Plots of the potential energy vs interatomic spacing, r, are shown below for all diatom sets associated with the interatomic potential. This calculation provides insights into the functional form of the potential's two-body interactions. A system consisting of only two atoms is created, and the potential energy is evaluated for the atoms separated by 0.02 Å <= r <= 6.0> Å in intervals of 0.02 Å. Two plots are shown: one for the "standard" interaction distance range, and one for small values of r. The small r plot is useful for determining whether the potential is suitable for radiation studies.
The calculation method used is available as the iprPy diatom_scan calculation method.
Clicking on the image of a plot will open an interactive version of it in a new tab. The underlying data for the plots can be downloaded by clicking on the links above each plot.
Notes and Disclaimers:
Version Information:
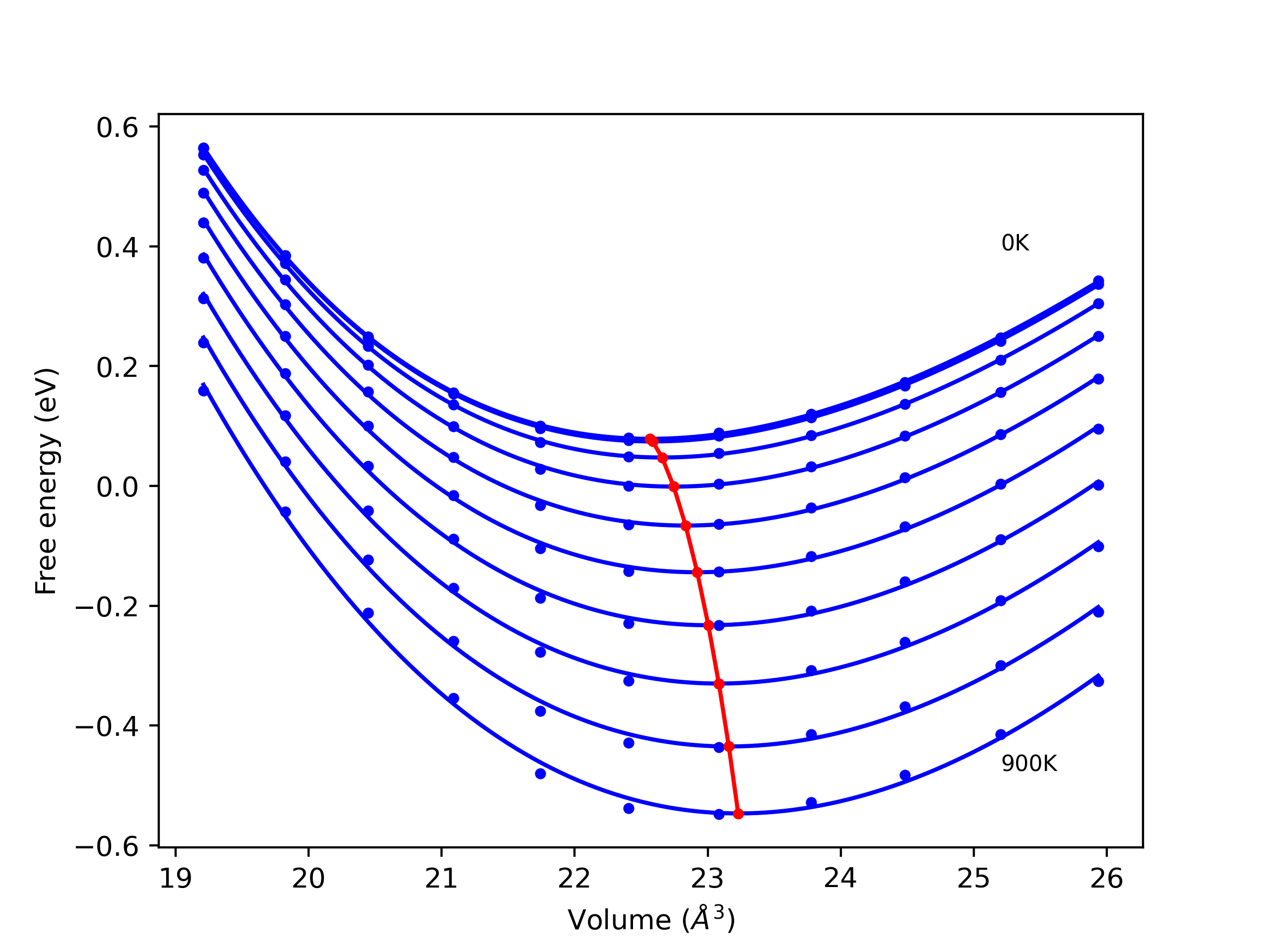
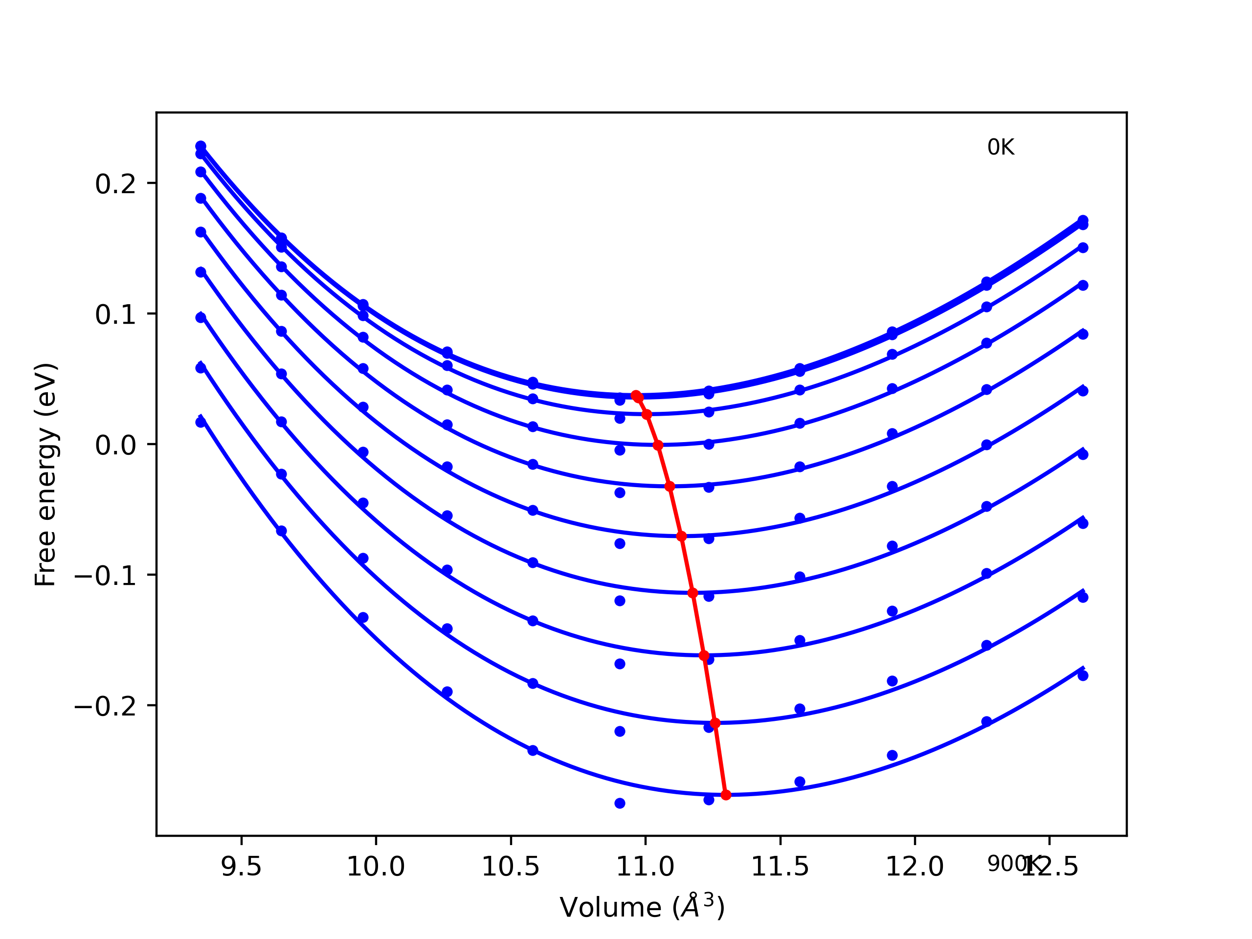
Plots of potential energy vs interatomic spacing, r, are shown below for a number of crystal structures. The structures are generated based on the ideal atomic positions and b/a and c/a lattice parameter ratios for a given crystal prototype. The size of the system is then uniformly scaled, and the energy calculated without relaxing the system. To obtain these plots, values of r are evaluated every 0.02 Å up to 6 Å.
The calculation method used is available as the iprPy E_vs_r_scan calculation method.
Clicking on the image of a plot will open an interactive version of it in a new tab. The underlying data for the plots can be downloaded by clicking on the links above each plot.
Notes and Disclaimers:
Version Information:
Computed lattice constants and cohesive/potential energies are displayed for a variety of crystal structures. The values displayed here are obtained using the following process.
The calculation methods used are implemented into iprPy as the following calculation styles
Notes and Disclaimers:
Version Information:
Download raw data (including filtered results)
Reference structure matches:
A1--Cu--fcc = mp-102, oqmd-592136, oqmd-594128, oqmd-1214517
A15--beta-W = oqmd-1214962, oqmd-1280314
A2--W--bcc = oqmd-1215140, oqmd-1215853
A3'--alpha-La--double-hcp = mp-1183710, oqmd-1215408
A3--Mg--hcp = mp-54, oqmd-592630, oqmd-637416, oqmd-1215318
A4--C--dc = oqmd-1215497
A5--beta-Sn = oqmd-1215586
A6--In--bct = oqmd-1215675
| prototype | method | Ecoh (eV/atom) | Epot (eV/atom) | a0 (Å) | b0 (Å) | c0 (Å) | α (degrees) | β (degrees) | γ (degrees) |
|---|---|---|---|---|---|---|---|---|---|
| A1--Cu--fcc | dynamic | -4.41 | -4.41 | 3.55 | 3.55 | 3.55 | 90.0 | 90.0 | 90.0 |
| A6--In--bct | box | -4.4091 | -4.4091 | 2.5358 | 2.5358 | 3.4567 | 90.0 | 90.0 | 90.0 |
| A3--Mg--hcp | dynamic | -4.4086 | -4.4086 | 2.5015 | 2.5015 | 4.1901 | 90.0 | 90.0 | 120.0 |
| oqmd-1215229 | box | -4.4085 | -4.4085 | 2.4962 | 4.3413 | 4.1905 | 90.0 | 90.0 | 90.0 |
| oqmd-1216031 | dynamic | -4.4083 | -4.4083 | 2.5043 | 2.5043 | 18.7207 | 90.0 | 90.0 | 120.0 |
| A3'--alpha-La--double-hcp | dynamic | -4.4078 | -4.4078 | 2.5058 | 2.5058 | 8.2859 | 90.0 | 90.0 | 120.0 |
| A2--W--bcc | box | -4.3305 | -4.3305 | 2.9149 | 2.9149 | 2.9149 | 90.0 | 90.0 | 90.0 |
| oqmd-1214873 | box | -4.3064 | -4.3064 | 6.2131 | 6.2131 | 6.2131 | 90.0 | 90.0 | 90.0 |
| mp-669382 | static | -4.2994 | -4.2994 | 8.0339 | 8.0339 | 9.6971 | 90.0 | 90.0 | 120.0 |
| oqmd-1214784 | static | -4.2969 | -4.2969 | 8.8189 | 8.8189 | 8.8189 | 90.0 | 90.0 | 90.0 |
| mp-669382 | box | -4.2824 | -4.2824 | 8.0825 | 8.0825 | 9.6855 | 90.0 | 90.0 | 120.0 |
| oqmd-594127 | box | -4.2815 | -4.2815 | 8.0927 | 8.0927 | 9.6564 | 90.0 | 90.0 | 120.0 |
| oqmd-1214784 | box | -4.2658 | -4.2658 | 8.8606 | 8.8606 | 8.8606 | 90.0 | 90.0 | 90.0 |
| A15--beta-W | static | -4.2103 | -4.2103 | 4.5758 | 4.5758 | 4.5758 | 90.0 | 90.0 | 90.0 |
| oqmd-631034 | static | -4.2008 | -4.2008 | 8.5809 | 8.5809 | 4.6425 | 90.0 | 90.0 | 90.0 |
| mp-1193227 | box | -4.1799 | -4.1799 | 8.6238 | 8.6238 | 4.6315 | 90.0 | 90.0 | 90.0 |
| oqmd-631034 | box | -4.1795 | -4.1795 | 8.6234 | 8.6234 | 4.63 | 90.0 | 90.0 | 90.0 |
| oqmd-1214695 | box | -4.0872 | -4.0872 | 2.3819 | 2.3819 | 8.4006 | 90.0 | 90.0 | 90.0 |
| mp-1072089 | static | -4.0793 | -4.0793 | 6.7548 | 6.7548 | 6.7548 | 90.0 | 90.0 | 90.0 |
| oqmd-1215051 | box | -4.0622 | -4.0622 | 3.3337 | 8.6177 | 3.3475 | 90.0 | 90.0 | 90.0 |
| A5--beta-Sn | box | -3.9555 | -3.9555 | 4.4892 | 4.4892 | 2.3861 | 90.0 | 90.0 | 90.0 |
| Ah--alpha-Po--sc | box | -3.6458 | -3.6458 | 2.3299 | 2.3299 | 2.3299 | 90.0 | 90.0 | 90.0 |
| A7--alpha-As | box | -2.932 | -2.932 | 3.2947 | 3.2947 | 9.7731 | 90.0 | 90.0 | 120.0 |
| A4--C--dc | box | -2.3701 | -2.3701 | 5.6627 | 5.6627 | 5.6627 | 90.0 | 90.0 | 90.0 |
| oqmd-1215942 | box | -0.949 | -0.949 | 3.095 | 3.095 | 4.3103 | 90.0 | 90.0 | 120.0 |
| Ah--alpha-Po--sc | box | -0.433 | -0.433 | 3.8688 | 3.8688 | 3.8688 | 90.0 | 90.0 | 90.0 |
| A3--Mg--hcp | dynamic | -0.0028 | -0.0028 | 5.595 | 5.595 | 9.1366 | 90.0 | 90.0 | 120.0 |
| A3'--alpha-La--double-hcp | dynamic | -0.0028 | -0.0028 | 5.595 | 5.595 | 18.2732 | 90.0 | 90.0 | 120.0 |
| A1--Cu--fcc | box | -0.0028 | -0.0028 | 7.9125 | 7.9125 | 7.9125 | 90.0 | 90.0 | 90.0 |
| A15--beta-W | box | -0.0022 | -0.0022 | 9.8016 | 9.8016 | 9.8016 | 90.0 | 90.0 | 90.0 |
| A2--W--bcc | box | -0.0019 | -0.0019 | 6.4605 | 6.4605 | 6.4605 | 90.0 | 90.0 | 90.0 |
| A4--C--dc | box | -0.0009 | -0.0009 | 12.9211 | 12.9211 | 12.9211 | 90.0 | 90.0 | 90.0 |
| A3--Mg--hcp | dynamic | 0.0591 | 0.0591 | 5.1674 | 5.1674 | 8.4383 | 90.0 | 90.0 | 120.0 |
| A3'--alpha-La--double-hcp | dynamic | 0.0591 | 0.0591 | 5.1674 | 5.1674 | 16.8767 | 90.0 | 90.0 | 120.0 |
| A1--Cu--fcc | box | 0.0591 | 0.0591 | 7.3078 | 7.3078 | 7.3078 | 90.0 | 90.0 | 90.0 |
Download raw data (including filtered results)
Reference structure matches:
| prototype | method | Ecoh (eV/atom) | Epot (eV/atom) | a0 (Å) | b0 (Å) | c0 (Å) | α (degrees) | β (degrees) | γ (degrees) |
|---|---|---|---|---|---|---|---|---|---|
| C1--CaF2--fluorite | box | -3.6155 | -3.6155 | 5.4809 | 5.4809 | 5.4809 | 90.0 | 90.0 | 90.0 |
| C1--CaF2--fluorite | box | -0.034 | -0.034 | 10.3048 | 10.3048 | 10.3048 | 90.0 | 90.0 | 90.0 |
| C1--CaF2--fluorite | box | -0.0 | -0.0 | 13.3953 | 13.3953 | 13.3953 | 90.0 | 90.0 | 90.0 |
Download raw data (including filtered results)
Reference structure matches:
| prototype | method | Ecoh (eV/atom) | Epot (eV/atom) | a0 (Å) | b0 (Å) | c0 (Å) | α (degrees) | β (degrees) | γ (degrees) |
|---|---|---|---|---|---|---|---|---|---|
| mp-1226444 | dynamic | -4.1987 | -4.1987 | 12.313 | 12.371 | 4.5913 | 90.0 | 90.0 | 90.0 |
| mp-1226444 | static | -4.1987 | -4.1987 | 12.3126 | 12.3714 | 4.5914 | 90.0 | 90.0 | 90.0 |
| mp-1226444 | box | -4.1896 | -4.1896 | 12.3584 | 12.4597 | 4.5758 | 90.0 | 90.0 | 90.0 |
Download raw data (including filtered results)
Reference structure matches:
| prototype | method | Ecoh (eV/atom) | Epot (eV/atom) | a0 (Å) | b0 (Å) | c0 (Å) | α (degrees) | β (degrees) | γ (degrees) |
|---|---|---|---|---|---|---|---|---|---|
| L2_1--AlCu2Mn--heusler | box | -4.0332 | -4.0332 | 5.7687 | 5.7687 | 5.7687 | 90.0 | 90.0 | 90.0 |
| L2_1--AlCu2Mn--heusler | box | -0.7751 | -0.7751 | 11.411 | 11.411 | 11.411 | 90.0 | 90.0 | 90.0 |
| L2_1--AlCu2Mn--heusler | box | -0.0008 | -0.0008 | 13.035 | 13.035 | 13.035 | 90.0 | 90.0 | 90.0 |
Download raw data (including filtered results)
Reference structure matches:
| prototype | method | Ecoh (eV/atom) | Epot (eV/atom) | a0 (Å) | b0 (Å) | c0 (Å) | α (degrees) | β (degrees) | γ (degrees) |
|---|---|---|---|---|---|---|---|---|---|
| L2_1--AlCu2Mn--heusler | box | -4.2499 | -4.2499 | 5.7303 | 5.7303 | 5.7303 | 90.0 | 90.0 | 90.0 |
Download raw data (including filtered results)
Reference structure matches:
| prototype | method | Ecoh (eV/atom) | Epot (eV/atom) | a0 (Å) | b0 (Å) | c0 (Å) | α (degrees) | β (degrees) | γ (degrees) |
|---|---|---|---|---|---|---|---|---|---|
| L2_1--AlCu2Mn--heusler | box | -4.258 | -4.258 | 5.7499 | 5.7499 | 5.7499 | 90.0 | 90.0 | 90.0 |
Download raw data (including filtered results)
Reference structure matches:
| prototype | method | Ecoh (eV/atom) | Epot (eV/atom) | a0 (Å) | b0 (Å) | c0 (Å) | α (degrees) | β (degrees) | γ (degrees) |
|---|---|---|---|---|---|---|---|---|---|
| C1--CaF2--fluorite | box | -3.4062 | -3.4062 | 5.4707 | 5.4707 | 5.4707 | 90.0 | 90.0 | 90.0 |
| C1--CaF2--fluorite | box | -0.3585 | -0.3585 | 11.509 | 11.509 | 11.509 | 90.0 | 90.0 | 90.0 |
| C1--CaF2--fluorite | box | -0.0019 | -0.0019 | 12.9848 | 12.9848 | 12.9848 | 90.0 | 90.0 | 90.0 |
Download raw data (including filtered results)
Reference structure matches:
| prototype | method | Ecoh (eV/atom) | Epot (eV/atom) | a0 (Å) | b0 (Å) | c0 (Å) | α (degrees) | β (degrees) | γ (degrees) |
|---|---|---|---|---|---|---|---|---|---|
| L2_1--AlCu2Mn--heusler | box | -4.0667 | -4.0667 | 5.7522 | 5.7522 | 5.7522 | 90.0 | 90.0 | 90.0 |
| L2_1--AlCu2Mn--heusler | box | -0.227 | -0.227 | 10.0742 | 10.0742 | 10.0742 | 90.0 | 90.0 | 90.0 |
Download raw data (including filtered results)
Reference structure matches:
| prototype | method | Ecoh (eV/atom) | Epot (eV/atom) | a0 (Å) | b0 (Å) | c0 (Å) | α (degrees) | β (degrees) | γ (degrees) |
|---|---|---|---|---|---|---|---|---|---|
| L2_1--AlCu2Mn--heusler | box | -4.0822 | -4.0822 | 5.7696 | 5.7696 | 5.7696 | 90.0 | 90.0 | 90.0 |
| L2_1--AlCu2Mn--heusler | box | -0.2508 | -0.2508 | 11.5261 | 11.5261 | 11.5261 | 90.0 | 90.0 | 90.0 |
Download raw data (including filtered results)
Reference structure matches:
| prototype | method | Ecoh (eV/atom) | Epot (eV/atom) | a0 (Å) | b0 (Å) | c0 (Å) | α (degrees) | β (degrees) | γ (degrees) |
|---|---|---|---|---|---|---|---|---|---|
| C1--CaF2--fluorite | box | -3.523 | -3.523 | 5.6156 | 5.6156 | 5.6156 | 90.0 | 90.0 | 90.0 |
| C1--CaF2--fluorite | box | -0.289 | -0.289 | 11.7624 | 11.7624 | 11.7624 | 90.0 | 90.0 | 90.0 |
Download raw data (including filtered results)
Reference structure matches:
| prototype | method | Ecoh (eV/atom) | Epot (eV/atom) | a0 (Å) | b0 (Å) | c0 (Å) | α (degrees) | β (degrees) | γ (degrees) |
|---|---|---|---|---|---|---|---|---|---|
| L2_1--AlCu2Mn--heusler | box | -4.2923 | -4.2923 | 5.7168 | 5.7168 | 5.7168 | 90.0 | 90.0 | 90.0 |
| L2_1--AlCu2Mn--heusler | box | -0.2131 | -0.2131 | 11.7559 | 11.7559 | 11.7559 | 90.0 | 90.0 | 90.0 |
Download raw data (including filtered results)
Reference structure matches:
| prototype | method | Ecoh (eV/atom) | Epot (eV/atom) | a0 (Å) | b0 (Å) | c0 (Å) | α (degrees) | β (degrees) | γ (degrees) |
|---|---|---|---|---|---|---|---|---|---|
| C1--CaF2--fluorite | box | -3.6535 | -3.6535 | 5.5005 | 5.5005 | 5.5005 | 90.0 | 90.0 | 90.0 |
| oqmd-1232456 | box | -2.9513 | -2.9513 | 4.9525 | 4.9525 | 3.9794 | 90.0 | 90.0 | 90.0 |
| C1--CaF2--fluorite | box | -0.0084 | -0.0084 | 10.8484 | 10.8484 | 10.8484 | 90.0 | 90.0 | 90.0 |
Download raw data (including filtered results)
Reference structure matches:
| prototype | method | Ecoh (eV/atom) | Epot (eV/atom) | a0 (Å) | b0 (Å) | c0 (Å) | α (degrees) | β (degrees) | γ (degrees) |
|---|---|---|---|---|---|---|---|---|---|
| oqmd-426534 | box | -3.7635 | -3.7635 | 6.103 | 6.103 | 12.045 | 90.0 | 90.0 | 120.0 |
Download raw data (including filtered results)
Reference structure matches:
L1_2--AuCu3 = mp-1008280
| prototype | method | Ecoh (eV/atom) | Epot (eV/atom) | a0 (Å) | b0 (Å) | c0 (Å) | α (degrees) | β (degrees) | γ (degrees) |
|---|---|---|---|---|---|---|---|---|---|
| L1_2--AuCu3 | dynamic | -4.3572 | -4.3572 | 3.5463 | 3.5463 | 3.5463 | 90.0 | 90.0 | 90.0 |
| mp-1087479 | dynamic | -4.3522 | -4.3522 | 4.998 | 4.998 | 4.1662 | 90.0 | 90.0 | 120.0 |
| mp-1226209 | dynamic | -4.3494 | -4.3494 | 2.4948 | 2.4948 | 8.3436 | 90.0 | 90.0 | 120.0 |
| mp-1226209 | box | -4.3465 | -4.3465 | 2.4958 | 2.4958 | 8.3331 | 90.0 | 90.0 | 120.0 |
| mp-1087479 | box | -4.3404 | -4.3404 | 5.0201 | 5.0201 | 4.1623 | 90.0 | 90.0 | 120.0 |
| D0_3--BiF3 | box | -4.2686 | -4.2686 | 5.8045 | 5.8045 | 5.8045 | 90.0 | 90.0 | 90.0 |
| A15--Cr3Si | box | -4.1482 | -4.1482 | 4.6138 | 4.6138 | 4.6138 | 90.0 | 90.0 | 90.0 |
| L1_2--AuCu3 | box | -0.0003 | -0.0003 | 7.9967 | 7.9967 | 7.9967 | 90.0 | 90.0 | 90.0 |
| A15--Cr3Si | box | 0.0022 | 0.0022 | 9.736 | 9.736 | 9.736 | 90.0 | 90.0 | 90.0 |
| A15--Cr3Si | box | 0.0082 | 0.0082 | 9.0292 | 9.0292 | 9.0292 | 90.0 | 90.0 | 90.0 |
| L1_2--AuCu3 | box | 0.0535 | 0.0535 | 7.2175 | 7.2175 | 7.2175 | 90.0 | 90.0 | 90.0 |
Download raw data (including filtered results)
Reference structure matches:
| prototype | method | Ecoh (eV/atom) | Epot (eV/atom) | a0 (Å) | b0 (Å) | c0 (Å) | α (degrees) | β (degrees) | γ (degrees) |
|---|---|---|---|---|---|---|---|---|---|
| mp-1183752 | dynamic | -4.1874 | -4.1874 | 3.5738 | 3.5738 | 7.1127 | 90.0 | 90.0 | 90.0 |
| L1_2--AuCu3 | box | -4.1857 | -4.1857 | 3.5718 | 3.5718 | 3.5718 | 90.0 | 90.0 | 90.0 |
| D0_3--BiF3 | box | -4.0912 | -4.0912 | 5.805 | 5.805 | 5.805 | 90.0 | 90.0 | 90.0 |
| A15--Cr3Si | box | -3.9966 | -3.9966 | 4.627 | 4.627 | 4.627 | 90.0 | 90.0 | 90.0 |
| L1_2--AuCu3 | box | -0.729 | -0.729 | 7.1863 | 7.1863 | 7.1863 | 90.0 | 90.0 | 90.0 |
| A15--Cr3Si | static | -0.0545 | -0.0545 | 8.6902 | 8.6902 | 8.6902 | 90.0 | 90.0 | 90.0 |
| L1_2--AuCu3 | box | -0.0034 | -0.0034 | 7.9412 | 7.9412 | 7.9412 | 90.0 | 90.0 | 90.0 |
| D0_3--BiF3 | box | -0.0023 | -0.0023 | 12.968 | 12.968 | 12.968 | 90.0 | 90.0 | 90.0 |
| A15--Cr3Si | box | 0.0027 | 0.0027 | 9.9617 | 9.9617 | 9.9617 | 90.0 | 90.0 | 90.0 |
Download raw data (including filtered results)
Reference structure matches:
L1_2--AuCu3 = mp-1007852
| prototype | method | Ecoh (eV/atom) | Epot (eV/atom) | a0 (Å) | b0 (Å) | c0 (Å) | α (degrees) | β (degrees) | γ (degrees) |
|---|---|---|---|---|---|---|---|---|---|
| mp-1225083 | dynamic | -4.4047 | -4.4047 | 2.5233 | 2.5233 | 7.0531 | 90.0 | 90.0 | 90.0 |
| mp-1225083 | box | -4.4027 | -4.4027 | 2.522 | 2.522 | 7.0606 | 90.0 | 90.0 | 90.0 |
| L1_2--AuCu3 | dynamic | -4.3977 | -4.3977 | 3.5553 | 3.5553 | 3.5553 | 90.0 | 90.0 | 90.0 |
| D0_3--BiF3 | box | -4.3013 | -4.3013 | 5.7954 | 5.7954 | 5.7954 | 90.0 | 90.0 | 90.0 |
| A15--Cr3Si | box | -4.1967 | -4.1967 | 4.6026 | 4.6026 | 4.6026 | 90.0 | 90.0 | 90.0 |
| A15--Cr3Si | dynamic | -0.333 | -0.333 | 9.0121 | 9.0121 | 9.0121 | 90.0 | 90.0 | 90.0 |
| L1_2--AuCu3 | box | -0.2485 | -0.2485 | 7.1134 | 7.1134 | 7.1134 | 90.0 | 90.0 | 90.0 |
| A15--Cr3Si | box | -0.2252 | -0.2252 | 9.4518 | 9.4518 | 9.4518 | 90.0 | 90.0 | 90.0 |
| D0_3--BiF3 | static | -0.1916 | -0.1916 | 11.7286 | 11.7286 | 11.7286 | 90.0 | 90.0 | 90.0 |
| L1_2--AuCu3 | box | -0.1583 | -0.1583 | 7.502 | 7.502 | 7.502 | 90.0 | 90.0 | 90.0 |
Download raw data (including filtered results)
Reference structure matches:
| prototype | method | Ecoh (eV/atom) | Epot (eV/atom) | a0 (Å) | b0 (Å) | c0 (Å) | α (degrees) | β (degrees) | γ (degrees) |
|---|---|---|---|---|---|---|---|---|---|
| mp-641526 | box | -4.3036 | -4.3036 | 5.7264 | 5.7264 | 5.7535 | 90.0 | 90.0 | 90.0 |
Download raw data (including filtered results)
Reference structure matches:
| prototype | method | Ecoh (eV/atom) | Epot (eV/atom) | a0 (Å) | b0 (Å) | c0 (Å) | α (degrees) | β (degrees) | γ (degrees) |
|---|---|---|---|---|---|---|---|---|---|
| mp-1084832 | static | -4.302 | -4.302 | 5.7236 | 5.7236 | 5.7236 | 90.0 | 90.0 | 90.0 |
Download raw data (including filtered results)
Reference structure matches:
D0_3--BiF3 = oqmd-308248
L1_2--AuCu3 = mp-1008349, oqmd-344812
| prototype | method | Ecoh (eV/atom) | Epot (eV/atom) | a0 (Å) | b0 (Å) | c0 (Å) | α (degrees) | β (degrees) | γ (degrees) |
|---|---|---|---|---|---|---|---|---|---|
| L1_2--AuCu3 | dynamic | -4.4193 | -4.4193 | 3.5418 | 3.5418 | 3.5418 | 90.0 | 90.0 | 90.0 |
| oqmd-297717 | box | -4.4178 | -4.4178 | 3.5435 | 3.5435 | 7.0822 | 90.0 | 90.0 | 90.0 |
| mp-1183837 | dynamic | -4.411 | -4.411 | 4.9929 | 4.9929 | 4.1703 | 90.0 | 90.0 | 120.0 |
| oqmd-320326 | box | -4.4109 | -4.4109 | 4.9934 | 4.9934 | 4.1703 | 90.0 | 90.0 | 120.0 |
| mp-1226559 | dynamic | -4.4103 | -4.4103 | 2.4948 | 2.4948 | 8.3358 | 90.0 | 90.0 | 120.0 |
| mp-1226559 | box | -4.4103 | -4.4103 | 2.4949 | 2.4949 | 8.3356 | 90.0 | 90.0 | 120.0 |
| mp-1183837 | box | -4.4103 | -4.4103 | 4.9947 | 4.9947 | 4.17 | 90.0 | 90.0 | 120.0 |
| D0_3--BiF3 | box | -4.3152 | -4.3152 | 5.8014 | 5.8014 | 5.8014 | 90.0 | 90.0 | 90.0 |
| A15--Cr3Si | box | -4.2196 | -4.2196 | 4.5922 | 4.5922 | 4.5922 | 90.0 | 90.0 | 90.0 |
| A15--Cr3Si | box | -0.0642 | -0.0642 | 8.9154 | 8.9154 | 8.9154 | 90.0 | 90.0 | 90.0 |
| L1_2--AuCu3 | box | -0.0002 | -0.0002 | 8.0038 | 8.0038 | 8.0038 | 90.0 | 90.0 | 90.0 |
Download raw data (including filtered results)
Reference structure matches:
| prototype | method | Ecoh (eV/atom) | Epot (eV/atom) | a0 (Å) | b0 (Å) | c0 (Å) | α (degrees) | β (degrees) | γ (degrees) |
|---|---|---|---|---|---|---|---|---|---|
| mp-601848 | box | -4.3049 | -4.3049 | 5.728 | 5.728 | 5.7286 | 90.0 | 90.0 | 90.0 |
Download raw data (including filtered results)
Reference structure matches:
| prototype | method | Ecoh (eV/atom) | Epot (eV/atom) | a0 (Å) | b0 (Å) | c0 (Å) | α (degrees) | β (degrees) | γ (degrees) |
|---|---|---|---|---|---|---|---|---|---|
| mp-1227307 | dynamic | -4.2062 | -4.2062 | 8.7259 | 8.7259 | 4.6034 | 90.0 | 90.0 | 90.0 |
| mp-1227307 | box | -4.1756 | -4.1756 | 8.7891 | 8.7891 | 4.5975 | 90.0 | 90.0 | 90.0 |
Download raw data (including filtered results)
Reference structure matches:
| prototype | method | Ecoh (eV/atom) | Epot (eV/atom) | a0 (Å) | b0 (Å) | c0 (Å) | α (degrees) | β (degrees) | γ (degrees) |
|---|---|---|---|---|---|---|---|---|---|
| mp-601842 | box | -4.305 | -4.305 | 5.7114 | 5.7114 | 5.7114 | 90.0 | 90.0 | 90.0 |
Download raw data (including filtered results)
Reference structure matches:
| prototype | method | Ecoh (eV/atom) | Epot (eV/atom) | a0 (Å) | b0 (Å) | c0 (Å) | α (degrees) | β (degrees) | γ (degrees) |
|---|---|---|---|---|---|---|---|---|---|
| mp-1096987 | static | -3.6176 | -3.6176 | 5.245 | 5.245 | 4.8788 | 90.0 | 90.0 | 90.0 |
| mp-1096987 | box | -3.5951 | -3.5951 | 5.2785 | 5.2785 | 4.8254 | 90.0 | 90.0 | 90.0 |
Download raw data (including filtered results)
Reference structure matches:
B2--CsCl = mp-1010071
| prototype | method | Ecoh (eV/atom) | Epot (eV/atom) | a0 (Å) | b0 (Å) | c0 (Å) | α (degrees) | β (degrees) | γ (degrees) |
|---|---|---|---|---|---|---|---|---|---|
| L1_0--AuCu | box | -4.3035 | -4.3035 | 2.5522 | 2.5522 | 3.3699 | 90.0 | 90.0 | 90.0 |
| B2--CsCl | box | -4.2118 | -4.2118 | 2.875 | 2.875 | 2.875 | 90.0 | 90.0 | 90.0 |
| B4--ZnS--wurtzite | static | -3.7679 | -3.7679 | 2.463 | 2.463 | 13.0051 | 90.0 | 90.0 | 120.0 |
| B1--NaCl--rock-salt | box | -3.5908 | -3.5908 | 4.6725 | 4.6725 | 4.6725 | 90.0 | 90.0 | 90.0 |
| B4--ZnS--wurtzite | box | -2.4201 | -2.4201 | 3.896 | 3.896 | 6.4546 | 90.0 | 90.0 | 120.0 |
| B3--ZnS--cubic-zinc-blende | box | -2.4158 | -2.4158 | 5.5086 | 5.5086 | 5.5086 | 90.0 | 90.0 | 90.0 |
| B2--CsCl | box | -0.2001 | -0.2001 | 5.245 | 5.245 | 5.245 | 90.0 | 90.0 | 90.0 |
| B2--CsCl | box | -0.0 | -0.0 | 6.6977 | 6.6977 | 6.6977 | 90.0 | 90.0 | 90.0 |
| L1_0--AuCu | box | -0.0 | -0.0 | 6.0187 | 6.0187 | 7.882 | 90.0 | 90.0 | 90.0 |
| B3--ZnS--cubic-zinc-blende | box | -0.0 | -0.0 | 13.3953 | 13.3953 | 13.3953 | 90.0 | 90.0 | 90.0 |
| B4--ZnS--wurtzite | static | -0.0 | -0.0 | 9.4764 | 9.4764 | 15.4759 | 90.0 | 90.0 | 120.0 |
| B4--ZnS--wurtzite | dynamic | 0.0 | 0.0 | 9.4764 | 9.4764 | 21.3494 | 90.0 | 90.0 | 120.0 |
Download raw data (including filtered results)
Reference structure matches:
| prototype | method | Ecoh (eV/atom) | Epot (eV/atom) | a0 (Å) | b0 (Å) | c0 (Å) | α (degrees) | β (degrees) | γ (degrees) |
|---|---|---|---|---|---|---|---|---|---|
| mp-1077706 | static | -4.0348 | -4.0348 | 6.6644 | 6.6644 | 6.6644 | 90.0 | 90.0 | 90.0 |
| C1--CaF2--fluorite | box | -3.5658 | -3.5658 | 5.5336 | 5.5336 | 5.5336 | 90.0 | 90.0 | 90.0 |
| C1--CaF2--fluorite | box | -0.0613 | -0.0613 | 10.7525 | 10.7525 | 10.7525 | 90.0 | 90.0 | 90.0 |
| C1--CaF2--fluorite | box | -0.0 | -0.0 | 13.3953 | 13.3953 | 13.3953 | 90.0 | 90.0 | 90.0 |
Download raw data (including filtered results)
Reference structure matches:
| prototype | method | Ecoh (eV/atom) | Epot (eV/atom) | a0 (Å) | b0 (Å) | c0 (Å) | α (degrees) | β (degrees) | γ (degrees) |
|---|---|---|---|---|---|---|---|---|---|
| L2_1--AlCu2Mn--heusler | box | -3.984 | -3.984 | 5.6975 | 5.6975 | 5.6975 | 90.0 | 90.0 | 90.0 |
| L2_1--AlCu2Mn--heusler | box | -1.5386 | -1.5386 | 10.1517 | 10.1517 | 10.1517 | 90.0 | 90.0 | 90.0 |
| L2_1--AlCu2Mn--heusler | box | -0.0 | -0.0 | 13.179 | 13.179 | 13.179 | 90.0 | 90.0 | 90.0 |
Download raw data (including filtered results)
Reference structure matches:
| prototype | method | Ecoh (eV/atom) | Epot (eV/atom) | a0 (Å) | b0 (Å) | c0 (Å) | α (degrees) | β (degrees) | γ (degrees) |
|---|---|---|---|---|---|---|---|---|---|
| L2_1--AlCu2Mn--heusler | box | -4.2116 | -4.2116 | 5.6709 | 5.6709 | 5.6709 | 90.0 | 90.0 | 90.0 |
| L2_1--AlCu2Mn--heusler | box | -0.2113 | -0.2113 | 9.8717 | 9.8717 | 9.8717 | 90.0 | 90.0 | 90.0 |
| L2_1--AlCu2Mn--heusler | box | -0.0 | -0.0 | 13.3952 | 13.3952 | 13.3952 | 90.0 | 90.0 | 90.0 |
Download raw data (including filtered results)
Reference structure matches:
| prototype | method | Ecoh (eV/atom) | Epot (eV/atom) | a0 (Å) | b0 (Å) | c0 (Å) | α (degrees) | β (degrees) | γ (degrees) |
|---|---|---|---|---|---|---|---|---|---|
| L2_1--AlCu2Mn--heusler | box | -4.2173 | -4.2173 | 5.6622 | 5.6622 | 5.6622 | 90.0 | 90.0 | 90.0 |
| L2_1--AlCu2Mn--heusler | box | 0.0409 | 0.0409 | 10.971 | 10.971 | 10.971 | 90.0 | 90.0 | 90.0 |
Download raw data (including filtered results)
Reference structure matches:
| prototype | method | Ecoh (eV/atom) | Epot (eV/atom) | a0 (Å) | b0 (Å) | c0 (Å) | α (degrees) | β (degrees) | γ (degrees) |
|---|---|---|---|---|---|---|---|---|---|
| L1_2--AuCu3 | box | -4.2521 | -4.2521 | 3.5367 | 3.5367 | 3.5367 | 90.0 | 90.0 | 90.0 |
| mp-1025503 | dynamic | -4.2447 | -4.2447 | 4.9916 | 4.9916 | 4.0567 | 90.0 | 90.0 | 120.0 |
| mp-1025503 | box | -4.2423 | -4.2423 | 4.9926 | 4.9926 | 4.0484 | 90.0 | 90.0 | 120.0 |
| D0_3--BiF3 | box | -4.1687 | -4.1687 | 5.6635 | 5.6635 | 5.6635 | 90.0 | 90.0 | 90.0 |
| A15--Cr3Si | box | -4.1446 | -4.1446 | 4.536 | 4.536 | 4.536 | 90.0 | 90.0 | 90.0 |
| A15--Cr3Si | box | -0.2256 | -0.2256 | 8.37 | 8.37 | 8.37 | 90.0 | 90.0 | 90.0 |
| L1_2--AuCu3 | box | -0.1967 | -0.1967 | 6.5239 | 6.5239 | 6.5239 | 90.0 | 90.0 | 90.0 |
| D0_3--BiF3 | box | -0.0976 | -0.0976 | 9.9841 | 9.9841 | 9.9841 | 90.0 | 90.0 | 90.0 |
Download raw data (including filtered results)
Reference structure matches:
| prototype | method | Ecoh (eV/atom) | Epot (eV/atom) | a0 (Å) | b0 (Å) | c0 (Å) | α (degrees) | β (degrees) | γ (degrees) |
|---|---|---|---|---|---|---|---|---|---|
| L2_1--AlCu2Mn--heusler | box | -3.8028 | -3.8028 | 5.7328 | 5.7328 | 5.7328 | 90.0 | 90.0 | 90.0 |
| L2_1--AlCu2Mn--heusler | static | -0.9719 | -0.9719 | 11.5213 | 11.5213 | 11.5213 | 90.0 | 90.0 | 90.0 |
| L2_1--AlCu2Mn--heusler | box | -0.0016 | -0.0016 | 13.0057 | 13.0057 | 13.0057 | 90.0 | 90.0 | 90.0 |
Download raw data (including filtered results)
Reference structure matches:
| prototype | method | Ecoh (eV/atom) | Epot (eV/atom) | a0 (Å) | b0 (Å) | c0 (Å) | α (degrees) | β (degrees) | γ (degrees) |
|---|---|---|---|---|---|---|---|---|---|
| L2_1--AlCu2Mn--heusler | box | -4.2661 | -4.2661 | 5.6592 | 5.6592 | 5.6592 | 90.0 | 90.0 | 90.0 |
| L2_1--AlCu2Mn--heusler | box | -0.3741 | -0.3741 | 11.2054 | 11.2054 | 11.2054 | 90.0 | 90.0 | 90.0 |
| L2_1--AlCu2Mn--heusler | static | -0.3257 | -0.3257 | 12.0989 | 12.0989 | 12.0989 | 90.0 | 90.0 | 90.0 |
Download raw data (including filtered results)
Reference structure matches:
| prototype | method | Ecoh (eV/atom) | Epot (eV/atom) | a0 (Å) | b0 (Å) | c0 (Å) | α (degrees) | β (degrees) | γ (degrees) |
|---|---|---|---|---|---|---|---|---|---|
| mp-1096923 | dynamic | -4.3628 | -4.3628 | 10.0052 | 10.0058 | 10.0092 | 90.0 | 120.0 | 120.0 |
| mp-1096923 | box | -4.3564 | -4.3564 | 10.0024 | 10.0066 | 10.0078 | 120.0 | 90.0 | 120.0 |
| mp-1012640 | dynamic | -4.3506 | -4.3506 | 4.3266 | 4.0991 | 5.001 | 90.0 | 90.1 | 90.0 |
| mp-1012640 | box | -4.348 | -4.348 | 4.3251 | 4.0957 | 5.0007 | 90.0 | 90.1 | 90.0 |
Download raw data (including filtered results)
Reference structure matches:
| prototype | method | Ecoh (eV/atom) | Epot (eV/atom) | a0 (Å) | b0 (Å) | c0 (Å) | α (degrees) | β (degrees) | γ (degrees) |
|---|---|---|---|---|---|---|---|---|---|
| L2_1--AlCu2Mn--heusler | box | -4.2632 | -4.2632 | 5.6554 | 5.6554 | 5.6554 | 90.0 | 90.0 | 90.0 |
Download raw data (including filtered results)
Reference structure matches:
| prototype | method | Ecoh (eV/atom) | Epot (eV/atom) | a0 (Å) | b0 (Å) | c0 (Å) | α (degrees) | β (degrees) | γ (degrees) |
|---|---|---|---|---|---|---|---|---|---|
| L1_0--AuCu | dynamic | -3.9806 | -3.9806 | 5.1588 | 5.1588 | 6.8235 | 90.0 | 90.0 | 90.0 |
| L1_0--AuCu | box | -3.9661 | -3.9661 | 2.5373 | 2.5373 | 3.5683 | 90.0 | 90.0 | 90.0 |
| B2--CsCl | box | -3.8555 | -3.8555 | 2.8896 | 2.8896 | 2.8896 | 90.0 | 90.0 | 90.0 |
| B4--ZnS--wurtzite | static | -3.508 | -3.508 | 2.4895 | 2.4895 | 15.3078 | 90.0 | 90.0 | 120.0 |
| B4--ZnS--wurtzite | static | -3.508 | -3.508 | 2.4895 | 2.4895 | 15.3066 | 90.0 | 90.0 | 120.0 |
| B1--NaCl--rock-salt | box | -3.4649 | -3.4649 | 4.8076 | 4.8076 | 4.8076 | 90.0 | 90.0 | 90.0 |
| B2--CsCl | box | -3.2843 | -3.2843 | 5.7601 | 5.7601 | 5.7601 | 90.0 | 90.0 | 90.0 |
| B4--ZnS--wurtzite | box | -2.4565 | -2.4565 | 3.8967 | 3.8967 | 6.4166 | 90.0 | 90.0 | 120.0 |
| B3--ZnS--cubic-zinc-blende | box | -2.4227 | -2.4227 | 5.4965 | 5.4965 | 5.4965 | 90.0 | 90.0 | 90.0 |
| B1--NaCl--rock-salt | box | -0.7135 | -0.7135 | 7.099 | 7.099 | 7.099 | 90.0 | 90.0 | 90.0 |
| B1--NaCl--rock-salt | dynamic | -0.597 | -0.597 | 7.7992 | 7.7992 | 7.7992 | 90.0 | 90.0 | 90.0 |
| B4--ZnS--wurtzite | dynamic | -0.2691 | -0.2691 | 8.1328 | 8.1328 | 13.2916 | 90.0 | 90.0 | 120.0 |
| B3--ZnS--cubic-zinc-blende | box | -0.2691 | -0.2691 | 11.5047 | 11.5047 | 11.5047 | 90.0 | 90.0 | 90.0 |
| L1_0--AuCu | box | -0.0028 | -0.0028 | 5.8347 | 5.8347 | 7.6398 | 90.0 | 90.0 | 90.0 |
| B2--CsCl | box | -0.0028 | -0.0028 | 6.4924 | 6.4924 | 6.4924 | 90.0 | 90.0 | 90.0 |
| B3--ZnS--cubic-zinc-blende | box | -0.0014 | -0.0014 | 12.9848 | 12.9848 | 12.9848 | 90.0 | 90.0 | 90.0 |
| B4--ZnS--wurtzite | dynamic | -0.0014 | -0.0014 | 9.1792 | 9.1792 | 15.0016 | 90.0 | 90.0 | 120.0 |
Download raw data (including filtered results)
Reference structure matches:
| prototype | method | Ecoh (eV/atom) | Epot (eV/atom) | a0 (Å) | b0 (Å) | c0 (Å) | α (degrees) | β (degrees) | γ (degrees) |
|---|---|---|---|---|---|---|---|---|---|
| C1--CaF2--fluorite | box | -3.2326 | -3.2326 | 5.5187 | 5.5187 | 5.5187 | 90.0 | 90.0 | 90.0 |
| C1--CaF2--fluorite | box | -2.1901 | -2.1901 | 11.5185 | 11.5185 | 11.5185 | 90.0 | 90.0 | 90.0 |
| C1--CaF2--fluorite | box | -0.0019 | -0.0019 | 12.9848 | 12.9848 | 12.9848 | 90.0 | 90.0 | 90.0 |
Download raw data (including filtered results)
Reference structure matches:
| prototype | method | Ecoh (eV/atom) | Epot (eV/atom) | a0 (Å) | b0 (Å) | c0 (Å) | α (degrees) | β (degrees) | γ (degrees) |
|---|---|---|---|---|---|---|---|---|---|
| L2_1--AlCu2Mn--heusler | box | -3.8301 | -3.8301 | 5.6839 | 5.6839 | 5.6839 | 90.0 | 90.0 | 90.0 |
| L2_1--AlCu2Mn--heusler | box | -0.1106 | -0.1106 | 12.5951 | 12.5951 | 12.5951 | 90.0 | 90.0 | 90.0 |
| L2_1--AlCu2Mn--heusler | box | -0.0981 | -0.0981 | 10.3218 | 10.3218 | 10.3218 | 90.0 | 90.0 | 90.0 |
Download raw data (including filtered results)
Reference structure matches:
| prototype | method | Ecoh (eV/atom) | Epot (eV/atom) | a0 (Å) | b0 (Å) | c0 (Å) | α (degrees) | β (degrees) | γ (degrees) |
|---|---|---|---|---|---|---|---|---|---|
| L2_1--AlCu2Mn--heusler | box | -3.8489 | -3.8489 | 5.7263 | 5.7263 | 5.7263 | 90.0 | 90.0 | 90.0 |
| L2_1--AlCu2Mn--heusler | box | -0.2416 | -0.2416 | 11.4971 | 11.4971 | 11.4971 | 90.0 | 90.0 | 90.0 |
| L2_1--AlCu2Mn--heusler | box | -0.0014 | -0.0014 | 12.9995 | 12.9995 | 12.9995 | 90.0 | 90.0 | 90.0 |
Download raw data (including filtered results)
Reference structure matches:
| prototype | method | Ecoh (eV/atom) | Epot (eV/atom) | a0 (Å) | b0 (Å) | c0 (Å) | α (degrees) | β (degrees) | γ (degrees) |
|---|---|---|---|---|---|---|---|---|---|
| L1_2--AuCu3 | static | -7.739 | -7.739 | 7.0715 | 7.0715 | 7.0715 | 90.0 | 90.0 | 90.0 |
| A15--Cr3Si | box | -5.854 | -5.854 | 8.9275 | 8.9275 | 8.9275 | 90.0 | 90.0 | 90.0 |
| L1_2--AuCu3 | box | -3.7518 | -3.7518 | 3.5851 | 3.5851 | 3.5851 | 90.0 | 90.0 | 90.0 |
| L1_2--AuCu3 | box | -3.751 | -3.751 | 3.5013 | 3.5013 | 3.5013 | 90.0 | 90.0 | 90.0 |
| D0_3--BiF3 | box | -3.6315 | -3.6315 | 5.7738 | 5.7738 | 5.7738 | 90.0 | 90.0 | 90.0 |
| A15--Cr3Si | box | -3.5904 | -3.5904 | 4.6317 | 4.6317 | 4.6317 | 90.0 | 90.0 | 90.0 |
| D0_3--BiF3 | static | -2.2697 | -2.2697 | 11.5366 | 11.5366 | 11.5366 | 90.0 | 90.0 | 90.0 |
| L1_2--AuCu3 | box | -1.2769 | -1.2769 | 5.3616 | 5.3616 | 5.3616 | 90.0 | 90.0 | 90.0 |
| L1_2--AuCu3 | box | -0.0051 | -0.0051 | 7.951 | 7.951 | 7.951 | 90.0 | 90.0 | 90.0 |
| D0_3--BiF3 | box | -0.0034 | -0.0034 | 12.984 | 12.984 | 12.984 | 90.0 | 90.0 | 90.0 |
Download raw data (including filtered results)
Reference structure matches:
| prototype | method | Ecoh (eV/atom) | Epot (eV/atom) | a0 (Å) | b0 (Å) | c0 (Å) | α (degrees) | β (degrees) | γ (degrees) |
|---|---|---|---|---|---|---|---|---|---|
| L2_1--AlCu2Mn--heusler | box | -4.0747 | -4.0747 | 5.6563 | 5.6563 | 5.6563 | 90.0 | 90.0 | 90.0 |
| L2_1--AlCu2Mn--heusler | static | -0.3519 | -0.3519 | 10.8742 | 10.8742 | 10.8742 | 90.0 | 90.0 | 90.0 |
| L2_1--AlCu2Mn--heusler | box | -0.2777 | -0.2777 | 12.4849 | 12.4849 | 12.4849 | 90.0 | 90.0 | 90.0 |
Download raw data (including filtered results)
Reference structure matches:
| prototype | method | Ecoh (eV/atom) | Epot (eV/atom) | a0 (Å) | b0 (Å) | c0 (Å) | α (degrees) | β (degrees) | γ (degrees) |
|---|---|---|---|---|---|---|---|---|---|
| L2_1--AlCu2Mn--heusler | box | -4.0775 | -4.0775 | 5.6922 | 5.6922 | 5.6922 | 90.0 | 90.0 | 90.0 |
| L2_1--AlCu2Mn--heusler | box | -0.3007 | -0.3007 | 10.0277 | 10.0277 | 10.0277 | 90.0 | 90.0 | 90.0 |
Download raw data (including filtered results)
Reference structure matches:
B2--CsCl = mp-2090
| prototype | method | Ecoh (eV/atom) | Epot (eV/atom) | a0 (Å) | b0 (Å) | c0 (Å) | α (degrees) | β (degrees) | γ (degrees) |
|---|---|---|---|---|---|---|---|---|---|
| L1_0--AuCu | box | -4.3957 | -4.3957 | 2.56 | 2.56 | 3.4623 | 90.0 | 90.0 | 90.0 |
| mp-1225016 | static | -4.3241 | -4.3241 | 2.6208 | 4.2886 | 4.2602 | 90.0 | 90.0 | 90.0 |
| mp-1225016 | box | -4.3109 | -4.3109 | 2.9106 | 4.116 | 4.0675 | 90.0 | 90.0 | 90.0 |
| B2--CsCl | static | -4.3014 | -4.3014 | 2.85 | 2.85 | 2.85 | 90.0 | 90.0 | 90.0 |
| B1--NaCl--rock-salt | box | -3.5936 | -3.5936 | 4.6804 | 4.6804 | 4.6804 | 90.0 | 90.0 | 90.0 |
| B4--ZnS--wurtzite | box | -2.4055 | -2.4055 | 3.7699 | 3.7699 | 6.1097 | 90.0 | 90.0 | 120.0 |
| B3--ZnS--cubic-zinc-blende | box | -2.4035 | -2.4035 | 5.3456 | 5.3456 | 5.3456 | 90.0 | 90.0 | 90.0 |
| L1_0--AuCu | box | -0.4241 | -0.4241 | 5.6295 | 5.6295 | 6.3599 | 90.0 | 90.0 | 90.0 |
| B2--CsCl | box | -0.4231 | -0.4231 | 5.884 | 5.884 | 5.884 | 90.0 | 90.0 | 90.0 |
| B3--ZnS--cubic-zinc-blende | box | -0.2614 | -0.2614 | 11.887 | 11.887 | 11.887 | 90.0 | 90.0 | 90.0 |
| B4--ZnS--wurtzite | dynamic | -0.2614 | -0.2614 | 8.4031 | 8.4031 | 13.7333 | 90.0 | 90.0 | 120.0 |
| B3--ZnS--cubic-zinc-blende | box | 1.2159 | 1.2159 | 8.3966 | 8.3966 | 8.3966 | 90.0 | 90.0 | 90.0 |
| B4--ZnS--wurtzite | dynamic | 1.2159 | 1.2159 | 5.9357 | 5.9357 | 9.7007 | 90.0 | 90.0 | 120.0 |
Download raw data (including filtered results)
Reference structure matches:
| prototype | method | Ecoh (eV/atom) | Epot (eV/atom) | a0 (Å) | b0 (Å) | c0 (Å) | α (degrees) | β (degrees) | γ (degrees) |
|---|---|---|---|---|---|---|---|---|---|
| mp-18695 | box | -4.3016 | -4.3016 | 5.7281 | 5.7281 | 5.7281 | 90.0 | 90.0 | 90.0 |
Download raw data (including filtered results)
Reference structure matches:
| prototype | method | Ecoh (eV/atom) | Epot (eV/atom) | a0 (Å) | b0 (Å) | c0 (Å) | α (degrees) | β (degrees) | γ (degrees) |
|---|---|---|---|---|---|---|---|---|---|
| C1--CaF2--fluorite | box | -3.4956 | -3.4956 | 5.5085 | 5.5085 | 5.5085 | 90.0 | 90.0 | 90.0 |
| C1--CaF2--fluorite | box | -0.3429 | -0.3429 | 11.8933 | 11.8933 | 11.8933 | 90.0 | 90.0 | 90.0 |
| C1--CaF2--fluorite | box | 2.0488 | 2.0488 | 8.2167 | 8.2167 | 8.2167 | 90.0 | 90.0 | 90.0 |
Download raw data (including filtered results)
Reference structure matches:
| prototype | method | Ecoh (eV/atom) | Epot (eV/atom) | a0 (Å) | b0 (Å) | c0 (Å) | α (degrees) | β (degrees) | γ (degrees) |
|---|---|---|---|---|---|---|---|---|---|
| L2_1--AlCu2Mn--heusler | box | -4.3132 | -4.3132 | 5.6633 | 5.6633 | 5.6633 | 90.0 | 90.0 | 90.0 |
| L2_1--AlCu2Mn--heusler | box | -0.2671 | -0.2671 | 11.8921 | 11.8921 | 11.8921 | 90.0 | 90.0 | 90.0 |
Download raw data (including filtered results)
Reference structure matches:
| prototype | method | Ecoh (eV/atom) | Epot (eV/atom) | a0 (Å) | b0 (Å) | c0 (Å) | α (degrees) | β (degrees) | γ (degrees) |
|---|---|---|---|---|---|---|---|---|---|
| L1_2--AuCu3 | box | -4.3939 | -4.3939 | 3.568 | 3.568 | 3.568 | 90.0 | 90.0 | 90.0 |
| D0_3--BiF3 | box | -4.3189 | -4.3189 | 5.712 | 5.712 | 5.712 | 90.0 | 90.0 | 90.0 |
| mp-601820 | box | -4.3023 | -4.3023 | 4.0508 | 4.0508 | 2.8751 | 90.0 | 90.0 | 90.0 |
| A15--Cr3Si | box | -4.17 | -4.17 | 4.6239 | 4.6239 | 4.6239 | 90.0 | 90.0 | 90.0 |
| L1_2--AuCu3 | box | -3.1742 | -3.1742 | 4.3416 | 4.3416 | 4.3416 | 90.0 | 90.0 | 90.0 |
| A15--Cr3Si | box | -3.1647 | -3.1647 | 5.4888 | 5.4888 | 5.4888 | 90.0 | 90.0 | 90.0 |
| L1_2--AuCu3 | box | -0.0012 | -0.0012 | 8.0448 | 8.0448 | 8.0448 | 90.0 | 90.0 | 90.0 |
| A15--Cr3Si | box | 0.2937 | 0.2937 | 9.159 | 9.159 | 9.159 | 90.0 | 90.0 | 90.0 |
| L1_2--AuCu3 | box | 2.4842 | 2.4842 | 5.7844 | 5.7844 | 5.7844 | 90.0 | 90.0 | 90.0 |
| A15--Cr3Si | box | 3.4813 | 3.4813 | 6.8131 | 6.8131 | 6.8131 | 90.0 | 90.0 | 90.0 |
Download raw data (including filtered results)
Reference structure matches:
| prototype | method | Ecoh (eV/atom) | Epot (eV/atom) | a0 (Å) | b0 (Å) | c0 (Å) | α (degrees) | β (degrees) | γ (degrees) |
|---|---|---|---|---|---|---|---|---|---|
| mp-1080603 | box | -4.3013 | -4.3013 | 5.7358 | 5.7358 | 5.7358 | 90.0 | 90.0 | 90.0 |
Download raw data (including filtered results)
Reference structure matches:
| prototype | method | Ecoh (eV/atom) | Epot (eV/atom) | a0 (Å) | b0 (Å) | c0 (Å) | α (degrees) | β (degrees) | γ (degrees) |
|---|---|---|---|---|---|---|---|---|---|
| L2_1--AlCu2Mn--heusler | box | -4.3082 | -4.3082 | 5.6653 | 5.6653 | 5.6653 | 90.0 | 90.0 | 90.0 |
| L2_1--AlCu2Mn--heusler | box | -0.04 | -0.04 | 10.4505 | 10.4505 | 10.4505 | 90.0 | 90.0 | 90.0 |
| L2_1--AlCu2Mn--heusler | box | -0.0025 | -0.0025 | 11.9843 | 11.9843 | 11.9843 | 90.0 | 90.0 | 90.0 |
Download raw data (including filtered results)
Reference structure matches:
B1--NaCl--rock-salt = oqmd-1103760
B2--CsCl = mp-1006883, oqmd-304574
B3--ZnS--cubic-zinc-blende = oqmd-1219291
L1_0--AuCu = oqmd-336116
| prototype | method | Ecoh (eV/atom) | Epot (eV/atom) | a0 (Å) | b0 (Å) | c0 (Å) | α (degrees) | β (degrees) | γ (degrees) |
|---|---|---|---|---|---|---|---|---|---|
| mp-1226076 | dynamic | -4.4291 | -4.4291 | 2.4993 | 2.4993 | 12.2417 | 90.0 | 90.0 | 120.0 |
| L1_0--AuCu | box | -4.429 | -4.429 | 2.4996 | 2.4996 | 3.5324 | 90.0 | 90.0 | 90.0 |
| oqmd-1219805 | box | -4.4144 | -4.4144 | 4.1417 | 2.4856 | 4.324 | 90.0 | 90.0 | 90.0 |
| oqmd-1228970 | box | -4.4141 | -4.4141 | 2.4905 | 2.4905 | 4.134 | 90.0 | 90.0 | 120.0 |
| mp-1226063 | static | -4.345 | -4.345 | 2.5439 | 4.2781 | 4.2677 | 90.0 | 90.0 | 90.0 |
| mp-1226063 | box | -4.3053 | -4.3053 | 2.8645 | 4.0562 | 4.0463 | 90.0 | 90.0 | 90.0 |
| B2--CsCl | static | -4.3044 | -4.3044 | 2.8751 | 2.8751 | 2.8751 | 90.0 | 90.0 | 90.0 |
| B4--ZnS--wurtzite | static | -3.881 | -3.881 | 2.4636 | 2.4636 | 13.0369 | 90.0 | 90.0 | 120.0 |
| B1--NaCl--rock-salt | box | -3.6457 | -3.6457 | 4.6726 | 4.6726 | 4.6726 | 90.0 | 90.0 | 90.0 |
| oqmd-1225484 | box | -3.0069 | -3.0069 | 4.1195 | 4.1195 | 4.709 | 90.0 | 90.0 | 120.0 |
| B4--ZnS--wurtzite | box | -2.4658 | -2.4658 | 3.922 | 3.922 | 6.4778 | 90.0 | 90.0 | 120.0 |
| B3--ZnS--cubic-zinc-blende | box | -2.4605 | -2.4605 | 5.5428 | 5.5428 | 5.5428 | 90.0 | 90.0 | 90.0 |
Download raw data (including filtered results)
Reference structure matches:
| prototype | method | Ecoh (eV/atom) | Epot (eV/atom) | a0 (Å) | b0 (Å) | c0 (Å) | α (degrees) | β (degrees) | γ (degrees) |
|---|---|---|---|---|---|---|---|---|---|
| C1--CaF2--fluorite | static | -3.6638 | -3.6638 | 5.5083 | 5.5083 | 5.5083 | 90.0 | 90.0 | 90.0 |
Download raw data (including filtered results)
Reference structure matches:
D0_3--BiF3 = oqmd-309784
L1_2--AuCu3 = mp-1183751, oqmd-343276
| prototype | method | Ecoh (eV/atom) | Epot (eV/atom) | a0 (Å) | b0 (Å) | c0 (Å) | α (degrees) | β (degrees) | γ (degrees) |
|---|---|---|---|---|---|---|---|---|---|
| L1_2--AuCu3 | dynamic | -4.4393 | -4.4393 | 3.5268 | 3.5268 | 3.5268 | 90.0 | 90.0 | 90.0 |
| oqmd-299242 | box | -4.4379 | -4.4379 | 3.5287 | 3.5287 | 7.0547 | 90.0 | 90.0 | 90.0 |
| mp-1183785 | dynamic | -4.4203 | -4.4203 | 4.9737 | 4.9737 | 4.0949 | 90.0 | 90.0 | 120.0 |
| mp-1183785 | box | -4.4203 | -4.4203 | 4.9734 | 4.9734 | 4.0947 | 90.0 | 90.0 | 120.0 |
| oqmd-318790 | box | -4.4202 | -4.4202 | 4.9742 | 4.9742 | 4.095 | 90.0 | 90.0 | 120.0 |
| D0_3--BiF3 | box | -4.3116 | -4.3116 | 5.6562 | 5.6562 | 5.6562 | 90.0 | 90.0 | 90.0 |
| A15--Cr3Si | box | -4.2945 | -4.2945 | 4.5081 | 4.5081 | 4.5081 | 90.0 | 90.0 | 90.0 |
| D0_3--BiF3 | dynamic | 0.0068 | 0.0068 | 11.9976 | 11.9976 | 11.9976 | 90.0 | 90.0 | 90.0 |
| L1_2--AuCu3 | box | 0.0101 | 0.0101 | 7.3422 | 7.3422 | 7.3422 | 90.0 | 90.0 | 90.0 |
Download raw data (including filtered results)
Reference structure matches:
A1--Cu--fcc = mp-8633, oqmd-592135, oqmd-1214518
A15--beta-W = mp-17, oqmd-620565, oqmd-691761, oqmd-1214963, oqmd-1280318
A2--W--bcc = mp-90, oqmd-676284, oqmd-676532, oqmd-677049, oqmd-685486, oqmd-690214, oqmd-691769, oqmd-1215141
A3'--alpha-La--double-hcp = oqmd-1215409
A3--Mg--hcp = mp-89, oqmd-592444, oqmd-622452, oqmd-1215319
A4--C--dc = oqmd-1215498
A5--beta-Sn = oqmd-1215587
A6--In--bct = oqmd-1215676
A7--alpha-As = oqmd-1215765
| prototype | method | Ecoh (eV/atom) | Epot (eV/atom) | a0 (Å) | b0 (Å) | c0 (Å) | α (degrees) | β (degrees) | γ (degrees) |
|---|---|---|---|---|---|---|---|---|---|
| A1--Cu--fcc | dynamic | -4.2 | -4.2 | 3.53 | 3.53 | 3.53 | 90.0 | 90.0 | 90.0 |
| A3--Mg--hcp | dynamic | -4.1976 | -4.1976 | 2.4959 | 2.4959 | 3.972 | 90.0 | 90.0 | 120.0 |
| A3--Mg--hcp | box | -4.1976 | -4.1976 | 2.496 | 2.496 | 3.972 | 90.0 | 90.0 | 120.0 |
| A3'--alpha-La--double-hcp | box | -4.1973 | -4.1973 | 2.494 | 2.494 | 8.0724 | 90.0 | 90.0 | 120.0 |
| oqmd-1216032 | box | -4.1963 | -4.1963 | 2.4937 | 2.4937 | 18.1015 | 90.0 | 90.0 | 120.0 |
| mp-1059289 | box | -4.1468 | -4.1468 | 2.4043 | 4.4517 | 4.1567 | 90.0 | 90.0 | 90.0 |
| A2--W--bcc | static | -4.1445 | -4.1445 | 2.7948 | 2.7948 | 2.7948 | 90.0 | 90.0 | 90.0 |
| oqmd-691775 | box | -4.1108 | -4.1108 | 2.4959 | 2.4959 | 6.2439 | 90.0 | 90.0 | 120.0 |
| oqmd-1214874 | box | -4.1097 | -4.1097 | 6.1472 | 6.1472 | 6.1472 | 90.0 | 90.0 | 90.0 |
| oqmd-1214785 | static | -4.0881 | -4.0881 | 8.7594 | 8.7594 | 8.7594 | 90.0 | 90.0 | 90.0 |
| A15--beta-W | dynamic | -4.0863 | -4.0863 | 4.5564 | 4.5564 | 4.5564 | 90.0 | 90.0 | 90.0 |
| oqmd-1214785 | box | -4.0815 | -4.0815 | 8.7769 | 8.7769 | 8.7769 | 90.0 | 90.0 | 90.0 |
| mp-1192789 | dynamic | -4.0458 | -4.0458 | 8.5483 | 8.5483 | 4.6189 | 90.0 | 90.0 | 90.0 |
| mp-1192789 | box | -4.0258 | -4.0258 | 8.5989 | 8.5989 | 4.6026 | 90.0 | 90.0 | 90.0 |
| oqmd-631035 | box | -4.0101 | -4.0101 | 8.5877 | 8.5877 | 4.6102 | 90.0 | 90.0 | 90.0 |
| A5--beta-Sn | box | -3.6955 | -3.6955 | 4.4659 | 4.4659 | 2.342 | 90.0 | 90.0 | 90.0 |
| Ah--alpha-Po--sc | box | -3.4947 | -3.4947 | 2.3439 | 2.3439 | 2.3439 | 90.0 | 90.0 | 90.0 |
| A7--alpha-As | box | -3.0227 | -3.0227 | 3.2889 | 3.2889 | 9.7936 | 90.0 | 90.0 | 120.0 |
| A4--C--dc | box | -2.4786 | -2.4786 | 5.4005 | 5.4005 | 5.4005 | 90.0 | 90.0 | 90.0 |
| oqmd-1215943 | box | -1.834 | -1.834 | 3.0824 | 3.0824 | 4.3135 | 90.0 | 90.0 | 120.0 |
Download raw data (including filtered results)
Reference structure matches:
| prototype | method | Ecoh (eV/atom) | Epot (eV/atom) | a0 (Å) | b0 (Å) | c0 (Å) | α (degrees) | β (degrees) | γ (degrees) |
|---|---|---|---|---|---|---|---|---|---|
| C1--CaF2--fluorite | box | -3.3981 | -3.3981 | 5.4635 | 5.4635 | 5.4635 | 90.0 | 90.0 | 90.0 |
| C1--CaF2--fluorite | box | -0.0003 | -0.0003 | 13.0562 | 13.0562 | 13.0562 | 90.0 | 90.0 | 90.0 |
Download raw data (including filtered results)
Reference structure matches:
| prototype | method | Ecoh (eV/atom) | Epot (eV/atom) | a0 (Å) | b0 (Å) | c0 (Å) | α (degrees) | β (degrees) | γ (degrees) |
|---|---|---|---|---|---|---|---|---|---|
| L2_1--AlCu2Mn--heusler | box | -3.9926 | -3.9926 | 5.6281 | 5.6281 | 5.6281 | 90.0 | 90.0 | 90.0 |
| L2_1--AlCu2Mn--heusler | static | -0.3289 | -0.3289 | 9.2632 | 9.2632 | 9.2632 | 90.0 | 90.0 | 90.0 |
Download raw data (including filtered results)
Reference structure matches:
| prototype | method | Ecoh (eV/atom) | Epot (eV/atom) | a0 (Å) | b0 (Å) | c0 (Å) | α (degrees) | β (degrees) | γ (degrees) |
|---|---|---|---|---|---|---|---|---|---|
| L2_1--AlCu2Mn--heusler | box | -3.9996 | -3.9996 | 5.6166 | 5.6166 | 5.6166 | 90.0 | 90.0 | 90.0 |
| L2_1--AlCu2Mn--heusler | box | 0.2415 | 0.2415 | 11.0207 | 11.0207 | 11.0207 | 90.0 | 90.0 | 90.0 |
Download raw data (including filtered results)
Reference structure matches:
| prototype | method | Ecoh (eV/atom) | Epot (eV/atom) | a0 (Å) | b0 (Å) | c0 (Å) | α (degrees) | β (degrees) | γ (degrees) |
|---|---|---|---|---|---|---|---|---|---|
| mp-1077708 | static | -4.0815 | -4.0815 | 6.6543 | 6.6543 | 6.6543 | 90.0 | 90.0 | 90.0 |
| C1--CaF2--fluorite | box | -3.4845 | -3.4845 | 5.5856 | 5.5856 | 5.5856 | 90.0 | 90.0 | 90.0 |
| oqmd-1240427 | static | -1.7574 | -1.7574 | 10.9908 | 10.9908 | 10.9908 | 90.0 | 90.0 | 90.0 |
| C1--CaF2--fluorite | box | -0.1847 | -0.1847 | 12.1811 | 12.1811 | 12.1811 | 90.0 | 90.0 | 90.0 |
| C1--CaF2--fluorite | box | -0.1078 | -0.1078 | 9.861 | 9.861 | 9.861 | 90.0 | 90.0 | 90.0 |
Download raw data (including filtered results)
Reference structure matches:
| prototype | method | Ecoh (eV/atom) | Epot (eV/atom) | a0 (Å) | b0 (Å) | c0 (Å) | α (degrees) | β (degrees) | γ (degrees) |
|---|---|---|---|---|---|---|---|---|---|
| oqmd-426579 | box | -4.0079 | -4.0079 | 6.9017 | 6.9017 | 8.9323 | 90.0 | 90.0 | 120.0 |
Download raw data (including filtered results)
Reference structure matches:
L2_1--AlCu2Mn--heusler = oqmd-387658
| prototype | method | Ecoh (eV/atom) | Epot (eV/atom) | a0 (Å) | b0 (Å) | c0 (Å) | α (degrees) | β (degrees) | γ (degrees) |
|---|---|---|---|---|---|---|---|---|---|
| L2_1--AlCu2Mn--heusler | box | -4.2327 | -4.2327 | 5.5979 | 5.5979 | 5.5979 | 90.0 | 90.0 | 90.0 |
| L2_1--AlCu2Mn--heusler | box | -0.1395 | -0.1395 | 9.8749 | 9.8749 | 9.8749 | 90.0 | 90.0 | 90.0 |
| L2_1--AlCu2Mn--heusler | dynamic | -0.1286 | -0.1286 | 12.1915 | 12.1915 | 12.1915 | 90.0 | 90.0 | 90.0 |
Download raw data (including filtered results)
Reference structure matches:
| prototype | method | Ecoh (eV/atom) | Epot (eV/atom) | a0 (Å) | b0 (Å) | c0 (Å) | α (degrees) | β (degrees) | γ (degrees) |
|---|---|---|---|---|---|---|---|---|---|
| mp-1077252 | static | -4.0606 | -4.0606 | 6.5876 | 6.5876 | 6.5876 | 90.0 | 90.0 | 90.0 |
| C1--CaF2--fluorite | box | -3.6371 | -3.6371 | 5.4727 | 5.4727 | 5.4727 | 90.0 | 90.0 | 90.0 |
| oqmd-1232523 | box | -2.9365 | -2.9365 | 5.2226 | 5.2226 | 3.6917 | 90.0 | 90.0 | 90.0 |
| oqmd-1238640 | static | -1.6464 | -1.6464 | 11.0636 | 11.0636 | 11.0636 | 90.0 | 90.0 | 90.0 |
Download raw data (including filtered results)
Reference structure matches:
L1_2--AuCu3 = mp-984711
| prototype | method | Ecoh (eV/atom) | Epot (eV/atom) | a0 (Å) | b0 (Å) | c0 (Å) | α (degrees) | β (degrees) | γ (degrees) |
|---|---|---|---|---|---|---|---|---|---|
| L1_2--AuCu3 | dynamic | -4.029 | -4.029 | 3.5467 | 3.5467 | 3.5467 | 90.0 | 90.0 | 90.0 |
| D0_3--BiF3 | box | -3.9511 | -3.9511 | 5.6147 | 5.6147 | 5.6147 | 90.0 | 90.0 | 90.0 |
| A15--Cr3Si | box | -3.9283 | -3.9283 | 4.5679 | 4.5679 | 4.5679 | 90.0 | 90.0 | 90.0 |
| D0_3--BiF3 | box | 0.3466 | 0.3466 | 10.8061 | 10.8061 | 10.8061 | 90.0 | 90.0 | 90.0 |
Download raw data (including filtered results)
Reference structure matches:
D0_3--BiF3 = mp-1008282, oqmd-310984
L1_2--AuCu3 = mp-1008285, oqmd-343214
| prototype | method | Ecoh (eV/atom) | Epot (eV/atom) | a0 (Å) | b0 (Å) | c0 (Å) | α (degrees) | β (degrees) | γ (degrees) |
|---|---|---|---|---|---|---|---|---|---|
| mp-1017511 | dynamic | -4.2441 | -4.2441 | 3.5603 | 3.5603 | 7.0236 | 90.0 | 90.0 | 90.0 |
| oqmd-318728 | box | -4.2414 | -4.2414 | 5.0165 | 5.0165 | 4.0464 | 90.0 | 90.0 | 120.0 |
| L1_2--AuCu3 | dynamic | -4.239 | -4.239 | 3.5503 | 3.5503 | 3.5503 | 90.0 | 90.0 | 90.0 |
| D0_3--BiF3 | static | -4.1861 | -4.1861 | 5.6104 | 5.6104 | 5.6104 | 90.0 | 90.0 | 90.0 |
| A15--Cr3Si | box | -4.1432 | -4.1432 | 4.5497 | 4.5497 | 4.5497 | 90.0 | 90.0 | 90.0 |
| D0_3--BiF3 | box | -0.1809 | -0.1809 | 9.3859 | 9.3859 | 9.3859 | 90.0 | 90.0 | 90.0 |
| L1_2--AuCu3 | box | -0.1704 | -0.1704 | 5.9862 | 5.9862 | 5.9862 | 90.0 | 90.0 | 90.0 |
| A15--Cr3Si | box | -0.1227 | -0.1227 | 9.5522 | 9.5522 | 9.5522 | 90.0 | 90.0 | 90.0 |
| L1_2--AuCu3 | box | -0.1178 | -0.1178 | 7.5602 | 7.5602 | 7.5602 | 90.0 | 90.0 | 90.0 |
| A15--Cr3Si | box | -0.117 | -0.117 | 7.5718 | 7.5718 | 7.5718 | 90.0 | 90.0 | 90.0 |
Download raw data (including filtered results)
Reference structure matches:
A15--Cr3Si = oqmd-1280316
D0_3--BiF3 = mp-1008275, oqmd-313086
L1_2--AuCu3 = mp-1008278, oqmd-344860
| prototype | method | Ecoh (eV/atom) | Epot (eV/atom) | a0 (Å) | b0 (Å) | c0 (Å) | α (degrees) | β (degrees) | γ (degrees) |
|---|---|---|---|---|---|---|---|---|---|
| L1_2--AuCu3 | dynamic | -4.2622 | -4.2622 | 3.5268 | 3.5268 | 3.5268 | 90.0 | 90.0 | 90.0 |
| mp-1008284 | dynamic | -4.2621 | -4.2621 | 3.5261 | 3.5261 | 7.0506 | 90.0 | 90.0 | 90.0 |
| oqmd-320374 | box | -4.2338 | -4.2338 | 5.0122 | 5.0122 | 3.9905 | 90.0 | 90.0 | 120.0 |
| D0_3--BiF3 | static | -4.1927 | -4.1927 | 5.5857 | 5.5857 | 5.5857 | 90.0 | 90.0 | 90.0 |
| A15--Cr3Si | dynamic | -4.1577 | -4.1577 | 4.5419 | 4.5419 | 4.5419 | 90.0 | 90.0 | 90.0 |
Download raw data (including filtered results)
Reference structure matches:
| prototype | method | Ecoh (eV/atom) | Epot (eV/atom) | a0 (Å) | b0 (Å) | c0 (Å) | α (degrees) | β (degrees) | γ (degrees) |
|---|---|---|---|---|---|---|---|---|---|
| mp-1226243 | box | -4.1828 | -4.1828 | 2.7869 | 3.9539 | 19.7927 | 90.0 | 90.0 | 90.0 |
Download raw data (including filtered results)
Reference structure matches:
| prototype | method | Ecoh (eV/atom) | Epot (eV/atom) | a0 (Å) | b0 (Å) | c0 (Å) | α (degrees) | β (degrees) | γ (degrees) |
|---|---|---|---|---|---|---|---|---|---|
| L1_0--AuCu | box | -3.8647 | -3.8647 | 2.4841 | 2.4841 | 3.5641 | 90.0 | 90.0 | 90.0 |
| B2--CsCl | box | -3.7609 | -3.7609 | 2.8266 | 2.8266 | 2.8266 | 90.0 | 90.0 | 90.0 |
| B4--ZnS--wurtzite | static | -3.7336 | -3.7336 | 2.4738 | 2.4738 | 8.8162 | 90.0 | 90.0 | 120.0 |
| B4--ZnS--wurtzite | static | -3.3873 | -3.3873 | 2.4988 | 2.4988 | 16.881 | 90.0 | 90.0 | 120.0 |
| B1--NaCl--rock-salt | box | -3.372 | -3.372 | 4.8282 | 4.8282 | 4.8282 | 90.0 | 90.0 | 90.0 |
| B4--ZnS--wurtzite | box | -2.5376 | -2.5376 | 3.8068 | 3.8068 | 6.4002 | 90.0 | 90.0 | 120.0 |
| B3--ZnS--cubic-zinc-blende | box | -2.5229 | -2.5229 | 5.3731 | 5.3731 | 5.3731 | 90.0 | 90.0 | 90.0 |
| B2--CsCl | box | -1.0971 | -1.0971 | 5.0667 | 5.0667 | 5.0667 | 90.0 | 90.0 | 90.0 |
| B3--ZnS--cubic-zinc-blende | box | -0.6649 | -0.6649 | 7.6358 | 7.6358 | 7.6358 | 90.0 | 90.0 | 90.0 |
| B4--ZnS--wurtzite | box | -0.664 | -0.664 | 5.392 | 5.392 | 8.8639 | 90.0 | 90.0 | 120.0 |
| B1--NaCl--rock-salt | box | -0.4048 | -0.4048 | 7.1953 | 7.1953 | 7.1953 | 90.0 | 90.0 | 90.0 |
| B1--NaCl--rock-salt | box | -0.3838 | -0.3838 | 7.7764 | 7.7764 | 7.7764 | 90.0 | 90.0 | 90.0 |
| B2--CsCl | box | -0.0005 | -0.0005 | 6.5281 | 6.5281 | 6.5281 | 90.0 | 90.0 | 90.0 |
| L1_0--AuCu | box | -0.0005 | -0.0005 | 5.8651 | 5.8651 | 7.6844 | 90.0 | 90.0 | 90.0 |
| B3--ZnS--cubic-zinc-blende | box | -0.0002 | -0.0002 | 13.0563 | 13.0563 | 13.0563 | 90.0 | 90.0 | 90.0 |
| B4--ZnS--wurtzite | dynamic | -0.0002 | -0.0002 | 9.2297 | 9.2297 | 15.0841 | 90.0 | 90.0 | 120.0 |
Download raw data (including filtered results)
Reference structure matches:
| prototype | method | Ecoh (eV/atom) | Epot (eV/atom) | a0 (Å) | b0 (Å) | c0 (Å) | α (degrees) | β (degrees) | γ (degrees) |
|---|---|---|---|---|---|---|---|---|---|
| C1--CaF2--fluorite | box | -3.2744 | -3.2744 | 5.4626 | 5.4626 | 5.4626 | 90.0 | 90.0 | 90.0 |
| C1--CaF2--fluorite | dynamic | -0.9309 | -0.9309 | 10.0588 | 10.0588 | 10.0588 | 90.0 | 90.0 | 90.0 |
| C1--CaF2--fluorite | box | -0.0003 | -0.0003 | 13.0563 | 13.0563 | 13.0563 | 90.0 | 90.0 | 90.0 |
Download raw data (including filtered results)
Reference structure matches:
| prototype | method | Ecoh (eV/atom) | Epot (eV/atom) | a0 (Å) | b0 (Å) | c0 (Å) | α (degrees) | β (degrees) | γ (degrees) |
|---|---|---|---|---|---|---|---|---|---|
| L2_1--AlCu2Mn--heusler | box | -3.8 | -3.8 | 5.6226 | 5.6226 | 5.6226 | 90.0 | 90.0 | 90.0 |
| L2_1--AlCu2Mn--heusler | box | -0.2714 | -0.2714 | 10.2465 | 10.2465 | 10.2465 | 90.0 | 90.0 | 90.0 |
| L2_1--AlCu2Mn--heusler | box | -0.1159 | -0.1159 | 12.5947 | 12.5947 | 12.5947 | 90.0 | 90.0 | 90.0 |
Download raw data (including filtered results)
Reference structure matches:
| prototype | method | Ecoh (eV/atom) | Epot (eV/atom) | a0 (Å) | b0 (Å) | c0 (Å) | α (degrees) | β (degrees) | γ (degrees) |
|---|---|---|---|---|---|---|---|---|---|
| L2_1--AlCu2Mn--heusler | box | -3.8081 | -3.8081 | 5.6465 | 5.6465 | 5.6465 | 90.0 | 90.0 | 90.0 |
| L2_1--AlCu2Mn--heusler | static | -0.4926 | -0.4926 | 10.0834 | 10.0834 | 10.0834 | 90.0 | 90.0 | 90.0 |
| L2_1--AlCu2Mn--heusler | box | -0.0003 | -0.0003 | 13.0634 | 13.0634 | 13.0634 | 90.0 | 90.0 | 90.0 |
Download raw data (including filtered results)
Reference structure matches:
| prototype | method | Ecoh (eV/atom) | Epot (eV/atom) | a0 (Å) | b0 (Å) | c0 (Å) | α (degrees) | β (degrees) | γ (degrees) |
|---|---|---|---|---|---|---|---|---|---|
| L1_2--AuCu3 | box | -3.7018 | -3.7018 | 3.5614 | 3.5614 | 3.5614 | 90.0 | 90.0 | 90.0 |
| D0_3--BiF3 | box | -3.5802 | -3.5802 | 5.7156 | 5.7156 | 5.7156 | 90.0 | 90.0 | 90.0 |
| A15--Cr3Si | box | -3.5482 | -3.5482 | 4.6762 | 4.6762 | 4.6762 | 90.0 | 90.0 | 90.0 |
| A15--Cr3Si | box | -1.0153 | -1.0153 | 8.185 | 8.185 | 8.185 | 90.0 | 90.0 | 90.0 |
| L1_2--AuCu3 | box | -0.8435 | -0.8435 | 6.9582 | 6.9582 | 6.9582 | 90.0 | 90.0 | 90.0 |
| D0_3--BiF3 | box | -0.3143 | -0.3143 | 10.2353 | 10.2353 | 10.2353 | 90.0 | 90.0 | 90.0 |
| D0_3--BiF3 | static | -0.1465 | -0.1465 | 11.4368 | 11.4368 | 11.4368 | 90.0 | 90.0 | 90.0 |
| L1_2--AuCu3 | box | -0.0032 | -0.0032 | 7.9608 | 7.9608 | 7.9608 | 90.0 | 90.0 | 90.0 |
| D0_3--BiF3 | box | -0.0022 | -0.0022 | 13.0 | 13.0 | 13.0 | 90.0 | 90.0 | 90.0 |
Download raw data (including filtered results)
Reference structure matches:
| prototype | method | Ecoh (eV/atom) | Epot (eV/atom) | a0 (Å) | b0 (Å) | c0 (Å) | α (degrees) | β (degrees) | γ (degrees) |
|---|---|---|---|---|---|---|---|---|---|
| L2_1--AlCu2Mn--heusler | box | -4.0459 | -4.0459 | 5.6241 | 5.6241 | 5.6241 | 90.0 | 90.0 | 90.0 |
| L2_1--AlCu2Mn--heusler | box | -0.2611 | -0.2611 | 12.5019 | 12.5019 | 12.5019 | 90.0 | 90.0 | 90.0 |
| L2_1--AlCu2Mn--heusler | static | -0.2523 | -0.2523 | 10.5876 | 10.5876 | 10.5876 | 90.0 | 90.0 | 90.0 |
Download raw data (including filtered results)
Reference structure matches:
| prototype | method | Ecoh (eV/atom) | Epot (eV/atom) | a0 (Å) | b0 (Å) | c0 (Å) | α (degrees) | β (degrees) | γ (degrees) |
|---|---|---|---|---|---|---|---|---|---|
| L2_1--AlCu2Mn--heusler | box | -4.0478 | -4.0478 | 5.6056 | 5.6056 | 5.6056 | 90.0 | 90.0 | 90.0 |
Download raw data (including filtered results)
Reference structure matches:
B1--NaCl--rock-salt = oqmd-1105105
B2--CsCl = oqmd-305920
B3--ZnS--cubic-zinc-blende = oqmd-1219336
L1_0--AuCu = oqmd-337462
| prototype | method | Ecoh (eV/atom) | Epot (eV/atom) | a0 (Å) | b0 (Å) | c0 (Å) | α (degrees) | β (degrees) | γ (degrees) |
|---|---|---|---|---|---|---|---|---|---|
| L1_0--AuCu | box | -4.2895 | -4.2895 | 2.5448 | 2.5448 | 3.5037 | 90.0 | 90.0 | 90.0 |
| oqmd-327004 | dynamic | -4.2894 | -4.2894 | 2.5233 | 2.5233 | 12.2865 | 90.0 | 90.0 | 120.0 |
| oqmd-1219850 | box | -4.2759 | -4.2759 | 4.0861 | 2.5744 | 4.2889 | 90.0 | 90.0 | 90.0 |
| oqmd-1229015 | static | -4.2743 | -4.2743 | 2.5292 | 2.5292 | 4.0721 | 90.0 | 90.0 | 120.0 |
| B2--CsCl | box | -4.2347 | -4.2347 | 2.8094 | 2.8094 | 2.8094 | 90.0 | 90.0 | 90.0 |
| mp-1226211 | box | -4.2195 | -4.2195 | 2.8874 | 3.9966 | 3.9727 | 90.0 | 90.0 | 90.0 |
| B1--NaCl--rock-salt | box | -3.489 | -3.489 | 4.7227 | 4.7227 | 4.7227 | 90.0 | 90.0 | 90.0 |
| B4--ZnS--wurtzite | box | -2.4986 | -2.4986 | 3.7516 | 3.7516 | 6.0664 | 90.0 | 90.0 | 120.0 |
| B3--ZnS--cubic-zinc-blende | static | -2.4615 | -2.4615 | 5.2685 | 5.2685 | 5.2685 | 90.0 | 90.0 | 90.0 |
| B2--CsCl | box | -0.278 | -0.278 | 6.0901 | 6.0901 | 6.0901 | 90.0 | 90.0 | 90.0 |
| B4--ZnS--wurtzite | dynamic | -0.2731 | -0.2731 | 8.3146 | 8.3146 | 13.5882 | 90.0 | 90.0 | 120.0 |
| B4--ZnS--wurtzite | static | -0.2731 | -0.2731 | 8.3145 | 8.3145 | 13.5884 | 90.0 | 90.0 | 120.0 |
| B3--ZnS--cubic-zinc-blende | box | -0.2731 | -0.2731 | 11.7616 | 11.7616 | 11.7616 | 90.0 | 90.0 | 90.0 |
| B2--CsCl | box | -0.2664 | -0.2664 | 5.2974 | 5.2974 | 5.2974 | 90.0 | 90.0 | 90.0 |
| B4--ZnS--wurtzite | dynamic | -0.2657 | -0.2657 | 8.1617 | 8.1617 | 11.2644 | 90.0 | 90.0 | 120.0 |
| B4--ZnS--wurtzite | static | -0.2657 | -0.2657 | 8.2076 | 8.2076 | 11.0891 | 90.0 | 90.0 | 120.0 |
| B3--ZnS--cubic-zinc-blende | static | -0.2427 | -0.2427 | 10.1258 | 10.1258 | 10.1258 | 90.0 | 90.0 | 90.0 |
| B4--ZnS--wurtzite | box | -0.2427 | -0.2427 | 7.1581 | 7.1581 | 11.6985 | 90.0 | 90.0 | 120.0 |
| L1_0--AuCu | box | -0.0653 | -0.0653 | 4.8825 | 4.8825 | 6.4353 | 90.0 | 90.0 | 90.0 |
Download raw data (including filtered results)
Reference structure matches:
| prototype | method | Ecoh (eV/atom) | Epot (eV/atom) | a0 (Å) | b0 (Å) | c0 (Å) | α (degrees) | β (degrees) | γ (degrees) |
|---|---|---|---|---|---|---|---|---|---|
| C1--CaF2--fluorite | box | -3.5055 | -3.5055 | 5.4682 | 5.4682 | 5.4682 | 90.0 | 90.0 | 90.0 |
| oqmd-1240426 | static | -0.5677 | -0.5677 | 8.5861 | 8.5861 | 8.5861 | 90.0 | 90.0 | 90.0 |
| C1--CaF2--fluorite | box | -0.366 | -0.366 | 11.7598 | 11.7598 | 11.7598 | 90.0 | 90.0 | 90.0 |
| C1--CaF2--fluorite | box | -0.3642 | -0.3642 | 10.8731 | 10.8731 | 10.8731 | 90.0 | 90.0 | 90.0 |
| C1--CaF2--fluorite | box | 2.1016 | 2.1016 | 8.7494 | 8.7494 | 8.7494 | 90.0 | 90.0 | 90.0 |
| oqmd-1240426 | box | 2.9326 | 2.9326 | 14.3272 | 14.3272 | 14.3272 | 90.0 | 90.0 | 90.0 |
Download raw data (including filtered results)
Reference structure matches:
L2_1--AlCu2Mn--heusler = oqmd-527070
| prototype | method | Ecoh (eV/atom) | Epot (eV/atom) | a0 (Å) | b0 (Å) | c0 (Å) | α (degrees) | β (degrees) | γ (degrees) |
|---|---|---|---|---|---|---|---|---|---|
| L2_1--AlCu2Mn--heusler | box | -4.284 | -4.284 | 5.6186 | 5.6186 | 5.6186 | 90.0 | 90.0 | 90.0 |
| L2_1--AlCu2Mn--heusler | static | -0.2797 | -0.2797 | 10.9391 | 10.9391 | 10.9391 | 90.0 | 90.0 | 90.0 |
| L2_1--AlCu2Mn--heusler | box | -0.0 | -0.0 | 13.3952 | 13.3952 | 13.3952 | 90.0 | 90.0 | 90.0 |
Download raw data (including filtered results)
Reference structure matches:
D0_3--BiF3 = mp-1018067, oqmd-308186
L1_2--AuCu3 = mp-1018081, oqmd-346012
| prototype | method | Ecoh (eV/atom) | Epot (eV/atom) | a0 (Å) | b0 (Å) | c0 (Å) | α (degrees) | β (degrees) | γ (degrees) |
|---|---|---|---|---|---|---|---|---|---|
| oqmd-297657 | box | -4.3459 | -4.3459 | 3.5783 | 3.5783 | 7.0647 | 90.0 | 90.0 | 90.0 |
| L1_2--AuCu3 | dynamic | -4.3435 | -4.3435 | 3.5697 | 3.5697 | 3.5697 | 90.0 | 90.0 | 90.0 |
| oqmd-321526 | box | -4.3412 | -4.3412 | 5.0679 | 5.0679 | 4.0927 | 90.0 | 90.0 | 120.0 |
| D0_3--BiF3 | static | -4.2748 | -4.2748 | 5.6791 | 5.6791 | 5.6791 | 90.0 | 90.0 | 90.0 |
| A15--Cr3Si | box | -4.122 | -4.122 | 4.6607 | 4.6607 | 4.6607 | 90.0 | 90.0 | 90.0 |
| L1_2--AuCu3 | box | -3.113 | -3.113 | 4.3627 | 4.3627 | 4.3627 | 90.0 | 90.0 | 90.0 |
| L1_2--AuCu3 | box | -0.0098 | -0.0098 | 7.9729 | 7.9729 | 7.9729 | 90.0 | 90.0 | 90.0 |
| A15--Cr3Si | box | 0.0319 | 0.0319 | 9.0241 | 9.0241 | 9.0241 | 90.0 | 90.0 | 90.0 |
| L1_2--AuCu3 | box | 0.9941 | 0.9941 | 5.9423 | 5.9423 | 5.9423 | 90.0 | 90.0 | 90.0 |
| D0_3--BiF3 | box | 1.3963 | 1.3963 | 11.0575 | 11.0575 | 11.0575 | 90.0 | 90.0 | 90.0 |
| D0_3--BiF3 | static | 1.5752 | 1.5752 | 9.6245 | 9.6245 | 9.6245 | 90.0 | 90.0 | 90.0 |
Download raw data (including filtered results)
Reference structure matches:
| prototype | method | Ecoh (eV/atom) | Epot (eV/atom) | a0 (Å) | b0 (Å) | c0 (Å) | α (degrees) | β (degrees) | γ (degrees) |
|---|---|---|---|---|---|---|---|---|---|
| mp-1226230 | static | -4.279 | -4.279 | 2.7881 | 4.0681 | 20.3521 | 90.0 | 90.0 | 90.0 |
| mp-1226230 | box | -4.2774 | -4.2774 | 2.9264 | 3.9723 | 19.8184 | 90.0 | 90.0 | 90.0 |
Download raw data (including filtered results)
Reference structure matches:
| prototype | method | Ecoh (eV/atom) | Epot (eV/atom) | a0 (Å) | b0 (Å) | c0 (Å) | α (degrees) | β (degrees) | γ (degrees) |
|---|---|---|---|---|---|---|---|---|---|
| oqmd-959986 | box | -3.5905 | -3.5905 | 5.4666 | 5.4666 | 5.4666 | 90.0 | 90.0 | 90.0 |
| oqmd-958168 | box | -3.5278 | -3.5278 | 5.5702 | 5.5702 | 5.5702 | 90.0 | 90.0 | 90.0 |
Download raw data (including filtered results)
Reference structure matches:
L2_1--AlCu2Mn--heusler = oqmd-528888
| prototype | method | Ecoh (eV/atom) | Epot (eV/atom) | a0 (Å) | b0 (Å) | c0 (Å) | α (degrees) | β (degrees) | γ (degrees) |
|---|---|---|---|---|---|---|---|---|---|
| L2_1--AlCu2Mn--heusler | box | -4.2832 | -4.2832 | 5.609 | 5.609 | 5.609 | 90.0 | 90.0 | 90.0 |
| L2_1--AlCu2Mn--heusler | box | -0.0636 | -0.0636 | 10.0556 | 10.0556 | 10.0556 | 90.0 | 90.0 | 90.0 |
| L2_1--AlCu2Mn--heusler | box | 0.0037 | 0.0037 | 12.1489 | 12.1489 | 12.1489 | 90.0 | 90.0 | 90.0 |
Download raw data (including filtered results)
Reference structure matches:
B1--NaCl--rock-salt = oqmd-1106140
B2--CsCl = mp-1226196, oqmd-306955
B3--ZnS--cubic-zinc-blende = oqmd-1219358
L1_0--AuCu = oqmd-338497
| prototype | method | Ecoh (eV/atom) | Epot (eV/atom) | a0 (Å) | b0 (Å) | c0 (Å) | α (degrees) | β (degrees) | γ (degrees) |
|---|---|---|---|---|---|---|---|---|---|
| L1_0--AuCu | box | -4.3246 | -4.3246 | 2.4925 | 2.4925 | 3.5233 | 90.0 | 90.0 | 90.0 |
| mp-1226232 | dynamic | -4.3242 | -4.3242 | 2.4916 | 2.4916 | 12.2072 | 90.0 | 90.0 | 120.0 |
| oqmd-1229037 | box | -4.3126 | -4.3126 | 2.4863 | 2.4863 | 3.9919 | 90.0 | 90.0 | 120.0 |
| oqmd-1219872 | box | -4.3119 | -4.3119 | 4.0027 | 2.4733 | 4.3356 | 90.0 | 90.0 | 90.0 |
| B2--CsCl | static | -4.2412 | -4.2412 | 2.791 | 2.791 | 2.791 | 90.0 | 90.0 | 90.0 |
| B1--NaCl--rock-salt | box | -3.5562 | -3.5562 | 4.6923 | 4.6923 | 4.6923 | 90.0 | 90.0 | 90.0 |
| oqmd-1225551 | box | -3.0171 | -3.0171 | 4.0665 | 4.0665 | 4.6796 | 90.0 | 90.0 | 120.0 |
| B4--ZnS--wurtzite | box | -2.528 | -2.528 | 3.8609 | 3.8609 | 6.393 | 90.0 | 90.0 | 120.0 |
| B3--ZnS--cubic-zinc-blende | box | -2.5185 | -2.5185 | 5.4379 | 5.4379 | 5.4379 | 90.0 | 90.0 | 90.0 |
Download raw data (including filtered results)
Reference structure matches:
| prototype | method | Ecoh (eV/atom) | Epot (eV/atom) | a0 (Å) | b0 (Å) | c0 (Å) | α (degrees) | β (degrees) | γ (degrees) |
|---|---|---|---|---|---|---|---|---|---|
| mp-784631 | dynamic | -4.3661 | -4.3661 | 2.4913 | 3.5219 | 7.472 | 90.0 | 90.0 | 90.0 |
| mp-784631 | box | -4.3661 | -4.3661 | 2.4915 | 3.5211 | 7.4729 | 90.0 | 90.0 | 90.0 |
| mp-1077077 | static | -4.1174 | -4.1174 | 6.6113 | 6.6113 | 6.6113 | 90.0 | 90.0 | 90.0 |
| C1--CaF2--fluorite | box | -3.7037 | -3.7037 | 5.4309 | 5.4309 | 5.4309 | 90.0 | 90.0 | 90.0 |
| oqmd-1238639 | static | -1.6091 | -1.6091 | 11.1203 | 11.1203 | 11.1203 | 90.0 | 90.0 | 90.0 |
Download raw data (including filtered results)
Reference structure matches:
D0_3--BiF3 = mp-1007975, oqmd-309832
L1_2--AuCu3 = mp-1007974, oqmd-348114
| prototype | method | Ecoh (eV/atom) | Epot (eV/atom) | a0 (Å) | b0 (Å) | c0 (Å) | α (degrees) | β (degrees) | γ (degrees) |
|---|---|---|---|---|---|---|---|---|---|
| L1_2--AuCu3 | dynamic | -4.3872 | -4.3872 | 3.5223 | 3.5223 | 3.5223 | 90.0 | 90.0 | 90.0 |
| mp-1007923 | dynamic | -4.3869 | -4.3869 | 3.5222 | 3.5222 | 7.042 | 90.0 | 90.0 | 90.0 |
| mp-1226338 | dynamic | -4.3869 | -4.3869 | 2.4902 | 2.4902 | 24.4124 | 90.0 | 90.0 | 120.0 |
| mp-1226338 | box | -4.3856 | -4.3856 | 2.4903 | 2.4903 | 24.39 | 90.0 | 90.0 | 120.0 |
| oqmd-323628 | box | -4.371 | -4.371 | 4.9726 | 4.9726 | 4.009 | 90.0 | 90.0 | 120.0 |
| D0_3--BiF3 | static | -4.2896 | -4.2896 | 5.577 | 5.577 | 5.577 | 90.0 | 90.0 | 90.0 |
| A15--Cr3Si | box | -4.2279 | -4.2279 | 4.5229 | 4.5229 | 4.5229 | 90.0 | 90.0 | 90.0 |
| A15--Cr3Si | dynamic | 0.0015 | 0.0015 | 10.4311 | 10.4311 | 10.4311 | 90.0 | 90.0 | 90.0 |
Download raw data (including filtered results)
Reference structure matches:
A1--Cu--fcc = mp-30, oqmd-592441, oqmd-593869, oqmd-594301, oqmd-594302, oqmd-594517, oqmd-594518, oqmd-594519, oqmd-594520, oqmd-598513, oqmd-635950, oqmd-1214520
A15--beta-W = oqmd-1214965
A2--W--bcc = oqmd-637373, oqmd-1215143
A3'--alpha-La--double-hcp = mp-989695, oqmd-1215411
A3--Mg--hcp = mp-989782, oqmd-1215321
A4--C--dc = oqmd-1215500
A5--beta-Sn = oqmd-1215589
A6--In--bct = mp-998890, mp-1010136, oqmd-1215678
| prototype | method | Ecoh (eV/atom) | Epot (eV/atom) | a0 (Å) | b0 (Å) | c0 (Å) | α (degrees) | β (degrees) | γ (degrees) |
|---|---|---|---|---|---|---|---|---|---|
| A1--Cu--fcc | dynamic | -8.8573 | -8.8573 | 7.0562 | 7.0562 | 7.0562 | 90.0 | 90.0 | 90.0 |
| A3'--alpha-La--double-hcp | box | -8.8573 | -8.8573 | 4.9895 | 4.9895 | 16.2956 | 90.0 | 90.0 | 120.0 |
| A3--Mg--hcp | dynamic | -8.8573 | -8.8573 | 4.9895 | 4.9895 | 8.1478 | 90.0 | 90.0 | 120.0 |
| A1--Cu--fcc | dynamic | -3.54 | -3.54 | 3.62 | 3.62 | 3.62 | 90.0 | 90.0 | 90.0 |
| A3'--alpha-La--double-hcp | dynamic | -3.5356 | -3.5356 | 2.5541 | 2.5541 | 8.3575 | 90.0 | 90.0 | 120.0 |
| A3--Mg--hcp | dynamic | -3.5314 | -3.5314 | 2.5486 | 2.5486 | 4.1779 | 90.0 | 90.0 | 120.0 |
| oqmd-1215232 | box | -3.5309 | -3.5309 | 2.5398 | 4.4287 | 4.179 | 90.0 | 90.0 | 90.0 |
| mp-1059259 | dynamic | -3.4798 | -3.4798 | 2.4367 | 8.0931 | 2.492 | 90.0 | 90.0 | 90.0 |
| mp-1059259 | box | -3.4787 | -3.4787 | 2.4387 | 8.0814 | 2.4945 | 90.0 | 90.0 | 90.0 |
| A6--In--bct | static | -3.4619 | -3.4619 | 3.1971 | 3.1971 | 2.5327 | 90.0 | 90.0 | 90.0 |
| oqmd-1214787 | static | -3.4374 | -3.4374 | 8.992 | 8.992 | 8.992 | 90.0 | 90.0 | 90.0 |
| oqmd-1214787 | box | -3.4306 | -3.4306 | 8.9938 | 8.9938 | 8.9938 | 90.0 | 90.0 | 90.0 |
| oqmd-1214876 | box | -3.4289 | -3.4289 | 6.2855 | 6.2855 | 6.2855 | 90.0 | 90.0 | 90.0 |
| oqmd-1215054 | box | -3.4234 | -3.4234 | 4.3093 | 9.0678 | 2.5321 | 90.0 | 90.0 | 90.0 |
| A2--W--bcc | box | -3.4143 | -3.4143 | 2.8928 | 2.8928 | 2.8928 | 90.0 | 90.0 | 90.0 |
| oqmd-1214698 | box | -3.3971 | -3.3971 | 3.4789 | 8.5309 | 3.4789 | 90.0 | 90.0 | 90.0 |
| A15--beta-W | box | -3.3944 | -3.3944 | 4.6943 | 4.6943 | 4.6943 | 90.0 | 90.0 | 90.0 |
| mp-1120774 | dynamic | -3.3937 | -3.3937 | 2.5583 | 2.5583 | 24.7587 | 90.0 | 90.0 | 120.0 |
| mp-1120774 | static | -3.3937 | -3.3937 | 2.5583 | 2.5583 | 24.7708 | 90.0 | 90.0 | 120.0 |
| mp-1120774 | box | -3.3936 | -3.3936 | 2.5585 | 2.5585 | 24.7518 | 90.0 | 90.0 | 120.0 |
| A5--beta-Sn | box | -3.2921 | -3.2921 | 4.7235 | 4.7235 | 2.4559 | 90.0 | 90.0 | 90.0 |
| Ah--alpha-Po--sc | box | -3.2817 | -3.2817 | 2.4376 | 2.4376 | 2.4376 | 90.0 | 90.0 | 90.0 |
| oqmd-1277912 | static | -3.2777 | -3.2777 | 11.6034 | 11.6034 | 11.6034 | 90.0 | 90.0 | 90.0 |
| oqmd-1277912 | box | -3.2743 | -3.2743 | 11.5501 | 11.5501 | 11.5501 | 90.0 | 90.0 | 90.0 |
| A7--alpha-As | dynamic | -3.1115 | -3.1115 | 2.5459 | 2.5459 | 20.8358 | 90.0 | 90.0 | 120.0 |
| A7--alpha-As | box | -2.8791 | -2.8791 | 3.3639 | 3.3639 | 11.2456 | 90.0 | 90.0 | 120.0 |
| A4--C--dc | box | -2.5107 | -2.5107 | 5.4715 | 5.4715 | 5.4715 | 90.0 | 90.0 | 90.0 |
| A5--beta-Sn | box | -2.5091 | -2.5091 | 3.9409 | 3.9409 | 5.2471 | 90.0 | 90.0 | 90.0 |
| A15--beta-W | box | -2.4566 | -2.4566 | 8.8006 | 8.8006 | 8.8006 | 90.0 | 90.0 | 90.0 |
| A2--W--bcc | box | -2.2989 | -2.2989 | 5.7625 | 5.7625 | 5.7625 | 90.0 | 90.0 | 90.0 |
| A5--beta-Sn | static | -1.7214 | -1.7214 | 7.4419 | 7.4419 | 2.4261 | 90.0 | 90.0 | 90.0 |
| A1--Cu--fcc | box | -1.4345 | -1.4345 | 5.3834 | 5.3834 | 5.3834 | 90.0 | 90.0 | 90.0 |
| A3'--alpha-La--double-hcp | dynamic | -1.4345 | -1.4345 | 3.8066 | 3.8066 | 12.4323 | 90.0 | 90.0 | 120.0 |
| A3--Mg--hcp | dynamic | -1.4345 | -1.4345 | 3.8066 | 3.8066 | 6.2162 | 90.0 | 90.0 | 120.0 |
| mp-1056079 | static | -1.3394 | -1.3394 | 11.5703 | 2.5799 | 22.2237 | 90.0 | 101.9 | 90.0 |
| oqmd-1215945 | box | -1.0257 | -1.0257 | 2.9137 | 2.9137 | 4.5347 | 90.0 | 90.0 | 120.0 |
| A4--C--dc | box | -0.7902 | -0.7902 | 7.7745 | 7.7745 | 7.7745 | 90.0 | 90.0 | 90.0 |
| A5--beta-Sn | dynamic | -0.776 | -0.776 | 9.6624 | 9.6624 | 4.9897 | 90.0 | 90.0 | 90.0 |
| Ah--alpha-Po--sc | box | -0.7386 | -0.7386 | 3.9022 | 3.9022 | 3.9022 | 90.0 | 90.0 | 90.0 |
| A4--C--dc | box | -0.0638 | -0.0638 | 11.524 | 11.524 | 11.524 | 90.0 | 90.0 | 90.0 |
| A3--Mg--hcp | box | -0.006 | -0.006 | 5.622 | 5.622 | 9.1806 | 90.0 | 90.0 | 120.0 |
| A3'--alpha-La--double-hcp | dynamic | -0.006 | -0.006 | 5.622 | 5.622 | 18.3612 | 90.0 | 90.0 | 120.0 |
| A1--Cu--fcc | box | -0.006 | -0.006 | 7.9506 | 7.9506 | 7.9506 | 90.0 | 90.0 | 90.0 |
| A2--W--bcc | box | -0.004 | -0.004 | 6.4917 | 6.4917 | 6.4917 | 90.0 | 90.0 | 90.0 |
| A4--C--dc | box | -0.002 | -0.002 | 12.9833 | 12.9833 | 12.9833 | 90.0 | 90.0 | 90.0 |
| A6--In--bct | box | -0.002 | -0.002 | 5.622 | 5.622 | 8.4536 | 90.0 | 90.0 | 90.0 |
| A7--alpha-As | dynamic | -0.0015 | -0.0015 | 8.8522 | 8.8522 | 19.2162 | 90.0 | 90.0 | 120.0 |
| A7--alpha-As | static | -0.0015 | -0.0015 | 8.3995 | 8.3995 | 23.3227 | 90.0 | 90.0 | 120.0 |
| A7--alpha-As | dynamic | 0.0718 | 0.0718 | 7.8719 | 7.8719 | 17.0096 | 90.0 | 90.0 | 120.0 |
| A7--alpha-As | static | 0.0718 | 0.0718 | 7.4556 | 7.4556 | 20.7163 | 90.0 | 90.0 | 120.0 |
| A15--beta-W | box | 0.0766 | 0.0766 | 10.0562 | 10.0562 | 10.0562 | 90.0 | 90.0 | 90.0 |
| A5--beta-Sn | box | 0.1005 | 0.1005 | 8.7939 | 8.7939 | 6.0542 | 90.0 | 90.0 | 90.0 |
Download raw data (including filtered results)
Reference structure matches:
| prototype | method | Ecoh (eV/atom) | Epot (eV/atom) | a0 (Å) | b0 (Å) | c0 (Å) | α (degrees) | β (degrees) | γ (degrees) |
|---|---|---|---|---|---|---|---|---|---|
| C1--CaF2--fluorite | box | -3.1486 | -3.1486 | 5.7099 | 5.7099 | 5.7099 | 90.0 | 90.0 | 90.0 |
| C1--CaF2--fluorite | dynamic | -0.1737 | -0.1737 | 12.5881 | 12.5881 | 12.5881 | 90.0 | 90.0 | 90.0 |
| C1--CaF2--fluorite | static | -0.0468 | -0.0468 | 10.3859 | 10.3859 | 10.3859 | 90.0 | 90.0 | 90.0 |
Download raw data (including filtered results)
Reference structure matches:
L2_1--AlCu2Mn--heusler = oqmd-405567
| prototype | method | Ecoh (eV/atom) | Epot (eV/atom) | a0 (Å) | b0 (Å) | c0 (Å) | α (degrees) | β (degrees) | γ (degrees) |
|---|---|---|---|---|---|---|---|---|---|
| L2_1--AlCu2Mn--heusler | box | -3.8459 | -3.8459 | 5.6107 | 5.6107 | 5.6107 | 90.0 | 90.0 | 90.0 |
| L2_1--AlCu2Mn--heusler | box | -0.1214 | -0.1214 | 12.5934 | 12.5934 | 12.5934 | 90.0 | 90.0 | 90.0 |
| L2_1--AlCu2Mn--heusler | box | -0.0354 | -0.0354 | 10.3887 | 10.3887 | 10.3887 | 90.0 | 90.0 | 90.0 |
Download raw data (including filtered results)
Reference structure matches:
| prototype | method | Ecoh (eV/atom) | Epot (eV/atom) | a0 (Å) | b0 (Å) | c0 (Å) | α (degrees) | β (degrees) | γ (degrees) |
|---|---|---|---|---|---|---|---|---|---|
| C1--CaF2--fluorite | box | -3.3044 | -3.3044 | 5.4774 | 5.4774 | 5.4774 | 90.0 | 90.0 | 90.0 |
| oqmd-1232654 | box | -2.9484 | -2.9484 | 5.2006 | 5.2006 | 3.9944 | 90.0 | 90.0 | 90.0 |
| C1--CaF2--fluorite | box | -0.3292 | -0.3292 | 10.0018 | 10.0018 | 10.0018 | 90.0 | 90.0 | 90.0 |
| C1--CaF2--fluorite | box | -0.0001 | -0.0001 | 13.0792 | 13.0792 | 13.0792 | 90.0 | 90.0 | 90.0 |
Download raw data (including filtered results)
Reference structure matches:
| prototype | method | Ecoh (eV/atom) | Epot (eV/atom) | a0 (Å) | b0 (Å) | c0 (Å) | α (degrees) | β (degrees) | γ (degrees) |
|---|---|---|---|---|---|---|---|---|---|
| oqmd-426732 | static | -3.6156 | -3.6156 | 6.0839 | 6.0839 | 12.1982 | 90.0 | 90.0 | 120.0 |
| oqmd-426732 | box | -3.6141 | -3.6141 | 6.07 | 6.07 | 12.242 | 90.0 | 90.0 | 120.0 |
Download raw data (including filtered results)
Reference structure matches:
D0_3--BiF3 = oqmd-314614
| prototype | method | Ecoh (eV/atom) | Epot (eV/atom) | a0 (Å) | b0 (Å) | c0 (Å) | α (degrees) | β (degrees) | γ (degrees) |
|---|---|---|---|---|---|---|---|---|---|
| L1_2--AuCu3 | box | -3.7527 | -3.7527 | 3.4869 | 3.4869 | 3.4869 | 90.0 | 90.0 | 90.0 |
| oqmd-304072 | box | -3.7513 | -3.7513 | 3.6727 | 3.6727 | 7.0395 | 90.0 | 90.0 | 90.0 |
| mp-1184444 | dynamic | -3.748 | -3.748 | 5.1105 | 5.1105 | 4.1435 | 90.0 | 90.0 | 120.0 |
| mp-1184444 | box | -3.7463 | -3.7463 | 5.1105 | 5.1105 | 4.1424 | 90.0 | 90.0 | 120.0 |
| L1_2--AuCu3 | box | -3.7403 | -3.7403 | 3.6563 | 3.6563 | 3.6563 | 90.0 | 90.0 | 90.0 |
| mp-1224953 | box | -3.6319 | -3.6319 | 2.8324 | 4.0479 | 8.0862 | 90.0 | 90.0 | 90.0 |
| A15--Cr3Si | box | -3.6052 | -3.6052 | 4.6678 | 4.6678 | 4.6678 | 90.0 | 90.0 | 90.0 |
| D0_3--BiF3 | box | -3.6045 | -3.6045 | 5.647 | 5.647 | 5.647 | 90.0 | 90.0 | 90.0 |
| D0_3--BiF3 | box | -0.1931 | -0.1931 | 9.8667 | 9.8667 | 9.8667 | 90.0 | 90.0 | 90.0 |
| L1_2--AuCu3 | box | -0.1514 | -0.1514 | 6.3426 | 6.3426 | 6.3426 | 90.0 | 90.0 | 90.0 |
| L1_2--AuCu3 | box | -0.1024 | -0.1024 | 7.7516 | 7.7516 | 7.7516 | 90.0 | 90.0 | 90.0 |
| A15--Cr3Si | static | -0.0443 | -0.0443 | 9.7969 | 9.7969 | 9.7969 | 90.0 | 90.0 | 90.0 |
| A15--Cr3Si | box | -0.0344 | -0.0344 | 8.0277 | 8.0277 | 8.0277 | 90.0 | 90.0 | 90.0 |
Download raw data (including filtered results)
Reference structure matches:
D0_3--BiF3 = oqmd-313298
L1_2--AuCu3 = oqmd-345531
| prototype | method | Ecoh (eV/atom) | Epot (eV/atom) | a0 (Å) | b0 (Å) | c0 (Å) | α (degrees) | β (degrees) | γ (degrees) |
|---|---|---|---|---|---|---|---|---|---|
| L1_2--AuCu3 | box | -3.7773 | -3.7773 | 3.4886 | 3.4886 | 3.4886 | 90.0 | 90.0 | 90.0 |
| oqmd-302756 | box | -3.7602 | -3.7602 | 3.5845 | 3.5845 | 7.1678 | 90.0 | 90.0 | 90.0 |
| oqmd-321045 | box | -3.7496 | -3.7496 | 5.0579 | 5.0579 | 4.1594 | 90.0 | 90.0 | 120.0 |
| mp-1225698 | box | -3.6621 | -3.6621 | 2.5502 | 4.3635 | 8.729 | 90.0 | 90.0 | 90.0 |
| D0_3--BiF3 | box | -3.6284 | -3.6284 | 5.7153 | 5.7153 | 5.7153 | 90.0 | 90.0 | 90.0 |
| A15--Cr3Si | box | -3.6084 | -3.6084 | 4.6469 | 4.6469 | 4.6469 | 90.0 | 90.0 | 90.0 |
| A15--Cr3Si | box | -0.2161 | -0.2161 | 8.1033 | 8.1033 | 8.1033 | 90.0 | 90.0 | 90.0 |
| L1_2--AuCu3 | box | -0.003 | -0.003 | 7.9575 | 7.9575 | 7.9575 | 90.0 | 90.0 | 90.0 |
| D0_3--BiF3 | box | -0.002 | -0.002 | 12.9945 | 12.9945 | 12.9945 | 90.0 | 90.0 | 90.0 |
| D0_3--BiF3 | box | 0.5705 | 0.5705 | 10.9379 | 10.9379 | 10.9379 | 90.0 | 90.0 | 90.0 |
Download raw data (including filtered results)
Reference structure matches:
| prototype | method | Ecoh (eV/atom) | Epot (eV/atom) | a0 (Å) | b0 (Å) | c0 (Å) | α (degrees) | β (degrees) | γ (degrees) |
|---|---|---|---|---|---|---|---|---|---|
| mp-1224977 | dynamic | -3.7118 | -3.7118 | 2.5555 | 2.5555 | 31.3326 | 90.0 | 90.0 | 120.0 |
| mp-1224977 | box | -3.7084 | -3.7084 | 2.5525 | 2.5525 | 31.2057 | 90.0 | 90.0 | 120.0 |
Download raw data (including filtered results)
Reference structure matches:
B2--CsCl = oqmd-307730
| prototype | method | Ecoh (eV/atom) | Epot (eV/atom) | a0 (Å) | b0 (Å) | c0 (Å) | α (degrees) | β (degrees) | γ (degrees) |
|---|---|---|---|---|---|---|---|---|---|
| L1_0--AuCu | box | -3.9619 | -3.9619 | 2.6327 | 2.6327 | 3.4661 | 90.0 | 90.0 | 90.0 |
| B4--ZnS--wurtzite | dynamic | -3.8668 | -3.8668 | 2.4768 | 2.4768 | 8.9925 | 90.0 | 90.0 | 120.0 |
| mp-1224945 | static | -3.8563 | -3.8563 | 2.7129 | 4.2497 | 4.2394 | 90.0 | 90.0 | 90.0 |
| B2--CsCl | box | -3.8524 | -3.8524 | 2.8086 | 2.8086 | 2.8086 | 90.0 | 90.0 | 90.0 |
| mp-1224945 | box | -3.8499 | -3.8499 | 2.9048 | 4.1214 | 4.0621 | 90.0 | 90.0 | 90.0 |
| B4--ZnS--wurtzite | static | -3.484 | -3.484 | 2.4833 | 2.4833 | 14.0549 | 90.0 | 90.0 | 120.0 |
| B1--NaCl--rock-salt | box | -3.3887 | -3.3887 | 4.8411 | 4.8411 | 4.8411 | 90.0 | 90.0 | 90.0 |
| B4--ZnS--wurtzite | box | -2.5585 | -2.5585 | 3.7644 | 3.7644 | 6.3178 | 90.0 | 90.0 | 120.0 |
| B3--ZnS--cubic-zinc-blende | box | -2.5198 | -2.5198 | 5.3365 | 5.3365 | 5.3365 | 90.0 | 90.0 | 90.0 |
| B4--ZnS--wurtzite | box | -1.6322 | -1.6322 | 4.659 | 4.659 | 6.5559 | 90.0 | 90.0 | 120.0 |
| B3--ZnS--cubic-zinc-blende | dynamic | -1.3566 | -1.3566 | 6.5122 | 6.5122 | 6.5122 | 90.0 | 90.0 | 90.0 |
| B4--ZnS--wurtzite | static | -0.4897 | -0.4897 | 8.4794 | 8.4794 | 8.1797 | 90.0 | 90.0 | 120.0 |
| B4--ZnS--wurtzite | dynamic | -0.4202 | -0.4202 | 7.972 | 7.972 | 10.4965 | 90.0 | 90.0 | 120.0 |
| B1--NaCl--rock-salt | static | -0.2894 | -0.2894 | 9.0245 | 9.0245 | 9.0245 | 90.0 | 90.0 | 90.0 |
| B4--ZnS--wurtzite | box | -0.2768 | -0.2768 | 7.4083 | 7.4083 | 12.1074 | 90.0 | 90.0 | 120.0 |
| B3--ZnS--cubic-zinc-blende | box | -0.2768 | -0.2768 | 10.4797 | 10.4797 | 10.4797 | 90.0 | 90.0 | 90.0 |
| B2--CsCl | dynamic | -0.2605 | -0.2605 | 6.2941 | 6.2941 | 6.2941 | 90.0 | 90.0 | 90.0 |
| L1_0--AuCu | box | -0.2605 | -0.2605 | 5.8081 | 5.8081 | 7.1677 | 90.0 | 90.0 | 90.0 |
| B4--ZnS--wurtzite | dynamic | -0.2592 | -0.2592 | 5.6011 | 5.6011 | 19.4283 | 90.0 | 90.0 | 120.0 |
| B4--ZnS--wurtzite | dynamic | -0.2592 | -0.2592 | 5.601 | 5.601 | 19.4233 | 90.0 | 90.0 | 120.0 |
| B1--NaCl--rock-salt | static | -0.2588 | -0.2588 | 10.8603 | 10.8603 | 10.8603 | 90.0 | 90.0 | 90.0 |
| B4--ZnS--wurtzite | static | -0.2569 | -0.2569 | 8.8085 | 8.8085 | 14.3957 | 90.0 | 90.0 | 120.0 |
| B3--ZnS--cubic-zinc-blende | dynamic | -0.2569 | -0.2569 | 12.4604 | 12.4604 | 12.4604 | 90.0 | 90.0 | 90.0 |
| B2--CsCl | box | -0.2046 | -0.2046 | 5.2925 | 5.2925 | 5.2925 | 90.0 | 90.0 | 90.0 |
| B4--ZnS--wurtzite | dynamic | 1.6199 | 1.6199 | 5.6825 | 5.6825 | 9.285 | 90.0 | 90.0 | 120.0 |
| B4--ZnS--wurtzite | box | 1.6199 | 1.6199 | 5.6821 | 5.6821 | 9.2862 | 90.0 | 90.0 | 120.0 |
| B3--ZnS--cubic-zinc-blende | static | 1.6199 | 1.6199 | 8.0378 | 8.0378 | 8.0378 | 90.0 | 90.0 | 90.0 |
| B1--NaCl--rock-salt | box | 2.0335 | 2.0335 | 7.1888 | 7.1888 | 7.1888 | 90.0 | 90.0 | 90.0 |
Download raw data (including filtered results)
Reference structure matches:
| prototype | method | Ecoh (eV/atom) | Epot (eV/atom) | a0 (Å) | b0 (Å) | c0 (Å) | α (degrees) | β (degrees) | γ (degrees) |
|---|---|---|---|---|---|---|---|---|---|
| C1--CaF2--fluorite | box | -3.2876 | -3.2876 | 5.4326 | 5.4326 | 5.4326 | 90.0 | 90.0 | 90.0 |
| C1--CaF2--fluorite | box | -3.0843 | -3.0843 | 6.1883 | 6.1883 | 6.1883 | 90.0 | 90.0 | 90.0 |
| C1--CaF2--fluorite | static | -0.3796 | -0.3796 | 10.7286 | 10.7286 | 10.7286 | 90.0 | 90.0 | 90.0 |
| C1--CaF2--fluorite | dynamic | -0.3423 | -0.3423 | 12.4605 | 12.4605 | 12.4605 | 90.0 | 90.0 | 90.0 |
| C1--CaF2--fluorite | box | 2.4527 | 2.4527 | 8.0459 | 8.0459 | 8.0459 | 90.0 | 90.0 | 90.0 |
Download raw data (including filtered results)
Reference structure matches:
L2_1--AlCu2Mn--heusler = oqmd-527159
| prototype | method | Ecoh (eV/atom) | Epot (eV/atom) | a0 (Å) | b0 (Å) | c0 (Å) | α (degrees) | β (degrees) | γ (degrees) |
|---|---|---|---|---|---|---|---|---|---|
| L2_1--AlCu2Mn--heusler | box | -4.0944 | -4.0944 | 5.6258 | 5.6258 | 5.6258 | 90.0 | 90.0 | 90.0 |
| L2_1--AlCu2Mn--heusler | box | -0.2732 | -0.2732 | 10.7583 | 10.7583 | 10.7583 | 90.0 | 90.0 | 90.0 |
| L2_1--AlCu2Mn--heusler | static | -0.2593 | -0.2593 | 12.4587 | 12.4587 | 12.4587 | 90.0 | 90.0 | 90.0 |
Download raw data (including filtered results)
Reference structure matches:
D0_3--BiF3 = mp-1184260, oqmd-311223
| prototype | method | Ecoh (eV/atom) | Epot (eV/atom) | a0 (Å) | b0 (Å) | c0 (Å) | α (degrees) | β (degrees) | γ (degrees) |
|---|---|---|---|---|---|---|---|---|---|
| mp-1184311 | dynamic | -4.1756 | -4.1756 | 3.6668 | 3.6668 | 6.9923 | 90.0 | 90.0 | 90.0 |
| L1_2--AuCu3 | box | -4.1738 | -4.1738 | 3.6291 | 3.6291 | 3.6291 | 90.0 | 90.0 | 90.0 |
| D0_3--BiF3 | static | -4.1002 | -4.1002 | 5.6799 | 5.6799 | 5.6799 | 90.0 | 90.0 | 90.0 |
| A15--Cr3Si | box | -3.98 | -3.98 | 4.6912 | 4.6912 | 4.6912 | 90.0 | 90.0 | 90.0 |
| L1_2--AuCu3 | box | -3.1616 | -3.1616 | 4.3514 | 4.3514 | 4.3514 | 90.0 | 90.0 | 90.0 |
| A15--Cr3Si | box | -3.1424 | -3.1424 | 5.4762 | 5.4762 | 5.4762 | 90.0 | 90.0 | 90.0 |
| A15--Cr3Si | static | -0.4028 | -0.4028 | 8.6953 | 8.6953 | 8.6953 | 90.0 | 90.0 | 90.0 |
| A15--Cr3Si | static | -0.3934 | -0.3934 | 9.4392 | 9.4392 | 9.4392 | 90.0 | 90.0 | 90.0 |
| L1_2--AuCu3 | box | -0.0 | -0.0 | 8.1752 | 8.1752 | 8.1752 | 90.0 | 90.0 | 90.0 |
| D0_3--BiF3 | box | -0.0 | -0.0 | 13.35 | 13.35 | 13.35 | 90.0 | 90.0 | 90.0 |
| D0_3--BiF3 | box | 0.6021 | 0.6021 | 11.2584 | 11.2584 | 11.2584 | 90.0 | 90.0 | 90.0 |
| D0_3--BiF3 | box | 2.3045 | 2.3045 | 9.1782 | 9.1782 | 9.1782 | 90.0 | 90.0 | 90.0 |
Download raw data (including filtered results)
Reference structure matches:
| prototype | method | Ecoh (eV/atom) | Epot (eV/atom) | a0 (Å) | b0 (Å) | c0 (Å) | α (degrees) | β (degrees) | γ (degrees) |
|---|---|---|---|---|---|---|---|---|---|
| mp-1224973 | dynamic | -4.1277 | -4.1277 | 2.5202 | 2.5202 | 6.196 | 90.0 | 90.0 | 120.0 |
| mp-1224973 | box | -4.1213 | -4.1213 | 2.52 | 2.52 | 6.2256 | 90.0 | 90.0 | 120.0 |
| oqmd-961306 | box | -3.4223 | -3.4223 | 5.4479 | 5.4479 | 5.4479 | 90.0 | 90.0 | 90.0 |
| oqmd-853002 | box | -3.3871 | -3.3871 | 5.428 | 5.428 | 5.428 | 90.0 | 90.0 | 90.0 |
| oqmd-958257 | box | -3.3547 | -3.3547 | 5.5784 | 5.5784 | 5.5784 | 90.0 | 90.0 | 90.0 |
Download raw data (including filtered results)
Reference structure matches:
L2_1--AlCu2Mn--heusler = oqmd-530208
| prototype | method | Ecoh (eV/atom) | Epot (eV/atom) | a0 (Å) | b0 (Å) | c0 (Å) | α (degrees) | β (degrees) | γ (degrees) |
|---|---|---|---|---|---|---|---|---|---|
| L2_1--AlCu2Mn--heusler | box | -4.0915 | -4.0915 | 5.6251 | 5.6251 | 5.6251 | 90.0 | 90.0 | 90.0 |
| L2_1--AlCu2Mn--heusler | static | -0.2981 | -0.2981 | 9.401 | 9.401 | 9.401 | 90.0 | 90.0 | 90.0 |
| L2_1--AlCu2Mn--heusler | box | -0.1013 | -0.1013 | 10.7833 | 10.7833 | 10.7833 | 90.0 | 90.0 | 90.0 |
| L2_1--AlCu2Mn--heusler | box | -0.0 | -0.0 | 13.3944 | 13.3944 | 13.3944 | 90.0 | 90.0 | 90.0 |
Download raw data (including filtered results)
Reference structure matches:
B1--NaCl--rock-salt = oqmd-1106260
B2--CsCl = oqmd-307075
B3--ZnS--cubic-zinc-blende = oqmd-1222197
L1_0--AuCu = oqmd-338617
| prototype | method | Ecoh (eV/atom) | Epot (eV/atom) | a0 (Å) | b0 (Å) | c0 (Å) | α (degrees) | β (degrees) | γ (degrees) |
|---|---|---|---|---|---|---|---|---|---|
| L1_0--AuCu | box | -3.9986 | -3.9986 | 2.4413 | 2.4413 | 3.5402 | 90.0 | 90.0 | 90.0 |
| oqmd-328159 | dynamic | -3.9923 | -3.9923 | 2.4845 | 2.4845 | 12.2179 | 90.0 | 90.0 | 120.0 |
| mp-1184069 | dynamic | -3.976 | -3.976 | 2.4772 | 2.4772 | 4.0389 | 90.0 | 90.0 | 120.0 |
| oqmd-1220003 | box | -3.9715 | -3.9715 | 4.131 | 2.5162 | 4.343 | 90.0 | 90.0 | 90.0 |
| mp-1225695 | box | -3.8791 | -3.8791 | 2.7385 | 3.7148 | 3.7976 | 90.0 | 90.0 | 90.0 |
| mp-1225695 | static | -3.8756 | -3.8756 | 2.5742 | 4.27 | 4.2698 | 90.0 | 90.0 | 90.0 |
| B2--CsCl | box | -3.8557 | -3.8557 | 2.8195 | 2.8195 | 2.8195 | 90.0 | 90.0 | 90.0 |
| B4--ZnS--wurtzite | static | -3.8421 | -3.8421 | 2.4794 | 2.4794 | 8.8537 | 90.0 | 90.0 | 120.0 |
| B1--NaCl--rock-salt | static | -3.4422 | -3.4422 | 4.8352 | 4.8352 | 4.8352 | 90.0 | 90.0 | 90.0 |
| oqmd-1225682 | box | -2.8259 | -2.8259 | 4.1037 | 4.1037 | 4.8604 | 90.0 | 90.0 | 120.0 |
| B4--ZnS--wurtzite | box | -2.5767 | -2.5767 | 3.8246 | 3.8246 | 6.3935 | 90.0 | 90.0 | 120.0 |
| B3--ZnS--cubic-zinc-blende | box | -2.5518 | -2.5518 | 5.388 | 5.388 | 5.388 | 90.0 | 90.0 | 90.0 |
| B1--NaCl--rock-salt | static | -0.5956 | -0.5956 | 7.1619 | 7.1619 | 7.1619 | 90.0 | 90.0 | 90.0 |
| B3--ZnS--cubic-zinc-blende | box | -0.5774 | -0.5774 | 7.6202 | 7.6202 | 7.6202 | 90.0 | 90.0 | 90.0 |
| B4--ZnS--wurtzite | box | -0.5765 | -0.5765 | 5.3776 | 5.3776 | 8.8562 | 90.0 | 90.0 | 120.0 |
| B1--NaCl--rock-salt | box | -0.3427 | -0.3427 | 7.7901 | 7.7901 | 7.7901 | 90.0 | 90.0 | 90.0 |
| B2--CsCl | box | -0.1583 | -0.1583 | 4.9902 | 4.9902 | 4.9902 | 90.0 | 90.0 | 90.0 |
| L1_0--AuCu | box | -0.0002 | -0.0002 | 5.8773 | 5.8773 | 7.6951 | 90.0 | 90.0 | 90.0 |
| B2--CsCl | box | -0.0002 | -0.0002 | 6.5396 | 6.5396 | 6.5396 | 90.0 | 90.0 | 90.0 |
| B4--ZnS--wurtzite | dynamic | -0.0001 | -0.0001 | 9.2459 | 9.2459 | 15.1105 | 90.0 | 90.0 | 120.0 |
| B3--ZnS--cubic-zinc-blende | box | -0.0001 | -0.0001 | 13.0791 | 13.0791 | 13.0791 | 90.0 | 90.0 | 90.0 |
Download raw data (including filtered results)
Reference structure matches:
| prototype | method | Ecoh (eV/atom) | Epot (eV/atom) | a0 (Å) | b0 (Å) | c0 (Å) | α (degrees) | β (degrees) | γ (degrees) |
|---|---|---|---|---|---|---|---|---|---|
| C1--CaF2--fluorite | box | -3.4936 | -3.4936 | 5.4371 | 5.4371 | 5.4371 | 90.0 | 90.0 | 90.0 |
| oqmd-1236617 | static | -1.5911 | -1.5911 | 11.2392 | 11.2392 | 11.2392 | 90.0 | 90.0 | 90.0 |
| C1--CaF2--fluorite | box | -0.0001 | -0.0001 | 13.0791 | 13.0791 | 13.0791 | 90.0 | 90.0 | 90.0 |
Download raw data (including filtered results)
Reference structure matches:
D0_3--BiF3 = oqmd-310503
L1_2--AuCu3 = oqmd-348326
| prototype | method | Ecoh (eV/atom) | Epot (eV/atom) | a0 (Å) | b0 (Å) | c0 (Å) | α (degrees) | β (degrees) | γ (degrees) |
|---|---|---|---|---|---|---|---|---|---|
| mp-1184054 | dynamic | -4.2165 | -4.2165 | 3.5336 | 3.5336 | 7.0693 | 90.0 | 90.0 | 90.0 |
| L1_2--AuCu3 | box | -4.2146 | -4.2146 | 3.5321 | 3.5321 | 3.5321 | 90.0 | 90.0 | 90.0 |
| oqmd-323840 | box | -4.1981 | -4.1981 | 4.9938 | 4.9938 | 4.0829 | 90.0 | 90.0 | 120.0 |
| mp-1225694 | box | -4.0983 | -4.0983 | 2.8021 | 3.9698 | 7.9556 | 90.0 | 90.0 | 90.0 |
| D0_3--BiF3 | box | -4.0959 | -4.0959 | 5.6079 | 5.6079 | 5.6079 | 90.0 | 90.0 | 90.0 |
| A15--Cr3Si | box | -4.0702 | -4.0702 | 4.5303 | 4.5303 | 4.5303 | 90.0 | 90.0 | 90.0 |
| D0_3--BiF3 | box | 0.0634 | 0.0634 | 10.6396 | 10.6396 | 10.6396 | 90.0 | 90.0 | 90.0 |
Download raw data (including filtered results)
Reference structure matches:
A1--Cu--fcc = mp-150, oqmd-7505, oqmd-1214525
A15--beta-W = oqmd-1214970
A2--W--bcc = mp-13, oqmd-8568, oqmd-22514, oqmd-1215148
A3'--alpha-La--double-hcp = oqmd-1215416
A3--Mg--hcp = mp-136, oqmd-30158, oqmd-51781, oqmd-1215326, oqmd-1215391
A4--C--dc = oqmd-1215505
A5--beta-Sn = oqmd-1215594
A6--In--bct = oqmd-1215683
Ah--alpha-Po--sc = mp-568345
| prototype | method | Ecoh (eV/atom) | Epot (eV/atom) | a0 (Å) | b0 (Å) | c0 (Å) | α (degrees) | β (degrees) | γ (degrees) |
|---|---|---|---|---|---|---|---|---|---|
| A1--Cu--fcc | dynamic | -4.4 | -4.4 | 3.56 | 3.56 | 3.56 | 90.0 | 90.0 | 90.0 |
| A3'--alpha-La--double-hcp | box | -4.396 | -4.396 | 2.5324 | 2.5324 | 8.208 | 90.0 | 90.0 | 120.0 |
| oqmd-1216039 | box | -4.3957 | -4.3957 | 2.5399 | 2.5399 | 18.4472 | 90.0 | 90.0 | 120.0 |
| oqmd-1215237 | static | -4.3941 | -4.3941 | 2.6078 | 4.3639 | 4.0825 | 90.0 | 90.0 | 90.0 |
| A3--Mg--hcp | box | -4.3939 | -4.3939 | 2.5558 | 2.5558 | 4.0901 | 90.0 | 90.0 | 120.0 |
| A3--Mg--hcp | box | -4.3939 | -4.3939 | 2.5557 | 2.5557 | 4.0901 | 90.0 | 90.0 | 120.0 |
| oqmd-1215237 | box | -4.3633 | -4.3633 | 2.4848 | 4.5797 | 4.1309 | 90.0 | 90.0 | 90.0 |
| mp-1245108 | dynamic | -4.3085 | -4.3085 | 10.2139 | 10.5966 | 11.2007 | 77.7 | 86.2 | 86.5 |
| A2--W--bcc | static | -4.3009 | -4.3009 | 2.8603 | 2.8603 | 2.8603 | 90.0 | 90.0 | 90.0 |
| oqmd-1214881 | box | -4.2627 | -4.2627 | 6.2053 | 6.2053 | 6.2053 | 90.0 | 90.0 | 90.0 |
| oqmd-1214792 | static | -4.2497 | -4.2497 | 8.8291 | 8.8291 | 8.8291 | 90.0 | 90.0 | 90.0 |
| mp-1245108 | static | -4.2283 | -4.2283 | 10.522 | 10.5445 | 10.7711 | 93.2 | 90.0 | 90.2 |
| oqmd-1214703 | static | -4.2147 | -4.2147 | 2.5257 | 4.1885 | 8.9524 | 90.0 | 90.0 | 90.0 |
| oqmd-1215059 | box | -4.2108 | -4.2108 | 2.5067 | 4.2037 | 8.9771 | 90.0 | 90.0 | 90.0 |
| oqmd-1214792 | box | -4.2098 | -4.2098 | 8.8783 | 8.8783 | 8.8783 | 90.0 | 90.0 | 90.0 |
| A15--beta-W | box | -4.1617 | -4.1617 | 4.6253 | 4.6253 | 4.6253 | 90.0 | 90.0 | 90.0 |
| mp-1245108 | box | -4.1449 | -4.1449 | 10.535 | 10.5882 | 10.8815 | 91.4 | 90.3 | 91.7 |
| mp-1194030 | box | -4.1403 | -4.1403 | 8.5471 | 8.5471 | 4.6722 | 90.0 | 90.0 | 90.0 |
| oqmd-21053 | box | -4.1354 | -4.1354 | 8.5479 | 8.5479 | 4.6765 | 90.0 | 90.0 | 90.0 |
| mp-1096950 | static | -4.0541 | -4.0541 | 2.4386 | 2.4386 | 2.3715 | 90.0 | 90.0 | 120.0 |
| A5--beta-Sn | box | -3.9445 | -3.9445 | 4.5792 | 4.5792 | 2.3985 | 90.0 | 90.0 | 90.0 |
| Ah--alpha-Po--sc | box | -3.5379 | -3.5379 | 2.331 | 2.331 | 2.331 | 90.0 | 90.0 | 90.0 |
| oqmd-21731 | box | -3.5378 | -3.5378 | 2.331 | 2.331 | 6.993 | 90.0 | 90.0 | 90.0 |
| Ah--alpha-Po--sc | box | -3.2609 | -3.2609 | 2.6484 | 2.6484 | 2.6484 | 90.0 | 90.0 | 90.0 |
| A1--Cu--fcc | box | -3.1953 | -3.1953 | 4.3998 | 4.3998 | 4.3998 | 90.0 | 90.0 | 90.0 |
| A3--Mg--hcp | box | -3.1259 | -3.1259 | 2.9258 | 2.9258 | 5.8755 | 90.0 | 90.0 | 120.0 |
| A15--beta-W | box | -3.12 | -3.12 | 5.5597 | 5.5597 | 5.5597 | 90.0 | 90.0 | 90.0 |
| A4--C--dc | box | -2.589 | -2.589 | 5.3907 | 5.3907 | 5.3907 | 90.0 | 90.0 | 90.0 |
| Ah--alpha-Po--sc | box | -2.2261 | -2.2261 | 2.1024 | 2.1024 | 2.1024 | 90.0 | 90.0 | 90.0 |
| A3--Mg--hcp | static | -0.0154 | -0.0154 | 5.6498 | 5.6498 | 9.2261 | 90.0 | 90.0 | 120.0 |
| A3'--alpha-La--double-hcp | dynamic | -0.0154 | -0.0154 | 5.6498 | 5.6498 | 18.4523 | 90.0 | 90.0 | 120.0 |
| A1--Cu--fcc | box | -0.0154 | -0.0154 | 7.9901 | 7.9901 | 7.9901 | 90.0 | 90.0 | 90.0 |
| A2--W--bcc | box | -0.0103 | -0.0103 | 6.5239 | 6.5239 | 6.5239 | 90.0 | 90.0 | 90.0 |
| A4--C--dc | box | -0.0051 | -0.0051 | 13.0477 | 13.0477 | 13.0477 | 90.0 | 90.0 | 90.0 |
| A7--alpha-As | dynamic | -0.0039 | -0.0039 | 8.9167 | 8.9167 | 19.1004 | 90.0 | 90.0 | 120.0 |
| A7--alpha-As | static | -0.0039 | -0.0039 | 8.4398 | 8.4398 | 23.4511 | 90.0 | 90.0 | 120.0 |
| A7--alpha-As | static | 0.4055 | 0.4055 | 5.6497 | 5.6497 | 21.0429 | 90.0 | 90.0 | 120.0 |
| A7--alpha-As | dynamic | 0.4168 | 0.4168 | 6.724 | 6.724 | 19.6595 | 90.0 | 90.0 | 120.0 |
| A4--C--dc | box | 0.5525 | 0.5525 | 9.3539 | 9.3539 | 9.3539 | 90.0 | 90.0 | 90.0 |
| Ah--alpha-Po--sc | box | 0.8146 | 0.8146 | 4.0417 | 4.0417 | 4.0417 | 90.0 | 90.0 | 90.0 |
| A3--Mg--hcp | dynamic | 1.5797 | 1.5797 | 4.0475 | 4.0475 | 6.6096 | 90.0 | 90.0 | 120.0 |
| A3'--alpha-La--double-hcp | static | 1.5797 | 1.5797 | 4.0475 | 4.0475 | 13.2192 | 90.0 | 90.0 | 120.0 |
| A1--Cu--fcc | box | 1.5797 | 1.5797 | 5.7241 | 5.7241 | 5.7241 | 90.0 | 90.0 | 90.0 |
| A15--beta-W | box | 3.1773 | 3.1773 | 7.1817 | 7.1817 | 7.1817 | 90.0 | 90.0 | 90.0 |
| A2--W--bcc | box | 3.2855 | 3.2855 | 4.5367 | 4.5367 | 4.5367 | 90.0 | 90.0 | 90.0 |
| A2--W--bcc | box | 3.5367 | 3.5367 | 5.5586 | 5.5586 | 5.5586 | 90.0 | 90.0 | 90.0 |
Download raw data (including filtered results)
Reference structure matches:
| prototype | method | Ecoh (eV/atom) | Epot (eV/atom) | a0 (Å) | b0 (Å) | c0 (Å) | α (degrees) | β (degrees) | γ (degrees) |
|---|---|---|---|---|---|---|---|---|---|
| mp-1224697 | dynamic | -4.4157 | -4.4157 | 2.5049 | 2.5049 | 6.1446 | 90.0 | 90.0 | 120.0 |
| mp-1224697 | box | -4.4082 | -4.4082 | 2.5058 | 2.5058 | 6.1157 | 90.0 | 90.0 | 120.0 |
| mp-1077745 | static | -4.0468 | -4.0468 | 6.6823 | 6.6823 | 6.6823 | 90.0 | 90.0 | 90.0 |
| C1--CaF2--fluorite | box | -3.5434 | -3.5434 | 5.4773 | 5.4773 | 5.4773 | 90.0 | 90.0 | 90.0 |
| oqmd-1236414 | static | -0.5242 | -0.5242 | 8.6098 | 8.6098 | 8.6098 | 90.0 | 90.0 | 90.0 |
| C1--CaF2--fluorite | box | -0.011 | -0.011 | 11.9144 | 11.9144 | 11.9144 | 90.0 | 90.0 | 90.0 |
| C1--CaF2--fluorite | box | -0.0 | -0.0 | 13.3955 | 13.3955 | 13.3955 | 90.0 | 90.0 | 90.0 |
| C1--CaF2--fluorite | box | 2.0281 | 2.0281 | 8.4593 | 8.4593 | 8.4593 | 90.0 | 90.0 | 90.0 |
Download raw data (including filtered results)
Reference structure matches:
| prototype | method | Ecoh (eV/atom) | Epot (eV/atom) | a0 (Å) | b0 (Å) | c0 (Å) | α (degrees) | β (degrees) | γ (degrees) |
|---|---|---|---|---|---|---|---|---|---|
| oqmd-427042 | box | -3.6556 | -3.6556 | 6.1213 | 6.1213 | 12.0991 | 90.0 | 90.0 | 120.0 |
Download raw data (including filtered results)
Reference structure matches:
D0_3--BiF3 = mp-1007853, oqmd-312075
L1_2--AuCu3 = mp-999189, oqmd-343549
| prototype | method | Ecoh (eV/atom) | Epot (eV/atom) | a0 (Å) | b0 (Å) | c0 (Å) | α (degrees) | β (degrees) | γ (degrees) |
|---|---|---|---|---|---|---|---|---|---|
| mp-1007862 | dynamic | -4.4089 | -4.4089 | 3.5589 | 3.5589 | 7.0824 | 90.0 | 90.0 | 90.0 |
| mp-1224827 | dynamic | -4.4084 | -4.4084 | 2.5098 | 2.5098 | 24.5525 | 90.0 | 90.0 | 120.0 |
| mp-1224827 | static | -4.4084 | -4.4084 | 2.5098 | 2.5098 | 24.5522 | 90.0 | 90.0 | 120.0 |
| mp-1224827 | box | -4.4078 | -4.4078 | 2.5102 | 2.5102 | 24.5058 | 90.0 | 90.0 | 120.0 |
| L1_2--AuCu3 | dynamic | -4.4072 | -4.4072 | 3.56 | 3.56 | 3.56 | 90.0 | 90.0 | 90.0 |
| oqmd-319063 | box | -4.398 | -4.398 | 5.05 | 5.05 | 4.0996 | 90.0 | 90.0 | 120.0 |
| D0_3--BiF3 | static | -4.3241 | -4.3241 | 5.672 | 5.672 | 5.672 | 90.0 | 90.0 | 90.0 |
| mp-1224780 | box | -4.3135 | -4.3135 | 2.8754 | 4.0032 | 7.9859 | 90.0 | 90.0 | 90.0 |
| A15--Cr3Si | box | -4.1854 | -4.1854 | 4.6388 | 4.6388 | 4.6388 | 90.0 | 90.0 | 90.0 |
| L1_2--AuCu3 | box | -3.1487 | -3.1487 | 4.3521 | 4.3521 | 4.3521 | 90.0 | 90.0 | 90.0 |
| A15--Cr3Si | box | -3.1452 | -3.1452 | 5.4745 | 5.4745 | 5.4745 | 90.0 | 90.0 | 90.0 |
| L1_2--AuCu3 | box | -0.0073 | -0.0073 | 7.992 | 7.992 | 7.992 | 90.0 | 90.0 | 90.0 |
| D0_3--BiF3 | box | -0.0049 | -0.0049 | 13.0508 | 13.0508 | 13.0508 | 90.0 | 90.0 | 90.0 |
| A15--Cr3Si | box | 0.6482 | 0.6482 | 9.1098 | 9.1098 | 9.1098 | 90.0 | 90.0 | 90.0 |
| L1_2--AuCu3 | box | 1.5942 | 1.5942 | 5.8328 | 5.8328 | 5.8328 | 90.0 | 90.0 | 90.0 |
| D0_3--BiF3 | box | 2.2385 | 2.2385 | 9.3906 | 9.3906 | 9.3906 | 90.0 | 90.0 | 90.0 |
Download raw data (including filtered results)
Reference structure matches:
| prototype | method | Ecoh (eV/atom) | Epot (eV/atom) | a0 (Å) | b0 (Å) | c0 (Å) | α (degrees) | β (degrees) | γ (degrees) |
|---|---|---|---|---|---|---|---|---|---|
| mp-1225009 | dynamic | -4.4119 | -4.4119 | 2.5189 | 2.5189 | 17.6258 | 90.0 | 90.0 | 90.0 |
| mp-1225009 | box | -4.4078 | -4.4078 | 2.5177 | 2.5177 | 17.6421 | 90.0 | 90.0 | 90.0 |
Download raw data (including filtered results)
Reference structure matches:
B1--NaCl--rock-salt = oqmd-1105634
B2--CsCl = oqmd-306449
B3--ZnS--cubic-zinc-blende = oqmd-1222507
L1_0--AuCu = mp-2213, oqmd-17225, oqmd-30230, oqmd-337991
| prototype | method | Ecoh (eV/atom) | Epot (eV/atom) | a0 (Å) | b0 (Å) | c0 (Å) | α (degrees) | β (degrees) | γ (degrees) |
|---|---|---|---|---|---|---|---|---|---|
| mp-1224976 | dynamic | -4.4193 | -4.4193 | 2.5109 | 2.5109 | 12.2462 | 90.0 | 90.0 | 120.0 |
| L1_0--AuCu | dynamic | -4.4162 | -4.4162 | 2.5228 | 2.5228 | 3.5203 | 90.0 | 90.0 | 90.0 |
| oqmd-1220313 | box | -4.4032 | -4.4032 | 4.0938 | 2.5284 | 4.3149 | 90.0 | 90.0 | 90.0 |
| oqmd-1229478 | static | -4.399 | -4.399 | 2.5148 | 2.5148 | 4.0857 | 90.0 | 90.0 | 120.0 |
| B2--CsCl | box | -4.3312 | -4.3312 | 2.8102 | 2.8102 | 2.8102 | 90.0 | 90.0 | 90.0 |
| mp-1224965 | box | -4.3158 | -4.3158 | 2.8575 | 4.0059 | 3.9847 | 90.0 | 90.0 | 90.0 |
| B1--NaCl--rock-salt | box | -3.5482 | -3.5482 | 4.7184 | 4.7184 | 4.7184 | 90.0 | 90.0 | 90.0 |
| oqmd-1225992 | box | -3.1375 | -3.1375 | 4.2833 | 4.2833 | 4.9086 | 90.0 | 90.0 | 120.0 |
| B4--ZnS--wurtzite | box | -2.5278 | -2.5278 | 3.7598 | 3.7598 | 6.0497 | 90.0 | 90.0 | 120.0 |
| B3--ZnS--cubic-zinc-blende | box | -2.4988 | -2.4988 | 5.2943 | 5.2943 | 5.2943 | 90.0 | 90.0 | 90.0 |
| B2--CsCl | box | -0.0164 | -0.0164 | 5.9573 | 5.9573 | 5.9573 | 90.0 | 90.0 | 90.0 |
| B3--ZnS--cubic-zinc-blende | dynamic | -0.0056 | -0.0056 | 11.9821 | 11.9821 | 11.9821 | 90.0 | 90.0 | 90.0 |
| B4--ZnS--wurtzite | dynamic | -0.0056 | -0.0056 | 8.4704 | 8.4704 | 13.8431 | 90.0 | 90.0 | 120.0 |
| L1_0--AuCu | box | -0.0008 | -0.0008 | 5.6543 | 5.6543 | 7.6589 | 90.0 | 90.0 | 90.0 |
| B2--CsCl | box | -0.0 | -0.0 | 6.6977 | 6.6977 | 6.6977 | 90.0 | 90.0 | 90.0 |
| L1_0--AuCu | box | -0.0 | -0.0 | 6.0188 | 6.0188 | 7.882 | 90.0 | 90.0 | 90.0 |
| B3--ZnS--cubic-zinc-blende | box | -0.0 | -0.0 | 13.3955 | 13.3955 | 13.3955 | 90.0 | 90.0 | 90.0 |
| B4--ZnS--wurtzite | static | -0.0 | -0.0 | 9.4764 | 9.4764 | 15.476 | 90.0 | 90.0 | 120.0 |
| B4--ZnS--wurtzite | dynamic | 0.0 | 0.0 | 9.4764 | 9.4764 | 21.3603 | 90.0 | 90.0 | 120.0 |
| B2--CsCl | box | 2.0423 | 2.0423 | 4.2625 | 4.2625 | 4.2625 | 90.0 | 90.0 | 90.0 |
Download raw data (including filtered results)
Reference structure matches:
| prototype | method | Ecoh (eV/atom) | Epot (eV/atom) | a0 (Å) | b0 (Å) | c0 (Å) | α (degrees) | β (degrees) | γ (degrees) |
|---|---|---|---|---|---|---|---|---|---|
| mp-1072076 | static | -4.2006 | -4.2006 | 6.6284 | 6.6284 | 6.6284 | 90.0 | 90.0 | 90.0 |
| C1--CaF2--fluorite | box | -3.5724 | -3.5724 | 5.5558 | 5.5558 | 5.5558 | 90.0 | 90.0 | 90.0 |
| oqmd-1236413 | box | -1.5799 | -1.5799 | 11.0488 | 11.0488 | 11.0488 | 90.0 | 90.0 | 90.0 |
| C1--CaF2--fluorite | box | -0.0074 | -0.0074 | 11.9822 | 11.9822 | 11.9822 | 90.0 | 90.0 | 90.0 |
| C1--CaF2--fluorite | box | -0.0 | -0.0 | 13.3955 | 13.3955 | 13.3955 | 90.0 | 90.0 | 90.0 |
Download raw data (including filtered results)
Reference structure matches:
D0_3--BiF3 = mp-1007854, oqmd-308521
L1_2--AuCu3 = mp-1418, oqmd-7241, oqmd-347103
| prototype | method | Ecoh (eV/atom) | Epot (eV/atom) | a0 (Å) | b0 (Å) | c0 (Å) | α (degrees) | β (degrees) | γ (degrees) |
|---|---|---|---|---|---|---|---|---|---|
| mp-1225078 | dynamic | -4.4361 | -4.4361 | 2.494 | 2.494 | 24.4358 | 90.0 | 90.0 | 120.0 |
| mp-1225078 | box | -4.4361 | -4.4361 | 2.4941 | 2.4941 | 24.4421 | 90.0 | 90.0 | 120.0 |
| mp-1007855 | dynamic | -4.4346 | -4.4346 | 3.5374 | 3.5374 | 7.0422 | 90.0 | 90.0 | 90.0 |
| L1_2--AuCu3 | dynamic | -4.4291 | -4.4291 | 3.5375 | 3.5375 | 3.5375 | 90.0 | 90.0 | 90.0 |
| mp-1079337 | dynamic | -4.418 | -4.418 | 4.0711 | 4.99 | 4.3146 | 90.0 | 90.0 | 90.0 |
| mp-1079337 | box | -4.4165 | -4.4165 | 4.0679 | 4.9973 | 4.3114 | 90.0 | 90.0 | 90.0 |
| oqmd-322617 | box | -4.4155 | -4.4155 | 4.9912 | 4.9912 | 4.0741 | 90.0 | 90.0 | 120.0 |
| D0_3--BiF3 | static | -4.331 | -4.331 | 5.5948 | 5.5948 | 5.5948 | 90.0 | 90.0 | 90.0 |
| A15--Cr3Si | box | -4.2852 | -4.2852 | 4.5129 | 4.5129 | 4.5129 | 90.0 | 90.0 | 90.0 |
| A15--Cr3Si | box | -0.0087 | -0.0087 | 9.2517 | 9.2517 | 9.2517 | 90.0 | 90.0 | 90.0 |
| L1_2--AuCu3 | box | -0.0024 | -0.0024 | 7.3458 | 7.3458 | 7.3458 | 90.0 | 90.0 | 90.0 |
Download raw data (including filtered results)
Reference structure matches:
A1--Cu--fcc = mp-23, oqmd-676148, oqmd-1214550
A15--beta-W = oqmd-1214995, oqmd-1280360
A2--W--bcc = mp-1008728, oqmd-22516, oqmd-1215173
A3'--alpha-La--double-hcp = oqmd-1215441
A3--Mg--hcp = mp-10257, oqmd-677944, oqmd-1215351
A4--C--dc = oqmd-1215530
A5--beta-Sn = oqmd-1215619
A6--In--bct = oqmd-1215708
| prototype | method | Ecoh (eV/atom) | Epot (eV/atom) | a0 (Å) | b0 (Å) | c0 (Å) | α (degrees) | β (degrees) | γ (degrees) |
|---|---|---|---|---|---|---|---|---|---|
| A1--Cu--fcc | dynamic | -4.45 | -4.45 | 3.52 | 3.52 | 3.52 | 90.0 | 90.0 | 90.0 |
| A3'--alpha-La--double-hcp | box | -4.4394 | -4.4394 | 2.4856 | 2.4856 | 8.101 | 90.0 | 90.0 | 120.0 |
| A3--Mg--hcp | dynamic | -4.4296 | -4.4296 | 2.4831 | 2.4831 | 4.0199 | 90.0 | 90.0 | 120.0 |
| oqmd-1215262 | box | -4.4288 | -4.4288 | 2.473 | 4.317 | 4.0239 | 90.0 | 90.0 | 90.0 |
| A2--W--bcc | static | -4.338 | -4.338 | 2.7863 | 2.7863 | 2.7863 | 90.0 | 90.0 | 90.0 |
| oqmd-1214906 | box | -4.3344 | -4.3344 | 6.1179 | 6.1179 | 6.1179 | 90.0 | 90.0 | 90.0 |
| oqmd-1214817 | box | -4.3139 | -4.3139 | 8.7083 | 8.7083 | 8.7083 | 90.0 | 90.0 | 90.0 |
| A15--beta-W | dynamic | -4.3035 | -4.3035 | 4.5121 | 4.5121 | 4.5121 | 90.0 | 90.0 | 90.0 |
| oqmd-1215084 | box | -4.1492 | -4.1492 | 2.5007 | 4.156 | 8.8729 | 90.0 | 90.0 | 90.0 |
| oqmd-1214728 | box | -4.0695 | -4.0695 | 2.408 | 2.408 | 8.3087 | 90.0 | 90.0 | 90.0 |
| mp-1014111 | dynamic | -3.9028 | -3.9028 | 2.4636 | 2.4636 | 13.4399 | 90.0 | 90.0 | 120.0 |
| mp-1014111 | static | -3.9028 | -3.9028 | 2.4636 | 2.4636 | 13.3815 | 90.0 | 90.0 | 120.0 |
| A5--beta-Sn | box | -3.8428 | -3.8428 | 4.5117 | 4.5117 | 2.3666 | 90.0 | 90.0 | 90.0 |
| Ah--alpha-Po--sc | static | -3.617 | -3.617 | 2.3478 | 2.3478 | 2.3478 | 90.0 | 90.0 | 90.0 |
| A7--alpha-As | box | -3.0872 | -3.0872 | 3.2682 | 3.2682 | 9.9527 | 90.0 | 90.0 | 120.0 |
| A4--C--dc | box | -2.5619 | -2.5619 | 5.4791 | 5.4791 | 5.4791 | 90.0 | 90.0 | 90.0 |
| oqmd-1215975 | box | -2.0719 | -2.0719 | 3.1921 | 3.1921 | 3.1385 | 90.0 | 90.0 | 120.0 |
| A7--alpha-As | static | 0.003 | 0.003 | 7.7916 | 7.7916 | 21.6433 | 90.0 | 90.0 | 120.0 |
| A4--C--dc | box | 0.004 | 0.004 | 12.0448 | 12.0448 | 12.0448 | 90.0 | 90.0 | 90.0 |
| A15--beta-W | box | 0.0063 | 0.0063 | 9.2606 | 9.2606 | 9.2606 | 90.0 | 90.0 | 90.0 |
| A2--W--bcc | box | 0.008 | 0.008 | 6.0224 | 6.0224 | 6.0224 | 90.0 | 90.0 | 90.0 |
| A3--Mg--hcp | static | 0.0119 | 0.0119 | 5.2156 | 5.2156 | 8.517 | 90.0 | 90.0 | 120.0 |
| A3'--alpha-La--double-hcp | dynamic | 0.0119 | 0.0119 | 5.2156 | 5.2156 | 17.034 | 90.0 | 90.0 | 120.0 |
| A1--Cu--fcc | box | 0.0119 | 0.0119 | 7.3759 | 7.3759 | 7.3759 | 90.0 | 90.0 | 90.0 |
Static elastic constants are displayed for the unique structures identified in Crystal Structure Predictions above. The values displayed here are obtained by measuring the change in virial stresses due to applying small strains to the relaxed crystals. The initial structure and the strained states are all relaxed using force minimization.
