -0.039 |
| 0.283 | 0.328 | 0.328 | 0.000 | -0.000 | -0.000 |
| 0.328 | 0.283 | 0.328 | -0.000 | -0.000 | 0.000 |
| 0.328 | 0.328 | 0.283 | 0.000 | -0.000 | -0.000 |
| 0.000 | 0.000 | 0.000 | -0.039 | 0.000 | 0.000 |
| 0.000 | 0.000 | 0.000 | 0.000 | -0.039 | 0.000 |
| 0.000 | 0.000 | 0.000 | 0.000 | 0.000 | -0.039 |
| 293.145 | 55.713 | 134.408 | -0.000 | -0.000 | 0.000 |
| 55.713 | 293.145 | 134.408 | -0.000 | -0.000 | 0.000 |
| 134.408 | 134.408 | 211.712 | -0.000 | 0.000 | 0.000 |
| -0.000 | -0.000 | -0.000 | 118.104 | -0.000 | 0.000 |
| -0.000 | -0.000 | -0.000 | -0.000 | 118.104 | 0.000 |
| -0.000 | -0.000 | -0.000 | -0.000 | 0.000 | 39.914 |
| 293.145 | 55.713 | 134.408 | 0.000 | 0.000 | -0.000 |
| 55.713 | 293.145 | 134.408 | 0.000 | 0.000 | -0.000 |
| 134.408 | 134.408 | 211.712 | 0.000 | -0.000 | -0.000 |
| 0.000 | 0.000 | 0.000 | 118.104 | 0.000 | -0.000 |
| 0.000 | 0.000 | 0.000 | 0.000 | 118.104 | -0.000 |
| 0.000 | 0.000 | 0.000 | 0.000 | 0.000 | 39.914 |
| 293.145 | 55.713 | 134.408 | -0.000 | 0.000 | -0.000 |
| 55.713 | 293.145 | 134.408 | -0.000 | 0.000 | 0.000 |
| 134.408 | 134.408 | 211.712 | -0.000 | 0.000 | 0.000 |
| -0.000 | -0.000 | -0.000 | 118.104 | 0.000 | 0.000 |
| -0.000 | -0.000 | -0.000 | -0.000 | 118.104 | 0.000 |
| -0.000 | -0.000 | -0.000 | -0.000 | -0.000 | 39.914 |
| 293.145 | 55.713 | 134.408 | -0.000 | -0.000 | -0.000 |
| 55.713 | 293.145 | 134.408 | 0.000 | -0.000 | -0.000 |
| 134.408 | 134.408 | 211.713 | -0.000 | -0.000 | -0.000 |
| 0.000 | 0.000 | 0.000 | 118.104 | -0.000 | -0.000 |
| 0.000 | 0.000 | 0.000 | -0.000 | 118.104 | -0.000 |
| 0.000 | 0.000 | 0.000 | 0.000 | 0.000 | 39.914 |
| 293.144 | 55.712 | 134.408 | 0.000 | -0.000 | 0.000 |
| 55.712 | 293.144 | 134.408 | -0.000 | 0.000 | 0.000 |
| 134.407 | 134.407 | 211.709 | -0.000 | -0.000 | 0.000 |
| -0.000 | -0.000 | -0.000 | 118.104 | 0.000 | 0.000 |
| -0.000 | -0.000 | -0.000 | -0.000 | 118.104 | 0.000 |
| -0.001 | -0.001 | -0.000 | 0.000 | 0.000 | 39.914 |
| 293.147 | 55.714 | 134.408 | -0.000 | -0.000 | 0.000 |
| 55.714 | 293.147 | 134.408 | -0.000 | -0.000 | -0.000 |
| 134.408 | 134.408 | 211.716 | 0.000 | 0.000 | -0.000 |
| 0.000 | 0.000 | 0.000 | 118.104 | -0.000 | -0.000 |
| 0.000 | 0.000 | 0.000 | -0.000 | 118.104 | -0.000 |
| 0.001 | 0.001 | 0.000 | 0.000 | 0.000 | 39.914 |
| 5.370 | 0.236 | 0.266 | -0.000 | -0.000 | -0.000 |
| 0.236 | 5.370 | 0.266 | -0.000 | -0.000 | -0.000 |
| 0.346 | 0.346 | 0.451 | 0.000 | -0.000 | -0.000 |
| 0.000 | 0.000 | 0.000 | 0.262 | -0.000 | 0.000 |
| 0.000 | 0.000 | 0.000 | -0.000 | 0.262 | -0.000 |
| 0.000 | 0.000 | 0.000 | 0.000 | -0.000 | 0.072 |
| 8062792.753 | -7.800 | 0.429 | -0.000 | -0.000 | -0.000 |
| -7.800 | 8062792.753 | 0.429 | -0.000 | 0.000 | 0.000 |
| 0.346 | 0.346 | 0.451 | -0.000 | 0.000 | 0.000 |
| -0.000 | -0.000 | -0.000 | 0.262 | 0.000 | 0.000 |
| -0.000 | -0.000 | -0.000 | 0.000 | 0.262 | -0.000 |
| -0.000 | -0.000 | -0.000 | 0.000 | 0.000 | 0.072 |
| 5.368 | 0.236 | 0.266 | 0.000 | -0.000 | 0.000 |
| 0.236 | 5.368 | 0.266 | -0.000 | -0.000 | -0.000 |
| 0.346 | 0.346 | 0.451 | 0.000 | -0.000 | -0.000 |
| 0.000 | 0.000 | 0.000 | 0.262 | -0.000 | -0.000 |
| 0.000 | 0.000 | 0.000 | 0.000 | 0.262 | 0.000 |
| 0.000 | 0.000 | 0.000 | 0.000 | 0.000 | 0.072 |
| 806279.413 | -0.568 | 0.282 | -0.000 | 0.000 | 0.000 |
| -0.568 | 806279.413 | 0.282 | 0.000 | 0.000 | 0.000 |
| 0.346 | 0.346 | 0.451 | 0.000 | 0.000 | -0.000 |
| -0.000 | -0.000 | -0.000 | 0.262 | 0.000 | -0.000 |
| -0.000 | -0.000 | -0.000 | -0.000 | 0.262 | -0.000 |
| -0.000 | -0.000 | -0.000 | -0.000 | 0.000 | 0.072 |
| 5.347 | 0.236 | 0.266 | -0.000 | -0.000 | 0.000 |
| 0.236 | 5.347 | 0.266 | 0.000 | -0.000 | 0.000 |
| 0.346 | 0.346 | 0.451 | 0.000 | -0.000 | -0.000 |
| 0.000 | 0.000 | 0.000 | 0.262 | -0.000 | 0.000 |
| 0.000 | 0.000 | 0.000 | 0.000 | 0.262 | 0.000 |
| 0.000 | 0.000 | 0.000 | -0.000 | -0.000 | 0.072 |
| 80628.079 | 0.156 | 0.268 | 0.000 | 0.000 | 0.000 |
| 0.156 | 80628.079 | 0.268 | 0.000 | 0.000 | 0.000 |
| 0.346 | 0.346 | 0.451 | 0.000 | 0.000 | 0.000 |
| -0.000 | -0.000 | -0.000 | 0.262 | 0.000 | 0.000 |
| -0.000 | -0.000 | -0.000 | -0.000 | 0.262 | 0.000 |
| -0.000 | -0.000 | -0.000 | 0.000 | 0.000 | 0.072 |
| 1.151 | 1.304 | 2.245 | -0.000 | 0.000 | -0.000 |
| 1.304 | 1.151 | 2.245 | -0.000 | -0.000 | -0.000 |
| 2.190 | 2.190 | 3.506 | -0.000 | -0.000 | -0.000 |
| -0.000 | -0.000 | -0.000 | 1.982 | -0.000 | -0.000 |
| -0.000 | -0.000 | -0.000 | -0.000 | 1.982 | -0.000 |
| -0.000 | -0.000 | -0.000 | -0.000 | 0.000 | 1.151 |
| 1.151 | 1.304 | 2.245 | 0.000 | 0.000 | 0.000 |
| 1.304 | 1.151 | 2.245 | 0.000 | 0.000 | 0.000 |
| 2.190 | 2.190 | 3.506 | -0.000 | -0.000 | 0.000 |
| 0.000 | 0.000 | 0.000 | 1.982 | 0.000 | 0.000 |
| 0.000 | 0.000 | 0.000 | 0.000 | 1.982 | 0.000 |
| 0.000 | 0.000 | 0.000 | 0.000 | -0.000 | 1.151 |
| 1.151 | 1.304 | 2.245 | -0.000 | -0.000 | 0.000 |
| 1.304 | 1.151 | 2.245 | -0.000 | -0.000 | -0.000 |
| 2.190 | 2.190 | 3.505 | -0.000 | -0.000 | -0.000 |
| -0.000 | -0.000 | -0.000 | 1.982 | -0.000 | -0.000 |
| -0.000 | -0.000 | -0.000 | -0.000 | 1.982 | -0.000 |
| -0.000 | -0.000 | -0.000 | -0.000 | -0.000 | 1.151 |
| 1.152 | 1.305 | 2.245 | -0.000 | -0.000 | 0.000 |
| 1.305 | 1.152 | 2.245 | 0.000 | 0.000 | 0.000 |
| 2.191 | 2.191 | 3.507 | 0.000 | 0.000 | 0.000 |
| 0.000 | 0.000 | 0.000 | 1.982 | 0.000 | 0.000 |
| 0.000 | 0.000 | 0.000 | 0.000 | 1.982 | 0.000 |
| 0.000 | 0.000 | 0.000 | 0.000 | 0.000 | 1.151 |
| 1.150 | 1.303 | 2.243 | 0.000 | 0.000 | -0.000 |
| 1.303 | 1.150 | 2.243 | 0.000 | 0.000 | 0.000 |
| 2.185 | 2.185 | 3.498 | -0.000 | -0.000 | -0.000 |
| -0.003 | -0.003 | -0.005 | 1.982 | -0.000 | -0.000 |
| -0.003 | -0.003 | -0.005 | -0.000 | 1.982 | -0.000 |
| -0.002 | -0.002 | -0.003 | 0.000 | 0.000 | 1.151 |
| 1.153 | 1.306 | 2.248 | 0.000 | -0.000 | 0.000 |
| 1.306 | 1.153 | 2.248 | -0.000 | 0.000 | 0.000 |
| 2.195 | 2.195 | 3.514 | 0.000 | 0.000 | 0.000 |
| 0.003 | 0.003 | 0.005 | 1.982 | 0.000 | 0.000 |
| 0.003 | 0.003 | 0.005 | 0.000 | 1.982 | 0.000 |
| 0.002 | 0.002 | 0.003 | -0.000 | -0.000 | 1.151 |
| 285.173 | 101.394 | 74.902 | -37.494 | -0.000 | -0.000 |
| 101.394 | 285.173 | 74.902 | 37.494 | 0.000 | 0.000 |
| 74.902 | 74.902 | 311.095 | 0.000 | 0.000 | -0.000 |
| -37.494 | 37.494 | -0.000 | 65.726 | 0.000 | 0.000 |
| -0.000 | -0.000 | -0.000 | -0.000 | 65.726 | -37.494 |
| -0.000 | -0.000 | -0.000 | 0.000 | -37.494 | 91.889 |
| 285.173 | 101.394 | 74.902 | -37.494 | 0.000 | -0.000 |
| 101.394 | 285.173 | 74.902 | 37.494 | 0.000 | 0.000 |
| 74.902 | 74.902 | 311.095 | 0.000 | 0.000 | -0.000 |
| -37.494 | 37.494 | 0.000 | 65.726 | -0.000 | 0.000 |
| 0.000 | -0.000 | 0.000 | 0.000 | 65.726 | -37.494 |
| 0.000 | 0.000 | 0.000 | -0.000 | -37.494 | 91.889 |
| 285.173 | 101.394 | 74.902 | -37.494 | 0.000 | 0.000 |
| 101.394 | 285.173 | 74.902 | 37.494 | 0.000 | 0.000 |
| 74.902 | 74.902 | 311.094 | -0.000 | 0.000 | 0.000 |
| -37.494 | 37.494 | -0.000 | 65.726 | -0.000 | 0.000 |
| -0.000 | -0.000 | -0.000 | -0.000 | 65.726 | -37.494 |
| -0.000 | -0.000 | -0.000 | -0.000 | -37.494 | 91.889 |
| 285.173 | 101.394 | 74.902 | -37.494 | -0.000 | 0.000 |
| 101.394 | 285.173 | 74.902 | 37.494 | -0.000 | -0.000 |
| 74.902 | 74.902 | 311.095 | -0.000 | -0.000 | 0.000 |
| -37.494 | 37.494 | 0.000 | 65.726 | -0.000 | 0.000 |
| 0.000 | 0.000 | 0.000 | 0.000 | 65.726 | -37.494 |
| 0.000 | 0.000 | 0.000 | 0.000 | -37.494 | 91.889 |
| 285.171 | 101.394 | 74.901 | -37.495 | -0.000 | -0.000 |
| 101.394 | 285.171 | 74.901 | 37.495 | 0.000 | 0.000 |
| 74.901 | 74.901 | 311.093 | 0.000 | 0.000 | 0.000 |
| -37.495 | 37.494 | -0.001 | 65.726 | -0.000 | -0.000 |
| -0.001 | -0.000 | -0.001 | -0.000 | 65.726 | -37.494 |
| -0.000 | -0.000 | -0.000 | -0.000 | -37.494 | 91.889 |
| 285.175 | 101.395 | 74.902 | -37.494 | -0.000 | -0.000 |
| 101.395 | 285.175 | 74.902 | 37.494 | 0.000 | 0.000 |
| 74.903 | 74.903 | 311.096 | -0.000 | 0.000 | 0.000 |
| -37.494 | 37.495 | 0.001 | 65.726 | 0.000 | 0.000 |
| 0.001 | 0.000 | 0.001 | 0.000 | 65.726 | -37.494 |
| 0.000 | 0.000 | 0.000 | 0.000 | -37.494 | 91.889 |
| 193.646 | 67.337 | 67.423 | -0.000 | -0.000 | 0.000 |
| 67.611 | 283.189 | 105.969 | 0.000 | 0.000 | 0.000 |
| 66.805 | 137.248 | 250.719 | -0.000 | -0.000 | 0.000 |
| 0.000 | -0.000 | 0.000 | 54.861 | -0.000 | 0.000 |
| 0.000 | -0.000 | 0.000 | -0.000 | 49.858 | 0.000 |
| 0.000 | 0.000 | 0.000 | -0.000 | -0.000 | 51.769 |
| 193.646 | 67.336 | 67.423 | 0.000 | 0.000 | -0.000 |
| 66.935 | 249.433 | 139.062 | -0.000 | 0.000 | -0.000 |
| 66.805 | 137.248 | 250.719 | -0.000 | 0.000 | -0.000 |
| -0.000 | 0.000 | -0.000 | 54.861 | 0.000 | -0.000 |
| -0.000 | 0.000 | -0.000 | -0.000 | 49.858 | -0.000 |
| -0.000 | -0.000 | -0.000 | -0.000 | 0.000 | 51.769 |
| 193.647 | 67.337 | 67.423 | 0.000 | -0.000 | 0.000 |
| 67.101 | 249.392 | 139.282 | -0.000 | 0.000 | 0.000 |
| 66.805 | 137.248 | 250.718 | -0.000 | -0.000 | 0.000 |
| 0.000 | -0.000 | -0.000 | 54.861 | -0.000 | 0.000 |
| 0.000 | 0.000 | 0.000 | -0.000 | 49.858 | 0.000 |
| 0.000 | 0.000 | 0.000 | -0.000 | -0.000 | 51.769 |
| 193.646 | 67.336 | 67.422 | -0.000 | 0.000 | -0.000 |
| 67.101 | 249.392 | 139.282 | 0.000 | -0.000 | -0.000 |
| 66.805 | 137.247 | 250.719 | 0.000 | 0.000 | -0.000 |
| -0.000 | 0.000 | 0.000 | 54.861 | 0.000 | -0.000 |
| -0.000 | -0.000 | -0.000 | -0.000 | 49.858 | -0.000 |
| -0.000 | -0.000 | -0.000 | 0.000 | 0.000 | 51.769 |
| 194.335 | 67.612 | 67.889 | 0.000 | -0.000 | 0.000 |
| 67.101 | 249.392 | 139.281 | -0.000 | 0.000 | 0.000 |
| 66.805 | 137.247 | 250.718 | -0.000 | -0.000 | 0.000 |
| -0.000 | -0.001 | 0.000 | 54.764 | 0.000 | 0.000 |
| 0.001 | 0.000 | 0.001 | -0.000 | 51.737 | 0.000 |
| 0.001 | 0.000 | 0.000 | -0.000 | -0.000 | 51.769 |
| 193.642 | 67.335 | 67.421 | 0.000 | 0.000 | -0.000 |
| 67.101 | 249.392 | 139.283 | 0.000 | -0.000 | -0.000 |
| 67.656 | 139.281 | 249.603 | 0.000 | -0.000 | -0.000 |
| 0.000 | 0.001 | -0.000 | 54.764 | -0.000 | -0.000 |
| -0.001 | -0.000 | -0.001 | 0.000 | 51.737 | -0.000 |
| -0.001 | -0.000 | -0.000 | 0.000 | 0.000 | 51.769 |
| 176.161 | 61.118 | 63.602 | -0.000 | -0.000 | -0.000 |
| -420.538 | -485.287 | 277.574 | -0.000 | 0.000 | -0.000 |
| -416.604 | -671.561 | 442.232 | -0.000 | 0.000 | -0.000 |
| -408.152 | -1718.607 | 976.440 | 52.402 | -0.000 | -0.000 |
| -408.155 | -1718.556 | 976.396 | -0.000 | 46.123 | -0.000 |
| -480.242 | -790.992 | 160.729 | -0.000 | -0.000 | 42.837 |
| 583.607 | 1781.306 | -914.805 | 0.000 | 0.000 | 0.000 |
| 469.721 | 2006.996 | -843.854 | 0.000 | 0.000 | 0.000 |
| 64.037 | 105.739 | 292.887 | 0.000 | 0.000 | 0.000 |
| 408.152 | 1718.608 | -976.440 | 52.402 | 0.000 | 0.000 |
| 408.155 | 1718.556 | -976.396 | -0.000 | 46.123 | 0.000 |
| 480.242 | 790.992 | -160.729 | 0.000 | 0.000 | 42.837 |
| 134.614 | -109.145 | 159.240 | -0.000 | -0.000 | -0.000 |
| 20.751 | 116.583 | 230.183 | -0.000 | -0.000 | -0.000 |
| 15.563 | 40.047 | 297.755 | -0.000 | 0.000 | -0.000 |
| -40.818 | -171.831 | 97.618 | 49.653 | 0.000 | -0.000 |
| -40.814 | -171.879 | 97.659 | -0.000 | 46.020 | -0.000 |
| -40.818 | -171.860 | 97.641 | -0.000 | -0.000 | 42.837 |
| 216.244 | 234.566 | -36.040 | 0.000 | 0.000 | 0.000 |
| 102.382 | 460.294 | 34.903 | 0.000 | 0.000 | 0.000 |
| 102.851 | 305.978 | 170.490 | 0.000 | 0.000 | 0.000 |
| 40.818 | 171.831 | -97.618 | 49.653 | -0.000 | 0.000 |
| 40.814 | 171.879 | -97.659 | 0.000 | 46.020 | 0.000 |
| 40.818 | 171.860 | -97.641 | 0.000 | 0.000 | 42.837 |
| 171.352 | 45.526 | 71.366 | -0.000 | -0.000 | -0.000 |
| 57.485 | 271.257 | 142.306 | -0.000 | -0.000 | -0.000 |
| 58.179 | 110.059 | 283.634 | -0.000 | 0.000 | -0.000 |
| -5.689 | -9.370 | 1.904 | 70.078 | 0.000 | 0.000 |
| -4.069 | -17.373 | 9.926 | -0.000 | 46.001 | -0.000 |
| -4.080 | -17.185 | 9.764 | -0.000 | -0.000 | 42.837 |
| 180.355 | 69.910 | 60.688 | 0.000 | -0.000 | 0.000 |
| 65.648 | 305.620 | 122.780 | 0.000 | 0.000 | 0.000 |
| 66.116 | 151.307 | 258.367 | 0.000 | 0.000 | 0.000 |
| 5.689 | 9.370 | -1.904 | 70.078 | -0.000 | 0.000 |
| 4.069 | 17.373 | -9.926 | 0.000 | 46.001 | 0.000 |
| 4.080 | 17.185 | -9.764 | 0.000 | 0.000 | 42.837 |
| 189.657 | 66.556 | -37.730 | -0.000 | -0.000 | 0.000 |
| 154.821 | 101.392 | -37.730 | -0.000 | -0.000 | -0.000 |
| -37.689 | -37.689 | 405.136 | -0.000 | -0.000 | 0.000 |
| 0.000 | -0.000 | 0.000 | -43.847 | 0.000 | -0.000 |
| 0.000 | -0.000 | 0.000 | 0.000 | -43.847 | -0.000 |
| 0.000 | -0.000 | 0.000 | -0.000 | 0.000 | -26.714 |
| 189.657 | 66.556 | -37.731 | 0.000 | 0.000 | -0.000 |
| 66.556 | 189.657 | -37.731 | 0.000 | -0.000 | -0.000 |
| -37.689 | -37.689 | 405.136 | 0.000 | 0.000 | 0.000 |
| -0.000 | 0.000 | -0.000 | -43.847 | -0.000 | 0.000 |
| -0.000 | 0.000 | -0.000 | -0.000 | -43.847 | 0.000 |
| -0.000 | 0.000 | -0.000 | 0.000 | -0.000 | -26.714 |
| 100.731 | 155.483 | -37.730 | 0.000 | -0.000 | 0.000 |
| 154.856 | 101.357 | -37.730 | 0.000 | 0.000 | -0.000 |
| -37.689 | -37.689 | 405.136 | -0.000 | -0.000 | 0.000 |
| 0.000 | 0.000 | -0.000 | -43.847 | 0.000 | -0.000 |
| 0.000 | 0.000 | -0.000 | 0.000 | -43.847 | -0.000 |
| 0.000 | -0.000 | 0.000 | 0.000 | 0.000 | -27.376 |
| 189.657 | 66.556 | -37.730 | 0.000 | -0.000 | -0.000 |
| 154.860 | 101.354 | -37.730 | -0.000 | 0.000 | 0.000 |
| -37.689 | -37.689 | 405.136 | 0.000 | 0.000 | 0.000 |
| -0.000 | -0.000 | 0.000 | -43.847 | -0.000 | 0.000 |
| -0.000 | -0.000 | 0.000 | -0.000 | -43.847 | 0.000 |
| -0.000 | 0.000 | -0.000 | -0.000 | 0.000 | -27.376 |
| -7668515.456 | -7088663.421 | -6926003.162 | -3190.119 | -51537.538 | 10298.195 |
| -4913714.014 | -4426281.594 | -5522864.387 | 55290.042 | 48537.112 | -119760.003 |
| -37.689 | -37.689 | 405.138 | -0.000 | -0.000 | 0.000 |
| 0.000 | 0.000 | -0.000 | -43.847 | 0.000 | -0.000 |
| 0.000 | 0.000 | -0.000 | -0.000 | -43.847 | 0.000 |
| 4638428.522 | 3554547.842 | -23683408.972 | 0.221 | 0.029 | 582744.093 |
| 101.353 | 154.860 | -37.731 | 0.000 | 0.000 | 0.000 |
| 154.856 | 101.357 | -37.731 | 0.000 | 0.000 | 0.000 |
| -37.689 | -37.689 | 405.134 | 0.000 | -0.000 | 0.000 |
| -0.000 | -0.000 | 0.000 | -43.847 | -0.000 | 0.000 |
| -0.000 | -0.000 | 0.000 | -0.000 | -43.847 | 0.000 |
| -4638428.428 | -3554547.913 | 23683408.990 | -0.221 | 0.029 | 582744.204 |
| 238.644 | 126.225 | 55.369 | 0.000 | 0.000 | -0.000 |
| 90.516 | 274.353 | 55.369 | 0.000 | 0.000 | 0.000 |
| 55.369 | 55.369 | 196.827 | 0.000 | 0.000 | -0.000 |
| 0.000 | -0.000 | 0.000 | 57.584 | 0.000 | 0.000 |
| 0.000 | -0.000 | 0.000 | 0.000 | 57.584 | -0.000 |
| 0.000 | 0.000 | 0.000 | 0.000 | 0.000 | 91.919 |
| 238.643 | 126.225 | 55.369 | -0.000 | -0.000 | 0.000 |
| 126.225 | 238.644 | 55.369 | -0.000 | -0.000 | 0.000 |
| 55.369 | 55.369 | 196.827 | -0.000 | -0.000 | -0.000 |
| -0.000 | -0.000 | -0.000 | 57.584 | -0.000 | 0.000 |
| -0.000 | 0.000 | -0.000 | -0.000 | 57.584 | -0.000 |
| -0.000 | -0.000 | -0.000 | -0.000 | -0.000 | 91.919 |
| 238.644 | 126.225 | 55.369 | 0.000 | 0.000 | -0.000 |
| 90.516 | 274.353 | 55.369 | 0.000 | 0.000 | 0.000 |
| 55.370 | 55.370 | 196.828 | 0.000 | 0.000 | -0.000 |
| 0.000 | 0.000 | 0.000 | 57.584 | 0.000 | -0.000 |
| 0.000 | 0.000 | 0.000 | 0.000 | 57.584 | -0.000 |
| -0.000 | 0.000 | 0.000 | 0.000 | 0.000 | 56.209 |
| 238.643 | 126.225 | 55.369 | -0.000 | -0.000 | 0.000 |
| 90.516 | 274.352 | 55.369 | -0.000 | -0.000 | 0.000 |
| 55.369 | 55.369 | 196.827 | -0.000 | -0.000 | 0.000 |
| -0.000 | -0.000 | -0.000 | 57.584 | -0.000 | 0.000 |
| -0.000 | -0.000 | -0.000 | -0.000 | 57.584 | -0.000 |
| 0.000 | -0.000 | -0.000 | -0.000 | -0.000 | 56.209 |
| 238.648 | 126.225 | 55.370 | 0.000 | 0.000 | 0.000 |
| 126.227 | 238.646 | 55.370 | 0.000 | 0.000 | 0.000 |
| 55.371 | 55.371 | 196.832 | 0.000 | 0.000 | 0.000 |
| 0.001 | 0.000 | 0.002 | 57.584 | 0.000 | -0.000 |
| 0.000 | 0.001 | 0.002 | 0.000 | 57.584 | -0.000 |
| 0.000 | 0.001 | 0.000 | -0.000 | 0.000 | 91.919 |
| 238.641 | 126.222 | 55.369 | -0.000 | -0.000 | -0.000 |
| 90.515 | 274.349 | 55.369 | -0.000 | -0.000 | -0.000 |
| 55.368 | 55.368 | 196.823 | -0.000 | -0.000 | -0.000 |
| -0.001 | -0.000 | -0.002 | 57.584 | -0.000 | -0.000 |
| -0.000 | -0.001 | -0.002 | -0.000 | 57.584 | 0.000 |
| -0.000 | -0.001 | -0.000 | 0.000 | -0.000 | 91.919 |
| -1059.533 | -1263.069 | -1263.069 | 0.000 | 0.000 | 0.000 |
| -1263.069 | -1059.533 | -1263.069 | 0.000 | -0.000 | -0.000 |
| -1263.069 | -1263.069 | -1059.532 | 0.000 | -0.000 | 0.000 |
| -0.003 | -0.001 | -0.001 | -2867.742 | 0.000 | 0.000 |
| -0.001 | -0.003 | -0.001 | 0.000 | -2867.742 | 0.000 |
| -0.001 | -0.001 | -0.003 | 0.000 | -0.000 | -2867.742 |
| -1059.533 | -1263.069 | -1263.069 | -0.000 | -0.000 | -0.000 |
| -1263.069 | -1059.533 | -1263.069 | -0.000 | 0.000 | -0.000 |
| -1263.069 | -1263.069 | -1059.533 | -0.000 | -0.000 | -0.000 |
| 0.003 | 0.001 | 0.001 | -2867.742 | -0.000 | 0.000 |
| 0.001 | 0.003 | 0.001 | -0.000 | -2867.742 | -0.000 |
| 0.001 | 0.001 | 0.003 | -0.000 | -0.000 | -2867.742 |
| -1059.531 | -1263.069 | -1263.069 | 0.000 | -0.000 | 0.000 |
| -1263.069 | -1059.531 | -1263.069 | 0.000 | -0.000 | 0.000 |
| -1263.069 | -1263.069 | -1059.531 | 0.000 | 0.000 | -0.000 |
| -0.000 | 0.001 | 0.000 | -678.394 | 0.000 | -0.000 |
| 0.001 | -0.000 | 0.000 | 0.000 | -678.394 | 0.000 |
| 0.001 | 0.000 | -0.000 | -0.000 | -0.000 | -678.394 |
| -1059.534 | -1263.070 | -1263.070 | -0.000 | -0.000 | -0.000 |
| -1263.070 | -1059.534 | -1263.070 | -0.000 | -0.000 | -0.000 |
| -1263.070 | -1263.070 | -1059.534 | -0.000 | 0.000 | -0.000 |
| 0.000 | -0.001 | -0.000 | -678.394 | -0.000 | -0.000 |
| -0.001 | 0.000 | -0.000 | 0.000 | -678.394 | -0.000 |
| -0.001 | -0.000 | 0.000 | 0.000 | 0.000 | -678.394 |
| -1059.518 | -1263.067 | -1263.067 | 0.000 | -0.000 | 0.000 |
| -1263.067 | -1059.518 | -1263.067 | 0.000 | 0.000 | 0.000 |
| -1263.067 | -1263.067 | -1059.518 | 0.000 | -0.000 | 0.000 |
| -42568057.150 | -90997650.671 | -90997711.067 | -30197483.448 | 0.025 | 0.024 |
| -90997650.575 | -42568057.550 | -90997710.971 | 0.025 | -30197483.491 | 0.024 |
| -90997650.818 | -90997711.213 | -42568056.539 | 0.025 | 0.025 | -30197483.381 |
| -1059.547 | -1263.072 | -1263.072 | -0.000 | -0.000 | -0.000 |
| -1263.072 | -1059.547 | -1263.072 | -0.000 | 0.000 | -0.000 |
| -1263.072 | -1263.072 | -1059.547 | -0.000 | -0.000 | -0.000 |
| 42568009.385 | 90997662.270 | 90997722.666 | -30197478.313 | 0.002 | 0.001 |
| 90997662.649 | 42568007.811 | 90997723.044 | 0.001 | -30197478.141 | 0.001 |
| 90997660.730 | 90997721.126 | 42568015.791 | 0.001 | 0.001 | -30197479.015 |
| 81.551 | 107.337 | 107.337 | -0.000 | -0.000 | 0.000 |
| 107.337 | 81.551 | 107.337 | -0.000 | 0.000 | 0.000 |
| 107.337 | 107.337 | 81.551 | -0.000 | -0.000 | 0.000 |
| 0.000 | 0.000 | 0.000 | -19.957 | -0.000 | -0.000 |
| 0.000 | 0.000 | 0.000 | -0.000 | -19.957 | 0.000 |
| 0.000 | 0.000 | 0.000 | -0.000 | 0.000 | -19.957 |
| 81.551 | 107.337 | 107.337 | 0.000 | -0.000 | 0.000 |
| 107.337 | 81.551 | 107.337 | 0.000 | -0.000 | 0.000 |
| 107.337 | 107.337 | 81.551 | 0.000 | 0.000 | -0.000 |
| -0.000 | -0.000 | -0.000 | -19.957 | 0.000 | -0.000 |
| -0.000 | -0.000 | -0.000 | 0.000 | -19.957 | -0.000 |
| -0.000 | -0.000 | -0.000 | 0.000 | 0.000 | -19.957 |
| 81.551 | 107.337 | 107.337 | 0.000 | -0.000 | 0.000 |
| 107.337 | 81.551 | 107.337 | -0.000 | 0.000 | -0.000 |
| 107.337 | 107.337 | 81.551 | -0.000 | 0.000 | 0.000 |
| 0.000 | 0.000 | 0.000 | 94.187 | 0.000 | 0.000 |
| 0.000 | 0.000 | 0.000 | -0.000 | 94.187 | -0.000 |
| 0.000 | 0.000 | 0.000 | -0.000 | 0.000 | 94.187 |
| 81.551 | 107.337 | 107.337 | 0.000 | -0.000 | -0.000 |
| 107.337 | 81.551 | 107.337 | 0.000 | -0.000 | -0.000 |
| 107.337 | 107.337 | 81.551 | 0.000 | 0.000 | 0.000 |
| -0.000 | -0.000 | -0.000 | 94.187 | -0.000 | -0.000 |
| -0.000 | -0.000 | -0.000 | 0.000 | 94.187 | 0.000 |
| -0.000 | -0.000 | -0.000 | 0.000 | -0.000 | 94.187 |
| 81.553 | 107.338 | 107.338 | -0.000 | -0.000 | 0.000 |
| 107.338 | 81.553 | 107.338 | -0.000 | 0.000 | 0.000 |
| 107.338 | 107.338 | 81.553 | -0.000 | 0.000 | 0.000 |
| 0.000 | 0.000 | 0.000 | 94.187 | 0.000 | 0.000 |
| 0.000 | 0.000 | 0.000 | -0.000 | 94.187 | 0.000 |
| 0.000 | 0.000 | 0.000 | 0.000 | 0.000 | 94.187 |
| 81.550 | 107.337 | 107.337 | 0.000 | -0.000 | -0.000 |
| 107.337 | 81.550 | 107.337 | 0.000 | -0.000 | 0.000 |
| 107.337 | 107.337 | 81.550 | 0.000 | -0.000 | 0.000 |
| -0.000 | -0.000 | -0.000 | 94.187 | -0.000 | -0.000 |
| -0.000 | -0.000 | -0.000 | 0.000 | 94.187 | -0.000 |
| -0.000 | -0.000 | -0.000 | -0.000 | -0.000 | 94.187 |
| 4.902 | 1.094 | 1.094 | -0.000 | 0.000 | -0.000 |
| 1.094 | 4.902 | 1.094 | -0.000 | -0.000 | -0.000 |
| 1.094 | 1.094 | 4.902 | -0.000 | 0.000 | -0.000 |
| -0.000 | -0.000 | 0.000 | 0.113 | -0.000 | 0.000 |
| -0.000 | -0.000 | 0.000 | -0.000 | 0.113 | -0.000 |
| -0.000 | 0.000 | 0.000 | -0.000 | -0.000 | 0.113 |
| 6332938.165 | 8006.656 | 8006.656 | 0.000 | -0.000 | 0.000 |
| 8006.656 | 6332938.165 | 8006.656 | 0.000 | -0.000 | 0.000 |
| 8006.656 | 8006.656 | 6332938.165 | 0.000 | 0.000 | 0.000 |
| 0.000 | 0.000 | -0.000 | 0.113 | 0.000 | 0.000 |
| 0.000 | 0.000 | -0.000 | 0.000 | 0.113 | 0.000 |
| 0.000 | -0.000 | -0.000 | 0.000 | 0.000 | 0.113 |
| 4.900 | 1.094 | 1.094 | -0.000 | -0.000 | -0.000 |
| 1.094 | 4.900 | 1.094 | -0.000 | 0.000 | -0.000 |
| 1.094 | 1.094 | 4.900 | -0.000 | -0.000 | -0.000 |
| -0.000 | -0.000 | -0.000 | 0.113 | 0.000 | 0.000 |
| -0.000 | -0.000 | -0.000 | -0.000 | 0.113 | 0.000 |
| -0.000 | -0.000 | -0.000 | -0.000 | -0.000 | 0.113 |
| 633294.574 | 801.656 | 801.656 | 0.000 | 0.000 | 0.000 |
| 801.656 | 633294.574 | 801.656 | 0.000 | 0.000 | 0.000 |
| 801.656 | 801.656 | 633294.574 | 0.000 | 0.000 | 0.000 |
| 0.000 | 0.000 | 0.000 | 0.113 | 0.000 | 0.000 |
| 0.000 | 0.000 | 0.000 | 0.000 | 0.113 | 0.000 |
| 0.000 | 0.000 | 0.000 | 0.000 | 0.000 | 0.113 |
| 4.884 | 1.094 | 1.094 | -0.000 | 0.000 | 0.000 |
| 1.094 | 4.884 | 1.094 | -0.000 | -0.000 | -0.000 |
| 1.094 | 1.094 | 4.884 | -0.000 | -0.000 | -0.000 |
| -0.000 | -0.000 | -0.000 | 0.113 | -0.000 | 0.000 |
| -0.000 | -0.000 | -0.000 | -0.000 | 0.113 | -0.000 |
| -0.000 | -0.000 | -0.000 | -0.000 | -0.000 | 0.113 |
| 63330.214 | 81.156 | 81.156 | 0.000 | -0.000 | 0.000 |
| 81.156 | 63330.214 | 81.156 | 0.000 | -0.000 | 0.000 |
| 81.156 | 81.156 | 63330.214 | 0.000 | -0.000 | 0.000 |
| 0.000 | 0.000 | 0.000 | 0.113 | 0.000 | 0.000 |
| 0.000 | 0.000 | 0.000 | 0.000 | 0.113 | 0.000 |
| 0.000 | 0.000 | 0.000 | 0.000 | 0.000 | 0.113 |
| 0.565 | 0.655 | 0.655 | -0.000 | 0.000 | -0.000 |
| 0.655 | 0.565 | 0.655 | -0.000 | -0.000 | 0.000 |
| 0.655 | 0.655 | 0.565 | -0.000 | 0.000 | 0.000 |
| -0.000 | -0.000 | -0.000 | 0.565 | -0.000 | -0.000 |
| -0.000 | -0.000 | -0.000 | -0.000 | 0.565 | -0.000 |
| -0.000 | -0.000 | -0.000 | -0.000 | -0.000 | 0.565 |
| 0.565 | 0.655 | 0.655 | -0.000 | 0.000 | 0.000 |
| 0.655 | 0.565 | 0.655 | 0.000 | 0.000 | -0.000 |
| 0.655 | 0.655 | 0.565 | 0.000 | -0.000 | -0.000 |
| 0.000 | 0.000 | 0.000 | 0.565 | 0.000 | -0.000 |
| 0.000 | 0.000 | 0.000 | 0.000 | 0.565 | 0.000 |
| 0.000 | 0.000 | 0.000 | 0.000 | 0.000 | 0.565 |
| 0.565 | 0.655 | 0.655 | -0.000 | 0.000 | 0.000 |
| 0.655 | 0.565 | 0.655 | 0.000 | -0.000 | 0.000 |
| 0.655 | 0.655 | 0.565 | -0.000 | 0.000 | 0.000 |
| -0.000 | -0.000 | -0.000 | 0.443 | -0.000 | -0.000 |
| -0.000 | -0.000 | -0.000 | -0.000 | 0.443 | -0.000 |
| -0.000 | -0.000 | -0.000 | 0.000 | -0.000 | 0.443 |
| 0.565 | 0.655 | 0.655 | 0.000 | -0.000 | 0.000 |
| 0.655 | 0.565 | 0.655 | -0.000 | -0.000 | -0.000 |
| 0.655 | 0.655 | 0.565 | -0.000 | -0.000 | 0.000 |
| 0.000 | 0.000 | 0.000 | 0.443 | 0.000 | -0.000 |
| 0.000 | 0.000 | 0.000 | 0.000 | 0.443 | -0.000 |
| 0.000 | 0.000 | 0.000 | -0.000 | -0.000 | 0.443 |
| 0.564 | 0.654 | 0.654 | -0.000 | -0.000 | -0.000 |
| 0.654 | 0.564 | 0.654 | -0.000 | 0.000 | -0.000 |
| 0.654 | 0.654 | 0.564 | -0.000 | -0.000 | -0.000 |
| -0.000 | -0.000 | -0.000 | -0.018 | -0.000 | 0.000 |
| -0.000 | -0.000 | -0.000 | 0.000 | -0.018 | 0.000 |
| -0.000 | -0.000 | -0.000 | -0.000 | -0.000 | -0.018 |
| 0.566 | 0.657 | 0.657 | 0.000 | 0.000 | -0.000 |
| 0.657 | 0.566 | 0.657 | 0.000 | 0.000 | -0.000 |
| 0.657 | 0.657 | 0.566 | 0.000 | 0.000 | -0.000 |
| 0.000 | 0.000 | 0.000 | -0.018 | 0.000 | 0.000 |
| 0.000 | 0.000 | 0.000 | 0.000 | -0.018 | -0.000 |
| 0.000 | 0.000 | 0.000 | -0.000 | 0.000 | -0.018 |
| 317.447 | 142.183 | 142.183 | 0.000 | -0.000 | 0.000 |
| 142.183 | 317.447 | 142.183 | -0.000 | 0.000 | 0.000 |
| 142.183 | 142.183 | 317.447 | 0.000 | -0.000 | 0.000 |
| -0.000 | -0.000 | 0.000 | 95.410 | 0.000 | 0.000 |
| 0.000 | -0.000 | 0.000 | -0.000 | 95.410 | 0.000 |
| 0.000 | -0.000 | -0.000 | -0.000 | -0.000 | 95.410 |
| 317.447 | 142.183 | 142.183 | -0.000 | 0.000 | -0.000 |
| 142.183 | 317.447 | 142.183 | -0.000 | -0.000 | -0.000 |
| 142.183 | 142.183 | 317.447 | -0.000 | 0.000 | -0.000 |
| -0.000 | 0.000 | -0.000 | 95.410 | 0.000 | -0.000 |
| -0.000 | 0.000 | -0.000 | 0.000 | 95.410 | -0.000 |
| -0.000 | 0.000 | 0.000 | 0.000 | 0.000 | 95.410 |
| 317.447 | 142.183 | 142.183 | 0.000 | 0.000 | 0.000 |
| 142.183 | 317.447 | 142.183 | -0.000 | 0.000 | 0.000 |
| 142.183 | 142.183 | 317.447 | -0.000 | 0.000 | 0.000 |
| -0.000 | 0.000 | 0.000 | 100.658 | 0.000 | 0.000 |
| 0.000 | -0.000 | 0.000 | -0.000 | 100.658 | 0.000 |
| 0.000 | 0.000 | -0.000 | -0.000 | -0.000 | 100.658 |
| 317.446 | 142.183 | 142.183 | -0.000 | 0.000 | -0.000 |
| 142.183 | 317.446 | 142.183 | -0.000 | 0.000 | -0.000 |
| 142.183 | 142.183 | 317.446 | -0.000 | 0.000 | -0.000 |
| 0.000 | -0.000 | -0.000 | 100.658 | 0.000 | -0.000 |
| -0.000 | 0.000 | -0.000 | 0.000 | 100.658 | -0.000 |
| -0.000 | -0.000 | 0.000 | 0.000 | 0.000 | 100.658 |
| 317.449 | 142.184 | 142.184 | 0.000 | -0.000 | 0.000 |
| 142.184 | 317.449 | 142.184 | 0.000 | 0.000 | 0.000 |
| 142.184 | 142.184 | 317.449 | -0.000 | 0.000 | 0.000 |
| -0.000 | 0.000 | 0.000 | 95.410 | 0.000 | 0.000 |
| 0.000 | -0.000 | 0.000 | 0.000 | 95.410 | 0.000 |
| 0.000 | 0.000 | -0.000 | -0.000 | -0.000 | 95.410 |
| 317.445 | 142.183 | 142.183 | -0.000 | 0.000 | -0.000 |
| 142.183 | 317.445 | 142.183 | -0.000 | 0.000 | -0.000 |
| 142.183 | 142.183 | 317.445 | -0.000 | 0.000 | -0.000 |
| 0.000 | -0.000 | -0.000 | 95.410 | 0.000 | -0.000 |
| -0.000 | 0.000 | -0.000 | 0.000 | 95.410 | -0.000 |
| -0.000 | -0.000 | 0.000 | -0.000 | 0.000 | 95.410 |
| 322.447 | 391.516 | 27.198 | 0.000 | 0.000 | 0.000 |
| 159.590 | 476.227 | 105.605 | 0.000 | -0.000 | 0.000 |
| 82.010 | 392.344 | 269.327 | -0.000 | 0.000 | 0.000 |
| 0.000 | -0.000 | 0.000 | 120.731 | -0.000 | -0.000 |
| 23.886 | 255.812 | -30.927 | 0.000 | 43.284 | 0.000 |
| 23.887 | 255.827 | -30.929 | 0.000 | -0.000 | 120.775 |
| 298.568 | 135.782 | 58.115 | 0.000 | -0.000 | -0.000 |
| 135.782 | 221.249 | 136.431 | 0.000 | -0.000 | 0.000 |
| 34.239 | -119.280 | 331.181 | 0.000 | 0.000 | 0.000 |
| -0.000 | 0.000 | -0.000 | 120.731 | 0.000 | -0.000 |
| -23.886 | -255.812 | 30.927 | 0.000 | 43.284 | -0.000 |
| -23.887 | -255.827 | 30.929 | -0.000 | -0.000 | 120.775 |
| 298.568 | 135.782 | 58.115 | -0.000 | -0.000 | 0.000 |
| 135.782 | 221.249 | 136.431 | -0.000 | 0.000 | 0.000 |
| 60.513 | 162.113 | 297.162 | -0.000 | -0.000 | 0.000 |
| 0.000 | -0.000 | 0.000 | 120.731 | 0.000 | 0.000 |
| 2.389 | 25.581 | -3.093 | -0.000 | 43.284 | 0.000 |
| 2.389 | 25.581 | -3.093 | -0.000 | -0.000 | 120.775 |
| 296.173 | 110.121 | 61.218 | 0.000 | 0.000 | 0.000 |
| 133.315 | 194.834 | 139.624 | -0.000 | 0.000 | 0.000 |
| 55.736 | 110.949 | 303.347 | -0.000 | 0.000 | 0.000 |
| -0.000 | 0.000 | -0.000 | 120.731 | -0.000 | 0.000 |
| -2.389 | -25.581 | 3.093 | 0.000 | 43.284 | -0.000 |
| -2.389 | -25.581 | 3.093 | 0.000 | 0.000 | 120.775 |
| 298.798 | 138.262 | 57.815 | -0.000 | -0.000 | 0.000 |
| 135.943 | 222.971 | 136.223 | -0.000 | -0.000 | -0.000 |
| 58.363 | 139.090 | 299.947 | -0.000 | 0.000 | 0.000 |
| 0.239 | 2.558 | -0.309 | 119.992 | -0.000 | 0.000 |
| 0.238 | 2.558 | -0.310 | -0.000 | 43.279 | 0.000 |
| 0.239 | 2.558 | -0.309 | -0.000 | -0.000 | 120.775 |
| 298.324 | 133.146 | 58.435 | 0.000 | -0.000 | -0.000 |
| 135.465 | 217.859 | 136.841 | 0.000 | 0.000 | 0.000 |
| 57.887 | 133.974 | 300.562 | 0.000 | -0.000 | -0.000 |
| -0.239 | -2.558 | 0.309 | 119.992 | 0.000 | 0.000 |
| -0.238 | -2.558 | 0.310 | 0.000 | 43.279 | -0.000 |
| -0.239 | -2.558 | 0.309 | 0.000 | 0.000 | 120.775 |
| 300.100 | 135.765 | 58.938 | 0.000 | -0.000 | 0.000 |
| 135.803 | 217.472 | 136.404 | -0.000 | -0.000 | 0.000 |
| 58.968 | 136.515 | 300.650 | 0.000 | -0.000 | 0.000 |
| 0.000 | -0.000 | 0.000 | 120.804 | -0.000 | -0.000 |
| -0.000 | -0.000 | -0.000 | 0.000 | 44.200 | -0.000 |
| 0.000 | 0.000 | -0.000 | 0.000 | 0.000 | 120.755 |
| 300.100 | 135.765 | 58.938 | -0.000 | -0.000 | 0.000 |
| 135.697 | 216.549 | 136.516 | -0.000 | -0.000 | -0.000 |
| 58.968 | 136.515 | 300.650 | 0.000 | -0.000 | -0.000 |
| -0.000 | -0.000 | -0.000 | 120.804 | 0.000 | -0.000 |
| 0.000 | 0.000 | 0.000 | -0.000 | 44.200 | -0.000 |
| -0.000 | -0.000 | 0.000 | -0.000 | -0.000 | 120.755 |
| 300.099 | 135.765 | 58.938 | 0.000 | 0.000 | 0.000 |
| 135.803 | 217.472 | 136.404 | -0.000 | -0.000 | 0.000 |
| 58.968 | 136.515 | 300.650 | -0.000 | 0.000 | -0.000 |
| 0.000 | -0.000 | 0.000 | 119.987 | 0.000 | -0.000 |
| -0.000 | 0.000 | -0.000 | 0.000 | 44.180 | -0.000 |
| -0.000 | 0.000 | 0.000 | 0.000 | 0.000 | 120.755 |
| 300.112 | 135.871 | 58.925 | 0.000 | 0.000 | 0.000 |
| 135.697 | 216.550 | 136.516 | -0.000 | -0.000 | 0.000 |
| 58.981 | 136.628 | 300.636 | -0.000 | 0.000 | -0.000 |
| -0.000 | 0.000 | -0.000 | 119.987 | -0.000 | -0.000 |
| 0.000 | -0.000 | 0.000 | -0.000 | 44.180 | 0.000 |
| 0.000 | -0.000 | -0.000 | -0.000 | -0.000 | 120.755 |
| 300.098 | 135.765 | 58.937 | 0.000 | 0.000 | 0.000 |
| 135.697 | 216.547 | 136.516 | 0.000 | 0.000 | 0.000 |
| 58.967 | 136.515 | 300.649 | 0.000 | 0.000 | 0.000 |
| 0.000 | -0.000 | 0.000 | 120.804 | -0.000 | -0.000 |
| -0.001 | 0.000 | -0.001 | 0.000 | 44.180 | 0.000 |
| -0.000 | 0.000 | 0.000 | 0.000 | -0.000 | 120.755 |
| 300.113 | 135.871 | 58.926 | 0.000 | -0.000 | -0.000 |
| 135.802 | 217.475 | 136.403 | -0.000 | 0.000 | -0.000 |
| 58.969 | 136.515 | 300.650 | -0.000 | -0.000 | 0.000 |
| -0.000 | 0.000 | -0.000 | 120.804 | 0.000 | -0.000 |
| 0.001 | -0.000 | 0.001 | -0.000 | 44.180 | -0.000 |
| 0.000 | -0.000 | -0.000 | -0.000 | -0.000 | 120.755 |
| 22.218 | 23.329 | 23.329 | -0.000 | -0.000 | -0.000 |
| 23.329 | 22.218 | 23.329 | -0.000 | 0.000 | -0.000 |
| 23.329 | 23.329 | 22.218 | -0.000 | 0.000 | -0.000 |
| -721223.340 | -6489131.285 | -6489131.155 | 6489012.100 | 0.000 | 0.000 |
| -6489131.285 | -721223.340 | -6489131.155 | -0.000 | 6489012.100 | 0.000 |
| -6489131.285 | -6489131.155 | -721223.340 | 0.000 | 0.000 | 6489012.100 |
| 27399035.165 | 27399038.912 | 27399038.912 | 0.000 | 0.000 | 0.000 |
| 27399038.912 | 27399035.165 | 27399038.912 | 0.000 | -0.000 | 0.000 |
| 27399038.912 | 27399038.912 | 27399035.165 | 0.000 | 0.000 | 0.000 |
| 721223.340 | 6489131.285 | 6489131.155 | 6489012.100 | 0.000 | -0.000 |
| 6489131.285 | 721223.340 | 6489131.155 | 0.000 | 6489012.100 | -0.000 |
| 6489131.285 | 6489131.155 | 721223.340 | 0.000 | -0.000 | 6489012.100 |
| 22.217 | 23.328 | 23.328 | -0.000 | -0.000 | -0.000 |
| 23.328 | 22.217 | 23.328 | -0.000 | 0.000 | -0.000 |
| 23.328 | 23.328 | 22.217 | -0.000 | 0.000 | -0.000 |
| -72122.142 | -648911.634 | -648911.504 | 648899.704 | 0.000 | 0.000 |
| -648911.634 | -72122.142 | -648911.504 | 0.000 | 648899.704 | 0.000 |
| -648911.634 | -648911.504 | -72122.142 | 0.000 | 0.000 | 648899.704 |
| 2739916.461 | 2739920.208 | 2739920.208 | 0.000 | 0.000 | 0.000 |
| 2739920.208 | 2739916.461 | 2739920.208 | 0.000 | 0.000 | 0.000 |
| 2739920.208 | 2739920.208 | 2739916.461 | 0.000 | -0.000 | 0.000 |
| 72122.142 | 648911.634 | 648911.504 | 648899.704 | 0.000 | -0.000 |
| 648911.634 | 72122.142 | 648911.504 | 0.000 | 648899.704 | -0.000 |
| 648911.634 | 648911.504 | 72122.142 | 0.000 | -0.000 | 648899.704 |
| 22.202 | 23.320 | 23.320 | -0.000 | -0.000 | -0.000 |
| 23.320 | 22.202 | 23.320 | -0.000 | -0.000 | -0.000 |
| 23.320 | 23.320 | 22.202 | -0.000 | -0.000 | 0.000 |
| -136994.679 | -136993.399 | -136993.183 | 108145.641 | 0.000 | 0.000 |
| -136993.399 | -136994.679 | -136993.183 | -0.000 | 108145.641 | 0.000 |
| -136993.399 | -136993.183 | -136994.679 | -0.000 | -0.000 | 108145.641 |
| 274004.591 | 274008.338 | 274008.338 | 0.000 | -0.000 | 0.000 |
| 274008.338 | 274004.591 | 274008.338 | 0.000 | -0.000 | 0.000 |
| 274008.338 | 274008.338 | 274004.591 | 0.000 | -0.000 | -0.000 |
| 136994.679 | 136993.399 | 136993.183 | 108145.641 | 0.000 | -0.000 |
| 136993.399 | 136994.679 | 136993.183 | 0.000 | 108145.641 | -0.000 |
| 136993.399 | 136993.183 | 136994.679 | 0.000 | -0.000 | 108145.641 |
| 13.628 | 15.937 | 15.937 | -0.000 | -0.000 | -0.000 |
| 15.937 | 13.628 | 15.937 | -0.000 | -0.000 | -0.000 |
| 15.937 | 15.937 | 13.628 | -0.000 | -0.000 | -0.000 |
| -0.000 | -0.000 | 0.000 | -3.231 | -0.000 | 0.000 |
| 0.000 | -0.000 | 0.000 | -0.000 | -3.231 | 0.000 |
| 0.000 | 0.000 | 0.000 | -0.000 | -0.000 | -3.231 |
| 13.628 | 15.937 | 15.937 | 0.000 | 0.000 | 0.000 |
| 15.937 | 13.628 | 15.937 | 0.000 | 0.000 | 0.000 |
| 15.937 | 15.937 | 13.628 | 0.000 | 0.000 | 0.000 |
| 0.000 | -0.000 | -0.000 | -3.231 | 0.000 | 0.000 |
| -0.000 | -0.000 | -0.000 | 0.000 | -3.231 | 0.000 |
| -0.000 | -0.000 | 0.000 | 0.000 | 0.000 | -3.231 |
| 13.628 | 15.937 | 15.937 | -0.000 | -0.000 | -0.000 |
| 15.937 | 13.628 | 15.937 | -0.000 | -0.000 | -0.000 |
| 15.937 | 15.937 | 13.628 | -0.000 | -0.000 | -0.000 |
| 0.000 | 0.000 | 0.000 | 15.906 | -0.000 | -0.000 |
| 0.000 | 0.000 | 0.000 | -0.000 | 15.906 | -0.000 |
| 0.000 | 0.000 | 0.000 | -0.000 | -0.000 | 15.906 |
| 13.628 | 15.937 | 15.937 | 0.000 | 0.000 | 0.000 |
| 15.937 | 13.628 | 15.937 | 0.000 | 0.000 | 0.000 |
| 15.937 | 15.937 | 13.628 | 0.000 | 0.000 | 0.000 |
| -0.000 | -0.000 | -0.000 | 15.906 | 0.000 | 0.000 |
| -0.000 | -0.000 | -0.000 | 0.000 | 15.906 | 0.000 |
| -0.000 | -0.000 | -0.000 | 0.000 | 0.000 | 15.906 |
| 13.628 | 15.937 | 15.937 | -0.000 | -0.000 | -0.000 |
| 15.937 | 13.628 | 15.937 | -0.000 | -0.000 | -0.000 |
| 15.937 | 15.937 | 13.628 | -0.000 | -0.000 | -0.000 |
| -0.000 | 0.000 | -0.000 | -3.231 | -0.000 | 0.000 |
| 0.000 | -0.000 | -0.000 | -0.000 | -3.231 | 0.000 |
| 0.000 | -0.000 | -0.000 | -0.000 | -0.000 | -3.231 |
| 13.628 | 15.936 | 15.936 | 0.000 | 0.000 | 0.000 |
| 15.936 | 13.628 | 15.936 | 0.000 | 0.000 | 0.000 |
| 15.936 | 15.936 | 13.628 | 0.000 | 0.000 | 0.000 |
| 0.000 | -0.000 | 0.000 | -3.231 | 0.000 | -0.000 |
| -0.000 | 0.000 | 0.000 | 0.000 | -3.231 | -0.000 |
| -0.000 | 0.000 | 0.000 | 0.000 | 0.000 | -3.231 |
| 446.156 | 95.275 | 95.275 | 0.000 | 0.000 | 0.000 |
| 95.275 | 446.156 | 95.275 | -0.000 | -0.000 | 0.000 |
| 95.275 | 95.275 | 446.156 | -0.000 | 0.000 | 0.000 |
| 0.000 | -0.000 | -0.000 | 40.815 | -0.000 | 0.000 |
| 0.000 | 0.000 | -0.000 | -0.000 | 40.815 | 0.000 |
| 0.000 | -0.000 | -0.000 | 0.000 | 0.000 | 40.815 |
| 446.974 | 94.866 | 94.866 | -0.000 | 0.000 | -0.000 |
| 94.866 | 446.974 | 94.866 | 0.000 | 0.000 | -0.000 |
| 94.866 | 94.866 | 446.974 | -0.000 | -0.000 | -0.000 |
| -0.000 | 0.000 | 0.000 | 40.815 | 0.000 | 0.000 |
| -0.000 | -0.000 | 0.000 | -0.000 | 40.815 | -0.000 |
| -0.000 | -0.000 | 0.000 | -0.000 | -0.000 | 40.815 |
| 446.157 | 95.275 | 95.275 | -0.000 | -0.000 | 0.000 |
| 95.275 | 446.157 | 95.275 | 0.000 | -0.000 | 0.000 |
| 95.275 | 95.275 | 446.157 | 0.000 | -0.000 | -0.000 |
| 0.000 | 0.000 | 0.000 | 40.815 | 0.000 | 0.000 |
| 0.000 | 0.000 | 0.000 | 0.000 | 40.815 | 0.000 |
| 0.000 | 0.000 | 0.000 | 0.000 | 0.000 | 40.815 |
| 446.156 | 95.275 | 95.275 | -0.000 | -0.000 | -0.000 |
| 95.275 | 446.156 | 95.275 | -0.000 | 0.000 | -0.000 |
| 95.275 | 95.275 | 446.156 | 0.000 | 0.000 | -0.000 |
| -0.000 | -0.000 | -0.000 | 40.815 | 0.000 | -0.000 |
| -0.000 | -0.000 | -0.000 | -0.000 | 40.815 | -0.000 |
| -0.000 | -0.000 | -0.000 | -0.000 | 0.000 | 40.815 |
| 446.158 | 95.276 | 95.276 | -0.000 | 0.000 | 0.000 |
| 95.276 | 446.158 | 95.276 | 0.000 | -0.000 | 0.000 |
| 95.276 | 95.276 | 446.158 | 0.000 | -0.000 | 0.000 |
| 0.000 | 0.000 | 0.000 | 40.815 | 0.000 | -0.000 |
| 0.000 | 0.000 | 0.000 | -0.000 | 40.815 | 0.000 |
| 0.000 | 0.000 | 0.000 | 0.000 | 0.000 | 40.815 |
| 446.155 | 95.275 | 95.275 | -0.000 | 0.000 | -0.000 |
| 95.275 | 446.155 | 95.275 | 0.000 | 0.000 | 0.000 |
| 95.275 | 95.275 | 446.155 | 0.000 | -0.000 | -0.000 |
| -0.000 | -0.000 | -0.000 | 40.815 | 0.000 | -0.000 |
| -0.000 | -0.000 | -0.000 | -0.000 | 40.815 | -0.000 |
| -0.000 | -0.000 | -0.000 | -0.000 | 0.000 | 40.815 |
| 2.345 | 2.016 | 2.016 | -0.000 | 0.000 | -0.000 |
| 2.016 | 2.345 | 2.016 | -0.000 | -0.000 | -0.000 |
| 2.016 | 2.016 | 2.345 | -0.000 | -0.000 | -0.000 |
| -5864557.807 | -5864558.845 | -5864558.747 | 4886362.325 | 0.000 | -0.000 |
| -5864558.845 | -5864557.807 | -5864558.747 | -0.000 | 4886362.325 | -0.000 |
| -5864558.845 | -5864558.747 | -5864557.807 | -0.000 | -0.000 | 4886362.325 |
| 11729144.254 | 11729145.623 | 11729145.623 | 0.000 | -0.000 | 0.000 |
| 11729145.623 | 11729144.254 | 11729145.623 | 0.000 | -0.000 | 0.000 |
| 11729145.623 | 11729145.623 | 11729144.254 | 0.000 | -0.000 | 0.000 |
| 5864557.807 | 5864558.845 | 5864558.747 | 4886362.325 | -0.000 | 0.000 |
| 5864558.845 | 5864557.807 | 5864558.747 | 0.000 | 4886362.325 | 0.000 |
| 5864558.845 | 5864558.747 | 5864557.807 | 0.000 | 0.000 | 4886362.325 |
| -0.203 | 3.289 | 3.289 | -0.000 | -0.000 | -0.000 |
| 3.289 | -0.203 | 3.289 | -0.000 | -0.000 | -0.000 |
| 3.289 | 3.289 | -0.203 | -0.000 | -0.000 | -0.000 |
| -390953.164 | -97750.101 | -97750.082 | 97726.967 | -0.000 | -0.000 |
| -97750.101 | -390953.164 | -97750.082 | -0.000 | 97726.967 | -0.000 |
| -97750.101 | -97750.082 | -390953.164 | -0.000 | 0.000 | 97726.967 |
| 1172913.171 | 1172914.540 | 1172914.540 | -0.000 | -0.000 | 0.000 |
| 1172914.540 | 1172913.171 | 1172914.540 | 0.000 | -0.000 | 0.000 |
| 1172914.540 | 1172914.540 | 1172913.171 | 0.000 | 0.000 | 0.000 |
| 390953.164 | 97750.101 | 97750.082 | 97726.967 | 0.000 | 0.000 |
| 97750.101 | 390953.164 | 97750.082 | 0.000 | 97726.967 | 0.000 |
| 97750.101 | 97750.082 | 390953.164 | 0.000 | 0.000 | 97726.967 |
| -0.205 | 3.283 | 3.283 | -0.000 | 0.000 | -0.000 |
| 3.283 | -0.205 | 3.283 | -0.000 | -0.000 | -0.000 |
| 3.283 | 3.283 | -0.205 | -0.000 | -0.000 | -0.000 |
| -58644.310 | -58645.349 | -58645.251 | 48863.536 | -0.000 | -0.000 |
| -58645.349 | -58644.310 | -58645.251 | -0.000 | 48863.536 | -0.000 |
| -58645.349 | -58645.251 | -58644.310 | -0.000 | 0.000 | 48863.536 |
| 78189.693 | 19550.141 | 19550.141 | 0.000 | 0.000 | 0.000 |
| 19550.141 | 78189.693 | 19550.141 | 0.000 | 0.000 | 0.000 |
| 19550.141 | 19550.141 | 78189.693 | 0.000 | -0.000 | 0.000 |
| 58644.310 | 58645.349 | 58645.251 | 48863.536 | 0.000 | 0.000 |
| 58645.349 | 58644.310 | 58645.251 | 0.000 | 48863.536 | 0.000 |
| 58645.349 | 58645.251 | 58644.310 | 0.000 | -0.000 | 48863.536 |
| 2.533 | 0.911 | 0.911 | 0.000 | -0.000 | 0.000 |
| 0.911 | 2.533 | 0.911 | -0.000 | 0.000 | 0.000 |
| 0.911 | 0.911 | 2.533 | 0.000 | 0.000 | 0.000 |
| 5.024 | -1816471.365 | -1816471.336 | 1453180.167 | 0.000 | 0.000 |
| -1816471.365 | 5.024 | -1816471.336 | 0.000 | 1453180.167 | 0.000 |
| -1816471.365 | -1816471.336 | 5.024 | -0.000 | -0.000 | 1453180.167 |
| 7265897.666 | 3632941.621 | 3632941.621 | 0.000 | -0.000 | -0.000 |
| 3632941.621 | 7265897.666 | 3632941.621 | 0.000 | -0.000 | -0.000 |
| 3632941.621 | 3632941.621 | 7265897.666 | 0.000 | -0.000 | -0.000 |
| -5.024 | 1816471.365 | 1816471.336 | 1453180.167 | -0.000 | -0.000 |
| 1816471.365 | -5.024 | 1816471.336 | 0.000 | 1453180.167 | -0.000 |
| 1816471.365 | 1816471.336 | -5.024 | 0.000 | 0.000 | 1453180.167 |
| 0.315 | 2.020 | 2.020 | 0.000 | 0.000 | 0.000 |
| 2.020 | 0.315 | 2.020 | 0.000 | 0.000 | 0.000 |
| 2.020 | 2.020 | 0.315 | -0.000 | 0.000 | 0.000 |
| 0.502 | -181646.734 | -181646.705 | 145318.313 | 0.000 | 0.000 |
| -181646.734 | 0.502 | -181646.705 | 0.000 | 145318.313 | 0.000 |
| -181646.734 | -181646.705 | 0.502 | -0.000 | -0.000 | 145318.313 |
| 726589.335 | 363294.192 | 363294.192 | 0.000 | -0.000 | -0.000 |
| 363294.192 | 726589.335 | 363294.192 | 0.000 | -0.000 | -0.000 |
| 363294.192 | 363294.192 | 726589.335 | 0.000 | -0.000 | -0.000 |
| -0.502 | 181646.734 | 181646.705 | 145318.313 | -0.000 | -0.000 |
| 181646.734 | -0.502 | 181646.705 | -0.000 | 145318.313 | -0.000 |
| 181646.734 | 181646.705 | -0.502 | 0.000 | 0.000 | 145318.313 |
| 0.317 | 2.015 | 2.015 | -0.000 | 0.000 | 0.000 |
| 2.015 | 0.317 | 2.015 | 0.000 | 0.000 | 0.000 |
| 2.015 | 2.015 | 0.317 | 0.000 | 0.000 | 0.000 |
| 0.050 | -18164.271 | -18164.242 | 14532.127 | 0.000 | -0.000 |
| -18164.271 | 0.050 | -18164.242 | -0.000 | 14532.127 | 0.000 |
| -18164.271 | -18164.242 | 0.050 | 0.000 | -0.000 | 14532.127 |
| 72658.501 | 36329.449 | 36329.449 | 0.000 | -0.000 | -0.000 |
| 36329.449 | 72658.501 | 36329.449 | -0.000 | -0.000 | -0.000 |
| 36329.449 | 36329.449 | 72658.501 | 0.000 | -0.000 | -0.000 |
| -0.050 | 18164.271 | 18164.242 | 14532.127 | -0.000 | -0.000 |
| 18164.271 | -0.050 | 18164.242 | 0.000 | 14532.127 | -0.000 |
| 18164.271 | 18164.242 | -0.050 | 0.000 | 0.000 | 14532.127 |
| -0.001 | 0.000 | 0.000 | 0.000 | -0.000 | -0.000 |
| 0.000 | -0.001 | 0.000 | -0.000 | 0.000 | 0.000 |
| 0.000 | 0.000 | -0.001 | -0.000 | 0.000 | 0.000 |
| 0.000 | 0.000 | 0.000 | -0.000 | 0.000 | -0.000 |
| 0.000 | 0.000 | 0.000 | 0.000 | -0.000 | -0.000 |
| 0.000 | 0.000 | 0.000 | 0.000 | -0.000 | -0.000 |
| -0.001 | 0.000 | 0.000 | 0.000 | 0.000 | -0.000 |
| 0.000 | -0.001 | 0.000 | 0.000 | 0.000 | -0.000 |
| 0.000 | 0.000 | -0.001 | -0.000 | 0.000 | 0.000 |
| -0.000 | -0.000 | -0.000 | -0.000 | -0.000 | -0.000 |
| -0.000 | -0.000 | -0.000 | -0.000 | -0.000 | -0.000 |
| -0.000 | -0.000 | -0.000 | -0.000 | 0.000 | -0.000 |
| -0.001 | 0.000 | 0.000 | 0.000 | -0.000 | -0.000 |
| 0.000 | -0.001 | 0.000 | -0.000 | 0.000 | -0.000 |
| 0.000 | 0.000 | -0.001 | -0.000 | 0.000 | 0.000 |
| 0.000 | 0.000 | 0.000 | -0.000 | -0.000 | -0.000 |
| 0.000 | 0.000 | 0.000 | -0.000 | -0.000 | -0.000 |
| 0.000 | 0.000 | 0.000 | 0.000 | -0.000 | -0.000 |
| -0.001 | 0.000 | 0.000 | 0.000 | 0.000 | -0.000 |
| 0.000 | -0.001 | 0.000 | 0.000 | 0.000 | -0.000 |
| 0.000 | 0.000 | -0.001 | 0.000 | -0.000 | 0.000 |
| -0.000 | -0.000 | -0.000 | -0.000 | 0.000 | -0.000 |
| -0.000 | -0.000 | -0.000 | 0.000 | -0.000 | 0.000 |
| -0.000 | -0.000 | -0.000 | -0.000 | 0.000 | -0.000 |
| -0.001 | 0.000 | 0.000 | 0.000 | -0.000 | -0.000 |
| 0.000 | -0.001 | 0.000 | -0.000 | 0.000 | 0.000 |
| 0.000 | 0.000 | -0.001 | 0.000 | 0.000 | 0.000 |
| 0.000 | 0.000 | 0.000 | -0.000 | 0.000 | 0.000 |
| 0.000 | 0.000 | 0.000 | -0.000 | -0.000 | 0.000 |
| 0.000 | 0.000 | 0.000 | 0.000 | -0.000 | -0.000 |
| -0.001 | 0.000 | 0.000 | 0.000 | 0.000 | 0.000 |
| 0.000 | -0.001 | 0.000 | -0.000 | 0.000 | -0.000 |
| 0.000 | 0.000 | -0.001 | -0.000 | 0.000 | 0.000 |
| -0.000 | -0.000 | -0.000 | -0.000 | -0.000 | -0.000 |
| -0.000 | -0.000 | -0.000 | 0.000 | -0.000 | 0.000 |
| -0.000 | -0.000 | -0.000 | -0.000 | 0.000 | -0.000 |
| 0.305 | 0.016 | 0.016 | -0.000 | -0.000 | -0.000 |
| 0.016 | 0.305 | 0.016 | -0.000 | -0.000 | 0.000 |
| 0.016 | 0.016 | 0.305 | -0.000 | 0.000 | 0.000 |
| 0.000 | 0.000 | 0.000 | -0.016 | -0.000 | 0.000 |
| 0.000 | 0.000 | 0.000 | 0.000 | -0.016 | -0.000 |
| 0.000 | 0.000 | 0.000 | -0.000 | -0.000 | -0.016 |
| 0.305 | 0.016 | 0.016 | 0.000 | 0.000 | -0.000 |
| 0.016 | 0.305 | 0.016 | -0.000 | 0.000 | 0.000 |
| 0.016 | 0.016 | 0.305 | 0.000 | 0.000 | -0.000 |
| -0.000 | -0.000 | -0.000 | -0.016 | 0.000 | 0.000 |
| -0.000 | -0.000 | -0.000 | -0.000 | -0.016 | -0.000 |
| -0.000 | -0.000 | -0.000 | 0.000 | 0.000 | -0.016 |
| 0.305 | 0.016 | 0.016 | -0.000 | -0.000 | -0.000 |
| 0.016 | 0.305 | 0.016 | -0.000 | -0.000 | -0.000 |
| 0.016 | 0.016 | 0.305 | 0.000 | -0.000 | 0.000 |
| 0.000 | 0.000 | -0.000 | -0.016 | -0.000 | 0.000 |
| 0.000 | 0.000 | -0.000 | 0.000 | -0.016 | -0.000 |
| 0.000 | -0.000 | 0.000 | -0.000 | -0.000 | -0.016 |
| 0.305 | 0.016 | 0.016 | 0.000 | 0.000 | -0.000 |
| 0.016 | 0.305 | 0.016 | 0.000 | 0.000 | 0.000 |
| 0.016 | 0.016 | 0.305 | 0.000 | 0.000 | -0.000 |
| -0.000 | -0.000 | 0.000 | -0.016 | 0.000 | 0.000 |
| -0.000 | -0.000 | 0.000 | -0.000 | -0.016 | 0.000 |
| -0.000 | 0.000 | -0.000 | 0.000 | 0.000 | -0.016 |
| 0.300 | 0.016 | 0.016 | -0.000 | -0.000 | -0.000 |
| 0.016 | 0.300 | 0.016 | -0.000 | -0.000 | -0.000 |
| 0.016 | 0.016 | 0.300 | -0.000 | -0.000 | 0.000 |
| 0.000 | 0.000 | -0.000 | -0.016 | -0.000 | 0.000 |
| 0.000 | 0.000 | -0.000 | 0.000 | -0.016 | 0.000 |
| 0.000 | -0.000 | 0.000 | -0.000 | -0.000 | -0.016 |
| 0.309 | 0.016 | 0.016 | 0.000 | 0.000 | 0.000 |
| 0.016 | 0.309 | 0.016 | 0.000 | 0.000 | -0.000 |
| 0.016 | 0.016 | 0.309 | -0.000 | 0.000 | -0.000 |
| -0.000 | -0.000 | 0.000 | -0.016 | 0.000 | -0.000 |
| -0.000 | -0.000 | 0.000 | -0.000 | -0.016 | 0.000 |
| -0.000 | 0.000 | -0.000 | 0.000 | 0.000 | -0.016 |
| 0.634 | 0.016 | 0.016 | -0.000 | -0.000 | -0.000 |
| 0.016 | 0.634 | 0.016 | 0.000 | -0.000 | -0.000 |
| 0.016 | 0.016 | 0.634 | -0.000 | 0.000 | -0.000 |
| 0.000 | 0.000 | 0.000 | -0.016 | -0.000 | 0.000 |
| 0.000 | 0.000 | 0.000 | -0.000 | -0.016 | -0.000 |
| 0.000 | 0.000 | 0.000 | -0.000 | -0.000 | -0.016 |
| 0.634 | 0.016 | 0.016 | 0.000 | 0.000 | 0.000 |
| 0.016 | 0.634 | 0.016 | 0.000 | 0.000 | -0.000 |
| 0.016 | 0.016 | 0.634 | 0.000 | -0.000 | 0.000 |
| -0.000 | -0.000 | -0.000 | -0.016 | 0.000 | 0.000 |
| -0.000 | -0.000 | -0.000 | 0.000 | -0.016 | 0.000 |
| -0.000 | -0.000 | -0.000 | 0.000 | 0.000 | -0.016 |
| 0.633 | 0.016 | 0.016 | -0.000 | -0.000 | 0.000 |
| 0.016 | 0.633 | 0.016 | -0.000 | -0.000 | 0.000 |
| 0.016 | 0.016 | 0.633 | 0.000 | 0.000 | -0.000 |
| 0.000 | 0.000 | -0.000 | -0.016 | -0.000 | -0.000 |
| 0.000 | 0.000 | -0.000 | -0.000 | -0.016 | -0.000 |
| 0.000 | -0.000 | 0.000 | 0.000 | -0.000 | -0.016 |
| 0.634 | 0.016 | 0.016 | 0.000 | 0.000 | 0.000 |
| 0.016 | 0.634 | 0.016 | 0.000 | 0.000 | 0.000 |
| 0.016 | 0.016 | 0.634 | 0.000 | 0.000 | 0.000 |
| -0.000 | -0.000 | 0.000 | -0.016 | 0.000 | 0.000 |
| -0.000 | -0.000 | 0.000 | 0.000 | -0.016 | -0.000 |
| -0.000 | 0.000 | -0.000 | 0.000 | 0.000 | -0.016 |
| 0.629 | 0.016 | 0.016 | -0.000 | -0.000 | -0.000 |
| 0.016 | 0.629 | 0.016 | -0.000 | -0.000 | -0.000 |
| 0.016 | 0.016 | 0.629 | -0.000 | 0.000 | -0.000 |
| 0.000 | 0.000 | -0.000 | -0.016 | 0.000 | -0.000 |
| 0.000 | 0.000 | -0.000 | 0.000 | -0.016 | -0.000 |
| 0.000 | -0.000 | 0.000 | -0.000 | -0.000 | -0.016 |
| 0.638 | 0.016 | 0.016 | 0.000 | 0.000 | 0.000 |
| 0.016 | 0.638 | 0.016 | 0.000 | 0.000 | 0.000 |
| 0.016 | 0.016 | 0.638 | 0.000 | -0.000 | 0.000 |
| -0.000 | -0.000 | 0.000 | -0.016 | -0.000 | -0.000 |
| -0.000 | -0.000 | 0.000 | -0.000 | -0.016 | 0.000 |
| -0.000 | 0.000 | -0.000 | 0.000 | 0.000 | -0.016 |
| 277.619 | 260.792 | 260.792 | 0.000 | 0.000 | 0.000 |
| 260.792 | 277.619 | 260.792 | 0.000 | 0.000 | 0.000 |
| 260.792 | 260.792 | 277.619 | 0.000 | 0.000 | 0.000 |
| -241918892.073 | -241918874.220 | -241918870.401 | 190930629.778 | 0.000 | 0.000 |
| -241918874.220 | -241918892.073 | -241918870.401 | 0.000 | 190930629.778 | -0.000 |
| -241918874.220 | -241918870.401 | -241918892.073 | 0.000 | 0.000 | 190930629.778 |
| 483837840.585 | 483837870.770 | 483837870.770 | -0.000 | 0.000 | 0.000 |
| 483837870.770 | 483837840.585 | 483837870.770 | -0.000 | -0.000 | -0.000 |
| 483837870.770 | 483837870.770 | 483837840.585 | -0.000 | -0.000 | -0.000 |
| 241918892.073 | 241918874.220 | 241918870.401 | 190930629.778 | 0.000 | -0.000 |
| 241918874.220 | 241918892.073 | 241918870.401 | -0.000 | 190930629.778 | -0.000 |
| 241918874.220 | 241918870.401 | 241918892.073 | -0.000 | -0.000 | 190930629.778 |
| 277.593 | 260.777 | 260.777 | -0.000 | -0.000 | -0.000 |
| 260.777 | 277.593 | 260.777 | 0.000 | -0.000 | 0.000 |
| 260.777 | 260.777 | 277.593 | -0.000 | 0.000 | 0.000 |
| -11475656.412 | -17124514.621 | -17124511.649 | 14856611.699 | 0.000 | 0.000 |
| -17124514.621 | -11475656.412 | -17124511.649 | 0.000 | 14856611.699 | 0.000 |
| -17124514.621 | -17124511.649 | -11475656.412 | 0.000 | 0.000 | 14856611.699 |
| 48383908.378 | 48383938.563 | 48383938.563 | -0.000 | 0.000 | -0.000 |
| 48383938.563 | 48383908.378 | 48383938.563 | -0.000 | 0.000 | 0.000 |
| 48383938.563 | 48383938.563 | 48383908.378 | -0.000 | -0.000 | -0.000 |
| 11475656.412 | 17124514.621 | 17124511.649 | 14856611.699 | -0.000 | -0.000 |
| 17124514.621 | 11475656.412 | 17124511.649 | -0.000 | 14856611.699 | -0.000 |
| 17124514.621 | 17124511.649 | 11475656.412 | -0.000 | -0.000 | 14856611.699 |
| 277.329 | 260.630 | 260.630 | -0.000 | -0.000 | 0.000 |
| 260.630 | 277.329 | 260.630 | -0.000 | -0.000 | 0.000 |
| 260.630 | 260.630 | 277.329 | 0.000 | -0.000 | 0.000 |
| -1147543.550 | -1712411.678 | -1712408.707 | 1485865.519 | 0.000 | 0.000 |
| -1712411.678 | -1147543.550 | -1712408.707 | 0.000 | 1485865.519 | 0.000 |
| -1712411.678 | -1712408.707 | -1147543.550 | 0.000 | -0.000 | 1485865.519 |
| 4838515.158 | 4838545.342 | 4838545.342 | -0.000 | 0.000 | -0.000 |
| 4838545.342 | 4838515.158 | 4838545.342 | -0.000 | -0.000 | 0.000 |
| 4838545.342 | 4838545.342 | 4838515.158 | -0.000 | -0.000 | -0.000 |
| 1147543.550 | 1712411.678 | 1712408.707 | 1485865.519 | -0.000 | 0.000 |
| 1712411.678 | 1147543.550 | 1712408.707 | -0.000 | 1485865.519 | -0.000 |
| 1712411.678 | 1712408.707 | 1147543.550 | -0.000 | -0.000 | 1485865.519 |
| 127.251 | 157.969 | 157.969 | -0.000 | -0.000 | 0.000 |
| 157.969 | 127.251 | 157.969 | -0.000 | -0.000 | 0.000 |
| 157.969 | 157.969 | 127.251 | -0.000 | -0.000 | -0.000 |
| 0.000 | 0.000 | 0.000 | 155.593 | -0.000 | 0.000 |
| 0.000 | 0.000 | 0.000 | -0.000 | 155.593 | 0.000 |
| -0.000 | 0.000 | -0.000 | -0.000 | -0.000 | 155.593 |
| 127.251 | 157.969 | 157.969 | 0.000 | 0.000 | -0.000 |
| 157.969 | 127.251 | 157.969 | 0.000 | 0.000 | -0.000 |
| 157.969 | 157.969 | 127.251 | 0.000 | 0.000 | -0.000 |
| -0.000 | -0.000 | -0.000 | 155.593 | 0.000 | -0.000 |
| -0.000 | -0.000 | -0.000 | 0.000 | 155.593 | 0.000 |
| -0.000 | -0.000 | 0.000 | 0.000 | 0.000 | 155.593 |
| 127.251 | 157.969 | 157.969 | -0.000 | -0.000 | 0.000 |
| 157.969 | 127.251 | 157.969 | -0.000 | -0.000 | 0.000 |
| 157.969 | 157.969 | 127.251 | -0.000 | -0.000 | -0.000 |
| 0.000 | 0.000 | 0.000 | 155.102 | -0.000 | 0.000 |
| 0.000 | 0.000 | 0.000 | -0.000 | 155.102 | -0.000 |
| 0.000 | 0.000 | 0.000 | -0.000 | -0.000 | 155.102 |
| 127.251 | 157.969 | 157.969 | 0.000 | 0.000 | 0.000 |
| 157.969 | 127.251 | 157.969 | 0.000 | 0.000 | -0.000 |
| 157.969 | 157.969 | 127.251 | 0.000 | -0.000 | -0.000 |
| -0.000 | -0.000 | -0.000 | 155.102 | 0.000 | 0.000 |
| -0.000 | -0.000 | -0.000 | 0.000 | 155.102 | -0.000 |
| -0.000 | -0.000 | -0.000 | 0.000 | 0.000 | 155.102 |
| 127.251 | 157.969 | 157.969 | -0.000 | -0.000 | 0.000 |
| 157.969 | 127.251 | 157.969 | -0.000 | -0.000 | 0.000 |
| 157.969 | 157.969 | 127.251 | -0.000 | -0.000 | -0.000 |
| 0.001 | 0.000 | 0.001 | 155.102 | -0.000 | 0.000 |
| 0.000 | 0.001 | 0.001 | -0.000 | 155.102 | 0.000 |
| 0.000 | 0.001 | 0.001 | -0.000 | -0.000 | 155.102 |
| 127.251 | 157.969 | 157.969 | 0.000 | 0.000 | -0.000 |
| 157.969 | 127.251 | 157.969 | 0.000 | 0.000 | -0.000 |
| 157.969 | 157.969 | 127.251 | 0.000 | 0.000 | 0.000 |
| -0.001 | -0.000 | -0.001 | 155.102 | 0.000 | -0.000 |
| -0.000 | -0.001 | -0.001 | 0.000 | 155.102 | -0.000 |
| -0.000 | -0.001 | -0.001 | 0.000 | 0.000 | 155.102 |
| 8.766 | 1.657 | 1.657 | -0.000 | -0.000 | 0.000 |
| 1.657 | 8.766 | 1.657 | -0.000 | -0.000 | 0.000 |
| 1.657 | 1.657 | 8.766 | -0.000 | -0.000 | 0.000 |
| -0.000 | -0.000 | -0.000 | 0.615 | -0.000 | -0.000 |
| -0.000 | -0.000 | -0.000 | -0.000 | 0.615 | -0.000 |
| -0.000 | -0.000 | -0.000 | -0.000 | -0.000 | 0.615 |
| 11533359.553 | 7640.114 | 7640.114 | 0.000 | 0.000 | 0.000 |
| 7640.114 | 11533359.553 | 7640.114 | 0.000 | 0.000 | 0.000 |
| 7640.114 | 7640.114 | 11533359.553 | 0.000 | 0.000 | 0.000 |
| 0.000 | 0.000 | 0.000 | 0.615 | 0.000 | 0.000 |
| 0.000 | 0.000 | 0.000 | 0.000 | 0.615 | 0.000 |
| 0.000 | 0.000 | 0.000 | 0.000 | 0.000 | 0.615 |
| 8.764 | 1.657 | 1.657 | -0.000 | -0.000 | 0.000 |
| 1.657 | 8.764 | 1.657 | -0.000 | -0.000 | -0.000 |
| 1.657 | 1.657 | 8.764 | -0.000 | -0.000 | 0.000 |
| -0.000 | -0.000 | -0.000 | 0.615 | -0.000 | -0.000 |
| -0.000 | -0.000 | -0.000 | -0.000 | 0.615 | -0.000 |
| -0.000 | -0.000 | -0.000 | -0.000 | -0.000 | 0.615 |
| 1153337.165 | 765.508 | 765.508 | 0.000 | 0.000 | 0.000 |
| 765.508 | 1153337.165 | 765.508 | 0.000 | 0.000 | 0.000 |
| 765.508 | 765.508 | 1153337.165 | 0.000 | 0.000 | 0.000 |
| 0.000 | 0.000 | 0.000 | 0.615 | 0.000 | -0.000 |
| 0.000 | 0.000 | 0.000 | 0.000 | 0.615 | 0.000 |
| 0.000 | 0.000 | 0.000 | 0.000 | 0.000 | 0.615 |
| 8.734 | 1.657 | 1.657 | -0.000 | -0.000 | 0.000 |
| 1.657 | 8.734 | 1.657 | -0.000 | -0.000 | -0.000 |
| 1.657 | 1.657 | 8.734 | -0.000 | -0.000 | 0.000 |
| -0.000 | -0.000 | -0.000 | 0.615 | -0.000 | -0.000 |
| -0.000 | -0.000 | -0.000 | -0.000 | 0.615 | -0.000 |
| -0.000 | -0.000 | -0.000 | -0.000 | -0.000 | 0.615 |
| 115334.926 | 78.048 | 78.048 | 0.000 | 0.000 | -0.000 |
| 78.048 | 115334.926 | 78.048 | 0.000 | 0.000 | 0.000 |
| 78.048 | 78.048 | 115334.926 | 0.000 | 0.000 | -0.000 |
| 0.000 | 0.000 | 0.000 | 0.615 | 0.000 | 0.000 |
| 0.000 | 0.000 | 0.000 | 0.000 | 0.615 | 0.000 |
| 0.000 | 0.000 | 0.000 | 0.000 | 0.000 | 0.615 |
| 1.260 | 1.461 | 1.461 | 0.000 | 0.000 | -0.000 |
| 1.461 | 1.260 | 1.461 | 0.000 | 0.000 | 0.000 |
| 1.461 | 1.461 | 1.260 | 0.000 | 0.000 | 0.000 |
| -0.000 | -0.000 | -0.000 | 1.256 | 0.000 | -0.000 |
| -0.000 | -0.000 | -0.000 | 0.000 | 1.256 | -0.000 |
| -0.000 | -0.000 | -0.000 | -0.000 | 0.000 | 1.256 |
| 1.260 | 1.461 | 1.461 | -0.000 | -0.000 | 0.000 |
| 1.461 | 1.260 | 1.461 | -0.000 | -0.000 | 0.000 |
| 1.461 | 1.461 | 1.260 | -0.000 | -0.000 | -0.000 |
| 0.000 | 0.000 | 0.000 | 1.260 | -0.000 | 0.000 |
| 0.000 | 0.000 | 0.000 | -0.000 | 1.260 | 0.000 |
| 0.000 | 0.000 | 0.000 | 0.000 | -0.000 | 1.256 |
| 1.259 | 1.461 | 1.461 | 0.000 | 0.000 | -0.000 |
| 1.461 | 1.259 | 1.461 | 0.000 | 0.000 | 0.000 |
| 1.461 | 1.461 | 1.259 | 0.000 | 0.000 | -0.000 |
| -0.000 | -0.000 | -0.000 | 1.260 | 0.000 | -0.000 |
| -0.000 | -0.000 | -0.000 | 0.000 | 1.260 | -0.000 |
| -0.000 | -0.000 | -0.000 | 0.000 | 0.000 | 1.260 |
| 1.260 | 1.461 | 1.461 | -0.000 | -0.000 | -0.000 |
| 1.461 | 1.260 | 1.461 | -0.000 | -0.000 | -0.000 |
| 1.461 | 1.461 | 1.260 | -0.000 | -0.000 | 0.000 |
| 0.000 | 0.000 | 0.000 | 1.260 | -0.000 | 0.000 |
| 0.000 | 0.000 | 0.000 | -0.000 | 1.260 | 0.000 |
| 0.000 | 0.000 | 0.000 | 0.000 | -0.000 | 1.260 |
| 1.257 | 1.458 | 1.458 | 0.000 | 0.000 | 0.000 |
| 1.458 | 1.257 | 1.458 | 0.000 | 0.000 | 0.000 |
| 1.458 | 1.458 | 1.257 | 0.000 | 0.000 | 0.000 |
| -0.003 | -0.003 | -0.003 | 1.252 | -0.000 | -0.000 |
| -0.003 | -0.003 | -0.003 | 0.000 | 1.252 | 0.000 |
| -0.003 | -0.003 | -0.003 | -0.000 | 0.000 | 1.256 |
| 1.263 | 1.464 | 1.464 | -0.000 | -0.000 | -0.000 |
| 1.464 | 1.263 | 1.464 | -0.000 | -0.000 | -0.000 |
| 1.464 | 1.464 | 1.263 | 0.000 | 0.000 | -0.000 |
| 0.003 | 0.003 | 0.003 | 1.256 | -0.000 | -0.000 |
| 0.003 | 0.003 | 0.003 | -0.000 | 1.256 | -0.000 |
| 0.003 | 0.003 | 0.003 | 0.000 | -0.000 | 1.256 |
| 229.209 | 139.545 | 139.545 | 0.000 | -0.000 | -0.000 |
| 139.545 | 229.209 | 139.545 | 0.000 | -0.000 | -0.000 |
| 139.545 | 139.545 | 229.209 | 0.000 | -0.000 | -0.000 |
| -0.000 | -0.000 | 0.000 | 121.428 | -0.000 | -0.000 |
| -0.000 | -0.000 | 0.000 | 0.000 | 121.428 | -0.000 |
| -0.000 | 0.000 | -0.000 | -0.000 | -0.000 | 121.428 |
| 229.209 | 139.545 | 139.545 | 0.000 | 0.000 | -0.000 |
| 139.545 | 229.209 | 139.545 | -0.000 | 0.000 | 0.000 |
| 139.545 | 139.545 | 229.209 | -0.000 | 0.000 | 0.000 |
| 0.000 | 0.000 | -0.000 | 121.428 | 0.000 | 0.000 |
| 0.000 | 0.000 | -0.000 | 0.000 | 121.428 | 0.000 |
| 0.000 | 0.000 | 0.000 | -0.000 | -0.000 | 121.428 |
| 229.209 | 139.545 | 139.545 | 0.000 | 0.000 | 0.000 |
| 139.545 | 229.209 | 139.545 | 0.000 | 0.000 | 0.000 |
| 139.545 | 139.545 | 229.209 | 0.000 | 0.000 | -0.000 |
| -0.000 | -0.000 | 0.000 | 121.428 | -0.000 | -0.000 |
| -0.000 | 0.000 | 0.000 | 0.000 | 121.428 | -0.000 |
| -0.000 | 0.000 | 0.000 | -0.000 | 0.000 | 121.428 |
| 229.210 | 139.545 | 139.545 | -0.000 | 0.000 | 0.000 |
| 139.545 | 229.210 | 139.545 | -0.000 | 0.000 | -0.000 |
| 139.545 | 139.545 | 229.210 | 0.000 | -0.000 | 0.000 |
| 0.000 | 0.000 | -0.000 | 121.428 | 0.000 | -0.000 |
| 0.000 | 0.000 | -0.000 | -0.000 | 121.428 | 0.000 |
| 0.000 | -0.000 | -0.000 | -0.000 | 0.000 | 121.428 |
| 229.207 | 139.545 | 139.545 | -0.000 | -0.000 | -0.000 |
| 139.545 | 229.207 | 139.545 | 0.000 | -0.000 | 0.000 |
| 139.545 | 139.545 | 229.207 | 0.000 | -0.000 | -0.000 |
| -0.000 | -0.000 | 0.000 | 121.428 | 0.000 | -0.000 |
| -0.000 | 0.000 | 0.000 | 0.000 | 121.428 | -0.000 |
| -0.000 | 0.000 | 0.000 | -0.000 | -0.000 | 121.428 |
| 229.212 | 139.545 | 139.545 | 0.000 | -0.000 | 0.000 |
| 139.545 | 229.212 | 139.545 | -0.000 | -0.000 | 0.000 |
| 139.545 | 139.545 | 229.212 | 0.000 | -0.000 | 0.000 |
| -0.000 | 0.000 | -0.000 | 121.428 | -0.000 | -0.000 |
| 0.000 | -0.000 | -0.000 | -0.000 | 121.428 | 0.000 |
| 0.000 | -0.000 | -0.000 | 0.000 | -0.000 | 121.428 |
| 3.168 | 1.830 | 1.830 | 0.000 | 0.000 | -0.000 |
| 1.830 | 3.168 | 1.830 | 0.000 | -0.000 | -0.000 |
| 1.830 | 1.830 | 3.168 | 0.000 | 0.000 | -0.000 |
| 0.000 | -0.000 | -0.000 | 1.502 | -0.000 | -0.000 |
| -0.000 | 0.000 | -0.000 | 0.000 | 1.502 | -0.000 |
| -0.000 | -0.000 | 0.000 | 0.000 | -0.000 | 1.502 |
| 3.168 | 1.830 | 1.830 | -0.000 | -0.000 | 0.000 |
| 1.830 | 3.168 | 1.830 | 0.000 | 0.000 | 0.000 |
| 1.830 | 1.830 | 3.168 | 0.000 | 0.000 | 0.000 |
| -0.000 | 0.000 | 0.000 | 1.502 | -0.000 | 0.000 |
| 0.000 | -0.000 | 0.000 | -0.000 | 1.502 | 0.000 |
| 0.000 | 0.000 | -0.000 | 0.000 | 0.000 | 1.502 |
| 3.167 | 1.830 | 1.830 | 0.000 | 0.000 | -0.000 |
| 1.830 | 3.167 | 1.830 | 0.000 | 0.000 | -0.000 |
| 1.830 | 1.830 | 3.167 | 0.000 | -0.000 | -0.000 |
| -0.000 | -0.001 | -0.001 | 1.502 | -0.000 | -0.000 |
| -0.001 | -0.000 | -0.001 | 0.000 | 1.502 | -0.000 |
| -0.001 | -0.001 | -0.000 | -0.000 | 0.000 | 1.502 |
| 3.169 | 1.831 | 1.831 | -0.000 | -0.000 | 0.000 |
| 1.831 | 3.169 | 1.831 | 0.000 | 0.000 | 0.000 |
| 1.831 | 1.831 | 3.169 | 0.000 | 0.000 | 0.000 |
| 0.000 | 0.001 | 0.001 | 1.502 | 0.000 | 0.000 |
| 0.001 | 0.000 | 0.001 | -0.000 | 1.502 | 0.000 |
| 0.001 | 0.001 | 0.000 | -0.000 | -0.000 | 1.502 |
| 3.156 | 1.825 | 1.825 | 0.000 | -0.000 | -0.000 |
| 1.825 | 3.156 | 1.825 | 0.000 | 0.000 | -0.000 |
| 1.825 | 1.825 | 3.156 | -0.000 | -0.000 | -0.000 |
| -0.000 | -0.006 | -0.006 | 1.502 | -0.000 | -0.000 |
| -0.006 | -0.000 | -0.006 | -0.000 | 1.502 | -0.000 |
| -0.006 | -0.006 | -0.000 | 0.000 | 0.000 | 1.502 |
| 3.180 | 1.836 | 1.836 | -0.000 | 0.000 | 0.000 |
| 1.836 | 3.180 | 1.836 | 0.000 | -0.000 | 0.000 |
| 1.836 | 1.836 | 3.180 | 0.000 | 0.000 | 0.000 |
| 0.000 | 0.006 | 0.006 | 1.502 | 0.000 | 0.000 |
| 0.006 | 0.000 | 0.006 | 0.000 | 1.502 | 0.000 |
| 0.006 | 0.006 | 0.000 | 0.000 | -0.000 | 1.502 |
| 227.230 | 137.676 | 137.840 | 0.000 | 0.000 | -0.000 |
| 137.676 | 227.230 | 137.840 | 0.000 | 0.000 | 0.000 |
| 137.840 | 137.840 | 225.673 | 0.000 | 0.000 | -0.000 |
| -0.000 | -0.000 | -0.000 | 121.237 | 0.000 | 0.000 |
| -0.000 | -0.000 | -0.000 | 0.000 | 121.237 | -0.000 |
| -0.000 | -0.000 | -0.000 | 0.000 | 0.000 | 121.539 |
| 227.230 | 137.676 | 137.840 | -0.000 | -0.000 | 0.000 |
| 137.676 | 227.230 | 137.840 | -0.000 | -0.000 | 0.000 |
| 137.840 | 137.840 | 225.674 | -0.000 | -0.000 | -0.000 |
| 0.000 | 0.000 | 0.000 | 121.237 | -0.000 | 0.000 |
| 0.000 | 0.000 | 0.000 | -0.000 | 121.237 | 0.000 |
| 0.000 | 0.000 | 0.000 | -0.000 | 0.000 | 121.539 |
| 227.230 | 137.676 | 137.840 | 0.000 | 0.000 | 0.000 |
| 137.676 | 227.230 | 137.840 | 0.000 | 0.000 | -0.000 |
| 137.840 | 137.840 | 225.673 | 0.000 | 0.000 | 0.000 |
| -0.000 | -0.000 | 0.000 | 121.237 | 0.000 | 0.000 |
| -0.000 | -0.000 | 0.000 | 0.000 | 121.237 | -0.000 |
| -0.000 | 0.000 | -0.000 | 0.000 | 0.000 | 121.539 |
| 227.230 | 137.676 | 137.840 | -0.000 | -0.000 | -0.000 |
| 137.676 | 227.230 | 137.840 | -0.000 | -0.000 | 0.000 |
| 137.840 | 137.840 | 225.674 | -0.000 | -0.000 | 0.000 |
| 0.000 | 0.000 | -0.000 | 121.237 | -0.000 | -0.000 |
| 0.000 | 0.000 | -0.000 | -0.000 | 121.237 | 0.000 |
| 0.000 | -0.000 | 0.000 | -0.000 | 0.000 | 121.539 |
| 227.227 | 137.676 | 137.840 | 0.000 | 0.000 | 0.000 |
| 137.676 | 227.227 | 137.840 | 0.000 | 0.000 | 0.000 |
| 137.840 | 137.840 | 225.671 | 0.000 | 0.000 | 0.000 |
| -0.000 | -0.000 | 0.000 | 121.237 | 0.000 | -0.000 |
| -0.000 | -0.000 | 0.000 | 0.000 | 121.237 | -0.000 |
| -0.000 | 0.000 | 0.000 | 0.000 | 0.000 | 121.539 |
| 227.232 | 137.676 | 137.840 | -0.000 | -0.000 | 0.000 |
| 137.676 | 227.232 | 137.840 | -0.000 | -0.000 | -0.000 |
| 137.840 | 137.840 | 225.676 | -0.000 | -0.000 | 0.000 |
| 0.000 | 0.000 | -0.000 | 121.237 | -0.000 | -0.000 |
| 0.000 | 0.000 | -0.000 | -0.000 | 121.237 | -0.000 |
| 0.000 | -0.000 | -0.000 | -0.000 | -0.000 | 121.539 |
| 303.538 | 110.668 | 89.110 | 38.269 | 0.000 | 0.000 |
| 110.668 | 303.538 | 89.110 | -38.269 | 0.000 | -0.000 |
| 88.868 | 88.868 | 345.219 | 0.000 | 0.000 | -0.000 |
| 98.189 | 21.758 | 298.962 | 74.341 | 0.000 | 0.000 |
| 0.000 | -0.000 | 0.000 | 0.000 | 74.500 | 38.269 |
| 59.973 | 59.973 | 298.960 | 0.000 | 38.216 | 96.417 |
| 243.311 | 50.476 | -211.026 | 38.216 | -0.000 | 0.000 |
| 110.668 | 303.538 | 89.110 | -38.269 | -0.000 | -0.000 |
| 27.719 | 27.719 | 40.395 | 0.000 | -0.000 | 0.000 |
| -21.758 | -98.189 | -298.962 | 74.341 | -0.000 | 0.000 |
| -0.000 | 0.000 | -0.000 | -0.000 | 74.500 | 38.269 |
| -59.973 | -59.973 | -298.960 | -0.000 | 38.216 | 96.418 |
| 309.226 | 116.503 | 117.830 | 38.049 | 0.000 | -0.000 |
| 110.668 | 303.538 | 89.110 | -38.269 | 0.000 | -0.000 |
| 93.689 | 93.689 | 369.251 | 0.000 | 0.000 | 0.000 |
| 44.046 | -32.052 | 29.896 | 73.841 | 0.000 | 0.000 |
| -0.000 | -0.000 | 0.000 | 0.000 | 74.500 | 38.269 |
| -0.000 | -0.000 | -0.000 | 0.000 | 38.269 | 96.435 |
| 297.287 | 104.452 | 58.035 | 38.216 | -0.000 | -0.000 |
| 104.508 | 297.232 | 58.038 | -38.049 | -0.000 | 0.000 |
| 88.868 | 88.868 | 345.219 | -0.000 | -0.000 | 0.000 |
| 32.052 | -44.046 | -29.896 | 73.841 | -0.000 | 0.000 |
| 0.000 | 0.000 | -0.000 | -0.000 | 74.500 | 38.269 |
| 0.000 | 0.000 | 0.000 | -0.000 | 38.269 | 96.435 |
| 303.538 | 110.668 | 89.110 | 38.269 | 0.000 | -0.000 |
| 111.058 | 303.892 | 90.966 | -38.215 | 0.000 | -0.000 |
| 88.291 | 88.291 | 342.345 | 0.000 | 0.000 | 0.000 |
| 38.269 | -38.269 | 0.000 | 74.500 | 0.000 | -0.000 |
| 0.646 | 0.646 | 3.221 | 0.000 | 74.328 | 38.212 |
| -0.000 | -0.000 | -0.000 | 0.000 | 38.269 | 96.435 |
| 302.682 | 109.847 | 84.926 | 38.215 | -0.000 | 0.000 |
| 110.668 | 303.539 | 89.111 | -38.268 | -0.000 | 0.000 |
| 87.092 | 87.092 | 336.365 | -0.000 | -0.000 | 0.000 |
| 38.269 | -38.269 | -0.000 | 74.500 | -0.000 | 0.000 |
| -0.646 | -0.646 | -3.221 | -0.000 | 74.328 | 38.212 |
| 0.000 | 0.000 | 0.000 | -0.000 | 38.269 | 96.435 |
| 262.038 | 137.264 | 54.674 | 0.000 | 0.000 | -0.000 |
| 108.251 | 291.743 | 55.338 | -0.000 | -0.000 | 0.000 |
| 55.338 | 55.338 | 165.173 | -0.000 | -0.000 | 0.000 |
| -0.000 | 0.000 | 0.000 | 39.753 | 0.000 | 0.000 |
| -0.000 | 0.000 | 0.000 | -0.000 | 38.971 | -0.000 |
| -0.000 | 0.000 | -0.000 | 0.000 | 0.000 | 61.715 |
| 262.038 | 137.264 | 54.674 | -0.000 | -0.000 | 0.000 |
| 137.264 | 262.038 | 54.674 | -0.000 | -0.000 | 0.000 |
| 55.338 | 55.338 | 165.172 | 0.000 | 0.000 | -0.000 |
| 0.000 | -0.000 | -0.000 | 39.753 | -0.000 | 0.000 |
| 0.000 | -0.000 | -0.000 | -0.000 | 38.971 | -0.000 |
| 0.000 | -0.000 | 0.000 | -0.000 | -0.000 | 61.715 |
| 291.744 | 108.251 | 55.338 | -0.000 | -0.000 | 0.000 |
| 138.254 | 261.493 | 55.100 | 0.000 | 0.000 | 0.000 |
| 55.338 | 55.338 | 165.173 | 0.000 | 0.000 | 0.000 |
| 0.000 | 0.000 | 0.000 | 39.753 | 0.000 | 0.000 |
| 0.000 | 0.000 | 0.000 | -0.000 | 39.753 | 0.000 |
| 0.000 | 0.000 | 0.000 | -0.000 | 0.000 | 91.746 |
| 261.503 | 138.262 | 55.118 | 0.000 | -0.000 | -0.000 |
| 108.251 | 291.743 | 55.338 | -0.000 | -0.000 | -0.000 |
| 55.109 | 55.109 | 164.734 | 0.000 | -0.000 | 0.000 |
| -0.000 | -0.000 | -0.000 | 39.753 | -0.000 | -0.000 |
| -0.000 | -0.000 | -0.000 | -0.000 | 39.753 | 0.000 |
| -0.000 | -0.000 | -0.000 | 0.000 | 0.000 | 91.746 |
| 291.748 | 108.251 | 55.338 | -0.000 | 0.000 | 0.000 |
| 108.252 | 291.747 | 55.338 | -0.000 | -0.000 | 0.000 |
| 55.110 | 55.110 | 164.738 | 0.000 | 0.000 | 0.000 |
| 0.001 | 0.000 | 0.002 | 38.971 | 0.000 | 0.000 |
| 0.000 | 0.001 | 0.002 | -0.000 | 38.971 | 0.000 |
| 0.000 | 0.001 | 0.000 | 0.000 | -0.000 | 91.746 |
| 261.499 | 138.262 | 55.118 | -0.000 | -0.000 | -0.000 |
| 108.250 | 291.740 | 55.337 | 0.000 | -0.000 | -0.000 |
| 55.108 | 55.108 | 164.730 | -0.000 | -0.000 | 0.000 |
| -0.001 | -0.000 | -0.002 | 38.971 | -0.000 | 0.000 |
| -0.000 | -0.001 | -0.002 | 0.000 | 38.971 | 0.000 |
| -0.000 | -0.001 | -0.000 | -0.000 | 0.000 | 91.746 |
| 261.209 | 136.827 | 53.475 | -0.000 | -0.000 | -0.000 |
| 137.825 | 260.674 | 53.922 | -0.000 | -0.000 | -0.000 |
| 53.909 | 53.909 | 159.927 | -0.000 | 0.000 | 0.000 |
| -0.000 | 0.000 | 0.000 | 38.143 | 0.000 | 0.000 |
| 0.000 | -0.000 | 0.000 | -0.000 | 37.338 | -0.000 |
| 0.000 | 0.000 | 0.000 | -0.000 | -0.000 | 91.213 |
| 260.674 | 137.825 | 53.922 | 0.000 | 0.000 | 0.000 |
| 137.825 | 260.674 | 53.922 | 0.000 | 0.000 | -0.000 |
| 54.139 | 54.139 | 160.371 | 0.000 | 0.000 | -0.000 |
| -0.000 | 0.000 | -0.000 | 38.143 | -0.000 | 0.000 |
| -0.000 | 0.000 | -0.000 | 0.000 | 37.338 | -0.000 |
| -0.000 | -0.000 | -0.000 | 0.000 | 0.000 | 91.213 |
| 290.577 | 108.151 | 54.142 | -0.000 | -0.000 | -0.000 |
| 108.151 | 290.577 | 54.142 | -0.000 | 0.000 | 0.000 |
| 53.909 | 53.909 | 159.928 | -0.000 | -0.000 | -0.000 |
| 0.000 | 0.000 | 0.000 | 38.143 | -0.000 | 0.000 |
| 0.000 | 0.000 | 0.000 | -0.000 | 37.338 | -0.000 |
| 0.000 | 0.000 | 0.000 | -0.000 | -0.000 | 91.213 |
| 290.576 | 108.151 | 54.142 | 0.000 | 0.000 | 0.000 |
| 108.151 | 290.576 | 54.142 | 0.000 | 0.000 | -0.000 |
| 53.909 | 53.909 | 159.927 | 0.000 | 0.000 | 0.000 |
| -0.000 | -0.000 | -0.000 | 38.143 | 0.000 | 0.000 |
| -0.000 | -0.000 | -0.000 | 0.000 | 37.338 | 0.000 |
| -0.000 | -0.000 | -0.000 | 0.000 | 0.000 | 91.213 |
| 290.580 | 108.151 | 54.142 | -0.000 | -0.000 | 0.000 |
| 136.828 | 261.212 | 53.475 | -0.000 | -0.000 | -0.000 |
| 53.910 | 53.910 | 159.932 | -0.000 | -0.000 | -0.000 |
| 0.001 | 0.000 | 0.002 | 37.338 | -0.000 | -0.000 |
| 0.001 | 0.000 | 0.002 | -0.000 | 38.143 | -0.000 |
| 0.000 | 0.001 | 0.000 | -0.000 | -0.000 | 91.213 |
| 261.206 | 136.827 | 53.475 | 0.000 | -0.000 | 0.000 |
| 137.823 | 260.673 | 53.922 | 0.000 | 0.000 | 0.000 |
| 54.137 | 54.137 | 160.367 | 0.000 | 0.000 | 0.000 |
| -0.001 | -0.000 | -0.002 | 37.338 | -0.000 | 0.000 |
| -0.001 | -0.000 | -0.002 | 0.000 | 38.143 | -0.000 |
| -0.000 | -0.001 | -0.000 | 0.000 | 0.000 | 91.213 |
| 170.358 | 121.973 | 121.973 | 0.000 | 0.000 | -0.000 |
| 121.973 | 170.358 | 121.973 | 0.000 | 0.000 | -0.000 |
| 121.973 | 121.973 | 170.358 | 0.000 | 0.000 | -0.000 |
| 0.000 | -0.000 | 0.000 | 76.296 | 0.000 | -0.000 |
| 0.000 | 0.000 | 0.000 | 0.000 | 76.296 | -0.000 |
| 0.000 | 0.000 | 0.000 | 0.000 | 0.000 | 76.296 |
| 170.358 | 121.973 | 121.973 | -0.000 | -0.000 | 0.000 |
| 121.973 | 170.358 | 121.973 | -0.000 | -0.000 | 0.000 |
| 121.973 | 121.973 | 170.358 | -0.000 | -0.000 | -0.000 |
| -0.000 | -0.000 | -0.000 | 76.296 | 0.000 | 0.000 |
| -0.000 | -0.000 | -0.000 | -0.000 | 76.296 | 0.000 |
| -0.000 | -0.000 | -0.000 | -0.000 | -0.000 | 76.296 |
| 170.358 | 121.973 | 121.973 | 0.000 | 0.000 | -0.000 |
| 121.973 | 170.358 | 121.973 | 0.000 | 0.000 | -0.000 |
| 121.973 | 121.973 | 170.358 | 0.000 | 0.000 | -0.000 |
| -0.000 | -0.000 | 0.000 | 76.296 | -0.000 | -0.000 |
| -0.000 | -0.000 | 0.000 | -0.000 | 76.296 | -0.000 |
| -0.000 | 0.000 | -0.000 | -0.000 | 0.000 | 76.296 |
| 170.358 | 121.973 | 121.973 | -0.000 | -0.000 | 0.000 |
| 121.973 | 170.358 | 121.973 | -0.000 | -0.000 | 0.000 |
| 121.973 | 121.973 | 170.358 | -0.000 | -0.000 | 0.000 |
| 0.000 | 0.000 | -0.000 | 76.296 | -0.000 | -0.000 |
| 0.000 | 0.000 | -0.000 | -0.000 | 76.296 | 0.000 |
| 0.000 | -0.000 | 0.000 | -0.000 | -0.000 | 76.296 |
| 170.358 | 121.973 | 121.973 | 0.000 | 0.000 | -0.000 |
| 121.973 | 170.358 | 121.973 | 0.000 | 0.000 | -0.000 |
| 121.973 | 121.973 | 170.358 | 0.000 | 0.000 | -0.000 |
| -0.000 | -0.000 | 0.000 | 76.296 | 0.000 | -0.000 |
| -0.000 | -0.000 | 0.000 | 0.000 | 76.296 | -0.000 |
| -0.000 | 0.000 | -0.000 | 0.000 | 0.000 | 76.296 |
| 170.358 | 121.972 | 121.972 | -0.000 | 0.000 | 0.000 |
| 121.972 | 170.358 | 121.972 | -0.000 | -0.000 | 0.000 |
| 121.972 | 121.972 | 170.358 | -0.000 | -0.000 | 0.000 |
| 0.000 | 0.000 | -0.000 | 76.296 | -0.000 | -0.000 |
| 0.000 | 0.000 | -0.000 | 0.000 | 76.296 | 0.000 |
| 0.000 | -0.000 | 0.000 | -0.000 | -0.000 | 76.296 |
| 152.745 | 13.704 | 13.704 | -0.000 | 0.000 | 0.000 |
| 13.704 | 152.745 | 13.704 | 0.000 | 0.000 | 0.000 |
| 13.704 | 13.704 | 152.745 | 0.000 | 0.000 | 0.000 |
| 0.000 | 0.000 | 0.000 | 10.944 | -0.000 | 0.000 |
| 0.000 | -0.000 | 0.000 | -0.000 | 10.944 | 0.000 |
| 0.000 | 0.000 | 0.000 | -0.000 | -0.000 | 10.944 |
| 152.745 | 13.704 | 13.704 | 0.000 | -0.000 | -0.000 |
| 13.704 | 152.745 | 13.704 | -0.000 | 0.000 | -0.000 |
| 13.704 | 13.704 | 152.745 | -0.000 | -0.000 | 0.000 |
| -0.000 | -0.000 | -0.000 | 10.944 | 0.000 | 0.000 |
| -0.000 | -0.000 | -0.000 | 0.000 | 10.944 | -0.000 |
| -0.000 | -0.000 | -0.000 | 0.000 | 0.000 | 10.944 |
| 152.745 | 13.704 | 13.704 | 0.000 | -0.000 | 0.000 |
| 13.704 | 152.745 | 13.704 | -0.000 | 0.000 | 0.000 |
| 13.704 | 13.704 | 152.745 | -0.000 | -0.000 | 0.000 |
| 0.000 | 0.000 | 0.000 | 10.944 | -0.000 | -0.000 |
| 0.000 | -0.000 | 0.000 | -0.000 | 10.944 | 0.000 |
| 0.000 | 0.000 | 0.000 | 0.000 | -0.000 | 10.944 |
| 152.745 | 13.704 | 13.704 | -0.000 | 0.000 | -0.000 |
| 13.704 | 152.745 | 13.704 | -0.000 | -0.000 | -0.000 |
| 13.704 | 13.704 | 152.745 | 0.000 | -0.000 | -0.000 |
| -0.000 | -0.000 | -0.000 | 10.944 | 0.000 | -0.000 |
| -0.000 | 0.000 | -0.000 | -0.000 | 10.944 | -0.000 |
| -0.000 | -0.000 | -0.000 | 0.000 | 0.000 | 10.944 |
| 152.745 | 13.704 | 13.704 | -0.000 | -0.000 | 0.000 |
| 13.704 | 152.745 | 13.704 | -0.000 | -0.000 | 0.000 |
| 13.704 | 13.704 | 152.745 | 0.000 | 0.000 | -0.000 |
| -0.000 | 0.000 | 0.000 | 10.944 | -0.000 | -0.000 |
| 0.000 | -0.000 | 0.000 | 0.000 | 10.944 | 0.000 |
| 0.000 | 0.000 | -0.000 | 0.000 | 0.000 | 10.944 |
| 152.746 | 13.703 | 13.703 | 0.000 | -0.000 | -0.000 |
| 13.703 | 152.746 | 13.703 | 0.000 | -0.000 | -0.000 |
| 13.703 | 13.703 | 152.746 | -0.000 | -0.000 | -0.000 |
| 0.000 | -0.000 | -0.000 | 10.944 | 0.000 | 0.000 |
| -0.000 | 0.000 | -0.000 | -0.000 | 10.944 | 0.000 |
| -0.000 | -0.000 | 0.000 | -0.000 | 0.000 | 10.944 |
| 2110.733 | 1055.366 | 1055.366 | -0.000 | -0.000 | -0.000 |
| 1055.366 | 2110.733 | 1055.366 | -0.000 | -0.000 | -0.000 |
| 1055.366 | 1055.366 | 2110.733 | -0.000 | -0.000 | -0.000 |
| -0.000 | -0.000 | -0.000 | 1055.366 | -0.000 | -0.000 |
| -0.000 | -0.000 | -0.000 | -0.000 | 1055.366 | 0.000 |
| -0.000 | -0.000 | -0.000 | -0.000 | 0.000 | 1055.366 |
| 2110.733 | 1055.366 | 1055.366 | 0.000 | -0.000 | -0.000 |
| 1055.366 | 2110.733 | 1055.366 | -0.000 | 0.000 | 0.000 |
| 1055.366 | 1055.366 | 2110.733 | 0.000 | 0.000 | 0.000 |
| 0.000 | 0.000 | 0.000 | 1055.366 | 0.000 | 0.000 |
| 0.000 | 0.000 | 0.000 | 0.000 | 1055.366 | -0.000 |
| 0.000 | 0.000 | 0.000 | 0.000 | -0.000 | 1055.366 |
| 2110.733 | 1055.366 | 1055.366 | -0.000 | -0.000 | -0.000 |
| 1055.366 | 2110.733 | 1055.366 | -0.000 | -0.000 | -0.000 |
| 1055.366 | 1055.366 | 2110.733 | -0.000 | -0.000 | -0.000 |
| -0.000 | -0.000 | -0.000 | 1055.366 | -0.000 | -0.000 |
| -0.000 | -0.000 | -0.000 | -0.000 | 1055.366 | 0.000 |
| -0.000 | -0.000 | -0.000 | -0.000 | 0.000 | 1055.366 |
| 2110.733 | 1055.366 | 1055.366 | 0.000 | -0.000 | -0.000 |
| 1055.366 | 2110.733 | 1055.366 | -0.000 | 0.000 | 0.000 |
| 1055.366 | 1055.366 | 2110.733 | 0.000 | 0.000 | 0.000 |
| 0.000 | 0.000 | 0.000 | 1055.366 | 0.000 | 0.000 |
| 0.000 | 0.000 | 0.000 | 0.000 | 1055.366 | -0.000 |
| 0.000 | 0.000 | 0.000 | 0.000 | -0.000 | 1055.366 |
| 2110.729 | 1055.367 | 1055.367 | -0.000 | 0.000 | 0.000 |
| 1055.367 | 2110.729 | 1055.367 | 0.000 | -0.000 | -0.000 |
| 1055.367 | 1055.367 | 2110.729 | -0.000 | -0.000 | -0.000 |
| -0.001 | -0.003 | -0.001 | 1055.366 | -0.000 | -0.000 |
| -0.003 | -0.001 | -0.001 | -0.000 | 1055.366 | 0.000 |
| -0.003 | -0.001 | -0.001 | -0.000 | 0.000 | 1055.366 |
| 2110.737 | 1055.366 | 1055.366 | 0.000 | 0.000 | 0.000 |
| 1055.366 | 2110.737 | 1055.366 | 0.000 | 0.000 | 0.000 |
| 1055.366 | 1055.366 | 2110.737 | 0.000 | 0.000 | 0.000 |
| 0.001 | 0.003 | 0.001 | 1055.366 | 0.000 | 0.000 |
| 0.003 | 0.001 | 0.001 | 0.000 | 1055.366 | -0.000 |
| 0.003 | 0.001 | 0.001 | 0.000 | -0.000 | 1055.366 |
| 17.413 | 8.707 | 8.707 | 0.000 | -0.000 | -0.000 |
| 8.707 | 17.413 | 8.707 | -0.000 | 0.000 | 0.000 |
| 8.707 | 8.707 | 17.413 | 0.000 | 0.000 | 0.000 |
| 0.000 | 0.000 | 0.000 | 8.707 | 0.000 | 0.000 |
| 0.000 | 0.000 | 0.000 | 0.000 | 8.707 | -0.000 |
| 0.000 | 0.000 | 0.000 | 0.000 | -0.000 | 8.707 |
| 17.413 | 8.707 | 8.707 | -0.000 | -0.000 | -0.000 |
| 8.707 | 17.413 | 8.707 | -0.000 | -0.000 | -0.000 |
| 8.707 | 8.707 | 17.413 | -0.000 | -0.000 | -0.000 |
| 0.000 | -0.000 | -0.000 | 8.707 | -0.000 | -0.000 |
| -0.000 | -0.000 | -0.000 | -0.000 | 8.707 | 0.000 |
| -0.000 | -0.000 | -0.000 | 0.000 | 0.000 | 8.707 |
| 17.413 | 8.707 | 8.707 | 0.000 | 0.000 | 0.000 |
| 8.707 | 17.413 | 8.707 | 0.000 | 0.000 | 0.000 |
| 8.707 | 8.707 | 17.413 | 0.000 | 0.000 | 0.000 |
| -0.000 | 0.000 | 0.000 | 8.707 | 0.000 | 0.000 |
| 0.000 | -0.000 | 0.000 | 0.000 | 8.707 | -0.000 |
| 0.000 | 0.000 | -0.000 | 0.000 | -0.000 | 8.707 |
| 17.413 | 8.707 | 8.707 | -0.000 | 0.000 | 0.000 |
| 8.707 | 17.413 | 8.707 | 0.000 | -0.000 | -0.000 |
| 8.707 | 8.707 | 17.413 | -0.000 | -0.000 | -0.000 |
| 0.000 | -0.000 | -0.000 | 8.707 | -0.000 | -0.000 |
| -0.000 | 0.000 | -0.000 | -0.000 | 8.707 | 0.000 |
| -0.000 | -0.000 | 0.000 | -0.000 | 0.000 | 8.707 |
| 17.414 | 8.707 | 8.707 | 0.000 | -0.000 | -0.000 |
| 8.707 | 17.414 | 8.707 | -0.000 | 0.000 | 0.000 |
| 8.707 | 8.707 | 17.414 | 0.000 | 0.000 | 0.000 |
| -0.000 | 0.000 | 0.000 | 8.707 | 0.000 | 0.000 |
| 0.000 | -0.000 | 0.000 | 0.000 | 8.707 | -0.000 |
| 0.000 | 0.000 | -0.000 | 0.000 | -0.000 | 8.707 |
| 17.413 | 8.706 | 8.706 | -0.000 | -0.000 | -0.000 |
| 8.706 | 17.413 | 8.706 | -0.000 | -0.000 | -0.000 |
| 8.706 | 8.706 | 17.413 | -0.000 | -0.000 | -0.000 |
| 0.000 | -0.000 | -0.000 | 8.707 | -0.000 | -0.000 |
| -0.000 | 0.000 | -0.000 | -0.000 | 8.707 | 0.000 |
| -0.000 | -0.000 | 0.000 | -0.000 | 0.000 | 8.707 |
| 252.170 | 53.997 | 53.997 | -0.000 | 0.000 | -0.000 |
| 53.997 | 252.170 | 53.997 | -0.000 | -0.000 | -0.000 |
| 53.997 | 53.997 | 252.170 | 0.000 | 0.000 | -0.000 |
| -0.000 | 0.000 | 0.000 | 18.515 | -0.000 | 0.000 |
| 0.000 | -0.000 | -0.000 | -0.000 | 18.515 | -0.000 |
| -0.000 | -0.000 | -0.000 | -0.000 | 0.000 | 18.515 |
| 252.170 | 53.997 | 53.997 | 0.000 | 0.000 | 0.000 |
| 53.997 | 252.170 | 53.997 | 0.000 | 0.000 | -0.000 |
| 53.997 | 53.997 | 252.170 | -0.000 | -0.000 | 0.000 |
| 0.000 | -0.000 | 0.000 | 18.515 | 0.000 | 0.000 |
| -0.000 | 0.000 | 0.000 | 0.000 | 18.515 | 0.000 |
| -0.000 | -0.000 | 0.000 | 0.000 | -0.000 | 18.515 |
| 253.543 | 53.311 | 53.311 | -0.000 | 0.000 | -0.000 |
| 53.311 | 253.543 | 53.311 | -0.000 | -0.000 | 0.000 |
| 53.311 | 53.311 | 253.543 | -0.000 | 0.000 | -0.000 |
| 0.000 | 0.000 | 0.000 | 18.515 | -0.000 | -0.000 |
| 0.000 | 0.000 | -0.000 | 0.000 | 18.515 | -0.000 |
| 0.000 | 0.000 | 0.000 | 0.000 | 0.000 | 18.515 |
| 253.543 | 53.311 | 53.311 | -0.000 | -0.000 | 0.000 |
| 53.311 | 253.543 | 53.311 | 0.000 | -0.000 | 0.000 |
| 53.311 | 53.311 | 253.543 | 0.000 | 0.000 | -0.000 |
| -0.000 | -0.000 | 0.000 | 18.515 | 0.000 | -0.000 |
| -0.000 | -0.000 | 0.000 | 0.000 | 18.515 | 0.000 |
| -0.000 | -0.000 | -0.000 | -0.000 | -0.000 | 18.515 |
| 252.171 | 53.997 | 53.997 | -0.000 | -0.000 | -0.000 |
| 53.997 | 252.171 | 53.997 | -0.000 | -0.000 | 0.000 |
| 53.997 | 53.997 | 252.171 | -0.000 | 0.000 | 0.000 |
| -0.000 | 0.000 | 0.000 | -26.979 | 0.000 | 0.000 |
| 0.000 | -0.000 | 0.000 | 0.000 | -26.979 | 0.000 |
| 0.000 | 0.000 | -0.000 | -0.000 | -0.000 | -26.979 |
| 252.169 | 53.997 | 53.997 | -0.000 | 0.000 | 0.000 |
| 53.997 | 252.169 | 53.997 | 0.000 | 0.000 | 0.000 |
| 53.997 | 53.997 | 252.169 | 0.000 | 0.000 | 0.000 |
| 0.000 | -0.000 | -0.000 | -26.979 | -0.000 | -0.000 |
| -0.000 | 0.000 | -0.000 | 0.000 | -26.979 | -0.000 |
| -0.000 | -0.000 | 0.000 | 0.000 | -0.000 | -26.979 |
| 175.697 | -24.610 | -24.610 | -0.000 | 0.000 | 0.000 |
| -24.610 | 175.697 | -24.610 | 0.000 | 0.000 | 0.000 |
| -24.610 | -24.610 | 175.697 | -0.000 | 0.000 | 0.000 |
| 0.000 | 0.000 | 0.000 | 47.640 | -0.000 | 0.000 |
| 0.000 | 0.000 | 0.000 | 0.000 | 47.640 | 0.000 |
| 0.000 | 0.000 | 0.000 | -0.000 | -0.000 | 47.640 |
| 175.697 | -24.610 | -24.610 | 0.000 | 0.000 | -0.000 |
| -24.610 | 175.697 | -24.610 | 0.000 | -0.000 | -0.000 |
| -24.610 | -24.610 | 175.697 | 0.000 | -0.000 | -0.000 |
| -0.000 | -0.000 | -0.000 | 47.640 | 0.000 | -0.000 |
| -0.000 | -0.000 | -0.000 | -0.000 | 47.640 | -0.000 |
| -0.000 | -0.000 | -0.000 | -0.000 | -0.000 | 47.640 |
| -264135454.873 | -48311456.428 | -33246660.910 | -8004162.040 | 5371665.994 | -6205778.751 |
| -28353254.898 | -262165630.221 | -39954581.319 | -12329118.622 | -8788340.916 | 6413379.976 |
| -49860313.980 | -32451834.325 | -258828746.184 | 6465257.056 | -10951215.831 | -6295213.527 |
| 0.170 | 0.357 | 0.360 | -17364.297 | 0.000 | 0.000 |
| 0.357 | 0.170 | 0.360 | 0.000 | -17364.297 | 0.000 |
| 0.357 | 0.360 | 0.170 | 0.000 | -0.000 | -17364.297 |
| -83856283.204 | 112320808.265 | 125405443.843 | 2413063.335 | -227440.816 | -2575437.248 |
| 123540189.056 | -78737587.779 | 104215042.088 | -980526.075 | 5053360.540 | -2183548.444 |
| 118975317.715 | 134377290.435 | -77959614.268 | 2026914.196 | 2958391.067 | 6643863.065 |
| -0.170 | -0.357 | -0.360 | -17364.297 | -0.000 | -0.000 |
| -0.357 | -0.170 | -0.360 | -0.000 | -17364.297 | -0.000 |
| -0.357 | -0.360 | -0.170 | -0.000 | 0.000 | -17364.297 |
| -26055375.387 | -2883615.833 | -3323761.043 | -1120440.245 | 453634.007 | -582975.072 |
| -2863159.848 | -26164494.340 | -3806145.061 | -772782.890 | -965732.538 | 1136588.349 |
| -4057976.333 | -3295177.789 | -26551046.754 | 646671.624 | -729184.567 | -996009.369 |
| -25987391.511 | -2567804.009 | -4708498.733 | -2747393.227 | 380323.025 | -262970.468 |
| -3256749.679 | -26364543.902 | -4501955.850 | -417197.291 | -2192331.223 | -423723.189 |
| -2728463.689 | -4953904.533 | -25805023.336 | 317216.740 | -181906.085 | -2626972.885 |
| -9096628.341 | 12632286.904 | 12036643.129 | 288619.873 | -147717.730 | -34541.139 |
| 12973731.654 | -9931286.825 | 11578693.898 | 91121.426 | -104410.326 | 284344.272 |
| 10887393.442 | 12667400.858 | -8190351.389 | 246741.700 | 532923.762 | 5666.999 |
| 24596221.615 | 8135667.227 | 5607892.032 | -899866.820 | -19433.337 | 776000.641 |
| 2926178.136 | 24688605.757 | 5385345.585 | 497684.702 | -677312.471 | 425429.992 |
| 8112790.638 | 5584401.548 | 24384377.689 | -178170.716 | 830113.609 | -651589.468 |
| 4.073 | 1.379 | 1.379 | -0.000 | -0.000 | -0.000 |
| 1.379 | 4.073 | 1.379 | -0.000 | 0.000 | -0.000 |
| 1.379 | 1.379 | 4.073 | -0.000 | -0.000 | 0.000 |
| 0.000 | 0.000 | 0.000 | 0.919 | -0.000 | 0.000 |
| 0.000 | 0.000 | 0.000 | 0.000 | 0.919 | 0.000 |
| 0.000 | 0.000 | 0.000 | 0.000 | 0.000 | 0.919 |
| 4.073 | 1.379 | 1.379 | 0.000 | 0.000 | 0.000 |
| 1.379 | 4.073 | 1.379 | 0.000 | -0.000 | -0.000 |
| 1.379 | 1.379 | 4.073 | 0.000 | -0.000 | 0.000 |
| -0.000 | -0.000 | -0.000 | 0.919 | -0.000 | -0.000 |
| -0.000 | -0.000 | -0.000 | -0.000 | 0.919 | -0.000 |
| -0.000 | -0.000 | -0.000 | -0.000 | -0.000 | 0.919 |
| 4.073 | 1.379 | 1.379 | -0.000 | 0.000 | -0.000 |
| 1.379 | 4.073 | 1.379 | -0.000 | 0.000 | 0.000 |
| 1.379 | 1.379 | 4.073 | 0.000 | 0.000 | -0.000 |
| -0.000 | 0.000 | 0.000 | 1.440 | 0.000 | -0.000 |
| 0.000 | -0.000 | 0.000 | -0.000 | 1.440 | -0.000 |
| 0.000 | 0.000 | -0.000 | 0.000 | 0.000 | 1.440 |
| 4.073 | 1.379 | 1.379 | 0.000 | 0.000 | 0.000 |
| 1.379 | 4.073 | 1.379 | 0.000 | 0.000 | 0.000 |
| 1.379 | 1.379 | 4.073 | 0.000 | 0.000 | 0.000 |
| 0.000 | -0.000 | -0.000 | 1.440 | -0.000 | -0.000 |
| -0.000 | 0.000 | -0.000 | 0.000 | 1.440 | 0.000 |
| -0.000 | -0.000 | 0.000 | -0.000 | -0.000 | 1.440 |
| -27894.972 | 238540.294 | 238540.263 | -0.000 | -0.000 | -0.000 |
| 238540.263 | -27894.972 | 238540.294 | 0.000 | 0.000 | -0.000 |
| 238540.294 | 238540.263 | -27894.972 | -0.000 | 0.000 | -0.000 |
| 0.000 | -0.000 | -0.000 | 0.367 | 0.000 | -0.000 |
| -0.000 | 0.000 | -0.000 | -0.000 | 0.367 | 0.000 |
| -0.000 | -0.000 | 0.000 | 0.000 | -0.000 | 0.367 |
| -1506408.079 | 217139.492 | 217139.493 | -0.000 | 0.000 | 0.000 |
| 217139.494 | -1506408.078 | 217139.492 | 0.000 | 0.000 | 0.000 |
| 217139.492 | 217139.494 | -1506408.078 | 0.000 | -0.000 | -0.000 |
| -0.000 | 0.000 | 0.000 | 0.367 | 0.000 | -0.000 |
| 0.000 | -0.000 | 0.000 | 0.000 | 0.367 | -0.000 |
| 0.000 | 0.000 | -0.000 | 0.000 | -0.000 | 0.367 |
| 3.078 | -0.000 | -0.000 | -0.000 | -0.000 | 0.000 |
| -0.000 | 3.078 | -0.000 | -0.000 | -0.000 | 0.000 |
| -0.000 | -0.000 | 3.078 | 0.000 | -0.000 | 0.000 |
| -0.000 | -0.000 | -0.000 | 0.000 | -0.000 | -0.000 |
| -0.000 | -0.000 | -0.000 | -0.000 | 0.000 | 0.000 |
| -0.000 | -0.000 | -0.000 | -0.000 | 0.000 | 0.000 |
| 3.078 | 0.000 | 0.000 | 0.000 | 0.000 | -0.000 |
| 0.000 | 3.078 | 0.000 | 0.000 | 0.000 | 0.000 |
| 0.000 | 0.000 | 3.078 | -0.000 | 0.000 | -0.000 |
| 0.000 | 0.000 | 0.000 | 0.000 | 0.000 | 0.000 |
| 0.000 | 0.000 | 0.000 | 0.000 | 0.000 | -0.000 |
| 0.000 | 0.000 | 0.000 | 0.000 | 0.000 | 0.000 |
| 3.078 | -0.000 | -0.000 | -0.000 | -0.000 | -0.000 |
| -0.000 | 3.078 | -0.000 | -0.000 | -0.000 | 0.000 |
| -0.000 | -0.000 | 3.078 | -0.000 | 0.000 | 0.000 |
| -0.000 | 0.000 | -0.000 | 0.000 | 0.000 | 0.000 |
| -0.000 | -0.000 | -0.000 | -0.000 | 0.000 | 0.000 |
| 0.000 | -0.000 | -0.000 | -0.000 | -0.000 | 0.000 |
| 3.078 | 0.000 | 0.000 | 0.000 | 0.000 | -0.000 |
| 0.000 | 3.078 | 0.000 | 0.000 | 0.000 | -0.000 |
| 0.000 | 0.000 | 3.078 | 0.000 | -0.000 | -0.000 |
| 0.000 | 0.000 | 0.000 | 0.000 | -0.000 | -0.000 |
| 0.000 | 0.000 | 0.000 | 0.000 | 0.000 | 0.000 |
| 0.000 | 0.000 | 0.000 | 0.000 | 0.000 | 0.000 |
| 3.078 | -0.000 | -0.000 | -0.000 | -0.000 | 0.000 |
| -0.000 | 3.078 | -0.000 | -0.000 | -0.000 | 0.000 |
| -0.000 | -0.000 | 3.078 | 0.000 | -0.000 | 0.000 |
| -0.000 | -0.000 | -0.000 | 0.000 | -0.000 | 0.000 |
| -0.000 | -0.000 | -0.000 | -0.000 | 0.000 | 0.000 |
| -0.000 | -0.000 | -0.000 | -0.000 | -0.000 | 0.000 |
| 3.077 | 0.000 | 0.000 | 0.000 | 0.000 | 0.000 |
| 0.000 | 3.077 | 0.000 | 0.000 | 0.000 | 0.000 |
| 0.000 | 0.000 | 3.077 | 0.000 | -0.000 | -0.000 |
| 0.000 | 0.000 | 0.000 | 0.000 | 0.000 | -0.000 |
| 0.000 | 0.000 | 0.000 | 0.000 | 0.000 | -0.000 |
| 0.000 | 0.000 | 0.000 | 0.000 | 0.000 | 0.000 |
| 31.765 | 131.708 | 131.708 | 0.000 | -0.000 | 0.000 |
| 131.708 | 31.765 | 131.708 | -0.000 | -0.000 | 0.000 |
| 131.708 | 131.708 | 31.765 | -0.000 | -0.000 | 0.000 |
| 0.000 | 0.000 | -0.000 | 51.998 | 0.000 | -0.000 |
| -0.000 | 0.000 | -0.000 | -0.000 | 51.998 | 0.000 |
| -0.000 | 0.000 | -0.000 | -0.000 | -0.000 | 51.998 |
| 31.765 | 131.708 | 131.708 | 0.000 | 0.000 | -0.000 |
| 131.708 | 31.765 | 131.708 | 0.000 | 0.000 | -0.000 |
| 131.708 | 131.708 | 31.765 | -0.000 | 0.000 | 0.000 |
| -0.000 | 0.000 | 0.000 | 51.998 | -0.000 | -0.000 |
| 0.000 | -0.000 | 0.000 | -0.000 | 51.998 | -0.000 |
| 0.000 | -0.000 | 0.000 | 0.000 | 0.000 | 51.998 |
| 31.765 | 131.708 | 131.708 | -0.000 | -0.000 | 0.000 |
| 131.708 | 31.765 | 131.708 | -0.000 | -0.000 | 0.000 |
| 131.708 | 131.708 | 31.765 | 0.000 | -0.000 | 0.000 |
| 0.000 | -0.000 | 0.000 | 51.998 | 0.000 | -0.000 |
| -0.000 | 0.000 | 0.000 | -0.000 | 51.998 | 0.000 |
| -0.000 | 0.000 | 0.000 | -0.000 | -0.000 | 51.998 |
| 31.765 | 131.708 | 131.708 | 0.000 | 0.000 | 0.000 |
| 131.708 | 31.765 | 131.708 | 0.000 | 0.000 | 0.000 |
| 131.708 | 131.708 | 31.765 | -0.000 | 0.000 | -0.000 |
| -0.000 | 0.000 | -0.000 | 51.998 | -0.000 | 0.000 |
| 0.000 | -0.000 | -0.000 | 0.000 | 51.998 | 0.000 |
| 0.000 | -0.000 | -0.000 | 0.000 | 0.000 | 51.998 |
| 31.765 | 131.709 | 131.709 | -0.000 | -0.000 | -0.000 |
| 131.709 | 31.765 | 131.709 | -0.000 | -0.000 | 0.000 |
| 131.709 | 131.709 | 31.765 | -0.000 | -0.000 | -0.000 |
| 0.000 | -0.000 | 0.000 | 51.998 | -0.000 | 0.000 |
| -0.000 | 0.000 | 0.000 | -0.000 | 51.998 | 0.000 |
| -0.000 | 0.000 | 0.000 | -0.000 | -0.000 | 51.998 |
| 31.765 | 131.708 | 131.708 | 0.000 | 0.000 | -0.000 |
| 131.708 | 31.765 | 131.708 | 0.000 | 0.000 | -0.000 |
| 131.708 | 131.708 | 31.765 | 0.000 | 0.000 | 0.000 |
| -0.000 | 0.000 | -0.000 | 51.998 | 0.000 | 0.000 |
| 0.000 | -0.000 | -0.000 | 0.000 | 51.998 | -0.000 |
| 0.000 | -0.000 | -0.000 | 0.000 | 0.000 | 51.998 |
| 421.903 | 369.628 | 369.628 | -0.000 | -0.000 | -0.000 |
| 369.628 | 421.903 | 369.628 | -0.000 | -0.000 | -0.000 |
| 369.628 | 369.628 | 421.903 | -0.000 | -0.000 | -0.000 |
| -0.000 | -0.000 | -0.000 | 369.628 | -0.000 | -0.000 |
| -0.000 | -0.000 | -0.000 | -0.000 | 369.628 | -0.000 |
| -0.000 | -0.000 | -0.000 | -0.000 | -0.000 | 369.628 |
| 421.903 | 369.628 | 369.628 | 0.000 | 0.000 | 0.000 |
| 369.628 | 421.903 | 369.628 | 0.000 | 0.000 | 0.000 |
| 369.628 | 369.628 | 421.903 | 0.000 | 0.000 | 0.000 |
| 0.000 | 0.000 | 0.000 | 369.628 | 0.000 | 0.000 |
| 0.000 | 0.000 | 0.000 | 0.000 | 369.628 | 0.000 |
| 0.000 | 0.000 | 0.000 | 0.000 | 0.000 | 369.628 |
| 421.901 | 369.628 | 369.628 | -0.000 | -0.000 | -0.000 |
| 369.628 | 421.901 | 369.628 | -0.000 | -0.000 | -0.000 |
| 369.628 | 369.628 | 421.901 | -0.000 | -0.000 | -0.000 |
| -0.000 | -0.000 | -0.000 | 369.628 | -0.000 | -0.000 |
| -0.000 | -0.000 | -0.000 | -0.000 | 369.628 | -0.000 |
| -0.000 | -0.000 | -0.000 | -0.000 | -0.000 | 369.628 |
| 421.905 | 369.628 | 369.628 | 0.000 | 0.000 | 0.000 |
| 369.628 | 421.905 | 369.628 | 0.000 | 0.000 | 0.000 |
| 369.628 | 369.628 | 421.905 | 0.000 | 0.000 | 0.000 |
| 0.000 | 0.000 | 0.000 | 369.628 | 0.000 | -0.000 |
| 0.000 | 0.000 | 0.000 | 0.000 | 369.628 | -0.000 |
| 0.000 | 0.000 | 0.000 | 0.000 | -0.000 | 369.628 |
| 421.883 | 369.626 | 369.626 | -0.000 | -0.000 | 0.000 |
| 369.626 | 421.883 | 369.626 | -0.000 | -0.000 | 0.000 |
| 369.626 | 369.626 | 421.883 | -0.000 | -0.000 | -0.000 |
| -0.002 | -0.003 | -0.002 | 369.628 | -0.000 | 0.000 |
| -0.003 | -0.002 | -0.002 | -0.000 | 369.628 | 0.000 |
| -0.003 | -0.002 | -0.002 | -0.000 | -0.000 | 369.628 |
| 421.923 | 369.629 | 369.629 | 0.000 | 0.000 | 0.000 |
| 369.629 | 421.923 | 369.629 | 0.000 | 0.000 | 0.000 |
| 369.629 | 369.629 | 421.923 | 0.000 | 0.000 | 0.000 |
| 0.002 | 0.003 | 0.002 | 369.628 | 0.000 | 0.000 |
| 0.003 | 0.002 | 0.002 | 0.000 | 369.628 | 0.000 |
| 0.003 | 0.002 | 0.002 | 0.000 | 0.000 | 369.628 |
| 7.109 | 7.109 | 7.109 | 0.000 | 0.000 | 0.000 |
| 7.109 | 7.109 | 7.109 | 0.000 | 0.000 | 0.000 |
| 7.109 | 7.109 | 7.109 | 0.000 | 0.000 | 0.000 |
| 0.000 | 0.000 | 0.000 | 7.109 | 0.000 | 0.000 |
| 0.000 | 0.000 | 0.000 | 0.000 | 7.109 | 0.000 |
| 0.000 | 0.000 | 0.000 | 0.000 | 0.000 | 7.109 |
| 7.109 | 7.109 | 7.109 | -0.000 | -0.000 | -0.000 |
| 7.109 | 7.109 | 7.109 | -0.000 | -0.000 | -0.000 |
| 7.109 | 7.109 | 7.109 | -0.000 | -0.000 | -0.000 |
| -0.000 | -0.000 | -0.000 | 7.109 | -0.000 | -0.000 |
| -0.000 | -0.000 | -0.000 | -0.000 | 7.109 | -0.000 |
| -0.000 | -0.000 | -0.000 | -0.000 | -0.000 | 7.109 |
| 7.109 | 7.109 | 7.109 | 0.000 | 0.000 | 0.000 |
| 7.109 | 7.109 | 7.109 | 0.000 | 0.000 | 0.000 |
| 7.109 | 7.109 | 7.109 | 0.000 | 0.000 | 0.000 |
| 0.000 | 0.000 | 0.000 | 7.109 | 0.000 | 0.000 |
| 0.000 | 0.000 | 0.000 | 0.000 | 7.109 | 0.000 |
| 0.000 | 0.000 | 0.000 | 0.000 | 0.000 | 7.109 |
| 7.109 | 7.109 | 7.109 | -0.000 | -0.000 | -0.000 |
| 7.109 | 7.109 | 7.109 | -0.000 | -0.000 | -0.000 |
| 7.109 | 7.109 | 7.109 | -0.000 | -0.000 | -0.000 |
| -0.000 | -0.000 | -0.000 | 7.109 | -0.000 | -0.000 |
| -0.000 | -0.000 | -0.000 | -0.000 | 7.109 | -0.000 |
| -0.000 | -0.000 | -0.000 | -0.000 | -0.000 | 7.109 |
| 7.109 | 7.109 | 7.109 | 0.000 | 0.000 | 0.000 |
| 7.109 | 7.109 | 7.109 | 0.000 | 0.000 | 0.000 |
| 7.109 | 7.109 | 7.109 | 0.000 | 0.000 | 0.000 |
| 0.000 | 0.000 | 0.000 | 7.109 | 0.000 | 0.000 |
| 0.000 | 0.000 | 0.000 | 0.000 | 7.109 | 0.000 |
| 0.000 | 0.000 | 0.000 | 0.000 | 0.000 | 7.109 |
| 7.109 | 7.109 | 7.109 | -0.000 | -0.000 | -0.000 |
| 7.109 | 7.109 | 7.109 | -0.000 | -0.000 | -0.000 |
| 7.109 | 7.109 | 7.109 | -0.000 | -0.000 | -0.000 |
| -0.000 | -0.000 | -0.000 | 7.109 | -0.000 | -0.000 |
| -0.000 | -0.000 | -0.000 | -0.000 | 7.109 | -0.000 |
| -0.000 | -0.000 | -0.000 | -0.000 | -0.000 | 7.109 |
| 210.840 | 116.809 | 88.111 | -0.000 | 0.000 | 0.000 |
| 116.809 | 210.840 | 88.111 | -0.000 | 0.000 | 0.000 |
| 88.110 | 88.110 | 228.120 | -0.000 | 0.000 | 0.000 |
| 0.000 | -0.000 | 0.000 | 42.403 | 0.000 | 0.000 |
| -0.000 | 0.000 | 0.000 | 0.000 | 42.403 | 0.000 |
| 0.000 | -0.000 | 0.000 | -0.000 | 0.000 | 59.191 |
| 210.840 | 116.809 | 88.110 | 0.000 | -0.000 | -0.000 |
| 116.809 | 210.840 | 88.110 | 0.000 | -0.000 | -0.000 |
| 88.110 | 88.110 | 228.120 | 0.000 | -0.000 | 0.000 |
| -0.000 | 0.000 | 0.000 | 42.403 | -0.000 | -0.000 |
| -0.000 | 0.000 | -0.000 | -0.000 | 42.403 | -0.000 |
| -0.000 | -0.000 | -0.000 | 0.000 | -0.000 | 59.191 |
| 223.015 | 104.634 | 88.110 | -0.000 | 0.000 | 0.000 |
| 104.634 | 223.015 | 88.110 | -0.000 | 0.000 | 0.000 |
| 88.110 | 88.110 | 228.120 | -0.000 | 0.000 | 0.000 |
| -0.000 | -0.000 | 0.000 | 42.403 | 0.000 | 0.000 |
| -0.000 | -0.000 | 0.000 | 0.000 | 42.403 | 0.000 |
| -0.000 | 0.000 | -0.000 | -0.000 | 0.000 | 59.191 |
| 210.840 | 116.809 | 88.111 | 0.000 | -0.000 | -0.000 |
| 116.809 | 210.840 | 88.111 | 0.000 | -0.000 | -0.000 |
| 88.110 | 88.110 | 228.120 | 0.000 | -0.000 | 0.000 |
| 0.000 | 0.000 | -0.000 | 42.403 | -0.000 | -0.000 |
| 0.000 | 0.000 | -0.000 | 0.000 | 42.403 | -0.000 |
| 0.000 | -0.000 | 0.000 | 0.000 | -0.000 | 59.191 |
| 210.840 | 116.809 | 88.110 | -0.000 | 0.000 | 0.000 |
| 116.809 | 210.840 | 88.110 | -0.000 | 0.000 | 0.000 |
| 88.111 | 88.111 | 228.120 | -0.000 | 0.000 | 0.000 |
| 0.000 | -0.000 | 0.000 | 42.403 | -0.000 | 0.000 |
| -0.000 | 0.000 | 0.000 | -0.000 | 42.403 | 0.000 |
| -0.000 | 0.000 | -0.000 | -0.000 | 0.000 | 59.191 |
| 223.015 | 104.634 | 88.111 | -0.000 | -0.000 | -0.000 |
| 104.634 | 223.015 | 88.111 | 0.000 | 0.000 | -0.000 |
| 88.110 | 88.110 | 228.121 | 0.000 | 0.000 | 0.000 |
| -0.000 | 0.000 | -0.000 | 42.403 | 0.000 | -0.000 |
| 0.000 | -0.000 | -0.000 | 0.000 | 42.403 | -0.000 |
| 0.000 | -0.000 | 0.000 | 0.000 | -0.000 | 59.191 |
| 78.917 | 48.481 | 52.755 | 0.000 | 0.000 | -0.000 |
| 33.229 | 94.169 | 52.755 | 0.000 | -0.000 | -0.000 |
| 52.755 | 52.755 | 74.643 | -0.000 | 0.000 | -0.000 |
| -0.000 | 0.000 | -0.000 | 49.995 | 0.000 | -0.000 |
| -0.000 | 0.000 | -0.000 | -0.000 | 49.995 | -0.000 |
| -0.000 | 0.000 | 0.000 | 0.000 | 0.000 | 15.218 |
| 94.169 | 33.229 | 52.755 | 0.000 | -0.000 | 0.000 |
| 33.229 | 94.169 | 52.755 | 0.000 | -0.000 | 0.000 |
| 52.755 | 52.755 | 74.643 | -0.000 | -0.000 | 0.000 |
| 0.000 | -0.000 | 0.000 | 49.995 | -0.000 | 0.000 |
| 0.000 | -0.000 | 0.000 | 0.000 | 49.995 | 0.000 |
| 0.000 | -0.000 | -0.000 | 0.000 | -0.000 | 15.218 |
| 78.918 | 48.481 | 52.755 | -0.000 | -0.000 | -0.000 |
| 33.229 | 94.169 | 52.755 | -0.000 | 0.000 | -0.000 |
| 52.755 | 52.755 | 74.643 | -0.000 | 0.000 | -0.000 |
| -0.000 | -0.000 | 0.000 | 49.995 | 0.000 | -0.000 |
| -0.000 | -0.000 | 0.000 | -0.000 | 49.995 | -0.000 |
| 0.000 | 0.000 | 0.000 | -0.000 | 0.000 | 15.218 |
| 78.917 | 48.480 | 52.755 | 0.000 | -0.000 | 0.000 |
| 48.480 | 78.917 | 52.755 | 0.000 | -0.000 | 0.000 |
| 52.755 | 52.755 | 74.643 | 0.000 | -0.000 | 0.000 |
| 0.000 | 0.000 | -0.000 | 49.995 | -0.000 | 0.000 |
| 0.000 | 0.000 | -0.000 | 0.000 | 49.995 | 0.000 |
| -0.000 | -0.000 | -0.000 | 0.000 | -0.000 | 15.218 |
| 94.169 | 33.229 | 52.755 | -0.000 | 0.000 | -0.000 |
| 48.481 | 78.918 | 52.755 | -0.000 | 0.000 | -0.000 |
| 52.755 | 52.755 | 74.644 | 0.000 | 0.000 | -0.000 |
| -0.000 | -0.000 | 0.000 | 49.995 | 0.000 | -0.000 |
| -0.000 | -0.000 | 0.000 | -0.000 | 49.995 | -0.000 |
| 0.000 | 0.000 | 0.000 | -0.000 | 0.000 | 15.218 |
| 78.917 | 48.480 | 52.755 | 0.000 | 0.000 | 0.000 |
| 48.480 | 78.917 | 52.755 | 0.000 | 0.000 | 0.000 |
| 52.755 | 52.755 | 74.643 | -0.000 | -0.000 | 0.000 |
| 0.000 | 0.000 | -0.000 | 49.995 | -0.000 | 0.000 |
| 0.000 | 0.000 | -0.000 | 0.000 | 49.995 | 0.000 |
| -0.000 | -0.000 | -0.000 | 0.000 | -0.000 | 15.218 |
| 2550.469 | 967.419 | 703.578 | -0.000 | 0.000 | -0.000 |
| 967.419 | 2550.469 | 703.578 | -0.000 | -0.000 | -0.000 |
| 703.578 | 703.578 | 2814.311 | -0.000 | -0.000 | -0.000 |
| -0.000 | -0.000 | -0.000 | 703.578 | -0.000 | -0.000 |
| -0.000 | 0.000 | -0.000 | -0.000 | 703.578 | 0.000 |
| -0.000 | -0.000 | -0.000 | 0.000 | -0.000 | 879.472 |
| 2550.469 | 967.419 | 703.578 | 0.000 | 0.000 | 0.000 |
| 879.472 | 2638.416 | 703.578 | 0.000 | -0.000 | -0.000 |
| 703.578 | 703.578 | 2814.311 | 0.000 | 0.000 | 0.000 |
| 0.000 | 0.000 | 0.000 | 703.578 | 0.000 | 0.000 |
| 0.000 | -0.000 | 0.000 | 0.000 | 703.578 | -0.000 |
| 0.000 | 0.000 | 0.000 | -0.000 | -0.000 | 879.472 |
| 2550.469 | 967.419 | 703.578 | -0.000 | 0.000 | -0.000 |
| 967.419 | 2550.469 | 703.578 | -0.000 | -0.000 | -0.000 |
| 703.578 | 703.578 | 2814.310 | -0.000 | -0.000 | -0.000 |
| -0.000 | -0.000 | -0.000 | 703.578 | -0.000 | -0.000 |
| -0.000 | -0.000 | -0.000 | -0.000 | 703.578 | -0.000 |
| -0.000 | -0.000 | -0.000 | 0.000 | -0.000 | 879.472 |
| 2550.470 | 967.419 | 703.578 | 0.000 | 0.000 | 0.000 |
| 967.419 | 2550.470 | 703.578 | 0.000 | 0.000 | 0.000 |
| 703.578 | 703.578 | 2814.311 | -0.000 | 0.000 | -0.000 |
| 0.000 | 0.000 | 0.000 | 703.578 | 0.000 | 0.000 |
| 0.000 | 0.000 | 0.000 | 0.000 | 703.578 | 0.000 |
| 0.000 | 0.000 | 0.000 | -0.000 | 0.000 | 879.472 |
| 2550.464 | 967.420 | 703.578 | -0.000 | -0.000 | -0.000 |
| 967.419 | 2550.464 | 703.578 | 0.000 | -0.000 | -0.000 |
| 703.578 | 703.578 | 2814.305 | 0.000 | -0.000 | -0.000 |
| -0.000 | -0.002 | -0.002 | 703.578 | -0.000 | -0.000 |
| -0.002 | -0.000 | -0.002 | -0.000 | 703.578 | -0.000 |
| -0.002 | -0.002 | -0.001 | -0.000 | -0.000 | 791.525 |
| 2550.474 | 967.419 | 703.577 | 0.000 | 0.000 | 0.000 |
| 967.419 | 2550.474 | 703.577 | -0.000 | 0.000 | 0.000 |
| 703.577 | 703.577 | 2814.316 | 0.000 | 0.000 | 0.000 |
| 0.000 | 0.002 | 0.002 | 703.578 | 0.000 | 0.000 |
| 0.002 | 0.000 | 0.002 | 0.000 | 703.578 | -0.000 |
| 0.002 | 0.002 | 0.001 | 0.000 | 0.000 | 791.525 |
| 21.767 | 7.256 | 5.805 | -0.000 | -0.000 | -0.000 |
| 7.569 | 21.453 | 5.805 | 0.000 | -0.000 | -0.000 |
| 5.805 | 5.805 | 23.218 | -0.000 | -0.000 | 0.000 |
| 0.000 | 0.000 | 0.000 | 5.804 | -0.000 | 0.000 |
| 0.000 | 0.000 | 0.000 | -0.000 | 5.804 | 0.000 |
| 0.000 | 0.000 | 0.000 | -0.000 | -0.000 | 6.942 |
| 21.453 | 7.569 | 5.805 | 0.000 | 0.000 | -0.000 |
| 7.256 | 21.767 | 5.805 | 0.000 | 0.000 | 0.000 |
| 5.805 | 5.805 | 23.218 | 0.000 | 0.000 | -0.000 |
| -0.000 | -0.000 | -0.000 | 5.804 | 0.000 | -0.000 |
| -0.000 | -0.000 | -0.000 | 0.000 | 5.804 | -0.000 |
| -0.000 | -0.000 | -0.000 | 0.000 | 0.000 | 6.942 |
| 21.453 | 7.569 | 5.805 | -0.000 | -0.000 | 0.000 |
| 7.569 | 21.453 | 5.805 | -0.000 | -0.000 | -0.000 |
| 5.805 | 5.805 | 23.218 | -0.000 | -0.000 | 0.000 |
| 0.000 | 0.000 | 0.000 | 5.804 | -0.000 | -0.000 |
| 0.000 | 0.000 | 0.000 | 0.000 | 5.804 | 0.000 |
| 0.000 | 0.000 | -0.000 | -0.000 | -0.000 | 6.764 |
| 21.766 | 7.256 | 5.805 | 0.000 | 0.000 | 0.000 |
| 7.256 | 21.767 | 5.805 | 0.000 | 0.000 | 0.000 |
| 5.805 | 5.805 | 23.218 | 0.000 | 0.000 | -0.000 |
| -0.000 | -0.000 | -0.000 | 5.804 | 0.000 | 0.000 |
| -0.000 | -0.000 | -0.000 | 0.000 | 5.804 | 0.000 |
| -0.000 | -0.000 | 0.000 | 0.000 | 0.000 | 6.764 |
| 21.118 | 7.906 | 5.805 | -0.000 | -0.000 | 0.000 |
| 7.747 | 21.276 | 5.805 | -0.000 | -0.000 | 0.000 |
| 5.805 | 5.805 | 23.219 | -0.000 | -0.000 | 0.000 |
| 0.000 | 0.000 | 0.000 | 5.804 | -0.000 | -0.000 |
| 0.000 | 0.000 | 0.000 | 0.000 | 5.804 | -0.000 |
| 0.000 | 0.000 | -0.000 | -0.000 | -0.000 | 6.605 |
| 21.274 | 7.747 | 5.804 | 0.000 | 0.000 | -0.000 |
| 7.848 | 21.173 | 5.804 | 0.000 | 0.000 | -0.000 |
| 5.804 | 5.804 | 23.217 | 0.000 | 0.000 | -0.000 |
| -0.000 | -0.000 | -0.000 | 5.804 | 0.000 | 0.000 |
| -0.000 | -0.000 | -0.000 | -0.000 | 5.804 | 0.000 |
| -0.000 | -0.000 | 0.000 | 0.000 | 0.000 | 6.605 |
| 230.247 | 110.732 | 95.521 | -0.000 | -0.000 | -0.000 |
| 110.732 | 230.247 | 95.521 | -0.000 | 0.000 | -0.000 |
| 95.521 | 95.521 | 223.772 | -0.000 | 0.000 | -0.000 |
| 0.000 | -0.000 | -0.000 | 43.937 | 0.000 | 0.000 |
| 0.000 | -0.000 | 0.000 | 0.000 | 43.937 | -0.000 |
| 0.000 | -0.000 | 0.000 | -0.000 | 0.000 | 49.739 |
| 230.247 | 110.732 | 95.521 | 0.000 | -0.000 | 0.000 |
| 110.732 | 230.247 | 95.521 | 0.000 | -0.000 | -0.000 |
| 95.521 | 95.521 | 223.772 | 0.000 | -0.000 | -0.000 |
| -0.000 | 0.000 | -0.000 | 43.937 | -0.000 | 0.000 |
| -0.000 | 0.000 | -0.000 | -0.000 | 43.937 | 0.000 |
| -0.000 | 0.000 | -0.000 | 0.000 | -0.000 | 49.739 |
| 230.247 | 110.732 | 95.521 | -0.000 | 0.000 | -0.000 |
| 120.750 | 220.229 | 95.521 | -0.000 | 0.000 | 0.000 |
| 95.522 | 95.522 | 223.773 | 0.000 | 0.000 | 0.000 |
| 0.000 | -0.000 | 0.000 | 43.937 | 0.000 | -0.000 |
| -0.000 | 0.000 | 0.000 | -0.000 | 43.937 | 0.000 |
| -0.000 | 0.000 | -0.000 | -0.000 | 0.000 | 49.739 |
| 220.229 | 120.750 | 95.521 | 0.000 | -0.000 | 0.000 |
| 110.732 | 230.247 | 95.521 | 0.000 | -0.000 | 0.000 |
| 95.521 | 95.521 | 223.772 | 0.000 | -0.000 | -0.000 |
| -0.000 | 0.000 | -0.000 | 43.937 | -0.000 | -0.000 |
| 0.000 | -0.000 | -0.000 | 0.000 | 43.937 | 0.000 |
| 0.000 | -0.000 | 0.000 | 0.000 | -0.000 | 49.739 |
| 220.229 | 120.750 | 95.522 | -0.000 | 0.000 | 0.000 |
| 110.732 | 230.247 | 95.522 | -0.000 | 0.000 | -0.000 |
| 95.522 | 95.522 | 223.773 | -0.000 | 0.000 | 0.000 |
| 0.000 | -0.000 | 0.000 | 43.937 | 0.000 | 0.000 |
| -0.000 | 0.000 | 0.000 | -0.000 | 43.937 | 0.000 |
| -0.000 | 0.000 | -0.000 | -0.000 | 0.000 | 49.739 |
| 220.228 | 120.750 | 95.521 | 0.000 | -0.000 | 0.000 |
| 120.750 | 220.228 | 95.521 | 0.000 | -0.000 | 0.000 |
| 95.521 | 95.521 | 223.772 | 0.000 | 0.000 | -0.000 |
| -0.000 | 0.000 | -0.000 | 43.937 | -0.000 | 0.000 |
| 0.000 | -0.000 | -0.000 | 0.000 | 43.937 | 0.000 |
| 0.000 | -0.000 | 0.000 | 0.000 | -0.000 | 49.739 |
| 78.917 | 48.481 | 52.755 | 0.000 | -0.000 | -0.000 |
| 33.229 | 94.169 | 52.755 | 0.000 | -0.000 | -0.000 |
| 52.755 | 52.755 | 74.643 | 0.000 | 0.000 | -0.000 |
| -0.000 | -0.000 | -0.000 | 49.995 | -0.000 | 0.000 |
| -0.000 | 0.000 | -0.000 | 0.000 | 49.995 | -0.000 |
| 0.000 | 0.000 | 0.000 | 0.000 | -0.000 | 15.218 |
| 78.917 | 48.481 | 52.755 | -0.000 | -0.000 | 0.000 |
| 33.229 | 94.169 | 52.755 | -0.000 | 0.000 | 0.000 |
| 52.755 | 52.755 | 74.643 | -0.000 | 0.000 | 0.000 |
| 0.000 | 0.000 | -0.000 | 49.995 | 0.000 | 0.000 |
| 0.000 | 0.000 | 0.000 | -0.000 | 49.995 | 0.000 |
| -0.000 | -0.000 | -0.000 | -0.000 | 0.000 | 15.218 |
| 78.918 | 48.481 | 52.755 | 0.000 | 0.000 | -0.000 |
| 48.481 | 78.918 | 52.755 | -0.000 | 0.000 | -0.000 |
| 52.755 | 52.755 | 74.643 | 0.000 | -0.000 | -0.000 |
| -0.000 | -0.000 | 0.000 | 49.995 | -0.000 | -0.000 |
| -0.000 | -0.000 | 0.000 | 0.000 | 49.995 | -0.000 |
| 0.000 | 0.000 | 0.000 | 0.000 | -0.000 | 15.218 |
| 78.917 | 48.480 | 52.755 | -0.000 | 0.000 | 0.000 |
| 33.229 | 94.169 | 52.755 | -0.000 | 0.000 | 0.000 |
| 52.755 | 52.755 | 74.643 | -0.000 | 0.000 | 0.000 |
| 0.000 | 0.000 | -0.000 | 49.995 | 0.000 | 0.000 |
| 0.000 | 0.000 | -0.000 | -0.000 | 49.995 | 0.000 |
| -0.000 | -0.000 | -0.000 | -0.000 | 0.000 | 15.218 |
| 78.918 | 48.481 | 52.755 | 0.000 | -0.000 | -0.000 |
| 48.481 | 78.918 | 52.755 | 0.000 | -0.000 | -0.000 |
| 52.755 | 52.755 | 74.644 | 0.000 | -0.000 | -0.000 |
| -0.000 | -0.000 | 0.000 | 49.995 | 0.000 | -0.000 |
| -0.000 | -0.000 | 0.000 | 0.000 | 49.995 | -0.000 |
| 0.000 | 0.000 | 0.000 | 0.000 | -0.000 | 15.218 |
| 78.917 | 48.480 | 52.755 | -0.000 | 0.000 | 0.000 |
| 48.480 | 78.917 | 52.755 | -0.000 | 0.000 | 0.000 |
| 52.755 | 52.755 | 74.643 | -0.000 | 0.000 | 0.000 |
| 0.000 | 0.000 | -0.000 | 49.995 | 0.000 | 0.000 |
| 0.000 | 0.000 | -0.000 | -0.000 | 49.995 | 0.000 |
| -0.000 | -0.000 | -0.000 | -0.000 | 0.000 | 15.218 |
| 2550.469 | 967.419 | 703.578 | 0.000 | 0.000 | 0.000 |
| 879.472 | 2638.416 | 703.578 | 0.000 | 0.000 | 0.000 |
| 703.578 | 703.578 | 2814.310 | 0.000 | 0.000 | 0.000 |
| 0.000 | -0.000 | -0.000 | 703.578 | 0.000 | 0.000 |
| -0.000 | 0.000 | -0.000 | 0.000 | 703.578 | 0.000 |
| -0.000 | -0.000 | -0.000 | 0.000 | 0.000 | 879.472 |
| 2550.469 | 967.419 | 703.578 | -0.000 | -0.000 | -0.000 |
| 967.419 | 2550.469 | 703.578 | -0.000 | -0.000 | -0.000 |
| 703.578 | 703.578 | 2814.311 | -0.000 | -0.000 | -0.000 |
| 0.000 | 0.000 | 0.000 | 703.578 | -0.000 | -0.000 |
| 0.000 | -0.000 | 0.000 | -0.000 | 703.578 | -0.000 |
| 0.000 | 0.000 | 0.000 | -0.000 | -0.000 | 879.472 |
| 2638.416 | 879.472 | 703.578 | 0.000 | 0.000 | 0.000 |
| 879.472 | 2638.416 | 703.578 | 0.000 | 0.000 | 0.000 |
| 703.578 | 703.578 | 2814.310 | 0.000 | 0.000 | 0.000 |
| -0.000 | -0.000 | -0.000 | 703.578 | 0.000 | 0.000 |
| -0.000 | -0.000 | -0.000 | 0.000 | 703.578 | -0.000 |
| -0.000 | -0.000 | -0.000 | 0.000 | 0.000 | 879.472 |
| 2550.469 | 967.419 | 703.578 | -0.000 | -0.000 | -0.000 |
| 967.419 | 2550.469 | 703.578 | -0.000 | -0.000 | -0.000 |
| 703.578 | 703.578 | 2814.311 | -0.000 | -0.000 | -0.000 |
| 0.000 | 0.000 | 0.000 | 703.578 | -0.000 | -0.000 |
| 0.000 | 0.000 | 0.000 | -0.000 | 703.578 | -0.000 |
| 0.000 | 0.000 | 0.000 | -0.000 | -0.000 | 879.472 |
| 2550.463 | 967.420 | 703.578 | 0.000 | 0.000 | 0.000 |
| 967.419 | 2550.464 | 703.578 | 0.000 | 0.000 | 0.000 |
| 703.578 | 703.578 | 2814.305 | 0.000 | 0.000 | 0.000 |
| -0.000 | -0.002 | -0.002 | 703.578 | 0.000 | 0.000 |
| -0.002 | -0.000 | -0.002 | 0.000 | 703.578 | 0.000 |
| -0.002 | -0.002 | -0.001 | 0.000 | 0.000 | 791.525 |
| 2550.474 | 967.418 | 703.577 | -0.000 | -0.000 | -0.000 |
| 967.419 | 2550.473 | 703.577 | -0.000 | -0.000 | -0.000 |
| 703.577 | 703.577 | 2814.316 | -0.000 | -0.000 | -0.000 |
| 0.000 | 0.002 | 0.002 | 703.578 | -0.000 | -0.000 |
| 0.002 | 0.000 | 0.002 | 0.000 | 703.578 | -0.000 |
| 0.002 | 0.002 | 0.001 | -0.000 | -0.000 | 791.525 |
| 21.767 | 7.256 | 5.805 | 0.000 | 0.000 | 0.000 |
| 7.256 | 21.767 | 5.805 | -0.000 | 0.000 | 0.000 |
| 5.805 | 5.805 | 23.218 | -0.000 | -0.000 | -0.000 |
| 0.000 | 0.000 | 0.000 | 5.804 | -0.000 | -0.000 |
| 0.000 | 0.000 | 0.000 | 0.000 | 5.804 | -0.000 |
| 0.000 | 0.000 | 0.000 | 0.000 | -0.000 | 6.629 |
| 21.767 | 7.256 | 5.805 | 0.000 | 0.000 | 0.000 |
| 7.883 | 21.140 | 5.805 | -0.000 | 0.000 | 0.000 |
| 5.805 | 5.805 | 23.218 | 0.000 | 0.000 | 0.000 |
| -0.000 | -0.000 | -0.000 | 5.804 | 0.000 | 0.000 |
| -0.000 | -0.000 | -0.000 | 0.000 | 5.804 | -0.000 |
| -0.000 | -0.000 | -0.000 | -0.000 | -0.000 | 6.629 |
| 21.767 | 7.256 | 5.805 | 0.000 | -0.000 | -0.000 |
| 7.256 | 21.767 | 5.805 | -0.000 | 0.000 | 0.000 |
| 5.805 | 5.805 | 23.218 | -0.000 | -0.000 | -0.000 |
| 0.000 | 0.000 | 0.000 | 5.804 | -0.000 | 0.000 |
| 0.000 | 0.000 | 0.000 | 0.000 | 5.804 | 0.000 |
| 0.000 | 0.000 | -0.000 | 0.000 | -0.000 | 6.543 |
| 21.140 | 7.883 | 5.805 | -0.000 | 0.000 | 0.000 |
| 7.883 | 21.140 | 5.805 | 0.000 | 0.000 | 0.000 |
| 5.805 | 5.805 | 23.218 | 0.000 | 0.000 | 0.000 |
| -0.000 | -0.000 | -0.000 | 5.804 | -0.000 | -0.000 |
| -0.000 | -0.000 | -0.000 | -0.000 | 5.804 | 0.000 |
| -0.000 | -0.000 | 0.000 | -0.000 | 0.000 | 6.543 |
| 21.055 | 7.968 | 5.805 | 0.000 | 0.000 | -0.000 |
| 7.968 | 21.055 | 5.805 | 0.000 | -0.000 | -0.000 |
| 5.805 | 5.805 | 23.219 | -0.000 | -0.000 | -0.000 |
| 0.000 | 0.000 | 0.000 | 5.804 | -0.000 | -0.000 |
| 0.000 | 0.000 | 0.000 | -0.000 | 5.804 | 0.000 |
| 0.000 | 0.000 | -0.000 | 0.000 | -0.000 | 6.532 |
| 21.139 | 7.882 | 5.804 | 0.000 | 0.000 | 0.000 |
| 7.967 | 21.054 | 5.804 | -0.000 | 0.000 | 0.000 |
| 5.804 | 5.804 | 23.217 | 0.000 | 0.000 | 0.000 |
| -0.000 | -0.000 | -0.000 | 5.804 | 0.000 | 0.000 |
| -0.000 | -0.000 | -0.000 | 0.000 | 5.804 | 0.000 |
| -0.000 | -0.000 | 0.000 | -0.000 | 0.000 | 6.532 |
| 104.284 | 73.156 | 73.156 | 0.000 | 0.000 | 0.000 |
| 73.156 | 104.284 | 73.156 | 0.000 | 0.000 | 0.000 |
| 73.156 | 73.156 | 104.284 | 0.000 | 0.000 | 0.000 |
| -0.000 | -0.000 | -0.000 | 68.840 | -0.000 | -0.000 |
| -0.000 | -0.000 | -0.000 | -0.000 | 68.840 | -0.000 |
| 0.000 | -0.000 | -0.000 | -0.000 | -0.000 | 68.840 |
| 104.284 | 73.156 | 73.156 | -0.000 | -0.000 | -0.000 |
| 73.156 | 104.284 | 73.156 | -0.000 | -0.000 | -0.000 |
| 73.156 | 73.156 | 104.284 | -0.000 | -0.000 | -0.000 |
| -0.000 | 0.000 | 0.000 | 68.840 | 0.000 | 0.000 |
| 0.000 | 0.000 | 0.000 | 0.000 | 68.840 | 0.000 |
| 0.000 | 0.000 | 0.000 | 0.000 | 0.000 | 68.840 |
| 104.284 | 73.156 | 73.156 | 0.000 | 0.000 | 0.000 |
| 73.156 | 104.284 | 73.156 | 0.000 | -0.000 | 0.000 |
| 73.156 | 73.156 | 104.284 | 0.000 | 0.000 | 0.000 |
| -0.000 | -0.000 | -0.000 | -36.673 | -0.000 | -0.000 |
| -0.000 | -0.000 | -0.000 | -0.000 | -36.673 | -0.000 |
| -0.000 | -0.000 | -0.000 | 0.000 | -0.000 | -36.673 |
| 104.284 | 73.156 | 73.156 | -0.000 | -0.000 | -0.000 |
| 73.156 | 104.284 | 73.156 | -0.000 | -0.000 | -0.000 |
| 73.156 | 73.156 | 104.284 | -0.000 | -0.000 | -0.000 |
| 0.000 | 0.000 | 0.000 | -36.673 | 0.000 | -0.000 |
| 0.000 | 0.000 | 0.000 | -0.000 | -36.673 | 0.000 |
| 0.000 | 0.000 | 0.000 | 0.000 | 0.000 | -36.673 |
| 104.284 | 73.156 | 73.156 | 0.000 | 0.000 | 0.000 |
| 73.156 | 104.284 | 73.156 | 0.000 | 0.000 | 0.000 |
| 73.156 | 73.156 | 104.284 | 0.000 | -0.000 | 0.000 |
| -0.000 | -0.000 | -0.000 | -36.673 | -0.000 | -0.000 |
| -0.000 | -0.000 | -0.000 | 0.000 | -36.673 | -0.000 |
| -0.000 | -0.000 | -0.000 | 0.000 | -0.000 | -36.673 |
| 104.284 | 73.157 | 73.157 | -0.000 | -0.000 | -0.000 |
| 73.157 | 104.284 | 73.157 | -0.000 | -0.000 | -0.000 |
| 73.157 | 73.157 | 104.284 | -0.000 | -0.000 | -0.000 |
| 0.000 | 0.000 | 0.000 | -36.673 | 0.000 | 0.000 |
| 0.000 | 0.000 | 0.000 | -0.000 | -36.673 | 0.000 |
| 0.000 | 0.000 | 0.000 | -0.000 | 0.000 | -36.673 |
| 125.852 | 52.480 | 52.480 | -0.000 | -0.000 | -0.000 |
| 52.480 | 125.852 | 52.480 | -0.000 | -0.000 | -0.000 |
| 52.480 | 52.480 | 125.852 | -0.000 | -0.000 | -0.000 |
| 222566809.838 | -274676048.733 | -274676058.632 | -494938805.487 | -0.128 | -0.149 |
| -274676048.734 | 222566809.834 | -274676058.633 | -0.130 | -494938805.487 | -0.151 |
| -274676048.736 | -274676058.635 | 222566809.824 | -0.132 | -0.151 | -494938805.487 |
| 125.852 | 52.480 | 52.480 | 0.000 | 0.000 | 0.000 |
| 52.480 | 125.852 | 52.480 | 0.000 | 0.000 | 0.000 |
| 52.480 | 52.480 | 125.852 | 0.000 | 0.000 | 0.000 |
| -222566810.480 | 274676048.576 | 274676058.475 | -494938805.523 | -0.026 | -0.050 |
| 274676048.577 | -222566810.478 | 274676058.476 | -0.025 | -494938805.523 | -0.049 |
| 274676048.576 | 274676058.475 | -222566810.480 | -0.026 | -0.049 | -494938805.523 |
| 125.852 | 52.480 | 52.480 | 0.000 | -0.000 | 0.000 |
| 52.480 | 125.852 | 52.480 | 0.000 | 0.000 | 0.000 |
| 52.480 | 52.480 | 125.852 | 0.000 | 0.000 | 0.000 |
| 22256669.368 | -27467590.661 | -27467600.559 | -49493812.561 | -0.000 | -0.000 |
| -27467590.661 | 22256669.368 | -27467600.559 | -0.000 | -49493812.561 | -0.000 |
| -27467590.661 | -27467600.559 | 22256669.368 | -0.000 | -0.000 | -49493812.561 |
| 125.852 | 52.480 | 52.480 | 0.000 | 0.000 | 0.000 |
| 52.480 | 125.852 | 52.480 | 0.000 | 0.000 | 0.000 |
| 52.480 | 52.480 | 125.852 | 0.000 | 0.000 | 0.000 |
| -22256669.367 | 27467590.661 | 27467600.559 | -49493812.561 | -0.001 | -0.001 |
| 27467590.661 | -22256669.367 | 27467600.559 | -0.001 | -49493812.561 | -0.001 |
| 27467590.661 | 27467600.559 | -22256669.367 | -0.001 | -0.001 | -49493812.561 |
| 125.853 | 52.480 | 52.480 | -0.000 | 0.000 | 0.000 |
| 52.480 | 125.853 | 52.480 | 0.000 | -0.000 | 0.000 |
| 52.480 | 52.480 | 125.853 | 0.000 | 0.000 | 0.000 |
| 2225655.260 | -2746744.868 | -2746754.766 | -4949313.265 | 0.000 | 0.000 |
| -2746744.868 | 2225655.260 | -2746754.766 | 0.000 | -4949313.265 | 0.000 |
| -2746744.868 | -2746754.766 | 2225655.260 | 0.000 | 0.000 | -4949313.265 |
| 125.851 | 52.479 | 52.479 | -0.000 | -0.000 | -0.000 |
| 52.479 | 125.851 | 52.479 | -0.000 | -0.000 | -0.000 |
| 52.479 | 52.479 | 125.851 | -0.000 | -0.000 | -0.000 |
| -2225655.260 | 2746744.868 | 2746754.766 | -4949313.265 | 0.000 | 0.000 |
| 2746744.868 | -2225655.260 | 2746754.766 | 0.000 | -4949313.265 | 0.000 |
| 2746744.868 | 2746754.766 | -2225655.260 | 0.000 | 0.000 | -4949313.265 |
| -109776590.761 | -54888729.849 | -54888729.849 | 0.000 | -0.000 | 0.000 |
| -54888729.849 | -109776590.761 | -54888729.849 | -0.000 | 0.000 | 0.000 |
| -54888729.849 | -54888729.849 | -109776590.761 | -0.000 | 0.000 | 0.000 |
| -215.432 | -27397140.990 | -27397141.538 | -27396927.241 | 0.000 | 0.000 |
| -27397140.990 | -215.432 | -27397141.538 | -0.000 | -27396927.241 | 0.000 |
| -27397140.990 | -27397141.538 | -215.432 | -0.000 | -0.000 | -27396927.241 |
| -1.407 | -3.185 | -3.185 | -0.000 | 0.000 | -0.000 |
| -3.185 | -1.407 | -3.185 | 0.000 | 0.000 | -0.000 |
| -3.185 | -3.185 | -1.407 | 0.000 | 0.000 | -0.000 |
| 215.432 | 27397140.990 | 27397141.538 | -27396927.241 | 0.000 | 0.000 |
| 27397140.990 | 215.432 | 27397141.538 | 0.000 | -27396927.241 | 0.000 |
| 27397140.990 | 27397141.538 | 215.432 | -0.000 | -0.000 | -27396927.241 |
| -10977690.384 | -5488891.863 | -5488891.863 | 0.000 | 0.000 | 0.000 |
| -5488891.863 | -10977690.384 | -5488891.863 | 0.000 | -0.000 | 0.000 |
| -5488891.863 | -5488891.863 | -10977690.384 | -0.000 | 0.000 | 0.000 |
| -21.543 | -2739721.368 | -2739721.916 | -2739701.507 | -0.000 | 0.000 |
| -2739721.368 | -21.543 | -2739721.916 | -0.000 | -2739701.507 | 0.000 |
| -2739721.368 | -2739721.916 | -21.543 | 0.000 | -0.000 | -2739701.507 |
| -1.407 | -3.185 | -3.185 | 0.000 | 0.000 | -0.000 |
| -3.185 | -1.407 | -3.185 | 0.000 | -0.000 | 0.000 |
| -3.185 | -3.185 | -1.407 | -0.000 | -0.000 | -0.000 |
| 21.543 | 2739721.368 | 2739721.916 | -2739701.507 | 0.000 | -0.000 |
| 2739721.368 | 21.543 | 2739721.916 | 0.000 | -2739701.507 | -0.000 |
| 2739721.368 | 2739721.916 | 21.543 | 0.000 | 0.000 | -2739701.507 |
| -1097800.278 | -548908.030 | -548908.030 | 0.000 | -0.000 | -0.000 |
| -548908.030 | -1097800.278 | -548908.030 | -0.000 | 0.000 | 0.000 |
| -548908.030 | -548908.030 | -1097800.278 | -0.000 | -0.000 | 0.000 |
| -2.199 | -273979.438 | -273979.986 | -274057.760 | 0.000 | 0.000 |
| -273979.438 | -2.199 | -273979.986 | 0.000 | -274057.760 | 0.000 |
| -273979.438 | -273979.986 | -2.199 | 0.000 | 0.000 | -274057.564 |
| -1.407 | -3.185 | -3.185 | 0.000 | 0.000 | -0.000 |
| -3.185 | -1.407 | -3.185 | 0.000 | 0.000 | -0.000 |
| -3.185 | -3.185 | -1.407 | -0.000 | 0.000 | -0.000 |
| 2.195 | 273979.434 | 273979.982 | -274054.160 | -0.000 | -0.000 |
| 273979.434 | 2.195 | 273979.982 | -0.000 | -274054.160 | -0.000 |
| 273979.434 | 273979.982 | 2.195 | -0.000 | -0.000 | -274054.160 |
| 17.922 | 17.922 | 17.922 | 0.000 | 0.000 | 0.000 |
| 17.922 | 17.922 | 17.922 | 0.000 | 0.000 | 0.000 |
| 17.922 | 17.922 | 17.922 | 0.000 | 0.000 | 0.000 |
| -0.000 | -0.000 | -0.000 | 0.000 | 0.000 | 0.000 |
| -0.000 | -0.000 | -0.000 | 0.000 | 0.000 | 0.000 |
| -0.000 | -0.000 | -0.000 | 0.000 | 0.000 | 0.000 |
| 17.922 | 17.922 | 17.922 | -0.000 | -0.000 | -0.000 |
| 17.922 | 17.922 | 17.922 | -0.000 | -0.000 | -0.000 |
| 17.922 | 17.922 | 17.922 | -0.000 | -0.000 | -0.000 |
| 0.000 | 0.000 | 0.000 | -0.000 | -0.000 | -0.000 |
| 0.000 | 0.000 | 0.000 | -0.000 | -0.000 | -0.000 |
| 0.000 | 0.000 | 0.000 | -0.000 | -0.000 | -0.000 |
| 17.922 | 17.922 | 17.922 | 0.000 | 0.000 | 0.000 |
| 17.922 | 17.922 | 17.922 | 0.000 | 0.000 | 0.000 |
| 17.922 | 17.922 | 17.922 | 0.000 | 0.000 | 0.000 |
| -0.000 | -0.000 | -0.000 | 0.000 | 0.000 | 0.000 |
| -0.000 | -0.000 | -0.000 | 0.000 | 0.000 | 0.000 |
| -0.000 | -0.000 | -0.000 | 0.000 | 0.000 | 0.000 |
| 17.922 | 17.922 | 17.922 | -0.000 | -0.000 | -0.000 |
| 17.922 | 17.922 | 17.922 | -0.000 | -0.000 | -0.000 |
| 17.922 | 17.922 | 17.922 | -0.000 | -0.000 | -0.000 |
| 0.000 | 0.000 | 0.000 | -0.000 | -0.000 | -0.000 |
| 0.000 | 0.000 | 0.000 | -0.000 | -0.000 | -0.000 |
| 0.000 | 0.000 | 0.000 | -0.000 | -0.000 | -0.000 |
| 17.922 | 17.922 | 17.922 | 0.000 | 0.000 | 0.000 |
| 17.922 | 17.922 | 17.922 | 0.000 | 0.000 | 0.000 |
| 17.922 | 17.922 | 17.922 | 0.000 | 0.000 | 0.000 |
| -0.000 | -0.000 | -0.000 | -0.000 | 0.000 | 0.000 |
| -0.000 | -0.000 | -0.000 | 0.000 | -0.000 | 0.000 |
| -0.000 | -0.000 | -0.000 | 0.000 | 0.000 | -0.000 |
| 17.922 | 17.922 | 17.922 | -0.000 | -0.000 | -0.000 |
| 17.922 | 17.922 | 17.922 | -0.000 | -0.000 | -0.000 |
| 17.922 | 17.922 | 17.922 | -0.000 | -0.000 | -0.000 |
| 0.000 | 0.000 | 0.000 | -0.000 | -0.000 | -0.000 |
| 0.000 | 0.000 | 0.000 | -0.000 | -0.000 | -0.000 |
| 0.000 | 0.000 | 0.000 | -0.000 | -0.000 | -0.000 |
| 1.777 | 1.777 | 1.777 | -0.000 | -0.000 | -0.000 |
| 1.777 | 1.777 | 1.777 | -0.000 | -0.000 | -0.000 |
| 1.777 | 1.777 | 1.777 | -0.000 | -0.000 | -0.000 |
| -0.000 | -0.000 | -0.000 | 0.000 | 0.000 | 0.000 |
| -0.000 | -0.000 | -0.000 | 0.000 | 0.000 | 0.000 |
| -0.000 | -0.000 | -0.000 | 0.000 | 0.000 | 0.000 |
| 1.777 | 1.777 | 1.777 | 0.000 | 0.000 | 0.000 |
| 1.777 | 1.777 | 1.777 | 0.000 | 0.000 | 0.000 |
| 1.777 | 1.777 | 1.777 | 0.000 | 0.000 | 0.000 |
| 0.000 | 0.000 | 0.000 | -0.000 | -0.000 | -0.000 |
| 0.000 | 0.000 | 0.000 | -0.000 | -0.000 | -0.000 |
| 0.000 | 0.000 | 0.000 | -0.000 | -0.000 | -0.000 |
| 1.777 | 1.777 | 1.777 | 0.000 | -0.000 | -0.000 |
| 1.777 | 1.777 | 1.777 | -0.000 | 0.000 | -0.000 |
| 1.777 | 1.777 | 1.777 | -0.000 | -0.000 | 0.000 |
| -0.000 | -0.000 | -0.000 | 0.000 | 0.000 | 0.000 |
| -0.000 | -0.000 | -0.000 | 0.000 | 0.000 | 0.000 |
| -0.000 | -0.000 | -0.000 | 0.000 | 0.000 | 0.000 |
| 1.777 | 1.777 | 1.777 | 0.000 | 0.000 | 0.000 |
| 1.777 | 1.777 | 1.777 | 0.000 | 0.000 | 0.000 |
| 1.777 | 1.777 | 1.777 | 0.000 | 0.000 | 0.000 |
| 0.000 | 0.000 | 0.000 | -0.000 | -0.000 | -0.000 |
| 0.000 | 0.000 | 0.000 | -0.000 | -0.000 | -0.000 |
| 0.000 | 0.000 | 0.000 | -0.000 | -0.000 | -0.000 |
| 1.777 | 1.777 | 1.777 | 0.000 | -0.000 | -0.000 |
| 1.777 | 1.777 | 1.777 | -0.000 | 0.000 | -0.000 |
| 1.777 | 1.777 | 1.777 | -0.000 | -0.000 | 0.000 |
| -0.000 | -0.000 | -0.000 | 0.000 | 0.000 | 0.000 |
| -0.000 | -0.000 | -0.000 | 0.000 | 0.000 | 0.000 |
| -0.000 | -0.000 | -0.000 | 0.000 | 0.000 | 0.000 |
| 1.777 | 1.777 | 1.777 | -0.000 | -0.000 | -0.000 |
| 1.777 | 1.777 | 1.777 | -0.000 | -0.000 | -0.000 |
| 1.777 | 1.777 | 1.777 | -0.000 | -0.000 | -0.000 |
| 0.000 | 0.000 | 0.000 | -0.000 | -0.000 | -0.000 |
| 0.000 | 0.000 | 0.000 | -0.000 | -0.000 | -0.000 |
| 0.000 | 0.000 | 0.000 | -0.000 | -0.000 | -0.000 |
| 8451.829 | 2107.544 | -603.267 | -0.000 | -0.000 | -0.000 |
| 2107.544 | 8451.829 | -603.267 | -0.000 | -0.000 | -0.000 |
| -603.267 | -603.267 | -7022.479 | -0.000 | -0.000 | -0.000 |
| -0.000 | -0.000 | 0.001 | -498.979 | -0.000 | -0.000 |
| 0.000 | -0.000 | 0.001 | -0.000 | -498.979 | -0.000 |
| -0.001 | -0.001 | 0.000 | -0.000 | -0.000 | 2158.863 |
| 8451.837 | 2107.546 | -603.267 | 0.000 | 0.000 | 0.000 |
| 2107.545 | 8451.837 | -603.267 | 0.000 | 0.000 | 0.000 |
| -603.268 | -603.267 | -7022.482 | 0.000 | 0.000 | 0.000 |
| 0.000 | 0.000 | -0.001 | -498.979 | 0.000 | 0.000 |
| -0.000 | 0.000 | -0.001 | 0.000 | -498.979 | 0.000 |
| 0.001 | 0.001 | -0.000 | 0.000 | 0.000 | 2158.863 |
| 7820.513 | 2738.827 | -603.262 | 0.000 | -0.000 | -0.000 |
| 2738.827 | 7820.513 | -603.262 | -0.000 | -0.000 | -0.000 |
| -603.262 | -603.262 | -7022.466 | -0.000 | -0.000 | -0.000 |
| -92582971.197 | 435619027.581 | 194895872.439 | -426775788.033 | 0.434 | -0.003 |
| 435619013.266 | -92582963.916 | 194895867.867 | 0.350 | -426775775.145 | -0.003 |
| -0.006 | -0.006 | 0.000 | -0.000 | -0.000 | 2158.863 |
| 8451.873 | 2107.550 | -603.269 | -0.000 | 0.000 | 0.000 |
| 2107.550 | 8451.873 | -603.269 | 0.000 | 0.000 | 0.000 |
| -603.272 | -603.272 | -7022.495 | 0.000 | 0.000 | 0.000 |
| 92582961.076 | -435618993.504 | -194895854.582 | -426775756.524 | -0.412 | -0.003 |
| -435619026.455 | 92582970.405 | -194895872.292 | -0.347 | -426775787.045 | -0.003 |
| 0.006 | 0.006 | -0.000 | 0.000 | 0.000 | 2158.863 |
| 7820.137 | 2738.864 | -603.212 | -0.000 | -0.000 | -0.000 |
| 2738.864 | 7820.137 | -603.212 | 0.000 | -0.000 | -0.000 |
| -603.217 | -603.217 | -7022.339 | 0.000 | -0.000 | -0.000 |
| -9166705.081 | 43474614.878 | 19506346.530 | -42603596.048 | 0.004 | -0.000 |
| 43474614.907 | -9166705.081 | 19506346.553 | 0.005 | -42603596.075 | -0.000 |
| -0.058 | -0.056 | 0.005 | 0.000 | -0.000 | 2158.863 |
| 7820.730 | 2739.026 | -603.322 | -0.000 | 0.000 | 0.000 |
| 2739.026 | 7820.730 | -603.322 | 0.000 | 0.000 | 0.000 |
| -603.317 | -603.317 | -7022.621 | 0.000 | 0.000 | 0.000 |
| 9166705.132 | -43474615.027 | -19506346.602 | -42603596.185 | -0.004 | -0.000 |
| -43474615.022 | 9166705.123 | -19506346.606 | -0.005 | -42603596.181 | -0.000 |
| 0.058 | 0.056 | -0.005 | 0.000 | 0.000 | 2158.863 |
| -2775.370 | 16056.772 | -278.664 | -0.000 | 0.000 | 0.000 |
| 16056.772 | -2775.370 | -278.664 | -0.000 | 0.000 | 0.000 |
| -278.663 | -278.663 | 10150.193 | -0.000 | 0.000 | -0.000 |
| -11650940449.033 | 1515708746.444 | 8832518971.061 | -19135311768.331 | -138.981 | -6.431 |
| 1515708748.361 | -11650940864.509 | 8832519512.326 | -131.546 | -19135311996.999 | -6.087 |
| 0.000 | 0.000 | -0.000 | -0.000 | 0.000 | 3019.438 |
| -2775.362 | 16056.769 | -278.660 | 0.000 | -0.000 | 0.000 |
| 16056.768 | -2775.362 | -278.660 | -0.000 | -0.000 | 0.000 |
| -278.662 | -278.662 | 10150.194 | -0.000 | 0.000 | -0.000 |
| 11650937550.203 | -1515708923.483 | -8832515139.141 | -19135310054.341 | 136.575 | -6.320 |
| -1515708901.669 | 11650937776.989 | -8832515441.244 | 143.323 | -19135310193.391 | -6.632 |
| -0.000 | -0.000 | 0.000 | 0.000 | -0.000 | 3019.438 |
| -2775.406 | 16056.789 | -278.685 | -0.000 | 0.000 | -0.000 |
| 16056.789 | -2775.406 | -278.685 | 0.000 | 0.000 | -0.000 |
| -278.669 | -278.669 | 10150.188 | 0.000 | 0.000 | 0.000 |
| -1165594430.720 | 151772733.197 | 883845326.928 | -1913682355.843 | -1.300 | -0.060 |
| 151772735.866 | -1165594372.374 | 883845250.012 | -1.100 | -1913682321.885 | -0.051 |
| 0.003 | 0.003 | -0.000 | -0.000 | 0.000 | 3019.438 |
| -2775.327 | 16056.752 | -278.640 | 0.000 | -0.000 | -0.000 |
| 16056.752 | -2775.327 | -278.640 | 0.000 | -0.000 | 0.000 |
| -278.656 | -278.656 | 10150.199 | 0.000 | -0.000 | -0.000 |
| 1165594324.575 | -151772738.714 | -883845186.807 | -1913682293.654 | 1.234 | -0.057 |
| -151772736.320 | 1165594373.030 | -883845250.736 | 1.113 | -1913682321.966 | -0.052 |
| -0.003 | -0.003 | 0.000 | 0.000 | -0.000 | 3019.438 |
| -2775.761 | 16056.955 | -278.886 | -0.000 | -0.000 | -0.000 |
| 16056.955 | -2775.761 | -278.886 | -0.000 | -0.000 | -0.000 |
| -278.726 | -278.726 | 10150.140 | 0.000 | 0.000 | 0.000 |
| -116457435.502 | 15138371.367 | 88262343.228 | -191335925.947 | -0.015 | -0.001 |
| 15138372.610 | -116457409.948 | 88262309.583 | -0.008 | -191335911.039 | -0.000 |
| 0.025 | 0.041 | -0.004 | -0.000 | 0.000 | 3019.438 |
| -2774.971 | 16056.586 | -278.438 | 0.000 | 0.000 | -0.000 |
| 16056.586 | -2774.971 | -278.438 | 0.000 | -0.000 | -0.000 |
| -278.598 | -278.598 | 10150.247 | 0.000 | -0.000 | 0.000 |
| 116457426.853 | -15138371.795 | -88262331.839 | -191335920.897 | 0.014 | -0.001 |
| -15138370.530 | 116457452.109 | -88262365.103 | 0.006 | -191335935.654 | -0.000 |
| -0.025 | -0.041 | 0.004 | 0.000 | 0.000 | 3019.438 |
| 131.628 | 3.312 | 65.629 | -0.000 | -0.000 | 0.000 |
| 3.312 | 131.628 | 65.629 | -0.000 | -0.000 | 0.000 |
| 65.629 | 65.629 | 27.165 | -0.000 | -0.000 | 0.000 |
| 0.000 | -0.000 | 0.000 | -38.021 | -0.000 | 0.000 |
| -0.000 | 0.000 | 0.000 | 0.000 | -38.021 | 0.000 |
| -0.000 | 0.000 | 0.000 | 0.000 | -0.000 | -4.627 |
| 20.694 | 114.247 | 65.629 | -0.000 | 0.000 | -0.000 |
| 114.247 | 20.694 | 65.629 | 0.000 | 0.000 | -0.000 |
| 65.629 | 65.629 | 27.165 | 0.000 | -0.000 | -0.000 |
| -0.000 | 0.000 | -0.000 | -38.021 | -0.000 | -0.000 |
| 0.000 | -0.000 | -0.000 | -0.000 | -38.021 | -0.000 |
| 0.000 | 0.000 | -0.000 | 0.000 | 0.000 | -4.627 |
| 131.628 | 3.312 | 65.629 | -0.000 | -0.000 | 0.000 |
| 3.312 | 131.628 | 65.629 | 0.000 | -0.000 | 0.000 |
| 65.629 | 65.629 | 27.166 | 0.000 | -0.000 | 0.000 |
| 0.000 | -0.000 | 0.000 | -38.021 | -0.000 | 0.000 |
| -0.000 | 0.000 | 0.000 | 0.000 | -38.021 | 0.000 |
| 0.000 | 0.000 | 0.000 | 0.000 | -0.000 | -4.627 |
| 20.694 | 114.247 | 65.629 | -0.000 | -0.000 | -0.000 |
| 114.247 | 20.694 | 65.629 | -0.000 | -0.000 | -0.000 |
| 65.629 | 65.629 | 27.165 | -0.000 | 0.000 | -0.000 |
| -0.000 | 0.000 | -0.000 | -38.021 | 0.000 | -0.000 |
| 0.000 | -0.000 | -0.000 | -0.000 | -38.021 | -0.000 |
| -0.000 | -0.000 | -0.000 | -0.000 | -0.000 | -4.627 |
| 20.697 | 114.243 | 65.629 | 0.000 | -0.000 | 0.000 |
| 114.243 | 20.697 | 65.629 | 0.000 | -0.000 | 0.000 |
| 65.629 | 65.629 | 27.166 | -0.000 | -0.000 | 0.000 |
| 0.000 | -0.000 | 0.000 | -38.019 | 0.000 | 0.000 |
| -0.000 | 0.000 | 0.000 | 0.000 | -38.019 | 0.000 |
| 0.000 | 0.000 | 0.000 | 0.000 | -0.000 | -4.627 |
| 20.698 | 114.243 | 65.628 | -0.000 | 0.000 | -0.000 |
| 114.243 | 20.698 | 65.628 | -0.000 | 0.000 | -0.000 |
| 65.628 | 65.628 | 27.165 | 0.000 | 0.000 | -0.000 |
| -0.000 | 0.000 | -0.000 | -38.019 | 0.000 | -0.000 |
| 0.000 | -0.000 | -0.000 | -0.000 | -38.019 | -0.000 |
| -0.000 | -0.000 | -0.000 | -0.000 | 0.000 | -4.627 |
| 293.871 | 8.845 | -22.200 | -0.000 | 0.000 | -0.000 |
| 8.845 | 293.871 | -22.200 | -0.000 | -0.000 | -0.000 |
| -22.200 | -22.200 | 126.103 | -0.000 | 0.000 | -0.000 |
| 0.000 | -0.000 | -0.000 | -21.018 | 0.000 | -0.000 |
| 0.000 | -0.000 | -0.000 | -0.000 | -21.018 | -0.000 |
| 0.000 | -0.000 | 0.000 | -0.000 | -0.000 | 8.560 |
| 293.870 | 8.845 | -22.200 | -0.000 | 0.000 | 0.000 |
| 8.845 | 293.870 | -22.200 | 0.000 | 0.000 | 0.000 |
| -22.200 | -22.200 | 126.103 | -0.000 | 0.000 | 0.000 |
| -0.000 | 0.000 | 0.000 | -21.018 | -0.000 | -0.000 |
| 0.000 | 0.000 | 0.000 | -0.000 | -21.018 | 0.000 |
| 0.000 | 0.000 | -0.000 | 0.000 | -0.000 | 8.560 |
| -3669097.223 | 3719462.752 | 12543.061 | 0.000 | 0.000 | -0.000 |
| 3719462.748 | -3669097.219 | 12543.061 | -0.000 | -0.000 | -0.000 |
| -22.200 | -22.200 | 126.103 | 0.000 | -0.000 | 0.000 |
| -0.000 | -0.000 | -0.000 | -48.094 | -0.000 | -0.000 |
| -0.000 | -0.000 | -0.000 | 0.000 | -48.094 | -0.000 |
| -0.000 | -0.000 | -0.000 | 0.000 | -0.000 | 8.560 |
| 293.870 | 8.845 | -22.200 | 0.000 | -0.000 | 0.000 |
| 8.845 | 293.870 | -22.200 | 0.000 | -0.000 | -0.000 |
| -22.200 | -22.200 | 126.102 | -0.000 | -0.000 | 0.000 |
| 0.000 | 0.000 | 0.000 | -48.094 | 0.000 | -0.000 |
| 0.000 | 0.000 | 0.000 | -0.000 | -48.094 | 0.000 |
| 0.000 | 0.000 | 0.000 | -0.000 | -0.000 | 8.560 |
| -366651.927 | 371954.632 | 1235.188 | -0.000 | -0.000 | -0.000 |
| 371954.632 | -366651.927 | 1235.188 | -0.000 | -0.000 | -0.000 |
| -22.200 | -22.200 | 126.105 | 0.000 | 0.000 | -0.000 |
| -0.000 | -0.000 | -0.000 | -48.094 | 0.000 | -0.000 |
| -0.000 | -0.000 | -0.000 | 0.000 | -48.094 | -0.000 |
| -0.000 | -0.000 | -0.000 | 0.000 | -0.000 | 8.560 |
| -371680.852 | 366982.850 | -1279.894 | 0.000 | -0.000 | 0.000 |
| 366982.850 | -371680.852 | -1279.894 | -0.000 | 0.000 | 0.000 |
| -22.200 | -22.200 | 126.100 | 0.000 | 0.000 | 0.000 |
| 0.000 | 0.000 | 0.000 | -48.094 | -0.000 | 0.000 |
| 0.000 | 0.000 | 0.000 | -0.000 | -48.094 | 0.000 |
| 0.000 | 0.000 | 0.000 | -0.000 | -0.000 | 8.560 |
| 694289839.020 | -295241667.088 | 690137268.546 | 0.000 | 0.000 | -0.000 |
| -295241667.088 | 694289839.020 | 690137268.546 | 0.000 | 0.000 | -0.000 |
| -29565380.904 | -29565380.904 | -105841388.654 | 0.000 | 0.000 | 0.000 |
| 119363.595 | -14889077.710 | -26437568.450 | -19877284.666 | 0.000 | 0.000 |
| -14889077.710 | 119363.595 | -26437568.450 | 0.000 | -19877284.666 | -0.000 |
| 0.000 | -0.000 | -0.000 | 0.000 | 0.000 | 143.303 |
| 130.081 | 146.565 | 22.587 | -0.000 | -0.000 | 0.000 |
| 146.565 | 130.081 | 22.587 | -0.000 | 0.000 | 0.000 |
| 28.979 | 28.979 | 38.855 | -0.000 | -0.000 | 0.000 |
| -119363.595 | 14889077.710 | 26437568.450 | -19877284.666 | -0.000 | 0.000 |
| 14889077.710 | -119363.595 | 26437568.450 | -0.000 | -19877284.666 | 0.000 |
| -0.000 | 0.000 | 0.000 | -0.000 | -0.000 | 143.303 |
| 69428907.548 | -29524029.297 | 69013568.342 | 0.000 | 0.000 | -0.000 |
| -29524029.297 | 69428907.548 | 69013568.342 | 0.000 | 0.000 | -0.000 |
| -2956523.253 | -2956523.253 | -10584140.413 | 0.000 | 0.000 | -0.000 |
| 11902.117 | -1488892.155 | -2643789.175 | -1987696.305 | 0.000 | 0.000 |
| -1488892.155 | 11902.117 | -2643789.175 | 0.000 | -1987696.305 | -0.000 |
| -0.000 | -0.000 | -0.000 | 0.000 | 0.000 | 143.303 |
| 130.081 | 146.565 | 22.587 | 0.000 | -0.000 | 0.000 |
| 146.565 | 130.081 | 22.587 | -0.000 | 0.000 | 0.000 |
| 28.979 | 28.979 | 38.855 | -0.000 | -0.000 | 0.000 |
| -11902.117 | 1488892.155 | 2643789.175 | -1987696.305 | -0.000 | 0.000 |
| 1488892.155 | -11902.117 | 2643789.175 | -0.000 | -1987696.305 | 0.000 |
| 0.000 | 0.000 | 0.000 | -0.000 | -0.000 | 143.303 |
| 6942814.410 | -2952265.518 | 6901198.331 | 0.000 | 0.000 | -0.000 |
| -2952265.518 | 6942814.410 | 6901198.331 | 0.000 | 0.000 | 0.000 |
| -295637.458 | -295637.458 | -1058415.484 | -0.000 | 0.000 | -0.000 |
| 1155.979 | -148873.417 | -264410.912 | -198737.227 | 0.000 | -0.000 |
| -148873.417 | 1155.979 | -264410.912 | 0.000 | -198737.227 | -0.000 |
| -0.001 | -0.001 | -0.000 | 0.000 | 0.000 | 143.303 |
| 130.081 | 146.566 | 22.587 | -0.000 | -0.000 | 0.000 |
| 146.566 | 130.081 | 22.587 | -0.000 | -0.000 | 0.000 |
| 28.979 | 28.979 | 38.856 | -0.000 | -0.000 | 0.000 |
| -1155.979 | 148873.417 | 264410.912 | -198737.227 | -0.000 | 0.000 |
| 148873.417 | -1155.979 | 264410.912 | -0.000 | -198737.227 | 0.000 |
| 0.001 | 0.001 | 0.000 | -0.000 | -0.000 | 143.303 |
| -41.715 | -41.363 | -10.137 | -0.000 | -0.000 | 0.000 |
| -41.363 | -41.715 | -10.137 | -0.000 | -0.000 | -0.000 |
| -10.137 | -10.137 | -2.474 | 0.000 | -0.000 | -0.000 |
| -0.000 | -0.000 | -0.000 | -0.045 | -0.000 | -0.000 |
| -0.000 | -0.000 | -0.000 | -0.000 | -0.045 | 0.000 |
| 0.000 | 0.000 | 0.000 | -0.000 | 0.000 | 0.000 |
| -41.713 | -41.366 | -10.137 | -0.000 | 0.000 | 0.000 |
| -41.366 | -41.713 | -10.137 | 0.000 | -0.000 | 0.000 |
| -10.137 | -10.137 | -2.474 | -0.000 | -0.000 | 0.000 |
| 0.000 | 0.000 | 0.000 | -0.045 | 0.000 | -0.000 |
| 0.000 | 0.000 | 0.000 | 0.000 | -0.045 | 0.000 |
| -0.000 | -0.000 | -0.000 | 0.000 | 0.000 | 0.000 |
| -41.715 | -41.363 | -10.137 | -0.000 | 0.000 | 0.000 |
| -41.363 | -41.715 | -10.137 | -0.000 | -0.000 | 0.000 |
| -10.137 | -10.137 | -2.474 | -0.000 | 0.000 | -0.000 |
| -0.000 | -0.000 | -0.000 | -0.045 | -0.000 | 0.000 |
| -0.000 | -0.000 | -0.000 | -0.000 | -0.045 | 0.000 |
| 0.000 | 0.000 | 0.000 | -0.000 | -0.000 | 0.000 |
| -41.715 | -41.363 | -10.137 | 0.000 | -0.000 | -0.000 |
| -41.363 | -41.715 | -10.137 | -0.000 | 0.000 | -0.000 |
| -10.137 | -10.137 | -2.474 | 0.000 | 0.000 | -0.000 |
| 0.000 | 0.000 | 0.000 | -0.045 | 0.000 | -0.000 |
| 0.000 | 0.000 | 0.000 | 0.000 | -0.045 | 0.000 |
| -0.000 | -0.000 | -0.000 | -0.000 | -0.000 | 0.000 |
| -41.713 | -41.366 | -10.137 | 0.000 | -0.000 | -0.000 |
| -41.366 | -41.713 | -10.137 | 0.000 | 0.000 | -0.000 |
| -10.137 | -10.137 | -2.474 | 0.000 | -0.000 | 0.000 |
| -0.000 | -0.000 | -0.000 | -0.045 | -0.000 | 0.000 |
| -0.000 | -0.000 | -0.000 | -0.000 | -0.045 | 0.000 |
| 0.000 | 0.000 | 0.000 | -0.000 | 0.000 | 0.000 |
| -41.712 | -41.366 | -10.137 | -0.000 | -0.000 | 0.000 |
| -41.366 | -41.712 | -10.137 | -0.000 | 0.000 | -0.000 |
| -10.137 | -10.137 | -2.474 | -0.000 | -0.000 | 0.000 |
| 0.000 | 0.000 | 0.000 | -0.045 | 0.000 | 0.000 |
| 0.000 | 0.000 | 0.000 | 0.000 | -0.045 | -0.000 |
| -0.000 | -0.000 | -0.000 | 0.000 | 0.000 | 0.000 |
| 158.716 | 158.716 | 21.162 | 0.000 | 0.000 | 0.000 |
| 158.716 | 158.716 | 21.162 | 0.000 | 0.000 | 0.000 |
| 21.162 | 21.162 | 363.989 | 0.000 | 0.000 | 0.000 |
| -0.000 | 0.000 | -0.000 | 0.000 | 0.000 | -0.000 |
| -0.000 | 0.000 | -0.000 | 0.000 | 0.000 | -0.000 |
| -0.000 | 0.000 | 0.000 | 0.000 | 0.000 | 0.000 |
| 158.716 | 158.716 | 21.162 | -0.000 | -0.000 | 0.000 |
| 158.716 | 158.716 | 21.162 | -0.000 | -0.000 | -0.000 |
| 21.162 | 21.162 | 363.989 | -0.000 | -0.000 | 0.000 |
| 0.000 | -0.000 | 0.000 | -0.000 | -0.000 | -0.000 |
| 0.000 | -0.000 | 0.000 | -0.000 | 0.000 | -0.000 |
| 0.000 | -0.000 | -0.000 | -0.000 | -0.000 | 0.000 |
| 158.716 | 158.716 | 21.162 | 0.000 | 0.000 | -0.000 |
| 158.716 | 158.716 | 21.162 | 0.000 | 0.000 | -0.000 |
| 21.162 | 21.162 | 363.989 | 0.000 | 0.000 | 0.000 |
| -0.000 | 0.000 | -0.000 | -0.010 | 0.000 | -0.000 |
| -0.000 | -0.000 | -0.000 | 0.000 | -0.010 | -0.000 |
| -0.000 | -0.000 | -0.000 | 0.000 | 0.000 | 0.000 |
| 158.716 | 158.716 | 21.162 | -0.000 | -0.000 | 0.000 |
| 158.716 | 158.716 | 21.162 | -0.000 | -0.000 | -0.000 |
| 21.162 | 21.162 | 363.989 | -0.000 | -0.000 | 0.000 |
| 0.000 | -0.000 | 0.000 | -0.010 | -0.000 | -0.000 |
| 0.000 | 0.000 | 0.000 | -0.000 | -0.010 | -0.000 |
| 0.000 | 0.000 | 0.000 | -0.000 | -0.000 | 0.000 |
| 158.655 | 158.776 | 21.162 | 0.000 | 0.000 | 0.000 |
| 158.776 | 158.655 | 21.162 | 0.000 | 0.000 | 0.000 |
| 21.162 | 21.162 | 363.988 | 0.000 | 0.000 | 0.000 |
| -0.000 | -0.000 | -0.000 | -0.000 | 0.000 | -0.000 |
| -0.000 | -0.000 | -0.000 | 0.000 | 0.000 | -0.000 |
| -0.000 | -0.000 | -0.000 | 0.000 | 0.000 | 0.000 |
| 158.688 | 158.654 | 21.156 | -0.000 | -0.000 | 0.000 |
| 158.654 | 158.688 | 21.156 | -0.000 | -0.000 | 0.000 |
| 21.162 | 21.162 | 363.633 | -0.000 | -0.000 | 0.000 |
| 0.000 | 0.000 | 0.000 | -0.000 | -0.000 | -0.000 |
| 0.000 | 0.000 | 0.000 | -0.000 | -0.000 | -0.000 |
| 0.000 | 0.000 | 0.000 | -0.000 | -0.000 | 0.000 |
| 11.129 | -0.000 | 0.794 | 0.000 | -0.000 | 0.000 |
| -0.000 | 11.129 | 0.794 | -0.000 | 0.000 | 0.000 |
| 0.794 | 0.794 | 0.207 | -0.000 | -0.000 | -0.000 |
| 0.000 | -0.000 | -0.000 | 0.000 | 0.000 | -0.000 |
| -0.000 | 0.000 | -0.000 | 0.000 | 0.000 | -0.000 |
| -0.000 | -0.000 | -0.000 | -0.000 | -0.000 | -0.000 |
| 9.847 | 1.281 | 0.794 | 0.000 | 0.000 | -0.000 |
| 1.281 | 9.847 | 0.794 | 0.000 | 0.000 | -0.000 |
| 0.794 | 0.794 | 0.208 | 0.000 | 0.000 | -0.000 |
| -0.000 | 0.000 | 0.000 | 0.000 | -0.000 | -0.000 |
| 0.000 | -0.000 | 0.000 | -0.000 | 0.000 | -0.000 |
| 0.000 | 0.000 | 0.000 | 0.000 | 0.000 | -0.000 |
| 7.068 | 4.061 | 0.794 | -0.000 | 0.000 | -0.000 |
| 4.061 | 7.068 | 0.794 | 0.000 | -0.000 | -0.000 |
| 0.794 | 0.794 | 0.207 | -0.000 | -0.000 | -0.000 |
| 0.000 | -0.000 | -0.000 | -0.000 | 0.000 | -0.000 |
| -0.000 | 0.000 | -0.000 | 0.000 | 0.000 | -0.000 |
| -0.000 | -0.000 | -0.000 | -0.000 | -0.000 | 0.000 |
| 6.721 | 4.407 | 0.794 | 0.000 | 0.000 | -0.000 |
| 4.407 | 6.721 | 0.794 | 0.000 | 0.000 | 0.000 |
| 0.794 | 0.794 | 0.208 | 0.000 | 0.000 | -0.000 |
| -0.000 | 0.000 | 0.000 | -0.000 | -0.000 | -0.000 |
| 0.000 | -0.000 | 0.000 | -0.000 | -0.000 | -0.000 |
| 0.000 | 0.000 | 0.000 | 0.000 | -0.000 | 0.000 |
| 5.649 | 5.480 | 0.795 | 0.000 | -0.000 | 0.000 |
| 5.480 | 5.649 | 0.795 | -0.000 | -0.000 | 0.000 |
| 0.794 | 0.794 | 0.207 | -0.000 | -0.000 | 0.000 |
| 0.000 | -0.000 | -0.000 | 0.000 | 0.000 | -0.000 |
| -0.000 | 0.000 | -0.000 | 0.000 | 0.000 | -0.000 |
| 0.000 | -0.000 | -0.000 | 0.000 | -0.000 | 0.000 |
| 5.805 | 5.323 | 0.794 | 0.000 | 0.000 | 0.000 |
| 5.323 | 5.805 | 0.794 | -0.000 | 0.000 | -0.000 |
| 0.794 | 0.794 | 0.208 | 0.000 | 0.000 | 0.000 |
| -0.000 | 0.000 | 0.000 | -0.000 | -0.000 | -0.000 |
| 0.000 | -0.000 | 0.000 | -0.000 | -0.000 | -0.000 |
| -0.000 | 0.000 | 0.000 | -0.000 | -0.000 | 0.000 |
| 5.554 | 0.369 | 0.446 | 0.000 | 0.000 | -0.000 |
| 0.369 | 5.554 | 0.446 | 0.000 | -0.000 | 0.000 |
| 555.937 | 555.937 | -26138532.406 | 0.000 | 0.000 | -0.000 |
| 0.000 | 0.000 | 0.000 | 0.055 | 0.000 | -0.000 |
| -0.000 | 0.000 | 0.000 | -0.000 | 0.055 | -0.000 |
| -0.000 | 0.000 | 0.000 | 0.000 | -0.000 | 0.031 |
| 5.954 | -0.031 | 0.446 | -0.000 | -0.000 | 0.000 |
| -0.031 | 5.954 | 0.446 | 0.000 | -0.000 | 0.000 |
| 0.420 | 0.420 | 0.073 | 0.000 | -0.000 | -0.000 |
| -0.000 | -0.000 | -0.000 | 0.055 | -0.000 | -0.000 |
| 0.000 | -0.000 | -0.000 | -0.000 | 0.055 | -0.000 |
| 0.000 | -0.000 | -0.000 | -0.000 | -0.000 | 0.031 |
| 3.865 | 2.059 | 0.446 | -0.000 | 0.000 | -0.000 |
| 2.059 | 3.865 | 0.446 | -0.000 | -0.000 | -0.000 |
| 55.971 | 55.971 | -2613867.758 | -0.000 | 0.000 | -0.000 |
| 0.000 | -0.000 | -0.000 | 0.055 | -0.000 | -0.000 |
| -0.000 | 0.000 | -0.000 | -0.000 | 0.055 | 0.000 |
| -0.000 | -0.000 | -0.000 | 0.000 | -0.000 | 0.031 |
| 4.454 | 1.469 | 0.446 | 0.000 | -0.000 | -0.000 |
| 1.469 | 4.454 | 0.446 | -0.000 | 0.000 | 0.000 |
| 0.420 | 0.420 | 0.073 | 0.000 | 0.000 | 0.000 |
| -0.000 | 0.000 | 0.000 | 0.055 | 0.000 | -0.000 |
| 0.000 | -0.000 | 0.000 | 0.000 | 0.055 | 0.000 |
| 0.000 | 0.000 | 0.000 | -0.000 | 0.000 | 0.031 |
| 3.305 | 2.618 | 0.446 | -0.000 | -0.000 | 0.000 |
| 2.618 | 3.305 | 0.446 | -0.000 | -0.000 | 0.000 |
| 5.974 | 5.974 | -261401.229 | 0.000 | -0.000 | -0.000 |
| 0.000 | -0.000 | -0.000 | 0.014 | 0.000 | -0.000 |
| -0.000 | 0.000 | -0.000 | 0.000 | 0.014 | -0.000 |
| -0.000 | -0.000 | -0.000 | 0.000 | -0.000 | 0.031 |
| 3.259 | 2.664 | 0.446 | -0.000 | 0.000 | 0.000 |
| 2.664 | 3.259 | 0.446 | 0.000 | 0.000 | 0.000 |
| 0.420 | 0.420 | 0.073 | 0.000 | 0.000 | 0.000 |
| -0.000 | 0.000 | 0.000 | 0.014 | 0.000 | -0.000 |
| 0.000 | -0.000 | 0.000 | 0.000 | 0.014 | 0.000 |
| 0.000 | 0.000 | 0.000 | -0.000 | 0.000 | 0.031 |
| 11.543 | -0.000 | 0.769 | -0.000 | 0.000 | 0.000 |
| -0.000 | 11.543 | 0.769 | -0.000 | -0.000 | 0.000 |
| 0.769 | 0.769 | 13.236 | -0.000 | -0.000 | -0.000 |
| 0.000 | -0.000 | -0.000 | 0.000 | -0.000 | 0.000 |
| -0.000 | -0.000 | -0.000 | -0.000 | 0.000 | 0.000 |
| 0.000 | -0.000 | -0.000 | -0.000 | -0.000 | 0.000 |
| 11.543 | -0.000 | 0.769 | 0.000 | 0.000 | -0.000 |
| -0.000 | 11.543 | 0.769 | 0.000 | 0.000 | -0.000 |
| 0.769 | 0.769 | 13.236 | 0.000 | 0.000 | 0.000 |
| -0.000 | 0.000 | 0.000 | 0.000 | 0.000 | 0.000 |
| 0.000 | 0.000 | 0.000 | 0.000 | 0.000 | 0.000 |
| -0.000 | 0.000 | 0.000 | 0.000 | 0.000 | 0.000 |
| 7.111 | 4.431 | 0.769 | -0.000 | 0.000 | -0.000 |
| 4.431 | 7.111 | 0.769 | 0.000 | -0.000 | -0.000 |
| 0.769 | 0.769 | 13.236 | -0.000 | -0.000 | 0.000 |
| 0.000 | -0.000 | -0.000 | -0.000 | -0.000 | 0.000 |
| -0.000 | 0.000 | -0.000 | -0.000 | -0.000 | 0.000 |
| -0.000 | -0.000 | -0.000 | 0.000 | -0.000 | 0.000 |
| 7.952 | 3.591 | 0.769 | 0.000 | 0.000 | -0.000 |
| 3.591 | 7.952 | 0.769 | 0.000 | 0.000 | -0.000 |
| 0.769 | 0.769 | 13.235 | 0.000 | 0.000 | -0.000 |
| -0.000 | 0.000 | 0.000 | 0.000 | 0.000 | 0.000 |
| 0.000 | -0.000 | 0.000 | 0.000 | -0.000 | 0.000 |
| 0.000 | 0.000 | 0.000 | -0.000 | -0.000 | 0.000 |
| 5.889 | 5.654 | 0.769 | -0.000 | 0.000 | 0.000 |
| 5.654 | 5.889 | 0.769 | 0.000 | -0.000 | 0.000 |
| 0.769 | 0.769 | 13.236 | 0.000 | -0.000 | 0.000 |
| 0.000 | -0.000 | -0.000 | -0.000 | -0.000 | 0.000 |
| -0.000 | 0.000 | -0.000 | -0.000 | -0.000 | 0.000 |
| -0.000 | -0.000 | -0.000 | -0.000 | 0.000 | 0.000 |
| 5.921 | 5.621 | 0.769 | 0.000 | -0.000 | -0.000 |
| 5.621 | 5.921 | 0.769 | -0.000 | 0.000 | -0.000 |
| 0.769 | 0.769 | 13.235 | 0.000 | 0.000 | -0.000 |
| -0.000 | 0.000 | 0.000 | -0.000 | 0.000 | 0.000 |
| 0.000 | -0.000 | 0.000 | 0.000 | -0.000 | 0.000 |
| 0.000 | 0.000 | 0.000 | 0.000 | 0.000 | 0.000 |
| -43671296.561 | -646254.000 | -111550468.552 | -0.000 | 0.000 | -0.000 |
| -646254.000 | -43671296.561 | -111550468.552 | 0.000 | 0.000 | -0.000 |
| -44335146.712 | -44335146.712 | -223192896.033 | -0.000 | -0.000 | 0.000 |
| -323263.779 | -21831204.116 | -55763750.252 | -34423977.120 | 0.000 | -0.000 |
| -21831204.116 | -323263.779 | -55763750.252 | -0.000 | -34423977.120 | -0.000 |
| -0.000 | -0.000 | -0.000 | 0.000 | 0.000 | 71.645 |
| 56.550 | 78.688 | 40.936 | -0.000 | -0.000 | 0.000 |
| 78.688 | 56.550 | 40.936 | 0.000 | -0.000 | 0.000 |
| 41.909 | 41.909 | 176.389 | 0.000 | -0.000 | -0.000 |
| 323263.779 | 21831204.116 | 55763750.252 | -34423977.120 | -0.000 | 0.000 |
| 21831204.116 | 323263.779 | 55763750.252 | 0.000 | -34423977.120 | 0.000 |
| 0.000 | 0.000 | 0.000 | 0.000 | -0.000 | 71.645 |
| -4367085.429 | -64554.495 | -11155028.590 | 0.000 | 0.000 | 0.000 |
| -64554.495 | -4367085.429 | -11155028.590 | 0.000 | 0.000 | -0.000 |
| -4433494.567 | -4433494.567 | -22319219.210 | 0.000 | 0.000 | -0.000 |
| -32326.259 | -2183125.369 | -5576389.371 | -3442379.656 | 0.000 | -0.000 |
| -2183125.369 | -32326.259 | -5576389.371 | 0.000 | -3442379.656 | -0.000 |
| -0.000 | -0.000 | 0.000 | 0.000 | 0.000 | 71.645 |
| 56.550 | 78.688 | 40.936 | 0.000 | -0.000 | 0.000 |
| 78.688 | 56.550 | 40.936 | 0.000 | -0.000 | 0.000 |
| 41.909 | 41.909 | 176.389 | 0.000 | -0.000 | 0.000 |
| 32326.259 | 2183125.369 | 5576389.371 | -3442379.656 | -0.000 | 0.000 |
| 2183125.369 | 32326.259 | 5576389.371 | -0.000 | -3442379.656 | 0.000 |
| 0.000 | 0.000 | -0.000 | -0.000 | -0.000 | 71.645 |
| -436664.310 | -6384.544 | -1115484.572 | 0.000 | 0.000 | -0.000 |
| -6384.544 | -436664.310 | -1115484.572 | 0.000 | -0.000 | 0.000 |
| -443329.297 | -443329.297 | -2231851.239 | 0.000 | 0.000 | 0.000 |
| -3232.507 | -218317.484 | -557653.255 | -344219.892 | 0.000 | -0.000 |
| -218317.484 | -3232.507 | -557653.255 | -0.000 | -344219.892 | -0.000 |
| -0.000 | -0.000 | 0.000 | 0.000 | -0.000 | 71.645 |
| 56.552 | 78.688 | 40.936 | 0.000 | -0.000 | 0.000 |
| 78.688 | 56.552 | 40.936 | -0.000 | -0.000 | 0.000 |
| 41.909 | 41.909 | 176.388 | 0.000 | -0.000 | -0.000 |
| 3232.507 | 218317.484 | 557653.255 | -344219.892 | 0.000 | 0.000 |
| 218317.484 | 3232.507 | 557653.255 | 0.000 | -344219.892 | -0.000 |
| 0.000 | 0.000 | -0.000 | -0.000 | -0.000 | 71.645 |
| 16.388 | 0.026 | 0.060 | -0.000 | -0.000 | 0.000 |
| 0.026 | 16.388 | 0.060 | -0.000 | -0.000 | 0.000 |
| 0.060 | 0.060 | 0.136 | -0.000 | -0.000 | 0.000 |
| -0.000 | -0.000 | -0.000 | 0.060 | -0.000 | -0.000 |
| -0.000 | -0.000 | -0.000 | -0.000 | 0.060 | -0.000 |
| -0.000 | -0.000 | -0.000 | -0.000 | 0.000 | 0.026 |
| 16.388 | 0.026 | 0.060 | 0.000 | -0.000 | -0.000 |
| 0.026 | 16.388 | 0.060 | -0.000 | 0.000 | -0.000 |
| 0.060 | 0.060 | 0.136 | 0.000 | 0.000 | 0.000 |
| 0.000 | 0.000 | 0.000 | 0.060 | 0.000 | 0.000 |
| 0.000 | 0.000 | 0.000 | 0.000 | 0.060 | 0.000 |
| 0.000 | 0.000 | 0.000 | 0.000 | 0.000 | 0.026 |
| 16.389 | 0.026 | 0.060 | -0.000 | 0.000 | 0.000 |
| 0.026 | 16.389 | 0.060 | 0.000 | -0.000 | 0.000 |
| 0.060 | 0.060 | 0.136 | -0.000 | -0.000 | 0.000 |
| -0.000 | -0.000 | -0.000 | 0.060 | -0.000 | -0.000 |
| -0.000 | -0.000 | -0.000 | -0.000 | 0.060 | -0.000 |
| -0.000 | -0.000 | -0.000 | -0.000 | -0.000 | 0.026 |
| 16.388 | 0.026 | 0.060 | 0.000 | -0.000 | -0.000 |
| 0.026 | 16.388 | 0.060 | -0.000 | 0.000 | -0.000 |
| 0.060 | 0.060 | 0.136 | 0.000 | 0.000 | -0.000 |
| 0.000 | 0.000 | 0.000 | 0.060 | 0.000 | 0.000 |
| 0.000 | 0.000 | 0.000 | 0.000 | 0.060 | 0.000 |
| 0.000 | 0.000 | 0.000 | 0.000 | -0.000 | 0.026 |
| 16.389 | 0.026 | 0.060 | -0.000 | 0.000 | -0.000 |
| 0.026 | 16.389 | 0.060 | 0.000 | -0.000 | -0.000 |
| 0.060 | 0.060 | 0.136 | -0.000 | -0.000 | 0.000 |
| -0.000 | -0.000 | -0.000 | 0.060 | -0.000 | 0.000 |
| -0.000 | -0.000 | -0.000 | -0.000 | 0.060 | 0.000 |
| -0.000 | -0.000 | -0.000 | -0.000 | -0.000 | 0.026 |
| 16.388 | 0.026 | 0.060 | 0.000 | 0.000 | 0.000 |
| 0.026 | 16.388 | 0.060 | 0.000 | 0.000 | 0.000 |
| 0.060 | 0.060 | 0.136 | 0.000 | 0.000 | -0.000 |
| 0.000 | 0.000 | 0.000 | 0.060 | 0.000 | 0.000 |
| 0.000 | 0.000 | 0.000 | 0.000 | 0.060 | 0.000 |
| 0.000 | 0.000 | 0.000 | 0.000 | 0.000 | 0.026 |
| 0.109 | -0.000 | 0.000 | 0.000 | 0.000 | -0.000 |
| -0.000 | 0.109 | 0.000 | 0.000 | 0.000 | -0.000 |
| -0.000 | -0.000 | 0.000 | 0.000 | 0.000 | 0.000 |
| 0.000 | 0.000 | 0.000 | 0.000 | 0.000 | 0.000 |
| 0.000 | 0.000 | 0.000 | 0.000 | 0.000 | -0.000 |
| 0.000 | 0.000 | 0.000 | 0.000 | 0.000 | 0.000 |
| 0.109 | -0.000 | -0.000 | -0.000 | -0.000 | 0.000 |
| -0.000 | 0.109 | -0.000 | -0.000 | -0.000 | -0.000 |
| -0.000 | -0.000 | -0.000 | -0.000 | -0.000 | 0.000 |
| -0.000 | -0.000 | -0.000 | -0.000 | -0.000 | -0.000 |
| -0.000 | -0.000 | -0.000 | -0.000 | -0.000 | 0.000 |
| -0.000 | -0.000 | -0.000 | -0.000 | -0.000 | 0.000 |
| 0.109 | -0.000 | 0.000 | 0.000 | 0.000 | -0.000 |
| -0.000 | 0.109 | 0.000 | 0.000 | 0.000 | -0.000 |
| -0.000 | -0.000 | 0.000 | 0.000 | 0.000 | 0.000 |
| 0.000 | 0.000 | 0.000 | 0.000 | 0.000 | -0.000 |
| 0.000 | 0.000 | 0.000 | 0.000 | 0.000 | -0.000 |
| 0.000 | -0.000 | 0.000 | 0.000 | 0.000 | 0.000 |
| 0.109 | -0.000 | -0.000 | -0.000 | -0.000 | 0.000 |
| -0.000 | 0.109 | -0.000 | -0.000 | -0.000 | 0.000 |
| -0.000 | -0.000 | -0.000 | -0.000 | -0.000 | 0.000 |
| -0.000 | -0.000 | -0.000 | -0.000 | -0.000 | 0.000 |
| -0.000 | -0.000 | -0.000 | -0.000 | -0.000 | 0.000 |
| -0.000 | 0.000 | -0.000 | -0.000 | -0.000 | 0.000 |
| 0.109 | -0.000 | 0.000 | 0.000 | 0.000 | -0.000 |
| -0.000 | 0.109 | 0.000 | 0.000 | 0.000 | -0.000 |
| -0.000 | -0.000 | 0.000 | 0.000 | 0.000 | 0.000 |
| 0.000 | 0.000 | 0.000 | 0.000 | 0.000 | 0.000 |
| 0.000 | 0.000 | 0.000 | 0.000 | 0.000 | -0.000 |
| 0.000 | -0.000 | 0.000 | 0.000 | 0.000 | 0.000 |
| 0.109 | -0.000 | -0.000 | -0.000 | -0.000 | 0.000 |
| -0.000 | 0.109 | -0.000 | -0.000 | -0.000 | 0.000 |
| -0.000 | -0.000 | -0.000 | -0.000 | -0.000 | 0.000 |
| -0.000 | -0.000 | -0.000 | -0.000 | -0.000 | 0.000 |
| -0.000 | -0.000 | -0.000 | -0.000 | -0.000 | 0.000 |
| -0.000 | 0.000 | -0.000 | -0.000 | -0.000 | 0.000 |
| 144.599 | 34.886 | 50.144 | -39.651 | -0.000 | 0.000 |
| 34.883 | 144.596 | 50.140 | 39.651 | -0.000 | 0.000 |
| 49.074 | 49.075 | 81.035 | -0.000 | -0.000 | 0.000 |
| -39.651 | 39.651 | -0.000 | 67.060 | 0.000 | 0.000 |
| 0.000 | 0.000 | -0.000 | -0.000 | 67.060 | -39.651 |
| -0.003 | -0.003 | -0.004 | -0.000 | -39.651 | 54.856 |
| 144.602 | 34.889 | 50.148 | -39.651 | 0.000 | -0.000 |
| 34.889 | 144.602 | 50.148 | 39.651 | 0.000 | -0.000 |
| 49.077 | 49.077 | 81.039 | -0.000 | -0.000 | -0.000 |
| -39.651 | 39.651 | -0.000 | 67.060 | -0.000 | -0.000 |
| -0.000 | -0.000 | 0.000 | 0.000 | 67.060 | -39.651 |
| 0.003 | 0.003 | 0.004 | 0.000 | -39.651 | 54.856 |
| 144.599 | 34.886 | 50.144 | -39.651 | -0.000 | 0.000 |
| 34.886 | 144.599 | 50.144 | 39.651 | -0.000 | 0.000 |
| 49.077 | 49.077 | 81.039 | -0.000 | 0.000 | 0.000 |
| -39.651 | 39.651 | -0.000 | 67.060 | 0.000 | 0.000 |
| -0.000 | -0.000 | -0.000 | -0.000 | 67.060 | -39.651 |
| -0.000 | -0.000 | -0.000 | -0.000 | -39.651 | 54.856 |
| 144.599 | 34.886 | 50.144 | -39.651 | 0.000 | -0.000 |
| 34.886 | 144.599 | 50.144 | 39.651 | 0.000 | -0.000 |
| 49.077 | 49.077 | 81.039 | 0.000 | -0.000 | -0.000 |
| -39.651 | 39.651 | 0.000 | 67.060 | -0.000 | -0.000 |
| 0.000 | 0.000 | 0.000 | 0.000 | 67.060 | -39.651 |
| 0.000 | 0.000 | 0.000 | 0.000 | -39.651 | 54.856 |
| 144.599 | 34.886 | 50.144 | -39.651 | -0.000 | 0.000 |
| 34.887 | 144.599 | 50.144 | 39.651 | -0.000 | 0.000 |
| 49.077 | 49.077 | 81.039 | -0.000 | -0.000 | 0.000 |
| -39.651 | 39.651 | -0.000 | 67.060 | -0.000 | 0.000 |
| -0.000 | -0.000 | -0.000 | -0.000 | 67.060 | -39.651 |
| -0.000 | 0.000 | -0.000 | -0.000 | -39.651 | 54.856 |
| 144.598 | 34.886 | 50.144 | -39.651 | 0.000 | -0.000 |
| 34.886 | 144.599 | 50.144 | 39.651 | 0.000 | -0.000 |
| 49.078 | 49.078 | 81.039 | 0.000 | 0.000 | -0.000 |
| -39.651 | 39.651 | 0.000 | 67.060 | 0.000 | -0.000 |
| 0.000 | 0.000 | 0.000 | 0.000 | 67.060 | -39.651 |
| 0.000 | -0.000 | 0.000 | 0.000 | -39.651 | 54.856 |
| 184.424 | 62.814 | 61.417 | 10.235 | 0.000 | 0.000 |
| 62.814 | 184.424 | 61.417 | -10.235 | 0.000 | 0.000 |
| 60.714 | 60.714 | 204.003 | 0.000 | 0.000 | -0.000 |
| 10.235 | -10.235 | 0.000 | 57.818 | 0.000 | 0.000 |
| 0.000 | 0.000 | 0.000 | 0.000 | 57.818 | 10.235 |
| -0.000 | -0.000 | 0.000 | 0.000 | 10.235 | 60.805 |
| 184.424 | 62.814 | 61.417 | 10.235 | -0.000 | 0.000 |
| 62.814 | 184.424 | 61.417 | -10.235 | 0.000 | 0.000 |
| 60.714 | 60.714 | 204.003 | -0.000 | -0.000 | 0.000 |
| 10.235 | -10.235 | -0.000 | 57.818 | 0.000 | -0.000 |
| -0.000 | -0.000 | -0.000 | -0.000 | 57.818 | 10.235 |
| 0.000 | 0.000 | -0.000 | -0.000 | 10.235 | 60.805 |
| 184.424 | 62.814 | 61.417 | 10.235 | 0.000 | -0.000 |
| 62.814 | 184.424 | 61.417 | -10.235 | 0.000 | 0.000 |
| 60.714 | 60.714 | 204.003 | 0.000 | 0.000 | -0.000 |
| 10.235 | -10.235 | 0.000 | 57.818 | 0.000 | -0.000 |
| 0.000 | 0.000 | 0.000 | 0.000 | 57.818 | 10.235 |
| -0.000 | -0.000 | 0.000 | 0.000 | 10.235 | 60.805 |
| 184.424 | 62.814 | 61.417 | 10.235 | 0.000 | -0.000 |
| 62.814 | 184.424 | 61.417 | -10.235 | 0.000 | -0.000 |
| 60.714 | 60.714 | 204.002 | -0.000 | -0.000 | -0.000 |
| 10.235 | -10.235 | -0.000 | 57.818 | 0.000 | 0.000 |
| -0.000 | -0.000 | -0.000 | -0.000 | 57.818 | 10.235 |
| 0.000 | 0.000 | -0.000 | -0.000 | 10.235 | 60.805 |
| 184.423 | 62.814 | 61.418 | 10.235 | -0.000 | 0.000 |
| 62.814 | 184.423 | 61.418 | -10.235 | -0.000 | 0.000 |
| 60.715 | 60.715 | 204.005 | 0.000 | 0.000 | -0.000 |
| 10.235 | -10.235 | 0.001 | 57.817 | -0.000 | -0.000 |
| 0.000 | 0.000 | 0.001 | 0.000 | 57.818 | 10.235 |
| -0.000 | -0.000 | 0.000 | 0.000 | 10.235 | 60.805 |
| 184.425 | 62.814 | 61.417 | 10.235 | 0.000 | -0.000 |
| 62.814 | 184.425 | 61.417 | -10.235 | -0.000 | -0.000 |
| 60.713 | 60.713 | 204.000 | -0.000 | -0.000 | 0.000 |
| 10.235 | -10.235 | -0.001 | 57.818 | -0.000 | -0.000 |
| -0.000 | -0.000 | -0.001 | -0.000 | 57.818 | 10.235 |
| 0.000 | 0.000 | -0.000 | -0.000 | 10.235 | 60.805 |
| 567.692 | 74.289 | 74.289 | -0.000 | -0.000 | 0.000 |
| 74.289 | 567.692 | 74.289 | -0.000 | -0.000 | 0.000 |
| 74.289 | 74.289 | 567.692 | -0.000 | 0.000 | -0.000 |
| -0.000 | -0.000 | -0.000 | 74.248 | -0.000 | 0.000 |
| -0.000 | -0.000 | -0.000 | -0.000 | 74.248 | 0.000 |
| -0.000 | -0.000 | -0.000 | -0.000 | -0.000 | 74.248 |
| 567.692 | 74.289 | 74.289 | 0.000 | -0.000 | 0.000 |
| 74.289 | 567.692 | 74.289 | 0.000 | -0.000 | -0.000 |
| 74.289 | 74.289 | 567.692 | 0.000 | 0.000 | 0.000 |
| 0.000 | 0.000 | 0.000 | 74.248 | 0.000 | -0.000 |
| 0.000 | 0.000 | 0.000 | 0.000 | 74.248 | -0.000 |
| 0.000 | 0.000 | 0.000 | 0.000 | -0.000 | 74.248 |
| 567.692 | 74.289 | 74.289 | -0.000 | -0.000 | 0.000 |
| 74.289 | 567.692 | 74.289 | -0.000 | -0.000 | 0.000 |
| 74.289 | 74.289 | 567.692 | -0.000 | -0.000 | 0.000 |
| -0.000 | -0.000 | -0.000 | 74.248 | -0.000 | 0.000 |
| -0.000 | -0.000 | -0.000 | -0.000 | 74.248 | 0.000 |
| -0.000 | -0.000 | -0.000 | -0.000 | 0.000 | 74.248 |
| 567.692 | 74.289 | 74.289 | 0.000 | -0.000 | -0.000 |
| 74.289 | 567.692 | 74.289 | 0.000 | 0.000 | 0.000 |
| 74.289 | 74.289 | 567.692 | 0.000 | -0.000 | -0.000 |
| 0.000 | 0.000 | 0.000 | 74.248 | 0.000 | -0.000 |
| 0.000 | 0.000 | 0.000 | 0.000 | 74.248 | -0.000 |
| 0.000 | 0.000 | 0.000 | 0.000 | -0.000 | 74.248 |
| 567.693 | 74.288 | 74.288 | -0.000 | 0.000 | 0.000 |
| 74.288 | 567.693 | 74.288 | -0.000 | 0.000 | -0.000 |
| 74.288 | 74.288 | 567.693 | -0.000 | 0.000 | -0.000 |
| -0.000 | -0.001 | -0.001 | 74.248 | 0.000 | -0.000 |
| -0.001 | -0.000 | -0.001 | -0.000 | 74.248 | 0.000 |
| -0.001 | -0.001 | -0.000 | -0.000 | 0.000 | 74.248 |
| 567.691 | 74.289 | 74.289 | -0.000 | 0.000 | -0.000 |
| 74.289 | 567.691 | 74.289 | 0.000 | -0.000 | 0.000 |
| 74.289 | 74.289 | 567.691 | 0.000 | 0.000 | -0.000 |
| 0.000 | 0.001 | 0.001 | 74.248 | -0.000 | 0.000 |
| 0.001 | 0.000 | 0.001 | 0.000 | 74.248 | -0.000 |
| 0.001 | 0.001 | 0.000 | 0.000 | -0.000 | 74.248 |
| -297248533.452 | -297248888.073 | -297248888.073 | 0.000 | -0.000 | -0.000 |
| -297248888.073 | -297248533.452 | -297248888.073 | 0.000 | -0.000 | -0.000 |
| -297248888.073 | -297248888.073 | -297248533.452 | -0.000 | -0.000 | -0.000 |
| -148532283.306 | -148532288.889 | -148532291.360 | -123517727.461 | -0.000 | -0.000 |
| -148532288.889 | -148532283.306 | -148532291.360 | -0.000 | -123517727.461 | -0.000 |
| -148532288.889 | -148532291.360 | -148532283.306 | -0.000 | -0.000 | -123517727.461 |
| 428.765 | 32.194 | 32.194 | -0.000 | 0.000 | 0.000 |
| 32.194 | 428.765 | 32.194 | 0.000 | -0.000 | 0.000 |
| 32.194 | 32.194 | 428.765 | -0.000 | -0.000 | -0.000 |
| 148532283.306 | 148532288.889 | 148532291.360 | -123517727.461 | 0.000 | -0.000 |
| 148532288.889 | 148532283.306 | 148532291.360 | 0.000 | -123517727.461 | 0.000 |
| 148532288.889 | 148532291.360 | 148532283.306 | 0.000 | 0.000 | -123517727.461 |
| -29724550.849 | -29724905.486 | -29724905.486 | -0.000 | -0.000 | -0.000 |
| -29724905.486 | -29724550.849 | -29724905.486 | -0.000 | -0.000 | -0.000 |
| -29724905.486 | -29724905.486 | -29724550.849 | -0.000 | -0.000 | -0.000 |
| -14853247.565 | -14853253.147 | -14853255.617 | -12351759.776 | -0.000 | -0.000 |
| -14853253.147 | -14853247.565 | -14853255.617 | -0.000 | -12351759.776 | -0.000 |
| -14853253.147 | -14853255.617 | -14853247.565 | -0.000 | -0.000 | -12351759.776 |
| 428.765 | 32.194 | 32.194 | -0.000 | 0.000 | -0.000 |
| 32.194 | 428.765 | 32.194 | 0.000 | 0.000 | -0.000 |
| 32.194 | 32.194 | 428.765 | -0.000 | 0.000 | 0.000 |
| 14853247.565 | 14853253.147 | 14853255.617 | -12351759.776 | 0.000 | 0.000 |
| 14853253.147 | 14853247.565 | 14853255.617 | 0.000 | -12351759.776 | 0.000 |
| 14853253.147 | 14853255.617 | 14853247.565 | 0.000 | 0.000 | -12351759.776 |
| -2972152.358 | -2972507.155 | -2972507.155 | 0.000 | 0.000 | -0.000 |
| -2972507.155 | -2972152.358 | -2972507.155 | 0.000 | -0.000 | -0.000 |
| -2972507.155 | -2972507.155 | -2972152.358 | -0.000 | -0.000 | 0.000 |
| -1485343.971 | -1485349.537 | -1485352.007 | -1235162.978 | -0.000 | -0.000 |
| -1485349.537 | -1485343.971 | -1485352.007 | 0.000 | -1235162.978 | -0.000 |
| -1485349.537 | -1485352.007 | -1485343.971 | -0.000 | -0.000 | -1235162.978 |
| 428.762 | 32.194 | 32.194 | 0.000 | 0.000 | 0.000 |
| 32.194 | 428.762 | 32.194 | 0.000 | 0.000 | 0.000 |
| 32.194 | 32.194 | 428.762 | 0.000 | 0.000 | 0.000 |
| 1485343.971 | 1485349.537 | 1485352.007 | -1235162.978 | 0.000 | 0.000 |
| 1485349.537 | 1485343.971 | 1485352.007 | 0.000 | -1235162.978 | 0.000 |
| 1485349.537 | 1485352.007 | 1485343.971 | 0.000 | 0.000 | -1235162.978 |
| 156.012 | 63.299 | 63.299 | 0.000 | 0.000 | 0.000 |
| 63.299 | 156.012 | 63.299 | 0.000 | 0.000 | -0.000 |
| 63.299 | 63.299 | 156.012 | -0.000 | 0.000 | -0.000 |
| 0.000 | 0.000 | 0.000 | 63.063 | 0.000 | -0.000 |
| 0.000 | -0.000 | 0.000 | -0.000 | 63.063 | 0.000 |
| 0.000 | 0.000 | -0.000 | 0.000 | 0.000 | 63.063 |
| 156.012 | 63.299 | 63.299 | 0.000 | -0.000 | -0.000 |
| 63.299 | 156.012 | 63.299 | -0.000 | -0.000 | 0.000 |
| 63.299 | 63.299 | 156.012 | -0.000 | -0.000 | 0.000 |
| 0.000 | -0.000 | -0.000 | 63.063 | -0.000 | 0.000 |
| -0.000 | 0.000 | -0.000 | -0.000 | 63.063 | -0.000 |
| -0.000 | -0.000 | -0.000 | -0.000 | -0.000 | 63.063 |
| 156.012 | 63.299 | 63.299 | 0.000 | 0.000 | 0.000 |
| 63.299 | 156.012 | 63.299 | 0.000 | 0.000 | -0.000 |
| 63.299 | 63.299 | 156.012 | 0.000 | 0.000 | -0.000 |
| -0.000 | 0.000 | 0.000 | 63.063 | 0.000 | -0.000 |
| 0.000 | -0.000 | 0.000 | 0.000 | 63.063 | 0.000 |
| 0.000 | 0.000 | -0.000 | -0.000 | 0.000 | 63.063 |
| 156.012 | 63.299 | 63.299 | -0.000 | -0.000 | -0.000 |
| 63.299 | 156.012 | 63.299 | -0.000 | -0.000 | 0.000 |
| 63.299 | 63.299 | 156.012 | -0.000 | -0.000 | 0.000 |
| 0.000 | -0.000 | -0.000 | 63.063 | -0.000 | 0.000 |
| -0.000 | 0.000 | -0.000 | -0.000 | 63.063 | -0.000 |
| -0.000 | -0.000 | 0.000 | -0.000 | -0.000 | 63.063 |
| 156.014 | 63.299 | 63.299 | 0.000 | 0.000 | 0.000 |
| 63.299 | 156.014 | 63.299 | 0.000 | 0.000 | -0.000 |
| 63.299 | 63.299 | 156.014 | 0.000 | -0.000 | -0.000 |
| -0.000 | 0.000 | 0.000 | 63.063 | 0.000 | -0.000 |
| 0.000 | -0.000 | 0.000 | -0.000 | 63.063 | -0.000 |
| 0.000 | 0.000 | -0.000 | 0.000 | 0.000 | 63.063 |
| 156.010 | 63.298 | 63.298 | -0.000 | -0.000 | -0.000 |
| 63.298 | 156.010 | 63.298 | -0.000 | -0.000 | 0.000 |
| 63.298 | 63.298 | 156.010 | 0.000 | -0.000 | 0.000 |
| 0.000 | -0.000 | -0.000 | 63.063 | -0.000 | 0.000 |
| -0.000 | 0.000 | -0.000 | 0.000 | 63.063 | -0.000 |
| -0.000 | -0.000 | 0.000 | -0.000 | -0.000 | 63.063 |
| 338.594 | -0.000 | -0.000 | 0.000 | -0.000 | 0.000 |
| -0.000 | 338.594 | -0.000 | -0.000 | 0.000 | 0.000 |
| -0.000 | -0.000 | 338.594 | 0.000 | 0.000 | -0.000 |
| 0.000 | 0.000 | -0.000 | -0.000 | -0.000 | -0.000 |
| 0.000 | 0.000 | -0.000 | -0.000 | -0.000 | -0.000 |
| 0.000 | -0.000 | 0.000 | -0.000 | -0.000 | -0.000 |
| 338.594 | -0.000 | -0.000 | 0.000 | -0.000 | 0.000 |
| -0.000 | 338.594 | -0.000 | -0.000 | 0.000 | -0.000 |
| -0.000 | -0.000 | 338.594 | 0.000 | 0.000 | 0.000 |
| -0.000 | -0.000 | 0.000 | -0.000 | 0.000 | 0.000 |
| -0.000 | -0.000 | 0.000 | 0.000 | -0.000 | 0.000 |
| -0.000 | 0.000 | -0.000 | 0.000 | 0.000 | -0.000 |
| 338.594 | -0.000 | -0.000 | -0.000 | -0.000 | -0.000 |
| -0.000 | 338.594 | -0.000 | -0.000 | -0.000 | -0.000 |
| -0.000 | -0.000 | 338.594 | -0.000 | -0.000 | -0.000 |
| 0.000 | 0.000 | -0.000 | 0.000 | -0.000 | -0.000 |
| 0.000 | 0.000 | -0.000 | -0.000 | 0.000 | -0.000 |
| 0.000 | -0.000 | 0.000 | -0.000 | -0.000 | 0.000 |
| 338.594 | -0.000 | -0.000 | -0.000 | 0.000 | -0.000 |
| -0.000 | 338.594 | -0.000 | -0.000 | -0.000 | -0.000 |
| -0.000 | -0.000 | 338.594 | 0.000 | 0.000 | -0.000 |
| -0.000 | -0.000 | 0.000 | 0.000 | 0.000 | 0.000 |
| -0.000 | -0.000 | 0.000 | 0.000 | 0.000 | 0.000 |
| -0.000 | 0.000 | -0.000 | 0.000 | 0.000 | 0.000 |
| 338.594 | -0.000 | -0.000 | 0.000 | -0.000 | -0.000 |
| -0.000 | 338.594 | -0.000 | -0.000 | 0.000 | -0.000 |
| -0.000 | -0.000 | 338.594 | -0.000 | -0.000 | 0.000 |
| -0.000 | 0.000 | -0.000 | 0.000 | 0.000 | -0.000 |
| 0.000 | -0.000 | -0.000 | 0.000 | 0.000 | -0.000 |
| 0.000 | -0.000 | -0.000 | -0.000 | -0.000 | 0.000 |
| 338.261 | -0.000 | -0.000 | -0.000 | 0.000 | 0.000 |
| -0.000 | 338.261 | -0.000 | -0.000 | -0.000 | -0.000 |
| -0.000 | -0.000 | 338.261 | -0.000 | -0.000 | -0.000 |
| -0.000 | -0.000 | 0.000 | 0.000 | -0.000 | 0.000 |
| -0.000 | -0.000 | 0.000 | -0.000 | 0.000 | 0.000 |
| -0.000 | 0.000 | -0.000 | 0.000 | 0.000 | 0.000 |
| 12.312 | -0.000 | -0.000 | 0.000 | 0.000 | 0.000 |
| -0.000 | 12.312 | -0.000 | 0.000 | -0.000 | -0.000 |
| -0.000 | -0.000 | 12.312 | -0.000 | -0.000 | -0.000 |
| -0.000 | 0.000 | -0.000 | 0.000 | -0.000 | 0.000 |
| 0.000 | -0.000 | -0.000 | 0.000 | 0.000 | -0.000 |
| 0.000 | -0.000 | -0.000 | 0.000 | -0.000 | 0.000 |
| 12.312 | -0.000 | -0.000 | -0.000 | -0.000 | -0.000 |
| -0.000 | 12.312 | -0.000 | -0.000 | -0.000 | -0.000 |
| -0.000 | -0.000 | 12.312 | -0.000 | -0.000 | -0.000 |
| 0.000 | -0.000 | 0.000 | 0.000 | 0.000 | 0.000 |
| -0.000 | 0.000 | 0.000 | -0.000 | 0.000 | -0.000 |
| -0.000 | 0.000 | 0.000 | -0.000 | 0.000 | 0.000 |
| 12.312 | -0.000 | -0.000 | 0.000 | 0.000 | 0.000 |
| -0.000 | 12.312 | -0.000 | 0.000 | 0.000 | 0.000 |
| -0.000 | -0.000 | 12.312 | 0.000 | 0.000 | 0.000 |
| 0.000 | 0.000 | -0.000 | 0.000 | 0.000 | -0.000 |
| 0.000 | 0.000 | -0.000 | 0.000 | 0.000 | -0.000 |
| 0.000 | -0.000 | 0.000 | -0.000 | 0.000 | 0.000 |
| 12.312 | -0.000 | -0.000 | 0.000 | 0.000 | 0.000 |
| -0.000 | 12.312 | -0.000 | 0.000 | 0.000 | 0.000 |
| -0.000 | -0.000 | 12.312 | 0.000 | 0.000 | 0.000 |
| 0.000 | -0.000 | 0.000 | 0.000 | -0.000 | 0.000 |
| -0.000 | 0.000 | 0.000 | 0.000 | 0.000 | 0.000 |
| -0.000 | 0.000 | 0.000 | -0.000 | -0.000 | 0.000 |
| 12.313 | -0.000 | -0.000 | -0.000 | 0.000 | -0.000 |
| -0.000 | 12.313 | -0.000 | 0.000 | -0.000 | 0.000 |
| -0.000 | -0.000 | 12.313 | 0.000 | 0.000 | -0.000 |
| -0.000 | 0.000 | -0.000 | 0.000 | -0.000 | -0.000 |
| 0.000 | -0.000 | -0.000 | -0.000 | 0.000 | 0.000 |
| 0.000 | -0.000 | -0.000 | -0.000 | -0.000 | 0.000 |
| 12.311 | -0.000 | -0.000 | -0.000 | 0.000 | 0.000 |
| -0.000 | 12.311 | -0.000 | 0.000 | -0.000 | 0.000 |
| -0.000 | -0.000 | 12.311 | 0.000 | 0.000 | -0.000 |
| 0.000 | -0.000 | 0.000 | 0.000 | 0.000 | 0.000 |
| -0.000 | 0.000 | 0.000 | 0.000 | 0.000 | 0.000 |
| -0.000 | 0.000 | 0.000 | 0.000 | 0.000 | 0.000 |
| -70469238.177 | -58957145.455 | -28557870.729 | -0.000 | 43282450.060 | 0.000 |
| -70469407.490 | -58956832.095 | -28557936.407 | 0.000 | 43282437.785 | 0.000 |