The calculation method used is available as the iprPy elastic_constants_static calculation method.
Notes and Disclaimers:
Version Information:
| 264.632 | 191.697 | 191.697 | -0.000 | 0.000 | 0.000 |
| 191.697 | 264.632 | 191.697 | -0.000 | -0.000 | -0.000 |
| 191.697 | 191.697 | 264.632 | -0.000 | -0.000 | 0.000 |
| -0.000 | -0.000 | -0.000 | 142.070 | -0.000 | 0.000 |
| -0.000 | -0.000 | -0.000 | -0.000 | 142.070 | 0.000 |
| -0.000 | -0.000 | -0.000 | -0.000 | 0.000 | 142.070 |
| 264.632 | 191.697 | 191.697 | 0.000 | 0.000 | -0.000 |
| 191.697 | 264.632 | 191.697 | 0.000 | 0.000 | -0.000 |
| 191.697 | 191.697 | 264.632 | 0.000 | 0.000 | -0.000 |
| 0.000 | 0.000 | 0.000 | 142.070 | 0.000 | -0.000 |
| 0.000 | 0.000 | 0.000 | 0.000 | 142.070 | -0.000 |
| 0.000 | 0.000 | 0.000 | 0.000 | 0.000 | 142.070 |
| 264.631 | 191.697 | 191.697 | -0.000 | -0.000 | 0.000 |
| 191.697 | 264.631 | 191.697 | -0.000 | 0.000 | 0.000 |
| 191.697 | 191.697 | 264.631 | -0.000 | 0.000 | 0.000 |
| -0.000 | -0.000 | -0.000 | 142.070 | -0.000 | 0.000 |
| -0.000 | -0.000 | -0.000 | -0.000 | 142.070 | 0.000 |
| -0.000 | -0.000 | -0.000 | -0.000 | -0.000 | 142.070 |
| 264.632 | 191.697 | 191.697 | 0.000 | -0.000 | -0.000 |
| 191.697 | 264.632 | 191.697 | 0.000 | -0.000 | -0.000 |
| 191.697 | 191.697 | 264.632 | 0.000 | 0.000 | -0.000 |
| 0.000 | 0.000 | 0.000 | 142.070 | 0.000 | -0.000 |
| 0.000 | 0.000 | 0.000 | 0.000 | 142.070 | -0.000 |
| 0.000 | 0.000 | 0.000 | 0.000 | -0.000 | 142.070 |
| 264.628 | 191.697 | 191.697 | -0.000 | -0.000 | 0.000 |
| 191.697 | 264.628 | 191.697 | -0.000 | -0.000 | 0.000 |
| 191.697 | 191.697 | 264.628 | -0.000 | -0.000 | 0.000 |
| -0.000 | -0.000 | -0.000 | 142.070 | -0.000 | 0.000 |
| -0.000 | -0.000 | -0.000 | -0.000 | 142.070 | 0.000 |
| -0.000 | -0.000 | -0.000 | -0.000 | -0.000 | 142.070 |
| 264.635 | 191.697 | 191.697 | 0.000 | 0.000 | -0.000 |
| 191.697 | 264.635 | 191.697 | 0.000 | 0.000 | -0.000 |
| 191.697 | 191.697 | 264.635 | 0.000 | 0.000 | 0.000 |
| 0.000 | 0.000 | 0.000 | 142.070 | 0.000 | -0.000 |
| 0.000 | 0.000 | 0.000 | 0.000 | 142.070 | -0.000 |
| 0.000 | 0.000 | 0.000 | 0.000 | -0.000 | 142.070 |
| 10.130 | 4.946 | 4.946 | 0.000 | -0.000 | -0.000 |
| 4.946 | 10.130 | 4.946 | -0.000 | 0.000 | -0.000 |
| 4.946 | 4.946 | 10.130 | -0.000 | 0.000 | -0.000 |
| -0.000 | -0.000 | -0.000 | 5.184 | -0.000 | -0.000 |
| -0.000 | -0.000 | -0.000 | -0.000 | 5.184 | -0.000 |
| -0.000 | -0.000 | -0.000 | -0.000 | -0.000 | 5.184 |
| 10.130 | 4.946 | 4.946 | 0.000 | 0.000 | 0.000 |
| 4.946 | 10.130 | 4.946 | 0.000 | 0.000 | 0.000 |
| 4.946 | 4.946 | 10.130 | 0.000 | 0.000 | 0.000 |
| 0.000 | 0.000 | 0.000 | 5.184 | 0.000 | 0.000 |
| 0.000 | 0.000 | 0.000 | 0.000 | 5.184 | -0.000 |
| 0.000 | 0.000 | 0.000 | 0.000 | -0.000 | 5.184 |
| 10.130 | 4.946 | 4.946 | -0.000 | 0.000 | -0.000 |
| 4.946 | 10.130 | 4.946 | -0.000 | 0.000 | -0.000 |
| 4.946 | 4.946 | 10.130 | -0.000 | -0.000 | -0.000 |
| -0.000 | -0.000 | -0.000 | 5.184 | -0.000 | -0.000 |
| -0.000 | -0.000 | -0.000 | -0.000 | 5.184 | 0.000 |
| -0.000 | -0.000 | -0.000 | -0.000 | 0.000 | 5.184 |
| 10.130 | 4.946 | 4.946 | 0.000 | -0.000 | 0.000 |
| 4.946 | 10.130 | 4.946 | 0.000 | -0.000 | 0.000 |
| 4.946 | 4.946 | 10.130 | 0.000 | -0.000 | 0.000 |
| 0.000 | 0.000 | 0.000 | 5.184 | 0.000 | 0.000 |
| 0.000 | 0.000 | 0.000 | 0.000 | 5.184 | -0.000 |
| 0.000 | 0.000 | 0.000 | 0.000 | -0.000 | 5.184 |
| 10.129 | 4.946 | 4.946 | -0.000 | -0.000 | -0.000 |
| 4.946 | 10.129 | 4.946 | -0.000 | -0.000 | -0.000 |
| 4.946 | 4.946 | 10.129 | -0.000 | -0.000 | -0.000 |
| -0.000 | -0.000 | -0.000 | 5.184 | -0.000 | -0.000 |
| -0.000 | -0.000 | -0.000 | -0.000 | 5.184 | -0.000 |
| -0.000 | -0.000 | -0.000 | -0.000 | -0.000 | 5.184 |
| 10.130 | 4.946 | 4.946 | 0.000 | 0.000 | 0.000 |
| 4.946 | 10.130 | 4.946 | 0.000 | 0.000 | 0.000 |
| 4.946 | 4.946 | 10.130 | 0.000 | 0.000 | 0.000 |
| 0.000 | 0.000 | 0.000 | 5.184 | 0.000 | 0.000 |
| 0.000 | 0.000 | 0.000 | 0.000 | 5.184 | -0.000 |
| 0.000 | 0.000 | 0.000 | 0.000 | -0.000 | 5.184 |
| 5.964 | 2.982 | 2.982 | 0.000 | 0.000 | 0.000 |
| 2.982 | 5.964 | 2.982 | 0.000 | 0.000 | 0.000 |
| 2.982 | 2.982 | 5.964 | 0.000 | 0.000 | 0.000 |
| 0.000 | -0.000 | -0.000 | 2.981 | 0.000 | 0.000 |
| -0.000 | 0.000 | -0.000 | 0.000 | 2.981 | 0.000 |
| -0.000 | -0.000 | 0.000 | 0.000 | 0.000 | 2.981 |
| 5.964 | 2.982 | 2.982 | -0.000 | -0.000 | -0.000 |
| 2.982 | 5.964 | 2.982 | -0.000 | -0.000 | -0.000 |
| 2.982 | 2.982 | 5.964 | -0.000 | -0.000 | -0.000 |
| 0.000 | 0.000 | 0.000 | 2.981 | -0.000 | 0.000 |
| 0.000 | 0.000 | 0.000 | -0.000 | 2.981 | 0.000 |
| 0.000 | 0.000 | 0.000 | -0.000 | 0.000 | 2.981 |
| 5.964 | 2.982 | 2.982 | 0.000 | 0.000 | 0.000 |
| 2.982 | 5.964 | 2.982 | 0.000 | 0.000 | 0.000 |
| 2.982 | 2.982 | 5.964 | 0.000 | 0.000 | 0.000 |
| -0.000 | -0.000 | -0.000 | 2.981 | 0.000 | -0.000 |
| -0.000 | -0.000 | -0.000 | 0.000 | 2.981 | -0.000 |
| -0.000 | -0.000 | -0.000 | 0.000 | -0.000 | 2.981 |
| 5.964 | 2.982 | 2.982 | -0.000 | -0.000 | -0.000 |
| 2.982 | 5.964 | 2.982 | -0.000 | -0.000 | -0.000 |
| 2.982 | 2.982 | 5.964 | -0.000 | -0.000 | -0.000 |
| 0.000 | 0.000 | 0.000 | 2.981 | -0.000 | 0.000 |
| 0.000 | 0.000 | 0.000 | -0.000 | 2.981 | -0.000 |
| 0.000 | 0.000 | 0.000 | -0.000 | -0.000 | 2.981 |
| 5.964 | 2.982 | 2.982 | 0.000 | 0.000 | 0.000 |
| 2.982 | 5.964 | 2.982 | 0.000 | 0.000 | 0.000 |
| 2.982 | 2.982 | 5.964 | 0.000 | 0.000 | 0.000 |
| -0.000 | -0.000 | -0.000 | 2.981 | 0.000 | -0.000 |
| -0.000 | -0.000 | -0.000 | 0.000 | 2.981 | 0.000 |
| -0.000 | -0.000 | -0.000 | 0.000 | 0.000 | 2.981 |
| 5.964 | 2.982 | 2.982 | -0.000 | -0.000 | -0.000 |
| 2.982 | 5.964 | 2.982 | -0.000 | -0.000 | -0.000 |
| 2.982 | 2.982 | 5.964 | -0.000 | 0.000 | -0.000 |
| 0.000 | 0.000 | 0.000 | 2.981 | -0.000 | 0.000 |
| 0.000 | 0.000 | 0.000 | -0.000 | 2.981 | 0.000 |
| 0.000 | 0.000 | 0.000 | -0.000 | 0.000 | 2.981 |
| 506.155 | 85.309 | 85.309 | 0.000 | 0.000 | -0.000 |
| 85.309 | 506.155 | 85.309 | 0.000 | -0.000 | -0.000 |
| 85.309 | 85.309 | 506.155 | 0.000 | -0.000 | -0.000 |
| -0.000 | 0.000 | -0.000 | 27.304 | -0.000 | -0.000 |
| 0.000 | -0.000 | 0.000 | 0.000 | 27.304 | -0.000 |
| 0.000 | -0.000 | -0.000 | 0.000 | 0.000 | 27.304 |
| 509.281 | 83.746 | 83.746 | -0.000 | -0.000 | 0.000 |
| 83.746 | 509.281 | 83.746 | -0.000 | 0.000 | 0.000 |
| 83.746 | 83.746 | 509.281 | -0.000 | 0.000 | 0.000 |
| 0.000 | -0.000 | 0.000 | 27.304 | 0.000 | 0.000 |
| -0.000 | 0.000 | -0.000 | -0.000 | 27.304 | 0.000 |
| -0.000 | 0.000 | 0.000 | -0.000 | -0.000 | 27.304 |
| 506.156 | 85.309 | 85.309 | 0.000 | -0.000 | -0.000 |
| 85.309 | 506.156 | 85.309 | 0.000 | -0.000 | -0.000 |
| 85.309 | 85.309 | 506.156 | 0.000 | 0.000 | -0.000 |
| -0.000 | -0.000 | -0.000 | -190.628 | 0.000 | -0.000 |
| -0.000 | -0.000 | -0.000 | 0.000 | -190.628 | -0.000 |
| -0.000 | -0.000 | -0.000 | 0.000 | -0.000 | -190.628 |
| 506.155 | 85.309 | 85.309 | 0.000 | -0.000 | 0.000 |
| 85.309 | 506.155 | 85.309 | -0.000 | -0.000 | 0.000 |
| 85.309 | 85.309 | 506.155 | -0.000 | -0.000 | 0.000 |
| 0.000 | 0.000 | 0.000 | -190.628 | 0.000 | 0.000 |
| 0.000 | 0.000 | 0.000 | -0.000 | -190.628 | 0.000 |
| 0.000 | 0.000 | 0.000 | -0.000 | 0.000 | -190.628 |
| 506.158 | 85.309 | 85.309 | 0.000 | 0.000 | -0.000 |
| 85.309 | 506.158 | 85.309 | 0.000 | 0.000 | -0.000 |
| 85.309 | 85.309 | 506.158 | 0.000 | 0.000 | -0.000 |
| 0.000 | 0.000 | 0.000 | 27.304 | -0.000 | 0.000 |
| 0.000 | 0.000 | 0.000 | 0.000 | 27.304 | -0.000 |
| 0.000 | 0.000 | 0.000 | 0.000 | 0.000 | 27.304 |
| 509.278 | 83.745 | 83.745 | -0.000 | 0.000 | 0.000 |
| 83.745 | 509.278 | 83.745 | -0.000 | -0.000 | 0.000 |
| 83.745 | 83.745 | 509.278 | -0.000 | -0.000 | 0.000 |
| -0.000 | -0.000 | -0.000 | 27.304 | -0.000 | 0.000 |
| -0.000 | -0.000 | -0.000 | -0.000 | 27.304 | 0.000 |
| -0.000 | -0.000 | -0.000 | -0.000 | -0.000 | 27.304 |
| 9.266 | 2.872 | 2.872 | 0.000 | 0.000 | -0.000 |
| 2.872 | 9.266 | 2.872 | 0.000 | 0.000 | -0.000 |
| 2.872 | 2.872 | 9.266 | 0.000 | 0.000 | -0.000 |
| 0.000 | -0.000 | -0.000 | 2.998 | 0.000 | 0.000 |
| -0.000 | -0.000 | -0.000 | 0.000 | 2.998 | -0.000 |
| -0.000 | -0.000 | -0.000 | 0.000 | 0.000 | 2.998 |
| 9.266 | 2.872 | 2.872 | -0.000 | -0.000 | 0.000 |
| 2.872 | 9.266 | 2.872 | -0.000 | -0.000 | 0.000 |
| 2.872 | 2.872 | 9.266 | -0.000 | -0.000 | 0.000 |
| -0.000 | 0.000 | 0.000 | 2.998 | -0.000 | 0.000 |
| 0.000 | 0.000 | 0.000 | -0.000 | 2.998 | 0.000 |
| 0.000 | 0.000 | 0.000 | -0.000 | -0.000 | 2.998 |
| -294217.546 | -258666.865 | -246793.827 | -64027.358 | 14269.878 | 55512.010 |
| -261140.357 | -278818.835 | -255835.406 | 25135.168 | -49542.101 | 30775.820 |
| -190176.344 | -196515.989 | -297461.527 | 21157.702 | 35218.117 | -75468.067 |
| -0.000 | 0.000 | 0.000 | 0.455 | -0.000 | -0.000 |
| 0.000 | -0.000 | 0.000 | 0.000 | 0.455 | -0.000 |
| 0.000 | 0.000 | -0.000 | 0.000 | -0.000 | 0.455 |
| 591009.306 | 997709.228 | 812684.409 | -19585.360 | -49951.749 | -53482.797 |
| 797999.876 | 647234.724 | 940853.899 | -62212.155 | -29441.193 | -22762.417 |
| 931662.590 | 791479.250 | 602947.738 | -21803.548 | -58170.802 | 41078.429 |
| 0.000 | -0.000 | -0.000 | 0.455 | 0.000 | 0.000 |
| -0.000 | 0.000 | -0.000 | -0.000 | 0.455 | 0.000 |
| -0.000 | -0.000 | 0.000 | -0.000 | 0.000 | 0.455 |
| -25264.576 | -20206.622 | -20954.253 | -9357.130 | -198.379 | 3876.661 |
| -19378.226 | -24174.670 | -18736.051 | 4283.015 | -7113.032 | 705.151 |
| -16246.378 | -17577.921 | -21851.119 | 1113.189 | 3996.900 | -8936.285 |
| -0.000 | 0.000 | 0.000 | 0.402 | 0.000 | -0.000 |
| 0.000 | -0.000 | 0.000 | 0.000 | 0.402 | -0.000 |
| 0.000 | 0.000 | -0.000 | 0.000 | -0.000 | 0.455 |
| 34036.328 | 108862.006 | 98762.862 | 1037.941 | -1417.034 | -267.020 |
| 108695.056 | 36674.240 | 115958.053 | -1655.238 | -3989.452 | 964.355 |
| 106269.779 | 101105.309 | 42164.029 | 127.362 | -1644.394 | -642.430 |
| 0.000 | -0.000 | -0.000 | 0.402 | -0.000 | -0.000 |
| -0.000 | 0.000 | -0.000 | -0.000 | 0.402 | 0.000 |
| -0.000 | -0.000 | 0.000 | -0.000 | 0.000 | 0.455 |
| 187.935 | 257.512 | 257.512 | 0.000 | -0.000 | -0.000 |
| 257.512 | 187.935 | 257.512 | 0.000 | -0.000 | -0.000 |
| 257.512 | 257.512 | 187.935 | 0.000 | -0.000 | -0.000 |
| 0.000 | -0.000 | -0.000 | 112.696 | 0.000 | -0.000 |
| -0.000 | 0.000 | -0.000 | 0.000 | 112.696 | -0.000 |
| -0.000 | -0.000 | 0.000 | 0.000 | -0.000 | 112.696 |
| 187.935 | 257.512 | 257.512 | -0.000 | 0.000 | 0.000 |
| 257.512 | 187.935 | 257.512 | -0.000 | 0.000 | 0.000 |
| 257.512 | 257.512 | 187.935 | -0.000 | -0.000 | -0.000 |
| -0.000 | 0.000 | 0.000 | 112.696 | -0.000 | -0.000 |
| 0.000 | -0.000 | 0.000 | -0.000 | 112.696 | 0.000 |
| 0.000 | -0.000 | -0.000 | 0.000 | 0.000 | 112.696 |
| 187.934 | 257.512 | 257.512 | -0.000 | -0.000 | -0.000 |
| 257.512 | 187.934 | 257.512 | -0.000 | -0.000 | 0.000 |
| 257.512 | 257.512 | 187.934 | 0.000 | 0.000 | -0.000 |
| -0.000 | -0.000 | -0.000 | 112.696 | -0.000 | -0.000 |
| -0.000 | -0.000 | -0.000 | 0.000 | 112.696 | -0.000 |
| -0.000 | -0.000 | -0.000 | 0.000 | -0.000 | 112.696 |
| 187.935 | 257.512 | 257.512 | -0.000 | 0.000 | 0.000 |
| 257.512 | 187.935 | 257.512 | 0.000 | 0.000 | 0.000 |
| 257.512 | 257.512 | 187.935 | -0.000 | -0.000 | 0.000 |
| 0.000 | 0.000 | 0.000 | 112.696 | 0.000 | 0.000 |
| 0.000 | 0.000 | 0.000 | -0.000 | 112.696 | 0.000 |
| 0.000 | 0.000 | 0.000 | -0.000 | -0.000 | 112.696 |
| 187.932 | 257.512 | 257.512 | 0.000 | 0.000 | -0.000 |
| 257.512 | 187.932 | 257.512 | 0.000 | -0.000 | 0.000 |
| 257.512 | 257.512 | 187.932 | 0.000 | 0.000 | 0.000 |
| -0.000 | -0.001 | -0.001 | 112.696 | -0.000 | 0.000 |
| -0.001 | -0.000 | -0.001 | 0.000 | 112.696 | -0.000 |
| -0.001 | -0.001 | -0.000 | 0.000 | -0.000 | 112.696 |
| 187.938 | 257.512 | 257.512 | -0.000 | 0.000 | 0.000 |
| 257.512 | 187.938 | 257.512 | -0.000 | 0.000 | 0.000 |
| 257.512 | 257.512 | 187.938 | -0.000 | 0.000 | 0.000 |
| 0.000 | 0.001 | 0.001 | 112.696 | 0.000 | 0.000 |
| 0.001 | 0.000 | 0.001 | -0.000 | 112.696 | 0.000 |
| 0.001 | 0.001 | 0.000 | -0.000 | 0.000 | 112.696 |
| 2.435 | 2.435 | 2.435 | 0.000 | 0.000 | -0.000 |
| 2.435 | 2.435 | 2.435 | 0.000 | 0.000 | -0.000 |
| 2.435 | 2.435 | 2.435 | 0.000 | 0.000 | 0.000 |
| -0.000 | -0.000 | -0.000 | 2.435 | -0.000 | 0.000 |
| -0.000 | -0.000 | -0.000 | -0.000 | 2.435 | 0.000 |
| -0.000 | -0.000 | -0.000 | -0.000 | 0.000 | 2.435 |
| 2.435 | 2.435 | 2.435 | 0.000 | 0.000 | -0.000 |
| 2.435 | 2.435 | 2.435 | 0.000 | 0.000 | -0.000 |
| 2.435 | 2.435 | 2.435 | 0.000 | 0.000 | 0.000 |
| 0.000 | 0.000 | 0.000 | 2.435 | 0.000 | 0.000 |
| 0.000 | 0.000 | 0.000 | 0.000 | 2.435 | 0.000 |
| 0.000 | 0.000 | 0.000 | 0.000 | -0.000 | 2.435 |
| 2.435 | 2.435 | 2.435 | -0.000 | 0.000 | -0.000 |
| 2.435 | 2.435 | 2.435 | 0.000 | -0.000 | -0.000 |
| 2.435 | 2.435 | 2.435 | -0.000 | -0.000 | -0.000 |
| -0.000 | -0.000 | -0.000 | 2.435 | -0.000 | -0.000 |
| -0.000 | -0.000 | -0.000 | -0.000 | 2.435 | -0.000 |
| -0.000 | -0.000 | -0.000 | -0.000 | 0.000 | 2.435 |
| 2.435 | 2.435 | 2.435 | 0.000 | 0.000 | 0.000 |
| 2.435 | 2.435 | 2.435 | 0.000 | 0.000 | 0.000 |
| 2.435 | 2.435 | 2.435 | 0.000 | 0.000 | 0.000 |
| 0.000 | 0.000 | 0.000 | 2.435 | 0.000 | 0.000 |
| 0.000 | 0.000 | 0.000 | 0.000 | 2.435 | 0.000 |
| 0.000 | 0.000 | 0.000 | 0.000 | -0.000 | 2.435 |
| 2.435 | 2.435 | 2.435 | -0.000 | -0.000 | -0.000 |
| 2.435 | 2.435 | 2.435 | -0.000 | -0.000 | -0.000 |
| 2.435 | 2.435 | 2.435 | -0.000 | -0.000 | -0.000 |
| -0.000 | -0.000 | -0.000 | 2.435 | 0.000 | -0.000 |
| -0.000 | -0.000 | -0.000 | 0.000 | 2.435 | -0.000 |
| -0.000 | -0.000 | -0.000 | -0.000 | 0.000 | 2.435 |
| 2.435 | 2.435 | 2.435 | -0.000 | 0.000 | -0.000 |
| 2.435 | 2.435 | 2.435 | 0.000 | -0.000 | -0.000 |
| 2.435 | 2.435 | 2.435 | 0.000 | 0.000 | -0.000 |
| 0.000 | 0.000 | 0.000 | 2.435 | -0.000 | -0.000 |
| 0.000 | 0.000 | 0.000 | -0.000 | 2.435 | -0.000 |
| 0.000 | 0.000 | 0.000 | -0.000 | 0.000 | 2.435 |
| 339.975 | 183.560 | 120.472 | -0.000 | -0.000 | -0.000 |
| 156.293 | 367.242 | 120.472 | -0.000 | -0.000 | -0.000 |
| 120.472 | 120.472 | 392.083 | -0.000 | -0.000 | -0.000 |
| 0.000 | -0.000 | 0.000 | 62.303 | -0.000 | -0.000 |
| -0.000 | -0.000 | 0.000 | -0.000 | 62.303 | -0.000 |
| -0.000 | -0.000 | -0.000 | -0.000 | 0.000 | 78.208 |
| 339.975 | 183.560 | 120.472 | 0.000 | -0.000 | 0.000 |
| 156.293 | 367.242 | 120.472 | 0.000 | 0.000 | 0.000 |
| 120.472 | 120.472 | 392.083 | 0.000 | 0.000 | 0.000 |
| -0.000 | 0.000 | -0.000 | 62.303 | 0.000 | 0.000 |
| 0.000 | 0.000 | -0.000 | 0.000 | 62.303 | 0.000 |
| 0.000 | 0.000 | 0.000 | 0.000 | -0.000 | 78.208 |
| 367.242 | 156.293 | 120.472 | -0.000 | 0.000 | -0.000 |
| 183.560 | 339.975 | 120.472 | -0.000 | 0.000 | -0.000 |
| 120.472 | 120.472 | 392.083 | -0.000 | -0.000 | -0.000 |
| -0.000 | -0.000 | -0.000 | 62.303 | -0.000 | -0.000 |
| -0.000 | -0.000 | -0.000 | -0.000 | 62.303 | -0.000 |
| -0.000 | -0.000 | -0.000 | -0.000 | 0.000 | 105.474 |
| 339.975 | 183.560 | 120.472 | 0.000 | 0.000 | 0.000 |
| 183.560 | 339.975 | 120.472 | 0.000 | -0.000 | 0.000 |
| 120.472 | 120.472 | 392.083 | 0.000 | 0.000 | 0.000 |
| 0.000 | 0.000 | 0.000 | 62.303 | 0.000 | 0.000 |
| 0.000 | 0.000 | 0.000 | 0.000 | 62.303 | 0.000 |
| 0.000 | 0.000 | 0.000 | 0.000 | 0.000 | 105.474 |
| 339.974 | 183.560 | 120.472 | -0.000 | 0.000 | -0.000 |
| 156.293 | 367.241 | 120.472 | -0.000 | -0.000 | -0.000 |
| 120.472 | 120.472 | 392.082 | -0.000 | 0.000 | -0.000 |
| -0.000 | -0.001 | -0.000 | 62.303 | -0.000 | -0.000 |
| -0.001 | -0.000 | -0.000 | -0.000 | 62.303 | -0.000 |
| -0.001 | -0.000 | -0.000 | -0.000 | 0.000 | 78.208 |
| 339.976 | 183.560 | 120.472 | 0.000 | 0.000 | 0.000 |
| 183.559 | 339.977 | 120.472 | 0.000 | 0.000 | 0.000 |
| 120.472 | 120.472 | 392.084 | -0.000 | -0.000 | 0.000 |
| 0.000 | 0.001 | 0.000 | 62.303 | 0.000 | 0.000 |
| 0.001 | 0.000 | 0.000 | 0.000 | 62.303 | 0.000 |
| 0.001 | 0.000 | 0.000 | 0.000 | -0.000 | 78.208 |
| 12.721 | 4.082 | 3.218 | 0.000 | 0.000 | 0.000 |
| 4.082 | 12.721 | 3.218 | 0.000 | 0.000 | -0.000 |
| 3.218 | 3.218 | 13.585 | 0.000 | 0.000 | 0.000 |
| -0.000 | -0.000 | -0.000 | 3.456 | 0.000 | 0.000 |
| -0.000 | -0.000 | -0.000 | 0.000 | 3.456 | -0.000 |
| -0.000 | -0.000 | -0.000 | 0.000 | 0.000 | 4.320 |
| 12.721 | 4.082 | 3.218 | -0.000 | -0.000 | -0.000 |
| 4.082 | 12.721 | 3.218 | 0.000 | -0.000 | -0.000 |
| 3.218 | 3.218 | 13.585 | -0.000 | -0.000 | -0.000 |
| 0.000 | 0.000 | 0.000 | 3.456 | -0.000 | -0.000 |
| 0.000 | 0.000 | 0.000 | -0.000 | 3.456 | -0.000 |
| 0.000 | 0.000 | 0.000 | 0.000 | -0.000 | 4.320 |
| 12.721 | 4.082 | 3.218 | 0.000 | 0.000 | 0.000 |
| 4.082 | 12.721 | 3.218 | 0.000 | 0.000 | 0.000 |
| 3.218 | 3.218 | 13.585 | 0.000 | 0.000 | 0.000 |
| -0.000 | -0.000 | -0.000 | 3.456 | 0.000 | 0.000 |
| -0.000 | -0.000 | -0.000 | 0.000 | 3.456 | 0.000 |
| -0.000 | -0.000 | -0.000 | 0.000 | 0.000 | 4.218 |
| 12.721 | 4.082 | 3.218 | -0.000 | -0.000 | -0.000 |
| 4.262 | 12.541 | 3.218 | -0.000 | -0.000 | -0.000 |
| 3.218 | 3.218 | 13.585 | -0.000 | -0.000 | -0.000 |
| 0.000 | 0.000 | 0.000 | 3.456 | -0.000 | -0.000 |
| 0.000 | 0.000 | 0.000 | -0.000 | 3.456 | 0.000 |
| 0.000 | 0.000 | 0.000 | -0.000 | -0.000 | 4.218 |
| 12.619 | 4.184 | 3.218 | -0.000 | -0.000 | 0.000 |
| 4.082 | 12.721 | 3.218 | 0.000 | 0.000 | 0.000 |
| 3.218 | 3.218 | 13.585 | 0.000 | 0.000 | 0.000 |
| -0.000 | -0.000 | -0.000 | 3.456 | 0.000 | 0.000 |
| -0.000 | -0.000 | -0.000 | -0.000 | 3.456 | 0.000 |
| -0.000 | -0.000 | -0.000 | 0.000 | 0.000 | 4.218 |
| 12.482 | 4.321 | 3.218 | -0.000 | -0.000 | -0.000 |
| 4.262 | 12.542 | 3.218 | -0.000 | -0.000 | -0.000 |
| 3.218 | 3.218 | 13.586 | -0.000 | -0.000 | -0.000 |
| 0.000 | 0.000 | 0.000 | 3.456 | -0.000 | -0.000 |
| 0.000 | 0.000 | 0.000 | -0.000 | 3.456 | 0.000 |
| 0.000 | 0.000 | 0.000 | -0.000 | -0.000 | 4.218 |
| 7.454 | 2.485 | 1.988 | -0.000 | -0.000 | -0.000 |
| 2.485 | 7.454 | 1.988 | 0.000 | 0.000 | -0.000 |
| 1.988 | 1.988 | 7.951 | 0.000 | 0.000 | -0.000 |
| -0.000 | -0.000 | -0.000 | 1.988 | -0.000 | 0.000 |
| -0.000 | -0.000 | -0.000 | -0.000 | 1.988 | 0.000 |
| -0.000 | -0.000 | -0.000 | -0.000 | 0.000 | 2.484 |
| 7.418 | 2.522 | 1.988 | -0.000 | 0.000 | -0.000 |
| 2.522 | 7.418 | 1.988 | -0.000 | -0.000 | -0.000 |
| 1.988 | 1.988 | 7.951 | 0.000 | 0.000 | -0.000 |
| 0.000 | 0.000 | 0.000 | 1.988 | -0.000 | 0.000 |
| 0.000 | 0.000 | 0.000 | 0.000 | 1.988 | 0.000 |
| 0.000 | 0.000 | 0.000 | 0.000 | 0.000 | 2.484 |
| 7.387 | 2.553 | 1.988 | -0.000 | -0.000 | -0.000 |
| 2.485 | 7.454 | 1.988 | -0.000 | -0.000 | 0.000 |
| 1.988 | 1.988 | 7.951 | -0.000 | -0.000 | 0.000 |
| -0.000 | -0.000 | -0.000 | 1.988 | -0.000 | -0.000 |
| -0.000 | -0.000 | -0.000 | -0.000 | 1.988 | 0.000 |
| -0.000 | -0.000 | -0.000 | -0.000 | 0.000 | 2.484 |
| 7.418 | 2.522 | 1.988 | 0.000 | 0.000 | -0.000 |
| 2.553 | 7.387 | 1.988 | 0.000 | 0.000 | 0.000 |
| 1.988 | 1.988 | 7.951 | -0.000 | 0.000 | -0.000 |
| 0.000 | 0.000 | 0.000 | 1.988 | 0.000 | -0.000 |
| 0.000 | 0.000 | 0.000 | 0.000 | 1.988 | 0.000 |
| 0.000 | 0.000 | 0.000 | 0.000 | 0.000 | 2.484 |
| 7.318 | 2.622 | 1.988 | -0.000 | 0.000 | 0.000 |
| 2.580 | 7.360 | 1.988 | 0.000 | -0.000 | -0.000 |
| 1.988 | 1.988 | 7.951 | -0.000 | 0.000 | -0.000 |
| -0.000 | -0.000 | -0.000 | 1.988 | -0.000 | 0.000 |
| -0.000 | -0.000 | -0.000 | 0.000 | 1.988 | 0.000 |
| -0.000 | -0.000 | -0.000 | -0.000 | -0.000 | 2.317 |
| 7.387 | 2.553 | 1.988 | -0.000 | 0.000 | -0.000 |
| 2.522 | 7.418 | 1.988 | -0.000 | 0.000 | -0.000 |
| 1.989 | 1.989 | 7.951 | 0.000 | 0.000 | -0.000 |
| 0.000 | 0.000 | 0.000 | 1.988 | 0.000 | -0.000 |
| 0.000 | 0.000 | 0.000 | -0.000 | 1.988 | 0.000 |
| 0.000 | 0.000 | 0.000 | 0.000 | -0.000 | 2.317 |
| 357.857 | 153.453 | 111.079 | 0.000 | -0.000 | -0.000 |
| 181.639 | 329.672 | 111.079 | 0.000 | -0.000 | -0.000 |
| 111.079 | 111.079 | 399.185 | -0.000 | -0.000 | -0.000 |
| 0.000 | -0.000 | -0.000 | 46.056 | -0.000 | -0.000 |
| -0.000 | -0.000 | -0.000 | 0.000 | 46.056 | -0.000 |
| -0.000 | -0.000 | -0.000 | -0.000 | -0.000 | 74.017 |
| 357.857 | 153.453 | 111.079 | 0.000 | 0.000 | 0.000 |
| 181.639 | 329.672 | 111.079 | 0.000 | 0.000 | 0.000 |
| 111.079 | 111.079 | 399.185 | 0.000 | 0.000 | 0.000 |
| 0.000 | 0.000 | 0.000 | 46.056 | 0.000 | 0.000 |
| 0.000 | 0.000 | 0.000 | -0.000 | 46.056 | 0.000 |
| 0.000 | 0.000 | 0.000 | -0.000 | 0.000 | 74.017 |
| 357.857 | 153.453 | 111.079 | 0.000 | -0.000 | -0.000 |
| 153.453 | 357.857 | 111.079 | -0.000 | -0.000 | -0.000 |
| 111.079 | 111.079 | 399.185 | -0.000 | -0.000 | -0.000 |
| -0.000 | -0.000 | -0.000 | 46.056 | -0.000 | -0.000 |
| -0.000 | -0.000 | -0.000 | -0.000 | 46.056 | -0.000 |
| -0.000 | -0.000 | -0.000 | 0.000 | -0.000 | 74.017 |
| 357.858 | 153.453 | 111.079 | 0.000 | 0.000 | -0.000 |
| 181.639 | 329.672 | 111.079 | -0.000 | 0.000 | 0.000 |
| 111.079 | 111.079 | 399.185 | 0.000 | 0.000 | 0.000 |
| 0.000 | 0.000 | 0.000 | 46.056 | 0.000 | 0.000 |
| 0.000 | 0.000 | 0.000 | 0.000 | 46.056 | 0.000 |
| 0.000 | 0.000 | 0.000 | 0.000 | 0.000 | 74.017 |
| 357.857 | 153.453 | 111.079 | 0.000 | -0.000 | 0.000 |
| 181.640 | 329.670 | 111.079 | -0.000 | -0.000 | -0.000 |
| 111.079 | 111.079 | 399.185 | -0.000 | -0.000 | -0.000 |
| -0.000 | -0.000 | -0.000 | 46.056 | -0.000 | -0.000 |
| -0.000 | 0.000 | -0.000 | -0.000 | 46.056 | -0.000 |
| -0.000 | -0.000 | -0.000 | 0.000 | -0.000 | 102.202 |
| 329.673 | 181.639 | 111.079 | -0.000 | 0.000 | 0.000 |
| 181.638 | 329.674 | 111.079 | 0.000 | 0.000 | 0.000 |
| 111.078 | 111.078 | 399.186 | -0.000 | 0.000 | 0.000 |
| 0.000 | 0.000 | 0.000 | 46.056 | 0.000 | -0.000 |
| 0.000 | -0.000 | 0.000 | -0.000 | 46.056 | 0.000 |
| 0.000 | 0.000 | 0.000 | -0.000 | 0.000 | 102.202 |
| 12.517 | 4.286 | 3.218 | -0.000 | -0.000 | -0.000 |
| 4.082 | 12.721 | 3.218 | -0.000 | -0.000 | -0.000 |
| 3.218 | 3.218 | 13.585 | -0.000 | 0.000 | 0.000 |
| -0.000 | -0.000 | -0.000 | 3.456 | 0.000 | 0.000 |
| -0.000 | -0.000 | -0.000 | -0.000 | 3.456 | -0.000 |
| -0.000 | -0.000 | -0.000 | 0.000 | -0.000 | 4.320 |
| 12.517 | 4.286 | 3.218 | 0.000 | 0.000 | 0.000 |
| 4.082 | 12.721 | 3.218 | -0.000 | 0.000 | 0.000 |
| 3.218 | 3.218 | 13.585 | 0.000 | -0.000 | 0.000 |
| 0.000 | 0.000 | 0.000 | 3.456 | -0.000 | -0.000 |
| 0.000 | 0.000 | 0.000 | 0.000 | 3.456 | -0.000 |
| 0.000 | 0.000 | 0.000 | -0.000 | 0.000 | 4.320 |
| 12.721 | 4.082 | 3.218 | -0.000 | -0.000 | -0.000 |
| 4.082 | 12.721 | 3.218 | -0.000 | -0.000 | -0.000 |
| 3.218 | 3.218 | 13.585 | -0.000 | 0.000 | 0.000 |
| -0.000 | -0.000 | -0.000 | 3.456 | -0.000 | -0.000 |
| -0.000 | -0.000 | -0.000 | -0.000 | 3.456 | -0.000 |
| -0.000 | -0.000 | -0.000 | 0.000 | -0.000 | 4.320 |
| 12.721 | 4.082 | 3.218 | 0.000 | -0.000 | -0.000 |
| 4.082 | 12.721 | 3.218 | 0.000 | 0.000 | 0.000 |
| 3.218 | 3.218 | 13.585 | 0.000 | -0.000 | -0.000 |
| 0.000 | 0.000 | 0.000 | 3.456 | 0.000 | 0.000 |
| 0.000 | 0.000 | 0.000 | -0.000 | 3.456 | -0.000 |
| 0.000 | 0.000 | 0.000 | -0.000 | -0.000 | 4.320 |
| 12.409 | 4.394 | 3.218 | -0.000 | -0.000 | -0.000 |
| 4.286 | 12.517 | 3.218 | -0.000 | 0.000 | 0.000 |
| 3.218 | 3.218 | 13.585 | -0.000 | 0.000 | 0.000 |
| -0.000 | -0.000 | -0.000 | 3.456 | -0.000 | -0.000 |
| -0.000 | -0.000 | -0.000 | -0.000 | 3.456 | -0.000 |
| -0.000 | -0.000 | -0.000 | -0.000 | -0.000 | 4.116 |
| 12.517 | 4.286 | 3.218 | 0.000 | 0.000 | 0.000 |
| 4.394 | 12.410 | 3.218 | 0.000 | 0.000 | 0.000 |
| 3.218 | 3.218 | 13.586 | 0.000 | -0.000 | 0.000 |
| 0.000 | 0.000 | 0.000 | 3.456 | 0.000 | 0.000 |
| 0.000 | 0.000 | 0.000 | 0.000 | 3.456 | -0.000 |
| 0.000 | 0.000 | 0.000 | 0.000 | -0.000 | 4.116 |
| 7.454 | 2.485 | 1.988 | -0.000 | 0.000 | -0.000 |
| 2.559 | 7.381 | 1.988 | -0.000 | -0.000 | 0.000 |
| 1.988 | 1.988 | 7.951 | -0.000 | 0.000 | 0.000 |
| -0.000 | -0.000 | -0.000 | 1.988 | 0.000 | -0.000 |
| -0.000 | -0.000 | -0.000 | -0.000 | 1.988 | -0.000 |
| -0.000 | -0.000 | -0.000 | -0.000 | 0.000 | 2.484 |
| 7.381 | 2.559 | 1.988 | 0.000 | 0.000 | -0.000 |
| 2.485 | 7.454 | 1.988 | 0.000 | -0.000 | 0.000 |
| 1.988 | 1.988 | 7.951 | 0.000 | -0.000 | 0.000 |
| 0.000 | 0.000 | 0.000 | 1.988 | 0.000 | 0.000 |
| 0.000 | 0.000 | 0.000 | 0.000 | 1.988 | -0.000 |
| 0.000 | 0.000 | 0.000 | 0.000 | 0.000 | 2.484 |
| 7.381 | 2.559 | 1.988 | -0.000 | 0.000 | 0.000 |
| 2.559 | 7.381 | 1.988 | -0.000 | -0.000 | 0.000 |
| 1.988 | 1.988 | 7.951 | -0.000 | -0.000 | -0.000 |
| -0.000 | -0.000 | -0.000 | 1.988 | -0.000 | -0.000 |
| -0.000 | -0.000 | -0.000 | -0.000 | 1.988 | 0.000 |
| -0.000 | -0.000 | -0.000 | -0.000 | -0.000 | 2.484 |
| 7.381 | 2.559 | 1.988 | 0.000 | 0.000 | -0.000 |
| 2.559 | 7.381 | 1.988 | 0.000 | 0.000 | -0.000 |
| 1.988 | 1.988 | 7.951 | 0.000 | -0.000 | -0.000 |
| 0.000 | 0.000 | 0.000 | 1.988 | -0.000 | 0.000 |
| 0.000 | 0.000 | 0.000 | 0.000 | 1.988 | 0.000 |
| 0.000 | 0.000 | 0.000 | 0.000 | -0.000 | 2.360 |
| 7.236 | 2.703 | 1.988 | -0.000 | -0.000 | 0.000 |
| 2.672 | 7.267 | 1.988 | -0.000 | -0.000 | 0.000 |
| 1.988 | 1.988 | 7.951 | -0.000 | 0.000 | 0.000 |
| -0.000 | -0.000 | -0.000 | 1.988 | -0.000 | 0.000 |
| -0.000 | -0.000 | -0.000 | -0.000 | 1.988 | 0.000 |
| -0.000 | -0.000 | -0.000 | -0.000 | 0.000 | 2.323 |
| 7.268 | 2.672 | 1.988 | 0.000 | 0.000 | -0.000 |
| 2.712 | 7.228 | 1.988 | 0.000 | 0.000 | -0.000 |
| 1.989 | 1.989 | 7.951 | -0.000 | -0.000 | 0.000 |
| 0.000 | 0.000 | 0.000 | 1.988 | -0.000 | -0.000 |
| 0.000 | 0.000 | 0.000 | 0.000 | 1.988 | 0.000 |
| 0.000 | 0.000 | 0.000 | 0.000 | 0.000 | 2.323 |
| 15.186 | 36.612 | 36.612 | 0.000 | 0.000 | 0.000 |
| 36.612 | 15.186 | 36.612 | 0.000 | 0.000 | 0.000 |
| 36.612 | 36.612 | 15.186 | 0.000 | 0.000 | 0.000 |
| 0.000 | 0.000 | 0.000 | 35.231 | 0.000 | 0.000 |
| 0.000 | 0.000 | 0.000 | 0.000 | 35.231 | 0.000 |
| 0.000 | 0.000 | 0.000 | 0.000 | 0.000 | 35.231 |
| 15.186 | 36.612 | 36.612 | -0.000 | -0.000 | -0.000 |
| 36.612 | 15.186 | 36.612 | -0.000 | -0.000 | -0.000 |
| 36.612 | 36.612 | 15.186 | -0.000 | -0.000 | -0.000 |
| -0.000 | -0.000 | -0.000 | 35.231 | 0.000 | -0.000 |
| -0.000 | -0.000 | -0.000 | 0.000 | 35.231 | -0.000 |
| -0.000 | -0.000 | -0.000 | 0.000 | -0.000 | 35.231 |
| 15.185 | 36.612 | 36.612 | 0.000 | 0.000 | 0.000 |
| 36.612 | 15.185 | 36.612 | 0.000 | 0.000 | 0.000 |
| 36.612 | 36.612 | 15.185 | 0.000 | 0.000 | 0.000 |
| -0.000 | -0.000 | -0.000 | -25.501 | 0.000 | 0.000 |
| -0.000 | -0.000 | -0.000 | 0.000 | -25.501 | 0.000 |
| -0.000 | -0.000 | -0.000 | 0.000 | 0.000 | -25.501 |
| 15.186 | 36.612 | 36.612 | -0.000 | -0.000 | -0.000 |
| 36.612 | 15.186 | 36.612 | -0.000 | -0.000 | -0.000 |
| 36.612 | 36.612 | 15.186 | -0.000 | -0.000 | -0.000 |
| 0.000 | 0.000 | 0.000 | -25.501 | -0.000 | -0.000 |
| 0.000 | 0.000 | 0.000 | -0.000 | -25.501 | -0.000 |
| 0.000 | 0.000 | 0.000 | -0.000 | -0.000 | -25.501 |
| 15.182 | 36.612 | 36.612 | 0.000 | 0.000 | 0.000 |
| 36.612 | 15.182 | 36.612 | 0.000 | 0.000 | 0.000 |
| 36.612 | 36.612 | 15.182 | 0.000 | 0.000 | 0.000 |
| -0.000 | -0.000 | -0.000 | -25.501 | 0.000 | 0.000 |
| -0.000 | -0.000 | -0.000 | 0.000 | -25.501 | 0.000 |
| -0.000 | -0.000 | -0.000 | 0.000 | 0.000 | -25.501 |
| 15.189 | 36.612 | 36.612 | -0.000 | -0.000 | -0.000 |
| 36.612 | 15.189 | 36.612 | -0.000 | -0.000 | -0.000 |
| 36.612 | 36.612 | 15.189 | -0.000 | -0.000 | -0.000 |
| 0.000 | 0.000 | 0.000 | -25.501 | -0.000 | -0.000 |
| 0.000 | 0.000 | 0.000 | -0.000 | -25.501 | -0.000 |
| 0.000 | 0.000 | 0.000 | -0.000 | -0.000 | -25.501 |
| 0.609 | 0.609 | 0.609 | -0.000 | 0.000 | 0.000 |
| 0.609 | 0.609 | 0.609 | 0.000 | -0.000 | 0.000 |
| 0.609 | 0.609 | 0.609 | 0.000 | 0.000 | -0.000 |
| -0.000 | -0.000 | -0.000 | 0.370 | 0.000 | 0.000 |
| -0.000 | -0.000 | -0.000 | 0.000 | 0.370 | 0.000 |
| -0.000 | -0.000 | -0.000 | 0.000 | 0.000 | 0.370 |
| 0.609 | 0.609 | 0.609 | -0.000 | -0.000 | -0.000 |
| 0.609 | 0.609 | 0.609 | -0.000 | -0.000 | -0.000 |
| 0.609 | 0.609 | 0.609 | -0.000 | -0.000 | -0.000 |
| 0.000 | 0.000 | 0.000 | 0.370 | -0.000 | -0.000 |
| 0.000 | 0.000 | 0.000 | -0.000 | 0.370 | -0.000 |
| 0.000 | 0.000 | 0.000 | -0.000 | -0.000 | 0.370 |
| 0.609 | 0.609 | 0.609 | -0.000 | 0.000 | 0.000 |
| 0.609 | 0.609 | 0.609 | 0.000 | -0.000 | 0.000 |
| 0.609 | 0.609 | 0.609 | 0.000 | 0.000 | -0.000 |
| -0.000 | -0.000 | -0.000 | 0.136 | 0.000 | 0.000 |
| -0.000 | -0.000 | -0.000 | 0.000 | 0.136 | 0.000 |
| -0.000 | -0.000 | -0.000 | 0.000 | 0.000 | 0.136 |
| 0.609 | 0.609 | 0.609 | -0.000 | -0.000 | -0.000 |
| 0.609 | 0.609 | 0.609 | -0.000 | -0.000 | -0.000 |
| 0.609 | 0.609 | 0.609 | -0.000 | -0.000 | -0.000 |
| 0.000 | 0.000 | 0.000 | 0.136 | -0.000 | -0.000 |
| 0.000 | 0.000 | 0.000 | -0.000 | 0.136 | -0.000 |
| 0.000 | 0.000 | 0.000 | -0.000 | -0.000 | 0.136 |
| 0.609 | 0.609 | 0.609 | -0.000 | 0.000 | 0.000 |
| 0.609 | 0.609 | 0.609 | 0.000 | -0.000 | 0.000 |
| 0.609 | 0.609 | 0.609 | 0.000 | 0.000 | -0.000 |
| -0.000 | -0.000 | -0.000 | 0.031 | 0.000 | 0.000 |
| -0.000 | -0.000 | -0.000 | 0.000 | 0.031 | 0.000 |
| -0.000 | -0.000 | -0.000 | 0.000 | 0.000 | 0.031 |
| 0.609 | 0.609 | 0.609 | -0.000 | -0.000 | -0.000 |
| 0.609 | 0.609 | 0.609 | -0.000 | -0.000 | -0.000 |
| 0.609 | 0.609 | 0.609 | -0.000 | -0.000 | -0.000 |
| 0.000 | 0.000 | 0.000 | 0.031 | -0.000 | -0.000 |
| 0.000 | 0.000 | 0.000 | -0.000 | 0.031 | -0.000 |
| 0.000 | 0.000 | 0.000 | -0.000 | -0.000 | 0.031 |
| -1750.766 | 2685.781 | 86.028 | 0.000 | 0.000 | -0.000 |
| 2685.781 | -1750.766 | 86.028 | -0.000 | 0.000 | 0.000 |
| 86.028 | 86.028 | 624.471 | -0.000 | 0.000 | -0.000 |
| -0.000 | -0.000 | -0.000 | -47.808 | -0.000 | 0.000 |
| -0.000 | 0.000 | -0.000 | -0.000 | -47.808 | -0.000 |
| 0.000 | 0.000 | 0.000 | -0.000 | -0.000 | -42.033 |
| -6807.120 | 7742.135 | 86.033 | 0.000 | -0.000 | -0.000 |
| 7742.135 | -6807.120 | 86.033 | -0.001 | 0.001 | 0.000 |
| 86.028 | 86.028 | 624.471 | 0.000 | 0.000 | 0.000 |
| 0.000 | 0.000 | -0.000 | -47.808 | 0.000 | 0.000 |
| 0.000 | -0.000 | 0.000 | 0.000 | -47.808 | 0.000 |
| -0.000 | -0.000 | -0.000 | 0.000 | 0.000 | -42.033 |
| -219060426.438 | -153888333.291 | 161619492.473 | 0.085 | -0.117 | 10433499.555 |
| -174913747.209 | -172542069.781 | 148880598.204 | 114277.688 | 1381665.396 | 1998062.842 |
| 86.028 | 86.028 | 624.471 | -0.000 | -0.000 | -0.000 |
| 0.000 | -0.000 | -0.000 | -47.808 | -0.000 | 0.000 |
| -0.000 | 0.000 | -0.000 | -0.000 | -47.808 | -0.000 |
| 0.000 | 0.000 | 0.000 | -0.000 | -0.000 | -42.033 |
| 904.306 | 30.708 | 86.028 | 0.000 | 0.000 | 0.000 |
| 30.708 | 904.306 | 86.028 | 0.000 | 0.000 | -0.000 |
| 86.028 | 86.028 | 624.471 | 0.000 | 0.000 | 0.000 |
| -0.000 | 0.000 | 0.000 | -47.808 | 0.000 | 0.000 |
| 0.000 | -0.000 | 0.000 | 0.000 | -47.808 | 0.000 |
| -0.000 | -0.000 | -0.000 | 0.000 | 0.000 | -42.033 |
| -8255489.879 | -12269081.467 | -7006605.711 | 194629.351 | -105249.333 | 76827.216 |
| -12516031.905 | -11447107.858 | -6802719.948 | 1005616.921 | 37400.590 | 2603.528 |
| 86.029 | 86.029 | 624.479 | -0.000 | 0.000 | -0.000 |
| 0.000 | -0.000 | -0.000 | -47.808 | -0.000 | 0.000 |
| -0.000 | 0.000 | -0.000 | -0.000 | -47.808 | -0.000 |
| 0.001 | 0.000 | 0.000 | -0.000 | -0.000 | -42.033 |
| 9572765.566 | 9208563.733 | 6985356.184 | -156470.773 | -477102.888 | 263873.716 |
| 7700994.356 | 13905199.705 | 3805731.654 | 67678.524 | 82820.356 | 77742.434 |
| 86.028 | 86.028 | 624.468 | 0.000 | -0.000 | 0.000 |
| -0.000 | 0.000 | 0.000 | -47.808 | 0.000 | 0.000 |
| 0.000 | -0.000 | 0.000 | -0.000 | -47.808 | 0.000 |
| -0.001 | -0.000 | -0.000 | 0.000 | 0.000 | -42.033 |
| 397.687 | 106.258 | 175.921 | -0.000 | -0.000 | -0.000 |
| 106.258 | 397.687 | 175.921 | 0.000 | -0.000 | -0.000 |
| 175.921 | 175.921 | 25.707 | -0.000 | -0.000 | -0.000 |
| 0.000 | -0.000 | -0.000 | 134.447 | -0.000 | -0.000 |
| -0.000 | -0.000 | -0.000 | 0.000 | 134.447 | -0.000 |
| -0.000 | -0.000 | -0.000 | -0.000 | -0.000 | 62.915 |
| 397.687 | 106.258 | 175.921 | 0.000 | 0.000 | 0.000 |
| 106.258 | 397.687 | 175.921 | -0.000 | 0.000 | 0.000 |
| 175.921 | 175.921 | 25.707 | 0.000 | 0.000 | -0.000 |
| -0.000 | 0.000 | 0.000 | 134.447 | 0.000 | 0.000 |
| 0.000 | 0.000 | 0.000 | 0.000 | 134.447 | 0.000 |
| 0.000 | 0.000 | 0.000 | 0.000 | -0.000 | 62.915 |
| 397.687 | 106.258 | 175.921 | 0.000 | -0.000 | -0.000 |
| 106.258 | 397.687 | 175.921 | 0.000 | -0.000 | -0.000 |
| 175.921 | 175.921 | 25.707 | 0.000 | -0.000 | -0.000 |
| 0.000 | -0.000 | 0.000 | 134.447 | -0.000 | -0.000 |
| -0.000 | 0.000 | 0.000 | 0.000 | 134.447 | -0.000 |
| -0.000 | -0.000 | 0.000 | 0.000 | -0.000 | 62.915 |
| 397.687 | 106.259 | 175.921 | 0.000 | -0.000 | 0.000 |
| 106.259 | 397.687 | 175.921 | 0.000 | 0.000 | -0.000 |
| 175.921 | 175.921 | 25.707 | 0.000 | 0.000 | 0.000 |
| -0.000 | 0.000 | -0.000 | 134.447 | 0.000 | 0.000 |
| 0.000 | -0.000 | -0.000 | -0.000 | 134.447 | 0.000 |
| 0.000 | 0.000 | -0.000 | -0.000 | 0.000 | 62.915 |
| 397.687 | 106.258 | 175.921 | -0.000 | -0.000 | -0.000 |
| 106.258 | 397.687 | 175.921 | -0.000 | -0.000 | -0.000 |
| 175.921 | 175.921 | 25.704 | -0.000 | -0.000 | -0.000 |
| 0.000 | -0.000 | 0.000 | 134.447 | -0.000 | -0.000 |
| -0.000 | 0.000 | 0.000 | 0.000 | 134.447 | -0.000 |
| -0.000 | -0.000 | 0.000 | -0.000 | -0.000 | 62.915 |
| 397.687 | 106.259 | 175.921 | 0.000 | 0.000 | 0.000 |
| 106.259 | 397.687 | 175.921 | 0.000 | 0.000 | 0.000 |
| 175.921 | 175.921 | 25.709 | 0.000 | 0.000 | 0.000 |
| -0.000 | 0.000 | -0.000 | 134.447 | 0.000 | 0.000 |
| 0.000 | -0.000 | -0.000 | 0.000 | 134.447 | 0.000 |
| 0.000 | 0.000 | -0.000 | 0.000 | 0.000 | 62.915 |
| 908.795 | -0.438 | -0.438 | 0.000 | 0.000 | 0.000 |
| -0.438 | 908.795 | -0.438 | -0.000 | 0.000 | 0.000 |
| -0.438 | -0.438 | 908.795 | 0.000 | 0.000 | 0.000 |
| 0.000 | 0.000 | 0.000 | -26.673 | 0.000 | 0.000 |
| 0.000 | 0.000 | 0.000 | 0.000 | -26.673 | 0.000 |
| 0.000 | 0.000 | 0.000 | 0.000 | 0.000 | -26.673 |
| 908.795 | -0.438 | -0.438 | 0.000 | -0.000 | -0.000 |
| -0.438 | 908.795 | -0.438 | -0.000 | 0.000 | 0.000 |
| -0.438 | -0.438 | 908.795 | 0.000 | -0.000 | 0.000 |
| -0.000 | -0.000 | -0.000 | -26.673 | -0.000 | 0.000 |
| -0.000 | -0.000 | -0.000 | -0.000 | -26.673 | -0.000 |
| -0.000 | -0.000 | -0.000 | 0.000 | -0.000 | -26.673 |
| 908.796 | -0.437 | -0.437 | -0.000 | 0.000 | 0.000 |
| -0.437 | 908.796 | -0.437 | 0.000 | 0.000 | -0.000 |
| -0.437 | -0.437 | 908.796 | -0.000 | 0.000 | -0.000 |
| 0.000 | 0.000 | 0.000 | -26.673 | 0.000 | -0.000 |
| 0.000 | 0.000 | 0.000 | -0.000 | -26.673 | 0.000 |
| 0.000 | 0.000 | 0.000 | 0.000 | 0.000 | -26.673 |
| 908.794 | -0.438 | -0.438 | -0.000 | -0.000 | 0.000 |
| -0.438 | 908.794 | -0.438 | -0.000 | -0.000 | -0.000 |
| -0.438 | -0.438 | 908.794 | -0.000 | -0.000 | -0.000 |
| -0.000 | -0.000 | -0.000 | -26.673 | -0.000 | -0.000 |
| -0.000 | -0.000 | -0.000 | 0.000 | -26.673 | -0.000 |
| -0.000 | -0.000 | -0.000 | -0.000 | -0.000 | -26.673 |
| 908.804 | -0.435 | -0.435 | 0.000 | 0.000 | -0.000 |
| -0.435 | 908.804 | -0.435 | 0.000 | 0.000 | -0.000 |
| -0.435 | -0.435 | 908.804 | -0.000 | 0.000 | 0.000 |
| 0.001 | 0.002 | 0.001 | -26.673 | 0.000 | -0.000 |
| 0.002 | 0.001 | 0.001 | 0.000 | -26.673 | -0.000 |
| 0.002 | 0.001 | 0.001 | -0.000 | 0.000 | -26.673 |
| 908.787 | -0.440 | -0.440 | 0.000 | -0.000 | 0.000 |
| -0.440 | 908.787 | -0.440 | 0.000 | 0.000 | -0.000 |
| -0.440 | -0.440 | 908.787 | -0.000 | -0.000 | -0.000 |
| -0.001 | -0.002 | -0.001 | -26.673 | -0.000 | 0.000 |
| -0.002 | -0.001 | -0.001 | -0.000 | -26.673 | 0.000 |
| -0.002 | -0.001 | -0.001 | 0.000 | -0.000 | -26.673 |
| 11.802 | 13.561 | 13.561 | 0.000 | -0.000 | -0.000 |
| 13.561 | 11.802 | 13.561 | 0.000 | -0.000 | 0.000 |
| 13.561 | 13.561 | 11.802 | 0.000 | -0.000 | 0.000 |
| -0.000 | 0.000 | 0.000 | 13.399 | 0.000 | 0.000 |
| 0.000 | -0.000 | 0.000 | 0.000 | 13.399 | 0.000 |
| 0.000 | 0.000 | -0.000 | -0.000 | 0.000 | 13.399 |
| 11.802 | 13.561 | 13.561 | -0.000 | -0.000 | -0.000 |
| 13.561 | 11.802 | 13.561 | -0.000 | 0.000 | 0.000 |
| 13.561 | 13.561 | 11.802 | -0.000 | -0.000 | -0.000 |
| 0.000 | -0.000 | -0.000 | 13.399 | 0.000 | 0.000 |
| -0.000 | 0.000 | -0.000 | -0.000 | 13.399 | -0.000 |
| -0.000 | -0.000 | 0.000 | -0.000 | -0.000 | 13.399 |
| 11.802 | 13.561 | 13.561 | 0.000 | 0.000 | 0.000 |
| 13.561 | 11.802 | 13.561 | 0.000 | 0.000 | -0.000 |
| 13.561 | 13.561 | 11.802 | -0.000 | -0.000 | 0.000 |
| -0.000 | 0.000 | 0.000 | 13.399 | -0.000 | -0.000 |
| 0.000 | -0.000 | 0.000 | 0.000 | 13.399 | 0.000 |
| 0.000 | 0.000 | -0.000 | 0.000 | 0.000 | 13.399 |
| 11.802 | 13.561 | 13.561 | -0.000 | -0.000 | -0.000 |
| 13.561 | 11.802 | 13.561 | -0.000 | -0.000 | -0.000 |
| 13.561 | 13.561 | 11.802 | 0.000 | -0.000 | -0.000 |
| 0.000 | -0.000 | -0.000 | 13.399 | -0.000 | -0.000 |
| -0.000 | 0.000 | -0.000 | -0.000 | 13.399 | -0.000 |
| -0.000 | -0.000 | 0.000 | -0.000 | -0.000 | 13.399 |
| 11.802 | 13.561 | 13.561 | 0.000 | 0.000 | 0.000 |
| 13.561 | 11.802 | 13.561 | 0.000 | 0.000 | 0.000 |
| 13.561 | 13.561 | 11.802 | 0.000 | -0.000 | 0.000 |
| -0.000 | 0.000 | 0.000 | 13.399 | -0.000 | 0.000 |
| 0.000 | -0.000 | 0.000 | 0.000 | 13.399 | 0.000 |
| 0.000 | 0.000 | -0.000 | 0.000 | 0.000 | 13.399 |
| 11.803 | 13.561 | 13.561 | -0.000 | -0.000 | -0.000 |
| 13.561 | 11.803 | 13.561 | -0.000 | 0.000 | -0.000 |
| 13.561 | 13.561 | 11.803 | 0.000 | 0.000 | -0.000 |
| 0.000 | -0.000 | -0.000 | 13.399 | -0.000 | -0.000 |
| -0.000 | 0.000 | -0.000 | -0.000 | 13.399 | -0.000 |
| -0.000 | -0.000 | 0.000 | -0.000 | -0.000 | 13.399 |
| 207.613 | 178.999 | 178.999 | 0.000 | 0.000 | -0.000 |
| 178.999 | 207.613 | 178.999 | 0.000 | 0.000 | -0.000 |
| 178.999 | 178.999 | 207.613 | 0.000 | 0.000 | -0.000 |
| -0.000 | -0.000 | -0.000 | 62.752 | 0.000 | 0.000 |
| -0.000 | -0.000 | -0.000 | 0.000 | 62.752 | -0.000 |
| -0.000 | -0.000 | -0.000 | 0.000 | 0.000 | 62.752 |
| 207.613 | 178.999 | 178.999 | -0.000 | -0.000 | 0.000 |
| 178.999 | 207.613 | 178.999 | -0.000 | -0.000 | 0.000 |
| 178.999 | 178.999 | 207.613 | -0.000 | -0.000 | 0.000 |
| 0.000 | 0.000 | 0.000 | 62.752 | -0.000 | 0.000 |
| 0.000 | 0.000 | 0.000 | -0.000 | 62.752 | 0.000 |
| 0.000 | 0.000 | 0.000 | -0.000 | -0.000 | 62.752 |
| 207.613 | 178.999 | 178.999 | 0.000 | 0.000 | -0.000 |
| 178.999 | 207.613 | 178.999 | 0.000 | 0.000 | 0.000 |
| 178.999 | 178.999 | 207.613 | 0.000 | 0.000 | -0.000 |
| -0.000 | -0.000 | -0.000 | 62.752 | 0.000 | -0.000 |
| -0.000 | -0.000 | -0.000 | 0.000 | 62.752 | -0.000 |
| -0.000 | -0.000 | -0.000 | 0.000 | 0.000 | 62.752 |
| 207.613 | 178.999 | 178.999 | -0.000 | -0.000 | 0.000 |
| 178.999 | 207.613 | 178.999 | -0.000 | -0.000 | -0.000 |
| 178.999 | 178.999 | 207.613 | -0.000 | -0.000 | 0.000 |
| 0.000 | 0.000 | 0.000 | 62.752 | 0.000 | 0.000 |
| 0.000 | 0.000 | 0.000 | -0.000 | 62.752 | 0.000 |
| 0.000 | 0.000 | 0.000 | -0.000 | -0.000 | 62.752 |
| 207.613 | 178.999 | 178.999 | 0.000 | 0.000 | -0.000 |
| 178.999 | 207.613 | 178.999 | 0.000 | 0.000 | -0.000 |
| 178.999 | 178.999 | 207.613 | 0.000 | 0.000 | -0.000 |
| -14679893.643 | -14786486.275 | -14935712.835 | -1033249.678 | -84022.466 | -72767.117 |
| -14661202.036 | -14477732.352 | -14698830.842 | 26751.069 | -1010102.822 | -110323.889 |
| -14869154.775 | -14923664.341 | -14626993.162 | 43021.290 | -109412.860 | -958554.314 |
| 207.614 | 178.999 | 178.999 | -0.000 | -0.000 | 0.000 |
| 178.999 | 207.614 | 178.999 | -0.000 | -0.000 | 0.000 |
| 178.999 | 178.999 | 207.614 | -0.000 | -0.000 | -0.000 |
| 14343272.809 | 14410589.739 | 14525124.604 | -1026205.459 | -10880.167 | -11047.517 |
| 14380692.013 | 14349022.293 | 14691864.354 | 34952.804 | -1102997.181 | -14011.667 |
| 14409114.837 | 14671803.174 | 14563728.062 | 89560.468 | 32448.790 | -1012136.473 |
| -535.373 | -737.150 | -1099.643 | 0.000 | 0.000 | -0.000 |
| -737.150 | -535.373 | -1099.643 | 0.000 | -0.000 | -0.000 |
| 88.618 | 88.618 | 469.847 | 0.000 | -0.000 | 0.000 |
| -5584.614 | -5584.614 | 253.712 | -19.263 | -0.000 | -0.000 |
| -5584.614 | -5584.614 | 253.712 | -0.000 | -19.263 | -0.000 |
| 0.000 | 0.000 | 0.000 | -0.000 | -0.000 | 81.229 |
| 369.447 | 123.039 | 90.787 | -0.000 | -0.000 | 0.000 |
| 123.039 | 369.447 | 90.787 | -0.000 | 0.000 | -0.000 |
| 16790.296 | 16790.296 | 950.501 | -0.000 | 0.000 | -0.000 |
| 5584.614 | 5584.614 | -253.712 | -19.263 | 0.000 | 0.000 |
| 5584.614 | 5584.614 | -253.712 | -0.000 | -19.263 | 0.000 |
| -0.000 | -0.000 | 0.000 | 0.000 | 0.000 | 81.229 |
| 256.091 | 54.341 | -28.840 | -0.000 | 0.000 | -0.000 |
| 54.341 | 256.091 | -28.840 | 0.000 | -0.000 | -0.000 |
| -0.302 | -0.302 | 346.370 | 0.000 | -0.000 | -0.000 |
| 0.000 | 0.000 | 0.000 | 46.014 | -0.000 | 0.000 |
| 0.000 | 0.000 | 0.000 | -0.000 | 46.014 | 0.000 |
| -112.679 | -112.679 | -231.119 | -0.000 | 0.000 | 50.632 |
| 418.716 | 285.164 | 319.190 | -0.000 | -0.000 | 0.000 |
| 285.164 | 418.716 | 319.190 | -0.000 | 0.000 | 0.000 |
| 88.618 | 88.618 | 469.846 | 0.000 | -0.000 | -0.000 |
| -0.000 | -0.000 | -0.000 | 46.014 | 0.000 | -0.000 |
| -0.000 | -0.000 | -0.000 | -0.000 | 46.014 | 0.000 |
| 112.679 | 112.679 | 231.119 | -0.000 | -0.000 | 50.632 |
| 87.613 | 278.473 | 86.385 | -0.000 | 0.000 | -0.000 |
| 278.473 | 87.613 | 86.385 | 0.000 | -0.000 | -0.000 |
| 78.813 | 78.813 | 453.273 | -0.000 | -0.000 | -0.000 |
| -8.952 | -8.952 | -12.111 | 42.154 | -0.000 | -0.000 |
| -8.952 | -8.952 | -12.111 | -0.000 | 42.154 | -0.000 |
| -11.310 | -11.310 | -23.337 | 0.000 | -0.000 | 50.290 |
| 351.225 | 153.976 | 103.268 | 0.000 | -0.000 | 0.000 |
| 153.976 | 351.225 | 103.268 | 0.000 | 0.000 | 0.000 |
| 96.507 | 96.507 | 477.485 | -0.000 | 0.000 | 0.000 |
| 8.952 | 8.952 | 12.111 | 42.154 | 0.000 | 0.000 |
| 8.952 | 8.952 | 12.111 | 0.000 | 42.154 | 0.000 |
| 11.310 | 11.310 | 23.337 | -0.000 | 0.000 | 50.290 |
| 352.153 | 157.560 | 108.193 | -0.000 | -0.000 | 0.000 |
| 152.175 | 357.542 | 108.199 | -0.000 | -0.000 | 0.000 |
| 109.174 | 109.174 | 401.434 | -0.000 | 0.000 | 0.000 |
| 0.000 | -0.000 | 0.000 | 46.869 | -0.000 | 0.000 |
| -0.002 | -0.002 | -0.005 | -0.000 | 46.869 | -0.000 |
| -0.002 | -0.002 | -0.005 | -0.000 | -0.000 | 97.297 |
| 357.542 | 152.175 | 108.199 | 0.000 | 0.000 | -0.000 |
| 152.175 | 357.542 | 108.199 | -0.000 | 0.000 | -0.000 |
| 109.176 | 109.176 | 401.439 | 0.000 | 0.000 | -0.000 |
| 0.002 | 0.002 | 0.005 | 46.869 | 0.000 | -0.000 |
| 0.002 | 0.002 | 0.005 | 0.000 | 46.869 | -0.000 |
| 0.002 | 0.002 | 0.005 | 0.000 | 0.000 | 97.296 |
| 352.140 | 157.577 | 108.198 | -0.000 | -0.000 | 0.000 |
| 157.577 | 352.139 | 108.198 | -0.000 | -0.000 | 0.000 |
| 109.174 | 109.174 | 401.433 | -0.000 | -0.000 | 0.000 |
| -0.000 | -0.000 | -0.001 | 46.869 | -0.000 | 0.000 |
| -0.000 | -0.000 | -0.000 | -0.000 | 46.869 | 0.000 |
| -0.000 | -0.000 | -0.000 | -0.000 | 0.000 | 102.684 |
| 357.542 | 152.175 | 108.199 | 0.000 | -0.000 | -0.000 |
| 157.578 | 352.140 | 108.199 | 0.000 | -0.000 | -0.000 |
| 109.174 | 109.174 | 401.434 | 0.000 | 0.000 | -0.000 |
| 0.000 | 0.000 | 0.001 | 46.869 | -0.000 | -0.000 |
| 0.000 | 0.000 | 0.000 | 0.000 | 46.869 | 0.000 |
| 0.000 | 0.000 | 0.000 | 0.000 | 0.000 | 102.684 |
| 357.542 | 152.175 | 108.199 | 0.000 | 0.000 | 0.000 |
| 152.175 | 357.542 | 108.199 | -0.000 | -0.000 | 0.000 |
| 109.174 | 109.174 | 401.433 | -0.000 | 0.000 | 0.000 |
| -0.000 | -0.000 | -0.000 | 46.869 | -0.000 | 0.000 |
| -0.000 | -0.000 | -0.000 | -0.000 | 46.869 | 0.000 |
| -0.000 | -0.000 | -0.000 | -0.000 | 0.000 | 102.684 |
| 357.543 | 152.175 | 108.199 | 0.000 | -0.000 | -0.000 |
| 159.011 | 350.708 | 108.199 | 0.000 | 0.000 | -0.000 |
| 109.174 | 109.174 | 401.434 | 0.000 | -0.000 | -0.000 |
| 0.000 | 0.000 | 0.000 | 46.869 | 0.000 | -0.000 |
| 0.000 | 0.000 | 0.000 | 0.000 | 46.869 | 0.000 |
| 0.000 | 0.000 | 0.000 | 0.000 | 0.000 | 102.684 |
| -4641.421 | -4728.561 | 5281.114 | -0.000 | 0.000 | 0.000 |
| 158.487 | 325.333 | 123.617 | 0.000 | 0.000 | 0.000 |
| 121.467 | 121.467 | 507.254 | 0.000 | 0.000 | 0.000 |
| -4912.265 | -4912.265 | 5151.618 | 39.636 | 0.000 | -0.000 |
| 0.000 | -0.000 | 0.000 | 0.000 | 50.675 | 0.000 |
| 0.000 | -0.000 | 0.000 | 0.000 | 0.000 | 83.423 |
| 325.333 | 158.487 | 123.617 | -0.000 | -0.000 | -0.000 |
| 158.487 | 325.333 | 123.617 | 0.000 | -0.000 | -0.000 |
| 8952.568 | 8952.569 | -1597.031 | 0.000 | -0.000 | -0.000 |
| 4912.265 | 4912.265 | -5151.618 | 39.636 | -0.000 | -0.000 |
| -0.000 | 0.000 | 0.000 | -0.000 | 50.675 | 0.000 |
| -0.000 | 0.000 | -0.000 | -0.000 | -0.000 | 83.423 |
| 325.333 | 158.487 | 123.617 | 0.000 | 0.000 | 0.000 |
| -307.031 | -220.036 | 644.201 | -0.000 | 0.000 | 0.000 |
| -760.300 | -760.300 | 705.668 | -0.000 | 0.000 | 0.000 |
| -959.354 | -959.355 | 185.800 | 25.929 | 0.000 | 0.000 |
| -959.381 | -959.381 | 185.779 | -0.000 | 25.929 | -0.000 |
| -959.334 | -959.334 | 185.593 | -0.000 | 0.000 | 34.950 |
| 762.350 | 674.964 | -385.801 | 0.000 | -0.000 | -0.000 |
| 675.051 | 762.424 | -385.887 | 0.000 | -0.000 | -0.000 |
| 611.094 | 611.094 | -16.614 | 0.000 | -0.000 | -0.000 |
| 959.354 | 959.355 | -185.800 | 25.929 | -0.000 | -0.000 |
| 959.381 | 959.381 | -185.779 | 0.000 | 25.929 | -0.000 |
| 959.334 | 959.334 | -185.593 | 0.000 | -0.000 | 34.950 |
| 223.789 | 136.185 | 179.143 | -0.000 | 0.000 | 0.000 |
| 84.926 | 192.022 | 153.105 | -0.000 | 0.000 | 0.000 |
| 33.775 | 33.775 | 517.367 | -0.000 | 0.000 | 0.000 |
| -81.455 | -81.455 | 25.898 | 33.498 | 0.000 | 0.000 |
| -49.189 | -49.189 | 51.586 | -0.000 | 39.621 | -0.000 |
| -81.538 | -81.538 | 25.676 | -0.000 | 0.000 | 53.225 |
| 321.684 | 230.101 | 79.036 | 0.000 | -0.000 | -0.000 |
| 248.517 | 354.675 | 102.003 | 0.000 | -0.000 | -0.000 |
| 205.433 | 205.433 | 469.194 | 0.000 | -0.000 | -0.000 |
| 81.455 | 81.455 | -25.898 | 33.498 | -0.000 | -0.000 |
| 49.189 | 49.189 | -51.586 | 0.000 | 39.621 | -0.000 |
| 81.538 | 81.538 | -25.676 | 0.000 | -0.000 | 53.225 |
| 718.773 | -12.278 | 143.445 | 0.000 | -0.000 | 0.000 |
| -12.278 | 718.773 | 143.445 | -0.000 | 0.000 | 0.000 |
| 102.095 | 102.095 | 505.627 | -0.000 | 0.000 | 0.000 |
| 0.000 | 0.000 | -0.000 | 54.032 | -0.000 | 0.000 |
| 0.000 | 0.000 | 0.000 | -0.000 | 54.032 | 0.000 |
| -11.093 | -11.093 | 26.164 | -0.000 | -0.000 | -7.604 |
| 740.959 | 9.908 | 91.118 | 0.000 | 0.000 | -0.000 |
| 9.908 | 740.959 | 91.118 | 0.000 | 0.000 | -0.000 |
| 124.281 | 124.281 | 453.300 | 0.000 | -0.000 | -0.000 |
| -0.000 | -0.000 | -0.000 | 54.032 | 0.000 | -0.000 |
| -0.000 | -0.000 | -0.000 | 0.000 | 54.032 | -0.000 |
| 11.093 | 11.093 | -26.164 | 0.000 | 0.000 | -7.604 |
| 741.892 | 10.841 | 88.919 | -0.000 | 0.000 | 0.000 |
| 10.841 | 741.892 | 88.919 | 0.000 | 0.000 | 0.000 |
| 84.825 | 84.825 | 546.360 | 0.000 | 0.000 | 0.000 |
| -7.406 | -7.406 | 17.468 | -41.553 | -0.000 | 0.000 |
| -7.406 | -7.406 | 17.468 | -0.000 | -41.553 | 0.000 |
| -1.109 | -1.109 | 2.616 | -0.000 | -0.000 | -7.604 |
| 730.974 | -0.075 | 114.665 | 0.000 | 0.000 | -0.000 |
| -0.075 | 730.974 | 114.665 | -0.000 | 0.000 | -0.000 |
| 114.297 | 114.297 | 476.847 | -0.000 | -0.000 | -0.000 |
| 7.406 | 7.406 | -17.468 | -41.553 | 0.000 | -0.000 |
| 7.406 | 7.406 | -17.468 | 0.000 | -41.553 | -0.000 |
| 1.109 | 1.109 | -2.616 | -0.000 | 0.000 | -7.604 |
| 729.761 | -1.295 | 117.544 | 0.000 | -0.000 | 0.000 |
| -1.295 | 729.761 | 117.544 | -0.000 | -0.000 | 0.000 |
| 113.079 | 113.079 | 479.727 | -0.000 | -0.000 | 0.000 |
| -0.772 | -0.770 | 1.821 | -45.552 | 0.000 | 0.000 |
| -0.770 | -0.772 | 1.821 | -0.000 | -45.552 | 0.000 |
| -0.111 | -0.111 | 0.262 | -0.000 | -0.000 | -7.604 |
| 729.970 | -1.074 | 117.019 | 0.000 | 0.000 | -0.000 |
| -1.074 | 729.970 | 117.019 | -0.000 | -0.000 | -0.000 |
| 113.296 | 113.296 | 479.201 | -0.000 | 0.000 | -0.000 |
| 0.772 | 0.770 | -1.821 | -45.552 | 0.000 | -0.000 |
| 0.770 | 0.772 | -1.821 | -0.000 | -45.552 | -0.000 |
| 0.111 | 0.111 | -0.262 | 0.000 | 0.000 | -7.604 |
| 411.221 | 247.891 | 247.891 | -0.000 | 0.000 | -0.000 |
| 247.891 | 411.221 | 247.891 | -0.000 | -0.000 | -0.000 |
| 247.891 | 247.891 | 411.221 | -0.000 | 0.000 | -0.000 |
| -0.000 | -0.000 | -0.000 | 71.188 | -0.000 | -0.000 |
| 0.000 | -0.000 | 0.000 | -0.000 | 71.188 | -0.000 |
| -0.000 | -0.000 | 0.000 | 0.000 | 0.000 | 71.188 |
| 390.478 | 118.172 | 118.172 | 0.000 | 0.000 | 0.000 |
| 118.172 | 390.478 | 118.172 | 0.000 | 0.000 | -0.000 |
| 118.172 | 118.172 | 390.478 | 0.000 | -0.000 | 0.000 |
| 0.000 | 0.000 | 0.000 | 71.188 | -0.000 | 0.000 |
| 0.000 | 0.000 | -0.000 | -0.000 | 71.188 | 0.000 |
| -0.000 | -0.000 | -0.000 | -0.000 | 0.000 | 71.188 |
| 347.872 | 137.925 | 137.925 | -0.000 | 0.000 | -0.000 |
| 137.925 | 347.872 | 137.925 | -0.000 | 0.000 | -0.000 |
| 137.925 | 137.925 | 347.872 | -0.000 | -0.000 | -0.000 |
| -0.000 | 0.000 | 0.000 | 71.188 | -0.000 | -0.000 |
| 0.000 | -0.000 | 0.000 | 0.000 | 71.188 | -0.000 |
| 0.000 | 0.000 | -0.000 | 0.000 | 0.000 | 71.188 |
| 390.478 | 118.172 | 118.172 | 0.000 | -0.000 | 0.000 |
| 118.172 | 390.478 | 118.172 | 0.000 | -0.000 | 0.000 |
| 118.172 | 118.172 | 390.478 | -0.000 | 0.000 | -0.000 |
| 0.000 | 0.000 | -0.000 | 71.188 | -0.000 | 0.000 |
| -0.000 | 0.000 | -0.000 | -0.000 | 71.188 | -0.000 |
| -0.000 | -0.000 | 0.000 | 0.000 | -0.000 | 71.188 |
| 342.411 | 132.482 | 132.482 | 0.000 | -0.000 | -0.000 |
| 132.482 | 342.411 | 132.482 | -0.000 | -0.000 | -0.000 |
| 132.482 | 132.482 | 342.411 | 0.000 | -0.000 | -0.000 |
| 0.504 | 0.504 | 0.504 | 44.817 | 0.000 | -0.000 |
| 0.504 | 0.504 | 0.504 | -0.000 | 44.817 | -0.000 |
| 0.504 | 0.504 | 0.504 | -0.000 | -0.000 | 44.817 |
| 339.828 | 131.634 | 131.634 | 0.000 | 0.000 | 0.000 |
| 131.634 | 339.828 | 131.634 | 0.000 | 0.000 | 0.000 |
| 131.634 | 131.634 | 339.828 | 0.000 | 0.000 | 0.000 |
| -0.504 | -0.504 | -0.504 | 44.817 | 0.000 | 0.000 |
| -0.504 | -0.504 | -0.504 | 0.000 | 44.817 | 0.000 |
| -0.504 | -0.504 | -0.504 | -0.000 | -0.000 | 44.817 |
| 249.695 | 154.875 | 154.863 | -0.002 | -0.017 | 0.025 |
| 154.887 | 249.690 | 154.864 | -0.002 | -0.017 | 0.025 |
| 154.889 | 154.878 | 249.684 | -0.002 | -0.017 | 0.025 |
| 0.000 | -0.000 | -0.000 | 119.930 | 0.000 | -0.000 |
| -0.000 | 0.000 | 0.000 | 0.000 | 119.930 | -0.000 |
| -0.000 | 0.000 | -0.000 | 0.000 | 0.000 | 119.930 |
| 275.866 | 200.866 | 200.883 | 0.003 | 0.025 | -0.036 |
| 157.897 | 274.847 | 157.892 | -0.001 | -0.005 | 0.007 |
| 157.886 | 157.883 | 274.847 | -0.001 | -0.005 | 0.007 |
| -0.000 | 0.000 | -0.000 | 119.930 | -0.000 | -0.000 |
| 0.000 | -0.000 | 0.000 | -0.000 | 119.930 | 0.000 |
| 0.000 | 0.000 | -0.000 | 0.000 | -0.000 | 119.930 |
| 312.172 | 174.166 | 174.166 | -0.000 | 0.000 | -0.000 |
| 174.166 | 312.172 | 174.166 | 0.000 | 0.000 | -0.000 |
| 174.166 | 174.166 | 312.172 | 0.000 | 0.000 | -0.000 |
| 1.688 | 1.687 | 1.687 | 78.594 | -0.000 | 0.001 |
| 1.688 | 1.687 | 1.687 | -0.000 | 78.593 | 0.001 |
| 1.688 | 1.687 | 1.687 | -0.000 | -0.000 | 78.594 |
| 265.394 | 162.727 | 162.727 | -0.000 | 0.000 | -0.000 |
| 162.727 | 265.394 | 162.727 | -0.000 | 0.000 | -0.000 |
| 162.727 | 162.727 | 265.395 | -0.000 | 0.000 | -0.000 |
| -1.688 | -1.687 | -1.687 | 78.594 | 0.000 | -0.001 |
| -1.688 | -1.687 | -1.687 | 0.000 | 78.594 | -0.001 |
| -1.688 | -1.687 | -1.687 | 0.000 | 0.000 | 78.593 |
| 278.869 | 166.507 | 166.507 | -0.000 | -0.000 | 0.000 |
| 166.507 | 278.869 | 166.507 | -0.000 | -0.000 | 0.000 |
| 166.507 | 166.507 | 278.869 | -0.000 | -0.000 | 0.000 |
| -0.053 | -0.053 | -0.053 | 83.317 | -0.000 | 0.000 |
| -0.053 | -0.053 | -0.053 | -0.000 | 83.317 | 0.000 |
| -0.053 | -0.053 | -0.053 | -0.000 | -0.000 | 83.317 |
| 292.624 | 174.030 | 174.030 | 0.000 | 0.000 | -0.000 |
| 174.029 | 292.624 | 174.030 | 0.000 | 0.000 | -0.000 |
| 174.029 | 174.030 | 292.624 | 0.000 | 0.000 | -0.000 |
| 0.053 | 0.053 | 0.053 | 83.317 | 0.000 | -0.000 |
| 0.053 | 0.053 | 0.053 | 0.000 | 83.317 | -0.000 |
| 0.053 | 0.053 | 0.053 | 0.000 | 0.000 | 83.317 |
| 457.732 | 105.034 | 429.777 | -0.000 | -0.000 | -0.000 |
| 93.985 | 483.585 | 90.811 | 0.000 | -0.000 | 0.000 |
| 429.811 | 101.188 | 433.563 | -0.000 | 0.000 | 0.000 |
| -0.000 | 0.000 | 0.000 | 52.694 | -0.000 | -0.000 |
| -0.633 | 1.122 | -0.609 | 0.000 | 412.384 | 0.000 |
| -0.000 | 0.000 | -0.000 | -0.000 | -0.000 | 64.562 |
| 459.302 | 102.252 | 431.287 | 0.000 | 0.000 | 0.000 |
| 93.985 | 483.584 | 90.811 | -0.000 | 0.000 | 0.000 |
| 431.381 | 98.405 | 435.074 | -0.000 | 0.000 | -0.000 |
| -0.000 | -0.000 | -0.000 | 52.694 | 0.000 | -0.000 |
| 0.633 | -1.122 | 0.609 | -0.000 | 412.384 | -0.000 |
| -0.000 | -0.000 | 0.000 | -0.000 | 0.000 | 64.562 |
| 458.412 | 103.830 | 430.431 | -0.000 | -0.000 | -0.000 |
| 113.454 | 449.075 | 109.550 | -0.000 | -0.000 | 0.000 |
| 430.490 | 99.985 | 434.217 | -0.000 | 0.000 | 0.000 |
| -0.486 | 0.863 | -0.468 | -22.554 | -0.000 | -0.000 |
| 0.000 | 0.000 | 0.000 | 0.000 | 412.384 | 0.000 |
| -0.000 | -0.000 | 0.000 | 0.000 | -0.000 | 64.562 |
| 458.568 | 103.552 | 430.581 | 0.000 | -0.000 | -0.000 |
| 93.985 | 483.584 | 90.811 | -0.000 | 0.000 | -0.000 |
| 441.181 | 81.032 | 444.507 | -0.000 | 0.000 | -0.000 |
| 0.486 | -0.863 | 0.468 | -22.554 | 0.000 | -0.000 |
| -0.000 | -0.000 | -0.000 | -0.000 | 412.384 | 0.000 |
| 0.000 | 0.000 | -0.000 | -0.000 | 0.000 | 64.562 |
| 469.518 | 84.145 | 441.122 | 0.000 | -0.000 | -0.000 |
| 93.985 | 483.591 | 90.813 | 0.000 | -0.000 | 0.000 |
| 430.560 | 99.866 | 434.287 | 0.000 | -0.000 | 0.000 |
| -0.017 | 0.033 | -0.017 | -22.602 | -0.000 | -0.000 |
| 0.001 | 0.000 | 0.002 | 0.000 | 412.384 | -0.000 |
| -0.000 | -0.000 | 0.000 | 0.000 | -0.000 | 64.562 |
| 458.496 | 103.678 | 430.511 | -0.000 | 0.000 | 0.000 |
| 93.985 | 483.578 | 90.809 | -0.000 | 0.000 | -0.000 |
| 430.572 | 99.831 | 434.294 | -0.000 | 0.000 | 0.000 |
| 0.017 | -0.033 | 0.017 | -22.602 | 0.000 | 0.000 |
| -0.001 | -0.000 | -0.002 | -0.000 | 412.384 | -0.000 |
| 0.000 | 0.000 | -0.000 | -0.000 | 0.000 | 64.562 |
| 311.961 | 188.079 | 109.952 | -0.000 | -0.000 | 0.000 |
| 168.032 | 350.472 | 112.159 | -0.000 | -0.000 | 0.000 |
| 99.306 | 121.560 | 399.450 | -0.000 | 0.000 | 0.000 |
| -10.824 | 9.798 | 0.152 | 47.408 | -0.000 | 0.000 |
| -10.845 | 9.817 | 0.153 | -0.000 | 44.432 | 0.000 |
| -11.301 | 10.229 | 0.159 | -0.000 | -0.000 | 70.746 |
| 333.652 | 168.444 | 109.646 | 0.000 | 0.000 | -0.000 |
| 189.723 | 330.838 | 111.854 | 0.000 | 0.000 | -0.000 |
| 109.742 | 112.113 | 399.303 | -0.000 | 0.000 | -0.000 |
| 10.824 | -9.798 | -0.152 | 47.408 | 0.000 | -0.000 |
| 10.845 | -9.817 | -0.153 | 0.000 | 44.432 | -0.000 |
| 11.301 | -10.229 | -0.159 | 0.000 | 0.000 | 70.746 |
| 321.722 | 179.243 | 109.814 | -0.000 | -0.000 | 0.000 |
| 177.793 | 341.636 | 112.022 | -0.000 | -0.000 | 0.000 |
| 109.067 | 112.725 | 399.313 | -0.000 | -0.000 | 0.000 |
| -0.912 | 0.826 | 0.013 | 47.408 | -0.000 | 0.000 |
| -1.085 | 0.982 | 0.015 | -0.000 | 44.432 | 0.000 |
| -1.137 | 1.029 | 0.016 | -0.000 | -0.000 | 70.570 |
| 323.891 | 177.280 | 109.784 | 0.000 | 0.000 | -0.000 |
| 152.562 | 364.476 | 112.377 | -0.000 | 0.000 | -0.000 |
| 111.236 | 110.761 | 399.282 | 0.000 | 0.000 | -0.000 |
| 0.913 | -0.826 | -0.013 | 47.408 | 0.000 | -0.000 |
| 1.085 | -0.982 | -0.015 | 0.000 | 44.432 | -0.000 |
| 1.137 | -1.029 | -0.016 | 0.000 | 0.000 | 70.570 |
| 322.695 | 178.361 | 109.801 | -0.000 | -0.000 | 0.000 |
| 152.562 | 364.475 | 112.377 | -0.000 | -0.000 | 0.000 |
| 110.043 | 111.841 | 399.299 | -0.000 | -0.000 | 0.000 |
| -0.025 | 0.022 | 0.000 | 47.410 | -0.000 | 0.000 |
| -0.109 | 0.098 | 0.001 | -0.000 | 44.432 | 0.000 |
| -0.115 | 0.103 | 0.001 | -0.000 | -0.000 | 70.567 |
| 322.916 | 178.163 | 109.797 | 0.000 | 0.000 | -0.000 |
| 178.985 | 340.558 | 112.005 | 0.000 | -0.000 | -0.000 |
| 110.260 | 111.644 | 399.296 | 0.000 | 0.000 | -0.000 |
| 0.025 | -0.022 | -0.000 | 47.410 | 0.000 | -0.000 |
| 0.109 | -0.098 | -0.001 | 0.000 | 44.432 | -0.000 |
| 0.115 | -0.103 | -0.001 | 0.000 | 0.000 | 70.567 |
| -1553.765 | -1049.151 | -802.336 | -0.000 | 0.000 | -0.000 |
| -1927426111.087 | -1364028343.144 | -11489816626.730 | -1034673.587 | -58189060.309 | 291484343.003 |
| -802.336 | -802.336 | -144.294 | -0.000 | 0.000 | -0.000 |
| 2099216188.607 | 2304440635.155 | -1468528375.326 | 19243482.757 | -18898941.359 | -60090150.007 |
| 0.000 | -0.000 | -0.000 | -0.000 | 17.295 | -0.000 |
| -2001624645.365 | -5044575575.855 | -13075586329.957 | -350376826.813 | -114834534.642 | -607513710.375 |
| -1553.764 | -1049.151 | -802.336 | 0.000 | -0.000 | 0.000 |
| -1049.151 | -1553.764 | -802.336 | 0.000 | -0.000 | 0.000 |
| -802.336 | -802.336 | -144.294 | 0.000 | -0.000 | 0.000 |
| -1986570295.560 | -2234523136.254 | 1628940941.448 | 4562609.465 | 960875.340 | -68859526.119 |
| -0.000 | -0.000 | 0.000 | 0.000 | 17.295 | 0.000 |
| 1512596776.660 | 3851333284.704 | 11849548712.362 | -22816058.643 | -95916629.561 | -475447017.545 |
| -588665634.721 | -136520494.745 | -1074118113.734 | 2442927.964 | 2680338.628 | -4740525.524 |
| -178878009.738 | -112022384.542 | -1122911641.494 | 679384.084 | -2499884.359 | 28259960.676 |
| -802.336 | -802.336 | -144.295 | -0.000 | 0.000 | -0.000 |
| 0.000 | -0.000 | -0.000 | 17.295 | 0.000 | 0.000 |
| -0.000 | 0.000 | -0.000 | -0.000 | 17.295 | -0.000 |
| -45660847.402 | -221764706.639 | -1041186482.808 | -7649414.703 | -2309808.810 | -37454903.149 |
| 182480953.502 | 124648006.361 | 1125208642.596 | 3259187.027 | 2548084.814 | -23350357.640 |
| 590885103.775 | 145973856.827 | 1060738296.028 | -2212219.766 | -3264587.401 | -474687.617 |
| -802.366 | -802.305 | -144.294 | 0.000 | -0.000 | -0.011 |
| -0.000 | 0.000 | 0.000 | 17.295 | -0.000 | -0.000 |
| 0.000 | -0.000 | 0.000 | 0.000 | 17.295 | 0.000 |
| 134931345.605 | 397156436.650 | 1146606519.777 | 5308752.725 | 10449912.627 | -46014868.803 |
| -55105678.658 | -13108875.210 | -102767495.918 | -442324.041 | 16559.883 | 78917.922 |
| -30031081.491 | -26580188.519 | -130476140.060 | -36795.035 | 211228.363 | 2078229.610 |
| 20149737.189 | 22300981.152 | -15418352.815 | -7295.680 | 211725.106 | -152671.490 |
| 21820774.808 | 23557473.335 | -14737479.323 | 535656.343 | -156149.057 | -509310.865 |
| 20390239.845 | 22747273.746 | -14261492.741 | 123498.275 | -485960.312 | -353125.258 |
| -3881704.896 | -25129990.514 | -102486688.537 | -178138.314 | -43969.336 | -6045566.486 |
| 48982306.369 | 43560169.699 | 232607797.957 | -613370.935 | 217807.394 | -518699.148 |
| 55348460.158 | 15095757.627 | 106887710.534 | 201611.070 | 20562.813 | -46937.048 |
| -802.331 | -802.331 | -144.290 | -0.000 | -0.000 | 0.000 |
| -21309788.820 | -23700571.384 | 17297259.177 | 151983.941 | 337427.906 | 169821.807 |
| -20628602.526 | -23714743.935 | 14075624.384 | 41015.928 | 243291.563 | -65527.017 |
| 19305508.429 | 46766654.632 | 124263353.194 | 779652.516 | -1051302.208 | -5776269.947 |
| 958.530 | 833.250 | 442.305 | 0.000 | -0.000 | -0.000 |
| 159.114 | 326.645 | 124.920 | 0.000 | -0.000 | -0.000 |
| 121.367 | 121.367 | 532.628 | 0.000 | -0.000 | -0.000 |
| -0.000 | 0.000 | -0.000 | 49.337 | -0.000 | -0.000 |
| -0.000 | 0.000 | -0.000 | 0.000 | 49.337 | -0.000 |
| -486.819 | -486.819 | -1984.787 | 0.000 | -0.000 | 46.241 |
| -342.740 | -445.357 | 2274.021 | -0.000 | 0.000 | 0.000 |
| 159.114 | 326.645 | 124.920 | -0.000 | 0.000 | 0.000 |
| 121.367 | 121.367 | 532.628 | -0.000 | 0.000 | 0.000 |
| 0.000 | 0.000 | -0.000 | 49.337 | 0.000 | 0.000 |
| 0.000 | -0.000 | 0.000 | -0.000 | 49.337 | -0.000 |
| 486.819 | 486.819 | 1984.787 | -0.000 | 0.000 | 46.241 |
| 335.755 | 233.364 | -87.391 | 0.000 | -0.000 | -0.000 |
| 239.198 | 364.448 | 158.581 | 0.000 | -0.000 | -0.000 |
| 189.848 | 189.848 | 557.067 | 0.000 | -0.000 | -0.000 |
| 8.583 | 8.583 | -141.888 | 30.915 | -0.000 | -0.000 |
| 0.000 | 0.000 | 0.000 | 0.000 | 49.337 | -0.000 |
| 0.000 | -0.000 | 0.000 | 0.000 | -0.000 | 83.765 |
| 232.453 | 107.147 | 95.519 | -0.000 | 0.000 | 0.000 |
| 107.147 | 232.453 | 95.519 | -0.000 | 0.000 | 0.000 |
| 113.846 | 113.846 | 665.193 | -0.000 | 0.000 | 0.000 |
| -8.583 | -8.583 | 141.888 | 30.915 | 0.000 | 0.000 |
| -0.000 | -0.000 | -0.000 | -0.000 | 49.337 | -0.000 |
| -0.000 | 0.000 | -0.000 | -0.000 | 0.000 | 83.765 |
| 304.604 | 180.117 | 130.282 | 0.000 | -0.000 | -0.000 |
| 159.114 | 326.645 | 124.920 | 0.000 | -0.000 | -0.000 |
| 130.560 | 130.560 | 528.332 | 0.000 | -0.000 | -0.000 |
| 0.000 | 0.000 | -0.001 | 49.336 | -0.000 | -0.000 |
| 0.000 | 0.000 | -0.001 | 0.000 | 49.336 | -0.000 |
| 6.616 | 6.616 | 3.160 | 0.000 | -0.000 | 62.592 |
| 291.619 | 166.566 | 123.870 | -0.000 | 0.000 | 0.000 |
| 166.567 | 291.619 | 123.870 | -0.000 | 0.000 | 0.000 |
| 117.097 | 117.097 | 522.763 | -0.000 | 0.000 | 0.000 |
| -0.000 | -0.000 | 0.001 | 49.336 | 0.000 | 0.000 |
| -0.000 | -0.000 | 0.001 | -0.000 | 49.336 | -0.000 |
| -6.616 | -6.616 | -3.160 | -0.000 | 0.000 | 62.592 |
| 370.827 | 123.207 | 91.310 | -0.000 | -0.000 | 0.000 |
| 123.207 | 370.827 | 91.310 | -0.000 | 0.000 | 0.000 |
| 473.945 | 473.944 | 492.889 | 0.000 | 0.000 | 0.000 |
| -15834.519 | -15834.519 | -327.813 | -138.211 | 0.000 | 0.000 |
| -15834.519 | -15834.519 | -327.813 | 0.000 | -138.211 | 0.000 |
| -16296.428 | -16296.428 | 500.069 | -0.000 | 0.000 | 50.885 |
| -35.891 | -245.123 | 64.810 | 0.000 | -0.000 | -0.000 |
| -245.123 | -35.891 | 64.810 | -0.000 | -0.000 | -0.000 |
| 370.191 | 370.191 | 84.527 | -0.000 | -0.000 | -0.000 |
| 15834.519 | 15834.519 | 327.813 | -138.211 | -0.000 | -0.000 |
| 15834.519 | 15834.519 | 327.813 | -0.000 | -138.211 | -0.000 |
| 16266.257 | 16266.257 | -546.102 | -0.000 | -0.000 | 23.220 |
| 387.738 | 178.856 | 93.462 | -0.000 | 0.000 | 0.000 |
| 178.856 | 387.738 | 93.462 | 0.000 | 0.000 | 0.000 |
| 89.292 | 89.292 | 470.217 | 0.000 | 0.000 | 0.000 |
| 38.536 | 38.536 | 2.606 | 43.383 | -0.000 | 0.000 |
| 38.536 | 38.536 | 2.606 | -0.000 | 43.383 | 0.000 |
| 0.000 | 0.000 | 0.000 | 0.000 | 0.000 | 81.260 |
| 1563.156 | 2030.642 | 28.395 | 0.000 | -0.000 | 0.000 |
| 2049.635 | 1465.096 | 26.848 | -0.000 | -0.000 | -0.000 |
| 89.292 | 89.292 | 470.217 | -0.000 | -0.000 | -0.000 |
| -38.536 | -38.536 | -2.606 | 43.383 | -0.000 | -0.000 |
| -38.536 | -38.536 | -2.606 | 0.000 | 43.383 | -0.000 |
| -0.000 | -0.000 | -0.000 | -0.000 | -0.000 | 81.260 |
| 238.654 | 219.974 | 92.533 | 0.000 | 0.000 | 0.000 |
| 219.974 | 238.654 | 92.533 | 0.000 | 0.000 | 0.000 |
| 82.907 | 82.907 | 461.500 | -0.000 | 0.000 | 0.000 |
| 4.008 | 4.008 | 0.271 | 43.252 | 0.000 | 0.000 |
| 4.008 | 4.008 | 0.271 | 0.000 | 43.252 | 0.000 |
| 4.200 | 4.200 | 0.284 | 0.000 | 0.000 | 68.267 |
| 281.555 | 198.241 | 85.509 | -0.000 | -0.000 | -0.000 |
| 198.241 | 281.555 | 85.509 | -0.000 | -0.000 | -0.000 |
| 226.529 | 226.529 | 444.868 | -0.000 | -0.000 | -0.000 |
| -4.008 | -4.008 | -0.271 | 43.252 | -0.000 | -0.000 |
| -4.008 | -4.008 | -0.271 | -0.000 | 43.252 | -0.000 |
| -4.200 | -4.200 | -0.284 | -0.000 | -0.000 | 68.267 |
| 82.307 | 136.515 | 136.515 | 0.000 | 0.000 | 0.000 |
| 136.515 | 82.307 | 136.515 | 0.000 | -0.000 | 0.000 |
| 136.515 | 136.515 | 82.307 | 0.000 | 0.000 | 0.000 |
| 0.000 | -0.000 | 0.000 | -22.924 | 0.000 | 0.000 |
| 0.000 | 0.000 | -0.000 | 0.000 | -22.924 | 0.000 |
| -0.000 | 0.000 | -0.000 | 0.000 | 0.000 | -22.924 |
| 82.307 | 136.515 | 136.515 | -0.000 | -0.000 | -0.000 |
| 136.515 | 82.307 | 136.515 | -0.000 | -0.000 | -0.000 |
| 136.515 | 136.515 | 82.307 | -0.000 | -0.000 | -0.000 |
| -0.000 | 0.000 | 0.000 | -22.924 | -0.000 | -0.000 |
| 0.000 | -0.000 | 0.000 | -0.000 | -22.924 | -0.000 |
| 0.000 | 0.000 | 0.000 | -0.000 | -0.000 | -22.924 |
| 82.308 | 136.515 | 136.515 | 0.000 | 0.000 | 0.000 |
| 136.515 | 82.308 | 136.515 | 0.000 | 0.000 | 0.000 |
| 136.515 | 136.515 | 82.308 | 0.000 | 0.000 | 0.000 |
| 0.000 | -0.000 | -0.000 | -22.924 | 0.000 | 0.000 |
| -0.000 | 0.000 | -0.000 | 0.000 | -22.924 | 0.000 |
| -0.000 | -0.000 | 0.000 | 0.000 | 0.000 | -22.924 |
| 82.307 | 136.515 | 136.515 | -0.000 | -0.000 | -0.000 |
| 136.515 | 82.307 | 136.515 | -0.000 | -0.000 | -0.000 |
| 136.515 | 136.515 | 82.307 | -0.000 | -0.000 | -0.000 |
| -0.000 | 0.000 | 0.000 | -22.924 | -0.000 | -0.000 |
| 0.000 | -0.000 | 0.000 | -0.000 | -22.924 | -0.000 |
| 0.000 | 0.000 | -0.000 | -0.000 | -0.000 | -22.924 |
| 82.309 | 136.515 | 136.515 | 0.000 | 0.000 | 0.000 |
| 136.515 | 82.309 | 136.515 | 0.000 | 0.000 | 0.000 |
| 136.515 | 136.515 | 82.309 | 0.000 | 0.000 | 0.000 |
| 0.000 | -0.000 | 0.000 | 120.700 | 0.000 | 0.000 |
| -0.000 | 0.000 | 0.000 | 0.000 | 120.700 | 0.000 |
| -0.000 | 0.000 | 0.000 | 0.000 | 0.000 | 120.700 |
| 82.306 | 136.515 | 136.515 | -0.000 | -0.000 | -0.000 |
| 136.515 | 82.306 | 136.515 | -0.000 | -0.000 | -0.000 |
| 136.515 | 136.515 | 82.306 | -0.000 | -0.000 | -0.000 |
| -0.000 | 0.000 | -0.000 | 120.700 | -0.000 | -0.000 |
| 0.000 | -0.000 | -0.000 | -0.000 | 120.700 | -0.000 |
| 0.000 | -0.000 | -0.000 | -0.000 | -0.000 | 120.700 |
| 25.709 | -2.549 | -2.549 | 0.000 | 0.000 | -0.000 |
| -2.549 | 25.709 | -2.549 | 0.000 | 0.000 | -0.000 |
| -2.549 | -2.549 | 25.709 | 0.000 | 0.000 | -0.000 |
| -0.000 | -0.000 | -0.000 | 2.551 | 0.000 | -0.000 |
| -0.000 | -0.000 | -0.000 | 0.000 | 2.551 | 0.000 |
| -0.000 | -0.000 | 0.000 | 0.000 | 0.000 | 2.551 |
| 25.709 | -2.549 | -2.549 | -0.000 | -0.000 | 0.000 |
| -2.549 | 25.709 | -2.549 | -0.000 | -0.000 | 0.000 |
| -2.549 | -2.549 | 25.709 | -0.000 | -0.000 | 0.000 |
| 0.000 | 0.000 | 0.000 | 2.551 | -0.000 | 0.000 |
| 0.000 | 0.000 | 0.000 | -0.000 | 2.551 | 0.000 |
| 0.000 | 0.000 | -0.000 | -0.000 | -0.000 | 2.551 |
| 25.709 | -2.549 | -2.549 | 0.000 | 0.000 | -0.000 |
| -2.549 | 25.709 | -2.549 | 0.000 | 0.000 | -0.000 |
| -2.549 | -2.549 | 25.709 | 0.000 | 0.000 | -0.000 |
| -0.000 | -0.000 | -0.000 | 2.551 | 0.000 | -0.000 |
| -0.000 | -0.000 | -0.000 | 0.000 | 2.551 | -0.000 |
| -0.000 | -0.000 | -0.000 | 0.000 | 0.000 | 2.551 |
| 25.709 | -2.549 | -2.549 | -0.000 | -0.000 | 0.000 |
| -2.549 | 25.709 | -2.549 | -0.000 | -0.000 | 0.000 |
| -2.549 | -2.549 | 25.709 | -0.000 | -0.000 | 0.000 |
| 0.000 | 0.000 | 0.000 | 2.551 | 0.000 | 0.000 |
| 0.000 | 0.000 | 0.000 | -0.000 | 2.551 | 0.000 |
| 0.000 | 0.000 | 0.000 | -0.000 | -0.000 | 2.551 |
| 25.710 | -2.549 | -2.549 | 0.000 | 0.000 | -0.000 |
| -2.549 | 25.710 | -2.549 | 0.000 | 0.000 | -0.000 |
| -2.549 | -2.549 | 25.710 | 0.000 | 0.000 | -0.000 |
| -0.000 | -0.000 | -0.000 | 2.551 | 0.000 | -0.000 |
| -0.000 | -0.000 | -0.000 | 0.000 | 2.551 | 0.000 |
| -0.000 | -0.000 | -0.000 | 0.000 | 0.000 | 2.551 |
| 25.708 | -2.549 | -2.549 | -0.000 | -0.000 | 0.000 |
| -2.549 | 25.708 | -2.549 | -0.000 | -0.000 | -0.000 |
| -2.549 | -2.549 | 25.708 | -0.000 | -0.000 | 0.000 |
| 0.000 | 0.000 | 0.000 | 2.551 | -0.000 | 0.000 |
| 0.000 | 0.000 | 0.000 | -0.000 | 2.551 | -0.000 |
| 0.000 | 0.000 | 0.000 | -0.000 | -0.000 | 2.551 |
| 0.023 | 0.023 | 0.023 | -0.000 | -0.000 | -0.000 |
| 0.023 | 0.023 | 0.023 | -0.000 | -0.000 | -0.000 |
| 0.023 | 0.023 | 0.023 | -0.000 | -0.000 | 0.000 |
| 0.000 | 0.000 | 0.000 | 0.023 | -0.000 | 0.000 |
| 0.000 | 0.000 | 0.000 | -0.000 | 0.023 | 0.000 |
| 0.000 | 0.000 | 0.000 | -0.000 | -0.000 | 0.023 |
| 0.023 | 0.023 | 0.023 | -0.000 | -0.000 | -0.000 |
| 0.023 | 0.023 | 0.023 | -0.000 | -0.000 | -0.000 |
| 0.023 | 0.023 | 0.023 | -0.000 | -0.000 | -0.000 |
| -0.000 | -0.000 | -0.000 | 0.023 | 0.000 | -0.000 |
| -0.000 | -0.000 | -0.000 | 0.000 | 0.023 | -0.000 |
| -0.000 | -0.000 | -0.000 | 0.000 | -0.000 | 0.023 |
| 0.023 | 0.023 | 0.023 | -0.000 | -0.000 | 0.000 |
| 0.023 | 0.023 | 0.023 | -0.000 | -0.000 | 0.000 |
| 0.023 | 0.023 | 0.023 | 0.000 | 0.000 | 0.000 |
| 0.000 | 0.000 | 0.000 | 0.023 | -0.000 | 0.000 |
| 0.000 | 0.000 | 0.000 | -0.000 | 0.023 | 0.000 |
| 0.000 | 0.000 | 0.000 | 0.000 | 0.000 | 0.023 |
| 0.023 | 0.023 | 0.023 | 0.000 | 0.000 | 0.000 |
| 0.023 | 0.023 | 0.023 | 0.000 | 0.000 | 0.000 |
| 0.023 | 0.023 | 0.023 | 0.000 | 0.000 | 0.000 |
| -0.000 | -0.000 | -0.000 | 0.023 | -0.000 | -0.000 |
| -0.000 | -0.000 | -0.000 | -0.000 | 0.023 | -0.000 |
| -0.000 | -0.000 | -0.000 | 0.000 | 0.000 | 0.023 |
| 0.023 | 0.023 | 0.023 | -0.000 | -0.000 | -0.000 |
| 0.023 | 0.023 | 0.023 | -0.000 | -0.000 | -0.000 |
| 0.023 | 0.023 | 0.023 | -0.000 | -0.000 | 0.000 |
| 0.000 | 0.000 | 0.000 | 0.020 | -0.000 | 0.000 |
| 0.000 | 0.000 | 0.000 | -0.000 | 0.020 | 0.000 |
| 0.000 | 0.000 | 0.000 | 0.000 | -0.000 | 0.020 |
| 0.023 | 0.023 | 0.023 | -0.000 | -0.000 | -0.000 |
| 0.023 | 0.023 | 0.023 | -0.000 | -0.000 | -0.000 |
| 0.023 | 0.023 | 0.023 | -0.000 | -0.000 | -0.000 |
| -0.000 | -0.000 | -0.000 | 0.020 | 0.000 | -0.000 |
| -0.000 | -0.000 | -0.000 | 0.000 | 0.020 | -0.000 |
| -0.000 | -0.000 | -0.000 | 0.000 | 0.000 | 0.020 |
| 132.609 | 292.630 | -275.315 | -0.045 | -0.046 | 0.000 |
| 166.477 | 369.261 | 96.747 | 0.000 | 0.000 | 0.000 |
| 92.883 | 93.862 | 508.079 | -0.000 | -0.000 | 0.000 |
| 0.000 | 0.000 | 0.000 | 53.639 | -0.000 | 0.000 |
| 0.000 | 0.000 | 0.000 | 0.000 | 51.817 | 0.000 |
| 0.000 | 0.000 | 0.000 | -0.000 | 0.000 | 126.831 |
| 358.169 | 166.192 | 95.483 | -0.000 | -0.000 | -0.000 |
| 166.477 | 369.261 | 96.747 | -0.000 | 0.000 | -0.000 |
| -122.544 | -52.832 | 588.551 | 0.147 | 0.149 | -0.000 |
| -0.000 | -0.000 | -0.000 | 53.639 | 0.000 | -0.000 |
| -0.000 | -0.000 | -0.000 | 0.000 | 51.817 | -0.000 |
| -0.000 | -0.000 | -0.000 | 0.000 | 0.000 | 126.831 |
| 358.170 | 166.192 | 95.483 | -0.000 | 0.000 | 0.000 |
| 166.477 | 369.261 | 96.748 | 0.000 | -0.000 | 0.000 |
| 106.020 | 101.532 | 505.423 | -0.006 | -0.006 | 0.000 |
| 23.396 | 16.465 | -9.732 | 41.946 | -0.015 | 0.000 |
| 23.435 | 16.496 | -9.754 | -0.015 | 40.252 | 0.000 |
| -19.438 | 4.057 | -35.468 | -0.009 | -0.009 | 53.564 |
| 332.273 | 163.070 | 98.265 | 0.006 | 0.006 | -0.000 |
| 166.477 | 369.261 | 96.747 | 0.000 | -0.000 | -0.000 |
| 87.261 | 93.353 | 503.974 | 0.006 | 0.006 | -0.000 |
| -0.000 | 0.000 | -0.000 | 53.639 | 0.000 | -0.000 |
| -23.439 | -16.498 | 9.756 | 0.015 | 40.280 | -0.000 |
| 19.438 | -4.057 | 35.468 | 0.009 | 0.009 | 53.564 |
| 358.171 | 166.193 | 95.483 | -0.000 | 0.000 | 0.000 |
| 183.105 | 302.637 | 108.150 | 0.000 | 0.000 | 0.000 |
| 92.883 | 93.862 | 508.077 | -0.000 | -0.000 | 0.000 |
| 1.278 | 0.551 | 0.110 | 50.730 | -0.001 | 0.000 |
| 0.000 | -0.000 | -0.001 | -0.000 | 51.817 | 0.000 |
| 1.887 | 0.814 | 0.164 | -0.001 | -0.001 | 106.105 |
| 324.498 | 167.270 | 102.315 | 0.001 | 0.001 | -0.000 |
| 171.892 | 311.154 | 109.584 | 0.001 | 0.001 | -0.000 |
| 92.883 | 93.862 | 508.076 | -0.000 | 0.000 | -0.000 |
| -1.279 | -0.551 | -0.110 | 50.731 | 0.001 | -0.000 |
| -0.000 | 0.000 | 0.001 | 0.000 | 51.817 | -0.000 |
| -1.887 | -0.814 | -0.164 | 0.001 | 0.001 | 106.105 |
| 81.807 | 175.930 | 175.930 | -0.000 | -0.000 | 0.000 |
| 175.930 | 81.807 | 175.930 | -0.000 | -0.000 | 0.000 |
| 175.930 | 175.930 | 81.807 | -0.000 | -0.000 | -0.000 |
| 0.000 | -0.000 | 0.000 | 73.931 | 0.000 | 0.000 |
| -0.000 | 0.000 | 0.000 | -0.000 | 73.931 | -0.000 |
| -0.000 | 0.000 | 0.000 | -0.000 | -0.000 | 73.931 |
| 81.807 | 175.930 | 175.930 | 0.000 | 0.000 | 0.000 |
| 175.930 | 81.807 | 175.930 | 0.000 | 0.000 | 0.000 |
| 175.930 | 175.930 | 81.807 | 0.000 | 0.000 | -0.000 |
| -0.000 | 0.000 | 0.000 | 73.931 | -0.000 | 0.000 |
| 0.000 | -0.000 | 0.000 | 0.000 | 73.931 | -0.000 |
| 0.000 | -0.000 | -0.000 | 0.000 | 0.000 | 73.931 |
| 81.807 | 175.930 | 175.930 | -0.000 | -0.000 | 0.000 |
| 175.930 | 81.807 | 175.930 | -0.000 | -0.000 | -0.000 |
| 175.930 | 175.930 | 81.807 | -0.000 | -0.000 | -0.000 |
| -0.000 | -0.000 | -0.000 | 72.615 | -0.000 | -0.000 |
| -0.000 | -0.000 | -0.000 | -0.000 | 72.615 | -0.000 |
| -0.000 | -0.000 | -0.000 | -0.000 | -0.000 | 72.615 |
| 81.808 | 175.930 | 175.930 | 0.000 | 0.000 | 0.000 |
| 175.930 | 81.808 | 175.930 | 0.000 | 0.000 | 0.000 |
| 175.930 | 175.930 | 81.808 | 0.000 | 0.000 | 0.000 |
| 0.000 | 0.000 | 0.000 | 72.615 | 0.000 | 0.000 |
| 0.000 | 0.000 | 0.000 | 0.000 | 72.615 | 0.000 |
| 0.000 | 0.000 | 0.000 | 0.000 | 0.000 | 72.615 |
| 81.806 | 175.930 | 175.930 | -0.000 | -0.000 | -0.000 |
| 175.930 | 81.806 | 175.930 | -0.000 | -0.000 | -0.000 |
| 175.930 | 175.930 | 81.806 | -0.000 | -0.000 | 0.000 |
| -0.000 | -0.000 | -0.000 | 72.615 | -0.000 | -0.000 |
| -0.000 | -0.000 | -0.000 | -0.000 | 72.615 | -0.000 |
| -0.000 | -0.000 | -0.000 | -0.000 | -0.000 | 72.615 |
| 81.809 | 175.930 | 175.930 | 0.000 | 0.000 | 0.000 |
| 175.930 | 81.809 | 175.930 | 0.000 | 0.000 | 0.000 |
| 175.930 | 175.930 | 81.809 | 0.000 | 0.000 | -0.000 |
| 0.000 | 0.000 | 0.000 | 72.615 | 0.000 | -0.000 |
| 0.000 | 0.000 | 0.000 | 0.000 | 72.615 | 0.000 |
| 0.000 | 0.000 | 0.000 | 0.000 | 0.000 | 72.615 |
| 125.098 | 100.508 | 100.508 | -0.000 | -0.000 | -0.000 |
| 100.508 | 125.098 | 100.508 | -0.000 | -0.000 | -0.000 |
| 100.508 | 100.508 | 125.098 | -0.000 | -0.000 | -0.000 |
| -0.000 | -0.000 | -0.000 | 52.869 | -0.000 | 0.000 |
| -0.000 | -0.000 | -0.000 | -0.000 | 52.869 | 0.000 |
| -0.000 | -0.000 | -0.000 | -0.000 | -0.000 | 52.869 |
| 125.098 | 100.508 | 100.508 | 0.000 | 0.000 | 0.000 |
| 100.508 | 125.098 | 100.508 | 0.000 | 0.000 | 0.000 |
| 100.508 | 100.508 | 125.098 | 0.000 | 0.000 | 0.000 |
| 0.000 | 0.000 | 0.000 | 52.869 | 0.000 | -0.000 |
| 0.000 | 0.000 | 0.000 | 0.000 | 52.869 | -0.000 |
| 0.000 | 0.000 | 0.000 | -0.000 | 0.000 | 52.869 |
| 125.095 | 100.508 | 100.508 | -0.000 | -0.000 | -0.000 |
| 100.508 | 125.095 | 100.508 | -0.000 | -0.000 | -0.000 |
| 100.508 | 100.508 | 125.095 | -0.000 | -0.000 | -0.000 |
| -0.001 | -0.000 | -0.000 | 52.869 | -0.000 | -0.000 |
| -0.000 | -0.001 | -0.000 | -0.000 | 52.869 | -0.000 |
| -0.000 | -0.000 | -0.001 | -0.000 | -0.000 | 52.869 |
| 125.101 | 100.509 | 100.509 | 0.000 | 0.000 | -0.000 |
| 100.509 | 125.101 | 100.509 | 0.000 | 0.000 | -0.000 |
| 100.509 | 100.509 | 125.101 | 0.000 | 0.000 | -0.000 |
| 0.001 | 0.000 | 0.000 | 52.869 | 0.000 | -0.000 |
| 0.000 | 0.001 | 0.000 | 0.000 | 52.869 | 0.000 |
| 0.000 | 0.000 | 0.001 | 0.000 | 0.000 | 52.869 |
| 125.071 | 100.507 | 100.507 | -0.000 | -0.000 | -0.000 |
| 100.507 | 125.071 | 100.507 | -0.000 | -0.000 | 0.000 |
| 100.507 | 100.507 | 125.071 | -0.000 | -0.000 | -0.000 |
| -0.010 | -0.000 | -0.000 | 52.869 | -0.000 | 0.000 |
| -0.000 | -0.010 | -0.000 | -0.000 | 52.869 | -0.000 |
| -0.000 | -0.000 | -0.010 | -0.000 | -0.000 | 52.869 |
| 125.125 | 100.510 | 100.510 | 0.000 | 0.000 | 0.000 |
| 100.510 | 125.125 | 100.510 | 0.000 | 0.000 | 0.000 |
| 100.510 | 100.510 | 125.125 | 0.000 | 0.000 | 0.000 |
| 0.010 | 0.000 | 0.000 | 52.869 | 0.000 | 0.000 |
| 0.000 | 0.010 | 0.000 | 0.000 | 52.869 | 0.000 |
| 0.000 | 0.000 | 0.010 | 0.000 | 0.000 | 52.869 |
| 1.896 | 1.896 | 1.896 | -0.000 | -0.000 | -0.000 |
| 1.896 | 1.896 | 1.896 | -0.000 | -0.000 | -0.000 |
| 1.896 | 1.896 | 1.896 | -0.000 | -0.000 | 0.000 |
| 0.000 | 0.000 | 0.000 | 1.839 | -0.000 | -0.000 |
| 0.000 | 0.000 | 0.000 | -0.000 | 1.839 | -0.000 |
| 0.000 | 0.000 | 0.000 | -0.000 | -0.000 | 1.839 |
| 1.896 | 1.896 | 1.896 | 0.000 | 0.000 | 0.000 |
| 1.896 | 1.896 | 1.896 | 0.000 | 0.000 | 0.000 |
| 1.896 | 1.896 | 1.896 | 0.000 | 0.000 | 0.000 |
| -0.000 | -0.000 | -0.000 | 1.839 | 0.000 | 0.000 |
| -0.000 | -0.000 | -0.000 | 0.000 | 1.839 | 0.000 |
| -0.000 | -0.000 | -0.000 | 0.000 | -0.000 | 1.839 |
| 1.896 | 1.896 | 1.896 | -0.000 | -0.000 | -0.000 |
| 1.896 | 1.896 | 1.896 | -0.000 | -0.000 | -0.000 |
| 1.896 | 1.896 | 1.896 | -0.000 | -0.000 | -0.000 |
| 0.000 | 0.000 | 0.000 | 1.839 | -0.000 | -0.000 |
| 0.000 | 0.000 | 0.000 | -0.000 | 1.839 | -0.000 |
| 0.000 | 0.000 | 0.000 | -0.000 | -0.000 | 1.839 |
| 1.896 | 1.896 | 1.896 | 0.000 | 0.000 | 0.000 |
| 1.896 | 1.896 | 1.896 | 0.000 | 0.000 | 0.000 |
| 1.896 | 1.896 | 1.896 | 0.000 | 0.000 | -0.000 |
| -0.000 | -0.000 | -0.000 | 1.839 | 0.000 | 0.000 |
| -0.000 | -0.000 | -0.000 | 0.000 | 1.839 | 0.000 |
| -0.000 | -0.000 | -0.000 | 0.000 | 0.000 | 1.839 |
| 1.896 | 1.896 | 1.896 | -0.000 | -0.000 | 0.000 |
| 1.896 | 1.896 | 1.896 | -0.000 | -0.000 | 0.000 |
| 1.896 | 1.896 | 1.896 | -0.000 | -0.000 | 0.000 |
| 0.000 | 0.000 | 0.000 | 1.754 | 0.000 | -0.000 |
| 0.000 | 0.000 | 0.000 | 0.000 | 1.754 | -0.000 |
| 0.000 | 0.000 | 0.000 | -0.000 | -0.000 | 1.754 |
| 1.896 | 1.896 | 1.896 | 0.000 | 0.000 | 0.000 |
| 1.896 | 1.896 | 1.896 | 0.000 | 0.000 | 0.000 |
| 1.896 | 1.896 | 1.896 | 0.000 | 0.000 | 0.000 |
| -0.000 | -0.000 | -0.000 | 1.754 | -0.000 | 0.000 |
| -0.000 | -0.000 | -0.000 | -0.000 | 1.754 | 0.000 |
| -0.000 | -0.000 | -0.000 | 0.000 | 0.000 | 1.754 |
| 73.511 | 152.014 | 152.014 | 0.000 | 0.000 | -0.000 |
| 152.014 | 73.511 | 152.014 | 0.000 | 0.000 | -0.000 |
| 152.014 | 152.014 | 73.511 | 0.000 | -0.000 | -0.000 |
| -0.000 | -0.000 | -0.000 | 99.717 | 0.000 | -0.000 |
| -0.000 | -0.000 | -0.000 | 0.000 | 99.717 | -0.000 |
| -0.000 | -0.000 | -0.000 | 0.000 | -0.000 | 99.717 |
| 73.511 | 152.014 | 152.014 | -0.000 | -0.000 | 0.000 |
| 152.014 | 73.511 | 152.014 | -0.000 | -0.000 | 0.000 |
| 152.014 | 152.014 | 73.511 | -0.000 | 0.000 | 0.000 |
| 0.000 | 0.000 | 0.000 | 99.717 | -0.000 | 0.000 |
| 0.000 | 0.000 | 0.000 | -0.000 | 99.717 | 0.000 |
| 0.000 | 0.000 | 0.000 | -0.000 | 0.000 | 99.717 |
| 73.511 | 152.014 | 152.014 | 0.000 | 0.000 | -0.000 |
| 152.014 | 73.511 | 152.014 | 0.000 | -0.000 | -0.000 |
| 152.014 | 152.014 | 73.511 | 0.000 | -0.000 | -0.000 |
| 0.000 | 0.000 | 0.000 | 103.316 | 0.000 | -0.000 |
| 0.000 | 0.000 | 0.000 | 0.000 | 103.316 | -0.000 |
| 0.000 | 0.000 | 0.000 | 0.000 | -0.000 | 103.316 |
| 73.511 | 152.014 | 152.014 | -0.000 | -0.000 | 0.000 |
| 152.014 | 73.511 | 152.014 | -0.000 | -0.000 | 0.000 |
| 152.014 | 152.014 | 73.511 | -0.000 | -0.000 | 0.000 |
| -0.000 | -0.000 | -0.000 | 103.316 | -0.000 | 0.000 |
| -0.000 | -0.000 | -0.000 | -0.000 | 103.316 | 0.000 |
| -0.000 | -0.000 | -0.000 | -0.000 | 0.000 | 103.316 |
| 73.512 | 152.015 | 152.015 | 0.000 | 0.000 | -0.000 |
| 152.015 | 73.512 | 152.015 | 0.000 | 0.000 | -0.000 |
| 152.015 | 152.015 | 73.512 | 0.000 | -0.000 | -0.000 |
| 0.001 | 0.000 | 0.001 | 103.316 | -0.000 | -0.000 |
| 0.000 | 0.001 | 0.001 | 0.000 | 103.316 | -0.000 |
| 0.000 | 0.001 | 0.001 | 0.000 | -0.000 | 103.316 |
| 73.510 | 152.014 | 152.014 | -0.000 | 0.000 | 0.000 |
| 152.014 | 73.510 | 152.014 | -0.000 | -0.000 | 0.000 |
| 152.014 | 152.014 | 73.510 | -0.000 | 0.000 | 0.000 |
| -0.001 | -0.000 | -0.001 | 103.316 | 0.000 | 0.000 |
| -0.000 | -0.001 | -0.001 | -0.000 | 103.316 | 0.000 |
| -0.000 | -0.001 | -0.001 | 0.000 | 0.000 | 103.316 |
| 57.883 | 155.869 | 155.869 | 0.000 | 0.000 | 0.000 |
| 155.869 | 57.883 | 155.869 | 0.000 | 0.000 | 0.000 |
| 155.869 | 155.869 | 57.883 | 0.000 | 0.000 | 0.000 |
| -0.000 | -0.000 | -0.000 | 74.065 | -0.000 | 0.000 |
| -0.000 | -0.000 | -0.000 | 0.000 | 74.065 | 0.000 |
| -0.000 | -0.000 | -0.000 | 0.000 | 0.000 | 74.065 |
| 57.883 | 155.869 | 155.869 | -0.000 | -0.000 | -0.000 |
| 155.869 | 57.883 | 155.869 | -0.000 | 0.000 | -0.000 |
| 155.869 | 155.869 | 57.883 | 0.000 | -0.000 | -0.000 |
| 0.000 | 0.000 | 0.000 | 74.065 | 0.000 | -0.000 |
| 0.000 | 0.000 | 0.000 | -0.000 | 74.065 | -0.000 |
| 0.000 | 0.000 | 0.000 | -0.000 | -0.000 | 74.065 |
| 57.883 | 155.869 | 155.869 | -0.000 | 0.000 | 0.000 |
| 155.869 | 57.883 | 155.869 | 0.000 | 0.000 | 0.000 |
| 155.869 | 155.869 | 57.883 | 0.000 | 0.000 | 0.000 |
| 0.000 | -0.000 | -0.000 | 73.187 | -0.000 | 0.000 |
| -0.000 | 0.000 | -0.000 | 0.000 | 73.187 | 0.000 |
| -0.000 | -0.000 | 0.000 | 0.000 | 0.000 | 73.187 |
| 57.884 | 155.869 | 155.869 | -0.000 | -0.000 | -0.000 |
| 155.869 | 57.884 | 155.869 | -0.000 | -0.000 | -0.000 |
| 155.869 | 155.869 | 57.884 | -0.000 | -0.000 | -0.000 |
| -0.000 | 0.000 | 0.000 | 73.187 | 0.000 | -0.000 |
| 0.000 | -0.000 | 0.000 | -0.000 | 73.187 | -0.000 |
| 0.000 | 0.000 | -0.000 | -0.000 | -0.000 | 73.187 |
| 57.883 | 155.869 | 155.869 | 0.000 | 0.000 | 0.000 |
| 155.869 | 57.883 | 155.869 | 0.000 | -0.000 | 0.000 |
| 155.869 | 155.869 | 57.883 | 0.000 | -0.000 | 0.000 |
| 0.000 | -0.000 | -0.000 | 74.065 | 0.000 | 0.000 |
| -0.000 | 0.000 | -0.000 | 0.000 | 74.065 | 0.000 |
| -0.000 | -0.000 | 0.000 | 0.000 | 0.000 | 74.065 |
| 57.884 | 155.869 | 155.869 | -0.000 | -0.000 | -0.000 |
| 155.869 | 57.884 | 155.869 | -0.000 | -0.000 | -0.000 |
| 155.869 | 155.869 | 57.884 | -0.000 | -0.000 | -0.000 |
| -0.000 | 0.000 | 0.000 | 74.065 | -0.000 | -0.000 |
| 0.000 | -0.000 | 0.000 | 0.000 | 74.065 | -0.000 |
| 0.000 | 0.000 | -0.000 | -0.000 | -0.000 | 74.065 |
| 93.576 | 153.596 | 153.596 | 0.000 | -0.000 | -0.000 |
| 153.596 | 93.576 | 153.596 | 0.000 | -0.000 | 0.000 |
| 153.596 | 153.596 | 93.576 | 0.000 | 0.000 | -0.000 |
| 0.000 | 0.000 | 0.000 | -44.646 | 0.000 | -0.000 |
| 0.000 | 0.000 | 0.000 | 0.000 | -44.646 | -0.000 |
| 0.000 | 0.000 | 0.000 | 0.000 | 0.000 | -44.646 |
| 93.576 | 153.596 | 153.596 | -0.000 | -0.000 | 0.000 |
| 153.596 | 93.576 | 153.596 | 0.000 | -0.000 | 0.000 |
| 153.596 | 153.596 | 93.576 | -0.000 | -0.000 | 0.000 |
| -0.000 | -0.000 | -0.000 | -44.646 | -0.000 | 0.000 |
| -0.000 | -0.000 | -0.000 | -0.000 | -44.646 | 0.000 |
| -0.000 | -0.000 | -0.000 | -0.000 | -0.000 | -44.646 |
| 93.576 | 153.596 | 153.596 | 0.000 | -0.000 | -0.000 |
| 153.596 | 93.576 | 153.596 | 0.000 | 0.000 | -0.000 |
| 153.596 | 153.596 | 93.576 | -0.000 | 0.000 | -0.000 |
| 0.000 | 0.000 | 0.000 | -44.646 | 0.000 | -0.000 |
| 0.000 | 0.000 | 0.000 | 0.000 | -44.646 | -0.000 |
| 0.000 | 0.000 | 0.000 | 0.000 | 0.000 | -44.646 |
| 93.576 | 153.596 | 153.596 | -0.000 | -0.000 | 0.000 |
| 153.596 | 93.576 | 153.596 | 0.000 | 0.000 | 0.000 |
| 153.596 | 153.596 | 93.576 | -0.000 | -0.000 | 0.000 |
| -0.000 | -0.000 | -0.000 | -44.646 | -0.000 | 0.000 |
| -0.000 | -0.000 | -0.000 | -0.000 | -44.646 | 0.000 |
| -0.000 | -0.000 | -0.000 | -0.000 | -0.000 | -44.646 |
| 93.578 | 153.597 | 153.597 | 0.000 | -0.000 | -0.000 |
| 153.597 | 93.578 | 153.597 | 0.000 | 0.000 | -0.000 |
| 153.597 | 153.597 | 93.578 | 0.000 | 0.000 | -0.000 |
| 0.001 | 0.000 | 0.000 | -44.646 | 0.000 | -0.000 |
| 0.000 | 0.001 | 0.000 | 0.000 | -44.646 | -0.000 |
| 0.000 | 0.000 | 0.001 | 0.000 | 0.000 | -44.646 |
| 93.573 | 153.595 | 153.595 | -0.000 | -0.000 | 0.000 |
| 153.595 | 93.573 | 153.595 | -0.000 | -0.000 | 0.000 |
| 153.595 | 153.595 | 93.573 | -0.000 | 0.000 | 0.000 |
| -0.001 | -0.000 | -0.000 | -44.646 | -0.000 | 0.000 |
| -0.000 | -0.001 | -0.000 | -0.000 | -44.646 | 0.000 |
| -0.000 | -0.000 | -0.001 | -0.000 | -0.000 | -44.646 |
| 63.178 | 51.910 | 51.910 | -0.000 | 0.000 | -0.000 |
| 51.910 | 63.178 | 51.910 | 0.000 | -0.000 | -0.000 |
| 51.910 | 51.910 | 63.178 | -0.000 | -0.000 | 0.000 |
| 0.000 | -0.000 | -0.000 | 9.203 | 0.000 | -0.000 |
| -0.000 | 0.000 | -0.000 | 0.000 | 9.203 | -0.000 |
| -0.000 | 0.000 | 0.000 | 0.000 | 0.000 | 9.203 |
| 63.178 | 51.910 | 51.910 | 0.000 | 0.000 | -0.000 |
| 51.910 | 63.178 | 51.910 | 0.000 | 0.000 | -0.000 |
| 51.910 | 51.910 | 63.178 | 0.000 | 0.000 | -0.000 |
| -0.000 | 0.000 | 0.000 | 9.203 | -0.000 | 0.000 |
| 0.000 | -0.000 | 0.000 | -0.000 | 9.203 | -0.000 |
| 0.000 | -0.000 | -0.000 | -0.000 | -0.000 | 9.203 |
| 63.179 | 51.910 | 51.910 | -0.000 | -0.000 | 0.000 |
| 51.910 | 63.179 | 51.910 | 0.000 | -0.000 | 0.000 |
| 51.910 | 51.910 | 63.179 | -0.000 | -0.000 | 0.000 |
| 0.000 | -0.000 | -0.000 | 9.203 | 0.000 | -0.000 |
| -0.000 | 0.000 | -0.000 | 0.000 | 9.203 | -0.000 |
| -0.000 | -0.000 | 0.000 | 0.000 | 0.000 | 9.203 |
| 63.178 | 51.910 | 51.910 | -0.000 | 0.000 | 0.000 |
| 51.910 | 63.178 | 51.910 | 0.000 | -0.000 | -0.000 |
| 51.910 | 51.910 | 63.178 | -0.000 | -0.000 | -0.000 |
| -0.000 | 0.000 | 0.000 | 9.203 | -0.000 | 0.000 |
| 0.000 | -0.000 | 0.000 | -0.000 | 9.203 | 0.000 |
| 0.000 | 0.000 | -0.000 | -0.000 | -0.000 | 9.203 |
| 63.184 | 51.911 | 51.911 | -0.000 | 0.000 | 0.000 |
| 51.911 | 63.184 | 51.911 | 0.000 | -0.000 | 0.000 |
| 51.911 | 51.911 | 63.184 | -0.000 | -0.000 | 0.000 |
| 0.003 | -0.000 | -0.000 | 9.203 | 0.000 | -0.000 |
| -0.000 | 0.003 | -0.000 | 0.000 | 9.203 | -0.000 |
| -0.000 | -0.000 | 0.003 | 0.000 | 0.000 | 9.203 |
| 63.173 | 51.910 | 51.910 | 0.000 | 0.000 | -0.000 |
| 51.910 | 63.173 | 51.910 | -0.000 | 0.000 | -0.000 |
| 51.910 | 51.910 | 63.173 | 0.000 | 0.000 | -0.000 |
| -0.003 | 0.000 | 0.000 | 9.203 | -0.000 | 0.000 |
| 0.000 | -0.003 | 0.000 | -0.000 | 9.203 | 0.000 |
| 0.000 | 0.000 | -0.003 | -0.000 | -0.000 | 9.203 |
| 2.524 | 2.524 | 2.524 | 0.000 | 0.000 | 0.000 |
| 2.524 | 2.524 | 2.524 | 0.000 | 0.000 | 0.000 |
| 2.524 | 2.524 | 2.524 | 0.000 | 0.000 | 0.000 |
| 0.000 | 0.000 | 0.000 | 2.524 | 0.000 | 0.000 |
| 0.000 | 0.000 | 0.000 | 0.000 | 2.524 | 0.000 |
| 0.000 | 0.000 | 0.000 | 0.000 | 0.000 | 2.524 |
| 2.524 | 2.524 | 2.524 | -0.000 | -0.000 | -0.000 |
| 2.524 | 2.524 | 2.524 | -0.000 | -0.000 | -0.000 |
| 2.524 | 2.524 | 2.524 | -0.000 | -0.000 | -0.000 |
| -0.000 | -0.000 | -0.000 | 2.524 | -0.000 | -0.000 |
| -0.000 | -0.000 | -0.000 | -0.000 | 2.524 | -0.000 |
| -0.000 | -0.000 | -0.000 | -0.000 | -0.000 | 2.524 |
| 2.524 | 2.524 | 2.524 | 0.000 | 0.000 | 0.000 |
| 2.524 | 2.524 | 2.524 | 0.000 | 0.000 | 0.000 |
| 2.524 | 2.524 | 2.524 | 0.000 | 0.000 | -0.000 |
| 0.000 | -0.000 | 0.000 | 0.521 | 0.000 | 0.000 |
| -0.000 | 0.000 | 0.000 | 0.000 | 0.521 | 0.000 |
| -0.000 | 0.000 | 0.000 | 0.000 | 0.000 | 0.521 |
| 2.524 | 2.524 | 2.524 | -0.000 | -0.000 | -0.000 |
| 2.524 | 2.524 | 2.524 | -0.000 | -0.000 | -0.000 |
| 2.524 | 2.524 | 2.524 | -0.000 | -0.000 | -0.000 |
| -0.000 | 0.000 | -0.000 | 0.521 | 0.000 | -0.000 |
| 0.000 | -0.000 | -0.000 | 0.000 | 0.521 | -0.000 |
| 0.000 | -0.000 | -0.000 | -0.000 | -0.000 | 0.521 |
| 2.524 | 2.524 | 2.524 | 0.000 | 0.000 | 0.000 |
| 2.524 | 2.524 | 2.524 | 0.000 | 0.000 | 0.000 |
| 2.524 | 2.524 | 2.524 | 0.000 | 0.000 | 0.000 |
| -0.000 | -0.000 | -0.000 | 0.037 | 0.000 | -0.000 |
| -0.000 | -0.000 | -0.000 | 0.000 | 0.037 | -0.000 |
| -0.000 | -0.000 | -0.000 | 0.000 | -0.000 | 0.037 |
| 2.524 | 2.524 | 2.524 | -0.000 | -0.000 | -0.000 |
| 2.524 | 2.524 | 2.524 | -0.000 | -0.000 | -0.000 |
| 2.524 | 2.524 | 2.524 | -0.000 | -0.000 | -0.000 |
| 0.000 | 0.000 | 0.000 | 0.037 | -0.000 | -0.000 |
| 0.000 | 0.000 | 0.000 | -0.000 | 0.037 | -0.000 |
| 0.000 | 0.000 | 0.000 | -0.000 | -0.000 | 0.037 |
| 115.349 | 194.466 | 194.466 | 0.000 | 0.000 | -0.000 |
| 194.466 | 115.349 | 194.466 | 0.000 | 0.000 | -0.000 |
| 194.466 | 194.466 | 115.349 | 0.000 | 0.000 | 0.000 |
| -0.000 | -0.000 | 0.000 | 84.557 | 0.000 | 0.000 |
| -0.000 | -0.000 | -0.000 | 0.000 | 84.557 | -0.000 |
| -0.000 | -0.000 | 0.000 | 0.000 | 0.000 | 84.557 |
| 115.349 | 194.466 | 194.466 | -0.000 | -0.000 | -0.000 |
| 194.466 | 115.349 | 194.466 | -0.000 | -0.000 | 0.000 |
| 194.466 | 194.466 | 115.349 | 0.000 | 0.000 | -0.000 |
| 0.000 | 0.000 | 0.000 | 84.557 | -0.000 | 0.000 |
| 0.000 | 0.000 | 0.000 | -0.000 | 84.557 | 0.000 |
| 0.000 | 0.000 | -0.000 | -0.000 | -0.000 | 84.557 |
| 115.349 | 194.466 | 194.466 | 0.000 | 0.000 | 0.000 |
| 194.466 | 115.349 | 194.466 | 0.000 | 0.000 | -0.000 |
| 194.466 | 194.466 | 115.348 | -0.000 | -0.000 | 0.000 |
| 0.000 | -0.000 | -0.000 | 84.557 | 0.000 | -0.000 |
| -0.000 | 0.000 | -0.000 | 0.000 | 84.557 | -0.000 |
| -0.000 | -0.000 | 0.000 | 0.000 | 0.000 | 84.557 |
| 115.349 | 194.466 | 194.466 | -0.000 | 0.000 | 0.000 |
| 194.466 | 115.349 | 194.466 | -0.000 | -0.000 | 0.000 |
| 194.466 | 194.466 | 115.349 | -0.000 | 0.000 | 0.000 |
| -0.000 | 0.000 | 0.000 | 84.557 | -0.000 | 0.000 |
| 0.000 | -0.000 | 0.000 | -0.000 | 84.557 | 0.000 |
| 0.000 | 0.000 | -0.000 | -0.000 | -0.000 | 84.557 |
| 115.347 | 194.465 | 194.465 | 0.000 | -0.000 | 0.000 |
| 194.465 | 115.347 | 194.465 | 0.000 | 0.000 | -0.000 |
| 194.465 | 194.465 | 115.347 | -0.000 | -0.000 | -0.000 |
| 0.000 | -0.000 | -0.000 | 84.234 | -0.000 | -0.000 |
| -0.000 | 0.000 | -0.000 | 0.000 | 84.234 | -0.000 |
| -0.000 | -0.000 | 0.000 | 0.000 | 0.000 | 84.234 |
| 115.351 | 194.467 | 194.467 | -0.000 | -0.000 | -0.000 |
| 194.467 | 115.351 | 194.467 | -0.000 | -0.000 | 0.000 |
| 194.467 | 194.467 | 115.351 | 0.000 | -0.000 | -0.000 |
| -0.000 | 0.000 | 0.000 | 84.234 | 0.000 | -0.000 |
| 0.000 | -0.000 | 0.000 | -0.000 | 84.234 | 0.000 |
| 0.000 | 0.000 | -0.000 | -0.000 | -0.000 | 84.234 |
| 229.407 | -2.128 | -2.128 | 0.000 | 0.000 | -0.000 |
| -2.128 | 229.407 | -2.128 | 0.000 | 0.000 | -0.000 |
| -2.128 | -2.128 | 229.407 | -0.000 | -0.000 | 0.000 |
| -0.000 | 0.000 | -0.000 | -14.422 | 0.000 | -0.000 |
| 0.000 | 0.000 | -0.000 | 0.000 | -14.422 | -0.000 |
| 0.000 | 0.000 | 0.000 | 0.000 | -0.000 | -14.422 |
| 229.407 | -2.128 | -2.128 | -0.000 | -0.000 | 0.000 |
| -2.128 | 229.407 | -2.128 | -0.000 | 0.000 | 0.000 |
| -2.128 | -2.128 | 229.407 | 0.000 | 0.000 | 0.000 |
| 0.000 | 0.000 | 0.000 | -14.422 | -0.000 | 0.000 |
| -0.000 | -0.000 | 0.000 | -0.000 | -14.422 | 0.000 |
| -0.000 | -0.000 | 0.000 | -0.000 | 0.000 | -14.422 |
| 229.407 | -2.128 | -2.128 | 0.000 | 0.000 | -0.000 |
| -2.128 | 229.407 | -2.128 | 0.000 | 0.000 | -0.000 |
| -2.128 | -2.128 | 229.407 | 0.000 | -0.000 | -0.000 |
| -11631319.345 | -9155606.705 | -7833864.708 | 1717442.058 | -32057.345 | -12522.672 |
| -9246421.766 | -11916500.740 | -7769214.346 | -1361.245 | 1881548.924 | 13323.346 |
| -9038223.351 | -7954185.212 | -11412420.128 | -262981.428 | 206058.395 | 1666669.849 |
| 229.407 | -2.128 | -2.128 | -0.000 | 0.000 | 0.000 |
| -2.128 | 229.407 | -2.128 | -0.000 | 0.000 | 0.000 |
| -2.128 | -2.128 | 229.407 | 0.000 | 0.000 | -0.000 |
| 12842122.871 | 7048309.489 | 6685125.914 | 1792986.596 | -73558.603 | 239232.987 |
| 6884824.127 | 12577754.428 | 6665989.724 | -11267.322 | 1662537.551 | 184197.384 |
| 7075752.121 | 6284410.178 | 12974394.492 | -167344.576 | -80740.406 | 1475979.640 |
| 229.407 | -2.128 | -2.128 | 0.000 | 0.000 | -0.000 |
| -2.128 | 229.407 | -2.128 | 0.000 | 0.000 | -0.000 |
| -2.128 | -2.128 | 229.407 | 0.000 | 0.000 | -0.000 |
| -1081318.759 | -931073.534 | -881138.104 | 157694.150 | -2574.046 | -11005.096 |
| -919045.470 | -1052276.035 | -881152.692 | 5146.206 | 139600.033 | -13453.515 |
| -965353.440 | -922974.313 | -1073788.248 | -3568.675 | -4410.631 | 93383.368 |
| 229.407 | -2.128 | -2.128 | -0.000 | 0.000 | -0.000 |
| -2.128 | 229.407 | -2.128 | -0.000 | -0.000 | 0.000 |
| -2.128 | -2.128 | 229.407 | -0.000 | 0.000 | 0.000 |
| 1279271.965 | 744289.695 | 680125.868 | 201215.445 | 15178.988 | -3259.107 |
| 746792.518 | 1293361.168 | 653544.830 | 14007.349 | 215664.687 | -1906.806 |
| 757019.560 | 699617.493 | 1321078.521 | 1894.737 | -649.552 | 199327.170 |
| 84.667 | 187.945 | 187.945 | 0.000 | 0.000 | 0.000 |
| 187.945 | 84.667 | 187.945 | 0.000 | 0.000 | 0.000 |
| 187.945 | 187.945 | 84.667 | 0.000 | 0.000 | 0.000 |
| -0.000 | 0.000 | 0.000 | 79.085 | 0.000 | 0.000 |
| -0.000 | 0.000 | 0.000 | 0.000 | 79.085 | 0.000 |
| 0.000 | -0.000 | 0.000 | -0.000 | 0.000 | 79.085 |
| 84.667 | 187.945 | 187.945 | -0.000 | -0.000 | -0.000 |
| 187.945 | 84.667 | 187.945 | -0.000 | -0.000 | -0.000 |
| 187.945 | 187.945 | 84.667 | -0.000 | -0.000 | -0.000 |
| 0.000 | 0.000 | -0.000 | 79.085 | -0.000 | -0.000 |
| 0.000 | -0.000 | -0.000 | -0.000 | 79.085 | 0.000 |
| 0.000 | -0.000 | -0.000 | 0.000 | 0.000 | 79.085 |
| 84.667 | 187.945 | 187.945 | 0.000 | 0.000 | 0.000 |
| 187.945 | 84.667 | 187.945 | 0.000 | 0.000 | 0.000 |
| 187.945 | 187.945 | 84.667 | 0.000 | 0.000 | 0.000 |
| -0.000 | -0.000 | -0.000 | 79.085 | 0.000 | 0.000 |
| -0.000 | -0.000 | -0.000 | 0.000 | 79.085 | 0.000 |
| -0.000 | -0.000 | 0.000 | -0.000 | 0.000 | 79.085 |
| 84.667 | 187.945 | 187.945 | -0.000 | -0.000 | -0.000 |
| 187.945 | 84.667 | 187.945 | -0.000 | -0.000 | -0.000 |
| 187.945 | 187.945 | 84.667 | -0.000 | -0.000 | -0.000 |
| 0.000 | 0.000 | 0.000 | 79.085 | -0.000 | -0.000 |
| 0.000 | 0.000 | 0.000 | -0.000 | 79.085 | -0.000 |
| 0.000 | 0.000 | -0.000 | 0.000 | -0.000 | 79.085 |
| 84.667 | 187.945 | 187.945 | 0.000 | 0.000 | 0.000 |
| 187.945 | 84.667 | 187.945 | 0.000 | 0.000 | 0.000 |
| 187.945 | 187.945 | 84.667 | 0.000 | 0.000 | 0.000 |
| -0.000 | -0.000 | -0.000 | 78.932 | 0.000 | 0.000 |
| -0.000 | -0.000 | -0.000 | 0.000 | 78.932 | 0.000 |
| -0.000 | -0.000 | -0.000 | 0.000 | 0.000 | 78.932 |
| 84.667 | 187.945 | 187.945 | -0.000 | -0.000 | -0.000 |
| 187.945 | 84.667 | 187.945 | -0.000 | -0.000 | 0.000 |
| 187.945 | 187.945 | 84.667 | -0.000 | -0.000 | 0.000 |
| 0.000 | 0.000 | 0.000 | 78.932 | -0.000 | -0.000 |
| 0.000 | 0.000 | 0.000 | -0.000 | 78.932 | -0.000 |
| 0.000 | 0.000 | 0.000 | -0.000 | -0.000 | 78.932 |
| 58.977 | 53.293 | 53.293 | -0.000 | -0.000 | -0.000 |
| 53.293 | 58.977 | 53.293 | -0.000 | -0.000 | -0.000 |
| 53.293 | 53.293 | 58.977 | -0.000 | -0.000 | -0.000 |
| 0.000 | -0.000 | -0.000 | 10.708 | -0.000 | -0.000 |
| -0.000 | 0.000 | -0.000 | -0.000 | 10.708 | -0.000 |
| -0.000 | -0.000 | 0.000 | -0.000 | -0.000 | 10.708 |
| 58.976 | 53.293 | 53.293 | 0.000 | 0.000 | -0.000 |
| 53.293 | 58.976 | 53.293 | 0.000 | 0.000 | -0.000 |
| 53.293 | 53.293 | 58.976 | 0.000 | 0.000 | 0.000 |
| -0.000 | 0.000 | 0.000 | 10.708 | 0.000 | -0.000 |
| 0.000 | -0.000 | 0.000 | 0.000 | 10.708 | -0.000 |
| 0.000 | 0.000 | -0.000 | 0.000 | 0.000 | 10.708 |
| 58.978 | 53.293 | 53.293 | -0.000 | -0.000 | -0.000 |
| 53.293 | 58.978 | 53.293 | -0.000 | -0.000 | -0.000 |
| 53.293 | 53.293 | 58.978 | -0.000 | -0.000 | -0.000 |
| 0.001 | -0.000 | -0.000 | 10.708 | -0.000 | -0.000 |
| -0.000 | 0.001 | -0.000 | -0.000 | 10.708 | -0.000 |
| -0.000 | -0.000 | 0.001 | -0.000 | -0.000 | 10.708 |
| 58.975 | 53.293 | 53.293 | 0.000 | 0.000 | 0.000 |
| 53.293 | 58.975 | 53.293 | 0.000 | 0.000 | 0.000 |
| 53.293 | 53.293 | 58.975 | 0.000 | 0.000 | 0.000 |
| -0.001 | 0.000 | 0.000 | 10.708 | 0.000 | 0.000 |
| 0.000 | -0.001 | 0.000 | 0.000 | 10.708 | 0.000 |
| 0.000 | 0.000 | -0.001 | 0.000 | 0.000 | 10.708 |
| 58.989 | 53.293 | 53.293 | -0.000 | -0.000 | -0.000 |
| 53.293 | 58.989 | 53.293 | -0.000 | -0.000 | -0.000 |
| 53.293 | 53.293 | 58.989 | -0.000 | -0.000 | 0.000 |
| 0.008 | -0.001 | -0.001 | 10.703 | -0.000 | -0.000 |
| -0.001 | 0.008 | -0.001 | -0.000 | 10.703 | -0.000 |
| -0.001 | -0.001 | 0.008 | -0.000 | -0.000 | 10.703 |
| 58.964 | 53.294 | 53.294 | 0.000 | 0.000 | -0.000 |
| 53.294 | 58.964 | 53.294 | 0.000 | 0.000 | -0.000 |
| 53.294 | 53.294 | 58.964 | 0.000 | 0.000 | 0.000 |
| -0.008 | 0.001 | 0.001 | 10.703 | 0.000 | 0.000 |
| 0.001 | -0.008 | 0.001 | 0.000 | 10.703 | 0.000 |
| 0.001 | 0.001 | -0.008 | 0.000 | 0.000 | 10.703 |
| 90.889 | 107.663 | 107.663 | -0.000 | -0.000 | -0.000 |
| 107.663 | 90.889 | 107.663 | -0.000 | -0.000 | -0.000 |
| 107.663 | 107.663 | 90.889 | -0.000 | 0.000 | -0.000 |
| -0.000 | 0.000 | -0.000 | 104.984 | 0.000 | -0.000 |
| 0.000 | 0.000 | -0.000 | -0.000 | 104.984 | -0.000 |
| 0.000 | 0.000 | -0.000 | 0.000 | 0.000 | 104.984 |
| 90.889 | 107.663 | 107.663 | 0.000 | -0.000 | 0.000 |
| 107.663 | 90.889 | 107.663 | 0.000 | 0.000 | -0.000 |
| 107.663 | 107.663 | 90.889 | 0.000 | -0.000 | 0.000 |
| 0.000 | -0.000 | 0.000 | 104.984 | -0.000 | -0.000 |
| -0.000 | -0.000 | -0.000 | -0.000 | 104.984 | 0.000 |
| -0.000 | -0.000 | 0.000 | -0.000 | -0.000 | 104.984 |
| 90.889 | 107.663 | 107.663 | -0.000 | 0.000 | -0.000 |
| 107.663 | 90.889 | 107.663 | -0.000 | -0.000 | -0.000 |
| 107.663 | 107.663 | 90.889 | -0.000 | 0.000 | 0.000 |
| 0.000 | -0.000 | -0.000 | -6.503 | -0.000 | -0.000 |
| -0.000 | 0.000 | -0.000 | 0.000 | -6.503 | -0.000 |
| -0.000 | -0.000 | 0.000 | -0.000 | 0.000 | -6.503 |
| 90.889 | 107.663 | 107.663 | 0.000 | 0.000 | -0.000 |
| 107.663 | 90.889 | 107.663 | 0.000 | 0.000 | 0.000 |
| 107.663 | 107.663 | 90.889 | 0.000 | -0.000 | 0.000 |
| -0.000 | 0.000 | 0.000 | -6.503 | 0.000 | -0.000 |
| 0.000 | -0.000 | 0.000 | -0.000 | -6.503 | 0.000 |
| 0.000 | 0.000 | -0.000 | 0.000 | -0.000 | -6.503 |
| 90.889 | 107.664 | 107.664 | -0.000 | 0.000 | 0.000 |
| 107.664 | 90.889 | 107.664 | -0.000 | -0.000 | -0.000 |
| 107.664 | 107.664 | 90.889 | -0.000 | -0.000 | -0.000 |
| -0.003 | -0.004 | -0.004 | -6.521 | -0.000 | -0.000 |
| -0.004 | -0.003 | -0.004 | 0.000 | -6.521 | -0.000 |
| -0.004 | -0.004 | -0.003 | 0.000 | -0.000 | -6.521 |
| 90.889 | 107.663 | 107.663 | 0.000 | -0.000 | 0.000 |
| 107.663 | 90.889 | 107.663 | 0.000 | -0.000 | 0.000 |
| 107.663 | 107.663 | 90.889 | 0.000 | -0.000 | 0.000 |
| 0.003 | 0.004 | 0.004 | -6.521 | 0.000 | 0.000 |
| 0.004 | 0.003 | 0.004 | -0.000 | -6.521 | 0.000 |
| 0.004 | 0.004 | 0.003 | -0.000 | -0.000 | -6.521 |
| 31.013 | 31.013 | 31.013 | -0.000 | -0.000 | -0.000 |
| 31.013 | 31.013 | 31.013 | 0.000 | -0.000 | -0.000 |
| 31.013 | 31.013 | 31.013 | -0.000 | -0.000 | -0.000 |
| -0.000 | -0.000 | -0.000 | -0.000 | -0.000 | -0.000 |
| -0.000 | -0.000 | -0.000 | -0.000 | -0.000 | -0.000 |
| -0.000 | -0.000 | -0.000 | -0.000 | -0.000 | -0.000 |
| 31.013 | 31.013 | 31.013 | 0.000 | -0.000 | 0.000 |
| 31.013 | 31.013 | 31.013 | -0.000 | 0.000 | 0.000 |
| 31.013 | 31.013 | 31.013 | 0.000 | 0.000 | 0.000 |
| 0.000 | 0.000 | 0.000 | -0.000 | 0.000 | 0.000 |
| 0.000 | 0.000 | 0.000 | 0.000 | -0.000 | -0.000 |
| 0.000 | 0.000 | 0.000 | 0.000 | -0.000 | -0.000 |
| 31.013 | 31.013 | 31.013 | -0.000 | 0.000 | -0.000 |
| 31.013 | 31.013 | 31.013 | -0.000 | -0.000 | -0.000 |
| 31.013 | 31.013 | 31.013 | -0.000 | -0.000 | 0.000 |
| -0.000 | -0.000 | -0.000 | 0.000 | -0.000 | -0.000 |
| -0.000 | -0.000 | -0.000 | -0.000 | 0.000 | -0.000 |
| -0.000 | -0.000 | -0.000 | -0.000 | -0.000 | 0.000 |
| 31.013 | 31.013 | 31.013 | 0.000 | 0.000 | 0.000 |
| 31.013 | 31.013 | 31.013 | 0.000 | 0.000 | 0.000 |
| 31.013 | 31.013 | 31.013 | 0.000 | 0.000 | 0.000 |
| 0.000 | 0.000 | 0.000 | 0.000 | 0.000 | 0.000 |
| 0.000 | 0.000 | 0.000 | 0.000 | 0.000 | 0.000 |
| 0.000 | 0.000 | 0.000 | 0.000 | -0.000 | 0.000 |
| 31.013 | 31.014 | 31.014 | -0.000 | 0.000 | -0.000 |
| 31.014 | 31.013 | 31.014 | 0.000 | -0.000 | -0.000 |
| 31.014 | 31.014 | 31.013 | -0.000 | -0.000 | -0.000 |
| -0.000 | -0.000 | -0.000 | -0.000 | -0.000 | 0.000 |
| -0.000 | -0.000 | -0.000 | -0.000 | -0.000 | 0.000 |
| -0.000 | -0.000 | -0.000 | -0.000 | 0.000 | -0.000 |
| 31.013 | 31.013 | 31.013 | 0.000 | 0.000 | 0.000 |
| 31.013 | 31.013 | 31.013 | 0.000 | 0.000 | 0.000 |
| 31.013 | 31.013 | 31.013 | 0.000 | 0.000 | 0.000 |
| 0.000 | 0.000 | 0.000 | -0.000 | -0.000 | -0.000 |
| 0.000 | 0.000 | 0.000 | -0.000 | -0.000 | -0.000 |