| -70469390.571 | -58957194.272 | -28557757.488 | -0.000 | 43282427.218 | 0.000 |
| -35226745.617 | -29471728.130 | -14275935.443 | -19924371.416 | 21636042.794 | 31724820.685 |
| 21.284 | 10.810 | 6.567 | 0.000 | 81.617 | 0.000 |
| -35226748.226 | -29471731.530 | -14275936.728 | 19924413.723 | 21636044.774 | -31724742.843 |
| 271.765 | 89.094 | 102.656 | 0.000 | 22.067 | -0.000 |
| 97.392 | 403.128 | 36.561 | -0.000 | 10.745 | -0.000 |
| 105.264 | 34.417 | 211.492 | 0.000 | 6.560 | -0.000 |
| 35226745.617 | 29471728.130 | 14275935.443 | -19924371.416 | -21636042.794 | 31724820.685 |
| 70469520.676 | 58957243.258 | 28557977.707 | -0.000 | -43282342.121 | -0.000 |
| 35226748.226 | 29471731.530 | 14275936.728 | 19924413.723 | -21636044.774 | -31724742.843 |
| -7046699.062 | -5895645.736 | -2855700.881 | -0.000 | 4328275.652 | 0.000 |
| -7046868.376 | -5895332.376 | -2855766.560 | -0.000 | 4328263.379 | 0.000 |
| -7046851.459 | -5895694.555 | -2855587.642 | 0.000 | 4328252.812 | 0.000 |
| -3522679.649 | -2947176.841 | -1427595.471 | -1992412.686 | 2163607.578 | 3172495.498 |
| 21.609 | 10.469 | 6.525 | -0.000 | 81.651 | 0.000 |
| -3522681.465 | -2947181.111 | -1427596.883 | 1992454.964 | 2163609.614 | -3172418.518 |
| 267.922 | 93.290 | 103.264 | 0.000 | 21.799 | -0.000 |
| 93.231 | 407.682 | 37.227 | 0.000 | 10.464 | -0.000 |
| 104.666 | 35.077 | 211.592 | -0.000 | 6.525 | -0.000 |
| 3522679.649 | 2947176.841 | 1427595.471 | -1992412.686 | -2163607.578 | 3172495.498 |
| 7046981.563 | 5895743.541 | 2855807.861 | 0.000 | -4328167.715 | -0.000 |
| 3522681.465 | 2947181.111 | 1427596.883 | 1992454.964 | -2163609.614 | -3172418.518 |
| -704445.116 | -589495.734 | -285483.882 | -0.000 | 432858.190 | 0.000 |
| -704614.440 | -589182.378 | -285549.565 | -0.000 | 432845.922 | 0.000 |
| -704597.542 | -589544.579 | -285370.654 | -0.000 | 432835.368 | 0.000 |
| -352273.049 | -294721.706 | -142761.472 | -199216.817 | 216364.052 | 317262.775 |
| 21.329 | 10.745 | 6.548 | -0.000 | 81.606 | 0.000 |
| -352275.755 | -294724.982 | -142762.737 | 199258.911 | 216366.016 | -317190.988 |
| 271.765 | 89.094 | 102.656 | -0.000 | 22.068 | 0.000 |
| 97.420 | 403.092 | 36.556 | -0.000 | 10.747 | -0.000 |
| 105.264 | 34.402 | 211.480 | 0.000 | 6.548 | -0.000 |
| 352273.049 | 294721.706 | 142761.472 | -199216.817 | -216364.052 | 317262.775 |
| 704727.637 | 589593.557 | 285590.871 | 0.000 | -432750.266 | -0.000 |
| 352275.755 | 294724.982 | 142762.737 | 199258.911 | -216366.016 | -317190.988 |
| 260.501 | 122.809 | 112.244 | 0.000 | 1.039 | -0.000 |
| 101.187 | 538.678 | 61.322 | 0.000 | -0.117 | -0.000 |
| 98.220 | 68.920 | 254.354 | 0.000 | -0.062 | -0.000 |
| -13.418 | 10.783 | 2.247 | 53.835 | -0.428 | -0.141 |
| -11.359 | 9.951 | 2.315 | 0.000 | 85.171 | 0.000 |
| -12.409 | 9.751 | 1.935 | -0.104 | -0.422 | 90.640 |
| 285.311 | 103.235 | 108.324 | -0.000 | 1.873 | 0.000 |
| 125.998 | 519.104 | 57.402 | -0.000 | 0.717 | -0.000 |
| 123.950 | 48.426 | 250.164 | 0.000 | 0.781 | 0.000 |
| 13.418 | -10.783 | -2.247 | 53.835 | 0.428 | -0.141 |
| 14.472 | -10.625 | -1.893 | -0.000 | 86.017 | 0.000 |
| 12.409 | -9.751 | -1.935 | -0.104 | 0.422 | 90.640 |
| 271.666 | 114.000 | 110.480 | -0.000 | 1.414 | -0.000 |
| 112.352 | 529.870 | 59.558 | 0.000 | 0.259 | 0.000 |
| 109.756 | 59.840 | 252.546 | 0.000 | 0.328 | -0.000 |
| -1.241 | 0.979 | 0.196 | 53.834 | -0.042 | -0.223 |
| 1.205 | 0.036 | 0.328 | -0.000 | 85.593 | -0.000 |
| -1.242 | 0.969 | 0.189 | -0.136 | -0.043 | 87.971 |
| 274.106 | 112.061 | 110.086 | -0.000 | 1.495 | -0.000 |
| 114.840 | 527.888 | 59.153 | 0.000 | 0.340 | 0.000 |
| 111.866 | 58.154 | 252.198 | 0.000 | 0.397 | 0.000 |
| 1.241 | -0.979 | -0.196 | 53.834 | 0.042 | -0.223 |
| 2.397 | -0.921 | 0.129 | 0.000 | 85.631 | -0.000 |
| 1.242 | -0.969 | -0.189 | -0.136 | 0.043 | 87.971 |
| 272.783 | 113.120 | 110.304 | -0.000 | 1.452 | -0.000 |
| 113.468 | 528.994 | 59.382 | 0.000 | 0.296 | 0.000 |
| 109.756 | 59.841 | 252.547 | -0.000 | 0.328 | -0.000 |
| -0.147 | 0.118 | 0.025 | 53.835 | -0.005 | -0.145 |
| 0.922 | 0.262 | 0.375 | 0.000 | 85.584 | -0.000 |
| -0.125 | 0.097 | 0.019 | -0.137 | -0.004 | 87.897 |
| 273.029 | 112.924 | 110.263 | 0.000 | 1.460 | -0.000 |
| 113.715 | 528.788 | 59.341 | 0.000 | 0.304 | -0.000 |
| 110.749 | 59.035 | 252.373 | -0.000 | 0.359 | -0.000 |
| 0.147 | -0.118 | -0.025 | 53.835 | 0.005 | -0.145 |
| 1.152 | 0.079 | 0.338 | 0.000 | 85.592 | -0.000 |
| 0.125 | -0.097 | -0.019 | -0.137 | 0.004 | 87.897 |
| 97.421 | 39.940 | 20.440 | -9.713 | 0.000 | 0.000 |
| 42.066 | 100.260 | 29.583 | 10.382 | 0.000 | 0.000 |
| 29.583 | 29.583 | 94.794 | 0.000 | 0.000 | 0.000 |
| -10.382 | 10.382 | 0.000 | 17.872 | 0.000 | 0.000 |
| -0.231 | -0.231 | -1.477 | 0.000 | 14.823 | -8.784 |
| -0.134 | -0.134 | -0.855 | 0.000 | -9.457 | 28.603 |
| 89.466 | 34.634 | 0.442 | -7.269 | -0.000 | -0.000 |
| 37.172 | 93.560 | 9.562 | 8.689 | -0.000 | -0.000 |
| 21.079 | 21.079 | 63.222 | -0.000 | -0.000 | -0.000 |
| -10.382 | 10.382 | -0.000 | 17.872 | -0.000 | -0.000 |
| 0.231 | 0.231 | 1.477 | -0.000 | 14.823 | -8.784 |
| 0.134 | 0.134 | 0.855 | -0.000 | -9.457 | 28.603 |
| 96.218 | 39.072 | 16.973 | -9.400 | 0.000 | 0.000 |
| 39.072 | 96.218 | 16.973 | 9.400 | 0.000 | 0.000 |
| 10.153 | 10.153 | 29.025 | 0.000 | 0.000 | 0.000 |
| -7.739 | 7.662 | -0.248 | 12.755 | 0.000 | 0.000 |
| -0.039 | -0.039 | -0.248 | -0.000 | 12.755 | -7.700 |
| -0.049 | -0.049 | -0.312 | -0.000 | -7.009 | 27.297 |
| 95.835 | 38.796 | 15.882 | -9.299 | -0.000 | -0.000 |
| 42.066 | 100.260 | 29.583 | 10.382 | -0.000 | -0.000 |
| 29.583 | 29.583 | 94.794 | -0.000 | -0.000 | -0.000 |
| -10.382 | 10.382 | -0.000 | 17.872 | -0.000 | -0.000 |
| 0.039 | 0.039 | 0.248 | 0.000 | 12.755 | -7.700 |
| 0.049 | 0.049 | 0.312 | 0.000 | -7.009 | 27.297 |
| 100.260 | 42.066 | 29.583 | -10.382 | 0.000 | 0.000 |
| 42.066 | 100.260 | 29.583 | 10.382 | 0.000 | 0.000 |
| 29.583 | 29.583 | 94.794 | 0.000 | 0.000 | 0.000 |
| -10.382 | 10.382 | 0.000 | 17.872 | 0.000 | 0.000 |
| 0.044 | 0.044 | 0.196 | -0.000 | 10.093 | -6.097 |
| -0.054 | -0.054 | -0.280 | -0.000 | -0.166 | 23.133 |
| 90.653 | 35.470 | 3.045 | -7.588 | -0.000 | -0.000 |
| 35.470 | 90.653 | 3.045 | 7.588 | -0.000 | -0.000 |
| 29.583 | 29.583 | 94.794 | -0.000 | -0.000 | -0.000 |
| -10.382 | 10.382 | -0.000 | 17.872 | -0.000 | -0.000 |
| -0.044 | -0.044 | -0.196 | 0.000 | 10.093 | -6.097 |
| 0.054 | 0.054 | 0.280 | 0.000 | -0.166 | 23.133 |
| 100.489 | 42.174 | 29.697 | -10.397 | -0.000 | 0.000 |
| -81.832 | -23.945 | -699.413 | 9.995 | -0.000 | 0.000 |
| 29.679 | 29.679 | 94.942 | -0.000 | -0.000 | 0.000 |
| -146.161 | -126.667 | -840.625 | 16.676 | -0.000 | 0.000 |
| -136.414 | -136.414 | -840.625 | -0.000 | 16.676 | -9.747 |
| -0.000 | -0.000 | -0.000 | -0.000 | -10.397 | 29.158 |
| 221.592 | 163.705 | 748.394 | -9.995 | 0.000 | -0.000 |
| 177.005 | 234.621 | 864.232 | 9.746 | 0.000 | -0.000 |
| 147.192 | 147.192 | 798.923 | -0.000 | 0.000 | -0.000 |
| 112.773 | 132.763 | 723.902 | 17.141 | 0.000 | -0.000 |
| 136.414 | 136.414 | 840.625 | 0.000 | 16.676 | -9.747 |
| 0.000 | 0.000 | -0.000 | 0.000 | -10.397 | 29.158 |
| 100.489 | 42.174 | 29.697 | -10.397 | -0.000 | 0.000 |
| 26.959 | 84.590 | -60.466 | 9.759 | -0.000 | 0.000 |
| 29.679 | 29.679 | 94.942 | -0.000 | -0.000 | 0.000 |
| -22.275 | -2.286 | -72.412 | 17.141 | -0.000 | 0.000 |
| -0.000 | -0.000 | 0.000 | -0.000 | 17.908 | -10.397 |
| -12.278 | -12.278 | -72.398 | -0.000 | -9.995 | 28.943 |
| 111.106 | 53.219 | 96.913 | -9.995 | 0.000 | -0.000 |
| 42.174 | 100.489 | 29.697 | 10.397 | 0.000 | -0.000 |
| -20.453 | -20.453 | -22.682 | 0.000 | 0.000 | -0.000 |
| 3.904 | 23.396 | 84.126 | 16.674 | 0.000 | -0.000 |
| 0.000 | 0.000 | -0.000 | 0.000 | 17.908 | -10.397 |
| 12.278 | 12.278 | 72.398 | 0.000 | -9.995 | 28.943 |
| 100.489 | 42.174 | 29.697 | -10.397 | -0.000 | 0.000 |
| 42.174 | 100.489 | 29.697 | 10.397 | -0.000 | 0.000 |
| 22.120 | 22.120 | 63.541 | -0.000 | -0.000 | 0.000 |
| -10.397 | 10.397 | 0.000 | 17.908 | -0.000 | 0.000 |
| -0.000 | -0.000 | 0.000 | -0.000 | 17.908 | -10.397 |
| -0.000 | 0.000 | -0.000 | -0.000 | -10.397 | 29.158 |
| 100.051 | 42.178 | 31.877 | -9.982 | 0.000 | -0.000 |
| 41.582 | 98.931 | 30.981 | 9.498 | 0.000 | -0.000 |
| 25.170 | 25.170 | 81.157 | -0.000 | 0.000 | -0.000 |
| -8.201 | 11.089 | 9.013 | 16.484 | 0.000 | -0.000 |
| 0.000 | 0.000 | -0.000 | 0.000 | 17.908 | -10.397 |
| 0.000 | -0.000 | 0.000 | 0.000 | -10.397 | 29.158 |
| -13684729.421 | -25172448.837 | -114310951.381 | -0.000 | 0.000 | -0.000 |
| -13685127.139 | -25171809.662 | -114311297.669 | -0.000 | -0.000 | -0.000 |
| -13685049.660 | -25172026.693 | -114311167.128 | 0.000 | -0.000 | -0.000 |
| -6723046.831 | -12812262.060 | -57001300.716 | -25976796.149 | 0.000 | -0.000 |
| -6722975.245 | -12812399.529 | -57001215.435 | 0.000 | -18854467.449 | -0.000 |
| -6722931.369 | -12812484.291 | -57001162.534 | -0.000 | 0.000 | -8658991.131 |
| 286.873 | 7.626 | 194.180 | -0.000 | -0.000 | 0.000 |
| 111.515 | 216.618 | 111.532 | -0.000 | 0.000 | 0.000 |
| 412.156 | -429.653 | 505.001 | -0.000 | 0.000 | 0.000 |
| 6723046.831 | 12812262.060 | 57001300.716 | -25976796.149 | -0.000 | -0.000 |
| 6722975.245 | 12812399.529 | 57001215.435 | -0.000 | -18854467.449 | 0.000 |
| 6722931.369 | 12812484.291 | 57001162.534 | -0.000 | -0.000 | -8658991.131 |
| -1368014.199 | -2517626.160 | -11430682.360 | 0.000 | 0.000 | 0.000 |
| -1368412.209 | -2516986.464 | -11431029.000 | 0.000 | -0.000 | -0.000 |
| -1368334.433 | -2517204.064 | -11430898.094 | 0.000 | 0.000 | -0.000 |
| -672443.943 | -1280957.911 | -5700297.045 | -2597669.343 | 0.000 | -0.000 |
| -672372.407 | -1281095.287 | -5700211.826 | -0.000 | -1885309.023 | 0.000 |
| -672328.548 | -1281180.018 | -5700158.947 | 0.000 | 0.000 | -865865.941 |
| 286.865 | 7.642 | 194.172 | 0.000 | -0.000 | 0.000 |
| 111.772 | 216.102 | 111.789 | -0.000 | -0.000 | 0.000 |
| 412.163 | -429.672 | 505.008 | -0.000 | -0.000 | 0.000 |
| 672443.943 | 1280957.911 | 5700297.045 | -2597669.343 | -0.000 | 0.000 |
| 672372.407 | 1281095.287 | 5700211.826 | -0.000 | -1885309.023 | -0.000 |
| 672328.548 | 1281180.018 | 5700158.947 | -0.000 | -0.000 | -865865.941 |
| -136342.681 | -252143.786 | -1142655.356 | 0.000 | 0.000 | -0.000 |
| -136740.690 | -251504.191 | -1143002.102 | 0.000 | -0.000 | -0.000 |
| -136662.897 | -251721.766 | -1142871.062 | 0.000 | -0.000 | -0.000 |
| -67383.661 | -127827.415 | -570196.579 | -259756.614 | 0.000 | 0.000 |
| -67312.140 | -127964.807 | -570111.453 | -0.000 | -188393.169 | 0.000 |
| -67268.257 | -128049.605 | -570058.571 | 0.000 | 0.000 | -86553.421 |
| 286.862 | 7.641 | 194.171 | -0.000 | -0.000 | 0.000 |
| 111.778 | 216.089 | 111.795 | -0.000 | -0.000 | 0.000 |
| 412.161 | -429.709 | 505.004 | -0.000 | -0.000 | 0.000 |
| 67383.661 | 127827.415 | 570196.579 | -259756.614 | -0.000 | 0.000 |
| 67312.140 | 127964.807 | 570111.453 | -0.000 | -188393.169 | 0.000 |
| 67268.257 | 128049.605 | 570058.571 | -0.000 | -0.000 | -86553.421 |
| 975.146 | 879.229 | 879.229 | -0.000 | -0.000 | 0.000 |
| 879.229 | 975.146 | 879.229 | 0.000 | -0.000 | -0.000 |
| 879.229 | 879.229 | 975.146 | 0.000 | -0.000 | 0.000 |
| 221.983 | 221.983 | 221.983 | 14.242 | -0.000 | 0.000 |
| 221.983 | 221.983 | 221.983 | 0.000 | 14.242 | 0.000 |
| 221.983 | 221.983 | 221.983 | 0.000 | -0.000 | 14.242 |
| -841.437 | -946.810 | -946.810 | -0.000 | 0.000 | -0.000 |
| -946.810 | -841.437 | -946.810 | -0.000 | 0.000 | 0.000 |
| -946.810 | -946.810 | -841.437 | 0.000 | 0.000 | -0.000 |
| -221.983 | -221.983 | -221.983 | 14.242 | 0.000 | -0.000 |
| -221.983 | -221.983 | -221.983 | -0.000 | 14.242 | -0.000 |
| -221.983 | -221.983 | -221.983 | 0.000 | 0.000 | 14.242 |
| 189.031 | 62.112 | 62.112 | 0.000 | -0.000 | -0.000 |
| 62.112 | 189.031 | 62.112 | 0.000 | -0.000 | 0.000 |
| 62.112 | 62.112 | 189.031 | 0.000 | -0.000 | 0.000 |
| 22.174 | 22.174 | 22.174 | 14.267 | -0.000 | -0.000 |
| 22.174 | 22.174 | 22.174 | 0.000 | 14.267 | -0.000 |
| 22.174 | 22.174 | 22.174 | -0.000 | -0.000 | 14.267 |
| 189.031 | 62.112 | 62.112 | -0.000 | 0.000 | -0.000 |
| 62.112 | 189.031 | 62.112 | -0.000 | 0.000 | -0.000 |
| 62.112 | 62.112 | 189.031 | -0.000 | 0.000 | -0.000 |
| -22.174 | -22.174 | -22.174 | 14.267 | 0.000 | 0.000 |
| -22.174 | -22.174 | -22.174 | -0.000 | 14.267 | -0.000 |
| -22.174 | -22.174 | -22.174 | -0.000 | 0.000 | 14.267 |
| 189.032 | 62.113 | 62.113 | 0.000 | -0.000 | 0.000 |
| 62.113 | 189.032 | 62.113 | -0.000 | -0.000 | 0.000 |
| 62.113 | 62.113 | 189.032 | -0.000 | -0.000 | 0.000 |
| 9.922 | 9.922 | 9.922 | 16.311 | -0.000 | 0.000 |
| 9.922 | 9.922 | 9.922 | 0.000 | 16.311 | -0.000 |
| 9.922 | 9.922 | 9.922 | -0.000 | -0.000 | 16.311 |
| 158.815 | 68.315 | 68.315 | 0.000 | 0.000 | -0.000 |
| 68.315 | 158.815 | 68.315 | -0.000 | 0.000 | 0.000 |
| 68.315 | 68.315 | 158.815 | 0.000 | 0.000 | 0.000 |
| -9.922 | -9.922 | -9.922 | 16.311 | 0.000 | 0.000 |
| -9.922 | -9.922 | -9.922 | 0.000 | 16.311 | -0.000 |
| -9.922 | -9.922 | -9.922 | -0.000 | 0.000 | 16.311 |
| 1421.935 | 1317.833 | 1317.833 | 0.000 | -0.000 | -0.000 |
| 1317.833 | 1421.935 | 1317.833 | -0.000 | 0.000 | -0.000 |
| 1317.833 | 1317.833 | 1421.935 | 0.000 | -0.000 | 0.000 |
| -140.561 | -140.561 | -140.561 | 22.439 | -0.000 | -0.000 |
| -140.561 | -140.561 | -140.561 | 0.000 | 22.439 | -0.000 |
| -140.561 | -140.561 | -140.561 | 0.000 | -0.000 | 22.439 |
| -1083.395 | -1187.507 | -1187.507 | 0.000 | 0.000 | 0.000 |
| -1187.507 | -1083.395 | -1187.507 | 0.000 | 0.000 | 0.000 |
| -1187.507 | -1187.507 | -1083.395 | 0.000 | 0.000 | -0.000 |
| 140.561 | 140.561 | 140.561 | 22.439 | 0.000 | 0.000 |
| 140.561 | 140.561 | 140.561 | 0.000 | 22.439 | -0.000 |
| 140.561 | 140.561 | 140.561 | 0.000 | 0.000 | 22.439 |
| 156.884 | 53.424 | 53.424 | -0.000 | -0.000 | -0.000 |
| 53.424 | 156.884 | 53.424 | 0.000 | -0.000 | 0.000 |
| 53.424 | 53.424 | 156.884 | -0.000 | 0.000 | -0.000 |
| -14.056 | -14.056 | -14.056 | 22.439 | -0.000 | 0.000 |
| -14.056 | -14.056 | -14.056 | -0.000 | 22.439 | -0.000 |
| -14.056 | -14.056 | -14.056 | 0.000 | -0.000 | 22.439 |
| 184.805 | 81.596 | 81.596 | 0.000 | 0.000 | -0.000 |
| 81.596 | 184.805 | 81.596 | -0.000 | 0.000 | -0.000 |
| 81.596 | 81.596 | 184.805 | 0.000 | -0.000 | -0.000 |
| 14.056 | 14.056 | 14.056 | 22.439 | 0.000 | 0.000 |
| 14.056 | 14.056 | 14.056 | 0.000 | 22.439 | -0.000 |
| 14.056 | 14.056 | 14.056 | 0.000 | -0.000 | 22.439 |
| 170.249 | 65.846 | 65.846 | 0.000 | 0.000 | -0.000 |
| 65.846 | 170.249 | 65.846 | 0.000 | -0.000 | 0.000 |
| 65.846 | 65.846 | 170.249 | -0.000 | -0.000 | 0.000 |
| 12.540 | 12.540 | 12.540 | 17.963 | -0.000 | 0.000 |
| 12.540 | 12.540 | 12.540 | -0.000 | 17.963 | 0.000 |
| 12.540 | 12.540 | 12.540 | -0.000 | -0.000 | 17.963 |
| 153.157 | 59.391 | 59.391 | -0.000 | -0.000 | -0.000 |
| 59.391 | 153.157 | 59.391 | -0.000 | -0.000 | -0.000 |
| 59.391 | 59.391 | 153.157 | 0.000 | 0.000 | -0.000 |
| -12.540 | -12.540 | -12.540 | 17.963 | -0.000 | 0.000 |
| -12.540 | -12.540 | -12.540 | -0.000 | 17.963 | 0.000 |
| -12.540 | -12.540 | -12.540 | 0.000 | -0.000 | 17.963 |
| 98.937 | 90.661 | 90.672 | -0.002 | -0.003 | -0.000 |
| 90.624 | 98.974 | 90.672 | -0.002 | -0.003 | -0.000 |
| 90.624 | 90.661 | 98.985 | -0.002 | -0.003 | -0.000 |
| 0.000 | -0.000 | 0.000 | 52.063 | 0.000 | 0.000 |
| 0.000 | 0.000 | 0.000 | 0.000 | 52.063 | 0.000 |
| 0.000 | -0.000 | 0.000 | 0.000 | 0.000 | 52.063 |
| 146.319 | 88.147 | 88.147 | -0.000 | 0.000 | -0.000 |
| 109.546 | 118.371 | 109.497 | 0.040 | 0.053 | 0.005 |
| 90.078 | 90.012 | 133.414 | 0.060 | 0.078 | 0.007 |
| -0.000 | 0.000 | -0.000 | 52.063 | 0.000 | 0.000 |
| -0.000 | 0.000 | -0.000 | 0.000 | 52.063 | 0.000 |
| -0.000 | 0.000 | -0.000 | -0.000 | 0.000 | 52.063 |
| 135.605 | 90.074 | 90.076 | -0.005 | -0.007 | -0.001 |
| 90.069 | 135.604 | 90.077 | -0.005 | -0.007 | -0.001 |
| 90.070 | 90.075 | 135.604 | -0.005 | -0.007 | -0.001 |
| 0.000 | 0.000 | 0.000 | 52.063 | 0.000 | -0.000 |
| 0.000 | 0.000 | 0.000 | 0.000 | 52.063 | 0.000 |
| 0.000 | 0.000 | 0.000 | 0.000 | -0.000 | 52.063 |
| 135.841 | 89.965 | 89.963 | 0.005 | 0.007 | 0.001 |
| 89.969 | 135.841 | 89.962 | 0.005 | 0.007 | 0.001 |
| 89.969 | 89.963 | 135.841 | 0.005 | 0.007 | 0.001 |
| -0.000 | -0.000 | -0.000 | 52.063 | 0.000 | -0.000 |
| -0.000 | -0.000 | -0.000 | -0.000 | 52.063 | 0.000 |
| -0.000 | -0.000 | -0.000 | 0.000 | 0.000 | 52.063 |
| 101.793 | 102.463 | 102.463 | 0.000 | 0.000 | 0.000 |
| 90.017 | 135.754 | 90.017 | -0.001 | -0.001 | -0.000 |
| 90.017 | 90.017 | 135.754 | -0.001 | -0.001 | -0.000 |
| 0.002 | 0.003 | 0.003 | 32.294 | -0.001 | -0.000 |
| 0.002 | 0.003 | 0.003 | -0.000 | 32.294 | -0.000 |
| 0.002 | 0.003 | 0.003 | -0.000 | -0.001 | 32.294 |
| 146.318 | 88.147 | 88.147 | -0.000 | 0.000 | 0.000 |
| 90.079 | 122.225 | 90.078 | 0.000 | 0.000 | 0.000 |
| 90.079 | 90.078 | 122.225 | 0.000 | 0.000 | 0.000 |
| -0.002 | -0.003 | -0.003 | 32.294 | 0.001 | 0.000 |
| -0.002 | -0.003 | -0.003 | 0.000 | 32.294 | 0.000 |
| -0.002 | -0.003 | -0.003 | 0.000 | 0.001 | 32.294 |
| 145.514 | 87.398 | 87.398 | -0.000 | 0.000 | -0.000 |
| 87.398 | 145.514 | 87.398 | 0.000 | 0.000 | -0.000 |
| 87.398 | 87.398 | 145.514 | -0.000 | 0.000 | 0.000 |
| -0.054 | -0.054 | -0.054 | 32.213 | 0.000 | 0.000 |
| -0.054 | -0.054 | -0.054 | -0.000 | 32.213 | 0.000 |
| -0.054 | -0.054 | -0.054 | -0.000 | 0.000 | 32.213 |
| 121.077 | 89.516 | 89.516 | -0.000 | 0.000 | 0.000 |
| 89.517 | 121.077 | 89.517 | -0.000 | 0.000 | 0.000 |
| 89.517 | 89.516 | 121.077 | -0.000 | 0.000 | 0.000 |
| 0.054 | 0.054 | 0.054 | 32.213 | -0.000 | -0.000 |
| 0.054 | 0.054 | 0.054 | 0.000 | 32.213 | -0.000 |
| 0.054 | 0.054 | 0.054 | 0.000 | -0.000 | 32.213 |
| 145.514 | 87.398 | 87.398 | -0.000 | 0.000 | -0.000 |
| 87.398 | 145.514 | 87.398 | -0.000 | 0.000 | -0.000 |
| 87.398 | 87.398 | 145.514 | -0.000 | 0.000 | -0.000 |
| -0.009 | -0.009 | -0.009 | 28.049 | -0.000 | -0.000 |
| -0.009 | -0.009 | -0.009 | -0.000 | 28.049 | -0.000 |
| -0.009 | -0.009 | -0.009 | -0.000 | -0.000 | 28.049 |
| 145.514 | 87.398 | 87.398 | 0.000 | -0.000 | 0.000 |
| 87.398 | 145.514 | 87.398 | 0.000 | -0.000 | 0.000 |
| 87.398 | 87.398 | 145.514 | 0.000 | -0.000 | 0.000 |
| 0.009 | 0.009 | 0.009 | 28.049 | 0.000 | 0.000 |
| 0.009 | 0.009 | 0.009 | 0.000 | 28.049 | 0.000 |
| 0.009 | 0.009 | 0.009 | 0.000 | 0.000 | 28.049 |
| 145.515 | 87.399 | 87.399 | -0.000 | 0.000 | 0.000 |
| 87.399 | 145.515 | 87.399 | -0.000 | 0.000 | -0.000 |
| 87.399 | 87.399 | 145.515 | 0.000 | 0.000 | -0.000 |
| 0.000 | 0.000 | 0.000 | 51.885 | 0.000 | -0.000 |
| 0.000 | 0.000 | 0.000 | -0.000 | 51.885 | -0.000 |
| 0.000 | 0.000 | 0.000 | -0.000 | 0.000 | 51.885 |
| 145.514 | 87.398 | 87.398 | -0.000 | -0.000 | -0.000 |
| 87.398 | 145.514 | 87.398 | 0.000 | -0.000 | 0.000 |
| 87.398 | 87.398 | 145.514 | -0.000 | 0.000 | 0.000 |
| -0.000 | -0.000 | -0.000 | 51.885 | -0.000 | -0.000 |
| -0.000 | -0.000 | -0.000 | 0.000 | 51.885 | -0.000 |
| -0.000 | -0.000 | -0.000 | 0.000 | -0.000 | 51.885 |
| 259.795 | -3.027 | 134.322 | -0.000 | 0.000 | -0.000 |
| 7.486 | 315.337 | 49.739 | 0.000 | 0.000 | -0.000 |
| 142.032 | 67.785 | 178.418 | 0.000 | 0.000 | -0.000 |
| -0.000 | 0.000 | 0.000 | 37.402 | 0.000 | -0.000 |
| -0.001 | -0.004 | 0.002 | -0.000 | 118.952 | -0.000 |
| -0.020 | -0.099 | 0.039 | -0.000 | -0.000 | -106.365 |
| 259.796 | -3.018 | 134.319 | 0.000 | 0.000 | 0.000 |
| 0.413 | 280.723 | 63.510 | 0.000 | 0.000 | 0.000 |
| 139.219 | 54.016 | 183.896 | -0.000 | 0.000 | 0.000 |
| 0.000 | -0.000 | -0.000 | 37.402 | -0.000 | 0.000 |
| 0.001 | 0.004 | -0.002 | 0.000 | 118.952 | 0.000 |
| 0.020 | 0.099 | -0.039 | 0.000 | -0.000 | -106.365 |
| 259.796 | -3.023 | 134.321 | -0.000 | -0.000 | -0.000 |
| 7.486 | 315.337 | 49.739 | 0.000 | 0.000 | -0.000 |
| 139.219 | 54.016 | 183.896 | -0.000 | 0.000 | -0.000 |
| 0.000 | 0.000 | 0.000 | 37.402 | 0.000 | -0.000 |
| 0.000 | -0.000 | 0.000 | 0.000 | 118.952 | -0.000 |
| 0.000 | 0.000 | 0.000 | -0.000 | -0.000 | -24.596 |
| 259.795 | -3.022 | 134.320 | -0.000 | -0.000 | 0.000 |
| 0.412 | 280.719 | 63.512 | 0.000 | 0.000 | 0.000 |
| 142.033 | 67.790 | 178.416 | 0.000 | 0.000 | 0.000 |
| -0.000 | -0.000 | -0.000 | 37.402 | -0.000 | -0.000 |
| -0.000 | 0.000 | -0.000 | 0.000 | 118.952 | 0.000 |
| -0.000 | -0.000 | -0.000 | 0.000 | 0.000 | -24.596 |
| 259.798 | -3.022 | 134.322 | 0.000 | -0.000 | -0.000 |
| 0.412 | 280.722 | 63.514 | -0.000 | 0.000 | -0.000 |
| 142.033 | 67.789 | 178.416 | -0.000 | 0.000 | -0.000 |
| 0.000 | 0.001 | 0.000 | 37.402 | 0.000 | -0.000 |
| 0.001 | -0.000 | 0.000 | 0.000 | 118.952 | -0.000 |
| 4205449.077 | -4546879.497 | -2056903.819 | -0.000 | 0.000 | -1683421.623 |
| 259.793 | -3.023 | 134.319 | 0.000 | 0.000 | 0.000 |
| 0.412 | 280.715 | 63.510 | 0.000 | 0.000 | 0.000 |
| 139.218 | 54.016 | 183.897 | 0.000 | -0.000 | 0.000 |
| -0.000 | -0.001 | -0.000 | 37.402 | 0.000 | -0.000 |
| -0.001 | 0.000 | -0.000 | -0.000 | 118.952 | 0.000 |
| -4205449.078 | 4546879.497 | 2056903.819 | 0.000 | 0.000 | -1683421.623 |
| 162.957 | -19.907 | 77.107 | -0.000 | 0.000 | -0.000 |
| -176.759 | -417.537 | 283.351 | -0.000 | -0.000 | -0.000 |
| 78.263 | 57.802 | 219.324 | -0.000 | 0.000 | -0.000 |
| -0.000 | 0.000 | 0.000 | 36.807 | 0.000 | 0.000 |
| -145.126 | -669.827 | 212.001 | -0.000 | 57.656 | 0.000 |
| -145.207 | -670.198 | 212.119 | -0.000 | 0.000 | -49.325 |
| 305.763 | 639.208 | -131.504 | 0.000 | -0.000 | 0.000 |
| 113.544 | 922.347 | -140.724 | 0.000 | -0.000 | 0.000 |
| 78.263 | 57.802 | 219.324 | 0.000 | -0.000 | 0.000 |
| -0.000 | -0.000 | 0.000 | 36.807 | -0.000 | 0.000 |
| 145.126 | 669.827 | -212.001 | 0.000 | 57.656 | 0.000 |
| 145.207 | 670.198 | -212.119 | 0.000 | 0.000 | -49.325 |
| 146.472 | -95.995 | 101.189 | 0.000 | 0.000 | -0.000 |
| -46.261 | 184.770 | 92.720 | -0.000 | 0.000 | -0.000 |
| 78.263 | 57.802 | 219.324 | -0.000 | 0.000 | -0.000 |
| -14.067 | -64.927 | 20.549 | 11.630 | -0.000 | -0.000 |
| -14.093 | -65.047 | 20.588 | -0.000 | 57.656 | 0.000 |
| -15.322 | -70.718 | 22.382 | 0.000 | 0.000 | -49.568 |
| 174.658 | 34.099 | 60.014 | 0.000 | 0.000 | 0.000 |
| -20.892 | 301.860 | 55.660 | 0.000 | -0.000 | -0.000 |
| 78.263 | 57.802 | 219.323 | 0.000 | 0.000 | -0.000 |
| 14.067 | 64.927 | -20.549 | 11.630 | -0.000 | 0.000 |
| 14.093 | 65.047 | -20.588 | 0.000 | 57.656 | 0.000 |
| 15.322 | 70.718 | -22.382 | -0.000 | 0.000 | -49.568 |
| 159.157 | -37.451 | 82.660 | -0.000 | 0.000 | -0.000 |
| -33.344 | 244.392 | 73.851 | -0.000 | 0.000 | -0.000 |
| 78.263 | 57.802 | 219.325 | 0.000 | 0.000 | 0.000 |
| -1.409 | -6.505 | 2.060 | -1.279 | 0.000 | -0.000 |
| -1.409 | -6.505 | 2.059 | -0.000 | 57.656 | -0.000 |
| 2187292.221 | -8170245.477 | -183930.345 | -0.000 | -0.000 | -613239.220 |
| 161.974 | -24.443 | 78.542 | -0.000 | -0.000 | 0.000 |
| -30.524 | 257.405 | 69.729 | 0.000 | -0.000 | 0.000 |
| 83.178 | 80.491 | 212.141 | -0.000 | 0.000 | -0.000 |
| 1.409 | 6.505 | -2.060 | -1.279 | -0.000 | 0.000 |
| 1.409 | 6.505 | -2.059 | 0.000 | 57.656 | -0.000 |
| -2187292.221 | 8170245.477 | 183930.345 | 0.000 | 0.000 | -613239.220 |
| 220.583 | 120.604 | 95.031 | -0.000 | 0.000 | 0.000 |
| 118.137 | 223.641 | 95.659 | -0.000 | -0.000 | 0.000 |
| 95.392 | 95.395 | 223.783 | -0.000 | 0.000 | 0.000 |
| -1.586 | 1.561 | 0.004 | 44.400 | -0.000 | 0.000 |
| -1.586 | 1.561 | 0.004 | -0.000 | 43.391 | -0.000 |
| -1.616 | 1.591 | 0.005 | -0.000 | 0.000 | 48.880 |
| 223.755 | 117.481 | 95.022 | 0.000 | 0.000 | 0.000 |
| 121.309 | 220.518 | 95.650 | 0.000 | 0.000 | 0.000 |
| 97.006 | 93.806 | 223.778 | 0.000 | 0.000 | -0.000 |
| 1.586 | -1.561 | -0.004 | 44.400 | 0.000 | 0.000 |
| 1.586 | -1.561 | -0.004 | 0.000 | 43.391 | -0.000 |
| 1.616 | -1.591 | -0.005 | 0.000 | 0.000 | 48.880 |
| 222.011 | 119.199 | 95.027 | -0.000 | 0.000 | -0.000 |
| 119.565 | 222.236 | 95.655 | -0.000 | 0.000 | -0.000 |
| 95.261 | 95.523 | 223.783 | 0.000 | 0.000 | -0.000 |
| -0.000 | -0.000 | 0.000 | 44.400 | 0.000 | 0.000 |
| -0.159 | 0.156 | 0.000 | -0.000 | 43.391 | 0.000 |
| -0.162 | 0.159 | 0.000 | -0.000 | -0.000 | 48.875 |
| 222.328 | 118.886 | 95.026 | -0.000 | 0.000 | 0.000 |
| 109.971 | 231.680 | 95.682 | -0.000 | 0.000 | 0.000 |
| 95.578 | 95.211 | 223.782 | 0.000 | -0.000 | 0.000 |
| -0.000 | 0.000 | -0.000 | 44.400 | 0.000 | -0.000 |
| 0.159 | -0.156 | -0.000 | 0.000 | 43.391 | 0.000 |
| 0.162 | -0.159 | -0.000 | 0.000 | -0.000 | 48.875 |
| 222.154 | 119.058 | 95.027 | -0.000 | -0.000 | 0.000 |
| 119.708 | 222.096 | 95.655 | 0.000 | 0.000 | -0.000 |
| 95.404 | 95.383 | 223.783 | -0.000 | -0.000 | -0.000 |
| -0.016 | 0.016 | 0.000 | 44.400 | -0.000 | 0.000 |
| 0.000 | -0.000 | 0.000 | -0.000 | 43.391 | -0.000 |
| -0.000 | 0.000 | -0.000 | -0.000 | 0.000 | 59.031 |
| 222.189 | 119.027 | 95.027 | 0.000 | -0.000 | -0.000 |
| 119.739 | 222.064 | 95.654 | 0.000 | 0.000 | 0.000 |
| 95.435 | 95.351 | 223.782 | 0.000 | 0.000 | 0.000 |
| 0.016 | -0.016 | -0.000 | 44.400 | 0.000 | -0.000 |
| -0.000 | 0.000 | -0.000 | -0.000 | 43.391 | -0.000 |
| 0.000 | -0.000 | 0.000 | 0.000 | -0.000 | 59.031 |
| 227.264 | 108.613 | 92.381 | 8.611 | -0.000 | -0.000 |
| 108.613 | 227.264 | 92.381 | -8.611 | -0.000 | -0.000 |
| 101.424 | 101.424 | 188.173 | 0.000 | -0.000 | 0.000 |
| 8.611 | -8.611 | -0.000 | 42.741 | -0.000 | -0.000 |
| -0.000 | -0.000 | 0.000 | 0.000 | 42.741 | 8.611 |
| 9.006 | 9.006 | -40.291 | 0.000 | 8.818 | 49.640 |
| 227.264 | 108.613 | 92.381 | 8.611 | 0.000 | 0.000 |
| 108.613 | 227.264 | 92.381 | -8.611 | 0.000 | 0.000 |
| 92.381 | 92.381 | 228.633 | 0.000 | 0.000 | 0.000 |
| -0.352 | -17.660 | 40.291 | 42.740 | 0.000 | 0.000 |
| 0.000 | 0.000 | -0.000 | -0.000 | 42.741 | 8.611 |
| -9.006 | -9.006 | 40.291 | -0.000 | 8.818 | 49.640 |
| 226.126 | 111.565 | 88.323 | 8.654 | -0.000 | -0.000 |
| 111.565 | 226.126 | 88.323 | -8.654 | -0.000 | -0.000 |
| 92.381 | 92.381 | 228.633 | 0.000 | -0.000 | 0.000 |
| 9.554 | -7.753 | -4.029 | 42.740 | -0.000 | -0.000 |
| -0.000 | 0.000 | 0.000 | 0.000 | 42.741 | 8.611 |
| -0.000 | 0.000 | -0.000 | 0.000 | 8.611 | 59.326 |
| 227.264 | 108.613 | 92.381 | 8.611 | 0.000 | 0.000 |
| 108.613 | 227.264 | 92.381 | -8.611 | 0.000 | 0.000 |
| 92.381 | 92.381 | 228.633 | -0.000 | 0.000 | 0.000 |
| 7.753 | -9.554 | 4.029 | 42.740 | 0.000 | 0.000 |
| 0.000 | -0.000 | -0.000 | -0.000 | 42.741 | 8.611 |
| 0.000 | -0.000 | 0.000 | -0.000 | 8.611 | 59.326 |
| 227.265 | 108.613 | 92.381 | 8.611 | -0.000 | -0.000 |
| 108.613 | 227.265 | 92.381 | -8.611 | -0.000 | -0.000 |
| 92.509 | 92.509 | 228.062 | 0.000 | -0.000 | -0.000 |
| 8.611 | -8.611 | 0.000 | 42.741 | -0.000 | -0.000 |
| -0.000 | 0.000 | 0.000 | 0.000 | 42.741 | 8.611 |
| -0.000 | 0.000 | -0.000 | 0.000 | 8.611 | 59.326 |
| 227.264 | 108.612 | 92.381 | 8.611 | 0.000 | 0.000 |
| 108.612 | 227.264 | 92.381 | -8.611 | 0.000 | 0.000 |
| 92.380 | 92.380 | 228.632 | -0.000 | 0.000 | 0.000 |
| 8.564 | -8.744 | 0.403 | 42.740 | 0.000 | 0.000 |
| 0.000 | -0.000 | -0.000 | -0.000 | 42.741 | 8.611 |
| 0.000 | -0.000 | 0.000 | -0.000 | 8.611 | 59.326 |
| 124.525 | 39.409 | 39.409 | -0.000 | 0.000 | 0.000 |
| 39.409 | 124.525 | 39.409 | -0.000 | -0.000 | 0.000 |
| 39.409 | 39.409 | 124.525 | 0.000 | -0.000 | 0.000 |
| -0.000 | -0.000 | 0.000 | 19.332 | -0.000 | 0.000 |
| -0.000 | -0.000 | 0.000 | -0.000 | 19.332 | 0.000 |
| -0.000 | -0.000 | -0.000 | -0.000 | -0.000 | 19.332 |
| 67.395 | 52.690 | 52.690 | 0.000 | 0.000 | -0.000 |
| 52.690 | 67.395 | 52.690 | -0.000 | 0.000 | -0.000 |
| 52.690 | 52.690 | 67.395 | -0.000 | 0.000 | -0.000 |
| 0.000 | 0.000 | 0.000 | 19.332 | 0.000 | 0.000 |
| 0.000 | 0.000 | 0.000 | 0.000 | 19.332 | -0.000 |
| 0.000 | 0.000 | 0.000 | 0.000 | 0.000 | 19.332 |
| 124.525 | 39.409 | 39.409 | -0.000 | -0.000 | 0.000 |
| 39.409 | 124.525 | 39.409 | -0.000 | 0.000 | 0.000 |
| 39.409 | 39.409 | 124.525 | -0.000 | -0.000 | 0.000 |
| 0.475 | 0.475 | 0.475 | 0.810 | -0.000 | 0.000 |
| 0.475 | 0.475 | 0.475 | 0.000 | 0.810 | 0.000 |
| 0.475 | 0.475 | 0.475 | -0.000 | -0.000 | 0.810 |
| 124.525 | 39.409 | 39.409 | -0.000 | 0.000 | -0.000 |
| 39.409 | 124.525 | 39.409 | -0.000 | 0.000 | -0.000 |
| 39.409 | 39.409 | 124.525 | 0.000 | 0.000 | -0.000 |
| -0.475 | -0.475 | -0.475 | 0.810 | 0.000 | -0.000 |
| -0.475 | -0.475 | -0.475 | 0.000 | 0.810 | -0.000 |
| -0.475 | -0.475 | -0.475 | 0.000 | 0.000 | 0.810 |
| 75.870 | 55.137 | 55.137 | -0.000 | -0.000 | 0.000 |
| 55.137 | 75.870 | 55.137 | 0.000 | -0.000 | 0.000 |
| 55.137 | 55.137 | 75.870 | -0.000 | -0.000 | 0.000 |
| -0.000 | -0.000 | -0.000 | 19.332 | -0.000 | -0.000 |
| -0.000 | -0.000 | -0.000 | -0.000 | 19.332 | 0.000 |
| -0.000 | -0.000 | -0.000 | -0.000 | -0.000 | 19.332 |
| 67.683 | 53.898 | 53.898 | 0.000 | -0.000 | -0.000 |
| 53.898 | 67.683 | 53.898 | 0.000 | 0.000 | -0.000 |
| 53.898 | 53.898 | 67.683 | 0.000 | -0.000 | -0.000 |
| 0.000 | 0.000 | 0.000 | 19.332 | 0.000 | -0.000 |
| 0.000 | 0.000 | 0.000 | 0.000 | 19.332 | -0.000 |
| 0.000 | 0.000 | 0.000 | 0.000 | 0.000 | 19.332 |
| 25.530 | 27.955 | 27.955 | 0.000 | -0.000 | 0.000 |
| 27.955 | 25.530 | 27.955 | -0.000 | -0.000 | -0.000 |
| 27.955 | 27.955 | 25.530 | 0.000 | -0.000 | 0.000 |
| 0.000 | 0.000 | 0.000 | 54.255 | -0.000 | -0.000 |
| 0.000 | 0.000 | 0.000 | -0.000 | 54.255 | -0.000 |
| 0.000 | -0.000 | 0.000 | -0.000 | -0.000 | 54.255 |
| 25.530 | 27.955 | 27.955 | -0.000 | 0.000 | 0.000 |
| 27.955 | 25.530 | 27.955 | -0.000 | -0.000 | -0.000 |
| 27.955 | 27.955 | 25.530 | -0.000 | 0.000 | -0.000 |
| -0.000 | -0.000 | -0.000 | 54.255 | 0.000 | 0.000 |
| -0.000 | -0.000 | 0.000 | 0.000 | 54.255 | 0.000 |
| -0.000 | 0.000 | -0.000 | 0.000 | 0.000 | 54.255 |
| 25.530 | 27.955 | 27.955 | 0.000 | -0.000 | -0.000 |
| 27.955 | 25.530 | 27.955 | 0.000 | 0.000 | -0.000 |
| 27.955 | 27.955 | 25.530 | -0.000 | -0.000 | -0.000 |
| 0.000 | 0.000 | 0.000 | 54.255 | -0.000 | -0.000 |
| 0.000 | 0.000 | 0.000 | -0.000 | 54.255 | -0.000 |
| 0.000 | 0.000 | 0.000 | -0.000 | -0.000 | 54.255 |
| 25.530 | 27.955 | 27.955 | -0.000 | 0.000 | 0.000 |
| 27.955 | 25.530 | 27.955 | 0.000 | -0.000 | 0.000 |
| 27.955 | 27.955 | 25.530 | 0.000 | 0.000 | -0.000 |
| -0.000 | -0.000 | -0.000 | 54.255 | 0.000 | 0.000 |
| -0.000 | -0.000 | -0.000 | 0.000 | 54.255 | 0.000 |
| -0.000 | -0.000 | -0.000 | 0.000 | 0.000 | 54.255 |
| 25.530 | 27.955 | 27.955 | -0.000 | -0.000 | 0.000 |
| 27.955 | 25.530 | 27.955 | -0.000 | 0.000 | -0.000 |
| 27.955 | 27.955 | 25.530 | 0.000 | -0.000 | 0.000 |
| -0.000 | -0.000 | -0.000 | -10.075 | 0.000 | -0.000 |
| -0.000 | -0.000 | -0.000 | -0.000 | -10.075 | -0.000 |
| -0.000 | -0.000 | -0.000 | -0.000 | -0.000 | -10.075 |
| 25.533 | 27.955 | 27.955 | -0.000 | 0.000 | 0.000 |
| 27.955 | 25.533 | 27.955 | -0.000 | 0.000 | 0.000 |
| 27.955 | 27.955 | 25.533 | -0.000 | 0.000 | 0.000 |
| 0.000 | 0.000 | 0.000 | -10.075 | -0.000 | -0.000 |
| 0.000 | 0.000 | 0.000 | 0.000 | -10.075 | 0.000 |
| 0.000 | 0.000 | 0.000 | 0.000 | 0.000 | -10.075 |
| 1218.467 | 1185.862 | 1185.862 | -0.000 | -0.000 | 0.000 |
| 1185.862 | 1218.467 | 1185.862 | -0.000 | 0.000 | 0.000 |
| 1185.862 | 1185.862 | 1218.467 | -0.000 | -0.000 | 0.000 |
| 0.000 | 0.000 | 0.000 | 1.448 | 0.000 | -0.000 |
| 0.000 | 0.000 | 0.000 | -0.000 | 1.448 | -0.000 |
| 0.000 | 0.000 | 0.000 | -0.000 | -0.000 | 1.448 |
| 1218.467 | 1185.862 | 1185.862 | 0.000 | -0.000 | -0.000 |
| 1185.862 | 1218.467 | 1185.862 | 0.000 | 0.000 | 0.000 |
| 1185.862 | 1185.862 | 1218.467 | 0.000 | 0.000 | 0.000 |
| -0.000 | -0.000 | -0.000 | 1.448 | 0.000 | -0.000 |
| -0.000 | -0.000 | -0.000 | 0.000 | 1.448 | -0.000 |
| -0.000 | -0.000 | -0.000 | 0.000 | 0.000 | 1.448 |
| 1218.465 | 1185.860 | 1185.860 | -0.000 | 0.000 | 0.000 |
| 1185.860 | 1218.465 | 1185.860 | -0.000 | 0.000 | 0.000 |
| 1185.860 | 1185.860 | 1218.465 | 0.000 | 0.000 | 0.000 |
| 0.000 | 0.000 | 0.000 | 1.448 | 0.000 | -0.000 |
| 0.000 | 0.000 | 0.000 | -0.000 | 1.448 | 0.000 |
| 0.000 | 0.000 | 0.000 | -0.000 | -0.000 | 1.448 |
| 1218.469 | 1185.864 | 1185.864 | 0.000 | -0.000 | 0.000 |
| 1185.864 | 1218.469 | 1185.864 | 0.000 | -0.000 | 0.000 |
| 1185.864 | 1185.864 | 1218.469 | 0.000 | 0.000 | -0.000 |
| -0.000 | -0.000 | -0.000 | 1.448 | -0.000 | 0.000 |
| -0.000 | -0.000 | -0.000 | 0.000 | 1.448 | -0.000 |
| -0.000 | -0.000 | -0.000 | 0.000 | 0.000 | 1.448 |
| 1218.444 | 1185.840 | 1185.840 | -0.000 | -0.000 | 0.000 |
| 1185.840 | 1218.444 | 1185.840 | -0.000 | 0.000 | 0.000 |
| 1185.840 | 1185.840 | 1218.444 | -0.000 | 0.000 | 0.000 |
| 0.001 | 0.001 | 0.001 | 1.448 | 0.000 | 0.000 |
| 0.001 | 0.001 | 0.001 | -0.000 | 1.448 | -0.000 |
| 0.001 | 0.001 | 0.001 | -0.000 | -0.000 | 1.448 |
| 1218.490 | 1185.884 | 1185.884 | 0.000 | -0.000 | -0.000 |
| 1185.884 | 1218.490 | 1185.884 | 0.000 | -0.000 | 0.000 |
| 1185.884 | 1185.884 | 1218.490 | 0.000 | 0.000 | -0.000 |
| -0.001 | -0.001 | -0.001 | 1.448 | -0.000 | 0.000 |
| -0.001 | -0.001 | -0.001 | 0.000 | 1.448 | -0.000 |
| -0.001 | -0.001 | -0.001 | 0.000 | 0.000 | 1.448 |
| 349.392 | 349.392 | 349.392 | -0.000 | 0.000 | -0.000 |
| 349.392 | 349.392 | 349.392 | -0.000 | -0.000 | -0.000 |
| 349.392 | 349.392 | 349.392 | -0.000 | -0.000 | -0.000 |
| 0.000 | 0.000 | 0.000 | 1.094 | -0.000 | 0.000 |
| 0.000 | 0.000 | 0.000 | -0.000 | 1.094 | 0.000 |
| 0.000 | 0.000 | 0.000 | 0.000 | -0.000 | 1.094 |
| 349.392 | 349.392 | 349.392 | 0.000 | 0.000 | 0.000 |
| 349.392 | 349.392 | 349.392 | 0.000 | 0.000 | 0.000 |
| 349.392 | 349.392 | 349.392 | 0.000 | 0.000 | 0.000 |
| -0.000 | -0.000 | -0.000 | 1.094 | -0.000 | -0.000 |
| -0.000 | -0.000 | -0.000 | -0.000 | 1.094 | -0.000 |
| -0.000 | -0.000 | -0.000 | 0.000 | -0.000 | 1.094 |
| 349.393 | 349.393 | 349.393 | -0.000 | -0.000 | -0.000 |
| 349.393 | 349.393 | 349.393 | -0.000 | -0.000 | -0.000 |
| 349.393 | 349.393 | 349.393 | -0.000 | -0.000 | 0.000 |
| -0.000 | -0.000 | -0.000 | 0.013 | 0.000 | -0.000 |
| -0.000 | -0.000 | -0.000 | -0.000 | 0.013 | -0.000 |
| -0.000 | -0.000 | -0.000 | -0.000 | -0.000 | 0.013 |
| 349.390 | 349.390 | 349.390 | 0.000 | 0.000 | 0.000 |
| 349.390 | 349.390 | 349.390 | 0.000 | 0.000 | 0.000 |
| 349.390 | 349.390 | 349.390 | 0.000 | 0.000 | -0.000 |
| 0.000 | 0.000 | 0.000 | 0.013 | 0.000 | -0.000 |
| 0.000 | 0.000 | 0.000 | -0.000 | 0.013 | -0.000 |
| 0.000 | 0.000 | 0.000 | -0.000 | -0.000 | 0.013 |
| 349.404 | 349.404 | 349.404 | 0.000 | -0.000 | -0.000 |
| 349.404 | 349.404 | 349.404 | -0.000 | 0.000 | 0.000 |
| 349.404 | 349.404 | 349.404 | -0.000 | -0.000 | -0.000 |
| 0.003 | 0.003 | 0.003 | 1.094 | -0.000 | -0.000 |
| 0.003 | 0.003 | 0.003 | -0.000 | 1.094 | -0.000 |
| 0.003 | 0.003 | 0.003 | -0.000 | -0.000 | 1.094 |
| 349.380 | 349.379 | 349.379 | 0.000 | 0.000 | 0.000 |
| 349.379 | 349.380 | 349.379 | 0.000 | 0.000 | 0.000 |
| 349.379 | 349.379 | 349.380 | 0.000 | 0.000 | -0.000 |
| -0.003 | -0.003 | -0.003 | 1.094 | 0.000 | 0.000 |
| -0.003 | -0.003 | -0.003 | 0.000 | 1.094 | 0.000 |
| -0.003 | -0.003 | -0.003 | -0.000 | -0.000 | 1.094 |
| -0.131 | -0.131 | -0.131 | 0.000 | 0.000 | 0.000 |
| -0.131 | -0.131 | -0.131 | 0.000 | 0.000 | 0.000 |
| -0.131 | -0.131 | -0.131 | 0.000 | 0.000 | 0.000 |
| 0.000 | 0.000 | 0.000 | -0.131 | -0.000 | 0.000 |
| 0.000 | 0.000 | 0.000 | -0.000 | -0.131 | 0.000 |
| 0.000 | 0.000 | 0.000 | -0.000 | -0.000 | -0.131 |
| -0.131 | -0.131 | -0.131 | 0.000 | 0.000 | -0.000 |
| -0.131 | -0.131 | -0.131 | 0.000 | 0.000 | -0.000 |
| -0.131 | -0.131 | -0.131 | 0.000 | 0.000 | -0.000 |
| -0.000 | -0.000 | -0.000 | -0.131 | 0.000 | -0.000 |
| -0.000 | -0.000 | -0.000 | 0.000 | -0.131 | -0.000 |
| -0.000 | -0.000 | -0.000 | -0.000 | -0.000 | -0.131 |
| -0.131 | -0.131 | -0.131 | 0.000 | 0.000 | 0.000 |
| -0.131 | -0.131 | -0.131 | 0.000 | 0.000 | 0.000 |
| -0.131 | -0.131 | -0.131 | 0.000 | 0.000 | 0.000 |
| 0.000 | 0.000 | 0.000 | -0.134 | 0.000 | 0.000 |
| 0.000 | 0.000 | 0.000 | 0.000 | -0.134 | 0.000 |
| 0.000 | 0.000 | 0.000 | 0.000 | 0.000 | -0.134 |
| -0.131 | -0.131 | -0.131 | -0.000 | -0.000 | -0.000 |
| -0.131 | -0.131 | -0.131 | -0.000 | -0.000 | -0.000 |
| -0.131 | -0.131 | -0.131 | -0.000 | -0.000 | -0.000 |
| -0.000 | -0.000 | -0.000 | -0.134 | -0.000 | -0.000 |
| -0.000 | -0.000 | -0.000 | -0.000 | -0.134 | -0.000 |
| -0.000 | -0.000 | -0.000 | -0.000 | -0.000 | -0.134 |
| -0.131 | -0.131 | -0.131 | -0.000 | -0.000 | 0.000 |
| -0.131 | -0.131 | -0.131 | -0.000 | -0.000 | 0.000 |
| -0.131 | -0.131 | -0.131 | -0.000 | -0.000 | 0.000 |
| 13944.339 | 14045.476 | 14045.992 | -12808.867 | -26.433 | 26.349 |
| 14045.475 | 13944.339 | 14045.992 | -26.433 | -12808.866 | 26.349 |
| 14228.670 | 14229.620 | 14118.417 | 0.940 | -1.035 | -13005.445 |
| -0.131 | -0.131 | -0.131 | 0.000 | 0.000 | -0.000 |
| -0.131 | -0.131 | -0.131 | 0.000 | 0.000 | -0.000 |
| -0.131 | -0.131 | -0.131 | 0.000 | 0.000 | 0.000 |
| -5647.444 | -5687.519 | -5688.059 | -5185.093 | 11.145 | 11.364 |
| -5687.703 | -5647.624 | -5688.244 | 11.152 | -5185.263 | 11.370 |
| -5860.790 | -5861.345 | -5818.920 | 9.337 | 9.520 | -5343.701 |
| 10.035 | 11.551 | 11.551 | 0.000 | -0.000 | 0.000 |
| 11.551 | 10.035 | 11.551 | 0.000 | -0.000 | -0.000 |
| 11.551 | 11.551 | 10.035 | -0.000 | -0.000 | -0.000 |
| 0.000 | 0.000 | -0.000 | -1.582 | 0.000 | -0.000 |
| 0.000 | 0.000 | -0.000 | 0.000 | -1.582 | -0.000 |
| 0.000 | -0.000 | -0.000 | 0.000 | 0.000 | -1.582 |
| 10.036 | 11.552 | 11.552 | -0.000 | 0.000 | 0.000 |
| 11.552 | 10.036 | 11.552 | -0.000 | 0.000 | 0.000 |
| 11.552 | 11.552 | 10.036 | -0.000 | 0.000 | 0.000 |
| -0.000 | -0.000 | 0.000 | -1.582 | -0.000 | 0.000 |
| -0.000 | -0.000 | 0.000 | -0.000 | -1.582 | 0.000 |
| -0.000 | 0.000 | 0.000 | -0.000 | 0.000 | -1.582 |
| 10.033 | 11.549 | 11.549 | 0.000 | -0.000 | -0.000 |
| 11.549 | 10.033 | 11.549 | 0.000 | -0.000 | 0.000 |
| 11.549 | 11.549 | 10.033 | 0.000 | -0.000 | -0.000 |
| -0.000 | -0.000 | -0.000 | -1.582 | -0.000 | -0.000 |
| -0.000 | -0.000 | -0.000 | 0.000 | -1.582 | -0.000 |
| -0.000 | -0.000 | -0.000 | 0.000 | 0.000 | -1.582 |
| 10.038 | 11.554 | 11.554 | -0.000 | -0.000 | -0.000 |
| 11.554 | 10.038 | 11.554 | -0.000 | -0.000 | 0.000 |
| 11.554 | 11.554 | 10.038 | -0.000 | -0.000 | 0.000 |
| 0.000 | 0.000 | 0.000 | -1.582 | 0.000 | -0.000 |
| 0.000 | 0.000 | 0.000 | -0.000 | -1.582 | 0.000 |
| 0.000 | 0.000 | 0.000 | -0.000 | -0.000 | -1.582 |
| 10.013 | 11.528 | 11.528 | 0.000 | 0.000 | -0.000 |
| 11.528 | 10.013 | 11.528 | 0.000 | -0.000 | -0.000 |
| 11.528 | 11.528 | 10.013 | 0.000 | 0.000 | -0.000 |
| -0.000 | -0.000 | -0.000 | -1.582 | 0.000 | -0.000 |
| -0.000 | -0.000 | -0.000 | 0.000 | -1.582 | -0.000 |
| -0.000 | -0.000 | -0.000 | 0.000 | 0.000 | -1.582 |
| 10.059 | 11.575 | 11.575 | -0.000 | -0.000 | 0.000 |
| 11.575 | 10.059 | 11.575 | -0.000 | 0.000 | 0.000 |
| 11.575 | 11.575 | 10.059 | -0.000 | -0.000 | 0.000 |
| 0.000 | 0.000 | 0.000 | -1.582 | 0.000 | 0.000 |
| 0.000 | 0.000 | 0.000 | -0.000 | -1.582 | 0.000 |
| 0.000 | 0.000 | 0.000 | -0.000 | 0.000 | -1.582 |
| 173.619 | 234.741 | 234.741 | -0.000 | -0.000 | -0.000 |
| 234.741 | 173.619 | 234.741 | -0.000 | -0.000 | -0.000 |
| 234.741 | 234.741 | 173.619 | -0.000 | 0.000 | -0.000 |
| -0.000 | -0.000 | -0.000 | 171.231 | -0.000 | -0.000 |
| -0.000 | -0.000 | -0.000 | -0.000 | 171.231 | -0.000 |
| -0.000 | 0.000 | 0.000 | -0.000 | -0.000 | 171.231 |
| 173.619 | 234.741 | 234.741 | 0.000 | 0.000 | 0.000 |
| 234.741 | 173.619 | 234.741 | 0.000 | 0.000 | 0.000 |
| 234.741 | 234.741 | 173.619 | -0.000 | -0.000 | 0.000 |
| 0.000 | 0.000 | -0.000 | 171.231 | 0.000 | 0.000 |
| 0.000 | 0.000 | 0.000 | 0.000 | 171.231 | 0.000 |
| 0.000 | 0.000 | -0.000 | 0.000 | 0.000 | 171.231 |
| 173.619 | 234.741 | 234.741 | -0.000 | -0.000 | -0.000 |
| 234.741 | 173.619 | 234.741 | 0.000 | 0.000 | -0.000 |
| 234.741 | 234.741 | 173.619 | -0.000 | -0.000 | 0.000 |
| 0.000 | 0.000 | 0.000 | 167.374 | -0.000 | -0.000 |
| 0.000 | 0.000 | 0.000 | -0.000 | 167.374 | -0.000 |
| 0.000 | 0.000 | 0.000 | -0.000 | -0.000 | 167.374 |
| 173.619 | 234.741 | 234.741 | -0.000 | -0.000 | 0.000 |
| 234.741 | 173.619 | 234.741 | -0.000 | -0.000 | 0.000 |
| 234.741 | 234.741 | 173.619 | 0.000 | 0.000 | -0.000 |
| -0.000 | -0.000 | -0.000 | 167.374 | 0.000 | -0.000 |
| -0.000 | -0.000 | -0.000 | 0.000 | 167.374 | 0.000 |
| -0.000 | -0.000 | -0.000 | 0.000 | 0.000 | 167.374 |
| 173.621 | 234.743 | 234.743 | -0.000 | 0.000 | 0.000 |
| 234.743 | 173.621 | 234.743 | 0.000 | 0.000 | -0.000 |
| 234.743 | 234.743 | 173.621 | -0.000 | -0.000 | -0.000 |
| 0.001 | 0.000 | 0.001 | 167.374 | -0.000 | -0.000 |
| 0.000 | 0.001 | 0.001 | -0.000 | 167.374 | -0.000 |
| 0.000 | 0.001 | 0.001 | -0.000 | -0.000 | 167.374 |
| 173.617 | 234.740 | 234.740 | -0.000 | 0.000 | -0.000 |
| 234.740 | 173.617 | 234.740 | -0.000 | -0.000 | -0.000 |
| 234.740 | 234.740 | 173.617 | -0.000 | -0.000 | -0.000 |
| -0.001 | -0.000 | -0.001 | 167.374 | 0.000 | 0.000 |
| -0.000 | -0.001 | -0.001 | 0.000 | 167.374 | 0.000 |
| -0.000 | -0.001 | -0.001 | 0.000 | 0.000 | 167.374 |
| 1248.268 | 1238.237 | 1238.237 | -0.000 | -0.000 | 0.000 |
| 1238.237 | 1248.268 | 1238.237 | -0.000 | -0.000 | -0.000 |
| 1238.237 | 1238.237 | 1248.268 | 0.000 | 0.000 | 0.000 |
| 0.000 | 0.000 | 0.000 | -1.054 | 0.000 | -0.000 |
| 0.000 | 0.000 | 0.000 | -0.000 | -1.054 | -0.000 |
| 0.000 | 0.000 | 0.000 | -0.000 | 0.000 | -1.054 |
| 1248.269 | 1238.237 | 1238.237 | 0.000 | 0.000 | 0.000 |
| 1238.237 | 1248.269 | 1238.237 | 0.000 | 0.000 | -0.000 |
| 1238.237 | 1238.237 | 1248.269 | -0.000 | -0.000 | -0.000 |
| -0.000 | -0.000 | -0.000 | -1.054 | 0.000 | -0.000 |
| -0.000 | -0.000 | -0.000 | 0.000 | -1.054 | -0.000 |
| -0.000 | -0.000 | -0.000 | -0.000 | 0.000 | -1.054 |
| 1248.266 | 1238.235 | 1238.235 | -0.000 | -0.000 | 0.000 |
| 1238.235 | 1248.266 | 1238.235 | -0.000 | -0.000 | 0.000 |
| 1238.235 | 1238.235 | 1248.266 | 0.000 | 0.000 | 0.000 |
| 0.000 | 0.000 | 0.000 | -0.070 | -0.000 | -0.000 |
| 0.000 | 0.000 | 0.000 | -0.000 | -0.070 | 0.000 |
| 0.000 | 0.000 | 0.000 | -0.000 | -0.000 | -0.070 |
| 1248.271 | 1238.239 | 1238.239 | 0.000 | 0.000 | 0.000 |
| 1238.239 | 1248.271 | 1238.239 | 0.000 | -0.000 | 0.000 |
| 1238.239 | 1238.239 | 1248.271 | -0.000 | -0.000 | -0.000 |
| -0.000 | -0.000 | -0.000 | -0.070 | 0.000 | 0.000 |
| -0.000 | -0.000 | -0.000 | 0.000 | -0.070 | -0.000 |
| -0.000 | -0.000 | -0.000 | 0.000 | 0.000 | -0.070 |
| 1248.245 | 1238.215 | 1238.215 | -0.000 | -0.000 | 0.000 |
| 1238.215 | 1248.245 | 1238.215 | -0.000 | -0.000 | 0.000 |
| 1238.215 | 1238.215 | 1248.245 | 0.000 | 0.000 | -0.000 |
| 0.001 | 0.001 | 0.001 | -0.070 | 0.000 | -0.000 |
| 0.001 | 0.001 | 0.001 | -0.000 | -0.070 | -0.000 |
| 0.001 | 0.001 | 0.001 | -0.000 | -0.000 | -0.070 |
| 1248.292 | 1238.259 | 1238.259 | 0.000 | 0.000 | 0.000 |
| 1238.259 | 1248.292 | 1238.259 | 0.000 | 0.000 | 0.000 |
| 1238.259 | 1238.259 | 1248.292 | 0.000 | 0.000 | 0.000 |
| -0.001 | -0.001 | -0.001 | -0.070 | -0.000 | 0.000 |
| -0.001 | -0.001 | -0.001 | 0.000 | -0.070 | -0.000 |
| -0.001 | -0.001 | -0.001 | 0.000 | 0.000 | -0.070 |
| 336.432 | 336.432 | 336.432 | 0.000 | 0.000 | -0.000 |
| 336.432 | 336.432 | 336.432 | 0.000 | 0.000 | -0.000 |
| 336.432 | 336.432 | 336.432 | 0.000 | 0.000 | -0.000 |
| 0.000 | 0.000 | 0.000 | -40.417 | -0.000 | 0.000 |
| 0.000 | 0.000 | 0.000 | -0.000 | -40.417 | -0.000 |
| 0.000 | 0.000 | 0.000 | 0.000 | 0.000 | -40.417 |
| 336.432 | 336.432 | 336.432 | 0.000 | -0.000 | 0.000 |
| 336.432 | 336.432 | 336.432 | -0.000 | 0.000 | 0.000 |
| 336.432 | 336.432 | 336.432 | -0.000 | -0.000 | 0.000 |
| -0.000 | -0.000 | -0.000 | -40.417 | 0.000 | 0.000 |
| -0.000 | -0.000 | -0.000 | 0.000 | -40.417 | 0.000 |
| -0.000 | -0.000 | -0.000 | -0.000 | -0.000 | -40.417 |
| 336.434 | 336.434 | 336.434 | 0.000 | -0.000 | -0.000 |
| 336.434 | 336.434 | 336.434 | -0.000 | 0.000 | -0.000 |
| 336.434 | 336.434 | 336.434 | 0.000 | 0.000 | -0.000 |
| 0.047 | 0.047 | 0.047 | -154.099 | 0.000 | 0.000 |
| 0.047 | 0.047 | 0.047 | -0.000 | -154.099 | 0.000 |
| 0.047 | 0.047 | 0.047 | -0.000 | 0.000 | -154.099 |
| 336.431 | 336.431 | 336.431 | 0.000 | 0.000 | 0.000 |
| 336.431 | 336.431 | 336.431 | 0.000 | 0.000 | 0.000 |
| 336.431 | 336.431 | 336.431 | -0.000 | -0.000 | 0.000 |
| -0.047 | -0.047 | -0.047 | -154.099 | 0.000 | 0.000 |
| -0.047 | -0.047 | -0.047 | 0.000 | -154.099 | 0.000 |
| -0.047 | -0.047 | -0.047 | -0.000 | -0.000 | -154.099 |
| 336.444 | 336.445 | 336.445 | 0.000 | 0.000 | -0.000 |
| 336.445 | 336.444 | 336.445 | 0.000 | 0.000 | -0.000 |
| 336.445 | 336.445 | 336.444 | 0.000 | 0.000 | -0.000 |
| 0.472 | 0.473 | 0.472 | -154.090 | 0.000 | -0.000 |
| 0.473 | 0.472 | 0.472 | -0.000 | -154.090 | -0.000 |
| 0.473 | 0.472 | 0.472 | 0.000 | -0.000 | -154.090 |
| 336.421 | 336.420 | 336.420 | -0.000 | 0.000 | 0.000 |
| 336.420 | 336.421 | 336.420 | 0.000 | -0.000 | 0.000 |
| 336.420 | 336.420 | 336.421 | -0.000 | -0.000 | 0.000 |
| -0.472 | -0.473 | -0.472 | -154.090 | -0.000 | 0.000 |
| -0.473 | -0.472 | -0.472 | -0.000 | -154.090 | -0.000 |
| -0.473 | -0.472 | -0.472 | -0.000 | 0.000 | -154.091 |
| -0.127 | -0.127 | -0.127 | 0.000 | 0.000 | -0.000 |
| -0.127 | -0.127 | -0.127 | 0.000 | 0.000 | -0.000 |
| -0.127 | -0.127 | -0.127 | -0.000 | -0.000 | -0.000 |
| 0.000 | 0.000 | 0.000 | -0.127 | -0.000 | -0.000 |
| 0.000 | 0.000 | 0.000 | -0.000 | -0.127 | -0.000 |
| 0.000 | 0.000 | 0.000 | -0.000 | 0.000 | -0.127 |
| -0.127 | -0.127 | -0.127 | -0.000 | 0.000 | 0.000 |
| -0.127 | -0.127 | -0.127 | 0.000 | -0.000 | 0.000 |
| -0.127 | -0.127 | -0.127 | 0.000 | 0.000 | 0.000 |
| -0.000 | -0.000 | -0.000 | -0.127 | 0.000 | 0.000 |
| -0.000 | -0.000 | -0.000 | 0.000 | -0.127 | 0.000 |
| -0.000 | -0.000 | -0.000 | -0.000 | 0.000 | -0.127 |
| -0.127 | -0.127 | -0.127 | -0.000 | -0.000 | -0.000 |
| -0.127 | -0.127 | -0.127 | -0.000 | -0.000 | -0.000 |
| -0.127 | -0.127 | -0.127 | -0.000 | -0.000 | -0.000 |
| 0.000 | 0.000 | 0.000 | -0.130 | -0.000 | -0.000 |
| 0.000 | 0.000 | 0.000 | -0.000 | -0.130 | -0.000 |
| 0.000 | 0.000 | 0.000 | 0.000 | 0.000 | -0.130 |
| -0.127 | -0.127 | -0.127 | -0.000 | 0.000 | 0.000 |
| -0.127 | -0.127 | -0.127 | 0.000 | -0.000 | 0.000 |
| -0.127 | -0.127 | -0.127 | 0.000 | 0.000 | 0.000 |
| -0.000 | -0.000 | -0.000 | -0.130 | 0.000 | 0.000 |
| -0.000 | -0.000 | -0.000 | 0.000 | -0.130 | 0.000 |
| -0.000 | -0.000 | -0.000 | 0.000 | -0.000 | -0.130 |
| -0.127 | -0.127 | -0.127 | -0.000 | -0.000 | -0.000 |
| -0.127 | -0.127 | -0.127 | -0.000 | -0.000 | -0.000 |
| -0.127 | -0.127 | -0.127 | -0.000 | -0.000 | -0.000 |
| 629.412 | 634.479 | 634.543 | -556.504 | 0.107 | -0.106 |
| 634.479 | 629.412 | 634.543 | 0.107 | -556.504 | -0.106 |
| 494.843 | 494.880 | 492.236 | 0.057 | -0.059 | -433.288 |
| -0.127 | -0.127 | -0.127 | 0.000 | 0.000 | 0.000 |
| -0.127 | -0.127 | -0.127 | 0.000 | 0.000 | 0.000 |
| -0.127 | -0.127 | -0.127 | 0.000 | 0.000 | 0.000 |
| -732.716 | -735.593 | -735.626 | -640.298 | 0.152 | 0.151 |
| -735.593 | -732.716 | -735.626 | 0.152 | -640.298 | 0.151 |
| -778.097 | -778.134 | -774.605 | 0.166 | 0.168 | -679.018 |
| 9.885 | 11.367 | 11.367 | 0.000 | 0.000 | -0.000 |
| 11.367 | 9.885 | 11.367 | 0.000 | -0.000 | -0.000 |
| 11.367 | 11.367 | 9.885 | -0.000 | -0.000 | 0.000 |
| 0.000 | 0.000 | 0.000 | -2.493 | -0.000 | -0.000 |
| 0.000 | 0.000 | 0.000 | -0.000 | -2.493 | -0.000 |
| 0.000 | 0.000 | 0.000 | -0.000 | -0.000 | -2.493 |
| 9.886 | 11.367 | 11.367 | -0.000 | 0.000 | -0.000 |
| 11.367 | 9.886 | 11.367 | 0.000 | -0.000 | 0.000 |
| 11.367 | 11.367 | 9.886 | 0.000 | 0.000 | -0.000 |
| -0.000 | -0.000 | -0.000 | -2.493 | 0.000 | -0.000 |
| -0.000 | -0.000 | -0.000 | 0.000 | -2.493 | -0.000 |
| -0.000 | -0.000 | -0.000 | 0.000 | 0.000 | -2.493 |
| 9.883 | 11.365 | 11.365 | 0.000 | -0.000 | 0.000 |
| 11.365 | 9.883 | 11.365 | -0.000 | -0.000 | -0.000 |
| 11.365 | 11.365 | 9.883 | -0.000 | -0.000 | 0.000 |
| 0.000 | 0.000 | 0.000 | -2.493 | -0.000 | -0.000 |
| 0.000 | 0.000 | 0.000 | -0.000 | -2.493 | 0.000 |
| 0.000 | 0.000 | 0.000 | -0.000 | -0.000 | -2.493 |
| 9.888 | 11.369 | 11.369 | -0.000 | 0.000 | -0.000 |
| 11.369 | 9.888 | 11.369 | -0.000 | -0.000 | -0.000 |
| 11.369 | 11.369 | 9.888 | -0.000 | 0.000 | -0.000 |
| -0.000 | -0.000 | -0.000 | -2.493 | 0.000 | -0.000 |
| -0.000 | -0.000 | -0.000 | 0.000 | -2.493 | -0.000 |
| -0.000 | -0.000 | -0.000 | 0.000 | 0.000 | -2.493 |
| 9.863 | 11.344 | 11.344 | -0.000 | -0.000 | -0.000 |
| 11.344 | 9.863 | 11.344 | 0.000 | -0.000 | -0.000 |
| 11.344 | 11.344 | 9.863 | 0.000 | 0.000 | 0.000 |
| 0.002 | 0.002 | 0.002 | -2.493 | -0.000 | -0.000 |
| 0.002 | 0.002 | 0.002 | -0.000 | -2.493 | 0.000 |
| 0.002 | 0.002 | 0.002 | -0.000 | -0.000 | -2.493 |
| 9.908 | 11.389 | 11.389 | 0.000 | -0.000 | 0.000 |
| 11.389 | 9.908 | 11.389 | -0.000 | -0.000 | 0.000 |
| 11.389 | 11.389 | 9.908 | 0.000 | 0.000 | -0.000 |
| -0.002 | -0.002 | -0.002 | -2.493 | 0.000 | 0.000 |
| -0.002 | -0.002 | -0.002 | 0.000 | -2.493 | 0.000 |
| -0.002 | -0.002 | -0.002 | 0.000 | 0.000 | -2.493 |
| 121.556 | 124.296 | 124.296 | -0.000 | -0.000 | -0.000 |
| 124.296 | 121.556 | 124.296 | -0.000 | 0.000 | 0.000 |
| 124.296 | 124.296 | 121.556 | -0.000 | 0.000 | 0.000 |
| 0.000 | -0.000 | -0.000 | 101.829 | -0.000 | 0.000 |
| 0.000 | 0.000 | -0.000 | -0.000 | 101.829 | 0.000 |
| 0.000 | 0.000 | -0.000 | -0.000 | -0.000 | 101.829 |
| 121.556 | 124.296 | 124.296 | -0.000 | 0.000 | -0.000 |
| 124.296 | 121.556 | 124.296 | 0.000 | 0.000 | -0.000 |
| 124.296 | 124.296 | 121.556 | 0.000 | 0.000 | -0.000 |
| -0.000 | 0.000 | 0.000 | 101.829 | 0.000 | -0.000 |
| -0.000 | -0.000 | 0.000 | 0.000 | 101.829 | -0.000 |
| -0.000 | -0.000 | 0.000 | -0.000 | 0.000 | 101.829 |
| 121.556 | 124.296 | 124.296 | -0.000 | -0.000 | 0.000 |
| 124.296 | 121.556 | 124.296 | 0.000 | 0.000 | 0.000 |
| 124.296 | 124.296 | 121.556 | -0.000 | 0.000 | 0.000 |
| 0.000 | 0.000 | 0.000 | -42.964 | -0.000 | 0.000 |
| 0.000 | 0.000 | 0.000 | -0.000 | -42.964 | 0.000 |
| 0.000 | 0.000 | 0.000 | 0.000 | -0.000 | -42.964 |
| 121.555 | 124.296 | 124.296 | 0.000 | 0.000 | -0.000 |
| 124.296 | 121.555 | 124.296 | 0.000 | 0.000 | -0.000 |
| 124.296 | 124.296 | 121.555 | 0.000 | 0.000 | -0.000 |
| -0.000 | -0.000 | -0.000 | -42.964 | -0.000 | -0.000 |
| -0.000 | -0.000 | -0.000 | -0.000 | -42.964 | -0.000 |
| -0.000 | -0.000 | -0.000 | -0.000 | 0.000 | -42.964 |
| 121.556 | 124.297 | 124.297 | -0.000 | -0.000 | 0.000 |
| 124.297 | 121.556 | 124.297 | -0.000 | 0.000 | 0.000 |
| 124.297 | 124.297 | 121.556 | 0.000 | -0.000 | -0.000 |
| 0.001 | 0.000 | 0.000 | -42.964 | 0.000 | 0.000 |
| 0.000 | 0.001 | 0.000 | 0.000 | -42.964 | 0.000 |
| 0.000 | 0.000 | 0.001 | 0.000 | -0.000 | -42.964 |
| 121.555 | 124.295 | 124.295 | -0.000 | -0.000 | -0.000 |
| 124.295 | 121.555 | 124.295 | -0.000 | -0.000 | -0.000 |
| 124.295 | 124.295 | 121.555 | -0.000 | 0.000 | -0.000 |
| -0.001 | -0.000 | -0.000 | -42.964 | -0.000 | -0.000 |
| -0.000 | -0.001 | -0.000 | 0.000 | -42.964 | -0.000 |
| -0.000 | -0.000 | -0.001 | -0.000 | -0.000 | -42.964 |
| 248.499 | 1.464 | 1.464 | 0.000 | 0.000 | 0.000 |
| 1.464 | 248.499 | 1.464 | 0.000 | 0.000 | 0.000 |
| 1.464 | 1.464 | 248.499 | -0.000 | -0.000 | 0.000 |
| -0.000 | 0.000 | 0.000 | 4.514 | 0.000 | 0.000 |
| -0.000 | -0.000 | 0.000 | 0.000 | 4.514 | 0.000 |
| 0.000 | -0.000 | 0.000 | 0.000 | 0.000 | 4.514 |
| 248.499 | 1.464 | 1.464 | -0.000 | -0.000 | -0.000 |
| 1.464 | 248.499 | 1.464 | -0.000 | -0.000 | 0.000 |
| 1.464 | 1.464 | 248.499 | -0.000 | -0.000 | -0.000 |
| 0.000 | 0.000 | -0.000 | 4.514 | 0.000 | -0.000 |
| 0.000 | 0.000 | -0.000 | -0.000 | 4.514 | 0.000 |
| 0.000 | 0.000 | -0.000 | -0.000 | -0.000 | 4.514 |
| 248.498 | 1.464 | 1.464 | 0.000 | 0.000 | 0.000 |
| 1.464 | 248.498 | 1.464 | 0.000 | -0.000 | 0.000 |
| 1.464 | 1.464 | 248.498 | 0.000 | 0.000 | 0.000 |
| -0.000 | -0.000 | -0.000 | 4.514 | 0.000 | 0.000 |
| -0.000 | -0.000 | -0.000 | 0.000 | 4.514 | 0.000 |
| -0.000 | -0.000 | -0.000 | 0.000 | 0.000 | 4.514 |
| 248.499 | 1.464 | 1.464 | -0.000 | 0.000 | -0.000 |
| 1.464 | 248.499 | 1.464 | 0.000 | -0.000 | -0.000 |
| 1.464 | 1.464 | 248.499 | -0.000 | 0.000 | -0.000 |
| 0.000 | 0.000 | 0.000 | 4.514 | -0.000 | 0.000 |
| 0.000 | 0.000 | 0.000 | -0.000 | 4.514 | -0.000 |
| 0.000 | 0.000 | 0.000 | -0.000 | 0.000 | 4.514 |
| 248.494 | 1.464 | 1.464 | 0.000 | 0.000 | 0.000 |
| 1.464 | 248.494 | 1.464 | 0.000 | -0.000 | -0.000 |
| 1.464 | 1.464 | 248.494 | 0.000 | -0.000 | 0.000 |
| -0.000 | -0.000 | -0.000 | 4.514 | 0.000 | 0.000 |
| -0.000 | -0.000 | -0.000 | 0.000 | 4.514 | 0.000 |
| -0.000 | -0.000 | -0.000 | 0.000 | 0.000 | 4.514 |
| 248.504 | 1.464 | 1.464 | -0.000 | -0.000 | -0.000 |
| 1.464 | 248.504 | 1.464 | -0.000 | -0.000 | -0.000 |
| 1.464 | 1.464 | 248.504 | 0.000 | -0.000 | -0.000 |
| 0.000 | 0.000 | 0.000 | 4.514 | -0.000 | 0.000 |
| 0.000 | 0.000 | 0.000 | -0.000 | 4.514 | -0.000 |
| 0.000 | 0.000 | 0.000 | -0.000 | -0.000 | 4.514 |
| 0.239 | 0.239 | 0.239 | -0.000 | -0.000 | 0.000 |
| 0.239 | 0.239 | 0.239 | -0.000 | -0.000 | 0.000 |
| 0.239 | 0.239 | 0.239 | 0.000 | 0.000 | -0.000 |
| 0.000 | 0.000 | 0.000 | 0.230 | -0.000 | 0.000 |
| 0.000 | 0.000 | 0.000 | -0.000 | 0.230 | 0.000 |
| 0.000 | 0.000 | 0.000 | -0.000 | 0.000 | 0.230 |
| 0.239 | 0.239 | 0.239 | 0.000 | 0.000 | 0.000 |
| 0.239 | 0.239 | 0.239 | 0.000 | 0.000 | 0.000 |
| 0.239 | 0.239 | 0.239 | 0.000 | 0.000 | 0.000 |
| -0.000 | -0.000 | -0.000 | 0.230 | 0.000 | 0.000 |
| -0.000 | -0.000 | -0.000 | 0.000 | 0.230 | 0.000 |
| -0.000 | -0.000 | -0.000 | -0.000 | -0.000 | 0.230 |
| 0.239 | 0.239 | 0.239 | -0.000 | -0.000 | -0.000 |
| 0.239 | 0.239 | 0.239 | -0.000 | -0.000 | -0.000 |
| 0.239 | 0.239 | 0.239 | -0.000 | -0.000 | -0.000 |
| 0.000 | 0.000 | 0.000 | 0.230 | 0.000 | -0.000 |
| 0.000 | 0.000 | 0.000 | 0.000 | 0.230 | -0.000 |
| 0.000 | 0.000 | 0.000 | 0.000 | -0.000 | 0.230 |
| 0.239 | 0.239 | 0.239 | 0.000 | -0.000 | 0.000 |
| 0.239 | 0.239 | 0.239 | -0.000 | 0.000 | 0.000 |
| 0.239 | 0.239 | 0.239 | 0.000 | 0.000 | 0.000 |
| -0.000 | -0.000 | -0.000 | 0.230 | 0.000 | 0.000 |
| -0.000 | -0.000 | -0.000 | 0.000 | 0.230 | 0.000 |
| -0.000 | -0.000 | -0.000 | 0.000 | 0.000 | 0.230 |
| 0.239 | 0.239 | 0.239 | -0.000 | -0.000 | -0.000 |
| 0.239 | 0.239 | 0.239 | -0.000 | -0.000 | -0.000 |
| 0.239 | 0.239 | 0.239 | -0.000 | -0.000 | -0.000 |
| 0.000 | 0.000 | 0.000 | 0.043 | 0.000 | -0.000 |
| 0.000 | 0.000 | 0.000 | 0.000 | 0.043 | -0.000 |
| 0.000 | 0.000 | 0.000 | 0.000 | -0.000 | 0.043 |
| 0.239 | 0.239 | 0.239 | 0.000 | 0.000 | -0.000 |
| 0.239 | 0.239 | 0.239 | 0.000 | 0.000 | -0.000 |
| 0.239 | 0.239 | 0.239 | -0.000 | 0.000 | 0.000 |
| -0.000 | -0.000 | -0.000 | 0.043 | -0.000 | 0.000 |
| -0.000 | -0.000 | -0.000 | -0.000 | 0.043 | 0.000 |
| -0.000 | -0.000 | -0.000 | -0.000 | -0.000 | 0.043 |
| -739083417.212 | -584313345.132 | -681466686.010 | 6380.156 | -7.924 | -79074.040 |
| -584197420.103 | -738533295.150 | -681250370.761 | -12336.137 | 15942.807 | -7096.219 |
| 77.978 | 77.978 | 140.913 | 0.000 | 0.000 | -0.000 |
| -0.894 | -0.894 | 3.397 | 0.560 | 0.000 | -0.000 |
| -0.894 | -0.894 | 3.397 | 0.000 | 0.560 | -0.000 |
| 0.000 | 0.000 | -0.000 | 0.000 | 0.000 | 90.284 |
| 50.685 | 91.795 | 62.167 | -0.000 | 0.000 | 0.000 |
| 91.795 | 50.685 | 62.167 | -0.000 | -0.000 | 0.000 |
| 79.046 | 79.046 | 136.855 | -0.000 | -0.000 | 0.000 |
| 0.894 | 0.894 | -3.397 | 0.560 | -0.000 | 0.000 |
| 0.894 | 0.894 | -3.397 | -0.000 | 0.560 | 0.000 |
| -0.000 | -0.000 | -0.000 | -0.000 | -0.000 | 90.284 |
| 50.685 | 91.795 | 62.167 | 0.000 | 0.000 | -0.000 |
| 91.795 | 50.685 | 62.167 | 0.000 | 0.000 | -0.000 |
| 78.459 | 78.459 | 139.087 | 0.000 | 0.000 | -0.000 |
| 0.000 | 0.000 | 0.000 | 56.076 | 0.000 | -0.000 |
| 0.000 | 0.000 | 0.000 | 0.000 | 56.076 | -0.000 |
| -0.055 | -0.055 | 0.208 | 0.000 | 0.000 | 79.657 |
| 42.990 | 87.568 | 84.817 | -0.000 | 0.000 | 0.000 |
| 87.568 | 42.990 | 84.817 | -0.000 | -0.000 | 0.000 |
| 78.565 | 78.565 | 138.681 | -0.000 | -0.000 | 0.000 |
| -0.000 | 0.000 | -0.000 | 56.076 | -0.000 | 0.000 |
| -0.000 | -0.000 | -0.000 | -0.000 | 56.076 | 0.000 |
| 0.055 | 0.055 | -0.208 | -0.000 | -0.000 | 79.657 |
| -7382772.072 | -5844981.679 | -6811979.970 | 31.908 | -184.872 | -284.373 |
| -5844877.221 | -7382079.891 | -6811767.357 | 30.750 | 47.840 | -331.969 |
| 78.507 | 78.507 | 138.905 | 0.000 | 0.000 | -0.000 |
| -0.009 | -0.009 | 0.034 | 0.490 | 0.000 | -0.000 |
| -0.009 | -0.009 | 0.034 | 0.000 | 0.490 | -0.000 |
| -0.005 | -0.005 | 0.021 | 0.000 | 0.000 | 79.657 |
| 50.685 | 91.794 | 62.167 | -0.000 | -0.000 | 0.000 |
| 91.794 | 50.685 | 62.167 | -0.000 | -0.000 | 0.000 |
| 78.517 | 78.517 | 138.863 | -0.000 | 0.000 | 0.000 |
| 0.009 | 0.009 | -0.034 | 0.490 | -0.000 | 0.000 |
| 0.009 | 0.009 | -0.034 | -0.000 | 0.490 | 0.000 |
| 0.005 | 0.005 | -0.021 | -0.000 | -0.000 | 79.657 |
| 333.747 | 134.960 | 95.511 | -0.087 | 0.000 | 0.000 |
| 300.847 | 151.670 | 124.354 | -22.317 | -0.000 | 0.000 |
| 114.726 | 114.726 | 392.737 | 0.000 | 0.000 | 0.000 |
| -0.087 | 0.087 | 0.000 | 57.785 | -0.000 | -0.000 |
| 1.035 | 1.035 | -0.793 | 0.000 | -3.119 | -14.084 |
| 0.677 | 0.677 | -3.959 | 0.000 | 23.450 | -78.906 |
| 333.747 | 134.960 | 95.511 | -0.087 | -0.000 | 0.000 |
| 296.019 | 153.961 | 130.504 | -19.249 | -0.000 | 0.000 |
| 112.385 | 112.385 | 398.039 | -0.000 | 0.000 | -0.000 |
| -0.087 | 0.087 | -0.000 | 57.784 | 0.000 | -0.000 |
| -1.035 | -1.035 | 0.793 | -0.000 | -3.119 | -14.084 |
| -0.677 | -0.677 | 3.959 | -0.000 | 23.450 | -78.906 |
| 210.590 | 244.828 | 111.651 | -11.504 | -0.000 | 0.000 |
| 134.960 | 333.747 | 95.511 | 0.087 | 0.000 | 0.000 |
| 113.656 | 113.656 | 395.112 | 0.000 | -0.000 | 0.000 |
| 9.682 | -9.531 | -0.267 | -21.007 | -0.000 | 0.000 |
| 0.104 | 0.104 | -0.080 | -0.000 | -3.321 | -14.131 |
| 0.000 | 0.000 | -0.000 | -0.000 | -0.087 | 99.394 |
| 210.529 | 244.563 | 111.766 | -11.494 | 0.000 | -0.000 |
| 134.960 | 333.747 | 95.511 | 0.087 | 0.000 | -0.000 |
| 99.613 | 99.613 | 460.905 | -0.000 | -0.000 | -0.000 |
| 50.991 | -51.013 | 0.226 | -38.993 | -0.000 | -0.000 |
| -0.104 | -0.104 | 0.080 | 0.000 | -3.321 | -14.131 |
| -0.000 | -0.000 | 0.000 | -0.000 | -0.087 | 99.394 |
| 49.401 | 406.003 | 115.822 | 64.001 | -0.000 | 0.000 |
| 298.593 | 152.694 | 127.587 | -20.971 | -0.000 | 0.000 |
| 99.613 | 99.613 | 460.907 | 0.000 | -0.000 | 0.000 |
| -14.121 | 14.141 | -0.008 | -3.323 | 0.000 | 0.000 |
| -0.000 | -0.000 | 0.000 | -0.000 | 57.784 | -0.087 |
| 0.007 | 0.006 | -0.041 | -0.000 | 23.792 | -79.202 |
| 35.396 | 425.778 | 104.700 | 72.226 | 0.000 | -0.000 |
| 390.905 | 59.283 | 111.974 | -61.412 | 0.000 | 0.000 |
| 118.093 | 118.093 | 389.619 | -0.000 | -0.000 | 0.000 |
| 9.602 | -9.616 | 0.027 | -21.007 | 0.000 | 0.000 |
| 0.000 | 0.000 | -0.000 | 0.000 | 57.784 | -0.087 |
| -0.007 | -0.006 | 0.041 | 0.000 | 23.792 | -79.202 |
| 274.232 | 102.029 | 79.668 | 0.337 | -0.000 | -0.000 |
| 102.029 | 274.232 | 79.668 | -0.337 | -0.000 | -0.000 |
| 80.634 | 80.634 | 392.303 | -0.000 | -0.000 | 0.000 |
| -250.115 | -240.212 | 20.006 | 32.171 | -0.000 | -0.000 |
| -0.000 | -0.000 | -0.000 | -0.000 | 55.975 | 0.337 |
| 0.000 | -0.000 | -0.000 | -0.000 | 0.337 | 86.102 |
| 274.232 | 102.029 | 79.668 | 0.337 | 0.000 | 0.000 |
| 102.029 | 274.232 | 79.668 | -0.337 | 0.000 | 0.000 |
| 80.634 | 80.634 | 392.303 | 0.000 | 0.000 | -0.000 |
| 240.212 | 250.115 | -20.006 | 32.171 | 0.000 | 0.000 |
| -0.000 | 0.000 | -0.000 | 0.000 | 55.975 | 0.337 |
| -0.000 | 0.000 | -0.000 | 0.000 | 0.337 | 86.102 |
| 34.985 | 220.572 | 167.600 | 38.370 | -0.000 | -0.000 |
| 102.029 | 274.232 | 79.668 | -0.337 | -0.000 | -0.000 |
| 70.406 | 70.406 | 358.760 | -0.000 | -0.000 | -0.000 |
| -47.671 | -44.705 | 56.436 | -2.372 | -0.000 | -0.000 |
| -25.354 | -25.354 | 2.069 | 0.000 | 31.358 | -5.132 |
| 0.000 | 0.000 | 0.000 | -0.000 | 0.337 | 86.102 |
| 274.232 | 102.029 | 79.668 | 0.337 | 0.000 | 0.000 |
| 102.029 | 274.232 | 79.668 | -0.337 | 0.000 | -0.000 |
| 125.752 | 125.752 | 345.524 | 0.000 | 0.000 | 0.000 |
| 0.337 | -0.337 | -0.000 | 55.975 | 0.000 | 0.000 |
| 25.354 | 25.354 | -2.069 | -0.000 | 31.358 | -5.132 |
| -0.000 | -0.000 | -0.000 | 0.000 | 0.337 | 86.102 |
| 136.430 | 195.920 | 129.751 | 4.441 | -0.000 | 0.000 |
| 102.029 | 274.234 | 79.668 | -0.337 | -0.000 | -0.000 |
| 109.467 | 109.467 | 314.149 | -0.000 | -0.000 | -0.000 |
| -2.602 | -6.848 | 8.132 | -9.758 | -0.000 | 0.000 |
| -4.684 | -4.684 | 0.382 | 0.000 | 10.497 | -9.768 |
| 0.000 | 0.000 | 0.000 | -0.000 | 0.337 | 86.102 |
| 274.230 | 102.028 | 79.668 | 0.338 | 0.000 | 0.000 |
| 183.761 | 177.090 | 105.275 | 9.721 | 0.000 | 0.000 |
| 118.210 | 118.210 | 304.087 | 0.000 | 0.000 | -0.000 |
| 0.337 | -0.337 | -0.000 | 55.975 | 0.000 | 0.000 |
| 4.684 | 4.684 | -0.382 | -0.000 | 10.497 | -9.768 |
| -0.000 | -0.000 | -0.000 | 0.000 | 0.337 | 86.102 |
| 306.020 | 69.408 | 69.408 | -0.000 | 0.000 | 0.000 |
| 69.408 | 306.020 | 69.408 | -0.000 | 0.000 | 0.000 |
| 69.408 | 69.408 | 306.020 | -0.000 | 0.000 | -0.000 |
| 0.000 | -0.000 | -0.000 | -14.534 | 0.000 | 0.000 |
| -0.000 | -0.000 | -0.000 | -0.000 | -14.534 | 0.000 |
| -0.000 | -0.000 | -0.000 | -0.000 | 0.000 | -14.534 |
| 304.662 | 70.087 | 70.087 | 0.000 | -0.000 | -0.000 |
| 70.087 | 304.662 | 70.087 | 0.000 | -0.000 | 0.000 |
| 70.087 | 70.087 | 304.662 | 0.000 | -0.000 | -0.000 |
| -0.000 | 0.000 | 0.000 | -14.534 | -0.000 | -0.000 |
| 0.000 | 0.000 | 0.000 | 0.000 | -14.534 | -0.000 |
| 0.000 | 0.000 | 0.000 | 0.000 | -0.000 | -14.534 |
| 304.662 | 70.087 | 70.087 | -0.000 | 0.000 | -0.000 |
| 70.087 | 304.662 | 70.087 | -0.000 | 0.000 | 0.000 |
| 70.087 | 70.087 | 304.662 | -0.000 | 0.000 | 0.000 |
| -0.000 | -0.000 | -0.000 | 24.740 | -0.000 | 0.000 |
| -0.000 | -0.000 | -0.000 | -0.000 | 24.740 | 0.000 |
| -0.000 | -0.000 | -0.000 | -0.000 | 0.000 | 24.740 |
| 304.662 | 70.087 | 70.087 | 0.000 | -0.000 | 0.000 |
| 70.087 | 304.662 | 70.087 | 0.000 | -0.000 | -0.000 |
| 70.087 | 70.087 | 304.662 | 0.000 | -0.000 | -0.000 |
| 0.000 | 0.000 | 0.000 | 24.740 | 0.000 | 0.000 |
| 0.000 | 0.000 | 0.000 | 0.000 | 24.740 | -0.000 |
| 0.000 | 0.000 | 0.000 | 0.000 | -0.000 | 24.740 |
| 304.662 | 70.087 | 70.087 | -0.000 | 0.000 | 0.000 |
| 70.087 | 304.662 | 70.087 | -0.000 | 0.000 | 0.000 |
| 70.087 | 70.087 | 304.662 | -0.000 | 0.000 | 0.000 |
| -0.000 | -0.001 | -0.001 | -14.534 | 0.000 | 0.000 |
| -0.001 | -0.000 | -0.001 | -0.000 | -14.534 | 0.000 |
| -0.001 | -0.001 | -0.000 | -0.000 | 0.000 | -14.534 |
| 306.019 | 69.408 | 69.408 | 0.000 | -0.000 | 0.000 |
| 69.408 | 306.019 | 69.408 | 0.000 | -0.000 | 0.000 |
| 69.408 | 69.408 | 306.019 | 0.000 | -0.000 | -0.000 |
| 0.000 | 0.001 | 0.001 | -14.534 | -0.000 | -0.000 |
| 0.001 | 0.000 | 0.001 | 0.000 | -14.534 | -0.000 |
| 0.001 | 0.001 | 0.000 | 0.000 | -0.000 | -14.534 |
| -94402967.786 | -159111108.711 | -146964515.334 | -2223227.669 | -3084893.502 | -742852.083 |
| -154500702.811 | -83988754.313 | -156936778.985 | -1146086.859 | 6217131.382 | 32841.373 |
| -139592504.311 | -146647966.056 | -65158022.188 | 605070.466 | 2346409.301 | 5788117.536 |
| -0.000 | -0.000 | -0.000 | 8.649 | -0.000 | 0.000 |
| -0.000 | -0.000 | -0.000 | -0.000 | 8.649 | 0.000 |
| 0.000 | 0.000 | 0.000 | 0.000 | -0.000 | 8.649 |
| 3396.693 | 3410.394 | 3410.394 | 0.000 | 0.000 | -0.000 |
| 3410.394 | 3396.693 | 3410.394 | -0.000 | -0.000 | -0.000 |
| 3410.394 | 3410.394 | 3396.693 | 0.000 | 0.000 | -0.000 |
| 0.000 | 0.000 | 0.000 | 8.649 | -0.000 | -0.000 |
| 0.000 | 0.000 | 0.000 | 0.000 | 8.649 | -0.000 |
| -0.000 | -0.000 | -0.000 | 0.000 | 0.000 | 8.649 |
| -9680811.256 | -14177539.483 | -14579314.924 | -572862.853 | 128990.381 | -433455.083 |
| -13133625.481 | -5652853.054 | -13365128.429 | -746491.747 | -453807.572 | -994772.680 |
| -16508600.616 | -16898899.012 | -10079658.225 | -209925.402 | -853949.585 | 101986.006 |
| 0.000 | 0.000 | 0.000 | 8.649 | 0.000 | -0.000 |
| 0.000 | 0.000 | 0.000 | -0.000 | 8.649 | -0.000 |
| 0.000 | 0.000 | 0.000 | -0.000 | -0.000 | 8.649 |
| 17484612.948 | 9282973.675 | 9722546.034 | -358790.115 | -566538.485 | 358517.183 |
| 7574541.560 | 17547845.924 | 8343213.392 | 85055.053 | 273684.223 | -691647.804 |
| 8261596.254 | 8114609.823 | 18777625.765 | -151377.448 | 129708.651 | -1122223.691 |
| -0.000 | -0.000 | -0.000 | 8.649 | -0.000 | 0.000 |
| -0.000 | -0.000 | -0.000 | 0.000 | 8.649 | -0.000 |
| -0.000 | -0.000 | -0.000 | 0.000 | 0.000 | 8.649 |
| -1018735.017 | -1575875.689 | -1630806.546 | 49217.767 | 10163.543 | 26499.939 |
| -1389866.964 | -897912.610 | -1382892.136 | 27164.828 | -9792.480 | 21621.315 |
| -1530148.081 | -1562545.981 | -848190.389 | 155377.006 | -63648.599 | 28029.768 |
| 0.002 | 0.002 | 0.002 | 8.649 | -0.000 | 0.000 |
| 0.002 | 0.002 | 0.002 | -0.000 | 8.649 | 0.000 |
| 0.002 | 0.002 | 0.002 | 0.000 | -0.000 | 8.649 |
| 1597386.120 | 640217.180 | 717523.109 | -40012.226 | 81870.468 | 16040.956 |
| 922572.657 | 1891561.837 | 940895.260 | -38552.827 | -64286.795 | 33066.286 |
| 913016.317 | 1025379.707 | 1795827.272 | -23494.397 | 40527.683 | 6519.421 |
| -0.002 | -0.002 | -0.002 | 8.649 | 0.000 | -0.000 |
| -0.002 | -0.002 | -0.002 | -0.000 | 8.649 | -0.000 |
| -0.002 | -0.002 | -0.002 | 0.000 | 0.000 | 8.649 |
| 516.077 | 509.901 | 509.901 | 0.000 | -0.000 | -0.000 |
| 509.901 | 516.077 | 509.901 | -0.000 | -0.000 | -0.000 |
| 509.901 | 509.901 | 516.077 | -0.000 | 0.000 | -0.000 |
| 0.000 | 0.000 | 0.000 | 2.067 | -0.000 | 0.000 |
| 0.000 | 0.000 | 0.000 | 0.000 | 2.067 | 0.000 |
| 0.000 | 0.000 | 0.000 | -0.000 | -0.000 | 2.067 |
| 515.022 | 510.428 | 510.428 | -0.000 | 0.000 | -0.000 |
| 510.428 | 515.022 | 510.428 | 0.000 | 0.000 | -0.000 |
| 510.428 | 510.428 | 515.022 | -0.000 | 0.000 | -0.000 |
| -0.000 | -0.000 | -0.000 | 2.067 | -0.000 | -0.000 |
| -0.000 | -0.000 | -0.000 | 0.000 | 2.067 | 0.000 |
| -0.000 | -0.000 | -0.000 | -0.000 | 0.000 | 2.067 |
| 516.082 | 509.903 | 509.903 | 0.000 | -0.000 | -0.000 |
| 509.903 | 516.082 | 509.903 | -0.000 | -0.000 | -0.000 |
| 509.903 | 509.903 | 516.082 | -0.000 | -0.000 | -0.000 |
| 0.000 | 0.001 | 0.001 | 2.067 | -0.000 | 0.000 |
| 0.001 | 0.000 | 0.001 | -0.000 | 2.067 | -0.000 |
| 0.001 | 0.001 | 0.000 | -0.000 | -0.000 | 2.067 |
| -1622093.608 | -2213448.329 | -1938912.434 | 747.479 | 5535.100 | 16800.508 |
| -1968981.048 | -1631794.202 | -2101412.781 | -15613.855 | 27776.899 | -34153.376 |
| -2186996.078 | -2033936.858 | -1838357.928 | -16530.453 | -1383.408 | 1158.136 |
| -0.000 | -0.001 | -0.001 | 2.067 | 0.000 | -0.000 |
| -0.001 | -0.000 | -0.001 | 0.000 | 2.067 | -0.000 |
| -0.001 | -0.001 | -0.000 | 0.000 | 0.000 | 2.067 |
| 238195.520 | 227562.131 | 240701.222 | -1321.171 | -1480.060 | 3388.535 |
| 231670.455 | 224440.159 | 223625.662 | 714.573 | -1580.700 | -1575.284 |
| 212672.590 | 217459.040 | 217026.741 | 969.616 | 468.995 | -2526.569 |
| 255410.294 | 195997.421 | 189067.093 | 1403.512 | 567.410 | -1722.865 |
| 187470.844 | 283099.317 | 181592.085 | -2507.695 | 1577.770 | -593.430 |
| 208565.089 | 206344.650 | 282704.725 | -467.946 | -2272.698 | 3186.858 |
| -186371.952 | -222663.806 | -194648.627 | 2816.042 | 2232.315 | -1072.495 |
| -195499.374 | -186752.927 | -227144.380 | -4007.970 | 269.481 | -832.142 |
| -238878.201 | -209168.420 | -196066.880 | -1986.935 | -2543.039 | -803.897 |
| -280069.560 | -193393.348 | -195746.035 | 3416.433 | -2195.803 | -692.321 |
| -0.011 | -0.001 | -0.011 | -0.000 | 1.908 | 0.000 |
| -0.011 | -0.011 | -0.001 | -0.000 | 0.000 | 1.908 |
| -6408694.249 | -6408691.384 | -6408691.384 | 0.000 | 0.000 | -0.000 |
| -6408691.384 | -6408694.249 | -6408691.384 | 0.000 | 0.000 | -0.000 |
| -6408691.384 | -6408691.384 | -6408694.249 | 0.000 | -0.000 | -0.000 |
| 110568647.124 | 78050336.995 | 78050336.100 | -12399559.941 | 0.000 | 0.000 |
| 78049855.784 | 110567857.451 | 78049856.268 | 0.000 | -12399504.592 | -0.000 |
| 78049951.834 | 78049950.922 | 110568062.900 | 0.000 | 0.000 | -12399496.379 |
| 493.726 | 497.520 | 497.520 | 0.000 | 0.000 | 0.000 |
| 497.520 | 493.726 | 497.520 | 0.000 | 0.000 | 0.000 |
| 497.520 | 497.520 | 493.726 | 0.000 | 0.000 | 0.000 |
| -110566544.822 | -78049041.580 | -78049040.354 | -12399400.151 | -0.000 | -0.001 |
| -78050105.534 | -110568224.016 | -78050106.310 | -0.000 | -12399550.743 | -0.000 |
| -78049337.251 | -78049335.995 | -110567026.700 | -0.000 | -0.000 | -12399435.779 |
| -640431.582 | -640428.719 | -640428.719 | 0.000 | 0.000 | -0.000 |
| -640428.719 | -640431.582 | -640428.719 | 0.000 | -0.000 | -0.000 |
| -640428.719 | -640428.719 | -640431.582 | -0.000 | 0.000 | -0.000 |
| 11056679.166 | 7804908.728 | 7804908.399 | -1239931.529 | 0.000 | 0.000 |
| 7805122.842 | 11057018.582 | 7805122.697 | -0.000 | -1239961.165 | 0.000 |
| 7804937.279 | 7804936.939 | 11056725.256 | 0.000 | 0.000 | -1239935.140 |
| 493.723 | 497.518 | 497.518 | -0.000 | -0.000 | 0.000 |
| 497.518 | 493.722 | 497.518 | -0.000 | -0.000 | 0.000 |
| 497.518 | 497.518 | 493.723 | -0.000 | -0.000 | 0.000 |
| -11056800.004 | -7804988.086 | -7804987.754 | -1239944.439 | -0.000 | -0.000 |
| -7805135.458 | -11057040.483 | -7805135.295 | -0.000 | -1239962.151 | 0.000 |
| -7804844.554 | -7804844.216 | -11056569.451 | -0.000 | -0.000 | -1239925.809 |
| 386058.985 | 388100.330 | 383487.332 | 1585.522 | 2419.597 | 1090.631 |
| 359611.007 | 378724.789 | 374210.971 | -361.005 | -21.193 | 709.597 |
| 350992.390 | 346293.899 | 347066.053 | -304.941 | 909.289 | -1367.487 |
| 1105798.907 | 780563.875 | 780563.626 | -123994.968 | 0.000 | 0.000 |
| 780578.654 | 1105823.002 | 780578.419 | 0.000 | -123996.751 | 0.000 |
| 780563.295 | 780563.047 | 1105797.830 | 0.000 | 0.000 | -123994.950 |
| 493.690 | 497.498 | 497.498 | -0.000 | 0.000 | 0.000 |
| 497.498 | 493.690 | 497.498 | -0.000 | 0.000 | 0.000 |
| 497.498 | 497.498 | 493.690 | -0.000 | -0.000 | 0.000 |
| -1105808.813 | -780570.023 | -780569.773 | -123995.754 | -0.000 | -0.000 |
| -780571.736 | -1105811.305 | -780571.501 | -0.000 | -123996.084 | 0.000 |
| -780570.970 | -780570.720 | -1105810.154 | -0.000 | -0.000 | -123995.947 |
| 90502689.288 | 24611982.015 | 23724879.320 | 184027.069 | 156356.154 | 39160.497 |
| 24513779.365 | 95391848.948 | 25863188.250 | -93774.141 | -183240.609 | 118971.094 |
| 22937002.864 | 20812747.676 | 74498064.635 | -86617.083 | -150602.191 | -24127.549 |
| -0.000 | -0.000 | -0.000 | -10.948 | -0.000 | 0.000 |
| -0.000 | -0.000 | -0.000 | 0.000 | -10.948 | 0.000 |
| -0.000 | -0.000 | -0.000 | 0.000 | -0.000 | -10.948 |
| -75557722.755 | -38670631.222 | -36666807.298 | 252901.652 | 90537.546 | 91607.417 |
| -36612878.485 | -74453669.476 | -38559335.238 | -243738.933 | 513588.070 | 11557.615 |
| -34553918.699 | -32993229.960 | -75821177.807 | 236220.201 | -84490.091 | 294339.194 |
| 0.000 | 0.000 | 0.000 | -10.948 | 0.000 | -0.000 |
| 0.000 | -0.000 | 0.000 | -0.000 | -10.948 | -0.000 |
| 0.000 | 0.000 | 0.000 | -0.000 | 0.000 | -10.948 |
| 9198694.456 | 2483460.773 | 2541955.201 | 21535.151 | 32706.120 | 748.755 |
| 2424258.431 | 8787146.079 | 2475204.301 | -14350.453 | -7043.580 | -8345.004 |
| 2253311.669 | 2437403.049 | 7941971.886 | 23222.843 | 15254.646 | -3176.351 |
| 7573585.402 | 4169292.631 | 3812501.314 | -66.070 | -10527.579 | 38793.076 |
| 3774682.069 | 7376467.167 | 4137968.548 | 14199.196 | 24715.368 | -2293.044 |
| 4166605.123 | 3851667.733 | 7676347.877 | -9265.684 | 3827.747 | 4827.701 |
| -7938502.088 | -2884775.545 | -2656049.674 | 33629.562 | -5171.532 | 9797.672 |
| -2717411.796 | -7845056.397 | -2671382.872 | 4161.601 | 49844.943 | 7823.843 |
| -2381252.974 | -2361388.908 | -7485084.081 | 5430.631 | 17543.186 | 47259.479 |
| -7680770.605 | -4825335.091 | -4296820.842 | -65228.021 | 28744.838 | -5381.903 |
| -4606092.115 | -7872781.347 | -4592178.667 | 38397.968 | -13651.108 | 8629.529 |
| -4753541.366 | -4751958.498 | -7835664.266 | -25637.299 | 9798.694 | -53500.814 |
| 793283.492 | 221359.450 | 205365.570 | 970.029 | -1722.933 | -711.945 |
| 215301.956 | 802769.476 | 233862.546 | -3979.395 | 1811.134 | -198.312 |
| 244788.340 | 240802.647 | 901125.433 | -513.672 | 2274.996 | -2504.980 |
| 752596.571 | 427302.638 | 429816.558 | -2789.586 | -2115.574 | -1326.147 |
| 356174.094 | 761783.369 | 387769.160 | -1666.835 | -477.810 | 1924.968 |
| 459613.578 | 465822.372 | 755030.759 | 540.188 | -2018.320 | -1832.748 |
| -757409.405 | -316495.005 | -352579.597 | 938.592 | -70.528 | -264.504 |
| -319332.593 | -749319.295 | -309285.134 | -33.096 | 3797.767 | 2829.799 |
| -340294.705 | -335720.957 | -781832.876 | -747.335 | -788.091 | 2283.162 |
| -725180.296 | -422571.690 | -446896.563 | 27.884 | 115.356 | -1774.917 |
| -468573.230 | -761214.266 | -478752.957 | 1644.335 | -1760.523 | 2592.103 |
| -456999.511 | -457814.992 | -738499.559 | 3881.173 | 2428.306 | -2126.938 |
| 49.947 | 20.465 | 20.465 | -0.000 | -0.000 | 0.000 |
| 20.465 | 49.947 | 20.465 | -0.000 | -0.000 | -0.000 |
| 20.465 | 20.465 | 49.947 | -0.000 | -0.000 | -0.000 |
| 2240047.180 | -27781319.546 | -27781319.067 | 23921347.157 | -0.000 | 0.000 |
| -27781319.546 | 2240047.180 | -27781319.067 | -0.000 | 23921347.157 | -0.000 |
| -27781319.546 | -27781319.067 | 2240047.180 | -0.000 | -0.000 | 23921347.157 |
| 117866371.419 | 55443938.332 | 55443938.332 | 0.000 | 0.000 | 0.000 |
| 55443938.332 | 117866371.419 | 55443938.332 | 0.000 | -0.000 | 0.000 |
| 55443938.332 | 55443938.332 | 117866371.419 | 0.000 | 0.000 | 0.000 |
| -2240047.180 | 27781319.546 | 27781319.067 | 23921347.157 | 0.000 | 0.000 |
| 27781319.546 | -2240047.180 | 27781319.067 | 0.000 | 23921347.157 | 0.000 |
| 27781319.546 | 27781319.067 | -2240047.180 | 0.000 | 0.000 | 23921347.157 |
| 49.937 | 20.462 | 20.462 | -0.000 | -0.000 | -0.000 |
| 20.462 | 49.937 | 20.462 | -0.000 | -0.000 | 0.000 |
| 20.462 | 20.462 | 49.937 | 0.000 | 0.000 | -0.000 |
| 224005.396 | -2778125.246 | -2778124.768 | 2392138.908 | -0.000 | -0.000 |
| -2778125.246 | 224005.396 | -2778124.768 | -0.000 | 2392138.908 | -0.000 |
| -2778125.246 | -2778124.768 | 224005.396 | -0.000 | -0.000 | 2392138.908 |
| 11786640.192 | 5544394.863 | 5544394.863 | 0.000 | 0.000 | 0.000 |
| 5544394.863 | 11786640.192 | 5544394.863 | 0.000 | -0.000 | 0.000 |
| 5544394.863 | 5544394.863 | 11786640.192 | 0.000 | 0.000 | 0.000 |
| -224005.396 | 2778125.246 | 2778124.768 | 2392138.908 | 0.000 | 0.000 |
| 2778125.246 | -224005.396 | 2778124.768 | 0.000 | 2392138.908 | 0.000 |
| 2778125.246 | 2778124.768 | -224005.396 | 0.000 | 0.000 | 2392138.908 |
| 49.837 | 20.435 | 20.435 | -0.000 | -0.000 | -0.000 |
| 20.435 | 49.837 | 20.435 | -0.000 | -0.000 | -0.000 |
| 20.435 | 20.435 | 49.837 | -0.000 | -0.000 | 0.000 |
| -85705.781 | -754538.773 | -267414.069 | 3496.626 | -0.000 | -0.000 |
| -754538.773 | -85705.781 | -267414.069 | -0.000 | 3496.626 | -0.000 |
| -754538.773 | -267414.069 | -85705.781 | -0.000 | -0.000 | 3496.626 |
| 1178667.070 | 554440.516 | 554440.516 | 0.000 | 0.000 | 0.000 |
| 554440.516 | 1178667.070 | 554440.516 | 0.000 | -0.000 | 0.000 |
| 554440.516 | 554440.516 | 1178667.070 | 0.000 | 0.000 | 0.000 |
| 85705.781 | 754538.773 | 267414.069 | 3496.626 | -0.000 | -0.000 |
| 754538.773 | 85705.781 | 267414.069 | 0.000 | 3496.626 | 0.000 |
| 754538.773 | 267414.069 | 85705.781 | 0.000 | 0.000 | 3496.626 |
| 3.078 | -0.000 | -0.000 | -0.000 | 0.000 | -0.000 |
| -0.000 | 3.078 | -0.000 | -0.000 | -0.000 | 0.000 |
| -0.000 | -0.000 | 3.078 | 0.000 | 0.000 | -0.000 |
| -0.000 | -0.000 | -0.000 | 0.000 | -0.000 | 0.000 |
| -0.000 | -0.000 | -0.000 | -0.000 | 0.000 | -0.000 |
| -0.000 | -0.000 | -0.000 | -0.000 | -0.000 | 0.000 |
| 3.078 | 0.000 | 0.000 | 0.000 | 0.000 | 0.000 |
| 0.000 | 3.078 | 0.000 | 0.000 | 0.000 | 0.000 |
| 0.000 | 0.000 | 3.078 | 0.000 | -0.000 | 0.000 |
| 0.000 | 0.000 | 0.000 | 0.000 | 0.000 | 0.000 |
| 0.000 | 0.000 | 0.000 | 0.000 | 0.000 | 0.000 |
| 0.000 | 0.000 | 0.000 | 0.000 | 0.000 | 0.000 |
| 3.078 | -0.000 | -0.000 | -0.000 | -0.000 | -0.000 |
| -0.000 | 3.078 | -0.000 | -0.000 | -0.000 | -0.000 |
| -0.000 | -0.000 | 3.078 | -0.000 | 0.000 | -0.000 |
| -0.000 | -0.000 | -0.000 | 0.000 | -0.000 | -0.000 |
| -0.000 | -0.000 | -0.000 | -0.000 | 0.000 | -0.000 |
| -0.000 | -0.000 | -0.000 | -0.000 | -0.000 | 0.000 |
| 3.078 | 0.000 | 0.000 | 0.000 | 0.000 | 0.000 |
| 0.000 | 3.078 | 0.000 | 0.000 | 0.000 | -0.000 |
| 0.000 | 0.000 | 3.078 | -0.000 | 0.000 | 0.000 |
| 0.000 | 0.000 | 0.000 | 0.000 | 0.000 | 0.000 |
| 0.000 | 0.000 | 0.000 | 0.000 | 0.000 | 0.000 |
| 0.000 | 0.000 | 0.000 | 0.000 | 0.000 | 0.000 |
| 3.078 | -0.000 | -0.000 | -0.000 | -0.000 | -0.000 |
| -0.000 | 3.078 | -0.000 | -0.000 | -0.000 | -0.000 |
| -0.000 | -0.000 | 3.078 | -0.000 | 0.000 | -0.000 |
| -0.000 | -0.000 | -0.000 | 0.000 | 0.000 | 0.000 |
| -0.000 | -0.000 | -0.000 | 0.000 | 0.000 | -0.000 |
| -0.000 | -0.000 | -0.000 | -0.000 | -0.000 | 0.000 |
| 3.077 | 0.000 | 0.000 | 0.000 | 0.000 | 0.000 |
| 0.000 | 3.077 | 0.000 | 0.000 | 0.000 | -0.000 |
| 0.000 | 0.000 | 3.077 | -0.000 | -0.000 | 0.000 |
| 0.000 | 0.000 | 0.000 | 0.000 | -0.000 | 0.000 |
| 0.000 | 0.000 | 0.000 | -0.000 | 0.000 | 0.000 |
| 0.000 | 0.000 | 0.000 | 0.000 | 0.000 | 0.000 |
| 79.611 | 167.695 | 167.695 | -0.000 | -0.000 | 0.000 |
| 167.695 | 79.611 | 167.695 | -0.000 | -0.000 | -0.000 |
| 167.695 | 167.695 | 79.611 | -0.000 | -0.000 | 0.000 |
| 0.000 | 0.000 | 0.000 | 135.767 | -0.000 | 0.000 |
| -0.000 | 0.000 | 0.000 | -0.000 | 135.767 | 0.000 |
| -0.000 | 0.000 | 0.000 | -0.000 | -0.000 | 135.767 |
| 79.611 | 167.695 | 167.695 | 0.000 | 0.000 | 0.000 |
| 167.695 | 79.611 | 167.695 | 0.000 | 0.000 | -0.000 |
| 167.695 | 167.695 | 79.611 | 0.000 | 0.000 | -0.000 |
| -0.000 | -0.000 | -0.000 | 135.767 | 0.000 | -0.000 |
| 0.000 | -0.000 | -0.000 | 0.000 | 135.767 | -0.000 |
| -0.000 | -0.000 | -0.000 | 0.000 | 0.000 | 135.767 |
| 79.611 | 167.695 | 167.695 | -0.000 | -0.000 | 0.000 |
| 167.695 | 79.611 | 167.695 | -0.000 | -0.000 | 0.000 |
| 167.695 | 167.695 | 79.611 | -0.000 | 0.000 | 0.000 |
| 0.000 | 0.000 | 0.000 | 135.767 | -0.000 | 0.000 |
| 0.000 | 0.000 | 0.000 | -0.000 | 135.767 | 0.000 |
| 0.000 | 0.000 | 0.000 | -0.000 | -0.000 | 135.767 |
| 79.610 | 167.695 | 167.695 | 0.000 | 0.000 | 0.000 |
| 167.695 | 79.610 | 167.695 | 0.000 | 0.000 | 0.000 |
| 167.695 | 167.695 | 79.610 | 0.000 | 0.000 | -0.000 |
| -0.000 | -0.000 | -0.000 | 135.767 | 0.000 | -0.000 |
| -0.000 | -0.000 | -0.000 | 0.000 | 135.767 | -0.000 |
| -0.000 | -0.000 | -0.000 | 0.000 | 0.000 | 135.767 |
| 79.612 | 167.696 | 167.696 | 0.000 | -0.000 | -0.000 |
| 167.696 | 79.612 | 167.696 | -0.000 | 0.000 | -0.000 |
| 167.696 | 167.696 | 79.612 | -0.000 | -0.000 | 0.000 |
| 0.001 | 0.000 | 0.001 | 135.767 | -0.000 | 0.000 |
| 0.000 | 0.001 | 0.001 | 0.000 | 135.767 | 0.000 |
| 0.000 | 0.001 | 0.001 | -0.000 | -0.000 | 135.767 |
| 79.609 | 167.695 | 167.695 | 0.000 | 0.000 | 0.000 |
| 167.695 | 79.609 | 167.695 | 0.000 | 0.000 | -0.000 |
| 167.695 | 167.695 | 79.609 | -0.000 | 0.000 | 0.000 |
| -0.001 | -0.000 | -0.001 | 135.767 | 0.000 | 0.000 |
| -0.000 | -0.001 | -0.001 | 0.000 | 135.767 | -0.000 |
| -0.000 | -0.001 | -0.001 | 0.000 | 0.000 | 135.767 |
| 1969.642 | 1936.086 | 1936.086 | 0.000 | -0.000 | -0.000 |
| 1936.086 | 1969.642 | 1936.086 | -0.000 | 0.000 | 0.000 |
| 1936.086 | 1936.086 | 1969.642 | 0.000 | 0.000 | -0.000 |
| 0.000 | 0.000 | 0.000 | -2.504 | -0.000 | -0.000 |
| 0.000 | 0.000 | 0.000 | 0.000 | -2.504 | -0.000 |
| 0.000 | 0.000 | 0.000 | -0.000 | 0.000 | -2.504 |
| 1969.642 | 1936.086 | 1936.086 | 0.000 | 0.000 | 0.000 |
| 1936.086 | 1969.642 | 1936.086 | 0.000 | -0.000 | 0.000 |
| 1936.086 | 1936.086 | 1969.642 | 0.000 | -0.000 | 0.000 |
| -0.000 | -0.000 | -0.000 | -2.504 | -0.000 | -0.000 |
| -0.000 | -0.000 | -0.000 | -0.000 | -2.504 | 0.000 |
| -0.000 | -0.000 | -0.000 | 0.000 | -0.000 | -2.504 |
| 1969.640 | 1936.082 | 1936.082 | -0.000 | -0.000 | 0.000 |
| 1936.082 | 1969.640 | 1936.082 | -0.000 | -0.000 | -0.000 |
| 1936.082 | 1936.082 | 1969.640 | 0.000 | 0.000 | -0.000 |
| -0.000 | -0.000 | -0.000 | -2.504 | 0.000 | 0.000 |
| -0.000 | -0.000 | -0.000 | 0.000 | -2.504 | -0.000 |
| -0.000 | -0.000 | -0.000 | 0.000 | 0.000 | -2.504 |
| 1969.644 | 1936.089 | 1936.089 | -0.000 | -0.000 | 0.000 |
| 1936.089 | 1969.644 | 1936.089 | -0.000 | 0.000 | -0.000 |
| 1936.089 | 1936.089 | 1969.644 | 0.000 | -0.000 | 0.000 |
| 0.000 | 0.000 | 0.000 | -2.504 | -0.000 | 0.000 |
| 0.000 | 0.000 | 0.000 | -0.000 | -2.504 | 0.000 |
| 0.000 | 0.000 | 0.000 | -0.000 | -0.000 | -2.504 |
| 1969.621 | 1936.050 | 1936.050 | -0.000 | 0.000 | 0.000 |
| 1936.050 | 1969.621 | 1936.050 | 0.000 | -0.000 | -0.000 |
| 1936.050 | 1936.050 | 1969.621 | 0.000 | 0.000 | -0.000 |
| -0.001 | -0.001 | -0.001 | -2.504 | 0.000 | 0.000 |
| -0.001 | -0.001 | -0.001 | 0.000 | -2.504 | -0.000 |
| -0.001 | -0.001 | -0.001 | 0.000 | -0.000 | -2.504 |
| 1969.662 | 1936.122 | 1936.122 | -0.000 | 0.000 | 0.000 |
| 1936.122 | 1969.662 | 1936.122 | 0.000 | 0.000 | 0.000 |
| 1936.122 | 1936.122 | 1969.662 | -0.000 | -0.000 | 0.000 |
| 0.001 | 0.001 | 0.001 | -2.504 | -0.000 | -0.000 |
| 0.001 | 0.001 | 0.001 | -0.000 | -2.504 | 0.000 |
| 0.001 | 0.001 | 0.001 | -0.000 | -0.000 | -2.504 |
| 284.084 | 284.084 | 284.084 | 0.000 | 0.000 | 0.000 |
| 284.084 | 284.084 | 284.084 | 0.000 | 0.000 | 0.000 |
| 284.084 | 284.084 | 284.084 | 0.000 | 0.000 | 0.000 |
| 0.000 | 0.000 | 0.000 | 2.005 | 0.000 | 0.000 |
| 0.000 | 0.000 | 0.000 | 0.000 | 2.005 | 0.000 |
| 0.000 | 0.000 | 0.000 | 0.000 | -0.000 | 2.005 |
| 284.083 | 284.083 | 284.083 | -0.000 | 0.000 | -0.000 |
| 284.083 | 284.083 | 284.083 | 0.000 | -0.000 | -0.000 |
| 284.083 | 284.083 | 284.083 | -0.000 | -0.000 | -0.000 |
| -0.000 | -0.000 | -0.000 | 2.005 | 0.000 | -0.000 |
| -0.000 | -0.000 | -0.000 | -0.000 | 2.005 | 0.000 |
| -0.000 | -0.000 | -0.000 | -0.000 | 0.000 | 2.005 |
| 284.084 | 284.085 | 284.085 | -0.000 | -0.000 | 0.000 |
| 284.085 | 284.084 | 284.085 | -0.000 | -0.000 | 0.000 |
| 284.085 | 284.085 | 284.084 | -0.000 | 0.000 | 0.000 |
| 0.068 | 0.068 | 0.068 | -544.597 | -0.000 | -0.000 |
| 0.068 | 0.068 | 0.068 | -0.000 | -544.597 | -0.000 |
| 0.068 | 0.068 | 0.068 | -0.000 | 0.000 | -544.597 |
| 284.082 | 284.082 | 284.082 | -0.000 | 0.000 | -0.000 |
| 284.082 | 284.082 | 284.082 | 0.000 | -0.000 | -0.000 |
| 284.082 | 284.082 | 284.082 | -0.000 | -0.000 | -0.000 |
| -0.068 | -0.068 | -0.068 | -544.597 | 0.000 | 0.000 |
| -0.068 | -0.068 | -0.068 | 0.000 | -544.597 | -0.000 |
| -0.068 | -0.068 | -0.068 | -0.000 | -0.000 | -544.597 |
| 284.094 | 284.094 | 284.094 | 0.000 | -0.000 | 0.000 |
| 284.094 | 284.094 | 284.094 | -0.000 | 0.000 | 0.000 |
| 284.094 | 284.094 | 284.094 | 0.000 | 0.000 | 0.000 |
| 718376.827 | 752095.040 | 744367.770 | -48938.854 | 1829.168 | -23952.454 |
| 747640.747 | 712128.360 | 743295.705 | 420.936 | -52848.766 | -22584.238 |
| 745915.324 | 754509.775 | 738805.717 | -5473.450 | -6775.549 | -25841.868 |
| 284.073 | 284.073 | 284.073 | -0.000 | 0.000 | -0.000 |
| 284.073 | 284.073 | 284.073 | 0.000 | -0.000 | 0.000 |
| 284.073 | 284.073 | 284.073 | -0.000 | -0.000 | -0.000 |
| -743820.241 | -780599.801 | -733075.231 | -8219.860 | 3438.676 | 67343.522 |
| -792855.840 | -763020.100 | -741850.617 | -2284.902 | -292.898 | 70033.099 |
| -701489.861 | -672656.936 | -687542.968 | -9822.674 | 35506.776 | 7854.205 |
| -0.107 | -0.107 | -0.107 | 0.000 | -0.000 | 0.000 |
| -0.107 | -0.107 | -0.107 | -0.000 | 0.000 | 0.000 |
| -0.107 | -0.107 | -0.107 | 0.000 | 0.000 | -0.000 |
| 0.000 | 0.000 | 0.000 | -0.112 | -0.000 | -0.000 |
| 0.000 | 0.000 | 0.000 | -0.000 | -0.112 | -0.000 |
| 0.000 | 0.000 | 0.000 | -0.000 | 0.000 | -0.112 |
| -0.107 | -0.107 | -0.107 | 0.000 | 0.000 | 0.000 |
| -0.107 | -0.107 | -0.107 | 0.000 | 0.000 | 0.000 |
| -0.107 | -0.107 | -0.107 | 0.000 | 0.000 | 0.000 |
| -0.000 | -0.000 | -0.000 | -0.112 | 0.000 | 0.000 |
| -0.000 | -0.000 | -0.000 | 0.000 | -0.112 | 0.000 |
| -0.000 | -0.000 | -0.000 | 0.000 | -0.000 | -0.112 |
| -0.107 | -0.107 | -0.107 | -0.000 | -0.000 | -0.000 |
| -0.107 | -0.107 | -0.107 | -0.000 | -0.000 | -0.000 |
| -0.107 | -0.107 | -0.107 | -0.000 | -0.000 | 0.000 |
| 0.000 | 0.000 | 0.000 | -0.112 | -0.000 | -0.000 |
| 0.000 | 0.000 | 0.000 | -0.000 | -0.112 | -0.000 |
| 0.000 | 0.000 | 0.000 | -0.000 | 0.000 | -0.112 |
| -0.107 | -0.107 | -0.107 | -0.000 | 0.000 | 0.000 |
| -0.107 | -0.107 | -0.107 | 0.000 | -0.000 | 0.000 |
| -0.107 | -0.107 | -0.107 | 0.000 | 0.000 | 0.000 |
| -0.000 | -0.000 | -0.000 | -0.112 | 0.000 | 0.000 |
| -0.000 | -0.000 | -0.000 | 0.000 | -0.112 | 0.000 |
| -0.000 | -0.000 | -0.000 | 0.000 | 0.000 | -0.112 |
| -0.107 | -0.107 | -0.107 | -0.000 | -0.000 | 0.000 |
| -0.107 | -0.107 | -0.107 | -0.000 | -0.000 | 0.000 |
| -0.107 | -0.107 | -0.107 | -0.000 | -0.000 | 0.000 |
| 4805.005 | 4846.664 | 4846.203 | -4702.262 | 26.692 | -27.558 |
| 4846.664 | 4805.005 | 4846.203 | 26.692 | -4702.262 | -27.558 |
| 4755.489 | 4754.844 | 4715.069 | -2.836 | 1.876 | -4613.910 |
| -0.107 | -0.107 | -0.107 | -0.000 | 0.000 | -0.000 |
| -0.107 | -0.107 | -0.107 | 0.000 | -0.000 | -0.000 |
| -0.107 | -0.107 | -0.107 | -0.000 | -0.000 | -0.000 |
| -4154.901 | -4189.687 | -4189.600 | -4062.875 | 2.530 | 2.097 |
| -4189.687 | -4154.901 | -4189.600 | 2.530 | -4062.875 | 2.097 |
| -3975.922 | -3975.825 | -3941.702 | 3.461 | 3.365 | -3862.950 |
| 7.821 | 8.965 | 8.965 | 0.000 | 0.000 | 0.000 |
| 8.965 | 7.821 | 8.965 | 0.000 | 0.000 | -0.000 |
| 8.965 | 8.965 | 7.821 | 0.000 | 0.000 | 0.000 |
| 0.000 | 0.000 | 0.000 | -14.968 | 0.000 | 0.000 |
| 0.000 | 0.000 | 0.000 | 0.000 | -14.968 | 0.000 |
| 0.000 | 0.000 | 0.000 | 0.000 | 0.000 | -14.968 |
| 7.821 | 8.965 | 8.965 | -0.000 | -0.000 | -0.000 |
| 8.965 | 7.821 | 8.965 | -0.000 | -0.000 | -0.000 |
| 8.965 | 8.965 | 7.821 | -0.000 | -0.000 | -0.000 |
| -0.000 | -0.000 | -0.000 | -14.968 | -0.000 | -0.000 |
| -0.000 | -0.000 | -0.000 | -0.000 | -14.968 | -0.000 |
| -0.000 | -0.000 | -0.000 | -0.000 | -0.000 | -14.968 |
| 7.820 | 8.964 | 8.964 | 0.000 | 0.000 | 0.000 |
| 8.964 | 7.820 | 8.964 | 0.000 | 0.000 | -0.000 |
| 8.964 | 8.964 | 7.820 | 0.000 | 0.000 | 0.000 |
| 0.003 | 0.003 | 0.003 | -14.968 | 0.000 | 0.000 |
| 0.003 | 0.003 | 0.003 | 0.000 | -14.968 | 0.000 |
| 0.003 | 0.003 | 0.003 | 0.000 | 0.000 | -14.968 |
| 7.823 | 8.967 | 8.967 | -0.000 | -0.000 | -0.000 |
| 8.967 | 7.823 | 8.967 | -0.000 | -0.000 | -0.000 |
| 8.967 | 8.967 | 7.823 | -0.000 | -0.000 | 0.000 |
| -0.003 | -0.003 | -0.003 | -14.968 | -0.000 | -0.000 |
| -0.003 | -0.003 | -0.003 | -0.000 | -14.968 | -0.000 |
| -0.003 | -0.003 | -0.003 | -0.000 | -0.000 | -14.968 |
| 7.804 | 8.948 | 8.948 | 0.000 | 0.000 | 0.000 |
| 8.948 | 7.804 | 8.948 | 0.000 | 0.000 | 0.000 |
| 8.948 | 8.948 | 7.804 | 0.000 | 0.000 | 0.000 |
| 0.030 | 0.030 | 0.030 | -14.968 | 0.000 | 0.000 |
| 0.030 | 0.030 | 0.030 | 0.000 | -14.968 | 0.000 |
| 0.030 | 0.030 | 0.030 | 0.000 | 0.000 | -14.968 |
| 7.839 | 8.983 | 8.983 | -0.000 | -0.000 | -0.000 |
| 8.983 | 7.839 | 8.983 | -0.000 | -0.000 | -0.000 |
| 8.983 | 8.983 | 7.839 | -0.000 | -0.000 | 0.000 |
| -0.030 | -0.030 | -0.030 | -14.968 | -0.000 | -0.000 |
| -0.030 | -0.030 | -0.030 | -0.000 | -14.968 | -0.000 |
| -0.030 | -0.030 | -0.030 | -0.000 | -0.000 | -14.968 |
| 603.659 | 118.804 | 118.804 | -0.000 | 0.000 | -0.000 |
| 118.804 | 603.659 | 118.804 | -0.000 | -0.000 | 0.000 |
| 118.804 | 118.804 | 603.659 | 0.000 | 0.000 | 0.000 |
| -0.000 | 0.000 | 0.000 | 220.639 | 0.000 | 0.000 |
| 0.000 | -0.000 | 0.000 | 0.000 | 220.639 | 0.000 |
| 0.000 | 0.000 | -0.000 | 0.000 | 0.000 | 220.639 |
| 603.659 | 118.804 | 118.804 | 0.000 | 0.000 | 0.000 |
| 118.804 | 603.659 | 118.804 | 0.000 | -0.000 | 0.000 |
| 118.804 | 118.804 | 603.659 | -0.000 | -0.000 | -0.000 |
| 0.000 | -0.000 | -0.000 | 220.639 | -0.000 | 0.000 |
| -0.000 | 0.000 | -0.000 | 0.000 | 220.639 | 0.000 |
| -0.000 | -0.000 | 0.000 | -0.000 | -0.000 | 220.639 |
| 603.661 | 118.804 | 118.804 | 0.000 | 0.000 | 0.000 |
| 118.804 | 603.661 | 118.804 | 0.000 | -0.000 | 0.000 |
| 118.804 | 118.804 | 603.661 | -0.000 | 0.000 | -0.000 |
| 0.000 | 0.000 | 0.000 | 220.639 | 0.000 | -0.000 |
| 0.000 | 0.000 | 0.000 | 0.000 | 220.639 | 0.000 |
| 0.000 | 0.000 | 0.000 | -0.000 | -0.000 | 220.639 |
| 603.657 | 118.803 | 118.803 | 0.000 | 0.000 | 0.000 |
| 118.803 | 603.657 | 118.803 | -0.000 | -0.000 | 0.000 |
| 118.803 | 118.803 | 603.657 | 0.000 | 0.000 | 0.000 |
| -0.000 | -0.000 | -0.000 | 220.639 | -0.000 | -0.000 |
| -0.000 | -0.000 | -0.000 | -0.000 | 220.639 | 0.000 |
| -0.000 | -0.000 | -0.000 | -0.000 | 0.000 | 220.639 |
| 603.678 | 118.808 | 118.808 | -0.000 | 0.000 | -0.000 |
| 118.808 | 603.678 | 118.808 | -0.000 | 0.000 | -0.000 |
| 118.808 | 118.808 | 603.678 | 0.000 | 0.000 | -0.000 |
| 0.000 | 0.002 | 0.002 | 220.639 | 0.000 | 0.000 |
| 0.002 | 0.000 | 0.002 | 0.000 | 220.639 | -0.000 |
| 0.002 | 0.002 | 0.000 | 0.000 | 0.000 | 220.639 |
| 603.640 | 118.800 | 118.800 | -0.000 | -0.000 | 0.000 |
| 118.800 | 603.640 | 118.800 | 0.000 | -0.000 | 0.000 |
| 118.800 | 118.800 | 603.640 | -0.000 | -0.000 | 0.000 |
| -0.000 | -0.002 | -0.002 | 220.639 | -0.000 | 0.000 |
| -0.002 | -0.000 | -0.002 | -0.000 | 220.639 | 0.000 |
| -0.002 | -0.002 | -0.000 | 0.000 | -0.000 | 220.639 |
| 151.629 | 117.151 | 117.151 | -0.000 | 0.000 | -0.000 |
| 117.151 | 151.629 | 117.151 | -0.000 | 0.000 | -0.000 |
| 117.151 | 117.151 | 151.629 | -0.000 | 0.000 | -0.000 |
| -0.000 | -0.000 | -0.000 | 59.896 | 0.000 | 0.000 |
| -0.000 | -0.000 | -0.000 | 0.000 | 59.896 | -0.000 |
| -0.000 | -0.000 | -0.000 | 0.000 | 0.000 | 59.896 |
| 151.630 | 117.151 | 117.151 | -0.000 | -0.000 | 0.000 |
| 117.151 | 151.630 | 117.151 | 0.000 | -0.000 | -0.000 |
| 117.151 | 117.151 | 151.630 | -0.000 | -0.000 | 0.000 |
| 0.000 | 0.000 | 0.000 | 59.896 | -0.000 | 0.000 |
| 0.000 | 0.000 | 0.000 | -0.000 | 59.896 | 0.000 |
| 0.000 | 0.000 | 0.000 | -0.000 | -0.000 | 59.896 |
| 151.629 | 117.151 | 117.151 | -0.000 | 0.000 | -0.000 |
| 117.151 | 151.629 | 117.151 | -0.000 | 0.000 | -0.000 |
| 117.151 | 117.151 | 151.629 | -0.000 | 0.000 | -0.000 |
| -0.000 | -0.000 | -0.000 | 59.896 | 0.000 | 0.000 |
| -0.000 | -0.000 | -0.000 | -0.000 | 59.896 | -0.000 |
| -0.000 | -0.000 | -0.000 | 0.000 | 0.000 | 59.896 |
| 151.630 | 117.151 | 117.151 | -0.000 | 0.000 | 0.000 |
| 117.151 | 151.630 | 117.151 | 0.000 | -0.000 | 0.000 |
| 117.151 | 117.151 | 151.630 | 0.000 | -0.000 | 0.000 |
| 0.000 | 0.000 | 0.000 | 59.896 | -0.000 | 0.000 |
| 0.000 | 0.000 | 0.000 | 0.000 | 59.896 | 0.000 |
| 0.000 | 0.000 | 0.000 | -0.000 | -0.000 | 59.896 |
| 151.626 | 117.148 | 117.148 | 0.000 | 0.000 | -0.000 |
| 117.148 | 151.626 | 117.148 | -0.000 | -0.000 | -0.000 |
| 117.148 | 117.148 | 151.626 | 0.000 | 0.000 | 0.000 |
| -0.000 | -0.000 | -0.000 | 59.896 | 0.000 | -0.000 |
| -0.000 | -0.000 | -0.000 | 0.000 | 59.896 | -0.000 |
| -0.000 | -0.000 | -0.000 | -0.000 | 0.000 | 59.896 |
| 151.633 | 117.153 | 117.153 | 0.000 | -0.000 | 0.000 |
| 117.153 | 151.633 | 117.153 | 0.000 | -0.000 | -0.000 |
| 117.153 | 117.153 | 151.633 | 0.000 | -0.000 | 0.000 |
| 0.000 | 0.000 | 0.000 | 59.896 | -0.000 | 0.000 |
| 0.000 | 0.000 | 0.000 | 0.000 | 59.896 | 0.000 |
| 0.000 | 0.000 | 0.000 | 0.000 | -0.000 | 59.896 |
| 3090.475 | 3090.251 | 3090.251 | 0.000 | -0.000 | 0.000 |
| 3090.251 | 3090.475 | 3090.251 | -0.000 | -0.000 | 0.000 |
| 3090.251 | 3090.251 | 3090.475 | 0.000 | 0.000 | 0.000 |
| -0.000 | -0.000 | -0.000 | -1.026 | -0.000 | 0.000 |
| -0.000 | -0.000 | -0.000 | 0.000 | -1.026 | -0.000 |
| -0.000 | -0.000 | -0.000 | 0.000 | 0.000 | -1.026 |
| 3090.477 | 3090.253 | 3090.253 | -0.000 | -0.000 | -0.000 |
| 3090.253 | 3090.477 | 3090.253 | -0.000 | 0.000 | 0.000 |
| 3090.253 | 3090.253 | 3090.477 | -0.000 | -0.000 | -0.000 |
| 0.000 | 0.000 | 0.000 | -1.026 | -0.000 | -0.000 |
| 0.000 | 0.000 | 0.000 | -0.000 | -1.026 | -0.000 |
| 0.000 | 0.000 | 0.000 | -0.000 | 0.000 | -1.026 |
| 3090.467 | 3090.243 | 3090.243 | 0.000 | 0.000 | 0.000 |
| 3090.243 | 3090.467 | 3090.243 | 0.000 | 0.000 | -0.000 |
| 3090.243 | 3090.243 | 3090.467 | 0.000 | 0.000 | -0.000 |
| 0.000 | 0.000 | 0.000 | -1.026 | -0.000 | -0.000 |
| 0.000 | 0.000 | 0.000 | 0.000 | -1.026 | 0.000 |
| 0.000 | 0.000 | 0.000 | 0.000 | 0.000 | -1.026 |
| 3090.485 | 3090.261 | 3090.261 | -0.000 | -0.000 | -0.000 |
| 3090.261 | 3090.485 | 3090.261 | -0.000 | 0.000 | 0.000 |
| 3090.261 | 3090.261 | 3090.485 | -0.000 | -0.000 | 0.000 |
| -0.000 | -0.000 | -0.000 | -1.026 | 0.000 | -0.000 |
| -0.000 | -0.000 | -0.000 | -0.000 | -1.026 | -0.000 |
| -0.000 | -0.000 | -0.000 | -0.000 | 0.000 | -1.026 |
| 3090.383 | 3090.161 | 3090.161 | 0.000 | 0.000 | -0.000 |
| 3090.161 | 3090.383 | 3090.161 | 0.000 | 0.000 | 0.000 |
| 3090.161 | 3090.161 | 3090.383 | 0.000 | -0.000 | -0.000 |
| 0.000 | 0.001 | 0.001 | -1.026 | -0.000 | 0.000 |
| 0.001 | 0.000 | 0.001 | 0.000 | -1.026 | 0.000 |
| 0.001 | 0.001 | 0.000 | 0.000 | 0.000 | -1.026 |
| 3090.568 | 3090.342 | 3090.342 | -0.000 | -0.000 | -0.000 |
| 3090.342 | 3090.568 | 3090.342 | -0.000 | -0.000 | -0.000 |
| 3090.342 | 3090.342 | 3090.568 | -0.000 | 0.000 | -0.000 |
| -0.000 | -0.001 | -0.001 | -1.026 | 0.000 | 0.000 |
| -0.001 | -0.000 | -0.001 | -0.000 | -1.026 | 0.000 |
| -0.001 | -0.001 | -0.000 | -0.000 | 0.000 | -1.026 |
| 437.328 | 437.191 | 437.191 | -0.000 | -0.000 | -0.000 |
| 437.191 | 437.328 | 437.191 | -0.000 | -0.000 | 0.000 |
| 437.191 | 437.191 | 437.328 | -0.000 | -0.000 | 0.000 |
| 0.000 | 0.000 | 0.000 | 2.655 | -0.000 | 0.000 |
| 0.000 | 0.000 | 0.000 | 0.000 | 2.655 | 0.000 |
| 0.000 | 0.000 | 0.000 | -0.000 | -0.000 | 2.655 |
| 437.328 | 437.191 | 437.191 | 0.000 | 0.000 | -0.000 |
| 437.191 | 437.328 | 437.191 | 0.000 | 0.000 | -0.000 |
| 437.191 | 437.191 | 437.328 | 0.000 | 0.000 | 0.000 |
| -0.000 | -0.000 | -0.000 | 2.655 | 0.000 | 0.000 |
| -0.000 | -0.000 | -0.000 | -0.000 | 2.655 | -0.000 |
| -0.000 | -0.000 | -0.000 | -0.000 | 0.000 | 2.655 |
| 437.331 | 437.193 | 437.193 | -0.000 | -0.000 | 0.000 |
| 437.193 | 437.331 | 437.193 | -0.000 | -0.000 | 0.000 |
| 437.193 | 437.193 | 437.331 | 0.000 | -0.000 | 0.000 |
| 0.000 | 0.000 | 0.000 | 2.655 | -0.000 | 0.000 |
| 0.000 | 0.000 | 0.000 | -0.000 | 2.655 | 0.000 |
| 0.000 | 0.000 | 0.000 | -0.000 | -0.000 | 2.655 |
| 437.326 | 437.189 | 437.189 | 0.000 | 0.000 | -0.000 |
| 437.189 | 437.326 | 437.189 | 0.000 | 0.000 | -0.000 |
| 437.189 | 437.189 | 437.326 | -0.000 | 0.000 | -0.000 |
| -0.000 | -0.000 | -0.000 | 2.655 | 0.000 | -0.000 |
| -0.000 | -0.000 | -0.000 | -0.000 | 2.655 | -0.000 |
| -0.000 | -0.000 | -0.000 | 0.000 | -0.000 | 2.655 |
| 437.354 | 437.211 | 437.211 | -0.000 | -0.000 | 0.000 |
| 437.211 | 437.354 | 437.211 | -0.000 | -0.000 | 0.000 |
| 437.211 | 437.211 | 437.354 | -0.000 | -0.000 | -0.000 |
| 0.003 | 0.003 | 0.003 | 2.655 | -0.000 | 0.000 |
| 0.003 | 0.003 | 0.003 | -0.000 | 2.655 | 0.000 |
| 0.003 | 0.003 | 0.003 | -0.000 | -0.000 | 2.655 |
| 437.303 | 437.171 | 437.171 | 0.000 | 0.000 | -0.000 |
| 437.171 | 437.303 | 437.171 | 0.000 | 0.000 | 0.000 |
| 437.171 | 437.171 | 437.303 | 0.000 | 0.000 | 0.000 |
| -0.003 | -0.003 | -0.003 | 2.655 | 0.000 | 0.000 |
| -0.003 | -0.003 | -0.003 | 0.000 | 2.655 | -0.000 |
| -0.003 | -0.003 | -0.003 | -0.000 | 0.000 | 2.655 |
| -0.263 | -0.131 | -0.131 | 0.000 | 0.000 | 0.000 |
| -0.131 | -0.263 | -0.131 | 0.000 | 0.000 | 0.000 |
| -0.131 | -0.131 | -0.263 | 0.000 | 0.000 | 0.000 |
| -0.000 | 0.000 | 0.000 | -0.131 | 0.000 | -0.000 |
| 0.000 | -0.000 | 0.000 | 0.000 | -0.131 | 0.000 |
| 0.000 | 0.000 | -0.000 | -0.000 | 0.000 | -0.131 |
| -0.263 | -0.131 | -0.131 | -0.000 | -0.000 | -0.000 |
| -0.131 | -0.263 | -0.131 | -0.000 | -0.000 | -0.000 |
| -0.131 | -0.131 | -0.263 | -0.000 | -0.000 | -0.000 |
| -0.000 | -0.000 | -0.000 | -0.131 | 0.000 | -0.000 |
| -0.000 | -0.000 | -0.000 | 0.000 | -0.131 | -0.000 |
| -0.000 | -0.000 | -0.000 | -0.000 | -0.000 | -0.131 |
| -0.263 | -0.131 | -0.131 | 0.000 | 0.000 | 0.000 |
| -0.131 | -0.263 | -0.131 | 0.000 | 0.000 | 0.000 |
| -0.131 | -0.131 | -0.263 | 0.000 | 0.000 | 0.000 |
| 0.000 | 0.000 | 0.000 | -0.131 | -0.000 | -0.000 |
| 0.000 | 0.000 | 0.000 | -0.000 | -0.131 | 0.000 |
| 0.000 | 0.000 | 0.000 | -0.000 | 0.000 | -0.131 |
| -0.263 | -0.131 | -0.131 | -0.000 | -0.000 | -0.000 |
| -0.131 | -0.263 | -0.131 | -0.000 | -0.000 | -0.000 |
| -0.131 | -0.131 | -0.263 | 0.000 | -0.000 | -0.000 |
| -0.000 | -0.000 | -0.000 | -0.131 | 0.000 | -0.000 |
| -0.000 | -0.000 | -0.000 | 0.000 | -0.131 | -0.000 |
| -0.000 | -0.000 | -0.000 | 0.000 | -0.000 | -0.131 |
| -0.262 | -0.131 | -0.131 | -0.000 | -0.000 | -0.000 |
| -0.131 | -0.262 | -0.131 | -0.000 | -0.000 | -0.000 |
| -0.131 | -0.131 | -0.262 | -0.000 | -0.000 | 0.000 |
| 0.000 | 0.000 | 0.000 | -0.131 | 0.000 | 0.000 |
| 0.000 | 0.000 | 0.000 | 0.000 | -0.131 | -0.000 |
| 0.000 | 0.000 | 0.000 | 0.000 | -0.000 | -0.131 |
| -0.263 | -0.132 | -0.132 | 0.000 | -0.000 | -0.000 |
| -0.132 | -0.263 | -0.132 | -0.000 | 0.000 | -0.000 |
| -0.132 | -0.132 | -0.263 | -0.000 | -0.000 | -0.000 |
| -0.000 | -0.000 | -0.000 | -0.131 | -0.000 | 0.000 |
| -0.000 | -0.000 | -0.000 | -0.000 | -0.131 | -0.000 |
| -0.000 | -0.000 | -0.000 | -0.000 | -0.000 | -0.131 |
| 20.108 | 13.612 | 13.612 | 0.000 | -0.000 | 0.000 |
| 13.612 | 20.108 | 13.612 | -0.000 | -0.000 | 0.000 |
| 13.612 | 13.612 | 20.108 | 0.000 | 0.000 | 0.000 |
| 0.000 | -0.000 | -0.000 | 7.415 | 0.000 | 0.000 |
| -0.000 | 0.000 | -0.000 | -0.000 | 7.415 | 0.000 |
| -0.000 | -0.000 | 0.000 | 0.000 | -0.000 | 7.415 |
| 20.109 | 13.613 | 13.613 | 0.000 | 0.000 | -0.000 |
| 13.613 | 20.109 | 13.613 | 0.000 | 0.000 | -0.000 |
| 13.613 | 13.613 | 20.109 | 0.000 | 0.000 | -0.000 |
| -0.000 | 0.000 | 0.000 | 7.415 | 0.000 | -0.000 |
| 0.000 | -0.000 | 0.000 | 0.000 | 7.415 | -0.000 |
| 0.000 | 0.000 | -0.000 | -0.000 | 0.000 | 7.415 |
| 20.102 | 13.609 | 13.609 | 0.000 | -0.000 | 0.000 |
| 13.609 | 20.102 | 13.609 | -0.000 | -0.000 | 0.000 |
| 13.609 | 13.609 | 20.102 | 0.000 | -0.000 | 0.000 |
| 0.000 | -0.003 | -0.003 | 7.415 | 0.000 | 0.000 |
| -0.003 | 0.000 | -0.003 | 0.000 | 7.415 | 0.000 |
| -0.003 | -0.003 | 0.000 | 0.000 | -0.000 | 7.415 |
| 20.115 | 13.615 | 13.615 | -0.000 | 0.000 | -0.000 |
| 13.615 | 20.115 | 13.615 | -0.000 | 0.000 | -0.000 |
| 13.615 | 13.615 | 20.115 | -0.000 | 0.000 | -0.000 |
| -0.000 | 0.003 | 0.003 | 7.415 | -0.000 | -0.000 |
| 0.003 | -0.000 | 0.003 | -0.000 | 7.415 | -0.000 |
| 0.003 | 0.003 | -0.000 | 0.000 | 0.000 | 7.415 |
| 20.048 | 13.582 | 13.582 | 0.000 | -0.000 | 0.000 |
| 13.582 | 20.048 | 13.582 | -0.000 | 0.000 | 0.000 |
| 13.582 | 13.582 | 20.048 | 0.000 | -0.000 | 0.000 |
| 0.000 | -0.030 | -0.030 | 7.415 | 0.000 | 0.000 |
| -0.030 | 0.000 | -0.030 | -0.000 | 7.415 | 0.000 |
| -0.030 | -0.030 | 0.000 | 0.000 | -0.000 | 7.415 |
| 20.169 | 13.643 | 13.643 | -0.000 | -0.000 | -0.000 |
| 13.643 | 20.169 | 13.643 | -0.000 | 0.000 | -0.000 |
| 13.643 | 13.643 | 20.169 | -0.000 | -0.000 | -0.000 |
| -0.000 | 0.030 | 0.030 | 7.415 | 0.000 | -0.000 |
| 0.030 | -0.000 | 0.030 | -0.000 | 7.415 | -0.000 |
| 0.030 | 0.030 | -0.000 | -0.000 | 0.000 | 7.415 |
| 346.883 | 260.831 | 199.755 | 0.000 | -0.000 | 0.000 |
| 252.933 | 356.904 | 200.756 | 0.000 | 0.000 | 0.000 |
| 200.276 | 200.276 | 325.125 | 0.000 | 0.000 | 0.000 |
| 0.000 | 0.000 | 0.000 | 49.322 | 0.000 | 0.000 |
| -0.334 | -0.334 | -0.315 | 0.000 | 48.375 | 0.000 |
| -0.439 | -0.439 | -0.414 | 0.000 | 0.000 | 40.852 |
| 356.904 | 252.933 | 200.756 | -0.000 | 0.000 | -0.000 |
| 263.627 | 345.331 | 200.342 | -0.000 | 0.000 | -0.000 |
| 200.727 | 200.727 | 325.551 | -0.000 | 0.000 | -0.000 |
| 0.000 | -0.000 | -0.000 | 49.322 | 0.000 | -0.000 |
| 0.334 | 0.334 | 0.315 | -0.000 | 48.375 | -0.000 |
| 0.439 | 0.439 | 0.415 | -0.000 | 0.000 | 40.852 |
| 356.903 | 252.932 | 200.756 | 0.000 | -0.000 | 0.000 |
| 252.932 | 356.903 | 200.756 | 0.000 | -0.000 | 0.000 |
| 200.727 | 200.727 | 325.551 | -0.000 | -0.000 | -0.000 |
| -0.042 | -0.042 | -0.039 | 48.143 | -0.000 | 0.000 |
| 0.000 | 0.000 | 0.000 | -0.000 | 49.322 | 0.000 |
| -0.000 | 0.000 | -0.000 | 0.000 | 0.000 | 51.985 |
| 356.904 | 252.933 | 200.756 | -0.000 | 0.000 | -0.000 |
| 267.742 | 341.415 | 200.435 | -0.000 | 0.000 | -0.000 |
| 200.448 | 200.448 | 325.288 | -0.000 | -0.000 | -0.000 |
| 0.042 | 0.042 | 0.039 | 48.143 | -0.000 | -0.000 |
| -0.000 | -0.000 | -0.000 | -0.000 | 49.322 | -0.000 |
| 0.000 | -0.000 | 0.000 | -0.000 | -0.000 | 51.985 |
| 341.398 | 267.717 | 200.417 | 0.000 | -0.000 | -0.000 |
| 252.930 | 356.901 | 200.754 | 0.000 | -0.000 | 0.000 |
| 200.430 | 200.430 | 325.272 | 0.000 | 0.000 | 0.000 |
| 0.000 | 0.000 | 0.000 | 49.322 | -0.000 | 0.000 |
| 0.000 | 0.000 | 0.000 | -0.000 | 49.322 | -0.000 |
| -0.000 | 0.000 | -0.000 | 0.000 | 0.000 | 51.985 |
| 356.906 | 252.935 | 200.757 | -0.000 | -0.000 | -0.000 |
| 252.935 | 356.906 | 200.757 | -0.000 | 0.000 | 0.000 |
| 200.727 | 200.727 | 325.550 | 0.000 | -0.000 | -0.000 |
| -0.000 | -0.000 | -0.000 | 49.322 | -0.000 | 0.000 |
| -0.000 | -0.000 | -0.000 | 0.000 | 49.322 | -0.000 |
| 0.000 | -0.000 | 0.000 | -0.000 | -0.000 | 51.985 |
| 650.824 | 554.704 | 481.438 | -0.000 | -0.000 | 0.000 |
| 565.774 | 639.748 | 481.436 | -0.000 | 0.000 | 0.000 |
| 498.216 | 498.216 | 606.012 | -0.000 | -0.000 | 0.000 |
| 298.167 | 298.167 | 281.386 | 48.746 | -0.000 | -0.000 |
| 0.000 | 0.000 | 0.000 | -0.000 | 49.192 | 0.000 |
| 298.167 | 298.167 | 281.386 | -0.000 | -0.000 | 36.987 |
| 54.485 | -41.635 | -81.339 | 0.000 | 0.000 | -0.000 |
| 252.891 | 356.932 | 200.349 | 0.000 | -0.000 | 0.000 |
| -98.117 | -98.117 | 43.240 | -0.000 | -0.000 | 0.000 |
| -298.167 | -298.167 | -281.386 | 48.746 | -0.000 | -0.000 |
| 0.000 | -0.000 | -0.000 | 0.000 | 49.192 | -0.000 |
| -298.167 | -298.167 | -281.386 | 0.000 | 0.000 | 36.987 |
| 371.399 | 297.426 | 228.189 | -0.000 | -0.000 | 0.000 |
| 286.382 | 382.495 | 228.214 | -0.000 | -0.000 | -0.000 |
| 229.866 | 229.866 | 352.765 | -0.000 | -0.000 | 0.000 |
| 0.000 | -0.000 | 0.000 | 49.192 | 0.000 | -0.000 |
| 29.820 | 29.820 | 28.141 | -0.000 | 48.746 | 0.000 |
| 29.844 | 29.844 | 28.165 | -0.000 | -0.000 | 48.056 |
| 322.807 | 226.694 | 171.885 | 0.000 | 0.000 | -0.000 |
| 237.790 | 311.763 | 171.909 | 0.000 | 0.000 | -0.000 |
| 170.233 | 170.233 | 296.488 | 0.000 | -0.000 | -0.000 |
| -0.000 | 0.000 | -0.000 | 49.192 | 0.000 | 0.000 |
| -29.820 | -29.820 | -28.141 | 0.000 | 48.746 | -0.000 |
| -29.844 | -29.844 | -28.165 | 0.000 | 0.000 | 48.056 |
| 356.931 | 252.890 | 200.348 | -0.000 | 0.000 | 0.000 |
| 270.609 | 344.573 | 202.878 | -0.000 | -0.000 | 0.000 |
| 203.032 | 203.032 | 327.441 | 0.000 | -0.000 | 0.000 |
| 3.011 | 3.011 | 2.842 | 48.741 | -0.000 | 0.000 |
| 3.011 | 3.011 | 2.842 | -0.000 | 48.741 | -0.000 |
| 3.245 | 3.245 | 3.063 | -0.000 | -0.000 | 47.710 |
| 338.584 | 264.617 | 197.224 | 0.000 | 0.000 | -0.000 |
| 252.891 | 356.933 | 200.349 | 0.000 | -0.000 | -0.000 |
| 200.348 | 200.348 | 324.907 | -0.000 | 0.000 | 0.000 |
| -3.011 | -3.011 | -2.842 | 48.741 | 0.000 | 0.000 |
| -3.011 | -3.011 | -2.842 | 0.000 | 48.741 | 0.000 |
| -3.245 | -3.245 | -3.063 | 0.000 | 0.000 | 47.710 |
| 149.208 | 249.254 | 280.826 | 0.000 | -0.000 | -0.000 |
| 249.649 | 369.123 | 158.681 | 0.000 | -0.000 | 0.000 |
| 159.101 | 69.466 | 240.537 | -0.000 | -0.000 | -0.000 |
| 5.978 | 4.338 | 8.617 | -43.326 | -0.000 | -0.000 |
| 1.303 | 0.946 | 1.879 | 0.000 | 74.867 | 0.000 |
| 0.000 | 0.000 | 0.000 | 0.000 | -0.000 | 100.971 |
| 65.070 | 188.203 | 159.548 | -0.000 | -0.000 | -0.000 |
| 188.445 | 324.713 | 70.461 | -0.000 | 0.000 | 0.000 |
| 279.017 | 156.477 | 413.384 | -0.000 | 0.000 | -0.000 |
| -5.978 | -4.338 | -8.617 | -43.326 | 0.000 | -0.000 |
| -1.303 | -0.946 | -1.879 | -0.000 | 74.867 | 0.000 |
| -0.000 | -0.000 | -0.000 | -0.000 | 0.000 | 100.971 |
| 65.683 | 188.648 | 160.433 | -0.000 | -0.000 | 0.000 |
| 249.649 | 369.124 | 158.681 | 0.000 | -0.000 | 0.000 |
| 158.599 | 69.101 | 239.813 | 0.000 | -0.000 | -0.000 |
| -0.000 | -0.000 | -0.000 | -41.093 | -0.000 | 0.000 |
| 0.000 | -0.000 | 0.000 | 0.000 | 125.181 | -0.000 |
| 0.000 | 0.000 | -0.000 | 0.000 | -0.000 | 100.971 |
| 149.208 | 249.254 | 280.826 | -0.000 | 0.000 | -0.000 |
| 188.947 | 325.078 | 71.185 | -0.000 | 0.000 | -0.000 |
| 158.488 | 69.021 | 239.653 | -0.000 | 0.000 | 0.000 |
| 0.000 | 0.000 | 0.000 | -41.093 | 0.000 | -0.000 |
| -0.000 | 0.000 | -0.000 | -0.000 | 125.181 | 0.000 |
| -0.000 | -0.000 | 0.000 | -0.000 | 0.000 | 100.971 |
| 149.208 | 249.254 | 280.826 | 0.000 | -0.000 | 0.000 |
| 189.008 | 325.123 | 71.271 | 0.000 | -0.000 | 0.000 |
| 158.547 | 69.063 | 239.738 | 0.000 | 0.000 | 0.000 |
| -9280957.403 | 5481396.445 | -2596430.656 | -670881.526 | -0.000 | 0.000 |
| 0.012 | 0.009 | 0.018 | 0.000 | 74.856 | -0.000 |
| 0.000 | 0.001 | -0.000 | 0.000 | -0.000 | 100.971 |
| 65.623 | 188.605 | 160.347 | -0.000 | -0.000 | -0.000 |
| 249.648 | 369.122 | 158.682 | -0.000 | 0.000 | -0.000 |
| 158.525 | 69.048 | 239.706 | -0.000 | 0.000 | 0.000 |
| 9280957.440 | -5481396.471 | 2596430.652 | -670881.523 | 0.000 | -0.000 |
| -0.012 | -0.009 | -0.018 | -0.000 | 74.856 | 0.000 |
| -0.000 | -0.001 | 0.000 | -0.000 | 0.000 | 100.971 |
| 142.349 | 191.890 | 175.932 | -0.000 | 0.000 | -0.000 |
| 241.982 | 290.599 | 173.703 | 0.000 | 0.000 | 0.000 |
| 186.844 | 113.799 | 214.311 | -0.000 | 0.000 | -0.000 |
| 0.000 | -0.000 | -0.000 | 35.547 | 0.000 | -0.000 |
| 0.000 | -0.000 | 0.000 | -0.000 | 101.633 | -0.000 |
| 0.000 | -0.000 | 0.000 | -0.000 | 0.000 | 82.970 |
| 142.349 | 191.890 | 175.932 | 0.000 | 0.000 | 0.000 |
| 241.982 | 290.599 | 173.703 | -0.000 | -0.000 | 0.000 |
| 261.043 | 172.907 | 328.574 | -0.000 | 0.000 | 0.000 |
| -0.000 | 0.000 | -0.000 | 35.547 | -0.000 | 0.000 |
| -0.000 | 0.000 | -0.000 | 0.000 | 101.633 | 0.000 |
| -0.000 | 0.000 | -0.000 | 0.000 | -0.000 | 82.970 |
| 142.348 | 191.890 | 175.932 | 0.000 | 0.000 | -0.000 |
| 203.599 | 260.023 | 114.596 | -0.000 | 0.000 | -0.000 |
| 261.043 | 172.907 | 328.574 | -0.000 | -0.000 | -0.000 |
| -0.000 | 0.000 | 0.000 | 35.547 | -0.000 | -0.000 |
| 0.000 | -0.000 | 0.000 | -0.000 | 126.666 | -0.000 |
| -0.000 | 0.000 | -0.000 | -0.000 | 0.000 | 82.970 |
| 142.349 | 191.890 | 175.932 | -0.000 | -0.000 | 0.000 |
| 241.982 | 290.600 | 173.704 | -0.000 | -0.000 | 0.000 |
| 261.043 | 172.907 | 328.574 | 0.000 | -0.000 | 0.000 |
| 0.000 | -0.000 | -0.000 | 35.547 | -0.000 | 0.000 |
| -0.000 | 0.000 | -0.000 | -0.000 | 126.666 | 0.000 |
| 0.000 | -0.000 | 0.000 | 0.000 | -0.000 | 82.970 |
| 142.349 | 191.891 | 175.935 | -0.000 | 0.000 | -0.000 |
| 203.598 | 260.022 | 114.595 | 0.000 | 0.000 | -0.000 |
| 186.844 | 113.799 | 214.311 | -0.000 | 0.000 | -0.000 |
| -0.008 | -0.005 | -0.010 | 3.746 | 0.000 | -0.000 |
| 0.000 | -0.000 | 0.001 | -0.000 | 126.666 | -0.000 |
| -0.000 | 0.000 | -0.000 | 0.000 | 0.000 | 82.970 |
| 142.350 | 191.891 | 175.932 | 0.000 | -0.000 | 0.000 |
| 203.599 | 260.024 | 114.595 | 0.000 | -0.000 | 0.000 |
| 186.843 | 113.799 | 214.309 | -0.000 | -0.000 | 0.000 |
| 0.008 | 0.005 | 0.010 | 3.746 | -0.000 | 0.000 |
| -0.000 | 0.000 | -0.001 | -0.000 | 126.666 | 0.000 |
| 0.000 | -0.000 | 0.000 | 0.000 | -0.000 | 82.970 |
| 232.450 | 172.069 | 113.774 | 0.000 | 0.000 | -0.000 |
| 172.069 | 232.450 | 113.774 | 0.000 | -0.000 | -0.000 |
| 113.774 | 113.774 | 164.028 | -0.000 | -0.000 | -0.000 |
| -0.000 | 0.000 | 0.000 | 77.434 | -0.000 | -0.000 |
| 0.000 | 0.000 | -0.000 | 0.000 | 77.434 | -0.000 |
| -0.000 | -0.000 | 0.000 | 0.000 | 0.000 | 64.025 |
| 232.450 | 172.069 | 113.774 | -0.000 | 0.000 | 0.000 |
| 172.069 | 232.450 | 113.774 | 0.000 | -0.000 | 0.000 |
| 113.774 | 113.774 | 164.028 | -0.000 | 0.000 | 0.000 |
| 0.000 | -0.000 | -0.000 | 77.434 | 0.000 | 0.000 |
| 0.000 | -0.000 | 0.000 | -0.000 | 77.434 | 0.000 |
| 0.000 | -0.000 | -0.000 | -0.000 | -0.000 | 64.025 |
| 232.669 | 171.849 | 113.774 | -0.000 | -0.000 | -0.000 |
| 171.849 | 232.669 | 113.774 | -0.000 | -0.000 | -0.000 |
| 113.774 | 113.774 | 164.028 | 0.000 | 0.000 | -0.000 |
| -0.000 | -0.000 | 0.000 | 77.434 | 0.000 | -0.000 |
| -0.000 | -0.000 | 0.000 | 0.000 | 77.434 | -0.000 |
| -0.000 | -0.000 | -0.000 | 0.000 | 0.000 | 64.025 |
| 232.669 | 171.849 | 113.774 | 0.000 | 0.000 | 0.000 |
| 171.849 | 232.669 | 113.774 | 0.000 | -0.000 | 0.000 |
| 113.774 | 113.774 | 164.028 | -0.000 | 0.000 | 0.000 |
| 0.000 | 0.000 | -0.000 | 77.434 | 0.000 | 0.000 |
| 0.000 | 0.000 | -0.000 | -0.000 | 77.434 | 0.000 |
| 0.000 | 0.000 | 0.000 | -0.000 | -0.000 | 64.025 |
| 232.447 | 172.067 | 113.774 | -0.000 | -0.000 | -0.000 |
| 172.067 | 232.447 | 113.774 | 0.000 | -0.000 | -0.000 |
| 113.774 | 113.774 | 164.030 | -0.000 | -0.000 | -0.000 |
| -0.000 | -0.000 | 0.000 | 77.434 | 0.000 | -0.000 |
| -0.000 | -0.000 | 0.000 | 0.000 | 77.434 | -0.000 |
| -0.000 | -0.000 | -0.000 | 0.000 | 0.000 | 64.025 |
| 232.672 | 171.851 | 113.774 | -0.000 | 0.000 | 0.000 |
| 171.851 | 232.672 | 113.774 | 0.000 | -0.000 | 0.000 |
| 113.774 | 113.774 | 164.026 | 0.000 | -0.000 | 0.000 |
| 0.000 | 0.000 | -0.000 | 77.434 | -0.000 | 0.000 |
| 0.000 | 0.000 | -0.000 | -0.000 | 77.434 | 0.000 |
| 0.000 | 0.000 | 0.000 | -0.000 | -0.000 | 64.025 |
| 284.216 | 68.774 | 68.774 | -0.000 | 0.000 | -0.000 |
| 68.774 | 284.216 | 68.774 | 0.000 | 0.000 | -0.000 |
| 68.774 | 68.774 | 284.216 | -0.000 | 0.000 | -0.000 |
| 0.000 | 0.000 | 0.000 | -10.003 | 0.000 | 0.000 |
| -0.000 | -0.000 | 0.000 | 0.000 | -10.003 | 0.000 |
| -0.000 | -0.000 | 0.000 | 0.000 | 0.000 | -10.003 |
| 284.216 | 68.774 | 68.774 | 0.000 | -0.000 | 0.000 |
| 68.774 | 284.216 | 68.774 | 0.000 | -0.000 | -0.000 |
| 68.774 | 68.774 | 284.216 | 0.000 | -0.000 | 0.000 |
| -0.000 | -0.000 | 0.000 | -10.003 | -0.000 | -0.000 |
| 0.000 | 0.000 | -0.000 | -0.000 | -10.003 | 0.000 |
| 0.000 | 0.000 | -0.000 | 0.000 | -0.000 | -10.003 |
| 285.057 | 68.353 | 68.353 | 0.000 | 0.000 | -0.000 |
| 68.353 | 285.057 | 68.353 | -0.000 | 0.000 | 0.000 |
| 68.353 | 68.353 | 285.057 | -0.000 | 0.000 | -0.000 |
| -0.000 | -0.000 | -0.000 | -15.135 | 0.000 | 0.000 |
| -0.000 | 0.000 | -0.000 | 0.000 | -15.135 | 0.000 |
| -0.000 | -0.000 | 0.000 | 0.000 | 0.000 | -15.135 |
| 284.216 | 68.774 | 68.774 | 0.000 | -0.000 | -0.000 |
| 68.774 | 284.216 | 68.774 | 0.000 | -0.000 | -0.000 |
| 68.774 | 68.774 | 284.216 | -0.000 | -0.000 | -0.000 |
| -0.000 | 0.000 | 0.000 | -15.135 | -0.000 | 0.000 |
| 0.000 | -0.000 | 0.000 | 0.000 | -15.135 | 0.000 |
| 0.000 | 0.000 | -0.000 | -0.000 | -0.000 | -15.135 |
| 285.059 | 68.354 | 68.354 | -0.000 | 0.000 | -0.000 |
| 68.354 | 285.059 | 68.354 | -0.000 | -0.000 | 0.000 |
| 68.354 | 68.354 | 285.059 | 0.000 | 0.000 | -0.000 |
| -0.000 | -0.000 | -0.000 | -10.003 | 0.000 | 0.000 |
| -0.000 | -0.000 | -0.000 | 0.000 | -10.003 | 0.000 |
| -0.000 | -0.000 | -0.000 | 0.000 | 0.000 | -10.003 |
| 285.055 | 68.353 | 68.353 | 0.000 | -0.000 | 0.000 |
| 68.353 | 285.055 | 68.353 | 0.000 | -0.000 | 0.000 |
| 68.353 | 68.353 | 285.055 | -0.000 | -0.000 | 0.000 |
| 0.000 | 0.000 | 0.000 | -10.003 | -0.000 | 0.000 |
| 0.000 | 0.000 | 0.000 | -0.000 | -10.003 | 0.000 |
| 0.000 | 0.000 | 0.000 | -0.000 | -0.000 | -10.003 |
| 226973183.400 | 263513563.046 | 256829939.798 | 879259.558 | -1232340.730 | 1952735.779 |
| 305485961.323 | 268221869.057 | 286249107.867 | 5248141.483 | 5802417.472 | -16909089.774 |
| 302745295.608 | 306574756.919 | 257778562.490 | 2468335.263 | -8703830.023 | 2337927.659 |
| -0.000 | 0.000 | 0.000 | 50.139 | -0.000 | 0.000 |
| -0.000 | -0.000 | 0.000 | -0.000 | 50.139 | -0.000 |
| 0.000 | 0.000 | -0.000 | 0.000 | 0.000 | 50.139 |
| -55473581.147 | -76717524.955 | -100462654.242 | 16709877.793 | -10492064.369 | 18016463.178 |
| -135024602.896 | -67723859.782 | -121328785.036 | 4180240.034 | 843269.248 | -3730449.138 |
| -135497305.052 | -141656854.079 | -103373184.265 | 10751422.989 | 11080598.743 | 3751688.139 |
| 0.000 | -0.000 | -0.000 | 50.139 | 0.000 | 0.000 |
| -0.000 | 0.000 | -0.000 | -0.000 | 50.139 | -0.000 |
| -0.000 | -0.000 | 0.000 | -0.000 | -0.000 | 50.139 |
| 24366948.510 | 29900453.369 | 28753547.619 | -321413.904 | 439846.924 | -234667.676 |
| 27605112.291 | 25610770.590 | 29524626.380 | 404227.150 | -611951.068 | -290985.355 |
| 26073671.030 | 26660714.558 | 22669095.993 | -1204228.058 | -132714.756 | -420318.774 |
| -0.000 | 0.000 | 0.000 | 50.139 | -0.000 | 0.000 |
| 0.000 | -0.000 | 0.000 | 0.000 | 50.139 | 0.000 |
| 0.000 | 0.000 | -0.000 | 0.000 | -0.000 | 50.139 |
| -10041825.812 | -13585448.686 | -14087770.794 | -616842.960 | 351891.968 | 86078.564 |
| -14004043.314 | -8131829.108 | -12250224.734 | -84228.696 | 106595.889 | 691434.409 |
| -12122809.509 | -12986011.537 | -6171037.694 | 347555.261 | 968756.368 | -1227329.155 |
| 0.000 | -0.000 | -0.000 | 50.139 | 0.000 | 0.000 |
| -0.000 | 0.000 | -0.000 | -0.000 | 50.139 | -0.000 |
| -0.000 | -0.000 | 0.000 | -0.000 | 0.000 | 50.139 |
| 2381780.016 | 2726353.267 | 2574604.746 | 513.880 | 56251.987 | -77087.725 |
| 2945277.922 | 2653231.845 | 2708843.450 | 18717.788 | -10705.938 | 38940.028 |
| 2921933.718 | 2642840.325 | 2549826.825 | 7363.833 | 26347.755 | 51129.374 |
| -0.001 | 0.000 | 0.000 | 50.139 | 0.000 | 0.000 |
| 0.000 | -0.001 | 0.000 | 0.000 | 50.139 | 0.000 |
| 0.000 | 0.000 | -0.001 | 0.000 | -0.000 | 50.139 |
| -408048.426 | -1222019.182 | -1355306.869 | -81192.977 | 68345.880 | 28871.220 |
| -1113804.483 | -531086.985 | -1107202.088 | -73678.707 | -2913.632 | -115405.861 |
| -1124235.249 | -1387791.480 | -438827.002 | 21030.878 | 113253.340 | -148342.758 |
| 0.001 | -0.000 | -0.000 | 50.139 | -0.000 | -0.000 |
| -0.000 | 0.001 | -0.000 | -0.000 | 50.139 | -0.000 |
| -0.000 | -0.000 | 0.001 | -0.000 | 0.000 | 50.139 |
| 3.078 | -0.000 | -0.000 | 0.000 | -0.000 | 0.000 |
| -0.000 | 3.078 | -0.000 | -0.000 | -0.000 | 0.000 |
| -0.000 | -0.000 | 3.078 | 0.000 | -0.000 | 0.000 |
| -0.000 | -0.000 | -0.000 | 0.000 | -0.000 | 0.000 |
| -0.000 | -0.000 | -0.000 | 0.000 | 0.000 | 0.000 |
| -0.000 | -0.000 | -0.000 | 0.000 | -0.000 | 0.000 |
| 3.078 | 0.000 | 0.000 | -0.000 | 0.000 | -0.000 |
| 0.000 | 3.078 | 0.000 | 0.000 | 0.000 | -0.000 |
| 0.000 | 0.000 | 3.078 | -0.000 | 0.000 | -0.000 |
| 0.000 | -0.000 | 0.000 | 0.000 | 0.000 | -0.000 |
| -0.000 | 0.000 | 0.000 | -0.000 | 0.000 | -0.000 |
| -0.000 | 0.000 | 0.000 | -0.000 | 0.000 | 0.000 |
| 3.078 | -0.000 | -0.000 | 0.000 | -0.000 | 0.000 |
| -0.000 | 3.078 | -0.000 | -0.000 | -0.000 | 0.000 |
| -0.000 | -0.000 | 3.078 | 0.000 | 0.000 | 0.000 |
| -0.000 | 0.000 | -0.000 | 0.000 | 0.000 | 0.000 |
| 0.000 | -0.000 | -0.000 | -0.000 | 0.000 | 0.000 |
| 0.000 | -0.000 | -0.000 | 0.000 | -0.000 | 0.000 |
| 3.078 | 0.000 | 0.000 | -0.000 | 0.000 | -0.000 |
| 0.000 | 3.078 | 0.000 | 0.000 | 0.000 | -0.000 |
| 0.000 | 0.000 | 3.078 | 0.000 | -0.000 | -0.000 |
| 0.000 | 0.000 | 0.000 | 0.000 | -0.000 | -0.000 |
| -0.000 | 0.000 | 0.000 | 0.000 | 0.000 | -0.000 |
| 0.000 | 0.000 | 0.000 | -0.000 | 0.000 | 0.000 |
| 3.078 | -0.000 | -0.000 | 0.000 | -0.000 | 0.000 |
| -0.000 | 3.078 | -0.000 | -0.000 | -0.000 | 0.000 |
| -0.000 | -0.000 | 3.078 | 0.000 | -0.000 | 0.000 |
| -0.000 | -0.000 | -0.000 | 0.000 | -0.000 | 0.000 |
| -0.000 | -0.000 | -0.000 | -0.000 | 0.000 | 0.000 |
| -0.000 | -0.000 | -0.000 | 0.000 | -0.000 | 0.000 |
| 3.077 | 0.000 | 0.000 | -0.000 | 0.000 | -0.000 |
| 0.000 | 3.077 | 0.000 | 0.000 | 0.000 | 0.000 |
| 0.000 | 0.000 | 3.077 | 0.000 | 0.000 | -0.000 |
| 0.000 | -0.000 | 0.000 | 0.000 | 0.000 | -0.000 |
| -0.000 | 0.000 | 0.000 | 0.000 | 0.000 | -0.000 |
| -0.000 | 0.000 | 0.000 | -0.000 | 0.000 | 0.000 |
| 53.524 | 160.223 | 160.223 | -0.000 | 0.000 | 0.000 |
| 160.223 | 53.524 | 160.223 | -0.000 | 0.000 | 0.000 |
| 160.223 | 160.223 | 53.524 | 0.000 | 0.000 | 0.000 |
| 0.000 | 0.000 | 0.000 | 70.276 | 0.000 | 0.000 |
| 0.000 | 0.000 | 0.000 | -0.000 | 70.276 | 0.000 |
| 0.000 | 0.000 | 0.000 | 0.000 | 0.000 | 70.276 |
| 53.524 | 160.223 | 160.223 | -0.000 | -0.000 | -0.000 |
| 160.223 | 53.524 | 160.223 | -0.000 | -0.000 | -0.000 |
| 160.223 | 160.223 | 53.524 | 0.000 | -0.000 | -0.000 |
| -0.000 | 0.000 | -0.000 | 70.276 | -0.000 | -0.000 |
| -0.000 | -0.000 | -0.000 | -0.000 | 70.276 | -0.000 |
| -0.000 | -0.000 | -0.000 | -0.000 | -0.000 | 70.276 |
| 53.524 | 160.223 | 160.223 | -0.000 | 0.000 | 0.000 |
| 160.223 | 53.524 | 160.223 | 0.000 | 0.000 | 0.000 |
| 160.223 | 160.223 | 53.524 | -0.000 | 0.000 | 0.000 |
| 0.000 | 0.000 | 0.000 | 70.272 | 0.000 | 0.000 |
| 0.000 | 0.000 | 0.000 | -0.000 | 70.272 | 0.000 |
| 0.000 | 0.000 | 0.000 | -0.000 | 0.000 | 70.272 |
| 53.524 | 160.223 | 160.223 | 0.000 | -0.000 | -0.000 |
| 160.223 | 53.524 | 160.223 | 0.000 | -0.000 | -0.000 |
| 160.223 | 160.223 | 53.524 | -0.000 | -0.000 | -0.000 |
| -0.000 | -0.000 | -0.000 | 70.272 | -0.000 | -0.000 |
| -0.000 | -0.000 | -0.000 | 0.000 | 70.272 | -0.000 |
| -0.000 | -0.000 | -0.000 | 0.000 | -0.000 | 70.272 |
| 53.525 | 160.224 | 160.224 | 0.000 | 0.000 | 0.000 |
| 160.224 | 53.525 | 160.224 | -0.000 | 0.000 | 0.000 |
| 160.224 | 160.224 | 53.525 | 0.000 | 0.000 | 0.000 |
| 0.001 | 0.000 | 0.001 | 70.276 | 0.000 | 0.000 |
| 0.000 | 0.001 | 0.001 | -0.000 | 70.276 | 0.000 |
| 0.000 | 0.001 | 0.001 | 0.000 | 0.000 | 70.276 |
| 53.523 | 160.223 | 160.223 | -0.000 | -0.000 | -0.000 |
| 160.223 | 53.523 | 160.223 | -0.000 | -0.000 | -0.000 |
| 160.223 | 160.223 | 53.523 | 0.000 | -0.000 | -0.000 |
| -0.001 | -0.000 | -0.001 | 70.276 | -0.000 | -0.000 |
| -0.000 | -0.001 | -0.001 | -0.000 | 70.276 | -0.000 |
| -0.000 | -0.001 | -0.001 | -0.000 | -0.000 | 70.276 |
| 369.495 | -89.674 | -89.674 | 0.000 | 0.000 | -0.000 |
| -89.674 | 369.495 | -89.674 | -0.000 | 0.000 | -0.000 |
| -89.674 | -89.674 | 369.495 | 0.000 | 0.000 | -0.000 |
| 25737734.086 | -165215831.781 | -165307455.045 | 70911959.637 | 29269.542 | 32507.174 |
| -165088929.723 | 25670254.502 | -165272513.666 | 8904.224 | 71248626.022 | -509.712 |
| -165641091.436 | -165629694.640 | 25332945.172 | -35395.819 | -27000.342 | 72359160.192 |
| 369.495 | -89.674 | -89.674 | -0.000 | -0.000 | -0.000 |
| -89.674 | 369.495 | -89.674 | -0.000 | -0.000 | 0.000 |
| -89.674 | -89.674 | 369.495 | 0.000 | -0.000 | 0.000 |
| -25637723.499 | 165526145.882 | 165751212.932 | 72335087.830 | 20033.430 | -9436.913 |
| 165395024.136 | -25764676.003 | 165491651.773 | -27837.350 | 72181616.160 | -8648.291 |
| 165540820.424 | 165855897.208 | -25624933.662 | -9439.615 | 39902.601 | 73025639.032 |
| 369.495 | -89.674 | -89.674 | 0.000 | 0.000 | -0.000 |
| -89.674 | 369.495 | -89.674 | 0.000 | 0.000 | -0.000 |
| -89.674 | -89.674 | 369.495 | -0.000 | 0.000 | 0.000 |
| 2589798.257 | -16527640.439 | -16524261.023 | 7097558.191 | 2935.778 | 3271.247 |
| -16545747.446 | 2587454.899 | -16547254.367 | 2326.750 | 7082599.210 | 3650.000 |
| -16504303.108 | -16504057.130 | 2574585.590 | 192.958 | 5194.196 | 7177796.937 |
| 369.495 | -89.674 | -89.674 | -0.000 | -0.000 | 0.000 |
| -89.674 | 369.495 | -89.674 | -0.000 | -0.000 | -0.000 |
| -89.674 | -89.674 | 369.495 | -0.000 | -0.000 | 0.000 |
| -2582801.252 | 16548845.347 | 16563119.365 | 7184771.634 | 2226.974 | -442.430 |
| 16533312.578 | -2572980.195 | 16530670.421 | 2489.258 | 7126000.989 | -2850.177 |
| 16597900.670 | 16600557.624 | -2542126.554 | 174.895 | -1410.642 | 7136986.686 |
| 369.492 | -89.675 | -89.675 | 0.000 | 0.000 | 0.000 |
| -89.675 | 369.492 | -89.675 | 0.000 | 0.000 | -0.000 |
| -89.675 | -89.675 | 369.492 | -0.000 | 0.000 | -0.000 |
| 253744.438 | -1653497.570 | -1653399.186 | 712434.868 | 160.054 | 111.324 |
| -1651582.832 | 253787.958 | -1652188.997 | 104.082 | 718841.882 | 197.393 |
| -1652811.885 | -1654009.582 | 258734.100 | -245.877 | -294.927 | 711522.625 |
| 369.499 | -89.673 | -89.673 | -0.000 | -0.000 | 0.000 |
| -89.673 | 369.499 | -89.673 | -0.000 | -0.000 | 0.000 |
| -89.673 | -89.673 | 369.499 | -0.000 | -0.000 | 0.000 |
| -253874.301 | 1655093.622 | 1656795.316 | 722022.968 | -116.083 | 894.489 |
| 1653881.431 | -255958.748 | 1656690.695 | -33.871 | 716633.028 | 113.298 |
| 1654932.066 | 1656319.448 | -256911.785 | 104.287 | -63.668 | 713201.318 |
| 3.804 | 3.804 | 3.804 | 0.000 | 0.000 | 0.000 |
| 3.804 | 3.804 | 3.804 | 0.000 | 0.000 | 0.000 |
| 3.804 | 3.804 | 3.804 | 0.000 | 0.000 | 0.000 |
| 0.000 | 0.000 | 0.000 | 2.814 | 0.000 | -0.000 |
| 0.000 | 0.000 | 0.000 | 0.000 | 2.814 | -0.000 |
| 0.000 | 0.000 | 0.000 | 0.000 | 0.000 | 2.814 |
| 3.804 | 3.804 | 3.804 | -0.000 | -0.000 | -0.000 |
| 3.804 | 3.804 | 3.804 | -0.000 | -0.000 | -0.000 |
| 3.804 | 3.804 | 3.804 | -0.000 | -0.000 | -0.000 |
| -0.000 | -0.000 | -0.000 | 2.814 | -0.000 | -0.000 |
| -0.000 | -0.000 | -0.000 | -0.000 | 2.814 | -0.000 |
| -0.000 | -0.000 | -0.000 | -0.000 | -0.000 | 2.814 |
| 3.804 | 3.804 | 3.804 | 0.000 | 0.000 | 0.000 |
| 3.804 | 3.804 | 3.804 | 0.000 | 0.000 | 0.000 |
| 3.804 | 3.804 | 3.804 | 0.000 | 0.000 | -0.000 |
| 0.000 | 0.000 | 0.000 | 3.804 | 0.000 | 0.000 |
| 0.000 | 0.000 | 0.000 | 0.000 | 3.804 | 0.000 |
| 0.000 | 0.000 | 0.000 | 0.000 | 0.000 | 3.804 |
| 3.804 | 3.804 | 3.804 | -0.000 | -0.000 | -0.000 |
| 3.804 | 3.804 | 3.804 | -0.000 | -0.000 | -0.000 |
| 3.804 | 3.804 | 3.804 | -0.000 | -0.000 | -0.000 |
| -0.000 | -0.000 | -0.000 | 3.804 | -0.000 | -0.000 |
| -0.000 | -0.000 | -0.000 | -0.000 | 3.804 | -0.000 |
| -0.000 | -0.000 | -0.000 | -0.000 | -0.000 | 3.804 |
| 3.804 | 3.804 | 3.804 | 0.000 | -0.000 | 0.000 |
| 3.804 | 3.804 | 3.804 | -0.000 | 0.000 | 0.000 |
| 3.804 | 3.804 | 3.804 | 0.000 | 0.000 | -0.000 |
| 0.000 | 0.000 | 0.000 | 2.234 | 0.000 | -0.000 |
| 0.000 | 0.000 | 0.000 | 0.000 | 2.234 | -0.000 |
| 0.000 | 0.000 | 0.000 | 0.000 | 0.000 | 2.234 |
| 3.803 | 3.803 | 3.803 | -0.000 | -0.000 | 0.000 |
| 3.803 | 3.803 | 3.803 | -0.000 | -0.000 | 0.000 |
| 3.803 | 3.803 | 3.803 | -0.000 | -0.000 | 0.000 |
| -0.000 | -0.000 | -0.000 | 2.234 | -0.000 | -0.000 |
| -0.000 | -0.000 | -0.000 | -0.000 | 2.234 | -0.000 |
| -0.000 | -0.000 | -0.000 | -0.000 | -0.000 | 2.234 |
| 394.937 | 53.087 | 53.087 | -0.000 | -0.000 | -0.000 |
| 53.087 | 394.937 | 53.087 | -0.000 | -0.000 | -0.000 |
| 53.087 | 53.087 | 394.937 | -0.000 | -0.000 | -0.000 |
| 0.000 | 0.000 | 0.000 | 188.243 | -0.000 | -0.000 |
| 0.000 | 0.000 | 0.000 | -0.000 | 188.243 | -0.000 |
| 0.000 | 0.000 | 0.000 | -0.000 | -0.000 | 188.243 |
| 394.936 | 53.087 | 53.087 | 0.000 | 0.000 | 0.000 |
| 53.087 | 394.936 | 53.087 | 0.000 | 0.000 | 0.000 |
| 53.087 | 53.087 | 394.936 | 0.000 | 0.000 | 0.000 |
| -0.000 | -0.000 | -0.000 | 188.243 | 0.000 | 0.000 |
| -0.000 | -0.000 | -0.000 | 0.000 | 188.243 | 0.000 |
| -0.000 | -0.000 | -0.000 | 0.000 | 0.000 | 188.243 |
| 394.938 | 53.087 | 53.087 | -0.000 | -0.000 | -0.000 |
| 53.087 | 394.938 | 53.087 | 0.000 | -0.000 | -0.000 |
| 53.087 | 53.087 | 394.938 | -0.000 | -0.000 | -0.000 |
| 0.000 | 0.000 | 0.000 | 188.243 | -0.000 | -0.000 |
| 0.000 | 0.000 | 0.000 | -0.000 | 188.243 | -0.000 |
| 0.000 | 0.000 | 0.000 | -0.000 | -0.000 | 188.243 |
| 394.935 | 53.086 | 53.086 | 0.000 | 0.000 | 0.000 |
| 53.086 | 394.935 | 53.086 | 0.000 | 0.000 | 0.000 |
| 53.086 | 53.086 | 394.935 | 0.000 | 0.000 | 0.000 |
| -0.000 | -0.000 | -0.000 | 188.243 | 0.000 | 0.000 |
| -0.000 | -0.000 | -0.000 | 0.000 | 188.243 | 0.000 |
| -0.000 | -0.000 | -0.000 | 0.000 | 0.000 | 188.243 |
| 394.947 | 53.089 | 53.089 | -0.000 | -0.000 | -0.000 |
| 53.089 | 394.947 | 53.089 | -0.000 | -0.000 | -0.000 |
| 53.089 | 53.089 | 394.947 | -0.000 | -0.000 | -0.000 |
| 0.000 | 0.001 | 0.001 | 188.243 | -0.000 | -0.000 |
| 0.001 | 0.000 | 0.001 | -0.000 | 188.243 | -0.000 |
| 0.001 | 0.001 | 0.000 | -0.000 | -0.000 | 188.243 |
| 394.926 | 53.084 | 53.084 | 0.000 | 0.000 | 0.000 |
| 53.084 | 394.926 | 53.084 | 0.000 | 0.000 | 0.000 |
| 53.084 | 53.084 | 394.926 | 0.000 | 0.000 | 0.000 |
| -0.000 | -0.001 | -0.001 | 188.243 | 0.000 | 0.000 |
| -0.001 | -0.000 | -0.001 | 0.000 | 188.243 | 0.000 |
| -0.001 | -0.001 | -0.000 | 0.000 | 0.000 | 188.243 |
| 9.317 | 4.659 | 4.659 | -0.000 | 0.000 | 0.000 |
| 4.659 | 9.317 | 4.659 | 0.000 | 0.000 | 0.000 |
| 4.659 | 4.659 | 9.317 | 0.000 | 0.000 | 0.000 |
| -0.000 | 0.000 | 0.000 | 4.659 | 0.000 | 0.000 |
| 0.000 | -0.000 | 0.000 | 0.000 | 4.659 | 0.000 |
| 0.000 | 0.000 | -0.000 | 0.000 | 0.000 | 4.659 |
| 9.317 | 4.659 | 4.659 | 0.000 | -0.000 | -0.000 |
| 4.659 | 9.317 | 4.659 | -0.000 | -0.000 | -0.000 |
| 4.659 | 4.659 | 9.317 | -0.000 | -0.000 | -0.000 |
| 0.000 | -0.000 | -0.000 | 4.659 | -0.000 | -0.000 |
| -0.000 | 0.000 | -0.000 | -0.000 | 4.659 | -0.000 |
| -0.000 | -0.000 | 0.000 | -0.000 | -0.000 | 4.659 |
| 9.317 | 4.659 | 4.659 | 0.000 | 0.000 | 0.000 |
| 4.659 | 9.317 | 4.659 | 0.000 | 0.000 | 0.000 |
| 4.659 | 4.659 | 9.317 | 0.000 | 0.000 | 0.000 |
| -0.000 | 0.000 | 0.000 | 4.659 | 0.000 | 0.000 |
| 0.000 | -0.000 | 0.000 | 0.000 | 4.659 | 0.000 |
| 0.000 | 0.000 | -0.000 | 0.000 | 0.000 | 4.659 |
| 9.317 | 4.658 | 4.658 | 0.000 | -0.000 | -0.000 |
| 4.658 | 9.317 | 4.658 | -0.000 | -0.000 | -0.000 |
| 4.658 | 4.658 | 9.317 | -0.000 | -0.000 | -0.000 |
| 0.000 | -0.000 | -0.000 | 4.659 | -0.000 | -0.000 |
| -0.000 | 0.000 | -0.000 | -0.000 | 4.659 | -0.000 |
| -0.000 | -0.000 | 0.000 | -0.000 | -0.000 | 4.659 |
| 9.317 | 4.659 | 4.659 | 0.000 | 0.000 | 0.000 |
| 4.659 | 9.317 | 4.659 | 0.000 | 0.000 | 0.000 |
| 4.659 | 4.659 | 9.317 | 0.000 | 0.000 | 0.000 |
| -0.000 | 0.000 | 0.000 | 4.659 | -0.000 | 0.000 |
| 0.000 | -0.000 | 0.000 | -0.000 | 4.659 | 0.000 |
| 0.000 | 0.000 | -0.000 | -0.000 | 0.000 | 4.659 |
| 9.317 | 4.658 | 4.658 | -0.000 | 0.000 | 0.000 |
| 4.658 | 9.317 | 4.658 | 0.000 | -0.000 | -0.000 |
| 4.658 | 4.658 | 9.317 | -0.000 | -0.000 | -0.000 |
| 0.000 | -0.000 | -0.000 | 4.659 | -0.000 | -0.000 |
| -0.000 | 0.000 | -0.000 | 0.000 | 4.659 | -0.000 |
| -0.000 | -0.000 | 0.000 | 0.000 | -0.000 | 4.659 |
| 267.679 | 117.855 | 264.760 | 0.000 | -0.000 | 0.000 |
| 100.134 | 184.428 | 8.133 | 0.000 | -0.000 | 0.000 |
| 181.802 | 20.333 | 351.637 | -0.000 | -0.000 | 0.000 |
| 324282.885 | -4354446.460 | -4514285.773 | 4871194.507 | -0.000 | 0.000 |
| 0.000 | 0.000 | 0.000 | -0.000 | 70.255 | 0.000 |
| 77.712 | 17.160 | 157.279 | 0.000 | -0.000 | 47.596 |
| 199.388 | 102.776 | 126.549 | 0.000 | -0.000 | -0.000 |
| -648553.306 | 8717750.248 | 9037370.176 | 0.000 | 0.000 | -0.000 |
| -648371.153 | 8717607.064 | 9037916.017 | -0.000 | 0.000 | -0.000 |
| -324282.885 | 4354446.460 | 4514285.773 | 4871194.507 | 0.000 | -0.000 |
| -0.000 | -0.000 | -0.000 | -0.000 | 70.255 | -0.000 |
| -77.712 | -17.160 | -157.279 | -0.000 | 0.000 | 47.596 |
| 197.738 | 102.411 | 123.209 | 0.000 | -0.000 | 0.000 |
| 105.825 | 185.684 | 19.650 | 0.000 | 0.000 | 0.000 |
| 123.157 | 7.382 | 232.948 | 0.000 | -0.000 | 0.000 |
| 32423.977 | -435444.031 | -451435.938 | 487060.684 | -0.000 | 0.000 |
| 0.000 | -0.000 | 0.000 | -0.000 | 70.255 | 0.000 |
| -0.000 | -0.000 | -0.000 | -0.000 | -0.000 | 47.596 |
| 182.196 | 98.979 | 91.753 | 0.000 | 0.000 | -0.000 |
| -64767.335 | 871936.994 | 903736.871 | 0.000 | 0.000 | -0.000 |
| -64761.281 | 871756.118 | 903927.647 | -0.000 | 0.000 | -0.000 |
| -32423.977 | 435444.031 | 451435.938 | 487060.684 | 0.000 | -0.000 |
| -0.000 | 0.000 | -0.000 | 0.000 | 70.255 | -0.000 |
| 0.000 | 0.000 | 0.000 | 0.000 | 0.000 | 47.596 |
| 199.389 | 102.776 | 126.549 | 0.000 | 0.000 | 0.000 |
| 98.831 | 184.133 | 5.489 | -0.000 | -0.000 | 0.000 |
| 104.867 | 3.338 | 195.925 | 0.000 | -0.000 | 0.000 |
| 3242.526 | -43542.826 | -45141.990 | 48646.768 | -0.000 | 0.000 |
| 2.214 | 0.489 | 4.482 | 0.000 | 47.509 | 0.000 |
| -0.000 | -0.000 | -0.000 | -0.000 | -0.000 | 47.596 |
| 189.189 | 100.524 | 105.908 | 0.000 | 0.000 | -0.000 |
| -6386.981 | 87356.044 | 90377.082 | -0.000 | 0.000 | -0.000 |
| -6382.685 | 87174.792 | 90564.315 | 0.000 | 0.000 | -0.000 |
| -3242.526 | 43542.826 | 45141.990 | 48646.768 | 0.000 | -0.000 |
| -2.214 | -0.489 | -4.482 | -0.000 | 47.509 | -0.000 |
| 0.000 | 0.000 | 0.000 | 0.000 | 0.000 | 47.596 |
| 47.353 | 149.295 | 154.313 | -0.000 | 0.000 | -0.000 |
| 149.687 | 172.982 | 36.282 | 0.000 | 0.000 | 0.000 |
| 170.812 | 37.080 | 211.597 | 0.000 | 0.000 | 0.000 |
| -0.000 | 0.000 | 0.000 | -47.733 | 0.000 | 0.000 |
| 0.000 | 0.000 | 0.000 | 0.000 | 61.985 | -0.000 |
| 0.000 | 0.000 | 0.000 | 0.000 | 0.000 | 66.795 |
| 57.540 | 150.208 | 171.129 | -0.000 | -0.000 | 0.000 |
| 149.687 | 172.982 | 36.281 | -0.000 | -0.000 | -0.000 |
| 153.996 | 35.572 | 183.841 | -0.000 | -0.000 | 0.000 |
| 0.000 | -0.000 | -0.000 | -47.733 | -0.000 | -0.000 |
| -0.000 | -0.000 | -0.000 | -0.000 | 61.985 | 0.000 |
| -0.000 | -0.000 | -0.000 | -0.000 | -0.000 | 66.795 |
| 47.353 | 149.295 | 154.313 | 0.000 | 0.000 | -0.000 |
| 149.687 | 172.982 | 36.282 | 0.000 | 0.000 | -0.000 |
| 153.996 | 35.572 | 183.841 | -0.000 | 0.000 | -0.000 |
| -0.000 | 0.000 | -0.000 | -48.000 | 0.000 | -0.000 |
| 0.000 | -0.000 | 0.000 | 0.000 | 87.088 | 0.000 |
| 0.000 | 0.000 | -0.000 | 0.000 | 0.000 | 66.795 |
| 57.540 | 150.208 | 171.128 | -0.000 | -0.000 | 0.000 |
| 149.687 | 172.982 | 36.281 | -0.000 | -0.000 | 0.000 |
| 153.996 | 35.572 | 183.841 | -0.000 | -0.000 | 0.000 |
| 0.000 | -0.000 | 0.000 | -48.000 | -0.000 | -0.000 |
| -0.000 | 0.000 | -0.000 | 0.000 | 87.088 | 0.000 |
| -0.000 | -0.000 | 0.000 | -0.000 | -0.000 | 66.795 |
| 47.354 | 149.296 | 154.313 | 0.000 | 0.000 | -0.000 |
| 150.602 | 173.066 | 37.789 | 0.000 | 0.000 | 0.000 |
| 153.997 | 35.572 | 183.843 | 0.000 | 0.000 | -0.000 |
| -0.000 | 0.000 | -0.000 | -48.000 | 0.000 | -0.000 |
| -0.000 | -0.000 | -0.000 | 0.000 | 61.985 | -0.000 |
| 0.000 | 0.001 | -0.000 | 0.000 | 0.000 | 66.795 |
| 57.539 | 150.207 | 171.128 | -0.000 | -0.000 | 0.000 |
| 150.599 | 173.061 | 37.789 | -0.000 | -0.000 | 0.000 |
| 153.995 | 35.572 | 183.841 | -0.000 | -0.000 | 0.000 |
| 0.000 | -0.000 | 0.000 | -48.000 | -0.000 | 0.000 |
| 0.000 | 0.000 | 0.000 | -0.000 | 61.985 | 0.000 |
| -0.000 | -0.001 | 0.000 | 0.000 | -0.000 | 66.795 |
| 152.681 | 80.521 | 93.215 | 0.000 | -0.000 | 0.000 |
| 80.521 | 152.681 | 93.215 | 0.000 | -0.000 | 0.000 |
| 93.215 | 93.215 | 174.324 | 0.000 | -0.000 | -0.000 |
| -0.000 | -0.000 | -0.000 | 88.625 | -0.000 | -0.000 |
| -0.000 | -0.000 | 0.000 | 0.000 | 88.625 | 0.000 |
| -0.000 | 0.000 | -0.000 | 0.000 | -0.000 | 89.095 |
| 152.544 | 80.658 | 93.215 | -0.000 | 0.000 | 0.000 |
| 80.658 | 152.544 | 93.215 | -0.000 | 0.000 | 0.000 |
| 93.215 | 93.215 | 174.324 | -0.000 | 0.000 | -0.000 |
| 0.000 | 0.000 | 0.000 | 88.625 | 0.000 | -0.000 |
| 0.000 | 0.000 | 0.000 | 0.000 | 88.625 | -0.000 |
| 0.000 | 0.000 | 0.000 | 0.000 | 0.000 | 89.095 |
| 152.681 | 80.520 | 93.215 | 0.000 | -0.000 | 0.000 |
| 80.520 | 152.681 | 93.215 | 0.000 | 0.000 | 0.000 |
| 93.215 | 93.215 | 174.324 | 0.000 | -0.000 | 0.000 |
| -0.000 | -0.000 | 0.000 | 88.537 | -0.000 | 0.000 |
| -0.000 | -0.000 | 0.000 | 0.000 | 88.537 | 0.000 |
| -0.000 | 0.000 | -0.000 | 0.000 | 0.000 | 89.095 |
| 152.544 | 80.658 | 93.215 | -0.000 | 0.000 | -0.000 |
| 80.658 | 152.544 | 93.215 | -0.000 | 0.000 | -0.000 |
| 93.215 | 93.215 | 174.324 | -0.000 | 0.000 | -0.000 |
| 0.000 | 0.000 | -0.000 | 88.537 | 0.000 | 0.000 |
| 0.000 | 0.000 | -0.000 | -0.000 | 88.537 | -0.000 |
| 0.000 | -0.000 | 0.000 | -0.000 | 0.000 | 89.095 |
| 152.543 | 80.657 | 93.215 | 0.000 | -0.000 | 0.000 |
| 80.657 | 152.543 | 93.215 | 0.000 | -0.000 | 0.000 |
| 93.215 | 93.215 | 174.324 | 0.000 | 0.000 | 0.000 |
| -0.000 | -0.000 | 0.000 | 88.625 | -0.000 | 0.000 |
| -0.000 | -0.000 | 0.000 | 0.000 | 88.625 | 0.000 |
| -0.000 | 0.000 | -0.000 | 0.000 | -0.000 | 89.095 |
| 152.682 | 80.521 | 93.216 | -0.000 | 0.000 | -0.000 |
| 80.521 | 152.682 | 93.216 | -0.000 | 0.000 | 0.000 |
| 93.215 | 93.215 | 174.324 | -0.000 | 0.000 | 0.000 |
| 0.000 | 0.000 | -0.000 | 88.625 | 0.000 | 0.000 |
| 0.000 | 0.000 | -0.000 | -0.000 | 88.625 | -0.000 |
| 0.000 | -0.000 | 0.000 | 0.000 | 0.000 | 89.095 |
| 258.377 | 134.194 | 98.348 | 0.000 | 0.000 | 0.000 |
| 124.871 | 267.879 | 98.287 | -0.000 | -0.000 | 0.000 |
| 98.354 | 98.354 | 230.442 | 0.000 | 0.000 | 0.000 |
| -0.001 | -0.001 | 0.000 | 45.827 | 0.000 | 0.000 |
| 0.000 | 0.000 | 0.000 | 0.000 | 45.938 | -0.000 |
| -0.000 | -0.000 | 0.000 | -0.000 | 0.000 | 71.504 |
| 259.690 | 132.329 | 98.538 | -0.000 | -0.000 | -0.000 |
| 134.194 | 258.377 | 98.348 | -0.000 | -0.000 | -0.000 |
| 98.354 | 98.354 | 230.442 | -0.000 | -0.000 | -0.000 |
| 0.001 | 0.001 | -0.000 | 45.827 | -0.000 | 0.000 |
| -0.000 | -0.000 | -0.000 | -0.000 | 45.938 | -0.000 |
| 0.000 | 0.000 | -0.000 | 0.000 | -0.000 | 71.504 |
| 258.372 | 134.178 | 98.355 | 0.000 | 0.000 | 0.000 |
| 124.871 | 267.878 | 98.287 | 0.000 | 0.000 | -0.000 |
| 98.287 | 98.287 | 230.488 | 0.000 | 0.000 | -0.000 |
| -0.000 | -0.000 | 0.000 | 45.827 | 0.000 | 0.000 |
| -0.000 | 0.000 | 0.000 | 0.000 | 45.938 | 0.000 |
| -0.000 | 0.000 | 0.000 | -0.000 | -0.000 | 71.504 |
| 267.879 | 124.871 | 98.287 | -0.000 | -0.000 | -0.000 |
| 124.871 | 267.879 | 98.287 | -0.000 | -0.000 | -0.000 |
| 98.287 | 98.287 | 230.488 | 0.000 | -0.000 | 0.000 |
| 0.000 | 0.000 | -0.000 | 45.827 | -0.000 | 0.000 |
| 0.000 | -0.000 | -0.000 | -0.000 | 45.938 | -0.000 |
| 0.000 | -0.000 | -0.000 | -0.000 | 0.000 | 71.504 |
| 267.878 | 124.870 | 98.286 | -0.000 | 0.000 | -0.000 |
| 132.324 | 259.692 | 98.537 | 0.000 | 0.000 | 0.000 |
| 98.286 | 98.286 | 230.487 | 0.000 | 0.000 | 0.000 |
| 0.000 | -0.000 | 0.000 | 45.827 | 0.000 | 0.000 |
| -0.000 | 0.000 | 0.000 | 0.000 | 45.938 | -0.000 |
| -0.000 | 0.000 | -0.000 | 0.000 | 0.000 | 62.530 |
| 267.879 | 124.872 | 98.287 | -0.000 | -0.000 | -0.000 |
| 124.872 | 267.879 | 98.287 | 0.000 | 0.000 | 0.000 |
| 98.287 | 98.287 | 230.488 | -0.000 | -0.000 | -0.000 |
| -0.000 | 0.000 | -0.000 | 45.827 | -0.000 | 0.000 |
| 0.000 | -0.000 | -0.000 | -0.000 | 45.938 | 0.000 |
| 0.000 | -0.000 | 0.000 | -0.000 | -0.000 | 62.530 |
| 259.785 | 132.264 | 98.586 | -0.000 | -0.000 | -0.000 |
| 124.899 | 267.905 | 98.327 | -0.000 | 0.000 | -0.000 |
| 98.381 | 98.381 | 230.421 | 0.000 | -0.000 | -0.000 |
| 0.000 | -0.000 | -0.000 | 45.940 | -0.000 | -0.000 |
| 0.000 | -0.000 | -0.000 | -0.000 | 45.940 | -0.000 |
| -0.000 | -0.000 | -0.000 | -0.000 | -0.000 | 71.503 |
| 259.646 | 132.450 | 98.570 | 0.000 | 0.000 | 0.000 |
| 134.230 | 258.404 | 98.385 | 0.000 | 0.000 | -0.000 |
| 98.318 | 98.318 | 230.464 | 0.000 | 0.000 | 0.000 |
| -0.000 | 0.000 | -0.000 | 45.940 | 0.000 | 0.000 |
| -0.000 | 0.000 | 0.000 | 0.000 | 45.940 | 0.000 |
| 0.000 | 0.000 | 0.000 | 0.000 | -0.000 | 71.503 |
| 259.722 | 132.348 | 98.579 | -0.000 | -0.000 | 0.000 |
| 132.348 | 259.722 | 98.579 | -0.000 | -0.000 | -0.000 |
| 98.384 | 98.384 | 230.418 | -0.000 | -0.000 | 0.000 |
| 0.000 | -0.000 | 0.000 | 45.940 | -0.000 | 0.000 |
| -0.001 | -0.001 | 0.001 | -0.000 | 45.829 | -0.000 |
| -0.000 | 0.000 | -0.000 | -0.000 | 0.000 | 71.503 |
| 259.708 | 132.367 | 98.577 | 0.000 | 0.000 | -0.000 |
| 134.226 | 258.400 | 98.388 | 0.000 | 0.000 | -0.000 |
| 98.385 | 98.385 | 230.418 | -0.000 | -0.000 | 0.000 |
| -0.000 | 0.000 | -0.000 | 45.940 | 0.000 | 0.000 |
| 0.001 | 0.001 | -0.001 | 0.000 | 45.829 | 0.000 |
| 0.000 | -0.000 | 0.000 | 0.000 | 0.000 | 71.503 |
| 267.905 | 124.898 | 98.326 | -0.000 | 0.000 | -0.000 |
| 134.209 | 258.394 | 98.394 | -0.000 | -0.000 | 0.000 |
| 98.385 | 98.385 | 230.418 | -0.000 | -0.000 | -0.000 |
| -0.000 | -0.000 | 0.000 | 45.829 | -0.000 | 0.000 |
| -0.000 | -0.000 | 0.000 | -0.000 | 45.829 | -0.000 |
| -0.000 | 0.000 | -0.000 | -0.000 | 0.000 | 71.503 |
| 267.906 | 124.899 | 98.327 | 0.000 | -0.000 | 0.000 |
| 134.211 | 258.395 | 98.396 | 0.000 | 0.000 | -0.000 |
| 98.318 | 98.318 | 230.465 | 0.000 | 0.000 | 0.000 |
| 0.000 | 0.000 | -0.000 | 45.829 | 0.000 | 0.000 |
| 0.000 | 0.000 | -0.000 | 0.000 | 45.829 | 0.000 |
| 0.000 | -0.000 | 0.000 | 0.000 | -0.000 | 71.503 |
| 207.988 | 107.205 | 94.097 | -28.444 | 0.000 | 0.000 |
| 107.205 | 207.988 | 94.097 | 28.444 | 0.000 | 0.000 |
| 69.420 | 69.420 | 210.227 | -0.000 | 0.000 | 0.000 |
| -28.444 | 28.444 | -0.000 | 31.814 | 0.000 | 0.000 |
| -0.000 | 0.000 | -0.000 | -0.000 | 31.814 | -28.444 |
| 0.000 | -0.000 | -0.000 | -0.000 | -28.444 | 50.391 |
| 217.807 | 117.546 | 103.762 | -28.374 | 0.000 | -0.000 |
| 107.205 | 207.988 | 94.097 | 28.444 | -0.000 | -0.000 |
| 96.040 | 96.040 | 238.129 | 0.000 | -0.000 | -0.000 |
| -28.444 | 28.444 | 0.000 | 31.814 | 0.000 | -0.000 |
| 0.000 | -0.000 | 0.000 | 0.000 | 31.814 | -28.444 |
| 0.000 | -0.000 | 0.000 | 0.000 | -28.444 | 50.391 |
| 207.988 | 107.205 | 94.097 | -28.444 | 0.000 | 0.000 |
| 100.516 | 199.588 | 84.008 | 28.347 | 0.000 | 0.000 |
| 93.678 | 93.678 | 240.956 | -0.000 | 0.000 | 0.000 |
| -28.444 | 28.444 | 0.000 | 31.814 | 0.000 | 0.000 |
| -0.000 | 0.000 | 0.000 | -0.000 | 31.814 | -28.444 |
| -0.000 | 0.000 | -0.000 | -0.000 | -28.444 | 50.391 |
| 204.317 | 103.812 | 88.039 | -28.400 | -0.000 | -0.000 |
| 107.205 | 207.988 | 94.097 | 28.444 | -0.000 | -0.000 |
| 93.678 | 93.678 | 240.956 | 0.000 | -0.000 | -0.000 |
| -28.444 | 28.444 | -0.000 | 31.814 | -0.000 | -0.000 |
| 0.000 | -0.000 | -0.000 | 0.000 | 31.814 | -28.444 |
| 0.000 | -0.000 | 0.000 | 0.000 | -28.444 | 50.391 |
| 207.988 | 107.204 | 94.096 | -28.444 | -0.000 | 0.000 |
| 107.205 | 207.987 | 94.096 | 28.444 | -0.000 | 0.000 |
| 93.678 | 93.678 | 240.956 | -0.000 | 0.000 | 0.000 |
| -28.444 | 28.444 | 0.000 | 31.814 | -0.000 | 0.000 |
| -0.320 | -0.320 | -0.277 | -0.000 | 31.285 | -28.304 |
| -0.359 | -0.358 | -0.594 | -0.000 | -28.291 | 49.625 |
| 202.385 | 101.943 | 85.721 | -28.390 | -0.000 | -0.000 |
| 101.504 | 201.740 | 85.799 | 28.372 | -0.000 | -0.000 |
| 93.678 | 93.678 | 240.956 | 0.000 | -0.000 | -0.000 |
| -28.444 | 28.444 | -0.000 | 31.814 | -0.000 | -0.000 |
| 0.320 | 0.320 | 0.277 | 0.000 | 31.285 | -28.304 |
| 0.359 | 0.358 | 0.594 | 0.000 | -28.291 | 49.625 |
| 212.217 | 111.586 | 95.863 | -27.800 | -0.000 | 0.000 |
| 106.118 | 206.385 | 87.086 | 27.746 | -0.000 | 0.000 |
| 87.374 | 87.374 | 227.963 | 0.000 | -0.000 | 0.000 |
| -27.639 | 27.639 | 0.000 | 30.579 | 0.000 | 0.000 |
| -0.000 | 0.000 | -0.000 | 0.000 | 31.363 | -27.800 |
| -0.000 | 0.000 | -0.000 | 0.000 | -27.800 | 50.315 |
| 212.217 | 111.586 | 95.863 | -27.800 | -0.000 | -0.000 |
| 111.586 | 212.217 | 95.863 | 27.800 | 0.000 | -0.000 |
| 89.581 | 89.581 | 229.830 | -0.000 | -0.000 | -0.000 |
| -27.800 | 27.800 | 0.000 | 31.363 | -0.000 | -0.000 |
| 0.000 | -0.000 | 0.000 | -0.000 | 31.363 | -27.801 |
| 0.000 | 0.000 | 0.000 | -0.000 | -27.800 | 50.315 |
| 212.217 | 111.586 | 95.863 | -27.800 | 0.000 | 0.000 |
| 111.586 | 212.217 | 95.863 | 27.800 | 0.000 | 0.000 |
| 89.581 | 89.581 | 229.830 | 0.000 | 0.000 | 0.000 |
| -27.639 | 27.639 | 0.000 | 30.579 | 0.000 | 0.000 |
| -0.000 | -0.000 | 0.000 | -0.000 | 31.363 | -27.800 |
| -0.000 | 0.000 | -0.000 | -0.000 | -27.553 | 49.492 |
| 206.385 | 106.118 | 87.086 | -27.746 | -0.000 | 0.000 |
| 111.586 | 212.217 | 95.863 | 27.800 | -0.000 | -0.000 |
| 89.581 | 89.581 | 229.830 | -0.000 | -0.000 | -0.000 |
| -27.639 | 27.639 | -0.000 | 30.579 | -0.000 | -0.000 |
| 0.000 | 0.000 | -0.000 | 0.000 | 31.363 | -27.800 |
| 0.000 | -0.000 | -0.000 | 0.000 | -27.553 | 49.492 |
| 212.217 | 111.586 | 95.863 | -27.800 | 0.000 | 0.000 |
| 111.586 | 212.217 | 95.863 | 27.801 | 0.000 | 0.000 |
| 95.863 | 95.863 | 241.275 | 0.000 | -0.000 | -0.000 |
| -27.800 | 27.800 | 0.000 | 31.363 | 0.000 | 0.000 |
| -0.000 | -0.000 | 0.000 | -0.000 | 31.363 | -27.800 |
| -0.000 | 0.000 | -0.000 | -0.000 | -27.800 | 50.315 |
| 206.385 | 106.119 | 87.086 | -27.746 | -0.000 | -0.000 |
| 111.586 | 212.217 | 95.864 | 27.800 | 0.000 | -0.000 |
| 95.863 | 95.863 | 241.275 | -0.000 | -0.000 | 0.000 |
| -27.800 | 27.801 | -0.000 | 31.363 | 0.000 | -0.000 |
| 0.000 | 0.000 | -0.000 | 0.000 | 31.363 | -27.800 |
| 0.000 | -0.000 | 0.000 | 0.000 | -27.800 | 50.315 |
| 813.692 | 67.452 | 67.452 | -0.000 | -0.000 | 0.000 |
| 67.452 | 813.692 | 67.452 | -0.000 | -0.000 | 0.000 |
| 67.452 | 67.452 | 813.692 | 0.000 | 0.000 | 0.000 |
| -0.000 | -0.000 | -0.000 | 61.463 | -0.000 | 0.000 |
| -0.000 | 0.000 | -0.000 | -0.000 | 61.463 | 0.000 |
| -0.000 | -0.000 | -0.000 | -0.000 | -0.000 | 61.463 |
| 813.692 | 67.452 | 67.452 | 0.000 | 0.000 | -0.000 |
| 67.452 | 813.692 | 67.452 | 0.000 | -0.000 | -0.000 |
| 67.452 | 67.452 | 813.692 | -0.000 | 0.000 | -0.000 |
| 0.000 | 0.000 | 0.000 | 61.463 | 0.000 | -0.000 |
| 0.000 | -0.000 | 0.000 | 0.000 | 61.463 | -0.000 |
| 0.000 | 0.000 | 0.000 | 0.000 | 0.000 | 61.463 |
| 813.692 | 67.451 | 67.451 | -0.000 | -0.000 | 0.000 |
| 67.451 | 813.692 | 67.451 | -0.000 | -0.000 | 0.000 |
| 67.451 | 67.451 | 813.692 | 0.000 | 0.000 | 0.000 |
| -0.000 | -0.000 | -0.000 | 61.463 | -0.000 | 0.000 |
| -0.000 | -0.000 | -0.000 | 0.000 | 61.463 | 0.000 |
| -0.000 | -0.000 | -0.000 | -0.000 | -0.000 | 61.463 |
| 813.692 | 67.452 | 67.452 | 0.000 | 0.000 | -0.000 |
| 67.452 | 813.692 | 67.452 | 0.000 | 0.000 | -0.000 |
| 67.452 | 67.452 | 813.692 | 0.000 | -0.000 | -0.000 |
| 0.000 | 0.000 | 0.000 | 61.463 | 0.000 | -0.000 |
| 0.000 | 0.000 | 0.000 | 0.000 | 61.463 | -0.000 |
| 0.000 | 0.000 | 0.000 | 0.000 | 0.000 | 61.463 |
| 813.692 | 67.451 | 67.451 | -0.000 | -0.000 | 0.000 |
| 67.451 | 813.692 | 67.451 | -0.000 | 0.000 | 0.000 |
| 67.451 | 67.451 | 813.692 | -0.000 | -0.000 | 0.000 |
| -0.000 | -0.001 | -0.001 | 61.463 | -0.000 | 0.000 |
| -0.001 | -0.000 | -0.001 | -0.000 | 61.463 | 0.000 |
| -0.001 | -0.001 | -0.000 | -0.000 | -0.000 | 61.463 |
| 813.692 | 67.452 | 67.452 | 0.000 | -0.000 | -0.000 |
| 67.452 | 813.692 | 67.452 | -0.000 | -0.000 | -0.000 |
| 67.452 | 67.452 | 813.692 | 0.000 | 0.000 | -0.000 |
| 0.000 | 0.001 | 0.001 | 61.463 | 0.000 | -0.000 |
| 0.001 | 0.000 | 0.001 | 0.000 | 61.463 | -0.000 |
| 0.001 | 0.001 | 0.000 | 0.000 | 0.000 | 61.463 |
| 592.883 | 190.319 | 190.319 | -0.000 | 0.000 | -0.000 |
| 190.319 | 592.883 | 190.319 | 0.000 | -0.000 | -0.000 |
| 190.319 | 190.319 | 592.883 | 0.000 | 0.000 | 0.000 |
| -0.000 | -0.000 | 0.000 | 239.787 | -0.000 | 0.000 |
| -0.000 | -0.000 | 0.000 | 0.000 | 239.787 | 0.000 |
| -0.000 | -0.000 | 0.000 | 0.000 | 0.000 | 239.787 |
| 592.883 | 190.319 | 190.319 | -0.000 | -0.000 | 0.000 |
| 190.319 | 592.883 | 190.319 | -0.000 | 0.000 | -0.000 |
| 190.319 | 190.319 | 592.883 | -0.000 | -0.000 | -0.000 |
| 0.000 | 0.000 | -0.000 | 239.787 | -0.000 | -0.000 |
| 0.000 | 0.000 | -0.000 | -0.000 | 239.787 | -0.000 |
| 0.000 | 0.000 | -0.000 | -0.000 | -0.000 | 239.787 |
| 592.883 | 190.319 | 190.319 | 0.000 | 0.000 | 0.000 |
| 190.319 | 592.883 | 190.319 | 0.000 | 0.000 | 0.000 |
| 190.319 | 190.319 | 592.883 | -0.000 | 0.000 | 0.000 |
| -0.000 | -0.000 | -0.000 | 239.787 | -0.000 | 0.000 |
| -0.000 | -0.000 | -0.000 | 0.000 | 239.787 | 0.000 |
| -0.000 | -0.000 | -0.000 | 0.000 | 0.000 | 239.787 |
| 592.884 | 190.319 | 190.319 | -0.000 | -0.000 | -0.000 |
| 190.319 | 592.884 | 190.319 | -0.000 | 0.000 | -0.000 |
| 190.319 | 190.319 | 592.884 | -0.000 | -0.000 | -0.000 |
| 0.000 | 0.000 | 0.000 | 239.787 | -0.000 | -0.000 |
| 0.000 | 0.000 | 0.000 | -0.000 | 239.787 | -0.000 |
| 0.000 | 0.000 | 0.000 | -0.000 | -0.000 | 239.787 |
| 592.880 | 190.317 | 190.317 | 0.000 | 0.000 | 0.000 |
| 190.317 | 592.880 | 190.317 | 0.000 | 0.000 | 0.000 |
| 190.317 | 190.317 | 592.880 | 0.000 | 0.000 | 0.000 |
| -0.000 | -0.002 | -0.001 | 239.787 | 0.000 | 0.000 |
| -0.002 | -0.000 | -0.001 | 0.000 | 239.787 | 0.000 |
| -0.002 | -0.001 | -0.000 | 0.000 | 0.000 | 239.787 |
| 592.887 | 190.322 | 190.322 | -0.000 | -0.000 | -0.000 |
| 190.322 | 592.887 | 190.322 | -0.000 | -0.000 | -0.000 |
| 190.322 | 190.322 | 592.887 | -0.000 | -0.000 | -0.000 |
| 0.000 | 0.002 | 0.001 | 239.787 | -0.000 | -0.000 |
| 0.002 | 0.000 | 0.001 | 0.000 | 239.787 | -0.000 |
| 0.002 | 0.001 | 0.000 | -0.000 | -0.000 | 239.787 |
| 1136.962 | 1138.723 | 1138.723 | -0.000 | -0.000 | -0.000 |
| 1138.723 | 1136.962 | 1138.723 | -0.000 | -0.000 | -0.000 |
| 1138.723 | 1138.723 | 1136.962 | -0.000 | -0.000 | -0.000 |
| -0.000 | -0.000 | -0.000 | -0.000 | -0.000 | -0.000 |
| -0.000 | -0.000 | -0.000 | -0.000 | -0.000 | -0.000 |
| -0.000 | -0.000 | -0.000 | -0.000 | -0.000 | -0.000 |
| 1136.962 | 1138.723 | 1138.723 | -0.000 | -0.000 | -0.000 |
| 1138.723 | 1136.962 | 1138.723 | -0.000 | -0.000 | -0.000 |
| 1138.723 | 1138.723 | 1136.962 | -0.000 | -0.000 | -0.000 |
| 0.000 | 0.000 | 0.000 | -0.000 | 0.000 | 0.000 |
| 0.000 | 0.000 | 0.000 | 0.000 | -0.000 | 0.000 |
| 0.000 | 0.000 | 0.000 | 0.000 | 0.000 | -0.000 |
| 1136.961 | 1138.722 | 1138.722 | -0.000 | -0.000 | -0.000 |
| 1138.722 | 1136.961 | 1138.722 | -0.000 | -0.000 | -0.000 |
| 1138.722 | 1138.722 | 1136.961 | -0.000 | -0.000 | -0.000 |
| -0.000 | -0.000 | -0.000 | 0.000 | 0.000 | -0.000 |
| -0.000 | -0.000 | -0.000 | -0.000 | 0.000 | -0.000 |
| -0.000 | -0.000 | -0.000 | -0.000 | 0.000 | 0.000 |
| 1136.963 | 1138.724 | 1138.724 | -0.000 | 0.000 | -0.000 |
| 1138.724 | 1136.963 | 1138.724 | -0.000 | -0.000 | -0.000 |
| 1138.724 | 1138.724 | 1136.963 | -0.000 | -0.000 | -0.000 |
| 0.000 | 0.000 | 0.000 | 0.000 | -0.000 | 0.000 |
| 0.000 | 0.000 | 0.000 | -0.000 | 0.000 | 0.000 |
| 0.000 | 0.000 | 0.000 | 0.000 | 0.000 | 0.000 |
| 1136.954 | 1138.711 | 1138.711 | 0.000 | -0.000 | 0.000 |
| 1138.711 | 1136.954 | 1138.711 | -0.000 | 0.000 | 0.000 |
| 1138.711 | 1138.711 | 1136.954 | -0.000 | -0.000 | -0.000 |
| -0.001 | -0.001 | -0.001 | 0.000 | 0.000 | -0.000 |
| -0.001 | -0.001 | -0.001 | 0.000 | 0.000 | -0.000 |
| -0.001 | -0.001 | -0.001 | 0.000 | 0.000 | 0.000 |
| 1136.969 | 1138.735 | 1138.735 | -0.000 | 0.000 | 0.000 |
| 1138.735 | 1136.969 | 1138.735 | 0.000 | 0.000 | -0.000 |
| 1138.735 | 1138.735 | 1136.969 | -0.000 | -0.000 | -0.000 |
| 0.001 | 0.001 | 0.001 | 0.000 | 0.000 | 0.000 |
| 0.001 | 0.001 | 0.001 | 0.000 | 0.000 | 0.000 |
| 0.001 | 0.001 | 0.001 | -0.000 | -0.000 | 0.000 |
| 414.220 | 411.017 | 411.017 | 0.000 | 0.000 | -0.000 |
| 411.017 | 414.220 | 411.017 | 0.000 | 0.000 | -0.000 |
| 411.017 | 411.017 | 414.220 | 0.000 | 0.000 | -0.000 |
| -0.000 | -0.000 | -0.000 | 0.000 | 0.000 | -0.000 |
| -0.000 | -0.000 | -0.000 | 0.000 | 0.000 | -0.000 |
| -0.000 | -0.000 | -0.000 | 0.000 | 0.000 | 0.000 |
| 414.219 | 411.017 | 411.017 | -0.000 | -0.000 | -0.000 |
| 411.017 | 414.219 | 411.017 | -0.000 | -0.000 | -0.000 |
| 411.017 | 411.017 | 414.219 | -0.000 | -0.000 | -0.000 |
| 0.000 | 0.000 | 0.000 | 0.000 | -0.000 | 0.000 |
| 0.000 | 0.000 | 0.000 | -0.000 | 0.000 | 0.000 |
| 0.000 | 0.000 | 0.000 | -0.000 | -0.000 | 0.000 |
| 414.222 | 411.018 | 411.018 | 0.000 | 0.000 | -0.000 |
| 411.018 | 414.222 | 411.018 | -0.000 | 0.000 | 0.000 |
| 411.018 | 411.018 | 414.222 | -0.000 | -0.000 | 0.000 |
| -0.000 | -0.000 | -0.000 | 0.000 | 0.000 | -0.000 |
| -0.000 | -0.000 | -0.000 | 0.000 | 0.000 | -0.000 |
| -0.000 | -0.000 | -0.000 | 0.000 | 0.000 | 0.000 |
| 414.217 | 411.016 | 411.016 | 0.000 | 0.000 | 0.000 |
| 411.016 | 414.217 | 411.016 | 0.000 | 0.000 | 0.000 |
| 411.016 | 411.016 | 414.217 | -0.000 | -0.000 | -0.000 |
| 0.000 | 0.000 | 0.000 | 0.000 | 0.000 | -0.000 |
| 0.000 | 0.000 | 0.000 | 0.000 | 0.000 | 0.000 |
| 0.000 | 0.000 | 0.000 | -0.000 | 0.000 | 0.000 |
| 414.247 | 411.029 | 411.029 | -0.000 | 0.000 | -0.000 |
| 411.029 | 414.247 | 411.029 | 0.000 | 0.000 | -0.000 |
| 411.029 | 411.029 | 414.247 | -0.000 | 0.000 | -0.000 |
| -0.000 | -0.000 | -0.000 | 0.000 | 0.000 | -0.000 |
| -0.000 | -0.000 | -0.000 | 0.000 | 0.000 | 0.000 |
| -0.000 | -0.000 | -0.000 | -0.000 | 0.000 | 0.000 |
| 414.193 | 411.004 | 411.004 | 0.000 | -0.000 | -0.000 |
| 411.004 | 414.193 | 411.004 | 0.000 | 0.000 | 0.000 |
| 411.004 | 411.004 | 414.193 | -0.000 | -0.000 | -0.000 |
| 0.000 | 0.000 | 0.000 | 0.000 | 0.000 | 0.000 |
| 0.000 | 0.000 | 0.000 | -0.000 | 0.000 | 0.000 |
| 0.000 | 0.000 | 0.000 | -0.000 | -0.000 | 0.000 |
| -0.453 | 0.000 | 0.000 | 0.000 | -0.000 | 0.000 |
| 0.000 | -0.453 | 0.000 | -0.000 | 0.000 | 0.000 |
| 0.000 | 0.000 | -0.453 | -0.000 | 0.000 | 0.000 |
| 0.000 | -0.000 | 0.000 | -0.000 | 0.000 | 0.000 |
| -0.000 | 0.000 | 0.000 | 0.000 | -0.000 | -0.000 |
| -0.000 | 0.000 | 0.000 | 0.000 | 0.000 | -0.000 |
| -0.453 | 0.000 | 0.000 | -0.000 | -0.000 | 0.000 |
| 0.000 | -0.453 | 0.000 | -0.000 | -0.000 | 0.000 |
| 0.000 | 0.000 | -0.453 | 0.000 | 0.000 | 0.000 |
| -0.000 | 0.000 | -0.000 | -0.000 | -0.000 | 0.000 |
| 0.000 | -0.000 | -0.000 | -0.000 | -0.000 | -0.000 |
| 0.000 | -0.000 | -0.000 | -0.000 | -0.000 | -0.000 |
| -0.453 | 0.000 | 0.000 | 0.000 | 0.000 | 0.000 |
| 0.000 | -0.453 | 0.000 | 0.000 | -0.000 | 0.000 |
| 0.000 | 0.000 | -0.453 | 0.000 | 0.000 | -0.000 |
| 0.000 | -0.000 | 0.000 | -0.000 | -0.000 | 0.000 |
| -0.000 | 0.000 | 0.000 | -0.000 | -0.000 | 0.000 |
| -0.000 | 0.000 | 0.000 | 0.000 | 0.000 | -0.000 |
| -0.453 | 0.000 | 0.000 | -0.000 | 0.000 | -0.000 |
| 0.000 | -0.453 | 0.000 | 0.000 | 0.000 | -0.000 |
| 0.000 | 0.000 | -0.453 | -0.000 | -0.000 | 0.000 |
| -0.000 | 0.000 | -0.000 | -0.000 | 0.000 | -0.000 |
| 0.000 | -0.000 | -0.000 | 0.000 | -0.000 | -0.000 |
| 0.000 | -0.000 | -0.000 | -0.000 | -0.000 | -0.000 |
| -0.452 | 0.000 | 0.000 | 0.000 | -0.000 | 0.000 |
| 0.000 | -0.452 | 0.000 | -0.000 | 0.000 | 0.000 |
| 0.000 | 0.000 | -0.452 | 0.000 | 0.000 | 0.000 |
| 0.000 | -0.000 | 0.000 | -0.000 | -0.000 | -0.000 |
| -0.000 | 0.000 | 0.000 | 0.000 | -0.000 | 0.000 |
| -0.000 | 0.000 | 0.000 | 0.000 | 0.000 | -0.000 |
| -0.454 | 0.000 | 0.000 | -0.000 | -0.000 | -0.000 |
| 0.000 | -0.454 | 0.000 | -0.000 | -0.000 | 0.000 |
| 0.000 | 0.000 | -0.454 | 0.000 | 0.000 | 0.000 |
| -0.000 | -0.000 | -0.000 | -0.000 | 0.000 | -0.000 |
| -0.000 | -0.000 | -0.000 | -0.000 | -0.000 | -0.000 |
| -0.000 | -0.000 | -0.000 | -0.000 | -0.000 | -0.000 |
| 33.297 | 1.808 | 1.808 | -0.000 | 0.000 | 0.000 |
| 1.808 | 33.297 | 1.808 | 0.000 | 0.000 | 0.000 |
| 1.808 | 1.808 | 33.297 | 0.000 | 0.000 | 0.000 |
| 0.000 | 0.000 | 0.000 | -0.886 | -0.000 | 0.000 |
| 0.000 | 0.000 | 0.000 | -0.000 | -0.886 | -0.000 |
| 0.000 | 0.000 | 0.000 | -0.000 | -0.000 | -0.886 |
| 33.302 | 1.808 | 1.808 | -0.000 | -0.000 | -0.000 |
| 1.808 | 33.302 | 1.808 | -0.000 | -0.000 | 0.000 |
| 1.808 | 1.808 | 33.302 | -0.000 | -0.000 | -0.000 |
| -0.000 | -0.000 | -0.000 | -0.886 | 0.000 | 0.000 |
| -0.000 | -0.000 | -0.000 | 0.000 | -0.886 | -0.000 |
| -0.000 | -0.000 | -0.000 | 0.000 | 0.000 | -0.886 |
| 33.275 | 1.808 | 1.808 | -0.000 | -0.000 | 0.000 |
| 1.808 | 33.275 | 1.808 | -0.000 | -0.000 | 0.000 |
| 1.808 | 1.808 | 33.275 | 0.000 | 0.000 | 0.000 |
| 0.000 | 0.000 | -0.000 | -0.886 | -0.000 | 0.000 |
| 0.000 | 0.000 | -0.000 | -0.000 | -0.886 | -0.000 |
| 0.000 | -0.000 | 0.000 | -0.000 | -0.000 | -0.886 |
| 33.324 | 1.808 | 1.808 | -0.000 | -0.000 | -0.000 |
| 1.808 | 33.324 | 1.808 | -0.000 | 0.000 | -0.000 |
| 1.808 | 1.808 | 33.324 | -0.000 | -0.000 | -0.000 |
| -0.000 | -0.000 | 0.000 | -0.886 | 0.000 | 0.000 |
| -0.000 | -0.000 | 0.000 | 0.000 | -0.886 | 0.000 |
| -0.000 | 0.000 | -0.000 | 0.000 | 0.000 | -0.886 |
| 33.056 | 1.808 | 1.808 | -0.000 | -0.000 | 0.000 |
| 1.808 | 33.056 | 1.808 | -0.000 | -0.000 | 0.000 |
| 1.808 | 1.808 | 33.056 | 0.000 | 0.000 | 0.000 |
| -0.000 | 0.000 | -0.000 | -0.886 | -0.000 | 0.000 |
| 0.000 | -0.000 | -0.000 | -0.000 | -0.886 | 0.000 |
| 0.000 | -0.000 | -0.000 | -0.000 | -0.000 | -0.886 |
| 33.542 | 1.808 | 1.808 | 0.000 | 0.000 | -0.000 |
| 1.808 | 33.542 | 1.808 | -0.000 | 0.000 | -0.000 |
| 1.808 | 1.808 | 33.542 | -0.000 | -0.000 | -0.000 |
| 0.000 | -0.000 | 0.000 | -0.886 | 0.000 | 0.000 |
| -0.000 | 0.000 | 0.000 | 0.000 | -0.886 | -0.000 |
| -0.000 | 0.000 | 0.000 | 0.000 | 0.000 | -0.886 |
| 265.181 | 296.670 | 296.670 | -0.000 | 0.000 | 0.000 |
| 296.670 | 265.181 | 296.670 | -0.000 | -0.000 | 0.000 |
| 296.670 | 296.670 | 265.181 | -0.000 | 0.000 | 0.000 |
| 0.000 | 0.000 | 0.000 | 205.051 | 0.000 | 0.000 |
| -0.000 | 0.000 | 0.000 | -0.000 | 205.051 | 0.000 |
| 0.000 | 0.000 | 0.000 | 0.000 | 0.000 | 205.051 |
| 265.181 | 296.670 | 296.670 | 0.000 | 0.000 | 0.000 |
| 296.670 | 265.181 | 296.670 | 0.000 | 0.000 | 0.000 |
| 296.669 | 296.670 | 265.181 | 0.000 | -0.000 | -0.000 |
| -0.000 | 0.000 | -0.000 | 205.051 | -0.000 | -0.000 |
| -0.000 | 0.000 | -0.000 | 0.000 | 205.051 | 0.000 |
| 0.000 | -0.000 | -0.000 | -0.000 | -0.000 | 205.051 |
| 265.182 | 296.670 | 296.670 | -0.000 | -0.000 | 0.000 |
| 296.670 | 265.182 | 296.670 | -0.000 | -0.000 | 0.000 |
| 296.670 | 296.670 | 265.182 | -0.000 | 0.000 | 0.000 |
| 0.000 | 0.000 | 0.000 | 205.051 | 0.000 | -0.000 |
| 0.000 | 0.000 | 0.000 | -0.000 | 205.051 | 0.000 |
| 0.000 | 0.000 | 0.000 | -0.000 | 0.000 | 205.051 |
| 265.181 | 296.669 | 296.669 | 0.000 | -0.000 | -0.000 |
| 296.669 | 265.181 | 296.669 | -0.000 | -0.000 | -0.000 |
| 296.669 | 296.669 | 265.181 | -0.000 | -0.000 | -0.000 |
| -0.000 | -0.000 | -0.000 | 205.051 | -0.000 | -0.000 |
| -0.000 | -0.000 | -0.000 | 0.000 | 205.051 | -0.000 |
| -0.000 | -0.000 | -0.000 | 0.000 | -0.000 | 205.051 |
| 265.185 | 296.671 | 296.671 | 0.000 | 0.000 | -0.000 |
| 296.671 | 265.185 | 296.671 | -0.000 | 0.000 | 0.000 |
| 296.671 | 296.671 | 265.185 | -0.000 | -0.000 | -0.000 |
| 0.001 | 0.000 | 0.001 | 205.051 | -0.000 | -0.000 |
| 0.000 | 0.001 | 0.001 | -0.000 | 205.051 | 0.000 |
| 0.000 | 0.001 | 0.001 | -0.000 | 0.000 | 205.051 |
| 265.178 | 296.668 | 296.668 | -0.000 | -0.000 | -0.000 |
| 296.668 | 265.178 | 296.668 | 0.000 | -0.000 | 0.000 |
| 296.668 | 296.668 | 265.178 | 0.000 | -0.000 | -0.000 |
| -0.001 | -0.000 | -0.001 | 205.051 | 0.000 | -0.000 |
| -0.000 | -0.001 | -0.001 | 0.000 | 205.051 | -0.000 |
| -0.000 | -0.001 | -0.001 | 0.000 | -0.000 | 205.051 |
| 5377.746 | 5383.063 | 5383.063 | 0.000 | 0.000 | 0.000 |
| 5383.063 | 5377.746 | 5383.063 | 0.000 | 0.000 | -0.000 |
| 5383.063 | 5383.063 | 5377.746 | 0.000 | 0.000 | 0.000 |
| 0.000 | 0.000 | 0.000 | -3.892 | 0.000 | 0.000 |
| 0.000 | 0.000 | 0.000 | 0.000 | -3.892 | -0.000 |
| 0.000 | 0.000 | 0.000 | 0.000 | 0.000 | -3.892 |
| 5377.749 | 5383.065 | 5383.065 | -0.000 | 0.000 | 0.000 |
| 5383.065 | 5377.749 | 5383.065 | -0.000 | -0.000 | 0.000 |
| 5383.065 | 5383.065 | 5377.749 | -0.000 | -0.000 | -0.000 |
| -0.000 | -0.000 | -0.000 | -3.892 | -0.000 | 0.000 |
| -0.000 | -0.000 | -0.000 | -0.000 | -3.892 | -0.000 |
| -0.000 | -0.000 | -0.000 | -0.000 | 0.000 | -3.892 |
| 5377.734 | 5383.051 | 5383.051 | 0.000 | 0.000 | -0.000 |
| 5383.051 | 5377.734 | 5383.051 | 0.000 | 0.000 | -0.000 |
| 5383.051 | 5383.051 | 5377.734 | -0.000 | 0.000 | 0.000 |
| 0.000 | 0.000 | 0.000 | -3.892 | 0.000 | -0.000 |
| 0.000 | 0.000 | 0.000 | 0.000 | -3.892 | -0.000 |
| 0.000 | 0.000 | 0.000 | 0.000 | 0.000 | -3.892 |
| 5377.762 | 5383.077 | 5383.077 | -0.000 | 0.000 | -0.000 |
| 5383.077 | 5377.762 | 5383.077 | -0.000 | 0.000 | -0.000 |
| 5383.077 | 5383.077 | 5377.762 | -0.000 | -0.000 | 0.000 |
| -0.000 | -0.000 | -0.000 | -3.892 | -0.000 | -0.000 |
| -0.000 | -0.000 | -0.000 | -0.000 | -3.892 | -0.000 |
| -0.000 | -0.000 | -0.000 | -0.000 | -0.000 | -3.892 |
| 5377.607 | 5382.935 | 5382.935 | 0.000 | -0.000 | 0.000 |
| 5382.935 | 5377.607 | 5382.935 | 0.000 | -0.000 | -0.000 |
| 5382.935 | 5382.935 | 5377.607 | 0.000 | 0.000 | -0.000 |
| 0.002 | 0.002 | 0.002 | -3.892 | 0.000 | -0.000 |
| 0.002 | 0.002 | 0.002 | 0.000 | -3.892 | 0.000 |
| 0.002 | 0.002 | 0.002 | 0.000 | -0.000 | -3.892 |
| 5377.888 | 5383.193 | 5383.193 | -0.000 | -0.000 | 0.000 |
| 5383.193 | 5377.888 | 5383.193 | -0.000 | 0.000 | 0.000 |
| 5383.193 | 5383.193 | 5377.888 | -0.000 | -0.000 | 0.000 |
| -0.002 | -0.002 | -0.002 | -3.892 | -0.000 | 0.000 |
| -0.002 | -0.002 | -0.002 | -0.000 | -3.892 | 0.000 |
| -0.002 | -0.002 | -0.002 | -0.000 | -0.000 | -3.892 |
| 698.649 | 698.649 | 698.649 | -0.000 | 0.000 | -0.000 |
| 698.649 | 698.649 | 698.649 | 0.000 | 0.000 | -0.000 |
| 698.649 | 698.649 | 698.649 | -0.000 | -0.000 | -0.000 |
| 0.000 | 0.000 | 0.000 | 2.185 | 0.000 | -0.000 |
| 0.000 | 0.000 | 0.000 | -0.000 | 2.185 | -0.000 |
| 0.000 | 0.000 | 0.000 | 0.000 | -0.000 | 2.185 |
| 698.649 | 698.649 | 698.649 | -0.000 | -0.000 | 0.000 |
| 698.649 | 698.649 | 698.649 | -0.000 | -0.000 | 0.000 |
| 698.649 | 698.649 | 698.649 | -0.000 | -0.000 | 0.000 |
| -0.000 | -0.000 | -0.000 | 2.185 | -0.000 | 0.000 |
| -0.000 | -0.000 | -0.000 | 0.000 | 2.185 | 0.000 |
| -0.000 | -0.000 | -0.000 | -0.000 | -0.000 | 2.185 |
| 698.652 | 698.652 | 698.652 | 0.000 | 0.000 | 0.000 |
| 698.652 | 698.652 | 698.652 | 0.000 | 0.000 | 0.000 |
| 698.652 | 698.652 | 698.652 | 0.000 | 0.000 | -0.000 |
| 0.001 | 0.001 | 0.001 | 2.185 | 0.000 | -0.000 |
| 0.001 | 0.001 | 0.001 | 0.000 | 2.185 | -0.000 |
| 0.001 | 0.001 | 0.001 | 0.000 | 0.000 | 2.185 |
| 698.647 | 698.647 | 698.647 | -0.000 | 0.000 | 0.000 |
| 698.647 | 698.647 | 698.647 | 0.000 | -0.000 | 0.000 |
| 698.647 | 698.647 | 698.647 | 0.000 | 0.000 | 0.000 |
| -0.001 | -0.001 | -0.001 | 2.185 | 0.000 | -0.000 |
| -0.001 | -0.001 | -0.001 | 0.000 | 2.185 | -0.000 |
| -0.001 | -0.001 | -0.001 | -0.000 | -0.000 | 2.185 |
| 698.673 | 698.675 | 698.675 | -0.000 | -0.000 | -0.000 |
| 698.675 | 698.673 | 698.675 | -0.000 | -0.000 | -0.000 |
| 698.675 | 698.675 | 698.673 | -0.000 | 0.000 | -0.000 |
| 0.005 | 0.005 | 0.005 | 2.185 | 0.000 | -0.000 |
| 0.005 | 0.005 | 0.005 | -0.000 | 2.185 | -0.000 |
| 0.005 | 0.005 | 0.005 | 0.000 | -0.000 | 2.185 |
| 698.625 | 698.624 | 698.624 | -0.000 | -0.000 | 0.000 |
| 698.624 | 698.625 | 698.624 | -0.000 | -0.000 | 0.000 |
| 698.624 | 698.624 | 698.625 | 0.000 | -0.000 | -0.000 |
| -0.005 | -0.005 | -0.005 | 2.185 | -0.000 | 0.000 |
| -0.005 | -0.005 | -0.005 | -0.000 | 2.185 | 0.000 |
| -0.005 | -0.005 | -0.005 | 0.000 | -0.000 | 2.185 |
| -0.262 | -0.262 | -0.262 | 0.000 | 0.000 | -0.000 |
| -0.262 | -0.262 | -0.262 | 0.000 | 0.000 | -0.000 |
| -0.262 | -0.262 | -0.262 | -0.000 | -0.000 | 0.000 |
| 0.000 | 0.000 | 0.000 | -0.262 | -0.000 | -0.000 |
| 0.000 | 0.000 | 0.000 | -0.000 | -0.262 | -0.000 |
| 0.000 | 0.000 | 0.000 | -0.000 | -0.000 | -0.262 |
| -0.262 | -0.262 | -0.262 | 0.000 | 0.000 | -0.000 |
| -0.262 | -0.262 | -0.262 | 0.000 | 0.000 | -0.000 |
| -0.262 | -0.262 | -0.262 | -0.000 | -0.000 | 0.000 |
| -0.000 | -0.000 | -0.000 | -0.262 | 0.000 | 0.000 |
| -0.000 | -0.000 | -0.000 | 0.000 | -0.262 | 0.000 |
| -0.000 | -0.000 | -0.000 | 0.000 | -0.000 | -0.262 |
| -0.262 | -0.262 | -0.262 | -0.000 | 0.000 | 0.000 |
| -0.262 | -0.262 | -0.262 | 0.000 | -0.000 | 0.000 |
| -0.262 | -0.262 | -0.262 | 0.000 | 0.000 | -0.000 |
| 0.000 | 0.000 | 0.000 | -0.262 | -0.000 | 0.000 |
| 0.000 | 0.000 | 0.000 | -0.000 | -0.262 | 0.000 |
| 0.000 | 0.000 | 0.000 | -0.000 | -0.000 | -0.262 |
| -0.262 | -0.262 | -0.262 | 0.000 | 0.000 | -0.000 |
| -0.262 | -0.262 | -0.262 | 0.000 | 0.000 | -0.000 |
| -0.262 | -0.262 | -0.262 | -0.000 | -0.000 | -0.000 |
| -0.000 | -0.000 | -0.000 | -0.262 | -0.000 | 0.000 |
| -0.000 | -0.000 | -0.000 | -0.000 | -0.262 | 0.000 |
| -0.000 | -0.000 | -0.000 | -0.000 | -0.000 | -0.262 |
| -0.261 | -0.261 | -0.261 | -0.000 | -0.000 | -0.000 |
| -0.261 | -0.261 | -0.261 | -0.000 | -0.000 | -0.000 |
| -0.261 | -0.261 | -0.261 | -0.000 | -0.000 | -0.000 |
| 0.000 | 0.000 | 0.000 | -0.262 | -0.000 | -0.000 |
| 0.000 | 0.000 | 0.000 | -0.000 | -0.262 | -0.000 |
| 0.000 | 0.000 | 0.000 | -0.000 | -0.000 | -0.262 |
| -0.262 | -0.262 | -0.262 | -0.000 | 0.000 | 0.000 |
| -0.262 | -0.262 | -0.262 | 0.000 | -0.000 | 0.000 |
| -0.262 | -0.262 | -0.262 | 0.000 | 0.000 | -0.000 |
| -0.000 | -0.000 | -0.000 | -0.262 | 0.000 | -0.000 |
| -0.000 | -0.000 | -0.000 | 0.000 | -0.262 | -0.000 |
| -0.000 | -0.000 | -0.000 | 0.000 | -0.000 | -0.262 |
| 20.072 | 23.104 | 23.104 | -0.000 | -0.000 | 0.000 |
| 23.104 | 20.072 | 23.104 | -0.000 | -0.000 | 0.000 |
| 23.104 | 23.104 | 20.072 | -0.000 | -0.000 | 0.000 |
| -0.000 | -0.000 | -0.000 | 17.444 | -0.000 | 0.000 |
| -0.000 | -0.000 | -0.000 | 0.000 | 17.444 | 0.000 |
| -0.000 | -0.000 | -0.000 | 0.000 | -0.000 | 17.444 |
| 20.073 | 23.105 | 23.105 | -0.000 | 0.000 | -0.000 |
| 23.105 | 20.073 | 23.105 | 0.000 | 0.000 | -0.000 |
| 23.105 | 23.105 | 20.073 | -0.000 | -0.000 | -0.000 |
| 0.000 | 0.000 | 0.000 | 17.444 | 0.000 | -0.000 |
| 0.000 | 0.000 | 0.000 | 0.000 | 17.444 | -0.000 |
| 0.000 | 0.000 | 0.000 | -0.000 | 0.000 | 17.444 |
| 20.068 | 23.100 | 23.100 | -0.000 | -0.000 | 0.000 |
| 23.100 | 20.068 | 23.100 | -0.000 | -0.000 | 0.000 |
| 23.100 | 23.100 | 20.068 | -0.000 | 0.000 | -0.000 |
| -0.005 | -0.005 | -0.005 | 17.444 | -0.000 | 0.000 |
| -0.005 | -0.005 | -0.005 | -0.000 | 17.444 | 0.000 |
| -0.005 | -0.005 | -0.005 | -0.000 | -0.000 | 17.444 |
| 20.077 | 23.109 | 23.109 | 0.000 | 0.000 | -0.000 |
| 23.109 | 20.077 | 23.109 | 0.000 | 0.000 | -0.000 |
| 23.109 | 23.109 | 20.077 | -0.000 | -0.000 | -0.000 |
| 0.005 | 0.005 | 0.005 | 17.444 | 0.000 | -0.000 |
| 0.005 | 0.005 | 0.005 | 0.000 | 17.444 | -0.000 |
| 0.005 | 0.005 | 0.005 | -0.000 | 0.000 | 17.444 |
| 20.026 | 23.058 | 23.058 | -0.000 | -0.000 | 0.000 |
| 23.058 | 20.026 | 23.058 | 0.000 | -0.000 | 0.000 |
| 23.058 | 23.058 | 20.026 | 0.000 | -0.000 | 0.000 |
| -0.046 | -0.046 | -0.046 | 17.444 | -0.000 | 0.000 |
| -0.046 | -0.046 | -0.046 | -0.000 | 17.444 | 0.000 |
| -0.046 | -0.046 | -0.046 | -0.000 | -0.000 | 17.444 |
| 20.119 | 23.151 | 23.151 | 0.000 | 0.000 | -0.000 |
| 23.151 | 20.119 | 23.151 | -0.000 | 0.000 | -0.000 |
| 23.151 | 23.151 | 20.119 | 0.000 | 0.000 | -0.000 |
| 0.046 | 0.046 | 0.046 | 17.444 | 0.000 | -0.000 |
| 0.046 | 0.046 | 0.046 | 0.000 | 17.444 | -0.000 |
| 0.046 | 0.046 | 0.046 | 0.000 | 0.000 | 17.444 |
| 474.727 | 533.070 | 533.070 | 0.000 | 0.000 | 0.000 |
| 533.070 | 474.727 | 533.070 | 0.000 | 0.000 | 0.000 |
| 533.070 | 533.070 | 474.727 | 0.000 | 0.000 | 0.000 |
| -0.000 | -0.000 | -0.000 | -83.488 | 0.000 | 0.000 |
| 0.000 | -0.000 | -0.000 | 0.000 | -83.488 | 0.000 |
| 0.000 | -0.000 | -0.000 | 0.000 | 0.000 | -83.488 |
| 474.727 | 533.070 | 533.070 | -0.000 | -0.000 | -0.000 |
| 533.070 | 474.727 | 533.070 | -0.000 | -0.000 | -0.000 |
| 533.070 | 533.070 | 474.727 | -0.000 | -0.000 | -0.000 |
| -0.000 | 0.000 | 0.000 | -83.488 | -0.000 | -0.000 |
| -0.000 | 0.000 | 0.000 | -0.000 | -83.488 | -0.000 |
| -0.000 | 0.000 | 0.000 | -0.000 | -0.000 | -83.488 |
| 474.727 | 533.070 | 533.070 | 0.000 | 0.000 | 0.000 |
| 533.070 | 474.727 | 533.070 | 0.000 | 0.000 | 0.000 |
| 533.070 | 533.070 | 474.727 | 0.000 | 0.000 | 0.000 |
| 0.000 | -0.000 | -0.000 | 94.843 | -0.000 | 0.000 |
| -0.000 | 0.000 | -0.000 | 0.000 | 94.843 | 0.000 |
| -0.000 | -0.000 | 0.000 | 0.000 | 0.000 | 94.843 |
| 474.726 | 533.070 | 533.070 | -0.000 | -0.000 | -0.000 |
| 533.070 | 474.726 | 533.070 | -0.000 | -0.000 | -0.000 |
| 533.070 | 533.070 | 474.726 | -0.000 | -0.000 | -0.000 |
| -0.000 | 0.000 | 0.000 | 94.843 | -0.000 | -0.000 |
| 0.000 | -0.000 | 0.000 | -0.000 | 94.843 | -0.000 |
| 0.000 | 0.000 | -0.000 | -0.000 | -0.000 | 94.843 |
| 474.729 | 533.070 | 533.070 | 0.000 | 0.000 | 0.000 |
| 533.070 | 474.729 | 533.070 | 0.000 | 0.000 | 0.000 |
| 533.070 | 533.070 | 474.729 | 0.000 | 0.000 | 0.000 |
| -0.000 | 0.000 | -0.000 | -83.488 | 0.000 | 0.000 |
| 0.000 | -0.000 | -0.000 | 0.000 | -83.488 | 0.000 |
| 0.000 | -0.000 | -0.000 | 0.000 | 0.000 | -83.488 |
| 474.724 | 533.071 | 533.071 | -0.000 | -0.000 | -0.000 |
| 533.071 | 474.724 | 533.071 | -0.000 | -0.000 | -0.000 |
| 533.071 | 533.071 | 474.724 | -0.000 | -0.000 | -0.000 |
| 0.000 | -0.000 | 0.000 | -83.488 | -0.000 | -0.000 |
| -0.000 | 0.000 | 0.000 | -0.000 | -83.488 | -0.000 |
| -0.000 | 0.000 | 0.000 | -0.000 | -0.000 | -83.488 |
| 662.599 | 241.654 | 241.654 | 0.000 | 0.000 | -0.000 |
| 241.654 | 662.599 | 241.654 | 0.000 | 0.000 | 0.000 |
| 241.654 | 241.654 | 662.599 | 0.000 | 0.000 | -0.000 |
| -0.000 | 0.000 | -0.000 | 186.693 | 0.000 | -0.000 |
| -0.000 | 0.000 | -0.000 | 0.000 | 186.693 | -0.000 |
| -0.000 | 0.000 | 0.000 | 0.000 | 0.000 | 186.693 |
| 662.599 | 241.654 | 241.654 | -0.000 | -0.000 | -0.000 |
| 241.654 | 662.599 | 241.654 | -0.000 | -0.000 | 0.000 |
| 241.654 | 241.654 | 662.599 | 0.000 | 0.000 | 0.000 |
| 0.000 | -0.000 | -0.000 | 186.693 | -0.000 | 0.000 |
| -0.000 | -0.000 | 0.000 | -0.000 | 186.693 | 0.000 |
| -0.000 | -0.000 | -0.000 | -0.000 | 0.000 | 186.693 |
| 662.600 | 241.654 | 241.654 | 0.000 | 0.000 | -0.000 |
| 241.654 | 662.600 | 241.654 | 0.000 | 0.000 | 0.000 |
| 241.654 | 241.654 | 662.600 | 0.000 | 0.000 | -0.000 |
| 0.000 | -0.000 | -0.000 | 186.693 | 0.000 | -0.000 |
| -0.000 | 0.000 | -0.000 | 0.000 | 186.693 | -0.000 |
| -0.000 | -0.000 | 0.000 | 0.000 | 0.000 | 186.693 |
| 662.599 | 241.654 | 241.654 | -0.000 | 0.000 | 0.000 |
| 241.654 | 662.599 | 241.654 | -0.000 | -0.000 | 0.000 |
| 241.654 | 241.654 | 662.599 | -0.000 | -0.000 | 0.000 |
| -0.000 | 0.000 | 0.000 | 186.693 | 0.000 | 0.000 |
| 0.000 | -0.000 | 0.000 | -0.000 | 186.693 | 0.000 |
| 0.000 | 0.000 | -0.000 | -0.000 | -0.000 | 186.693 |
| 662.604 | 241.655 | 241.655 | 0.000 | -0.000 | 0.000 |
| 241.655 | 662.604 | 241.655 | 0.000 | 0.000 | -0.000 |
| 241.655 | 241.655 | 662.604 | 0.000 | -0.000 | -0.000 |
| 0.001 | -0.000 | -0.000 | 186.693 | 0.000 | -0.000 |
| -0.000 | 0.001 | -0.000 | 0.000 | 186.693 | -0.000 |
| -0.000 | -0.000 | 0.001 | 0.000 | 0.000 | 186.693 |
| 662.594 | 241.653 | 241.653 | -0.000 | -0.000 | 0.000 |
| 241.653 | 662.594 | 241.653 | -0.000 | -0.000 | -0.000 |
| 241.653 | 241.653 | 662.594 | -0.000 | -0.000 | 0.000 |
| -0.001 | 0.000 | 0.000 | 186.693 | -0.000 | 0.000 |
| 0.000 | -0.001 | 0.000 | -0.000 | 186.693 | 0.000 |
| 0.000 | 0.000 | -0.001 | -0.000 | -0.000 | 186.693 |
| 29.353 | 28.433 | 28.433 | 0.000 | 0.000 | 0.000 |
| 28.433 | 29.353 | 28.433 | 0.000 | -0.000 | 0.000 |
| 28.433 | 28.433 | 29.353 | 0.000 | 0.000 | -0.000 |
| 0.000 | 0.000 | 0.000 | 0.578 | 0.000 | 0.000 |
| 0.000 | -0.000 | 0.000 | 0.000 | 0.578 | 0.000 |
| 0.000 | 0.000 | 0.000 | 0.000 | 0.000 | 0.578 |
| 29.353 | 28.433 | 28.433 | -0.000 | -0.000 | -0.000 |
| 28.433 | 29.353 | 28.433 | -0.000 | -0.000 | -0.000 |
| 28.433 | 28.433 | 29.353 | -0.000 | -0.000 | -0.000 |
| -0.000 | -0.000 | -0.000 | 0.578 | -0.000 | -0.000 |
| -0.000 | -0.000 | -0.000 | -0.000 | 0.578 | -0.000 |
| -0.000 | -0.000 | -0.000 | -0.000 | -0.000 | 0.578 |
| 29.353 | 28.433 | 28.433 | 0.000 | 0.000 | 0.000 |
| 28.433 | 29.353 | 28.433 | 0.000 | 0.000 | 0.000 |
| 28.433 | 28.433 | 29.353 | 0.000 | 0.000 | 0.000 |
| -0.000 | 0.000 | 0.000 | 0.578 | 0.000 | 0.000 |
| 0.000 | -0.000 | 0.000 | 0.000 | 0.578 | 0.000 |
| 0.000 | 0.000 | -0.000 | 0.000 | 0.000 | 0.578 |
| 29.353 | 28.433 | 28.433 | -0.000 | -0.000 | -0.000 |
| 28.433 | 29.353 | 28.433 | -0.000 | -0.000 | -0.000 |
| 28.433 | 28.433 | 29.353 | -0.000 | -0.000 | -0.000 |
| 0.000 | -0.000 | -0.000 | 0.578 | -0.000 | -0.000 |
| -0.000 | 0.000 | -0.000 | -0.000 | 0.578 | -0.000 |
| -0.000 | -0.000 | 0.000 | -0.000 | -0.000 | 0.578 |
| 29.353 | 28.433 | 28.433 | 0.000 | 0.000 | 0.000 |
| 28.433 | 29.353 | 28.433 | 0.000 | 0.000 | 0.000 |
| 28.433 | 28.433 | 29.353 | 0.000 | 0.000 | 0.000 |
| -0.000 | 0.000 | 0.000 | 0.578 | 0.000 | 0.000 |
| 0.000 | -0.000 | 0.000 | 0.000 | 0.578 | 0.000 |
| 0.000 | 0.000 | -0.000 | 0.000 | 0.000 | 0.578 |
| 29.353 | 28.432 | 28.432 | -0.000 | -0.000 | -0.000 |
| 28.432 | 29.353 | 28.432 | -0.000 | -0.000 | -0.000 |
| 28.432 | 28.432 | 29.353 | -0.000 | -0.000 | -0.000 |
| 0.000 | -0.000 | -0.000 | 0.578 | -0.000 | -0.000 |
| -0.000 | 0.000 | -0.000 | -0.000 | 0.578 | -0.000 |
| -0.000 | -0.000 | 0.000 | -0.000 | -0.000 | 0.578 |
| -183531858.283 | -91929831.727 | -91929831.727 | -0.000 | -0.000 | -0.000 |
| -91929831.727 | -183531858.283 | -91929831.727 | 0.000 | -0.000 | -0.000 |
| -91929831.727 | -91929831.727 | -183531858.283 | 0.000 | -0.000 | 0.000 |
| -81947.384 | -46061884.495 | -46061885.414 | -45979936.912 | -0.000 | 0.000 |
| -46061884.495 | -81947.384 | -46061885.414 | -0.000 | -45979936.912 | 0.000 |
| -46061884.495 | -46061885.414 | -81947.384 | -0.000 | -0.000 | -45979936.912 |
| 1.042 | -3.025 | -3.025 | 0.000 | 0.000 | -0.000 |
| -3.025 | 1.042 | -3.025 | 0.000 | -0.000 | 0.000 |
| -3.025 | -3.025 | 1.042 | -0.000 | 0.000 | -0.000 |
| 81947.384 | 46061884.495 | 46061885.414 | -45979936.912 | -0.000 | 0.000 |
| 46061884.495 | 81947.384 | 46061885.414 | 0.000 | -45979936.912 | 0.000 |
| 46061884.495 | 46061885.414 | 81947.384 | 0.000 | -0.000 | -45979936.912 |
| -18353234.753 | -9193012.440 | -9193012.440 | -0.000 | -0.000 | -0.000 |
| -9193012.440 | -18353234.753 | -9193012.440 | -0.000 | -0.000 | -0.000 |
| -9193012.440 | -9193012.440 | -18353234.753 | 0.000 | 0.000 | -0.000 |
| -8194.705 | -4606200.496 | -4606201.416 | -4598005.592 | -0.000 | -0.000 |
| -4606200.496 | -8194.705 | -4606201.416 | -0.000 | -4598005.592 | 0.000 |
| -4606200.496 | -4606201.416 | -8194.705 | -0.000 | -0.000 | -4598005.592 |
| 1.042 | -3.025 | -3.025 | 0.000 | -0.000 | -0.000 |
| -3.025 | 1.042 | -3.025 | 0.000 | -0.000 | 0.000 |
| -3.025 | -3.025 | 1.042 | 0.000 | -0.000 | -0.000 |
| 8194.705 | 4606200.496 | 4606201.416 | -4598005.592 | 0.000 | -0.000 |
| 4606200.496 | 8194.705 | 4606201.416 | 0.000 | -4598005.592 | 0.000 |
| 4606200.496 | 4606201.416 | 8194.705 | 0.000 | -0.000 | -4598005.592 |
| -1835372.288 | -919330.456 | -919330.456 | -0.000 | 0.000 | 0.000 |
| -919330.456 | -1835372.288 | -919330.456 | -0.000 | -0.000 | -0.000 |
| -919330.456 | -919330.456 | -1835372.288 | -0.000 | 0.000 | 0.000 |
| -819.437 | -460632.068 | -460632.988 | -459812.432 | -0.000 | -0.000 |
| -460632.068 | -819.437 | -460632.988 | -0.000 | -459812.432 | 0.000 |
| -460632.068 | -460632.988 | -819.437 | 0.000 | 0.000 | -459812.432 |
| 1.042 | -3.025 | -3.025 | -0.000 | -0.000 | -0.000 |
| -3.025 | 1.042 | -3.025 | 0.000 | -0.000 | -0.000 |
| -3.025 | -3.025 | 1.042 | 0.000 | -0.000 | 0.000 |
| 819.437 | 460632.068 | 460632.988 | -459812.432 | 0.000 | -0.000 |
| 460632.068 | 819.437 | 460632.988 | -0.000 | -459812.432 | 0.000 |
| 460632.068 | 460632.988 | 819.437 | 0.000 | 0.000 | -459812.432 |
| 306.815 | 306.815 | 306.815 | 0.000 | 0.000 | 0.000 |
| 306.815 | 306.815 | 306.815 | 0.000 | 0.000 | 0.000 |
| 306.815 | 306.815 | 306.815 | 0.000 | 0.000 | 0.000 |
| -0.000 | -0.000 | -0.000 | -0.157 | 0.000 | 0.000 |
| -0.000 | -0.000 | -0.000 | 0.000 | -0.157 | 0.000 |
| 0.000 | 0.000 | 0.000 | 0.000 | 0.000 | -0.157 |
| 306.815 | 306.815 | 306.815 | 0.000 | -0.000 | -0.000 |
| 306.815 | 306.815 | 306.815 | -0.000 | 0.000 | -0.000 |
| 306.815 | 306.815 | 306.815 | -0.000 | -0.000 | 0.000 |
| 0.000 | 0.000 | 0.000 | -0.157 | -0.000 | -0.000 |
| 0.000 | 0.000 | 0.000 | -0.000 | -0.157 | -0.000 |
| 0.000 | 0.000 | 0.000 | -0.000 | -0.000 | -0.157 |
| 306.815 | 306.815 | 306.815 | 0.000 | 0.000 | 0.000 |
| 306.815 | 306.815 | 306.815 | 0.000 | 0.000 | 0.000 |
| 306.815 | 306.815 | 306.815 | 0.000 | 0.000 | 0.000 |
| 0.000 | 0.000 | 0.000 | -0.146 | 0.000 | 0.000 |
| 0.000 | 0.000 | 0.000 | 0.000 | -0.146 | 0.000 |
| 0.000 | 0.000 | 0.000 | 0.000 | 0.000 | -0.146 |
| 306.815 | 306.815 | 306.815 | -0.000 | -0.000 | -0.000 |
| 306.815 | 306.815 | 306.815 | -0.000 | -0.000 | -0.000 |
| 306.815 | 306.815 | 306.815 | -0.000 | -0.000 | -0.000 |
| -0.000 | -0.000 | -0.000 | -0.146 | -0.000 | -0.000 |
| -0.000 | -0.000 | -0.000 | -0.000 | -0.146 | -0.000 |
| -0.000 | -0.000 | -0.000 | -0.000 | -0.000 | -0.146 |
| 306.813 | 306.813 | 306.813 | -0.000 | 0.000 | 0.000 |
| 306.813 | 306.813 | 306.813 | 0.000 | -0.000 | 0.000 |
| 306.813 | 306.813 | 306.813 | 0.000 | 0.000 | -0.000 |
| 0.000 | 0.000 | 0.000 | -0.146 | 0.000 | 0.000 |
| 0.000 | 0.000 | 0.000 | 0.000 | -0.146 | 0.000 |
| 0.000 | 0.000 | 0.000 | 0.000 | 0.000 | -0.146 |
| 306.817 | 306.817 | 306.817 | -0.000 | -0.000 | -0.000 |
| 306.817 | 306.817 | 306.817 | -0.000 | -0.000 | -0.000 |
| 306.817 | 306.817 | 306.817 | -0.000 | -0.000 | -0.000 |
| -0.000 | -0.000 | -0.000 | -0.146 | -0.000 | -0.000 |
| -0.000 | -0.000 | -0.000 | -0.000 | -0.146 | -0.000 |
| -0.000 | -0.000 | -0.000 | -0.000 | -0.000 | -0.146 |
| 175.080 | 175.080 | 175.080 | 0.000 | -0.000 | -0.000 |
| 175.080 | 175.080 | 175.080 | -0.000 | 0.000 | -0.000 |
| 175.080 | 175.080 | 175.080 | -0.000 | -0.000 | 0.000 |
| 0.000 | 0.000 | 0.000 | 0.297 | -0.000 | -0.000 |
| 0.000 | 0.000 | 0.000 | -0.000 | 0.297 | -0.000 |
| 0.000 | 0.000 | 0.000 | -0.000 | -0.000 | 0.297 |
| 175.080 | 175.080 | 175.080 | 0.000 | 0.000 | 0.000 |
| 175.080 | 175.080 | 175.080 | 0.000 | 0.000 | 0.000 |
| 175.080 | 175.080 | 175.080 | 0.000 | 0.000 | 0.000 |
| -0.000 | -0.000 | -0.000 | 0.297 | 0.000 | 0.000 |
| -0.000 | -0.000 | -0.000 | 0.000 | 0.297 | 0.000 |
| -0.000 | -0.000 | -0.000 | 0.000 | 0.000 | 0.297 |
| 175.081 | 175.081 | 175.081 | -0.000 | -0.000 | -0.000 |
| 175.081 | 175.081 | 175.081 | -0.000 | -0.000 | -0.000 |
| 175.081 | 175.081 | 175.081 | -0.000 | -0.000 | -0.000 |
| 0.000 | 0.000 | 0.000 | 0.297 | -0.000 | -0.000 |
| 0.000 | 0.000 | 0.000 | -0.000 | 0.297 | -0.000 |
| 0.000 | 0.000 | 0.000 | -0.000 | -0.000 | 0.297 |
| 175.080 | 175.080 | 175.080 | 0.000 | 0.000 | 0.000 |
| 175.080 | 175.080 | 175.080 | 0.000 | 0.000 | 0.000 |
| 175.080 | 175.080 | 175.080 | 0.000 | 0.000 | 0.000 |
| -0.000 | -0.000 | -0.000 | 0.297 | 0.000 | 0.000 |
| -0.000 | -0.000 | -0.000 | 0.000 | 0.297 | 0.000 |
| -0.000 | -0.000 | -0.000 | 0.000 | 0.000 | 0.297 |
| 175.084 | 175.084 | 175.084 | -0.000 | -0.000 | -0.000 |
| 175.084 | 175.084 | 175.084 | -0.000 | -0.000 | -0.000 |
| 175.084 | 175.084 | 175.084 | -0.000 | -0.000 | -0.000 |
| 0.001 | 0.001 | 0.001 | 0.297 | -0.000 | -0.000 |
| 0.001 | 0.001 | 0.001 | -0.000 | 0.297 | -0.000 |
| 0.001 | 0.001 | 0.001 | -0.000 | -0.000 | 0.297 |
| 175.077 | 175.077 | 175.077 | 0.000 | 0.000 | 0.000 |
| 175.077 | 175.077 | 175.077 | 0.000 | 0.000 | 0.000 |
| 175.077 | 175.077 | 175.077 | 0.000 | 0.000 | 0.000 |
| -0.001 | -0.001 | -0.001 | 0.297 | 0.000 | 0.000 |
| -0.001 | -0.001 | -0.001 | 0.000 | 0.297 | 0.000 |
| -0.001 | -0.001 | -0.001 | 0.000 | 0.000 | 0.297 |
| -0.065 | -0.065 | -0.065 | -0.000 | -0.000 | -0.000 |
| -0.065 | -0.065 | -0.065 | -0.000 | -0.000 | -0.000 |
| -0.065 | -0.065 | -0.065 | -0.000 | -0.000 | -0.000 |
| 0.000 | 0.000 | 0.000 | -0.065 | -0.000 | -0.000 |
| 0.000 | 0.000 | 0.000 | -0.000 | -0.065 | -0.000 |
| 0.000 | 0.000 | 0.000 | -0.000 | -0.000 | -0.065 |
| -0.065 | -0.065 | -0.065 | 0.000 | 0.000 | 0.000 |
| -0.065 | -0.065 | -0.065 | 0.000 | 0.000 | 0.000 |
| -0.065 | -0.065 | -0.065 | 0.000 | 0.000 | 0.000 |
| -0.000 | -0.000 | -0.000 | -0.065 | 0.000 | 0.000 |
| -0.000 | -0.000 | -0.000 | 0.000 | -0.065 | 0.000 |
| -0.000 | -0.000 | -0.000 | 0.000 | 0.000 | -0.065 |
| -0.065 | -0.065 | -0.065 | -0.000 | -0.000 | -0.000 |
| -0.065 | -0.065 | -0.065 | -0.000 | -0.000 | -0.000 |
| -0.065 | -0.065 | -0.065 | -0.000 | -0.000 | -0.000 |
| 0.000 | 0.000 | 0.000 | -0.068 | -0.000 | -0.000 |
| 0.000 | 0.000 | 0.000 | -0.000 | -0.068 | -0.000 |
| 0.000 | 0.000 | 0.000 | -0.000 | -0.000 | -0.068 |
| -0.065 | -0.065 | -0.065 | 0.000 | 0.000 | 0.000 |
| -0.065 | -0.065 | -0.065 | 0.000 | 0.000 | 0.000 |
| -0.065 | -0.065 | -0.065 | 0.000 | 0.000 | 0.000 |
| -0.000 | -0.000 | -0.000 | -0.068 | 0.000 | 0.000 |
| -0.000 | -0.000 | -0.000 | 0.000 | -0.068 | 0.000 |
| -0.000 | -0.000 | -0.000 | 0.000 | 0.000 | -0.068 |
| -0.065 | -0.065 | -0.065 | -0.000 | -0.000 | -0.000 |
| -0.065 | -0.065 | -0.065 | -0.000 | -0.000 | -0.000 |
| -0.065 | -0.065 | -0.065 | -0.000 | -0.000 | -0.000 |
| 47205.330 | 46943.401 | 46942.056 | -15559.290 | 18.886 | -19.566 |
| 46943.504 | 47205.434 | 46942.159 | 18.968 | -15559.355 | -19.648 |
| 47036.568 | 47035.236 | 47306.575 | 140.551 | -141.650 | -15639.632 |
| -0.065 | -0.065 | -0.065 | 0.000 | 0.000 | 0.000 |
| -0.065 | -0.065 | -0.065 | 0.000 | 0.000 | 0.000 |
| -0.065 | -0.065 | -0.065 | 0.000 | 0.000 | 0.000 |
| -39697.320 | -39551.696 | -39551.013 | -12063.200 | -16468.202 | -16468.720 |
| -39551.694 | -39697.318 | -39551.011 | -16468.201 | -12063.198 | -16468.718 |
| -35300.089 | -35299.760 | -35461.923 | -13718.264 | -13718.734 | -10025.427 |
| 4.665 | 5.441 | 5.441 | 0.000 | 0.000 | 0.000 |
| 5.441 | 4.665 | 5.441 | 0.000 | 0.000 | -0.000 |
| 5.441 | 5.441 | 4.665 | -0.000 | -0.000 | 0.000 |
| -0.000 | -0.000 | -0.000 | -0.809 | 0.000 | 0.000 |
| -0.000 | -0.000 | -0.000 | 0.000 | -0.809 | 0.000 |
| -0.000 | -0.000 | -0.000 | 0.000 | 0.000 | -0.809 |
| 4.665 | 5.441 | 5.441 | 0.000 | 0.000 | -0.000 |
| 5.441 | 4.665 | 5.441 | -0.000 | 0.000 | 0.000 |
| 5.441 | 5.441 | 4.665 | 0.000 | 0.000 | 0.000 |
| 0.000 | 0.000 | 0.000 | -0.809 | -0.000 | -0.000 |
| 0.000 | 0.000 | 0.000 | -0.000 | -0.809 | -0.000 |
| 0.000 | 0.000 | 0.000 | 0.000 | 0.000 | -0.809 |
| 4.664 | 5.440 | 5.440 | 0.000 | -0.000 | 0.000 |
| 5.440 | 4.664 | 5.440 | 0.000 | 0.000 | -0.000 |
| 5.440 | 5.440 | 4.664 | 0.000 | -0.000 | -0.000 |
| -0.000 | -0.000 | -0.000 | -0.809 | 0.000 | 0.000 |
| -0.000 | -0.000 | -0.000 | 0.000 | -0.809 | 0.000 |
| -0.000 | -0.000 | -0.000 | 0.000 | -0.000 | -0.809 |
| 4.666 | 5.442 | 5.442 | -0.000 | 0.000 | -0.000 |
| 5.442 | 4.666 | 5.442 | 0.000 | -0.000 | 0.000 |
| 5.442 | 5.442 | 4.666 | 0.000 | 0.000 | -0.000 |
| 0.000 | 0.000 | 0.000 | -0.809 | -0.000 | -0.000 |
| 0.000 | 0.000 | 0.000 | -0.000 | -0.809 | -0.000 |
| 0.000 | 0.000 | 0.000 | -0.000 | -0.000 | -0.809 |
| 4.653 | 5.429 | 5.429 | 0.000 | 0.000 | 0.000 |
| 5.429 | 4.653 | 5.429 | 0.000 | 0.000 | 0.000 |
| 5.429 | 5.429 | 4.653 | 0.000 | 0.000 | 0.000 |
| -0.000 | -0.000 | -0.000 | -0.809 | -0.000 | 0.000 |
| -0.000 | -0.000 | -0.000 | 0.000 | -0.809 | 0.000 |
| -0.000 | -0.000 | -0.000 | 0.000 | -0.000 | -0.809 |
| 4.677 | 5.452 | 5.452 | -0.000 | -0.000 | -0.000 |
| 5.452 | 4.677 | 5.452 | 0.000 | -0.000 | -0.000 |
| 5.452 | 5.452 | 4.677 | 0.000 | -0.000 | -0.000 |
| 0.000 | 0.000 | 0.000 | -0.809 | 0.000 | -0.000 |
| 0.000 | 0.000 | 0.000 | -0.000 | -0.809 | -0.000 |
| 0.000 | 0.000 | 0.000 | 0.000 | 0.000 | -0.809 |
| 405.930 | 277.481 | 174.052 | 0.000 | -0.000 | -0.000 |
| 277.481 | 405.930 | 174.052 | 0.000 | 0.000 | -0.000 |
| 174.052 | 174.052 | 260.866 | 0.000 | -0.000 | -0.000 |
| -0.000 | -0.000 | 0.000 | 77.301 | 0.000 | -0.000 |
| -0.000 | -0.000 | 0.000 | 0.000 | 77.301 | -0.000 |
| -0.000 | -0.000 | -0.000 | 0.000 | 0.000 | 49.557 |
| 405.930 | 277.481 | 174.052 | -0.000 | -0.000 | 0.000 |
| 277.481 | 405.930 | 174.052 | -0.000 | -0.000 | 0.000 |
| 174.052 | 174.052 | 260.866 | -0.000 | -0.000 | 0.000 |
| 0.000 | 0.000 | -0.000 | 77.301 | 0.000 | 0.000 |
| 0.000 | 0.000 | -0.000 | 0.000 | 77.301 | 0.000 |
| 0.000 | 0.000 | 0.000 | -0.000 | -0.000 | 49.557 |
| 405.930 | 277.481 | 174.052 | 0.000 | -0.000 | -0.000 |
| 277.481 | 405.930 | 174.052 | 0.000 | 0.000 | -0.000 |
| 174.052 | 174.052 | 260.866 | 0.000 | 0.000 | -0.000 |
| -0.000 | -0.000 | 0.000 | 77.301 | -0.000 | -0.000 |
| -0.000 | -0.000 | 0.000 | -0.000 | 77.301 | -0.000 |
| -0.000 | -0.000 | 0.000 | 0.000 | 0.000 | 49.557 |
| 405.931 | 277.482 | 174.052 | 0.000 | -0.000 | 0.000 |
| 277.482 | 405.931 | 174.052 | -0.000 | -0.000 | 0.000 |
| 174.052 | 174.052 | 260.866 | -0.000 | -0.000 | 0.000 |
| 0.000 | 0.000 | -0.000 | 77.301 | -0.000 | 0.000 |
| 0.000 | 0.000 | -0.000 | -0.000 | 77.301 | 0.000 |
| 0.000 | 0.000 | -0.000 | -0.000 | -0.000 | 49.557 |
| 405.925 | 277.478 | 174.050 | 0.000 | 0.000 | -0.000 |
| 277.478 | 405.925 | 174.050 | 0.000 | 0.000 | -0.000 |
| 174.050 | 174.050 | 260.868 | 0.000 | 0.000 | -0.000 |
| -0.000 | -0.000 | 0.000 | 77.301 | 0.000 | -0.000 |
| -0.000 | -0.000 | 0.000 | -0.000 | 77.301 | -0.000 |
| -0.001 | -0.001 | 0.000 | -0.000 | 0.000 | 49.557 |
| 405.935 | 277.485 | 174.053 | 0.000 | 0.000 | 0.000 |
| 277.485 | 405.935 | 174.053 | -0.000 | 0.000 | 0.000 |
| 174.053 | 174.053 | 260.864 | -0.000 | -0.000 | 0.000 |
| 0.000 | 0.000 | -0.000 | 77.301 | -0.000 | 0.000 |
| 0.000 | 0.000 | -0.000 | -0.000 | 77.301 | 0.000 |
| 0.001 | 0.001 | -0.000 | -0.000 | -0.000 | 49.557 |
| 57901231.324 | 57901227.423 | 409596875.156 | -0.000 | -0.000 | 0.000 |
| 57901227.423 | 57901231.324 | 409596875.156 | -0.000 | 0.000 | 0.000 |
| 2230.353 | 2230.353 | 8123.918 | -0.000 | 0.000 | 0.000 |
| 0.000 | 0.000 | 0.000 | -0.076 | 0.000 | 0.000 |
| 0.000 | 0.000 | 0.000 | -0.000 | -0.076 | 0.000 |
| 31785290.186 | 31785289.690 | 206490259.815 | 0.000 | 0.000 | -24796033.940 |
| 611.072 | 612.565 | 2233.799 | -0.000 | -0.000 | -0.000 |
| 612.565 | 611.072 | 2233.799 | 0.000 | -0.000 | -0.000 |
| 2230.354 | 2230.354 | 8123.922 | 0.000 | 0.000 | 0.000 |
| -0.000 | -0.000 | -0.000 | -0.076 | 0.000 | 0.000 |
| -0.000 | -0.000 | -0.000 | 0.000 | -0.076 | -0.000 |
| -31785290.186 | -31785289.690 | -206490259.815 | -0.000 | 0.000 | -24796033.940 |
| 5790560.836 | 5790556.935 | 40961477.278 | 0.000 | -0.000 | -0.000 |
| 5790556.935 | 5790560.836 | 40961477.278 | -0.000 | -0.000 | -0.000 |
| 2230.348 | 2230.348 | 8123.897 | -0.000 | 0.000 | 0.000 |
| 0.000 | 0.000 | 0.000 | -0.076 | 0.000 | -0.000 |
| 0.000 | 0.000 | 0.000 | 0.000 | -0.076 | 0.000 |
| 3178500.417 | 3178499.922 | 20648942.336 | -0.000 | -0.000 | -2479606.504 |
| 611.072 | 612.566 | 2233.800 | 0.000 | -0.000 | -0.000 |
| 612.566 | 611.072 | 2233.800 | 0.000 | -0.000 | 0.000 |
| 2230.359 | 2230.359 | 8123.942 | -0.000 | -0.000 | -0.000 |
| -0.000 | -0.000 | -0.000 | -0.076 | -0.000 | -0.000 |
| -0.000 | -0.000 | -0.000 | 0.000 | -0.076 | -0.000 |
| -3178500.417 | -3178499.922 | -20648942.336 | 0.000 | 0.000 | -2479606.504 |
| 579493.822 | 579489.917 | 4097937.485 | 0.000 | -0.000 | -0.000 |
| 579489.917 | 579493.822 | 4097937.485 | 0.000 | -0.000 | -0.000 |
| 2230.300 | 2230.300 | 8123.697 | 0.000 | -0.000 | 0.000 |
| 0.001 | 0.001 | 0.002 | -0.076 | 0.000 | -0.000 |
| 0.001 | 0.001 | 0.002 | -0.000 | -0.076 | -0.000 |
| 317821.456 | 317820.960 | 2064810.588 | 0.000 | -0.000 | -247963.745 |
| 611.071 | 612.567 | 2233.805 | 0.000 | -0.000 | 0.000 |
| 612.567 | 611.071 | 2233.805 | 0.000 | -0.000 | 0.000 |
| 2230.407 | 2230.407 | 8124.143 | -0.000 | -0.000 | -0.000 |
| -0.001 | -0.001 | -0.002 | -0.076 | -0.000 | -0.000 |
| -0.001 | -0.001 | -0.002 | -0.000 | -0.076 | -0.000 |
| -317821.456 | -317820.960 | -2064810.588 | 0.000 | -0.000 | -247963.745 |
| 427.268 | 415.938 | 788.121 | 0.000 | 0.000 | -0.000 |
| 415.938 | 427.268 | 788.121 | -0.000 | 0.000 | -0.000 |
| 788.121 | 788.121 | 1493.352 | 0.000 | 0.000 | -0.000 |
| 0.000 | 0.000 | 0.000 | 2.641 | 0.000 | -0.000 |
| 0.000 | 0.000 | 0.000 | 0.000 | 2.641 | -0.000 |
| 0.000 | 0.000 | 0.000 | -0.000 | -0.000 | 1.476 |
| 427.268 | 415.938 | 788.121 | -0.000 | -0.000 | -0.000 |
| 415.938 | 427.268 | 788.121 | -0.000 | -0.000 | 0.000 |
| 788.121 | 788.121 | 1493.351 | -0.000 | -0.000 | 0.000 |
| -0.000 | -0.000 | -0.000 | 2.641 | -0.000 | 0.000 |
| -0.000 | -0.000 | -0.000 | -0.000 | 2.641 | 0.000 |
| -0.000 | -0.000 | -0.000 | -0.000 | 0.000 | 1.476 |
| 427.268 | 415.939 | 788.123 | 0.000 | 0.000 | -0.000 |
| 415.939 | 427.268 | 788.123 | 0.000 | 0.000 | -0.000 |
| 788.125 | 788.125 | 1493.359 | 0.000 | 0.000 | -0.000 |
| 0.000 | 0.000 | 0.001 | 2.641 | 0.000 | -0.000 |
| 0.000 | 0.000 | 0.001 | 0.000 | 2.641 | -0.000 |
| 0.000 | 0.000 | 0.000 | 0.000 | -0.000 | 1.476 |
| 427.267 | 415.937 | 788.119 | -0.000 | -0.000 | 0.000 |
| 415.937 | 427.267 | 788.119 | -0.000 | -0.000 | 0.000 |
| 788.117 | 788.117 | 1493.344 | -0.000 | -0.000 | 0.000 |
| -0.000 | -0.000 | -0.001 | 2.641 | -0.000 | 0.000 |
| -0.000 | -0.000 | -0.001 | -0.000 | 2.641 | 0.000 |
| -0.000 | -0.000 | -0.000 | -0.000 | 0.000 | 1.476 |
| 427.274 | 415.948 | 788.140 | 0.000 | 0.000 | -0.000 |
| 415.948 | 427.274 | 788.140 | 0.000 | 0.000 | -0.000 |
| 788.162 | 788.162 | 1493.425 | 0.000 | 0.000 | -0.000 |
| 0.004 | 0.004 | 0.008 | 2.641 | -0.000 | -0.000 |
| 0.004 | 0.004 | 0.008 | -0.000 | 2.641 | -0.000 |
| 0.003 | 0.003 | 0.005 | 0.000 | 0.000 | 1.476 |
| 427.261 | 415.928 | 788.102 | -0.000 | -0.000 | 0.000 |
| 415.928 | 427.261 | 788.102 | -0.000 | -0.000 | 0.000 |
| 788.080 | 788.080 | 1493.278 | -0.000 | -0.000 | 0.000 |
| -0.004 | -0.004 | -0.008 | 2.641 | -0.000 | 0.000 |
| -0.004 | -0.004 | -0.008 | -0.000 | 2.641 | 0.000 |
| -0.003 | -0.003 | -0.005 | -0.000 | 0.000 | 1.476 |
| 32.527 | 0.000 | 0.000 | 0.000 | 0.000 | 0.000 |
| 0.000 | 32.527 | 0.000 | 0.000 | 0.000 | 0.000 |
| 0.000 | 0.000 | 0.000 | 0.000 | 0.000 | -0.000 |
| 0.000 | 0.000 | 0.000 | 0.000 | 0.000 | 0.000 |
| 0.000 | 0.000 | 0.000 | 0.000 | 0.000 | -0.000 |
| 0.000 | -0.000 | 0.000 | 0.000 | 0.000 | -0.000 |
| 32.527 | 0.000 | -0.000 | -0.000 | -0.000 | 0.000 |
| 0.000 | 32.527 | -0.000 | -0.000 | -0.000 | 0.000 |
| -0.000 | -0.000 | -0.000 | -0.000 | -0.000 | 0.000 |
| -0.000 | -0.000 | -0.000 | -0.000 | -0.000 | -0.000 |
| -0.000 | -0.000 | -0.000 | -0.000 | -0.000 | 0.000 |
| -0.000 | 0.000 | -0.000 | -0.000 | -0.000 | 0.000 |
| 32.528 | 0.000 | 0.000 | 0.000 | 0.000 | 0.000 |
| 0.000 | 32.528 | 0.000 | 0.000 | 0.000 | 0.000 |
| 0.000 | 0.000 | 0.000 | 0.000 | 0.000 | -0.000 |
| 0.000 | 0.000 | 0.000 | 0.000 | 0.000 | -0.000 |
| 0.000 | 0.000 | 0.000 | 0.000 | 0.000 | -0.000 |
| 0.000 | -0.000 | 0.000 | 0.000 | 0.000 | -0.000 |
| 32.527 | 0.000 | -0.000 | -0.000 | -0.000 | -0.000 |
| 0.000 | 32.527 | -0.000 | -0.000 | -0.000 | 0.000 |
| -0.000 | -0.000 | -0.000 | -0.000 | -0.000 | 0.000 |
| -0.000 | -0.000 | -0.000 | -0.000 | -0.000 | 0.000 |
| -0.000 | -0.000 | -0.000 | -0.000 | -0.000 | 0.000 |
| -0.000 | 0.000 | -0.000 | -0.000 | -0.000 | 0.000 |
| 32.533 | 0.000 | 0.000 | 0.000 | 0.000 | 0.000 |
| 0.000 | 32.533 | 0.000 | 0.000 | 0.000 | -0.000 |
| 0.000 | 0.000 | 0.000 | 0.000 | 0.000 | -0.000 |
| 0.000 | -0.000 | 0.000 | 0.000 | 0.000 | 0.000 |
| -0.000 | 0.000 | 0.000 | 0.000 | 0.000 | -0.000 |
| -0.000 | -0.000 | 0.000 | 0.000 | 0.000 | 0.000 |
| 32.522 | 0.000 | -0.000 | -0.000 | -0.000 | -0.000 |
| 0.000 | 32.522 | -0.000 | -0.000 | -0.000 | 0.000 |
| -0.000 | -0.000 | -0.000 | -0.000 | -0.000 | 0.000 |
| -0.000 | 0.000 | -0.000 | -0.000 | -0.000 | -0.000 |
| 0.000 | -0.000 | -0.000 | -0.000 | -0.000 | 0.000 |
| 0.000 | 0.000 | -0.000 | -0.000 | -0.000 | 0.000 |
| 520.768 | 520.856 | 796.577 | -0.000 | -0.000 | -0.000 |
| 520.856 | 520.768 | 796.577 | -0.000 | -0.000 | 0.000 |
| 796.578 | 796.578 | 1218.255 | -0.000 | -0.000 | 0.000 |
| 0.000 | 0.000 | 0.000 | 2.491 | -0.000 | -0.000 |
| 0.000 | 0.000 | 0.000 | -0.000 | 2.491 | -0.000 |
| 0.000 | 0.000 | 0.000 | -0.000 | -0.000 | 1.629 |
| 520.767 | 520.856 | 796.577 | 0.000 | 0.000 | -0.000 |
| 520.856 | 520.767 | 796.577 | 0.000 | 0.000 | -0.000 |
| 796.577 | 796.577 | 1218.254 | 0.000 | 0.000 | -0.000 |
| -0.000 | -0.000 | -0.000 | 2.491 | 0.000 | -0.000 |
| -0.000 | -0.000 | -0.000 | 0.000 | 2.491 | -0.000 |
| -0.000 | -0.000 | -0.000 | 0.000 | 0.000 | 1.629 |
| 520.769 | 520.858 | 796.580 | -0.000 | -0.000 | -0.000 |
| 520.858 | 520.769 | 796.580 | -0.000 | -0.000 | -0.000 |
| 796.581 | 796.581 | 1218.260 | -0.000 | -0.000 | 0.000 |
| 0.000 | 0.000 | 0.001 | 2.491 | -0.000 | -0.000 |
| 0.000 | 0.000 | 0.001 | -0.000 | 2.491 | -0.000 |
| 0.000 | 0.000 | 0.000 | -0.000 | -0.000 | 1.629 |
| 520.766 | 520.855 | 796.575 | 0.000 | 0.000 | 0.000 |
| 520.855 | 520.766 | 796.575 | 0.000 | 0.000 | 0.000 |
| 796.573 | 796.573 | 1218.249 | 0.000 | 0.000 | -0.000 |
| -0.000 | -0.000 | -0.001 | 2.491 | 0.000 | 0.000 |
| -0.000 | -0.000 | -0.001 | 0.000 | 2.491 | 0.000 |
| -0.000 | -0.000 | -0.000 | 0.000 | 0.000 | 1.629 |
| 520.782 | 520.872 | 796.602 | -0.000 | 0.000 | -0.000 |
| 520.872 | 520.782 | 796.602 | 0.000 | -0.000 | -0.000 |
| 796.615 | 796.615 | 1218.309 | -0.000 | -0.000 | 0.000 |
| 0.005 | 0.005 | 0.007 | 2.491 | -0.000 | -0.000 |
| 0.005 | 0.005 | 0.007 | -0.000 | 2.491 | -0.000 |
| 0.003 | 0.003 | 0.005 | -0.000 | -0.000 | 1.629 |
| 520.753 | 520.840 | 796.553 | 0.000 | 0.000 | 0.000 |
| 520.840 | 520.753 | 796.553 | 0.000 | 0.000 | 0.000 |
| 796.540 | 796.540 | 1218.199 | 0.000 | 0.000 | -0.000 |
| -0.005 | -0.005 | -0.007 | 2.491 | 0.000 | 0.000 |
| -0.005 | -0.005 | -0.007 | 0.000 | 2.491 | 0.000 |
| -0.003 | -0.003 | -0.005 | 0.000 | 0.000 | 1.629 |
| -0.571 | -0.160 | -0.320 | -0.000 | -0.000 | 0.000 |
| -0.160 | -0.571 | -0.320 | -0.000 | -0.000 | 0.000 |
| -0.320 | -0.320 | -0.642 | -0.000 | -0.000 | 0.000 |
| 0.000 | 0.000 | 0.000 | -0.320 | -0.000 | -0.000 |
| 0.000 | 0.000 | 0.000 | -0.000 | -0.320 | -0.000 |
| 0.000 | 0.000 | 0.000 | -0.000 | -0.000 | -0.160 |
| -0.571 | -0.160 | -0.320 | -0.000 | -0.000 | -0.000 |
| -0.160 | -0.571 | -0.320 | -0.000 | -0.000 | -0.000 |
| -0.320 | -0.320 | -0.642 | 0.000 | 0.000 | -0.000 |
| -0.000 | -0.000 | -0.000 | -0.320 | 0.000 | -0.000 |
| -0.000 | -0.000 | -0.000 | 0.000 | -0.320 | -0.000 |
| -0.000 | -0.000 | -0.000 | 0.000 | -0.000 | -0.160 |
| -0.571 | -0.160 | -0.320 | 0.000 | 0.000 | 0.000 |
| -0.160 | -0.571 | -0.320 | 0.000 | 0.000 | 0.000 |
| -0.320 | -0.320 | -0.642 | -0.000 | -0.000 | -0.000 |
| 0.000 | 0.000 | 0.000 | -0.320 | 0.000 | -0.000 |
| 0.000 | 0.000 | 0.000 | 0.000 | -0.320 | -0.000 |
| 0.000 | 0.000 | 0.000 | -0.000 | -0.000 | -0.160 |
| -0.571 | -0.160 | -0.320 | 0.000 | 0.000 | 0.000 |
| -0.160 | -0.571 | -0.320 | 0.000 | 0.000 | 0.000 |
| -0.321 | -0.321 | -0.642 | 0.000 | 0.000 | 0.000 |
| -0.000 | -0.000 | -0.000 | -0.320 | 0.000 | -0.000 |
| -0.000 | -0.000 | -0.000 | 0.000 | -0.320 | -0.000 |
| -0.000 | -0.000 | -0.000 | 0.000 | 0.000 | -0.160 |
| -0.569 | -0.160 | -0.320 | -0.000 | 0.000 | 0.000 |
| -0.160 | -0.569 | -0.320 | 0.000 | -0.000 | 0.000 |
| -0.320 | -0.320 | -0.641 | -0.000 | -0.000 | 0.000 |
| 0.000 | 0.000 | 0.000 | -0.320 | -0.000 | 0.000 |
| 0.000 | 0.000 | 0.000 | -0.000 | -0.320 | 0.000 |
| 0.000 | 0.000 | 0.000 | -0.000 | -0.000 | -0.160 |
| -0.573 | -0.160 | -0.321 | -0.000 | -0.000 | 0.000 |
| -0.160 | -0.573 | -0.321 | -0.000 | -0.000 | 0.000 |
| -0.321 | -0.321 | -0.642 | -0.000 | -0.000 | -0.000 |
| -0.000 | -0.000 | -0.000 | -0.320 | 0.000 | 0.000 |
| -0.000 | -0.000 | -0.000 | 0.000 | -0.320 | 0.000 |
| -0.000 | -0.000 | -0.000 | -0.000 | 0.000 | -0.160 |
| 1.106 | 0.133 | 0.266 | -0.000 | -0.000 | -0.000 |
| 0.133 | 1.106 | 0.266 | -0.000 | -0.000 | -0.000 |
| 0.266 | 0.266 | 0.532 | -0.000 | -0.000 | -0.000 |
| 0.000 | 0.000 | 0.000 | 0.266 | -0.000 | -0.000 |
| 0.000 | 0.000 | 0.000 | -0.000 | 0.266 | -0.000 |
| 0.000 | 0.000 | 0.000 | -0.000 | -0.000 | 0.133 |
| 1.106 | 0.133 | 0.266 | 0.000 | 0.000 | 0.000 |
| 0.133 | 1.106 | 0.266 | 0.000 | 0.000 | 0.000 |
| 0.266 | 0.266 | 0.532 | 0.000 | 0.000 | -0.000 |
| -0.000 | -0.000 | -0.000 | 0.266 | -0.000 | -0.000 |
| -0.000 | -0.000 | -0.000 | -0.000 | 0.266 | -0.000 |
| -0.000 | -0.000 | -0.000 | 0.000 | 0.000 | 0.133 |
| 1.106 | 0.133 | 0.266 | -0.000 | 0.000 | 0.000 |
| 0.133 | 1.106 | 0.266 | 0.000 | -0.000 | 0.000 |
| 0.266 | 0.266 | 0.532 | 0.000 | 0.000 | 0.000 |
| 0.000 | 0.000 | 0.000 | 0.266 | -0.000 | -0.000 |
| 0.000 | 0.000 | 0.000 | -0.000 | 0.266 | -0.000 |
| 0.000 | 0.000 | 0.000 | 0.000 | 0.000 | 0.133 |
| 1.107 | 0.133 | 0.266 | 0.000 | -0.000 | -0.000 |
| 0.133 | 1.107 | 0.266 | -0.000 | 0.000 | -0.000 |
| 0.266 | 0.266 | 0.532 | -0.000 | -0.000 | -0.000 |
| -0.000 | -0.000 | -0.000 | 0.266 | -0.000 | 0.000 |
| -0.000 | -0.000 | -0.000 | -0.000 | 0.266 | 0.000 |
| -0.000 | -0.000 | -0.000 | -0.000 | 0.000 | 0.133 |
| 1.102 | 0.133 | 0.266 | -0.000 | -0.000 | 0.000 |
| 0.133 | 1.102 | 0.266 | -0.000 | -0.000 | 0.000 |
| 0.267 | 0.267 | 0.532 | -0.000 | -0.000 | 0.000 |
| 0.000 | 0.000 | 0.000 | 0.266 | 0.000 | 0.000 |
| 0.000 | 0.000 | 0.000 | 0.000 | 0.266 | 0.000 |
| 0.000 | 0.000 | 0.000 | 0.000 | 0.000 | 0.133 |
| 1.110 | 0.133 | 0.266 | 0.000 | 0.000 | 0.000 |
| 0.133 | 1.110 | 0.266 | 0.000 | 0.000 | 0.000 |
| 0.266 | 0.266 | 0.531 | -0.000 | -0.000 | 0.000 |
| -0.000 | -0.000 | -0.000 | 0.266 | -0.000 | -0.000 |
| -0.000 | -0.000 | -0.000 | -0.000 | 0.266 | -0.000 |
| -0.000 | -0.000 | -0.000 | -0.000 | 0.000 | 0.133 |
| 0.812 | -0.160 | -0.320 | -0.000 | -0.000 | 0.000 |
| -0.160 | 0.812 | -0.320 | -0.000 | -0.000 | 0.000 |
| -0.320 | -0.320 | -0.641 | -0.000 | -0.000 | 0.000 |
| 0.000 | 0.000 | 0.000 | -0.320 | -0.000 | -0.000 |
| 0.000 | 0.000 | 0.000 | -0.000 | -0.320 | -0.000 |
| 0.000 | 0.000 | 0.000 | -0.000 | -0.000 | -0.160 |
| 0.812 | -0.160 | -0.320 | 0.000 | 0.000 | -0.000 |
| -0.160 | 0.812 | -0.320 | 0.000 | 0.000 | -0.000 |
| -0.320 | -0.320 | -0.641 | 0.000 | 0.000 | -0.000 |
| -0.000 | -0.000 | -0.000 | -0.320 | 0.000 | -0.000 |
| -0.000 | -0.000 | -0.000 | 0.000 | -0.320 | -0.000 |
| -0.000 | -0.000 | -0.000 | -0.000 | 0.000 | -0.160 |
| 0.811 | -0.160 | -0.320 | -0.000 | -0.000 | 0.000 |
| -0.160 | 0.811 | -0.320 | -0.000 | -0.000 | 0.000 |
| -0.320 | -0.320 | -0.641 | -0.000 | -0.000 | 0.000 |
| 0.000 | 0.000 | 0.000 | -0.320 | -0.000 | 0.000 |
| 0.000 | 0.000 | 0.000 | -0.000 | -0.320 | 0.000 |
| 0.000 | 0.000 | 0.000 | -0.000 | -0.000 | -0.160 |
| 0.812 | -0.160 | -0.320 | 0.000 | 0.000 | -0.000 |
| -0.160 | 0.812 | -0.320 | 0.000 | 0.000 | -0.000 |
| -0.320 | -0.320 | -0.641 | 0.000 | 0.000 | -0.000 |
| -0.000 | -0.000 | -0.000 | -0.320 | 0.000 | -0.000 |
| -0.000 | -0.000 | -0.000 | 0.000 | -0.320 | -0.000 |
| -0.000 | -0.000 | -0.000 | 0.000 | 0.000 | -0.160 |
| 0.808 | -0.160 | -0.320 | -0.000 | -0.000 | 0.000 |
| -0.160 | 0.808 | -0.320 | -0.000 | -0.000 | 0.000 |
| -0.320 | -0.320 | -0.640 | -0.000 | -0.000 | 0.000 |
| 0.000 | 0.000 | 0.000 | -0.320 | -0.000 | 0.000 |
| 0.000 | 0.000 | 0.000 | -0.000 | -0.320 | 0.000 |
| 0.000 | 0.000 | 0.000 | -0.000 | -0.000 | -0.160 |
| 0.816 | -0.160 | -0.321 | 0.000 | -0.000 | -0.000 |
| -0.160 | 0.816 | -0.321 | -0.000 | 0.000 | -0.000 |
| -0.321 | -0.321 | -0.642 | 0.000 | 0.000 | -0.000 |
| -0.000 | -0.000 | -0.000 | -0.320 | 0.000 | -0.000 |
| -0.000 | -0.000 | -0.000 | 0.000 | -0.320 | -0.000 |
| -0.000 | -0.000 | -0.000 | 0.000 | -0.000 | -0.160 |
| 19.925 | 22.494 | 38.717 | -0.000 | -0.000 | -0.000 |
| 22.494 | 19.925 | 38.717 | -0.000 | -0.000 | -0.000 |
| 37.790 | 37.790 | 60.623 | -0.000 | 0.000 | -0.000 |
| -0.000 | -0.000 | -0.001 | 31.202 | -0.000 | -0.000 |
| -0.000 | -0.000 | -0.001 | -0.000 | 31.202 | -0.000 |
| -0.000 | -0.000 | -0.000 | -0.000 | -0.000 | 18.128 |
| 19.926 | 22.495 | 38.718 | 0.000 | 0.000 | 0.000 |
| 22.495 | 19.926 | 38.718 | 0.000 | 0.000 | 0.000 |
| 37.792 | 37.792 | 60.626 | 0.000 | 0.000 | 0.000 |
| 0.000 | 0.000 | 0.001 | 31.202 | 0.000 | 0.000 |
| 0.000 | 0.000 | 0.001 | 0.000 | 31.202 | 0.000 |
| 0.000 | 0.000 | 0.000 | 0.000 | 0.000 | 18.128 |
| 19.923 | 22.492 | 38.713 | -0.000 | -0.000 | -0.000 |
| 22.492 | 19.923 | 38.713 | -0.000 | -0.000 | -0.000 |
| 37.784 | 37.784 | 60.611 | -0.000 | -0.000 | 0.000 |
| -0.004 | -0.004 | -0.008 | 31.202 | -0.000 | -0.000 |
| -0.004 | -0.004 | -0.008 | -0.000 | 31.202 | -0.000 |
| -0.003 | -0.003 | -0.004 | -0.000 | -0.000 | 18.128 |
| 19.928 | 22.497 | 38.722 | 0.000 | 0.000 | 0.000 |
| 22.497 | 19.928 | 38.722 | 0.000 | 0.000 | 0.000 |
| 37.799 | 37.799 | 60.637 | 0.000 | 0.000 | 0.000 |
| 0.004 | 0.004 | 0.008 | 31.202 | 0.000 | -0.000 |
| 0.004 | 0.004 | 0.008 | 0.000 | 31.202 | -0.000 |
| 0.003 | 0.003 | 0.004 | 0.000 | 0.000 | 18.128 |
| 19.900 | 22.469 | 38.674 | -0.000 | -0.000 | -0.000 |
| 22.469 | 19.900 | 38.674 | -0.000 | -0.000 | -0.000 |
| 37.716 | 37.716 | 60.494 | -0.000 | -0.000 | -0.000 |
| -0.044 | -0.044 | -0.075 | 31.202 | -0.000 | -0.000 |
| -0.044 | -0.044 | -0.075 | -0.000 | 31.202 | -0.000 |
| -0.026 | -0.025 | -0.044 | -0.000 | -0.000 | 18.128 |
| 19.951 | 22.520 | 38.761 | 0.000 | 0.000 | 0.000 |
| 22.520 | 19.951 | 38.761 | 0.000 | 0.000 | 0.000 |
| 37.867 | 37.867 | 60.754 | 0.000 | 0.000 | -0.000 |
| 0.044 | 0.044 | 0.075 | 31.202 | 0.000 | 0.000 |
| 0.044 | 0.044 | 0.075 | 0.000 | 31.202 | 0.000 |
| 0.026 | 0.025 | 0.044 | 0.000 | 0.000 | 18.128 |
| 283.707 | 169.939 | 153.929 | 0.000 | 0.000 | -0.000 |
| 169.939 | 306.537 | 101.732 | 0.000 | 0.000 | -0.000 |
| 153.929 | 101.732 | 220.727 | -0.000 | -0.000 | 0.000 |
| -0.000 | 0.000 | -0.000 | -23.154 | 0.000 | 0.000 |
| -0.000 | -0.000 | 0.000 | 0.000 | 49.511 | -0.000 |
| -0.000 | 0.000 | -0.000 | -0.000 | 0.000 | 53.944 |
| 283.707 | 169.939 | 153.929 | 0.000 | -0.000 | 0.000 |
| 169.939 | 306.537 | 101.732 | -0.000 | 0.000 | 0.000 |
| 153.929 | 101.732 | 220.727 | -0.000 | 0.000 | 0.000 |
| 0.000 | 0.000 | 0.000 | -23.154 | -0.000 | 0.000 |
| 0.000 | -0.000 | -0.000 | -0.000 | 49.511 | 0.000 |
| 0.000 | -0.000 | 0.000 | 0.000 | -0.000 | 53.944 |
| 283.707 | 169.939 | 153.928 | 0.000 | 0.000 | -0.000 |
| 169.939 | 306.537 | 101.731 | 0.000 | 0.000 | -0.000 |
| 153.929 | 101.731 | 220.727 | 0.000 | 0.000 | -0.000 |
| -0.000 | -0.000 | -0.000 | -23.154 | -0.000 | 0.000 |
| -0.000 | -0.000 | 0.000 | 0.000 | 49.511 | -0.000 |
| -0.000 | 0.000 | -0.000 | 0.000 | 0.000 | 53.944 |
| 283.707 | 169.939 | 153.929 | 0.000 | -0.000 | 0.000 |
| 169.939 | 306.537 | 101.732 | -0.000 | -0.000 | 0.000 |
| 153.929 | 101.732 | 220.727 | 0.000 | 0.000 | 0.000 |
| 0.000 | 0.000 | 0.000 | -23.154 | 0.000 | 0.000 |
| 0.000 | 0.000 | -0.000 | -0.000 | 49.511 | 0.000 |
| 0.000 | -0.000 | 0.000 | -0.000 | -0.000 | 53.944 |
| 283.708 | 169.938 | 153.927 | 0.000 | 0.000 | -0.000 |
| 169.938 | 306.536 | 101.730 | 0.000 | 0.000 | -0.000 |
| 153.927 | 101.730 | 220.726 | 0.000 | 0.000 | -0.000 |
| -0.000 | -0.000 | -0.000 | -23.154 | 0.000 | -0.000 |
| -0.000 | -0.000 | 0.000 | 0.000 | 49.511 | -0.000 |
| -0.000 | 0.000 | -0.000 | 0.000 | 0.000 | 53.944 |
| 283.706 | 169.940 | 153.930 | 0.000 | -0.000 | -0.000 |
| 169.940 | 306.537 | 101.733 | -0.000 | 0.000 | 0.000 |
| 153.930 | 101.733 | 220.728 | -0.000 | -0.000 | 0.000 |
| 0.000 | 0.000 | 0.000 | -23.154 | -0.000 | 0.000 |
| 0.000 | 0.000 | -0.000 | -0.000 | 49.511 | 0.000 |
| 0.000 | -0.000 | 0.000 | -0.000 | -0.000 | 53.944 |
| 135.824 | 193.368 | 171.741 | -0.000 | -0.000 | -0.000 |
| 193.368 | 295.031 | 87.990 | -0.000 | 0.000 | 0.000 |
| 171.741 | 87.990 | 203.952 | -0.000 | 0.000 | -0.000 |
| -0.000 | 0.000 | -0.000 | -21.964 | 0.000 | 0.000 |
| -0.000 | 0.000 | 0.000 | -0.000 | 73.609 | 0.000 |
| 0.000 | 0.000 | 0.000 | -0.000 | 0.000 | 66.746 |
| 135.824 | 193.368 | 171.741 | 0.000 | -0.000 | -0.000 |
| 193.368 | 295.031 | 87.990 | 0.000 | -0.000 | 0.000 |
| 171.741 | 87.990 | 203.952 | 0.000 | -0.000 | 0.000 |
| 0.000 | -0.000 | 0.000 | -21.964 | -0.000 | -0.000 |
| -0.000 | -0.000 | -0.000 | 0.000 | 73.609 | -0.000 |
| -0.000 | -0.000 | -0.000 | 0.000 | -0.000 | 66.746 |
| 135.824 | 193.368 | 171.741 | -0.000 | 0.000 | 0.000 |
| 193.368 | 295.031 | 87.990 | -0.000 | -0.000 | -0.000 |
| 171.741 | 87.990 | 203.952 | -0.000 | -0.000 | 0.000 |
| -0.000 | -0.000 | -0.000 | -21.964 | 0.000 | 0.000 |
| 0.000 | -0.000 | 0.000 | -0.000 | 73.609 | 0.000 |
| -0.000 | 0.000 | -0.000 | -0.000 | 0.000 | 66.746 |
| 135.824 | 193.369 | 171.741 | 0.000 | 0.000 | -0.000 |
| 193.369 | 295.031 | 87.990 | 0.000 | -0.000 | -0.000 |
| 171.741 | 87.990 | 203.952 | 0.000 | -0.000 | -0.000 |
| 0.000 | 0.000 | 0.000 | -21.964 | -0.000 | -0.000 |
| -0.000 | 0.000 | -0.000 | 0.000 | 73.609 | 0.000 |
| 0.000 | -0.000 | 0.000 | 0.000 | 0.000 | 66.746 |
| 135.823 | 193.367 | 171.740 | 0.000 | -0.000 | 0.000 |
| 193.367 | 295.029 | 87.988 | -0.000 | -0.000 | -0.000 |
| 171.740 | 87.988 | 203.951 | -0.000 | 0.000 | -0.000 |
| -0.000 | -0.000 | -0.000 | -21.964 | 0.000 | -0.000 |
| 0.000 | -0.000 | 0.000 | -0.000 | 73.609 | 0.000 |
| -0.000 | 0.000 | -0.000 | -0.000 | 0.000 | 66.746 |
| 135.826 | 193.370 | 171.742 | 0.000 | 0.000 | -0.000 |
| 193.370 | 295.033 | 87.992 | 0.000 | -0.000 | -0.000 |
| 171.741 | 87.992 | 203.952 | 0.000 | -0.000 | -0.000 |
| 0.000 | 0.000 | 0.000 | -21.964 | -0.000 | -0.000 |
| -0.000 | 0.000 | -0.000 | 0.000 | 73.609 | 0.000 |
| 0.000 | -0.000 | 0.000 | 0.000 | -0.000 | 66.746 |
| 234.370 | 191.301 | 191.301 | 0.000 | 0.000 | -0.000 |
| 191.301 | 234.370 | 191.301 | 0.000 | -0.000 | -0.000 |
| 191.301 | 191.301 | 234.370 | 0.000 | 0.000 | -0.000 |
| 0.000 | -0.000 | -0.000 | 32.148 | -0.000 | 0.000 |
| 0.000 | -0.000 | -0.000 | 0.000 | 32.148 | -0.000 |
| 0.000 | -0.000 | -0.000 | -0.000 | -0.000 | 32.148 |
| 234.370 | 191.301 | 191.301 | 0.000 | 0.000 | 0.000 |
| 191.301 | 234.370 | 191.301 | 0.000 | 0.000 | 0.000 |
| 191.301 | 191.301 | 234.370 | 0.000 | 0.000 | -0.000 |
| -0.000 | 0.000 | 0.000 | 32.148 | 0.000 | 0.000 |
| -0.000 | 0.000 | 0.000 | -0.000 | 32.148 | 0.000 |
| -0.000 | 0.000 | 0.000 | 0.000 | 0.000 | 32.148 |
| 234.370 | 191.301 | 191.301 | 0.000 | -0.000 | 0.000 |
| 191.301 | 234.370 | 191.301 | -0.000 | -0.000 | 0.000 |
| 191.301 | 191.301 | 234.370 | -0.000 | -0.000 | -0.000 |
| 0.000 | -0.000 | -0.000 | 209.340 | -0.000 | -0.000 |
| -0.000 | -0.000 | -0.000 | -0.000 | 209.340 | -0.000 |
| -0.000 | -0.000 | -0.000 | -0.000 | -0.000 | 209.340 |
| 234.370 | 191.301 | 191.301 | 0.000 | 0.000 | 0.000 |
| 191.301 | 234.370 | 191.301 | 0.000 | 0.000 | 0.000 |
| 191.301 | 191.301 | 234.370 | -0.000 | 0.000 | 0.000 |
| -0.000 | 0.000 | 0.000 | 209.340 | 0.000 | -0.000 |
| 0.000 | 0.000 | 0.000 | -0.000 | 209.340 | 0.000 |
| 0.000 | 0.000 | 0.000 | -0.000 | 0.000 | 209.340 |
| 234.372 | 191.301 | 191.301 | -0.000 | -0.000 | -0.000 |
| 191.301 | 234.372 | 191.301 | -0.000 | -0.000 | 0.000 |
| 191.301 | 191.301 | 234.372 | -0.000 | -0.000 | -0.000 |
| 0.000 | -0.001 | -0.000 | 209.340 | -0.000 | 0.000 |
| -0.001 | 0.000 | -0.000 | 0.000 | 209.340 | -0.000 |
| -0.001 | -0.000 | 0.000 | 0.000 | -0.000 | 209.340 |
| 234.369 | 191.301 | 191.301 | 0.000 | 0.000 | 0.000 |
| 191.301 | 234.369 | 191.301 | 0.000 | 0.000 | 0.000 |
| 191.301 | 191.301 | 234.369 | 0.000 | 0.000 | 0.000 |
| -0.000 | 0.001 | 0.000 | 209.340 | 0.000 | 0.000 |
| 0.001 | -0.000 | 0.000 | 0.000 | 209.340 | 0.000 |
| 0.001 | 0.000 | -0.000 | -0.000 | 0.000 | 209.340 |
| 71.182 | 72.666 | 72.666 | 0.000 | -0.000 | 0.000 |
| 72.666 | 71.182 | 72.666 | -0.000 | -0.000 | 0.000 |
| 72.666 | 72.666 | 71.182 | 0.000 | 0.000 | 0.000 |
| -0.000 | -0.000 | -0.000 | 34.737 | -0.000 | 0.000 |
| -0.000 | -0.000 | -0.000 | 0.000 | 34.737 | 0.000 |
| -0.000 | -0.000 | -0.000 | 0.000 | -0.000 | 34.737 |
| 71.182 | 72.667 | 72.667 | 0.000 | 0.000 | -0.000 |
| 72.667 | 71.182 | 72.667 | 0.000 | 0.000 | -0.000 |
| 72.667 | 72.667 | 71.182 | -0.000 | -0.000 | -0.000 |
| 0.000 | 0.000 | 0.000 | 34.737 | 0.000 | -0.000 |
| 0.000 | 0.000 | 0.000 | -0.000 | 34.737 | -0.000 |
| 0.000 | 0.000 | 0.000 | -0.000 | 0.000 | 34.737 |
| 71.182 | 72.666 | 72.666 | 0.000 | -0.000 | 0.000 |
| 72.666 | 71.182 | 72.666 | 0.000 | -0.000 | 0.000 |
| 72.666 | 72.666 | 71.182 | 0.000 | 0.000 | 0.000 |
| -0.000 | -0.000 | -0.000 | 37.898 | -0.000 | 0.000 |
| -0.000 | -0.000 | -0.000 | 0.000 | 37.898 | 0.000 |
| -0.000 | -0.000 | -0.000 | 0.000 | -0.000 | 37.898 |
| 71.182 | 72.667 | 72.667 | -0.000 | 0.000 | -0.000 |
| 72.667 | 71.182 | 72.667 | -0.000 | 0.000 | -0.000 |
| 72.667 | 72.667 | 71.182 | -0.000 | 0.000 | -0.000 |
| 0.000 | 0.000 | 0.000 | 37.898 | 0.000 | -0.000 |
| 0.000 | 0.000 | 0.000 | 0.000 | 37.898 | -0.000 |
| 0.000 | 0.000 | 0.000 | -0.000 | 0.000 | 37.898 |
| 71.180 | 72.666 | 72.666 | 0.000 | -0.000 | 0.000 |
| 72.666 | 71.180 | 72.666 | 0.000 | -0.000 | 0.000 |
| 72.666 | 72.666 | 71.180 | 0.000 | 0.000 | 0.000 |
| -0.000 | -0.001 | -0.001 | 37.898 | -0.000 | 0.000 |
| -0.001 | -0.000 | -0.001 | 0.000 | 37.898 | 0.000 |
| -0.001 | -0.001 | -0.000 | 0.000 | -0.000 | 37.898 |
| 71.184 | 72.667 | 72.667 | -0.000 | 0.000 | -0.000 |
| 72.667 | 71.184 | 72.667 | -0.000 | 0.000 | -0.000 |
| 72.667 | 72.667 | 71.184 | -0.000 | -0.000 | -0.000 |
| 0.000 | 0.001 | 0.001 | 37.898 | 0.000 | -0.000 |
| 0.001 | 0.000 | 0.001 | 0.000 | 37.898 | -0.000 |
| 0.001 | 0.001 | 0.000 | -0.000 | 0.000 | 37.898 |
| 174.106 | 42.573 | 42.573 | -0.000 | 0.000 | 0.000 |
| 42.573 | 174.106 | 42.573 | 0.000 | -0.000 | 0.000 |
| 42.573 | 42.573 | 174.106 | -0.000 | -0.000 | 0.000 |
| 0.000 | 0.000 | 0.000 | 50.347 | -0.000 | 0.000 |
| 0.000 | -0.000 | 0.000 | -0.000 | 50.347 | 0.000 |
| 0.000 | 0.000 | 0.000 | -0.000 | -0.000 | 50.347 |
| 174.107 | 42.573 | 42.573 | 0.000 | -0.000 | -0.000 |
| 42.573 | 174.107 | 42.573 | -0.000 | 0.000 | -0.000 |
| 42.573 | 42.573 | 174.107 | -0.000 | 0.000 | -0.000 |
| -0.000 | -0.000 | -0.000 | 50.347 | 0.000 | -0.000 |
| -0.000 | 0.000 | -0.000 | -0.000 | 50.347 | -0.000 |
| -0.000 | -0.000 | -0.000 | 0.000 | 0.000 | 50.347 |
| 174.106 | 42.573 | 42.573 | -0.000 | -0.000 | 0.000 |
| 42.573 | 174.106 | 42.573 | 0.000 | -0.000 | 0.000 |
| 42.573 | 42.573 | 174.106 | 0.000 | -0.000 | 0.000 |
| -0.000 | 0.000 | 0.000 | 35.997 | -0.000 | 0.000 |
| 0.000 | -0.000 | 0.000 | -0.000 | 35.997 | 0.000 |
| 0.000 | 0.000 | -0.000 | 0.000 | 0.000 | 35.997 |
| 174.107 | 42.573 | 42.573 | 0.000 | 0.000 | -0.000 |
| 42.573 | 174.107 | 42.573 | -0.000 | -0.000 | -0.000 |
| 42.573 | 42.573 | 174.107 | -0.000 | 0.000 | -0.000 |
| 0.000 | -0.000 | -0.000 | 35.997 | 0.000 | -0.000 |
| -0.000 | 0.000 | -0.000 | 0.000 | 35.997 | -0.000 |
| -0.000 | -0.000 | 0.000 | 0.000 | 0.000 | 35.997 |
| 174.104 | 42.573 | 42.573 | -0.000 | -0.000 | 0.000 |
| 42.573 | 174.104 | 42.573 | 0.000 | -0.000 | 0.000 |
| 42.573 | 42.573 | 174.104 | -0.000 | -0.000 | 0.000 |
| -0.000 | 0.000 | 0.000 | 35.997 | -0.000 | 0.000 |
| 0.000 | -0.000 | 0.000 | -0.000 | 35.997 | 0.000 |
| 0.000 | 0.000 | -0.000 | -0.000 | -0.000 | 35.997 |
| 174.109 | 42.573 | 42.573 | 0.000 | -0.000 | -0.000 |
| 42.573 | 174.109 | 42.573 | 0.000 | 0.000 | -0.000 |
| 42.573 | 42.573 | 174.109 | 0.000 | 0.000 | -0.000 |
| 0.000 | -0.000 | -0.000 | 35.997 | 0.000 | -0.000 |
| -0.000 | 0.000 | -0.000 | 0.000 | 35.997 | -0.000 |
| -0.000 | -0.000 | 0.000 | 0.000 | -0.000 | 35.997 |
| 1974.382 | 1973.932 | 1973.932 | 0.000 | -0.000 | -0.000 |
| 1973.932 | 1974.382 | 1973.932 | -0.000 | 0.000 | 0.000 |
| 1973.932 | 1973.932 | 1974.382 | 0.000 | 0.000 | -0.000 |
| 0.000 | 0.000 | 0.000 | 0.526 | -0.000 | -0.000 |
| 0.000 | 0.000 | 0.000 | -0.000 | 0.526 | 0.000 |
| 0.000 | 0.000 | 0.000 | 0.000 | -0.000 | 0.526 |
| 1974.382 | 1973.932 | 1973.932 | 0.000 | -0.000 | 0.000 |
| 1973.932 | 1974.382 | 1973.932 | 0.000 | 0.000 | 0.000 |
| 1973.932 | 1973.932 | 1974.382 | 0.000 | 0.000 | 0.000 |
| -0.000 | -0.000 | -0.000 | 0.526 | 0.000 | -0.000 |
| -0.000 | -0.000 | -0.000 | -0.000 | 0.526 | 0.000 |
| -0.000 | -0.000 | -0.000 | -0.000 | 0.000 | 0.526 |
| 1974.381 | 1973.930 | 1973.930 | -0.000 | 0.000 | -0.000 |
| 1973.930 | 1974.381 | 1973.930 | -0.000 | 0.000 | -0.000 |
| 1973.930 | 1973.930 | 1974.381 | -0.000 | -0.000 | -0.000 |
| 0.000 | 0.000 | 0.000 | 0.526 | -0.000 | -0.000 |
| 0.000 | 0.000 | 0.000 | -0.000 | 0.526 | -0.000 |
| 0.000 | 0.000 | 0.000 | -0.000 | 0.000 | 0.526 |
| 1974.383 | 1973.934 | 1973.934 | 0.000 | 0.000 | 0.000 |
| 1973.934 | 1974.383 | 1973.934 | 0.000 | 0.000 | 0.000 |
| 1973.934 | 1973.934 | 1974.383 | 0.000 | -0.000 | 0.000 |
| -0.000 | -0.000 | -0.000 | 0.526 | -0.000 | 0.000 |
| -0.000 | -0.000 | -0.000 | 0.000 | 0.526 | -0.000 |
| -0.000 | -0.000 | -0.000 | 0.000 | -0.000 | 0.526 |
| 1974.375 | 1973.912 | 1973.912 | 0.000 | 0.000 | 0.000 |
| 1973.912 | 1974.375 | 1973.912 | -0.000 | -0.000 | 0.000 |
| 1973.912 | 1973.912 | 1974.375 | -0.000 | -0.000 | -0.000 |
| 0.000 | 0.000 | 0.000 | 0.489 | -0.000 | -0.000 |
| 0.000 | 0.000 | 0.000 | -0.000 | 0.489 | -0.000 |
| 0.000 | 0.000 | 0.000 | -0.000 | -0.000 | 0.489 |
| 1974.389 | 1973.952 | 1973.952 | -0.000 | 0.000 | 0.000 |
| 1973.952 | 1974.389 | 1973.952 | 0.000 | 0.000 | 0.000 |
| 1973.952 | 1973.952 | 1974.389 | -0.000 | 0.000 | 0.000 |
| -0.000 | -0.000 | -0.000 | 0.489 | -0.000 | 0.000 |
| -0.000 | -0.000 | -0.000 | 0.000 | 0.489 | 0.000 |
| -0.000 | -0.000 | -0.000 | 0.000 | 0.000 | 0.489 |
| 350.065 | 350.065 | 350.065 | -0.000 | -0.000 | -0.000 |
| 350.065 | 350.065 | 350.065 | -0.000 | -0.000 | -0.000 |
| 350.065 | 350.065 | 350.065 | -0.000 | -0.000 | 0.000 |
| 0.000 | 0.000 | 0.000 | 0.538 | 0.000 | -0.000 |
| 0.000 | 0.000 | 0.000 | 0.000 | 0.538 | -0.000 |
| 0.000 | 0.000 | 0.000 | 0.000 | 0.000 | 0.538 |
| 350.065 | 350.065 | 350.065 | 0.000 | 0.000 | 0.000 |
| 350.065 | 350.065 | 350.065 | 0.000 | 0.000 | 0.000 |
| 350.065 | 350.065 | 350.065 | 0.000 | 0.000 | -0.000 |
| -0.000 | -0.000 | -0.000 | 0.538 | -0.000 | 0.000 |
| -0.000 | -0.000 | -0.000 | -0.000 | 0.538 | 0.000 |
| -0.000 | -0.000 | -0.000 | -0.000 | -0.000 | 0.538 |
| 350.066 | 350.066 | 350.066 | -0.000 | -0.000 | 0.000 |
| 350.066 | 350.066 | 350.066 | -0.000 | -0.000 | 0.000 |
| 350.066 | 350.066 | 350.066 | -0.000 | -0.000 | 0.000 |
| -0.000 | -0.000 | -0.000 | 0.010 | 0.000 | 0.000 |
| -0.000 | -0.000 | -0.000 | -0.000 | 0.010 | 0.000 |
| -0.000 | -0.000 | -0.000 | 0.000 | 0.000 | 0.010 |
| 350.064 | 350.064 | 350.064 | 0.000 | 0.000 | 0.000 |
| 350.064 | 350.064 | 350.064 | 0.000 | 0.000 | 0.000 |
| 350.064 | 350.064 | 350.064 | 0.000 | 0.000 | -0.000 |
| 0.000 | 0.000 | 0.000 | 0.010 | 0.000 | -0.000 |
| 0.000 | 0.000 | 0.000 | 0.000 | 0.010 | -0.000 |
| 0.000 | 0.000 | 0.000 | -0.000 | -0.000 | 0.010 |
| 350.072 | 350.073 | 350.073 | -0.000 | -0.000 | 0.000 |
| 350.073 | 350.072 | 350.073 | -0.000 | 0.000 | 0.000 |
| 350.073 | 350.073 | 350.072 | 0.000 | 0.000 | 0.000 |
| 0.001 | 0.001 | 0.001 | 0.593 | 0.000 | -0.000 |
| 0.001 | 0.001 | 0.001 | 0.000 | 0.593 | -0.000 |
| 0.001 | 0.001 | 0.001 | 0.000 | 0.000 | 0.593 |
| 350.058 | 350.057 | 350.057 | 0.000 | -0.000 | -0.000 |
| 350.057 | 350.058 | 350.057 | -0.000 | 0.000 | -0.000 |
| 350.057 | 350.057 | 350.058 | 0.000 | -0.000 | -0.000 |
| -0.001 | -0.001 | -0.001 | 0.593 | -0.000 | -0.000 |
| -0.001 | -0.001 | -0.001 | -0.000 | 0.593 | -0.000 |
| -0.001 | -0.001 | -0.001 | -0.000 | -0.000 | 0.593 |
| -0.131 | -0.131 | -0.131 | 0.000 | -0.000 | 0.000 |
| -0.131 | -0.131 | -0.131 | -0.000 | 0.000 | 0.000 |
| -0.131 | -0.131 | -0.131 | -0.000 | -0.000 | 0.000 |
| 0.000 | 0.000 | 0.000 | -0.131 | -0.000 | 0.000 |
| 0.000 | 0.000 | 0.000 | -0.000 | -0.131 | 0.000 |
| 0.000 | 0.000 | 0.000 | -0.000 | 0.000 | -0.131 |
| -0.131 | -0.131 | -0.131 | 0.000 | -0.000 | -0.000 |
| -0.131 | -0.131 | -0.131 | -0.000 | 0.000 | -0.000 |
| -0.131 | -0.131 | -0.131 | 0.000 | 0.000 | 0.000 |
| -0.000 | -0.000 | -0.000 | -0.131 | 0.000 | -0.000 |
| -0.000 | -0.000 | -0.000 | 0.000 | -0.131 | -0.000 |
| -0.000 | -0.000 | -0.000 | 0.000 | 0.000 | -0.131 |
| -0.131 | -0.131 | -0.131 | -0.000 | 0.000 | 0.000 |
| -0.131 | -0.131 | -0.131 | 0.000 | -0.000 | 0.000 |
| -0.131 | -0.131 | -0.131 | 0.000 | 0.000 | -0.000 |
| 18128.198 | 18266.033 | 18265.667 | -16513.133 | 0.500 | -0.744 |
| 18266.033 | 18128.198 | 18265.667 | 0.500 | -16513.133 | -0.744 |
| 18290.172 | 18289.457 | 18152.397 | 108.598 | -108.886 | -16520.601 |
| -0.131 | -0.131 | -0.131 | 0.000 | 0.000 | -0.000 |
| -0.131 | -0.131 | -0.131 | 0.000 | 0.000 | -0.000 |
| -0.131 | -0.131 | -0.131 | 0.000 | 0.000 | -0.000 |
| -7873.060 | -7920.202 | -7919.737 | -7213.586 | -9.856 | -9.884 |
| -7920.202 | -7873.060 | -7919.737 | -9.856 | -7213.586 | -9.884 |
| -8023.318 | -8022.859 | -7976.274 | -9.825 | -9.850 | -7303.445 |
| 9.331 | 10.882 | 10.882 | 0.000 | 0.000 | -0.000 |
| 10.882 | 9.331 | 10.882 | 0.000 | 0.000 | 0.000 |
| 10.882 | 10.882 | 9.331 | -0.000 | 0.000 | -0.000 |
| -0.000 | -0.000 | -0.000 | -1.618 | 0.000 | 0.000 |
| -0.000 | -0.000 | -0.000 | 0.000 | -1.618 | -0.000 |
| -0.000 | -0.000 | -0.000 | 0.000 | 0.000 | -1.618 |
| 9.332 | 10.882 | 10.882 | -0.000 | -0.000 | -0.000 |
| 10.882 | 9.332 | 10.882 | -0.000 | -0.000 | -0.000 |
| 10.882 | 10.882 | 9.332 | -0.000 | -0.000 | -0.000 |
| 0.000 | 0.000 | 0.000 | -1.618 | -0.000 | 0.000 |
| 0.000 | 0.000 | 0.000 | -0.000 | -1.618 | -0.000 |
| 0.000 | 0.000 | 0.000 | 0.000 | -0.000 | -1.618 |
| 9.329 | 10.880 | 10.880 | 0.000 | 0.000 | 0.000 |
| 10.880 | 9.329 | 10.880 | 0.000 | 0.000 | 0.000 |
| 10.880 | 10.880 | 9.329 | 0.000 | 0.000 | 0.000 |
| -0.000 | -0.000 | -0.000 | -1.618 | 0.000 | -0.000 |
| -0.000 | -0.000 | -0.000 | 0.000 | -1.618 | -0.000 |
| -0.000 | -0.000 | -0.000 | 0.000 | 0.000 | -1.618 |
| 9.334 | 10.884 | 10.884 | -0.000 | -0.000 | 0.000 |
| 10.884 | 9.334 | 10.884 | -0.000 | -0.000 | 0.000 |
| 10.884 | 10.884 | 9.334 | -0.000 | -0.000 | -0.000 |
| 0.000 | 0.000 | 0.000 | -1.618 | -0.000 | 0.000 |
| 0.000 | 0.000 | 0.000 | -0.000 | -1.618 | 0.000 |
| 0.000 | 0.000 | 0.000 | -0.000 | -0.000 | -1.618 |
| 9.308 | 10.858 | 10.858 | 0.000 | 0.000 | -0.000 |
| 10.858 | 9.308 | 10.858 | 0.000 | 0.000 | -0.000 |
| 10.858 | 10.858 | 9.308 | 0.000 | 0.000 | 0.000 |
| -0.000 | -0.000 | -0.000 | -1.618 | 0.000 | -0.000 |
| -0.000 | -0.000 | -0.000 | 0.000 | -1.618 | -0.000 |
| -0.000 | -0.000 | -0.000 | 0.000 | 0.000 | -1.618 |
| 9.355 | 10.906 | 10.906 | -0.000 | -0.000 | 0.000 |
| 10.906 | 9.355 | 10.906 | -0.000 | -0.000 | -0.000 |
| 10.906 | 10.906 | 9.355 | -0.000 | -0.000 | -0.000 |
| 0.000 | 0.000 | 0.000 | -1.618 | -0.000 | 0.000 |
| 0.000 | 0.000 | 0.000 | -0.000 | -1.618 | -0.000 |
| 0.000 | 0.000 | 0.000 | -0.000 | -0.000 | -1.618 |
| 214.654 | 235.303 | 235.303 | -0.000 | -0.000 | 0.000 |
| 235.303 | 214.654 | 235.303 | -0.000 | -0.000 | 0.000 |
| 235.303 | 235.303 | 214.654 | -0.000 | -0.000 | 0.000 |
| 0.000 | -0.000 | -0.000 | 200.705 | -0.000 | 0.000 |
| 0.000 | -0.000 | -0.000 | -0.000 | 200.705 | 0.000 |
| 0.000 | 0.000 | -0.000 | -0.000 | -0.000 | 200.705 |
| 214.654 | 235.303 | 235.303 | 0.000 | 0.000 | -0.000 |
| 235.303 | 214.654 | 235.303 | 0.000 | 0.000 | -0.000 |
| 235.303 | 235.303 | 214.654 | 0.000 | 0.000 | -0.000 |
| -0.000 | 0.000 | 0.000 | 200.705 | 0.000 | -0.000 |
| -0.000 | 0.000 | 0.000 | 0.000 | 200.705 | 0.000 |
| -0.000 | 0.000 | 0.000 | 0.000 | 0.000 | 200.705 |
| 214.654 | 235.303 | 235.303 | -0.000 | -0.000 | -0.000 |
| 235.303 | 214.654 | 235.303 | -0.000 | -0.000 | -0.000 |
| 235.303 | 235.303 | 214.654 | -0.000 | -0.000 | 0.000 |
| 0.000 | 0.000 | 0.000 | 200.700 | -0.000 | -0.000 |
| 0.000 | 0.000 | 0.000 | -0.000 | 200.700 | 0.000 |
| 0.000 | 0.000 | 0.000 | -0.000 | -0.000 | 200.700 |
| 214.654 | 235.303 | 235.303 | 0.000 | 0.000 | -0.000 |
| 235.303 | 214.654 | 235.303 | 0.000 | 0.000 | -0.000 |
| 235.303 | 235.303 | 214.654 | 0.000 | 0.000 | -0.000 |
| -0.000 | -0.000 | -0.000 | 200.700 | 0.000 | -0.000 |
| -0.000 | -0.000 | -0.000 | 0.000 | 200.700 | -0.000 |
| -0.000 | -0.000 | -0.000 | 0.000 | 0.000 | 200.700 |
| 214.656 | 235.304 | 235.304 | -0.000 | -0.000 | 0.000 |
| 235.304 | 214.656 | 235.304 | -0.000 | -0.000 | 0.000 |
| 235.304 | 235.304 | 214.656 | -0.000 | -0.000 | 0.000 |
| 0.001 | 0.000 | 0.001 | 200.700 | -0.000 | -0.000 |
| 0.000 | 0.001 | 0.001 | -0.000 | 200.700 | 0.000 |
| 0.000 | 0.001 | 0.001 | -0.000 | -0.000 | 200.700 |
| 214.651 | 235.302 | 235.302 | 0.000 | 0.000 | -0.000 |
| 235.302 | 214.651 | 235.302 | 0.000 | 0.000 | -0.000 |
| 235.302 | 235.302 | 214.651 | 0.000 | 0.000 | -0.000 |
| -0.001 | -0.000 | -0.001 | 200.700 | 0.000 | -0.000 |
| -0.000 | -0.001 | -0.001 | 0.000 | 200.700 | -0.000 |
| -0.000 | -0.001 | -0.001 | 0.000 | 0.000 | 200.700 |
| 2043.235 | 2040.694 | 2040.694 | -0.000 | -0.000 | 0.000 |
| 2040.694 | 2043.235 | 2040.694 | 0.000 | 0.000 | 0.000 |
| 2040.694 | 2040.694 | 2043.235 | 0.000 | -0.000 | 0.000 |
| 0.000 | 0.000 | 0.000 | -0.088 | -0.000 | 0.000 |
| 0.000 | 0.000 | 0.000 | -0.000 | -0.088 | -0.000 |
| 0.000 | 0.000 | 0.000 | 0.000 | 0.000 | -0.088 |
| 2043.235 | 2040.694 | 2040.694 | -0.000 | -0.000 | -0.000 |
| 2040.694 | 2043.235 | 2040.694 | -0.000 | 0.000 | -0.000 |
| 2040.694 | 2040.694 | 2043.235 | -0.000 | -0.000 | -0.000 |
| -0.000 | -0.000 | -0.000 | -0.088 | 0.000 | 0.000 |
| -0.000 | -0.000 | -0.000 | -0.000 | -0.088 | 0.000 |
| -0.000 | -0.000 | -0.000 | -0.000 | 0.000 | -0.088 |
| 2043.235 | 2040.692 | 2040.692 | 0.000 | -0.000 | 0.000 |
| 2040.692 | 2043.235 | 2040.692 | -0.000 | -0.000 | 0.000 |
| 2040.692 | 2040.692 | 2043.235 | 0.000 | 0.000 | 0.000 |
| 0.000 | 0.000 | 0.000 | -0.198 | -0.000 | -0.000 |
| 0.000 | 0.000 | 0.000 | -0.000 | -0.198 | -0.000 |
| 0.000 | 0.000 | 0.000 | -0.000 | 0.000 | -0.198 |
| 2043.235 | 2040.696 | 2040.696 | -0.000 | 0.000 | -0.000 |
| 2040.696 | 2043.235 | 2040.696 | -0.000 | 0.000 | -0.000 |
| 2040.696 | 2040.696 | 2043.235 | 0.000 | 0.000 | -0.000 |
| -0.000 | -0.000 | -0.000 | -0.198 | 0.000 | -0.000 |
| -0.000 | -0.000 | -0.000 | -0.000 | -0.198 | 0.000 |
| -0.000 | -0.000 | -0.000 | 0.000 | 0.000 | -0.198 |
| 2043.234 | 2040.676 | 2040.676 | 0.000 | 0.000 | 0.000 |
| 2040.676 | 2043.234 | 2040.676 | 0.000 | 0.000 | 0.000 |
| 2040.676 | 2040.676 | 2043.234 | 0.000 | -0.000 | -0.000 |
| 0.001 | 0.001 | 0.001 | -0.198 | -0.000 | -0.000 |
| 0.001 | 0.001 | 0.001 | 0.000 | -0.198 | -0.000 |
| 0.001 | 0.001 | 0.001 | 0.000 | 0.000 | -0.198 |
| 2043.237 | 2040.712 | 2040.712 | -0.000 | 0.000 | 0.000 |
| 2040.712 | 2043.237 | 2040.712 | -0.000 | 0.000 | -0.000 |
| 2040.712 | 2040.712 | 2043.237 | -0.000 | 0.000 | -0.000 |
| -0.001 | -0.001 | -0.001 | -0.198 | 0.000 | 0.000 |
| -0.001 | -0.001 | -0.001 | 0.000 | -0.198 | 0.000 |
| -0.001 | -0.001 | -0.001 | 0.000 | -0.000 | -0.198 |
| 352.693 | 352.693 | 352.693 | -0.000 | 0.000 | 0.000 |
| 352.693 | 352.693 | 352.693 | 0.000 | -0.000 | 0.000 |
| 352.693 | 352.693 | 352.693 | -0.000 | -0.000 | 0.000 |
| 0.000 | 0.000 | 0.000 | -0.041 | -0.000 | 0.000 |
| 0.000 | 0.000 | 0.000 | -0.000 | -0.041 | 0.000 |
| 0.000 | 0.000 | 0.000 | -0.000 | -0.000 | -0.041 |
| 352.693 | 352.693 | 352.693 | 0.000 | 0.000 | -0.000 |
| 352.693 | 352.693 | 352.693 | 0.000 | 0.000 | -0.000 |
| 352.693 | 352.693 | 352.693 | 0.000 | 0.000 | -0.000 |
| -0.000 | -0.000 | -0.000 | -0.041 | 0.000 | -0.000 |
| -0.000 | -0.000 | -0.000 | 0.000 | -0.041 | -0.000 |
| -0.000 | -0.000 | -0.000 | 0.000 | 0.000 | -0.041 |
| 352.694 | 352.694 | 352.694 | -0.000 | -0.000 | 0.000 |
| 352.694 | 352.694 | 352.694 | -0.000 | -0.000 | 0.000 |
| 352.694 | 352.694 | 352.694 | -0.000 | -0.000 | 0.000 |
| 0.000 | 0.000 | 0.000 | -0.041 | -0.000 | 0.000 |
| 0.000 | 0.000 | 0.000 | -0.000 | -0.041 | 0.000 |
| 0.000 | 0.000 | 0.000 | -0.000 | -0.000 | -0.041 |
| 352.692 | 352.692 | 352.692 | 0.000 | -0.000 | -0.000 |
| 352.692 | 352.692 | 352.692 | -0.000 | 0.000 | -0.000 |
| 352.692 | 352.692 | 352.692 | 0.000 | 0.000 | -0.000 |
| -0.000 | -0.000 | -0.000 | -0.041 | 0.000 | -0.000 |
| -0.000 | -0.000 | -0.000 | 0.000 | -0.041 | -0.000 |
| -0.000 | -0.000 | -0.000 | 0.000 | 0.000 | -0.041 |
| 352.700 | 352.701 | 352.701 | -0.000 | -0.000 | 0.000 |
| 352.701 | 352.700 | 352.701 | -0.000 | -0.000 | 0.000 |
| 352.701 | 352.701 | 352.700 | -0.000 | -0.000 | 0.000 |
| 0.001 | 0.001 | 0.001 | 0.610 | 0.000 | 0.000 |
| 0.001 | 0.001 | 0.001 | 0.000 | 0.610 | 0.000 |
| 0.001 | 0.001 | 0.001 | 0.000 | -0.000 | 0.610 |
| 352.686 | 352.685 | 352.685 | 0.000 | 0.000 | -0.000 |
| 352.685 | 352.686 | 352.685 | 0.000 | 0.000 | -0.000 |
| 352.685 | 352.685 | 352.686 | 0.000 | 0.000 | -0.000 |
| -0.001 | -0.001 | -0.001 | 0.610 | -0.000 | -0.000 |
| -0.001 | -0.001 | -0.001 | 0.000 | 0.610 | -0.000 |
| -0.001 | -0.001 | -0.001 | 0.000 | 0.000 | 0.610 |
| -0.136 | -0.136 | -0.136 | 0.000 | 0.000 | 0.000 |
| -0.136 | -0.136 | -0.136 | 0.000 | 0.000 | 0.000 |
| -0.136 | -0.136 | -0.136 | 0.000 | 0.000 | 0.000 |
| 0.000 | 0.000 | 0.000 | -0.136 | 0.000 | 0.000 |
| 0.000 | 0.000 | 0.000 | 0.000 | -0.136 | 0.000 |
| 0.000 | 0.000 | 0.000 | 0.000 | 0.000 | -0.136 |
| -0.136 | -0.136 | -0.136 | -0.000 | -0.000 | -0.000 |
| -0.136 | -0.136 | -0.136 | -0.000 | -0.000 | -0.000 |
| -0.136 | -0.136 | -0.136 | -0.000 | -0.000 | 0.000 |
| -0.000 | -0.000 | -0.000 | -0.136 | -0.000 | -0.000 |
| -0.000 | -0.000 | -0.000 | -0.000 | -0.136 | -0.000 |
| -0.000 | -0.000 | -0.000 | -0.000 | -0.000 | -0.136 |
| -0.136 | -0.136 | -0.136 | -0.000 | -0.000 | -0.000 |
| -0.136 | -0.136 | -0.136 | -0.000 | -0.000 | -0.000 |
| -0.136 | -0.136 | -0.136 | -0.000 | -0.000 | -0.000 |
| 0.000 | 0.000 | 0.000 | -0.139 | -0.000 | 0.000 |
| 0.000 | 0.000 | 0.000 | -0.000 | -0.139 | 0.000 |
| 0.000 | 0.000 | 0.000 | -0.000 | 0.000 | -0.139 |
| -0.136 | -0.136 | -0.136 | 0.000 | 0.000 | -0.000 |
| -0.136 | -0.136 | -0.136 | 0.000 | 0.000 | -0.000 |
| -0.136 | -0.136 | -0.136 | 0.000 | 0.000 | 0.000 |
| -0.000 | -0.000 | -0.000 | -0.139 | 0.000 | -0.000 |
| -0.000 | -0.000 | -0.000 | 0.000 | -0.139 | -0.000 |
| -0.000 | -0.000 | -0.000 | 0.000 | -0.000 | -0.139 |
| 9.676 | 11.271 | 11.271 | 0.000 | 0.000 | 0.000 |
| 11.271 | 9.676 | 11.271 | 0.000 | 0.000 | 0.000 |
| 11.271 | 11.271 | 9.676 | 0.000 | 0.000 | 0.000 |
| -0.000 | -0.000 | -0.000 | -0.181 | 0.000 | 0.000 |
| -0.000 | -0.000 | -0.000 | 0.000 | -0.181 | 0.000 |
| -0.000 | -0.000 | -0.000 | 0.000 | 0.000 | -0.181 |
| 9.677 | 11.272 | 11.272 | -0.000 | -0.000 | -0.000 |
| 11.272 | 9.677 | 11.272 | -0.000 | -0.000 | -0.000 |
| 11.272 | 11.272 | 9.677 | -0.000 | -0.000 | -0.000 |
| 0.000 | 0.000 | 0.000 | -0.181 | -0.000 | -0.000 |
| 0.000 | 0.000 | 0.000 | -0.000 | -0.181 | -0.000 |
| 0.000 | 0.000 | 0.000 | -0.000 | -0.000 | -0.181 |
| 9.674 | 11.269 | 11.269 | 0.000 | 0.000 | 0.000 |
| 11.269 | 9.674 | 11.269 | 0.000 | 0.000 | 0.000 |
| 11.269 | 11.269 | 9.674 | 0.000 | 0.000 | 0.000 |
| -0.000 | -0.000 | -0.000 | -0.181 | 0.000 | 0.000 |
| -0.000 | -0.000 | -0.000 | 0.000 | -0.181 | 0.000 |
| -0.000 | -0.000 | -0.000 | 0.000 | 0.000 | -0.181 |
| 9.679 | 11.274 | 11.274 | -0.000 | -0.000 | -0.000 |
| 11.274 | 9.679 | 11.274 | -0.000 | -0.000 | -0.000 |
| 11.274 | 11.274 | 9.679 | -0.000 | -0.000 | -0.000 |
| 0.000 | 0.000 | 0.000 | -0.181 | -0.000 | -0.000 |
| 0.000 | 0.000 | 0.000 | -0.000 | -0.181 | -0.000 |
| 0.000 | 0.000 | 0.000 | -0.000 | -0.000 | -0.181 |
| 9.652 | 11.247 | 11.247 | 0.000 | 0.000 | 0.000 |
| 11.247 | 9.652 | 11.247 | 0.000 | 0.000 | 0.000 |
| 11.247 | 11.247 | 9.652 | 0.000 | 0.000 | 0.000 |
| -0.004 | -0.004 | -0.004 | -0.181 | 0.000 | 0.000 |
| -0.004 | -0.004 | -0.004 | 0.000 | -0.181 | 0.000 |
| -0.004 | -0.004 | -0.004 | 0.000 | 0.000 | -0.181 |
| 9.701 | 11.296 | 11.296 | -0.000 | -0.000 | -0.000 |
| 11.296 | 9.701 | 11.296 | -0.000 | -0.000 | -0.000 |
| 11.296 | 11.296 | 9.701 | -0.000 | -0.000 | -0.000 |
| 0.004 | 0.004 | 0.004 | -0.181 | -0.000 | -0.000 |
| 0.004 | 0.004 | 0.004 | -0.000 | -0.181 | -0.000 |
| 0.004 | 0.004 | 0.004 | -0.000 | -0.000 | -0.181 |
| 448.166 | 116.755 | 116.755 | -0.000 | 0.000 | -0.000 |
| 116.755 | 448.166 | 116.755 | -0.000 | 0.000 | -0.000 |
| 116.755 | 116.755 | 448.166 | 0.000 | 0.000 | -0.000 |
| -0.000 | -0.000 | -0.000 | -5.230 | 0.000 | -0.000 |
| 0.000 | 0.000 | -0.000 | -0.000 | -5.230 | -0.000 |
| -0.000 | 0.000 | -0.000 | -0.000 | 0.000 | -5.230 |
| 448.166 | 116.755 | 116.755 | 0.000 | -0.000 | 0.000 |
| 116.755 | 448.166 | 116.755 | 0.000 | -0.000 | 0.000 |
| 116.755 | 116.755 | 448.166 | -0.000 | -0.000 | 0.000 |
| 0.000 | 0.000 | 0.000 | -5.230 | -0.000 | 0.000 |
| -0.000 | -0.000 | 0.000 | 0.000 | -5.230 | 0.000 |
| 0.000 | -0.000 | 0.000 | 0.000 | -0.000 | -5.230 |
| 449.206 | 116.235 | 116.235 | 0.000 | -0.000 | -0.000 |
| 116.235 | 449.206 | 116.235 | 0.000 | 0.000 | -0.000 |
| 116.235 | 116.235 | 449.206 | -0.000 | 0.000 | -0.000 |
| 0.000 | -0.000 | -0.000 | 31.669 | 0.000 | -0.000 |
| -0.000 | 0.000 | -0.000 | -0.000 | 31.669 | -0.000 |
| -0.000 | -0.000 | 0.000 | 0.000 | 0.000 | 31.669 |
| 448.166 | 116.755 | 116.755 | 0.000 | -0.000 | -0.000 |
| 116.755 | 448.166 | 116.755 | 0.000 | -0.000 | 0.000 |
| 116.755 | 116.755 | 448.166 | -0.000 | -0.000 | -0.000 |
| -0.000 | 0.000 | 0.000 | 31.669 | -0.000 | 0.000 |
| 0.000 | -0.000 | 0.000 | 0.000 | 31.669 | 0.000 |
| 0.000 | 0.000 | -0.000 | -0.000 | -0.000 | 31.669 |
| 448.165 | 116.755 | 116.755 | -0.000 | 0.000 | -0.000 |
| 116.755 | 448.165 | 116.755 | -0.000 | 0.000 | -0.000 |
| 116.755 | 116.755 | 448.165 | -0.000 | -0.000 | -0.000 |
| -0.000 | -0.001 | -0.001 | -5.230 | 0.000 | -0.000 |
| -0.001 | -0.000 | -0.001 | -0.000 | -5.230 | -0.000 |
| -0.001 | -0.001 | -0.000 | -0.000 | 0.000 | -5.230 |
| 448.167 | 116.755 | 116.755 | 0.000 | -0.000 | 0.000 |
| 116.755 | 448.167 | 116.755 | 0.000 | -0.000 | 0.000 |
| 116.755 | 116.755 | 448.167 | 0.000 | -0.000 | 0.000 |
| 0.000 | 0.001 | 0.001 | -5.230 | -0.000 | 0.000 |
| 0.001 | 0.000 | 0.001 | 0.000 | -5.230 | 0.000 |
| 0.001 | 0.001 | 0.000 | 0.000 | -0.000 | -5.230 |
| 591.761 | 564.578 | 564.578 | -0.000 | 0.000 | -0.000 |
| 564.578 | 591.761 | 564.578 | -0.000 | 0.000 | -0.000 |
| 564.578 | 564.578 | 591.761 | -0.000 | -0.000 | 0.000 |
| -0.000 | -0.000 | -0.000 | -58.287 | 0.000 | 0.000 |
| -0.000 | -0.000 | -0.000 | -0.000 | -58.287 | -0.000 |
| -0.000 | -0.000 | -0.000 | -0.000 | -0.000 | -58.287 |
| 591.761 | 564.578 | 564.578 | 0.000 | -0.000 | 0.000 |
| 564.578 | 591.761 | 564.578 | 0.000 | -0.000 | -0.000 |
| 564.578 | 564.578 | 591.761 | 0.000 | -0.000 | -0.000 |
| 0.000 | 0.000 | 0.000 | -58.287 | -0.000 | 0.000 |
| 0.000 | 0.000 | 0.000 | 0.000 | -58.287 | 0.000 |
| 0.000 | 0.000 | 0.000 | 0.000 | -0.000 | -58.287 |
| 591.760 | 564.577 | 564.577 | -0.000 | 0.000 | 0.000 |
| 564.577 | 591.760 | 564.577 | -0.000 | 0.000 | 0.000 |
| 564.577 | 564.577 | 591.760 | -0.000 | -0.000 | -0.000 |
| -0.000 | -0.000 | -0.000 | -58.287 | 0.000 | 0.000 |
| -0.000 | -0.000 | -0.000 | -0.000 | -58.287 | -0.000 |
| -0.000 | -0.000 | -0.000 | -0.000 | 0.000 | -58.287 |
| 628.440 | 546.240 | 546.240 | 0.000 | 0.000 | 0.000 |
| 546.240 | 628.440 | 546.240 | 0.000 | -0.000 | 0.000 |
| 546.240 | 546.240 | 628.440 | 0.000 | 0.000 | 0.000 |
| 0.000 | 0.000 | 0.000 | -58.287 | -0.000 | 0.000 |
| 0.000 | 0.000 | 0.000 | 0.000 | -58.287 | 0.000 |
| 0.000 | 0.000 | 0.000 | 0.000 | 0.000 | -58.287 |
| 591.745 | 564.567 | 564.567 | -0.000 | 0.000 | 0.000 |
| 564.567 | 591.745 | 564.567 | -0.000 | -0.000 | 0.000 |
| 564.567 | 564.567 | 591.745 | -0.000 | 0.000 | 0.000 |
| 226247.382 | 138305.984 | 138305.163 | -585465.037 | -0.000 | -0.000 |
| 138305.986 | 226247.385 | 138305.165 | -0.000 | -585465.040 | -0.000 |
| 138305.984 | 138305.163 | 226247.382 | -0.000 | -0.000 | -585465.036 |
| 591.777 | 564.589 | 564.589 | 0.000 | -0.000 | 0.000 |
| 564.589 | 591.777 | 564.589 | 0.000 | -0.000 | 0.000 |
| 564.589 | 564.589 | 591.777 | 0.000 | 0.000 | -0.000 |
| -226247.386 | -138305.987 | -138305.166 | -585465.041 | 0.000 | -0.000 |
| -138305.986 | -226247.384 | -138305.165 | 0.000 | -585465.039 | 0.000 |
| -138305.987 | -138305.166 | -226247.386 | 0.000 | -0.000 | -585465.041 |
| 2232.708 | 2249.609 | 2249.609 | -0.000 | -0.000 | -0.000 |
| 2249.609 | 2232.708 | 2249.609 | -0.000 | -0.000 | -0.000 |
| 2249.609 | 2249.609 | 2232.708 | -0.000 | 0.000 | 0.000 |
| 0.000 | 0.000 | 0.000 | 0.832 | -0.000 | 0.000 |
| 0.000 | 0.000 | 0.000 | -0.000 | 0.832 | 0.000 |
| 0.000 | 0.000 | 0.000 | -0.000 | -0.000 | 0.832 |
| 2232.717 | 2249.605 | 2249.605 | 0.000 | 0.000 | 0.000 |
| 2249.605 | 2232.717 | 2249.605 | 0.000 | 0.000 | -0.000 |
| 2249.605 | 2249.605 | 2232.717 | 0.000 | 0.000 | -0.000 |
| -0.000 | -0.000 | -0.000 | 0.832 | 0.000 | 0.000 |
| -0.000 | -0.000 | -0.000 | 0.000 | 0.832 | 0.000 |
| -0.000 | -0.000 | -0.000 | 0.000 | -0.000 | 0.832 |
| 2232.670 | 2249.627 | 2249.627 | -0.000 | -0.000 | -0.000 |
| 2249.627 | 2232.670 | 2249.627 | -0.000 | -0.000 | -0.000 |
| 2249.627 | 2249.627 | 2232.670 | -0.000 | -0.000 | 0.000 |
| -0.002 | 0.000 | 0.002 | 0.795 | 0.000 | -0.000 |
| 0.000 | -0.002 | 0.002 | -0.000 | 0.795 | -0.000 |
| 0.000 | 0.002 | -0.002 | -0.000 | -0.000 | 0.795 |
| 2232.755 | 2249.587 | 2249.587 | 0.000 | 0.000 | -0.000 |
| 2249.587 | 2232.755 | 2249.587 | 0.000 | 0.000 | -0.000 |
| 2249.587 | 2249.587 | 2232.755 | 0.000 | 0.000 | 0.000 |
| 0.002 | -0.000 | -0.002 | 0.795 | 0.000 | -0.000 |
| -0.000 | 0.002 | -0.002 | 0.000 | 0.795 | -0.000 |
| -0.000 | -0.002 | 0.002 | -0.000 | 0.000 | 0.795 |
| 2232.728 | 2249.590 | 2249.590 | -0.000 | -0.000 | 0.000 |
| 2249.590 | 2232.728 | 2249.590 | -0.000 | -0.000 | 0.000 |
| 2249.590 | 2249.590 | 2232.728 | -0.000 | -0.000 | 0.000 |
| -0.010 | 0.004 | 0.013 | 0.586 | -0.000 | 0.000 |
| 0.005 | -0.020 | 0.023 | -0.000 | 0.589 | 0.000 |
| 0.004 | 0.013 | -0.010 | 0.000 | -0.000 | 0.586 |
| 2232.697 | 2249.625 | 2249.625 | 0.000 | 0.000 | -0.000 |
| 2249.625 | 2232.697 | 2249.625 | 0.000 | 0.000 | 0.000 |
| 2249.625 | 2249.625 | 2232.697 | 0.000 | 0.000 | -0.000 |
| 0.008 | -0.003 | -0.012 | 0.588 | 0.000 | 0.000 |
| -0.005 | 0.023 | -0.025 | 0.000 | 0.589 | -0.000 |
| -0.004 | -0.012 | 0.008 | 0.000 | 0.000 | 0.588 |
| 955.707 | 923.486 | 923.486 | 0.000 | -0.000 | -0.000 |
| 923.486 | 955.707 | 923.486 | -0.000 | -0.000 | -0.000 |
| 923.486 | 923.486 | 955.707 | 0.000 | 0.000 | -0.000 |
| -0.000 | -0.000 | -0.000 | -0.275 | -0.000 | 0.000 |
| -0.000 | -0.000 | -0.000 | -0.000 | -0.275 | 0.000 |
| -0.000 | -0.000 | -0.000 | -0.000 | -0.000 | -0.275 |
| 955.707 | 923.486 | 923.486 | -0.000 | 0.000 | 0.000 |
| 923.486 | 955.707 | 923.486 | -0.000 | -0.000 | 0.000 |
| 923.486 | 923.486 | 955.707 | -0.000 | 0.000 | 0.000 |
| 0.000 | 0.000 | 0.000 | -0.275 | 0.000 | 0.000 |
| 0.000 | 0.000 | 0.000 | 0.000 | -0.275 | -0.000 |
| 0.000 | 0.000 | 0.000 | -0.000 | 0.000 | -0.275 |
| 955.707 | 923.487 | 923.487 | -0.000 | -0.000 | 0.000 |
| 923.487 | 955.707 | 923.487 | -0.000 | -0.000 | 0.000 |
| 923.487 | 923.487 | 955.707 | 0.000 | -0.000 | -0.000 |
| -0.000 | -0.000 | -0.000 | -0.275 | 0.000 | -0.000 |
| -0.000 | -0.000 | -0.000 | -0.000 | -0.275 | 0.000 |
| -0.000 | -0.000 | -0.000 | -0.000 | -0.000 | -0.275 |
| 955.706 | 923.485 | 923.485 | -0.000 | 0.000 | -0.000 |
| 923.485 | 955.706 | 923.485 | 0.000 | 0.000 | 0.000 |
| 923.485 | 923.485 | 955.706 | -0.000 | 0.000 | -0.000 |
| 0.000 | 0.000 | 0.000 | -0.275 | -0.000 | -0.000 |
| 0.000 | 0.000 | 0.000 | 0.000 | -0.275 | -0.000 |
| 0.000 | 0.000 | 0.000 | -0.000 | 0.000 | -0.275 |
| 955.713 | 923.495 | 923.495 | 0.000 | -0.000 | 0.000 |
| 923.495 | 955.713 | 923.495 | 0.000 | -0.000 | 0.000 |
| 923.495 | 923.495 | 955.713 | 0.000 | -0.000 | -0.000 |
| -0.001 | -0.001 | -0.001 | -0.275 | -0.000 | -0.000 |
| -0.001 | -0.001 | -0.001 | 0.000 | -0.275 | -0.000 |
| -0.001 | -0.001 | -0.001 | 0.000 | 0.000 | -0.275 |
| 955.700 | 923.476 | 923.476 | 0.000 | 0.000 | 0.000 |
| 923.476 | 955.700 | 923.476 | 0.000 | 0.000 | 0.000 |
| 923.476 | 923.476 | 955.700 | -0.000 | 0.000 | 0.000 |
| 0.001 | 0.001 | 0.001 | -0.275 | 0.000 | 0.000 |
| 0.001 | 0.001 | 0.001 | 0.000 | -0.275 | -0.000 |
| 0.001 | 0.001 | 0.001 | -0.000 | -0.000 | -0.275 |
| 10.788 | -0.000 | -0.000 | 0.000 | 0.000 | 0.000 |
| -0.000 | 10.788 | -0.000 | 0.000 | 0.000 | -0.000 |
| -0.000 | -0.000 | 10.788 | -0.000 | 0.000 | 0.000 |
| -0.000 | -0.000 | -0.000 | -0.000 | 0.000 | 0.000 |
| -0.000 | -0.000 | -0.000 | 0.000 | -0.000 | 0.000 |
| -0.000 | -0.000 | -0.000 | 0.000 | 0.000 | -0.000 |
| 10.788 | 0.000 | 0.000 | -0.000 | -0.000 | -0.000 |
| 0.000 | 10.788 | 0.000 | -0.000 | -0.000 | 0.000 |
| 0.000 | 0.000 | 10.788 | 0.000 | -0.000 | -0.000 |
| 0.000 | 0.000 | 0.000 | -0.000 | -0.000 | -0.000 |
| 0.000 | 0.000 | 0.000 | -0.000 | -0.000 | -0.000 |
| 0.000 | 0.000 | 0.000 | -0.000 | 0.000 | -0.000 |
| 10.789 | -0.000 | -0.000 | 0.000 | 0.000 | 0.000 |
| -0.000 | 10.789 | -0.000 | 0.000 | 0.000 | -0.000 |
| -0.000 | -0.000 | 10.789 | -0.000 | 0.000 | 0.000 |
| -0.000 | -0.000 | -0.000 | 0.000 | 0.000 | 0.000 |
| -0.000 | -0.000 | -0.000 | -0.000 | 0.000 | 0.000 |
| -0.000 | -0.000 | -0.000 | 0.000 | -0.000 | 0.000 |
| 10.788 | 0.000 | 0.000 | -0.000 | -0.000 | -0.000 |
| 0.000 | 10.788 | 0.000 | -0.000 | -0.000 | -0.000 |
| 0.000 | 0.000 | 10.788 | -0.000 | 0.000 | -0.000 |
| 0.000 | 0.000 | 0.000 | 0.000 | -0.000 | -0.000 |
| 0.000 | 0.000 | 0.000 | 0.000 | 0.000 | -0.000 |
| 0.000 | 0.000 | 0.000 | -0.000 | -0.000 | 0.000 |
| 10.791 | -0.000 | -0.000 | 0.000 | -0.000 | 0.000 |
| -0.000 | 10.791 | -0.000 | -0.000 | 0.000 | 0.000 |
| -0.000 | -0.000 | 10.791 | 0.000 | 0.000 | 0.000 |
| -0.000 | -0.000 | -0.000 | 0.000 | 0.000 | 0.000 |
| -0.000 | -0.000 | -0.000 | 0.000 | 0.000 | 0.000 |
| -0.000 | -0.000 | -0.000 | 0.000 | -0.000 | 0.000 |
| 10.786 | 0.000 | 0.000 | -0.000 | 0.000 | -0.000 |
| 0.000 | 10.786 | 0.000 | -0.000 | -0.000 | 0.000 |
| 0.000 | 0.000 | 10.786 | 0.000 | 0.000 | -0.000 |
| 0.000 | 0.000 | 0.000 | 0.000 | -0.000 | -0.000 |
| 0.000 | 0.000 | 0.000 | -0.000 | 0.000 | -0.000 |
| 0.000 | 0.000 | 0.000 | -0.000 | -0.000 | 0.000 |
| 285.862 | 298.782 | 298.782 | -0.000 | -0.000 | -0.000 |
| 298.782 | 285.862 | 298.782 | -0.000 | -0.000 | -0.000 |
| 298.782 | 298.782 | 285.862 | -0.000 | -0.000 | 0.000 |
| 0.000 | -0.000 | 0.000 | 188.043 | 0.000 | 0.000 |
| 0.000 | 0.000 | 0.000 | 0.000 | 188.043 | -0.000 |
| 0.000 | 0.000 | 0.000 | -0.000 | 0.000 | 188.043 |
| 285.862 | 298.782 | 298.782 | -0.000 | -0.000 | 0.000 |
| 298.782 | 285.862 | 298.782 | -0.000 | 0.000 | 0.000 |
| 298.782 | 298.782 | 285.862 | -0.000 | 0.000 | 0.000 |
| -0.000 | 0.000 | -0.000 | 188.043 | -0.000 | 0.000 |
| -0.000 | -0.000 | -0.000 | 0.000 | 188.043 | 0.000 |
| -0.000 | -0.000 | -0.000 | 0.000 | 0.000 | 188.043 |
| 285.862 | 298.782 | 298.782 | 0.000 | 0.000 | -0.000 |
| 298.782 | 285.862 | 298.782 | 0.000 | -0.000 | -0.000 |
| 298.782 | 298.782 | 285.862 | 0.000 | 0.000 | -0.000 |
| 0.000 | 0.000 | 0.000 | 187.131 | -0.000 | -0.000 |
| 0.000 | 0.000 | 0.000 | 0.000 | 187.131 | -0.000 |
| 0.000 | 0.000 | 0.000 | 0.000 | -0.000 | 187.131 |
| 285.862 | 298.781 | 298.781 | 0.000 | -0.000 | 0.000 |
| 298.781 | 285.862 | 298.781 | -0.000 | 0.000 | 0.000 |
| 298.781 | 298.781 | 285.862 | -0.000 | 0.000 | 0.000 |
| -0.000 | -0.000 | -0.000 | 187.131 | 0.000 | -0.000 |
| -0.000 | -0.000 | -0.000 | -0.000 | 187.131 | 0.000 |
| -0.000 | -0.000 | -0.000 | -0.000 | -0.000 | 187.131 |
| 285.863 | 298.783 | 298.783 | -0.000 | -0.000 | -0.000 |
| 298.783 | 285.863 | 298.783 | -0.000 | -0.000 | 0.000 |
| 298.783 | 298.783 | 285.863 | -0.000 | 0.000 | -0.000 |
| 0.001 | 0.000 | 0.001 | 187.131 | 0.000 | -0.000 |
| 0.000 | 0.001 | 0.001 | 0.000 | 187.131 | -0.000 |
| 0.000 | 0.001 | 0.001 | -0.000 | 0.000 | 187.131 |
| 285.862 | 298.780 | 298.780 | 0.000 | -0.000 | 0.000 |
| 298.780 | 285.862 | 298.780 | 0.000 | 0.000 | 0.000 |
| 298.780 | 298.780 | 285.862 | 0.000 | -0.000 | 0.000 |
| -0.001 | -0.000 | -0.001 | 187.131 | -0.000 | 0.000 |
| -0.000 | -0.001 | -0.001 | 0.000 | 187.131 | 0.000 |
| -0.000 | -0.001 | -0.001 | 0.000 | -0.000 | 187.131 |
| 1316.647 | 1343.484 | 1343.484 | -0.000 | 0.000 | -0.000 |
| 1343.484 | 1316.647 | 1343.484 | -0.000 | 0.000 | 0.000 |
| 1343.484 | 1343.484 | 1316.647 | -0.000 | 0.000 | 0.000 |
| 0.000 | 0.000 | 0.000 | -15.356 | -0.000 | 0.000 |
| 0.000 | 0.000 | 0.000 | -0.000 | -15.356 | 0.000 |
| 0.000 | 0.000 | 0.000 | -0.000 | -0.000 | -15.356 |
| 1316.647 | 1343.484 | 1343.484 | 0.000 | -0.000 | -0.000 |
| 1343.484 | 1316.647 | 1343.484 | 0.000 | -0.000 | -0.000 |
| 1343.484 | 1343.484 | 1316.647 | 0.000 | 0.000 | -0.000 |
| -0.000 | -0.000 | -0.000 | -15.356 | -0.000 | 0.000 |
| -0.000 | -0.000 | -0.000 | 0.000 | -15.356 | -0.000 |
| -0.000 | -0.000 | -0.000 | 0.000 | -0.000 | -15.356 |
| 1316.647 | 1343.483 | 1343.483 | 0.000 | 0.000 | 0.000 |
| 1343.483 | 1316.647 | 1343.483 | -0.000 | 0.000 | 0.000 |
| 1343.483 | 1343.483 | 1316.647 | -0.000 | -0.000 | 0.000 |
| 141494821.011 | 129292598.305 | 130113209.284 | 14094542.235 | -689723.844 | 772614.110 |
| 127146586.285 | 139826003.185 | 125567216.862 | -1586813.087 | 14802289.799 | -2384375.750 |
| 125915544.947 | 127885257.678 | 136092149.863 | -574496.346 | -1714794.760 | 13959701.733 |
| 1316.648 | 1343.485 | 1343.485 | 0.000 | -0.000 | -0.000 |
| 1343.485 | 1316.648 | 1343.485 | 0.000 | -0.000 | -0.000 |
| 1343.485 | 1343.485 | 1316.648 | 0.000 | 0.000 | -0.000 |
| -138777426.324 | -129256294.008 | -131096232.609 | 13538662.352 | 171947.094 | -1052145.570 |
| -128641215.070 | -140924927.426 | -131112948.695 | 1931497.097 | 13849622.553 | -868082.454 |
| -123809128.814 | -123951680.992 | -138606421.491 | -1203398.336 | 1715284.333 | 13141973.519 |
| 1316.643 | 1343.474 | 1343.474 | -0.000 | 0.000 | 0.000 |
| 1343.474 | 1316.643 | 1343.474 | -0.000 | 0.000 | 0.000 |
| 1343.474 | 1343.474 | 1316.643 | -0.000 | -0.000 | 0.000 |
| 13758530.851 | 12957515.050 | 13316601.821 | 945483.738 | 54591.400 | -191064.923 |
| 12523781.487 | 13273734.602 | 12832082.061 | -79041.328 | 788806.272 | -171543.218 |
| 13566207.581 | 13011462.146 | 15014829.556 | -129355.729 | -96320.302 | 1451077.087 |
| 1316.652 | 1343.494 | 1343.494 | 0.000 | -0.000 | -0.000 |
| 1343.494 | 1316.652 | 1343.494 | 0.000 | 0.000 | -0.000 |
| 1343.494 | 1343.494 | 1316.652 | 0.000 | 0.000 | -0.000 |
| -13054696.981 | -12623445.707 | -12930813.714 | 688955.631 | 28476.720 | 75550.736 |
| -12272667.433 | -13041786.283 | -12790373.992 | 61250.870 | 874426.970 | 111042.941 |
| -12488289.131 | -12280078.340 | -14106218.612 | -126352.614 | 212904.318 | 1178292.847 |
| 21.596 | 55.401 | 55.401 | 0.000 | -0.000 | 0.000 |
| 55.401 | 21.596 | 55.401 | -0.000 | 0.000 | 0.000 |
| 55.401 | 55.401 | 21.596 | 0.000 | 0.000 | 0.000 |
| 0.000 | 0.000 | 0.000 | -11.867 | -0.000 | 0.000 |
| 0.000 | 0.000 | 0.000 | -0.000 | -11.867 | 0.000 |
| 0.000 | 0.000 | 0.000 | -0.000 | -0.000 | -11.867 |
| 21.596 | 55.401 | 55.401 | 0.000 | 0.000 | -0.000 |
| 55.401 | 21.596 | 55.401 | 0.000 | 0.000 | -0.000 |
| 55.401 | 55.401 | 21.596 | 0.000 | 0.000 | -0.000 |
| -0.000 | -0.000 | -0.000 | -11.867 | 0.000 | -0.000 |
| -0.000 | -0.000 | -0.000 | 0.000 | -11.867 | -0.000 |
| -0.000 | -0.000 | -0.000 | 0.000 | 0.000 | -11.867 |
| 21.596 | 55.401 | 55.401 | -0.000 | -0.000 | 0.000 |
| 55.401 | 21.596 | 55.401 | -0.000 | -0.000 | 0.000 |
| 55.401 | 55.401 | 21.596 | 0.000 | -0.000 | 0.000 |
| 836724.265 | 905346.003 | 925332.565 | -539066.035 | -12424.720 | -16420.110 |
| 953053.303 | 877898.587 | 985302.901 | -2473.290 | -532388.615 | -23763.131 |
| 911362.510 | 937471.845 | 820595.858 | -28164.163 | -20200.266 | -558802.139 |
| 21.596 | 55.401 | 55.401 | 0.000 | 0.000 | -0.000 |
| 55.401 | 21.596 | 55.401 | 0.000 | 0.000 | -0.000 |
| 55.401 | 55.401 | 21.596 | 0.000 | 0.000 | -0.000 |
| -335051.129 | -53991.685 | -36074.666 | -273115.615 | 190061.310 | 224135.810 |
| -46229.180 | -334156.552 | -40693.396 | 197156.494 | -264510.601 | 216489.157 |
| -174674.503 | -164504.913 | -448591.852 | 183270.971 | 179002.719 | -384653.891 |
| 21.594 | 55.402 | 55.402 | -0.000 | -0.000 | 0.000 |
| 55.402 | 21.594 | 55.402 | -0.000 | -0.000 | 0.000 |
| 55.402 | 55.402 | 21.594 | 0.000 | -0.000 | 0.000 |
| 46842.368 | 63199.653 | 65888.142 | -63006.940 | -7754.828 | -6880.192 |
| 49327.877 | 38321.160 | 51297.929 | -6099.203 | -61825.553 | -5358.027 |
| 73303.941 | 73058.807 | 55976.812 | -4094.608 | -5105.720 | -61487.469 |
| 21.598 | 55.400 | 55.400 | -0.000 | 0.000 | -0.000 |
| 55.400 | 21.598 | 55.400 | 0.000 | -0.000 | -0.000 |
| 55.400 | 55.400 | 21.598 | -0.000 | 0.000 | -0.000 |
| -122081.870 | -112922.668 | -104315.764 | -33707.495 | 6530.004 | 10705.733 |
| -98359.525 | -114664.535 | -94056.641 | 10682.109 | -35770.287 | 10119.653 |
| -84402.373 | -85368.945 | -105553.159 | 12662.830 | 12869.706 | -36755.209 |
| 0.358 | 0.358 | 0.358 | -0.000 | -0.000 | 0.000 |
| 0.358 | 0.358 | 0.358 | -0.000 | -0.000 | -0.000 |
| 0.358 | 0.358 | 0.358 | 0.000 | 0.000 | -0.000 |
| 11299931.376 | 11112828.151 | 11048757.401 | -4125235.579 | 5195997.914 | 5637080.013 |
| 11095173.911 | 11286481.306 | 11031256.878 | 5175138.657 | -4177005.933 | 5601706.120 |
| 11105277.088 | 11041298.660 | 11292563.582 | 5134609.625 | 5553746.381 | -4238889.641 |
| 0.358 | 0.358 | 0.358 | -0.000 | 0.000 | -0.000 |
| 0.358 | 0.358 | 0.358 | 0.000 | -0.000 | -0.000 |
| 0.358 | 0.358 | 0.358 | -0.000 | -0.000 | 0.000 |
| -8308999.668 | -8360180.353 | -8337683.682 | -11724495.573 | -4323383.089 | -4534357.782 |
| -8360134.378 | -8308950.475 | -8337637.813 | -4323328.420 | -11724466.975 | -4534340.241 |
| -8298328.409 | -8277773.310 | -8236051.370 | -4138796.512 | -4350688.352 | -11630308.366 |
| 0.358 | 0.358 | 0.358 | 0.000 | -0.000 | 0.000 |
| 0.358 | 0.358 | 0.358 | -0.000 | 0.000 | -0.000 |
| 0.358 | 0.358 | 0.358 | 0.000 | 0.000 | -0.000 |
| 1140254.510 | 1123854.122 | 1117341.908 | -263603.555 | 602400.888 | 663542.561 |
| 1111045.543 | 1131519.041 | 1104786.010 | 575750.874 | -321410.435 | 636832.595 |
| 1110194.759 | 1104057.854 | 1130915.406 | 578119.435 | 634346.911 | -323665.183 |
| 0.358 | 0.358 | 0.358 | 0.000 | 0.000 | -0.000 |
| 0.358 | 0.358 | 0.358 | 0.000 | 0.000 | -0.000 |
| 0.358 | 0.358 | 0.358 | -0.000 | -0.000 | -0.000 |
| -833304.739 | -836239.638 | -834912.090 | -1185177.349 | -461532.476 | -472810.672 |
| -836237.701 | -833302.372 | -834909.778 | -461524.693 | -1185178.677 | -472809.518 |
| -835497.565 | -834458.852 | -831435.658 | -448773.232 | -460343.399 | -1179903.685 |
| 0.359 | 0.359 | 0.359 | 0.000 | -0.000 | 0.000 |
| 0.359 | 0.359 | 0.359 | -0.000 | 0.000 | 0.000 |
| 0.359 | 0.359 | 0.359 | 0.000 | 0.000 | 0.000 |
| 112858.253 | 110979.011 | 110582.625 | -20682.524 | 65857.439 | 70106.092 |
| 111085.338 | 112958.725 | 110680.399 | 65783.944 | -20715.449 | 70231.420 |
| 111295.472 | 110852.776 | 112672.022 | 68154.554 | 72205.088 | -14197.700 |
| 0.358 | 0.358 | 0.358 | -0.000 | -0.000 | -0.000 |
| 0.358 | 0.358 | 0.358 | -0.000 | -0.000 | -0.000 |
| 0.358 | 0.358 | 0.358 | -0.000 | -0.000 | -0.000 |
| -82902.703 | -83586.248 | -83345.053 | -118092.762 | -44339.132 | -47377.636 |
| -83587.053 | -82903.488 | -83345.882 | -44339.529 | -118093.880 | -47377.733 |
| -83830.420 | -83584.071 | -83175.448 | -44896.298 | -47931.936 | -118356.900 |
| 169.610 | 187.350 | 187.350 | 0.000 | -0.000 | -0.000 |
| 187.350 | 169.610 | 187.350 | 0.000 | 0.000 | -0.000 |
| 187.350 | 187.350 | 169.610 | 0.000 | -0.000 | -0.000 |
| -0.000 | -0.000 | -0.000 | 45.520 | 0.000 | -0.000 |
| -0.000 | -0.000 | -0.000 | 0.000 | 45.520 | -0.000 |
| -0.000 | -0.000 | -0.000 | 0.000 | 0.000 | 45.520 |
| 169.610 | 187.350 | 187.350 | -0.000 | -0.000 | 0.000 |
| 187.350 | 169.610 | 187.350 | -0.000 | -0.000 | -0.000 |
| 187.350 | 187.350 | 169.610 | -0.000 | -0.000 | -0.000 |
| 0.000 | 0.000 | 0.000 | 45.520 | -0.000 | 0.000 |
| 0.000 | 0.000 | 0.000 | -0.000 | 45.520 | 0.000 |
| 0.000 | 0.000 | 0.000 | -0.000 | 0.000 | 45.520 |
| 169.610 | 187.350 | 187.350 | 0.000 | 0.000 | -0.000 |
| 187.350 | 169.610 | 187.350 | 0.000 | 0.000 | -0.000 |
| 187.350 | 187.350 | 169.610 | 0.000 | 0.000 | 0.000 |
| -0.000 | -0.000 | -0.000 | 45.520 | 0.000 | -0.000 |
| -0.000 | -0.000 | -0.000 | 0.000 | 45.520 | -0.000 |
| -0.000 | -0.000 | -0.000 | 0.000 | 0.000 | 45.520 |
| 169.611 | 187.350 | 187.350 | -0.000 | -0.000 | 0.000 |
| 187.350 | 169.611 | 187.350 | -0.000 | -0.000 | 0.000 |
| 187.350 | 187.350 | 169.611 | -0.000 | -0.000 | 0.000 |
| 0.000 | 0.000 | 0.000 | 45.520 | -0.000 | 0.000 |
| 0.000 | 0.000 | 0.000 | -0.000 | 45.520 | 0.000 |
| 0.000 | 0.000 | 0.000 | -0.000 | 0.000 | 45.520 |
| 169.607 | 187.349 | 187.349 | 0.000 | 0.000 | -0.000 |
| 187.349 | 169.607 | 187.349 | 0.000 | -0.000 | -0.000 |
| 187.349 | 187.349 | 169.607 | 0.000 | -0.000 | -0.000 |
| -0.000 | -0.000 | -0.000 | 45.520 | 0.000 | -0.000 |
| -0.000 | -0.000 | -0.000 | 0.000 | 45.520 | -0.000 |
| -0.000 | -0.000 | -0.000 | 0.000 | 0.000 | 45.520 |
| 169.613 | 187.351 | 187.351 | -0.000 | 0.000 | 0.000 |
| 187.351 | 169.613 | 187.351 | -0.000 | 0.000 | 0.000 |
| 187.351 | 187.351 | 169.613 | -0.000 | -0.000 | 0.000 |
| 0.000 | 0.000 | 0.000 | 45.520 | -0.000 | 0.000 |
| 0.000 | 0.000 | 0.000 | -0.000 | 45.520 | 0.000 |
| 0.000 | 0.000 | 0.000 | -0.000 | -0.000 | 45.520 |
| 482.668 | 383.475 | 383.475 | -0.000 | -0.000 | -0.000 |
| 383.475 | 482.668 | 383.475 | 0.000 | 0.000 | 0.000 |
| 383.475 | 383.475 | 482.668 | 0.000 | -0.000 | -0.000 |
| -0.000 | -0.000 | -0.000 | 4.723 | 0.000 | 0.000 |
| -0.000 | -0.000 | -0.000 | -0.000 | 4.723 | -0.000 |
| -0.000 | -0.000 | 0.000 | 0.000 | 0.000 | 4.723 |
| 482.669 | 383.476 | 383.476 | -0.000 | -0.000 | 0.000 |
| 383.476 | 482.669 | 383.476 | 0.000 | 0.000 | 0.000 |
| 383.476 | 383.476 | 482.669 | -0.000 | -0.000 | 0.000 |
| 0.000 | 0.000 | 0.000 | 4.723 | -0.000 | 0.000 |
| 0.000 | 0.000 | 0.000 | -0.000 | 4.723 | 0.000 |
| 0.000 | 0.000 | -0.000 | -0.000 | -0.000 | 4.723 |
| 482.668 | 383.475 | 383.475 | 0.000 | 0.000 | -0.000 |
| 383.475 | 482.668 | 383.475 | 0.000 | -0.000 | -0.000 |
| 383.475 | 383.475 | 482.668 | -0.000 | -0.000 | -0.000 |
| -0.000 | -0.000 | -0.000 | 4.723 | 0.000 | -0.000 |
| -0.000 | -0.000 | -0.000 | 0.000 | 4.723 | -0.000 |
| -0.000 | -0.000 | -0.000 | 0.000 | -0.000 | 4.723 |
| 482.670 | 383.476 | 383.476 | -0.000 | -0.000 | 0.000 |
| 383.476 | 482.670 | 383.476 | -0.000 | -0.000 | 0.000 |
| 383.476 | 383.476 | 482.670 | -0.000 | -0.000 | 0.000 |
| 0.000 | 0.000 | 0.000 | 4.723 | 0.000 | 0.000 |
| 0.000 | 0.000 | 0.000 | -0.000 | 4.723 | 0.000 |
| 0.000 | 0.000 | 0.000 | -0.000 | 0.000 | 4.723 |
| 482.658 | 383.469 | 383.469 | -0.000 | 0.000 | -0.000 |
| 383.469 | 482.658 | 383.469 | 0.000 | 0.000 | -0.000 |
| 383.469 | 383.469 | 482.658 | -0.000 | 0.000 | -0.000 |
| -0.000 | -0.001 | -0.001 | 4.723 | 0.000 | 0.000 |
| -0.001 | -0.000 | -0.001 | 0.000 | 4.723 | -0.000 |
| -0.001 | -0.001 | -0.000 | 0.000 | -0.000 | 4.723 |
| 482.679 | 383.482 | 383.482 | -0.000 | 0.000 | 0.000 |
| 383.482 | 482.679 | 383.482 | -0.000 | 0.000 | 0.000 |
| 383.482 | 383.482 | 482.679 | 0.000 | -0.000 | 0.000 |
| 0.000 | 0.001 | 0.001 | 4.723 | 0.000 | 0.000 |
| 0.001 | 0.000 | 0.001 | -0.000 | 4.723 | 0.000 |
| 0.001 | 0.001 | 0.000 | -0.000 | -0.000 | 4.723 |
| 0.639 | 0.319 | 0.319 | 0.000 | -0.000 | -0.000 |
| 0.319 | 0.639 | 0.319 | -0.000 | -0.000 | -0.000 |
| 0.319 | 0.319 | 0.639 | -0.000 | -0.000 | 0.000 |
| 0.000 | 0.000 | 0.000 | 0.319 | -0.000 | 0.000 |
| 0.000 | 0.000 | 0.000 | -0.000 | 0.319 | 0.000 |
| 0.000 | 0.000 | 0.000 | -0.000 | 0.000 | 0.319 |
| 0.639 | 0.319 | 0.319 | 0.000 | 0.000 | 0.000 |
| 0.319 | 0.639 | 0.319 | 0.000 | 0.000 | 0.000 |
| 0.319 | 0.319 | 0.639 | 0.000 | 0.000 | 0.000 |
| 0.000 | -0.000 | -0.000 | 0.319 | 0.000 | 0.000 |
| -0.000 | 0.000 | -0.000 | 0.000 | 0.319 | 0.000 |
| -0.000 | -0.000 | 0.000 | 0.000 | 0.000 | 0.319 |
| 0.639 | 0.319 | 0.319 | -0.000 | -0.000 | -0.000 |
| 0.319 | 0.639 | 0.319 | -0.000 | -0.000 | -0.000 |
| 0.319 | 0.319 | 0.639 | -0.000 | -0.000 | -0.000 |
| -0.000 | 0.000 | 0.000 | 0.319 | -0.000 | 0.000 |
| 0.000 | -0.000 | 0.000 | -0.000 | 0.319 | 0.000 |
| 0.000 | 0.000 | -0.000 | -0.000 | 0.000 | 0.319 |
| 0.639 | 0.319 | 0.319 | 0.000 | 0.000 | 0.000 |
| 0.319 | 0.639 | 0.319 | 0.000 | 0.000 | 0.000 |
| 0.319 | 0.319 | 0.639 | 0.000 | 0.000 | 0.000 |
| 0.000 | -0.000 | -0.000 | 0.319 | 0.000 | 0.000 |
| -0.000 | 0.000 | -0.000 | 0.000 | 0.319 | 0.000 |
| -0.000 | -0.000 | 0.000 | 0.000 | 0.000 | 0.319 |
| 0.640 | 0.320 | 0.320 | -0.000 | -0.000 | -0.000 |
| 0.320 | 0.640 | 0.320 | -0.000 | 0.000 | -0.000 |
| 0.320 | 0.320 | 0.640 | -0.000 | -0.000 | -0.000 |
| -0.000 | 0.001 | 0.001 | 0.319 | -0.000 | 0.000 |
| 0.001 | -0.000 | 0.001 | -0.000 | 0.319 | -0.000 |
| 0.001 | 0.001 | -0.000 | -0.000 | -0.000 | 0.319 |
| 0.637 | 0.319 | 0.319 | 0.000 | -0.000 | -0.000 |
| 0.319 | 0.637 | 0.319 | -0.000 | 0.000 | -0.000 |
| 0.319 | 0.319 | 0.637 | -0.000 | -0.000 | -0.000 |
| 0.000 | -0.001 | -0.001 | 0.319 | 0.000 | -0.000 |
| -0.001 | 0.000 | -0.001 | 0.000 | 0.319 | -0.000 |
| -0.001 | -0.001 | 0.000 | 0.000 | -0.000 | 0.319 |
| -1.669 | -0.835 | -0.835 | -0.000 | 0.000 | 0.000 |
| -0.835 | -1.669 | -0.835 | 0.000 | 0.000 | 0.000 |
| -0.835 | -0.835 | -1.669 | 0.000 | 0.000 | 0.000 |
| 0.000 | 0.000 | 0.000 | -0.835 | 0.000 | 0.000 |
| 0.000 | 0.000 | 0.000 | -0.000 | -0.835 | 0.000 |
| 0.000 | 0.000 | 0.000 | -0.000 | 0.000 | -0.835 |
| -1.669 | -0.835 | -0.835 | -0.000 | -0.000 | -0.000 |
| -0.835 | -1.669 | -0.835 | -0.000 | -0.000 | -0.000 |
| -0.835 | -0.835 | -1.669 | -0.000 | -0.000 | -0.000 |
| -0.000 | -0.000 | -0.000 | -0.835 | 0.000 | -0.000 |
| -0.000 | -0.000 | -0.000 | 0.000 | -0.835 | -0.000 |
| -0.000 | -0.000 | -0.000 | 0.000 | -0.000 | -0.835 |
| -1.669 | -0.835 | -0.835 | -0.000 | 0.000 | 0.000 |
| -0.835 | -1.669 | -0.835 | 0.000 | -0.000 | 0.000 |
| -0.835 | -0.835 | -1.669 | 0.000 | 0.000 | -0.000 |
| 0.000 | 0.000 | 0.000 | -0.835 | 0.000 | 0.000 |
| 0.000 | 0.000 | 0.000 | 0.000 | -0.835 | 0.000 |
| 0.000 | 0.000 | 0.000 | 0.000 | 0.000 | -0.835 |
| -1.670 | -0.835 | -0.835 | 0.000 | -0.000 | -0.000 |
| -0.835 | -1.670 | -0.835 | -0.000 | 0.000 | -0.000 |
| -0.835 | -0.835 | -1.670 | -0.000 | -0.000 | -0.000 |
| -0.000 | -0.000 | -0.000 | -0.835 | -0.000 | -0.000 |
| -0.000 | -0.000 | -0.000 | -0.000 | -0.835 | -0.000 |
| -0.000 | -0.000 | -0.000 | -0.000 | -0.000 | -0.835 |
| -1.666 | -0.833 | -0.833 | -0.000 | 0.000 | 0.000 |
| -0.833 | -1.666 | -0.833 | 0.000 | -0.000 | 0.000 |
| -0.833 | -0.833 | -1.666 | 0.000 | 0.000 | 0.000 |
| 0.000 | 0.002 | 0.002 | -0.835 | 0.000 | 0.000 |
| 0.002 | 0.000 | 0.002 | 0.000 | -0.835 | 0.000 |
| 0.002 | 0.002 | 0.000 | 0.000 | 0.000 | -0.835 |
| -1.673 | -0.836 | -0.836 | 0.000 | -0.000 | -0.000 |
| -0.836 | -1.673 | -0.836 | -0.000 | 0.000 | -0.000 |
| -0.836 | -0.836 | -1.673 | -0.000 | -0.000 | -0.000 |
| -0.000 | -0.002 | -0.002 | -0.835 | -0.000 | -0.000 |
| -0.002 | -0.000 | -0.002 | -0.000 | -0.835 | -0.000 |
| -0.002 | -0.002 | -0.000 | -0.000 | -0.000 | -0.835 |
| 0.875 | 0.437 | 0.437 | -0.000 | -0.000 | -0.000 |
| 0.437 | 0.875 | 0.437 | -0.000 | 0.000 | -0.000 |
| 0.437 | 0.437 | 0.875 | -0.000 | -0.000 | -0.000 |
| 0.000 | 0.000 | 0.000 | 0.437 | 0.000 | 0.000 |
| 0.000 | 0.000 | 0.000 | -0.000 | 0.437 | 0.000 |
| 0.000 | 0.000 | 0.000 | -0.000 | 0.000 | 0.437 |
| 0.875 | 0.437 | 0.437 | -0.000 | 0.000 | 0.000 |
| 0.437 | 0.875 | 0.437 | 0.000 | -0.000 | 0.000 |
| 0.437 | 0.437 | 0.875 | 0.000 | 0.000 | 0.000 |
| 0.000 | -0.000 | -0.000 | 0.437 | 0.000 | -0.000 |
| -0.000 | 0.000 | -0.000 | 0.000 | 0.437 | -0.000 |
| -0.000 | -0.000 | 0.000 | 0.000 | -0.000 | 0.437 |
| 0.875 | 0.437 | 0.437 | -0.000 | 0.000 | 0.000 |
| 0.437 | 0.875 | 0.437 | 0.000 | -0.000 | 0.000 |
| 0.437 | 0.437 | 0.875 | 0.000 | 0.000 | -0.000 |
| -0.000 | 0.000 | 0.000 | 0.437 | 0.000 | 0.000 |
| 0.000 | -0.000 | 0.000 | 0.000 | 0.437 | 0.000 |
| 0.000 | 0.000 | -0.000 | 0.000 | -0.000 | 0.437 |
| 0.875 | 0.437 | 0.437 | 0.000 | -0.000 | -0.000 |
| 0.437 | 0.875 | 0.437 | -0.000 | -0.000 | -0.000 |
| 0.437 | 0.437 | 0.875 | -0.000 | -0.000 | 0.000 |
| 0.000 | -0.000 | -0.000 | 0.437 | -0.000 | -0.000 |
| -0.000 | 0.000 | -0.000 | -0.000 | 0.437 | -0.000 |
| -0.000 | -0.000 | 0.000 | -0.000 | -0.000 | 0.437 |
| 0.876 | 0.438 | 0.438 | -0.000 | 0.000 | 0.000 |
| 0.438 | 0.876 | 0.438 | 0.000 | -0.000 | 0.000 |
| 0.438 | 0.438 | 0.876 | 0.000 | 0.000 | -0.000 |
| -0.000 | 0.001 | 0.001 | 0.437 | 0.000 | 0.000 |
| 0.001 | -0.000 | 0.001 | 0.000 | 0.437 | 0.000 |
| 0.001 | 0.001 | -0.000 | -0.000 | 0.000 | 0.437 |
| 0.873 | 0.436 | 0.436 | 0.000 | -0.000 | -0.000 |
| 0.436 | 0.873 | 0.436 | -0.000 | 0.000 | -0.000 |
| 0.436 | 0.436 | 0.873 | -0.000 | -0.000 | 0.000 |
| 0.000 | -0.001 | -0.001 | 0.437 | -0.000 | -0.000 |
| -0.001 | 0.000 | -0.001 | 0.000 | 0.437 | 0.000 |
| -0.001 | -0.001 | 0.000 | 0.000 | 0.000 | 0.437 |
| 48.971 | 155.430 | 193.652 | -0.000 | -0.000 | -0.000 |
| 173.821 | 286.155 | 123.212 | 0.000 | -0.000 | -0.000 |
| 197.608 | 100.567 | 300.363 | 0.000 | -0.000 | -0.000 |
| 0.000 | 0.000 | -0.000 | 54.810 | 0.000 | -0.000 |
| 0.000 | 0.000 | 0.000 | 0.000 | 150.039 | -0.000 |
| 0.000 | 0.000 | -0.000 | 0.000 | -0.000 | 86.659 |
| 44.636 | 153.774 | 185.964 | -0.000 | 0.000 | 0.000 |
| 173.821 | 286.155 | 123.212 | -0.000 | 0.000 | 0.000 |
| 254.738 | 122.405 | 401.692 | 0.000 | -0.000 | 0.000 |
| -0.000 | -0.000 | 0.000 | 54.810 | -0.000 | 0.000 |
| -0.000 | -0.000 | -0.000 | -0.000 | 150.039 | 0.000 |
| -0.000 | -0.000 | 0.000 | -0.000 | 0.000 | 86.659 |
| 80.236 | 167.381 | 249.106 | 0.000 | -0.000 | -0.000 |
| 173.821 | 286.155 | 123.212 | 0.000 | -0.000 | -0.000 |
| 195.657 | 99.822 | 296.903 | -0.000 | 0.000 | -0.000 |
| -0.000 | 0.000 | 0.000 | 54.810 | 0.000 | -0.000 |
| 0.457 | 0.174 | 0.810 | 0.000 | 98.767 | -0.000 |
| 0.217 | 0.083 | 0.384 | -0.000 | -0.000 | 86.659 |
| 80.236 | 167.381 | 249.106 | -0.000 | 0.000 | 0.000 |
| 173.821 | 286.155 | 123.212 | -0.000 | -0.000 | 0.000 |
| 195.224 | 99.656 | 296.135 | 0.000 | 0.000 | 0.000 |
| 0.000 | -0.000 | -0.000 | 54.810 | -0.000 | 0.000 |
| -0.457 | -0.174 | -0.810 | -0.000 | 98.767 | 0.000 |
| -0.217 | -0.083 | -0.384 | 0.000 | 0.000 | 86.659 |
| 46.824 | 154.609 | 189.846 | -0.000 | -0.000 | -0.000 |
| 173.820 | 286.154 | 123.212 | 0.000 | -0.000 | -0.000 |
| 195.460 | 99.746 | 296.553 | 0.000 | 0.000 | -0.000 |
| 0.021 | 0.009 | 0.039 | 20.865 | -0.000 | -0.000 |
| 0.001 | -0.000 | 0.001 | -0.000 | 150.039 | -0.000 |
| 0.000 | 0.000 | -0.000 | 0.000 | -0.000 | 86.659 |
| 80.236 | 167.382 | 249.105 | -0.000 | 0.000 | 0.000 |
| 161.021 | 281.263 | 100.509 | 0.000 | 0.000 | 0.000 |
| 195.408 | 99.727 | 296.463 | -0.000 | 0.000 | 0.000 |
| -0.021 | -0.009 | -0.039 | 20.865 | 0.000 | 0.000 |
| -0.001 | 0.000 | -0.001 | -0.000 | 150.039 | 0.000 |
| -0.000 | -0.000 | 0.000 | -0.000 | 0.000 | 86.659 |
| 180.202 | 168.486 | 148.264 | 0.000 | -0.000 | 0.000 |
| 168.486 | 180.202 | 148.264 | 0.000 | -0.000 | -0.000 |
| 148.264 | 148.264 | 265.295 | 0.000 | 0.000 | 0.000 |
| -0.000 | -0.000 | -0.000 | 69.875 | 0.000 | 0.000 |
| 0.000 | -0.000 | -0.000 | -0.000 | 69.875 | 0.000 |
| -0.000 | -0.000 | -0.000 | -0.000 | -0.000 | 50.993 |
| 180.582 | 168.105 | 148.264 | 0.000 | -0.000 | -0.000 |
| 168.105 | 180.582 | 148.264 | 0.000 | -0.000 | -0.000 |
| 148.264 | 148.264 | 265.294 | 0.000 | 0.000 | -0.000 |
| 0.000 | 0.000 | 0.000 | 69.875 | 0.000 | 0.000 |
| -0.000 | 0.000 | -0.000 | -0.000 | 69.875 | -0.000 |
| 0.000 | 0.000 | 0.000 | 0.000 | 0.000 | 50.993 |
| 180.582 | 168.105 | 148.264 | 0.000 | -0.000 | -0.000 |
| 168.105 | 180.582 | 148.264 | -0.000 | -0.000 | -0.000 |
| 148.264 | 148.264 | 265.295 | -0.000 | 0.000 | -0.000 |
| -0.000 | 0.000 | 0.000 | 69.625 | -0.000 | -0.000 |
| 0.000 | -0.000 | 0.000 | 0.000 | 69.625 | 0.000 |
| -0.000 | -0.000 | -0.000 | -0.000 | -0.000 | 50.993 |
| 180.202 | 168.486 | 148.264 | -0.000 | 0.000 | -0.000 |
| 168.486 | 180.202 | 148.264 | -0.000 | 0.000 | -0.000 |
| 148.264 | 148.264 | 265.294 | -0.000 | 0.000 | -0.000 |
| 0.000 | -0.000 | -0.000 | 69.625 | 0.000 | -0.000 |
| -0.000 | 0.000 | -0.000 | 0.000 | 69.625 | -0.000 |
| 0.000 | 0.000 | 0.000 | 0.000 | 0.000 | 50.993 |
| 180.578 | 168.104 | 148.264 | 0.000 | -0.000 | 0.000 |
| 168.104 | 180.578 | 148.264 | 0.000 | 0.000 | 0.000 |
| 148.264 | 148.264 | 265.300 | 0.000 | 0.000 | -0.000 |
| -0.000 | 0.000 | 0.001 | 69.875 | -0.000 | -0.000 |
| 0.000 | -0.000 | 0.001 | 0.000 | 69.875 | 0.000 |
| -0.000 | -0.000 | -0.000 | -0.000 | -0.000 | 50.993 |
| 180.587 | 168.106 | 148.264 | -0.000 | -0.000 | 0.000 |
| 168.106 | 180.587 | 148.264 | 0.000 | -0.000 | 0.000 |
| 148.264 | 148.264 | 265.289 | -0.000 | 0.000 | 0.000 |
| 0.000 | -0.000 | -0.001 | 69.875 | 0.000 | 0.000 |
| -0.000 | 0.000 | -0.001 | -0.000 | 69.875 | 0.000 |
| 0.000 | 0.000 | 0.000 | 0.000 | 0.000 | 50.993 |
| 282.832 | 139.239 | 115.851 | 25.815 | -0.000 | -0.000 |
| 137.199 | 280.595 | 104.814 | -25.648 | 0.000 | -0.000 |
| 108.679 | 108.679 | 262.816 | -0.000 | -0.000 | -0.000 |
| 25.815 | -25.815 | 0.000 | 46.856 | 0.000 | -0.000 |
| 0.397 | 0.397 | -3.057 | -0.000 | 46.571 | 25.652 |
| 0.394 | 0.394 | -3.040 | 0.000 | 25.653 | 71.701 |
| 282.832 | 139.239 | 115.851 | 25.815 | -0.000 | 0.000 |
| 136.511 | 279.916 | 111.318 | -25.655 | -0.000 | 0.000 |
| 116.630 | 116.630 | 292.892 | 0.000 | -0.000 | 0.000 |
| 25.815 | -25.815 | -0.000 | 46.856 | -0.000 | 0.000 |
| -0.397 | -0.397 | 3.057 | 0.000 | 46.571 | 25.652 |
| -0.394 | -0.394 | 3.040 | -0.000 | 25.653 | 71.701 |
| 279.574 | 136.907 | 106.686 | 25.025 | 0.000 | -0.000 |
| 136.474 | 279.841 | 106.426 | -25.623 | 0.000 | -0.000 |
| 107.857 | 107.857 | 264.423 | 0.000 | 0.000 | -0.000 |
| 25.607 | -25.473 | -0.517 | 46.373 | -0.000 | -0.000 |
| 0.000 | 0.000 | 0.000 | 0.000 | 46.856 | 25.815 |
| 0.000 | 0.000 | 0.000 | -0.000 | 25.815 | 71.796 |
| 282.832 | 139.239 | 115.851 | 25.815 | -0.000 | -0.000 |
| 136.577 | 279.570 | 106.876 | -25.303 | 0.000 | 0.000 |
| 107.867 | 107.867 | 265.443 | 0.000 | -0.000 | 0.000 |
| 25.815 | -25.815 | -0.000 | 46.856 | -0.000 | 0.000 |
| -0.000 | -0.000 | -0.000 | -0.000 | 46.856 | 25.815 |
| -0.000 | -0.000 | -0.000 | 0.000 | 25.815 | 71.796 |
| 282.833 | 139.239 | 115.851 | 25.815 | 0.000 | -0.000 |
| 139.239 | 282.833 | 115.851 | -25.815 | 0.000 | -0.000 |
| 107.877 | 107.877 | 264.826 | -0.000 | 0.000 | -0.000 |
| 25.055 | -25.017 | -0.146 | 45.487 | 0.000 | -0.000 |
| 0.000 | 0.000 | 0.000 | 0.000 | 46.856 | 25.815 |
| 0.017 | 0.018 | -0.134 | -0.000 | 25.104 | 71.379 |
| 282.831 | 139.239 | 115.851 | 25.815 | 0.000 | 0.000 |
| 136.730 | 279.624 | 106.802 | -25.220 | -0.000 | 0.000 |
| 107.847 | 107.847 | 264.936 | 0.000 | -0.000 | 0.000 |
| 25.815 | -25.815 | -0.000 | 46.856 | 0.000 | 0.000 |
| -0.000 | -0.000 | -0.000 | -0.000 | 46.856 | 25.815 |
| -0.017 | -0.018 | 0.134 | 0.000 | 25.104 | 71.379 |
| 281.040 | 135.851 | 115.637 | -26.405 | 0.000 | -0.000 |
| 135.851 | 281.040 | 115.637 | 26.405 | 0.000 | -0.000 |
| 115.637 | 115.637 | 296.201 | 0.000 | 0.000 | -0.000 |
| -26.738 | 24.990 | -2.696 | 49.656 | 0.000 | -0.000 |
| 0.000 | 0.000 | 0.000 | 0.000 | 50.553 | -26.405 |
| 0.000 | 0.000 | 0.000 | 0.000 | -26.405 | 72.595 |
| 281.040 | 135.851 | 115.637 | -26.405 | -0.000 | 0.000 |
| 135.851 | 281.040 | 115.637 | 26.405 | -0.000 | 0.000 |
| 108.396 | 108.396 | 272.024 | -0.000 | -0.000 | 0.000 |
| -26.405 | 26.405 | -0.000 | 50.553 | -0.000 | 0.000 |
| -0.000 | -0.000 | -0.000 | -0.000 | 50.553 | -26.405 |
| -0.000 | -0.000 | -0.000 | -0.000 | -26.405 | 72.595 |
| 278.537 | 133.573 | 107.893 | -26.218 | 0.000 | -0.000 |
| 135.851 | 281.040 | 115.637 | 26.405 | 0.000 | -0.000 |
| 115.637 | 115.637 | 296.201 | 0.000 | 0.000 | -0.000 |
| -26.405 | 26.405 | 0.000 | 50.553 | 0.000 | -0.000 |
| 0.000 | 0.000 | 0.000 | -0.000 | 50.553 | -26.405 |
| -0.121 | -0.121 | -0.372 | 0.000 | -25.659 | 72.144 |
| 278.590 | 133.627 | 108.059 | -26.218 | -0.000 | 0.000 |
| 135.851 | 281.040 | 115.637 | 26.405 | -0.000 | -0.000 |
| 115.637 | 115.637 | 296.201 | -0.000 | -0.000 | 0.000 |
| -25.525 | 25.770 | 0.378 | 49.296 | -0.000 | 0.000 |
| -0.000 | -0.000 | -0.000 | 0.000 | 50.553 | -26.405 |
| 0.121 | 0.121 | 0.372 | -0.000 | -25.659 | 72.144 |
| 278.562 | 133.597 | 107.968 | -26.218 | 0.000 | -0.000 |
| 133.854 | 278.359 | 107.834 | 25.838 | 0.000 | -0.000 |
| 108.140 | 108.140 | 271.098 | 0.000 | 0.000 | -0.000 |
| -25.656 | 25.632 | -0.037 | 49.290 | 0.000 | -0.000 |
| 0.000 | 0.000 | 0.001 | -0.000 | 50.553 | -26.405 |
| -0.012 | -0.012 | -0.038 | 0.000 | -25.650 | 72.138 |
| 278.363 | 133.861 | 107.854 | -25.837 | -0.000 | 0.000 |
| 133.603 | 278.565 | 107.984 | 26.218 | -0.000 | 0.000 |
| 115.637 | 115.637 | 296.200 | -0.000 | -0.000 | 0.000 |
| -26.405 | 26.404 | -0.001 | 50.553 | -0.000 | 0.000 |
| -0.000 | -0.000 | -0.001 | 0.000 | 50.553 | -26.405 |
| 0.012 | 0.012 | 0.038 | -0.000 | -25.650 | 72.138 |
| 182.070 | 154.554 | 154.554 | 0.000 | 0.000 | -0.000 |
| 154.554 | 182.070 | 154.554 | 0.000 | 0.000 | -0.000 |
| 154.554 | 154.554 | 182.070 | 0.000 | 0.000 | -0.000 |
| 0.000 | 0.000 | 0.000 | 163.999 | 0.000 | -0.000 |
| -0.000 | 0.000 | 0.000 | 0.000 | 163.999 | -0.000 |
| -0.000 | 0.000 | 0.000 | 0.000 | 0.000 | 163.999 |
| 182.070 | 154.554 | 154.554 | -0.000 | -0.000 | 0.000 |
| 154.554 | 182.070 | 154.554 | -0.000 | -0.000 | 0.000 |
| 154.554 | 154.554 | 182.070 | -0.000 | -0.000 | 0.000 |
| -0.000 | -0.000 | -0.000 | 163.999 | -0.000 | 0.000 |
| -0.000 | -0.000 | -0.000 | -0.000 | 163.999 | 0.000 |
| 0.000 | -0.000 | -0.000 | -0.000 | -0.000 | 163.999 |
| 182.070 | 154.554 | 154.554 | -0.000 | 0.000 | -0.000 |
| 154.554 | 182.070 | 154.554 | 0.000 | 0.000 | -0.000 |
| 154.554 | 154.554 | 182.070 | 0.000 | 0.000 | -0.000 |
| -0.000 | -0.000 | -0.000 | 16.750 | -0.000 | -0.000 |
| -0.000 | -0.000 | -0.000 | -0.000 | 16.750 | -0.000 |
| -0.000 | -0.000 | -0.000 | 0.000 | 0.000 | 16.750 |
| 182.070 | 154.554 | 154.554 | -0.000 | -0.000 | 0.000 |
| 154.554 | 182.070 | 154.554 | -0.000 | -0.000 | 0.000 |
| 154.554 | 154.554 | 182.070 | -0.000 | -0.000 | 0.000 |
| 0.000 | 0.000 | 0.000 | 16.750 | -0.000 | 0.000 |
| 0.000 | 0.000 | 0.000 | -0.000 | 16.750 | 0.000 |
| 0.000 | 0.000 | 0.000 | -0.000 | -0.000 | 16.750 |
| 182.071 | 154.554 | 154.554 | 0.000 | 0.000 | -0.000 |
| 154.554 | 182.071 | 154.554 | 0.000 | 0.000 | -0.000 |
| 154.554 | 154.554 | 182.071 | 0.000 | 0.000 | -0.000 |
| 0.000 | -0.000 | -0.000 | 163.999 | 0.000 | -0.000 |
| -0.000 | 0.000 | -0.000 | 0.000 | 163.999 | -0.000 |
| -0.000 | -0.000 | 0.000 | 0.000 | 0.000 | 163.999 |
| 182.069 | 154.554 | 154.554 | -0.000 | -0.000 | 0.000 |
| 154.554 | 182.069 | 154.554 | 0.000 | -0.000 | 0.000 |
| 154.554 | 154.554 | 182.069 | -0.000 | 0.000 | 0.000 |
| -0.000 | 0.000 | 0.000 | 163.999 | -0.000 | 0.000 |
| 0.000 | -0.000 | 0.000 | -0.000 | 163.999 | 0.000 |
| 0.000 | 0.000 | -0.000 | -0.000 | -0.000 | 163.999 |
| 212.785 | 215.909 | 215.909 | -0.000 | -0.000 | -0.000 |
| 215.909 | 212.785 | 215.909 | 0.000 | -0.000 | 0.000 |
| 215.909 | 215.909 | 212.785 | -0.000 | -0.000 | 0.000 |
| 809880.067 | -6949325.344 | -6949325.220 | 6207554.825 | -0.000 | 0.000 |
| -6949325.344 | 809880.067 | -6949325.220 | -0.000 | 6207554.824 | 0.000 |
| -6949325.344 | -6949325.220 | 809880.067 | -0.000 | -0.000 | 6207554.824 |
| 28061378.646 | 12410192.355 | 12410192.355 | 0.000 | 0.000 | -0.000 |
| 12410192.355 | 28061378.646 | 12410192.355 | -0.000 | 0.000 | -0.000 |
| 12410192.355 | 12410192.355 | 28061378.646 | 0.000 | -0.000 | 0.000 |
| -809880.067 | 6949325.344 | 6949325.220 | 6207554.824 | 0.000 | -0.000 |
| 6949325.344 | -809880.067 | 6949325.220 | 0.000 | 6207554.825 | 0.000 |
| 6949325.344 | 6949325.220 | -809880.067 | 0.000 | 0.000 | 6207554.824 |
| 212.781 | 215.909 | 215.909 | -0.000 | -0.000 | 0.000 |
| 215.909 | 212.781 | 215.909 | -0.000 | -0.000 | -0.000 |
| 215.909 | 215.909 | 212.781 | -0.000 | -0.000 | 0.000 |
| 80988.272 | -694930.453 | -694930.329 | 620925.599 | -0.000 | 0.000 |
| -694930.453 | 80988.272 | -694930.329 | 0.000 | 620925.599 | 0.000 |
| -694930.453 | -694930.329 | 80988.271 | -0.000 | -0.000 | 620925.599 |
| 2806313.953 | 1241208.498 | 1241208.498 | 0.000 | 0.000 | -0.000 |
| 1241208.498 | 2806313.953 | 1241208.498 | 0.000 | -0.000 | -0.000 |
| 1241208.498 | 1241208.498 | 2806313.953 | -0.000 | 0.000 | -0.000 |
| -80988.272 | 694930.453 | 694930.329 | 620925.599 | -0.000 | -0.000 |
| 694930.453 | -80988.272 | 694930.329 | -0.000 | 620925.599 | 0.000 |
| 694930.453 | 694930.329 | -80988.271 | -0.000 | 0.000 | 620925.599 |
| 212.740 | 215.903 | 215.903 | -0.000 | -0.000 | -0.000 |
| 215.903 | 212.740 | 215.903 | 0.000 | -0.000 | 0.000 |
| 215.903 | 215.903 | 212.740 | 0.000 | -0.000 | 0.000 |
| 8099.092 | -69490.968 | -69490.843 | 62262.661 | -0.000 | 0.000 |
| -69490.968 | 8099.092 | -69490.843 | -0.000 | 62262.661 | 0.000 |
| -69490.968 | -69490.843 | 8099.092 | -0.000 | -0.000 | 62262.661 |
| 280807.483 | 124310.112 | 124310.112 | -0.000 | 0.000 | 0.000 |
| 124310.112 | 280807.483 | 124310.112 | -0.000 | 0.000 | -0.000 |
| 124310.112 | 124310.112 | 280807.483 | 0.000 | 0.000 | 0.000 |
| -8099.092 | 69490.968 | 69490.843 | 62262.661 | 0.000 | -0.000 |
| 69490.968 | -8099.092 | 69490.843 | -0.000 | 62262.661 | 0.000 |
| 69490.968 | 69490.843 | -8099.092 | 0.000 | 0.000 | 62262.661 |
| 103.413 | 97.123 | 97.123 | -0.000 | -0.000 | 0.000 |
| 97.123 | 103.413 | 97.123 | -0.000 | 0.000 | 0.000 |
| 97.123 | 97.123 | 103.413 | 0.000 | -0.000 | 0.000 |
| 0.000 | 0.000 | -0.000 | -23.039 | -0.000 | 0.000 |
| -0.000 | 0.000 | 0.000 | -0.000 | -23.039 | 0.000 |
| -0.000 | 0.000 | 0.000 | -0.000 | -0.000 | -23.039 |
| 103.413 | 97.123 | 97.123 | 0.000 | 0.000 | -0.000 |
| 97.123 | 103.413 | 97.123 | 0.000 | -0.000 | 0.000 |
| 97.123 | 97.123 | 103.413 | -0.000 | 0.000 | -0.000 |
| -0.000 | -0.000 | -0.000 | -23.039 | 0.000 | -0.000 |
| 0.000 | -0.000 | -0.000 | 0.000 | -23.039 | -0.000 |
| 0.000 | -0.000 | -0.000 | -0.000 | 0.000 | -23.039 |
| 103.413 | 97.123 | 97.123 | -0.000 | -0.000 | -0.000 |
| 97.123 | 103.413 | 97.123 | -0.000 | -0.000 | 0.000 |
| 97.123 | 97.123 | 103.413 | -0.000 | -0.000 | 0.000 |
| 0.000 | -0.000 | -0.000 | -23.039 | -0.000 | -0.000 |
| -0.000 | 0.000 | -0.000 | -0.000 | -23.039 | -0.000 |
| -0.000 | -0.000 | 0.000 | 0.000 | -0.000 | -23.039 |
| 103.413 | 97.123 | 97.123 | 0.000 | 0.000 | -0.000 |
| 97.123 | 103.413 | 97.123 | 0.000 | -0.000 | 0.000 |
| 97.123 | 97.123 | 103.413 | 0.000 | 0.000 | -0.000 |
| -0.000 | 0.000 | 0.000 | -23.039 | 0.000 | -0.000 |
| 0.000 | -0.000 | 0.000 | 0.000 | -23.039 | -0.000 |
| 0.000 | 0.000 | -0.000 | 0.000 | 0.000 | -23.039 |
| 103.413 | 97.123 | 97.123 | -0.000 | -0.000 | -0.000 |
| 97.123 | 103.413 | 97.123 | -0.000 | 0.000 | 0.000 |
| 97.123 | 97.123 | 103.413 | -0.000 | -0.000 | -0.000 |
| 0.000 | -0.000 | -0.000 | -23.039 | -0.000 | 0.000 |
| -0.000 | 0.000 | -0.000 | -0.000 | -23.039 | 0.000 |
| -0.000 | -0.000 | 0.000 | -0.000 | -0.000 | -23.039 |
| 103.413 | 97.123 | 97.123 | 0.000 | 0.000 | -0.000 |
| 97.123 | 103.413 | 97.123 | 0.000 | 0.000 | -0.000 |
| 97.123 | 97.123 | 103.413 | 0.000 | 0.000 | -0.000 |
| -0.000 | 0.000 | 0.000 | -23.039 | -0.000 | -0.000 |
| 0.000 | -0.000 | 0.000 | -0.000 | -23.039 | -0.000 |
| 0.000 | 0.000 | -0.000 | 0.000 | 0.000 | -23.039 |
| 152.420 | 127.055 | 127.055 | 0.000 | 0.000 | -0.000 |
| 127.055 | 152.420 | 127.055 | -0.000 | 0.000 | -0.000 |
| 127.055 | 127.055 | 152.420 | -0.000 | 0.000 | -0.000 |
| 0.000 | -0.000 | -0.000 | 3.437 | 0.000 | -0.000 |
| 0.000 | 0.000 | -0.000 | -0.000 | 3.437 | -0.000 |
| 0.000 | 0.000 | -0.000 | -0.000 | -0.000 | 3.437 |
| 152.420 | 127.055 | 127.055 | 0.000 | -0.000 | 0.000 |
| 127.055 | 152.420 | 127.055 | 0.000 | 0.000 | -0.000 |
| 127.055 | 127.055 | 152.420 | 0.000 | 0.000 | 0.000 |
| -0.000 | 0.000 | 0.000 | 3.437 | 0.000 | 0.000 |
| 0.000 | -0.000 | 0.000 | 0.000 | 3.437 | 0.000 |
| 0.000 | 0.000 | 0.000 | 0.000 | 0.000 | 3.437 |
| 152.420 | 127.055 | 127.055 | -0.000 | 0.000 | -0.000 |
| 127.055 | 152.420 | 127.055 | 0.000 | 0.000 | -0.000 |
| 127.055 | 127.055 | 152.420 | -0.000 | 0.000 | -0.000 |
| 0.000 | -0.000 | -0.000 | 137.868 | 0.000 | -0.000 |
| -0.000 | 0.000 | -0.000 | 0.000 | 137.868 | -0.000 |
| -0.000 | 0.000 | 0.000 | 0.000 | 0.000 | 137.868 |
| 152.420 | 127.055 | 127.055 | 0.000 | -0.000 | 0.000 |
| 127.055 | 152.420 | 127.055 | 0.000 | -0.000 | -0.000 |
| 127.055 | 127.055 | 152.420 | -0.000 | -0.000 | -0.000 |
| -0.000 | 0.000 | 0.000 | 137.868 | -0.000 | -0.000 |
| 0.000 | -0.000 | 0.000 | -0.000 | 137.868 | -0.000 |
| 0.000 | -0.000 | -0.000 | -0.000 | -0.000 | 137.868 |
| 152.420 | 127.055 | 127.055 | -0.000 | -0.000 | 0.000 |
| 127.055 | 152.420 | 127.055 | -0.000 | -0.000 | -0.000 |
| 127.055 | 127.055 | 152.420 | -0.000 | 0.000 | -0.000 |
| 0.000 | -0.000 | 0.000 | 137.868 | 0.000 | 0.000 |
| -0.000 | 0.000 | 0.000 | 0.000 | 137.868 | -0.000 |
| -0.000 | 0.000 | 0.000 | 0.000 | 0.000 | 137.868 |
| 152.419 | 127.054 | 127.054 | 0.000 | -0.000 | 0.000 |
| 127.054 | 152.419 | 127.054 | 0.000 | 0.000 | 0.000 |
| 127.054 | 127.054 | 152.419 | 0.000 | 0.000 | 0.000 |
| -0.000 | 0.000 | -0.000 | 137.868 | -0.000 | 0.000 |
| 0.000 | -0.000 | -0.000 | -0.000 | 137.868 | 0.000 |
| 0.000 | -0.000 | -0.000 | -0.000 | -0.000 | 137.868 |
| 159.562 | 201.973 | 201.973 | 0.000 | -0.000 | 0.000 |
| 201.973 | 159.562 | 201.973 | 0.000 | 0.000 | -0.000 |
| 201.973 | 201.973 | 159.562 | -0.000 | -0.000 | 0.000 |
| 0.000 | 0.000 | 0.000 | 160.843 | -0.000 | 0.000 |
| 0.000 | 0.000 | 0.000 | 0.000 | 160.843 | 0.000 |
| 0.000 | -0.000 | 0.000 | 0.000 | -0.000 | 160.843 |
| 159.562 | 201.973 | 201.973 | -0.000 | -0.000 | -0.000 |
| 201.973 | 159.562 | 201.973 | -0.000 | -0.000 | -0.000 |
| 201.973 | 201.973 | 159.562 | -0.000 | -0.000 | -0.000 |
| 0.000 | 0.000 | -0.000 | 160.843 | 0.000 | 0.000 |
| -0.000 | -0.000 | -0.000 | 0.000 | 160.843 | -0.000 |
| 0.000 | -0.000 | -0.000 | -0.000 | 0.000 | 160.843 |
| 159.562 | 201.973 | 201.973 | 0.000 | 0.000 | 0.000 |
| 201.973 | 159.562 | 201.973 | 0.000 | -0.000 | 0.000 |
| 201.973 | 201.973 | 159.562 | -0.000 | -0.000 | 0.000 |
| 0.000 | 0.000 | 0.000 | 163.269 | -0.000 | 0.000 |
| 0.000 | 0.000 | 0.000 | 0.000 | 163.269 | 0.000 |
| 0.000 | 0.000 | 0.000 | -0.000 | -0.000 | 163.269 |
| 159.562 | 201.973 | 201.973 | -0.000 | 0.000 | -0.000 |
| 201.973 | 159.562 | 201.973 | -0.000 | 0.000 | -0.000 |
| 201.973 | 201.973 | 159.562 | 0.000 | 0.000 | -0.000 |
| -0.000 | -0.000 | -0.000 | 163.269 | 0.000 | 0.000 |
| -0.000 | -0.000 | -0.000 | -0.000 | 163.269 | -0.000 |
| -0.000 | -0.000 | -0.000 | 0.000 | 0.000 | 163.269 |
| 159.563 | 201.974 | 201.974 | -0.000 | -0.000 | 0.000 |
| 201.974 | 159.563 | 201.974 | -0.000 | -0.000 | 0.000 |
| 201.974 | 201.974 | 159.563 | -0.000 | -0.000 | 0.000 |
| 0.001 | 0.000 | 0.001 | 160.843 | -0.000 | 0.000 |
| 0.000 | 0.001 | 0.001 | -0.000 | 160.843 | 0.000 |
| 0.000 | 0.001 | 0.001 | 0.000 | -0.000 | 160.843 |
| 159.562 | 201.973 | 201.973 | -0.000 | 0.000 | -0.000 |
| 201.973 | 159.562 | 201.973 | -0.000 | -0.000 | -0.000 |
| 201.973 | 201.973 | 159.562 | 0.000 | 0.000 | -0.000 |
| -0.001 | -0.000 | -0.001 | 160.843 | 0.000 | 0.000 |
| -0.000 | -0.001 | -0.001 | 0.000 | 160.843 | -0.000 |
| -0.000 | -0.001 | -0.001 | -0.000 | 0.000 | 160.843 |
| 1120.947 | 1106.270 | 1106.270 | 0.000 | 0.000 | 0.000 |
| 1106.270 | 1120.947 | 1106.270 | 0.000 | 0.000 | 0.000 |
| 1106.270 | 1106.270 | 1120.947 | 0.000 | 0.000 | 0.000 |
| 0.000 | 0.000 | 0.000 | -4.221 | 0.000 | 0.000 |
| 0.000 | 0.000 | 0.000 | 0.000 | -4.221 | 0.000 |
| 0.000 | 0.000 | 0.000 | -0.000 | -0.000 | -4.221 |
| 1120.947 | 1106.271 | 1106.271 | 0.000 | 0.000 | -0.000 |
| 1106.271 | 1120.947 | 1106.271 | -0.000 | 0.000 | -0.000 |
| 1106.271 | 1106.271 | 1120.947 | 0.000 | 0.000 | -0.000 |
| -0.000 | -0.000 | -0.000 | -4.221 | 0.000 | -0.000 |
| -0.000 | -0.000 | -0.000 | 0.000 | -4.221 | -0.000 |
| -0.000 | -0.000 | -0.000 | 0.000 | 0.000 | -4.221 |
| 1120.946 | 1106.269 | 1106.269 | 0.000 | -0.000 | 0.000 |
| 1106.269 | 1120.946 | 1106.269 | 0.000 | 0.000 | 0.000 |
| 1106.269 | 1106.269 | 1120.946 | -0.000 | -0.000 | 0.000 |
| 0.000 | 0.000 | 0.000 | -4.221 | -0.000 | 0.000 |
| 0.000 | 0.000 | 0.000 | 0.000 | -4.221 | 0.000 |
| 0.000 | 0.000 | 0.000 | 0.000 | 0.000 | -4.221 |
| 1120.947 | 1106.272 | 1106.272 | -0.000 | -0.000 | -0.000 |
| 1106.272 | 1120.947 | 1106.272 | -0.000 | -0.000 | -0.000 |
| 1106.272 | 1106.272 | 1120.947 | -0.000 | 0.000 | -0.000 |
| -0.000 | -0.000 | -0.000 | -4.221 | 0.000 | -0.000 |
| -0.000 | -0.000 | -0.000 | -0.000 | -4.221 | -0.000 |
| -0.000 | -0.000 | -0.000 | 0.000 | 0.000 | -4.221 |
| 1120.943 | 1106.259 | 1106.259 | -0.000 | 0.000 | 0.000 |
| 1106.259 | 1120.943 | 1106.259 | 0.000 | -0.000 | 0.000 |
| 1106.259 | 1106.259 | 1120.943 | 0.000 | 0.000 | 0.000 |
| -0.000 | -0.000 | -0.000 | -2.989 | -0.000 | 0.000 |
| -0.000 | -0.000 | -0.000 | -0.000 | -2.989 | 0.000 |
| -0.000 | -0.000 | -0.000 | -0.000 | -0.000 | -2.989 |
| 1120.951 | 1106.282 | 1106.282 | 0.000 | 0.000 | -0.000 |
| 1106.282 | 1120.951 | 1106.282 | -0.000 | -0.000 | -0.000 |
| 1106.282 | 1106.282 | 1120.951 | 0.000 | 0.000 | -0.000 |
| 0.000 | 0.000 | 0.000 | -2.989 | -0.000 | -0.000 |
| 0.000 | 0.000 | 0.000 | 0.000 | -2.989 | -0.000 |
| 0.000 | 0.000 | 0.000 | 0.000 | -0.000 | -2.989 |
| 504.404 | 492.375 | 492.375 | -0.000 | -0.000 | 0.000 |
| 492.375 | 504.404 | 492.375 | -0.000 | -0.000 | 0.000 |
| 492.375 | 492.375 | 504.404 | -0.000 | -0.000 | 0.000 |
| -0.000 | -0.000 | -0.000 | -4.132 | -0.000 | 0.000 |
| -0.000 | -0.000 | -0.000 | -0.000 | -4.132 | 0.000 |
| -0.000 | -0.000 | -0.000 | -0.000 | -0.000 | -4.132 |
| 504.403 | 492.374 | 492.374 | 0.000 | 0.000 | -0.000 |
| 492.374 | 504.403 | 492.374 | 0.000 | 0.000 | -0.000 |
| 492.374 | 492.374 | 504.403 | 0.000 | 0.000 | -0.000 |
| 0.000 | 0.000 | 0.000 | -4.132 | 0.000 | -0.000 |
| 0.000 | 0.000 | 0.000 | 0.000 | -4.132 | -0.000 |
| 0.000 | 0.000 | 0.000 | 0.000 | 0.000 | -4.132 |
| 504.406 | 492.376 | 492.376 | -0.000 | -0.000 | 0.000 |
| 492.376 | 504.406 | 492.376 | -0.000 | -0.000 | 0.000 |
| 492.376 | 492.376 | 504.406 | -0.000 | -0.000 | 0.000 |
| -0.000 | -0.000 | -0.000 | -2.903 | -0.000 | 0.000 |
| -0.000 | -0.000 | -0.000 | -0.000 | -2.903 | 0.000 |
| -0.000 | -0.000 | -0.000 | -0.000 | -0.000 | -2.903 |
| 504.401 | 492.373 | 492.373 | 0.000 | 0.000 | -0.000 |
| 492.373 | 504.401 | 492.373 | 0.000 | 0.000 | -0.000 |
| 492.373 | 492.373 | 504.401 | 0.000 | 0.000 | -0.000 |
| 0.000 | 0.000 | 0.000 | -2.903 | 0.000 | -0.000 |
| 0.000 | 0.000 | 0.000 | 0.000 | -2.903 | -0.000 |
| 0.000 | 0.000 | 0.000 | 0.000 | 0.000 | -2.903 |
| 504.428 | 492.387 | 492.387 | -0.000 | -0.000 | 0.000 |
| 492.387 | 504.428 | 492.387 | -0.000 | -0.000 | 0.000 |
| 492.387 | 492.387 | 504.428 | -0.000 | -0.000 | 0.000 |
| -89468.722 | -330475.074 | -314702.899 | -287848.561 | -3282.355 | 380.789 |
| -323093.737 | -103277.661 | -318884.417 | -4664.225 | -263746.487 | -7195.232 |
| -353644.662 | -343569.860 | -124959.983 | -6917.887 | -3654.864 | -275858.688 |
| 504.379 | 492.362 | 492.362 | 0.000 | 0.000 | -0.000 |
| 492.362 | 504.379 | 492.362 | 0.000 | 0.000 | -0.000 |
| 492.362 | 492.362 | 504.379 | 0.000 | 0.000 | -0.000 |
| 107373.842 | 363386.216 | 367649.156 | -295743.973 | 7373.420 | 4137.404 |
| 339433.723 | 115432.633 | 340730.727 | -2800.134 | -275626.022 | -4671.530 |
| 341213.832 | 347188.887 | 102462.233 | -2784.954 | -2102.977 | -284811.215 |
| 58.160 | 1.833 | 1.833 | -0.000 | 0.000 | -0.000 |
| 1.833 | 58.160 | 1.833 | -0.000 | -0.000 | -0.000 |
| 1.833 | 1.833 | 58.160 | -0.000 | -0.000 | -0.000 |
| 0.000 | 0.000 | 0.000 | -3.265 | 0.000 | 0.000 |
| 0.000 | 0.000 | 0.000 | 0.000 | -3.265 | -0.000 |
| 0.000 | 0.000 | 0.000 | 0.000 | 0.000 | -3.265 |
| 95216147.602 | -791564.105 | -791564.105 | 0.000 | -0.000 | 0.000 |
| -791564.105 | 95216147.602 | -791564.105 | 0.000 | -0.000 | 0.000 |
| -791564.105 | -791564.105 | 95216147.602 | 0.000 | 0.000 | -0.000 |
| -0.000 | -0.000 | -0.000 | -3.265 | -0.000 | 0.000 |
| -0.000 | -0.000 | -0.000 | -0.000 | -3.265 | 0.000 |
| -0.000 | -0.000 | -0.000 | -0.000 | -0.000 | -3.265 |
| 58.137 | 1.833 | 1.833 | 0.000 | 0.000 | 0.000 |
| 1.833 | 58.137 | 1.833 | -0.000 | 0.000 | -0.000 |
| 1.833 | 1.833 | 58.137 | 0.000 | 0.000 | -0.000 |
| 0.000 | 0.000 | 0.000 | -3.264 | 0.000 | -0.000 |
| 0.000 | 0.000 | 0.000 | 0.000 | -3.264 | 0.000 |
| 0.000 | 0.000 | 0.000 | -0.000 | 0.000 | -3.264 |
| 9521613.859 | -79155.514 | -79155.514 | -0.000 | -0.000 | -0.000 |
| -79155.514 | 9521613.859 | -79155.514 | -0.000 | -0.000 | 0.000 |
| -79155.514 | -79155.514 | 9521613.859 | 0.000 | -0.000 | -0.000 |
| -0.000 | -0.000 | -0.000 | -3.264 | -0.000 | 0.000 |
| -0.000 | -0.000 | -0.000 | -0.000 | -3.264 | 0.000 |
| -0.000 | -0.000 | -0.000 | 0.000 | -0.000 | -3.264 |
| 57.902 | 1.834 | 1.834 | 0.000 | 0.000 | -0.000 |
| 1.834 | 57.902 | 1.834 | 0.000 | 0.000 | -0.000 |
| 1.834 | 1.834 | 57.902 | -0.000 | 0.000 | -0.000 |
| 7915.652 | 7915.652 | -952161.485 | -2.298 | -0.000 | 0.000 |
| 7915.652 | 7915.652 | -952161.485 | -0.000 | -2.298 | -0.000 |
| 7915.652 | -952161.485 | 7915.652 | -0.000 | 0.000 | -2.298 |
| 952160.485 | -7914.655 | -7914.655 | 0.000 | -0.000 | 0.000 |
| -7914.655 | 952160.485 | -7914.655 | 0.000 | -0.000 | 0.000 |
| -7914.655 | -7914.655 | 952160.485 | 0.000 | 0.000 | 0.000 |
| -7915.652 | -7915.652 | 952161.485 | -2.298 | -0.000 | 0.000 |
| -7915.652 | -7915.652 | 952161.485 | 0.000 | -2.298 | 0.000 |
| -7915.652 | 952161.485 | -7915.652 | 0.000 | -0.000 | -2.298 |
| 0.003 | 0.003 | 0.003 | -0.000 | -0.000 | -0.000 |
| 0.003 | 0.003 | 0.003 | -0.000 | -0.000 | -0.000 |
| 0.003 | 0.003 | 0.003 | -0.000 | -0.000 | -0.000 |
| -0.000 | -0.000 | -0.000 | 0.003 | -0.000 | -0.000 |
| -0.000 | -0.000 | -0.000 | -0.000 | 0.003 | -0.000 |
| -0.000 | -0.000 | -0.000 | -0.000 | -0.000 | 0.003 |
| 0.003 | 0.003 | 0.003 | 0.000 | 0.000 | 0.000 |
| 0.003 | 0.003 | 0.003 | 0.000 | 0.000 | 0.000 |
| 0.003 | 0.003 | 0.003 | 0.000 | 0.000 | 0.000 |
| 0.000 | 0.000 | 0.000 | 0.003 | -0.000 | -0.000 |
| 0.000 | 0.000 | 0.000 | 0.000 | 0.003 | -0.000 |
| 0.000 | 0.000 | 0.000 | 0.000 | -0.000 | 0.003 |
| 0.003 | 0.003 | 0.003 | -0.000 | 0.000 | -0.000 |
| 0.003 | 0.003 | 0.003 | 0.000 | 0.000 | -0.000 |
| 0.003 | 0.003 | 0.003 | 0.000 | 0.000 | -0.000 |
| -0.000 | -0.000 | -0.000 | 0.003 | -0.000 | -0.000 |
| -0.000 | -0.000 | -0.000 | -0.000 | 0.003 | -0.000 |
| -0.000 | -0.000 | -0.000 | 0.000 | -0.000 | 0.003 |
| 0.003 | 0.003 | 0.003 | 0.000 | -0.000 | 0.000 |
| 0.003 | 0.003 | 0.003 | -0.000 | 0.000 | 0.000 |
| 0.003 | 0.003 | 0.003 | -0.000 | -0.000 | -0.000 |
| 0.000 | 0.000 | 0.000 | 0.003 | 0.000 | 0.000 |
| 0.000 | 0.000 | 0.000 | 0.000 | 0.003 | 0.000 |
| 0.000 | 0.000 | 0.000 | 0.000 | -0.000 | 0.003 |
| 0.003 | 0.003 | 0.003 | 0.000 | -0.000 | -0.000 |
| 0.003 | 0.003 | 0.003 | -0.000 | 0.000 | -0.000 |
| 0.003 | 0.003 | 0.003 | -0.000 | -0.000 | -0.000 |
| -0.000 | -0.000 | -0.000 | 0.003 | -0.000 | -0.000 |
| -0.000 | -0.000 | -0.000 | -0.000 | 0.003 | -0.000 |
| -0.000 | -0.000 | -0.000 | -0.000 | 0.000 | 0.003 |
| 0.003 | 0.003 | 0.003 | 0.000 | 0.000 | 0.000 |
| 0.003 | 0.003 | 0.003 | 0.000 | 0.000 | 0.000 |
| 0.003 | 0.003 | 0.003 | 0.000 | 0.000 | 0.000 |
| 0.000 | 0.000 | 0.000 | 0.003 | 0.000 | 0.000 |
| 0.000 | 0.000 | 0.000 | 0.000 | 0.003 | 0.000 |
| 0.000 | 0.000 | 0.000 | 0.000 | 0.000 | 0.003 |
| 0.152 | 0.164 | 0.164 | 0.000 | -0.000 | -0.000 |
| 0.164 | 0.152 | 0.164 | -0.000 | -0.000 | -0.000 |
| 0.164 | 0.164 | 0.152 | 0.000 | -0.000 | -0.000 |
| -0.000 | -0.000 | -0.000 | 0.148 | -0.000 | -0.000 |
| -0.000 | -0.000 | -0.000 | -0.000 | 0.148 | -0.000 |
| -0.000 | -0.000 | -0.000 | 0.000 | 0.000 | 0.148 |
| 0.152 | 0.164 | 0.164 | -0.000 | 0.000 | 0.000 |
| 0.164 | 0.152 | 0.164 | -0.000 | 0.000 | 0.000 |
| 0.164 | 0.164 | 0.152 | -0.000 | -0.000 | 0.000 |
| 0.000 | 0.000 | 0.000 | 0.148 | -0.000 | -0.000 |
| 0.000 | 0.000 | 0.000 | -0.000 | 0.148 | 0.000 |
| 0.000 | 0.000 | 0.000 | -0.000 | 0.000 | 0.148 |
| 0.152 | 0.164 | 0.164 | 0.000 | -0.000 | -0.000 |
| 0.164 | 0.152 | 0.164 | 0.000 | 0.000 | -0.000 |
| 0.164 | 0.164 | 0.152 | 0.000 | 0.000 | -0.000 |
| 0.000 | 0.000 | 0.000 | -0.743 | -0.000 | -0.000 |
| 0.000 | 0.000 | 0.000 | -0.000 | -0.743 | -0.000 |
| 0.000 | 0.000 | 0.000 | -0.000 | -0.000 | -0.743 |
| 0.152 | 0.164 | 0.164 | 0.000 | 0.000 | 0.000 |
| 0.164 | 0.152 | 0.164 | -0.000 | -0.000 | 0.000 |
| 0.164 | 0.164 | 0.152 | 0.000 | 0.000 | 0.000 |
| -0.000 | -0.000 | -0.000 | -0.743 | 0.000 | -0.000 |
| -0.000 | -0.000 | -0.000 | 0.000 | -0.743 | -0.000 |
| -0.000 | -0.000 | -0.000 | -0.000 | 0.000 | -0.743 |
| 0.151 | 0.163 | 0.163 | -0.000 | -0.000 | -0.000 |
| 0.163 | 0.151 | 0.163 | -0.000 | -0.000 | -0.000 |
| 0.163 | 0.163 | 0.151 | -0.000 | -0.000 | -0.000 |
| 0.005 | 0.005 | 0.005 | -1.899 | 0.000 | -0.000 |
| 0.005 | 0.005 | 0.005 | 0.000 | -1.899 | 0.000 |
| 0.005 | 0.005 | 0.005 | 0.000 | 0.000 | -1.899 |
| 0.152 | 0.164 | 0.164 | -0.000 | 0.000 | 0.000 |
| 0.164 | 0.152 | 0.164 | 0.000 | 0.000 | 0.000 |
| 0.164 | 0.164 | 0.152 | 0.000 | -0.000 | 0.000 |
| -0.005 | -0.005 | -0.005 | -1.899 | -0.000 | 0.000 |
| -0.005 | -0.005 | -0.005 | -0.000 | -1.899 | 0.000 |
| -0.005 | -0.005 | -0.005 | 0.000 | -0.000 | -1.899 |
| 415.225 | 7.555 | 7.555 | -0.000 | -0.000 | -0.000 |
| 7.555 | 415.225 | 7.555 | -0.000 | -0.000 | -0.000 |
| 7.555 | 7.555 | 415.225 | -0.000 | -0.000 | 0.000 |
| 0.000 | 0.000 | -0.000 | 6.124 | 0.000 | -0.000 |
| 0.000 | 0.000 | -0.000 | -0.000 | 6.124 | 0.000 |
| 0.000 | -0.000 | -0.000 | -0.000 | -0.000 | 6.124 |
| 415.224 | 7.555 | 7.555 | 0.000 | -0.000 | -0.000 |
| 7.555 | 415.224 | 7.555 | 0.000 | 0.000 | -0.000 |
| 7.555 | 7.555 | 415.225 | 0.000 | 0.000 | 0.000 |
| -0.000 | 0.000 | 0.000 | 6.124 | 0.000 | -0.000 |
| -0.000 | -0.000 | 0.000 | -0.000 | 6.124 | 0.000 |
| -0.000 | 0.000 | 0.000 | 0.000 | 0.000 | 6.124 |
| 415.225 | 7.555 | 7.555 | -0.000 | 0.000 | 0.000 |
| 7.555 | 415.225 | 7.555 | -0.000 | -0.000 | -0.000 |
| 7.555 | 7.555 | 415.225 | -0.000 | -0.000 | 0.000 |
| 0.000 | -0.000 | -0.000 | 6.124 | 0.000 | 0.000 |
| -0.000 | 0.000 | -0.000 | -0.000 | 6.124 | 0.000 |
| -0.000 | -0.000 | 0.000 | -0.000 | -0.000 | 6.124 |
| 415.224 | 7.555 | 7.555 | 0.000 | 0.000 | -0.000 |
| 7.555 | 415.224 | 7.555 | 0.000 | 0.000 | -0.000 |
| 7.555 | 7.555 | 415.224 | 0.000 | 0.000 | 0.000 |
| -0.000 | 0.000 | 0.000 | 6.124 | -0.000 | 0.000 |
| 0.000 | -0.000 | 0.000 | 0.000 | 6.124 | -0.000 |
| 0.000 | 0.000 | -0.000 | 0.000 | 0.000 | 6.124 |
| 415.226 | 7.555 | 7.555 | -0.000 | -0.000 | 0.000 |
| 7.555 | 415.226 | 7.555 | -0.000 | -0.000 | -0.000 |
| 7.555 | 7.555 | 415.226 | -0.000 | -0.000 | -0.000 |
| 0.000 | -0.000 | -0.000 | 6.124 | -0.000 | 0.000 |
| -0.000 | 0.000 | -0.000 | -0.000 | 6.124 | 0.000 |
| -0.000 | -0.000 | 0.000 | -0.000 | -0.000 | 6.124 |
| 415.223 | 7.555 | 7.555 | 0.000 | 0.000 | 0.000 |
| 7.555 | 415.223 | 7.555 | 0.000 | -0.000 | 0.000 |
| 7.555 | 7.555 | 415.223 | 0.000 | 0.000 | 0.000 |
| -0.000 | 0.000 | 0.000 | 6.124 | 0.000 | 0.000 |
| 0.000 | -0.000 | 0.000 | 0.000 | 6.124 | 0.000 |
| 0.000 | 0.000 | -0.000 | 0.000 | 0.000 | 6.124 |
| 578.549 | 203.416 | 203.416 | 0.000 | -0.000 | 0.000 |
| 203.416 | 578.549 | 203.416 | 0.000 | -0.000 | 0.000 |
| 203.416 | 203.416 | 578.549 | 0.000 | 0.000 | 0.000 |
| 0.000 | -0.000 | -0.000 | 205.207 | -0.000 | 0.000 |
| -0.000 | 0.000 | -0.000 | -0.000 | 205.207 | -0.000 |
| -0.000 | -0.000 | 0.000 | 0.000 | -0.000 | 205.207 |
| 578.549 | 203.416 | 203.416 | -0.000 | 0.000 | -0.000 |
| 203.416 | 578.549 | 203.416 | -0.000 | 0.000 | -0.000 |
| 203.416 | 203.416 | 578.549 | 0.000 | 0.000 | 0.000 |
| -0.000 | 0.000 | 0.000 | 205.207 | -0.000 | -0.000 |
| 0.000 | -0.000 | 0.000 | 0.000 | 205.207 | 0.000 |
| 0.000 | 0.000 | -0.000 | -0.000 | 0.000 | 205.207 |
| 578.549 | 203.415 | 203.415 | -0.000 | -0.000 | -0.000 |
| 203.415 | 578.549 | 203.415 | 0.000 | -0.000 | -0.000 |
| 203.415 | 203.415 | 578.549 | -0.000 | -0.000 | -0.000 |
| -0.000 | -0.000 | -0.000 | 205.207 | -0.000 | 0.000 |
| -0.000 | -0.000 | -0.000 | 0.000 | 205.207 | -0.000 |
| -0.000 | -0.000 | -0.000 | 0.000 | -0.000 | 205.207 |
| 578.549 | 203.416 | 203.416 | 0.000 | 0.000 | 0.000 |
| 203.416 | 578.549 | 203.416 | -0.000 | -0.000 | 0.000 |
| 203.416 | 203.416 | 578.549 | 0.000 | 0.000 | -0.000 |
| 0.000 | 0.000 | 0.000 | 205.207 | 0.000 | -0.000 |
| 0.000 | 0.000 | 0.000 | -0.000 | 205.207 | -0.000 |
| 0.000 | 0.000 | 0.000 | -0.000 | 0.000 | 205.207 |
| 578.546 | 203.414 | 203.414 | 0.000 | -0.000 | -0.000 |
| 203.414 | 578.546 | 203.414 | -0.000 | -0.000 | 0.000 |
| 203.414 | 203.414 | 578.546 | -0.000 | -0.000 | -0.000 |
| -0.000 | -0.002 | -0.002 | 205.207 | -0.000 | -0.000 |
| -0.002 | -0.000 | -0.002 | 0.000 | 205.207 | 0.000 |
| -0.002 | -0.002 | -0.000 | 0.000 | -0.000 | 205.207 |
| 578.551 | 203.418 | 203.418 | -0.000 | 0.000 | -0.000 |
| 203.418 | 578.551 | 203.418 | -0.000 | -0.000 | -0.000 |
| 203.418 | 203.418 | 578.551 | 0.000 | 0.000 | 0.000 |
| 0.000 | 0.002 | 0.002 | 205.207 | 0.000 | -0.000 |
| 0.002 | 0.000 | 0.002 | -0.000 | 205.207 | 0.000 |
| 0.002 | 0.002 | 0.000 | -0.000 | 0.000 | 205.207 |
| 75.463 | 37.917 | 37.917 | -0.000 | 0.000 | -0.000 |
| 37.917 | 75.463 | 37.917 | -0.000 | 0.000 | -0.000 |
| 37.917 | 37.917 | 75.463 | -0.000 | 0.000 | -0.000 |
| 0.000 | 0.000 | 0.000 | 37.814 | 0.000 | -0.000 |
| 0.000 | -0.000 | 0.000 | 0.000 | 37.814 | -0.000 |
| 0.000 | 0.000 | -0.000 | 0.000 | 0.000 | 37.814 |
| 75.463 | 37.917 | 37.917 | -0.000 | -0.000 | 0.000 |
| 37.917 | 75.463 | 37.917 | -0.000 | 0.000 | 0.000 |
| 37.917 | 37.917 | 75.463 | -0.000 | -0.000 | 0.000 |
| -0.000 | -0.000 | -0.000 | 37.814 | -0.000 | 0.000 |
| -0.000 | 0.000 | -0.000 | -0.000 | 37.814 | 0.000 |
| -0.000 | -0.000 | 0.000 | -0.000 | -0.000 | 37.814 |
| 75.464 | 37.917 | 37.917 | -0.000 | 0.000 | -0.000 |
| 37.917 | 75.464 | 37.917 | 0.000 | 0.000 | -0.000 |
| 37.917 | 37.917 | 75.464 | -0.000 | -0.000 | -0.000 |
| -0.000 | 0.000 | 0.000 | 37.814 | 0.000 | -0.000 |
| 0.000 | -0.000 | 0.000 | -0.000 | 37.814 | -0.000 |
| 0.000 | 0.000 | -0.000 | 0.000 | 0.000 | 37.814 |
| 75.463 | 37.917 | 37.917 | -0.000 | -0.000 | 0.000 |
| 37.917 | 75.463 | 37.917 | -0.000 | -0.000 | 0.000 |
| 37.917 | 37.917 | 75.463 | -0.000 | -0.000 | 0.000 |
| 0.000 | -0.000 | -0.000 | 37.814 | -0.000 | 0.000 |
| -0.000 | 0.000 | -0.000 | -0.000 | 37.814 | 0.000 |
| -0.000 | -0.000 | 0.000 | -0.000 | -0.000 | 37.814 |
| 75.465 | 37.918 | 37.918 | 0.000 | 0.000 | -0.000 |
| 37.918 | 75.465 | 37.918 | -0.000 | 0.000 | -0.000 |
| 37.918 | 37.918 | 75.465 | -0.000 | -0.000 | -0.000 |
| -0.000 | 0.001 | 0.001 | 37.814 | 0.000 | -0.000 |
| 0.001 | -0.000 | 0.001 | 0.000 | 37.814 | -0.000 |
| 0.001 | 0.001 | -0.000 | 0.000 | 0.000 | 37.814 |
| 75.462 | 37.916 | 37.916 | -0.000 | 0.000 | 0.000 |
| 37.916 | 75.462 | 37.916 | -0.000 | -0.000 | 0.000 |
| 37.916 | 37.916 | 75.462 | -0.000 | -0.000 | 0.000 |
| 0.000 | -0.001 | -0.001 | 37.814 | -0.000 | 0.000 |
| -0.001 | 0.000 | -0.001 | -0.000 | 37.814 | 0.000 |
| -0.001 | -0.001 | 0.000 | -0.000 | -0.000 | 37.814 |
| 0.830 | 0.000 | 0.000 | 0.000 | -0.000 | 0.000 |
| 0.000 | 0.830 | 0.000 | 0.000 | 0.000 | 0.000 |
| 0.000 | 0.000 | 0.830 | -0.000 | -0.000 | -0.000 |
| -0.000 | -0.000 | -0.000 | 0.000 | 0.000 | -0.000 |
| -0.000 | -0.000 | -0.000 | 0.000 | 0.000 | -0.000 |
| -0.000 | -0.000 | -0.000 | 0.000 | -0.000 | 0.000 |
| 0.830 | 0.000 | 0.000 | 0.000 | 0.000 | 0.000 |
| 0.000 | 0.830 | 0.000 | 0.000 | 0.000 | -0.000 |
| 0.000 | 0.000 | 0.830 | 0.000 | 0.000 | 0.000 |
| 0.000 | 0.000 | 0.000 | 0.000 | -0.000 | 0.000 |
| 0.000 | 0.000 | 0.000 | -0.000 | 0.000 | 0.000 |
| 0.000 | 0.000 | 0.000 | -0.000 | 0.000 | 0.000 |
| 0.830 | 0.000 | 0.000 | -0.000 | -0.000 | -0.000 |
| 0.000 | 0.830 | 0.000 | -0.000 | -0.000 | -0.000 |
| 0.000 | 0.000 | 0.830 | -0.000 | -0.000 | -0.000 |
| -0.000 | -0.000 | -0.000 | 0.000 | -0.000 | -0.000 |
| -0.000 | -0.000 | -0.000 | -0.000 | 0.000 | -0.000 |
| -0.000 | -0.000 | -0.000 | 0.000 | -0.000 | 0.000 |
| 0.830 | 0.000 | 0.000 | 0.000 | 0.000 | 0.000 |
| 0.000 | 0.830 | 0.000 | 0.000 | 0.000 | 0.000 |
| 0.000 | 0.000 | 0.830 | 0.000 | 0.000 | 0.000 |
| 0.000 | 0.000 | 0.000 | 0.000 | 0.000 | 0.000 |
| 0.000 | 0.000 | 0.000 | 0.000 | 0.000 | 0.000 |
| 0.000 | 0.000 | 0.000 | -0.000 | 0.000 | 0.000 |
| 0.831 | 0.000 | 0.000 | -0.000 | 0.000 | 0.000 |
| 0.000 | 0.831 | 0.000 | 0.000 | -0.000 | -0.000 |
| 0.000 | 0.000 | 0.831 | -0.000 | -0.000 | -0.000 |
| -0.000 | -0.000 | -0.000 | 0.000 | -0.000 | -0.000 |
| -0.000 | -0.000 | -0.000 | -0.000 | 0.000 | -0.000 |
| -0.000 | -0.000 | -0.000 | 0.000 | -0.000 | 0.000 |
| 0.830 | 0.000 | 0.000 | -0.000 | 0.000 | 0.000 |
| 0.000 | 0.830 | 0.000 | 0.000 | -0.000 | -0.000 |
| 0.000 | 0.000 | 0.830 | -0.000 | -0.000 | -0.000 |
| 0.000 | 0.000 | 0.000 | 0.000 | 0.000 | -0.000 |
| 0.000 | 0.000 | 0.000 | 0.000 | 0.000 | 0.000 |
| 0.000 | 0.000 | 0.000 | -0.000 | 0.000 | 0.000 |
| 71.292 | 153.609 | 153.609 | -0.000 | -0.000 | 0.000 |
| 153.609 | 71.292 | 153.609 | 0.000 | -0.000 | -0.000 |
| 153.609 | 153.609 | 71.292 | 0.000 | -0.000 | -0.000 |
| 0.000 | 0.000 | 0.000 | 118.101 | 0.000 | 0.000 |
| 0.000 | 0.000 | 0.000 | 0.000 | 118.101 | 0.000 |
| 0.000 | 0.000 | 0.000 | 0.000 | -0.000 | 118.101 |
| 71.292 | 153.609 | 153.609 | -0.000 | 0.000 | -0.000 |
| 153.609 | 71.292 | 153.609 | -0.000 | 0.000 | 0.000 |
| 153.609 | 153.609 | 71.292 | -0.000 | -0.000 | -0.000 |
| -0.000 | 0.000 | -0.000 | 118.101 | -0.000 | 0.000 |
| -0.000 | -0.000 | -0.000 | -0.000 | 118.101 | -0.000 |
| -0.000 | -0.000 | -0.000 | -0.000 | 0.000 | 118.101 |
| 71.292 | 153.609 | 153.609 | 0.000 | -0.000 | -0.000 |
| 153.609 | 71.292 | 153.609 | 0.000 | -0.000 | 0.000 |
| 153.609 | 153.609 | 71.292 | 0.000 | -0.000 | -0.000 |
| 0.000 | 0.000 | 0.000 | 118.101 | -0.000 | -0.000 |
| 0.000 | 0.000 | 0.000 | 0.000 | 118.101 | 0.000 |
| 0.000 | 0.000 | 0.000 | 0.000 | -0.000 | 118.101 |
| 71.292 | 153.609 | 153.609 | -0.000 | 0.000 | 0.000 |
| 153.609 | 71.292 | 153.609 | -0.000 | -0.000 | 0.000 |
| 153.609 | 153.609 | 71.292 | -0.000 | 0.000 | -0.000 |
| -0.000 | -0.000 | -0.000 | 118.101 | -0.000 | -0.000 |
| -0.000 | -0.000 | -0.000 | -0.000 | 118.101 | 0.000 |
| -0.000 | -0.000 | -0.000 | -0.000 | 0.000 | 118.101 |
| 71.293 | 153.610 | 153.610 | 0.000 | -0.000 | 0.000 |
| 153.610 | 71.293 | 153.610 | 0.000 | -0.000 | 0.000 |
| 153.610 | 153.610 | 71.293 | 0.000 | -0.000 | 0.000 |
| 0.001 | 0.000 | 0.001 | 118.101 | -0.000 | -0.000 |
| 0.000 | 0.001 | 0.001 | 0.000 | 118.101 | -0.000 |
| 0.000 | 0.001 | 0.001 | 0.000 | -0.000 | 118.101 |
| 71.291 | 153.609 | 153.609 | -0.000 | 0.000 | -0.000 |
| 153.609 | 71.291 | 153.609 | -0.000 | -0.000 | -0.000 |
| 153.609 | 153.609 | 71.291 | -0.000 | -0.000 | 0.000 |
| -0.001 | -0.000 | -0.001 | 118.101 | 0.000 | -0.000 |
| -0.000 | -0.001 | -0.001 | -0.000 | 118.101 | -0.000 |
| -0.000 | -0.001 | -0.001 | -0.000 | 0.000 | 118.101 |
| 149.875 | -6.173 | -6.173 | -0.000 | -0.000 | 0.000 |
| -6.173 | 149.875 | -6.173 | -0.000 | -0.000 | 0.000 |
| -6.173 | -6.173 | 149.875 | -0.000 | -0.000 | 0.000 |
| 0.000 | 0.000 | -0.000 | 6.342 | -0.000 | 0.000 |
| 0.000 | 0.000 | -0.000 | -0.000 | 6.342 | 0.000 |
| 0.000 | -0.000 | 0.000 | -0.000 | -0.000 | 6.342 |
| 149.875 | -6.173 | -6.173 | -0.000 | 0.000 | -0.000 |
| -6.173 | 149.875 | -6.173 | 0.000 | 0.000 | -0.000 |
| -6.173 | -6.173 | 149.875 | 0.000 | 0.000 | -0.000 |
| -0.000 | -0.000 | 0.000 | 6.342 | 0.000 | -0.000 |
| -0.000 | -0.000 | 0.000 | 0.000 | 6.342 | -0.000 |
| -0.000 | 0.000 | -0.000 | 0.000 | 0.000 | 6.342 |
| 149.875 | -6.173 | -6.173 | -0.000 | -0.000 | 0.000 |
| -6.173 | 149.875 | -6.173 | -0.000 | -0.000 | 0.000 |
| -6.173 | -6.173 | 149.875 | -0.000 | -0.000 | 0.000 |
| 0.000 | 0.000 | 0.000 | 6.342 | 0.000 | 0.000 |
| 0.000 | 0.000 | 0.000 | -0.000 | 6.342 | 0.000 |
| 0.000 | 0.000 | 0.000 | -0.000 | -0.000 | 6.342 |
| 149.875 | -6.173 | -6.173 | 0.000 | 0.000 | -0.000 |
| -6.173 | 149.875 | -6.173 | 0.000 | 0.000 | -0.000 |
| -6.173 | -6.173 | 149.875 | 0.000 | 0.000 | -0.000 |
| -0.000 | -0.000 | -0.000 | 6.342 | 0.000 | -0.000 |
| -0.000 | -0.000 | -0.000 | 0.000 | 6.342 | -0.000 |
| -0.000 | -0.000 | -0.000 | -0.000 | 0.000 | 6.342 |
| 149.871 | -6.174 | -6.174 | -0.000 | -0.000 | 0.000 |
| -6.174 | 149.871 | -6.174 | -0.000 | -0.000 | 0.000 |
| -6.174 | -6.174 | 149.871 | -0.000 | -0.000 | 0.000 |
| 0.000 | 0.000 | 0.000 | 6.342 | -0.000 | 0.000 |
| 0.000 | 0.000 | 0.000 | -0.000 | 6.342 | 0.000 |
| 0.000 | 0.000 | 0.000 | -0.000 | -0.000 | 6.342 |
| 149.879 | -6.173 | -6.173 | 0.000 | 0.000 | -0.000 |
| -6.173 | 149.879 | -6.173 | 0.000 | 0.000 | -0.000 |
| -6.173 | -6.173 | 149.879 | -0.000 | -0.000 | -0.000 |
| -0.000 | -0.000 | -0.000 | 6.342 | -0.000 | -0.000 |
| -0.000 | -0.000 | -0.000 | 0.000 | 6.342 | -0.000 |
| -0.000 | -0.000 | -0.000 | 0.000 | 0.000 | 6.342 |
| 0.479 | 0.479 | 0.479 | -0.000 | -0.000 | 0.000 |
| 0.479 | 0.479 | 0.479 | -0.000 | -0.000 | 0.000 |
| 0.479 | 0.479 | 0.479 | 0.000 | 0.000 | -0.000 |
| 0.000 | 0.000 | 0.000 | 0.479 | 0.000 | 0.000 |
| 0.000 | 0.000 | 0.000 | 0.000 | 0.479 | 0.000 |
| 0.000 | 0.000 | 0.000 | 0.000 | 0.000 | 0.479 |
| 0.479 | 0.479 | 0.479 | -0.000 | -0.000 | -0.000 |
| 0.479 | 0.479 | 0.479 | -0.000 | -0.000 | -0.000 |
| 0.479 | 0.479 | 0.479 | -0.000 | -0.000 | -0.000 |
| -0.000 | -0.000 | -0.000 | 0.479 | -0.000 | -0.000 |
| -0.000 | -0.000 | -0.000 | -0.000 | 0.479 | -0.000 |
| -0.000 | -0.000 | -0.000 | -0.000 | 0.000 | 0.479 |
| 0.479 | 0.479 | 0.479 | 0.000 | 0.000 | 0.000 |
| 0.479 | 0.479 | 0.479 | 0.000 | 0.000 | 0.000 |
| 0.479 | 0.479 | 0.479 | 0.000 | 0.000 | 0.000 |
| 0.000 | 0.000 | 0.000 | 0.479 | 0.000 | 0.000 |
| 0.000 | 0.000 | 0.000 | 0.000 | 0.479 | 0.000 |
| 0.000 | 0.000 | 0.000 | 0.000 | 0.000 | 0.479 |
| 0.479 | 0.479 | 0.479 | -0.000 | 0.000 | -0.000 |
| 0.479 | 0.479 | 0.479 | 0.000 | -0.000 | -0.000 |
| 0.479 | 0.479 | 0.479 | -0.000 | -0.000 | -0.000 |
| -0.000 | -0.000 | -0.000 | 0.479 | -0.000 | -0.000 |
| -0.000 | -0.000 | -0.000 | -0.000 | 0.479 | -0.000 |
| -0.000 | -0.000 | -0.000 | -0.000 | -0.000 | 0.479 |
| 0.479 | 0.479 | 0.479 | 0.000 | 0.000 | 0.000 |
| 0.479 | 0.479 | 0.479 | 0.000 | 0.000 | 0.000 |
| 0.479 | 0.479 | 0.479 | 0.000 | 0.000 | 0.000 |
| 0.000 | 0.000 | 0.000 | 0.479 | 0.000 | 0.000 |
| 0.000 | 0.000 | 0.000 | 0.000 | 0.479 | 0.000 |
| 0.000 | 0.000 | 0.000 | 0.000 | 0.000 | 0.479 |
| 0.479 | 0.479 | 0.479 | -0.000 | 0.000 | -0.000 |
| 0.479 | 0.479 | 0.479 | 0.000 | -0.000 | -0.000 |
| 0.479 | 0.479 | 0.479 | 0.000 | 0.000 | -0.000 |
| -0.000 | -0.000 | -0.000 | 0.479 | -0.000 | 0.000 |
| -0.000 | -0.000 | -0.000 | -0.000 | 0.479 | 0.000 |
| -0.000 | -0.000 | -0.000 | -0.000 | -0.000 | 0.479 |
| 71.357 | 94.749 | 94.749 | -0.000 | -0.000 | -0.000 |
| 94.749 | 71.357 | 94.749 | -0.000 | 0.000 | -0.000 |
| 94.749 | 94.749 | 71.357 | -0.000 | 0.000 | -0.000 |
| 0.000 | 0.000 | 0.000 | -49.134 | -0.000 | -0.000 |
| 0.000 | 0.000 | 0.000 | -0.000 | -49.134 | -0.000 |
| 0.000 | 0.000 | 0.000 | -0.000 | 0.000 | -49.134 |
| 71.357 | 94.749 | 94.749 | -0.000 | 0.000 | 0.000 |
| 94.749 | 71.357 | 94.749 | 0.000 | -0.000 | 0.000 |
| 94.749 | 94.749 | 71.357 | 0.000 | 0.000 | -0.000 |
| 0.000 | -0.000 | -0.000 | -49.134 | -0.000 | 0.000 |
| -0.000 | -0.000 | -0.000 | 0.000 | -49.134 | -0.000 |
| -0.000 | -0.000 | -0.000 | 0.000 | -0.000 | -49.134 |
| 71.357 | 94.749 | 94.749 | -0.000 | -0.000 | -0.000 |
| 94.749 | 71.357 | 94.749 | -0.000 | -0.000 | -0.000 |
| 94.749 | 94.749 | 71.357 | -0.000 | -0.000 | -0.000 |
| 0.000 | 0.000 | 0.000 | -49.134 | 0.000 | -0.000 |
| 0.000 | 0.000 | 0.000 | -0.000 | -49.134 | -0.000 |
| 0.000 | 0.000 | 0.000 | -0.000 | 0.000 | -49.134 |
| 71.357 | 94.749 | 94.749 | 0.000 | 0.000 | 0.000 |
| 94.749 | 71.357 | 94.749 | 0.000 | -0.000 | 0.000 |
| 94.749 | 94.749 | 71.357 | 0.000 | -0.000 | 0.000 |
| -0.000 | -0.000 | -0.000 | -49.134 | 0.000 | 0.000 |
| -0.000 | -0.000 | -0.000 | 0.000 | -49.134 | 0.000 |
| -0.000 | -0.000 | -0.000 | 0.000 | -0.000 | -49.134 |
| 71.358 | 94.750 | 94.750 | -0.000 | -0.000 | -0.000 |
| 94.750 | 71.358 | 94.750 | -0.000 | -0.000 | -0.000 |
| 94.750 | 94.750 | 71.358 | -0.000 | -0.000 | -0.000 |
| 0.000 | 0.000 | 0.000 | -49.134 | 0.000 | -0.000 |
| 0.000 | 0.000 | 0.000 | -0.000 | -49.134 | -0.000 |
| 0.000 | 0.000 | 0.000 | -0.000 | 0.000 | -49.134 |
| 71.355 | 94.749 | 94.749 | 0.000 | 0.000 | 0.000 |
| 94.749 | 71.355 | 94.749 | 0.000 | 0.000 | 0.000 |
| 94.749 | 94.749 | 71.355 | 0.000 | 0.000 | 0.000 |
| -0.000 | -0.000 | -0.000 | -49.134 | 0.000 | 0.000 |
| -0.000 | -0.000 | -0.000 | 0.000 | -49.134 | 0.000 |
| -0.000 | -0.000 | -0.000 | 0.000 | -0.000 | -49.134 |
| 39.626 | 10.143 | 10.143 | -0.000 | -0.000 | -0.000 |
| 10.143 | 39.626 | 10.143 | -0.000 | -0.000 | -0.000 |
| 10.143 | 10.143 | 39.626 | -0.000 | -0.000 | -0.000 |
| 1800756.704 | -402613337.890 | -402612543.247 | -216073356.609 | -1979.398 | -1766.217 |
| -402638749.076 | 1803829.254 | -402642419.395 | 141.689 | -216067376.056 | 33.516 |
| -402837190.659 | -402860791.647 | 1769468.323 | -221.917 | 128.857 | -215998555.722 |
| 39.626 | 10.143 | 10.143 | 0.000 | 0.000 | 0.000 |
| 10.143 | 39.626 | 10.143 | 0.000 | 0.000 | 0.000 |
| 10.143 | 10.143 | 39.626 | 0.000 | 0.000 | 0.000 |
| -4681134.359 | 404481792.059 | 404564690.153 | -218525381.693 | -1135.069 | 1171.911 |
| 404586640.028 | -4712031.030 | 404604293.654 | -1587.653 | -218577832.676 | 1070.407 |
| 404555632.626 | 404553850.408 | -4576864.756 | -1385.759 | 1679.653 | -218495990.720 |
| 39.626 | 10.143 | 10.143 | -0.000 | -0.000 | -0.000 |
| 10.143 | 39.626 | 10.143 | -0.000 | -0.000 | -0.000 |
| 10.143 | 10.143 | 39.626 | -0.000 | -0.000 | -0.000 |
| -160281.706 | -37730276.024 | -37455474.968 | -20859401.459 | 5827.733 | -36742.925 |
| -37147988.132 | -164103.853 | -36785715.546 | -8074.572 | -20707871.415 | 39797.954 |
| -39545002.607 | -39399068.074 | -212724.536 | 8212.375 | -32111.496 | -20577878.128 |
| 39.626 | 10.143 | 10.143 | 0.000 | 0.000 | 0.000 |
| 10.143 | 39.626 | 10.143 | 0.000 | 0.000 | 0.000 |
| 10.143 | 10.143 | 39.626 | 0.000 | 0.000 | 0.000 |
| -574272.153 | 40378344.219 | 40376761.847 | -21847164.281 | -17.137 | -21.410 |
| 40380217.004 | -561073.702 | 40379862.826 | -7.294 | -21851705.649 | 0.124 |
| 40362359.013 | 40362368.516 | -575144.865 | 37.049 | -30.541 | -21846952.155 |
| 39.625 | 10.142 | 10.142 | -0.000 | -0.000 | -0.000 |
| 10.142 | 39.625 | 10.142 | -0.000 | -0.000 | -0.000 |
| 10.142 | 10.142 | 39.625 | -0.000 | -0.000 | -0.000 |
| 3150454.203 | -881005.548 | -881014.546 | -4499122.908 | -0.000 | -0.000 |
| -881005.548 | 3150454.203 | -881014.546 | -0.000 | -4499122.908 | -0.000 |
| -881005.548 | -881014.546 | 3150454.203 | -0.000 | -0.000 | -4499122.908 |
| 39.627 | 10.143 | 10.143 | 0.000 | 0.000 | 0.000 |
| 10.143 | 39.627 | 10.143 | 0.000 | 0.000 | 0.000 |
| 10.143 | 10.143 | 39.627 | 0.000 | 0.000 | 0.000 |
| -3150454.203 | 881005.548 | 881014.546 | -4499122.908 | 0.000 | -0.000 |
| 881005.548 | -3150454.203 | 881014.546 | 0.000 | -4499122.908 | -0.000 |
| 881005.548 | 881014.546 | -3150454.203 | 0.000 | -0.000 | -4499122.908 |
| 0.120 | 0.120 | 0.120 | 0.000 | -0.000 | -0.000 |
| 0.120 | 0.120 | 0.120 | -0.000 | 0.000 | -0.000 |
| 0.120 | 0.120 | 0.120 | -0.000 | -0.000 | 0.000 |
| 0.000 | 0.000 | 0.000 | 0.111 | -0.000 | -0.000 |
| 0.000 | 0.000 | 0.000 | -0.000 | 0.111 | -0.000 |
| 0.000 | 0.000 | 0.000 | -0.000 | -0.000 | 0.111 |
| 0.120 | 0.120 | 0.120 | 0.000 | 0.000 | 0.000 |
| 0.120 | 0.120 | 0.120 | 0.000 | 0.000 | 0.000 |
| 0.120 | 0.120 | 0.120 | 0.000 | 0.000 | 0.000 |
| -0.000 | -0.000 | -0.000 | 0.111 | 0.000 | 0.000 |
| -0.000 | -0.000 | -0.000 | 0.000 | 0.111 | 0.000 |
| -0.000 | -0.000 | -0.000 | 0.000 | 0.000 | 0.111 |
| 0.120 | 0.120 | 0.120 | -0.000 | -0.000 | -0.000 |
| 0.120 | 0.120 | 0.120 | -0.000 | -0.000 | -0.000 |
| 0.120 | 0.120 | 0.120 | -0.000 | -0.000 | -0.000 |
| 0.000 | 0.000 | 0.000 | 0.102 | 0.000 | -0.000 |
| 0.000 | 0.000 | 0.000 | 0.000 | 0.102 | -0.000 |
| 0.000 | 0.000 | 0.000 | 0.000 | -0.000 | 0.102 |
| 0.120 | 0.120 | 0.120 | -0.000 | 0.000 | 0.000 |
| 0.120 | 0.120 | 0.120 | 0.000 | -0.000 | 0.000 |
| 0.120 | 0.120 | 0.120 | 0.000 | 0.000 | -0.000 |
| -0.000 | -0.000 | -0.000 | 0.102 | 0.000 | 0.000 |
| -0.000 | -0.000 | -0.000 | 0.000 | 0.102 | 0.000 |
| -0.000 | -0.000 | -0.000 | 0.000 | 0.000 | 0.102 |
| 0.120 | 0.120 | 0.120 | -0.000 | -0.000 | -0.000 |
| 0.120 | 0.120 | 0.120 | -0.000 | -0.000 | -0.000 |
| 0.120 | 0.120 | 0.120 | -0.000 | -0.000 | -0.000 |
| 0.000 | -0.000 | 0.000 | 0.010 | -0.000 | -0.000 |
| -0.000 | 0.000 | 0.000 | -0.000 | 0.010 | -0.000 |
| -0.000 | 0.000 | 0.000 | -0.000 | -0.000 | 0.010 |
| 0.120 | 0.120 | 0.120 | 0.000 | 0.000 | 0.000 |
| 0.120 | 0.120 | 0.120 | 0.000 | 0.000 | 0.000 |
| 0.120 | 0.120 | 0.120 | 0.000 | 0.000 | 0.000 |
| -0.000 | 0.000 | -0.000 | 0.010 | 0.000 | 0.000 |
| 0.000 | -0.000 | -0.000 | 0.000 | 0.010 | 0.000 |
| 0.000 | -0.000 | -0.000 | 0.000 | 0.000 | 0.010 |
| 376.748 | -46.222 | 74.126 | -0.000 | 0.000 | -0.000 |
| -46.222 | 376.748 | 74.126 | 0.000 | -0.000 | -0.000 |
| 74.126 | 74.126 | 362.410 | 0.000 | -0.000 | 0.000 |
| 0.000 | 0.000 | 0.000 | 183.710 | 0.000 | -0.000 |
| 0.000 | 0.000 | 0.000 | -0.000 | 183.710 | -0.000 |
| 0.000 | 0.000 | 0.000 | -0.000 | -0.000 | 117.635 |
| 376.748 | -46.222 | 74.126 | 0.000 | 0.000 | 0.000 |
| -46.222 | 376.748 | 74.126 | 0.000 | 0.000 | 0.000 |
| 74.126 | 74.126 | 362.409 | 0.000 | 0.000 | -0.000 |
| -0.000 | -0.000 | -0.000 | 183.710 | -0.000 | -0.000 |
| -0.000 | -0.000 | -0.000 | 0.000 | 183.710 | 0.000 |
| -0.000 | -0.000 | -0.000 | -0.000 | 0.000 | 117.635 |
| 376.749 | -46.222 | 74.126 | 0.000 | -0.000 | 0.000 |
| -46.222 | 376.749 | 74.126 | -0.000 | -0.000 | 0.000 |
| 74.127 | 74.127 | 362.410 | -0.000 | -0.000 | -0.000 |
| 0.000 | 0.000 | 0.000 | 183.710 | -0.000 | -0.000 |
| 0.000 | 0.000 | 0.000 | -0.000 | 183.710 | -0.000 |
| 0.000 | 0.000 | 0.000 | -0.000 | -0.000 | 117.635 |
| 376.748 | -46.222 | 74.126 | 0.000 | -0.000 | -0.000 |
| -46.222 | 376.748 | 74.126 | 0.000 | 0.000 | 0.000 |
| 74.126 | 74.126 | 362.409 | 0.000 | 0.000 | 0.000 |
| -0.000 | -0.000 | -0.000 | 183.710 | 0.000 | 0.000 |
| -0.000 | -0.000 | -0.000 | 0.000 | 183.710 | 0.000 |
| -0.000 | -0.000 | -0.000 | 0.000 | 0.000 | 117.635 |
| 376.755 | -46.221 | 74.128 | 0.000 | -0.000 | -0.000 |
| -46.221 | 376.755 | 74.128 | -0.000 | -0.000 | 0.000 |
| 74.129 | 74.129 | 362.419 | -0.000 | -0.000 | 0.000 |
| 0.001 | 0.001 | 0.002 | 183.710 | -0.000 | 0.000 |
| 0.001 | 0.001 | 0.002 | -0.000 | 183.710 | -0.000 |
| 0.000 | 0.000 | 0.001 | -0.000 | -0.000 | 117.635 |
| 376.742 | -46.223 | 74.125 | 0.000 | 0.000 | -0.000 |
| -46.223 | 376.742 | 74.125 | 0.000 | 0.000 | 0.000 |
| 74.124 | 74.124 | 362.401 | -0.000 | 0.000 | -0.000 |
| -0.001 | -0.001 | -0.002 | 183.710 | 0.000 | 0.000 |
| -0.001 | -0.001 | -0.002 | 0.000 | 183.710 | 0.000 |
| -0.000 | -0.000 | -0.001 | 0.000 | 0.000 | 117.635 |
| 5.691 | 0.290 | 0.588 | -0.000 | -0.000 | -0.000 |
| 0.290 | 5.691 | 0.588 | -0.000 | -0.000 | -0.000 |
| 0.588 | 0.588 | 1.192 | -0.000 | -0.000 | 0.000 |
| 0.000 | 0.000 | 0.000 | 0.588 | -0.000 | -0.000 |
| 0.000 | 0.000 | 0.000 | -0.000 | 0.588 | -0.000 |
| 0.000 | 0.000 | 0.000 | -0.000 | 0.000 | 0.290 |
| 5.691 | 0.290 | 0.588 | 0.000 | 0.000 | 0.000 |
| 0.290 | 5.691 | 0.588 | 0.000 | 0.000 | 0.000 |
| 0.588 | 0.588 | 1.192 | 0.000 | 0.000 | -0.000 |
| -0.000 | -0.000 | -0.000 | 0.588 | 0.000 | 0.000 |
| -0.000 | -0.000 | -0.000 | 0.000 | 0.588 | -0.000 |
| -0.000 | -0.000 | -0.000 | 0.000 | 0.000 | 0.290 |
| 5.692 | 0.290 | 0.588 | -0.000 | -0.000 | -0.000 |
| 0.290 | 5.692 | 0.588 | -0.000 | -0.000 | 0.000 |
| 0.588 | 0.588 | 1.192 | -0.000 | -0.000 | 0.000 |
| 0.000 | 0.000 | 0.000 | 0.588 | -0.000 | -0.000 |
| 0.000 | 0.000 | 0.000 | -0.000 | 0.588 | -0.000 |
| 0.000 | 0.000 | 0.000 | -0.000 | 0.000 | 0.290 |
| 5.691 | 0.290 | 0.588 | 0.000 | 0.000 | 0.000 |
| 0.290 | 5.691 | 0.588 | 0.000 | 0.000 | 0.000 |
| 0.588 | 0.588 | 1.192 | 0.000 | 0.000 | 0.000 |
| -0.000 | -0.000 | -0.000 | 0.588 | 0.000 | -0.000 |
| -0.000 | -0.000 | -0.000 | 0.000 | 0.588 | -0.000 |
| -0.000 | -0.000 | -0.000 | 0.000 | 0.000 | 0.290 |
| 5.692 | 0.290 | 0.588 | -0.000 | 0.000 | -0.000 |
| 0.290 | 5.692 | 0.588 | 0.000 | -0.000 | -0.000 |
| 0.588 | 0.588 | 1.192 | -0.000 | -0.000 | 0.000 |
| 0.000 | 0.000 | 0.000 | 0.588 | -0.000 | -0.000 |
| 0.000 | 0.000 | 0.000 | -0.000 | 0.588 | -0.000 |
| 0.000 | 0.000 | 0.000 | -0.000 | -0.000 | 0.290 |
| 5.691 | 0.290 | 0.588 | 0.000 | -0.000 | 0.000 |
| 0.290 | 5.691 | 0.588 | -0.000 | 0.000 | 0.000 |
| 0.588 | 0.588 | 1.192 | 0.000 | 0.000 | 0.000 |
| -0.000 | -0.000 | -0.000 | 0.588 | 0.000 | -0.000 |
| -0.000 | -0.000 | -0.000 | 0.000 | 0.588 | -0.000 |
| -0.000 | -0.000 | -0.000 | 0.000 | 0.000 | 0.290 |
| 0.370 | 0.316 | 0.571 | 0.000 | 0.000 | -0.000 |
| 0.316 | 0.370 | 0.571 | 0.000 | 0.000 | -0.000 |
| 0.571 | 0.571 | 1.032 | 0.000 | 0.000 | -0.000 |
| 0.000 | 0.000 | 0.000 | 0.571 | 0.000 | -0.000 |
| 0.000 | 0.000 | 0.000 | 0.000 | 0.571 | -0.000 |
| 0.000 | 0.000 | 0.000 | 0.000 | -0.000 | 0.316 |
| 0.370 | 0.316 | 0.571 | -0.000 | -0.000 | 0.000 |
| 0.316 | 0.370 | 0.571 | -0.000 | -0.000 | 0.000 |
| 0.571 | 0.571 | 1.032 | -0.000 | -0.000 | 0.000 |
| -0.000 | -0.000 | -0.000 | 0.571 | -0.000 | 0.000 |
| -0.000 | -0.000 | -0.000 | -0.000 | 0.571 | 0.000 |
| -0.000 | -0.000 | -0.000 | -0.000 | 0.000 | 0.316 |
| 0.370 | 0.316 | 0.571 | 0.000 | 0.000 | -0.000 |
| 0.316 | 0.370 | 0.571 | 0.000 | 0.000 | -0.000 |
| 0.571 | 0.571 | 1.032 | -0.000 | -0.000 | 0.000 |
| 0.000 | 0.000 | 0.000 | 0.571 | -0.000 | -0.000 |
| 0.000 | 0.000 | 0.000 | -0.000 | 0.571 | -0.000 |
| 0.000 | 0.000 | 0.000 | 0.000 | -0.000 | 0.316 |
| 0.370 | 0.316 | 0.571 | 0.000 | 0.000 | 0.000 |
| 0.316 | 0.370 | 0.571 | 0.000 | 0.000 | 0.000 |
| 0.571 | 0.571 | 1.032 | -0.000 | -0.000 | -0.000 |
| -0.000 | -0.000 | -0.000 | 0.571 | -0.000 | -0.000 |
| -0.000 | -0.000 | -0.000 | -0.000 | 0.571 | -0.000 |
| -0.000 | -0.000 | -0.000 | 0.000 | 0.000 | 0.316 |
| 0.370 | 0.316 | 0.571 | 0.000 | 0.000 | -0.000 |
| 0.316 | 0.370 | 0.571 | 0.000 | 0.000 | -0.000 |
| 0.571 | 0.571 | 1.032 | 0.000 | 0.000 | -0.000 |
| 0.000 | 0.000 | 0.000 | 0.571 | 0.000 | -0.000 |
| 0.000 | 0.000 | 0.000 | 0.000 | 0.571 | -0.000 |
| 0.000 | 0.000 | 0.000 | 0.000 | -0.000 | 0.316 |
| 0.370 | 0.316 | 0.571 | -0.000 | -0.000 | 0.000 |
| 0.316 | 0.370 | 0.571 | -0.000 | -0.000 | 0.000 |
| 0.571 | 0.571 | 1.032 | -0.000 | -0.000 | -0.000 |
| -0.000 | -0.000 | -0.000 | 0.571 | -0.000 | 0.000 |
| -0.000 | -0.000 | -0.000 | -0.000 | 0.571 | 0.000 |
| -0.000 | -0.000 | -0.000 | -0.000 | 0.000 | 0.316 |
| -11542089.357 | -1.973 | -3.370 | -0.000 | 0.000 | -0.000 |
| -1.973 | -11542089.357 | -3.370 | -0.000 | 0.000 | 0.000 |
| -0.085 | -0.085 | -0.144 | 0.000 | 0.000 | 0.000 |
| 0.000 | 0.000 | 0.000 | -0.084 | 0.000 | 0.000 |
| 0.000 | 0.000 | 0.000 | -0.000 | -0.084 | 0.000 |
| 0.000 | 0.000 | 0.000 | -0.000 | -0.000 | -0.049 |
| -0.049 | -0.050 | -0.086 | -0.000 | -0.000 | -0.000 |
| -0.050 | -0.049 | -0.086 | 0.000 | -0.000 | -0.000 |
| -0.085 | -0.085 | -0.144 | 0.000 | -0.000 | 0.000 |
| -0.000 | -0.000 | -0.000 | -0.084 | -0.000 | -0.000 |
| -0.000 | -0.000 | -0.000 | 0.000 | -0.084 | -0.000 |
| -0.000 | -0.000 | -0.000 | 0.000 | -0.000 | -0.049 |
| -1154215.305 | -0.243 | -0.414 | -0.000 | -0.000 | 0.000 |
| -0.243 | -1154215.305 | -0.414 | -0.000 | 0.000 | 0.000 |
| -0.085 | -0.085 | -0.144 | -0.000 | 0.000 | -0.000 |
| 0.000 | 0.000 | 0.000 | -0.084 | -0.000 | -0.000 |
| 0.000 | 0.000 | 0.000 | -0.000 | -0.084 | -0.000 |
| 0.000 | 0.000 | 0.000 | -0.000 | -0.000 | -0.049 |
| -0.049 | -0.050 | -0.086 | 0.000 | -0.000 | -0.000 |
| -0.050 | -0.049 | -0.086 | 0.000 | -0.000 | -0.000 |
| -0.085 | -0.085 | -0.144 | 0.000 | 0.000 | 0.000 |
| -0.000 | -0.000 | -0.000 | -0.084 | -0.000 | -0.000 |
| -0.000 | -0.000 | -0.000 | 0.000 | -0.084 | -0.000 |
| -0.000 | -0.000 | -0.000 | 0.000 | 0.000 | -0.049 |
| -115427.871 | -0.069 | -0.119 | -0.000 | 0.000 | -0.000 |
| -0.069 | -115427.871 | -0.119 | 0.000 | 0.000 | 0.000 |
| -0.085 | -0.085 | -0.144 | -0.000 | 0.000 | 0.000 |
| 0.000 | 0.000 | 0.000 | -0.084 | 0.000 | 0.000 |
| 0.000 | 0.000 | 0.000 | -0.000 | -0.084 | 0.000 |
| 0.000 | 0.000 | 0.000 | -0.000 | -0.000 | -0.049 |
| -0.049 | -0.050 | -0.086 | 0.000 | -0.000 | -0.000 |
| -0.050 | -0.049 | -0.086 | 0.000 | -0.000 | -0.000 |
| -0.085 | -0.085 | -0.144 | 0.000 | 0.000 | -0.000 |
| -0.000 | -0.000 | -0.000 | -0.084 | -0.000 | 0.000 |
| -0.000 | -0.000 | -0.000 | 0.000 | -0.084 | 0.000 |
| -0.000 | -0.000 | -0.000 | 0.000 | 0.000 | -0.049 |
| -0.005 | -0.005 | -0.008 | 0.000 | -0.000 | 0.000 |
| -0.005 | -0.005 | -0.008 | -0.000 | 0.000 | 0.000 |
| -0.008 | -0.008 | -0.014 | 0.000 | 0.000 | -0.000 |
| -0.000 | -0.000 | -0.000 | -0.008 | -0.000 | 0.000 |
| -0.000 | -0.000 | -0.000 | -0.000 | -0.008 | 0.000 |
| -0.000 | -0.000 | -0.000 | 0.000 | 0.000 | -0.005 |
| -0.005 | -0.005 | -0.008 | 0.000 | 0.000 | -0.000 |
| -0.005 | -0.005 | -0.008 | 0.000 | 0.000 | -0.000 |
| -0.008 | -0.008 | -0.014 | 0.000 | 0.000 | -0.000 |
| 0.000 | 0.000 | 0.000 | -0.008 | -0.000 | -0.000 |
| 0.000 | 0.000 | 0.000 | -0.000 | -0.008 | -0.000 |
| 0.000 | 0.000 | 0.000 | 0.000 | 0.000 | -0.005 |
| -0.005 | -0.005 | -0.008 | 0.000 | 0.000 | -0.000 |
| -0.005 | -0.005 | -0.008 | 0.000 | 0.000 | -0.000 |
| -0.008 | -0.008 | -0.014 | 0.000 | 0.000 | -0.000 |
| -0.000 | -0.000 | -0.000 | -0.008 | -0.000 | 0.000 |
| -0.000 | -0.000 | -0.000 | -0.000 | -0.008 | 0.000 |
| -0.000 | -0.000 | -0.000 | -0.000 | 0.000 | -0.005 |
| -0.005 | -0.005 | -0.008 | 0.000 | 0.000 | -0.000 |
| -0.005 | -0.005 | -0.008 | 0.000 | 0.000 | -0.000 |
| -0.008 | -0.008 | -0.014 | 0.000 | 0.000 | -0.000 |
| 0.000 | 0.000 | 0.000 | -0.008 | -0.000 | -0.000 |
| 0.000 | 0.000 | 0.000 | -0.000 | -0.008 | -0.000 |
| 0.000 | 0.000 | 0.000 | 0.000 | 0.000 | -0.005 |
| -0.005 | -0.005 | -0.008 | 0.000 | -0.000 | 0.000 |
| -0.005 | -0.005 | -0.008 | -0.000 | 0.000 | 0.000 |
| -0.008 | -0.008 | -0.014 | -0.000 | -0.000 | 0.000 |
| -0.000 | -0.000 | -0.000 | -0.008 | 0.000 | -0.000 |
| -0.000 | -0.000 | -0.000 | 0.000 | -0.008 | -0.000 |
| -0.000 | -0.000 | -0.000 | -0.000 | -0.000 | -0.005 |
| -0.005 | -0.005 | -0.008 | 0.000 | -0.000 | 0.000 |
| -0.005 | -0.005 | -0.008 | -0.000 | 0.000 | 0.000 |
| -0.008 | -0.008 | -0.014 | -0.000 | -0.000 | -0.000 |
| 0.000 | 0.000 | 0.000 | -0.008 | -0.000 | -0.000 |
| 0.000 | 0.000 | 0.000 | -0.000 | -0.008 | -0.000 |
| 0.000 | 0.000 | 0.000 | -0.000 | -0.000 | -0.005 |
| 261.052 | 34.724 | 19.960 | -26.279 | -0.000 | 0.000 |
| 34.724 | 261.052 | 19.960 | 26.279 | -0.000 | -0.000 |
| 19.960 | 19.959 | 266.067 | -0.000 | -0.000 | 0.000 |
| -26.279 | 26.279 | -0.000 | 78.592 | -0.000 | 0.000 |
| -0.000 | -0.000 | 0.000 | -0.000 | 78.592 | -26.279 |
| -0.000 | -0.000 | 0.000 | -0.000 | -26.279 | 113.164 |
| 261.052 | 34.724 | 19.960 | -26.279 | 0.000 | 0.000 |
| 34.724 | 261.052 | 19.960 | 26.279 | 0.000 | -0.000 |
| 19.960 | 19.960 | 266.067 | -0.000 | -0.000 | 0.000 |
| -26.279 | 26.279 | -0.000 | 78.592 | 0.000 | -0.000 |
| 0.000 | 0.000 | -0.000 | 0.000 | 78.592 | -26.279 |
| 0.000 | 0.000 | -0.000 | 0.000 | -26.279 | 113.164 |
| 261.053 | 34.724 | 19.960 | -26.279 | -0.000 | 0.000 |
| 34.725 | 261.053 | 19.960 | 26.279 | -0.000 | 0.000 |
| 19.959 | 19.959 | 266.067 | 0.000 | 0.000 | 0.000 |
| -26.279 | 26.279 | -0.000 | 78.592 | -0.000 | 0.000 |
| -0.000 | 0.000 | -0.000 | -0.000 | 78.592 | -26.279 |
| 0.000 | 0.000 | 0.000 | -0.000 | -26.279 | 113.164 |
| 261.052 | 34.724 | 19.960 | -26.279 | 0.000 | 0.000 |
| 34.724 | 261.052 | 19.960 | 26.279 | 0.000 | -0.000 |
| 19.960 | 19.960 | 266.067 | -0.000 | 0.000 | 0.000 |
| -26.279 | 26.279 | 0.000 | 78.592 | -0.000 | 0.000 |
| 0.000 | -0.000 | 0.000 | 0.000 | 78.592 | -26.279 |
| -0.000 | -0.000 | -0.000 | 0.000 | -26.279 | 113.164 |
| 261.057 | 34.725 | 19.960 | -26.279 | -0.000 | 0.000 |
| 34.726 | 261.056 | 19.960 | 26.280 | -0.000 | 0.000 |
| 19.959 | 19.959 | 266.066 | 0.000 | -0.000 | 0.000 |
| -26.279 | 26.279 | -0.000 | 78.592 | -0.000 | 0.000 |
| -0.000 | 0.000 | -0.000 | -0.000 | 78.592 | -26.279 |
| 0.000 | 0.001 | 0.000 | -0.000 | -26.279 | 113.164 |
| 261.047 | 34.724 | 19.959 | -26.279 | 0.000 | -0.000 |
| 34.723 | 261.048 | 19.959 | 26.279 | -0.000 | 0.000 |
| 19.960 | 19.960 | 266.068 | 0.000 | 0.000 | -0.000 |
| -26.279 | 26.280 | 0.000 | 78.592 | -0.000 | -0.000 |
| 0.000 | -0.000 | 0.000 | 0.000 | 78.592 | -26.279 |
| -0.000 | -0.001 | -0.000 | 0.000 | -26.279 | 113.164 |
| -358.218 | -3241.894 | -3213.632 | 0.000 | -0.000 | 0.000 |
| -3241.894 | -1390.153 | -3050.237 | -0.000 | 0.000 | -0.000 |
| -3213.631 | -3050.236 | -931.295 | 0.000 | -0.000 | -0.000 |
| 0.000 | 0.000 | -0.000 | -566.589 | 0.000 | 0.000 |
| 0.000 | 0.000 | -0.000 | 0.000 | 1.602 | 0.000 |
| -0.000 | 0.000 | -0.000 | 0.000 | -0.000 | -21.120 |
| -358.218 | -3241.893 | -3213.630 | 0.000 | 0.000 | -0.000 |
| -3241.893 | -1390.153 | -3050.236 | -0.000 | -0.000 | 0.000 |
| -3213.630 | -3050.236 | -931.294 | -0.000 | -0.000 | -0.000 |
| -0.000 | -0.000 | 0.000 | -566.589 | -0.000 | -0.000 |
| -0.000 | -0.000 | 0.000 | -0.000 | 1.602 | -0.000 |
| -0.000 | -0.000 | 0.000 | -0.000 | 0.000 | -21.120 |
| -358.222 | -3241.899 | -3213.635 | -0.000 | -0.000 | -0.000 |
| -3241.899 | -1390.159 | -3050.240 | -0.000 | 0.000 | 0.000 |
| -3213.635 | -3050.239 | -931.297 | 0.000 | -0.000 | -0.000 |
| -0.000 | 0.000 | 0.000 | -566.589 | -0.000 | -0.000 |
| 0.000 | 0.000 | 0.000 | 0.000 | 1.602 | 0.000 |
| -0.000 | -0.001 | -0.000 | 0.000 | -0.000 | -21.120 |
| -358.214 | -3241.889 | -3213.626 | -0.000 | 0.000 | -0.000 |
| -3241.889 | -1390.148 | -3050.233 | -0.000 | -0.000 | 0.000 |
| -3213.627 | -3050.233 | -931.291 | 0.000 | 0.000 | -0.000 |
| 0.000 | -0.000 | -0.000 | -566.589 | 0.000 | -0.000 |
| -0.000 | -0.000 | -0.000 | 0.000 | 1.602 | -0.000 |
| 0.000 | 0.001 | 0.000 | -0.000 | 0.000 | -21.120 |
| -358.255 | -3241.946 | -3213.676 | -0.000 | -0.000 | 0.000 |
| -3241.944 | -1390.208 | -3050.272 | 0.000 | 0.000 | -0.000 |
| -3213.672 | -3050.267 | -931.328 | 0.000 | -0.000 | 0.000 |
| -0.001 | 0.001 | 0.003 | -566.589 | 0.000 | 0.000 |
| 0.004 | 0.000 | 0.001 | 0.000 | 1.602 | 0.000 |
| -0.003 | -0.008 | 0.000 | 0.000 | -0.000 | -21.120 |
| -358.181 | -3241.842 | -3213.585 | 0.000 | -0.000 | 0.000 |
| -3241.844 | -1390.099 | -3050.200 | 0.000 | 0.000 | -0.000 |
| -3213.590 | -3050.206 | -931.261 | -0.000 | 0.000 | -0.000 |
| 0.001 | -0.001 | -0.003 | -566.589 | 0.000 | 0.000 |
| -0.004 | -0.000 | -0.001 | 0.000 | 1.602 | -0.000 |
| 0.003 | 0.008 | -0.000 | -0.000 | 0.000 | -21.120 |
| 244.329 | 95.759 | 96.191 | -0.000 | 0.000 | -0.000 |
| 95.126 | 185.260 | -26.965 | 0.000 | 0.000 | 0.000 |
| 95.538 | -26.985 | 174.471 | 0.000 | 0.000 | -0.000 |
| -36370569.196 | -5101663.584 | -5142428.957 | 6187299.609 | 0.000 | 0.000 |
| -36370564.900 | -5101662.547 | -5142428.052 | -0.000 | 15188848.129 | 0.000 |
| -36370564.895 | -5101662.546 | -5142428.051 | 0.000 | 0.000 | 15199284.249 |
| 72847405.585 | 10266070.055 | 10345138.525 | 0.000 | 0.000 | 0.000 |
| 72847286.184 | 10266165.755 | 10345021.277 | 0.000 | -0.000 | -0.000 |
| 72847286.760 | 10265953.383 | 10345222.982 | -0.000 | -0.000 | 0.000 |
| 36370569.196 | 5101663.584 | 5142428.957 | 6187299.609 | -0.000 | -0.000 |
| 36370564.900 | 5101662.547 | 5142428.052 | 0.000 | 15188848.129 | 0.000 |
| 36370564.895 | 5101662.546 | 5142428.051 | -0.000 | -0.000 | 15199284.249 |
| 244.318 | 95.757 | 96.189 | -0.000 | 0.000 | 0.000 |
| 95.126 | 185.260 | -26.965 | -0.000 | -0.000 | 0.000 |
| 95.537 | -26.985 | 174.471 | 0.000 | 0.000 | 0.000 |
| -3637054.074 | -510165.905 | -514242.336 | 618662.034 | 0.000 | 0.000 |
| -3637049.779 | -510164.868 | -514241.432 | -0.000 | 1518936.156 | -0.000 |
| -3637049.774 | -510164.867 | -514241.431 | -0.000 | 0.000 | 1519979.049 |
| 7284924.145 | 1026684.265 | 1034591.647 | 0.000 | -0.000 | -0.000 |
| 7284804.744 | 1026779.964 | 1034474.400 | 0.000 | -0.000 | -0.000 |
| 7284805.320 | 1026567.593 | 1034676.104 | 0.000 | -0.000 | 0.000 |