| 0.000 | 0.000 | 0.000 | 0.000 | -0.000 | -0.000 |
| 60.442 | 150.166 | 150.166 | 0.000 | -0.000 | 0.000 |
| 150.166 | 60.442 | 150.166 | 0.000 | 0.000 | 0.000 |
| 150.166 | 150.166 | 60.442 | 0.000 | -0.000 | 0.000 |
| 0.000 | 0.000 | 0.000 | 117.936 | 0.000 | 0.000 |
| 0.000 | 0.000 | 0.000 | 0.000 | 117.936 | 0.000 |
| 0.000 | 0.000 | 0.000 | 0.000 | 0.000 | 117.936 |
| 60.442 | 150.166 | 150.166 | -0.000 | -0.000 | -0.000 |
| 150.166 | 60.442 | 150.166 | -0.000 | -0.000 | -0.000 |
| 150.166 | 150.166 | 60.442 | -0.000 | -0.000 | -0.000 |
| -0.000 | -0.000 | -0.000 | 117.936 | -0.000 | -0.000 |
| -0.000 | -0.000 | -0.000 | -0.000 | 117.936 | -0.000 |
| -0.000 | -0.000 | -0.000 | -0.000 | -0.000 | 117.936 |
| 60.442 | 150.166 | 150.166 | 0.000 | 0.000 | 0.000 |
| 150.166 | 60.442 | 150.166 | 0.000 | 0.000 | 0.000 |
| 150.166 | 150.166 | 60.442 | 0.000 | -0.000 | 0.000 |
| 0.000 | 0.000 | 0.000 | 117.936 | 0.000 | 0.000 |
| 0.000 | 0.000 | 0.000 | 0.000 | 117.936 | 0.000 |
| 0.000 | 0.000 | 0.000 | 0.000 | 0.000 | 117.936 |
| 60.442 | 150.166 | 150.166 | -0.000 | 0.000 | -0.000 |
| 150.166 | 60.442 | 150.166 | -0.000 | -0.000 | -0.000 |
| 150.166 | 150.166 | 60.442 | -0.000 | -0.000 | -0.000 |
| -0.000 | -0.000 | -0.000 | 117.936 | -0.000 | -0.000 |
| -0.000 | -0.000 | -0.000 | -0.000 | 117.936 | -0.000 |
| -0.000 | -0.000 | -0.000 | -0.000 | -0.000 | 117.936 |
| 60.441 | 150.167 | 150.167 | 0.000 | 0.000 | 0.000 |
| 150.167 | 60.441 | 150.167 | 0.000 | 0.000 | 0.000 |
| 150.167 | 150.167 | 60.441 | 0.000 | 0.000 | 0.000 |
| 0.001 | 0.000 | 0.001 | 116.649 | 0.000 | 0.000 |
| 0.000 | 0.001 | 0.001 | 0.000 | 116.649 | 0.000 |
| 0.000 | 0.001 | 0.001 | 0.000 | 0.000 | 116.649 |
| 60.443 | 150.166 | 150.166 | -0.000 | -0.000 | -0.000 |
| 150.166 | 60.443 | 150.166 | -0.000 | 0.000 | -0.000 |
| 150.166 | 150.166 | 60.443 | -0.000 | -0.000 | -0.000 |
| -0.001 | -0.000 | -0.001 | 116.649 | -0.000 | -0.000 |
| -0.000 | -0.001 | -0.001 | -0.000 | 116.649 | -0.000 |
| -0.000 | -0.001 | -0.001 | -0.000 | -0.000 | 116.649 |
| 32.346 | 32.346 | 32.346 | -0.000 | -0.000 | 0.000 |
| 32.346 | 32.346 | 32.346 | -0.000 | -0.000 | 0.000 |
| 32.346 | 32.346 | 32.346 | -0.000 | -0.000 | 0.000 |
| 0.000 | 0.000 | 0.000 | -4.398 | -0.000 | -0.000 |
| 0.000 | 0.000 | 0.000 | -0.000 | -4.398 | -0.000 |
| 0.000 | 0.000 | 0.000 | -0.000 | -0.000 | -4.398 |
| 32.346 | 32.346 | 32.346 | 0.000 | 0.000 | -0.000 |
| 32.346 | 32.346 | 32.346 | 0.000 | 0.000 | -0.000 |
| 32.346 | 32.346 | 32.346 | 0.000 | 0.000 | -0.000 |
| -0.000 | -0.000 | -0.000 | -4.398 | 0.000 | 0.000 |
| -0.000 | -0.000 | -0.000 | 0.000 | -4.398 | 0.000 |
| -0.000 | -0.000 | -0.000 | 0.000 | 0.000 | -4.398 |
| 32.346 | 32.346 | 32.346 | -0.000 | -0.000 | 0.000 |
| 32.346 | 32.346 | 32.346 | -0.000 | -0.000 | 0.000 |
| 32.346 | 32.346 | 32.346 | -0.000 | -0.000 | -0.000 |
| 0.000 | 0.000 | 0.000 | -4.398 | -0.000 | 0.000 |
| 0.000 | 0.000 | 0.000 | -0.000 | -4.398 | 0.000 |
| 0.000 | 0.000 | 0.000 | -0.000 | -0.000 | -4.398 |
| 32.346 | 32.346 | 32.346 | 0.000 | 0.000 | 0.000 |
| 32.346 | 32.346 | 32.346 | 0.000 | 0.000 | -0.000 |
| 32.346 | 32.346 | 32.346 | 0.000 | 0.000 | 0.000 |
| -0.000 | -0.000 | -0.000 | -4.398 | 0.000 | 0.000 |
| -0.000 | -0.000 | -0.000 | -0.000 | -4.398 | 0.000 |
| -0.000 | -0.000 | -0.000 | 0.000 | 0.000 | -4.398 |
| 32.346 | 32.346 | 32.346 | -0.000 | -0.000 | 0.000 |
| 32.346 | 32.346 | 32.346 | -0.000 | -0.000 | 0.000 |
| 32.346 | 32.346 | 32.346 | -0.000 | -0.000 | 0.000 |
| 0.000 | 0.000 | 0.000 | -4.398 | -0.000 | 0.000 |
| 0.000 | 0.000 | 0.000 | -0.000 | -4.398 | 0.000 |
| 0.000 | 0.000 | 0.000 | -0.000 | -0.000 | -4.398 |
| 32.345 | 32.345 | 32.345 | 0.000 | -0.000 | -0.000 |
| 32.345 | 32.345 | 32.345 | -0.000 | 0.000 | -0.000 |
| 32.345 | 32.345 | 32.345 | 0.000 | 0.000 | -0.000 |
| -0.000 | -0.000 | -0.000 | -4.398 | 0.000 | -0.000 |
| -0.000 | -0.000 | -0.000 | 0.000 | -4.398 | -0.000 |
| -0.000 | -0.000 | -0.000 | 0.000 | 0.000 | -4.398 |
| 71.760 | 135.029 | 135.029 | -0.000 | 0.000 | -0.000 |
| 135.029 | 71.760 | 135.029 | -0.000 | -0.000 | -0.000 |
| 135.029 | 135.029 | 71.760 | 0.000 | 0.000 | -0.000 |
| 0.000 | -0.000 | -0.000 | -28.759 | -0.000 | 0.000 |
| 0.000 | 0.000 | -0.000 | 0.000 | -28.759 | 0.000 |
| -0.000 | 0.000 | -0.000 | 0.000 | 0.000 | -28.759 |
| 71.760 | 135.029 | 135.029 | 0.000 | 0.000 | 0.000 |
| 135.029 | 71.760 | 135.029 | 0.000 | 0.000 | 0.000 |
| 135.029 | 135.029 | 71.760 | -0.000 | -0.000 | 0.000 |
| -0.000 | -0.000 | 0.000 | -28.759 | 0.000 | 0.000 |
| 0.000 | -0.000 | 0.000 | -0.000 | -28.759 | 0.000 |
| 0.000 | -0.000 | 0.000 | -0.000 | -0.000 | -28.759 |
| 71.760 | 135.029 | 135.029 | -0.000 | 0.000 | -0.000 |
| 135.029 | 71.760 | 135.029 | -0.000 | -0.000 | -0.000 |
| 135.029 | 135.029 | 71.760 | 0.000 | 0.000 | -0.000 |
| 0.000 | -0.000 | -0.000 | -28.759 | -0.000 | 0.000 |
| -0.000 | 0.000 | -0.000 | 0.000 | -28.759 | -0.000 |
| -0.000 | -0.000 | 0.000 | 0.000 | 0.000 | -28.759 |
| 71.760 | 135.029 | 135.029 | 0.000 | 0.000 | -0.000 |
| 135.029 | 71.760 | 135.029 | 0.000 | 0.000 | 0.000 |
| 135.029 | 135.029 | 71.760 | 0.000 | 0.000 | 0.000 |
| -0.000 | 0.000 | 0.000 | -28.759 | 0.000 | 0.000 |
| 0.000 | -0.000 | 0.000 | -0.000 | -28.759 | 0.000 |
| 0.000 | 0.000 | -0.000 | -0.000 | 0.000 | -28.759 |
| 71.761 | 135.029 | 135.029 | -0.000 | -0.000 | -0.000 |
| 135.029 | 71.761 | 135.029 | -0.000 | -0.000 | -0.000 |
| 135.029 | 135.029 | 71.761 | 0.000 | -0.000 | -0.000 |
| 0.000 | -0.000 | -0.000 | -28.759 | 0.000 | 0.000 |
| -0.000 | 0.000 | -0.000 | 0.000 | -28.759 | -0.000 |
| -0.000 | -0.000 | 0.000 | 0.000 | 0.000 | -28.759 |
| 71.759 | 135.028 | 135.028 | 0.000 | 0.000 | 0.000 |
| 135.028 | 71.759 | 135.028 | 0.000 | 0.000 | 0.000 |
| 135.028 | 135.028 | 71.759 | 0.000 | 0.000 | 0.000 |
| -0.000 | 0.000 | 0.000 | -28.759 | -0.000 | 0.000 |
| 0.000 | -0.000 | 0.000 | -0.000 | -28.759 | 0.000 |
| 0.000 | 0.000 | -0.000 | -0.000 | 0.000 | -28.759 |
| 9.120 | -2.127 | -2.127 | 0.000 | 0.000 | 0.000 |
| -2.127 | 9.120 | -2.127 | 0.000 | 0.000 | 0.000 |
| -2.127 | -2.127 | 9.120 | -0.000 | -0.000 | 0.000 |
| 0.000 | 0.000 | 0.000 | -2.197 | 0.000 | -0.000 |
| 0.000 | 0.000 | 0.000 | -0.000 | -2.197 | 0.000 |
| 0.000 | 0.000 | -0.000 | -0.000 | 0.000 | -2.197 |
| 9.120 | -2.127 | -2.127 | -0.000 | -0.000 | -0.000 |
| -2.127 | 9.120 | -2.127 | -0.000 | -0.000 | -0.000 |
| -2.127 | -2.127 | 9.120 | 0.000 | 0.000 | -0.000 |
| -0.000 | -0.000 | -0.000 | -2.197 | -0.000 | -0.000 |
| -0.000 | -0.000 | -0.000 | 0.000 | -2.197 | -0.000 |
| -0.000 | -0.000 | 0.000 | 0.000 | -0.000 | -2.197 |
| 9.120 | -2.127 | -2.127 | 0.000 | 0.000 | 0.000 |
| -2.127 | 9.120 | -2.127 | 0.000 | 0.000 | 0.000 |
| -2.127 | -2.127 | 9.120 | -0.000 | 0.000 | 0.000 |
| 0.000 | 0.000 | 0.000 | -2.197 | 0.000 | 0.000 |
| 0.000 | 0.000 | 0.000 | -0.000 | -2.197 | 0.000 |
| 0.000 | 0.000 | 0.000 | -0.000 | 0.000 | -2.197 |
| 9.120 | -2.127 | -2.127 | -0.000 | -0.000 | -0.000 |
| -2.127 | 9.120 | -2.127 | -0.000 | -0.000 | -0.000 |
| -2.127 | -2.127 | 9.120 | 0.000 | 0.000 | -0.000 |
| -0.000 | -0.000 | -0.000 | -2.197 | -0.000 | 0.000 |
| -0.000 | -0.000 | -0.000 | 0.000 | -2.197 | -0.000 |
| -0.000 | -0.000 | -0.000 | 0.000 | -0.000 | -2.197 |
| 9.120 | -2.127 | -2.127 | 0.000 | 0.000 | 0.000 |
| -2.127 | 9.120 | -2.127 | 0.000 | 0.000 | -0.000 |
| -2.127 | -2.127 | 9.120 | -0.000 | -0.000 | 0.000 |
| 0.000 | 0.000 | 0.000 | -2.197 | -0.000 | -0.000 |
| 0.000 | 0.000 | 0.000 | -0.000 | -2.197 | 0.000 |
| 0.000 | 0.000 | 0.000 | 0.000 | 0.000 | -2.197 |
| 9.121 | -2.127 | -2.127 | -0.000 | -0.000 | -0.000 |
| -2.127 | 9.121 | -2.127 | -0.000 | -0.000 | -0.000 |
| -2.127 | -2.127 | 9.121 | 0.000 | 0.000 | -0.000 |
| -0.000 | -0.000 | -0.000 | -2.197 | 0.000 | 0.000 |
| -0.000 | -0.000 | -0.000 | 0.000 | -2.197 | -0.000 |
| -0.000 | -0.000 | -0.000 | -0.000 | -0.000 | -2.197 |
| 41.474 | 120.704 | 40.561 | -0.000 | -0.000 | -0.000 |
| 120.704 | 41.474 | 40.561 | -0.000 | -0.000 | -0.000 |
| 58.158 | 58.158 | 204.815 | -0.000 | -0.000 | -0.000 |
| -3.172 | -3.172 | 12.381 | -84.950 | -0.000 | -0.000 |
| -3.172 | -3.172 | 12.381 | 0.000 | -84.950 | -0.000 |
| -1.525 | -1.525 | 5.951 | 0.000 | -0.000 | 115.252 |
| 36.378 | 115.610 | 60.449 | 0.000 | 0.000 | 0.000 |
| 115.610 | 36.378 | 60.449 | 0.000 | 0.000 | 0.000 |
| 34.307 | 34.307 | 297.920 | -0.000 | 0.000 | 0.000 |
| 3.172 | 3.172 | -12.381 | -84.950 | 0.000 | 0.000 |
| 3.172 | 3.172 | -12.381 | -0.000 | -84.950 | 0.000 |
| 1.525 | 1.525 | -5.951 | 0.000 | 0.000 | 115.252 |
| 34.875 | 114.107 | 66.316 | 0.000 | -0.000 | -0.000 |
| 114.107 | 34.875 | 66.316 | -0.000 | -0.000 | -0.000 |
| 59.388 | 59.388 | 200.012 | -0.000 | 0.000 | -0.000 |
| -0.320 | -0.320 | 1.248 | -85.834 | -0.000 | -0.000 |
| -0.320 | -0.320 | 1.248 | 0.000 | -85.834 | -0.000 |
| -0.153 | -0.153 | 0.598 | -0.000 | -0.000 | 115.215 |
| 35.148 | 114.380 | 65.250 | 0.000 | 0.000 | 0.000 |
| 114.380 | 35.148 | 65.250 | 0.000 | 0.000 | 0.000 |
| 59.661 | 59.661 | 198.946 | 0.000 | 0.000 | 0.000 |
| 0.320 | 0.320 | -1.248 | -85.834 | 0.000 | 0.000 |
| 0.320 | 0.320 | -1.248 | 0.000 | -85.834 | 0.000 |
| 0.153 | 0.153 | -0.598 | 0.000 | 0.000 | 115.215 |
| 34.996 | 114.229 | 65.842 | 0.000 | -0.000 | -0.000 |
| 114.229 | 34.996 | 65.842 | -0.000 | -0.000 | -0.000 |
| 59.513 | 59.513 | 199.526 | -0.000 | -0.000 | -0.000 |
| -0.032 | -0.032 | 0.124 | -85.843 | 0.000 | -0.000 |
| -0.032 | -0.032 | 0.124 | 0.000 | -85.843 | -0.000 |
| -0.015 | -0.015 | 0.060 | -0.000 | -0.000 | 115.215 |
| 2651116.485 | 3258470.792 | 10215025.963 | -39674.490 | -153486.836 | -28114.630 |
| 3152514.702 | 2616095.223 | 10057671.908 | 183886.681 | 17702.486 | -145618.185 |
| 59.536 | 59.536 | 199.432 | -0.000 | -0.000 | 0.000 |
| 0.032 | 0.032 | -0.124 | -85.843 | 0.000 | 0.000 |
| 0.032 | 0.032 | -0.124 | -0.000 | -85.843 | 0.000 |
| 0.015 | 0.015 | -0.060 | 0.000 | 0.000 | 115.215 |
| 309.926 | 116.579 | 83.798 | -3.257 | 0.000 | 0.000 |
| 116.579 | 309.926 | 83.798 | 3.257 | 0.000 | 0.000 |
| 81.974 | 81.974 | 437.717 | 0.000 | 0.000 | 0.000 |
| -3.257 | 3.257 | 0.000 | 54.912 | 0.000 | 0.000 |
| 0.000 | 0.000 | 0.000 | 0.000 | 54.912 | -3.257 |
| 0.029 | 0.029 | -0.039 | 0.000 | -22.063 | -37.173 |
| 309.926 | 116.579 | 83.798 | -3.257 | -0.000 | -0.000 |
| 116.579 | 309.926 | 83.798 | 3.257 | -0.000 | -0.000 |
| 81.974 | 81.974 | 437.717 | -0.000 | -0.000 | -0.000 |
| 4.578 | -4.584 | 0.025 | -38.159 | -0.000 | -0.000 |
| 0.000 | -0.000 | -0.000 | -0.000 | 54.911 | -3.257 |
| -0.029 | -0.029 | 0.039 | -0.000 | -22.063 | -37.173 |
| -10.632 | 332.254 | 198.804 | 50.179 | 0.000 | 0.000 |
| 116.579 | 309.926 | 83.798 | 3.257 | 0.000 | 0.000 |
| 81.974 | 81.974 | 437.717 | 0.000 | 0.000 | 0.000 |
| -3.257 | 3.257 | 0.000 | 54.911 | 0.000 | 0.000 |
| 0.000 | 0.000 | 0.000 | 0.000 | 54.912 | -3.257 |
| 0.003 | 0.003 | -0.004 | 0.000 | -22.063 | -37.173 |
| 149.651 | 227.009 | 138.738 | -22.274 | -0.000 | -0.000 |
| 227.010 | 149.650 | 138.739 | 22.275 | -0.000 | -0.000 |
| 148.604 | 148.604 | 285.622 | -0.000 | -0.000 | -0.000 |
| -3.257 | 3.257 | -0.000 | 54.912 | -0.000 | -0.000 |
| -0.000 | -0.000 | -0.000 | -0.000 | 54.912 | -3.257 |
| -0.003 | -0.003 | 0.004 | -0.000 | -22.063 | -37.173 |
| -13672394.062 | -13709485.569 | -15200558.961 | -9807.224 | 33893.494 | -13216.891 |
| 264.382 | 87.818 | 173.330 | -9.094 | 0.000 | 0.000 |
| 81.975 | 81.975 | 437.720 | -0.000 | 0.000 | 0.000 |
| -3.257 | 3.257 | 0.000 | 54.911 | 0.000 | 0.000 |
| 0.000 | 0.000 | 0.000 | 0.000 | 54.912 | -3.257 |
| -0.000 | 0.000 | 0.000 | 0.000 | -3.257 | 96.673 |
| 13169625.064 | 13534367.285 | 15115663.873 | 266167.717 | 48.681 | 9097.371 |
| 227.015 | 149.649 | 138.736 | 22.275 | -0.000 | -0.000 |
| 148.601 | 148.601 | 285.627 | -0.000 | -0.000 | -0.000 |
| -3.257 | 3.257 | -0.000 | 54.912 | -0.000 | -0.000 |
| -0.000 | -0.000 | -0.000 | -0.000 | 54.912 | -3.257 |
| 0.000 | -0.000 | -0.000 | -0.000 | -3.257 | 96.673 |
| 425.333 | 81.686 | 81.686 | 0.000 | -0.000 | 0.000 |
| 81.686 | 425.333 | 81.686 | -0.000 | 0.000 | 0.000 |
| 81.686 | 81.686 | 425.333 | 0.000 | -0.000 | 0.000 |
| 0.000 | -0.000 | 0.000 | -0.263 | 0.000 | 0.000 |
| 0.000 | -0.000 | -0.000 | 0.000 | -0.263 | 0.000 |
| 0.000 | -0.000 | 0.000 | -0.000 | -0.000 | -0.263 |
| 425.333 | 81.686 | 81.686 | 0.000 | 0.000 | -0.000 |
| 81.686 | 425.333 | 81.686 | -0.000 | 0.000 | -0.000 |
| 81.686 | 81.686 | 425.333 | -0.000 | 0.000 | -0.000 |
| -0.000 | -0.000 | -0.000 | -0.263 | -0.000 | -0.000 |
| -0.000 | 0.000 | -0.000 | 0.000 | -0.263 | -0.000 |
| -0.000 | 0.000 | 0.000 | -0.000 | 0.000 | -0.263 |
| 422.874 | 82.916 | 82.916 | 0.000 | 0.000 | 0.000 |
| 82.916 | 422.874 | 82.916 | -0.000 | -0.000 | 0.000 |
| 82.916 | 82.916 | 422.874 | 0.000 | -0.000 | 0.000 |
| -0.000 | -0.000 | -0.000 | -160.970 | -0.000 | 0.000 |
| -0.000 | -0.000 | -0.000 | 0.000 | -160.970 | 0.000 |
| -0.000 | -0.000 | -0.000 | 0.000 | -0.000 | -160.970 |
| 422.873 | 82.916 | 82.916 | -0.000 | 0.000 | -0.000 |
| 82.916 | 422.873 | 82.916 | -0.000 | -0.000 | -0.000 |
| 82.916 | 82.916 | 422.873 | -0.000 | 0.000 | -0.000 |
| 0.000 | 0.000 | 0.000 | -160.970 | 0.000 | -0.000 |
| 0.000 | 0.000 | 0.000 | -0.000 | -160.970 | -0.000 |
| 0.000 | 0.000 | 0.000 | -0.000 | 0.000 | -160.970 |
| 425.334 | 81.685 | 81.685 | 0.000 | -0.000 | 0.000 |
| 81.685 | 425.334 | 81.685 | 0.000 | -0.000 | 0.000 |
| 81.685 | 81.685 | 425.334 | 0.000 | 0.000 | 0.000 |
| -23864.116 | 707551.373 | 707542.829 | -4304032.851 | -0.000 | -0.000 |
| 707551.373 | -23864.116 | 707542.829 | -0.000 | -4304032.851 | -0.000 |
| 707551.373 | 707542.829 | -23864.116 | -0.000 | -0.000 | -4304032.851 |
| 422.873 | 82.917 | 82.917 | -0.000 | -0.000 | -0.000 |
| 82.917 | 422.873 | 82.917 | 0.000 | 0.000 | -0.000 |
| 82.917 | 82.917 | 422.873 | -0.000 | 0.000 | -0.000 |
| 23864.116 | -707551.373 | -707542.829 | -4304032.851 | 0.000 | -0.000 |
| -707551.373 | 23864.116 | -707542.829 | 0.000 | -4304032.851 | -0.000 |
| -707551.373 | -707542.829 | 23864.116 | -0.000 | 0.000 | -4304032.851 |
| 3.027 | 6.335 | 6.335 | 0.000 | 0.000 | -0.000 |
| 6.335 | 3.027 | 6.335 | -0.000 | 0.000 | 0.000 |
| 6.335 | 6.335 | 3.027 | 0.000 | 0.000 | -0.000 |
| -0.000 | -0.000 | -0.000 | -1.396 | -0.000 | -0.000 |
| -0.000 | -0.000 | -0.000 | -0.000 | -1.396 | -0.000 |
| -0.000 | -0.000 | -0.000 | -0.000 | -0.000 | -1.396 |
| 3.028 | 6.335 | 6.335 | -0.000 | 0.000 | 0.000 |
| 6.335 | 3.028 | 6.335 | 0.000 | 0.000 | -0.000 |
| 6.335 | 6.335 | 3.028 | -0.000 | -0.000 | 0.000 |
| 0.000 | 0.000 | 0.000 | -1.396 | 0.000 | 0.000 |
| 0.000 | 0.000 | 0.000 | 0.000 | -1.396 | 0.000 |
| 0.000 | 0.000 | 0.000 | -0.000 | 0.000 | -1.396 |
| 3.027 | 6.335 | 6.335 | -0.000 | -0.000 | -0.000 |
| 6.335 | 3.027 | 6.335 | -0.000 | -0.000 | -0.000 |
| 6.335 | 6.335 | 3.027 | -0.000 | -0.000 | -0.000 |
| -0.000 | -0.000 | -0.000 | -1.396 | -0.000 | 0.000 |
| -0.000 | -0.000 | -0.000 | -0.000 | -1.396 | -0.000 |
| -0.000 | -0.000 | -0.000 | 0.000 | -0.000 | -1.396 |
| 3.028 | 6.335 | 6.335 | 0.000 | 0.000 | -0.000 |
| 6.335 | 3.028 | 6.335 | 0.000 | -0.000 | 0.000 |
| 6.335 | 6.335 | 3.028 | -0.000 | -0.000 | 0.000 |
| 0.000 | 0.000 | 0.000 | -1.396 | 0.000 | 0.000 |
| 0.000 | 0.000 | 0.000 | 0.000 | -1.396 | 0.000 |
| 0.000 | 0.000 | 0.000 | 0.000 | 0.000 | -1.396 |
| 3.027 | 6.335 | 6.335 | -0.000 | 0.000 | -0.000 |
| 6.335 | 3.027 | 6.335 | 0.000 | 0.000 | -0.000 |
| 6.335 | 6.335 | 3.027 | 0.000 | 0.000 | -0.000 |
| -0.000 | -0.000 | -0.000 | -1.396 | -0.000 | -0.000 |
| -0.000 | -0.000 | -0.000 | -0.000 | -1.396 | -0.000 |
| -0.000 | -0.000 | -0.000 | -0.000 | -0.000 | -1.396 |
| 3.028 | 6.336 | 6.336 | -0.000 | -0.000 | 0.000 |
| 6.336 | 3.028 | 6.336 | 0.000 | 0.000 | 0.000 |
| 6.336 | 6.336 | 3.028 | -0.000 | -0.000 | 0.000 |
| 0.000 | 0.000 | 0.000 | -1.396 | 0.000 | -0.000 |
| 0.000 | 0.000 | 0.000 | 0.000 | -1.396 | 0.000 |
| 0.000 | 0.000 | 0.000 | -0.000 | 0.000 | -1.396 |
| 3.206 | 1.572 | 1.572 | -0.000 | 0.000 | 0.000 |
| 1.572 | 3.206 | 1.572 | 0.000 | 0.000 | 0.000 |
| 1.572 | 1.572 | 3.206 | -0.000 | -0.000 | 0.000 |
| 0.000 | 0.000 | 0.000 | 0.944 | 0.000 | 0.000 |
| 0.000 | 0.000 | 0.000 | 0.000 | 0.944 | 0.000 |
| 0.000 | 0.000 | 0.000 | 0.000 | 0.000 | 0.944 |
| 1654329.136 | 4351974.727 | 5422540.439 | -401190.536 | 211475.503 | 67983.236 |
| 5690843.341 | 1792404.052 | 4189823.569 | 211938.563 | -59091.385 | -18999.317 |
| 4356121.532 | 5569551.036 | 1743099.501 | 219671.887 | 266721.169 | -138776.641 |
| -0.000 | -0.000 | -0.000 | 0.944 | -0.000 | -0.000 |
| -0.000 | -0.000 | -0.000 | -0.000 | 0.944 | -0.000 |
| -0.000 | -0.000 | -0.000 | -0.000 | -0.000 | 0.944 |
| -126584.608 | -128542.333 | -88434.812 | 20139.625 | 20949.362 | -22479.813 |
| -82310.097 | -128284.632 | -100457.820 | -23506.148 | -16134.033 | -7231.186 |
| -99604.101 | -98688.216 | -132156.934 | -127.545 | -18825.785 | -13880.872 |
| 0.000 | -0.000 | -0.000 | 0.526 | 0.000 | 0.000 |
| -0.000 | 0.000 | -0.000 | -0.000 | 0.526 | -0.000 |
| -0.000 | -0.000 | 0.000 | 0.000 | 0.000 | 0.526 |
| 187759.578 | 384504.560 | 612526.244 | -17678.734 | -14090.181 | 6587.888 |
| 535170.866 | 152980.423 | 389233.324 | 3064.817 | -16524.659 | -5685.478 |
| 450445.174 | 549852.372 | 169109.971 | -3996.596 | -642.710 | -14346.672 |
| -0.000 | 0.000 | 0.000 | 0.526 | -0.000 | -0.000 |
| 0.000 | -0.000 | 0.000 | -0.000 | 0.526 | -0.000 |
| 0.000 | 0.000 | -0.000 | -0.000 | -0.000 | 0.526 |
| -15861.313 | -22662.901 | -13404.593 | 2606.028 | 1652.399 | -5598.933 |
| -13152.268 | -17343.227 | -17735.233 | -5835.881 | 3226.558 | 457.811 |
| -17899.210 | -10896.875 | -16515.096 | 2017.999 | -3881.707 | 4165.458 |
| 0.001 | -0.001 | -0.001 | 0.380 | 0.000 | 0.000 |
| -0.001 | 0.001 | -0.001 | 0.000 | 0.380 | 0.000 |
| -0.001 | -0.001 | 0.001 | 0.000 | 0.000 | 0.380 |
| 19082.419 | 35418.045 | 56786.069 | -2663.900 | -1759.720 | -1739.333 |
| 57558.108 | 18980.400 | 38821.367 | -415.386 | -4330.953 | 415.102 |
| 34558.002 | 50958.498 | 16726.129 | -285.555 | -1144.409 | -1683.897 |
| -0.001 | 0.001 | 0.001 | 0.380 | -0.000 | -0.000 |
| 0.001 | -0.001 | 0.001 | -0.000 | 0.380 | -0.000 |
| 0.001 | 0.001 | -0.001 | -0.000 | -0.000 | 0.380 |
| 123.749 | 205.253 | 205.253 | -0.000 | -0.000 | 0.000 |
| 205.253 | 123.749 | 205.253 | -0.000 | -0.000 | 0.000 |
| 205.253 | 205.253 | 123.750 | -0.000 | -0.000 | 0.000 |
| -0.000 | -0.000 | 0.000 | 93.617 | -0.000 | 0.000 |
| -0.000 | -0.000 | 0.000 | -0.000 | 93.617 | 0.000 |
| -0.000 | -0.000 | 0.000 | -0.000 | -0.000 | 93.617 |
| 123.750 | 205.253 | 205.253 | 0.000 | 0.000 | -0.000 |
| 205.253 | 123.750 | 205.253 | 0.000 | 0.000 | -0.000 |
| 205.253 | 205.253 | 123.749 | 0.000 | 0.000 | -0.000 |
| 0.000 | 0.000 | -0.000 | 93.617 | 0.000 | -0.000 |
| 0.000 | 0.000 | -0.000 | 0.000 | 93.617 | -0.000 |
| 0.000 | 0.000 | -0.000 | 0.000 | 0.000 | 93.617 |
| 123.749 | 205.253 | 205.253 | -0.000 | -0.000 | 0.000 |
| 205.253 | 123.749 | 205.253 | -0.000 | -0.000 | 0.000 |
| 205.253 | 205.253 | 123.749 | -0.000 | -0.000 | 0.000 |
| 0.000 | -0.000 | -0.000 | 94.236 | -0.000 | -0.000 |
| -0.000 | 0.000 | -0.000 | -0.000 | 94.236 | 0.000 |
| -0.000 | -0.000 | 0.000 | 0.000 | -0.000 | 94.236 |
| 123.750 | 205.253 | 205.253 | 0.000 | 0.000 | -0.000 |
| 205.253 | 123.750 | 205.253 | 0.000 | 0.000 | -0.000 |
| 205.253 | 205.253 | 123.750 | 0.000 | 0.000 | -0.000 |
| -0.000 | 0.000 | 0.000 | 94.236 | 0.000 | -0.000 |
| 0.000 | -0.000 | 0.000 | 0.000 | 94.236 | -0.000 |
| 0.000 | 0.000 | -0.000 | -0.000 | 0.000 | 94.236 |
| 123.748 | 205.253 | 205.253 | -0.000 | -0.000 | -0.000 |
| 205.253 | 123.748 | 205.253 | -0.000 | -0.000 | -0.000 |
| 205.253 | 205.253 | 123.748 | -0.000 | -0.000 | 0.000 |
| 0.000 | -0.000 | -0.000 | 93.617 | -0.000 | 0.000 |
| -0.000 | 0.000 | -0.000 | -0.000 | 93.617 | 0.000 |
| -0.000 | -0.000 | 0.000 | -0.000 | -0.000 | 93.617 |
| 123.751 | 205.253 | 205.253 | 0.000 | 0.000 | -0.000 |
| 205.253 | 123.751 | 205.253 | 0.000 | 0.000 | -0.000 |
| 205.253 | 205.253 | 123.751 | 0.000 | 0.000 | -0.000 |
| -0.000 | 0.000 | 0.000 | 93.617 | 0.000 | -0.000 |
| 0.000 | -0.000 | 0.000 | 0.000 | 93.617 | -0.000 |
| 0.000 | 0.000 | -0.000 | 0.000 | 0.000 | 93.617 |
| 250.839 | 182.912 | 182.912 | -0.000 | 0.000 | 0.000 |
| 182.912 | 250.839 | 182.912 | 0.000 | 0.000 | 0.000 |
| 182.912 | 182.912 | 250.839 | -0.000 | 0.000 | 0.000 |
| 0.000 | -0.000 | -0.000 | 134.204 | -0.000 | 0.000 |
| 0.000 | -0.000 | -0.000 | -0.000 | 134.204 | 0.000 |
| -0.000 | -0.000 | 0.000 | 0.000 | 0.000 | 134.204 |
| 250.839 | 182.912 | 182.912 | 0.000 | -0.000 | -0.000 |
| 182.912 | 250.839 | 182.912 | -0.000 | -0.000 | -0.000 |
| 182.912 | 182.912 | 250.839 | 0.000 | -0.000 | -0.000 |
| -0.000 | 0.000 | -0.000 | 134.204 | -0.000 | -0.000 |
| -0.000 | -0.000 | 0.000 | -0.000 | 134.204 | -0.000 |
| 0.000 | 0.000 | -0.000 | -0.000 | -0.000 | 134.204 |
| 250.839 | 182.912 | 182.912 | -0.000 | 0.000 | 0.000 |
| 182.912 | 250.839 | 182.912 | 0.000 | 0.000 | 0.000 |
| 182.912 | 182.912 | 250.839 | -0.000 | 0.000 | 0.000 |
| -0.000 | -0.000 | -0.000 | 134.204 | -0.000 | 0.000 |
| -0.000 | -0.000 | -0.000 | 0.000 | 134.204 | 0.000 |
| -0.000 | -0.000 | -0.000 | -0.000 | 0.000 | 134.204 |
| 250.839 | 182.912 | 182.912 | 0.000 | -0.000 | -0.000 |
| 182.912 | 250.839 | 182.912 | 0.000 | -0.000 | -0.000 |
| 182.912 | 182.912 | 250.839 | -0.000 | -0.000 | -0.000 |
| 0.000 | 0.000 | 0.000 | 134.204 | 0.000 | -0.000 |
| 0.000 | 0.000 | 0.000 | -0.000 | 134.204 | -0.000 |
| 0.000 | 0.000 | 0.000 | 0.000 | -0.000 | 134.204 |
| 250.835 | 182.912 | 182.912 | -0.000 | 0.000 | 0.000 |
| 182.912 | 250.835 | 182.912 | 0.000 | 0.000 | 0.000 |
| 182.912 | 182.912 | 250.835 | -0.000 | 0.000 | 0.000 |
| -0.000 | -0.000 | -0.000 | 134.204 | 0.000 | 0.000 |
| -0.000 | -0.000 | -0.000 | -0.000 | 134.204 | 0.000 |
| -0.000 | -0.000 | -0.000 | -0.000 | 0.000 | 134.204 |
| 250.843 | 182.912 | 182.912 | 0.000 | -0.000 | -0.000 |
| 182.912 | 250.843 | 182.912 | -0.000 | -0.000 | -0.000 |
| 182.912 | 182.912 | 250.843 | 0.000 | -0.000 | -0.000 |
| 0.000 | 0.000 | 0.000 | 134.204 | -0.000 | -0.000 |
| 0.000 | 0.000 | 0.000 | -0.000 | 134.204 | -0.000 |
| 0.000 | 0.000 | 0.000 | 0.000 | -0.000 | 134.204 |
| 6.983 | 8.169 | 8.169 | -0.000 | -0.000 | 0.000 |
| 8.169 | 6.983 | 8.169 | -0.000 | -0.000 | -0.000 |
| 8.169 | 8.169 | 6.983 | -0.000 | -0.000 | 0.000 |
| -0.000 | -0.000 | -0.000 | 5.344 | -0.000 | -0.000 |
| -0.000 | 0.000 | -0.000 | -0.000 | 5.344 | 0.000 |
| -0.000 | -0.000 | 0.000 | -0.000 | -0.000 | 5.344 |
| 6.983 | 8.169 | 8.169 | 0.000 | -0.000 | 0.000 |
| 8.169 | 6.983 | 8.169 | 0.000 | 0.000 | 0.000 |
| 8.169 | 8.169 | 6.983 | 0.000 | 0.000 | 0.000 |
| 0.000 | 0.000 | 0.000 | 5.344 | 0.000 | 0.000 |
| 0.000 | -0.000 | 0.000 | 0.000 | 5.344 | 0.000 |
| 0.000 | 0.000 | -0.000 | 0.000 | 0.000 | 5.344 |
| 6.983 | 8.169 | 8.169 | -0.000 | -0.000 | 0.000 |
| 8.169 | 6.983 | 8.169 | -0.000 | -0.000 | -0.000 |
| 8.169 | 8.169 | 6.983 | -0.000 | -0.000 | 0.000 |
| 0.000 | -0.000 | -0.000 | 5.344 | -0.000 | 0.000 |
| -0.000 | 0.000 | -0.000 | -0.000 | 5.344 | 0.000 |
| -0.000 | -0.000 | 0.000 | -0.000 | -0.000 | 5.344 |
| 6.983 | 8.169 | 8.169 | 0.000 | -0.000 | -0.000 |
| 8.169 | 6.983 | 8.169 | 0.000 | 0.000 | 0.000 |
| 8.169 | 8.169 | 6.983 | 0.000 | 0.000 | -0.000 |
| -0.000 | 0.000 | 0.000 | 5.344 | 0.000 | 0.000 |
| 0.000 | -0.000 | 0.000 | 0.000 | 5.344 | -0.000 |
| 0.000 | 0.000 | -0.000 | 0.000 | 0.000 | 5.344 |
| 6.983 | 8.169 | 8.169 | -0.000 | -0.000 | -0.000 |
| 8.169 | 6.983 | 8.169 | -0.000 | -0.000 | -0.000 |
| 8.169 | 8.169 | 6.983 | -0.000 | -0.000 | -0.000 |
| 0.000 | -0.000 | -0.000 | 5.344 | -0.000 | -0.000 |
| -0.000 | 0.000 | -0.000 | -0.000 | 5.344 | -0.000 |
| -0.000 | -0.000 | 0.000 | -0.000 | -0.000 | 5.344 |
| 6.983 | 8.169 | 8.169 | 0.000 | 0.000 | 0.000 |
| 8.169 | 6.983 | 8.169 | 0.000 | 0.000 | -0.000 |
| 8.169 | 8.169 | 6.983 | 0.000 | 0.000 | -0.000 |
| -0.000 | 0.000 | 0.000 | 5.344 | 0.000 | -0.000 |
| 0.000 | -0.000 | 0.000 | 0.000 | 5.344 | -0.000 |
| 0.000 | 0.000 | -0.000 | 0.000 | 0.000 | 5.344 |
| 1.514 | 0.757 | 0.757 | 0.000 | -0.000 | -0.000 |
| 0.757 | 1.514 | 0.757 | 0.000 | 0.000 | -0.000 |
| 0.757 | 0.757 | 1.514 | -0.000 | -0.000 | -0.000 |
| 0.000 | 0.000 | 0.000 | 0.757 | -0.000 | -0.000 |
| 0.000 | 0.000 | 0.000 | -0.000 | 0.757 | -0.000 |
| 0.000 | 0.000 | -0.000 | -0.000 | -0.000 | 0.757 |
| 1.514 | 0.757 | 0.757 | -0.000 | -0.000 | 0.000 |
| 0.757 | 1.514 | 0.757 | -0.000 | -0.000 | 0.000 |
| 0.757 | 0.757 | 1.514 | -0.000 | 0.000 | 0.000 |
| 0.000 | -0.000 | -0.000 | 0.757 | 0.000 | -0.000 |
| -0.000 | 0.000 | -0.000 | -0.000 | 0.757 | -0.000 |
| -0.000 | -0.000 | 0.000 | 0.000 | 0.000 | 0.757 |
| 1.514 | 0.757 | 0.757 | 0.000 | 0.000 | 0.000 |
| 0.757 | 1.514 | 0.757 | 0.000 | -0.000 | 0.000 |
| 0.757 | 0.757 | 1.514 | 0.000 | 0.000 | 0.000 |
| -0.000 | 0.000 | 0.000 | 0.757 | -0.000 | -0.000 |
| 0.000 | -0.000 | 0.000 | 0.000 | 0.757 | -0.000 |
| 0.000 | 0.000 | -0.000 | 0.000 | 0.000 | 0.757 |
| 1.514 | 0.757 | 0.757 | -0.000 | -0.000 | 0.000 |
| 0.757 | 1.514 | 0.757 | -0.000 | -0.000 | 0.000 |
| 0.757 | 0.757 | 1.514 | 0.000 | 0.000 | 0.000 |
| 0.000 | -0.000 | -0.000 | 0.757 | -0.000 | 0.000 |
| -0.000 | 0.000 | -0.000 | -0.000 | 0.757 | 0.000 |
| -0.000 | -0.000 | 0.000 | -0.000 | -0.000 | 0.757 |
| 1.514 | 0.757 | 0.757 | 0.000 | -0.000 | -0.000 |
| 0.757 | 1.514 | 0.757 | -0.000 | 0.000 | -0.000 |
| 0.757 | 0.757 | 1.514 | 0.000 | -0.000 | -0.000 |
| -0.000 | 0.000 | 0.000 | 0.757 | 0.000 | -0.000 |
| 0.000 | -0.000 | 0.000 | 0.000 | 0.757 | -0.000 |
| 0.000 | 0.000 | -0.000 | 0.000 | -0.000 | 0.757 |
| 1.513 | 0.757 | 0.757 | -0.000 | -0.000 | 0.000 |
| 0.757 | 1.513 | 0.757 | -0.000 | -0.000 | -0.000 |
| 0.757 | 0.757 | 1.513 | -0.000 | -0.000 | 0.000 |
| 0.000 | -0.000 | -0.000 | 0.757 | -0.000 | 0.000 |
| -0.000 | 0.000 | -0.000 | -0.000 | 0.757 | 0.000 |
| -0.000 | -0.000 | 0.000 | -0.000 | 0.000 | 0.757 |
| 341.715 | 147.761 | 99.082 | 0.000 | -0.000 | 0.000 |
| 147.761 | 341.715 | 99.082 | 0.000 | -0.000 | -0.000 |
| 99.077 | 99.077 | 327.461 | 0.000 | 0.000 | -0.000 |
| -0.000 | -0.000 | -0.000 | 42.799 | -0.000 | -0.000 |
| 0.008 | 0.008 | 0.007 | 0.000 | 40.957 | 0.000 |
| 0.000 | 0.000 | 0.000 | 0.000 | 0.000 | 66.592 |
| 341.715 | 147.761 | 99.082 | 0.000 | 0.000 | 0.000 |
| 147.761 | 341.715 | 99.082 | -0.000 | 0.000 | 0.000 |
| 98.395 | 98.395 | 326.819 | 0.000 | 0.000 | 0.000 |
| -0.000 | 0.000 | -0.000 | 42.799 | -0.000 | 0.000 |
| -0.008 | -0.008 | -0.007 | -0.000 | 40.957 | 0.000 |
| -0.000 | -0.000 | -0.000 | -0.000 | -0.000 | 66.592 |
| 341.715 | 147.761 | 99.082 | 0.000 | -0.000 | 0.000 |
| 147.761 | 341.715 | 99.082 | 0.000 | 0.000 | -0.000 |
| 99.077 | 99.077 | 327.461 | 0.000 | 0.000 | 0.000 |
| 0.001 | 0.001 | 0.001 | 40.956 | -0.000 | -0.000 |
| -0.000 | -0.000 | -0.000 | 0.000 | 42.799 | -0.000 |
| -0.000 | 0.000 | -0.000 | 0.000 | -0.000 | 96.977 |
| 341.715 | 147.761 | 99.082 | -0.000 | 0.000 | 0.000 |
| 164.731 | 319.852 | 96.780 | -0.000 | -0.000 | -0.000 |
| 98.397 | 98.397 | 326.821 | -0.000 | 0.000 | -0.000 |
| -0.001 | -0.001 | -0.001 | 40.956 | 0.000 | -0.000 |
| 0.000 | 0.000 | 0.000 | -0.000 | 42.799 | -0.000 |
| 0.000 | -0.000 | 0.000 | -0.000 | -0.000 | 96.977 |
| 319.850 | 164.733 | 96.780 | 0.000 | -0.000 | 0.000 |
| 147.762 | 341.716 | 99.082 | 0.000 | 0.000 | -0.000 |
| 99.077 | 99.077 | 327.460 | 0.000 | -0.000 | 0.000 |
| 0.000 | -0.000 | 0.000 | 40.956 | -0.000 | 0.000 |
| -0.000 | -0.000 | -0.000 | 0.000 | 42.799 | -0.000 |
| -0.000 | 0.000 | -0.000 | 0.000 | -0.000 | 96.977 |
| 310.689 | 177.515 | 98.484 | -0.000 | -0.000 | -0.000 |
| 147.761 | 341.715 | 99.082 | -0.000 | 0.000 | 0.000 |
| 99.077 | 99.077 | 327.463 | -0.000 | -0.000 | 0.000 |
| -0.000 | 0.000 | -0.000 | 40.956 | 0.000 | 0.000 |
| 0.000 | 0.000 | 0.000 | -0.000 | 42.799 | -0.000 |
| 0.000 | -0.000 | 0.000 | -0.000 | 0.000 | 96.977 |
| 294.437 | 170.518 | 96.189 | -0.000 | 0.000 | -0.000 |
| 170.518 | 294.437 | 96.189 | -0.000 | -0.000 | -0.000 |
| 95.597 | 95.597 | 330.970 | -0.000 | 0.000 | -0.000 |
| -0.000 | 0.000 | 0.000 | 42.881 | -0.000 | -0.000 |
| -0.000 | 0.000 | 0.000 | -0.000 | 42.881 | -0.000 |
| -0.000 | 0.000 | 0.000 | -0.000 | 0.000 | 95.344 |
| 294.472 | 170.447 | 96.285 | 0.000 | -0.000 | 0.000 |
| 137.167 | 327.855 | 96.007 | 0.000 | 0.000 | 0.000 |
| 95.597 | 95.597 | 330.970 | 0.000 | 0.000 | 0.000 |
| 0.000 | -0.000 | -0.000 | 42.881 | 0.000 | 0.000 |
| 0.000 | -0.000 | -0.000 | 0.000 | 42.881 | 0.000 |
| 0.000 | 0.000 | -0.000 | -0.000 | -0.000 | 95.344 |
| 294.364 | 170.648 | 96.035 | -0.000 | -0.000 | -0.000 |
| 137.167 | 327.855 | 96.007 | -0.000 | 0.000 | -0.000 |
| 95.689 | 95.689 | 330.470 | -0.000 | 0.000 | -0.000 |
| -0.000 | -0.000 | -0.000 | 42.881 | 0.000 | -0.000 |
| 0.002 | 0.002 | -0.011 | -0.000 | 42.745 | -0.000 |
| 0.001 | 0.001 | -0.005 | -0.000 | 0.000 | 61.920 |
| 294.454 | 170.481 | 96.242 | 0.000 | 0.000 | 0.000 |
| 137.167 | 327.855 | 96.007 | 0.000 | -0.000 | 0.000 |
| 95.689 | 95.689 | 330.474 | 0.000 | -0.000 | 0.000 |
| 0.000 | 0.000 | 0.000 | 42.881 | -0.000 | 0.000 |
| -0.002 | -0.002 | 0.011 | 0.000 | 42.745 | 0.000 |
| -0.001 | -0.001 | 0.005 | 0.000 | 0.000 | 61.920 |
| 327.854 | 137.167 | 96.007 | -0.000 | 0.000 | -0.000 |
| 170.486 | 294.449 | 96.237 | -0.000 | -0.000 | -0.000 |
| 95.689 | 95.689 | 330.471 | -0.000 | 0.000 | -0.000 |
| -0.000 | -0.000 | -0.000 | 42.881 | 0.000 | -0.000 |
| -0.000 | 0.000 | -0.001 | -0.000 | 42.745 | -0.000 |
| -0.000 | -0.000 | -0.000 | -0.000 | 0.000 | 95.344 |
| 327.856 | 137.167 | 96.007 | -0.000 | -0.000 | 0.000 |
| 137.167 | 327.856 | 96.007 | 0.000 | 0.000 | 0.000 |
| 95.596 | 95.596 | 330.971 | 0.000 | -0.000 | 0.000 |
| 0.000 | 0.000 | 0.000 | 42.881 | -0.000 | 0.000 |
| 0.000 | -0.000 | 0.001 | 0.000 | 42.745 | 0.000 |
| 0.000 | 0.000 | 0.000 | 0.000 | 0.000 | 95.344 |
| 362.223 | 35.130 | 35.130 | 0.000 | 0.000 | -0.000 |
| 35.130 | 362.223 | 35.130 | 0.000 | 0.000 | -0.000 |
| 35.130 | 35.130 | 362.223 | -0.000 | 0.000 | -0.000 |
| -0.000 | -0.000 | -0.000 | -10.731 | 0.000 | -0.000 |
| -0.000 | 0.000 | 0.000 | 0.000 | -10.731 | -0.000 |
| -0.000 | -0.000 | 0.000 | -0.000 | 0.000 | -10.731 |
| 366.447 | 33.018 | 33.018 | -0.000 | 0.000 | 0.000 |
| 33.018 | 366.447 | 33.018 | -0.000 | -0.000 | 0.000 |
| 33.018 | 33.018 | 366.447 | 0.000 | -0.000 | 0.000 |
| 0.000 | 0.000 | 0.000 | -10.731 | -0.000 | 0.000 |
| 0.000 | -0.000 | -0.000 | -0.000 | -10.731 | 0.000 |
| 0.000 | 0.000 | 0.000 | 0.000 | -0.000 | -10.731 |
| 362.223 | 35.130 | 35.130 | 0.000 | 0.000 | -0.000 |
| 35.130 | 362.223 | 35.130 | 0.000 | 0.000 | -0.000 |
| 35.130 | 35.130 | 362.223 | 0.000 | 0.000 | -0.000 |
| -58530341.507 | -56897056.948 | -57669653.112 | -910199.577 | 346052.697 | 555538.768 |
| -56431431.196 | -56719107.983 | -56329695.036 | 893851.961 | 44623.014 | 293328.939 |
| -53783995.192 | -49866515.305 | -50546981.178 | 609324.307 | 139599.867 | -763699.589 |
| 362.222 | 35.130 | 35.130 | -0.000 | 0.000 | 0.000 |
| 35.130 | 362.222 | 35.130 | -0.000 | -0.000 | 0.000 |
| 35.130 | 35.130 | 362.222 | -0.000 | -0.000 | 0.000 |
| 55673294.239 | 55923222.426 | 56441015.121 | -56448.577 | 224370.980 | 66891.486 |
| -10655655.712 | 1106006.030 | -10655645.792 | -0.000 | -49720815.210 | 0.000 |
| 47811937.802 | 44734084.400 | 48726528.163 | -233140.491 | -907090.229 | -1984332.739 |
| 366.449 | 33.018 | 33.018 | 0.000 | 0.000 | -0.000 |
| 33.018 | 366.449 | 33.018 | 0.000 | 0.000 | -0.000 |
| 33.018 | 33.018 | 366.449 | 0.000 | -0.000 | -0.000 |
| -110603.813 | 1065567.355 | 1065557.352 | -4972083.170 | -0.000 | -0.000 |
| 1065567.358 | -110603.813 | 1065557.352 | 0.000 | -4972083.170 | 0.000 |
| 1065567.355 | 1065557.352 | -110603.813 | 0.000 | 0.000 | -4972083.170 |
| 362.221 | 35.131 | 35.131 | -0.000 | -0.000 | 0.000 |
| 35.131 | 362.221 | 35.131 | -0.000 | -0.000 | 0.000 |
| 35.131 | 35.131 | 362.221 | -0.000 | -0.000 | 0.000 |
| 110603.813 | -1065567.356 | -1065557.352 | -4972083.170 | 0.000 | -0.000 |
| -1065567.360 | 110603.813 | -1065557.347 | -0.000 | -4972083.169 | 0.000 |
| -1065567.356 | -1065557.352 | 110603.813 | -0.000 | 0.000 | -4972083.170 |
| 58.670 | 22.833 | 22.833 | -0.000 | -0.000 | -0.000 |
| 22.833 | 58.670 | 22.833 | -0.000 | 0.000 | -0.000 |
| 22.833 | 22.833 | 58.670 | 0.000 | 0.000 | 0.000 |
| -0.000 | -0.000 | -0.000 | 18.742 | 0.000 | -0.000 |
| -0.000 | -0.000 | -0.000 | -0.000 | 18.742 | -0.000 |
| -0.000 | -0.000 | -0.000 | -0.000 | 0.000 | 18.742 |
| 58.670 | 22.833 | 22.833 | 0.000 | -0.000 | -0.000 |
| 22.833 | 58.670 | 22.833 | 0.000 | -0.000 | -0.000 |
| 22.833 | 22.833 | 58.670 | -0.000 | -0.000 | 0.000 |
| 0.000 | 0.000 | 0.000 | 18.742 | -0.000 | 0.000 |
| 0.000 | 0.000 | 0.000 | -0.000 | 18.742 | -0.000 |
| 0.000 | 0.000 | 0.000 | 0.000 | -0.000 | 18.742 |
| -2047567.935 | -9864933.072 | -6649435.064 | -533468.706 | -85163.164 | 127342.640 |
| -3623742.019 | -1329655.047 | -7963784.427 | -258079.638 | -425145.952 | -45684.105 |
| -9241853.747 | -5496081.628 | -3208646.100 | 344178.511 | -306090.932 | 33685.633 |
| -0.000 | -0.000 | -0.000 | 18.742 | 0.000 | -0.000 |
| -0.000 | -0.000 | -0.000 | -0.000 | 18.742 | -0.000 |
| -0.000 | -0.000 | -0.000 | 0.000 | 0.000 | 18.742 |
| 9748736.867 | 10035445.870 | 6186094.433 | 183468.132 | 332090.047 | -4946.400 |
| 7559423.637 | 9843755.023 | 8707951.375 | 416022.461 | -50378.626 | 56966.534 |
| 9192550.706 | 6776241.972 | 9762304.513 | 125125.450 | -64705.258 | 218659.205 |
| 0.000 | 0.000 | 0.000 | 18.742 | -0.000 | -0.000 |
| 0.000 | 0.000 | 0.000 | -0.000 | 18.742 | 0.000 |
| 0.000 | 0.000 | 0.000 | -0.000 | -0.000 | 18.742 |
| -244787.758 | -958725.990 | -547589.577 | -91016.173 | -26015.054 | -42380.753 |
| -546257.824 | -291270.356 | -864299.944 | 32142.950 | -5323.625 | -7290.565 |
| -918104.829 | -652168.483 | -346987.434 | 20562.701 | -2933.642 | -3451.912 |
| -0.000 | -0.001 | -0.001 | 18.742 | 0.000 | -0.000 |
| -0.001 | -0.000 | -0.001 | -0.000 | 18.742 | -0.000 |
| -0.001 | -0.001 | -0.000 | -0.000 | 0.000 | 18.742 |
| -5461120.241 | -1279408.958 | -1279408.955 | 0.000 | -0.000 | 0.000 |
| -1279408.955 | -5461120.241 | -1279408.958 | 0.000 | -0.000 | -0.000 |
| -1279408.958 | -1279408.955 | -5461120.241 | -0.000 | -0.000 | 0.000 |
| 0.000 | 0.001 | 0.001 | 18.742 | -0.000 | -0.000 |
| 0.001 | 0.000 | 0.001 | -0.000 | 18.742 | 0.000 |
| 0.001 | 0.001 | 0.000 | 0.000 | -0.000 | 18.742 |
| 17522344.456 | 58781147.757 | 49346809.297 | 7788.290 | -29417.571 | 173024.646 |
| 48933768.554 | 17055504.373 | 57776989.280 | 164122.928 | 35734.594 | -67691.523 |
| 58918212.816 | 49272434.473 | 17179948.488 | -8587.876 | 65967.386 | -71107.204 |
| 0.000 | -0.000 | -0.000 | 0.317 | -0.000 | -0.000 |
| -0.000 | 0.000 | -0.000 | -0.000 | 0.317 | 0.000 |
| -0.000 | -0.000 | 0.000 | 0.000 | -0.000 | 0.317 |
| -89904044.093 | -22580175.517 | -19226318.778 | 125429.042 | -27901.128 | -83437.972 |
| -20497752.142 | -88417582.211 | -22618649.971 | -228190.009 | 194347.006 | -11133.650 |
| -23379347.540 | -20626273.856 | -89423847.619 | -106014.235 | -15248.749 | -49258.068 |
| -0.000 | 0.000 | 0.000 | 0.317 | 0.000 | 0.000 |
| 0.000 | -0.000 | 0.000 | 0.000 | 0.317 | -0.000 |
| 0.000 | 0.000 | -0.000 | -0.000 | 0.000 | 0.317 |
| 1685571.582 | 5348645.084 | 4978067.522 | 12748.670 | 15301.783 | -1755.936 |
| 4939407.745 | 1685372.689 | 5302927.459 | 8522.268 | -2522.762 | 4622.481 |
| 5375606.942 | 5079586.728 | 1714873.091 | 13288.354 | 8901.646 | 4362.124 |
| 0.000 | -0.000 | -0.000 | 0.317 | -0.000 | -0.000 |
| -0.000 | 0.000 | -0.000 | -0.000 | 0.317 | -0.000 |
| -0.000 | -0.000 | 0.000 | 0.000 | -0.000 | 0.317 |
| -8885643.263 | -2275188.250 | -1831514.449 | 22418.535 | -14316.233 | 6824.251 |
| -1896157.455 | -8900284.221 | -2177956.007 | 13258.984 | 12141.007 | -9665.041 |
| -2321522.342 | -1937399.032 | -8945250.103 | -13678.809 | 7967.232 | 18799.632 |
| -0.000 | 0.000 | 0.000 | 0.317 | 0.000 | -0.000 |
| 0.000 | -0.000 | 0.000 | 0.000 | 0.317 | -0.000 |
| 0.000 | 0.000 | -0.000 | -0.000 | 0.000 | 0.317 |
| 168909.489 | 546425.908 | 498663.218 | 278.265 | 827.592 | -200.435 |
| 508818.475 | 176474.013 | 549327.117 | -262.876 | -572.141 | 123.495 |
| 536030.844 | 509639.267 | 172687.462 | -1301.389 | -1015.467 | -3219.796 |
| 0.000 | -0.000 | -0.000 | 0.317 | -0.000 | 0.000 |
| -0.000 | 0.000 | -0.000 | 0.000 | 0.317 | 0.000 |
| -0.000 | -0.000 | 0.000 | -0.000 | -0.000 | 0.317 |
| -875899.625 | -226203.355 | -188444.027 | 263.938 | -419.904 | 1511.344 |
| -188756.937 | -886258.792 | -225549.818 | 1964.867 | 1035.985 | -657.107 |
| -216981.484 | -193289.911 | -871304.274 | -746.475 | 677.469 | -795.309 |
| -0.000 | 0.000 | 0.000 | 0.317 | 0.000 | 0.000 |
| 0.000 | -0.000 | 0.000 | 0.000 | 0.317 | -0.000 |
| 0.000 | 0.000 | -0.000 | -0.000 | 0.000 | 0.317 |
| 129.412 | 225.563 | 225.563 | -0.000 | -0.000 | -0.000 |
| 225.563 | 129.412 | 225.563 | -0.000 | -0.000 | -0.000 |
| 225.563 | 225.563 | 129.412 | 0.000 | -0.000 | -0.000 |
| 0.000 | 0.000 | 0.000 | 91.414 | -0.000 | 0.000 |
| 0.000 | 0.000 | -0.000 | -0.000 | 91.414 | -0.000 |
| 0.000 | 0.000 | 0.000 | -0.000 | -0.000 | 91.414 |
| 129.412 | 225.563 | 225.563 | 0.000 | 0.000 | 0.000 |
| 225.563 | 129.412 | 225.563 | 0.000 | 0.000 | 0.000 |
| 225.563 | 225.563 | 129.412 | 0.000 | 0.000 | 0.000 |
| -0.000 | -0.000 | 0.000 | 91.414 | 0.000 | 0.000 |
| 0.000 | -0.000 | 0.000 | 0.000 | 91.414 | 0.000 |
| -0.000 | -0.000 | -0.000 | 0.000 | 0.000 | 91.414 |
| 129.412 | 225.563 | 225.563 | -0.000 | -0.000 | -0.000 |
| 225.563 | 129.412 | 225.563 | -0.000 | -0.000 | -0.000 |
| 225.563 | 225.563 | 129.412 | -0.000 | -0.000 | -0.000 |
| 0.000 | -0.000 | -0.000 | 91.414 | -0.000 | -0.000 |
| -0.000 | 0.000 | -0.000 | -0.000 | 91.414 | -0.000 |
| -0.000 | -0.000 | 0.000 | -0.000 | -0.000 | 91.414 |
| 129.412 | 225.563 | 225.563 | 0.000 | 0.000 | 0.000 |
| 225.563 | 129.412 | 225.563 | 0.000 | 0.000 | 0.000 |
| 225.563 | 225.563 | 129.412 | 0.000 | 0.000 | -0.000 |
| -0.000 | 0.000 | 0.000 | 91.414 | 0.000 | -0.000 |
| 0.000 | -0.000 | 0.000 | 0.000 | 91.414 | -0.000 |
| 0.000 | 0.000 | -0.000 | 0.000 | 0.000 | 91.414 |
| 129.411 | 225.563 | 225.563 | -0.000 | -0.000 | 0.000 |
| 225.563 | 129.411 | 225.563 | -0.000 | 0.000 | -0.000 |
| 225.563 | 225.563 | 129.411 | -0.000 | -0.000 | -0.000 |
| 0.000 | -0.000 | -0.000 | 91.414 | -0.000 | 0.000 |
| -0.000 | 0.000 | -0.000 | -0.000 | 91.414 | -0.000 |
| -0.000 | -0.000 | 0.000 | -0.000 | -0.000 | 91.414 |
| 129.414 | 225.563 | 225.563 | 0.000 | 0.000 | -0.000 |
| 225.563 | 129.414 | 225.563 | 0.000 | 0.000 | -0.000 |
| 225.563 | 225.563 | 129.414 | 0.000 | 0.000 | -0.000 |
| -0.000 | 0.000 | 0.000 | 91.414 | 0.000 | -0.000 |
| 0.000 | -0.000 | 0.000 | 0.000 | 91.414 | 0.000 |
| 0.000 | 0.000 | -0.000 | 0.000 | 0.000 | 91.414 |
| 3.731 | 3.731 | 3.731 | 0.000 | -0.000 | 0.000 |
| 3.731 | 3.731 | 3.731 | -0.000 | 0.000 | 0.000 |
| 3.731 | 3.731 | 3.731 | 0.000 | 0.000 | -0.000 |
| 0.000 | 0.000 | 0.000 | 3.732 | -0.000 | 0.000 |
| 0.000 | 0.000 | 0.000 | -0.000 | 3.732 | 0.000 |
| 0.000 | 0.000 | 0.000 | -0.000 | -0.000 | 3.732 |
| 3.731 | 3.731 | 3.731 | -0.000 | 0.000 | -0.000 |
| 3.731 | 3.731 | 3.731 | 0.000 | -0.000 | -0.000 |
| 3.731 | 3.731 | 3.731 | -0.000 | -0.000 | 0.000 |
| -0.000 | -0.000 | -0.000 | 3.732 | 0.000 | 0.000 |
| -0.000 | -0.000 | -0.000 | 0.000 | 3.732 | 0.000 |
| -0.000 | -0.000 | -0.000 | 0.000 | 0.000 | 3.732 |
| 3.731 | 3.731 | 3.731 | 0.000 | 0.000 | 0.000 |
| 3.731 | 3.731 | 3.731 | 0.000 | 0.000 | 0.000 |
| 3.731 | 3.731 | 3.731 | 0.000 | 0.000 | -0.000 |
| 0.000 | 0.000 | 0.000 | 2.911 | -0.000 | 0.000 |
| 0.000 | 0.000 | 0.000 | -0.000 | 2.911 | 0.000 |
| 0.000 | 0.000 | 0.000 | -0.000 | -0.000 | 2.911 |
| 3.731 | 3.731 | 3.731 | -0.000 | 0.000 | -0.000 |
| 3.731 | 3.731 | 3.731 | 0.000 | -0.000 | -0.000 |
| 3.731 | 3.731 | 3.731 | -0.000 | -0.000 | 0.000 |
| -0.000 | -0.000 | -0.000 | 2.911 | 0.000 | 0.000 |
| -0.000 | -0.000 | -0.000 | 0.000 | 2.911 | 0.000 |
| -0.000 | -0.000 | -0.000 | 0.000 | 0.000 | 2.911 |
| 3.732 | 3.732 | 3.732 | 0.000 | -0.000 | -0.000 |
| 3.732 | 3.732 | 3.732 | -0.000 | 0.000 | -0.000 |
| 3.732 | 3.732 | 3.732 | 0.000 | 0.000 | -0.000 |
| 0.000 | 0.000 | 0.000 | 2.586 | 0.000 | 0.000 |
| 0.000 | 0.000 | 0.000 | 0.000 | 2.586 | 0.000 |
| 0.000 | 0.000 | 0.000 | -0.000 | -0.000 | 2.586 |
| 3.731 | 3.731 | 3.731 | -0.000 | -0.000 | -0.000 |
| 3.731 | 3.731 | 3.731 | -0.000 | -0.000 | -0.000 |
| 3.731 | 3.731 | 3.731 | -0.000 | -0.000 | 0.000 |
| -0.000 | -0.000 | -0.000 | 2.586 | -0.000 | 0.000 |
| -0.000 | -0.000 | -0.000 | -0.000 | 2.586 | 0.000 |
| -0.000 | -0.000 | -0.000 | 0.000 | 0.000 | 2.586 |
| 238.802 | 146.682 | 146.682 | -0.000 | -0.000 | 0.000 |
| 146.682 | 238.802 | 146.682 | -0.000 | 0.000 | 0.000 |
| 146.682 | 146.682 | 238.802 | -0.000 | 0.000 | -0.000 |
| -0.000 | -0.000 | -0.000 | 124.317 | -0.000 | -0.000 |
| -0.000 | -0.000 | -0.000 | -0.000 | 124.317 | -0.000 |
| -0.000 | 0.000 | -0.000 | -0.000 | -0.000 | 124.317 |
| 238.802 | 146.682 | 146.682 | 0.000 | 0.000 | 0.000 |
| 146.682 | 238.802 | 146.682 | 0.000 | 0.000 | -0.000 |
| 146.682 | 146.682 | 238.802 | 0.000 | -0.000 | 0.000 |
| 0.000 | 0.000 | 0.000 | 124.317 | 0.000 | 0.000 |
| 0.000 | 0.000 | 0.000 | 0.000 | 124.317 | 0.000 |
| 0.000 | 0.000 | 0.000 | 0.000 | 0.000 | 124.317 |
| 238.802 | 146.682 | 146.682 | -0.000 | -0.000 | -0.000 |
| 146.682 | 238.802 | 146.682 | -0.000 | -0.000 | -0.000 |
| 146.682 | 146.682 | 238.802 | -0.000 | 0.000 | 0.000 |
| -0.000 | -0.000 | 0.000 | 124.317 | -0.000 | -0.000 |
| -0.000 | -0.000 | 0.000 | -0.000 | 124.317 | -0.000 |
| -0.000 | 0.000 | -0.000 | -0.000 | -0.000 | 124.317 |
| 238.802 | 146.683 | 146.683 | 0.000 | 0.000 | 0.000 |
| 146.683 | 238.802 | 146.683 | 0.000 | 0.000 | -0.000 |
| 146.683 | 146.683 | 238.802 | 0.000 | -0.000 | 0.000 |
| 0.000 | 0.000 | -0.000 | 124.317 | 0.000 | -0.000 |
| 0.000 | 0.000 | -0.000 | 0.000 | 124.317 | -0.000 |
| 0.000 | -0.000 | 0.000 | 0.000 | 0.000 | 124.317 |
| 238.800 | 146.682 | 146.682 | -0.000 | -0.000 | -0.000 |
| 146.682 | 238.800 | 146.682 | -0.000 | -0.000 | 0.000 |
| 146.682 | 146.682 | 238.800 | -0.000 | -0.000 | -0.000 |
| -0.000 | -0.000 | 0.000 | 124.317 | 0.000 | -0.000 |
| -0.000 | -0.000 | 0.000 | -0.000 | 124.317 | -0.000 |
| -0.000 | 0.000 | -0.000 | -0.000 | -0.000 | 124.317 |
| 238.804 | 146.683 | 146.683 | 0.000 | 0.000 | -0.000 |
| 146.683 | 238.804 | 146.683 | 0.000 | 0.000 | 0.000 |
| 146.683 | 146.683 | 238.804 | -0.000 | 0.000 | 0.000 |
| 0.000 | 0.000 | -0.000 | 124.317 | -0.000 | -0.000 |
| 0.000 | 0.000 | -0.000 | -0.000 | 124.317 | -0.000 |
| 0.000 | -0.000 | 0.000 | 0.000 | 0.000 | 124.317 |
| 346.427 | 197.097 | 197.097 | -0.000 | -0.000 | -0.000 |
| 197.097 | 346.427 | 197.097 | -0.000 | -0.000 | 0.000 |
| 197.097 | 197.097 | 346.427 | -0.000 | -0.000 | 0.000 |
| -0.000 | 0.000 | 0.000 | 186.404 | -0.000 | 0.000 |
| 0.000 | -0.000 | 0.000 | 0.000 | 186.404 | 0.000 |
| 0.000 | 0.000 | -0.000 | -0.000 | 0.000 | 186.404 |
| 346.426 | 197.097 | 197.097 | 0.000 | -0.000 | -0.000 |
| 197.097 | 346.426 | 197.097 | -0.000 | -0.000 | -0.000 |
| 197.097 | 197.097 | 346.426 | -0.000 | 0.000 | -0.000 |
| 0.000 | -0.000 | -0.000 | 186.404 | -0.000 | -0.000 |
| -0.000 | 0.000 | -0.000 | 0.000 | 186.404 | -0.000 |
| -0.000 | -0.000 | 0.000 | 0.000 | -0.000 | 186.404 |
| 346.427 | 197.097 | 197.097 | -0.000 | 0.000 | 0.000 |
| 197.097 | 346.427 | 197.097 | 0.000 | -0.000 | 0.000 |
| 197.097 | 197.097 | 346.427 | 0.000 | 0.000 | 0.000 |
| -0.000 | 0.000 | 0.000 | 186.404 | 0.000 | 0.000 |
| 0.000 | -0.000 | 0.000 | 0.000 | 186.404 | 0.000 |
| 0.000 | 0.000 | -0.000 | 0.000 | 0.000 | 186.404 |
| 346.426 | 197.096 | 197.096 | 0.000 | -0.000 | -0.000 |
| 197.096 | 346.426 | 197.096 | -0.000 | -0.000 | -0.000 |
| 197.096 | 197.096 | 346.426 | -0.000 | -0.000 | -0.000 |
| 0.000 | -0.000 | -0.000 | 186.404 | -0.000 | -0.000 |
| -0.000 | 0.000 | -0.000 | -0.000 | 186.404 | -0.000 |
| -0.000 | -0.000 | 0.000 | 0.000 | -0.000 | 186.404 |
| 346.430 | 197.099 | 197.099 | -0.000 | -0.000 | 0.000 |
| 197.099 | 346.430 | 197.099 | 0.000 | 0.000 | 0.000 |
| 197.099 | 197.099 | 346.430 | 0.000 | 0.000 | 0.000 |
| -0.000 | 0.002 | 0.002 | 186.404 | 0.000 | -0.000 |
| 0.002 | -0.000 | 0.002 | -0.000 | 186.404 | 0.000 |
| 0.002 | 0.002 | -0.000 | -0.000 | 0.000 | 186.404 |
| 346.423 | 197.095 | 197.095 | 0.000 | 0.000 | 0.000 |
| 197.095 | 346.423 | 197.095 | 0.000 | 0.000 | -0.000 |
| 197.095 | 197.095 | 346.423 | 0.000 | -0.000 | -0.000 |
| 0.000 | -0.002 | -0.002 | 186.404 | -0.000 | -0.000 |
| -0.002 | 0.000 | -0.002 | -0.000 | 186.404 | -0.000 |
| -0.002 | -0.002 | 0.000 | 0.000 | -0.000 | 186.404 |
| 9.140 | 4.570 | 4.570 | 0.000 | -0.000 | -0.000 |
| 4.570 | 9.140 | 4.570 | -0.000 | 0.000 | -0.000 |
| 4.570 | 4.570 | 9.140 | 0.000 | 0.000 | -0.000 |
| -0.000 | 0.000 | 0.000 | 4.570 | 0.000 | -0.000 |
| 0.000 | -0.000 | 0.000 | 0.000 | 4.570 | -0.000 |
| 0.000 | 0.000 | 0.000 | 0.000 | 0.000 | 4.570 |
| 9.140 | 4.570 | 4.570 | -0.000 | 0.000 | 0.000 |
| 4.570 | 9.140 | 4.570 | 0.000 | -0.000 | 0.000 |
| 4.570 | 4.570 | 9.140 | -0.000 | -0.000 | -0.000 |
| 0.000 | -0.000 | -0.000 | 4.570 | -0.000 | 0.000 |
| -0.000 | 0.000 | -0.000 | -0.000 | 4.570 | 0.000 |
| -0.000 | -0.000 | 0.000 | 0.000 | 0.000 | 4.570 |
| 9.140 | 4.570 | 4.570 | 0.000 | 0.000 | -0.000 |
| 4.570 | 9.140 | 4.570 | 0.000 | 0.000 | -0.000 |
| 4.570 | 4.570 | 9.140 | 0.000 | 0.000 | -0.000 |
| -0.000 | 0.000 | 0.000 | 4.570 | 0.000 | -0.000 |
| 0.000 | -0.000 | 0.000 | 0.000 | 4.570 | -0.000 |
| 0.000 | 0.000 | -0.000 | 0.000 | -0.000 | 4.570 |
| 9.140 | 4.570 | 4.570 | -0.000 | 0.000 | -0.000 |
| 4.570 | 9.140 | 4.570 | 0.000 | -0.000 | 0.000 |
| 4.570 | 4.570 | 9.140 | -0.000 | -0.000 | 0.000 |
| 0.000 | -0.000 | -0.000 | 4.570 | -0.000 | 0.000 |
| -0.000 | 0.000 | -0.000 | -0.000 | 4.570 | 0.000 |
| -0.000 | -0.000 | 0.000 | -0.000 | 0.000 | 4.570 |
| 9.141 | 4.570 | 4.570 | 0.000 | -0.000 | -0.000 |
| 4.570 | 9.141 | 4.570 | -0.000 | 0.000 | -0.000 |
| 4.570 | 4.570 | 9.141 | 0.000 | 0.000 | -0.000 |
| -0.000 | 0.000 | 0.000 | 4.570 | 0.000 | -0.000 |
| 0.000 | -0.000 | 0.000 | 0.000 | 4.570 | -0.000 |
| 0.000 | 0.000 | -0.000 | -0.000 | -0.000 | 4.570 |
| 9.140 | 4.570 | 4.570 | -0.000 | -0.000 | 0.000 |
| 4.570 | 9.140 | 4.570 | -0.000 | -0.000 | 0.000 |
| 4.570 | 4.570 | 9.140 | -0.000 | -0.000 | -0.000 |
| 0.000 | -0.000 | -0.000 | 4.570 | -0.000 | 0.000 |
| -0.000 | 0.000 | -0.000 | -0.000 | 4.570 | 0.000 |
| -0.000 | -0.000 | 0.000 | -0.000 | 0.000 | 4.570 |
| 245.834 | 150.448 | 147.169 | -0.000 | -0.000 | -0.000 |
| 150.448 | 245.834 | 147.169 | -0.000 | -0.000 | -0.000 |
| 147.169 | 147.169 | 222.771 | -0.000 | -0.000 | -0.000 |
| -0.000 | 0.000 | -0.000 | 125.485 | 0.000 | -0.000 |
| -0.000 | -0.000 | 0.000 | -0.000 | 125.485 | -0.000 |
| -0.000 | 0.000 | -0.000 | -0.000 | -0.000 | 125.648 |
| 245.834 | 150.448 | 147.169 | 0.000 | 0.000 | 0.000 |
| 150.448 | 245.834 | 147.169 | 0.000 | 0.000 | 0.000 |
| 147.169 | 147.169 | 222.771 | 0.000 | 0.000 | 0.000 |
| 0.000 | 0.000 | 0.000 | 125.485 | -0.000 | 0.000 |
| 0.000 | -0.000 | -0.000 | 0.000 | 125.485 | 0.000 |
| 0.000 | -0.000 | 0.000 | 0.000 | 0.000 | 125.648 |
| 245.834 | 150.448 | 147.169 | -0.000 | -0.000 | -0.000 |
| 150.448 | 245.834 | 147.169 | -0.000 | -0.000 | -0.000 |
| 147.169 | 147.169 | 222.770 | -0.000 | -0.000 | -0.000 |
| -0.000 | -0.000 | -0.000 | 125.479 | -0.000 | -0.000 |
| -0.000 | -0.000 | -0.000 | -0.000 | 125.479 | -0.000 |
| -0.000 | 0.000 | -0.000 | 0.000 | -0.000 | 125.648 |
| 245.835 | 150.448 | 147.169 | 0.000 | 0.000 | 0.000 |
| 150.448 | 245.835 | 147.169 | 0.000 | 0.000 | 0.000 |
| 147.169 | 147.169 | 222.771 | 0.000 | 0.000 | 0.000 |
| 0.000 | 0.000 | 0.000 | 125.479 | 0.000 | 0.000 |
| 0.000 | 0.000 | 0.000 | 0.000 | 125.479 | 0.000 |
| 0.000 | -0.000 | 0.000 | 0.000 | 0.000 | 125.648 |
| 245.842 | 150.438 | 147.168 | -0.000 | -0.000 | 0.000 |
| 150.438 | 245.842 | 147.168 | -0.000 | -0.000 | -0.000 |
| 147.168 | 147.168 | 222.768 | -0.000 | -0.000 | -0.000 |
| -0.000 | -0.000 | -0.000 | 125.479 | -0.000 | -0.000 |
| -0.000 | -0.000 | -0.000 | -0.000 | 125.479 | -0.000 |
| -0.000 | 0.000 | -0.000 | -0.000 | -0.000 | 125.648 |
| 245.846 | 150.439 | 147.169 | 0.000 | 0.000 | 0.000 |
| 150.439 | 245.846 | 147.169 | 0.000 | 0.000 | 0.000 |
| 147.169 | 147.169 | 222.773 | 0.000 | 0.000 | -0.000 |
| 0.000 | 0.000 | 0.000 | 125.479 | -0.000 | 0.000 |
| 0.000 | 0.000 | 0.000 | 0.000 | 125.479 | 0.000 |
| 0.000 | -0.000 | 0.000 | 0.000 | 0.000 | 125.648 |
| 480.833 | 94.920 | 94.920 | -0.000 | 0.000 | 0.000 |
| 94.920 | 480.833 | 94.920 | -0.000 | 0.000 | -0.000 |
| 94.920 | 94.920 | 480.833 | -0.000 | 0.000 | -0.000 |
| 0.000 | 0.000 | -0.000 | -8.543 | 0.000 | 0.000 |
| 0.000 | 0.000 | -0.000 | -0.000 | -8.543 | 0.000 |
| 0.000 | -0.000 | 0.000 | 0.000 | 0.000 | -8.543 |
| 476.564 | 97.055 | 97.055 | 0.000 | -0.000 | 0.000 |
| 97.055 | 476.564 | 97.055 | 0.000 | -0.000 | -0.000 |
| 97.055 | 97.055 | 476.564 | 0.000 | 0.000 | -0.000 |
| -0.000 | -0.000 | -0.000 | -8.543 | -0.000 | -0.000 |
| -0.000 | -0.000 | -0.000 | 0.000 | -8.543 | -0.000 |
| -0.000 | 0.000 | -0.000 | 0.000 | -0.000 | -8.543 |
| 480.833 | 94.920 | 94.920 | 0.000 | 0.000 | 0.000 |
| 94.920 | 480.833 | 94.920 | 0.000 | 0.000 | 0.000 |
| 94.920 | 94.920 | 480.833 | -0.000 | 0.000 | -0.000 |
| -0.004 | -0.004 | -0.005 | -895.289 | 0.000 | 0.000 |
| -0.004 | -0.004 | -0.006 | -0.000 | -895.289 | 0.000 |
| -0.004 | -0.006 | -0.004 | -0.000 | 0.000 | -895.289 |
| 476.564 | 97.055 | 97.055 | 0.000 | -0.000 | 0.000 |
| 97.055 | 476.564 | 97.055 | 0.000 | 0.000 | -0.000 |
| 97.055 | 97.055 | 476.564 | 0.000 | -0.000 | -0.000 |
| 0.004 | 0.004 | 0.006 | -895.289 | -0.000 | -0.000 |
| 0.004 | 0.004 | 0.006 | 0.000 | -895.289 | -0.000 |
| 0.004 | 0.006 | 0.004 | 0.000 | -0.000 | -895.289 |
| 476.564 | 97.055 | 97.055 | -0.000 | -0.000 | 0.000 |
| 97.055 | 476.564 | 97.055 | 0.000 | 0.000 | 0.000 |
| 97.055 | 97.055 | 476.564 | -0.000 | 0.000 | 0.000 |
| -6320511.582 | -6181076.837 | -5075977.636 | 699121.185 | -31154.917 | 34016.691 |
| -5108006.054 | -6351778.932 | -6276339.959 | -31927.068 | -717321.854 | 9854.951 |
| -5609237.984 | -5667419.409 | -7013182.314 | -0.000 | -0.003 | 674837.238 |
| 476.564 | 97.055 | 97.055 | 0.000 | -0.000 | -0.000 |
| 97.055 | 476.564 | 97.055 | 0.000 | -0.000 | 0.000 |
| 97.055 | 97.055 | 476.564 | 0.000 | -0.000 | 0.000 |
| 6404282.407 | 6288775.740 | 5141831.325 | 795374.933 | 17482.767 | 53133.669 |
| 5107634.030 | 5588670.606 | 5887838.853 | -159857.864 | 174287.670 | 73641.792 |
| 6290136.139 | 5143643.081 | 6386193.648 | 11312.480 | 37472.677 | 799350.120 |
| 162.946 | 139.215 | 139.215 | 0.000 | -0.000 | -0.000 |
| 139.215 | 162.946 | 139.215 | -0.000 | -0.000 | -0.000 |
| 139.215 | 139.215 | 162.946 | -0.000 | -0.000 | 0.000 |
| 0.000 | 0.000 | 0.000 | 9.163 | -0.000 | 0.000 |
| 0.000 | 0.000 | 0.000 | -0.000 | 9.163 | -0.000 |
| 0.000 | 0.000 | 0.000 | -0.000 | 0.000 | 9.163 |
| 162.214 | 139.581 | 139.581 | 0.000 | -0.000 | 0.000 |
| 139.581 | 162.214 | 139.581 | -0.000 | 0.000 | -0.000 |
| 139.581 | 139.581 | 162.214 | -0.000 | -0.000 | 0.000 |
| -0.000 | -0.000 | -0.000 | 9.163 | 0.000 | -0.000 |
| -0.000 | -0.000 | -0.000 | 0.000 | 9.163 | -0.000 |
| -0.000 | -0.000 | -0.000 | 0.000 | -0.000 | 9.163 |
| 162.214 | 139.582 | 139.582 | -0.000 | -0.000 | 0.000 |
| 139.582 | 162.214 | 139.582 | -0.000 | -0.000 | 0.000 |
| 139.582 | 139.582 | 162.214 | -0.000 | -0.000 | 0.000 |
| 0.000 | 0.000 | 0.000 | 9.163 | 0.000 | -0.000 |
| 0.000 | 0.000 | 0.000 | -0.000 | 9.163 | 0.000 |
| 0.000 | 0.000 | 0.000 | -0.000 | -0.000 | 9.163 |
| 162.213 | 139.581 | 139.581 | 0.000 | 0.000 | -0.000 |
| 139.581 | 162.213 | 139.581 | 0.000 | 0.000 | 0.000 |
| 139.581 | 139.581 | 162.213 | -0.000 | 0.000 | -0.000 |
| -0.000 | -0.000 | -0.000 | 9.163 | -0.000 | -0.000 |
| -0.000 | -0.000 | -0.000 | 0.000 | 9.163 | 0.000 |
| -0.000 | -0.000 | -0.000 | 0.000 | -0.000 | 9.163 |
| 162.217 | 139.583 | 139.583 | 0.000 | 0.000 | 0.000 |
| 139.583 | 162.217 | 139.583 | -0.000 | -0.000 | 0.000 |
| 139.583 | 139.583 | 162.217 | -0.000 | 0.000 | 0.000 |
| 0.000 | 0.000 | 0.000 | 9.163 | 0.000 | -0.000 |
| 0.000 | 0.000 | 0.000 | -0.000 | 9.163 | -0.000 |
| 0.000 | 0.000 | 0.000 | -0.000 | 0.000 | 9.163 |
| 162.210 | 139.580 | 139.580 | -0.000 | -0.000 | -0.000 |
| 139.580 | 162.210 | 139.580 | 0.000 | 0.000 | -0.000 |
| 139.580 | 139.580 | 162.210 | -0.000 | 0.000 | -0.000 |
| -0.000 | -0.000 | -0.000 | 9.163 | -0.000 | -0.000 |
| -0.000 | -0.000 | -0.000 | -0.000 | 9.163 | -0.000 |
| -0.000 | -0.000 | -0.000 | 0.000 | -0.000 | 9.163 |
| 36.100 | 73.735 | 73.735 | 0.000 | 0.000 | -0.000 |
| 73.735 | 36.100 | 73.735 | -0.000 | -0.000 | 0.000 |
| 73.735 | 73.735 | 36.100 | 0.000 | -0.000 | 0.000 |
| -0.000 | -0.000 | -0.000 | -6.577 | 0.000 | -0.000 |
| -0.000 | -0.000 | -0.000 | 0.000 | -6.577 | 0.000 |
| -0.000 | -0.000 | -0.000 | 0.000 | 0.000 | -6.577 |
| 36.100 | 73.735 | 73.735 | 0.000 | -0.000 | -0.000 |
| 73.735 | 36.100 | 73.735 | -0.000 | 0.000 | 0.000 |
| 73.735 | 73.735 | 36.100 | -0.000 | 0.000 | -0.000 |
| 0.000 | 0.000 | 0.000 | -6.577 | -0.000 | 0.000 |
| 0.000 | 0.000 | 0.000 | -0.000 | -6.577 | -0.000 |
| 0.000 | 0.000 | 0.000 | -0.000 | -0.000 | -6.577 |
| -1272489.796 | 74168.207 | 105984.414 | 39254.991 | -20757.530 | 15566.886 |
| 60106.527 | -1219364.118 | 109178.848 | -2767.625 | -5134.650 | -4933.228 |
| -48519.875 | 145969.277 | -1450238.443 | -5293.349 | -8176.301 | 32146.755 |
| -528002.774 | -610958.603 | -796038.260 | -8968.674 | 10963.055 | -10356.782 |
| -553607.938 | -613948.388 | -599524.411 | -5095.645 | -2807.776 | 8872.146 |
| -717346.993 | -571363.771 | -477866.681 | 13740.256 | 10656.973 | 6504.814 |
| 46.055 | 68.758 | 68.758 | -0.000 | 0.000 | 0.000 |
| 68.758 | 46.055 | 68.758 | -0.000 | 0.000 | -0.000 |
| 68.758 | 68.758 | 46.055 | -0.000 | 0.000 | -0.000 |
| 519766.758 | 514551.363 | 765244.421 | 8631.071 | -6919.117 | 14884.657 |
| 682921.796 | 559708.617 | 613584.245 | 6350.453 | 15370.367 | -1109.038 |
| 539511.110 | 503111.130 | 519498.876 | -31129.424 | 12586.207 | -6246.055 |
| -67252.885 | 27140.093 | 23589.273 | -2462.293 | 448.935 | 1480.353 |
| 31257.139 | -72899.180 | 25703.703 | -665.704 | -5275.402 | 2560.685 |
| 23959.322 | 21526.548 | -64934.816 | -899.110 | 3191.512 | -9291.725 |
| -65724.772 | -21850.020 | -111300.106 | -897.012 | 38.144 | -1380.356 |
| -110978.861 | -68728.916 | -15391.287 | 900.641 | -119.242 | 2422.684 |
| -59224.923 | -90491.376 | -64108.977 | 1128.367 | -491.147 | -205.705 |
| 62168.028 | -4796.766 | 76499.487 | 1285.533 | 42.142 | -354.264 |
| 105229.239 | 62203.256 | 7503.826 | 918.918 | 2226.260 | 793.191 |
| 36948.026 | 120083.928 | 64714.143 | -1197.191 | -1591.130 | 570.192 |
| 61659.876 | 19056.472 | 118653.079 | 1142.639 | -1987.756 | 471.096 |
| 97507.037 | 62135.179 | 43347.652 | -932.219 | -2200.181 | 1791.092 |
| 54220.100 | 81595.161 | 74914.927 | 1750.429 | 2029.300 | 655.375 |
| 144.811 | 217.269 | 217.269 | 0.000 | 0.000 | -0.000 |
| 217.269 | 144.811 | 217.269 | 0.000 | 0.000 | 0.000 |
| 217.269 | 217.269 | 144.811 | -0.000 | -0.000 | 0.000 |
| -0.000 | -0.000 | -0.000 | 102.361 | 0.000 | 0.000 |
| -0.000 | -0.000 | -0.000 | -0.000 | 102.361 | -0.000 |
| -0.000 | -0.000 | -0.000 | -0.000 | 0.000 | 102.361 |
| 144.811 | 217.269 | 217.269 | -0.000 | 0.000 | 0.000 |
| 217.269 | 144.811 | 217.269 | -0.000 | -0.000 | -0.000 |
| 217.269 | 217.269 | 144.811 | -0.000 | 0.000 | -0.000 |
| 0.000 | 0.000 | 0.000 | 102.361 | -0.000 | 0.000 |
| 0.000 | 0.000 | 0.000 | 0.000 | 102.361 | -0.000 |
| 0.000 | 0.000 | 0.000 | 0.000 | 0.000 | 102.361 |
| 144.811 | 217.269 | 217.269 | -0.000 | 0.000 | 0.000 |
| 217.269 | 144.811 | 217.269 | -0.000 | -0.000 | 0.000 |
| 217.269 | 217.269 | 144.811 | 0.000 | 0.000 | 0.000 |
| 0.000 | -0.000 | 0.000 | 101.789 | -0.000 | 0.000 |
| -0.000 | 0.000 | 0.000 | -0.000 | 101.789 | 0.000 |
| -0.000 | 0.000 | 0.000 | 0.000 | 0.000 | 101.789 |
| 144.811 | 217.269 | 217.269 | -0.000 | -0.000 | -0.000 |
| 217.269 | 144.811 | 217.269 | -0.000 | 0.000 | -0.000 |
| 217.269 | 217.269 | 144.811 | 0.000 | -0.000 | -0.000 |
| -0.000 | 0.000 | -0.000 | 101.789 | -0.000 | -0.000 |
| 0.000 | -0.000 | -0.000 | 0.000 | 101.789 | -0.000 |
| 0.000 | -0.000 | -0.000 | -0.000 | -0.000 | 101.789 |
| 144.811 | 217.269 | 217.269 | 0.000 | 0.000 | -0.000 |
| 217.269 | 144.811 | 217.269 | 0.000 | 0.000 | 0.000 |
| 217.269 | 217.269 | 144.811 | -0.000 | -0.000 | -0.000 |
| 0.000 | -0.000 | 0.000 | 102.361 | -0.000 | -0.000 |
| -0.000 | 0.000 | 0.000 | 0.000 | 102.361 | -0.000 |
| -0.000 | 0.000 | 0.000 | -0.000 | 0.000 | 102.361 |
| 144.811 | 217.270 | 217.270 | 0.000 | 0.000 | -0.000 |
| 217.270 | 144.811 | 217.270 | 0.000 | -0.000 | -0.000 |
| 217.270 | 217.270 | 144.811 | -0.000 | -0.000 | 0.000 |
| -0.000 | 0.000 | -0.000 | 102.361 | 0.000 | -0.000 |
| 0.000 | -0.000 | -0.000 | 0.000 | 102.361 | -0.000 |
| 0.000 | -0.000 | -0.000 | 0.000 | 0.000 | 102.361 |
| 220.500 | 149.311 | 149.311 | 0.000 | -0.000 | -0.000 |
| 149.311 | 220.500 | 149.311 | -0.000 | 0.000 | 0.000 |
| 149.311 | 149.311 | 220.500 | -0.000 | 0.000 | -0.000 |
| -0.000 | 0.000 | 0.000 | 120.081 | -0.000 | 0.000 |
| -0.000 | 0.000 | 0.000 | -0.000 | 120.081 | 0.000 |
| -0.000 | 0.000 | 0.000 | 0.000 | 0.000 | 120.081 |
| 220.500 | 149.311 | 149.311 | 0.000 | 0.000 | -0.000 |
| 149.311 | 220.500 | 149.311 | 0.000 | -0.000 | 0.000 |
| 149.311 | 149.311 | 220.500 | -0.000 | -0.000 | 0.000 |
| 0.000 | -0.000 | -0.000 | 120.081 | 0.000 | -0.000 |
| 0.000 | -0.000 | -0.000 | 0.000 | 120.081 | 0.000 |
| 0.000 | -0.000 | -0.000 | -0.000 | -0.000 | 120.081 |
| 220.500 | 149.311 | 149.311 | -0.000 | 0.000 | 0.000 |
| 149.311 | 220.500 | 149.311 | -0.000 | -0.000 | 0.000 |
| 149.311 | 149.311 | 220.500 | -0.000 | 0.000 | -0.000 |
| -0.000 | -0.000 | 0.000 | 120.081 | -0.000 | 0.000 |
| -0.000 | -0.000 | 0.000 | -0.000 | 120.081 | 0.000 |
| -0.000 | 0.000 | -0.000 | -0.000 | 0.000 | 120.081 |
| 220.500 | 149.311 | 149.311 | 0.000 | 0.000 | -0.000 |
| 149.311 | 220.500 | 149.311 | 0.000 | -0.000 | -0.000 |
| 149.311 | 149.311 | 220.500 | 0.000 | 0.000 | 0.000 |
| 0.000 | 0.000 | -0.000 | 120.081 | 0.000 | -0.000 |
| 0.000 | 0.000 | -0.000 | -0.000 | 120.081 | -0.000 |
| 0.000 | -0.000 | 0.000 | -0.000 | -0.000 | 120.081 |
| 220.500 | 149.311 | 149.311 | -0.000 | 0.000 | 0.000 |
| 149.311 | 220.500 | 149.311 | -0.000 | 0.000 | 0.000 |
| 149.311 | 149.311 | 220.500 | 0.000 | 0.000 | 0.000 |
| -0.000 | -0.000 | 0.000 | 120.081 | -0.000 | 0.000 |
| -0.000 | -0.000 | 0.000 | -0.000 | 120.081 | 0.000 |
| -0.000 | 0.000 | -0.000 | 0.000 | 0.000 | 120.081 |
| 220.501 | 149.311 | 149.311 | 0.000 | -0.000 | 0.000 |
| 149.311 | 220.501 | 149.311 | 0.000 | -0.000 | 0.000 |
| 149.311 | 149.311 | 220.501 | -0.000 | -0.000 | -0.000 |
| 0.000 | 0.000 | -0.000 | 120.081 | 0.000 | -0.000 |
| 0.000 | 0.000 | -0.000 | 0.000 | 120.081 | -0.000 |
| 0.000 | -0.000 | 0.000 | -0.000 | 0.000 | 120.081 |
| 149.196 | 141.880 | 141.880 | -0.000 | -0.000 | -0.000 |
| 141.880 | 149.196 | 141.880 | -0.000 | -0.000 | 0.000 |
| 141.880 | 141.880 | 149.196 | -0.000 | -0.000 | 0.000 |
| 0.000 | 0.000 | 0.000 | 7.315 | -0.000 | -0.000 |
| 0.000 | 0.000 | 0.000 | -0.000 | 7.315 | 0.000 |
| 0.000 | 0.000 | 0.000 | -0.000 | -0.000 | 7.315 |
| 149.196 | 141.880 | 141.880 | 0.000 | 0.000 | 0.000 |
| 141.880 | 149.196 | 141.880 | 0.000 | 0.000 | -0.000 |
| 141.880 | 141.880 | 149.196 | 0.000 | 0.000 | -0.000 |
| -0.000 | -0.000 | -0.000 | 7.315 | 0.000 | -0.000 |
| -0.000 | -0.000 | -0.000 | 0.000 | 7.315 | -0.000 |
| -0.000 | -0.000 | -0.000 | 0.000 | 0.000 | 7.315 |
| 149.196 | 141.880 | 141.880 | -0.000 | -0.000 | -0.000 |
| 141.880 | 149.196 | 141.880 | -0.000 | -0.000 | 0.000 |
| 141.880 | 141.880 | 149.196 | -0.000 | -0.000 | -0.000 |
| 0.000 | 0.000 | 0.000 | 7.315 | -0.000 | -0.000 |
| 0.000 | 0.000 | 0.000 | -0.000 | 7.315 | 0.000 |
| 0.000 | 0.000 | 0.000 | -0.000 | -0.000 | 7.315 |
| 149.196 | 141.880 | 141.880 | 0.000 | 0.000 | 0.000 |
| 141.880 | 149.196 | 141.880 | 0.000 | 0.000 | 0.000 |
| 141.880 | 141.880 | 149.196 | 0.000 | 0.000 | -0.000 |
| -0.000 | -0.000 | -0.000 | 7.315 | 0.000 | -0.000 |
| -0.000 | -0.000 | -0.000 | 0.000 | 7.315 | -0.000 |
| -0.000 | -0.000 | -0.000 | 0.000 | 0.000 | 7.315 |
| 149.197 | 141.881 | 141.881 | -0.000 | -0.000 | -0.000 |
| 141.881 | 149.197 | 141.881 | -0.000 | -0.000 | -0.000 |
| 141.881 | 141.881 | 149.197 | -0.000 | -0.000 | 0.000 |
| 0.000 | 0.000 | 0.000 | 7.315 | -0.000 | -0.000 |
| 0.000 | 0.000 | 0.000 | -0.000 | 7.315 | 0.000 |
| 0.000 | 0.000 | 0.000 | -0.000 | -0.000 | 7.315 |
| 149.194 | 141.879 | 141.879 | 0.000 | 0.000 | 0.000 |
| 141.879 | 149.194 | 141.879 | 0.000 | 0.000 | -0.000 |
| 141.879 | 141.879 | 149.194 | 0.000 | 0.000 | 0.000 |
| -0.000 | -0.000 | -0.000 | 7.315 | 0.000 | 0.000 |
| -0.000 | -0.000 | -0.000 | 0.000 | 7.315 | 0.000 |
| -0.000 | -0.000 | -0.000 | 0.000 | 0.000 | 7.315 |
| 70.726 | 75.636 | 75.636 | -0.000 | 0.000 | 0.000 |
| 75.636 | 70.726 | 75.636 | 0.000 | -0.000 | 0.000 |
| 75.636 | 75.636 | 70.726 | -0.000 | -0.000 | 0.000 |
| -0.000 | 0.000 | 0.000 | -5.735 | 0.000 | 0.000 |
| 0.000 | -0.000 | 0.000 | -0.000 | -5.735 | -0.000 |
| 0.000 | 0.000 | -0.000 | -0.000 | -0.000 | -5.735 |
| 70.726 | 75.636 | 75.636 | 0.000 | 0.000 | 0.000 |
| 75.636 | 70.726 | 75.636 | 0.000 | -0.000 | -0.000 |
| 75.636 | 75.636 | 70.726 | 0.000 | -0.000 | -0.000 |
| 0.000 | -0.000 | -0.000 | -5.735 | 0.000 | -0.000 |
| -0.000 | 0.000 | -0.000 | 0.000 | -5.735 | -0.000 |
| -0.000 | -0.000 | 0.000 | 0.000 | 0.000 | -5.735 |
| 70.726 | 75.636 | 75.636 | -0.000 | -0.000 | -0.000 |
| 75.636 | 70.726 | 75.636 | -0.000 | -0.000 | -0.000 |
| 75.636 | 75.636 | 70.726 | -0.000 | -0.000 | -0.000 |
| -0.000 | 0.000 | 0.000 | -5.735 | 0.000 | 0.000 |
| 0.000 | -0.000 | 0.000 | -0.000 | -5.735 | -0.000 |
| 0.000 | 0.000 | -0.000 | -0.000 | -0.000 | -5.735 |
| 70.726 | 75.636 | 75.636 | 0.000 | -0.000 | -0.000 |
| 75.636 | 70.726 | 75.636 | -0.000 | 0.000 | 0.000 |
| 75.636 | 75.636 | 70.726 | 0.000 | -0.000 | -0.000 |
| 0.000 | -0.000 | -0.000 | -5.735 | -0.000 | 0.000 |
| -0.000 | 0.000 | -0.000 | -0.000 | -5.735 | -0.000 |
| -0.000 | -0.000 | 0.000 | -0.000 | 0.000 | -5.735 |
| 70.726 | 75.636 | 75.636 | 0.000 | -0.000 | -0.000 |
| 75.636 | 70.726 | 75.636 | -0.000 | -0.000 | -0.000 |
| 75.636 | 75.636 | 70.726 | -0.000 | -0.000 | 0.000 |
| -0.000 | 0.000 | 0.000 | -5.735 | 0.000 | -0.000 |
| 0.000 | -0.000 | 0.000 | -0.000 | -5.735 | -0.000 |
| 0.000 | 0.000 | -0.000 | -0.000 | -0.000 | -5.735 |
| 70.725 | 75.636 | 75.636 | 0.000 | -0.000 | -0.000 |
| 75.636 | 70.725 | 75.636 | 0.000 | 0.000 | -0.000 |
| 75.636 | 75.636 | 70.725 | 0.000 | -0.000 | -0.000 |
| 0.000 | -0.000 | -0.000 | -5.735 | 0.000 | 0.000 |
| -0.000 | 0.000 | -0.000 | -0.000 | -5.735 | -0.000 |
| -0.000 | -0.000 | 0.000 | -0.000 | 0.000 | -5.735 |
| 346.216 | 98.448 | 176.844 | 0.000 | 0.000 | -0.000 |
| 98.448 | 346.216 | 176.844 | 0.000 | 0.000 | -0.000 |
| 176.910 | 176.910 | 235.035 | 0.000 | 0.000 | -0.000 |
| -0.000 | -0.000 | -0.000 | 125.469 | 0.000 | -0.000 |
| -0.000 | 0.000 | -0.000 | 0.000 | 125.469 | -0.000 |
| -0.051 | -0.051 | -0.009 | 0.000 | 0.000 | 39.657 |
| 346.319 | 98.551 | 176.862 | -0.000 | -0.000 | 0.000 |
| 98.551 | 346.319 | 176.862 | -0.000 | -0.000 | -0.000 |
| 177.013 | 177.013 | 235.053 | -0.000 | -0.000 | 0.000 |
| 0.000 | 0.000 | 0.000 | 125.469 | -0.000 | 0.000 |
| 0.000 | -0.000 | -0.000 | -0.000 | 125.469 | 0.000 |
| 0.051 | 0.051 | 0.009 | -0.000 | -0.000 | 39.657 |
| 346.497 | 98.729 | 176.893 | 0.000 | 0.000 | 0.000 |
| 98.729 | 346.497 | 176.893 | 0.000 | 0.000 | -0.000 |
| 176.956 | 176.956 | 235.043 | 0.000 | 0.000 | 0.000 |
| -0.009 | -0.009 | -0.002 | 125.428 | 0.000 | -0.000 |
| -0.009 | -0.009 | -0.002 | 0.000 | 125.428 | -0.000 |
| -0.005 | -0.005 | -0.001 | 0.000 | 0.000 | 39.657 |
| 346.272 | 98.505 | 176.854 | -0.000 | -0.000 | -0.000 |
| 98.505 | 346.272 | 176.854 | -0.000 | -0.000 | 0.000 |
| 176.967 | 176.967 | 235.045 | -0.000 | -0.000 | 0.000 |
| 0.009 | 0.009 | 0.002 | 125.428 | -0.000 | 0.000 |
| 0.009 | 0.009 | 0.002 | -0.000 | 125.428 | 0.000 |
| 0.005 | 0.005 | 0.001 | -0.000 | -0.000 | 39.657 |
| 346.497 | 98.728 | 176.893 | 0.000 | 0.000 | 0.000 |
| 98.728 | 346.497 | 176.893 | 0.000 | 0.000 | 0.000 |
| 177.001 | 177.001 | 235.049 | 0.000 | 0.000 | -0.000 |
| -0.001 | -0.001 | -0.000 | 125.428 | 0.000 | -0.000 |
| -0.001 | -0.001 | -0.000 | 0.000 | 125.428 | -0.000 |
| -0.001 | -0.001 | 0.000 | 0.000 | 0.000 | 39.657 |
| 346.268 | 98.500 | 176.853 | -0.000 | -0.000 | 0.000 |
| 98.500 | 346.268 | 176.853 | -0.000 | -0.000 | -0.000 |
| 177.001 | 177.001 | 235.056 | -0.000 | -0.000 | -0.000 |
| 0.001 | 0.001 | 0.000 | 125.428 | -0.000 | 0.000 |
| 0.001 | 0.001 | 0.000 | -0.000 | 125.428 | 0.000 |
| 0.001 | 0.001 | -0.000 | -0.000 | -0.000 | 39.657 |
| 171.018 | 188.945 | 191.012 | 0.000 | 0.000 | -0.000 |
| 188.945 | 171.018 | 191.012 | 0.000 | -0.000 | -0.000 |
| 190.944 | 190.944 | 173.514 | 0.000 | 0.000 | -0.000 |
| 0.000 | 0.000 | 0.000 | 139.155 | 0.000 | -0.000 |
| 0.000 | 0.000 | 0.000 | 0.000 | 139.155 | -0.000 |
| 0.000 | 0.000 | 0.000 | 0.000 | 0.000 | 142.771 |
| 170.646 | 188.857 | 190.938 | -0.000 | -0.000 | 0.000 |
| 188.857 | 170.646 | 190.938 | -0.000 | -0.000 | 0.000 |
| 190.948 | 190.948 | 173.512 | -0.000 | -0.000 | 0.000 |
| -0.000 | 0.000 | -0.000 | 139.155 | -0.000 | 0.000 |
| -0.000 | -0.000 | -0.000 | -0.000 | 139.155 | 0.000 |
| -0.000 | -0.000 | -0.000 | -0.000 | -0.000 | 142.771 |
| 171.018 | 188.945 | 191.012 | 0.000 | 0.000 | -0.000 |
| 188.945 | 171.018 | 191.012 | 0.000 | -0.000 | -0.000 |
| 190.946 | 190.946 | 173.513 | 0.000 | 0.000 | -0.000 |
| 0.000 | 0.000 | 0.000 | 139.155 | 0.000 | -0.000 |
| 0.000 | 0.000 | 0.000 | 0.000 | 139.155 | -0.000 |
| 0.000 | 0.000 | 0.000 | 0.000 | 0.000 | 142.771 |
| 171.018 | 188.945 | 191.012 | -0.000 | -0.000 | 0.000 |
| 188.945 | 171.018 | 191.012 | -0.000 | 0.000 | 0.000 |
| 191.020 | 191.020 | 173.777 | -0.000 | -0.000 | 0.000 |
| -0.000 | -0.000 | -0.000 | 139.155 | -0.000 | 0.000 |
| -0.000 | -0.000 | -0.000 | -0.000 | 139.155 | 0.000 |
| -0.000 | -0.000 | -0.000 | -0.000 | -0.000 | 142.771 |
| 171.018 | 188.945 | 191.013 | 0.000 | 0.000 | -0.000 |
| 188.945 | 171.018 | 191.013 | 0.000 | 0.000 | -0.000 |
| 190.947 | 190.947 | 173.513 | 0.000 | 0.000 | -0.000 |
| 0.001 | 0.001 | 0.001 | 139.155 | -0.000 | -0.000 |
| 0.001 | 0.001 | 0.001 | 0.000 | 139.155 | -0.000 |
| 0.001 | 0.001 | 0.001 | 0.000 | -0.000 | 142.771 |
| 170.644 | 188.855 | 190.938 | -0.000 | -0.000 | 0.000 |
| 188.855 | 170.644 | 190.938 | -0.000 | 0.000 | 0.000 |
| 190.945 | 190.945 | 173.513 | -0.000 | -0.000 | 0.000 |
| -0.001 | -0.001 | -0.001 | 139.155 | 0.000 | 0.000 |
| -0.001 | -0.001 | -0.001 | -0.000 | 139.155 | 0.000 |
| -0.001 | -0.001 | -0.001 | -0.000 | -0.000 | 142.771 |
| 153.026 | 187.182 | 187.182 | -0.000 | -0.000 | 0.000 |
| 187.182 | 153.026 | 187.182 | -0.000 | 0.000 | 0.000 |
| 187.182 | 187.182 | 153.026 | -0.000 | 0.000 | 0.000 |
| 0.000 | 0.000 | -0.000 | 147.846 | -0.000 | -0.000 |
| 0.000 | 0.000 | 0.000 | -0.000 | 147.846 | 0.000 |
| 0.000 | -0.000 | 0.000 | -0.000 | -0.000 | 147.846 |
| 153.026 | 187.182 | 187.182 | 0.000 | 0.000 | -0.000 |
| 187.182 | 153.026 | 187.182 | 0.000 | 0.000 | -0.000 |
| 187.182 | 187.182 | 153.026 | 0.000 | 0.000 | -0.000 |
| -0.000 | -0.000 | -0.000 | 147.846 | 0.000 | -0.000 |
| -0.000 | -0.000 | -0.000 | 0.000 | 147.846 | -0.000 |
| -0.000 | -0.000 | -0.000 | 0.000 | 0.000 | 147.846 |
| 153.025 | 187.182 | 187.182 | -0.000 | -0.000 | 0.000 |
| 187.182 | 153.025 | 187.182 | -0.000 | -0.000 | 0.000 |
| 187.182 | 187.182 | 153.025 | -0.000 | -0.000 | 0.000 |
| 0.000 | 0.000 | 0.000 | 147.846 | -0.000 | 0.000 |
| 0.000 | 0.000 | 0.000 | -0.000 | 147.846 | 0.000 |
| 0.000 | 0.000 | 0.000 | -0.000 | -0.000 | 147.846 |
| 153.026 | 187.182 | 187.182 | 0.000 | 0.000 | 0.000 |
| 187.182 | 153.026 | 187.182 | 0.000 | 0.000 | 0.000 |
| 187.182 | 187.182 | 153.026 | 0.000 | -0.000 | -0.000 |
| -0.000 | -0.000 | -0.000 | 147.846 | 0.000 | 0.000 |
| -0.000 | -0.000 | -0.000 | 0.000 | 147.846 | -0.000 |
| -0.000 | -0.000 | -0.000 | 0.000 | 0.000 | 147.846 |
| 153.025 | 187.182 | 187.182 | -0.000 | 0.000 | 0.000 |
| 187.182 | 153.025 | 187.182 | -0.000 | -0.000 | 0.000 |
| 187.182 | 187.182 | 153.025 | -0.000 | 0.000 | 0.000 |
| 0.001 | 0.000 | 0.001 | 147.846 | -0.000 | 0.000 |
| 0.000 | 0.001 | 0.001 | -0.000 | 147.846 | 0.000 |
| 0.000 | 0.001 | 0.001 | -0.000 | -0.000 | 147.846 |
| 153.026 | 187.181 | 187.181 | -0.000 | 0.000 | -0.000 |
| 187.181 | 153.026 | 187.181 | 0.000 | 0.000 | -0.000 |
| 187.181 | 187.181 | 153.026 | 0.000 | 0.000 | -0.000 |
| -0.001 | -0.000 | -0.001 | 147.846 | 0.000 | -0.000 |
| -0.000 | -0.001 | -0.001 | 0.000 | 147.846 | -0.000 |
| -0.000 | -0.001 | -0.001 | 0.000 | 0.000 | 147.846 |
| 476.101 | 95.132 | 95.132 | -0.000 | 0.000 | -0.000 |
| 95.132 | 476.101 | 95.132 | -0.000 | 0.000 | 0.000 |
| 95.132 | 95.132 | 476.101 | 0.000 | 0.000 | 0.000 |
| -0.000 | -0.000 | -0.000 | -184.723 | 0.000 | 0.000 |
| -0.000 | -0.000 | -0.000 | -0.000 | -184.723 | 0.000 |
| -0.000 | -0.000 | -0.000 | -0.000 | 0.000 | -184.723 |
| 476.101 | 95.132 | 95.132 | 0.000 | 0.000 | -0.000 |
| 95.132 | 476.101 | 95.132 | 0.000 | -0.000 | 0.000 |
| 95.132 | 95.132 | 476.101 | 0.000 | -0.000 | -0.000 |
| 0.000 | 0.000 | 0.000 | -184.723 | -0.000 | 0.000 |
| 0.000 | 0.000 | 0.000 | 0.000 | -184.723 | -0.000 |
| 0.000 | 0.000 | 0.000 | 0.000 | -0.000 | -184.723 |
| 476.101 | 95.132 | 95.132 | -0.000 | 0.000 | 0.000 |
| 95.132 | 476.101 | 95.132 | 0.000 | 0.000 | -0.000 |
| 95.132 | 95.132 | 476.101 | -0.000 | 0.000 | 0.000 |
| -0.000 | -0.000 | -0.000 | -184.723 | 0.000 | 0.000 |
| -0.000 | -0.000 | -0.000 | -0.000 | -184.723 | 0.000 |
| -0.000 | -0.000 | -0.000 | -0.000 | 0.000 | -184.723 |
| 478.919 | 93.723 | 93.723 | 0.000 | -0.000 | -0.000 |
| 93.723 | 478.919 | 93.723 | 0.000 | 0.000 | -0.000 |
| 93.723 | 93.723 | 478.919 | 0.000 | -0.000 | -0.000 |
| 0.000 | 0.000 | 0.000 | -184.723 | -0.000 | -0.000 |
| 0.000 | 0.000 | 0.000 | 0.000 | -184.723 | -0.000 |
| 0.000 | 0.000 | 0.000 | 0.000 | -0.000 | -184.723 |
| 476.102 | 95.131 | 95.131 | -0.000 | 0.000 | 0.000 |
| 95.131 | 476.102 | 95.131 | -0.000 | 0.000 | 0.000 |
| 95.131 | 95.131 | 476.102 | 0.000 | 0.000 | 0.000 |
| 207324.918 | 262322.060 | 262314.855 | -3601910.207 | -0.000 | -0.000 |
| 262322.060 | 207324.918 | 262314.855 | -0.000 | -3601910.207 | -0.000 |
| 262322.060 | 262314.855 | 207324.918 | -0.000 | -0.000 | -3601910.207 |
| 476.101 | 95.133 | 95.133 | 0.000 | -0.000 | 0.000 |
| 95.133 | 476.101 | 95.133 | 0.000 | -0.000 | 0.000 |
| 95.133 | 95.133 | 476.101 | 0.000 | -0.000 | -0.000 |
| -207324.918 | -262322.060 | -262314.855 | -3601910.207 | -0.000 | 0.000 |
| -262322.060 | -207324.918 | -262314.855 | 0.000 | -3601910.208 | -0.000 |
| -262322.060 | -262314.854 | -207324.918 | 0.000 | -0.000 | -3601910.207 |
| 11.845 | 9.539 | 9.539 | 0.000 | 0.000 | 0.000 |
| 9.539 | 11.845 | 9.539 | 0.000 | 0.000 | 0.000 |
| 9.539 | 9.539 | 11.845 | 0.000 | 0.000 | 0.000 |
| -0.000 | 0.000 | 0.000 | 2.431 | 0.000 | 0.000 |
| 0.000 | -0.000 | -0.000 | 0.000 | 2.431 | 0.000 |
| 0.000 | 0.000 | -0.000 | 0.000 | 0.000 | 2.431 |
| 11.845 | 9.539 | 9.539 | -0.000 | 0.000 | -0.000 |
| 9.539 | 11.845 | 9.539 | -0.000 | -0.000 | 0.000 |
| 9.539 | 9.539 | 11.845 | -0.000 | -0.000 | -0.000 |
| 0.000 | -0.000 | 0.000 | 2.431 | -0.000 | -0.000 |
| -0.000 | 0.000 | -0.000 | -0.000 | 2.431 | -0.000 |
| -0.000 | -0.000 | 0.000 | -0.000 | -0.000 | 2.431 |
| 11.845 | 9.539 | 9.539 | 0.000 | 0.000 | 0.000 |
| 9.539 | 11.845 | 9.539 | 0.000 | 0.000 | 0.000 |
| 9.539 | 9.539 | 11.845 | 0.000 | 0.000 | 0.000 |
| -0.000 | 0.000 | 0.000 | 2.431 | 0.000 | 0.000 |
| 0.000 | -0.000 | 0.000 | 0.000 | 2.431 | 0.000 |
| 0.000 | 0.000 | -0.000 | 0.000 | 0.000 | 2.431 |
| 11.845 | 9.539 | 9.539 | -0.000 | -0.000 | 0.000 |
| 9.539 | 11.845 | 9.539 | -0.000 | -0.000 | -0.000 |
| 9.539 | 9.539 | 11.845 | -0.000 | -0.000 | -0.000 |
| 0.000 | -0.000 | -0.000 | 2.431 | -0.000 | 0.000 |
| -0.000 | 0.000 | -0.000 | -0.000 | 2.431 | -0.000 |
| -0.000 | -0.000 | 0.000 | -0.000 | -0.000 | 2.431 |
| 11.846 | 9.539 | 9.539 | 0.000 | -0.000 | 0.000 |
| 9.539 | 11.846 | 9.539 | 0.000 | -0.000 | 0.000 |
| 9.539 | 9.539 | 11.846 | 0.000 | 0.000 | 0.000 |
| -0.000 | 0.000 | 0.000 | 2.431 | 0.000 | 0.000 |
| 0.000 | -0.000 | 0.000 | 0.000 | 2.431 | 0.000 |
| 0.000 | 0.000 | -0.000 | 0.000 | 0.000 | 2.431 |
| 11.845 | 9.539 | 9.539 | -0.000 | -0.000 | -0.000 |
| 9.539 | 11.845 | 9.539 | -0.000 | -0.000 | -0.000 |
| 9.539 | 9.539 | 11.845 | -0.000 | -0.000 | -0.000 |
| 0.000 | -0.000 | -0.000 | 2.431 | -0.000 | -0.000 |
| -0.000 | 0.000 | -0.000 | -0.000 | 2.431 | -0.000 |
| -0.000 | -0.000 | 0.000 | -0.000 | -0.000 | 2.431 |
| 120.442 | 214.356 | 214.356 | 0.000 | 0.000 | -0.000 |
| 214.356 | 120.442 | 214.356 | 0.000 | -0.000 | -0.000 |
| 214.356 | 214.356 | 120.442 | 0.000 | -0.000 | -0.000 |
| -0.000 | -0.000 | -0.000 | 98.719 | -0.000 | -0.000 |
| -0.000 | -0.000 | -0.000 | -0.000 | 98.719 | -0.000 |
| -0.000 | -0.000 | -0.000 | -0.000 | -0.000 | 98.719 |
| 120.442 | 214.356 | 214.356 | -0.000 | -0.000 | 0.000 |
| 214.356 | 120.442 | 214.356 | -0.000 | 0.000 | 0.000 |
| 214.356 | 214.356 | 120.442 | -0.000 | 0.000 | 0.000 |
| 0.000 | 0.000 | -0.000 | 98.719 | -0.000 | 0.000 |
| 0.000 | 0.000 | 0.000 | 0.000 | 98.719 | 0.000 |
| 0.000 | 0.000 | 0.000 | 0.000 | 0.000 | 98.719 |
| 120.442 | 214.356 | 214.356 | 0.000 | -0.000 | -0.000 |
| 214.356 | 120.442 | 214.356 | 0.000 | -0.000 | -0.000 |
| 214.356 | 214.356 | 120.442 | 0.000 | -0.000 | -0.000 |
| -0.000 | -0.000 | -0.000 | 98.748 | -0.000 | -0.000 |
| -0.000 | -0.000 | -0.000 | -0.000 | 98.748 | -0.000 |
| -0.000 | -0.000 | -0.000 | -0.000 | -0.000 | 98.748 |
| 120.442 | 214.356 | 214.356 | 0.000 | 0.000 | 0.000 |
| 214.356 | 120.442 | 214.356 | -0.000 | 0.000 | 0.000 |
| 214.356 | 214.356 | 120.442 | -0.000 | 0.000 | 0.000 |
| 0.000 | 0.000 | 0.000 | 98.748 | 0.000 | 0.000 |
| 0.000 | 0.000 | 0.000 | 0.000 | 98.748 | 0.000 |
| 0.000 | 0.000 | 0.000 | -0.000 | 0.000 | 98.748 |
| 120.443 | 214.356 | 214.356 | 0.000 | -0.000 | -0.000 |
| 214.356 | 120.443 | 214.356 | 0.000 | 0.000 | -0.000 |
| 214.356 | 214.356 | 120.443 | 0.000 | -0.000 | -0.000 |
| -0.000 | -0.001 | -0.000 | 98.748 | -0.000 | -0.000 |
| -0.001 | -0.000 | -0.000 | -0.000 | 98.748 | -0.000 |
| -0.001 | -0.000 | -0.000 | -0.000 | -0.000 | 98.748 |
| 120.442 | 214.356 | 214.356 | 0.000 | 0.000 | 0.000 |
| 214.356 | 120.442 | 214.356 | -0.000 | 0.000 | 0.000 |
| 214.356 | 214.356 | 120.442 | 0.000 | 0.000 | 0.000 |
| 0.000 | 0.001 | 0.000 | 98.748 | 0.000 | 0.000 |
| 0.001 | 0.000 | 0.000 | 0.000 | 98.748 | 0.000 |
| 0.001 | 0.000 | 0.000 | 0.000 | 0.000 | 98.748 |
| 254.763 | 180.794 | 180.794 | -0.000 | -0.000 | -0.000 |
| 180.794 | 254.763 | 180.794 | -0.000 | 0.000 | 0.000 |
| 180.794 | 180.794 | 254.763 | -0.000 | -0.000 | 0.000 |
| 0.000 | -0.000 | -0.000 | 137.284 | 0.000 | 0.000 |
| -0.000 | -0.000 | 0.000 | -0.000 | 137.284 | -0.000 |
| -0.000 | -0.000 | -0.000 | -0.000 | -0.000 | 137.284 |
| 254.763 | 180.794 | 180.794 | 0.000 | 0.000 | 0.000 |
| 180.794 | 254.763 | 180.794 | 0.000 | 0.000 | -0.000 |
| 180.794 | 180.794 | 254.763 | 0.000 | 0.000 | -0.000 |
| 0.000 | 0.000 | 0.000 | 137.284 | -0.000 | -0.000 |
| 0.000 | 0.000 | 0.000 | 0.000 | 137.284 | -0.000 |
| 0.000 | 0.000 | 0.000 | -0.000 | 0.000 | 137.284 |
| 254.762 | 180.794 | 180.794 | -0.000 | -0.000 | 0.000 |
| 180.794 | 254.762 | 180.794 | 0.000 | -0.000 | -0.000 |
| 180.794 | 180.794 | 254.762 | -0.000 | 0.000 | 0.000 |
| -0.000 | -0.000 | -0.000 | 137.284 | 0.000 | 0.000 |
| -0.000 | -0.000 | -0.000 | -0.000 | 137.284 | 0.000 |
| -0.000 | -0.000 | -0.000 | 0.000 | -0.000 | 137.284 |
| 254.763 | 180.794 | 180.794 | 0.000 | 0.000 | -0.000 |
| 180.794 | 254.763 | 180.794 | 0.000 | -0.000 | 0.000 |
| 180.794 | 180.794 | 254.763 | -0.000 | 0.000 | -0.000 |
| 0.000 | 0.000 | 0.000 | 137.284 | -0.000 | -0.000 |
| 0.000 | 0.000 | 0.000 | 0.000 | 137.284 | 0.000 |
| 0.000 | 0.000 | 0.000 | 0.000 | 0.000 | 137.284 |
| 254.759 | 180.794 | 180.794 | 0.000 | 0.000 | 0.000 |
| 180.794 | 254.759 | 180.794 | -0.000 | 0.000 | -0.000 |
| 180.794 | 180.794 | 254.759 | -0.000 | -0.000 | 0.000 |
| -0.000 | -0.000 | -0.000 | 137.284 | 0.000 | 0.000 |
| -0.000 | -0.000 | -0.000 | -0.000 | 137.284 | 0.000 |
| -0.000 | -0.000 | -0.000 | -0.000 | -0.000 | 137.284 |
| 254.766 | 180.794 | 180.794 | 0.000 | -0.000 | -0.000 |
| 180.794 | 254.766 | 180.794 | -0.000 | 0.000 | -0.000 |
| 180.794 | 180.794 | 254.766 | 0.000 | 0.000 | -0.000 |
| 0.000 | 0.000 | 0.000 | 137.284 | -0.000 | -0.000 |
| 0.000 | 0.000 | 0.000 | 0.000 | 137.284 | -0.000 |
| 0.000 | 0.000 | 0.000 | 0.000 | 0.000 | 137.284 |
| 0.965 | 0.482 | 0.482 | 0.000 | -0.000 | 0.000 |
| 0.482 | 0.965 | 0.482 | -0.000 | -0.000 | 0.000 |
| 0.482 | 0.482 | 0.965 | 0.000 | 0.000 | 0.000 |
| -0.000 | -0.000 | -0.000 | 0.483 | 0.000 | 0.000 |
| -0.000 | -0.000 | -0.000 | 0.000 | 0.483 | -0.000 |
| -0.000 | -0.000 | -0.000 | 0.000 | -0.000 | 0.483 |
| 0.965 | 0.482 | 0.482 | -0.000 | 0.000 | 0.000 |
| 0.482 | 0.965 | 0.482 | 0.000 | 0.000 | 0.000 |
| 0.482 | 0.482 | 0.965 | 0.000 | 0.000 | -0.000 |
| -0.000 | 0.000 | 0.000 | 0.483 | 0.000 | 0.000 |
| 0.000 | -0.000 | 0.000 | -0.000 | 0.483 | 0.000 |
| 0.000 | 0.000 | 0.000 | -0.000 | 0.000 | 0.483 |
| 0.965 | 0.482 | 0.482 | -0.000 | -0.000 | -0.000 |
| 0.482 | 0.965 | 0.482 | -0.000 | -0.000 | -0.000 |
| 0.482 | 0.482 | 0.965 | -0.000 | -0.000 | -0.000 |
| -0.000 | -0.000 | -0.000 | 0.483 | -0.000 | 0.000 |
| -0.000 | -0.000 | -0.000 | -0.000 | 0.483 | -0.000 |
| -0.000 | -0.000 | -0.000 | -0.000 | -0.000 | 0.483 |
| 0.965 | 0.482 | 0.482 | 0.000 | 0.000 | -0.000 |
| 0.482 | 0.965 | 0.482 | -0.000 | 0.000 | -0.000 |
| 0.482 | 0.482 | 0.965 | -0.000 | 0.000 | 0.000 |
| 0.000 | 0.000 | 0.000 | 0.483 | 0.000 | -0.000 |
| 0.000 | 0.000 | 0.000 | 0.000 | 0.483 | 0.000 |
| 0.000 | 0.000 | 0.000 | -0.000 | 0.000 | 0.483 |
| 0.964 | 0.482 | 0.482 | -0.000 | -0.000 | -0.000 |
| 0.482 | 0.964 | 0.482 | -0.000 | -0.000 | -0.000 |
| 0.482 | 0.482 | 0.964 | -0.000 | -0.000 | 0.000 |
| -0.000 | -0.000 | -0.000 | 0.483 | -0.000 | -0.000 |
| -0.000 | -0.000 | -0.000 | 0.000 | 0.483 | -0.000 |
| -0.000 | -0.000 | -0.000 | -0.000 | -0.000 | 0.483 |
| 0.965 | 0.482 | 0.482 | -0.000 | 0.000 | 0.000 |
| 0.482 | 0.965 | 0.482 | -0.000 | 0.000 | -0.000 |
| 0.482 | 0.482 | 0.965 | -0.000 | 0.000 | 0.000 |
| 0.000 | 0.000 | 0.000 | 0.483 | 0.000 | -0.000 |
| 0.000 | 0.000 | 0.000 | -0.000 | 0.483 | 0.000 |
| 0.000 | 0.000 | 0.000 | 0.000 | 0.000 | 0.483 |
| 319.728 | 171.448 | 99.184 | 0.000 | 0.000 | -0.000 |
| 167.104 | 323.018 | 98.869 | -0.000 | -0.000 | 0.000 |
| 99.172 | 99.172 | 341.590 | 0.000 | -0.000 | -0.000 |
| -0.000 | 0.000 | -0.000 | 44.701 | 0.000 | -0.000 |
| -0.000 | 0.000 | -0.000 | 0.000 | 44.380 | -0.000 |
| -0.000 | 0.000 | -0.000 | -0.000 | -0.000 | 75.508 |
| 345.746 | 145.689 | 99.262 | -0.000 | -0.000 | -0.000 |
| 167.104 | 323.018 | 98.869 | -0.000 | 0.000 | 0.000 |
| 99.172 | 99.172 | 341.590 | -0.000 | 0.000 | -0.000 |
| 0.000 | -0.000 | 0.000 | 44.701 | 0.000 | -0.000 |
| 0.000 | -0.000 | 0.000 | -0.000 | 44.380 | -0.000 |
| 0.000 | -0.000 | 0.000 | 0.000 | -0.000 | 75.509 |
| 345.746 | 145.689 | 99.262 | 0.000 | -0.000 | -0.000 |
| 167.104 | 323.018 | 98.869 | 0.000 | 0.000 | -0.000 |
| 99.172 | 99.172 | 341.589 | 0.000 | 0.000 | -0.000 |
| 0.000 | -0.000 | -0.000 | 44.380 | 0.000 | -0.000 |
| -0.000 | -0.000 | -0.000 | 0.000 | 44.701 | 0.000 |
| -0.000 | 0.000 | -0.000 | -0.000 | -0.000 | 100.028 |
| 345.746 | 145.689 | 99.262 | -0.000 | 0.000 | -0.000 |
| 171.448 | 319.728 | 99.184 | -0.000 | -0.000 | 0.000 |
| 99.172 | 99.172 | 341.590 | -0.000 | 0.000 | 0.000 |
| -0.000 | 0.000 | 0.000 | 44.380 | -0.000 | 0.000 |
| 0.000 | 0.000 | 0.000 | -0.000 | 44.701 | 0.000 |
| 0.000 | -0.000 | 0.000 | -0.000 | 0.000 | 100.028 |
| 345.746 | 145.689 | 99.262 | 0.000 | 0.000 | -0.000 |
| 171.416 | 319.683 | 99.161 | 0.000 | -0.000 | 0.000 |
| 99.262 | 99.262 | 341.642 | 0.000 | 0.000 | -0.000 |
| -0.000 | -0.000 | -0.000 | 44.701 | -0.000 | -0.000 |
| -0.000 | -0.000 | -0.000 | 0.000 | 44.701 | -0.000 |
| -0.001 | 0.000 | -0.000 | 0.000 | -0.000 | 74.098 |
| 345.745 | 145.689 | 99.262 | -0.000 | -0.000 | 0.000 |
| 167.104 | 323.019 | 98.869 | 0.000 | 0.000 | -0.000 |
| 99.262 | 99.262 | 341.645 | 0.000 | -0.000 | 0.000 |
| 0.000 | 0.000 | 0.000 | 44.701 | -0.000 | -0.000 |
| 0.000 | 0.000 | 0.000 | -0.000 | 44.701 | 0.000 |
| 0.001 | -0.000 | 0.000 | -0.000 | 0.000 | 74.098 |
| 337.669 | 140.136 | 96.479 | -0.000 | 0.000 | -0.000 |
| 167.630 | 309.893 | 96.493 | 0.000 | 0.000 | -0.000 |
| 96.488 | 96.488 | 342.715 | 0.000 | 0.000 | -0.000 |
| 0.000 | 0.000 | 0.000 | 44.817 | 0.000 | -0.000 |
| -0.000 | 0.000 | 0.000 | 0.000 | 44.817 | -0.000 |
| -0.000 | -0.000 | 0.000 | 0.000 | 0.000 | 98.767 |
| 337.669 | 140.136 | 96.479 | 0.000 | -0.000 | 0.000 |
| 167.659 | 309.878 | 96.492 | -0.000 | -0.000 | 0.000 |
| 96.488 | 96.488 | 342.715 | -0.000 | -0.000 | -0.000 |
| 0.000 | -0.000 | -0.000 | 44.817 | -0.000 | 0.000 |
| 0.000 | -0.000 | -0.000 | -0.000 | 44.817 | 0.000 |
| 0.000 | -0.000 | -0.000 | -0.000 | -0.000 | 98.767 |
| 337.669 | 140.136 | 96.479 | 0.000 | 0.000 | 0.000 |
| 140.136 | 337.669 | 96.479 | 0.000 | 0.000 | -0.000 |
| 96.488 | 96.488 | 342.715 | 0.000 | 0.000 | -0.000 |
| -0.000 | -0.000 | -0.000 | 44.817 | 0.000 | -0.000 |
| -0.001 | -0.001 | 0.000 | 0.000 | 44.685 | -0.000 |
| -0.000 | -0.000 | 0.000 | 0.000 | 0.000 | 70.906 |
| 337.669 | 140.136 | 96.479 | -0.000 | -0.000 | 0.000 |
| 140.136 | 337.670 | 96.479 | -0.000 | -0.000 | -0.000 |
| 96.493 | 96.493 | 342.714 | 0.000 | -0.000 | 0.000 |
| 0.000 | 0.000 | 0.000 | 44.817 | -0.000 | 0.000 |
| 0.001 | 0.001 | -0.000 | -0.000 | 44.685 | 0.000 |
| 0.000 | 0.000 | -0.000 | -0.000 | -0.000 | 70.906 |
| 337.668 | 140.136 | 96.479 | 0.000 | 0.000 | 0.000 |
| 168.066 | 309.669 | 96.482 | 0.000 | 0.000 | -0.000 |
| 96.493 | 96.493 | 342.713 | 0.000 | 0.000 | -0.000 |
| 0.000 | -0.001 | -0.000 | 44.685 | 0.000 | 0.000 |
| -0.000 | -0.000 | -0.000 | 0.000 | 44.817 | -0.000 |
| -0.000 | -0.000 | -0.000 | 0.000 | 0.000 | 98.767 |
| 309.887 | 167.645 | 96.493 | -0.000 | -0.000 | 0.000 |
| 167.644 | 309.888 | 96.493 | -0.000 | -0.000 | 0.000 |
| 96.493 | 96.493 | 342.715 | -0.000 | -0.000 | -0.000 |
| -0.000 | 0.001 | 0.000 | 44.685 | -0.000 | 0.000 |
| 0.000 | 0.000 | 0.000 | -0.000 | 44.817 | -0.000 |
| 0.000 | 0.000 | 0.000 | -0.000 | -0.000 | 98.767 |
| 246.557 | 169.281 | 170.889 | -0.000 | 0.000 | 0.000 |
| 169.281 | 246.557 | 170.889 | -0.000 | -0.000 | 0.000 |
| 170.889 | 170.889 | 244.290 | -0.000 | 0.000 | 0.000 |
| 0.000 | -0.000 | 0.000 | 136.493 | -0.000 | 0.000 |
| -0.000 | 0.000 | 0.000 | -0.000 | 136.493 | 0.000 |
| 0.000 | -0.000 | -0.000 | 0.000 | 0.000 | 137.111 |
| 246.352 | 169.486 | 170.889 | 0.000 | 0.000 | -0.000 |
| 169.486 | 246.352 | 170.889 | 0.000 | -0.000 | -0.000 |
| 170.889 | 170.889 | 244.290 | 0.000 | 0.000 | -0.000 |
| -0.000 | 0.000 | -0.000 | 136.493 | 0.000 | -0.000 |
| -0.000 | -0.000 | -0.000 | 0.000 | 136.493 | -0.000 |
| -0.000 | -0.000 | 0.000 | 0.000 | 0.000 | 137.111 |
| 246.352 | 169.486 | 170.889 | -0.000 | -0.000 | -0.000 |
| 169.486 | 246.352 | 170.889 | -0.000 | 0.000 | 0.000 |
| 170.889 | 170.889 | 244.290 | -0.000 | 0.000 | 0.000 |
| -0.000 | -0.000 | -0.000 | 136.493 | -0.000 | 0.000 |
| -0.000 | -0.000 | -0.000 | -0.000 | 136.493 | 0.000 |
| -0.000 | -0.000 | -0.000 | -0.000 | -0.000 | 137.111 |
| 246.557 | 169.281 | 170.889 | 0.000 | -0.000 | -0.000 |
| 169.281 | 246.557 | 170.889 | 0.000 | -0.000 | -0.000 |
| 170.889 | 170.889 | 244.291 | 0.000 | 0.000 | -0.000 |
| 0.000 | 0.000 | 0.000 | 136.493 | 0.000 | -0.000 |
| 0.000 | 0.000 | 0.000 | 0.000 | 136.493 | -0.000 |
| 0.000 | 0.000 | 0.000 | 0.000 | 0.000 | 137.111 |
| 246.553 | 169.281 | 170.889 | -0.000 | -0.000 | 0.000 |
| 169.281 | 246.553 | 170.889 | -0.000 | -0.000 | 0.000 |
| 170.889 | 170.889 | 244.287 | -0.000 | 0.000 | 0.000 |
| -0.000 | -0.000 | -0.000 | 136.493 | 0.000 | 0.000 |
| -0.000 | -0.000 | -0.000 | -0.000 | 136.493 | 0.000 |
| -0.000 | -0.000 | -0.000 | -0.000 | 0.000 | 137.111 |
| 246.561 | 169.281 | 170.889 | 0.000 | -0.000 | -0.000 |
| 169.281 | 246.561 | 170.889 | 0.000 | -0.000 | -0.000 |
| 170.889 | 170.889 | 244.294 | 0.000 | 0.000 | -0.000 |
| 0.000 | 0.000 | 0.000 | 136.493 | -0.000 | -0.000 |
| 0.000 | 0.000 | 0.000 | 0.000 | 136.493 | -0.000 |
| 0.000 | 0.000 | 0.000 | 0.000 | 0.000 | 137.111 |
| 321.882 | 168.504 | 98.994 | 0.000 | -0.000 | -0.000 |
| 168.504 | 321.882 | 98.994 | 0.000 | -0.000 | 0.000 |
| 99.187 | 99.187 | 341.461 | 0.000 | -0.000 | 0.000 |
| -0.000 | 0.000 | -0.000 | 44.753 | -0.000 | -0.000 |
| 0.116 | 0.116 | 0.073 | 0.000 | 44.517 | -0.000 |
| 0.207 | 0.207 | 0.130 | 0.000 | -0.000 | 75.839 |
| 345.649 | 145.592 | 99.263 | -0.000 | -0.000 | -0.000 |
| 165.721 | 324.041 | 98.797 | -0.000 | 0.000 | 0.000 |
| 99.229 | 99.229 | 341.487 | 0.000 | 0.000 | -0.000 |
| 0.000 | -0.000 | 0.000 | 44.753 | 0.000 | 0.000 |
| -0.116 | -0.116 | -0.073 | -0.000 | 44.517 | 0.000 |
| -0.207 | -0.207 | -0.130 | -0.000 | 0.000 | 75.839 |
| 345.649 | 145.592 | 99.263 | 0.000 | -0.000 | -0.000 |
| 145.592 | 345.649 | 99.263 | 0.000 | -0.000 | -0.000 |
| 99.229 | 99.229 | 341.487 | 0.000 | 0.000 | -0.000 |
| -0.000 | -0.000 | -0.000 | 44.753 | -0.000 | -0.000 |
| -0.000 | -0.000 | -0.000 | 0.000 | 44.753 | -0.000 |
| 0.002 | 0.002 | 0.002 | 0.000 | -0.000 | 74.292 |
| 345.649 | 145.592 | 99.263 | -0.000 | 0.000 | 0.000 |
| 171.218 | 319.781 | 99.187 | -0.000 | 0.000 | -0.000 |
| 99.139 | 99.139 | 341.431 | -0.000 | 0.000 | 0.000 |
| 0.000 | 0.000 | 0.000 | 44.753 | 0.000 | 0.000 |
| 0.000 | 0.000 | 0.000 | -0.000 | 44.753 | 0.000 |
| -0.002 | -0.002 | -0.002 | -0.000 | 0.000 | 74.292 |
| 345.649 | 145.592 | 99.263 | 0.000 | -0.000 | -0.000 |
| 145.592 | 345.649 | 99.263 | 0.000 | -0.000 | -0.000 |
| 99.229 | 99.229 | 341.486 | 0.000 | -0.000 | -0.000 |
| 0.002 | 0.001 | 0.001 | 44.433 | -0.000 | -0.000 |
| 0.001 | 0.002 | 0.001 | 0.000 | 44.433 | -0.000 |
| 0.001 | 0.002 | 0.001 | 0.000 | -0.000 | 75.587 |
| 319.784 | 171.222 | 99.189 | 0.000 | -0.000 | 0.000 |
| 171.221 | 319.785 | 99.189 | -0.000 | 0.000 | 0.000 |
| 99.143 | 99.143 | 341.435 | 0.000 | -0.000 | 0.000 |
| -0.002 | -0.001 | -0.001 | 44.433 | 0.000 | 0.000 |
| -0.001 | -0.002 | -0.001 | -0.000 | 44.433 | 0.000 |
| -0.001 | -0.002 | -0.001 | -0.000 | 0.000 | 75.587 |
| 222.578 | 69.882 | 149.548 | 0.000 | -0.000 | 0.000 |
| 69.882 | 222.578 | 149.548 | 0.000 | 0.000 | 0.000 |
| 149.572 | 149.572 | 255.474 | -0.000 | -0.000 | -0.000 |
| 0.078 | 0.078 | 0.107 | 93.198 | -0.000 | 0.000 |
| 0.078 | 0.078 | 0.107 | 0.000 | 93.198 | 0.000 |
| 0.126 | 0.126 | 0.172 | 0.000 | -0.000 | 10.294 |
| 222.480 | 69.783 | 149.411 | 0.000 | -0.000 | -0.000 |
| 69.783 | 222.480 | 149.411 | 0.000 | 0.000 | -0.000 |
| 149.920 | 149.920 | 255.927 | 0.000 | 0.000 | -0.000 |
| -0.078 | -0.078 | -0.107 | 93.198 | -0.000 | -0.000 |
| -0.078 | -0.078 | -0.107 | -0.000 | 93.198 | -0.000 |
| -0.126 | -0.126 | -0.172 | 0.000 | 0.000 | 10.294 |
| 222.886 | 70.173 | 149.909 | 0.000 | 0.000 | 0.000 |
| 70.173 | 222.886 | 149.909 | -0.000 | -0.000 | 0.000 |
| 149.920 | 149.920 | 255.927 | 0.000 | 0.000 | 0.000 |
| 0.000 | -0.000 | 0.000 | 93.295 | -0.000 | -0.000 |
| -0.000 | 0.000 | 0.000 | -0.000 | 93.295 | 0.000 |
| 0.017 | 0.017 | 0.023 | 0.000 | -0.000 | 10.250 |
| 222.525 | 69.829 | 149.474 | 0.000 | 0.000 | -0.000 |
| 69.829 | 222.525 | 149.474 | -0.000 | 0.000 | -0.000 |
| 149.513 | 149.513 | 255.393 | -0.000 | 0.000 | 0.000 |
| -0.000 | 0.000 | -0.000 | 93.295 | 0.000 | -0.000 |
| 0.000 | -0.000 | -0.000 | 0.000 | 93.295 | -0.000 |
| -0.017 | -0.017 | -0.023 | -0.000 | -0.000 | 10.250 |
| 222.532 | 69.835 | 149.481 | 0.000 | -0.000 | 0.000 |
| 69.835 | 222.532 | 149.481 | 0.000 | -0.000 | -0.000 |
| 149.520 | 149.520 | 255.407 | -0.000 | -0.000 | 0.000 |
| 0.001 | 0.001 | 0.001 | 93.188 | 0.000 | 0.000 |
| 0.001 | 0.001 | 0.001 | 0.000 | 93.188 | 0.000 |
| 0.000 | -0.000 | -0.000 | 0.000 | -0.000 | 10.222 |
| 222.884 | 70.173 | 149.909 | -0.000 | 0.000 | -0.000 |
| 70.173 | 222.884 | 149.909 | -0.000 | -0.000 | -0.000 |
| 149.919 | 149.919 | 255.922 | -0.000 | -0.000 | -0.000 |
| -0.001 | -0.001 | -0.001 | 93.188 | 0.000 | 0.000 |
| -0.001 | -0.001 | -0.001 | 0.000 | 93.188 | -0.000 |
| -0.000 | 0.000 | 0.000 | -0.000 | 0.000 | 10.222 |
| 168.313 | 195.363 | 195.975 | -0.000 | -0.000 | 0.000 |
| 195.363 | 168.313 | 195.975 | -0.000 | 0.000 | 0.000 |
| 196.014 | 196.014 | 168.688 | -0.000 | -0.000 | 0.000 |
| 0.000 | 0.000 | 0.000 | 143.912 | 0.000 | 0.000 |
| 0.000 | 0.000 | 0.000 | -0.000 | 143.912 | 0.000 |
| 0.000 | 0.000 | 0.000 | -0.000 | -0.000 | 148.343 |
| 168.620 | 195.369 | 196.027 | 0.000 | -0.000 | -0.000 |
| 195.369 | 168.620 | 196.027 | 0.000 | -0.000 | -0.000 |
| 196.014 | 196.014 | 168.688 | -0.000 | 0.000 | -0.000 |
| -0.000 | -0.000 | -0.000 | 143.912 | -0.000 | -0.000 |
| -0.000 | -0.000 | -0.000 | -0.000 | 143.912 | -0.000 |
| -0.000 | -0.000 | -0.000 | 0.000 | 0.000 | 148.343 |
| 168.318 | 195.368 | 195.972 | -0.000 | 0.000 | 0.000 |
| 195.368 | 168.318 | 195.972 | 0.000 | -0.000 | 0.000 |
| 195.958 | 195.958 | 168.186 | 0.000 | -0.000 | 0.000 |
| -0.000 | -0.000 | 0.000 | 143.552 | 0.000 | 0.000 |
| -0.000 | -0.000 | 0.000 | -0.000 | 143.552 | 0.000 |
| 0.000 | 0.000 | 0.000 | -0.000 | -0.000 | 148.343 |
| 168.319 | 195.368 | 195.971 | 0.000 | -0.000 | -0.000 |
| 195.368 | 168.319 | 195.971 | 0.000 | 0.000 | -0.000 |
| 195.959 | 195.959 | 168.185 | -0.000 | 0.000 | -0.000 |
| 0.000 | 0.000 | -0.000 | 143.552 | 0.000 | -0.000 |
| 0.000 | 0.000 | -0.000 | 0.000 | 143.552 | -0.000 |
| -0.000 | -0.000 | -0.000 | 0.000 | -0.000 | 148.343 |
| 168.621 | 195.370 | 196.028 | -0.000 | 0.000 | 0.000 |
| 195.370 | 168.621 | 196.028 | 0.000 | -0.000 | 0.000 |
| 195.959 | 195.959 | 168.186 | 0.000 | -0.000 | 0.000 |
| 0.001 | 0.001 | 0.001 | 143.912 | -0.000 | 0.000 |
| 0.001 | 0.001 | 0.001 | 0.000 | 143.912 | 0.000 |
| 0.001 | 0.001 | 0.001 | 0.000 | -0.000 | 148.343 |
| 168.620 | 195.368 | 196.026 | 0.000 | 0.000 | -0.000 |
| 195.368 | 168.620 | 196.026 | 0.000 | 0.000 | -0.000 |
| 196.013 | 196.013 | 168.688 | 0.000 | 0.000 | -0.000 |
| -0.001 | -0.001 | -0.001 | 143.912 | 0.000 | -0.000 |
| -0.001 | -0.001 | -0.001 | -0.000 | 143.912 | -0.000 |
| -0.001 | -0.001 | -0.001 | 0.000 | -0.000 | 148.343 |
| 640.640 | 440.080 | -39.362 | -0.119 | 0.200 | 0.000 |
| 440.080 | 640.640 | -39.362 | -0.119 | 0.200 | 0.000 |
| 93.633 | 93.633 | 501.530 | 0.000 | 0.000 | -0.000 |
| 650.448 | 650.448 | -440.039 | 39.345 | 0.057 | 0.000 |
| 650.448 | 650.448 | -440.039 | -0.034 | 39.436 | 0.000 |
| 0.000 | 0.000 | 0.000 | 0.000 | 0.000 | 100.533 |
| -343.039 | -467.756 | 548.926 | 0.032 | -0.053 | -0.000 |
| -645.791 | -584.487 | 1458.144 | 0.060 | -0.101 | -0.000 |
| 93.633 | 93.633 | 501.530 | 0.000 | -0.000 | -0.000 |
| -650.448 | -650.448 | 440.039 | 39.413 | -0.057 | -0.000 |
| -650.448 | -650.448 | 440.039 | 0.034 | 39.322 | -0.000 |
| -0.000 | -0.000 | -0.000 | -0.000 | -0.000 | 100.533 |
| 401.160 | 145.690 | 95.343 | -0.000 | 0.000 | 0.000 |
| 145.690 | 401.160 | 95.343 | -0.000 | 0.000 | -0.000 |
| 93.633 | 93.633 | 501.530 | 0.000 | 0.000 | -0.000 |
| 28.249 | 28.249 | -14.198 | 45.592 | 0.020 | -0.000 |
| 28.259 | 28.259 | -14.203 | -0.012 | 45.622 | 0.000 |
| 63.093 | 63.093 | -42.674 | -0.003 | 0.006 | 41.695 |
| 328.476 | 128.661 | 117.344 | 0.012 | -0.020 | -0.000 |
| 118.343 | 183.530 | 244.647 | 0.007 | -0.012 | -0.000 |
| 50.489 | 50.489 | 520.494 | 0.004 | -0.006 | -0.000 |
| -28.256 | -28.256 | 14.202 | 45.614 | -0.020 | -0.000 |
| -28.246 | -28.246 | 14.197 | 0.012 | 45.585 | 0.000 |
| -63.093 | -63.093 | 42.674 | 0.003 | -0.006 | 41.695 |
| 401.162 | 145.690 | 95.344 | -0.000 | 0.000 | -0.000 |
| 145.690 | 401.162 | 95.344 | -0.000 | 0.000 | -0.000 |
| 93.634 | 93.634 | 501.534 | -0.000 | 0.000 | -0.000 |
| 26.300 | 26.300 | -71.573 | 30.964 | 0.000 | 0.000 |
| 0.000 | 0.000 | 0.000 | -0.000 | 51.023 | -0.000 |
| 6.471 | 6.471 | -10.513 | -0.000 | 0.001 | 49.975 |
| 351.336 | 155.019 | 104.940 | 0.001 | -0.002 | -0.000 |
| 155.019 | 351.336 | 104.940 | 0.001 | -0.002 | -0.000 |
| 97.999 | 97.999 | 494.067 | 0.001 | -0.002 | -0.000 |
| -16.939 | -16.939 | 41.736 | 28.721 | -0.001 | 0.000 |
| -23.678 | -23.678 | 65.780 | 0.000 | 29.376 | -0.000 |
| -6.471 | -6.471 | 10.513 | 0.000 | -0.001 | 49.975 |
| 142.571 | 183.552 | 183.552 | -0.000 | -0.000 | 0.000 |
| 183.552 | 142.571 | 183.552 | 0.000 | -0.000 | 0.000 |
| 183.552 | 183.552 | 142.571 | 0.000 | 0.000 | 0.000 |
| 0.037 | 0.037 | 0.037 | 155.072 | -0.000 | 0.000 |
| 0.037 | 0.037 | 0.037 | 0.000 | 155.072 | 0.000 |
| 0.037 | 0.037 | 0.037 | 0.000 | -0.000 | 155.072 |
| 142.297 | 183.547 | 183.547 | 0.000 | 0.000 | -0.000 |
| 183.547 | 142.297 | 183.547 | -0.000 | 0.000 | -0.000 |
| 183.547 | 183.547 | 142.297 | -0.000 | -0.000 | -0.000 |
| -0.037 | -0.037 | -0.037 | 155.072 | 0.000 | -0.000 |
| -0.037 | -0.037 | -0.037 | -0.000 | 155.072 | -0.000 |
| -0.037 | -0.037 | -0.037 | 0.000 | 0.000 | 155.072 |
| 142.354 | 183.603 | 183.603 | 0.000 | -0.000 | 0.000 |
| 183.603 | 142.354 | 183.603 | -0.000 | -0.000 | 0.000 |
| 183.603 | 183.603 | 142.354 | -0.000 | -0.000 | 0.000 |
| 0.004 | 0.004 | 0.004 | 155.083 | -0.000 | 0.000 |
| 0.004 | 0.004 | 0.004 | 0.000 | 155.083 | 0.000 |
| 0.004 | 0.004 | 0.004 | 0.000 | -0.000 | 155.083 |
| 142.571 | 183.552 | 183.552 | 0.000 | 0.000 | -0.000 |
| 183.552 | 142.571 | 183.552 | -0.000 | 0.000 | -0.000 |
| 183.552 | 183.552 | 142.571 | 0.000 | 0.000 | -0.000 |
| -0.004 | -0.004 | -0.004 | 155.083 | 0.000 | -0.000 |
| -0.004 | -0.004 | -0.004 | 0.000 | 155.083 | -0.000 |
| -0.004 | -0.004 | -0.004 | -0.000 | 0.000 | 155.083 |
| 142.349 | 183.599 | 183.599 | -0.000 | -0.000 | 0.000 |
| 183.599 | 142.349 | 183.599 | 0.000 | -0.000 | 0.000 |
| 183.599 | 183.599 | 142.349 | -0.000 | -0.000 | 0.000 |
| 0.001 | 0.001 | 0.001 | 155.083 | -0.000 | 0.000 |
| 0.001 | 0.001 | 0.001 | -0.000 | 155.083 | 0.000 |
| 0.001 | 0.001 | 0.001 | 0.000 | -0.000 | 155.083 |
| 142.349 | 183.596 | 183.596 | 0.000 | -0.000 | -0.000 |
| 183.596 | 142.349 | 183.596 | 0.000 | 0.000 | -0.000 |
| 183.596 | 183.596 | 142.349 | -0.000 | 0.000 | -0.000 |
| -0.001 | -0.001 | -0.001 | 155.083 | 0.000 | -0.000 |
| -0.001 | -0.001 | -0.001 | 0.000 | 155.083 | -0.000 |
| -0.001 | -0.001 | -0.001 | -0.000 | 0.000 | 155.083 |
| 123.543 | 332.707 | 68.486 | -0.000 | -0.000 | -0.000 |
| 332.707 | 123.543 | 68.486 | 0.000 | -0.000 | -0.000 |
| 62.495 | 62.495 | 468.272 | 0.000 | -0.000 | -0.000 |
| -0.025 | -0.025 | 0.080 | -177.204 | 0.000 | -0.000 |
| -0.025 | -0.025 | 0.080 | 0.000 | -177.204 | -0.000 |
| 0.000 | -0.000 | 0.000 | -0.000 | -0.000 | 103.945 |
| 345.995 | 114.322 | 59.858 | -0.000 | 0.000 | 0.000 |
| 114.322 | 345.995 | 59.858 | 0.000 | -0.000 | 0.000 |
| 62.500 | 62.500 | 468.256 | -0.000 | 0.000 | 0.000 |
| 0.025 | 0.025 | -0.080 | -177.204 | 0.000 | 0.000 |
| 0.025 | 0.025 | -0.080 | -0.000 | -177.204 | 0.000 |
| -0.000 | 0.000 | -0.000 | 0.000 | -0.000 | 103.945 |
| 125.682 | 326.488 | 77.170 | 0.000 | 0.000 | 0.000 |
| 326.488 | 125.682 | 77.170 | 0.000 | 0.000 | -0.000 |
| 62.505 | 62.505 | 468.258 | 0.000 | 0.000 | -0.000 |
| 0.000 | 0.000 | -0.000 | 41.131 | -0.000 | -0.000 |
| 0.000 | 0.000 | -0.000 | 0.000 | 41.131 | -0.000 |
| 0.000 | 0.000 | 0.000 | 0.000 | -0.000 | 103.945 |
| 123.546 | 332.708 | 68.479 | -0.000 | -0.000 | 0.000 |
| 332.708 | 123.546 | 68.479 | 0.000 | 0.000 | 0.000 |
| 62.505 | 62.505 | 468.256 | -0.000 | -0.000 | 0.000 |
| -0.000 | -0.000 | 0.000 | 41.131 | 0.000 | 0.000 |
| -0.000 | -0.000 | 0.000 | 0.000 | 41.131 | 0.000 |
| -0.000 | -0.000 | -0.000 | -0.000 | -0.000 | 103.945 |
| 123.540 | 332.719 | 68.481 | 0.000 | -0.000 | -0.000 |
| 332.719 | 123.540 | 68.481 | 0.000 | -0.000 | -0.000 |
| 62.505 | 62.505 | 468.259 | 0.000 | -0.000 | -0.000 |
| -0.006 | 0.008 | -0.004 | -205.083 | 0.000 | -0.000 |
| 0.008 | -0.006 | -0.004 | 0.000 | -205.083 | -0.000 |
| 0.000 | 0.000 | 0.000 | 0.000 | 0.000 | 103.945 |
| 123.545 | 332.707 | 68.480 | -0.000 | 0.000 | 0.000 |
| 332.707 | 123.545 | 68.480 | -0.000 | 0.000 | 0.000 |
| 62.497 | 62.497 | 468.264 | -0.000 | -0.000 | 0.000 |
| 0.006 | -0.008 | 0.004 | -205.083 | -0.000 | 0.000 |
| -0.008 | 0.006 | 0.004 | -0.000 | -205.083 | 0.000 |
| -0.000 | -0.000 | -0.000 | -0.000 | -0.000 | 103.945 |
| 754.860 | 10.797 | 10.797 | 0.000 | 0.000 | -0.000 |
| 10.797 | 754.860 | 10.797 | 0.000 | 0.000 | -0.000 |
| 10.797 | 10.797 | 754.860 | -0.000 | 0.000 | -0.000 |
| -0.000 | 0.000 | -0.000 | -13.763 | 0.000 | 0.000 |
| -0.000 | -0.000 | 0.000 | 0.000 | -13.763 | -0.000 |
| -0.000 | -0.000 | -0.000 | 0.000 | 0.000 | -13.763 |
| 754.859 | 10.797 | 10.797 | -0.000 | -0.000 | 0.000 |
| 10.797 | 754.859 | 10.797 | 0.000 | -0.000 | -0.000 |
| 10.797 | 10.797 | 754.859 | 0.000 | -0.000 | -0.000 |
| 0.000 | -0.000 | 0.000 | -13.763 | -0.000 | 0.000 |
| -0.000 | -0.000 | 0.000 | -0.000 | -13.763 | 0.000 |
| 0.000 | 0.000 | 0.000 | -0.000 | -0.000 | -13.763 |
| 754.860 | 10.797 | 10.797 | -0.000 | 0.000 | 0.000 |
| 10.797 | 754.860 | 10.797 | -0.000 | 0.000 | -0.000 |
| 10.797 | 10.797 | 754.860 | 0.000 | 0.000 | -0.000 |
| -0.000 | 0.000 | -0.000 | -13.763 | 0.000 | -0.000 |
| 0.000 | -0.000 | -0.000 | 0.000 | -13.763 | -0.000 |
| 0.000 | -0.000 | -0.000 | 0.000 | 0.000 | -13.763 |
| 754.859 | 10.797 | 10.797 | -0.000 | -0.000 | 0.000 |
| 10.797 | 754.859 | 10.797 | -0.000 | -0.000 | 0.000 |
| 10.797 | 10.797 | 754.859 | -0.000 | 0.000 | 0.000 |
| 0.000 | -0.000 | 0.000 | -13.763 | -0.000 | 0.000 |
| -0.000 | 0.000 | 0.000 | -0.000 | -13.763 | 0.000 |
| -0.000 | 0.000 | 0.000 | -0.000 | -0.000 | -13.763 |
| 754.865 | 10.797 | 10.797 | -0.000 | 0.000 | -0.000 |
| 10.797 | 754.865 | 10.797 | -0.000 | -0.000 | -0.000 |
| 10.797 | 10.797 | 754.865 | -0.000 | -0.000 | 0.000 |
| -0.000 | 0.000 | -0.000 | -13.763 | 0.000 | 0.000 |
| 0.000 | -0.000 | -0.000 | 0.000 | -13.763 | -0.000 |
| 0.000 | -0.000 | -0.000 | -0.000 | 0.000 | -13.763 |
| 754.854 | 10.796 | 10.796 | 0.000 | -0.000 | -0.000 |
| 10.796 | 754.854 | 10.796 | 0.000 | -0.000 | -0.000 |
| 10.796 | 10.796 | 754.854 | 0.000 | -0.000 | 0.000 |
| 0.000 | -0.000 | 0.000 | -13.763 | -0.000 | -0.000 |
| -0.000 | 0.000 | 0.000 | -0.000 | -13.763 | 0.000 |
| -0.000 | 0.000 | 0.000 | 0.000 | -0.000 | -13.763 |
| 61.494 | 148.541 | 148.541 | -0.000 | 0.000 | -0.000 |
| 148.541 | 61.494 | 148.541 | -0.000 | -0.000 | -0.000 |
| 148.541 | 148.541 | 61.494 | -0.000 | 0.000 | -0.000 |
| 0.000 | -0.000 | 0.000 | 69.915 | 0.000 | -0.000 |
| -0.000 | 0.000 | 0.000 | -0.000 | 69.915 | -0.000 |
| -0.000 | -0.000 | 0.000 | -0.000 | 0.000 | 69.915 |
| 61.494 | 148.541 | 148.541 | 0.000 | -0.000 | -0.000 |
| 148.541 | 61.494 | 148.541 | 0.000 | 0.000 | -0.000 |
| 148.541 | 148.541 | 61.494 | 0.000 | -0.000 | -0.000 |
| -0.000 | 0.000 | 0.000 | 69.915 | -0.000 | -0.000 |
| 0.000 | -0.000 | -0.000 | -0.000 | 69.915 | -0.000 |
| 0.000 | -0.000 | -0.000 | 0.000 | -0.000 | 69.915 |
| 61.494 | 148.541 | 148.541 | -0.000 | 0.000 | -0.000 |
| 148.541 | 61.494 | 148.541 | -0.000 | 0.000 | -0.000 |
| 148.541 | 148.541 | 61.494 | -0.000 | 0.000 | 0.000 |
| 0.000 | -0.000 | -0.000 | 69.915 | 0.000 | 0.000 |
| -0.000 | 0.000 | -0.000 | -0.000 | 69.915 | 0.000 |
| -0.000 | -0.000 | 0.000 | -0.000 | 0.000 | 69.915 |
| 61.494 | 148.541 | 148.541 | 0.000 | -0.000 | -0.000 |
| 148.541 | 61.494 | 148.541 | 0.000 | 0.000 | -0.000 |
| 148.541 | 148.541 | 61.494 | 0.000 | -0.000 | 0.000 |
| -0.000 | 0.000 | 0.000 | 69.915 | -0.000 | 0.000 |
| 0.000 | -0.000 | 0.000 | 0.000 | 69.915 | -0.000 |
| 0.000 | 0.000 | -0.000 | 0.000 | -0.000 | 69.915 |
| 61.493 | 148.541 | 148.541 | -0.000 | 0.000 | 0.000 |
| 148.541 | 61.493 | 148.541 | -0.000 | 0.000 | -0.000 |
| 148.541 | 148.541 | 61.493 | 0.000 | 0.000 | -0.000 |
| 0.000 | -0.000 | -0.000 | 69.915 | 0.000 | -0.000 |
| -0.000 | 0.000 | -0.000 | -0.000 | 69.915 | 0.000 |
| -0.000 | -0.000 | 0.000 | -0.000 | 0.000 | 69.915 |
| 61.494 | 148.541 | 148.541 | 0.000 | -0.000 | 0.000 |
| 148.541 | 61.494 | 148.541 | 0.000 | -0.000 | -0.000 |
| 148.541 | 148.541 | 61.494 | -0.000 | -0.000 | -0.000 |
| -0.000 | 0.000 | 0.000 | 69.915 | -0.000 | -0.000 |
| 0.000 | -0.000 | 0.000 | 0.000 | 69.915 | -0.000 |
| 0.000 | 0.000 | -0.000 | 0.000 | -0.000 | 69.915 |
| 126.609 | 24.631 | 24.631 | -0.000 | -0.000 | -0.000 |
| 24.631 | 126.609 | 24.631 | 0.000 | -0.000 | -0.000 |
| 24.631 | 24.631 | 126.609 | -0.000 | -0.000 | -0.000 |
| 0.000 | 0.000 | 0.000 | 25.536 | -0.000 | -0.000 |
| 0.000 | 0.000 | 0.000 | -0.000 | 25.536 | -0.000 |
| 0.000 | 0.000 | 0.000 | -0.000 | -0.000 | 25.536 |
| 126.609 | 24.631 | 24.631 | 0.000 | 0.000 | 0.000 |
| 24.631 | 126.609 | 24.631 | 0.000 | 0.000 | 0.000 |
| 24.631 | 24.631 | 126.609 | 0.000 | 0.000 | 0.000 |
| -0.000 | -0.000 | -0.000 | 25.536 | 0.000 | 0.000 |
| -0.000 | -0.000 | -0.000 | 0.000 | 25.536 | 0.000 |
| -0.000 | -0.000 | -0.000 | 0.000 | 0.000 | 25.536 |
| 126.609 | 24.631 | 24.631 | -0.000 | -0.000 | -0.000 |
| 24.631 | 126.609 | 24.631 | -0.000 | -0.000 | 0.000 |
| 24.631 | 24.631 | 126.609 | 0.000 | -0.000 | -0.000 |
| 0.000 | 0.000 | 0.000 | 25.536 | -0.000 | -0.000 |
| 0.000 | 0.000 | 0.000 | -0.000 | 25.536 | -0.000 |
| 0.000 | 0.000 | 0.000 | -0.000 | -0.000 | 25.536 |
| 126.609 | 24.631 | 24.631 | 0.000 | 0.000 | 0.000 |
| 24.631 | 126.609 | 24.631 | 0.000 | 0.000 | 0.000 |
| 24.631 | 24.631 | 126.609 | 0.000 | 0.000 | 0.000 |
| -0.000 | -0.000 | -0.000 | 25.536 | 0.000 | 0.000 |
| -0.000 | -0.000 | -0.000 | 0.000 | 25.536 | 0.000 |
| -0.000 | -0.000 | -0.000 | 0.000 | 0.000 | 25.536 |
| 126.608 | 24.631 | 24.631 | -0.000 | -0.000 | -0.000 |
| 24.631 | 126.608 | 24.631 | -0.000 | -0.000 | -0.000 |
| 24.631 | 24.631 | 126.608 | -0.000 | 0.000 | -0.000 |
| 0.000 | 0.000 | 0.000 | 25.536 | -0.000 | -0.000 |
| 0.000 | 0.000 | 0.000 | -0.000 | 25.536 | -0.000 |
| 0.000 | 0.000 | 0.000 | -0.000 | -0.000 | 25.536 |
| 126.610 | 24.631 | 24.631 | 0.000 | 0.000 | 0.000 |
| 24.631 | 126.610 | 24.631 | 0.000 | 0.000 | 0.000 |
| 24.631 | 24.631 | 126.610 | -0.000 | 0.000 | 0.000 |
| -0.000 | -0.000 | -0.000 | 25.536 | 0.000 | -0.000 |
| -0.000 | -0.000 | -0.000 | 0.000 | 25.536 | 0.000 |
| -0.000 | -0.000 | -0.000 | 0.000 | 0.000 | 25.536 |
| 0.045 | 0.045 | 0.045 | -0.000 | 0.000 | 0.000 |
| 0.045 | 0.045 | 0.045 | 0.000 | -0.000 | 0.000 |
| 0.045 | 0.045 | 0.045 | 0.000 | 0.000 | 0.000 |
| 0.000 | 0.000 | 0.000 | 0.045 | -0.000 | 0.000 |
| 0.000 | 0.000 | 0.000 | -0.000 | 0.045 | 0.000 |
| 0.000 | 0.000 | 0.000 | 0.000 | 0.000 | 0.045 |
| 0.045 | 0.045 | 0.045 | -0.000 | -0.000 | -0.000 |
| 0.045 | 0.045 | 0.045 | -0.000 | -0.000 | -0.000 |
| 0.045 | 0.045 | 0.045 | -0.000 | -0.000 | -0.000 |
| -0.000 | -0.000 | -0.000 | 0.045 | -0.000 | -0.000 |
| -0.000 | -0.000 | -0.000 | -0.000 | 0.045 | -0.000 |
| -0.000 | -0.000 | -0.000 | -0.000 | -0.000 | 0.045 |
| 0.045 | 0.045 | 0.045 | 0.000 | -0.000 | 0.000 |
| 0.045 | 0.045 | 0.045 | -0.000 | 0.000 | 0.000 |
| 0.045 | 0.045 | 0.045 | -0.000 | -0.000 | 0.000 |
| 0.000 | 0.000 | 0.000 | 0.045 | 0.000 | 0.000 |
| 0.000 | 0.000 | 0.000 | 0.000 | 0.045 | 0.000 |
| 0.000 | 0.000 | 0.000 | 0.000 | 0.000 | 0.045 |
| 0.045 | 0.045 | 0.045 | -0.000 | -0.000 | -0.000 |
| 0.045 | 0.045 | 0.045 | -0.000 | -0.000 | -0.000 |
| 0.045 | 0.045 | 0.045 | -0.000 | -0.000 | 0.000 |
| -0.000 | -0.000 | -0.000 | 0.045 | -0.000 | -0.000 |
| -0.000 | -0.000 | -0.000 | -0.000 | 0.045 | -0.000 |
| -0.000 | -0.000 | -0.000 | -0.000 | 0.000 | 0.045 |
| 0.045 | 0.045 | 0.045 | 0.000 | -0.000 | -0.000 |
| 0.045 | 0.045 | 0.045 | -0.000 | 0.000 | -0.000 |
| 0.045 | 0.045 | 0.045 | -0.000 | -0.000 | 0.000 |
| 0.000 | 0.000 | 0.000 | 0.045 | -0.000 | 0.000 |
| 0.000 | 0.000 | 0.000 | -0.000 | 0.045 | 0.000 |
| 0.000 | 0.000 | 0.000 | 0.000 | 0.000 | 0.045 |
| 0.045 | 0.045 | 0.045 | -0.000 | -0.000 | -0.000 |
| 0.045 | 0.045 | 0.045 | -0.000 | -0.000 | -0.000 |
| 0.045 | 0.045 | 0.045 | -0.000 | -0.000 | -0.000 |
| -0.000 | -0.000 | -0.000 | 0.045 | -0.000 | -0.000 |
| -0.000 | -0.000 | -0.000 | -0.000 | 0.045 | -0.000 |
| -0.000 | -0.000 | -0.000 | -0.000 | -0.000 | 0.045 |
| 36.456 | 67.043 | 67.043 | -0.000 | -0.000 | 0.000 |
| 67.043 | 36.456 | 67.043 | -0.000 | -0.000 | -0.000 |
| 67.043 | 67.043 | 36.456 | 0.000 | -0.000 | -0.000 |
| 0.000 | 0.000 | -0.000 | 56.355 | -0.000 | 0.000 |
| 0.000 | 0.000 | 0.000 | -0.000 | 56.355 | 0.000 |
| 0.000 | 0.000 | -0.000 | -0.000 | 0.000 | 56.355 |
| 36.455 | 67.043 | 67.043 | 0.000 | 0.000 | 0.000 |
| 67.043 | 36.456 | 67.043 | -0.000 | 0.000 | 0.000 |
| 67.043 | 67.043 | 36.456 | -0.000 | 0.000 | 0.000 |
| -0.000 | -0.000 | 0.000 | 56.355 | 0.000 | -0.000 |
| -0.000 | -0.000 | -0.000 | 0.000 | 56.355 | -0.000 |
| -0.000 | -0.000 | 0.000 | 0.000 | -0.000 | 56.355 |
| 36.456 | 67.044 | 67.044 | 0.000 | -0.000 | -0.000 |
| 67.044 | 36.456 | 67.044 | 0.000 | -0.000 | 0.000 |
| 67.044 | 67.044 | 36.456 | 0.000 | -0.000 | -0.000 |
| 0.000 | 0.000 | 0.000 | 56.355 | -0.000 | 0.000 |
| 0.000 | 0.000 | 0.000 | -0.000 | 56.355 | 0.000 |
| 0.000 | 0.000 | 0.000 | -0.000 | 0.000 | 56.355 |
| 36.455 | 67.043 | 67.043 | 0.000 | 0.000 | -0.000 |
| 67.043 | 36.455 | 67.043 | 0.000 | 0.000 | -0.000 |
| 67.043 | 67.043 | 36.455 | -0.000 | 0.000 | 0.000 |
| -0.000 | -0.000 | -0.000 | 56.355 | -0.000 | -0.000 |
| -0.000 | -0.000 | -0.000 | -0.000 | 56.355 | -0.000 |
| -0.000 | -0.000 | -0.000 | -0.000 | -0.000 | 56.355 |
| 36.457 | 67.044 | 67.044 | 0.000 | -0.000 | -0.000 |
| 67.044 | 36.457 | 67.044 | -0.000 | -0.000 | 0.000 |
| 67.044 | 67.044 | 36.457 | -0.000 | -0.000 | -0.000 |
| 0.000 | 0.001 | 0.001 | -37.273 | -0.000 | 0.000 |
| 0.001 | 0.000 | 0.001 | 0.000 | -37.273 | 0.000 |
| 0.001 | 0.001 | 0.000 | 0.000 | 0.000 | -37.273 |
| 36.454 | 67.043 | 67.043 | 0.000 | 0.000 | 0.000 |
| 67.043 | 36.454 | 67.043 | -0.000 | 0.000 | -0.000 |
| 67.043 | 67.043 | 36.454 | -0.000 | 0.000 | 0.000 |
| -0.000 | -0.001 | -0.001 | -37.273 | -0.000 | -0.000 |
| -0.001 | -0.000 | -0.001 | -0.000 | -37.273 | -0.000 |
| -0.001 | -0.001 | -0.000 | -0.000 | -0.000 | -37.273 |
| 0.011 | 0.011 | 0.011 | -0.000 | -0.000 | -0.000 |
| 0.011 | 0.011 | 0.011 | -0.000 | -0.000 | -0.000 |
| 0.011 | 0.011 | 0.011 | -0.000 | -0.000 | -0.000 |
| 0.000 | 0.000 | 0.000 | 0.011 | -0.000 | -0.000 |
| 0.000 | 0.000 | 0.000 | -0.000 | 0.011 | -0.000 |
| 0.000 | 0.000 | 0.000 | -0.000 | -0.000 | 0.011 |
| 0.011 | 0.011 | 0.011 | 0.000 | 0.000 | 0.000 |
| 0.011 | 0.011 | 0.011 | 0.000 | 0.000 | 0.000 |
| 0.011 | 0.011 | 0.011 | 0.000 | 0.000 | 0.000 |
| -0.000 | -0.000 | -0.000 | 0.011 | -0.000 | 0.000 |
| -0.000 | -0.000 | -0.000 | -0.000 | 0.011 | 0.000 |
| -0.000 | -0.000 | -0.000 | -0.000 | 0.000 | 0.011 |
| 0.011 | 0.011 | 0.011 | -0.000 | -0.000 | -0.000 |
| 0.011 | 0.011 | 0.011 | -0.000 | -0.000 | -0.000 |
| 0.011 | 0.011 | 0.011 | -0.000 | -0.000 | -0.000 |
| 0.000 | 0.000 | 0.000 | 0.011 | -0.000 | -0.000 |
| 0.000 | 0.000 | 0.000 | -0.000 | 0.011 | -0.000 |
| 0.000 | 0.000 | 0.000 | -0.000 | -0.000 | 0.011 |
| 0.011 | 0.011 | 0.011 | 0.000 | 0.000 | 0.000 |
| 0.011 | 0.011 | 0.011 | 0.000 | 0.000 | 0.000 |
| 0.011 | 0.011 | 0.011 | 0.000 | 0.000 | 0.000 |
| -0.000 | -0.000 | -0.000 | 0.011 | 0.000 | 0.000 |
| -0.000 | -0.000 | -0.000 | 0.000 | 0.011 | 0.000 |
| -0.000 | -0.000 | -0.000 | 0.000 | 0.000 | 0.011 |
| 0.011 | 0.011 | 0.011 | -0.000 | -0.000 | -0.000 |
| 0.011 | 0.011 | 0.011 | -0.000 | -0.000 | -0.000 |
| 0.011 | 0.011 | 0.011 | -0.000 | -0.000 | -0.000 |
| 0.000 | 0.000 | 0.000 | 0.010 | -0.000 | -0.000 |
| 0.000 | 0.000 | 0.000 | -0.000 | 0.010 | -0.000 |
| 0.000 | 0.000 | 0.000 | -0.000 | -0.000 | 0.010 |
| 0.011 | 0.011 | 0.011 | 0.000 | 0.000 | 0.000 |
| 0.011 | 0.011 | 0.011 | 0.000 | 0.000 | 0.000 |
| 0.011 | 0.011 | 0.011 | 0.000 | 0.000 | 0.000 |
| -0.000 | -0.000 | -0.000 | 0.010 | 0.000 | 0.000 |
| -0.000 | -0.000 | -0.000 | 0.000 | 0.010 | 0.000 |
| -0.000 | -0.000 | -0.000 | 0.000 | 0.000 | 0.010 |
| 373.356 | 111.258 | 193.242 | 0.000 | 0.000 | -0.000 |
| 111.258 | 373.356 | 193.242 | 0.000 | 0.000 | -0.000 |
| 193.242 | 193.242 | 219.940 | 0.000 | 0.000 | -0.000 |
| 0.000 | 0.000 | 0.000 | 166.765 | 0.000 | -0.000 |
| 0.000 | 0.000 | 0.000 | -0.000 | 166.765 | -0.000 |
| 0.000 | 0.000 | 0.000 | -0.000 | -0.000 | 82.091 |
| 373.356 | 111.258 | 193.242 | 0.000 | 0.000 | 0.000 |
| 111.258 | 373.356 | 193.242 | -0.000 | -0.000 | 0.000 |
| 193.242 | 193.242 | 219.940 | 0.000 | 0.000 | 0.000 |
| -0.000 | -0.000 | -0.000 | 166.765 | 0.000 | -0.000 |
| -0.000 | -0.000 | -0.000 | -0.000 | 166.765 | 0.000 |
| -0.000 | -0.000 | -0.000 | 0.000 | 0.000 | 82.091 |
| 373.356 | 111.258 | 193.242 | -0.000 | -0.000 | 0.000 |
| 111.258 | 373.356 | 193.242 | 0.000 | -0.000 | -0.000 |
| 193.242 | 193.242 | 219.941 | -0.000 | 0.000 | -0.000 |
| 0.000 | 0.000 | 0.000 | 166.765 | -0.000 | -0.000 |
| 0.000 | 0.000 | 0.000 | -0.000 | 166.765 | -0.000 |
| 0.000 | 0.000 | 0.000 | -0.000 | -0.000 | 82.091 |
| 373.356 | 111.258 | 193.242 | -0.000 | -0.000 | -0.000 |
| 111.258 | 373.356 | 193.242 | 0.000 | 0.000 | 0.000 |
| 193.242 | 193.242 | 219.940 | 0.000 | 0.000 | 0.000 |
| -0.000 | -0.000 | -0.000 | 166.765 | 0.000 | 0.000 |
| -0.000 | -0.000 | -0.000 | 0.000 | 166.765 | 0.000 |
| -0.000 | -0.000 | -0.000 | -0.000 | 0.000 | 82.091 |
| 373.357 | 111.258 | 193.243 | 0.000 | -0.000 | -0.000 |
| 111.258 | 373.357 | 193.243 | -0.000 | -0.000 | -0.000 |
| 193.243 | 193.243 | 219.948 | -0.000 | -0.000 | -0.000 |
| 0.001 | 0.000 | 0.002 | 166.765 | -0.000 | -0.000 |
| 0.000 | 0.001 | 0.002 | -0.000 | 166.765 | -0.000 |
| 0.000 | 0.000 | 0.001 | -0.000 | -0.000 | 82.091 |
| 373.355 | 111.258 | 193.241 | 0.000 | -0.000 | 0.000 |
| 111.258 | 373.355 | 193.241 | -0.000 | 0.000 | 0.000 |
| 193.240 | 193.240 | 219.933 | 0.000 | 0.000 | 0.000 |
| -0.001 | -0.000 | -0.002 | 166.765 | 0.000 | 0.000 |
| -0.000 | -0.001 | -0.002 | 0.000 | 166.765 | 0.000 |
| -0.000 | -0.000 | -0.001 | 0.000 | 0.000 | 82.091 |
| 0.031 | 0.031 | 0.053 | 0.000 | 0.000 | 0.000 |
| 0.031 | 0.031 | 0.053 | 0.000 | 0.000 | 0.000 |
| 0.053 | 0.053 | 0.091 | 0.000 | 0.000 | -0.000 |
| 0.000 | 0.000 | 0.000 | 0.053 | -0.000 | -0.000 |
| 0.000 | 0.000 | 0.000 | -0.000 | 0.053 | -0.000 |
| 0.000 | 0.000 | 0.000 | -0.000 | 0.000 | 0.031 |
| 0.031 | 0.031 | 0.053 | 0.000 | 0.000 | 0.000 |
| 0.031 | 0.031 | 0.053 | 0.000 | 0.000 | 0.000 |
| 0.053 | 0.053 | 0.091 | 0.000 | 0.000 | 0.000 |
| -0.000 | -0.000 | -0.000 | 0.053 | -0.000 | 0.000 |
| -0.000 | -0.000 | -0.000 | -0.000 | 0.053 | 0.000 |
| -0.000 | -0.000 | -0.000 | -0.000 | 0.000 | 0.031 |
| 0.031 | 0.031 | 0.053 | -0.000 | -0.000 | -0.000 |
| 0.031 | 0.031 | 0.053 | -0.000 | -0.000 | -0.000 |
| 0.053 | 0.053 | 0.091 | 0.000 | 0.000 | 0.000 |
| 0.000 | 0.000 | 0.000 | 0.053 | 0.000 | 0.000 |
| 0.000 | 0.000 | 0.000 | 0.000 | 0.053 | 0.000 |
| 0.000 | 0.000 | 0.000 | 0.000 | -0.000 | 0.031 |
| 0.031 | 0.031 | 0.053 | 0.000 | 0.000 | -0.000 |
| 0.031 | 0.031 | 0.053 | 0.000 | 0.000 | -0.000 |
| 0.053 | 0.053 | 0.091 | 0.000 | 0.000 | 0.000 |
| -0.000 | -0.000 | -0.000 | 0.053 | -0.000 | -0.000 |
| -0.000 | -0.000 | -0.000 | -0.000 | 0.053 | -0.000 |
| -0.000 | -0.000 | -0.000 | 0.000 | -0.000 | 0.031 |
| 0.031 | 0.031 | 0.053 | 0.000 | -0.000 | 0.000 |
| 0.031 | 0.031 | 0.053 | -0.000 | 0.000 | 0.000 |
| 0.053 | 0.053 | 0.092 | -0.000 | -0.000 | -0.000 |
| 0.000 | 0.000 | 0.000 | 0.053 | 0.000 | -0.000 |
| 0.000 | 0.000 | 0.000 | 0.000 | 0.053 | -0.000 |
| 0.000 | 0.000 | 0.000 | -0.000 | -0.000 | 0.031 |
| 0.031 | 0.031 | 0.053 | 0.000 | 0.000 | 0.000 |
| 0.031 | 0.031 | 0.053 | 0.000 | 0.000 | 0.000 |
| 0.053 | 0.053 | 0.091 | -0.000 | -0.000 | -0.000 |
| -0.000 | -0.000 | -0.000 | 0.053 | 0.000 | 0.000 |
| -0.000 | -0.000 | -0.000 | 0.000 | 0.053 | 0.000 |
| -0.000 | -0.000 | -0.000 | -0.000 | -0.000 | 0.031 |
| 102.722 | 127.153 | 127.153 | 0.000 | 0.000 | 0.000 |
| 127.153 | 102.722 | 127.153 | 0.000 | -0.000 | -0.000 |
| 127.153 | 127.153 | 102.722 | 0.000 | -0.000 | -0.000 |
| 0.000 | -0.000 | -0.000 | 103.178 | -0.000 | -0.000 |
| 0.000 | 0.000 | -0.000 | -0.000 | 103.178 | -0.000 |
| 0.000 | 0.000 | -0.000 | -0.000 | -0.000 | 103.178 |
| 102.722 | 127.153 | 127.153 | -0.000 | -0.000 | 0.000 |
| 127.153 | 102.722 | 127.153 | -0.000 | -0.000 | -0.000 |
| 127.153 | 127.153 | 102.722 | -0.000 | 0.000 | 0.000 |
| -0.000 | 0.000 | 0.000 | 103.178 | 0.000 | 0.000 |
| -0.000 | -0.000 | 0.000 | -0.000 | 103.178 | 0.000 |
| -0.000 | 0.000 | 0.000 | 0.000 | 0.000 | 103.178 |
| 102.721 | 127.153 | 127.153 | 0.000 | 0.000 | -0.000 |
| 127.153 | 102.721 | 127.153 | 0.000 | 0.000 | -0.000 |
| 127.153 | 127.153 | 102.721 | 0.000 | 0.000 | -0.000 |
| -0.000 | -0.000 | -0.000 | -25.779 | 0.000 | -0.000 |
| -0.000 | -0.000 | -0.000 | 0.000 | -25.779 | -0.000 |
| -0.000 | -0.000 | -0.000 | 0.000 | -0.000 | -25.779 |
| 102.722 | 127.153 | 127.153 | -0.000 | 0.000 | 0.000 |
| 127.153 | 102.722 | 127.153 | -0.000 | 0.000 | 0.000 |
| 127.153 | 127.153 | 102.722 | 0.000 | -0.000 | 0.000 |
| 0.000 | 0.000 | 0.000 | -25.779 | 0.000 | 0.000 |
| 0.000 | 0.000 | 0.000 | 0.000 | -25.779 | 0.000 |
| 0.000 | 0.000 | 0.000 | -0.000 | 0.000 | -25.779 |
| 102.719 | 127.153 | 127.153 | 0.000 | 0.000 | -0.000 |
| 127.153 | 102.719 | 127.153 | 0.000 | -0.000 | -0.000 |
| 127.153 | 127.153 | 102.719 | 0.000 | -0.000 | -0.000 |
| -0.000 | -0.001 | -0.001 | -25.779 | -0.000 | -0.000 |
| -0.001 | -0.000 | -0.001 | 0.000 | -25.779 | -0.000 |
| -0.001 | -0.001 | -0.000 | 0.000 | -0.000 | -25.779 |
| 102.724 | 127.153 | 127.153 | -0.000 | 0.000 | 0.000 |
| 127.153 | 102.724 | 127.153 | -0.000 | 0.000 | 0.000 |
| 127.153 | 127.153 | 102.724 | -0.000 | 0.000 | 0.000 |
| 0.000 | 0.001 | 0.001 | -25.779 | 0.000 | 0.000 |
| 0.001 | 0.000 | 0.001 | -0.000 | -25.779 | 0.000 |
| 0.001 | 0.001 | 0.000 | -0.000 | 0.000 | -25.779 |
| 8.281 | 5.941 | 5.941 | 0.000 | 0.000 | 0.000 |
| 5.941 | 8.281 | 5.941 | 0.000 | 0.000 | 0.000 |
| 5.941 | 5.941 | 8.281 | 0.000 | 0.000 | 0.000 |
| 0.000 | -0.000 | 0.000 | 1.488 | 0.000 | 0.000 |
| -0.000 | 0.000 | -0.000 | 0.000 | 1.488 | 0.000 |
| -0.000 | -0.000 | 0.000 | -0.000 | 0.000 | 1.488 |
| 8.281 | 5.941 | 5.941 | -0.000 | -0.000 | -0.000 |
| 5.941 | 8.281 | 5.941 | -0.000 | -0.000 | -0.000 |
| 5.941 | 5.941 | 8.281 | -0.000 | -0.000 | -0.000 |
| -0.000 | 0.000 | 0.000 | 1.488 | -0.000 | -0.000 |
| 0.000 | -0.000 | 0.000 | -0.000 | 1.488 | -0.000 |
| 0.000 | 0.000 | -0.000 | -0.000 | -0.000 | 1.488 |
| 8.281 | 5.941 | 5.941 | 0.000 | 0.000 | 0.000 |
| 5.941 | 8.281 | 5.941 | 0.000 | 0.000 | 0.000 |
| 5.941 | 5.941 | 8.281 | 0.000 | 0.000 | 0.000 |
| 0.000 | 0.000 | 0.000 | 1.488 | 0.000 | 0.000 |
| 0.000 | 0.000 | 0.000 | 0.000 | 1.488 | 0.000 |
| 0.000 | 0.000 | 0.000 | -0.000 | 0.000 | 1.488 |
| 8.281 | 5.941 | 5.941 | -0.000 | -0.000 | -0.000 |
| 5.941 | 8.281 | 5.941 | -0.000 | -0.000 | -0.000 |
| 5.941 | 5.941 | 8.281 | 0.000 | -0.000 | -0.000 |
| -0.000 | -0.000 | -0.000 | 1.488 | -0.000 | -0.000 |
| -0.000 | -0.000 | -0.000 | -0.000 | 1.488 | -0.000 |
| -0.000 | -0.000 | -0.000 | -0.000 | -0.000 | 1.488 |
| 8.281 | 5.942 | 5.942 | 0.000 | 0.000 | 0.000 |
| 5.942 | 8.281 | 5.942 | 0.000 | 0.000 | -0.000 |
| 5.942 | 5.942 | 8.281 | 0.000 | 0.000 | 0.000 |
| 0.000 | 0.000 | 0.000 | 1.488 | 0.000 | 0.000 |
| 0.000 | 0.000 | 0.000 | 0.000 | 1.488 | 0.000 |
| 0.000 | 0.000 | 0.000 | 0.000 | 0.000 | 1.488 |
| 8.280 | 5.941 | 5.941 | -0.000 | -0.000 | -0.000 |
| 5.941 | 8.280 | 5.941 | -0.000 | -0.000 | -0.000 |
| 5.941 | 5.941 | 8.280 | -0.000 | -0.000 | -0.000 |
| -0.000 | -0.000 | -0.000 | 1.488 | -0.000 | 0.000 |
| -0.000 | -0.000 | -0.000 | -0.000 | 1.488 | -0.000 |
| -0.000 | -0.000 | -0.000 | -0.000 | -0.000 | 1.488 |
| 0.023 | 0.023 | 0.023 | 0.000 | 0.000 | -0.000 |
| 0.023 | 0.023 | 0.023 | 0.000 | 0.000 | -0.000 |
| 0.023 | 0.023 | 0.023 | -0.000 | -0.000 | -0.000 |
| 0.000 | 0.000 | 0.000 | 0.023 | 0.000 | 0.000 |
| 0.000 | 0.000 | 0.000 | 0.000 | 0.023 | 0.000 |
| 0.000 | 0.000 | 0.000 | 0.000 | -0.000 | 0.023 |
| 0.023 | 0.023 | 0.023 | -0.000 | 0.000 | 0.000 |
| 0.023 | 0.023 | 0.023 | 0.000 | -0.000 | 0.000 |
| 0.023 | 0.023 | 0.023 | 0.000 | 0.000 | 0.000 |
| -0.000 | -0.000 | -0.000 | 0.023 | 0.000 | 0.000 |
| -0.000 | -0.000 | -0.000 | 0.000 | 0.023 | 0.000 |
| -0.000 | -0.000 | -0.000 | 0.000 | -0.000 | 0.023 |
| 0.023 | 0.023 | 0.023 | 0.000 | -0.000 | -0.000 |
| 0.023 | 0.023 | 0.023 | -0.000 | 0.000 | -0.000 |
| 0.023 | 0.023 | 0.023 | -0.000 | -0.000 | -0.000 |
| 0.000 | 0.000 | 0.000 | 0.023 | 0.000 | -0.000 |
| 0.000 | 0.000 | 0.000 | 0.000 | 0.023 | -0.000 |
| 0.000 | 0.000 | 0.000 | 0.000 | 0.000 | 0.023 |
| 0.023 | 0.023 | 0.023 | 0.000 | -0.000 | -0.000 |
| 0.023 | 0.023 | 0.023 | -0.000 | 0.000 | -0.000 |
| 0.023 | 0.023 | 0.023 | -0.000 | -0.000 | 0.000 |
| -0.000 | -0.000 | -0.000 | 0.023 | -0.000 | -0.000 |
| -0.000 | -0.000 | -0.000 | -0.000 | 0.023 | -0.000 |
| -0.000 | -0.000 | -0.000 | -0.000 | 0.000 | 0.023 |
| 0.023 | 0.023 | 0.023 | 0.000 | 0.000 | -0.000 |
| 0.023 | 0.023 | 0.023 | 0.000 | 0.000 | -0.000 |
| 0.023 | 0.023 | 0.023 | -0.000 | -0.000 | -0.000 |
| 0.000 | 0.000 | 0.000 | 0.020 | 0.000 | -0.000 |
| 0.000 | 0.000 | 0.000 | 0.000 | 0.020 | -0.000 |
| 0.000 | 0.000 | 0.000 | 0.000 | 0.000 | 0.020 |
| 0.023 | 0.023 | 0.023 | -0.000 | -0.000 | 0.000 |
| 0.023 | 0.023 | 0.023 | -0.000 | -0.000 | 0.000 |
| 0.023 | 0.023 | 0.023 | -0.000 | -0.000 | 0.000 |
| -0.000 | -0.000 | -0.000 | 0.020 | -0.000 | 0.000 |
| -0.000 | -0.000 | -0.000 | -0.000 | 0.020 | 0.000 |
| -0.000 | -0.000 | -0.000 | -0.000 | -0.000 | 0.020 |
| 227.273 | 156.190 | 156.190 | -0.000 | 0.000 | 0.000 |
| 156.190 | 227.273 | 156.190 | 0.000 | -0.000 | 0.000 |
| 156.190 | 156.190 | 227.273 | -0.000 | -0.000 | 0.000 |
| -0.000 | -0.000 | 0.000 | 52.859 | 0.000 | 0.000 |
| -0.000 | -0.000 | 0.000 | 0.000 | 52.859 | 0.000 |
| -0.000 | 0.000 | -0.000 | -0.000 | -0.000 | 52.859 |
| 227.273 | 156.190 | 156.190 | 0.000 | 0.000 | -0.000 |
| 156.190 | 227.273 | 156.190 | 0.000 | 0.000 | -0.000 |
| 156.190 | 156.190 | 227.273 | 0.000 | 0.000 | -0.000 |
| 0.000 | -0.000 | -0.000 | 52.859 | 0.000 | -0.000 |
| 0.000 | 0.000 | -0.000 | 0.000 | 52.859 | -0.000 |
| -0.000 | 0.000 | 0.000 | 0.000 | 0.000 | 52.859 |
| 227.273 | 156.190 | 156.190 | -0.000 | -0.000 | 0.000 |
| 156.190 | 227.273 | 156.190 | -0.000 | -0.000 | 0.000 |
| 156.190 | 156.190 | 227.273 | -0.000 | -0.000 | 0.000 |
| -104932472.356 | -109744557.694 | -109400835.867 | -13193490.590 | 171253.244 | -226055.304 |
| -108929730.086 | -106407188.146 | -109946612.072 | -669694.381 | -13080274.348 | 579249.703 |
| -109501737.632 | -108310343.638 | -105825642.251 | -429654.756 | 1098856.953 | -13330104.970 |
| 227.273 | 156.191 | 156.191 | 0.000 | 0.000 | -0.000 |
| 156.191 | 227.273 | 156.191 | 0.000 | 0.000 | -0.000 |
| 156.191 | 156.191 | 227.273 | -0.000 | 0.000 | -0.000 |
| 103320838.342 | 106432120.689 | 104461654.545 | -14468718.406 | 439773.169 | 236073.660 |
| 106148038.617 | 103748751.624 | 104867061.597 | -429491.950 | -15087378.252 | -949643.088 |
| 107163822.625 | 105573046.443 | 103062453.763 | -340608.482 | -884562.476 | -13776072.929 |
| 227.272 | 156.188 | 156.188 | -0.000 | -0.000 | 0.000 |
| 156.188 | 227.272 | 156.188 | -0.000 | -0.000 | 0.000 |
| 156.188 | 156.188 | 227.272 | -0.000 | -0.000 | 0.000 |
| -10681643.486 | -10825973.684 | -10683388.613 | -1436520.035 | -20628.232 | 72408.756 |
| -10679939.722 | -10561031.417 | -10610717.233 | -46888.959 | -1428352.350 | 62112.108 |
| -10641263.434 | -10522617.083 | -10508193.046 | -80514.517 | 56130.614 | -1423708.721 |
| 227.274 | 156.192 | 156.192 | 0.000 | -0.000 | -0.000 |
| 156.192 | 227.274 | 156.192 | 0.000 | 0.000 | -0.000 |
| 156.192 | 156.192 | 227.274 | 0.000 | 0.000 | -0.000 |
| 10614546.222 | 10864799.798 | 10827123.726 | -1394830.494 | -103166.979 | -48839.662 |
| 10702744.127 | 10465327.266 | 10713745.883 | -133801.277 | -1464510.971 | -177875.358 |
| 10859811.596 | 10861349.746 | 10518725.650 | -190029.114 | -96304.480 | -1458473.142 |
| 70.675 | 155.289 | 155.289 | 0.000 | 0.000 | 0.000 |
| 155.289 | 70.675 | 155.289 | 0.000 | 0.000 | 0.000 |
| 155.289 | 155.289 | 70.675 | -0.000 | 0.000 | 0.000 |
| -0.000 | -0.000 | 0.000 | 86.731 | 0.000 | 0.000 |
| -0.000 | 0.000 | 0.000 | 0.000 | 86.731 | 0.000 |
| -0.000 | 0.000 | -0.000 | 0.000 | 0.000 | 86.731 |
| 70.675 | 155.289 | 155.289 | -0.000 | -0.000 | -0.000 |
| 155.289 | 70.675 | 155.289 | -0.000 | 0.000 | -0.000 |
| 155.289 | 155.289 | 70.675 | -0.000 | -0.000 | -0.000 |
| 0.000 | -0.000 | -0.000 | 86.731 | -0.000 | -0.000 |
| -0.000 | -0.000 | -0.000 | -0.000 | 86.731 | -0.000 |
| 0.000 | -0.000 | -0.000 | -0.000 | -0.000 | 86.731 |
| 70.675 | 155.289 | 155.289 | 0.000 | 0.000 | 0.000 |
| 155.289 | 70.675 | 155.289 | 0.000 | 0.000 | 0.000 |
| 155.289 | 155.289 | 70.675 | 0.000 | 0.000 | 0.000 |
| 0.000 | 0.000 | 0.000 | 86.731 | 0.000 | 0.000 |
| 0.000 | 0.000 | 0.000 | 0.000 | 86.731 | 0.000 |
| 0.000 | 0.000 | 0.000 | -0.000 | 0.000 | 86.731 |
| 70.675 | 155.289 | 155.289 | -0.000 | -0.000 | -0.000 |
| 155.289 | 70.675 | 155.289 | -0.000 | -0.000 | -0.000 |
| 155.289 | 155.289 | 70.675 | -0.000 | -0.000 | -0.000 |
| -0.000 | -0.000 | -0.000 | 86.731 | -0.000 | -0.000 |
| -0.000 | -0.000 | -0.000 | -0.000 | 86.731 | -0.000 |
| -0.000 | -0.000 | -0.000 | -0.000 | -0.000 | 86.731 |
| 70.676 | 155.290 | 155.290 | 0.000 | 0.000 | 0.000 |
| 155.290 | 70.676 | 155.290 | 0.000 | 0.000 | -0.000 |
| 155.290 | 155.290 | 70.676 | -0.000 | 0.000 | 0.000 |
| 0.001 | 0.000 | 0.001 | 86.731 | 0.000 | 0.000 |
| 0.000 | 0.001 | 0.001 | 0.000 | 86.731 | 0.000 |
| 0.000 | 0.001 | 0.001 | 0.000 | 0.000 | 86.731 |
| 70.674 | 155.289 | 155.289 | -0.000 | -0.000 | -0.000 |
| 155.289 | 70.674 | 155.289 | -0.000 | -0.000 | 0.000 |
| 155.289 | 155.289 | 70.674 | -0.000 | -0.000 | 0.000 |
| -0.001 | -0.000 | -0.001 | 86.731 | -0.000 | -0.000 |
| -0.000 | -0.001 | -0.001 | -0.000 | 86.731 | -0.000 |
| -0.000 | -0.001 | -0.001 | -0.000 | -0.000 | 86.731 |
| 925.287 | 65.801 | 65.801 | 0.000 | 0.000 | -0.000 |
| 65.801 | 925.287 | 65.801 | 0.000 | 0.000 | -0.000 |
| 65.801 | 65.801 | 925.287 | -0.000 | -0.000 | -0.000 |
| 0.000 | 0.000 | 0.000 | -18.153 | 0.000 | -0.000 |
| 0.000 | 0.000 | 0.000 | 0.000 | -18.153 | -0.000 |
| 0.000 | -0.000 | 0.000 | 0.000 | 0.000 | -18.153 |
| 925.287 | 65.801 | 65.801 | -0.000 | -0.000 | 0.000 |
| 65.801 | 925.287 | 65.801 | 0.000 | -0.000 | 0.000 |
| 65.801 | 65.801 | 925.287 | -0.000 | -0.000 | 0.000 |
| -0.000 | -0.000 | -0.000 | -18.153 | -0.000 | 0.000 |
| -0.000 | -0.000 | -0.000 | 0.000 | -18.153 | 0.000 |
| -0.000 | 0.000 | -0.000 | -0.000 | -0.000 | -18.153 |
| 925.285 | 65.801 | 65.801 | 0.000 | -0.000 | -0.000 |
| 65.801 | 925.285 | 65.801 | -0.000 | 0.000 | -0.000 |
| 65.801 | 65.801 | 925.285 | -0.000 | -0.000 | -0.000 |
| 0.000 | -0.000 | -0.000 | 78.278 | 0.000 | -0.000 |
| -0.000 | 0.000 | -0.000 | -0.000 | 78.278 | -0.000 |
| -0.000 | -0.000 | 0.000 | 0.000 | 0.000 | 78.278 |
| 925.288 | 65.801 | 65.801 | 0.000 | -0.000 | 0.000 |
| 65.801 | 925.288 | 65.801 | 0.000 | -0.000 | 0.000 |
| 65.801 | 65.801 | 925.288 | 0.000 | 0.000 | 0.000 |
| -0.000 | 0.000 | 0.000 | 78.278 | -0.000 | 0.000 |
| 0.000 | -0.000 | 0.000 | 0.000 | 78.278 | 0.000 |
| 0.000 | 0.000 | -0.000 | -0.000 | -0.000 | 78.278 |
| 925.271 | 65.801 | 65.801 | 0.000 | 0.000 | -0.000 |
| 65.801 | 925.271 | 65.801 | -0.000 | 0.000 | -0.000 |
| 65.801 | 65.801 | 925.271 | -0.000 | 0.000 | -0.000 |
| 0.001 | -0.000 | -0.001 | -18.153 | 0.000 | -0.000 |
| -0.000 | 0.001 | -0.001 | 0.000 | -18.153 | -0.000 |
| -0.000 | -0.001 | 0.001 | 0.000 | 0.000 | -18.153 |
| 925.302 | 65.801 | 65.801 | 0.000 | -0.000 | 0.000 |
| 65.801 | 925.302 | 65.801 | -0.000 | -0.000 | 0.000 |
| 65.801 | 65.801 | 925.302 | -0.000 | -0.000 | 0.000 |
| -0.001 | 0.000 | 0.001 | -18.153 | -0.000 | 0.000 |
| 0.000 | -0.001 | 0.001 | -0.000 | -18.153 | 0.000 |
| 0.000 | 0.001 | -0.001 | -0.000 | -0.000 | -18.153 |
| 0.188 | 0.188 | 0.188 | -0.000 | 0.000 | 0.000 |
| 0.188 | 0.188 | 0.188 | -0.000 | -0.000 | 0.000 |
| 0.188 | 0.188 | 0.188 | -0.000 | 0.000 | 0.000 |
| 0.000 | 0.000 | 0.000 | 0.173 | 0.000 | 0.000 |
| 0.000 | 0.000 | 0.000 | 0.000 | 0.173 | 0.000 |
| 0.000 | 0.000 | 0.000 | 0.000 | 0.000 | 0.173 |
| 0.188 | 0.188 | 0.188 | 0.000 | 0.000 | 0.000 |
| 0.188 | 0.188 | 0.188 | 0.000 | -0.000 | 0.000 |
| 0.188 | 0.188 | 0.188 | 0.000 | 0.000 | 0.000 |
| -0.000 | -0.000 | -0.000 | 0.173 | -0.000 | -0.000 |
| -0.000 | -0.000 | -0.000 | 0.000 | 0.173 | -0.000 |
| -0.000 | -0.000 | -0.000 | 0.000 | -0.000 | 0.173 |
| 0.188 | 0.188 | 0.188 | -0.000 | 0.000 | 0.000 |
| 0.188 | 0.188 | 0.188 | 0.000 | -0.000 | 0.000 |
| 0.188 | 0.188 | 0.188 | 0.000 | 0.000 | -0.000 |
| 0.000 | 0.000 | 0.000 | 0.144 | 0.000 | 0.000 |
| 0.000 | 0.000 | 0.000 | 0.000 | 0.144 | 0.000 |
| 0.000 | 0.000 | 0.000 | 0.000 | 0.000 | 0.144 |
| 0.188 | 0.188 | 0.188 | -0.000 | -0.000 | -0.000 |
| 0.188 | 0.188 | 0.188 | -0.000 | -0.000 | -0.000 |
| 0.188 | 0.188 | 0.188 | -0.000 | -0.000 | -0.000 |
| 0.000 | 0.000 | 0.000 | 0.022 | -0.000 | -0.000 |
| 0.000 | 0.000 | 0.000 | -0.000 | 0.022 | -0.000 |
| 0.000 | 0.000 | 0.000 | -0.000 | 0.000 | 0.022 |
| 0.189 | 0.189 | 0.189 | -0.000 | 0.000 | 0.000 |
| 0.189 | 0.189 | 0.189 | 0.000 | -0.000 | 0.000 |
| 0.189 | 0.189 | 0.189 | -0.000 | 0.000 | -0.000 |
| -0.000 | -0.000 | -0.000 | -0.244 | -0.000 | 0.000 |
| -0.000 | -0.000 | -0.000 | -0.000 | -0.244 | 0.000 |
| -0.000 | -0.000 | -0.000 | 0.000 | 0.000 | -0.244 |
| 0.188 | 0.188 | 0.188 | -0.000 | 0.000 | -0.000 |
| 0.188 | 0.188 | 0.188 | 0.000 | -0.000 | -0.000 |
| 0.188 | 0.188 | 0.188 | -0.000 | -0.000 | -0.000 |
| 0.000 | 0.000 | 0.000 | -0.244 | 0.000 | -0.000 |
| 0.000 | 0.000 | 0.000 | 0.000 | -0.244 | -0.000 |
| 0.000 | 0.000 | 0.000 | -0.000 | -0.000 | -0.244 |
| 119.928 | 166.659 | 166.659 | -0.000 | -0.000 | -0.000 |
| 166.659 | 119.928 | 166.659 | 0.000 | -0.000 | 0.000 |
| 166.659 | 166.659 | 119.928 | 0.000 | 0.000 | 0.000 |
| 0.000 | 0.000 | -0.000 | 132.513 | 0.000 | -0.000 |
| 0.000 | 0.000 | -0.000 | 0.000 | 132.513 | 0.000 |
| 0.000 | 0.000 | -0.000 | 0.000 | 0.000 | 132.513 |
| 119.928 | 166.659 | 166.659 | 0.000 | 0.000 | -0.000 |
| 166.659 | 119.928 | 166.659 | 0.000 | 0.000 | -0.000 |
| 166.659 | 166.659 | 119.928 | 0.000 | -0.000 | -0.000 |
| -0.000 | -0.000 | 0.000 | 132.513 | -0.000 | -0.000 |
| -0.000 | -0.000 | 0.000 | -0.000 | 132.513 | -0.000 |
| -0.000 | -0.000 | 0.000 | -0.000 | -0.000 | 132.513 |
| 119.928 | 166.659 | 166.659 | -0.000 | -0.000 | -0.000 |
| 166.659 | 119.928 | 166.659 | -0.000 | -0.000 | -0.000 |
| 166.659 | 166.659 | 119.928 | -0.000 | -0.000 | -0.000 |
| 0.000 | 0.000 | 0.000 | 133.200 | -0.000 | 0.000 |
| 0.000 | 0.000 | 0.000 | -0.000 | 133.200 | -0.000 |
| 0.000 | 0.000 | 0.000 | -0.000 | -0.000 | 133.200 |
| 119.928 | 166.659 | 166.659 | 0.000 | 0.000 | 0.000 |
| 166.659 | 119.928 | 166.659 | 0.000 | 0.000 | 0.000 |
| 166.659 | 166.659 | 119.928 | 0.000 | 0.000 | 0.000 |
| -0.000 | -0.000 | -0.000 | 133.200 | 0.000 | -0.000 |
| -0.000 | -0.000 | -0.000 | 0.000 | 133.200 | 0.000 |
| -0.000 | -0.000 | -0.000 | 0.000 | -0.000 | 133.200 |
| 119.928 | 166.660 | 166.660 | -0.000 | 0.000 | -0.000 |
| 166.660 | 119.928 | 166.660 | -0.000 | -0.000 | 0.000 |
| 166.660 | 166.660 | 119.928 | 0.000 | 0.000 | 0.000 |
| 0.001 | 0.000 | 0.001 | 133.200 | 0.000 | -0.000 |
| 0.000 | 0.001 | 0.001 | -0.000 | 133.200 | -0.000 |
| 0.000 | 0.001 | 0.001 | -0.000 | 0.000 | 133.200 |
| 119.927 | 166.659 | 166.659 | 0.000 | 0.000 | -0.000 |
| 166.659 | 119.927 | 166.659 | 0.000 | -0.000 | 0.000 |
| 166.659 | 166.659 | 119.927 | -0.000 | 0.000 | 0.000 |
| -0.001 | -0.000 | -0.001 | 133.200 | -0.000 | -0.000 |
| -0.000 | -0.001 | -0.001 | 0.000 | 133.200 | -0.000 |
| -0.000 | -0.001 | -0.001 | 0.000 | 0.000 | 133.200 |
| 613.041 | 602.288 | 602.288 | -0.000 | -0.000 | -0.000 |
| 602.288 | 613.041 | 602.288 | -0.000 | -0.000 | -0.000 |
| 602.288 | 602.288 | 613.041 | -0.000 | -0.000 | -0.000 |
| 0.000 | 0.000 | 0.000 | -1.332 | -0.000 | -0.000 |
| 0.000 | 0.000 | 0.000 | -0.000 | -1.332 | -0.000 |
| 0.000 | 0.000 | 0.000 | -0.000 | -0.000 | -1.332 |
| 613.041 | 602.288 | 602.288 | 0.000 | -0.000 | 0.000 |
| 602.288 | 613.041 | 602.288 | 0.000 | -0.000 | 0.000 |
| 602.288 | 602.288 | 613.041 | 0.000 | -0.000 | 0.000 |
| -0.000 | -0.000 | -0.000 | -1.332 | 0.000 | 0.000 |
| -0.000 | -0.000 | -0.000 | 0.000 | -1.332 | 0.000 |
| -0.000 | -0.000 | -0.000 | 0.000 | -0.000 | -1.332 |
| 613.041 | 602.287 | 602.287 | -0.000 | -0.000 | 0.000 |
| 602.287 | 613.041 | 602.287 | -0.000 | 0.000 | -0.000 |
| 602.287 | 602.287 | 613.041 | -0.000 | -0.000 | -0.000 |
| 0.000 | 0.000 | 0.000 | -1.331 | 0.000 | -0.000 |
| 0.000 | 0.000 | 0.000 | -0.000 | -1.331 | -0.000 |
| 0.000 | 0.000 | 0.000 | -0.000 | 0.000 | -1.331 |
| 613.041 | 602.288 | 602.288 | -0.000 | -0.000 | 0.000 |
| 602.288 | 613.041 | 602.288 | 0.000 | 0.000 | 0.000 |
| 602.288 | 602.288 | 613.041 | 0.000 | 0.000 | 0.000 |
| -0.000 | -0.000 | -0.000 | -1.331 | -0.000 | 0.000 |
| -0.000 | -0.000 | -0.000 | 0.000 | -1.331 | 0.000 |
| -0.000 | -0.000 | -0.000 | 0.000 | -0.000 | -1.331 |
| 613.040 | 602.284 | 602.284 | -0.000 | -0.000 | -0.000 |
| 602.284 | 613.040 | 602.284 | -0.000 | -0.000 | -0.000 |
| 602.284 | 602.284 | 613.040 | -0.000 | -0.000 | -0.000 |
| 0.000 | 0.000 | 0.000 | -1.331 | 0.000 | -0.000 |
| 0.000 | 0.000 | 0.000 | -0.000 | -1.331 | -0.000 |
| 0.000 | 0.000 | 0.000 | -0.000 | 0.000 | -1.331 |
| 613.042 | 602.291 | 602.291 | 0.000 | 0.000 | 0.000 |
| 602.291 | 613.042 | 602.291 | 0.000 | 0.000 | 0.000 |
| 602.291 | 602.291 | 613.042 | 0.000 | 0.000 | 0.000 |
| -0.000 | -0.000 | -0.000 | -1.331 | -0.000 | 0.000 |
| -0.000 | -0.000 | -0.000 | 0.000 | -1.331 | 0.000 |
| -0.000 | -0.000 | -0.000 | 0.000 | -0.000 | -1.331 |
| 0.051 | 0.051 | 0.051 | 0.000 | 0.000 | 0.000 |
| 0.051 | 0.051 | 0.051 | 0.000 | 0.000 | 0.000 |
| 0.051 | 0.051 | 0.051 | -0.000 | -0.000 | 0.000 |
| 0.000 | 0.000 | 0.000 | 0.051 | 0.000 | 0.000 |
| 0.000 | 0.000 | 0.000 | 0.000 | 0.051 | 0.000 |
| 0.000 | 0.000 | 0.000 | 0.000 | -0.000 | 0.051 |
| 0.051 | 0.051 | 0.051 | 0.000 | 0.000 | 0.000 |
| 0.051 | 0.051 | 0.051 | 0.000 | 0.000 | 0.000 |
| 0.051 | 0.051 | 0.051 | 0.000 | 0.000 | -0.000 |
| -0.000 | -0.000 | -0.000 | 0.051 | -0.000 | -0.000 |
| -0.000 | -0.000 | -0.000 | -0.000 | 0.051 | -0.000 |
| -0.000 | -0.000 | -0.000 | 0.000 | -0.000 | 0.051 |
| 0.051 | 0.051 | 0.051 | 0.000 | -0.000 | -0.000 |
| 0.051 | 0.051 | 0.051 | -0.000 | 0.000 | -0.000 |
| 0.051 | 0.051 | 0.051 | -0.000 | -0.000 | 0.000 |
| 0.000 | 0.000 | 0.000 | 0.051 | -0.000 | 0.000 |
| 0.000 | 0.000 | 0.000 | -0.000 | 0.051 | 0.000 |
| 0.000 | 0.000 | 0.000 | -0.000 | -0.000 | 0.051 |
| 0.051 | 0.051 | 0.051 | -0.000 | -0.000 | -0.000 |
| 0.051 | 0.051 | 0.051 | -0.000 | -0.000 | -0.000 |
| 0.051 | 0.051 | 0.051 | -0.000 | -0.000 | -0.000 |
| -0.000 | -0.000 | -0.000 | 0.051 | -0.000 | -0.000 |
| -0.000 | -0.000 | -0.000 | -0.000 | 0.051 | -0.000 |
| -0.000 | -0.000 | -0.000 | -0.000 | -0.000 | 0.051 |
| 0.052 | 0.052 | 0.052 | 0.000 | -0.000 | -0.000 |
| 0.052 | 0.052 | 0.052 | -0.000 | 0.000 | -0.000 |
| 0.052 | 0.052 | 0.052 | 0.000 | 0.000 | 0.000 |
| 0.000 | 0.000 | 0.000 | 0.051 | 0.000 | -0.000 |
| 0.000 | 0.000 | 0.000 | 0.000 | 0.051 | -0.000 |
| 0.000 | 0.000 | 0.000 | 0.000 | 0.000 | 0.051 |
| 0.051 | 0.051 | 0.051 | 0.000 | 0.000 | -0.000 |
| 0.051 | 0.051 | 0.051 | 0.000 | 0.000 | -0.000 |
| 0.051 | 0.051 | 0.051 | 0.000 | 0.000 | -0.000 |
| -0.000 | -0.000 | -0.000 | 0.051 | 0.000 | -0.000 |
| -0.000 | -0.000 | -0.000 | 0.000 | 0.051 | -0.000 |
| -0.000 | -0.000 | -0.000 | 0.000 | 0.000 | 0.051 |
| 91.502 | 156.290 | 156.290 | 0.000 | -0.000 | 0.000 |
| 156.290 | 91.502 | 156.290 | -0.000 | -0.000 | 0.000 |
| 156.290 | 156.290 | 91.502 | 0.000 | -0.000 | 0.000 |
| 0.000 | 0.000 | 0.000 | 110.042 | -0.000 | 0.000 |
| 0.000 | 0.000 | 0.000 | 0.000 | 110.042 | 0.000 |
| 0.000 | 0.000 | 0.000 | 0.000 | 0.000 | 110.042 |
| 91.502 | 156.290 | 156.290 | 0.000 | 0.000 | -0.000 |
| 156.290 | 91.502 | 156.290 | 0.000 | 0.000 | -0.000 |
| 156.290 | 156.290 | 91.502 | -0.000 | -0.000 | -0.000 |
| -0.000 | -0.000 | -0.000 | 110.042 | 0.000 | -0.000 |
| -0.000 | -0.000 | -0.000 | -0.000 | 110.042 | -0.000 |
| -0.000 | -0.000 | -0.000 | -0.000 | -0.000 | 110.042 |
| 91.502 | 156.291 | 156.291 | -0.000 | -0.000 | 0.000 |
| 156.291 | 91.502 | 156.291 | -0.000 | -0.000 | 0.000 |
| 156.291 | 156.291 | 91.502 | 0.000 | -0.000 | 0.000 |
| 0.000 | 0.000 | 0.000 | 109.450 | -0.000 | 0.000 |
| 0.000 | 0.000 | 0.000 | 0.000 | 109.450 | 0.000 |
| 0.000 | 0.000 | 0.000 | 0.000 | 0.000 | 109.450 |
| 91.502 | 156.290 | 156.290 | 0.000 | 0.000 | -0.000 |
| 156.290 | 91.502 | 156.290 | 0.000 | 0.000 | -0.000 |
| 156.290 | 156.290 | 91.502 | 0.000 | -0.000 | -0.000 |
| -0.000 | -0.000 | -0.000 | 109.450 | 0.000 | -0.000 |
| -0.000 | -0.000 | -0.000 | -0.000 | 109.450 | -0.000 |
| -0.000 | -0.000 | -0.000 | -0.000 | -0.000 | 109.450 |
| 91.503 | 156.291 | 156.291 | 0.000 | 0.000 | 0.000 |
| 156.291 | 91.503 | 156.291 | -0.000 | 0.000 | 0.000 |
| 156.291 | 156.291 | 91.503 | 0.000 | 0.000 | 0.000 |
| 0.001 | 0.000 | 0.001 | 110.042 | -0.000 | 0.000 |
| 0.000 | 0.001 | 0.001 | -0.000 | 110.042 | 0.000 |
| 0.000 | 0.001 | 0.001 | 0.000 | 0.000 | 110.042 |
| 91.501 | 156.290 | 156.290 | 0.000 | -0.000 | -0.000 |
| 156.290 | 91.501 | 156.290 | -0.000 | -0.000 | -0.000 |
| 156.290 | 156.290 | 91.501 | -0.000 | -0.000 | -0.000 |
| -0.001 | -0.000 | -0.001 | 110.042 | 0.000 | -0.000 |
| -0.000 | -0.001 | -0.001 | 0.000 | 110.042 | -0.000 |
| -0.000 | -0.001 | -0.001 | -0.000 | -0.000 | 110.042 |
| 27.029 | -2.491 | -2.491 | 0.000 | 0.000 | -0.000 |
| -2.491 | 27.029 | -2.491 | 0.000 | 0.000 | -0.000 |
| -2.491 | -2.491 | 27.029 | 0.000 | 0.000 | -0.000 |
| -0.000 | 0.000 | 0.000 | -24.021 | 0.000 | -0.000 |
| 0.000 | -0.000 | 0.000 | 0.000 | -24.021 | -0.000 |
| 0.000 | 0.000 | -0.000 | 0.000 | 0.000 | -24.021 |
| 27.029 | -2.491 | -2.491 | -0.000 | -0.000 | -0.000 |
| -2.491 | 27.029 | -2.491 | -0.000 | -0.000 | -0.000 |
| -2.491 | -2.491 | 27.029 | -0.000 | -0.000 | -0.000 |
| 0.000 | -0.000 | -0.000 | -24.021 | -0.000 | 0.000 |
| -0.000 | 0.000 | -0.000 | -0.000 | -24.021 | -0.000 |
| -0.000 | -0.000 | 0.000 | -0.000 | -0.000 | -24.021 |
| 27.030 | -2.491 | -2.491 | 0.000 | 0.000 | 0.000 |
| -2.491 | 27.030 | -2.491 | 0.000 | 0.000 | 0.000 |
| -2.491 | -2.491 | 27.030 | 0.000 | 0.000 | -0.000 |
| -946511.693 | -777318.317 | -1422919.986 | 220812.205 | 115280.199 | 96196.583 |
| -835442.805 | -977795.678 | -1478059.981 | 148215.610 | 258117.963 | 115942.793 |
| -833559.508 | -1511621.534 | -923360.090 | 133132.064 | 20401.556 | 212064.541 |
| 27.029 | -2.491 | -2.491 | -0.000 | -0.000 | 0.000 |
| -2.491 | 27.029 | -2.491 | -0.000 | -0.000 | 0.000 |
| -2.491 | -2.491 | 27.029 | -0.000 | -0.000 | 0.000 |
| 927256.823 | 941616.303 | 1867890.367 | -34224.326 | -92812.427 | -81030.663 |
| 910522.789 | 953979.238 | 1831423.907 | -90163.657 | -8433.222 | -70213.488 |
| 893345.370 | 1731846.396 | 901216.667 | -99996.021 | -116391.480 | 22260.427 |
| 27.032 | -2.491 | -2.491 | 0.000 | 0.000 | -0.000 |
| -2.491 | 27.032 | -2.491 | 0.000 | 0.000 | -0.000 |
| -2.491 | -2.491 | 27.032 | 0.000 | 0.000 | 0.000 |
| -87570.448 | -75523.241 | -164472.429 | 27810.523 | 7736.866 | 2883.839 |
| -79948.431 | -87273.278 | -171439.193 | 10316.506 | 27589.856 | 1826.845 |
| -74495.822 | -167741.756 | -87179.980 | 15130.949 | 4815.018 | 26863.838 |
| 27.027 | -2.491 | -2.491 | -0.000 | -0.000 | -0.000 |
| -2.491 | 27.027 | -2.491 | -0.000 | -0.000 | 0.000 |
| -2.491 | -2.491 | 27.027 | -0.000 | -0.000 | 0.000 |
| 70137.804 | 59553.994 | 195842.290 | -1519.368 | 1202.678 | -418.013 |
| 58787.724 | 69259.854 | 183571.585 | -2137.996 | -2850.004 | 1731.112 |
| 67155.630 | 195564.005 | 73239.613 | -5783.171 | 1720.777 | -1376.616 |
| 449.409 | 89.552 | 89.552 | -0.000 | 0.000 | 0.000 |
| 89.552 | 449.409 | 89.552 | -0.000 | 0.000 | 0.000 |
| 89.552 | 89.552 | 449.409 | -0.000 | -0.000 | 0.000 |
| -0.000 | -0.000 | -0.000 | 44.369 | 0.000 | 0.000 |
| -0.000 | 0.000 | 0.000 | -0.000 | 44.369 | 0.000 |
| -0.000 | -0.000 | 0.000 | -0.000 | -0.000 | 44.369 |
| 449.409 | 89.552 | 89.552 | 0.000 | 0.000 | -0.000 |
| 89.552 | 449.409 | 89.552 | -0.000 | -0.000 | -0.000 |
| 89.552 | 89.552 | 449.409 | 0.000 | -0.000 | -0.000 |
| 0.000 | 0.000 | 0.000 | 44.369 | -0.000 | -0.000 |
| 0.000 | 0.000 | -0.000 | 0.000 | 44.369 | -0.000 |
| 0.000 | 0.000 | -0.000 | 0.000 | -0.000 | 44.369 |
| 449.409 | 89.552 | 89.552 | -0.000 | 0.000 | 0.000 |
| 89.552 | 449.409 | 89.552 | -0.000 | 0.000 | 0.000 |
| 89.552 | 89.552 | 449.409 | -0.000 | 0.000 | 0.000 |
| 0.000 | 0.000 | 0.000 | 44.369 | 0.000 | 0.000 |
| 0.000 | 0.000 | 0.000 | 0.000 | 44.369 | 0.000 |
| 0.000 | 0.000 | 0.000 | 0.000 | 0.000 | 44.369 |
| 449.409 | 89.552 | 89.552 | 0.000 | 0.000 | -0.000 |
| 89.552 | 449.409 | 89.552 | 0.000 | -0.000 | -0.000 |
| 89.552 | 89.552 | 449.409 | 0.000 | -0.000 | -0.000 |
| -0.000 | -0.000 | -0.000 | 44.369 | -0.000 | -0.000 |
| -0.000 | -0.000 | -0.000 | 0.000 | 44.369 | -0.000 |
| -0.000 | -0.000 | -0.000 | -0.000 | -0.000 | 44.369 |
| 449.411 | 89.552 | 89.552 | -0.000 | 0.000 | 0.000 |
| 89.552 | 449.411 | 89.552 | -0.000 | 0.000 | 0.000 |
| 89.552 | 89.552 | 449.411 | 0.000 | -0.000 | 0.000 |
| 0.000 | 0.000 | 0.000 | 64.963 | 0.000 | 0.000 |
| 0.000 | 0.000 | 0.000 | -0.000 | 64.963 | 0.000 |
| 0.000 | 0.000 | 0.000 | -0.000 | -0.000 | 64.963 |
| 450.675 | 88.917 | 88.917 | 0.000 | 0.000 | -0.000 |
| 88.917 | 450.675 | 88.917 | 0.000 | -0.000 | -0.000 |
| 88.917 | 88.917 | 450.675 | 0.000 | -0.000 | -0.000 |
| -0.000 | -0.000 | -0.000 | 64.963 | 0.000 | -0.000 |
| -0.000 | -0.000 | -0.000 | 0.000 | 64.963 | -0.000 |
| -0.000 | -0.000 | -0.000 | 0.000 | 0.000 | 64.963 |
| 31.273 | 24.250 | 24.250 | 0.000 | 0.000 | 0.000 |
| 24.250 | 31.273 | 24.250 | 0.000 | -0.000 | 0.000 |
| 24.250 | 24.250 | 31.273 | 0.000 | 0.000 | 0.000 |
| 0.000 | 0.000 | 0.000 | -2.099 | 0.000 | 0.000 |
| 0.000 | 0.000 | 0.000 | 0.000 | -2.099 | 0.000 |
| 0.000 | 0.000 | 0.000 | 0.000 | 0.000 | -2.099 |
| 31.272 | 24.250 | 24.250 | -0.000 | -0.000 | -0.000 |
| 24.250 | 31.272 | 24.250 | -0.000 | -0.000 | -0.000 |
| 24.250 | 24.250 | 31.272 | -0.000 | 0.000 | -0.000 |
| -0.000 | -0.000 | -0.000 | -2.099 | -0.000 | -0.000 |
| -0.000 | -0.000 | -0.000 | -0.000 | -2.099 | -0.000 |
| -0.000 | -0.000 | -0.000 | -0.000 | -0.000 | -2.099 |
| 31.273 | 24.250 | 24.250 | -0.000 | 0.000 | 0.000 |
| 24.250 | 31.273 | 24.250 | 0.000 | 0.000 | 0.000 |
| 24.250 | 24.250 | 31.273 | -0.000 | 0.000 | 0.000 |
| 0.000 | 0.000 | 0.000 | -2.099 | 0.000 | 0.000 |
| 0.000 | 0.000 | 0.000 | 0.000 | -2.099 | 0.000 |
| 0.000 | 0.000 | 0.000 | 0.000 | 0.000 | -2.099 |
| 31.272 | 24.250 | 24.250 | -0.000 | -0.000 | -0.000 |
| 24.250 | 31.272 | 24.250 | 0.000 | -0.000 | -0.000 |
| 24.250 | 24.250 | 31.272 | 0.000 | 0.000 | -0.000 |
| -0.000 | -0.000 | -0.000 | -2.099 | -0.000 | -0.000 |
| -0.000 | -0.000 | -0.000 | -0.000 | -2.099 | -0.000 |
| -0.000 | -0.000 | -0.000 | -0.000 | -0.000 | -2.099 |
| 31.276 | 24.251 | 24.251 | -0.000 | 0.000 | 0.000 |
| 24.251 | 31.276 | 24.251 | 0.000 | 0.000 | 0.000 |
| 24.251 | 24.251 | 31.276 | 0.000 | 0.000 | 0.000 |
| 0.000 | 0.001 | 0.000 | -2.099 | 0.000 | 0.000 |
| 0.001 | 0.000 | 0.000 | 0.000 | -2.099 | 0.000 |
| 0.001 | 0.000 | 0.000 | 0.000 | 0.000 | -2.099 |
| 31.269 | 24.250 | 24.250 | 0.000 | -0.000 | -0.000 |
| 24.250 | 31.269 | 24.250 | -0.000 | -0.000 | -0.000 |
| 24.250 | 24.250 | 31.269 | -0.000 | -0.000 | -0.000 |
| -0.000 | -0.001 | -0.000 | -2.099 | -0.000 | -0.000 |
| -0.001 | -0.000 | -0.000 | -0.000 | -2.099 | -0.000 |
| -0.001 | -0.000 | -0.000 | -0.000 | -0.000 | -2.099 |
| 92.358 | 146.855 | 146.855 | -0.000 | 0.000 | -0.000 |
| 146.855 | 92.358 | 146.855 | -0.000 | 0.000 | 0.000 |
| 146.855 | 146.855 | 92.358 | -0.000 | 0.000 | -0.000 |
| 0.000 | 0.000 | 0.000 | 105.324 | -0.000 | 0.000 |
| 0.000 | 0.000 | 0.000 | -0.000 | 105.324 | -0.000 |
| 0.000 | 0.000 | -0.000 | -0.000 | 0.000 | 105.324 |
| 92.358 | 146.855 | 146.855 | -0.000 | 0.000 | -0.000 |
| 146.855 | 92.358 | 146.855 | 0.000 | -0.000 | -0.000 |
| 146.855 | 146.855 | 92.358 | 0.000 | -0.000 | -0.000 |
| -0.000 | -0.000 | -0.000 | 105.324 | -0.000 | -0.000 |
| -0.000 | -0.000 | -0.000 | -0.000 | 105.324 | -0.000 |
| -0.000 | -0.000 | 0.000 | 0.000 | -0.000 | 105.324 |
| 92.358 | 146.855 | 146.855 | -0.000 | 0.000 | -0.000 |
| 146.855 | 92.358 | 146.855 | 0.000 | 0.000 | -0.000 |
| 146.855 | 146.855 | 92.358 | -0.000 | 0.000 | -0.000 |
| 0.000 | 0.000 | 0.000 | 105.324 | 0.000 | -0.000 |
| 0.000 | 0.000 | 0.000 | -0.000 | 105.324 | -0.000 |
| 0.000 | 0.000 | 0.000 | -0.000 | 0.000 | 105.324 |
| 92.358 | 146.855 | 146.855 | 0.000 | 0.000 | -0.000 |
| 146.855 | 92.358 | 146.855 | 0.000 | 0.000 | 0.000 |
| 146.855 | 146.855 | 92.358 | 0.000 | -0.000 | -0.000 |
| -0.000 | -0.000 | -0.000 | 105.324 | -0.000 | -0.000 |
| -0.000 | -0.000 | -0.000 | 0.000 | 105.324 | 0.000 |
| -0.000 | -0.000 | -0.000 | 0.000 | -0.000 | 105.324 |
| 92.359 | 146.856 | 146.856 | -0.000 | -0.000 | 0.000 |
| 146.856 | 92.359 | 146.856 | -0.000 | 0.000 | 0.000 |
| 146.856 | 146.856 | 92.359 | -0.000 | 0.000 | -0.000 |
| 0.001 | 0.000 | 0.001 | 103.255 | -0.000 | -0.000 |
| 0.000 | 0.001 | 0.001 | -0.000 | 103.255 | 0.000 |
| 0.000 | 0.001 | 0.001 | -0.000 | 0.000 | 103.255 |
| 92.357 | 146.855 | 146.855 | 0.000 | -0.000 | 0.000 |
| 146.855 | 92.357 | 146.855 | 0.000 | -0.000 | -0.000 |
| 146.855 | 146.855 | 92.357 | 0.000 | 0.000 | -0.000 |
| -0.001 | -0.000 | -0.001 | 103.255 | 0.000 | -0.000 |
| -0.000 | -0.001 | -0.001 | 0.000 | 103.255 | -0.000 |
| -0.000 | -0.001 | -0.001 | 0.000 | -0.000 | 103.255 |
| 12.465 | 12.476 | 12.476 | 0.000 | 0.000 | 0.000 |
| 12.476 | 12.465 | 12.476 | 0.000 | 0.000 | 0.000 |
| 12.476 | 12.476 | 12.465 | 0.000 | 0.000 | 0.000 |
| -0.000 | -0.000 | -0.000 | -10.667 | 0.000 | 0.000 |
| -0.000 | -0.000 | -0.000 | 0.000 | -10.667 | 0.000 |
| -0.000 | -0.000 | -0.000 | 0.000 | 0.000 | -10.667 |
| 12.465 | 12.476 | 12.476 | -0.000 | -0.000 | -0.000 |
| 12.476 | 12.465 | 12.476 | -0.000 | -0.000 | -0.000 |
| 12.476 | 12.476 | 12.465 | -0.000 | -0.000 | -0.000 |
| 0.000 | 0.000 | 0.000 | -10.667 | -0.000 | -0.000 |
| 0.000 | 0.000 | 0.000 | -0.000 | -10.667 | -0.000 |
| 0.000 | 0.000 | 0.000 | -0.000 | -0.000 | -10.667 |
| 12.465 | 12.476 | 12.476 | 0.000 | 0.000 | 0.000 |
| 12.476 | 12.465 | 12.476 | 0.000 | 0.000 | 0.000 |
| 12.476 | 12.476 | 12.465 | 0.000 | 0.000 | 0.000 |
| -0.000 | -0.000 | -0.000 | -10.667 | 0.000 | 0.000 |
| -0.000 | -0.000 | -0.000 | 0.000 | -10.667 | 0.000 |
| -0.000 | -0.000 | -0.000 | 0.000 | 0.000 | -10.667 |
| 12.464 | 12.476 | 12.476 | -0.000 | -0.000 | -0.000 |
| 12.476 | 12.464 | 12.476 | -0.000 | -0.000 | -0.000 |
| 12.476 | 12.476 | 12.464 | -0.000 | -0.000 | -0.000 |
| 0.000 | 0.000 | 0.000 | -10.667 | -0.000 | -0.000 |
| 0.000 | 0.000 | 0.000 | -0.000 | -10.667 | -0.000 |
| 0.000 | 0.000 | 0.000 | -0.000 | -0.000 | -10.667 |
| 12.466 | 12.476 | 12.476 | 0.000 | 0.000 | 0.000 |
| 12.476 | 12.466 | 12.476 | 0.000 | 0.000 | -0.000 |
| 12.476 | 12.476 | 12.466 | 0.000 | 0.000 | 0.000 |
| -0.007 | 0.000 | -0.000 | -31.214 | 0.000 | 0.000 |
| 0.000 | -0.007 | -0.000 | 0.000 | -31.214 | 0.000 |
| 0.000 | -0.000 | -0.007 | 0.000 | 0.000 | -31.214 |
| 12.463 | 12.475 | 12.475 | -0.000 | -0.000 | -0.000 |
| 12.475 | 12.463 | 12.475 | -0.000 | -0.000 | -0.000 |
| 12.475 | 12.475 | 12.463 | -0.000 | -0.000 | -0.000 |
| 0.007 | -0.000 | 0.000 | -31.214 | -0.000 | -0.000 |
| -0.000 | 0.007 | 0.000 | -0.000 | -31.214 | -0.000 |
| -0.000 | 0.000 | 0.007 | -0.000 | -0.000 | -31.214 |
| 214.758 | 154.838 | 154.838 | -0.000 | 0.000 | 0.000 |
| 154.838 | 214.758 | 154.838 | -0.000 | 0.000 | 0.000 |
| 154.838 | 154.838 | 214.758 | -0.000 | 0.000 | 0.000 |
| 0.000 | -0.000 | -0.000 | 118.924 | 0.000 | 0.000 |
| -0.000 | -0.000 | -0.000 | -0.000 | 118.924 | 0.000 |
| -0.000 | -0.000 | -0.000 | -0.000 | 0.000 | 118.924 |
| 214.758 | 154.838 | 154.838 | 0.000 | -0.000 | -0.000 |
| 154.838 | 214.758 | 154.838 | 0.000 | -0.000 | -0.000 |
| 154.838 | 154.838 | 214.758 | 0.000 | -0.000 | -0.000 |
| -0.000 | 0.000 | 0.000 | 118.924 | 0.000 | -0.000 |
| 0.000 | 0.000 | 0.000 | 0.000 | 118.924 | -0.000 |
| 0.000 | 0.000 | 0.000 | 0.000 | -0.000 | 118.924 |
| 214.758 | 154.838 | 154.838 | -0.000 | 0.000 | 0.000 |
| 154.838 | 214.758 | 154.838 | -0.000 | 0.000 | 0.000 |
| 154.838 | 154.838 | 214.758 | -0.000 | 0.000 | 0.000 |
| 0.000 | -0.000 | -0.000 | 118.924 | 0.000 | 0.000 |
| -0.000 | -0.000 | -0.000 | -0.000 | 118.924 | 0.000 |
| -0.000 | -0.000 | -0.000 | -0.000 | 0.000 | 118.924 |
| 214.758 | 154.838 | 154.838 | 0.000 | -0.000 | -0.000 |
| 154.838 | 214.758 | 154.838 | 0.000 | -0.000 | 0.000 |
| 154.838 | 154.838 | 214.758 | 0.000 | -0.000 | -0.000 |
| -0.000 | 0.000 | 0.000 | 118.924 | 0.000 | -0.000 |
| 0.000 | 0.000 | 0.000 | 0.000 | 118.924 | -0.000 |
| 0.000 | 0.000 | 0.000 | 0.000 | -0.000 | 118.924 |
| 214.756 | 154.838 | 154.838 | -0.000 | 0.000 | 0.000 |
| 154.838 | 214.756 | 154.838 | -0.000 | 0.000 | 0.000 |
| 154.838 | 154.838 | 214.756 | -0.000 | 0.000 | 0.000 |
| 0.000 | -0.000 | -0.000 | 118.924 | 0.000 | -0.000 |
| -0.000 | 0.000 | -0.000 | -0.000 | 118.924 | 0.000 |
| -0.000 | -0.000 | 0.000 | -0.000 | 0.000 | 118.924 |
| 214.761 | 154.838 | 154.838 | 0.000 | -0.000 | -0.000 |
| 154.838 | 214.761 | 154.838 | 0.000 | -0.000 | -0.000 |
| 154.838 | 154.838 | 214.761 | 0.000 | -0.000 | 0.000 |
| -0.000 | 0.000 | 0.000 | 118.924 | -0.000 | -0.000 |
| 0.000 | -0.000 | 0.000 | 0.000 | 118.924 | -0.000 |
| 0.000 | 0.000 | -0.000 | 0.000 | -0.000 | 118.924 |
| 42.120 | 21.217 | 21.217 | 0.000 | -0.000 | -0.000 |
| 21.217 | 42.120 | 21.217 | -0.000 | 0.000 | -0.000 |
| 21.217 | 21.217 | 42.120 | 0.000 | 0.000 | -0.000 |
| -0.000 | -0.000 | 0.000 | 19.062 | 0.000 | -0.000 |
| -0.000 | -0.000 | 0.000 | 0.000 | 19.062 | -0.000 |
| -0.000 | 0.000 | -0.000 | -0.000 | -0.000 | 19.062 |
| 42.120 | 21.217 | 21.217 | -0.000 | 0.000 | -0.000 |
| 21.217 | 42.120 | 21.217 | 0.000 | -0.000 | 0.000 |
| 21.217 | 21.217 | 42.120 | -0.000 | 0.000 | 0.000 |
| 0.000 | 0.000 | 0.000 | 19.062 | -0.000 | 0.000 |
| 0.000 | 0.000 | 0.000 | -0.000 | 19.062 | 0.000 |
| 0.000 | 0.000 | 0.000 | 0.000 | 0.000 | 19.062 |
| 42.120 | 21.217 | 21.217 | -0.000 | 0.000 | -0.000 |
| 21.217 | 42.120 | 21.217 | 0.000 | -0.000 | -0.000 |
| 21.217 | 21.217 | 42.120 | -0.000 | -0.000 | -0.000 |
| -0.000 | -0.000 | 0.000 | 19.062 | -0.000 | -0.000 |
| -0.000 | -0.000 | 0.000 | 0.000 | 19.062 | -0.000 |
| -0.000 | 0.000 | -0.000 | 0.000 | -0.000 | 19.062 |
| 42.120 | 21.217 | 21.217 | 0.000 | 0.000 | 0.000 |
| 21.217 | 42.120 | 21.217 | 0.000 | 0.000 | -0.000 |
| 21.217 | 21.217 | 42.120 | 0.000 | 0.000 | 0.000 |
| 0.000 | 0.000 | -0.000 | 19.062 | -0.000 | 0.000 |
| 0.000 | 0.000 | -0.000 | -0.000 | 19.062 | 0.000 |
| 0.000 | -0.000 | 0.000 | -0.000 | 0.000 | 19.062 |
| 42.120 | 21.217 | 21.217 | 0.000 | -0.000 | 0.000 |
| 21.217 | 42.120 | 21.217 | -0.000 | -0.000 | -0.000 |
| 21.217 | 21.217 | 42.120 | -0.000 | -0.000 | -0.000 |
| -0.000 | -0.000 | 0.000 | 19.062 | 0.000 | 0.000 |
| -0.000 | -0.000 | 0.000 | 0.000 | 19.062 | -0.000 |
| -0.000 | 0.000 | -0.000 | -0.000 | -0.000 | 19.062 |
| 42.120 | 21.217 | 21.217 | 0.000 | 0.000 | -0.000 |
| 21.217 | 42.120 | 21.217 | 0.000 | 0.000 | 0.000 |
| 21.217 | 21.217 | 42.120 | 0.000 | 0.000 | 0.000 |
| 0.000 | 0.000 | -0.000 | 19.062 | -0.000 | 0.000 |
| 0.000 | 0.000 | -0.000 | -0.000 | 19.062 | 0.000 |
| 0.000 | -0.000 | 0.000 | 0.000 | -0.000 | 19.062 |
| 272.953 | 150.236 | 68.903 | -0.000 | -0.000 | 0.000 |
| 126.508 | 305.408 | 75.308 | 0.000 | -0.000 | -0.000 |
| 75.073 | 75.073 | 164.046 | 0.000 | -0.000 | 0.000 |
| 0.000 | -0.000 | 0.000 | 33.333 | -0.000 | -0.000 |
| 0.000 | 0.000 | 0.000 | 0.000 | 42.126 | -0.000 |
| -0.000 | 0.000 | 0.000 | -0.000 | -0.000 | 52.514 |
| 272.953 | 150.236 | 68.903 | 0.000 | 0.000 | 0.000 |
| 150.236 | 272.953 | 68.903 | 0.000 | 0.000 | 0.000 |
| 75.073 | 75.073 | 164.046 | 0.000 | -0.000 | 0.000 |
| -0.000 | -0.000 | -0.000 | 33.333 | 0.000 | 0.000 |
| -0.000 | -0.000 | -0.000 | 0.000 | 42.126 | 0.000 |
| 0.000 | -0.000 | -0.000 | 0.000 | 0.000 | 52.514 |
| 305.408 | 126.508 | 75.308 | 0.000 | 0.000 | -0.000 |
| 126.508 | 305.408 | 75.308 | 0.000 | -0.000 | -0.000 |
| 72.041 | 72.041 | 159.595 | -0.000 | 0.000 | -0.000 |
| 0.000 | -0.000 | 0.000 | 33.333 | -0.000 | -0.000 |
| 0.000 | 0.000 | 0.000 | 0.000 | 42.126 | -0.000 |
| -0.000 | 0.000 | -0.000 | -0.000 | -0.000 | 52.514 |
| 305.408 | 126.508 | 75.308 | -0.000 | 0.000 | -0.000 |
| 126.508 | 305.408 | 75.308 | -0.000 | 0.000 | 0.000 |
| 75.073 | 75.073 | 164.046 | -0.000 | -0.000 | 0.000 |
| -0.000 | 0.000 | -0.000 | 33.333 | 0.000 | -0.000 |
| -0.000 | -0.000 | -0.000 | 0.000 | 42.126 | -0.000 |
| 0.000 | -0.000 | 0.000 | 0.000 | 0.000 | 52.514 |
| 266.528 | 160.601 | 71.795 | -0.000 | -0.000 | -0.000 |
| 160.602 | 266.527 | 71.795 | -0.000 | -0.000 | -0.000 |
| 72.041 | 72.041 | 159.596 | -0.000 | -0.000 | 0.000 |
| 0.000 | -0.000 | 0.000 | 33.333 | -0.000 | -0.000 |
| -0.000 | 0.000 | 0.000 | -0.000 | 33.333 | 0.000 |
| -0.000 | 0.000 | 0.000 | 0.000 | -0.000 | 89.450 |
| 305.407 | 126.508 | 75.308 | -0.000 | -0.000 | 0.000 |
| 126.508 | 305.407 | 75.308 | -0.000 | 0.000 | 0.000 |
| 75.072 | 75.072 | 164.045 | -0.000 | 0.000 | 0.000 |
| -0.000 | 0.000 | -0.000 | 33.333 | 0.000 | 0.000 |
| 0.000 | -0.000 | -0.000 | 0.000 | 33.333 | 0.000 |
| 0.000 | -0.000 | -0.000 | -0.000 | 0.000 | 89.450 |
| 59.196 | 169.512 | 169.512 | 0.000 | 0.000 | 0.000 |
| 169.512 | 59.196 | 169.512 | 0.000 | 0.000 | 0.000 |
| 169.512 | 169.512 | 59.196 | 0.000 | 0.000 | 0.000 |
| 0.000 | 0.000 | -0.000 | 67.257 | -0.000 | 0.000 |
| -0.000 | 0.000 | 0.000 | 0.000 | 67.257 | 0.000 |
| -0.000 | 0.000 | 0.000 | 0.000 | 0.000 | 67.257 |
| 59.196 | 169.512 | 169.512 | -0.000 | -0.000 | -0.000 |
| 169.512 | 59.196 | 169.512 | -0.000 | 0.000 | 0.000 |
| 169.512 | 169.512 | 59.196 | -0.000 | 0.000 | -0.000 |
| -0.000 | -0.000 | 0.000 | 67.257 | 0.000 | -0.000 |
| 0.000 | -0.000 | 0.000 | -0.000 | 67.257 | -0.000 |
| 0.000 | -0.000 | -0.000 | -0.000 | 0.000 | 67.257 |
| 59.196 | 169.512 | 169.512 | 0.000 | 0.000 | 0.000 |
| 169.512 | 59.196 | 169.512 | 0.000 | 0.000 | 0.000 |
| 169.512 | 169.512 | 59.196 | 0.000 | -0.000 | 0.000 |
| 0.000 | 0.000 | 0.000 | 69.142 | 0.000 | 0.000 |
| 0.000 | 0.000 | 0.000 | 0.000 | 69.142 | 0.000 |
| 0.000 | 0.000 | 0.000 | 0.000 | 0.000 | 69.142 |
| 59.196 | 169.512 | 169.512 | -0.000 | -0.000 | -0.000 |
| 169.512 | 59.196 | 169.512 | -0.000 | -0.000 | -0.000 |
| 169.512 | 169.512 | 59.196 | -0.000 | -0.000 | -0.000 |
| -0.000 | -0.000 | -0.000 | 69.142 | -0.000 | -0.000 |
| -0.000 | -0.000 | -0.000 | -0.000 | 69.142 | -0.000 |
| -0.000 | -0.000 | -0.000 | -0.000 | -0.000 | 69.142 |
| 59.195 | 169.512 | 169.512 | 0.000 | 0.000 | 0.000 |
| 169.512 | 59.195 | 169.512 | 0.000 | 0.000 | 0.000 |
| 169.512 | 169.512 | 59.195 | 0.000 | -0.000 | 0.000 |
| 0.001 | 0.000 | 0.000 | 67.257 | 0.000 | 0.000 |
| 0.000 | 0.001 | 0.000 | 0.000 | 67.257 | 0.000 |
| 0.000 | 0.000 | 0.001 | 0.000 | -0.000 | 67.257 |
| 59.197 | 169.511 | 169.511 | -0.000 | -0.000 | -0.000 |
| 169.511 | 59.197 | 169.511 | -0.000 | 0.000 | -0.000 |
| 169.511 | 169.511 | 59.197 | 0.000 | 0.000 | -0.000 |
| -0.001 | -0.000 | -0.000 | 67.257 | -0.000 | -0.000 |
| -0.000 | -0.001 | -0.000 | -0.000 | 67.257 | -0.000 |
| -0.000 | -0.000 | -0.001 | -0.000 | -0.000 | 67.257 |
| 148.516 | 160.948 | 160.948 | -0.000 | -0.000 | -0.000 |
| 160.948 | 148.516 | 160.948 | -0.000 | -0.000 | -0.000 |
| 160.948 | 160.948 | 148.516 | -0.000 | -0.000 | 0.000 |
| -0.000 | -0.000 | -0.000 | 161.197 | -0.000 | 0.000 |
| -0.000 | -0.000 | -0.000 | -0.000 | 161.197 | 0.000 |
| -0.000 | -0.000 | -0.000 | -0.000 | -0.000 | 161.197 |
| 148.515 | 160.948 | 160.948 | 0.000 | 0.000 | -0.000 |
| 160.948 | 148.515 | 160.948 | 0.000 | 0.000 | -0.000 |
| 160.948 | 160.948 | 148.515 | 0.000 | 0.000 | -0.000 |
| 0.000 | 0.000 | 0.000 | 161.197 | 0.000 | 0.000 |
| 0.000 | 0.000 | 0.000 | 0.000 | 161.197 | 0.000 |
| 0.000 | 0.000 | 0.000 | 0.000 | 0.000 | 161.197 |
| 148.517 | 160.948 | 160.948 | -0.000 | -0.000 | 0.000 |
| 160.948 | 148.517 | 160.948 | -0.000 | -0.000 | 0.000 |
| 160.948 | 160.948 | 148.517 | -0.000 | -0.000 | -0.000 |
| 0.000 | 0.000 | -0.000 | -487.640 | 0.000 | 0.000 |
| 0.000 | 0.000 | -0.000 | 0.000 | -487.640 | 0.000 |
| 0.000 | -0.000 | 0.000 | 0.000 | 0.000 | -487.640 |
| 148.514 | 160.948 | 160.948 | 0.000 | 0.000 | 0.000 |
| 160.948 | 148.514 | 160.948 | 0.000 | 0.000 | 0.000 |
| 160.948 | 160.948 | 148.514 | 0.000 | 0.000 | 0.000 |
| -0.000 | -0.000 | 0.000 | -487.640 | -0.000 | -0.000 |
| -0.000 | -0.000 | 0.000 | -0.000 | -487.640 | -0.000 |
| -0.000 | 0.000 | -0.000 | -0.000 | -0.000 | -487.640 |
| 148.534 | 160.948 | 160.948 | -0.000 | -0.000 | 0.000 |
| 160.948 | 148.534 | 160.948 | -0.000 | -0.000 | 0.000 |
| 160.948 | 160.948 | 148.534 | -0.000 | -0.000 | 0.000 |
| 0.001 | 0.000 | -0.001 | -487.640 | 0.000 | 0.000 |
| 0.000 | 0.001 | -0.001 | 0.000 | -487.640 | 0.000 |
| 0.000 | -0.001 | 0.001 | 0.000 | 0.000 | -487.640 |
| 148.498 | 160.948 | 160.948 | 0.000 | 0.000 | -0.000 |
| 160.948 | 148.498 | 160.948 | 0.000 | 0.000 | -0.000 |
| 160.948 | 160.948 | 148.498 | 0.000 | 0.000 | 0.000 |
| -0.001 | -0.000 | 0.001 | -487.640 | -0.000 | -0.000 |
| -0.000 | -0.001 | 0.001 | -0.000 | -487.640 | -0.000 |
| -0.000 | 0.001 | -0.001 | -0.000 | 0.000 | -487.640 |
| 3.247 | 3.247 | 3.247 | 0.000 | -0.000 | 0.000 |
| 3.247 | 3.247 | 3.247 | -0.000 | 0.000 | 0.000 |
| 3.247 | 3.247 | 3.247 | 0.000 | 0.000 | 0.000 |
| 0.000 | 0.000 | 0.000 | 3.247 | 0.000 | 0.000 |
| 0.000 | 0.000 | 0.000 | 0.000 | 3.247 | 0.000 |
| 0.000 | 0.000 | 0.000 | 0.000 | 0.000 | 3.247 |
| 3.247 | 3.247 | 3.247 | -0.000 | 0.000 | -0.000 |
| 3.247 | 3.247 | 3.247 | 0.000 | -0.000 | -0.000 |
| 3.247 | 3.247 | 3.247 | -0.000 | -0.000 | -0.000 |
| -0.000 | -0.000 | -0.000 | 3.247 | -0.000 | -0.000 |
| -0.000 | -0.000 | -0.000 | -0.000 | 3.247 | -0.000 |
| -0.000 | -0.000 | -0.000 | -0.000 | -0.000 | 3.247 |
| 3.247 | 3.247 | 3.247 | -0.000 | 0.000 | 0.000 |
| 3.247 | 3.247 | 3.247 | 0.000 | -0.000 | 0.000 |
| 3.247 | 3.247 | 3.247 | 0.000 | 0.000 | -0.000 |
| 0.000 | 0.000 | 0.000 | 3.079 | 0.000 | 0.000 |
| 0.000 | 0.000 | 0.000 | 0.000 | 3.079 | 0.000 |
| 0.000 | 0.000 | 0.000 | 0.000 | 0.000 | 3.079 |
| 3.247 | 3.247 | 3.247 | -0.000 | 0.000 | 0.000 |
| 3.247 | 3.247 | 3.247 | 0.000 | -0.000 | 0.000 |
| 3.247 | 3.247 | 3.247 | -0.000 | -0.000 | 0.000 |
| -0.000 | -0.000 | -0.000 | 3.079 | -0.000 | -0.000 |
| -0.000 | -0.000 | -0.000 | -0.000 | 3.079 | -0.000 |
| -0.000 | -0.000 | -0.000 | -0.000 | -0.000 | 3.079 |
| 3.248 | 3.248 | 3.248 | 0.000 | -0.000 | -0.000 |
| 3.248 | 3.248 | 3.248 | -0.000 | 0.000 | -0.000 |
| 3.248 | 3.248 | 3.248 | 0.000 | 0.000 | 0.000 |
| 0.000 | 0.000 | 0.000 | 3.079 | 0.000 | 0.000 |
| 0.000 | 0.000 | 0.000 | 0.000 | 3.079 | 0.000 |
| 0.000 | 0.000 | 0.000 | 0.000 | 0.000 | 3.079 |
| 3.247 | 3.247 | 3.247 | -0.000 | -0.000 | -0.000 |
| 3.247 | 3.247 | 3.247 | -0.000 | -0.000 | -0.000 |
| 3.247 | 3.247 | 3.247 | -0.000 | -0.000 | -0.000 |
| -0.000 | -0.000 | -0.000 | 3.079 | -0.000 | -0.000 |
| -0.000 | -0.000 | -0.000 | -0.000 | 3.079 | -0.000 |
| -0.000 | -0.000 | -0.000 | -0.000 | -0.000 | 3.079 |
| 151.360 | 183.485 | 183.485 | 0.000 | 0.000 | 0.000 |
| 183.485 | 151.360 | 183.485 | -0.000 | 0.000 | 0.000 |
| 183.485 | 183.485 | 151.360 | 0.000 | 0.000 | 0.000 |
| 0.000 | -0.000 | -0.000 | 180.166 | 0.000 | 0.000 |
| -0.000 | -0.000 | 0.000 | -0.000 | 180.166 | 0.000 |
| -0.000 | -0.000 | 0.000 | -0.000 | 0.000 | 180.166 |
| 151.360 | 183.485 | 183.485 | -0.000 | -0.000 | -0.000 |
| 183.485 | 151.360 | 183.485 | 0.000 | -0.000 | -0.000 |
| 183.485 | 183.485 | 151.360 | 0.000 | 0.000 | -0.000 |
| -0.000 | 0.000 | -0.000 | 180.166 | -0.000 | -0.000 |
| 0.000 | 0.000 | -0.000 | 0.000 | 180.166 | -0.000 |
| 0.000 | 0.000 | -0.000 | 0.000 | -0.000 | 180.166 |
| 151.360 | 183.485 | 183.485 | -0.000 | 0.000 | 0.000 |
| 183.485 | 151.360 | 183.485 | -0.000 | 0.000 | 0.000 |
| 183.485 | 183.485 | 151.360 | -0.000 | 0.000 | 0.000 |
| 0.000 | 0.000 | 0.000 | 180.166 | 0.000 | 0.000 |
| 0.000 | 0.000 | 0.000 | 0.000 | 180.166 | 0.000 |
| 0.000 | 0.000 | 0.000 | 0.000 | 0.000 | 180.166 |
| 151.360 | 183.485 | 183.485 | -0.000 | -0.000 | -0.000 |
| 183.485 | 151.360 | 183.485 | -0.000 | -0.000 | -0.000 |
| 183.485 | 183.485 | 151.360 | 0.000 | -0.000 | -0.000 |
| -0.000 | -0.000 | -0.000 | 180.166 | -0.000 | -0.000 |
| -0.000 | -0.000 | -0.000 | 0.000 | 180.166 | -0.000 |
| -0.000 | -0.000 | -0.000 | 0.000 | -0.000 | 180.166 |
| 151.360 | 183.486 | 183.486 | 0.000 | 0.000 | 0.000 |
| 183.486 | 151.360 | 183.486 | 0.000 | 0.000 | 0.000 |
| 183.486 | 183.486 | 151.360 | -0.000 | -0.000 | 0.000 |
| 0.001 | 0.000 | 0.001 | 180.166 | 0.000 | 0.000 |
| 0.000 | 0.001 | 0.001 | -0.000 | 180.166 | 0.000 |
| 0.000 | 0.001 | 0.001 | -0.000 | 0.000 | 180.166 |
| 151.360 | 183.484 | 183.484 | -0.000 | -0.000 | -0.000 |
| 183.484 | 151.360 | 183.484 | 0.000 | -0.000 | -0.000 |
| 183.484 | 183.484 | 151.360 | 0.000 | -0.000 | -0.000 |
| -0.001 | -0.000 | -0.001 | 180.166 | -0.000 | -0.000 |
| -0.000 | -0.001 | -0.001 | 0.000 | 180.166 | -0.000 |
| -0.000 | -0.001 | -0.001 | 0.000 | -0.000 | 180.166 |
| 76.940 | 81.527 | 81.527 | 0.000 | -0.000 | -0.000 |
| 81.527 | 76.940 | 81.527 | 0.000 | 0.000 | 0.000 |
| 81.527 | 81.527 | 76.940 | -0.000 | -0.000 | -0.000 |
| 0.000 | 0.000 | 0.000 | 3.045 | 0.000 | -0.000 |
| 0.000 | 0.000 | 0.000 | 0.000 | 3.045 | 0.000 |
| 0.000 | 0.000 | 0.000 | -0.000 | 0.000 | 3.045 |
| 76.940 | 81.527 | 81.527 | -0.000 | -0.000 | -0.000 |
| 81.527 | 76.940 | 81.527 | 0.000 | -0.000 | -0.000 |
| 81.527 | 81.527 | 76.940 | -0.000 | -0.000 | -0.000 |
| -0.000 | -0.000 | -0.000 | 3.045 | -0.000 | -0.000 |
| -0.000 | -0.000 | -0.000 | 0.000 | 3.045 | 0.000 |
| -0.000 | -0.000 | -0.000 | -0.000 | -0.000 | 3.045 |
| 76.940 | 81.527 | 81.527 | 0.000 | 0.000 | 0.000 |
| 81.527 | 76.940 | 81.527 | 0.000 | 0.000 | 0.000 |
| 81.527 | 81.527 | 76.940 | -0.000 | -0.000 | -0.000 |
| 0.000 | 0.000 | 0.000 | 3.045 | -0.000 | 0.000 |
| 0.000 | 0.000 | 0.000 | -0.000 | 3.045 | 0.000 |
| 0.000 | 0.000 | 0.000 | -0.000 | 0.000 | 3.045 |
| 76.940 | 81.526 | 81.526 | 0.000 | -0.000 | -0.000 |
| 81.526 | 76.940 | 81.526 | -0.000 | -0.000 | -0.000 |
| 81.526 | 81.526 | 76.940 | 0.000 | -0.000 | -0.000 |
| -0.000 | -0.000 | -0.000 | 3.045 | -0.000 | -0.000 |
| -0.000 | -0.000 | -0.000 | 0.000 | 3.045 | 0.000 |
| -0.000 | -0.000 | -0.000 | 0.000 | -0.000 | 3.045 |
| 76.943 | 81.528 | 81.528 | -0.000 | -0.000 | 0.000 |
| 81.528 | 76.943 | 81.528 | 0.000 | 0.000 | 0.000 |
| 81.528 | 81.528 | 76.943 | -0.000 | 0.000 | 0.000 |
| 239867.601 | 242711.607 | 244335.739 | -281.844 | 0.000 | -0.000 |
| 242711.609 | 239867.595 | 244335.733 | 0.000 | -281.845 | -0.000 |
| 242711.595 | 244335.737 | 239867.606 | 0.000 | -0.000 | -281.843 |
| 76.937 | 81.525 | 81.525 | -0.000 | -0.000 | -0.000 |
| 81.525 | 76.937 | 81.525 | 0.000 | -0.000 | -0.000 |
| 81.525 | 81.525 | 76.937 | 0.000 | 0.000 | -0.000 |
| -239867.605 | -242711.607 | -244335.740 | -281.844 | -0.000 | -0.000 |
| -242711.602 | -239867.599 | -244335.732 | 0.000 | -281.844 | 0.000 |
| -242711.603 | -244335.736 | -239867.602 | -0.000 | -0.000 | -281.844 |
| 316.024 | 92.523 | 127.216 | 0.000 | -0.019 | 0.000 |
| 247.891 | 361.636 | 198.222 | -0.000 | -23.870 | 0.000 |
| 264.652 | 167.896 | 399.180 | -0.000 | -14.617 | 0.000 |
| 158.935 | 88.717 | 111.421 | 51.582 | -24.192 | -0.247 |
| 116.982 | 75.153 | 107.126 | -0.000 | 57.205 | 0.000 |
| 158.937 | 88.718 | 111.422 | -0.208 | -24.193 | 51.710 |
| 316.024 | 92.523 | 127.216 | 0.000 | -0.019 | -0.000 |
| -41.514 | 190.771 | -21.326 | -0.000 | 16.035 | -0.000 |
| 127.262 | 91.211 | 310.095 | 0.000 | -0.946 | -0.000 |
| -158.935 | -88.717 | -111.421 | 51.582 | 24.192 | -0.247 |
| -111.668 | -73.493 | -105.956 | 0.000 | 84.720 | -0.000 |
| -158.937 | -88.718 | -111.422 | -0.208 | 24.193 | 51.710 |
| 303.657 | 96.825 | 152.935 | 0.000 | 1.610 | 0.000 |
| 101.913 | 280.786 | 96.590 | 0.000 | -0.794 | 0.000 |
| 145.700 | 95.862 | 310.025 | 0.000 | -2.152 | 0.000 |
| 11.996 | 7.425 | 10.145 | 49.722 | -1.060 | -0.635 |
| -0.310 | -0.258 | -0.946 | -0.000 | 93.022 | 0.000 |
| -0.000 | 0.000 | 0.000 | -0.129 | -0.000 | 53.457 |
| 316.024 | 92.523 | 127.216 | 0.000 | -0.019 | -0.000 |
| 75.840 | 264.483 | 75.246 | -0.000 | 2.251 | -0.000 |
| 112.738 | 77.704 | 287.474 | 0.000 | 2.797 | -0.000 |
| -11.996 | -7.425 | -10.145 | 49.722 | 1.060 | -0.635 |
| -15.194 | -8.961 | -11.302 | -0.000 | 86.873 | -0.000 |
| 0.000 | -0.000 | -0.000 | -0.129 | 0.000 | 53.457 |
| 294.189 | 89.456 | 140.516 | -0.000 | 3.618 | 0.000 |
| 92.446 | 277.375 | 91.089 | -0.000 | -0.220 | 0.000 |
| 142.951 | 86.931 | 285.987 | -0.000 | 0.418 | 0.000 |
| 1.264 | 0.842 | 1.124 | 49.605 | -0.124 | -0.630 |
| -0.309 | -0.258 | -0.946 | 0.000 | 93.022 | 0.000 |
| 1.128 | 0.741 | 1.076 | -0.687 | -0.141 | 48.856 |
| 316.022 | 92.523 | 127.215 | 0.000 | -0.019 | -0.000 |
| 87.403 | 272.200 | 85.821 | -0.000 | 0.558 | -0.000 |
| 138.719 | 84.828 | 284.417 | 0.000 | 1.044 | -0.000 |
| -1.264 | -0.842 | -1.124 | 49.605 | 0.124 | -0.630 |
| 2.334 | 0.335 | 0.062 | 0.000 | 70.242 | -0.000 |
| -1.128 | -0.741 | -1.076 | -0.687 | 0.141 | 48.856 |
| 75.577 | 150.435 | 150.435 | -0.000 | -0.000 | 0.000 |
| 150.435 | 75.577 | 150.435 | -0.000 | -0.000 | 0.000 |
| 150.435 | 150.435 | 75.577 | -0.000 | -0.000 | 0.000 |
| 0.000 | 0.000 | -0.000 | 116.130 | -0.000 | 0.000 |
| 0.000 | 0.000 | -0.000 | -0.000 | 116.130 | 0.000 |
| 0.000 | 0.000 | -0.000 | -0.000 | -0.000 | 116.130 |
| 75.577 | 150.435 | 150.435 | 0.000 | 0.000 | -0.000 |
| 150.435 | 75.577 | 150.435 | 0.000 | 0.000 | -0.000 |
| 150.435 | 150.435 | 75.578 | 0.000 | 0.000 | -0.000 |
| -0.000 | -0.000 | 0.000 | 116.130 | 0.000 | -0.000 |
| -0.000 | -0.000 | 0.000 | 0.000 | 116.130 | -0.000 |
| -0.000 | -0.000 | 0.000 | 0.000 | 0.000 | 116.130 |
| 75.578 | 150.435 | 150.435 | -0.000 | -0.000 | 0.000 |
| 150.435 | 75.578 | 150.435 | -0.000 | -0.000 | 0.000 |
| 150.435 | 150.435 | 75.578 | -0.000 | 0.000 | 0.000 |
| 0.000 | 0.000 | 0.000 | 116.130 | -0.000 | 0.000 |
| 0.000 | 0.000 | 0.000 | -0.000 | 116.130 | 0.000 |
| 0.000 | 0.000 | 0.000 | -0.000 | -0.000 | 116.130 |
| 75.577 | 150.435 | 150.435 | 0.000 | -0.000 | -0.000 |
| 150.435 | 75.577 | 150.435 | 0.000 | -0.000 | -0.000 |
| 150.435 | 150.435 | 75.577 | -0.000 | -0.000 | -0.000 |
| -0.000 | -0.000 | -0.000 | 116.130 | 0.000 | -0.000 |
| -0.000 | -0.000 | -0.000 | 0.000 | 116.130 | -0.000 |
| -0.000 | -0.000 | -0.000 | 0.000 | 0.000 | 116.130 |
| 75.578 | 150.436 | 150.436 | -0.000 | -0.000 | 0.000 |
| 150.436 | 75.578 | 150.436 | -0.000 | -0.000 | 0.000 |
| 150.436 | 150.436 | 75.578 | -0.000 | 0.000 | 0.000 |
| 0.001 | 0.000 | 0.001 | 118.339 | -0.000 | 0.000 |
| 0.000 | 0.001 | 0.001 | -0.000 | 118.339 | 0.000 |
| 0.000 | 0.001 | 0.001 | -0.000 | -0.000 | 118.339 |
| 75.577 | 150.435 | 150.435 | 0.000 | -0.000 | -0.000 |
| 150.435 | 75.577 | 150.435 | 0.000 | 0.000 | -0.000 |
| 150.435 | 150.435 | 75.577 | 0.000 | 0.000 | -0.000 |
| -0.001 | -0.000 | -0.001 | 118.339 | 0.000 | -0.000 |
| -0.000 | -0.001 | -0.001 | 0.000 | 118.339 | -0.000 |
| -0.000 | -0.001 | -0.001 | 0.000 | 0.000 | 118.339 |
| 563.803 | 10.048 | 10.048 | -0.000 | 0.000 | 0.000 |
| 10.048 | 563.803 | 10.048 | -0.000 | -0.000 | 0.000 |
| 10.048 | 10.048 | 563.803 | -0.000 | -0.000 | 0.000 |
| 0.000 | -0.000 | -0.000 | 9.317 | -0.000 | 0.000 |
| -0.000 | -0.000 | -0.000 | -0.000 | 9.317 | 0.000 |
| -0.000 | -0.000 | 0.000 | -0.000 | -0.000 | 9.317 |
| 563.803 | 10.048 | 10.048 | 0.000 | 0.000 | -0.000 |
| 10.048 | 563.803 | 10.048 | 0.000 | 0.000 | -0.000 |
| 10.048 | 10.048 | 563.803 | 0.000 | -0.000 | -0.000 |
| -0.000 | 0.000 | 0.000 | 9.317 | 0.000 | -0.000 |
| 0.000 | 0.000 | 0.000 | 0.000 | 9.317 | -0.000 |
| 0.000 | 0.000 | -0.000 | 0.000 | 0.000 | 9.317 |
| 563.802 | 10.048 | 10.048 | -0.000 | -0.000 | 0.000 |
| 10.048 | 563.802 | 10.048 | -0.000 | -0.000 | 0.000 |
| 10.048 | 10.048 | 563.802 | 0.000 | -0.000 | 0.000 |
| -0.000 | -0.000 | -0.000 | 9.317 | -0.000 | 0.000 |
| -0.000 | -0.000 | -0.000 | -0.000 | 9.317 | 0.000 |
| -0.000 | -0.000 | -0.000 | -0.000 | -0.000 | 9.317 |
| 563.803 | 10.048 | 10.048 | 0.000 | 0.000 | -0.000 |
| 10.048 | 563.803 | 10.048 | -0.000 | -0.000 | -0.000 |
| 10.048 | 10.048 | 563.803 | 0.000 | 0.000 | -0.000 |
| 0.000 | 0.000 | 0.000 | 9.317 | 0.000 | -0.000 |
| 0.000 | 0.000 | 0.000 | 0.000 | 9.317 | -0.000 |
| 0.000 | 0.000 | 0.000 | 0.000 | 0.000 | 9.317 |
| 563.799 | 10.047 | 10.047 | -0.000 | -0.000 | 0.000 |
| 10.047 | 563.799 | 10.047 | -0.000 | 0.000 | 0.000 |
| 10.047 | 10.047 | 563.799 | -0.000 | -0.000 | 0.000 |
| -0.000 | -0.001 | -0.001 | 9.317 | -0.000 | 0.000 |
| -0.001 | -0.000 | -0.001 | 0.000 | 9.317 | 0.000 |
| -0.001 | -0.001 | -0.000 | 0.000 | -0.000 | 9.317 |
| 563.806 | 10.049 | 10.049 | -0.000 | 0.000 | -0.000 |
| 10.049 | 563.806 | 10.049 | 0.000 | 0.000 | -0.000 |
| 10.049 | 10.049 | 563.806 | 0.000 | 0.000 | -0.000 |
| 0.000 | 0.001 | 0.001 | 9.317 | 0.000 | -0.000 |
| 0.001 | 0.000 | 0.001 | -0.000 | 9.317 | -0.000 |
| 0.001 | 0.001 | 0.000 | -0.000 | 0.000 | 9.317 |
| 435.354 | 134.173 | 134.173 | -0.000 | 0.000 | 0.000 |
| 134.173 | 435.354 | 134.173 | 0.000 | 0.000 | 0.000 |
| 134.173 | 134.173 | 435.354 | 0.000 | 0.000 | 0.000 |
| -0.000 | 0.000 | -0.000 | 146.381 | -0.000 | 0.000 |
| 0.000 | -0.000 | -0.000 | -0.000 | 146.381 | 0.000 |
| 0.000 | 0.000 | -0.000 | 0.000 | 0.000 | 146.381 |
| 435.354 | 134.173 | 134.173 | 0.000 | -0.000 | -0.000 |
| 134.173 | 435.354 | 134.173 | -0.000 | -0.000 | -0.000 |
| 134.173 | 134.173 | 435.354 | 0.000 | -0.000 | -0.000 |
| 0.000 | -0.000 | 0.000 | 146.381 | 0.000 | -0.000 |
| -0.000 | 0.000 | 0.000 | 0.000 | 146.381 | -0.000 |
| -0.000 | -0.000 | 0.000 | 0.000 | -0.000 | 146.381 |
| 435.354 | 134.173 | 134.173 | -0.000 | 0.000 | 0.000 |
| 134.173 | 435.354 | 134.173 | -0.000 | 0.000 | 0.000 |
| 134.173 | 134.173 | 435.354 | -0.000 | 0.000 | 0.000 |
| -0.000 | 0.000 | 0.000 | 146.381 | 0.000 | 0.000 |
| 0.000 | -0.000 | 0.000 | -0.000 | 146.381 | 0.000 |
| 0.000 | 0.000 | -0.000 | -0.000 | 0.000 | 146.381 |
| 435.354 | 134.173 | 134.173 | 0.000 | 0.000 | -0.000 |
| 134.173 | 435.354 | 134.173 | 0.000 | -0.000 | -0.000 |
| 134.173 | 134.173 | 435.354 | 0.000 | -0.000 | -0.000 |
| 0.000 | -0.000 | -0.000 | 146.381 | -0.000 | -0.000 |
| -0.000 | 0.000 | -0.000 | 0.000 | 146.381 | -0.000 |
| -0.000 | -0.000 | 0.000 | 0.000 | -0.000 | 146.381 |
| 435.353 | 134.172 | 134.172 | -0.000 | 0.000 | 0.000 |
| 134.172 | 435.353 | 134.172 | -0.000 | 0.000 | 0.000 |
| 134.172 | 134.172 | 435.353 | -0.000 | 0.000 | 0.000 |
| -0.000 | 0.000 | 0.000 | 146.381 | 0.000 | 0.000 |
| 0.000 | -0.000 | 0.000 | 0.000 | 146.381 | 0.000 |
| 0.000 | 0.000 | -0.000 | -0.000 | 0.000 | 146.381 |
| 435.355 | 134.173 | 134.173 | -0.000 | -0.000 | -0.000 |
| 134.173 | 435.355 | 134.173 | 0.000 | -0.000 | -0.000 |
| 134.173 | 134.173 | 435.355 | -0.000 | -0.000 | -0.000 |
| 0.000 | -0.000 | -0.000 | 146.381 | -0.000 | -0.000 |
| -0.000 | 0.000 | -0.000 | 0.000 | 146.381 | -0.000 |
| -0.000 | -0.000 | 0.000 | 0.000 | -0.000 | 146.381 |
| 89.939 | 40.572 | 40.572 | 0.000 | 0.000 | -0.000 |
| 40.572 | 89.939 | 40.572 | 0.000 | 0.000 | 0.000 |
| 40.572 | 40.572 | 89.939 | 0.000 | 0.000 | 0.000 |
| -0.000 | 0.000 | 0.000 | 39.850 | 0.000 | 0.000 |
| 0.000 | -0.000 | 0.000 | 0.000 | 39.850 | 0.000 |
| 0.000 | 0.000 | -0.000 | 0.000 | 0.000 | 39.850 |
| 89.939 | 40.572 | 40.572 | -0.000 | -0.000 | -0.000 |
| 40.572 | 89.939 | 40.572 | -0.000 | -0.000 | -0.000 |
| 40.572 | 40.572 | 89.939 | -0.000 | -0.000 | -0.000 |
| 0.000 | -0.000 | -0.000 | 39.850 | -0.000 | -0.000 |
| -0.000 | 0.000 | -0.000 | -0.000 | 39.850 | -0.000 |
| -0.000 | -0.000 | 0.000 | -0.000 | -0.000 | 39.850 |
| 89.939 | 40.572 | 40.572 | 0.000 | 0.000 | -0.000 |
| 40.572 | 89.939 | 40.572 | 0.000 | 0.000 | 0.000 |
| 40.572 | 40.572 | 89.939 | 0.000 | 0.000 | 0.000 |
| -0.000 | 0.000 | 0.000 | 39.850 | 0.000 | -0.000 |
| 0.000 | -0.000 | 0.000 | 0.000 | 39.850 | 0.000 |
| 0.000 | 0.000 | -0.000 | 0.000 | 0.000 | 39.850 |
| 89.939 | 40.572 | 40.572 | -0.000 | -0.000 | -0.000 |
| 40.572 | 89.939 | 40.572 | -0.000 | -0.000 | -0.000 |
| 40.572 | 40.572 | 89.939 | -0.000 | -0.000 | -0.000 |
| 0.000 | -0.000 | -0.000 | 39.850 | -0.000 | -0.000 |
| -0.000 | 0.000 | -0.000 | -0.000 | 39.850 | -0.000 |
| -0.000 | -0.000 | 0.000 | -0.000 | -0.000 | 39.850 |
| 89.939 | 40.572 | 40.572 | 0.000 | 0.000 | 0.000 |
| 40.572 | 89.939 | 40.572 | 0.000 | 0.000 | 0.000 |
| 40.572 | 40.572 | 89.939 | 0.000 | 0.000 | 0.000 |
| -0.000 | 0.000 | 0.000 | 39.850 | 0.000 | 0.000 |
| 0.000 | -0.000 | 0.000 | 0.000 | 39.850 | 0.000 |
| 0.000 | 0.000 | -0.000 | 0.000 | 0.000 | 39.850 |
| 89.939 | 40.571 | 40.571 | -0.000 | -0.000 | -0.000 |
| 40.571 | 89.939 | 40.571 | -0.000 | -0.000 | -0.000 |
| 40.571 | 40.571 | 89.939 | -0.000 | -0.000 | -0.000 |
| 0.000 | -0.000 | -0.000 | 39.850 | -0.000 | -0.000 |
| -0.000 | 0.000 | -0.000 | -0.000 | 39.850 | -0.000 |
| -0.000 | -0.000 | 0.000 | -0.000 | -0.000 | 39.850 |
| 90.348 | 204.328 | 204.328 | -0.000 | 0.000 | 0.000 |
| 204.328 | 90.348 | 204.328 | -0.000 | 0.000 | 0.000 |
| 204.328 | 204.328 | 90.348 | -0.000 | 0.000 | 0.000 |
| -0.000 | -0.000 | -0.000 | 77.353 | -0.000 | 0.000 |
| -0.000 | -0.000 | -0.000 | -0.000 | 77.353 | 0.000 |
| -0.000 | -0.000 | -0.000 | -0.000 | 0.000 | 77.353 |
| 90.348 | 204.328 | 204.328 | 0.000 | -0.000 | -0.000 |
| 204.328 | 90.348 | 204.328 | 0.000 | -0.000 | -0.000 |
| 204.328 | 204.328 | 90.348 | 0.000 | -0.000 | -0.000 |
| 0.000 | 0.000 | 0.000 | 77.353 | 0.000 | -0.000 |
| 0.000 | 0.000 | 0.000 | 0.000 | 77.353 | -0.000 |
| 0.000 | 0.000 | 0.000 | 0.000 | -0.000 | 77.353 |
| 90.348 | 204.328 | 204.328 | 0.000 | 0.000 | 0.000 |
| 204.328 | 90.348 | 204.328 | -0.000 | -0.000 | 0.000 |
| 204.328 | 204.328 | 90.348 | -0.000 | 0.000 | 0.000 |
| 0.000 | -0.000 | -0.000 | 77.353 | 0.000 | 0.000 |
| -0.000 | 0.000 | -0.000 | -0.000 | 77.353 | 0.000 |
| -0.000 | -0.000 | 0.000 | 0.000 | 0.000 | 77.353 |
| 90.348 | 204.328 | 204.328 | 0.000 | -0.000 | -0.000 |
| 204.328 | 90.348 | 204.328 | 0.000 | -0.000 | -0.000 |
| 204.328 | 204.328 | 90.348 | 0.000 | -0.000 | -0.000 |
| -0.000 | 0.000 | 0.000 | 77.353 | -0.000 | -0.000 |
| 0.000 | -0.000 | 0.000 | 0.000 | 77.353 | -0.000 |
| 0.000 | 0.000 | -0.000 | 0.000 | -0.000 | 77.353 |
| 90.349 | 204.328 | 204.328 | -0.000 | 0.000 | 0.000 |
| 204.328 | 90.349 | 204.328 | -0.000 | 0.000 | 0.000 |
| 204.328 | 204.328 | 90.349 | -0.000 | 0.000 | 0.000 |
| 0.000 | -0.000 | -0.000 | 77.353 | 0.000 | 0.000 |
| -0.000 | 0.000 | -0.000 | -0.000 | 77.353 | 0.000 |
| -0.000 | -0.000 | 0.000 | 0.000 | 0.000 | 77.353 |
| 90.348 | 204.328 | 204.328 | -0.000 | -0.000 | -0.000 |
| 204.328 | 90.348 | 204.328 | 0.000 | -0.000 | -0.000 |
| 204.328 | 204.328 | 90.348 | 0.000 | 0.000 | -0.000 |
| -0.000 | 0.000 | 0.000 | 77.353 | -0.000 | -0.000 |
| 0.000 | -0.000 | 0.000 | 0.000 | 77.353 | -0.000 |
| 0.000 | 0.000 | -0.000 | 0.000 | -0.000 | 77.353 |
| 520.729 | 479.371 | 479.371 | 0.000 | 0.000 | 0.000 |
| 479.371 | 520.729 | 479.371 | 0.000 | 0.000 | 0.000 |
| 479.371 | 479.371 | 520.729 | 0.000 | 0.000 | 0.000 |
| 0.000 | -0.000 | 0.000 | 480.581 | 0.000 | 0.000 |
| -0.000 | 0.000 | 0.000 | 0.000 | 480.581 | 0.000 |
| -0.000 | 0.000 | 0.000 | -0.000 | 0.000 | 480.581 |
| 520.730 | 479.371 | 479.371 | -0.000 | -0.000 | -0.000 |
| 479.371 | 520.730 | 479.371 | -0.000 | -0.000 | -0.000 |
| 479.371 | 479.371 | 520.730 | -0.000 | -0.000 | -0.000 |
| -0.000 | 0.000 | -0.000 | 480.581 | -0.000 | -0.000 |
| 0.000 | -0.000 | -0.000 | -0.000 | 480.581 | -0.000 |
| 0.000 | -0.000 | -0.000 | 0.000 | 0.000 | 480.581 |
| 520.724 | 479.371 | 479.371 | 0.000 | 0.000 | 0.000 |
| 479.371 | 520.724 | 479.371 | 0.000 | 0.000 | 0.000 |
| 479.371 | 479.371 | 520.724 | 0.000 | 0.000 | 0.000 |
| -0.000 | -0.000 | -0.000 | 480.581 | 0.000 | 0.000 |
| -0.000 | -0.000 | -0.000 | 0.000 | 480.581 | 0.000 |
| -0.000 | -0.000 | -0.000 | 0.000 | 0.000 | 480.581 |
| 520.734 | 479.371 | 479.371 | -0.000 | -0.000 | -0.000 |
| 479.371 | 520.734 | 479.371 | -0.000 | -0.000 | -0.000 |
| 479.371 | 479.371 | 520.734 | -0.000 | -0.000 | -0.000 |
| 0.000 | 0.000 | 0.000 | 480.581 | -0.000 | -0.000 |
| 0.000 | 0.000 | 0.000 | -0.000 | 480.581 | -0.000 |
| 0.000 | 0.000 | 0.000 | 0.000 | 0.000 | 480.581 |
| 520.677 | 479.371 | 479.371 | 0.000 | 0.000 | 0.000 |
| 479.371 | 520.677 | 479.371 | 0.000 | 0.000 | 0.000 |
| 479.371 | 479.371 | 520.677 | 0.000 | 0.000 | 0.000 |
| -0.000 | -0.001 | -0.000 | 480.581 | 0.000 | 0.000 |
| -0.001 | -0.000 | -0.000 | 0.000 | 480.581 | 0.000 |
| -0.001 | -0.000 | -0.000 | 0.000 | -0.000 | 480.581 |
| 520.781 | 479.371 | 479.371 | -0.000 | 0.000 | -0.000 |
| 479.371 | 520.781 | 479.371 | 0.000 | -0.000 | -0.000 |
| 479.371 | 479.371 | 520.781 | -0.000 | -0.000 | -0.000 |
| 0.000 | 0.001 | 0.000 | 480.581 | -0.000 | -0.000 |
| 0.001 | 0.000 | 0.000 | -0.000 | 480.581 | -0.000 |
| 0.001 | 0.000 | 0.000 | 0.000 | 0.000 | 480.581 |
| 5.049 | 5.049 | 5.049 | 0.000 | -0.000 | -0.000 |
| 5.049 | 5.049 | 5.049 | -0.000 | 0.000 | -0.000 |
| 5.049 | 5.049 | 5.049 | 0.000 | 0.000 | -0.000 |
| 0.000 | 0.000 | 0.000 | 5.049 | 0.000 | -0.000 |
| 0.000 | 0.000 | 0.000 | 0.000 | 5.049 | -0.000 |
| 0.000 | 0.000 | 0.000 | 0.000 | -0.000 | 5.049 |
| 5.049 | 5.049 | 5.049 | -0.000 | 0.000 | 0.000 |
| 5.049 | 5.049 | 5.049 | 0.000 | -0.000 | 0.000 |
| 5.049 | 5.049 | 5.049 | -0.000 | -0.000 | 0.000 |
| -0.000 | -0.000 | -0.000 | 5.049 | -0.000 | 0.000 |
| -0.000 | -0.000 | -0.000 | -0.000 | 5.049 | 0.000 |
| -0.000 | -0.000 | -0.000 | -0.000 | -0.000 | 5.049 |
| 5.049 | 5.049 | 5.049 | 0.000 | -0.000 | -0.000 |
| 5.049 | 5.049 | 5.049 | -0.000 | 0.000 | -0.000 |
| 5.049 | 5.049 | 5.049 | 0.000 | 0.000 | -0.000 |
| 0.000 | 0.000 | 0.000 | 5.049 | 0.000 | -0.000 |
| 0.000 | 0.000 | 0.000 | 0.000 | 5.049 | -0.000 |
| 0.000 | 0.000 | 0.000 | 0.000 | -0.000 | 5.049 |
| 5.049 | 5.049 | 5.049 | -0.000 | 0.000 | 0.000 |
| 5.049 | 5.049 | 5.049 | 0.000 | -0.000 | 0.000 |
| 5.049 | 5.049 | 5.049 | -0.000 | -0.000 | 0.000 |
| -0.000 | -0.000 | -0.000 | 5.049 | -0.000 | 0.000 |
| -0.000 | -0.000 | -0.000 | -0.000 | 5.049 | 0.000 |
| -0.000 | -0.000 | -0.000 | -0.000 | 0.000 | 5.049 |
| 5.049 | 5.049 | 5.049 | -0.000 | 0.000 | -0.000 |
| 5.049 | 5.049 | 5.049 | 0.000 | -0.000 | -0.000 |
| 5.049 | 5.049 | 5.049 | -0.000 | -0.000 | -0.000 |
| 0.000 | 0.000 | 0.000 | 5.049 | 0.000 | -0.000 |
| 0.000 | 0.000 | 0.000 | 0.000 | 5.049 | -0.000 |
| 0.000 | 0.000 | 0.000 | 0.000 | -0.000 | 5.049 |
| 5.049 | 5.049 | 5.049 | 0.000 | 0.000 | 0.000 |
| 5.049 | 5.049 | 5.049 | 0.000 | 0.000 | 0.000 |
| 5.049 | 5.049 | 5.049 | 0.000 | 0.000 | 0.000 |
| -0.000 | -0.000 | -0.000 | 5.049 | -0.000 | 0.000 |
| -0.000 | -0.000 | -0.000 | -0.000 | 5.049 | 0.000 |
| -0.000 | -0.000 | -0.000 | -0.000 | 0.000 | 5.049 |
| 26.060 | 58.862 | 58.862 | -0.000 | -0.000 | -0.000 |
| 58.862 | 26.060 | 58.862 | -0.000 | -0.000 | -0.000 |
| 58.862 | 58.862 | 26.060 | -0.000 | -0.000 | -0.000 |
| 0.000 | 0.000 | 0.000 | -54.466 | 0.000 | -0.000 |
| -0.000 | 0.000 | 0.000 | -0.000 | -54.466 | -0.000 |
| -0.000 | 0.000 | -0.000 | -0.000 | -0.000 | -54.466 |
| 26.060 | 58.862 | 58.862 | 0.000 | -0.000 | 0.000 |
| 58.862 | 26.060 | 58.862 | 0.000 | 0.000 | 0.000 |
| 58.862 | 58.862 | 26.060 | 0.000 | 0.000 | 0.000 |
| 0.000 | -0.000 | -0.000 | -54.466 | 0.000 | 0.000 |
| -0.000 | -0.000 | -0.000 | 0.000 | -54.466 | 0.000 |
| 0.000 | -0.000 | -0.000 | 0.000 | 0.000 | -54.466 |
| 26.060 | 58.862 | 58.862 | -0.000 | 0.000 | -0.000 |
| 58.862 | 26.060 | 58.862 | -0.000 | -0.000 | -0.000 |
| 58.862 | 58.862 | 26.060 | -0.000 | -0.000 | -0.000 |
| 0.000 | -0.000 | 0.000 | 56.590 | 0.000 | 0.000 |
| -0.000 | 0.000 | 0.000 | 0.000 | 56.590 | 0.000 |
| -0.000 | 0.000 | 0.000 | 0.000 | 0.000 | 56.590 |
| 26.060 | 58.862 | 58.862 | 0.000 | 0.000 | 0.000 |
| 58.862 | 26.060 | 58.862 | 0.000 | 0.000 | 0.000 |
| 58.862 | 58.862 | 26.060 | 0.000 | 0.000 | 0.000 |
| -0.000 | 0.000 | -0.000 | 56.590 | -0.000 | -0.000 |
| 0.000 | -0.000 | -0.000 | -0.000 | 56.590 | -0.000 |
| 0.000 | -0.000 | -0.000 | -0.000 | -0.000 | 56.590 |
| 26.060 | 58.862 | 58.862 | 0.000 | 0.000 | -0.000 |
| 58.862 | 26.060 | 58.862 | -0.000 | 0.000 | -0.000 |
| 58.862 | 58.862 | 26.060 | -0.000 | -0.000 | -0.000 |
| -0.000 | -0.000 | -0.000 | -54.467 | 0.000 | -0.000 |
| -0.000 | -0.000 | -0.000 | -0.000 | -54.467 | -0.000 |
| -0.000 | -0.000 | -0.000 | -0.000 | -0.000 | -54.467 |
| 26.060 | 58.862 | 58.862 | 0.000 | -0.000 | 0.000 |
| 58.862 | 26.060 | 58.862 | 0.000 | 0.000 | 0.000 |
| 58.862 | 58.862 | 26.060 | 0.000 | 0.000 | 0.000 |
| 0.000 | 0.000 | 0.000 | -54.467 | 0.000 | 0.000 |
| 0.000 | 0.000 | 0.000 | -0.000 | -54.467 | 0.000 |
| 0.000 | 0.000 | 0.000 | 0.000 | 0.000 | -54.467 |
| 25.702 | 25.702 | 25.702 | -0.000 | 0.000 | -0.000 |
| 25.702 | 25.702 | 25.702 | 0.000 | -0.000 | -0.000 |
| 25.702 | 25.702 | 25.702 | -0.000 | -0.000 | -0.000 |
| -0.000 | -0.000 | -0.000 | -0.000 | -0.000 | -0.000 |
| -0.000 | -0.000 | -0.000 | -0.000 | -0.000 | -0.000 |
| -0.000 | -0.000 | -0.000 | -0.000 | -0.000 | -0.000 |
| 25.702 | 25.702 | 25.702 | -0.000 | -0.000 | 0.000 |
| 25.702 | 25.702 | 25.702 | -0.000 | -0.000 | 0.000 |
| 25.702 | 25.702 | 25.702 | 0.000 | 0.000 | -0.000 |
| 0.000 | 0.000 | 0.000 | 0.000 | 0.000 | 0.000 |
| 0.000 | 0.000 | 0.000 | 0.000 | 0.000 | 0.000 |
| 0.000 | 0.000 | 0.000 | 0.000 | 0.000 | 0.000 |
| 25.702 | 25.702 | 25.702 | -0.000 | -0.000 | 0.000 |
| 25.702 | 25.702 | 25.702 | -0.000 | -0.000 | 0.000 |
| 25.702 | 25.702 | 25.702 | -0.000 | -0.000 | -0.000 |
| -0.000 | -0.000 | -0.000 | -0.000 | -0.000 | -0.000 |
| -0.000 | -0.000 | -0.000 | -0.000 | -0.000 | -0.000 |
| -0.000 | -0.000 | -0.000 | -0.000 | -0.000 | -0.000 |
| 25.702 | 25.702 | 25.702 | 0.000 | -0.000 | 0.000 |
| 25.702 | 25.702 | 25.702 | -0.000 | 0.000 | 0.000 |
| 25.702 | 25.702 | 25.702 | 0.000 | 0.000 | 0.000 |
| 0.000 | 0.000 | 0.000 | 0.000 | 0.000 | 0.000 |
| 0.000 | 0.000 | 0.000 | 0.000 | 0.000 | 0.000 |
| 0.000 | 0.000 | 0.000 | 0.000 | 0.000 | 0.000 |
| 25.702 | 25.702 | 25.702 | -0.000 | 0.000 | -0.000 |
| 25.702 | 25.702 | 25.702 | 0.000 | -0.000 | -0.000 |
| 25.702 | 25.702 | 25.702 | -0.000 | -0.000 | -0.000 |
| -0.000 | -0.000 | -0.000 | -0.000 | -0.000 | -0.000 |
| -0.000 | -0.000 | -0.000 | -0.000 | -0.000 | -0.000 |
| -0.000 | -0.000 | -0.000 | -0.000 | -0.000 | -0.000 |
| 25.703 | 25.703 | 25.703 | -0.000 | 0.000 | -0.000 |
| 25.703 | 25.703 | 25.703 | 0.000 | -0.000 | -0.000 |
| 25.703 | 25.703 | 25.703 | 0.000 | 0.000 | -0.000 |
| 0.000 | 0.000 | 0.000 | -0.000 | 0.000 | 0.000 |
| 0.000 | 0.000 | 0.000 | 0.000 | -0.000 | 0.000 |
| 0.000 | 0.000 | 0.000 | 0.000 | 0.000 | -0.000 |
| 1.262 | 1.262 | 1.262 | 0.000 | 0.000 | 0.000 |
| 1.262 | 1.262 | 1.262 | 0.000 | 0.000 | 0.000 |
| 1.262 | 1.262 | 1.262 | 0.000 | 0.000 | 0.000 |
| -0.000 | -0.000 | -0.000 | 0.229 | -0.000 | -0.000 |
| -0.000 | -0.000 | -0.000 | -0.000 | 0.229 | -0.000 |
| -0.000 | 0.000 | 0.000 | -0.000 | -0.000 | 0.229 |
| 1.262 | 1.262 | 1.262 | -0.000 | -0.000 | -0.000 |
| 1.262 | 1.262 | 1.262 | -0.000 | -0.000 | -0.000 |
| 1.262 | 1.262 | 1.262 | -0.000 | -0.000 | -0.000 |
| 0.000 | 0.000 | 0.000 | 0.229 | 0.000 | 0.000 |
| 0.000 | 0.000 | 0.000 | 0.000 | 0.229 | 0.000 |
| 0.000 | 0.000 | 0.000 | 0.000 | 0.000 | 0.229 |
| 1.262 | 1.262 | 1.262 | -0.000 | -0.000 | -0.000 |
| 1.262 | 1.262 | 1.262 | -0.000 | -0.000 | -0.000 |
| 1.262 | 1.262 | 1.262 | -0.000 | -0.000 | 0.000 |
| -0.000 | -0.000 | -0.000 | 0.042 | -0.000 | -0.000 |
| -0.000 | -0.000 | -0.000 | -0.000 | 0.042 | -0.000 |
| -0.000 | -0.000 | -0.000 | -0.000 | -0.000 | 0.042 |
| 1.262 | 1.262 | 1.262 | -0.000 | -0.000 | -0.000 |
| 1.262 | 1.262 | 1.262 | -0.000 | -0.000 | -0.000 |
| 1.262 | 1.262 | 1.262 | -0.000 | -0.000 | -0.000 |
| 0.000 | 0.000 | 0.000 | 0.042 | 0.000 | 0.000 |
| 0.000 | 0.000 | 0.000 | 0.000 | 0.042 | 0.000 |
| 0.000 | 0.000 | 0.000 | 0.000 | 0.000 | 0.042 |
| 1.262 | 1.262 | 1.262 | 0.000 | -0.000 | -0.000 |
| 1.262 | 1.262 | 1.262 | -0.000 | 0.000 | -0.000 |
| 1.262 | 1.262 | 1.262 | -0.000 | -0.000 | 0.000 |
| -0.000 | -0.000 | -0.000 | 0.008 | -0.000 | -0.000 |
| -0.000 | -0.000 | -0.000 | -0.000 | 0.008 | -0.000 |
| -0.000 | -0.000 | -0.000 | -0.000 | -0.000 | 0.008 |
| 1.262 | 1.262 | 1.262 | 0.000 | 0.000 | 0.000 |
| 1.262 | 1.262 | 1.262 | 0.000 | 0.000 | 0.000 |
| 1.262 | 1.262 | 1.262 | 0.000 | 0.000 | 0.000 |
| 0.000 | 0.000 | 0.000 | 0.008 | 0.000 | 0.000 |
| 0.000 | 0.000 | 0.000 | 0.000 | 0.008 | 0.000 |
| 0.000 | 0.000 | 0.000 | 0.000 | 0.000 | 0.008 |
| 216.915 | -1.540 | 77.797 | 0.000 | 0.000 | -0.000 |
| -1.540 | 216.915 | 77.797 | 0.000 | 0.000 | 0.000 |
| 77.797 | 77.797 | 158.253 | 0.000 | 0.000 | 0.000 |
| 0.000 | -0.000 | 0.000 | 107.889 | -0.000 | -0.000 |
| 0.000 | -0.000 | 0.000 | 0.000 | 107.889 | 0.000 |
| 0.000 | 0.000 | 0.000 | 0.000 | -0.000 | 40.681 |
| 216.915 | -1.540 | 77.797 | -0.000 | -0.000 | -0.000 |
| -1.540 | 216.915 | 77.797 | -0.000 | 0.000 | -0.000 |
| 77.797 | 77.797 | 158.253 | -0.000 | -0.000 | -0.000 |
| -0.000 | 0.000 | -0.000 | 107.889 | 0.000 | 0.000 |
| -0.000 | 0.000 | -0.000 | 0.000 | 107.889 | 0.000 |
| -0.000 | 0.000 | -0.000 | -0.000 | 0.000 | 40.681 |
| 216.915 | -1.540 | 77.797 | 0.000 | 0.000 | -0.000 |
| -1.540 | 216.915 | 77.797 | 0.000 | 0.000 | 0.000 |
| 77.797 | 77.797 | 158.253 | 0.000 | 0.000 | -0.000 |
| 0.000 | -0.000 | 0.000 | 107.889 | -0.000 | 0.000 |
| -0.000 | 0.000 | 0.000 | -0.000 | 107.889 | 0.000 |
| -0.000 | -0.000 | 0.000 | 0.000 | 0.000 | 40.681 |
| 216.915 | -1.540 | 77.797 | -0.000 | -0.000 | -0.000 |
| -1.540 | 216.915 | 77.797 | -0.000 | -0.000 | -0.000 |
| 77.797 | 77.797 | 158.253 | -0.000 | -0.000 | 0.000 |
| -0.000 | 0.000 | -0.000 | 107.889 | -0.000 | 0.000 |
| 0.000 | -0.000 | -0.000 | -0.000 | 107.889 | 0.000 |
| 0.000 | 0.000 | -0.000 | 0.000 | 0.000 | 40.681 |
| 216.914 | -1.542 | 77.796 | 0.000 | 0.000 | 0.000 |
| -1.542 | 216.914 | 77.796 | 0.000 | -0.000 | 0.000 |
| 77.796 | 77.796 | 158.252 | -0.000 | -0.000 | 0.000 |
| 0.000 | -0.000 | 0.000 | 107.889 | -0.000 | -0.000 |
| -0.000 | 0.000 | 0.000 | 0.000 | 107.889 | 0.000 |
| -0.000 | -0.000 | 0.000 | 0.000 | -0.000 | 40.681 |
| 216.916 | -1.538 | 77.798 | -0.000 | 0.000 | -0.000 |
| -1.538 | 216.916 | 77.798 | -0.000 | -0.000 | -0.000 |
| 77.798 | 77.798 | 158.254 | -0.000 | 0.000 | -0.000 |
| -0.000 | 0.000 | -0.000 | 107.889 | 0.000 | -0.000 |
| 0.000 | -0.000 | -0.000 | -0.000 | 107.889 | -0.000 |
| 0.000 | 0.000 | -0.000 | -0.000 | 0.000 | 40.681 |
| 1182.460 | 370.440 | 685.898 | 0.000 | 0.000 | 0.000 |
| 370.440 | 1182.460 | 685.898 | 0.000 | 0.000 | -0.000 |
| 685.898 | 685.898 | 1141.253 | 0.000 | 0.000 | -0.000 |
| -0.000 | -0.000 | -0.000 | 668.122 | 0.000 | 0.000 |
| -0.000 | -0.000 | -0.000 | 0.000 | 668.122 | 0.000 |
| -0.000 | -0.000 | -0.000 | 0.000 | -0.000 | 381.880 |
| 1182.460 | 370.440 | 685.898 | -0.000 | -0.000 | -0.000 |
| 370.440 | 1182.460 | 685.898 | -0.000 | -0.000 | 0.000 |
| 685.898 | 685.898 | 1141.253 | -0.000 | -0.000 | 0.000 |
| 0.000 | 0.000 | 0.000 | 668.122 | -0.000 | -0.000 |
| 0.000 | 0.000 | 0.000 | -0.000 | 668.122 | 0.000 |
| 0.000 | 0.000 | 0.000 | -0.000 | 0.000 | 381.880 |
| 1182.462 | 370.440 | 685.898 | 0.000 | 0.000 | -0.000 |
| 370.440 | 1182.462 | 685.898 | 0.000 | 0.000 | -0.000 |
| 685.898 | 685.898 | 1141.252 | 0.000 | 0.000 | 0.000 |
| -0.000 | -0.000 | -0.001 | 668.122 | 0.000 | -0.000 |
| -0.000 | -0.000 | -0.001 | 0.000 | 668.122 | 0.000 |
| -0.000 | -0.000 | -0.000 | 0.000 | -0.000 | 381.880 |
| 1182.459 | 370.440 | 685.898 | -0.000 | -0.000 | -0.000 |
| 370.440 | 1182.459 | 685.898 | -0.000 | -0.000 | -0.000 |
| 685.899 | 685.899 | 1141.254 | -0.000 | -0.000 | -0.000 |
| 0.000 | 0.000 | 0.001 | 668.122 | -0.000 | 0.000 |
| 0.000 | 0.000 | 0.001 | -0.000 | 668.122 | 0.000 |
| 0.000 | 0.000 | 0.000 | -0.000 | -0.000 | 381.880 |
| 1182.474 | 370.439 | 685.895 | 0.000 | 0.000 | -0.000 |
| 370.439 | 1182.474 | 685.895 | 0.000 | 0.000 | -0.000 |
| 685.893 | 685.893 | 1141.242 | 0.000 | 0.000 | 0.000 |
| -0.003 | -0.005 | -0.006 | 668.122 | 0.000 | -0.000 |
| -0.005 | -0.003 | -0.006 | 0.000 | 668.122 | 0.000 |
| -0.003 | -0.002 | -0.003 | 0.000 | -0.000 | 381.880 |
| 1182.446 | 370.441 | 685.901 | -0.000 | 0.000 | 0.000 |
| 370.441 | 1182.446 | 685.901 | 0.000 | -0.000 | 0.000 |
| 685.903 | 685.903 | 1141.264 | -0.000 | -0.000 | -0.000 |
| 0.003 | 0.005 | 0.006 | 668.122 | -0.000 | 0.000 |
| 0.005 | 0.003 | 0.006 | -0.000 | 668.122 | 0.000 |
| 0.003 | 0.002 | 0.003 | -0.000 | 0.000 | 381.880 |
| 3.465 | 3.465 | 5.941 | -0.000 | 0.000 | 0.000 |
| 3.465 | 3.465 | 5.941 | 0.000 | -0.000 | 0.000 |
| 5.941 | 5.941 | 10.186 | -0.000 | -0.000 | -0.000 |
| 0.000 | 0.000 | 0.000 | 5.941 | -0.000 | 0.000 |
| 0.000 | 0.000 | 0.000 | -0.000 | 5.941 | 0.000 |
| 0.000 | 0.000 | 0.000 | -0.000 | 0.000 | 3.466 |
| 3.465 | 3.465 | 5.941 | -0.000 | -0.000 | -0.000 |
| 3.465 | 3.465 | 5.941 | -0.000 | -0.000 | -0.000 |
| 5.941 | 5.941 | 10.186 | 0.000 | 0.000 | -0.000 |
| -0.000 | -0.000 | -0.000 | 5.941 | 0.000 | -0.000 |
| -0.000 | -0.000 | -0.000 | 0.000 | 5.941 | -0.000 |
| -0.000 | -0.000 | -0.000 | -0.000 | -0.000 | 3.466 |
| 3.465 | 3.465 | 5.941 | -0.000 | -0.000 | 0.000 |
| 3.465 | 3.465 | 5.941 | -0.000 | -0.000 | 0.000 |
| 5.941 | 5.941 | 10.186 | -0.000 | -0.000 | 0.000 |
| 0.000 | 0.000 | 0.000 | 5.941 | 0.000 | 0.000 |
| 0.000 | 0.000 | 0.000 | 0.000 | 5.941 | 0.000 |
| 0.000 | 0.000 | 0.000 | 0.000 | 0.000 | 3.466 |
| 3.465 | 3.465 | 5.941 | 0.000 | 0.000 | 0.000 |
| 3.465 | 3.465 | 5.941 | 0.000 | 0.000 | 0.000 |
| 5.941 | 5.941 | 10.186 | 0.000 | 0.000 | -0.000 |
| -0.000 | -0.000 | -0.000 | 5.941 | 0.000 | -0.000 |
| -0.000 | -0.000 | -0.000 | 0.000 | 5.941 | -0.000 |
| -0.000 | -0.000 | -0.000 | 0.000 | -0.000 | 3.466 |
| 3.465 | 3.465 | 5.941 | -0.000 | 0.000 | 0.000 |
| 3.465 | 3.465 | 5.941 | 0.000 | -0.000 | 0.000 |
| 5.941 | 5.941 | 10.186 | 0.000 | 0.000 | 0.000 |
| 0.000 | 0.000 | 0.000 | 5.941 | 0.000 | 0.000 |
| 0.000 | 0.000 | 0.000 | 0.000 | 5.941 | 0.000 |
| 0.000 | 0.000 | 0.000 | -0.000 | 0.000 | 3.466 |
| 3.465 | 3.465 | 5.941 | 0.000 | -0.000 | -0.000 |
| 3.465 | 3.465 | 5.941 | -0.000 | 0.000 | -0.000 |
| 5.941 | 5.941 | 10.185 | -0.000 | -0.000 | -0.000 |
| -0.000 | -0.000 | -0.000 | 5.941 | 0.000 | -0.000 |
| -0.000 | -0.000 | -0.000 | 0.000 | 5.941 | -0.000 |
| -0.000 | -0.000 | -0.000 | -0.000 | -0.000 | 3.466 |
| 84.209 | 127.765 | 127.765 | -0.000 | 0.000 | 0.000 |
| 127.765 | 84.209 | 127.765 | -0.000 | -0.000 | 0.000 |
| 127.765 | 127.765 | 84.209 | -0.000 | 0.000 | 0.000 |
| 0.000 | -0.000 | 0.000 | -65.907 | 0.000 | 0.000 |
| -0.000 | -0.000 | 0.000 | -0.000 | -65.907 | 0.000 |
| -0.000 | -0.000 | 0.000 | -0.000 | 0.000 | -65.907 |
| 84.209 | 127.765 | 127.765 | 0.000 | 0.000 | -0.000 |
| 127.765 | 84.209 | 127.765 | 0.000 | 0.000 | -0.000 |
| 127.765 | 127.765 | 84.209 | 0.000 | -0.000 | -0.000 |
| -0.000 | 0.000 | -0.000 | -65.907 | -0.000 | -0.000 |
| 0.000 | 0.000 | -0.000 | 0.000 | -65.907 | -0.000 |
| 0.000 | 0.000 | -0.000 | 0.000 | -0.000 | -65.907 |
| 84.209 | 127.765 | 127.765 | -0.000 | -0.000 | 0.000 |
| 127.765 | 84.209 | 127.765 | -0.000 | 0.000 | 0.000 |
| 127.765 | 127.765 | 84.209 | 0.000 | 0.000 | -0.000 |
| 0.000 | 0.000 | 0.000 | 103.855 | 0.000 | 0.000 |
| 0.000 | 0.000 | 0.000 | -0.000 | 103.855 | -0.000 |
| 0.000 | 0.000 | 0.000 | -0.000 | 0.000 | 103.855 |
| 84.209 | 127.765 | 127.765 | 0.000 | -0.000 | -0.000 |
| 127.765 | 84.209 | 127.765 | 0.000 | 0.000 | -0.000 |
| 127.765 | 127.765 | 84.209 | 0.000 | -0.000 | -0.000 |
| -0.000 | -0.000 | -0.000 | 103.855 | -0.000 | -0.000 |
| -0.000 | -0.000 | -0.000 | 0.000 | 103.855 | 0.000 |
| -0.000 | -0.000 | -0.000 | 0.000 | -0.000 | 103.855 |
| 84.210 | 127.765 | 127.765 | -0.000 | 0.000 | 0.000 |
| 127.765 | 84.210 | 127.765 | -0.000 | 0.000 | 0.000 |
| 127.765 | 127.765 | 84.210 | -0.000 | 0.000 | 0.000 |
| 0.001 | 0.000 | -0.000 | -65.907 | 0.000 | -0.000 |
| 0.000 | 0.001 | -0.000 | -0.000 | -65.907 | 0.000 |
| 0.000 | -0.000 | 0.001 | -0.000 | 0.000 | -65.907 |
| 84.208 | 127.764 | 127.764 | 0.000 | 0.000 | -0.000 |
| 127.764 | 84.208 | 127.764 | 0.000 | -0.000 | -0.000 |
| 127.764 | 127.764 | 84.208 | 0.000 | -0.000 | -0.000 |
| -0.001 | -0.000 | 0.000 | -65.907 | -0.000 | -0.000 |
| -0.000 | -0.001 | 0.000 | 0.000 | -65.907 | -0.000 |
| -0.000 | 0.000 | -0.001 | 0.000 | -0.000 | -65.907 |
| 237.687 | 240.046 | 240.046 | -0.000 | 0.000 | 0.000 |
| 240.046 | 237.687 | 240.046 | 0.000 | -0.000 | 0.000 |
| 240.046 | 240.046 | 237.687 | 0.000 | 0.000 | 0.000 |
| 0.000 | -0.000 | -0.000 | -2.359 | -0.000 | 0.000 |
| -0.000 | 0.000 | -0.000 | -0.000 | -2.359 | 0.000 |
| -0.000 | -0.000 | 0.000 | -0.000 | -0.000 | -2.359 |
| 237.687 | 240.046 | 240.046 | -0.000 | 0.000 | -0.000 |
| 240.046 | 237.687 | 240.046 | 0.000 | -0.000 | -0.000 |
| 240.046 | 240.046 | 237.687 | -0.000 | -0.000 | -0.000 |
| -0.000 | 0.000 | 0.000 | -2.359 | 0.000 | -0.000 |
| 0.000 | -0.000 | 0.000 | 0.000 | -2.359 | -0.000 |
| 0.000 | 0.000 | -0.000 | 0.000 | 0.000 | -2.359 |
| 237.687 | 240.046 | 240.046 | 0.000 | 0.000 | 0.000 |
| 240.046 | 237.687 | 240.046 | 0.000 | 0.000 | 0.000 |
| 240.046 | 240.046 | 237.687 | 0.000 | 0.000 | 0.000 |
| 0.000 | -0.000 | -0.000 | -2.359 | -0.000 | 0.000 |
| -0.000 | 0.000 | -0.000 | -0.000 | -2.359 | 0.000 |
| -0.000 | -0.000 | 0.000 | -0.000 | -0.000 | -2.359 |
| 237.687 | 240.046 | 240.046 | 0.000 | 0.000 | -0.000 |
| 240.046 | 237.687 | 240.046 | 0.000 | 0.000 | -0.000 |
| 240.046 | 240.046 | 237.687 | -0.000 | -0.000 | -0.000 |
| -0.000 | 0.000 | 0.000 | -2.359 | 0.000 | -0.000 |
| 0.000 | -0.000 | 0.000 | 0.000 | -2.359 | -0.000 |
| 0.000 | 0.000 | -0.000 | 0.000 | 0.000 | -2.359 |
| 237.687 | 240.046 | 240.046 | -0.000 | 0.000 | 0.000 |
| 240.046 | 237.687 | 240.046 | 0.000 | -0.000 | 0.000 |
| 240.046 | 240.046 | 237.687 | 0.000 | 0.000 | 0.000 |
| 0.001 | -0.000 | -0.000 | -2.347 | -0.000 | 0.000 |
| -0.000 | 0.001 | -0.000 | -0.000 | -2.347 | 0.000 |
| -0.000 | -0.000 | 0.001 | 0.000 | -0.000 | -2.347 |
| 237.687 | 240.046 | 240.046 | -0.000 | -0.000 | -0.000 |
| 240.046 | 237.687 | 240.046 | -0.000 | -0.000 | -0.000 |
| 240.046 | 240.046 | 237.687 | -0.000 | -0.000 | 0.000 |
| -0.001 | 0.000 | 0.000 | -2.347 | 0.000 | -0.000 |
| 0.000 | -0.001 | 0.000 | 0.000 | -2.347 | -0.000 |
| 0.000 | 0.000 | -0.001 | 0.000 | 0.000 | -2.347 |
| 2.524 | 2.524 | 2.524 | 0.000 | 0.000 | -0.000 |
| 2.524 | 2.524 | 2.524 | 0.000 | 0.000 | -0.000 |
| 2.524 | 2.524 | 2.524 | 0.000 | 0.000 | -0.000 |
| 0.000 | 0.000 | 0.000 | 1.491 | 0.000 | 0.000 |
| 0.000 | 0.000 | 0.000 | 0.000 | 1.491 | 0.000 |
| 0.000 | 0.000 | 0.000 | 0.000 | 0.000 | 1.491 |
| 2.524 | 2.524 | 2.524 | -0.000 | 0.000 | 0.000 |
| 2.524 | 2.524 | 2.524 | 0.000 | -0.000 | 0.000 |
| 2.524 | 2.524 | 2.524 | -0.000 | -0.000 | -0.000 |
| -0.000 | -0.000 | -0.000 | 1.491 | -0.000 | -0.000 |
| -0.000 | -0.000 | -0.000 | -0.000 | 1.491 | -0.000 |
| -0.000 | -0.000 | -0.000 | -0.000 | -0.000 | 1.491 |
| 2.524 | 2.524 | 2.524 | 0.000 | 0.000 | -0.000 |
| 2.524 | 2.524 | 2.524 | 0.000 | 0.000 | -0.000 |
| 2.524 | 2.524 | 2.524 | 0.000 | 0.000 | 0.000 |
| 0.000 | 0.000 | 0.000 | 0.881 | 0.000 | -0.000 |
| 0.000 | 0.000 | 0.000 | 0.000 | 0.881 | -0.000 |
| 0.000 | 0.000 | 0.000 | 0.000 | -0.000 | 0.881 |
| 2.524 | 2.524 | 2.524 | -0.000 | -0.000 | -0.000 |
| 2.524 | 2.524 | 2.524 | -0.000 | -0.000 | -0.000 |
| 2.524 | 2.524 | 2.524 | -0.000 | -0.000 | -0.000 |
| -0.000 | -0.000 | -0.000 | 0.881 | -0.000 | 0.000 |
| -0.000 | -0.000 | -0.000 | -0.000 | 0.881 | 0.000 |
| -0.000 | -0.000 | -0.000 | -0.000 | 0.000 | 0.881 |
| 2.524 | 2.524 | 2.524 | 0.000 | 0.000 | -0.000 |
| 2.524 | 2.524 | 2.524 | 0.000 | 0.000 | -0.000 |
| 2.524 | 2.524 | 2.524 | 0.000 | 0.000 | -0.000 |
| -0.000 | -0.000 | -0.000 | 0.182 | -0.000 | 0.000 |
| -0.000 | -0.000 | -0.000 | -0.000 | 0.182 | 0.000 |
| -0.000 | -0.000 | -0.000 | -0.000 | 0.000 | 0.182 |
| 2.524 | 2.524 | 2.524 | -0.000 | -0.000 | 0.000 |
| 2.524 | 2.524 | 2.524 | -0.000 | -0.000 | 0.000 |
| 2.524 | 2.524 | 2.524 | -0.000 | -0.000 | 0.000 |
| 0.000 | 0.000 | 0.000 | 0.182 | 0.000 | -0.000 |
| 0.000 | 0.000 | 0.000 | 0.000 | 0.182 | -0.000 |
| 0.000 | 0.000 | 0.000 | 0.000 | -0.000 | 0.182 |
| 100.599 | 198.548 | 198.548 | 0.000 | 0.000 | -0.000 |
| 198.548 | 100.599 | 198.548 | 0.000 | -0.000 | -0.000 |
| 198.548 | 198.548 | 100.599 | -0.000 | -0.000 | -0.000 |
| 0.000 | 0.000 | 0.000 | 126.826 | 0.000 | -0.000 |
| -0.000 | 0.000 | 0.000 | -0.000 | 126.826 | -0.000 |
| -0.000 | 0.000 | 0.000 | 0.000 | 0.000 | 126.826 |
| 100.599 | 198.548 | 198.548 | -0.000 | -0.000 | 0.000 |
| 198.548 | 100.599 | 198.548 | 0.000 | -0.000 | 0.000 |
| 198.548 | 198.548 | 100.599 | -0.000 | -0.000 | 0.000 |
| -0.000 | 0.000 | -0.000 | 126.826 | -0.000 | 0.000 |
| 0.000 | -0.000 | -0.000 | -0.000 | 126.826 | 0.000 |
| 0.000 | -0.000 | -0.000 | -0.000 | -0.000 | 126.826 |
| 100.599 | 198.548 | 198.548 | 0.000 | 0.000 | -0.000 |
| 198.548 | 100.599 | 198.548 | 0.000 | 0.000 | -0.000 |
| 198.548 | 198.548 | 100.599 | -0.000 | 0.000 | -0.000 |
| 0.000 | 0.000 | 0.000 | 126.826 | 0.000 | -0.000 |
| 0.000 | 0.000 | 0.000 | -0.000 | 126.826 | -0.000 |
| 0.000 | 0.000 | 0.000 | 0.000 | 0.000 | 126.826 |
| 100.599 | 198.548 | 198.548 | -0.000 | -0.000 | 0.000 |
| 198.548 | 100.599 | 198.548 | -0.000 | -0.000 | 0.000 |
| 198.548 | 198.548 | 100.599 | -0.000 | -0.000 | 0.000 |
| -0.000 | -0.000 | -0.000 | 126.826 | -0.000 | 0.000 |
| -0.000 | -0.000 | -0.000 | 0.000 | 126.826 | 0.000 |
| -0.000 | -0.000 | -0.000 | -0.000 | -0.000 | 126.826 |
| 100.599 | 198.548 | 198.548 | 0.000 | 0.000 | -0.000 |
| 198.548 | 100.599 | 198.548 | 0.000 | 0.000 | -0.000 |
| 198.548 | 198.548 | 100.599 | 0.000 | 0.000 | -0.000 |
| 0.001 | 0.000 | 0.000 | 125.522 | 0.000 | -0.000 |
| 0.000 | 0.001 | 0.000 | 0.000 | 125.522 | -0.000 |
| 0.000 | 0.000 | 0.001 | 0.000 | 0.000 | 125.522 |
| 100.599 | 198.547 | 198.547 | -0.000 | -0.000 | 0.000 |
| 198.547 | 100.599 | 198.547 | -0.000 | -0.000 | 0.000 |
| 198.547 | 198.547 | 100.599 | -0.000 | -0.000 | 0.000 |
| -0.001 | -0.000 | -0.000 | 125.522 | -0.000 | 0.000 |
| -0.000 | -0.001 | -0.000 | -0.000 | 125.522 | 0.000 |
| -0.000 | -0.000 | -0.001 | -0.000 | -0.000 | 125.522 |
| 1417.107 | 1437.361 | 1437.361 | 0.000 | 0.000 | -0.000 |
| 1437.361 | 1417.107 | 1437.361 | 0.000 | 0.000 | 0.000 |
| 1437.361 | 1437.361 | 1417.107 | 0.000 | 0.000 | -0.000 |
| -80197024.698 | -51132152.168 | -49019421.801 | -28311769.029 | 9673.744 | 140994.651 |
| -50715359.346 | -80443655.682 | -50953347.703 | 904977.353 | -29964575.899 | 389072.715 |
| -54284203.592 | -51331981.497 | -81676365.143 | -621782.483 | -718601.624 | -25680738.388 |
| 1417.107 | 1437.361 | 1437.361 | -0.000 | -0.000 | 0.000 |
| 1437.361 | 1417.107 | 1437.361 | -0.000 | -0.000 | 0.000 |