| 3637054.074 | 510165.905 | 514242.336 | 618662.034 | -0.000 | 0.000 |
| 3637049.779 | 510164.868 | 514241.432 | -0.000 | 1518936.156 | 0.000 |
| 3637049.774 | 510164.867 | 514241.431 | 0.000 | -0.000 | 1519979.049 |
| 244.211 | 95.739 | 96.170 | -0.000 | 0.000 | 0.000 |
| 95.123 | 185.261 | -26.967 | -0.000 | 0.000 | 0.000 |
| 95.534 | -26.987 | 174.472 | -0.000 | -0.000 | 0.000 |
| -363702.563 | -51016.137 | -51423.675 | 61798.277 | 0.000 | -0.000 |
| -363698.275 | -51015.102 | -51422.771 | -0.000 | 151944.955 | 0.000 |
| -363698.270 | -51015.099 | -51422.771 | 0.000 | 0.000 | 152048.526 |
| 728676.001 | 102745.686 | 103536.960 | 0.000 | -0.000 | -0.000 |
| 728556.600 | 102841.384 | 103419.713 | -0.000 | -0.000 | -0.000 |
| 728557.176 | 102629.015 | 103621.415 | -0.000 | -0.000 | -0.000 |
| 363702.563 | 51016.137 | 51423.675 | 61798.277 | -0.000 | -0.000 |
| 363698.275 | 51015.102 | 51422.771 | 0.000 | 151944.955 | -0.000 |
| 363698.270 | 51015.099 | 51422.771 | -0.000 | -0.000 | 152048.526 |
| 186.497 | 68.766 | 67.312 | 0.000 | -0.000 | 0.000 |
| 69.244 | 270.503 | 108.530 | 0.000 | 0.000 | 0.000 |
| 68.057 | 113.613 | 259.862 | 0.000 | -0.000 | -0.000 |
| -0.000 | -0.000 | 0.000 | 80.821 | -0.000 | 0.000 |
| -0.153 | -1.803 | 1.970 | -0.000 | 36.306 | 0.000 |
| -0.152 | -1.790 | 1.956 | 0.000 | 0.000 | 40.972 |
| 186.497 | 68.766 | 67.312 | -0.000 | 0.000 | -0.000 |
| 68.811 | 262.869 | 116.625 | -0.000 | 0.000 | -0.000 |
| 67.156 | 107.896 | 266.575 | -0.000 | 0.000 | -0.000 |
| 0.000 | 0.000 | -0.000 | 80.821 | 0.000 | -0.000 |
| 0.153 | 1.803 | -1.970 | -0.000 | 36.306 | -0.000 |
| 0.152 | 1.790 | -1.956 | -0.000 | 0.000 | 40.972 |
| 186.290 | 68.560 | 67.750 | 0.000 | -0.000 | -0.000 |
| 68.638 | 260.857 | 118.825 | 0.000 | -0.000 | 0.000 |
| 67.831 | 117.757 | 255.987 | 0.000 | -0.000 | 0.000 |
| 0.000 | -0.000 | 0.000 | 80.821 | -0.000 | 0.000 |
| -0.015 | -0.181 | 0.197 | 0.000 | 36.303 | 0.000 |
| -0.015 | -0.179 | 0.196 | 0.000 | -0.000 | 40.972 |
| 186.497 | 68.766 | 67.312 | -0.000 | -0.000 | -0.000 |
| 68.803 | 261.117 | 118.381 | -0.000 | -0.000 | -0.000 |
| 67.156 | 107.896 | 266.575 | -0.000 | -0.000 | -0.000 |
| -0.000 | 0.000 | -0.000 | 80.821 | -0.000 | -0.000 |
| 0.015 | 0.181 | -0.197 | -0.000 | 36.303 | -0.000 |
| 0.015 | 0.179 | -0.196 | -0.000 | 0.000 | 40.972 |
| 186.286 | 68.295 | 68.017 | 0.000 | -0.000 | 0.000 |
| 68.790 | 260.907 | 118.600 | 0.000 | -0.000 | 0.000 |
| 67.156 | 107.895 | 266.575 | -0.000 | -0.000 | 0.000 |
| 0.001 | -0.019 | 0.018 | 70.472 | -0.000 | 0.000 |
| -0.001 | -0.018 | 0.019 | 0.000 | 36.294 | 0.000 |
| -0.001 | -0.018 | 0.020 | 0.000 | -0.000 | 40.972 |
| 186.300 | 68.619 | 67.684 | 0.000 | 0.000 | 0.000 |
| 69.245 | 270.504 | 108.531 | -0.000 | 0.000 | -0.000 |
| 68.238 | 115.414 | 257.865 | -0.000 | 0.000 | -0.000 |
| -0.001 | 0.019 | -0.018 | 70.472 | 0.000 | -0.000 |
| 0.001 | 0.018 | -0.019 | -0.000 | 36.294 | -0.000 |
| 0.001 | 0.018 | -0.020 | -0.000 | 0.000 | 40.972 |
| 191.485 | 73.476 | 69.825 | 0.000 | -0.000 | 0.000 |
| 73.430 | 270.041 | 117.712 | 0.000 | -0.000 | 0.000 |
| 69.969 | 122.145 | 255.475 | 0.000 | -0.000 | 0.000 |
| -0.612 | 1.076 | -0.214 | 73.993 | -0.000 | 0.000 |
| -0.311 | 0.548 | -0.109 | 0.000 | 37.690 | 0.000 |
| -0.233 | 0.409 | -0.082 | 0.000 | -0.000 | 43.771 |
| 191.613 | 72.545 | 70.606 | -0.000 | 0.000 | -0.000 |
| 74.141 | 274.959 | 111.532 | -0.000 | 0.000 | -0.000 |
| 70.478 | 114.472 | 262.718 | -0.000 | 0.000 | -0.000 |
| 0.612 | -1.076 | 0.214 | 73.993 | 0.000 | -0.000 |
| 0.311 | -0.548 | 0.109 | -0.000 | 37.690 | -0.000 |
| 0.233 | -0.409 | 0.082 | -0.000 | 0.000 | 43.771 |
| 191.484 | 73.475 | 69.825 | 0.000 | -0.000 | 0.000 |
| 74.139 | 274.958 | 111.532 | 0.000 | 0.000 | 0.000 |
| 69.602 | 110.645 | 268.009 | 0.000 | -0.000 | 0.000 |
| -0.011 | 0.154 | -0.145 | 71.465 | -0.000 | 0.000 |
| -0.073 | 0.127 | -0.025 | 0.000 | 37.238 | 0.000 |
| -0.001 | -0.001 | -0.000 | 0.000 | -0.000 | 43.771 |
| 191.487 | 73.478 | 69.826 | -0.000 | 0.000 | -0.000 |
| 73.904 | 265.578 | 121.666 | -0.000 | 0.000 | -0.000 |
| 70.472 | 117.526 | 259.546 | -0.000 | 0.000 | -0.000 |
| 0.011 | -0.154 | 0.145 | 71.465 | 0.000 | -0.000 |
| 0.073 | -0.127 | 0.025 | -0.000 | 37.238 | -0.000 |
| 0.001 | 0.001 | 0.000 | -0.000 | 0.000 | 43.771 |
| 191.322 | 73.386 | 70.117 | 0.000 | -0.000 | 0.000 |
| 73.876 | 265.734 | 121.508 | 0.000 | -0.000 | 0.000 |
| 69.600 | 110.643 | 268.008 | 0.000 | -0.000 | -0.000 |
| -0.006 | 0.012 | -0.014 | 71.458 | 0.000 | 0.000 |
| -0.013 | 0.009 | -0.004 | 0.000 | 37.209 | 0.000 |
| -0.015 | -0.007 | -0.004 | 0.000 | 0.000 | 43.771 |
| 191.357 | 73.225 | 70.323 | -0.000 | 0.000 | -0.000 |
| 74.153 | 274.969 | 111.536 | -0.000 | 0.000 | -0.000 |
| 70.085 | 120.624 | 256.894 | -0.000 | 0.000 | -0.000 |
| 0.006 | -0.012 | 0.014 | 71.458 | -0.000 | -0.000 |
| 0.013 | -0.009 | 0.004 | -0.000 | 37.209 | -0.000 |
| 0.015 | 0.007 | 0.004 | -0.000 | 0.000 | 43.771 |
| 194.607 | 72.529 | 72.295 | 0.000 | -0.000 | 0.000 |
| 69.374 | 268.990 | 112.360 | 0.000 | -0.000 | 0.000 |
| 74.637 | 108.809 | 275.507 | 0.000 | -0.000 | 0.000 |
| 0.092 | 5.587 | -5.718 | 70.639 | -0.000 | -0.000 |
| 0.088 | 5.373 | -5.498 | 0.000 | 44.054 | -0.000 |
| 0.089 | 5.421 | -5.547 | 0.000 | -0.000 | 40.448 |
| 194.354 | 65.293 | 79.854 | 0.000 | 0.000 | 0.000 |
| 69.102 | 257.209 | 124.506 | -0.000 | 0.000 | -0.000 |
| 75.193 | 110.638 | 273.027 | -0.000 | 0.000 | 0.000 |
| -0.092 | -5.587 | 5.718 | 70.639 | -0.000 | -0.000 |
| -0.088 | -5.373 | 5.498 | -0.000 | 44.054 | -0.000 |
| -0.089 | -5.421 | 5.547 | 0.000 | 0.000 | 40.448 |
| 194.798 | 69.750 | 74.865 | 0.000 | 0.000 | 0.000 |
| 69.752 | 272.090 | 108.809 | 0.000 | -0.000 | 0.000 |
| 75.316 | 119.216 | 264.270 | 0.000 | -0.000 | 0.000 |
| 0.009 | 0.564 | -0.578 | 70.535 | -0.000 | 0.000 |
| 0.000 | -0.000 | -0.000 | 0.000 | 45.150 | -0.000 |
| 0.000 | 0.000 | -0.000 | 0.000 | -0.000 | 40.448 |
| 194.776 | 69.446 | 75.196 | -0.000 | -0.000 | 0.000 |
| 69.752 | 272.090 | 108.809 | -0.000 | 0.000 | -0.000 |
| 75.278 | 118.106 | 265.428 | -0.000 | 0.000 | -0.000 |
| -0.009 | -0.564 | 0.578 | 70.535 | -0.000 | -0.000 |
| -0.000 | 0.000 | 0.000 | 0.000 | 45.150 | -0.000 |
| -0.000 | -0.000 | 0.000 | -0.000 | 0.000 | 40.448 |
| 194.786 | 69.389 | 75.238 | 0.000 | -0.000 | 0.000 |
| 69.201 | 262.919 | 118.653 | 0.000 | 0.000 | 0.000 |
| 75.298 | 118.716 | 264.790 | 0.000 | -0.000 | 0.000 |
| 0.005 | 0.056 | -0.062 | 70.509 | -0.000 | 0.000 |
| 0.002 | 0.053 | -0.056 | 0.000 | 44.078 | 0.000 |
| 0.000 | 0.000 | -0.000 | 0.000 | -0.000 | 40.448 |
| 194.785 | 69.280 | 75.356 | -0.000 | 0.000 | 0.000 |
| 69.334 | 262.707 | 118.720 | -0.000 | 0.000 | -0.000 |
| 74.637 | 108.810 | 275.508 | -0.000 | 0.000 | -0.000 |
| -0.005 | -0.056 | 0.062 | 70.509 | 0.000 | -0.000 |
| -0.002 | -0.053 | 0.056 | 0.000 | 44.078 | 0.000 |
| -0.000 | -0.000 | 0.000 | -0.000 | 0.000 | 40.448 |
| 147.198 | 63.690 | -24.892 | 0.000 | 0.000 | 0.000 |
| 153.528 | 57.359 | -24.892 | -0.000 | 0.000 | 0.000 |
| -24.890 | -24.890 | 340.849 | -0.000 | 0.000 | 0.000 |
| 0.000 | -0.000 | -0.000 | -31.280 | 0.000 | -0.000 |
| 0.000 | -0.000 | -0.000 | -0.000 | -31.280 | -0.000 |
| 0.000 | -0.000 | -0.000 | -0.000 | -0.000 | -48.084 |
| 147.198 | 63.690 | -24.892 | -0.000 | -0.000 | 0.000 |
| 153.528 | 57.360 | -24.892 | 0.000 | -0.000 | 0.000 |
| -24.890 | -24.890 | 340.849 | 0.000 | -0.000 | 0.000 |
| -0.000 | 0.000 | 0.000 | -31.280 | 0.000 | 0.000 |
| -0.000 | 0.000 | 0.000 | 0.000 | -31.280 | 0.000 |
| -0.000 | 0.000 | 0.000 | 0.000 | 0.000 | -48.084 |
| 147.198 | 63.690 | -24.892 | 0.000 | 0.000 | -0.000 |
| 63.690 | 147.198 | -24.892 | 0.000 | 0.000 | -0.000 |
| -24.890 | -24.890 | 340.849 | 0.000 | 0.000 | 0.000 |
| -0.000 | -0.000 | -0.000 | -31.280 | -0.000 | 0.000 |
| -0.000 | -0.000 | -0.000 | -0.000 | -31.280 | 0.000 |
| -0.000 | -0.000 | -0.000 | -0.000 | -0.000 | -48.084 |
| 147.198 | 63.690 | -24.892 | -0.000 | -0.000 | -0.000 |
| 153.528 | 57.360 | -24.892 | 0.000 | 0.000 | -0.000 |
| -24.890 | -24.890 | 340.849 | 0.000 | 0.000 | 0.000 |
| 0.000 | 0.000 | 0.000 | -31.280 | 0.000 | 0.000 |
| 0.000 | 0.000 | 0.000 | 0.000 | -31.280 | 0.000 |
| 0.000 | 0.000 | 0.000 | 0.000 | 0.000 | -48.084 |
| 147.197 | 63.690 | -24.893 | 0.000 | 0.000 | 0.000 |
| -2153136.494 | -2069403.389 | -3346920.503 | -7318.635 | -25513.455 | 109137.438 |
| -24.891 | -24.891 | 340.850 | 0.000 | 0.000 | -0.000 |
| -0.000 | -0.001 | -0.001 | -31.280 | -0.000 | -0.000 |
| -0.001 | -0.000 | -0.001 | -0.000 | -31.280 | -0.000 |
| -0.000 | -0.000 | -0.000 | 0.000 | 0.000 | 41.754 |
| 57.357 | 153.532 | -24.891 | 0.000 | 0.000 | -0.000 |
| 153.524 | 57.366 | -24.891 | 0.000 | -0.000 | 0.000 |
| -24.889 | -24.889 | 340.849 | -0.000 | -0.000 | 0.000 |
| 0.000 | 0.001 | 0.001 | -31.280 | 0.000 | 0.000 |
| 0.001 | 0.000 | 0.001 | 0.000 | -31.280 | 0.000 |
| 0.000 | 0.000 | 0.000 | -0.000 | -0.000 | 41.754 |
| 314.322 | 56.705 | 24.004 | -0.000 | 0.000 | 0.000 |
| 67.460 | 303.567 | 24.004 | -0.000 | 0.000 | 0.000 |
| 24.004 | 24.004 | 190.473 | -0.000 | -0.000 | 0.000 |
| 0.000 | 0.000 | 0.000 | 74.155 | -0.000 | 0.000 |
| 0.000 | -0.000 | 0.000 | -0.000 | 74.155 | 0.000 |
| 0.000 | 0.000 | 0.000 | -0.000 | -0.000 | 118.054 |
| 314.322 | 56.705 | 24.004 | 0.000 | 0.000 | -0.000 |
| 56.705 | 314.322 | 24.004 | 0.000 | -0.000 | -0.000 |
| 24.004 | 24.004 | 190.473 | 0.000 | -0.000 | -0.000 |
| -0.000 | 0.000 | -0.000 | 74.155 | 0.000 | -0.000 |
| -0.000 | -0.000 | -0.000 | 0.000 | 74.155 | -0.000 |
| -0.000 | -0.000 | -0.000 | 0.000 | 0.000 | 118.054 |
| 314.323 | 56.705 | 24.004 | -0.000 | 0.000 | 0.000 |
| 67.460 | 303.568 | 24.004 | -0.000 | 0.000 | 0.000 |
| 24.004 | 24.004 | 190.473 | -0.000 | 0.000 | -0.000 |
| 0.000 | 0.000 | 0.000 | 74.155 | 0.000 | 0.000 |
| 0.000 | 0.000 | 0.000 | -0.000 | 74.155 | 0.000 |
| 0.000 | 0.000 | 0.000 | -0.000 | 0.000 | 118.054 |
| 303.567 | 67.460 | 24.004 | 0.000 | -0.000 | -0.000 |
| 67.460 | 303.567 | 24.004 | 0.000 | -0.000 | -0.000 |
| 24.004 | 24.004 | 190.473 | 0.000 | -0.000 | -0.000 |
| -0.000 | -0.000 | -0.000 | 74.155 | 0.000 | -0.000 |
| -0.000 | -0.000 | -0.000 | 0.000 | 74.155 | -0.000 |
| -0.000 | -0.000 | -0.000 | 0.000 | 0.000 | 118.054 |
| 303.573 | 67.461 | 24.005 | -0.000 | -0.000 | 0.000 |
| 67.462 | 303.572 | 24.005 | -0.000 | 0.000 | 0.000 |
| 24.005 | 24.005 | 190.477 | -0.000 | 0.000 | 0.000 |
| 0.000 | 0.000 | 0.001 | 74.155 | 0.000 | 0.000 |
| 0.000 | 0.000 | 0.001 | -0.000 | 74.155 | 0.000 |
| 0.000 | 0.001 | 0.000 | -0.000 | -0.000 | 118.054 |
| 303.561 | 67.459 | 24.003 | 0.000 | -0.000 | -0.000 |
| 67.458 | 303.562 | 24.003 | 0.000 | 0.000 | -0.000 |
| 24.003 | 24.003 | 190.469 | 0.000 | -0.000 | -0.000 |
| -0.000 | -0.000 | -0.001 | 74.155 | -0.000 | -0.000 |
| -0.000 | -0.000 | -0.001 | 0.000 | 74.155 | -0.000 |
| -0.000 | -0.001 | -0.000 | 0.000 | -0.000 | 118.054 |
| 143.940 | 146.427 | 146.428 | 0.000 | -0.000 | -0.000 |
| 146.427 | 143.940 | 146.428 | -0.000 | -0.000 | 0.000 |
| 146.427 | 146.427 | 143.940 | -0.000 | -0.000 | -0.000 |
| 0.000 | 0.000 | 0.000 | 116.739 | 0.000 | -0.000 |
| 0.000 | 0.000 | 0.000 | 0.000 | 116.739 | -0.000 |
| -0.000 | 0.000 | 0.000 | -0.000 | 0.000 | 116.739 |
| 143.940 | 146.427 | 146.427 | 0.000 | -0.000 | 0.000 |
| 146.427 | 143.940 | 146.427 | 0.000 | -0.000 | -0.000 |
| 146.427 | 146.427 | 143.940 | 0.000 | -0.000 | 0.000 |
| -0.000 | -0.000 | -0.000 | 116.739 | -0.000 | 0.000 |
| -0.000 | -0.000 | -0.000 | 0.000 | 116.739 | 0.000 |
| 0.000 | 0.000 | -0.000 | 0.000 | 0.000 | 116.739 |
| 143.940 | 146.427 | 146.427 | 0.000 | -0.000 | 0.000 |
| 146.427 | 143.940 | 146.427 | 0.000 | 0.000 | -0.000 |
| 146.427 | 146.427 | 143.940 | -0.000 | 0.000 | -0.000 |
| 0.000 | -0.000 | -0.000 | -18.788 | 0.000 | -0.000 |
| -0.000 | 0.000 | -0.000 | -0.000 | -18.788 | -0.000 |
| -0.000 | -0.000 | 0.000 | -0.000 | 0.000 | -18.788 |
| 143.940 | 146.427 | 146.427 | 0.000 | -0.000 | -0.000 |
| 146.427 | 143.940 | 146.427 | 0.000 | 0.000 | -0.000 |
| 146.427 | 146.427 | 143.940 | 0.000 | -0.000 | 0.000 |
| -0.000 | 0.000 | 0.000 | -18.788 | -0.000 | 0.000 |
| 0.000 | -0.000 | 0.000 | 0.000 | -18.788 | 0.000 |
| 0.000 | 0.000 | -0.000 | 0.000 | -0.000 | -18.788 |
| 143.940 | 146.428 | 146.428 | -0.000 | -0.000 | 0.000 |
| 146.428 | 143.940 | 146.428 | -0.000 | 0.000 | 0.000 |
| 146.428 | 146.428 | 143.940 | 0.000 | 0.000 | -0.000 |
| 0.000 | -0.000 | 0.000 | 116.739 | 0.000 | -0.000 |
| -0.000 | 0.000 | 0.000 | 0.000 | 116.739 | -0.000 |
| -0.000 | 0.000 | 0.000 | -0.000 | 0.000 | 116.739 |
| 143.939 | 146.427 | 146.427 | -0.000 | -0.000 | -0.000 |
| 146.427 | 143.939 | 146.427 | 0.000 | -0.000 | 0.000 |
| 146.427 | 146.427 | 143.939 | 0.000 | 0.000 | 0.000 |
| -0.000 | 0.000 | -0.000 | 116.739 | -0.000 | 0.000 |
| 0.000 | -0.000 | -0.000 | -0.000 | 116.739 | 0.000 |
| 0.000 | -0.000 | -0.000 | 0.000 | -0.000 | 116.739 |
| 0.240 | 0.240 | 0.240 | 0.000 | 0.000 | 0.000 |
| 0.240 | 0.240 | 0.240 | 0.000 | 0.000 | 0.000 |
| 0.240 | 0.240 | 0.240 | 0.000 | 0.000 | 0.000 |
| 0.000 | 0.000 | 0.000 | 0.231 | -0.000 | 0.000 |
| 0.000 | 0.000 | 0.000 | -0.000 | 0.231 | 0.000 |
| 0.000 | 0.000 | 0.000 | -0.000 | -0.000 | 0.231 |
| 0.240 | 0.240 | 0.240 | 0.000 | 0.000 | 0.000 |
| 0.240 | 0.240 | 0.240 | 0.000 | 0.000 | 0.000 |
| 0.240 | 0.240 | 0.240 | 0.000 | 0.000 | 0.000 |
| -0.000 | -0.000 | -0.000 | 0.231 | 0.000 | 0.000 |
| -0.000 | -0.000 | -0.000 | 0.000 | 0.231 | 0.000 |
| -0.000 | -0.000 | -0.000 | 0.000 | 0.000 | 0.231 |
| 0.240 | 0.240 | 0.240 | -0.000 | -0.000 | -0.000 |
| 0.240 | 0.240 | 0.240 | -0.000 | -0.000 | -0.000 |
| 0.240 | 0.240 | 0.240 | -0.000 | -0.000 | -0.000 |
| 0.000 | 0.000 | 0.000 | 0.240 | -0.000 | -0.000 |
| 0.000 | 0.000 | 0.000 | -0.000 | 0.240 | -0.000 |
| 0.000 | 0.000 | 0.000 | -0.000 | 0.000 | 0.240 |
| 0.240 | 0.240 | 0.240 | -0.000 | -0.000 | -0.000 |
| 0.240 | 0.240 | 0.240 | -0.000 | -0.000 | -0.000 |
| 0.240 | 0.240 | 0.240 | -0.000 | -0.000 | -0.000 |
| -0.000 | -0.000 | -0.000 | 0.240 | -0.000 | 0.000 |
| -0.000 | -0.000 | -0.000 | -0.000 | 0.240 | 0.000 |
| -0.000 | -0.000 | -0.000 | -0.000 | 0.000 | 0.240 |
| 0.240 | 0.240 | 0.240 | -0.000 | -0.000 | -0.000 |
| 0.240 | 0.240 | 0.240 | -0.000 | -0.000 | -0.000 |
| 0.240 | 0.240 | 0.240 | -0.000 | -0.000 | -0.000 |
| 0.000 | 0.000 | 0.000 | 0.032 | 0.000 | -0.000 |
| 0.000 | 0.000 | 0.000 | 0.000 | 0.032 | -0.000 |
| 0.000 | 0.000 | 0.000 | 0.000 | -0.000 | 0.032 |
| 0.240 | 0.240 | 0.240 | 0.000 | 0.000 | 0.000 |
| 0.240 | 0.240 | 0.240 | 0.000 | 0.000 | 0.000 |
| 0.240 | 0.240 | 0.240 | 0.000 | 0.000 | 0.000 |
| -0.000 | -0.000 | -0.000 | 0.032 | -0.000 | 0.000 |
| -0.000 | -0.000 | -0.000 | -0.000 | 0.032 | 0.000 |
| -0.000 | -0.000 | -0.000 | -0.000 | 0.000 | 0.032 |
| 11.035 | 12.928 | 12.928 | 0.000 | 0.000 | 0.000 |
| 12.928 | 11.035 | 12.928 | 0.000 | 0.000 | 0.000 |
| 12.928 | 12.928 | 11.035 | 0.000 | 0.000 | 0.000 |
| 0.000 | -0.000 | -0.000 | 12.730 | -0.000 | -0.000 |
| -0.000 | 0.000 | -0.000 | 0.000 | 12.730 | 0.000 |
| -0.000 | -0.000 | 0.000 | 0.000 | 0.000 | 12.730 |
| 11.035 | 12.928 | 12.928 | -0.000 | -0.000 | -0.000 |
| 12.928 | 11.035 | 12.928 | -0.000 | -0.000 | -0.000 |
| 12.928 | 12.928 | 11.035 | -0.000 | -0.000 | -0.000 |
| -0.000 | 0.000 | 0.000 | 12.730 | -0.000 | -0.000 |
| 0.000 | -0.000 | 0.000 | -0.000 | 12.730 | -0.000 |
| 0.000 | 0.000 | -0.000 | -0.000 | -0.000 | 12.730 |
| 11.035 | 12.928 | 12.928 | -0.000 | 0.000 | 0.000 |
| 12.928 | 11.035 | 12.928 | 0.000 | -0.000 | 0.000 |
| 12.928 | 12.928 | 11.035 | 0.000 | 0.000 | -0.000 |
| -0.000 | -0.000 | -0.000 | -2.718 | 0.000 | 0.000 |
| -0.000 | -0.000 | -0.000 | 0.000 | -2.718 | 0.000 |
| -0.000 | -0.000 | -0.000 | 0.000 | 0.000 | -2.718 |
| 11.035 | 12.928 | 12.928 | 0.000 | -0.000 | -0.000 |
| 12.928 | 11.035 | 12.928 | -0.000 | -0.000 | -0.000 |
| 12.928 | 12.928 | 11.035 | -0.000 | -0.000 | -0.000 |
| 0.000 | 0.000 | 0.000 | -2.718 | -0.000 | -0.000 |
| 0.000 | 0.000 | 0.000 | -0.000 | -2.718 | -0.000 |
| 0.000 | 0.000 | 0.000 | -0.000 | -0.000 | -2.718 |
| 11.034 | 12.928 | 12.928 | -0.000 | 0.000 | 0.000 |
| 12.928 | 11.034 | 12.928 | 0.000 | -0.000 | 0.000 |
| 12.928 | 12.928 | 11.034 | 0.000 | 0.000 | -0.000 |
| -0.000 | -0.000 | -0.000 | -2.718 | -0.000 | 0.000 |
| -0.000 | -0.000 | -0.000 | 0.000 | -2.718 | 0.000 |
| -0.000 | -0.000 | -0.000 | 0.000 | 0.000 | -2.718 |
| 11.035 | 12.928 | 12.928 | -0.000 | -0.000 | -0.000 |
| 12.928 | 11.035 | 12.928 | -0.000 | -0.000 | -0.000 |
| 12.928 | 12.928 | 11.035 | -0.000 | -0.000 | -0.000 |
| 0.000 | 0.000 | 0.000 | -2.718 | -0.000 | -0.000 |
| 0.000 | 0.000 | 0.000 | -0.000 | -2.718 | -0.000 |
| 0.000 | 0.000 | 0.000 | -0.000 | -0.000 | -2.718 |
| 422.478 | 77.329 | 77.329 | 0.000 | -0.000 | -0.000 |
| 77.329 | 422.478 | 77.329 | 0.000 | 0.000 | 0.000 |
| 77.329 | 77.329 | 422.478 | 0.000 | 0.000 | 0.000 |
| -0.000 | -0.000 | -0.000 | 20.276 | 0.000 | 0.000 |
| 0.000 | -0.000 | -0.000 | 0.000 | 20.276 | -0.000 |
| -0.000 | 0.000 | -0.000 | -0.000 | 0.000 | 20.276 |
| 424.385 | 76.376 | 76.376 | -0.000 | -0.000 | -0.000 |
| 76.376 | 424.385 | 76.376 | -0.000 | -0.000 | -0.000 |
| 76.376 | 76.376 | 424.385 | -0.000 | -0.000 | -0.000 |
| -0.000 | 0.000 | 0.000 | 20.276 | -0.000 | -0.000 |
| -0.000 | 0.000 | 0.000 | 0.000 | 20.276 | 0.000 |
| 0.000 | 0.000 | 0.000 | -0.000 | -0.000 | 20.276 |
| 422.478 | 77.329 | 77.329 | 0.000 | 0.000 | 0.000 |
| 77.329 | 422.478 | 77.329 | 0.000 | 0.000 | 0.000 |
| 77.329 | 77.329 | 422.478 | 0.000 | -0.000 | 0.000 |
| 0.000 | 0.000 | 0.000 | 20.276 | -0.000 | 0.000 |
| 0.000 | 0.000 | 0.000 | 0.000 | 20.276 | -0.000 |
| 0.000 | 0.000 | 0.000 | 0.000 | -0.000 | 20.276 |
| 422.477 | 77.329 | 77.329 | 0.000 | -0.000 | -0.000 |
| 77.329 | 422.477 | 77.329 | -0.000 | -0.000 | -0.000 |
| 77.329 | 77.329 | 422.477 | -0.000 | -0.000 | 0.000 |
| -0.000 | -0.000 | -0.000 | 20.276 | 0.000 | -0.000 |
| -0.000 | -0.000 | -0.000 | -0.000 | 20.276 | 0.000 |
| -0.000 | -0.000 | -0.000 | -0.000 | -0.000 | 20.276 |
| 424.386 | 76.376 | 76.376 | 0.000 | 0.000 | -0.000 |
| 76.376 | 424.386 | 76.376 | 0.000 | 0.000 | 0.000 |
| 76.376 | 76.376 | 424.386 | 0.000 | 0.000 | -0.000 |
| 0.000 | 0.000 | 0.000 | 20.276 | -0.000 | -0.000 |
| 0.000 | 0.000 | 0.000 | 0.000 | 20.276 | -0.000 |
| 0.000 | 0.000 | 0.000 | 0.000 | 0.000 | 20.276 |
| 424.383 | 76.375 | 76.375 | 0.000 | -0.000 | 0.000 |
| 76.375 | 424.383 | 76.375 | -0.000 | -0.000 | -0.000 |
| 76.375 | 76.375 | 424.383 | -0.000 | -0.000 | 0.000 |
| -0.000 | -0.000 | -0.000 | 20.276 | 0.000 | -0.000 |
| -0.000 | -0.000 | -0.000 | -0.000 | 20.276 | -0.000 |
| -0.000 | -0.000 | -0.000 | -0.000 | -0.000 | 20.276 |
| 0.648 | 0.027 | 0.027 | 0.000 | -0.000 | -0.000 |
| 0.027 | 0.648 | 0.027 | 0.000 | -0.000 | -0.000 |
| 0.027 | 0.027 | 0.648 | -0.000 | -0.000 | -0.000 |
| 0.000 | -0.000 | -0.000 | 0.027 | -0.000 | 0.000 |
| -0.000 | 0.000 | -0.000 | -0.000 | 0.027 | -0.000 |
| -0.000 | -0.000 | 0.000 | -0.000 | 0.000 | 0.027 |
| 0.648 | 0.027 | 0.027 | 0.000 | 0.000 | 0.000 |
| 0.027 | 0.648 | 0.027 | 0.000 | 0.000 | 0.000 |
| 0.027 | 0.027 | 0.648 | -0.000 | 0.000 | 0.000 |
| 0.000 | 0.000 | 0.000 | 0.027 | 0.000 | 0.000 |
| 0.000 | -0.000 | 0.000 | 0.000 | 0.027 | 0.000 |
| 0.000 | 0.000 | 0.000 | 0.000 | -0.000 | 0.027 |
| 0.648 | 0.027 | 0.027 | -0.000 | -0.000 | -0.000 |
| 0.027 | 0.648 | 0.027 | -0.000 | -0.000 | -0.000 |
| 0.027 | 0.027 | 0.648 | -0.000 | -0.000 | -0.000 |
| -0.000 | -0.000 | -0.000 | 0.027 | -0.000 | -0.000 |
| -0.000 | -0.000 | -0.000 | -0.000 | 0.027 | -0.000 |
| -0.000 | -0.000 | -0.000 | -0.000 | -0.000 | 0.027 |
| 0.648 | 0.027 | 0.027 | 0.000 | 0.000 | -0.000 |
| 0.027 | 0.648 | 0.027 | -0.000 | 0.000 | 0.000 |
| 0.027 | 0.027 | 0.648 | -0.000 | 0.000 | 0.000 |
| 0.000 | 0.000 | 0.000 | 0.027 | 0.000 | 0.000 |
| 0.000 | 0.000 | 0.000 | -0.000 | 0.027 | 0.000 |
| 0.000 | 0.000 | 0.000 | 0.000 | 0.000 | 0.027 |
| 0.648 | 0.027 | 0.027 | 0.000 | -0.000 | -0.000 |
| 0.027 | 0.648 | 0.027 | -0.000 | -0.000 | -0.000 |
| 0.027 | 0.027 | 0.648 | -0.000 | -0.000 | -0.000 |
| -0.000 | -0.000 | -0.000 | 0.027 | -0.000 | -0.000 |
| -0.000 | -0.000 | -0.000 | -0.000 | 0.027 | -0.000 |
| -0.000 | -0.000 | -0.000 | -0.000 | -0.000 | 0.027 |
| 0.648 | 0.027 | 0.027 | 0.000 | 0.000 | 0.000 |
| 0.027 | 0.648 | 0.027 | 0.000 | 0.000 | 0.000 |
| 0.027 | 0.027 | 0.648 | 0.000 | 0.000 | 0.000 |
| 0.000 | 0.000 | 0.000 | 0.027 | 0.000 | -0.000 |
| 0.000 | 0.000 | 0.000 | 0.000 | 0.027 | 0.000 |
| 0.000 | 0.000 | 0.000 | 0.000 | 0.000 | 0.027 |
| 87263.082 | 940366.244 | 997969.710 | -170.768 | 588.228 | -1050.305 |
| 999109.018 | 85959.550 | 942112.029 | -946.961 | 230.720 | 638.507 |
| 942586.882 | 999740.225 | 84362.735 | 492.080 | -964.210 | -31.965 |
| 0.000 | 652708.341 | 652708.337 | -221850.121 | -0.000 | 0.000 |
| 652708.341 | 0.000 | 652708.337 | 0.000 | -221850.121 | 0.000 |
| 652708.341 | 652708.337 | 0.000 | 0.000 | 0.000 | -221850.121 |
| -0.480 | -0.003 | -0.003 | -0.000 | 0.000 | -0.000 |
| -0.003 | -0.480 | -0.003 | -0.000 | 0.000 | -0.000 |
| -0.003 | -0.003 | -0.480 | -0.000 | -0.000 | -0.000 |
| -0.000 | -652708.341 | -652708.337 | -221850.121 | 0.000 | -0.000 |
| -652708.341 | -0.000 | -652708.337 | -0.000 | -221850.121 | -0.000 |
| -652708.341 | -652708.337 | -0.000 | -0.000 | -0.000 | -221850.121 |
| 17732.787 | 105964.631 | 96866.212 | 1.229 | 14.881 | 23.735 |
| 96801.859 | 17657.988 | 106055.983 | 34.061 | 28.352 | -0.626 |
| 106052.540 | 96755.182 | 17631.513 | -10.593 | 29.994 | 28.187 |
| 0.000 | 65271.918 | 65271.914 | -22184.812 | -0.000 | -0.000 |
| 65271.918 | 0.000 | 65271.914 | -0.000 | -22184.812 | 0.000 |
| 65271.918 | 65271.914 | 0.000 | 0.000 | 0.000 | -22184.812 |
| -0.480 | -0.003 | -0.003 | -0.000 | 0.000 | -0.000 |
| -0.003 | -0.480 | -0.003 | -0.000 | 0.000 | -0.000 |
| -0.003 | -0.003 | -0.480 | -0.000 | -0.000 | -0.000 |
| -0.000 | -65271.918 | -65271.914 | -22184.812 | -0.000 | -0.000 |
| -65271.918 | -0.000 | -65271.914 | -0.000 | -22184.812 | -0.000 |
| -65271.918 | -65271.914 | -0.000 | -0.000 | -0.000 | -22184.812 |
| 1189.351 | 10018.686 | 10163.566 | -0.274 | -1.680 | 2.273 |
| 10168.402 | 1194.492 | 10027.684 | 5.558 | -0.154 | -0.292 |
| 10025.460 | 10157.059 | 1194.591 | -0.054 | 2.259 | -1.498 |
| 0.000 | 6528.276 | 6528.272 | -2218.282 | -0.000 | 0.000 |
| 6528.276 | 0.000 | 6528.272 | -0.000 | -2218.282 | 0.000 |
| 6528.276 | 6528.272 | 0.000 | 0.000 | 0.000 | -2218.282 |
| -0.480 | -0.003 | -0.003 | -0.000 | 0.000 | 0.000 |
| -0.003 | -0.480 | -0.003 | -0.000 | 0.000 | 0.000 |
| -0.003 | -0.003 | -0.480 | 0.000 | -0.000 | -0.000 |
| -0.000 | -6528.276 | -6528.272 | -2218.282 | 0.000 | -0.000 |
| -6528.276 | -0.000 | -6528.272 | -0.000 | -2218.282 | -0.000 |
| -6528.276 | -6528.272 | -0.000 | -0.000 | -0.000 | -2218.282 |
| -0.666 | 0.000 | 0.000 | -0.000 | 0.000 | 0.000 |
| 0.000 | -0.666 | 0.000 | 0.000 | -0.000 | 0.000 |
| -0.000 | -0.000 | -0.666 | 0.000 | -0.000 | 0.000 |
| 0.000 | -0.000 | 0.000 | -0.000 | -0.000 | 0.000 |
| -0.000 | -0.000 | -0.000 | 0.000 | -0.000 | 0.000 |
| -0.000 | 0.000 | 0.000 | 0.000 | 0.000 | -0.000 |
| -0.666 | 0.000 | 0.000 | 0.000 | 0.000 | 0.000 |
| 0.000 | -0.666 | 0.000 | -0.000 | -0.000 | 0.000 |
| 0.000 | 0.000 | -0.666 | 0.000 | 0.000 | -0.000 |
| -0.000 | 0.000 | -0.000 | -0.000 | 0.000 | -0.000 |
| 0.000 | -0.000 | -0.000 | -0.000 | -0.000 | -0.000 |
| 0.000 | -0.000 | -0.000 | -0.000 | 0.000 | -0.000 |
| -0.666 | 0.000 | 0.000 | -0.000 | 0.000 | 0.000 |
| 0.000 | -0.666 | 0.000 | 0.000 | -0.000 | -0.000 |
| 0.000 | 0.000 | -0.666 | 0.000 | 0.000 | -0.000 |
| 0.000 | -0.000 | 0.000 | -0.000 | 0.000 | 0.000 |
| -0.000 | 0.000 | 0.000 | 0.000 | -0.000 | 0.000 |
| -0.000 | 0.000 | 0.000 | 0.000 | 0.000 | -0.000 |
| -0.666 | 0.000 | 0.000 | -0.000 | -0.000 | -0.000 |
| 0.000 | -0.666 | 0.000 | -0.000 | -0.000 | -0.000 |
| 0.000 | 0.000 | -0.666 | -0.000 | 0.000 | -0.000 |
| -0.000 | 0.000 | -0.000 | -0.000 | -0.000 | 0.000 |
| 0.000 | -0.000 | -0.000 | -0.000 | -0.000 | -0.000 |
| 0.000 | -0.000 | -0.000 | -0.000 | 0.000 | -0.000 |
| -0.666 | 0.000 | 0.000 | -0.000 | 0.000 | 0.000 |
| 0.000 | -0.666 | 0.000 | 0.000 | -0.000 | 0.000 |
| 0.000 | 0.000 | -0.666 | -0.000 | -0.000 | -0.000 |
| 0.000 | -0.000 | 0.000 | -0.000 | -0.000 | -0.000 |
| -0.000 | 0.000 | 0.000 | 0.000 | -0.000 | 0.000 |
| -0.000 | 0.000 | 0.000 | 0.000 | 0.000 | -0.000 |
| -0.666 | 0.000 | 0.000 | -0.000 | -0.000 | -0.000 |
| 0.000 | -0.666 | 0.000 | -0.000 | -0.000 | -0.000 |
| 0.000 | 0.000 | -0.666 | 0.000 | -0.000 | -0.000 |
| -0.000 | 0.000 | -0.000 | -0.000 | 0.000 | -0.000 |
| 0.000 | -0.000 | -0.000 | -0.000 | -0.000 | -0.000 |
| 0.000 | -0.000 | -0.000 | -0.000 | -0.000 | -0.000 |
| -0.001 | 0.000 | 0.000 | 0.000 | -0.000 | -0.000 |
| 0.000 | -0.001 | 0.000 | -0.000 | 0.000 | 0.000 |
| 0.000 | 0.000 | -0.001 | -0.000 | 0.000 | 0.000 |
| 0.000 | 0.000 | 0.000 | -0.000 | 0.000 | -0.000 |
| 0.000 | 0.000 | 0.000 | 0.000 | -0.000 | -0.000 |
| 0.000 | 0.000 | 0.000 | 0.000 | -0.000 | -0.000 |
| -0.001 | 0.000 | 0.000 | 0.000 | 0.000 | -0.000 |
| 0.000 | -0.001 | 0.000 | 0.000 | 0.000 | -0.000 |
| 0.000 | 0.000 | -0.001 | -0.000 | 0.000 | 0.000 |
| -0.000 | -0.000 | -0.000 | -0.000 | -0.000 | -0.000 |
| -0.000 | -0.000 | -0.000 | -0.000 | -0.000 | -0.000 |
| -0.000 | -0.000 | -0.000 | -0.000 | 0.000 | -0.000 |
| -0.001 | 0.000 | 0.000 | 0.000 | -0.000 | -0.000 |
| 0.000 | -0.001 | 0.000 | -0.000 | 0.000 | -0.000 |
| 0.000 | 0.000 | -0.001 | -0.000 | 0.000 | 0.000 |
| 0.000 | 0.000 | 0.000 | -0.000 | -0.000 | -0.000 |
| 0.000 | 0.000 | 0.000 | -0.000 | -0.000 | -0.000 |
| 0.000 | 0.000 | 0.000 | 0.000 | -0.000 | -0.000 |
| -0.001 | 0.000 | 0.000 | 0.000 | 0.000 | -0.000 |
| 0.000 | -0.001 | 0.000 | 0.000 | 0.000 | -0.000 |
| 0.000 | 0.000 | -0.001 | 0.000 | -0.000 | 0.000 |
| -0.000 | -0.000 | -0.000 | -0.000 | 0.000 | -0.000 |
| -0.000 | -0.000 | -0.000 | 0.000 | -0.000 | 0.000 |
| -0.000 | -0.000 | -0.000 | -0.000 | 0.000 | -0.000 |
| -0.001 | 0.000 | 0.000 | 0.000 | -0.000 | -0.000 |
| 0.000 | -0.001 | 0.000 | -0.000 | 0.000 | 0.000 |
| 0.000 | 0.000 | -0.001 | 0.000 | 0.000 | 0.000 |
| 0.000 | 0.000 | 0.000 | -0.000 | 0.000 | 0.000 |
| 0.000 | 0.000 | 0.000 | -0.000 | -0.000 | 0.000 |
| 0.000 | 0.000 | 0.000 | 0.000 | -0.000 | -0.000 |
| -0.001 | 0.000 | 0.000 | 0.000 | 0.000 | 0.000 |
| 0.000 | -0.001 | 0.000 | -0.000 | 0.000 | -0.000 |
| 0.000 | 0.000 | -0.001 | -0.000 | 0.000 | 0.000 |
| -0.000 | -0.000 | -0.000 | -0.000 | -0.000 | -0.000 |
| -0.000 | -0.000 | -0.000 | 0.000 | -0.000 | 0.000 |
| -0.000 | -0.000 | -0.000 | -0.000 | 0.000 | -0.000 |
| 0.634 | 0.016 | 0.016 | -0.000 | -0.000 | -0.000 |
| 0.016 | 0.634 | 0.016 | 0.000 | -0.000 | -0.000 |
| 0.016 | 0.016 | 0.634 | -0.000 | 0.000 | -0.000 |
| 0.000 | 0.000 | 0.000 | -0.016 | -0.000 | 0.000 |
| 0.000 | 0.000 | 0.000 | -0.000 | -0.016 | -0.000 |
| 0.000 | 0.000 | 0.000 | -0.000 | -0.000 | -0.016 |
| 0.634 | 0.016 | 0.016 | 0.000 | 0.000 | 0.000 |
| 0.016 | 0.634 | 0.016 | 0.000 | 0.000 | -0.000 |
| 0.016 | 0.016 | 0.634 | 0.000 | -0.000 | 0.000 |
| -0.000 | -0.000 | -0.000 | -0.016 | 0.000 | 0.000 |
| -0.000 | -0.000 | -0.000 | 0.000 | -0.016 | 0.000 |
| -0.000 | -0.000 | -0.000 | 0.000 | 0.000 | -0.016 |
| 0.633 | 0.016 | 0.016 | -0.000 | -0.000 | 0.000 |
| 0.016 | 0.633 | 0.016 | -0.000 | -0.000 | 0.000 |
| 0.016 | 0.016 | 0.633 | 0.000 | 0.000 | -0.000 |
| 0.000 | 0.000 | -0.000 | -0.016 | -0.000 | -0.000 |
| 0.000 | 0.000 | -0.000 | -0.000 | -0.016 | -0.000 |
| 0.000 | -0.000 | 0.000 | 0.000 | -0.000 | -0.016 |
| 0.634 | 0.016 | 0.016 | 0.000 | 0.000 | 0.000 |
| 0.016 | 0.634 | 0.016 | 0.000 | 0.000 | 0.000 |
| 0.016 | 0.016 | 0.634 | 0.000 | 0.000 | 0.000 |
| -0.000 | -0.000 | 0.000 | -0.016 | 0.000 | 0.000 |
| -0.000 | -0.000 | 0.000 | 0.000 | -0.016 | -0.000 |
| -0.000 | 0.000 | -0.000 | 0.000 | 0.000 | -0.016 |
| 0.629 | 0.016 | 0.016 | -0.000 | -0.000 | -0.000 |
| 0.016 | 0.629 | 0.016 | -0.000 | -0.000 | -0.000 |
| 0.016 | 0.016 | 0.629 | -0.000 | 0.000 | -0.000 |
| 0.000 | 0.000 | -0.000 | -0.016 | 0.000 | -0.000 |
| 0.000 | 0.000 | -0.000 | 0.000 | -0.016 | -0.000 |
| 0.000 | -0.000 | 0.000 | -0.000 | -0.000 | -0.016 |
| 0.638 | 0.016 | 0.016 | 0.000 | 0.000 | 0.000 |
| 0.016 | 0.638 | 0.016 | 0.000 | 0.000 | 0.000 |
| 0.016 | 0.016 | 0.638 | 0.000 | -0.000 | 0.000 |
| -0.000 | -0.000 | 0.000 | -0.016 | -0.000 | -0.000 |
| -0.000 | -0.000 | 0.000 | -0.000 | -0.016 | 0.000 |
| -0.000 | 0.000 | -0.000 | 0.000 | 0.000 | -0.016 |
| 114.851 | 173.588 | 173.588 | -0.000 | -0.000 | 0.000 |
| 173.588 | 114.851 | 173.588 | -0.000 | -0.000 | 0.000 |
| 173.588 | 173.588 | 114.851 | 0.000 | 0.000 | 0.000 |
| 0.000 | 0.000 | 0.000 | 138.863 | -0.000 | 0.000 |
| 0.000 | 0.000 | 0.000 | -0.000 | 138.863 | 0.000 |
| 0.000 | 0.000 | 0.000 | -0.000 | 0.000 | 138.863 |
| 114.851 | 173.588 | 173.588 | 0.000 | 0.000 | -0.000 |
| 173.588 | 114.851 | 173.588 | -0.000 | 0.000 | -0.000 |
| 173.588 | 173.588 | 114.851 | 0.000 | -0.000 | 0.000 |
| -0.000 | -0.000 | -0.000 | 138.863 | -0.000 | -0.000 |
| -0.000 | -0.000 | -0.000 | -0.000 | 138.863 | -0.000 |
| -0.000 | -0.000 | -0.000 | -0.000 | 0.000 | 138.863 |
| 114.851 | 173.588 | 173.588 | -0.000 | -0.000 | 0.000 |
| 173.588 | 114.851 | 173.588 | -0.000 | -0.000 | 0.000 |
| 173.588 | 173.588 | 114.851 | -0.000 | 0.000 | -0.000 |
| 0.000 | 0.000 | 0.000 | 138.863 | 0.000 | -0.000 |
| 0.000 | 0.000 | 0.000 | 0.000 | 138.863 | 0.000 |
| 0.000 | 0.000 | 0.000 | -0.000 | -0.000 | 138.863 |
| 114.851 | 173.588 | 173.588 | -0.000 | 0.000 | -0.000 |
| 173.588 | 114.851 | 173.588 | 0.000 | 0.000 | 0.000 |
| 173.588 | 173.588 | 114.851 | 0.000 | 0.000 | -0.000 |
| -0.000 | -0.000 | -0.000 | 138.863 | -0.000 | -0.000 |
| -0.000 | -0.000 | -0.000 | 0.000 | 138.863 | -0.000 |
| -0.000 | -0.000 | -0.000 | 0.000 | 0.000 | 138.863 |
| 114.852 | 173.588 | 173.588 | 0.000 | 0.000 | 0.000 |
| 173.588 | 114.852 | 173.588 | 0.000 | 0.000 | 0.000 |
| 173.588 | 173.588 | 114.852 | 0.000 | 0.000 | 0.000 |
| 0.001 | 0.000 | 0.001 | 138.863 | 0.000 | 0.000 |
| 0.000 | 0.001 | 0.001 | 0.000 | 138.863 | 0.000 |
| 0.000 | 0.001 | 0.001 | -0.000 | -0.000 | 138.863 |
| 114.851 | 173.587 | 173.587 | -0.000 | 0.000 | -0.000 |
| 173.587 | 114.851 | 173.587 | 0.000 | 0.000 | -0.000 |
| 173.587 | 173.587 | 114.851 | -0.000 | 0.000 | -0.000 |
| -0.001 | -0.000 | -0.001 | 138.863 | -0.000 | 0.000 |
| -0.000 | -0.001 | -0.001 | 0.000 | 138.863 | 0.000 |
| -0.000 | -0.001 | -0.001 | 0.000 | 0.000 | 138.863 |
| 81.517 | 72.041 | 72.041 | 0.000 | 0.000 | 0.000 |
| 72.041 | 81.517 | 72.041 | 0.000 | 0.000 | 0.000 |
| 72.041 | 72.041 | 81.517 | 0.000 | 0.000 | 0.000 |
| 0.000 | 0.000 | -0.000 | -8.742 | 0.000 | 0.000 |
| 0.000 | 0.000 | -0.000 | 0.000 | -8.742 | 0.000 |
| 0.000 | 0.000 | -0.000 | 0.000 | 0.000 | -8.742 |
| 81.517 | 72.041 | 72.041 | -0.000 | -0.000 | -0.000 |
| 72.041 | 81.517 | 72.041 | -0.000 | -0.000 | -0.000 |
| 72.041 | 72.041 | 81.517 | 0.000 | 0.000 | -0.000 |
| -0.000 | -0.000 | -0.000 | -8.742 | -0.000 | -0.000 |
| -0.000 | -0.000 | -0.000 | -0.000 | -8.742 | -0.000 |
| -0.000 | -0.000 | 0.000 | -0.000 | -0.000 | -8.742 |
| 81.517 | 72.041 | 72.041 | 0.000 | 0.000 | 0.000 |
| 72.041 | 81.517 | 72.041 | 0.000 | 0.000 | 0.000 |
| 72.041 | 72.041 | 81.517 | 0.000 | 0.000 | 0.000 |
| 0.000 | -0.000 | -0.000 | -9.837 | 0.000 | 0.000 |
| -0.000 | 0.000 | -0.000 | 0.000 | -9.837 | 0.000 |
| -0.000 | -0.000 | 0.000 | 0.000 | 0.000 | -9.837 |
| 81.517 | 72.041 | 72.041 | -0.000 | -0.000 | -0.000 |
| 72.041 | 81.517 | 72.041 | -0.000 | -0.000 | -0.000 |
| 72.041 | 72.041 | 81.517 | 0.000 | -0.000 | -0.000 |
| -0.000 | 0.000 | 0.000 | -9.837 | -0.000 | -0.000 |
| 0.000 | -0.000 | 0.000 | -0.000 | -9.837 | -0.000 |
| 0.000 | 0.000 | -0.000 | -0.000 | -0.000 | -9.837 |
| 81.517 | 72.041 | 72.041 | 0.000 | 0.000 | 0.000 |
| 72.041 | 81.517 | 72.041 | 0.000 | 0.000 | 0.000 |
| 72.041 | 72.041 | 81.517 | 0.000 | 0.000 | 0.000 |
| 904330.948 | -409155.635 | -409156.511 | -437920.462 | -0.000 | 0.000 |
| -42302.782 | -33487.191 | -50188.411 | -1769.618 | -62557.182 | 3259.194 |
| -37556.491 | -51044.231 | -31952.224 | -1343.795 | 2035.613 | -63662.787 |
| 81.516 | 72.041 | 72.041 | -0.000 | -0.000 | -0.000 |
| 72.041 | 81.516 | 72.041 | -0.000 | -0.000 | -0.000 |
| 72.041 | 72.041 | 81.516 | -0.000 | -0.000 | -0.000 |
| -77633.546 | 157779.121 | 167768.125 | -250082.960 | -338.253 | 2174.060 |
| 152110.554 | -79767.443 | 168188.211 | 947.539 | -247227.069 | 1346.998 |
| 165818.130 | 176155.340 | -88088.843 | 598.556 | 1283.235 | -267276.935 |
| 0.521 | 0.598 | 0.598 | -0.000 | -0.000 | 0.000 |
| 0.598 | 0.521 | 0.598 | -0.000 | -0.000 | -0.000 |
| 0.598 | 0.598 | 0.521 | -0.000 | -0.000 | -0.000 |
| -0.000 | -0.000 | -0.000 | 0.506 | 0.000 | -0.000 |
| -0.000 | -0.000 | -0.000 | 0.000 | 0.506 | 0.000 |
| -0.000 | -0.000 | -0.000 | 0.000 | -0.000 | 0.506 |
| 0.521 | 0.598 | 0.598 | 0.000 | -0.000 | 0.000 |
| 0.598 | 0.521 | 0.598 | 0.000 | 0.000 | -0.000 |
| 0.598 | 0.598 | 0.521 | 0.000 | -0.000 | -0.000 |
| 0.000 | 0.000 | 0.000 | 0.506 | 0.000 | -0.000 |
| 0.000 | 0.000 | 0.000 | 0.000 | 0.506 | 0.000 |
| 0.000 | 0.000 | 0.000 | -0.000 | 0.000 | 0.506 |
| 0.521 | 0.598 | 0.598 | 0.000 | -0.000 | -0.000 |
| 0.598 | 0.521 | 0.598 | -0.000 | 0.000 | -0.000 |
| 0.598 | 0.598 | 0.521 | 0.000 | -0.000 | -0.000 |
| 0.000 | 0.000 | 0.000 | -0.640 | -0.000 | 0.000 |
| 0.000 | 0.000 | 0.000 | 0.000 | -0.640 | -0.000 |
| 0.000 | 0.000 | 0.000 | -0.000 | -0.000 | -0.348 |
| 0.521 | 0.598 | 0.598 | 0.000 | -0.000 | 0.000 |
| 0.598 | 0.521 | 0.598 | 0.000 | 0.000 | -0.000 |
| 0.598 | 0.598 | 0.521 | -0.000 | -0.000 | -0.000 |
| -0.000 | -0.000 | -0.000 | -0.348 | -0.000 | 0.000 |
| -0.000 | -0.000 | -0.000 | -0.000 | -0.348 | 0.000 |
| -0.000 | -0.000 | -0.000 | 0.000 | 0.000 | -0.348 |
| 0.519 | 0.597 | 0.597 | -0.000 | -0.000 | 0.000 |
| 0.597 | 0.519 | 0.597 | 0.000 | -0.000 | -0.000 |
| 0.597 | 0.597 | 0.519 | -0.000 | -0.000 | -0.000 |
| 0.003 | 0.003 | 0.003 | -1.232 | -0.000 | 0.000 |
| 0.003 | 0.003 | 0.003 | -0.000 | -1.232 | -0.000 |
| 0.003 | 0.003 | 0.003 | -0.000 | -0.000 | -1.232 |
| 0.522 | 0.599 | 0.599 | 0.000 | 0.000 | -0.000 |
| 0.599 | 0.522 | 0.599 | -0.000 | 0.000 | -0.000 |
| 0.599 | 0.599 | 0.522 | 0.000 | 0.000 | 0.000 |
| -0.003 | -0.003 | -0.003 | -1.232 | -0.000 | 0.000 |
| -0.003 | -0.003 | -0.003 | -0.000 | -1.232 | 0.000 |
| -0.003 | -0.003 | -0.003 | 0.000 | 0.000 | -1.232 |
| 179.785 | 76.683 | 76.683 | -0.000 | -0.000 | 0.000 |
| 76.683 | 179.785 | 76.683 | 0.000 | 0.000 | -0.000 |
| 76.683 | 76.683 | 179.785 | 0.000 | 0.000 | 0.000 |
| 0.000 | 0.000 | 0.000 | 115.993 | 0.000 | -0.000 |
| 0.000 | 0.000 | 0.000 | 0.000 | 115.993 | 0.000 |
| 0.000 | 0.000 | 0.000 | 0.000 | 0.000 | 115.993 |
| 179.785 | 76.683 | 76.683 | 0.000 | 0.000 | -0.000 |
| 76.683 | 179.785 | 76.683 | -0.000 | 0.000 | -0.000 |
| 76.683 | 76.683 | 179.785 | -0.000 | -0.000 | -0.000 |
| -0.000 | -0.000 | -0.000 | 115.993 | -0.000 | -0.000 |
| -0.000 | -0.000 | -0.000 | 0.000 | 115.993 | -0.000 |
| -0.000 | -0.000 | -0.000 | -0.000 | 0.000 | 115.993 |
| 179.785 | 76.683 | 76.683 | -0.000 | 0.000 | 0.000 |
| 76.683 | 179.785 | 76.683 | 0.000 | -0.000 | -0.000 |
| 76.683 | 76.683 | 179.785 | 0.000 | -0.000 | 0.000 |
| 0.000 | -0.000 | 0.000 | 115.993 | -0.000 | 0.000 |
| -0.000 | 0.000 | 0.000 | 0.000 | 115.993 | 0.000 |
| -0.000 | 0.000 | 0.000 | 0.000 | 0.000 | 115.993 |
| 179.785 | 76.683 | 76.683 | 0.000 | -0.000 | -0.000 |
| 76.683 | 179.785 | 76.683 | 0.000 | 0.000 | -0.000 |
| 76.683 | 76.683 | 179.785 | 0.000 | 0.000 | -0.000 |
| -0.000 | 0.000 | -0.000 | 115.993 | 0.000 | -0.000 |
| 0.000 | -0.000 | -0.000 | -0.000 | 115.993 | -0.000 |
| 0.000 | -0.000 | -0.000 | -0.000 | -0.000 | 115.993 |
| 179.783 | 76.683 | 76.683 | -0.000 | -0.000 | 0.000 |
| 76.683 | 179.783 | 76.683 | -0.000 | -0.000 | 0.000 |
| 76.683 | 76.683 | 179.783 | -0.000 | -0.000 | 0.000 |
| 0.000 | -0.000 | 0.000 | 115.993 | -0.000 | -0.000 |
| -0.000 | 0.000 | 0.000 | 0.000 | 115.993 | 0.000 |
| -0.000 | 0.000 | 0.000 | -0.000 | 0.000 | 115.993 |
| 179.787 | 76.683 | 76.683 | 0.000 | -0.000 | -0.000 |
| 76.683 | 179.787 | 76.683 | -0.000 | 0.000 | -0.000 |
| 76.683 | 76.683 | 179.787 | -0.000 | 0.000 | 0.000 |
| -0.000 | 0.000 | -0.000 | 115.993 | -0.000 | -0.000 |
| 0.000 | -0.000 | -0.000 | 0.000 | 115.993 | -0.000 |
| 0.000 | -0.000 | -0.000 | -0.000 | -0.000 | 115.993 |
| 1.307 | 0.749 | 0.749 | -0.000 | -0.000 | -0.000 |
| 0.749 | 1.307 | 0.749 | 0.000 | 0.000 | -0.000 |
| 0.749 | 0.749 | 1.307 | 0.000 | -0.000 | -0.000 |
| 0.000 | -0.000 | -0.000 | 0.604 | 0.000 | -0.000 |
| -0.000 | 0.000 | -0.000 | 0.000 | 0.604 | -0.000 |
| -0.000 | -0.000 | -0.000 | 0.000 | 0.000 | 0.604 |
| 1.307 | 0.750 | 0.750 | -0.000 | -0.000 | 0.000 |
| 0.750 | 1.307 | 0.750 | -0.000 | -0.000 | -0.000 |
| 0.750 | 0.750 | 1.307 | -0.000 | -0.000 | 0.000 |
| -0.000 | 0.000 | 0.000 | 0.604 | -0.000 | -0.000 |
| 0.000 | -0.000 | 0.000 | -0.000 | 0.604 | 0.000 |
| 0.000 | 0.000 | -0.000 | -0.000 | 0.000 | 0.604 |
| 1.306 | 0.749 | 0.749 | 0.000 | -0.000 | 0.000 |
| 0.749 | 1.306 | 0.749 | 0.000 | -0.000 | 0.000 |
| 0.749 | 0.749 | 1.306 | 0.000 | 0.000 | -0.000 |
| -0.000 | -0.000 | -0.000 | 0.604 | 0.000 | 0.000 |
| -0.000 | -0.000 | -0.000 | 0.000 | 0.604 | -0.000 |
| -0.000 | -0.000 | -0.000 | 0.000 | 0.000 | 0.604 |
| 1.307 | 0.750 | 0.750 | -0.000 | 0.000 | -0.000 |
| 0.750 | 1.307 | 0.750 | -0.000 | 0.000 | -0.000 |
| 0.750 | 0.750 | 1.307 | -0.000 | 0.000 | 0.000 |
| 0.000 | 0.000 | 0.000 | 0.604 | -0.000 | -0.000 |
| 0.000 | 0.000 | 0.000 | -0.000 | 0.604 | -0.000 |
| 0.000 | 0.000 | 0.000 | -0.000 | -0.000 | 0.604 |
| 1.302 | 0.747 | 0.747 | 0.000 | -0.000 | 0.000 |
| 0.747 | 1.302 | 0.747 | 0.000 | 0.000 | 0.000 |
| 0.747 | 0.747 | 1.302 | 0.000 | 0.000 | 0.000 |
| -0.000 | -0.002 | -0.002 | 0.604 | -0.000 | 0.000 |
| -0.002 | -0.000 | -0.002 | -0.000 | 0.604 | 0.000 |
| -0.002 | -0.002 | -0.000 | -0.000 | -0.000 | 0.604 |
| 1.311 | 0.752 | 0.752 | -0.000 | 0.000 | 0.000 |
| 0.752 | 1.311 | 0.752 | 0.000 | 0.000 | -0.000 |
| 0.752 | 0.752 | 1.311 | -0.000 | -0.000 | 0.000 |
| 0.000 | 0.002 | 0.002 | 0.604 | -0.000 | 0.000 |
| 0.002 | 0.000 | 0.002 | -0.000 | 0.604 | 0.000 |
| 0.002 | 0.002 | 0.000 | -0.000 | -0.000 | 0.604 |
| 183.543 | 112.186 | 112.298 | -0.000 | 0.000 | -0.000 |
| 111.911 | 242.884 | -54.940 | -0.000 | 0.000 | -0.000 |
| 94.932 | -55.071 | 200.958 | 0.000 | 0.000 | -0.000 |
| -0.000 | -0.000 | -0.000 | -80.387 | 0.000 | -0.000 |
| -0.000 | -0.000 | 0.000 | 0.000 | 72.637 | -0.000 |
| -0.000 | -0.000 | -0.000 | -0.000 | 0.000 | 95.850 |
| 175.663 | 111.575 | 94.728 | 0.000 | -0.000 | 0.000 |
| 111.911 | 242.884 | -54.940 | -0.000 | -0.000 | 0.000 |
| 94.933 | -55.071 | 200.958 | 0.000 | -0.000 | 0.000 |
| 0.000 | 0.000 | 0.000 | -80.387 | -0.000 | -0.000 |
| 0.000 | 0.000 | -0.000 | -0.000 | 72.637 | 0.000 |
| 0.000 | 0.000 | 0.000 | 0.000 | -0.000 | 95.850 |
| 175.630 | 111.570 | 94.725 | -0.000 | 0.000 | 0.000 |
| 112.522 | 242.932 | -53.576 | 0.000 | 0.000 | -0.000 |
| 94.932 | -55.071 | 200.958 | 0.000 | 0.000 | -0.000 |
| -154618.724 | -19083.418 | -20932.555 | -35909.027 | -0.001 | -0.000 |
| -0.001 | -0.000 | 0.001 | 0.000 | 72.637 | -0.000 |
| -0.005 | -0.001 | -0.000 | -0.000 | 0.000 | 95.850 |
| 183.579 | 112.191 | 112.303 | 0.000 | -0.000 | 0.000 |
| 112.524 | 242.932 | -53.576 | -0.000 | -0.000 | 0.000 |
| 94.933 | -55.071 | 200.957 | -0.000 | -0.000 | -0.000 |
| 154618.766 | 19083.423 | 20932.511 | -35909.042 | 0.001 | -0.000 |
| 0.001 | 0.000 | -0.001 | 0.000 | 72.637 | 0.000 |
| 0.005 | 0.001 | 0.000 | 0.000 | -0.000 | 95.850 |
| 175.364 | 111.528 | 94.700 | 0.000 | 0.000 | -0.000 |
| 112.516 | 242.931 | -53.578 | -0.000 | 0.000 | -0.000 |
| 112.497 | -53.709 | 240.103 | 0.000 | 0.000 | -0.000 |
| -15497.500 | -1910.784 | -2177.602 | -3664.973 | 0.000 | 0.000 |
| -0.011 | -0.002 | 0.006 | 0.000 | 72.637 | -0.000 |
| -0.049 | -0.007 | -0.007 | -0.000 | 0.000 | 95.850 |
| 183.866 | 112.236 | 112.346 | -0.000 | -0.000 | -0.000 |
| 112.530 | 242.932 | -53.574 | -0.000 | -0.000 | 0.000 |
| 94.935 | -55.070 | 200.957 | 0.000 | -0.000 | 0.000 |
| 15497.494 | 1910.784 | 2177.602 | -3664.971 | -0.000 | 0.000 |
| 0.011 | 0.002 | -0.006 | -0.000 | 72.637 | 0.000 |
| 0.049 | 0.007 | 0.007 | 0.000 | -0.000 | 95.850 |
| 51.015 | 113.517 | 102.985 | 0.000 | -0.000 | -0.000 |
| 113.482 | 220.172 | -49.907 | 0.000 | -0.000 | 0.000 |
| 122.217 | -43.190 | 233.904 | 0.000 | -0.000 | 0.000 |
| -0.000 | 0.000 | 0.000 | -29.980 | -0.000 | -0.000 |
| -0.002 | -0.001 | -0.003 | 0.000 | 114.588 | -0.000 |
| -0.001 | -0.000 | -0.001 | 0.000 | -0.000 | 136.816 |
| 51.017 | 113.517 | 102.988 | -0.000 | -0.000 | 0.000 |
| 113.484 | 220.172 | -49.904 | -0.000 | 0.000 | 0.000 |
| 122.217 | -43.190 | 233.904 | -0.000 | -0.000 | 0.000 |
| 0.000 | -0.000 | -0.000 | -29.980 | 0.000 | 0.000 |
| 0.002 | 0.001 | 0.003 | -0.000 | 114.588 | 0.000 |
| 0.001 | 0.000 | 0.001 | -0.000 | 0.000 | 136.816 |
| 51.016 | 113.517 | 102.986 | 0.000 | -0.000 | 0.000 |
| 117.367 | 221.517 | -43.261 | 0.000 | -0.000 | 0.000 |
| 103.023 | -49.835 | 201.067 | 0.000 | 0.000 | -0.000 |
| -0.000 | 0.000 | 0.000 | -29.980 | -0.000 | -0.000 |
| -0.000 | -0.000 | -0.000 | 0.000 | 114.588 | -0.000 |
| -0.000 | 0.000 | -0.000 | 0.000 | -0.000 | 136.816 |
| 51.016 | 113.517 | 102.986 | -0.000 | 0.000 | -0.000 |
| 113.483 | 220.172 | -49.905 | -0.000 | -0.000 | 0.000 |
| 103.023 | -49.834 | 201.067 | -0.000 | 0.000 | -0.000 |
| 0.000 | -0.000 | -0.000 | -29.980 | 0.000 | 0.000 |
| 0.000 | 0.000 | 0.000 | -0.000 | 114.588 | 0.000 |
| 0.000 | -0.000 | 0.000 | -0.000 | 0.000 | 136.816 |
| 62.235 | 117.401 | 122.180 | 0.000 | 0.000 | 0.000 |
| 113.483 | 220.173 | -49.906 | 0.000 | -0.000 | -0.000 |
| 103.024 | -49.835 | 201.069 | 0.000 | -0.000 | -0.000 |
| -0.000 | 0.000 | 0.000 | -32.895 | -0.000 | -0.000 |
| 0.000 | 0.000 | 0.001 | 0.000 | 114.588 | -0.000 |
| 0.000 | 0.001 | -0.000 | 0.000 | -0.000 | 136.816 |
| 62.235 | 117.401 | 122.180 | -0.000 | 0.000 | -0.000 |
| 113.483 | 220.171 | -49.905 | -0.000 | 0.000 | 0.000 |
| 103.022 | -49.834 | 201.064 | -0.000 | 0.000 | -0.000 |
| 0.000 | -0.000 | -0.000 | -32.895 | 0.000 | 0.000 |
| -0.000 | -0.000 | -0.001 | -0.000 | 114.588 | 0.000 |
| -0.000 | -0.001 | 0.000 | -0.000 | 0.000 | 136.816 |
| 203.044 | 92.704 | 102.250 | -0.000 | 0.000 | 0.000 |
| 92.704 | 203.044 | 102.250 | -0.000 | 0.000 | 0.000 |
| 102.250 | 102.250 | 223.601 | -0.000 | 0.000 | 0.000 |
| 0.000 | 0.000 | 0.000 | 115.675 | -0.000 | 0.000 |
| 0.000 | 0.000 | 0.000 | -0.000 | 115.675 | 0.000 |
| 0.000 | 0.000 | 0.000 | -0.000 | 0.000 | 116.752 |
| 203.044 | 92.704 | 102.250 | 0.000 | 0.000 | -0.000 |
| 92.704 | 203.044 | 102.250 | 0.000 | -0.000 | -0.000 |
| 102.250 | 102.250 | 223.601 | 0.000 | -0.000 | -0.000 |
| -0.000 | -0.000 | -0.000 | 115.675 | 0.000 | -0.000 |
| -0.000 | -0.000 | -0.000 | 0.000 | 115.675 | -0.000 |
| -0.000 | -0.000 | 0.000 | 0.000 | 0.000 | 116.752 |
| 203.044 | 92.704 | 102.250 | -0.000 | -0.000 | 0.000 |
| 92.704 | 203.044 | 102.250 | -0.000 | 0.000 | 0.000 |
| 102.250 | 102.250 | 223.601 | -0.000 | -0.000 | 0.000 |
| 0.000 | -0.000 | 0.000 | 115.675 | -0.000 | 0.000 |
| -0.000 | 0.000 | 0.000 | -0.000 | 115.675 | 0.000 |
| -0.000 | 0.000 | 0.000 | -0.000 | -0.000 | 116.752 |
| 203.045 | 92.704 | 102.250 | 0.000 | 0.000 | -0.000 |
| 92.704 | 203.045 | 102.250 | 0.000 | 0.000 | -0.000 |
| 102.250 | 102.250 | 223.602 | 0.000 | 0.000 | -0.000 |
| -0.000 | 0.000 | -0.000 | 115.675 | 0.000 | -0.000 |
| 0.000 | -0.000 | -0.000 | 0.000 | 115.675 | -0.000 |
| 0.000 | -0.000 | -0.000 | 0.000 | 0.000 | 116.752 |
| 203.042 | 92.703 | 102.250 | -0.000 | 0.000 | 0.000 |
| 92.703 | 203.042 | 102.250 | -0.000 | -0.000 | 0.000 |
| 102.250 | 102.250 | 223.600 | -0.000 | -0.000 | 0.000 |
| 0.000 | -0.000 | 0.000 | 115.860 | 0.000 | 0.000 |
| -0.000 | 0.000 | 0.000 | -0.000 | 115.860 | 0.000 |
| -0.000 | 0.000 | 0.000 | -0.000 | -0.000 | 116.752 |
| 203.046 | 92.704 | 102.250 | 0.000 | -0.000 | -0.000 |
| 92.704 | 203.046 | 102.250 | 0.000 | -0.000 | -0.000 |
| 102.250 | 102.250 | 223.603 | 0.000 | 0.000 | -0.000 |
| -0.000 | 0.000 | -0.000 | 115.860 | -0.000 | -0.000 |
| 0.000 | -0.000 | -0.000 | 0.000 | 115.860 | -0.000 |
| 0.000 | -0.000 | -0.000 | 0.000 | 0.000 | 116.752 |
| 285.021 | 123.681 | 35.406 | -0.000 | -0.000 | -0.000 |
| 109.952 | 278.598 | 40.521 | 0.000 | 0.000 | -0.000 |
| 51.187 | 51.187 | 124.206 | 0.000 | -0.000 | -0.000 |
| -0.000 | -0.000 | 0.000 | 13.462 | 0.000 | -0.000 |
| 10.429 | 10.429 | -5.294 | 0.000 | 13.366 | -0.000 |
| -0.000 | 0.000 | -0.000 | 0.000 | 0.000 | 84.323 |
| 278.598 | 109.952 | 40.521 | -0.000 | -0.000 | 0.000 |
| 109.952 | 278.598 | 40.521 | -0.000 | -0.000 | 0.000 |
| 30.337 | 30.337 | 134.791 | -0.000 | -0.000 | 0.000 |
| 0.000 | 0.000 | -0.000 | 13.462 | -0.000 | 0.000 |
| -10.429 | -10.429 | 5.294 | -0.000 | 13.366 | 0.000 |
| 0.000 | -0.000 | 0.000 | -0.000 | -0.000 | 84.323 |
| 266.602 | 123.144 | 40.217 | -0.000 | 0.000 | -0.000 |
| 109.952 | 278.598 | 40.521 | 0.000 | 0.000 | -0.000 |
| 40.526 | 40.526 | 129.619 | 0.000 | 0.000 | -0.000 |
| 1.077 | 1.077 | -0.547 | 13.363 | -0.000 | -0.000 |
| 1.077 | 1.077 | -0.547 | 0.000 | 13.363 | -0.000 |
| 1.800 | 1.800 | -0.914 | 0.000 | 0.000 | 78.088 |
| 278.598 | 109.952 | 40.521 | -0.000 | -0.000 | 0.000 |
| 109.952 | 278.598 | 40.521 | -0.000 | -0.000 | 0.000 |
| 40.526 | 40.526 | 129.619 | -0.000 | -0.000 | 0.000 |
| -1.077 | -1.077 | 0.547 | 13.363 | 0.000 | 0.000 |
| -1.077 | -1.077 | 0.547 | -0.000 | 13.363 | 0.000 |
| -1.800 | -1.800 | 0.914 | -0.000 | -0.000 | 78.088 |
| 267.469 | 119.056 | 41.034 | 0.000 | -0.000 | -0.000 |
| 119.056 | 267.468 | 41.034 | 0.000 | -0.000 | -0.000 |
| 40.866 | 40.866 | 129.445 | 0.000 | 0.000 | -0.000 |
| 0.000 | 0.000 | 0.000 | 13.462 | 0.000 | -0.000 |
| 0.104 | 0.104 | -0.053 | 0.000 | 12.931 | -0.000 |
| 0.334 | 0.335 | -0.170 | 0.000 | 0.000 | 72.728 |
| 278.598 | 109.952 | 40.521 | -0.000 | -0.000 | 0.000 |
| 109.952 | 278.598 | 40.521 | -0.000 | -0.000 | 0.000 |
| 40.658 | 40.658 | 129.553 | -0.000 | -0.000 | 0.000 |
| -0.000 | -0.000 | -0.000 | 13.462 | -0.000 | 0.000 |
| -0.104 | -0.104 | 0.053 | -0.000 | 12.931 | 0.000 |
| -0.334 | -0.335 | 0.170 | -0.000 | -0.000 | 72.728 |
| 278.592 | 109.948 | 40.531 | 0.000 | 0.000 | 0.000 |
| 122.057 | 265.510 | 40.779 | 0.000 | -0.000 | -0.000 |
| 40.531 | 40.531 | 129.592 | -0.000 | -0.000 | 0.000 |
| 0.000 | 0.000 | -0.000 | 12.937 | -0.000 | -0.000 |
| 0.000 | 0.000 | -0.000 | -0.000 | 12.937 | 0.000 |
| -0.000 | -0.000 | -0.000 | 0.000 | 0.000 | 84.322 |
| 278.592 | 109.948 | 40.531 | -0.000 | -0.000 | 0.000 |
| 118.105 | 268.031 | 41.142 | -0.000 | -0.000 | 0.000 |
| 40.767 | 40.767 | 129.472 | 0.000 | 0.000 | -0.000 |
| -0.000 | -0.000 | 0.000 | 12.937 | 0.000 | 0.000 |
| -0.000 | -0.000 | 0.000 | 0.000 | 12.937 | 0.000 |
| 0.000 | 0.000 | 0.000 | -0.000 | -0.000 | 84.322 |
| 265.509 | 122.057 | 40.778 | 0.000 | -0.000 | -0.000 |
| 122.057 | 265.509 | 40.778 | 0.000 | -0.000 | -0.000 |
| 40.531 | 40.531 | 129.592 | 0.000 | 0.000 | 0.000 |
| 0.000 | 0.000 | 0.000 | 13.467 | -0.000 | 0.000 |
| 0.000 | 0.000 | 0.000 | -0.000 | 12.937 | -0.000 |
| -0.000 | 0.000 | 0.000 | 0.000 | 0.000 | 84.322 |
| 278.592 | 109.948 | 40.531 | -0.000 | -0.000 | -0.000 |
| 109.948 | 278.592 | 40.531 | -0.000 | -0.000 | 0.000 |
| 40.767 | 40.767 | 129.472 | 0.000 | 0.000 | -0.000 |
| -0.000 | -0.000 | -0.000 | 13.467 | 0.000 | 0.000 |
| -0.000 | -0.000 | -0.000 | 0.000 | 12.937 | 0.000 |
| 0.000 | -0.000 | -0.000 | -0.000 | -0.000 | 84.322 |
| 268.031 | 118.104 | 41.141 | -0.000 | -0.000 | -0.000 |
| 109.948 | 278.592 | 40.530 | 0.000 | 0.000 | -0.000 |
| 40.530 | 40.530 | 129.591 | -0.000 | 0.000 | -0.000 |
| 0.000 | 0.000 | 0.000 | 13.467 | -0.000 | -0.000 |
| 0.000 | 0.000 | 0.000 | -0.000 | 13.467 | 0.000 |
| -0.000 | 0.000 | -0.000 | -0.000 | -0.000 | 72.558 |
| 278.592 | 109.949 | 40.532 | -0.000 | -0.000 | 0.000 |
| 118.106 | 268.031 | 41.143 | -0.000 | 0.000 | 0.000 |
| 40.531 | 40.531 | 129.593 | 0.000 | 0.000 | 0.000 |
| -0.000 | -0.000 | -0.000 | 13.467 | 0.000 | 0.000 |
| -0.000 | -0.000 | -0.000 | 0.000 | 13.467 | 0.000 |
| 0.000 | -0.000 | 0.000 | 0.000 | 0.000 | 72.558 |
| 190.013 | 159.291 | 159.291 | 0.000 | -0.000 | -0.000 |
| 159.291 | 190.013 | 159.291 | 0.000 | -0.000 | -0.000 |
| 159.291 | 159.291 | 190.013 | 0.000 | -0.000 | -0.000 |
| -0.000 | 0.000 | 0.000 | 76.907 | -0.000 | -0.000 |
| 0.000 | -0.000 | 0.000 | 0.000 | 76.907 | -0.000 |
| 0.000 | 0.000 | -0.000 | 0.000 | -0.000 | 76.907 |
| 190.012 | 159.291 | 159.291 | -0.000 | 0.000 | 0.000 |
| 159.291 | 190.012 | 159.291 | 0.000 | 0.000 | 0.000 |
| 159.291 | 159.291 | 190.012 | -0.000 | 0.000 | 0.000 |
| 0.000 | -0.000 | -0.000 | 76.907 | 0.000 | -0.000 |
| -0.000 | 0.000 | -0.000 | -0.000 | 76.907 | 0.000 |
| -0.000 | -0.000 | 0.000 | -0.000 | 0.000 | 76.907 |
| 190.013 | 159.291 | 159.291 | 0.000 | -0.000 | -0.000 |
| 159.291 | 190.013 | 159.291 | 0.000 | -0.000 | -0.000 |
| 159.291 | 159.291 | 190.013 | 0.000 | -0.000 | 0.000 |
| -0.000 | 0.000 | 0.000 | 76.907 | -0.000 | -0.000 |
| 0.000 | -0.000 | 0.000 | 0.000 | 76.907 | -0.000 |
| 0.000 | 0.000 | -0.000 | 0.000 | -0.000 | 76.907 |
| 190.012 | 159.290 | 159.290 | -0.000 | 0.000 | -0.000 |
| 159.290 | 190.012 | 159.290 | -0.000 | 0.000 | 0.000 |
| 159.290 | 159.290 | 190.012 | -0.000 | 0.000 | 0.000 |
| 0.000 | -0.000 | -0.000 | 76.907 | 0.000 | -0.000 |
| -0.000 | 0.000 | -0.000 | 0.000 | 76.907 | 0.000 |
| -0.000 | -0.000 | 0.000 | -0.000 | 0.000 | 76.907 |
| 190.020 | 159.292 | 159.292 | 0.000 | -0.000 | 0.000 |
| 159.292 | 190.020 | 159.292 | 0.000 | 0.000 | 0.000 |
| 159.292 | 159.292 | 190.020 | -0.000 | -0.000 | -0.000 |
| -0.000 | 0.001 | 0.001 | 76.907 | -0.000 | -0.000 |
| 0.001 | -0.000 | 0.001 | 0.000 | 76.907 | -0.000 |
| 0.001 | 0.001 | -0.000 | 0.000 | -0.000 | 76.907 |
| 190.005 | 159.289 | 159.289 | -0.000 | 0.000 | -0.000 |
| 159.289 | 190.005 | 159.289 | 0.000 | 0.000 | -0.000 |
| 159.289 | 159.289 | 190.005 | -0.000 | 0.000 | -0.000 |
| 0.000 | -0.001 | -0.001 | 76.907 | 0.000 | 0.000 |
| -0.001 | 0.000 | -0.001 | -0.000 | 76.907 | 0.000 |
| -0.001 | -0.001 | 0.000 | -0.000 | 0.000 | 76.907 |
| 1164.510 | 1129.356 | 1129.356 | 0.000 | 0.000 | 0.000 |
| 1129.356 | 1164.510 | 1129.356 | 0.000 | 0.000 | 0.000 |
| 1129.356 | 1129.356 | 1164.510 | 0.000 | 0.000 | 0.000 |
| -0.000 | -0.000 | -0.000 | 59.284 | 0.000 | 0.000 |
| -0.000 | -0.000 | -0.000 | 0.000 | 59.284 | 0.000 |
| -0.000 | -0.000 | -0.000 | 0.000 | 0.000 | 59.284 |
| 1164.511 | 1129.357 | 1129.357 | -0.000 | -0.000 | 0.000 |
| 1129.357 | 1164.511 | 1129.357 | -0.000 | -0.000 | -0.000 |
| 1129.357 | 1129.357 | 1164.511 | -0.000 | -0.000 | -0.000 |
| 0.000 | 0.000 | 0.000 | 59.284 | -0.000 | -0.000 |
| 0.000 | 0.000 | 0.000 | -0.000 | 59.284 | -0.000 |
| 0.000 | 0.000 | 0.000 | -0.000 | -0.000 | 59.284 |
| 1164.509 | 1129.355 | 1129.355 | 0.000 | 0.000 | -0.000 |
| 1129.355 | 1164.509 | 1129.355 | 0.000 | 0.000 | 0.000 |
| 1129.355 | 1129.355 | 1164.509 | 0.000 | 0.000 | 0.000 |
| 0.000 | -0.000 | -0.000 | 59.284 | 0.000 | -0.000 |
| -0.000 | 0.000 | -0.000 | 0.000 | 59.284 | 0.000 |
| -0.000 | -0.000 | 0.000 | 0.000 | 0.000 | 59.284 |
| 1164.512 | 1129.358 | 1129.358 | -0.000 | -0.000 | -0.000 |
| 1129.358 | 1164.512 | 1129.358 | -0.000 | -0.000 | -0.000 |
| 1129.358 | 1129.358 | 1164.512 | -0.000 | -0.000 | -0.000 |
| -0.000 | 0.000 | 0.000 | 59.284 | -0.000 | -0.000 |
| 0.000 | -0.000 | 0.000 | -0.000 | 59.284 | -0.000 |
| 0.000 | 0.000 | -0.000 | -0.000 | -0.000 | 59.284 |
| 1164.497 | 1129.345 | 1129.345 | 0.000 | 0.000 | 0.000 |
| 1129.345 | 1164.497 | 1129.345 | 0.000 | 0.000 | -0.000 |
| 1129.345 | 1129.345 | 1164.497 | 0.000 | 0.000 | 0.000 |
| 0.000 | -0.000 | -0.000 | 59.284 | 0.000 | 0.000 |
| -0.000 | 0.000 | -0.000 | 0.000 | 59.284 | 0.000 |
| -0.000 | -0.000 | 0.000 | 0.000 | 0.000 | 59.284 |
| 1164.524 | 1129.368 | 1129.368 | -0.000 | -0.000 | -0.000 |
| 1129.368 | 1164.524 | 1129.368 | -0.000 | -0.000 | -0.000 |
| 1129.368 | 1129.368 | 1164.524 | -0.000 | -0.000 | -0.000 |
| -0.000 | 0.000 | 0.000 | 59.284 | -0.000 | -0.000 |
| 0.000 | -0.000 | 0.000 | -0.000 | 59.284 | -0.000 |
| 0.000 | 0.000 | -0.000 | -0.000 | -0.000 | 59.284 |
| 386.386 | 213.910 | 213.910 | -0.000 | -0.000 | -0.000 |
| 213.910 | 386.386 | 213.910 | -0.000 | -0.000 | -0.000 |
| 213.910 | 213.910 | 386.386 | -0.000 | -0.000 | -0.000 |
| -0.000 | -0.000 | -0.000 | 214.041 | -0.000 | -0.000 |
| -0.000 | -0.000 | -0.000 | -0.000 | 214.041 | -0.000 |
| -0.000 | -0.000 | -0.000 | 0.000 | -0.000 | 214.041 |
| 386.387 | 213.910 | 213.910 | -0.000 | 0.000 | 0.000 |
| 213.910 | 386.387 | 213.910 | -0.000 | 0.000 | 0.000 |
| 213.910 | 213.910 | 386.387 | 0.000 | 0.000 | 0.000 |
| 0.000 | 0.000 | 0.000 | 214.041 | 0.000 | 0.000 |
| 0.000 | 0.000 | 0.000 | 0.000 | 214.041 | 0.000 |
| 0.000 | 0.000 | 0.000 | 0.000 | 0.000 | 214.041 |
| 386.384 | 213.909 | 213.909 | 0.000 | -0.000 | -0.000 |
| 213.909 | 386.384 | 213.909 | 0.000 | -0.000 | -0.000 |
| 213.909 | 213.909 | 386.384 | -0.000 | -0.000 | -0.000 |
| -0.000 | -0.000 | -0.000 | 214.041 | -0.000 | -0.000 |
| -0.000 | -0.000 | -0.000 | 0.000 | 214.041 | -0.000 |
| -0.000 | -0.000 | -0.000 | 0.000 | -0.000 | 214.041 |
| 386.389 | 213.910 | 213.910 | -0.000 | 0.000 | 0.000 |
| 213.910 | 386.389 | 213.910 | 0.000 | 0.000 | 0.000 |
| 213.910 | 213.910 | 386.389 | -0.000 | 0.000 | 0.000 |
| 0.000 | 0.000 | 0.000 | 214.041 | 0.000 | 0.000 |
| 0.000 | 0.000 | 0.000 | -0.000 | 214.041 | 0.000 |
| 0.000 | 0.000 | 0.000 | 0.000 | 0.000 | 214.041 |
| 386.360 | 213.905 | 213.905 | 0.000 | -0.000 | -0.000 |
| 213.905 | 386.360 | 213.905 | 0.000 | -0.000 | -0.000 |
| 213.905 | 213.905 | 386.360 | 0.000 | -0.000 | -0.000 |
| -0.000 | -0.005 | -0.005 | 214.041 | -0.000 | -0.000 |
| -0.005 | -0.000 | -0.005 | 0.000 | 214.041 | -0.000 |
| -0.005 | -0.005 | -0.000 | 0.000 | -0.000 | 214.041 |
| 386.413 | 213.914 | 213.914 | 0.000 | 0.000 | 0.000 |
| 213.914 | 386.413 | 213.914 | 0.000 | 0.000 | 0.000 |
| 213.914 | 213.914 | 386.413 | 0.000 | 0.000 | 0.000 |
| 0.000 | 0.005 | 0.005 | 214.041 | 0.000 | 0.000 |
| 0.005 | 0.000 | 0.005 | 0.000 | 214.041 | 0.000 |
| 0.005 | 0.005 | 0.000 | -0.000 | 0.000 | 214.041 |
| 60.960 | 30.480 | 30.480 | 0.000 | 0.000 | 0.000 |
| 30.480 | 60.960 | 30.480 | 0.000 | 0.000 | -0.000 |
| 30.480 | 30.480 | 60.960 | -0.000 | 0.000 | 0.000 |
| -0.000 | 0.000 | 0.000 | 30.479 | 0.000 | 0.000 |
| 0.000 | -0.000 | 0.000 | -0.000 | 30.479 | -0.000 |
| 0.000 | 0.000 | -0.000 | 0.000 | -0.000 | 30.479 |
| 60.959 | 30.480 | 30.480 | 0.000 | -0.000 | -0.000 |
| 30.480 | 60.959 | 30.480 | -0.000 | -0.000 | -0.000 |
| 30.480 | 30.480 | 60.959 | -0.000 | -0.000 | -0.000 |
| 0.000 | -0.000 | -0.000 | 30.479 | -0.000 | -0.000 |
| -0.000 | 0.000 | -0.000 | 0.000 | 30.479 | -0.000 |
| -0.000 | -0.000 | 0.000 | 0.000 | -0.000 | 30.479 |
| 60.960 | 30.481 | 30.481 | 0.000 | 0.000 | 0.000 |
| 30.481 | 60.960 | 30.481 | 0.000 | 0.000 | 0.000 |
| 30.481 | 30.481 | 60.960 | 0.000 | 0.000 | 0.000 |
| -0.000 | 0.000 | 0.000 | 30.479 | 0.000 | 0.000 |
| 0.000 | -0.000 | 0.000 | 0.000 | 30.479 | 0.000 |
| 0.000 | 0.000 | -0.000 | 0.000 | 0.000 | 30.479 |
| 60.959 | 30.480 | 30.480 | 0.000 | -0.000 | -0.000 |
| 30.480 | 60.959 | 30.480 | -0.000 | -0.000 | -0.000 |
| 30.480 | 30.480 | 60.959 | 0.000 | -0.000 | -0.000 |
| 0.000 | -0.000 | -0.000 | 30.479 | -0.000 | -0.000 |
| -0.000 | 0.000 | -0.000 | -0.000 | 30.479 | -0.000 |
| -0.000 | -0.000 | 0.000 | 0.000 | -0.000 | 30.479 |
| 60.967 | 30.484 | 30.484 | 0.000 | 0.000 | 0.000 |
| 30.484 | 60.967 | 30.484 | 0.000 | 0.000 | 0.000 |
| 30.484 | 30.484 | 60.967 | 0.000 | 0.000 | 0.000 |
| -0.000 | 0.004 | 0.004 | 30.479 | 0.000 | 0.000 |
| 0.004 | -0.000 | 0.004 | -0.000 | 30.479 | -0.000 |
| 0.004 | 0.004 | -0.000 | 0.000 | -0.000 | 30.479 |
| 60.952 | 30.477 | 30.477 | -0.000 | -0.000 | -0.000 |
| 30.477 | 60.952 | 30.477 | -0.000 | -0.000 | -0.000 |
| 30.477 | 30.477 | 60.952 | -0.000 | -0.000 | -0.000 |
| 0.000 | -0.004 | -0.004 | 30.479 | -0.000 | -0.000 |
| -0.004 | 0.000 | -0.004 | -0.000 | 30.479 | 0.000 |
| -0.004 | -0.004 | 0.000 | -0.000 | -0.000 | 30.479 |
| 522.778 | 181.815 | 181.815 | -0.000 | -0.000 | 0.000 |
| 181.815 | 522.778 | 181.815 | -0.000 | 0.000 | -0.000 |
| 181.815 | 181.815 | 522.778 | -0.000 | -0.000 | -0.000 |
| 0.000 | -0.000 | -0.000 | 3.691 | 0.000 | -0.000 |
| -0.000 | -0.000 | -0.000 | -0.000 | 3.691 | -0.000 |
| -0.000 | -0.000 | -0.000 | 0.000 | 0.000 | 3.691 |
| 522.095 | 182.156 | 182.156 | 0.000 | -0.000 | 0.000 |
| 182.156 | 522.095 | 182.156 | 0.000 | -0.000 | -0.000 |
| 182.156 | 182.156 | 522.095 | 0.000 | -0.000 | 0.000 |
| -0.000 | 0.000 | 0.000 | 3.691 | 0.000 | -0.000 |
| 0.000 | 0.000 | 0.000 | 0.000 | 3.691 | 0.000 |
| 0.000 | 0.000 | 0.000 | -0.000 | -0.000 | 3.691 |
| 522.778 | 181.815 | 181.815 | 0.000 | 0.000 | 0.000 |
| 181.815 | 522.778 | 181.815 | 0.000 | 0.000 | 0.000 |
| 181.815 | 181.815 | 522.778 | -0.000 | 0.000 | -0.000 |
| -0.000 | -0.000 | -0.000 | -72.107 | 0.000 | -0.000 |
| -0.000 | -0.000 | -0.000 | -0.000 | -72.107 | -0.000 |
| -0.000 | -0.000 | -0.000 | -0.000 | 0.000 | -72.107 |
| 522.095 | 182.156 | 182.156 | 0.000 | -0.000 | -0.000 |
| 182.156 | 522.095 | 182.156 | 0.000 | -0.000 | 0.000 |
| 182.156 | 182.156 | 522.095 | 0.000 | -0.000 | 0.000 |
| 0.000 | 0.000 | 0.000 | -72.107 | -0.000 | -0.000 |
| 0.000 | 0.000 | 0.000 | 0.000 | -72.107 | -0.000 |
| 0.000 | 0.000 | 0.000 | 0.000 | -0.000 | -72.107 |
| 522.777 | 181.815 | 181.815 | 0.000 | -0.000 | 0.000 |
| 181.815 | 522.777 | 181.815 | 0.000 | 0.000 | -0.000 |
| 181.815 | 181.815 | 522.777 | -0.000 | 0.000 | -0.000 |
| -0.001 | -0.002 | -0.003 | -72.107 | 0.000 | 0.000 |
| -0.002 | -0.001 | -0.003 | -0.000 | -72.107 | -0.000 |
| -0.002 | -0.003 | -0.001 | -0.000 | 0.000 | -72.107 |
| 522.779 | 181.814 | 181.814 | 0.000 | -0.000 | 0.000 |
| 181.814 | 522.779 | 181.814 | 0.000 | -0.000 | -0.000 |
| 181.814 | 181.814 | 522.779 | 0.000 | -0.000 | 0.000 |
| 0.001 | 0.002 | 0.003 | -72.107 | -0.000 | 0.000 |
| 0.002 | 0.001 | 0.003 | 0.000 | -72.107 | 0.000 |
| 0.002 | 0.003 | 0.001 | 0.000 | -0.000 | -72.107 |
| 463.611 | 462.189 | 462.189 | -0.000 | -0.000 | 0.000 |
| 462.189 | 463.611 | 462.189 | -0.000 | -0.000 | 0.000 |
| 462.189 | 462.189 | 463.611 | 0.000 | 0.000 | -0.000 |
| -0.000 | -0.000 | -0.000 | -40.751 | 0.000 | -0.000 |
| -0.000 | -0.000 | -0.000 | 0.000 | -40.751 | 0.000 |
| -0.000 | -0.000 | 0.000 | -0.000 | 0.000 | -40.751 |
| 451.054 | 468.468 | 468.468 | -0.000 | -0.000 | -0.000 |
| 468.468 | 451.054 | 468.468 | -0.000 | -0.000 | 0.000 |
| 468.468 | 468.468 | 451.054 | 0.000 | -0.000 | -0.000 |
| 0.000 | 0.000 | 0.000 | -40.751 | -0.000 | 0.000 |
| 0.000 | 0.000 | -0.000 | 0.000 | -40.751 | -0.000 |
| 0.000 | 0.000 | 0.000 | 0.000 | -0.000 | -40.751 |
| 451.052 | 468.467 | 468.467 | -0.000 | 0.000 | 0.000 |
| 468.467 | 451.052 | 468.467 | 0.000 | 0.000 | -0.000 |
| 468.467 | 468.467 | 451.052 | 0.000 | 0.000 | 0.000 |
| -0.000 | -0.000 | -0.000 | -40.751 | 0.000 | 0.000 |
| -0.000 | -0.000 | -0.000 | -0.000 | -40.751 | 0.000 |
| -0.000 | -0.000 | -0.000 | -0.000 | 0.000 | -40.751 |
| 451.054 | 468.468 | 468.468 | 0.000 | -0.000 | -0.000 |
| 468.468 | 451.054 | 468.468 | -0.000 | -0.000 | -0.000 |
| 468.468 | 468.468 | 451.054 | 0.000 | -0.000 | 0.000 |
| 0.000 | 0.000 | 0.000 | -40.751 | -0.000 | -0.000 |
| 0.000 | 0.000 | 0.000 | 0.000 | -40.751 | -0.000 |
| 0.000 | 0.000 | 0.000 | 0.000 | -0.000 | -40.751 |
| -680418.526 | -956647.205 | -907879.177 | -19511.599 | 10366.674 | 33528.339 |
| -729207.075 | -813609.015 | -1088430.943 | 72978.506 | 14479.869 | 44375.298 |
| -924815.283 | -845091.348 | -694371.122 | 16299.287 | 51812.951 | 31955.303 |
| -0.000 | -0.000 | -0.000 | -40.751 | 0.000 | 0.000 |
| -0.000 | -0.000 | -0.000 | -0.000 | -40.751 | 0.000 |
| -0.000 | -0.000 | -0.000 | -0.000 | 0.000 | -40.751 |
| 463.618 | 462.198 | 462.198 | 0.000 | -0.000 | -0.000 |
| 462.198 | 463.618 | 462.198 | 0.000 | -0.000 | 0.000 |
| 462.198 | 462.198 | 463.618 | 0.000 | -0.000 | -0.000 |
| 0.000 | 0.000 | 0.000 | -40.751 | -0.000 | -0.000 |
| 0.000 | 0.000 | 0.000 | 0.000 | -40.751 | -0.000 |
| 0.000 | 0.000 | 0.000 | 0.000 | -0.000 | -40.751 |
| 307.854 | 84.365 | 84.365 | 0.000 | -0.000 | -0.000 |
| 84.365 | 307.854 | 84.365 | 0.000 | 0.000 | -0.000 |
| 84.365 | 84.365 | 307.854 | 0.000 | -0.000 | -0.000 |
| 0.000 | 0.000 | 0.000 | -17.120 | -0.000 | -0.000 |
| 0.000 | 0.000 | 0.000 | 0.000 | -17.120 | -0.000 |
| 0.000 | 0.000 | 0.000 | -0.000 | -0.000 | -17.120 |
| 282.679 | 96.953 | 96.953 | -0.000 | 0.000 | 0.000 |
| 96.953 | 282.679 | 96.953 | -0.000 | 0.000 | 0.000 |
| 96.953 | 96.953 | 282.679 | -0.000 | -0.000 | 0.000 |
| -0.000 | -0.000 | -0.000 | -17.120 | 0.000 | 0.000 |
| -0.000 | -0.000 | -0.000 | 0.000 | -17.120 | 0.000 |
| -0.000 | -0.000 | 0.000 | 0.000 | 0.000 | -17.120 |
| 282.679 | 96.953 | 96.953 | 0.000 | -0.000 | -0.000 |
| 96.953 | 282.679 | 96.953 | 0.000 | -0.000 | -0.000 |
| 96.953 | 96.953 | 282.679 | 0.000 | 0.000 | -0.000 |
| 0.000 | -0.000 | -0.000 | 60.708 | -0.000 | -0.000 |
| -0.000 | 0.000 | -0.000 | -0.000 | 60.708 | -0.000 |
| -0.000 | -0.000 | 0.000 | 0.000 | -0.000 | 60.708 |
| 282.679 | 96.953 | 96.953 | -0.000 | -0.000 | 0.000 |
| 96.953 | 282.679 | 96.953 | -0.000 | -0.000 | 0.000 |
| 96.953 | 96.953 | 282.679 | 0.000 | 0.000 | 0.000 |
| -0.000 | 0.000 | 0.000 | 60.708 | 0.000 | 0.000 |
| 0.000 | -0.000 | 0.000 | 0.000 | 60.708 | 0.000 |
| 0.000 | 0.000 | -0.000 | -0.000 | 0.000 | 60.708 |
| 282.679 | 96.952 | 96.952 | 0.000 | -0.000 | -0.000 |
| 96.952 | 282.679 | 96.952 | 0.000 | -0.000 | -0.000 |
| 96.952 | 96.952 | 282.679 | -0.000 | -0.000 | -0.000 |
| 0.001 | 0.003 | 0.003 | -17.120 | -0.000 | -0.000 |
| 0.003 | 0.001 | 0.003 | -0.000 | -17.120 | -0.000 |
| 0.003 | 0.003 | 0.001 | -0.000 | -0.000 | -17.120 |
| 282.679 | 96.953 | 96.953 | 0.000 | 0.000 | 0.000 |
| 96.953 | 282.679 | 96.953 | -0.000 | 0.000 | 0.000 |
| 96.953 | 96.953 | 282.679 | -0.000 | 0.000 | 0.000 |
| -0.001 | -0.003 | -0.003 | -17.120 | 0.000 | 0.000 |
| -0.003 | -0.001 | -0.003 | -0.000 | -17.120 | 0.000 |
| -0.003 | -0.003 | -0.001 | 0.000 | 0.000 | -17.120 |
| 10.788 | 0.000 | 0.000 | -0.000 | 0.000 | 0.000 |
| 0.000 | 10.788 | 0.000 | -0.000 | -0.000 | 0.000 |
| 0.000 | 0.000 | 10.788 | -0.000 | 0.000 | -0.000 |
| 0.000 | -0.000 | -0.000 | -0.000 | -0.000 | -0.000 |
| -0.000 | 0.000 | -0.000 | -0.000 | -0.000 | -0.000 |
| -0.000 | -0.000 | 0.000 | -0.000 | -0.000 | -0.000 |
| 10.788 | -0.000 | -0.000 | 0.000 | 0.000 | 0.000 |
| -0.000 | 10.788 | -0.000 | 0.000 | 0.000 | 0.000 |
| -0.000 | -0.000 | 10.788 | 0.000 | 0.000 | 0.000 |
| -0.000 | 0.000 | 0.000 | -0.000 | 0.000 | 0.000 |
| 0.000 | -0.000 | 0.000 | 0.000 | -0.000 | 0.000 |
| 0.000 | 0.000 | -0.000 | 0.000 | 0.000 | -0.000 |
| 10.789 | 0.000 | 0.000 | -0.000 | -0.000 | -0.000 |
| 0.000 | 10.789 | 0.000 | -0.000 | -0.000 | 0.000 |
| 0.000 | 0.000 | 10.789 | -0.000 | -0.000 | -0.000 |
| 0.000 | -0.000 | -0.000 | 0.000 | -0.000 | 0.000 |
| -0.000 | 0.000 | -0.000 | -0.000 | 0.000 | 0.000 |
| -0.000 | -0.000 | 0.000 | -0.000 | -0.000 | 0.000 |
| 10.788 | -0.000 | -0.000 | 0.000 | -0.000 | 0.000 |
| -0.000 | 10.788 | -0.000 | 0.000 | 0.000 | 0.000 |
| -0.000 | -0.000 | 10.788 | 0.000 | -0.000 | 0.000 |
| -0.000 | 0.000 | 0.000 | 0.000 | 0.000 | -0.000 |
| 0.000 | -0.000 | 0.000 | 0.000 | 0.000 | -0.000 |
| 0.000 | 0.000 | -0.000 | 0.000 | 0.000 | 0.000 |
| 10.791 | 0.000 | 0.000 | -0.000 | -0.000 | -0.000 |
| 0.000 | 10.791 | 0.000 | -0.000 | -0.000 | 0.000 |
| 0.000 | 0.000 | 10.791 | 0.000 | 0.000 | -0.000 |
| 0.000 | -0.000 | -0.000 | 0.000 | 0.000 | -0.000 |
| -0.000 | 0.000 | -0.000 | -0.000 | 0.000 | 0.000 |
| -0.000 | -0.000 | 0.000 | -0.000 | -0.000 | 0.000 |
| 10.786 | -0.000 | -0.000 | 0.000 | -0.000 | 0.000 |
| -0.000 | 10.786 | -0.000 | 0.000 | 0.000 | -0.000 |
| -0.000 | -0.000 | 10.786 | -0.000 | 0.000 | 0.000 |
| -0.000 | 0.000 | 0.000 | 0.000 | -0.000 | 0.000 |
| 0.000 | -0.000 | 0.000 | 0.000 | 0.000 | -0.000 |
| 0.000 | 0.000 | -0.000 | 0.000 | 0.000 | 0.000 |
| 185.897 | 187.640 | 187.640 | -0.000 | -0.000 | 0.000 |
| 187.640 | 185.897 | 187.640 | 0.000 | -0.000 | 0.000 |
| 187.640 | 187.640 | 185.897 | 0.000 | 0.000 | -0.000 |
| 0.000 | 0.000 | 0.000 | 165.102 | -0.000 | 0.000 |
| 0.000 | 0.000 | 0.000 | 0.000 | 165.102 | 0.000 |
| 0.000 | 0.000 | 0.000 | 0.000 | 0.000 | 165.102 |
| 185.897 | 187.640 | 187.640 | -0.000 | -0.000 | -0.000 |
| 187.640 | 185.897 | 187.640 | -0.000 | 0.000 | -0.000 |
| 187.640 | 187.640 | 185.897 | 0.000 | -0.000 | -0.000 |
| -0.000 | -0.000 | -0.000 | 165.102 | 0.000 | -0.000 |
| -0.000 | -0.000 | -0.000 | -0.000 | 165.102 | 0.000 |
| -0.000 | -0.000 | -0.000 | -0.000 | -0.000 | 165.102 |
| 185.897 | 187.640 | 187.640 | 0.000 | 0.000 | 0.000 |
| 187.640 | 185.897 | 187.640 | 0.000 | -0.000 | 0.000 |
| 187.640 | 187.640 | 185.897 | 0.000 | 0.000 | 0.000 |
| 0.000 | 0.000 | 0.000 | 165.102 | 0.000 | 0.000 |
| 0.000 | 0.000 | 0.000 | -0.000 | 165.102 | 0.000 |
| 0.000 | 0.000 | 0.000 | 0.000 | -0.000 | 165.102 |
| 185.897 | 187.639 | 187.639 | -0.000 | 0.000 | -0.000 |
| 187.639 | 185.897 | 187.639 | -0.000 | 0.000 | -0.000 |
| 187.639 | 187.639 | 185.897 | -0.000 | 0.000 | -0.000 |
| -0.000 | -0.000 | -0.000 | 165.102 | -0.000 | 0.000 |
| -0.000 | -0.000 | -0.000 | -0.000 | 165.102 | -0.000 |
| -0.000 | -0.000 | -0.000 | -0.000 | -0.000 | 165.102 |
| 185.897 | 187.640 | 187.640 | 0.000 | 0.000 | -0.000 |
| 187.640 | 185.897 | 187.640 | 0.000 | -0.000 | 0.000 |
| 187.640 | 187.640 | 185.897 | 0.000 | 0.000 | 0.000 |
| 0.001 | 0.001 | 0.001 | 165.102 | 0.000 | 0.000 |
| 0.001 | 0.001 | 0.001 | 0.000 | 165.102 | 0.000 |
| 0.001 | 0.001 | 0.001 | 0.000 | -0.000 | 165.102 |
| 185.897 | 187.639 | 187.639 | -0.000 | -0.000 | -0.000 |
| 187.639 | 185.897 | 187.639 | -0.000 | -0.000 | -0.000 |
| 187.639 | 187.639 | 185.897 | -0.000 | 0.000 | 0.000 |
| -0.001 | -0.001 | -0.001 | 165.102 | -0.000 | 0.000 |
| -0.001 | -0.001 | -0.001 | 0.000 | 165.102 | -0.000 |
| -0.001 | -0.001 | -0.001 | -0.000 | 0.000 | 165.102 |
| 38.944 | 173.255 | 173.255 | -0.000 | -0.000 | -0.000 |
| 173.255 | 38.944 | 173.255 | 0.000 | -0.000 | 0.000 |
| 173.255 | 173.255 | 38.944 | -0.000 | -0.000 | -0.000 |
| -0.000 | -0.000 | -0.000 | 173.307 | -0.000 | 0.000 |
| -0.000 | -0.000 | -0.000 | -0.000 | 173.307 | -0.000 |
| -0.000 | -0.000 | 0.000 | -0.000 | -0.000 | 173.307 |
| 38.944 | 173.255 | 173.255 | -0.000 | 0.000 | 0.000 |
| 173.255 | 38.944 | 173.255 | 0.000 | 0.000 | -0.000 |
| 173.255 | 173.255 | 38.944 | 0.000 | 0.000 | 0.000 |
| 0.000 | 0.000 | 0.000 | 173.307 | 0.000 | 0.000 |
| 0.000 | 0.000 | 0.000 | 0.000 | 173.307 | 0.000 |
| 0.000 | 0.000 | 0.000 | -0.000 | 0.000 | 173.307 |
| 38.945 | 173.255 | 173.255 | -0.000 | -0.000 | -0.000 |
| 173.255 | 38.945 | 173.255 | 0.000 | -0.000 | -0.000 |
| 173.255 | 173.255 | 38.945 | -0.000 | -0.000 | -0.000 |
| -0.000 | -0.000 | -0.000 | 173.307 | -0.000 | -0.000 |
| -0.000 | -0.000 | -0.000 | -0.000 | 173.307 | 0.000 |
| -0.000 | -0.000 | -0.000 | 0.000 | -0.000 | 173.307 |
| 38.944 | 173.255 | 173.255 | -0.000 | 0.000 | 0.000 |
| 173.255 | 38.944 | 173.255 | -0.000 | 0.000 | -0.000 |
| 173.255 | 173.255 | 38.944 | 0.000 | 0.000 | -0.000 |
| 0.000 | 0.000 | 0.000 | 173.307 | 0.000 | -0.000 |
| 0.000 | 0.000 | 0.000 | 0.000 | 173.307 | 0.000 |
| 0.000 | 0.000 | 0.000 | 0.000 | 0.000 | 173.307 |
| 38.949 | 173.255 | 173.255 | -0.000 | -0.000 | -0.000 |
| 173.255 | 38.949 | 173.255 | -0.000 | -0.000 | -0.000 |
| 173.255 | 173.255 | 38.949 | -0.000 | -0.000 | -0.000 |
| -0.000 | -0.001 | -0.000 | 173.307 | -0.000 | 0.000 |
| -0.001 | -0.000 | -0.000 | -0.000 | 173.307 | -0.000 |
| -0.001 | -0.000 | -0.000 | -0.000 | -0.000 | 173.307 |
| 38.939 | 173.255 | 173.255 | 0.000 | 0.000 | 0.000 |
| 173.255 | 38.939 | 173.255 | 0.000 | 0.000 | 0.000 |
| 173.255 | 173.255 | 38.939 | 0.000 | 0.000 | 0.000 |
| 0.000 | 0.001 | 0.000 | 173.307 | 0.000 | 0.000 |
| 0.001 | 0.000 | 0.000 | 0.000 | 173.307 | 0.000 |
| 0.001 | 0.000 | 0.000 | 0.000 | 0.000 | 173.307 |
| 207.187 | -50.213 | -50.213 | -0.000 | 0.000 | 0.000 |
| -50.213 | 207.187 | -50.213 | 0.000 | -0.000 | 0.000 |
| -50.213 | -50.213 | 207.187 | 0.000 | 0.000 | 0.000 |
| 0.000 | 0.000 | 0.000 | -50.183 | 0.000 | 0.000 |
| 0.000 | 0.000 | 0.000 | 0.000 | -50.183 | 0.000 |
| 0.000 | 0.000 | 0.000 | 0.000 | 0.000 | -50.183 |
| 207.187 | -50.213 | -50.213 | 0.000 | 0.000 | -0.000 |
| -50.213 | 207.187 | -50.213 | 0.000 | -0.000 | -0.000 |
| -50.213 | -50.213 | 207.187 | -0.000 | 0.000 | 0.000 |
| -0.000 | -0.000 | -0.000 | -50.183 | -0.000 | 0.000 |
| -0.000 | -0.000 | -0.000 | -0.000 | -50.183 | -0.000 |
| -0.000 | -0.000 | -0.000 | -0.000 | -0.000 | -50.183 |
| 207.188 | -50.213 | -50.213 | -0.000 | -0.000 | 0.000 |
| -50.213 | 207.188 | -50.213 | -0.000 | -0.000 | -0.000 |
| -50.213 | -50.213 | 207.188 | -0.000 | 0.000 | -0.000 |
| 0.000 | 0.000 | 0.000 | -50.183 | 0.000 | -0.000 |
| 0.000 | 0.000 | 0.000 | 0.000 | -50.183 | -0.000 |
| 0.000 | 0.000 | 0.000 | 0.000 | 0.000 | -50.183 |
| 207.186 | -50.213 | -50.213 | -0.000 | -0.000 | -0.000 |
| -50.213 | 207.186 | -50.213 | -0.000 | -0.000 | -0.000 |
| -50.213 | -50.213 | 207.186 | 0.000 | -0.000 | -0.000 |
| -0.000 | -0.000 | -0.000 | -50.183 | -0.000 | 0.000 |
| -0.000 | -0.000 | -0.000 | -0.000 | -50.183 | -0.000 |
| -0.000 | -0.000 | -0.000 | -0.000 | -0.000 | -50.183 |
| 207.194 | -50.212 | -50.212 | -0.000 | 0.000 | -0.000 |
| -50.212 | 207.194 | -50.212 | 0.000 | 0.000 | -0.000 |
| -50.212 | -50.212 | 207.194 | -0.000 | 0.000 | -0.000 |
| 0.002 | 0.002 | 0.001 | -50.183 | -0.000 | 0.000 |
| 0.002 | 0.002 | 0.001 | 0.000 | -50.183 | 0.000 |
| 0.002 | 0.001 | 0.002 | 0.000 | 0.000 | -50.183 |
| 207.180 | -50.215 | -50.215 | -0.000 | -0.000 | -0.000 |
| -50.215 | 207.180 | -50.215 | -0.000 | -0.000 | 0.000 |
| -50.215 | -50.215 | 207.180 | -0.000 | -0.000 | 0.000 |
| -0.002 | -0.002 | -0.001 | -50.183 | -0.000 | 0.000 |
| -0.002 | -0.002 | -0.001 | -0.000 | -50.183 | -0.000 |
| -0.002 | -0.001 | -0.002 | -0.000 | -0.000 | -50.183 |
| 24.899 | 24.899 | 24.899 | 0.000 | 0.000 | -0.000 |
| 24.899 | 24.899 | 24.899 | 0.000 | 0.000 | -0.000 |
| 24.899 | 24.899 | 24.899 | 0.000 | 0.000 | -0.000 |
| 0.000 | 0.000 | 0.000 | 24.898 | 0.000 | 0.000 |
| 0.000 | 0.000 | 0.000 | 0.000 | 24.898 | 0.000 |
| 0.000 | 0.000 | 0.000 | 0.000 | 0.000 | 24.898 |
| 24.899 | 24.899 | 24.899 | -0.000 | -0.000 | -0.000 |
| 24.899 | 24.899 | 24.899 | -0.000 | -0.000 | -0.000 |
| 24.899 | 24.899 | 24.899 | -0.000 | -0.000 | 0.000 |
| -0.000 | -0.000 | -0.000 | 24.898 | -0.000 | 0.000 |
| -0.000 | -0.000 | -0.000 | -0.000 | 24.898 | 0.000 |
| -0.000 | -0.000 | -0.000 | -0.000 | -0.000 | 24.898 |
| 24.899 | 24.899 | 24.899 | 0.000 | 0.000 | -0.000 |
| 24.899 | 24.899 | 24.899 | 0.000 | 0.000 | -0.000 |
| 24.899 | 24.899 | 24.899 | 0.000 | 0.000 | -0.000 |
| 0.000 | 0.000 | 0.000 | 24.898 | 0.000 | 0.000 |
| 0.000 | 0.000 | 0.000 | 0.000 | 24.898 | 0.000 |
| 0.000 | 0.000 | 0.000 | 0.000 | 0.000 | 24.898 |
| 24.899 | 24.899 | 24.899 | -0.000 | -0.000 | 0.000 |
| 24.899 | 24.899 | 24.899 | -0.000 | -0.000 | 0.000 |
| 24.899 | 24.899 | 24.899 | -0.000 | -0.000 | -0.000 |
| -0.000 | -0.000 | -0.000 | 24.898 | -0.000 | -0.000 |
| -0.000 | -0.000 | -0.000 | -0.000 | 24.898 | -0.000 |
| -0.000 | -0.000 | -0.000 | -0.000 | -0.000 | 24.898 |
| 24.901 | 24.901 | 24.901 | 0.000 | 0.000 | -0.000 |
| 24.901 | 24.901 | 24.901 | 0.000 | 0.000 | -0.000 |
| 24.901 | 24.901 | 24.901 | 0.000 | 0.000 | 0.000 |
| 0.002 | 0.002 | 0.002 | 24.898 | 0.000 | 0.000 |
| 0.002 | 0.002 | 0.002 | 0.000 | 24.898 | 0.000 |
| 0.002 | 0.002 | 0.002 | 0.000 | 0.000 | 24.898 |
| 24.897 | 24.897 | 24.897 | -0.000 | -0.000 | 0.000 |
| 24.897 | 24.897 | 24.897 | -0.000 | -0.000 | 0.000 |
| 24.897 | 24.897 | 24.897 | -0.000 | -0.000 | 0.000 |
| -0.002 | -0.002 | -0.002 | 24.898 | -0.000 | 0.000 |
| -0.002 | -0.002 | -0.002 | -0.000 | 24.898 | 0.000 |
| -0.002 | -0.002 | -0.002 | -0.000 | -0.000 | 24.898 |
| 211.146 | 146.943 | 153.882 | -0.000 | -0.000 | -0.000 |
| 146.943 | 211.146 | 153.882 | -0.000 | -0.000 | -0.000 |
| 153.882 | 153.882 | 423.874 | -0.000 | -0.000 | -0.000 |
| -0.000 | 0.000 | 0.000 | 90.224 | -0.000 | -0.000 |
| -0.000 | 0.000 | 0.000 | 0.000 | 90.224 | 0.000 |
| 0.000 | 0.000 | 0.000 | -0.000 | -0.000 | 32.101 |
| 211.146 | 146.943 | 153.882 | 0.000 | -0.000 | -0.000 |
| 146.943 | 211.146 | 153.882 | -0.000 | -0.000 | -0.000 |
| 153.882 | 153.882 | 423.874 | 0.000 | 0.000 | -0.000 |
| 0.000 | -0.000 | -0.000 | 90.224 | 0.000 | -0.000 |
| 0.000 | -0.000 | -0.000 | 0.000 | 90.224 | -0.000 |
| -0.000 | -0.000 | -0.000 | -0.000 | 0.000 | 32.101 |
| 211.146 | 146.943 | 153.882 | 0.000 | -0.000 | -0.000 |
| 146.943 | 211.146 | 153.882 | 0.000 | 0.000 | -0.000 |
| 153.882 | 153.882 | 423.874 | -0.000 | -0.000 | 0.000 |
| 0.000 | 0.000 | 0.000 | 90.224 | -0.000 | 0.000 |
| 0.000 | 0.000 | 0.000 | 0.000 | 90.224 | 0.000 |
| 0.000 | 0.000 | 0.000 | 0.000 | -0.000 | 32.101 |
| 211.145 | 146.943 | 153.882 | 0.000 | 0.000 | -0.000 |
| 122.098 | 235.990 | 153.882 | 0.000 | 0.000 | -0.000 |
| 153.882 | 153.882 | 423.874 | -0.000 | 0.000 | -0.000 |
| -0.000 | -0.000 | -0.000 | 90.224 | 0.000 | -0.000 |
| -0.000 | -0.000 | -0.000 | 0.000 | 90.224 | -0.000 |
| -0.000 | -0.000 | -0.000 | 0.000 | 0.000 | 32.101 |
| 211.151 | 146.944 | 153.883 | -0.000 | -0.000 | 0.000 |
| 146.943 | 211.152 | 153.883 | -0.000 | -0.000 | 0.000 |
| 153.883 | 153.883 | 423.876 | -0.000 | -0.000 | 0.000 |
| 0.000 | 0.000 | 0.001 | 90.224 | -0.000 | 0.000 |
| 0.000 | 0.000 | 0.001 | -0.000 | 90.224 | 0.000 |
| 0.000 | 0.001 | 0.000 | -0.000 | -0.000 | 56.946 |
| 235.987 | 122.098 | 153.881 | 0.000 | 0.000 | -0.000 |
| 122.097 | 235.987 | 153.881 | -0.000 | -0.000 | -0.000 |
| 153.881 | 153.881 | 423.870 | -0.000 | -0.000 | -0.000 |
| -0.000 | -0.000 | -0.001 | 90.224 | 0.000 | 0.000 |
| -0.000 | -0.000 | -0.001 | 0.000 | 90.224 | -0.000 |
| -0.000 | -0.001 | -0.000 | 0.000 | -0.000 | 56.946 |
| 189.505 | 107.421 | 114.026 | -0.000 | 0.000 | 0.000 |
| 142.386 | 154.539 | 114.026 | -0.000 | 0.000 | 0.000 |
| 114.026 | 114.026 | 343.665 | -0.000 | -0.000 | -0.000 |
| 0.000 | 0.000 | 0.000 | 48.315 | -0.000 | 0.000 |
| 0.000 | 0.000 | 0.000 | -0.000 | 48.315 | -0.000 |
| 0.000 | 0.000 | 0.000 | 0.000 | -0.000 | 6.076 |
| 154.539 | 142.386 | 114.026 | 0.000 | 0.000 | -0.000 |
| 107.421 | 189.505 | 114.026 | 0.000 | -0.000 | -0.000 |
| 114.026 | 114.026 | 343.665 | 0.000 | -0.000 | -0.000 |
| -0.000 | -0.000 | -0.000 | 48.315 | 0.000 | 0.000 |
| -0.000 | -0.000 | -0.000 | -0.000 | 48.315 | -0.000 |
| -0.000 | -0.000 | -0.000 | 0.000 | 0.000 | 6.076 |
| 154.540 | 142.387 | 114.026 | 0.000 | 0.000 | 0.000 |
| 142.386 | 154.540 | 114.026 | -0.000 | 0.000 | 0.000 |
| 114.026 | 114.026 | 343.665 | -0.000 | -0.000 | 0.000 |
| 0.000 | 0.000 | 0.000 | 48.315 | -0.000 | 0.000 |
| 0.000 | 0.000 | 0.000 | -0.000 | 48.315 | -0.000 |
| 0.000 | 0.000 | 0.000 | -0.000 | -0.000 | 6.076 |
| 189.504 | 107.421 | 114.025 | 0.000 | 0.000 | -0.000 |
| 107.421 | 189.504 | 114.025 | 0.000 | -0.000 | -0.000 |
| 114.025 | 114.025 | 343.664 | 0.000 | 0.000 | -0.000 |
| -0.000 | -0.000 | -0.000 | 48.315 | 0.000 | 0.000 |
| -0.000 | -0.000 | -0.000 | 0.000 | 48.315 | 0.000 |
| -0.000 | -0.000 | -0.000 | 0.000 | 0.000 | 6.076 |
| 154.545 | 142.387 | 114.027 | -0.000 | -0.000 | 0.000 |
| 142.386 | 154.546 | 114.027 | -0.000 | -0.000 | 0.000 |
| 114.027 | 114.027 | 343.667 | -0.000 | 0.000 | 0.000 |
| 0.000 | 0.001 | 0.001 | 48.315 | 0.000 | 0.000 |
| 0.001 | 0.000 | 0.001 | -0.000 | 48.315 | 0.000 |
| 0.002 | 0.001 | 0.001 | -0.000 | -0.000 | 6.076 |
| 154.534 | 142.386 | 114.024 | 0.000 | 0.000 | -0.000 |
| 107.420 | 189.501 | 114.025 | -0.000 | -0.000 | -0.000 |
| 114.024 | 114.024 | 343.662 | 0.000 | 0.000 | 0.000 |
| -0.000 | -0.001 | -0.001 | 48.315 | 0.000 | -0.000 |
| -0.001 | -0.000 | -0.001 | -0.000 | 48.315 | -0.000 |
| -0.002 | -0.001 | -0.001 | 0.000 | 0.000 | 6.076 |
| 514.188 | 171.309 | 128.708 | 0.000 | 0.000 | -0.000 |
| 171.309 | 514.188 | 128.708 | -0.000 | 0.000 | -0.000 |
| 128.708 | 128.708 | 556.789 | -0.000 | 0.000 | 0.000 |
| -0.000 | -0.000 | -0.000 | 128.839 | 0.000 | 0.000 |
| -0.000 | -0.000 | -0.000 | -0.000 | 128.839 | 0.000 |
| -0.000 | -0.000 | -0.000 | -0.000 | 0.000 | 143.268 |
| 514.189 | 171.309 | 128.708 | -0.000 | 0.000 | 0.000 |
| 171.309 | 514.189 | 128.708 | 0.000 | -0.000 | -0.000 |
| 128.708 | 128.708 | 556.790 | 0.000 | -0.000 | -0.000 |
| 0.000 | 0.000 | 0.000 | 128.839 | -0.000 | -0.000 |
| 0.000 | 0.000 | 0.000 | 0.000 | 128.839 | 0.000 |
| 0.000 | 0.000 | 0.000 | 0.000 | -0.000 | 143.268 |
| 486.014 | 199.481 | 128.708 | -0.000 | 0.000 | 0.000 |
| 199.481 | 486.014 | 128.708 | -0.000 | 0.000 | 0.000 |
| 128.708 | 128.708 | 556.787 | -0.000 | 0.000 | 0.000 |
| -0.000 | -0.000 | -0.001 | 128.839 | 0.000 | 0.000 |
| -0.000 | -0.000 | -0.001 | -0.000 | 128.839 | 0.000 |
| -0.000 | -0.001 | -0.000 | -0.000 | 0.000 | 171.440 |
| 486.019 | 199.481 | 128.709 | 0.000 | -0.000 | -0.000 |
| 199.481 | 486.019 | 128.709 | 0.000 | -0.000 | -0.000 |
| 128.709 | 128.709 | 556.791 | 0.000 | -0.000 | -0.000 |
| 0.000 | 0.000 | 0.001 | 128.839 | -0.000 | -0.000 |
| 0.000 | 0.000 | 0.001 | 0.000 | 128.839 | -0.000 |
| 0.000 | 0.001 | 0.000 | 0.000 | -0.000 | 171.440 |
| 514.165 | 171.306 | 128.704 | 0.000 | 0.000 | -0.000 |
| 199.479 | 485.989 | 128.703 | 0.000 | 0.000 | 0.000 |
| 128.702 | 128.702 | 556.771 | -0.000 | 0.000 | 0.000 |
| -0.002 | -0.005 | -0.006 | 128.839 | 0.000 | 0.000 |
| -0.005 | -0.002 | -0.006 | -0.000 | 128.839 | 0.000 |
| -0.006 | -0.006 | -0.003 | -0.000 | 0.000 | 143.268 |
| 486.044 | 199.484 | 128.714 | 0.000 | -0.000 | -0.000 |
| 199.483 | 486.045 | 128.714 | 0.000 | -0.000 | -0.000 |
| 128.714 | 128.714 | 556.808 | 0.000 | -0.000 | -0.000 |
| 0.002 | 0.005 | 0.006 | 128.839 | -0.000 | -0.000 |
| 0.005 | 0.002 | 0.006 | 0.000 | 128.839 | -0.000 |
| 0.006 | 0.006 | 0.003 | 0.000 | -0.000 | 143.268 |
| 73.659 | 27.940 | 20.320 | -0.000 | 0.000 | -0.000 |
| 27.940 | 73.659 | 20.320 | -0.000 | 0.000 | -0.000 |
| 20.320 | 20.320 | 81.279 | -0.000 | 0.000 | -0.000 |
| 0.000 | 0.000 | 0.000 | 20.320 | 0.000 | -0.000 |
| 0.000 | 0.000 | 0.000 | 0.000 | 20.320 | -0.000 |
| 0.000 | 0.000 | -0.000 | 0.000 | 0.000 | 22.860 |
| 73.659 | 27.940 | 20.320 | 0.000 | -0.000 | 0.000 |
| 27.940 | 73.659 | 20.320 | 0.000 | -0.000 | 0.000 |
| 20.320 | 20.320 | 81.279 | -0.000 | -0.000 | 0.000 |
| -0.000 | -0.000 | -0.000 | 20.320 | -0.000 | 0.000 |
| -0.000 | -0.000 | -0.000 | -0.000 | 20.320 | -0.000 |
| -0.000 | -0.000 | 0.000 | 0.000 | -0.000 | 22.860 |
| 73.661 | 27.940 | 20.320 | -0.000 | 0.000 | -0.000 |
| 27.941 | 73.661 | 20.320 | -0.000 | 0.000 | -0.000 |
| 20.321 | 20.321 | 81.280 | 0.000 | 0.000 | -0.000 |
| 0.000 | 0.000 | 0.000 | 20.320 | 0.000 | -0.000 |
| 0.000 | 0.000 | 0.000 | -0.000 | 20.320 | -0.000 |
| 0.000 | 0.000 | -0.000 | -0.000 | 0.000 | 22.860 |
| 73.658 | 27.940 | 20.320 | 0.000 | -0.000 | 0.000 |
| 27.940 | 73.658 | 20.320 | 0.000 | -0.000 | 0.000 |
| 20.320 | 20.320 | 81.278 | -0.000 | -0.000 | -0.000 |
| -0.000 | -0.000 | -0.000 | 20.320 | -0.000 | 0.000 |
| -0.000 | -0.000 | -0.000 | 0.000 | 20.320 | 0.000 |
| -0.000 | -0.000 | 0.000 | 0.000 | -0.000 | 22.860 |
| 73.674 | 27.942 | 20.321 | -0.000 | 0.000 | -0.000 |
| 27.945 | 73.672 | 20.321 | -0.000 | 0.000 | -0.000 |
| 20.324 | 20.324 | 81.292 | 0.000 | 0.000 | 0.000 |
| 0.001 | 0.001 | 0.003 | 20.320 | 0.000 | -0.000 |
| 0.001 | 0.001 | 0.003 | 0.000 | 20.320 | -0.000 |
| 0.001 | 0.004 | -0.000 | 0.000 | 0.000 | 22.860 |
| 73.644 | 27.939 | 20.320 | -0.000 | -0.000 | 0.000 |
| 27.936 | 73.647 | 20.320 | 0.000 | -0.000 | 0.000 |
| 20.317 | 20.317 | 81.266 | -0.000 | -0.000 | 0.000 |
| -0.001 | -0.001 | -0.003 | 20.320 | -0.000 | 0.000 |
| -0.001 | -0.001 | -0.003 | 0.000 | 20.320 | 0.000 |
| -0.001 | -0.004 | 0.000 | 0.000 | -0.000 | 22.860 |
| 191.806 | 135.870 | 190.757 | 0.000 | -0.000 | -0.000 |
| 107.375 | 220.301 | 190.757 | 0.000 | -0.000 | 0.000 |
| 190.757 | 190.757 | 577.641 | -0.000 | -0.000 | 0.000 |
| -0.000 | 0.000 | -0.000 | 142.775 | 0.000 | 0.000 |
| -0.000 | -0.000 | -0.000 | 0.000 | 142.775 | -0.000 |
| 0.000 | 0.000 | -0.000 | 0.000 | 0.000 | 27.968 |
| 191.806 | 135.870 | 190.757 | 0.000 | 0.000 | -0.000 |
| 135.870 | 191.806 | 190.757 | -0.000 | -0.000 | -0.000 |
| 190.757 | 190.757 | 577.641 | -0.000 | 0.000 | -0.000 |
| -0.000 | 0.000 | -0.000 | 142.775 | 0.000 | 0.000 |
| 0.000 | 0.000 | 0.000 | 0.000 | 142.775 | -0.000 |
| -0.000 | -0.000 | 0.000 | -0.000 | 0.000 | 27.968 |
| 220.302 | 107.375 | 190.757 | 0.000 | -0.000 | -0.000 |
| 107.375 | 220.302 | 190.757 | -0.000 | -0.000 | -0.000 |
| 190.757 | 190.757 | 577.641 | 0.000 | -0.000 | 0.000 |
| 0.000 | -0.000 | 0.000 | 142.775 | -0.000 | -0.000 |
| -0.000 | 0.000 | 0.000 | 0.000 | 142.775 | -0.000 |
| 0.000 | 0.000 | -0.000 | 0.000 | -0.000 | 56.463 |
| 220.301 | 107.375 | 190.757 | -0.000 | -0.000 | 0.000 |
| 107.375 | 220.301 | 190.757 | -0.000 | 0.000 | 0.000 |
| 190.757 | 190.757 | 577.640 | -0.000 | -0.000 | 0.000 |
| -0.000 | 0.000 | -0.000 | 142.775 | 0.000 | -0.000 |
| 0.000 | -0.000 | -0.000 | -0.000 | 142.775 | -0.000 |
| -0.000 | -0.000 | 0.000 | -0.000 | 0.000 | 56.463 |
| 191.811 | 135.870 | 190.758 | 0.000 | 0.000 | 0.000 |
| 107.376 | 220.304 | 190.758 | 0.000 | 0.000 | -0.000 |
| 190.758 | 190.758 | 577.643 | 0.000 | 0.000 | 0.000 |
| 0.000 | -0.000 | 0.000 | 142.775 | -0.000 | -0.000 |
| -0.000 | 0.000 | 0.000 | 0.000 | 142.775 | -0.000 |
| 0.001 | 0.001 | 0.000 | 0.000 | -0.000 | 27.968 |
| 191.802 | 135.870 | 190.757 | -0.000 | 0.000 | -0.000 |
| 107.374 | 220.298 | 190.757 | -0.000 | 0.000 | -0.000 |
| 190.757 | 190.757 | 577.639 | 0.000 | -0.000 | 0.000 |
| -0.000 | 0.000 | -0.000 | 142.775 | 0.000 | -0.000 |
| 0.000 | -0.000 | -0.000 | 0.000 | 142.775 | 0.000 |
| -0.001 | -0.001 | -0.000 | -0.000 | 0.000 | 27.968 |
| 109.556 | 126.092 | 131.701 | 0.000 | -0.000 | 0.000 |
| 126.092 | 109.556 | 131.701 | -0.000 | -0.000 | 0.000 |
| 131.701 | 131.701 | 438.918 | 0.000 | -0.000 | 0.000 |
| -0.000 | 0.000 | 0.000 | 70.541 | -0.000 | 0.000 |
| -0.000 | 0.000 | 0.000 | 0.000 | 70.541 | 0.000 |
| -0.000 | 0.000 | 0.000 | 0.000 | 0.000 | 26.953 |
| 144.777 | 90.871 | 131.701 | 0.000 | 0.000 | -0.000 |
| 126.092 | 109.556 | 131.701 | -0.000 | -0.000 | -0.000 |
| 131.701 | 131.701 | 438.918 | 0.000 | 0.000 | -0.000 |
| 0.000 | -0.000 | -0.000 | 70.541 | 0.000 | -0.000 |
| 0.000 | -0.000 | -0.000 | 0.000 | 70.541 | -0.000 |
| 0.000 | -0.000 | -0.000 | -0.000 | 0.000 | 26.953 |
| 144.777 | 90.871 | 131.701 | -0.000 | -0.000 | 0.000 |
| 90.871 | 144.777 | 131.701 | 0.000 | 0.000 | 0.000 |
| 131.701 | 131.701 | 438.919 | 0.000 | -0.000 | 0.000 |
| 0.000 | -0.000 | 0.000 | 70.541 | 0.000 | 0.000 |
| -0.000 | 0.000 | 0.000 | 0.000 | 70.541 | 0.000 |
| 0.000 | 0.000 | -0.000 | 0.000 | -0.000 | -8.268 |
| 109.555 | 126.092 | 131.701 | -0.000 | -0.000 | -0.000 |
| 90.871 | 144.777 | 131.701 | -0.000 | -0.000 | -0.000 |
| 131.701 | 131.701 | 438.918 | -0.000 | 0.000 | -0.000 |
| -0.000 | 0.000 | -0.000 | 70.541 | 0.000 | -0.000 |
| 0.000 | -0.000 | -0.000 | -0.000 | 70.541 | -0.000 |
| -0.000 | -0.000 | 0.000 | 0.000 | -0.000 | -8.268 |
| 109.557 | 126.092 | 131.701 | -0.000 | -0.000 | 0.000 |
| 126.093 | 109.557 | 131.701 | -0.000 | 0.000 | 0.000 |
| 131.702 | 131.702 | 438.921 | -0.000 | 0.000 | 0.000 |
| 0.000 | -0.000 | 0.000 | 70.541 | -0.000 | 0.000 |
| -0.000 | 0.000 | 0.000 | -0.000 | 70.541 | 0.000 |
| 0.000 | 0.000 | -0.000 | 0.000 | 0.000 | -8.268 |
| 144.776 | 90.871 | 131.701 | -0.000 | -0.000 | -0.000 |
| 90.870 | 144.777 | 131.701 | 0.000 | 0.000 | -0.000 |
| 131.701 | 131.701 | 438.916 | -0.000 | -0.000 | -0.000 |
| -0.000 | 0.000 | -0.000 | 70.541 | 0.000 | -0.000 |
| 0.000 | -0.000 | -0.000 | -0.000 | 70.541 | -0.000 |
| -0.000 | -0.000 | 0.000 | -0.000 | 0.000 | -8.268 |
| 514.188 | 171.309 | 128.708 | 0.000 | 0.000 | 0.000 |
| 171.309 | 514.188 | 128.708 | -0.000 | 0.000 | 0.000 |
| 128.708 | 128.708 | 556.789 | 0.000 | 0.000 | -0.000 |
| -0.000 | -0.000 | -0.000 | 128.839 | 0.000 | 0.000 |
| -0.000 | -0.000 | -0.000 | 0.000 | 128.839 | -0.000 |
| -0.000 | -0.000 | -0.000 | 0.000 | 0.000 | 143.268 |
| 514.189 | 171.309 | 128.708 | -0.000 | -0.000 | -0.000 |
| 171.309 | 514.189 | 128.708 | 0.000 | -0.000 | -0.000 |
| 128.708 | 128.708 | 556.790 | -0.000 | -0.000 | 0.000 |
| 0.000 | 0.000 | 0.000 | 128.839 | -0.000 | 0.000 |
| 0.000 | 0.000 | 0.000 | -0.000 | 128.839 | -0.000 |
| 0.000 | 0.000 | 0.000 | -0.000 | -0.000 | 143.268 |
| 486.014 | 199.481 | 128.708 | 0.000 | 0.000 | -0.000 |
| 199.481 | 486.014 | 128.708 | 0.000 | 0.000 | -0.000 |
| 128.708 | 128.708 | 556.787 | -0.000 | 0.000 | -0.000 |
| -0.000 | -0.000 | -0.001 | 128.839 | -0.000 | -0.000 |
| -0.000 | -0.000 | -0.001 | 0.000 | 128.839 | 0.000 |
| -0.001 | -0.001 | -0.000 | 0.000 | 0.000 | 143.268 |
| 486.019 | 199.481 | 128.709 | -0.000 | -0.000 | 0.000 |
| 199.481 | 486.020 | 128.709 | -0.000 | -0.000 | 0.000 |
| 128.709 | 128.709 | 556.791 | -0.000 | -0.000 | 0.000 |
| 0.000 | 0.000 | 0.001 | 128.839 | -0.000 | 0.000 |
| 0.000 | 0.000 | 0.001 | -0.000 | 128.839 | -0.000 |
| 0.001 | 0.001 | 0.000 | -0.000 | -0.000 | 143.268 |
| 485.990 | 199.478 | 128.703 | 0.000 | -0.000 | -0.000 |
| 199.479 | 485.989 | 128.703 | 0.000 | 0.000 | -0.000 |
| 128.702 | 128.702 | 556.771 | 0.000 | 0.000 | -0.000 |
| -0.002 | -0.005 | -0.006 | 128.839 | 0.000 | 0.000 |
| -0.005 | -0.002 | -0.006 | 0.000 | 128.839 | -0.000 |
| -0.006 | -0.006 | -0.003 | 0.000 | 0.000 | 143.268 |
| 486.044 | 199.484 | 128.714 | -0.000 | -0.000 | 0.000 |
| 199.483 | 486.045 | 128.714 | -0.000 | -0.000 | 0.000 |
| 128.714 | 128.714 | 556.808 | -0.000 | -0.000 | 0.000 |
| 0.002 | 0.005 | 0.006 | 128.839 | -0.000 | 0.000 |
| 0.005 | 0.002 | 0.006 | -0.000 | 128.839 | 0.000 |
| 0.006 | 0.006 | 0.003 | -0.000 | -0.000 | 143.268 |
| 73.659 | 27.940 | 20.320 | 0.000 | 0.000 | 0.000 |
| 27.940 | 73.659 | 20.320 | -0.000 | 0.000 | 0.000 |
| 20.320 | 20.320 | 81.279 | 0.000 | 0.000 | 0.000 |
| 0.000 | 0.000 | 0.000 | 20.320 | 0.000 | 0.000 |
| 0.000 | 0.000 | 0.000 | -0.000 | 20.320 | 0.000 |
| 0.000 | 0.000 | 0.000 | 0.000 | 0.000 | 22.860 |
| 73.659 | 27.940 | 20.320 | -0.000 | -0.000 | -0.000 |
| 27.940 | 73.659 | 20.320 | 0.000 | -0.000 | -0.000 |
| 20.320 | 20.320 | 81.279 | -0.000 | -0.000 | -0.000 |
| -0.000 | -0.000 | -0.000 | 20.320 | -0.000 | -0.000 |
| -0.000 | -0.000 | -0.000 | 0.000 | 20.320 | -0.000 |
| -0.000 | -0.000 | -0.000 | -0.000 | -0.000 | 22.860 |
| 73.661 | 27.940 | 20.320 | 0.000 | 0.000 | 0.000 |
| 27.941 | 73.661 | 20.320 | 0.000 | 0.000 | 0.000 |
| 20.321 | 20.321 | 81.280 | 0.000 | 0.000 | 0.000 |
| 0.000 | 0.000 | 0.000 | 20.320 | 0.000 | 0.000 |
| 0.000 | 0.000 | 0.000 | -0.000 | 20.320 | 0.000 |
| 0.000 | 0.000 | -0.000 | 0.000 | 0.000 | 22.860 |
| 73.658 | 27.940 | 20.320 | 0.000 | -0.000 | -0.000 |
| 27.940 | 73.658 | 20.320 | 0.000 | -0.000 | -0.000 |
| 20.320 | 20.320 | 81.278 | -0.000 | -0.000 | -0.000 |
| -0.000 | -0.000 | -0.000 | 20.320 | -0.000 | -0.000 |
| -0.000 | -0.000 | -0.000 | 0.000 | 20.320 | -0.000 |
| -0.000 | -0.000 | 0.000 | -0.000 | -0.000 | 22.860 |
| 73.675 | 27.942 | 20.321 | -0.000 | 0.000 | 0.000 |
| 27.945 | 73.672 | 20.321 | 0.000 | 0.000 | 0.000 |
| 20.324 | 20.324 | 81.292 | -0.000 | 0.000 | 0.000 |
| 0.001 | 0.001 | 0.003 | 20.320 | 0.000 | 0.000 |
| 0.001 | 0.001 | 0.003 | -0.000 | 20.320 | 0.000 |
| 0.001 | 0.004 | -0.000 | -0.000 | 0.000 | 22.860 |
| 73.644 | 27.939 | 20.320 | 0.000 | 0.000 | -0.000 |
| 27.936 | 73.647 | 20.320 | 0.000 | -0.000 | -0.000 |
| 20.317 | 20.317 | 81.266 | 0.000 | -0.000 | -0.000 |
| -0.001 | -0.001 | -0.003 | 20.320 | -0.000 | -0.000 |
| -0.001 | -0.001 | -0.003 | 0.000 | 20.320 | -0.000 |
| -0.001 | -0.004 | 0.000 | 0.000 | -0.000 | 22.860 |
| 167.137 | 285.927 | 285.927 | -0.000 | -0.000 | -0.000 |
| 285.927 | 167.137 | 285.927 | -0.000 | -0.000 | -0.000 |
| 285.927 | 285.927 | 167.137 | -0.000 | -0.000 | -0.000 |
| 0.000 | 0.000 | 0.000 | 72.918 | 0.000 | 0.000 |
| 0.000 | 0.000 | 0.000 | 0.000 | 72.918 | 0.000 |
| 0.000 | 0.000 | 0.000 | 0.000 | -0.000 | 72.918 |
| 167.137 | 285.927 | 285.927 | 0.000 | 0.000 | 0.000 |
| 285.927 | 167.137 | 285.927 | 0.000 | 0.000 | 0.000 |
| 285.927 | 285.927 | 167.137 | 0.000 | 0.000 | 0.000 |
| -0.000 | -0.000 | -0.000 | 72.918 | 0.000 | -0.000 |
| -0.000 | -0.000 | -0.000 | 0.000 | 72.918 | -0.000 |
| -0.000 | -0.000 | -0.000 | 0.000 | 0.000 | 72.918 |
| 167.138 | 285.927 | 285.927 | -0.000 | -0.000 | -0.000 |
| 285.927 | 167.138 | 285.927 | -0.000 | -0.000 | -0.000 |
| 285.927 | 285.927 | 167.138 | -0.000 | -0.000 | -0.000 |
| -0.000 | 0.000 | 0.000 | -80.009 | -0.000 | -0.000 |
| 0.000 | -0.000 | 0.000 | -0.000 | -80.009 | -0.000 |
| 0.000 | 0.000 | -0.000 | -0.000 | -0.000 | -80.009 |
| 167.137 | 285.926 | 285.926 | 0.000 | 0.000 | 0.000 |
| 285.926 | 167.137 | 285.926 | 0.000 | 0.000 | 0.000 |
| 285.926 | 285.926 | 167.137 | 0.000 | 0.000 | 0.000 |
| 0.000 | -0.000 | -0.000 | -80.009 | 0.000 | 0.000 |
| -0.000 | 0.000 | -0.000 | 0.000 | -80.009 | 0.000 |
| -0.000 | -0.000 | 0.000 | 0.000 | 0.000 | -80.009 |
| 167.142 | 285.930 | 285.930 | -0.000 | -0.000 | -0.000 |
| 285.930 | 167.142 | 285.930 | -0.000 | -0.000 | -0.000 |
| 285.930 | 285.930 | 167.142 | -0.000 | -0.000 | -0.000 |
| -0.001 | 0.001 | 0.001 | -80.007 | -0.000 | -0.000 |
| 0.001 | -0.001 | 0.001 | -0.000 | -80.007 | -0.000 |
| 0.001 | 0.001 | -0.001 | -0.000 | -0.000 | -80.007 |
| 167.132 | 285.923 | 285.923 | 0.000 | 0.000 | 0.000 |
| 285.923 | 167.132 | 285.923 | 0.000 | 0.000 | 0.000 |
| 285.923 | 285.923 | 167.132 | 0.000 | 0.000 | 0.000 |
| 0.001 | -0.001 | -0.001 | -80.007 | 0.000 | 0.000 |
| -0.001 | 0.001 | -0.001 | 0.000 | -80.007 | 0.000 |
| -0.001 | -0.001 | 0.001 | 0.000 | 0.000 | -80.007 |
| 49.931 | 49.931 | 49.931 | 0.000 | 0.000 | 0.000 |
| 49.931 | 49.931 | 49.931 | 0.000 | 0.000 | 0.000 |
| 49.931 | 49.931 | 49.931 | 0.000 | 0.000 | 0.000 |
| -0.000 | -0.000 | -0.000 | 0.000 | 0.000 | 0.000 |
| -0.000 | -0.000 | -0.000 | 0.000 | 0.000 | 0.000 |
| -0.000 | -0.000 | -0.000 | 0.000 | 0.000 | 0.000 |
| 49.931 | 49.931 | 49.931 | -0.000 | -0.000 | -0.000 |
| 49.931 | 49.931 | 49.931 | -0.000 | -0.000 | -0.000 |
| 49.931 | 49.931 | 49.931 | -0.000 | -0.000 | -0.000 |
| 0.000 | 0.000 | 0.000 | -0.000 | -0.000 | -0.000 |
| 0.000 | 0.000 | 0.000 | -0.000 | -0.000 | -0.000 |
| 0.000 | 0.000 | 0.000 | -0.000 | -0.000 | -0.000 |
| 49.931 | 49.931 | 49.931 | 0.000 | 0.000 | 0.000 |
| 49.931 | 49.931 | 49.931 | 0.000 | 0.000 | 0.000 |
| 49.931 | 49.931 | 49.931 | 0.000 | 0.000 | 0.000 |
| -0.000 | -0.000 | -0.000 | 0.000 | 0.000 | 0.000 |
| -0.000 | -0.000 | -0.000 | 0.000 | 0.000 | 0.000 |
| -0.000 | -0.000 | -0.000 | 0.000 | 0.000 | 0.000 |
| 49.931 | 49.931 | 49.931 | -0.000 | -0.000 | -0.000 |
| 49.931 | 49.931 | 49.931 | -0.000 | -0.000 | -0.000 |
| 49.931 | 49.931 | 49.931 | -0.000 | -0.000 | -0.000 |
| 0.000 | 0.000 | 0.000 | -0.000 | -0.000 | -0.000 |
| 0.000 | 0.000 | 0.000 | -0.000 | -0.000 | -0.000 |
| 0.000 | 0.000 | 0.000 | -0.000 | -0.000 | -0.000 |
| 49.931 | 49.932 | 49.932 | 0.000 | 0.000 | 0.000 |
| 49.932 | 49.931 | 49.932 | 0.000 | 0.000 | 0.000 |
| 49.932 | 49.932 | 49.931 | 0.000 | 0.000 | 0.000 |
| -0.000 | -0.000 | -0.000 | -0.000 | 0.000 | 0.000 |
| -0.000 | -0.000 | -0.000 | 0.000 | -0.000 | 0.000 |
| -0.000 | -0.000 | -0.000 | 0.000 | 0.000 | -0.000 |
| 49.930 | 49.930 | 49.930 | -0.000 | -0.000 | -0.000 |
| 49.930 | 49.930 | 49.930 | -0.000 | -0.000 | -0.000 |
| 49.930 | 49.930 | 49.930 | -0.000 | -0.000 | -0.000 |
| 0.000 | 0.000 | 0.000 | -0.000 | -0.000 | -0.000 |
| 0.000 | 0.000 | 0.000 | -0.000 | -0.000 | -0.000 |
| 0.000 | 0.000 | 0.000 | -0.000 | -0.000 | -0.000 |
| 6.227 | 6.227 | 6.227 | 0.000 | 0.000 | 0.000 |
| 6.227 | 6.227 | 6.227 | 0.000 | 0.000 | 0.000 |
| 6.227 | 6.227 | 6.227 | 0.000 | 0.000 | 0.000 |
| -0.000 | -0.000 | -0.000 | 0.000 | -0.000 | -0.000 |
| -0.000 | -0.000 | -0.000 | -0.000 | 0.000 | -0.000 |
| -0.000 | -0.000 | -0.000 | -0.000 | -0.000 | 0.000 |
| 6.227 | 6.227 | 6.227 | 0.000 | 0.000 | -0.000 |
| 6.227 | 6.227 | 6.227 | 0.000 | 0.000 | -0.000 |
| 6.227 | 6.227 | 6.227 | 0.000 | 0.000 | 0.000 |
| 0.000 | 0.000 | 0.000 | -0.000 | 0.000 | 0.000 |
| 0.000 | 0.000 | 0.000 | 0.000 | -0.000 | 0.000 |
| 0.000 | 0.000 | 0.000 | 0.000 | 0.000 | -0.000 |
| 6.227 | 6.227 | 6.227 | 0.000 | 0.000 | 0.000 |
| 6.227 | 6.227 | 6.227 | 0.000 | 0.000 | 0.000 |
| 6.227 | 6.227 | 6.227 | 0.000 | 0.000 | 0.000 |
| -0.000 | -0.000 | -0.000 | 0.000 | 0.000 | -0.000 |
| -0.000 | -0.000 | -0.000 | 0.000 | 0.000 | -0.000 |
| -0.000 | -0.000 | -0.000 | 0.000 | -0.000 | 0.000 |
| 6.227 | 6.227 | 6.227 | -0.000 | -0.000 | -0.000 |
| 6.227 | 6.227 | 6.227 | -0.000 | -0.000 | -0.000 |
| 6.227 | 6.227 | 6.227 | -0.000 | -0.000 | -0.000 |
| 0.000 | 0.000 | 0.000 | -0.000 | 0.000 | 0.000 |
| 0.000 | 0.000 | 0.000 | 0.000 | -0.000 | 0.000 |
| 0.000 | 0.000 | 0.000 | -0.000 | 0.000 | -0.000 |
| 6.228 | 6.228 | 6.228 | -0.000 | -0.000 | 0.000 |
| 6.228 | 6.228 | 6.228 | -0.000 | -0.000 | 0.000 |
| 6.228 | 6.228 | 6.228 | 0.000 | 0.000 | -0.000 |
| -0.000 | -0.000 | -0.000 | -0.000 | 0.000 | -0.000 |
| -0.000 | -0.000 | -0.000 | 0.000 | -0.000 | -0.000 |
| -0.000 | -0.000 | -0.000 | 0.000 | -0.000 | -0.000 |
| 6.227 | 6.227 | 6.227 | -0.000 | -0.000 | -0.000 |
| 6.227 | 6.227 | 6.227 | -0.000 | -0.000 | -0.000 |
| 6.227 | 6.227 | 6.227 | -0.000 | -0.000 | -0.000 |
| 0.000 | 0.000 | 0.000 | -0.000 | -0.000 | 0.000 |
| 0.000 | 0.000 | 0.000 | -0.000 | -0.000 | 0.000 |
| 0.000 | 0.000 | 0.000 | 0.000 | 0.000 | -0.000 |
| 135425862.022 | -144011679.691 | -77626767.239 | -0.000 | -0.000 | -0.000 |
| -144011679.690 | 135425862.022 | -77626767.239 | -0.000 | -0.000 | 0.000 |
| -8288979.157 | -8288979.157 | -177182123.414 | -0.000 | 0.000 | -0.000 |
| 1695037.272 | -5839316.700 | -44281055.651 | -18509495.381 | 0.000 | -0.000 |
| -5839316.700 | 1695037.272 | -44281055.651 | 0.000 | -18509495.381 | -0.000 |
| 0.000 | -0.000 | 0.000 | 0.000 | -0.000 | -29.643 |
| 1189.276 | 423.499 | 342.470 | -0.000 | -0.000 | 0.000 |
| 423.499 | 1189.276 | 342.470 | -0.000 | -0.000 | -0.000 |
| 367.409 | 367.409 | 634.758 | 0.000 | 0.000 | 0.000 |
| -1695037.272 | 5839316.700 | 44281055.651 | -18509495.381 | -0.000 | -0.000 |
| 5839316.700 | -1695037.272 | 44281055.651 | -0.000 | -18509495.381 | 0.000 |
| -0.000 | 0.000 | -0.000 | -0.000 | -0.000 | -29.643 |
| 13542858.135 | -14399966.979 | -7762430.392 | -0.000 | -0.000 | -0.000 |
| -14399966.979 | 13542858.135 | -7762430.392 | -0.000 | -0.000 | 0.000 |
| -828579.658 | -828579.658 | -17717739.601 | 0.000 | 0.000 | -0.000 |
| 169255.483 | -583689.130 | -4428128.827 | -1850794.997 | 0.000 | -0.000 |
| -583689.130 | 169255.483 | -4428128.827 | 0.000 | -1850794.997 | -0.000 |
| -0.000 | -0.000 | -0.000 | 0.000 | 0.000 | -29.643 |
| 1189.276 | 423.499 | 342.470 | -0.000 | -0.000 | 0.000 |
| 423.499 | 1189.276 | 342.470 | -0.000 | -0.000 | -0.000 |
| 367.408 | 367.408 | 634.757 | -0.000 | -0.000 | 0.000 |
| -169255.483 | 583689.130 | 4428128.827 | -1850794.997 | -0.000 | -0.000 |
| 583689.130 | -169255.483 | 4428128.827 | -0.000 | -1850794.997 | 0.000 |
| 0.000 | 0.000 | 0.000 | -0.000 | -0.000 | -29.643 |
| 1354557.735 | -1438795.700 | -775996.703 | -0.000 | -0.000 | -0.000 |
| -1438795.700 | 1354557.735 | -775996.703 | -0.000 | -0.000 | -0.000 |
| -82539.680 | -82539.680 | -1771300.873 | -0.000 | -0.000 | -0.000 |
| 16677.182 | -58126.239 | -442836.064 | -184925.213 | 0.000 | 0.000 |
| -58126.239 | 16677.182 | -442836.064 | 0.000 | -184925.213 | -0.000 |
| -0.001 | -0.001 | -0.000 | -0.000 | 0.000 | -29.643 |
| 1138.661 | 474.112 | 342.469 | 0.000 | -0.000 | -0.000 |
| 474.112 | 1138.661 | 342.469 | -0.000 | -0.000 | -0.000 |
| 367.408 | 367.408 | 634.751 | -0.000 | -0.000 | 0.000 |
| -16677.182 | 58126.239 | 442836.064 | -184925.213 | -0.000 | 0.000 |
| 58126.239 | -16677.182 | 442836.064 | -0.000 | -184925.213 | 0.000 |
| 0.001 | 0.001 | 0.000 | 0.000 | -0.000 | -29.643 |
| 535.421 | 1026.854 | 328.321 | -0.000 | -0.000 | 0.000 |
| 1026.854 | 535.421 | 328.321 | -0.000 | -0.000 | -0.000 |
| 328.321 | 328.321 | 1036.924 | 0.000 | -0.000 | -0.000 |
| -0.000 | -0.000 | -0.000 | 8.787 | -0.000 | -0.000 |
| -0.000 | 0.000 | -0.000 | -0.000 | 8.787 | -0.000 |
| -0.000 | -0.000 | -0.000 | -0.000 | -0.000 | -17.395 |
| 535.421 | 1026.853 | 328.321 | 0.000 | 0.000 | 0.000 |
| 1026.854 | 535.421 | 328.321 | 0.000 | 0.000 | 0.000 |
| 328.321 | 328.321 | 1036.924 | 0.000 | 0.000 | 0.000 |
| 0.000 | 0.000 | 0.000 | 8.787 | -0.000 | 0.000 |
| 0.000 | -0.000 | 0.000 | 0.000 | 8.787 | -0.000 |
| 0.000 | 0.000 | 0.000 | 0.000 | 0.000 | -17.395 |
| 535.419 | 1026.855 | 328.321 | -0.000 | 0.000 | 0.000 |
| 1026.855 | 535.419 | 328.321 | 0.000 | -0.000 | -0.000 |
| 328.321 | 328.321 | 1036.924 | -0.000 | -0.000 | -0.000 |
| -0.000 | -0.000 | -0.000 | 8.787 | -0.000 | -0.000 |
| -0.000 | -0.000 | -0.000 | -0.000 | 8.787 | -0.000 |
| -0.000 | -0.000 | -0.000 | -0.000 | -0.000 | -17.395 |
| 535.423 | 1026.853 | 328.321 | 0.000 | 0.000 | -0.000 |
| 1026.853 | 535.423 | 328.321 | -0.000 | 0.000 | 0.000 |
| 328.321 | 328.321 | 1036.923 | 0.000 | 0.000 | 0.000 |
| 0.000 | 0.000 | 0.000 | 8.787 | 0.000 | 0.000 |
| 0.000 | 0.000 | 0.000 | 0.000 | 8.787 | 0.000 |
| 0.000 | 0.000 | 0.000 | 0.000 | 0.000 | -17.395 |
| 535.402 | 1026.865 | 328.320 | -0.000 | -0.000 | 0.000 |
| 1026.865 | 535.402 | 328.320 | -0.000 | -0.000 | -0.000 |
| 328.322 | 328.322 | 1036.931 | -0.000 | -0.000 | 0.000 |
| -0.001 | -0.001 | -0.001 | 8.787 | -0.000 | 0.000 |
| -0.001 | -0.001 | -0.001 | -0.000 | 8.787 | -0.000 |
| -0.001 | -0.001 | -0.000 | -0.000 | -0.000 | -17.395 |
| 535.440 | 1026.843 | 328.322 | 0.000 | -0.000 | -0.000 |
| 1026.843 | 535.440 | 328.322 | -0.000 | 0.000 | -0.000 |
| 328.320 | 328.320 | 1036.917 | 0.000 | 0.000 | -0.000 |
| 0.001 | 0.001 | 0.001 | 8.787 | 0.000 | 0.000 |
| 0.001 | 0.001 | 0.001 | 0.000 | 8.787 | 0.000 |
| 0.001 | 0.001 | 0.000 | 0.000 | 0.000 | -17.395 |
| 150.629 | 74.148 | 37.530 | 0.000 | -0.000 | 0.000 |
| 74.148 | 150.629 | 37.530 | 0.000 | 0.000 | -0.000 |
| 37.530 | 37.530 | 169.338 | 0.000 | -0.000 | 0.000 |
| -0.000 | 0.000 | 0.000 | 12.770 | 0.000 | 0.000 |
| 0.000 | -0.000 | 0.000 | 0.000 | 12.770 | 0.000 |
| 0.000 | -0.000 | -0.000 | -0.000 | -0.000 | 0.000 |
| 150.628 | 74.149 | 37.530 | -0.000 | 0.000 | -0.000 |
| 74.149 | 150.628 | 37.530 | 0.000 | -0.000 | -0.000 |
| 37.530 | 37.530 | 169.338 | -0.000 | 0.000 | -0.000 |
| 0.000 | -0.000 | -0.000 | 12.770 | -0.000 | 0.000 |
| -0.000 | 0.000 | -0.000 | 0.000 | 12.770 | 0.000 |
| -0.000 | 0.000 | 0.000 | -0.000 | 0.000 | -0.000 |
| 150.630 | 74.148 | 37.532 | 0.000 | -0.000 | 0.000 |
| 74.148 | 150.630 | 37.532 | -0.000 | 0.000 | 0.000 |
| 37.530 | 37.530 | 169.341 | 0.000 | 0.000 | -0.000 |
| -0.000 | 0.001 | 0.001 | 12.770 | 0.000 | -0.000 |
| 0.001 | -0.000 | 0.001 | 0.000 | 12.770 | -0.000 |
| -0.000 | -0.000 | -0.000 | -0.000 | -0.000 | 0.000 |
| 150.627 | 74.149 | 37.528 | -0.000 | -0.000 | -0.000 |
| 74.149 | 150.627 | 37.528 | -0.000 | -0.000 | -0.000 |
| 37.530 | 37.530 | 169.335 | -0.000 | 0.000 | -0.000 |
| 0.000 | -0.001 | -0.001 | 12.770 | -0.000 | -0.000 |
| -0.001 | 0.000 | -0.001 | -0.000 | 12.770 | -0.000 |
| 0.000 | 0.000 | 0.000 | 0.000 | 0.000 | -0.000 |
| 150.644 | 74.141 | 37.546 | 0.000 | -0.000 | 0.000 |
| 74.141 | 150.644 | 37.546 | -0.000 | 0.000 | 0.000 |
| 37.533 | 37.533 | 169.366 | 0.000 | -0.000 | 0.000 |
| -0.001 | 0.006 | 0.006 | 12.770 | 0.000 | 0.000 |
| 0.006 | -0.001 | 0.006 | 0.000 | 12.770 | -0.000 |
| -0.000 | -0.000 | -0.000 | 0.000 | -0.000 | 0.000 |
| 150.613 | 74.156 | 37.514 | -0.000 | 0.000 | -0.000 |
| 74.156 | 150.613 | 37.514 | 0.000 | -0.000 | -0.000 |
| 37.527 | 37.527 | 169.309 | -0.000 | -0.000 | -0.000 |
| 0.001 | -0.006 | -0.006 | 12.770 | -0.000 | -0.000 |
| -0.006 | 0.001 | -0.006 | -0.000 | 12.770 | 0.000 |
| 0.000 | 0.000 | 0.000 | -0.000 | 0.000 | 0.000 |
| 21.550 | 16.202 | 2.864 | -0.000 | 0.000 | -0.000 |
| 16.202 | 21.550 | 2.864 | 0.000 | 0.000 | -0.000 |
| 2.864 | 2.864 | 0.435 | 0.000 | 0.000 | 0.000 |
| 0.000 | -0.000 | 0.000 | 0.000 | 0.000 | -0.000 |
| -0.000 | 0.000 | 0.000 | 0.000 | 0.000 | -0.000 |
| -0.000 | 0.000 | -0.000 | 0.000 | 0.000 | 0.000 |
| 21.550 | 16.202 | 2.864 | 0.000 | -0.000 | 0.000 |
| 16.202 | 21.550 | 2.864 | -0.000 | -0.000 | -0.000 |
| 2.864 | 2.864 | 0.435 | 0.000 | 0.000 | -0.000 |
| -0.000 | 0.000 | -0.000 | -0.000 | -0.000 | -0.000 |
| 0.000 | -0.000 | -0.000 | -0.000 | 0.000 | -0.000 |
| 0.000 | -0.000 | 0.000 | -0.000 | -0.000 | 0.000 |
| 19.255 | 18.498 | 2.864 | 0.000 | -0.000 | -0.000 |
| 18.498 | 19.255 | 2.864 | -0.000 | -0.000 | 0.000 |
| 2.864 | 2.864 | 0.435 | -0.000 | 0.000 | -0.000 |
| 0.000 | -0.000 | -0.000 | 0.000 | 0.000 | -0.000 |
| -0.000 | 0.000 | -0.000 | 0.000 | 0.000 | -0.000 |
| -0.000 | -0.000 | -0.000 | 0.000 | -0.000 | 0.000 |
| 19.255 | 18.497 | 2.864 | -0.000 | 0.000 | -0.000 |
| 18.497 | 19.255 | 2.864 | 0.000 | 0.000 | 0.000 |
| 2.864 | 2.864 | 0.435 | 0.000 | -0.000 | -0.000 |
| -0.000 | 0.000 | 0.000 | 0.000 | -0.000 | -0.000 |
| 0.000 | -0.000 | 0.000 | -0.000 | 0.000 | -0.000 |
| 0.000 | 0.000 | 0.000 | 0.000 | -0.000 | 0.000 |
| 18.932 | 18.825 | 2.865 | -0.000 | -0.000 | -0.000 |
| 18.825 | 18.932 | 2.865 | -0.000 | 0.000 | 0.000 |
| 2.864 | 2.864 | 0.435 | -0.000 | -0.000 | 0.000 |
| 0.000 | -0.000 | -0.000 | -0.000 | 0.000 | -0.000 |
| -0.000 | 0.000 | -0.000 | 0.000 | -0.000 | -0.000 |
| -0.000 | -0.000 | -0.000 | -0.000 | -0.000 | 0.000 |
| 18.928 | 18.820 | 2.864 | 0.000 | -0.000 | -0.000 |
| 18.820 | 18.928 | 2.864 | -0.000 | -0.000 | -0.000 |
| 2.864 | 2.864 | 0.435 | -0.000 | 0.000 | 0.000 |
| -0.000 | 0.000 | 0.000 | -0.000 | -0.000 | -0.000 |
| 0.000 | -0.000 | 0.000 | -0.000 | -0.000 | -0.000 |
| 0.000 | 0.000 | 0.000 | 0.000 | 0.000 | 0.000 |
| 23.470 | 15.749 | 2.771 | -0.000 | -0.000 | -0.000 |
| 15.749 | 23.470 | 2.771 | -0.000 | -0.000 | -0.000 |
| 2.771 | 2.771 | 1.864 | -0.000 | -0.000 | -0.000 |
| 0.000 | -0.000 | 0.000 | -0.000 | -0.000 | -0.000 |
| -0.000 | 0.000 | 0.000 | -0.000 | -0.000 | -0.000 |
| 0.000 | -0.000 | -0.000 | -0.000 | -0.000 | -0.000 |
| 23.470 | 15.749 | 2.771 | 0.000 | 0.000 | -0.000 |
| 15.749 | 23.470 | 2.771 | 0.000 | 0.000 | -0.000 |
| 2.771 | 2.771 | 1.864 | 0.000 | 0.000 | -0.000 |
| -0.000 | 0.000 | 0.000 | 0.000 | 0.000 | -0.000 |
| 0.000 | -0.000 | 0.000 | 0.000 | 0.000 | -0.000 |
| -0.000 | 0.000 | 0.000 | 0.000 | 0.000 | -0.000 |
| 19.759 | 19.460 | 2.771 | -0.000 | -0.000 | -0.000 |
| 19.460 | 19.759 | 2.771 | -0.000 | -0.000 | 0.000 |
| 2.771 | 2.771 | 1.863 | -0.000 | -0.000 | -0.000 |
| 0.000 | -0.000 | -0.000 | -0.000 | -0.000 | -0.000 |
| -0.000 | 0.000 | -0.000 | -0.000 | -0.000 | -0.000 |
| -0.000 | -0.000 | -0.000 | -0.000 | -0.000 | 0.000 |
| 19.759 | 19.459 | 2.771 | 0.000 | 0.000 | 0.000 |
| 19.459 | 19.759 | 2.771 | 0.000 | 0.000 | 0.000 |
| 2.771 | 2.771 | 1.864 | 0.000 | 0.000 | 0.000 |
| -0.000 | 0.000 | 0.000 | 0.000 | 0.000 | -0.000 |
| 0.000 | -0.000 | 0.000 | 0.000 | 0.000 | -0.000 |
| 0.000 | 0.000 | 0.000 | 0.000 | 0.000 | 0.000 |
| 19.641 | 19.582 | 2.771 | 0.000 | 0.000 | -0.000 |
| 19.582 | 19.641 | 2.771 | 0.000 | 0.000 | 0.000 |
| 2.771 | 2.771 | 1.858 | -0.000 | -0.000 | 0.000 |
| 0.000 | -0.000 | -0.000 | -0.000 | -0.000 | -0.000 |
| -0.000 | 0.000 | -0.000 | -0.000 | -0.000 | -0.000 |
| 0.000 | -0.000 | -0.000 | 0.000 | 0.000 | 0.000 |
| 19.637 | 19.578 | 2.770 | -0.000 | -0.000 | -0.000 |
| 19.578 | 19.637 | 2.770 | -0.000 | -0.000 | -0.000 |
| 2.771 | 2.771 | 1.870 | 0.000 | 0.000 | 0.000 |
| -0.000 | 0.000 | 0.000 | -0.000 | 0.000 | -0.000 |
| 0.000 | -0.000 | 0.000 | 0.000 | -0.000 | -0.000 |
| -0.000 | 0.000 | 0.000 | -0.000 | 0.000 | 0.000 |
| 40.439 | 0.000 | 2.696 | -0.000 | -0.000 | 0.000 |
| 0.000 | 40.439 | 2.696 | -0.000 | -0.000 | -0.000 |
| 2.696 | 2.696 | 46.371 | -0.000 | -0.000 | -0.000 |
| 0.000 | -0.000 | -0.000 | -0.000 | -0.000 | 0.000 |
| -0.000 | 0.000 | -0.000 | -0.000 | -0.000 | 0.000 |
| -0.000 | 0.000 | -0.000 | -0.000 | -0.000 | 0.000 |
| 40.439 | 0.000 | 2.696 | 0.000 | 0.000 | 0.000 |
| 0.000 | 40.439 | 2.696 | 0.000 | 0.000 | -0.000 |
| 2.696 | 2.696 | 46.370 | 0.000 | 0.000 | -0.000 |
| -0.000 | 0.000 | 0.000 | -0.000 | 0.000 | 0.000 |
| 0.000 | -0.000 | 0.000 | 0.000 | -0.000 | 0.000 |
| 0.000 | -0.000 | 0.000 | 0.000 | 0.000 | 0.000 |
| 20.498 | 19.942 | 2.696 | -0.000 | -0.000 | 0.000 |
| 19.942 | 20.498 | 2.696 | -0.000 | -0.000 | 0.000 |
| 2.696 | 2.696 | 46.372 | -0.000 | -0.000 | -0.000 |
| 0.000 | -0.000 | -0.000 | 0.000 | -0.000 | 0.000 |
| -0.000 | 0.000 | -0.000 | -0.000 | 0.000 | 0.000 |
| -0.000 | -0.000 | -0.000 | -0.000 | -0.000 | 0.000 |
| 20.497 | 19.942 | 2.696 | 0.000 | 0.000 | 0.000 |
| 19.942 | 20.497 | 2.696 | 0.000 | 0.000 | -0.000 |
| 2.696 | 2.696 | 46.369 | 0.000 | 0.000 | -0.000 |
| -0.000 | 0.000 | 0.000 | 0.000 | 0.000 | 0.000 |
| 0.000 | -0.000 | 0.000 | 0.000 | -0.000 | 0.000 |
| 0.000 | 0.000 | 0.000 | 0.000 | 0.000 | 0.000 |
| 20.288 | 20.156 | 2.696 | 0.000 | 0.000 | 0.000 |
| 20.156 | 20.288 | 2.696 | 0.000 | 0.000 | 0.000 |
| 2.696 | 2.696 | 46.381 | -0.000 | -0.000 | 0.000 |
| 0.000 | -0.000 | -0.000 | -0.000 | -0.000 | 0.000 |
| -0.000 | 0.000 | -0.000 | -0.000 | -0.000 | 0.000 |
| -0.000 | -0.000 | -0.000 | -0.000 | 0.000 | 0.000 |
| 20.284 | 20.151 | 2.696 | -0.000 | -0.000 | -0.000 |
| 20.151 | 20.284 | 2.696 | -0.000 | -0.000 | -0.000 |
| 2.696 | 2.696 | 46.360 | 0.000 | 0.000 | 0.000 |
| -0.000 | 0.000 | 0.000 | -0.000 | 0.000 | 0.000 |
| 0.000 | -0.000 | 0.000 | 0.000 | -0.000 | 0.000 |
| 0.000 | 0.000 | 0.000 | 0.000 | -0.000 | 0.000 |
| -12508712.550 | -12509132.342 | -456595246.325 | -0.000 | -0.000 | 0.000 |
| -12509132.342 | -12508712.550 | -456595246.325 | -0.000 | -0.000 | -0.000 |
| -12509212.116 | -12509212.116 | -456595479.924 | 0.000 | -0.000 | 0.000 |
| -6251874.985 | -6251873.990 | -228175450.751 | -49752720.456 | -0.000 | -0.000 |
| -6251873.990 | -6251874.985 | -228175450.751 | -0.000 | -49752720.456 | 0.000 |
| -6251873.057 | -6251873.271 | -228175426.575 | -0.000 | -0.000 | -10685063.017 |
| 632.505 | 213.285 | 148.771 | 0.000 | 0.000 | -0.000 |
| 213.285 | 632.505 | 148.771 | 0.000 | 0.000 | 0.000 |
| 153.572 | 153.572 | 177.981 | 0.000 | 0.000 | -0.000 |
| 6251874.985 | 6251873.990 | 228175450.751 | -49752720.456 | 0.000 | -0.000 |
| 6251873.990 | 6251874.985 | 228175450.751 | 0.000 | -49752720.456 | -0.000 |
| 6251873.057 | 6251873.271 | 228175426.575 | 0.000 | 0.000 | -10685063.017 |
| -1250301.887 | -1250721.680 | -45659413.193 | -0.000 | 0.000 | 0.000 |
| -1250721.680 | -1250301.887 | -45659413.193 | -0.000 | -0.000 | 0.000 |
| -1250801.450 | -1250801.450 | -45659646.694 | -0.000 | -0.000 | 0.000 |
| -625189.463 | -625188.468 | -22817572.781 | -4975227.867 | -0.000 | 0.000 |
| -625188.468 | -625189.463 | -22817572.781 | -0.000 | -4975227.867 | 0.000 |
| -625187.535 | -625187.749 | -22817548.608 | -0.000 | -0.000 | -1068434.061 |
| 632.504 | 213.285 | 148.771 | 0.000 | -0.000 | -0.000 |
| 213.285 | 632.504 | 148.771 | 0.000 | 0.000 | -0.000 |
| 153.572 | 153.572 | 177.981 | 0.000 | 0.000 | -0.000 |
| 625189.463 | 625188.468 | 22817572.781 | -4975227.867 | 0.000 | 0.000 |
| 625188.468 | 625189.463 | 22817572.781 | 0.000 | -4975227.867 | -0.000 |
| 625187.535 | 625187.749 | 22817548.608 | 0.000 | -0.000 | -1068434.061 |
| -124460.809 | -124880.610 | -4565829.877 | -0.000 | 0.000 | 0.000 |
| -124880.610 | -124460.809 | -4565829.877 | 0.000 | 0.000 | -0.000 |
| -124960.338 | -124960.338 | -4566062.388 | 0.000 | -0.000 | 0.000 |
| -62520.910 | -62519.915 | -2281784.961 | -497478.603 | -0.000 | 0.000 |
| -62519.915 | -62520.910 | -2281784.961 | -0.000 | -497478.603 | 0.000 |
| -62518.981 | -62519.195 | -2281760.810 | -0.000 | -0.000 | -106771.166 |
| 632.492 | 213.281 | 148.770 | 0.000 | 0.000 | -0.000 |
| 213.281 | 632.492 | 148.770 | 0.000 | 0.000 | -0.000 |
| 153.572 | 153.572 | 177.982 | 0.000 | 0.000 | -0.000 |
| 62520.910 | 62519.915 | 2281784.961 | -497478.603 | 0.000 | -0.000 |
| 62519.915 | 62520.910 | 2281784.961 | 0.000 | -497478.603 | -0.000 |
| 62518.981 | 62519.195 | 2281760.810 | 0.000 | 0.000 | -106771.166 |
| 58.298 | 0.425 | 0.945 | 0.000 | 0.000 | 0.000 |
| 0.425 | 58.298 | 0.945 | 0.000 | 0.000 | 0.000 |
| 0.945 | 0.945 | 2.101 | 0.000 | 0.000 | -0.000 |
| -0.000 | -0.000 | -0.000 | 0.945 | 0.000 | -0.000 |
| -0.000 | -0.000 | -0.000 | 0.000 | 0.945 | -0.000 |
| -0.000 | -0.000 | -0.000 | 0.000 | -0.000 | 0.425 |
| 58.298 | 0.425 | 0.945 | -0.000 | 0.000 | 0.000 |
| 0.425 | 58.298 | 0.945 | 0.000 | -0.000 | 0.000 |
| 0.945 | 0.945 | 2.101 | -0.000 | -0.000 | -0.000 |
| 0.000 | 0.000 | 0.000 | 0.945 | -0.000 | -0.000 |
| 0.000 | 0.000 | 0.000 | -0.000 | 0.945 | -0.000 |
| 0.000 | 0.000 | 0.000 | -0.000 | -0.000 | 0.425 |
| 58.299 | 0.425 | 0.945 | 0.000 | -0.000 | 0.000 |
| 0.425 | 58.299 | 0.945 | -0.000 | 0.000 | 0.000 |
| 0.945 | 0.945 | 2.100 | 0.000 | 0.000 | -0.000 |
| -0.000 | -0.000 | -0.000 | 0.945 | 0.000 | 0.000 |
| -0.000 | -0.000 | -0.000 | 0.000 | 0.945 | 0.000 |
| -0.000 | -0.000 | -0.000 | 0.000 | 0.000 | 0.425 |
| 58.296 | 0.425 | 0.945 | -0.000 | 0.000 | 0.000 |
| 0.425 | 58.296 | 0.945 | 0.000 | -0.000 | 0.000 |
| 0.945 | 0.945 | 2.101 | -0.000 | -0.000 | -0.000 |
| 0.000 | 0.000 | 0.000 | 0.945 | -0.000 | 0.000 |
| 0.000 | 0.000 | 0.000 | -0.000 | 0.945 | 0.000 |
| 0.000 | 0.000 | 0.000 | -0.000 | -0.000 | 0.425 |
| 58.311 | 0.425 | 0.944 | 0.000 | -0.000 | 0.000 |
| 0.425 | 58.311 | 0.944 | -0.000 | 0.000 | 0.000 |
| 0.943 | 0.943 | 2.096 | 0.000 | 0.000 | -0.000 |
| -0.001 | -0.001 | -0.002 | 0.945 | 0.000 | -0.000 |
| -0.001 | -0.001 | -0.002 | 0.000 | 0.945 | -0.000 |
| -0.000 | -0.000 | -0.001 | 0.000 | -0.000 | 0.425 |
| 58.284 | 0.426 | 0.946 | -0.000 | -0.000 | -0.000 |
| 0.426 | 58.284 | 0.946 | -0.000 | -0.000 | -0.000 |
| 0.947 | 0.947 | 2.105 | -0.000 | -0.000 | -0.000 |
| 0.001 | 0.001 | 0.002 | 0.945 | -0.000 | -0.000 |
| 0.001 | 0.001 | 0.002 | -0.000 | 0.945 | -0.000 |
| 0.000 | 0.000 | 0.001 | -0.000 | -0.000 | 0.425 |
| 58.129 | 0.203 | 0.451 | -0.000 | -0.000 | 0.000 |
| 0.203 | 58.129 | 0.451 | -0.000 | -0.000 | 0.000 |
| 0.451 | 0.451 | 1.001 | -0.000 | -0.000 | -0.000 |
| 0.000 | 0.000 | 0.000 | 0.451 | -0.000 | 0.000 |
| 0.000 | 0.000 | 0.000 | -0.000 | 0.451 | 0.000 |
| 0.000 | 0.000 | 0.000 | -0.000 | -0.000 | 0.203 |
| 58.128 | 0.203 | 0.451 | 0.000 | 0.000 | -0.000 |
| 0.203 | 58.128 | 0.451 | 0.000 | 0.000 | -0.000 |
| 0.451 | 0.451 | 1.001 | 0.000 | 0.000 | -0.000 |
| -0.000 | -0.000 | -0.000 | 0.451 | -0.000 | -0.000 |
| -0.000 | -0.000 | -0.000 | -0.000 | 0.451 | -0.000 |
| -0.000 | -0.000 | -0.000 | 0.000 | 0.000 | 0.203 |
| 58.130 | 0.203 | 0.451 | 0.000 | -0.000 | 0.000 |
| 0.203 | 58.130 | 0.451 | -0.000 | 0.000 | 0.000 |
| 0.451 | 0.451 | 1.001 | -0.000 | -0.000 | 0.000 |
| 0.000 | 0.000 | 0.000 | 0.451 | 0.000 | 0.000 |
| 0.000 | 0.000 | 0.000 | 0.000 | 0.451 | 0.000 |
| 0.000 | 0.000 | 0.000 | 0.000 | -0.000 | 0.203 |
| 58.127 | 0.203 | 0.451 | -0.000 | 0.000 | -0.000 |
| 0.203 | 58.127 | 0.451 | 0.000 | -0.000 | -0.000 |
| 0.451 | 0.451 | 1.001 | 0.000 | 0.000 | -0.000 |
| -0.000 | -0.000 | -0.000 | 0.451 | -0.000 | -0.000 |
| -0.000 | -0.000 | -0.000 | -0.000 | 0.451 | -0.000 |
| -0.000 | -0.000 | -0.000 | -0.000 | 0.000 | 0.203 |
| 58.143 | 0.204 | 0.452 | 0.000 | -0.000 | 0.000 |
| 0.204 | 58.143 | 0.452 | -0.000 | 0.000 | 0.000 |
| 0.452 | 0.452 | 1.003 | -0.000 | -0.000 | 0.000 |
| 0.001 | 0.001 | 0.001 | 0.451 | 0.000 | 0.000 |
| 0.001 | 0.001 | 0.001 | 0.000 | 0.451 | 0.000 |
| 0.000 | 0.000 | 0.001 | -0.000 | -0.000 | 0.203 |
| 58.114 | 0.203 | 0.451 | 0.000 | -0.000 | -0.000 |
| 0.203 | 58.114 | 0.451 | -0.000 | 0.000 | -0.000 |
| 0.450 | 0.450 | 0.998 | 0.000 | 0.000 | -0.000 |
| -0.001 | -0.001 | -0.001 | 0.451 | 0.000 | -0.000 |
| -0.001 | -0.001 | -0.001 | 0.000 | 0.451 | -0.000 |
| -0.000 | -0.000 | -0.001 | 0.000 | 0.000 | 0.203 |
| 1.727 | 0.000 | 0.000 | 0.000 | 0.000 | -0.000 |
| 0.000 | 1.727 | 0.000 | 0.000 | 0.000 | 0.000 |
| 0.000 | 0.000 | 0.000 | 0.000 | 0.000 | -0.000 |
| 0.000 | 0.000 | 0.000 | 0.000 | 0.000 | 0.000 |
| 0.000 | 0.000 | 0.000 | 0.000 | 0.000 | -0.000 |
| 0.000 | 0.000 | 0.000 | 0.000 | 0.000 | 0.000 |
| 1.727 | 0.000 | -0.000 | -0.000 | -0.000 | 0.000 |
| 0.000 | 1.727 | -0.000 | -0.000 | -0.000 | -0.000 |
| -0.000 | -0.000 | -0.000 | -0.000 | -0.000 | 0.000 |
| -0.000 | 0.000 | -0.000 | -0.000 | -0.000 | 0.000 |
| 0.000 | -0.000 | -0.000 | -0.000 | -0.000 | 0.000 |
| -0.000 | -0.000 | -0.000 | -0.000 | -0.000 | 0.000 |
| 1.727 | 0.000 | 0.000 | 0.000 | 0.000 | -0.000 |
| 0.000 | 1.727 | 0.000 | 0.000 | 0.000 | -0.000 |
| -0.000 | -0.000 | 0.000 | 0.000 | 0.000 | -0.000 |
| 0.000 | 0.000 | 0.000 | 0.000 | 0.000 | -0.000 |
| 0.000 | 0.000 | 0.000 | 0.000 | 0.000 | -0.000 |
| -0.000 | -0.000 | 0.000 | 0.000 | 0.000 | 0.000 |
| 1.728 | 0.000 | -0.000 | -0.000 | -0.000 | -0.000 |
| 0.000 | 1.728 | -0.000 | -0.000 | -0.000 | 0.000 |
| -0.000 | -0.000 | -0.000 | -0.000 | -0.000 | 0.000 |
| -0.000 | -0.000 | -0.000 | -0.000 | -0.000 | 0.000 |
| -0.000 | -0.000 | -0.000 | -0.000 | -0.000 | 0.000 |
| -0.000 | 0.000 | -0.000 | -0.000 | -0.000 | 0.000 |
| 1.720 | 0.000 | 0.000 | 0.000 | 0.000 | -0.000 |
| 0.000 | 1.720 | 0.000 | 0.000 | 0.000 | -0.000 |
| -0.000 | -0.000 | 0.000 | 0.000 | 0.000 | -0.000 |
| 0.000 | 0.000 | 0.000 | 0.000 | 0.000 | -0.000 |
| 0.000 | 0.000 | 0.000 | 0.000 | 0.000 | -0.000 |
| 0.000 | -0.000 | 0.000 | 0.000 | 0.000 | 0.000 |
| 1.734 | 0.000 | -0.000 | -0.000 | -0.000 | 0.000 |
| 0.000 | 1.734 | -0.000 | -0.000 | -0.000 | 0.000 |
| -0.000 | -0.000 | -0.000 | -0.000 | -0.000 | 0.000 |
| -0.000 | 0.000 | -0.000 | -0.000 | -0.000 | 0.000 |
| 0.000 | -0.000 | -0.000 | -0.000 | -0.000 | 0.000 |
| -0.000 | 0.000 | -0.000 | -0.000 | -0.000 | 0.000 |
| -0.000 | -0.000 | -0.000 | 0.000 | 0.000 | -0.000 |
| 0.000 | -0.000 | -0.000 | -0.000 | 0.000 | -0.000 |
| 0.000 | 0.000 | 0.000 | -0.000 | 0.000 | -0.000 |
| 0.000 | -0.000 | -0.000 | -0.000 | 0.000 | -0.000 |
| -0.000 | 0.000 | -0.000 | 0.000 | 0.000 | -0.000 |
| -0.000 | 0.000 | -0.000 | 0.000 | 0.000 | -0.000 |
| 0.000 | 0.000 | 0.000 | -0.000 | -0.000 | 0.000 |
| -0.000 | 0.000 | 0.000 | 0.000 | -0.000 | 0.000 |
| -0.000 | -0.000 | -0.000 | 0.000 | -0.000 | 0.000 |
| -0.000 | 0.000 | 0.000 | 0.000 | -0.000 | 0.000 |
| 0.000 | -0.000 | 0.000 | -0.000 | -0.000 | 0.000 |
| 0.000 | -0.000 | 0.000 | -0.000 | -0.000 | 0.000 |
| -0.000 | -0.000 | -0.000 | 0.000 | 0.000 | -0.000 |
| 0.000 | -0.000 | -0.000 | -0.000 | 0.000 | -0.000 |
| -0.000 | -0.000 | -0.000 | -0.000 | 0.000 | -0.000 |
| 0.000 | -0.000 | -0.000 | -0.000 | 0.000 | -0.000 |
| -0.000 | 0.000 | -0.000 | 0.000 | 0.000 | -0.000 |
| -0.000 | 0.000 | -0.000 | 0.000 | 0.000 | -0.000 |
| 0.000 | 0.000 | 0.000 | -0.000 | -0.000 | 0.000 |
| -0.000 | 0.000 | 0.000 | 0.000 | -0.000 | 0.000 |
| 0.000 | 0.000 | 0.000 | 0.000 | -0.000 | 0.000 |
| -0.000 | 0.000 | 0.000 | 0.000 | -0.000 | 0.000 |
| 0.000 | -0.000 | 0.000 | -0.000 | -0.000 | 0.000 |
| 0.000 | -0.000 | 0.000 | -0.000 | -0.000 | 0.000 |
| -0.002 | -0.000 | -0.000 | 0.001 | 0.000 | -0.000 |
| 0.000 | -0.005 | -0.001 | -0.002 | 0.000 | -0.000 |
| -0.000 | -0.000 | -0.000 | -0.000 | 0.000 | -0.000 |
| 0.000 | -0.001 | -0.000 | -0.000 | 0.000 | -0.000 |
| -0.000 | 0.000 | -0.000 | 0.000 | -0.000 | 0.000 |
| -0.000 | 0.000 | -0.000 | 0.000 | 0.000 | -0.000 |
| 0.002 | 0.000 | 0.000 | -0.001 | -0.000 | 0.000 |
| -0.000 | 0.005 | 0.001 | 0.002 | -0.000 | 0.000 |
| 0.000 | 0.000 | 0.000 | 0.000 | -0.000 | 0.000 |
| -0.000 | 0.001 | 0.000 | 0.000 | -0.000 | 0.000 |
| 0.000 | -0.000 | 0.000 | -0.000 | -0.000 | 0.000 |
| 0.000 | -0.000 | 0.000 | -0.000 | 0.000 | -0.000 |
| 961.791 | 25.332 | 25.332 | -0.000 | -0.000 | -0.000 |
| 25.332 | 961.791 | 25.332 | -0.000 | -0.000 | -0.000 |
| 25.332 | 25.332 | 961.791 | -0.000 | -0.000 | 0.000 |
| 0.000 | 0.000 | 0.000 | -128.523 | -0.000 | 0.000 |
| 0.000 | 0.000 | 0.000 | -0.000 | -128.523 | 0.000 |
| 0.000 | 0.000 | 0.000 | 0.000 | -0.000 | -128.523 |
| 961.791 | 25.332 | 25.332 | 0.000 | 0.000 | -0.000 |
| 25.332 | 961.791 | 25.332 | 0.000 | -0.000 | -0.000 |
| 25.332 | 25.332 | 961.791 | 0.000 | 0.000 | -0.000 |
| -0.000 | -0.000 | -0.000 | -128.523 | 0.000 | 0.000 |
| -0.000 | -0.000 | -0.000 | -0.000 | -128.523 | 0.000 |
| -0.000 | 0.000 | -0.000 | -0.000 | 0.000 | -128.523 |
| 961.792 | 25.332 | 25.332 | 0.000 | -0.000 | -0.000 |
| 25.332 | 961.792 | 25.332 | -0.000 | -0.000 | -0.000 |
| 25.332 | 25.332 | 961.792 | -0.000 | -0.000 | 0.000 |
| -0.000 | -0.000 | -0.000 | -128.523 | -0.000 | -0.000 |
| -0.000 | -0.000 | -0.000 | -0.000 | -128.523 | -0.000 |
| -0.000 | -0.000 | -0.000 | -0.000 | 0.000 | -128.523 |
| 961.791 | 25.332 | 25.332 | 0.000 | 0.000 | 0.000 |
| 25.332 | 961.791 | 25.332 | 0.000 | -0.000 | -0.000 |
| 25.332 | 25.332 | 961.791 | 0.000 | 0.000 | 0.000 |
| 0.000 | 0.000 | 0.000 | -128.523 | 0.000 | 0.000 |
| 0.000 | 0.000 | 0.000 | 0.000 | -128.523 | -0.000 |
| 0.000 | 0.000 | 0.000 | -0.000 | 0.000 | -128.523 |
| 961.794 | 25.333 | 25.333 | 0.000 | 0.000 | 0.000 |
| 25.333 | 961.794 | 25.333 | 0.000 | -0.000 | -0.000 |
| 25.333 | 25.333 | 961.794 | -0.000 | 0.000 | 0.000 |
| -0.000 | -0.000 | -0.001 | -128.523 | -0.000 | 0.000 |
| -0.000 | -0.000 | -0.001 | 0.000 | -128.523 | -0.000 |
| -0.000 | -0.001 | -0.000 | -0.000 | 0.000 | -128.523 |
| 961.789 | 25.331 | 25.331 | 0.000 | -0.000 | -0.000 |
| 25.331 | 961.789 | 25.331 | -0.000 | 0.000 | -0.000 |
| 25.331 | 25.331 | 961.789 | -0.000 | 0.000 | 0.000 |
| 0.000 | 0.000 | 0.001 | -128.523 | 0.000 | 0.000 |
| 0.000 | 0.000 | 0.001 | 0.000 | -128.523 | 0.000 |
| 0.000 | 0.001 | 0.000 | 0.000 | 0.000 | -128.523 |
| 194.227 | 42.486 | 42.486 | 0.000 | 0.000 | -0.000 |
| 42.486 | 194.227 | 42.486 | 0.000 | 0.000 | -0.000 |
| 42.486 | 42.486 | 194.227 | 0.000 | 0.000 | 0.000 |
| -0.000 | 0.000 | 0.000 | 15.311 | 0.000 | -0.000 |
| 0.000 | -0.000 | 0.000 | 0.000 | 15.311 | -0.000 |
| 0.000 | 0.000 | -0.000 | 0.000 | 0.000 | 15.311 |
| 194.227 | 42.486 | 42.486 | -0.000 | -0.000 | 0.000 |
| 42.486 | 194.227 | 42.486 | -0.000 | -0.000 | 0.000 |
| 42.486 | 42.486 | 194.227 | -0.000 | -0.000 | 0.000 |
| 0.000 | -0.000 | -0.000 | 15.311 | -0.000 | 0.000 |
| -0.000 | 0.000 | -0.000 | -0.000 | 15.311 | 0.000 |
| -0.000 | -0.000 | 0.000 | -0.000 | -0.000 | 15.311 |
| 194.226 | 42.486 | 42.486 | 0.000 | 0.000 | -0.000 |
| 42.486 | 194.226 | 42.486 | 0.000 | -0.000 | -0.000 |
| 42.486 | 42.486 | 194.226 | 0.000 | 0.000 | -0.000 |
| -0.000 | 0.000 | 0.000 | 15.311 | 0.000 | -0.000 |
| 0.000 | -0.000 | 0.000 | 0.000 | 15.311 | -0.000 |
| 0.000 | 0.000 | -0.000 | 0.000 | 0.000 | 15.311 |
| 194.227 | 42.486 | 42.486 | -0.000 | -0.000 | 0.000 |
| 42.486 | 194.227 | 42.486 | -0.000 | -0.000 | 0.000 |
| 42.486 | 42.486 | 194.227 | -0.000 | -0.000 | 0.000 |
| 0.000 | -0.000 | -0.000 | 15.311 | -0.000 | 0.000 |
| -0.000 | 0.000 | -0.000 | -0.000 | 15.311 | 0.000 |
| -0.000 | -0.000 | 0.000 | -0.000 | -0.000 | 15.311 |
| 194.225 | 42.485 | 42.485 | 0.000 | 0.000 | -0.000 |
| 42.485 | 194.225 | 42.485 | 0.000 | 0.000 | -0.000 |
| 42.485 | 42.485 | 194.225 | 0.000 | 0.000 | -0.000 |
| -0.000 | 0.000 | 0.000 | 15.311 | 0.000 | -0.000 |
| 0.000 | -0.000 | 0.000 | 0.000 | 15.311 | -0.000 |
| 0.000 | 0.000 | -0.000 | 0.000 | 0.000 | 15.311 |
| 194.228 | 42.488 | 42.488 | -0.000 | -0.000 | 0.000 |
| 42.488 | 194.228 | 42.488 | -0.000 | -0.000 | 0.000 |
| 42.488 | 42.488 | 194.228 | 0.000 | -0.000 | 0.000 |
| 0.000 | -0.000 | -0.000 | 15.311 | -0.000 | 0.000 |
| -0.000 | 0.000 | -0.000 | -0.000 | 15.311 | 0.000 |
| -0.000 | -0.000 | 0.000 | -0.000 | -0.000 | 15.311 |
| 317.479 | -14.838 | -14.838 | -0.000 | 0.000 | 0.000 |
| -14.838 | 317.479 | -14.838 | -0.000 | 0.000 | 0.000 |
| -14.838 | -14.838 | 317.479 | -0.000 | 0.000 | -0.000 |
| -0.000 | 0.000 | 0.000 | -14.813 | -0.000 | -0.000 |
| 0.000 | 0.000 | 0.000 | -0.000 | -14.813 | 0.000 |
| 0.000 | 0.000 | -0.000 | -0.000 | 0.000 | -14.813 |
| 317.478 | -14.838 | -14.838 | 0.000 | -0.000 | -0.000 |
| -14.838 | 317.478 | -14.838 | 0.000 | -0.000 | 0.000 |
| -14.838 | -14.838 | 317.478 | -0.000 | -0.000 | -0.000 |
| 0.000 | -0.000 | -0.000 | -14.813 | 0.000 | -0.000 |
| -0.000 | 0.000 | -0.000 | 0.000 | -14.813 | -0.000 |
| -0.000 | -0.000 | 0.000 | 0.000 | -0.000 | -14.813 |
| 317.481 | -14.838 | -14.838 | -0.000 | 0.000 | -0.000 |
| -14.838 | 317.481 | -14.838 | -0.000 | 0.000 | -0.000 |
| -14.838 | -14.838 | 317.481 | -0.000 | 0.000 | -0.000 |
| 0.000 | 0.001 | 0.001 | -14.813 | 0.000 | 0.000 |
| 0.001 | 0.000 | 0.001 | -0.000 | -14.813 | 0.000 |
| 0.001 | 0.001 | 0.000 | 0.000 | 0.000 | -14.813 |
| 317.477 | -14.839 | -14.839 | 0.000 | -0.000 | -0.000 |
| -14.839 | 317.477 | -14.839 | 0.000 | 0.000 | -0.000 |
| -14.839 | -14.839 | 317.477 | 0.000 | -0.000 | -0.000 |
| -0.000 | -0.001 | -0.001 | -14.813 | 0.000 | -0.000 |
| -0.001 | -0.000 | -0.001 | 0.000 | -14.813 | -0.000 |
| -0.001 | -0.001 | -0.000 | 0.000 | -0.000 | -14.813 |
| 317.498 | -14.832 | -14.832 | -0.000 | -0.000 | 0.000 |
| -14.832 | 317.498 | -14.832 | -0.000 | 0.000 | 0.000 |
| -14.832 | -14.832 | 317.498 | -0.000 | 0.000 | 0.000 |
| 0.000 | 0.006 | 0.006 | -14.813 | 0.000 | 0.000 |
| 0.006 | 0.000 | 0.006 | -0.000 | -14.813 | 0.000 |
| 0.006 | 0.006 | 0.000 | -0.000 | 0.000 | -14.813 |
| 317.459 | -14.844 | -14.844 | 0.000 | -0.000 | -0.000 |
| -14.844 | 317.459 | -14.844 | 0.000 | -0.000 | -0.000 |
| -14.844 | -14.844 | 317.459 | 0.000 | -0.000 | 0.000 |
| -0.000 | -0.006 | -0.006 | -14.813 | -0.000 | -0.000 |
| -0.006 | -0.000 | -0.006 | 0.000 | -14.813 | -0.000 |
| -0.006 | -0.006 | -0.000 | 0.000 | -0.000 | -14.813 |
| 43.135 | 0.000 | 0.000 | -0.000 | -0.000 | -0.000 |
| 0.000 | 43.135 | 0.000 | -0.000 | -0.000 | 0.000 |
| 0.000 | 0.000 | 43.135 | -0.000 | -0.000 | -0.000 |
| -0.000 | -0.000 | -0.000 | -0.000 | 0.000 | 0.000 |
| -0.000 | -0.000 | -0.000 | -0.000 | -0.000 | 0.000 |
| -0.000 | -0.000 | -0.000 | -0.000 | 0.000 | -0.000 |
| 43.135 | 0.000 | 0.000 | 0.000 | -0.000 | -0.000 |
| 0.000 | 43.135 | 0.000 | -0.000 | 0.000 | -0.000 |
| 0.000 | 0.000 | 43.135 | -0.000 | -0.000 | 0.000 |
| 0.000 | 0.000 | 0.000 | -0.000 | -0.000 | -0.000 |
| 0.000 | 0.000 | 0.000 | 0.000 | -0.000 | -0.000 |
| 0.000 | 0.000 | 0.000 | 0.000 | -0.000 | -0.000 |
| 43.136 | 0.000 | 0.000 | -0.000 | -0.000 | -0.000 |
| 0.000 | 43.136 | 0.000 | -0.000 | -0.000 | 0.000 |
| 0.000 | 0.000 | 43.136 | 0.000 | 0.000 | -0.000 |
| -0.000 | -0.000 | -0.000 | 0.000 | 0.000 | 0.000 |
| -0.000 | -0.000 | -0.000 | -0.000 | 0.000 | 0.000 |
| -0.000 | -0.000 | -0.000 | 0.000 | 0.000 | 0.000 |
| 43.134 | 0.000 | 0.000 | 0.000 | -0.000 | -0.000 |
| 0.000 | 43.134 | 0.000 | -0.000 | 0.000 | 0.000 |
| 0.000 | 0.000 | 43.134 | 0.000 | 0.000 | 0.000 |
| 0.000 | 0.000 | 0.000 | 0.000 | -0.000 | -0.000 |
| 0.000 | 0.000 | 0.000 | 0.000 | 0.000 | -0.000 |
| 0.000 | 0.000 | 0.000 | -0.000 | -0.000 | 0.000 |
| 43.146 | 0.000 | 0.000 | -0.000 | 0.000 | -0.000 |
| 0.000 | 43.146 | 0.000 | 0.000 | -0.000 | 0.000 |
| 0.000 | 0.000 | 43.146 | 0.000 | 0.000 | -0.000 |
| -0.000 | -0.000 | -0.000 | 0.000 | 0.000 | 0.000 |
| -0.000 | -0.000 | -0.000 | 0.000 | 0.000 | 0.000 |
| -0.000 | -0.000 | -0.000 | -0.000 | 0.000 | 0.000 |
| 43.125 | 0.000 | 0.000 | -0.000 | 0.000 | 0.000 |
| 0.000 | 43.125 | 0.000 | 0.000 | -0.000 | -0.000 |
| 0.000 | 0.000 | 43.125 | 0.000 | 0.000 | -0.000 |
| 0.000 | 0.000 | 0.000 | 0.000 | -0.000 | -0.000 |
| 0.000 | 0.000 | 0.000 | -0.000 | 0.000 | -0.000 |
| 0.000 | 0.000 | 0.000 | 0.000 | -0.000 | 0.000 |
| 914.922 | 448.537 | 394.001 | -0.000 | 0.000 | -0.000 |
| 448.537 | 914.922 | 394.001 | -0.000 | -0.000 | 0.000 |
| 394.001 | 394.001 | 1624.070 | -0.000 | -0.000 | 0.000 |
| 0.000 | 0.000 | -0.000 | 16.203 | 0.000 | -0.000 |
| 0.000 | 0.000 | -0.000 | -0.000 | 16.203 | 0.000 |
| 0.000 | 0.000 | -0.000 | 0.000 | -0.000 | 233.192 |
| 914.922 | 448.537 | 394.001 | -0.000 | 0.000 | 0.000 |
| 448.537 | 914.922 | 394.001 | 0.000 | 0.000 | 0.000 |
| 394.001 | 394.001 | 1624.069 | 0.000 | 0.000 | 0.000 |
| -0.000 | -0.000 | 0.000 | 16.203 | 0.000 | 0.000 |
| -0.000 | -0.000 | 0.000 | 0.000 | 16.203 | -0.000 |
| -0.000 | -0.000 | 0.000 | -0.000 | -0.000 | 233.192 |
| 914.923 | 448.537 | 394.001 | 0.000 | 0.000 | 0.000 |
| 448.537 | 914.923 | 394.001 | -0.000 | -0.000 | -0.000 |
| 394.001 | 394.001 | 1624.070 | 0.000 | -0.000 | 0.000 |
| 0.000 | 0.000 | -0.000 | 16.203 | -0.000 | 0.000 |
| 0.000 | 0.000 | -0.000 | -0.000 | 16.203 | 0.000 |
| 0.000 | 0.000 | 0.000 | 0.000 | -0.000 | 233.192 |
| 914.921 | 448.536 | 394.000 | 0.000 | -0.000 | -0.000 |
| 448.536 | 914.921 | 394.000 | 0.000 | 0.000 | 0.000 |
| 394.000 | 394.000 | 1624.069 | 0.000 | -0.000 | -0.000 |
| -0.000 | -0.000 | 0.000 | 16.203 | 0.000 | 0.000 |
| -0.000 | -0.000 | 0.000 | 0.000 | 16.203 | 0.000 |
| -0.000 | -0.000 | -0.000 | -0.000 | -0.000 | 233.192 |
| 914.933 | 448.540 | 394.005 | -0.000 | -0.000 | 0.000 |
| 448.541 | 914.931 | 394.005 | -0.000 | -0.000 | -0.000 |
| 394.005 | 394.005 | 1624.078 | -0.000 | -0.000 | -0.000 |
| 0.000 | 0.001 | -0.001 | 16.203 | -0.000 | -0.000 |
| 0.001 | 0.000 | -0.001 | -0.000 | 16.203 | -0.000 |
| 0.000 | 0.002 | 0.000 | 0.000 | 0.000 | 233.192 |
| 914.910 | 448.534 | 393.997 | 0.000 | 0.000 | -0.000 |
| 448.532 | 914.912 | 393.997 | -0.000 | 0.000 | -0.000 |
| 393.996 | 393.996 | 1624.061 | 0.000 | -0.000 | -0.000 |
| -0.000 | -0.001 | 0.001 | 16.203 | 0.000 | -0.000 |
| -0.001 | -0.000 | 0.001 | 0.000 | 16.203 | -0.000 |
| -0.000 | -0.002 | -0.000 | -0.000 | -0.000 | 233.192 |
| 445.049 | 240.924 | 111.050 | 0.000 | 0.000 | 0.000 |
| 240.925 | 445.049 | 111.050 | -0.000 | 0.000 | 0.000 |
| 201.882 | 201.882 | 471.704 | -0.000 | 0.000 | 0.000 |
| 963.166 | 963.166 | -479.450 | 24.251 | 0.000 | 0.000 |
| 963.166 | 963.166 | -479.450 | 0.000 | 24.251 | 0.000 |
| 38.445 | 38.445 | -53.484 | 0.000 | 0.000 | 29.816 |
| 444.602 | 170.518 | 163.541 | -0.000 | -0.000 | -0.000 |
| 170.518 | 444.602 | 163.541 | -0.000 | 0.000 | 0.000 |
| -801.521 | -801.521 | 997.531 | -0.000 | -0.000 | -0.000 |
| -963.166 | -963.166 | 479.450 | 24.251 | -0.000 | -0.000 |
| -963.166 | -963.166 | 479.450 | 0.000 | 24.251 | -0.000 |
| -38.445 | -38.445 | 53.484 | -0.000 | -0.000 | 29.816 |
| 187.740 | 264.566 | 67.205 | 0.000 | 0.000 | 0.000 |
| 264.566 | 187.740 | 67.205 | 0.000 | 0.000 | 0.000 |
| 167.281 | 167.281 | 519.791 | 0.000 | 0.000 | 0.000 |
| -0.000 | 0.000 | -0.000 | 40.784 | 0.000 | 0.000 |
| 0.000 | -0.000 | -0.000 | -0.000 | 40.784 | 0.000 |
| 0.000 | 0.000 | -0.000 | 0.000 | 0.000 | 64.183 |
| 237.543 | 172.330 | 209.983 | -0.000 | -0.000 | -0.000 |
| 172.330 | 237.543 | 209.983 | 0.000 | -0.000 | -0.000 |
| 65.391 | 65.391 | 565.887 | -0.000 | -0.000 | -0.000 |
| 0.000 | -0.000 | 0.000 | 40.784 | -0.000 | -0.000 |
| -0.000 | 0.000 | 0.000 | 0.000 | 40.784 | -0.000 |
| -0.000 | -0.000 | 0.000 | -0.000 | -0.000 | 64.183 |
| 334.525 | 286.970 | 156.944 | -0.000 | 0.000 | 0.000 |
| 286.970 | 334.525 | 156.944 | -0.000 | -0.000 | 0.000 |
| 163.894 | 163.894 | 524.021 | 0.000 | 0.000 | 0.000 |
| 10.408 | 10.409 | 0.751 | 15.732 | 0.000 | 0.000 |
| 10.409 | 10.408 | 0.751 | 0.000 | 15.732 | 0.000 |
| 8.742 | 8.742 | 0.088 | 0.000 | 0.000 | -4.231 |
| 257.367 | 354.517 | 172.564 | -0.000 | -0.000 | -0.000 |
| 354.517 | 257.367 | 172.564 | -0.000 | -0.000 | -0.000 |
| 162.514 | 162.514 | 532.252 | -0.000 | -0.000 | -0.000 |
| -10.408 | -10.409 | -0.751 | 15.732 | 0.000 | -0.000 |
| -10.409 | -10.408 | -0.751 | -0.000 | 15.732 | -0.000 |
| -8.742 | -8.742 | -0.088 | -0.000 | -0.000 | -4.231 |
| -616268.698 | -769547.922 | 975853.767 | 16016.780 | 1235772.197 | 2654.865 |
| -616428.025 | -769414.959 | 975849.855 | 16023.007 | 1235787.961 | 2643.503 |
| -616448.129 | -769569.245 | 976035.440 | 16008.255 | 1235783.211 | 2675.427 |
| -616645.681 | -769767.011 | 975646.065 | 16081.156 | 1235778.292 | 2670.145 |
| -616643.788 | -769747.539 | 975669.892 | 16026.978 | 1235831.027 | 2665.456 |
| -616656.730 | -769784.369 | 975668.705 | 16025.501 | 1235778.536 | 2758.989 |
| 617035.586 | 769993.767 | -975441.749 | -16004.678 | -1235749.922 | -2662.538 |
| 616876.260 | 770126.730 | -975445.661 | -15998.450 | -1235734.158 | -2673.900 |
| 616856.155 | 769972.443 | -975260.076 | -16013.202 | -1235738.908 | -2641.975 |
| 616658.604 | 769774.678 | -975649.451 | -15940.301 | -1235743.827 | -2647.257 |
| 616660.497 | 769794.150 | -975625.624 | -15994.479 | -1235691.093 | -2651.947 |
| 616647.554 | 769757.320 | -975626.811 | -15995.957 | -1235743.583 | -2558.413 |
| -61281.770 | -76754.162 | 97770.785 | 1607.124 | 123587.244 | 262.034 |
| -61441.097 | -76621.199 | 97766.873 | 1613.351 | 123603.008 | 250.672 |
| -61461.201 | -76775.485 | 97952.458 | 1598.599 | 123598.258 | 282.596 |
| -61658.753 | -76973.251 | 97563.083 | 1671.500 | 123593.338 | 277.314 |
| -61656.860 | -76953.779 | 97586.910 | 1617.322 | 123646.073 | 272.624 |
| -61669.802 | -76990.609 | 97585.722 | 1615.845 | 123593.582 | 366.158 |
| 62048.658 | 77200.007 | -97358.767 | -1595.022 | -123564.968 | -269.707 |
| 61889.332 | 77332.969 | -97362.679 | -1588.794 | -123549.204 | -281.069 |
| 61869.227 | 77178.683 | -97177.094 | -1603.546 | -123553.954 | -249.144 |
| 61671.676 | 76980.918 | -97566.469 | -1530.645 | -123558.874 | -254.426 |
| 61673.569 | 77000.390 | -97542.642 | -1584.824 | -123506.139 | -259.116 |
| 61660.626 | 76963.560 | -97543.829 | -1586.301 | -123558.630 | -165.582 |
| -5783.076 | -7474.786 | 9962.487 | 166.158 | 12368.748 | 22.751 |
| -5942.403 | -7341.819 | 9958.575 | 172.385 | 12384.513 | 11.388 |
| -5962.508 | -7496.108 | 10144.160 | 157.634 | 12379.763 | 43.313 |
| -6160.060 | -7693.875 | 9754.785 | 230.533 | 12374.843 | 38.030 |
| -6158.167 | -7674.403 | 9778.612 | 176.357 | 12427.577 | 33.341 |
| -6171.109 | -7711.233 | 9777.424 | 174.879 | 12375.087 | 126.875 |
| 6549.964 | 7920.630 | -9550.470 | -154.057 | -12346.473 | -30.424 |
| 6390.638 | 8053.589 | -9554.382 | -147.828 | -12330.709 | -41.785 |
| 6370.534 | 7899.307 | -9368.795 | -162.581 | -12335.459 | -9.861 |
| 6172.983 | 7701.542 | -9758.171 | -89.678 | -12340.378 | -15.142 |
| 6174.876 | 7721.014 | -9734.343 | -143.858 | -12287.643 | -19.833 |
| 6161.933 | 7684.184 | -9735.531 | -145.335 | -12340.135 | 73.701 |
| 501322.410 | -5531002.607 | 31904.933 | -1068403.906 | -1313822.862 | 1657838.547 |
| 501111.622 | -5530859.291 | 31921.358 | -1068397.585 | -1313815.950 | 1657851.594 |
| 501094.849 | -5531021.875 | 32093.802 | -1068384.921 | -1313825.388 | 1657851.081 |
| 500895.450 | -5531221.134 | 31726.759 | -1068322.096 | -1313788.166 | 1657848.022 |
| 500889.606 | -5531223.991 | 31697.928 | -1068376.160 | -1313747.770 | 1657834.396 |
| 500893.280 | -5531223.710 | 31713.171 | -1068397.993 | -1313821.616 | 1657908.114 |
| -500478.404 | 5531442.171 | -31517.744 | 1068395.139 | 1313800.419 | -1657855.202 |
| -500689.192 | 5531585.488 | -31501.319 | 1068401.461 | 1313807.331 | -1657842.155 |
| -500705.965 | 5531422.904 | -31328.875 | 1068414.124 | 1313797.892 | -1657842.668 |
| -500905.364 | 5531223.644 | -31695.918 | 1068476.950 | 1313835.115 | -1657845.726 |
| -500911.208 | 5531220.787 | -31724.749 | 1068422.886 | 1313875.511 | -1657859.353 |
| -500907.534 | 5531221.068 | -31709.506 | 1068401.053 | 1313801.665 | -1657785.635 |
| 50512.044 | -552902.463 | 3364.730 | -106844.337 | -131392.385 | 165776.363 |
| 50301.255 | -552759.147 | 3381.156 | -106838.015 | -131385.473 | 165789.409 |
| 50284.482 | -552921.730 | 3553.597 | -106825.352 | -131394.912 | 165788.897 |
| 50085.083 | -553120.987 | 3186.555 | -106762.526 | -131357.690 | 165785.837 |
| 50079.239 | -553123.844 | 3157.724 | -106816.590 | -131317.293 | 165772.210 |
| 50082.913 | -553123.564 | 3172.967 | -106838.423 | -131391.139 | 165845.928 |
| -49668.038 | 553342.027 | -2977.542 | 106835.570 | 131369.942 | -165793.017 |
| -49878.824 | 553485.344 | -2961.117 | 106841.891 | 131376.855 | -165779.971 |
| -49895.597 | 553322.759 | -2788.671 | 106854.555 | 131367.416 | -165780.483 |
| -50094.997 | 553123.497 | -3155.715 | 106917.380 | 131404.639 | -165783.541 |
| -50100.841 | 553120.640 | -3184.545 | 106863.316 | 131445.035 | -165797.167 |
| -50097.167 | 553120.922 | -3169.303 | 106841.483 | 131371.189 | -165723.449 |
| 5431.010 | -55092.505 | 510.730 | -10688.390 | -13149.336 | 16570.166 |
| 5220.211 | -54949.191 | 527.156 | -10682.067 | -13142.425 | 16583.214 |
| 5203.433 | -55111.769 | 699.579 | -10669.403 | -13151.866 | 16582.700 |
| 5004.039 | -55311.002 | 332.545 | -10606.577 | -13114.643 | 16579.633 |
| 4998.196 | -55313.856 | 303.713 | -10660.640 | -13074.243 | 16566.005 |
| 5001.872 | -55313.582 | 318.958 | -10682.471 | -13148.093 | 16639.721 |
| -4587.005 | 55532.069 | -123.541 | 10679.624 | 13126.893 | -16586.821 |
| -4797.780 | 55675.388 | -107.117 | 10685.943 | 13133.807 | -16573.775 |
| -4814.548 | 55512.798 | 65.347 | 10698.606 | 13124.370 | -16574.286 |
| -5013.953 | 55313.512 | -301.704 | 10761.431 | 13161.593 | -16577.337 |
| -5019.798 | 55310.651 | -330.534 | 10707.365 | 13201.985 | -16590.962 |
| -5016.126 | 55310.940 | -315.293 | 10685.531 | 13128.142 | -16517.242 |
| 434.705 | 212.552 | 201.301 | -2.616 | -5.557 | -14.963 |
| 211.360 | 413.667 | 220.350 | 16.460 | 2.755 | 9.253 |
| 201.299 | 220.617 | 424.900 | 18.087 | -7.681 | 0.857 |
| -3.868 | 10.801 | 18.087 | 112.648 | 2.100 | 2.666 |
| -5.810 | 2.862 | -7.681 | 2.100 | 94.236 | -5.159 |
| -16.370 | 9.259 | 1.301 | 2.559 | -2.385 | 101.619 |
| 434.705 | 212.552 | 201.301 | -2.616 | -5.557 | -14.963 |
| 211.360 | 413.667 | 220.350 | 16.460 | 2.755 | 9.253 |
| 201.299 | 220.617 | 424.900 | 18.087 | -7.681 | 0.857 |
| -3.868 | 10.801 | 18.087 | 112.648 | 2.100 | 2.666 |
| -5.810 | 2.862 | -7.681 | 2.100 | 94.236 | -5.159 |
| -16.370 | 9.259 | 1.301 | 2.559 | -2.385 | 101.619 |
| 434.706 | 212.552 | 201.301 | -2.616 | -5.557 | -14.963 |
| 211.360 | 413.667 | 220.350 | 16.460 | 2.755 | 9.253 |
| 201.300 | 220.617 | 424.900 | 18.087 | -7.681 | 0.857 |
| -3.868 | 10.801 | 18.087 | 112.648 | 2.100 | 2.666 |
| -5.810 | 2.862 | -7.681 | 2.100 | 94.236 | -5.159 |
| -16.370 | 9.259 | 1.301 | 2.559 | -2.385 | 101.619 |
| 434.705 | 212.552 | 201.301 | -2.616 | -5.557 | -14.963 |
| 211.360 | 413.666 | 220.349 | 16.460 | 2.755 | 9.253 |
| 201.299 | 220.617 | 424.900 | 18.087 | -7.681 | 0.857 |
| -3.868 | 10.801 | 18.087 | 112.648 | 2.100 | 2.666 |
| -5.810 | 2.862 | -7.681 | 2.100 | 94.236 | -5.159 |
| -16.370 | 9.259 | 1.301 | 2.559 | -2.385 | 101.619 |
| 434.707 | 212.553 | 201.302 | -2.616 | -5.557 | -14.963 |
| 211.361 | 413.668 | 220.351 | 16.460 | 2.755 | 9.253 |
| 201.300 | 220.618 | 424.902 | 18.087 | -7.681 | 0.857 |
| -3.868 | 10.802 | 18.087 | 112.648 | 2.100 | 2.667 |
| -5.810 | 2.862 | -7.681 | 2.100 | 94.236 | -5.159 |
| -16.370 | 9.259 | 1.301 | 2.559 | -2.385 | 101.619 |
| 434.703 | 212.551 | 201.300 | -2.616 | -5.557 | -14.963 |
| 211.359 | 413.665 | 220.348 | 16.460 | 2.755 | 9.253 |
| 201.299 | 220.616 | 424.898 | 18.087 | -7.681 | 0.857 |
| -3.868 | 10.801 | 18.087 | 112.648 | 2.100 | 2.666 |
| -5.810 | 2.862 | -7.681 | 2.100 | 94.236 | -5.159 |
| -16.371 | 9.259 | 1.301 | 2.559 | -2.385 | 101.619 |
| 326.966 | 118.732 | 195.573 | 0.000 | 0.000 | 0.000 |
| 107.562 | 196.453 | 173.125 | -0.000 | 0.000 | -0.000 |
| 195.990 | 172.475 | 524.287 | 0.000 | 0.000 | 0.000 |
| 0.000 | -0.000 | 0.000 | 113.202 | -0.000 | -0.000 |
| -0.000 | 0.000 | 0.000 | 0.000 | 138.470 | -0.000 |
| -0.000 | 0.000 | 0.000 | 0.000 | 0.000 | 23.668 |
| 326.966 | 118.732 | 195.573 | -0.000 | -0.000 | -0.000 |
| 119.443 | 184.979 | 172.750 | -0.000 | -0.000 | 0.000 |
| 195.991 | 172.475 | 524.287 | -0.000 | -0.000 | 0.000 |
| -0.000 | 0.000 | -0.000 | 113.202 | -0.000 | -0.000 |
| 0.000 | -0.000 | -0.000 | -0.000 | 138.470 | 0.000 |
| 0.000 | -0.000 | -0.000 | -0.000 | -0.000 | 23.668 |
| 339.267 | 106.852 | 195.185 | 0.000 | 0.000 | 0.000 |
| 119.443 | 184.979 | 172.750 | 0.000 | -0.000 | -0.000 |
| 196.000 | 172.466 | 524.287 | 0.000 | 0.000 | -0.000 |
| -0.000 | -0.000 | 0.000 | 113.183 | 0.000 | 0.000 |
| 0.000 | 0.000 | 0.000 | 0.000 | 138.470 | -0.000 |
| 0.000 | 0.000 | 0.000 | 0.000 | 0.000 | 23.668 |
| 326.965 | 118.732 | 195.573 | -0.000 | -0.000 | -0.000 |
| 119.443 | 184.979 | 172.750 | -0.000 | -0.000 | -0.000 |
| 196.000 | 172.466 | 524.286 | -0.000 | -0.000 | 0.000 |
| 0.000 | 0.000 | -0.000 | 113.183 | -0.000 | 0.000 |
| -0.000 | -0.000 | -0.000 | -0.000 | 138.470 | -0.000 |
| -0.000 | -0.000 | -0.000 | -0.000 | -0.000 | 23.668 |
| 326.972 | 118.732 | 195.574 | 0.000 | 0.000 | 0.000 |
| 119.443 | 184.976 | 172.750 | 0.000 | 0.000 | -0.000 |
| 196.000 | 172.466 | 524.289 | 0.000 | 0.000 | -0.000 |
| -0.000 | -0.000 | 0.000 | 113.202 | 0.000 | -0.000 |
| 0.000 | 0.000 | 0.000 | 0.000 | 138.470 | 0.000 |
| 0.001 | 0.001 | 0.000 | 0.000 | 0.000 | 23.668 |
| 326.959 | 118.732 | 195.573 | -0.000 | -0.000 | 0.000 |
| 119.442 | 184.981 | 172.750 | -0.000 | -0.000 | 0.000 |
| 195.999 | 172.465 | 524.284 | -0.000 | -0.000 | 0.000 |
| 0.000 | 0.000 | -0.000 | 113.202 | -0.000 | 0.000 |
| -0.000 | -0.000 | -0.000 | -0.000 | 138.470 | 0.000 |
| -0.001 | -0.001 | -0.000 | -0.000 | -0.000 | 23.668 |
| 301.080 | 120.826 | 194.185 | 0.000 | -0.000 | -0.000 |
| 120.826 | 167.544 | 168.364 | 0.000 | -0.000 | -0.000 |
| 194.185 | 168.364 | 526.022 | 0.000 | -0.000 | -0.000 |
| 0.000 | -0.000 | 0.000 | 110.538 | -0.000 | -0.000 |
| 0.000 | 0.000 | 0.000 | 0.000 | 138.071 | -0.000 |
| 0.000 | 0.000 | 0.000 | 0.000 | -0.000 | 21.854 |
| 301.080 | 120.826 | 194.185 | -0.000 | 0.000 | -0.000 |
| 120.826 | 167.544 | 168.364 | -0.000 | -0.000 | -0.000 |
| 193.560 | 169.006 | 526.049 | -0.000 | -0.000 | 0.000 |
| -0.000 | -0.000 | -0.000 | 110.538 | -0.000 | -0.000 |
| -0.000 | -0.000 | -0.000 | -0.000 | 138.071 | -0.000 |
| -0.000 | -0.000 | -0.000 | -0.000 | 0.000 | 21.854 |
| 301.080 | 120.826 | 194.185 | 0.000 | -0.000 | 0.000 |
| 105.676 | 183.098 | 169.006 | 0.000 | -0.000 | -0.000 |
| 194.185 | 168.364 | 526.023 | 0.000 | -0.000 | -0.000 |
| 0.000 | -0.000 | 0.000 | 110.538 | -0.000 | -0.000 |
| 0.000 | 0.000 | 0.000 | 0.000 | 138.071 | 0.000 |
| 0.000 | 0.000 | 0.000 | 0.000 | -0.000 | 43.048 |
| 315.836 | 105.676 | 193.559 | -0.000 | 0.000 | -0.000 |
| 120.826 | 167.544 | 168.364 | -0.000 | 0.000 | 0.000 |
| 194.185 | 168.364 | 526.022 | -0.000 | 0.000 | 0.000 |
| -0.000 | 0.000 | -0.000 | 110.538 | 0.000 | 0.000 |
| -0.000 | -0.000 | -0.000 | -0.000 | 138.071 | 0.000 |
| -0.000 | -0.000 | -0.000 | 0.000 | 0.000 | 43.048 |
| 301.085 | 120.826 | 194.186 | 0.000 | -0.000 | 0.000 |
| 120.827 | 167.542 | 168.364 | 0.000 | -0.000 | -0.000 |
| 193.560 | 169.007 | 526.051 | 0.000 | -0.000 | -0.000 |
| 0.000 | -0.000 | 0.000 | 110.538 | -0.000 | -0.000 |
| 0.000 | 0.000 | 0.000 | 0.000 | 138.071 | 0.000 |
| 0.001 | 0.001 | 0.000 | 0.000 | -0.000 | 21.854 |
| 301.074 | 120.826 | 194.185 | -0.000 | 0.000 | -0.000 |
| 105.676 | 183.099 | 169.007 | 0.000 | 0.000 | 0.000 |
| 194.185 | 168.363 | 526.020 | -0.000 | 0.000 | 0.000 |
| -0.000 | 0.000 | -0.000 | 110.538 | 0.000 | 0.000 |
| -0.000 | -0.000 | -0.000 | -0.000 | 138.071 | 0.000 |
| -0.001 | -0.001 | -0.000 | -0.000 | 0.000 | 21.854 |
| 165.164 | 127.981 | 152.384 | -0.000 | -0.000 | -0.000 |
| 127.981 | 326.635 | 183.585 | -0.000 | -0.000 | 0.000 |
| 158.972 | 184.835 | 477.762 | 0.000 | -0.000 | 0.000 |
| -0.000 | -0.000 | -0.000 | 119.632 | 0.000 | -0.000 |
| -0.000 | -0.000 | -0.000 | -0.000 | 90.893 | -0.000 |
| -0.000 | -0.000 | -0.000 | -0.000 | -0.000 | 36.758 |
| 165.164 | 127.981 | 152.384 | 0.000 | -0.000 | 0.000 |
| 127.982 | 326.635 | 183.586 | 0.000 | -0.000 | 0.000 |
| 152.384 | 183.586 | 476.429 | 0.000 | -0.000 | 0.000 |
| 0.000 | 0.000 | 0.000 | 119.632 | 0.000 | 0.000 |
| 0.000 | 0.000 | 0.000 | 0.000 | 90.893 | 0.000 |
| 0.000 | 0.000 | 0.000 | 0.000 | 0.000 | 36.758 |
| 197.719 | 134.155 | 158.972 | -0.000 | 0.000 | -0.000 |
| 127.981 | 326.636 | 183.586 | -0.000 | -0.000 | -0.000 |
| 158.972 | 184.835 | 477.762 | -0.000 | 0.000 | -0.000 |
| 0.000 | 0.000 | 0.000 | 119.672 | -0.000 | 0.000 |
| -0.000 | -0.000 | 0.000 | -0.000 | 90.893 | 0.000 |
| -0.000 | 0.000 | -0.000 | -0.000 | 0.000 | 36.758 |
| 165.165 | 127.981 | 152.384 | 0.000 | -0.000 | 0.000 |
| 127.981 | 326.635 | 183.585 | 0.000 | 0.000 | 0.000 |
| 152.384 | 183.585 | 476.428 | 0.000 | -0.000 | 0.000 |
| -0.000 | -0.000 | -0.000 | 119.672 | 0.000 | 0.000 |
| 0.000 | 0.000 | -0.000 | 0.000 | 90.893 | -0.000 |
| 0.000 | -0.000 | 0.000 | 0.000 | -0.000 | 36.758 |
| 165.160 | 127.981 | 152.384 | -0.000 | 0.000 | -0.000 |
| 134.156 | 327.810 | 184.835 | -0.000 | 0.000 | -0.000 |
| 152.385 | 183.586 | 476.431 | -0.000 | 0.000 | -0.000 |
| 0.000 | 0.000 | 0.000 | 119.632 | 0.000 | -0.000 |
| -0.000 | -0.000 | 0.000 | -0.000 | 90.893 | -0.000 |
| -0.001 | 0.000 | -0.000 | -0.000 | -0.000 | 36.758 |
| 165.168 | 127.982 | 152.385 | 0.000 | 0.000 | 0.000 |
| 127.982 | 326.632 | 183.585 | 0.000 | 0.000 | -0.000 |
| 152.384 | 183.585 | 476.426 | 0.000 | -0.000 | 0.000 |
| -0.000 | -0.000 | -0.000 | 119.632 | -0.000 | 0.000 |
| 0.000 | 0.000 | -0.000 | 0.000 | 90.893 | 0.000 |
| 0.001 | -0.000 | 0.000 | 0.000 | -0.000 | 36.758 |
| 311.226 | 157.437 | 299.901 | -0.000 | 0.000 | 0.000 |
| 157.763 | 298.054 | 292.140 | 0.000 | 0.000 | 0.000 |
| 235.678 | 227.590 | 787.909 | -0.000 | 0.000 | 0.000 |
| 0.452 | 0.443 | -0.369 | -194.436 | 0.000 | 0.000 |
| 0.440 | 0.431 | -0.359 | 0.000 | -192.383 | 0.000 |
| 0.089 | 0.087 | -0.073 | 0.000 | 0.000 | 180.383 |
| 367.764 | 212.842 | 253.800 | 0.000 | -0.000 | -0.000 |
| 157.585 | 297.880 | 292.285 | 0.000 | -0.000 | -0.000 |
| 189.415 | 182.255 | 825.632 | 0.000 | -0.000 | -0.000 |
| -0.452 | -0.443 | 0.369 | -194.436 | -0.000 | -0.000 |
| -0.440 | -0.431 | 0.359 | -0.000 | -192.383 | -0.000 |
| -0.089 | -0.087 | 0.073 | -0.000 | -0.000 | 180.382 |
| 367.765 | 212.842 | 253.800 | 0.000 | 0.000 | 0.000 |
| 157.683 | 297.977 | 292.205 | -0.000 | -0.000 | 0.000 |
| 235.598 | 227.512 | 787.975 | -0.000 | 0.000 | 0.000 |
| 0.045 | 0.045 | -0.037 | -194.438 | 0.000 | 0.000 |
| 0.000 | 0.000 | 0.000 | 0.000 | 109.196 | 0.000 |
| 0.000 | 0.000 | 0.000 | 0.000 | 0.000 | 180.383 |
| 311.128 | 157.341 | 299.981 | 0.000 | -0.000 | -0.000 |
| 157.664 | 297.957 | 292.219 | 0.000 | -0.000 | -0.000 |
| 189.414 | 182.254 | 825.631 | 0.000 | -0.000 | -0.000 |
| -0.045 | -0.045 | 0.037 | -194.438 | -0.000 | -0.000 |
| -0.000 | -0.000 | -0.000 | -0.000 | 109.196 | -0.000 |
| -0.000 | -0.000 | -0.000 | -0.000 | -0.000 | 180.382 |
| 311.144 | 157.354 | 299.976 | -0.000 | 0.000 | 0.000 |
| 157.680 | 297.980 | 292.215 | -0.000 | -0.000 | 0.000 |
| 235.593 | 227.508 | 787.987 | -0.000 | 0.000 | 0.000 |
| 0.004 | 0.008 | -0.002 | -194.438 | 0.000 | 0.000 |
| 0.004 | 0.004 | -0.003 | -0.000 | -192.386 | 0.000 |
| 0.003 | 0.004 | -0.000 | 0.000 | 0.000 | 180.382 |
| 311.131 | 157.345 | 299.971 | -0.000 | 0.000 | -0.000 |
| 157.668 | 297.955 | 292.209 | -0.000 | -0.000 | -0.000 |
| 235.585 | 227.499 | 787.977 | 0.000 | 0.000 | -0.000 |
| -0.004 | -0.008 | 0.002 | -194.438 | -0.000 | -0.000 |
| -0.004 | -0.004 | 0.003 | 0.000 | -192.386 | -0.000 |
| -0.003 | -0.004 | 0.000 | -0.000 | -0.000 | 180.382 |
| 434.651 | 266.711 | 266.711 | 0.000 | 0.000 | 0.000 |
| 266.711 | 434.651 | 266.711 | 0.000 | -0.000 | 0.000 |
| 266.711 | 266.711 | 434.651 | 0.000 | -0.000 | -0.000 |
| 0.000 | 0.000 | -0.000 | 60.018 | -0.000 | -0.000 |
| 0.000 | -0.000 | -0.000 | 0.000 | 60.018 | 0.000 |
| 0.000 | 0.000 | -0.000 | 0.000 | -0.000 | 60.018 |
| 415.291 | 185.625 | 185.625 | -0.000 | 0.000 | -0.000 |
| 185.625 | 415.291 | 185.625 | -0.000 | -0.000 | -0.000 |
| 185.625 | 185.625 | 415.291 | -0.000 | 0.000 | -0.000 |
| -0.000 | -0.000 | 0.000 | 60.018 | -0.000 | -0.000 |
| -0.000 | 0.000 | -0.000 | -0.000 | 60.018 | -0.000 |
| -0.000 | -0.000 | 0.000 | -0.000 | 0.000 | 60.018 |
| 377.646 | 209.397 | 209.397 | 0.000 | -0.000 | -0.000 |
| 209.397 | 377.646 | 209.397 | 0.000 | 0.000 | 0.000 |
| 209.397 | 209.397 | 377.646 | 0.000 | -0.000 | 0.000 |
| 8.190 | 8.190 | 8.190 | 23.989 | -0.000 | -0.000 |
| 8.190 | 8.190 | 8.190 | 0.000 | 23.989 | 0.000 |
| 8.190 | 8.190 | 8.190 | 0.000 | 0.000 | 23.989 |
| 415.291 | 185.625 | 185.625 | -0.000 | 0.000 | -0.000 |
| 185.625 | 415.291 | 185.625 | -0.000 | -0.000 | -0.000 |
| 185.625 | 185.625 | 415.291 | -0.000 | 0.000 | -0.000 |
| -8.190 | -8.190 | -8.190 | 23.989 | 0.000 | -0.000 |
| -8.190 | -8.190 | -8.190 | -0.000 | 23.989 | -0.000 |
| -8.190 | -8.190 | -8.190 | -0.000 | 0.000 | 23.989 |
| 354.337 | 202.856 | 202.856 | 0.000 | -0.000 | -0.000 |
| 202.856 | 354.337 | 202.856 | 0.000 | -0.000 | 0.000 |
| 202.856 | 202.856 | 354.337 | 0.000 | -0.000 | -0.000 |
| 0.487 | 0.487 | 0.487 | 30.527 | -0.000 | 0.000 |
| 0.487 | 0.487 | 0.487 | 0.000 | 30.527 | 0.000 |
| 0.487 | 0.487 | 0.487 | 0.000 | -0.000 | 30.527 |
| 415.289 | 185.626 | 185.626 | -0.000 | 0.000 | -0.000 |
| 185.626 | 415.289 | 185.626 | -0.000 | 0.000 | -0.000 |
| 185.626 | 185.626 | 415.289 | -0.000 | 0.000 | -0.000 |
| -0.487 | -0.487 | -0.487 | 30.527 | 0.000 | -0.000 |
| -0.487 | -0.487 | -0.487 | -0.000 | 30.527 | -0.000 |
| -0.487 | -0.487 | -0.487 | -0.000 | 0.000 | 30.527 |
| -88200598.543 | -88200786.256 | -88200786.256 | 0.000 | -0.000 | 0.000 |
| -88200786.256 | -88200598.543 | -88200786.256 | -0.000 | 0.000 | 0.000 |
| -88200786.256 | -88200786.256 | -88200598.543 | 0.000 | 0.000 | 0.000 |
| -16057773.801 | -16057016.862 | -16057017.163 | -15049633.119 | 0.000 | -0.000 |
| -16057016.862 | -16057773.801 | -16057017.163 | -0.000 | -15049633.119 | 0.000 |
| -16057016.862 | -16057017.163 | -16057773.801 | -0.000 | 0.000 | -15049633.119 |
| 419.133 | 209.257 | 209.257 | 0.000 | -0.000 | -0.000 |
| 209.257 | 419.133 | 209.257 | -0.000 | 0.000 | -0.000 |
| 209.257 | 209.257 | 419.133 | -0.000 | -0.000 | -0.000 |
| 16057773.801 | 16057016.862 | 16057017.163 | -15049633.119 | 0.000 | 0.000 |
| 16057016.862 | 16057773.801 | 16057017.163 | -0.000 | -15049633.119 | 0.000 |
| 16057016.862 | 16057017.163 | 16057773.801 | 0.000 | -0.000 | -15049633.119 |
| -8819745.731 | -8819933.442 | -8819933.442 | -0.000 | 0.000 | 0.000 |
| -8819933.442 | -8819745.731 | -8819933.442 | -0.000 | 0.000 | 0.000 |
| -8819933.442 | -8819933.442 | -8819745.731 | 0.000 | -0.000 | 0.000 |
| -1605835.506 | -1605760.320 | -1605760.621 | -1504922.539 | -0.000 | 0.000 |
| -1605760.320 | -1605835.506 | -1605760.621 | -0.000 | -1504922.539 | -0.000 |
| -1605760.320 | -1605760.621 | -1605835.506 | 0.000 | 0.000 | -1504922.539 |
| 419.466 | 209.592 | 209.592 | 0.000 | -0.000 | 0.000 |
| 209.592 | 419.466 | 209.592 | 0.000 | -0.000 | 0.000 |
| 209.592 | 209.592 | 419.466 | -0.000 | -0.000 | 0.000 |
| 1605835.506 | 1605760.320 | 1605760.621 | -1504922.539 | 0.000 | -0.000 |
| 1605760.320 | 1605835.506 | 1605760.621 | 0.000 | -1504922.539 | 0.000 |
| 1605760.320 | 1605760.621 | 1605835.506 | 0.000 | -0.000 | -1504922.539 |
| -881660.482 | -881848.172 | -881848.172 | -0.000 | -0.000 | 0.000 |
| -881848.172 | -881660.482 | -881848.172 | 0.000 | -0.000 | 0.000 |
| -881848.172 | -881848.172 | -881660.482 | -0.000 | 0.000 | -0.000 |
| -160641.655 | -160634.639 | -160634.940 | -150451.478 | 0.000 | -0.000 |
| -160634.639 | -160641.655 | -160634.940 | 0.000 | -150451.478 | -0.000 |
| -160634.639 | -160634.940 | -160641.655 | 0.000 | -0.000 | -150451.478 |
| 419.340 | 209.488 | 209.488 | -0.000 | -0.000 | 0.000 |
| 209.488 | 419.340 | 209.488 | -0.000 | -0.000 | 0.000 |
| 209.488 | 209.488 | 419.340 | 0.000 | -0.000 | -0.000 |
| 160641.655 | 160634.639 | 160634.940 | -150451.478 | -0.000 | -0.000 |
| 160634.639 | 160641.655 | 160634.940 | -0.000 | -150451.478 | 0.000 |
| 160634.639 | 160634.940 | 160641.655 | -0.000 | 0.000 | -150451.478 |
| 248.688 | 172.299 | 172.299 | 0.000 | -0.000 | 0.000 |
| 172.299 | 248.688 | 172.299 | 0.000 | 0.000 | 0.000 |
| 172.299 | 172.299 | 248.688 | -0.000 | -0.000 | -0.000 |
| 0.000 | 0.000 | 0.000 | 87.950 | 0.000 | 0.000 |
| 0.000 | 0.000 | 0.000 | 0.000 | 87.950 | 0.000 |
| 0.000 | 0.000 | 0.000 | -0.000 | 0.000 | 87.950 |
| -236.507 | -266.118 | -266.600 | 0.516 | 0.053 | -0.215 |
| -266.305 | -236.362 | -266.620 | 0.516 | 0.053 | -0.215 |
| -266.248 | -266.081 | -236.781 | 0.516 | 0.053 | -0.215 |
| -0.000 | -0.000 | -0.000 | 87.950 | 0.000 | -0.000 |
| -0.000 | -0.000 | -0.000 | 0.000 | 87.950 | 0.000 |
| -0.000 | -0.000 | -0.000 | -0.000 | 0.000 | 87.950 |
| 248.688 | 172.299 | 172.299 | 0.000 | -0.000 | 0.000 |
| 172.299 | 248.688 | 172.299 | 0.000 | 0.000 | 0.000 |
| 172.299 | 172.299 | 248.688 | 0.000 | 0.000 | 0.000 |
| 0.000 | 0.000 | 0.000 | 87.950 | -0.000 | 0.000 |
| 0.000 | 0.000 | 0.000 | 0.000 | 87.950 | 0.000 |
| 0.000 | 0.000 | 0.000 | 0.000 | -0.000 | 87.950 |
| 248.688 | 172.299 | 172.299 | -0.000 | 0.000 | -0.000 |
| 172.299 | 248.688 | 172.299 | -0.000 | -0.000 | -0.000 |
| 172.299 | 172.299 | 248.688 | -0.000 | -0.000 | -0.000 |
| -0.000 | -0.000 | -0.000 | 87.950 | -0.000 | -0.000 |
| -0.000 | -0.000 | -0.000 | -0.000 | 87.950 | -0.000 |
| -0.000 | -0.000 | -0.000 | -0.000 | -0.000 | 87.950 |
| 248.690 | 172.299 | 172.299 | 0.000 | 0.000 | 0.000 |
| 172.299 | 248.690 | 172.299 | 0.000 | 0.000 | 0.000 |
| 172.299 | 172.299 | 248.690 | 0.000 | 0.000 | 0.000 |
| 0.000 | 0.000 | 0.000 | 87.950 | 0.000 | 0.000 |
| 0.000 | 0.000 | 0.000 | 0.000 | 87.950 | 0.000 |
| 0.000 | 0.000 | 0.000 | -0.000 | -0.000 | 87.950 |
| 229.214 | 172.364 | 172.362 | 0.002 | 0.000 | -0.001 |
| 172.364 | 229.214 | 172.362 | 0.002 | 0.000 | -0.001 |
| 172.364 | 172.364 | 229.214 | 0.002 | 0.000 | -0.001 |
| -0.000 | -0.000 | -0.000 | 87.950 | 0.000 | -0.000 |
| -0.000 | -0.000 | -0.000 | 0.000 | 87.950 | -0.000 |
| -0.000 | -0.000 | -0.000 | -0.000 | 0.000 | 87.950 |
| 426.732 | 362.499 | 299.535 | 0.000 | -0.000 | -0.000 |
| 370.889 | 802.507 | 232.130 | 0.000 | -0.000 | -0.000 |
| 301.753 | 238.082 | 1065.000 | 0.000 | -0.000 | -0.000 |
| 0.000 | -0.000 | -0.000 | 15.780 | -0.000 | -0.000 |
| 0.000 | -0.000 | -0.000 | 0.000 | 38.412 | -0.000 |
| 0.000 | -0.000 | -0.000 | 0.000 | -0.000 | 211.665 |
| 426.731 | 362.499 | 299.535 | 0.000 | -0.000 | 0.000 |
| 363.982 | 807.714 | 237.346 | 0.000 | 0.000 | 0.000 |
| 308.672 | 232.866 | 1059.776 | -0.000 | 0.000 | 0.000 |
| -0.000 | 0.000 | -0.000 | 15.780 | 0.000 | -0.000 |
| -0.000 | 0.000 | 0.000 | 0.000 | 38.412 | 0.000 |
| -0.000 | 0.000 | 0.000 | -0.000 | 0.000 | 211.665 |
| 417.570 | 369.407 | 306.453 | -0.000 | 0.000 | 0.000 |
| 363.982 | 807.715 | 237.346 | 0.000 | -0.000 | -0.000 |
| 308.672 | 232.866 | 1059.777 | -0.000 | 0.000 | -0.000 |
| -0.000 | 0.000 | -0.000 | -49.594 | -0.000 | -0.000 |
| 0.000 | 0.000 | 0.000 | 0.000 | 126.138 | -0.000 |
| 0.000 | 0.000 | 0.000 | 0.000 | -0.000 | 211.665 |
| 417.569 | 369.407 | 306.453 | 0.000 | 0.000 | -0.000 |
| 370.889 | 802.506 | 232.130 | -0.000 | 0.000 | -0.000 |
| 301.753 | 238.082 | 1064.999 | 0.000 | 0.000 | 0.000 |
| 0.000 | -0.000 | 0.000 | -49.594 | 0.000 | -0.000 |
| -0.000 | -0.000 | -0.000 | 0.000 | 126.138 | 0.000 |
| -0.000 | -0.000 | -0.000 | -0.000 | 0.000 | 211.665 |
| 417.572 | 369.409 | 306.455 | -0.000 | 0.000 | 0.000 |
| 363.985 | 807.721 | 237.348 | 0.000 | -0.000 | -0.000 |
| 308.676 | 232.869 | 1059.786 | 0.000 | -0.000 | 0.000 |
| -0.137 | 0.117 | 0.100 | -144.746 | -0.000 | -0.000 |
| 0.001 | 0.001 | 0.001 | 0.000 | 38.412 | 0.000 |
| 0.000 | 0.002 | 0.000 | -0.000 | -0.000 | 211.665 |
| 417.566 | 369.405 | 306.451 | -0.000 | 0.000 | 0.000 |
| 370.886 | 802.500 | 232.128 | -0.000 | 0.000 | 0.000 |
| 308.668 | 232.863 | 1059.766 | -0.000 | 0.000 | 0.000 |
| 0.137 | -0.117 | -0.100 | -144.746 | 0.000 | 0.000 |
| -0.001 | -0.001 | -0.001 | 0.000 | 38.412 | 0.000 |
| -0.000 | -0.002 | -0.000 | 0.000 | 0.000 | 211.665 |
| 436.960 | 436.687 | 265.164 | 0.000 | -0.000 | -0.000 |
| 421.741 | 799.956 | 180.518 | 0.000 | -0.000 | -0.000 |
| 255.520 | 188.430 | 885.454 | 0.000 | -0.000 | -0.000 |
| 0.207 | -0.073 | -0.106 | 23.414 | -0.000 | -0.000 |
| 1.184 | -0.416 | -0.604 | 0.000 | -66.385 | -0.000 |
| 0.207 | -0.073 | -0.106 | 0.000 | -0.000 | 269.430 |
| 436.545 | 436.833 | 265.376 | -0.000 | 0.000 | 0.000 |
| 421.741 | 799.956 | 180.518 | -0.000 | 0.000 | 0.000 |
| 263.774 | 185.532 | 881.240 | -0.000 | 0.000 | 0.000 |
| -0.207 | 0.073 | 0.106 | 23.414 | 0.000 | 0.000 |
| -1.184 | 0.416 | 0.604 | -0.000 | -66.385 | 0.000 |
| -0.207 | 0.073 | 0.106 | -0.000 | 0.000 | 269.430 |
| 453.328 | 430.941 | 256.809 | 0.000 | -0.000 | -0.000 |
| 427.581 | 797.906 | 177.537 | 0.000 | -0.000 | -0.000 |
| 264.003 | 185.452 | 881.124 | 0.000 | -0.000 | 0.000 |
| 0.000 | -0.000 | 0.000 | 26.119 | -0.000 | -0.000 |
| 0.118 | -0.042 | -0.060 | 0.000 | -66.454 | -0.000 |
| 0.021 | -0.007 | -0.011 | 0.000 | -0.000 | 269.430 |
| 436.732 | 436.767 | 265.280 | -0.000 | 0.000 | 0.000 |
| 427.539 | 797.920 | 177.558 | -0.000 | 0.000 | 0.000 |
| 263.961 | 185.466 | 881.144 | -0.000 | -0.000 | 0.000 |
| -0.000 | 0.000 | -0.000 | 26.119 | 0.000 | 0.000 |
| -0.118 | 0.042 | 0.060 | -0.000 | -66.454 | 0.000 |
| -0.021 | 0.007 | 0.011 | -0.000 | 0.000 | 269.430 |
| 436.755 | 436.761 | 265.270 | 0.000 | 0.000 | -0.000 |
| 421.744 | 799.960 | 180.519 | 0.000 | -0.000 | -0.000 |
| 263.986 | 185.460 | 881.140 | 0.000 | -0.000 | -0.000 |
| 0.002 | -0.001 | -0.001 | 23.414 | -0.000 | -0.000 |
| 0.012 | -0.004 | -0.005 | 0.000 | -66.454 | -0.000 |
| 0.002 | 0.001 | -0.001 | 0.000 | -0.000 | 269.430 |
| 436.751 | 436.758 | 265.269 | -0.000 | 0.000 | 0.000 |
| 427.555 | 797.910 | 177.548 | -0.000 | -0.000 | 0.000 |
| 255.517 | 188.428 | 885.447 | -0.000 | 0.000 | 0.000 |
| -0.002 | 0.001 | 0.001 | 23.414 | 0.000 | 0.000 |
| -0.012 | 0.004 | 0.005 | -0.000 | -66.454 | 0.000 |
| -0.002 | -0.001 | 0.001 | -0.000 | 0.000 | 269.430 |
| 83216957.846 | -266881340.403 | -166116010.318 | 0.000 | 0.000 | 0.000 |
| 83216685.392 | -266881197.465 | -166116024.038 | 0.000 | 0.000 | 0.000 |
| 83216765.229 | -266881274.286 | -166115697.117 | -0.000 | -0.000 | 0.000 |
| 83216564.718 | -266881457.576 | -166116208.329 | 119.836 | -0.000 | 0.000 |
| 83216578.898 | -266881465.900 | -166116207.557 | -0.000 | 139.133 | 0.000 |
| 83216578.929 | -266881465.918 | -166116207.555 | 0.000 | 0.000 | -12.149 |
| 470.220 | 145.930 | 216.716 | 0.000 | -0.000 | -0.000 |
| 113.949 | 367.038 | 449.290 | 0.000 | 0.000 | -0.000 |
| 201.972 | 247.672 | 623.399 | 0.000 | -0.000 | -0.000 |
| -83216564.718 | 266881457.576 | 166116208.329 | 119.836 | 0.000 | -0.000 |
| -83216578.898 | 266881465.900 | 166116207.557 | 0.000 | 139.133 | -0.000 |
| -83216578.929 | 266881465.918 | 166116207.555 | -0.000 | 0.000 | -12.149 |
| 8322049.601 | -26688028.585 | -16611422.821 | 0.000 | 0.000 | 0.000 |
| 8321777.145 | -26687885.647 | -16611436.542 | -0.000 | 0.000 | 0.000 |
| 8321858.401 | -26687963.300 | -16611109.543 | 0.000 | 0.000 | 0.000 |
| 8321656.472 | -26688145.758 | -16611620.833 | 119.836 | 0.000 | 0.000 |
| 8321656.472 | -26688145.758 | -16611620.833 | 0.000 | 139.133 | 0.000 |
| 8321657.893 | -26688146.592 | -16611620.756 | 0.000 | -0.000 | 22.997 |
| 470.227 | 145.882 | 216.642 | 0.000 | 0.000 | -0.000 |
| 113.970 | 366.913 | 449.094 | 0.000 | -0.000 | -0.000 |
| 201.979 | 247.633 | 623.338 | 0.000 | -0.000 | -0.000 |
| -8321656.472 | 26688145.758 | 16611620.833 | 119.836 | -0.000 | -0.000 |
| -8321656.472 | 26688145.758 | 16611620.833 | -0.000 | 139.133 | -0.000 |
| -8321657.893 | 26688146.592 | 16611620.756 | -0.000 | -0.000 | 22.997 |
| 832558.786 | -2668697.403 | -1660964.071 | 0.000 | 0.000 | 0.000 |
| 832286.462 | -2668554.552 | -1660977.785 | -0.000 | -0.000 | 0.000 |
| 832366.300 | -2668631.369 | -1660650.861 | -0.000 | -0.000 | 0.000 |
| 832165.647 | -2668814.576 | -1661162.083 | 119.836 | -0.000 | 0.000 |
| 832165.647 | -2668814.576 | -1661162.083 | 0.000 | 139.133 | 0.000 |
| 832165.617 | -2668814.558 | -1661162.085 | -0.000 | -0.000 | 26.879 |
| 470.218 | 145.877 | 216.633 | 0.000 | -0.000 | -0.000 |
| 113.968 | 366.905 | 449.074 | 0.000 | 0.000 | -0.000 |
| 201.980 | 247.621 | 623.318 | -0.000 | -0.000 | -0.000 |
| -832165.647 | 2668814.576 | 1661162.083 | 119.836 | 0.000 | -0.000 |
| -832165.647 | 2668814.576 | 1661162.083 | -0.000 | 139.133 | -0.000 |
| -832165.617 | 2668814.558 | 1661162.085 | 0.000 | -0.000 | 26.879 |
| 142.728 | 130.853 | 116.940 | 22.020 | -0.000 | -0.000 |
| 115.396 | 154.253 | 109.347 | -17.585 | -0.000 | -0.000 |
| 116.940 | 116.940 | 363.863 | 0.000 | 0.000 | 0.000 |
| 22.020 | -22.020 | 0.000 | 50.360 | 0.000 | -0.000 |
| 0.000 | 0.000 | 0.000 | 0.000 | 50.360 | 22.020 |
| -0.000 | 0.000 | 0.000 | 0.000 | 12.445 | 35.062 |
| 142.728 | 130.853 | 116.940 | 22.020 | 0.000 | -0.000 |
| 102.462 | 172.585 | 119.770 | -12.445 | 0.000 | -0.000 |
| 116.940 | 116.940 | 363.863 | -0.000 | -0.000 | -0.000 |
| 12.445 | -12.445 | 0.000 | 53.508 | 0.000 | -0.000 |