| 1437.361 | 1437.361 | 1417.107 | 0.000 | 0.000 | -0.000 |
| 75773477.698 | 50985817.221 | 50553250.117 | -22561807.737 | 200431.601 | -1015271.031 |
| 51322593.967 | 75569315.176 | 49201969.593 | -786650.862 | -23678780.219 | 638860.417 |
| 51073263.400 | 48957833.106 | 72431577.984 | 98889.263 | -343718.381 | -20820613.472 |
| 1417.105 | 1437.359 | 1437.359 | 0.000 | 0.000 | -0.000 |
| 1437.359 | 1417.105 | 1437.359 | 0.000 | 0.000 | 0.000 |
| 1437.359 | 1437.359 | 1417.105 | 0.000 | 0.000 | -0.000 |
| 0.000 | 0.000 | 0.000 | -1.176 | -0.000 | 0.000 |
| 0.000 | 0.000 | 0.000 | -0.000 | -1.176 | 0.000 |
| 0.000 | 0.000 | 0.000 | -0.000 | 0.000 | -1.176 |
| 1417.108 | 1437.363 | 1437.363 | -0.000 | -0.000 | 0.000 |
| 1437.363 | 1417.108 | 1437.363 | -0.000 | -0.000 | -0.000 |
| 1437.363 | 1437.363 | 1417.108 | -0.000 | -0.000 | 0.000 |
| -0.000 | -0.000 | -0.000 | -1.176 | -0.000 | -0.000 |
| -0.000 | -0.000 | -0.000 | 0.000 | -1.176 | -0.000 |
| -0.000 | -0.000 | -0.000 | -0.000 | -0.000 | -1.176 |
| 1417.092 | 1437.340 | 1437.340 | 0.000 | 0.000 | -0.000 |
| 1437.340 | 1417.092 | 1437.340 | 0.000 | 0.000 | 0.000 |
| 1437.340 | 1437.340 | 1417.092 | 0.000 | 0.000 | 0.000 |
| -1082620.563 | -563844.833 | -559102.544 | -525894.385 | -11037.263 | 3424.715 |
| -576331.582 | -1017937.470 | -571556.068 | -9432.328 | -481061.763 | -8298.880 |
| -557760.690 | -534282.524 | -1023187.487 | -12265.571 | -10265.717 | -497726.141 |
| 1417.121 | 1437.382 | 1437.382 | -0.000 | -0.000 | -0.000 |
| 1437.382 | 1417.121 | 1437.382 | -0.000 | -0.000 | -0.000 |
| 1437.382 | 1437.382 | 1417.121 | -0.000 | -0.000 | 0.000 |
| 982900.313 | 509279.959 | 548002.634 | -435756.161 | -4268.224 | -6261.615 |
| 492702.035 | 953282.573 | 514610.207 | -10087.932 | -434127.967 | 7800.663 |
| 512345.563 | 515639.742 | 978804.962 | -8254.447 | 3796.902 | -458726.349 |
| 303.461 | 303.461 | 303.461 | -0.000 | -0.000 | -0.000 |
| 303.461 | 303.461 | 303.461 | -0.000 | -0.000 | -0.000 |
| 303.461 | 303.461 | 303.461 | -0.000 | -0.000 | -0.000 |
| 0.000 | 0.000 | 0.000 | 1.505 | 0.000 | -0.000 |
| 0.000 | 0.000 | 0.000 | 0.000 | 1.505 | 0.000 |
| 0.000 | 0.000 | 0.000 | 0.000 | 0.000 | 1.505 |
| 303.461 | 303.461 | 303.461 | 0.000 | 0.000 | 0.000 |
| 303.461 | 303.461 | 303.461 | 0.000 | 0.000 | 0.000 |
| 303.461 | 303.461 | 303.461 | 0.000 | 0.000 | 0.000 |
| -0.000 | -0.000 | -0.000 | 1.505 | -0.000 | 0.000 |
| -0.000 | -0.000 | -0.000 | -0.000 | 1.505 | 0.000 |
| -0.000 | -0.000 | -0.000 | -0.000 | -0.000 | 1.505 |
| 303.462 | 303.462 | 303.462 | -0.000 | 0.000 | -0.000 |
| 303.462 | 303.462 | 303.462 | 0.000 | -0.000 | -0.000 |
| 303.462 | 303.462 | 303.462 | -0.000 | -0.000 | -0.000 |
| 0.032 | 0.032 | 0.032 | -179.857 | -0.000 | 0.000 |
| 0.032 | 0.032 | 0.032 | 0.000 | -179.857 | -0.000 |
| 0.032 | 0.032 | 0.032 | 0.000 | 0.000 | -179.827 |
| 303.460 | 303.460 | 303.460 | 0.000 | 0.000 | 0.000 |
| 303.460 | 303.460 | 303.460 | 0.000 | 0.000 | 0.000 |
| 303.460 | 303.460 | 303.460 | 0.000 | 0.000 | 0.000 |
| -0.032 | -0.032 | -0.032 | -179.875 | -0.000 | 0.000 |
| -0.032 | -0.032 | -0.032 | 0.000 | -179.874 | 0.000 |
| -0.032 | -0.032 | -0.032 | 0.000 | -0.000 | -179.886 |
| 303.472 | 303.472 | 303.472 | -0.000 | -0.000 | -0.000 |
| 303.472 | 303.472 | 303.472 | -0.000 | -0.000 | -0.000 |
| 303.472 | 303.472 | 303.472 | -0.000 | -0.000 | -0.000 |
| 0.319 | 0.319 | 0.319 | -179.045 | -0.000 | -0.000 |
| 0.319 | 0.319 | 0.319 | -0.000 | -179.045 | -0.000 |
| 0.319 | 0.319 | 0.319 | 0.000 | 0.000 | -179.045 |
| 303.451 | 303.450 | 303.450 | 0.000 | 0.000 | -0.000 |
| 303.450 | 303.451 | 303.450 | 0.000 | 0.000 | -0.000 |
| 303.450 | 303.450 | 303.451 | 0.000 | 0.000 | 0.000 |
| -243978.320 | -176106.419 | -175299.513 | -1864.463 | -1230.083 | -82.089 |
| -0.319 | -0.319 | -0.319 | 0.000 | -179.046 | -0.000 |
| -0.319 | -0.319 | -0.319 | -0.000 | -0.000 | -179.046 |
| 47.210 | 169.180 | 169.180 | 0.000 | 0.000 | 0.000 |
| 169.180 | 47.210 | 169.180 | -0.000 | 0.000 | -0.000 |
| 169.180 | 169.180 | 47.210 | -0.000 | -0.000 | -0.000 |
| 0.000 | 0.000 | 0.000 | 77.453 | 0.000 | 0.000 |
| 0.000 | 0.000 | 0.000 | 0.000 | 77.453 | -0.000 |
| 0.000 | 0.000 | 0.000 | 0.000 | 0.000 | 77.453 |
| 47.210 | 169.180 | 169.180 | -0.000 | 0.000 | 0.000 |
| 169.180 | 47.210 | 169.180 | -0.000 | -0.000 | 0.000 |
| 169.180 | 169.180 | 47.210 | -0.000 | -0.000 | 0.000 |
| -0.000 | -0.000 | -0.000 | 77.453 | -0.000 | 0.000 |
| -0.000 | -0.000 | -0.000 | -0.000 | 77.453 | 0.000 |
| -0.000 | -0.000 | -0.000 | -0.000 | -0.000 | 77.453 |
| 47.210 | 169.180 | 169.180 | 0.000 | -0.000 | -0.000 |
| 169.180 | 47.210 | 169.180 | 0.000 | 0.000 | -0.000 |
| 169.180 | 169.180 | 47.210 | 0.000 | 0.000 | -0.000 |
| 0.000 | 0.000 | 0.000 | 76.992 | 0.000 | -0.000 |
| 0.000 | 0.000 | 0.000 | 0.000 | 76.992 | -0.000 |
| 0.000 | 0.000 | 0.000 | 0.000 | 0.000 | 76.992 |
| 47.210 | 169.180 | 169.180 | -0.000 | 0.000 | 0.000 |
| 169.180 | 47.210 | 169.180 | -0.000 | -0.000 | 0.000 |
| 169.180 | 169.180 | 47.210 | -0.000 | 0.000 | -0.000 |
| -0.000 | -0.000 | -0.000 | 76.992 | -0.000 | 0.000 |
| -0.000 | -0.000 | -0.000 | -0.000 | 76.992 | 0.000 |
| -0.000 | -0.000 | -0.000 | -0.000 | -0.000 | 76.992 |
| 47.211 | 169.180 | 169.180 | 0.000 | 0.000 | -0.000 |
| 169.180 | 47.211 | 169.180 | 0.000 | 0.000 | 0.000 |
| 169.180 | 169.180 | 47.211 | 0.000 | 0.000 | -0.000 |
| 0.001 | 0.000 | 0.001 | 77.453 | 0.000 | -0.000 |
| 0.000 | 0.001 | 0.001 | 0.000 | 77.453 | -0.000 |
| 0.000 | 0.001 | 0.001 | 0.000 | 0.000 | 77.453 |
| 47.209 | 169.180 | 169.180 | -0.000 | -0.000 | 0.000 |
| 169.180 | 47.209 | 169.180 | -0.000 | -0.000 | 0.000 |
| 169.180 | 169.180 | 47.209 | -0.000 | -0.000 | 0.000 |
| -0.001 | -0.000 | -0.001 | 77.453 | -0.000 | -0.000 |
| -0.000 | -0.001 | -0.001 | -0.000 | 77.453 | 0.000 |
| -0.000 | -0.001 | -0.001 | -0.000 | -0.000 | 77.453 |
| 30.244 | 52.523 | 52.523 | -0.000 | 0.000 | -0.000 |
| 52.523 | 30.244 | 52.523 | 0.000 | -0.000 | -0.000 |
| 52.523 | 52.523 | 30.244 | -0.000 | -0.000 | -0.000 |
| 0.001 | 0.000 | 0.000 | -3526.948 | -0.000 | -0.000 |
| 0.000 | 0.001 | 0.000 | -0.000 | -3526.948 | -0.000 |
| 0.000 | 0.000 | 0.001 | -0.000 | 0.000 | -3526.948 |
| 30.244 | 52.523 | 52.523 | -0.000 | 0.000 | -0.000 |
| 52.523 | 30.244 | 52.523 | 0.000 | -0.000 | -0.000 |
| 52.523 | 52.523 | 30.244 | -0.000 | -0.000 | -0.000 |
| -0.001 | -0.000 | -0.000 | -3526.948 | -0.000 | -0.000 |
| -0.000 | -0.001 | -0.000 | -0.000 | -3526.948 | -0.000 |
| -0.000 | -0.000 | -0.001 | -0.000 | 0.000 | -3526.948 |
| 30.244 | 52.523 | 52.523 | 0.000 | 0.000 | 0.000 |
| 52.523 | 30.244 | 52.523 | 0.000 | 0.000 | 0.000 |
| 52.523 | 52.523 | 30.244 | 0.000 | 0.000 | -0.000 |
| 0.006 | 0.001 | 0.001 | -3526.948 | 0.000 | 0.000 |
| 0.001 | 0.006 | 0.001 | 0.000 | -3526.948 | 0.000 |
| 0.001 | 0.001 | 0.006 | 0.000 | 0.000 | -3526.948 |
| 30.245 | 52.523 | 52.523 | 0.000 | -0.000 | 0.000 |
| 52.523 | 30.245 | 52.523 | -0.000 | 0.000 | 0.000 |
| 52.523 | 52.523 | 30.245 | 0.000 | 0.000 | 0.000 |
| -0.006 | -0.001 | -0.001 | -3526.948 | 0.000 | 0.000 |
| -0.001 | -0.006 | -0.001 | 0.000 | -3526.948 | 0.000 |
| -0.001 | -0.001 | -0.006 | 0.000 | -0.000 | -3526.948 |
| 30.237 | 52.523 | 52.523 | 0.000 | 0.000 | 0.000 |
| 52.523 | 30.237 | 52.523 | 0.000 | 0.000 | 0.000 |
| 52.523 | 52.523 | 30.237 | 0.000 | 0.000 | -0.000 |
| 0.059 | 0.014 | 0.007 | -3526.949 | 0.000 | 0.000 |
| 0.014 | 0.059 | 0.007 | 0.000 | -3526.949 | 0.000 |
| 0.014 | 0.007 | 0.059 | 0.000 | 0.000 | -3526.949 |
| 30.252 | 52.523 | 52.523 | -0.000 | -0.000 | -0.000 |
| 52.523 | 30.252 | 52.523 | -0.000 | -0.000 | -0.000 |
| 52.523 | 52.523 | 30.252 | -0.000 | -0.000 | 0.000 |
| -0.059 | -0.014 | -0.007 | -3526.949 | -0.000 | -0.000 |
| -0.014 | -0.059 | -0.007 | -0.000 | -3526.949 | -0.000 |
| -0.014 | -0.007 | -0.059 | -0.000 | -0.000 | -3526.949 |
| 2.718 | 2.718 | 2.718 | 0.000 | 0.000 | 0.000 |
| 2.718 | 2.718 | 2.718 | 0.000 | 0.000 | 0.000 |
| 2.718 | 2.718 | 2.718 | 0.000 | 0.000 | 0.000 |
| 0.000 | 0.000 | 0.000 | 2.718 | 0.000 | 0.000 |
| 0.000 | 0.000 | 0.000 | 0.000 | 2.718 | 0.000 |
| 0.000 | 0.000 | 0.000 | 0.000 | 0.000 | 2.718 |
| 2.718 | 2.718 | 2.718 | -0.000 | 0.000 | -0.000 |
| 2.718 | 2.718 | 2.718 | 0.000 | -0.000 | -0.000 |
| 2.718 | 2.718 | 2.718 | -0.000 | -0.000 | -0.000 |
| -0.000 | -0.000 | -0.000 | 2.718 | -0.000 | -0.000 |
| -0.000 | -0.000 | -0.000 | -0.000 | 2.718 | -0.000 |
| -0.000 | -0.000 | -0.000 | -0.000 | -0.000 | 2.718 |
| 2.718 | 2.718 | 2.718 | 0.000 | 0.000 | 0.000 |
| 2.718 | 2.718 | 2.718 | 0.000 | 0.000 | 0.000 |
| 2.718 | 2.718 | 2.718 | 0.000 | 0.000 | 0.000 |
| -0.000 | -0.000 | -0.000 | 2.090 | 0.000 | 0.000 |
| -0.000 | -0.000 | -0.000 | 0.000 | 2.090 | 0.000 |
| -0.000 | -0.000 | -0.000 | 0.000 | -0.000 | 2.090 |
| 2.718 | 2.718 | 2.718 | -0.000 | 0.000 | -0.000 |
| 2.718 | 2.718 | 2.718 | 0.000 | -0.000 | -0.000 |
| 2.718 | 2.718 | 2.718 | -0.000 | -0.000 | -0.000 |
| 0.000 | 0.000 | 0.000 | 2.090 | -0.000 | -0.000 |
| 0.000 | 0.000 | 0.000 | -0.000 | 2.090 | -0.000 |
| 0.000 | 0.000 | 0.000 | -0.000 | -0.000 | 2.090 |
| 2.718 | 2.718 | 2.718 | 0.000 | 0.000 | 0.000 |
| 2.718 | 2.718 | 2.718 | 0.000 | 0.000 | 0.000 |
| 2.718 | 2.718 | 2.718 | 0.000 | 0.000 | 0.000 |
| -0.000 | -0.000 | -0.000 | 1.999 | 0.000 | 0.000 |
| -0.000 | -0.000 | -0.000 | 0.000 | 1.999 | 0.000 |
| -0.000 | -0.000 | -0.000 | 0.000 | -0.000 | 1.999 |
| 2.718 | 2.718 | 2.718 | -0.000 | -0.000 | -0.000 |
| 2.718 | 2.718 | 2.718 | -0.000 | -0.000 | -0.000 |
| 2.718 | 2.718 | 2.718 | -0.000 | -0.000 | -0.000 |
| 0.000 | 0.000 | 0.000 | 1.999 | -0.000 | -0.000 |
| 0.000 | 0.000 | 0.000 | -0.000 | 1.999 | -0.000 |
| 0.000 | 0.000 | 0.000 | -0.000 | 0.000 | 1.999 |
| 288.979 | 56.528 | 56.528 | 0.000 | -0.000 | -0.000 |
| 56.528 | 288.979 | 56.528 | -0.000 | -0.000 | 0.000 |
| 56.528 | 56.528 | 288.979 | -0.000 | -0.000 | -0.000 |
| 0.000 | -0.000 | -0.000 | 25.935 | -0.000 | 0.000 |
| 0.000 | 0.000 | 0.000 | 0.000 | 25.935 | 0.000 |
| 0.000 | 0.000 | -0.000 | 0.000 | -0.000 | 25.935 |
| 288.979 | 56.528 | 56.528 | -0.000 | 0.000 | 0.000 |
| 56.528 | 288.979 | 56.528 | 0.000 | 0.000 | -0.000 |
| 56.528 | 56.528 | 288.979 | -0.000 | 0.000 | 0.000 |
| -0.000 | -0.000 | 0.000 | 25.935 | 0.000 | 0.000 |
| -0.000 | 0.000 | -0.000 | -0.000 | 25.935 | -0.000 |
| -0.000 | -0.000 | 0.000 | -0.000 | 0.000 | 25.935 |
| 288.070 | 56.983 | 56.983 | -0.000 | -0.000 | 0.000 |
| 56.983 | 288.070 | 56.983 | -0.000 | -0.000 | -0.000 |
| 56.983 | 56.983 | 288.070 | -0.000 | -0.000 | -0.000 |
| 0.000 | -0.000 | -0.000 | -14.765 | -0.000 | 0.000 |
| -0.000 | 0.000 | -0.000 | 0.000 | -14.765 | 0.000 |
| -0.000 | -0.000 | 0.000 | 0.000 | -0.000 | -14.765 |
| 288.069 | 56.983 | 56.983 | -0.000 | -0.000 | 0.000 |
| 56.983 | 288.069 | 56.983 | 0.000 | 0.000 | -0.000 |
| 56.983 | 56.983 | 288.069 | -0.000 | -0.000 | 0.000 |
| -0.000 | 0.000 | 0.000 | -14.765 | 0.000 | -0.000 |
| 0.000 | -0.000 | 0.000 | -0.000 | -14.765 | -0.000 |
| 0.000 | 0.000 | -0.000 | -0.000 | 0.000 | -14.765 |
| 288.981 | 56.529 | 56.529 | 0.000 | -0.000 | -0.000 |
| 56.529 | 288.981 | 56.529 | 0.000 | -0.000 | -0.000 |
| 56.529 | 56.529 | 288.981 | -0.000 | -0.000 | -0.000 |
| -0.002 | 0.002 | 0.000 | -16.100 | -0.000 | 0.000 |
| -0.000 | 0.000 | -0.000 | 0.000 | -14.765 | 0.000 |
| 0.002 | 0.000 | -0.002 | 0.000 | -0.000 | -16.100 |
| 288.068 | 56.983 | 56.983 | 0.000 | 0.000 | 0.000 |
| 56.983 | 288.068 | 56.983 | 0.000 | 0.000 | -0.000 |
| 56.983 | 56.983 | 288.068 | -0.000 | 0.000 | 0.000 |
| 0.002 | -0.002 | -0.000 | -16.100 | 0.000 | -0.000 |
| -0.002 | 0.002 | -0.000 | -0.000 | -16.100 | -0.000 |
| -0.002 | -0.000 | 0.002 | -0.000 | 0.000 | -16.100 |
| 1064.446 | 856.571 | 856.571 | -0.000 | -0.000 | -0.000 |
| 856.571 | 1064.446 | 856.571 | -0.000 | -0.000 | -0.000 |
| 856.571 | 856.571 | 1064.446 | -0.000 | -0.000 | -0.000 |
| -0.000 | -0.000 | -0.000 | 86.988 | -0.000 | -0.000 |
| -0.000 | -0.000 | -0.000 | -0.000 | 86.988 | -0.000 |
| -0.000 | -0.000 | -0.000 | -0.000 | -0.000 | 86.988 |
| 1855.649 | 460.970 | 460.970 | 0.000 | -0.000 | 0.000 |
| 460.970 | 1855.649 | 460.970 | 0.000 | -0.000 | 0.000 |
| 460.970 | 460.970 | 1855.649 | 0.000 | -0.000 | 0.000 |
| 0.000 | 0.000 | 0.000 | 86.988 | -0.000 | 0.000 |
| 0.000 | 0.000 | 0.000 | 0.000 | 86.988 | 0.000 |
| 0.000 | 0.000 | 0.000 | 0.000 | 0.000 | 86.988 |
| 1064.446 | 856.570 | 856.570 | -0.000 | -0.000 | -0.000 |
| 856.570 | 1064.446 | 856.570 | -0.000 | 0.000 | -0.000 |
| 856.570 | 856.570 | 1064.446 | -0.000 | -0.000 | -0.000 |
| -0.000 | -0.000 | -0.000 | 454.900 | 0.000 | -0.000 |
| -0.000 | -0.000 | -0.000 | 0.000 | 454.900 | -0.000 |
| -0.000 | -0.000 | -0.000 | -0.000 | -0.000 | 454.900 |
| 1855.650 | 460.970 | 460.970 | 0.000 | -0.000 | 0.000 |
| 460.970 | 1855.650 | 460.970 | 0.000 | 0.000 | 0.000 |
| 460.970 | 460.970 | 1855.650 | 0.000 | 0.000 | 0.000 |
| 0.000 | 0.000 | 0.000 | 454.900 | 0.000 | 0.000 |
| 0.000 | 0.000 | 0.000 | 0.000 | 454.900 | 0.000 |
| 0.000 | 0.000 | 0.000 | 0.000 | 0.000 | 454.900 |
| 1064.452 | 856.563 | 856.563 | -0.000 | -0.000 | -0.000 |
| 856.563 | 1064.452 | 856.563 | -0.000 | -0.000 | -0.000 |
| 856.563 | 856.563 | 1064.452 | -0.000 | -0.000 | -0.000 |
| -0.001 | -0.000 | -0.000 | 86.999 | -0.000 | -0.000 |
| -0.000 | -0.001 | -0.000 | -0.000 | 86.999 | -0.000 |
| -0.000 | -0.000 | -0.001 | -0.000 | -0.000 | 86.999 |
| 1064.478 | 856.560 | 856.560 | 0.000 | 0.000 | 0.000 |
| 856.560 | 1064.478 | 856.560 | 0.000 | 0.000 | 0.000 |
| 856.560 | 856.560 | 1064.478 | 0.000 | 0.000 | 0.000 |
| 0.001 | 0.000 | 0.000 | 86.999 | 0.000 | 0.000 |
| 0.000 | 0.001 | 0.000 | 0.000 | 86.999 | 0.000 |
| 0.000 | 0.000 | 0.001 | 0.000 | 0.000 | 86.999 |
| 56.985 | 168.380 | 168.380 | 0.000 | 0.000 | -0.000 |
| 168.380 | 56.985 | 168.380 | 0.000 | 0.000 | -0.000 |
| 168.380 | 168.380 | 56.985 | -0.000 | -0.000 | -0.000 |
| -0.000 | -0.000 | 0.000 | 62.064 | 0.000 | -0.000 |
| -0.000 | -0.000 | 0.000 | 0.000 | 62.064 | -0.000 |
| -0.000 | -0.000 | 0.000 | 0.000 | 0.000 | 62.064 |
| 56.985 | 168.380 | 168.380 | -0.000 | -0.000 | 0.000 |
| 168.380 | 56.985 | 168.380 | 0.000 | -0.000 | 0.000 |
| 168.380 | 168.380 | 56.985 | 0.000 | 0.000 | 0.000 |
| 0.000 | 0.000 | -0.000 | 62.064 | -0.000 | 0.000 |
| 0.000 | 0.000 | -0.000 | -0.000 | 62.064 | 0.000 |
| 0.000 | 0.000 | -0.000 | -0.000 | -0.000 | 62.064 |
| 56.985 | 168.380 | 168.380 | -0.000 | -0.000 | -0.000 |
| 168.380 | 56.985 | 168.380 | 0.000 | -0.000 | -0.000 |
| 168.380 | 168.380 | 56.985 | 0.000 | 0.000 | -0.000 |
| 0.000 | -0.000 | -0.000 | 61.764 | 0.000 | -0.000 |
| -0.000 | 0.000 | -0.000 | -0.000 | 61.764 | -0.000 |
| -0.000 | -0.000 | 0.000 | 0.000 | 0.000 | 61.764 |
| 56.985 | 168.380 | 168.380 | 0.000 | 0.000 | 0.000 |
| 168.380 | 56.985 | 168.380 | 0.000 | -0.000 | 0.000 |
| 168.380 | 168.380 | 56.985 | 0.000 | 0.000 | 0.000 |
| -0.000 | 0.000 | 0.000 | 61.764 | -0.000 | 0.000 |
| 0.000 | -0.000 | 0.000 | 0.000 | 61.764 | 0.000 |
| 0.000 | 0.000 | -0.000 | -0.000 | 0.000 | 61.764 |
| 56.983 | 168.380 | 168.380 | -0.000 | 0.000 | -0.000 |
| 168.380 | 56.983 | 168.380 | 0.000 | -0.000 | -0.000 |
| 168.380 | 168.380 | 56.983 | -0.000 | -0.000 | -0.000 |
| 0.000 | -0.000 | -0.000 | 62.064 | -0.000 | -0.000 |
| -0.000 | 0.000 | -0.000 | 0.000 | 62.064 | -0.000 |
| -0.000 | -0.000 | 0.000 | 0.000 | -0.000 | 62.064 |
| 56.987 | 168.380 | 168.380 | -0.000 | 0.000 | 0.000 |
| 168.380 | 56.987 | 168.380 | -0.000 | -0.000 | 0.000 |
| 168.380 | 168.380 | 56.987 | 0.000 | -0.000 | 0.000 |
| -0.000 | 0.000 | 0.000 | 62.064 | 0.000 | 0.000 |
| 0.000 | -0.000 | 0.000 | 0.000 | 62.064 | 0.000 |
| 0.000 | 0.000 | -0.000 | -0.000 | 0.000 | 62.064 |
| 410.658 | 362.577 | 362.577 | 0.000 | -0.000 | -0.000 |
| 362.577 | 410.658 | 362.577 | -0.000 | -0.000 | -0.000 |
| 362.577 | 362.577 | 410.658 | -0.000 | -0.000 | 0.000 |
| 0.000 | 0.000 | 0.000 | 313.472 | -0.000 | -0.000 |
| 0.000 | 0.000 | 0.000 | -0.000 | 313.472 | -0.000 |
| 0.000 | 0.000 | 0.000 | -0.000 | -0.000 | 313.472 |
| 410.658 | 362.577 | 362.577 | 0.000 | 0.000 | 0.000 |
| 362.577 | 410.658 | 362.577 | 0.000 | 0.000 | 0.000 |
| 362.577 | 362.577 | 410.658 | 0.000 | 0.000 | 0.000 |
| -0.000 | -0.000 | -0.000 | 313.472 | 0.000 | -0.000 |
| -0.000 | -0.000 | -0.000 | 0.000 | 313.472 | -0.000 |
| -0.000 | -0.000 | -0.000 | 0.000 | 0.000 | 313.472 |
| 410.656 | 362.577 | 362.577 | -0.000 | -0.000 | -0.000 |
| 362.577 | 410.656 | 362.577 | -0.000 | -0.000 | -0.000 |
| 362.577 | 362.577 | 410.656 | 0.000 | -0.000 | -0.000 |
| 0.000 | 0.000 | 0.000 | 366.032 | -0.000 | -0.000 |
| 0.000 | 0.000 | 0.000 | -0.000 | 366.032 | -0.000 |
| 0.000 | 0.000 | 0.000 | -0.000 | -0.000 | 366.032 |
| 410.661 | 362.577 | 362.577 | -0.000 | 0.000 | 0.000 |
| 362.577 | 410.661 | 362.577 | 0.000 | -0.000 | 0.000 |
| 362.577 | 362.577 | 410.661 | 0.000 | 0.000 | -0.000 |
| -0.000 | -0.000 | -0.000 | 366.032 | 0.000 | 0.000 |
| -0.000 | -0.000 | -0.000 | -0.000 | 366.032 | 0.000 |
| -0.000 | -0.000 | -0.000 | 0.000 | 0.000 | 366.032 |
| 410.633 | 362.578 | 362.578 | 0.000 | -0.000 | 0.000 |
| 362.578 | 410.633 | 362.578 | -0.000 | -0.000 | 0.000 |
| 362.578 | 362.578 | 410.633 | -0.000 | -0.000 | 0.000 |
| 0.000 | 0.000 | 0.001 | 313.472 | -0.000 | -0.000 |
| 0.000 | 0.000 | 0.001 | -0.000 | 313.472 | -0.000 |
| 0.000 | 0.001 | 0.000 | -0.000 | -0.000 | 313.472 |
| 410.684 | 362.575 | 362.575 | -0.000 | 0.000 | 0.000 |
| 362.575 | 410.684 | 362.575 | 0.000 | 0.000 | 0.000 |
| 362.575 | 362.575 | 410.684 | 0.000 | 0.000 | -0.000 |
| -0.000 | -0.000 | -0.001 | 313.472 | 0.000 | -0.000 |
| -0.000 | -0.000 | -0.001 | 0.000 | 313.472 | -0.000 |
| -0.000 | -0.001 | -0.000 | -0.000 | 0.000 | 313.472 |
| 6.104 | 6.104 | 6.104 | 0.000 | 0.000 | -0.000 |
| 6.104 | 6.104 | 6.104 | 0.000 | 0.000 | -0.000 |
| 6.104 | 6.104 | 6.104 | 0.000 | 0.000 | -0.000 |
| 0.000 | 0.000 | 0.000 | 6.104 | -0.000 | -0.000 |
| 0.000 | 0.000 | 0.000 | -0.000 | 6.104 | -0.000 |
| 0.000 | 0.000 | 0.000 | -0.000 | -0.000 | 6.104 |
| 6.104 | 6.104 | 6.104 | -0.000 | -0.000 | 0.000 |
| 6.104 | 6.104 | 6.104 | -0.000 | -0.000 | 0.000 |
| 6.104 | 6.104 | 6.104 | -0.000 | -0.000 | 0.000 |
| -0.000 | -0.000 | -0.000 | 6.104 | 0.000 | 0.000 |
| -0.000 | -0.000 | -0.000 | 0.000 | 6.104 | 0.000 |
| -0.000 | -0.000 | -0.000 | 0.000 | 0.000 | 6.104 |
| 6.104 | 6.104 | 6.104 | 0.000 | -0.000 | 0.000 |
| 6.104 | 6.104 | 6.104 | -0.000 | 0.000 | 0.000 |
| 6.104 | 6.104 | 6.104 | 0.000 | 0.000 | -0.000 |
| 0.000 | 0.000 | 0.000 | 5.941 | 0.000 | 0.000 |
| 0.000 | 0.000 | 0.000 | 0.000 | 5.941 | 0.000 |
| 0.000 | 0.000 | 0.000 | 0.000 | -0.000 | 5.941 |
| 6.104 | 6.104 | 6.104 | -0.000 | -0.000 | -0.000 |
| 6.104 | 6.104 | 6.104 | -0.000 | -0.000 | -0.000 |
| 6.104 | 6.104 | 6.104 | -0.000 | -0.000 | 0.000 |
| -0.000 | -0.000 | -0.000 | 5.941 | -0.000 | -0.000 |
| -0.000 | -0.000 | -0.000 | -0.000 | 5.941 | -0.000 |
| -0.000 | -0.000 | -0.000 | -0.000 | 0.000 | 5.941 |
| 6.104 | 6.104 | 6.104 | 0.000 | 0.000 | 0.000 |
| 6.104 | 6.104 | 6.104 | 0.000 | 0.000 | 0.000 |
| 6.104 | 6.104 | 6.104 | 0.000 | 0.000 | -0.000 |
| 0.000 | 0.000 | 0.000 | 5.941 | 0.000 | -0.000 |
| 0.000 | 0.000 | 0.000 | 0.000 | 5.941 | -0.000 |
| 0.000 | 0.000 | 0.000 | 0.000 | -0.000 | 5.941 |
| 6.104 | 6.104 | 6.104 | -0.000 | -0.000 | 0.000 |
| 6.104 | 6.104 | 6.104 | -0.000 | -0.000 | 0.000 |
| 6.104 | 6.104 | 6.104 | -0.000 | -0.000 | -0.000 |
| -0.000 | -0.000 | -0.000 | 5.941 | -0.000 | 0.000 |
| -0.000 | -0.000 | -0.000 | -0.000 | 5.941 | 0.000 |
| -0.000 | -0.000 | -0.000 | -0.000 | 0.000 | 5.941 |
| 186.822 | -27.462 | -27.462 | -0.000 | -0.000 | -0.000 |
| -27.462 | 186.822 | -27.462 | -0.000 | -0.000 | -0.000 |
| -27.462 | -27.462 | 186.822 | -0.000 | -0.000 | -0.000 |
| -0.000 | 0.000 | 0.000 | 157.792 | -0.000 | -0.000 |
| 0.000 | -0.000 | 0.000 | -0.000 | 157.792 | -0.000 |
| 0.000 | 0.000 | -0.000 | -0.000 | -0.000 | 157.792 |
| 186.822 | -27.462 | -27.462 | 0.000 | 0.000 | 0.000 |
| -27.462 | 186.822 | -27.462 | 0.000 | 0.000 | 0.000 |
| -27.462 | -27.462 | 186.822 | -0.000 | -0.000 | 0.000 |
| 0.000 | -0.000 | -0.000 | 157.792 | 0.000 | 0.000 |
| -0.000 | 0.000 | -0.000 | 0.000 | 157.792 | 0.000 |
| -0.000 | -0.000 | 0.000 | 0.000 | 0.000 | 157.792 |
| 186.823 | -27.462 | -27.462 | -0.000 | -0.000 | -0.000 |
| -27.462 | 186.823 | -27.462 | -0.000 | 0.000 | -0.000 |
| -27.462 | -27.462 | 186.823 | -0.000 | -0.000 | -0.000 |
| 0.000 | 0.000 | 0.000 | 157.792 | 0.000 | -0.000 |
| 0.000 | 0.000 | 0.000 | -0.000 | 157.792 | -0.000 |
| 0.000 | 0.000 | 0.000 | 0.000 | -0.000 | 157.792 |
| 186.821 | -27.462 | -27.462 | 0.000 | -0.000 | 0.000 |
| -27.462 | 186.821 | -27.462 | 0.000 | 0.000 | 0.000 |
| -27.462 | -27.462 | 186.821 | 0.000 | 0.000 | 0.000 |
| -0.000 | -0.000 | -0.000 | 157.792 | 0.000 | 0.000 |
| -0.000 | -0.000 | -0.000 | 0.000 | 157.792 | 0.000 |
| -0.000 | -0.000 | -0.000 | 0.000 | 0.000 | 157.792 |
| 186.833 | -27.459 | -27.459 | -0.000 | -0.000 | -0.000 |
| -27.459 | 186.833 | -27.459 | -0.000 | -0.000 | -0.000 |
| -27.459 | -27.459 | 186.833 | -0.000 | -0.000 | -0.000 |
| 0.000 | 0.002 | 0.002 | 157.792 | -0.000 | -0.000 |
| 0.002 | 0.000 | 0.002 | 0.000 | 157.792 | -0.000 |
| 0.002 | 0.002 | 0.000 | -0.000 | -0.000 | 157.792 |
| 186.810 | -27.464 | -27.464 | 0.000 | 0.000 | 0.000 |
| -27.464 | 186.810 | -27.464 | 0.000 | 0.000 | 0.000 |
| -27.464 | -27.464 | 186.810 | -0.000 | -0.000 | 0.000 |
| -0.000 | -0.002 | -0.002 | 157.792 | 0.000 | 0.000 |
| -0.002 | -0.000 | -0.002 | 0.000 | 157.792 | 0.000 |
| -0.002 | -0.002 | -0.000 | 0.000 | 0.000 | 157.792 |
| 87.582 | 24.848 | 24.848 | 0.000 | -0.000 | 0.000 |
| 24.848 | 87.582 | 24.848 | 0.000 | 0.000 | 0.000 |
| 24.848 | 24.848 | 87.582 | 0.000 | -0.000 | 0.000 |
| -0.000 | -0.000 | 0.000 | 94.686 | 0.000 | 0.000 |
| -0.000 | -0.000 | 0.000 | -0.000 | 94.686 | 0.000 |
| -0.000 | 0.000 | 0.000 | -0.000 | -0.000 | 94.686 |
| 87.582 | 24.848 | 24.848 | -0.000 | -0.000 | -0.000 |
| 24.848 | 87.582 | 24.848 | -0.000 | 0.000 | -0.000 |
| 24.848 | 24.848 | 87.582 | -0.000 | -0.000 | -0.000 |
| 0.000 | -0.000 | -0.000 | 94.686 | 0.000 | -0.000 |
| 0.000 | -0.000 | -0.000 | -0.000 | 94.686 | -0.000 |
| 0.000 | -0.000 | -0.000 | 0.000 | 0.000 | 94.686 |
| 87.582 | 24.848 | 24.848 | 0.000 | -0.000 | 0.000 |
| 24.848 | 87.582 | 24.848 | 0.000 | 0.000 | 0.000 |
| 24.848 | 24.848 | 87.582 | 0.000 | 0.000 | 0.000 |
| -0.000 | -0.000 | 0.000 | 94.686 | 0.000 | 0.000 |
| -0.000 | -0.000 | 0.000 | 0.000 | 94.686 | 0.000 |
| -0.000 | 0.000 | -0.000 | 0.000 | -0.000 | 94.686 |
| 87.582 | 24.848 | 24.848 | -0.000 | 0.000 | 0.000 |
| 24.848 | 87.582 | 24.848 | -0.000 | 0.000 | -0.000 |
| 24.848 | 24.848 | 87.582 | -0.000 | 0.000 | -0.000 |
| 0.000 | 0.000 | -0.000 | 94.686 | 0.000 | -0.000 |
| 0.000 | 0.000 | -0.000 | 0.000 | 94.686 | -0.000 |
| 0.000 | -0.000 | 0.000 | -0.000 | 0.000 | 94.686 |
| 87.581 | 24.847 | 24.847 | -0.000 | 0.000 | 0.000 |
| 24.847 | 87.581 | 24.847 | 0.000 | 0.000 | 0.000 |
| 24.847 | 24.847 | 87.581 | 0.000 | 0.000 | 0.000 |
| -0.000 | -0.000 | 0.000 | 94.686 | 0.000 | 0.000 |
| -0.000 | -0.000 | 0.000 | 0.000 | 94.686 | 0.000 |
| -0.000 | 0.000 | -0.000 | -0.000 | -0.000 | 94.686 |
| 87.583 | 24.849 | 24.849 | 0.000 | 0.000 | -0.000 |
| 24.849 | 87.583 | 24.849 | -0.000 | -0.000 | -0.000 |
| 24.849 | 24.849 | 87.583 | -0.000 | 0.000 | -0.000 |
| 0.000 | 0.000 | -0.000 | 94.686 | -0.000 | -0.000 |
| 0.000 | 0.000 | -0.000 | -0.000 | 94.686 | -0.000 |
| 0.000 | -0.000 | 0.000 | -0.000 | -0.000 | 94.686 |
| 83.868 | 4.384 | 4.384 | -0.000 | -0.000 | 0.000 |
| 4.384 | 83.868 | 4.384 | -0.000 | -0.000 | -0.000 |
| 4.384 | 4.384 | 83.868 | -0.000 | -0.000 | 0.000 |
| 0.000 | -0.000 | 0.000 | 1.481 | -0.000 | 0.000 |
| -0.000 | -0.000 | 0.000 | -0.000 | 1.481 | 0.000 |
| -0.000 | -0.000 | 0.000 | -0.000 | -0.000 | 1.481 |
| 83.868 | 4.384 | 4.384 | 0.000 | 0.000 | -0.000 |
| 4.384 | 83.868 | 4.384 | 0.000 | 0.000 | -0.000 |
| 4.384 | 4.384 | 83.868 | 0.000 | 0.000 | -0.000 |
| -0.000 | 0.000 | -0.000 | 1.481 | 0.000 | 0.000 |
| 0.000 | -0.000 | 0.000 | 0.000 | 1.481 | 0.000 |
| 0.000 | 0.000 | -0.000 | 0.000 | 0.000 | 1.481 |
| 83.867 | 4.384 | 4.384 | -0.000 | -0.000 | 0.000 |
| 4.384 | 83.867 | 4.384 | -0.000 | -0.000 | -0.000 |
| 4.384 | 4.384 | 83.867 | -0.000 | -0.000 | 0.000 |
| 0.000 | -0.000 | -0.000 | 1.481 | 0.000 | 0.000 |
| -0.000 | 0.000 | -0.000 | -0.000 | 1.481 | 0.000 |
| -0.000 | -0.000 | 0.000 | -0.000 | -0.000 | 1.481 |
| 83.869 | 4.384 | 4.384 | 0.000 | 0.000 | -0.000 |
| 4.384 | 83.869 | 4.384 | 0.000 | 0.000 | -0.000 |
| 4.384 | 4.384 | 83.869 | 0.000 | 0.000 | -0.000 |
| -0.000 | 0.000 | 0.000 | 1.481 | -0.000 | 0.000 |
| 0.000 | -0.000 | 0.000 | 0.000 | 1.481 | 0.000 |
| 0.000 | 0.000 | -0.000 | 0.000 | 0.000 | 1.481 |
| 83.861 | 4.384 | 4.384 | -0.000 | -0.000 | 0.000 |
| 4.384 | 83.861 | 4.384 | -0.000 | -0.000 | 0.000 |
| 4.384 | 4.384 | 83.861 | 0.000 | -0.000 | 0.000 |
| 0.000 | -0.000 | -0.000 | 1.481 | -0.000 | 0.000 |
| -0.000 | 0.000 | -0.000 | -0.000 | 1.481 | 0.000 |
| -0.000 | -0.000 | 0.000 | -0.000 | -0.000 | 1.481 |
| 83.875 | 4.384 | 4.384 | 0.000 | 0.000 | 0.000 |
| 4.384 | 83.875 | 4.384 | 0.000 | 0.000 | -0.000 |
| 4.384 | 4.384 | 83.875 | 0.000 | 0.000 | -0.000 |
| -0.000 | 0.000 | 0.000 | 1.481 | 0.000 | -0.000 |
| 0.000 | -0.000 | 0.000 | 0.000 | 1.481 | 0.000 |
| 0.000 | 0.000 | -0.000 | 0.000 | 0.000 | 1.481 |
| 1929.840 | 967.967 | 967.967 | -0.000 | -0.000 | -0.000 |
| 967.967 | 1929.840 | 967.967 | -0.000 | -0.000 | -0.000 |
| 967.967 | 967.967 | 1929.840 | -0.000 | -0.000 | -0.000 |
| -0.000 | 0.000 | 0.000 | 972.580 | -0.000 | -0.000 |
| 0.000 | -0.000 | 0.000 | -0.000 | 972.580 | 0.000 |
| 0.000 | 0.000 | -0.000 | -0.000 | 0.000 | 972.580 |
| 1929.840 | 967.967 | 967.967 | -0.000 | -0.000 | -0.000 |
| 967.967 | 1929.840 | 967.967 | -0.000 | -0.000 | -0.000 |
| 967.967 | 967.967 | 1929.840 | -0.000 | -0.000 | -0.000 |
| 0.000 | -0.000 | -0.000 | 972.580 | 0.000 | 0.000 |
| -0.000 | 0.000 | -0.000 | 0.000 | 972.580 | -0.000 |
| -0.000 | -0.000 | 0.000 | 0.000 | -0.000 | 972.580 |
| 1929.840 | 967.968 | 967.968 | 0.000 | 0.000 | 0.000 |
| 967.968 | 1929.840 | 967.968 | 0.000 | 0.000 | 0.000 |
| 967.968 | 967.968 | 1929.840 | 0.000 | 0.000 | 0.000 |
| -0.000 | 0.000 | 0.000 | 972.580 | 0.000 | 0.000 |
| 0.000 | -0.000 | 0.000 | 0.000 | 972.580 | 0.000 |
| 0.000 | 0.000 | -0.000 | 0.000 | 0.000 | 972.580 |
| 1929.839 | 967.967 | 967.967 | -0.000 | -0.000 | -0.000 |
| 967.967 | 1929.839 | 967.967 | -0.000 | -0.000 | -0.000 |
| 967.967 | 967.967 | 1929.839 | -0.000 | -0.000 | -0.000 |
| 0.000 | -0.000 | -0.000 | 972.580 | -0.000 | -0.000 |
| -0.000 | 0.000 | -0.000 | -0.000 | 972.580 | -0.000 |
| -0.000 | -0.000 | 0.000 | -0.000 | -0.000 | 972.580 |
| 1929.842 | 967.971 | 967.971 | -0.000 | 0.000 | 0.000 |
| 967.971 | 1929.842 | 967.971 | 0.000 | -0.000 | -0.000 |
| 967.971 | 967.971 | 1929.842 | -0.000 | -0.000 | -0.000 |
| -0.001 | 0.000 | 0.002 | 972.580 | -0.000 | -0.000 |
| 0.000 | -0.001 | 0.002 | -0.000 | 972.580 | 0.000 |
| 0.000 | 0.002 | -0.001 | 0.000 | 0.000 | 972.580 |
| 1929.837 | 967.964 | 967.964 | -0.000 | 0.000 | -0.000 |
| 967.964 | 1929.837 | 967.964 | 0.000 | -0.000 | -0.000 |
| 967.964 | 967.964 | 1929.837 | -0.000 | -0.000 | -0.000 |
| 0.001 | -0.000 | -0.002 | 972.580 | 0.000 | 0.000 |
| -0.000 | 0.001 | -0.002 | 0.000 | 972.580 | -0.000 |
| -0.000 | -0.002 | 0.001 | 0.000 | -0.000 | 972.580 |
| 14.952 | 7.476 | 7.476 | 0.000 | 0.000 | 0.000 |
| 7.476 | 14.952 | 7.476 | 0.000 | 0.000 | 0.000 |
| 7.476 | 7.476 | 14.952 | 0.000 | 0.000 | 0.000 |
| -0.000 | 0.000 | 0.000 | 7.476 | -0.000 | -0.000 |
| 0.000 | -0.000 | 0.000 | -0.000 | 7.476 | 0.000 |
| 0.000 | 0.000 | -0.000 | -0.000 | 0.000 | 7.476 |
| 14.952 | 7.476 | 7.476 | -0.000 | 0.000 | 0.000 |
| 7.476 | 14.952 | 7.476 | 0.000 | -0.000 | -0.000 |
| 7.476 | 7.476 | 14.952 | 0.000 | -0.000 | -0.000 |
| 0.000 | -0.000 | -0.000 | 7.476 | 0.000 | -0.000 |
| -0.000 | 0.000 | -0.000 | 0.000 | 7.476 | -0.000 |
| -0.000 | -0.000 | 0.000 | 0.000 | -0.000 | 7.476 |
| 14.952 | 7.476 | 7.476 | -0.000 | -0.000 | -0.000 |
| 7.476 | 14.952 | 7.476 | -0.000 | 0.000 | -0.000 |
| 7.476 | 7.476 | 14.952 | -0.000 | -0.000 | 0.000 |
| -0.000 | 0.000 | 0.000 | 7.476 | -0.000 | -0.000 |
| 0.000 | -0.000 | 0.000 | -0.000 | 7.476 | 0.000 |
| 0.000 | 0.000 | -0.000 | 0.000 | 0.000 | 7.476 |
| 14.952 | 7.476 | 7.476 | -0.000 | 0.000 | -0.000 |
| 7.476 | 14.952 | 7.476 | 0.000 | -0.000 | -0.000 |
| 7.476 | 7.476 | 14.952 | 0.000 | 0.000 | -0.000 |
| 0.000 | -0.000 | -0.000 | 7.476 | 0.000 | 0.000 |
| -0.000 | 0.000 | -0.000 | 0.000 | 7.476 | -0.000 |
| -0.000 | -0.000 | 0.000 | 0.000 | -0.000 | 7.476 |
| 14.953 | 7.476 | 7.476 | 0.000 | 0.000 | 0.000 |
| 7.476 | 14.953 | 7.476 | 0.000 | 0.000 | 0.000 |
| 7.476 | 7.476 | 14.953 | -0.000 | 0.000 | 0.000 |
| -0.000 | 0.000 | 0.000 | 7.476 | -0.000 | -0.000 |
| 0.000 | -0.000 | 0.000 | -0.000 | 7.476 | 0.000 |
| 0.000 | 0.000 | -0.000 | -0.000 | 0.000 | 7.476 |
| 14.951 | 7.476 | 7.476 | -0.000 | 0.000 | -0.000 |
| 7.476 | 14.951 | 7.476 | 0.000 | -0.000 | -0.000 |
| 7.476 | 7.476 | 14.951 | 0.000 | -0.000 | -0.000 |
| 0.000 | -0.000 | -0.000 | 7.476 | 0.000 | 0.000 |
| -0.000 | 0.000 | -0.000 | 0.000 | 7.476 | -0.000 |
| -0.000 | -0.000 | 0.000 | 0.000 | -0.000 | 7.476 |
| 173.900 | 227.332 | 227.333 | 0.000 | -0.000 | 0.000 |
| 227.332 | 173.900 | 227.333 | 0.000 | -0.000 | 0.000 |
| 227.332 | 227.332 | 173.900 | 0.000 | -0.000 | 0.000 |
| 0.000 | -0.000 | 0.000 | 186.167 | -0.000 | 0.000 |
| 0.000 | 0.000 | 0.000 | 0.000 | 186.167 | -0.000 |
| 0.000 | 0.000 | 0.000 | 0.000 | -0.000 | 186.167 |
| 173.900 | 227.332 | 227.332 | -0.000 | -0.000 | 0.000 |
| 227.332 | 173.900 | 227.332 | -0.000 | 0.000 | 0.000 |
| 227.332 | 227.332 | 173.900 | -0.000 | 0.000 | 0.000 |
| -0.000 | -0.000 | -0.000 | 186.167 | 0.000 | 0.000 |
| -0.000 | 0.000 | -0.000 | -0.000 | 186.167 | 0.000 |
| -0.000 | -0.000 | -0.000 | -0.000 | -0.000 | 186.167 |
| 173.900 | 227.333 | 227.333 | 0.000 | -0.000 | -0.000 |
| 227.333 | 173.900 | 227.333 | 0.000 | -0.000 | -0.000 |
| 227.333 | 227.333 | 173.900 | -0.000 | -0.000 | -0.000 |
| 0.000 | 0.000 | 0.000 | 186.347 | 0.000 | -0.000 |
| 0.000 | 0.000 | 0.000 | 0.000 | 186.347 | -0.000 |
| 0.000 | 0.000 | 0.000 | 0.000 | -0.000 | 186.347 |
| 173.900 | 227.332 | 227.332 | -0.000 | 0.000 | -0.000 |
| 227.332 | 173.900 | 227.332 | -0.000 | 0.000 | 0.000 |
| 227.332 | 227.332 | 173.900 | 0.000 | 0.000 | -0.000 |
| -0.000 | -0.000 | -0.000 | 186.347 | -0.000 | 0.000 |
| -0.000 | -0.000 | -0.000 | -0.000 | 186.347 | 0.000 |
| -0.000 | -0.000 | -0.000 | -0.000 | 0.000 | 186.347 |
| 173.901 | 227.334 | 227.334 | 0.000 | -0.000 | -0.000 |
| 227.334 | 173.901 | 227.334 | -0.000 | -0.000 | -0.000 |
| 227.334 | 227.334 | 173.901 | 0.000 | 0.000 | 0.000 |
| 0.001 | 0.000 | 0.001 | 186.167 | -0.000 | -0.000 |
| 0.000 | 0.001 | 0.001 | 0.000 | 186.167 | -0.000 |
| 0.000 | 0.001 | 0.001 | 0.000 | -0.000 | 186.167 |
| 173.899 | 227.331 | 227.331 | -0.000 | 0.000 | 0.000 |
| 227.331 | 173.899 | 227.331 | -0.000 | 0.000 | 0.000 |
| 227.331 | 227.331 | 173.899 | -0.000 | 0.000 | -0.000 |
| -0.001 | -0.000 | -0.001 | 186.167 | 0.000 | -0.000 |
| -0.000 | -0.001 | -0.001 | -0.000 | 186.167 | -0.000 |
| -0.000 | -0.001 | -0.001 | -0.000 | -0.000 | 186.167 |
| 2141.667 | 2121.873 | 2121.873 | -0.000 | -0.000 | 0.000 |
| 2121.873 | 2141.667 | 2121.873 | -0.000 | -0.000 | 0.000 |
| 2121.873 | 2121.873 | 2141.667 | -0.000 | -0.000 | -0.000 |
| 0.000 | 0.000 | 0.000 | 1.071 | 0.000 | 0.000 |
| 0.000 | 0.000 | 0.000 | -0.000 | 1.071 | 0.000 |
| 0.000 | 0.000 | 0.000 | -0.000 | 0.000 | 1.071 |
| 2141.667 | 2121.874 | 2121.874 | 0.000 | -0.000 | -0.000 |
| 2121.874 | 2141.667 | 2121.874 | -0.000 | 0.000 | -0.000 |
| 2121.874 | 2121.874 | 2141.667 | 0.000 | 0.000 | -0.000 |
| -0.000 | -0.000 | -0.000 | 1.071 | -0.000 | -0.000 |
| -0.000 | -0.000 | -0.000 | -0.000 | 1.071 | -0.000 |
| -0.000 | -0.000 | -0.000 | -0.000 | -0.000 | 1.071 |
| 2141.668 | 2121.872 | 2121.872 | -0.000 | -0.000 | 0.000 |
| 2121.872 | 2141.668 | 2121.872 | -0.000 | -0.000 | 0.000 |
| 2121.872 | 2121.872 | 2141.668 | 0.000 | -0.000 | 0.000 |
| 0.000 | 0.000 | 0.000 | 1.071 | 0.000 | 0.000 |
| 0.000 | 0.000 | 0.000 | -0.000 | 1.071 | 0.000 |
| 0.000 | 0.000 | 0.000 | 0.000 | 0.000 | 1.071 |
| 2141.666 | 2121.875 | 2121.875 | 0.000 | 0.000 | -0.000 |
| 2121.875 | 2141.666 | 2121.875 | -0.000 | 0.000 | -0.000 |
| 2121.875 | 2121.875 | 2141.666 | 0.000 | 0.000 | -0.000 |
| -0.000 | -0.000 | -0.000 | 1.071 | -0.000 | -0.000 |
| -0.000 | -0.000 | -0.000 | 0.000 | 1.071 | -0.000 |
| -0.000 | -0.000 | -0.000 | 0.000 | -0.000 | 1.071 |
| 2141.678 | 2121.858 | 2121.858 | -0.000 | 0.000 | 0.000 |
| 2121.858 | 2141.678 | 2121.858 | 0.000 | -0.000 | 0.000 |
| 2121.858 | 2121.858 | 2141.678 | 0.000 | 0.000 | 0.000 |
| 1223929.243 | 1223693.482 | 1225118.303 | -1.115 | 0.000 | 0.000 |
| 1223693.523 | 1223929.288 | 1225118.346 | 0.000 | -1.118 | 0.000 |
| 1221655.916 | 1220708.922 | 1224611.179 | 0.000 | 0.001 | 0.973 |
| 2141.656 | 2121.889 | 2121.889 | 0.000 | 0.000 | -0.000 |
| 2121.889 | 2141.656 | 2121.889 | 0.000 | 0.000 | -0.000 |
| 2121.889 | 2121.889 | 2141.656 | -0.000 | -0.000 | -0.000 |
| -1220644.546 | -1222347.800 | -1223775.778 | 1547.038 | -0.056 | 0.195 |
| -1223780.150 | -1220641.955 | -1222337.683 | 0.000 | 1541.782 | -0.000 |
| -1221655.882 | -1220708.889 | -1224611.145 | 0.001 | 0.123 | 0.973 |
| 467.848 | 467.848 | 467.848 | -0.000 | 0.000 | -0.000 |
| 467.848 | 467.848 | 467.848 | 0.000 | -0.000 | -0.000 |
| 467.848 | 467.848 | 467.848 | -0.000 | -0.000 | -0.000 |
| 0.000 | 0.000 | 0.000 | -9.943 | 0.000 | -0.000 |
| 0.000 | 0.000 | 0.000 | 0.000 | -9.943 | -0.000 |
| 0.000 | 0.000 | 0.000 | 0.000 | 0.000 | -9.943 |
| 467.848 | 467.848 | 467.848 | 0.000 | 0.000 | 0.000 |
| 467.848 | 467.848 | 467.848 | 0.000 | -0.000 | 0.000 |
| 467.848 | 467.848 | 467.848 | 0.000 | 0.000 | 0.000 |
| -0.000 | -0.000 | -0.000 | -9.943 | -0.000 | 0.000 |
| -0.000 | -0.000 | -0.000 | -0.000 | -9.943 | 0.000 |
| -0.000 | -0.000 | -0.000 | -0.000 | -0.000 | -9.943 |
| 467.849 | 467.849 | 467.849 | -0.000 | -0.000 | -0.000 |
| 467.849 | 467.849 | 467.849 | -0.000 | -0.000 | -0.000 |
| 467.849 | 467.849 | 467.849 | -0.000 | -0.000 | -0.000 |
| 0.000 | 0.000 | 0.000 | 0.972 | -0.000 | -0.000 |
| 0.000 | 0.000 | 0.000 | -0.000 | 0.972 | -0.000 |
| 0.000 | 0.000 | 0.000 | -0.000 | -0.000 | 0.972 |
| 467.847 | 467.847 | 467.847 | 0.000 | 0.000 | 0.000 |
| 467.847 | 467.847 | 467.847 | 0.000 | 0.000 | 0.000 |
| 467.847 | 467.847 | 467.847 | 0.000 | 0.000 | 0.000 |
| -0.000 | -0.000 | -0.000 | 0.972 | 0.000 | 0.000 |
| -0.000 | -0.000 | -0.000 | 0.000 | 0.972 | 0.000 |
| -0.000 | -0.000 | -0.000 | 0.000 | 0.000 | 0.972 |
| 467.858 | 467.859 | 467.859 | -0.000 | -0.000 | -0.000 |
| 467.859 | 467.858 | 467.859 | -0.000 | -0.000 | -0.000 |
| 467.859 | 467.859 | 467.858 | -0.000 | -0.000 | -0.000 |
| 0.114 | 0.114 | 0.114 | -71.101 | -0.000 | -0.000 |
| 0.114 | 0.114 | 0.114 | -0.000 | -71.101 | -0.000 |
| 0.114 | 0.114 | 0.114 | -0.000 | -0.000 | -71.101 |
| 467.837 | 467.836 | 467.836 | 0.000 | -0.000 | 0.000 |
| 467.836 | 467.837 | 467.836 | 0.000 | -0.000 | 0.000 |
| 467.836 | 467.836 | 467.837 | 0.000 | -0.000 | 0.000 |
| -0.114 | -0.114 | -0.114 | -71.101 | 0.000 | -0.000 |
| -0.114 | -0.114 | -0.114 | 0.000 | -71.101 | 0.000 |
| -0.114 | -0.114 | -0.114 | 0.000 | -0.000 | -71.101 |
| 51.220 | 155.464 | 155.464 | -0.000 | -0.000 | 0.000 |
| 155.464 | 51.220 | 155.464 | -0.000 | 0.000 | 0.000 |
| 155.464 | 155.464 | 51.220 | -0.000 | 0.000 | 0.000 |
| 0.000 | 0.000 | -0.000 | 98.671 | -0.000 | 0.000 |
| 0.000 | 0.000 | -0.000 | -0.000 | 98.671 | 0.000 |
| -0.000 | 0.000 | -0.000 | -0.000 | 0.000 | 98.671 |
| 51.220 | 155.464 | 155.464 | 0.000 | 0.000 | -0.000 |
| 155.464 | 51.220 | 155.464 | 0.000 | -0.000 | -0.000 |
| 155.464 | 155.464 | 51.220 | 0.000 | -0.000 | 0.000 |
| -0.000 | -0.000 | 0.000 | 98.671 | 0.000 | -0.000 |
| 0.000 | -0.000 | 0.000 | 0.000 | 98.671 | -0.000 |
| 0.000 | 0.000 | 0.000 | 0.000 | -0.000 | 98.671 |
| 51.220 | 155.464 | 155.464 | -0.000 | -0.000 | 0.000 |
| 155.464 | 51.220 | 155.464 | -0.000 | -0.000 | 0.000 |
| 155.464 | 155.464 | 51.220 | -0.000 | -0.000 | 0.000 |
| 0.000 | 0.000 | 0.000 | 98.671 | 0.000 | 0.000 |
| 0.000 | 0.000 | 0.000 | -0.000 | 98.671 | 0.000 |
| 0.000 | 0.000 | 0.000 | -0.000 | 0.000 | 98.671 |
| 51.220 | 155.464 | 155.464 | 0.000 | -0.000 | -0.000 |
| 155.464 | 51.220 | 155.464 | 0.000 | -0.000 | -0.000 |
| 155.464 | 155.464 | 51.220 | 0.000 | -0.000 | -0.000 |
| -0.000 | -0.000 | -0.000 | 98.671 | -0.000 | -0.000 |
| -0.000 | -0.000 | -0.000 | 0.000 | 98.671 | -0.000 |
| -0.000 | -0.000 | -0.000 | 0.000 | -0.000 | 98.671 |
| 51.221 | 155.465 | 155.465 | -0.000 | -0.000 | 0.000 |
| 155.465 | 51.221 | 155.465 | -0.000 | -0.000 | 0.000 |
| 155.465 | 155.465 | 51.221 | -0.000 | 0.000 | 0.000 |
| 0.001 | 0.000 | 0.001 | 98.530 | 0.000 | 0.000 |
| 0.000 | 0.001 | 0.001 | -0.000 | 98.530 | 0.000 |
| 0.000 | 0.001 | 0.001 | 0.000 | 0.000 | 98.530 |
| 51.219 | 155.464 | 155.464 | 0.000 | -0.000 | -0.000 |
| 155.464 | 51.219 | 155.464 | 0.000 | 0.000 | -0.000 |
| 155.464 | 155.464 | 51.219 | 0.000 | -0.000 | -0.000 |
| -0.001 | -0.000 | -0.001 | 98.530 | -0.000 | -0.000 |
| -0.000 | -0.001 | -0.001 | 0.000 | 98.530 | -0.000 |
| -0.000 | -0.001 | -0.001 | 0.000 | -0.000 | 98.530 |
| 244.244 | 3.327 | 3.327 | -0.000 | -0.000 | 0.000 |
| 3.327 | 244.244 | 3.327 | -0.000 | 0.000 | -0.000 |
| 3.327 | 3.327 | 244.244 | 0.000 | -0.000 | 0.000 |
| -0.000 | 0.000 | -0.000 | -6.051 | 0.000 | -0.000 |
| 0.000 | -0.000 | -0.000 | -0.000 | -6.051 | 0.000 |
| 0.000 | -0.000 | -0.000 | -0.000 | 0.000 | -6.051 |
| 244.244 | 3.327 | 3.327 | 0.000 | 0.000 | -0.000 |
| 3.327 | 244.244 | 3.327 | 0.000 | 0.000 | -0.000 |
| 3.327 | 3.327 | 244.244 | 0.000 | 0.000 | -0.000 |
| 0.000 | -0.000 | 0.000 | -6.051 | -0.000 | -0.000 |
| -0.000 | 0.000 | 0.000 | 0.000 | -6.051 | -0.000 |
| -0.000 | 0.000 | 0.000 | -0.000 | -0.000 | -6.051 |
| 244.243 | 3.327 | 3.327 | -0.000 | -0.000 | -0.000 |
| 3.327 | 244.243 | 3.327 | -0.000 | -0.000 | 0.000 |
| 3.327 | 3.327 | 244.243 | 0.000 | 0.000 | 0.000 |
| 0.000 | 0.000 | 0.000 | 8.591 | 0.000 | 0.000 |
| 0.000 | 0.000 | 0.000 | 0.000 | 8.591 | -0.000 |
| 0.000 | 0.000 | 0.000 | 0.000 | 0.000 | 8.591 |
| 244.245 | 3.327 | 3.327 | 0.000 | -0.000 | -0.000 |
| 3.327 | 244.245 | 3.327 | 0.000 | 0.000 | -0.000 |
| 3.327 | 3.327 | 244.245 | 0.000 | -0.000 | -0.000 |
| -0.000 | -0.000 | -0.000 | 8.591 | -0.000 | 0.000 |
| -0.000 | -0.000 | -0.000 | -0.000 | 8.591 | 0.000 |
| -0.000 | -0.000 | -0.000 | -0.000 | -0.000 | 8.591 |
| 244.235 | 3.327 | 3.327 | -0.000 | -0.000 | 0.000 |
| 3.327 | 244.235 | 3.327 | -0.000 | 0.000 | 0.000 |
| 3.327 | 3.327 | 244.235 | -0.000 | 0.000 | 0.000 |
| -0.002 | -0.000 | -0.000 | -8.637 | 0.000 | -0.000 |
| -0.000 | -0.002 | -0.000 | 0.000 | -8.637 | 0.000 |
| -0.000 | -0.000 | -0.002 | 0.000 | 0.000 | -8.637 |
| 244.252 | 3.327 | 3.327 | 0.000 | 0.000 | 0.000 |
| 3.327 | 244.252 | 3.327 | 0.000 | 0.000 | -0.000 |
| 3.327 | 3.327 | 244.252 | -0.000 | 0.000 | 0.000 |
| 0.002 | 0.000 | 0.000 | -8.637 | -0.000 | -0.000 |
| 0.000 | 0.002 | 0.000 | -0.000 | -8.637 | -0.000 |
| 0.000 | 0.000 | 0.002 | -0.000 | -0.000 | -8.637 |
| 897.495 | 5.899 | 5.899 | -0.000 | 0.000 | 0.000 |
| 5.899 | 897.495 | 5.899 | -0.000 | 0.000 | 0.000 |
| 5.899 | 5.899 | 897.495 | -0.000 | 0.000 | 0.000 |
| 0.000 | -0.000 | -0.000 | -64.615 | -0.000 | 0.000 |
| 0.000 | 0.000 | 0.000 | -0.000 | -64.615 | 0.000 |
| 0.000 | -0.000 | -0.000 | -0.000 | 0.000 | -64.615 |
| 897.495 | 5.899 | 5.899 | 0.000 | -0.000 | -0.000 |
| 5.899 | 897.495 | 5.899 | 0.000 | -0.000 | -0.000 |
| 5.899 | 5.899 | 897.495 | 0.000 | -0.000 | -0.000 |
| 0.000 | 0.000 | 0.000 | -64.615 | 0.000 | -0.000 |
| 0.000 | -0.000 | 0.000 | -0.000 | -64.615 | -0.000 |
| -0.000 | 0.000 | 0.000 | 0.000 | -0.000 | -64.615 |
| 897.495 | 5.899 | 5.899 | 0.000 | 0.000 | 0.000 |
| 5.899 | 897.495 | 5.899 | 0.000 | 0.000 | 0.000 |
| 5.899 | 5.899 | 897.495 | 0.000 | 0.000 | 0.000 |
| -0.000 | -0.000 | -0.000 | -64.615 | 0.000 | 0.000 |
| -0.000 | -0.000 | -0.000 | -0.000 | -64.615 | 0.000 |
| -0.000 | -0.000 | -0.000 | -0.000 | 0.000 | -64.615 |
| 897.494 | 5.899 | 5.899 | -0.000 | -0.000 | -0.000 |
| 5.899 | 897.494 | 5.899 | -0.000 | -0.000 | -0.000 |
| 5.899 | 5.899 | 897.494 | 0.000 | -0.000 | -0.000 |
| 0.000 | 0.000 | 0.000 | -64.615 | -0.000 | 0.000 |
| 0.000 | 0.000 | 0.000 | 0.000 | -64.615 | -0.000 |
| 0.000 | 0.000 | 0.000 | 0.000 | -0.000 | -64.615 |
| 897.497 | 5.899 | 5.899 | 0.000 | 0.000 | -0.000 |
| 5.899 | 897.497 | 5.899 | -0.000 | 0.000 | -0.000 |
| 5.899 | 5.899 | 897.497 | -0.000 | 0.000 | 0.000 |
| -0.000 | -0.000 | -0.001 | -64.615 | 0.000 | -0.000 |
| -0.000 | -0.000 | -0.001 | -0.000 | -64.615 | 0.000 |
| -0.000 | -0.001 | -0.000 | -0.000 | 0.000 | -64.615 |
| 897.492 | 5.899 | 5.899 | -0.000 | -0.000 | 0.000 |
| 5.899 | 897.492 | 5.899 | 0.000 | -0.000 | -0.000 |
| 5.899 | 5.899 | 897.492 | 0.000 | -0.000 | -0.000 |
| 0.000 | 0.000 | 0.001 | -64.615 | -0.000 | 0.000 |
| 0.000 | 0.000 | 0.001 | 0.000 | -64.615 | -0.000 |
| 0.000 | 0.001 | 0.000 | 0.000 | -0.000 | -64.615 |
| 126.383 | 174.365 | 174.365 | -0.000 | 0.000 | 0.000 |
| 174.365 | 126.383 | 174.365 | -0.000 | 0.000 | 0.000 |
| 174.365 | 174.365 | 126.383 | -0.000 | -0.000 | 0.000 |
| 0.000 | 0.000 | 0.000 | 161.122 | 0.000 | 0.000 |
| 0.000 | 0.000 | 0.000 | 0.000 | 161.122 | 0.000 |
| 0.000 | 0.000 | 0.000 | -0.000 | 0.000 | 161.122 |
| 126.383 | 174.365 | 174.365 | -0.000 | -0.000 | -0.000 |
| 174.365 | 126.383 | 174.365 | 0.000 | -0.000 | -0.000 |
| 174.365 | 174.365 | 126.383 | 0.000 | -0.000 | -0.000 |
| -0.000 | -0.000 | -0.000 | 161.122 | -0.000 | -0.000 |
| -0.000 | -0.000 | -0.000 | 0.000 | 161.122 | -0.000 |
| -0.000 | -0.000 | -0.000 | -0.000 | -0.000 | 161.122 |
| 126.383 | 174.366 | 174.366 | 0.000 | 0.000 | 0.000 |
| 174.366 | 126.383 | 174.366 | 0.000 | 0.000 | 0.000 |
| 174.366 | 174.366 | 126.383 | 0.000 | 0.000 | 0.000 |
| 0.000 | 0.000 | 0.000 | 161.122 | 0.000 | -0.000 |
| 0.000 | 0.000 | 0.000 | -0.000 | 161.122 | 0.000 |
| 0.000 | 0.000 | 0.000 | 0.000 | 0.000 | 161.122 |
| 126.383 | 174.365 | 174.365 | -0.000 | -0.000 | 0.000 |
| 174.365 | 126.383 | 174.365 | -0.000 | -0.000 | -0.000 |
| 174.365 | 174.365 | 126.383 | 0.000 | -0.000 | 0.000 |
| -0.000 | -0.000 | -0.000 | 161.122 | -0.000 | -0.000 |
| -0.000 | -0.000 | -0.000 | 0.000 | 161.122 | -0.000 |
| -0.000 | -0.000 | -0.000 | -0.000 | -0.000 | 161.122 |
| 126.383 | 174.366 | 174.366 | 0.000 | 0.000 | 0.000 |
| 174.366 | 126.383 | 174.366 | 0.000 | 0.000 | 0.000 |
| 174.366 | 174.366 | 126.383 | -0.000 | -0.000 | 0.000 |
| 0.001 | 0.000 | 0.001 | 161.122 | 0.000 | 0.000 |
| 0.000 | 0.001 | 0.001 | -0.000 | 161.122 | 0.000 |
| 0.000 | 0.001 | 0.001 | 0.000 | 0.000 | 161.122 |
| 126.382 | 174.365 | 174.365 | 0.000 | -0.000 | -0.000 |
| 174.365 | 126.382 | 174.365 | -0.000 | 0.000 | -0.000 |
| 174.365 | 174.365 | 126.382 | 0.000 | 0.000 | -0.000 |
| -0.001 | -0.000 | -0.001 | 161.122 | -0.000 | 0.000 |
| -0.000 | -0.001 | -0.001 | 0.000 | 161.122 | -0.000 |
| -0.000 | -0.001 | -0.001 | -0.000 | -0.000 | 161.122 |
| 58.488 | 58.488 | 58.488 | 0.000 | 0.000 | -0.000 |
| 58.488 | 58.488 | 58.488 | 0.000 | 0.000 | -0.000 |
| 58.488 | 58.488 | 58.488 | 0.000 | 0.000 | 0.000 |
| 0.000 | 0.000 | 0.000 | 19.634 | 0.000 | -0.000 |
| 0.000 | 0.000 | 0.000 | 0.000 | 19.634 | -0.000 |
| 0.000 | 0.000 | 0.000 | 0.000 | 0.000 | 19.634 |
| 58.488 | 58.488 | 58.488 | 0.000 | 0.000 | 0.000 |
| 58.488 | 58.488 | 58.488 | 0.000 | 0.000 | 0.000 |
| 58.488 | 58.488 | 58.488 | 0.000 | 0.000 | 0.000 |
| -0.000 | -0.000 | -0.000 | 19.634 | 0.000 | 0.000 |
| -0.000 | -0.000 | -0.000 | 0.000 | 19.634 | 0.000 |
| -0.000 | -0.000 | -0.000 | -0.000 | 0.000 | 19.634 |
| 58.488 | 58.488 | 58.488 | -0.000 | -0.000 | 0.000 |
| 58.488 | 58.488 | 58.488 | -0.000 | -0.000 | 0.000 |
| 58.488 | 58.488 | 58.488 | -0.000 | -0.000 | -0.000 |
| 0.000 | 0.000 | 0.000 | 19.634 | 0.000 | -0.000 |
| 0.000 | 0.000 | 0.000 | 0.000 | 19.634 | -0.000 |
| 0.000 | 0.000 | 0.000 | 0.000 | 0.000 | 19.634 |
| 58.488 | 58.488 | 58.488 | -0.000 | -0.000 | -0.000 |
| 58.488 | 58.488 | 58.488 | -0.000 | -0.000 | -0.000 |
| 58.488 | 58.488 | 58.488 | -0.000 | -0.000 | -0.000 |
| -0.000 | -0.000 | -0.000 | 19.634 | -0.000 | 0.000 |
| -0.000 | -0.000 | -0.000 | -0.000 | 19.634 | 0.000 |
| -0.000 | -0.000 | -0.000 | -0.000 | -0.000 | 19.634 |
| 58.489 | 58.489 | 58.489 | 0.000 | -0.000 | 0.000 |
| 58.489 | 58.489 | 58.489 | -0.000 | 0.000 | 0.000 |
| 58.489 | 58.489 | 58.489 | 0.000 | 0.000 | 0.000 |
| 0.000 | 0.000 | 0.000 | 19.634 | 0.000 | -0.000 |
| 0.000 | 0.000 | 0.000 | 0.000 | 19.634 | -0.000 |
| 0.000 | 0.000 | 0.000 | -0.000 | 0.000 | 19.634 |
| 58.487 | 58.487 | 58.487 | -0.000 | -0.000 | 0.000 |
| 58.487 | 58.487 | 58.487 | -0.000 | -0.000 | 0.000 |
| 58.487 | 58.487 | 58.487 | -0.000 | -0.000 | -0.000 |
| -0.000 | -0.000 | -0.000 | 19.634 | 0.000 | 0.000 |
| -0.000 | -0.000 | -0.000 | 0.000 | 19.634 | 0.000 |
| -0.000 | -0.000 | -0.000 | 0.000 | 0.000 | 19.634 |
| 230.275 | 322.592 | 322.592 | -0.000 | 0.000 | -0.000 |
| 322.592 | 230.275 | 322.592 | -0.000 | -0.000 | -0.000 |
| 322.592 | 322.592 | 230.275 | -0.000 | 0.000 | -0.000 |
| 0.000 | 0.000 | 0.000 | -82.764 | -0.000 | -0.000 |
| -0.000 | -0.000 | 0.000 | -0.000 | -82.764 | -0.000 |
| -0.000 | -0.000 | 0.000 | -0.000 | 0.000 | -82.764 |
| 230.275 | 322.592 | 322.592 | 0.000 | 0.000 | -0.000 |
| 322.592 | 230.275 | 322.592 | 0.000 | 0.000 | 0.000 |
| 322.592 | 322.592 | 230.275 | -0.000 | -0.000 | 0.000 |
| -0.000 | 0.000 | -0.000 | -82.764 | -0.000 | -0.000 |
| 0.000 | -0.000 | -0.000 | 0.000 | -82.764 | 0.000 |
| 0.000 | 0.000 | -0.000 | 0.000 | -0.000 | -82.764 |
| 230.275 | 322.592 | 322.592 | -0.000 | 0.000 | -0.000 |
| 322.592 | 230.275 | 322.592 | -0.000 | 0.000 | -0.000 |
| 322.592 | 322.592 | 230.275 | -0.000 | -0.000 | 0.000 |
| 0.000 | -0.000 | 0.000 | 89.134 | 0.000 | -0.000 |
| -0.000 | 0.000 | 0.000 | 0.000 | 89.134 | -0.000 |
| -0.000 | 0.000 | 0.000 | 0.000 | 0.000 | 89.134 |
| 230.275 | 322.592 | 322.592 | 0.000 | -0.000 | 0.000 |
| 322.592 | 230.275 | 322.592 | 0.000 | -0.000 | 0.000 |
| 322.592 | 322.592 | 230.275 | 0.000 | 0.000 | 0.000 |
| 0.000 | 0.000 | 0.000 | -82.764 | -0.000 | 0.000 |
| 0.000 | 0.000 | 0.000 | 0.000 | -82.764 | 0.000 |
| 0.000 | 0.000 | 0.000 | 0.000 | -0.000 | -82.764 |
| 230.274 | 322.592 | 322.592 | -0.000 | 0.000 | -0.000 |
| 322.592 | 230.274 | 322.592 | -0.000 | 0.000 | -0.000 |
| 322.592 | 322.592 | 230.274 | -0.000 | -0.000 | 0.000 |
| -0.001 | -0.001 | -0.001 | -82.764 | 0.000 | 0.000 |
| -0.001 | -0.001 | -0.001 | -0.000 | -82.764 | -0.000 |
| -0.001 | -0.001 | -0.001 | -0.000 | 0.000 | -82.764 |
| 230.275 | 322.591 | 322.591 | -0.000 | -0.000 | -0.000 |
| 322.591 | 230.275 | 322.591 | 0.000 | -0.000 | 0.000 |
| 322.591 | 322.591 | 230.275 | 0.000 | 0.000 | 0.000 |
| 0.001 | 0.001 | 0.001 | -82.764 | 0.000 | 0.000 |
| 0.001 | 0.001 | 0.001 | 0.000 | -82.764 | 0.000 |
| 0.001 | 0.001 | 0.001 | 0.000 | 0.000 | -82.764 |
| 18.947 | 18.947 | 18.947 | 0.000 | 0.000 | 0.000 |
| 18.947 | 18.947 | 18.947 | 0.000 | 0.000 | 0.000 |
| 18.947 | 18.947 | 18.947 | 0.000 | 0.000 | 0.000 |
| 0.000 | 0.000 | 0.000 | 0.000 | 0.000 | 0.000 |
| 0.000 | 0.000 | 0.000 | 0.000 | 0.000 | 0.000 |
| 0.000 | 0.000 | 0.000 | 0.000 | 0.000 | 0.000 |
| 18.947 | 18.947 | 18.947 | -0.000 | -0.000 | -0.000 |
| 18.947 | 18.947 | 18.947 | -0.000 | -0.000 | -0.000 |
| 18.947 | 18.947 | 18.947 | -0.000 | -0.000 | -0.000 |
| -0.000 | -0.000 | -0.000 | -0.000 | -0.000 | -0.000 |
| -0.000 | -0.000 | -0.000 | -0.000 | -0.000 | -0.000 |
| -0.000 | -0.000 | -0.000 | -0.000 | -0.000 | -0.000 |
| 18.947 | 18.947 | 18.947 | 0.000 | 0.000 | 0.000 |
| 18.947 | 18.947 | 18.947 | 0.000 | 0.000 | 0.000 |
| 18.947 | 18.947 | 18.947 | 0.000 | 0.000 | 0.000 |
| -0.000 | -0.000 | -0.000 | 0.000 | 0.000 | 0.000 |
| -0.000 | -0.000 | -0.000 | 0.000 | 0.000 | 0.000 |
| -0.000 | -0.000 | -0.000 | 0.000 | 0.000 | 0.000 |
| 18.947 | 18.947 | 18.947 | -0.000 | -0.000 | -0.000 |
| 18.947 | 18.947 | 18.947 | -0.000 | -0.000 | -0.000 |
| 18.947 | 18.947 | 18.947 | -0.000 | -0.000 | -0.000 |
| 0.000 | 0.000 | 0.000 | -0.000 | -0.000 | -0.000 |
| 0.000 | 0.000 | 0.000 | -0.000 | -0.000 | -0.000 |
| 0.000 | 0.000 | 0.000 | -0.000 | -0.000 | -0.000 |
| 18.947 | 18.947 | 18.947 | 0.000 | 0.000 | 0.000 |
| 18.947 | 18.947 | 18.947 | 0.000 | 0.000 | 0.000 |
| 18.947 | 18.947 | 18.947 | 0.000 | 0.000 | 0.000 |
| -0.000 | -0.000 | -0.000 | -0.000 | 0.000 | 0.000 |
| -0.000 | -0.000 | -0.000 | 0.000 | -0.000 | 0.000 |
| -0.000 | -0.000 | -0.000 | 0.000 | 0.000 | -0.000 |
| 18.947 | 18.947 | 18.947 | -0.000 | -0.000 | -0.000 |
| 18.947 | 18.947 | 18.947 | -0.000 | -0.000 | -0.000 |
| 18.947 | 18.947 | 18.947 | -0.000 | -0.000 | -0.000 |
| 0.000 | 0.000 | 0.000 | -0.000 | -0.000 | -0.000 |
| 0.000 | 0.000 | 0.000 | -0.000 | -0.000 | -0.000 |
| 0.000 | 0.000 | 0.000 | -0.000 | -0.000 | -0.000 |
| 15.881 | 15.881 | 15.881 | 0.000 | 0.000 | -0.000 |
| 15.881 | 15.881 | 15.881 | 0.000 | 0.000 | -0.000 |
| 15.881 | 15.881 | 15.881 | 0.000 | 0.000 | 0.000 |
| -0.000 | -0.000 | -0.000 | -0.000 | -0.000 | -0.000 |
| -0.000 | -0.000 | -0.000 | -0.000 | -0.000 | -0.000 |
| -0.000 | -0.000 | -0.000 | -0.000 | 0.000 | -0.000 |
| 15.881 | 15.881 | 15.881 | 0.000 | -0.000 | 0.000 |
| 15.881 | 15.881 | 15.881 | -0.000 | 0.000 | 0.000 |
| 15.881 | 15.881 | 15.881 | -0.000 | -0.000 | 0.000 |
| 0.000 | 0.000 | 0.000 | 0.000 | 0.000 | 0.000 |
| 0.000 | 0.000 | 0.000 | 0.000 | 0.000 | 0.000 |
| 0.000 | 0.000 | 0.000 | 0.000 | -0.000 | 0.000 |
| 15.881 | 15.881 | 15.881 | -0.000 | 0.000 | -0.000 |
| 15.881 | 15.881 | 15.881 | 0.000 | -0.000 | -0.000 |
| 15.881 | 15.881 | 15.881 | 0.000 | 0.000 | -0.000 |
| -0.000 | -0.000 | -0.000 | 0.000 | -0.000 | -0.000 |
| -0.000 | -0.000 | -0.000 | -0.000 | 0.000 | -0.000 |
| -0.000 | -0.000 | -0.000 | -0.000 | 0.000 | -0.000 |
| 15.881 | 15.881 | 15.881 | -0.000 | -0.000 | 0.000 |
| 15.881 | 15.881 | 15.881 | -0.000 | -0.000 | 0.000 |
| 15.881 | 15.881 | 15.881 | -0.000 | -0.000 | 0.000 |
| 0.000 | 0.000 | 0.000 | 0.000 | 0.000 | 0.000 |
| 0.000 | 0.000 | 0.000 | 0.000 | 0.000 | 0.000 |
| 0.000 | 0.000 | 0.000 | 0.000 | -0.000 | 0.000 |
| 15.881 | 15.881 | 15.881 | 0.000 | 0.000 | -0.000 |
| 15.881 | 15.881 | 15.881 | 0.000 | 0.000 | -0.000 |
| 15.881 | 15.881 | 15.881 | 0.000 | 0.000 | 0.000 |
| -0.000 | -0.000 | -0.000 | 0.000 | -0.000 | -0.000 |
| -0.000 | -0.000 | -0.000 | -0.000 | 0.000 | -0.000 |
| -0.000 | -0.000 | -0.000 | -0.000 | 0.000 | 0.000 |
| 15.881 | 15.881 | 15.881 | -0.000 | -0.000 | 0.000 |
| 15.881 | 15.881 | 15.881 | -0.000 | -0.000 | 0.000 |
| 15.881 | 15.881 | 15.881 | -0.000 | -0.000 | -0.000 |
| 0.000 | 0.000 | 0.000 | 0.000 | 0.000 | 0.000 |
| 0.000 | 0.000 | 0.000 | 0.000 | 0.000 | 0.000 |
| 0.000 | 0.000 | 0.000 | 0.000 | -0.000 | 0.000 |
| 245.662 | 84.518 | 152.544 | -0.000 | 0.000 | -0.000 |
| 84.518 | 245.662 | 152.544 | -0.000 | -0.000 | -0.000 |
| 152.544 | 152.544 | 275.288 | 0.000 | -0.000 | 0.000 |
| 0.000 | -0.000 | 0.000 | 108.787 | -0.000 | 0.000 |
| -0.000 | 0.000 | 0.000 | -0.000 | 108.787 | 0.000 |
| 0.000 | 0.000 | 0.000 | 0.000 | 0.000 | 20.053 |
| 245.662 | 84.518 | 152.544 | -0.000 | 0.000 | 0.000 |
| 84.518 | 245.662 | 152.544 | -0.000 | 0.000 | 0.000 |
| 152.544 | 152.544 | 275.288 | 0.000 | 0.000 | -0.000 |
| -0.000 | 0.000 | -0.000 | 108.787 | 0.000 | 0.000 |
| 0.000 | 0.000 | -0.000 | 0.000 | 108.787 | 0.000 |
| -0.000 | 0.000 | -0.000 | -0.000 | -0.000 | 20.053 |
| 245.662 | 84.518 | 152.544 | -0.000 | -0.000 | 0.000 |
| 84.518 | 245.662 | 152.544 | -0.000 | 0.000 | 0.000 |
| 152.544 | 152.544 | 275.288 | -0.000 | 0.000 | 0.000 |
| 0.000 | -0.000 | 0.000 | 108.787 | -0.000 | 0.000 |
| -0.000 | 0.000 | 0.000 | 0.000 | 108.787 | 0.000 |
| 0.000 | -0.000 | 0.000 | 0.000 | -0.000 | 20.053 |
| 245.662 | 84.518 | 152.544 | -0.000 | -0.000 | -0.000 |
| 84.518 | 245.662 | 152.544 | 0.000 | 0.000 | -0.000 |
| 152.544 | 152.544 | 275.288 | 0.000 | -0.000 | -0.000 |
| -0.000 | 0.000 | -0.000 | 108.787 | 0.000 | -0.000 |
| 0.000 | -0.000 | -0.000 | -0.000 | 108.787 | -0.000 |
| -0.000 | 0.000 | -0.000 | -0.000 | -0.000 | 20.053 |
| 245.663 | 84.517 | 152.544 | 0.000 | 0.000 | -0.000 |
| 84.517 | 245.663 | 152.544 | -0.000 | -0.000 | 0.000 |
| 152.545 | 152.545 | 275.292 | -0.000 | -0.000 | 0.000 |
| 0.000 | -0.000 | 0.000 | 108.787 | -0.000 | 0.000 |
| -0.000 | 0.000 | 0.000 | 0.000 | 108.787 | 0.000 |
| 0.000 | -0.000 | 0.000 | 0.000 | -0.000 | 20.053 |
| 245.661 | 84.518 | 152.544 | 0.000 | 0.000 | -0.000 |
| 84.518 | 245.661 | 152.544 | -0.000 | 0.000 | -0.000 |
| 152.544 | 152.544 | 275.284 | -0.000 | 0.000 | -0.000 |
| -0.000 | 0.000 | -0.000 | 108.787 | 0.000 | -0.000 |
| 0.000 | -0.000 | -0.000 | -0.000 | 108.787 | -0.000 |
| -0.000 | 0.000 | -0.000 | -0.000 | -0.000 | 20.053 |
| 66.292 | 54.631 | 66.705 | 0.000 | 0.000 | 0.000 |
| 54.631 | 66.292 | 66.705 | 0.000 | 0.000 | 0.000 |
| 66.705 | 66.705 | 81.520 | 0.000 | 0.000 | 0.000 |
| 0.000 | 0.000 | 0.000 | 21.004 | 0.000 | 0.000 |
| 0.000 | 0.000 | 0.000 | 0.000 | 21.004 | 0.000 |
| 0.000 | 0.000 | 0.000 | 0.000 | 0.000 | 16.457 |
| 66.292 | 54.631 | 66.705 | -0.000 | 0.000 | -0.000 |
| 54.631 | 66.292 | 66.705 | 0.000 | -0.000 | -0.000 |
| 66.705 | 66.705 | 81.520 | -0.000 | -0.000 | -0.000 |
| -0.000 | -0.000 | -0.000 | 21.004 | -0.000 | -0.000 |
| -0.000 | -0.000 | -0.000 | -0.000 | 21.004 | -0.000 |
| -0.000 | -0.000 | -0.000 | -0.000 | -0.000 | 16.457 |
| 66.292 | 54.632 | 66.706 | 0.000 | -0.000 | 0.000 |
| 54.632 | 66.292 | 66.706 | -0.000 | 0.000 | 0.000 |
| 66.706 | 66.706 | 81.521 | 0.000 | 0.000 | 0.000 |
| 0.000 | 0.000 | 0.000 | 21.004 | 0.000 | 0.000 |
| 0.000 | 0.000 | 0.000 | 0.000 | 21.004 | 0.000 |
| 0.000 | 0.000 | 0.000 | 0.000 | 0.000 | 16.457 |
| 66.292 | 54.631 | 66.705 | -0.000 | -0.000 | -0.000 |
| 54.631 | 66.292 | 66.705 | -0.000 | -0.000 | -0.000 |
| 66.705 | 66.705 | 81.520 | -0.000 | -0.000 | -0.000 |
| -0.000 | -0.000 | -0.000 | 21.004 | -0.000 | -0.000 |
| -0.000 | -0.000 | -0.000 | -0.000 | 21.004 | -0.000 |
| -0.000 | -0.000 | -0.000 | -0.000 | -0.000 | 16.457 |
| 66.296 | 54.633 | 66.707 | 0.000 | -0.000 | 0.000 |
| 54.633 | 66.296 | 66.707 | -0.000 | 0.000 | 0.000 |
| 66.707 | 66.707 | 81.522 | 0.000 | 0.000 | 0.000 |
| 0.000 | 0.000 | 0.001 | 21.004 | 0.000 | 0.000 |
| 0.000 | 0.000 | 0.001 | 0.000 | 21.004 | 0.000 |
| 0.000 | 0.000 | 0.000 | 0.000 | 0.000 | 16.457 |
| 66.288 | 54.630 | 66.704 | -0.000 | -0.000 | -0.000 |
| 54.630 | 66.288 | 66.704 | -0.000 | -0.000 | -0.000 |
| 66.704 | 66.704 | 81.519 | -0.000 | -0.000 | -0.000 |
| -0.000 | -0.000 | -0.001 | 21.004 | -0.000 | -0.000 |
| -0.000 | -0.000 | -0.001 | -0.000 | 21.004 | -0.000 |
| -0.000 | -0.000 | -0.000 | -0.000 | -0.000 | 16.457 |
| 170.470 | 220.207 | 214.107 | 0.000 | 0.000 | 0.000 |
| 220.207 | 328.329 | 81.250 | -0.000 | 0.000 | 0.000 |
| 214.107 | 81.250 | 277.386 | -0.000 | 0.000 | -0.000 |
| -0.000 | -0.000 | -0.000 | -26.262 | 0.000 | 0.000 |
| 0.000 | -0.000 | 0.000 | 0.000 | 103.131 | 0.000 |
| 0.000 | -0.000 | -0.000 | 0.000 | 0.000 | 97.630 |
| 170.470 | 220.207 | 214.107 | 0.000 | 0.000 | -0.000 |
| 220.207 | 328.329 | 81.250 | -0.000 | 0.000 | -0.000 |
| 214.107 | 81.250 | 277.386 | 0.000 | -0.000 | -0.000 |
| 0.000 | 0.000 | 0.000 | -26.262 | -0.000 | -0.000 |
| 0.000 | 0.000 | -0.000 | -0.000 | 103.131 | 0.000 |
| -0.000 | -0.000 | 0.000 | -0.000 | -0.000 | 97.630 |
| 170.470 | 220.207 | 214.107 | 0.000 | 0.000 | 0.000 |
| 220.207 | 328.329 | 81.250 | -0.000 | 0.000 | 0.000 |
| 214.107 | 81.250 | 277.386 | 0.000 | 0.000 | -0.000 |
| -0.000 | -0.000 | -0.000 | -26.262 | 0.000 | 0.000 |
| -0.000 | -0.000 | 0.000 | 0.000 | 103.131 | 0.000 |
| -0.000 | 0.000 | -0.000 | -0.000 | 0.000 | 97.630 |
| 170.470 | 220.207 | 214.107 | -0.000 | -0.000 | -0.000 |
| 220.207 | 328.329 | 81.250 | -0.000 | -0.000 | 0.000 |
| 214.107 | 81.250 | 277.386 | -0.000 | -0.000 | 0.000 |
| 0.000 | 0.000 | 0.000 | -26.262 | -0.000 | 0.000 |
| 0.000 | 0.000 | -0.000 | 0.000 | 103.131 | -0.000 |
| 0.000 | -0.000 | 0.000 | -0.000 | 0.000 | 97.630 |
| 170.469 | 220.206 | 214.106 | -0.000 | -0.000 | 0.000 |
| 220.206 | 328.327 | 81.249 | 0.000 | -0.000 | 0.000 |
| 214.107 | 81.249 | 277.386 | -0.000 | 0.000 | 0.000 |
| -0.000 | -0.000 | -0.000 | -26.262 | 0.000 | 0.000 |
| -0.000 | -0.000 | 0.000 | 0.000 | 103.131 | 0.000 |
| -0.000 | 0.000 | -0.000 | -0.000 | 0.000 | 97.630 |
| 170.471 | 220.208 | 214.107 | 0.000 | 0.000 | -0.000 |
| 220.208 | 328.331 | 81.251 | -0.000 | -0.000 | 0.000 |
| 214.107 | 81.251 | 277.386 | -0.000 | -0.000 | -0.000 |
| 0.000 | 0.000 | 0.000 | -26.262 | -0.000 | 0.000 |
| 0.000 | 0.000 | -0.000 | -0.000 | 103.131 | -0.000 |
| 0.000 | -0.000 | 0.000 | 0.000 | -0.000 | 97.630 |
| 179.986 | 185.727 | 185.727 | -0.000 | -0.000 | 0.000 |
| 185.727 | 179.986 | 185.727 | -0.000 | 0.000 | 0.000 |
| 185.727 | 185.727 | 179.986 | -0.000 | -0.000 | 0.000 |
| 0.000 | 0.000 | -0.000 | 153.936 | -0.000 | -0.000 |
| 0.000 | 0.000 | -0.000 | -0.000 | 153.936 | 0.000 |
| 0.000 | 0.000 | -0.000 | -0.000 | -0.000 | 153.936 |
| 179.982 | 185.723 | 185.723 | -0.000 | -0.000 | -0.000 |
| 185.723 | 179.982 | 185.723 | 0.000 | 0.000 | 0.000 |
| 185.723 | 185.723 | 179.982 | 0.000 | -0.000 | -0.000 |
| -0.000 | -0.000 | 0.000 | 153.936 | 0.000 | -0.000 |
| -0.000 | -0.000 | 0.000 | 0.000 | 153.936 | -0.000 |
| -0.000 | -0.000 | 0.000 | 0.000 | -0.000 | 153.936 |
| 179.984 | 185.725 | 185.725 | -0.000 | -0.000 | -0.000 |
| 185.725 | 179.984 | 185.725 | -0.000 | -0.000 | 0.000 |
| 185.725 | 185.725 | 179.984 | -0.000 | -0.000 | 0.000 |
| 0.000 | 0.000 | 0.000 | 153.936 | -0.000 | -0.000 |
| 0.000 | 0.000 | 0.000 | -0.000 | 153.936 | 0.000 |
| 0.000 | 0.000 | 0.000 | -0.000 | 0.000 | 153.936 |
| 179.984 | 185.725 | 185.725 | 0.000 | -0.000 | -0.000 |
| 185.725 | 179.984 | 185.725 | 0.000 | 0.000 | -0.000 |
| 185.725 | 185.725 | 179.984 | 0.000 | -0.000 | -0.000 |
| -0.000 | -0.000 | -0.000 | 153.936 | 0.000 | -0.000 |
| -0.000 | -0.000 | -0.000 | 0.000 | 153.936 | -0.000 |
| -0.000 | -0.000 | -0.000 | 0.000 | -0.000 | 153.936 |
| 179.984 | 185.726 | 185.726 | -0.000 | 0.000 | 0.000 |
| 185.726 | 179.984 | 185.726 | -0.000 | 0.000 | 0.000 |
| 185.726 | 185.726 | 179.984 | -0.000 | 0.000 | 0.000 |
| 0.001 | 0.000 | 0.001 | 153.937 | 0.000 | 0.000 |
| 0.000 | 0.001 | 0.001 | -0.000 | 153.937 | 0.000 |
| 0.000 | 0.001 | 0.001 | -0.000 | 0.000 | 153.937 |
| 180.157 | 185.732 | 185.732 | 0.000 | 0.000 | -0.000 |
| 185.732 | 180.157 | 185.732 | 0.000 | 0.000 | -0.000 |
| 185.732 | 185.732 | 180.157 | 0.000 | -0.000 | -0.000 |
| -0.001 | -0.000 | -0.001 | 153.937 | -0.000 | 0.000 |
| -0.000 | -0.001 | -0.001 | 0.000 | 153.937 | -0.000 |
| -0.000 | -0.001 | -0.001 | 0.000 | -0.000 | 153.937 |
| 151.796 | 153.743 | 153.743 | 0.000 | 0.000 | 0.000 |
| 153.743 | 151.796 | 153.743 | 0.000 | 0.000 | 0.000 |
| 153.743 | 153.743 | 151.796 | 0.000 | 0.000 | 0.000 |
| 0.000 | 0.000 | 0.000 | 32.950 | 0.000 | 0.000 |
| -0.000 | 0.000 | -0.000 | 0.000 | 32.950 | 0.000 |
| -0.000 | -0.000 | 0.000 | -0.000 | 0.000 | 32.950 |
| 151.796 | 153.743 | 153.743 | -0.000 | -0.000 | -0.000 |
| 153.743 | 151.796 | 153.743 | -0.000 | -0.000 | -0.000 |
| 153.743 | 153.743 | 151.796 | -0.000 | -0.000 | -0.000 |
| -0.000 | -0.000 | -0.000 | 32.950 | -0.000 | -0.000 |
| 0.000 | -0.000 | -0.000 | -0.000 | 32.950 | -0.000 |
| -0.000 | -0.000 | -0.000 | 0.000 | -0.000 | 32.950 |
| 151.796 | 153.743 | 153.743 | 0.000 | 0.000 | 0.000 |
| 153.743 | 151.796 | 153.743 | -0.000 | 0.000 | 0.000 |
| 153.743 | 153.743 | 151.796 | 0.000 | 0.000 | 0.000 |
| 0.000 | -0.000 | -0.000 | 32.950 | 0.000 | 0.000 |
| -0.000 | 0.000 | -0.000 | 0.000 | 32.950 | 0.000 |
| -0.000 | -0.000 | 0.000 | -0.000 | 0.000 | 32.950 |
| 151.796 | 153.743 | 153.743 | -0.000 | -0.000 | -0.000 |
| 153.743 | 151.796 | 153.743 | -0.000 | 0.000 | -0.000 |
| 153.743 | 153.743 | 151.796 | -0.000 | -0.000 | -0.000 |
| -0.000 | 0.000 | 0.000 | 32.950 | -0.000 | -0.000 |
| 0.000 | -0.000 | 0.000 | -0.000 | 32.950 | -0.000 |
| 0.000 | 0.000 | -0.000 | 0.000 | -0.000 | 32.950 |
| 151.799 | 153.744 | 153.744 | 0.000 | 0.000 | 0.000 |
| 153.744 | 151.799 | 153.744 | 0.000 | 0.000 | 0.000 |
| 153.744 | 153.744 | 151.799 | 0.000 | 0.000 | 0.000 |
| 0.001 | 0.000 | 0.000 | 170.176 | 0.000 | -0.000 |
| 0.000 | 0.001 | 0.000 | 0.000 | 170.176 | 0.000 |
| 0.000 | 0.000 | 0.001 | 0.000 | 0.000 | 170.176 |
| 151.793 | 153.743 | 153.743 | -0.000 | -0.000 | -0.000 |
| 153.743 | 151.793 | 153.743 | 0.000 | 0.000 | -0.000 |
| 153.743 | 153.743 | 151.793 | 0.000 | -0.000 | -0.000 |
| -0.001 | -0.000 | -0.000 | 170.176 | -0.000 | -0.000 |
| -0.000 | -0.001 | -0.000 | -0.000 | 170.176 | -0.000 |
| -0.000 | -0.000 | -0.001 | -0.000 | -0.000 | 170.176 |
| 202.525 | 54.156 | 54.156 | -0.000 | -0.000 | -0.000 |
| 54.156 | 202.525 | 54.156 | -0.000 | -0.000 | -0.000 |
| 54.156 | 54.156 | 202.525 | -0.000 | -0.000 | -0.000 |
| 0.000 | -0.000 | -0.000 | 39.764 | -0.000 | -0.000 |
| -0.000 | 0.000 | -0.000 | -0.000 | 39.764 | -0.000 |
| -0.000 | -0.000 | 0.000 | -0.000 | -0.000 | 39.764 |
| 202.525 | 54.156 | 54.156 | 0.000 | 0.000 | 0.000 |
| 54.156 | 202.525 | 54.156 | 0.000 | 0.000 | 0.000 |
| 54.156 | 54.156 | 202.525 | 0.000 | 0.000 | 0.000 |
| -0.000 | 0.000 | 0.000 | 39.764 | 0.000 | 0.000 |
| 0.000 | -0.000 | 0.000 | 0.000 | 39.764 | 0.000 |
| 0.000 | 0.000 | -0.000 | 0.000 | 0.000 | 39.764 |
| 202.526 | 54.156 | 54.156 | -0.000 | -0.000 | -0.000 |
| 54.156 | 202.526 | 54.156 | -0.000 | -0.000 | 0.000 |
| 54.156 | 54.156 | 202.526 | -0.000 | -0.000 | -0.000 |
| 0.000 | -0.000 | -0.000 | 39.764 | -0.000 | -0.000 |
| -0.000 | 0.000 | -0.000 | -0.000 | 39.764 | -0.000 |
| -0.000 | -0.000 | 0.000 | -0.000 | -0.000 | 39.764 |
| 202.525 | 54.156 | 54.156 | 0.000 | 0.000 | 0.000 |
| 54.156 | 202.525 | 54.156 | 0.000 | 0.000 | 0.000 |
| 54.156 | 54.156 | 202.525 | 0.000 | 0.000 | -0.000 |
| -0.000 | 0.000 | 0.000 | 39.764 | 0.000 | -0.000 |
| 0.000 | -0.000 | 0.000 | 0.000 | 39.764 | 0.000 |
| 0.000 | 0.000 | -0.000 | 0.000 | 0.000 | 39.764 |
| 202.529 | 54.156 | 54.156 | -0.000 | -0.000 | -0.000 |
| 54.156 | 202.529 | 54.156 | -0.000 | -0.000 | -0.000 |
| 54.156 | 54.156 | 202.529 | -0.000 | -0.000 | -0.000 |
| 0.000 | -0.000 | -0.000 | 39.764 | -0.000 | -0.000 |
| -0.000 | 0.000 | -0.000 | -0.000 | 39.764 | -0.000 |
| -0.000 | -0.000 | 0.000 | -0.000 | -0.000 | 39.764 |
| 202.521 | 54.156 | 54.156 | 0.000 | 0.000 | 0.000 |
| 54.156 | 202.521 | 54.156 | 0.000 | 0.000 | 0.000 |
| 54.156 | 54.156 | 202.521 | 0.000 | 0.000 | 0.000 |
| -0.000 | 0.000 | 0.000 | 39.764 | 0.000 | 0.000 |
| 0.000 | -0.000 | 0.000 | 0.000 | 39.764 | 0.000 |
| 0.000 | 0.000 | -0.000 | 0.000 | 0.000 | 39.764 |
| 31.244 | 31.244 | 31.244 | -0.000 | -0.000 | -0.000 |
| 31.244 | 31.244 | 31.244 | -0.000 | -0.000 | -0.000 |
| 31.244 | 31.244 | 31.244 | -0.000 | -0.000 | 0.000 |
| -0.000 | -0.000 | -0.000 | -0.000 | -0.000 | 0.000 |
| -0.000 | -0.000 | -0.000 | -0.000 | -0.000 | 0.000 |
| -0.000 | -0.000 | -0.000 | -0.000 | 0.000 | -0.000 |
| 31.244 | 31.244 | 31.244 | -0.000 | -0.000 | 0.000 |
| 31.244 | 31.244 | 31.244 | -0.000 | -0.000 | 0.000 |
| 31.244 | 31.244 | 31.244 | -0.000 | -0.000 | 0.000 |
| 0.000 | 0.000 | 0.000 | -0.000 | 0.000 | 0.000 |
| 0.000 | 0.000 | 0.000 | 0.000 | -0.000 | 0.000 |
| 0.000 | 0.000 | 0.000 | -0.000 | 0.000 | 0.000 |
| 31.244 | 31.244 | 31.244 | -0.000 | 0.000 | -0.000 |
| 31.244 | 31.244 | 31.244 | 0.000 | -0.000 | -0.000 |
| 31.244 | 31.244 | 31.244 | -0.000 | -0.000 | 0.000 |
| -0.000 | -0.000 | -0.000 | -0.000 | -0.000 | 0.000 |
| -0.000 | -0.000 | -0.000 | -0.000 | -0.000 | 0.000 |
| -0.000 | -0.000 | -0.000 | -0.000 | 0.000 | -0.000 |
| 31.244 | 31.244 | 31.244 | 0.000 | 0.000 | 0.000 |
| 31.244 | 31.244 | 31.244 | 0.000 | 0.000 | 0.000 |
| 31.244 | 31.244 | 31.244 | 0.000 | 0.000 | 0.000 |
| 0.000 | 0.000 | 0.000 | -0.000 | -0.000 | 0.000 |
| 0.000 | 0.000 | 0.000 | 0.000 | -0.000 | 0.000 |
| 0.000 | 0.000 | 0.000 | 0.000 | 0.000 | -0.000 |
| 31.244 | 31.244 | 31.244 | -0.000 | -0.000 | 0.000 |
| 31.244 | 31.244 | 31.244 | -0.000 | -0.000 | 0.000 |
| 31.244 | 31.244 | 31.244 | 0.000 | 0.000 | 0.000 |
| -0.000 | -0.000 | -0.000 | 0.000 | -0.000 | -0.000 |
| -0.000 | -0.000 | -0.000 | -0.000 | 0.000 | -0.000 |
| -0.000 | -0.000 | -0.000 | -0.000 | -0.000 | 0.000 |
| 31.245 | 31.245 | 31.245 | 0.000 | -0.000 | 0.000 |
| 31.245 | 31.245 | 31.245 | -0.000 | 0.000 | 0.000 |
| 31.245 | 31.245 | 31.245 | -0.000 | -0.000 | 0.000 |
| 0.000 | 0.000 | 0.000 | 0.000 | 0.000 | 0.000 |
| 0.000 | 0.000 | 0.000 | 0.000 | 0.000 | 0.000 |
| 0.000 | 0.000 | 0.000 | 0.000 | 0.000 | 0.000 |
| 147.378 | 188.062 | 188.062 | 0.000 | -0.000 | -0.000 |
| 188.062 | 147.378 | 188.062 | 0.000 | -0.000 | -0.000 |
| 188.062 | 188.062 | 147.378 | -0.000 | -0.000 | -0.000 |
| 0.000 | 0.000 | 0.000 | 180.904 | -0.000 | -0.000 |
| 0.000 | 0.000 | 0.000 | 0.000 | 180.904 | -0.000 |
| 0.000 | 0.000 | 0.000 | 0.000 | -0.000 | 180.904 |
| 147.378 | 188.062 | 188.062 | -0.000 | 0.000 | 0.000 |
| 188.062 | 147.378 | 188.062 | -0.000 | 0.000 | 0.000 |
| 188.062 | 188.062 | 147.378 | -0.000 | -0.000 | 0.000 |
| -0.000 | -0.000 | -0.000 | 180.904 | 0.000 | 0.000 |
| -0.000 | -0.000 | -0.000 | -0.000 | 180.904 | 0.000 |
| -0.000 | -0.000 | -0.000 | -0.000 | 0.000 | 180.904 |
| 147.378 | 188.062 | 188.062 | 0.000 | -0.000 | -0.000 |
| 188.062 | 147.378 | 188.062 | 0.000 | 0.000 | -0.000 |
| 188.062 | 188.062 | 147.378 | 0.000 | 0.000 | 0.000 |
| 0.000 | 0.000 | 0.000 | 180.904 | -0.000 | -0.000 |
| 0.000 | 0.000 | 0.000 | 0.000 | 180.904 | -0.000 |
| 0.000 | 0.000 | 0.000 | 0.000 | -0.000 | 180.904 |
| 147.378 | 188.062 | 188.062 | -0.000 | 0.000 | 0.000 |
| 188.062 | 147.378 | 188.062 | -0.000 | -0.000 | 0.000 |
| 188.062 | 188.062 | 147.378 | -0.000 | 0.000 | 0.000 |
| -0.000 | -0.000 | -0.000 | 180.904 | -0.000 | 0.000 |
| -0.000 | -0.000 | -0.000 | -0.000 | 180.904 | 0.000 |
| -0.000 | -0.000 | -0.000 | -0.000 | 0.000 | 180.904 |
| 147.379 | 188.063 | 188.063 | 0.000 | 0.000 | -0.000 |
| 188.063 | 147.379 | 188.063 | 0.000 | 0.000 | -0.000 |
| 188.063 | 188.063 | 147.379 | -0.000 | 0.000 | -0.000 |
| 0.001 | 0.000 | 0.001 | 180.904 | -0.000 | -0.000 |
| 0.000 | 0.001 | 0.001 | 0.000 | 180.904 | -0.000 |
| 0.000 | 0.001 | 0.001 | 0.000 | -0.000 | 180.904 |
| 147.377 | 188.061 | 188.061 | -0.000 | 0.000 | 0.000 |
| 188.061 | 147.377 | 188.061 | -0.000 | -0.000 | 0.000 |
| 188.061 | 188.061 | 147.377 | -0.000 | 0.000 | 0.000 |
| -0.001 | -0.000 | -0.001 | 180.904 | 0.000 | 0.000 |
| -0.000 | -0.001 | -0.001 | -0.000 | 180.904 | 0.000 |
| -0.000 | -0.001 | -0.001 | 0.000 | 0.000 | 180.904 |
| 34.318 | 34.318 | 34.318 | 0.000 | 0.000 | -0.000 |
| 34.318 | 34.318 | 34.318 | 0.000 | 0.000 | -0.000 |
| 34.318 | 34.318 | 34.318 | 0.000 | 0.000 | 0.000 |
| -0.000 | -0.000 | -0.000 | 8.728 | 0.000 | 0.000 |
| -0.000 | -0.000 | -0.000 | 0.000 | 8.728 | 0.000 |
| -0.000 | -0.000 | -0.000 | 0.000 | 0.000 | 8.728 |
| 34.318 | 34.318 | 34.318 | -0.000 | -0.000 | -0.000 |
| 34.318 | 34.318 | 34.318 | -0.000 | -0.000 | -0.000 |
| 34.318 | 34.318 | 34.318 | -0.000 | -0.000 | -0.000 |
| 0.000 | 0.000 | 0.000 | 8.728 | -0.000 | -0.000 |
| 0.000 | 0.000 | 0.000 | -0.000 | 8.728 | -0.000 |
| 0.000 | 0.000 | 0.000 | -0.000 | -0.000 | 8.728 |
| 34.318 | 34.318 | 34.318 | 0.000 | 0.000 | -0.000 |
| 34.318 | 34.318 | 34.318 | 0.000 | 0.000 | -0.000 |
| 34.318 | 34.318 | 34.318 | 0.000 | 0.000 | 0.000 |
| -0.000 | -0.000 | -0.000 | 8.728 | 0.000 | 0.000 |
| -0.000 | -0.000 | -0.000 | 0.000 | 8.728 | 0.000 |
| -0.000 | -0.000 | -0.000 | 0.000 | 0.000 | 8.728 |
| 34.318 | 34.318 | 34.318 | -0.000 | -0.000 | 0.000 |
| 34.318 | 34.318 | 34.318 | -0.000 | -0.000 | 0.000 |
| 34.318 | 34.318 | 34.318 | -0.000 | -0.000 | -0.000 |
| 0.000 | 0.000 | 0.000 | 8.728 | -0.000 | -0.000 |
| 0.000 | 0.000 | 0.000 | -0.000 | 8.728 | -0.000 |
| 0.000 | 0.000 | 0.000 | -0.000 | -0.000 | 8.728 |
| 34.318 | 34.318 | 34.318 | 0.000 | 0.000 | 0.000 |
| 34.318 | 34.318 | 34.318 | 0.000 | 0.000 | 0.000 |
| 34.318 | 34.318 | 34.318 | 0.000 | 0.000 | 0.000 |
| -0.000 | -0.000 | -0.000 | 8.728 | -0.000 | 0.000 |
| -0.000 | -0.000 | -0.000 | -0.000 | 8.728 | 0.000 |
| -0.000 | -0.000 | -0.000 | 0.000 | 0.000 | 8.728 |
| 34.318 | 34.318 | 34.318 | -0.000 | -0.000 | -0.000 |
| 34.318 | 34.318 | 34.318 | -0.000 | -0.000 | -0.000 |
| 34.318 | 34.318 | 34.318 | -0.000 | -0.000 | -0.000 |
| 0.000 | 0.000 | 0.000 | 8.728 | -0.000 | -0.000 |
| 0.000 | 0.000 | 0.000 | -0.000 | 8.728 | -0.000 |
| 0.000 | 0.000 | 0.000 | -0.000 | 0.000 | 8.728 |
| 460.419 | 131.385 | 131.385 | 0.000 | 0.000 | 0.000 |
| 131.385 | 460.419 | 131.385 | -0.000 | 0.000 | 0.000 |
| 131.385 | 131.385 | 460.419 | 0.000 | 0.000 | 0.000 |
| -0.000 | -0.000 | -0.000 | -16.684 | 0.000 | 0.000 |
| -0.000 | -0.000 | -0.000 | 0.000 | -16.684 | 0.000 |
| -0.000 | -0.000 | 0.000 | -0.000 | -0.000 | -16.684 |
| 459.893 | 131.648 | 131.648 | -0.000 | -0.000 | -0.000 |
| 131.648 | 459.893 | 131.648 | -0.000 | 0.000 | -0.000 |
| 131.648 | 131.648 | 459.893 | 0.000 | -0.000 | -0.000 |
| 0.000 | 0.000 | 0.000 | -16.684 | 0.000 | -0.000 |
| 0.000 | 0.000 | 0.000 | 0.000 | -16.684 | -0.000 |
| 0.000 | 0.000 | 0.000 | 0.000 | 0.000 | -16.684 |
| 460.419 | 131.385 | 131.385 | 0.000 | -0.000 | 0.000 |
| 131.385 | 460.419 | 131.385 | 0.000 | 0.000 | -0.000 |
| 131.385 | 131.385 | 460.419 | -0.000 | 0.000 | 0.000 |
| -0.000 | -0.000 | -0.000 | 19.879 | -0.000 | 0.000 |
| -0.000 | -0.000 | -0.000 | 0.000 | 19.879 | 0.000 |
| -0.000 | -0.000 | -0.000 | -0.000 | 0.000 | 19.879 |
| 459.893 | 131.648 | 131.648 | -0.000 | 0.000 | -0.000 |
| 131.648 | 459.893 | 131.648 | 0.000 | -0.000 | -0.000 |
| 131.648 | 131.648 | 459.893 | -0.000 | 0.000 | -0.000 |
| 0.000 | 0.000 | 0.000 | 19.879 | 0.000 | -0.000 |
| 0.000 | 0.000 | 0.000 | 0.000 | 19.879 | -0.000 |
| 0.000 | 0.000 | 0.000 | 0.000 | 0.000 | 19.879 |
| 459.894 | 131.648 | 131.648 | 0.000 | -0.000 | 0.000 |
| 131.648 | 459.894 | 131.648 | 0.000 | -0.000 | 0.000 |
| 131.648 | 131.648 | 459.894 | 0.000 | 0.000 | 0.000 |
| -0.000 | -0.001 | -0.001 | -16.684 | -0.000 | -0.000 |
| -0.001 | -0.000 | -0.001 | 0.000 | -16.684 | 0.000 |
| -0.001 | -0.001 | -0.000 | -0.000 | -0.000 | -16.684 |
| 459.892 | 131.648 | 131.648 | -0.000 | 0.000 | -0.000 |
| 131.648 | 459.892 | 131.648 | -0.000 | -0.000 | -0.000 |
| 131.648 | 131.648 | 459.892 | -0.000 | 0.000 | -0.000 |
| 0.000 | 0.001 | 0.001 | -16.684 | 0.000 | -0.000 |
| 0.001 | 0.000 | 0.001 | -0.000 | -16.684 | -0.000 |
| 0.001 | 0.001 | 0.000 | 0.000 | 0.000 | -16.684 |
| 352.868 | 370.045 | 370.045 | 0.000 | 0.000 | 0.000 |
| 370.045 | 352.868 | 370.045 | 0.000 | 0.000 | 0.000 |
| 370.045 | 370.045 | 352.868 | 0.000 | -0.000 | 0.000 |
| -0.000 | 0.000 | -0.000 | -33.609 | -0.000 | 0.000 |
| -0.000 | -0.000 | -0.000 | 0.000 | -33.609 | 0.000 |
| 0.000 | -0.000 | -0.000 | 0.000 | 0.000 | -33.609 |
| 405.838 | 343.560 | 343.560 | -0.000 | -0.000 | -0.000 |
| 343.560 | 405.838 | 343.560 | -0.000 | -0.000 | -0.000 |
| 343.560 | 343.560 | 405.838 | -0.000 | -0.000 | -0.000 |
| 0.000 | -0.000 | 0.000 | -33.609 | -0.000 | -0.000 |
| -0.000 | 0.000 | 0.000 | -0.000 | -33.609 | -0.000 |
| -0.000 | 0.000 | 0.000 | -0.000 | -0.000 | -33.609 |
| 302.466 | 395.244 | 395.244 | -0.000 | -0.000 | 0.000 |
| 395.244 | 302.466 | 395.244 | -0.000 | -0.000 | 0.000 |
| 395.244 | 395.244 | 302.466 | -0.000 | -0.000 | 0.000 |
| -0.000 | 0.000 | -0.000 | -33.609 | 0.000 | 0.000 |
| 0.000 | -0.000 | -0.000 | 0.000 | -33.609 | 0.000 |
| 0.000 | -0.000 | -0.000 | 0.000 | 0.000 | -33.609 |
| 324.948 | 384.006 | 384.006 | 0.000 | -0.000 | -0.000 |
| 384.006 | 324.948 | 384.006 | -0.000 | -0.000 | -0.000 |
| 384.006 | 384.006 | 324.948 | 0.000 | -0.000 | -0.000 |
| 0.000 | -0.000 | 0.000 | -33.609 | -0.000 | -0.000 |
| -0.000 | 0.000 | 0.000 | -0.000 | -33.609 | -0.000 |
| -0.000 | 0.000 | 0.000 | 0.000 | -0.000 | -33.609 |
| 352.855 | 370.034 | 370.034 | -0.000 | -0.000 | 0.000 |
| 370.034 | 352.855 | 370.034 | -0.000 | 0.000 | 0.000 |
| 370.034 | 370.034 | 352.855 | 0.000 | 0.000 | 0.000 |
| -1852096.363 | -1076239.376 | -1036626.613 | -249334.606 | -63020.108 | -10179.335 |
| -1114727.338 | -1978794.029 | -1070612.259 | 3865.432 | -196497.353 | -52344.522 |
| -1220857.902 | -958640.668 | -1741610.561 | 39003.091 | 38056.855 | -273501.774 |
| 352.882 | 370.055 | 370.055 | -0.000 | -0.000 | -0.000 |
| 370.055 | 352.882 | 370.055 | 0.000 | -0.000 | -0.000 |
| 370.055 | 370.055 | 352.882 | -0.000 | -0.000 | -0.000 |
| 1751674.452 | 1013238.955 | 1424386.646 | -152810.472 | 12744.304 | -30341.391 |
| 1301759.402 | 1939632.359 | 1097145.228 | -53083.529 | -121600.469 | -22299.954 |
| 1122420.678 | 1026814.270 | 1793522.959 | -76078.258 | -15833.477 | -16044.857 |
| -19.173 | 40.782 | 40.782 | -0.000 | -0.000 | -0.000 |
| 40.782 | -19.173 | 40.782 | -0.000 | -0.000 | -0.000 |
| 40.782 | 40.782 | -19.173 | 0.000 | -0.000 | -0.000 |
| -0.000 | -0.000 | -0.000 | -62.927 | 0.000 | -0.000 |
| -0.000 | -0.000 | -0.000 | 0.000 | -62.927 | -0.000 |
| -0.000 | -0.000 | -0.000 | 0.000 | 0.000 | -62.927 |
| -19.173 | 40.782 | 40.782 | 0.000 | 0.000 | 0.000 |
| 40.782 | -19.173 | 40.782 | 0.000 | 0.000 | 0.000 |
| 40.782 | 40.782 | -19.173 | 0.000 | 0.000 | 0.000 |
| 0.000 | 0.000 | 0.000 | -62.927 | 0.000 | -0.000 |
| 0.000 | 0.000 | 0.000 | -0.000 | -62.927 | 0.000 |
| 0.000 | 0.000 | 0.000 | -0.000 | -0.000 | -62.927 |
| -22.056 | 42.224 | 42.224 | -0.000 | 0.000 | -0.000 |
| 42.224 | -22.056 | 42.224 | -0.000 | -0.000 | -0.000 |
| 42.224 | 42.224 | -22.056 | -0.000 | 0.000 | -0.000 |
| -0.000 | -0.000 | -0.000 | -62.927 | -0.000 | -0.000 |
| -0.000 | -0.000 | -0.000 | 0.000 | -62.927 | -0.000 |
| -0.000 | -0.000 | -0.000 | 0.000 | 0.000 | -62.927 |
| -22.056 | 42.224 | 42.224 | 0.000 | -0.000 | 0.000 |
| 42.224 | -22.056 | 42.224 | -0.000 | 0.000 | 0.000 |
| 42.224 | 42.224 | -22.056 | 0.000 | -0.000 | 0.000 |
| 0.000 | 0.000 | 0.000 | -62.927 | -0.000 | 0.000 |
| 0.000 | 0.000 | 0.000 | -0.000 | -62.927 | 0.000 |
| 0.000 | 0.000 | 0.000 | -0.000 | -0.000 | -62.927 |
| -19.175 | 40.782 | 40.782 | 0.000 | -0.000 | -0.000 |
| 40.782 | -19.175 | 40.782 | -0.000 | 0.000 | -0.000 |
| 40.782 | 40.782 | -19.175 | -0.000 | -0.000 | -0.000 |
| -0.001 | -0.002 | -0.002 | -62.927 | 0.000 | -0.000 |
| -0.002 | -0.001 | -0.002 | 0.000 | -62.927 | -0.000 |
| -0.002 | -0.002 | -0.001 | 0.000 | 0.000 | -62.927 |
| -19.171 | 40.783 | 40.783 | 0.000 | 0.000 | 0.000 |
| 40.783 | -19.171 | 40.783 | 0.000 | -0.000 | 0.000 |
| 40.783 | 40.783 | -19.171 | 0.000 | 0.000 | 0.000 |
| 0.001 | 0.002 | 0.002 | -62.927 | -0.000 | 0.000 |
| 0.002 | 0.001 | 0.002 | -0.000 | -62.927 | 0.000 |
| 0.002 | 0.002 | 0.001 | 0.000 | -0.000 | -62.927 |
| 194.834 | 86.380 | 86.380 | 0.000 | -0.000 | -0.000 |
| 86.380 | 194.834 | 86.380 | 0.000 | 0.000 | 0.000 |
| 86.380 | 86.380 | 194.834 | 0.000 | 0.000 | 0.000 |
| 0.000 | 0.000 | 0.000 | 81.606 | 0.000 | 0.000 |
| 0.000 | 0.000 | 0.000 | 0.000 | 81.606 | 0.000 |
| 0.000 | 0.000 | 0.000 | 0.000 | 0.000 | 81.606 |
| -708749524.447 | -745391982.048 | -725112676.487 | 628639.370 | 1962059.796 | 2074131.632 |
| -724659844.680 | -711596596.990 | -727144053.538 | 367516.975 | -922257.699 | 1243702.873 |
| -736239344.059 | -724699099.180 | -716072407.479 | 1776048.393 | -607619.305 | 78647.698 |
| -0.000 | -0.000 | -0.000 | 81.606 | -0.000 | 0.000 |
| -0.000 | -0.000 | -0.000 | -0.000 | 81.606 | -0.000 |
| -0.000 | -0.000 | -0.000 | -0.000 | -0.000 | 81.606 |
| 78191587.635 | 69910936.426 | 66483358.837 | -140776.032 | -42808.971 | 75570.754 |
| 67064425.925 | 80428419.804 | 69025011.626 | 59163.797 | -154540.740 | 134378.952 |
| 69612451.737 | 66877704.118 | 77778203.454 | 137723.383 | 104173.599 | 574402.678 |
| 0.000 | 0.000 | 0.000 | 81.606 | -0.000 | 0.000 |
| 0.000 | 0.000 | 0.000 | 0.000 | 81.606 | 0.000 |
| 0.000 | 0.000 | 0.000 | 0.000 | 0.000 | 81.606 |
| -69798980.953 | -74940924.738 | -71786935.337 | -155025.648 | 135059.963 | -96351.875 |
| -71644680.905 | -71273253.400 | -74295802.788 | 228273.603 | 260927.161 | 5853.074 |
| -74687780.093 | -72360511.877 | -69741653.116 | 74056.106 | 91161.438 | 247203.871 |
| -0.000 | -0.000 | -0.000 | 81.606 | 0.000 | -0.000 |
| -0.000 | -0.000 | -0.000 | -0.000 | 81.606 | -0.000 |
| -0.000 | -0.000 | -0.000 | -0.000 | -0.000 | 81.606 |
| 7853337.630 | 7058127.094 | 6925293.751 | -17760.715 | -17193.890 | -3489.507 |
| 6894216.826 | 7641264.361 | 7010575.427 | -1887.637 | -39469.404 | -4969.138 |
| 7088447.085 | 6869908.984 | 7862364.083 | 4956.327 | 4975.174 | -77002.522 |
| 0.001 | 0.002 | 0.002 | 81.606 | -0.000 | 0.000 |
| 0.002 | 0.001 | 0.002 | 0.000 | 81.606 | 0.000 |
| 0.002 | 0.002 | 0.001 | 0.000 | -0.000 | 81.606 |
| -6902279.129 | -7724675.434 | -7629193.852 | 18278.127 | -7114.623 | -13911.351 |
| -7500640.009 | -6954426.422 | -7675610.502 | 18845.829 | 15581.971 | -3226.559 |
| -7681783.938 | -7605611.609 | -6937718.378 | -3573.236 | 3185.861 | 13256.266 |
| -0.001 | -0.002 | -0.002 | 81.606 | -0.000 | -0.000 |
| -0.002 | -0.001 | -0.002 | -0.000 | 81.606 | -0.000 |
| -0.002 | -0.002 | -0.001 | -0.000 | -0.000 | 81.606 |
| 206.393 | 221.732 | 221.732 | -0.000 | -0.000 | 0.000 |
| 221.732 | 206.393 | 221.732 | -0.000 | 0.000 | 0.000 |
| 221.732 | 221.732 | 206.393 | 0.000 | -0.000 | 0.000 |
| 0.000 | 0.000 | 0.000 | 167.020 | -0.000 | -0.000 |
| 0.000 | 0.000 | 0.000 | -0.000 | 167.020 | 0.000 |
| 0.000 | 0.000 | 0.000 | -0.000 | -0.000 | 167.020 |
| 206.393 | 221.732 | 221.732 | 0.000 | 0.000 | -0.000 |
| 221.732 | 206.393 | 221.732 | 0.000 | 0.000 | -0.000 |
| 221.732 | 221.732 | 206.393 | 0.000 | -0.000 | -0.000 |
| -0.000 | -0.000 | -0.000 | 167.020 | 0.000 | -0.000 |
| -0.000 | -0.000 | -0.000 | 0.000 | 167.020 | -0.000 |
| -0.000 | -0.000 | -0.000 | 0.000 | 0.000 | 167.020 |
| 206.393 | 221.732 | 221.732 | 0.000 | -0.000 | 0.000 |
| 221.732 | 206.393 | 221.732 | -0.000 | 0.000 | 0.000 |
| 221.732 | 221.732 | 206.393 | -0.000 | -0.000 | 0.000 |
| 0.000 | 0.000 | 0.000 | 167.344 | 0.000 | 0.000 |
| 0.000 | 0.000 | 0.000 | -0.000 | 167.344 | 0.000 |
| 0.000 | 0.000 | 0.000 | -0.000 | -0.000 | 167.344 |
| 206.393 | 221.732 | 221.732 | 0.000 | 0.000 | -0.000 |
| 221.732 | 206.393 | 221.732 | 0.000 | 0.000 | -0.000 |
| 221.732 | 221.732 | 206.393 | 0.000 | 0.000 | -0.000 |
| -0.000 | -0.000 | -0.000 | 167.344 | -0.000 | -0.000 |
| -0.000 | -0.000 | -0.000 | 0.000 | 167.344 | -0.000 |
| -0.000 | -0.000 | -0.000 | 0.000 | 0.000 | 167.344 |
| 206.393 | 221.733 | 221.733 | -0.000 | -0.000 | 0.000 |
| 221.733 | 206.393 | 221.733 | -0.000 | 0.000 | 0.000 |
| 221.733 | 221.733 | 206.393 | -0.000 | -0.000 | 0.000 |
| 0.001 | 0.001 | 0.001 | 167.020 | -0.000 | 0.000 |
| 0.001 | 0.001 | 0.001 | -0.000 | 167.020 | 0.000 |
| 0.001 | 0.001 | 0.001 | -0.000 | -0.000 | 167.020 |
| 206.394 | 221.732 | 221.732 | 0.000 | 0.000 | -0.000 |
| 221.732 | 206.394 | 221.732 | 0.000 | -0.000 | -0.000 |
| 221.732 | 221.732 | 206.394 | -0.000 | -0.000 | -0.000 |
| -0.001 | -0.001 | -0.001 | 167.020 | 0.000 | -0.000 |
| -0.001 | -0.001 | -0.001 | 0.000 | 167.020 | -0.000 |
| -0.001 | -0.001 | -0.001 | 0.000 | 0.000 | 167.020 |
| 171.509 | 140.845 | 140.845 | -0.000 | -0.000 | 0.000 |
| 140.845 | 171.509 | 140.845 | -0.000 | 0.000 | 0.000 |
| 140.845 | 140.845 | 171.509 | -0.000 | -0.000 | -0.000 |
| -0.000 | 0.000 | -0.000 | 81.220 | -0.000 | 0.000 |
| -0.000 | -0.000 | -0.000 | -0.000 | 81.220 | 0.000 |
| 0.000 | 0.000 | -0.000 | -0.000 | -0.000 | 81.220 |
| 171.509 | 140.845 | 140.845 | 0.000 | -0.000 | -0.000 |
| 140.845 | 171.509 | 140.845 | 0.000 | 0.000 | -0.000 |
| 140.845 | 140.845 | 171.509 | 0.000 | 0.000 | -0.000 |
| 0.000 | -0.000 | 0.000 | 81.220 | 0.000 | -0.000 |
| 0.000 | 0.000 | -0.000 | 0.000 | 81.220 | -0.000 |
| -0.000 | -0.000 | 0.000 | 0.000 | 0.000 | 81.220 |
| 171.509 | 140.845 | 140.845 | -0.000 | -0.000 | 0.000 |
| 140.845 | 171.509 | 140.845 | -0.000 | 0.000 | 0.000 |
| 140.845 | 140.845 | 171.509 | 0.000 | 0.000 | 0.000 |
| -0.000 | 0.000 | 0.000 | 81.220 | -0.000 | 0.000 |
| 0.000 | -0.000 | 0.000 | -0.000 | 81.220 | 0.000 |
| 0.000 | 0.000 | -0.000 | -0.000 | -0.000 | 81.220 |
| 171.509 | 140.845 | 140.845 | 0.000 | -0.000 | -0.000 |
| 140.845 | 171.509 | 140.845 | 0.000 | 0.000 | -0.000 |
| 140.845 | 140.845 | 171.509 | 0.000 | 0.000 | -0.000 |
| 0.000 | -0.000 | -0.000 | 81.220 | 0.000 | -0.000 |
| -0.000 | 0.000 | -0.000 | 0.000 | 81.220 | -0.000 |
| -0.000 | -0.000 | 0.000 | 0.000 | 0.000 | 81.220 |
| 171.512 | 140.846 | 140.846 | -0.000 | -0.000 | 0.000 |
| 140.846 | 171.512 | 140.846 | -0.000 | -0.000 | 0.000 |
| 140.846 | 140.846 | 171.512 | -0.000 | -0.000 | 0.000 |
| -0.000 | 0.000 | 0.000 | 81.220 | 0.000 | 0.000 |
| 0.000 | -0.000 | 0.000 | -0.000 | 81.220 | 0.000 |
| 0.000 | 0.000 | -0.000 | -0.000 | -0.000 | 81.220 |
| 171.506 | 140.845 | 140.845 | 0.000 | 0.000 | -0.000 |
| 140.845 | 171.506 | 140.845 | 0.000 | -0.000 | -0.000 |
| 140.845 | 140.845 | 171.506 | 0.000 | 0.000 | 0.000 |
| 0.000 | -0.000 | -0.000 | 81.220 | -0.000 | -0.000 |
| -0.000 | 0.000 | -0.000 | 0.000 | 81.220 | -0.000 |
| -0.000 | -0.000 | 0.000 | 0.000 | 0.000 | 81.220 |
| 300.637 | 302.366 | 302.366 | 0.000 | 0.000 | -0.000 |
| 302.366 | 300.637 | 302.366 | 0.000 | 0.000 | -0.000 |
| 302.366 | 302.366 | 300.637 | 0.000 | 0.000 | -0.000 |
| -0.000 | -0.000 | -0.000 | 0.719 | 0.000 | -0.000 |
| -0.000 | 0.000 | -0.000 | -0.000 | 0.719 | -0.000 |
| -0.000 | -0.000 | -0.000 | 0.000 | 0.000 | 0.719 |
| 300.637 | 302.366 | 302.366 | 0.000 | -0.000 | 0.000 |
| 302.366 | 300.637 | 302.366 | 0.000 | -0.000 | 0.000 |
| 302.366 | 302.366 | 300.638 | 0.000 | -0.000 | 0.000 |
| 0.000 | 0.000 | 0.000 | 0.719 | -0.000 | 0.000 |
| 0.000 | -0.000 | 0.000 | 0.000 | 0.719 | 0.000 |
| 0.000 | 0.000 | 0.000 | -0.000 | -0.000 | 0.719 |
| 300.636 | 302.365 | 302.365 | 0.000 | 0.000 | -0.000 |
| 302.365 | 300.636 | 302.365 | 0.000 | 0.000 | -0.000 |
| 302.365 | 302.365 | 300.636 | -0.000 | 0.000 | -0.000 |
| -0.000 | -0.000 | -0.000 | 0.719 | -0.000 | -0.000 |
| -0.000 | -0.000 | -0.000 | -0.000 | 0.719 | -0.000 |
| -0.000 | -0.000 | -0.000 | 0.000 | 0.000 | 0.719 |
| 300.639 | 302.367 | 302.367 | 0.000 | 0.000 | 0.000 |
| 302.367 | 300.639 | 302.367 | 0.000 | -0.000 | 0.000 |
| 302.367 | 302.367 | 300.639 | -0.000 | -0.000 | 0.000 |
| 0.000 | 0.000 | 0.000 | 0.719 | -0.000 | 0.000 |
| 0.000 | 0.000 | 0.000 | 0.000 | 0.719 | 0.000 |
| 0.000 | 0.000 | 0.000 | -0.000 | -0.000 | 0.719 |
| 300.624 | 302.355 | 302.355 | -0.000 | -0.000 | -0.000 |
| 302.355 | 300.624 | 302.355 | -0.000 | 0.000 | -0.000 |
| 302.355 | 302.355 | 300.624 | -0.000 | 0.000 | -0.000 |
| -0.000 | -0.001 | -0.000 | 0.719 | 0.000 | -0.000 |
| -0.001 | -0.000 | -0.000 | -0.000 | 0.719 | -0.000 |
| -0.001 | -0.000 | -0.000 | 0.000 | 0.000 | 0.719 |
| 300.650 | 302.377 | 302.377 | 0.000 | -0.000 | 0.000 |
| 302.377 | 300.650 | 302.377 | -0.000 | -0.000 | 0.000 |
| 302.377 | 302.377 | 300.650 | 0.000 | -0.000 | 0.000 |
| 0.000 | 0.001 | 0.000 | 0.719 | -0.000 | 0.000 |
| 0.001 | 0.000 | 0.000 | -0.000 | 0.719 | 0.000 |
| 0.001 | 0.000 | 0.000 | -0.000 | -0.000 | 0.719 |
| 84.412 | 46.725 | 46.725 | 0.000 | 0.000 | -0.000 |
| 46.725 | 84.412 | 46.725 | 0.000 | 0.000 | 0.000 |
| 46.725 | 46.725 | 84.412 | -0.000 | -0.000 | 0.000 |
| 0.000 | -0.000 | -0.000 | 46.236 | 0.000 | 0.000 |
| -0.000 | 0.000 | -0.000 | 0.000 | 46.236 | -0.000 |
| -0.000 | -0.000 | -0.000 | -0.000 | 0.000 | 46.236 |
| 84.412 | 46.725 | 46.725 | -0.000 | 0.000 | 0.000 |
| 46.725 | 84.412 | 46.725 | 0.000 | -0.000 | 0.000 |
| 46.725 | 46.725 | 84.412 | -0.000 | -0.000 | 0.000 |
| -0.000 | 0.000 | 0.000 | 46.236 | -0.000 | -0.000 |
| 0.000 | -0.000 | 0.000 | -0.000 | 46.236 | 0.000 |
| 0.000 | 0.000 | 0.000 | -0.000 | -0.000 | 46.236 |
| 84.411 | 46.725 | 46.725 | 0.000 | 0.000 | -0.000 |
| 46.725 | 84.411 | 46.725 | 0.000 | -0.000 | 0.000 |
| 46.725 | 46.725 | 84.411 | 0.000 | 0.000 | 0.000 |
| -0.000 | -0.000 | -0.000 | 46.236 | 0.000 | -0.000 |
| -0.000 | -0.000 | -0.000 | -0.000 | 46.236 | -0.000 |
| -0.000 | -0.000 | -0.000 | -0.000 | -0.000 | 46.236 |
| 84.413 | 46.725 | 46.725 | 0.000 | -0.000 | 0.000 |
| 46.725 | 84.413 | 46.725 | 0.000 | 0.000 | -0.000 |
| 46.725 | 46.725 | 84.413 | -0.000 | -0.000 | 0.000 |
| 0.000 | 0.000 | 0.000 | 46.236 | -0.000 | -0.000 |
| 0.000 | 0.000 | 0.000 | -0.000 | 46.236 | 0.000 |
| 0.000 | 0.000 | 0.000 | -0.000 | -0.000 | 46.236 |
| 84.399 | 46.725 | 46.725 | 0.000 | 0.000 | 0.000 |
| 46.725 | 84.399 | 46.725 | 0.000 | 0.000 | 0.000 |
| 46.725 | 46.725 | 84.399 | 0.000 | 0.000 | -0.000 |
| -0.000 | -0.001 | -0.001 | 46.236 | -0.000 | 0.000 |
| -0.001 | -0.000 | -0.001 | -0.000 | 46.236 | 0.000 |
| -0.001 | -0.001 | -0.000 | -0.000 | -0.000 | 46.236 |
| 84.425 | 46.726 | 46.726 | -0.000 | -0.000 | -0.000 |
| 46.726 | 84.425 | 46.726 | -0.000 | 0.000 | 0.000 |
| 46.726 | 46.726 | 84.425 | -0.000 | 0.000 | -0.000 |
| 0.000 | 0.001 | 0.001 | 46.236 | -0.000 | -0.000 |
| 0.001 | 0.000 | 0.001 | -0.000 | 46.236 | -0.000 |
| 0.001 | 0.001 | 0.000 | 0.000 | 0.000 | 46.236 |
| 9.136 | 4.562 | 4.562 | -0.000 | -0.000 | -0.000 |
| 4.562 | 9.136 | 4.562 | -0.000 | -0.000 | -0.000 |
| 4.562 | 4.562 | 9.136 | -0.000 | -0.000 | -0.000 |
| 0.000 | 0.000 | 0.000 | 4.565 | -0.000 | -0.000 |
| 0.000 | 0.000 | 0.000 | -0.000 | 4.565 | -0.000 |
| 0.000 | 0.000 | 0.000 | -0.000 | -0.000 | 4.565 |
| 9.136 | 4.562 | 4.562 | 0.000 | 0.000 | 0.000 |
| 4.562 | 9.136 | 4.562 | 0.000 | 0.000 | 0.000 |
| 4.562 | 4.562 | 9.136 | 0.000 | 0.000 | 0.000 |
| -0.000 | -0.000 | -0.000 | 4.565 | 0.000 | 0.000 |
| -0.000 | -0.000 | -0.000 | 0.000 | 4.565 | 0.000 |
| -0.000 | -0.000 | -0.000 | 0.000 | 0.000 | 4.565 |
| 9.136 | 4.562 | 4.562 | -0.000 | -0.000 | -0.000 |
| 4.562 | 9.136 | 4.562 | -0.000 | -0.000 | -0.000 |
| 4.562 | 4.562 | 9.136 | -0.000 | -0.000 | -0.000 |
| -0.000 | 0.000 | 0.000 | 4.565 | -0.000 | -0.000 |
| 0.000 | -0.000 | 0.000 | -0.000 | 4.565 | -0.000 |
| 0.000 | 0.000 | -0.000 | -0.000 | -0.000 | 4.565 |
| 9.136 | 4.562 | 4.562 | 0.000 | 0.000 | 0.000 |
| 4.562 | 9.136 | 4.562 | 0.000 | 0.000 | 0.000 |
| 4.562 | 4.562 | 9.136 | 0.000 | 0.000 | 0.000 |
| 0.000 | -0.000 | -0.000 | 4.565 | 0.000 | 0.000 |
| -0.000 | 0.000 | -0.000 | 0.000 | 4.565 | 0.000 |
| -0.000 | -0.000 | 0.000 | 0.000 | 0.000 | 4.565 |
| 9.139 | 4.563 | 4.563 | -0.000 | -0.000 | -0.000 |
| 4.563 | 9.139 | 4.563 | -0.000 | -0.000 | -0.000 |
| 4.563 | 4.563 | 9.139 | -0.000 | -0.000 | -0.000 |
| -0.000 | 0.001 | 0.001 | 4.565 | -0.000 | -0.000 |
| 0.001 | -0.000 | 0.001 | -0.000 | 4.565 | -0.000 |
| 0.001 | 0.001 | -0.000 | -0.000 | -0.000 | 4.565 |
| 9.133 | 4.561 | 4.561 | 0.000 | 0.000 | 0.000 |
| 4.561 | 9.133 | 4.561 | 0.000 | 0.000 | 0.000 |
| 4.561 | 4.561 | 9.133 | 0.000 | 0.000 | 0.000 |
| 0.000 | -0.001 | -0.001 | 4.565 | 0.000 | 0.000 |
| -0.001 | 0.000 | -0.001 | 0.000 | 4.565 | 0.000 |
| -0.001 | -0.001 | 0.000 | 0.000 | 0.000 | 4.565 |
| 328.819 | 38.757 | 197.274 | 0.000 | 0.000 | -0.000 |
| 38.757 | 328.819 | 197.274 | 0.000 | 0.000 | -0.000 |
| 197.274 | 197.274 | 174.877 | 0.000 | 0.000 | -0.000 |
| -0.000 | 0.000 | 0.000 | 136.014 | 0.000 | -0.000 |
| 0.000 | -0.000 | 0.000 | 0.000 | 136.014 | -0.000 |
| -0.000 | -0.000 | -0.000 | 0.000 | 0.000 | -11.303 |
| 328.819 | 38.757 | 197.274 | -0.000 | -0.000 | 0.000 |
| 38.757 | 328.819 | 197.274 | -0.000 | -0.000 | 0.000 |
| 197.274 | 197.274 | 174.877 | 0.000 | 0.000 | 0.000 |
| 0.000 | -0.000 | -0.000 | 136.014 | -0.000 | 0.000 |
| -0.000 | 0.000 | -0.000 | -0.000 | 136.014 | 0.000 |
| 0.000 | 0.000 | 0.000 | -0.000 | -0.000 | -11.303 |
| 328.819 | 38.757 | 197.274 | 0.000 | 0.000 | -0.000 |
| 38.757 | 328.819 | 197.274 | 0.000 | 0.000 | -0.000 |
| 197.274 | 197.274 | 174.877 | 0.000 | 0.000 | -0.000 |
| -0.000 | 0.000 | 0.000 | 136.014 | 0.000 | -0.000 |
| 0.000 | -0.000 | 0.000 | 0.000 | 136.014 | -0.000 |
| 0.000 | 0.000 | -0.000 | 0.000 | 0.000 | -11.303 |
| 328.819 | 38.757 | 197.274 | -0.000 | -0.000 | 0.000 |
| 38.757 | 328.819 | 197.274 | -0.000 | -0.000 | 0.000 |
| 197.274 | 197.274 | 174.876 | -0.000 | -0.000 | 0.000 |
| 0.000 | -0.000 | -0.000 | 136.014 | -0.000 | 0.000 |
| -0.000 | 0.000 | -0.000 | -0.000 | 136.014 | 0.000 |
| -0.000 | -0.000 | 0.000 | -0.000 | -0.000 | -11.303 |
| 328.823 | 38.756 | 197.275 | 0.000 | 0.000 | -0.000 |
| 38.756 | 328.823 | 197.275 | 0.000 | 0.000 | -0.000 |
| 197.274 | 197.274 | 174.877 | 0.000 | 0.000 | -0.000 |
| -0.000 | 0.002 | 0.001 | 136.014 | 0.000 | -0.000 |
| 0.002 | -0.000 | 0.001 | 0.000 | 136.014 | -0.000 |
| 0.000 | 0.000 | -0.000 | 0.000 | 0.000 | -11.303 |
| 328.815 | 38.757 | 197.272 | -0.000 | -0.000 | 0.000 |
| 38.757 | 328.815 | 197.272 | -0.000 | -0.000 | 0.000 |
| 197.273 | 197.273 | 174.876 | -0.000 | -0.000 | 0.000 |
| 0.000 | -0.002 | -0.001 | 136.014 | -0.000 | 0.000 |
| -0.002 | 0.000 | -0.001 | -0.000 | 136.014 | 0.000 |
| -0.000 | -0.000 | 0.000 | -0.000 | -0.000 | -11.303 |
| 168.479 | 182.264 | 182.264 | -0.000 | 0.000 | 0.000 |
| 182.264 | 168.479 | 182.264 | -0.000 | 0.000 | 0.000 |
| 182.264 | 182.264 | 168.479 | 0.000 | 0.000 | -0.000 |
| -0.000 | -0.000 | -0.000 | 141.173 | 0.000 | 0.000 |
| 0.000 | -0.000 | 0.000 | 0.000 | 141.173 | 0.000 |
| 0.000 | -0.000 | -0.000 | -0.000 | 0.000 | 141.173 |
| 168.479 | 182.264 | 182.264 | 0.000 | 0.000 | -0.000 |
| 182.264 | 168.479 | 182.264 | 0.000 | -0.000 | -0.000 |
| 182.264 | 182.264 | 168.479 | -0.000 | -0.000 | 0.000 |
| 0.000 | 0.000 | 0.000 | 141.173 | -0.000 | 0.000 |
| -0.000 | 0.000 | 0.000 | 0.000 | 141.173 | -0.000 |
| -0.000 | 0.000 | 0.000 | 0.000 | -0.000 | 141.173 |
| 168.479 | 182.264 | 182.264 | -0.000 | -0.000 | 0.000 |
| 182.264 | 168.479 | 182.264 | -0.000 | 0.000 | -0.000 |
| 182.264 | 182.264 | 168.479 | -0.000 | -0.000 | 0.000 |
| 0.000 | 0.000 | 0.000 | 141.173 | 0.000 | -0.000 |
| 0.000 | 0.000 | 0.000 | -0.000 | 141.173 | 0.000 |
| 0.000 | 0.000 | 0.000 | -0.000 | 0.000 | 141.173 |
| 168.479 | 182.264 | 182.264 | 0.000 | -0.000 | -0.000 |
| 182.264 | 168.479 | 182.264 | 0.000 | -0.000 | 0.000 |
| 182.264 | 182.264 | 168.479 | 0.000 | -0.000 | -0.000 |
| -0.000 | -0.000 | -0.000 | 141.173 | -0.000 | 0.000 |
| -0.000 | -0.000 | -0.000 | 0.000 | 141.173 | -0.000 |
| -0.000 | -0.000 | -0.000 | 0.000 | -0.000 | 141.173 |
| 168.480 | 182.265 | 182.265 | -0.000 | 0.000 | 0.000 |
| 182.265 | 168.480 | 182.265 | -0.000 | -0.000 | 0.000 |
| 182.265 | 182.265 | 168.480 | -0.000 | 0.000 | 0.000 |
| 0.001 | 0.001 | 0.001 | 141.173 | 0.000 | 0.000 |
| 0.001 | 0.001 | 0.001 | 0.000 | 141.173 | 0.000 |
| 0.001 | 0.001 | 0.001 | 0.000 | 0.000 | 141.173 |
| 168.478 | 182.263 | 182.263 | 0.000 | -0.000 | -0.000 |
| 182.263 | 168.478 | 182.263 | 0.000 | -0.000 | -0.000 |
| 182.263 | 182.263 | 168.478 | 0.000 | -0.000 | -0.000 |
| -0.001 | -0.001 | -0.001 | 141.173 | -0.000 | 0.000 |
| -0.001 | -0.001 | -0.001 | -0.000 | 141.173 | 0.000 |
| -0.001 | -0.001 | -0.001 | -0.000 | -0.000 | 141.173 |
| 105.206 | 170.905 | 170.905 | -0.000 | -0.000 | -0.000 |
| 170.905 | 105.206 | 170.905 | -0.000 | 0.000 | -0.000 |
| 170.905 | 170.905 | 105.206 | -0.000 | -0.000 | -0.000 |
| 0.000 | 0.000 | 0.000 | 146.532 | 0.000 | -0.000 |
| 0.000 | 0.000 | 0.000 | -0.000 | 146.532 | -0.000 |
| 0.000 | 0.000 | 0.000 | -0.000 | 0.000 | 146.532 |
| 105.206 | 170.905 | 170.905 | 0.000 | 0.000 | 0.000 |
| 170.905 | 105.206 | 170.905 | 0.000 | -0.000 | 0.000 |
| 170.905 | 170.905 | 105.206 | 0.000 | -0.000 | 0.000 |
| -0.000 | -0.000 | 0.000 | 146.532 | 0.000 | 0.000 |
| -0.000 | 0.000 | 0.000 | 0.000 | 146.532 | 0.000 |
| -0.000 | -0.000 | -0.000 | -0.000 | -0.000 | 146.532 |
| 105.206 | 170.905 | 170.905 | -0.000 | 0.000 | 0.000 |
| 170.905 | 105.206 | 170.905 | -0.000 | 0.000 | 0.000 |
| 170.905 | 170.905 | 105.206 | 0.000 | 0.000 | -0.000 |
| 0.000 | 0.000 | 0.000 | 146.532 | 0.000 | -0.000 |
| 0.000 | 0.000 | 0.000 | -0.000 | 146.532 | -0.000 |
| 0.000 | 0.000 | 0.000 | -0.000 | 0.000 | 146.532 |
| 105.206 | 170.905 | 170.905 | 0.000 | -0.000 | 0.000 |
| 170.905 | 105.206 | 170.905 | 0.000 | -0.000 | -0.000 |
| 170.905 | 170.905 | 105.206 | -0.000 | -0.000 | 0.000 |
| -0.000 | -0.000 | -0.000 | 146.532 | -0.000 | 0.000 |
| -0.000 | -0.000 | -0.000 | 0.000 | 146.532 | 0.000 |
| -0.000 | -0.000 | -0.000 | 0.000 | -0.000 | 146.532 |
| 105.206 | 170.905 | 170.905 | -0.000 | 0.000 | -0.000 |
| 170.905 | 105.206 | 170.905 | -0.000 | 0.000 | -0.000 |
| 170.905 | 170.905 | 105.206 | 0.000 | 0.000 | -0.000 |
| 0.001 | 0.000 | 0.001 | 146.532 | 0.000 | 0.000 |
| 0.000 | 0.001 | 0.001 | -0.000 | 146.532 | -0.000 |
| 0.000 | 0.001 | 0.001 | -0.000 | -0.000 | 146.532 |
| 105.206 | 170.905 | 170.905 | 0.000 | 0.000 | 0.000 |
| 170.905 | 105.206 | 170.905 | 0.000 | -0.000 | 0.000 |
| 170.905 | 170.905 | 105.206 | 0.000 | 0.000 | -0.000 |
| -0.001 | -0.000 | -0.001 | 146.532 | -0.000 | -0.000 |
| -0.000 | -0.001 | -0.001 | 0.000 | 146.532 | 0.000 |
| -0.000 | -0.001 | -0.001 | 0.000 | 0.000 | 146.532 |
| 134.076 | 7.861 | 7.861 | -0.000 | 0.000 | 0.000 |
| 7.861 | 134.076 | 7.861 | -0.000 | -0.000 | 0.000 |
| 7.861 | 7.861 | 134.076 | 0.000 | 0.000 | 0.000 |
| 0.000 | -0.000 | 0.000 | -3.840 | 0.000 | 0.000 |
| 0.000 | 0.000 | 0.000 | -0.000 | -3.840 | 0.000 |
| 0.000 | -0.000 | 0.000 | -0.000 | 0.000 | -3.840 |
| 134.075 | 7.861 | 7.861 | 0.000 | -0.000 | -0.000 |
| 7.861 | 134.075 | 7.861 | 0.000 | -0.000 | -0.000 |
| 7.861 | 7.861 | 134.075 | -0.000 | -0.000 | -0.000 |
| -0.000 | 0.000 | -0.000 | -3.840 | -0.000 | -0.000 |
| -0.000 | -0.000 | -0.000 | 0.000 | -3.840 | -0.000 |
| -0.000 | 0.000 | -0.000 | 0.000 | 0.000 | -3.840 |
| 134.077 | 7.861 | 7.861 | -0.000 | 0.000 | 0.000 |
| 7.861 | 134.077 | 7.861 | -0.000 | 0.000 | 0.000 |
| 7.861 | 7.861 | 134.077 | -0.000 | 0.000 | 0.000 |
| 0.000 | -0.000 | -0.000 | -4.325 | 0.000 | 0.000 |
| -0.000 | 0.000 | -0.000 | -0.000 | -4.325 | 0.000 |
| -0.000 | -0.000 | 0.000 | -0.000 | 0.000 | -4.325 |
| 134.074 | 7.861 | 7.861 | 0.000 | -0.000 | -0.000 |
| 7.861 | 134.074 | 7.861 | 0.000 | -0.000 | -0.000 |
| 7.861 | 7.861 | 134.074 | 0.000 | -0.000 | -0.000 |
| -0.000 | 0.000 | 0.000 | -4.325 | -0.000 | -0.000 |
| 0.000 | -0.000 | 0.000 | 0.000 | -4.325 | -0.000 |
| 0.000 | 0.000 | -0.000 | 0.000 | -0.000 | -4.325 |
| 134.086 | 7.861 | 7.861 | -0.000 | 0.000 | 0.000 |
| 7.861 | 134.086 | 7.861 | -0.000 | 0.000 | 0.000 |
| 7.861 | 7.861 | 134.086 | -0.000 | -0.000 | 0.000 |
| 0.000 | -0.000 | -0.000 | -3.840 | -0.000 | 0.000 |
| -0.000 | 0.000 | -0.000 | -0.000 | -3.840 | 0.000 |
| -0.000 | -0.000 | 0.000 | -0.000 | 0.000 | -3.840 |
| 134.065 | 7.860 | 7.860 | 0.000 | -0.000 | -0.000 |
| 7.860 | 134.065 | 7.860 | 0.000 | 0.000 | -0.000 |
| 7.860 | 7.860 | 134.065 | -0.000 | -0.000 | -0.000 |
| -0.000 | 0.000 | 0.000 | -3.840 | 0.000 | -0.000 |
| 0.000 | -0.000 | 0.000 | 0.000 | -3.840 | -0.000 |
| 0.000 | 0.000 | -0.000 | 0.000 | 0.000 | -3.840 |
| 1.818 | 1.818 | 1.818 | 0.000 | -0.000 | -0.000 |
| 1.818 | 1.818 | 1.818 | -0.000 | 0.000 | -0.000 |
| 1.818 | 1.818 | 1.818 | 0.000 | 0.000 | 0.000 |
| -0.000 | -0.000 | -0.000 | 2.000 | -0.000 | -0.000 |
| -0.000 | -0.000 | -0.000 | -0.000 | 2.000 | -0.000 |
| -0.000 | -0.000 | -0.000 | -0.000 | -0.000 | 2.000 |
| 1.818 | 1.818 | 1.818 | -0.000 | 0.000 | 0.000 |
| 1.818 | 1.818 | 1.818 | 0.000 | -0.000 | 0.000 |
| 1.818 | 1.818 | 1.818 | -0.000 | -0.000 | -0.000 |
| 0.000 | 0.000 | 0.000 | 2.000 | 0.000 | 0.000 |
| 0.000 | 0.000 | 0.000 | 0.000 | 2.000 | 0.000 |
| 0.000 | 0.000 | 0.000 | 0.000 | 0.000 | 2.000 |
| 1.818 | 1.818 | 1.818 | -0.000 | -0.000 | 0.000 |
| 1.818 | 1.818 | 1.818 | -0.000 | -0.000 | 0.000 |
| 1.818 | 1.818 | 1.818 | -0.000 | -0.000 | -0.000 |
| -0.000 | -0.000 | -0.000 | 1.480 | 0.000 | -0.000 |
| -0.000 | -0.000 | -0.000 | 0.000 | 1.480 | -0.000 |
| -0.000 | -0.000 | -0.000 | -0.000 | -0.000 | 1.480 |
| 1.818 | 1.818 | 1.818 | -0.000 | 0.000 | -0.000 |
| 1.818 | 1.818 | 1.818 | 0.000 | -0.000 | -0.000 |
| 1.818 | 1.818 | 1.818 | -0.000 | -0.000 | 0.000 |
| 0.000 | 0.000 | 0.000 | 1.480 | -0.000 | 0.000 |
| 0.000 | 0.000 | 0.000 | -0.000 | 1.480 | 0.000 |
| 0.000 | 0.000 | 0.000 | 0.000 | 0.000 | 1.480 |
| 1.818 | 1.818 | 1.818 | 0.000 | 0.000 | -0.000 |
| 1.818 | 1.818 | 1.818 | 0.000 | 0.000 | -0.000 |
| 1.818 | 1.818 | 1.818 | 0.000 | 0.000 | -0.000 |
| -0.000 | -0.000 | -0.000 | 0.680 | -0.000 | 0.000 |
| -0.000 | -0.000 | -0.000 | -0.000 | 0.680 | 0.000 |
| -0.000 | -0.000 | -0.000 | -0.000 | -0.000 | 0.680 |
| 1.818 | 1.818 | 1.818 | -0.000 | 0.000 | -0.000 |
| 1.818 | 1.818 | 1.818 | 0.000 | -0.000 | -0.000 |
| 1.818 | 1.818 | 1.818 | -0.000 | -0.000 | -0.000 |
| 0.000 | 0.000 | 0.000 | 0.680 | 0.000 | -0.000 |
| 0.000 | 0.000 | 0.000 | 0.000 | 0.680 | -0.000 |
| 0.000 | 0.000 | 0.000 | 0.000 | 0.000 | 0.680 |
| 805.408 | 14.966 | 14.966 | -0.000 | 0.000 | 0.000 |
| 14.966 | 805.408 | 14.966 | -0.000 | -0.000 | 0.000 |
| 14.966 | 14.966 | 805.408 | -0.000 | 0.000 | 0.000 |
| 0.000 | 0.000 | 0.000 | -11.307 | 0.000 | -0.000 |
| 0.000 | 0.000 | 0.000 | -0.000 | -11.307 | -0.000 |
| 0.000 | -0.000 | 0.000 | -0.000 | 0.000 | -11.307 |
| 805.408 | 14.966 | 14.966 | 0.000 | -0.000 | 0.000 |
| 14.966 | 805.408 | 14.966 | 0.000 | -0.000 | 0.000 |
| 14.966 | 14.966 | 805.408 | 0.000 | -0.000 | 0.000 |
| -0.000 | -0.000 | -0.000 | -11.307 | -0.000 | -0.000 |
| -0.000 | -0.000 | -0.000 | 0.000 | -11.307 | 0.000 |
| -0.000 | 0.000 | -0.000 | 0.000 | -0.000 | -11.307 |
| 805.409 | 14.966 | 14.966 | -0.000 | 0.000 | -0.000 |
| 14.966 | 805.409 | 14.966 | -0.000 | 0.000 | -0.000 |
| 14.966 | 14.966 | 805.409 | 0.000 | 0.000 | -0.000 |
| -0.000 | -0.000 | -0.000 | -11.307 | 0.000 | -0.000 |
| -0.000 | -0.000 | -0.000 | -0.000 | -11.307 | -0.000 |
| -0.000 | -0.000 | -0.000 | -0.000 | 0.000 | -11.307 |
| 805.408 | 14.966 | 14.966 | 0.000 | -0.000 | -0.000 |
| 14.966 | 805.408 | 14.966 | 0.000 | -0.000 | 0.000 |
| 14.966 | 14.966 | 805.408 | 0.000 | -0.000 | -0.000 |
| 0.000 | 0.000 | 0.000 | -11.307 | -0.000 | 0.000 |
| 0.000 | 0.000 | 0.000 | 0.000 | -11.307 | 0.000 |
| 0.000 | 0.000 | 0.000 | 0.000 | -0.000 | -11.307 |
| 805.414 | 14.966 | 14.966 | -0.000 | 0.000 | -0.000 |
| 14.966 | 805.414 | 14.966 | -0.000 | 0.000 | -0.000 |
| 14.966 | 14.966 | 805.414 | -0.000 | 0.000 | -0.000 |
| -0.000 | -0.000 | -0.001 | -11.307 | 0.000 | -0.000 |
| -0.000 | -0.000 | -0.001 | -0.000 | -11.307 | -0.000 |
| -0.000 | -0.001 | -0.000 | -0.000 | 0.000 | -11.307 |
| 805.402 | 14.966 | 14.966 | 0.000 | -0.000 | -0.000 |
| 14.966 | 805.402 | 14.966 | 0.000 | -0.000 | 0.000 |
| 14.966 | 14.966 | 805.402 | 0.000 | -0.000 | 0.000 |
| 0.000 | 0.000 | 0.001 | -11.307 | -0.000 | -0.000 |
| 0.000 | 0.000 | 0.001 | 0.000 | -11.307 | 0.000 |
| 0.000 | 0.001 | 0.000 | 0.000 | -0.000 | -11.307 |
| 48.036 | 157.304 | 157.304 | 0.000 | -0.000 | -0.000 |
| 157.304 | 48.036 | 157.304 | 0.000 | -0.000 | -0.000 |
| 157.304 | 157.304 | 48.036 | 0.000 | -0.000 | -0.000 |
| -0.000 | -0.000 | -0.000 | 78.154 | 0.000 | -0.000 |
| -0.000 | -0.000 | -0.000 | 0.000 | 78.154 | -0.000 |
| -0.000 | -0.000 | -0.000 | 0.000 | 0.000 | 78.154 |
| 48.036 | 157.304 | 157.304 | 0.000 | 0.000 | 0.000 |
| 157.304 | 48.036 | 157.304 | 0.000 | 0.000 | 0.000 |
| 157.304 | 157.304 | 48.036 | -0.000 | 0.000 | 0.000 |
| 0.000 | 0.000 | 0.000 | 78.154 | -0.000 | 0.000 |
| 0.000 | 0.000 | -0.000 | -0.000 | 78.154 | 0.000 |
| 0.000 | 0.000 | 0.000 | -0.000 | 0.000 | 78.154 |
| 48.035 | 157.304 | 157.304 | 0.000 | -0.000 | -0.000 |
| 157.304 | 48.035 | 157.304 | 0.000 | 0.000 | 0.000 |
| 157.304 | 157.304 | 48.035 | 0.000 | 0.000 | -0.000 |
| 0.000 | -0.000 | -0.000 | 78.154 | 0.000 | 0.000 |
| -0.000 | 0.000 | -0.000 | -0.000 | 78.154 | -0.000 |
| -0.000 | -0.000 | 0.000 | 0.000 | 0.000 | 78.154 |
| 48.036 | 157.304 | 157.304 | -0.000 | 0.000 | 0.000 |
| 157.304 | 48.036 | 157.304 | -0.000 | -0.000 | 0.000 |
| 157.304 | 157.304 | 48.036 | 0.000 | -0.000 | 0.000 |
| -0.000 | 0.000 | 0.000 | 78.154 | -0.000 | 0.000 |
| 0.000 | -0.000 | 0.000 | -0.000 | 78.154 | 0.000 |
| 0.000 | 0.000 | -0.000 | -0.000 | -0.000 | 78.154 |
| 48.034 | 157.303 | 157.303 | 0.000 | -0.000 | -0.000 |
| 157.303 | 48.034 | 157.303 | 0.000 | -0.000 | -0.000 |
| 157.303 | 157.303 | 48.034 | 0.000 | -0.000 | -0.000 |
| 0.000 | -0.000 | -0.000 | 78.154 | 0.000 | 0.000 |
| -0.000 | 0.000 | -0.000 | 0.000 | 78.154 | -0.000 |
| -0.000 | -0.000 | 0.000 | 0.000 | -0.000 | 78.154 |
| 48.037 | 157.305 | 157.305 | 0.000 | 0.000 | 0.000 |
| 157.305 | 48.037 | 157.305 | -0.000 | 0.000 | 0.000 |
| 157.305 | 157.305 | 48.037 | 0.000 | 0.000 | 0.000 |
| -0.000 | 0.000 | 0.000 | 78.154 | 0.000 | 0.000 |
| 0.000 | -0.000 | 0.000 | -0.000 | 78.154 | 0.000 |
| 0.000 | 0.000 | -0.000 | -0.000 | -0.000 | 78.154 |
| 28.639 | 63.562 | 63.562 | 0.000 | 0.000 | 0.000 |
| 63.562 | 28.639 | 63.562 | 0.000 | 0.000 | 0.000 |
| 63.562 | 63.562 | 28.639 | 0.000 | 0.000 | 0.000 |
| 0.000 | -0.000 | 0.000 | -34.859 | -0.000 | 0.000 |
| 0.000 | -0.000 | 0.000 | 0.000 | -34.859 | 0.000 |
| 0.000 | -0.000 | -0.000 | 0.000 | 0.000 | -34.859 |
| 28.639 | 63.562 | 63.562 | -0.000 | -0.000 | -0.000 |
| 63.562 | 28.639 | 63.562 | -0.000 | -0.000 | -0.000 |
| 63.562 | 63.562 | 28.639 | -0.000 | -0.000 | -0.000 |
| 0.000 | 0.000 | -0.000 | -34.859 | -0.000 | -0.000 |
| -0.000 | 0.000 | 0.000 | -0.000 | -34.859 | -0.000 |
| -0.000 | 0.000 | 0.000 | -0.000 | -0.000 | -34.859 |
| 28.639 | 63.562 | 63.562 | 0.000 | 0.000 | 0.000 |
| 63.562 | 28.639 | 63.562 | 0.000 | 0.000 | 0.000 |
| 63.562 | 63.562 | 28.639 | 0.000 | 0.000 | 0.000 |
| 0.000 | 0.000 | 0.000 | 54.933 | 0.000 | -0.000 |
| 0.000 | 0.000 | 0.000 | 0.000 | 54.933 | -0.000 |
| 0.000 | 0.000 | 0.000 | 0.000 | -0.000 | 54.933 |
| 28.639 | 63.562 | 63.562 | -0.000 | -0.000 | -0.000 |
| 63.562 | 28.639 | 63.562 | -0.000 | -0.000 | -0.000 |
| 63.562 | 63.562 | 28.639 | -0.000 | -0.000 | -0.000 |
| -0.000 | -0.000 | -0.000 | 54.933 | 0.000 | 0.000 |
| -0.000 | -0.000 | -0.000 | -0.000 | 54.933 | 0.000 |
| -0.000 | -0.000 | -0.000 | -0.000 | 0.000 | 54.933 |
| 28.640 | 63.563 | 63.563 | -0.000 | 0.000 | 0.000 |
| 63.563 | 28.640 | 63.563 | 0.000 | -0.000 | 0.000 |
| 63.563 | 63.563 | 28.640 | 0.000 | 0.000 | 0.000 |
| 0.000 | 0.000 | 0.000 | -34.859 | -0.000 | 0.000 |
| 0.000 | 0.000 | 0.000 | 0.000 | -34.859 | 0.000 |
| 0.000 | 0.000 | 0.000 | 0.000 | 0.000 | -34.859 |
| 28.637 | 63.562 | 63.562 | 0.000 | -0.000 | -0.000 |
| 63.562 | 28.637 | 63.562 | -0.000 | 0.000 | -0.000 |
| 63.562 | 63.562 | 28.637 | -0.000 | -0.000 | -0.000 |
| -0.000 | -0.000 | -0.000 | -34.859 | -0.000 | -0.000 |
| -0.000 | -0.000 | -0.000 | -0.000 | -34.859 | -0.000 |
| -0.000 | -0.000 | -0.000 | -0.000 | -0.000 | -34.859 |
| 339.263 | 74.183 | 170.853 | -0.000 | 0.000 | 0.000 |
| 74.183 | 339.263 | 170.853 | 0.000 | 0.000 | 0.000 |
| 170.853 | 170.853 | 249.918 | 0.000 | 0.000 | 0.000 |
| -0.000 | -0.000 | -0.000 | 132.785 | 0.000 | 0.000 |
| -0.000 | -0.000 | -0.000 | -0.000 | 132.785 | 0.000 |
| -0.000 | -0.000 | -0.000 | 0.000 | 0.000 | 39.575 |
| 339.263 | 74.183 | 170.853 | -0.000 | -0.000 | -0.000 |
| 74.183 | 339.263 | 170.853 | -0.000 | -0.000 | -0.000 |
| 170.853 | 170.853 | 249.918 | 0.000 | -0.000 | -0.000 |
| 0.000 | 0.000 | 0.000 | 132.785 | -0.000 | -0.000 |
| 0.000 | 0.000 | 0.000 | 0.000 | 132.785 | -0.000 |
| 0.000 | 0.000 | 0.000 | -0.000 | -0.000 | 39.575 |
| 339.262 | 74.183 | 170.853 | 0.000 | 0.000 | 0.000 |
| 74.183 | 339.262 | 170.853 | 0.000 | 0.000 | 0.000 |
| 170.853 | 170.853 | 249.917 | -0.000 | 0.000 | 0.000 |
| -0.000 | -0.000 | -0.000 | 132.785 | 0.000 | 0.000 |
| -0.000 | -0.000 | -0.000 | 0.000 | 132.785 | 0.000 |
| -0.000 | -0.000 | -0.000 | 0.000 | 0.000 | 39.575 |
| 339.263 | 74.183 | 170.853 | -0.000 | 0.000 | -0.000 |
| 74.183 | 339.263 | 170.853 | -0.000 | -0.000 | -0.000 |
| 170.853 | 170.853 | 249.918 | -0.000 | -0.000 | -0.000 |
| 0.000 | 0.000 | 0.000 | 132.785 | -0.000 | -0.000 |
| 0.000 | 0.000 | 0.000 | -0.000 | 132.785 | -0.000 |
| 0.000 | 0.000 | 0.000 | -0.000 | -0.000 | 39.575 |
| 339.261 | 74.182 | 170.853 | -0.000 | 0.000 | 0.000 |
| 74.182 | 339.261 | 170.853 | 0.000 | 0.000 | 0.000 |
| 170.853 | 170.853 | 249.914 | 0.000 | 0.000 | 0.000 |
| -0.000 | -0.000 | -0.000 | 132.785 | 0.000 | 0.000 |
| -0.000 | -0.000 | -0.000 | 0.000 | 132.785 | 0.000 |
| -0.001 | -0.001 | -0.000 | 0.000 | 0.000 | 39.575 |
| 339.264 | 74.183 | 170.853 | -0.000 | -0.000 | -0.000 |
| 74.183 | 339.264 | 170.853 | -0.000 | 0.000 | -0.000 |
| 170.853 | 170.853 | 249.922 | -0.000 | -0.000 | -0.000 |
| 0.000 | 0.000 | 0.000 | 132.785 | -0.000 | -0.000 |
| 0.000 | 0.000 | 0.000 | -0.000 | 132.785 | -0.000 |
| 0.001 | 0.001 | 0.000 | -0.000 | -0.000 | 39.575 |
| 70.076 | 170.740 | 187.638 | -0.000 | 0.000 | 0.000 |
| 170.740 | 199.554 | 33.874 | 0.000 | 0.000 | 0.000 |
| 187.638 | 33.874 | 228.372 | 0.000 | -0.000 | 0.000 |
| 0.000 | 0.000 | 0.000 | -56.094 | 0.000 | 0.000 |
| 0.000 | -0.000 | 0.000 | 0.000 | 92.046 | 0.000 |
| 0.000 | 0.000 | 0.000 | 0.000 | 0.000 | 83.851 |
| 70.076 | 170.740 | 187.638 | -0.000 | -0.000 | -0.000 |
| 170.740 | 199.554 | 33.874 | -0.000 | -0.000 | -0.000 |
| 187.638 | 33.874 | 228.372 | -0.000 | -0.000 | -0.000 |
| -0.000 | 0.000 | -0.000 | -56.094 | 0.000 | -0.000 |
| -0.000 | 0.000 | -0.000 | -0.000 | 92.046 | -0.000 |
| -0.000 | -0.000 | -0.000 | -0.000 | -0.000 | 83.851 |
| 70.076 | 170.740 | 187.638 | 0.000 | 0.000 | 0.000 |
| 170.740 | 199.555 | 33.874 | 0.000 | 0.000 | 0.000 |
| 187.638 | 33.874 | 228.372 | -0.000 | 0.000 | 0.000 |
| -0.000 | 0.000 | 0.000 | -56.094 | 0.000 | 0.000 |
| 0.000 | -0.000 | 0.000 | 0.000 | 92.046 | 0.000 |
| 0.000 | 0.000 | -0.000 | 0.000 | 0.000 | 83.851 |
| 70.076 | 170.740 | 187.638 | -0.000 | 0.000 | -0.000 |
| 170.740 | 199.554 | 33.874 | -0.000 | -0.000 | 0.000 |
| 187.637 | 33.874 | 228.371 | -0.000 | -0.000 | -0.000 |
| 0.000 | -0.000 | -0.000 | -56.094 | -0.000 | -0.000 |
| -0.000 | 0.000 | -0.000 | -0.000 | 92.046 | -0.000 |
| -0.000 | -0.000 | 0.000 | -0.000 | -0.000 | 83.851 |
| 70.076 | 170.740 | 187.638 | 0.000 | 0.000 | 0.000 |
| 170.741 | 199.556 | 33.874 | 0.000 | 0.000 | 0.000 |
| 187.639 | 33.874 | 228.374 | 0.000 | 0.000 | 0.000 |
| -0.000 | 0.000 | 0.000 | -56.094 | 0.000 | 0.000 |
| 0.000 | -0.000 | 0.001 | 0.000 | 92.046 | 0.000 |
| 0.000 | 0.001 | -0.000 | 0.000 | 0.000 | 83.851 |
| 70.076 | 170.739 | 187.637 | -0.000 | -0.000 | -0.000 |
| 170.738 | 199.553 | 33.873 | -0.000 | -0.000 | -0.000 |
| 187.636 | 33.873 | 228.369 | 0.000 | -0.000 | -0.000 |
| 0.000 | -0.000 | -0.000 | -56.094 | -0.000 | -0.000 |
| -0.000 | 0.000 | -0.001 | -0.000 | 92.046 | -0.000 |
| -0.000 | -0.001 | 0.000 | -0.000 | -0.000 | 83.851 |
| 273.048 | 84.806 | 87.003 | -0.000 | 0.000 | 0.000 |
| 83.679 | 311.506 | 158.921 | -0.000 | 0.000 | 0.000 |
| 87.713 | 161.788 | 325.765 | -0.000 | 0.000 | 0.000 |
| 0.000 | -0.000 | 0.000 | 99.622 | 0.000 | 0.000 |
| -0.148 | 0.154 | -0.638 | -0.000 | 43.116 | 0.000 |
| -0.045 | 0.047 | -0.193 | -0.000 | 0.000 | 40.870 |
| 273.291 | 84.932 | 87.712 | -0.000 | -0.000 | -0.000 |
| 84.030 | 310.349 | 161.138 | -0.000 | -0.000 | -0.000 |
| 87.960 | 138.908 | 346.966 | 0.000 | -0.000 | -0.000 |
| -0.000 | 0.000 | -0.000 | 99.622 | 0.000 | -0.000 |
| 0.148 | -0.154 | 0.638 | 0.000 | 43.116 | -0.000 |
| 0.045 | -0.047 | 0.193 | 0.000 | -0.000 | 40.870 |
| 273.085 | 84.764 | 87.167 | -0.000 | 0.000 | 0.000 |
| 84.593 | 338.120 | 138.320 | -0.000 | 0.000 | 0.000 |
| 86.832 | 149.631 | 333.608 | -0.000 | 0.000 | 0.000 |
| 0.041 | 0.038 | 0.104 | 72.698 | 0.000 | 0.000 |
| -0.004 | 0.021 | -0.033 | 0.000 | 43.006 | 0.000 |
| -0.004 | 0.005 | -0.019 | -0.000 | 0.000 | 40.870 |
| 273.094 | 84.755 | 87.203 | -0.000 | -0.000 | -0.000 |
| 84.045 | 310.565 | 160.995 | -0.000 | -0.000 | -0.000 |
| 87.960 | 138.908 | 346.966 | -0.000 | -0.000 | 0.000 |
| -0.041 | -0.038 | -0.104 | 72.698 | -0.000 | -0.000 |
| 0.004 | -0.021 | 0.033 | -0.000 | 43.006 | -0.000 |
| 0.004 | -0.005 | 0.019 | 0.000 | -0.000 | 40.870 |
| 273.289 | 84.932 | 87.712 | -0.000 | 0.000 | 0.000 |
| 84.040 | 310.595 | 160.956 | -0.000 | 0.000 | 0.000 |
| 87.960 | 138.908 | 346.967 | -0.000 | 0.000 | 0.000 |
| -0.002 | 0.001 | -0.008 | 72.960 | 0.000 | -0.000 |
| -0.000 | -0.000 | -0.000 | 0.000 | 44.297 | 0.000 |
| -0.001 | 0.000 | -0.002 | -0.000 | 0.000 | 40.870 |
| 273.086 | 84.378 | 87.508 | 0.000 | -0.000 | -0.000 |
| 83.850 | 310.779 | 160.143 | 0.000 | -0.000 | 0.000 |
| 87.753 | 161.543 | 326.118 | -0.000 | -0.000 | -0.000 |
| 0.002 | -0.001 | 0.008 | 72.960 | -0.000 | -0.000 |
| 0.000 | 0.000 | 0.000 | -0.000 | 44.297 | -0.000 |
| 0.001 | -0.000 | 0.002 | 0.000 | -0.000 | 40.870 |
| 205.495 | 75.796 | -34.020 | 0.000 | 0.000 | -0.000 |
| 164.416 | 116.875 | -34.020 | 0.000 | 0.000 | 0.000 |
| -34.018 | -34.018 | 465.385 | 0.000 | 0.000 | -0.000 |
| 0.000 | 0.000 | 0.000 | -43.754 | 0.000 | 0.000 |
| 0.000 | 0.000 | -0.000 | 0.000 | -43.754 | 0.000 |
| 0.000 | -0.000 | 0.000 | 0.000 | 0.000 | 64.850 |
| 205.495 | 75.796 | -34.020 | -0.000 | -0.000 | -0.000 |
| 75.796 | 205.495 | -34.020 | -0.000 | -0.000 | 0.000 |
| -34.018 | -34.018 | 465.385 | 0.000 | 0.000 | 0.000 |
| -0.000 | 0.000 | 0.000 | -43.754 | -0.000 | -0.000 |
| -0.000 | -0.000 | 0.000 | -0.000 | -43.754 | -0.000 |
| -0.000 | 0.000 | -0.000 | -0.000 | -0.000 | 64.850 |
| 205.495 | 75.796 | -34.020 | 0.000 | 0.000 | -0.000 |
| 164.417 | 116.875 | -34.020 | 0.000 | -0.000 | -0.000 |
| -34.018 | -34.018 | 465.385 | 0.000 | -0.000 | -0.000 |
| 0.000 | 0.000 | -0.000 | -43.754 | 0.000 | 0.000 |
| 0.000 | 0.000 | -0.000 | 0.000 | -43.754 | 0.000 |
| -46880736.586 | -37485515.478 | -55980591.916 | 628533.177 | 176093.475 | 3976705.229 |
| 205.495 | 75.796 | -34.020 | -0.000 | -0.000 | -0.000 |
| 164.415 | 116.876 | -34.020 | -0.000 | -0.000 | -0.000 |
| -34.018 | -34.018 | 465.384 | -0.000 | -0.000 | 0.000 |
| -0.000 | -0.000 | 0.000 | -43.754 | -0.000 | -0.000 |
| -0.000 | -0.000 | 0.000 | 0.000 | -43.754 | -0.000 |
| 44890972.066 | 40090119.512 | 59111962.732 | -457058.923 | 359342.367 | 2939871.048 |
| 205.496 | 75.796 | -34.020 | 0.000 | 0.000 | -0.000 |
| 164.417 | 116.874 | -34.020 | 0.000 | 0.000 | -0.000 |
| -34.018 | -34.018 | 465.390 | -0.000 | 0.000 | 0.000 |
| 0.000 | 0.000 | -0.000 | -43.754 | -0.000 | 0.000 |
| 0.000 | 0.000 | -0.000 | -0.000 | -43.754 | 0.000 |
| -4494762.172 | -3815552.733 | -5558488.008 | -2996.566 | 17832.621 | 234970.808 |
| 4709852.895 | 3017572.698 | 5562535.318 | 29911.185 | 31256.259 | 67999.412 |
| 164.410 | 116.882 | -34.020 | -0.000 | -0.000 | -0.000 |
| -34.018 | -34.018 | 465.380 | -0.000 | 0.000 | 0.000 |
| -0.000 | -0.000 | 0.000 | -43.754 | 0.000 | -0.000 |
| -0.000 | -0.000 | 0.000 | 0.000 | -43.754 | -0.000 |
| 5313972.895 | 4454586.811 | 6448838.215 | 26721.836 | -8548.889 | 328045.044 |
| 329.728 | 136.704 | 96.368 | 0.000 | 0.000 | -0.000 |
| 162.673 | 303.759 | 96.368 | 0.000 | 0.000 | -0.000 |
| 96.368 | 96.368 | 295.302 | 0.000 | 0.000 | -0.000 |
| -0.000 | 0.000 | -0.000 | 42.382 | 0.000 | 0.000 |
| -0.000 | 0.000 | -0.000 | 0.000 | 42.382 | -0.000 |
| -0.000 | 0.000 | -0.000 | 0.000 | 0.000 | 70.543 |
| 329.728 | 136.704 | 96.368 | -0.000 | -0.000 | 0.000 |
| 162.673 | 303.759 | 96.368 | -0.000 | -0.000 | 0.000 |
| 96.368 | 96.368 | 295.302 | 0.000 | -0.000 | 0.000 |
| -0.000 | 0.000 | 0.000 | 42.382 | -0.000 | 0.000 |
| 0.000 | -0.000 | 0.000 | -0.000 | 42.382 | 0.000 |
| 0.000 | -0.000 | 0.000 | -0.000 | -0.000 | 70.543 |
| 329.728 | 136.704 | 96.368 | -0.000 | 0.000 | -0.000 |
| 162.673 | 303.759 | 96.368 | 0.000 | 0.000 | 0.000 |
| 96.368 | 96.368 | 295.302 | 0.000 | -0.000 | -0.000 |
| -0.000 | -0.000 | -0.000 | 42.382 | 0.000 | 0.000 |
| -0.000 | -0.000 | -0.000 | 0.000 | 42.382 | -0.000 |
| -0.000 | 0.000 | -0.000 | 0.000 | 0.000 | 96.512 |
| 329.728 | 136.704 | 96.368 | -0.000 | -0.000 | 0.000 |
| 136.704 | 329.728 | 96.368 | -0.000 | 0.000 | 0.000 |
| 96.368 | 96.368 | 295.302 | -0.000 | -0.000 | 0.000 |
| 0.000 | 0.000 | 0.000 | 42.382 | -0.000 | -0.000 |
| 0.000 | 0.000 | 0.000 | -0.000 | 42.382 | 0.000 |
| 0.000 | -0.000 | 0.000 | -0.000 | -0.000 | 96.512 |
| 329.728 | 136.704 | 96.368 | 0.000 | 0.000 | -0.000 |
| 136.704 | 329.727 | 96.368 | 0.000 | 0.000 | 0.000 |
| 96.368 | 96.368 | 295.300 | 0.000 | 0.000 | 0.000 |
| -0.000 | -0.000 | -0.000 | 42.382 | 0.000 | -0.000 |
| -0.000 | -0.000 | -0.000 | 0.000 | 42.382 | 0.000 |
| -0.000 | 0.000 | -0.000 | 0.000 | 0.000 | 96.512 |
| 329.728 | 136.704 | 96.368 | -0.000 | -0.000 | 0.000 |
| 136.704 | 329.729 | 96.368 | -0.000 | -0.000 | 0.000 |
| 96.368 | 96.368 | 295.304 | -0.000 | -0.000 | -0.000 |
| 0.000 | 0.000 | 0.000 | 42.382 | -0.000 | 0.000 |
| 0.000 | 0.000 | 0.000 | -0.000 | 42.382 | 0.000 |
| 0.000 | -0.000 | 0.000 | -0.000 | -0.000 | 96.512 |
| 341.446 | 138.719 | 112.249 | -44.119 | 0.000 | -0.000 |
| 138.719 | 341.446 | 112.249 | 44.119 | 0.000 | -0.000 |
| 112.249 | 112.249 | 384.934 | -0.000 | -0.000 | -0.000 |
| -44.119 | 44.119 | -0.000 | 70.394 | 0.000 | -0.000 |
| -0.000 | -0.000 | -0.000 | -0.000 | 70.394 | -44.119 |
| -0.000 | -0.000 | -0.000 | -0.000 | -44.119 | 101.363 |
| 341.446 | 138.719 | 112.249 | -44.119 | -0.000 | 0.000 |
| 138.719 | 341.446 | 112.249 | 44.119 | 0.000 | 0.000 |
| 112.249 | 112.249 | 384.934 | 0.000 | 0.000 | 0.000 |
| -44.119 | 44.119 | 0.000 | 70.394 | 0.000 | 0.000 |
| 0.000 | 0.000 | 0.000 | 0.000 | 70.394 | -44.119 |
| 0.000 | 0.000 | 0.000 | 0.000 | -44.119 | 101.363 |
| 341.446 | 138.719 | 112.249 | -44.119 | 0.000 | -0.000 |
| 138.719 | 341.446 | 112.249 | 44.119 | 0.000 | -0.000 |
| 112.249 | 112.249 | 384.934 | -0.000 | -0.000 | 0.000 |
| -44.119 | 44.119 | -0.000 | 70.394 | 0.000 | -0.000 |
| -0.000 | -0.000 | -0.000 | -0.000 | 70.394 | -44.119 |
| -0.000 | -0.000 | -0.000 | -0.000 | -44.119 | 101.363 |
| 341.446 | 138.719 | 112.249 | -44.119 | -0.000 | 0.000 |
| 138.719 | 341.446 | 112.249 | 44.119 | -0.000 | 0.000 |
| 112.249 | 112.249 | 384.934 | 0.000 | -0.000 | 0.000 |
| -44.119 | 44.119 | 0.000 | 70.394 | -0.000 | 0.000 |
| 0.000 | 0.000 | 0.000 | 0.000 | 70.394 | -44.119 |
| 0.000 | 0.000 | 0.000 | 0.000 | -44.119 | 101.363 |
| 341.445 | 138.719 | 112.248 | -44.120 | 0.000 | -0.000 |
| 138.719 | 341.445 | 112.248 | 44.120 | -0.000 | -0.000 |
| 112.249 | 112.249 | 384.933 | 0.000 | 0.000 | -0.000 |
| -44.120 | 44.119 | -0.001 | 70.394 | 0.000 | -0.000 |
| -0.001 | -0.000 | -0.001 | -0.000 | 70.394 | -44.119 |
| -0.000 | -0.000 | -0.000 | -0.000 | -44.119 | 101.363 |
| 341.447 | 138.719 | 112.249 | -44.119 | -0.000 | 0.000 |
| 138.719 | 341.447 | 112.249 | 44.119 | 0.000 | 0.000 |
| 112.249 | 112.249 | 384.935 | 0.000 | 0.000 | 0.000 |
| -44.119 | 44.120 | 0.001 | 70.394 | -0.000 | 0.000 |
| 0.001 | 0.000 | 0.001 | 0.000 | 70.394 | -44.119 |
| 0.000 | 0.000 | 0.000 | 0.000 | -44.119 | 101.363 |
| 103.930 | 136.201 | 136.201 | -0.000 | -0.000 | -0.000 |
| 136.201 | 103.930 | 136.201 | -0.000 | -0.000 | -0.000 |
| 136.201 | 136.201 | 103.930 | -0.000 | -0.000 | -0.000 |
| 0.000 | -0.000 | -0.000 | -23.687 | -0.000 | 0.000 |
| -0.000 | 0.000 | -0.000 | -0.000 | -23.687 | -0.000 |
| -0.000 | -0.000 | -0.000 | -0.000 | -0.000 | -23.687 |
| 103.930 | 136.201 | 136.201 | 0.000 | -0.000 | 0.000 |
| 136.201 | 103.930 | 136.201 | 0.000 | -0.000 | 0.000 |
| 136.201 | 136.201 | 103.930 | 0.000 | -0.000 | 0.000 |
| -0.000 | 0.000 | 0.000 | -23.686 | 0.000 | 0.000 |
| 0.000 | -0.000 | 0.000 | 0.000 | -23.687 | 0.000 |
| 0.000 | 0.000 | 0.000 | 0.000 | 0.000 | -23.686 |
| 103.930 | 136.201 | 136.201 | -0.000 | -0.000 | -0.000 |
| 136.201 | 103.930 | 136.201 | -0.000 | -0.000 | -0.000 |
| 136.201 | 136.201 | 103.930 | -0.000 | 0.000 | 0.000 |
| 0.000 | -0.000 | -0.000 | -23.687 | 0.000 | -0.000 |
| -0.000 | 0.000 | -0.000 | -0.000 | -23.686 | -0.000 |
| -0.000 | -0.000 | 0.000 | -0.000 | -0.000 | -23.686 |
| 103.930 | 136.201 | 136.201 | 0.000 | 0.000 | 0.000 |
| 136.201 | 103.930 | 136.201 | 0.000 | 0.000 | 0.000 |
| 136.201 | 136.201 | 103.930 | 0.000 | 0.000 | 0.000 |
| -0.000 | 0.000 | 0.000 | -23.686 | -0.000 | 0.000 |
| 0.000 | -0.000 | 0.000 | 0.000 | -23.686 | 0.000 |
| 0.000 | 0.000 | -0.000 | 0.000 | 0.000 | -23.686 |
| 103.930 | 136.201 | 136.201 | -0.000 | -0.000 | -0.000 |
| 136.201 | 103.930 | 136.201 | -0.000 | -0.000 | -0.000 |
| 136.201 | 136.201 | 103.930 | -0.000 | -0.000 | -0.000 |
| 0.000 | -0.000 | 0.000 | 118.597 | 0.000 | -0.000 |
| -0.000 | 0.000 | 0.000 | -0.000 | 118.597 | -0.000 |
| -0.000 | 0.000 | 0.000 | -0.000 | -0.000 | 118.597 |
| 103.930 | 136.200 | 136.200 | 0.000 | 0.000 | 0.000 |
| 136.200 | 103.930 | 136.200 | 0.000 | 0.000 | 0.000 |
| 136.200 | 136.200 | 103.930 | 0.000 | -0.000 | 0.000 |
| -0.000 | 0.000 | -0.000 | 118.597 | -0.000 | 0.000 |
| 0.000 | -0.000 | -0.000 | 0.000 | 118.597 | 0.000 |
| 0.000 | -0.000 | -0.000 | 0.000 | 0.000 | 118.597 |
| 513.401 | 107.541 | 107.541 | 0.000 | -0.000 | 0.000 |
| 107.541 | 513.401 | 107.541 | 0.000 | -0.000 | -0.000 |
| 107.541 | 107.541 | 513.401 | 0.000 | -0.000 | -0.000 |
| 0.000 | 0.000 | -0.000 | 58.015 | 0.000 | 0.000 |
| 0.000 | 0.000 | -0.000 | 0.000 | 58.015 | 0.000 |
| 0.000 | 0.000 | -0.000 | 0.000 | -0.000 | 58.015 |
| 513.401 | 107.541 | 107.541 | -0.000 | -0.000 | -0.000 |
| 107.541 | 513.401 | 107.541 | -0.000 | -0.000 | -0.000 |
| 107.541 | 107.541 | 513.401 | -0.000 | 0.000 | -0.000 |
| -0.000 | -0.000 | 0.000 | 58.015 | -0.000 | -0.000 |
| -0.000 | -0.000 | 0.000 | -0.000 | 58.015 | -0.000 |
| -0.000 | -0.000 | 0.000 | -0.000 | 0.000 | 58.015 |
| 514.608 | 106.938 | 106.938 | 0.000 | -0.000 | 0.000 |
| 106.938 | 514.608 | 106.938 | 0.000 | 0.000 | 0.000 |
| 106.938 | 106.938 | 514.608 | 0.000 | 0.000 | 0.000 |
| 0.000 | -0.000 | -0.000 | 75.260 | 0.000 | 0.000 |
| -0.000 | 0.000 | -0.000 | 0.000 | 75.260 | 0.000 |
| -0.000 | -0.000 | 0.000 | 0.000 | -0.000 | 75.260 |
| 514.608 | 106.938 | 106.938 | 0.000 | 0.000 | -0.000 |
| 106.938 | 514.608 | 106.938 | -0.000 | 0.000 | 0.000 |
| 106.938 | 106.938 | 514.608 | -0.000 | -0.000 | -0.000 |
| -0.000 | 0.000 | 0.000 | 75.260 | -0.000 | 0.000 |
| 0.000 | -0.000 | 0.000 | 0.000 | 75.260 | -0.000 |
| 0.000 | 0.000 | -0.000 | -0.000 | 0.000 | 75.260 |
| 514.609 | 106.938 | 106.938 | 0.000 | -0.000 | 0.000 |
| 106.938 | 514.609 | 106.938 | 0.000 | 0.000 | 0.000 |
| 106.938 | 106.938 | 514.609 | 0.000 | -0.000 | 0.000 |
| 0.000 | -0.000 | -0.000 | 58.015 | -0.000 | 0.000 |
| -0.000 | 0.000 | -0.000 | 0.000 | 58.015 | 0.000 |
| -0.000 | -0.000 | 0.000 | 0.000 | -0.000 | 58.015 |
| 514.607 | 106.938 | 106.938 | 0.000 | 0.000 | -0.000 |
| 106.938 | 514.607 | 106.938 | -0.000 | 0.000 | -0.000 |
| 106.938 | 106.938 | 514.607 | 0.000 | 0.000 | -0.000 |
| -0.000 | 0.000 | 0.000 | 58.015 | 0.000 | -0.000 |
| 0.000 | -0.000 | 0.000 | -0.000 | 58.015 | -0.000 |
| 0.000 | 0.000 | -0.000 | -0.000 | 0.000 | 58.015 |
| 73.127 | 158.850 | 158.850 | 0.000 | 0.000 | 0.000 |
| 158.850 | 73.127 | 158.850 | 0.000 | -0.000 | -0.000 |
| 158.850 | 158.850 | 73.127 | 0.000 | 0.000 | -0.000 |
| 0.000 | -0.000 | -0.000 | 120.655 | 0.000 | -0.000 |
| 0.000 | 0.000 | -0.000 | 0.000 | 120.655 | -0.000 |
| 0.000 | -0.000 | -0.000 | 0.000 | -0.000 | 120.655 |
| 73.127 | 158.850 | 158.850 | -0.000 | -0.000 | 0.000 |
| 158.850 | 73.127 | 158.850 | -0.000 | -0.000 | 0.000 |
| 158.850 | 158.850 | 73.127 | 0.000 | 0.000 | -0.000 |
| -0.000 | 0.000 | 0.000 | 120.655 | -0.000 | 0.000 |
| -0.000 | 0.000 | 0.000 | 0.000 | 120.655 | 0.000 |
| -0.000 | -0.000 | 0.000 | -0.000 | -0.000 | 120.655 |
| 73.127 | 158.850 | 158.850 | 0.000 | -0.000 | -0.000 |
| 158.850 | 73.127 | 158.850 | 0.000 | 0.000 | -0.000 |
| 158.850 | 158.850 | 73.127 | 0.000 | -0.000 | -0.000 |
| 0.000 | 0.000 | 0.000 | 121.308 | 0.000 | 0.000 |
| 0.000 | 0.000 | 0.000 | 0.000 | 121.308 | -0.000 |
| 0.000 | 0.000 | 0.000 | 0.000 | 0.000 | 121.308 |
| 73.127 | 158.850 | 158.850 | -0.000 | 0.000 | 0.000 |
| 158.850 | 73.127 | 158.850 | -0.000 | -0.000 | 0.000 |
| 158.850 | 158.850 | 73.127 | -0.000 | 0.000 | 0.000 |
| -0.000 | -0.000 | -0.000 | 121.308 | -0.000 | -0.000 |
| -0.000 | -0.000 | -0.000 | -0.000 | 121.308 | 0.000 |
| -0.000 | -0.000 | -0.000 | -0.000 | 0.000 | 121.308 |
| 73.127 | 158.850 | 158.850 | 0.000 | 0.000 | -0.000 |
| 158.850 | 73.127 | 158.850 | 0.000 | 0.000 | -0.000 |
| 158.850 | 158.850 | 73.127 | 0.000 | 0.000 | 0.000 |
| 0.001 | 0.000 | 0.001 | 121.308 | 0.000 | 0.000 |
| 0.000 | 0.001 | 0.001 | 0.000 | 121.308 | -0.000 |
| 0.000 | 0.001 | 0.001 | 0.000 | 0.000 | 121.308 |
| 73.126 | 158.849 | 158.849 | -0.000 | -0.000 | 0.000 |
| 158.849 | 73.126 | 158.849 | -0.000 | 0.000 | 0.000 |
| 158.849 | 158.849 | 73.126 | -0.000 | -0.000 | -0.000 |
| -0.001 | -0.000 | -0.001 | 121.308 | -0.000 | 0.000 |
| -0.000 | -0.001 | -0.001 | -0.000 | 121.308 | 0.000 |
| -0.000 | -0.001 | -0.001 | -0.000 | -0.000 | 121.308 |
| 244.726 | 158.541 | 158.541 | 0.000 | -0.000 | 0.000 |
| 158.541 | 244.726 | 158.541 | 0.000 | -0.000 | -0.000 |
| 158.541 | 158.541 | 244.726 | 0.000 | 0.000 | -0.000 |
| 0.000 | -0.000 | -0.000 | 128.481 | 0.000 | 0.000 |
| -0.000 | 0.000 | 0.000 | 0.000 | 128.481 | 0.000 |
| -0.000 | -0.000 | -0.000 | 0.000 | 0.000 | 128.481 |
| 244.726 | 158.541 | 158.541 | 0.000 | -0.000 | -0.000 |
| 158.541 | 244.726 | 158.541 | -0.000 | 0.000 | 0.000 |
| 158.541 | 158.541 | 244.726 | -0.000 | -0.000 | 0.000 |
| 0.000 | 0.000 | 0.000 | 128.481 | -0.000 | -0.000 |
| 0.000 | -0.000 | 0.000 | -0.000 | 128.481 | -0.000 |
| 0.000 | -0.000 | 0.000 | -0.000 | -0.000 | 128.481 |
| 244.726 | 158.541 | 158.541 | -0.000 | -0.000 | -0.000 |
| 158.541 | 244.726 | 158.541 | 0.000 | -0.000 | 0.000 |
| 158.541 | 158.541 | 244.726 | -0.000 | 0.000 | -0.000 |
| -0.000 | -0.000 | -0.000 | 128.481 | 0.000 | -0.000 |
| -0.000 | -0.000 | -0.000 | 0.000 | 128.481 | 0.000 |
| -0.000 | -0.000 | -0.000 | 0.000 | -0.000 | 128.481 |
| 244.727 | 158.541 | 158.541 | -0.000 | -0.000 | 0.000 |
| 158.541 | 244.727 | 158.541 | -0.000 | 0.000 | -0.000 |
| 158.541 | 158.541 | 244.727 | -0.000 | 0.000 | -0.000 |
| 0.000 | 0.000 | 0.000 | 128.481 | -0.000 | -0.000 |
| 0.000 | 0.000 | 0.000 | -0.000 | 128.481 | -0.000 |
| 0.000 | 0.000 | 0.000 | -0.000 | 0.000 | 128.481 |
| 244.723 | 158.541 | 158.541 | 0.000 | -0.000 | -0.000 |
| 158.541 | 244.723 | 158.541 | 0.000 | -0.000 | -0.000 |
| 158.541 | 158.541 | 244.723 | 0.000 | 0.000 | 0.000 |
| -0.000 | -0.000 | -0.000 | 128.481 | -0.000 | -0.000 |
| -0.000 | -0.000 | -0.000 | 0.000 | 128.481 | 0.000 |
| -0.000 | -0.000 | -0.000 | -0.000 | -0.000 | 128.481 |
| 244.730 | 158.541 | 158.541 | -0.000 | -0.000 | -0.000 |
| 158.541 | 244.730 | 158.541 | -0.000 | 0.000 | 0.000 |
| 158.541 | 158.541 | 244.730 | -0.000 | -0.000 | -0.000 |
| 0.000 | 0.000 | 0.000 | 128.481 | 0.000 | 0.000 |
| 0.000 | 0.000 | 0.000 | -0.000 | 128.481 | 0.000 |
| 0.000 | 0.000 | 0.000 | -0.000 | 0.000 | 128.481 |
| 1.077 | 0.531 | 0.531 | 0.000 | -0.000 | -0.000 |
| 0.531 | 1.077 | 0.531 | -0.000 | 0.000 | -0.000 |
| 0.531 | 0.531 | 1.077 | -0.000 | -0.000 | -0.000 |
| -0.000 | 0.000 | 0.000 | 0.534 | 0.000 | -0.000 |
| 0.000 | -0.000 | 0.000 | 0.000 | 0.534 | -0.000 |
| 0.000 | 0.000 | -0.000 | 0.000 | -0.000 | 0.534 |
| 1.077 | 0.531 | 0.531 | -0.000 | 0.000 | 0.000 |
| 0.531 | 1.077 | 0.531 | 0.000 | -0.000 | 0.000 |
| 0.531 | 0.531 | 1.077 | 0.000 | 0.000 | 0.000 |
| -0.000 | -0.000 | -0.000 | 0.534 | -0.000 | 0.000 |
| -0.000 | 0.000 | -0.000 | -0.000 | 0.534 | -0.000 |
| -0.000 | -0.000 | 0.000 | -0.000 | -0.000 | 0.534 |
| 1.077 | 0.531 | 0.531 | 0.000 | 0.000 | 0.000 |
| 0.531 | 1.077 | 0.531 | 0.000 | -0.000 | -0.000 |
| 0.531 | 0.531 | 1.077 | 0.000 | 0.000 | -0.000 |
| 0.000 | 0.000 | 0.000 | 0.534 | -0.000 | -0.000 |
| 0.000 | 0.000 | 0.000 | -0.000 | 0.534 | 0.000 |
| 0.000 | 0.000 | 0.000 | -0.000 | 0.000 | 0.534 |
| 1.077 | 0.531 | 0.531 | -0.000 | 0.000 | 0.000 |
| 0.531 | 1.077 | 0.531 | 0.000 | -0.000 | 0.000 |
| 0.531 | 0.531 | 1.077 | -0.000 | 0.000 | 0.000 |
| -0.000 | -0.000 | -0.000 | 0.534 | 0.000 | 0.000 |
| -0.000 | -0.000 | -0.000 | 0.000 | 0.534 | 0.000 |
| -0.000 | -0.000 | -0.000 | 0.000 | 0.000 | 0.534 |
| 1.078 | 0.532 | 0.532 | -0.000 | -0.000 | -0.000 |
| 0.532 | 1.078 | 0.532 | -0.000 | -0.000 | -0.000 |
| 0.532 | 0.532 | 1.078 | -0.000 | -0.000 | -0.000 |
| 0.000 | 0.000 | 0.000 | 0.534 | 0.000 | -0.000 |
| 0.000 | 0.000 | 0.000 | 0.000 | 0.534 | -0.000 |
| 0.000 | 0.000 | 0.000 | 0.000 | -0.000 | 0.534 |
| 1.077 | 0.531 | 0.531 | -0.000 | 0.000 | 0.000 |
| 0.531 | 1.077 | 0.531 | 0.000 | -0.000 | 0.000 |
| 0.531 | 0.531 | 1.077 | 0.000 | 0.000 | -0.000 |
| -0.000 | -0.000 | -0.000 | 0.534 | 0.000 | 0.000 |
| -0.000 | -0.000 | -0.000 | 0.000 | 0.534 | 0.000 |
| -0.000 | -0.000 | -0.000 | 0.000 | 0.000 | 0.534 |
| 330.902 | 130.192 | 70.892 | 0.000 | 0.000 | 0.000 |
| 1850.222 | 2037.668 | 879.133 | 0.000 | 0.000 | 0.000 |
| 1784.368 | 1784.368 | 1001.138 | 0.000 | 0.000 | 0.000 |
| 0.000 | -0.000 | 0.000 | 40.043 | 0.000 | 0.000 |
| 1713.948 | 1713.948 | 808.501 | 0.000 | 39.891 | 0.000 |
| 1714.665 | 1714.665 | 808.839 | -0.000 | 0.000 | 75.821 |
| -1409.345 | -1559.982 | -738.205 | 0.000 | -0.000 | -0.000 |
| 130.192 | 330.902 | 70.892 | -0.000 | -0.000 | 0.000 |
| 70.906 | 70.906 | 192.867 | 0.000 | -0.000 | 0.000 |
| 0.000 | -0.000 | 0.000 | 40.043 | -0.000 | -0.000 |
| -1713.948 | -1713.948 | -808.501 | -0.000 | 39.891 | -0.000 |
| -1714.665 | -1714.665 | -808.839 | 0.000 | -0.000 | 75.821 |
| 494.665 | 307.218 | 151.270 | 0.000 | 0.000 | 0.000 |
| 307.383 | 494.817 | 151.344 | 0.000 | 0.000 | 0.000 |
| 70.906 | 70.906 | 192.866 | -0.000 | -0.000 | 0.000 |
| -0.000 | -0.000 | -0.000 | 40.043 | 0.000 | 0.000 |
| -0.000 | -0.000 | -0.000 | 0.000 | 40.043 | 0.000 |
| 171.423 | 171.423 | 80.863 | 0.000 | 0.000 | 93.723 |
| 151.768 | -35.674 | -10.480 | -0.000 | -0.000 | -0.000 |
| -35.628 | 151.818 | -10.457 | 0.000 | -0.000 | -0.000 |
| -100.975 | -100.975 | 111.788 | 0.000 | -0.000 | -0.000 |
| 0.000 | 0.000 | 0.000 | 40.043 | -0.000 | 0.000 |
| 0.000 | 0.000 | 0.000 | -0.000 | 40.043 | -0.000 |
| -171.423 | -171.423 | -80.863 | -0.000 | -0.000 | 93.723 |
| 340.563 | 153.361 | 78.634 | 0.000 | 0.000 | -0.000 |
| 153.359 | 340.561 | 78.633 | -0.000 | 0.000 | 0.000 |
| 87.559 | 87.559 | 200.721 | 0.000 | 0.000 | 0.000 |
| -0.000 | -0.000 | -0.000 | 40.043 | 0.000 | -0.000 |
| -0.000 | -0.000 | -0.000 | 0.000 | 40.043 | 0.000 |
| -0.000 | 0.001 | -0.000 | 0.000 | 0.000 | 100.355 |
| 305.712 | 118.473 | 62.187 | -0.000 | -0.000 | -0.000 |
| 118.484 | 305.737 | 62.195 | -0.000 | -0.000 | -0.000 |
| 53.281 | 53.281 | 184.554 | 0.000 | -0.000 | 0.000 |
| 0.000 | 0.000 | 0.000 | 40.043 | -0.000 | -0.000 |
| 0.000 | 0.000 | 0.000 | -0.000 | 40.043 | -0.000 |
| 0.000 | -0.001 | 0.000 | -0.000 | -0.000 | 100.355 |
| 237.663 | 147.626 | 146.752 | -0.000 | 0.000 | -0.000 |
| 147.626 | 237.663 | 146.752 | 0.000 | -0.000 | -0.000 |
| 146.752 | 146.752 | 233.141 | -0.000 | 0.000 | -0.000 |
| 0.000 | -0.000 | 0.000 | 127.528 | -0.000 | 0.000 |
| -0.000 | 0.000 | -0.000 | -0.000 | 127.528 | -0.000 |
| -0.000 | 0.000 | 0.000 | -0.000 | -0.000 | 128.286 |
| 237.859 | 147.430 | 146.752 | 0.000 | 0.000 | 0.000 |
| 147.430 | 237.859 | 146.752 | 0.000 | 0.000 | -0.000 |
| 146.752 | 146.752 | 233.141 | 0.000 | 0.000 | -0.000 |
| -0.000 | 0.000 | -0.000 | 127.528 | 0.000 | 0.000 |
| 0.000 | -0.000 | 0.000 | -0.000 | 127.528 | 0.000 |
| 0.000 | -0.000 | -0.000 | 0.000 | 0.000 | 128.286 |
| 237.663 | 147.626 | 146.752 | -0.000 | -0.000 | -0.000 |
| 147.626 | 237.663 | 146.752 | -0.000 | -0.000 | -0.000 |
| 146.752 | 146.752 | 233.140 | 0.000 | -0.000 | -0.000 |
| 0.000 | -0.000 | -0.000 | 127.528 | -0.000 | -0.000 |
| -0.000 | 0.000 | -0.000 | -0.000 | 127.528 | -0.000 |
| -0.000 | -0.000 | 0.000 | 0.000 | -0.000 | 128.286 |
| 237.664 | 147.626 | 146.752 | 0.000 | 0.000 | -0.000 |
| 147.626 | 237.664 | 146.752 | 0.000 | 0.000 | 0.000 |
| 146.752 | 146.752 | 233.141 | -0.000 | 0.000 | 0.000 |
| -0.000 | 0.000 | 0.000 | 127.528 | 0.000 | -0.000 |
| 0.000 | -0.000 | 0.000 | 0.000 | 127.528 | 0.000 |
| 0.000 | 0.000 | -0.000 | 0.000 | 0.000 | 128.286 |
| 237.855 | 147.430 | 146.752 | 0.000 | -0.000 | -0.000 |
| 147.430 | 237.855 | 146.752 | -0.000 | -0.000 | 0.000 |
| 146.752 | 146.752 | 233.137 | -0.000 | -0.000 | -0.000 |
| 0.000 | -0.000 | -0.000 | 127.528 | -0.000 | -0.000 |
| -0.000 | 0.000 | -0.000 | -0.000 | 127.528 | -0.000 |
| -0.000 | -0.000 | 0.000 | -0.000 | -0.000 | 128.286 |
| 237.667 | 147.626 | 146.752 | 0.000 | -0.000 | 0.000 |
| 147.626 | 237.667 | 146.752 | 0.000 | 0.000 | -0.000 |
| 146.752 | 146.752 | 233.144 | 0.000 | 0.000 | -0.000 |
| -0.000 | 0.000 | 0.000 | 127.528 | 0.000 | 0.000 |
| 0.000 | -0.000 | 0.000 | 0.000 | 127.528 | 0.000 |
| 0.000 | 0.000 | -0.000 | -0.000 | 0.000 | 128.286 |
| 330.532 | 130.038 | 71.007 | -0.000 | -0.000 | -0.000 |
| 130.038 | 330.532 | 71.007 | -0.000 | -0.000 | -0.000 |
| 70.979 | 70.978 | 193.201 | -0.000 | -0.000 | -0.000 |
| 0.365 | 0.365 | 0.176 | 39.611 | 0.000 | -0.000 |
| 0.365 | 0.365 | 0.176 | -0.000 | 39.611 | -0.000 |
| -0.000 | -0.000 | -0.000 | -0.000 | 0.000 | 100.247 |
| 311.130 | 143.912 | 69.677 | 0.000 | -0.000 | 0.000 |
| 130.038 | 330.532 | 71.007 | 0.000 | -0.000 | 0.000 |
| 70.398 | 70.398 | 192.921 | 0.000 | -0.000 | 0.000 |
| -0.365 | -0.365 | -0.176 | 39.611 | -0.000 | 0.000 |
| -0.365 | -0.365 | -0.176 | -0.000 | 39.611 | 0.000 |
| 0.000 | 0.000 | 0.000 | 0.000 | -0.000 | 100.247 |
| 304.674 | 153.854 | 70.516 | -0.000 | 0.000 | -0.000 |
| 130.038 | 330.532 | 71.007 | -0.000 | 0.000 | -0.000 |
| 70.512 | 70.512 | 192.976 | -0.000 | 0.000 | -0.000 |
| -0.000 | -0.000 | -0.000 | 40.144 | 0.000 | -0.000 |
| -0.000 | -0.000 | -0.000 | -0.000 | 40.144 | -0.000 |
| 0.012 | 0.012 | 0.006 | -0.000 | 0.000 | 75.363 |
| 304.654 | 153.833 | 70.506 | 0.000 | -0.000 | 0.000 |
| 153.998 | 304.625 | 70.539 | 0.000 | 0.000 | 0.000 |
| 70.979 | 70.979 | 193.201 | 0.000 | -0.000 | 0.000 |
| 0.000 | 0.000 | 0.000 | 40.144 | 0.000 | 0.000 |
| 0.000 | 0.000 | 0.000 | 0.000 | 40.144 | 0.000 |
| -0.012 | -0.012 | -0.006 | 0.000 | -0.000 | 75.363 |
| 304.666 | 153.844 | 70.511 | -0.000 | -0.000 | -0.000 |
| 153.846 | 304.665 | 70.511 | -0.000 | 0.000 | -0.000 |
| 70.978 | 70.978 | 193.199 | -0.000 | 0.000 | 0.000 |
| -0.000 | -0.000 | -0.000 | 40.144 | 0.000 | -0.000 |
| -0.000 | -0.000 | -0.000 | -0.000 | 40.144 | 0.000 |
| 0.003 | 0.004 | 0.002 | 0.000 | 0.000 | 77.153 |
| 310.516 | 144.816 | 69.748 | 0.000 | -0.000 | 0.000 |
| 130.037 | 330.530 | 71.007 | 0.000 | 0.000 | 0.000 |
| 70.979 | 70.979 | 193.202 | 0.000 | -0.000 | 0.000 |
| 0.000 | 0.000 | 0.000 | 40.144 | -0.000 | 0.000 |
| 0.000 | 0.000 | 0.000 | 0.000 | 40.144 | 0.000 |
| -0.003 | -0.004 | -0.002 | 0.000 | -0.000 | 77.153 |
| 198.764 | 140.529 | 140.529 | 0.000 | 0.000 | 0.000 |
| 140.529 | 198.764 | 140.529 | 0.000 | 0.000 | 0.000 |
| 140.529 | 140.529 | 198.764 | 0.000 | 0.000 | 0.000 |
| 0.000 | 0.000 | 0.000 | 111.738 | 0.000 | -0.000 |
| 0.000 | 0.000 | 0.000 | 0.000 | 111.738 | -0.000 |
| 0.000 | 0.000 | 0.000 | 0.000 | 0.000 | 111.738 |
| 198.764 | 140.529 | 140.529 | -0.000 | -0.000 | 0.000 |
| 140.529 | 198.764 | 140.529 | -0.000 | -0.000 | 0.000 |
| 140.529 | 140.529 | 198.764 | -0.000 | 0.000 | -0.000 |
| -0.000 | -0.000 | -0.000 | 111.738 | 0.000 | 0.000 |
| -0.000 | -0.000 | -0.000 | -0.000 | 111.738 | -0.000 |
| -0.000 | -0.000 | -0.000 | -0.000 | -0.000 | 111.738 |
| 198.764 | 140.529 | 140.529 | 0.000 | -0.000 | 0.000 |
| 140.529 | 198.764 | 140.529 | 0.000 | 0.000 | 0.000 |
| 140.529 | 140.529 | 198.764 | 0.000 | 0.000 | 0.000 |
| 0.000 | -0.000 | -0.000 | 111.738 | 0.000 | 0.000 |
| -0.000 | 0.000 | -0.000 | 0.000 | 111.738 | -0.000 |
| -0.000 | -0.000 | 0.000 | 0.000 | 0.000 | 111.738 |
| 198.764 | 140.529 | 140.529 | -0.000 | -0.000 | 0.000 |
| 140.529 | 198.764 | 140.529 | -0.000 | -0.000 | 0.000 |
| 140.529 | 140.529 | 198.764 | -0.000 | 0.000 | 0.000 |
| -0.000 | 0.000 | 0.000 | 111.738 | -0.000 | 0.000 |
| 0.000 | -0.000 | 0.000 | -0.000 | 111.738 | 0.000 |
| 0.000 | 0.000 | -0.000 | -0.000 | -0.000 | 111.738 |
| 198.762 | 140.529 | 140.529 | 0.000 | 0.000 | 0.000 |
| 140.529 | 198.762 | 140.529 | 0.000 | 0.000 | 0.000 |
| 140.529 | 140.529 | 198.762 | 0.000 | 0.000 | -0.000 |
| -0.000 | -0.000 | -0.000 | 111.738 | 0.000 | 0.000 |
| -0.000 | -0.000 | -0.000 | 0.000 | 111.738 | -0.000 |
| -0.000 | -0.000 | -0.000 | 0.000 | 0.000 | 111.738 |
| 198.766 | 140.529 | 140.529 | -0.000 | 0.000 | 0.000 |
| 140.529 | 198.766 | 140.529 | -0.000 | -0.000 | 0.000 |
| 140.529 | 140.529 | 198.766 | -0.000 | 0.000 | -0.000 |
| 0.000 | 0.000 | 0.000 | 111.738 | -0.000 | 0.000 |
| 0.000 | 0.000 | 0.000 | -0.000 | 111.738 | 0.000 |
| 0.000 | 0.000 | 0.000 | -0.000 | -0.000 | 111.738 |
| 390.528 | 85.956 | 85.956 | 0.000 | -0.000 | -0.000 |
| 85.956 | 390.528 | 85.956 | 0.000 | 0.000 | 0.000 |
| 85.956 | 85.956 | 390.528 | 0.000 | 0.000 | -0.000 |
| -0.000 | 0.000 | 0.000 | 26.233 | 0.000 | -0.000 |
| -0.000 | 0.000 | 0.000 | 0.000 | 26.233 | 0.000 |
| -0.000 | 0.000 | 0.000 | 0.000 | 0.000 | 26.233 |
| 390.528 | 85.956 | 85.956 | -0.000 | 0.000 | 0.000 |
| 85.956 | 390.528 | 85.956 | -0.000 | -0.000 | 0.000 |
| 85.956 | 85.956 | 390.528 | -0.000 | -0.000 | -0.000 |
| -0.000 | -0.000 | 0.000 | 26.233 | -0.000 | -0.000 |
| 0.000 | -0.000 | 0.000 | -0.000 | 26.233 | 0.000 |
| 0.000 | -0.000 | -0.000 | -0.000 | -0.000 | 26.233 |
| 390.528 | 85.956 | 85.956 | 0.000 | 0.000 | -0.000 |
| 85.956 | 390.528 | 85.956 | 0.000 | 0.000 | -0.000 |
| 85.956 | 85.956 | 390.528 | 0.000 | 0.000 | -0.000 |
| 0.000 | -0.000 | -0.000 | 48.858 | 0.000 | -0.000 |
| -0.000 | 0.000 | -0.000 | 0.000 | 48.858 | -0.000 |
| -0.000 | -0.000 | 0.000 | 0.000 | 0.000 | 48.858 |
| 390.528 | 85.956 | 85.956 | -0.000 | -0.000 | 0.000 |
| 85.956 | 390.528 | 85.956 | -0.000 | -0.000 | 0.000 |
| 85.956 | 85.956 | 390.528 | -0.000 | -0.000 | 0.000 |
| -0.000 | 0.000 | 0.000 | 48.858 | -0.000 | 0.000 |
| 0.000 | -0.000 | 0.000 | -0.000 | 48.858 | 0.000 |
| 0.000 | 0.000 | -0.000 | -0.000 | -0.000 | 48.858 |
| 390.529 | 85.956 | 85.956 | 0.000 | 0.000 | -0.000 |
| 85.956 | 390.529 | 85.956 | 0.000 | 0.000 | -0.000 |
| 85.956 | 85.956 | 390.529 | 0.000 | -0.000 | -0.000 |
| 0.000 | -0.000 | -0.000 | 26.233 | 0.000 | -0.000 |
| -0.000 | 0.000 | -0.000 | 0.000 | 26.233 | 0.000 |
| -0.000 | -0.000 | 0.000 | 0.000 | 0.000 | 26.233 |
| 391.439 | 85.500 | 85.500 | -0.000 | -0.000 | 0.000 |
| 85.500 | 391.439 | 85.500 | -0.000 | 0.000 | -0.000 |
| 85.500 | 85.500 | 391.439 | -0.000 | -0.000 | -0.000 |
| -0.000 | 0.000 | 0.000 | 26.233 | -0.000 | -0.000 |
| 0.000 | -0.000 | 0.000 | -0.000 | 26.233 | 0.000 |
| 0.000 | 0.000 | -0.000 | -0.000 | -0.000 | 26.233 |
| 172.917 | 172.316 | 172.316 | -0.000 | 0.000 | -0.000 |
| 172.316 | 172.917 | 172.316 | 0.000 | 0.000 | -0.000 |
| 172.316 | 172.316 | 172.917 | -0.000 | 0.000 | 0.000 |
| 0.000 | 0.000 | 0.000 | 137.014 | -0.000 | -0.000 |
| 0.000 | 0.000 | 0.000 | -0.000 | 137.014 | -0.000 |
| 0.000 | 0.000 | 0.000 | 0.000 | 0.000 | 137.014 |
| 172.917 | 172.316 | 172.316 | 0.000 | 0.000 | 0.000 |
| 172.316 | 172.917 | 172.316 | -0.000 | -0.000 | 0.000 |
| 172.316 | 172.316 | 172.917 | 0.000 | -0.000 | 0.000 |
| -0.000 | -0.000 | -0.000 | 137.014 | -0.000 | -0.000 |
| -0.000 | -0.000 | -0.000 | 0.000 | 137.014 | 0.000 |
| -0.000 | -0.000 | -0.000 | -0.000 | -0.000 | 137.014 |
| 172.917 | 172.316 | 172.316 | -0.000 | 0.000 | -0.000 |
| 172.316 | 172.917 | 172.316 | -0.000 | 0.000 | -0.000 |
| 172.316 | 172.316 | 172.917 | -0.000 | 0.000 | -0.000 |
| 0.000 | 0.000 | 0.000 | 137.014 | 0.000 | 0.000 |
| 0.000 | 0.000 | 0.000 | -0.000 | 137.014 | -0.000 |
| 0.000 | 0.000 | 0.000 | -0.000 | 0.000 | 137.014 |
| 172.917 | 172.316 | 172.316 | -0.000 | -0.000 | 0.000 |
| 172.316 | 172.917 | 172.316 | 0.000 | -0.000 | 0.000 |
| 172.316 | 172.316 | 172.917 | -0.000 | -0.000 | 0.000 |
| -0.000 | -0.000 | -0.000 | 137.014 | 0.000 | 0.000 |
| -0.000 | -0.000 | -0.000 | 0.000 | 137.014 | 0.000 |
| -0.000 | -0.000 | -0.000 | 0.000 | -0.000 | 137.014 |
| 172.918 | 172.315 | 172.315 | 0.000 | 0.000 | -0.000 |
| 172.315 | 172.918 | 172.315 | -0.000 | 0.000 | -0.000 |
| 172.315 | 172.315 | 172.918 | 0.000 | 0.000 | -0.000 |
| 0.001 | 0.000 | 0.001 | 137.014 | 0.000 | -0.000 |
| 0.000 | 0.001 | 0.001 | -0.000 | 137.014 | -0.000 |
| 0.000 | 0.001 | 0.001 | -0.000 | 0.000 | 137.014 |
| 172.916 | 172.316 | 172.316 | -0.000 | 0.000 | 0.000 |
| 172.316 | 172.916 | 172.316 | 0.000 | -0.000 | -0.000 |
| 172.316 | 172.316 | 172.916 | 0.000 | -0.000 | -0.000 |
| -0.001 | -0.000 | -0.001 | 137.014 | -0.000 | -0.000 |
| -0.000 | -0.001 | -0.001 | 0.000 | 137.014 | 0.000 |
| -0.000 | -0.001 | -0.001 | 0.000 | -0.000 | 137.014 |
| 240.648 | 144.819 | 75.648 | 0.000 | -0.000 | 0.000 |
| 108.300 | 277.167 | 75.648 | 0.000 | -0.000 | 0.000 |
| 75.648 | 75.648 | 238.794 | 0.000 | -0.000 | -0.000 |
| 0.000 | -0.000 | 0.000 | 53.498 | -0.000 | -0.000 |
| -0.000 | 0.000 | 0.000 | 0.000 | 53.498 | -0.000 |
| -0.000 | 0.000 | 0.000 | 0.000 | -0.000 | 84.434 |
| 240.648 | 144.819 | 75.648 | -0.000 | 0.000 | 0.000 |
| 108.300 | 277.167 | 75.648 | -0.000 | 0.000 | -0.000 |
| 75.648 | 75.648 | 238.794 | -0.000 | -0.000 | 0.000 |
| 0.000 | 0.000 | -0.000 | 53.498 | 0.000 | 0.000 |
| 0.000 | -0.000 | -0.000 | -0.000 | 53.498 | 0.000 |
| 0.000 | -0.000 | -0.000 | -0.000 | 0.000 | 84.434 |
| 240.648 | 144.819 | 75.648 | 0.000 | 0.000 | -0.000 |
| 144.819 | 240.647 | 75.648 | -0.000 | -0.000 | -0.000 |
| 75.649 | 75.649 | 238.794 | -0.000 | -0.000 | -0.000 |
| 0.000 | -0.000 | 0.000 | 53.498 | -0.000 | -0.000 |
| -0.000 | 0.000 | 0.000 | -0.000 | 53.498 | -0.000 |
| -0.000 | -0.000 | 0.000 | 0.000 | -0.000 | 84.434 |
| 240.648 | 144.819 | 75.648 | 0.000 | 0.000 | 0.000 |
| 108.300 | 277.167 | 75.648 | -0.000 | -0.000 | 0.000 |
| 75.648 | 75.648 | 238.794 | -0.000 | 0.000 | 0.000 |
| -0.000 | 0.000 | -0.000 | 53.498 | 0.000 | -0.000 |
| 0.000 | -0.000 | -0.000 | -0.000 | 53.498 | 0.000 |
| 0.000 | 0.000 | -0.000 | -0.000 | 0.000 | 84.434 |
| 240.647 | 144.818 | 75.648 | 0.000 | -0.000 | -0.000 |
| 108.299 | 277.166 | 75.649 | 0.000 | 0.000 | -0.000 |
| 75.649 | 75.649 | 238.798 | 0.000 | 0.000 | -0.000 |
| 0.000 | -0.000 | 0.001 | 53.498 | -0.000 | -0.000 |
| -0.000 | 0.000 | 0.001 | 0.000 | 53.498 | -0.000 |
| -0.001 | -0.000 | -0.000 | 0.000 | -0.000 | 47.914 |
| 240.649 | 144.819 | 75.649 | -0.000 | 0.000 | 0.000 |
| 144.818 | 240.650 | 75.649 | -0.000 | 0.000 | 0.000 |
| 75.648 | 75.648 | 238.790 | 0.000 | -0.000 | 0.000 |
| -0.000 | 0.000 | -0.001 | 53.498 | 0.000 | 0.000 |
| 0.000 | -0.000 | -0.001 | 0.000 | 53.498 | 0.000 |
| 0.001 | 0.000 | 0.000 | -0.000 | 0.000 | 47.914 |
| 251.841 | 151.317 | 104.415 | 0.000 | -0.000 | -0.000 |
| 151.317 | 251.841 | 104.415 | 0.000 | -0.000 | -0.000 |
| 104.415 | 104.415 | 269.954 | 0.000 | -0.000 | -0.000 |
| 0.000 | 0.000 | 0.000 | 86.995 | -0.000 | -0.000 |
| 0.000 | -0.000 | 0.000 | 0.000 | 86.995 | -0.000 |
| 0.000 | -0.000 | 0.000 | 0.000 | -0.000 | 50.262 |
| 251.841 | 151.317 | 104.415 | -0.000 | 0.000 | 0.000 |
| 151.317 | 251.841 | 104.415 | -0.000 | 0.000 | 0.000 |
| 104.415 | 104.415 | 269.954 | -0.000 | -0.000 | 0.000 |
| -0.000 | -0.000 | -0.000 | 86.995 | 0.000 | 0.000 |
| -0.000 | 0.000 | -0.000 | -0.000 | 86.995 | 0.000 |
| -0.000 | 0.000 | 0.000 | -0.000 | -0.000 | 50.262 |
| 292.306 | 110.852 | 104.415 | 0.000 | 0.000 | -0.000 |
| 110.852 | 292.306 | 104.415 | 0.000 | -0.000 | -0.000 |
| 104.415 | 104.415 | 269.954 | 0.000 | -0.000 | -0.000 |
| 0.000 | 0.000 | 0.000 | 86.995 | 0.000 | -0.000 |
| 0.000 | 0.000 | 0.000 | 0.000 | 86.995 | -0.000 |
| -0.000 | -0.000 | -0.000 | 0.000 | -0.000 | 50.262 |
| 251.841 | 151.317 | 104.415 | -0.000 | 0.000 | 0.000 |
| 110.852 | 292.306 | 104.415 | -0.000 | 0.000 | 0.000 |
| 104.415 | 104.415 | 269.953 | 0.000 | 0.000 | 0.000 |
| -0.000 | -0.000 | -0.000 | 86.995 | -0.000 | 0.000 |
| -0.000 | -0.000 | -0.000 | -0.000 | 86.995 | 0.000 |
| 0.000 | 0.000 | 0.000 | -0.000 | 0.000 | 50.262 |
| 251.839 | 151.318 | 104.415 | 0.000 | -0.000 | -0.000 |
| 151.318 | 251.839 | 104.415 | 0.000 | 0.000 | -0.000 |
| 104.416 | 104.416 | 269.958 | 0.000 | -0.000 | -0.000 |
| 0.000 | 0.000 | 0.001 | 86.995 | -0.000 | -0.000 |
| -0.000 | 0.000 | 0.001 | 0.000 | 86.995 | -0.000 |
| -0.001 | -0.000 | -0.000 | 0.000 | -0.000 | 50.262 |
| 251.842 | 151.318 | 104.415 | 0.000 | 0.000 | 0.000 |
| 151.316 | 251.844 | 104.415 | 0.000 | -0.000 | 0.000 |
| 104.414 | 104.414 | 269.950 | -0.000 | 0.000 | 0.000 |
| -0.000 | -0.000 | -0.001 | 86.995 | 0.000 | 0.000 |
| 0.000 | -0.000 | -0.001 | -0.000 | 86.995 | 0.000 |
| 0.001 | 0.000 | 0.000 | -0.000 | -0.000 | 50.262 |
| 292.380 | 110.906 | 104.428 | -0.000 | 0.000 | -0.000 |
| 151.344 | 251.942 | 104.428 | 0.000 | 0.000 | 0.000 |
| 104.423 | 104.423 | 269.836 | -0.000 | 0.000 | 0.000 |
| 0.000 | 0.000 | 0.000 | 86.966 | 0.000 | 0.000 |
| 0.000 | 0.000 | 0.000 | -0.000 | 86.966 | 0.000 |
| -0.000 | 0.000 | -0.000 | -0.000 | 0.000 | 50.299 |
| 292.380 | 110.906 | 104.428 | -0.000 | -0.000 | -0.000 |
| 151.344 | 251.942 | 104.428 | -0.000 | -0.000 | -0.000 |
| 104.423 | 104.423 | 269.836 | 0.000 | -0.000 | -0.000 |
| -0.000 | -0.000 | -0.000 | 86.966 | -0.000 | -0.000 |
| -0.000 | -0.000 | -0.000 | 0.000 | 86.966 | -0.000 |
| 0.000 | -0.000 | 0.000 | 0.000 | 0.000 | 50.299 |
| 292.380 | 110.906 | 104.428 | 0.000 | 0.000 | -0.000 |
| 151.345 | 251.942 | 104.428 | -0.000 | -0.000 | 0.000 |
| 104.423 | 104.423 | 269.837 | 0.000 | 0.000 | 0.000 |
| 0.000 | 0.000 | 0.000 | 86.966 | -0.000 | 0.000 |
| 0.000 | 0.000 | 0.000 | -0.000 | 86.966 | -0.000 |
| -0.000 | -0.000 | 0.000 | 0.000 | -0.000 | 90.737 |
| 251.942 | 151.345 | 104.428 | -0.000 | -0.000 | -0.000 |
| 151.344 | 251.942 | 104.428 | 0.000 | 0.000 | -0.000 |
| 104.423 | 104.423 | 269.836 | -0.000 | 0.000 | 0.000 |
| -0.000 | -0.000 | -0.000 | 86.966 | -0.000 | -0.000 |
| -0.000 | -0.000 | -0.000 | 0.000 | 86.966 | -0.000 |
| 0.000 | 0.000 | -0.000 | -0.000 | -0.000 | 90.737 |
| 251.939 | 151.345 | 104.428 | -0.000 | 0.000 | 0.000 |
| 151.345 | 251.939 | 104.428 | 0.000 | 0.000 | 0.000 |
| 104.424 | 104.424 | 269.840 | 0.000 | -0.000 | 0.000 |
| 0.000 | -0.000 | 0.001 | 86.966 | -0.000 | 0.000 |
| -0.000 | 0.000 | 0.001 | 0.000 | 86.966 | 0.000 |
| -0.000 | -0.000 | 0.000 | 0.000 | -0.000 | 90.737 |
| 251.942 | 151.346 | 104.428 | -0.000 | 0.000 | -0.000 |
| 151.344 | 251.943 | 104.428 | -0.000 | -0.000 | -0.000 |
| 104.422 | 104.422 | 269.833 | 0.000 | -0.000 | -0.000 |
| -0.000 | 0.000 | -0.001 | 86.966 | 0.000 | -0.000 |
| 0.000 | -0.000 | -0.001 | -0.000 | 86.966 | -0.000 |
| 0.000 | 0.000 | -0.000 | -0.000 | -0.000 | 90.737 |
| 35.485 | 71.830 | 71.830 | 0.000 | 0.000 | 0.000 |
| 71.830 | 35.485 | 71.830 | 0.000 | 0.000 | 0.000 |
| 71.830 | 71.830 | 35.485 | 0.000 | 0.000 | 0.000 |
| -0.000 | 0.000 | -0.000 | -47.918 | 0.000 | 0.000 |
| -0.000 | 0.000 | -0.000 | 0.000 | -47.918 | 0.000 |
| -0.000 | 0.000 | 0.000 | 0.000 | 0.000 | -47.918 |
| 35.486 | 71.830 | 71.830 | -0.000 | -0.000 | -0.000 |
| 71.830 | 35.486 | 71.830 | -0.000 | -0.000 | -0.000 |
| 71.830 | 71.830 | 35.486 | -0.000 | -0.000 | -0.000 |
| 0.000 | -0.000 | 0.000 | -47.918 | -0.000 | -0.000 |
| 0.000 | -0.000 | 0.000 | -0.000 | -47.918 | -0.000 |
| 0.000 | -0.000 | 0.000 | 0.000 | -0.000 | -47.918 |
| 35.485 | 71.830 | 71.830 | -0.000 | 0.000 | 0.000 |
| 71.830 | 35.485 | 71.830 | 0.000 | 0.000 | 0.000 |
| 71.830 | 71.830 | 35.485 | 0.000 | 0.000 | 0.000 |
| -0.000 | -0.000 | -0.000 | -47.918 | 0.000 | 0.000 |
| -0.000 | -0.000 | -0.000 | -0.000 | -47.918 | 0.000 |
| -0.000 | -0.000 | -0.000 | 0.000 | 0.000 | -47.918 |
| 35.486 | 71.830 | 71.830 | -0.000 | -0.000 | -0.000 |
| 71.830 | 35.486 | 71.830 | -0.000 | -0.000 | -0.000 |
| 71.830 | 71.830 | 35.486 | -0.000 | -0.000 | -0.000 |
| 0.000 | 0.000 | 0.000 | -47.918 | -0.000 | -0.000 |
| 0.000 | 0.000 | 0.000 | -0.000 | -47.918 | -0.000 |
| 0.000 | 0.000 | 0.000 | 0.000 | -0.000 | -47.918 |
| 35.482 | 71.830 | 71.830 | -0.000 | 0.000 | 0.000 |
| 71.830 | 35.482 | 71.830 | 0.000 | 0.000 | 0.000 |
| 71.830 | 71.830 | 35.482 | 0.000 | 0.000 | 0.000 |
| -0.000 | -0.000 | -0.000 | -47.918 | 0.000 | 0.000 |
| -0.000 | -0.000 | -0.000 | -0.000 | -47.918 | 0.000 |
| -0.000 | -0.000 | -0.000 | -0.000 | 0.000 | -47.918 |
| 35.489 | 71.830 | 71.830 | -0.000 | -0.000 | -0.000 |
| 71.830 | 35.489 | 71.830 | -0.000 | -0.000 | -0.000 |
| 71.830 | 71.830 | 35.489 | -0.000 | -0.000 | -0.000 |
| 0.000 | 0.000 | 0.000 | -47.918 | -0.000 | -0.000 |
| 0.000 | 0.000 | 0.000 | -0.000 | -47.918 | -0.000 |
| 0.000 | 0.000 | 0.000 | 0.000 | -0.000 | -47.918 |
| 572.997 | -30.435 | 17.676 | 0.000 | 0.000 | 0.000 |
| -30.435 | 572.997 | 17.676 | 0.000 | 0.000 | -0.000 |
| 17.676 | 17.676 | 494.386 | 0.000 | 0.000 | 0.000 |
| 0.000 | 0.000 | 0.000 | -44.459 | 0.000 | 0.000 |
| 0.000 | -0.000 | 0.000 | 0.000 | -44.459 | 0.000 |
| 0.000 | -0.000 | 0.000 | 0.000 | 0.000 | -57.370 |
| 572.997 | -30.436 | 17.676 | -0.000 | -0.000 | -0.000 |
| -30.436 | 572.997 | 17.676 | -0.000 | -0.000 | -0.000 |
| 17.676 | 17.676 | 494.386 | -0.000 | 0.000 | -0.000 |
| -0.000 | -0.000 | -0.000 | -44.459 | -0.000 | 0.000 |
| -0.000 | -0.000 | -0.000 | -0.000 | -44.459 | -0.000 |
| -0.000 | 0.000 | -0.000 | 0.000 | -0.000 | -57.370 |
| 572.998 | -30.435 | 17.676 | 0.000 | 0.000 | 0.000 |
| -30.435 | 572.998 | 17.676 | 0.000 | 0.000 | 0.000 |
| 17.676 | 17.676 | 494.386 | -0.000 | 0.000 | 0.000 |
| 0.000 | 0.000 | 0.000 | -44.459 | 0.000 | -0.000 |
| 0.000 | 0.000 | 0.000 | -0.000 | -44.459 | 0.000 |
| 0.000 | 0.000 | 0.000 | -0.000 | 0.000 | -57.370 |
| -619.830 | 1162.389 | 17.672 | 0.000 | 0.000 | 0.000 |
| 1162.389 | -619.830 | 17.672 | 0.000 | 0.000 | -0.000 |
| 17.676 | 17.676 | 494.385 | -0.000 | -0.000 | -0.000 |
| -0.000 | -0.000 | -0.000 | -44.459 | -0.000 | -0.000 |
| -0.000 | -0.000 | -0.000 | 0.000 | -44.459 | -0.000 |
| -0.000 | -0.000 | -0.000 | -0.000 | -0.000 | -57.370 |
| -2536.844 | 3079.609 | 17.936 | 0.001 | 0.000 | 0.000 |
| 3079.591 | -2536.825 | 17.936 | 0.001 | 0.001 | 0.000 |
| 17.677 | 17.677 | 494.391 | -0.000 | 0.000 | 0.000 |
| 0.000 | 0.001 | 0.001 | -44.459 | 0.000 | 0.000 |
| 0.001 | 0.000 | 0.001 | 0.000 | -44.459 | 0.000 |
| 0.000 | 0.001 | 0.000 | -0.000 | 0.000 | -57.370 |
| -1809.765 | 2352.209 | 17.520 | 0.000 | 0.000 | -0.000 |
| 2352.209 | -1809.765 | 17.520 | 0.000 | 0.000 | -0.000 |
| 17.676 | 17.676 | 494.380 | -0.000 | -0.000 | -0.000 |
| -0.000 | -0.001 | -0.001 | -44.459 | -0.000 | 0.000 |
| -0.001 | -0.000 | -0.001 | -0.000 | -44.459 | -0.000 |
| -0.000 | -0.001 | -0.000 | 0.000 | 0.000 | -57.370 |
| 517.267 | 5.011 | 5.011 | 0.000 | 0.000 | -0.000 |
| 5.011 | 517.267 | 5.011 | 0.000 | 0.000 | 0.000 |
| 5.011 | 5.011 | 517.267 | -0.000 | -0.000 | 0.000 |
| 0.000 | 0.000 | 0.000 | -15.247 | 0.000 | 0.000 |
| 0.000 | 0.000 | 0.000 | 0.000 | -15.247 | 0.000 |
| 0.000 | 0.000 | 0.000 | 0.000 | 0.000 | -15.247 |
| 517.266 | 5.011 | 5.011 | -0.000 | -0.000 | -0.000 |
| 5.011 | 517.266 | 5.011 | 0.000 | 0.000 | -0.000 |
| 5.011 | 5.011 | 517.266 | 0.000 | -0.000 | -0.000 |
| -0.000 | -0.000 | -0.000 | -15.247 | -0.000 | 0.000 |
| -0.000 | -0.000 | -0.000 | -0.000 | -15.247 | -0.000 |
| -0.000 | -0.000 | -0.000 | -0.000 | -0.000 | -15.247 |
| 517.267 | 5.011 | 5.011 | 0.000 | 0.000 | 0.000 |
| 5.011 | 517.267 | 5.011 | 0.000 | 0.000 | 0.000 |
| 5.011 | 5.011 | 517.267 | 0.000 | 0.000 | 0.000 |
| 0.000 | 0.000 | 0.000 | -15.247 | 0.000 | 0.000 |
| 0.000 | 0.000 | 0.000 | 0.000 | -15.247 | 0.000 |
| 0.000 | 0.000 | 0.000 | -0.000 | 0.000 | -15.247 |
| 517.266 | 5.011 | 5.011 | -0.000 | 0.000 | -0.000 |
| 5.011 | 517.266 | 5.011 | -0.000 | 0.000 | -0.000 |
| 5.011 | 5.011 | 517.266 | -0.000 | -0.000 | -0.000 |
| -0.000 | -0.000 | -0.000 | -15.247 | -0.000 | -0.000 |
| -0.000 | -0.000 | -0.000 | 0.000 | -15.247 | -0.000 |
| -0.000 | -0.000 | -0.000 | 0.000 | -0.000 | -15.247 |
| 517.273 | 5.011 | 5.011 | -0.000 | -0.000 | 0.000 |
| 5.011 | 517.273 | 5.011 | -0.000 | 0.000 | -0.000 |
| 5.011 | 5.011 | 517.273 | 0.000 | 0.000 | 0.000 |
| 0.000 | 0.001 | 0.000 | -15.247 | 0.000 | 0.000 |
| 0.001 | 0.000 | 0.000 | 0.000 | -15.247 | 0.000 |
| 0.001 | 0.000 | 0.000 | 0.000 | 0.000 | -15.247 |
| 517.260 | 5.010 | 5.010 | -0.000 | 0.000 | -0.000 |
| 5.010 | 517.260 | 5.010 | 0.000 | -0.000 | -0.000 |
| 5.010 | 5.010 | 517.260 | -0.000 | 0.000 | -0.000 |
| -0.000 | -0.001 | -0.000 | -15.247 | 0.000 | -0.000 |
| -0.001 | -0.000 | -0.000 | 0.000 | -15.247 | -0.000 |
| -0.001 | -0.000 | -0.000 | -0.000 | -0.000 | -15.247 |
| 394.959 | 133.633 | 52.854 | 0.000 | 0.000 | -0.000 |
| 141.952 | 241.555 | 55.522 | 0.000 | -0.000 | -0.000 |
| 61.637 | 55.986 | 146.705 | 0.000 | -0.000 | -0.000 |
| -0.004 | 0.003 | 0.001 | 46.817 | -0.000 | -0.000 |
| -0.011 | 0.010 | 0.003 | 0.000 | 23.345 | 0.000 |
| -0.019 | 0.017 | 0.006 | 0.000 | -0.000 | 7.932 |
| 437.298 | 95.985 | 39.544 | 0.000 | -0.000 | 0.000 |
| 141.975 | 241.535 | 55.515 | -0.000 | -0.000 | 0.000 |
| 61.659 | 55.965 | 146.698 | -0.000 | -0.000 | 0.000 |
| 0.004 | -0.003 | -0.001 | 46.817 | 0.000 | 0.000 |
| 0.011 | -0.010 | -0.003 | -0.000 | 23.345 | 0.000 |
| 0.019 | -0.017 | -0.006 | -0.000 | -0.000 | 7.932 |
| 394.970 | 133.624 | 52.851 | 0.000 | 0.000 | -0.000 |
| 141.963 | 241.546 | 55.519 | 0.000 | 0.000 | -0.000 |
| 61.647 | 55.976 | 146.702 | 0.000 | 0.000 | -0.000 |
| -0.000 | 0.000 | 0.000 | 46.817 | -0.000 | -0.000 |
| -0.001 | 0.001 | 0.000 | 0.000 | 23.345 | -0.000 |
| -0.000 | -0.000 | -0.000 | -0.000 | 0.000 | 77.172 |
| 394.971 | 133.622 | 52.850 | -0.000 | -0.000 | 0.000 |
| 104.326 | 275.012 | 67.351 | 0.000 | 0.000 | 0.000 |
| 61.649 | 55.974 | 146.701 | -0.000 | 0.000 | 0.000 |
| 0.000 | -0.000 | -0.000 | 46.817 | 0.000 | 0.000 |
| 0.001 | -0.001 | -0.000 | -0.000 | 23.345 | -0.000 |
| 0.000 | 0.000 | 0.000 | 0.000 | 0.000 | 77.172 |
| 394.975 | 133.622 | 52.851 | 0.000 | 0.000 | -0.000 |
| 141.964 | 241.547 | 55.519 | 0.000 | -0.000 | -0.000 |
| 61.649 | 55.976 | 146.701 | 0.000 | -0.000 | -0.000 |
| 0.000 | 0.000 | 0.000 | 46.817 | -0.000 | -0.000 |
| -0.000 | 0.000 | 0.000 | 0.000 | 23.345 | -0.000 |
| -0.001 | -0.000 | -0.000 | 0.000 | 0.000 | 7.932 |
| 394.966 | 133.623 | 52.850 | -0.000 | -0.000 | 0.000 |
| 141.963 | 241.543 | 55.518 | -0.000 | 0.000 | 0.000 |
| 61.647 | 55.975 | 146.702 | -0.000 | -0.000 | 0.000 |
| -0.000 | -0.000 | -0.000 | 46.817 | 0.000 | 0.000 |
| 0.000 | -0.000 | -0.000 | -0.000 | 23.345 | 0.000 |
| 0.001 | 0.000 | 0.000 | -0.000 | 0.000 | 7.932 |
| 297.461 | 98.825 | 77.971 | -0.000 | -0.000 | -0.000 |
| 98.825 | 297.461 | 77.971 | 0.000 | 0.000 | -0.000 |
| -41.547 | -41.547 | 866.487 | 0.000 | 0.000 | -0.000 |
| -117.342 | -117.342 | 498.710 | 44.146 | 0.000 | 0.000 |
| -117.342 | -117.342 | 498.710 | 0.000 | 44.146 | 0.000 |
| 0.000 | -0.000 | -0.000 | 0.000 | -0.000 | 72.707 |
| 297.461 | 98.825 | 77.971 | -0.000 | -0.000 | 0.000 |
| 98.825 | 297.461 | 77.971 | -0.000 | -0.000 | -0.000 |
| 75.582 | 75.583 | 369.937 | -0.000 | 0.000 | -0.000 |
| 117.342 | 117.342 | -498.710 | 44.146 | 0.000 | 0.000 |
| 117.342 | 117.342 | -498.710 | -0.000 | 44.146 | 0.000 |
| -0.000 | 0.000 | -0.000 | -0.000 | 0.000 | 72.707 |
| 260.898 | 100.839 | 127.395 | 0.000 | 0.000 | -0.000 |
| 100.839 | 260.898 | 127.395 | 0.000 | -0.000 | -0.000 |
| 90.017 | 90.017 | 465.585 | 0.000 | -0.000 | 0.000 |
| 14.776 | 14.776 | 97.318 | 36.632 | -0.000 | -0.000 |
| 14.776 | 14.776 | 97.318 | 0.000 | 36.632 | -0.000 |
| 0.000 | 0.000 | -0.000 | 0.000 | 0.000 | 72.707 |
| 202.098 | 133.746 | -18.357 | -0.000 | -0.000 | -0.000 |
| 133.746 | 202.098 | -18.357 | -0.000 | -0.000 | 0.000 |
| 60.478 | 60.478 | 270.903 | -0.000 | -0.000 | -0.000 |
| -14.776 | -14.776 | -97.318 | 36.632 | -0.000 | -0.000 |
| -14.776 | -14.776 | -97.318 | 0.000 | 36.632 | 0.000 |
| -0.000 | -0.000 | 0.000 | -0.000 | -0.000 | 72.707 |
| 265.328 | 114.084 | 84.354 | 0.000 | 0.000 | -0.000 |
| 114.084 | 265.328 | 84.354 | 0.000 | 0.000 | -0.000 |
| 76.552 | 76.552 | 377.657 | 0.000 | 0.000 | 0.000 |
| 1.491 | 1.491 | 9.687 | 36.651 | -0.000 | 0.000 |
| 1.491 | 1.491 | 9.687 | 0.000 | 36.651 | -0.000 |
| -1.363 | -1.363 | 5.794 | 0.000 | 0.000 | 53.073 |
| 233.177 | 136.660 | 70.741 | -0.000 | 0.000 | -0.000 |
| 136.660 | 233.177 | 70.741 | -0.000 | 0.000 | -0.000 |
| 75.582 | 75.582 | 369.935 | -0.000 | 0.000 | -0.000 |
| -1.491 | -1.491 | -9.687 | 36.651 | -0.000 | 0.000 |
| -1.491 | -1.491 | -9.687 | -0.000 | 36.651 | 0.000 |
| 1.363 | 1.363 | -5.794 | -0.000 | -0.000 | 53.073 |
| 243.054 | 69.660 | 69.660 | -0.000 | -0.000 | -0.000 |
| 69.660 | 243.054 | 69.660 | -0.000 | -0.000 | -0.000 |
| 69.660 | 69.660 | 243.054 | -0.000 | 0.000 | -0.000 |
| -22.251 | -22.251 | -22.251 | 27.791 | -0.000 | -0.000 |
| -22.251 | -22.251 | -22.251 | -0.000 | 27.791 | -0.000 |
| -22.251 | -22.251 | -22.251 | -0.000 | -0.000 | 27.791 |
| 287.827 | 114.337 | 114.337 | -0.000 | 0.000 | 0.000 |
| 114.337 | 287.827 | 114.337 | 0.000 | 0.000 | 0.000 |
| 114.337 | 114.337 | 287.827 | 0.000 | 0.000 | 0.000 |
| 22.251 | 22.251 | 22.251 | 27.791 | -0.000 | 0.000 |
| 22.251 | 22.251 | 22.251 | 0.000 | 27.791 | 0.000 |
| 22.251 | 22.251 | 22.251 | 0.000 | -0.000 | 27.791 |
| 296.240 | 81.597 | 81.597 | -0.000 | -0.000 | 0.000 |
| 81.597 | 296.240 | 81.597 | -0.000 | -0.000 | 0.000 |
| 81.597 | 81.597 | 296.240 | -0.000 | -0.000 | 0.000 |
| -0.000 | 0.000 | 0.000 | 51.078 | -0.000 | 0.000 |
| 0.000 | -0.000 | 0.000 | 0.000 | 51.078 | 0.000 |
| 0.000 | -0.000 | -0.000 | 0.000 | 0.000 | 51.078 |
| 296.240 | 81.597 | 81.597 | 0.000 | -0.000 | 0.000 |
| 81.597 | 296.240 | 81.597 | 0.000 | 0.000 | -0.000 |
| 81.597 | 81.597 | 296.240 | 0.000 | -0.000 | -0.000 |
| 0.000 | -0.000 | 0.000 | 51.078 | -0.000 | -0.000 |
| -0.000 | 0.000 | 0.000 | 0.000 | 51.078 | -0.000 |
| -0.000 | 0.000 | 0.000 | 0.000 | 0.000 | 51.078 |
| 296.241 | 81.597 | 81.597 | 0.000 | -0.000 | 0.000 |
| 81.597 | 296.241 | 81.597 | 0.000 | 0.000 | 0.000 |
| 81.597 | 81.597 | 296.241 | 0.000 | 0.000 | 0.000 |
| -0.222 | -0.222 | -0.223 | 27.800 | -0.000 | -0.000 |
| -0.222 | -0.222 | -0.223 | -0.000 | 27.800 | -0.000 |
| -0.222 | -0.223 | -0.222 | -0.000 | -0.000 | 27.800 |
| 296.238 | 81.596 | 81.596 | 0.000 | 0.000 | -0.000 |
| 81.596 | 296.238 | 81.596 | 0.000 | 0.000 | -0.000 |
| 81.596 | 81.596 | 296.238 | 0.000 | -0.000 | -0.000 |
| 0.222 | 0.222 | 0.223 | 27.800 | -0.000 | 0.000 |
| 0.222 | 0.222 | 0.223 | -0.000 | 27.800 | 0.000 |
| 0.222 | 0.223 | 0.222 | 0.000 | 0.000 | 27.800 |
| 239.544 | 121.779 | 121.779 | -0.000 | 0.000 | 0.000 |
| 121.779 | 239.544 | 121.779 | -0.000 | 0.000 | 0.000 |
| 121.779 | 121.779 | 239.544 | 0.000 | 0.000 | -0.000 |
| -0.000 | -0.000 | 0.000 | 91.653 | -0.000 | 0.000 |
| -0.000 | -0.000 | 0.000 | -0.000 | 91.653 | -0.000 |
| -0.000 | -0.000 | 0.000 | 0.000 | 0.000 | 91.653 |
| 210.401 | 135.845 | 135.845 | 0.000 | -0.000 | -0.000 |
| 135.845 | 210.400 | 135.845 | 0.000 | -0.000 | -0.000 |
| 135.845 | 135.845 | 210.400 | 0.000 | -0.000 | -0.000 |
| -0.000 | 0.000 | -0.000 | 91.653 | -0.000 | 0.000 |
| 0.000 | -0.000 | -0.000 | -0.000 | 91.653 | -0.000 |
| 0.000 | -0.000 | 0.000 | 0.000 | -0.000 | 91.653 |
| 239.544 | 121.779 | 121.779 | 0.000 | 0.000 | -0.000 |
| 121.779 | 239.544 | 121.779 | -0.000 | 0.000 | -0.000 |
| 121.779 | 121.779 | 239.544 | 0.000 | 0.000 | 0.000 |
| 0.000 | -0.000 | 0.000 | 91.653 | 0.000 | 0.000 |
| -0.000 | 0.000 | 0.000 | 0.000 | 91.653 | 0.000 |
| -0.000 | 0.000 | 0.000 | 0.000 | 0.000 | 91.653 |
| 227.747 | 127.412 | 127.412 | 0.000 | -0.000 | -0.000 |
| 127.412 | 227.747 | 127.412 | 0.000 | -0.000 | -0.000 |
| 127.412 | 127.412 | 227.747 | 0.000 | -0.000 | -0.000 |
| -0.000 | 0.000 | -0.000 | 91.653 | -0.000 | -0.000 |
| 0.000 | -0.000 | -0.000 | 0.000 | 91.653 | -0.000 |
| 0.000 | -0.000 | -0.000 | 0.000 | -0.000 | 91.653 |
| 227.720 | 127.410 | 127.410 | -0.000 | 0.000 | 0.000 |
| 127.410 | 227.720 | 127.410 | -0.000 | 0.000 | 0.000 |
| 127.410 | 127.410 | 227.720 | -0.000 | 0.000 | 0.000 |
| 0.000 | -0.000 | 0.000 | 91.653 | 0.000 | -0.000 |
| -0.000 | 0.000 | 0.000 | 0.000 | 91.653 | 0.000 |
| -0.000 | 0.000 | 0.000 | -0.000 | -0.000 | 91.653 |
| 239.544 | 121.778 | 121.778 | 0.000 | 0.000 | -0.000 |
| 121.778 | 239.544 | 121.778 | 0.000 | -0.000 | -0.000 |
| 121.778 | 121.778 | 239.544 | 0.000 | -0.000 | 0.000 |
| -0.000 | 0.000 | -0.000 | 91.653 | 0.000 | -0.000 |
| 0.000 | -0.000 | -0.000 | 0.000 | 91.653 | -0.000 |
| 0.000 | -0.000 | -0.000 | -0.000 | -0.000 | 91.653 |
| -1895994765.806 | -475959707.710 | -2890734793.875 | -6832842.150 | -26940592.934 | -17272498.868 |
| -430329861.428 | -517922529.072 | -3015657575.130 | -94986536.368 | 2441316.084 | 20092197.339 |
| -383.146 | -383.146 | -5.334 | -0.000 | 0.000 | -0.000 |
| 0.000 | -0.000 | 0.000 | 20.896 | -0.000 | -0.000 |
| -0.001 | 0.001 | -0.000 | -0.000 | 20.896 | 0.000 |
| 216662705.150 | -106698686.401 | -1736210794.758 | -13220968.384 | -32112728.053 | -174637084.856 |
| 487458420.914 | 540265128.745 | 3243633617.926 | -7008734.743 | -15304170.682 | 34125887.190 |
| -500.621 | -919.191 | -383.146 | -0.000 | -0.000 | 0.000 |
| -383.146 | -383.146 | -5.334 | -0.000 | -0.000 | 0.000 |
| -0.000 | 0.000 | 0.000 | 20.896 | 0.000 | 0.000 |
| 0.001 | -0.001 | 0.000 | 0.000 | 20.896 | 0.000 |
| 67155354.897 | 227159260.601 | 1603308395.071 | -5344804.775 | 10558062.416 | -69636111.171 |
| -173979351.022 | -26985033.904 | -282683044.476 | 1177893.854 | -1648604.575 | -1439471.675 |
| -63799088.498 | -72102975.875 | -373899266.563 | -4125111.223 | 273589.485 | -191512.955 |
| -383.147 | -383.147 | -5.334 | 0.000 | 0.000 | -0.000 |
| 0.000 | -0.000 | 0.000 | 20.896 | 0.000 | -0.000 |
| -0.000 | 0.000 | 0.000 | 0.000 | 20.896 | -0.000 |
| 18913058.754 | -28763039.920 | -173253678.655 | 275877.010 | -6364595.605 | -18007556.395 |
| 89516826.649 | 88604260.048 | 341687493.689 | 3386090.217 | 5942655.496 | 11455877.784 |
| 149687545.371 | 30180117.447 | 277240547.613 | -1340012.283 | -805463.545 | 872002.866 |
| -383.146 | -383.146 | -5.334 | 0.000 | -0.000 | 0.000 |
| -0.000 | 0.000 | -0.000 | 20.896 | -0.000 | 0.000 |
| 0.000 | -0.000 | -0.000 | -0.000 | 20.896 | 0.000 |
| 3070017.908 | 31266871.969 | 205811343.425 | 1173303.294 | 1364553.121 | -9726009.542 |
| -18882712.238 | -2608509.660 | -28597281.565 | 123884.871 | 26684.998 | -285810.200 |
| -4157593.685 | -5045051.500 | -34375270.576 | -29676.231 | -41431.319 | 268854.422 |
| -383.150 | -383.150 | -5.336 | -0.000 | -0.000 | -0.000 |
| 0.000 | -0.000 | 0.000 | 20.896 | 0.000 | -0.000 |
| -0.000 | 0.000 | 0.000 | 0.000 | 20.896 | -0.000 |
| 754888.788 | -3907312.816 | -23046279.717 | -358875.490 | 527725.912 | -2489181.091 |
| 8005363.691 | 8687497.662 | 35206820.149 | -536757.085 | -286493.392 | 606193.327 |
| 15248575.967 | 1400136.552 | 24763379.852 | -272490.508 | -63956.943 | 26066.062 |
| -383.142 | -383.142 | -5.332 | -0.000 | -0.000 | -0.000 |
| -0.000 | 0.000 | -0.000 | 20.896 | -0.000 | 0.000 |
| 0.000 | -0.000 | -0.000 | 0.000 | 20.896 | 0.000 |
| -1695992.774 | 1592859.623 | 15957858.265 | 210772.404 | -67250.235 | -1269232.594 |
| 248.829 | 141.482 | 81.549 | 17.808 | -0.000 | -0.000 |
| 141.482 | 248.829 | 81.549 | -17.808 | -0.000 | -0.000 |
| 81.946 | 81.946 | 236.274 | -0.000 | -0.000 | 0.000 |
| 17.808 | -17.808 | 0.000 | 59.530 | -0.000 | -0.000 |
| 0.000 | 0.000 | -0.000 | 0.000 | 60.502 | 12.215 |
| -0.000 | -0.000 | 0.000 | -0.000 | 17.808 | 53.673 |
| 248.829 | 141.482 | 81.549 | 17.808 | 0.000 | 0.000 |
| 109.449 | 281.127 | 81.422 | -12.215 | 0.000 | 0.000 |
| 81.946 | 81.946 | 236.274 | 0.000 | 0.000 | 0.000 |
| 12.215 | -12.215 | -0.000 | 60.502 | 0.000 | 0.000 |
| 0.000 | -0.000 | 0.000 | 0.000 | 60.502 | 12.215 |
| 0.000 | 0.000 | -0.000 | 0.000 | 17.808 | 53.673 |
| 249.865 | 139.727 | 81.896 | 17.566 | 0.000 | 0.000 |
| 139.727 | 249.865 | 81.896 | -17.566 | 0.000 | -0.000 |
| 81.818 | 81.818 | 236.397 | 0.000 | -0.000 | -0.000 |
| 12.215 | -12.215 | 0.000 | 60.502 | -0.000 | -0.000 |
| 0.000 | 0.000 | 0.000 | 0.000 | 60.502 | 12.215 |
| -0.000 | -0.000 | -0.000 | 0.000 | 17.808 | 53.673 |
| 281.127 | 109.449 | 81.422 | 12.215 | 0.000 | -0.000 |
| 109.449 | 281.127 | 81.422 | -12.215 | 0.000 | -0.000 |
| 81.946 | 81.946 | 236.273 | -0.000 | -0.000 | 0.000 |
| 17.808 | -17.808 | -0.000 | 59.530 | 0.000 | -0.000 |
| -0.000 | -0.000 | -0.000 | -0.000 | 60.502 | 12.215 |
| 0.000 | 0.000 | 0.000 | -0.000 | 17.808 | 53.673 |
| 249.864 | 139.726 | 81.896 | 17.566 | -0.000 | 0.000 |
| 109.449 | 281.126 | 81.422 | -12.215 | -0.000 | -0.000 |
| 81.947 | 81.947 | 236.278 | 0.000 | 0.000 | -0.000 |
| 17.809 | -17.809 | 0.001 | 59.529 | 0.000 | -0.000 |
| -0.000 | 0.000 | 0.001 | 0.000 | 59.530 | 17.808 |
| -0.001 | -0.000 | -0.000 | 0.000 | 17.808 | 53.673 |
| 249.866 | 139.727 | 81.896 | 17.565 | 0.000 | 0.000 |
| 139.726 | 249.867 | 81.896 | -17.565 | 0.000 | 0.000 |
| 81.817 | 81.817 | 236.393 | 0.000 | 0.000 | 0.000 |
| 12.215 | -12.215 | -0.001 | 60.502 | -0.000 | -0.000 |
| 0.000 | -0.000 | -0.001 | -0.000 | 59.530 | 17.808 |
| 0.001 | 0.000 | 0.000 | -0.000 | 17.808 | 53.673 |
| -1264.925 | -1266.812 | -4123.862 | -0.000 | -0.000 | 0.000 |
| -1266.812 | -1264.925 | -4123.862 | -0.000 | 0.000 | 0.000 |
| -639.793 | -639.793 | 2527.822 | -0.000 | 0.000 | 0.000 |
| -1124.742 | -1124.742 | 2328.294 | 44.846 | -0.000 | 0.000 |
| -1124.742 | -1124.742 | 2328.294 | -0.000 | 44.846 | 0.000 |
| -1124.743 | -1124.743 | 2328.296 | -0.000 | -0.000 | 56.200 |
| 300.231 | 99.749 | 77.860 | 0.000 | 0.000 | -0.000 |
| 99.749 | 300.231 | 77.860 | 0.000 | -0.000 | -0.000 |
| 555.060 | 555.060 | -779.669 | 0.000 | -0.000 | -0.000 |
| 1124.742 | 1124.742 | -2328.294 | 44.846 | -0.000 | -0.000 |
| 1124.742 | 1124.742 | -2328.294 | 0.000 | 44.846 | -0.000 |
| 1124.743 | 1124.743 | -2328.296 | 0.000 | -0.000 | 56.200 |
| 162.956 | 1.398 | 310.538 | -0.000 | -0.000 | 0.000 |
| 1.398 | 162.956 | 310.538 | -0.000 | 0.000 | 0.000 |
| -36.249 | -36.249 | 597.283 | -0.000 | 0.000 | 0.000 |
| -112.480 | -112.480 | 232.841 | 44.846 | -0.000 | 0.000 |
| -112.480 | -112.480 | 232.841 | 0.000 | 44.846 | 0.000 |
| -146.229 | -146.229 | -419.976 | -0.000 | -0.000 | 34.536 |
| 315.113 | 206.688 | -138.650 | 0.000 | 0.000 | -0.000 |
| 206.688 | 315.113 | -138.650 | -0.000 | 0.000 | -0.000 |
| 188.663 | 188.663 | 131.710 | 0.000 | -0.000 | -0.000 |
| 112.480 | 112.480 | -232.841 | 44.846 | 0.000 | -0.000 |
| 112.480 | 112.480 | -232.841 | 0.000 | 44.846 | -0.000 |
| 146.229 | 146.229 | 419.976 | 0.000 | -0.000 | 34.536 |
| 239.802 | 125.787 | 99.444 | -0.000 | -0.000 | 0.000 |
| 125.787 | 239.802 | 99.444 | -0.000 | -0.000 | 0.000 |
| 64.939 | 64.939 | 387.766 | -0.000 | -0.000 | 0.000 |
| -6.259 | -6.258 | -41.620 | 29.842 | -0.000 | -0.000 |
| -6.258 | -6.259 | -41.620 | 0.000 | 29.842 | -0.000 |
| -11.389 | -11.389 | 23.576 | -0.000 | 0.000 | 55.988 |
| 211.089 | 187.335 | 115.222 | 0.000 | 0.000 | -0.000 |
| 187.335 | 211.089 | 115.222 | 0.000 | 0.000 | -0.000 |
| 87.511 | 87.511 | 341.136 | 0.000 | -0.000 | -0.000 |
| 6.259 | 6.258 | 41.620 | 29.842 | 0.000 | 0.000 |
| 6.258 | 6.259 | 41.620 | 0.000 | 29.842 | 0.000 |
| 11.389 | 11.389 | -23.576 | 0.000 | 0.000 | 55.988 |
| 149.470 | 140.195 | 140.195 | -0.000 | -0.000 | -0.000 |
| 140.195 | 149.470 | 140.195 | -0.000 | 0.000 | 0.000 |
| 140.195 | 140.195 | 149.470 | 0.000 | 0.000 | -0.000 |
| 0.000 | 0.000 | 0.000 | 104.591 | -0.000 | 0.000 |
| 0.000 | 0.000 | 0.000 | 0.000 | 104.591 | 0.000 |
| 0.000 | 0.000 | 0.000 | -0.000 | -0.000 | 104.591 |
| 149.470 | 140.195 | 140.195 | -0.000 | 0.000 | -0.000 |
| 140.195 | 149.470 | 140.195 | -0.000 | 0.000 | -0.000 |
| 140.195 | 140.195 | 149.470 | -0.000 | 0.000 | 0.000 |
| -0.000 | -0.000 | -0.000 | 104.591 | 0.000 | 0.000 |
| -0.000 | -0.000 | 0.000 | 0.000 | 104.591 | -0.000 |
| -0.000 | -0.000 | -0.000 | 0.000 | 0.000 | 104.591 |
| 149.470 | 140.195 | 140.195 | 0.000 | -0.000 | 0.000 |
| 140.195 | 149.470 | 140.195 | 0.000 | 0.000 | 0.000 |
| 140.195 | 140.195 | 149.470 | 0.000 | 0.000 | 0.000 |
| 0.000 | -0.000 | -0.000 | -18.226 | -0.000 | 0.000 |
| -0.000 | 0.000 | -0.000 | 0.000 | -18.226 | -0.000 |
| -0.000 | -0.000 | 0.000 | 0.000 | -0.000 | -18.226 |
| 149.470 | 140.195 | 140.195 | -0.000 | 0.000 | -0.000 |
| 140.195 | 149.470 | 140.195 | -0.000 | 0.000 | 0.000 |
| 140.195 | 140.195 | 149.470 | -0.000 | 0.000 | -0.000 |
| -0.000 | 0.000 | 0.000 | -18.226 | 0.000 | -0.000 |
| 0.000 | -0.000 | 0.000 | -0.000 | -18.226 | -0.000 |
| 0.000 | 0.000 | -0.000 | -0.000 | 0.000 | -18.226 |
| 149.471 | 140.195 | 140.195 | 0.000 | -0.000 | 0.000 |
| 140.195 | 149.471 | 140.195 | -0.000 | -0.000 | 0.000 |
| 140.195 | 140.195 | 149.471 | 0.000 | -0.000 | 0.000 |
| 0.000 | -0.000 | -0.000 | -18.226 | 0.000 | 0.000 |
| -0.000 | 0.000 | -0.000 | 0.000 | -18.226 | 0.000 |
| -0.000 | -0.000 | 0.000 | 0.000 | 0.000 | -18.226 |
| 149.469 | 140.194 | 140.194 | 0.000 | 0.000 | -0.000 |
| 140.194 | 149.469 | 140.194 | -0.000 | 0.000 | -0.000 |
| 140.194 | 140.194 | 149.469 | -0.000 | -0.000 | 0.000 |
| -0.000 | 0.000 | 0.000 | -18.226 | -0.000 | 0.000 |
| 0.000 | -0.000 | 0.000 | -0.000 | -18.226 | -0.000 |
| 0.000 | 0.000 | -0.000 | -0.000 | 0.000 | -18.226 |
| 0.664 | 0.664 | 0.664 | 0.000 | -0.000 | 0.000 |
| 0.664 | 0.664 | 0.664 | -0.000 | 0.000 | 0.000 |
| 0.664 | 0.664 | 0.664 | -0.000 | -0.000 | 0.000 |
| 0.000 | 0.000 | 0.000 | 0.592 | -0.000 | -0.000 |
| 0.000 | 0.000 | 0.000 | -0.000 | 0.592 | -0.000 |
| 0.000 | 0.000 | 0.000 | -0.000 | -0.000 | 0.592 |
| 0.664 | 0.664 | 0.664 | 0.000 | 0.000 | 0.000 |
| 0.664 | 0.664 | 0.664 | 0.000 | 0.000 | 0.000 |
| 0.664 | 0.664 | 0.664 | 0.000 | 0.000 | -0.000 |
| -0.000 | -0.000 | -0.000 | 0.592 | 0.000 | -0.000 |
| -0.000 | -0.000 | -0.000 | 0.000 | 0.592 | -0.000 |
| -0.000 | -0.000 | -0.000 | 0.000 | 0.000 | 0.592 |
| 0.664 | 0.664 | 0.664 | -0.000 | -0.000 | 0.000 |
| 0.664 | 0.664 | 0.664 | -0.000 | -0.000 | 0.000 |
| 0.664 | 0.664 | 0.664 | -0.000 | -0.000 | 0.000 |
| 0.000 | 0.000 | 0.000 | 0.420 | -0.000 | 0.000 |
| 0.000 | 0.000 | 0.000 | -0.000 | 0.420 | 0.000 |
| 0.000 | 0.000 | 0.000 | -0.000 | -0.000 | 0.420 |
| 0.664 | 0.664 | 0.664 | -0.000 | -0.000 | -0.000 |
| 0.664 | 0.664 | 0.664 | -0.000 | -0.000 | -0.000 |
| 0.664 | 0.664 | 0.664 | -0.000 | -0.000 | -0.000 |
| -0.000 | -0.000 | -0.000 | 0.420 | 0.000 | -0.000 |
| -0.000 | -0.000 | -0.000 | 0.000 | 0.420 | -0.000 |
| -0.000 | -0.000 | -0.000 | 0.000 | 0.000 | 0.420 |
| 0.664 | 0.664 | 0.664 | 0.000 | 0.000 | 0.000 |
| 0.664 | 0.664 | 0.664 | 0.000 | 0.000 | 0.000 |
| 0.664 | 0.664 | 0.664 | 0.000 | 0.000 | 0.000 |
| -0.000 | -0.000 | -0.000 | 0.060 | -0.000 | -0.000 |
| -0.000 | -0.000 | -0.000 | -0.000 | 0.060 | -0.000 |
| -0.000 | -0.000 | -0.000 | -0.000 | -0.000 | 0.060 |
| 0.664 | 0.664 | 0.664 | -0.000 | -0.000 | -0.000 |
| 0.664 | 0.664 | 0.664 | -0.000 | -0.000 | -0.000 |
| 0.664 | 0.664 | 0.664 | -0.000 | -0.000 | -0.000 |
| 0.000 | 0.000 | 0.000 | 0.060 | 0.000 | -0.000 |
| 0.000 | 0.000 | 0.000 | 0.000 | 0.060 | -0.000 |
| 0.000 | 0.000 | 0.000 | 0.000 | 0.000 | 0.060 |
| 166.306 | 192.576 | 192.576 | -0.000 | -0.000 | -0.000 |
| 192.576 | 166.306 | 192.576 | -0.000 | -0.000 | -0.000 |
| 192.576 | 192.576 | 166.306 | 0.000 | -0.000 | 0.000 |
| 0.000 | 0.000 | -0.000 | 151.028 | -0.000 | -0.000 |
| 0.000 | 0.000 | -0.000 | -0.000 | 151.028 | -0.000 |
| 0.000 | 0.000 | -0.000 | -0.000 | -0.000 | 151.028 |
| 166.306 | 192.576 | 192.576 | 0.000 | 0.000 | 0.000 |
| 192.576 | 166.306 | 192.576 | 0.000 | -0.000 | -0.000 |
| 192.576 | 192.576 | 166.306 | 0.000 | 0.000 | 0.000 |
| -0.000 | -0.000 | 0.000 | 151.028 | 0.000 | 0.000 |
| -0.000 | -0.000 | 0.000 | 0.000 | 151.028 | 0.000 |
| -0.000 | -0.000 | 0.000 | 0.000 | 0.000 | 151.028 |
| 166.306 | 192.576 | 192.576 | -0.000 | -0.000 | 0.000 |
| 192.576 | 166.306 | 192.576 | -0.000 | -0.000 | -0.000 |
| 192.576 | 192.576 | 166.306 | -0.000 | -0.000 | -0.000 |
| 0.000 | 0.000 | 0.000 | 151.028 | -0.000 | -0.000 |
| 0.000 | 0.000 | 0.000 | -0.000 | 151.028 | -0.000 |
| 0.000 | 0.000 | 0.000 | -0.000 | -0.000 | 151.028 |
| 166.306 | 192.576 | 192.576 | -0.000 | 0.000 | 0.000 |
| 192.576 | 166.306 | 192.576 | 0.000 | 0.000 | 0.000 |
| 192.576 | 192.576 | 166.306 | 0.000 | 0.000 | 0.000 |
| -0.000 | -0.000 | -0.000 | 151.028 | 0.000 | 0.000 |
| -0.000 | -0.000 | -0.000 | 0.000 | 151.028 | 0.000 |
| -0.000 | -0.000 | -0.000 | 0.000 | 0.000 | 151.028 |
| 166.307 | 192.576 | 192.576 | -0.000 | -0.000 | -0.000 |
| 192.576 | 166.307 | 192.576 | -0.000 | -0.000 | -0.000 |
| 192.576 | 192.576 | 166.307 | -0.000 | -0.000 | -0.000 |
| 0.001 | 0.000 | 0.001 | 147.978 | -0.000 | -0.000 |
| 0.000 | 0.001 | 0.001 | -0.000 | 147.978 | -0.000 |
| 0.000 | 0.001 | 0.001 | -0.000 | -0.000 | 147.978 |
| 166.305 | 192.576 | 192.576 | 0.000 | 0.000 | 0.000 |
| 192.576 | 166.305 | 192.576 | 0.000 | 0.000 | 0.000 |
| 192.576 | 192.576 | 166.305 | 0.000 | 0.000 | 0.000 |
| -0.001 | -0.000 | -0.001 | 147.978 | 0.000 | 0.000 |
| -0.000 | -0.001 | -0.001 | 0.000 | 147.978 | 0.000 |
| -0.000 | -0.001 | -0.001 | 0.000 | 0.000 | 147.978 |
| 2308.115 | 2299.566 | 2299.566 | -0.000 | -0.000 | -0.000 |
| 2299.566 | 2308.115 | 2299.566 | 0.000 | 0.000 | -0.000 |
| 2299.566 | 2299.566 | 2308.115 | -0.000 | -0.000 | -0.000 |
| -0.000 | -0.000 | -0.000 | -3.765 | -0.000 | -0.000 |
| -0.000 | -0.000 | -0.000 | -0.000 | -3.765 | -0.000 |
| -0.000 | -0.000 | -0.000 | 0.000 | 0.000 | -3.765 |
| 2308.116 | 2299.567 | 2299.567 | 0.000 | -0.000 | 0.000 |
| 2299.567 | 2308.116 | 2299.567 | -0.000 | -0.000 | 0.000 |
| 2299.567 | 2299.567 | 2308.116 | -0.000 | 0.000 | 0.000 |
| 0.000 | 0.000 | 0.000 | -3.765 | 0.000 | 0.000 |
| 0.000 | 0.000 | 0.000 | -0.000 | -3.765 | 0.000 |
| 0.000 | 0.000 | 0.000 | -0.000 | -0.000 | -3.765 |
| 2308.112 | 2299.562 | 2299.562 | 0.000 | -0.000 | -0.000 |
| 2299.562 | 2308.112 | 2299.562 | 0.000 | 0.000 | -0.000 |
| 2299.562 | 2299.562 | 2308.112 | -0.000 | -0.000 | -0.000 |
| 0.000 | 0.000 | 0.000 | -5.370 | -0.000 | -0.000 |
| 0.000 | 0.000 | 0.000 | -0.000 | -5.370 | -0.000 |
| 0.000 | 0.000 | 0.000 | -0.000 | -0.000 | -5.370 |
| 2308.119 | 2299.571 | 2299.571 | -0.000 | -0.000 | 0.000 |
| 2299.571 | 2308.119 | 2299.571 | -0.000 | 0.000 | 0.000 |
| 2299.571 | 2299.571 | 2308.119 | 0.000 | 0.000 | 0.000 |
| -0.000 | -0.000 | -0.000 | -5.370 | 0.000 | 0.000 |
| -0.000 | -0.000 | -0.000 | 0.000 | -5.370 | 0.000 |
| -0.000 | -0.000 | -0.000 | 0.000 | 0.000 | -5.370 |
| 2308.081 | 2299.524 | 2299.524 | 0.000 | 0.000 | -0.000 |
| 2299.524 | 2308.081 | 2299.524 | 0.000 | 0.000 | -0.000 |
| 2299.524 | 2299.524 | 2308.081 | -0.000 | -0.000 | -0.000 |
| -0.000 | -0.000 | -0.000 | -3.765 | 0.000 | -0.000 |
| -0.000 | -0.000 | -0.000 | 0.000 | -3.765 | -0.000 |
| -0.000 | -0.000 | -0.000 | -0.000 | 0.000 | -3.765 |
| 2308.151 | 2299.610 | 2299.610 | -0.000 | -0.000 | 0.000 |
| 2299.610 | 2308.151 | 2299.610 | -0.000 | 0.000 | 0.000 |
| 2299.610 | 2299.610 | 2308.151 | -0.000 | -0.000 | 0.000 |
| 0.000 | 0.000 | 0.000 | -3.765 | 0.000 | 0.000 |
| 0.000 | 0.000 | 0.000 | -0.000 | -3.765 | 0.000 |
| 0.000 | 0.000 | 0.000 | -0.000 | 0.000 | -3.765 |
| 130.216 | 169.452 | 169.452 | 0.000 | 0.000 | -0.000 |
| 169.452 | 130.216 | 169.452 | 0.000 | -0.000 | -0.000 |
| 169.452 | 169.452 | 130.215 | 0.000 | 0.000 | 0.000 |
| 0.000 | 0.000 | 0.000 | 125.443 | -0.000 | 0.000 |
| 0.000 | 0.000 | 0.000 | 0.000 | 125.443 | -0.000 |
| 0.000 | 0.000 | -0.000 | -0.000 | -0.000 | 125.443 |
| 130.215 | 169.452 | 169.452 | 0.000 | 0.000 | -0.000 |
| 169.452 | 130.215 | 169.452 | 0.000 | 0.000 | 0.000 |
| 169.452 | 169.452 | 130.215 | -0.000 | 0.000 | 0.000 |
| -0.000 | -0.000 | -0.000 | 125.443 | 0.000 | 0.000 |
| -0.000 | -0.000 | -0.000 | -0.000 | 125.443 | 0.000 |
| -0.000 | -0.000 | 0.000 | 0.000 | 0.000 | 125.443 |
| 130.216 | 169.452 | 169.452 | -0.000 | -0.000 | -0.000 |
| 169.452 | 130.216 | 169.452 | 0.000 | -0.000 | -0.000 |
| 169.452 | 169.452 | 130.216 | 0.000 | -0.000 | -0.000 |
| 0.000 | 0.000 | 0.000 | 125.443 | -0.000 | -0.000 |
| 0.000 | 0.000 | 0.000 | 0.000 | 125.443 | -0.000 |
| 0.000 | 0.000 | 0.000 | 0.000 | -0.000 | 125.443 |
| 130.215 | 169.451 | 169.451 | 0.000 | -0.000 | 0.000 |
| 169.451 | 130.215 | 169.451 | 0.000 | 0.000 | 0.000 |
| 169.451 | 169.451 | 130.215 | 0.000 | 0.000 | -0.000 |
| -0.000 | -0.000 | -0.000 | 125.443 | 0.000 | 0.000 |
| -0.000 | -0.000 | -0.000 | 0.000 | 125.443 | 0.000 |
| -0.000 | -0.000 | -0.000 | -0.000 | 0.000 | 125.443 |
| 130.217 | 169.452 | 169.452 | -0.000 | -0.000 | -0.000 |
| 169.452 | 130.217 | 169.452 | -0.000 | -0.000 | 0.000 |
| 169.452 | 169.452 | 130.217 | 0.000 | -0.000 | -0.000 |
| 0.001 | 0.000 | 0.001 | 125.443 | -0.000 | -0.000 |
| 0.000 | 0.001 | 0.001 | 0.000 | 125.443 | -0.000 |
| 0.000 | 0.001 | 0.001 | -0.000 | -0.000 | 125.443 |
| 130.214 | 169.451 | 169.451 | 0.000 | 0.000 | -0.000 |
| 169.451 | 130.214 | 169.451 | 0.000 | 0.000 | -0.000 |
| 169.451 | 169.451 | 130.214 | -0.000 | 0.000 | 0.000 |
| -0.001 | -0.000 | -0.001 | 125.443 | 0.000 | -0.000 |
| -0.000 | -0.001 | -0.001 | -0.000 | 125.443 | 0.000 |
| -0.000 | -0.001 | -0.001 | 0.000 | 0.000 | 125.443 |
| 145.870 | 1.245 | 1.245 | -0.000 | 0.000 | 0.000 |
| 1.245 | 145.870 | 1.245 | -0.000 | -0.000 | 0.000 |
| 1.245 | 1.245 | 145.870 | -0.000 | -0.000 | 0.000 |
| 0.000 | 0.000 | -0.000 | -19.958 | -0.000 | 0.000 |
| 0.000 | 0.000 | -0.000 | -0.000 | -19.958 | 0.000 |
| 0.000 | 0.000 | -0.000 | -0.000 | -0.000 | -19.958 |
| 145.870 | 1.245 | 1.245 | -0.000 | -0.000 | -0.000 |
| 1.245 | 145.870 | 1.245 | -0.000 | -0.000 | -0.000 |
| 1.245 | 1.245 | 145.870 | -0.000 | -0.000 | -0.000 |
| -0.000 | -0.000 | 0.000 | -19.958 | -0.000 | -0.000 |
| -0.000 | -0.000 | 0.000 | 0.000 | -19.958 | -0.000 |
| -0.000 | -0.000 | 0.000 | 0.000 | 0.000 | -19.958 |
| 145.871 | 1.245 | 1.245 | -0.000 | -0.000 | 0.000 |
| 1.245 | 145.871 | 1.245 | -0.000 | -0.000 | 0.000 |
| 1.245 | 1.245 | 145.871 | -0.000 | 0.000 | 0.000 |
| 0.001 | 0.000 | 0.000 | -24.085 | 0.000 | 0.000 |
| -1400023.844 | -1950963.828 | -1729639.293 | -276861.807 | -186283.827 | -162765.553 |
| -1446903.452 | -1844727.991 | -1993609.941 | -329042.666 | -184306.526 | -172050.696 |
| 145.870 | 1.245 | 1.245 | 0.000 | -0.000 | -0.000 |
| 1.245 | 145.870 | 1.245 | 0.000 | -0.000 | -0.000 |
| 1.245 | 1.245 | 145.870 | -0.000 | -0.000 | -0.000 |
| -0.001 | -0.000 | -0.000 | -24.109 | -0.000 | -0.000 |
| -0.000 | -0.001 | -0.000 | -0.000 | -24.109 | -0.000 |
| -0.000 | -0.000 | -0.001 | 0.000 | -0.000 | -24.109 |
| 145.874 | 1.246 | 1.246 | 0.000 | 0.000 | 0.000 |
| 1.246 | 145.874 | 1.246 | -0.000 | 0.000 | 0.000 |
| 1.246 | 1.246 | 145.874 | -0.000 | 0.000 | 0.000 |
| 0.000 | 0.000 | -0.000 | -20.959 | 0.000 | 0.000 |
| 0.000 | 0.000 | -0.000 | 0.000 | -20.959 | 0.000 |
| 0.000 | -0.000 | 0.000 | 0.000 | 0.000 | -20.959 |
| 145.866 | 1.244 | 1.244 | -0.000 | -0.000 | -0.000 |
| 1.244 | 145.866 | 1.244 | -0.000 | -0.000 | -0.000 |
| 1.244 | 1.244 | 145.866 | 0.000 | 0.000 | -0.000 |
| -0.000 | -0.000 | 0.000 | -20.959 | -0.000 | -0.000 |
| -0.000 | -0.000 | 0.000 | 0.000 | -20.959 | -0.000 |
| -0.000 | 0.000 | -0.000 | -0.000 | -0.000 | -20.959 |
| 137.119 | 113.394 | 113.394 | 0.000 | 0.000 | -0.000 |
| 113.394 | 137.119 | 113.394 | 0.000 | 0.000 | -0.000 |
| 113.394 | 113.394 | 137.119 | 0.000 | 0.000 | -0.000 |
| -0.000 | -0.000 | -0.000 | -1.543 | 0.000 | -0.000 |
| -0.000 | 0.000 | -0.000 | 0.000 | -1.543 | -0.000 |
| -0.000 | -0.000 | -0.000 | 0.000 | 0.000 | -1.543 |
| 137.119 | 113.394 | 113.394 | -0.000 | -0.000 | 0.000 |
| 113.394 | 137.119 | 113.394 | -0.000 | -0.000 | 0.000 |
| 113.394 | 113.394 | 137.119 | -0.000 | -0.000 | 0.000 |
| 0.000 | 0.000 | 0.000 | -1.543 | -0.000 | 0.000 |
| 0.000 | -0.000 | 0.000 | -0.000 | -1.543 | 0.000 |
| 0.000 | 0.000 | 0.000 | -0.000 | -0.000 | -1.543 |
| 137.119 | 113.394 | 113.394 | 0.000 | 0.000 | -0.000 |
| 113.394 | 137.119 | 113.394 | 0.000 | 0.000 | -0.000 |
| 113.394 | 113.394 | 137.119 | 0.000 | 0.000 | -0.000 |
| 0.000 | 0.000 | 0.000 | 99.251 | 0.000 | -0.000 |
| 0.000 | 0.000 | 0.000 | 0.000 | 99.251 | -0.000 |
| 0.000 | 0.000 | 0.000 | 0.000 | 0.000 | 99.251 |
| 137.119 | 113.394 | 113.394 | -0.000 | -0.000 | 0.000 |
| 113.394 | 137.119 | 113.394 | -0.000 | -0.000 | 0.000 |
| 113.394 | 113.394 | 137.119 | -0.000 | -0.000 | 0.000 |
| -0.000 | -0.000 | -0.000 | 99.251 | -0.000 | 0.000 |
| -0.000 | -0.000 | -0.000 | -0.000 | 99.251 | 0.000 |
| -0.000 | -0.000 | -0.000 | -0.000 | -0.000 | 99.251 |
| 137.118 | 113.394 | 113.394 | 0.000 | 0.000 | -0.000 |
| 113.394 | 137.118 | 113.394 | -0.000 | 0.000 | -0.000 |
| 113.394 | 113.394 | 137.118 | -0.000 | 0.000 | -0.000 |
| 0.000 | -0.000 | -0.000 | -1.543 | 0.000 | -0.000 |
| -0.000 | 0.000 | -0.000 | 0.000 | -1.543 | -0.000 |
| -0.000 | -0.000 | 0.000 | 0.000 | 0.000 | -1.543 |
| 137.120 | 113.393 | 113.393 | -0.000 | -0.000 | 0.000 |
| 113.393 | 137.120 | 113.393 | -0.000 | 0.000 | 0.000 |
| 113.393 | 113.393 | 137.120 | -0.000 | -0.000 | 0.000 |
| -0.000 | 0.000 | 0.000 | -1.543 | -0.000 | 0.000 |
| 0.000 | -0.000 | 0.000 | -0.000 | -1.543 | 0.000 |
| 0.000 | 0.000 | -0.000 | -0.000 | -0.000 | -1.543 |
| 200.014 | 206.716 | 206.716 | 0.000 | 0.000 | 0.000 |
| 206.716 | 200.014 | 206.716 | 0.000 | 0.000 | 0.000 |
| 206.716 | 206.716 | 200.014 | -0.000 | -0.000 | 0.000 |
| 0.000 | 0.000 | 0.000 | -3.428 | 0.000 | 0.000 |
| 0.000 | 0.000 | 0.000 | 0.000 | -3.428 | 0.000 |
| 0.000 | 0.000 | 0.000 | -0.000 | -0.000 | -3.428 |
| 200.014 | 206.716 | 206.716 | -0.000 | -0.000 | -0.000 |
| 206.716 | 200.014 | 206.716 | -0.000 | -0.000 | -0.000 |
| 206.716 | 206.716 | 200.014 | 0.000 | 0.000 | -0.000 |
| -0.000 | -0.000 | -0.000 | -3.428 | -0.000 | -0.000 |
| -0.000 | -0.000 | -0.000 | -0.000 | -3.428 | -0.000 |
| -0.000 | -0.000 | -0.000 | 0.000 | 0.000 | -3.428 |
| 200.014 | 206.716 | 206.716 | 0.000 | -0.000 | 0.000 |
| 206.716 | 200.014 | 206.716 | 0.000 | 0.000 | 0.000 |
| 206.716 | 206.716 | 200.014 | -0.000 | -0.000 | 0.000 |
| -3454181.484 | -635756.209 | -339214.444 | -404438.859 | -3058.606 | 37264.373 |
| 26621492.677 | 21542918.902 | 26621494.161 | -0.001 | 7416373.348 | 0.001 |
| 26621492.678 | 26621494.161 | 21542918.902 | -0.001 | 0.001 | 7416373.349 |
| 200.014 | 206.716 | 206.716 | -0.000 | 0.000 | -0.000 |
| 206.716 | 200.014 | 206.716 | -0.000 | -0.000 | -0.000 |
| 206.716 | 206.716 | 200.014 | 0.000 | 0.000 | -0.000 |
| -21542918.911 | -26621492.689 | -26621494.173 | 7416373.355 | 0.001 | -0.000 |
| -26621492.689 | -21542918.911 | -26621494.173 | 0.001 | 7416373.355 | -0.000 |
| -26621492.690 | -26621494.173 | -21542918.911 | 0.001 | 0.000 | 7416373.356 |
| 200.013 | 206.716 | 206.716 | 0.000 | 0.000 | 0.000 |
| 206.716 | 200.013 | 206.716 | 0.000 | 0.000 | 0.000 |
| 206.716 | 206.716 | 200.013 | -0.000 | 0.000 | 0.000 |
| 2154301.686 | 2662153.088 | 2662154.572 | 741634.062 | -0.000 | -0.000 |
| 2662153.088 | 2154301.686 | 2662154.572 | -0.000 | 741634.062 | -0.000 |
| 2662153.088 | 2662154.572 | 2154301.686 | -0.000 | -0.000 | 741634.062 |
| 200.015 | 206.716 | 206.716 | -0.000 | -0.000 | -0.000 |
| 206.716 | 200.015 | 206.716 | -0.000 | -0.000 | -0.000 |
| 206.716 | 206.716 | 200.015 | 0.000 | 0.000 | -0.000 |
| -2154301.686 | -2662153.089 | -2662154.572 | 741634.062 | 0.000 | 0.000 |
| -2662153.089 | -2154301.686 | -2662154.572 | 0.000 | 741634.062 | 0.000 |
| -2662153.089 | -2662154.572 | -2154301.686 | 0.000 | -0.000 | 741634.062 |
| 49.900 | 49.900 | 49.900 | 0.000 | 0.000 | -0.000 |
| 49.900 | 49.900 | 49.900 | 0.000 | 0.000 | -0.000 |
| 49.900 | 49.900 | 49.900 | 0.000 | 0.000 | -0.000 |
| 0.000 | 0.000 | 0.000 | 0.618 | -0.000 | 0.000 |
| 0.000 | 0.000 | 0.000 | -0.000 | 0.618 | -0.000 |
| 0.000 | 0.000 | 0.000 | -0.000 | 0.000 | 0.618 |
| 49.900 | 49.900 | 49.900 | -0.000 | -0.000 | -0.000 |
| 49.900 | 49.900 | 49.900 | -0.000 | -0.000 | -0.000 |
| 49.900 | 49.900 | 49.900 | -0.000 | -0.000 | 0.000 |
| -0.000 | -0.000 | -0.000 | 0.618 | 0.000 | -0.000 |
| -0.000 | -0.000 | -0.000 | 0.000 | 0.618 | -0.000 |
| -0.000 | -0.000 | -0.000 | 0.000 | 0.000 | 0.618 |
| 49.900 | 49.900 | 49.900 | 0.000 | 0.000 | -0.000 |
| 49.900 | 49.900 | 49.900 | 0.000 | 0.000 | -0.000 |
| 49.900 | 49.900 | 49.900 | 0.000 | 0.000 | 0.000 |
| 0.000 | 0.000 | 0.000 | 0.691 | -0.000 | -0.000 |
| 0.000 | 0.000 | 0.000 | -0.000 | 0.691 | 0.000 |
| 0.000 | 0.000 | 0.000 | -0.000 | -0.000 | 0.691 |
| 49.900 | 49.900 | 49.900 | -0.000 | -0.000 | -0.000 |
| 49.900 | 49.900 | 49.900 | -0.000 | -0.000 | -0.000 |
| 49.900 | 49.900 | 49.900 | -0.000 | -0.000 | 0.000 |
| -0.000 | -0.000 | -0.000 | 0.691 | 0.000 | -0.000 |
| -0.000 | -0.000 | -0.000 | 0.000 | 0.691 | -0.000 |
| -0.000 | -0.000 | -0.000 | 0.000 | -0.000 | 0.691 |
| 49.900 | 49.900 | 49.900 | 0.000 | 0.000 | 0.000 |
| 49.900 | 49.900 | 49.900 | 0.000 | 0.000 | -0.000 |
| 49.900 | 49.900 | 49.900 | 0.000 | 0.000 | -0.000 |
| 0.000 | 0.000 | 0.000 | 0.618 | 0.000 | 0.000 |
| 0.000 | 0.000 | 0.000 | -0.000 | 0.618 | 0.000 |
| 0.000 | 0.000 | 0.000 | -0.000 | 0.000 | 0.618 |
| 49.900 | 49.900 | 49.900 | -0.000 | -0.000 | -0.000 |
| 49.900 | 49.900 | 49.900 | -0.000 | -0.000 | -0.000 |
| 49.900 | 49.900 | 49.900 | -0.000 | -0.000 | 0.000 |
| -0.000 | -0.000 | -0.000 | 0.618 | 0.000 | -0.000 |
| -0.000 | -0.000 | -0.000 | 0.000 | 0.618 | -0.000 |
| -0.000 | -0.000 | -0.000 | 0.000 | -0.000 | 0.618 |
| 355.373 | 191.411 | 191.411 | -0.000 | -0.000 | -0.000 |
| 191.411 | 355.373 | 191.411 | 0.000 | -0.000 | -0.000 |
| 191.411 | 191.411 | 355.373 | -0.000 | -0.000 | -0.000 |
| -0.000 | -0.000 | 0.000 | 123.158 | -0.000 | -0.000 |
| 0.000 | -0.000 | 0.000 | -0.000 | 123.158 | -0.000 |
| -0.000 | -0.000 | -0.000 | -0.000 | -0.000 | 123.158 |
| 355.373 | 191.411 | 191.411 | 0.000 | 0.000 | 0.000 |
| 191.411 | 355.373 | 191.411 | -0.000 | 0.000 | 0.000 |
| 191.411 | 191.411 | 355.373 | -0.000 | 0.000 | 0.000 |
| 0.000 | 0.000 | -0.000 | 123.158 | 0.000 | 0.000 |
| 0.000 | 0.000 | -0.000 | 0.000 | 123.158 | 0.000 |
| -0.000 | 0.000 | 0.000 | 0.000 | 0.000 | 123.158 |
| 355.373 | 191.411 | 191.411 | -0.000 | -0.000 | -0.000 |
| 191.411 | 355.373 | 191.411 | 0.000 | -0.000 | -0.000 |
| 191.411 | 191.411 | 355.373 | 0.000 | -0.000 | -0.000 |
| -0.000 | 0.000 | 0.000 | 123.158 | -0.000 | 0.000 |
| 0.000 | -0.000 | 0.000 | -0.000 | 123.158 | -0.000 |
| 0.000 | 0.000 | -0.000 | -0.000 | -0.000 | 123.158 |
| 355.373 | 191.411 | 191.411 | -0.000 | 0.000 | 0.000 |
| 191.411 | 355.373 | 191.411 | -0.000 | 0.000 | 0.000 |
| 191.411 | 191.411 | 355.373 | -0.000 | 0.000 | 0.000 |
| 0.000 | -0.000 | -0.000 | 123.158 | 0.000 | 0.000 |
| -0.000 | 0.000 | -0.000 | 0.000 | 123.158 | 0.000 |
| -0.000 | -0.000 | 0.000 | 0.000 | 0.000 | 123.158 |
| 355.374 | 191.410 | 191.410 | 0.000 | -0.000 | 0.000 |
| 191.410 | 355.374 | 191.410 | 0.000 | -0.000 | -0.000 |
| 191.410 | 191.410 | 355.374 | 0.000 | -0.000 | -0.000 |
| -0.000 | 0.000 | 0.000 | 123.158 | -0.000 | -0.000 |
| 0.000 | -0.000 | 0.000 | -0.000 | 123.158 | -0.000 |
| 0.000 | 0.000 | -0.000 | -0.000 | -0.000 | 123.158 |
| 355.372 | 191.411 | 191.411 | -0.000 | 0.000 | 0.000 |
| 191.411 | 355.372 | 191.411 | -0.000 | 0.000 | 0.000 |
| 191.411 | 191.411 | 355.372 | -0.000 | 0.000 | 0.000 |
| 0.000 | -0.000 | -0.000 | 123.158 | 0.000 | 0.000 |
| -0.000 | 0.000 | -0.000 | 0.000 | 123.158 | 0.000 |
| -0.000 | -0.000 | 0.000 | 0.000 | 0.000 | 123.158 |
| 24.255 | 27.383 | 27.383 | -0.000 | -0.000 | -0.000 |
| 27.383 | 24.255 | 27.383 | -0.000 | -0.000 | -0.000 |
| 27.383 | 27.383 | 24.255 | -0.000 | -0.000 | -0.000 |
| 0.000 | -0.000 | -0.000 | -4.465 | -0.000 | -0.000 |
| 0.000 | 0.000 | -0.000 | -0.000 | -4.465 | -0.000 |
| 0.000 | -0.000 | -0.000 | -0.000 | -0.000 | -4.465 |
| 24.255 | 27.383 | 27.383 | 0.000 | 0.000 | 0.000 |
| 27.383 | 24.255 | 27.383 | 0.000 | 0.000 | 0.000 |
| 27.383 | 27.383 | 24.255 | 0.000 | 0.000 | 0.000 |
| -0.000 | -0.000 | 0.000 | -4.465 | 0.000 | 0.000 |
| -0.000 | -0.000 | 0.000 | 0.000 | -4.465 | 0.000 |
| -0.000 | 0.000 | 0.000 | 0.000 | 0.000 | -4.465 |
| 24.255 | 27.383 | 27.383 | -0.000 | -0.000 | -0.000 |
| 27.383 | 24.255 | 27.383 | -0.000 | -0.000 | -0.000 |
| 27.383 | 27.383 | 24.255 | -0.000 | -0.000 | -0.000 |
| -0.000 | -0.000 | -0.000 | -4.465 | -0.000 | -0.000 |
| -0.000 | -0.000 | -0.000 | -0.000 | -4.465 | -0.000 |
| -0.000 | -0.000 | -0.000 | -0.000 | -0.000 | -4.465 |
| 24.255 | 27.383 | 27.383 | 0.000 | 0.000 | 0.000 |
| 27.383 | 24.255 | 27.383 | 0.000 | 0.000 | 0.000 |
| 27.383 | 27.383 | 24.255 | 0.000 | 0.000 | 0.000 |
| 0.000 | 0.000 | 0.000 | -4.465 | 0.000 | 0.000 |
| 0.000 | 0.000 | 0.000 | 0.000 | -4.465 | 0.000 |
| 0.000 | 0.000 | 0.000 | 0.000 | 0.000 | -4.465 |
| 24.255 | 27.383 | 27.383 | 0.000 | -0.000 | -0.000 |
| 27.383 | 24.255 | 27.383 | -0.000 | -0.000 | -0.000 |
| 27.383 | 27.383 | 24.255 | -0.000 | -0.000 | -0.000 |
| -0.000 | -0.000 | -0.000 | -4.465 | -0.000 | -0.000 |
| -0.000 | -0.000 | -0.000 | -0.000 | -4.465 | -0.000 |
| -0.000 | -0.000 | -0.000 | -0.000 | -0.000 | -4.465 |
| 24.255 | 27.383 | 27.383 | 0.000 | 0.000 | 0.000 |
| 27.383 | 24.255 | 27.383 | 0.000 | 0.000 | 0.000 |
| 27.383 | 27.383 | 24.255 | 0.000 | 0.000 | 0.000 |
| 0.000 | 0.000 | 0.000 | -4.465 | 0.000 | 0.000 |
| 0.000 | 0.000 | 0.000 | 0.000 | -4.465 | 0.000 |
| 0.000 | 0.000 | 0.000 | 0.000 | 0.000 | -4.465 |
| 780.435 | 887.898 | -425.725 | -5.384 | -0.000 | -0.000 |
| 195.477 | 417.538 | 155.166 | 4.632 | 0.000 | 0.000 |
| 154.244 | 154.244 | 489.775 | -0.000 | -0.000 | 0.000 |
| 534.415 | 545.197 | -592.605 | 4.410 | 0.000 | 0.000 |
| 0.000 | -0.000 | -0.000 | 0.000 | 15.086 | -4.632 |
| 537.773 | 537.773 | -590.374 | 0.000 | -5.388 | -54.676 |
| -296.885 | -185.736 | 754.929 | -5.392 | 0.000 | 0.000 |
| 195.477 | 417.538 | 155.166 | 4.632 | -0.000 | -0.000 |
| -440.894 | -440.894 | 1109.698 | -0.000 | 0.000 | -0.000 |
| -545.197 | -534.415 | 592.605 | 4.410 | -0.000 | 0.000 |
| 0.000 | -0.000 | 0.000 | -0.000 | 15.086 | -4.632 |
| -537.773 | -537.773 | 590.374 | -0.000 | -5.388 | -54.676 |
| 417.538 | 195.477 | 155.166 | -4.632 | -0.000 | 0.000 |
| 195.477 | 417.538 | 155.166 | 4.632 | 0.000 | 0.000 |
| 154.244 | 154.244 | 489.775 | -0.000 | -0.000 | 0.000 |
| -4.632 | 4.632 | -0.000 | 15.086 | -0.000 | 0.000 |
| 0.000 | 0.000 | -0.000 | -0.000 | 15.086 | -4.632 |
| 0.000 | 0.000 | 0.000 | 0.000 | -4.632 | 111.030 |
| 245.332 | 234.602 | 222.811 | -5.641 | 0.000 | -0.000 |
| 195.477 | 417.537 | 155.166 | 4.632 | -0.000 | -0.000 |
| 106.518 | 106.518 | 542.207 | -0.000 | -0.000 | -0.000 |
| -67.535 | -56.304 | 64.245 | 1.065 | 0.000 | 0.000 |
| -0.000 | -0.000 | 0.000 | 0.000 | 15.086 | -4.632 |
| -0.000 | -0.000 | -0.000 | -0.000 | -4.632 | 111.030 |
| 417.541 | 195.477 | 155.166 | -4.632 | -0.000 | 0.000 |
| 272.047 | 339.372 | 155.282 | 4.985 | 0.000 | 0.000 |
| 154.242 | 154.242 | 489.773 | -0.000 | -0.000 | 0.000 |
| -4.632 | 4.632 | -0.000 | 15.086 | -0.000 | 0.000 |
| 0.001 | 0.000 | -0.000 | -0.000 | 15.086 | -4.632 |
| 12.651 | 12.652 | -15.991 | -0.000 | 0.738 | -27.311 |
| 327.596 | 272.830 | 161.252 | -5.014 | 0.000 | -0.000 |
| 280.562 | 294.552 | 172.973 | 3.604 | -0.000 | -0.000 |
| 155.074 | 155.074 | 488.909 | -0.000 | -0.000 | -0.000 |
| -4.632 | 4.631 | 0.000 | 15.086 | 0.000 | -0.000 |
| -0.001 | -0.000 | 0.000 | 0.000 | 15.086 | -4.632 |
| -12.651 | -12.652 | 15.991 | 0.000 | 0.738 | -27.311 |
| 164.819 | 174.631 | 174.631 | 0.000 | 0.000 | -0.000 |
| 174.631 | 164.819 | 174.631 | 0.000 | 0.000 | -0.000 |
| 174.631 | 174.631 | 164.819 | 0.000 | 0.000 | -0.000 |
| 0.000 | 0.000 | 0.000 | 177.837 | 0.000 | -0.000 |
| 0.000 | 0.000 | 0.000 | 0.000 | 177.837 | -0.000 |
| 0.000 | 0.000 | 0.000 | 0.000 | 0.000 | 177.837 |
| 164.819 | 174.631 | 174.631 | -0.000 | -0.000 | 0.000 |
| 174.631 | 164.819 | 174.631 | -0.000 | -0.000 | 0.000 |
| 174.631 | 174.631 | 164.819 | -0.000 | 0.000 | 0.000 |
| -0.000 | -0.000 | -0.000 | 177.837 | -0.000 | 0.000 |
| -0.000 | -0.000 | -0.000 | -0.000 | 177.837 | 0.000 |
| -0.000 | -0.000 | -0.000 | -0.000 | -0.000 | 177.837 |
| 164.819 | 174.631 | 174.631 | 0.000 | 0.000 | -0.000 |
| 174.631 | 164.819 | 174.631 | 0.000 | -0.000 | -0.000 |
| 174.631 | 174.631 | 164.819 | 0.000 | -0.000 | -0.000 |
| 0.000 | 0.000 | 0.000 | 174.219 | 0.000 | -0.000 |
| 0.000 | 0.000 | 0.000 | 0.000 | 174.219 | -0.000 |
| 0.000 | 0.000 | 0.000 | 0.000 | 0.000 | 174.219 |
| 164.819 | 174.631 | 174.631 | -0.000 | -0.000 | 0.000 |
| 174.631 | 164.819 | 174.631 | -0.000 | 0.000 | 0.000 |
| 174.631 | 174.631 | 164.819 | -0.000 | -0.000 | 0.000 |
| -0.000 | -0.000 | -0.000 | 174.219 | -0.000 | 0.000 |
| -0.000 | -0.000 | -0.000 | -0.000 | 174.219 | 0.000 |
| -0.000 | -0.000 | -0.000 | -0.000 | -0.000 | 174.219 |
| 164.821 | 174.632 | 174.632 | 0.000 | 0.000 | -0.000 |
| 174.632 | 164.821 | 174.632 | 0.000 | 0.000 | -0.000 |
| 174.632 | 174.632 | 164.821 | 0.000 | 0.000 | -0.000 |
| 0.001 | 0.000 | 0.001 | 177.837 | 0.000 | -0.000 |
| 0.000 | 0.001 | 0.001 | 0.000 | 177.837 | -0.000 |
| 0.000 | 0.001 | 0.001 | 0.000 | -0.000 | 177.837 |
| 164.817 | 174.631 | 174.631 | -0.000 | -0.000 | 0.000 |
| 174.631 | 164.817 | 174.631 | 0.000 | -0.000 | 0.000 |
| 174.631 | 174.631 | 164.817 | -0.000 | 0.000 | 0.000 |
| -0.001 | -0.000 | -0.001 | 177.837 | -0.000 | -0.000 |
| -0.000 | -0.001 | -0.001 | -0.000 | 177.837 | 0.000 |
| -0.000 | -0.001 | -0.001 | -0.000 | -0.000 | 177.837 |
| 220.334 | 221.528 | 221.528 | -0.000 | 0.000 | -0.000 |
| 221.528 | 220.334 | 221.528 | -0.000 | -0.000 | -0.000 |
| 221.528 | 221.528 | 220.334 | -0.000 | -0.000 | -0.000 |
| 0.000 | 0.000 | 0.000 | -0.984 | 0.000 | -0.000 |
| 0.000 | 0.000 | 0.000 | -0.000 | -0.984 | -0.000 |
| 0.000 | 0.000 | 0.000 | -0.000 | -0.000 | -0.984 |
| 220.334 | 221.528 | 221.528 | 0.000 | 0.000 | 0.000 |
| 221.528 | 220.334 | 221.528 | 0.000 | 0.000 | 0.000 |
| 221.528 | 221.528 | 220.334 | 0.000 | 0.000 | 0.000 |
| -0.000 | -0.000 | -0.000 | -0.984 | 0.000 | 0.000 |
| -0.000 | -0.000 | -0.000 | 0.000 | -0.984 | 0.000 |
| -0.000 | -0.000 | -0.000 | 0.000 | 0.000 | -0.984 |
| 220.334 | 221.528 | 221.528 | -0.000 | -0.000 | -0.000 |
| 221.528 | 220.334 | 221.528 | -0.000 | 0.000 | -0.000 |
| 221.528 | 221.528 | 220.334 | -0.000 | -0.000 | -0.000 |
| -7350021.074 | 720820.308 | 1018130.567 | 378093.669 | 35734.111 | -5987.468 |
| 748364.099 | -7433502.913 | 989729.604 | 9081.219 | 480573.275 | 3346.469 |
| 632285.136 | 904584.537 | -7629154.333 | -94657.972 | -32704.171 | 594062.054 |
| 220.334 | 221.528 | 221.528 | 0.000 | -0.000 | 0.000 |
| 221.528 | 220.334 | 221.528 | -0.000 | -0.000 | 0.000 |
| 221.528 | 221.528 | 220.334 | 0.000 | -0.000 | 0.000 |
| 10198919.531 | -952306.459 | -195433.275 | 215001.634 | -68690.836 | 21916.790 |
| -995454.461 | 10286114.179 | -328974.304 | -17460.048 | 106465.290 | 15575.280 |
| -838256.252 | -81977.090 | 10180262.363 | -20374.190 | 15233.334 | 201420.135 |
| 220.333 | 221.528 | 221.528 | -0.000 | 0.000 | -0.000 |
| 221.528 | 220.333 | 221.528 | -0.000 | -0.000 | -0.000 |
| 221.528 | 221.528 | 220.333 | -0.000 | 0.000 | -0.000 |
| -1160975.458 | 89163.141 | 38647.049 | 25520.670 | 856.999 | -7378.759 |
| 81956.500 | -1171381.871 | 35688.917 | 456.212 | 22621.141 | -5315.244 |
| 94205.570 | 44543.483 | -1173592.878 | -3869.960 | 529.481 | 16053.686 |
| 220.335 | 221.528 | 221.528 | 0.000 | -0.000 | 0.000 |
| 221.528 | 220.335 | 221.528 | 0.000 | 0.000 | 0.000 |
| 221.528 | 221.528 | 220.335 | 0.000 | 0.000 | 0.000 |
| 495790.304 | -106844.697 | -79790.281 | 48972.256 | 5363.113 | -9227.245 |
| -90960.878 | 511710.840 | -79752.479 | 10887.770 | 53205.858 | -3158.501 |
| -101768.207 | -85400.324 | 504605.797 | 9231.123 | 4443.309 | 69912.617 |
| 50.104 | 50.104 | 50.104 | 0.000 | 0.000 | 0.000 |
| 50.104 | 50.104 | 50.104 | 0.000 | 0.000 | 0.000 |
| 50.104 | 50.104 | 50.104 | -0.000 | -0.000 | 0.000 |
| 0.000 | 0.000 | 0.000 | 0.802 | -0.000 | 0.000 |
| 0.000 | 0.000 | 0.000 | -0.000 | 0.802 | 0.000 |
| 0.000 | 0.000 | 0.000 | -0.000 | -0.000 | 0.802 |
| 50.104 | 50.104 | 50.104 | -0.000 | -0.000 | -0.000 |
| 50.104 | 50.104 | 50.104 | -0.000 | -0.000 | -0.000 |
| 50.104 | 50.104 | 50.104 | -0.000 | 0.000 | -0.000 |
| -0.000 | -0.000 | -0.000 | 0.802 | 0.000 | -0.000 |
| -0.000 | -0.000 | -0.000 | 0.000 | 0.802 | -0.000 |
| -0.000 | -0.000 | -0.000 | 0.000 | 0.000 | 0.802 |
| 50.104 | 50.104 | 50.104 | 0.000 | 0.000 | -0.000 |
| 50.104 | 50.104 | 50.104 | 0.000 | 0.000 | -0.000 |
| 50.104 | 50.104 | 50.104 | -0.000 | -0.000 | 0.000 |
| 0.000 | 0.000 | 0.000 | 0.802 | 0.000 | 0.000 |
| 0.000 | 0.000 | 0.000 | 0.000 | 0.802 | 0.000 |
| 0.000 | 0.000 | 0.000 | -0.000 | -0.000 | 0.802 |
| 50.104 | 50.104 | 50.104 | 0.000 | -0.000 | -0.000 |
| 50.104 | 50.104 | 50.104 | -0.000 | -0.000 | -0.000 |
| 50.104 | 50.104 | 50.104 | -0.000 | -0.000 | -0.000 |
| -0.000 | -0.000 | -0.000 | 0.802 | 0.000 | -0.000 |
| -0.000 | -0.000 | -0.000 | 0.000 | 0.802 | -0.000 |
| -0.000 | -0.000 | -0.000 | 0.000 | 0.000 | 0.802 |
| 50.104 | 50.104 | 50.104 | -0.000 | -0.000 | 0.000 |
| 50.104 | 50.104 | 50.104 | 0.000 | -0.000 | 0.000 |
| 50.104 | 50.104 | 50.104 | 0.000 | 0.000 | 0.000 |
| 0.000 | 0.000 | 0.000 | 0.802 | -0.000 | 0.000 |
| 0.000 | 0.000 | 0.000 | -0.000 | 0.802 | 0.000 |
| 0.000 | 0.000 | 0.000 | -0.000 | -0.000 | 0.802 |
| 50.104 | 50.104 | 50.104 | -0.000 | 0.000 | -0.000 |
| 50.104 | 50.104 | 50.104 | 0.000 | -0.000 | -0.000 |
| 50.104 | 50.104 | 50.104 | -0.000 | 0.000 | 0.000 |
| -0.000 | -0.000 | -0.000 | 0.802 | 0.000 | -0.000 |
| -0.000 | -0.000 | -0.000 | 0.000 | 0.802 | -0.000 |
| -0.000 | -0.000 | -0.000 | 0.000 | 0.000 | 0.802 |
| 106.224 | 124.301 | 124.301 | -0.000 | -0.000 | -0.000 |
| 124.301 | 106.224 | 124.301 | -0.000 | -0.000 | -0.000 |
| 124.301 | 124.301 | 106.224 | 0.000 | -0.000 | -0.000 |
| 0.000 | 0.000 | 0.000 | -14.941 | -0.000 | -0.000 |
| 0.000 | 0.000 | 0.000 | -0.000 | -14.941 | -0.000 |
| 0.000 | 0.000 | 0.000 | -0.000 | -0.000 | -14.941 |
| 106.224 | 124.301 | 124.301 | 0.000 | 0.000 | 0.000 |
| 124.301 | 106.224 | 124.301 | 0.000 | 0.000 | 0.000 |
| 124.301 | 124.301 | 106.224 | -0.000 | 0.000 | 0.000 |
| -0.000 | -0.000 | -0.000 | -14.941 | -0.000 | 0.000 |
| -0.000 | -0.000 | -0.000 | 0.000 | -14.941 | 0.000 |
| -0.000 | -0.000 | -0.000 | 0.000 | 0.000 | -14.941 |
| 106.224 | 124.301 | 124.301 | -0.000 | -0.000 | -0.000 |
| 124.301 | 106.224 | 124.301 | -0.000 | 0.000 | -0.000 |
| 124.301 | 124.301 | 106.224 | 0.000 | -0.000 | -0.000 |
| 0.000 | 0.000 | 0.000 | -14.941 | -0.000 | -0.000 |
| 0.000 | 0.000 | 0.000 | -0.000 | -14.941 | -0.000 |
| 0.000 | 0.000 | 0.000 | -0.000 | -0.000 | -14.941 |
| 106.224 | 124.301 | 124.301 | 0.000 | 0.000 | 0.000 |
| 124.301 | 106.224 | 124.301 | 0.000 | 0.000 | 0.000 |
| 124.301 | 124.301 | 106.224 | -0.000 | 0.000 | 0.000 |
| -0.000 | -0.000 | -0.000 | -14.941 | 0.000 | -0.000 |
| -0.000 | -0.000 | -0.000 | 0.000 | -14.941 | 0.000 |
| -0.000 | -0.000 | -0.000 | 0.000 | 0.000 | -14.941 |
| 106.224 | 124.301 | 124.301 | -0.000 | -0.000 | -0.000 |
| 124.301 | 106.224 | 124.301 | -0.000 | 0.000 | -0.000 |
| 124.301 | 124.301 | 106.224 | 0.000 | -0.000 | -0.000 |
| 0.000 | 0.000 | 0.000 | -14.941 | -0.000 | -0.000 |
| 0.000 | 0.000 | 0.000 | 0.000 | -14.941 | -0.000 |
| 0.000 | 0.000 | 0.000 | -0.000 | -0.000 | -14.941 |
| 106.223 | 124.300 | 124.300 | 0.000 | 0.000 | 0.000 |
| 124.300 | 106.223 | 124.300 | 0.000 | 0.000 | 0.000 |
| 124.300 | 124.300 | 106.223 | 0.000 | 0.000 | 0.000 |
| -0.000 | -0.000 | -0.000 | -14.941 | 0.000 | 0.000 |
| -0.000 | -0.000 | -0.000 | 0.000 | -14.941 | 0.000 |
| -0.000 | -0.000 | -0.000 | 0.000 | 0.000 | -14.941 |
| 251.017 | 95.418 | 95.418 | 0.000 | 0.000 | -0.000 |
| 95.418 | 251.017 | 95.418 | 0.000 | 0.000 | -0.000 |
| 95.418 | 95.418 | 251.017 | 0.000 | 0.000 | -0.000 |
| -0.000 | 0.000 | 0.000 | 96.106 | 0.000 | -0.000 |
| -0.000 | 0.000 | 0.000 | 0.000 | 96.106 | -0.000 |