| -0.000 | -0.000 | -0.000 | -0.000 | 50.360 | 22.020 |
| -0.000 | -0.000 | -0.000 | -0.000 | 12.445 | 35.062 |
| 172.586 | 102.462 | 119.770 | 12.445 | -0.000 | 0.000 |
| 102.462 | 172.586 | 119.770 | -12.445 | 0.000 | 0.000 |
| 116.940 | 116.940 | 363.863 | 0.000 | -0.000 | -0.000 |
| 12.445 | -12.445 | 0.000 | 53.508 | -0.000 | 0.000 |
| 0.000 | 0.000 | 0.000 | 0.000 | 50.360 | 22.020 |
| 0.000 | 0.000 | 0.000 | -0.000 | 12.445 | 35.062 |
| 172.585 | 102.462 | 119.770 | 12.445 | 0.000 | -0.000 |
| 115.396 | 154.253 | 109.347 | -17.585 | -0.000 | 0.000 |
| 116.940 | 116.940 | 363.862 | -0.000 | -0.000 | -0.000 |
| 22.020 | -22.020 | -0.000 | 50.360 | 0.000 | 0.000 |
| -0.000 | -0.000 | -0.000 | -0.000 | 50.360 | 22.020 |
| -0.000 | -0.000 | -0.000 | 0.000 | 12.445 | 35.062 |
| 154.256 | 115.396 | 109.348 | 17.585 | 0.000 | 0.000 |
| 102.462 | 172.587 | 119.771 | -12.445 | -0.000 | 0.000 |
| 116.941 | 116.941 | 363.865 | 0.000 | -0.000 | -0.000 |
| 12.445 | -12.445 | 0.001 | 53.508 | -0.000 | 0.000 |
| 0.000 | 0.000 | 0.001 | 0.000 | 50.360 | 22.020 |
| 0.001 | 0.001 | 0.000 | -0.000 | 22.020 | 5.937 |
| 154.250 | 115.396 | 109.347 | 17.585 | -0.000 | -0.000 |
| 130.853 | 142.725 | 116.940 | -22.021 | 0.000 | 0.000 |
| 116.940 | 116.940 | 363.860 | -0.000 | -0.000 | 0.000 |
| 12.445 | -12.445 | -0.001 | 53.508 | 0.000 | 0.000 |
| -0.000 | -0.000 | -0.001 | -0.000 | 50.360 | 22.020 |
| -0.001 | -0.001 | -0.000 | 0.000 | 22.020 | 5.937 |
| 441.273 | 169.549 | 162.091 | 0.000 | 0.000 | -0.000 |
| 169.549 | 441.273 | 162.091 | 0.000 | 0.000 | -0.000 |
| 382.162 | 382.162 | 429.856 | 0.000 | -0.000 | -0.000 |
| 220.083 | 220.083 | -96.728 | 36.467 | 0.000 | -0.000 |
| 220.083 | 220.083 | -96.728 | 0.000 | 36.467 | 0.000 |
| 141.917 | 141.917 | -60.462 | 0.000 | -0.000 | 17.658 |
| 441.272 | 169.549 | 162.091 | -0.000 | 0.000 | 0.000 |
| 169.549 | 441.273 | 162.091 | 0.000 | 0.000 | 0.000 |
| 19.399 | 19.399 | 584.811 | -0.000 | -0.000 | 0.000 |
| -220.083 | -220.083 | 96.728 | 36.467 | -0.000 | 0.000 |
| -220.083 | -220.083 | 96.728 | -0.000 | 36.467 | -0.000 |
| -141.917 | -141.917 | 60.462 | -0.000 | 0.000 | 17.658 |
| 426.811 | 223.500 | 153.027 | 0.000 | -0.000 | -0.000 |
| 223.500 | 426.811 | 153.027 | 0.000 | -0.000 | -0.000 |
| 161.379 | 161.379 | 533.134 | 0.000 | 0.000 | -0.000 |
| 22.054 | 22.054 | -9.693 | 36.458 | -0.000 | -0.000 |
| 22.054 | 22.054 | -9.693 | 0.000 | 36.458 | -0.000 |
| 22.103 | 22.103 | -9.714 | 0.000 | -0.000 | 31.638 |
| 361.618 | 212.326 | 167.867 | -0.000 | 0.000 | 0.000 |
| 212.326 | 361.618 | 167.867 | -0.000 | -0.000 | 0.000 |
| 147.166 | 147.166 | 530.430 | -0.000 | -0.000 | 0.000 |
| -22.054 | -22.054 | 9.693 | 36.458 | -0.000 | -0.000 |
| -22.054 | -22.054 | 9.693 | -0.000 | 36.458 | 0.000 |
| -22.103 | -22.103 | 9.714 | -0.000 | 0.000 | 31.638 |
| 302.197 | 292.523 | 155.009 | -0.000 | -0.000 | -0.000 |
| 292.523 | 302.197 | 155.009 | 0.000 | -0.000 | -0.000 |
| 161.379 | 161.379 | 533.134 | 0.000 | 0.000 | -0.000 |
| -0.000 | 0.000 | -0.000 | 41.137 | -0.000 | -0.000 |
| 0.000 | -0.000 | -0.000 | 0.000 | 41.137 | 0.000 |
| 2.564 | 2.564 | -1.127 | 0.000 | 0.000 | 26.387 |
| 386.098 | 210.356 | 164.705 | -0.000 | 0.000 | 0.000 |
| 210.356 | 386.098 | 164.705 | -0.000 | -0.000 | 0.000 |
| 159.903 | 159.903 | 526.970 | -0.000 | -0.000 | 0.000 |
| 0.000 | -0.000 | 0.000 | 41.137 | 0.000 | -0.000 |
| -0.000 | 0.000 | 0.000 | -0.000 | 41.137 | -0.000 |
| -2.564 | -2.564 | 1.127 | -0.000 | -0.000 | 26.387 |
| 961.711 | 25.250 | 25.252 | 0.000 | -0.000 | 0.000 |
| 25.250 | 961.711 | 25.252 | 0.000 | 0.000 | -0.000 |
| 25.272 | 25.272 | 961.700 | 0.000 | -0.000 | 0.000 |
| -0.000 | -0.000 | -0.000 | -128.486 | 0.000 | 0.000 |
| 0.000 | -0.000 | -0.000 | 0.000 | -128.486 | 0.000 |
| -0.000 | -0.000 | 0.000 | -0.000 | 0.000 | -128.516 |
| 961.711 | 25.250 | 25.252 | -0.000 | -0.000 | 0.000 |
| 25.250 | 961.711 | 25.252 | -0.000 | -0.000 | -0.000 |
| 25.272 | 25.272 | 961.700 | 0.000 | 0.000 | -0.000 |
| 0.000 | 0.000 | 0.000 | -128.486 | -0.000 | 0.000 |
| 0.000 | 0.000 | 0.000 | -0.000 | -128.486 | -0.000 |
| 0.000 | 0.000 | -0.000 | -0.000 | -0.000 | -128.516 |
| 961.711 | 25.250 | 25.252 | 0.000 | 0.000 | -0.000 |
| 25.250 | 961.711 | 25.252 | -0.000 | -0.000 | 0.000 |
| 25.272 | 25.272 | 961.700 | -0.000 | -0.000 | 0.000 |
| -0.000 | -0.000 | -0.000 | -128.486 | 0.000 | 0.000 |
| -0.000 | -0.000 | -0.000 | 0.000 | -128.486 | 0.000 |
| -0.000 | -0.000 | -0.000 | 0.000 | 0.000 | -128.516 |
| 961.711 | 25.250 | 25.252 | -0.000 | -0.000 | -0.000 |
| 25.250 | 961.711 | 25.252 | -0.000 | 0.000 | -0.000 |
| 25.272 | 25.272 | 961.700 | 0.000 | -0.000 | -0.000 |
| 0.000 | 0.000 | 0.000 | -128.486 | -0.000 | 0.000 |
| 0.000 | 0.000 | 0.000 | -0.000 | -128.486 | -0.000 |
| 0.000 | 0.000 | 0.000 | -0.000 | -0.000 | -128.516 |
| 961.714 | 25.251 | 25.253 | -0.000 | -0.000 | 0.000 |
| 25.251 | 961.714 | 25.253 | 0.000 | 0.000 | 0.000 |
| 25.273 | 25.273 | 961.703 | 0.000 | -0.000 | 0.000 |
| -0.000 | -0.000 | -0.001 | -128.486 | 0.000 | 0.000 |
| -0.000 | -0.000 | -0.001 | -0.000 | -128.486 | 0.000 |
| -0.000 | -0.001 | -0.000 | 0.000 | -0.000 | -128.516 |
| 961.709 | 25.248 | 25.250 | 0.000 | 0.000 | -0.000 |
| 25.248 | 961.709 | 25.250 | -0.000 | 0.000 | 0.000 |
| 25.271 | 25.271 | 961.698 | -0.000 | 0.000 | -0.000 |
| 0.000 | 0.000 | 0.001 | -128.486 | 0.000 | -0.000 |
| 0.000 | 0.000 | 0.001 | 0.000 | -128.486 | -0.000 |
| 0.000 | 0.001 | 0.000 | -0.000 | 0.000 | -128.516 |
| 172.692 | 160.595 | 160.595 | 0.000 | -0.000 | 0.000 |
| 160.595 | 172.692 | 160.595 | 0.000 | -0.000 | -0.000 |
| 160.595 | 160.595 | 172.692 | -0.000 | 0.000 | 0.000 |
| 0.000 | 0.000 | -0.000 | 170.737 | 0.000 | 0.000 |
| -0.000 | 0.000 | -0.000 | 0.000 | 170.737 | 0.000 |
| 0.000 | 0.000 | -0.000 | 0.000 | -0.000 | 170.737 |
| 172.692 | 160.595 | 160.595 | 0.000 | 0.000 | -0.000 |
| 160.595 | 172.692 | 160.595 | -0.000 | 0.000 | -0.000 |
| 160.595 | 160.595 | 172.692 | -0.000 | 0.000 | -0.000 |
| -0.000 | -0.000 | 0.000 | 170.737 | -0.000 | 0.000 |
| 0.000 | -0.000 | 0.000 | -0.000 | 170.737 | -0.000 |
| 0.000 | -0.000 | 0.000 | -0.000 | 0.000 | 170.737 |
| 172.692 | 160.595 | 160.595 | 0.000 | -0.000 | 0.000 |
| 160.595 | 172.692 | 160.595 | 0.000 | -0.000 | 0.000 |
| 160.595 | 160.595 | 172.692 | 0.000 | -0.000 | 0.000 |
| -0.000 | -0.000 | -0.000 | 34.608 | -0.000 | 0.000 |
| -0.000 | -0.000 | -0.000 | 0.000 | 34.608 | 0.000 |
| -0.000 | -0.000 | -0.000 | 0.000 | -0.000 | 34.608 |
| 172.692 | 160.595 | 160.595 | -0.000 | -0.000 | -0.000 |
| 160.595 | 172.692 | 160.595 | -0.000 | 0.000 | -0.000 |
| 160.595 | 160.595 | 172.692 | -0.000 | 0.000 | -0.000 |
| 0.000 | 0.000 | 0.000 | 34.608 | 0.000 | 0.000 |
| 0.000 | 0.000 | 0.000 | -0.000 | 34.608 | -0.000 |
| 0.000 | 0.000 | 0.000 | -0.000 | 0.000 | 34.608 |
| 172.690 | 160.595 | 160.595 | 0.000 | -0.000 | 0.000 |
| 160.595 | 172.690 | 160.595 | -0.000 | -0.000 | 0.000 |
| 160.595 | 160.595 | 172.690 | -0.000 | -0.000 | 0.000 |
| -0.000 | -0.001 | -0.001 | 170.737 | -0.000 | 0.000 |
| -0.001 | -0.000 | -0.001 | 0.000 | 170.737 | 0.000 |
| -0.001 | -0.001 | -0.000 | 0.000 | -0.000 | 170.737 |
| 172.694 | 160.596 | 160.596 | -0.000 | 0.000 | 0.000 |
| 160.596 | 172.694 | 160.596 | 0.000 | 0.000 | -0.000 |
| 160.596 | 160.596 | 172.694 | -0.000 | 0.000 | -0.000 |
| 0.000 | 0.001 | 0.001 | 170.737 | 0.000 | 0.000 |
| 0.001 | 0.000 | 0.001 | -0.000 | 170.737 | -0.000 |
| 0.001 | 0.001 | 0.000 | -0.000 | 0.000 | 170.737 |
| 206.902 | 66.453 | 66.453 | -0.000 | 0.000 | -0.000 |
| 66.453 | 206.902 | 66.453 | -0.000 | -0.000 | 0.000 |
| 66.453 | 66.453 | 206.902 | -0.000 | 0.000 | -0.000 |
| -0.000 | -0.000 | -0.000 | 70.149 | -0.000 | -0.000 |
| -0.000 | -0.000 | -0.000 | -0.000 | 70.149 | 0.000 |
| -0.000 | -0.000 | -0.000 | -0.000 | -0.000 | 70.149 |
| 206.902 | 66.453 | 66.453 | 0.000 | -0.000 | 0.000 |
| 66.453 | 206.902 | 66.453 | -0.000 | 0.000 | 0.000 |
| 66.453 | 66.453 | 206.902 | 0.000 | 0.000 | -0.000 |
| 0.000 | 0.000 | 0.000 | 70.149 | 0.000 | -0.000 |
| 0.000 | 0.000 | 0.000 | 0.000 | 70.149 | 0.000 |
| 0.000 | 0.000 | 0.000 | 0.000 | 0.000 | 70.149 |
| 206.901 | 66.453 | 66.453 | -0.000 | 0.000 | 0.000 |
| 66.453 | 206.901 | 66.453 | -0.000 | 0.000 | -0.000 |
| 66.453 | 66.453 | 206.901 | -0.000 | 0.000 | 0.000 |
| 0.000 | -0.001 | -0.001 | 60.330 | 0.000 | 0.000 |
| -0.001 | 0.000 | -0.001 | -0.000 | 60.330 | 0.000 |
| -0.001 | -0.001 | 0.000 | -0.000 | -0.000 | 60.330 |
| 206.903 | 66.454 | 66.454 | -0.000 | 0.000 | 0.000 |
| 66.454 | 206.903 | 66.454 | -0.000 | -0.000 | 0.000 |
| 66.454 | 66.454 | 206.903 | -0.000 | 0.000 | 0.000 |
| -0.000 | 0.001 | 0.001 | 60.330 | -0.000 | 0.000 |
| 0.001 | -0.000 | 0.001 | 0.000 | 60.330 | -0.000 |
| 0.001 | 0.001 | -0.000 | 0.000 | 0.000 | 60.330 |
| 206.890 | 66.447 | 66.447 | -0.000 | 0.000 | -0.000 |
| 66.447 | 206.890 | 66.447 | -0.000 | 0.000 | 0.000 |
| 66.447 | 66.447 | 206.890 | 0.000 | 0.000 | 0.000 |
| 0.000 | -0.006 | -0.006 | 70.149 | 0.000 | 0.000 |
| -0.006 | 0.000 | -0.006 | -0.000 | 70.149 | -0.000 |
| -0.006 | -0.006 | 0.000 | -0.000 | -0.000 | 70.149 |
| 206.913 | 66.459 | 66.459 | 0.000 | 0.000 | 0.000 |
| 66.459 | 206.913 | 66.459 | 0.000 | -0.000 | 0.000 |
| 66.459 | 66.459 | 206.913 | 0.000 | 0.000 | 0.000 |
| -0.000 | 0.006 | 0.006 | 70.149 | -0.000 | 0.000 |
| 0.006 | -0.000 | 0.006 | 0.000 | 70.149 | -0.000 |
| 0.006 | 0.006 | -0.000 | 0.000 | 0.000 | 70.149 |
| -300014445.401 | -150786728.489 | -150786728.489 | 0.000 | 0.000 | 0.000 |
| -150786728.489 | -300014445.401 | -150786728.489 | 0.000 | 0.000 | 0.000 |
| -150786728.489 | -150786728.489 | -300014445.401 | 0.000 | 0.000 | 0.000 |
| -390103.079 | -75441253.815 | -75441255.316 | -75051118.037 | 0.000 | 0.000 |
| -75441253.815 | -390103.079 | -75441255.316 | 0.000 | -75051118.037 | 0.000 |
| -75441253.815 | -75441255.316 | -390103.079 | 0.000 | 0.000 | -75051118.037 |
| 116.001 | 29.881 | 29.881 | -0.000 | -0.000 | -0.000 |
| 29.881 | 116.001 | 29.881 | -0.000 | -0.000 | -0.000 |
| 29.881 | 29.881 | 116.001 | -0.000 | -0.000 | -0.000 |
| 390103.079 | 75441253.815 | 75441255.316 | -75051118.037 | -0.000 | -0.000 |
| 75441253.815 | 390103.079 | 75441255.316 | -0.000 | -75051118.037 | -0.000 |
| 75441253.815 | 75441255.316 | 390103.079 | -0.000 | -0.000 | -75051118.037 |
| -30001420.832 | -15078688.488 | -15078688.488 | -0.000 | 0.000 | -0.000 |
| -15078688.488 | -30001420.832 | -15078688.488 | -0.000 | 0.000 | -0.000 |
| -15078688.488 | -15078688.488 | -30001420.832 | 0.000 | 0.000 | 0.000 |
| -39010.149 | -7544144.721 | -7544146.222 | -7505110.077 | 0.000 | 0.000 |
| -7544144.721 | -39010.149 | -7544146.222 | -0.000 | -7505110.077 | 0.000 |
| -7544144.721 | -7544146.222 | -39010.149 | 0.000 | 0.000 | -7505110.077 |
| 116.001 | 29.881 | 29.881 | -0.000 | -0.000 | -0.000 |
| 29.881 | 116.001 | 29.881 | -0.000 | 0.000 | -0.000 |
| 29.881 | 29.881 | 116.001 | -0.000 | -0.000 | -0.000 |
| 39010.149 | 7544144.721 | 7544146.222 | -7505110.077 | -0.000 | -0.000 |
| 7544144.721 | 39010.149 | 7544146.222 | 0.000 | -7505110.077 | -0.000 |
| 7544144.721 | 7544146.222 | 39010.149 | -0.000 | -0.000 | -7505110.077 |
| -3000118.189 | -1507884.398 | -1507884.398 | -0.000 | 0.000 | 0.000 |
| -1507884.398 | -3000118.189 | -1507884.398 | 0.000 | 0.000 | 0.000 |
| -1507884.398 | -1507884.398 | -3000118.189 | 0.000 | -0.000 | 0.000 |
| -3900.855 | -754433.766 | -754435.267 | -750508.415 | 0.000 | 0.000 |
| -754433.766 | -3900.855 | -754435.267 | -0.000 | -750508.415 | 0.000 |
| -754433.766 | -754435.267 | -3900.855 | 0.000 | -0.000 | -750508.415 |
| 115.996 | 29.881 | 29.881 | -0.000 | -0.000 | -0.000 |
| 29.881 | 115.996 | 29.881 | -0.000 | -0.000 | -0.000 |
| 29.881 | 29.881 | 115.996 | -0.000 | 0.000 | -0.000 |
| 3900.855 | 754433.766 | 754435.267 | -750508.415 | -0.000 | -0.000 |
| 754433.766 | 3900.855 | 754435.267 | 0.000 | -750508.415 | -0.000 |
| 754433.766 | 754435.267 | 3900.855 | -0.000 | -0.000 | -750508.415 |
| 28.471 | 3.393 | 3.393 | 0.000 | -0.000 | -0.000 |
| 3.393 | 28.471 | 3.393 | -0.000 | -0.000 | -0.000 |
| 3.393 | 3.393 | 28.471 | -0.000 | -0.000 | -0.000 |
| -0.000 | 0.000 | 0.000 | 3.096 | -0.000 | -0.000 |
| 0.000 | -0.000 | 0.000 | -0.000 | 3.096 | -0.000 |
| 0.000 | 0.000 | -0.000 | -0.000 | -0.000 | 3.096 |
| 28.471 | 3.393 | 3.393 | -0.000 | 0.000 | 0.000 |
| 3.393 | 28.471 | 3.393 | -0.000 | 0.000 | 0.000 |
| 3.393 | 3.393 | 28.471 | 0.000 | 0.000 | 0.000 |
| 0.000 | -0.000 | -0.000 | 3.096 | 0.000 | 0.000 |
| -0.000 | 0.000 | -0.000 | 0.000 | 3.096 | 0.000 |
| -0.000 | -0.000 | 0.000 | 0.000 | 0.000 | 3.096 |
| 28.470 | 3.393 | 3.393 | -0.000 | -0.000 | -0.000 |
| 3.393 | 28.470 | 3.393 | -0.000 | -0.000 | -0.000 |
| 3.393 | 3.393 | 28.470 | -0.000 | -0.000 | -0.000 |
| -0.000 | 0.000 | 0.000 | 3.096 | -0.000 | -0.000 |
| 0.000 | -0.000 | 0.000 | -0.000 | 3.096 | -0.000 |
| 0.000 | 0.000 | -0.000 | -0.000 | -0.000 | 3.096 |
| 28.473 | 3.393 | 3.393 | 0.000 | 0.000 | 0.000 |
| 3.393 | 28.473 | 3.393 | 0.000 | -0.000 | 0.000 |
| 3.393 | 3.393 | 28.473 | 0.000 | -0.000 | 0.000 |
| 0.000 | -0.000 | -0.000 | 3.096 | 0.000 | 0.000 |
| -0.000 | 0.000 | -0.000 | 0.000 | 3.096 | 0.000 |
| -0.000 | -0.000 | 0.000 | 0.000 | 0.000 | 3.096 |
| 28.456 | 3.393 | 3.393 | -0.000 | 0.000 | -0.000 |
| 3.393 | 28.456 | 3.393 | -0.000 | 0.000 | -0.000 |
| 3.393 | 3.393 | 28.456 | -0.000 | 0.000 | -0.000 |
| -0.000 | 0.000 | 0.000 | 3.096 | -0.000 | -0.000 |
| 0.000 | -0.000 | 0.000 | -0.000 | 3.096 | -0.000 |
| 0.000 | 0.000 | -0.000 | -0.000 | -0.000 | 3.096 |
| 28.487 | 3.393 | 3.393 | 0.000 | 0.000 | 0.000 |
| 3.393 | 28.487 | 3.393 | 0.000 | -0.000 | 0.000 |
| 3.393 | 3.393 | 28.487 | 0.000 | 0.000 | 0.000 |
| 0.000 | -0.000 | -0.000 | 3.096 | -0.000 | 0.000 |
| -0.000 | 0.000 | -0.000 | 0.000 | 3.096 | 0.000 |
| -0.000 | -0.000 | 0.000 | 0.000 | 0.000 | 3.096 |
| -90509841.817 | 6743.599 | 6743.599 | 0.000 | -0.000 | 0.000 |
| 6743.599 | -90509841.817 | 6743.599 | 0.000 | -0.000 | -0.000 |
| 6743.599 | 6743.599 | -90509841.817 | 0.000 | -0.000 | -0.000 |
| 0.000 | 0.000 | 0.000 | 2.623 | 0.000 | -0.000 |
| 0.000 | 0.000 | 0.000 | 0.000 | 2.623 | -0.000 |
| 0.000 | 0.000 | 0.000 | 0.000 | 0.000 | 2.623 |
| 2.256 | 2.169 | 2.169 | -0.000 | -0.000 | 0.000 |
| 2.169 | 2.256 | 2.169 | -0.000 | 0.000 | 0.000 |
| 2.169 | 2.169 | 2.256 | -0.000 | -0.000 | 0.000 |
| -0.000 | -0.000 | -0.000 | 2.623 | -0.000 | 0.000 |
| -0.000 | -0.000 | -0.000 | -0.000 | 2.623 | 0.000 |
| -0.000 | -0.000 | -0.000 | -0.000 | -0.000 | 2.623 |
| -9051031.430 | 676.309 | 676.309 | 0.000 | 0.000 | -0.000 |
| 676.309 | -9051031.430 | 676.309 | 0.000 | 0.000 | -0.000 |
| 676.309 | 676.309 | -9051031.430 | -0.000 | -0.000 | -0.000 |
| 0.000 | 0.000 | 0.000 | 2.623 | 0.000 | -0.000 |
| 0.000 | 0.000 | 0.000 | 0.000 | 2.623 | -0.000 |
| 0.000 | 0.000 | 0.000 | -0.000 | 0.000 | 2.623 |
| 2.256 | 2.169 | 2.169 | -0.000 | -0.000 | 0.000 |
| 2.169 | 2.256 | 2.169 | -0.000 | -0.000 | 0.000 |
| 2.169 | 2.169 | 2.256 | 0.000 | 0.000 | 0.000 |
| -0.000 | -0.000 | -0.000 | 2.623 | -0.000 | 0.000 |
| -0.000 | -0.000 | -0.000 | -0.000 | 2.623 | 0.000 |
| -0.000 | -0.000 | -0.000 | -0.000 | -0.000 | 2.623 |
| -905150.172 | 69.581 | 69.581 | 0.000 | 0.000 | -0.000 |
| 69.581 | -905150.172 | 69.581 | 0.000 | 0.000 | -0.000 |
| 69.581 | 69.581 | -905150.172 | -0.000 | -0.000 | -0.000 |
| 0.001 | 0.001 | 0.001 | 2.623 | 0.000 | -0.000 |
| 0.001 | 0.001 | 0.001 | 0.000 | 2.623 | -0.000 |
| 0.001 | 0.001 | 0.001 | 0.000 | 0.000 | 2.623 |
| 2.255 | 2.168 | 2.168 | -0.000 | 0.000 | 0.000 |
| 2.168 | 2.255 | 2.168 | -0.000 | 0.000 | 0.000 |
| 2.168 | 2.168 | 2.255 | -0.000 | 0.000 | 0.000 |
| -0.001 | -0.001 | -0.001 | 2.623 | -0.000 | 0.000 |
| -0.001 | -0.001 | -0.001 | -0.000 | 2.623 | -0.000 |
| -0.001 | -0.001 | -0.001 | -0.000 | -0.000 | 2.623 |
| 0.014 | 0.014 | 0.014 | -0.000 | -0.000 | -0.000 |
| 0.014 | 0.014 | 0.014 | -0.000 | -0.000 | -0.000 |
| 0.014 | 0.014 | 0.014 | -0.000 | -0.000 | -0.000 |
| 0.000 | 0.000 | 0.000 | 0.014 | -0.000 | 0.000 |
| 0.000 | 0.000 | 0.000 | -0.000 | 0.014 | 0.000 |
| 0.000 | 0.000 | 0.000 | -0.000 | 0.000 | 0.014 |
| 0.014 | 0.014 | 0.014 | -0.000 | 0.000 | -0.000 |
| 0.014 | 0.014 | 0.014 | 0.000 | -0.000 | -0.000 |
| 0.014 | 0.014 | 0.014 | 0.000 | 0.000 | 0.000 |
| -0.000 | -0.000 | -0.000 | 0.014 | -0.000 | 0.000 |
| -0.000 | -0.000 | -0.000 | -0.000 | 0.014 | 0.000 |
| -0.000 | -0.000 | -0.000 | 0.000 | 0.000 | 0.014 |
| 0.014 | 0.014 | 0.014 | -0.000 | -0.000 | -0.000 |
| 0.014 | 0.014 | 0.014 | -0.000 | -0.000 | -0.000 |
| 0.014 | 0.014 | 0.014 | -0.000 | -0.000 | -0.000 |
| 0.000 | 0.000 | 0.000 | 0.014 | 0.000 | -0.000 |
| 0.000 | 0.000 | 0.000 | 0.000 | 0.014 | -0.000 |
| 0.000 | 0.000 | 0.000 | 0.000 | -0.000 | 0.014 |
| 0.014 | 0.014 | 0.014 | 0.000 | -0.000 | -0.000 |
| 0.014 | 0.014 | 0.014 | -0.000 | 0.000 | -0.000 |
| 0.014 | 0.014 | 0.014 | 0.000 | 0.000 | 0.000 |
| -0.000 | -0.000 | -0.000 | 0.014 | 0.000 | 0.000 |
| -0.000 | -0.000 | -0.000 | 0.000 | 0.014 | 0.000 |
| -0.000 | -0.000 | -0.000 | 0.000 | 0.000 | 0.014 |
| 0.014 | 0.014 | 0.014 | 0.000 | -0.000 | -0.000 |
| 0.014 | 0.014 | 0.014 | -0.000 | 0.000 | -0.000 |
| 0.014 | 0.014 | 0.014 | -0.000 | -0.000 | 0.000 |
| 0.000 | 0.000 | 0.000 | 0.014 | 0.000 | -0.000 |
| 0.000 | 0.000 | 0.000 | 0.000 | 0.014 | -0.000 |
| 0.000 | 0.000 | 0.000 | 0.000 | -0.000 | 0.014 |
| 0.014 | 0.014 | 0.014 | -0.000 | 0.000 | 0.000 |
| 0.014 | 0.014 | 0.014 | 0.000 | -0.000 | 0.000 |
| 0.014 | 0.014 | 0.014 | 0.000 | 0.000 | -0.000 |
| -0.000 | -0.000 | -0.000 | 0.014 | 0.000 | 0.000 |
| -0.000 | -0.000 | -0.000 | 0.000 | 0.014 | 0.000 |
| -0.000 | -0.000 | -0.000 | 0.000 | 0.000 | 0.014 |
| 0.333 | 0.378 | 0.378 | 0.000 | -0.000 | -0.000 |
| 0.378 | 0.333 | 0.378 | -0.000 | -0.000 | 0.000 |
| 0.378 | 0.378 | 0.333 | -0.000 | -0.000 | 0.000 |
| -0.000 | -0.000 | -0.000 | 0.312 | 0.000 | 0.000 |
| -0.000 | -0.000 | -0.000 | 0.000 | 0.312 | 0.000 |
| -0.000 | -0.000 | -0.000 | 0.000 | 0.000 | 0.312 |
| 0.333 | 0.378 | 0.378 | -0.000 | 0.000 | -0.000 |
| 0.378 | 0.333 | 0.378 | -0.000 | -0.000 | 0.000 |
| 0.378 | 0.378 | 0.333 | -0.000 | -0.000 | 0.000 |
| 0.000 | 0.000 | 0.000 | 0.312 | -0.000 | -0.000 |
| 0.000 | 0.000 | 0.000 | -0.000 | 0.312 | -0.000 |
| 0.000 | 0.000 | 0.000 | -0.000 | 0.000 | 0.312 |
| 0.333 | 0.378 | 0.378 | 0.000 | 0.000 | -0.000 |
| 0.378 | 0.333 | 0.378 | 0.000 | -0.000 | -0.000 |
| 0.378 | 0.378 | 0.333 | 0.000 | 0.000 | -0.000 |
| -0.000 | -0.000 | -0.000 | 0.312 | -0.000 | 0.000 |
| -0.000 | -0.000 | -0.000 | 0.000 | 0.312 | 0.000 |
| -0.000 | -0.000 | -0.000 | 0.000 | -0.000 | 0.312 |
| 0.333 | 0.378 | 0.378 | 0.000 | 0.000 | -0.000 |
| 0.378 | 0.333 | 0.378 | -0.000 | -0.000 | -0.000 |
| 0.378 | 0.378 | 0.333 | -0.000 | 0.000 | -0.000 |
| 0.000 | 0.000 | 0.000 | 0.312 | -0.000 | -0.000 |
| 0.000 | 0.000 | 0.000 | -0.000 | 0.312 | 0.000 |
| 0.000 | 0.000 | 0.000 | 0.000 | 0.000 | 0.312 |
| 0.332 | 0.377 | 0.377 | 0.000 | -0.000 | 0.000 |
| 0.377 | 0.332 | 0.377 | 0.000 | -0.000 | 0.000 |
| 0.377 | 0.377 | 0.332 | 0.000 | -0.000 | 0.000 |
| -0.000 | -0.000 | -0.000 | 0.069 | -0.000 | 0.000 |
| -0.000 | -0.000 | -0.000 | 0.000 | 0.069 | 0.000 |
| -0.000 | -0.000 | -0.000 | 0.000 | -0.000 | 0.069 |
| 0.334 | 0.379 | 0.379 | -0.000 | 0.000 | -0.000 |
| 0.379 | 0.334 | 0.379 | -0.000 | 0.000 | -0.000 |
| 0.379 | 0.379 | 0.334 | -0.000 | 0.000 | 0.000 |
| 0.000 | 0.000 | 0.000 | 0.069 | -0.000 | -0.000 |
| 0.000 | 0.000 | 0.000 | -0.000 | 0.069 | -0.000 |
| 0.000 | 0.000 | 0.000 | -0.000 | 0.000 | 0.069 |
| 420.106 | 277.205 | 277.205 | -0.000 | -0.000 | 0.000 |
| 277.205 | 420.106 | 277.205 | -0.000 | -0.000 | 0.000 |
| 277.205 | 277.205 | 420.106 | -0.000 | -0.000 | 0.000 |
| 0.000 | -0.000 | -0.000 | 152.629 | -0.000 | 0.000 |
| 0.000 | -0.000 | 0.000 | -0.000 | 152.629 | 0.000 |
| -0.000 | -0.000 | -0.000 | -0.000 | -0.000 | 152.629 |
| 420.106 | 277.205 | 277.205 | 0.000 | 0.000 | -0.000 |
| 277.205 | 420.106 | 277.205 | 0.000 | 0.000 | -0.000 |
| 277.205 | 277.205 | 420.106 | 0.000 | 0.000 | -0.000 |
| -0.000 | -0.000 | -0.000 | 152.629 | 0.000 | -0.000 |
| -0.000 | 0.000 | -0.000 | 0.000 | 152.629 | -0.000 |
| -0.000 | -0.000 | 0.000 | 0.000 | 0.000 | 152.629 |
| 420.106 | 277.205 | 277.205 | -0.000 | -0.000 | 0.000 |
| 277.205 | 420.106 | 277.205 | -0.000 | -0.000 | 0.000 |
| 277.205 | 277.205 | 420.106 | -0.000 | -0.000 | 0.000 |
| -0.000 | 0.000 | 0.000 | 152.629 | -0.000 | 0.000 |
| 0.000 | -0.000 | 0.000 | -0.000 | 152.629 | 0.000 |
| 0.000 | 0.000 | -0.000 | -0.000 | -0.000 | 152.629 |
| 420.106 | 277.204 | 277.204 | 0.000 | 0.000 | -0.000 |
| 277.204 | 420.106 | 277.204 | 0.000 | 0.000 | -0.000 |
| 277.204 | 277.204 | 420.106 | 0.000 | 0.000 | -0.000 |
| 0.000 | -0.000 | -0.000 | 152.629 | 0.000 | -0.000 |
| -0.000 | 0.000 | -0.000 | 0.000 | 152.629 | -0.000 |
| -0.000 | -0.000 | 0.000 | 0.000 | 0.000 | 152.629 |
| 420.106 | 277.206 | 277.206 | -0.000 | -0.000 | 0.000 |
| 277.206 | 420.106 | 277.206 | -0.000 | -0.000 | 0.000 |
| 277.206 | 277.206 | 420.106 | -0.000 | -0.000 | 0.000 |
| -0.000 | 0.000 | 0.000 | 152.629 | -0.000 | 0.000 |
| 0.000 | -0.000 | 0.000 | -0.000 | 152.629 | 0.000 |
| 0.000 | 0.000 | -0.000 | -0.000 | -0.000 | 152.629 |
| 420.106 | 277.203 | 277.203 | 0.000 | 0.000 | -0.000 |
| 277.203 | 420.106 | 277.203 | 0.000 | 0.000 | -0.000 |
| 277.203 | 277.203 | 420.106 | 0.000 | 0.000 | -0.000 |
| 0.000 | -0.000 | -0.000 | 152.629 | 0.000 | -0.000 |
| -0.000 | 0.000 | -0.000 | 0.000 | 152.629 | -0.000 |
| -0.000 | -0.000 | 0.000 | 0.000 | 0.000 | 152.629 |
| 338.336 | 163.467 | 144.529 | -21.238 | 0.000 | 0.000 |
| 163.467 | 338.336 | 144.529 | 21.238 | 0.000 | 0.000 |
| 133.273 | 133.273 | 317.357 | -0.000 | 0.000 | 0.000 |
| -21.345 | 21.354 | 0.011 | 68.298 | 0.000 | 0.000 |
| 0.000 | -0.000 | 0.000 | 0.000 | 69.139 | -21.238 |
| 0.004 | 0.004 | 0.011 | 0.000 | -21.349 | 87.420 |
| 333.819 | 158.955 | 133.264 | -21.259 | -0.000 | -0.000 |
| 158.955 | 333.819 | 133.264 | 21.259 | -0.000 | -0.000 |
| 133.271 | 133.271 | 317.353 | 0.000 | 0.000 | -0.000 |
| -21.238 | 21.238 | -0.000 | 69.139 | -0.000 | -0.000 |
| -0.000 | 0.000 | -0.000 | -0.000 | 69.139 | -21.238 |
| -0.004 | -0.004 | -0.011 | -0.000 | -21.349 | 87.420 |
| 338.336 | 163.467 | 144.529 | -21.238 | -0.000 | 0.000 |
| 158.956 | 333.820 | 133.266 | 21.259 | -0.000 | 0.000 |
| 144.529 | 144.529 | 345.448 | -0.000 | -0.000 | 0.000 |
| -21.238 | 21.238 | 0.000 | 69.139 | 0.000 | 0.000 |
| 0.001 | 0.000 | 0.001 | 0.000 | 68.298 | -21.349 |
| 0.000 | 0.000 | 0.000 | 0.000 | -21.238 | 87.435 |
| 338.335 | 163.466 | 144.529 | -21.238 | -0.000 | -0.000 |
| 163.466 | 338.335 | 144.529 | 21.238 | -0.000 | -0.000 |
| 133.272 | 133.272 | 317.354 | 0.000 | 0.000 | -0.000 |
| -21.350 | 21.349 | -0.001 | 68.298 | -0.000 | -0.000 |
| -0.001 | -0.000 | -0.001 | -0.000 | 68.298 | -21.349 |
| -0.000 | -0.000 | -0.000 | -0.000 | -21.238 | 87.435 |
| 333.823 | 158.957 | 133.267 | -21.258 | 0.000 | 0.000 |
| 158.957 | 333.823 | 133.267 | 21.258 | 0.000 | 0.000 |
| 144.530 | 144.530 | 345.449 | -0.000 | 0.000 | 0.000 |
| -21.238 | 21.239 | 0.001 | 69.139 | 0.000 | 0.000 |
| 0.001 | 0.000 | 0.001 | 0.000 | 69.139 | -21.238 |
| 0.000 | 0.001 | 0.000 | 0.000 | -21.349 | 87.420 |
| 333.806 | 158.970 | 133.271 | -21.350 | -0.000 | -0.000 |
| 163.465 | 338.332 | 144.528 | 21.239 | -0.000 | -0.000 |
| 144.528 | 144.528 | 345.445 | 0.000 | 0.000 | -0.000 |
| -21.238 | 21.237 | -0.001 | 69.139 | -0.000 | -0.000 |
| -0.001 | -0.000 | -0.001 | -0.000 | 69.139 | -21.238 |
| -0.000 | -0.001 | -0.000 | -0.000 | -21.349 | 87.420 |
| 339.999 | 160.946 | 143.119 | -20.364 | -0.000 | -0.000 |
| 160.946 | 339.999 | 143.119 | 20.364 | 0.000 | 0.000 |
| 142.171 | 142.171 | 336.034 | -0.000 | -0.000 | -0.000 |
| -20.351 | 20.351 | 0.000 | 77.648 | -0.000 | 0.000 |
| 0.000 | -0.000 | 0.000 | -0.000 | 77.648 | -20.351 |
| -0.033 | -0.033 | -0.082 | 0.000 | -20.417 | 89.516 |
| 340.012 | 160.959 | 143.152 | -20.364 | 0.000 | -0.000 |
| 165.045 | 344.102 | 153.251 | 20.351 | 0.000 | -0.000 |
| 152.288 | 152.288 | 361.024 | 0.000 | 0.000 | -0.000 |
| -20.385 | 20.452 | 0.084 | 77.284 | -0.000 | 0.000 |
| -0.000 | 0.000 | -0.000 | 0.000 | 77.648 | -20.351 |
| 0.033 | 0.033 | 0.082 | -0.000 | -20.417 | 89.516 |
| 344.103 | 165.045 | 153.251 | -20.351 | -0.000 | -0.000 |
| 160.952 | 340.005 | 143.134 | 20.364 | -0.000 | -0.000 |
| 152.288 | 152.288 | 361.025 | -0.000 | -0.000 | -0.000 |
| -20.351 | 20.351 | 0.000 | 77.648 | -0.000 | -0.000 |
| 0.000 | 0.000 | 0.000 | 0.000 | 77.648 | -20.351 |
| 0.000 | 0.000 | 0.000 | 0.000 | -20.351 | 89.529 |
| 344.102 | 165.045 | 153.251 | -20.351 | 0.000 | 0.000 |
| 165.045 | 344.102 | 153.251 | 20.351 | 0.000 | 0.000 |
| 142.178 | 142.178 | 336.052 | 0.000 | -0.000 | 0.000 |
| -20.415 | 20.422 | 0.008 | 77.284 | 0.000 | 0.000 |
| -0.000 | -0.000 | -0.000 | -0.000 | 77.648 | -20.351 |
| -0.000 | -0.000 | -0.000 | -0.000 | -20.351 | 89.529 |
| 340.009 | 160.953 | 143.137 | -20.363 | -0.000 | 0.000 |
| 160.966 | 340.000 | 143.141 | 20.418 | -0.000 | -0.000 |
| 142.178 | 142.178 | 336.053 | -0.000 | 0.000 | -0.000 |
| -20.350 | 20.351 | 0.001 | 77.648 | -0.000 | 0.000 |
| 0.001 | 0.000 | 0.001 | 0.000 | 77.284 | -20.419 |
| 0.000 | 0.001 | -0.001 | 0.000 | -20.419 | 89.516 |
| 344.099 | 165.044 | 153.250 | -20.351 | -0.000 | -0.000 |
| 160.952 | 340.002 | 143.135 | 20.365 | 0.000 | -0.000 |
| 152.287 | 152.287 | 361.023 | 0.000 | 0.000 | 0.000 |
| -20.419 | 20.418 | -0.001 | 77.284 | 0.000 | 0.000 |
| -0.001 | -0.000 | -0.001 | -0.000 | 77.284 | -20.419 |
| -0.000 | -0.001 | 0.001 | -0.000 | -20.419 | 89.516 |
| 250.093 | 266.187 | 280.627 | 0.000 | 0.000 | 0.000 |
| 266.187 | 250.093 | 280.627 | 0.000 | 0.000 | 0.000 |
| 288.363 | 288.363 | 358.023 | 0.000 | 0.000 | 0.000 |
| 1.682 | 1.682 | -4.912 | -13.138 | -0.000 | 0.000 |
| 1.682 | 1.682 | -4.912 | -0.000 | -13.138 | 0.000 |
| 1.816 | 1.816 | -5.303 | 0.000 | 0.000 | 82.418 |
| 244.113 | 260.239 | 298.039 | -0.000 | -0.000 | -0.000 |
| 260.239 | 244.113 | 298.039 | -0.000 | -0.000 | -0.000 |
| 299.147 | 299.147 | 326.540 | 0.000 | 0.000 | -0.000 |
| -1.682 | -1.682 | 4.912 | -13.138 | -0.000 | -0.000 |
| -1.682 | -1.682 | 4.912 | -0.000 | -13.138 | -0.000 |
| -1.816 | -1.816 | 5.303 | -0.000 | -0.000 | 82.418 |
| 245.738 | 262.303 | 292.653 | 0.000 | 0.000 | 0.000 |
| 262.303 | 245.738 | 292.653 | 0.000 | 0.000 | 0.000 |
| 300.998 | 300.998 | 321.138 | 0.000 | 0.000 | 0.000 |
| 0.485 | 0.485 | -1.414 | -13.102 | 0.000 | 0.000 |
| 0.485 | 0.485 | -1.414 | 0.000 | -13.102 | 0.000 |
| 0.186 | 0.186 | -0.542 | 0.000 | 0.000 | 82.360 |
| 245.623 | 261.749 | 293.630 | -0.000 | -0.000 | -0.000 |
| 261.749 | 245.623 | 293.630 | -0.000 | -0.000 | -0.000 |
| 288.363 | 288.363 | 358.023 | -0.000 | -0.000 | -0.000 |
| -0.485 | -0.485 | 1.414 | -13.102 | -0.000 | -0.000 |
| -0.485 | -0.485 | 1.414 | -0.000 | -13.102 | -0.000 |
| -0.186 | -0.186 | 0.542 | -0.000 | -0.000 | 82.360 |
| 245.587 | 262.151 | 293.092 | 0.000 | 0.000 | 0.000 |
| 262.151 | 245.587 | 293.092 | 0.000 | 0.000 | 0.000 |
| 300.845 | 300.845 | 321.579 | 0.000 | 0.000 | 0.000 |
| 0.049 | 0.049 | -0.141 | -13.138 | 0.000 | 0.000 |
| 0.049 | 0.049 | -0.141 | 0.000 | -13.138 | 0.000 |
| 0.019 | 0.019 | -0.054 | 0.000 | 0.000 | 82.359 |
| 245.555 | 262.119 | 293.191 | 0.000 | -0.000 | -0.000 |
| 262.119 | 245.555 | 293.191 | -0.000 | -0.000 | -0.000 |
| 300.814 | 300.814 | 321.678 | -0.000 | -0.000 | -0.000 |
| -0.049 | -0.049 | 0.141 | -13.138 | -0.000 | -0.000 |
| -0.049 | -0.049 | 0.141 | -0.000 | -13.138 | -0.000 |
| -0.019 | -0.019 | 0.054 | -0.000 | -0.000 | 82.359 |
| 335.887 | 344.100 | 344.100 | 0.000 | 0.000 | 0.000 |
| 344.100 | 335.887 | 344.100 | 0.000 | 0.000 | 0.000 |
| 344.100 | 344.100 | 335.887 | 0.000 | 0.000 | 0.000 |
| -0.000 | -0.000 | 0.000 | -30.088 | 0.000 | -0.000 |
| -0.000 | -0.000 | -0.000 | -0.000 | -30.088 | 0.000 |
| -0.000 | 0.000 | -0.000 | 0.000 | 0.000 | -30.088 |
| 335.887 | 344.100 | 344.100 | -0.000 | -0.000 | -0.000 |
| 344.100 | 335.887 | 344.100 | 0.000 | -0.000 | -0.000 |
| 344.100 | 344.100 | 335.887 | -0.000 | 0.000 | -0.000 |
| 0.000 | -0.000 | 0.000 | -30.088 | -0.000 | -0.000 |
| 0.000 | -0.000 | 0.000 | 0.000 | -30.088 | -0.000 |
| 0.000 | 0.000 | 0.000 | -0.000 | 0.000 | -30.088 |
| 335.887 | 344.100 | 344.100 | 0.000 | 0.000 | 0.000 |
| 344.100 | 335.887 | 344.100 | -0.000 | 0.000 | 0.000 |
| 344.100 | 344.100 | 335.887 | 0.000 | 0.000 | 0.000 |
| -23387920.664 | -23587120.894 | -23657343.710 | -5434285.158 | -124562.483 | -343406.294 |
| -23287133.069 | -22863378.468 | -23708695.244 | -32382.992 | -5364107.872 | -293032.684 |
| -23513239.657 | -23415455.314 | -22864419.214 | -106568.258 | -76875.480 | -5713297.519 |
| 335.887 | 344.100 | 344.100 | -0.000 | -0.000 | -0.000 |
| 344.100 | 335.887 | 344.100 | -0.000 | -0.000 | -0.000 |
| 344.100 | 344.100 | 335.887 | -0.000 | -0.000 | -0.000 |
| 24609401.159 | 24769572.140 | 24962856.990 | -5916438.968 | 523266.819 | 57437.957 |
| 24146041.599 | 24027147.600 | 24166639.621 | 387884.201 | -5817341.683 | 239654.223 |
| 24362438.702 | 23804450.749 | 24252610.759 | 382614.856 | 305433.146 | -5601308.684 |
| 335.885 | 344.099 | 344.099 | 0.000 | 0.000 | 0.000 |
| 344.099 | 335.885 | 344.099 | 0.000 | -0.000 | 0.000 |
| 344.099 | 344.099 | 335.885 | -0.000 | -0.000 | 0.000 |
| -2319893.154 | -2394975.048 | -2402694.551 | -576843.212 | -29658.321 | -46948.328 |
| -2389598.088 | -2345089.363 | -2353811.076 | -31849.853 | -580881.091 | -26894.609 |
| -2376207.563 | -2379099.355 | -2311862.951 | -24902.783 | -38859.857 | -567514.829 |
| 335.890 | 344.101 | 344.101 | -0.000 | -0.000 | -0.000 |
| 344.101 | 335.890 | 344.101 | -0.000 | -0.000 | -0.000 |
| 344.101 | 344.101 | 335.890 | -0.000 | 0.000 | -0.000 |
| 2488739.631 | 2524448.206 | 2536816.009 | -619318.205 | 41963.850 | 61463.807 |
| 2483373.509 | 2412620.146 | 2439397.851 | 21126.742 | -591912.880 | 13006.912 |
| 2485880.053 | 2499758.786 | 2433607.569 | 25882.951 | 33499.608 | -574124.095 |
| 370.343 | 146.290 | 93.635 | -4.350 | 0.000 | 0.000 |
| 590.665 | 381.705 | -377.963 | 37.853 | -0.000 | 0.000 |
| 90.735 | 90.735 | 550.918 | -0.000 | -0.000 | -0.000 |
| -4.350 | 4.350 | 0.000 | 59.052 | -0.000 | 0.000 |
| 290.934 | 290.933 | -584.550 | 0.000 | -49.628 | -5.904 |
| -0.000 | -0.000 | 0.000 | -0.000 | -4.350 | 112.027 |
| 370.343 | 146.290 | 93.635 | -4.350 | 0.000 | -0.000 |
| 36.744 | -178.189 | 721.550 | 38.316 | 0.000 | -0.000 |
| -119.117 | -119.117 | 947.649 | -0.000 | 0.000 | -0.000 |
| -330.602 | -251.318 | 574.604 | -47.843 | -0.000 | -0.000 |
| -290.934 | -290.933 | 584.550 | 0.000 | -49.628 | -5.904 |
| -0.000 | 0.000 | -0.000 | 0.000 | -4.350 | 112.027 |
| 370.344 | 146.290 | 93.635 | -4.350 | -0.000 | 0.000 |
| 146.290 | 370.344 | 93.635 | 4.350 | -0.000 | 0.000 |
| 90.735 | 90.735 | 550.918 | 0.000 | 0.000 | -0.000 |
| -10.577 | 69.062 | -57.750 | -48.382 | 0.000 | 0.000 |
| 29.243 | 29.242 | -57.750 | 0.000 | -48.382 | -39.820 |
| 21.797 | 21.797 | -43.045 | -0.000 | -30.788 | -58.824 |
| 370.343 | 146.290 | 93.635 | -4.350 | -0.000 | -0.000 |
| 146.290 | 370.343 | 93.635 | 4.350 | -0.000 | -0.000 |
| 90.735 | 90.735 | 550.918 | -0.000 | 0.000 | 0.000 |
| -4.350 | 4.350 | -0.000 | 59.052 | 0.000 | -0.000 |
| -29.243 | -29.242 | 57.750 | -0.000 | -48.382 | -39.820 |
| -21.797 | -21.797 | 43.045 | 0.000 | -30.788 | -58.824 |
| 370.345 | 146.291 | 93.635 | -4.350 | -0.000 | 0.000 |
| 278.257 | 167.989 | 146.470 | 30.218 | 0.000 | 0.000 |
| 90.736 | 90.736 | 550.920 | -0.000 | -0.000 | -0.000 |
| -4.350 | 4.350 | 0.000 | 59.052 | -0.000 | 0.000 |
| -0.000 | -0.000 | 0.000 | 0.000 | 59.052 | -4.350 |
| 0.000 | 0.000 | -0.000 | -0.000 | -4.350 | 112.027 |
| 90.343 | 315.184 | 213.391 | -5.839 | -0.000 | -0.000 |
| 146.289 | 370.342 | 93.635 | 4.350 | -0.000 | -0.000 |
| 162.454 | 162.454 | 392.077 | -0.000 | -0.000 | -0.000 |
| -42.782 | 36.928 | 5.781 | -48.488 | 0.000 | 0.000 |
| 0.000 | 0.000 | -0.000 | -0.000 | 59.052 | -4.350 |
| -0.000 | -0.000 | 0.000 | 0.000 | -4.350 | 112.027 |
| 313.885 | 111.791 | 71.868 | -0.306 | 0.000 | -0.000 |
| 111.791 | 313.885 | 71.868 | 0.306 | 0.000 | 0.000 |
| -3825.650 | -3825.650 | 7713.610 | 0.000 | 0.000 | -0.000 |
| -0.306 | 0.306 | 0.000 | 61.529 | 0.000 | 0.000 |
| -0.000 | 0.000 | 0.000 | 0.000 | 61.529 | -0.306 |
| -0.000 | 0.000 | 0.000 | -0.000 | -0.306 | 101.047 |
| 3162.722 | 3161.446 | -4190.863 | -17.254 | -0.000 | -0.000 |
| 111.791 | 313.885 | 71.868 | 0.306 | -0.000 | 0.000 |
| 67.467 | 67.467 | 435.748 | 0.000 | -0.000 | -0.000 |
| -0.306 | 0.306 | -0.000 | 61.529 | -0.000 | -0.000 |
| -0.000 | 0.000 | -0.000 | 0.000 | 61.529 | -0.306 |
| 0.000 | -0.000 | -0.000 | 0.000 | -0.306 | 101.047 |
| -114.250 | -112.908 | 546.581 | -17.475 | 0.000 | -0.000 |
| -112.908 | -114.250 | 546.581 | 17.475 | 0.000 | 0.000 |
| -262.478 | -262.478 | 1030.446 | -0.000 | 0.000 | -0.000 |
| -316.761 | -282.026 | 432.996 | 8.419 | 0.000 | 0.000 |
| -397.103 | -397.103 | 744.889 | -0.000 | -33.677 | 6.693 |
| -0.000 | 0.000 | -0.000 | -0.000 | -0.306 | 101.047 |
| 529.533 | 620.533 | -606.995 | -15.479 | -0.000 | -0.000 |
| 483.929 | 485.671 | -318.861 | 17.215 | -0.000 | 0.000 |
| 67.467 | 67.467 | 435.748 | -0.000 | -0.000 | -0.000 |
| 403.796 | 390.410 | -744.889 | -33.677 | -0.000 | 0.000 |
| 397.103 | 397.103 | -744.889 | 0.000 | -33.677 | 6.693 |
| 0.000 | -0.000 | 0.000 | 0.000 | -0.306 | 101.047 |
| -11770925.159 | -12176446.985 | -16514357.239 | 541999.140 | -33519.244 | -62249.842 |
| 163.343 | 139.679 | 163.485 | 19.360 | 0.000 | -0.000 |
| 67.467 | 67.467 | 435.750 | -0.000 | 0.000 | -0.000 |
| -59.844 | -16.007 | 54.849 | -5.747 | 0.000 | -0.000 |
| -42.391 | -42.391 | 84.593 | -0.000 | -34.692 | -14.403 |
| -0.000 | 0.000 | -0.000 | -0.000 | -0.306 | 101.047 |
| 313.885 | 111.791 | 71.868 | -0.306 | -0.000 | -0.000 |
| 239.911 | 197.756 | 66.361 | 20.920 | -0.000 | -0.000 |
| 172.898 | 172.898 | 213.896 | -0.000 | -0.000 | -0.000 |
| 27.987 | 56.795 | -84.594 | -34.693 | -0.000 | 0.000 |
| 42.391 | 42.391 | -84.593 | 0.000 | -34.692 | -14.403 |
| 0.000 | -0.000 | 0.000 | 0.000 | -0.306 | 101.047 |
| 473.828 | 157.297 | 157.297 | -0.000 | -0.000 | -0.000 |
| 157.297 | 473.828 | 157.297 | -0.000 | -0.000 | -0.000 |
| 157.297 | 157.297 | 473.828 | -0.000 | -0.000 | -0.000 |
| -0.000 | -0.000 | -0.000 | 25.042 | 0.000 | -0.000 |
| 0.000 | -0.000 | -0.000 | -0.000 | 25.042 | -0.000 |
| -0.000 | -0.000 | -0.000 | -0.000 | 0.000 | 25.042 |
| 473.828 | 157.297 | 157.297 | 0.000 | -0.000 | 0.000 |
| 157.297 | 473.828 | 157.297 | 0.000 | -0.000 | 0.000 |
| 157.297 | 157.297 | 473.828 | 0.000 | 0.000 | 0.000 |
| 0.000 | 0.000 | 0.000 | 25.042 | -0.000 | -0.000 |
| 0.000 | 0.000 | 0.000 | 0.000 | 25.042 | 0.000 |
| 0.000 | -0.000 | 0.000 | 0.000 | -0.000 | 25.042 |
| 473.828 | 157.297 | 157.297 | -0.000 | -0.000 | -0.000 |
| 157.297 | 473.828 | 157.297 | -0.000 | -0.000 | -0.000 |
| 157.297 | 157.297 | 473.828 | -0.000 | 0.000 | -0.000 |
| -0.000 | -0.000 | -0.000 | -6.592 | 0.000 | -0.000 |
| -0.000 | -0.000 | -0.000 | -0.000 | -6.592 | -0.000 |
| -0.000 | -0.000 | -0.000 | -0.000 | 0.000 | -6.592 |
| 474.192 | 157.115 | 157.115 | 0.000 | -0.000 | 0.000 |
| 157.115 | 474.192 | 157.115 | 0.000 | -0.000 | 0.000 |
| 157.115 | 157.115 | 474.192 | -0.000 | -0.000 | 0.000 |
| 0.000 | 0.000 | 0.000 | -6.592 | 0.000 | -0.000 |
| 0.000 | 0.000 | 0.000 | 0.000 | -6.592 | 0.000 |
| 0.000 | 0.000 | 0.000 | 0.000 | -0.000 | -6.592 |
| 473.828 | 157.297 | 157.297 | -0.000 | 0.000 | -0.000 |
| 157.297 | 473.828 | 157.297 | -0.000 | 0.000 | 0.000 |
| 157.297 | 157.297 | 473.828 | -0.000 | -0.000 | -0.000 |
| -0.000 | -0.000 | -0.000 | 25.042 | -0.000 | 0.000 |
| -0.000 | -0.000 | -0.000 | -0.000 | 25.042 | -0.000 |
| -0.000 | -0.000 | -0.000 | 0.000 | 0.000 | 25.042 |
| 474.191 | 157.115 | 157.115 | -0.000 | -0.000 | 0.000 |
| 157.115 | 474.191 | 157.115 | -0.000 | -0.000 | 0.000 |
| 157.115 | 157.115 | 474.191 | 0.000 | -0.000 | 0.000 |
| 0.000 | 0.000 | 0.000 | 25.042 | 0.000 | 0.000 |
| 0.000 | 0.000 | 0.000 | 0.000 | 25.042 | 0.000 |
| 0.000 | 0.000 | 0.000 | -0.000 | -0.000 | 25.042 |
| 140.098 | 180.063 | 180.063 | 0.000 | -0.000 | -0.000 |
| 180.063 | 140.098 | 180.063 | 0.000 | -0.000 | -0.000 |
| 180.063 | 180.063 | 140.098 | -0.000 | -0.000 | -0.000 |
| 0.000 | -0.000 | -0.000 | -97.701 | -0.000 | -0.000 |
| 0.000 | 0.000 | -0.000 | 0.000 | -97.701 | -0.000 |
| -0.000 | -0.000 | 0.000 | 0.000 | -0.000 | -97.701 |
| 140.098 | 180.063 | 180.063 | -0.000 | 0.000 | 0.000 |
| 180.063 | 140.098 | 180.063 | 0.000 | 0.000 | 0.000 |
| 180.063 | 180.063 | 140.098 | -0.000 | 0.000 | 0.000 |
| -0.000 | 0.000 | 0.000 | -97.701 | 0.000 | 0.000 |
| 0.000 | -0.000 | 0.000 | 0.000 | -97.701 | 0.000 |
| 0.000 | 0.000 | -0.000 | -0.000 | 0.000 | -97.701 |
| 140.097 | 180.062 | 180.062 | -0.000 | -0.000 | -0.000 |
| 180.062 | 140.097 | 180.062 | 0.000 | -0.000 | -0.000 |
| 180.062 | 180.062 | 140.097 | -0.000 | -0.000 | 0.000 |
| -0.000 | -0.000 | -0.000 | -44.441 | -0.000 | -0.000 |
| -0.000 | -0.000 | -0.000 | 0.000 | -44.441 | -0.000 |
| -0.000 | -0.000 | -0.000 | -0.000 | -0.000 | -44.441 |
| 140.099 | 180.064 | 180.064 | -0.000 | 0.000 | 0.000 |
| 180.064 | 140.099 | 180.064 | -0.000 | 0.000 | 0.000 |
| 180.064 | 180.064 | 140.099 | 0.000 | 0.000 | 0.000 |
| 0.000 | 0.000 | 0.000 | -44.441 | 0.000 | 0.000 |
| 0.000 | 0.000 | 0.000 | -0.000 | -44.441 | 0.000 |
| 0.000 | 0.000 | 0.000 | -0.000 | 0.000 | -44.441 |
| -1524306.123 | -1863190.905 | -1744814.240 | 60635.332 | 125429.969 | 99656.114 |
| -1949597.797 | -1574810.161 | -1740707.592 | 122291.471 | 169921.532 | 31111.230 |
| -1881068.039 | -1898667.953 | -1399644.475 | 113885.551 | 160269.766 | 95990.108 |
| 79186.005 | 51942.552 | 51941.320 | -910117.571 | -0.000 | -0.000 |
| 51942.553 | 79186.002 | 51941.318 | -0.000 | -910117.561 | -0.000 |
| 51942.552 | 51941.320 | 79186.005 | -0.000 | -0.000 | -910117.571 |
| 5462518.235 | 5462427.583 | 5462427.581 | -332208.449 | -332222.145 | -332221.283 |
| 5462427.575 | 5462518.230 | 5462427.576 | -332221.286 | -332208.452 | -332222.147 |
| 5462427.577 | 5462427.576 | 5462518.235 | -332222.145 | -332221.284 | -332208.452 |
| -79186.005 | -51942.552 | -51941.320 | -910117.571 | 0.000 | 0.000 |
| -51942.553 | -79186.002 | -51941.318 | 0.000 | -910117.561 | 0.000 |
| -51942.553 | -51941.320 | -79186.005 | 0.000 | 0.000 | -910117.571 |
| -323.445 | 315.749 | 315.749 | -0.000 | -0.000 | -0.000 |
| 315.749 | -323.445 | 315.749 | -0.000 | -0.000 | -0.000 |
| 315.749 | 315.749 | -323.445 | -0.000 | -0.000 | 0.000 |
| 0.000 | 0.000 | 0.000 | 59.546 | -0.000 | 0.000 |
| 0.000 | 0.000 | 0.000 | 0.000 | 59.546 | -0.000 |
| 0.000 | 0.000 | 0.000 | -0.000 | 0.000 | 59.546 |
| -323.439 | 315.739 | 315.739 | 0.000 | 0.000 | 0.000 |
| 315.739 | -323.439 | 315.739 | 0.000 | 0.000 | 0.000 |
| 315.739 | 315.739 | -323.439 | 0.000 | 0.000 | 0.000 |
| -0.000 | -0.000 | -0.000 | 59.546 | -0.000 | 0.000 |
| -0.000 | -0.000 | -0.000 | 0.000 | 59.546 | 0.000 |
| -0.000 | -0.000 | -0.000 | 0.000 | 0.000 | 59.546 |
| -323.471 | 315.792 | 315.792 | -0.000 | -0.000 | 0.000 |
| 315.792 | -323.471 | 315.792 | -0.000 | -0.000 | -0.000 |
| 315.792 | 315.792 | -323.471 | -0.000 | -0.000 | -0.000 |
| 0.000 | 0.000 | 0.000 | 59.546 | -0.000 | -0.000 |
| 0.000 | 0.000 | 0.000 | -0.000 | 59.546 | -0.000 |
| 0.000 | 0.000 | 0.000 | -0.000 | -0.000 | 59.546 |
| -323.413 | 315.696 | 315.696 | 0.000 | 0.000 | 0.000 |
| 315.696 | -323.413 | 315.696 | 0.000 | 0.000 | -0.000 |
| 315.696 | 315.696 | -323.413 | 0.000 | 0.000 | 0.000 |
| -0.000 | -0.000 | -0.000 | 59.546 | 0.000 | 0.000 |
| -0.000 | -0.000 | -0.000 | -0.000 | 59.546 | 0.000 |
| -0.000 | -0.000 | -0.000 | 0.000 | 0.000 | 59.546 |
| -323.731 | 316.222 | 316.222 | -0.000 | -0.000 | -0.000 |
| 316.222 | -323.731 | 316.222 | -0.000 | -0.000 | -0.000 |
| 316.222 | 316.222 | -323.731 | -0.000 | -0.000 | 0.000 |
| 0.002 | 0.000 | 0.000 | 59.546 | -0.000 | -0.000 |
| 0.000 | 0.002 | 0.000 | -0.000 | 59.546 | -0.000 |
| 0.000 | 0.000 | 0.002 | 0.000 | -0.000 | 59.546 |
| -323.153 | 315.267 | 315.267 | 0.000 | 0.000 | 0.000 |
| 315.267 | -323.153 | 315.267 | 0.000 | 0.000 | 0.000 |
| 315.267 | 315.267 | -323.153 | 0.000 | 0.000 | 0.000 |
| -0.002 | -0.000 | -0.000 | 59.546 | 0.000 | -0.000 |
| -0.000 | -0.002 | -0.000 | 0.000 | 59.546 | 0.000 |
| -0.000 | -0.000 | -0.002 | -0.000 | 0.000 | 59.546 |
| 10.788 | -0.000 | -0.000 | 0.000 | 0.000 | 0.000 |
| -0.000 | 10.788 | -0.000 | 0.000 | 0.000 | -0.000 |
| -0.000 | -0.000 | 10.788 | -0.000 | 0.000 | 0.000 |
| -0.000 | -0.000 | -0.000 | -0.000 | 0.000 | 0.000 |
| -0.000 | -0.000 | -0.000 | 0.000 | -0.000 | 0.000 |
| -0.000 | -0.000 | -0.000 | 0.000 | 0.000 | -0.000 |
| 10.788 | 0.000 | 0.000 | -0.000 | -0.000 | -0.000 |
| 0.000 | 10.788 | 0.000 | -0.000 | -0.000 | 0.000 |
| 0.000 | 0.000 | 10.788 | 0.000 | -0.000 | -0.000 |
| 0.000 | 0.000 | 0.000 | -0.000 | -0.000 | -0.000 |
| 0.000 | 0.000 | 0.000 | -0.000 | -0.000 | -0.000 |
| 0.000 | 0.000 | 0.000 | -0.000 | 0.000 | -0.000 |
| 10.789 | -0.000 | -0.000 | 0.000 | 0.000 | 0.000 |
| -0.000 | 10.789 | -0.000 | 0.000 | 0.000 | -0.000 |
| -0.000 | -0.000 | 10.789 | -0.000 | 0.000 | 0.000 |
| -0.000 | -0.000 | -0.000 | 0.000 | 0.000 | 0.000 |
| -0.000 | -0.000 | -0.000 | -0.000 | 0.000 | 0.000 |
| -0.000 | -0.000 | -0.000 | 0.000 | -0.000 | 0.000 |
| 10.788 | 0.000 | 0.000 | -0.000 | -0.000 | -0.000 |
| 0.000 | 10.788 | 0.000 | -0.000 | -0.000 | -0.000 |
| 0.000 | 0.000 | 10.788 | -0.000 | 0.000 | -0.000 |
| 0.000 | 0.000 | 0.000 | 0.000 | -0.000 | -0.000 |
| 0.000 | 0.000 | 0.000 | 0.000 | 0.000 | -0.000 |
| 0.000 | 0.000 | 0.000 | -0.000 | -0.000 | 0.000 |
| 10.791 | -0.000 | -0.000 | 0.000 | -0.000 | 0.000 |
| -0.000 | 10.791 | -0.000 | -0.000 | 0.000 | 0.000 |
| -0.000 | -0.000 | 10.791 | 0.000 | 0.000 | 0.000 |
| -0.000 | -0.000 | -0.000 | 0.000 | 0.000 | 0.000 |
| -0.000 | -0.000 | -0.000 | 0.000 | 0.000 | 0.000 |
| -0.000 | -0.000 | -0.000 | 0.000 | -0.000 | 0.000 |
| 10.786 | 0.000 | 0.000 | -0.000 | 0.000 | -0.000 |
| 0.000 | 10.786 | 0.000 | -0.000 | -0.000 | 0.000 |
| 0.000 | 0.000 | 10.786 | 0.000 | 0.000 | -0.000 |
| 0.000 | 0.000 | 0.000 | 0.000 | -0.000 | -0.000 |
| 0.000 | 0.000 | 0.000 | -0.000 | 0.000 | -0.000 |
| 0.000 | 0.000 | 0.000 | -0.000 | -0.000 | 0.000 |
| 199.810 | 209.485 | 209.485 | -0.000 | -0.000 | 0.000 |
| 209.485 | 199.810 | 209.485 | -0.000 | -0.000 | 0.000 |
| 209.485 | 209.485 | 199.810 | -0.000 | 0.000 | 0.000 |
| 0.000 | -0.000 | 0.000 | 191.111 | -0.000 | 0.000 |
| 0.000 | -0.000 | 0.000 | -0.000 | 191.111 | 0.000 |
| 0.000 | -0.000 | 0.000 | -0.000 | 0.000 | 191.111 |
| 199.810 | 209.485 | 209.485 | 0.000 | -0.000 | -0.000 |
| 209.485 | 199.810 | 209.485 | 0.000 | 0.000 | -0.000 |
| 209.485 | 209.485 | 199.810 | 0.000 | -0.000 | -0.000 |
| -0.000 | 0.000 | -0.000 | 191.111 | 0.000 | -0.000 |
| -0.000 | 0.000 | -0.000 | 0.000 | 191.111 | -0.000 |
| -0.000 | -0.000 | -0.000 | 0.000 | -0.000 | 191.111 |
| 199.810 | 209.485 | 209.485 | -0.000 | -0.000 | 0.000 |
| 209.485 | 199.810 | 209.485 | -0.000 | -0.000 | 0.000 |
| 209.485 | 209.485 | 199.810 | -0.000 | 0.000 | 0.000 |
| 0.000 | 0.000 | 0.000 | 191.111 | 0.000 | 0.000 |
| 0.000 | 0.000 | 0.000 | -0.000 | 191.111 | 0.000 |
| 0.000 | 0.000 | 0.000 | -0.000 | 0.000 | 191.111 |
| 199.810 | 209.485 | 209.485 | 0.000 | -0.000 | -0.000 |
| 209.485 | 199.810 | 209.485 | 0.000 | 0.000 | -0.000 |
| 209.485 | 209.485 | 199.810 | 0.000 | 0.000 | -0.000 |
| -0.000 | -0.000 | -0.000 | 191.111 | -0.000 | -0.000 |
| -0.000 | -0.000 | -0.000 | 0.000 | 191.111 | -0.000 |
| -0.000 | -0.000 | -0.000 | 0.000 | -0.000 | 191.111 |
| 199.811 | 209.486 | 209.486 | -0.000 | 0.000 | 0.000 |
| 209.486 | 199.811 | 209.486 | -0.000 | 0.000 | 0.000 |
| 209.486 | 209.486 | 199.811 | -0.000 | -0.000 | 0.000 |
| 0.001 | 0.000 | 0.001 | 188.755 | -0.000 | 0.000 |
| 0.000 | 0.001 | 0.001 | -0.000 | 188.755 | 0.000 |
| 0.000 | 0.001 | 0.001 | -0.000 | 0.000 | 188.755 |
| 199.810 | 209.484 | 209.484 | 0.000 | 0.000 | -0.000 |
| 209.484 | 199.810 | 209.484 | 0.000 | 0.000 | -0.000 |
| 209.484 | 209.484 | 199.810 | 0.000 | -0.000 | -0.000 |
| -0.001 | -0.000 | -0.001 | 188.755 | -0.000 | -0.000 |
| -0.000 | -0.001 | -0.001 | 0.000 | 188.755 | -0.000 |
| -0.000 | -0.001 | -0.001 | 0.000 | -0.000 | 188.755 |
| 25.542 | 67.950 | 67.950 | -0.000 | -0.000 | -0.000 |
| 67.950 | 25.542 | 67.950 | -0.000 | -0.000 | 0.000 |
| 67.950 | 67.950 | 25.542 | 0.000 | 0.000 | -0.000 |
| -0.000 | -0.000 | -0.000 | 68.378 | -0.000 | -0.000 |
| -0.000 | -0.000 | -0.000 | -0.000 | 68.378 | -0.000 |
| -0.000 | -0.000 | -0.000 | -0.000 | 0.000 | 68.378 |
| 25.542 | 67.950 | 67.950 | 0.000 | 0.000 | 0.000 |
| 67.950 | 25.542 | 67.950 | 0.000 | 0.000 | 0.000 |
| 67.950 | 67.950 | 25.542 | 0.000 | -0.000 | 0.000 |
| 0.000 | 0.000 | 0.000 | 68.378 | -0.000 | 0.000 |
| 0.000 | 0.000 | 0.000 | -0.000 | 68.378 | 0.000 |
| 0.000 | 0.000 | 0.000 | 0.000 | -0.000 | 68.378 |
| 25.541 | 67.950 | 67.950 | -0.000 | -0.000 | -0.000 |
| 67.950 | 25.541 | 67.950 | -0.000 | -0.000 | -0.000 |
| 67.950 | 67.950 | 25.541 | 0.000 | 0.000 | -0.000 |
| -0.000 | -0.000 | -0.000 | 68.378 | -0.000 | 0.000 |
| -0.000 | -0.000 | -0.000 | -0.000 | 68.378 | -0.000 |
| -0.000 | -0.000 | -0.000 | -0.000 | -0.000 | 68.378 |
| 25.543 | 67.950 | 67.950 | 0.000 | 0.000 | 0.000 |
| 67.950 | 25.543 | 67.950 | 0.000 | 0.000 | 0.000 |
| 67.950 | 67.950 | 25.543 | 0.000 | 0.000 | 0.000 |
| 0.000 | 0.000 | 0.000 | 68.378 | -0.000 | 0.000 |
| 0.000 | 0.000 | 0.000 | -0.000 | 68.378 | 0.000 |
| 0.000 | 0.000 | 0.000 | 0.000 | -0.000 | 68.378 |
| 25.532 | 67.950 | 67.950 | -0.000 | -0.000 | -0.000 |
| 67.950 | 25.532 | 67.950 | -0.000 | -0.000 | -0.000 |
| 67.950 | 67.950 | 25.532 | 0.000 | 0.000 | -0.000 |
| -0.171 | 0.001 | -0.000 | -343.294 | 0.000 | -0.000 |
| 0.001 | -0.171 | -0.000 | 0.000 | -343.294 | -0.000 |
| 0.001 | -0.000 | -0.171 | 0.000 | 0.000 | -343.294 |
| 25.551 | 67.950 | 67.950 | 0.000 | 0.000 | 0.000 |
| 67.950 | 25.551 | 67.950 | 0.000 | 0.000 | 0.000 |
| 67.950 | 67.950 | 25.551 | 0.000 | 0.000 | 0.000 |
| 0.171 | -0.001 | 0.000 | -343.294 | -0.000 | 0.000 |
| -0.001 | 0.171 | 0.000 | -0.000 | -343.294 | 0.000 |
| -0.001 | 0.000 | 0.171 | -0.000 | -0.000 | -343.294 |
| 12.735 | 12.735 | 12.735 | 0.000 | 0.000 | -0.000 |
| 12.735 | 12.735 | 12.735 | 0.000 | 0.000 | -0.000 |
| 12.735 | 12.735 | 12.735 | 0.000 | 0.000 | 0.000 |
| 0.000 | 0.000 | 0.000 | 0.893 | 0.000 | -0.000 |
| 0.000 | 0.000 | 0.000 | 0.000 | 0.893 | -0.000 |
| 0.000 | 0.000 | 0.000 | 0.000 | 0.000 | 0.893 |
| 12.735 | 12.735 | 12.735 | 0.000 | -0.000 | 0.000 |
| 12.735 | 12.735 | 12.735 | -0.000 | 0.000 | 0.000 |
| 12.735 | 12.735 | 12.735 | 0.000 | 0.000 | -0.000 |
| -0.000 | -0.000 | -0.000 | 0.893 | -0.000 | -0.000 |
| -0.000 | -0.000 | -0.000 | -0.000 | 0.893 | -0.000 |
| -0.000 | -0.000 | -0.000 | -0.000 | -0.000 | 0.893 |
| 12.735 | 12.735 | 12.735 | -0.000 | 0.000 | 0.000 |
| 12.735 | 12.735 | 12.735 | 0.000 | -0.000 | 0.000 |
| 12.735 | 12.735 | 12.735 | -0.000 | -0.000 | 0.000 |
| 0.000 | 0.000 | 0.000 | 0.893 | 0.000 | 0.000 |
| 0.000 | 0.000 | 0.000 | 0.000 | 0.893 | 0.000 |
| 0.000 | 0.000 | 0.000 | 0.000 | 0.000 | 0.893 |
| 12.735 | 12.735 | 12.735 | -0.000 | -0.000 | 0.000 |
| 12.735 | 12.735 | 12.735 | 0.000 | -0.000 | 0.000 |
| 12.735 | 12.735 | 12.735 | 0.000 | 0.000 | -0.000 |
| -0.000 | -0.000 | -0.000 | 0.893 | -0.000 | 0.000 |
| -0.000 | -0.000 | -0.000 | -0.000 | 0.893 | 0.000 |
| -0.000 | -0.000 | -0.000 | -0.000 | -0.000 | 0.893 |
| 12.735 | 12.735 | 12.735 | 0.000 | 0.000 | 0.000 |
| 12.735 | 12.735 | 12.735 | 0.000 | 0.000 | 0.000 |
| 12.735 | 12.735 | 12.735 | 0.000 | 0.000 | -0.000 |
| 0.000 | 0.000 | 0.000 | 0.893 | 0.000 | -0.000 |
| 0.000 | 0.000 | 0.000 | 0.000 | 0.893 | -0.000 |
| 0.000 | 0.000 | 0.000 | 0.000 | 0.000 | 0.893 |
| 12.735 | 12.735 | 12.735 | 0.000 | -0.000 | -0.000 |
| 12.735 | 12.735 | 12.735 | -0.000 | 0.000 | -0.000 |
| 12.735 | 12.735 | 12.735 | 0.000 | 0.000 | -0.000 |
| -0.000 | -0.000 | -0.000 | 0.893 | -0.000 | 0.000 |
| -0.000 | -0.000 | -0.000 | -0.000 | 0.893 | 0.000 |
| -0.000 | -0.000 | -0.000 | -0.000 | -0.000 | 0.893 |
| 219.540 | 152.538 | 152.538 | 0.000 | 0.000 | -0.000 |
| 152.538 | 219.540 | 152.538 | 0.000 | 0.000 | -0.000 |
| 152.538 | 152.538 | 219.540 | -0.000 | -0.000 | -0.000 |
| -0.000 | 0.000 | 0.000 | 84.776 | -0.000 | -0.000 |
| 0.000 | -0.000 | 0.000 | -0.000 | 84.776 | -0.000 |
| 0.000 | 0.000 | -0.000 | 0.000 | 0.000 | 84.776 |
| 219.540 | 152.538 | 152.538 | 0.000 | 0.000 | 0.000 |
| 152.538 | 219.540 | 152.538 | -0.000 | -0.000 | 0.000 |
| 152.538 | 152.538 | 219.540 | -0.000 | 0.000 | 0.000 |
| 0.000 | -0.000 | -0.000 | 84.776 | -0.000 | 0.000 |
| -0.000 | 0.000 | -0.000 | 0.000 | 84.776 | 0.000 |
| -0.000 | -0.000 | 0.000 | -0.000 | -0.000 | 84.776 |
| 219.540 | 152.538 | 152.538 | -0.000 | 0.000 | -0.000 |
| 152.538 | 219.540 | 152.538 | -0.000 | 0.000 | -0.000 |
| 152.538 | 152.538 | 219.540 | -0.000 | 0.000 | 0.000 |
| -0.000 | 0.000 | 0.000 | 84.776 | 0.000 | -0.000 |
| 0.000 | -0.000 | 0.000 | -0.000 | 84.776 | -0.000 |
| 0.000 | 0.000 | -0.000 | 0.000 | 0.000 | 84.776 |
| 219.539 | 152.537 | 152.537 | 0.000 | -0.000 | 0.000 |
| 152.537 | 219.539 | 152.537 | 0.000 | -0.000 | 0.000 |
| 152.537 | 152.537 | 219.539 | 0.000 | -0.000 | 0.000 |
| 0.000 | -0.000 | -0.000 | 84.776 | -0.000 | -0.000 |
| -0.000 | 0.000 | -0.000 | 0.000 | 84.776 | 0.000 |
| -0.000 | -0.000 | 0.000 | -0.000 | -0.000 | 84.776 |
| 219.545 | 152.538 | 152.538 | -0.000 | 0.000 | -0.000 |
| 152.538 | 219.545 | 152.538 | -0.000 | 0.000 | -0.000 |
| 152.538 | 152.538 | 219.545 | -0.000 | 0.000 | 0.000 |
| -0.000 | 0.000 | 0.001 | 84.776 | 0.000 | -0.000 |
| 0.000 | -0.000 | 0.001 | -0.000 | 84.776 | -0.000 |
| 0.000 | 0.001 | -0.000 | -0.000 | 0.000 | 84.776 |
| 219.535 | 152.537 | 152.537 | 0.000 | -0.000 | 0.000 |
| 152.537 | 219.535 | 152.537 | 0.000 | -0.000 | 0.000 |
| 152.537 | 152.537 | 219.535 | 0.000 | -0.000 | 0.000 |
| 0.000 | -0.000 | -0.001 | 84.776 | -0.000 | 0.000 |
| -0.000 | 0.000 | -0.001 | 0.000 | 84.776 | 0.000 |
| -0.000 | -0.001 | 0.000 | 0.000 | -0.000 | 84.776 |
| 421.635 | 430.367 | 430.367 | 0.000 | 0.000 | 0.000 |
| 430.367 | 421.635 | 430.367 | -0.000 | 0.000 | 0.000 |
| 430.367 | 430.367 | 421.635 | -0.000 | -0.000 | 0.000 |
| -0.000 | -0.000 | -0.000 | -0.330 | -0.000 | 0.000 |
| -0.000 | -0.000 | -0.000 | 0.000 | -0.330 | 0.000 |
| -0.000 | -0.000 | -0.000 | 0.000 | 0.000 | -0.330 |
| 421.636 | 430.368 | 430.368 | -0.000 | -0.000 | -0.000 |
| 430.368 | 421.636 | 430.368 | -0.000 | -0.000 | -0.000 |
| 430.368 | 430.368 | 421.636 | -0.000 | 0.000 | -0.000 |
| 0.000 | 0.000 | 0.000 | -0.330 | 0.000 | -0.000 |
| 0.000 | 0.000 | 0.000 | 0.000 | -0.330 | -0.000 |
| 0.000 | 0.000 | 0.000 | -0.000 | -0.000 | -0.330 |
| 421.634 | 430.366 | 430.366 | 0.000 | 0.000 | 0.000 |
| 430.366 | 421.634 | 430.366 | -0.000 | 0.000 | 0.000 |
| 430.366 | 430.366 | 421.634 | 0.000 | 0.000 | 0.000 |
| -0.000 | -0.000 | -0.000 | -0.330 | 0.000 | 0.000 |
| -0.000 | -0.000 | -0.000 | 0.000 | -0.330 | 0.000 |
| -0.000 | -0.000 | -0.000 | 0.000 | 0.000 | -0.330 |
| 421.637 | 430.369 | 430.369 | -0.000 | 0.000 | -0.000 |
| 430.369 | 421.637 | 430.369 | -0.000 | -0.000 | -0.000 |
| 430.369 | 430.369 | 421.637 | -0.000 | -0.000 | -0.000 |
| 0.000 | 0.000 | 0.000 | -0.330 | -0.000 | -0.000 |
| 0.000 | 0.000 | 0.000 | -0.000 | -0.330 | -0.000 |
| 0.000 | 0.000 | 0.000 | -0.000 | -0.000 | -0.330 |
| 421.621 | 430.356 | 430.356 | 0.000 | 0.000 | 0.000 |
| 430.356 | 421.621 | 430.356 | 0.000 | 0.000 | 0.000 |
| 430.356 | 430.356 | 421.621 | 0.000 | 0.000 | 0.000 |
| -0.000 | -0.001 | -0.001 | -0.330 | -0.000 | 0.000 |
| -0.001 | -0.000 | -0.001 | 0.000 | -0.330 | 0.000 |
| -0.001 | -0.001 | -0.000 | 0.000 | -0.000 | -0.330 |
| 421.650 | 430.379 | 430.379 | -0.000 | -0.000 | -0.000 |
| 430.379 | 421.650 | 430.379 | -0.000 | -0.000 | -0.000 |
| 430.379 | 430.379 | 421.650 | 0.000 | 0.000 | -0.000 |
| 0.000 | 0.001 | 0.001 | -0.330 | 0.000 | -0.000 |
| 0.001 | 0.000 | 0.001 | 0.000 | -0.330 | -0.000 |
| 0.001 | 0.001 | 0.000 | -0.000 | 0.000 | -0.330 |
| 176.328 | 83.431 | 83.431 | 0.000 | 0.000 | 0.000 |
| 83.431 | 176.328 | 83.431 | 0.000 | 0.000 | -0.000 |
| 83.431 | 83.431 | 176.328 | 0.000 | 0.000 | 0.000 |
| -0.000 | 0.000 | 0.000 | 81.870 | 0.000 | 0.000 |
| 0.000 | -0.000 | 0.000 | 0.000 | 81.870 | 0.000 |
| 0.000 | 0.000 | -0.000 | 0.000 | 0.000 | 81.870 |
| 176.328 | 83.431 | 83.431 | -0.000 | 0.000 | -0.000 |
| 83.431 | 176.328 | 83.431 | 0.000 | -0.000 | 0.000 |
| 83.431 | 83.431 | 176.328 | -0.000 | -0.000 | -0.000 |
| 0.000 | -0.000 | -0.000 | 81.870 | -0.000 | 0.000 |
| -0.000 | 0.000 | -0.000 | -0.000 | 81.870 | -0.000 |
| -0.000 | -0.000 | 0.000 | -0.000 | -0.000 | 81.870 |
| 176.327 | 83.431 | 83.431 | 0.000 | 0.000 | 0.000 |
| 83.431 | 176.327 | 83.431 | 0.000 | 0.000 | 0.000 |
| 83.431 | 83.431 | 176.327 | 0.000 | -0.000 | 0.000 |
| -0.000 | 0.000 | 0.000 | 81.870 | 0.000 | -0.000 |
| 0.000 | -0.000 | 0.000 | 0.000 | 81.870 | 0.000 |
| 0.000 | 0.000 | -0.000 | 0.000 | 0.000 | 81.870 |
| 176.329 | 83.431 | 83.431 | -0.000 | -0.000 | -0.000 |
| 83.431 | 176.329 | 83.431 | -0.000 | -0.000 | -0.000 |
| 83.431 | 83.431 | 176.329 | 0.000 | 0.000 | -0.000 |
| 0.000 | -0.000 | -0.000 | 81.870 | -0.000 | 0.000 |
| -0.000 | 0.000 | -0.000 | -0.000 | 81.870 | -0.000 |
| -0.000 | -0.000 | 0.000 | -0.000 | -0.000 | 81.870 |
| 176.320 | 83.432 | 83.432 | 0.000 | 0.000 | 0.000 |
| 83.432 | 176.320 | 83.432 | 0.000 | 0.000 | -0.000 |
| 83.432 | 83.432 | 176.320 | 0.000 | 0.000 | 0.000 |
| -0.000 | 0.000 | 0.001 | 81.870 | 0.000 | 0.000 |
| 0.000 | -0.000 | 0.001 | 0.000 | 81.870 | 0.000 |
| 0.000 | 0.001 | -0.000 | 0.000 | 0.000 | 81.870 |
| 176.336 | 83.431 | 83.431 | -0.000 | -0.000 | -0.000 |
| 83.431 | 176.336 | 83.431 | -0.000 | -0.000 | -0.000 |
| 83.431 | 83.431 | 176.336 | -0.000 | 0.000 | 0.000 |
| 0.000 | -0.000 | -0.001 | 81.870 | -0.000 | 0.000 |
| -0.000 | 0.000 | -0.001 | -0.000 | 81.870 | -0.000 |
| -0.000 | -0.001 | 0.000 | -0.000 | -0.000 | 81.870 |
| 31.184 | 15.592 | 15.592 | -0.000 | -0.000 | -0.000 |
| 15.592 | 31.184 | 15.592 | -0.000 | -0.000 | -0.000 |
| 15.592 | 15.592 | 31.184 | 0.000 | 0.000 | -0.000 |
| -0.000 | -0.000 | -0.000 | 15.592 | -0.000 | -0.000 |
| -0.000 | -0.000 | -0.000 | -0.000 | 15.592 | 0.000 |
| -0.000 | -0.000 | -0.000 | -0.000 | 0.000 | 15.592 |
| 31.184 | 15.592 | 15.592 | 0.000 | -0.000 | -0.000 |
| 15.592 | 31.184 | 15.592 | -0.000 | 0.000 | 0.000 |
| 15.592 | 15.592 | 31.184 | 0.000 | 0.000 | 0.000 |
| 0.000 | 0.000 | 0.000 | 15.592 | 0.000 | 0.000 |
| 0.000 | 0.000 | 0.000 | 0.000 | 15.592 | -0.000 |
| 0.000 | 0.000 | 0.000 | 0.000 | -0.000 | 15.592 |
| 31.184 | 15.592 | 15.592 | -0.000 | -0.000 | -0.000 |
| 15.592 | 31.184 | 15.592 | -0.000 | -0.000 | 0.000 |
| 15.592 | 15.592 | 31.184 | -0.000 | -0.000 | -0.000 |
| -0.000 | -0.000 | -0.000 | 15.592 | -0.000 | -0.000 |
| -0.000 | -0.000 | -0.000 | -0.000 | 15.592 | 0.000 |
| -0.000 | -0.000 | -0.000 | 0.000 | 0.000 | 15.592 |
| 31.184 | 15.592 | 15.592 | 0.000 | 0.000 | 0.000 |
| 15.592 | 31.184 | 15.592 | 0.000 | 0.000 | 0.000 |
| 15.592 | 15.592 | 31.184 | 0.000 | 0.000 | 0.000 |
| 0.000 | 0.000 | 0.000 | 15.592 | 0.000 | 0.000 |
| 0.000 | 0.000 | 0.000 | 0.000 | 15.592 | -0.000 |
| 0.000 | 0.000 | 0.000 | 0.000 | -0.000 | 15.592 |
| 31.184 | 15.592 | 15.592 | -0.000 | -0.000 | -0.000 |
| 15.592 | 31.184 | 15.592 | -0.000 | -0.000 | -0.000 |
| 15.592 | 15.592 | 31.184 | -0.000 | -0.000 | -0.000 |
| -0.000 | -0.000 | -0.000 | 15.592 | -0.000 | -0.000 |
| -0.000 | -0.000 | -0.000 | -0.000 | 15.592 | 0.000 |
| -0.000 | -0.000 | -0.000 | -0.000 | 0.000 | 15.592 |
| 31.184 | 15.592 | 15.592 | 0.000 | 0.000 | 0.000 |
| 15.592 | 31.184 | 15.592 | -0.000 | 0.000 | 0.000 |
| 15.592 | 15.592 | 31.184 | 0.000 | 0.000 | 0.000 |
| 0.000 | 0.000 | 0.000 | 15.592 | 0.000 | 0.000 |
| 0.000 | 0.000 | 0.000 | 0.000 | 15.592 | 0.000 |
| 0.000 | 0.000 | 0.000 | 0.000 | 0.000 | 15.592 |
| 222.143 | 156.508 | 147.752 | -0.000 | 0.000 | -0.000 |
| 156.508 | 222.143 | 147.752 | -0.000 | 0.000 | -0.000 |
| 147.752 | 147.752 | 250.108 | 0.000 | 0.000 | -0.000 |
| -0.000 | 0.000 | 0.000 | 91.600 | 0.000 | -0.000 |
| 0.000 | 0.000 | 0.000 | -0.000 | 91.600 | -0.000 |
| 0.000 | 0.000 | 0.000 | 0.000 | 0.000 | 90.383 |
| 222.143 | 156.508 | 147.752 | 0.000 | -0.000 | 0.000 |
| 156.508 | 222.143 | 147.752 | 0.000 | -0.000 | 0.000 |
| 147.752 | 147.752 | 250.107 | 0.000 | 0.000 | 0.000 |
| 0.000 | -0.000 | -0.000 | 91.600 | -0.000 | 0.000 |
| -0.000 | 0.000 | -0.000 | 0.000 | 91.600 | 0.000 |
| -0.000 | -0.000 | -0.000 | 0.000 | -0.000 | 90.383 |
| 224.158 | 154.494 | 147.752 | -0.000 | 0.000 | -0.000 |
| 154.494 | 224.158 | 147.752 | -0.000 | 0.000 | -0.000 |
| 147.752 | 147.752 | 250.108 | -0.000 | -0.000 | -0.000 |
| -0.000 | 0.000 | 0.000 | 90.507 | 0.000 | -0.000 |
| 0.000 | -0.000 | 0.000 | -0.000 | 90.507 | -0.000 |
| 0.000 | 0.000 | -0.000 | -0.000 | 0.000 | 90.383 |
| 222.143 | 156.508 | 147.752 | 0.000 | 0.000 | 0.000 |
| 156.508 | 222.143 | 147.752 | 0.000 | -0.000 | 0.000 |
| 147.752 | 147.752 | 250.107 | 0.000 | -0.000 | 0.000 |
| 0.000 | -0.000 | -0.000 | 90.507 | -0.000 | 0.000 |
| -0.000 | 0.000 | -0.000 | 0.000 | 90.507 | 0.000 |
| -0.000 | -0.000 | 0.000 | 0.000 | 0.000 | 90.383 |
| 222.149 | 156.508 | 147.753 | 0.000 | -0.000 | -0.000 |
| 156.508 | 222.149 | 147.753 | -0.000 | 0.000 | -0.000 |
| 147.753 | 147.753 | 250.115 | -0.000 | 0.000 | -0.000 |
| -0.000 | 0.000 | 0.001 | 90.507 | -0.000 | -0.000 |
| 0.000 | -0.000 | 0.001 | -0.000 | 90.507 | -0.000 |
| 0.000 | 0.001 | -0.000 | -0.000 | 0.000 | 90.383 |
| 224.151 | 154.493 | 147.751 | 0.000 | -0.000 | 0.000 |
| 154.493 | 224.151 | 147.751 | -0.000 | -0.000 | 0.000 |
| 147.751 | 147.751 | 250.100 | 0.000 | -0.000 | 0.000 |
| 0.000 | -0.000 | -0.001 | 90.507 | 0.000 | 0.000 |
| -0.000 | 0.000 | -0.001 | -0.000 | 90.507 | 0.000 |
| -0.000 | -0.001 | 0.000 | 0.000 | 0.000 | 90.383 |
| 190.318 | 202.041 | 210.532 | 0.000 | -0.000 | -0.000 |
| 197.275 | 357.847 | 20.559 | -0.000 | -0.000 | 0.000 |
| 210.446 | 26.902 | 368.053 | -0.000 | -0.000 | -0.000 |
| -0.000 | 0.000 | -0.000 | -6.730 | -0.000 | -0.000 |
| 0.067 | 0.028 | 0.089 | -0.000 | 173.682 | -0.000 |
| 0.033 | 0.014 | 0.044 | -0.000 | -0.000 | 172.206 |
| 178.683 | 197.083 | 194.956 | -0.000 | 0.000 | 0.000 |
| 197.209 | 357.819 | 20.470 | -0.000 | -0.000 | 0.000 |
| 210.446 | 26.901 | 368.053 | 0.000 | -0.000 | 0.000 |
| 0.000 | -0.000 | 0.000 | -6.730 | 0.000 | 0.000 |
| -0.067 | -0.028 | -0.089 | 0.000 | 173.682 | 0.000 |
| -0.033 | -0.014 | -0.044 | -0.000 | 0.000 | 172.206 |
| 178.719 | 197.099 | 195.005 | -0.000 | -0.000 | 0.000 |
| 202.186 | 359.940 | 27.133 | -0.000 | 0.000 | -0.000 |
| 210.446 | 26.901 | 368.053 | -0.000 | 0.000 | 0.000 |
| 0.044 | 0.019 | 0.059 | -6.756 | 0.000 | 0.000 |
| 0.007 | 0.003 | 0.009 | -0.000 | 173.682 | -0.000 |
| 0.003 | 0.002 | 0.004 | 0.000 | -0.000 | 172.206 |
| 190.318 | 202.041 | 210.532 | 0.000 | -0.000 | 0.000 |
| 202.186 | 359.939 | 27.133 | 0.000 | -0.000 | 0.000 |
| 194.910 | 20.282 | 347.255 | 0.000 | 0.000 | 0.000 |
| -0.044 | -0.019 | -0.059 | -6.756 | -0.000 | 0.000 |
| -0.007 | -0.003 | -0.009 | 0.000 | 173.682 | 0.000 |
| -0.003 | -0.002 | -0.004 | -0.000 | 0.000 | 172.206 |
| 178.718 | 197.098 | 195.002 | 0.000 | -0.000 | -0.000 |
| 202.188 | 359.942 | 27.133 | -0.000 | 0.000 | -0.000 |
| 194.916 | 20.283 | 347.264 | -0.000 | 0.000 | -0.000 |
| -0.000 | 0.000 | -0.000 | -6.730 | -0.000 | 0.000 |
| 0.001 | 0.000 | 0.003 | -0.000 | 173.682 | -0.000 |
| 0.001 | 0.002 | 0.000 | -0.000 | 0.000 | 172.206 |
| 190.316 | 202.040 | 210.531 | 0.000 | 0.000 | 0.000 |
| 202.184 | 359.937 | 27.133 | 0.000 | 0.000 | -0.000 |
| 194.911 | 20.283 | 347.256 | 0.000 | -0.000 | -0.000 |
| 0.000 | -0.000 | 0.000 | -6.730 | 0.000 | 0.000 |
| -0.001 | -0.000 | -0.003 | -0.000 | 173.682 | -0.000 |
| -0.001 | -0.002 | -0.000 | 0.000 | -0.000 | 172.206 |
| 62.162 | 189.243 | 193.121 | 0.000 | 0.000 | 0.000 |
| 194.384 | 320.693 | 110.780 | -0.000 | -0.000 | 0.000 |
| 211.536 | 115.371 | 330.790 | 0.000 | -0.000 | -0.000 |
| 0.000 | 0.000 | 0.000 | 70.617 | -0.000 | -0.000 |
| 0.000 | 0.000 | 0.000 | -0.000 | 133.445 | 0.000 |
| 0.000 | 0.000 | 0.000 | -0.000 | 0.000 | 124.417 |
| 62.162 | 189.243 | 193.121 | -0.000 | -0.000 | -0.000 |
| 194.384 | 320.693 | 110.780 | 0.000 | 0.000 | -0.000 |
| 198.013 | 110.531 | 311.972 | -0.000 | -0.000 | 0.000 |
| -0.000 | -0.000 | -0.000 | 70.617 | 0.000 | -0.000 |
| -0.000 | -0.000 | -0.000 | 0.000 | 133.445 | -0.000 |
| -0.000 | -0.000 | -0.000 | 0.000 | -0.000 | 124.417 |
| 62.162 | 189.243 | 193.121 | -0.000 | 0.000 | -0.000 |
| 194.384 | 320.693 | 110.780 | -0.000 | 0.000 | -0.000 |
| 198.013 | 110.531 | 311.972 | -0.000 | -0.000 | -0.000 |
| -0.000 | 0.000 | 0.000 | 70.478 | -0.000 | 0.000 |
| 0.000 | -0.000 | 0.000 | -0.000 | 133.445 | 0.000 |
| 0.000 | 0.000 | -0.000 | -0.000 | -0.000 | 124.417 |
| 71.879 | 192.721 | 206.644 | 0.000 | 0.000 | 0.000 |
| 197.861 | 321.937 | 115.620 | -0.000 | -0.000 | 0.000 |
| 198.013 | 110.531 | 311.971 | -0.000 | -0.000 | -0.000 |
| 0.000 | -0.000 | -0.000 | 70.478 | 0.000 | 0.000 |
| -0.000 | 0.000 | -0.000 | -0.000 | 133.445 | 0.000 |
| -0.000 | -0.000 | 0.000 | -0.000 | -0.000 | 124.417 |
| 62.162 | 189.244 | 193.122 | 0.000 | 0.000 | 0.000 |
| 197.863 | 321.940 | 115.620 | -0.000 | 0.000 | -0.000 |
| 198.015 | 110.531 | 311.975 | -0.000 | 0.000 | -0.000 |
| -0.000 | 0.000 | 0.000 | 70.478 | 0.000 | 0.000 |
| 0.001 | -0.000 | 0.002 | -0.000 | 133.445 | 0.000 |
| 0.001 | 0.002 | -0.000 | 0.000 | 0.000 | 124.417 |
| 62.161 | 189.242 | 193.120 | 0.000 | -0.000 | -0.000 |
| 197.860 | 321.935 | 115.620 | -0.000 | 0.000 | -0.000 |
| 198.011 | 110.531 | 311.969 | -0.000 | -0.000 | -0.000 |
| 0.000 | -0.000 | -0.000 | 70.478 | -0.000 | 0.000 |
| -0.001 | 0.000 | -0.002 | 0.000 | 133.445 | -0.000 |
| -0.001 | -0.002 | 0.000 | -0.000 | -0.000 | 124.417 |
| 303.451 | 142.964 | 123.833 | 21.404 | 0.000 | -0.000 |
| 142.964 | 303.451 | 123.833 | -21.404 | 0.000 | 0.000 |
| 123.005 | 123.005 | 301.304 | -0.000 | 0.000 | 0.000 |
| 21.412 | -21.412 | 0.000 | 66.216 | -0.000 | -0.000 |
| 0.000 | 0.000 | -0.000 | -0.000 | 66.216 | 21.412 |
| 0.000 | 0.000 | 0.000 | -0.000 | 21.412 | 80.244 |
| 306.266 | 145.778 | 131.767 | 21.412 | -0.000 | -0.000 |
| 142.053 | 302.541 | 121.265 | -21.404 | -0.000 | -0.000 |
| 122.094 | 122.094 | 298.736 | 0.000 | -0.000 | -0.000 |
| 20.009 | -22.769 | -3.891 | 65.175 | -0.000 | -0.000 |
| -0.000 | -0.000 | -0.000 | 0.000 | 66.216 | 21.412 |
| -0.000 | -0.000 | 0.000 | -0.000 | 21.412 | 80.244 |
| 303.042 | 142.554 | 122.678 | 21.404 | 0.000 | -0.000 |
| 142.554 | 303.042 | 122.678 | -21.404 | 0.000 | 0.000 |
| 131.767 | 131.767 | 326.007 | 0.000 | 0.000 | -0.000 |
| 21.594 | -21.156 | 0.618 | 64.562 | 0.000 | 0.000 |
| 0.000 | 0.000 | 0.000 | -0.000 | 66.216 | 21.412 |
| 0.000 | 0.000 | 0.000 | -0.000 | 21.412 | 80.244 |
| 302.950 | 142.463 | 122.421 | 21.404 | -0.000 | -0.000 |
| 142.463 | 302.950 | 122.421 | -21.404 | -0.000 | -0.000 |
| 131.767 | 131.767 | 326.007 | -0.000 | -0.000 | -0.000 |
| 21.412 | -21.412 | -0.000 | 66.216 | -0.000 | -0.000 |
| -0.000 | -0.000 | -0.000 | 0.000 | 66.216 | 21.412 |
| -0.000 | -0.000 | -0.000 | 0.000 | 21.412 | 80.244 |
| 306.270 | 145.779 | 131.768 | 21.411 | 0.000 | 0.000 |
| 142.514 | 303.004 | 122.563 | -21.403 | 0.000 | 0.000 |
| 131.768 | 131.768 | 326.010 | -0.000 | 0.000 | 0.000 |
| 21.412 | -21.411 | 0.001 | 66.216 | 0.000 | -0.000 |
| 0.001 | 0.000 | 0.001 | -0.000 | 66.216 | 21.412 |
| 0.000 | 0.001 | 0.000 | -0.000 | 21.412 | 80.244 |
| 306.261 | 145.777 | 131.766 | 21.412 | -0.000 | -0.000 |
| 145.777 | 306.262 | 131.766 | -21.413 | -0.000 | -0.000 |
| 122.544 | 122.544 | 300.004 | 0.000 | -0.000 | -0.000 |
| 21.411 | -21.413 | -0.001 | 66.216 | -0.000 | -0.000 |
| -0.001 | -0.000 | -0.001 | 0.000 | 66.216 | 21.412 |
| -0.000 | -0.001 | -0.000 | 0.000 | 21.412 | 80.244 |
| 319.677 | 159.178 | 169.546 | 21.400 | 0.000 | 0.000 |
| 159.178 | 319.677 | 169.546 | -21.400 | -0.000 | -0.000 |
| 131.790 | 131.790 | 326.041 | 0.000 | -0.000 | -0.000 |
| 21.408 | -21.408 | 0.000 | 66.236 | -0.000 | -0.000 |
| 16.662 | 16.662 | 46.973 | 0.000 | 64.571 | 21.371 |
| 16.662 | 16.662 | 46.973 | 0.000 | 21.400 | 80.250 |
| 306.285 | 145.786 | 131.791 | 21.408 | 0.000 | 0.000 |
| 145.786 | 306.285 | 131.791 | -21.408 | -0.000 | 0.000 |
| 105.910 | 105.910 | 253.081 | -0.000 | -0.000 | 0.000 |
| 4.685 | -38.116 | -47.123 | 65.892 | 0.000 | 0.000 |
| -16.662 | -16.662 | -46.973 | -0.000 | 64.571 | 21.371 |
| -16.662 | -16.662 | -46.973 | 0.000 | 21.400 | 80.250 |
| 306.286 | 145.786 | 131.792 | 21.408 | -0.000 | 0.000 |
| 144.182 | 304.682 | 127.270 | -21.400 | 0.000 | -0.000 |
| 124.238 | 124.238 | 304.751 | 0.000 | -0.000 | 0.000 |
| 23.558 | -19.238 | 6.090 | 65.791 | -0.000 | 0.000 |
| 0.000 | 0.000 | 0.000 | -0.000 | 66.236 | 21.408 |
| 0.000 | 0.000 | 0.000 | -0.000 | 21.408 | 80.250 |
| 301.349 | 140.850 | 117.876 | 21.400 | -0.000 | 0.000 |
| 145.786 | 306.285 | 131.791 | -21.408 | 0.000 | -0.000 |
| 131.790 | 131.790 | 326.041 | -0.000 | 0.000 | -0.000 |
| 19.705 | -23.037 | -4.697 | 64.571 | 0.000 | 0.000 |
| -0.000 | -0.000 | -0.000 | 0.000 | 66.236 | 21.408 |
| -0.000 | -0.000 | -0.000 | 0.000 | 21.408 | 80.250 |
| 303.186 | 142.684 | 123.044 | 21.370 | -0.000 | -0.000 |
| 142.684 | 303.186 | 123.044 | -21.399 | 0.000 | -0.000 |
| 131.791 | 131.791 | 326.044 | 0.000 | -0.000 | -0.000 |
| 22.114 | -20.634 | 2.085 | 64.713 | -0.000 | -0.000 |
| 0.001 | 0.000 | 0.001 | -0.000 | 66.236 | 21.408 |
| 0.000 | 0.001 | 0.000 | -0.000 | 21.408 | 80.250 |
| 302.845 | 142.349 | 122.102 | 21.401 | 0.000 | -0.000 |
| 142.348 | 302.845 | 122.102 | -21.401 | -0.000 | 0.000 |
| 131.788 | 131.788 | 326.039 | -0.000 | 0.000 | 0.000 |
| 20.635 | -22.114 | -2.085 | 64.713 | -0.000 | 0.000 |
| -0.001 | -0.000 | -0.001 | 0.000 | 66.236 | 21.408 |
| -0.000 | -0.001 | -0.000 | 0.000 | 21.408 | 80.250 |
| 309.963 | 147.711 | 138.594 | 21.047 | 0.000 | 0.000 |
| 147.711 | 309.963 | 138.594 | -21.047 | -0.000 | 0.000 |
| 135.960 | 135.960 | 334.225 | -0.000 | 0.000 | 0.000 |
| 25.327 | -16.765 | 11.891 | 69.672 | 0.000 | 0.000 |
| 0.000 | 0.000 | 0.000 | -0.000 | 69.994 | 21.051 |
| 0.000 | 0.000 | 0.000 | -0.000 | 21.051 | 81.126 |
| 309.148 | 146.896 | 136.330 | 21.051 | 0.000 | -0.000 |
| 139.532 | 301.784 | 115.874 | -21.047 | -0.000 | -0.000 |
| 135.960 | 135.960 | 334.225 | -0.000 | -0.000 | -0.000 |
| 16.940 | -25.119 | -11.360 | 68.541 | -0.000 | -0.000 |
| -0.000 | -0.000 | 0.000 | 0.000 | 69.994 | 21.051 |
| -0.000 | -0.000 | 0.000 | 0.000 | 21.051 | 81.126 |
| 309.148 | 146.897 | 136.330 | 21.051 | 0.000 | 0.000 |
| 144.031 | 306.282 | 128.370 | -21.046 | 0.000 | 0.000 |
| 127.273 | 127.273 | 310.092 | -0.000 | 0.000 | 0.000 |
| 22.300 | -19.774 | 3.509 | 69.045 | 0.000 | 0.000 |
| 1.263 | 1.263 | 3.509 | -0.000 | 69.045 | 21.037 |
| 0.000 | 0.000 | 0.000 | -0.000 | 21.051 | 81.126 |
| 305.464 | 143.213 | 126.097 | 21.047 | -0.000 | -0.000 |
| 143.213 | 305.464 | 126.097 | -21.047 | -0.000 | -0.000 |
| 126.455 | 126.455 | 307.820 | -0.000 | -0.000 | -0.000 |
| 20.620 | -21.438 | -1.136 | 68.541 | -0.000 | -0.000 |
| -1.263 | -1.263 | -3.509 | 0.000 | 69.045 | 21.037 |
| -0.000 | -0.000 | -0.000 | 0.000 | 21.051 | 81.126 |
| 305.918 | 143.663 | 127.348 | 21.046 | 0.000 | 0.000 |
| 143.664 | 305.917 | 127.348 | -21.028 | 0.000 | 0.000 |
| 126.906 | 126.906 | 309.072 | 0.000 | 0.000 | 0.000 |
| 21.052 | -21.050 | 0.001 | 69.994 | 0.000 | 0.000 |
| 0.193 | 0.193 | 0.535 | -0.000 | 68.550 | 21.029 |
| 0.000 | 0.001 | 0.000 | -0.000 | 21.051 | 81.126 |
| 309.144 | 146.896 | 136.329 | 21.052 | -0.000 | -0.000 |
| 143.580 | 305.829 | 127.119 | -21.047 | -0.000 | -0.000 |
| 126.822 | 126.822 | 308.840 | 0.000 | -0.000 | -0.000 |
| 21.051 | -21.052 | -0.001 | 69.994 | -0.000 | -0.000 |
| -0.193 | -0.193 | -0.535 | 0.000 | 68.550 | 21.029 |
| -0.000 | -0.001 | -0.000 | 0.000 | 21.051 | 81.126 |
| 254.971 | 140.715 | 118.221 | 0.000 | 0.000 | 0.000 |
| 130.928 | 261.449 | 116.181 | 0.000 | 0.000 | 0.000 |
| 120.881 | 120.881 | 374.726 | 0.000 | -0.000 | 0.000 |
| 0.000 | 0.000 | 0.000 | 65.434 | 0.000 | 0.000 |
| 0.000 | 0.000 | 0.000 | 0.000 | 65.434 | 0.000 |
| 0.000 | 0.000 | 0.000 | 0.000 | -0.000 | 69.413 |
| 269.222 | 130.396 | 120.644 | -0.000 | -0.000 | -0.000 |
| 130.152 | 261.718 | 115.870 | -0.000 | 0.000 | -0.000 |
| 120.431 | 120.431 | 374.171 | -0.000 | -0.000 | -0.000 |
| -0.000 | -0.000 | -0.000 | 65.434 | 0.000 | -0.000 |
| -0.000 | -0.000 | -0.000 | -0.000 | 65.434 | -0.000 |
| -0.000 | -0.000 | -0.000 | -0.000 | 0.000 | 69.413 |
| 269.222 | 130.397 | 120.644 | -0.000 | -0.000 | 0.000 |
| 130.552 | 261.604 | 116.046 | 0.000 | 0.000 | 0.000 |
| 120.678 | 120.678 | 374.476 | 0.000 | -0.000 | 0.000 |
| 0.000 | 0.000 | 0.000 | 65.434 | 0.000 | 0.000 |
| 0.000 | 0.000 | 0.000 | 0.000 | 65.434 | 0.000 |
| 0.002 | 0.002 | 0.002 | 0.000 | 0.000 | 57.131 |
| 269.222 | 130.396 | 120.644 | -0.000 | -0.000 | -0.000 |
| 130.396 | 269.222 | 120.644 | -0.000 | 0.000 | -0.000 |
| 120.633 | 120.633 | 374.420 | -0.000 | 0.000 | -0.000 |
| -0.000 | -0.000 | -0.000 | 65.434 | -0.000 | -0.000 |
| -0.000 | -0.000 | -0.000 | -0.000 | 65.434 | -0.000 |
| -0.002 | -0.002 | -0.002 | -0.000 | -0.000 | 57.131 |
| 269.225 | 130.397 | 120.644 | -0.000 | 0.000 | 0.000 |
| 130.397 | 269.225 | 120.644 | 0.000 | -0.000 | 0.000 |
| 123.410 | 123.410 | 377.843 | 0.000 | 0.000 | 0.000 |
| 0.000 | 0.000 | 0.000 | 65.434 | 0.000 | 0.000 |
| 0.000 | 0.000 | 0.000 | 0.000 | 65.434 | 0.000 |
| 0.000 | 0.001 | 0.000 | 0.000 | -0.000 | 69.413 |
| 261.615 | 130.509 | 116.028 | -0.000 | -0.000 | -0.000 |
| 130.509 | 261.615 | 116.028 | -0.000 | -0.000 | -0.000 |
| 123.410 | 123.410 | 377.841 | -0.000 | 0.000 | -0.000 |
| -0.000 | -0.000 | -0.000 | 65.434 | -0.000 | -0.000 |
| -0.000 | -0.000 | -0.000 | -0.000 | 65.434 | -0.000 |
| -0.000 | -0.001 | -0.000 | -0.000 | 0.000 | 69.413 |
| 282.966 | 132.116 | 155.998 | -0.000 | 0.000 | -0.000 |
| 144.612 | 266.251 | 153.310 | -0.000 | 0.000 | 0.000 |
| 153.157 | 153.157 | 452.660 | -0.000 | 0.000 | 0.000 |
| 0.021 | 0.021 | 0.026 | 101.410 | -0.000 | 0.000 |
| 0.021 | 0.021 | 0.026 | -0.000 | 101.410 | 0.000 |
| 0.000 | 0.000 | 0.000 | -0.000 | 0.000 | 75.425 |
| 282.966 | 132.116 | 155.998 | 0.000 | -0.000 | -0.000 |
| 133.385 | 273.854 | 151.001 | 0.000 | -0.000 | -0.000 |
| 155.907 | 155.907 | 456.164 | -0.000 | -0.000 | -0.000 |
| -0.021 | -0.021 | -0.026 | 101.410 | -0.000 | -0.000 |
| -0.021 | -0.021 | -0.026 | 0.000 | 101.410 | -0.000 |
| -0.000 | -0.000 | -0.000 | 0.000 | -0.000 | 75.425 |
| 282.967 | 132.116 | 155.998 | -0.000 | 0.000 | 0.000 |
| 132.116 | 282.967 | 155.998 | -0.000 | 0.000 | 0.000 |
| 153.150 | 153.150 | 452.651 | -0.000 | -0.000 | 0.000 |
| 0.000 | -0.000 | 0.000 | 103.503 | 0.000 | 0.000 |
| -0.000 | 0.000 | 0.000 | -0.000 | 103.503 | 0.000 |
| 0.000 | 0.000 | -0.000 | -0.000 | 0.000 | 75.425 |
| 282.966 | 132.116 | 155.998 | 0.000 | -0.000 | -0.000 |
| 132.115 | 282.966 | 155.998 | 0.000 | -0.000 | -0.000 |
| 153.148 | 153.148 | 452.648 | 0.000 | -0.000 | 0.000 |
| -0.000 | 0.000 | -0.000 | 103.503 | -0.000 | 0.000 |
| 0.000 | -0.000 | -0.000 | 0.000 | 103.503 | -0.000 |
| -0.000 | -0.000 | 0.000 | 0.000 | -0.000 | 75.425 |
| 273.848 | 133.403 | 151.007 | -0.000 | 0.000 | 0.000 |
| 132.116 | 282.968 | 155.998 | -0.000 | 0.000 | 0.000 |
| 155.907 | 155.907 | 456.165 | -0.000 | 0.000 | -0.000 |
| 0.000 | 0.000 | 0.001 | 101.410 | 0.000 | -0.000 |
| 0.000 | 0.000 | 0.001 | -0.000 | 101.410 | 0.000 |
| 0.001 | 0.001 | 0.000 | -0.000 | 0.000 | 62.091 |
| 282.964 | 132.115 | 155.998 | 0.000 | -0.000 | -0.000 |
| 132.115 | 282.965 | 155.998 | 0.000 | -0.000 | -0.000 |
| 155.907 | 155.907 | 456.163 | 0.000 | -0.000 | -0.000 |
| -0.000 | -0.000 | -0.001 | 101.410 | -0.000 | -0.000 |
| -0.000 | -0.000 | -0.001 | 0.000 | 101.410 | 0.000 |
| -0.001 | -0.001 | -0.000 | 0.000 | -0.000 | 62.091 |
| 271.469 | 132.865 | 150.515 | -0.000 | -0.000 | -0.000 |
| 132.865 | 271.469 | 150.515 | -0.000 | 0.000 | 0.000 |
| 155.564 | 155.564 | 454.573 | 0.000 | 0.000 | -0.000 |
| 0.000 | 0.000 | 0.000 | 101.091 | -0.000 | -0.000 |
| 0.000 | 0.000 | 0.000 | 0.000 | 103.163 | -0.000 |
| 0.000 | 0.000 | 0.000 | 0.000 | 0.000 | 74.653 |
| 280.804 | 131.497 | 155.564 | -0.000 | -0.000 | -0.000 |
| 132.865 | 271.469 | 150.515 | 0.000 | -0.000 | 0.000 |
| 155.564 | 155.564 | 454.573 | -0.000 | -0.000 | 0.000 |
| -0.000 | -0.000 | -0.000 | 101.091 | -0.000 | -0.000 |
| -0.000 | -0.000 | -0.000 | -0.000 | 103.163 | 0.000 |
| -0.000 | -0.000 | -0.000 | -0.000 | -0.000 | 74.653 |
| 280.804 | 131.498 | 155.564 | 0.000 | 0.000 | 0.000 |
| 144.362 | 263.653 | 152.847 | -0.000 | -0.000 | 0.000 |
| 155.564 | 155.564 | 454.573 | 0.000 | 0.000 | 0.000 |
| 0.000 | -0.000 | 0.000 | 103.163 | 0.000 | -0.000 |
| -0.000 | 0.000 | 0.000 | 0.000 | 103.163 | 0.000 |
| 0.000 | 0.000 | 0.000 | -0.000 | 0.000 | 59.654 |
| 271.469 | 132.865 | 150.515 | 0.000 | 0.000 | -0.000 |
| 131.497 | 280.803 | 155.564 | -0.000 | 0.000 | -0.000 |
| 152.788 | 152.788 | 451.054 | -0.000 | -0.000 | 0.000 |
| -0.000 | 0.000 | -0.000 | 103.163 | 0.000 | -0.000 |
| 0.000 | -0.000 | -0.000 | -0.000 | 103.163 | -0.000 |
| -0.000 | -0.000 | -0.000 | 0.000 | -0.000 | 59.654 |
| 280.807 | 131.498 | 155.564 | 0.000 | 0.000 | -0.000 |
| 144.362 | 263.656 | 152.847 | -0.000 | -0.000 | 0.000 |
| 155.564 | 155.564 | 454.574 | 0.000 | 0.000 | 0.000 |
| 0.000 | -0.000 | 0.000 | 103.163 | -0.000 | 0.000 |
| -0.000 | 0.000 | 0.000 | 0.000 | 101.091 | 0.000 |
| 0.000 | 0.001 | -0.000 | 0.000 | 0.000 | 74.653 |
| 280.801 | 131.497 | 155.564 | -0.000 | -0.000 | 0.000 |
| 132.864 | 271.466 | 150.515 | 0.000 | 0.000 | -0.000 |
| 152.788 | 152.788 | 451.053 | 0.000 | 0.000 | -0.000 |
| -0.000 | 0.000 | -0.000 | 103.163 | 0.000 | 0.000 |
| 0.000 | -0.000 | -0.000 | -0.000 | 101.091 | 0.000 |
| -0.000 | -0.001 | 0.000 | -0.000 | -0.000 | 74.653 |
| 304.531 | 114.185 | 178.049 | 0.000 | -0.000 | -0.000 |
| 114.185 | 304.531 | 178.049 | 0.000 | -0.000 | 0.000 |
| 144.976 | 144.976 | 271.843 | -0.000 | -0.000 | -0.000 |
| 10.926 | 10.926 | 28.687 | 95.988 | -0.000 | -0.000 |
| 10.926 | 10.926 | 28.687 | -0.000 | 95.988 | 0.000 |
| 8.592 | 8.592 | 25.959 | 0.000 | -0.000 | 41.157 |
| 281.371 | 91.025 | 117.723 | -0.000 | 0.000 | -0.000 |
| 91.025 | 281.371 | 117.723 | 0.000 | 0.000 | 0.000 |
| 144.976 | 144.976 | 271.843 | 0.000 | 0.000 | 0.000 |
| -10.926 | -10.926 | -28.687 | 95.988 | 0.000 | 0.000 |
| -10.926 | -10.926 | -28.687 | 0.000 | 95.988 | 0.000 |
| -8.592 | -8.592 | -25.959 | -0.000 | 0.000 | 41.157 |
| 290.859 | 100.513 | 146.389 | 0.000 | -0.000 | -0.000 |
| 100.513 | 290.859 | 146.389 | 0.000 | -0.000 | -0.000 |
| 144.976 | 144.976 | 271.844 | -0.000 | -0.000 | -0.000 |
| 0.000 | -0.000 | 0.000 | 96.186 | -0.000 | -0.000 |
| -0.000 | 0.000 | 0.000 | -0.000 | 96.186 | 0.000 |
| 0.859 | 0.859 | 2.596 | 0.000 | 0.000 | 41.157 |
| 290.417 | 100.071 | 144.811 | 0.000 | 0.000 | 0.000 |
| 100.071 | 290.417 | 144.811 | 0.000 | 0.000 | -0.000 |
| 142.413 | 142.413 | 265.484 | 0.000 | 0.000 | 0.000 |
| -0.000 | 0.000 | -0.000 | 96.186 | 0.000 | 0.000 |
| 0.000 | -0.000 | -0.000 | 0.000 | 96.186 | 0.000 |
| -0.859 | -0.859 | -2.596 | 0.000 | 0.000 | 41.157 |
| 290.420 | 100.071 | 144.811 | -0.000 | -0.000 | 0.000 |
| 100.071 | 290.420 | 144.811 | -0.000 | -0.000 | -0.000 |
| 144.043 | 144.043 | 269.257 | -0.000 | -0.000 | -0.000 |
| 0.130 | 0.130 | 0.393 | 96.033 | -0.000 | -0.000 |
| 0.130 | 0.130 | 0.393 | 0.000 | 96.033 | -0.000 |
| 0.001 | 0.001 | 0.000 | -0.000 | -0.000 | 41.157 |
| 289.383 | 99.039 | 142.734 | -0.000 | 0.000 | 0.000 |
| 99.039 | 289.383 | 142.734 | 0.000 | 0.000 | 0.000 |
| 144.975 | 144.975 | 271.838 | 0.000 | 0.000 | 0.000 |
| -0.130 | -0.130 | -0.393 | 96.033 | 0.000 | 0.000 |
| -0.130 | -0.130 | -0.393 | -0.000 | 96.033 | -0.000 |
| -0.001 | -0.001 | -0.000 | 0.000 | 0.000 | 41.157 |
| 288.946 | 100.552 | 150.333 | 0.000 | 0.000 | -0.000 |
| 100.552 | 288.946 | 150.333 | 0.000 | 0.000 | -0.000 |
| 146.567 | 146.567 | 281.069 | 0.000 | 0.000 | -0.000 |
| 0.000 | -0.000 | 0.000 | 96.687 | 0.000 | -0.000 |
| 0.000 | 0.000 | 0.000 | 0.000 | 96.687 | -0.000 |
| 2.051 | 2.051 | 5.856 | 0.000 | 0.000 | 40.227 |
| 287.442 | 99.047 | 145.824 | -0.000 | 0.000 | 0.000 |
| 99.047 | 287.442 | 145.824 | -0.000 | 0.000 | 0.000 |
| 145.824 | 145.824 | 278.938 | -0.000 | 0.000 | 0.000 |
| -0.000 | 0.000 | -0.000 | 96.687 | 0.000 | 0.000 |
| -0.000 | -0.000 | -0.000 | -0.000 | 96.687 | 0.000 |
| -2.051 | -2.051 | -5.856 | -0.000 | 0.000 | 40.227 |
| 287.059 | 98.665 | 144.955 | 0.000 | -0.000 | -0.000 |
| 98.665 | 287.059 | 144.955 | 0.000 | -0.000 | -0.000 |
| 144.917 | 144.917 | 276.353 | 0.000 | 0.000 | -0.000 |
| 0.000 | -0.000 | 0.000 | 96.687 | 0.000 | -0.000 |
| -0.000 | 0.000 | 0.000 | 0.000 | 96.687 | -0.000 |
| 0.205 | 0.205 | 0.586 | 0.000 | -0.000 | 40.227 |
| 286.698 | 98.304 | 143.903 | -0.000 | 0.000 | 0.000 |
| 98.304 | 286.698 | 143.903 | 0.000 | 0.000 | 0.000 |
| 145.824 | 145.824 | 278.938 | -0.000 | 0.000 | 0.000 |
| -0.000 | 0.000 | -0.000 | 96.687 | -0.000 | 0.000 |
| 0.000 | -0.000 | -0.000 | -0.000 | 96.687 | 0.000 |
| -0.205 | -0.205 | -0.586 | -0.000 | -0.000 | 40.227 |
| 286.739 | 98.343 | 144.376 | 0.000 | -0.000 | -0.000 |
| 98.343 | 286.739 | 144.376 | 0.000 | 0.000 | -0.000 |
| 145.825 | 145.825 | 278.943 | 0.000 | -0.000 | -0.000 |
| 0.054 | 0.054 | 0.100 | 96.505 | -0.000 | -0.000 |
| 0.054 | 0.054 | 0.100 | 0.000 | 96.505 | -0.000 |
| 0.001 | 0.001 | 0.000 | 0.000 | -0.000 | 40.227 |
| 287.439 | 99.047 | 145.824 | -0.000 | 0.000 | 0.000 |
| 99.047 | 287.439 | 145.824 | -0.000 | -0.000 | 0.000 |
| 145.824 | 145.824 | 278.933 | -0.000 | 0.000 | 0.000 |
| -0.054 | -0.054 | -0.100 | 96.505 | 0.000 | 0.000 |
| -0.054 | -0.054 | -0.100 | -0.000 | 96.505 | 0.000 |
| -0.001 | -0.001 | -0.000 | -0.000 | 0.000 | 40.227 |
| 670.413 | -25.497 | -25.497 | -0.000 | -0.000 | -0.000 |
| -25.497 | 670.413 | -25.497 | -0.000 | 0.000 | -0.000 |
| -25.497 | -25.497 | 670.413 | 0.000 | 0.000 | 0.000 |
| -0.000 | -0.000 | 0.000 | -61.751 | 0.000 | -0.000 |
| -0.000 | -0.000 | 0.000 | 0.000 | -61.751 | -0.000 |
| -0.000 | -0.000 | -0.000 | -0.000 | -0.000 | -61.751 |
| 670.412 | -25.497 | -25.497 | 0.000 | -0.000 | 0.000 |
| -25.497 | 670.412 | -25.497 | 0.000 | 0.000 | 0.000 |
| -25.497 | -25.497 | 670.412 | -0.000 | 0.000 | 0.000 |
| 0.000 | 0.000 | -0.000 | -61.751 | -0.000 | 0.000 |
| 0.000 | 0.000 | -0.000 | -0.000 | -61.751 | 0.000 |
| 0.000 | 0.000 | 0.000 | 0.000 | 0.000 | -61.751 |
| 670.413 | -25.497 | -25.496 | 0.000 | -0.000 | 0.000 |
| -25.497 | 670.413 | -25.496 | 0.000 | -0.000 | -0.000 |
| -25.497 | -25.497 | 670.413 | 0.000 | -0.000 | -0.000 |
| -0.000 | 0.000 | -0.000 | -61.751 | 0.000 | -0.000 |
| 0.000 | -0.000 | -0.000 | 0.000 | -61.751 | -0.000 |
| 0.000 | -0.000 | -0.000 | -0.000 | -0.000 | -61.751 |
| 670.412 | -25.497 | -25.497 | -0.000 | 0.000 | -0.000 |
| -25.497 | 670.412 | -25.497 | 0.000 | -0.000 | 0.000 |
| -25.497 | -25.497 | 670.412 | -0.000 | -0.000 | 0.000 |
| 0.000 | -0.000 | 0.000 | -61.751 | -0.000 | 0.000 |
| -0.000 | 0.000 | 0.000 | -0.000 | -61.751 | 0.000 |
| -0.000 | 0.000 | 0.000 | -0.000 | 0.000 | -61.751 |
| 670.418 | -25.496 | -25.496 | 0.000 | -0.000 | -0.000 |
| -25.496 | 670.418 | -25.496 | 0.000 | -0.000 | -0.000 |
| -25.496 | -25.496 | 670.418 | 0.000 | -0.000 | -0.000 |
| -0.000 | 0.000 | -0.000 | -61.751 | -0.000 | -0.000 |
| 0.000 | -0.000 | -0.000 | -0.000 | -61.751 | -0.000 |
| 0.000 | -0.000 | -0.000 | -0.000 | -0.000 | -61.751 |
| 670.407 | -25.497 | -25.497 | -0.000 | -0.000 | 0.000 |
| -25.497 | 670.407 | -25.497 | -0.000 | 0.000 | 0.000 |
| -25.497 | -25.497 | 670.407 | -0.000 | -0.000 | 0.000 |
| 0.000 | -0.000 | 0.000 | -61.751 | 0.000 | 0.000 |
| -0.000 | 0.000 | 0.000 | 0.000 | -61.751 | 0.000 |
| -0.000 | 0.000 | 0.000 | 0.000 | 0.000 | -61.751 |
| 7.310 | -0.282 | -0.282 | -0.000 | -0.000 | -0.000 |
| -0.282 | 7.310 | -0.282 | -0.000 | -0.000 | 0.000 |
| -0.282 | -0.282 | 7.310 | 0.000 | 0.000 | 0.000 |
| 0.000 | 0.000 | -0.000 | -0.000 | -0.000 | 0.000 |
| 0.000 | 0.000 | -0.000 | -0.000 | -0.000 | 0.000 |
| 0.000 | -0.000 | 0.000 | -0.000 | 0.000 | -0.000 |
| 7.310 | -0.282 | -0.282 | 0.000 | -0.000 | -0.000 |
| -0.282 | 7.310 | -0.282 | -0.000 | 0.000 | -0.000 |
| -0.282 | -0.282 | 7.310 | -0.000 | -0.000 | 0.000 |
| -0.000 | 0.000 | 0.000 | -0.000 | 0.000 | 0.000 |
| 0.000 | -0.000 | 0.000 | 0.000 | -0.000 | 0.000 |
| 0.000 | 0.000 | -0.000 | -0.000 | 0.000 | -0.000 |
| 7.310 | -0.282 | -0.282 | -0.000 | -0.000 | -0.000 |
| -0.282 | 7.310 | -0.282 | -0.000 | -0.000 | -0.000 |
| -0.282 | -0.282 | 7.310 | -0.000 | -0.000 | -0.000 |
| 0.000 | 0.000 | -0.000 | 0.000 | -0.000 | 0.000 |
| 0.000 | 0.000 | -0.000 | 0.000 | 0.000 | 0.000 |
| 0.000 | -0.000 | 0.000 | 0.000 | -0.000 | 0.000 |
| 7.310 | -0.282 | -0.282 | -0.000 | -0.000 | -0.000 |
| -0.282 | 7.310 | -0.282 | -0.000 | -0.000 | -0.000 |
| -0.282 | -0.282 | 7.310 | -0.000 | -0.000 | -0.000 |
| -0.000 | -0.000 | 0.000 | 0.000 | -0.000 | -0.000 |
| -0.000 | -0.000 | 0.000 | -0.000 | 0.000 | -0.000 |
| -0.000 | 0.000 | -0.000 | -0.000 | 0.000 | 0.000 |
| 7.308 | -0.282 | -0.282 | -0.000 | 0.000 | 0.000 |
| -0.282 | 7.308 | -0.282 | 0.000 | -0.000 | -0.000 |
| -0.282 | -0.282 | 7.308 | -0.000 | -0.000 | 0.000 |
| 0.000 | 0.000 | -0.000 | 0.000 | -0.000 | 0.000 |
| 0.000 | 0.000 | -0.000 | -0.000 | 0.000 | 0.000 |
| 0.000 | -0.000 | 0.000 | -0.000 | 0.000 | 0.000 |
| 7.312 | -0.282 | -0.282 | 0.000 | -0.000 | -0.000 |
| -0.282 | 7.312 | -0.282 | -0.000 | 0.000 | -0.000 |
| -0.282 | -0.282 | 7.312 | -0.000 | -0.000 | 0.000 |
| -0.000 | -0.000 | 0.000 | 0.000 | 0.000 | -0.000 |
| -0.000 | -0.000 | 0.000 | 0.000 | 0.000 | 0.000 |
| -0.000 | 0.000 | -0.000 | 0.000 | 0.000 | 0.000 |
| -1.610 | -0.031 | -0.031 | 0.000 | -0.000 | -0.000 |
| -0.031 | -1.610 | -0.031 | -0.000 | 0.000 | 0.000 |
| -0.031 | -0.031 | -1.610 | -0.000 | -0.000 | -0.000 |
| 0.000 | -0.000 | 0.000 | 0.000 | 0.000 | -0.000 |
| -0.000 | 0.000 | 0.000 | 0.000 | 0.000 | 0.000 |
| -0.000 | 0.000 | 0.000 | -0.000 | -0.000 | 0.000 |
| -1.610 | -0.031 | -0.031 | -0.000 | 0.000 | 0.000 |
| -0.031 | -1.610 | -0.031 | 0.000 | -0.000 | -0.000 |
| -0.031 | -0.031 | -1.610 | -0.000 | -0.000 | 0.000 |
| -0.000 | -0.000 | -0.000 | 0.000 | -0.000 | -0.000 |
| -0.000 | -0.000 | -0.000 | -0.000 | 0.000 | -0.000 |
| -0.000 | -0.000 | -0.000 | 0.000 | -0.000 | 0.000 |
| -1.610 | -0.031 | -0.031 | 0.000 | 0.000 | -0.000 |
| -0.031 | -1.610 | -0.031 | -0.000 | 0.000 | 0.000 |
| -0.031 | -0.031 | -1.610 | 0.000 | 0.000 | 0.000 |
| 0.000 | 0.000 | 0.000 | 0.000 | 0.000 | 0.000 |
| 0.000 | 0.000 | 0.000 | -0.000 | 0.000 | 0.000 |
| 0.000 | 0.000 | 0.000 | -0.000 | -0.000 | 0.000 |
| -1.610 | -0.031 | -0.031 | -0.000 | 0.000 | 0.000 |
| -0.031 | -1.610 | -0.031 | -0.000 | -0.000 | 0.000 |
| -0.031 | -0.031 | -1.610 | 0.000 | 0.000 | -0.000 |
| -0.000 | -0.000 | -0.000 | 0.000 | -0.000 | 0.000 |
| -0.000 | -0.000 | -0.000 | 0.000 | 0.000 | 0.000 |
| -0.000 | -0.000 | -0.000 | 0.000 | -0.000 | 0.000 |
| -1.611 | -0.031 | -0.031 | 0.000 | -0.000 | -0.000 |
| -0.031 | -1.611 | -0.031 | -0.000 | 0.000 | 0.000 |
| -0.031 | -0.031 | -1.611 | 0.000 | 0.000 | 0.000 |
| 0.000 | 0.000 | 0.000 | 0.000 | -0.000 | 0.000 |
| 0.000 | 0.000 | 0.000 | -0.000 | 0.000 | 0.000 |
| 0.000 | 0.000 | 0.000 | 0.000 | -0.000 | 0.000 |
| -1.610 | -0.031 | -0.031 | -0.000 | 0.000 | -0.000 |
| -0.031 | -1.610 | -0.031 | 0.000 | -0.000 | -0.000 |
| -0.031 | -0.031 | -1.610 | -0.000 | -0.000 | -0.000 |
| -0.000 | -0.000 | -0.000 | 0.000 | 0.000 | 0.000 |
| -0.000 | -0.000 | -0.000 | 0.000 | 0.000 | -0.000 |
| -0.000 | -0.000 | -0.000 | -0.000 | -0.000 | 0.000 |
| 1.209 | 0.026 | 0.026 | 0.000 | 0.000 | -0.000 |
| 0.026 | 1.209 | 0.026 | 0.000 | 0.000 | -0.000 |
| 0.026 | 0.026 | 1.209 | -0.000 | -0.000 | -0.000 |
| 0.000 | 0.000 | 0.000 | -0.026 | -0.000 | 0.000 |
| 0.000 | 0.000 | 0.000 | 0.000 | -0.026 | -0.000 |
| 0.000 | 0.000 | 0.000 | 0.000 | 0.000 | -0.026 |
| 1.209 | 0.026 | 0.026 | -0.000 | -0.000 | 0.000 |
| 0.026 | 1.209 | 0.026 | -0.000 | -0.000 | -0.000 |
| 0.026 | 0.026 | 1.209 | -0.000 | -0.000 | 0.000 |
| -0.000 | -0.000 | -0.000 | -0.026 | 0.000 | -0.000 |
| -0.000 | -0.000 | -0.000 | -0.000 | -0.026 | 0.000 |
| -0.000 | -0.000 | -0.000 | -0.000 | 0.000 | -0.026 |
| 1.208 | 0.026 | 0.026 | 0.000 | -0.000 | -0.000 |
| 0.026 | 1.208 | 0.026 | -0.000 | -0.000 | 0.000 |
| 0.026 | 0.026 | 1.208 | 0.000 | 0.000 | -0.000 |
| 0.000 | 0.000 | -0.000 | -0.026 | -0.000 | 0.000 |
| 0.000 | 0.000 | -0.000 | 0.000 | -0.026 | -0.000 |
| 0.000 | -0.000 | 0.000 | 0.000 | 0.000 | -0.026 |
| 1.210 | 0.026 | 0.026 | -0.000 | -0.000 | 0.000 |
| 0.026 | 1.210 | 0.026 | -0.000 | 0.000 | -0.000 |
| 0.026 | 0.026 | 1.210 | 0.000 | 0.000 | 0.000 |
| -0.000 | -0.000 | 0.000 | -0.026 | 0.000 | -0.000 |
| -0.000 | -0.000 | 0.000 | -0.000 | -0.026 | 0.000 |
| -0.000 | 0.000 | -0.000 | -0.000 | -0.000 | -0.026 |
| 1.200 | 0.026 | 0.026 | -0.000 | -0.000 | -0.000 |
| 0.026 | 1.200 | 0.026 | 0.000 | -0.000 | 0.000 |
| 0.026 | 0.026 | 1.200 | 0.000 | 0.000 | -0.000 |
| 0.000 | 0.000 | -0.000 | -0.026 | 0.000 | 0.000 |
| 0.000 | 0.000 | -0.000 | 0.000 | -0.026 | -0.000 |
| 0.000 | -0.000 | 0.000 | 0.000 | -0.000 | -0.026 |
| 1.218 | 0.026 | 0.026 | -0.000 | -0.000 | 0.000 |
| 0.026 | 1.218 | 0.026 | -0.000 | -0.000 | -0.000 |
| 0.026 | 0.026 | 1.218 | -0.000 | -0.000 | 0.000 |
| -0.000 | -0.000 | 0.000 | -0.026 | -0.000 | -0.000 |
| -0.000 | -0.000 | 0.000 | -0.000 | -0.026 | 0.000 |
| -0.000 | 0.000 | -0.000 | -0.000 | 0.000 | -0.026 |
| 179.471 | 186.998 | 186.998 | -0.000 | 0.000 | -0.000 |
| 186.998 | 179.471 | 186.998 | -0.000 | -0.000 | -0.000 |
| 186.998 | 186.998 | 179.471 | -0.000 | -0.000 | -0.000 |
| 0.000 | 0.000 | 0.000 | 203.804 | 0.000 | 0.000 |
| 0.000 | 0.000 | -0.000 | -0.000 | 203.804 | -0.000 |
| 0.000 | 0.000 | 0.000 | -0.000 | 0.000 | 203.804 |
| 179.471 | 186.998 | 186.998 | -0.000 | -0.000 | -0.000 |
| 186.998 | 179.471 | 186.998 | 0.000 | 0.000 | -0.000 |
| 186.998 | 186.998 | 179.471 | 0.000 | 0.000 | 0.000 |
| -0.000 | 0.000 | -0.000 | 203.804 | 0.000 | 0.000 |
| -0.000 | -0.000 | 0.000 | 0.000 | 203.804 | -0.000 |
| -0.000 | -0.000 | -0.000 | 0.000 | 0.000 | 203.804 |
| 179.471 | 186.998 | 186.998 | -0.000 | 0.000 | -0.000 |
| 186.998 | 179.471 | 186.998 | -0.000 | 0.000 | -0.000 |
| 186.998 | 186.998 | 179.471 | -0.000 | 0.000 | -0.000 |
| 0.000 | 0.000 | 0.000 | 203.804 | -0.000 | -0.000 |
| 0.000 | 0.000 | 0.000 | -0.000 | 203.804 | 0.000 |
| 0.000 | 0.000 | 0.000 | -0.000 | -0.000 | 203.804 |
| 179.471 | 186.998 | 186.998 | 0.000 | 0.000 | 0.000 |
| 186.998 | 179.471 | 186.998 | -0.000 | 0.000 | 0.000 |
| 186.998 | 186.998 | 179.471 | 0.000 | -0.000 | -0.000 |
| -0.000 | -0.000 | -0.000 | 203.804 | 0.000 | 0.000 |
| -0.000 | -0.000 | -0.000 | 0.000 | 203.804 | 0.000 |
| -0.000 | -0.000 | -0.000 | -0.000 | -0.000 | 203.804 |
| 179.472 | 186.999 | 186.999 | -0.000 | -0.000 | -0.000 |
| 186.999 | 179.472 | 186.999 | -0.000 | 0.000 | -0.000 |
| 186.999 | 186.999 | 179.472 | -0.000 | -0.000 | 0.000 |
| 0.001 | 0.000 | 0.001 | 203.804 | 0.000 | -0.000 |
| 0.000 | 0.001 | 0.001 | -0.000 | 203.804 | -0.000 |
| 0.000 | 0.001 | 0.001 | 0.000 | -0.000 | 203.804 |
| 179.469 | 186.998 | 186.998 | -0.000 | -0.000 | 0.000 |
| 186.998 | 179.469 | 186.998 | -0.000 | -0.000 | 0.000 |
| 186.998 | 186.998 | 179.469 | -0.000 | 0.000 | 0.000 |
| -0.001 | -0.000 | -0.001 | 203.804 | -0.000 | 0.000 |
| -0.000 | -0.001 | -0.001 | 0.000 | 203.804 | 0.000 |
| -0.000 | -0.001 | -0.001 | -0.000 | -0.000 | 203.804 |
| 97.415 | 28.331 | 28.331 | 0.000 | 0.000 | 0.000 |
| 28.331 | 97.415 | 28.331 | -0.000 | -0.000 | 0.000 |
| 28.331 | 28.331 | 97.415 | -0.000 | 0.000 | -0.000 |
| -0.000 | -0.000 | -0.000 | 50.409 | -0.000 | 0.000 |
| -0.000 | 0.000 | -0.000 | 0.000 | 50.409 | -0.000 |
| -0.000 | -0.000 | -0.000 | -0.000 | -0.000 | 50.409 |
| 97.415 | 28.331 | 28.331 | 0.000 | 0.000 | 0.000 |
| 28.331 | 97.415 | 28.331 | -0.000 | -0.000 | 0.000 |
| 28.331 | 28.331 | 97.415 | 0.000 | 0.000 | -0.000 |
| 0.000 | 0.000 | 0.000 | 50.409 | 0.000 | 0.000 |
| 0.000 | -0.000 | 0.000 | 0.000 | 50.409 | 0.000 |
| 0.000 | 0.000 | 0.000 | 0.000 | 0.000 | 50.409 |
| 97.415 | 28.331 | 28.331 | -0.000 | -0.000 | -0.000 |
| 28.331 | 97.415 | 28.331 | -0.000 | -0.000 | -0.000 |
| 28.331 | 28.331 | 97.415 | -0.000 | -0.000 | -0.000 |
| 0.000 | -0.000 | -0.000 | 50.409 | -0.000 | -0.000 |
| -0.000 | 0.000 | -0.000 | -0.000 | 50.409 | 0.000 |
| -0.000 | -0.000 | 0.000 | 0.000 | -0.000 | 50.409 |
| 97.415 | 28.332 | 28.332 | 0.000 | 0.000 | 0.000 |
| 28.332 | 97.415 | 28.332 | 0.000 | 0.000 | 0.000 |
| 28.332 | 28.332 | 97.415 | -0.000 | 0.000 | 0.000 |
| -0.000 | 0.000 | 0.000 | 50.409 | 0.000 | 0.000 |
| 0.000 | -0.000 | 0.000 | 0.000 | 50.409 | 0.000 |
| 0.000 | 0.000 | -0.000 | -0.000 | 0.000 | 50.409 |
| 97.414 | 28.329 | 28.329 | -0.000 | -0.000 | -0.000 |
| 28.329 | 97.414 | 28.329 | -0.000 | -0.000 | -0.000 |
| 28.329 | 28.329 | 97.414 | 0.000 | -0.000 | -0.000 |
| 0.000 | -0.002 | -0.002 | 50.409 | -0.000 | -0.000 |
| -0.002 | 0.000 | -0.002 | -0.000 | 50.409 | -0.000 |
| -0.002 | -0.002 | 0.000 | 0.000 | -0.000 | 50.409 |
| 97.416 | 28.334 | 28.334 | -0.000 | 0.000 | 0.000 |
| 28.334 | 97.416 | 28.334 | 0.000 | 0.000 | 0.000 |
| 28.334 | 28.334 | 97.416 | -0.000 | 0.000 | 0.000 |
| -0.000 | 0.002 | 0.002 | 50.409 | 0.000 | -0.000 |
| 0.002 | -0.000 | 0.002 | 0.000 | 50.409 | 0.000 |
| 0.002 | 0.002 | -0.000 | 0.000 | 0.000 | 50.409 |
| 52.693 | 12.445 | 12.445 | 0.000 | -0.000 | 0.000 |
| 12.445 | 52.693 | 12.445 | -0.000 | -0.000 | 0.000 |
| 12.445 | 12.445 | 52.693 | -0.000 | -0.000 | 0.000 |
| -0.000 | -0.000 | -0.000 | 26.970 | -0.000 | 0.000 |
| -0.000 | -0.000 | -0.000 | -0.000 | 26.970 | 0.000 |
| -0.000 | -0.000 | -0.000 | -0.000 | -0.000 | 26.970 |
| 52.693 | 12.445 | 12.445 | 0.000 | 0.000 | 0.000 |
| 12.445 | 52.693 | 12.445 | 0.000 | 0.000 | -0.000 |
| 12.445 | 12.445 | 52.693 | -0.000 | 0.000 | -0.000 |
| 0.000 | 0.000 | 0.000 | 26.970 | 0.000 | 0.000 |
| 0.000 | 0.000 | 0.000 | 0.000 | 26.970 | -0.000 |
| 0.000 | 0.000 | 0.000 | -0.000 | 0.000 | 26.970 |
| 52.693 | 12.445 | 12.445 | -0.000 | -0.000 | 0.000 |
| 12.445 | 52.693 | 12.445 | -0.000 | -0.000 | 0.000 |
| 12.445 | 12.445 | 52.693 | -0.000 | -0.000 | 0.000 |
| -0.000 | -0.000 | -0.000 | 26.970 | -0.000 | 0.000 |
| -0.000 | -0.000 | -0.000 | -0.000 | 26.970 | 0.000 |
| -0.000 | -0.000 | -0.000 | -0.000 | -0.000 | 26.970 |
| 52.693 | 12.445 | 12.445 | 0.000 | 0.000 | -0.000 |
| 12.445 | 52.693 | 12.445 | 0.000 | 0.000 | -0.000 |
| 12.445 | 12.445 | 52.693 | 0.000 | 0.000 | -0.000 |
| 0.000 | 0.000 | 0.000 | 26.970 | 0.000 | -0.000 |
| 0.000 | 0.000 | 0.000 | 0.000 | 26.970 | -0.000 |
| 0.000 | 0.000 | 0.000 | 0.000 | 0.000 | 26.970 |
| 52.691 | 12.444 | 12.444 | 0.000 | -0.000 | 0.000 |
| 12.444 | 52.691 | 12.444 | -0.000 | -0.000 | 0.000 |
| 12.444 | 12.444 | 52.691 | -0.000 | -0.000 | 0.000 |
| -0.000 | -0.000 | -0.000 | 26.970 | -0.000 | 0.000 |
| -0.000 | -0.000 | -0.000 | -0.000 | 26.970 | 0.000 |
| -0.000 | -0.000 | -0.000 | -0.000 | -0.000 | 26.970 |
| 52.694 | 12.445 | 12.445 | 0.000 | 0.000 | -0.000 |
| 12.445 | 52.694 | 12.445 | 0.000 | 0.000 | -0.000 |
| 12.445 | 12.445 | 52.694 | 0.000 | 0.000 | -0.000 |
| 0.000 | 0.000 | 0.000 | 26.970 | 0.000 | -0.000 |
| 0.000 | 0.000 | 0.000 | 0.000 | 26.970 | -0.000 |
| 0.000 | 0.000 | 0.000 | 0.000 | 0.000 | 26.970 |
| 29.357 | 5.744 | 5.744 | -0.000 | -0.000 | -0.000 |
| 5.744 | 29.357 | 5.744 | 0.000 | -0.000 | -0.000 |
| 5.744 | 5.744 | 29.357 | -0.000 | 0.000 | -0.000 |
| 0.000 | 0.000 | 0.000 | 6.068 | -0.000 | -0.000 |
| 0.000 | 0.000 | 0.000 | -0.000 | 6.068 | -0.000 |
| 0.000 | 0.000 | 0.000 | -0.000 | -0.000 | 6.068 |
| 29.357 | 5.744 | 5.744 | -0.000 | -0.000 | 0.000 |
| 5.744 | 29.357 | 5.744 | -0.000 | -0.000 | 0.000 |
| 5.744 | 5.744 | 29.357 | 0.000 | 0.000 | -0.000 |
| -0.000 | -0.000 | -0.000 | 6.068 | 0.000 | -0.000 |
| -0.000 | -0.000 | -0.000 | 0.000 | 6.068 | 0.000 |
| -0.000 | -0.000 | -0.000 | 0.000 | 0.000 | 6.068 |
| 29.356 | 5.744 | 5.744 | 0.000 | 0.000 | -0.000 |
| 5.744 | 29.356 | 5.744 | -0.000 | 0.000 | -0.000 |
| 5.744 | 5.744 | 29.356 | 0.000 | 0.000 | -0.000 |
| 0.000 | 0.000 | 0.000 | 6.068 | 0.000 | -0.000 |
| 0.000 | 0.000 | 0.000 | -0.000 | 6.068 | 0.000 |
| 0.000 | 0.000 | 0.000 | -0.000 | 0.000 | 6.068 |
| 29.357 | 5.744 | 5.744 | -0.000 | -0.000 | 0.000 |
| 5.744 | 29.357 | 5.744 | 0.000 | 0.000 | 0.000 |
| 5.744 | 5.744 | 29.357 | 0.000 | 0.000 | 0.000 |
| -0.000 | -0.000 | -0.000 | 6.068 | 0.000 | 0.000 |
| -0.000 | -0.000 | -0.000 | 0.000 | 6.068 | 0.000 |
| -0.000 | -0.000 | -0.000 | -0.000 | 0.000 | 6.068 |
| 29.353 | 5.745 | 5.745 | -0.000 | -0.000 | -0.000 |
| 5.745 | 29.353 | 5.745 | -0.000 | 0.000 | -0.000 |
| 5.745 | 5.745 | 29.353 | -0.000 | -0.000 | 0.000 |
| 0.002 | 0.002 | 0.002 | 6.068 | -0.000 | -0.000 |
| 0.002 | 0.002 | 0.002 | -0.000 | 6.068 | -0.000 |
| 0.002 | 0.002 | 0.002 | 0.000 | 0.000 | 6.068 |
| 29.360 | 5.742 | 5.742 | -0.000 | 0.000 | -0.000 |
| 5.742 | 29.360 | 5.742 | 0.000 | -0.000 | -0.000 |
| 5.742 | 5.742 | 29.360 | -0.000 | -0.000 | 0.000 |
| -0.002 | -0.002 | -0.002 | 6.068 | -0.000 | 0.000 |
| -0.002 | -0.002 | -0.002 | -0.000 | 6.068 | 0.000 |
| -0.002 | -0.002 | -0.002 | 0.000 | -0.000 | 6.068 |
| -84178785.748 | 9062.980 | 9062.980 | -0.000 | -0.000 | -0.000 |
| 9062.980 | -84178785.748 | 9062.980 | -0.000 | -0.000 | -0.000 |
| 9062.980 | 9062.980 | -84178785.748 | 0.000 | 0.000 | -0.000 |
| 0.000 | 0.000 | 0.000 | 5.249 | -0.000 | -0.000 |
| 0.000 | 0.000 | 0.000 | -0.000 | 5.249 | -0.000 |
| 0.000 | 0.000 | 0.000 | -0.000 | -0.000 | 5.249 |
| 4.515 | 4.340 | 4.340 | 0.000 | 0.000 | 0.000 |
| 4.340 | 4.515 | 4.340 | 0.000 | 0.000 | 0.000 |
| 4.340 | 4.340 | 4.515 | 0.000 | 0.000 | -0.000 |
| -0.000 | -0.000 | -0.000 | 5.249 | 0.000 | 0.000 |
| -0.000 | -0.000 | -0.000 | 0.000 | 5.249 | 0.000 |
| -0.000 | -0.000 | -0.000 | 0.000 | 0.000 | 5.249 |
| -8417920.142 | 910.200 | 910.200 | -0.000 | -0.000 | -0.000 |
| 910.200 | -8417920.142 | 910.200 | -0.000 | -0.000 | -0.000 |
| 910.200 | 910.200 | -8417920.142 | 0.000 | 0.000 | -0.000 |
| 0.000 | 0.000 | 0.000 | 5.249 | -0.000 | -0.000 |
| 0.000 | 0.000 | 0.000 | -0.000 | 5.249 | -0.000 |
| 0.000 | 0.000 | 0.000 | -0.000 | -0.000 | 5.249 |
| 4.515 | 4.340 | 4.340 | 0.000 | 0.000 | -0.000 |
| 4.340 | 4.515 | 4.340 | 0.000 | 0.000 | 0.000 |
| 4.340 | 4.340 | 4.515 | 0.000 | 0.000 | -0.000 |
| -0.000 | -0.000 | -0.000 | 5.249 | 0.000 | 0.000 |
| -0.000 | -0.000 | -0.000 | 0.000 | 5.249 | 0.000 |
| -0.000 | -0.000 | -0.000 | 0.000 | 0.000 | 5.249 |
| -841833.377 | 94.924 | 94.924 | -0.000 | -0.000 | 0.000 |
| 94.924 | -841833.377 | 94.924 | -0.000 | -0.000 | -0.000 |
| 94.924 | 94.924 | -841833.377 | 0.000 | 0.000 | 0.000 |
| 0.002 | 0.002 | 0.002 | 5.249 | -0.000 | 0.000 |
| 0.002 | 0.002 | 0.002 | -0.000 | 5.249 | -0.000 |
| 0.002 | 0.002 | 0.002 | -0.000 | -0.000 | 5.249 |
| 4.513 | 4.338 | 4.338 | 0.000 | 0.000 | 0.000 |
| 4.338 | 4.513 | 4.338 | 0.000 | 0.000 | -0.000 |
| 4.338 | 4.338 | 4.513 | 0.000 | 0.000 | 0.000 |
| -0.002 | -0.002 | -0.002 | 5.249 | -0.000 | 0.000 |
| -0.002 | -0.002 | -0.002 | -0.000 | 5.249 | 0.000 |
| -0.002 | -0.002 | -0.002 | 0.000 | 0.000 | 5.249 |
| -0.784 | -0.784 | -0.784 | 0.000 | -0.000 | 0.000 |
| -0.784 | -0.784 | -0.784 | -0.000 | 0.000 | 0.000 |
| -0.784 | -0.784 | -0.784 | 0.000 | 0.000 | -0.000 |
| 0.000 | 0.000 | 0.000 | -0.678 | 0.000 | -0.000 |
| 0.000 | 0.000 | 0.000 | 0.000 | -0.678 | -0.000 |
| 0.000 | 0.000 | 0.000 | 0.000 | 0.000 | -0.678 |
| -0.784 | -0.784 | -0.784 | -0.000 | 0.000 | 0.000 |
| -0.784 | -0.784 | -0.784 | 0.000 | -0.000 | 0.000 |
| -0.784 | -0.784 | -0.784 | 0.000 | 0.000 | 0.000 |
| -0.000 | -0.000 | -0.000 | -0.678 | -0.000 | -0.000 |
| -0.000 | -0.000 | -0.000 | -0.000 | -0.678 | -0.000 |
| -0.000 | -0.000 | -0.000 | -0.000 | -0.000 | -0.678 |
| -0.784 | -0.784 | -0.784 | 0.000 | -0.000 | -0.000 |
| -0.784 | -0.784 | -0.784 | -0.000 | 0.000 | -0.000 |
| -0.784 | -0.784 | -0.784 | 0.000 | 0.000 | -0.000 |
| 0.000 | 0.000 | 0.000 | -0.678 | 0.000 | -0.000 |
| 0.000 | 0.000 | 0.000 | 0.000 | -0.678 | -0.000 |
| 0.000 | 0.000 | 0.000 | 0.000 | 0.000 | -0.678 |
| -0.784 | -0.784 | -0.784 | -0.000 | 0.000 | 0.000 |
| -0.784 | -0.784 | -0.784 | 0.000 | -0.000 | 0.000 |
| -0.784 | -0.784 | -0.784 | -0.000 | -0.000 | -0.000 |
| -0.000 | -0.000 | -0.000 | -0.678 | -0.000 | -0.000 |
| -0.000 | -0.000 | -0.000 | -0.000 | -0.678 | -0.000 |
| -0.000 | -0.000 | -0.000 | -0.000 | -0.000 | -0.678 |
| -0.783 | -0.783 | -0.783 | 0.000 | 0.000 | -0.000 |
| -0.783 | -0.783 | -0.783 | 0.000 | 0.000 | -0.000 |
| -0.783 | -0.783 | -0.783 | 0.000 | 0.000 | 0.000 |
| 0.001 | 0.001 | 0.001 | -0.678 | 0.000 | -0.000 |
| 0.001 | 0.001 | 0.001 | 0.000 | -0.678 | 0.000 |
| 0.001 | 0.001 | 0.001 | 0.000 | 0.000 | -0.678 |
| -0.785 | -0.785 | -0.785 | -0.000 | 0.000 | 0.000 |
| -0.785 | -0.785 | -0.785 | 0.000 | -0.000 | 0.000 |
| -0.785 | -0.785 | -0.785 | -0.000 | -0.000 | 0.000 |
| -0.001 | -0.001 | -0.001 | -0.678 | -0.000 | 0.000 |
| -0.001 | -0.001 | -0.001 | -0.000 | -0.678 | 0.000 |
| -0.001 | -0.001 | -0.001 | -0.000 | -0.000 | -0.678 |
| 0.666 | 0.756 | 0.756 | -0.000 | -0.000 | 0.000 |
| 0.756 | 0.666 | 0.756 | -0.000 | -0.000 | 0.000 |
| 0.756 | 0.756 | 0.666 | -0.000 | -0.000 | 0.000 |
| -0.000 | -0.000 | -0.000 | 0.668 | -0.000 | 0.000 |
| -0.000 | -0.000 | -0.000 | -0.000 | 0.668 | 0.000 |
| -0.000 | -0.000 | -0.000 | 0.000 | 0.000 | 0.668 |
| 0.666 | 0.756 | 0.756 | 0.000 | -0.000 | -0.000 |
| 0.756 | 0.666 | 0.756 | 0.000 | -0.000 | -0.000 |
| 0.756 | 0.756 | 0.666 | 0.000 | -0.000 | -0.000 |
| 0.000 | 0.000 | 0.000 | 0.668 | 0.000 | -0.000 |
| 0.000 | 0.000 | 0.000 | 0.000 | 0.668 | -0.000 |
| 0.000 | 0.000 | 0.000 | 0.000 | 0.000 | 0.668 |
| 0.666 | 0.756 | 0.756 | -0.000 | -0.000 | 0.000 |
| 0.756 | 0.666 | 0.756 | 0.000 | -0.000 | 0.000 |
| 0.756 | 0.756 | 0.666 | -0.000 | -0.000 | 0.000 |
| -0.000 | -0.000 | -0.000 | 0.668 | -0.000 | 0.000 |
| -0.000 | -0.000 | -0.000 | -0.000 | 0.668 | 0.000 |
| -0.000 | -0.000 | -0.000 | -0.000 | -0.000 | 0.668 |
| 0.667 | 0.756 | 0.756 | 0.000 | -0.000 | 0.000 |
| 0.756 | 0.667 | 0.756 | 0.000 | 0.000 | -0.000 |
| 0.756 | 0.756 | 0.667 | 0.000 | 0.000 | -0.000 |
| 0.000 | 0.000 | 0.000 | 0.668 | 0.000 | -0.000 |
| 0.000 | 0.000 | 0.000 | -0.000 | 0.668 | -0.000 |
| 0.000 | 0.000 | 0.000 | -0.000 | 0.000 | 0.668 |
| 0.665 | 0.754 | 0.754 | 0.000 | -0.000 | 0.000 |
| 0.754 | 0.665 | 0.754 | -0.000 | 0.000 | 0.000 |
| 0.754 | 0.754 | 0.665 | -0.000 | -0.000 | -0.000 |
| -0.002 | -0.002 | -0.002 | 0.668 | -0.000 | 0.000 |
| -0.002 | -0.002 | -0.002 | -0.000 | 0.668 | 0.000 |
| -0.002 | -0.002 | -0.002 | -0.000 | -0.000 | 0.668 |
| 0.668 | 0.758 | 0.758 | 0.000 | 0.000 | 0.000 |
| 0.758 | 0.668 | 0.758 | 0.000 | -0.000 | -0.000 |
| 0.758 | 0.758 | 0.668 | 0.000 | 0.000 | -0.000 |
| 0.002 | 0.002 | 0.002 | 0.668 | 0.000 | -0.000 |
| 0.002 | 0.002 | 0.002 | 0.000 | 0.668 | -0.000 |
| 0.002 | 0.002 | 0.002 | 0.000 | 0.000 | 0.668 |
| 195.790 | 278.441 | 278.441 | -0.000 | -0.000 | 0.000 |
| 278.441 | 195.790 | 278.441 | 0.000 | -0.000 | 0.000 |
| 278.441 | 278.441 | 195.790 | 0.000 | -0.000 | 0.000 |
| 0.000 | -0.000 | 0.000 | -107.650 | -0.000 | 0.000 |
| 0.000 | -0.000 | -0.000 | -0.000 | -107.650 | 0.000 |
| 0.000 | -0.000 | 0.000 | -0.000 | -0.000 | -107.650 |
| 195.790 | 278.441 | 278.441 | -0.000 | 0.000 | 0.000 |
| 278.441 | 195.790 | 278.441 | -0.000 | 0.000 | -0.000 |
| 278.441 | 278.441 | 195.790 | -0.000 | 0.000 | -0.000 |
| -0.000 | -0.000 | 0.000 | -107.650 | 0.000 | -0.000 |
| -0.000 | 0.000 | 0.000 | 0.000 | -107.650 | -0.000 |
| -0.000 | 0.000 | -0.000 | -0.000 | 0.000 | -107.650 |
| 195.791 | 278.441 | 278.441 | 0.000 | -0.000 | 0.000 |
| 278.441 | 195.791 | 278.441 | -0.000 | -0.000 | 0.000 |
| 278.441 | 278.441 | 195.791 | 0.000 | -0.000 | 0.000 |
| -0.000 | 0.000 | -0.000 | -107.650 | 0.000 | 0.000 |
| 0.000 | -0.000 | -0.000 | -0.000 | -107.650 | 0.000 |
| 0.000 | -0.000 | -0.000 | -0.000 | -0.000 | -107.650 |
| 195.790 | 278.441 | 278.441 | -0.000 | 0.000 | -0.000 |
| 278.441 | 195.790 | 278.441 | -0.000 | -0.000 | -0.000 |
| 278.441 | 278.441 | 195.790 | 0.000 | 0.000 | -0.000 |
| -0.000 | -0.000 | 0.000 | -107.650 | 0.000 | -0.000 |
| -0.000 | 0.000 | 0.000 | 0.000 | -107.650 | 0.000 |
| -0.000 | 0.000 | 0.000 | 0.000 | 0.000 | -107.650 |
| 195.793 | 278.441 | 278.441 | 0.000 | -0.000 | 0.000 |
| 278.441 | 195.793 | 278.441 | 0.000 | -0.000 | 0.000 |
| 278.441 | 278.441 | 195.793 | 0.000 | -0.000 | 0.000 |
| -0.000 | 0.000 | -0.000 | -107.650 | -0.000 | 0.000 |
| 0.000 | -0.000 | -0.000 | -0.000 | -107.650 | 0.000 |
| 0.000 | -0.000 | -0.000 | -0.000 | -0.000 | -107.650 |
| 195.788 | 278.440 | 278.440 | -0.000 | 0.000 | -0.000 |
| 278.440 | 195.788 | 278.440 | -0.000 | 0.000 | -0.000 |
| 278.440 | 278.440 | 195.788 | 0.000 | 0.000 | -0.000 |
| 0.000 | -0.000 | 0.000 | -107.650 | 0.000 | -0.000 |
| -0.000 | 0.000 | 0.000 | 0.000 | -107.650 | -0.000 |
| -0.000 | 0.000 | 0.000 | -0.000 | 0.000 | -107.650 |
| 0.777 | 0.777 | 0.777 | -0.000 | -0.000 | -0.000 |
| 0.777 | 0.777 | 0.777 | -0.000 | -0.000 | -0.000 |
| 0.777 | 0.777 | 0.777 | -0.000 | -0.000 | -0.000 |
| -0.000 | -0.000 | -0.000 | 0.873 | 0.000 | 0.000 |
| -0.000 | -0.000 | -0.000 | 0.000 | 0.873 | 0.000 |
| -0.000 | -0.000 | -0.000 | 0.000 | 0.000 | 0.873 |
| 0.777 | 0.777 | 0.777 | 0.000 | 0.000 | 0.000 |
| 0.777 | 0.777 | 0.777 | 0.000 | 0.000 | 0.000 |
| 0.777 | 0.777 | 0.777 | 0.000 | 0.000 | 0.000 |
| 0.000 | 0.000 | 0.000 | 0.873 | -0.000 | -0.000 |
| 0.000 | 0.000 | 0.000 | -0.000 | 0.873 | -0.000 |
| 0.000 | 0.000 | 0.000 | -0.000 | -0.000 | 0.873 |
| 0.777 | 0.777 | 0.777 | -0.000 | -0.000 | -0.000 |
| 0.777 | 0.777 | 0.777 | -0.000 | -0.000 | -0.000 |
| 0.777 | 0.777 | 0.777 | -0.000 | -0.000 | -0.000 |
| -0.000 | -0.000 | -0.000 | 0.417 | -0.000 | -0.000 |
| -0.000 | -0.000 | -0.000 | -0.000 | 0.417 | -0.000 |
| -0.000 | -0.000 | -0.000 | -0.000 | -0.000 | 0.417 |
| 0.777 | 0.777 | 0.777 | 0.000 | -0.000 | -0.000 |
| 0.777 | 0.777 | 0.777 | -0.000 | 0.000 | -0.000 |
| 0.777 | 0.777 | 0.777 | -0.000 | -0.000 | 0.000 |
| 0.000 | 0.000 | 0.000 | 0.417 | 0.000 | 0.000 |
| 0.000 | 0.000 | 0.000 | 0.000 | 0.417 | 0.000 |
| 0.000 | 0.000 | 0.000 | 0.000 | 0.000 | 0.417 |
| 0.777 | 0.777 | 0.777 | -0.000 | -0.000 | -0.000 |
| 0.777 | 0.777 | 0.777 | -0.000 | -0.000 | -0.000 |
| 0.777 | 0.777 | 0.777 | -0.000 | -0.000 | -0.000 |
| -0.000 | -0.000 | -0.000 | 0.199 | -0.000 | -0.000 |
| -0.000 | -0.000 | -0.000 | -0.000 | 0.199 | -0.000 |
| -0.000 | -0.000 | -0.000 | -0.000 | -0.000 | 0.199 |
| 0.777 | 0.777 | 0.777 | 0.000 | 0.000 | 0.000 |
| 0.777 | 0.777 | 0.777 | 0.000 | 0.000 | 0.000 |
| 0.777 | 0.777 | 0.777 | 0.000 | 0.000 | 0.000 |
| 0.000 | 0.000 | 0.000 | 0.199 | 0.000 | 0.000 |
| 0.000 | 0.000 | 0.000 | 0.000 | 0.199 | 0.000 |
| 0.000 | 0.000 | 0.000 | 0.000 | 0.000 | 0.199 |
| -0.063 | -0.063 | -0.063 | 0.000 | -0.000 | -0.000 |
| -0.063 | -0.063 | -0.063 | -0.000 | 0.000 | -0.000 |
| -0.063 | -0.063 | -0.063 | -0.000 | -0.000 | 0.000 |
| 0.000 | 0.000 | 0.000 | -0.063 | -0.000 | -0.000 |
| 0.000 | 0.000 | 0.000 | -0.000 | -0.063 | -0.000 |
| 0.000 | 0.000 | 0.000 | -0.000 | -0.000 | -0.063 |
| -0.063 | -0.063 | -0.063 | 0.000 | 0.000 | 0.000 |
| -0.063 | -0.063 | -0.063 | 0.000 | 0.000 | 0.000 |
| -0.063 | -0.063 | -0.063 | 0.000 | 0.000 | 0.000 |
| -0.000 | -0.000 | -0.000 | -0.063 | -0.000 | 0.000 |
| -0.000 | -0.000 | -0.000 | -0.000 | -0.063 | 0.000 |
| -0.000 | -0.000 | -0.000 | -0.000 | 0.000 | -0.063 |
| -0.063 | -0.063 | -0.063 | 0.000 | -0.000 | -0.000 |
| -0.063 | -0.063 | -0.063 | -0.000 | 0.000 | -0.000 |
| -0.063 | -0.063 | -0.063 | -0.000 | -0.000 | 0.000 |
| 0.000 | 0.000 | 0.000 | -0.066 | -0.000 | -0.000 |
| 0.000 | 0.000 | 0.000 | -0.000 | -0.066 | -0.000 |
| 0.000 | 0.000 | 0.000 | -0.000 | -0.000 | -0.066 |
| -0.063 | -0.063 | -0.063 | -0.000 | 0.000 | 0.000 |
| -0.063 | -0.063 | -0.063 | 0.000 | -0.000 | 0.000 |
| -0.063 | -0.063 | -0.063 | 0.000 | 0.000 | -0.000 |
| -0.000 | -0.000 | -0.000 | -0.066 | 0.000 | 0.000 |
| -0.000 | -0.000 | -0.000 | -0.000 | -0.066 | 0.000 |
| -0.000 | -0.000 | -0.000 | 0.000 | 0.000 | -0.066 |
| -0.063 | -0.063 | -0.063 | 0.000 | -0.000 | -0.000 |
| -0.063 | -0.063 | -0.063 | -0.000 | 0.000 | -0.000 |
| -0.063 | -0.063 | -0.063 | -0.000 | -0.000 | 0.000 |
| 2.509 | 2.509 | 2.509 | -0.004 | 0.000 | 0.000 |
| 2.509 | 2.509 | 2.509 | 0.000 | -0.004 | 0.000 |
| 2.509 | 2.509 | 2.509 | 0.000 | 0.000 | -0.004 |
| -0.063 | -0.063 | -0.063 | 0.000 | 0.000 | 0.000 |
| -0.063 | -0.063 | -0.063 | 0.000 | 0.000 | 0.000 |
| -0.063 | -0.063 | -0.063 | 0.000 | 0.000 | 0.000 |
| -2.509 | -2.509 | -2.509 | -0.004 | -0.000 | -0.000 |
| -2.509 | -2.509 | -2.509 | -0.000 | -0.004 | -0.000 |
| -2.509 | -2.509 | -2.509 | -0.000 | -0.000 | -0.004 |
| 0.167 | 0.190 | 0.190 | -0.000 | -0.000 | -0.000 |
| 0.190 | 0.167 | 0.190 | -0.000 | -0.000 | -0.000 |
| 0.190 | 0.190 | 0.167 | -0.000 | -0.000 | -0.000 |
| -0.000 | -0.000 | -0.000 | 0.167 | 0.000 | 0.000 |
| -0.000 | -0.000 | -0.000 | 0.000 | 0.167 | 0.000 |
| -0.000 | -0.000 | -0.000 | 0.000 | 0.000 | 0.167 |
| 0.167 | 0.190 | 0.190 | -0.000 | -0.000 | -0.000 |
| 0.190 | 0.167 | 0.190 | -0.000 | -0.000 | -0.000 |
| 0.190 | 0.190 | 0.167 | -0.000 | -0.000 | -0.000 |
| 0.000 | 0.000 | 0.000 | 0.167 | 0.000 | -0.000 |
| 0.000 | 0.000 | 0.000 | 0.000 | 0.167 | -0.000 |
| 0.000 | 0.000 | 0.000 | 0.000 | 0.000 | 0.167 |
| 0.167 | 0.190 | 0.190 | 0.000 | -0.000 | -0.000 |
| 0.190 | 0.167 | 0.190 | 0.000 | 0.000 | 0.000 |
| 0.190 | 0.190 | 0.167 | -0.000 | -0.000 | 0.000 |
| -0.000 | -0.000 | -0.000 | 0.108 | -0.000 | -0.000 |
| -0.000 | -0.000 | -0.000 | -0.000 | 0.108 | -0.000 |
| -0.000 | -0.000 | -0.000 | -0.000 | -0.000 | 0.108 |
| 0.167 | 0.190 | 0.190 | 0.000 | 0.000 | 0.000 |
| 0.190 | 0.167 | 0.190 | 0.000 | 0.000 | 0.000 |
| 0.190 | 0.190 | 0.167 | 0.000 | 0.000 | 0.000 |
| 0.000 | 0.000 | 0.000 | 0.108 | 0.000 | 0.000 |
| 0.000 | 0.000 | 0.000 | 0.000 | 0.108 | 0.000 |
| 0.000 | 0.000 | 0.000 | 0.000 | 0.000 | 0.108 |
| 0.167 | 0.189 | 0.189 | -0.000 | -0.000 | -0.000 |
| 0.189 | 0.167 | 0.189 | -0.000 | -0.000 | -0.000 |
| 0.189 | 0.189 | 0.167 | -0.000 | -0.000 | -0.000 |
| -0.000 | -0.000 | -0.000 | -0.005 | -0.000 | -0.000 |
| -0.000 | -0.000 | -0.000 | -0.000 | -0.005 | -0.000 |
| -0.000 | -0.000 | -0.000 | -0.000 | -0.000 | -0.005 |
| 0.168 | 0.190 | 0.190 | -0.000 | -0.000 | -0.000 |
| 0.190 | 0.168 | 0.190 | -0.000 | 0.000 | -0.000 |
| 0.190 | 0.190 | 0.168 | 0.000 | 0.000 | -0.000 |
| 0.000 | 0.000 | 0.000 | -0.005 | 0.000 | 0.000 |
| 0.000 | 0.000 | 0.000 | 0.000 | -0.005 | 0.000 |
| 0.000 | 0.000 | 0.000 | 0.000 | 0.000 | -0.005 |
| 292.578 | 98.608 | 138.144 | -0.000 | 0.000 | 0.000 |
| 98.608 | 292.578 | 138.144 | 0.000 | -0.000 | -0.000 |
| 138.144 | 138.144 | 266.760 | -0.000 | -0.000 | 0.000 |
| 0.000 | -0.000 | 0.000 | 97.813 | -0.000 | 0.000 |
| -0.000 | -0.000 | 0.000 | 0.000 | 97.813 | 0.000 |
| 0.000 | -0.000 | 0.000 | -0.000 | -0.000 | 43.685 |
| 292.578 | 98.608 | 138.144 | 0.000 | -0.000 | -0.000 |
| 98.608 | 292.578 | 138.144 | -0.000 | 0.000 | 0.000 |
| 138.144 | 138.144 | 266.760 | -0.000 | 0.000 | 0.000 |
| -0.000 | 0.000 | -0.000 | 97.813 | 0.000 | -0.000 |
| 0.000 | 0.000 | -0.000 | -0.000 | 97.813 | -0.000 |
| -0.000 | 0.000 | -0.000 | 0.000 | 0.000 | 43.685 |
| 292.578 | 98.608 | 138.144 | -0.000 | -0.000 | 0.000 |
| 98.608 | 292.578 | 138.144 | -0.000 | 0.000 | 0.000 |
| 138.144 | 138.144 | 266.760 | 0.000 | -0.000 | 0.000 |
| 0.000 | -0.000 | 0.000 | 97.813 | 0.000 | 0.000 |
| -0.000 | 0.000 | 0.000 | 0.000 | 97.813 | -0.000 |
| 0.000 | 0.000 | 0.000 | -0.000 | -0.000 | 43.685 |
| 292.578 | 98.608 | 138.144 | 0.000 | 0.000 | -0.000 |
| 98.608 | 292.578 | 138.144 | 0.000 | 0.000 | 0.000 |
| 138.144 | 138.144 | 266.760 | 0.000 | -0.000 | -0.000 |
| -0.000 | 0.000 | -0.000 | 97.813 | -0.000 | -0.000 |
| 0.000 | -0.000 | -0.000 | -0.000 | 97.813 | -0.000 |
| -0.000 | -0.000 | -0.000 | 0.000 | 0.000 | 43.685 |
| 292.580 | 98.608 | 138.144 | -0.000 | 0.000 | -0.000 |
| 98.608 | 292.580 | 138.144 | -0.000 | -0.000 | 0.000 |
| 138.145 | 138.145 | 266.762 | -0.000 | -0.000 | -0.000 |
| 0.000 | -0.000 | 0.000 | 97.813 | -0.000 | -0.000 |
| -0.000 | 0.000 | 0.000 | -0.000 | 97.813 | 0.000 |
| 0.000 | 0.000 | 0.000 | 0.000 | -0.000 | 43.685 |
| 292.577 | 98.608 | 138.145 | -0.000 | -0.000 | -0.000 |
| 98.608 | 292.577 | 138.145 | -0.000 | -0.000 | -0.000 |
| 138.144 | 138.144 | 266.758 | 0.000 | 0.000 | -0.000 |
| -0.000 | 0.000 | -0.000 | 97.813 | 0.000 | -0.000 |
| 0.000 | -0.000 | -0.000 | 0.000 | 97.813 | 0.000 |
| -0.000 | -0.000 | -0.000 | -0.000 | 0.000 | 43.685 |
| 39.648 | 3.826 | 5.089 | 0.000 | 0.000 | -0.000 |
| 3.826 | 39.648 | 5.089 | 0.000 | 0.000 | -0.000 |
| 5.089 | 5.089 | 6.770 | 0.000 | 0.000 | -0.000 |
| -0.000 | -0.000 | -0.000 | 5.694 | 0.000 | 0.000 |
| -0.000 | -0.000 | -0.000 | 0.000 | 5.694 | 0.000 |
| -0.000 | -0.000 | -0.000 | 0.000 | 0.000 | 4.281 |
| 39.648 | 3.826 | 5.089 | 0.000 | -0.000 | 0.000 |
| 3.826 | 39.648 | 5.089 | -0.000 | 0.000 | 0.000 |
| 5.089 | 5.089 | 6.770 | -0.000 | -0.000 | -0.000 |
| 0.000 | 0.000 | 0.000 | 5.694 | -0.000 | -0.000 |
| 0.000 | 0.000 | 0.000 | -0.000 | 5.694 | -0.000 |
| 0.000 | 0.000 | 0.000 | -0.000 | -0.000 | 4.281 |
| 39.648 | 3.825 | 5.089 | 0.000 | 0.000 | -0.000 |
| 3.825 | 39.648 | 5.089 | 0.000 | 0.000 | -0.000 |
| 5.089 | 5.089 | 6.770 | 0.000 | 0.000 | 0.000 |
| -0.000 | -0.000 | -0.000 | 5.694 | 0.000 | -0.000 |
| -0.000 | -0.000 | -0.000 | 0.000 | 5.694 | -0.000 |
| -0.000 | -0.000 | -0.000 | 0.000 | 0.000 | 4.281 |
| 39.647 | 3.826 | 5.089 | -0.000 | -0.000 | 0.000 |
| 3.826 | 39.647 | 5.089 | -0.000 | -0.000 | 0.000 |
| 5.089 | 5.089 | 6.770 | -0.000 | -0.000 | -0.000 |
| 0.000 | 0.000 | 0.000 | 5.694 | -0.000 | -0.000 |
| 0.000 | 0.000 | 0.000 | -0.000 | 5.694 | -0.000 |
| 0.000 | 0.000 | 0.000 | -0.000 | -0.000 | 4.281 |
| 39.653 | 3.825 | 5.089 | 0.000 | 0.000 | -0.000 |
| 3.825 | 39.653 | 5.089 | 0.000 | 0.000 | -0.000 |
| 5.089 | 5.089 | 6.770 | 0.000 | 0.000 | -0.000 |
| -0.000 | -0.000 | -0.000 | 5.694 | 0.000 | -0.000 |
| -0.000 | -0.000 | -0.000 | 0.000 | 5.694 | -0.000 |
| -0.000 | -0.000 | -0.000 | 0.000 | 0.000 | 4.281 |
| 39.643 | 3.826 | 5.089 | -0.000 | -0.000 | -0.000 |
| 3.826 | 39.643 | 5.089 | -0.000 | -0.000 | -0.000 |
| 5.089 | 5.089 | 6.770 | -0.000 | -0.000 | -0.000 |
| 0.000 | 0.000 | 0.000 | 5.694 | -0.000 | -0.000 |
| 0.000 | 0.000 | 0.000 | -0.000 | 5.694 | -0.000 |
| 0.000 | 0.000 | 0.000 | -0.000 | -0.000 | 4.281 |
| 29.870 | -0.533 | -0.977 | 0.000 | 0.000 | 0.000 |
| -0.533 | 29.870 | -0.977 | 0.000 | 0.000 | -0.000 |
| -0.977 | -0.977 | -1.791 | 0.000 | 0.000 | -0.000 |
| 0.000 | 0.000 | 0.000 | -0.849 | 0.000 | -0.000 |
| 0.000 | 0.000 | 0.000 | 0.000 | -0.849 | -0.000 |
| 0.000 | 0.000 | 0.000 | 0.000 | 0.000 | -0.463 |
| 29.870 | -0.533 | -0.977 | -0.000 | -0.000 | 0.000 |
| -0.533 | 29.870 | -0.977 | -0.000 | -0.000 | 0.000 |
| -0.977 | -0.977 | -1.791 | -0.000 | -0.000 | -0.000 |
| -0.000 | -0.000 | -0.000 | -0.849 | -0.000 | 0.000 |
| -0.000 | -0.000 | -0.000 | -0.000 | -0.849 | 0.000 |
| -0.000 | -0.000 | -0.000 | -0.000 | -0.000 | -0.463 |
| 29.870 | -0.533 | -0.977 | 0.000 | 0.000 | -0.000 |
| -0.533 | 29.870 | -0.977 | 0.000 | 0.000 | -0.000 |
| -0.977 | -0.977 | -1.790 | 0.000 | 0.000 | -0.000 |
| 0.000 | 0.000 | 0.000 | -0.849 | 0.000 | -0.000 |
| 0.000 | 0.000 | 0.000 | 0.000 | -0.849 | 0.000 |
| 0.000 | 0.000 | 0.000 | 0.000 | 0.000 | -0.463 |
| 29.869 | -0.533 | -0.977 | -0.000 | -0.000 | 0.000 |
| -0.533 | 29.869 | -0.977 | -0.000 | -0.000 | 0.000 |
| -0.977 | -0.977 | -1.791 | -0.000 | -0.000 | -0.000 |
| -0.000 | -0.000 | -0.000 | -0.849 | -0.000 | 0.000 |
| -0.000 | -0.000 | -0.000 | -0.000 | -0.849 | 0.000 |
| -0.000 | -0.000 | -0.000 | -0.000 | -0.000 | -0.463 |
| 29.874 | -0.532 | -0.976 | 0.000 | 0.000 | -0.000 |
| -0.532 | 29.874 | -0.976 | 0.000 | 0.000 | -0.000 |
| -0.976 | -0.976 | -1.789 | 0.000 | 0.000 | -0.000 |
| 0.001 | 0.001 | 0.001 | -0.849 | 0.000 | -0.000 |
| 0.001 | 0.001 | 0.001 | 0.000 | -0.849 | 0.000 |
| 0.000 | 0.000 | 0.001 | 0.000 | 0.000 | -0.463 |
| 29.865 | -0.533 | -0.977 | -0.000 | -0.000 | -0.000 |
| -0.533 | 29.865 | -0.977 | -0.000 | -0.000 | 0.000 |
| -0.978 | -0.978 | -1.792 | -0.000 | -0.000 | -0.000 |
| -0.001 | -0.001 | -0.001 | -0.849 | -0.000 | 0.000 |
| -0.001 | -0.001 | -0.001 | -0.000 | -0.849 | 0.000 |
| -0.000 | -0.000 | -0.001 | -0.000 | -0.000 | -0.463 |
| 19.884 | 0.000 | 0.000 | 0.000 | 0.000 | -0.000 |
| 0.000 | 19.884 | 0.000 | 0.000 | 0.000 | -0.000 |
| -0.000 | -0.000 | 0.000 | 0.000 | 0.000 | 0.000 |
| 0.000 | -0.000 | 0.000 | 0.000 | 0.000 | 0.000 |
| -0.000 | 0.000 | 0.000 | 0.000 | 0.000 | 0.000 |
| -0.000 | 0.000 | 0.000 | 0.000 | 0.000 | 0.000 |
| 19.884 | 0.000 | -0.000 | -0.000 | -0.000 | 0.000 |
| 0.000 | 19.884 | -0.000 | -0.000 | -0.000 | -0.000 |
| 0.000 | 0.000 | -0.000 | -0.000 | -0.000 | -0.000 |
| -0.000 | 0.000 | -0.000 | -0.000 | -0.000 | -0.000 |
| 0.000 | -0.000 | -0.000 | -0.000 | -0.000 | -0.000 |
| 0.000 | -0.000 | -0.000 | -0.000 | -0.000 | -0.000 |
| 19.884 | 0.000 | 0.000 | 0.000 | 0.000 | -0.000 |
| 0.000 | 19.884 | 0.000 | 0.000 | 0.000 | -0.000 |
| -0.000 | -0.000 | 0.000 | 0.000 | 0.000 | 0.000 |
| 0.000 | -0.000 | 0.000 | 0.000 | 0.000 | 0.000 |
| -0.000 | 0.000 | 0.000 | 0.000 | 0.000 | 0.000 |
| -0.000 | -0.000 | 0.000 | 0.000 | 0.000 | -0.000 |
| 19.884 | 0.000 | -0.000 | -0.000 | -0.000 | 0.000 |
| 0.000 | 19.884 | -0.000 | -0.000 | -0.000 | -0.000 |
| 0.000 | 0.000 | -0.000 | -0.000 | -0.000 | -0.000 |
| -0.000 | 0.000 | -0.000 | -0.000 | -0.000 | -0.000 |
| 0.000 | -0.000 | -0.000 | -0.000 | -0.000 | -0.000 |
| 0.000 | 0.000 | -0.000 | -0.000 | -0.000 | 0.000 |
| 19.887 | 0.000 | 0.000 | 0.000 | 0.000 | -0.000 |
| 0.000 | 19.887 | 0.000 | 0.000 | 0.000 | -0.000 |
| -0.000 | -0.000 | 0.000 | 0.000 | 0.000 | 0.000 |
| 0.000 | -0.000 | 0.000 | 0.000 | 0.000 | 0.000 |
| -0.000 | 0.000 | 0.000 | 0.000 | 0.000 | 0.000 |
| -0.000 | -0.000 | 0.000 | 0.000 | 0.000 | 0.000 |
| 19.881 | 0.000 | -0.000 | -0.000 | -0.000 | 0.000 |
| 0.000 | 19.881 | -0.000 | -0.000 | -0.000 | 0.000 |
| 0.000 | 0.000 | -0.000 | -0.000 | -0.000 | -0.000 |
| -0.000 | 0.000 | -0.000 | -0.000 | -0.000 | -0.000 |
| 0.000 | -0.000 | -0.000 | -0.000 | -0.000 | -0.000 |
| 0.000 | 0.000 | -0.000 | -0.000 | -0.000 | 0.000 |
| -1.042 | -0.556 | -0.912 | 0.000 | 0.000 | -0.000 |
| -0.556 | -1.042 | -0.912 | 0.000 | 0.000 | -0.000 |
| -0.912 | -0.912 | -1.495 | 0.000 | 0.000 | -0.000 |
| 0.000 | 0.000 | 0.000 | -0.789 | 0.000 | -0.000 |
| 0.000 | 0.000 | 0.000 | 0.000 | -0.789 | -0.000 |
| 0.000 | 0.000 | 0.000 | 0.000 | 0.000 | -0.481 |
| -1.042 | -0.556 | -0.912 | -0.000 | -0.000 | 0.000 |
| -0.556 | -1.042 | -0.912 | -0.000 | -0.000 | 0.000 |
| -0.912 | -0.912 | -1.495 | -0.000 | -0.000 | 0.000 |
| -0.000 | -0.000 | -0.000 | -0.789 | 0.000 | 0.000 |
| -0.000 | -0.000 | -0.000 | 0.000 | -0.789 | 0.000 |
| -0.000 | -0.000 | -0.000 | -0.000 | -0.000 | -0.481 |
| -1.042 | -0.556 | -0.911 | 0.000 | 0.000 | -0.000 |
| -0.556 | -1.042 | -0.911 | 0.000 | 0.000 | -0.000 |
| -0.911 | -0.911 | -1.494 | 0.000 | 0.000 | -0.000 |
| 0.000 | 0.000 | 0.000 | -0.789 | 0.000 | -0.000 |
| 0.000 | 0.000 | 0.000 | 0.000 | -0.789 | -0.000 |
| 0.000 | 0.000 | 0.000 | 0.000 | -0.000 | -0.481 |
| -1.043 | -0.556 | -0.912 | 0.000 | -0.000 | 0.000 |
| -0.556 | -1.043 | -0.912 | -0.000 | 0.000 | 0.000 |
| -0.912 | -0.912 | -1.495 | -0.000 | -0.000 | 0.000 |
| -0.000 | -0.000 | -0.000 | -0.789 | 0.000 | 0.000 |
| -0.000 | -0.000 | -0.000 | -0.000 | -0.789 | 0.000 |
| -0.000 | -0.000 | -0.000 | -0.000 | -0.000 | -0.481 |
| -1.040 | -0.556 | -0.911 | -0.000 | -0.000 | -0.000 |
| -0.556 | -1.040 | -0.911 | -0.000 | -0.000 | -0.000 |
| -0.911 | -0.911 | -1.493 | 0.000 | 0.000 | -0.000 |
| 0.001 | 0.001 | 0.001 | -0.789 | 0.000 | -0.000 |
| 0.001 | 0.001 | 0.001 | 0.000 | -0.789 | -0.000 |
| 0.000 | 0.000 | 0.001 | -0.000 | 0.000 | -0.481 |
| -1.045 | -0.556 | -0.912 | -0.000 | -0.000 | 0.000 |
| -0.556 | -1.045 | -0.912 | -0.000 | -0.000 | 0.000 |
| -0.912 | -0.912 | -1.496 | -0.000 | -0.000 | 0.000 |
| -0.001 | -0.001 | -0.001 | -0.789 | 0.000 | 0.000 |
| -0.001 | -0.001 | -0.001 | -0.000 | -0.789 | 0.000 |
| -0.000 | -0.000 | -0.001 | -0.000 | 0.000 | -0.481 |
| 1.106 | 0.179 | 0.356 | 0.000 | 0.000 | -0.000 |
| 0.179 | 1.106 | 0.356 | 0.000 | 0.000 | -0.000 |
| 0.356 | 0.356 | 0.705 | 0.000 | 0.000 | -0.000 |
| 0.000 | 0.000 | 0.000 | 0.356 | -0.000 | 0.000 |
| 0.000 | 0.000 | 0.000 | -0.000 | 0.356 | 0.000 |
| 0.000 | 0.000 | 0.000 | -0.000 | -0.000 | 0.179 |
| 1.106 | 0.179 | 0.356 | -0.000 | -0.000 | 0.000 |
| 0.179 | 1.106 | 0.356 | -0.000 | -0.000 | 0.000 |
| 0.356 | 0.356 | 0.705 | 0.000 | 0.000 | 0.000 |
| -0.000 | -0.000 | -0.000 | 0.356 | -0.000 | -0.000 |
| -0.000 | -0.000 | -0.000 | -0.000 | 0.356 | -0.000 |
| -0.000 | -0.000 | -0.000 | -0.000 | -0.000 | 0.179 |
| 1.106 | 0.179 | 0.356 | 0.000 | -0.000 | -0.000 |
| 0.179 | 1.106 | 0.356 | -0.000 | 0.000 | -0.000 |
| 0.356 | 0.356 | 0.706 | 0.000 | 0.000 | -0.000 |
| 0.000 | 0.000 | 0.000 | 0.356 | 0.000 | 0.000 |
| 0.000 | 0.000 | 0.000 | 0.000 | 0.356 | 0.000 |
| 0.000 | 0.000 | 0.000 | 0.000 | -0.000 | 0.179 |
| 1.106 | 0.179 | 0.356 | -0.000 | -0.000 | -0.000 |
| 0.179 | 1.106 | 0.356 | -0.000 | -0.000 | -0.000 |
| 0.356 | 0.356 | 0.705 | -0.000 | -0.000 | 0.000 |
| -0.000 | -0.000 | -0.000 | 0.356 | 0.000 | -0.000 |
| -0.000 | -0.000 | -0.000 | 0.000 | 0.356 | -0.000 |
| -0.000 | -0.000 | -0.000 | -0.000 | -0.000 | 0.179 |
| 1.103 | 0.180 | 0.356 | 0.000 | 0.000 | 0.000 |
| 0.180 | 1.103 | 0.356 | 0.000 | 0.000 | 0.000 |
| 0.357 | 0.357 | 0.708 | 0.000 | 0.000 | 0.000 |
| 0.001 | 0.001 | 0.001 | 0.356 | -0.000 | 0.000 |
| 0.001 | 0.001 | 0.001 | -0.000 | 0.356 | 0.000 |
| 0.000 | 0.000 | 0.001 | 0.000 | -0.000 | 0.179 |
| 1.109 | 0.179 | 0.355 | -0.000 | 0.000 | -0.000 |
| 0.179 | 1.109 | 0.355 | 0.000 | -0.000 | -0.000 |
| 0.355 | 0.355 | 0.703 | 0.000 | 0.000 | -0.000 |
| -0.001 | -0.001 | -0.001 | 0.356 | -0.000 | -0.000 |
| -0.001 | -0.001 | -0.001 | -0.000 | 0.356 | -0.000 |
| -0.000 | -0.000 | -0.001 | -0.000 | -0.000 | 0.179 |
| 0.693 | 0.769 | 1.323 | -0.000 | -0.000 | 0.000 |
| 0.769 | 0.693 | 1.323 | -0.000 | 0.000 | 0.000 |
| 1.296 | 1.296 | 2.099 | 0.000 | 0.000 | 0.000 |
| -0.000 | -0.000 | -0.000 | 1.194 | 0.000 | 0.000 |
| -0.000 | -0.000 | -0.000 | -0.000 | 1.194 | 0.000 |
| -0.000 | -0.000 | -0.000 | -0.000 | 0.000 | 0.694 |
| 0.693 | 0.769 | 1.323 | 0.000 | -0.000 | -0.000 |
| 0.769 | 0.693 | 1.323 | 0.000 | -0.000 | -0.000 |
| 1.296 | 1.296 | 2.099 | 0.000 | 0.000 | -0.000 |
| 0.000 | 0.000 | 0.000 | 1.194 | -0.000 | -0.000 |
| 0.000 | 0.000 | 0.000 | 0.000 | 1.194 | -0.000 |
| 0.000 | 0.000 | 0.000 | 0.000 | 0.000 | 0.694 |
| 0.693 | 0.769 | 1.323 | -0.000 | -0.000 | 0.000 |
| 0.769 | 0.693 | 1.323 | -0.000 | -0.000 | 0.000 |
| 1.295 | 1.295 | 2.099 | -0.000 | 0.000 | 0.000 |
| -0.000 | -0.000 | -0.000 | 1.194 | 0.000 | 0.000 |
| -0.000 | -0.000 | -0.000 | -0.000 | 1.194 | 0.000 |
| -0.000 | -0.000 | -0.000 | -0.000 | -0.000 | 0.694 |
| 0.693 | 0.769 | 1.323 | 0.000 | 0.000 | -0.000 |
| 0.769 | 0.693 | 1.323 | 0.000 | -0.000 | -0.000 |
| 1.296 | 1.296 | 2.100 | 0.000 | -0.000 | -0.000 |
| 0.000 | 0.000 | 0.000 | 1.194 | 0.000 | -0.000 |
| 0.000 | 0.000 | 0.000 | 0.000 | 1.194 | -0.000 |
| 0.000 | 0.000 | 0.000 | 0.000 | 0.000 | 0.694 |
| 0.692 | 0.768 | 1.322 | -0.000 | -0.000 | 0.000 |
| 0.768 | 0.692 | 1.322 | -0.000 | 0.000 | 0.000 |
| 1.293 | 1.293 | 2.094 | 0.000 | 0.000 | 0.000 |
| -0.002 | -0.002 | -0.003 | 1.194 | 0.000 | -0.000 |
| -0.002 | -0.002 | -0.003 | -0.000 | 1.194 | 0.000 |
| -0.001 | -0.001 | -0.002 | -0.000 | -0.000 | 0.694 |
| 0.694 | 0.770 | 1.325 | 0.000 | 0.000 | 0.000 |
| 0.770 | 0.694 | 1.325 | 0.000 | -0.000 | 0.000 |
| 1.299 | 1.299 | 2.104 | 0.000 | 0.000 | -0.000 |
| 0.002 | 0.002 | 0.003 | 1.194 | 0.000 | -0.000 |
| 0.002 | 0.002 | 0.003 | 0.000 | 1.194 | -0.000 |
| 0.001 | 0.001 | 0.002 | 0.000 | 0.000 | 0.694 |
| 145.095 | 180.771 | 190.966 | 0.000 | -0.000 | 0.000 |
| 180.771 | 325.990 | 13.988 | -0.000 | -0.000 | 0.000 |
| 190.966 | 13.988 | 322.826 | -0.000 | -0.000 | -0.000 |
| 0.000 | -0.000 | -0.000 | -13.017 | -0.000 | 0.000 |
| -0.000 | -0.000 | 0.000 | -0.000 | 161.315 | 0.000 |
| 0.000 | 0.000 | 0.000 | -0.000 | -0.000 | 150.793 |
| 145.095 | 180.771 | 190.966 | 0.000 | 0.000 | -0.000 |
| 180.771 | 325.990 | 13.988 | 0.000 | 0.000 | 0.000 |
| 190.966 | 13.988 | 322.826 | 0.000 | 0.000 | -0.000 |
| -0.000 | 0.000 | 0.000 | -13.017 | 0.000 | -0.000 |
| -0.000 | 0.000 | -0.000 | 0.000 | 161.315 | -0.000 |
| -0.000 | -0.000 | -0.000 | -0.000 | 0.000 | 150.793 |
| 145.095 | 180.771 | 190.966 | -0.000 | -0.000 | 0.000 |
| 180.771 | 325.990 | 13.988 | 0.000 | -0.000 | 0.000 |
| 190.966 | 13.988 | 322.826 | -0.000 | -0.000 | 0.000 |
| -0.000 | 0.000 | 0.000 | -13.017 | 0.000 | 0.000 |
| 0.000 | -0.000 | 0.000 | 0.000 | 161.315 | 0.000 |
| 0.000 | 0.000 | 0.000 | 0.000 | -0.000 | 150.793 |
| 145.094 | 180.771 | 190.966 | 0.000 | 0.000 | -0.000 |
| 180.770 | 325.990 | 13.988 | 0.000 | 0.000 | -0.000 |
| 190.966 | 13.988 | 322.826 | 0.000 | 0.000 | -0.000 |
| 0.000 | -0.000 | -0.000 | -13.017 | -0.000 | -0.000 |
| -0.000 | 0.000 | -0.000 | -0.000 | 161.315 | -0.000 |
| -0.000 | -0.000 | -0.000 | -0.000 | 0.000 | 150.793 |
| 145.096 | 180.771 | 190.966 | -0.000 | -0.000 | 0.000 |
| 180.772 | 325.993 | 13.988 | -0.000 | -0.000 | -0.000 |
| 190.968 | 13.988 | 322.829 | -0.000 | -0.000 | 0.000 |
| -0.000 | 0.000 | 0.000 | -13.017 | -0.000 | 0.000 |
| 0.001 | -0.000 | 0.002 | 0.000 | 161.315 | 0.000 |
| 0.001 | 0.002 | 0.000 | 0.000 | -0.000 | 150.793 |
| 145.094 | 180.770 | 190.965 | 0.000 | 0.000 | -0.000 |
| 180.769 | 325.987 | 13.988 | -0.000 | 0.000 | -0.000 |
| 190.964 | 13.988 | 322.823 | 0.000 | 0.000 | -0.000 |
| 0.000 | -0.000 | -0.000 | -13.017 | 0.000 | 0.000 |
| -0.001 | 0.000 | -0.002 | 0.000 | 161.315 | -0.000 |
| -0.001 | -0.002 | -0.000 | 0.000 | 0.000 | 150.793 |
| 17350.032 | 203204.234 | -7692957.925 | -0.000 | 0.000 | -0.000 |
| 181.348 | 299.545 | 71.021 | -0.000 | 0.000 | -0.000 |
| 17467.595 | 203098.577 | -7692858.517 | -0.000 | 0.000 | -0.000 |
| -0.000 | 0.000 | 0.000 | 43.989 | -0.000 | 0.000 |
| 8870.397 | 101502.985 | -3842732.627 | 0.000 | -1067654.822 | -0.000 |
| 0.000 | 0.000 | 0.000 | 0.000 | 0.000 | 135.402 |
| 76.197 | 176.654 | 189.696 | 0.000 | -0.000 | 0.000 |
| 181.348 | 299.545 | 71.021 | 0.000 | -0.000 | 0.000 |
| 194.532 | 71.162 | 293.909 | 0.000 | -0.000 | 0.000 |
| 0.000 | -0.000 | -0.000 | 43.989 | 0.000 | 0.000 |
| -8870.397 | -101502.985 | 3842732.627 | -0.000 | -1067654.822 | 0.000 |
| -0.000 | -0.000 | -0.000 | -0.000 | -0.000 | 135.402 |
| 1803.525 | 20479.413 | -769125.886 | -0.000 | 0.000 | -0.000 |
| 181.348 | 299.545 | 71.021 | 0.000 | -0.000 | -0.000 |
| 1921.088 | 20373.756 | -769026.476 | -0.000 | 0.000 | 0.000 |
| -0.000 | 0.000 | 0.000 | 43.989 | -0.000 | -0.000 |
| 886.962 | 10150.278 | -384273.897 | -0.000 | -106626.818 | -0.000 |
| 0.000 | 0.000 | -0.000 | -0.000 | 0.000 | 135.402 |
| 76.197 | 176.654 | 189.696 | 0.000 | -0.000 | 0.000 |
| 181.348 | 299.545 | 71.021 | -0.000 | -0.000 | 0.000 |
| 194.532 | 71.162 | 293.908 | 0.000 | -0.000 | 0.000 |
| 0.000 | -0.000 | -0.000 | 43.989 | 0.000 | 0.000 |
| -886.962 | -10150.278 | 384273.897 | 0.000 | -106626.818 | 0.000 |
| -0.000 | -0.000 | 0.000 | 0.000 | -0.000 | 135.402 |
| 248.876 | 2206.931 | -76742.681 | 0.000 | 0.000 | -0.000 |
| 181.349 | 299.547 | 71.021 | -0.000 | 0.000 | -0.000 |
| 366.440 | 2101.274 | -76643.252 | -0.000 | 0.000 | -0.000 |
| -0.000 | 0.001 | 0.000 | 43.989 | 0.000 | -0.000 |
| 88.619 | 1015.007 | -38428.022 | -0.000 | -10524.018 | -0.000 |
| 0.001 | 0.002 | -0.000 | -0.000 | 0.000 | 135.402 |
| 76.195 | 176.653 | 189.695 | 0.000 | -0.000 | 0.000 |
| 181.347 | 299.543 | 71.020 | 0.000 | -0.000 | 0.000 |
| 194.531 | 71.162 | 293.906 | 0.000 | -0.000 | 0.000 |
| 0.000 | -0.001 | -0.000 | 43.989 | -0.000 | -0.000 |
| -88.619 | -1015.007 | 38428.022 | 0.000 | -10524.018 | 0.000 |
| -0.001 | -0.002 | 0.000 | 0.000 | -0.000 | 135.402 |
| 315.028 | 137.190 | 112.265 | -21.003 | 0.000 | -0.000 |
| 137.190 | 315.028 | 112.265 | 21.003 | -0.000 | -0.000 |
| 112.265 | 112.265 | 313.446 | 0.000 | -0.000 | 0.000 |
| -21.003 | 21.003 | 0.000 | 74.641 | -0.000 | -0.000 |
| 0.000 | -0.000 | 0.000 | 0.000 | 74.641 | -21.003 |
| 0.000 | 0.000 | 0.000 | 0.000 | -21.003 | 88.919 |
| 315.028 | 137.190 | 112.265 | -21.003 | 0.000 | 0.000 |
| 137.190 | 315.028 | 112.265 | 21.003 | 0.000 | 0.000 |
| 112.265 | 112.265 | 313.446 | -0.000 | -0.000 | 0.000 |
| -21.003 | 21.003 | -0.000 | 74.641 | -0.000 | 0.000 |
| -0.000 | 0.000 | -0.000 | 0.000 | 74.641 | -21.003 |
| -0.000 | -0.000 | -0.000 | -0.000 | -21.003 | 88.919 |
| 315.029 | 137.190 | 112.265 | -21.003 | -0.000 | -0.000 |
| 137.190 | 315.029 | 112.265 | 21.003 | 0.000 | -0.000 |
| 112.265 | 112.265 | 313.446 | 0.000 | -0.000 | -0.000 |
| -21.003 | 21.003 | 0.000 | 74.641 | -0.000 | -0.000 |
| 0.000 | 0.000 | 0.000 | 0.000 | 74.641 | -21.003 |
| 0.000 | 0.000 | 0.000 | 0.000 | -21.003 | 88.919 |
| 315.028 | 137.190 | 112.265 | -21.003 | 0.000 | 0.000 |
| 137.190 | 315.028 | 112.265 | 21.003 | -0.000 | 0.000 |
| 112.265 | 112.265 | 313.445 | -0.000 | 0.000 | -0.000 |
| -21.003 | 21.003 | -0.000 | 74.641 | -0.000 | -0.000 |
| -0.000 | -0.000 | -0.000 | -0.000 | 74.641 | -21.003 |
| -0.000 | -0.000 | -0.000 | -0.000 | -21.003 | 88.919 |
| 315.031 | 137.190 | 112.265 | -21.002 | -0.000 | 0.000 |
| 137.190 | 315.031 | 112.265 | 21.002 | -0.000 | -0.000 |
| 112.266 | 112.266 | 313.448 | 0.000 | -0.000 | 0.000 |
| -21.003 | 21.003 | 0.001 | 74.641 | -0.000 | -0.000 |
| 0.001 | 0.000 | 0.001 | 0.000 | 74.641 | -21.003 |
| 0.000 | 0.001 | 0.000 | 0.000 | -21.003 | 88.919 |
| 315.026 | 137.189 | 112.264 | -21.003 | 0.000 | 0.000 |
| 137.189 | 315.026 | 112.264 | 21.003 | -0.000 | 0.000 |
| 112.264 | 112.264 | 313.444 | -0.000 | -0.000 | 0.000 |
| -21.003 | 21.002 | -0.001 | 74.641 | 0.000 | 0.000 |
| -0.001 | -0.000 | -0.001 | -0.000 | 74.641 | -21.003 |
| -0.000 | -0.001 | -0.000 | -0.000 | -21.003 | 88.919 |
| 334.054 | 117.820 | 116.533 | 0.000 | 0.000 | -0.000 |
| 116.851 | 294.005 | 139.074 | 0.000 | -0.000 | -0.000 |
| 109.565 | 139.582 | 310.698 | -0.000 | 0.000 | -0.000 |
| 2.041 | 4.412 | 0.007 | 71.860 | 0.000 | -0.000 |
| 1.480 | 3.200 | 0.005 | 0.000 | 63.697 | -0.000 |
| 1.184 | 2.559 | 0.004 | 0.000 | 0.000 | 65.553 |
| 334.054 | 117.820 | 116.533 | -0.000 | 0.000 | 0.000 |
| 118.417 | 284.585 | 146.977 | 0.000 | 0.000 | 0.000 |
| 110.844 | 136.299 | 314.433 | -0.000 | 0.000 | -0.000 |
| -2.041 | -4.412 | -0.007 | 71.860 | -0.000 | 0.000 |
| -1.480 | -3.200 | -0.005 | -0.000 | 63.697 | 0.000 |
| -1.184 | -2.559 | -0.004 | -0.000 | -0.000 | 65.553 |
| 330.003 | 117.906 | 111.065 | 0.000 | 0.000 | -0.000 |
| 118.496 | 288.682 | 144.556 | -0.000 | 0.000 | -0.000 |
| 115.885 | 137.692 | 320.312 | 0.000 | 0.000 | 0.000 |
| 0.226 | 0.488 | 0.001 | 70.508 | 0.000 | -0.000 |
| 0.156 | 0.338 | 0.001 | -0.000 | 63.373 | -0.000 |
| 0.000 | 0.000 | 0.000 | 0.000 | 0.000 | 65.553 |
| 334.054 | 117.820 | 116.533 | -0.000 | -0.000 | 0.000 |
| 118.775 | 297.817 | 139.295 | -0.000 | -0.000 | 0.000 |
| 110.630 | 142.801 | 310.136 | -0.000 | 0.000 | 0.000 |
| -0.226 | -0.488 | -0.001 | 70.508 | 0.000 | 0.000 |
| -0.156 | -0.338 | -0.001 | 0.000 | 63.373 | 0.000 |
| -0.000 | -0.000 | -0.000 | -0.000 | -0.000 | 65.553 |
| 334.055 | 117.821 | 116.533 | 0.000 | -0.000 | -0.000 |
| 118.775 | 297.819 | 139.295 | 0.000 | -0.000 | -0.000 |
| 110.525 | 137.564 | 313.228 | 0.000 | 0.000 | -0.000 |
| 0.001 | 0.038 | -0.022 | 70.274 | 0.000 | -0.000 |
| 0.000 | 0.000 | 0.000 | -0.000 | 69.495 | -0.000 |
| 0.012 | 0.026 | 0.000 | -0.000 | 0.000 | 65.553 |
| 329.994 | 117.496 | 111.306 | 0.000 | -0.000 | 0.000 |
| 118.775 | 297.815 | 139.294 | -0.000 | 0.000 | 0.000 |
| 110.636 | 143.136 | 309.937 | 0.000 | 0.000 | 0.000 |
| -0.001 | -0.038 | 0.022 | 70.274 | -0.000 | 0.000 |
| -0.000 | -0.000 | -0.000 | 0.000 | 69.495 | 0.000 |
| -0.012 | -0.026 | -0.000 | 0.000 | -0.000 | 65.553 |
| 375.839 | 233.170 | 77.837 | -0.000 | 0.000 | -0.000 |
| 165.168 | 424.432 | 112.595 | -0.000 | 0.000 | 0.000 |
| 155.269 | 258.030 | 258.703 | -0.000 | 0.000 | 0.000 |
| 47.665 | 115.660 | -29.761 | 70.122 | 0.000 | 0.000 |
| 0.000 | 0.000 | 0.000 | 0.000 | 68.859 | -0.000 |
| 47.664 | 115.666 | -29.768 | -0.000 | 0.000 | 65.209 |
| 332.412 | 118.013 | 113.727 | 0.000 | 0.000 | -0.000 |
| 118.013 | 316.985 | 135.780 | 0.000 | 0.000 | 0.000 |
| 113.727 | 135.780 | 303.885 | 0.000 | 0.000 | -0.000 |
| -47.665 | -115.660 | 29.761 | 70.122 | -0.000 | -0.000 |
| -0.000 | -0.000 | -0.000 | 0.000 | 68.859 | 0.000 |
| -47.664 | -115.666 | 29.768 | 0.000 | -0.000 | 65.209 |
| 332.941 | 129.070 | 104.628 | 0.000 | 0.000 | -0.000 |
| 122.432 | 319.731 | 140.178 | -0.000 | -0.000 | -0.000 |
| 112.372 | 153.931 | 285.495 | -0.000 | 0.000 | -0.000 |
| 0.000 | 0.000 | 0.000 | 82.976 | -0.000 | -0.000 |
| 7.628 | 7.034 | 5.533 | -0.000 | 66.143 | -0.000 |
| 0.000 | 0.000 | 0.000 | -0.000 | 0.000 | 65.209 |
| 323.408 | 105.937 | 110.582 | 0.000 | -0.000 | -0.000 |
| 112.737 | 297.199 | 145.341 | 0.000 | -0.000 | -0.000 |
| 102.839 | 130.797 | 291.448 | 0.000 | 0.000 | 0.000 |
| -0.000 | -0.000 | -0.000 | 82.976 | -0.000 | 0.000 |
| -7.628 | -7.034 | -5.533 | 0.000 | 66.143 | -0.000 |
| -0.000 | -0.000 | -0.000 | 0.000 | 0.000 | 65.209 |
| 332.412 | 118.013 | 113.728 | -0.000 | -0.000 | -0.000 |
| 117.980 | 309.925 | 142.066 | -0.000 | 0.000 | -0.000 |
| 108.082 | 143.521 | 288.177 | 0.000 | 0.000 | 0.000 |
| 0.000 | 0.000 | 0.001 | 82.976 | -0.000 | 0.000 |
| 0.485 | 1.034 | -0.175 | -0.000 | 62.473 | -0.000 |
| 0.477 | 1.157 | -0.298 | -0.000 | 0.000 | 65.209 |
| 327.698 | 116.347 | 107.902 | 0.000 | 0.000 | -0.000 |
| 114.174 | 311.316 | 134.904 | 0.000 | 0.000 | -0.000 |
| 107.160 | 134.926 | 294.452 | 0.000 | 0.000 | 0.000 |
| -0.000 | -0.000 | -0.001 | 82.976 | 0.000 | 0.000 |
| -0.485 | -1.034 | 0.175 | 0.000 | 62.473 | 0.000 |
| -0.477 | -1.157 | 0.298 | 0.000 | 0.000 | 65.209 |
| 126.455 | 65.770 | 25.043 | -0.000 | -0.000 | 0.000 |
| 65.770 | 126.455 | 25.043 | -0.000 | -0.000 | 0.000 |
| 25.043 | 25.043 | 216.441 | -0.000 | -0.000 | 0.000 |
| 0.000 | 0.000 | 0.000 | 9.529 | -0.000 | 0.000 |
| 0.000 | 0.000 | 0.000 | 0.000 | 9.529 | -0.000 |
| 0.000 | -0.000 | -0.000 | -0.000 | -0.000 | 7.576 |
| 139.940 | 52.285 | 25.043 | 0.000 | 0.000 | 0.000 |
| 52.285 | 139.940 | 25.043 | 0.000 | -0.000 | -0.000 |
| 25.043 | 25.043 | 216.441 | 0.000 | 0.000 | -0.000 |
| -0.000 | -0.000 | -0.000 | 9.529 | 0.000 | 0.000 |
| -0.000 | -0.000 | -0.000 | 0.000 | 9.529 | -0.000 |
| -0.000 | 0.000 | -0.000 | 0.000 | 0.000 | 7.576 |
| 126.455 | 65.770 | 25.043 | -0.000 | -0.000 | 0.000 |
| 52.285 | 139.940 | 25.043 | -0.000 | -0.000 | -0.000 |
| 25.043 | 25.043 | 216.441 | -0.000 | 0.000 | 0.000 |
| 0.000 | 0.000 | 0.000 | 9.529 | -0.000 | -0.000 |
| 0.000 | 0.000 | 0.000 | -0.000 | 9.529 | 0.000 |
| 0.000 | 0.000 | 0.000 | -0.000 | -0.000 | 30.342 |
| 139.940 | 52.285 | 25.043 | 0.000 | -0.000 | -0.000 |
| 52.285 | 139.940 | 25.043 | 0.000 | 0.000 | -0.000 |
| 25.043 | 25.043 | 216.440 | 0.000 | 0.000 | 0.000 |
| -0.000 | -0.000 | -0.000 | 9.529 | 0.000 | -0.000 |
| -0.000 | -0.000 | -0.000 | 0.000 | 9.529 | 0.000 |
| -0.000 | -0.000 | -0.000 | 0.000 | 0.000 | 30.342 |
| 126.458 | 65.771 | 25.043 | -0.000 | -0.000 | -0.000 |
| 65.771 | 126.457 | 25.043 | -0.000 | -0.000 | 0.000 |
| 25.043 | 25.043 | 216.445 | -0.000 | -0.000 | 0.000 |
| 0.000 | 0.000 | 0.000 | 9.529 | -0.000 | -0.000 |
| 0.000 | 0.000 | 0.000 | -0.000 | 9.529 | 0.000 |
| 0.001 | 0.000 | 0.000 | -0.000 | -0.000 | 43.828 |
| 120.761 | 71.460 | 25.043 | 0.000 | 0.000 | -0.000 |
| 52.284 | 139.937 | 25.043 | 0.000 | -0.000 | 0.000 |
| 25.043 | 25.043 | 216.436 | 0.000 | 0.000 | -0.000 |
| -0.000 | -0.000 | -0.000 | 9.529 | 0.000 | -0.000 |
| -0.000 | -0.000 | -0.000 | -0.000 | 9.529 | 0.000 |
| -0.001 | -0.000 | -0.000 | 0.000 | 0.000 | 43.828 |
| 265.459 | 123.505 | 85.766 | -0.000 | 0.000 | -0.000 |
| 111.106 | 277.858 | 85.766 | 0.000 | -0.000 | -0.000 |
| 85.766 | 85.766 | 287.641 | -0.000 | -0.000 | -0.000 |
| -0.000 | 0.000 | -0.000 | 62.429 | -0.000 | -0.000 |
| -0.000 | 0.000 | -0.000 | -0.000 | 62.429 | -0.000 |
| -0.000 | 0.000 | -0.000 | -0.000 | 0.000 | 83.376 |
| 277.858 | 111.106 | 85.766 | 0.000 | -0.000 | 0.000 |
| 111.106 | 277.858 | 85.766 | -0.000 | -0.000 | -0.000 |
| 85.766 | 85.766 | 287.641 | -0.000 | -0.000 | 0.000 |
| 0.000 | -0.000 | 0.000 | 62.429 | -0.000 | 0.000 |
| 0.000 | -0.000 | 0.000 | 0.000 | 62.429 | 0.000 |
| -0.000 | -0.000 | 0.000 | 0.000 | -0.000 | 83.376 |
| 265.459 | 123.505 | 85.766 | -0.000 | 0.000 | -0.000 |
| 111.106 | 277.858 | 85.766 | -0.000 | 0.000 | 0.000 |
| 85.766 | 85.766 | 287.642 | -0.000 | 0.000 | -0.000 |
| 0.000 | 0.000 | 0.000 | 62.429 | -0.000 | -0.000 |
| 0.000 | 0.000 | 0.000 | -0.000 | 62.429 | -0.000 |
| 0.000 | 0.000 | 0.000 | 0.000 | 0.000 | 83.376 |
| 277.858 | 111.106 | 85.765 | 0.000 | -0.000 | 0.000 |
| 123.505 | 265.458 | 85.765 | 0.000 | -0.000 | 0.000 |
| 85.766 | 85.766 | 287.641 | 0.000 | -0.000 | 0.000 |
| -0.000 | -0.000 | -0.000 | 62.429 | 0.000 | 0.000 |
| -0.000 | -0.000 | -0.000 | 0.000 | 62.429 | 0.000 |
| -0.000 | -0.000 | -0.000 | 0.000 | -0.000 | 83.376 |
| 265.461 | 123.505 | 85.766 | 0.000 | 0.000 | -0.000 |
| 111.106 | 277.859 | 85.766 | -0.000 | -0.000 | -0.000 |
| 85.766 | 85.766 | 287.643 | -0.000 | 0.000 | -0.000 |
| 0.000 | 0.000 | 0.000 | 62.429 | 0.000 | -0.000 |
| 0.000 | 0.000 | 0.000 | -0.000 | 62.429 | -0.000 |
| 0.000 | 0.000 | 0.000 | -0.000 | 0.000 | 70.977 |
| 265.456 | 123.505 | 85.765 | 0.000 | -0.000 | 0.000 |
| 123.505 | 265.456 | 85.765 | -0.000 | -0.000 | 0.000 |
| 85.765 | 85.765 | 287.640 | 0.000 | 0.000 | 0.000 |
| -0.000 | -0.000 | -0.000 | 62.429 | -0.000 | 0.000 |
| -0.000 | -0.000 | -0.000 | 0.000 | 62.429 | 0.000 |
| -0.000 | -0.000 | -0.000 | 0.000 | -0.000 | 70.977 |
| 137.140 | 124.262 | 124.262 | 0.000 | -0.000 | 0.000 |
| 124.262 | 137.140 | 124.262 | 0.000 | -0.000 | 0.000 |
| 124.262 | 124.262 | 137.140 | -0.000 | -0.000 | 0.000 |
| -0.000 | 0.000 | 0.000 | -8.241 | -0.000 | 0.000 |
| -0.000 | 0.000 | 0.000 | -0.000 | -8.241 | 0.000 |
| -0.000 | 0.000 | 0.000 | -0.000 | -0.000 | -8.241 |
| 137.140 | 124.262 | 124.262 | 0.000 | 0.000 | -0.000 |
| 124.262 | 137.140 | 124.262 | -0.000 | -0.000 | -0.000 |
| 124.262 | 124.262 | 137.140 | -0.000 | 0.000 | -0.000 |
| 0.000 | -0.000 | -0.000 | -8.241 | 0.000 | -0.000 |
| 0.000 | -0.000 | -0.000 | 0.000 | -8.241 | -0.000 |
| 0.000 | -0.000 | -0.000 | 0.000 | 0.000 | -8.241 |
| 137.140 | 124.262 | 124.262 | 0.000 | -0.000 | 0.000 |
| 124.262 | 137.140 | 124.262 | 0.000 | -0.000 | 0.000 |
| 124.262 | 124.262 | 137.140 | 0.000 | -0.000 | 0.000 |
| 0.000 | -0.000 | -0.000 | -8.241 | -0.000 | 0.000 |
| -0.000 | 0.000 | -0.000 | 0.000 | -8.241 | 0.000 |
| -0.000 | -0.000 | 0.000 | 0.000 | -0.000 | -8.241 |
| 137.140 | 124.262 | 124.262 | 0.000 | 0.000 | -0.000 |
| 124.262 | 137.140 | 124.262 | -0.000 | 0.000 | -0.000 |
| 124.262 | 124.262 | 137.140 | -0.000 | -0.000 | -0.000 |
| -0.000 | 0.000 | 0.000 | -8.241 | 0.000 | -0.000 |
| 0.000 | -0.000 | 0.000 | -0.000 | -8.241 | -0.000 |
| 0.000 | 0.000 | -0.000 | -0.000 | 0.000 | -8.241 |
| 137.140 | 124.262 | 124.262 | 0.000 | -0.000 | -0.000 |
| 124.262 | 137.140 | 124.262 | 0.000 | -0.000 | 0.000 |
| 124.262 | 124.262 | 137.140 | 0.000 | -0.000 | 0.000 |
| 0.000 | -0.000 | -0.000 | -8.241 | -0.000 | 0.000 |
| -0.000 | 0.000 | -0.000 | 0.000 | -8.241 | 0.000 |
| -0.000 | -0.000 | 0.000 | 0.000 | -0.000 | -8.241 |
| 137.140 | 124.261 | 124.261 | -0.000 | 0.000 | -0.000 |
| 124.261 | 137.140 | 124.261 | -0.000 | 0.000 | -0.000 |
| 124.261 | 124.261 | 137.140 | 0.000 | 0.000 | 0.000 |
| -0.000 | 0.000 | 0.000 | -8.241 | 0.000 | -0.000 |
| 0.000 | -0.000 | 0.000 | 0.000 | -8.241 | -0.000 |
| 0.000 | 0.000 | -0.000 | -0.000 | 0.000 | -8.241 |
| 6.314 | 2.248 | 2.248 | -0.000 | -0.000 | -0.000 |
| 2.248 | 6.314 | 2.248 | -0.000 | -0.000 | 0.000 |
| 2.248 | 2.248 | 6.314 | -0.000 | -0.000 | -0.000 |
| 0.000 | 0.000 | 0.000 | 2.341 | 0.000 | 0.000 |
| 0.000 | 0.000 | 0.000 | 0.000 | 2.341 | 0.000 |
| 0.000 | 0.000 | 0.000 | 0.000 | 0.000 | 2.341 |
| 6367603.925 | 1047.130 | 1047.130 | -0.000 | -0.000 | -0.000 |
| 1047.130 | 6367603.925 | 1047.130 | -0.000 | -0.000 | -0.000 |
| 1047.130 | 1047.130 | 6367603.925 | -0.000 | -0.000 | -0.000 |
| -0.000 | -0.000 | -0.000 | 2.341 | -0.000 | -0.000 |
| -0.000 | -0.000 | -0.000 | -0.000 | 2.341 | 0.000 |
| -0.000 | -0.000 | -0.000 | -0.000 | 0.000 | 2.341 |
| 6.312 | 2.248 | 2.248 | 0.000 | 0.000 | 0.000 |
| 2.248 | 6.312 | 2.248 | 0.000 | -0.000 | 0.000 |
| 2.248 | 2.248 | 6.312 | 0.000 | 0.000 | 0.000 |
| 0.000 | 0.000 | 0.000 | 2.341 | 0.000 | 0.000 |
| 0.000 | 0.000 | 0.000 | 0.000 | 2.341 | -0.000 |
| 0.000 | 0.000 | 0.000 | -0.000 | 0.000 | 2.341 |
| 636762.375 | 106.737 | 106.737 | -0.000 | -0.000 | -0.000 |
| 106.737 | 636762.375 | 106.737 | -0.000 | -0.000 | -0.000 |
| 106.737 | 106.737 | 636762.375 | -0.000 | -0.000 | -0.000 |
| -0.000 | -0.000 | -0.000 | 2.341 | -0.000 | 0.000 |
| -0.000 | -0.000 | -0.000 | -0.000 | 2.341 | -0.000 |
| -0.000 | -0.000 | -0.000 | 0.000 | 0.000 | 2.341 |
| 6.297 | 2.249 | 2.249 | 0.000 | 0.000 | 0.000 |
| 2.249 | 6.297 | 2.249 | 0.000 | 0.000 | -0.000 |
| 2.249 | 2.249 | 6.297 | 0.000 | 0.000 | 0.000 |
| 0.001 | 0.001 | 0.001 | 2.341 | 0.000 | 0.000 |
| 0.001 | 0.001 | 0.001 | 0.000 | 2.341 | 0.000 |
| 0.001 | 0.001 | 0.001 | 0.000 | -0.000 | 2.341 |
| 63678.219 | 12.697 | 12.697 | 0.000 | 0.000 | 0.000 |
| 12.697 | 63678.219 | 12.697 | 0.000 | 0.000 | -0.000 |
| 12.697 | 12.697 | 63678.219 | -0.000 | -0.000 | 0.000 |
| -0.001 | -0.001 | -0.001 | 2.341 | -0.000 | -0.000 |
| -0.001 | -0.001 | -0.001 | -0.000 | 2.341 | 0.000 |
| -0.001 | -0.001 | -0.001 | -0.000 | 0.000 | 2.341 |
| 0.334 | 0.379 | 0.379 | 0.000 | 0.000 | 0.000 |
| 0.379 | 0.334 | 0.379 | -0.000 | 0.000 | 0.000 |
| 0.379 | 0.379 | 0.334 | 0.000 | 0.000 | 0.000 |
| -0.000 | -0.000 | -0.000 | 0.312 | 0.000 | 0.000 |
| -0.000 | -0.000 | -0.000 | 0.000 | 0.312 | 0.000 |
| -0.000 | -0.000 | -0.000 | 0.000 | 0.000 | 0.312 |
| 0.334 | 0.379 | 0.379 | -0.000 | -0.000 | -0.000 |
| 0.379 | 0.334 | 0.379 | 0.000 | -0.000 | 0.000 |
| 0.379 | 0.379 | 0.334 | -0.000 | -0.000 | -0.000 |
| 0.000 | 0.000 | 0.000 | 0.312 | -0.000 | -0.000 |
| 0.000 | 0.000 | 0.000 | -0.000 | 0.312 | -0.000 |
| 0.000 | 0.000 | 0.000 | -0.000 | -0.000 | 0.312 |
| 0.334 | 0.379 | 0.379 | 0.000 | 0.000 | 0.000 |
| 0.379 | 0.334 | 0.379 | 0.000 | 0.000 | 0.000 |
| 0.379 | 0.379 | 0.334 | 0.000 | 0.000 | 0.000 |
| -0.000 | -0.000 | -0.000 | 0.291 | 0.000 | 0.000 |
| -0.000 | -0.000 | -0.000 | 0.000 | 0.291 | 0.000 |
| -0.000 | -0.000 | -0.000 | 0.000 | 0.000 | 0.291 |
| 0.335 | 0.379 | 0.379 | -0.000 | -0.000 | -0.000 |
| 0.379 | 0.335 | 0.379 | -0.000 | -0.000 | -0.000 |
| 0.379 | 0.379 | 0.335 | -0.000 | -0.000 | -0.000 |
| 0.000 | 0.000 | 0.000 | 0.291 | -0.000 | -0.000 |
| 0.000 | 0.000 | 0.000 | -0.000 | 0.291 | 0.000 |
| 0.000 | 0.000 | 0.000 | -0.000 | -0.000 | 0.291 |
| 0.334 | 0.379 | 0.379 | 0.000 | 0.000 | 0.000 |
| 0.379 | 0.334 | 0.379 | 0.000 | 0.000 | 0.000 |
| 0.379 | 0.379 | 0.334 | 0.000 | 0.000 | 0.000 |
| -0.000 | -0.000 | -0.000 | 0.129 | 0.000 | 0.000 |
| -0.000 | -0.000 | -0.000 | 0.000 | 0.129 | 0.000 |
| -0.000 | -0.000 | -0.000 | 0.000 | 0.000 | 0.129 |
| 0.335 | 0.380 | 0.380 | -0.000 | -0.000 | -0.000 |
| 0.380 | 0.335 | 0.380 | 0.000 | -0.000 | -0.000 |
| 0.380 | 0.380 | 0.335 | 0.000 | -0.000 | -0.000 |
| 0.000 | 0.000 | 0.000 | 0.129 | -0.000 | -0.000 |
| 0.000 | 0.000 | 0.000 | -0.000 | 0.129 | -0.000 |
| 0.000 | 0.000 | 0.000 | -0.000 | -0.000 | 0.129 |
| 411.476 | 215.267 | 215.267 | 0.000 | -0.000 | 0.000 |
| 215.267 | 411.476 | 215.267 | -0.000 | 0.000 | 0.000 |
| 215.267 | 215.267 | 411.476 | -0.000 | 0.000 | 0.000 |
| 0.000 | -0.000 | 0.000 | 131.728 | 0.000 | 0.000 |
| 0.000 | -0.000 | 0.000 | 0.000 | 131.728 | 0.000 |
| 0.000 | -0.000 | 0.000 | 0.000 | 0.000 | 131.728 |
| 411.476 | 215.267 | 215.267 | -0.000 | -0.000 | -0.000 |
| 215.267 | 411.476 | 215.267 | -0.000 | -0.000 | -0.000 |
| 215.267 | 215.267 | 411.476 | -0.000 | -0.000 | 0.000 |
| -0.000 | 0.000 | -0.000 | 131.728 | -0.000 | -0.000 |
| -0.000 | 0.000 | -0.000 | -0.000 | 131.728 | -0.000 |
| -0.000 | 0.000 | -0.000 | -0.000 | -0.000 | 131.728 |
| 411.476 | 215.266 | 215.266 | 0.000 | 0.000 | 0.000 |
| 215.266 | 411.476 | 215.266 | 0.000 | 0.000 | -0.000 |
| 215.266 | 215.266 | 411.476 | -0.000 | 0.000 | 0.000 |
| -0.000 | 0.000 | 0.000 | 138.307 | 0.000 | 0.000 |
| 0.000 | -0.000 | 0.000 | 0.000 | 138.307 | 0.000 |
| 0.000 | 0.000 | -0.000 | 0.000 | 0.000 | 138.307 |
| 411.476 | 215.267 | 215.267 | -0.000 | -0.000 | -0.000 |
| 215.267 | 411.476 | 215.267 | -0.000 | -0.000 | 0.000 |
| 215.267 | 215.267 | 411.476 | 0.000 | 0.000 | -0.000 |
| 0.000 | -0.000 | -0.000 | 138.307 | -0.000 | -0.000 |
| -0.000 | 0.000 | -0.000 | -0.000 | 138.307 | -0.000 |
| -0.000 | -0.000 | 0.000 | -0.000 | -0.000 | 138.307 |
| 411.478 | 215.266 | 215.266 | 0.000 | 0.000 | 0.000 |
| 215.266 | 411.478 | 215.266 | 0.000 | 0.000 | -0.000 |
| 215.266 | 215.266 | 411.478 | 0.000 | 0.000 | 0.000 |
| -0.000 | 0.000 | 0.000 | 131.728 | 0.000 | 0.000 |
| 0.000 | -0.000 | 0.000 | 0.000 | 131.728 | -0.000 |
| 0.000 | 0.000 | -0.000 | 0.000 | 0.000 | 131.728 |
| 411.474 | 215.267 | 215.267 | -0.000 | -0.000 | -0.000 |
| 215.267 | 411.474 | 215.267 | 0.000 | -0.000 | 0.000 |
| 215.267 | 215.267 | 411.474 | 0.000 | -0.000 | 0.000 |
| 0.000 | -0.000 | -0.000 | 131.728 | -0.000 | -0.000 |
| -0.000 | 0.000 | -0.000 | -0.000 | 131.728 | -0.000 |
| -0.000 | -0.000 | 0.000 | -0.000 | -0.000 | 131.728 |
| 33.182 | 35.661 | 35.661 | 0.000 | 0.000 | 0.000 |
| 35.661 | 33.182 | 35.661 | 0.000 | 0.000 | 0.000 |
| 35.661 | 35.661 | 33.182 | 0.000 | 0.000 | 0.000 |
| -6095040.569 | -6095038.461 | -6095038.365 | 4806989.237 | 0.000 | 0.000 |
| -6095038.461 | -6095040.569 | -6095038.365 | 0.000 | 4806989.237 | 0.000 |
| -6095038.461 | -6095038.365 | -6095040.569 | 0.000 | 0.000 | 4806989.237 |
| 12190192.190 | 12190195.645 | 12190195.645 | -0.000 | -0.000 | -0.000 |
| 12190195.645 | 12190192.190 | 12190195.645 | -0.000 | 0.000 | -0.000 |
| 12190195.645 | 12190195.645 | 12190192.190 | -0.000 | -0.000 | -0.000 |
| 6095040.569 | 6095038.461 | 6095038.365 | 4806989.237 | -0.000 | -0.000 |
| 6095038.461 | 6095040.569 | 6095038.365 | -0.000 | 4806989.237 | -0.000 |
| 6095038.461 | 6095038.365 | 6095040.569 | -0.000 | -0.000 | 4806989.237 |
| 33.181 | 35.661 | 35.661 | 0.000 | 0.000 | 0.000 |
| 35.661 | 33.181 | 35.661 | 0.000 | 0.000 | 0.000 |
| 35.661 | 35.661 | 33.181 | 0.000 | 0.000 | 0.000 |
| -609503.916 | -609503.291 | -609503.195 | 480699.158 | 0.000 | 0.000 |
| -609503.291 | -609503.916 | -609503.195 | 0.000 | 480699.158 | 0.000 |
| -609503.291 | -609503.195 | -609503.916 | 0.000 | 0.000 | 480699.158 |
| 1219046.396 | 1219049.851 | 1219049.851 | -0.000 | -0.000 | -0.000 |
| 1219049.851 | 1219046.396 | 1219049.851 | -0.000 | -0.000 | -0.000 |
| 1219049.851 | 1219049.851 | 1219046.396 | -0.000 | -0.000 | -0.000 |
| 609503.916 | 609503.291 | 609503.195 | 480699.158 | 0.000 | -0.000 |
| 609503.291 | 609503.916 | 609503.195 | 0.000 | 480699.158 | -0.000 |
| 609503.291 | 609503.195 | 609503.916 | 0.000 | -0.000 | 480699.158 |
| 33.175 | 35.658 | 35.658 | -0.000 | 0.000 | 0.000 |
| 35.658 | 33.175 | 35.658 | 0.000 | -0.000 | 0.000 |
| 35.658 | 35.658 | 33.175 | 0.000 | 0.000 | -0.000 |
| -60950.273 | -60949.792 | -60949.696 | 48068.481 | 0.000 | 0.000 |
| -60949.792 | -60950.273 | -60949.696 | 0.000 | 48068.481 | 0.000 |
| -60949.792 | -60949.696 | -60950.273 | 0.000 | 0.000 | 48068.481 |
| 121931.816 | 121935.271 | 121935.271 | -0.000 | -0.000 | -0.000 |
| 121935.271 | 121931.816 | 121935.271 | -0.000 | -0.000 | -0.000 |
| 121935.271 | 121935.271 | 121931.816 | -0.000 | -0.000 | -0.000 |
| 60950.273 | 60949.792 | 60949.696 | 48068.481 | -0.000 | -0.000 |
| 60949.792 | 60950.273 | 60949.696 | -0.000 | 48068.481 | -0.000 |
| 60949.792 | 60949.696 | 60950.273 | -0.000 | -0.000 | 48068.481 |
| 29.867 | 32.457 | 32.457 | 0.000 | -0.000 | -0.000 |
| 32.457 | 29.867 | 32.457 | -0.000 | 0.000 | -0.000 |
| 32.457 | 32.457 | 29.867 | 0.000 | 0.000 | 0.000 |
| 0.000 | 0.000 | 0.000 | 32.439 | 0.000 | 0.000 |
| -0.000 | 0.000 | 0.000 | 0.000 | 32.439 | 0.000 |
| -0.000 | 0.000 | 0.000 | 0.000 | 0.000 | 32.439 |
| 29.867 | 32.457 | 32.457 | -0.000 | 0.000 | 0.000 |
| 32.457 | 29.867 | 32.457 | 0.000 | 0.000 | 0.000 |
| 32.457 | 32.457 | 29.867 | 0.000 | 0.000 | 0.000 |
| -0.000 | -0.000 | -0.000 | 32.439 | 0.000 | -0.000 |
| 0.000 | -0.000 | -0.000 | 0.000 | 32.439 | -0.000 |
| 0.000 | -0.000 | -0.000 | 0.000 | -0.000 | 32.439 |
| 29.867 | 32.457 | 32.457 | -0.000 | -0.000 | -0.000 |
| 32.457 | 29.867 | 32.457 | -0.000 | -0.000 | -0.000 |
| 32.457 | 32.457 | 29.867 | -0.000 | -0.000 | -0.000 |
| 0.000 | 0.000 | 0.000 | 32.439 | 0.000 | 0.000 |
| 0.000 | 0.000 | 0.000 | 0.000 | 32.439 | 0.000 |
| 0.000 | 0.000 | 0.000 | 0.000 | 0.000 | 32.439 |
| 29.867 | 32.457 | 32.457 | -0.000 | -0.000 | 0.000 |
| 32.457 | 29.867 | 32.457 | -0.000 | -0.000 | 0.000 |
| 32.457 | 32.457 | 29.867 | -0.000 | -0.000 | -0.000 |
| -0.000 | -0.000 | -0.000 | 32.439 | -0.000 | -0.000 |
| -0.000 | -0.000 | -0.000 | -0.000 | 32.439 | -0.000 |
| -0.000 | -0.000 | -0.000 | -0.000 | -0.000 | 32.439 |
| 29.867 | 32.458 | 32.458 | -0.000 | -0.000 | -0.000 |
| 32.458 | 29.867 | 32.458 | -0.000 | -0.000 | -0.000 |
| 32.458 | 32.458 | 29.867 | -0.000 | -0.000 | -0.000 |
| -0.000 | -0.000 | -0.000 | -3.576 | -0.000 | -0.000 |
| -0.000 | -0.000 | -0.000 | -0.000 | -3.576 | -0.000 |
| -0.000 | -0.000 | -0.000 | -0.000 | -0.000 | -3.576 |
| 29.867 | 32.457 | 32.457 | 0.000 | 0.000 | 0.000 |
| 32.457 | 29.867 | 32.457 | 0.000 | 0.000 | 0.000 |
| 32.457 | 32.457 | 29.867 | 0.000 | 0.000 | 0.000 |
| 0.000 | 0.000 | 0.000 | -3.576 | 0.000 | 0.000 |
| 0.000 | 0.000 | 0.000 | 0.000 | -3.576 | 0.000 |
| 0.000 | 0.000 | 0.000 | 0.000 | 0.000 | -3.576 |
| 458.314 | 102.028 | 102.028 | -0.000 | -0.000 | -0.000 |
| 102.028 | 458.314 | 102.028 | -0.000 | -0.000 | -0.000 |
| 102.028 | 102.028 | 458.314 | 0.000 | 0.000 | -0.000 |
| 0.000 | 0.000 | -0.000 | 4.897 | 0.000 | -0.000 |
| 0.000 | 0.000 | -0.000 | 0.000 | 4.897 | -0.000 |
| 0.000 | 0.000 | -0.000 | 0.000 | 0.000 | 4.897 |
| 455.488 | 103.441 | 103.441 | 0.000 | -0.000 | 0.000 |
| 103.441 | 455.488 | 103.441 | 0.000 | -0.000 | 0.000 |
| 103.441 | 103.441 | 455.489 | -0.000 | -0.000 | 0.000 |
| -0.000 | -0.000 | 0.000 | 4.897 | -0.000 | 0.000 |
| -0.000 | -0.000 | 0.000 | -0.000 | 4.897 | 0.000 |
| -0.000 | -0.000 | 0.000 | 0.000 | -0.000 | 4.897 |
| 455.489 | 103.441 | 103.441 | -0.000 | -0.000 | -0.000 |
| 103.441 | 455.489 | 103.441 | -0.000 | 0.000 | -0.000 |
| 103.441 | 103.441 | 455.489 | -0.000 | 0.000 | -0.000 |
| 0.000 | 0.000 | 0.000 | 4.897 | 0.000 | -0.000 |
| 0.000 | 0.000 | 0.000 | 0.000 | 4.897 | -0.000 |
| 0.000 | 0.000 | 0.000 | 0.000 | 0.000 | 4.897 |
| 455.488 | 103.441 | 103.441 | 0.000 | -0.000 | 0.000 |
| 103.441 | 455.488 | 103.441 | -0.000 | -0.000 | 0.000 |
| 103.441 | 103.441 | 455.488 | -0.000 | -0.000 | 0.000 |
| -0.000 | -0.000 | -0.000 | 4.897 | -0.000 | 0.000 |
| -0.000 | -0.000 | -0.000 | -0.000 | 4.897 | 0.000 |
| -0.000 | -0.000 | -0.000 | -0.000 | -0.000 | 4.897 |
| 458.318 | 102.029 | 102.029 | -0.000 | 0.000 | -0.000 |
| 102.029 | 458.318 | 102.029 | 0.000 | 0.000 | -0.000 |
| 102.029 | 102.029 | 458.318 | 0.000 | 0.000 | -0.000 |
| 0.000 | 0.000 | 0.000 | 4.897 | 0.000 | -0.000 |
| 0.000 | 0.000 | 0.000 | 0.000 | 4.897 | -0.000 |
| 0.000 | 0.000 | 0.000 | 0.000 | 0.000 | 4.897 |
| 455.487 | 103.441 | 103.441 | -0.000 | -0.000 | 0.000 |
| 103.441 | 455.487 | 103.441 | 0.000 | -0.000 | 0.000 |
| 103.441 | 103.441 | 455.487 | -0.000 | -0.000 | 0.000 |
| -0.000 | -0.000 | -0.000 | 4.897 | -0.000 | 0.000 |
| -0.000 | -0.000 | -0.000 | -0.000 | 4.897 | 0.000 |
| -0.000 | -0.000 | -0.000 | -0.000 | -0.000 | 4.897 |
| 6.314 | 2.138 | 2.138 | -0.000 | 0.000 | 0.000 |
| 2.138 | 6.314 | 2.138 | -0.000 | 0.000 | 0.000 |
| 2.138 | 2.138 | 6.314 | -0.000 | 0.000 | -0.000 |
| -0.000 | -0.000 | -0.000 | 2.161 | 0.000 | 0.000 |
| -0.000 | -0.000 | -0.000 | -0.000 | 2.161 | 0.000 |
| -0.000 | -0.000 | -0.000 | -0.000 | -0.000 | 2.161 |
| 6.315 | 2.138 | 2.138 | 0.000 | 0.000 | -0.000 |
| 2.138 | 6.315 | 2.138 | 0.000 | -0.000 | 0.000 |
| 2.138 | 2.138 | 6.315 | 0.000 | -0.000 | -0.000 |
| 0.000 | 0.000 | 0.000 | 2.161 | -0.000 | 0.000 |
| 0.000 | 0.000 | 0.000 | -0.000 | 2.161 | 0.000 |
| 0.000 | 0.000 | 0.000 | 0.000 | 0.000 | 2.161 |
| 6.314 | 2.138 | 2.138 | -0.000 | -0.000 | 0.000 |
| 2.138 | 6.314 | 2.138 | -0.000 | -0.000 | 0.000 |
| 2.138 | 2.138 | 6.314 | -0.000 | -0.000 | 0.000 |
| 0.000 | -0.000 | -0.000 | 2.363 | 0.000 | -0.000 |
| -0.000 | 0.000 | -0.000 | 0.000 | 2.363 | 0.000 |
| -0.000 | -0.000 | 0.000 | -0.000 | -0.000 | 2.363 |
| 6.516 | 2.037 | 2.037 | -0.000 | -0.000 | -0.000 |
| 2.037 | 6.516 | 2.037 | -0.000 | 0.000 | 0.000 |
| 2.037 | 2.037 | 6.516 | -0.000 | 0.000 | -0.000 |
| -0.000 | 0.000 | 0.000 | 2.363 | -0.000 | -0.000 |
| 0.000 | -0.000 | 0.000 | 0.000 | 2.363 | -0.000 |
| 0.000 | 0.000 | -0.000 | 0.000 | 0.000 | 2.363 |
| 9628.873 | 110548.226 | 81089.296 | -228.981 | -336.997 | 2661.925 |
| 83293.982 | 13424.170 | 114505.954 | 2035.621 | 484.811 | -988.903 |
| 95412.532 | 88921.231 | 9152.038 | -932.340 | 893.361 | -439.118 |
| -0.000 | -0.000 | -0.000 | 2.088 | -0.000 | 0.000 |
| -0.000 | -0.000 | -0.000 | -0.000 | 2.088 | 0.000 |
| -0.000 | -0.000 | -0.000 | -0.000 | 0.000 | 2.088 |
| -529307.659 | -45477.787 | -65994.901 | 5830.175 | -252.939 | 8.988 |
| -64788.563 | -511159.037 | -53483.218 | -634.538 | 2345.760 | 1231.396 |
| -47980.567 | -59066.294 | -524793.252 | 64.462 | 639.668 | 3280.232 |
| 0.000 | 0.000 | 0.000 | 2.088 | 0.000 | 0.000 |
| 0.000 | 0.000 | 0.000 | 0.000 | 2.088 | -0.000 |
| 0.000 | 0.000 | 0.000 | 0.000 | -0.000 | 2.088 |
| -5.328 | -1.833 | -1.833 | -0.000 | -0.000 | -0.000 |
| -1.833 | -5.328 | -1.833 | -0.000 | -0.000 | -0.000 |
| -1.833 | -1.833 | -5.328 | -0.000 | -0.000 | -0.000 |
| -0.000 | -0.000 | -0.000 | -1.763 | -0.000 | 0.000 |
| -0.000 | -0.000 | -0.000 | -0.000 | -1.763 | 0.000 |
| -0.000 | -0.000 | -0.000 | -0.000 | -0.000 | -1.763 |
| -5.228 | -1.883 | -1.883 | 0.000 | 0.000 | -0.000 |
| -1.883 | -5.228 | -1.883 | 0.000 | 0.000 | -0.000 |
| -1.883 | -1.883 | -5.228 | 0.000 | 0.000 | -0.000 |
| 0.000 | 0.000 | 0.000 | -1.763 | 0.000 | -0.000 |
| 0.000 | 0.000 | 0.000 | 0.000 | -1.763 | -0.000 |
| 0.000 | 0.000 | 0.000 | 0.000 | 0.000 | -1.763 |
| -5.228 | -1.883 | -1.883 | -0.000 | -0.000 | 0.000 |
| -1.883 | -5.228 | -1.883 | 0.000 | 0.000 | 0.000 |
| -1.883 | -1.883 | -5.228 | 0.000 | 0.000 | 0.000 |
| 54944.132 | 94055.239 | 94055.209 | -87902.553 | 0.000 | 0.000 |
| -0.000 | 0.000 | -0.000 | -0.000 | -1.663 | 0.000 |
| 94055.236 | 94055.205 | 54944.127 | 0.000 | 0.000 | -87902.552 |
| -128156.181 | 72476.257 | 72476.253 | 0.000 | 0.000 | -0.000 |
| 72476.253 | -128156.182 | 72476.256 | 0.000 | 0.000 | 0.000 |
| 72476.257 | 72476.253 | -128156.181 | 0.000 | -0.000 | 0.000 |
| -54944.082 | -94055.203 | -94055.174 | -87902.538 | 0.000 | 0.000 |
| -94055.225 | -54944.110 | -94055.198 | -0.000 | -87902.550 | 0.000 |
| -94055.204 | -94055.174 | -54944.083 | 0.000 | -0.000 | -87902.538 |
| 4033.649 | 1365.582 | 1365.582 | -0.000 | 0.000 | -0.000 |
| 1365.582 | 4033.649 | 1365.583 | -0.000 | 0.000 | 0.000 |
| 1365.582 | 1365.582 | 4033.649 | 0.000 | 0.000 | -0.000 |
| 5493.600 | 9403.691 | 9403.662 | -8790.290 | 0.000 | 0.000 |
| 9403.691 | 5493.600 | 9403.663 | 0.000 | -8790.291 | 0.000 |
| 9403.691 | 9403.662 | 5493.600 | -0.000 | -0.000 | -8790.290 |
| -12820.168 | 7245.012 | 7245.012 | -0.000 | 0.000 | -0.000 |
| 7245.012 | -12820.168 | 7245.012 | 0.000 | 0.000 | 0.000 |
| 7245.012 | 7245.012 | -12820.168 | 0.000 | -0.000 | -0.000 |
| -5493.600 | -9403.691 | -9403.663 | -8790.291 | -0.000 | 0.000 |
| -9403.692 | -5493.601 | -9403.663 | -0.000 | -8790.291 | 0.000 |
| -9403.691 | -9403.663 | -5493.600 | 0.000 | -0.000 | -8790.291 |
| -1.199 | 1.666 | 1.666 | 0.000 | -0.000 | 0.000 |
| 1.666 | -1.199 | 1.666 | 0.000 | -0.000 | 0.000 |
| 1.666 | 1.666 | -1.199 | 0.000 | -0.000 | -0.000 |
| -3909135.512 | -977698.723 | -977698.703 | 977102.943 | -0.000 | 0.000 |
| -977698.723 | -3909135.512 | -977698.703 | 0.000 | 977102.943 | 0.000 |
| -977698.723 | -977698.703 | -3909135.512 | 0.000 | 0.000 | 977102.943 |
| 11729036.530 | 11729039.605 | 11729039.605 | -0.000 | 0.000 | -0.000 |
| 11729039.605 | 11729036.530 | 11729039.605 | -0.000 | 0.000 | -0.000 |
| 11729039.605 | 11729039.605 | 11729036.530 | -0.000 | 0.000 | -0.000 |
| 3909135.512 | 977698.723 | 977698.703 | 977102.943 | 0.000 | -0.000 |
| 977698.723 | 3909135.512 | 977698.703 | 0.000 | 977102.943 | -0.000 |
| 977698.723 | 977698.703 | 3909135.512 | -0.000 | -0.000 | 977102.943 |
| -2.552 | 2.342 | 2.342 | 0.000 | -0.000 | 0.000 |
| 2.342 | -2.552 | 2.342 | 0.000 | -0.000 | 0.000 |
| 2.342 | 2.342 | -2.552 | 0.000 | -0.000 | -0.000 |
| -390912.396 | -97769.619 | -97769.599 | 97709.225 | -0.000 | 0.000 |
| -97769.619 | -390912.396 | -97769.599 | 0.000 | 97709.225 | 0.000 |
| -97769.619 | -97769.599 | -390912.396 | 0.000 | 0.000 | 97709.225 |
| 781823.457 | 195538.542 | 195538.542 | -0.000 | 0.000 | 0.000 |
| 195538.542 | 781823.457 | 195538.542 | -0.000 | 0.000 | 0.000 |
| 195538.542 | 195538.542 | 781823.457 | 0.000 | 0.000 | 0.000 |
| 390912.396 | 97769.619 | 97769.599 | 97709.225 | 0.000 | -0.000 |
| 97769.619 | 390912.396 | 97769.599 | 0.000 | 97709.225 | -0.000 |
| 97769.619 | 97769.599 | 390912.396 | -0.000 | -0.000 | 97709.225 |
| -2.545 | 2.337 | 2.337 | 0.000 | -0.000 | -0.000 |
| 2.337 | -2.545 | 2.337 | 0.000 | 0.000 | 0.000 |
| 2.337 | 2.337 | -2.545 | 0.000 | 0.000 | 0.000 |
| -39090.087 | -9776.707 | -9776.687 | 9769.853 | -0.000 | 0.000 |
| -9776.707 | -39090.087 | -9776.687 | -0.000 | 9769.853 | 0.000 |
| -9776.707 | -9776.687 | -39090.087 | 0.000 | 0.000 | 9769.853 |
| 78179.412 | 19552.867 | 19552.867 | -0.000 | 0.000 | -0.000 |
| 19552.867 | 78179.412 | 19552.867 | -0.000 | 0.000 | 0.000 |
| 19552.867 | 19552.867 | 78179.412 | 0.000 | 0.000 | 0.000 |
| 39090.087 | 9776.707 | 9776.687 | 9769.853 | 0.000 | -0.000 |
| 9776.707 | 39090.087 | 9776.687 | -0.000 | 9769.853 | -0.000 |
| 9776.707 | 9776.687 | 39090.087 | -0.000 | -0.000 | 9769.853 |
| 1.424 | 0.490 | 0.490 | 0.000 | -0.000 | 0.000 |
| 0.490 | 1.424 | 0.490 | -0.000 | -0.000 | 0.000 |
| 0.490 | 0.490 | 1.424 | 0.000 | -0.000 | 0.000 |
| 488.560 | -902929.519 | -902929.505 | 722653.983 | -0.000 | 0.000 |
| -902929.519 | 488.560 | -902929.505 | 0.000 | 722653.983 | -0.000 |
| -902929.519 | -902929.505 | 488.560 | 0.000 | -0.000 | 722653.983 |
| 3612740.722 | 1805534.823 | 1805534.823 | -0.000 | 0.000 | -0.000 |
| 1805534.823 | 3612740.722 | 1805534.823 | -0.000 | 0.000 | -0.000 |
| 1805534.823 | 1805534.823 | 3612740.722 | -0.000 | 0.000 | -0.000 |
| -488.560 | 902929.519 | 902929.505 | 722653.983 | 0.000 | -0.000 |
| 902929.519 | -488.560 | 902929.505 | -0.000 | 722653.983 | -0.000 |
| 902929.519 | 902929.505 | -488.560 | -0.000 | 0.000 | 722653.983 |
| -0.036 | 1.220 | 1.220 | 0.000 | -0.000 | 0.000 |
| 1.220 | -0.036 | 1.220 | 0.000 | -0.000 | 0.000 |
| 1.220 | 1.220 | -0.036 | 0.000 | -0.000 | 0.000 |
| 48.856 | -90292.708 | -90292.694 | 72265.582 | -0.000 | -0.000 |
| -90292.708 | 48.856 | -90292.694 | 0.000 | 72265.582 | 0.000 |
| -90292.708 | -90292.694 | 48.856 | 0.000 | -0.000 | 72265.582 |
| 361273.640 | 180553.496 | 180553.496 | -0.000 | 0.000 | -0.000 |
| 180553.496 | 361273.640 | 180553.496 | -0.000 | 0.000 | -0.000 |
| 180553.496 | 180553.496 | 361273.640 | -0.000 | 0.000 | -0.000 |
| -48.856 | 90292.708 | 90292.694 | 72265.582 | 0.000 | -0.000 |
| 90292.708 | -48.856 | 90292.694 | -0.000 | 72265.582 | -0.000 |
| 90292.708 | 90292.694 | -48.856 | -0.000 | 0.000 | 72265.582 |
| -0.034 | 1.217 | 1.217 | 0.000 | -0.000 | 0.000 |
| 1.217 | -0.034 | 1.217 | -0.000 | -0.000 | -0.000 |
| 1.217 | 1.217 | -0.034 | 0.000 | -0.000 | 0.000 |
| 4.886 | -9029.028 | -9029.013 | 7226.741 | -0.000 | -0.000 |
| -9029.028 | 4.886 | -9029.013 | 0.000 | 7226.741 | 0.000 |
| -9029.028 | -9029.013 | 4.886 | -0.000 | -0.000 | 7226.741 |
| 36126.932 | 18055.363 | 18055.363 | -0.000 | 0.000 | -0.000 |