| -0.000 | 0.000 | -0.000 | 0.000 | 0.000 | 96.106 |
| 251.017 | 95.418 | 95.418 | -0.000 | -0.000 | 0.000 |
| 95.418 | 251.017 | 95.418 | -0.000 | -0.000 | 0.000 |
| 95.418 | 95.418 | 251.017 | -0.000 | -0.000 | 0.000 |
| 0.000 | -0.000 | -0.000 | 96.106 | -0.000 | 0.000 |
| 0.000 | -0.000 | -0.000 | -0.000 | 96.106 | 0.000 |
| 0.000 | -0.000 | -0.000 | -0.000 | -0.000 | 96.106 |
| 251.017 | 95.417 | 95.417 | 0.000 | 0.000 | -0.000 |
| 95.417 | 251.017 | 95.417 | 0.000 | 0.000 | -0.000 |
| 95.417 | 95.417 | 251.017 | 0.000 | 0.000 | -0.000 |
| 0.000 | 0.000 | 0.000 | 88.269 | 0.000 | -0.000 |
| 0.000 | 0.000 | 0.000 | 0.000 | 88.269 | -0.000 |
| 0.000 | 0.000 | 0.000 | 0.000 | 0.000 | 88.269 |
| 251.017 | 95.418 | 95.418 | -0.000 | -0.000 | 0.000 |
| 95.418 | 251.017 | 95.418 | -0.000 | -0.000 | 0.000 |
| 95.418 | 95.418 | 251.017 | -0.000 | -0.000 | 0.000 |
| -0.000 | -0.000 | -0.000 | 88.269 | -0.000 | 0.000 |
| -0.000 | -0.000 | -0.000 | -0.000 | 88.269 | 0.000 |
| -0.000 | -0.000 | -0.000 | -0.000 | -0.000 | 88.269 |
| 251.017 | 95.417 | 95.417 | 0.000 | 0.000 | -0.000 |
| 95.417 | 251.017 | 95.417 | 0.000 | 0.000 | -0.000 |
| 95.417 | 95.417 | 251.017 | 0.000 | 0.000 | -0.000 |
| 0.000 | 0.000 | 0.000 | 88.269 | 0.000 | -0.000 |
| 0.000 | 0.000 | 0.000 | 0.000 | 88.269 | -0.000 |
| 0.000 | 0.000 | 0.000 | 0.000 | 0.000 | 88.269 |
| 251.018 | 95.418 | 95.418 | -0.000 | -0.000 | 0.000 |
| 95.418 | 251.018 | 95.418 | -0.000 | -0.000 | 0.000 |
| 95.418 | 95.418 | 251.018 | -0.000 | -0.000 | 0.000 |
| -0.000 | -0.000 | -0.000 | 88.269 | -0.000 | 0.000 |
| -0.000 | -0.000 | -0.000 | -0.000 | 88.269 | 0.000 |
| -0.000 | -0.000 | -0.000 | -0.000 | -0.000 | 88.269 |
| 43.178 | 109.067 | 93.512 | -0.000 | 0.000 | -0.000 |
| 109.067 | 43.178 | 93.512 | -0.000 | -0.000 | -0.000 |
| 91.089 | 91.089 | 87.244 | -0.000 | -0.000 | 0.000 |
| 0.737 | 0.737 | -2.817 | -56.497 | -0.000 | 0.000 |
| 0.737 | 0.737 | -2.817 | -0.000 | -56.497 | 0.000 |
| 0.500 | 0.500 | -1.913 | -0.000 | 0.000 | 93.307 |
| 50.831 | 116.547 | 64.574 | -0.000 | 0.000 | -0.000 |
| 116.547 | 50.831 | 64.574 | -0.000 | 0.000 | -0.000 |
| 60.564 | 60.564 | 203.975 | 0.000 | 0.000 | -0.000 |
| -0.737 | -0.737 | 2.817 | -56.497 | 0.000 | -0.000 |
| -0.737 | -0.737 | 2.817 | 0.000 | -56.497 | -0.000 |
| -0.500 | -0.500 | 1.913 | 0.000 | 0.000 | 93.307 |
| 42.814 | 108.703 | 94.903 | -0.000 | -0.000 | -0.000 |
| 108.703 | 42.814 | 94.903 | 0.000 | -0.000 | 0.000 |
| 60.565 | 60.565 | 203.976 | -0.000 | -0.000 | 0.000 |
| 0.074 | 0.074 | -0.282 | -56.528 | 0.000 | 0.000 |
| 0.074 | 0.074 | -0.282 | 0.000 | -56.528 | 0.000 |
| 0.050 | 0.050 | -0.191 | -0.000 | -0.000 | 93.301 |
| 42.733 | 108.622 | 95.213 | -0.000 | 0.000 | -0.000 |
| 108.622 | 42.733 | 95.213 | -0.000 | 0.000 | -0.000 |
| 90.639 | 90.639 | 88.966 | 0.000 | 0.000 | -0.000 |
| -0.074 | -0.074 | 0.282 | -56.528 | 0.000 | -0.000 |
| -0.074 | -0.074 | 0.282 | -0.000 | -56.528 | -0.000 |
| -0.050 | -0.050 | 0.191 | -0.000 | 0.000 | 93.301 |
| 42.778 | 108.667 | 95.043 | -0.000 | -0.000 | 0.000 |
| 108.667 | 42.778 | 95.043 | 0.000 | -0.000 | -0.000 |
| 90.684 | 90.684 | 88.797 | -0.000 | -0.000 | -0.000 |
| 0.007 | 0.008 | -0.028 | -56.528 | 0.000 | 0.000 |
| 0.008 | 0.007 | -0.028 | -0.000 | -56.528 | 0.000 |
| 0.005 | 0.005 | -0.019 | 0.000 | -0.000 | 93.301 |
| 42.769 | 108.658 | 95.073 | 0.000 | 0.000 | -0.000 |
| 108.658 | 42.769 | 95.073 | 0.000 | 0.000 | -0.000 |
| 90.675 | 90.675 | 88.822 | -0.000 | 0.000 | -0.000 |
| -0.007 | -0.008 | 0.028 | -56.528 | 0.000 | -0.000 |
| -0.008 | -0.007 | 0.028 | 0.000 | -56.528 | -0.000 |
| -0.005 | -0.005 | 0.019 | -0.000 | 0.000 | 93.301 |
| 357.730 | 61.496 | 61.496 | 0.000 | -0.000 | -0.000 |
| 61.496 | 357.730 | 61.496 | 0.000 | -0.000 | 0.000 |
| 61.496 | 61.496 | 357.730 | 0.000 | 0.000 | -0.000 |
| 0.000 | 0.000 | -0.000 | 39.035 | -0.000 | 0.000 |
| 0.000 | 0.000 | -0.000 | 0.000 | 39.035 | 0.000 |
| 0.000 | 0.000 | -0.000 | 0.000 | 0.000 | 39.035 |
| 355.590 | 62.566 | 62.566 | -0.000 | 0.000 | 0.000 |
| 62.566 | 355.590 | 62.566 | -0.000 | 0.000 | 0.000 |
| 62.566 | 62.566 | 355.590 | 0.000 | 0.000 | 0.000 |
| -0.000 | -0.000 | 0.000 | 39.035 | 0.000 | 0.000 |
| -0.000 | -0.000 | -0.000 | -0.000 | 39.035 | -0.000 |
| -0.000 | 0.000 | 0.000 | -0.000 | -0.000 | 39.035 |
| 357.730 | 61.496 | 61.496 | 0.000 | -0.000 | -0.000 |
| 61.496 | 357.730 | 61.496 | 0.000 | 0.000 | 0.000 |
| 61.496 | 61.496 | 357.730 | 0.000 | -0.000 | 0.000 |
| 0.000 | 0.000 | -0.000 | 39.035 | -0.000 | 0.000 |
| 0.000 | 0.000 | -0.000 | 0.000 | 39.035 | -0.000 |
| 0.000 | -0.000 | 0.000 | 0.000 | -0.000 | 39.035 |
| 355.589 | 62.566 | 62.566 | -0.000 | 0.000 | 0.000 |
| 62.566 | 355.589 | 62.566 | -0.000 | 0.000 | 0.000 |
| 62.566 | 62.566 | 355.589 | -0.000 | 0.000 | -0.000 |
| -0.000 | -0.000 | 0.000 | 39.035 | 0.000 | 0.000 |
| -0.000 | -0.000 | 0.000 | -0.000 | 39.035 | -0.000 |
| -0.000 | 0.000 | -0.000 | -0.000 | 0.000 | 39.035 |
| 355.591 | 62.567 | 62.567 | 0.000 | -0.000 | 0.000 |
| 62.567 | 355.591 | 62.567 | 0.000 | 0.000 | 0.000 |
| 62.567 | 62.567 | 355.591 | 0.000 | -0.000 | -0.000 |
| 0.000 | 0.000 | -0.000 | 39.035 | 0.000 | -0.000 |
| 0.000 | 0.000 | -0.000 | 0.000 | 39.035 | 0.000 |
| 0.000 | -0.000 | 0.000 | 0.000 | -0.000 | 39.035 |
| 355.588 | 62.566 | 62.566 | -0.000 | 0.000 | 0.000 |
| 62.566 | 355.588 | 62.566 | -0.000 | 0.000 | 0.000 |
| 62.566 | 62.566 | 355.588 | -0.000 | 0.000 | 0.000 |
| -0.000 | -0.000 | 0.000 | 39.035 | -0.000 | -0.000 |
| -0.000 | -0.000 | 0.000 | -0.000 | 39.035 | 0.000 |
| -0.000 | 0.000 | -0.000 | -0.000 | 0.000 | 39.035 |
| 137.857 | 165.966 | 165.966 | 0.000 | 0.000 | -0.000 |
| 165.966 | 137.857 | 165.966 | 0.000 | 0.000 | 0.000 |
| 165.966 | 165.966 | 137.857 | 0.000 | 0.000 | 0.000 |
| 0.000 | 0.000 | 0.000 | 123.026 | -0.000 | -0.000 |
| -0.000 | 0.000 | 0.000 | 0.000 | 123.026 | -0.000 |
| -0.000 | 0.000 | 0.000 | 0.000 | 0.000 | 123.026 |
| 137.857 | 165.966 | 165.966 | -0.000 | -0.000 | 0.000 |
| 165.966 | 137.857 | 165.966 | -0.000 | 0.000 | 0.000 |
| 165.966 | 165.966 | 137.857 | 0.000 | -0.000 | 0.000 |
| -0.000 | -0.000 | -0.000 | 123.026 | 0.000 | -0.000 |
| -0.000 | -0.000 | -0.000 | -0.000 | 123.026 | 0.000 |
| -0.000 | -0.000 | -0.000 | -0.000 | -0.000 | 123.026 |
| 137.857 | 165.966 | 165.966 | 0.000 | 0.000 | -0.000 |
| 165.966 | 137.857 | 165.966 | 0.000 | 0.000 | 0.000 |
| 165.966 | 165.966 | 137.857 | 0.000 | 0.000 | 0.000 |
| 0.000 | 0.000 | 0.000 | 123.026 | 0.000 | -0.000 |
| 0.000 | 0.000 | 0.000 | 0.000 | 123.026 | -0.000 |
| 0.000 | 0.000 | 0.000 | 0.000 | 0.000 | 123.026 |
| 137.857 | 165.965 | 165.965 | 0.000 | -0.000 | 0.000 |
| 165.965 | 137.857 | 165.965 | -0.000 | -0.000 | 0.000 |
| 165.965 | 165.965 | 137.857 | -0.000 | 0.000 | 0.000 |
| -0.000 | -0.000 | -0.000 | 123.026 | -0.000 | -0.000 |
| -0.000 | -0.000 | -0.000 | -0.000 | 123.026 | 0.000 |
| -0.000 | -0.000 | -0.000 | -0.000 | -0.000 | 123.026 |
| 137.858 | 165.966 | 165.966 | 0.000 | 0.000 | 0.000 |
| 165.966 | 137.858 | 165.966 | 0.000 | 0.000 | -0.000 |
| 165.966 | 165.966 | 137.858 | 0.000 | 0.000 | 0.000 |
| 0.001 | 0.000 | 0.001 | 123.026 | 0.000 | 0.000 |
| 0.000 | 0.001 | 0.001 | 0.000 | 123.026 | -0.000 |
| 0.000 | 0.001 | 0.001 | 0.000 | 0.000 | 123.026 |
| 137.856 | 165.965 | 165.965 | -0.000 | -0.000 | -0.000 |
| 165.965 | 137.856 | 165.965 | -0.000 | 0.000 | 0.000 |
| 165.965 | 165.965 | 137.856 | -0.000 | -0.000 | 0.000 |
| -0.001 | -0.000 | -0.001 | 123.026 | -0.000 | 0.000 |
| -0.000 | -0.001 | -0.001 | -0.000 | 123.026 | 0.000 |
| -0.000 | -0.001 | -0.001 | -0.000 | -0.000 | 123.026 |
| 139.364 | 16.223 | 16.223 | 0.000 | -0.000 | 0.000 |
| 16.223 | 139.364 | 16.223 | 0.000 | 0.000 | 0.000 |
| 16.223 | 16.223 | 139.364 | 0.000 | -0.000 | 0.000 |
| 0.000 | 0.000 | 0.000 | -27.183 | 0.000 | 0.000 |
| 0.000 | 0.000 | 0.000 | 0.000 | -27.183 | 0.000 |
| 0.000 | -0.000 | 0.000 | 0.000 | -0.000 | -27.183 |
| 139.364 | 16.223 | 16.223 | -0.000 | 0.000 | -0.000 |
| 16.223 | 139.364 | 16.223 | -0.000 | 0.000 | -0.000 |
| 16.223 | 16.223 | 139.364 | 0.000 | 0.000 | -0.000 |
| -0.000 | -0.000 | -0.000 | -27.183 | -0.000 | -0.000 |
| -0.000 | 0.000 | -0.000 | -0.000 | -27.183 | -0.000 |
| -0.000 | 0.000 | -0.000 | -0.000 | -0.000 | -27.183 |
| 139.364 | 16.223 | 16.223 | 0.000 | 0.000 | 0.000 |
| 16.223 | 139.364 | 16.223 | 0.000 | 0.000 | 0.000 |
| 16.223 | 16.223 | 139.364 | 0.000 | 0.000 | 0.000 |
| -0.000 | -0.000 | -0.000 | -27.178 | -0.000 | 0.000 |
| -0.000 | -0.000 | -0.000 | -0.000 | -27.178 | 0.000 |
| -0.000 | -0.000 | -0.000 | -0.000 | -0.000 | -27.178 |
| 139.365 | 16.222 | 16.222 | -0.000 | -0.000 | -0.000 |
| 16.222 | 139.365 | 16.222 | -0.000 | -0.000 | -0.000 |
| 16.222 | 16.222 | 139.365 | -0.000 | 0.000 | -0.000 |
| 0.000 | 0.000 | 0.000 | -27.178 | 0.000 | -0.000 |
| 0.000 | 0.000 | 0.000 | 0.000 | -27.178 | -0.000 |
| 0.000 | 0.000 | 0.000 | 0.000 | 0.000 | -27.178 |
| 139.362 | 16.223 | 16.223 | 0.000 | -0.000 | 0.000 |
| 16.223 | 139.362 | 16.223 | 0.000 | -0.000 | 0.000 |
| 16.223 | 16.223 | 139.362 | 0.000 | -0.000 | 0.000 |
| -0.000 | -0.000 | -0.000 | -27.183 | 0.000 | 0.000 |
| -0.000 | -0.000 | -0.000 | 0.000 | -27.183 | 0.000 |
| -0.000 | -0.000 | -0.000 | 0.000 | -0.000 | -27.183 |
| 139.367 | 16.222 | 16.222 | -0.000 | -0.000 | -0.000 |
| 16.222 | 139.367 | 16.222 | -0.000 | -0.000 | -0.000 |
| 16.222 | 16.222 | 139.367 | -0.000 | -0.000 | -0.000 |
| 0.000 | 0.000 | 0.000 | -27.183 | -0.000 | -0.000 |
| 0.000 | 0.000 | 0.000 | -0.000 | -27.183 | -0.000 |
| 0.000 | 0.000 | 0.000 | -0.000 | -0.000 | -27.183 |
| 155.034 | 85.367 | 85.367 | 0.000 | -0.000 | -0.000 |
| 85.367 | 155.034 | 85.367 | 0.000 | -0.000 | 0.000 |
| 85.367 | 85.367 | 155.034 | 0.000 | -0.000 | 0.000 |
| 0.000 | -0.000 | 0.000 | 103.697 | -0.000 | -0.000 |
| -0.000 | -0.000 | 0.000 | -0.000 | 103.697 | -0.000 |
| 0.000 | 0.000 | 0.000 | -0.000 | -0.000 | 103.697 |
| 155.034 | 85.367 | 85.367 | -0.000 | 0.000 | 0.000 |
| 85.367 | 155.034 | 85.367 | 0.000 | -0.000 | 0.000 |
| 85.367 | 85.367 | 155.034 | -0.000 | 0.000 | -0.000 |
| -0.000 | 0.000 | -0.000 | 103.697 | 0.000 | 0.000 |
| -0.000 | 0.000 | -0.000 | -0.000 | 103.697 | 0.000 |
| -0.000 | -0.000 | -0.000 | 0.000 | -0.000 | 103.697 |
| 155.034 | 85.367 | 85.367 | 0.000 | 0.000 | -0.000 |
| 85.367 | 155.034 | 85.367 | 0.000 | -0.000 | -0.000 |
| 85.367 | 85.367 | 155.034 | 0.000 | -0.000 | -0.000 |
| 0.000 | -0.000 | 0.000 | 103.697 | -0.000 | 0.000 |
| -0.000 | 0.000 | 0.000 | -0.000 | 103.697 | -0.000 |
| -0.000 | 0.000 | 0.000 | -0.000 | -0.000 | 103.697 |
| 155.034 | 85.367 | 85.367 | -0.000 | 0.000 | 0.000 |
| 85.367 | 155.034 | 85.367 | -0.000 | 0.000 | 0.000 |
| 85.367 | 85.367 | 155.034 | 0.000 | -0.000 | -0.000 |
| -0.000 | 0.000 | -0.000 | 103.697 | 0.000 | 0.000 |
| 0.000 | -0.000 | -0.000 | 0.000 | 103.697 | 0.000 |
| 0.000 | -0.000 | -0.000 | -0.000 | 0.000 | 103.697 |
| 155.033 | 85.367 | 85.367 | -0.000 | -0.000 | -0.000 |
| 85.367 | 155.033 | 85.367 | -0.000 | -0.000 | 0.000 |
| 85.367 | 85.367 | 155.033 | 0.000 | -0.000 | 0.000 |
| 0.000 | -0.000 | 0.000 | 103.697 | -0.000 | -0.000 |
| -0.000 | 0.000 | 0.000 | -0.000 | 103.697 | -0.000 |
| -0.000 | 0.000 | 0.000 | 0.000 | -0.000 | 103.697 |
| 155.035 | 85.368 | 85.368 | -0.000 | 0.000 | 0.000 |
| 85.368 | 155.035 | 85.368 | 0.000 | 0.000 | 0.000 |
| 85.368 | 85.368 | 155.035 | -0.000 | 0.000 | -0.000 |
| -0.000 | 0.000 | -0.000 | 103.697 | 0.000 | -0.000 |
| 0.000 | -0.000 | -0.000 | 0.000 | 103.697 | 0.000 |
| 0.000 | -0.000 | -0.000 | -0.000 | 0.000 | 103.697 |
| 394.844 | 89.443 | 89.443 | -0.000 | 0.000 | -0.000 |
| 89.443 | 394.844 | 89.443 | 0.000 | 0.000 | 0.000 |
| 89.443 | 89.443 | 394.844 | 0.000 | 0.000 | 0.000 |
| 0.000 | -0.000 | -0.000 | -13.422 | 0.000 | -0.000 |
| -0.000 | -0.000 | 0.000 | 0.000 | -13.422 | -0.000 |
| -0.000 | -0.000 | 0.000 | -0.000 | 0.000 | -13.422 |
| 392.136 | 90.796 | 90.796 | -0.000 | -0.000 | 0.000 |
| 90.796 | 392.136 | 90.796 | -0.000 | -0.000 | 0.000 |
| 90.796 | 90.796 | 392.136 | 0.000 | -0.000 | 0.000 |
| -0.000 | 0.000 | 0.000 | -13.422 | -0.000 | 0.000 |
| 0.000 | 0.000 | 0.000 | -0.000 | -13.422 | 0.000 |
| 0.000 | 0.000 | -0.000 | 0.000 | -0.000 | -13.422 |
| 392.137 | 90.796 | 90.796 | 0.000 | 0.000 | -0.000 |
| 90.796 | 392.137 | 90.796 | -0.000 | 0.000 | 0.000 |
| 90.796 | 90.796 | 392.137 | 0.000 | 0.000 | -0.000 |
| 0.000 | -0.000 | -0.000 | -13.422 | 0.000 | -0.000 |
| -0.000 | 0.000 | -0.000 | -0.000 | -13.422 | -0.000 |
| -0.000 | -0.000 | 0.000 | 0.000 | 0.000 | -13.422 |
| 394.843 | 89.443 | 89.443 | -0.000 | -0.000 | -0.000 |
| 89.443 | 394.843 | 89.443 | -0.000 | -0.000 | -0.000 |
| 89.443 | 89.443 | 394.843 | -0.000 | -0.000 | 0.000 |
| -0.000 | 0.000 | 0.000 | -13.422 | -0.000 | 0.000 |
| 0.000 | -0.000 | 0.000 | -0.000 | -13.422 | 0.000 |
| 0.000 | 0.000 | -0.000 | -0.000 | -0.000 | -13.422 |
| 392.137 | 90.797 | 90.797 | 0.000 | 0.000 | -0.000 |
| 90.797 | 392.137 | 90.797 | 0.000 | 0.000 | -0.000 |
| 90.797 | 90.797 | 392.137 | 0.000 | 0.000 | 0.000 |
| 0.000 | -0.000 | -0.000 | -13.422 | 0.000 | -0.000 |
| -0.000 | 0.000 | -0.000 | 0.000 | -13.422 | -0.000 |
| -0.000 | -0.000 | 0.000 | -0.000 | 0.000 | -13.422 |
| 394.843 | 89.443 | 89.443 | -0.000 | -0.000 | 0.000 |
| 89.443 | 394.843 | 89.443 | -0.000 | -0.000 | 0.000 |
| 89.443 | 89.443 | 394.843 | -0.000 | -0.000 | 0.000 |
| -0.000 | 0.000 | 0.000 | -13.422 | -0.000 | -0.000 |
| 0.000 | -0.000 | 0.000 | -0.000 | -13.422 | 0.000 |
| 0.000 | 0.000 | -0.000 | 0.000 | -0.000 | -13.422 |
| 530.415 | 538.630 | 538.630 | -0.000 | -0.000 | -0.000 |
| 538.630 | 530.415 | 538.630 | -0.000 | -0.000 | -0.000 |
| 538.630 | 538.630 | 530.415 | 0.000 | 0.000 | -0.000 |
| 0.000 | 0.000 | 0.000 | -4.523 | -0.000 | -0.000 |
| 0.000 | 0.000 | 0.000 | -0.000 | -4.523 | -0.000 |
| 0.000 | 0.000 | 0.000 | -0.000 | -0.000 | -4.523 |
| 530.415 | 538.630 | 538.630 | 0.000 | 0.000 | 0.000 |
| 538.630 | 530.415 | 538.630 | -0.000 | 0.000 | 0.000 |
| 538.630 | 538.630 | 530.415 | -0.000 | 0.000 | 0.000 |
| -0.000 | -0.000 | -0.000 | -4.523 | 0.000 | -0.000 |
| -0.000 | -0.000 | -0.000 | 0.000 | -4.523 | 0.000 |
| -0.000 | -0.000 | -0.000 | 0.000 | 0.000 | -4.523 |
| 1181652.489 | 853559.841 | 802351.704 | 362467.124 | -235892.254 | -230013.805 |
| 300644.503 | 945021.525 | 599031.470 | -242842.222 | 214321.275 | -125656.733 |
| 618409.764 | 671675.380 | 1105354.685 | -111657.290 | -15064.226 | 252320.447 |
| 0.000 | -0.000 | -0.000 | -4.523 | -0.000 | 0.000 |
| -0.000 | 0.000 | -0.000 | 0.000 | -4.523 | 0.000 |
| -0.000 | -0.000 | 0.000 | 0.000 | -0.000 | -4.523 |
| 7488416.545 | -1692947.224 | -1090932.369 | -399156.527 | -74514.306 | 51008.353 |
| -1451531.718 | 7773796.782 | -1513273.607 | 76264.159 | -440190.164 | 75725.795 |
| -1749761.120 | -1237511.140 | 7827101.500 | 166380.943 | 36500.206 | -414084.837 |
| -0.000 | 0.000 | 0.000 | -4.523 | 0.000 | 0.000 |
| 0.000 | -0.000 | 0.000 | -0.000 | -4.523 | 0.000 |
| 0.000 | 0.000 | -0.000 | 0.000 | 0.000 | -4.523 |
| 114165.616 | 62203.769 | 41285.274 | 44701.712 | -19720.700 | -13970.833 |
| 10594115.719 | 2695125.002 | 10594115.716 | 0.000 | 0.000 | 0.000 |
| 10594115.715 | 10594115.719 | 2695125.002 | 0.000 | 0.000 | 0.000 |
| 34991.712 | -3344.894 | -68509.934 | -20046.417 | 15613.074 | -19289.729 |
| -30860.838 | 89315.452 | -7493.525 | -756.134 | -18076.601 | -1761.785 |
| -32227.185 | 5129.449 | 115150.835 | 16380.577 | 17799.321 | -33063.278 |
| 779188.493 | -183387.049 | -114839.495 | -44705.303 | 4455.429 | 348.757 |
| -139092.591 | 749853.885 | -185819.909 | -978.971 | -44148.848 | -1072.113 |
| -5357599.469 | -5357599.464 | -12163109.109 | -0.000 | -0.000 | -0.000 |
| -11051.995 | 29840.788 | 59306.816 | -29218.506 | -16903.082 | -21653.426 |
| 52496.802 | -80037.578 | 26806.307 | -12396.942 | -7742.476 | 18897.056 |
| -17522.924 | -17280.404 | -44690.344 | -16267.814 | -18305.186 | -27509.616 |
| 94.597 | 95.944 | 95.944 | 0.000 | 0.000 | 0.000 |
| 95.944 | 94.597 | 95.944 | -0.000 | -0.000 | 0.000 |
| 95.944 | 95.944 | 94.597 | -0.000 | -0.000 | 0.000 |
| 0.000 | 0.000 | 0.000 | 0.337 | -0.000 | -0.000 |
| 0.000 | 0.000 | 0.000 | 0.000 | 0.337 | 0.000 |
| 0.000 | 0.000 | 0.000 | 0.000 | 0.000 | 0.337 |
| 94.624 | 95.931 | 95.931 | 0.000 | 0.000 | 0.000 |
| 95.931 | 94.624 | 95.931 | 0.000 | 0.000 | -0.000 |
| 95.931 | 95.931 | 94.624 | 0.000 | 0.000 | 0.000 |
| -0.000 | -0.000 | -0.000 | 0.337 | 0.000 | -0.000 |
| -0.000 | -0.000 | -0.000 | -0.000 | 0.337 | 0.000 |
| -0.000 | -0.000 | -0.000 | -0.000 | -0.000 | 0.337 |
| 94.625 | 95.931 | 95.931 | -0.000 | -0.000 | -0.000 |
| 95.931 | 94.625 | 95.931 | -0.000 | -0.000 | 0.000 |
| 95.931 | 95.931 | 94.625 | 0.000 | 0.000 | -0.000 |
| 0.000 | 0.000 | 0.000 | 0.337 | 0.000 | 0.000 |
| 0.000 | 0.000 | 0.000 | -0.000 | 0.337 | 0.000 |
| 0.000 | 0.000 | 0.000 | 0.000 | -0.000 | 0.337 |
| 94.597 | 95.944 | 95.944 | -0.000 | 0.000 | 0.000 |
| 95.944 | 94.597 | 95.944 | -0.000 | -0.000 | -0.000 |
| 95.944 | 95.944 | 94.597 | -0.000 | 0.000 | 0.000 |
| -0.000 | -0.000 | -0.000 | 0.337 | 0.000 | 0.000 |
| -0.000 | -0.000 | -0.000 | 0.000 | 0.337 | -0.000 |
| -0.000 | -0.000 | -0.000 | 0.000 | -0.000 | 0.337 |
| -24956.974 | -24384.402 | -21483.073 | -43.098 | 892.708 | 84.132 |
| -24178.006 | -24058.066 | -23585.457 | 591.672 | -297.432 | 204.999 |
| -23560.239 | -20751.560 | -26534.202 | -994.116 | -564.160 | -135.699 |
| 0.000 | 0.000 | 0.000 | 0.337 | 0.000 | -0.000 |
| 0.000 | 0.000 | 0.000 | -0.000 | 0.337 | 0.000 |
| 0.000 | 0.000 | 0.000 | -0.000 | 0.000 | 0.337 |
| 94.623 | 95.929 | 95.929 | -0.000 | 0.000 | -0.000 |
| 21199.354 | 33740.826 | -3848.553 | -19.969 | 956.661 | -410.089 |
| 95.929 | 95.929 | 94.623 | 0.000 | 0.000 | -0.000 |
| -0.000 | -0.000 | -0.000 | 0.337 | 0.000 | -0.000 |
| -0.000 | -0.000 | -0.000 | 0.000 | 0.337 | -0.000 |
| -0.000 | -0.000 | -0.000 | 0.000 | 0.000 | 0.337 |
| 176.832 | 179.154 | 179.154 | 0.000 | 0.000 | 0.000 |
| 179.154 | 176.832 | 179.154 | 0.000 | 0.000 | 0.000 |
| 179.154 | 179.154 | 176.832 | 0.000 | 0.000 | -0.000 |
| 0.000 | 0.000 | 0.000 | 164.278 | 0.000 | 0.000 |
| 0.000 | 0.000 | 0.000 | 0.000 | 164.278 | 0.000 |
| 0.000 | 0.000 | 0.000 | 0.000 | 0.000 | 164.278 |
| 176.832 | 179.154 | 179.154 | -0.000 | -0.000 | -0.000 |
| 179.154 | 176.832 | 179.154 | -0.000 | -0.000 | -0.000 |
| 179.154 | 179.154 | 176.832 | -0.000 | -0.000 | -0.000 |
| -0.000 | -0.000 | -0.000 | 164.278 | -0.000 | -0.000 |
| -0.000 | -0.000 | -0.000 | -0.000 | 164.278 | -0.000 |
| -0.000 | -0.000 | -0.000 | -0.000 | -0.000 | 164.278 |
| 176.832 | 179.154 | 179.154 | 0.000 | 0.000 | 0.000 |
| 179.154 | 176.832 | 179.154 | 0.000 | 0.000 | 0.000 |
| 179.154 | 179.154 | 176.832 | 0.000 | 0.000 | 0.000 |
| 0.000 | 0.000 | 0.000 | 164.278 | 0.000 | 0.000 |
| 0.000 | 0.000 | 0.000 | 0.000 | 164.278 | 0.000 |
| 0.000 | 0.000 | 0.000 | 0.000 | 0.000 | 164.278 |
| 176.832 | 179.154 | 179.154 | -0.000 | -0.000 | -0.000 |
| 179.154 | 176.832 | 179.154 | -0.000 | -0.000 | -0.000 |
| 179.154 | 179.154 | 176.832 | -0.000 | -0.000 | -0.000 |
| -0.000 | -0.000 | -0.000 | 164.278 | -0.000 | -0.000 |
| -0.000 | -0.000 | -0.000 | -0.000 | 164.278 | -0.000 |
| -0.000 | -0.000 | -0.000 | -0.000 | -0.000 | 164.278 |
| 176.833 | 179.154 | 179.154 | 0.000 | 0.000 | 0.000 |
| 179.154 | 176.833 | 179.154 | 0.000 | 0.000 | 0.000 |
| 179.154 | 179.154 | 176.833 | 0.000 | 0.000 | 0.000 |
| 0.001 | 0.000 | 0.001 | 164.278 | 0.000 | 0.000 |
| 0.000 | 0.001 | 0.001 | 0.000 | 164.278 | 0.000 |
| 0.000 | 0.001 | 0.001 | 0.000 | 0.000 | 164.278 |
| 176.831 | 179.153 | 179.153 | -0.000 | -0.000 | -0.000 |
| 179.153 | 176.831 | 179.153 | -0.000 | -0.000 | -0.000 |
| 179.153 | 179.153 | 176.831 | -0.000 | -0.000 | -0.000 |
| -0.001 | -0.000 | -0.001 | 164.278 | -0.000 | -0.000 |
| -0.000 | -0.001 | -0.001 | -0.000 | 164.278 | -0.000 |
| -0.000 | -0.001 | -0.001 | -0.000 | -0.000 | 164.278 |
| 386.731 | 385.889 | 385.889 | 0.000 | 0.000 | -0.000 |
| 385.889 | 386.731 | 385.889 | 0.000 | 0.000 | -0.000 |
| 385.889 | 385.889 | 386.731 | 0.000 | 0.000 | -0.000 |
| 0.000 | 0.000 | 0.000 | -4.530 | -0.000 | 0.000 |
| 0.000 | 0.000 | 0.000 | -0.000 | -4.530 | -0.000 |
| 0.000 | 0.000 | 0.000 | -0.000 | -0.000 | -4.530 |
| 386.731 | 385.889 | 385.889 | 0.000 | -0.000 | 0.000 |
| 385.889 | 386.731 | 385.889 | 0.000 | -0.000 | 0.000 |
| 385.889 | 385.889 | 386.731 | 0.000 | -0.000 | 0.000 |
| -0.000 | -0.000 | -0.000 | -4.530 | 0.000 | 0.000 |
| -0.000 | -0.000 | -0.000 | 0.000 | -4.530 | 0.000 |
| -0.000 | -0.000 | -0.000 | 0.000 | -0.000 | -4.530 |
| 386.731 | 385.889 | 385.889 | 0.000 | 0.000 | 0.000 |
| 385.889 | 386.731 | 385.889 | -0.000 | 0.000 | -0.000 |
| 385.889 | 385.889 | 386.731 | -0.000 | 0.000 | -0.000 |
| 0.000 | 0.000 | 0.000 | -4.530 | 0.000 | 0.000 |
| 0.000 | 0.000 | 0.000 | 0.000 | -4.530 | -0.000 |
| 0.000 | 0.000 | 0.000 | 0.000 | 0.000 | -4.530 |
| 386.731 | 385.889 | 385.889 | 0.000 | -0.000 | 0.000 |
| 385.889 | 386.731 | 385.889 | -0.000 | 0.000 | 0.000 |
| 385.889 | 385.889 | 386.731 | -0.000 | -0.000 | 0.000 |
| -0.000 | -0.000 | -0.000 | -4.530 | -0.000 | 0.000 |
| -0.000 | -0.000 | -0.000 | -0.000 | -4.530 | 0.000 |
| -0.000 | -0.000 | -0.000 | 0.000 | 0.000 | -4.530 |
| 386.731 | 385.888 | 385.888 | -0.000 | -0.000 | -0.000 |
| 385.888 | 386.731 | 385.888 | -0.000 | -0.000 | -0.000 |
| 385.888 | 385.888 | 386.731 | -0.000 | -0.000 | -0.000 |
| 0.000 | 0.000 | 0.000 | -4.530 | -0.000 | -0.000 |
| 0.000 | 0.000 | 0.000 | -0.000 | -4.530 | -0.000 |
| 0.000 | 0.000 | 0.000 | -0.000 | -0.000 | -4.530 |
| 386.731 | 385.891 | 385.891 | -0.000 | 0.000 | 0.000 |
| 385.891 | 386.731 | 385.891 | 0.000 | -0.000 | 0.000 |
| 385.891 | 385.891 | 386.731 | 0.000 | 0.000 | 0.000 |
| -0.000 | -0.000 | -0.000 | -4.530 | -0.000 | 0.000 |
| -0.000 | -0.000 | -0.000 | 0.000 | -4.530 | 0.000 |
| -0.000 | -0.000 | -0.000 | 0.000 | 0.000 | -4.530 |
| 186.442 | 114.995 | 114.995 | 0.000 | -0.000 | 0.000 |
| 114.995 | 186.442 | 114.995 | 0.000 | 0.000 | -0.000 |
| 114.995 | 114.995 | 186.442 | 0.000 | -0.000 | -0.000 |
| 0.000 | 0.000 | 0.000 | 98.701 | 0.000 | -0.000 |
| 0.000 | 0.000 | 0.000 | -0.000 | 98.701 | -0.000 |
| 0.000 | 0.000 | 0.000 | -0.000 | -0.000 | 98.701 |
| 186.442 | 114.995 | 114.995 | -0.000 | 0.000 | -0.000 |
| 114.995 | 186.442 | 114.995 | -0.000 | 0.000 | -0.000 |
| 114.995 | 114.995 | 186.442 | -0.000 | -0.000 | 0.000 |
| -0.000 | -0.000 | -0.000 | 98.701 | -0.000 | -0.000 |
| -0.000 | -0.000 | -0.000 | -0.000 | 98.701 | 0.000 |
| -0.000 | -0.000 | -0.000 | 0.000 | 0.000 | 98.701 |
| 186.442 | 114.995 | 114.995 | 0.000 | -0.000 | 0.000 |
| 114.995 | 186.442 | 114.995 | 0.000 | -0.000 | -0.000 |
| 114.995 | 114.995 | 186.442 | 0.000 | -0.000 | -0.000 |
| -0.000 | 0.000 | 0.000 | 98.701 | 0.000 | 0.000 |
| 0.000 | -0.000 | 0.000 | -0.000 | 98.701 | -0.000 |
| 0.000 | 0.000 | -0.000 | -0.000 | -0.000 | 98.701 |
| 186.442 | 114.995 | 114.995 | 0.000 | -0.000 | 0.000 |
| 114.995 | 186.442 | 114.995 | 0.000 | -0.000 | -0.000 |
| 114.995 | 114.995 | 186.442 | -0.000 | -0.000 | -0.000 |
| 0.000 | -0.000 | -0.000 | 98.701 | -0.000 | -0.000 |
| -0.000 | 0.000 | -0.000 | -0.000 | 98.701 | 0.000 |
| -0.000 | -0.000 | 0.000 | -0.000 | 0.000 | 98.701 |
| 186.443 | 114.995 | 114.995 | 0.000 | -0.000 | 0.000 |
| 114.995 | 186.443 | 114.995 | -0.000 | -0.000 | -0.000 |
| 114.995 | 114.995 | 186.443 | 0.000 | -0.000 | 0.000 |
| -0.000 | 0.000 | 0.000 | 98.701 | -0.000 | 0.000 |
| 0.000 | -0.000 | 0.000 | -0.000 | 98.701 | -0.000 |
| 0.000 | 0.000 | -0.000 | 0.000 | -0.000 | 98.701 |
| 186.441 | 114.995 | 114.995 | -0.000 | 0.000 | 0.000 |
| 114.995 | 186.441 | 114.995 | 0.000 | -0.000 | -0.000 |
| 114.995 | 114.995 | 186.441 | 0.000 | 0.000 | -0.000 |
| 0.000 | -0.000 | -0.000 | 98.701 | 0.000 | -0.000 |
| -0.000 | 0.000 | -0.000 | -0.000 | 98.701 | 0.000 |
| -0.000 | -0.000 | 0.000 | -0.000 | 0.000 | 98.701 |
| 550.993 | 551.274 | 551.274 | 0.000 | 0.000 | 0.000 |
| 551.274 | 550.993 | 551.274 | -0.000 | 0.000 | 0.000 |
| 551.274 | 551.274 | 550.993 | -0.000 | -0.000 | 0.000 |
| 0.000 | 0.000 | 0.000 | -0.043 | 0.000 | -0.000 |
| 0.000 | 0.000 | 0.000 | 0.000 | -0.043 | -0.000 |
| 0.000 | 0.000 | 0.000 | -0.000 | 0.000 | -0.043 |
| 550.993 | 551.274 | 551.274 | 0.000 | -0.000 | 0.000 |
| 551.274 | 550.993 | 551.274 | 0.000 | 0.000 | -0.000 |
| 551.274 | 551.274 | 550.993 | -0.000 | -0.000 | -0.000 |
| -0.000 | -0.000 | -0.000 | -0.043 | -0.000 | 0.000 |
| -0.000 | -0.000 | -0.000 | 0.000 | -0.043 | 0.000 |
| -0.000 | -0.000 | -0.000 | -0.000 | -0.000 | -0.043 |
| 550.993 | 551.273 | 551.273 | -0.000 | 0.000 | 0.000 |
| 551.273 | 550.993 | 551.273 | -0.000 | 0.000 | 0.000 |
| 551.273 | 551.273 | 550.993 | -0.000 | -0.000 | 0.000 |
| 0.000 | 0.000 | 0.000 | -0.043 | 0.000 | -0.000 |
| 0.000 | 0.000 | 0.000 | -0.000 | -0.043 | 0.000 |
| 0.000 | 0.000 | 0.000 | -0.000 | 0.000 | -0.043 |
| 550.994 | 551.274 | 551.274 | -0.000 | -0.000 | -0.000 |
| 551.274 | 550.994 | 551.274 | -0.000 | -0.000 | 0.000 |
| 551.274 | 551.274 | 550.994 | 0.000 | 0.000 | -0.000 |
| -0.000 | -0.000 | -0.000 | -0.043 | -0.000 | -0.000 |
| -0.000 | -0.000 | -0.000 | 0.000 | -0.043 | -0.000 |
| -0.000 | -0.000 | -0.000 | 0.000 | -0.000 | -0.043 |
| 550.990 | 551.270 | 551.270 | 0.000 | 0.000 | 0.000 |
| 551.270 | 550.990 | 551.270 | 0.000 | 0.000 | -0.000 |
| 551.270 | 551.270 | 550.990 | -0.000 | -0.000 | 0.000 |
| 0.000 | 0.000 | 0.000 | -0.043 | 0.000 | 0.000 |
| 0.000 | 0.000 | 0.000 | 0.000 | -0.043 | 0.000 |
| 0.000 | 0.000 | 0.000 | 0.000 | 0.000 | -0.043 |
| 550.997 | 551.278 | 551.278 | 0.000 | -0.000 | 0.000 |
| 551.278 | 550.997 | 551.278 | -0.000 | 0.000 | -0.000 |
| 551.278 | 551.278 | 550.997 | 0.000 | -0.000 | 0.000 |
| -0.000 | -0.000 | -0.000 | -0.043 | -0.000 | -0.000 |
| -0.000 | -0.000 | -0.000 | -0.000 | -0.043 | -0.000 |
| -0.000 | -0.000 | -0.000 | 0.000 | -0.000 | -0.043 |
| 89.890 | 90.112 | 90.112 | -0.000 | -0.000 | -0.000 |
| 90.112 | 89.890 | 90.112 | -0.000 | -0.000 | -0.000 |
| 90.112 | 90.112 | 89.890 | -0.000 | -0.000 | -0.000 |
| 0.000 | 0.000 | 0.000 | 0.017 | -0.000 | -0.000 |
| 0.000 | 0.000 | 0.000 | -0.000 | 0.017 | -0.000 |
| 0.000 | 0.000 | 0.000 | -0.000 | -0.000 | 0.017 |
| 89.890 | 90.112 | 90.112 | 0.000 | 0.000 | 0.000 |
| 90.112 | 89.890 | 90.112 | 0.000 | 0.000 | 0.000 |
| 90.112 | 90.112 | 89.890 | 0.000 | 0.000 | 0.000 |
| -0.000 | -0.000 | -0.000 | 0.017 | 0.000 | -0.000 |
| -0.000 | -0.000 | -0.000 | 0.000 | 0.017 | -0.000 |
| -0.000 | -0.000 | -0.000 | 0.000 | 0.000 | 0.017 |
| 89.890 | 90.112 | 90.112 | -0.000 | -0.000 | 0.000 |
| 90.112 | 89.890 | 90.112 | -0.000 | -0.000 | 0.000 |
| 90.112 | 90.112 | 89.890 | -0.000 | -0.000 | -0.000 |
| 0.000 | 0.000 | 0.000 | 0.017 | -0.000 | -0.000 |
| 0.000 | 0.000 | 0.000 | -0.000 | 0.017 | -0.000 |
| 0.000 | 0.000 | 0.000 | -0.000 | -0.000 | 0.017 |
| 89.889 | 90.112 | 90.112 | 0.000 | 0.000 | -0.000 |
| 90.112 | 89.889 | 90.112 | 0.000 | 0.000 | -0.000 |
| 90.112 | 90.112 | 89.889 | -0.000 | 0.000 | -0.000 |
| -0.000 | -0.000 | -0.000 | 0.017 | 0.000 | -0.000 |
| -0.000 | -0.000 | -0.000 | 0.000 | 0.017 | 0.000 |
| -0.000 | -0.000 | -0.000 | 0.000 | 0.000 | 0.017 |
| 89.891 | 90.114 | 90.114 | -0.000 | -0.000 | 0.000 |
| 90.114 | 89.891 | 90.114 | -0.000 | -0.000 | 0.000 |
| 90.114 | 90.114 | 89.891 | -0.000 | -0.000 | -0.000 |
| 0.000 | 0.000 | 0.000 | 0.017 | -0.000 | -0.000 |
| 0.000 | 0.000 | 0.000 | -0.000 | 0.017 | -0.000 |
| 0.000 | 0.000 | 0.000 | -0.000 | -0.000 | 0.017 |
| 89.888 | 90.111 | 90.111 | 0.000 | 0.000 | 0.000 |
| 90.111 | 89.888 | 90.111 | 0.000 | 0.000 | 0.000 |
| 90.111 | 90.111 | 89.888 | 0.000 | 0.000 | -0.000 |
| -0.000 | -0.000 | -0.000 | 0.017 | 0.000 | 0.000 |
| -0.000 | -0.000 | -0.000 | 0.000 | 0.017 | 0.000 |
| -0.000 | -0.000 | -0.000 | 0.000 | 0.000 | 0.017 |
| 210.026 | 133.523 | 134.573 | 0.000 | 0.000 | -0.000 |
| 133.523 | 210.026 | 134.573 | 0.000 | 0.000 | -0.000 |
| 134.573 | 134.573 | 215.893 | 0.000 | 0.000 | -0.000 |
| -0.000 | 0.000 | 0.000 | 102.040 | 0.000 | -0.000 |
| -0.000 | -0.000 | 0.000 | 0.000 | 102.040 | -0.000 |
| -0.000 | 0.000 | -0.000 | 0.000 | 0.000 | 98.824 |
| 205.802 | 137.747 | 134.573 | -0.000 | -0.000 | 0.000 |
| 137.747 | 205.802 | 134.573 | -0.000 | -0.000 | 0.000 |
| 134.573 | 134.573 | 215.893 | -0.000 | -0.000 | 0.000 |
| 0.000 | -0.000 | 0.000 | 102.040 | 0.000 | 0.000 |
| -0.000 | 0.000 | -0.000 | -0.000 | 102.040 | 0.000 |
| -0.000 | -0.000 | 0.000 | -0.000 | -0.000 | 98.824 |
| 210.026 | 133.523 | 134.573 | 0.000 | 0.000 | -0.000 |
| 133.523 | 210.026 | 134.573 | 0.000 | 0.000 | -0.000 |
| 134.573 | 134.573 | 215.893 | 0.000 | -0.000 | 0.000 |
| -0.000 | -0.000 | 0.000 | 102.040 | -0.000 | 0.000 |
| -0.000 | -0.000 | 0.000 | 0.000 | 102.040 | -0.000 |
| 0.000 | 0.000 | -0.000 | 0.000 | 0.000 | 98.824 |
| 210.026 | 133.523 | 134.573 | -0.000 | -0.000 | 0.000 |
| 133.523 | 210.026 | 134.573 | -0.000 | -0.000 | 0.000 |
| 134.573 | 134.573 | 215.892 | -0.000 | 0.000 | 0.000 |
| 0.000 | 0.000 | -0.000 | 102.040 | 0.000 | 0.000 |
| 0.000 | 0.000 | -0.000 | -0.000 | 102.040 | 0.000 |
| -0.000 | -0.000 | 0.000 | -0.000 | -0.000 | 98.824 |
| 205.802 | 137.747 | 134.573 | 0.000 | 0.000 | -0.000 |
| 137.747 | 205.802 | 134.573 | 0.000 | 0.000 | -0.000 |
| 134.573 | 134.573 | 215.893 | 0.000 | 0.000 | -0.000 |
| -0.000 | -0.000 | 0.000 | 102.040 | -0.000 | -0.000 |
| -0.000 | -0.000 | 0.000 | 0.000 | 102.040 | -0.000 |
| 0.000 | 0.000 | -0.000 | 0.000 | 0.000 | 98.824 |
| 205.801 | 137.747 | 134.572 | -0.000 | -0.000 | 0.000 |
| 137.747 | 205.801 | 134.572 | -0.000 | -0.000 | 0.000 |
| 134.572 | 134.572 | 215.892 | -0.000 | -0.000 | 0.000 |
| 0.000 | 0.000 | -0.000 | 102.040 | 0.000 | 0.000 |
| 0.000 | 0.000 | -0.000 | -0.000 | 102.040 | 0.000 |
| -0.000 | -0.000 | 0.000 | -0.000 | -0.000 | 98.824 |
| 275.431 | 144.642 | 85.822 | -0.000 | -0.000 | -0.000 |
| 155.761 | 269.985 | 90.197 | -0.000 | 0.000 | -0.000 |
| 96.347 | 96.347 | 231.264 | -0.000 | 0.000 | -0.000 |
| 0.000 | 0.000 | 0.000 | 56.176 | 0.000 | -0.000 |
| 0.000 | 0.000 | 0.000 | -0.000 | 56.176 | -0.000 |
| 0.000 | 0.000 | 0.000 | -0.000 | -0.000 | 82.337 |
| 275.431 | 144.642 | 85.822 | 0.000 | 0.000 | 0.000 |
| 134.481 | 299.156 | 96.281 | 0.000 | 0.000 | 0.000 |
| 96.347 | 96.347 | 231.263 | 0.000 | 0.000 | 0.000 |
| -0.000 | -0.000 | -0.000 | 56.176 | -0.000 | 0.000 |
| -0.000 | -0.000 | -0.000 | 0.000 | 56.176 | 0.000 |
| -0.000 | -0.000 | -0.000 | 0.000 | 0.000 | 82.338 |
| 275.431 | 144.642 | 85.822 | -0.000 | -0.000 | -0.000 |
| 144.642 | 275.431 | 85.822 | -0.000 | 0.000 | -0.000 |
| 96.347 | 96.347 | 231.264 | -0.000 | -0.000 | -0.000 |
| 0.000 | -0.000 | 0.000 | 44.334 | -0.000 | -0.000 |
| 0.000 | 0.000 | 0.000 | -0.000 | 56.176 | -0.000 |
| 0.000 | 0.000 | 0.000 | -0.000 | -0.000 | 82.338 |
| 299.155 | 134.481 | 96.281 | 0.000 | 0.000 | 0.000 |
| 144.642 | 275.431 | 85.822 | 0.000 | -0.000 | 0.000 |
| 90.221 | 90.221 | 221.814 | 0.000 | -0.000 | 0.000 |
| -0.000 | 0.000 | -0.000 | 44.334 | 0.000 | 0.000 |
| -0.000 | -0.000 | -0.000 | 0.000 | 56.176 | 0.000 |
| -0.000 | -0.000 | -0.000 | 0.000 | -0.000 | 82.338 |
| 299.156 | 134.480 | 96.281 | -0.000 | -0.000 | -0.000 |
| 144.642 | 275.431 | 85.821 | -0.000 | 0.000 | -0.000 |
| 96.348 | 96.348 | 231.266 | -0.000 | -0.000 | -0.000 |
| 0.000 | -0.000 | 0.000 | 44.334 | 0.000 | -0.000 |
| -0.000 | 0.000 | 0.000 | -0.000 | 44.334 | -0.000 |
| -0.000 | 0.000 | -0.000 | -0.000 | -0.000 | 57.172 |
| 275.431 | 144.642 | 85.822 | 0.000 | -0.000 | 0.000 |
| 155.761 | 269.985 | 90.197 | 0.000 | -0.000 | 0.000 |
| 90.220 | 90.220 | 221.812 | 0.000 | 0.000 | 0.000 |
| -0.000 | 0.000 | -0.000 | 44.334 | -0.000 | 0.000 |
| 0.000 | -0.000 | -0.000 | 0.000 | 44.334 | 0.000 |
| 0.000 | -0.000 | 0.000 | 0.000 | 0.000 | 57.172 |
| 427.329 | 95.455 | 95.455 | 0.000 | 0.000 | 0.000 |
| 95.455 | 427.329 | 95.455 | -0.000 | 0.000 | -0.000 |
| 95.455 | 95.455 | 427.329 | -0.000 | 0.000 | -0.000 |
| 0.000 | -0.000 | 0.000 | 35.212 | 0.000 | 0.000 |
| 0.000 | -0.000 | -0.000 | -0.000 | 35.212 | 0.000 |
| 0.000 | -0.000 | -0.000 | -0.000 | 0.000 | 35.212 |
| 427.329 | 95.455 | 95.455 | -0.000 | -0.000 | -0.000 |
| 95.455 | 427.329 | 95.455 | -0.000 | -0.000 | 0.000 |
| 95.455 | 95.455 | 427.329 | 0.000 | -0.000 | 0.000 |
| -0.000 | 0.000 | -0.000 | 35.212 | -0.000 | -0.000 |
| -0.000 | 0.000 | 0.000 | 0.000 | 35.212 | -0.000 |
| -0.000 | 0.000 | 0.000 | 0.000 | -0.000 | 35.212 |
| 427.329 | 95.455 | 95.455 | 0.000 | 0.000 | 0.000 |
| 95.455 | 427.329 | 95.455 | 0.000 | 0.000 | -0.000 |
| 95.455 | 95.455 | 427.329 | -0.000 | 0.000 | -0.000 |
| 0.000 | -0.000 | -0.000 | 35.212 | 0.000 | 0.000 |
| -0.000 | 0.000 | -0.000 | -0.000 | 35.212 | 0.000 |
| -0.000 | -0.000 | 0.000 | -0.000 | 0.000 | 35.212 |
| 427.329 | 95.455 | 95.455 | -0.000 | -0.000 | 0.000 |
| 95.455 | 427.329 | 95.455 | 0.000 | -0.000 | -0.000 |
| 95.455 | 95.455 | 427.329 | -0.000 | -0.000 | 0.000 |
| -0.000 | 0.000 | 0.000 | 35.212 | -0.000 | -0.000 |
| 0.000 | -0.000 | 0.000 | -0.000 | 35.212 | -0.000 |
| 0.000 | 0.000 | -0.000 | 0.000 | -0.000 | 35.212 |
| 427.330 | 95.456 | 95.456 | 0.000 | 0.000 | 0.000 |
| 95.456 | 427.330 | 95.456 | -0.000 | 0.000 | 0.000 |
| 95.456 | 95.456 | 427.330 | 0.000 | 0.000 | 0.000 |
| 0.000 | -0.000 | -0.000 | 35.212 | 0.000 | 0.000 |
| -0.000 | 0.000 | -0.000 | -0.000 | 35.212 | 0.000 |
| -0.000 | -0.000 | 0.000 | -0.000 | 0.000 | 35.212 |
| 428.503 | 94.867 | 94.867 | -0.000 | -0.000 | 0.000 |
| 94.867 | 428.503 | 94.867 | -0.000 | -0.000 | -0.000 |
| 94.867 | 94.867 | 428.503 | -0.000 | -0.000 | -0.000 |
| -0.000 | 0.000 | 0.000 | 35.212 | -0.000 | -0.000 |
| 0.000 | -0.000 | 0.000 | 0.000 | 35.212 | -0.000 |
| 0.000 | 0.000 | -0.000 | -0.000 | -0.000 | 35.212 |
| 153.620 | 163.366 | 163.366 | 0.000 | 0.000 | 0.000 |
| 163.366 | 153.620 | 163.366 | 0.000 | 0.000 | 0.000 |
| 163.366 | 163.366 | 153.620 | 0.000 | -0.000 | 0.000 |
| 0.000 | -0.000 | -0.000 | 143.043 | 0.000 | 0.000 |
| 0.000 | 0.000 | 0.000 | 0.000 | 143.043 | 0.000 |
| 0.000 | 0.000 | 0.000 | 0.000 | 0.000 | 143.043 |
| 153.620 | 163.366 | 163.366 | -0.000 | -0.000 | -0.000 |
| 163.366 | 153.620 | 163.366 | 0.000 | -0.000 | -0.000 |
| 163.366 | 163.366 | 153.620 | -0.000 | -0.000 | -0.000 |
| -0.000 | 0.000 | 0.000 | 143.043 | -0.000 | 0.000 |
| -0.000 | -0.000 | -0.000 | -0.000 | 143.043 | -0.000 |
| -0.000 | -0.000 | -0.000 | -0.000 | -0.000 | 143.043 |
| 153.620 | 163.366 | 163.366 | 0.000 | 0.000 | 0.000 |
| 163.366 | 153.620 | 163.366 | 0.000 | 0.000 | 0.000 |
| 163.366 | 163.366 | 153.620 | 0.000 | 0.000 | 0.000 |
| 0.000 | 0.000 | 0.000 | 143.043 | 0.000 | -0.000 |
| 0.000 | 0.000 | 0.000 | 0.000 | 143.043 | 0.000 |
| 0.000 | 0.000 | 0.000 | 0.000 | 0.000 | 143.043 |
| 153.620 | 163.366 | 163.366 | -0.000 | -0.000 | -0.000 |
| 163.366 | 153.620 | 163.366 | -0.000 | -0.000 | 0.000 |
| 163.366 | 163.366 | 153.620 | -0.000 | 0.000 | -0.000 |
| -0.000 | -0.000 | -0.000 | 143.043 | -0.000 | -0.000 |
| -0.000 | -0.000 | -0.000 | -0.000 | 143.043 | -0.000 |
| -0.000 | -0.000 | -0.000 | -0.000 | -0.000 | 143.043 |
| 153.620 | 163.366 | 163.366 | 0.000 | 0.000 | 0.000 |
| 163.366 | 153.620 | 163.366 | 0.000 | 0.000 | 0.000 |
| 163.366 | 163.366 | 153.620 | -0.000 | -0.000 | 0.000 |
| 0.001 | 0.000 | 0.001 | 143.043 | 0.000 | 0.000 |
| 0.000 | 0.001 | 0.001 | 0.000 | 143.043 | 0.000 |
| 0.000 | 0.001 | 0.001 | 0.000 | 0.000 | 143.043 |
| 153.619 | 163.366 | 163.366 | -0.000 | -0.000 | -0.000 |
| 163.366 | 153.619 | 163.366 | -0.000 | -0.000 | -0.000 |
| 163.366 | 163.366 | 153.619 | -0.000 | -0.000 | -0.000 |
| -0.001 | -0.000 | -0.001 | 143.043 | -0.000 | -0.000 |
| -0.000 | -0.001 | -0.001 | -0.000 | 143.043 | -0.000 |
| -0.000 | -0.001 | -0.001 | -0.000 | -0.000 | 143.043 |
| 202.635 | 134.227 | 134.227 | 0.000 | -0.000 | 0.000 |
| 134.227 | 202.635 | 134.227 | 0.000 | 0.000 | -0.000 |
| 134.227 | 134.227 | 202.635 | -0.000 | 0.000 | -0.000 |
| 0.000 | -0.000 | 0.000 | 115.107 | 0.000 | 0.000 |
| 0.000 | 0.000 | 0.000 | 0.000 | 115.107 | -0.000 |
| 0.000 | 0.000 | 0.000 | 0.000 | 0.000 | 115.107 |
| 202.635 | 134.227 | 134.227 | -0.000 | -0.000 | -0.000 |
| 134.227 | 202.635 | 134.227 | 0.000 | -0.000 | -0.000 |
| 134.227 | 134.227 | 202.635 | -0.000 | -0.000 | -0.000 |
| -0.000 | 0.000 | -0.000 | 115.107 | 0.000 | -0.000 |
| -0.000 | -0.000 | -0.000 | 0.000 | 115.107 | 0.000 |
| -0.000 | -0.000 | -0.000 | -0.000 | -0.000 | 115.107 |
| 202.635 | 134.227 | 134.227 | -0.000 | -0.000 | -0.000 |
| 134.227 | 202.635 | 134.227 | 0.000 | 0.000 | -0.000 |
| 134.227 | 134.227 | 202.635 | 0.000 | 0.000 | 0.000 |
| 0.000 | -0.000 | 0.000 | 115.107 | 0.000 | 0.000 |
| -0.000 | 0.000 | 0.000 | 0.000 | 115.107 | -0.000 |
| -0.000 | 0.000 | 0.000 | -0.000 | -0.000 | 115.107 |
| 202.635 | 134.227 | 134.227 | -0.000 | 0.000 | -0.000 |
| 134.227 | 202.635 | 134.227 | -0.000 | -0.000 | -0.000 |
| 134.227 | 134.227 | 202.635 | 0.000 | -0.000 | 0.000 |
| -0.000 | 0.000 | -0.000 | 115.107 | -0.000 | 0.000 |
| 0.000 | -0.000 | -0.000 | -0.000 | 115.107 | 0.000 |
| 0.000 | -0.000 | -0.000 | -0.000 | -0.000 | 115.107 |
| 202.632 | 134.227 | 134.227 | 0.000 | 0.000 | -0.000 |
| 134.227 | 202.632 | 134.227 | 0.000 | -0.000 | -0.000 |
| 134.227 | 134.227 | 202.632 | 0.000 | 0.000 | 0.000 |
| 0.000 | -0.000 | 0.000 | 115.107 | 0.000 | 0.000 |
| -0.000 | 0.000 | 0.000 | 0.000 | 115.107 | -0.000 |
| -0.000 | 0.000 | 0.000 | 0.000 | -0.000 | 115.107 |
| 202.637 | 134.227 | 134.227 | 0.000 | -0.000 | -0.000 |
| 134.227 | 202.637 | 134.227 | -0.000 | -0.000 | -0.000 |
| 134.227 | 134.227 | 202.637 | 0.000 | -0.000 | -0.000 |
| -0.000 | 0.000 | -0.000 | 115.107 | -0.000 | 0.000 |
| 0.000 | -0.000 | -0.000 | -0.000 | 115.107 | 0.000 |
| 0.000 | -0.000 | -0.000 | -0.000 | 0.000 | 115.107 |
| 199.932 | 132.433 | 133.316 | 0.000 | -0.000 | 0.000 |
| 132.433 | 199.932 | 133.316 | 0.000 | -0.000 | 0.000 |
| 133.316 | 133.316 | 200.821 | 0.000 | -0.000 | 0.000 |
| -0.000 | -0.000 | -0.000 | 115.346 | 0.000 | 0.000 |
| -0.000 | 0.000 | 0.000 | 0.000 | 115.346 | 0.000 |
| -0.000 | 0.000 | -0.000 | -0.000 | -0.000 | 115.322 |
| 199.932 | 132.433 | 133.316 | -0.000 | 0.000 | 0.000 |
| 132.433 | 199.932 | 133.316 | 0.000 | 0.000 | 0.000 |
| 133.316 | 133.316 | 200.821 | 0.000 | 0.000 | -0.000 |
| 0.000 | 0.000 | -0.000 | 115.346 | -0.000 | 0.000 |
| 0.000 | -0.000 | -0.000 | -0.000 | 115.346 | -0.000 |
| 0.000 | -0.000 | 0.000 | 0.000 | 0.000 | 115.322 |
| 199.932 | 132.433 | 133.316 | 0.000 | -0.000 | 0.000 |
| 132.433 | 199.932 | 133.316 | -0.000 | -0.000 | 0.000 |
| 133.316 | 133.316 | 200.821 | -0.000 | -0.000 | -0.000 |
| 0.000 | -0.000 | 0.000 | 114.910 | 0.000 | -0.000 |
| -0.000 | 0.000 | 0.000 | -0.000 | 114.910 | 0.000 |
| -0.000 | 0.000 | 0.000 | -0.000 | -0.000 | 115.322 |
| 199.933 | 132.433 | 133.316 | -0.000 | 0.000 | -0.000 |
| 132.433 | 199.933 | 133.316 | -0.000 | 0.000 | 0.000 |
| 133.316 | 133.316 | 200.822 | 0.000 | 0.000 | -0.000 |
| -0.000 | 0.000 | -0.000 | 114.910 | -0.000 | -0.000 |
| 0.000 | -0.000 | -0.000 | -0.000 | 114.910 | -0.000 |
| 0.000 | -0.000 | -0.000 | -0.000 | 0.000 | 115.322 |
| 199.110 | 133.253 | 133.316 | 0.000 | -0.000 | 0.000 |
| 133.253 | 199.110 | 133.316 | -0.000 | -0.000 | 0.000 |
| 133.316 | 133.316 | 200.819 | 0.000 | 0.000 | 0.000 |
| 0.000 | -0.000 | 0.000 | 115.346 | -0.000 | 0.000 |
| -0.000 | 0.000 | 0.000 | 0.000 | 115.346 | 0.000 |
| -0.000 | 0.000 | 0.000 | 0.000 | -0.000 | 115.322 |
| 199.114 | 133.253 | 133.316 | 0.000 | 0.000 | -0.000 |
| 133.253 | 199.114 | 133.316 | 0.000 | 0.000 | -0.000 |
| 133.316 | 133.316 | 200.823 | -0.000 | 0.000 | -0.000 |
| -0.000 | 0.000 | -0.000 | 115.346 | 0.000 | 0.000 |
| 0.000 | -0.000 | -0.000 | -0.000 | 115.346 | -0.000 |
| 0.000 | -0.000 | -0.000 | 0.000 | 0.000 | 115.322 |
| 277.456 | 150.044 | 92.976 | 0.000 | -0.000 | -0.000 |
| 119.084 | 309.291 | 93.747 | 0.000 | -0.000 | -0.000 |
| 92.725 | 92.725 | 219.075 | 0.000 | 0.000 | -0.000 |
| -0.008 | -0.008 | -0.014 | 71.128 | 0.000 | -0.000 |
| 0.000 | -0.000 | 0.000 | 0.000 | 71.855 | -0.000 |
| -0.007 | -0.007 | -0.013 | 0.000 | -0.000 | 63.233 |
| 277.115 | 150.846 | 93.382 | -0.000 | 0.000 | 0.000 |
| 150.846 | 277.115 | 93.382 | -0.000 | -0.000 | 0.000 |
| 92.725 | 92.725 | 219.075 | -0.000 | -0.000 | 0.000 |
| 0.008 | 0.008 | 0.014 | 71.128 | -0.000 | 0.000 |
| -0.000 | 0.000 | -0.000 | -0.000 | 71.855 | -0.000 |
| 0.007 | 0.007 | 0.013 | -0.000 | -0.000 | 63.233 |
| 309.291 | 119.084 | 93.747 | 0.000 | 0.000 | -0.000 |
| 119.084 | 309.291 | 93.747 | 0.000 | 0.000 | -0.000 |
| 92.725 | 92.725 | 219.075 | 0.000 | 0.000 | -0.000 |
| 0.000 | 0.000 | 0.000 | 71.855 | 0.000 | -0.000 |
| 0.000 | 0.000 | 0.000 | 0.000 | 71.855 | -0.000 |
| -0.001 | -0.001 | -0.001 | 0.000 | 0.000 | 63.233 |
| 277.447 | 150.068 | 92.990 | -0.000 | 0.000 | 0.000 |
| 119.084 | 309.291 | 93.747 | -0.000 | -0.000 | 0.000 |
| 92.725 | 92.725 | 219.075 | -0.000 | 0.000 | 0.000 |
| -0.000 | -0.000 | -0.000 | 71.855 | -0.000 | 0.000 |
| -0.000 | -0.000 | -0.000 | -0.000 | 71.855 | 0.000 |
| 0.001 | 0.001 | 0.001 | -0.000 | -0.000 | 63.233 |
| 309.291 | 119.084 | 93.748 | 0.000 | 0.000 | -0.000 |
| 119.084 | 309.291 | 93.748 | 0.000 | 0.000 | -0.000 |
| 92.727 | 92.727 | 219.079 | 0.000 | 0.000 | -0.000 |
| 0.000 | -0.000 | 0.001 | 71.127 | -0.000 | -0.000 |
| -0.000 | 0.000 | 0.001 | 0.000 | 71.127 | -0.000 |
| -0.001 | -0.000 | -0.000 | 0.000 | -0.000 | 63.134 |
| 277.087 | 150.903 | 93.407 | -0.000 | -0.000 | 0.000 |
| 119.084 | 309.291 | 93.747 | -0.000 | -0.000 | 0.000 |
| 92.354 | 92.354 | 218.419 | -0.000 | 0.000 | 0.000 |
| -0.000 | 0.000 | -0.001 | 71.127 | -0.000 | 0.000 |
| 0.000 | -0.000 | -0.001 | -0.000 | 71.127 | 0.000 |
| 0.001 | 0.000 | 0.000 | -0.000 | -0.000 | 63.134 |
| 157.388 | 164.052 | 160.678 | -0.000 | -0.000 | -0.000 |
| 163.397 | 303.667 | 16.388 | -0.000 | -0.000 | -0.000 |
| 160.743 | 17.268 | 298.711 | -0.000 | -0.000 | -0.000 |
| -0.021 | -0.006 | -0.032 | -4.804 | -0.000 | -0.000 |
| -0.003 | -0.001 | -0.005 | -0.000 | 137.141 | -0.000 |
| -0.003 | -0.001 | -0.004 | -0.000 | -0.000 | 141.999 |
| 155.182 | 163.578 | 156.932 | 0.000 | -0.000 | 0.000 |
| 163.942 | 303.914 | 17.093 | 0.000 | 0.000 | 0.000 |
| 157.710 | 16.772 | 293.297 | 0.000 | 0.000 | 0.000 |
| 0.021 | 0.006 | 0.032 | -4.804 | -0.000 | -0.000 |
| 0.003 | 0.001 | 0.005 | 0.000 | 137.141 | 0.000 |
| 0.003 | 0.001 | 0.004 | 0.000 | -0.000 | 141.999 |
| 157.388 | 164.052 | 160.678 | -0.000 | 0.000 | -0.000 |
| 163.228 | 303.646 | 16.075 | -0.000 | 0.000 | -0.000 |
| 157.707 | 16.771 | 293.293 | -0.000 | -0.000 | -0.000 |
| -0.002 | -0.001 | -0.003 | -4.804 | -0.000 | -0.000 |
| 0.000 | -0.000 | 0.000 | -0.000 | 139.173 | -0.000 |
| -0.000 | 0.000 | -0.000 | -0.000 | -0.000 | 141.999 |
| 157.388 | 164.052 | 160.678 | 0.000 | -0.000 | -0.000 |
| 163.228 | 303.646 | 16.075 | 0.000 | 0.000 | 0.000 |
| 160.743 | 17.268 | 298.711 | 0.000 | -0.000 | 0.000 |
| 0.002 | 0.001 | 0.003 | -4.804 | 0.000 | 0.000 |
| -0.000 | 0.000 | -0.000 | 0.000 | 139.173 | 0.000 |
| 0.000 | -0.000 | 0.000 | 0.000 | -0.000 | 141.999 |
| 154.836 | 163.338 | 156.623 | -0.000 | 0.000 | -0.000 |
| 163.943 | 303.916 | 17.093 | -0.000 | 0.000 | 0.000 |
| 156.689 | 16.250 | 292.074 | -0.000 | -0.000 | -0.000 |
| -0.000 | 0.000 | -0.000 | -4.804 | -0.000 | 0.000 |
| 0.000 | -0.000 | 0.001 | -0.000 | 137.141 | -0.000 |
| 0.000 | 0.001 | -0.000 | -0.000 | -0.000 | 141.999 |
| 157.387 | 164.051 | 160.678 | 0.000 | 0.000 | -0.000 |
| 163.941 | 303.912 | 17.093 | 0.000 | -0.000 | 0.000 |
| 160.742 | 17.268 | 298.709 | 0.000 | -0.000 | 0.000 |
| 0.000 | -0.000 | 0.000 | -4.804 | 0.000 | 0.000 |
| -0.000 | 0.000 | -0.001 | 0.000 | 137.141 | 0.000 |
| -0.000 | -0.001 | 0.000 | 0.000 | -0.000 | 141.999 |
| 407.868 | 16.393 | 16.393 | -0.000 | 0.000 | 0.000 |
| 16.393 | 407.868 | 16.393 | -0.000 | 0.000 | 0.000 |
| 16.393 | 16.393 | 407.868 | -0.000 | 0.000 | 0.000 |
| -0.000 | -0.000 | -0.000 | 15.307 | -0.000 | 0.000 |
| -0.000 | 0.000 | -0.000 | -0.000 | 15.307 | 0.000 |
| -0.000 | 0.000 | 0.000 | -0.000 | 0.000 | 15.307 |
| 407.868 | 16.393 | 16.393 | -0.000 | -0.000 | -0.000 |
| 16.393 | 407.868 | 16.393 | 0.000 | -0.000 | -0.000 |
| 16.393 | 16.393 | 407.868 | -0.000 | -0.000 | -0.000 |
| 0.000 | 0.000 | 0.000 | 15.307 | 0.000 | -0.000 |
| 0.000 | -0.000 | 0.000 | 0.000 | 15.307 | -0.000 |
| 0.000 | -0.000 | -0.000 | 0.000 | -0.000 | 15.307 |
| 407.869 | 16.393 | 16.393 | 0.000 | 0.000 | 0.000 |
| 16.393 | 407.869 | 16.393 | 0.000 | 0.000 | 0.000 |
| 16.393 | 16.393 | 407.869 | -0.000 | 0.000 | 0.000 |
| -0.000 | -0.000 | -0.000 | 15.307 | -0.000 | 0.000 |
| -0.000 | -0.000 | -0.000 | -0.000 | 15.307 | 0.000 |
| -0.000 | -0.000 | -0.000 | -0.000 | 0.000 | 15.307 |
| 407.868 | 16.393 | 16.393 | 0.000 | -0.000 | -0.000 |
| 16.393 | 407.868 | 16.393 | 0.000 | -0.000 | -0.000 |
| 16.393 | 16.393 | 407.868 | 0.000 | -0.000 | -0.000 |
| 0.000 | 0.000 | 0.000 | 15.307 | 0.000 | -0.000 |
| 0.000 | 0.000 | 0.000 | 0.000 | 15.307 | -0.000 |
| 0.000 | 0.000 | 0.000 | 0.000 | -0.000 | 15.307 |
| 407.870 | 16.392 | 16.392 | -0.000 | 0.000 | 0.000 |
| 16.392 | 407.870 | 16.392 | -0.000 | 0.000 | 0.000 |
| 16.392 | 16.392 | 407.870 | -0.000 | 0.000 | 0.000 |
| -0.000 | -0.000 | -0.000 | 15.307 | -0.000 | -0.000 |
| -0.000 | -0.000 | -0.000 | -0.000 | 15.307 | 0.000 |
| -0.000 | -0.000 | -0.000 | 0.000 | 0.000 | 15.307 |
| 407.866 | 16.393 | 16.393 | 0.000 | -0.000 | -0.000 |
| 16.393 | 407.866 | 16.393 | -0.000 | -0.000 | -0.000 |
| 16.393 | 16.393 | 407.866 | 0.000 | -0.000 | -0.000 |
| 0.000 | 0.000 | 0.000 | 15.307 | 0.000 | -0.000 |
| 0.000 | 0.000 | 0.000 | 0.000 | 15.307 | -0.000 |
| 0.000 | 0.000 | 0.000 | -0.000 | -0.000 | 15.307 |
| 317.388 | 117.142 | 117.142 | -0.000 | -0.000 | 0.000 |
| 117.142 | 317.388 | 117.142 | -0.000 | 0.000 | 0.000 |
| 117.142 | 117.142 | 317.388 | -0.000 | -0.000 | 0.000 |
| 0.000 | -0.000 | -0.000 | 118.301 | -0.000 | 0.000 |
| -0.000 | 0.000 | -0.000 | -0.000 | 118.301 | 0.000 |
| -0.000 | -0.000 | 0.000 | -0.000 | -0.000 | 118.301 |
| 317.388 | 117.142 | 117.142 | 0.000 | -0.000 | 0.000 |
| 117.142 | 317.388 | 117.142 | 0.000 | -0.000 | -0.000 |
| 117.142 | 117.142 | 317.388 | 0.000 | -0.000 | -0.000 |
| -0.000 | 0.000 | 0.000 | 118.301 | 0.000 | -0.000 |
| 0.000 | -0.000 | 0.000 | 0.000 | 118.301 | 0.000 |
| 0.000 | 0.000 | -0.000 | 0.000 | -0.000 | 118.301 |
| 317.387 | 117.142 | 117.142 | -0.000 | -0.000 | 0.000 |
| 117.142 | 317.387 | 117.142 | -0.000 | 0.000 | 0.000 |
| 117.142 | 117.142 | 317.387 | -0.000 | 0.000 | 0.000 |
| -0.000 | -0.000 | -0.000 | 118.301 | -0.000 | 0.000 |
| -0.000 | -0.000 | -0.000 | -0.000 | 118.301 | 0.000 |
| -0.000 | -0.000 | -0.000 | -0.000 | 0.000 | 118.301 |
| 317.388 | 117.142 | 117.142 | 0.000 | -0.000 | -0.000 |
| 117.142 | 317.388 | 117.142 | 0.000 | -0.000 | -0.000 |
| 117.142 | 117.142 | 317.388 | -0.000 | -0.000 | -0.000 |
| 0.000 | 0.000 | 0.000 | 118.301 | 0.000 | -0.000 |
| 0.000 | 0.000 | 0.000 | 0.000 | 118.301 | -0.000 |
| 0.000 | 0.000 | 0.000 | 0.000 | 0.000 | 118.301 |
| 317.382 | 117.140 | 117.140 | -0.000 | -0.000 | 0.000 |
| 117.140 | 317.382 | 117.140 | -0.000 | -0.000 | 0.000 |
| 117.140 | 117.140 | 317.382 | -0.000 | -0.000 | 0.000 |
| -0.000 | -0.001 | -0.001 | 118.301 | -0.000 | 0.000 |
| -0.001 | -0.000 | -0.001 | -0.000 | 118.301 | -0.000 |
| -0.001 | -0.001 | -0.000 | -0.000 | 0.000 | 118.301 |
| 317.394 | 117.143 | 117.143 | 0.000 | 0.000 | -0.000 |
| 117.143 | 317.394 | 117.143 | 0.000 | -0.000 | -0.000 |
| 117.143 | 117.143 | 317.394 | -0.000 | -0.000 | 0.000 |
| 0.000 | 0.001 | 0.001 | 118.301 | 0.000 | 0.000 |
| 0.001 | 0.000 | 0.001 | 0.000 | 118.301 | -0.000 |
| 0.001 | 0.001 | 0.000 | 0.000 | 0.000 | 118.301 |
| 87.331 | 44.069 | 44.069 | 0.000 | 0.000 | 0.000 |
| 44.069 | 87.331 | 44.069 | 0.000 | 0.000 | -0.000 |
| 44.069 | 44.069 | 87.331 | 0.000 | 0.000 | 0.000 |
| -0.000 | -0.000 | 0.000 | 43.948 | 0.000 | 0.000 |
| -0.000 | -0.000 | 0.000 | 0.000 | 43.948 | 0.000 |
| -0.000 | -0.000 | 0.000 | 0.000 | 0.000 | 43.948 |
| 87.331 | 44.069 | 44.069 | -0.000 | -0.000 | -0.000 |
| 44.069 | 87.331 | 44.069 | -0.000 | -0.000 | -0.000 |
| 44.069 | 44.069 | 87.331 | -0.000 | -0.000 | -0.000 |
| 0.000 | 0.000 | -0.000 | 43.948 | -0.000 | -0.000 |
| 0.000 | 0.000 | -0.000 | -0.000 | 43.948 | -0.000 |
| 0.000 | 0.000 | -0.000 | -0.000 | -0.000 | 43.948 |
| 87.331 | 44.069 | 44.069 | 0.000 | 0.000 | 0.000 |
| 44.069 | 87.331 | 44.069 | 0.000 | 0.000 | 0.000 |
| 44.069 | 44.069 | 87.331 | 0.000 | 0.000 | 0.000 |
| -0.000 | -0.000 | -0.000 | 43.948 | 0.000 | 0.000 |
| -0.000 | -0.000 | -0.000 | 0.000 | 43.948 | 0.000 |
| -0.000 | -0.000 | -0.000 | 0.000 | 0.000 | 43.948 |
| 87.331 | 44.069 | 44.069 | -0.000 | -0.000 | -0.000 |
| 44.069 | 87.331 | 44.069 | -0.000 | -0.000 | -0.000 |
| 44.069 | 44.069 | 87.331 | -0.000 | -0.000 | -0.000 |
| 0.000 | 0.000 | 0.000 | 43.948 | -0.000 | -0.000 |
| 0.000 | 0.000 | 0.000 | -0.000 | 43.948 | -0.000 |
| 0.000 | 0.000 | 0.000 | -0.000 | -0.000 | 43.948 |
| 87.330 | 44.069 | 44.069 | 0.000 | 0.000 | 0.000 |
| 44.069 | 87.330 | 44.069 | 0.000 | 0.000 | -0.000 |
| 44.069 | 44.069 | 87.330 | 0.000 | 0.000 | 0.000 |
| -0.000 | -0.000 | -0.000 | 43.948 | 0.000 | 0.000 |
| -0.000 | -0.000 | -0.000 | 0.000 | 43.948 | 0.000 |
| -0.000 | -0.000 | -0.000 | 0.000 | 0.000 | 43.948 |
| 87.332 | 44.069 | 44.069 | -0.000 | -0.000 | -0.000 |
| 44.069 | 87.332 | 44.069 | -0.000 | -0.000 | -0.000 |
| 44.069 | 44.069 | 87.332 | -0.000 | -0.000 | -0.000 |
| 0.000 | 0.000 | 0.000 | 43.948 | -0.000 | -0.000 |
| 0.000 | 0.000 | 0.000 | -0.000 | 43.948 | -0.000 |
| 0.000 | 0.000 | 0.000 | -0.000 | -0.000 | 43.948 |
| 85.294 | 152.092 | 152.092 | -0.000 | -0.000 | 0.000 |
| 152.092 | 85.294 | 152.092 | -0.000 | -0.000 | 0.000 |
| 152.092 | 152.092 | 85.294 | -0.000 | -0.000 | 0.000 |
| 0.000 | 0.000 | 0.000 | 101.320 | -0.000 | 0.000 |
| 0.000 | 0.000 | 0.000 | -0.000 | 101.320 | 0.000 |
| 0.000 | 0.000 | 0.000 | -0.000 | -0.000 | 101.320 |
| 85.294 | 152.092 | 152.092 | 0.000 | 0.000 | -0.000 |
| 152.092 | 85.294 | 152.092 | -0.000 | 0.000 | -0.000 |
| 152.092 | 152.092 | 85.294 | 0.000 | 0.000 | -0.000 |
| -0.000 | -0.000 | -0.000 | 101.320 | 0.000 | -0.000 |
| -0.000 | -0.000 | -0.000 | 0.000 | 101.320 | -0.000 |
| -0.000 | -0.000 | -0.000 | 0.000 | 0.000 | 101.320 |
| 85.294 | 152.092 | 152.092 | -0.000 | -0.000 | 0.000 |
| 152.092 | 85.294 | 152.092 | -0.000 | -0.000 | 0.000 |
| 152.092 | 152.092 | 85.294 | -0.000 | -0.000 | 0.000 |
| 0.000 | 0.000 | 0.000 | 101.320 | 0.000 | 0.000 |
| 0.000 | 0.000 | 0.000 | -0.000 | 101.320 | 0.000 |
| 0.000 | 0.000 | 0.000 | -0.000 | -0.000 | 101.320 |
| 85.294 | 152.092 | 152.092 | 0.000 | 0.000 | -0.000 |
| 152.092 | 85.294 | 152.092 | 0.000 | -0.000 | -0.000 |
| 152.092 | 152.092 | 85.294 | 0.000 | 0.000 | -0.000 |
| -0.000 | -0.000 | -0.000 | 101.320 | 0.000 | -0.000 |
| -0.000 | -0.000 | -0.000 | 0.000 | 101.320 | -0.000 |
| -0.000 | -0.000 | -0.000 | 0.000 | 0.000 | 101.320 |
| 85.295 | 152.092 | 152.092 | -0.000 | -0.000 | 0.000 |
| 152.092 | 85.295 | 152.092 | -0.000 | -0.000 | 0.000 |
| 152.092 | 152.092 | 85.295 | -0.000 | -0.000 | 0.000 |
| 0.001 | 0.000 | 0.001 | 101.320 | -0.000 | 0.000 |
| 0.000 | 0.001 | 0.001 | -0.000 | 101.320 | 0.000 |
| 0.000 | 0.001 | 0.001 | -0.000 | -0.000 | 101.320 |
| 85.293 | 152.091 | 152.091 | 0.000 | -0.000 | -0.000 |
| 152.091 | 85.293 | 152.091 | 0.000 | 0.000 | -0.000 |
| 152.091 | 152.091 | 85.293 | -0.000 | 0.000 | -0.000 |
| -0.001 | -0.000 | -0.001 | 101.320 | 0.000 | -0.000 |
| -0.000 | -0.001 | -0.001 | 0.000 | 101.320 | -0.000 |
| -0.000 | -0.001 | -0.001 | 0.000 | 0.000 | 101.320 |
| 687.921 | 53.938 | 53.938 | 0.000 | -0.000 | 0.000 |
| 53.938 | 687.921 | 53.938 | 0.000 | 0.000 | 0.000 |
| 53.938 | 53.938 | 687.921 | 0.000 | 0.000 | 0.000 |
| -0.000 | -0.000 | -0.000 | 56.536 | 0.000 | 0.000 |
| -0.000 | -0.000 | -0.000 | 0.000 | 56.536 | 0.000 |
| -0.000 | -0.000 | -0.000 | 0.000 | 0.000 | 56.536 |
| 687.921 | 53.938 | 53.938 | -0.000 | -0.000 | -0.000 |
| 53.938 | 687.921 | 53.938 | -0.000 | -0.000 | -0.000 |
| 53.938 | 53.938 | 687.921 | -0.000 | -0.000 | -0.000 |
| 0.000 | 0.000 | 0.000 | 56.536 | -0.000 | 0.000 |
| 0.000 | 0.000 | 0.000 | -0.000 | 56.536 | -0.000 |
| 0.000 | 0.000 | 0.000 | -0.000 | -0.000 | 56.536 |
| 687.920 | 53.937 | 53.937 | 0.000 | 0.000 | 0.000 |
| 53.937 | 687.920 | 53.937 | 0.000 | 0.000 | 0.000 |
| 53.937 | 53.937 | 687.920 | 0.000 | 0.000 | 0.000 |
| -0.000 | -0.000 | -0.000 | 56.536 | 0.000 | 0.000 |
| -0.000 | -0.000 | -0.000 | 0.000 | 56.536 | 0.000 |
| -0.000 | -0.000 | -0.000 | 0.000 | 0.000 | 56.536 |
| 687.922 | 53.938 | 53.938 | -0.000 | 0.000 | -0.000 |
| 53.938 | 687.922 | 53.938 | -0.000 | -0.000 | 0.000 |
| 53.938 | 53.938 | 687.922 | -0.000 | 0.000 | -0.000 |
| 0.000 | 0.000 | 0.000 | 56.536 | -0.000 | -0.000 |
| 0.000 | 0.000 | 0.000 | -0.000 | 56.536 | -0.000 |
| 0.000 | 0.000 | 0.000 | -0.000 | -0.000 | 56.536 |
| 687.909 | 53.936 | 53.936 | 0.000 | 0.000 | 0.000 |
| 53.936 | 687.909 | 53.936 | 0.000 | 0.000 | 0.000 |
| 53.936 | 53.936 | 687.909 | 0.000 | -0.000 | 0.000 |
| -0.001 | -0.001 | -0.002 | 56.536 | -0.000 | 0.000 |
| -0.001 | -0.001 | -0.002 | 0.000 | 56.536 | 0.000 |
| -0.001 | -0.002 | -0.001 | 0.000 | 0.000 | 56.536 |
| 687.933 | 53.939 | 53.939 | -0.000 | -0.000 | -0.000 |
| 53.939 | 687.933 | 53.939 | -0.000 | -0.000 | 0.000 |
| 53.939 | 53.939 | 687.933 | -0.000 | -0.000 | -0.000 |
| 0.001 | 0.001 | 0.002 | 56.536 | 0.000 | -0.000 |
| 0.001 | 0.001 | 0.002 | -0.000 | 56.536 | -0.000 |
| 0.001 | 0.002 | 0.001 | 0.000 | -0.000 | 56.536 |
| 1.327 | 1.327 | 1.327 | 0.000 | 0.000 | -0.000 |
| 1.327 | 1.327 | 1.327 | 0.000 | 0.000 | -0.000 |
| 1.327 | 1.327 | 1.327 | 0.000 | 0.000 | -0.000 |
| 0.000 | 0.000 | 0.000 | 1.327 | 0.000 | -0.000 |
| 0.000 | 0.000 | 0.000 | 0.000 | 1.327 | -0.000 |
| 0.000 | 0.000 | 0.000 | 0.000 | -0.000 | 1.327 |
| 1.327 | 1.327 | 1.327 | 0.000 | -0.000 | 0.000 |
| 1.327 | 1.327 | 1.327 | -0.000 | 0.000 | 0.000 |
| 1.327 | 1.327 | 1.327 | 0.000 | 0.000 | 0.000 |
| -0.000 | -0.000 | -0.000 | 1.327 | 0.000 | 0.000 |
| -0.000 | -0.000 | -0.000 | 0.000 | 1.327 | 0.000 |
| -0.000 | -0.000 | -0.000 | 0.000 | 0.000 | 1.327 |
| 1.327 | 1.327 | 1.327 | 0.000 | 0.000 | -0.000 |
| 1.327 | 1.327 | 1.327 | 0.000 | 0.000 | -0.000 |
| 1.327 | 1.327 | 1.327 | 0.000 | 0.000 | -0.000 |
| 0.000 | 0.000 | 0.000 | 1.327 | 0.000 | -0.000 |
| 0.000 | 0.000 | 0.000 | 0.000 | 1.327 | -0.000 |
| 0.000 | 0.000 | 0.000 | 0.000 | 0.000 | 1.327 |
| 1.327 | 1.327 | 1.327 | -0.000 | -0.000 | 0.000 |
| 1.327 | 1.327 | 1.327 | -0.000 | -0.000 | 0.000 |
| 1.327 | 1.327 | 1.327 | -0.000 | -0.000 | 0.000 |
| -0.000 | -0.000 | -0.000 | 1.327 | -0.000 | 0.000 |
| -0.000 | -0.000 | -0.000 | -0.000 | 1.327 | 0.000 |
| -0.000 | -0.000 | -0.000 | -0.000 | -0.000 | 1.327 |
| 1.327 | 1.327 | 1.327 | -0.000 | -0.000 | 0.000 |
| 1.327 | 1.327 | 1.327 | -0.000 | -0.000 | 0.000 |
| 1.327 | 1.327 | 1.327 | -0.000 | -0.000 | 0.000 |
| 0.000 | 0.000 | 0.000 | 1.327 | -0.000 | 0.000 |
| 0.000 | 0.000 | 0.000 | -0.000 | 1.327 | 0.000 |
| 0.000 | 0.000 | 0.000 | -0.000 | -0.000 | 1.327 |
| 1.327 | 1.327 | 1.327 | 0.000 | 0.000 | 0.000 |
| 1.327 | 1.327 | 1.327 | 0.000 | 0.000 | 0.000 |
| 1.327 | 1.327 | 1.327 | 0.000 | 0.000 | 0.000 |
| -0.000 | -0.000 | -0.000 | 1.327 | 0.000 | -0.000 |
| -0.000 | -0.000 | -0.000 | 0.000 | 1.327 | -0.000 |
| -0.000 | -0.000 | -0.000 | 0.000 | 0.000 | 1.327 |
| 80.203 | 90.949 | 90.949 | -0.000 | -0.000 | -0.000 |
| 90.949 | 80.203 | 90.949 | 0.000 | -0.000 | 0.000 |
| 90.949 | 90.949 | 80.203 | 0.000 | -0.000 | -0.000 |
| 0.000 | -0.000 | -0.000 | -45.024 | -0.000 | -0.000 |
| -0.000 | -0.000 | 0.000 | -0.000 | -45.024 | 0.000 |
| -0.000 | -0.000 | 0.000 | -0.000 | -0.000 | -45.024 |
| 80.203 | 90.949 | 90.949 | 0.000 | 0.000 | 0.000 |
| 90.949 | 80.203 | 90.949 | 0.000 | 0.000 | 0.000 |
| 90.949 | 90.949 | 80.203 | 0.000 | -0.000 | 0.000 |
| 0.000 | 0.000 | -0.000 | -45.024 | 0.000 | -0.000 |
| 0.000 | 0.000 | -0.000 | 0.000 | -45.024 | -0.000 |
| 0.000 | 0.000 | -0.000 | 0.000 | 0.000 | -45.024 |
| 80.203 | 90.949 | 90.949 | -0.000 | -0.000 | -0.000 |
| 90.949 | 80.203 | 90.949 | -0.000 | -0.000 | 0.000 |
| 90.949 | 90.949 | 80.203 | -0.000 | -0.000 | -0.000 |
| -0.000 | -0.000 | -0.000 | -45.024 | -0.000 | -0.000 |
| -0.000 | -0.000 | -0.000 | -0.000 | -45.024 | 0.000 |
| -0.000 | -0.000 | -0.000 | -0.000 | -0.000 | -45.024 |
| 80.204 | 90.949 | 90.949 | 0.000 | 0.000 | 0.000 |
| 90.949 | 80.204 | 90.949 | 0.000 | 0.000 | -0.000 |
| 90.949 | 90.949 | 80.204 | 0.000 | -0.000 | 0.000 |
| 0.000 | 0.000 | 0.000 | -45.024 | 0.000 | 0.000 |
| 0.000 | 0.000 | 0.000 | 0.000 | -45.024 | 0.000 |
| 0.000 | 0.000 | 0.000 | 0.000 | 0.000 | -45.024 |
| 80.201 | 90.949 | 90.949 | -0.000 | -0.000 | -0.000 |
| 90.949 | 80.201 | 90.949 | -0.000 | 0.000 | -0.000 |
| 90.949 | 90.949 | 80.201 | -0.000 | -0.000 | -0.000 |
| -0.000 | -0.000 | -0.000 | -45.024 | -0.000 | 0.000 |
| -0.000 | -0.000 | -0.000 | -0.000 | -45.024 | -0.000 |
| -0.000 | -0.000 | -0.000 | -0.000 | -0.000 | -45.024 |
| 80.205 | 90.949 | 90.949 | 0.000 | 0.000 | 0.000 |
| 90.949 | 80.205 | 90.949 | 0.000 | 0.000 | 0.000 |
| 90.949 | 90.949 | 80.205 | 0.000 | 0.000 | 0.000 |
| 0.000 | 0.000 | 0.000 | -45.024 | 0.000 | -0.000 |
| 0.000 | 0.000 | 0.000 | 0.000 | -45.024 | -0.000 |
| 0.000 | 0.000 | 0.000 | 0.000 | 0.000 | -45.024 |
| 53.253 | 17.685 | 17.685 | 0.000 | 0.000 | 0.000 |
| 17.685 | 53.253 | 17.685 | 0.000 | 0.000 | 0.000 |
| 17.685 | 17.685 | 53.253 | 0.000 | 0.000 | 0.000 |
| 444323471.425 | -49370794.748 | -49370804.337 | -479460440.778 | 0.039 | 0.039 |
| -49370794.748 | 444323471.425 | -49370804.337 | 0.039 | -479460440.778 | 0.039 |
| -49370794.748 | -49370804.337 | 444323471.425 | 0.039 | 0.039 | -479460440.778 |
| 53.253 | 17.685 | 17.685 | -0.000 | -0.000 | -0.000 |
| 17.685 | 53.253 | 17.685 | -0.000 | -0.000 | -0.000 |
| 17.685 | 17.685 | 53.253 | -0.000 | -0.000 | -0.000 |
| -444323471.433 | 49370794.751 | 49370804.340 | -479460440.786 | 0.000 | 0.002 |
| 49370794.751 | -444323471.433 | 49370804.340 | 0.000 | -479460440.786 | 0.002 |
| 49370794.751 | 49370804.340 | -444323471.434 | 0.000 | 0.002 | -479460440.786 |
| 53.253 | 17.685 | 17.685 | -0.000 | 0.000 | -0.000 |
| 17.685 | 53.253 | 17.685 | -0.000 | -0.000 | -0.000 |
| 17.685 | 17.685 | 53.253 | -0.000 | 0.000 | -0.000 |
| 44432352.760 | -4937064.402 | -4937073.991 | -47946009.108 | -0.008 | -0.008 |
| -4937064.402 | 44432352.760 | -4937073.991 | -0.008 | -47946009.108 | -0.008 |
| -4937064.402 | -4937073.991 | 44432352.760 | -0.008 | -0.008 | -47946009.108 |
| 53.253 | 17.685 | 17.685 | 0.000 | 0.000 | -0.000 |
| 17.685 | 53.253 | 17.685 | 0.000 | -0.000 | 0.000 |
| 17.685 | 17.685 | 53.253 | 0.000 | 0.000 | -0.000 |
| -44432352.760 | 4937064.402 | 4937073.992 | -47946009.108 | 0.000 | -0.000 |
| 4937064.402 | -44432352.761 | 4937073.992 | 0.000 | -47946009.108 | -0.000 |
| 4937064.402 | 4937073.991 | -44432352.760 | 0.000 | -0.000 | -47946009.108 |
| 53.252 | 17.685 | 17.685 | 0.000 | 0.000 | 0.000 |
| 17.685 | 53.252 | 17.685 | 0.000 | 0.000 | 0.000 |
| 17.685 | 17.685 | 53.252 | 0.000 | 0.000 | 0.000 |
| 4443240.802 | -493691.328 | -493700.917 | -4794565.856 | -0.000 | -0.000 |
| -493691.328 | 4443240.802 | -493700.917 | -0.000 | -4794565.856 | -0.000 |
| -493691.328 | -493700.917 | 4443240.802 | -0.000 | -0.000 | -4794565.856 |
| 53.254 | 17.686 | 17.686 | 0.000 | 0.000 | 0.000 |
| 17.686 | 53.254 | 17.686 | 0.000 | 0.000 | 0.000 |
| 17.686 | 17.686 | 53.254 | 0.000 | 0.000 | 0.000 |
| -4443240.799 | 493691.326 | 493700.915 | -4794565.853 | 0.000 | -0.000 |
| 493691.326 | -4443240.799 | 493700.915 | 0.000 | -4794565.853 | -0.000 |
| 493691.326 | 493700.915 | -4443240.799 | 0.000 | -0.000 | -4794565.853 |
| 0.332 | 0.332 | 0.332 | -0.000 | -0.000 | -0.000 |
| 0.332 | 0.332 | 0.332 | -0.000 | -0.000 | -0.000 |
| 0.332 | 0.332 | 0.332 | -0.000 | -0.000 | -0.000 |
| 0.000 | 0.000 | 0.000 | 0.260 | -0.000 | -0.000 |
| 0.000 | 0.000 | 0.000 | -0.000 | 0.260 | -0.000 |
| 0.000 | 0.000 | 0.000 | -0.000 | -0.000 | 0.260 |
| 0.332 | 0.332 | 0.332 | 0.000 | 0.000 | 0.000 |
| 0.332 | 0.332 | 0.332 | 0.000 | 0.000 | 0.000 |
| 0.332 | 0.332 | 0.332 | 0.000 | 0.000 | 0.000 |
| -0.000 | -0.000 | -0.000 | 0.260 | 0.000 | 0.000 |
| -0.000 | -0.000 | -0.000 | 0.000 | 0.260 | 0.000 |
| -0.000 | -0.000 | -0.000 | 0.000 | 0.000 | 0.260 |
| 0.332 | 0.332 | 0.332 | -0.000 | -0.000 | -0.000 |
| 0.332 | 0.332 | 0.332 | -0.000 | -0.000 | -0.000 |
| 0.332 | 0.332 | 0.332 | -0.000 | -0.000 | -0.000 |
| 0.000 | 0.000 | 0.000 | 0.098 | -0.000 | -0.000 |
| 0.000 | 0.000 | 0.000 | -0.000 | 0.098 | -0.000 |
| 0.000 | 0.000 | 0.000 | -0.000 | -0.000 | 0.098 |
| 0.332 | 0.332 | 0.332 | 0.000 | 0.000 | 0.000 |
| 0.332 | 0.332 | 0.332 | 0.000 | 0.000 | 0.000 |
| 0.332 | 0.332 | 0.332 | 0.000 | 0.000 | 0.000 |
| -0.000 | -0.000 | -0.000 | 0.098 | 0.000 | 0.000 |
| -0.000 | -0.000 | -0.000 | 0.000 | 0.098 | 0.000 |
| -0.000 | -0.000 | -0.000 | 0.000 | 0.000 | 0.098 |
| 0.332 | 0.332 | 0.332 | 0.000 | -0.000 | -0.000 |
| 0.332 | 0.332 | 0.332 | -0.000 | 0.000 | -0.000 |
| 0.332 | 0.332 | 0.332 | -0.000 | -0.000 | 0.000 |
| -0.000 | -0.000 | -0.000 | 0.014 | -0.000 | -0.000 |
| -0.000 | -0.000 | -0.000 | -0.000 | 0.014 | -0.000 |
| -0.000 | -0.000 | -0.000 | -0.000 | -0.000 | 0.014 |
| 0.332 | 0.332 | 0.332 | 0.000 | 0.000 | 0.000 |
| 0.332 | 0.332 | 0.332 | 0.000 | 0.000 | 0.000 |
| 0.332 | 0.332 | 0.332 | 0.000 | 0.000 | 0.000 |
| 0.000 | 0.000 | 0.000 | 0.014 | 0.000 | 0.000 |
| 0.000 | 0.000 | 0.000 | 0.000 | 0.014 | 0.000 |
| 0.000 | 0.000 | 0.000 | 0.000 | 0.000 | 0.014 |
| 156.535 | -77.759 | 25.602 | -0.000 | -0.000 | 0.000 |
| -77.759 | 156.535 | 25.602 | -0.000 | 0.000 | 0.000 |
| 25.602 | 25.602 | 146.145 | -0.000 | -0.000 | 0.000 |
| 0.000 | 0.000 | 0.000 | 108.908 | -0.000 | 0.000 |
| -0.000 | 0.000 | 0.000 | -0.000 | 108.908 | 0.000 |
| -0.000 | -0.000 | 0.000 | -0.000 | -0.000 | 46.026 |
| 156.535 | -77.759 | 25.602 | 0.000 | 0.000 | 0.000 |
| -77.759 | 156.535 | 25.602 | 0.000 | 0.000 | -0.000 |
| 25.602 | 25.602 | 146.145 | 0.000 | -0.000 | -0.000 |
| -0.000 | -0.000 | -0.000 | 108.908 | 0.000 | -0.000 |
| 0.000 | -0.000 | -0.000 | 0.000 | 108.908 | -0.000 |
| 0.000 | 0.000 | -0.000 | 0.000 | 0.000 | 46.026 |
| 156.536 | -77.759 | 25.602 | -0.000 | -0.000 | 0.000 |
| -77.759 | 156.536 | 25.602 | 0.000 | 0.000 | 0.000 |
| 25.602 | 25.602 | 146.145 | 0.000 | 0.000 | 0.000 |
| 0.000 | -0.000 | 0.000 | 108.908 | 0.000 | 0.000 |
| -0.000 | 0.000 | 0.000 | -0.000 | 108.908 | 0.000 |
| -0.000 | -0.000 | 0.000 | 0.000 | 0.000 | 46.026 |
| 156.535 | -77.759 | 25.602 | 0.000 | 0.000 | -0.000 |
| -77.759 | 156.535 | 25.602 | 0.000 | 0.000 | -0.000 |
| 25.602 | 25.602 | 146.145 | -0.000 | -0.000 | -0.000 |
| -0.000 | 0.000 | -0.000 | 108.908 | -0.000 | -0.000 |
| 0.000 | -0.000 | -0.000 | 0.000 | 108.908 | -0.000 |
| 0.000 | 0.000 | -0.000 | 0.000 | 0.000 | 46.026 |
| 156.539 | -77.759 | 25.602 | -0.000 | -0.000 | -0.000 |
| -77.759 | 156.539 | 25.602 | -0.000 | -0.000 | 0.000 |
| 25.602 | 25.602 | 146.146 | 0.000 | 0.000 | 0.000 |
| 0.000 | -0.000 | 0.000 | 108.908 | -0.000 | 0.000 |
| -0.000 | 0.000 | 0.000 | 0.000 | 108.908 | 0.000 |
| -0.000 | -0.000 | 0.000 | -0.000 | 0.000 | 46.026 |
| 156.531 | -77.758 | 25.602 | 0.000 | -0.000 | -0.000 |
| -77.758 | 156.531 | 25.602 | 0.000 | 0.000 | -0.000 |
| 25.602 | 25.602 | 146.143 | 0.000 | 0.000 | -0.000 |
| -0.000 | 0.000 | -0.000 | 108.908 | 0.000 | -0.000 |
| 0.000 | -0.000 | -0.000 | 0.000 | 108.908 | -0.000 |
| 0.000 | 0.000 | -0.000 | 0.000 | 0.000 | 46.026 |
| 0.910 | 0.910 | 1.562 | -0.000 | -0.000 | -0.000 |
| 0.910 | 0.910 | 1.562 | -0.000 | -0.000 | -0.000 |
| 1.562 | 1.562 | 2.681 | -0.000 | -0.000 | -0.000 |
| 0.000 | 0.000 | 0.000 | 1.562 | -0.000 | 0.000 |
| 0.000 | 0.000 | 0.000 | -0.000 | 1.562 | 0.000 |
| 0.000 | 0.000 | 0.000 | -0.000 | -0.000 | 0.910 |
| 0.910 | 0.910 | 1.562 | -0.000 | -0.000 | 0.000 |
| 0.910 | 0.910 | 1.562 | -0.000 | -0.000 | 0.000 |
| 1.562 | 1.562 | 2.681 | -0.000 | -0.000 | -0.000 |
| -0.000 | -0.000 | -0.000 | 1.562 | -0.000 | -0.000 |
| -0.000 | -0.000 | -0.000 | -0.000 | 1.562 | -0.000 |
| -0.000 | -0.000 | -0.000 | -0.000 | -0.000 | 0.910 |
| 0.910 | 0.910 | 1.562 | 0.000 | -0.000 | -0.000 |
| 0.910 | 0.910 | 1.562 | -0.000 | 0.000 | -0.000 |
| 1.562 | 1.562 | 2.681 | 0.000 | 0.000 | 0.000 |
| 0.000 | 0.000 | 0.000 | 1.562 | -0.000 | 0.000 |
| 0.000 | 0.000 | 0.000 | -0.000 | 1.562 | 0.000 |
| 0.000 | 0.000 | 0.000 | 0.000 | -0.000 | 0.910 |
| 0.910 | 0.910 | 1.562 | -0.000 | -0.000 | 0.000 |
| 0.910 | 0.910 | 1.562 | -0.000 | -0.000 | 0.000 |
| 1.562 | 1.562 | 2.681 | 0.000 | 0.000 | -0.000 |
| -0.000 | -0.000 | -0.000 | 1.562 | 0.000 | 0.000 |
| -0.000 | -0.000 | -0.000 | 0.000 | 1.562 | 0.000 |
| -0.000 | -0.000 | -0.000 | -0.000 | -0.000 | 0.910 |
| 0.910 | 0.910 | 1.562 | -0.000 | -0.000 | 0.000 |
| 0.910 | 0.910 | 1.562 | -0.000 | -0.000 | 0.000 |
| 1.562 | 1.562 | 2.681 | -0.000 | -0.000 | 0.000 |
| 0.000 | 0.000 | 0.000 | 1.562 | 0.000 | -0.000 |
| 0.000 | 0.000 | 0.000 | 0.000 | 1.562 | -0.000 |
| 0.000 | 0.000 | 0.000 | 0.000 | -0.000 | 0.910 |
| 0.910 | 0.910 | 1.562 | 0.000 | 0.000 | -0.000 |
| 0.910 | 0.910 | 1.562 | 0.000 | 0.000 | -0.000 |
| 1.562 | 1.562 | 2.681 | -0.000 | -0.000 | 0.000 |
| -0.000 | -0.000 | -0.000 | 1.562 | 0.000 | -0.000 |
| -0.000 | -0.000 | -0.000 | 0.000 | 1.562 | -0.000 |
| -0.000 | -0.000 | -0.000 | 0.000 | -0.000 | 0.910 |
| 150.432 | 127.066 | 127.066 | 0.000 | -0.000 | 0.000 |
| 127.066 | 150.432 | 127.066 | 0.000 | 0.000 | -0.000 |
| 127.066 | 127.066 | 150.432 | -0.000 | 0.000 | 0.000 |
| 0.000 | 0.000 | -0.000 | -28.711 | 0.000 | 0.000 |
| -0.000 | 0.000 | -0.000 | 0.000 | -28.711 | 0.000 |
| -0.000 | 0.000 | -0.000 | 0.000 | 0.000 | -28.711 |
| 150.432 | 127.066 | 127.066 | -0.000 | -0.000 | -0.000 |
| 127.066 | 150.432 | 127.066 | -0.000 | -0.000 | -0.000 |
| 127.066 | 127.066 | 150.432 | 0.000 | -0.000 | -0.000 |
| -0.000 | -0.000 | 0.000 | -28.711 | -0.000 | 0.000 |
| 0.000 | -0.000 | 0.000 | -0.000 | -28.711 | -0.000 |
| 0.000 | -0.000 | 0.000 | -0.000 | -0.000 | -28.711 |
| 150.432 | 127.066 | 127.066 | 0.000 | 0.000 | 0.000 |
| 127.066 | 150.432 | 127.066 | 0.000 | 0.000 | -0.000 |
| 127.066 | 127.066 | 150.432 | -0.000 | 0.000 | 0.000 |
| 0.000 | 0.000 | 0.000 | 102.949 | 0.000 | -0.000 |
| -0.000 | 0.000 | 0.000 | 0.000 | 102.949 | -0.000 |
| -0.000 | 0.000 | 0.000 | -0.000 | 0.000 | 102.949 |
| 150.432 | 127.066 | 127.066 | -0.000 | -0.000 | -0.000 |
| 127.066 | 150.432 | 127.066 | -0.000 | -0.000 | -0.000 |
| 127.066 | 127.066 | 150.432 | -0.000 | -0.000 | -0.000 |
| -0.000 | -0.000 | -0.000 | 102.949 | 0.000 | 0.000 |
| 0.000 | -0.000 | -0.000 | -0.000 | 102.949 | -0.000 |
| 0.000 | -0.000 | -0.000 | -0.000 | -0.000 | 102.949 |
| 150.433 | 127.066 | 127.066 | 0.000 | 0.000 | 0.000 |
| 127.066 | 150.433 | 127.066 | 0.000 | 0.000 | -0.000 |
| 127.066 | 127.066 | 150.433 | -0.000 | 0.000 | 0.000 |
| 0.000 | -0.000 | 0.000 | 102.949 | 0.000 | -0.000 |
| -0.000 | 0.000 | 0.000 | 0.000 | 102.949 | -0.000 |
| -0.000 | 0.000 | 0.000 | 0.000 | 0.000 | 102.949 |
| 150.431 | 127.066 | 127.066 | -0.000 | -0.000 | 0.000 |
| 127.066 | 150.431 | 127.066 | -0.000 | -0.000 | -0.000 |
| 127.066 | 127.066 | 150.431 | -0.000 | -0.000 | -0.000 |
| -0.000 | 0.000 | -0.000 | 102.949 | -0.000 | 0.000 |
| 0.000 | -0.000 | -0.000 | -0.000 | 102.949 | 0.000 |
| 0.000 | -0.000 | -0.000 | -0.000 | -0.000 | 102.949 |
| 486.069 | 19.893 | 19.893 | -0.000 | -0.000 | -0.000 |
| 19.893 | 486.069 | 19.893 | -0.000 | -0.000 | -0.000 |
| 19.893 | 19.893 | 486.069 | -0.000 | -0.000 | -0.000 |
| 0.000 | 0.000 | -0.000 | 20.414 | 0.000 | 0.000 |
| 0.000 | 0.000 | 0.000 | -0.000 | 20.414 | 0.000 |
| 0.000 | 0.000 | 0.000 | -0.000 | -0.000 | 20.414 |
| 486.069 | 19.893 | 19.893 | 0.000 | 0.000 | 0.000 |
| 19.893 | 486.069 | 19.893 | 0.000 | 0.000 | 0.000 |
| 19.893 | 19.893 | 486.069 | 0.000 | -0.000 | 0.000 |
| -0.000 | -0.000 | 0.000 | 20.414 | -0.000 | 0.000 |
| -0.000 | -0.000 | 0.000 | 0.000 | 20.414 | -0.000 |
| -0.000 | -0.000 | -0.000 | 0.000 | 0.000 | 20.414 |
| 486.069 | 19.893 | 19.893 | -0.000 | -0.000 | -0.000 |
| 19.893 | 486.069 | 19.893 | -0.000 | -0.000 | 0.000 |
| 19.893 | 19.893 | 486.069 | -0.000 | -0.000 | -0.000 |
| 0.000 | 0.000 | 0.000 | 21.334 | 0.000 | 0.000 |
| 0.000 | 0.000 | 0.000 | -0.000 | 21.334 | 0.000 |
| 0.000 | 0.000 | 0.000 | 0.000 | 0.000 | 21.334 |
| 486.068 | 19.893 | 19.893 | 0.000 | 0.000 | 0.000 |
| 19.893 | 486.068 | 19.893 | 0.000 | 0.000 | 0.000 |
| 19.893 | 19.893 | 486.068 | 0.000 | 0.000 | 0.000 |
| -0.000 | -0.000 | -0.000 | 21.334 | -0.000 | 0.000 |
| -0.000 | -0.000 | -0.000 | 0.000 | 21.334 | -0.000 |
| -0.000 | -0.000 | -0.000 | 0.000 | -0.000 | 21.334 |
| 486.072 | 19.893 | 19.893 | -0.000 | -0.000 | -0.000 |
| 19.893 | 486.072 | 19.893 | -0.000 | -0.000 | -0.000 |
| 19.893 | 19.893 | 486.072 | -0.000 | -0.000 | -0.000 |
| 0.000 | 0.000 | 0.000 | 21.334 | -0.000 | 0.000 |
| 0.000 | 0.000 | 0.000 | -0.000 | 21.334 | 0.000 |
| 0.000 | 0.000 | 0.000 | 0.000 | 0.000 | 21.334 |
| 486.066 | 19.893 | 19.893 | 0.000 | 0.000 | 0.000 |
| 19.893 | 486.066 | 19.893 | 0.000 | 0.000 | 0.000 |
| 19.893 | 19.893 | 486.066 | 0.000 | 0.000 | 0.000 |
| -0.000 | -0.000 | -0.000 | 21.334 | 0.000 | 0.000 |
| -0.000 | -0.000 | -0.000 | 0.000 | 21.334 | -0.000 |
| -0.000 | -0.000 | -0.000 | -0.000 | -0.000 | 21.334 |
| 0.663 | 0.663 | 0.663 | -0.000 | -0.000 | -0.000 |
| 0.663 | 0.663 | 0.663 | -0.000 | -0.000 | -0.000 |
| 0.663 | 0.663 | 0.663 | -0.000 | -0.000 | -0.000 |
| 0.000 | 0.000 | 0.000 | 0.592 | -0.000 | -0.000 |
| 0.000 | 0.000 | 0.000 | -0.000 | 0.592 | -0.000 |
| 0.000 | 0.000 | 0.000 | -0.000 | -0.000 | 0.592 |
| 0.663 | 0.663 | 0.663 | 0.000 | 0.000 | 0.000 |
| 0.663 | 0.663 | 0.663 | 0.000 | 0.000 | 0.000 |
| 0.663 | 0.663 | 0.663 | 0.000 | 0.000 | 0.000 |
| -0.000 | -0.000 | -0.000 | 0.592 | 0.000 | 0.000 |
| -0.000 | -0.000 | -0.000 | 0.000 | 0.592 | 0.000 |
| -0.000 | -0.000 | -0.000 | 0.000 | 0.000 | 0.592 |
| 0.663 | 0.663 | 0.663 | -0.000 | -0.000 | -0.000 |
| 0.663 | 0.663 | 0.663 | -0.000 | -0.000 | -0.000 |
| 0.663 | 0.663 | 0.663 | -0.000 | -0.000 | -0.000 |
| 0.000 | 0.000 | 0.000 | 0.188 | -0.000 | -0.000 |
| 0.000 | 0.000 | 0.000 | -0.000 | 0.188 | -0.000 |
| 0.000 | 0.000 | 0.000 | -0.000 | -0.000 | 0.188 |
| 0.663 | 0.663 | 0.663 | 0.000 | 0.000 | 0.000 |
| 0.663 | 0.663 | 0.663 | 0.000 | 0.000 | 0.000 |
| 0.663 | 0.663 | 0.663 | 0.000 | 0.000 | 0.000 |
| -0.000 | -0.000 | -0.000 | 0.188 | 0.000 | 0.000 |
| -0.000 | -0.000 | -0.000 | 0.000 | 0.188 | 0.000 |
| -0.000 | -0.000 | -0.000 | 0.000 | 0.000 | 0.188 |
| 0.663 | 0.663 | 0.663 | -0.000 | -0.000 | -0.000 |
| 0.663 | 0.663 | 0.663 | -0.000 | -0.000 | -0.000 |
| 0.663 | 0.663 | 0.663 | -0.000 | -0.000 | -0.000 |
| -0.000 | -0.000 | -0.000 | 0.048 | -0.000 | -0.000 |
| -0.000 | -0.000 | -0.000 | -0.000 | 0.048 | -0.000 |
| -0.000 | -0.000 | -0.000 | -0.000 | -0.000 | 0.048 |
| 0.663 | 0.663 | 0.663 | 0.000 | 0.000 | 0.000 |
| 0.663 | 0.663 | 0.663 | 0.000 | 0.000 | 0.000 |
| 0.663 | 0.663 | 0.663 | 0.000 | 0.000 | 0.000 |
| 0.000 | 0.000 | 0.000 | 0.048 | 0.000 | 0.000 |
| 0.000 | 0.000 | 0.000 | 0.000 | 0.048 | 0.000 |
| 0.000 | 0.000 | 0.000 | 0.000 | 0.000 | 0.048 |
| 170.336 | 228.925 | 228.925 | 0.000 | -0.000 | -0.000 |
| 228.925 | 170.336 | 228.925 | 0.000 | -0.000 | -0.000 |
| 228.925 | 228.925 | 170.336 | 0.000 | -0.000 | -0.000 |
| -0.000 | -0.000 | -0.000 | 158.236 | -0.000 | -0.000 |
| -0.000 | -0.000 | -0.000 | 0.000 | 158.236 | -0.000 |
| -0.000 | -0.000 | -0.000 | 0.000 | -0.000 | 158.236 |
| 170.336 | 228.925 | 228.925 | -0.000 | 0.000 | 0.000 |
| 228.925 | 170.336 | 228.925 | -0.000 | 0.000 | 0.000 |
| 228.925 | 228.925 | 170.336 | -0.000 | 0.000 | 0.000 |
| 0.000 | 0.000 | 0.000 | 158.236 | 0.000 | 0.000 |
| 0.000 | 0.000 | 0.000 | -0.000 | 158.236 | 0.000 |
| 0.000 | 0.000 | 0.000 | -0.000 | 0.000 | 158.236 |
| 170.336 | 228.925 | 228.925 | 0.000 | -0.000 | -0.000 |
| 228.925 | 170.336 | 228.925 | 0.000 | -0.000 | -0.000 |
| 228.925 | 228.925 | 170.336 | 0.000 | -0.000 | -0.000 |
| 0.000 | 0.000 | 0.000 | 158.236 | -0.000 | -0.000 |
| 0.000 | 0.000 | 0.000 | 0.000 | 158.236 | -0.000 |
| 0.000 | 0.000 | 0.000 | -0.000 | -0.000 | 158.236 |
| 170.336 | 228.925 | 228.925 | -0.000 | 0.000 | 0.000 |
| 228.925 | 170.336 | 228.925 | 0.000 | 0.000 | 0.000 |
| 228.925 | 228.925 | 170.336 | -0.000 | 0.000 | 0.000 |
| -0.000 | -0.000 | -0.000 | 158.236 | 0.000 | 0.000 |
| -0.000 | -0.000 | -0.000 | -0.000 | 158.236 | 0.000 |
| -0.000 | -0.000 | -0.000 | -0.000 | 0.000 | 158.236 |
| 170.338 | 228.926 | 228.926 | 0.000 | -0.000 | -0.000 |
| 228.926 | 170.338 | 228.926 | -0.000 | -0.000 | -0.000 |
| 228.926 | 228.926 | 170.338 | 0.000 | -0.000 | -0.000 |
| 0.001 | 0.000 | 0.001 | 151.596 | -0.000 | -0.000 |
| 0.000 | 0.001 | 0.001 | 0.000 | 151.596 | -0.000 |
| 0.000 | 0.001 | 0.001 | 0.000 | -0.000 | 151.596 |
| 170.333 | 228.924 | 228.924 | -0.000 | 0.000 | 0.000 |
| 228.924 | 170.333 | 228.924 | -0.000 | 0.000 | 0.000 |
| 228.924 | 228.924 | 170.333 | -0.000 | 0.000 | 0.000 |
| -0.001 | -0.000 | -0.001 | 151.596 | 0.000 | 0.000 |
| -0.000 | -0.001 | -0.001 | -0.000 | 151.596 | 0.000 |
| -0.000 | -0.001 | -0.001 | -0.000 | 0.000 | 151.596 |
| 923.913 | 686.447 | 686.447 | -0.000 | -0.000 | -0.000 |
| 686.447 | 923.913 | 686.447 | -0.000 | -0.000 | -0.000 |
| 686.447 | 686.447 | 923.913 | -0.000 | -0.000 | 0.000 |
| -0.000 | -0.000 | 0.000 | 17.841 | -0.000 | -0.000 |
| -0.000 | -0.000 | 0.000 | -0.000 | 17.841 | -0.000 |
| -0.000 | -0.000 | 0.000 | -0.000 | -0.000 | 17.841 |
| 923.913 | 686.447 | 686.447 | 0.000 | 0.000 | -0.000 |
| 686.447 | 923.913 | 686.447 | 0.000 | 0.000 | -0.000 |
| 686.447 | 686.447 | 923.913 | -0.000 | -0.000 | -0.000 |
| 0.000 | 0.000 | -0.000 | 17.841 | 0.000 | 0.000 |
| 0.000 | 0.000 | -0.000 | 0.000 | 17.841 | 0.000 |
| 0.000 | 0.000 | -0.000 | 0.000 | 0.000 | 17.841 |
| 923.912 | 686.446 | 686.446 | -0.000 | -0.000 | 0.000 |
| 686.446 | 923.912 | 686.446 | -0.000 | -0.000 | 0.000 |
| 686.446 | 686.446 | 923.912 | -0.000 | -0.000 | 0.000 |
| 0.000 | 0.000 | 0.000 | 17.841 | -0.000 | -0.000 |
| 0.000 | 0.000 | 0.000 | -0.000 | 17.841 | -0.000 |
| 0.000 | 0.000 | 0.000 | -0.000 | -0.000 | 17.841 |
| 923.914 | 686.448 | 686.448 | 0.000 | 0.000 | -0.000 |
| 686.448 | 923.914 | 686.448 | 0.000 | 0.000 | 0.000 |
| 686.448 | 686.448 | 923.914 | -0.000 | -0.000 | 0.000 |
| -0.000 | -0.000 | -0.000 | 17.841 | 0.000 | 0.000 |
| -0.000 | -0.000 | -0.000 | -0.000 | 17.841 | 0.000 |
| -0.000 | -0.000 | -0.000 | 0.000 | 0.000 | 17.841 |
| 923.905 | 686.432 | 686.432 | -0.000 | -0.000 | -0.000 |
| 686.432 | 923.905 | 686.432 | -0.000 | -0.000 | -0.000 |
| 686.432 | 686.432 | 923.905 | -0.000 | -0.000 | -0.000 |
| 0.000 | 0.000 | 0.000 | 17.844 | -0.000 | -0.000 |
| 0.000 | 0.000 | 0.000 | -0.000 | 17.844 | -0.000 |
| 0.000 | 0.000 | 0.000 | -0.000 | -0.000 | 17.844 |
| 923.921 | 686.462 | 686.462 | 0.000 | 0.000 | 0.000 |
| 686.462 | 923.921 | 686.462 | 0.000 | 0.000 | -0.000 |
| 686.462 | 686.462 | 923.921 | -0.000 | 0.000 | -0.000 |
| -0.000 | -0.000 | -0.000 | 17.844 | 0.000 | 0.000 |
| -0.000 | -0.000 | -0.000 | 0.000 | 17.844 | 0.000 |
| -0.000 | -0.000 | -0.000 | 0.000 | 0.000 | 17.844 |
| 323.864 | 323.864 | 323.864 | -0.000 | -0.000 | -0.000 |
| 323.864 | 323.864 | 323.864 | -0.000 | -0.000 | -0.000 |
| 323.864 | 323.864 | 323.864 | -0.000 | -0.000 | -0.000 |
| 0.000 | 0.000 | 0.000 | -34.773 | 0.000 | 0.000 |
| 0.000 | 0.000 | 0.000 | 0.000 | -34.773 | 0.000 |
| 0.000 | 0.000 | 0.000 | 0.000 | 0.000 | -34.773 |
| 323.864 | 323.864 | 323.864 | 0.000 | 0.000 | 0.000 |
| 323.864 | 323.864 | 323.864 | 0.000 | 0.000 | 0.000 |
| 323.864 | 323.864 | 323.864 | 0.000 | 0.000 | -0.000 |
| -0.000 | -0.000 | -0.000 | -34.773 | -0.000 | 0.000 |
| -0.000 | -0.000 | -0.000 | -0.000 | -34.773 | 0.000 |
| -0.000 | -0.000 | -0.000 | -0.000 | 0.000 | -34.773 |
| 323.865 | 323.865 | 323.865 | -0.000 | -0.000 | -0.000 |
| 323.865 | 323.865 | 323.865 | -0.000 | -0.000 | -0.000 |
| 323.865 | 323.865 | 323.865 | -0.000 | -0.000 | -0.000 |
| 0.081 | 0.081 | 0.081 | -267.402 | 0.000 | 0.000 |
| 0.081 | 0.081 | 0.081 | -0.000 | -267.401 | 0.000 |
| 0.081 | 0.081 | 0.081 | 0.000 | -0.000 | -267.403 |
| 323.863 | 323.863 | 323.863 | 0.000 | 0.000 | 0.000 |
| 323.863 | 323.863 | 323.863 | 0.000 | 0.000 | 0.000 |
| 323.863 | 323.863 | 323.863 | 0.000 | 0.000 | 0.000 |
| -0.080 | -0.080 | -0.080 | -266.697 | -0.000 | 0.000 |
| -0.080 | -0.080 | -0.080 | 0.000 | -266.697 | 0.000 |
| -0.080 | -0.080 | -0.080 | 0.000 | -0.000 | -266.702 |
| 323.875 | 323.876 | 323.876 | -0.000 | -0.000 | 0.000 |
| 323.876 | 323.875 | 323.876 | -0.000 | -0.000 | -0.000 |
| 323.876 | 323.876 | 323.875 | -0.000 | -0.000 | -0.000 |
| 281057.529 | 281542.026 | 284120.098 | -38016.026 | -234.658 | -1374.191 |
| 276980.320 | 277538.582 | 281112.224 | 181.410 | -38077.808 | -2716.925 |
| 282608.510 | 282907.656 | 281400.814 | 1710.099 | -2662.104 | -41333.388 |
| 323.853 | 323.852 | 323.852 | 0.000 | 0.000 | -0.000 |
| 323.852 | 323.853 | 323.852 | 0.000 | 0.000 | -0.000 |
| 323.852 | 323.852 | 323.853 | 0.000 | 0.000 | 0.000 |
| -277150.983 | -278005.945 | -284688.568 | 29238.305 | -2752.336 | 21843.543 |
| -277608.801 | -277365.274 | -284943.022 | -2639.868 | 32265.067 | 21310.742 |
| -274318.602 | -280227.985 | -272804.395 | -4102.933 | 20896.475 | 25654.004 |
| 78.221 | 152.975 | 152.975 | -0.000 | -0.000 | -0.000 |
| 152.975 | 78.221 | 152.975 | -0.000 | -0.000 | 0.000 |
| 152.975 | 152.975 | 78.221 | -0.000 | -0.000 | -0.000 |
| -0.000 | 0.000 | 0.000 | 108.929 | -0.000 | 0.000 |
| -0.000 | -0.000 | 0.000 | -0.000 | 108.929 | 0.000 |
| -0.000 | 0.000 | 0.000 | -0.000 | 0.000 | 108.929 |
| 78.221 | 152.975 | 152.975 | 0.000 | 0.000 | 0.000 |
| 152.975 | 78.221 | 152.975 | 0.000 | 0.000 | -0.000 |
| 152.975 | 152.975 | 78.221 | 0.000 | -0.000 | -0.000 |
| -0.000 | -0.000 | -0.000 | 108.929 | 0.000 | -0.000 |
| 0.000 | -0.000 | -0.000 | 0.000 | 108.929 | -0.000 |
| 0.000 | -0.000 | -0.000 | 0.000 | -0.000 | 108.929 |
| 78.221 | 152.975 | 152.975 | -0.000 | 0.000 | 0.000 |
| 152.975 | 78.221 | 152.975 | -0.000 | -0.000 | 0.000 |
| 152.975 | 152.975 | 78.221 | -0.000 | 0.000 | 0.000 |
| 0.000 | 0.000 | 0.000 | 108.929 | 0.000 | -0.000 |
| 0.000 | 0.000 | 0.000 | -0.000 | 108.929 | 0.000 |
| 0.000 | 0.000 | 0.000 | -0.000 | -0.000 | 108.929 |
| 78.221 | 152.975 | 152.975 | 0.000 | 0.000 | 0.000 |
| 152.975 | 78.221 | 152.975 | 0.000 | 0.000 | 0.000 |
| 152.975 | 152.975 | 78.221 | 0.000 | 0.000 | -0.000 |
| -0.000 | -0.000 | -0.000 | 108.929 | -0.000 | -0.000 |
| -0.000 | -0.000 | -0.000 | 0.000 | 108.929 | -0.000 |
| -0.000 | -0.000 | -0.000 | 0.000 | 0.000 | 108.929 |
| 78.222 | 152.975 | 152.975 | -0.000 | 0.000 | 0.000 |
| 152.975 | 78.222 | 152.975 | -0.000 | -0.000 | 0.000 |
| 152.975 | 152.975 | 78.222 | -0.000 | -0.000 | 0.000 |
| 0.001 | 0.000 | 0.000 | 109.444 | 0.000 | 0.000 |
| 0.000 | 0.001 | 0.000 | -0.000 | 109.444 | 0.000 |
| 0.000 | 0.000 | 0.001 | -0.000 | 0.000 | 109.444 |
| 78.220 | 152.974 | 152.974 | 0.000 | 0.000 | -0.000 |
| 152.974 | 78.220 | 152.974 | 0.000 | 0.000 | -0.000 |
| 152.974 | 152.974 | 78.220 | 0.000 | 0.000 | 0.000 |
| -0.001 | -0.000 | -0.000 | 109.444 | -0.000 | -0.000 |
| -0.000 | -0.001 | -0.000 | 0.000 | 109.444 | -0.000 |
| -0.000 | -0.000 | -0.001 | 0.000 | -0.000 | 109.444 |
| 385.375 | 18.214 | 18.214 | 0.000 | 0.000 | -0.000 |
| 18.214 | 385.375 | 18.214 | 0.000 | 0.000 | -0.000 |
| 18.214 | 18.214 | 385.375 | -0.000 | 0.000 | 0.000 |
| -0.000 | -0.000 | -0.000 | 22.931 | 0.000 | -0.000 |
| -0.000 | -0.000 | -0.000 | -0.000 | 22.931 | -0.000 |
| -0.000 | -0.000 | -0.000 | -0.000 | 0.000 | 22.931 |
| 385.376 | 18.214 | 18.214 | -0.000 | -0.000 | 0.000 |
| 18.214 | 385.376 | 18.214 | -0.000 | -0.000 | -0.000 |
| 18.214 | 18.214 | 385.376 | -0.000 | -0.000 | 0.000 |
| 0.000 | 0.000 | 0.000 | 22.931 | 0.000 | 0.000 |
| 0.000 | 0.000 | 0.000 | 0.000 | 22.931 | 0.000 |
| 0.000 | 0.000 | 0.000 | 0.000 | -0.000 | 22.931 |
| 385.374 | 18.214 | 18.214 | 0.000 | 0.000 | -0.000 |
| 18.214 | 385.374 | 18.214 | -0.000 | 0.000 | -0.000 |
| 18.214 | 18.214 | 385.374 | -0.000 | 0.000 | -0.000 |
| 0.000 | 0.000 | -0.000 | 22.931 | 0.000 | 0.000 |
| 0.000 | 0.000 | -0.000 | -0.000 | 22.931 | -0.000 |
| 0.000 | 0.000 | 0.000 | -0.000 | 0.000 | 22.931 |
| 385.377 | 18.214 | 18.214 | -0.000 | -0.000 | 0.000 |
| 18.214 | 385.377 | 18.214 | -0.000 | -0.000 | 0.000 |
| 18.214 | 18.214 | 385.377 | 0.000 | -0.000 | 0.000 |
| -0.000 | -0.000 | -0.000 | 22.931 | -0.000 | 0.000 |
| -0.000 | -0.000 | 0.000 | 0.000 | 22.931 | 0.000 |
| -0.000 | -0.000 | -0.000 | 0.000 | -0.000 | 22.931 |
| 385.364 | 18.214 | 18.214 | 0.000 | 0.000 | -0.000 |
| 18.214 | 385.364 | 18.214 | 0.000 | 0.000 | -0.000 |
| 18.214 | 18.214 | 385.364 | -0.000 | 0.000 | -0.000 |
| 0.000 | 0.000 | 0.000 | 22.931 | 0.000 | -0.000 |
| 0.000 | 0.000 | 0.000 | -0.000 | 22.931 | -0.000 |
| 0.000 | 0.000 | 0.000 | -0.000 | 0.000 | 22.931 |
| 385.387 | 18.214 | 18.214 | -0.000 | -0.000 | 0.000 |
| 18.214 | 385.387 | 18.214 | -0.000 | -0.000 | 0.000 |
| 18.214 | 18.214 | 385.387 | -0.000 | -0.000 | 0.000 |
| -0.000 | -0.000 | -0.000 | 22.931 | -0.000 | 0.000 |
| -0.000 | -0.000 | -0.000 | 0.000 | 22.931 | 0.000 |
| -0.000 | -0.000 | -0.000 | 0.000 | -0.000 | 22.931 |
| 0.879 | 0.879 | 0.879 | -0.000 | -0.000 | -0.000 |
| 0.879 | 0.879 | 0.879 | -0.000 | -0.000 | -0.000 |
| 0.879 | 0.879 | 0.879 | -0.000 | -0.000 | 0.000 |
| 0.000 | 0.000 | 0.000 | 0.879 | -0.000 | -0.000 |
| 0.000 | 0.000 | 0.000 | -0.000 | 0.879 | -0.000 |
| 0.000 | 0.000 | 0.000 | 0.000 | 0.000 | 0.879 |
| 0.879 | 0.879 | 0.879 | -0.000 | -0.000 | 0.000 |
| 0.879 | 0.879 | 0.879 | -0.000 | -0.000 | 0.000 |
| 0.879 | 0.879 | 0.879 | 0.000 | 0.000 | -0.000 |
| -0.000 | -0.000 | -0.000 | 0.879 | 0.000 | 0.000 |
| -0.000 | -0.000 | -0.000 | 0.000 | 0.879 | 0.000 |
| -0.000 | -0.000 | -0.000 | 0.000 | 0.000 | 0.879 |
| 0.879 | 0.879 | 0.879 | -0.000 | -0.000 | -0.000 |
| 0.879 | 0.879 | 0.879 | -0.000 | -0.000 | -0.000 |
| 0.879 | 0.879 | 0.879 | -0.000 | -0.000 | -0.000 |
| 0.000 | 0.000 | 0.000 | 0.834 | 0.000 | 0.000 |
| 0.000 | 0.000 | 0.000 | 0.000 | 0.834 | 0.000 |
| 0.000 | 0.000 | 0.000 | 0.000 | -0.000 | 0.834 |
| 0.879 | 0.879 | 0.879 | -0.000 | -0.000 | -0.000 |
| 0.879 | 0.879 | 0.879 | 0.000 | -0.000 | -0.000 |
| 0.879 | 0.879 | 0.879 | 0.000 | 0.000 | -0.000 |
| -0.000 | -0.000 | -0.000 | 0.834 | -0.000 | -0.000 |
| -0.000 | -0.000 | -0.000 | -0.000 | 0.834 | -0.000 |
| -0.000 | -0.000 | -0.000 | 0.000 | 0.000 | 0.834 |
| 0.880 | 0.880 | 0.880 | -0.000 | -0.000 | -0.000 |
| 0.880 | 0.880 | 0.880 | -0.000 | -0.000 | -0.000 |
| 0.880 | 0.880 | 0.880 | -0.000 | -0.000 | -0.000 |
| 0.000 | 0.000 | 0.000 | 0.806 | 0.000 | -0.000 |
| 0.000 | 0.000 | 0.000 | 0.000 | 0.806 | -0.000 |
| 0.000 | 0.000 | 0.000 | 0.000 | -0.000 | 0.806 |
| 0.879 | 0.879 | 0.879 | 0.000 | 0.000 | -0.000 |
| 0.879 | 0.879 | 0.879 | 0.000 | 0.000 | -0.000 |
| 0.879 | 0.879 | 0.879 | 0.000 | 0.000 | 0.000 |
| -0.000 | -0.000 | -0.000 | 0.806 | -0.000 | -0.000 |
| -0.000 | -0.000 | -0.000 | -0.000 | 0.806 | -0.000 |
| -0.000 | -0.000 | -0.000 | -0.000 | 0.000 | 0.806 |
| 254.508 | 65.460 | 65.460 | -0.000 | -0.000 | 0.000 |
| 65.460 | 254.508 | 65.460 | -0.000 | -0.000 | 0.000 |
| 65.460 | 65.460 | 254.508 | -0.000 | -0.000 | -0.000 |
| -0.000 | 0.000 | 0.000 | -3.118 | -0.000 | -0.000 |
| 0.000 | 0.000 | -0.000 | -0.000 | -3.118 | -0.000 |
| 0.000 | 0.000 | -0.000 | -0.000 | -0.000 | -3.118 |
| 254.508 | 65.460 | 65.460 | 0.000 | 0.000 | 0.000 |
| 65.460 | 254.508 | 65.460 | 0.000 | 0.000 | 0.000 |
| 65.460 | 65.460 | 254.508 | 0.000 | 0.000 | 0.000 |
| 0.000 | -0.000 | 0.000 | -3.118 | 0.000 | 0.000 |
| -0.000 | -0.000 | 0.000 | 0.000 | -3.118 | 0.000 |
| -0.000 | -0.000 | 0.000 | 0.000 | 0.000 | -3.118 |
| 254.508 | 65.460 | 65.460 | -0.000 | -0.000 | -0.000 |
| 65.460 | 254.508 | 65.460 | -0.000 | -0.000 | -0.000 |
| 65.460 | 65.460 | 254.508 | -0.000 | -0.000 | -0.000 |
| -0.000 | 0.000 | 0.000 | -3.118 | -0.000 | -0.000 |
| 0.000 | 0.000 | 0.000 | -0.000 | -3.118 | -0.000 |
| 0.000 | 0.000 | -0.000 | -0.000 | -0.000 | -3.118 |
| 255.145 | 65.142 | 65.142 | 0.000 | 0.000 | -0.000 |
| 65.142 | 255.145 | 65.142 | 0.000 | -0.000 | 0.000 |
| 65.142 | 65.142 | 255.145 | 0.000 | 0.000 | 0.000 |
| 0.000 | -0.000 | -0.000 | -3.118 | 0.000 | 0.000 |
| -0.000 | -0.000 | -0.000 | 0.000 | -3.118 | 0.000 |
| -0.000 | -0.000 | 0.000 | 0.000 | 0.000 | -3.118 |
| 254.510 | 65.460 | 65.460 | -0.000 | -0.000 | 0.000 |
| 65.460 | 254.510 | 65.460 | -0.000 | -0.000 | 0.000 |
| 65.460 | 65.460 | 254.510 | -0.000 | -0.000 | 0.000 |
| 0.001 | -0.000 | -0.001 | -18.639 | -0.000 | -0.000 |
| -0.000 | 0.001 | -0.001 | -0.000 | -18.639 | -0.000 |
| -0.000 | -0.001 | 0.001 | -0.000 | -0.000 | -18.639 |
| 255.143 | 65.142 | 65.142 | 0.000 | 0.000 | -0.000 |
| 65.142 | 255.143 | 65.142 | 0.000 | 0.000 | 0.000 |
| 65.142 | 65.142 | 255.143 | 0.000 | 0.000 | -0.000 |
| -0.001 | 0.000 | 0.001 | -18.639 | 0.000 | 0.000 |
| 0.000 | -0.001 | 0.001 | 0.000 | -18.639 | 0.000 |
| 0.000 | 0.001 | -0.001 | 0.000 | 0.000 | -18.639 |
| -49043325.399 | -39817620.812 | -11592341.045 | 3338549.872 | 2572727.788 | 4040789.639 |
| -15350473.820 | -50048741.902 | -42977449.163 | 1289002.093 | 115765.139 | 1865218.691 |
| -14530381.841 | -5734572.720 | -30393214.583 | -6198592.142 | 34334.305 | 847951.207 |
| -0.000 | -0.000 | -0.000 | 163.636 | 0.000 | 0.000 |
| -0.000 | -0.000 | -0.000 | -0.000 | 163.636 | 0.000 |
| -0.000 | -0.000 | -0.000 | -0.000 | 0.000 | 163.636 |
| -45783160.007 | 120016717.461 | 123661323.894 | 2024789.113 | -6427962.871 | 4206716.891 |
| 118752624.460 | -79098699.371 | 114553652.249 | 3852371.061 | 3990693.076 | -844583.554 |
| 111850248.223 | 99711094.563 | -96588922.535 | -1838124.313 | 2141430.734 | -659346.769 |
| 0.000 | 0.000 | 0.000 | 163.636 | -0.000 | 0.000 |
| 0.000 | 0.000 | 0.000 | 0.000 | 163.636 | -0.000 |
| 0.000 | 0.000 | 0.000 | 0.000 | 0.000 | 163.636 |
| -7459034.276 | -2697524.433 | -3176707.825 | -271228.531 | 209399.381 | -590086.210 |
| -1552991.262 | -7470622.461 | -2002518.992 | 251644.010 | -418605.686 | -82998.577 |
| -3075949.052 | -1420417.621 | -6860856.878 | 127123.994 | 47487.726 | -243138.329 |
| -0.000 | -0.000 | -0.000 | 163.636 | 0.000 | -0.000 |
| -0.000 | -0.000 | -0.000 | -0.000 | 163.636 | 0.000 |
| -0.000 | -0.000 | -0.000 | -0.000 | 0.000 | 163.636 |
| -9954469.478 | 7848208.472 | 9912925.498 | 236036.025 | -546951.839 | 630543.298 |
| 9665663.488 | -8863997.081 | 6387659.357 | -620774.322 | 254079.465 | -123180.166 |
| 5959303.723 | 9160862.515 | -8014892.370 | -446990.456 | 569563.388 | 534984.549 |
| 0.000 | 0.000 | 0.000 | 163.636 | -0.000 | -0.000 |
| 0.000 | 0.000 | 0.000 | 0.000 | 163.636 | -0.000 |
| 0.000 | 0.000 | 0.000 | 0.000 | -0.000 | 163.636 |
| -425434.672 | 9652.036 | -342652.553 | 28473.226 | -26134.490 | -13169.909 |
| -411613.516 | -537941.045 | 69396.906 | 23526.112 | 27590.575 | -9307.162 |
| 78838.551 | -336012.727 | -535669.217 | 27377.886 | 26952.243 | -18335.309 |
| -0.002 | -0.002 | -0.002 | 163.645 | 0.000 | 0.000 |
| -0.002 | -0.002 | -0.002 | -0.000 | 163.645 | 0.000 |
| -0.002 | -0.002 | -0.002 | -0.000 | 0.000 | 163.645 |
| -714092.484 | 789973.214 | 989571.570 | 18113.586 | 34121.959 | 7750.204 |
| 923524.340 | -643369.777 | 692601.272 | -9354.105 | -32324.985 | 10367.918 |
| 675088.096 | 825360.636 | -752780.598 | 19767.577 | 18560.154 | 21272.551 |
| 0.002 | 0.002 | 0.002 | 163.645 | -0.000 | -0.000 |
| 0.002 | 0.002 | 0.002 | 0.000 | 163.645 | -0.000 |
| 0.002 | 0.002 | 0.002 | 0.000 | -0.000 | 163.645 |
| 60.236 | 156.810 | 156.810 | 0.000 | 0.000 | -0.000 |
| 156.810 | 60.236 | 156.810 | 0.000 | 0.000 | 0.000 |
| 156.810 | 156.810 | 60.236 | -0.000 | -0.000 | -0.000 |
| 0.000 | 0.000 | -0.000 | 65.543 | -0.000 | -0.000 |
| 0.000 | 0.000 | -0.000 | -0.000 | 65.543 | -0.000 |
| 0.000 | 0.000 | -0.000 | -0.000 | -0.000 | 65.543 |
| 60.236 | 156.810 | 156.810 | 0.000 | 0.000 | 0.000 |
| 156.810 | 60.236 | 156.810 | -0.000 | -0.000 | 0.000 |
| 156.810 | 156.810 | 60.236 | 0.000 | 0.000 | 0.000 |
| -0.000 | -0.000 | 0.000 | 65.543 | 0.000 | -0.000 |
| -0.000 | -0.000 | 0.000 | 0.000 | 65.543 | 0.000 |
| -0.000 | -0.000 | 0.000 | 0.000 | 0.000 | 65.543 |
| 60.236 | 156.810 | 156.810 | 0.000 | 0.000 | -0.000 |
| 156.810 | 60.236 | 156.810 | -0.000 | 0.000 | 0.000 |
| 156.810 | 156.810 | 60.236 | -0.000 | 0.000 | -0.000 |
| 0.000 | 0.000 | 0.000 | 65.044 | -0.000 | -0.000 |
| 0.000 | 0.000 | 0.000 | -0.000 | 65.044 | 0.000 |
| 0.000 | 0.000 | 0.000 | -0.000 | -0.000 | 65.044 |
| 60.236 | 156.810 | 156.810 | -0.000 | -0.000 | 0.000 |
| 156.810 | 60.236 | 156.810 | -0.000 | -0.000 | -0.000 |
| 156.810 | 156.810 | 60.236 | 0.000 | -0.000 | 0.000 |
| -0.000 | -0.000 | -0.000 | 65.044 | 0.000 | 0.000 |
| -0.000 | -0.000 | -0.000 | 0.000 | 65.044 | 0.000 |
| -0.000 | -0.000 | -0.000 | 0.000 | 0.000 | 65.044 |
| 60.237 | 156.811 | 156.811 | 0.000 | 0.000 | 0.000 |
| 156.811 | 60.237 | 156.811 | 0.000 | -0.000 | 0.000 |
| 156.811 | 156.811 | 60.237 | -0.000 | -0.000 | 0.000 |
| 0.001 | 0.000 | 0.001 | 65.044 | -0.000 | -0.000 |
| 0.000 | 0.001 | 0.001 | -0.000 | 65.044 | 0.000 |
| 0.000 | 0.001 | 0.001 | -0.000 | -0.000 | 65.044 |
| 60.235 | 156.809 | 156.809 | -0.000 | 0.000 | -0.000 |
| 156.809 | 60.235 | 156.809 | 0.000 | 0.000 | -0.000 |
| 156.809 | 156.809 | 60.235 | 0.000 | 0.000 | 0.000 |
| -0.001 | -0.000 | -0.001 | 65.044 | 0.000 | 0.000 |
| -0.000 | -0.001 | -0.001 | 0.000 | 65.044 | -0.000 |
| -0.000 | -0.001 | -0.001 | 0.000 | 0.000 | 65.044 |
| 312.192 | 31.071 | 31.071 | -0.000 | -0.000 | 0.000 |
| 31.071 | 312.192 | 31.071 | -0.000 | -0.000 | 0.000 |
| 31.071 | 31.071 | 312.192 | -0.000 | -0.000 | 0.000 |
| -0.000 | 0.000 | -0.000 | 22.373 | 0.000 | 0.000 |
| 0.000 | 0.000 | -0.000 | 0.000 | 22.373 | 0.000 |
| -0.000 | -0.000 | -0.000 | 0.000 | 0.000 | 22.373 |
| 312.192 | 31.071 | 31.071 | -0.000 | -0.000 | -0.000 |
| 31.071 | 312.192 | 31.071 | -0.000 | 0.000 | -0.000 |
| 31.071 | 31.071 | 312.192 | 0.000 | 0.000 | -0.000 |
| 0.000 | -0.000 | 0.000 | 22.373 | -0.000 | -0.000 |
| -0.000 | 0.000 | 0.000 | -0.000 | 22.373 | -0.000 |
| -0.000 | 0.000 | 0.000 | -0.000 | -0.000 | 22.373 |
| 312.192 | 31.071 | 31.071 | -0.000 | -0.000 | 0.000 |
| 31.071 | 312.192 | 31.071 | -0.000 | -0.000 | 0.000 |
| 31.071 | 31.071 | 312.192 | -0.000 | -0.000 | 0.000 |
| -0.000 | -0.000 | -0.000 | 22.373 | 0.000 | 0.000 |
| -0.000 | -0.000 | -0.000 | -0.000 | 22.373 | 0.000 |
| -0.000 | -0.000 | -0.000 | 0.000 | 0.000 | 22.373 |
| 312.192 | 31.071 | 31.071 | -0.000 | -0.000 | -0.000 |
| 31.071 | 312.192 | 31.071 | -0.000 | -0.000 | -0.000 |
| 31.071 | 31.071 | 312.192 | 0.000 | 0.000 | -0.000 |
| 0.000 | 0.000 | 0.000 | 22.373 | 0.000 | -0.000 |
| 0.000 | 0.000 | 0.000 | 0.000 | 22.373 | -0.000 |
| 0.000 | 0.000 | 0.000 | -0.000 | -0.000 | 22.373 |
| 312.191 | 31.071 | 31.071 | 0.000 | -0.000 | 0.000 |
| 31.071 | 312.191 | 31.071 | -0.000 | -0.000 | 0.000 |
| 31.071 | 31.071 | 312.191 | -0.000 | -0.000 | 0.000 |
| -0.000 | -0.000 | -0.000 | 22.380 | -0.000 | 0.000 |
| -0.000 | -0.000 | -0.000 | -0.000 | 22.380 | 0.000 |
| -0.000 | -0.000 | -0.000 | 0.000 | -0.000 | 22.380 |
| 312.193 | 31.071 | 31.071 | 0.000 | 0.000 | -0.000 |
| 31.071 | 312.193 | 31.071 | 0.000 | 0.000 | 0.000 |
| 31.071 | 31.071 | 312.193 | -0.000 | -0.000 | -0.000 |
| 0.000 | 0.000 | 0.000 | 22.380 | 0.000 | -0.000 |
| 0.000 | 0.000 | 0.000 | 0.000 | 22.380 | -0.000 |
| 0.000 | 0.000 | 0.000 | 0.000 | 0.000 | 22.380 |
| 44.053 | 49.210 | 49.210 | -0.000 | 0.000 | 0.000 |
| 49.210 | 44.053 | 49.210 | 0.000 | -0.000 | -0.000 |
| 49.210 | 49.210 | 44.053 | -0.000 | -0.000 | 0.000 |
| -0.000 | -0.000 | -0.000 | -549.604 | 0.000 | 0.000 |
| -0.000 | -0.000 | -0.000 | 0.000 | -549.604 | 0.000 |
| -0.000 | -0.000 | -0.000 | 0.000 | 0.000 | -549.604 |
| 44.053 | 49.210 | 49.210 | 0.000 | -0.000 | 0.000 |
| 49.210 | 44.053 | 49.210 | -0.000 | 0.000 | -0.000 |
| 49.210 | 49.210 | 44.053 | 0.000 | 0.000 | 0.000 |
| 0.000 | 0.000 | 0.000 | -549.604 | -0.000 | -0.000 |
| 0.000 | 0.000 | 0.000 | -0.000 | -549.604 | -0.000 |
| 0.000 | 0.000 | 0.000 | -0.000 | -0.000 | -549.604 |
| 44.053 | 49.210 | 49.210 | -0.000 | 0.000 | -0.000 |
| 49.210 | 44.053 | 49.210 | 0.000 | -0.000 | 0.000 |
| 49.210 | 49.210 | 44.053 | -0.000 | 0.000 | 0.000 |
| -0.002 | -0.000 | -0.000 | -549.604 | 0.000 | -0.000 |
| -0.000 | -0.002 | -0.000 | 0.000 | -549.604 | -0.000 |
| -0.000 | -0.000 | -0.002 | 0.000 | 0.000 | -549.604 |
| 44.053 | 49.210 | 49.210 | -0.000 | 0.000 | -0.000 |
| 49.210 | 44.053 | 49.210 | -0.000 | 0.000 | 0.000 |
| 49.210 | 49.210 | 44.053 | -0.000 | 0.000 | -0.000 |
| 0.002 | 0.000 | 0.000 | -549.604 | -0.000 | -0.000 |
| 0.000 | 0.002 | 0.000 | -0.000 | -549.604 | -0.000 |
| 0.000 | 0.000 | 0.002 | -0.000 | -0.000 | -549.604 |
| 44.051 | 49.210 | 49.210 | -0.000 | 0.000 | -0.000 |
| 49.210 | 44.051 | 49.210 | 0.000 | -0.000 | -0.000 |
| 49.210 | 49.210 | 44.051 | -0.000 | -0.000 | -0.000 |
| -0.024 | -0.001 | -0.002 | -549.536 | 0.000 | 0.000 |
| -0.001 | -0.024 | -0.002 | 0.000 | -549.536 | -0.000 |
| -0.001 | -0.002 | -0.024 | 0.000 | 0.000 | -549.536 |
| 44.056 | 49.210 | 49.210 | -0.000 | 0.000 | 0.000 |
| 49.210 | 44.056 | 49.210 | -0.000 | -0.000 | 0.000 |
| 49.210 | 49.210 | 44.056 | 0.000 | 0.000 | -0.000 |
| 0.024 | 0.001 | 0.002 | -549.536 | -0.000 | -0.000 |
| 0.001 | 0.024 | 0.002 | -0.000 | -549.536 | -0.000 |
| 0.001 | 0.002 | 0.024 | -0.000 | -0.000 | -549.536 |
| 4.207 | 4.207 | 4.207 | -0.000 | -0.000 | -0.000 |
| 4.207 | 4.207 | 4.207 | -0.000 | -0.000 | -0.000 |
| 4.207 | 4.207 | 4.207 | -0.000 | -0.000 | -0.000 |
| 0.000 | 0.000 | 0.000 | 4.207 | -0.000 | -0.000 |
| 0.000 | 0.000 | 0.000 | -0.000 | 4.207 | -0.000 |
| 0.000 | 0.000 | 0.000 | -0.000 | -0.000 | 4.207 |
| 4.207 | 4.207 | 4.207 | 0.000 | -0.000 | 0.000 |
| 4.207 | 4.207 | 4.207 | -0.000 | 0.000 | 0.000 |
| 4.207 | 4.207 | 4.207 | 0.000 | 0.000 | 0.000 |
| -0.000 | -0.000 | -0.000 | 4.207 | -0.000 | -0.000 |
| -0.000 | -0.000 | -0.000 | -0.000 | 4.207 | 0.000 |
| -0.000 | -0.000 | -0.000 | -0.000 | 0.000 | 4.207 |
| 4.207 | 4.207 | 4.207 | -0.000 | -0.000 | -0.000 |
| 4.207 | 4.207 | 4.207 | -0.000 | -0.000 | -0.000 |
| 4.207 | 4.207 | 4.207 | -0.000 | -0.000 | -0.000 |
| -0.000 | -0.000 | -0.000 | 3.804 | -0.000 | -0.000 |
| -0.000 | -0.000 | -0.000 | -0.000 | 3.804 | -0.000 |
| -0.000 | -0.000 | -0.000 | -0.000 | -0.000 | 3.804 |
| 4.207 | 4.207 | 4.207 | 0.000 | 0.000 | 0.000 |
| 4.207 | 4.207 | 4.207 | 0.000 | 0.000 | 0.000 |
| 4.207 | 4.207 | 4.207 | 0.000 | 0.000 | 0.000 |
| 0.000 | 0.000 | 0.000 | 3.804 | 0.000 | 0.000 |
| 0.000 | 0.000 | 0.000 | 0.000 | 3.804 | 0.000 |
| 0.000 | 0.000 | 0.000 | 0.000 | 0.000 | 3.804 |
| 4.207 | 4.207 | 4.207 | 0.000 | -0.000 | -0.000 |
| 4.207 | 4.207 | 4.207 | -0.000 | 0.000 | -0.000 |
| 4.207 | 4.207 | 4.207 | 0.000 | 0.000 | -0.000 |
| -0.000 | -0.000 | -0.000 | 3.635 | -0.000 | -0.000 |
| -0.000 | -0.000 | -0.000 | -0.000 | 3.635 | -0.000 |
| -0.000 | -0.000 | -0.000 | -0.000 | -0.000 | 3.635 |
| 4.207 | 4.207 | 4.207 | 0.000 | -0.000 | -0.000 |
| 4.207 | 4.207 | 4.207 | -0.000 | 0.000 | -0.000 |
| 4.207 | 4.207 | 4.207 | 0.000 | 0.000 | -0.000 |
| 0.000 | 0.000 | 0.000 | 3.635 | 0.000 | 0.000 |
| 0.000 | 0.000 | 0.000 | 0.000 | 3.635 | 0.000 |
| 0.000 | 0.000 | 0.000 | -0.000 | 0.000 | 3.635 |
| 86.898 | 15.536 | 15.536 | -0.000 | -0.000 | 0.000 |
| 15.536 | 86.898 | 15.536 | -0.000 | -0.000 | 0.000 |
| 15.536 | 15.536 | 86.898 | -0.000 | -0.000 | 0.000 |
| 0.000 | 0.000 | 0.000 | 94.563 | -0.000 | 0.000 |
| 0.000 | 0.000 | 0.000 | -0.000 | 94.563 | 0.000 |
| 0.000 | 0.000 | 0.000 | -0.000 | -0.000 | 94.563 |
| 86.898 | 15.536 | 15.536 | 0.000 | 0.000 | -0.000 |
| 15.536 | 86.898 | 15.536 | 0.000 | 0.000 | -0.000 |
| 15.536 | 15.536 | 86.898 | -0.000 | 0.000 | -0.000 |
| -0.000 | -0.000 | -0.000 | 94.563 | 0.000 | -0.000 |
| -0.000 | -0.000 | -0.000 | 0.000 | 94.563 | -0.000 |
| -0.000 | -0.000 | -0.000 | 0.000 | 0.000 | 94.563 |
| 86.898 | 15.535 | 15.535 | -0.000 | -0.000 | 0.000 |
| 15.535 | 86.898 | 15.535 | -0.000 | -0.000 | 0.000 |
| 15.535 | 15.535 | 86.898 | -0.000 | -0.000 | 0.000 |
| 0.000 | 0.000 | 0.000 | 94.563 | -0.000 | 0.000 |
| 0.000 | 0.000 | 0.000 | -0.000 | 94.563 | 0.000 |
| 0.000 | 0.000 | 0.000 | -0.000 | -0.000 | 94.563 |
| 86.898 | 15.536 | 15.536 | 0.000 | 0.000 | -0.000 |
| 15.536 | 86.898 | 15.536 | 0.000 | 0.000 | -0.000 |
| 15.536 | 15.536 | 86.898 | 0.000 | 0.000 | -0.000 |
| -0.000 | -0.000 | -0.000 | 94.563 | 0.000 | -0.000 |
| -0.000 | -0.000 | -0.000 | 0.000 | 94.563 | -0.000 |
| -0.000 | -0.000 | -0.000 | 0.000 | 0.000 | 94.563 |
| 86.898 | 15.535 | 15.535 | -0.000 | -0.000 | 0.000 |
| 15.535 | 86.898 | 15.535 | -0.000 | -0.000 | 0.000 |
| 15.535 | 15.535 | 86.898 | -0.000 | -0.000 | 0.000 |
| 0.000 | 0.000 | 0.000 | 94.563 | -0.000 | 0.000 |
| 0.000 | 0.000 | 0.000 | -0.000 | 94.563 | 0.000 |
| 0.000 | 0.000 | 0.000 | -0.000 | -0.000 | 94.563 |
| 86.898 | 15.536 | 15.536 | 0.000 | 0.000 | -0.000 |
| 15.536 | 86.898 | 15.536 | 0.000 | 0.000 | -0.000 |
| 15.536 | 15.536 | 86.898 | 0.000 | 0.000 | -0.000 |
| -0.000 | -0.000 | -0.000 | 94.563 | 0.000 | -0.000 |
| -0.000 | -0.000 | -0.000 | 0.000 | 94.563 | -0.000 |
| -0.000 | -0.000 | -0.000 | 0.000 | 0.000 | 94.563 |
| 210.423 | 119.585 | 119.585 | -0.000 | -0.000 | 0.000 |
| 119.585 | 210.423 | 119.585 | -0.000 | -0.000 | 0.000 |
| 119.585 | 119.585 | 210.423 | -0.000 | -0.000 | 0.000 |
| -0.000 | 0.000 | 0.000 | 106.303 | -0.000 | 0.000 |
| 0.000 | 0.000 | 0.000 | -0.000 | 106.303 | -0.000 |
| 0.000 | 0.000 | -0.000 | -0.000 | -0.000 | 106.303 |
| 210.423 | 119.585 | 119.585 | 0.000 | 0.000 | 0.000 |
| 119.585 | 210.423 | 119.585 | 0.000 | 0.000 | -0.000 |