| 18055.363 | 36126.932 | 18055.363 | -0.000 | 0.000 | -0.000 |
| 18055.363 | 18055.363 | 36126.932 | -0.000 | 0.000 | -0.000 |
| -4.886 | 9029.028 | 9029.013 | 7226.741 | -0.000 | -0.000 |
| 9029.028 | -4.886 | 9029.013 | 0.000 | 7226.741 | -0.000 |
| 9029.028 | 9029.013 | -4.886 | 0.000 | 0.000 | 7226.741 |
| -0.001 | 0.000 | 0.000 | 0.000 | -0.000 | -0.000 |
| 0.000 | -0.001 | 0.000 | -0.000 | 0.000 | 0.000 |
| 0.000 | 0.000 | -0.001 | -0.000 | 0.000 | 0.000 |
| 0.000 | 0.000 | 0.000 | -0.000 | 0.000 | -0.000 |
| 0.000 | 0.000 | 0.000 | 0.000 | -0.000 | -0.000 |
| 0.000 | 0.000 | 0.000 | 0.000 | -0.000 | -0.000 |
| -0.001 | 0.000 | 0.000 | 0.000 | 0.000 | -0.000 |
| 0.000 | -0.001 | 0.000 | 0.000 | 0.000 | -0.000 |
| 0.000 | 0.000 | -0.001 | -0.000 | 0.000 | 0.000 |
| -0.000 | -0.000 | -0.000 | -0.000 | -0.000 | -0.000 |
| -0.000 | -0.000 | -0.000 | -0.000 | -0.000 | -0.000 |
| -0.000 | -0.000 | -0.000 | -0.000 | 0.000 | -0.000 |
| -0.001 | 0.000 | 0.000 | 0.000 | -0.000 | -0.000 |
| 0.000 | -0.001 | 0.000 | -0.000 | 0.000 | -0.000 |
| 0.000 | 0.000 | -0.001 | -0.000 | 0.000 | 0.000 |
| 0.000 | 0.000 | 0.000 | -0.000 | -0.000 | -0.000 |
| 0.000 | 0.000 | 0.000 | -0.000 | -0.000 | -0.000 |
| 0.000 | 0.000 | 0.000 | 0.000 | -0.000 | -0.000 |
| -0.001 | 0.000 | 0.000 | 0.000 | 0.000 | -0.000 |
| 0.000 | -0.001 | 0.000 | 0.000 | 0.000 | -0.000 |
| 0.000 | 0.000 | -0.001 | 0.000 | -0.000 | 0.000 |
| -0.000 | -0.000 | -0.000 | -0.000 | 0.000 | -0.000 |
| -0.000 | -0.000 | -0.000 | 0.000 | -0.000 | 0.000 |
| -0.000 | -0.000 | -0.000 | -0.000 | 0.000 | -0.000 |
| -0.001 | 0.000 | 0.000 | 0.000 | -0.000 | -0.000 |
| 0.000 | -0.001 | 0.000 | -0.000 | 0.000 | 0.000 |
| 0.000 | 0.000 | -0.001 | 0.000 | 0.000 | 0.000 |
| 0.000 | 0.000 | 0.000 | -0.000 | 0.000 | 0.000 |
| 0.000 | 0.000 | 0.000 | -0.000 | -0.000 | 0.000 |
| 0.000 | 0.000 | 0.000 | 0.000 | -0.000 | -0.000 |
| -0.001 | 0.000 | 0.000 | 0.000 | 0.000 | 0.000 |
| 0.000 | -0.001 | 0.000 | -0.000 | 0.000 | -0.000 |
| 0.000 | 0.000 | -0.001 | -0.000 | 0.000 | 0.000 |
| -0.000 | -0.000 | -0.000 | -0.000 | -0.000 | -0.000 |
| -0.000 | -0.000 | -0.000 | 0.000 | -0.000 | 0.000 |
| -0.000 | -0.000 | -0.000 | -0.000 | 0.000 | -0.000 |
| 0.634 | 0.016 | 0.016 | -0.000 | -0.000 | -0.000 |
| 0.016 | 0.634 | 0.016 | 0.000 | -0.000 | -0.000 |
| 0.016 | 0.016 | 0.634 | -0.000 | 0.000 | 0.000 |
| 0.000 | 0.000 | 0.000 | -0.016 | -0.000 | 0.000 |
| 0.000 | 0.000 | 0.000 | -0.000 | -0.016 | -0.000 |
| 0.000 | 0.000 | 0.000 | -0.000 | -0.000 | -0.016 |
| 0.634 | 0.016 | 0.016 | 0.000 | 0.000 | 0.000 |
| 0.016 | 0.634 | 0.016 | 0.000 | 0.000 | -0.000 |
| 0.016 | 0.016 | 0.634 | 0.000 | -0.000 | -0.000 |
| -0.000 | -0.000 | -0.000 | -0.016 | 0.000 | 0.000 |
| -0.000 | -0.000 | -0.000 | 0.000 | -0.016 | 0.000 |
| -0.000 | -0.000 | -0.000 | 0.000 | 0.000 | -0.016 |
| 0.633 | 0.016 | 0.016 | -0.000 | -0.000 | 0.000 |
| 0.016 | 0.633 | 0.016 | -0.000 | -0.000 | 0.000 |
| 0.016 | 0.016 | 0.633 | 0.000 | 0.000 | 0.000 |
| 0.000 | 0.000 | -0.000 | -0.016 | -0.000 | -0.000 |
| 0.000 | 0.000 | -0.000 | -0.000 | -0.016 | -0.000 |
| 0.000 | -0.000 | 0.000 | 0.000 | -0.000 | -0.016 |
| 0.634 | 0.016 | 0.016 | 0.000 | 0.000 | 0.000 |
| 0.016 | 0.634 | 0.016 | 0.000 | 0.000 | 0.000 |
| 0.016 | 0.016 | 0.634 | 0.000 | 0.000 | -0.000 |
| -0.000 | -0.000 | 0.000 | -0.016 | 0.000 | 0.000 |
| -0.000 | -0.000 | 0.000 | 0.000 | -0.016 | -0.000 |
| -0.000 | 0.000 | -0.000 | 0.000 | 0.000 | -0.016 |
| 0.629 | 0.016 | 0.016 | -0.000 | -0.000 | -0.000 |
| 0.016 | 0.629 | 0.016 | -0.000 | -0.000 | -0.000 |
| 0.016 | 0.016 | 0.629 | -0.000 | 0.000 | 0.000 |
| 0.000 | 0.000 | -0.000 | -0.016 | 0.000 | -0.000 |
| 0.000 | 0.000 | -0.000 | 0.000 | -0.016 | -0.000 |
| 0.000 | -0.000 | 0.000 | -0.000 | -0.000 | -0.016 |
| 0.638 | 0.016 | 0.016 | 0.000 | 0.000 | 0.000 |
| 0.016 | 0.638 | 0.016 | 0.000 | 0.000 | 0.000 |
| 0.016 | 0.016 | 0.638 | 0.000 | -0.000 | -0.000 |
| -0.000 | -0.000 | 0.000 | -0.016 | -0.000 | -0.000 |
| -0.000 | -0.000 | 0.000 | -0.000 | -0.016 | 0.000 |
| -0.000 | 0.000 | -0.000 | 0.000 | 0.000 | -0.016 |
| 160.159 | 186.261 | 186.261 | 0.000 | -0.000 | 0.000 |
| 186.261 | 160.159 | 186.261 | 0.000 | -0.000 | -0.000 |
| 186.261 | 186.261 | 160.159 | 0.000 | -0.000 | 0.000 |
| 0.000 | 0.000 | 0.000 | 185.324 | -0.000 | -0.000 |
| 0.000 | 0.000 | -0.000 | 0.000 | 185.324 | 0.000 |
| 0.000 | 0.000 | 0.000 | 0.000 | -0.000 | 185.324 |
| 160.159 | 186.261 | 186.261 | 0.000 | 0.000 | -0.000 |
| 186.261 | 160.159 | 186.261 | -0.000 | 0.000 | -0.000 |
| 186.261 | 186.261 | 160.159 | -0.000 | -0.000 | -0.000 |
| -0.000 | -0.000 | -0.000 | 185.324 | 0.000 | -0.000 |
| -0.000 | -0.000 | -0.000 | -0.000 | 185.324 | -0.000 |
| -0.000 | -0.000 | -0.000 | -0.000 | 0.000 | 185.324 |
| 160.159 | 186.261 | 186.261 | 0.000 | -0.000 | 0.000 |
| 186.261 | 160.159 | 186.261 | 0.000 | 0.000 | 0.000 |
| 186.261 | 186.261 | 160.159 | -0.000 | -0.000 | 0.000 |
| 0.000 | 0.000 | 0.000 | 188.234 | 0.000 | -0.000 |
| 0.000 | 0.000 | 0.000 | 0.000 | 188.234 | -0.000 |
| 0.000 | 0.000 | 0.000 | 0.000 | -0.000 | 188.234 |
| 160.159 | 186.261 | 186.261 | -0.000 | 0.000 | -0.000 |
| 186.261 | 160.159 | 186.261 | -0.000 | 0.000 | -0.000 |
| 186.261 | 186.261 | 160.159 | -0.000 | -0.000 | -0.000 |
| -0.000 | -0.000 | -0.000 | 188.234 | -0.000 | -0.000 |
| -0.000 | -0.000 | -0.000 | -0.000 | 188.234 | -0.000 |
| -0.000 | -0.000 | -0.000 | -0.000 | 0.000 | 188.234 |
| 160.161 | 186.261 | 186.261 | 0.000 | -0.000 | 0.000 |
| 186.261 | 160.161 | 186.261 | -0.000 | 0.000 | 0.000 |
| 186.261 | 186.261 | 160.161 | -0.000 | 0.000 | 0.000 |
| 0.001 | 0.000 | 0.001 | 185.324 | -0.000 | 0.000 |
| 0.000 | 0.001 | 0.001 | 0.000 | 185.324 | 0.000 |
| 0.000 | 0.001 | 0.001 | 0.000 | -0.000 | 185.324 |
| 160.157 | 186.260 | 186.260 | -0.000 | 0.000 | 0.000 |
| 186.260 | 160.157 | 186.260 | -0.000 | -0.000 | -0.000 |
| 186.260 | 186.260 | 160.157 | -0.000 | 0.000 | -0.000 |
| -0.001 | -0.000 | -0.001 | 185.324 | 0.000 | 0.000 |
| -0.000 | -0.001 | -0.001 | -0.000 | 185.324 | -0.000 |
| -0.000 | -0.001 | -0.001 | -0.000 | 0.000 | 185.324 |
| 8.899 | 2.853 | 2.853 | -0.000 | 0.000 | 0.000 |
| 2.853 | 8.899 | 2.853 | 0.000 | -0.000 | 0.000 |
| 2.853 | 2.853 | 8.899 | -0.000 | -0.000 | -0.000 |
| 0.000 | 0.000 | 0.000 | 2.888 | -0.000 | -0.000 |
| 0.000 | 0.000 | 0.000 | -0.000 | 2.888 | -0.000 |
| 0.000 | 0.000 | 0.000 | -0.000 | -0.000 | 2.888 |
| 8955738.037 | 1544.954 | 1544.954 | 0.000 | -0.000 | -0.000 |
| 1544.954 | 8955738.037 | 1544.954 | -0.000 | 0.000 | 0.000 |
| 1544.954 | 1544.954 | 8955738.037 | 0.000 | 0.000 | -0.000 |
| -0.000 | -0.000 | -0.000 | 2.888 | 0.000 | 0.000 |
| -0.000 | -0.000 | -0.000 | 0.000 | 2.888 | 0.000 |
| -0.000 | -0.000 | -0.000 | 0.000 | 0.000 | 2.888 |
| 8.897 | 2.854 | 2.854 | 0.000 | -0.000 | 0.000 |
| 2.854 | 8.897 | 2.854 | -0.000 | -0.000 | 0.000 |
| 2.854 | 2.854 | 8.897 | 0.000 | 0.000 | 0.000 |
| 0.000 | 0.000 | 0.000 | 2.888 | 0.000 | 0.000 |
| 0.000 | 0.000 | 0.000 | -0.000 | 2.888 | -0.000 |
| 0.000 | 0.000 | 0.000 | -0.000 | 0.000 | 2.888 |
| 895576.297 | 157.065 | 157.065 | -0.000 | -0.000 | -0.000 |
| 157.065 | 895576.297 | 157.065 | -0.000 | -0.000 | 0.000 |
| 157.065 | 157.065 | 895576.297 | 0.000 | 0.000 | -0.000 |
| -0.000 | -0.000 | -0.000 | 2.888 | 0.000 | 0.000 |
| -0.000 | -0.000 | -0.000 | 0.000 | 2.888 | 0.000 |
| -0.000 | -0.000 | -0.000 | 0.000 | 0.000 | 2.888 |
| 8.873 | 2.854 | 2.854 | -0.000 | -0.000 | 0.000 |
| 2.854 | 8.873 | 2.854 | -0.000 | 0.000 | 0.000 |
| 2.854 | 2.854 | 8.873 | -0.000 | -0.000 | 0.000 |
| 0.001 | 0.001 | 0.001 | 2.888 | -0.000 | -0.000 |
| 0.001 | 0.001 | 0.001 | -0.000 | 2.888 | -0.000 |
| 0.001 | 0.001 | 0.001 | 0.000 | 0.000 | 2.888 |
| 89560.122 | 18.275 | 18.275 | 0.000 | 0.000 | -0.000 |
| 18.275 | 89560.122 | 18.275 | 0.000 | 0.000 | 0.000 |
| 18.275 | 18.275 | 89560.122 | 0.000 | 0.000 | 0.000 |
| -0.001 | -0.001 | -0.001 | 2.888 | 0.000 | -0.000 |
| -0.001 | -0.001 | -0.001 | 0.000 | 2.888 | 0.000 |
| -0.001 | -0.001 | -0.001 | 0.000 | 0.000 | 2.888 |
| 0.003 | 0.003 | 0.003 | -0.000 | -0.000 | -0.000 |
| 0.003 | 0.003 | 0.003 | -0.000 | -0.000 | -0.000 |
| 0.003 | 0.003 | 0.003 | -0.000 | -0.000 | -0.000 |
| 0.000 | 0.000 | 0.000 | 0.003 | 0.000 | -0.000 |
| 0.000 | 0.000 | 0.000 | 0.000 | 0.003 | -0.000 |
| 0.000 | 0.000 | 0.000 | 0.000 | -0.000 | 0.003 |
| 0.003 | 0.003 | 0.003 | -0.000 | 0.000 | 0.000 |
| 0.003 | 0.003 | 0.003 | 0.000 | -0.000 | 0.000 |
| 0.003 | 0.003 | 0.003 | 0.000 | 0.000 | -0.000 |
| -0.000 | -0.000 | -0.000 | 0.003 | 0.000 | -0.000 |
| -0.000 | -0.000 | -0.000 | 0.000 | 0.003 | -0.000 |
| -0.000 | -0.000 | -0.000 | 0.000 | -0.000 | 0.003 |
| 0.003 | 0.003 | 0.003 | -0.000 | 0.000 | 0.000 |
| 0.003 | 0.003 | 0.003 | 0.000 | -0.000 | 0.000 |
| 0.003 | 0.003 | 0.003 | 0.000 | 0.000 | -0.000 |
| 0.000 | 0.000 | 0.000 | 0.003 | -0.000 | -0.000 |
| 0.000 | 0.000 | 0.000 | -0.000 | 0.003 | -0.000 |
| 0.000 | 0.000 | 0.000 | -0.000 | -0.000 | 0.003 |
| 0.003 | 0.003 | 0.003 | 0.000 | -0.000 | -0.000 |
| 0.003 | 0.003 | 0.003 | -0.000 | 0.000 | -0.000 |
| 0.003 | 0.003 | 0.003 | -0.000 | -0.000 | 0.000 |
| -0.000 | -0.000 | -0.000 | 0.003 | 0.000 | -0.000 |
| -0.000 | -0.000 | -0.000 | 0.000 | 0.003 | -0.000 |
| -0.000 | -0.000 | -0.000 | 0.000 | -0.000 | 0.003 |
| 0.003 | 0.003 | 0.003 | 0.000 | -0.000 | -0.000 |
| 0.003 | 0.003 | 0.003 | -0.000 | 0.000 | -0.000 |
| 0.003 | 0.003 | 0.003 | -0.000 | -0.000 | 0.000 |
| 0.000 | 0.000 | 0.000 | 0.003 | 0.000 | -0.000 |
| 0.000 | 0.000 | 0.000 | 0.000 | 0.003 | -0.000 |
| 0.000 | 0.000 | 0.000 | 0.000 | 0.000 | 0.003 |
| 0.003 | 0.003 | 0.003 | -0.000 | 0.000 | -0.000 |
| 0.003 | 0.003 | 0.003 | 0.000 | -0.000 | -0.000 |
| 0.003 | 0.003 | 0.003 | 0.000 | 0.000 | -0.000 |
| -0.000 | -0.000 | -0.000 | 0.003 | 0.000 | 0.000 |
| -0.000 | -0.000 | -0.000 | 0.000 | 0.003 | 0.000 |
| -0.000 | -0.000 | -0.000 | 0.000 | 0.000 | 0.003 |
| 1.029 | 1.185 | 1.185 | -0.000 | 0.000 | 0.000 |
| 1.185 | 1.029 | 1.185 | -0.000 | 0.000 | -0.000 |
| 1.185 | 1.185 | 1.029 | -0.000 | 0.000 | 0.000 |
| -0.000 | -0.000 | -0.000 | 1.002 | 0.000 | 0.000 |
| -0.000 | -0.000 | -0.000 | -0.000 | 1.002 | -0.000 |
| -0.000 | -0.000 | -0.000 | -0.000 | 0.000 | 1.002 |
| 1.029 | 1.185 | 1.185 | 0.000 | 0.000 | 0.000 |
| 1.185 | 1.029 | 1.185 | 0.000 | 0.000 | 0.000 |
| 1.185 | 1.185 | 1.029 | 0.000 | 0.000 | 0.000 |
| 0.000 | 0.000 | 0.000 | 1.002 | -0.000 | 0.000 |
| 0.000 | 0.000 | 0.000 | 0.000 | 1.002 | 0.000 |
| 0.000 | 0.000 | 0.000 | 0.000 | -0.000 | 1.002 |
| 1.029 | 1.185 | 1.185 | -0.000 | 0.000 | -0.000 |
| 1.185 | 1.029 | 1.185 | -0.000 | 0.000 | 0.000 |
| 1.185 | 1.185 | 1.029 | -0.000 | 0.000 | 0.000 |
| -0.000 | -0.000 | -0.000 | 1.002 | 0.000 | 0.000 |
| -0.000 | -0.000 | -0.000 | -0.000 | 1.002 | 0.000 |
| -0.000 | -0.000 | -0.000 | -0.000 | 0.000 | 1.002 |
| 1.030 | 1.185 | 1.185 | 0.000 | -0.000 | 0.000 |
| 1.185 | 1.030 | 1.185 | 0.000 | -0.000 | 0.000 |
| 1.185 | 1.185 | 1.030 | 0.000 | -0.000 | 0.000 |
| 0.000 | 0.000 | 0.000 | 1.002 | -0.000 | -0.000 |
| 0.000 | 0.000 | 0.000 | 0.000 | 1.002 | 0.000 |
| 0.000 | 0.000 | 0.000 | 0.000 | -0.000 | 1.002 |
| 1.027 | 1.182 | 1.182 | -0.000 | 0.000 | 0.000 |
| 1.182 | 1.027 | 1.182 | 0.000 | 0.000 | -0.000 |
| 1.182 | 1.182 | 1.027 | -0.000 | 0.000 | -0.000 |
| -0.002 | -0.002 | -0.002 | 0.910 | 0.000 | 0.000 |
| -0.002 | -0.002 | -0.002 | -0.000 | 0.910 | 0.000 |
| -0.002 | -0.002 | -0.002 | -0.000 | 0.000 | 0.910 |
| 1.032 | 1.188 | 1.188 | 0.000 | 0.000 | 0.000 |
| 1.188 | 1.032 | 1.188 | -0.000 | -0.000 | -0.000 |
| 1.188 | 1.188 | 1.032 | 0.000 | 0.000 | 0.000 |
| 0.002 | 0.002 | 0.002 | 0.910 | -0.000 | 0.000 |
| 0.002 | 0.002 | 0.002 | 0.000 | 0.910 | 0.000 |
| 0.002 | 0.002 | 0.002 | 0.000 | -0.000 | 0.910 |
| 258.315 | 133.446 | 133.446 | 0.000 | -0.000 | -0.000 |
| 133.446 | 258.315 | 133.446 | 0.000 | 0.000 | -0.000 |
| 133.446 | 133.446 | 258.315 | 0.000 | -0.000 | -0.000 |
| 0.000 | 0.000 | 0.000 | 112.074 | 0.000 | -0.000 |
| 0.000 | 0.000 | 0.000 | 0.000 | 112.074 | -0.000 |
| 0.000 | 0.000 | 0.000 | 0.000 | 0.000 | 112.074 |
| 258.315 | 133.446 | 133.446 | -0.000 | -0.000 | 0.000 |
| 133.446 | 258.315 | 133.446 | -0.000 | -0.000 | 0.000 |
| 133.446 | 133.446 | 258.315 | -0.000 | -0.000 | 0.000 |
| -0.000 | -0.000 | -0.000 | 112.074 | -0.000 | 0.000 |
| -0.000 | -0.000 | -0.000 | -0.000 | 112.074 | 0.000 |
| -0.000 | -0.000 | -0.000 | -0.000 | 0.000 | 112.074 |
| 258.315 | 133.446 | 133.446 | 0.000 | -0.000 | -0.000 |
| 133.446 | 258.315 | 133.446 | 0.000 | -0.000 | -0.000 |
| 133.446 | 133.446 | 258.315 | 0.000 | -0.000 | 0.000 |
| -0.000 | 0.000 | 0.000 | 112.074 | 0.000 | -0.000 |
| 0.000 | -0.000 | 0.000 | 0.000 | 112.074 | -0.000 |
| 0.000 | 0.000 | -0.000 | 0.000 | 0.000 | 112.074 |
| 258.315 | 133.446 | 133.446 | -0.000 | 0.000 | 0.000 |
| 133.446 | 258.315 | 133.446 | -0.000 | -0.000 | 0.000 |
| 133.446 | 133.446 | 258.315 | -0.000 | -0.000 | -0.000 |
| 0.000 | -0.000 | -0.000 | 112.074 | -0.000 | 0.000 |
| -0.000 | 0.000 | -0.000 | -0.000 | 112.074 | 0.000 |
| -0.000 | -0.000 | 0.000 | -0.000 | -0.000 | 112.074 |
| 258.315 | 133.446 | 133.446 | 0.000 | 0.000 | 0.000 |
| 133.446 | 258.315 | 133.446 | 0.000 | 0.000 | -0.000 |
| 133.446 | 133.446 | 258.315 | 0.000 | -0.000 | -0.000 |
| -0.000 | 0.000 | 0.000 | 112.074 | 0.000 | -0.000 |
| 0.000 | -0.000 | 0.000 | 0.000 | 112.074 | -0.000 |
| 0.000 | 0.000 | -0.000 | 0.000 | -0.000 | 112.074 |
| 258.315 | 133.446 | 133.446 | -0.000 | 0.000 | 0.000 |
| 133.446 | 258.315 | 133.446 | -0.000 | -0.000 | 0.000 |
| 133.446 | 133.446 | 258.315 | -0.000 | -0.000 | -0.000 |
| 0.000 | -0.000 | -0.000 | 112.074 | -0.000 | -0.000 |
| -0.000 | 0.000 | -0.000 | -0.000 | 112.074 | 0.000 |
| -0.000 | -0.000 | 0.000 | -0.000 | -0.000 | 112.074 |
| 5.536 | 2.755 | 2.755 | 0.000 | 0.000 | 0.000 |
| 2.755 | 5.536 | 2.755 | 0.000 | 0.000 | 0.000 |
| 2.755 | 2.755 | 5.536 | 0.000 | 0.000 | 0.000 |
| 0.000 | -0.000 | -0.000 | 3.020 | 0.000 | 0.000 |
| -0.000 | 0.000 | -0.000 | 0.000 | 3.020 | 0.000 |
| -0.000 | -0.000 | 0.000 | 0.000 | 0.000 | 3.020 |
| 5.536 | 2.755 | 2.755 | -0.000 | -0.000 | -0.000 |
| 2.755 | 5.536 | 2.755 | -0.000 | -0.000 | -0.000 |
| 2.755 | 2.755 | 5.536 | -0.000 | -0.000 | -0.000 |
| -0.000 | 0.000 | 0.000 | 3.020 | -0.000 | -0.000 |
| 0.000 | -0.000 | 0.000 | -0.000 | 3.020 | -0.000 |
| 0.000 | 0.000 | -0.000 | -0.000 | -0.000 | 3.020 |
| 5.536 | 2.755 | 2.755 | 0.000 | 0.000 | 0.000 |
| 2.755 | 5.536 | 2.755 | 0.000 | 0.000 | 0.000 |
| 2.755 | 2.755 | 5.536 | 0.000 | 0.000 | 0.000 |
| -0.000 | -0.000 | -0.000 | 3.020 | 0.000 | 0.000 |
| -0.000 | -0.000 | -0.000 | -0.000 | 3.020 | 0.000 |
| -0.000 | -0.000 | -0.000 | 0.000 | 0.000 | 3.020 |
| 5.536 | 2.755 | 2.755 | -0.000 | -0.000 | -0.000 |
| 2.755 | 5.536 | 2.755 | -0.000 | -0.000 | -0.000 |
| 2.755 | 2.755 | 5.536 | -0.000 | -0.000 | -0.000 |
| 0.000 | 0.000 | 0.000 | 3.020 | -0.000 | -0.000 |
| 0.000 | 0.000 | 0.000 | -0.000 | 3.020 | -0.000 |
| 0.000 | 0.000 | 0.000 | -0.000 | -0.000 | 3.020 |
| 5.534 | 2.754 | 2.754 | 0.000 | 0.000 | 0.000 |
| 2.754 | 5.534 | 2.754 | 0.000 | 0.000 | 0.000 |
| 2.754 | 2.754 | 5.534 | 0.000 | 0.000 | 0.000 |
| -0.000 | -0.001 | -0.001 | 3.020 | 0.000 | 0.000 |
| -0.001 | -0.000 | -0.001 | 0.000 | 3.020 | 0.000 |
| -0.001 | -0.001 | -0.000 | 0.000 | 0.000 | 3.020 |
| 5.538 | 2.756 | 2.756 | -0.000 | -0.000 | -0.000 |
| 2.756 | 5.538 | 2.756 | -0.000 | -0.000 | -0.000 |
| 2.756 | 2.756 | 5.538 | -0.000 | -0.000 | -0.000 |
| 0.000 | 0.001 | 0.001 | 3.020 | -0.000 | -0.000 |
| 0.001 | 0.000 | 0.001 | -0.000 | 3.020 | -0.000 |
| 0.001 | 0.001 | 0.000 | -0.000 | -0.000 | 3.020 |
| -0.013 | -0.007 | -0.007 | 0.000 | 0.000 | 0.000 |
| -0.007 | -0.013 | -0.007 | 0.000 | 0.000 | 0.000 |
| -0.007 | -0.007 | -0.013 | 0.000 | 0.000 | -0.000 |
| -0.000 | 0.000 | 0.000 | -0.007 | 0.000 | -0.000 |
| 0.000 | -0.000 | 0.000 | 0.000 | -0.007 | -0.000 |
| 0.000 | 0.000 | -0.000 | -0.000 | -0.000 | -0.007 |
| -0.013 | -0.007 | -0.007 | 0.000 | -0.000 | -0.000 |
| -0.007 | -0.013 | -0.007 | -0.000 | 0.000 | -0.000 |
| -0.007 | -0.007 | -0.013 | -0.000 | -0.000 | 0.000 |
| 0.000 | -0.000 | -0.000 | -0.007 | 0.000 | 0.000 |
| -0.000 | 0.000 | -0.000 | -0.000 | -0.007 | 0.000 |
| -0.000 | -0.000 | 0.000 | 0.000 | 0.000 | -0.007 |
| -0.013 | -0.007 | -0.007 | -0.000 | 0.000 | 0.000 |
| -0.007 | -0.013 | -0.007 | 0.000 | -0.000 | 0.000 |
| -0.007 | -0.007 | -0.013 | 0.000 | 0.000 | -0.000 |
| 0.000 | 0.000 | 0.000 | -0.007 | 0.000 | 0.000 |
| 0.000 | 0.000 | 0.000 | 0.000 | -0.007 | -0.000 |
| 0.000 | 0.000 | 0.000 | 0.000 | -0.000 | -0.007 |
| -0.013 | -0.007 | -0.007 | 0.000 | 0.000 | 0.000 |
| -0.007 | -0.013 | -0.007 | 0.000 | 0.000 | 0.000 |
| -0.007 | -0.007 | -0.013 | 0.000 | 0.000 | 0.000 |
| -0.000 | -0.000 | -0.000 | -0.007 | -0.000 | 0.000 |
| -0.000 | -0.000 | -0.000 | -0.000 | -0.007 | -0.000 |
| -0.000 | -0.000 | -0.000 | -0.000 | -0.000 | -0.007 |
| -0.013 | -0.007 | -0.007 | 0.000 | 0.000 | 0.000 |
| -0.007 | -0.013 | -0.007 | 0.000 | -0.000 | 0.000 |
| -0.007 | -0.007 | -0.013 | 0.000 | 0.000 | -0.000 |
| 0.000 | 0.000 | 0.000 | -0.007 | 0.000 | -0.000 |
| 0.000 | 0.000 | 0.000 | 0.000 | -0.007 | -0.000 |
| 0.000 | 0.000 | 0.000 | 0.000 | -0.000 | -0.007 |
| -0.013 | -0.007 | -0.007 | -0.000 | -0.000 | -0.000 |
| -0.007 | -0.013 | -0.007 | -0.000 | -0.000 | -0.000 |
| -0.007 | -0.007 | -0.013 | -0.000 | -0.000 | 0.000 |
| -0.000 | -0.000 | -0.000 | -0.007 | -0.000 | -0.000 |
| -0.000 | -0.000 | -0.000 | -0.000 | -0.007 | -0.000 |
| -0.000 | -0.000 | -0.000 | -0.000 | -0.000 | -0.007 |
| 2.585 | 1.483 | 1.483 | -0.000 | -0.000 | 0.000 |
| 1.483 | 2.585 | 1.483 | -0.000 | 0.000 | 0.000 |
| 1.483 | 1.483 | 2.585 | 0.000 | 0.000 | 0.000 |
| 0.000 | -0.000 | -0.000 | 1.228 | -0.000 | 0.000 |
| -0.000 | 0.000 | -0.000 | -0.000 | 1.228 | -0.000 |
| -0.000 | -0.000 | 0.000 | -0.000 | 0.000 | 1.228 |
| 2.585 | 1.483 | 1.483 | 0.000 | -0.000 | 0.000 |
| 1.483 | 2.585 | 1.483 | 0.000 | -0.000 | -0.000 |
| 1.483 | 1.483 | 2.585 | -0.000 | -0.000 | 0.000 |
| -0.000 | 0.000 | 0.000 | 1.228 | 0.000 | -0.000 |
| 0.000 | -0.000 | 0.000 | 0.000 | 1.228 | -0.000 |
| 0.000 | 0.000 | -0.000 | 0.000 | 0.000 | 1.228 |
| 2.584 | 1.483 | 1.483 | -0.000 | -0.000 | 0.000 |
| 1.483 | 2.584 | 1.483 | 0.000 | -0.000 | 0.000 |
| 1.483 | 1.483 | 2.584 | -0.000 | -0.000 | 0.000 |
| -0.000 | -0.000 | -0.000 | 1.228 | -0.000 | 0.000 |
| -0.000 | -0.000 | -0.000 | -0.000 | 1.228 | 0.000 |
| -0.000 | -0.000 | -0.000 | -0.000 | -0.000 | 1.228 |
| 2.586 | 1.484 | 1.484 | 0.000 | 0.000 | -0.000 |
| 1.484 | 2.586 | 1.484 | 0.000 | -0.000 | -0.000 |
| 1.484 | 1.484 | 2.586 | -0.000 | -0.000 | -0.000 |
| 0.000 | 0.000 | 0.000 | 1.228 | 0.000 | 0.000 |
| 0.000 | 0.000 | 0.000 | 0.000 | 1.228 | -0.000 |
| 0.000 | 0.000 | 0.000 | -0.000 | -0.000 | 1.228 |
| 2.575 | 1.479 | 1.479 | 0.000 | 0.000 | -0.000 |
| 1.479 | 2.575 | 1.479 | 0.000 | 0.000 | 0.000 |
| 1.479 | 1.479 | 2.575 | 0.000 | 0.000 | 0.000 |
| -0.000 | -0.005 | -0.005 | 1.228 | 0.000 | 0.000 |
| -0.005 | -0.000 | -0.005 | 0.000 | 1.228 | 0.000 |
| -0.005 | -0.005 | -0.000 | 0.000 | 0.000 | 1.228 |
| 2.595 | 1.488 | 1.488 | 0.000 | 0.000 | 0.000 |
| 1.488 | 2.595 | 1.488 | 0.000 | 0.000 | -0.000 |
| 1.488 | 1.488 | 2.595 | -0.000 | -0.000 | 0.000 |
| 0.000 | 0.005 | 0.005 | 1.228 | -0.000 | 0.000 |
| 0.005 | 0.000 | 0.005 | -0.000 | 1.228 | -0.000 |
| 0.005 | 0.005 | 0.000 | -0.000 | -0.000 | 1.228 |
| -352.644 | 609.874 | -1604.223 | -0.000 | -0.000 | -0.000 |
| 69.137 | 310.995 | 124.345 | 0.000 | -0.000 | -0.000 |
| -473.228 | 2115.523 | -2491.719 | -0.000 | -0.000 | -0.000 |
| 0.000 | 0.000 | 0.000 | 95.710 | -0.000 | -0.000 |
| -556.238 | 542.410 | -1667.633 | 0.000 | 34.274 | -0.000 |
| -535.001 | 1979.497 | -2776.246 | -0.000 | -0.000 | 33.823 |
| 759.826 | -474.948 | 1731.043 | 0.000 | 0.000 | 0.000 |
| 626.607 | -239.664 | 1801.777 | 0.000 | 0.000 | 0.000 |
| 62.853 | 124.400 | 304.974 | 0.000 | 0.000 | 0.000 |
| -0.000 | -0.000 | -0.000 | 95.710 | 0.000 | 0.000 |
| 556.238 | -542.410 | 1667.633 | 0.000 | 34.274 | 0.000 |
| 535.001 | -1979.497 | 2776.246 | 0.000 | 0.000 | 33.823 |
| 205.564 | 68.979 | 62.641 | -0.000 | -0.000 | -0.000 |
| 15.383 | 496.786 | -143.689 | 0.000 | -0.000 | -0.000 |
| 5.795 | 182.345 | 125.921 | -0.000 | -0.000 | -0.000 |
| 0.000 | 0.000 | 0.000 | 95.710 | 0.000 | -0.000 |
| -53.501 | 197.963 | -277.636 | -0.000 | 32.740 | -0.000 |
| 0.000 | 0.000 | 0.000 | -0.000 | -0.000 | 35.579 |
| 205.564 | 68.979 | 62.641 | 0.000 | 0.000 | 0.000 |
| 126.008 | 248.234 | 301.173 | 0.000 | 0.000 | 0.000 |
| 115.239 | -61.847 | 562.067 | 0.000 | -0.000 | 0.000 |
| -0.000 | -0.000 | -0.000 | 95.710 | 0.000 | 0.000 |
| 53.501 | -197.963 | 277.636 | 0.000 | 32.740 | 0.000 |
| -0.000 | -0.000 | -0.000 | 0.000 | 0.000 | 35.579 |
| 198.127 | 73.073 | 46.482 | 0.000 | -0.000 | -0.000 |
| 69.137 | 310.996 | 124.345 | -0.000 | 0.000 | -0.000 |
| 55.916 | 133.611 | 275.703 | -0.000 | 0.000 | -0.000 |
| 0.000 | 0.000 | 0.001 | 95.710 | 0.000 | -0.000 |
| -5.658 | 5.518 | -16.964 | -0.000 | 34.257 | -0.000 |
| 0.000 | 0.000 | 0.000 | -0.000 | -0.000 | 35.579 |
| 208.946 | 61.837 | 80.250 | 0.000 | 0.000 | 0.000 |
| 75.830 | 294.246 | 153.263 | -0.000 | -0.000 | 0.000 |
| 66.608 | 115.748 | 314.676 | 0.000 | 0.000 | 0.000 |
| -0.000 | -0.000 | -0.001 | 95.710 | -0.000 | 0.000 |
| 5.658 | -5.518 | 16.964 | 0.000 | 34.257 | 0.000 |
| -0.000 | -0.000 | -0.000 | 0.000 | 0.000 | 35.579 |
| 205.948 | 68.645 | 62.294 | 0.000 | -0.000 | 0.000 |
| 93.273 | 503.346 | 327.484 | 0.000 | 0.000 | 0.000 |
| 73.374 | 336.470 | 449.781 | 0.000 | -0.000 | -0.000 |
| 11.826 | 204.661 | 158.659 | 84.141 | -0.000 | -0.000 |
| 0.000 | -0.000 | 0.000 | 0.000 | 34.545 | -0.000 |
| 0.000 | -0.000 | 0.000 | 0.000 | 0.000 | 34.872 |
| 205.948 | 68.645 | 62.294 | -0.000 | -0.000 | -0.000 |
| 68.645 | 310.879 | 124.775 | -0.000 | -0.000 | -0.000 |
| 62.294 | 124.775 | 305.641 | -0.000 | -0.000 | -0.000 |
| -11.826 | -204.661 | -158.659 | 84.141 | 0.000 | -0.000 |
| -0.000 | 0.000 | -0.000 | -0.000 | 34.545 | 0.000 |
| -0.000 | 0.000 | -0.000 | -0.000 | -0.000 | 34.872 |
| 205.948 | 68.645 | 62.294 | 0.000 | 0.000 | -0.000 |
| 68.645 | 310.879 | 124.775 | -0.000 | 0.000 | -0.000 |
| 63.828 | 151.688 | 312.165 | 0.000 | 0.000 | 0.000 |
| 0.000 | 0.000 | 0.000 | 95.840 | 0.000 | 0.000 |
| 2.596 | 20.065 | 19.896 | 0.000 | 33.220 | 0.000 |
| 1.180 | 20.441 | 15.843 | 0.000 | 0.000 | 33.459 |
| 200.208 | 48.167 | 42.050 | -0.000 | -0.000 | -0.000 |
| 67.112 | 280.893 | 115.925 | -0.000 | 0.000 | 0.000 |
| 62.294 | 124.775 | 305.640 | -0.000 | -0.000 | -0.000 |
| -0.000 | -0.000 | -0.000 | 95.840 | -0.000 | 0.000 |
| -2.596 | -20.065 | -19.896 | -0.000 | 33.220 | 0.000 |
| -1.180 | -20.441 | -15.843 | -0.000 | -0.000 | 33.459 |
| 205.948 | 68.645 | 62.294 | 0.000 | 0.000 | -0.000 |
| 68.645 | 310.880 | 124.775 | 0.000 | 0.000 | 0.000 |
| 62.294 | 124.776 | 305.643 | 0.000 | 0.000 | 0.000 |
| 0.331 | 2.180 | 1.865 | 80.335 | 0.000 | 0.000 |
| 0.000 | 0.000 | 0.000 | 0.000 | 34.545 | -0.000 |
| 0.243 | 1.875 | 1.859 | 0.000 | 0.000 | 33.543 |
| 203.520 | 66.448 | 60.158 | -0.000 | 0.000 | 0.000 |
| 66.984 | 300.280 | 126.917 | -0.000 | -0.000 | 0.000 |
| 61.018 | 126.488 | 291.839 | -0.000 | -0.000 | 0.000 |
| -0.331 | -2.180 | -1.865 | 80.335 | 0.000 | 0.000 |
| -0.000 | -0.000 | -0.000 | -0.000 | 34.545 | -0.000 |
| -0.243 | -1.875 | -1.859 | -0.000 | -0.000 | 33.543 |
| 402.384 | 197.698 | 242.972 | 26.044 | 0.000 | -0.000 |
| 139.469 | 344.242 | 121.568 | -26.027 | 0.000 | 0.000 |
| 121.569 | 121.569 | 364.051 | -0.000 | 0.000 | -0.000 |
| 26.027 | -26.027 | -0.000 | 83.721 | 0.000 | -0.000 |
| 60.528 | 60.528 | 126.290 | -0.000 | 83.715 | 26.044 |
| 60.529 | 60.529 | 126.292 | 0.000 | 26.044 | 102.343 |
| 344.242 | 139.469 | 121.568 | 26.027 | -0.000 | 0.000 |
| 76.641 | 281.327 | -9.612 | -26.044 | -0.000 | 0.000 |
| 56.153 | 56.153 | 227.562 | 0.000 | -0.000 | 0.000 |
| 26.027 | -26.027 | 0.000 | 83.721 | -0.000 | 0.000 |
| -60.528 | -60.528 | -126.290 | -0.000 | 83.715 | 26.044 |
| -60.529 | -60.529 | -126.292 | 0.000 | 26.044 | 102.343 |
| 344.242 | 139.469 | 121.568 | 26.027 | 0.000 | -0.000 |
| 139.469 | 344.242 | 121.568 | -26.027 | 0.000 | 0.000 |
| 122.733 | 122.733 | 366.480 | -0.000 | 0.000 | -0.000 |
| 26.027 | -26.027 | 0.000 | 83.721 | 0.000 | -0.000 |
| 6.055 | 6.055 | 12.633 | 0.000 | 83.715 | 26.044 |
| -0.000 | 0.000 | -0.000 | 0.000 | 26.027 | 102.386 |
| 344.242 | 139.469 | 121.568 | 26.027 | -0.000 | 0.000 |
| 131.107 | 335.793 | 104.031 | -26.044 | -0.000 | 0.000 |
| 110.628 | 110.628 | 341.222 | 0.000 | -0.000 | -0.000 |
| 26.027 | -26.027 | -0.000 | 83.721 | -0.000 | 0.000 |
| -6.055 | -6.055 | -12.633 | -0.000 | 83.715 | 26.044 |
| 0.000 | -0.000 | 0.000 | -0.000 | 26.027 | 102.386 |
| 342.415 | 137.731 | 117.848 | 26.045 | 0.000 | -0.000 |
| 137.731 | 342.415 | 117.848 | -26.045 | 0.000 | -0.000 |
| 117.286 | 117.286 | 355.115 | -0.000 | 0.000 | 0.000 |
| 26.027 | -26.027 | 0.000 | 83.721 | 0.000 | 0.000 |
| 0.625 | 0.625 | 1.305 | 0.000 | 83.714 | 26.045 |
| -0.000 | 0.000 | 0.000 | 0.000 | 26.027 | 102.386 |
| 344.241 | 139.469 | 121.568 | 26.027 | -0.000 | 0.000 |
| 136.537 | 341.222 | 115.361 | -26.045 | -0.000 | 0.000 |
| 116.075 | 116.075 | 352.588 | 0.000 | -0.000 | 0.000 |
| 25.420 | -26.670 | -1.305 | 83.715 | -0.000 | -0.000 |
| -0.625 | -0.625 | -1.305 | -0.000 | 83.714 | 26.045 |
| 0.000 | -0.000 | -0.000 | -0.000 | 26.027 | 102.386 |
| 344.059 | 139.383 | 121.287 | 25.964 | 0.000 | -0.000 |
| 139.383 | 344.059 | 121.287 | -25.964 | -0.000 | 0.000 |
| 121.340 | 121.340 | 363.307 | -0.000 | -0.000 | -0.000 |
| 754.331 | 702.372 | 1517.587 | 83.563 | -0.000 | 0.000 |
| 728.352 | 728.352 | 1517.587 | -0.000 | 83.563 | 25.980 |
| 728.352 | 728.352 | 1517.587 | -0.000 | 25.980 | 102.295 |
| -386.656 | -591.246 | -1401.134 | 25.980 | 0.000 | 0.000 |
| -591.246 | -386.656 | -1401.134 | -25.980 | 0.000 | -0.000 |
| 121.340 | 121.340 | 363.307 | 0.000 | 0.000 | -0.000 |
| -702.372 | -754.331 | -1517.587 | 83.563 | 0.000 | 0.000 |
| -728.352 | -728.352 | -1517.587 | 0.000 | 83.563 | 25.980 |
| -728.352 | -728.352 | -1517.587 | 0.000 | 25.980 | 102.295 |
| 344.059 | 139.383 | 121.287 | 25.964 | -0.000 | 0.000 |
| 139.383 | 344.059 | 121.287 | -25.964 | -0.000 | 0.000 |
| 121.340 | 121.340 | 363.307 | -0.000 | -0.000 | 0.000 |
| 98.815 | 46.856 | 151.759 | 83.563 | -0.000 | 0.000 |
| -0.000 | -0.000 | 0.000 | 0.000 | 83.569 | 25.964 |
| -0.000 | 0.000 | -0.000 | 0.000 | 25.964 | 102.338 |
| 268.709 | 64.422 | -35.306 | 26.034 | 0.000 | -0.000 |
| 139.383 | 344.059 | 121.287 | -25.964 | 0.000 | -0.000 |
| 121.340 | 121.340 | 363.307 | 0.000 | 0.000 | -0.000 |
| 25.964 | -25.964 | -0.000 | 83.569 | 0.000 | -0.000 |
| 0.000 | 0.000 | 0.000 | -0.000 | 83.569 | 25.964 |
| 0.000 | -0.000 | 0.000 | -0.000 | 25.964 | 102.338 |
| 344.060 | 139.383 | 121.288 | 25.964 | -0.000 | 0.000 |
| 144.541 | 348.828 | 131.629 | -26.034 | -0.000 | 0.000 |
| 121.340 | 121.340 | 363.307 | -0.000 | -0.000 | -0.000 |
| 25.964 | -25.964 | -0.000 | 83.568 | -0.000 | 0.000 |
| 7.285 | 7.285 | 15.179 | 0.000 | 83.563 | 25.980 |
| 7.294 | 7.294 | 15.198 | 0.000 | 25.980 | 102.295 |
| 344.058 | 139.383 | 121.287 | 25.964 | 0.000 | -0.000 |
| 129.973 | 334.260 | 101.277 | -26.034 | 0.000 | -0.000 |
| 121.340 | 121.340 | 363.307 | -0.000 | 0.000 | -0.000 |
| 25.964 | -25.964 | 0.000 | 83.569 | 0.000 | -0.000 |
| -7.285 | -7.285 | -15.179 | -0.000 | 83.563 | 25.980 |
| -7.294 | -7.294 | -15.198 | -0.000 | 25.980 | 102.295 |
| 274.437 | 148.693 | 140.611 | -0.000 | 0.000 | -0.000 |
| 148.693 | 274.437 | 140.611 | -0.000 | 0.000 | 0.000 |
| 140.611 | 140.611 | 265.944 | 0.000 | -0.000 | -0.000 |
| 0.000 | 0.000 | 0.000 | 116.184 | -0.000 | 0.000 |
| 0.000 | 0.000 | 0.000 | -0.000 | 116.184 | 0.000 |
| 0.000 | 0.000 | -0.000 | -0.000 | -0.000 | 115.931 |
| 274.437 | 148.693 | 140.611 | -0.000 | -0.000 | -0.000 |
| 148.693 | 274.437 | 140.611 | -0.000 | 0.000 | -0.000 |
| 140.611 | 140.611 | 265.944 | 0.000 | -0.000 | -0.000 |
| -0.000 | -0.000 | -0.000 | 116.184 | 0.000 | -0.000 |
| -0.000 | -0.000 | -0.000 | -0.000 | 116.184 | -0.000 |
| -0.000 | -0.000 | -0.000 | 0.000 | -0.000 | 115.931 |
| 276.312 | 146.818 | 140.611 | -0.000 | 0.000 | 0.000 |
| 146.818 | 276.312 | 140.611 | -0.000 | -0.000 | 0.000 |
| 140.611 | 140.611 | 265.944 | -0.000 | -0.000 | 0.000 |
| -0.000 | 0.000 | 0.000 | 116.184 | -0.000 | 0.000 |
| 0.000 | -0.000 | 0.000 | 0.000 | 116.184 | 0.000 |
| 0.000 | 0.000 | -0.000 | 0.000 | -0.000 | 115.931 |
| 276.311 | 146.818 | 140.611 | -0.000 | 0.000 | -0.000 |
| 146.818 | 276.311 | 140.611 | -0.000 | -0.000 | -0.000 |
| 140.611 | 140.611 | 265.944 | 0.000 | -0.000 | 0.000 |
| 0.000 | -0.000 | -0.000 | 116.184 | 0.000 | -0.000 |
| -0.000 | 0.000 | -0.000 | -0.000 | 116.184 | -0.000 |
| -0.000 | -0.000 | 0.000 | -0.000 | -0.000 | 115.931 |
| 276.312 | 146.819 | 140.611 | -0.000 | 0.000 | -0.000 |
| 146.819 | 276.312 | 140.611 | 0.000 | -0.000 | 0.000 |
| 140.611 | 140.611 | 265.945 | -0.000 | -0.000 | 0.000 |
| -0.000 | 0.000 | 0.000 | 116.184 | -0.000 | 0.000 |
| 0.000 | -0.000 | 0.000 | 0.000 | 116.184 | -0.000 |
| 0.000 | 0.000 | -0.000 | -0.000 | -0.000 | 115.931 |
| 276.311 | 146.818 | 140.611 | -0.000 | -0.000 | -0.000 |
| 146.818 | 276.311 | 140.611 | -0.000 | -0.000 | -0.000 |
| 140.611 | 140.611 | 265.944 | 0.000 | 0.000 | 0.000 |
| 0.000 | -0.000 | -0.000 | 116.184 | 0.000 | -0.000 |
| -0.000 | 0.000 | -0.000 | -0.000 | 116.184 | -0.000 |
| -0.000 | -0.000 | 0.000 | 0.000 | -0.000 | 115.931 |
| 305.941 | 128.048 | 70.690 | 0.000 | 0.000 | -0.000 |
| 128.048 | 305.941 | 70.690 | 0.000 | 0.000 | -0.000 |
| 68.507 | 68.507 | 204.822 | -0.000 | 0.000 | 0.000 |
| 0.000 | 0.000 | 0.000 | 33.633 | 0.000 | -0.000 |
| -0.630 | -0.630 | -0.703 | 0.000 | 30.561 | 0.000 |
| -0.541 | -0.541 | -0.604 | 0.000 | 0.000 | 76.232 |
| 305.941 | 128.048 | 70.690 | -0.000 | -0.000 | 0.000 |
| 133.010 | 294.601 | 67.128 | -0.000 | -0.000 | 0.000 |
| 70.619 | 70.619 | 207.181 | -0.000 | -0.000 | -0.000 |
| 0.000 | -0.000 | -0.000 | 33.633 | -0.000 | 0.000 |
| 0.630 | 0.630 | 0.703 | -0.000 | 30.561 | 0.000 |
| 0.541 | 0.541 | 0.604 | -0.000 | -0.000 | 76.232 |
| 305.941 | 128.048 | 70.690 | 0.000 | 0.000 | 0.000 |
| 139.395 | 291.020 | 68.694 | 0.000 | 0.000 | -0.000 |
| 70.619 | 70.619 | 207.181 | 0.000 | 0.000 | -0.000 |
| 0.000 | 0.000 | 0.000 | 33.633 | 0.000 | -0.000 |
| 0.000 | 0.000 | 0.000 | 0.000 | 33.633 | 0.000 |
| 0.000 | 0.000 | 0.000 | 0.000 | 0.000 | 88.947 |
| 294.871 | 132.466 | 66.975 | -0.000 | -0.000 | 0.000 |
| 132.466 | 294.871 | 66.975 | -0.000 | -0.000 | 0.000 |
| 70.619 | 70.619 | 207.181 | -0.000 | -0.000 | 0.000 |
| -0.000 | -0.000 | -0.000 | 33.633 | -0.000 | 0.000 |
| -0.000 | -0.000 | -0.000 | 0.000 | 33.633 | 0.000 |
| -0.000 | -0.000 | -0.000 | -0.000 | -0.000 | 88.947 |
| 305.943 | 128.048 | 70.690 | 0.000 | 0.000 | -0.000 |
| 128.048 | 305.942 | 70.690 | 0.000 | 0.000 | -0.000 |
| 70.620 | 70.620 | 207.181 | 0.000 | 0.000 | -0.000 |
| 0.000 | 0.000 | 0.000 | 33.633 | 0.000 | -0.000 |
| 0.000 | 0.000 | 0.000 | 0.000 | 33.633 | -0.000 |
| 0.000 | 0.000 | 0.000 | 0.000 | 0.000 | 88.947 |
| 305.940 | 128.048 | 70.690 | -0.000 | -0.000 | 0.000 |
| 132.415 | 294.895 | 66.961 | -0.000 | -0.000 | 0.000 |
| 70.619 | 70.619 | 207.182 | -0.000 | -0.000 | 0.000 |
| -0.000 | -0.000 | -0.000 | 33.633 | -0.000 | 0.000 |
| -0.000 | -0.000 | -0.000 | -0.000 | 33.633 | -0.000 |
| -0.000 | -0.000 | -0.000 | -0.000 | -0.000 | 88.947 |
| 418.621 | 249.553 | 203.596 | 0.000 | 0.000 | 0.000 |
| 258.516 | 409.582 | 203.553 | 0.000 | 0.000 | 0.000 |
| 187.543 | 187.543 | 340.533 | 0.000 | 0.000 | 0.000 |
| 119.445 | 119.445 | 135.455 | 32.058 | 0.000 | 0.000 |
| 119.436 | 119.436 | 135.445 | 0.000 | 29.662 | 0.000 |
| 119.475 | 119.475 | 135.489 | 0.000 | 0.000 | 84.534 |
| 304.786 | 127.791 | 70.008 | 0.000 | -0.000 | -0.000 |
| 127.791 | 304.786 | 70.008 | 0.000 | -0.000 | -0.000 |
| -51.330 | -51.330 | 69.642 | -0.000 | -0.000 | -0.000 |
| -119.445 | -119.445 | -135.455 | 32.058 | -0.000 | -0.000 |
| -119.436 | -119.436 | -135.445 | -0.000 | 29.662 | -0.000 |
| -119.475 | -119.475 | -135.489 | -0.000 | -0.000 | 84.534 |
| 304.786 | 127.791 | 70.008 | -0.000 | 0.000 | 0.000 |
| 151.028 | 302.094 | 81.658 | 0.000 | 0.000 | 0.000 |
| 80.050 | 80.050 | 218.632 | 0.000 | 0.000 | 0.000 |
| 12.029 | 12.029 | 13.642 | 32.052 | 0.000 | 0.000 |
| 11.944 | 11.944 | 13.545 | 0.000 | 29.662 | 0.000 |
| 0.000 | 0.000 | 0.000 | 0.000 | 0.000 | 88.498 |
| 278.197 | 127.131 | 54.557 | -0.000 | -0.000 | -0.000 |
| 127.131 | 278.197 | 54.557 | -0.000 | -0.000 | -0.000 |
| 70.008 | 70.008 | 207.244 | -0.000 | 0.000 | -0.000 |
| -12.029 | -12.029 | -13.642 | 32.052 | -0.000 | 0.000 |
| -11.944 | -11.944 | -13.545 | -0.000 | 29.662 | -0.000 |
| -0.000 | -0.000 | -0.000 | -0.000 | -0.000 | 88.498 |
| 291.556 | 138.150 | 68.380 | 0.000 | 0.000 | 0.000 |
| 138.151 | 291.555 | 68.380 | 0.000 | 0.000 | 0.000 |
| 70.008 | 70.008 | 207.244 | 0.000 | 0.000 | 0.000 |
| 1.883 | 1.883 | 2.136 | 31.584 | 0.000 | -0.000 |
| 0.000 | 0.000 | 0.000 | 0.000 | 32.879 | -0.000 |
| 1.237 | 1.237 | 1.403 | 0.000 | 0.000 | 75.528 |
| 288.890 | 137.943 | 66.752 | -0.000 | 0.000 | -0.000 |
| 137.945 | 288.895 | 66.756 | -0.000 | -0.000 | -0.000 |
| 70.008 | 70.008 | 207.244 | -0.000 | -0.000 | -0.000 |
| -1.883 | -1.883 | -2.136 | 31.584 | -0.000 | -0.000 |
| -0.000 | -0.000 | -0.000 | -0.000 | 32.879 | -0.000 |
| -1.237 | -1.237 | -1.403 | -0.000 | -0.000 | 75.528 |
| 248.073 | 147.793 | 147.793 | -0.000 | -0.000 | -0.000 |
| 147.793 | 248.073 | 147.793 | -0.000 | -0.000 | -0.000 |
| 147.793 | 147.793 | 248.073 | -0.000 | -0.000 | -0.000 |
| -0.000 | -0.000 | -0.000 | 124.960 | -0.000 | 0.000 |
| -0.000 | -0.000 | -0.000 | -0.000 | 124.960 | -0.000 |
| -0.000 | -0.000 | -0.000 | -0.000 | -0.000 | 124.960 |
| 248.073 | 147.793 | 147.793 | 0.000 | 0.000 | 0.000 |
| 147.793 | 248.073 | 147.793 | 0.000 | 0.000 | 0.000 |
| 147.793 | 147.793 | 248.073 | 0.000 | 0.000 | 0.000 |
| 0.000 | 0.000 | 0.000 | 124.960 | 0.000 | 0.000 |
| 0.000 | 0.000 | 0.000 | 0.000 | 124.960 | 0.000 |
| 0.000 | 0.000 | 0.000 | 0.000 | 0.000 | 124.960 |
| 248.073 | 147.793 | 147.793 | -0.000 | -0.000 | -0.000 |
| 147.793 | 248.073 | 147.793 | -0.000 | -0.000 | -0.000 |
| 147.793 | 147.793 | 248.073 | -0.000 | -0.000 | -0.000 |
| -0.000 | -0.000 | 0.000 | 124.960 | -0.000 | -0.000 |
| -0.000 | -0.000 | 0.000 | -0.000 | 124.960 | -0.000 |
| -0.000 | 0.000 | -0.000 | -0.000 | -0.000 | 124.960 |
| 248.074 | 147.793 | 147.793 | 0.000 | 0.000 | 0.000 |
| 147.793 | 248.074 | 147.793 | 0.000 | 0.000 | 0.000 |
| 147.793 | 147.793 | 248.074 | 0.000 | 0.000 | 0.000 |
| 0.000 | 0.000 | -0.000 | 124.960 | 0.000 | 0.000 |
| 0.000 | 0.000 | -0.000 | 0.000 | 124.960 | 0.000 |
| 0.000 | -0.000 | 0.000 | 0.000 | 0.000 | 124.960 |
| 248.070 | 147.793 | 147.793 | -0.000 | -0.000 | -0.000 |
| 147.793 | 248.070 | 147.793 | -0.000 | -0.000 | -0.000 |
| 147.793 | 147.793 | 248.070 | -0.000 | -0.000 | -0.000 |
| -0.000 | -0.000 | 0.000 | 124.960 | -0.000 | -0.000 |
| -0.000 | -0.000 | 0.000 | -0.000 | 124.960 | -0.000 |
| -0.000 | 0.000 | -0.000 | -0.000 | -0.000 | 124.960 |
| 248.077 | 147.793 | 147.793 | 0.000 | 0.000 | 0.000 |
| 147.793 | 248.077 | 147.793 | 0.000 | 0.000 | 0.000 |
| 147.793 | 147.793 | 248.077 | 0.000 | 0.000 | 0.000 |
| 0.000 | 0.000 | -0.000 | 124.960 | 0.000 | 0.000 |
| 0.000 | 0.000 | -0.000 | 0.000 | 124.960 | 0.000 |
| 0.000 | -0.000 | 0.000 | 0.000 | 0.000 | 124.960 |
| 2.917 | 1.459 | 1.459 | 0.000 | 0.000 | 0.000 |
| 1.459 | 2.917 | 1.459 | 0.000 | 0.000 | 0.000 |
| 1.459 | 1.459 | 2.917 | 0.000 | 0.000 | 0.000 |
| 0.000 | 0.000 | 0.000 | 1.458 | 0.000 | 0.000 |
| 0.000 | 0.000 | 0.000 | 0.000 | 1.458 | -0.000 |
| 0.000 | 0.000 | -0.000 | 0.000 | 0.000 | 1.458 |
| 2.917 | 1.459 | 1.459 | -0.000 | -0.000 | -0.000 |
| 1.459 | 2.917 | 1.459 | -0.000 | -0.000 | -0.000 |
| 1.459 | 1.459 | 2.917 | -0.000 | -0.000 | -0.000 |
| 0.000 | -0.000 | -0.000 | 1.458 | -0.000 | -0.000 |
| -0.000 | -0.000 | -0.000 | -0.000 | 1.458 | 0.000 |
| -0.000 | -0.000 | 0.000 | -0.000 | 0.000 | 1.458 |
| 2.917 | 1.459 | 1.459 | 0.000 | 0.000 | 0.000 |
| 1.459 | 2.917 | 1.459 | 0.000 | 0.000 | 0.000 |
| 1.459 | 1.459 | 2.917 | 0.000 | 0.000 | 0.000 |
| -0.000 | 0.000 | 0.000 | 1.458 | -0.000 | 0.000 |
| 0.000 | -0.000 | 0.000 | -0.000 | 1.458 | -0.000 |
| 0.000 | 0.000 | -0.000 | -0.000 | -0.000 | 1.458 |
| 2.917 | 1.459 | 1.459 | -0.000 | -0.000 | -0.000 |
| 1.459 | 2.917 | 1.459 | -0.000 | -0.000 | -0.000 |
| 1.459 | 1.459 | 2.917 | -0.000 | -0.000 | -0.000 |
| 0.000 | -0.000 | -0.000 | 1.458 | -0.000 | -0.000 |
| -0.000 | 0.000 | -0.000 | -0.000 | 1.458 | 0.000 |
| -0.000 | -0.000 | 0.000 | -0.000 | -0.000 | 1.458 |
| 2.917 | 1.459 | 1.459 | 0.000 | 0.000 | 0.000 |
| 1.459 | 2.917 | 1.459 | 0.000 | 0.000 | 0.000 |
| 1.459 | 1.459 | 2.917 | 0.000 | 0.000 | 0.000 |
| -0.000 | 0.000 | 0.000 | 1.458 | 0.000 | 0.000 |
| 0.000 | -0.000 | 0.000 | 0.000 | 1.458 | 0.000 |
| 0.000 | 0.000 | -0.000 | 0.000 | 0.000 | 1.458 |
| 2.917 | 1.459 | 1.459 | 0.000 | -0.000 | -0.000 |
| 1.459 | 2.917 | 1.459 | -0.000 | 0.000 | -0.000 |
| 1.459 | 1.459 | 2.917 | -0.000 | 0.000 | 0.000 |
| 0.000 | -0.000 | -0.000 | 1.458 | -0.000 | -0.000 |
| -0.000 | 0.000 | -0.000 | -0.000 | 1.458 | -0.000 |
| -0.000 | -0.000 | 0.000 | -0.000 | -0.000 | 1.458 |
| -0.008 | -0.004 | -0.004 | -0.000 | -0.000 | -0.000 |
| -0.004 | -0.008 | -0.004 | -0.000 | -0.000 | -0.000 |
| -0.004 | -0.004 | -0.008 | 0.000 | 0.000 | -0.000 |
| -0.000 | 0.000 | 0.000 | -0.004 | 0.000 | -0.000 |
| 0.000 | -0.000 | 0.000 | 0.000 | -0.004 | -0.000 |
| 0.000 | 0.000 | -0.000 | 0.000 | -0.000 | -0.004 |
| -0.008 | -0.004 | -0.004 | -0.000 | -0.000 | -0.000 |
| -0.004 | -0.008 | -0.004 | -0.000 | 0.000 | -0.000 |
| -0.004 | -0.004 | -0.008 | 0.000 | 0.000 | 0.000 |
| 0.000 | -0.000 | -0.000 | -0.004 | -0.000 | 0.000 |
| -0.000 | 0.000 | -0.000 | 0.000 | -0.004 | -0.000 |
| -0.000 | -0.000 | 0.000 | 0.000 | -0.000 | -0.004 |
| -0.008 | -0.004 | -0.004 | 0.000 | -0.000 | -0.000 |
| -0.004 | -0.008 | -0.004 | -0.000 | 0.000 | 0.000 |
| -0.004 | -0.004 | -0.008 | 0.000 | -0.000 | 0.000 |
| 0.000 | 0.000 | 0.000 | -0.004 | 0.000 | 0.000 |
| 0.000 | 0.000 | 0.000 | 0.000 | -0.004 | -0.000 |
| 0.000 | 0.000 | 0.000 | 0.000 | -0.000 | -0.004 |
| -0.008 | -0.004 | -0.004 | -0.000 | -0.000 | -0.000 |
| -0.004 | -0.008 | -0.004 | -0.000 | -0.000 | -0.000 |
| -0.004 | -0.004 | -0.008 | 0.000 | -0.000 | 0.000 |
| -0.000 | -0.000 | -0.000 | -0.004 | -0.000 | 0.000 |
| -0.000 | -0.000 | -0.000 | 0.000 | -0.004 | 0.000 |
| -0.000 | -0.000 | -0.000 | -0.000 | 0.000 | -0.004 |
| -0.008 | -0.004 | -0.004 | -0.000 | 0.000 | 0.000 |
| -0.004 | -0.008 | -0.004 | 0.000 | 0.000 | 0.000 |
| -0.004 | -0.004 | -0.008 | -0.000 | -0.000 | -0.000 |
| 0.000 | 0.000 | 0.000 | -0.004 | 0.000 | -0.000 |
| 0.000 | 0.000 | 0.000 | 0.000 | -0.004 | 0.000 |
| 0.000 | 0.000 | 0.000 | -0.000 | 0.000 | -0.004 |
| -0.008 | -0.004 | -0.004 | 0.000 | 0.000 | 0.000 |
| -0.004 | -0.008 | -0.004 | 0.000 | -0.000 | 0.000 |
| -0.004 | -0.004 | -0.008 | -0.000 | -0.000 | 0.000 |
| -0.000 | -0.000 | -0.000 | -0.004 | 0.000 | -0.000 |
| -0.000 | -0.000 | -0.000 | 0.000 | -0.004 | 0.000 |
| -0.000 | -0.000 | -0.000 | 0.000 | 0.000 | -0.004 |
| 3.494 | 2.019 | 2.019 | -0.000 | -0.000 | 0.000 |
| 2.019 | 3.494 | 2.019 | 0.000 | -0.000 | 0.000 |
| 2.019 | 2.019 | 3.494 | -0.000 | -0.000 | 0.000 |
| 0.000 | -0.000 | -0.000 | 1.657 | -0.000 | -0.000 |
| -0.000 | 0.000 | -0.000 | -0.000 | 1.657 | -0.000 |
| -0.000 | -0.000 | 0.000 | 0.000 | -0.000 | 1.657 |
| 3.495 | 2.019 | 2.019 | -0.000 | 0.000 | -0.000 |
| 2.019 | 3.495 | 2.019 | 0.000 | 0.000 | -0.000 |
| 2.019 | 2.019 | 3.495 | 0.000 | 0.000 | 0.000 |
| -0.000 | 0.000 | 0.000 | 1.657 | 0.000 | 0.000 |
| 0.000 | -0.000 | 0.000 | 0.000 | 1.657 | 0.000 |
| 0.000 | 0.000 | -0.000 | -0.000 | 0.000 | 1.657 |
| 3.493 | 2.018 | 2.018 | 0.000 | -0.000 | 0.000 |
| 2.018 | 3.493 | 2.018 | -0.000 | -0.000 | -0.000 |
| 2.018 | 2.018 | 3.493 | -0.000 | -0.000 | -0.000 |
| -0.000 | -0.001 | -0.001 | 1.657 | -0.000 | -0.000 |
| -0.001 | -0.000 | -0.001 | -0.000 | 1.657 | 0.000 |
| -0.001 | -0.001 | -0.000 | 0.000 | -0.000 | 1.657 |
| 3.496 | 2.019 | 2.019 | -0.000 | 0.000 | -0.000 |
| 2.019 | 3.496 | 2.019 | -0.000 | 0.000 | -0.000 |
| 2.019 | 2.019 | 3.496 | 0.000 | 0.000 | -0.000 |
| 0.000 | 0.001 | 0.001 | 1.657 | 0.000 | -0.000 |
| 0.001 | 0.000 | 0.001 | -0.000 | 1.657 | -0.000 |
| 0.001 | 0.001 | 0.000 | -0.000 | 0.000 | 1.657 |
| 3.482 | 2.012 | 2.012 | -0.000 | -0.000 | 0.000 |
| 2.012 | 3.482 | 2.012 | -0.000 | -0.000 | 0.000 |
| 2.012 | 2.012 | 3.482 | -0.000 | -0.000 | 0.000 |
| -0.000 | -0.006 | -0.006 | 1.657 | -0.000 | 0.000 |
| -0.006 | -0.000 | -0.006 | -0.000 | 1.657 | 0.000 |
| -0.006 | -0.006 | -0.000 | -0.000 | -0.000 | 1.657 |
| 3.507 | 2.025 | 2.025 | -0.000 | 0.000 | -0.000 |
| 2.025 | 3.507 | 2.025 | 0.000 | -0.000 | -0.000 |
| 2.025 | 2.025 | 3.507 | 0.000 | 0.000 | -0.000 |
| 0.000 | 0.006 | 0.006 | 1.657 | 0.000 | 0.000 |
| 0.006 | 0.000 | 0.006 | 0.000 | 1.657 | -0.000 |
| 0.006 | 0.006 | 0.000 | 0.000 | 0.000 | 1.657 |
| 621.525 | 161.560 | 161.560 | 0.000 | -0.000 | -0.000 |
| 161.560 | 621.525 | 161.560 | 0.000 | -0.000 | -0.000 |
| 161.560 | 161.560 | 621.525 | 0.000 | -0.000 | 0.000 |
| -0.001 | -0.001 | -0.001 | 89.807 | -0.000 | -0.000 |
| -0.001 | -0.001 | -0.001 | 0.000 | 89.807 | 0.000 |
| -0.001 | -0.001 | -0.001 | 0.000 | -0.000 | 89.807 |
| 619.507 | 162.575 | 162.575 | -0.000 | 0.000 | -0.000 |
| 162.575 | 619.507 | 162.575 | -0.000 | 0.000 | -0.000 |
| 162.575 | 162.575 | 619.507 | -0.000 | 0.000 | -0.000 |
| 0.001 | 0.001 | 0.001 | 89.807 | 0.000 | 0.000 |
| 0.001 | 0.001 | 0.001 | -0.000 | 89.807 | -0.000 |
| 0.001 | 0.001 | 0.001 | -0.000 | 0.000 | 89.807 |
| 619.466 | 162.564 | 162.564 | 0.000 | -0.000 | 0.000 |
| 162.564 | 619.466 | 162.564 | 0.000 | 0.000 | 0.000 |
| 162.564 | 162.564 | 619.466 | 0.000 | -0.000 | 0.000 |
| -0.007 | -0.006 | -0.006 | 89.807 | -0.000 | -0.000 |
| -0.006 | -0.007 | -0.006 | 0.000 | 89.807 | 0.000 |
| -0.006 | -0.006 | -0.007 | 0.000 | -0.000 | 89.807 |
| 619.540 | 162.584 | 162.584 | -0.000 | 0.000 | -0.000 |
| 162.584 | 619.540 | 162.584 | -0.000 | 0.000 | -0.000 |
| 162.584 | 162.584 | 619.540 | -0.000 | 0.000 | -0.000 |
| 0.007 | 0.006 | 0.006 | 89.807 | 0.000 | -0.000 |
| 0.006 | 0.007 | 0.006 | -0.000 | 89.807 | -0.000 |
| 0.006 | 0.006 | 0.007 | -0.000 | 0.000 | 89.807 |
| 619.131 | 162.474 | 162.474 | 0.000 | -0.000 | 0.000 |
| 162.474 | 619.131 | 162.474 | 0.000 | -0.000 | 0.000 |
| 162.474 | 162.474 | 619.131 | 0.000 | -0.000 | 0.000 |
| -0.054 | -0.071 | -0.071 | 89.807 | -0.000 | -0.000 |
| -0.071 | -0.054 | -0.071 | 0.000 | 89.807 | 0.000 |
| -0.071 | -0.071 | -0.054 | 0.000 | -0.000 | 89.807 |
| 1091278.679 | 87297.936 | 87297.936 | -0.000 | 0.000 | -0.000 |
| 87297.936 | 1091278.679 | 87297.936 | -0.000 | 0.000 | -0.000 |
| 87297.936 | 87297.936 | 1091278.679 | -0.000 | -0.000 | -0.000 |
| 0.054 | 0.071 | 0.071 | 89.807 | 0.000 | -0.000 |
| 0.071 | 0.054 | 0.071 | -0.000 | 89.807 | -0.000 |
| 0.071 | 0.071 | 0.054 | -0.000 | 0.000 | 89.807 |
| 481.620 | 105.273 | 105.273 | -0.000 | -0.000 | -0.000 |
| 105.273 | 481.620 | 105.273 | -0.000 | -0.000 | -0.000 |
| 105.273 | 105.273 | 481.620 | -0.000 | -0.000 | -0.000 |
| 0.000 | -0.000 | 0.000 | 49.979 | -0.000 | -0.000 |
| -0.000 | 0.000 | 0.000 | -0.000 | 49.979 | -0.000 |
| -0.000 | 0.000 | 0.000 | -0.000 | -0.000 | 49.979 |
| 481.620 | 105.273 | 105.273 | 0.000 | -0.000 | 0.000 |
| 105.273 | 481.620 | 105.273 | 0.000 | 0.000 | 0.000 |
| 105.273 | 105.273 | 481.620 | 0.000 | 0.000 | 0.000 |
| 0.000 | 0.000 | -0.000 | 49.979 | 0.000 | 0.000 |
| 0.000 | 0.000 | -0.000 | 0.000 | 49.979 | 0.000 |
| 0.000 | 0.000 | -0.000 | 0.000 | 0.000 | 49.979 |
| 482.687 | 104.740 | 104.740 | -0.000 | -0.000 | -0.000 |
| 104.740 | 482.687 | 104.740 | -0.000 | -0.000 | -0.000 |
| 104.740 | 104.740 | 482.687 | -0.000 | -0.000 | -0.000 |
| 0.000 | 0.000 | -0.000 | 68.316 | 0.000 | -0.000 |
| 0.000 | 0.000 | -0.000 | -0.000 | 68.316 | -0.000 |
| 0.000 | -0.000 | 0.000 | -0.000 | -0.000 | 68.316 |
| 482.687 | 104.740 | 104.740 | 0.000 | 0.000 | 0.000 |
| 104.740 | 482.687 | 104.740 | 0.000 | 0.000 | 0.000 |
| 104.740 | 104.740 | 482.687 | 0.000 | -0.000 | 0.000 |
| -0.000 | -0.000 | 0.000 | 68.316 | -0.000 | 0.000 |
| -0.000 | -0.000 | 0.000 | 0.000 | 68.316 | 0.000 |
| -0.000 | 0.000 | -0.000 | 0.000 | 0.000 | 68.316 |
| 482.688 | 104.740 | 104.740 | -0.000 | -0.000 | -0.000 |
| 104.740 | 482.688 | 104.740 | -0.000 | -0.000 | -0.000 |
| 104.740 | 104.740 | 482.688 | -0.000 | -0.000 | -0.000 |
| 0.000 | 0.000 | -0.000 | 49.979 | -0.000 | -0.000 |
| 0.000 | 0.000 | -0.000 | -0.000 | 49.979 | -0.000 |
| 0.000 | -0.000 | 0.000 | -0.000 | -0.000 | 49.979 |
| 482.685 | 104.740 | 104.740 | 0.000 | 0.000 | 0.000 |
| 104.740 | 482.685 | 104.740 | 0.000 | 0.000 | 0.000 |
| 104.740 | 104.740 | 482.685 | 0.000 | 0.000 | 0.000 |
| -0.000 | -0.000 | 0.000 | 49.979 | 0.000 | 0.000 |
| -0.000 | -0.000 | 0.000 | 0.000 | 49.979 | 0.000 |
| -0.000 | 0.000 | -0.000 | 0.000 | 0.000 | 49.979 |
| 2.513 | 1.340 | 1.340 | 0.000 | -0.000 | -0.000 |
| 1.340 | 2.513 | 1.340 | 0.000 | -0.000 | -0.000 |
| 1.340 | 1.340 | 2.513 | 0.000 | -0.000 | 0.000 |
| -0.000 | -0.000 | -0.000 | 1.338 | -0.000 | -0.000 |
| -0.000 | 0.000 | -0.000 | 0.000 | 1.338 | -0.000 |
| -0.000 | -0.000 | 0.000 | 0.000 | -0.000 | 1.338 |
| 2.515 | 1.339 | 1.339 | -0.000 | 0.000 | 0.000 |
| 1.339 | 2.515 | 1.339 | -0.000 | 0.000 | -0.000 |
| 1.339 | 1.339 | 2.515 | -0.000 | 0.000 | -0.000 |
| 0.000 | 0.000 | 0.000 | 1.338 | 0.000 | -0.000 |
| 0.000 | -0.000 | 0.000 | -0.000 | 1.338 | 0.000 |
| 0.000 | 0.000 | -0.000 | -0.000 | 0.000 | 1.338 |
| 2.515 | 1.339 | 1.339 | 0.000 | -0.000 | -0.000 |
| 1.339 | 2.515 | 1.339 | 0.000 | -0.000 | -0.000 |
| 1.339 | 1.339 | 2.515 | 0.000 | -0.000 | -0.000 |
| -0.000 | -0.000 | -0.000 | 1.340 | -0.000 | 0.000 |
| -0.000 | -0.000 | -0.000 | 0.000 | 1.340 | 0.000 |
| -0.000 | -0.000 | -0.000 | 0.000 | -0.000 | 1.340 |
| 2.515 | 1.339 | 1.339 | -0.000 | 0.000 | 0.000 |
| 1.339 | 2.515 | 1.339 | -0.000 | 0.000 | 0.000 |
| 1.339 | 1.339 | 2.515 | 0.000 | 0.000 | 0.000 |
| 0.000 | 0.000 | 0.000 | 1.340 | 0.000 | 0.000 |
| 0.000 | 0.000 | 0.000 | -0.000 | 1.340 | -0.000 |
| 0.000 | 0.000 | 0.000 | -0.000 | 0.000 | 1.340 |
| 105273.389 | 45550.894 | 45550.809 | -0.000 | -0.000 | 0.000 |
| 45550.809 | 105273.389 | 45550.894 | 0.000 | 0.000 | -0.000 |
| 45550.894 | 45550.809 | 105273.389 | -0.000 | -0.000 | -0.000 |
| -0.000 | -0.000 | -0.000 | 1.337 | -0.000 | -0.000 |
| -0.000 | -0.000 | -0.000 | 0.000 | 1.337 | 0.000 |
| -0.000 | -0.000 | -0.000 | 0.000 | -0.000 | 1.337 |
| 2.515 | 1.339 | 1.339 | -0.000 | 0.000 | 0.000 |
| 1.339 | 2.515 | 1.339 | -0.000 | 0.000 | 0.000 |
| 1.339 | 1.339 | 2.515 | 0.000 | 0.000 | -0.000 |
| 0.000 | 0.000 | 0.000 | 1.337 | 0.000 | 0.000 |
| 0.000 | 0.000 | 0.000 | -0.000 | 1.337 | 0.000 |
| 0.000 | 0.000 | 0.000 | -0.000 | 0.000 | 1.337 |
| -5.159 | -1.346 | -1.346 | -0.000 | 0.000 | -0.000 |
| -1.346 | -5.159 | -1.346 | -0.000 | 0.000 | -0.000 |
| -1.346 | -1.346 | -5.159 | -0.000 | 0.000 | -0.000 |
| 0.000 | 0.000 | 0.000 | -1.346 | -0.000 | 0.000 |
| 0.000 | 0.000 | 0.000 | -0.000 | -1.346 | -0.000 |
| 0.000 | 0.000 | 0.000 | -0.000 | 0.000 | -1.346 |
| -5.159 | -1.346 | -1.346 | 0.000 | 0.000 | 0.000 |
| -1.346 | -5.159 | -1.346 | 0.000 | -0.000 | 0.000 |
| -1.346 | -1.346 | -5.159 | 0.000 | -0.000 | 0.000 |
| -0.000 | -0.000 | -0.000 | -1.346 | -0.000 | 0.000 |
| -0.000 | -0.000 | -0.000 | 0.000 | -1.346 | 0.000 |
| -0.000 | -0.000 | -0.000 | 0.000 | -0.000 | -1.346 |
| -5.159 | -1.346 | -1.346 | -0.000 | 0.000 | 0.000 |
| -1.346 | -5.159 | -1.346 | -0.000 | 0.000 | -0.000 |
| -1.346 | -1.346 | -5.159 | 0.000 | 0.000 | 0.000 |
| 0.000 | 0.000 | 0.000 | -1.346 | 0.000 | 0.000 |
| 0.000 | 0.000 | 0.000 | -0.000 | -1.346 | -0.000 |
| 0.000 | 0.000 | 0.000 | -0.000 | 0.000 | -1.346 |
| -5.159 | -1.346 | -1.346 | 0.000 | -0.000 | 0.000 |
| -1.346 | -5.159 | -1.346 | 0.000 | 0.000 | -0.000 |
| -1.346 | -1.346 | -5.159 | -0.000 | -0.000 | 0.000 |
| -0.000 | -0.000 | -0.000 | -1.346 | -0.000 | 0.000 |
| -0.000 | -0.000 | -0.000 | 0.000 | -1.346 | -0.000 |
| -0.000 | -0.000 | -0.000 | 0.000 | -0.000 | -1.346 |
| 106853.934 | 56629.536 | 56629.544 | 0.000 | -0.000 | -0.000 |
| 56629.544 | 106853.934 | 56629.536 | -0.000 | -0.000 | -0.000 |
| 56629.537 | 56629.545 | 106853.933 | -0.000 | -0.000 | -0.000 |
| 34558.841 | 56006.035 | 56006.054 | -7660.063 | -0.000 | 0.000 |
| 56006.041 | 34558.842 | 56006.062 | 0.000 | -7660.067 | -0.000 |
| 56006.036 | 56006.054 | 34558.841 | -0.000 | 0.000 | -7660.063 |
| -5.159 | -1.346 | -1.346 | 0.000 | -0.000 | -0.000 |
| -1.346 | -5.159 | -1.346 | 0.000 | -0.000 | -0.000 |
| -1.346 | -1.346 | -5.159 | 0.000 | -0.000 | -0.000 |
| -34558.757 | -56006.213 | -56006.233 | -7660.167 | 0.000 | 0.000 |
| -56006.225 | -34558.754 | -56006.246 | -0.000 | -7660.174 | 0.000 |
| -56006.214 | -56006.234 | -34558.756 | -0.000 | 0.000 | -7660.168 |
| 0.002 | 2.000 | 2.000 | -0.000 | 0.000 | 0.000 |
| 2.000 | 0.002 | 2.000 | 0.000 | 0.000 | 0.000 |
| 2.000 | 2.000 | 0.002 | -0.000 | 0.000 | 0.000 |
| -5864409.028 | -5864410.066 | -5864409.969 | 4887009.555 | 0.000 | -0.000 |
| -5864410.066 | -5864409.028 | -5864409.969 | -0.000 | 4887009.555 | 0.000 |
| -5864410.066 | -5864409.969 | -5864409.028 | -0.000 | 0.000 | 4887009.555 |
| 11728820.972 | 11728823.495 | 11728823.495 | 0.000 | -0.000 | -0.000 |
| 11728823.495 | 11728820.972 | 11728823.495 | 0.000 | -0.000 | 0.000 |
| 11728823.495 | 11728823.495 | 11728820.972 | 0.000 | -0.000 | -0.000 |
| 5864409.028 | 5864410.066 | 5864409.969 | 4887009.555 | -0.000 | -0.000 |
| 5864410.066 | 5864409.028 | 5864409.969 | -0.000 | 4887009.555 | 0.000 |
| 5864410.066 | 5864409.969 | 5864409.028 | 0.000 | -0.000 | 4887009.555 |
| -2.283 | 3.142 | 3.142 | -0.000 | 0.000 | -0.000 |
| 3.142 | -2.283 | 3.142 | -0.000 | 0.000 | -0.000 |
| 3.142 | 3.142 | -2.283 | 0.000 | 0.000 | -0.000 |
| -390959.518 | -97739.787 | -97739.767 | 97739.374 | -0.000 | 0.000 |
| -97739.787 | -390959.518 | -97739.767 | 0.000 | 97739.374 | 0.000 |
| -97739.787 | -97739.767 | -390959.518 | 0.000 | 0.000 | 97739.374 |
| 781919.128 | 195479.674 | 195479.674 | -0.000 | -0.000 | 0.000 |
| 195479.674 | 781919.128 | 195479.674 | 0.000 | -0.000 | -0.000 |
| 195479.674 | 195479.674 | 781919.128 | -0.000 | -0.000 | -0.000 |
| 390959.518 | 97739.787 | 97739.767 | 97739.374 | 0.000 | -0.000 |
| 97739.787 | 390959.518 | 97739.767 | -0.000 | 97739.374 | 0.000 |
| 97739.787 | 97739.767 | 390959.518 | -0.000 | 0.000 | 97739.374 |
| -2.285 | 3.136 | 3.136 | -0.000 | -0.000 | 0.000 |
| 3.136 | -2.285 | 3.136 | -0.000 | 0.000 | -0.000 |
| 3.136 | 3.136 | -2.285 | -0.000 | -0.000 | -0.000 |
| -39094.799 | -9773.726 | -9773.706 | 9773.188 | 0.000 | 0.000 |
| -9773.726 | -39094.799 | -9773.706 | 0.000 | 9773.188 | 0.000 |
| -9773.726 | -9773.706 | -39094.799 | 0.000 | 0.000 | 9773.188 |
| 78189.667 | 19547.477 | 19547.477 | 0.000 | -0.000 | 0.000 |
| 19547.477 | 78189.667 | 19547.477 | -0.000 | -0.000 | -0.000 |
| 19547.477 | 19547.477 | 78189.667 | 0.000 | -0.000 | -0.000 |
| 39094.799 | 9773.726 | 9773.706 | 9773.188 | -0.000 | -0.000 |
| 9773.726 | 39094.799 | 9773.706 | 0.000 | 9773.188 | -0.000 |
| 9773.726 | 9773.706 | 39094.799 | -0.000 | 0.000 | 9773.188 |
| 3.416 | 1.024 | 1.024 | -0.000 | -0.000 | -0.000 |
| 1.024 | 3.416 | 1.024 | -0.000 | 0.000 | -0.000 |
| 1.024 | 1.024 | 3.416 | -0.000 | 0.000 | -0.000 |
| 5.382 | -2230523.874 | -2230523.838 | 1784424.599 | 0.000 | 0.000 |
| -2230523.874 | 5.382 | -2230523.838 | 0.000 | 1784424.599 | -0.000 |
| -2230523.874 | -2230523.838 | 5.382 | 0.000 | -0.000 | 1784424.599 |
| 8922111.593 | 4461046.532 | 4461046.532 | -0.000 | -0.000 | 0.000 |
| 4461046.532 | 8922111.593 | 4461046.532 | -0.000 | -0.000 | 0.000 |
| 4461046.532 | 4461046.532 | 8922111.593 | -0.000 | 0.000 | -0.000 |
| -5.382 | 2230523.874 | 2230523.838 | 1784424.599 | -0.000 | 0.000 |
| 2230523.874 | -5.382 | 2230523.838 | -0.000 | 1784424.599 | 0.000 |
| 2230523.874 | 2230523.838 | -5.382 | -0.000 | 0.000 | 1784424.599 |
| 0.254 | 2.605 | 2.605 | 0.000 | -0.000 | -0.000 |
| 2.605 | 0.254 | 2.605 | 0.000 | 0.000 | -0.000 |
| 2.605 | 2.605 | 0.254 | -0.000 | -0.000 | -0.000 |
| 0.538 | -223051.892 | -223051.856 | 178442.824 | -0.000 | -0.000 |
| -223051.892 | 0.538 | -223051.856 | 0.000 | 178442.824 | -0.000 |
| -223051.892 | -223051.856 | 0.538 | 0.000 | -0.000 | 178442.824 |
| 892210.727 | 446104.691 | 446104.691 | -0.000 | -0.000 | 0.000 |
| 446104.691 | 892210.727 | 446104.691 | -0.000 | 0.000 | 0.000 |
| 446104.691 | 446104.691 | 892210.727 | -0.000 | 0.000 | -0.000 |
| -0.538 | 223051.892 | 223051.856 | 178442.824 | 0.000 | 0.000 |
| 223051.892 | -0.538 | 223051.856 | -0.000 | 178442.824 | 0.000 |
| 223051.892 | 223051.856 | -0.538 | -0.000 | 0.000 | 178442.824 |
| 0.256 | 2.599 | 2.599 | -0.000 | -0.000 | -0.000 |
| 2.599 | 0.256 | 2.599 | -0.000 | -0.000 | -0.000 |
| 2.599 | 2.599 | 0.256 | 0.000 | 0.000 | -0.000 |
| 0.054 | -22304.695 | -22304.659 | 17844.646 | 0.000 | -0.000 |
| -22304.695 | 0.054 | -22304.659 | 0.000 | 17844.646 | -0.000 |
| -22304.695 | -22304.659 | 0.054 | -0.000 | -0.000 | 17844.646 |
| 89220.641 | 44610.507 | 44610.507 | -0.000 | -0.000 | 0.000 |
| 44610.507 | 89220.641 | 44610.507 | -0.000 | 0.000 | 0.000 |
| 44610.507 | 44610.507 | 89220.641 | -0.000 | 0.000 | -0.000 |
| -0.054 | 22304.695 | 22304.659 | 17844.646 | -0.000 | 0.000 |
| 22304.695 | -0.054 | 22304.659 | 0.000 | 17844.646 | 0.000 |
| 22304.695 | 22304.659 | -0.054 | 0.000 | -0.000 | 17844.646 |
| -0.001 | 0.000 | 0.000 | 0.000 | -0.000 | -0.000 |
| 0.000 | -0.001 | 0.000 | -0.000 | 0.000 | 0.000 |
| 0.000 | 0.000 | -0.001 | -0.000 | 0.000 | 0.000 |
| 0.000 | 0.000 | 0.000 | -0.000 | 0.000 | -0.000 |
| 0.000 | 0.000 | 0.000 | 0.000 | -0.000 | -0.000 |
| 0.000 | 0.000 | 0.000 | 0.000 | -0.000 | -0.000 |
| -0.001 | 0.000 | 0.000 | 0.000 | 0.000 | -0.000 |
| 0.000 | -0.001 | 0.000 | 0.000 | 0.000 | -0.000 |
| 0.000 | 0.000 | -0.001 | -0.000 | 0.000 | 0.000 |
| -0.000 | -0.000 | -0.000 | -0.000 | -0.000 | -0.000 |
| -0.000 | -0.000 | -0.000 | -0.000 | -0.000 | -0.000 |
| -0.000 | -0.000 | -0.000 | -0.000 | 0.000 | -0.000 |
| -0.001 | 0.000 | 0.000 | 0.000 | -0.000 | -0.000 |
| 0.000 | -0.001 | 0.000 | -0.000 | 0.000 | -0.000 |
| 0.000 | 0.000 | -0.001 | -0.000 | 0.000 | 0.000 |
| 0.000 | 0.000 | 0.000 | -0.000 | -0.000 | -0.000 |
| 0.000 | 0.000 | 0.000 | -0.000 | -0.000 | -0.000 |
| 0.000 | 0.000 | 0.000 | 0.000 | -0.000 | -0.000 |
| -0.001 | 0.000 | 0.000 | 0.000 | 0.000 | -0.000 |
| 0.000 | -0.001 | 0.000 | 0.000 | 0.000 | -0.000 |
| 0.000 | 0.000 | -0.001 | 0.000 | -0.000 | 0.000 |
| -0.000 | -0.000 | -0.000 | -0.000 | 0.000 | -0.000 |
| -0.000 | -0.000 | -0.000 | 0.000 | -0.000 | 0.000 |
| -0.000 | -0.000 | -0.000 | -0.000 | 0.000 | -0.000 |
| -0.001 | 0.000 | 0.000 | 0.000 | -0.000 | -0.000 |
| 0.000 | -0.001 | 0.000 | -0.000 | 0.000 | 0.000 |
| 0.000 | 0.000 | -0.001 | 0.000 | 0.000 | 0.000 |
| 0.000 | 0.000 | 0.000 | -0.000 | 0.000 | 0.000 |
| 0.000 | 0.000 | 0.000 | -0.000 | -0.000 | 0.000 |
| 0.000 | 0.000 | 0.000 | 0.000 | -0.000 | -0.000 |
| -0.001 | 0.000 | 0.000 | 0.000 | 0.000 | 0.000 |
| 0.000 | -0.001 | 0.000 | -0.000 | 0.000 | -0.000 |
| 0.000 | 0.000 | -0.001 | -0.000 | 0.000 | 0.000 |
| -0.000 | -0.000 | -0.000 | -0.000 | -0.000 | -0.000 |
| -0.000 | -0.000 | -0.000 | 0.000 | -0.000 | 0.000 |
| -0.000 | -0.000 | -0.000 | -0.000 | 0.000 | -0.000 |
| 0.634 | 0.016 | 0.016 | -0.000 | -0.000 | -0.000 |
| 0.016 | 0.634 | 0.016 | 0.000 | -0.000 | -0.000 |
| 0.016 | 0.016 | 0.634 | -0.000 | 0.000 | -0.000 |
| 0.000 | 0.000 | 0.000 | -0.016 | -0.000 | 0.000 |
| 0.000 | 0.000 | 0.000 | -0.000 | -0.016 | -0.000 |
| 0.000 | 0.000 | 0.000 | -0.000 | -0.000 | -0.016 |
| 0.634 | 0.016 | 0.016 | 0.000 | 0.000 | 0.000 |
| 0.016 | 0.634 | 0.016 | 0.000 | 0.000 | -0.000 |
| 0.016 | 0.016 | 0.634 | 0.000 | -0.000 | 0.000 |
| -0.000 | -0.000 | -0.000 | -0.016 | 0.000 | 0.000 |
| -0.000 | -0.000 | -0.000 | 0.000 | -0.016 | 0.000 |
| -0.000 | -0.000 | -0.000 | 0.000 | 0.000 | -0.016 |
| 0.633 | 0.016 | 0.016 | -0.000 | -0.000 | 0.000 |
| 0.016 | 0.633 | 0.016 | -0.000 | -0.000 | 0.000 |
| 0.016 | 0.016 | 0.633 | 0.000 | 0.000 | -0.000 |
| 0.000 | 0.000 | -0.000 | -0.016 | -0.000 | -0.000 |
| 0.000 | 0.000 | -0.000 | -0.000 | -0.016 | -0.000 |
| 0.000 | -0.000 | 0.000 | 0.000 | -0.000 | -0.016 |
| 0.634 | 0.016 | 0.016 | 0.000 | 0.000 | 0.000 |
| 0.016 | 0.634 | 0.016 | 0.000 | 0.000 | 0.000 |
| 0.016 | 0.016 | 0.634 | 0.000 | 0.000 | 0.000 |
| -0.000 | -0.000 | 0.000 | -0.016 | 0.000 | 0.000 |
| -0.000 | -0.000 | 0.000 | 0.000 | -0.016 | -0.000 |
| -0.000 | 0.000 | -0.000 | 0.000 | 0.000 | -0.016 |
| 0.629 | 0.016 | 0.016 | -0.000 | -0.000 | -0.000 |
| 0.016 | 0.629 | 0.016 | -0.000 | -0.000 | -0.000 |
| 0.016 | 0.016 | 0.629 | -0.000 | 0.000 | -0.000 |
| 0.000 | 0.000 | -0.000 | -0.016 | 0.000 | -0.000 |
| 0.000 | 0.000 | -0.000 | 0.000 | -0.016 | -0.000 |
| 0.000 | -0.000 | 0.000 | -0.000 | -0.000 | -0.016 |
| 0.638 | 0.016 | 0.016 | 0.000 | 0.000 | 0.000 |
| 0.016 | 0.638 | 0.016 | 0.000 | 0.000 | 0.000 |
| 0.016 | 0.016 | 0.638 | 0.000 | -0.000 | 0.000 |
| -0.000 | -0.000 | 0.000 | -0.016 | -0.000 | -0.000 |
| -0.000 | -0.000 | 0.000 | -0.000 | -0.016 | 0.000 |
| -0.000 | 0.000 | -0.000 | 0.000 | 0.000 | -0.016 |
| 281.400 | 270.329 | 270.329 | -0.000 | -0.000 | 0.000 |
| 270.329 | 281.400 | 270.329 | -0.000 | -0.000 | -0.000 |
| 270.329 | 270.329 | 281.400 | -0.000 | -0.000 | -0.000 |
| -268524439.645 | -268524420.298 | -268524416.061 | 211855272.278 | -0.000 | -0.000 |
| -268524420.298 | -268524439.645 | -268524416.061 | -0.000 | 211855272.278 | -0.000 |
| -268524420.298 | -268524416.060 | -268524439.645 | -0.000 | -0.000 | 211855272.278 |
| 537048819.690 | 537048860.768 | 537048860.768 | 0.000 | 0.000 | 0.000 |
| 537048860.768 | 537048819.690 | 537048860.768 | 0.000 | 0.000 | 0.000 |
| 537048860.768 | 537048860.768 | 537048819.690 | 0.000 | 0.000 | 0.000 |
| 268524439.645 | 268524420.298 | 268524416.061 | 211855272.278 | 0.000 | -0.000 |
| 268524420.298 | 268524439.645 | 268524416.061 | 0.000 | 211855272.278 | 0.000 |
| 268524420.298 | 268524416.060 | 268524439.645 | 0.000 | 0.000 | 211855272.278 |
| 281.371 | 270.313 | 270.313 | -0.000 | -0.000 | -0.000 |
| 270.313 | 281.371 | 270.313 | 0.000 | 0.000 | -0.000 |
| 270.313 | 270.313 | 281.371 | -0.000 | -0.000 | -0.000 |
| -26852416.144 | -26852396.802 | -26852392.565 | 21185751.477 | -0.000 | -0.000 |
| -26852396.802 | -26852416.144 | -26852392.565 | -0.000 | 21185751.477 | -0.000 |
| -26852396.802 | -26852392.565 | -26852416.144 | -0.000 | -0.000 | 21185751.477 |
| 53704996.022 | 53705037.100 | 53705037.100 | 0.000 | 0.000 | 0.000 |
| 53705037.100 | 53704996.022 | 53705037.100 | 0.000 | 0.000 | 0.000 |
| 53705037.100 | 53705037.100 | 53704996.022 | 0.000 | 0.000 | 0.000 |
| 26852416.144 | 26852396.802 | 26852392.565 | 21185751.477 | 0.000 | 0.000 |
| 26852396.802 | 26852416.144 | 26852392.565 | -0.000 | 21185751.477 | 0.000 |
| 26852396.802 | 26852392.565 | 26852416.144 | 0.000 | 0.000 | 21185751.477 |
| 281.078 | 270.150 | 270.150 | -0.000 | -0.000 | -0.000 |
| 270.150 | 281.078 | 270.150 | -0.000 | -0.000 | -0.000 |
| 270.150 | 270.150 | 281.078 | -0.000 | -0.000 | 0.000 |
| -2685213.818 | -2685194.534 | -2685190.296 | 2118799.320 | -0.000 | -0.000 |
| -2685194.534 | -2685213.818 | -2685190.296 | -0.000 | 2118799.320 | -0.000 |
| -2685194.534 | -2685190.296 | -2685213.818 | -0.000 | -0.000 | 2118799.320 |
| 5370613.656 | 5370654.733 | 5370654.733 | 0.000 | 0.000 | 0.000 |
| 5370654.733 | 5370613.656 | 5370654.733 | 0.000 | 0.000 | 0.000 |
| 5370654.733 | 5370654.733 | 5370613.656 | 0.000 | 0.000 | 0.000 |
| 2685213.818 | 2685194.534 | 2685190.296 | 2118799.320 | 0.000 | 0.000 |
| 2685194.534 | 2685213.818 | 2685190.296 | 0.000 | 2118799.320 | 0.000 |
| 2685194.534 | 2685190.296 | 2685213.818 | 0.000 | 0.000 | 2118799.320 |
| 112.273 | 153.737 | 153.737 | -0.000 | -0.000 | -0.000 |
| 153.737 | 112.273 | 153.737 | -0.000 | -0.000 | -0.000 |
| 153.737 | 153.737 | 112.273 | -0.000 | -0.000 | -0.000 |
| 0.000 | 0.000 | 0.000 | 161.807 | -0.000 | 0.000 |
| 0.000 | 0.000 | 0.000 | -0.000 | 161.807 | -0.000 |
| 0.000 | 0.000 | 0.000 | -0.000 | -0.000 | 161.807 |
| 112.273 | 153.737 | 153.737 | 0.000 | 0.000 | 0.000 |
| 153.737 | 112.273 | 153.737 | 0.000 | 0.000 | 0.000 |
| 153.737 | 153.737 | 112.273 | 0.000 | 0.000 | 0.000 |
| -0.000 | -0.000 | -0.000 | 161.807 | 0.000 | 0.000 |
| -0.000 | -0.000 | -0.000 | 0.000 | 161.807 | 0.000 |
| -0.000 | -0.000 | -0.000 | 0.000 | 0.000 | 161.807 |
| 112.274 | 153.737 | 153.737 | -0.000 | -0.000 | -0.000 |
| 153.737 | 112.274 | 153.737 | -0.000 | -0.000 | -0.000 |
| 153.737 | 153.737 | 112.274 | -0.000 | -0.000 | -0.000 |
| 0.000 | 0.000 | 0.000 | 161.807 | -0.000 | -0.000 |
| 0.000 | 0.000 | 0.000 | -0.000 | 161.807 | -0.000 |
| 0.000 | 0.000 | 0.000 | -0.000 | -0.000 | 161.807 |
| 112.273 | 153.737 | 153.737 | 0.000 | 0.000 | 0.000 |
| 153.737 | 112.273 | 153.737 | 0.000 | 0.000 | 0.000 |
| 153.737 | 153.737 | 112.273 | 0.000 | 0.000 | 0.000 |
| -0.000 | -0.000 | -0.000 | 161.807 | 0.000 | -0.000 |
| -0.000 | -0.000 | -0.000 | 0.000 | 161.807 | 0.000 |
| -0.000 | -0.000 | -0.000 | 0.000 | 0.000 | 161.807 |
| 112.274 | 153.737 | 153.737 | -0.000 | -0.000 | -0.000 |
| 153.737 | 112.274 | 153.737 | -0.000 | -0.000 | -0.000 |
| 153.737 | 153.737 | 112.274 | -0.000 | -0.000 | -0.000 |
| 0.001 | 0.000 | 0.001 | 161.807 | -0.000 | -0.000 |
| 0.000 | 0.001 | 0.001 | -0.000 | 161.807 | -0.000 |
| 0.000 | 0.001 | 0.001 | -0.000 | -0.000 | 161.807 |
| 112.273 | 153.737 | 153.737 | 0.000 | 0.000 | 0.000 |
| 153.737 | 112.273 | 153.737 | 0.000 | 0.000 | 0.000 |
| 153.737 | 153.737 | 112.273 | 0.000 | 0.000 | -0.000 |
| -0.001 | -0.000 | -0.001 | 161.807 | 0.000 | -0.000 |
| -0.000 | -0.001 | -0.001 | 0.000 | 161.807 | 0.000 |
| -0.000 | -0.001 | -0.001 | 0.000 | 0.000 | 161.807 |
| 9.422 | 1.317 | 1.317 | -0.000 | -0.000 | -0.000 |
| 1.317 | 9.422 | 1.317 | -0.000 | -0.000 | -0.000 |
| 1.317 | 1.317 | 9.422 | -0.000 | -0.000 | -0.000 |
| -0.000 | -0.000 | -0.000 | 1.034 | -0.000 | -0.000 |
| -0.000 | -0.000 | -0.000 | -0.000 | 1.034 | -0.000 |
| -0.000 | -0.000 | -0.000 | -0.000 | -0.000 | 1.034 |
| 12768588.135 | -34.347 | -34.347 | 0.000 | 0.000 | 0.000 |
| -34.347 | 12768588.135 | -34.347 | 0.000 | 0.000 | 0.000 |
| -34.347 | -34.347 | 12768588.135 | 0.000 | 0.000 | 0.000 |
| 0.000 | 0.000 | 0.000 | 1.034 | 0.000 | 0.000 |
| 0.000 | 0.000 | 0.000 | 0.000 | 1.034 | 0.000 |
| 0.000 | 0.000 | 0.000 | 0.000 | 0.000 | 1.034 |
| 9.418 | 1.317 | 1.317 | -0.000 | 0.000 | -0.000 |
| 1.317 | 9.418 | 1.317 | 0.000 | -0.000 | 0.000 |
| 1.317 | 1.317 | 9.418 | -0.000 | -0.000 | -0.000 |
| -0.000 | -0.000 | -0.000 | 1.034 | 0.000 | -0.000 |
| -0.000 | -0.000 | -0.000 | -0.000 | 1.034 | -0.000 |
| -0.000 | -0.000 | -0.000 | -0.000 | -0.000 | 1.034 |
| 1276859.859 | -2.250 | -2.250 | -0.000 | 0.000 | 0.000 |
| -2.250 | 1276859.859 | -2.250 | 0.000 | -0.000 | 0.000 |
| -2.250 | -2.250 | 1276859.859 | 0.000 | 0.000 | 0.000 |
| 0.000 | 0.000 | 0.000 | 1.034 | -0.000 | 0.000 |
| 0.000 | 0.000 | 0.000 | -0.000 | 1.034 | 0.000 |
| 0.000 | 0.000 | 0.000 | -0.000 | 0.000 | 1.034 |
| 9.386 | 1.317 | 1.317 | -0.000 | -0.000 | -0.000 |
| 1.317 | 9.386 | 1.317 | -0.000 | 0.000 | -0.000 |
| 1.317 | 1.317 | 9.386 | -0.000 | -0.000 | -0.000 |
| -0.000 | -0.000 | -0.000 | 1.034 | -0.000 | 0.000 |
| -0.000 | -0.000 | -0.000 | -0.000 | 1.034 | -0.000 |
| -0.000 | -0.000 | -0.000 | -0.000 | 0.000 | 1.034 |
| 127687.032 | 0.960 | 0.960 | 0.000 | 0.000 | 0.000 |
| 0.960 | 127687.032 | 0.960 | 0.000 | 0.000 | 0.000 |
| 0.960 | 0.960 | 127687.032 | 0.000 | 0.000 | 0.000 |
| 0.000 | 0.000 | 0.000 | 1.034 | 0.000 | 0.000 |
| 0.000 | 0.000 | 0.000 | 0.000 | 1.034 | 0.000 |
| 0.000 | 0.000 | 0.000 | -0.000 | -0.000 | 1.034 |
| 1.191 | 1.191 | 1.191 | -0.000 | -0.000 | -0.000 |
| 1.191 | 1.191 | 1.191 | -0.000 | -0.000 | -0.000 |
| 1.191 | 1.191 | 1.191 | -0.000 | -0.000 | -0.000 |
| 0.000 | 0.000 | 0.000 | 1.191 | -0.000 | -0.000 |
| 0.000 | 0.000 | 0.000 | -0.000 | 1.191 | -0.000 |
| 0.000 | 0.000 | 0.000 | -0.000 | -0.000 | 1.191 |
| 1.191 | 1.191 | 1.191 | 0.000 | 0.000 | 0.000 |
| 1.191 | 1.191 | 1.191 | 0.000 | 0.000 | 0.000 |
| 1.191 | 1.191 | 1.191 | 0.000 | 0.000 | 0.000 |
| -0.000 | -0.000 | -0.000 | 1.191 | 0.000 | 0.000 |
| -0.000 | -0.000 | -0.000 | 0.000 | 1.191 | 0.000 |
| -0.000 | -0.000 | -0.000 | 0.000 | 0.000 | 1.191 |
| 1.191 | 1.191 | 1.191 | -0.000 | -0.000 | -0.000 |
| 1.191 | 1.191 | 1.191 | -0.000 | -0.000 | -0.000 |
| 1.191 | 1.191 | 1.191 | -0.000 | -0.000 | -0.000 |
| 0.000 | 0.000 | 0.000 | 1.191 | -0.000 | -0.000 |
| 0.000 | 0.000 | 0.000 | -0.000 | 1.191 | -0.000 |
| 0.000 | 0.000 | 0.000 | -0.000 | 0.000 | 1.191 |
| 1.191 | 1.191 | 1.191 | 0.000 | 0.000 | 0.000 |
| 1.191 | 1.191 | 1.191 | 0.000 | 0.000 | 0.000 |
| 1.191 | 1.191 | 1.191 | 0.000 | 0.000 | 0.000 |
| -0.000 | -0.000 | -0.000 | 1.191 | 0.000 | 0.000 |
| -0.000 | -0.000 | -0.000 | 0.000 | 1.191 | 0.000 |
| -0.000 | -0.000 | -0.000 | 0.000 | 0.000 | 1.191 |
| 1.191 | 1.191 | 1.191 | 0.000 | -0.000 | 0.000 |
| 1.191 | 1.191 | 1.191 | -0.000 | 0.000 | 0.000 |
| 1.191 | 1.191 | 1.191 | -0.000 | -0.000 | 0.000 |
| 0.000 | 0.000 | 0.000 | 1.191 | -0.000 | 0.000 |
| 0.000 | 0.000 | 0.000 | -0.000 | 1.191 | 0.000 |
| 0.000 | 0.000 | 0.000 | 0.000 | -0.000 | 1.191 |
| 1.191 | 1.191 | 1.191 | 0.000 | 0.000 | 0.000 |
| 1.191 | 1.191 | 1.191 | 0.000 | 0.000 | 0.000 |
| 1.191 | 1.191 | 1.191 | 0.000 | 0.000 | -0.000 |
| -0.000 | -0.000 | -0.000 | 1.191 | 0.000 | 0.000 |
| -0.000 | -0.000 | -0.000 | 0.000 | 1.191 | 0.000 |
| -0.000 | -0.000 | -0.000 | 0.000 | 0.000 | 1.191 |
| -0.003 | -0.003 | -0.003 | 0.000 | 0.000 | 0.000 |
| -0.003 | -0.003 | -0.003 | 0.000 | 0.000 | 0.000 |
| -0.003 | -0.003 | -0.003 | 0.000 | 0.000 | 0.000 |
| 0.000 | 0.000 | 0.000 | -0.003 | 0.000 | 0.000 |
| 0.000 | 0.000 | 0.000 | 0.000 | -0.003 | 0.000 |
| 0.000 | 0.000 | 0.000 | 0.000 | -0.000 | -0.003 |
| -0.003 | -0.003 | -0.003 | -0.000 | 0.000 | 0.000 |
| -0.003 | -0.003 | -0.003 | 0.000 | -0.000 | 0.000 |
| -0.003 | -0.003 | -0.003 | -0.000 | -0.000 | -0.000 |
| -0.000 | -0.000 | -0.000 | -0.003 | 0.000 | 0.000 |
| -0.000 | -0.000 | -0.000 | 0.000 | -0.003 | 0.000 |
| -0.000 | -0.000 | -0.000 | -0.000 | -0.000 | -0.003 |
| -0.003 | -0.003 | -0.003 | -0.000 | 0.000 | 0.000 |
| -0.003 | -0.003 | -0.003 | 0.000 | -0.000 | 0.000 |
| -0.003 | -0.003 | -0.003 | -0.000 | -0.000 | -0.000 |
| 0.000 | 0.000 | 0.000 | -0.003 | -0.000 | -0.000 |
| 0.000 | 0.000 | 0.000 | -0.000 | -0.003 | -0.000 |
| 0.000 | 0.000 | 0.000 | -0.000 | -0.000 | -0.003 |
| -0.003 | -0.003 | -0.003 | 0.000 | 0.000 | 0.000 |
| -0.003 | -0.003 | -0.003 | 0.000 | 0.000 | 0.000 |
| -0.003 | -0.003 | -0.003 | 0.000 | 0.000 | 0.000 |
| -0.000 | -0.000 | -0.000 | -0.003 | 0.000 | 0.000 |
| -0.000 | -0.000 | -0.000 | 0.000 | -0.003 | 0.000 |
| -0.000 | -0.000 | -0.000 | 0.000 | 0.000 | -0.003 |
| -0.003 | -0.003 | -0.003 | -0.000 | -0.000 | -0.000 |
| -0.003 | -0.003 | -0.003 | -0.000 | -0.000 | -0.000 |
| -0.003 | -0.003 | -0.003 | 0.000 | 0.000 | -0.000 |
| 0.000 | 0.000 | 0.000 | -0.003 | -0.000 | -0.000 |
| 0.000 | 0.000 | 0.000 | -0.000 | -0.003 | -0.000 |
| 0.000 | 0.000 | 0.000 | -0.000 | 0.000 | -0.003 |
| -0.003 | -0.003 | -0.003 | 0.000 | 0.000 | -0.000 |
| -0.003 | -0.003 | -0.003 | 0.000 | 0.000 | -0.000 |
| -0.003 | -0.003 | -0.003 | 0.000 | 0.000 | 0.000 |
| -0.000 | -0.000 | -0.000 | -0.003 | -0.000 | -0.000 |
| -0.000 | -0.000 | -0.000 | -0.000 | -0.003 | -0.000 |
| -0.000 | -0.000 | -0.000 | -0.000 | 0.000 | -0.003 |
| 1.390 | 1.611 | 1.611 | -0.000 | -0.000 | -0.000 |
| 1.611 | 1.390 | 1.611 | 0.000 | -0.000 | -0.000 |
| 1.611 | 1.611 | 1.390 | -0.000 | -0.000 | -0.000 |
| -0.000 | -0.000 | -0.000 | 1.390 | -0.000 | -0.000 |
| -0.000 | -0.000 | -0.000 | -0.000 | 1.390 | -0.000 |
| -0.000 | -0.000 | -0.000 | 0.000 | 0.000 | 1.390 |
| 1.390 | 1.611 | 1.611 | 0.000 | 0.000 | 0.000 |
| 1.611 | 1.390 | 1.611 | 0.000 | 0.000 | 0.000 |
| 1.611 | 1.611 | 1.390 | 0.000 | 0.000 | 0.000 |
| 0.000 | 0.000 | 0.000 | 1.390 | 0.000 | 0.000 |
| 0.000 | 0.000 | 0.000 | -0.000 | 1.390 | -0.000 |
| 0.000 | 0.000 | 0.000 | 0.000 | -0.000 | 1.390 |
| 1.389 | 1.611 | 1.611 | -0.000 | -0.000 | -0.000 |
| 1.611 | 1.389 | 1.611 | -0.000 | -0.000 | -0.000 |
| 1.611 | 1.611 | 1.389 | -0.000 | -0.000 | -0.000 |
| -0.000 | -0.000 | -0.000 | 1.390 | 0.000 | -0.000 |
| -0.000 | -0.000 | -0.000 | -0.000 | 1.390 | -0.000 |
| -0.000 | -0.000 | -0.000 | -0.000 | -0.000 | 1.390 |
| 1.390 | 1.612 | 1.612 | 0.000 | 0.000 | 0.000 |
| 1.612 | 1.390 | 1.612 | 0.000 | 0.000 | 0.000 |
| 1.612 | 1.612 | 1.390 | 0.000 | 0.000 | -0.000 |
| 0.000 | 0.000 | 0.000 | 1.390 | 0.000 | 0.000 |
| 0.000 | 0.000 | 0.000 | 0.000 | 1.390 | -0.000 |
| 0.000 | 0.000 | 0.000 | 0.000 | 0.000 | 1.390 |
| 1.386 | 1.608 | 1.608 | 0.000 | -0.000 | -0.000 |
| 1.608 | 1.386 | 1.608 | 0.000 | -0.000 | -0.000 |
| 1.608 | 1.608 | 1.386 | -0.000 | -0.000 | -0.000 |
| -0.003 | -0.003 | -0.003 | 1.390 | -0.000 | -0.000 |
| -0.003 | -0.003 | -0.003 | -0.000 | 1.390 | -0.000 |
| -0.003 | -0.003 | -0.003 | -0.000 | -0.000 | 1.390 |
| 1.393 | 1.615 | 1.615 | 0.000 | 0.000 | 0.000 |
| 1.615 | 1.393 | 1.615 | 0.000 | 0.000 | -0.000 |
| 1.615 | 1.615 | 1.393 | 0.000 | 0.000 | 0.000 |
| 0.003 | 0.003 | 0.003 | 1.390 | 0.000 | -0.000 |
| 0.003 | 0.003 | 0.003 | 0.000 | 1.390 | 0.000 |
| 0.003 | 0.003 | 0.003 | -0.000 | 0.000 | 1.390 |
| 287.803 | 137.581 | 62.537 | 0.000 | -0.000 | -0.000 |
| 116.898 | 308.486 | 62.537 | -0.000 | -0.000 | 0.000 |
| 62.537 | 62.537 | 218.042 | -0.000 | -0.000 | -0.000 |
| 0.000 | 0.000 | 0.000 | 41.531 | -0.000 | -0.000 |
| 0.000 | 0.000 | 0.000 | 0.000 | 41.531 | -0.000 |
| 0.000 | 0.000 | -0.000 | 0.000 | -0.000 | 75.111 |
| 287.803 | 137.581 | 62.537 | -0.000 | -0.000 | 0.000 |
| 137.581 | 287.803 | 62.537 | -0.000 | -0.000 | 0.000 |
| 62.537 | 62.537 | 218.042 | -0.000 | 0.000 | -0.000 |
| -0.000 | -0.000 | -0.000 | 41.531 | 0.000 | -0.000 |
| -0.000 | -0.000 | -0.000 | 0.000 | 41.531 | 0.000 |
| -0.000 | -0.000 | 0.000 | -0.000 | 0.000 | 75.111 |
| 308.487 | 116.898 | 62.537 | 0.000 | 0.000 | 0.000 |
| 137.581 | 287.803 | 62.537 | -0.000 | -0.000 | -0.000 |
| 62.537 | 62.537 | 218.043 | 0.000 | -0.000 | 0.000 |
| 0.000 | 0.000 | 0.000 | 41.531 | 0.000 | 0.000 |
| 0.000 | 0.000 | 0.000 | -0.000 | 41.531 | -0.000 |
| 0.000 | 0.000 | 0.000 | 0.000 | -0.000 | 95.794 |
| 287.802 | 137.581 | 62.537 | -0.000 | -0.000 | 0.000 |
| 137.581 | 287.803 | 62.537 | -0.000 | -0.000 | 0.000 |
| 62.537 | 62.537 | 218.042 | 0.000 | -0.000 | 0.000 |
| -0.000 | -0.000 | -0.000 | 41.531 | 0.000 | 0.000 |
| -0.000 | -0.000 | -0.000 | -0.000 | 41.531 | -0.000 |
| -0.000 | -0.000 | -0.000 | 0.000 | 0.000 | 95.794 |
| 308.500 | 116.900 | 62.539 | -0.000 | -0.000 | 0.000 |
| 137.583 | 287.817 | 62.538 | -0.000 | -0.000 | 0.000 |
| 62.538 | 62.538 | 218.046 | 0.000 | 0.000 | -0.000 |
| 0.001 | 0.002 | 0.001 | 41.532 | -0.000 | -0.000 |
| 0.002 | 0.001 | 0.001 | 0.000 | 41.532 | 0.000 |
| 0.003 | 0.002 | 0.000 | -0.000 | -0.000 | 75.113 |
| 308.482 | 116.898 | 62.537 | 0.000 | -0.000 | 0.000 |
| 137.580 | 287.801 | 62.537 | -0.000 | -0.000 | 0.000 |
| 62.536 | 62.536 | 218.039 | -0.000 | -0.000 | -0.000 |
| -0.001 | -0.002 | -0.001 | 41.532 | 0.000 | -0.000 |
| -0.002 | -0.001 | -0.001 | -0.000 | 41.532 | 0.000 |
| -0.003 | -0.002 | -0.000 | 0.000 | 0.000 | 75.113 |
| 3.638 | 1.224 | 0.972 | -0.000 | 0.000 | 0.000 |
| 1.224 | 3.638 | 0.972 | -0.000 | 0.000 | 0.000 |
| 0.972 | 0.972 | 3.889 | -0.000 | 0.000 | -0.000 |
| 0.000 | 0.000 | 0.000 | 0.972 | 0.000 | 0.000 |
| 0.000 | 0.000 | 0.000 | -0.000 | 0.972 | 0.000 |
| 0.000 | 0.000 | 0.000 | -0.000 | 0.000 | 1.207 |
| 3.638 | 1.224 | 0.972 | 0.000 | 0.000 | 0.000 |
| 1.224 | 3.638 | 0.972 | 0.000 | -0.000 | -0.000 |
| 0.972 | 0.972 | 3.889 | 0.000 | -0.000 | 0.000 |
| -0.000 | -0.000 | -0.000 | 0.972 | -0.000 | -0.000 |
| -0.000 | -0.000 | -0.000 | 0.000 | 0.972 | 0.000 |
| -0.000 | -0.000 | -0.000 | 0.000 | -0.000 | 1.207 |
| 3.646 | 1.216 | 0.972 | -0.000 | 0.000 | 0.000 |
| 1.231 | 3.630 | 0.972 | -0.000 | 0.000 | 0.000 |
| 0.972 | 0.972 | 3.889 | -0.000 | 0.000 | -0.000 |
| 0.000 | -0.000 | 0.000 | 0.972 | 0.000 | -0.000 |
| -0.000 | 0.000 | 0.000 | -0.000 | 0.972 | 0.000 |
| -0.000 | 0.000 | 0.000 | -0.000 | 0.000 | 1.207 |
| 3.638 | 1.224 | 0.972 | 0.000 | -0.000 | -0.000 |
| 1.231 | 3.630 | 0.972 | 0.000 | -0.000 | -0.000 |
| 0.972 | 0.972 | 3.889 | 0.000 | -0.000 | 0.000 |
| -0.000 | 0.000 | -0.000 | 0.972 | -0.000 | 0.000 |
| 0.000 | -0.000 | -0.000 | 0.000 | 0.972 | -0.000 |
| 0.000 | -0.000 | -0.000 | 0.000 | -0.000 | 1.207 |
| 3.630 | 1.231 | 0.972 | -0.000 | 0.000 | 0.000 |
| 1.216 | 3.646 | 0.972 | -0.000 | 0.000 | 0.000 |
| 0.972 | 0.972 | 3.889 | -0.000 | 0.000 | -0.000 |
| 0.000 | -0.000 | 0.000 | 0.972 | 0.000 | -0.000 |
| -0.000 | 0.000 | 0.000 | -0.000 | 0.972 | -0.000 |
| -0.000 | 0.000 | 0.000 | -0.000 | 0.000 | 1.215 |
| 3.646 | 1.216 | 0.972 | 0.000 | -0.000 | -0.000 |
| 1.224 | 3.638 | 0.972 | 0.000 | -0.000 | -0.000 |
| 0.972 | 0.972 | 3.889 | 0.000 | -0.000 | 0.000 |
| -0.000 | 0.000 | -0.000 | 0.972 | -0.000 | -0.000 |
| 0.000 | -0.000 | -0.000 | 0.000 | 0.972 | -0.000 |
| 0.000 | -0.000 | -0.000 | 0.000 | -0.000 | 1.215 |
| -0.010 | -0.003 | -0.003 | 0.000 | -0.000 | 0.000 |
| -0.003 | -0.010 | -0.003 | 0.000 | -0.000 | 0.000 |
| -0.003 | -0.003 | -0.011 | -0.000 | 0.000 | 0.000 |
| 0.000 | 0.000 | 0.000 | -0.003 | 0.000 | -0.000 |
| 0.000 | 0.000 | 0.000 | 0.000 | -0.003 | 0.000 |
| 0.000 | 0.000 | 0.000 | 0.000 | 0.000 | -0.003 |
| -0.010 | -0.003 | -0.003 | 0.000 | 0.000 | 0.000 |
| -0.003 | -0.010 | -0.003 | 0.000 | 0.000 | 0.000 |
| -0.003 | -0.003 | -0.011 | 0.000 | 0.000 | -0.000 |
| -0.000 | -0.000 | -0.000 | -0.003 | 0.000 | 0.000 |
| -0.000 | -0.000 | -0.000 | -0.000 | -0.003 | 0.000 |
| -0.000 | -0.000 | -0.000 | -0.000 | 0.000 | -0.003 |
| -0.010 | -0.003 | -0.003 | -0.000 | -0.000 | -0.000 |
| -0.003 | -0.010 | -0.003 | -0.000 | -0.000 | -0.000 |
| -0.003 | -0.003 | -0.011 | 0.000 | -0.000 | 0.000 |
| 0.000 | 0.000 | 0.000 | -0.003 | -0.000 | -0.000 |
| 0.000 | 0.000 | 0.000 | 0.000 | -0.003 | -0.000 |
| 0.000 | 0.000 | 0.000 | -0.000 | -0.000 | -0.003 |
| -0.010 | -0.003 | -0.003 | 0.000 | 0.000 | 0.000 |
| -0.003 | -0.010 | -0.003 | 0.000 | -0.000 | 0.000 |
| -0.003 | -0.003 | -0.011 | 0.000 | 0.000 | -0.000 |
| -0.000 | -0.000 | -0.000 | -0.003 | -0.000 | 0.000 |
| -0.000 | -0.000 | -0.000 | 0.000 | -0.003 | 0.000 |
| -0.000 | -0.000 | -0.000 | 0.000 | -0.000 | -0.003 |
| -0.010 | -0.003 | -0.003 | -0.000 | 0.000 | -0.000 |
| -0.003 | -0.010 | -0.003 | -0.000 | -0.000 | -0.000 |
| -0.003 | -0.003 | -0.011 | -0.000 | -0.000 | 0.000 |
| 0.000 | 0.000 | 0.000 | -0.003 | 0.000 | -0.000 |
| 0.000 | 0.000 | 0.000 | -0.000 | -0.003 | -0.000 |
| 0.000 | 0.000 | 0.000 | -0.000 | -0.000 | -0.003 |
| -0.010 | -0.003 | -0.003 | -0.000 | -0.000 | -0.000 |
| -0.003 | -0.010 | -0.003 | 0.000 | 0.000 | 0.000 |
| -0.003 | -0.003 | -0.011 | -0.000 | 0.000 | -0.000 |
| -0.000 | -0.000 | -0.000 | -0.003 | 0.000 | 0.000 |
| -0.000 | -0.000 | -0.000 | 0.000 | -0.003 | -0.000 |
| -0.000 | -0.000 | -0.000 | 0.000 | -0.000 | -0.003 |
| 275.951 | 137.894 | 41.299 | 0.000 | -0.000 | 0.000 |
| 137.894 | 275.951 | 41.299 | -0.000 | -0.000 | 0.000 |
| 41.299 | 41.299 | 128.579 | -0.000 | -0.000 | 0.000 |
| 0.000 | 0.000 | 0.000 | 25.316 | 0.000 | 0.000 |
| 0.000 | 0.000 | 0.000 | -0.000 | 25.316 | 0.000 |
| 0.000 | 0.000 | 0.000 | 0.000 | -0.000 | 95.197 |
| 302.119 | 111.725 | 41.299 | -0.000 | -0.000 | 0.000 |
| 137.894 | 275.951 | 41.299 | -0.000 | -0.000 | -0.000 |
| 41.299 | 41.299 | 128.579 | 0.000 | 0.000 | -0.000 |
| 0.000 | -0.000 | -0.000 | 25.316 | -0.000 | -0.000 |
| -0.000 | -0.000 | -0.000 | -0.000 | 25.316 | 0.000 |
| -0.000 | -0.000 | -0.000 | -0.000 | -0.000 | 95.197 |
| 302.120 | 111.725 | 41.299 | 0.000 | -0.000 | 0.000 |
| 111.725 | 302.120 | 41.299 | 0.000 | -0.000 | -0.000 |
| 41.299 | 41.299 | 128.579 | 0.000 | 0.000 | 0.000 |
| 0.000 | 0.000 | 0.000 | 25.316 | 0.000 | 0.000 |
| 0.000 | 0.000 | 0.000 | 0.000 | 25.316 | 0.000 |
| -0.000 | 0.000 | -0.000 | -0.000 | 0.000 | 69.028 |
| 302.119 | 111.725 | 41.299 | -0.000 | -0.000 | -0.000 |
| 137.894 | 275.951 | 41.299 | 0.000 | -0.000 | -0.000 |
| 41.299 | 41.299 | 128.578 | -0.000 | 0.000 | 0.000 |
| -0.000 | -0.000 | -0.000 | 25.316 | -0.000 | -0.000 |
| -0.000 | -0.000 | -0.000 | -0.000 | 25.316 | -0.000 |
| 0.000 | -0.000 | 0.000 | 0.000 | 0.000 | 69.028 |
| 302.123 | 111.725 | 41.299 | 0.000 | 0.000 | 0.000 |
| 137.896 | 275.952 | 41.299 | -0.000 | 0.000 | 0.000 |
| 41.300 | 41.300 | 128.584 | -0.000 | -0.000 | 0.000 |
| 0.000 | 0.000 | 0.002 | 25.316 | -0.000 | 0.000 |
| 0.000 | 0.000 | 0.002 | -0.000 | 25.316 | 0.000 |
| -0.000 | 0.001 | -0.000 | -0.000 | -0.000 | 69.028 |
| 275.948 | 137.893 | 41.299 | -0.000 | -0.000 | -0.000 |
| 137.892 | 275.949 | 41.299 | 0.000 | -0.000 | -0.000 |
| 41.297 | 41.297 | 128.574 | 0.000 | -0.000 | 0.000 |
| -0.000 | -0.000 | -0.002 | 25.316 | 0.000 | -0.000 |
| -0.000 | -0.000 | -0.002 | 0.000 | 25.316 | -0.000 |
| 0.000 | -0.001 | 0.000 | -0.000 | -0.000 | 69.028 |
| 3.630 | 1.232 | 0.972 | 0.000 | 0.000 | -0.000 |
| 1.216 | 3.646 | 0.972 | 0.000 | 0.000 | 0.000 |
| 0.972 | 0.972 | 3.889 | 0.000 | -0.000 | -0.000 |
| -0.000 | 0.000 | 0.000 | 0.972 | -0.000 | -0.000 |
| -0.000 | 0.000 | 0.000 | 0.000 | 0.972 | 0.000 |
| -0.000 | 0.000 | 0.000 | 0.000 | 0.000 | 1.199 |
| 3.646 | 1.216 | 0.972 | 0.000 | -0.000 | -0.000 |
| 1.216 | 3.646 | 0.972 | -0.000 | -0.000 | -0.000 |
| 0.972 | 0.972 | 3.889 | -0.000 | 0.000 | 0.000 |
| 0.000 | -0.000 | -0.000 | 0.972 | -0.000 | 0.000 |
| 0.000 | -0.000 | -0.000 | -0.000 | 0.972 | -0.000 |
| 0.000 | -0.000 | -0.000 | -0.000 | -0.000 | 1.199 |
| 3.630 | 1.232 | 0.972 | 0.000 | 0.000 | -0.000 |
| 1.232 | 3.630 | 0.972 | 0.000 | -0.000 | -0.000 |
| 0.972 | 0.972 | 3.889 | 0.000 | -0.000 | -0.000 |
| 0.000 | -0.000 | 0.000 | 0.972 | -0.000 | -0.000 |
| -0.000 | 0.000 | 0.000 | 0.000 | 0.972 | 0.000 |
| -0.000 | 0.000 | 0.000 | 0.000 | -0.000 | 1.215 |
| 3.630 | 1.232 | 0.972 | -0.000 | -0.000 | 0.000 |
| 1.232 | 3.630 | 0.972 | -0.000 | 0.000 | 0.000 |
| 0.972 | 0.972 | 3.889 | -0.000 | 0.000 | 0.000 |
| -0.000 | 0.000 | -0.000 | 0.972 | -0.000 | 0.000 |
| 0.000 | -0.000 | -0.000 | -0.000 | 0.972 | 0.000 |
| 0.000 | -0.000 | -0.000 | -0.000 | -0.000 | 1.215 |
| 3.604 | 1.258 | 0.972 | 0.000 | -0.000 | -0.000 |
| 1.269 | 3.593 | 0.972 | 0.000 | -0.000 | -0.000 |
| 0.972 | 0.972 | 3.889 | 0.000 | 0.000 | -0.000 |
| 0.000 | -0.000 | 0.000 | 0.972 | -0.000 | -0.000 |
| -0.000 | 0.000 | 0.000 | 0.000 | 0.972 | 0.000 |
| -0.000 | 0.000 | -0.000 | 0.000 | -0.000 | 1.185 |
| 3.604 | 1.258 | 0.972 | -0.000 | 0.000 | 0.000 |
| 1.246 | 3.616 | 0.972 | -0.000 | 0.000 | 0.000 |
| 0.972 | 0.972 | 3.889 | -0.000 | -0.000 | 0.000 |
| -0.000 | 0.000 | -0.000 | 0.972 | 0.000 | 0.000 |
| 0.000 | -0.000 | -0.000 | -0.000 | 0.972 | 0.000 |
| 0.000 | -0.000 | 0.000 | -0.000 | -0.000 | 1.185 |
| -0.010 | -0.003 | -0.003 | -0.000 | 0.000 | -0.000 |
| -0.003 | -0.010 | -0.003 | -0.000 | -0.000 | 0.000 |
| -0.003 | -0.003 | -0.011 | -0.000 | 0.000 | 0.000 |
| 0.000 | 0.000 | 0.000 | -0.003 | 0.000 | -0.000 |
| 0.000 | 0.000 | 0.000 | -0.000 | -0.003 | -0.000 |
| 0.000 | 0.000 | 0.000 | -0.000 | 0.000 | -0.003 |
| -0.010 | -0.003 | -0.003 | 0.000 | -0.000 | -0.000 |
| -0.003 | -0.010 | -0.003 | 0.000 | -0.000 | -0.000 |
| -0.003 | -0.003 | -0.011 | 0.000 | -0.000 | -0.000 |
| -0.000 | -0.000 | -0.000 | -0.003 | -0.000 | 0.000 |
| -0.000 | -0.000 | -0.000 | 0.000 | -0.003 | -0.000 |
| -0.000 | -0.000 | -0.000 | 0.000 | -0.000 | -0.003 |
| -0.010 | -0.003 | -0.003 | -0.000 | 0.000 | -0.000 |
| -0.003 | -0.010 | -0.003 | 0.000 | 0.000 | -0.000 |
| -0.003 | -0.003 | -0.011 | -0.000 | 0.000 | 0.000 |
| 0.000 | 0.000 | 0.000 | -0.003 | 0.000 | -0.000 |
| 0.000 | 0.000 | 0.000 | -0.000 | -0.003 | -0.000 |
| 0.000 | 0.000 | 0.000 | -0.000 | -0.000 | -0.003 |
| -0.010 | -0.003 | -0.003 | 0.000 | -0.000 | 0.000 |
| -0.003 | -0.010 | -0.003 | 0.000 | -0.000 | -0.000 |
| -0.003 | -0.003 | -0.011 | 0.000 | -0.000 | -0.000 |
| -0.000 | -0.000 | -0.000 | -0.003 | -0.000 | -0.000 |
| -0.000 | -0.000 | -0.000 | 0.000 | -0.003 | -0.000 |
| -0.000 | -0.000 | -0.000 | 0.000 | -0.000 | -0.003 |
| -0.010 | -0.003 | -0.003 | -0.000 | 0.000 | -0.000 |
| -0.003 | -0.010 | -0.003 | -0.000 | 0.000 | -0.000 |
| -0.003 | -0.003 | -0.011 | -0.000 | -0.000 | -0.000 |
| 0.000 | 0.000 | 0.000 | -0.003 | 0.000 | -0.000 |
| 0.000 | 0.000 | 0.000 | -0.000 | -0.003 | 0.000 |
| 0.000 | 0.000 | 0.000 | 0.000 | 0.000 | -0.003 |
| -0.010 | -0.003 | -0.003 | 0.000 | -0.000 | -0.000 |
| -0.003 | -0.010 | -0.003 | -0.000 | 0.000 | 0.000 |
| -0.003 | -0.003 | -0.011 | 0.000 | -0.000 | -0.000 |
| -0.000 | -0.000 | -0.000 | -0.003 | -0.000 | 0.000 |
| -0.000 | -0.000 | -0.000 | 0.000 | -0.003 | 0.000 |
| -0.000 | -0.000 | -0.000 | -0.000 | 0.000 | -0.003 |
| 54.272 | 87.119 | 87.119 | -0.000 | -0.000 | -0.000 |
| 87.119 | 54.272 | 87.119 | -0.000 | -0.000 | -0.000 |
| 87.119 | 87.119 | 54.272 | -0.000 | -0.000 | -0.000 |
| -0.000 | -0.000 | -0.000 | -26.159 | -0.000 | -0.000 |
| -0.000 | -0.000 | -0.000 | -0.000 | -26.159 | -0.000 |
| -0.000 | -0.000 | -0.000 | -0.000 | -0.000 | -26.159 |
| 54.274 | 87.120 | 87.120 | 0.000 | 0.000 | 0.000 |
| 87.120 | 54.274 | 87.120 | 0.000 | 0.000 | 0.000 |
| 87.120 | 87.120 | 54.274 | 0.000 | 0.000 | 0.000 |
| 0.000 | 0.000 | 0.000 | -26.159 | 0.000 | 0.000 |
| 0.000 | 0.000 | 0.000 | 0.000 | -26.159 | 0.000 |
| 0.000 | 0.000 | 0.000 | 0.000 | 0.000 | -26.159 |
| 54.265 | 87.115 | 87.115 | -0.000 | -0.000 | -0.000 |
| 87.115 | 54.265 | 87.115 | -0.000 | -0.000 | -0.000 |
| 87.115 | 87.115 | 54.265 | -0.000 | -0.000 | -0.000 |
| -0.000 | -0.003 | -0.003 | -26.159 | -0.000 | -0.000 |
| -0.003 | -0.000 | -0.003 | -0.000 | -26.159 | -0.000 |
| -0.003 | -0.003 | -0.000 | -0.000 | -0.000 | -26.159 |
| 54.281 | 87.124 | 87.124 | 0.000 | 0.000 | 0.000 |
| 87.124 | 54.281 | 87.124 | 0.000 | 0.000 | 0.000 |
| 87.124 | 87.124 | 54.281 | 0.000 | 0.000 | 0.000 |
| 0.000 | 0.003 | 0.003 | -26.159 | 0.000 | 0.000 |
| 0.003 | 0.000 | 0.003 | 0.000 | -26.159 | 0.000 |
| 0.003 | 0.003 | 0.000 | 0.000 | 0.000 | -26.159 |
| 54.189 | 87.075 | 87.075 | -0.000 | -0.000 | -0.000 |
| 87.075 | 54.189 | 87.075 | -0.000 | -0.000 | -0.000 |
| 87.075 | 87.075 | 54.189 | -0.000 | -0.000 | -0.000 |
| -0.013 | -0.045 | -0.044 | 79.485 | 0.000 | 0.000 |
| -0.045 | -0.013 | -0.044 | 0.000 | 79.485 | 0.000 |
| -0.045 | -0.044 | -0.013 | 0.000 | 0.000 | 79.485 |
| 54.356 | 87.164 | 87.164 | 0.000 | 0.000 | 0.000 |
| 87.164 | 54.356 | 87.164 | 0.000 | 0.000 | 0.000 |
| 87.164 | 87.164 | 54.356 | 0.000 | 0.000 | 0.000 |
| 0.013 | 0.045 | 0.044 | 79.485 | -0.000 | -0.000 |
| 0.045 | 0.013 | 0.044 | -0.000 | 79.485 | -0.000 |
| 0.045 | 0.044 | 0.013 | -0.000 | -0.000 | 79.485 |
| 54.695 | 87.369 | 87.369 | -0.000 | -0.000 | -0.000 |
| 87.369 | 54.695 | 87.369 | -0.000 | -0.000 | -0.000 |
| 87.369 | 87.369 | 54.695 | -0.000 | -0.000 | -0.000 |
| -0.000 | -0.000 | -0.000 | 80.688 | 0.000 | -0.000 |
| -0.000 | -0.000 | -0.000 | -0.000 | 80.688 | -0.000 |
| -0.000 | -0.000 | -0.000 | -0.000 | -0.000 | 80.688 |
| 54.697 | 87.370 | 87.370 | 0.000 | 0.000 | 0.000 |
| 87.370 | 54.697 | 87.370 | 0.000 | 0.000 | 0.000 |
| 87.370 | 87.370 | 54.697 | 0.000 | 0.000 | 0.000 |
| 0.000 | 0.000 | 0.000 | 80.688 | 0.000 | 0.000 |
| 0.000 | 0.000 | 0.000 | 0.000 | 80.688 | -0.000 |
| 0.000 | 0.000 | 0.000 | 0.000 | 0.000 | 80.688 |
| 54.688 | 87.365 | 87.365 | -0.000 | -0.000 | -0.000 |
| 87.365 | 54.688 | 87.365 | -0.000 | -0.000 | -0.000 |
| 87.365 | 87.365 | 54.688 | -0.000 | -0.000 | -0.000 |
| -0.001 | -0.004 | -0.004 | 80.495 | -0.000 | -0.000 |
| -0.004 | -0.001 | -0.004 | -0.000 | 80.495 | -0.000 |
| -0.004 | -0.004 | -0.001 | -0.000 | -0.000 | 80.495 |
| 54.705 | 87.374 | 87.374 | 0.000 | 0.000 | 0.000 |
| 87.374 | 54.705 | 87.374 | 0.000 | 0.000 | 0.000 |
| 87.374 | 87.374 | 54.705 | 0.000 | 0.000 | 0.000 |
| 0.001 | 0.004 | 0.004 | 80.495 | -0.000 | 0.000 |
| 0.004 | 0.001 | 0.004 | 0.000 | 80.495 | 0.000 |
| 0.004 | 0.004 | 0.001 | -0.000 | 0.000 | 80.495 |
| 54.613 | 87.325 | 87.325 | -0.000 | -0.000 | -0.000 |
| 87.325 | 54.613 | 87.325 | -0.000 | -0.000 | -0.000 |
| 87.325 | 87.325 | 54.613 | -0.000 | -0.000 | -0.000 |
| -0.027 | -0.033 | -0.033 | -159.894 | -0.000 | -0.000 |
| -0.033 | -0.027 | -0.033 | -0.000 | -159.894 | -0.000 |
| -0.033 | -0.033 | -0.027 | -0.000 | -0.000 | -159.894 |
| 1250656.757 | 694638.227 | 694638.227 | 0.000 | 0.000 | 0.000 |
| 694638.227 | 1250656.757 | 694638.227 | 0.000 | 0.000 | 0.000 |
| 694638.227 | 694638.227 | 1250656.757 | 0.000 | 0.000 | 0.000 |
| 0.027 | 0.033 | 0.033 | -159.894 | -0.000 | -0.000 |
| 0.033 | 0.027 | 0.033 | 0.000 | -159.894 | 0.000 |
| 0.033 | 0.033 | 0.027 | 0.000 | 0.000 | -159.894 |
| 54.811 | 87.437 | 87.437 | -0.000 | -0.000 | -0.000 |
| 87.437 | 54.811 | 87.437 | -0.000 | -0.000 | -0.000 |
| 87.437 | 87.437 | 54.811 | -0.000 | -0.000 | -0.000 |
| -3462582.215 | -31265247.192 | -31265246.567 | 31277979.577 | 0.000 | 0.000 |
| -31265247.192 | -3462582.215 | -31265246.567 | 0.000 | 31277979.577 | 0.000 |
| -31265247.192 | -31265246.567 | -3462582.215 | 0.000 | 0.000 | 31277979.577 |
| 131986479.745 | 131986525.103 | 131986525.103 | 0.000 | 0.000 | 0.000 |
| 131986525.103 | 131986479.745 | 131986525.103 | 0.000 | 0.000 | 0.000 |
| 131986525.103 | 131986525.103 | 131986479.745 | 0.000 | 0.000 | 0.000 |
| 3462582.215 | 31265247.192 | 31265246.567 | 31277979.577 | 0.000 | -0.000 |
| 31265247.192 | 3462582.215 | 31265246.567 | 0.000 | 31277979.577 | -0.000 |
| 31265247.192 | 31265246.567 | 3462582.215 | 0.000 | -0.000 | 31277979.577 |
| 54.803 | 87.433 | 87.433 | -0.000 | -0.000 | -0.000 |
| 87.433 | 54.803 | 87.433 | -0.000 | 0.000 | -0.000 |
| 87.433 | 87.433 | 54.803 | -0.000 | -0.000 | 0.000 |
| -346257.290 | -3126517.497 | -3126516.871 | 3127782.015 | 0.000 | 0.000 |
| -3126517.497 | -346257.290 | -3126516.871 | 0.000 | 3127782.015 | 0.000 |
| -3126517.497 | -3126516.871 | -346257.290 | 0.000 | 0.000 | 3127782.015 |
| 13198663.211 | 13198708.569 | 13198708.569 | 0.000 | 0.000 | 0.000 |
| 13198708.569 | 13198663.211 | 13198708.569 | 0.000 | 0.000 | 0.000 |
| 13198708.569 | 13198708.569 | 13198663.211 | 0.000 | 0.000 | -0.000 |
| 346257.290 | 3126517.497 | 3126516.871 | 3127782.015 | 0.000 | -0.000 |
| 3126517.497 | 346257.290 | 3126516.871 | 0.000 | 3127782.015 | -0.000 |
| 3126517.497 | 3126516.871 | 346257.290 | 0.000 | -0.000 | 3127782.015 |
| 54.728 | 87.393 | 87.393 | -0.000 | -0.000 | -0.000 |
| 87.393 | 54.728 | 87.393 | -0.000 | -0.000 | -0.000 |
| 87.393 | 87.393 | 54.728 | -0.000 | -0.000 | -0.000 |
| -34624.799 | -312644.541 | -312643.915 | 312762.291 | -0.000 | 0.000 |
| -312644.541 | -34624.799 | -312643.915 | -0.000 | 312762.291 | 0.000 |
| -312644.541 | -312643.915 | -34624.799 | -0.000 | 0.000 | 312762.291 |
| 1319881.562 | 1319926.916 | 1319926.916 | 0.000 | 0.000 | 0.000 |
| 1319926.916 | 1319881.562 | 1319926.916 | 0.000 | 0.000 | 0.000 |
| 1319926.916 | 1319926.916 | 1319881.562 | 0.000 | 0.000 | 0.000 |
| 34624.799 | 312644.541 | 312643.915 | 312762.291 | -0.000 | -0.000 |
| 312644.541 | 34624.799 | 312643.915 | 0.000 | 312762.291 | -0.000 |
| 312644.541 | 312643.915 | 34624.799 | 0.000 | -0.000 | 312762.291 |
| 0.298 | 0.298 | 0.298 | -0.000 | -0.000 | -0.000 |
| 0.298 | 0.298 | 0.298 | -0.000 | -0.000 | -0.000 |
| 0.298 | 0.298 | 0.298 | -0.000 | -0.000 | -0.000 |
| 0.000 | -0.000 | 0.000 | 0.244 | 0.000 | 0.000 |
| -0.000 | 0.000 | 0.000 | 0.000 | 0.244 | 0.000 |
| -0.000 | 0.000 | 0.000 | 0.000 | -0.000 | 0.244 |
| 0.298 | 0.298 | 0.298 | 0.000 | 0.000 | -0.000 |
| 0.298 | 0.298 | 0.298 | 0.000 | 0.000 | -0.000 |
| 0.298 | 0.298 | 0.298 | 0.000 | 0.000 | 0.000 |
| -0.000 | 0.000 | -0.000 | 0.244 | -0.000 | -0.000 |
| 0.000 | -0.000 | -0.000 | -0.000 | 0.244 | -0.000 |
| 0.000 | -0.000 | -0.000 | -0.000 | 0.000 | 0.244 |
| 0.298 | 0.298 | 0.298 | -0.000 | -0.000 | 0.000 |
| 0.298 | 0.298 | 0.298 | -0.000 | -0.000 | 0.000 |
| 0.298 | 0.298 | 0.298 | -0.000 | -0.000 | -0.000 |
| 0.000 | 0.000 | 0.000 | 0.244 | -0.000 | 0.000 |
| 0.000 | 0.000 | 0.000 | -0.000 | 0.244 | 0.000 |
| 0.000 | 0.000 | 0.000 | -0.000 | -0.000 | 0.244 |
| 0.298 | 0.298 | 0.298 | 0.000 | 0.000 | 0.000 |
| 0.298 | 0.298 | 0.298 | 0.000 | 0.000 | -0.000 |
| 0.298 | 0.298 | 0.298 | 0.000 | 0.000 | -0.000 |
| -0.000 | -0.000 | -0.000 | 0.244 | -0.000 | -0.000 |
| -0.000 | -0.000 | -0.000 | -0.000 | 0.244 | -0.000 |
| -0.000 | -0.000 | -0.000 | -0.000 | 0.000 | 0.244 |
| 0.298 | 0.298 | 0.298 | -0.000 | -0.000 | -0.000 |
| 0.298 | 0.298 | 0.298 | -0.000 | -0.000 | -0.000 |
| 0.298 | 0.298 | 0.298 | -0.000 | -0.000 | -0.000 |
| -0.000 | -0.000 | -0.000 | 0.034 | 0.000 | 0.000 |
| -0.000 | -0.000 | -0.000 | 0.000 | 0.034 | 0.000 |
| -0.000 | -0.000 | -0.000 | 0.000 | 0.000 | 0.034 |
| 0.298 | 0.298 | 0.298 | 0.000 | 0.000 | 0.000 |
| 0.298 | 0.298 | 0.298 | 0.000 | 0.000 | 0.000 |
| 0.298 | 0.298 | 0.298 | 0.000 | 0.000 | 0.000 |
| 0.000 | 0.000 | 0.000 | 0.034 | -0.000 | -0.000 |
| 0.000 | 0.000 | 0.000 | -0.000 | 0.034 | -0.000 |
| 0.000 | 0.000 | 0.000 | -0.000 | -0.000 | 0.034 |
| -0.001 | -0.001 | -0.001 | 0.000 | 0.000 | 0.000 |
| -0.001 | -0.001 | -0.001 | 0.000 | 0.000 | 0.000 |
| -0.001 | -0.001 | -0.001 | 0.000 | 0.000 | 0.000 |
| 0.000 | 0.000 | 0.000 | -0.001 | -0.000 | 0.000 |
| 0.000 | 0.000 | 0.000 | -0.000 | -0.001 | 0.000 |
| 0.000 | 0.000 | 0.000 | -0.000 | 0.000 | -0.001 |
| -0.001 | -0.001 | -0.001 | 0.000 | -0.000 | -0.000 |
| -0.001 | -0.001 | -0.001 | -0.000 | 0.000 | -0.000 |
| -0.001 | -0.001 | -0.001 | -0.000 | -0.000 | 0.000 |
| -0.000 | -0.000 | -0.000 | -0.001 | 0.000 | -0.000 |
| -0.000 | -0.000 | -0.000 | 0.000 | -0.001 | -0.000 |
| -0.000 | -0.000 | -0.000 | 0.000 | -0.000 | -0.001 |
| -0.001 | -0.001 | -0.001 | -0.000 | 0.000 | 0.000 |
| -0.001 | -0.001 | -0.001 | 0.000 | -0.000 | 0.000 |
| -0.001 | -0.001 | -0.001 | 0.000 | 0.000 | -0.000 |
| 0.000 | 0.000 | 0.000 | -0.001 | -0.000 | 0.000 |
| 0.000 | 0.000 | 0.000 | -0.000 | -0.001 | 0.000 |
| 0.000 | 0.000 | 0.000 | -0.000 | 0.000 | -0.001 |
| -0.001 | -0.001 | -0.001 | -0.000 | -0.000 | -0.000 |
| -0.001 | -0.001 | -0.001 | -0.000 | -0.000 | -0.000 |
| -0.001 | -0.001 | -0.001 | -0.000 | -0.000 | -0.000 |
| -0.000 | -0.000 | -0.000 | -0.001 | 0.000 | -0.000 |
| -0.000 | -0.000 | -0.000 | 0.000 | -0.001 | -0.000 |
| -0.000 | -0.000 | -0.000 | 0.000 | -0.000 | -0.001 |
| -0.001 | -0.001 | -0.001 | 0.000 | 0.000 | 0.000 |
| -0.001 | -0.001 | -0.001 | 0.000 | 0.000 | 0.000 |
| -0.001 | -0.001 | -0.001 | 0.000 | 0.000 | 0.000 |
| 0.000 | 0.000 | 0.000 | -0.001 | -0.000 | 0.000 |
| 0.000 | 0.000 | 0.000 | -0.000 | -0.001 | 0.000 |
| 0.000 | 0.000 | 0.000 | -0.000 | 0.000 | -0.001 |
| -0.001 | -0.001 | -0.001 | -0.000 | -0.000 | -0.000 |
| -0.001 | -0.001 | -0.001 | -0.000 | -0.000 | -0.000 |
| -0.001 | -0.001 | -0.001 | -0.000 | -0.000 | -0.000 |
| -0.000 | -0.000 | -0.000 | -0.001 | 0.000 | -0.000 |
| -0.000 | -0.000 | -0.000 | 0.000 | -0.001 | -0.000 |
| -0.000 | -0.000 | -0.000 | 0.000 | -0.000 | -0.001 |
| 0.347 | 0.403 | 0.403 | 0.000 | -0.000 | -0.000 |
| 0.403 | 0.347 | 0.403 | 0.000 | -0.000 | -0.000 |
| 0.403 | 0.403 | 0.347 | -0.000 | -0.000 | 0.000 |
| -0.000 | -0.000 | -0.000 | 0.250 | -0.000 | -0.000 |
| -0.000 | -0.000 | -0.000 | -0.000 | 0.250 | -0.000 |
| -0.000 | -0.000 | -0.000 | 0.000 | -0.000 | 0.250 |
| 0.347 | 0.403 | 0.403 | -0.000 | 0.000 | 0.000 |
| 0.403 | 0.347 | 0.403 | -0.000 | -0.000 | -0.000 |
| 0.403 | 0.403 | 0.347 | 0.000 | 0.000 | -0.000 |
| 0.000 | 0.000 | 0.000 | 0.250 | 0.000 | 0.000 |
| 0.000 | 0.000 | 0.000 | 0.000 | 0.250 | 0.000 |
| 0.000 | 0.000 | 0.000 | 0.000 | 0.000 | 0.250 |
| 0.347 | 0.403 | 0.403 | 0.000 | -0.000 | -0.000 |
| 0.403 | 0.347 | 0.403 | 0.000 | 0.000 | 0.000 |
| 0.403 | 0.403 | 0.347 | 0.000 | -0.000 | 0.000 |
| -0.000 | -0.000 | -0.000 | 0.020 | -0.000 | -0.000 |
| -0.000 | -0.000 | -0.000 | -0.000 | 0.020 | -0.000 |
| -0.000 | -0.000 | -0.000 | -0.000 | -0.000 | 0.020 |
| 0.347 | 0.403 | 0.403 | -0.000 | 0.000 | 0.000 |
| 0.403 | 0.347 | 0.403 | -0.000 | -0.000 | 0.000 |
| 0.403 | 0.403 | 0.347 | 0.000 | 0.000 | 0.000 |
| 0.000 | 0.000 | 0.000 | 0.020 | 0.000 | 0.000 |
| 0.000 | 0.000 | 0.000 | 0.000 | 0.020 | 0.000 |
| 0.000 | 0.000 | 0.000 | 0.000 | 0.000 | 0.020 |
| 0.347 | 0.402 | 0.402 | -0.000 | -0.000 | -0.000 |
| 0.402 | 0.347 | 0.402 | -0.000 | -0.000 | -0.000 |
| 0.402 | 0.402 | 0.347 | -0.000 | -0.000 | -0.000 |
| -0.000 | -0.000 | -0.000 | -0.049 | -0.000 | -0.000 |
| -0.000 | -0.000 | -0.000 | -0.000 | -0.049 | -0.000 |
| -0.000 | -0.000 | -0.000 | -0.000 | -0.000 | -0.049 |
| 0.348 | 0.404 | 0.404 | -0.000 | 0.000 | 0.000 |
| 0.404 | 0.348 | 0.404 | -0.000 | 0.000 | -0.000 |
| 0.404 | 0.404 | 0.348 | -0.000 | 0.000 | 0.000 |
| 0.000 | 0.000 | 0.000 | -0.043 | 0.000 | 0.000 |
| 0.000 | 0.000 | 0.000 | -0.000 | -0.049 | 0.000 |
| 0.000 | 0.000 | 0.000 | 0.000 | 0.000 | -0.049 |
| -863.526 | 1395.610 | 6.668 | 0.000 | -0.000 | 0.000 |
| 1395.610 | -863.526 | 6.668 | -0.000 | 0.000 | 0.000 |
| 6.668 | 6.668 | 418.712 | 0.000 | 0.000 | 0.000 |
| 0.000 | 0.000 | 0.000 | -22.906 | 0.000 | -0.000 |
| 0.000 | 0.000 | -0.000 | 0.000 | -22.906 | -0.000 |
| 0.000 | 0.000 | 0.000 | 0.000 | 0.000 | -67.116 |
| 564.144 | -32.061 | 6.668 | -0.000 | -0.000 | 0.000 |
| -32.061 | 564.144 | 6.668 | -0.000 | -0.000 | 0.000 |
| 6.668 | 6.668 | 418.712 | -0.000 | -0.000 | 0.000 |
| -0.000 | -0.000 | -0.000 | -22.906 | -0.000 | -0.000 |
| -0.000 | -0.000 | 0.000 | -0.000 | -22.906 | -0.000 |
| -0.000 | -0.000 | -0.000 | -0.000 | -0.000 | -67.116 |
| 564.145 | -32.061 | 6.668 | 0.000 | 0.000 | 0.000 |
| -32.061 | 564.145 | 6.668 | 0.000 | 0.000 | 0.000 |
| 6.668 | 6.668 | 418.712 | 0.000 | 0.000 | -0.000 |
| 0.000 | 0.000 | 0.000 | -66.296 | 0.000 | -0.000 |
| 0.000 | 0.000 | 0.000 | 0.000 | -66.296 | -0.000 |
| 0.000 | 0.000 | 0.000 | 0.000 | 0.000 | -67.116 |
| -863.527 | 1395.606 | 6.663 | -0.000 | 0.000 | -0.000 |
| 1395.606 | -863.527 | 6.663 | 0.000 | -0.000 | -0.000 |
| 6.668 | 6.668 | 418.711 | -0.000 | 0.000 | -0.000 |
| -0.000 | -0.000 | -0.000 | -66.296 | -0.000 | -0.000 |
| -0.000 | -0.000 | -0.000 | -0.000 | -66.296 | -0.000 |
| -0.000 | -0.000 | -0.000 | -0.000 | -0.000 | -67.116 |
| -13116118.888 | 16778440.485 | 3127120.319 | -92.291 | -2279.520 | 0.249 |
| 16733454.533 | -13089236.618 | 3123247.686 | 122.984 | -11.311 | -0.431 |
| 6.668 | 6.668 | 418.717 | 0.000 | 0.000 | 0.000 |
| 0.000 | 0.001 | 0.000 | -66.296 | 0.000 | 0.000 |
| 0.001 | 0.000 | 0.000 | 0.000 | -66.296 | 0.000 |
| 0.001 | 0.001 | 0.000 | 0.000 | 0.000 | -67.116 |
| -16709599.184 | 13074833.130 | -3118944.489 | -940.269 | 113.123 | -2.022 |
| 13128140.194 | -16783769.803 | -3080301.909 | -66.033 | 6614.731 | 0.223 |
| 6.668 | 6.668 | 418.706 | -0.000 | -0.000 | 0.000 |
| -0.000 | -0.001 | -0.000 | -66.296 | -0.000 | 0.000 |
| -0.001 | -0.000 | -0.000 | -0.000 | -66.296 | 0.000 |
| -0.001 | -0.001 | -0.000 | -0.000 | -0.000 | -67.116 |
| -1.775 | -0.002 | 1.789 | 0.000 | 0.000 | 0.000 |
| -0.002 | -1.775 | 1.789 | 0.000 | 0.000 | 0.000 |
| 1.649 | 1.649 | 4.019 | 0.000 | 0.000 | 0.000 |
| -162.988 | -3761596.672 | -2560329.619 | 3103263.038 | 0.000 | 0.000 |
| -3761596.672 | -162.988 | -2560329.619 | 0.000 | 3103263.038 | 0.000 |
| -0.000 | 0.000 | 0.000 | -0.000 | 0.000 | -0.007 |
| 7523187.892 | 325.971 | 5120658.507 | -0.000 | -0.000 | 0.000 |
| 325.971 | 7523187.892 | 5120658.507 | -0.000 | -0.000 | -0.000 |
| 7523511.840 | 7523511.840 | 10241310.460 | -0.000 | -0.000 | -0.000 |
| 162.988 | 3761596.672 | 2560329.619 | 3103263.038 | -0.000 | 0.000 |
| 3761596.672 | 162.988 | 2560329.619 | -0.000 | 3103263.038 | -0.000 |
| -0.000 | -0.000 | -0.000 | 0.000 | -0.000 | -0.007 |
| -4.557 | 2.780 | 1.789 | 0.000 | 0.000 | 0.000 |
| 2.780 | -4.557 | 1.789 | 0.000 | 0.000 | 0.000 |
| 1.649 | 1.649 | 4.019 | 0.000 | 0.000 | 0.000 |
| -16.299 | -376158.632 | -256032.219 | 310326.774 | 0.000 | 0.000 |
| -376158.632 | -16.299 | -256032.219 | 0.000 | 310326.774 | 0.000 |
| 0.000 | 0.000 | 0.000 | 0.000 | 0.000 | -0.007 |
| 752314.613 | 32.596 | 512065.614 | 0.000 | -0.000 | -0.000 |
| 32.596 | 752314.613 | 512065.614 | -0.000 | -0.000 | 0.000 |
| 752350.800 | 752350.800 | 1024132.304 | -0.000 | -0.000 | 0.000 |
| 16.299 | 376158.632 | 256032.219 | 310326.774 | -0.000 | 0.000 |
| 376158.632 | 16.299 | 256032.219 | -0.000 | 310326.774 | -0.000 |
| -0.000 | -0.000 | -0.000 | -0.000 | -0.000 | -0.007 |
| -5.941 | 4.158 | 1.785 | 0.000 | 0.000 | 0.000 |
| 4.158 | -5.941 | 1.785 | 0.000 | 0.000 | 0.000 |
| 1.646 | 1.646 | 4.014 | 0.000 | 0.000 | -0.000 |
| -1.630 | -37614.830 | -25602.481 | 31033.146 | 0.000 | -0.000 |
| -37614.830 | -1.630 | -25602.481 | 0.000 | 31033.146 | 0.000 |
| -0.000 | 0.000 | -0.000 | 0.000 | 0.000 | -0.007 |
| 75227.285 | 3.258 | 51206.325 | -0.000 | -0.000 | 0.000 |
| 3.258 | 75227.285 | 51206.325 | -0.000 | -0.000 | -0.000 |
| 75234.696 | 75234.696 | 102414.488 | -0.000 | -0.000 | -0.000 |
| 1.630 | 37614.830 | 25602.481 | 31033.146 | -0.000 | -0.000 |
| 37614.830 | 1.630 | 25602.481 | -0.000 | 31033.146 | -0.000 |
| 0.000 | -0.000 | 0.000 | -0.000 | -0.000 | -0.007 |
| 1.164 | 0.000 | 0.196 | 0.000 | -0.000 | 0.000 |
| 0.000 | 1.164 | 0.196 | 0.000 | 0.000 | 0.000 |
| 0.196 | 0.196 | 0.066 | 0.000 | -0.000 | -0.000 |
| -0.000 | 0.000 | 0.000 | 0.195 | 0.000 | -0.000 |
| 0.000 | -0.000 | 0.000 | -0.000 | 0.195 | 0.000 |
| 0.000 | -0.000 | -0.000 | -0.000 | -0.000 | 0.000 |
| 1.164 | 0.000 | 0.196 | -0.000 | -0.000 | 0.000 |
| 0.000 | 1.164 | 0.196 | 0.000 | 0.000 | 0.000 |
| 0.196 | 0.196 | 0.066 | -0.000 | 0.000 | -0.000 |
| 0.000 | -0.000 | -0.000 | 0.195 | -0.000 | -0.000 |
| -0.000 | 0.000 | -0.000 | -0.000 | 0.195 | 0.000 |
| -0.000 | 0.000 | 0.000 | 0.000 | 0.000 | 0.000 |
| 1.040 | 0.125 | 0.196 | -0.000 | 0.000 | 0.000 |
| 0.125 | 1.040 | 0.196 | -0.000 | -0.000 | 0.000 |
| 0.196 | 0.196 | 0.066 | -0.000 | -0.000 | -0.000 |
| -0.000 | 0.000 | 0.000 | 0.151 | 0.000 | -0.000 |
| 0.000 | -0.000 | 0.000 | 0.000 | 0.151 | -0.000 |
| 0.000 | -0.000 | -0.000 | -0.000 | 0.000 | 0.000 |
| 1.078 | 0.086 | 0.196 | 0.000 | -0.000 | 0.000 |
| 0.086 | 1.078 | 0.196 | -0.000 | 0.000 | 0.000 |
| 0.196 | 0.196 | 0.066 | -0.000 | 0.000 | 0.000 |
| 0.000 | -0.000 | -0.000 | 0.151 | 0.000 | -0.000 |
| -0.000 | 0.000 | -0.000 | -0.000 | 0.151 | -0.000 |
| -0.000 | 0.000 | 0.000 | 0.000 | 0.000 | 0.000 |
| 0.667 | 0.498 | 0.196 | -0.000 | 0.000 | -0.000 |
| 0.498 | 0.667 | 0.196 | 0.000 | 0.000 | -0.000 |
| 0.196 | 0.196 | 0.066 | 0.000 | -0.000 | -0.000 |
| -0.000 | -0.000 | -0.000 | 0.019 | -0.000 | 0.000 |
| -0.000 | -0.000 | -0.000 | -0.000 | 0.019 | 0.000 |
| -0.000 | -0.000 | -0.000 | -0.000 | -0.000 | 0.000 |
| 0.644 | 0.521 | 0.196 | -0.000 | 0.000 | -0.000 |
| 0.521 | 0.644 | 0.196 | 0.000 | 0.000 | 0.000 |
| 0.196 | 0.196 | 0.066 | 0.000 | 0.000 | -0.000 |
| 0.000 | 0.000 | 0.000 | 0.019 | 0.000 | 0.000 |
| 0.000 | 0.000 | 0.000 | 0.000 | 0.019 | 0.000 |
| 0.000 | 0.000 | 0.000 | 0.000 | -0.000 | 0.000 |
| 1.710 | 0.000 | 0.143 | 0.000 | -0.000 | 0.000 |
| 0.000 | 1.710 | 0.143 | -0.000 | 0.000 | 0.000 |
| 0.143 | 0.143 | 0.032 | 0.000 | 0.000 | -0.000 |
| -0.000 | 0.000 | 0.000 | 0.108 | -0.000 | 0.000 |
| -0.000 | -0.000 | -0.000 | -0.000 | 0.108 | 0.000 |
| 0.000 | -0.000 | -0.000 | 0.000 | -0.000 | 0.000 |
| 1.710 | 0.000 | 0.143 | -0.000 | 0.000 | 0.000 |
| 0.000 | 1.710 | 0.143 | 0.000 | -0.000 | 0.000 |
| 0.143 | 0.143 | 0.032 | 0.000 | 0.000 | 0.000 |
| 0.000 | -0.000 | -0.000 | 0.108 | 0.000 | 0.000 |
| 0.000 | 0.000 | 0.000 | 0.000 | 0.108 | 0.000 |
| 0.000 | 0.000 | 0.000 | -0.000 | -0.000 | 0.000 |
| 1.710 | 0.000 | 0.143 | 0.000 | 0.000 | -0.000 |
| 0.000 | 1.710 | 0.143 | 0.000 | 0.000 | 0.000 |
| 0.143 | 0.143 | 0.032 | -0.000 | -0.000 | -0.000 |
| -0.000 | 0.000 | 0.000 | 0.108 | -0.000 | -0.000 |
| 0.000 | -0.000 | 0.000 | -0.000 | 0.108 | 0.000 |
| -0.000 | -0.000 | -0.000 | 0.000 | -0.000 | 0.000 |
| 1.710 | 0.000 | 0.143 | 0.000 | -0.000 | -0.000 |
| 0.000 | 1.710 | 0.143 | 0.000 | -0.000 | 0.000 |
| 0.143 | 0.143 | 0.032 | 0.000 | 0.000 | 0.000 |
| 0.000 | -0.000 | -0.000 | 0.108 | 0.000 | -0.000 |
| -0.000 | 0.000 | -0.000 | 0.000 | 0.108 | 0.000 |
| 0.000 | 0.000 | 0.000 | -0.000 | -0.000 | 0.000 |
| 1.033 | 0.677 | 0.143 | -0.000 | -0.000 | 0.000 |
| 0.677 | 1.033 | 0.143 | -0.000 | -0.000 | -0.000 |
| 0.143 | 0.143 | 0.032 | 0.000 | 0.000 | -0.000 |
| -0.000 | -0.000 | -0.000 | 0.011 | -0.000 | 0.000 |
| -0.000 | -0.000 | -0.000 | -0.000 | 0.011 | 0.000 |
| -0.000 | -0.000 | -0.000 | -0.000 | -0.000 | 0.000 |
| 0.999 | 0.711 | 0.143 | 0.000 | 0.000 | 0.000 |
| 0.711 | 0.999 | 0.143 | 0.000 | 0.000 | 0.000 |
| 0.143 | 0.143 | 0.032 | 0.000 | 0.000 | 0.000 |
| 0.000 | 0.000 | 0.000 | 0.011 | 0.000 | -0.000 |
| 0.000 | 0.000 | 0.000 | 0.000 | 0.011 | 0.000 |
| 0.000 | 0.000 | 0.000 | 0.000 | -0.000 | 0.000 |
| 1.624 | 0.033 | 0.208 | -0.000 | -0.000 | 0.000 |
| 0.064 | 1.592 | 0.208 | 0.000 | 0.000 | -0.000 |
| 0.159 | 0.159 | 5.028 | -0.000 | -0.000 | -0.000 |
| 0.000 | 0.000 | -0.000 | 0.043 | -0.000 | 0.000 |
| 0.000 | 0.000 | -0.000 | -0.000 | 0.043 | -0.000 |
| 0.000 | -0.000 | 0.000 | 0.000 | -0.000 | -0.033 |
| 1.624 | 0.033 | 0.208 | -0.000 | -0.000 | 0.000 |
| 0.033 | 1.624 | 0.208 | 0.000 | 0.000 | -0.000 |
| -2.595 | -2.595 | 7750371.670 | -0.000 | 0.000 | -0.000 |
| -0.000 | -0.000 | 0.000 | 0.043 | 0.000 | 0.000 |
| -0.000 | -0.000 | 0.000 | 0.000 | 0.043 | -0.000 |
| -0.000 | 0.000 | -0.000 | -0.000 | 0.000 | -0.033 |
| 1.449 | 0.208 | 0.208 | 0.000 | 0.000 | -0.000 |
| 0.208 | 1.449 | 0.208 | 0.000 | -0.000 | -0.000 |
| 0.159 | 0.159 | 5.026 | 0.000 | -0.000 | 0.000 |
| 0.000 | 0.000 | -0.000 | 0.012 | -0.000 | 0.000 |
| 0.000 | 0.000 | -0.000 | 0.000 | 0.012 | -0.000 |
| 0.000 | -0.000 | 0.000 | -0.000 | -0.000 | -0.033 |
| 1.449 | 0.208 | 0.208 | -0.000 | 0.000 | 0.000 |
| 0.208 | 1.449 | 0.208 | -0.000 | 0.000 | 0.000 |
| -0.117 | -0.117 | 775037.180 | -0.000 | 0.000 | 0.000 |
| -0.000 | -0.000 | 0.000 | 0.012 | 0.000 | 0.000 |
| -0.000 | -0.000 | 0.000 | -0.000 | 0.012 | -0.000 |
| -0.000 | 0.000 | -0.000 | 0.000 | 0.000 | -0.033 |
| 0.594 | 1.063 | 0.208 | -0.000 | -0.000 | -0.000 |
| 1.063 | 0.594 | 0.208 | -0.000 | -0.000 | 0.000 |
| 0.159 | 0.159 | 5.006 | 0.000 | 0.000 | -0.000 |
| 0.000 | -0.000 | -0.000 | -0.079 | 0.000 | 0.000 |
| -0.000 | 0.000 | -0.000 | 0.000 | -0.079 | -0.000 |
| 0.000 | -0.000 | -0.000 | 0.000 | 0.000 | -0.033 |
| 0.594 | 1.063 | 0.208 | -0.000 | 0.000 | 0.000 |
| 1.063 | 0.594 | 0.208 | 0.000 | -0.000 | 0.000 |
| 0.131 | 0.131 | 77503.731 | -0.000 | 0.000 | 0.000 |
| -0.000 | 0.000 | 0.000 | -0.079 | -0.000 | 0.000 |
| 0.000 | -0.000 | 0.000 | 0.000 | -0.079 | 0.000 |
| -0.000 | 0.000 | 0.000 | -0.000 | 0.000 | -0.033 |
| -0.005 | 0.000 | -0.000 | -0.000 | -0.000 | 0.000 |
| 0.000 | -0.005 | -0.000 | -0.000 | 0.000 | -0.000 |
| -0.000 | -0.000 | -0.006 | -0.000 | -0.000 | -0.000 |
| -0.000 | 0.000 | 0.000 | -0.000 | -0.000 | 0.000 |
| 0.000 | 0.000 | 0.000 | 0.000 | -0.000 | -0.000 |
| -0.000 | 0.000 | 0.000 | 0.000 | 0.000 | -0.000 |
| -0.005 | 0.000 | -0.000 | -0.000 | -0.000 | -0.000 |
| 0.000 | -0.005 | -0.000 | 0.000 | 0.000 | 0.000 |
| -0.000 | -0.000 | -0.006 | 0.000 | 0.000 | 0.000 |
| 0.000 | -0.000 | -0.000 | -0.000 | 0.000 | 0.000 |
| -0.000 | -0.000 | -0.000 | -0.000 | -0.000 | -0.000 |
| 0.000 | -0.000 | -0.000 | -0.000 | -0.000 | -0.000 |
| -0.005 | 0.000 | -0.000 | -0.000 | -0.000 | -0.000 |
| 0.000 | -0.005 | -0.000 | -0.000 | -0.000 | 0.000 |
| -0.000 | -0.000 | -0.006 | 0.000 | 0.000 | 0.000 |
| -0.000 | 0.000 | 0.000 | -0.000 | -0.000 | 0.000 |
| 0.000 | -0.000 | 0.000 | -0.000 | -0.000 | -0.000 |
| -0.000 | 0.000 | 0.000 | -0.000 | -0.000 | -0.000 |
| -0.005 | 0.000 | -0.000 | 0.000 | -0.000 | 0.000 |
| 0.000 | -0.005 | -0.000 | 0.000 | 0.000 | 0.000 |
| -0.000 | -0.000 | -0.006 | 0.000 | 0.000 | 0.000 |
| 0.000 | -0.000 | -0.000 | -0.000 | 0.000 | 0.000 |
| -0.000 | 0.000 | -0.000 | 0.000 | -0.000 | -0.000 |
| 0.000 | -0.000 | -0.000 | 0.000 | 0.000 | -0.000 |
| -0.005 | 0.000 | -0.000 | 0.000 | -0.000 | -0.000 |
| 0.000 | -0.005 | -0.000 | 0.000 | -0.000 | -0.000 |
| -0.000 | -0.000 | -0.006 | 0.000 | 0.000 | 0.000 |
| -0.000 | 0.000 | 0.000 | -0.000 | 0.000 | 0.000 |
| 0.000 | -0.000 | 0.000 | 0.000 | -0.000 | -0.000 |
| -0.000 | 0.000 | 0.000 | -0.000 | 0.000 | -0.000 |
| -0.005 | 0.000 | -0.000 | 0.000 | 0.000 | 0.000 |
| 0.000 | -0.005 | -0.000 | 0.000 | 0.000 | -0.000 |
| -0.000 | -0.000 | -0.006 | -0.000 | -0.000 | 0.000 |
| 0.000 | -0.000 | -0.000 | -0.000 | -0.000 | -0.000 |
| -0.000 | 0.000 | -0.000 | -0.000 | -0.000 | -0.000 |
| 0.000 | -0.000 | -0.000 | 0.000 | 0.000 | -0.000 |
| 1.953 | 0.061 | 0.160 | -0.000 | -0.000 | -0.000 |
| 0.061 | 1.953 | 0.160 | -0.000 | -0.000 | 0.000 |
| 0.212 | 0.212 | 0.014 | -0.000 | 0.000 | 0.000 |
| -0.000 | -0.000 | -0.000 | 0.094 | -0.000 | 0.000 |
| -0.000 | 0.000 | -0.000 | -0.000 | 0.142 | -0.000 |
| 0.000 | 0.000 | 0.000 | -0.000 | -0.000 | -0.061 |
| 1.953 | 0.061 | 0.160 | 0.000 | 0.000 | -0.000 |
| 0.061 | 1.953 | 0.160 | 0.000 | -0.000 | 0.000 |
| 0.212 | 0.212 | 0.014 | 0.000 | 0.000 | -0.000 |
| 0.000 | 0.000 | 0.000 | 0.094 | -0.000 | 0.000 |
| 0.000 | 0.000 | 0.000 | 0.000 | 0.094 | 0.000 |
| -0.000 | -0.000 | -0.000 | 0.000 | 0.000 | -0.061 |
| 1.296 | 0.716 | 0.160 | -0.000 | -0.000 | 0.000 |
| 0.716 | 1.296 | 0.160 | -0.000 | -0.000 | -0.000 |
| 0.212 | 0.212 | 0.014 | -0.000 | -0.000 | 0.000 |
| -0.000 | -0.000 | -0.000 | 0.060 | -0.000 | -0.000 |
| -0.000 | -0.000 | -0.000 | -0.000 | 0.060 | 0.000 |
| 0.000 | -0.000 | -0.000 | -0.000 | -0.000 | -0.061 |
| 1.297 | 0.717 | 0.161 | -0.000 | 0.000 | 0.000 |
| 0.717 | 1.297 | 0.161 | 0.000 | 0.000 | 0.000 |
| 0.212 | 0.212 | 0.014 | 0.000 | 0.000 | 0.000 |
| 0.000 | 0.000 | 0.000 | 0.060 | -0.000 | 0.000 |
| 0.000 | 0.000 | 0.000 | 0.000 | 0.060 | 0.000 |
| -0.000 | 0.000 | 0.000 | 0.000 | 0.000 | -0.061 |
| 0.372 | 1.631 | 0.160 | -0.000 | 0.000 | 0.000 |
| 1.631 | 0.372 | 0.160 | -0.000 | -0.000 | -0.000 |
| 0.212 | 0.212 | 0.014 | 0.000 | -0.000 | 0.000 |
| -0.000 | 0.000 | -0.000 | -0.009 | -0.000 | -0.000 |
| 0.000 | -0.000 | -0.000 | -0.000 | -0.009 | 0.000 |
| 0.000 | -0.000 | -0.000 | -0.000 | -0.000 | -0.061 |
| 0.385 | 1.638 | 0.161 | 0.000 | 0.000 | 0.000 |
| 1.638 | 0.385 | 0.161 | 0.000 | 0.000 | 0.000 |
| 0.212 | 0.212 | 0.014 | 0.000 | -0.000 | -0.000 |
| 0.000 | -0.000 | 0.000 | -0.009 | 0.000 | -0.000 |
| -0.000 | 0.000 | 0.000 | 0.000 | -0.009 | -0.000 |
| -0.000 | 0.000 | 0.000 | 0.000 | 0.000 | -0.061 |
| 0.865 | 1.444 | 3.249 | -0.000 | -0.000 | -0.000 |
| 1.444 | 0.865 | 3.249 | -0.000 | -0.000 | -0.000 |
| 3.140 | 3.140 | 6.670 | -0.000 | -0.000 | -0.000 |
| -4386843.312 | -4386843.444 | -9872562.572 | 6581012.354 | -0.000 | -0.000 |
| -4386843.444 | -4386843.312 | -9872562.572 | -0.000 | 6581012.354 | -0.000 |
| -4386843.739 | -4386843.651 | -9872563.335 | -0.000 | -0.000 | 4386860.272 |
| 8773703.303 | 8773703.707 | 19745163.573 | 0.000 | 0.000 | 0.000 |
| 8773703.707 | 8773703.303 | 19745163.573 | 0.000 | 0.000 | 0.000 |
| 8773703.707 | 8773703.707 | 19745163.573 | 0.000 | 0.000 | 0.000 |
| 4386843.312 | 4386843.444 | 9872562.572 | 6581012.354 | 0.000 | 0.000 |
| 4386843.444 | 4386843.312 | 9872562.572 | 0.000 | 6581012.354 | 0.000 |
| 4386843.739 | 4386843.651 | 9872563.335 | 0.000 | 0.000 | 4386860.272 |
| 0.865 | 1.444 | 3.249 | -0.000 | -0.000 | -0.000 |
| 1.444 | 0.865 | 3.249 | -0.000 | -0.000 | -0.000 |
| 3.139 | 3.139 | 6.669 | 0.000 | 0.000 | -0.000 |
| -438683.416 | -438683.548 | -987254.197 | 658102.520 | -0.000 | -0.000 |
| -438683.548 | -438683.416 | -987254.197 | -0.000 | 658102.520 | -0.000 |
| -438683.843 | -438683.755 | -987254.960 | -0.000 | -0.000 | 438686.597 |
| 877369.967 | 877370.371 | 1974516.357 | 0.000 | 0.000 | 0.000 |
| 877370.371 | 877369.967 | 1974516.357 | 0.000 | 0.000 | 0.000 |
| 877370.371 | 877370.371 | 1974516.357 | 0.000 | 0.000 | 0.000 |
| 438683.416 | 438683.548 | 987254.197 | 658102.520 | 0.000 | -0.000 |
| 438683.548 | 438683.416 | 987254.197 | 0.000 | 658102.520 | 0.000 |
| 438683.843 | 438683.755 | 987254.960 | 0.000 | 0.000 | 438686.597 |
| 0.864 | 1.443 | 3.246 | -0.000 | -0.000 | -0.000 |
| 1.443 | 0.864 | 3.246 | -0.000 | -0.000 | 0.000 |
| 3.133 | 3.133 | 6.655 | 0.000 | 0.000 | 0.000 |
| -43867.428 | -43867.559 | -98723.363 | 65811.534 | -0.000 | 0.000 |
| -43867.559 | -43867.428 | -98723.363 | -0.000 | 65811.534 | -0.000 |
| -43867.854 | -43867.766 | -98724.124 | -0.000 | -0.000 | 43869.229 |
| 87736.633 | 87737.038 | 197451.636 | 0.000 | 0.000 | 0.000 |
| 87737.038 | 87736.633 | 197451.636 | 0.000 | 0.000 | 0.000 |
| 87737.038 | 87737.038 | 197451.636 | 0.000 | 0.000 | 0.000 |
| 43867.428 | 43867.559 | 98723.363 | 65811.534 | 0.000 | 0.000 |
| 43867.559 | 43867.428 | 98723.363 | 0.000 | 65811.534 | 0.000 |
| 43867.854 | 43867.766 | 98724.124 | 0.000 | 0.000 | 43869.229 |
| 3.391 | 0.086 | 0.000 | 0.000 | 0.000 | 0.000 |
| 0.086 | 3.391 | 0.000 | 0.000 | 0.000 | -0.000 |
| 0.086 | 0.086 | 0.000 | 0.000 | 0.000 | 0.000 |
| 0.000 | 0.000 | 0.000 | 0.000 | 0.000 | 0.000 |
| 0.000 | 0.000 | 0.000 | 0.000 | 0.000 | 0.000 |
| 0.000 | -0.000 | 0.000 | 0.000 | 0.000 | -0.086 |
| 3.391 | 0.086 | -0.000 | -0.000 | -0.000 | -0.000 |
| 0.086 | 3.391 | -0.000 | -0.000 | -0.000 | -0.000 |
| 0.086 | 0.086 | -0.000 | -0.000 | -0.000 | -0.000 |
| -0.000 | -0.000 | -0.000 | -0.000 | -0.000 | 0.000 |
| -0.000 | -0.000 | -0.000 | -0.000 | -0.000 | -0.000 |
| -0.000 | 0.000 | -0.000 | -0.000 | -0.000 | -0.086 |
| 3.389 | 0.086 | 0.000 | 0.000 | 0.000 | 0.000 |
| 0.086 | 3.389 | 0.000 | 0.000 | 0.000 | -0.000 |
| 0.086 | 0.086 | 0.000 | 0.000 | 0.000 | 0.000 |
| 0.000 | -0.000 | 0.000 | 0.000 | 0.000 | 0.000 |
| -0.000 | 0.000 | 0.000 | 0.000 | 0.000 | 0.000 |
| 0.000 | -0.000 | 0.000 | 0.000 | 0.000 | -0.086 |
| 3.393 | 0.086 | -0.000 | -0.000 | -0.000 | -0.000 |
| 0.086 | 3.393 | -0.000 | -0.000 | -0.000 | -0.000 |
| 0.086 | 0.086 | -0.000 | -0.000 | -0.000 | -0.000 |
| -0.000 | -0.000 | -0.000 | -0.000 | -0.000 | -0.000 |
| -0.000 | -0.000 | -0.000 | -0.000 | -0.000 | -0.000 |
| -0.000 | 0.000 | -0.000 | -0.000 | -0.000 | -0.086 |
| 3.367 | 0.086 | 0.000 | 0.000 | 0.000 | 0.000 |
| 0.086 | 3.367 | 0.000 | 0.000 | 0.000 | 0.000 |
| 0.086 | 0.086 | 0.000 | 0.000 | 0.000 | 0.000 |
| 0.000 | -0.000 | 0.000 | 0.000 | 0.000 | -0.000 |
| -0.000 | 0.000 | 0.000 | 0.000 | 0.000 | 0.000 |
| 0.000 | -0.000 | 0.000 | 0.000 | 0.000 | -0.086 |
| 3.415 | 0.086 | -0.000 | -0.000 | -0.000 | -0.000 |
| 0.086 | 3.415 | -0.000 | -0.000 | -0.000 | 0.000 |
| 0.086 | 0.086 | -0.000 | -0.000 | -0.000 | -0.000 |
| -0.000 | 0.000 | -0.000 | -0.000 | -0.000 | 0.000 |
| 0.000 | -0.000 | -0.000 | -0.000 | -0.000 | -0.000 |
| -0.000 | 0.000 | -0.000 | -0.000 | -0.000 | -0.086 |
| 3.656 | 3.501 | 3.959 | -0.115 | 0.000 | -0.000 |
| 5.628 | 5.730 | 6.284 | 0.076 | 0.000 | -0.000 |
| 5.689 | 5.689 | 6.295 | -0.000 | 0.000 | -0.000 |
| 1.173 | 1.477 | 1.466 | 0.226 | 0.000 | -0.000 |
| 4.263 | 4.263 | 4.717 | -0.000 | 0.149 | -0.100 |
| 4.263 | 4.263 | 4.717 | -0.000 | -0.100 | 0.067 |
| -1.021 | -1.226 | -1.243 | -0.152 | 0.000 | -0.000 |
| -4.204 | -4.069 | -4.577 | 0.100 | -0.000 | 0.000 |
| -1.102 | -1.102 | -1.219 | 0.000 | -0.000 | 0.000 |
| -3.546 | -3.316 | -3.796 | 0.171 | -0.000 | 0.000 |
| -4.263 | -4.263 | -4.717 | 0.000 | 0.149 | -0.100 |
| -4.263 | -4.263 | -4.717 | 0.000 | -0.100 | 0.067 |
| 0.436 | 0.231 | 0.369 | -0.152 | 0.000 | -0.000 |
| 0.329 | 0.507 | 0.463 | 0.132 | 0.000 | -0.000 |
| 0.506 | 0.506 | 0.560 | -0.000 | 0.000 | -0.000 |
| -0.020 | 0.284 | 0.147 | 0.226 | 0.000 | -0.000 |
| 0.000 | 0.000 | 0.000 | -0.000 | 0.260 | -0.175 |
| 0.246 | 0.246 | 0.272 | -0.000 | -0.132 | 0.089 |
| -0.118 | -0.273 | -0.216 | -0.115 | -0.000 | 0.000 |
| -0.576 | -0.487 | -0.588 | 0.066 | -0.000 | 0.000 |
| -0.286 | -0.286 | -0.317 | 0.000 | -0.000 | 0.000 |
| -0.635 | -0.483 | -0.618 | 0.113 | -0.000 | 0.000 |
| -0.000 | -0.000 | -0.000 | 0.000 | 0.260 | -0.175 |
| -0.246 | -0.246 | -0.272 | 0.000 | -0.132 | 0.089 |
| 0.152 | 0.093 | 0.136 | -0.044 | -0.000 | 0.000 |
| 0.095 | 0.172 | 0.148 | 0.058 | 0.000 | -0.000 |
| 0.170 | 0.170 | 0.188 | -0.000 | 0.000 | -0.000 |
| 0.038 | 0.113 | 0.084 | 0.056 | 0.000 | -0.000 |
| 0.069 | 0.069 | 0.077 | 0.000 | 0.074 | -0.050 |
| 0.056 | 0.056 | 0.062 | -0.000 | -0.076 | 0.051 |
| -0.029 | -0.068 | -0.054 | -0.029 | -0.000 | 0.000 |
| -0.052 | 0.006 | -0.025 | 0.044 | -0.000 | 0.000 |
| -0.028 | -0.028 | -0.031 | 0.000 | -0.000 | 0.000 |
| -0.123 | -0.008 | -0.073 | 0.086 | -0.000 | 0.000 |
| -0.069 | -0.069 | -0.077 | -0.000 | 0.074 | -0.050 |
| -0.056 | -0.056 | -0.062 | 0.000 | -0.076 | 0.051 |
| -3.093 | -3.328 | -1.701 | -0.121 | 0.000 | -0.000 |
| -3.328 | -3.093 | -1.701 | 0.121 | 0.000 | -0.000 |
| -2.269 | -2.269 | -1.202 | -0.000 | 0.000 | -0.000 |
| -2.589 | -2.301 | -1.295 | 0.148 | 0.000 | -0.000 |
| -4.494 | -4.494 | -2.381 | -0.000 | 0.105 | -0.102 |
| -5.391 | -5.391 | -2.856 | -0.000 | -0.086 | 0.083 |
| 0.594 | 0.198 | 0.210 | -0.204 | -0.000 | 0.000 |
| 1.472 | 1.805 | 0.868 | 0.171 | -0.000 | 0.000 |
| 1.468 | 1.468 | 0.778 | 0.000 | -0.000 | 0.000 |
| 4.392 | 4.596 | 2.381 | 0.105 | -0.000 | 0.000 |
| 4.494 | 4.494 | 2.381 | 0.000 | 0.105 | -0.102 |
| 5.391 | 5.391 | 2.856 | 0.000 | -0.086 | 0.083 |
| 0.070 | -0.165 | -0.025 | -0.121 | 0.000 | -0.000 |
| -0.053 | 0.227 | 0.046 | 0.144 | 0.000 | -0.000 |
| 0.064 | 0.064 | 0.034 | -0.000 | 0.000 | -0.000 |
| -0.472 | -0.230 | -0.186 | 0.125 | 0.000 | -0.000 |
| -0.765 | -0.765 | -0.405 | 0.000 | 0.052 | -0.051 |
| -0.765 | -0.765 | -0.405 | -0.000 | -0.051 | 0.049 |
| 0.656 | 0.324 | 0.260 | -0.171 | -0.000 | 0.000 |
| 0.324 | 0.656 | 0.260 | 0.171 | -0.000 | 0.000 |
| 0.597 | 0.597 | 0.316 | 0.000 | -0.000 | 0.000 |
| -0.044 | 0.299 | 0.068 | 0.176 | -0.000 | 0.000 |
| 0.765 | 0.765 | 0.405 | -0.000 | 0.052 | -0.051 |
| 0.765 | 0.765 | 0.405 | 0.000 | -0.051 | 0.049 |
| 0.063 | 0.014 | 0.021 | -0.025 | 0.000 | -0.000 |
| -0.009 | 0.025 | 0.004 | 0.018 | 0.000 | -0.000 |
| -0.014 | -0.014 | -0.008 | -0.000 | 0.000 | -0.000 |
| -0.125 | -0.082 | -0.055 | 0.022 | 0.000 | -0.000 |
| -0.070 | -0.070 | -0.037 | 0.000 | 0.062 | -0.060 |
| -0.083 | -0.083 | -0.044 | -0.000 | -0.043 | 0.042 |
| 0.273 | 0.215 | 0.129 | -0.030 | -0.000 | 0.000 |
| 0.211 | 0.261 | 0.125 | 0.025 | -0.000 | 0.000 |
| 0.210 | 0.210 | 0.111 | 0.000 | -0.000 | 0.000 |
| -0.010 | 0.134 | 0.033 | 0.074 | -0.000 | 0.000 |
| 0.070 | 0.070 | 0.037 | -0.000 | 0.062 | -0.060 |
| 0.083 | 0.083 | 0.044 | 0.000 | -0.043 | 0.042 |
| 597.032 | 7.693 | 7.693 | 0.000 | -0.000 | 0.000 |
| 7.693 | 597.032 | 7.693 | 0.000 | -0.000 | -0.000 |
| 7.693 | 7.693 | 597.032 | 0.000 | -0.000 | -0.000 |
| 0.000 | 0.000 | 0.000 | -15.239 | -0.000 | -0.000 |
| 0.000 | 0.000 | 0.000 | 0.000 | -15.239 | -0.000 |
| 0.000 | 0.000 | 0.000 | 0.000 | -0.000 | -15.239 |
| 597.032 | 7.693 | 7.693 | -0.000 | 0.000 | 0.000 |
| 7.693 | 597.032 | 7.693 | 0.000 | 0.000 | 0.000 |
| 7.693 | 7.693 | 597.032 | -0.000 | 0.000 | -0.000 |
| -0.000 | -0.000 | -0.000 | -15.239 | 0.000 | 0.000 |
| -0.000 | -0.000 | -0.000 | -0.000 | -15.239 | 0.000 |
| -0.000 | -0.000 | -0.000 | -0.000 | 0.000 | -15.239 |
| 597.033 | 7.693 | 7.693 | 0.000 | -0.000 | 0.000 |
| 7.693 | 597.033 | 7.693 | 0.000 | -0.000 | -0.000 |
| 7.693 | 7.693 | 597.033 | 0.000 | -0.000 | -0.000 |
| 0.000 | 0.000 | 0.000 | -15.239 | -0.000 | -0.000 |
| 0.000 | 0.000 | 0.000 | 0.000 | -15.239 | -0.000 |
| 0.000 | 0.000 | 0.000 | 0.000 | -0.000 | -15.239 |
| 597.031 | 7.693 | 7.693 | -0.000 | 0.000 | 0.000 |
| 7.693 | 597.031 | 7.693 | -0.000 | 0.000 | 0.000 |
| 7.693 | 7.693 | 597.031 | -0.000 | 0.000 | -0.000 |
| -0.000 | -0.000 | -0.000 | -15.239 | 0.000 | -0.000 |
| -0.000 | -0.000 | -0.000 | -0.000 | -15.239 | 0.000 |
| -0.000 | -0.000 | -0.000 | -0.000 | 0.000 | -15.239 |
| 597.040 | 7.694 | 7.694 | 0.000 | -0.000 | -0.000 |
| 7.694 | 597.040 | 7.694 | 0.000 | -0.000 | -0.000 |
| 7.694 | 7.694 | 597.040 | 0.000 | -0.000 | 0.000 |
| 0.001 | 0.001 | 0.001 | -15.239 | 0.000 | -0.000 |
| 0.001 | 0.001 | 0.001 | 0.000 | -15.239 | -0.000 |
| 0.001 | 0.001 | 0.001 | 0.000 | -0.000 | -15.239 |
| 596.990 | 7.692 | 7.692 | -0.000 | 0.000 | 0.000 |
| 7.692 | 596.990 | 7.692 | 0.000 | -0.000 | 0.000 |
| 7.692 | 7.692 | 596.990 | -0.000 | 0.000 | 0.000 |
| -0.001 | -0.001 | -0.001 | -15.239 | -0.000 | 0.000 |
| -0.001 | -0.001 | -0.001 | -0.000 | -15.239 | 0.000 |
| -0.001 | -0.001 | -0.001 | -0.000 | 0.000 | -15.239 |
| 2.063 | 0.000 | 0.000 | -0.000 | -0.000 | -0.000 |
| 0.000 | 2.063 | 0.000 | -0.000 | -0.000 | 0.000 |
| 0.000 | 0.000 | 2.063 | 0.000 | 0.000 | -0.000 |
| 0.000 | 0.000 | -0.000 | 0.000 | 0.000 | 0.000 |
| 0.000 | 0.000 | -0.000 | 0.000 | 0.000 | 0.000 |
| 0.000 | -0.000 | 0.000 | -0.000 | -0.000 | 0.000 |
| 2.063 | 0.000 | 0.000 | 0.000 | 0.000 | 0.000 |
| 0.000 | 2.063 | 0.000 | -0.000 | 0.000 | -0.000 |
| 0.000 | 0.000 | 2.063 | 0.000 | 0.000 | 0.000 |
| -0.000 | -0.000 | 0.000 | 0.000 | -0.000 | -0.000 |
| -0.000 | -0.000 | 0.000 | -0.000 | 0.000 | 0.000 |
| -0.000 | 0.000 | -0.000 | 0.000 | 0.000 | 0.000 |
| 2.063 | 0.000 | 0.000 | 0.000 | -0.000 | -0.000 |
| 0.000 | 2.063 | 0.000 | -0.000 | -0.000 | -0.000 |
| 0.000 | 0.000 | 2.063 | -0.000 | -0.000 | 0.000 |
| -0.000 | 0.000 | -0.000 | 0.000 | -0.000 | -0.000 |
| 0.000 | -0.000 | -0.000 | 0.000 | 0.000 | 0.000 |
| 0.000 | -0.000 | -0.000 | -0.000 | -0.000 | 0.000 |
| 2.063 | 0.000 | 0.000 | -0.000 | 0.000 | 0.000 |
| 0.000 | 2.063 | 0.000 | 0.000 | -0.000 | 0.000 |
| 0.000 | 0.000 | 2.063 | -0.000 | -0.000 | -0.000 |
| 0.000 | 0.000 | 0.000 | 0.000 | 0.000 | -0.000 |
| 0.000 | 0.000 | 0.000 | -0.000 | 0.000 | 0.000 |
| 0.000 | 0.000 | 0.000 | 0.000 | 0.000 | 0.000 |
| 2.063 | 0.000 | 0.000 | 0.000 | 0.000 | 0.000 |
| 0.000 | 2.063 | 0.000 | 0.000 | 0.000 | 0.000 |
| 0.000 | 0.000 | 2.063 | 0.000 | 0.000 | -0.000 |
| -0.000 | -0.000 | -0.000 | 0.000 | -0.000 | -0.000 |
| -0.000 | -0.000 | -0.000 | -0.000 | 0.000 | -0.000 |
| -0.000 | -0.000 | -0.000 | -0.000 | -0.000 | 0.000 |
| 2.062 | 0.000 | 0.000 | 0.000 | 0.000 | 0.000 |
| 0.000 | 2.062 | 0.000 | 0.000 | 0.000 | 0.000 |
| 0.000 | 0.000 | 2.062 | 0.000 | 0.000 | 0.000 |
| 0.000 | 0.000 | 0.000 | 0.000 | 0.000 | -0.000 |
| 0.000 | 0.000 | 0.000 | 0.000 | 0.000 | 0.000 |
| 0.000 | 0.000 | 0.000 | 0.000 | 0.000 | 0.000 |
| -0.006 | 0.000 | 0.000 | 0.000 | -0.000 | -0.000 |
| 0.000 | -0.006 | 0.000 | -0.000 | 0.000 | 0.000 |
| 0.000 | 0.000 | -0.006 | 0.000 | 0.000 | -0.000 |
| 0.000 | -0.000 | 0.000 | -0.000 | 0.000 | 0.000 |
| -0.000 | 0.000 | 0.000 | 0.000 | -0.000 | 0.000 |
| -0.000 | 0.000 | 0.000 | 0.000 | -0.000 | -0.000 |
| -0.006 | 0.000 | 0.000 | 0.000 | 0.000 | -0.000 |
| 0.000 | -0.006 | 0.000 | 0.000 | 0.000 | -0.000 |
| 0.000 | 0.000 | -0.006 | -0.000 | -0.000 | -0.000 |
| -0.000 | -0.000 | -0.000 | -0.000 | -0.000 | 0.000 |
| -0.000 | -0.000 | -0.000 | -0.000 | -0.000 | -0.000 |
| -0.000 | -0.000 | -0.000 | -0.000 | 0.000 | -0.000 |
| -0.006 | 0.000 | 0.000 | 0.000 | -0.000 | -0.000 |
| 0.000 | -0.006 | 0.000 | -0.000 | 0.000 | 0.000 |
| 0.000 | 0.000 | -0.006 | 0.000 | 0.000 | -0.000 |
| 0.000 | 0.000 | 0.000 | -0.000 | -0.000 | 0.000 |
| 0.000 | 0.000 | 0.000 | -0.000 | -0.000 | 0.000 |
| 0.000 | 0.000 | 0.000 | 0.000 | -0.000 | -0.000 |
| -0.006 | 0.000 | 0.000 | 0.000 | 0.000 | -0.000 |
| 0.000 | -0.006 | 0.000 | 0.000 | 0.000 | -0.000 |
| 0.000 | 0.000 | -0.006 | -0.000 | -0.000 | -0.000 |
| -0.000 | -0.000 | -0.000 | -0.000 | 0.000 | -0.000 |
| -0.000 | -0.000 | -0.000 | 0.000 | -0.000 | 0.000 |
| -0.000 | -0.000 | -0.000 | -0.000 | 0.000 | -0.000 |
| -0.006 | 0.000 | 0.000 | 0.000 | -0.000 | 0.000 |
| 0.000 | -0.006 | 0.000 | -0.000 | 0.000 | -0.000 |
| 0.000 | 0.000 | -0.006 | -0.000 | -0.000 | -0.000 |
| 0.000 | 0.000 | 0.000 | -0.000 | -0.000 | 0.000 |
| 0.000 | 0.000 | 0.000 | -0.000 | -0.000 | 0.000 |
| 0.000 | 0.000 | 0.000 | 0.000 | -0.000 | -0.000 |
| -0.006 | 0.000 | 0.000 | 0.000 | 0.000 | -0.000 |
| 0.000 | -0.006 | 0.000 | -0.000 | 0.000 | -0.000 |
| 0.000 | 0.000 | -0.006 | -0.000 | -0.000 | -0.000 |
| -0.000 | -0.000 | -0.000 | -0.000 | 0.000 | -0.000 |
| -0.000 | -0.000 | -0.000 | 0.000 | -0.000 | -0.000 |
| -0.000 | -0.000 | -0.000 | -0.000 | -0.000 | -0.000 |
| 2.535 | 0.064 | 0.064 | -0.000 | 0.000 | -0.000 |
| 0.064 | 2.535 | 0.064 | -0.000 | -0.000 | 0.000 |
| 0.064 | 0.064 | 2.535 | 0.000 | 0.000 | -0.000 |
| 0.000 | 0.000 | 0.000 | -0.064 | 0.000 | 0.000 |
| 0.000 | 0.000 | 0.000 | -0.000 | -0.064 | 0.000 |
| 0.000 | 0.000 | 0.000 | 0.000 | 0.000 | -0.064 |
| 2.535 | 0.064 | 0.064 | 0.000 | 0.000 | 0.000 |
| 0.064 | 2.535 | 0.064 | 0.000 | 0.000 | -0.000 |
| 0.064 | 0.064 | 2.535 | 0.000 | 0.000 | 0.000 |
| -0.000 | -0.000 | -0.000 | -0.064 | -0.000 | 0.000 |
| -0.000 | -0.000 | -0.000 | 0.000 | -0.064 | -0.000 |
| -0.000 | -0.000 | -0.000 | -0.000 | -0.000 | -0.064 |
| 2.533 | 0.064 | 0.064 | -0.000 | -0.000 | -0.000 |
| 0.064 | 2.533 | 0.064 | -0.000 | -0.000 | -0.000 |
| 0.064 | 0.064 | 2.533 | -0.000 | -0.000 | -0.000 |
| 0.000 | 0.000 | -0.000 | -0.064 | -0.000 | 0.000 |
| 0.000 | 0.000 | -0.000 | -0.000 | -0.064 | 0.000 |
| 0.000 | -0.000 | 0.000 | 0.000 | 0.000 | -0.064 |
| 2.537 | 0.064 | 0.064 | 0.000 | 0.000 | -0.000 |
| 0.064 | 2.537 | 0.064 | 0.000 | 0.000 | -0.000 |
| 0.064 | 0.064 | 2.537 | 0.000 | 0.000 | 0.000 |
| -0.000 | -0.000 | 0.000 | -0.064 | 0.000 | -0.000 |
| -0.000 | -0.000 | 0.000 | 0.000 | -0.064 | -0.000 |
| -0.000 | 0.000 | -0.000 | -0.000 | -0.000 | -0.064 |
| 2.517 | 0.064 | 0.064 | -0.000 | 0.000 | 0.000 |
| 0.064 | 2.517 | 0.064 | 0.000 | 0.000 | -0.000 |
| 0.064 | 0.064 | 2.517 | -0.000 | -0.000 | -0.000 |
| 0.000 | 0.000 | -0.000 | -0.064 | -0.000 | -0.000 |
| 0.000 | 0.000 | -0.000 | -0.000 | -0.064 | -0.000 |
| 0.000 | -0.000 | 0.000 | 0.000 | -0.000 | -0.064 |
| 2.553 | 0.064 | 0.064 | 0.000 | 0.000 | 0.000 |
| 0.064 | 2.553 | 0.064 | 0.000 | 0.000 | -0.000 |
| 0.064 | 0.064 | 2.553 | -0.000 | -0.000 | 0.000 |
| -0.000 | -0.000 | 0.000 | -0.064 | 0.000 | -0.000 |
| -0.000 | -0.000 | 0.000 | 0.000 | -0.064 | 0.000 |
| -0.000 | 0.000 | -0.000 | -0.000 | 0.000 | -0.064 |
| 127.399 | 55.324 | -1.951 | -2.973 | 5.046 | 23.621 |
| 47.071 | 131.675 | -2.547 | -8.803 | 0.862 | -0.660 |
| 1.451 | 1.953 | -1.377 | -0.498 | 0.838 | 0.639 |
| -3.282 | 1.527 | -3.898 | -3.030 | 4.637 | 3.979 |
| -3.528 | 1.387 | -4.828 | -3.082 | 5.772 | 4.939 |
| -0.859 | -1.336 | -1.466 | -0.613 | 10.107 | 42.282 |
| 132.877 | 51.461 | 1.005 | 2.880 | -4.859 | 15.130 |
| 57.431 | 123.397 | 1.034 | 3.118 | -4.794 | -5.672 |
| 2.946 | 1.728 | 1.655 | 0.590 | -0.902 | -0.852 |
| 3.803 | -1.606 | 4.972 | 3.417 | -4.819 | -4.139 |
| 3.281 | -1.399 | 4.221 | 2.942 | -4.946 | -4.239 |
| 3.438 | -2.998 | 4.145 | 2.979 | -4.925 | 29.496 |
| 129.925 | 53.704 | -0.158 | -0.374 | 0.638 | 19.843 |
| 54.330 | 125.770 | -0.158 | -0.318 | 0.610 | -1.034 |
| 2.098 | 1.824 | -0.151 | -0.007 | 0.054 | -0.032 |
| -0.221 | 0.274 | 0.185 | -0.313 | 0.291 | 0.252 |
| -0.621 | 0.213 | -0.953 | -0.531 | 0.536 | 0.463 |
| -0.454 | -1.389 | -1.014 | -0.485 | 0.535 | 34.179 |
| 130.471 | 53.323 | 0.149 | 0.207 | -0.356 | 18.991 |
| 54.917 | 125.350 | 0.149 | 0.315 | -0.367 | -1.873 |
| 2.248 | 1.802 | 0.154 | 0.102 | -0.120 | -0.182 |
| 0.317 | -0.193 | 0.248 | 0.318 | -0.651 | -0.557 |
| 0.087 | -0.087 | -0.034 | 0.103 | -0.515 | -0.438 |
| 0.253 | -1.691 | -0.104 | 0.149 | -0.518 | 33.276 |
| 130.241 | 53.472 | -0.014 | -0.031 | 0.052 | 19.340 |
| 54.600 | 125.581 | -0.014 | -0.031 | 0.052 | -1.512 |
| 2.106 | 1.871 | -0.009 | -0.032 | 0.048 | -0.037 |
| -0.029 | 0.021 | -0.015 | -0.031 | 0.051 | 0.044 |
| -0.029 | 0.021 | -0.015 | -0.031 | 0.052 | 0.044 |
| 0.113 | -1.535 | -0.015 | -0.031 | 0.052 | 33.762 |
| 130.290 | 53.430 | 0.014 | 0.031 | -0.051 | 19.252 |
| 54.656 | 125.538 | 0.014 | 0.031 | -0.051 | -1.600 |
| 2.182 | 1.813 | 0.025 | 0.053 | -0.042 | -0.115 |
| 0.029 | -0.021 | 0.015 | 0.031 | -0.052 | -0.044 |
| 0.029 | -0.020 | 0.015 | 0.031 | -0.052 | -0.044 |
| 0.171 | -1.577 | 0.015 | 0.031 | -0.052 | 33.674 |
| 113.813 | 6.865 | 5.128 | -0.000 | 0.000 | 0.000 |
| 8.217 | 29.244 | -0.963 | -0.000 | 0.000 | 0.000 |
| -2.901 | -7.723 | 0.002 | -0.000 | -0.000 | 0.000 |
| -0.000 | 0.000 | 0.004 | -0.969 | -0.000 | 0.000 |
| -0.002 | 0.000 | 0.026 | -0.000 | -21.396 | -0.000 |
| -0.000 | 0.000 | 0.002 | -0.000 | 0.000 | 17.734 |
| 113.813 | 6.864 | 5.125 | -0.000 | -0.000 | 0.000 |
| 13.347 | 46.430 | 9.555 | -0.000 | -0.000 | -0.000 |
| -6.893 | 1.832 | 97.917 | 0.000 | -0.000 | 0.000 |
| 0.000 | -0.000 | -0.004 | -0.969 | -0.000 | 0.000 |
| 0.002 | -0.000 | -0.026 | 0.000 | -21.396 | -0.000 |
| 0.000 | -0.000 | -0.002 | 0.000 | 0.000 | 17.734 |
| 113.813 | 6.864 | 5.127 | -0.000 | -0.000 | -0.000 |
| 8.142 | 29.234 | 0.000 | -0.000 | 0.000 | -0.000 |
| -2.901 | -7.723 | -0.001 | -0.000 | 0.000 | -0.000 |
| -0.002 | 0.000 | 0.033 | -1.148 | 0.000 | -0.000 |
| -0.000 | 0.000 | 0.003 | -0.000 | -21.396 | 0.000 |
| -0.000 | 0.000 | 0.000 | -0.000 | 0.000 | 17.734 |
| 113.813 | 6.864 | 5.126 | 0.000 | 0.000 | 0.000 |
| 8.142 | 29.234 | -0.000 | 0.000 | 0.000 | 0.000 |
| -2.901 | -7.722 | 0.001 | -0.000 | -0.000 | 0.000 |
| 0.002 | -0.000 | -0.033 | -1.148 | -0.000 | 0.000 |
| 0.000 | -0.000 | -0.003 | 0.000 | -21.396 | 0.000 |
| 0.000 | -0.000 | -0.000 | -0.000 | -0.000 | 17.734 |
| 112.977 | 3.321 | -0.000 | -0.000 | 0.000 | 0.000 |
| 8.218 | 29.245 | -0.974 | -0.000 | 0.000 | 0.000 |
| -0.644 | -0.505 | 3.032 | 0.000 | 0.000 | 0.000 |
| 4310110.480 | 5273511.338 | 186.447 | 2955.053 | 314.778 | -4657.500 |
| 4390740.959 | 5316229.285 | -0.003 | -0.000 | -0.026 | -0.000 |
| 0.000 | 0.000 | 0.000 | -0.000 | -0.000 | 17.734 |
| 112.974 | 3.321 | 0.000 | 0.000 | -0.000 | 0.000 |
| 8.142 | 29.233 | -0.000 | 0.000 | -0.000 | 0.000 |
| -0.645 | -0.505 | 3.047 | 0.000 | -0.000 | 0.000 |
| -4319016.642 | -5281433.941 | 254.172 | 779.948 | -485.423 | 7833.204 |
| -4390740.959 | -5316229.285 | 0.003 | 0.000 | -0.026 | 0.000 |
| -0.000 | -0.000 | -0.000 | 0.000 | 0.000 | 17.734 |
| 138.117 | 41.837 | 3.430 | -0.000 | 0.000 | 0.000 |
| 40.017 | 36.458 | 2.138 | -0.000 | 0.000 | 0.000 |
| 1.016 | 1.121 | 0.488 | -0.000 | 0.000 | 0.000 |
| 0.000 | -0.000 | -0.000 | 62.145 | 0.000 | 0.000 |
| 0.000 | 0.000 | 0.000 | 0.000 | 0.000 | 0.000 |
| -0.000 | -0.000 | 0.000 | -0.000 | 0.000 | 69.746 |
| 136.966 | 39.434 | -0.000 | -0.000 | -0.000 | -0.000 |
| 40.018 | 36.458 | 2.138 | 0.000 | -0.000 | -0.000 |
| 1.016 | 1.120 | 0.487 | 0.000 | -0.000 | -0.000 |
| -0.000 | 0.000 | -0.000 | 62.145 | -0.000 | -0.000 |
| -0.000 | -0.000 | -0.000 | -0.000 | -0.000 | -0.000 |
| 0.000 | 0.000 | -0.000 | 0.000 | -0.000 | 69.746 |
| 157.761 | 75.274 | 37.854 | -0.000 | 0.000 | 0.000 |
| 39.594 | 35.300 | -0.000 | 0.000 | 0.000 | 0.000 |
| 38.125 | 65.839 | 70.511 | -0.000 | 0.000 | 0.000 |
| 0.000 | 0.000 | 0.000 | 62.145 | 0.000 | 0.000 |
| 0.000 | 0.000 | 0.000 | -0.000 | 35.335 | 0.000 |
| -0.004 | -0.001 | 0.000 | -0.000 | 0.000 | 69.746 |
| 136.975 | 39.438 | 0.000 | -0.000 | -0.000 | -0.000 |
| 40.019 | 36.458 | 2.138 | 0.000 | -0.000 | -0.000 |
| 0.271 | 0.109 | 0.000 | -0.000 | -0.000 | -0.000 |
| -0.000 | -0.000 | -0.000 | 62.145 | -0.000 | -0.000 |
| -0.000 | -0.000 | -0.000 | 0.000 | 35.335 | -0.000 |
| 0.004 | 0.001 | -0.000 | 0.000 | -0.000 | 69.746 |
| 136.874 | 39.398 | 0.001 | 0.000 | 0.000 | 0.000 |
| 39.580 | 35.293 | -0.001 | 0.000 | 0.000 | 0.000 |
| 0.270 | 0.108 | -0.001 | 0.000 | -0.000 | 0.000 |
| -0.000 | -0.000 | -0.000 | -0.000 | 0.000 | 0.000 |
| -0.000 | -0.000 | -0.000 | 0.000 | 0.000 | 0.000 |
| -0.037 | -0.015 | 0.000 | -0.000 | 0.000 | 69.746 |
| 137.058 | 39.471 | 0.000 | -0.000 | -0.000 | -0.000 |
| 39.611 | 35.309 | 0.001 | -0.000 | -0.000 | -0.000 |
| 0.271 | 0.110 | 0.001 | -0.000 | 0.000 | -0.000 |
| 0.000 | 0.000 | 0.000 | 0.000 | -0.000 | -0.000 |
| 0.000 | 0.000 | 0.000 | -0.000 | -0.000 | -0.000 |
| 0.037 | 0.015 | -0.000 | 0.000 | -0.000 | 69.746 |
| 357.501 | -41.237 | 109.355 | 0.000 | -0.000 | -0.000 |
| -41.237 | 357.501 | 109.355 | 0.000 | -0.000 | -0.000 |
| 86.396 | 86.396 | 446.009 | -0.000 | 0.000 | -0.000 |
| 0.002 | 0.002 | -0.002 | -72.258 | 0.000 | 0.000 |
| 0.002 | 0.002 | -0.002 | -0.000 | -72.258 | 0.000 |
| 0.000 | 0.000 | -0.000 | -0.000 | -0.000 | -37.005 |
| 380.157 | -18.581 | 87.425 | 0.000 | -0.000 | -0.000 |
| -18.581 | 380.157 | 87.425 | 0.000 | 0.000 | 0.000 |
| 108.325 | 108.325 | 424.783 | 0.000 | 0.000 | 0.000 |
| -0.002 | -0.002 | 0.002 | -72.258 | -0.000 | -0.000 |
| -0.002 | -0.002 | 0.002 | 0.000 | -72.258 | -0.000 |
| -0.000 | -0.000 | 0.000 | 0.000 | -0.000 | -37.005 |
| 357.502 | -41.237 | 109.355 | -0.000 | 0.000 | -0.000 |
| -41.237 | 357.502 | 109.355 | -0.000 | 0.000 | 0.000 |
| 108.325 | 108.325 | 424.782 | -0.000 | 0.000 | 0.000 |
| 0.000 | 0.000 | -0.000 | 68.926 | -0.000 | 0.000 |
| 0.000 | 0.000 | -0.000 | 0.000 | 68.926 | 0.000 |
| 0.000 | 0.000 | 0.000 | -0.000 | 0.000 | -37.005 |
| 357.500 | -41.238 | 109.355 | -0.000 | 0.000 | 0.000 |
| -41.238 | 357.500 | 109.355 | -0.000 | 0.000 | -0.000 |
| 108.325 | 108.325 | 424.782 | 0.000 | -0.000 | -0.000 |
| -0.000 | -0.000 | 0.000 | 68.926 | 0.000 | 0.000 |
| -0.000 | -0.000 | 0.000 | -0.000 | 68.926 | -0.000 |
| -0.000 | -0.000 | -0.000 | 0.000 | 0.000 | -37.005 |
| 357.508 | -41.237 | 109.356 | 0.000 | -0.000 | 0.000 |
| -41.237 | 357.508 | 109.356 | -0.000 | -0.000 | 0.000 |
| 108.325 | 108.325 | 424.784 | -0.000 | -0.000 | -0.000 |
| 0.000 | 0.001 | 0.000 | -72.258 | 0.000 | 0.000 |
| 0.001 | 0.000 | 0.000 | -0.000 | -72.258 | 0.000 |
| 0.001 | 0.001 | 0.000 | -0.000 | -0.000 | -37.005 |
| 357.493 | -41.238 | 109.355 | 0.000 | 0.000 | 0.000 |
| -41.238 | 357.493 | 109.355 | 0.000 | -0.000 | -0.000 |
| 108.325 | 108.325 | 424.780 | -0.000 | 0.000 | 0.000 |
| -0.000 | -0.001 | -0.000 | -72.258 | -0.000 | -0.000 |
| -0.001 | -0.000 | -0.000 | -0.000 | -72.258 | -0.000 |
| -0.001 | -0.001 | -0.000 | 0.000 | -0.000 | -37.005 |
| 357.119 | 67.268 | 67.268 | 0.000 | 0.000 | -0.000 |
| 67.268 | 357.118 | 67.268 | 0.000 | 0.000 | -0.000 |
| 67.268 | 67.268 | 357.119 | -0.000 | -0.000 | -0.000 |
| -79963924.017 | -79963884.762 | -79963884.762 | -98.972 | -0.000 | -0.000 |
| -79963884.762 | -79963924.017 | -79963884.762 | -0.000 | -98.972 | -0.000 |
| -79963884.762 | -79963884.762 | -79963924.017 | 0.000 | -0.000 | -98.972 |
| 79964154.009 | 79963940.606 | 79963940.606 | 0.000 | 0.000 | 0.000 |
| 79963940.606 | 79964154.009 | 79963940.606 | 0.000 | -0.000 | 0.000 |
| 79963940.606 | 79963940.606 | 79964154.009 | 0.000 | 0.000 | 0.000 |
| 79963924.017 | 79963884.762 | 79963884.762 | -98.972 | 0.000 | 0.000 |
| 79963884.762 | 79963924.017 | 79963884.762 | 0.000 | -98.972 | 0.000 |
| 79963884.762 | 79963884.762 | 79963924.017 | 0.000 | 0.000 | -98.972 |
| 357.139 | 67.293 | 67.293 | -0.000 | 0.000 | -0.000 |
| 67.293 | 357.139 | 67.293 | 0.000 | -0.000 | -0.000 |
| 67.293 | 67.293 | 357.139 | 0.000 | 0.000 | -0.000 |
| -7996397.701 | -7996401.711 | -7996401.711 | 3.115 | 0.000 | -0.000 |
| -7996401.711 | -7996397.701 | -7996401.711 | 0.000 | 3.115 | -0.000 |
| -7996401.711 | -7996401.711 | -7996397.701 | -0.000 | 0.000 | 3.115 |
| 7996607.013 | 7996388.965 | 7996388.965 | -0.000 | 0.000 | 0.000 |
| 7996388.965 | 7996607.013 | 7996388.965 | 0.000 | 0.000 | 0.000 |
| 7996388.965 | 7996388.965 | 7996607.013 | -0.000 | -0.000 | 0.000 |
| 7996397.701 | 7996401.711 | 7996401.711 | 3.115 | -0.000 | 0.000 |
| 7996401.711 | 7996397.701 | 7996401.711 | 0.000 | 3.115 | 0.000 |
| 7996401.711 | 7996401.711 | 7996397.701 | -0.000 | 0.000 | 3.115 |
| 357.123 | 67.320 | 67.320 | 0.000 | 0.000 | -0.000 |
| 67.320 | 357.123 | 67.320 | 0.000 | 0.000 | -0.000 |
| 67.320 | 67.320 | 357.123 | -0.000 | -0.000 | -0.000 |
| -799639.771 | -799640.170 | -799640.171 | 13.881 | -0.000 | -0.000 |
| -799640.170 | -799639.771 | -799640.171 | -0.000 | 13.881 | -0.000 |
| -799640.170 | -799640.171 | -799639.771 | 0.000 | -0.000 | 13.881 |
| 799945.388 | 799727.342 | 799727.342 | 0.000 | -0.000 | 0.000 |
| 799727.342 | 799945.388 | 799727.342 | -0.000 | -0.000 | 0.000 |
| 799727.342 | 799727.342 | 799945.388 | 0.000 | -0.000 | 0.000 |
| 799639.771 | 799640.170 | 799640.171 | 13.881 | 0.000 | 0.000 |
| 799640.170 | 799639.771 | 799640.171 | 0.000 | 13.881 | 0.000 |
| 799640.170 | 799640.171 | 799639.771 | -0.000 | 0.000 | 13.881 |
| 340.064 | 74.873 | 74.873 | 0.000 | -0.000 | 0.000 |
| 74.873 | 340.064 | 74.873 | 0.000 | 0.000 | 0.000 |
| 74.873 | 74.873 | 340.064 | 0.000 | 0.000 | 0.000 |
| -0.000 | 0.000 | -0.000 | 58.256 | 0.000 | 0.000 |
| -0.000 | 0.000 | -0.000 | 0.000 | 58.256 | 0.000 |
| 0.000 | 0.000 | -0.000 | -0.000 | 0.000 | 58.256 |
| -623.527 | -786.135 | -786.135 | 0.000 | 0.000 | 0.000 |
| -786.135 | -623.527 | -786.135 | 0.000 | 0.000 | 0.000 |
| -786.135 | -786.135 | -623.527 | 0.000 | 0.000 | 0.000 |
| 0.000 | -0.000 | 0.000 | 58.256 | -0.000 | -0.000 |
| 0.000 | 0.000 | 0.000 | -0.000 | 58.256 | -0.000 |
| 0.000 | -0.000 | 0.000 | -0.000 | -0.000 | 58.256 |
| 408.361 | 193.816 | 193.816 | 0.000 | 0.000 | 0.000 |
| 193.816 | 408.361 | 193.816 | 0.000 | 0.000 | 0.000 |
| 193.816 | 193.816 | 408.361 | 0.000 | 0.000 | 0.000 |
| 86.108 | 86.108 | 86.108 | 0.558 | -0.000 | -0.000 |
| 86.108 | 86.108 | 86.108 | -0.000 | 0.558 | -0.000 |
| 86.108 | 86.108 | 86.108 | -0.000 | -0.000 | 0.558 |
| 179.639 | 15.390 | 15.390 | 0.000 | -0.000 | 0.000 |
| 15.390 | 179.639 | 15.390 | 0.000 | 0.000 | 0.000 |
| 15.390 | 15.390 | 179.639 | 0.000 | 0.000 | 0.000 |
| -86.108 | -86.108 | -86.108 | 0.558 | 0.000 | 0.000 |
| -86.108 | -86.108 | -86.108 | 0.000 | 0.558 | 0.000 |
| -86.108 | -86.108 | -86.108 | 0.000 | 0.000 | 0.558 |
| 298.035 | 103.335 | 103.335 | -0.000 | 0.000 | -0.000 |
| 103.335 | 298.035 | 103.335 | 0.000 | 0.000 | 0.000 |
| 103.335 | 103.335 | 298.035 | -0.000 | 0.000 | -0.000 |
| 4.703 | 4.703 | 4.703 | 26.743 | -0.000 | -0.000 |
| 4.703 | 4.703 | 4.703 | -0.000 | 26.743 | -0.000 |
| 4.703 | 4.703 | 4.703 | -0.000 | 0.000 | 26.743 |
| 278.410 | 81.099 | 81.099 | -0.000 | -0.000 | -0.000 |
| 81.099 | 278.410 | 81.099 | -0.000 | -0.000 | -0.000 |
| 81.099 | 81.099 | 278.410 | -0.000 | -0.000 | -0.000 |
| -4.703 | -4.703 | -4.703 | 26.743 | 0.000 | 0.000 |
| -4.703 | -4.703 | -4.703 | 0.000 | 26.743 | 0.000 |
| -4.703 | -4.703 | -4.703 | 0.000 | 0.000 | 26.743 |
| 5853.306 | 5655.505 | 5655.505 | 0.000 | -0.000 | 0.000 |
| 5655.505 | 5853.306 | 5655.505 | 0.000 | -0.000 | 0.000 |
| 5655.505 | 5655.505 | 5853.306 | -0.000 | -0.000 | 0.000 |
| 0.000 | 0.000 | 0.000 | 56.550 | 0.000 | 0.000 |
| 0.000 | 0.000 | 0.000 | 0.000 | 56.550 | 0.000 |
| 0.000 | 0.000 | 0.000 | 0.000 | 0.000 | 56.550 |
| -4308.276 | -4437.464 | -4437.464 | -0.000 | -0.000 | -0.000 |
| -4437.464 | -4308.276 | -4437.464 | -0.000 | 0.000 | -0.000 |
| -4437.464 | -4437.464 | -4308.276 | -0.000 | 0.000 | -0.000 |
| -0.000 | -0.000 | -0.000 | 56.550 | 0.000 | -0.000 |
| -0.000 | -0.000 | -0.000 | -0.000 | 56.550 | -0.000 |
| -0.000 | -0.000 | -0.000 | -0.000 | 0.000 | 56.550 |
| 840.643 | 643.747 | 643.747 | 0.000 | 0.000 | 0.000 |
| 643.747 | 840.643 | 643.747 | 0.000 | -0.000 | 0.000 |
| 643.747 | 643.747 | 840.643 | 0.000 | -0.000 | 0.000 |
| 56.118 | 56.118 | 56.118 | 23.296 | 0.000 | 0.000 |
| 56.118 | 56.118 | 56.118 | 0.000 | 23.296 | 0.000 |
| 56.118 | 56.118 | 56.118 | -0.000 | -0.000 | 23.296 |
| 333.665 | 74.650 | 74.650 | -0.000 | 0.000 | -0.000 |
| 74.650 | 333.665 | 74.650 | -0.000 | 0.000 | -0.000 |
| 74.650 | 74.650 | 333.665 | -0.000 | -0.000 | -0.000 |
| -56.118 | -56.118 | -56.118 | 23.296 | 0.000 | -0.000 |
| -56.118 | -56.118 | -56.118 | 0.000 | 23.296 | -0.000 |
| -56.118 | -56.118 | -56.118 | -0.000 | -0.000 | 23.296 |
| 333.667 | 74.650 | 74.650 | 0.000 | -0.000 | 0.000 |
| 74.650 | 333.667 | 74.650 | -0.000 | 0.000 | 0.000 |
| 74.650 | 74.650 | 333.667 | 0.000 | -0.000 | 0.000 |
| 54.970 | 54.970 | 54.970 | 17.796 | 0.000 | 0.000 |
| 54.970 | 54.970 | 54.970 | 0.000 | 17.796 | 0.000 |
| 54.970 | 54.970 | 54.970 | -0.000 | -0.000 | 17.796 |
| 283.622 | 84.877 | 84.877 | -0.000 | 0.000 | -0.000 |
| 84.877 | 283.622 | 84.877 | -0.000 | 0.000 | -0.000 |
| 84.877 | 84.877 | 283.622 | -0.000 | -0.000 | -0.000 |
| -54.970 | -54.970 | -54.970 | 17.796 | 0.000 | -0.000 |
| -54.970 | -54.970 | -54.970 | 0.000 | 17.796 | -0.000 |
| -54.970 | -54.970 | -54.970 | -0.000 | -0.000 | 17.796 |
| 223.004 | 134.030 | 134.036 | 0.001 | 0.009 | -0.006 |
| 134.024 | 223.008 | 134.038 | 0.001 | 0.009 | -0.006 |
| 134.025 | 134.034 | 223.010 | 0.001 | 0.009 | -0.006 |
| 0.000 | 0.000 | 0.000 | 92.684 | 0.000 | 0.000 |
| 0.000 | 0.000 | 0.000 | -0.000 | 92.684 | -0.000 |
| 0.000 | 0.000 | 0.000 | -0.000 | 0.000 | 92.684 |
| 209.205 | 138.849 | 138.845 | -0.000 | -0.006 | 0.004 |
| 138.856 | 209.197 | 138.846 | -0.000 | -0.006 | 0.004 |
| 138.856 | 138.850 | 209.193 | -0.000 | -0.006 | 0.004 |
| -0.000 | -0.000 | -0.000 | 92.684 | -0.000 | 0.000 |
| -0.000 | -0.000 | -0.000 | 0.000 | 92.684 | 0.000 |
| -0.000 | -0.000 | -0.000 | 0.000 | -0.000 | 92.684 |
| 209.033 | 139.133 | 139.134 | 0.000 | 0.001 | -0.000 |
| 139.133 | 209.033 | 139.134 | 0.000 | 0.001 | -0.000 |
| 139.133 | 139.133 | 209.034 | 0.000 | 0.001 | -0.000 |
| 0.006 | 0.007 | 0.008 | 62.424 | 0.001 | -0.001 |
| 0.006 | 0.007 | 0.008 | 0.000 | 62.424 | -0.001 |
| 0.006 | 0.007 | 0.008 | 0.000 | 0.001 | 62.424 |
| 222.920 | 133.974 | 133.973 | -0.000 | -0.001 | 0.001 |
| 133.974 | 222.920 | 133.973 | -0.000 | -0.001 | 0.001 |
| 133.974 | 133.973 | 222.920 | -0.000 | -0.001 | 0.001 |
| -0.006 | -0.007 | -0.008 | 62.424 | -0.001 | 0.001 |
| -0.006 | -0.007 | -0.008 | -0.000 | 62.424 | 0.001 |
| -0.006 | -0.007 | -0.008 | -0.000 | -0.001 | 62.424 |
| 222.929 | 133.980 | 133.980 | 0.000 | 0.000 | -0.000 |
| 133.980 | 222.929 | 133.980 | 0.000 | 0.000 | -0.000 |
| 133.980 | 133.980 | 222.929 | 0.000 | 0.000 | -0.000 |
| 0.001 | 0.001 | 0.001 | 58.213 | 0.000 | -0.000 |
| 0.001 | 0.001 | 0.001 | 0.000 | 58.213 | -0.000 |
| 0.001 | 0.001 | 0.001 | 0.000 | 0.000 | 58.213 |
| 240.771 | 126.286 | 126.286 | 0.000 | -0.000 | 0.000 |
| 126.286 | 240.771 | 126.286 | 0.000 | -0.000 | 0.000 |
| 126.286 | 126.286 | 240.771 | 0.000 | -0.000 | 0.000 |
| -0.001 | -0.001 | -0.001 | 58.213 | -0.000 | 0.000 |
| -0.001 | -0.001 | -0.001 | -0.000 | 58.213 | 0.000 |
| -0.001 | -0.001 | -0.001 | -0.000 | -0.000 | 58.213 |
| 262.693 | 129.681 | 129.681 | 0.000 | 0.000 | 0.000 |
| 129.681 | 262.693 | 129.681 | 0.000 | 0.000 | -0.000 |
| 129.681 | 129.681 | 262.693 | 0.000 | 0.000 | -0.000 |
| 0.007 | 0.009 | -0.002 | 70.601 | -0.004 | 0.002 |
| 0.007 | 0.009 | -0.002 | -0.001 | 70.597 | 0.002 |
| 0.007 | 0.009 | -0.002 | -0.001 | -0.004 | 70.608 |
| 249.688 | 136.026 | 136.049 | 0.003 | 0.008 | -0.005 |
| 136.030 | 249.686 | 136.048 | 0.003 | 0.008 | -0.005 |
| 136.036 | 136.031 | 249.696 | 0.003 | 0.008 | -0.005 |
| -0.007 | -0.009 | 0.002 | 70.607 | 0.004 | -0.002 |
| -0.007 | -0.009 | 0.002 | 0.001 | 70.611 | -0.002 |
| -0.007 | -0.009 | 0.002 | 0.001 | 0.004 | 70.599 |
| 249.697 | 136.041 | 136.039 | -0.000 | -0.001 | 0.001 |
| 136.041 | 249.697 | 136.039 | -0.000 | -0.001 | 0.001 |
| 136.040 | 136.041 | 249.696 | -0.000 | -0.001 | 0.001 |
| -0.000 | -0.000 | 0.000 | 102.719 | 0.000 | -0.000 |
| -0.000 | -0.000 | 0.000 | 0.000 | 102.719 | -0.000 |
| -0.000 | 0.000 | -0.000 | 0.000 | -0.000 | 102.719 |
| 262.693 | 129.681 | 129.681 | -0.000 | -0.000 | 0.000 |
| 129.681 | 262.693 | 129.681 | -0.000 | 0.000 | 0.000 |
| 129.681 | 129.681 | 262.693 | -0.000 | -0.000 | -0.000 |
| 0.000 | 0.000 | -0.000 | 102.719 | 0.000 | -0.000 |
| 0.000 | 0.000 | -0.000 | -0.000 | 102.719 | 0.000 |
| 0.000 | -0.000 | 0.000 | -0.000 | -0.000 | 102.719 |
| 249.698 | 136.040 | 136.040 | -0.000 | -0.000 | 0.000 |
| 136.040 | 249.698 | 136.040 | -0.000 | -0.000 | 0.000 |
| 136.040 | 136.040 | 249.698 | -0.000 | -0.000 | 0.000 |
| 0.000 | 0.001 | 0.001 | 74.836 | -0.000 | 0.000 |
| 0.001 | 0.000 | 0.001 | -0.000 | 74.836 | 0.000 |
| 0.001 | 0.001 | 0.000 | -0.000 | -0.000 | 74.836 |
| 249.694 | 136.039 | 136.039 | 0.000 | 0.000 | -0.000 |
| 136.039 | 249.694 | 136.039 | 0.000 | 0.000 | -0.000 |
| 136.039 | 136.039 | 249.695 | 0.000 | 0.000 | -0.000 |
| -0.000 | -0.001 | -0.001 | 74.836 | 0.000 | -0.000 |
| -0.001 | -0.000 | -0.001 | 0.000 | 74.836 | -0.000 |
| -0.001 | -0.001 | -0.000 | 0.000 | 0.000 | 74.836 |
| 197.034 | 65.377 | 65.377 | 0.000 | -0.000 | -0.000 |
| 65.377 | 197.034 | 65.377 | 0.000 | -0.000 | -0.000 |
| 65.377 | 65.377 | 197.034 | 0.000 | -0.000 | -0.000 |
| -64.757 | -64.757 | -64.757 | 80.476 | -0.000 | -0.000 |
| -64.757 | -64.757 | -64.757 | 0.000 | 80.476 | -0.000 |
| -64.757 | -64.757 | -64.757 | 0.000 | -0.000 | 80.476 |
| 262.388 | 129.339 | 129.339 | 0.000 | -0.000 | 0.000 |
| 129.339 | 262.388 | 129.339 | 0.000 | -0.000 | -0.000 |
| 129.339 | 129.339 | 262.388 | -0.000 | -0.000 | -0.000 |
| 64.757 | 64.757 | 64.757 | 80.476 | 0.000 | 0.000 |
| 64.757 | 64.757 | 64.757 | -0.000 | 80.476 | 0.000 |
| 64.757 | 64.757 | 64.757 | -0.000 | 0.000 | 80.476 |
| 262.388 | 129.339 | 129.339 | -0.000 | 0.000 | -0.000 |
| 129.339 | 262.388 | 129.339 | -0.000 | 0.000 | -0.000 |
| 129.339 | 129.339 | 262.388 | 0.000 | 0.000 | -0.000 |
| -0.000 | -0.000 | 0.000 | 102.642 | -0.000 | 0.000 |
| -0.000 | -0.000 | 0.000 | -0.000 | 102.642 | 0.000 |
| -0.000 | 0.000 | 0.000 | -0.000 | 0.000 | 102.642 |
| 243.369 | 146.104 | 146.104 | 0.000 | -0.000 | -0.000 |
| 146.104 | 243.369 | 146.104 | 0.000 | -0.000 | -0.000 |
| 146.104 | 146.104 | 243.369 | 0.000 | -0.000 | -0.000 |
| 0.000 | 0.000 | -0.000 | 102.642 | -0.000 | -0.000 |
| 0.000 | 0.000 | -0.000 | 0.000 | 102.642 | -0.000 |
| 0.000 | -0.000 | -0.000 | -0.000 | -0.000 | 102.642 |
| 235.762 | 141.073 | 141.073 | -0.000 | 0.000 | 0.000 |
| 141.073 | 235.762 | 141.073 | -0.000 | 0.000 | 0.000 |
| 141.073 | 141.073 | 235.762 | -0.000 | 0.000 | 0.000 |
| -0.089 | -0.089 | -0.089 | 74.837 | 0.000 | 0.000 |
| -0.089 | -0.089 | -0.089 | -0.000 | 74.837 | 0.000 |
| -0.089 | -0.089 | -0.089 | -0.000 | 0.000 | 74.837 |
| 249.667 | 135.663 | 135.663 | 0.000 | -0.000 | -0.000 |
| 135.663 | 249.667 | 135.663 | 0.000 | -0.000 | -0.000 |
| 135.663 | 135.663 | 249.667 | 0.000 | -0.000 | -0.000 |
| 0.089 | 0.089 | 0.089 | 74.837 | -0.000 | -0.000 |
| 0.089 | 0.089 | 0.089 | 0.000 | 74.837 | -0.000 |
| 0.089 | 0.089 | 0.089 | 0.000 | -0.000 | 74.837 |
| 237.451 | 113.229 | 50.285 | 0.000 | -0.000 | -0.000 |
| 113.717 | 299.442 | -62.173 | 0.000 | -0.000 | 0.000 |
| 52.428 | -61.566 | 394.790 | 0.000 | -0.000 | -0.000 |
| -0.000 | -0.000 | -0.000 | -91.586 | -0.000 | -0.000 |
| 0.000 | 0.000 | -0.000 | 0.000 | -171.956 | -0.000 |
| 0.000 | 0.000 | -0.000 | 0.000 | -0.000 | 90.254 |
| 262.360 | 112.143 | 51.152 | -0.000 | 0.000 | 0.000 |
| 113.717 | 299.442 | -62.173 | -0.000 | 0.000 | 0.000 |
| 52.428 | -61.566 | 394.790 | -0.000 | 0.000 | -0.000 |
| 0.000 | -0.000 | 0.000 | -91.586 | 0.000 | 0.000 |
| -0.000 | -0.000 | 0.000 | -0.000 | -171.956 | 0.000 |
| -0.000 | -0.000 | 0.000 | -0.000 | 0.000 | 90.255 |
| 262.360 | 112.143 | 51.152 | 0.000 | 0.000 | -0.000 |
| 113.717 | 299.442 | -62.173 | -0.000 | -0.000 | -0.000 |
| 52.428 | -61.566 | 394.790 | 0.000 | -0.000 | -0.000 |
| -0.000 | -0.000 | -0.000 | -91.586 | -0.000 | -0.000 |
| -0.000 | 0.000 | -0.000 | 0.000 | -171.956 | -0.000 |
| 0.000 | 0.000 | -0.000 | 0.000 | -0.000 | 90.254 |
| 237.451 | 113.229 | 50.285 | -0.000 | 0.000 | 0.000 |
| 114.803 | 299.394 | -62.135 | -0.000 | 0.000 | 0.000 |
| 53.295 | -61.604 | 394.820 | 0.000 | 0.000 | 0.000 |
| 0.000 | 0.000 | 0.000 | -91.586 | 0.000 | 0.000 |
| 0.000 | -0.000 | 0.000 | -0.000 | -171.956 | 0.000 |
| -0.000 | -0.000 | 0.000 | -0.000 | 0.000 | 90.254 |
| 237.453 | 113.230 | 50.285 | -0.000 | -0.000 | -0.000 |
| 113.717 | 299.443 | -62.173 | 0.000 | 0.000 | 0.000 |
| 53.295 | -61.605 | 394.822 | -0.000 | -0.000 | 0.000 |
| -0.000 | -0.000 | -0.001 | -91.586 | -0.000 | -0.000 |
| -0.003 | 0.000 | -0.001 | 0.000 | -171.956 | -0.000 |
| 0.000 | 0.001 | -0.000 | -0.000 | -0.000 | 90.254 |
| 237.451 | 113.229 | 50.285 | -0.000 | 0.000 | 0.000 |
| 113.716 | 299.441 | -62.173 | 0.000 | 0.000 | 0.000 |
| 53.295 | -61.604 | 394.818 | -0.000 | -0.000 | 0.000 |
| 0.000 | 0.000 | 0.001 | -91.586 | 0.000 | 0.000 |
| 0.003 | -0.000 | 0.001 | -0.000 | -171.956 | 0.000 |
| -0.000 | -0.001 | 0.000 | -0.000 | 0.000 | 90.254 |
| -1617.285 | 1801.183 | 86.304 | 0.000 | -0.000 | 0.000 |
| -1787.550 | 1945.518 | 86.621 | -0.000 | -0.000 | 0.000 |
| -1878.922 | 1710.128 | 162.861 | -0.000 | -0.000 | 0.000 |
| -1916.369 | 1673.519 | 49.651 | 20.821 | -0.000 | 0.000 |
| -1916.369 | 1673.519 | 49.651 | -0.000 | 19.526 | 0.000 |
| 0.000 | 0.000 | 0.000 | 0.000 | -0.000 | 88.650 |
| 2215.454 | -1545.856 | -12.998 | 0.000 | -0.000 | -0.000 |
| 106.074 | 291.861 | 37.559 | -0.000 | -0.000 | -0.000 |
| 1953.817 | -1636.911 | 63.560 | 0.000 | 0.000 | -0.000 |
| 1916.369 | -1673.519 | -49.651 | 20.821 | 0.000 | 0.000 |
| 1916.369 | -1673.519 | -49.651 | 0.000 | 19.526 | -0.000 |
| -0.000 | -0.000 | -0.000 | -0.000 | 0.000 | 88.650 |
| 107.441 | 295.022 | 41.618 | 0.000 | 0.000 | 0.000 |
| -62.817 | 439.350 | 41.935 | -0.000 | -0.000 | 0.000 |
| -154.189 | 203.961 | 118.176 | -0.000 | -0.000 | 0.000 |
| -191.637 | 167.352 | 4.965 | 20.831 | -0.000 | 0.000 |
| -191.637 | 167.352 | 4.965 | 0.000 | 19.526 | 0.000 |
| -191.637 | 167.352 | 4.965 | 0.000 | -0.000 | 60.358 |
| 490.721 | -39.688 | 31.688 | 0.000 | 0.000 | -0.000 |
| 320.456 | 104.646 | 32.005 | 0.000 | -0.000 | -0.000 |
| 36.773 | 37.197 | 113.227 | -0.000 | 0.000 | -0.000 |
| 191.637 | -167.352 | -4.965 | 20.831 | 0.000 | -0.000 |
| 191.637 | -167.352 | -4.965 | 0.000 | 19.526 | -0.000 |
| 191.637 | -167.352 | -4.965 | -0.000 | 0.000 | 60.358 |
| 279.924 | 144.399 | 37.150 | -0.000 | 0.000 | 0.000 |
| 106.075 | 291.864 | 37.560 | 0.000 | -0.000 | 0.000 |
| 18.285 | 53.345 | 113.712 | -0.000 | -0.000 | 0.000 |
| -19.163 | 16.736 | 0.498 | 20.831 | 0.000 | 0.000 |
| -19.163 | 16.736 | 0.498 | -0.000 | 19.526 | 0.000 |
| -19.165 | 16.737 | 0.497 | 0.000 | -0.000 | 60.358 |
| 318.245 | 110.928 | 36.156 | 0.000 | 0.000 | -0.000 |
| 147.982 | 255.261 | 36.474 | 0.000 | 0.000 | -0.000 |
| 56.610 | 19.872 | 112.709 | 0.000 | 0.000 | -0.000 |
| 19.163 | -16.736 | -0.498 | 20.831 | -0.000 | -0.000 |
| 19.163 | -16.736 | -0.498 | 0.000 | 19.526 | -0.000 |
| 19.165 | -16.737 | -0.497 | -0.000 | 0.000 | 60.358 |
| 167.392 | 55.635 | 30.595 | 95.547 | -0.000 | -0.000 |
| 55.635 | 167.392 | 30.595 | -95.547 | 0.000 | -0.000 |
| 42.813 | 42.813 | 228.759 | 0.000 | -0.000 | -0.000 |
| 95.547 | -95.547 | 0.000 | 57.246 | 0.000 | -0.000 |
| 0.000 | -0.000 | 0.000 | 0.000 | 57.246 | 95.547 |
| 0.000 | -0.000 | 0.000 | 0.000 | 95.547 | 55.879 |
| 167.392 | 55.634 | 30.595 | 95.547 | -0.000 | 0.000 |
| 55.634 | 167.392 | 30.595 | -95.547 | -0.000 | 0.000 |
| 42.813 | 42.813 | 228.759 | -0.000 | -0.000 | 0.000 |
| 95.546 | -95.547 | -0.000 | 57.246 | 0.000 | 0.000 |
| -0.000 | 0.000 | 0.000 | 0.000 | 57.246 | 95.547 |
| -0.000 | 0.000 | -0.000 | -0.000 | 95.547 | 55.879 |
| 167.392 | 55.635 | 30.595 | 95.547 | -0.000 | -0.000 |
| 55.635 | 167.392 | 30.595 | -95.547 | -0.000 | -0.000 |
| 42.813 | 42.813 | 228.759 | 0.000 | -0.000 | -0.000 |
| 95.547 | -95.546 | 0.000 | 57.246 | -0.000 | -0.000 |
| 0.000 | 0.000 | 0.000 | 0.000 | 57.246 | 95.547 |
| 0.000 | 0.000 | 0.000 | 0.000 | 95.547 | 55.879 |
| 167.391 | 55.634 | 30.595 | 95.546 | -0.000 | 0.000 |
| 55.634 | 167.391 | 30.595 | -95.546 | -0.000 | 0.000 |
| 42.813 | 42.813 | 228.758 | -0.000 | -0.000 | 0.000 |
| 95.547 | -95.547 | -0.000 | 57.246 | 0.000 | 0.000 |
| -0.000 | -0.000 | -0.000 | -0.000 | 57.246 | 95.547 |
| -0.000 | -0.000 | -0.000 | -0.000 | 95.547 | 55.879 |
| 167.398 | 55.636 | 30.595 | 95.547 | 0.000 | -0.000 |
| 55.635 | 167.398 | 30.595 | -95.548 | 0.000 | -0.000 |
| 42.813 | 42.813 | 228.762 | 0.000 | -0.000 | -0.000 |
| 95.547 | -95.546 | -0.000 | 57.246 | -0.000 | -0.000 |
| 0.001 | 0.000 | -0.000 | 0.000 | 57.246 | 95.547 |
| 0.002 | 0.001 | 0.000 | 0.000 | 95.547 | 55.879 |
| 167.385 | 55.633 | 30.594 | 95.546 | -0.000 | 0.000 |
| 55.634 | 167.385 | 30.594 | -95.545 | 0.000 | 0.000 |
| 42.814 | 42.814 | 228.755 | -0.000 | 0.000 | 0.000 |
| 95.546 | -95.547 | 0.000 | 57.246 | 0.000 | 0.000 |
| -0.001 | -0.000 | 0.000 | -0.000 | 57.246 | 95.547 |
| -0.002 | -0.001 | -0.000 | -0.000 | 95.547 | 55.879 |
| 569.570 | 218.322 | -2.943 | -0.000 | -0.000 | -0.000 |
| 445.220 | 342.672 | -2.943 | -0.000 | -0.000 | 0.000 |
| -2.944 | -2.944 | -116.167 | 0.000 | -0.000 | 0.000 |
| 0.000 | -0.000 | 0.000 | -5.418 | -0.000 | 0.000 |
| 0.000 | -0.000 | 0.000 | 0.000 | -5.418 | 0.000 |
| 0.000 | 0.000 | 0.000 | -0.000 | -0.000 | -51.273 |
| 342.672 | 445.220 | -2.943 | -0.000 | 0.000 | -0.000 |
| 445.218 | 342.673 | -2.943 | -0.000 | 0.000 | 0.000 |
| -2.944 | -2.944 | -116.167 | -0.000 | 0.000 | -0.000 |
| -0.000 | 0.000 | -0.000 | -5.418 | 0.000 | -0.000 |
| -0.000 | 0.000 | -0.000 | -0.000 | -5.418 | -0.000 |
| -0.000 | 0.000 | -0.000 | -0.000 | 0.000 | -51.273 |
| 342.681 | 445.212 | -2.943 | 0.000 | -0.000 | 0.000 |
| 445.227 | 342.666 | -2.943 | 0.000 | -0.000 | -0.000 |
| -2.944 | -2.944 | -116.167 | 0.000 | -0.000 | 0.000 |
| 0.000 | 0.000 | 0.000 | -5.418 | -0.000 | 0.000 |
| 0.000 | 0.000 | 0.000 | 0.000 | -5.418 | 0.000 |
| 0.000 | 0.000 | 0.000 | 0.000 | -0.000 | -51.273 |
| 342.664 | 445.226 | -2.943 | -0.000 | 0.000 | -0.000 |
| 445.211 | 342.680 | -2.943 | -0.000 | 0.000 | -0.000 |
| -2.944 | -2.944 | -116.167 | -0.000 | 0.000 | -0.000 |
| -0.000 | -0.000 | -0.000 | -5.418 | 0.000 | -0.000 |
| -0.000 | -0.000 | -0.000 | -0.000 | -5.418 | -0.000 |
| -0.000 | -0.000 | -0.000 | -0.000 | 0.000 | -51.273 |
| 342.756 | 445.147 | -2.943 | 0.000 | -0.000 | 0.000 |
| 445.298 | 342.604 | -2.943 | 0.000 | -0.000 | -0.000 |
| -2.943 | -2.943 | -116.167 | 0.000 | -0.000 | 0.000 |
| 0.000 | 0.000 | 0.000 | -5.418 | -0.000 | 0.000 |
| 0.000 | 0.000 | 0.000 | 0.000 | -5.418 | 0.000 |
| 0.035 | -0.033 | 0.000 | 0.000 | -0.000 | -51.293 |
| 346.207 | 441.674 | -2.943 | -0.000 | 0.000 | -0.000 |
| 445.830 | 342.051 | -2.943 | -0.000 | 0.000 | -0.000 |
| -2.944 | -2.944 | -116.168 | -0.000 | 0.000 | -0.000 |
| -0.000 | -0.000 | -0.000 | -5.418 | -0.000 | -0.000 |
| -0.000 | -0.000 | -0.000 | -0.000 | -5.418 | -0.000 |
| -0.035 | 0.033 | -0.000 | -0.000 | 0.000 | -51.293 |
| -5195127057.003 | -5199193750.997 | 791684313.905 | 3540140.812 | -5580328.529 | -3783347.839 |
| 70609877.116 | -1053683126.299 | -59742203.095 | 121.559 | -0.000 | -8.659 |
| 68.466 | 68.466 | 468.454 | -0.000 | 0.000 | -0.000 |
| -0.000 | -0.000 | 0.000 | -45.425 | 0.000 | -0.000 |
| 0.000 | -0.000 | 0.000 | -0.000 | -45.425 | -0.000 |
| -0.001 | -0.000 | 0.000 | -0.000 | 0.000 | -29.161 |
| -70610846.325 | 1053675994.780 | 59740165.064 | -121.489 | 0.000 | 3.163 |
| 5179514455.201 | 5210026780.388 | -806911593.637 | -4702873.079 | 3446000.262 | 2309233.248 |
| 68.466 | 68.466 | 468.454 | 0.000 | -0.000 | -0.000 |
| -0.000 | 0.000 | -0.000 | -45.425 | -0.000 | 0.000 |
| 0.000 | 0.000 | -0.000 | 0.000 | -45.425 | 0.000 |
| 0.001 | 0.000 | -0.000 | 0.000 | -0.000 | -29.161 |
| -415491942.102 | -127353584.916 | -328139040.539 | 317792.246 | -0.292 | -22730.294 |
| 7057483.301 | -105382832.647 | -5996787.502 | 1.185 | 0.000 | -0.088 |
| 68.466 | 68.466 | 468.455 | 0.000 | 0.000 | -0.000 |
| 0.000 | 0.000 | 0.000 | -45.425 | 0.000 | -0.000 |
| 0.000 | 0.000 | 0.000 | -0.000 | -45.425 | 0.000 |
| -199466261.578 | -343515614.365 | -328144156.572 | -114560.310 | 198393.236 | -124761995.806 |
| 58.809 | 117.112 | 8.124 | 0.000 | -0.000 | 0.000 |
| 117.106 | 58.815 | 8.124 | -0.000 | -0.000 | 0.000 |
| 68.466 | 68.466 | 468.454 | 0.000 | -0.000 | 0.000 |
| -0.000 | -0.000 | -0.000 | -45.425 | -0.000 | 0.000 |
| -0.000 | -0.000 | -0.000 | 0.000 | -45.425 | 0.000 |
| 525022229.635 | 522751066.565 | -76096043.211 | -830109.710 | -209963.729 | 292537.554 |
| -40966658.276 | -11473810.488 | -32841676.828 | 1791.068 | -0.000 | 3414.586 |
| 702351.519 | -10549417.925 | -625797.171 | 0.008 | 0.000 | -0.001 |
| 68.468 | 68.468 | 468.460 | -0.000 | 0.000 | 0.000 |
| 0.001 | 0.002 | 0.001 | -45.425 | 0.000 | -0.000 |
| 0.002 | 0.000 | 0.001 | -0.000 | -45.425 | -0.000 |
| -19790972.077 | -34211119.523 | -32808573.933 | -629.688 | 1091.524 | -12393677.540 |
| 1118584.225 | 11155253.045 | 624986.381 | -0.008 | -0.000 | 0.001 |
| 41674401.943 | 12580162.771 | 31914940.533 | -44.963 | 107.349 | 1244.660 |
| 68.465 | 68.465 | 468.448 | 0.000 | -0.000 | 0.000 |
| -0.001 | -0.002 | -0.001 | -45.425 | -0.000 | 0.000 |
| -0.002 | -0.000 | -0.001 | 0.000 | -45.425 | 0.000 |
| 19948814.669 | 34204920.752 | 32799568.844 | 670.781 | 1162.758 | -12315906.883 |
| 278.490 | 131.153 | 30.106 | 4.896 | 0.000 | -0.000 |
| 115.177 | 305.877 | 53.647 | -12.014 | -0.000 | -0.000 |
| 53.647 | 53.647 | 182.114 | -0.000 | 0.000 | 0.000 |
| -0.212 | -10.004 | -21.076 | 31.718 | -0.000 | 0.000 |
| 0.000 | -0.000 | 0.000 | 0.000 | 34.055 | 12.014 |
| 0.000 | 0.000 | -0.000 | -0.000 | 12.014 | 95.350 |
| 305.877 | 115.177 | 53.647 | 12.014 | -0.000 | -0.000 |
| 115.177 | 305.877 | 53.647 | -12.014 | 0.000 | -0.000 |
| 56.290 | 56.290 | 193.019 | -0.000 | 0.000 | -0.000 |
| 15.427 | -5.111 | 21.283 | 33.482 | -0.000 | -0.000 |
| -0.000 | 0.000 | -0.000 | -0.000 | 34.055 | 12.014 |
| -0.000 | -0.000 | 0.000 | -0.000 | 12.014 | 95.350 |
| 291.884 | 124.303 | 43.607 | 8.219 | 0.000 | 0.000 |
| 115.177 | 305.877 | 53.647 | -12.014 | 0.000 | 0.000 |
| 53.647 | 53.647 | 182.114 | 0.000 | -0.000 | 0.000 |
| 12.014 | -12.014 | 0.000 | 34.055 | -0.000 | -0.000 |
| 0.000 | 0.000 | 0.000 | 0.000 | 34.055 | 12.014 |
| -1.698 | -1.698 | -7.006 | 0.000 | 6.268 | 77.848 |
| 305.877 | 115.177 | 53.647 | 12.014 | 0.000 | 0.000 |
| 115.176 | 305.877 | 53.647 | -12.014 | 0.000 | -0.000 |
| 51.693 | 51.693 | 174.050 | -0.000 | 0.000 | -0.000 |
| 5.407 | -4.385 | 2.107 | 31.718 | 0.000 | 0.000 |
| -0.000 | -0.000 | -0.000 | -0.000 | 34.055 | 12.014 |
| 1.698 | 1.698 | 7.006 | -0.000 | 6.268 | 77.848 |
| 288.076 | 129.077 | 45.590 | 6.810 | -0.000 | 0.000 |
| 136.211 | 283.549 | 50.971 | -4.896 | 0.000 | -0.000 |
| 51.132 | 51.132 | 171.736 | 0.000 | 0.000 | 0.000 |
| 12.014 | -12.014 | 0.001 | 34.055 | 0.000 | -0.000 |
| 0.000 | 0.000 | 0.001 | 0.000 | 34.055 | 12.014 |
| 0.000 | 0.001 | 0.000 | 0.000 | 12.014 | 95.350 |
| 305.873 | 115.176 | 53.647 | 12.014 | 0.000 | -0.000 |
| 115.176 | 305.874 | 53.647 | -12.014 | -0.000 | 0.000 |
| 53.646 | 53.646 | 182.111 | -0.000 | -0.000 | 0.000 |
| 5.267 | -4.856 | 0.847 | 31.773 | 0.000 | -0.000 |
| -0.000 | -0.000 | -0.001 | -0.000 | 34.055 | 12.014 |
| -0.000 | -0.001 | -0.000 | -0.000 | 12.014 | 95.350 |
Phonon band structures and crystal properties estimated from quasi-harmonic approximation (QHA) calculations are displayed for select crystals. The calculations were performed using phonopy and LAMMPS. For the phonon calculations, 3x3 supercells of the potential-specific relaxed crystals were used. The QHA calculations were based on 11 strain states ranging from -0.05 to 0.05.
The calculation method used is available as the iprPy phonon calculation method.
Notes and Disclaimers:
Version Information:









































































































































































































































































































































































































































































































































































































































































































































































































































































































































































































































































































































































































































































Static free surface formation energies are displayed for select crystals. The values displayed here are obtained by taking a perfect periodic bulk crystal, slicing along a crystallographic plane, and using force minimization to statically relax the surfaces. The free surface formation energy is computed by comparing the energy of the defect system to the bulk system and dividing by the total surface area created by the cut.
The calculation method used is available as the iprPy surface_energy_static calculation method.
Notes and Disclaimers:
Version Information:
| Surface | γfs (mJ/m2) |
|---|---|
| (111) | 1561.66 |
| (332) | 1774.10 |
| (322) | 1801.57 |
| (100) | 1874.07 |
| (221) | 1874.62 |
| (211) | 1928.74 |
| (331) | 1963.13 |
| (311) | 2024.83 |
| (110) | 2046.97 |
| (321) | 2053.08 |
| (310) | 2131.05 |
| (320) | 2149.94 |
| (210) | 2173.42 |
| Surface | γfs (mJ/m2) |
|---|---|
| (332) | -55279.77 |
| (322) | -52387.37 |
| (331) | -50822.72 |
| (321) | -48258.25 |
| (311) | -40090.46 |
| (310) | -38852.82 |
| (320) | -36705.76 |
| (221) | -33449.63 |
| (211) | -28027.43 |
| (111) | -22533.67 |
| (210) | -21084.26 |
| (110) | -18585.08 |
| (100) | -9807.23 |
| Surface | γfs (mJ/m2) |
|---|---|
| (111) | 0.42 |
| (332) | 0.46 |
| (322) | 0.47 |
| (221) | 0.48 |
| (100) | 0.48 |
| (211) | 0.49 |
| (331) | 0.50 |
| (311) | 0.51 |
| (110) | 0.51 |
| (321) | 0.51 |
| (310) | 0.53 |
| (320) | 0.53 |
| (210) | 0.54 |
| Surface | γfs (mJ/m2) |
|---|---|
| (100) | 0.03 |
| (310) | 0.04 |
| (210) | 0.04 |
| (320) | 0.04 |
| (110) | 0.04 |
| (311) | 0.05 |
| (321) 1 | 0.05 |
| (321) 2 | 0.05 |
| (331) | 0.05 |
| (211) 2 | 0.05 |
| (211) 1 | 0.05 |
| (221) | 0.05 |
| (322) | 0.05 |
| (332) 2 | 0.05 |
| (332) 1 | 0.05 |
| (111) | 0.05 |
| Surface | γfs (mJ/m2) |
|---|---|
| (110) | 0.25 |
| (321) | 0.29 |
| (331) | 0.29 |
| (211) | 0.29 |
| (320) | 0.30 |
| (221) | 0.30 |
| (322) | 0.31 |
| (332) | 0.31 |
| (111) | 0.31 |
| (210) | 0.32 |
| (311) | 0.33 |
| (310) | 0.34 |
| (100) | 0.36 |
| Surface | γfs (mJ/m2) |
|---|---|
| (0001) | 1561.23 |
| (2021) 1 | 1737.84 |
| (1012) 2 | 1738.37 |
| (1011) 1 | 1782.99 |
| (2021) 2 | 1932.92 |
| (2131) 1 | 2035.44 |
| (1120) | 2041.86 |
| (1010) | 2059.22 |
| (2132) 1 | 2063.94 |
| (2132) 2 | 2066.43 |
| (1012) 1 | 2073.06 |
| (2241) | 2073.95 |
| (1121) | 2104.77 |
| (1011) 2 | 2112.47 |
| (2130) | 2122.49 |
| (2112) | 2127.17 |
| (2131) 2 | 2171.45 |
| Surface | γfs (mJ/m2) |
|---|---|
| (0001) | 1590.70 |
| (1010) 1 | 1714.41 |
| (1011) 2 | 1772.15 |
| (2021) 1 | 1793.25 |
| (2130) 1 | 2004.54 |
| (1012) 1 | 2027.21 |
| (1012) 2 | 2028.03 |
| (2112) | 2049.34 |
| (1120) | 2055.74 |
| (2132) 2 | 2077.48 |
| (2132) 1 | 2084.29 |
| (2131) 1 | 2088.69 |
| (2131) 2 | 2093.97 |
| (2241) | 2128.06 |
| (2021) 2 | 2143.11 |
| (1121) | 2150.34 |
| (2130) 2 | 2276.40 |
| (1011) 1 | 2429.13 |
| (1010) 2 | 2437.71 |
| Surface | γfs (mJ/m2) |
|---|---|
| (2132) 2 | -22553.63 |
| (2132) 1 | -20401.50 |
| (1012) 1 | -20053.55 |
| (1012) 2 | -18739.53 |
| (2112) | -17047.94 |
| (0001) | -14562.51 |
| (2021) 1 | -14259.28 |
| (1011) 1 | -13110.71 |
| (2021) 2 | -12082.30 |
| (1011) 2 | -12066.78 |
| (2131) 1 | -8638.24 |
| (2241) | -8597.84 |
| (2131) 2 | -8256.84 |
| (1121) | -7787.39 |
| (1120) | -7406.01 |
| (1010) 1 | -7313.09 |
| (2130) 2 | -7070.62 |
| (2130) 1 | -6773.37 |
| (1010) 2 | -6187.15 |
| Surface | γfs (mJ/m2) |
|---|---|
| (111) 2 | 0.05 |
| (331) 2 | 0.06 |
| (110) | 0.06 |
| (321) | 0.07 |
| (211) | 0.07 |
| (320) | 0.07 |
| (332) | 0.08 |
| (210) | 0.08 |
| (311) 1 | 0.08 |
| (311) 2 | 0.08 |
| (310) | 0.09 |
| (322) | 0.09 |
| (221) | 0.09 |
| (100) | 0.09 |
| (331) 1 | 0.10 |
| (111) 1 | 0.16 |
| Surface | γfs (mJ/m2) |
|---|---|
| (100) | 0.12 |
| (101) 1 | 0.17 |
| (110) | 0.18 |
| (201) | 0.18 |
| (112) | 0.18 |
| (001) | 0.19 |
| (111) | 0.21 |
| (211) 2 | 0.21 |
| (211) 1 | 0.21 |
| (101) 2 | 0.28 |
| Surface | γfs (mJ/m2) |
|---|---|
| (100) | 0.12 |
| (310) | 0.15 |
| (210) | 0.16 |
| (320) | 0.17 |
| (110) | 0.17 |
| (311) | 0.18 |
| (321) | 0.19 |
| (331) | 0.19 |
| (211) | 0.20 |
| (221) | 0.20 |
| (322) | 0.20 |
| (332) | 0.20 |
| (111) | 0.21 |
| Surface | γfs (mJ/m2) |
|---|---|
| (111) | 1645.11 |
| (332) | 1818.16 |
| (322) | 1839.97 |
| (100) | 1878.01 |
| (221) | 1893.97 |
| (211) | 1933.79 |
| (331) | 1955.76 |
| (311) | 2005.67 |
| (110) | 2013.03 |
| (321) | 2027.99 |
| (310) | 2090.93 |
| (320) | 2102.10 |
| (210) | 2120.91 |
| Surface | γfs (mJ/m2) |
|---|---|
| (321) | 0.00 |
| (311) | 0.00 |
| (110) | 0.00 |
| (210) | 0.00 |
| (332) | 0.00 |
| (310) | 0.00 |
| (322) | 0.00 |
| (320) | 0.00 |
| (211) | 0.00 |
| (331) | 0.00 |
| (221) | 0.00 |
| (100) | 0.00 |
| (111) | 0.00 |
| Surface | γfs (mJ/m2) |
|---|---|
| (211) 2 | 1534.99 |
| (210) | 1594.75 |
| (332) 2 | 1604.25 |
| (321) 2 | 1629.67 |
| (311) | 1634.23 |
| (111) | 1643.52 |
| (221) | 1645.26 |
| (321) 1 | 1646.87 |
| (332) 1 | 1652.36 |
| (322) | 1660.83 |
| (331) | 1676.56 |
| (100) | 1677.11 |
| (320) | 1704.02 |
| (310) | 1710.86 |
| (211) 1 | 1750.13 |
| (110) | 1784.41 |
| Surface | γfs (mJ/m2) |
|---|---|
| (311) | 0.00 |
| (111) | 0.00 |
| (100) | 0.00 |
| (221) | 0.00 |
| (321) 1 | 0.00 |
| (331) | 0.00 |
| (332) 2 | 0.00 |
| (321) 2 | 0.00 |
| (210) | 0.00 |
| (310) | 0.00 |
| (211) 2 | 0.00 |
| (332) 1 | 0.00 |
| (320) | 0.00 |
| (211) 1 | 0.00 |
| (322) | 0.00 |
| (110) | 0.00 |
| Surface | γfs (mJ/m2) |
|---|---|
| (210) | 0.00 |
| (332) 1 | 0.00 |
| (311) | 0.00 |
| (110) | 0.00 |
| (320) | 0.00 |
| (211) 2 | 0.00 |
| (332) 2 | 0.00 |
| (100) | 0.00 |
| (310) | 0.00 |
| (111) | 0.00 |
| (321) 1 | 0.00 |
| (331) | 0.00 |
| (221) | 0.00 |
| (322) | 0.00 |
| (211) 1 | 0.00 |
| (321) 2 | 0.00 |
| Surface | γfs (mJ/m2) |
|---|---|
| (320) | 0.00 |
| (110) | 0.00 |
| (211) | 0.00 |
| (311) | 0.00 |
| (321) | 0.00 |
| (100) | 0.00 |
| (331) | 0.00 |
| (221) | 0.00 |
| (332) | 0.00 |
| (210) | 0.00 |
| (322) | 0.00 |
| (310) | 0.00 |
| (111) | 0.00 |
| Surface | γfs (mJ/m2) |
|---|---|
| (0001) | 1642.74 |
| (1012) 2 | 1797.89 |
| (2021) 1 | 1820.30 |
| (1011) 1 | 1840.77 |
| (2021) 2 | 1966.29 |
| (1120) | 2023.47 |
| (2131) 1 | 2037.62 |
| (2132) 2 | 2062.75 |
| (2241) | 2063.08 |
| (2132) 1 | 2065.82 |
| (1010) | 2066.96 |
| (1012) 1 | 2071.71 |
| (1121) | 2090.59 |
| (2130) | 2106.16 |
| (2112) | 2111.36 |
| (1011) 2 | 2116.29 |
| (2131) 2 | 2149.85 |
| Surface | γfs (mJ/m2) |
|---|---|
| (2021) 1 | 0.00 |
| (1121) | 0.00 |
| (2132) 1 | 0.00 |
| (2131) 2 | 0.00 |
| (2131) 1 | 0.00 |
| (1120) | 0.00 |
| (2132) 2 | 0.00 |
| (2112) | 0.00 |
| (1012) 2 | 0.00 |
| (1012) 1 | 0.00 |
| (2021) 2 | 0.00 |
| (1011) 1 | 0.00 |
| (1011) 2 | 0.00 |
| (0001) | 0.00 |
| (2130) | 0.00 |
| (1010) | 0.00 |
| (2241) | 0.00 |
| Surface | γfs (mJ/m2) |
|---|---|
| (0001) | 1648.62 |
| (1010) 1 | 1815.32 |
| (1011) 2 | 1821.31 |
| (2021) 1 | 1869.19 |
| (1012) 1 | 1993.03 |
| (1012) 2 | 2022.76 |
| (2130) 1 | 2027.83 |
| (2112) | 2040.03 |
| (1120) | 2052.66 |
| (2132) 2 | 2086.58 |
| (2132) 1 | 2087.98 |
| (2131) 2 | 2098.89 |
| (2131) 1 | 2109.27 |
| (2241) | 2124.86 |
| (1121) | 2151.39 |
| (2021) 2 | 2161.36 |
| (2130) 2 | 2259.05 |
| (1011) 1 | 2385.70 |
| (1010) 2 | 2418.76 |
| Surface | γfs (mJ/m2) |
|---|---|
| (2130) 2 | 0.00 |
| (2241) | 0.00 |
| (2112) | 0.00 |
| (1121) | 0.00 |
| (1010) 1 | 0.00 |
| (1011) 2 | 0.00 |
| (2021) 2 | 0.00 |
| (1012) 1 | 0.00 |
| (1010) 2 | 0.00 |
| (1012) 2 | 0.00 |
| (2131) 2 | 0.00 |
| (2131) 1 | 0.00 |
| (1011) 1 | 0.00 |
| (1120) | 0.00 |
| (2132) 1 | 0.00 |
| (0001) | 0.00 |
| (2132) 2 | 0.00 |
| (2130) 1 | 0.00 |
| (2021) 1 | 0.00 |
| Surface | γfs (mJ/m2) |
|---|---|
| (322) | 0.00 |
| (321) | 0.00 |
| (320) | 0.00 |
| (110) | 0.00 |
| (331) 2 | 0.00 |
| (210) | 0.00 |
| (111) 1 | 0.00 |
| (311) 2 | 0.00 |
| (310) | 0.00 |
| (211) | 0.00 |
| (331) 1 | 0.00 |
| (332) | 0.00 |
| (311) 1 | 0.00 |
| (100) | 0.00 |
| (111) 2 | 0.00 |
| Surface | γfs (mJ/m2) |
|---|---|
| (110) | 0.00 |
| (211) 1 | 0.00 |
| (211) 2 | 0.00 |
| (112) | 0.00 |
| (101) 1 | 0.00 |
| (001) | 0.00 |
| (201) | 0.00 |
| (101) 2 | 0.00 |
| (100) | 0.00 |
| (111) | 0.00 |
| Surface | γfs (mJ/m2) |
|---|---|
| (110) | 0.00 |
| (100) | 0.00 |
| (112) | 0.00 |
| (211) 2 | 0.00 |
| (211) 1 | 0.00 |
| (111) | 0.00 |
| (101) 1 | 0.00 |
| (201) | 0.00 |
| (001) | 0.00 |
| (101) 2 | 0.00 |
| Surface | γfs (mJ/m2) |
|---|---|
| (201) | 0.00 |
| (100) | 0.00 |
| (101) | 0.00 |
| (001) | 0.00 |
| (111) | 0.00 |
| (110) | 0.00 |
| (211) | 0.00 |
| (112) | 0.00 |
| Surface | γfs (mJ/m2) |
|---|---|
| (110) | 0.00 |
| (111) | 0.00 |
| (112) | 0.00 |
| (211) | 0.00 |
| (201) | 0.00 |
| (100) | 0.00 |
| (101) | 0.00 |
| Surface | γfs (mJ/m2) |
|---|---|
| (1012) 1 | 0.00 |
| (1121) 2 | 0.00 |
| (0001) 2 | 0.00 |
| (1010) | 0.00 |
| (2112) 2 | 0.00 |
| (2112) 1 | 0.00 |
| (2131) 1 | 0.00 |
| (1011) 2 | 0.00 |
| (1012) 2 | 0.00 |
| (2132) 2 | 0.00 |
| (2131) 2 | 0.00 |
| (2021) 2 | 0.00 |
| (2132) 1 | 0.00 |
| (1011) 1 | 0.00 |
| (2130) | 0.00 |
| (0001) 1 | 0.00 |
| (2241) 1 | 0.00 |
| (2021) 1 | 0.00 |
| (1120) | 0.00 |
| (2241) 2 | 0.00 |
| (1121) 1 | 0.00 |
| Surface | γfs (mJ/m2) |
|---|---|
| (1010) | 0.00 |
| (2131) 1 | 0.00 |
| (1120) | 0.00 |
| (1121) 1 | 0.00 |
| (2241) 2 | 0.00 |
| (2112) 2 | 0.00 |
| (0001) 1 | 0.00 |
| (0001) 2 | 0.00 |
| (2132) 1 | 0.00 |
| (1121) 2 | 0.00 |
| (1011) 2 | 0.00 |
| (2130) | 0.00 |
| (2132) 2 | 0.00 |
| (1012) 1 | 0.00 |
| (2241) 1 | 0.00 |
| (2021) 1 | 0.00 |
| (2021) 2 | 0.00 |
| (1011) 1 | 0.00 |
| (1012) 2 | 0.00 |
| (2112) 1 | 0.00 |
| (2131) 2 | 0.00 |
| Surface | γfs (mJ/m2) |
|---|---|
| (331) | 0.00 |
| (221) | 0.00 |
| (311) | 0.00 |
| (211) | 0.00 |
| (332) | 0.00 |
| (310) | 0.00 |
| (111) | 0.00 |
| (322) | 0.00 |
| (320) | 0.00 |
| (321) | 0.00 |
| (100) | 0.00 |
| (110) | 0.00 |
| (210) | 0.00 |
| Surface | γfs (mJ/m2) |
|---|---|
| (111) | 1239.09 |
| (100) | 1247.36 |
| (332) | 1313.32 |
| (322) | 1330.60 |
| (221) | 1344.50 |
| (211) | 1368.38 |
| (331) | 1369.56 |
| (110) | 1379.42 |
| (311) | 1385.39 |
| (310) | 1393.34 |
| (321) | 1405.67 |
| (210) | 1417.62 |
| (320) | 1417.67 |
| Surface | γfs (mJ/m2) |
|---|---|
| (332) | -69990.31 |
| (321) | -60608.84 |
| (320) | -56730.67 |
| (310) | -49942.84 |
| (311) | -46646.68 |
| (210) | -35651.73 |
| (211) | -34412.90 |
| (221) | -25692.77 |
| (110) | -22127.14 |
| (322) | -15363.60 |
| (331) | -4195.83 |
| (100) | -3094.12 |
| (111) | 375.99 |
| Surface | γfs (mJ/m2) |
|---|---|
| (111) | 0.87 |
| (332) | 0.97 |
| (322) | 0.98 |
| (221) | 1.01 |
| (100) | 1.01 |
| (211) | 1.03 |
| (331) | 1.04 |
| (311) | 1.06 |
| (110) | 1.07 |
| (321) | 1.08 |
| (310) | 1.12 |
| (320) | 1.12 |
| (210) | 1.13 |
| Surface | γfs (mJ/m2) |
|---|---|
| (100) | 0.06 |
| (310) | 0.08 |
| (210) | 0.08 |
| (320) | 0.09 |
| (110) | 0.09 |
| (311) | 0.10 |
| (321) 1 | 0.10 |
| (321) 2 | 0.10 |
| (331) | 0.10 |
| (211) 2 | 0.10 |
| (211) 1 | 0.10 |
| (221) | 0.11 |
| (322) | 0.11 |
| (332) 1 | 0.11 |
| (332) 2 | 0.11 |
| (111) | 0.11 |
| Surface | γfs (mJ/m2) |
|---|---|
| (110) | 1039.35 |
| (100) | 1078.36 |
| (111) | 1112.76 |
| (320) | 1114.42 |
| (331) | 1116.59 |
| (211) | 1120.23 |
| (321) | 1126.20 |
| (221) | 1132.41 |
| (322) | 1132.97 |
| (332) | 1135.21 |
| (210) | 1139.61 |
| (310) | 1146.84 |
| (311) | 1152.49 |
| Surface | γfs (mJ/m2) |
|---|---|
| (110) | 0.54 |
| (321) | 0.61 |
| (331) | 0.61 |
| (211) | 0.62 |
| (320) | 0.63 |
| (221) | 0.63 |
| (322) | 0.64 |
| (332) | 0.65 |
| (111) | 0.66 |
| (210) | 0.68 |
| (311) | 0.68 |
| (310) | 0.72 |
| (100) | 0.76 |
| Surface | γfs (mJ/m2) |
|---|---|
| (0001) | 1244.29 |
| (1012) 2 | 1265.49 |
| (1011) 1 | 1324.29 |
| (2021) 1 | 1333.21 |
| (1120) | 1365.19 |
| (2021) 2 | 1381.95 |
| (2241) | 1396.70 |
| (2131) 1 | 1400.68 |
| (2132) 2 | 1405.35 |
| (1121) | 1420.39 |
| (1010) | 1422.49 |
| (1011) 2 | 1426.80 |
| (2130) | 1427.17 |
| (2132) 1 | 1427.71 |
| (2131) 2 | 1444.24 |
| (2112) | 1444.68 |
| (1012) 1 | 1448.82 |
| Surface | γfs (mJ/m2) |
|---|---|
| (0001) | 1251.11 |
| (1011) 2 | 1278.78 |
| (1010) 1 | 1329.15 |
| (2021) 1 | 1338.02 |
| (1012) 1 | 1351.04 |
| (1120) | 1369.35 |
| (2130) 1 | 1389.85 |
| (2112) | 1413.00 |
| (2131) 2 | 1420.92 |
| (1012) 2 | 1430.88 |
| (2241) | 1432.09 |
| (2132) 2 | 1433.91 |
| (2132) 1 | 1437.58 |
| (2021) 2 | 1445.42 |
| (2131) 1 | 1466.81 |
| (1121) | 1467.22 |
| (2130) 2 | 1483.95 |
| (1010) 2 | 1556.02 |
| (1011) 1 | 1668.57 |
| Surface | γfs (mJ/m2) |
|---|---|
| (111) 1 | 37.32 |
| (111) 2 | 37.79 |
| (100) | 40.80 |
| (322) | 41.55 |
| (332) | 41.78 |
| (211) | 43.38 |
| (221) | 43.50 |
| (311) 1 | 44.34 |
| (311) 2 | 44.34 |
| (331) 1 | 44.86 |
| (331) 2 | 45.05 |
| (321) | 45.89 |
| (110) | 46.28 |
| (310) | 46.50 |
| (210) | 47.52 |
| (320) | 47.62 |
| Surface | γfs (mJ/m2) |
|---|---|
| (111) 2 | 0.11 |
| (331) 2 | 0.13 |
| (110) | 0.13 |
| (321) | 0.15 |
| (211) | 0.15 |
| (320) | 0.16 |
| (332) | 0.16 |
| (210) | 0.17 |
| (311) 1 | 0.17 |
| (311) 2 | 0.17 |
| (310) | 0.18 |
| (322) | 0.18 |
| (221) | 0.19 |
| (100) | 0.19 |
| (331) 1 | 0.22 |
| (111) 1 | 0.33 |
| Surface | γfs (mJ/m2) |
|---|---|
| (100) | 0.26 |
| (101) 1 | 0.36 |
| (110) | 0.37 |
| (201) | 0.37 |
| (112) | 0.38 |
| (001) | 0.40 |
| (111) | 0.43 |
| (211) 2 | 0.44 |
| (211) 1 | 0.44 |
| (101) 2 | 0.60 |
| Surface | γfs (mJ/m2) |
|---|---|
| (311) | -7039.81 |
| (321) | -5852.66 |
| (100) | 1054.44 |
| (331) | 1066.44 |
| (111) | 1155.00 |
| (310) | 1156.32 |
| (211) | 1158.51 |
| (110) | 1165.58 |
| (332) | 1168.58 |
| (210) | 1171.42 |
| (320) | 1180.47 |
| (322) | 1188.46 |
| (221) | 1189.26 |
| Surface | γfs (mJ/m2) |
|---|---|
| (100) | 118.01 |
| (310) | 149.84 |
| (210) | 159.54 |
| (320) | 165.70 |
| (110) | 170.58 |
| (311) | 179.19 |
| (321) | 191.29 |
| (331) | 191.89 |
| (211) | 195.28 |
| (221) | 198.58 |
| (322) | 202.93 |
| (332) | 203.41 |
| (111) | 208.39 |
| Surface | γfs (mJ/m2) |
|---|---|
| (100) | 283.63 |
| (111) | 314.98 |
| (110) | 324.05 |
| (310) | 324.30 |
| (332) | 330.33 |
| (210) | 331.79 |
| (320) | 332.87 |
| (322) | 333.43 |
| (221) | 334.61 |
| (331) | 335.43 |
| (311) | 335.53 |
| (211) | 338.52 |
| (321) | 344.09 |
| Surface | γfs (mJ/m2) |
|---|---|
| (100) | 0.25 |
| (310) | 0.32 |
| (210) | 0.34 |
| (320) | 0.35 |
| (110) | 0.36 |
| (311) | 0.38 |
| (321) | 0.40 |
| (331) | 0.41 |
| (211) | 0.41 |
| (221) | 0.42 |
| (322) | 0.43 |
| (332) | 0.43 |
| (111) | 0.44 |
| Surface | γfs (mJ/m2) |
|---|---|
| (111) | 1641.16 |
| (332) | 1792.23 |
| (322) | 1814.11 |
| (100) | 1841.90 |
| (221) | 1857.04 |
| (211) | 1895.43 |
| (331) | 1908.51 |
| (321) | 1930.51 |
| (310) | 1954.18 |
| (311) | 1960.92 |
| (110) | 1977.97 |
| (210) | 1979.95 |
| (320) | 1989.68 |
| Surface | γfs (mJ/m2) |
|---|---|
| (210) | -550.23 |
| (320) | -545.61 |
| (310) | -544.17 |
| (321) | -524.37 |
| (110) | -521.03 |
| (311) | -517.72 |
| (331) | -505.60 |
| (211) | -499.53 |
| (100) | -490.45 |
| (221) | -489.00 |
| (322) | -473.84 |
| (332) | -468.43 |
| (111) | -421.52 |
| Surface | γfs (mJ/m2) |
|---|---|
| (111) | 2.23 |
| (332) | 2.47 |
| (322) | 2.50 |
| (221) | 2.58 |
| (100) | 2.58 |
| (211) | 2.63 |
| (331) | 2.66 |
| (311) | 2.72 |
| (110) | 2.74 |
| (321) | 2.76 |
| (310) | 2.85 |
| (320) | 2.86 |
| (210) | 2.88 |
| Surface | γfs (mJ/m2) |
|---|---|
| (100) | 0.16 |
| (310) | 0.20 |
| (210) | 0.22 |
| (320) | 0.22 |
| (110) | 0.23 |
| (311) | 0.24 |
| (321) 2 | 0.26 |
| (321) 1 | 0.26 |
| (331) | 0.26 |
| (211) 2 | 0.26 |
| (211) 1 | 0.26 |
| (221) | 0.27 |
| (322) | 0.27 |
| (332) 1 | 0.28 |
| (332) 2 | 0.28 |
| (111) | 0.28 |
| Surface | γfs (mJ/m2) |
|---|---|
| (110) | 1.37 |
| (321) | 1.55 |
| (331) | 1.55 |
| (211) | 1.58 |
| (320) | 1.61 |
| (221) | 1.61 |
| (322) | 1.64 |
| (332) | 1.65 |
| (111) | 1.68 |
| (210) | 1.73 |
| (311) | 1.75 |
| (310) | 1.84 |
| (100) | 1.94 |
| Surface | γfs (mJ/m2) |
|---|---|
| (0001) | 2.23 |
| (1010) 1 | 2.37 |
| (1011) 2 | 2.44 |
| (2021) 1 | 2.48 |
| (2130) 1 | 2.69 |
| (1012) 2 | 2.71 |
| (1012) 1 | 2.71 |
| (2112) | 2.72 |
| (1120) | 2.74 |
| (2132) 2 | 2.77 |
| (2132) 1 | 2.77 |
| (2131) 1 | 2.78 |
| (2131) 2 | 2.78 |
| (2241) | 2.82 |
| (1121) | 2.83 |
| (2021) 2 | 2.86 |
| (2130) 2 | 2.98 |
| (1011) 1 | 3.14 |
| (1010) 2 | 3.16 |
| Surface | γfs (mJ/m2) |
|---|---|
| (111) 2 | 0.28 |
| (331) 2 | 0.33 |
| (110) | 0.34 |
| (321) | 0.39 |
| (211) | 0.40 |
| (320) | 0.40 |
| (332) | 0.41 |
| (210) | 0.43 |
| (311) 1 | 0.44 |
| (311) 2 | 0.44 |
| (310) | 0.46 |
| (322) | 0.47 |
| (221) | 0.48 |
| (100) | 0.48 |
| (331) 1 | 0.56 |
| (111) 1 | 0.84 |
| Surface | γfs (mJ/m2) |
|---|---|
| (100) | 0.67 |
| (101) 1 | 0.92 |
| (110) | 0.94 |
| (201) | 0.96 |
| (112) | 0.97 |
| (001) | 1.03 |
| (111) | 1.11 |
| (211) 1 | 1.13 |
| (211) 2 | 1.13 |
| (101) 2 | 1.53 |
| Surface | γfs (mJ/m2) |
|---|---|
| (0001) 2 | 0.00 |
| (1011) 2 | 0.34 |
| (1012) 2 | 0.38 |
| (2112) 2 | 0.38 |
| (2131) 2 | 0.41 |
| (1121) 2 | 0.41 |
| (2241) 2 | 0.42 |
| (1120) | 0.42 |
| (2132) 2 | 0.44 |
| (2112) 1 | 0.44 |
| (2241) 1 | 0.45 |
| (2130) | 0.46 |
| (1012) 1 | 0.47 |
| (2021) 2 | 0.47 |
| (1121) 1 | 0.48 |
| (2132) 1 | 0.48 |
| (1010) | 0.48 |
| (2021) 1 | 0.53 |
| (2131) 1 | 0.54 |
| (1011) 1 | 0.67 |
| (0001) 1 | 0.90 |
| Surface | γfs (mJ/m2) |
|---|---|
| (332) | -29639.09 |
| (320) | -25835.98 |
| (221) | -21070.13 |
| (111) | -12548.27 |
| (321) | -11930.46 |
| (331) | -9549.97 |
| (211) | -7723.96 |
| (322) | -6770.10 |
| (311) | -2897.09 |
| (210) | -335.96 |
| (310) | -291.31 |
| (100) | 32.25 |
| (110) | 309.32 |
| Surface | γfs (mJ/m2) |
|---|---|
| (100) | 0.65 |
| (310) | 0.82 |
| (210) | 0.87 |
| (320) | 0.89 |
| (110) | 0.91 |
| (311) | 0.97 |
| (321) | 1.03 |
| (331) | 1.04 |
| (211) | 1.05 |
| (221) | 1.08 |
| (322) | 1.10 |
| (332) | 1.10 |
| (111) | 1.12 |
| Surface | γfs (mJ/m2) |
|---|---|
| (111) | 1629.86 |
| (332) | 1824.19 |
| (322) | 1848.17 |
| (100) | 1877.95 |
| (221) | 1912.03 |
| (211) | 1958.45 |
| (331) | 1985.88 |
| (311) | 2038.48 |
| (110) | 2049.39 |
| (321) | 2069.40 |
| (310) | 2131.97 |
| (320) | 2150.22 |
| (210) | 2170.46 |
| Surface | γfs (mJ/m2) |
|---|---|
| (210) | -2.62 |
| (320) | -2.60 |
| (310) | -2.59 |
| (321) | -2.50 |
| (110) | -2.48 |
| (311) | -2.47 |
| (331) | -2.42 |
| (211) | -2.39 |
| (221) | -2.34 |
| (100) | -2.34 |
| (322) | -2.27 |
| (332) | -2.25 |
| (111) | -2.03 |
| Surface | γfs (mJ/m2) |
|---|---|
| (110) | 0.00 |
| (321) | 0.00 |
| (332) | 0.00 |
| (210) | 0.00 |
| (221) | 0.00 |
| (311) | 0.00 |
| (111) | 0.00 |
| (322) | 0.00 |
| (211) | 0.00 |
| (100) | 0.00 |
| (310) | 0.00 |
| (331) | 0.00 |
| (320) | 0.00 |
| Surface | γfs (mJ/m2) |
|---|---|
| (211) 2 | 1454.54 |
| (332) 2 | 1529.96 |
| (210) | 1539.61 |
| (321) 2 | 1564.83 |
| (311) | 1571.04 |
| (111) | 1578.92 |
| (321) 1 | 1579.54 |
| (221) | 1582.50 |
| (322) | 1597.54 |
| (331) | 1623.83 |
| (100) | 1640.65 |
| (332) 1 | 1645.35 |
| (320) | 1661.89 |
| (310) | 1669.11 |
| (211) 1 | 1703.70 |
| (110) | 1736.63 |
| Surface | γfs (mJ/m2) |
|---|---|
| (211) 2 | 0.00 |
| (100) | 0.00 |
| (320) | 0.00 |
| (331) | 0.00 |
| (210) | 0.00 |
| (321) 1 | 0.00 |
| (221) | 0.00 |
| (310) | 0.00 |
| (311) | 0.00 |
| (211) 1 | 0.00 |
| (322) | 0.00 |
| (110) | 0.00 |
| (111) | 0.00 |
| (332) 1 | 0.00 |
| (321) 2 | 0.00 |
| (332) 2 | 0.00 |
| Surface | γfs (mJ/m2) |
|---|---|
| (311) | 0.00 |
| (110) | 0.00 |
| (332) 1 | 0.00 |
| (211) 2 | 0.00 |
| (321) 2 | 0.00 |
| (210) | 0.00 |
| (321) 1 | 0.00 |
| (331) | 0.00 |
| (111) | 0.00 |
| (100) | 0.00 |
| (221) | 0.00 |
| (211) 1 | 0.00 |
| (310) | 0.00 |
| (332) 2 | 0.00 |
| (320) | 0.00 |
| (322) | 0.00 |
| Surface | γfs (mJ/m2) |
|---|---|
| (321) 2 | 0.00 |
| (110) | 0.00 |
| (221) | 0.00 |
| (311) | 0.00 |
| (211) 2 | 0.00 |
| (332) 2 | 0.00 |
| (211) 1 | 0.00 |
| (111) | 0.00 |
| (210) | 0.00 |
| (332) 1 | 0.00 |
| (310) | 0.00 |
| (320) | 0.00 |
| (331) | 0.00 |
| (321) 1 | 0.00 |
| (322) | 0.00 |
| (100) | 0.00 |
| Surface | γfs (mJ/m2) |
|---|---|
| (100) | -1.76 |
| (310) | -1.67 |
| (311) | -1.59 |
| (210) | -1.57 |
| (111) | -1.52 |
| (332) | -1.50 |
| (322) | -1.49 |
| (221) | -1.46 |
| (320) | -1.46 |
| (211) | -1.43 |
| (331) | -1.41 |
| (321) | -1.41 |
| (110) | -1.24 |
| Surface | γfs (mJ/m2) |
|---|---|
| (100) | 0.00 |
| (211) | 0.00 |
| (110) | 0.00 |
| (321) | 0.00 |
| (311) | 0.00 |
| (332) | 0.00 |
| (111) | 0.00 |
| (322) | 0.00 |
| (320) | 0.00 |
| (310) | 0.00 |
| (210) | 0.00 |
| (221) | 0.00 |
| (331) | 0.00 |
| Surface | γfs (mJ/m2) |
|---|---|
| (0001) | 1599.77 |
| (1012) 2 | 1769.11 |
| (2021) 1 | 1794.77 |
| (1011) 1 | 1820.31 |
| (2021) 2 | 1962.17 |
| (1120) | 2035.73 |
| (2131) 1 | 2049.08 |
| (1010) | 2073.92 |
| (2132) 2 | 2077.02 |
| (2241) | 2078.25 |
| (2132) 1 | 2080.13 |
| (1012) 1 | 2082.80 |
| (1121) | 2108.63 |
| (1011) 2 | 2121.27 |
| (2130) | 2126.68 |
| (2112) | 2132.48 |
| (2131) 2 | 2174.77 |
| Surface | γfs (mJ/m2) |
|---|---|
| (1010) | 0.00 |
| (2241) | 0.00 |
| (1120) | 0.00 |
| (0001) | 0.00 |
| (1011) 1 | 0.00 |
| (1011) 2 | 0.00 |
| (2021) 2 | 0.00 |
| (2131) 2 | 0.00 |
| (2132) 1 | 0.00 |
| (2112) | 0.00 |
| (1012) 1 | 0.00 |
| (1121) | 0.00 |
| (2131) 1 | 0.00 |
| (2130) | 0.00 |
| (2021) 1 | 0.00 |
| (1012) 2 | 0.00 |
| (2132) 2 | 0.00 |
| Surface | γfs (mJ/m2) |
|---|---|
| (1010) 2 | 0.00 |
| (2112) | 0.00 |
| (1010) 1 | 0.00 |
| (1120) | 0.00 |
| (1011) 2 | 0.00 |
| (2021) 2 | 0.00 |
| (2132) 2 | 0.00 |
| (2130) 1 | 0.00 |
| (2130) 2 | 0.00 |
| (2131) 2 | 0.00 |
| (2132) 1 | 0.00 |
| (1012) 2 | 0.00 |
| (1121) | 0.00 |
| (0001) | 0.00 |
| (2021) 1 | 0.00 |
| (2241) | 0.00 |
| (2131) 1 | 0.00 |
| (1012) 1 | 0.00 |
| (1011) 1 | 0.00 |
| Surface | γfs (mJ/m2) |
|---|---|
| (111) 2 | 755.96 |
| (331) 2 | 916.60 |
| (110) | 949.40 |
| (321) | 1078.95 |
| (211) | 1097.88 |
| (332) | 1123.81 |
| (320) | 1125.59 |
| (210) | 1214.48 |
| (311) 2 | 1220.60 |
| (311) 1 | 1226.65 |
| (322) | 1287.14 |
| (310) | 1291.92 |
| (221) | 1320.58 |
| (100) | 1361.88 |
| (331) 1 | 1517.23 |
| (111) 1 | 2273.24 |
| Surface | γfs (mJ/m2) |
|---|---|
| (111) 1 | -0.76 |
| (331) 1 | -0.50 |
| (100) | -0.44 |
| (221) | -0.44 |
| (322) | -0.43 |
| (310) | -0.42 |
| (311) 1 | -0.40 |
| (311) 2 | -0.40 |
| (210) | -0.39 |
| (332) | -0.37 |
| (320) | -0.37 |
| (211) | -0.36 |
| (321) | -0.35 |
| (110) | -0.31 |
| (331) 2 | -0.30 |
| (111) 2 | -0.25 |
| Surface | γfs (mJ/m2) |
|---|---|
| (311) 1 | 0.00 |
| (321) | 0.00 |
| (110) | 0.00 |
| (210) | 0.00 |
| (322) | 0.00 |
| (111) 2 | 0.00 |
| (320) | 0.00 |
| (310) | 0.00 |
| (100) | 0.00 |
| (332) | 0.00 |
| (331) 2 | 0.00 |
| (111) 1 | 0.00 |
| (221) | 0.00 |
| (331) 1 | 0.00 |
| (211) | 0.00 |
| (311) 2 | 0.00 |
| Surface | γfs (mJ/m2) |
|---|---|
| (101) 2 | -0.79 |
| (110) | -0.59 |
| (211) 2 | -0.49 |
| (211) 1 | -0.49 |
| (111) | -0.45 |
| (100) | -0.42 |
| (201) | -0.36 |
| (001) | -0.34 |
| (112) | -0.30 |
| (101) 1 | -0.26 |
| Surface | γfs (mJ/m2) |
|---|---|
| (101) 2 | 0.00 |
| (111) | 0.00 |
| (201) | 0.00 |
| (211) 2 | 0.00 |
| (211) 1 | 0.00 |
| (110) | 0.00 |
| (001) | 0.00 |
| (112) | 0.00 |
| (100) | 0.00 |
| (101) 1 | 0.00 |
| Surface | γfs (mJ/m2) |
|---|---|
| (211) 2 | 0.00 |
| (112) | 0.00 |
| (001) | 0.00 |
| (100) | 0.00 |
| (101) 2 | 0.00 |
| (111) | 0.00 |
| (201) | 0.00 |
| (101) 1 | 0.00 |
| (110) | 0.00 |
| (211) 1 | 0.00 |
| Surface | γfs (mJ/m2) |
|---|---|
| (110) | 0.00 |
| (111) | 0.00 |
| (201) | 0.00 |
| (101) | 0.00 |
| (100) | 0.00 |
| (112) | 0.00 |
| (211) | 0.00 |
| (001) | 0.00 |
| Surface | γfs (mJ/m2) |
|---|---|
| (110) | 0.00 |
| (211) | 0.00 |
| (100) | 0.00 |
| (111) | 0.00 |
| (201) | 0.00 |
| (112) | 0.00 |
| (101) | 0.00 |
| (001) | 0.00 |
| Surface | γfs (mJ/m2) |
|---|---|
| (0001) 1 | -1.05 |
| (1011) 1 | -0.50 |
| (2131) 1 | -0.39 |
| (1012) 1 | -0.39 |
| (2021) 1 | -0.38 |
| (2132) 1 | -0.35 |
| (1121) 1 | -0.34 |
| (1010) | -0.34 |
| (2021) 2 | -0.34 |
| (2112) 1 | -0.33 |
| (2130) | -0.33 |
| (2241) 1 | -0.32 |
| (2132) 2 | -0.32 |
| (1012) 2 | -0.31 |
| (1120) | -0.30 |
| (2241) 2 | -0.30 |
| (1121) 2 | -0.30 |
| (2131) 2 | -0.29 |
| (2112) 2 | -0.29 |
| (1011) 2 | -0.25 |
| (0001) 2 | 0.00 |
| Surface | γfs (mJ/m2) |
|---|---|
| (0001) 2 | -0.86 |
| (1011) 2 | -0.60 |
| (2131) 2 | -0.48 |
| (2021) 2 | -0.47 |
| (1012) 2 | -0.43 |
| (2132) 2 | -0.43 |
| (1010) | -0.43 |
| (1121) 2 | -0.42 |
| (2021) 1 | -0.42 |
| (2130) | -0.40 |
| (2241) 2 | -0.40 |
| (2112) 2 | -0.40 |
| (2132) 1 | -0.39 |
| (1120) | -0.37 |
| (2241) 1 | -0.37 |
| (1121) 1 | -0.36 |
| (2131) 1 | -0.36 |
| (1012) 1 | -0.34 |
| (2112) 1 | -0.34 |
| (1011) 1 | -0.30 |
| (0001) 1 | 0.00 |
| Surface | γfs (mJ/m2) |
|---|---|
| (2132) 1 | 0.00 |
| (1121) 1 | 0.00 |
| (2241) 2 | 0.00 |
| (0001) 2 | 0.00 |
| (1120) | 0.00 |
| (2021) 2 | 0.00 |
| (2131) 2 | 0.00 |
| (1012) 2 | 0.00 |
| (2132) 2 | 0.00 |
| (2131) 1 | 0.00 |
| (1011) 1 | 0.00 |
| (2112) 1 | 0.00 |
| (2241) 1 | 0.00 |
| (1011) 2 | 0.00 |
| (2021) 1 | 0.00 |
| (1010) | 0.00 |
| (1012) 1 | 0.00 |
| (1121) 2 | 0.00 |
| (0001) 1 | 0.00 |
| (2112) 2 | 0.00 |
| (2130) | 0.00 |
| Surface | γfs (mJ/m2) |
|---|---|
| (111) | -1.01 |
| (332) | -1.00 |
| (322) | -0.99 |
| (221) | -0.98 |
| (211) | -0.96 |
| (331) | -0.94 |
| (321) | -0.94 |
| (311) | -0.88 |
| (110) | -0.83 |
| (320) | -0.81 |
| (210) | -0.79 |
| (310) | -0.74 |
| (100) | -0.59 |
| Surface | γfs (mJ/m2) |
|---|---|
| (110) | 0.00 |
| (321) | 0.00 |
| (210) | 0.00 |
| (100) | 0.00 |
| (111) | 0.00 |
| (331) | 0.00 |
| (211) | 0.00 |
| (320) | 0.00 |
| (310) | 0.00 |
| (322) | 0.00 |
| (332) | 0.00 |
| (221) | 0.00 |
Stacking fault energy plots and maps are displayed for select crystals. The values are computed by
The calculation method used is available as the iprPy stacking_fault_map_2D calculation method.
Notes and Disclaimers:
Version Information:
| E_usf a/2 [0 -1 1] | 1018.91 |
| τ_ideal a/2 [0 -1 1] | 16.22 |