| 119.585 | 119.585 | 210.423 | 0.000 | 0.000 | -0.000 |
| 0.000 | -0.000 | -0.000 | 106.303 | 0.000 | -0.000 |
| -0.000 | 0.000 | -0.000 | 0.000 | 106.303 | 0.000 |
| -0.000 | -0.000 | 0.000 | 0.000 | 0.000 | 106.303 |
| 210.424 | 119.586 | 119.586 | -0.000 | -0.000 | -0.000 |
| 119.586 | 210.424 | 119.586 | -0.000 | -0.000 | 0.000 |
| 119.586 | 119.586 | 210.424 | -0.000 | -0.000 | -0.000 |
| 0.000 | 0.000 | 0.000 | 106.303 | -0.000 | -0.000 |
| 0.000 | 0.000 | 0.000 | -0.000 | 106.303 | -0.000 |
| 0.000 | 0.000 | 0.000 | -0.000 | -0.000 | 106.303 |
| 210.423 | 119.585 | 119.585 | 0.000 | 0.000 | 0.000 |
| 119.585 | 210.423 | 119.585 | 0.000 | 0.000 | -0.000 |
| 119.585 | 119.585 | 210.423 | 0.000 | 0.000 | -0.000 |
| -0.000 | -0.000 | -0.000 | 106.303 | 0.000 | -0.000 |
| -0.000 | -0.000 | -0.000 | 0.000 | 106.303 | 0.000 |
| -0.000 | -0.000 | -0.000 | 0.000 | 0.000 | 106.303 |
| 210.430 | 119.589 | 119.589 | -0.000 | -0.000 | -0.000 |
| 119.589 | 210.430 | 119.589 | -0.000 | -0.000 | 0.000 |
| 119.589 | 119.589 | 210.430 | -0.000 | -0.000 | 0.000 |
| 0.000 | 0.003 | 0.004 | 106.303 | -0.000 | -0.000 |
| 0.003 | 0.000 | 0.004 | -0.000 | 106.303 | -0.000 |
| 0.003 | 0.004 | 0.000 | -0.000 | -0.000 | 106.303 |
| 210.417 | 119.582 | 119.582 | 0.000 | 0.000 | 0.000 |
| 119.582 | 210.417 | 119.582 | 0.000 | 0.000 | -0.000 |
| 119.582 | 119.582 | 210.417 | 0.000 | 0.000 | -0.000 |
| -0.000 | -0.003 | -0.004 | 106.303 | 0.000 | -0.000 |
| -0.003 | -0.000 | -0.004 | 0.000 | 106.303 | 0.000 |
| -0.003 | -0.004 | -0.000 | 0.000 | 0.000 | 106.303 |
| 10.305 | 5.152 | 5.152 | -0.000 | -0.000 | -0.000 |
| 5.152 | 10.305 | 5.152 | -0.000 | -0.000 | -0.000 |
| 5.152 | 5.152 | 10.305 | -0.000 | -0.000 | -0.000 |
| -0.000 | 0.000 | 0.000 | 5.153 | -0.000 | -0.000 |
| 0.000 | -0.000 | 0.000 | -0.000 | 5.153 | 0.000 |
| 0.000 | 0.000 | -0.000 | -0.000 | 0.000 | 5.153 |
| 10.305 | 5.152 | 5.152 | 0.000 | -0.000 | -0.000 |
| 5.152 | 10.305 | 5.152 | -0.000 | 0.000 | 0.000 |
| 5.152 | 5.152 | 10.305 | 0.000 | 0.000 | 0.000 |
| 0.000 | -0.000 | -0.000 | 5.153 | 0.000 | 0.000 |
| -0.000 | 0.000 | -0.000 | 0.000 | 5.153 | 0.000 |
| -0.000 | -0.000 | 0.000 | 0.000 | -0.000 | 5.153 |
| 10.305 | 5.152 | 5.152 | -0.000 | 0.000 | 0.000 |
| 5.152 | 10.305 | 5.152 | 0.000 | -0.000 | -0.000 |
| 5.152 | 5.152 | 10.305 | -0.000 | -0.000 | -0.000 |
| -0.000 | 0.000 | 0.000 | 5.153 | -0.000 | -0.000 |
| 0.000 | -0.000 | 0.000 | -0.000 | 5.153 | 0.000 |
| 0.000 | 0.000 | -0.000 | -0.000 | 0.000 | 5.153 |
| 10.305 | 5.152 | 5.152 | 0.000 | -0.000 | -0.000 |
| 5.152 | 10.305 | 5.152 | -0.000 | 0.000 | 0.000 |
| 5.152 | 5.152 | 10.305 | 0.000 | 0.000 | -0.000 |
| 0.000 | -0.000 | -0.000 | 5.153 | 0.000 | 0.000 |
| -0.000 | 0.000 | -0.000 | 0.000 | 5.153 | 0.000 |
| -0.000 | -0.000 | 0.000 | 0.000 | 0.000 | 5.153 |
| 10.305 | 5.153 | 5.153 | -0.000 | 0.000 | 0.000 |
| 5.153 | 10.305 | 5.153 | 0.000 | -0.000 | -0.000 |
| 5.153 | 5.153 | 10.305 | -0.000 | -0.000 | -0.000 |
| -0.000 | 0.000 | 0.000 | 5.153 | -0.000 | -0.000 |
| 0.000 | -0.000 | 0.000 | -0.000 | 5.153 | -0.000 |
| 0.000 | 0.000 | -0.000 | -0.000 | -0.000 | 5.153 |
| 10.305 | 5.152 | 5.152 | 0.000 | -0.000 | -0.000 |
| 5.152 | 10.305 | 5.152 | -0.000 | 0.000 | -0.000 |
| 5.152 | 5.152 | 10.305 | 0.000 | 0.000 | -0.000 |
| 0.000 | -0.000 | -0.000 | 5.153 | 0.000 | 0.000 |
| -0.000 | 0.000 | -0.000 | 0.000 | 5.153 | -0.000 |
| -0.000 | -0.000 | 0.000 | 0.000 | -0.000 | 5.153 |
| 218.903 | 233.009 | 233.009 | 0.000 | -0.000 | 0.000 |
| 233.009 | 218.903 | 233.009 | -0.000 | -0.000 | 0.000 |
| 233.009 | 233.009 | 218.903 | -0.000 | -0.000 | 0.000 |
| -0.000 | -0.000 | -0.000 | 199.269 | -0.000 | 0.000 |
| -0.000 | 0.000 | -0.000 | -0.000 | 199.269 | 0.000 |
| -0.000 | 0.000 | 0.000 | -0.000 | 0.000 | 199.269 |
| 218.903 | 233.009 | 233.009 | -0.000 | -0.000 | -0.000 |
| 233.009 | 218.903 | 233.009 | -0.000 | 0.000 | -0.000 |
| 233.009 | 233.009 | 218.903 | -0.000 | -0.000 | -0.000 |
| 0.000 | 0.000 | 0.000 | 199.269 | -0.000 | 0.000 |
| 0.000 | -0.000 | 0.000 | 0.000 | 199.269 | -0.000 |
| 0.000 | 0.000 | -0.000 | 0.000 | -0.000 | 199.269 |
| 218.904 | 233.009 | 233.009 | -0.000 | 0.000 | 0.000 |
| 233.009 | 218.904 | 233.009 | 0.000 | 0.000 | -0.000 |
| 233.009 | 233.009 | 218.904 | -0.000 | 0.000 | 0.000 |
| 0.000 | 0.000 | 0.000 | 198.925 | 0.000 | -0.000 |
| 0.000 | 0.000 | 0.000 | 0.000 | 198.925 | -0.000 |
| 0.000 | 0.000 | 0.000 | -0.000 | -0.000 | 198.925 |
| 218.903 | 233.009 | 233.009 | -0.000 | -0.000 | -0.000 |
| 233.009 | 218.903 | 233.009 | -0.000 | -0.000 | -0.000 |
| 233.009 | 233.009 | 218.903 | 0.000 | -0.000 | -0.000 |
| -0.000 | -0.000 | -0.000 | 198.925 | -0.000 | -0.000 |
| -0.000 | -0.000 | -0.000 | -0.000 | 198.925 | 0.000 |
| -0.000 | -0.000 | -0.000 | 0.000 | 0.000 | 198.925 |
| 218.906 | 233.010 | 233.010 | -0.000 | 0.000 | -0.000 |
| 233.010 | 218.906 | 233.010 | 0.000 | 0.000 | 0.000 |
| 233.010 | 233.010 | 218.906 | 0.000 | 0.000 | 0.000 |
| 0.001 | 0.000 | 0.001 | 199.269 | 0.000 | -0.000 |
| 0.000 | 0.001 | 0.001 | 0.000 | 199.269 | 0.000 |
| 0.000 | 0.001 | 0.001 | -0.000 | 0.000 | 199.269 |
| 218.901 | 233.008 | 233.008 | -0.000 | -0.000 | 0.000 |
| 233.008 | 218.901 | 233.008 | -0.000 | -0.000 | 0.000 |
| 233.008 | 233.008 | 218.901 | 0.000 | -0.000 | 0.000 |
| -0.001 | -0.000 | -0.001 | 199.269 | -0.000 | -0.000 |
| -0.000 | -0.001 | -0.001 | -0.000 | 199.269 | -0.000 |
| -0.000 | -0.001 | -0.001 | 0.000 | 0.000 | 199.269 |
| 2724.051 | 2723.686 | 2723.686 | -0.000 | 0.000 | -0.000 |
| 2723.686 | 2724.051 | 2723.686 | 0.000 | 0.000 | -0.000 |
| 2723.686 | 2723.686 | 2724.051 | -0.000 | 0.000 | -0.000 |
| -0.000 | -0.000 | -0.000 | -1.797 | 0.000 | -0.000 |
| -0.000 | -0.000 | -0.000 | 0.000 | -1.797 | -0.000 |
| -0.000 | -0.000 | -0.000 | 0.000 | 0.000 | -1.797 |
| 2724.052 | 2723.687 | 2723.687 | 0.000 | -0.000 | 0.000 |
| 2723.687 | 2724.052 | 2723.687 | -0.000 | -0.000 | 0.000 |
| 2723.687 | 2723.687 | 2724.052 | -0.000 | -0.000 | 0.000 |
| 0.000 | 0.000 | 0.000 | -1.797 | -0.000 | -0.000 |
| 0.000 | 0.000 | 0.000 | -0.000 | -1.797 | -0.000 |
| 0.000 | 0.000 | 0.000 | -0.000 | -0.000 | -1.797 |
| 2724.047 | 2723.682 | 2723.682 | 0.000 | 0.000 | -0.000 |
| 2723.682 | 2724.047 | 2723.682 | -0.000 | 0.000 | 0.000 |
| 2723.682 | 2723.682 | 2724.047 | 0.000 | 0.000 | -0.000 |
| 0.000 | 0.000 | 0.000 | -2.356 | 0.000 | -0.000 |
| 0.000 | 0.000 | 0.000 | -0.000 | -2.356 | -0.000 |
| 0.000 | 0.000 | 0.000 | 0.000 | 0.000 | -2.356 |
| 2724.056 | 2723.691 | 2723.691 | -0.000 | -0.000 | -0.000 |
| 2723.691 | 2724.056 | 2723.691 | 0.000 | -0.000 | 0.000 |
| 2723.691 | 2723.691 | 2724.056 | 0.000 | -0.000 | 0.000 |
| -0.000 | -0.000 | -0.000 | -2.355 | -0.000 | 0.000 |
| -0.000 | -0.000 | -0.000 | -0.000 | -2.355 | 0.000 |
| -0.000 | -0.000 | -0.000 | -0.000 | -0.000 | -2.355 |
| 2724.003 | 2723.643 | 2723.643 | -0.000 | 0.000 | 0.000 |
| 2723.643 | 2724.003 | 2723.643 | -0.000 | 0.000 | -0.000 |
| 2723.643 | 2723.643 | 2724.003 | 0.000 | 0.000 | -0.000 |
| 0.001 | 0.001 | 0.001 | -1.720 | 0.000 | -0.000 |
| 0.001 | 0.001 | 0.001 | -0.000 | -1.720 | -0.000 |
| 0.001 | 0.001 | 0.001 | 0.000 | 0.000 | -1.720 |
| 2724.100 | 2723.730 | 2723.730 | -0.000 | -0.000 | 0.000 |
| 2723.730 | 2724.100 | 2723.730 | -0.000 | -0.000 | 0.000 |
| 2723.730 | 2723.730 | 2724.100 | 0.000 | -0.000 | 0.000 |
| -0.001 | -0.001 | -0.001 | -1.720 | -0.000 | 0.000 |
| -0.001 | -0.001 | -0.001 | -0.000 | -1.720 | 0.000 |
| -0.001 | -0.001 | -0.001 | -0.000 | -0.000 | -1.720 |
| 416.853 | 416.853 | 416.853 | 0.000 | 0.000 | -0.000 |
| 416.853 | 416.853 | 416.853 | 0.000 | 0.000 | -0.000 |
| 416.853 | 416.853 | 416.853 | 0.000 | 0.000 | -0.000 |
| 0.000 | 0.000 | 0.000 | 0.887 | 0.000 | 0.000 |
| 0.000 | 0.000 | 0.000 | 0.000 | 0.887 | 0.000 |
| 0.000 | 0.000 | 0.000 | -0.000 | 0.000 | 0.887 |
| 416.852 | 416.852 | 416.852 | -0.000 | -0.000 | 0.000 |
| 416.852 | 416.852 | 416.852 | -0.000 | -0.000 | 0.000 |
| 416.852 | 416.852 | 416.852 | -0.000 | -0.000 | 0.000 |
| -0.000 | -0.000 | -0.000 | 0.887 | -0.000 | -0.000 |
| -0.000 | -0.000 | -0.000 | -0.000 | 0.887 | 0.000 |
| -0.000 | -0.000 | -0.000 | -0.000 | -0.000 | 0.887 |
| 416.853 | 416.853 | 416.853 | 0.000 | 0.000 | 0.000 |
| 416.853 | 416.853 | 416.853 | 0.000 | 0.000 | 0.000 |
| 416.853 | 416.853 | 416.853 | 0.000 | 0.000 | 0.000 |
| 0.001 | 0.001 | 0.001 | -7.238 | 0.000 | 0.000 |
| 0.001 | 0.001 | 0.001 | 0.000 | -7.238 | 0.000 |
| 0.001 | 0.001 | 0.001 | 0.000 | 0.000 | -7.238 |
| 416.851 | 416.851 | 416.851 | -0.000 | -0.000 | 0.000 |
| 416.851 | 416.851 | 416.851 | -0.000 | -0.000 | 0.000 |
| 416.851 | 416.851 | 416.851 | -0.000 | -0.000 | 0.000 |
| -0.001 | -0.001 | -0.001 | -7.238 | -0.000 | -0.000 |
| -0.001 | -0.001 | -0.001 | 0.000 | -7.238 | -0.000 |
| -0.001 | -0.001 | -0.001 | 0.000 | -0.000 | -7.238 |
| 416.862 | 416.863 | 416.863 | 0.000 | 0.000 | 0.000 |
| 416.863 | 416.862 | 416.863 | 0.000 | 0.000 | 0.000 |
| 416.863 | 416.863 | 416.862 | 0.000 | 0.000 | -0.000 |
| 0.002 | 0.002 | 0.002 | 0.887 | -0.000 | -0.000 |
| 0.002 | 0.002 | 0.002 | 0.000 | 0.887 | -0.000 |
| 0.002 | 0.002 | 0.002 | 0.000 | 0.000 | 0.887 |
| 416.843 | 416.842 | 416.842 | -0.000 | -0.000 | 0.000 |
| 416.842 | 416.843 | 416.842 | -0.000 | -0.000 | 0.000 |
| 416.842 | 416.842 | 416.843 | -0.000 | -0.000 | -0.000 |
| -0.002 | -0.002 | -0.002 | 0.887 | -0.000 | 0.000 |
| -0.002 | -0.002 | -0.002 | 0.000 | 0.887 | 0.000 |
| -0.002 | -0.002 | -0.002 | -0.000 | -0.000 | 0.887 |
| 127.914 | 174.661 | 174.661 | 0.000 | -0.000 | 0.000 |
| 174.661 | 127.914 | 174.661 | 0.000 | 0.000 | 0.000 |
| 174.661 | 174.661 | 127.914 | 0.000 | -0.000 | 0.000 |
| 0.000 | 0.000 | -0.000 | 137.026 | 0.000 | -0.000 |
| 0.000 | 0.000 | -0.000 | 0.000 | 137.026 | 0.000 |
| 0.000 | 0.000 | -0.000 | 0.000 | -0.000 | 137.026 |
| 127.914 | 174.661 | 174.661 | -0.000 | 0.000 | -0.000 |
| 174.661 | 127.914 | 174.661 | -0.000 | -0.000 | -0.000 |
| 174.661 | 174.661 | 127.914 | 0.000 | 0.000 | -0.000 |
| -0.000 | -0.000 | 0.000 | 137.026 | -0.000 | -0.000 |
| -0.000 | -0.000 | 0.000 | -0.000 | 137.026 | -0.000 |
| -0.000 | -0.000 | 0.000 | -0.000 | -0.000 | 137.026 |
| 127.914 | 174.661 | 174.661 | 0.000 | -0.000 | 0.000 |
| 174.661 | 127.914 | 174.661 | 0.000 | 0.000 | 0.000 |
| 174.661 | 174.661 | 127.914 | 0.000 | 0.000 | 0.000 |
| 0.000 | 0.000 | 0.000 | 136.398 | 0.000 | 0.000 |
| 0.000 | 0.000 | 0.000 | 0.000 | 136.398 | 0.000 |
| 0.000 | 0.000 | 0.000 | 0.000 | -0.000 | 136.398 |
| 127.914 | 174.661 | 174.661 | -0.000 | -0.000 | -0.000 |
| 174.661 | 127.914 | 174.661 | -0.000 | -0.000 | -0.000 |
| 174.661 | 174.661 | 127.914 | -0.000 | -0.000 | -0.000 |
| -0.000 | -0.000 | -0.000 | 136.398 | -0.000 | -0.000 |
| -0.000 | -0.000 | -0.000 | -0.000 | 136.398 | -0.000 |
| -0.000 | -0.000 | -0.000 | -0.000 | -0.000 | 136.398 |
| 127.915 | 174.662 | 174.662 | 0.000 | -0.000 | 0.000 |
| 174.662 | 127.915 | 174.662 | 0.000 | -0.000 | 0.000 |
| 174.662 | 174.662 | 127.915 | 0.000 | -0.000 | 0.000 |
| 0.001 | 0.000 | 0.001 | 136.398 | -0.000 | 0.000 |
| 0.000 | 0.001 | 0.001 | 0.000 | 136.398 | 0.000 |
| 0.000 | 0.001 | 0.001 | 0.000 | 0.000 | 136.398 |
| 127.913 | 174.660 | 174.660 | 0.000 | 0.000 | -0.000 |
| 174.660 | 127.913 | 174.660 | -0.000 | 0.000 | 0.000 |
| 174.660 | 174.660 | 127.913 | -0.000 | -0.000 | -0.000 |
| -0.001 | -0.000 | -0.001 | 136.398 | 0.000 | -0.000 |
| -0.000 | -0.001 | -0.001 | -0.000 | 136.398 | -0.000 |
| -0.000 | -0.001 | -0.001 | -0.000 | -0.000 | 136.398 |
| 648.147 | -6.960 | -6.960 | 0.000 | -0.000 | -0.000 |
| -6.960 | 648.147 | -6.960 | 0.000 | -0.000 | -0.000 |
| -6.960 | -6.960 | 648.147 | 0.000 | 0.000 | -0.000 |
| -0.000 | -0.000 | 0.000 | -58.698 | -0.000 | -0.000 |
| -0.000 | 0.000 | 0.000 | 0.000 | -58.698 | -0.000 |
| -0.000 | -0.000 | 0.000 | 0.000 | -0.000 | -58.698 |
| 648.147 | -6.960 | -6.960 | -0.000 | 0.000 | 0.000 |
| -6.960 | 648.147 | -6.960 | -0.000 | -0.000 | 0.000 |
| -6.960 | -6.960 | 648.147 | 0.000 | 0.000 | 0.000 |
| 0.000 | 0.000 | -0.000 | -58.698 | 0.000 | 0.000 |
| 0.000 | -0.000 | -0.000 | -0.000 | -58.698 | 0.000 |
| 0.000 | 0.000 | -0.000 | -0.000 | 0.000 | -58.698 |
| 648.148 | -6.960 | -6.960 | 0.000 | 0.000 | -0.000 |
| -6.960 | 648.148 | -6.960 | -0.000 | -0.000 | -0.000 |
| -6.960 | -6.960 | 648.148 | 0.000 | -0.000 | -0.000 |
| 0.000 | 0.000 | -0.000 | -58.698 | -0.000 | -0.000 |
| -0.000 | 0.000 | -0.000 | 0.000 | -58.698 | -0.000 |
| -0.000 | -0.000 | 0.000 | 0.000 | 0.000 | -58.698 |
| 648.147 | -6.960 | -6.960 | -0.000 | 0.000 | 0.000 |
| -6.960 | 648.147 | -6.960 | -0.000 | 0.000 | 0.000 |
| -6.960 | -6.960 | 648.147 | -0.000 | 0.000 | 0.000 |
| -0.000 | -0.000 | 0.000 | -58.698 | 0.000 | 0.000 |
| 0.000 | -0.000 | 0.000 | -0.000 | -58.698 | 0.000 |
| 0.000 | 0.000 | -0.000 | -0.000 | 0.000 | -58.698 |
| 648.151 | -6.960 | -6.960 | 0.000 | -0.000 | -0.000 |
| -6.960 | 648.151 | -6.960 | 0.000 | -0.000 | -0.000 |
| -6.960 | -6.960 | 648.151 | 0.000 | -0.000 | -0.000 |
| 0.000 | 0.000 | -0.000 | -58.698 | -0.000 | -0.000 |
| 0.000 | 0.000 | -0.000 | 0.000 | -58.698 | -0.000 |
| 0.000 | -0.000 | 0.000 | 0.000 | -0.000 | -58.698 |
| 648.144 | -6.960 | -6.960 | -0.000 | -0.000 | 0.000 |
| -6.960 | 648.144 | -6.960 | -0.000 | -0.000 | 0.000 |
| -6.960 | -6.960 | 648.144 | -0.000 | -0.000 | 0.000 |
| -0.000 | -0.000 | 0.000 | -58.698 | 0.000 | 0.000 |
| -0.000 | -0.000 | 0.000 | -0.000 | -58.698 | 0.000 |
| -0.000 | 0.000 | -0.000 | -0.000 | 0.000 | -58.698 |
| 188.558 | 177.692 | 177.692 | -0.000 | 0.000 | -0.000 |
| 177.692 | 188.558 | 177.692 | -0.000 | 0.000 | -0.000 |
| 177.692 | 177.692 | 188.558 | -0.000 | 0.000 | -0.000 |
| 0.000 | 0.000 | 0.000 | 198.924 | 0.000 | 0.000 |
| 0.000 | 0.000 | 0.000 | 0.000 | 198.924 | -0.000 |
| 0.000 | 0.000 | 0.000 | 0.000 | 0.000 | 198.924 |
| 188.558 | 177.692 | 177.692 | -0.000 | -0.000 | 0.000 |
| 177.692 | 188.558 | 177.692 | -0.000 | -0.000 | 0.000 |
| 177.692 | 177.692 | 188.558 | -0.000 | -0.000 | 0.000 |
| -0.000 | -0.000 | -0.000 | 198.924 | -0.000 | -0.000 |
| -0.000 | -0.000 | -0.000 | -0.000 | 198.924 | 0.000 |
| -0.000 | -0.000 | -0.000 | -0.000 | -0.000 | 198.924 |
| 188.558 | 177.692 | 177.692 | -0.000 | 0.000 | -0.000 |
| 177.692 | 188.558 | 177.692 | -0.000 | 0.000 | -0.000 |
| 177.692 | 177.692 | 188.558 | 0.000 | 0.000 | 0.000 |
| 0.000 | 0.000 | 0.000 | 198.924 | 0.000 | 0.000 |
| 0.000 | 0.000 | 0.000 | -0.000 | 198.924 | 0.000 |
| 0.000 | 0.000 | 0.000 | -0.000 | 0.000 | 198.924 |
| 188.558 | 177.692 | 177.692 | 0.000 | -0.000 | -0.000 |
| 177.692 | 188.558 | 177.692 | 0.000 | -0.000 | -0.000 |
| 177.692 | 177.692 | 188.558 | -0.000 | -0.000 | 0.000 |
| -0.000 | -0.000 | -0.000 | 198.924 | -0.000 | 0.000 |
| -0.000 | -0.000 | -0.000 | 0.000 | 198.924 | 0.000 |
| -0.000 | -0.000 | -0.000 | 0.000 | -0.000 | 198.924 |
| 188.560 | 177.693 | 177.693 | 0.000 | 0.000 | -0.000 |
| 177.693 | 188.560 | 177.693 | 0.000 | 0.000 | -0.000 |
| 177.693 | 177.693 | 188.560 | 0.000 | 0.000 | -0.000 |
| 0.001 | 0.000 | 0.001 | 198.924 | 0.000 | 0.000 |
| 0.000 | 0.001 | 0.001 | -0.000 | 198.924 | -0.000 |
| 0.000 | 0.001 | 0.001 | -0.000 | 0.000 | 198.924 |
| 188.556 | 177.691 | 177.691 | 0.000 | -0.000 | 0.000 |
| 177.691 | 188.556 | 177.691 | 0.000 | -0.000 | 0.000 |
| 177.691 | 177.691 | 188.556 | -0.000 | -0.000 | 0.000 |
| -0.001 | -0.000 | -0.001 | 198.924 | -0.000 | 0.000 |
| -0.000 | -0.001 | -0.001 | -0.000 | 198.924 | 0.000 |
| -0.000 | -0.001 | -0.001 | 0.000 | -0.000 | 198.924 |
| 981.006 | 979.358 | 979.358 | -0.000 | 0.000 | -0.000 |
| 979.358 | 981.006 | 979.358 | -0.000 | -0.000 | -0.000 |
| 979.358 | 979.358 | 981.006 | -0.000 | -0.000 | -0.000 |
| 0.000 | 0.000 | 0.000 | -0.689 | -0.000 | -0.000 |
| 0.000 | 0.000 | 0.000 | -0.000 | -0.689 | -0.000 |
| 0.000 | 0.000 | 0.000 | -0.000 | 0.000 | -0.689 |
| 981.006 | 979.359 | 979.359 | 0.000 | -0.000 | 0.000 |
| 979.359 | 981.006 | 979.359 | 0.000 | -0.000 | 0.000 |
| 979.359 | 979.359 | 981.006 | 0.000 | 0.000 | 0.000 |
| -0.000 | -0.000 | -0.000 | -0.689 | 0.000 | 0.000 |
| -0.000 | -0.000 | -0.000 | 0.000 | -0.689 | 0.000 |
| -0.000 | -0.000 | -0.000 | 0.000 | 0.000 | -0.689 |
| 981.005 | 979.358 | 979.358 | -0.000 | -0.000 | -0.000 |
| 979.358 | 981.005 | 979.358 | -0.000 | 0.000 | -0.000 |
| 979.358 | 979.358 | 981.005 | -0.000 | -0.000 | -0.000 |
| 0.000 | 0.000 | 0.000 | -0.689 | 0.000 | -0.000 |
| 0.000 | 0.000 | 0.000 | -0.000 | -0.689 | -0.000 |
| 0.000 | 0.000 | 0.000 | -0.000 | 0.000 | -0.689 |
| 981.007 | 979.359 | 979.359 | 0.000 | -0.000 | 0.000 |
| 979.359 | 981.007 | 979.359 | 0.000 | -0.000 | 0.000 |
| 979.359 | 979.359 | 981.007 | 0.000 | 0.000 | 0.000 |
| -0.000 | -0.000 | -0.000 | -0.689 | 0.000 | 0.000 |
| -0.000 | -0.000 | -0.000 | 0.000 | -0.689 | 0.000 |
| -0.000 | -0.000 | -0.000 | 0.000 | 0.000 | -0.689 |
| 980.999 | 979.351 | 979.351 | -0.000 | -0.000 | -0.000 |
| 979.351 | 980.999 | 979.351 | -0.000 | 0.000 | -0.000 |
| 979.351 | 979.351 | 980.999 | -0.000 | 0.000 | -0.000 |
| 0.001 | 0.001 | 0.001 | -0.689 | 0.000 | -0.000 |
| 0.001 | 0.001 | 0.001 | 0.000 | -0.689 | -0.000 |
| 0.001 | 0.001 | 0.001 | -0.000 | 0.000 | -0.689 |
| 981.014 | 979.366 | 979.366 | 0.000 | 0.000 | -0.000 |
| 979.366 | 981.014 | 979.366 | 0.000 | 0.000 | 0.000 |
| 979.366 | 979.366 | 981.014 | 0.000 | -0.000 | 0.000 |
| -0.001 | -0.001 | -0.001 | -0.689 | 0.000 | 0.000 |
| -0.001 | -0.001 | -0.001 | 0.000 | -0.689 | 0.000 |
| -0.001 | -0.001 | -0.001 | 0.000 | 0.000 | -0.689 |
| 100.002 | 100.002 | 100.002 | 0.000 | 0.000 | -0.000 |
| 100.002 | 100.002 | 100.002 | 0.000 | 0.000 | -0.000 |
| 100.002 | 100.002 | 100.002 | 0.000 | 0.000 | -0.000 |
| 0.000 | 0.000 | 0.000 | 1.471 | 0.000 | 0.000 |
| 0.000 | 0.000 | 0.000 | 0.000 | 1.471 | 0.000 |
| 0.000 | 0.000 | 0.000 | 0.000 | -0.000 | 1.471 |
| 100.002 | 100.002 | 100.002 | -0.000 | -0.000 | -0.000 |
| 100.002 | 100.002 | 100.002 | -0.000 | -0.000 | -0.000 |
| 100.002 | 100.002 | 100.002 | -0.000 | -0.000 | 0.000 |
| -0.000 | -0.000 | -0.000 | 1.471 | -0.000 | -0.000 |
| -0.000 | -0.000 | -0.000 | -0.000 | 1.471 | -0.000 |
| -0.000 | -0.000 | -0.000 | -0.000 | 0.000 | 1.471 |
| 100.002 | 100.002 | 100.002 | 0.000 | 0.000 | -0.000 |
| 100.002 | 100.002 | 100.002 | 0.000 | 0.000 | -0.000 |
| 100.002 | 100.002 | 100.002 | 0.000 | 0.000 | -0.000 |
| 0.000 | 0.000 | 0.000 | 1.471 | 0.000 | -0.000 |
| 0.000 | 0.000 | 0.000 | 0.000 | 1.471 | -0.000 |
| 0.000 | 0.000 | 0.000 | 0.000 | -0.000 | 1.471 |
| 100.002 | 100.002 | 100.002 | -0.000 | -0.000 | 0.000 |
| 100.002 | 100.002 | 100.002 | -0.000 | -0.000 | 0.000 |
| 100.002 | 100.002 | 100.002 | -0.000 | -0.000 | -0.000 |
| -0.000 | -0.000 | -0.000 | 1.471 | -0.000 | 0.000 |
| -0.000 | -0.000 | -0.000 | -0.000 | 1.471 | 0.000 |
| -0.000 | -0.000 | -0.000 | -0.000 | 0.000 | 1.471 |
| 100.003 | 100.003 | 100.003 | 0.000 | 0.000 | 0.000 |
| 100.003 | 100.003 | 100.003 | 0.000 | 0.000 | 0.000 |
| 100.003 | 100.003 | 100.003 | 0.000 | 0.000 | 0.000 |
| 0.000 | 0.000 | 0.000 | 1.471 | 0.000 | 0.000 |
| 0.000 | 0.000 | 0.000 | 0.000 | 1.471 | 0.000 |
| 0.000 | 0.000 | 0.000 | 0.000 | -0.000 | 1.471 |
| 100.002 | 100.001 | 100.001 | -0.000 | -0.000 | -0.000 |
| 100.001 | 100.002 | 100.001 | -0.000 | -0.000 | -0.000 |
| 100.001 | 100.001 | 100.002 | -0.000 | -0.000 | -0.000 |
| -0.000 | -0.000 | -0.000 | 1.471 | -0.000 | -0.000 |
| -0.000 | -0.000 | -0.000 | -0.000 | 1.471 | -0.000 |
| -0.000 | -0.000 | -0.000 | -0.000 | 0.000 | 1.471 |
| 250.745 | 331.449 | 331.449 | -0.000 | -0.000 | -0.000 |
| 331.449 | 250.745 | 331.449 | -0.000 | -0.000 | -0.000 |
| 331.449 | 331.449 | 250.745 | -0.000 | -0.000 | -0.000 |
| 0.000 | 0.000 | -0.000 | -118.023 | -0.000 | -0.000 |
| 0.000 | 0.000 | -0.000 | -0.000 | -118.023 | -0.000 |
| 0.000 | 0.000 | -0.000 | -0.000 | -0.000 | -118.023 |
| 250.745 | 331.449 | 331.449 | 0.000 | 0.000 | 0.000 |
| 331.449 | 250.745 | 331.449 | 0.000 | 0.000 | 0.000 |
| 331.449 | 331.449 | 250.745 | 0.000 | 0.000 | 0.000 |
| 0.000 | -0.000 | 0.000 | -118.023 | 0.000 | 0.000 |
| -0.000 | -0.000 | 0.000 | 0.000 | -118.023 | 0.000 |
| -0.000 | -0.000 | 0.000 | 0.000 | 0.000 | -118.023 |
| 250.745 | 331.449 | 331.449 | -0.000 | -0.000 | -0.000 |
| 331.449 | 250.745 | 331.449 | -0.000 | -0.000 | -0.000 |
| 331.449 | 331.449 | 250.745 | -0.000 | -0.000 | -0.000 |
| 0.000 | 0.000 | 0.000 | 85.650 | -0.000 | 0.000 |
| 0.000 | 0.000 | 0.000 | -0.000 | 85.650 | 0.000 |
| 0.000 | 0.000 | 0.000 | 0.000 | -0.000 | 85.650 |
| 250.745 | 331.449 | 331.449 | 0.000 | 0.000 | 0.000 |
| 331.449 | 250.745 | 331.449 | 0.000 | 0.000 | 0.000 |
| 331.449 | 331.449 | 250.745 | 0.000 | 0.000 | 0.000 |
| -0.000 | -0.000 | -0.000 | 85.650 | -0.000 | -0.000 |
| -0.000 | -0.000 | -0.000 | -0.000 | 85.650 | -0.000 |
| -0.000 | -0.000 | -0.000 | -0.000 | 0.000 | 85.650 |
| 250.747 | 331.450 | 331.450 | -0.000 | -0.000 | -0.000 |
| 331.450 | 250.747 | 331.450 | -0.000 | -0.000 | -0.000 |
| 331.450 | 331.450 | 250.747 | -0.000 | -0.000 | -0.000 |
| 0.001 | 0.001 | 0.001 | -118.023 | -0.000 | -0.000 |
| 0.001 | 0.001 | 0.001 | -0.000 | -118.023 | -0.000 |
| 0.001 | 0.001 | 0.001 | -0.000 | -0.000 | -118.023 |
| 250.743 | 331.448 | 331.448 | 0.000 | 0.000 | 0.000 |
| 331.448 | 250.743 | 331.448 | 0.000 | 0.000 | 0.000 |
| 331.448 | 331.448 | 250.743 | 0.000 | 0.000 | -0.000 |
| -0.001 | -0.001 | -0.001 | -118.023 | 0.000 | 0.000 |
| -0.001 | -0.001 | -0.001 | 0.000 | -118.023 | 0.000 |
| -0.001 | -0.001 | -0.001 | 0.000 | 0.000 | -118.023 |
| 27.132 | 27.132 | 27.132 | 0.000 | 0.000 | 0.000 |
| 27.132 | 27.132 | 27.132 | 0.000 | 0.000 | 0.000 |
| 27.132 | 27.132 | 27.132 | 0.000 | 0.000 | 0.000 |
| 0.000 | 0.000 | 0.000 | -1.084 | -0.000 | 0.000 |
| 0.000 | 0.000 | 0.000 | -0.000 | -1.084 | 0.000 |
| 0.000 | 0.000 | 0.000 | -0.000 | 0.000 | -1.084 |
| 27.132 | 27.132 | 27.132 | 0.000 | -0.000 | -0.000 |
| 27.132 | 27.132 | 27.132 | -0.000 | 0.000 | -0.000 |
| 27.132 | 27.132 | 27.132 | -0.000 | -0.000 | 0.000 |
| -0.000 | -0.000 | -0.000 | -1.084 | -0.000 | -0.000 |
| -0.000 | -0.000 | -0.000 | -0.000 | -1.084 | -0.000 |
| -0.000 | -0.000 | -0.000 | -0.000 | -0.000 | -1.084 |
| 27.132 | 27.132 | 27.132 | 0.000 | 0.000 | 0.000 |
| 27.132 | 27.132 | 27.132 | 0.000 | 0.000 | 0.000 |
| 27.132 | 27.132 | 27.132 | 0.000 | 0.000 | 0.000 |
| 0.000 | 0.000 | 0.000 | -1.084 | -0.000 | 0.000 |
| 0.000 | 0.000 | 0.000 | -0.000 | -1.084 | 0.000 |
| 0.000 | 0.000 | 0.000 | -0.000 | 0.000 | -1.084 |
| 27.132 | 27.132 | 27.132 | -0.000 | -0.000 | -0.000 |
| 27.132 | 27.132 | 27.132 | -0.000 | -0.000 | -0.000 |
| 27.132 | 27.132 | 27.132 | -0.000 | -0.000 | -0.000 |
| -0.000 | -0.000 | -0.000 | -1.084 | -0.000 | -0.000 |
| -0.000 | -0.000 | -0.000 | -0.000 | -1.084 | -0.000 |
| -0.000 | -0.000 | -0.000 | -0.000 | -0.000 | -1.084 |
| 27.132 | 27.132 | 27.132 | 0.000 | 0.000 | 0.000 |
| 27.132 | 27.132 | 27.132 | 0.000 | 0.000 | 0.000 |
| 27.132 | 27.132 | 27.132 | 0.000 | 0.000 | 0.000 |
| 256634.571 | 257968.975 | 257969.012 | 18553.562 | 0.000 | 0.000 |
| 257968.975 | 256634.571 | 257969.012 | 0.000 | 18553.562 | 0.000 |
| 257968.975 | 257969.012 | 256634.571 | 0.000 | 0.000 | 18553.563 |
| 27.132 | 27.132 | 27.132 | -0.000 | -0.000 | -0.000 |
| 27.132 | 27.132 | 27.132 | -0.000 | -0.000 | -0.000 |
| 27.132 | 27.132 | 27.132 | -0.000 | -0.000 | -0.000 |
| -256634.571 | -257968.974 | -257969.011 | 18553.562 | 0.000 | 0.000 |
| -257968.974 | -256634.571 | -257969.011 | 0.000 | 18553.562 | 0.000 |
| -257968.974 | -257969.012 | -256634.571 | 0.000 | 0.000 | 18553.562 |
| 11.834 | 11.834 | 11.834 | 0.000 | 0.000 | 0.000 |
| 11.834 | 11.834 | 11.834 | 0.000 | 0.000 | 0.000 |
| 11.834 | 11.834 | 11.834 | 0.000 | 0.000 | 0.000 |
| -0.000 | -0.000 | -0.000 | 0.558 | 0.000 | 0.000 |
| -0.000 | -0.000 | -0.000 | 0.000 | 0.558 | 0.000 |
| -0.000 | -0.000 | -0.000 | 0.000 | 0.000 | 0.558 |
| 11.834 | 11.834 | 11.834 | -0.000 | -0.000 | -0.000 |
| 11.834 | 11.834 | 11.834 | -0.000 | -0.000 | -0.000 |
| 11.834 | 11.834 | 11.834 | -0.000 | -0.000 | -0.000 |
| 0.000 | 0.000 | 0.000 | 0.558 | 0.000 | -0.000 |
| 0.000 | 0.000 | 0.000 | 0.000 | 0.558 | -0.000 |
| 0.000 | 0.000 | 0.000 | 0.000 | -0.000 | 0.558 |
| 11.834 | 11.834 | 11.834 | -0.000 | 0.000 | 0.000 |
| 11.834 | 11.834 | 11.834 | 0.000 | -0.000 | 0.000 |
| 11.834 | 11.834 | 11.834 | 0.000 | 0.000 | -0.000 |
| -0.000 | -0.000 | -0.000 | 0.375 | -0.000 | 0.000 |
| -0.000 | -0.000 | -0.000 | -0.000 | 0.252 | -0.000 |
| -0.000 | -0.000 | -0.000 | -0.000 | 0.000 | 0.375 |
| 11.834 | 11.834 | 11.834 | -0.000 | -0.000 | -0.000 |
| 11.834 | 11.834 | 11.834 | -0.000 | -0.000 | -0.000 |
| 11.834 | 11.834 | 11.834 | -0.000 | -0.000 | -0.000 |
| 0.000 | 0.000 | 0.000 | 0.558 | -0.000 | -0.000 |
| 0.000 | 0.000 | 0.000 | -0.000 | 0.558 | -0.000 |
| 0.000 | 0.000 | 0.000 | -0.000 | -0.000 | 0.558 |
| 11.834 | 11.834 | 11.834 | 0.000 | 0.000 | 0.000 |
| 11.834 | 11.834 | 11.834 | 0.000 | 0.000 | 0.000 |
| 11.834 | 11.834 | 11.834 | 0.000 | 0.000 | 0.000 |
| -0.000 | -0.000 | -0.000 | 0.023 | -0.000 | -0.000 |
| -0.000 | -0.000 | -0.000 | -0.000 | 0.023 | -0.000 |
| -0.000 | -0.000 | -0.000 | -0.000 | -0.000 | 0.023 |
| 11.834 | 11.834 | 11.834 | 0.000 | -0.000 | -0.000 |
| 11.834 | 11.834 | 11.834 | -0.000 | 0.000 | -0.000 |
| 11.834 | 11.834 | 11.834 | -0.000 | -0.000 | 0.000 |
| 0.000 | 0.000 | 0.000 | 0.023 | 0.000 | 0.000 |
| 0.000 | 0.000 | 0.000 | 0.000 | 0.023 | 0.000 |
| 0.000 | 0.000 | 0.000 | 0.000 | 0.000 | 0.023 |
| 239.893 | 81.956 | 137.326 | 0.000 | 0.000 | -0.000 |
| 81.956 | 239.893 | 137.326 | -0.000 | -0.000 | -0.000 |
| 137.326 | 137.326 | 239.497 | -0.000 | -0.000 | 0.000 |
| -0.000 | -0.000 | 0.000 | 87.948 | 0.000 | -0.000 |
| -0.000 | -0.000 | 0.000 | -0.000 | 87.948 | -0.000 |
| 0.000 | 0.000 | 0.000 | 0.000 | 0.000 | 13.110 |
| 239.893 | 81.956 | 137.326 | -0.000 | 0.000 | -0.000 |
| 81.956 | 239.893 | 137.326 | -0.000 | 0.000 | 0.000 |
| 137.326 | 137.326 | 239.497 | -0.000 | 0.000 | 0.000 |
| -0.000 | 0.000 | -0.000 | 87.948 | 0.000 | 0.000 |
| 0.000 | 0.000 | -0.000 | -0.000 | 87.948 | 0.000 |
| -0.000 | -0.000 | -0.000 | 0.000 | -0.000 | 13.110 |
| 239.893 | 81.956 | 137.326 | 0.000 | -0.000 | -0.000 |
| 81.956 | 239.893 | 137.326 | -0.000 | -0.000 | -0.000 |
| 137.326 | 137.326 | 239.497 | -0.000 | -0.000 | -0.000 |
| 0.000 | -0.000 | 0.000 | 87.948 | -0.000 | -0.000 |
| -0.000 | 0.000 | 0.000 | 0.000 | 87.948 | -0.000 |
| 0.000 | 0.000 | 0.000 | -0.000 | -0.000 | 13.110 |
| 239.893 | 81.956 | 137.326 | -0.000 | -0.000 | -0.000 |
| 81.956 | 239.893 | 137.326 | -0.000 | 0.000 | 0.000 |
| 137.326 | 137.326 | 239.496 | -0.000 | 0.000 | 0.000 |
| -0.000 | 0.000 | -0.000 | 87.948 | -0.000 | 0.000 |
| 0.000 | -0.000 | -0.000 | -0.000 | 87.948 | 0.000 |
| -0.000 | -0.000 | -0.000 | -0.000 | -0.000 | 13.110 |
| 239.894 | 81.956 | 137.325 | -0.000 | -0.000 | -0.000 |
| 81.956 | 239.894 | 137.325 | 0.000 | -0.000 | 0.000 |
| 137.326 | 137.326 | 239.500 | 0.000 | 0.000 | 0.000 |
| 0.000 | -0.000 | 0.000 | 87.948 | -0.000 | -0.000 |
| -0.000 | 0.000 | 0.000 | -0.000 | 87.948 | -0.000 |
| 0.001 | 0.000 | 0.000 | 0.000 | -0.000 | 13.110 |
| 239.892 | 81.957 | 137.326 | -0.000 | -0.000 | 0.000 |
| 81.957 | 239.892 | 137.326 | -0.000 | 0.000 | 0.000 |
| 137.326 | 137.326 | 239.493 | -0.000 | -0.000 | 0.000 |
| -0.000 | 0.000 | -0.000 | 87.948 | 0.000 | -0.000 |
| 0.000 | -0.000 | -0.000 | 0.000 | 87.948 | -0.000 |
| -0.001 | -0.000 | -0.000 | -0.000 | 0.000 | 13.110 |
| -129.301 | 24.804 | 43.076 | -0.000 | -0.000 | -0.000 |
| 24.804 | -129.301 | 43.076 | -0.000 | -0.000 | -0.000 |
| 43.076 | 43.076 | 74.815 | 0.000 | 0.000 | -0.000 |
| 0.000 | 0.000 | 0.000 | 43.046 | 0.000 | -0.000 |
| 0.000 | 0.000 | 0.000 | 0.000 | 43.046 | -0.000 |
| 0.000 | 0.000 | 0.000 | -0.000 | -0.000 | 24.779 |
| -129.301 | 24.804 | 43.076 | -0.000 | -0.000 | -0.000 |
| 24.804 | -129.301 | 43.076 | 0.000 | -0.000 | -0.000 |
| 43.076 | 43.076 | 74.815 | 0.000 | 0.000 | 0.000 |
| -0.000 | -0.000 | -0.000 | 43.046 | 0.000 | 0.000 |
| -0.000 | -0.000 | -0.000 | 0.000 | 43.046 | 0.000 |
| -0.000 | -0.000 | -0.000 | -0.000 | 0.000 | 24.779 |
| -129.301 | 24.804 | 43.076 | 0.000 | 0.000 | -0.000 |
| 24.804 | -129.301 | 43.076 | 0.000 | 0.000 | -0.000 |
| 43.076 | 43.076 | 74.815 | 0.000 | 0.000 | 0.000 |
| 0.000 | 0.000 | 0.000 | 43.046 | 0.000 | -0.000 |
| 0.000 | 0.000 | 0.000 | -0.000 | 43.046 | -0.000 |
| 0.000 | 0.000 | 0.000 | 0.000 | -0.000 | 24.779 |
| -129.300 | 24.804 | 43.076 | -0.000 | 0.000 | 0.000 |
| 24.804 | -129.300 | 43.076 | 0.000 | -0.000 | 0.000 |
| 43.076 | 43.076 | 74.815 | -0.000 | -0.000 | -0.000 |
| -0.000 | -0.000 | -0.000 | 43.046 | -0.000 | -0.000 |
| -0.000 | -0.000 | -0.000 | -0.000 | 43.046 | 0.000 |
| -0.000 | -0.000 | -0.000 | 0.000 | 0.000 | 24.779 |
| -129.306 | 24.804 | 43.076 | -0.000 | -0.000 | -0.000 |
| 24.804 | -129.306 | 43.076 | -0.000 | -0.000 | -0.000 |
| 43.076 | 43.076 | 74.816 | 0.000 | -0.000 | -0.000 |
| 0.000 | 0.000 | 0.001 | 43.046 | 0.000 | -0.000 |
| 0.000 | 0.000 | 0.001 | 0.000 | 43.046 | -0.000 |
| 0.000 | 0.000 | 0.000 | -0.000 | -0.000 | 24.779 |
| -129.295 | 24.804 | 43.075 | 0.000 | 0.000 | 0.000 |
| 24.804 | -129.295 | 43.075 | 0.000 | -0.000 | 0.000 |
| 43.075 | 43.075 | 74.814 | -0.000 | -0.000 | 0.000 |
| -0.000 | -0.000 | -0.001 | 43.046 | -0.000 | 0.000 |
| -0.000 | -0.000 | -0.001 | -0.000 | 43.046 | 0.000 |
| -0.000 | -0.000 | -0.000 | -0.000 | -0.000 | 24.779 |
| 150.697 | 167.416 | 176.835 | 0.000 | 0.000 | -0.000 |
| 167.416 | 306.619 | 31.949 | -0.000 | 0.000 | -0.000 |
| 176.835 | 31.949 | 294.889 | 0.000 | 0.000 | -0.000 |
| -0.000 | 0.000 | 0.000 | 3.755 | 0.000 | 0.000 |
| 0.000 | -0.000 | 0.000 | 0.000 | 146.834 | -0.000 |
| 0.000 | 0.000 | 0.000 | 0.000 | 0.000 | 135.307 |
| 150.697 | 167.416 | 176.835 | -0.000 | -0.000 | 0.000 |
| 167.416 | 306.619 | 31.949 | 0.000 | -0.000 | -0.000 |
| 176.835 | 31.949 | 294.889 | -0.000 | -0.000 | 0.000 |
| 0.000 | -0.000 | -0.000 | 3.755 | -0.000 | 0.000 |
| -0.000 | 0.000 | -0.000 | -0.000 | 146.834 | 0.000 |
| -0.000 | -0.000 | -0.000 | -0.000 | -0.000 | 135.307 |
| 150.697 | 167.416 | 176.835 | -0.000 | 0.000 | -0.000 |
| 167.416 | 306.619 | 31.949 | 0.000 | 0.000 | -0.000 |
| 176.835 | 31.949 | 294.889 | -0.000 | 0.000 | -0.000 |
| -0.000 | 0.000 | -0.000 | 3.755 | 0.000 | -0.000 |
| 0.000 | -0.000 | 0.000 | 0.000 | 146.834 | -0.000 |
| 0.000 | 0.000 | -0.000 | 0.000 | 0.000 | 135.307 |
| 150.697 | 167.416 | 176.835 | 0.000 | -0.000 | 0.000 |
| 167.416 | 306.618 | 31.949 | 0.000 | -0.000 | 0.000 |
| 176.835 | 31.949 | 294.889 | 0.000 | -0.000 | 0.000 |
| 0.000 | -0.000 | 0.000 | 3.755 | -0.000 | 0.000 |
| -0.000 | 0.000 | -0.000 | -0.000 | 146.834 | 0.000 |
| -0.000 | -0.000 | 0.000 | 0.000 | -0.000 | 135.307 |
| 150.697 | 167.416 | 176.836 | -0.000 | 0.000 | -0.000 |
| 167.417 | 306.621 | 31.949 | -0.000 | 0.000 | -0.000 |
| 176.837 | 31.949 | 294.891 | -0.000 | 0.000 | -0.000 |
| -0.000 | 0.000 | -0.000 | 3.755 | 0.000 | -0.000 |
| 0.001 | -0.000 | 0.002 | -0.000 | 146.834 | -0.000 |
| 0.001 | 0.002 | -0.000 | -0.000 | 0.000 | 135.307 |
| 150.697 | 167.415 | 176.835 | 0.000 | -0.000 | 0.000 |
| 167.415 | 306.616 | 31.949 | 0.000 | -0.000 | 0.000 |
| 176.834 | 31.949 | 294.887 | 0.000 | -0.000 | 0.000 |
| 0.000 | -0.000 | 0.000 | 3.755 | -0.000 | 0.000 |
| -0.001 | 0.000 | -0.002 | 0.000 | 146.834 | 0.000 |
| -0.001 | -0.002 | 0.000 | -0.000 | -0.000 | 135.307 |
| 313.978 | 122.404 | 121.237 | -0.000 | 0.000 | 0.000 |
| 115.645 | 241.249 | 147.042 | -0.000 | 0.000 | -0.000 |
| 110.487 | 145.984 | 319.857 | -0.000 | 0.000 | 0.000 |
| -0.000 | 0.000 | 0.000 | 74.043 | 0.000 | -0.000 |
| -0.004 | 0.192 | -0.078 | -0.000 | 45.067 | 0.000 |
| -0.004 | 0.232 | -0.094 | -0.000 | 0.000 | 58.549 |
| 306.310 | 118.293 | 113.154 | 0.000 | -0.000 | -0.000 |
| 115.500 | 240.766 | 147.044 | 0.000 | -0.000 | -0.000 |
| 110.549 | 145.881 | 319.973 | 0.000 | -0.000 | -0.000 |
| -0.000 | -0.000 | -0.000 | 74.043 | -0.000 | 0.000 |
| 0.004 | -0.192 | 0.078 | 0.000 | 45.067 | -0.000 |
| 0.004 | -0.232 | 0.094 | 0.000 | -0.000 | 58.549 |
| 313.978 | 122.404 | 121.237 | -0.000 | 0.000 | 0.000 |
| 115.580 | 241.032 | 147.042 | -0.000 | 0.000 | -0.000 |
| 111.002 | 151.096 | 318.553 | -0.000 | 0.000 | -0.000 |
| -0.000 | 0.024 | -0.010 | 42.152 | 0.000 | 0.000 |
| 0.000 | 0.021 | -0.008 | -0.000 | 44.554 | 0.000 |
| 0.000 | -0.000 | -0.000 | -0.000 | 0.000 | 58.549 |
| 306.310 | 118.346 | 113.134 | 0.000 | -0.000 | 0.000 |
| 119.697 | 234.354 | 154.777 | 0.000 | -0.000 | 0.000 |
| 111.002 | 151.049 | 318.570 | 0.000 | -0.000 | -0.000 |
| 0.000 | -0.024 | 0.010 | 42.152 | -0.000 | -0.000 |
| -0.000 | -0.021 | 0.008 | 0.000 | 44.554 | 0.000 |
| -0.000 | 0.000 | 0.000 | 0.000 | -0.000 | 58.549 |
| 306.311 | 118.353 | 113.132 | -0.000 | 0.000 | 0.000 |
| 119.697 | 234.380 | 154.767 | 0.000 | 0.000 | 0.000 |
| 111.002 | 151.074 | 318.562 | -0.000 | 0.000 | 0.000 |
| -0.000 | -0.000 | 0.000 | 74.043 | 0.000 | 0.000 |
| 0.000 | 0.002 | -0.001 | -0.000 | 44.554 | 0.000 |
| 0.000 | 0.002 | -0.001 | -0.000 | 0.000 | 58.549 |
| 306.308 | 118.188 | 113.192 | 0.000 | -0.000 | -0.000 |
| 119.697 | 234.375 | 154.769 | 0.000 | -0.000 | -0.000 |
| 111.002 | 151.070 | 318.560 | 0.000 | -0.000 | 0.000 |
| 0.000 | 0.000 | -0.000 | 74.043 | -0.000 | -0.000 |
| -0.000 | -0.002 | 0.001 | 0.000 | 44.554 | -0.000 |
| -0.000 | -0.002 | 0.001 | 0.000 | -0.000 | 58.549 |
| 218.006 | 87.544 | 70.204 | 0.000 | 0.000 | 0.000 |
| 87.544 | 218.006 | 70.204 | -0.000 | 0.000 | 0.000 |
| 70.204 | 70.204 | 244.742 | 0.000 | -0.000 | 0.000 |
| 0.000 | 0.000 | 0.000 | 50.615 | 0.000 | 0.000 |
| 0.000 | 0.000 | 0.000 | -0.000 | 50.615 | 0.000 |
| 0.000 | 0.000 | 0.000 | 0.000 | 0.000 | 65.231 |
| 192.689 | 112.861 | 70.204 | 0.000 | -0.000 | -0.000 |
| 87.544 | 218.006 | 70.204 | -0.000 | -0.000 | -0.000 |
| 70.204 | 70.204 | 244.742 | -0.000 | -0.000 | -0.000 |
| -0.000 | -0.000 | -0.000 | 50.615 | -0.000 | -0.000 |
| -0.000 | -0.000 | 0.000 | 0.000 | 50.615 | 0.000 |
| -0.000 | -0.000 | -0.000 | -0.000 | -0.000 | 65.231 |
| 192.689 | 112.861 | 70.204 | 0.000 | -0.000 | 0.000 |
| 112.861 | 192.689 | 70.204 | 0.000 | 0.000 | 0.000 |
| 70.204 | 70.204 | 244.742 | 0.000 | 0.000 | 0.000 |
| 0.000 | 0.000 | 0.000 | 50.615 | 0.000 | 0.000 |
| 0.000 | 0.000 | 0.000 | 0.000 | 50.615 | 0.000 |
| 0.000 | 0.000 | 0.000 | 0.000 | 0.000 | 65.231 |
| 192.689 | 112.861 | 70.204 | 0.000 | -0.000 | -0.000 |
| 87.544 | 218.006 | 70.204 | 0.000 | -0.000 | -0.000 |
| 70.204 | 70.204 | 244.742 | -0.000 | -0.000 | -0.000 |
| -0.000 | -0.000 | -0.000 | 50.615 | -0.000 | -0.000 |
| -0.000 | -0.000 | -0.000 | -0.000 | 50.615 | -0.000 |
| -0.000 | -0.000 | -0.000 | -0.000 | -0.000 | 65.231 |
| 218.008 | 87.544 | 70.204 | 0.000 | 0.000 | 0.000 |
| 87.544 | 218.008 | 70.204 | 0.000 | 0.000 | -0.000 |
| 70.204 | 70.204 | 244.743 | 0.000 | 0.000 | 0.000 |
| 0.000 | 0.000 | 0.000 | 50.615 | 0.000 | 0.000 |
| 0.000 | 0.000 | 0.000 | 0.000 | 50.615 | 0.000 |
| 0.000 | 0.001 | 0.000 | 0.000 | 0.000 | 39.914 |
| 218.004 | 87.544 | 70.204 | -0.000 | -0.000 | -0.000 |
| 87.544 | 218.004 | 70.204 | -0.000 | -0.000 | -0.000 |
| 70.203 | 70.203 | 244.740 | -0.000 | 0.000 | -0.000 |
| -0.000 | -0.000 | -0.000 | 50.615 | -0.000 | -0.000 |
| -0.000 | -0.000 | -0.000 | -0.000 | 50.615 | -0.000 |
| -0.000 | -0.001 | -0.000 | -0.000 | -0.000 | 39.914 |
| 254.760 | 117.159 | 89.119 | -28.515 | -0.000 | 0.000 |
| 117.159 | 254.760 | 89.119 | 28.515 | -0.000 | 0.000 |
| 89.119 | 89.119 | 253.407 | -0.000 | -0.000 | 0.000 |
| -28.515 | 28.515 | 0.000 | 49.253 | -0.000 | 0.000 |
| 0.000 | -0.000 | 0.000 | -0.000 | 49.253 | -28.515 |
| 0.000 | 0.000 | 0.000 | 0.000 | -28.515 | 68.800 |
| 254.760 | 117.159 | 89.119 | -28.515 | 0.000 | -0.000 |
| 117.159 | 254.760 | 89.119 | 28.515 | 0.000 | -0.000 |
| 89.119 | 89.119 | 253.407 | 0.000 | 0.000 | -0.000 |
| -28.515 | 28.515 | -0.000 | 49.253 | -0.000 | -0.000 |
| -0.000 | -0.000 | -0.000 | -0.000 | 49.253 | -28.515 |
| 0.000 | -0.000 | -0.000 | 0.000 | -28.515 | 68.800 |
| 254.760 | 117.159 | 89.119 | -28.515 | -0.000 | 0.000 |
| 117.159 | 254.760 | 89.119 | 28.515 | -0.000 | 0.000 |
| 89.119 | 89.119 | 253.407 | -0.000 | -0.000 | 0.000 |
| -28.515 | 28.515 | 0.000 | 49.253 | 0.000 | 0.000 |
| 0.000 | 0.000 | 0.000 | 0.000 | 49.253 | -28.515 |
| 0.000 | 0.000 | 0.000 | 0.000 | -28.515 | 68.800 |
| 254.760 | 117.159 | 89.119 | -28.515 | 0.000 | -0.000 |
| 117.159 | 254.760 | 89.119 | 28.515 | 0.000 | -0.000 |
| 89.119 | 89.119 | 253.407 | -0.000 | 0.000 | -0.000 |
| -28.515 | 28.515 | -0.000 | 49.253 | -0.000 | -0.000 |
| -0.000 | -0.000 | -0.000 | -0.000 | 49.253 | -28.515 |
| -0.000 | -0.000 | -0.000 | -0.000 | -28.515 | 68.800 |
| 254.761 | 117.159 | 89.119 | -28.515 | -0.000 | 0.000 |
| 117.159 | 254.761 | 89.119 | 28.515 | 0.000 | 0.000 |
| 89.120 | 89.120 | 253.409 | 0.000 | -0.000 | 0.000 |
| -28.515 | 28.516 | 0.001 | 49.253 | -0.000 | 0.000 |
| 0.000 | 0.000 | 0.001 | 0.000 | 49.253 | -28.515 |
| 0.000 | 0.000 | 0.000 | 0.000 | -28.515 | 68.800 |
| 254.758 | 117.159 | 89.119 | -28.515 | -0.000 | -0.000 |
| 117.159 | 254.759 | 89.119 | 28.516 | 0.000 | -0.000 |
| 89.118 | 89.118 | 253.405 | 0.000 | -0.000 | -0.000 |
| -28.515 | 28.515 | -0.001 | 49.253 | 0.000 | -0.000 |
| -0.000 | -0.000 | -0.001 | -0.000 | 49.253 | -28.515 |
| -0.000 | -0.000 | -0.000 | -0.000 | -28.515 | 68.800 |
| 180.271 | 156.263 | 156.263 | -0.000 | -0.000 | -0.000 |
| 156.263 | 180.271 | 156.263 | -0.000 | -0.000 | -0.000 |
| 156.263 | 156.263 | 180.271 | -0.000 | 0.000 | -0.000 |
| -0.000 | 0.000 | 0.000 | 167.640 | -0.000 | 0.000 |
| -0.000 | 0.000 | 0.000 | -0.000 | 167.640 | 0.000 |
| -0.000 | 0.000 | -0.000 | -0.000 | -0.000 | 167.640 |
| 180.271 | 156.263 | 156.263 | 0.000 | 0.000 | 0.000 |
| 156.263 | 180.271 | 156.263 | 0.000 | 0.000 | 0.000 |
| 156.263 | 156.263 | 180.271 | 0.000 | 0.000 | -0.000 |
| 0.000 | -0.000 | 0.000 | 167.640 | 0.000 | -0.000 |
| 0.000 | -0.000 | 0.000 | 0.000 | 167.640 | -0.000 |
| 0.000 | -0.000 | 0.000 | 0.000 | 0.000 | 167.640 |
| 180.272 | 156.263 | 156.263 | -0.000 | -0.000 | -0.000 |
| 156.263 | 180.272 | 156.263 | -0.000 | -0.000 | 0.000 |
| 156.263 | 156.263 | 180.272 | -0.000 | 0.000 | 0.000 |
| 0.000 | -0.000 | 0.000 | 167.640 | -0.000 | 0.000 |
| -0.000 | 0.000 | 0.000 | -0.000 | 167.640 | 0.000 |
| -0.000 | 0.000 | 0.000 | -0.000 | -0.000 | 167.640 |
| 180.271 | 156.263 | 156.263 | 0.000 | 0.000 | -0.000 |
| 156.263 | 180.271 | 156.263 | 0.000 | -0.000 | -0.000 |
| 156.263 | 156.263 | 180.271 | 0.000 | 0.000 | -0.000 |
| -0.000 | 0.000 | -0.000 | 167.640 | 0.000 | 0.000 |
| 0.000 | -0.000 | -0.000 | 0.000 | 167.640 | -0.000 |
| 0.000 | -0.000 | -0.000 | 0.000 | 0.000 | 167.640 |
| 180.274 | 156.263 | 156.263 | -0.000 | -0.000 | 0.000 |
| 156.263 | 180.274 | 156.263 | -0.000 | -0.000 | 0.000 |
| 156.263 | 156.263 | 180.274 | 0.000 | -0.000 | 0.000 |
| 0.001 | -0.000 | -0.000 | 36.767 | -0.000 | 0.000 |
| -0.000 | 0.001 | -0.000 | -0.000 | 36.767 | 0.000 |
| -0.000 | -0.000 | 0.001 | -0.000 | -0.000 | 36.767 |
| 180.269 | 156.262 | 156.262 | 0.000 | 0.000 | -0.000 |
| 156.262 | 180.269 | 156.262 | 0.000 | -0.000 | -0.000 |
| 156.262 | 156.262 | 180.269 | 0.000 | 0.000 | 0.000 |
| -0.001 | 0.000 | 0.000 | 36.767 | 0.000 | -0.000 |
| 0.000 | -0.001 | 0.000 | 0.000 | 36.767 | -0.000 |
| 0.000 | 0.000 | -0.001 | 0.000 | 0.000 | 36.767 |
| 20.332 | 10.735 | 10.735 | 0.000 | 0.000 | -0.000 |
| 10.735 | 20.332 | 10.735 | 0.000 | -0.000 | -0.000 |
| 10.735 | 10.735 | 20.332 | 0.000 | 0.000 | 0.000 |
| 0.000 | 0.000 | 0.000 | 7.855 | 0.000 | -0.000 |
| 0.000 | 0.000 | 0.000 | 0.000 | 7.855 | -0.000 |
| 0.000 | 0.000 | 0.000 | 0.000 | 0.000 | 7.855 |
| 20.331 | 10.735 | 10.735 | -0.000 | -0.000 | 0.000 |
| 10.735 | 20.331 | 10.735 | -0.000 | -0.000 | 0.000 |
| 10.735 | 10.735 | 20.331 | -0.000 | -0.000 | 0.000 |
| -0.000 | -0.000 | -0.000 | 7.855 | -0.000 | -0.000 |
| -0.000 | -0.000 | -0.000 | -0.000 | 7.855 | 0.000 |
| -0.000 | -0.000 | -0.000 | -0.000 | -0.000 | 7.855 |
| 20.333 | 10.735 | 10.735 | 0.000 | 0.000 | -0.000 |
| 10.735 | 20.333 | 10.735 | 0.000 | 0.000 | -0.000 |
| 10.735 | 10.735 | 20.333 | 0.000 | 0.000 | -0.000 |
| 0.000 | 0.000 | 0.000 | 7.855 | 0.000 | -0.000 |
| 0.000 | 0.000 | 0.000 | 0.000 | 7.855 | -0.000 |
| 0.000 | 0.000 | 0.000 | 0.000 | 0.000 | 7.855 |
| 20.330 | 10.735 | 10.735 | -0.000 | -0.000 | 0.000 |
| 10.735 | 20.330 | 10.735 | 0.000 | -0.000 | -0.000 |
| 10.735 | 10.735 | 20.330 | -0.000 | -0.000 | 0.000 |
| -0.000 | -0.000 | -0.000 | 7.855 | -0.000 | -0.000 |
| -0.000 | -0.000 | -0.000 | -0.000 | 7.855 | 0.000 |
| -0.000 | -0.000 | -0.000 | -0.000 | -0.000 | 7.855 |
| 20.344 | 10.735 | 10.735 | 0.000 | -0.000 | 0.000 |
| 10.735 | 20.344 | 10.735 | 0.000 | -0.000 | -0.000 |
| 10.735 | 10.735 | 20.344 | 0.000 | 0.000 | -0.000 |
| 0.001 | 0.000 | 0.000 | 7.855 | 0.000 | 0.000 |
| 0.000 | 0.001 | 0.000 | 0.000 | 7.855 | -0.000 |
| 0.000 | 0.000 | 0.001 | 0.000 | 0.000 | 7.855 |
| 20.319 | 10.735 | 10.735 | -0.000 | -0.000 | 0.000 |
| 10.735 | 20.319 | 10.735 | -0.000 | -0.000 | 0.000 |
| 10.735 | 10.735 | 20.319 | -0.000 | -0.000 | 0.000 |
| -0.001 | -0.000 | -0.000 | 7.855 | -0.000 | 0.000 |
| -0.000 | -0.001 | -0.000 | -0.000 | 7.855 | 0.000 |
| -0.000 | -0.000 | -0.001 | -0.000 | -0.000 | 7.855 |
| 275.912 | 280.605 | 280.605 | 0.000 | 0.000 | 0.000 |
| 280.605 | 275.912 | 280.605 | 0.000 | 0.000 | -0.000 |
| 280.605 | 280.605 | 275.912 | -0.000 | -0.000 | 0.000 |
| 0.000 | 0.000 | 0.000 | 0.885 | 0.000 | -0.000 |
| 0.000 | 0.000 | 0.000 | 0.000 | 0.885 | 0.000 |
| 0.000 | 0.000 | 0.000 | 0.000 | 0.000 | 0.885 |
| 275.912 | 280.605 | 280.605 | -0.000 | -0.000 | -0.000 |
| 280.605 | 275.912 | 280.605 | -0.000 | -0.000 | -0.000 |
| 280.605 | 280.605 | 275.912 | -0.000 | -0.000 | -0.000 |
| -0.000 | -0.000 | -0.000 | 0.885 | -0.000 | -0.000 |
| -0.000 | -0.000 | -0.000 | -0.000 | 0.885 | -0.000 |
| -0.000 | -0.000 | -0.000 | -0.000 | -0.000 | 0.885 |
| 275.914 | 280.606 | 280.606 | 0.000 | 0.000 | 0.000 |
| 280.606 | 275.914 | 280.606 | 0.000 | 0.000 | 0.000 |
| 280.606 | 280.606 | 275.914 | -0.000 | 0.000 | 0.000 |
| 0.000 | 0.000 | 0.000 | 0.885 | 0.000 | -0.000 |
| 0.000 | 0.000 | 0.000 | 0.000 | 0.885 | 0.000 |
| 0.000 | 0.000 | 0.000 | 0.000 | 0.000 | 0.885 |
| 275.911 | 280.605 | 280.605 | -0.000 | -0.000 | -0.000 |
| 280.605 | 275.911 | 280.605 | -0.000 | -0.000 | -0.000 |
| 280.605 | 280.605 | 275.911 | -0.000 | -0.000 | -0.000 |
| -0.000 | -0.000 | -0.000 | 0.885 | -0.000 | -0.000 |
| -0.000 | -0.000 | -0.000 | -0.000 | 0.885 | -0.000 |
| -0.000 | -0.000 | -0.000 | -0.000 | -0.000 | 0.885 |
| 275.927 | 280.610 | 280.610 | 0.000 | 0.000 | 0.000 |
| 280.610 | 275.927 | 280.610 | 0.000 | 0.000 | 0.000 |
| 280.610 | 280.610 | 275.927 | 0.000 | 0.000 | 0.000 |
| 0.000 | 0.000 | 0.000 | 0.885 | -0.000 | -0.000 |
| 0.000 | 0.000 | 0.000 | -0.000 | 0.885 | 0.000 |
| 0.000 | 0.000 | 0.000 | 0.000 | 0.000 | 0.885 |
| 275.897 | 280.601 | 280.601 | -0.000 | -0.000 | -0.000 |
| 280.601 | 275.897 | 280.601 | -0.000 | -0.000 | -0.000 |
| 280.601 | 280.601 | 275.897 | 0.000 | 0.000 | -0.000 |
| -0.000 | -0.000 | -0.000 | 0.885 | 0.000 | -0.000 |
| -0.000 | -0.000 | -0.000 | 0.000 | 0.885 | -0.000 |
| -0.000 | -0.000 | -0.000 | -0.000 | -0.000 | 0.885 |
| 23.740 | 23.740 | 23.740 | -0.000 | -0.000 | -0.000 |
| 23.740 | 23.740 | 23.740 | -0.000 | -0.000 | -0.000 |
| 23.740 | 23.740 | 23.740 | -0.000 | -0.000 | -0.000 |
| -0.000 | -0.000 | -0.000 | 1.208 | -0.000 | -0.000 |
| -0.000 | -0.000 | -0.000 | -0.000 | 1.208 | -0.000 |
| -0.000 | -0.000 | -0.000 | -0.000 | -0.000 | 1.208 |
| 23.740 | 23.740 | 23.740 | 0.000 | 0.000 | 0.000 |
| 23.740 | 23.740 | 23.740 | 0.000 | 0.000 | 0.000 |
| 23.740 | 23.740 | 23.740 | 0.000 | 0.000 | -0.000 |
| 0.000 | 0.000 | 0.000 | 1.208 | -0.000 | -0.000 |
| 0.000 | 0.000 | 0.000 | -0.000 | 1.208 | 0.000 |
| 0.000 | 0.000 | 0.000 | 0.000 | -0.000 | 1.208 |
| 23.740 | 23.740 | 23.740 | -0.000 | 0.000 | -0.000 |
| 23.740 | 23.740 | 23.740 | 0.000 | -0.000 | -0.000 |
| 23.740 | 23.740 | 23.740 | -0.000 | -0.000 | -0.000 |
| -0.000 | -0.000 | -0.000 | 1.208 | -0.000 | -0.000 |
| -0.000 | -0.000 | -0.000 | -0.000 | 1.208 | -0.000 |
| -0.000 | -0.000 | -0.000 | -0.000 | -0.000 | 1.208 |
| 23.740 | 23.740 | 23.740 | 0.000 | 0.000 | 0.000 |
| 23.740 | 23.740 | 23.740 | 0.000 | 0.000 | 0.000 |
| 23.740 | 23.740 | 23.740 | 0.000 | 0.000 | -0.000 |
| 0.000 | 0.000 | 0.000 | 1.208 | -0.000 | 0.000 |
| 0.000 | 0.000 | 0.000 | -0.000 | 1.208 | 0.000 |
| 0.000 | 0.000 | 0.000 | -0.000 | -0.000 | 1.208 |
| 23.740 | 23.740 | 23.740 | -0.000 | -0.000 | -0.000 |
| 23.740 | 23.740 | 23.740 | -0.000 | -0.000 | -0.000 |
| 23.740 | 23.740 | 23.740 | -0.000 | -0.000 | -0.000 |
| -0.000 | -0.000 | -0.000 | 0.994 | -0.000 | -0.000 |
| -0.000 | -0.000 | -0.000 | -0.000 | 0.994 | -0.000 |
| -0.000 | -0.000 | -0.000 | -0.000 | -0.000 | 0.994 |
| 23.740 | 23.740 | 23.740 | 0.000 | -0.000 | 0.000 |
| 23.740 | 23.740 | 23.740 | -0.000 | 0.000 | 0.000 |
| 23.740 | 23.740 | 23.740 | 0.000 | 0.000 | 0.000 |
| 0.000 | 0.000 | 0.000 | 0.994 | 0.000 | 0.000 |
| 0.000 | 0.000 | 0.000 | 0.000 | 0.994 | 0.000 |
| 0.000 | 0.000 | 0.000 | 0.000 | -0.000 | 0.994 |
| 310.964 | 317.099 | 317.099 | -0.000 | 0.000 | -0.000 |
| 317.099 | 310.964 | 317.099 | -0.000 | 0.000 | -0.000 |
| 317.099 | 317.099 | 310.964 | -0.000 | -0.000 | -0.000 |
| -0.000 | -0.000 | -0.000 | -30.760 | -0.000 | -0.000 |
| -0.000 | -0.000 | -0.000 | -0.000 | -30.760 | -0.000 |
| -0.000 | -0.000 | -0.000 | -0.000 | -0.000 | -30.760 |
| 310.964 | 317.099 | 317.099 | 0.000 | 0.000 | 0.000 |
| 317.099 | 310.964 | 317.099 | 0.000 | -0.000 | 0.000 |
| 317.099 | 317.099 | 310.964 | 0.000 | -0.000 | -0.000 |
| 0.000 | -0.000 | 0.000 | -30.760 | 0.000 | 0.000 |
| 0.000 | 0.000 | 0.000 | 0.000 | -30.760 | 0.000 |
| 0.000 | 0.000 | 0.000 | 0.000 | 0.000 | -30.760 |
| 310.964 | 317.099 | 317.099 | 0.000 | 0.000 | 0.000 |
| 317.099 | 310.964 | 317.099 | 0.000 | 0.000 | 0.000 |
| 317.099 | 317.099 | 310.964 | 0.000 | 0.000 | 0.000 |
| -23048107.334 | -24253023.189 | -24194912.304 | -5011204.296 | -252739.021 | -19763.096 |
| -24436359.384 | -22606296.541 | -24349091.470 | -37690.576 | -4942749.651 | -45411.985 |
| -23551045.551 | -23751611.592 | -21919177.954 | -226483.711 | -419957.987 | -5156119.446 |
| 310.965 | 317.100 | 317.100 | 0.000 | -0.000 | 0.000 |
| 317.100 | 310.965 | 317.100 | 0.000 | -0.000 | 0.000 |
| 317.100 | 317.100 | 310.965 | 0.000 | 0.000 | 0.000 |
| 22498574.471 | 24542790.198 | 25170595.108 | -4880561.908 | -125789.510 | 276897.165 |
| 24843874.204 | 22715579.814 | 24951238.104 | -158995.194 | -5061560.759 | -242549.848 |
| 24327400.257 | 24422108.903 | 22217129.774 | 174154.171 | -63786.402 | -5566297.775 |
| 310.961 | 317.098 | 317.098 | 0.000 | 0.000 | 0.000 |
| 317.098 | 310.961 | 317.098 | 0.000 | 0.000 | 0.000 |
| 317.098 | 317.098 | 310.961 | 0.000 | 0.000 | 0.000 |
| -2231117.896 | -2380497.119 | -2392800.011 | -514855.142 | -8991.652 | -17150.271 |
| -2405692.711 | -2240252.319 | -2408820.284 | -21925.694 | -525086.015 | -22849.541 |
| -2449559.813 | -2430360.790 | -2291091.274 | -7890.603 | 16148.662 | -550992.444 |
| 310.968 | 317.101 | 317.101 | 0.000 | -0.000 | 0.000 |
| 317.101 | 310.968 | 317.101 | 0.000 | 0.000 | 0.000 |
| 317.101 | 317.101 | 310.968 | -0.000 | -0.000 | -0.000 |
| 2238532.404 | 2533604.192 | 2466267.125 | -557541.043 | 29557.418 | -5296.382 |
| 2484695.839 | 2199919.176 | 2476376.752 | -1505.760 | -522506.245 | 35254.167 |
| 2462406.322 | 2402086.073 | 2197731.737 | 2622.838 | 8585.036 | -516701.031 |
| -43.249 | -40.058 | -40.058 | -0.000 | -0.000 | -0.000 |
| -40.058 | -43.249 | -40.058 | -0.000 | -0.000 | -0.000 |
| -40.058 | -40.058 | -43.249 | -0.000 | -0.000 | -0.000 |
| 0.000 | 0.000 | 0.000 | -30.842 | -0.000 | -0.000 |
| 0.000 | 0.000 | 0.000 | -0.000 | -30.842 | -0.000 |
| 0.000 | 0.000 | 0.000 | -0.000 | -0.000 | -30.842 |
| -43.249 | -40.058 | -40.058 | 0.000 | 0.000 | 0.000 |
| -40.058 | -43.249 | -40.058 | 0.000 | 0.000 | 0.000 |
| -40.058 | -40.058 | -43.249 | 0.000 | 0.000 | 0.000 |
| -0.000 | -0.000 | -0.000 | -30.842 | -0.000 | 0.000 |
| -0.000 | -0.000 | -0.000 | -0.000 | -30.842 | 0.000 |
| -0.000 | -0.000 | -0.000 | -0.000 | 0.000 | -30.842 |
| -43.249 | -40.058 | -40.058 | -0.000 | -0.000 | -0.000 |
| -40.058 | -43.249 | -40.058 | -0.000 | -0.000 | -0.000 |
| -40.058 | -40.058 | -43.249 | -0.000 | -0.000 | -0.000 |
| 1291707.788 | -13983461.909 | -13964522.663 | -14728756.971 | 35545.847 | 86457.285 |
| -13981921.509 | 1292652.086 | -13946092.541 | 26380.775 | -14735032.617 | 63562.897 |
| -13908543.365 | -13865440.266 | 1197709.863 | 31581.810 | 47369.716 | -14598076.607 |
| -43.249 | -40.058 | -40.058 | 0.000 | 0.000 | 0.000 |
| -40.058 | -43.249 | -40.058 | 0.000 | 0.000 | 0.000 |
| -40.058 | -40.058 | -43.249 | 0.000 | 0.000 | 0.000 |
| -1761634.588 | 14414218.806 | 14476678.353 | -15490139.537 | -21845.286 | 21684.484 |
| 14310149.053 | -1727322.778 | 14343091.738 | -49175.766 | -15355923.505 | 33599.885 |
| 14661480.123 | 14727834.645 | -1815493.141 | -32304.735 | 59940.282 | -15775275.458 |
| -43.249 | -40.057 | -40.057 | 0.000 | -0.000 | -0.000 |
| -40.057 | -43.249 | -40.057 | -0.000 | 0.000 | -0.000 |
| -40.057 | -40.057 | -43.249 | -0.000 | -0.000 | 0.000 |
| 143610.278 | -1439857.524 | -1440394.851 | -1524617.798 | -3107.148 | -6624.596 |
| -1457053.729 | 146809.984 | -1458303.863 | -6924.057 | -1542215.065 | -7779.999 |
| -1445330.959 | -1450571.167 | 144006.829 | -9999.397 | -13859.646 | -1531257.250 |
| -43.249 | -40.058 | -40.058 | 0.000 | 0.000 | 0.000 |
| -40.058 | -43.249 | -40.058 | 0.000 | 0.000 | 0.000 |
| -40.058 | -40.058 | -43.249 | 0.000 | 0.000 | 0.000 |
| -189531.823 | 1441156.142 | 1447420.897 | -1556022.145 | 8139.004 | -705.407 |
| 1440685.814 | -190941.753 | 1442564.249 | 8573.605 | -1554973.037 | 1621.799 |
| 1421064.707 | 1425832.680 | -189421.345 | 5896.949 | 993.837 | -1538445.013 |
| 189.411 | 186.380 | 186.380 | 0.000 | -0.000 | 0.000 |
| 186.380 | 189.411 | 186.380 | -0.000 | 0.000 | 0.000 |
| 186.380 | 186.380 | 189.411 | 0.000 | -0.000 | 0.000 |
| 0.000 | -0.000 | -0.000 | 202.109 | -0.000 | 0.000 |
| 0.000 | -0.000 | 0.000 | 0.000 | 202.109 | 0.000 |
| 0.000 | 0.000 | 0.000 | 0.000 | 0.000 | 202.109 |
| 189.411 | 186.380 | 186.380 | 0.000 | 0.000 | 0.000 |
| 186.380 | 189.411 | 186.380 | -0.000 | 0.000 | -0.000 |
| 186.380 | 186.380 | 189.411 | -0.000 | 0.000 | -0.000 |
| -0.000 | -0.000 | -0.000 | 202.109 | 0.000 | -0.000 |
| -0.000 | 0.000 | -0.000 | -0.000 | 202.109 | -0.000 |
| -0.000 | 0.000 | -0.000 | -0.000 | -0.000 | 202.109 |
| 189.411 | 186.380 | 186.380 | -0.000 | -0.000 | 0.000 |
| 186.380 | 189.411 | 186.380 | -0.000 | -0.000 | 0.000 |
| 186.380 | 186.380 | 189.411 | -0.000 | 0.000 | -0.000 |
| 0.000 | 0.000 | 0.000 | 201.827 | 0.000 | 0.000 |
| 0.000 | 0.000 | 0.000 | 0.000 | 201.827 | 0.000 |
| 0.000 | 0.000 | 0.000 | 0.000 | -0.000 | 201.827 |
| 189.411 | 186.380 | 186.380 | 0.000 | 0.000 | 0.000 |
| 186.380 | 189.411 | 186.380 | 0.000 | 0.000 | 0.000 |
| 186.380 | 186.380 | 189.411 | -0.000 | 0.000 | 0.000 |
| -0.000 | -0.000 | -0.000 | 201.827 | -0.000 | -0.000 |
| -0.000 | -0.000 | -0.000 | -0.000 | 201.827 | -0.000 |
| -0.000 | -0.000 | -0.000 | -0.000 | 0.000 | 201.827 |
| 189.412 | 186.380 | 186.380 | -0.000 | -0.000 | 0.000 |
| 186.380 | 189.412 | 186.380 | 0.000 | -0.000 | 0.000 |
| 186.380 | 186.380 | 189.412 | 0.000 | -0.000 | 0.000 |
| 0.001 | 0.000 | 0.001 | 202.109 | 0.000 | 0.000 |
| 0.000 | 0.001 | 0.001 | 0.000 | 202.109 | 0.000 |
| 0.000 | 0.001 | 0.001 | 0.000 | -0.000 | 202.109 |
| 189.410 | 186.379 | 186.379 | 0.000 | 0.000 | -0.000 |
| 186.379 | 189.410 | 186.379 | -0.000 | 0.000 | -0.000 |
| 186.379 | 186.379 | 189.410 | -0.000 | 0.000 | -0.000 |
| -0.001 | -0.000 | -0.001 | 202.109 | 0.000 | -0.000 |
| -0.000 | -0.001 | -0.001 | -0.000 | 202.109 | -0.000 |
| -0.000 | -0.001 | -0.001 | -0.000 | 0.000 | 202.109 |
| 179.307 | 198.081 | 198.081 | 0.000 | -0.000 | -0.000 |
| 198.081 | 179.307 | 198.081 | 0.000 | -0.000 | -0.000 |
| 198.081 | 198.081 | 179.307 | -0.000 | -0.000 | -0.000 |
| 0.000 | 0.000 | 0.000 | 1.267 | 0.000 | -0.000 |
| 0.000 | 0.000 | 0.000 | 0.000 | 1.267 | -0.000 |
| 0.000 | 0.000 | 0.000 | 0.000 | -0.000 | 1.267 |
| 179.307 | 198.080 | 198.080 | -0.000 | 0.000 | 0.000 |
| 198.080 | 179.307 | 198.080 | -0.000 | 0.000 | 0.000 |
| 198.080 | 198.080 | 179.307 | -0.000 | 0.000 | 0.000 |
| -0.000 | -0.000 | -0.000 | 1.267 | -0.000 | 0.000 |
| -0.000 | -0.000 | -0.000 | -0.000 | 1.267 | 0.000 |
| -0.000 | -0.000 | -0.000 | -0.000 | 0.000 | 1.267 |
| 179.308 | 198.081 | 198.081 | 0.000 | 0.000 | -0.000 |
| 198.081 | 179.308 | 198.081 | 0.000 | -0.000 | -0.000 |
| 198.081 | 198.081 | 179.308 | 0.000 | -0.000 | -0.000 |
| 4311593.027 | 4321128.349 | 4321128.325 | 678.002 | 0.000 | 0.000 |
| 4321128.365 | 4311593.064 | 4321128.383 | -0.000 | 678.002 | 0.000 |
| 4321128.372 | 4321128.366 | 4311593.058 | -0.000 | -0.000 | 678.002 |
| 179.306 | 198.080 | 198.080 | -0.000 | 0.000 | 0.000 |
| 198.080 | 179.306 | 198.080 | -0.000 | 0.000 | 0.000 |
| 198.080 | 198.080 | 179.306 | -0.000 | -0.000 | -0.000 |
| -4311593.016 | -4321128.344 | -4321128.313 | 678.002 | 0.000 | -0.000 |
| -4321130.627 | -4311595.512 | -4321130.655 | -0.000 | 677.750 | 0.000 |
| -4321130.653 | -4321130.605 | -4311595.501 | -0.000 | -0.000 | 677.750 |
| 179.321 | 198.085 | 198.085 | 0.000 | 0.000 | -0.000 |
| 198.085 | 179.321 | 198.085 | 0.000 | 0.000 | -0.000 |
| 198.085 | 198.085 | 179.321 | 0.000 | -0.000 | -0.000 |
| 349577.777 | 345419.288 | 345419.290 | 922.720 | -0.000 | 0.000 |
| 345419.288 | 349577.777 | 345419.290 | -0.000 | 922.720 | 0.000 |
| 345419.288 | 345419.290 | 349577.777 | 0.000 | -0.000 | 922.720 |
| 179.294 | 198.076 | 198.076 | -0.000 | -0.000 | 0.000 |
| 198.076 | 179.294 | 198.076 | -0.000 | -0.000 | 0.000 |
| 198.076 | 198.076 | 179.294 | 0.000 | 0.000 | 0.000 |
| -349577.777 | -345419.289 | -345419.290 | 922.720 | -0.000 | -0.000 |
| -345419.289 | -349577.778 | -345419.291 | -0.000 | 922.720 | -0.000 |
| -345419.289 | -345419.291 | -349577.778 | 0.000 | 0.000 | 922.720 |
| 0.045 | 0.045 | 0.045 | 0.000 | -0.000 | -0.000 |
| 0.045 | 0.045 | 0.045 | -0.000 | 0.000 | -0.000 |
| 0.045 | 0.045 | 0.045 | -0.000 | -0.000 | 0.000 |
| 0.000 | 0.000 | 0.000 | 0.045 | -0.000 | 0.000 |
| 0.000 | 0.000 | 0.000 | -0.000 | 0.045 | 0.000 |
| 0.000 | 0.000 | 0.000 | -0.000 | -0.000 | 0.045 |
| 0.045 | 0.045 | 0.045 | -0.000 | -0.000 | -0.000 |
| 0.045 | 0.045 | 0.045 | -0.000 | -0.000 | -0.000 |
| 0.045 | 0.045 | 0.045 | -0.000 | -0.000 | -0.000 |
| -0.000 | -0.000 | -0.000 | 0.045 | -0.000 | -0.000 |
| -0.000 | -0.000 | -0.000 | -0.000 | 0.045 | -0.000 |
| -0.000 | -0.000 | -0.000 | -0.000 | 0.000 | 0.045 |
| 0.045 | 0.045 | 0.045 | -0.000 | -0.000 | 0.000 |
| 0.045 | 0.045 | 0.045 | -0.000 | -0.000 | 0.000 |
| 0.045 | 0.045 | 0.045 | -0.000 | -0.000 | 0.000 |
| 0.000 | 0.000 | 0.000 | 0.045 | -0.000 | -0.000 |
| 0.000 | 0.000 | 0.000 | -0.000 | 0.045 | -0.000 |
| 0.000 | 0.000 | 0.000 | 0.000 | -0.000 | 0.045 |
| 0.045 | 0.045 | 0.045 | -0.000 | -0.000 | -0.000 |
| 0.045 | 0.045 | 0.045 | -0.000 | -0.000 | -0.000 |
| 0.045 | 0.045 | 0.045 | -0.000 | -0.000 | -0.000 |
| -0.000 | -0.000 | -0.000 | 0.045 | 0.000 | -0.000 |
| -0.000 | -0.000 | -0.000 | 0.000 | 0.045 | -0.000 |
| -0.000 | -0.000 | -0.000 | 0.000 | -0.000 | 0.045 |
| 0.045 | 0.045 | 0.045 | -0.000 | 0.000 | 0.000 |
| 0.045 | 0.045 | 0.045 | 0.000 | -0.000 | 0.000 |
| 0.045 | 0.045 | 0.045 | 0.000 | 0.000 | 0.000 |
| 0.000 | 0.000 | 0.000 | 0.045 | 0.000 | 0.000 |
| 0.000 | 0.000 | 0.000 | 0.000 | 0.045 | 0.000 |
| 0.000 | 0.000 | 0.000 | -0.000 | 0.000 | 0.045 |
| 0.045 | 0.045 | 0.045 | 0.000 | 0.000 | -0.000 |
| 0.045 | 0.045 | 0.045 | 0.000 | 0.000 | -0.000 |
| 0.045 | 0.045 | 0.045 | -0.000 | -0.000 | 0.000 |
| -0.000 | -0.000 | -0.000 | 0.045 | -0.000 | -0.000 |
| -0.000 | -0.000 | -0.000 | -0.000 | 0.045 | -0.000 |
| -0.000 | -0.000 | -0.000 | -0.000 | -0.000 | 0.045 |
| 458.242 | 157.168 | 157.168 | 0.000 | -0.000 | 0.000 |
| 157.168 | 458.242 | 157.168 | 0.000 | -0.000 | 0.000 |
| 157.168 | 157.168 | 458.242 | 0.000 | -0.000 | 0.000 |
| -0.000 | -0.000 | -0.000 | 5.815 | 0.000 | 0.000 |
| -0.000 | -0.000 | -0.000 | 0.000 | 5.815 | 0.000 |
| -0.000 | -0.000 | -0.000 | 0.000 | -0.000 | 5.815 |
| 457.990 | 157.293 | 157.293 | 0.000 | 0.000 | -0.000 |
| 157.293 | 457.991 | 157.293 | 0.000 | -0.000 | -0.000 |
| 157.293 | 157.293 | 457.990 | 0.000 | 0.000 | -0.000 |
| -0.000 | 0.000 | 0.000 | 5.815 | 0.000 | 0.000 |
| 0.000 | 0.000 | 0.000 | -0.000 | 5.815 | -0.000 |
| 0.000 | 0.000 | 0.000 | -0.000 | 0.000 | 5.815 |
| 458.242 | 157.168 | 157.168 | -0.000 | -0.000 | 0.000 |
| 157.168 | 458.242 | 157.168 | 0.000 | -0.000 | 0.000 |
| 157.168 | 157.168 | 458.242 | 0.000 | -0.000 | 0.000 |
| -0.000 | -0.000 | -0.000 | 5.815 | 0.000 | 0.000 |
| -0.000 | -0.000 | -0.000 | 0.000 | 5.815 | 0.000 |
| -0.000 | -0.000 | -0.000 | 0.000 | -0.000 | 5.815 |
| 458.242 | 157.168 | 157.168 | -0.000 | 0.000 | -0.000 |
| 157.168 | 458.242 | 157.168 | -0.000 | 0.000 | -0.000 |
| 157.168 | 157.168 | 458.242 | -0.000 | -0.000 | -0.000 |
| 0.000 | 0.000 | 0.000 | 5.815 | 0.000 | 0.000 |
| 0.000 | 0.000 | 0.000 | -0.000 | 5.815 | -0.000 |
| 0.000 | 0.000 | 0.000 | -0.000 | 0.000 | 5.815 |
| 458.241 | 157.168 | 157.168 | 0.000 | 0.000 | 0.000 |
| 157.168 | 458.241 | 157.168 | 0.000 | -0.000 | 0.000 |
| 157.168 | 157.168 | 458.241 | 0.000 | -0.000 | 0.000 |
| -0.000 | -0.001 | -0.001 | 5.815 | 0.000 | 0.000 |
| -0.001 | -0.000 | -0.001 | 0.000 | 5.815 | 0.000 |
| -0.001 | -0.001 | -0.000 | 0.000 | -0.000 | 5.815 |
| 457.991 | 157.293 | 157.293 | 0.000 | 0.000 | -0.000 |
| 157.293 | 457.991 | 157.293 | -0.000 | 0.000 | -0.000 |
| 157.293 | 157.293 | 457.991 | 0.000 | -0.000 | -0.000 |
| 0.000 | 0.001 | 0.001 | 5.815 | 0.000 | -0.000 |
| 0.009 | 0.004 | 0.010 | -0.000 | -62.105 | -0.000 |
| 0.001 | 0.001 | 0.000 | -0.000 | 0.000 | 5.815 |
| 139.257 | 235.625 | 235.625 | 0.000 | 0.000 | -0.000 |
| 235.625 | 139.257 | 235.625 | -0.000 | 0.000 | 0.000 |
| 235.625 | 235.625 | 139.257 | -0.000 | -0.000 | -0.000 |
| 0.000 | 0.000 | 0.000 | 113.544 | -0.000 | -0.000 |
| 0.000 | 0.000 | 0.000 | -0.000 | 113.544 | -0.000 |
| 0.000 | 0.000 | 0.000 | -0.000 | -0.000 | 113.544 |
| 139.257 | 235.624 | 235.624 | 0.000 | -0.000 | -0.000 |
| 235.624 | 139.257 | 235.624 | 0.000 | -0.000 | 0.000 |
| 235.624 | 235.624 | 139.257 | 0.000 | 0.000 | 0.000 |
| -0.000 | -0.000 | -0.000 | 113.544 | 0.000 | -0.000 |
| -0.000 | -0.000 | -0.000 | -0.000 | 113.544 | 0.000 |
| -0.000 | -0.000 | -0.000 | 0.000 | 0.000 | 113.544 |
| 139.257 | 235.627 | 235.627 | 0.000 | 0.000 | -0.000 |
| 235.627 | 139.257 | 235.627 | -0.000 | 0.000 | -0.000 |
| 235.627 | 235.627 | 139.257 | -0.000 | 0.000 | -0.000 |
| 0.000 | 0.000 | 0.000 | 113.544 | -0.000 | -0.000 |
| 0.000 | 0.000 | 0.000 | -0.000 | 113.544 | -0.000 |
| 0.000 | 0.000 | 0.000 | -0.000 | -0.000 | 113.544 |
| 139.258 | 235.622 | 235.622 | 0.000 | 0.000 | 0.000 |
| 235.622 | 139.258 | 235.622 | 0.000 | -0.000 | 0.000 |
| 235.622 | 235.622 | 139.258 | 0.000 | -0.000 | 0.000 |
| -0.000 | -0.000 | -0.000 | 113.544 | 0.000 | 0.000 |
| -0.000 | -0.000 | -0.000 | 0.000 | 113.544 | 0.000 |
| -0.000 | -0.000 | -0.000 | -0.000 | 0.000 | 113.544 |
| 139.252 | 235.648 | 235.648 | 0.000 | 0.000 | -0.000 |
| 235.648 | 139.252 | 235.648 | -0.000 | 0.000 | -0.000 |
| 235.648 | 235.648 | 139.252 | 0.000 | -0.000 | -0.000 |
| 0.001 | 0.002 | 0.002 | 113.544 | -0.000 | -0.000 |
| 0.002 | 0.001 | 0.002 | -0.000 | 113.544 | -0.000 |
| 0.002 | 0.002 | 0.001 | -0.000 | 0.000 | 113.544 |
| 139.263 | 235.602 | 235.602 | 0.000 | -0.000 | 0.000 |
| 235.602 | 139.263 | 235.602 | 0.000 | -0.000 | 0.000 |
| 235.602 | 235.602 | 139.263 | 0.000 | 0.000 | 0.000 |
| -0.001 | -0.002 | -0.002 | 113.544 | 0.000 | 0.000 |
| -0.002 | -0.001 | -0.002 | 0.000 | 113.544 | 0.000 |
| -0.002 | -0.002 | -0.001 | -0.000 | 0.000 | 113.544 |
| 198.712 | 200.191 | 200.191 | 0.000 | -0.000 | 0.000 |
| 200.191 | 198.712 | 200.191 | 0.000 | 0.000 | 0.000 |
| 200.191 | 200.191 | 198.712 | 0.000 | 0.000 | 0.000 |
| 0.000 | 0.000 | 0.000 | 180.391 | 0.000 | 0.000 |
| 0.000 | 0.000 | 0.000 | 0.000 | 180.391 | 0.000 |
| 0.000 | 0.000 | 0.000 | 0.000 | 0.000 | 180.391 |
| 198.712 | 200.191 | 200.191 | -0.000 | -0.000 | -0.000 |
| 200.191 | 198.712 | 200.191 | -0.000 | -0.000 | -0.000 |
| 200.191 | 200.191 | 198.712 | -0.000 | -0.000 | -0.000 |
| -0.000 | -0.000 | -0.000 | 180.391 | -0.000 | -0.000 |
| -0.000 | -0.000 | -0.000 | -0.000 | 180.391 | -0.000 |
| -0.000 | -0.000 | -0.000 | -0.000 | -0.000 | 180.391 |
| 198.712 | 200.191 | 200.191 | 0.000 | 0.000 | 0.000 |
| 200.191 | 198.712 | 200.191 | 0.000 | 0.000 | 0.000 |
| 200.191 | 200.191 | 198.712 | 0.000 | 0.000 | 0.000 |
| 0.000 | 0.000 | 0.000 | 180.391 | 0.000 | 0.000 |
| 0.000 | 0.000 | 0.000 | 0.000 | 180.391 | 0.000 |
| 0.000 | 0.000 | 0.000 | 0.000 | 0.000 | 180.391 |
| 198.712 | 200.191 | 200.191 | -0.000 | -0.000 | -0.000 |
| 200.191 | 198.712 | 200.191 | -0.000 | -0.000 | -0.000 |
| 200.191 | 200.191 | 198.712 | -0.000 | -0.000 | -0.000 |
| -0.000 | -0.000 | -0.000 | 180.391 | -0.000 | -0.000 |
| -0.000 | -0.000 | -0.000 | -0.000 | 180.391 | -0.000 |
| -0.000 | -0.000 | -0.000 | -0.000 | -0.000 | 180.391 |
| 198.713 | 200.191 | 200.191 | 0.000 | 0.000 | 0.000 |
| 200.191 | 198.713 | 200.191 | 0.000 | 0.000 | 0.000 |
| 200.191 | 200.191 | 198.713 | 0.000 | 0.000 | 0.000 |
| 0.001 | 0.000 | 0.001 | 176.360 | 0.000 | 0.000 |
| 0.000 | 0.001 | 0.001 | 0.000 | 176.360 | 0.000 |
| 0.000 | 0.001 | 0.001 | 0.000 | 0.000 | 176.360 |
| 198.711 | 200.190 | 200.190 | -0.000 | -0.000 | -0.000 |
| 200.190 | 198.711 | 200.190 | -0.000 | 0.000 | -0.000 |
| 200.190 | 200.190 | 198.711 | -0.000 | -0.000 | -0.000 |
| -0.001 | -0.000 | -0.001 | 176.360 | -0.000 | 0.000 |
| -0.000 | -0.001 | -0.001 | -0.000 | 176.360 | -0.000 |
| -0.000 | -0.001 | -0.001 | -0.000 | -0.000 | 176.360 |
| 29.014 | 104.974 | 104.974 | -0.000 | -0.000 | 0.000 |
| 104.974 | 29.014 | 104.974 | -0.000 | -0.000 | -0.000 |
| 104.974 | 104.974 | 29.014 | -0.000 | -0.000 | 0.000 |
| 792025704.852 | 942361000.899 | 909025947.450 | 354379680.262 | 9477305.759 | 4148018.038 |
| 926266358.151 | 766594195.743 | 891097410.077 | 4348920.160 | 346222937.601 | 256050.438 |
| 909072228.132 | 924189009.537 | 743485690.197 | 7195710.296 | -5918770.815 | 346636259.958 |
| 29.014 | 104.974 | 104.974 | 0.000 | 0.000 | 0.000 |
| 104.974 | 29.014 | 104.974 | -0.000 | 0.000 | 0.000 |
| 104.974 | 104.974 | 29.014 | -0.000 | 0.000 | 0.000 |
| -759795037.679 | -928614904.891 | -912155228.655 | 359461834.527 | -11881326.667 | 10504339.502 |
| -945469356.666 | -752499108.827 | -911433182.515 | -4030607.651 | 360488529.317 | 7951541.661 |
| -931720706.152 | -879290833.113 | -718023809.500 | 516750.507 | -6039337.383 | 347064222.342 |
| 29.014 | 104.974 | 104.974 | -0.000 | -0.000 | 0.000 |
| 104.974 | 29.014 | 104.974 | -0.000 | -0.000 | -0.000 |
| 104.974 | 104.974 | 29.014 | -0.000 | -0.000 | 0.000 |
| 74967115.030 | 91362183.023 | 94988195.840 | 34253090.063 | 748419.590 | 1728414.715 |
| 92293413.650 | 76050242.697 | 94461824.202 | 111980.090 | 33821299.034 | 1095585.908 |
| 88717648.030 | 92141553.839 | 70744769.204 | 851085.682 | -142144.427 | 32474658.486 |
| 29.014 | 104.974 | 104.974 | 0.000 | 0.000 | -0.000 |
| 104.974 | 29.014 | 104.974 | 0.000 | 0.000 | 0.000 |
| 104.974 | 104.974 | 29.014 | 0.000 | 0.000 | 0.000 |
| -78593239.088 | -94123953.669 | -94981481.866 | 35595963.378 | -1884645.386 | 1703270.671 |
| -94301185.949 | -77937498.587 | -94513245.169 | -492343.967 | 35538461.972 | 481297.627 |
| -92216255.492 | -93826313.156 | -75187108.346 | 47806.795 | 97338.599 | 34898470.911 |
| 29.015 | 104.974 | 104.974 | -0.000 | -0.000 | 0.000 |
| 104.974 | 29.015 | 104.974 | 0.000 | -0.000 | -0.000 |
| 104.974 | 104.974 | 29.015 | -0.000 | -0.000 | 0.000 |
| 2703532.932 | 359567.895 | 359558.219 | -4837693.340 | -0.000 | 0.000 |
| 359567.895 | 2703532.932 | 359558.219 | -0.000 | -4837693.340 | 0.000 |
| 359567.895 | 359558.219 | 2703532.932 | 0.000 | 0.000 | -4837693.340 |
| 29.014 | 104.974 | 104.974 | 0.000 | 0.000 | 0.000 |
| 104.974 | 29.014 | 104.974 | 0.000 | 0.000 | -0.000 |
| 104.974 | 104.974 | 29.014 | 0.000 | 0.000 | 0.000 |
| -2703532.932 | -359567.895 | -359558.219 | -4837693.340 | -0.000 | 0.000 |
| -359567.895 | -2703532.932 | -359558.219 | -0.000 | -4837693.340 | 0.000 |
| -359567.895 | -359558.219 | -2703532.932 | 0.000 | 0.000 | -4837693.340 |
| 229.971 | -20.356 | -20.356 | -0.000 | 0.000 | -0.000 |
| -20.356 | 229.971 | -20.356 | -0.000 | 0.000 | 0.000 |
| -20.356 | -20.356 | 229.971 | 0.000 | 0.000 | -0.000 |
| 0.000 | 0.000 | -0.000 | -19.040 | 0.000 | -0.000 |
| 0.000 | -0.000 | -0.000 | -0.000 | -19.040 | -0.000 |
| 0.000 | -0.000 | -0.000 | -0.000 | 0.000 | -19.040 |
| 229.971 | -20.356 | -20.356 | 0.000 | 0.000 | 0.000 |
| -20.356 | 229.971 | -20.356 | 0.000 | 0.000 | -0.000 |
| -20.356 | -20.356 | 229.971 | 0.000 | 0.000 | 0.000 |
| -0.000 | -0.000 | 0.000 | -19.040 | -0.000 | 0.000 |
| -0.000 | 0.000 | 0.000 | 0.000 | -19.040 | 0.000 |
| -0.000 | -0.000 | 0.000 | -0.000 | -0.000 | -19.040 |
| 229.971 | -20.356 | -20.356 | -0.000 | -0.000 | -0.000 |
| -20.356 | 229.971 | -20.356 | -0.000 | -0.000 | -0.000 |
| -20.356 | -20.356 | 229.971 | -0.000 | -0.000 | -0.000 |
| 0.000 | 0.000 | -0.000 | -19.040 | -0.000 | -0.000 |
| 0.000 | 0.000 | -0.000 | -0.000 | -19.040 | -0.000 |
| 0.000 | -0.000 | 0.000 | -0.000 | 0.000 | -19.040 |
| 229.970 | -20.356 | -20.356 | 0.000 | -0.000 | 0.000 |
| -20.356 | 229.970 | -20.356 | 0.000 | 0.000 | 0.000 |
| -20.356 | -20.356 | 229.970 | 0.000 | -0.000 | 0.000 |
| -0.000 | -0.000 | 0.000 | -19.040 | 0.000 | 0.000 |
| -0.000 | -0.000 | 0.000 | 0.000 | -19.040 | 0.000 |
| -0.000 | 0.000 | -0.000 | 0.000 | -0.000 | -19.040 |
| 229.972 | -20.356 | -20.356 | -0.000 | -0.000 | -0.000 |
| -20.356 | 229.972 | -20.356 | -0.000 | -0.000 | -0.000 |
| -20.356 | -20.356 | 229.972 | 0.000 | 0.000 | -0.000 |
| -0.000 | -0.000 | -0.000 | -28.523 | -0.000 | -0.000 |
| -0.000 | -0.000 | -0.000 | -0.000 | -28.523 | -0.000 |
| -0.000 | -0.000 | -0.000 | -0.000 | -0.000 | -28.523 |
| 229.969 | -20.356 | -20.356 | 0.000 | 0.000 | 0.000 |
| -20.356 | 229.969 | -20.356 | 0.000 | 0.000 | 0.000 |
| -20.356 | -20.356 | 229.969 | 0.000 | -0.000 | 0.000 |
| 0.000 | 0.000 | 0.000 | -28.523 | 0.000 | -0.000 |
| 0.000 | 0.000 | 0.000 | 0.000 | -28.523 | -0.000 |
| 0.000 | 0.000 | 0.000 | 0.000 | 0.000 | -28.523 |
| 176.539 | 151.946 | 151.946 | -0.000 | 0.000 | -0.000 |
| 151.946 | 176.539 | 151.946 | 0.000 | 0.000 | -0.000 |
| 151.946 | 151.946 | 176.539 | -0.000 | 0.000 | -0.000 |
| 0.000 | 0.000 | 0.000 | 74.996 | -0.000 | -0.000 |
| 0.000 | 0.000 | 0.000 | 0.000 | 74.996 | 0.000 |
| 0.000 | 0.000 | 0.000 | 0.000 | 0.000 | 74.996 |
| 176.539 | 151.946 | 151.946 | 0.000 | -0.000 | -0.000 |
| 151.946 | 176.539 | 151.946 | -0.000 | 0.000 | -0.000 |
| 151.946 | 151.946 | 176.539 | -0.000 | -0.000 | 0.000 |
| -0.000 | -0.000 | -0.000 | 74.996 | 0.000 | 0.000 |
| -0.000 | -0.000 | -0.000 | -0.000 | 74.996 | 0.000 |
| -0.000 | -0.000 | -0.000 | -0.000 | -0.000 | 74.996 |
| 176.539 | 151.946 | 151.946 | -0.000 | -0.000 | -0.000 |
| 151.946 | 176.539 | 151.946 | -0.000 | 0.000 | 0.000 |
| 151.946 | 151.946 | 176.539 | 0.000 | 0.000 | 0.000 |
| -0.000 | 0.000 | 0.000 | 74.996 | -0.000 | 0.000 |
| 0.000 | -0.000 | 0.000 | 0.000 | 74.996 | -0.000 |
| 0.000 | 0.000 | -0.000 | -0.000 | 0.000 | 74.996 |
| 176.538 | 151.946 | 151.946 | -0.000 | -0.000 | -0.000 |
| 151.946 | 176.538 | 151.946 | -0.000 | -0.000 | -0.000 |
| 151.946 | 151.946 | 176.538 | 0.000 | 0.000 | -0.000 |
| 0.000 | -0.000 | -0.000 | 74.996 | 0.000 | 0.000 |
| -0.000 | 0.000 | -0.000 | -0.000 | 74.996 | 0.000 |
| -0.000 | -0.000 | 0.000 | -0.000 | 0.000 | 74.996 |
| 176.543 | 151.946 | 151.946 | -0.000 | -0.000 | -0.000 |
| 151.946 | 176.543 | 151.946 | 0.000 | 0.000 | 0.000 |
| 151.946 | 151.946 | 176.543 | 0.000 | -0.000 | 0.000 |
| -0.000 | 0.000 | 0.001 | 74.996 | 0.000 | -0.000 |
| 0.000 | -0.000 | 0.001 | 0.000 | 74.996 | -0.000 |
| 0.000 | 0.001 | -0.000 | 0.000 | 0.000 | 74.996 |
| 176.534 | 151.945 | 151.945 | -0.000 | 0.000 | -0.000 |
| 151.945 | 176.534 | 151.945 | 0.000 | 0.000 | -0.000 |
| 151.945 | 151.945 | 176.534 | 0.000 | 0.000 | 0.000 |
| 0.000 | -0.000 | -0.001 | 74.996 | -0.000 | -0.000 |
| -0.000 | 0.000 | -0.001 | -0.000 | 74.996 | -0.000 |
| -0.000 | -0.001 | 0.000 | -0.000 | -0.000 | 74.996 |
| 366.314 | 359.751 | 359.751 | -0.000 | -0.000 | -0.000 |
| 359.751 | 366.314 | 359.751 | -0.000 | 0.000 | -0.000 |
| 359.751 | 359.751 | 366.314 | -0.000 | 0.000 | -0.000 |
| -0.000 | -0.000 | -0.000 | 7.994 | -0.000 | 0.000 |
| -0.000 | -0.000 | -0.000 | -0.000 | 7.994 | -0.000 |
| -0.000 | -0.000 | -0.000 | -0.000 | 0.000 | 7.994 |
| 366.315 | 359.752 | 359.752 | -0.000 | -0.000 | 0.000 |
| 359.752 | 366.315 | 359.752 | -0.000 | 0.000 | 0.000 |
| 359.752 | 359.752 | 366.315 | -0.000 | 0.000 | 0.000 |
| 0.000 | 0.000 | 0.000 | 7.994 | -0.000 | 0.000 |
| 0.000 | 0.000 | 0.000 | 0.000 | 7.994 | 0.000 |
| 0.000 | 0.000 | 0.000 | -0.000 | -0.000 | 7.994 |
| 366.313 | 359.750 | 359.750 | -0.000 | 0.000 | -0.000 |
| 359.750 | 366.313 | 359.750 | 0.000 | -0.000 | -0.000 |
| 359.750 | 359.750 | 366.313 | -0.000 | -0.000 | -0.000 |
| -0.000 | -0.000 | -0.000 | 7.994 | -0.000 | -0.000 |
| -0.000 | -0.000 | -0.000 | -0.000 | 7.994 | -0.000 |
| -0.000 | -0.000 | -0.000 | -0.000 | 0.000 | 7.994 |
| 366.316 | 359.752 | 359.752 | 0.000 | -0.000 | 0.000 |
| 359.752 | 366.316 | 359.752 | 0.000 | -0.000 | 0.000 |
| 359.752 | 359.752 | 366.316 | 0.000 | -0.000 | 0.000 |
| 0.000 | 0.000 | 0.000 | 7.994 | -0.000 | 0.000 |
| 0.000 | 0.000 | 0.000 | 0.000 | 7.994 | 0.000 |
| 0.000 | 0.000 | 0.000 | -0.000 | -0.000 | 7.994 |
| 366.302 | 359.741 | 359.741 | -0.000 | 0.000 | -0.000 |
| 359.741 | 366.302 | 359.741 | -0.000 | 0.000 | -0.000 |
| 359.741 | 359.741 | 366.302 | 0.000 | 0.000 | -0.000 |
| -0.000 | -0.001 | -0.001 | 7.994 | -0.000 | -0.000 |
| -0.001 | -0.000 | -0.001 | -0.000 | 7.994 | -0.000 |
| -0.001 | -0.001 | -0.000 | -0.000 | 0.000 | 7.994 |
| 366.327 | 359.761 | 359.761 | -0.000 | -0.000 | 0.000 |
| 359.761 | 366.327 | 359.761 | 0.000 | 0.000 | 0.000 |
| 359.761 | 359.761 | 366.327 | 0.000 | 0.000 | 0.000 |
| 0.000 | 0.001 | 0.001 | 7.994 | 0.000 | 0.000 |
| 0.001 | 0.000 | 0.001 | 0.000 | 7.994 | 0.000 |
| 0.001 | 0.001 | 0.000 | -0.000 | -0.000 | 7.994 |
| 151.073 | 85.942 | 85.942 | 0.000 | 0.000 | -0.000 |
| 85.942 | 151.073 | 85.942 | 0.000 | 0.000 | 0.000 |
| 85.942 | 85.942 | 151.073 | 0.000 | 0.000 | -0.000 |
| -0.000 | 0.000 | 0.000 | 80.812 | 0.000 | -0.000 |
| 0.000 | 0.000 | 0.000 | 0.000 | 80.812 | -0.000 |
| 0.000 | 0.000 | -0.000 | 0.000 | 0.000 | 80.812 |
| 151.073 | 85.942 | 85.942 | -0.000 | -0.000 | 0.000 |
| 85.942 | 151.073 | 85.942 | -0.000 | -0.000 | -0.000 |
| 85.942 | 85.942 | 151.073 | -0.000 | -0.000 | -0.000 |
| 0.000 | -0.000 | -0.000 | 80.812 | -0.000 | -0.000 |
| -0.000 | -0.000 | -0.000 | -0.000 | 80.812 | 0.000 |
| -0.000 | -0.000 | -0.000 | -0.000 | -0.000 | 80.812 |
| 151.073 | 85.942 | 85.942 | 0.000 | 0.000 | -0.000 |
| 85.942 | 151.073 | 85.942 | 0.000 | -0.000 | -0.000 |
| 85.942 | 85.942 | 151.073 | 0.000 | -0.000 | -0.000 |
| -0.000 | 0.000 | 0.000 | 80.812 | 0.000 | 0.000 |
| 0.000 | -0.000 | 0.000 | 0.000 | 80.812 | 0.000 |
| 0.000 | 0.000 | -0.000 | -0.000 | -0.000 | 80.812 |
| 151.073 | 85.942 | 85.942 | -0.000 | -0.000 | -0.000 |
| 85.942 | 151.073 | 85.942 | -0.000 | 0.000 | -0.000 |
| 85.942 | 85.942 | 151.073 | -0.000 | -0.000 | 0.000 |
| 0.000 | -0.000 | -0.000 | 80.812 | -0.000 | 0.000 |
| -0.000 | 0.000 | -0.000 | -0.000 | 80.812 | -0.000 |
| -0.000 | -0.000 | 0.000 | -0.000 | 0.000 | 80.812 |
| 151.075 | 85.943 | 85.943 | 0.000 | 0.000 | -0.000 |
| 85.943 | 151.075 | 85.943 | 0.000 | 0.000 | -0.000 |
| 85.943 | 85.943 | 151.075 | 0.000 | 0.000 | -0.000 |
| -0.000 | 0.001 | 0.001 | 80.812 | -0.000 | -0.000 |
| 0.001 | -0.000 | 0.001 | 0.000 | 80.812 | -0.000 |
| 0.001 | 0.001 | -0.000 | 0.000 | 0.000 | 80.812 |
| 151.071 | 85.941 | 85.941 | -0.000 | 0.000 | 0.000 |
| 85.941 | 151.071 | 85.941 | -0.000 | -0.000 | 0.000 |
| 85.941 | 85.941 | 151.071 | -0.000 | -0.000 | 0.000 |
| 0.000 | -0.001 | -0.001 | 80.812 | -0.000 | 0.000 |
| -0.001 | 0.000 | -0.001 | -0.000 | 80.812 | -0.000 |
| -0.001 | -0.001 | 0.000 | -0.000 | -0.000 | 80.812 |
| 35.199 | 17.594 | 17.594 | -0.000 | -0.000 | -0.000 |
| 17.594 | 35.199 | 17.594 | -0.000 | -0.000 | -0.000 |
| 17.594 | 17.594 | 35.199 | -0.000 | -0.000 | -0.000 |
| -0.000 | 0.000 | 0.000 | 17.596 | -0.000 | -0.000 |
| 0.000 | -0.000 | 0.000 | -0.000 | 17.596 | -0.000 |
| 0.000 | 0.000 | -0.000 | -0.000 | -0.000 | 17.596 |
| 35.199 | 17.594 | 17.594 | 0.000 | 0.000 | 0.000 |
| 17.594 | 35.199 | 17.594 | 0.000 | 0.000 | 0.000 |
| 17.594 | 17.594 | 35.199 | 0.000 | 0.000 | 0.000 |
| 0.000 | -0.000 | -0.000 | 17.596 | 0.000 | -0.000 |
| -0.000 | 0.000 | -0.000 | 0.000 | 17.596 | 0.000 |
| -0.000 | -0.000 | 0.000 | 0.000 | 0.000 | 17.596 |
| 35.199 | 17.594 | 17.594 | -0.000 | -0.000 | -0.000 |
| 17.594 | 35.199 | 17.594 | -0.000 | -0.000 | -0.000 |
| 17.594 | 17.594 | 35.199 | -0.000 | -0.000 | -0.000 |
| -0.000 | 0.000 | 0.000 | 17.596 | -0.000 | -0.000 |
| 0.000 | -0.000 | 0.000 | -0.000 | 17.596 | -0.000 |
| 0.000 | 0.000 | -0.000 | -0.000 | -0.000 | 17.596 |
| 35.198 | 17.594 | 17.594 | 0.000 | 0.000 | 0.000 |
| 17.594 | 35.198 | 17.594 | 0.000 | 0.000 | 0.000 |
| 17.594 | 17.594 | 35.198 | 0.000 | 0.000 | 0.000 |
| 0.000 | -0.000 | -0.000 | 17.596 | 0.000 | 0.000 |
| -0.000 | 0.000 | -0.000 | 0.000 | 17.596 | 0.000 |
| -0.000 | -0.000 | 0.000 | 0.000 | 0.000 | 17.596 |
| 35.199 | 17.594 | 17.594 | -0.000 | -0.000 | -0.000 |
| 17.594 | 35.199 | 17.594 | -0.000 | -0.000 | -0.000 |
| 17.594 | 17.594 | 35.199 | -0.000 | -0.000 | -0.000 |
| -0.000 | 0.000 | 0.000 | 17.596 | -0.000 | -0.000 |
| 0.000 | -0.000 | 0.000 | -0.000 | 17.596 | -0.000 |
| 0.000 | 0.000 | -0.000 | -0.000 | -0.000 | 17.596 |
| 35.198 | 17.594 | 17.594 | 0.000 | 0.000 | 0.000 |
| 17.594 | 35.198 | 17.594 | 0.000 | 0.000 | 0.000 |
| 17.594 | 17.594 | 35.198 | 0.000 | 0.000 | 0.000 |
| 0.000 | -0.000 | -0.000 | 17.596 | 0.000 | 0.000 |
| -0.000 | 0.000 | -0.000 | 0.000 | 17.596 | 0.000 |
| -0.000 | -0.000 | 0.000 | 0.000 | 0.000 | 17.596 |
| 156.150 | 146.565 | 147.496 | 0.000 | 0.000 | 0.000 |
| 146.565 | 156.150 | 147.496 | 0.000 | 0.000 | 0.000 |
| 147.496 | 147.496 | 251.757 | 0.000 | 0.000 | 0.000 |
| -0.000 | -0.000 | 0.000 | 86.469 | -0.000 | 0.000 |
| 0.000 | -0.000 | 0.000 | 0.000 | 86.469 | 0.000 |
| 0.000 | 0.000 | 0.000 | -0.000 | 0.000 | 72.250 |
| 156.150 | 146.565 | 147.496 | -0.000 | 0.000 | -0.000 |
| 146.565 | 156.150 | 147.496 | -0.000 | 0.000 | -0.000 |
| 147.496 | 147.496 | 251.757 | -0.000 | 0.000 | -0.000 |
| 0.000 | 0.000 | -0.000 | 86.469 | 0.000 | -0.000 |
| -0.000 | 0.000 | -0.000 | -0.000 | 86.469 | -0.000 |
| -0.000 | -0.000 | -0.000 | 0.000 | 0.000 | 72.250 |
| 160.513 | 142.202 | 147.496 | 0.000 | 0.000 | 0.000 |
| 142.202 | 160.513 | 147.496 | 0.000 | -0.000 | 0.000 |
| 147.496 | 147.496 | 251.758 | 0.000 | 0.000 | 0.000 |
| -0.000 | 0.000 | 0.000 | 84.107 | -0.000 | 0.000 |
| 0.000 | -0.000 | 0.000 | 0.000 | 84.107 | 0.000 |
| 0.000 | 0.000 | -0.000 | 0.000 | 0.000 | 72.250 |
| 156.150 | 146.565 | 147.496 | -0.000 | -0.000 | -0.000 |
| 146.565 | 156.150 | 147.496 | -0.000 | 0.000 | -0.000 |
| 147.496 | 147.496 | 251.757 | 0.000 | -0.000 | -0.000 |
| 0.000 | -0.000 | -0.000 | 84.107 | 0.000 | -0.000 |
| -0.000 | 0.000 | -0.000 | -0.000 | 84.107 | -0.000 |
| -0.000 | -0.000 | 0.000 | -0.000 | -0.000 | 72.250 |
| 160.516 | 142.202 | 147.497 | -0.000 | -0.000 | 0.000 |
| 142.202 | 160.516 | 147.497 | 0.000 | -0.000 | 0.000 |
| 147.497 | 147.497 | 251.764 | 0.000 | -0.000 | 0.000 |
| -0.000 | 0.000 | 0.001 | 86.469 | 0.000 | 0.000 |
| 0.000 | -0.000 | 0.001 | 0.000 | 86.469 | 0.000 |
| 0.000 | 0.000 | -0.000 | 0.000 | 0.000 | 72.250 |
| 156.147 | 146.564 | 147.496 | -0.000 | -0.000 | -0.000 |
| 146.564 | 156.147 | 147.496 | -0.000 | -0.000 | -0.000 |
| 147.495 | 147.495 | 251.750 | -0.000 | -0.000 | -0.000 |
| 0.000 | -0.000 | -0.001 | 86.469 | -0.000 | 0.000 |
| -0.000 | 0.000 | -0.001 | -0.000 | 86.469 | -0.000 |
| -0.000 | -0.000 | 0.000 | -0.000 | -0.000 | 72.250 |
| 216.296 | 127.650 | 119.870 | 0.000 | -0.000 | -0.000 |
| 148.119 | 202.186 | 123.614 | 0.000 | 0.000 | 0.000 |
| 123.446 | 123.446 | 378.903 | 0.000 | 0.000 | -0.000 |
| 0.395 | 0.395 | 0.465 | 60.628 | 0.000 | -0.000 |
| 0.395 | 0.395 | 0.465 | 0.000 | 60.628 | 0.000 |
| -0.045 | -0.045 | -0.053 | 0.000 | -0.000 | 26.983 |
| 216.459 | 127.174 | 119.686 | -0.000 | 0.000 | 0.000 |
| 127.174 | 216.459 | 119.686 | -0.000 | -0.000 | 0.000 |
| 123.169 | 123.169 | 378.577 | -0.000 | -0.000 | 0.000 |
| -0.395 | -0.395 | -0.465 | 60.628 | 0.000 | 0.000 |
| -0.395 | -0.395 | -0.465 | -0.000 | 60.628 | 0.000 |
| 0.045 | 0.045 | 0.053 | -0.000 | -0.000 | 26.983 |
| 231.399 | 127.155 | 128.468 | 0.000 | -0.000 | 0.000 |
| 127.431 | 216.376 | 119.788 | 0.000 | 0.000 | 0.000 |
| 123.321 | 123.321 | 378.757 | 0.000 | -0.000 | -0.000 |
| 0.000 | 0.000 | 0.000 | 65.136 | -0.000 | -0.000 |
| 0.000 | 0.000 | 0.000 | -0.000 | 65.136 | -0.000 |
| 0.000 | 0.000 | 0.000 | 0.000 | 0.000 | 52.122 |
| 216.392 | 127.383 | 119.770 | -0.000 | -0.000 | -0.000 |
| 127.155 | 231.399 | 128.468 | -0.000 | -0.000 | 0.000 |
| 123.294 | 123.294 | 378.724 | -0.000 | -0.000 | 0.000 |
| -0.000 | -0.000 | -0.000 | 65.136 | 0.000 | 0.000 |
| -0.000 | -0.000 | -0.000 | -0.000 | 65.136 | -0.000 |
| -0.000 | -0.000 | -0.000 | -0.000 | 0.000 | 52.122 |
| 231.401 | 127.155 | 128.469 | 0.000 | -0.000 | 0.000 |
| 147.898 | 201.842 | 123.279 | 0.000 | 0.000 | 0.000 |
| 128.494 | 128.494 | 384.846 | 0.000 | -0.000 | 0.000 |
| 0.004 | 0.004 | 0.005 | 60.605 | -0.000 | -0.000 |
| 0.004 | 0.004 | 0.005 | 0.000 | 60.605 | -0.000 |
| 0.000 | 0.001 | 0.000 | 0.000 | 0.000 | 52.122 |
| 231.397 | 127.155 | 128.468 | -0.000 | -0.000 | 0.000 |
| 147.975 | 202.039 | 123.444 | -0.000 | 0.000 | -0.000 |
| 123.306 | 123.306 | 378.737 | -0.000 | -0.000 | 0.000 |
| -0.004 | -0.004 | -0.005 | 60.605 | -0.000 | -0.000 |
| -0.004 | -0.004 | -0.005 | -0.000 | 60.605 | -0.000 |
| -0.000 | -0.001 | -0.000 | -0.000 | -0.000 | 52.122 |
| 190.886 | 204.676 | 214.079 | 0.000 | -0.000 | -0.000 |
| 205.151 | 352.255 | 46.415 | 0.000 | -0.000 | 0.000 |
| 213.836 | 45.696 | 357.594 | -0.000 | -0.000 | 0.000 |
| -0.000 | 0.000 | 0.000 | 10.617 | -0.000 | 0.000 |
| -0.000 | -0.000 | -0.000 | 0.000 | 173.739 | -0.000 |
| -0.704 | -0.076 | -1.014 | -0.000 | -0.000 | 165.038 |
| 172.498 | 201.152 | 187.594 | -0.000 | 0.000 | -0.000 |
| 205.151 | 352.255 | 46.414 | -0.000 | 0.000 | 0.000 |
| 181.179 | 38.055 | 310.557 | -0.000 | 0.000 | -0.000 |
| 0.000 | -0.000 | -0.000 | 10.617 | 0.000 | -0.000 |
| 0.000 | 0.000 | -0.000 | -0.000 | 173.740 | 0.000 |
| 0.704 | 0.076 | 1.014 | 0.000 | 0.000 | 165.038 |
| 190.886 | 204.676 | 214.080 | -0.000 | -0.000 | -0.000 |
| 205.151 | 352.256 | 46.415 | 0.000 | -0.000 | 0.000 |
| 186.780 | 40.668 | 318.624 | 0.000 | -0.000 | 0.000 |
| -1.413 | -0.153 | -2.035 | 9.312 | -0.000 | 0.000 |
| -0.185 | -0.020 | -0.267 | 0.000 | 160.699 | -0.000 |
| -0.070 | -0.007 | -0.101 | 0.000 | -0.000 | 165.038 |
| 190.886 | 204.676 | 214.079 | -0.000 | 0.000 | -0.000 |
| 205.151 | 352.255 | 46.414 | -0.000 | 0.000 | 0.000 |
| 213.836 | 45.696 | 357.594 | -0.000 | 0.000 | 0.000 |
| 1.413 | 0.153 | 2.035 | 9.312 | 0.000 | 0.000 |
| 0.185 | 0.020 | 0.267 | 0.000 | 160.699 | -0.000 |
| 0.070 | 0.007 | 0.101 | -0.000 | 0.000 | 165.038 |
| 190.888 | 204.677 | 214.080 | -0.000 | -0.000 | -0.000 |
| 205.153 | 352.259 | 46.415 | 0.000 | -0.000 | 0.000 |
| 179.902 | 37.808 | 308.719 | -0.000 | -0.000 | 0.000 |
| -0.000 | 0.001 | 0.000 | 10.617 | -0.000 | -0.000 |
| -0.018 | -0.002 | -0.025 | 0.000 | 160.696 | 0.000 |
| 0.001 | 0.002 | -0.000 | 0.000 | -0.000 | 165.038 |
| 172.129 | 201.183 | 187.066 | -0.000 | 0.000 | 0.000 |
| 200.446 | 350.860 | 39.640 | -0.000 | 0.000 | -0.000 |
| 179.922 | 37.812 | 308.747 | -0.000 | 0.000 | -0.000 |
| 0.000 | -0.001 | -0.000 | 10.617 | 0.000 | -0.000 |
| 0.018 | 0.002 | 0.025 | -0.000 | 160.696 | 0.000 |
| -0.001 | -0.002 | 0.000 | -0.000 | 0.000 | 165.038 |
| 137.446 | 118.940 | 118.940 | 0.000 | -0.000 | 0.000 |
| 118.940 | 137.446 | 118.940 | 0.000 | -0.000 | 0.000 |
| 118.940 | 118.940 | 137.446 | 0.000 | -0.000 | 0.000 |
| 0.000 | 0.000 | 0.000 | 107.502 | -0.000 | 0.000 |
| 0.000 | 0.000 | 0.000 | 0.000 | 107.502 | 0.000 |
| 0.000 | 0.000 | 0.000 | 0.000 | -0.000 | 107.502 |
| 137.446 | 118.940 | 118.940 | -0.000 | 0.000 | -0.000 |
| 118.940 | 137.446 | 118.940 | -0.000 | -0.000 | -0.000 |
| 118.940 | 118.940 | 137.446 | -0.000 | 0.000 | -0.000 |
| -0.000 | -0.000 | 0.000 | 107.502 | 0.000 | -0.000 |
| 0.000 | -0.000 | -0.000 | -0.000 | 107.502 | -0.000 |
| -0.000 | -0.000 | -0.000 | -0.000 | 0.000 | 107.502 |
| 137.446 | 118.940 | 118.940 | 0.000 | -0.000 | 0.000 |
| 118.940 | 137.446 | 118.940 | 0.000 | -0.000 | 0.000 |
| 118.940 | 118.940 | 137.446 | 0.000 | -0.000 | 0.000 |
| -0.000 | -0.000 | -0.000 | -4.655 | -0.000 | 0.000 |
| -0.000 | -0.000 | -0.000 | 0.000 | -4.655 | 0.000 |
| -0.000 | -0.000 | -0.000 | 0.000 | -0.000 | -4.655 |
| 137.446 | 118.940 | 118.940 | -0.000 | 0.000 | -0.000 |
| 118.940 | 137.446 | 118.940 | -0.000 | -0.000 | -0.000 |
| 118.940 | 118.940 | 137.446 | -0.000 | 0.000 | -0.000 |
| 0.000 | 0.000 | 0.000 | -4.655 | 0.000 | -0.000 |
| 0.000 | 0.000 | 0.000 | -0.000 | -4.655 | -0.000 |
| 0.000 | 0.000 | 0.000 | -0.000 | 0.000 | -4.655 |
| 137.447 | 118.940 | 118.940 | 0.000 | -0.000 | 0.000 |
| 118.940 | 137.447 | 118.940 | 0.000 | -0.000 | 0.000 |
| 118.940 | 118.940 | 137.447 | 0.000 | -0.000 | 0.000 |
| 0.000 | 0.000 | 0.000 | 107.502 | -0.000 | 0.000 |
| 0.000 | 0.000 | 0.000 | 0.000 | 107.502 | 0.000 |
| 0.000 | 0.000 | 0.000 | 0.000 | -0.000 | 107.502 |
| 137.445 | 118.940 | 118.940 | -0.000 | 0.000 | -0.000 |
| 118.940 | 137.445 | 118.940 | -0.000 | 0.000 | -0.000 |
| 118.940 | 118.940 | 137.445 | -0.000 | 0.000 | -0.000 |
| -0.000 | -0.000 | -0.000 | 107.502 | 0.000 | -0.000 |
| -0.000 | -0.000 | -0.000 | -0.000 | 107.502 | -0.000 |
| -0.000 | -0.000 | -0.000 | -0.000 | 0.000 | 107.502 |
| 134.101 | 133.190 | 133.190 | -0.000 | 0.000 | -0.000 |
| 133.190 | 134.101 | 133.190 | -0.000 | 0.000 | 0.000 |
| 133.190 | 133.190 | 134.101 | -0.000 | 0.000 | 0.000 |
| -0.000 | -0.000 | 0.000 | 8.401 | 0.000 | -0.000 |
| -0.000 | 0.000 | 0.000 | -0.000 | 8.401 | -0.000 |
| -0.000 | -0.000 | 0.000 | -0.000 | 0.000 | 8.401 |
| 134.101 | 133.190 | 133.190 | 0.000 | -0.000 | -0.000 |
| 133.190 | 134.101 | 133.190 | 0.000 | -0.000 | -0.000 |
| 133.190 | 133.190 | 134.101 | 0.000 | -0.000 | -0.000 |
| -0.000 | 0.000 | -0.000 | 8.401 | -0.000 | 0.000 |
| -0.000 | -0.000 | -0.000 | 0.000 | 8.401 | 0.000 |
| 0.000 | 0.000 | -0.000 | 0.000 | -0.000 | 8.401 |
| 134.101 | 133.190 | 133.190 | -0.000 | 0.000 | 0.000 |
| 133.190 | 134.101 | 133.190 | -0.000 | 0.000 | 0.000 |
| 133.190 | 133.190 | 134.101 | -0.000 | 0.000 | -0.000 |
| 0.000 | -0.000 | -0.000 | 8.401 | 0.000 | -0.000 |
| -0.000 | 0.000 | -0.000 | -0.000 | 8.401 | -0.000 |
| -0.000 | -0.000 | 0.000 | -0.000 | 0.000 | 8.401 |
| 134.101 | 133.190 | 133.190 | 0.000 | -0.000 | 0.000 |
| 133.190 | 134.101 | 133.190 | 0.000 | -0.000 | -0.000 |
| 133.190 | 133.190 | 134.101 | 0.000 | -0.000 | -0.000 |
| -0.000 | 0.000 | 0.000 | 8.401 | -0.000 | 0.000 |
| 0.000 | -0.000 | 0.000 | 0.000 | 8.401 | -0.000 |
| 0.000 | 0.000 | -0.000 | 0.000 | -0.000 | 8.401 |
| 134.101 | 133.191 | 133.191 | -0.000 | 0.000 | 0.000 |
| 133.191 | 134.101 | 133.191 | -0.000 | 0.000 | -0.000 |
| 133.191 | 133.191 | 134.101 | -0.000 | 0.000 | 0.000 |
| 0.000 | -0.000 | -0.000 | 8.401 | 0.000 | -0.000 |
| -0.000 | 0.000 | -0.000 | -0.000 | 8.401 | 0.000 |
| -0.000 | -0.000 | 0.000 | -0.000 | 0.000 | 8.401 |
| 134.102 | 133.190 | 133.190 | 0.000 | -0.000 | 0.000 |
| 133.190 | 134.102 | 133.190 | 0.000 | -0.000 | 0.000 |
| 133.190 | 133.190 | 134.102 | 0.000 | -0.000 | -0.000 |
| -0.000 | 0.000 | 0.000 | 8.401 | -0.000 | 0.000 |
| 0.000 | -0.000 | 0.000 | 0.000 | 8.401 | 0.000 |
| 0.000 | 0.000 | -0.000 | 0.000 | -0.000 | 8.401 |
| 167.103 | 187.207 | 187.207 | 0.000 | 0.000 | -0.000 |
| 187.207 | 167.103 | 187.207 | 0.000 | 0.000 | 0.000 |
| 187.207 | 187.207 | 167.103 | 0.000 | 0.000 | 0.000 |
| -0.000 | -0.000 | 0.000 | 167.674 | 0.000 | -0.000 |
| -0.000 | 0.000 | 0.000 | 0.000 | 167.674 | -0.000 |
| -0.000 | 0.000 | 0.000 | 0.000 | 0.000 | 167.674 |
| 167.103 | 187.207 | 187.207 | -0.000 | -0.000 | -0.000 |
| 187.207 | 167.103 | 187.207 | -0.000 | -0.000 | -0.000 |
| 187.207 | 187.207 | 167.103 | -0.000 | -0.000 | -0.000 |
| 0.000 | 0.000 | -0.000 | 167.674 | -0.000 | -0.000 |
| 0.000 | -0.000 | -0.000 | -0.000 | 167.674 | -0.000 |
| 0.000 | -0.000 | -0.000 | -0.000 | -0.000 | 167.674 |
| 167.104 | 187.207 | 187.207 | 0.000 | 0.000 | 0.000 |
| 187.207 | 167.104 | 187.207 | 0.000 | 0.000 | 0.000 |
| 187.207 | 187.207 | 167.104 | 0.000 | 0.000 | 0.000 |
| 0.000 | 0.000 | 0.000 | 167.674 | 0.000 | 0.000 |
| 0.000 | 0.000 | 0.000 | 0.000 | 167.674 | -0.000 |
| 0.000 | 0.000 | 0.000 | 0.000 | 0.000 | 167.674 |
| 167.103 | 187.207 | 187.207 | -0.000 | -0.000 | -0.000 |
| 187.207 | 167.103 | 187.207 | -0.000 | -0.000 | 0.000 |
| 187.207 | 187.207 | 167.103 | -0.000 | -0.000 | -0.000 |
| -0.000 | -0.000 | -0.000 | 167.674 | -0.000 | 0.000 |
| -0.000 | -0.000 | -0.000 | -0.000 | 167.674 | -0.000 |
| -0.000 | -0.000 | -0.000 | -0.000 | -0.000 | 167.674 |
| 167.105 | 187.208 | 187.208 | 0.000 | 0.000 | 0.000 |
| 187.208 | 167.105 | 187.208 | 0.000 | 0.000 | -0.000 |
| 187.208 | 187.208 | 167.105 | 0.000 | 0.000 | 0.000 |
| 0.001 | 0.000 | 0.001 | 167.674 | 0.000 | -0.000 |
| 0.000 | 0.001 | 0.001 | 0.000 | 167.674 | 0.000 |
| 0.000 | 0.001 | 0.001 | 0.000 | 0.000 | 167.674 |
| 167.102 | 187.207 | 187.207 | -0.000 | -0.000 | -0.000 |
| 187.207 | 167.102 | 187.207 | -0.000 | -0.000 | 0.000 |
| 187.207 | 187.207 | 167.102 | -0.000 | -0.000 | -0.000 |
| -0.001 | -0.000 | -0.001 | 167.674 | -0.000 | -0.000 |
| -0.000 | -0.001 | -0.001 | -0.000 | 167.674 | -0.000 |
| -0.000 | -0.001 | -0.001 | -0.000 | -0.000 | 167.674 |
| 36.989 | 7.680 | 7.680 | 0.000 | 0.000 | -0.000 |
| 7.680 | 36.989 | 7.680 | 0.000 | 0.000 | -0.000 |
| 7.680 | 7.680 | 36.989 | 0.000 | -0.000 | 0.000 |
| -0.000 | -0.000 | 0.000 | -0.552 | 0.000 | -0.000 |
| -0.000 | -0.000 | 0.000 | 0.000 | -0.552 | -0.000 |
| -0.000 | -0.000 | 0.000 | -0.000 | 0.000 | -0.552 |
| 36.989 | 7.680 | 7.680 | -0.000 | -0.000 | 0.000 |
| 7.680 | 36.989 | 7.680 | -0.000 | -0.000 | 0.000 |
| 7.680 | 7.680 | 36.989 | -0.000 | -0.000 | 0.000 |
| 0.000 | 0.000 | -0.000 | -0.552 | -0.000 | 0.000 |
| 0.000 | 0.000 | -0.000 | -0.000 | -0.552 | 0.000 |
| 0.000 | 0.000 | -0.000 | -0.000 | 0.000 | -0.552 |
| 36.989 | 7.680 | 7.680 | -0.000 | 0.000 | -0.000 |
| 7.680 | 36.989 | 7.680 | -0.000 | 0.000 | -0.000 |
| 7.680 | 7.680 | 36.989 | -0.000 | -0.000 | -0.000 |
| -0.000 | -0.000 | -0.000 | -4.074 | 0.000 | -0.000 |
| -0.000 | -0.000 | -0.000 | 0.000 | -4.074 | -0.000 |
| -0.000 | -0.000 | -0.000 | 0.000 | 0.000 | -4.074 |
| 36.989 | 7.680 | 7.680 | -0.000 | -0.000 | 0.000 |
| 7.680 | 36.989 | 7.680 | 0.000 | -0.000 | 0.000 |
| 7.680 | 7.680 | 36.989 | -0.000 | -0.000 | 0.000 |
| 0.000 | 0.000 | 0.000 | -4.074 | -0.000 | 0.000 |
| 0.000 | 0.000 | 0.000 | -0.000 | -4.074 | 0.000 |
| 0.000 | 0.000 | 0.000 | -0.000 | -0.000 | -4.074 |
| 36.992 | 7.680 | 7.680 | -0.000 | -0.000 | -0.000 |
| 7.680 | 36.992 | 7.680 | -0.000 | 0.000 | -0.000 |
| 7.680 | 7.680 | 36.992 | -0.000 | -0.000 | -0.000 |
| -0.001 | 0.000 | 0.000 | -5.597 | 0.000 | -0.000 |
| 0.000 | -0.001 | 0.000 | 0.000 | -5.597 | -0.000 |
| 0.000 | 0.000 | -0.001 | 0.000 | 0.000 | -5.597 |
| 36.986 | 7.680 | 7.680 | 0.000 | -0.000 | 0.000 |
| 7.680 | 36.986 | 7.680 | 0.000 | -0.000 | 0.000 |
| 7.680 | 7.680 | 36.986 | 0.000 | -0.000 | 0.000 |
| 0.001 | -0.000 | -0.000 | -5.597 | -0.000 | 0.000 |
| -0.000 | 0.001 | -0.000 | -0.000 | -5.597 | 0.000 |
| -0.000 | -0.000 | 0.001 | -0.000 | -0.000 | -5.597 |
| 1.426 | 1.426 | 1.426 | 0.000 | 0.000 | 0.000 |
| 1.426 | 1.426 | 1.426 | 0.000 | 0.000 | 0.000 |
| 1.426 | 1.426 | 1.426 | 0.000 | 0.000 | 0.000 |
| 0.000 | 0.000 | 0.000 | 1.381 | -0.000 | 0.000 |
| 0.000 | 0.000 | 0.000 | -0.000 | 1.381 | 0.000 |
| 0.000 | 0.000 | 0.000 | 0.000 | 0.000 | 1.381 |
| 1.426 | 1.426 | 1.426 | 0.000 | -0.000 | -0.000 |
| 1.426 | 1.426 | 1.426 | -0.000 | 0.000 | -0.000 |
| 1.426 | 1.426 | 1.426 | 0.000 | 0.000 | -0.000 |
| -0.000 | -0.000 | -0.000 | 1.381 | 0.000 | -0.000 |
| -0.000 | -0.000 | -0.000 | 0.000 | 1.381 | -0.000 |
| -0.000 | -0.000 | -0.000 | 0.000 | -0.000 | 1.381 |
| 1.426 | 1.426 | 1.426 | 0.000 | 0.000 | 0.000 |
| 1.426 | 1.426 | 1.426 | 0.000 | 0.000 | 0.000 |
| 1.426 | 1.426 | 1.426 | 0.000 | 0.000 | 0.000 |
| 0.000 | 0.000 | 0.000 | 1.381 | -0.000 | 0.000 |
| 0.000 | 0.000 | 0.000 | -0.000 | 1.381 | 0.000 |
| 0.000 | 0.000 | 0.000 | 0.000 | 0.000 | 1.381 |
| 1.426 | 1.426 | 1.426 | 0.000 | -0.000 | 0.000 |
| 1.426 | 1.426 | 1.426 | -0.000 | 0.000 | 0.000 |
| 1.426 | 1.426 | 1.426 | 0.000 | 0.000 | -0.000 |
| -0.000 | -0.000 | -0.000 | 1.381 | 0.000 | -0.000 |
| -0.000 | -0.000 | -0.000 | 0.000 | 1.381 | -0.000 |
| -0.000 | -0.000 | -0.000 | 0.000 | -0.000 | 1.381 |
| 1.426 | 1.426 | 1.426 | -0.000 | 0.000 | 0.000 |
| 1.426 | 1.426 | 1.426 | 0.000 | -0.000 | 0.000 |
| 1.426 | 1.426 | 1.426 | -0.000 | -0.000 | 0.000 |
| 0.000 | 0.000 | 0.000 | 0.960 | 0.000 | 0.000 |
| 0.000 | 0.000 | 0.000 | 0.000 | 0.960 | 0.000 |
| 0.000 | 0.000 | 0.000 | 0.000 | 0.000 | 0.960 |
| 1.425 | 1.425 | 1.425 | -0.000 | -0.000 | -0.000 |
| 1.425 | 1.425 | 1.425 | -0.000 | -0.000 | -0.000 |
| 1.425 | 1.425 | 1.425 | -0.000 | -0.000 | -0.000 |
| -0.000 | -0.000 | -0.000 | 0.960 | -0.000 | -0.000 |
| -0.000 | -0.000 | -0.000 | -0.000 | 0.960 | -0.000 |
| -0.000 | -0.000 | -0.000 | -0.000 | -0.000 | 0.960 |
| 558.410 | 7.512 | 7.511 | 0.000 | -0.000 | -0.000 |
| 7.512 | 558.410 | 7.512 | 0.000 | -0.000 | -0.000 |
| 7.512 | 7.512 | 558.410 | 0.000 | -0.000 | -0.000 |
| -0.000 | 0.000 | -0.000 | -14.993 | 0.000 | -0.000 |
| 0.000 | -0.000 | -0.000 | 0.000 | -14.993 | -0.000 |
| 0.000 | -0.000 | -0.000 | -0.000 | -0.000 | -14.993 |
| 558.410 | 7.512 | 7.512 | 0.000 | 0.000 | 0.000 |
| 7.512 | 558.410 | 7.512 | 0.000 | 0.000 | 0.000 |
| 7.512 | 7.512 | 558.410 | -0.000 | 0.000 | 0.000 |
| 0.000 | -0.000 | 0.000 | -14.993 | 0.000 | 0.000 |
| -0.000 | 0.000 | 0.000 | -0.000 | -14.993 | 0.000 |
| -0.000 | 0.000 | 0.000 | 0.000 | 0.000 | -14.993 |
| 558.410 | 7.512 | 7.512 | -0.000 | -0.000 | -0.000 |
| 7.512 | 558.410 | 7.512 | 0.000 | -0.000 | -0.000 |
| 7.512 | 7.512 | 558.410 | -0.000 | -0.000 | -0.000 |
| 0.000 | 0.000 | -0.000 | -14.993 | 0.000 | -0.000 |
| 0.000 | 0.000 | -0.000 | -0.000 | -14.993 | -0.000 |
| 0.000 | -0.000 | 0.000 | -0.000 | -0.000 | -14.993 |
| 558.410 | 7.511 | 7.511 | 0.000 | 0.000 | 0.000 |
| 7.511 | 558.410 | 7.511 | -0.000 | 0.000 | 0.000 |
| 7.511 | 7.511 | 558.410 | -0.000 | 0.000 | 0.000 |
| -0.000 | -0.000 | 0.000 | -14.993 | -0.000 | 0.000 |
| -0.000 | -0.000 | 0.000 | -0.000 | -14.993 | 0.000 |
| -0.000 | 0.000 | -0.000 | 0.000 | 0.000 | -14.993 |
| 558.414 | 7.512 | 7.512 | 0.000 | -0.000 | 0.000 |
| 7.512 | 558.414 | 7.512 | -0.000 | -0.000 | -0.000 |
| 7.512 | 7.512 | 558.414 | 0.000 | -0.000 | -0.000 |
| 0.000 | 0.000 | -0.000 | -14.993 | -0.000 | -0.000 |
| 0.000 | 0.000 | -0.000 | -0.000 | -14.993 | -0.000 |
| 0.000 | -0.000 | 0.000 | -0.000 | -0.000 | -14.993 |
| 558.406 | 7.511 | 7.511 | -0.000 | 0.000 | 0.000 |
| 7.511 | 558.406 | 7.511 | 0.000 | 0.000 | 0.000 |
| 7.511 | 7.511 | 558.406 | -0.000 | 0.000 | 0.000 |
| -0.000 | -0.000 | 0.000 | -14.993 | 0.000 | 0.000 |
| -0.000 | -0.000 | 0.000 | -0.000 | -14.993 | 0.000 |
| -0.000 | 0.000 | -0.000 | 0.000 | 0.000 | -14.993 |
| 140.491 | 160.900 | 160.900 | 0.000 | 0.000 | -0.000 |
| 160.900 | 140.491 | 160.900 | 0.000 | 0.000 | 0.000 |
| 160.900 | 160.900 | 140.491 | 0.000 | 0.000 | -0.000 |
| 0.000 | 0.000 | 0.000 | 148.871 | 0.000 | -0.000 |
| 0.000 | 0.000 | 0.000 | 0.000 | 148.871 | -0.000 |
| 0.000 | 0.000 | 0.000 | 0.000 | 0.000 | 148.871 |
| 140.491 | 160.900 | 160.900 | -0.000 | -0.000 | 0.000 |
| 160.900 | 140.491 | 160.900 | -0.000 | -0.000 | 0.000 |
| 160.900 | 160.900 | 140.491 | -0.000 | -0.000 | 0.000 |
| -0.000 | -0.000 | -0.000 | 148.871 | -0.000 | -0.000 |
| -0.000 | -0.000 | -0.000 | -0.000 | 148.871 | 0.000 |
| -0.000 | -0.000 | -0.000 | -0.000 | -0.000 | 148.871 |
| 140.491 | 160.900 | 160.900 | 0.000 | 0.000 | -0.000 |
| 160.900 | 140.491 | 160.900 | 0.000 | 0.000 | -0.000 |
| 160.900 | 160.900 | 140.491 | 0.000 | 0.000 | -0.000 |
| 0.000 | 0.000 | 0.000 | 148.871 | -0.000 | -0.000 |
| 0.000 | 0.000 | 0.000 | 0.000 | 148.871 | -0.000 |
| 0.000 | 0.000 | 0.000 | 0.000 | 0.000 | 148.871 |
| 140.491 | 160.900 | 160.900 | -0.000 | -0.000 | 0.000 |
| 160.900 | 140.491 | 160.900 | -0.000 | -0.000 | -0.000 |
| 160.900 | 160.900 | 140.491 | -0.000 | -0.000 | 0.000 |
| -0.000 | -0.000 | -0.000 | 148.871 | -0.000 | -0.000 |
| -0.000 | -0.000 | -0.000 | -0.000 | 148.871 | 0.000 |
| -0.000 | -0.000 | -0.000 | -0.000 | -0.000 | 148.871 |
| 140.491 | 160.900 | 160.900 | 0.000 | 0.000 | -0.000 |
| 160.900 | 140.491 | 160.900 | 0.000 | 0.000 | -0.000 |
| 160.900 | 160.900 | 140.491 | 0.000 | 0.000 | -0.000 |
| 0.001 | 0.000 | 0.001 | 148.871 | 0.000 | -0.000 |
| 0.000 | 0.001 | 0.001 | 0.000 | 148.871 | -0.000 |
| 0.000 | 0.001 | 0.001 | 0.000 | 0.000 | 148.871 |
| 140.490 | 160.900 | 160.900 | -0.000 | -0.000 | 0.000 |
| 160.900 | 140.490 | 160.900 | -0.000 | -0.000 | -0.000 |
| 160.900 | 160.900 | 140.490 | -0.000 | -0.000 | 0.000 |
| -0.001 | -0.000 | -0.001 | 148.871 | -0.000 | -0.000 |
| -0.000 | -0.001 | -0.001 | -0.000 | 148.871 | 0.000 |
| -0.000 | -0.001 | -0.001 | -0.000 | -0.000 | 148.871 |
| 22.520 | 70.175 | 70.175 | 0.000 | 0.000 | 0.000 |
| 70.175 | 22.520 | 70.175 | 0.000 | 0.000 | 0.000 |
| 70.175 | 70.175 | 22.520 | 0.000 | 0.000 | 0.000 |
| -0.000 | -0.000 | -0.000 | -44.651 | 0.000 | 0.000 |
| -0.000 | -0.000 | -0.000 | 0.000 | -44.651 | 0.000 |
| -0.000 | -0.000 | -0.000 | 0.000 | 0.000 | -44.651 |
| 22.520 | 70.175 | 70.175 | -0.000 | -0.000 | -0.000 |
| 70.175 | 22.520 | 70.175 | -0.000 | -0.000 | -0.000 |
| 70.175 | 70.175 | 22.520 | -0.000 | -0.000 | -0.000 |
| 0.000 | 0.000 | 0.000 | -44.651 | -0.000 | -0.000 |
| 0.000 | 0.000 | 0.000 | -0.000 | -44.651 | -0.000 |
| 0.000 | 0.000 | 0.000 | -0.000 | -0.000 | -44.651 |
| 22.520 | 70.175 | 70.175 | 0.000 | 0.000 | 0.000 |
| 70.175 | 22.520 | 70.175 | 0.000 | 0.000 | 0.000 |
| 70.175 | 70.175 | 22.520 | 0.000 | 0.000 | 0.000 |
| -0.000 | -0.000 | -0.000 | -44.651 | 0.000 | 0.000 |
| -0.000 | -0.000 | -0.000 | 0.000 | -44.651 | 0.000 |
| -0.000 | -0.000 | -0.000 | 0.000 | 0.000 | -44.651 |
| 22.520 | 70.175 | 70.175 | -0.000 | -0.000 | -0.000 |
| 70.175 | 22.520 | 70.175 | -0.000 | -0.000 | -0.000 |
| 70.175 | 70.175 | 22.520 | -0.000 | -0.000 | -0.000 |
| 0.000 | 0.000 | 0.000 | -44.651 | -0.000 | -0.000 |
| 0.000 | 0.000 | 0.000 | -0.000 | -44.651 | -0.000 |
| 0.000 | 0.000 | 0.000 | -0.000 | -0.000 | -44.651 |
| 22.518 | 70.175 | 70.175 | 0.000 | 0.000 | 0.000 |
| 70.175 | 22.518 | 70.175 | 0.000 | 0.000 | 0.000 |
| 70.175 | 70.175 | 22.518 | 0.000 | 0.000 | 0.000 |
| -0.000 | -0.000 | -0.000 | -44.651 | 0.000 | 0.000 |
| -0.000 | -0.000 | -0.000 | 0.000 | -44.651 | 0.000 |
| -0.000 | -0.000 | -0.000 | 0.000 | 0.000 | -44.651 |
| 22.522 | 70.175 | 70.175 | -0.000 | -0.000 | -0.000 |
| 70.175 | 22.522 | 70.175 | -0.000 | -0.000 | -0.000 |
| 70.175 | 70.175 | 22.522 | -0.000 | -0.000 | -0.000 |
| 0.000 | 0.000 | 0.000 | -44.651 | -0.000 | -0.000 |
| 0.000 | 0.000 | 0.000 | -0.000 | -44.651 | -0.000 |
| 0.000 | 0.000 | 0.000 | -0.000 | -0.000 | -44.651 |
| 293.465 | 55.743 | 134.488 | -0.000 | 0.000 | -0.000 |
| 55.743 | 293.465 | 134.488 | -0.000 | 0.000 | -0.000 |
| 134.488 | 134.488 | 211.906 | -0.000 | -0.000 | -0.000 |
| -0.000 | -0.000 | -0.000 | 118.184 | -0.000 | 0.000 |
| -0.000 | -0.000 | -0.000 | 0.000 | 118.184 | 0.000 |
| -0.000 | -0.000 | -0.000 | -0.000 | -0.000 | 39.944 |
| 293.465 | 55.743 | 134.488 | -0.000 | 0.000 | 0.000 |
| 55.743 | 293.465 | 134.488 | -0.000 | 0.000 | 0.000 |
| 134.488 | 134.488 | 211.906 | 0.000 | 0.000 | 0.000 |
| 0.000 | 0.000 | 0.000 | 118.184 | -0.000 | 0.000 |
| 0.000 | 0.000 | 0.000 | 0.000 | 118.184 | 0.000 |
| 0.000 | 0.000 | 0.000 | 0.000 | 0.000 | 39.944 |
| 293.465 | 55.743 | 134.488 | -0.000 | 0.000 | -0.000 |
| 55.743 | 293.465 | 134.488 | -0.000 | 0.000 | -0.000 |
| 134.488 | 134.488 | 211.905 | -0.000 | -0.000 | -0.000 |
| -0.000 | -0.000 | -0.000 | 118.184 | 0.000 | -0.000 |
| -0.000 | -0.000 | -0.000 | 0.000 | 118.184 | -0.000 |
| -0.000 | -0.000 | -0.000 | 0.000 | -0.000 | 39.944 |
| 293.465 | 55.743 | 134.488 | 0.000 | -0.000 | 0.000 |
| 55.743 | 293.465 | 134.488 | -0.000 | 0.000 | 0.000 |
| 134.489 | 134.489 | 211.906 | 0.000 | 0.000 | 0.000 |
| 0.000 | 0.000 | 0.000 | 118.184 | 0.000 | 0.000 |
| 0.000 | 0.000 | 0.000 | 0.000 | 118.184 | 0.000 |
| 0.000 | 0.000 | 0.000 | -0.000 | 0.000 | 39.944 |
| 293.463 | 55.742 | 134.488 | -0.000 | -0.000 | -0.000 |
| 55.742 | 293.463 | 134.488 | -0.000 | 0.000 | -0.000 |
| 134.488 | 134.488 | 211.903 | -0.000 | 0.000 | 0.000 |
| -0.000 | -0.000 | -0.000 | 118.184 | -0.000 | -0.000 |
| -0.000 | -0.000 | -0.000 | 0.000 | 118.184 | -0.000 |
| -0.001 | -0.001 | -0.000 | -0.000 | -0.000 | 39.944 |
| 293.467 | 55.744 | 134.489 | -0.000 | 0.000 | 0.000 |
| 55.744 | 293.467 | 134.489 | 0.000 | -0.000 | 0.000 |
| 134.489 | 134.489 | 211.909 | -0.000 | -0.000 | 0.000 |
| 0