| E_isf | 3.56 |
| E_usf a/2 [0 -1 1] | 124.90 |
| τ_ideal a/2 [0 -1 1] | 3.93 |




| E_usf a/2 [0 -1 1] | 11.80 |
| τ_ideal a/2 [0 -1 1] | 34.27 |




| E_isf | 0.00 |
| E_usf a/2 [0 -1 1] | 143.45 |
| τ_ideal a/2 [0 -1 1] | 80.97 |




| E_usf a/2 [-1 1 -1] | 5.32 |
| τ_ideal a/2 [-1 1 -1] | 8.17 |




| E_usf a/2 [-1 -1 1] | 1.77 |
| τ_ideal a/2 [-1 -1 1] | 1.88 |




| E_isf | -1.08 |
| E_usf a/3 [-2 1 1 0] | 155.47 |
| τ_ideal a/3 [-2 1 1 0] | 4.98 |




| E_usf a/3 [-1 2 -1 0] | 713.46 |
| E_usf a/3 [-2 1 1 3] | 4137.55 |
| τ_ideal a/3 [-1 2 -1 0] | 9.43 |
| τ_ideal a/3 [-2 1 1 3] | 146.92 |





| E_usf a/3 [-1 2 -1 0] | 791.65 |
| E_usf a/3 [-2 1 1 3] | 1252.33 |
| τ_ideal a/3 [-1 2 -1 0] | 10.47 |
| τ_ideal a/3 [-2 1 1 3] | 14.87 |





| E_usf a/3 [-2 1 1 3] | 2062.66 |
| τ_ideal a/3 [-2 1 1 3] | 18.85 |




| E_isf | 21.24 |
| E_usf a/2 [0 -1 1] | 257.09 |
| τ_ideal a/2 [0 -1 1] | 5.57 |




| E_isf | -5.48 |
| E_usf a/3 [-2 1 1 0] | 253.83 |
| τ_ideal a/3 [-2 1 1 0] | 5.87 |




| E_usf a/3 [-1 2 -1 0] | 585.04 |
| τ_ideal a/3 [-1 2 -1 0] | 8.90 |




| E_usf a/3 [-1 2 -1 0] | 1779.07 |
| τ_ideal a/3 [-1 2 -1 0] | 27.58 |




| E_usf a/3 [-1 2 -1 0] | 784.94 |
| E_usf a/3 [-2 1 1 3] | 5764.72 |
| τ_ideal a/3 [-1 2 -1 0] | 11.53 |
| τ_ideal a/3 [-2 1 1 3] | 406.11 |





| E_usf a/3 [-1 2 -1 0] | 959.43 |
| E_usf a/3 [-2 1 1 3] | 1245.17 |
| τ_ideal a/3 [-1 2 -1 0] | 14.33 |
| τ_ideal a/3 [-2 1 1 3] | 14.47 |





| E_usf a/3 [-2 1 1 3] | 1857.55 |
| τ_ideal a/3 [-2 1 1 3] | 20.05 |




| E_usf a/2 [0 -1 1] | 456.49 |
| τ_ideal a/2 [0 -1 1] | 9.51 |




| E_isf | 45.33 |
| E_usf a/2 [0 -1 1] | 199.56 |
| τ_ideal a/2 [0 -1 1] | 4.49 |




| E_usf a/2 [0 -1 1] | 1056.06 |
| τ_ideal a/2 [0 -1 1] | 1021.63 |




| E_isf | 0.00 |
| E_usf a/2 [0 -1 1] | 132.81 |
| τ_ideal a/2 [0 -1 1] | 485.67 |




| E_usf a/2 [0 -1 1] | 77.02 |
| τ_ideal a/2 [0 -1 1] | 66.33 |




| E_isf | -0.00 |
| E_usf a/2 [0 -1 1] | 1.52 |
| τ_ideal a/2 [0 -1 1] | 0.48 |




| E_usf a/2 [-1 1 -1] | 1120.70 |
| τ_ideal a/2 [-1 1 -1] | 2072.97 |




| E_usf a/2 [-1 -1 1] | 445.08 |
| τ_ideal a/2 [-1 -1 1] | 39.79 |




| E_usf a/2 [-1 -1 1] | 430.08 |
| τ_ideal a/2 [-1 -1 1] | 40.76 |




| E_usf a/2 [-1 1 -1] | 1.38 |
| τ_ideal a/2 [-1 1 -1] | 0.74 |




| E_usf a/2 [-1 -1 1] | 4.56 |
| τ_ideal a/2 [-1 -1 1] | 0.48 |




| E_isf | -51.93 |
| E_usf a/3 [-2 1 1 0] | 169.60 |
| τ_ideal a/3 [-2 1 1 0] | 5.05 |




| E_usf a/3 [-1 2 -1 0] | 354.81 |
| τ_ideal a/3 [-1 2 -1 0] | 6.24 |




| E_usf a/3 [-1 2 -1 0] | 575.23 |
| τ_ideal a/3 [-1 2 -1 0] | 12.65 |




| E_usf a/3 [-1 2 -1 0] | 450.06 |
| E_usf a/3 [-2 1 1 3] | 2727.78 |
| τ_ideal a/3 [-1 2 -1 0] | 7.94 |
| τ_ideal a/3 [-2 1 1 3] | 43.92 |





| E_usf a/3 [-1 2 -1 0] | 382.80 |
| E_usf a/3 [-2 1 1 3] | 614.21 |
| τ_ideal a/3 [-1 2 -1 0] | 7.97 |
| τ_ideal a/3 [-2 1 1 3] | 9.55 |





| E_usf a/3 [-2 1 1 3] | 1110.27 |
| τ_ideal a/3 [-2 1 1 3] | 11.30 |




| E_usf a/2 [0 -1 1] | 1143.07 |
| τ_ideal a/2 [0 -1 1] | 17.07 |




| E_isf | 73.93 |
| E_usf a/2 [0 -1 1] | 371.40 |
| τ_ideal a/2 [0 -1 1] | 8.94 |




| E_usf a/2 [0 -1 1] | 10.56 |
| τ_ideal a/2 [0 -1 1] | 0.70 |




| E_isf | -0.00 |
| E_usf a/2 [0 -1 1] | 3.03 |
| τ_ideal a/2 [0 -1 1] | 0.28 |




| E_usf a/2 [-1 1 -1] | 6.06 |
| τ_ideal a/2 [-1 1 -1] | 0.53 |




| E_usf a/2 [-1 -1 1] | 14.29 |
| τ_ideal a/2 [-1 -1 1] | 3.67 |




| E_usf a/2 [-1 -1 1] | 15.73 |
| τ_ideal a/2 [-1 -1 1] | 4.19 |




| E_isf | 0.00 |
| E_usf a/3 [-2 1 1 0] | 3.03 |
| τ_ideal a/3 [-2 1 1 0] | 0.28 |




| E_usf a/3 [-1 2 -1 0] | 12.15 |
| τ_ideal a/3 [-1 2 -1 0] | 0.59 |




| E_usf a/3 [-1 2 -1 0] | 9.73 |
| τ_ideal a/3 [-1 2 -1 0] | 2.91 |




| E_usf a/3 [-1 2 -1 0] | 9.36 |
| E_usf a/3 [-2 1 1 3] | 136.39 |
| τ_ideal a/3 [-1 2 -1 0] | 6.03 |
| τ_ideal a/3 [-2 1 1 3] | 7.38 |





| E_usf a/3 [-2 1 1 3] | 171.09 |
| τ_ideal a/3 [-2 1 1 3] | 5.00 |




| E_usf a/2 [0 -1 1] | 1345.66 |
| τ_ideal a/2 [0 -1 1] | 20.65 |




| E_isf | 120.18 |
| E_usf a/2 [0 -1 1] | 363.24 |
| τ_ideal a/2 [0 -1 1] | 7.90 |




Static point defect formation energies, Ef, and elastic dipole tensors, pij, are displayed for select crystals. Relaxed defect configurations are obtained by taking a 12x12x12 supercell of a perfect periodic bulk crystal, inserting the point defect, and using force minimization to statically relax the atomic positions while keeping the system dimensions constant. Ef is computed by comparing the energy of the defect system to the same number of atoms in a perfect bulk crystal. pij is estimated as the difference in the system's global pressure with and without the defect multiplied by the system's volume.
Simple structural comparisons of the unrelaxed and relaxed defect configurations are used to help determine if the defect structure has relaxed to a different configuration. Relaxed structures that are identified as no longer consistent with the ideal defect definition are excluded from the table below. The only exception to this is if the lowest energy interstitial configuration does not coincide with a known ideal defect, its energies and pressure tensor are included under the listing "relaxed interstitial". The full list of calculation results including the transformed structures and the structural comparison values is included in the csv file available from the "Download raw data" link.
The calculation method used is available as the iprPy point_defect_static calculation method.
Notes and Disclaimers:
| Point Defect | Ef (eV) | p11 (eV) | p22 (eV) | p33 (eV) | p12 (eV) | p13 (eV) | p23 (eV) |
|---|---|---|---|---|---|---|---|
| vacancy | 1.336 | -5.983 | -5.983 | -5.983 | -0.000 | -0.000 | -0.000 |
| 1nn divacancy | 2.615 | -11.840 | -10.940 | -10.940 | -0.000 | -0.000 | -0.257 |
| 2nn divacancy | 2.833 | -11.994 | -11.994 | -12.309 | -0.000 | -0.000 | -0.000 |
| 100 dumbbell | 5.461 | 21.710 | 21.710 | 20.478 | -0.000 | 0.000 | 0.000 |
| octahedral interstitial | 5.666 | 35.226 | 35.226 | 35.226 | -0.000 | 0.000 | -0.000 |
| 111 dumbbell | 5.756 | 22.238 | 22.238 | 22.238 | 5.380 | 5.380 | 5.380 |
| crowdion interstitial | 6.338 | 11.851 | 11.851 | 14.761 | 5.299 | -0.000 | -0.000 |
| 110 dumbbell | 6.901 | 17.500 | 10.615 | 10.615 | 0.000 | 0.000 | 3.996 |
| Point Defect | Ef (eV) | p11 (eV) | p22 (eV) | p33 (eV) | p12 (eV) | p13 (eV) | p23 (eV) |
|---|---|---|---|---|---|---|---|
| relaxed interstitial | -20538.899 | -3.593 | -4.314 | -0.916 | -0.254 | 0.024 | -1.839 |
| vacancy | 0.019 | -0.231 | -0.231 | -0.231 | 0.000 | 0.000 | 0.000 |
| 1nn divacancy | 0.028 | -0.444 | -0.443 | -0.443 | 0.000 | 0.000 | -0.026 |
| Point Defect | Ef (eV) | p11 (eV) | p22 (eV) | p33 (eV) | p12 (eV) | p13 (eV) | p23 (eV) |
|---|---|---|---|---|---|---|---|
| 100 dumbbell | -27.743 | 0.022 | 0.022 | 0.032 | 0.000 | -0.000 | -0.000 |
| 111 dumbbell | -15.253 | -0.015 | -0.015 | -0.015 | -0.033 | -0.033 | -0.033 |
| vacancy | 0.003 | -0.000 | -0.000 | -0.000 | -0.000 | -0.000 | -0.000 |
| 1nn divacancy | 0.005 | -0.000 | -0.000 | -0.000 | -0.000 | -0.000 | -0.000 |
| 2nn divacancy | 0.006 | -0.000 | -0.000 | -0.000 | -0.000 | -0.000 | -0.000 |
| Point Defect | Ef (eV) | p11 (eV) | p22 (eV) | p33 (eV) | p12 (eV) | p13 (eV) | p23 (eV) |
|---|---|---|---|---|---|---|---|
| relaxed interstitial | -28.661 | -0.000 | -0.000 | -0.000 | 0.000 | 0.000 | 0.000 |
| 110 dumbbell | -27.760 | 0.000 | 0.000 | 0.000 | -0.000 | -0.000 | -0.000 |
| 111 dumbbell | -3.297 | 1.891 | 1.891 | 1.891 | -0.559 | -0.559 | -0.559 |
| crowdion interstitial | -3.096 | 0.921 | 0.921 | 0.921 | -0.320 | -0.320 | -0.320 |
| vacancy | 0.002 | 0.000 | 0.000 | 0.000 | 0.000 | -0.000 | -0.000 |
| 1nn divacancy | 0.003 | 0.000 | 0.000 | 0.000 | 0.000 | 0.000 | 0.000 |
| 2nn divacancy | 0.004 | 0.000 | 0.000 | 0.000 | -0.000 | -0.000 | -0.000 |
| Point Defect | Ef (eV) | p11 (eV) | p22 (eV) | p33 (eV) | p12 (eV) | p13 (eV) | p23 (eV) |
|---|---|---|---|---|---|---|---|
| vacancy | 1.462 | -5.895 | -5.895 | -7.074 | 0.000 | 0.000 | -0.000 |
| 0001 dumbbell | 5.255 | 21.506 | 21.506 | 35.552 | 0.000 | -0.000 | -0.000 |
| Point Defect | Ef (eV) | p11 (eV) | p22 (eV) | p33 (eV) | p12 (eV) | p13 (eV) | p23 (eV) |
|---|---|---|---|---|---|---|---|
| relaxed interstitial | -9823.162 | 0.096 | -1.905 | -0.921 | -0.184 | -0.239 | -0.101 |
| vacancy | 0.019 | -0.230 | -0.230 | -0.231 | 0.000 | -0.000 | -0.000 |
| Point Defect | Ef (eV) | p11 (eV) | p22 (eV) | p33 (eV) | p12 (eV) | p13 (eV) | p23 (eV) |
|---|---|---|---|---|---|---|---|
| tetragonal interstitial | -0.001 | -0.000 | -0.000 | -0.000 | -0.000 | -0.000 | -0.000 |
| vacancy | 0.001 | 0.000 | 0.000 | 0.000 | -0.000 | -0.000 | -0.000 |
| 1nn divacancy | 0.001 | 0.000 | 0.000 | 0.000 | 0.000 | 0.000 | 0.000 |
| Point Defect | Ef (eV) | p11 (eV) | p22 (eV) | p33 (eV) | p12 (eV) | p13 (eV) | p23 (eV) |
|---|---|---|---|---|---|---|---|
| vacancy | 1.378 | -3.132 | -3.132 | -3.132 | 0.000 | 0.000 | 0.000 |
| 1nn divacancy | 2.707 | -6.680 | -5.651 | -5.651 | 0.000 | 0.000 | -0.065 |
| 2nn divacancy | 2.825 | -6.356 | -6.356 | -6.503 | -0.000 | 0.000 | -0.000 |
| 100 dumbbell | 4.128 | 14.567 | 14.567 | 13.606 | -0.000 | 0.000 | 0.000 |
| crowdion interstitial | 4.397 | 7.827 | 7.827 | 10.433 | 5.119 | 0.000 | 0.000 |
| 110 dumbbell | 4.962 | 13.846 | 7.807 | 7.807 | -0.000 | 0.000 | 4.094 |
| tetrahedral interstitial | 6.176 | 0.431 | 0.431 | 0.431 | -0.000 | -0.000 | 0.000 |
| Point Defect | Ef (eV) | p11 (eV) | p22 (eV) | p33 (eV) | p12 (eV) | p13 (eV) | p23 (eV) |
|---|---|---|---|---|---|---|---|
| 111 dumbbell | -14.176 | -0.000 | -0.000 | -0.000 | 0.000 | 0.000 | 0.000 |
| tetrahedral interstitial | -4.864 | -0.000 | -0.000 | -0.000 | -0.000 | -0.000 | -0.000 |
| crowdion interstitial | -2.307 | -0.000 | -0.000 | -0.000 | -0.000 | -0.000 | -0.000 |
| 110 dumbbell | -2.289 | -0.000 | 0.000 | 0.000 | -0.000 | -0.000 | 0.000 |
| 100 dumbbell | -0.005 | 0.183 | 0.183 | 0.063 | 0.000 | -0.000 | -0.000 |
| 1nn divacancy | 0.000 | -0.000 | -0.000 | -0.000 | -0.000 | -0.000 | -0.000 |
| vacancy | 0.000 | -0.000 | -0.000 | -0.000 | -0.000 | -0.000 | -0.000 |
| 2nn divacancy | 0.000 | -0.000 | -0.000 | -0.000 | -0.000 | -0.000 | -0.000 |
| Point Defect | Ef (eV) | p11 (eV) | p22 (eV) | p33 (eV) | p12 (eV) | p13 (eV) | p23 (eV) |
|---|---|---|---|---|---|---|---|
| crowdion interstitial | -2.307 | -0.000 | -0.000 | -0.000 | -0.000 | -0.000 | -0.000 |
| octahedral interstitial | -2.307 | -0.000 | -0.000 | -0.000 | -0.000 | -0.000 | -0.000 |
| 111 dumbbell | -2.289 | -0.000 | -0.000 | -0.000 | -0.000 | -0.000 | -0.000 |
| 110 dumbbell | -0.002 | 0.139 | 0.038 | 0.038 | -0.000 | -0.000 | 0.038 |
| 100 dumbbell | 0.000 | -0.000 | -0.000 | -0.000 | -0.000 | -0.000 | -0.000 |
| 1nn divacancy | 0.000 | -0.000 | -0.000 | -0.000 | -0.000 | -0.000 | -0.000 |
| 2nn divacancy | 0.000 | -0.000 | -0.000 | -0.000 | -0.000 | -0.000 | -0.000 |
| vacancy | 0.000 | -0.000 | -0.000 | -0.000 | -0.000 | -0.000 | -0.000 |
| Point Defect | Ef (eV) | p11 (eV) | p22 (eV) | p33 (eV) | p12 (eV) | p13 (eV) | p23 (eV) |
|---|---|---|---|---|---|---|---|
| vacancy | 1.340 | -2.954 | -2.954 | -2.846 | -0.000 | -0.000 | -0.000 |
| 0001 dumbbell | 4.741 | 21.339 | 21.339 | 40.551 | -0.000 | -0.000 | -0.000 |
| Point Defect | Ef (eV) | p11 (eV) | p22 (eV) | p33 (eV) | p12 (eV) | p13 (eV) | p23 (eV) |
|---|---|---|---|---|---|---|---|
| 2110 dumbbell | -2.289 | 0.101 | 0.000 | 0.000 | -0.000 | -0.000 | 0.000 |
| 0001 dumbbell | -1.148 | 0.075 | 0.075 | 0.211 | 0.000 | -0.000 | -0.000 |
| vacancy | 0.000 | -0.000 | -0.000 | -0.000 | -0.000 | -0.000 | -0.000 |
| Point Defect | Ef (eV) | p11 (eV) | p22 (eV) | p33 (eV) | p12 (eV) | p13 (eV) | p23 (eV) |
|---|---|---|---|---|---|---|---|
| bond centered interstitial | -2.307 | -0.000 | -0.000 | -0.000 | -0.000 | -0.000 | -0.000 |
| 110 dumbbell | -2.289 | -0.000 | -0.000 | -0.000 | 0.000 | 0.000 | -0.000 |
| 100 dumbbell | -1.144 | -0.000 | -0.000 | -0.000 | -0.000 | -0.000 | -0.000 |
| tetragonal interstitial | 0.000 | -0.000 | -0.000 | -0.000 | -0.000 | -0.000 | -0.000 |
| vacancy | 0.000 | -0.000 | -0.000 | -0.000 | -0.000 | -0.000 | -0.000 |
| hexagonal interstitial | 0.000 | -0.000 | -0.000 | -0.000 | -0.000 | -0.000 | -0.000 |
| 1nn divacancy | 0.000 | -0.000 | -0.000 | -0.000 | -0.000 | -0.000 | -0.000 |
| Point Defect | Ef (eV) | p11 (eV) | p22 (eV) | p33 (eV) | p12 (eV) | p13 (eV) | p23 (eV) |
|---|---|---|---|---|---|---|---|
| vacancy | 1.128 | -3.700 | -3.700 | -3.700 | 0.000 | -0.000 | 0.000 |
| 1nn divacancy | 2.163 | -8.443 | -6.615 | -6.615 | -0.000 | -0.000 | -0.107 |
| 2nn divacancy | 2.243 | -7.497 | -7.497 | -7.623 | 0.000 | -0.000 | -0.000 |
| 100 dumbbell | 3.319 | 19.973 | 19.973 | 15.659 | 0.000 | -0.000 | -0.000 |
| octahedral interstitial | 3.419 | 21.620 | 21.620 | 21.620 | -0.000 | -0.000 | -0.000 |
| 111 dumbbell | 3.915 | 13.983 | 13.983 | 13.983 | 2.380 | 2.380 | 2.380 |
| 110 dumbbell | 4.708 | 11.139 | 7.157 | 7.157 | -0.000 | -0.000 | 2.290 |
| Point Defect | Ef (eV) | p11 (eV) | p22 (eV) | p33 (eV) | p12 (eV) | p13 (eV) | p23 (eV) |
|---|---|---|---|---|---|---|---|
| 100 dumbbell | -9.623 | -47.635 | -47.635 | -30.019 | 0.000 | -0.000 | -0.000 |
| octahedral interstitial | -4.052 | -7.950 | -7.950 | -7.950 | 0.000 | -0.000 | -0.000 |
| vacancy | 1.112 | -2.062 | -2.062 | -2.062 | 0.000 | 0.000 | 0.000 |
| 1nn divacancy | 2.037 | -5.281 | -4.435 | -4.435 | 0.000 | 0.000 | -0.261 |
| 2nn divacancy | 2.287 | -4.165 | -4.165 | -0.780 | 0.000 | 0.000 | -0.000 |
| Point Defect | Ef (eV) | p11 (eV) | p22 (eV) | p33 (eV) | p12 (eV) | p13 (eV) | p23 (eV) |
|---|---|---|---|---|---|---|---|
| 111 dumbbell | -15.278 | -0.960 | -0.960 | -0.960 | -0.428 | -0.428 | -0.428 |
| 100 dumbbell | -1.572 | 8.597 | 8.597 | 13.282 | -0.000 | 0.000 | 0.000 |
| octahedral interstitial | -1.496 | -0.769 | -0.769 | -0.769 | -0.000 | 0.000 | -0.000 |
| vacancy | 0.006 | 0.000 | 0.000 | 0.000 | 0.000 | 0.000 | 0.000 |
| 1nn divacancy | 0.011 | 0.000 | 0.000 | 0.000 | 0.000 | 0.000 | 0.000 |
| 2nn divacancy | 0.012 | 0.000 | 0.000 | 0.000 | 0.000 | 0.000 | 0.000 |
| Point Defect | Ef (eV) | p11 (eV) | p22 (eV) | p33 (eV) | p12 (eV) | p13 (eV) | p23 (eV) |
|---|---|---|---|---|---|---|---|
| crowdion interstitial | -0.482 | 18.108 | 18.108 | 18.108 | -9.243 | -9.243 | -9.243 |
| 110 dumbbell | 0.828 | 10.693 | -0.354 | -0.354 | 0.000 | 0.000 | 47.097 |
| 111 dumbbell | 2.861 | 34.940 | 34.940 | 34.940 | -23.588 | -23.588 | -23.588 |
| tetrahedral interstitial | 4.645 | 6.651 | -16.660 | 6.651 | 0.000 | 0.000 | 0.000 |
| vacancy | 7.038 | 0.269 | 0.269 | 0.269 | 0.000 | 0.000 | 0.000 |
| octahedral interstitial | 8.587 | 7.774 | 34.295 | 34.295 | 0.000 | 0.000 | 0.000 |
| 1nn divacancy | 12.317 | 0.404 | 0.404 | 0.404 | -0.070 | -0.070 | -0.070 |
| 2nn divacancy | 13.131 | 0.593 | 0.593 | 0.727 | 0.000 | 0.000 | -0.000 |
| Point Defect | Ef (eV) | p11 (eV) | p22 (eV) | p33 (eV) | p12 (eV) | p13 (eV) | p23 (eV) |
|---|---|---|---|---|---|---|---|
| tetrahedral interstitial | -1.362 | 1.043 | 1.968 | 1.043 | -0.000 | 0.000 | 0.000 |
| 100 dumbbell | -1.341 | -5.124 | -5.124 | 3.147 | 0.000 | -0.000 | -0.000 |
| 110 dumbbell | -0.926 | -1.852 | 3.618 | 3.618 | 0.000 | 0.000 | -5.009 |
| vacancy | 0.004 | -0.000 | -0.000 | -0.000 | -0.000 | -0.000 | -0.000 |
| 1nn divacancy | 0.007 | -0.000 | -0.000 | -0.000 | -0.000 | -0.000 | -0.000 |
| 2nn divacancy | 0.008 | -0.000 | -0.000 | -0.000 | 0.000 | 0.000 | 0.000 |
| Point Defect | Ef (eV) | p11 (eV) | p22 (eV) | p33 (eV) | p12 (eV) | p13 (eV) | p23 (eV) |
|---|---|---|---|---|---|---|---|
| vacancy | 1.188 | -3.644 | -3.644 | -3.645 | 0.000 | -0.000 | -0.000 |
| 0001 dumbbell | 3.889 | 14.250 | 14.250 | 20.587 | 0.000 | 0.000 | -0.000 |
| Point Defect | Ef (eV) | p11 (eV) | p22 (eV) | p33 (eV) | p12 (eV) | p13 (eV) | p23 (eV) |
|---|---|---|---|---|---|---|---|
| bond centered interstitial | -2.322 | 0.000 | 0.000 | 0.000 | 0.000 | 0.000 | 0.000 |
| 100 dumbbell | -1.508 | -35.687 | -35.687 | -34.580 | 0.000 | 0.000 | 0.000 |
| tetragonal interstitial | -1.085 | 0.030 | 0.030 | 0.030 | -0.000 | -0.000 | -0.000 |
| vacancy | 0.543 | -0.000 | -0.000 | -0.000 | -0.000 | -0.000 | -0.000 |
| 1nn divacancy | 0.814 | -0.000 | -0.000 | -0.000 | -0.000 | -0.000 | -0.000 |
| Point Defect | Ef (eV) | p11 (eV) | p22 (eV) | p33 (eV) | p12 (eV) | p13 (eV) | p23 (eV) |
|---|---|---|---|---|---|---|---|
| bond centered interstitial | -2.899 | -0.538 | -0.538 | -0.538 | -0.000 | -0.000 | -0.000 |
| 100 dumbbell | -1.592 | 0.000 | 0.000 | 0.000 | -0.000 | 0.000 | 0.000 |
| tetragonal interstitial | -0.002 | 0.000 | 0.000 | 0.000 | -0.000 | -0.000 | -0.000 |
| vacancy | 0.002 | -0.000 | -0.000 | -0.000 | -0.000 | -0.000 | -0.000 |
| 1nn divacancy | 0.003 | -0.000 | -0.000 | -0.000 | -0.000 | -0.000 | -0.000 |
| Point Defect | Ef (eV) | p11 (eV) | p22 (eV) | p33 (eV) | p12 (eV) | p13 (eV) | p23 (eV) |
|---|---|---|---|---|---|---|---|
| vacancy | 1.792 | -8.819 | -8.819 | -8.819 | 0.000 | -0.000 | 0.000 |
| 1nn divacancy | 3.450 | -14.880 | -14.534 | -14.534 | 0.000 | -0.000 | -0.544 |
| 2nn divacancy | 3.803 | -15.934 | -15.934 | -16.593 | -0.000 | -0.000 | 0.000 |
| 100 dumbbell | 5.819 | 45.285 | 45.285 | 41.047 | 0.000 | -0.000 | -0.000 |
| 111 dumbbell | 6.514 | 46.934 | 46.934 | 46.934 | 5.280 | 5.280 | 5.280 |
| tetrahedral interstitial | 7.298 | 70.421 | 70.421 | 70.421 | -0.000 | -0.000 | -0.000 |
| 110 dumbbell | 7.692 | 48.273 | 33.573 | 33.573 | 0.000 | 0.000 | 4.029 |
| Point Defect | Ef (eV) | p11 (eV) | p22 (eV) | p33 (eV) | p12 (eV) | p13 (eV) | p23 (eV) |
|---|---|---|---|---|---|---|---|
| 2nn divacancy | -2.960 | 0.004 | 0.004 | -0.102 | 0.000 | 0.000 | 0.000 |
| 1nn divacancy | -2.713 | -0.154 | 0.043 | 0.043 | -0.000 | -0.000 | -0.015 |
| vacancy | -1.477 | 0.005 | 0.005 | 0.005 | 0.000 | 0.000 | 0.000 |
| crowdion interstitial | 13.142 | 16.998 | 16.998 | 21.033 | 12.219 | 0.000 | 0.000 |
| tetrahedral interstitial | 14.611 | -6.408 | -6.408 | -6.408 | -0.000 | -0.000 | -0.000 |
| 111 dumbbell | 25.066 | -17.021 | -17.021 | -17.021 | -0.891 | -0.891 | -0.891 |
| Point Defect | Ef (eV) | p11 (eV) | p22 (eV) | p33 (eV) | p12 (eV) | p13 (eV) | p23 (eV) |
|---|---|---|---|---|---|---|---|
| vacancy | 0.015 | 0.000 | 0.000 | 0.000 | -0.000 | -0.000 | -0.000 |
| 1nn divacancy | 0.028 | 0.000 | 0.000 | 0.000 | -0.000 | -0.000 | -0.000 |
| 2nn divacancy | 0.031 | 0.000 | 0.000 | 0.000 | -0.000 | -0.000 | -0.000 |
| octahedral interstitial | 1.712 | 3.017 | 3.017 | 3.017 | -0.000 | -0.000 | -0.000 |
| 111 dumbbell | 2.439 | 42.432 | 42.432 | 42.432 | 4.301 | 4.301 | 4.301 |
| tetrahedral interstitial | 2.895 | 100.101 | 100.101 | 100.101 | 0.000 | -0.000 | -0.000 |
| 100 dumbbell | 2.923 | 17.293 | 17.293 | 34.892 | 0.000 | -0.000 | -0.000 |
| crowdion interstitial | 7.173 | 267.693 | 267.693 | 216.014 | 63.268 | -0.000 | -0.000 |
| 110 dumbbell | 9.702 | 41.400 | 32.424 | 32.424 | -0.000 | -0.000 | 8.183 |
| Point Defect | Ef (eV) | p11 (eV) | p22 (eV) | p33 (eV) | p12 (eV) | p13 (eV) | p23 (eV) |
|---|---|---|---|---|---|---|---|
| vacancy | 0.010 | 0.000 | 0.000 | 0.000 | -0.000 | 0.000 | 0.000 |
| 1nn divacancy | 0.018 | 0.000 | 0.000 | 0.000 | 0.000 | 0.000 | 0.000 |
| 2nn divacancy | 0.021 | 0.000 | 0.000 | 0.000 | 0.000 | 0.000 | 0.000 |
| 111 dumbbell | 1.183 | 31.718 | 31.718 | 31.718 | 1.429 | 1.429 | 1.429 |
| 110 dumbbell | 2.136 | 4.818 | 24.198 | 24.198 | 0.000 | 0.000 | -15.190 |
| crowdion interstitial | 4.080 | 42.447 | 42.447 | 42.447 | -2.231 | -2.231 | -2.231 |
| 100 dumbbell | 4.552 | -6.217 | -6.217 | 31.500 | -0.000 | 0.000 | 0.000 |
| Point Defect | Ef (eV) | p11 (eV) | p22 (eV) | p33 (eV) | p12 (eV) | p13 (eV) | p23 (eV) |
|---|---|---|---|---|---|---|---|
| vacancy | 0.015 | 0.000 | 0.000 | 0.000 | 0.000 | -0.000 | -0.000 |
| 0001 dumbbell | 2.247 | -4.913 | -4.913 | -4.659 | -0.000 | -0.000 | -0.000 |
| Point Defect | Ef (eV) | p11 (eV) | p22 (eV) | p33 (eV) | p12 (eV) | p13 (eV) | p23 (eV) |
|---|---|---|---|---|---|---|---|
| tetragonal interstitial | -0.005 | -0.000 | -0.000 | -0.000 | 0.000 | 0.000 | 0.000 |
| vacancy | 0.005 | 0.000 | 0.000 | 0.000 | 0.000 | 0.000 | 0.000 |
| 1nn divacancy | 0.008 | 0.000 | 0.000 | 0.000 | -0.000 | -0.000 | -0.000 |
| bond centered interstitial | 0.568 | -0.000 | -0.000 | -0.000 | 0.000 | 0.000 | 0.000 |
| 100 dumbbell | 1.421 | -0.000 | -0.000 | -0.000 | 0.000 | -0.000 | -0.000 |
| Point Defect | Ef (eV) | p11 (eV) | p22 (eV) | p33 (eV) | p12 (eV) | p13 (eV) | p23 (eV) |
|---|---|---|---|---|---|---|---|
| vacancy | 1.600 | -2.771 | -2.771 | -2.771 | -0.000 | 0.000 | 0.000 |
| 1nn divacancy | 3.063 | -5.706 | -4.949 | -4.949 | -0.000 | 0.000 | -0.068 |
| 2nn divacancy | 3.267 | -5.519 | -5.519 | -5.826 | 0.000 | 0.000 | 0.000 |
| 100 dumbbell | 4.896 | 17.951 | 17.951 | 18.175 | -0.000 | -0.000 | 0.000 |
| crowdion interstitial | 5.109 | 9.466 | 9.466 | 12.758 | 5.992 | 0.000 | -0.000 |
| 111 dumbbell | 5.204 | 18.566 | 18.566 | 18.566 | 7.462 | 7.462 | 7.462 |
| 110 dumbbell | 5.792 | 16.523 | 9.646 | 9.646 | -0.000 | 0.000 | 5.050 |
| tetrahedral interstitial | 6.913 | 0.528 | 0.528 | 0.528 | -0.000 | -0.000 | -0.000 |
| Point Defect | Ef (eV) | p11 (eV) | p22 (eV) | p33 (eV) | p12 (eV) | p13 (eV) | p23 (eV) |
|---|---|---|---|---|---|---|---|
| 111 dumbbell | -34.770 | 0.867 | 0.867 | 0.867 | -0.154 | -0.154 | -0.154 |
| 100 dumbbell | -28.643 | 0.539 | 0.539 | 0.739 | 0.000 | 0.000 | 0.000 |
| 2nn divacancy | -0.024 | -0.000 | -0.000 | -0.000 | 0.000 | 0.000 | 0.000 |
| 1nn divacancy | -0.022 | -0.000 | -0.000 | -0.000 | 0.000 | 0.000 | -0.000 |
| vacancy | -0.012 | -0.000 | -0.000 | -0.000 | 0.000 | 0.000 | 0.000 |
| Point Defect | Ef (eV) | p11 (eV) | p22 (eV) | p33 (eV) | p12 (eV) | p13 (eV) | p23 (eV) |
|---|---|---|---|---|---|---|---|
| 111 dumbbell | -13.789 | 0.000 | 0.000 | 0.000 | 0.000 | 0.000 | 0.000 |
| tetrahedral interstitial | -4.489 | -0.000 | -0.000 | -0.000 | -0.000 | -0.000 | -0.000 |
| crowdion interstitial | -2.015 | -0.000 | -0.000 | -0.000 | -0.000 | -0.000 | -0.000 |
| 110 dumbbell | -1.878 | -0.000 | -0.000 | -0.000 | -0.000 | -0.000 | -0.000 |
| 100 dumbbell | -0.000 | 0.000 | 0.000 | 0.000 | 0.000 | -0.000 | -0.000 |
| 2nn divacancy | 0.000 | -0.000 | -0.000 | -0.000 | -0.000 | -0.000 | -0.000 |
| 1nn divacancy | 0.000 | -0.000 | -0.000 | -0.000 | -0.000 | -0.000 | -0.000 |
| vacancy | 0.000 | -0.000 | -0.000 | -0.000 | -0.000 | -0.000 | -0.000 |
| octahedral interstitial | 0.012 | -0.000 | -0.000 | -0.000 | 0.000 | -0.000 | -0.000 |
| Point Defect | Ef (eV) | p11 (eV) | p22 (eV) | p33 (eV) | p12 (eV) | p13 (eV) | p23 (eV) |
|---|---|---|---|---|---|---|---|
| octahedral interstitial | -10.651 | 0.205 | 0.609 | 0.609 | -0.000 | 0.000 | -0.000 |
| tetrahedral interstitial | -4.578 | 0.405 | 0.321 | 0.405 | 0.000 | -0.000 | 0.000 |
| 110 dumbbell | -4.227 | 0.230 | -0.295 | -0.295 | -0.000 | -0.000 | 1.192 |
| crowdion interstitial | -2.016 | 0.312 | 0.312 | 0.312 | -0.083 | -0.083 | -0.083 |
| 111 dumbbell | -1.869 | 0.273 | 0.273 | 0.273 | -0.106 | -0.106 | -0.106 |
| 100 dumbbell | -0.278 | -0.787 | -0.787 | -0.609 | -0.000 | -0.000 | -0.000 |
| 2nn divacancy | -0.016 | -0.000 | -0.000 | -0.000 | -0.000 | -0.000 | -0.000 |
| 1nn divacancy | -0.014 | -0.000 | -0.000 | -0.000 | -0.000 | -0.000 | -0.000 |
| vacancy | -0.008 | -0.000 | -0.000 | -0.000 | -0.000 | -0.000 | -0.000 |
| Point Defect | Ef (eV) | p11 (eV) | p22 (eV) | p33 (eV) | p12 (eV) | p13 (eV) | p23 (eV) |
|---|---|---|---|---|---|---|---|
| crowdion interstitial | -2.015 | -0.000 | -0.000 | -0.000 | -0.000 | -0.000 | -0.000 |
| octahedral interstitial | -2.015 | -0.000 | -0.000 | -0.000 | -0.000 | -0.000 | -0.000 |
| 111 dumbbell | -1.878 | -0.000 | -0.000 | -0.000 | -0.000 | -0.000 | -0.000 |
| 110 dumbbell | -0.000 | 0.000 | 0.000 | 0.000 | -0.000 | -0.000 | 0.000 |
| vacancy | 0.000 | -0.000 | -0.000 | -0.000 | -0.000 | -0.000 | -0.000 |
| 1nn divacancy | 0.000 | -0.000 | -0.000 | -0.000 | -0.000 | -0.000 | -0.000 |
| 2nn divacancy | 0.000 | -0.000 | -0.000 | -0.000 | -0.000 | -0.000 | -0.000 |
| 100 dumbbell | 0.000 | -0.000 | -0.000 | -0.000 | -0.000 | -0.000 | -0.000 |
| tetrahedral interstitial | 0.008 | -0.000 | -0.000 | -0.000 | 0.000 | -0.000 | -0.000 |
| Point Defect | Ef (eV) | p11 (eV) | p22 (eV) | p33 (eV) | p12 (eV) | p13 (eV) | p23 (eV) |
|---|---|---|---|---|---|---|---|
| 2110 dumbbell | -1.878 | 0.000 | 0.000 | 0.000 | 0.000 | -0.000 | -0.000 |
| 0001 dumbbell | -0.944 | 0.115 | 0.115 | 0.327 | -0.000 | 0.000 | -0.000 |
| vacancy | 0.000 | -0.000 | -0.000 | -0.000 | -0.000 | -0.000 | -0.000 |
| Point Defect | Ef (eV) | p11 (eV) | p22 (eV) | p33 (eV) | p12 (eV) | p13 (eV) | p23 (eV) |
|---|---|---|---|---|---|---|---|
| tetragonal interstitial | -4.097 | 0.111 | 0.111 | 0.111 | -0.000 | -0.000 | -0.000 |
| hexagonal interstitial | -2.280 | 6.363 | 6.363 | 6.363 | -4.080 | -4.080 | -4.080 |
| vacancy | 2.034 | -1.834 | -1.834 | -1.834 | -0.000 | -0.000 | -0.000 |
| 1nn divacancy | 3.237 | -2.402 | -2.402 | -2.402 | 0.491 | 0.491 | 0.491 |
| 100 dumbbell | 3.906 | 5.121 | 5.121 | 1.752 | -0.000 | -0.000 | -0.000 |
| bond centered interstitial | 4.234 | 5.451 | 5.451 | 5.451 | 6.199 | 6.199 | 6.199 |
| Point Defect | Ef (eV) | p11 (eV) | p22 (eV) | p33 (eV) | p12 (eV) | p13 (eV) | p23 (eV) |
|---|---|---|---|---|---|---|---|
| 100 dumbbell | -14.266 | -0.000 | -0.000 | -0.000 | -0.000 | -0.000 | -0.000 |
| hexagonal interstitial | -0.017 | 0.697 | 0.697 | 0.697 | -0.051 | -0.051 | -0.051 |
| 1nn divacancy | -0.006 | -0.000 | -0.000 | -0.000 | -0.000 | -0.000 | -0.000 |
| vacancy | -0.004 | -0.000 | -0.000 | -0.000 | 0.000 | 0.000 | 0.000 |
| tetragonal interstitial | 0.004 | 0.000 | 0.000 | 0.000 | 0.000 | 0.000 | 0.000 |
| Point Defect | Ef (eV) | p11 (eV) | p22 (eV) | p33 (eV) | p12 (eV) | p13 (eV) | p23 (eV) |
|---|---|---|---|---|---|---|---|
| bond centered interstitial | -2.015 | -0.000 | -0.000 | -0.000 | -0.000 | -0.000 | -0.000 |
| 110 dumbbell | -1.878 | -0.000 | -0.000 | -0.000 | 0.000 | 0.000 | -0.000 |
| 100 dumbbell | -0.939 | -0.000 | -0.000 | -0.000 | -0.000 | -0.000 | -0.000 |
| 1nn divacancy | 0.000 | -0.000 | -0.000 | -0.000 | -0.000 | -0.000 | -0.000 |
| hexagonal interstitial | 0.000 | -0.000 | -0.000 | -0.000 | -0.000 | -0.000 | -0.000 |
| tetragonal interstitial | 0.000 | -0.000 | -0.000 | -0.000 | -0.000 | -0.000 | -0.000 |
| vacancy | 0.000 | -0.000 | -0.000 | -0.000 | -0.000 | -0.000 | -0.000 |
Plots of the atomic structure of dislocation cores are shown here. The dislocations were constructed using dislocation monopole configurations in which a straight dislocation is created in the center of the system using anisotropic elasticity and the elastic constants computed above. A cylindrical region centered around the dislocation is allowed to relax while the remaining atoms are held fixed. The relaxation consists of 1 million NVT steps at 10 K followed by an energy/force minimization. The final plots show the atomic configuration near the center of the monopole system, and display differential displacement arrows and Nye tensor color maps that are both taken with respect to the Burgers vector direction.
These plots show a wide range of final structures, some corresponding to expected dislocation structures and others not. While the characterizations are dislocation-type dependent, some general classification guidelines are listed here.
The calculation method used is available as the iprPy dislocation_monopole calculation method.
Links are provided above the images allowing for users to download the final defect configuration and a corresponding defect-free configuration if they wish to further analyze the structures or use them for subsequent simulations.
Notes and Disclaimers:
Version Information:
Plots of lattice and elastic constants are shown as a function of temperature. The 0K points were taken from the Crystal Structure Predictions and the Elastic Constants Predictions sections above for the unique crystal structures relaxed with the "dynamic" method. Starting from the 0 K relaxed crystal unit cells, supercell systems are created by replicating all three dimensions by the same multiplier to achieve at least 4000 atoms. The systems are then relaxed at 50 K and zero pressure using 1 million NPT steps. Lattice constants are estimated by averaging the measured box dimensions. Temperatures are iteratively increased by 50 K, with each subsequent relaxation calculation starting from the final atomic configuration at the previous temperature and relaxing for another 1 million steps.
The elastic constants are calculated using the deformation–fluctuation hybrid method. Starting from the final atomic configurations of the dynamic relaxations, the system is allowed to evolve at constant volume with a Langevin thermostat. The Born matrix is computed during this run by evaluating how the atomic forces would vary due to applied linear strain fields. The elastic constants can then be estimated using the averaged Born matrix values and the averaged stresses on the system.
The calculation methods used are available as the iprPy relax_dynamic and elastic_constants_dynamic calculation methods.
Clicking on the image of a plot will open an interactive version of it in a new tab. The underlying data for the plots can be downloaded by clicking on the links above each plot.
Notes and Disclaimers:
Version Information:
Plots of radial distribution functions at different temperatures and the temperature-dependent diffusion and viscosity are shown here for elemental liquids. Melt phases are constructed by starting with a 10x10x10 fcc super cell and relaxing with 50,000 NPT steps at zero pressure and a high melting temperature (3000 K for most potentials and elements). Following the melt, liquid structures are relaxed by running NPT for 10,000 steps over which the temperature is dropped by 50 K, then 50,000 NPT at the target temperature to estimate the equilibrium volume, followed by 20,000 NVT steps at the averaged equilibrium volume and target temperature. Structures from the NVT run are sampled to compute the radial distribution function of the liquid at the corresponding temperature.
The final relaxed configurations at each temperature explored are used as the initial configurations for the diffusion and viscosity calculations. For diffusion, the system is integrated for 100 runs of 2,000 NVT steps during which both the mean squared displacement (MSD) and the velocity auto correlation function (VACF) are computed. From these simulations, three estimates of diffusion are computed: one from the MSD of the full 200,000 step run, one in which the MSD is reset for each short run and then averaged, and one from the VACF computed for each short run and averaged. For viscosity, the Green-Kubo method is used which is evaluated during a 1 million step NVT run.
The calculation methods used are available as the iprPy relax_liquid_redo, diffusion_liquid, and viscosity_green_kubo calculation methods.
Clicking on the image of a plot will open an interactive version of it in a new tab. The underlying data for the plots can be downloaded by clicking on the links above each plot.
Notes and Disclaimers:
Version Information:
Estimated melting temperatures are tabulated below. The melting temperature is computed here using a two-phase solid-liquid atomic configuration. The two-phase configuration is created by starting with a crystalline system in which the c box vector is roughly twice the length of the other two box vectors. Based on some input temperature Tinit, an NPH plus a Berensen thermostat simulation is performed for 10,000 steps in which half the system is subjected to a temperature of 1.25*Tinit and the other half to a temperature of 0.5*Tinit. This is then followed by 10,000 steps during which the temperature of the two regions are both scaled to Tinit. The system is then ran for 200,000 NPH steps to equilibrate the system. For the second half of the final NPH run, the average temperature of the system is calculated and the polyhedral template matching algorithm is used to estimate the number of solid and liquid atoms for a number of configuration snapshots. If the averaged fraction of solid atoms is found to be between 0.25-0.75, then the averaged temperature provides an estimate of the melting temperature.
This calculation is iteratively performed where the Tinit value is adjusted up or down if the fraction of solid atoms is outside the range 0.25-0.75. Iterations are repeated until 10 calculations are performed that produce solid fractions in the target range, or 30 total calculations are performed.
The calculation method used is available as the iprPy melting_temperature calculation method.
Notes and Disclaimers:
Version Information:
| prototype | Tmelt | stderr |
|---|---|---|
| A1--Cu--fcc | 1893.41 | 2.3 |
| prototype | Tmelt | stderr |
|---|---|---|
| A1--Cu--fcc | 1189.31 | 0.81 |
| prototype | Tmelt | stderr |
|---|---|---|
| A1--Cu--fcc | 2752.95 | 1.7 |
| prototype | Tmelt | stderr |
|---|---|---|
| A1--Cu--fcc | 2162.7 | 1.33 |
Plots of internal energy, Gibbs free energy, entropy, heat capacity and volume are shown here as a function of temperature for various crystal structures and liquid phases. The included crystal structures correspond to those in the Solid Structures vs. Temperature section, and the liquid phases to those in the Liquid Properties section. Internal energy and volume are taken from the associated structure relaxations mentioned in those previous sections. Constant pressure heat capacity is estimated using 3-point numerical derivatives of enthalpy versus temperature. Note that since all simulations done here are at 0 pressure, internal energy and enthalpy are equivalent.
The Gibbs energies of the phases are estimated using thermodynamic integration between the interatomic potential in question and a simpler model with known Gibbs free energy values. For solids, the reference model is an Einstein solid, while for liquids it is the Uhlenbeck-Ford potential. Besides a short run at the start of the solid calculations to estimate Einstein model spring constants, the two calculations proceed similarly. Starting with the final relaxation configurations, the systems are stabilized for 25,000 steps. Then, over the next 50,000 steps the potential is swapped out for the reference potential. The system is then stabilized for another 25,000 steps with the reference model before a reverse swap of 50,000 steps is performed. The simulation ends with one final 25,000 step stabilization period. From the simulation, the irreversible work of transformation is estimated and used to compute the absolute Gibbs free energy of the target phase and potential relative to the reference potential. Entropy is estimated as the difference in enthalpy and Gibbs free energy and divided by temperature.
The calculation methods used are available as the iprPy relax_dynamic, relax_liquid_redo, free_energy, and free_energy_liquid calculation methods.
Clicking on the image of a plot will open an interactive version of it in a new tab. The underlying data for the plots can be downloaded by clicking on the links above each plot.
Notes and Disclaimers:
Version Information:






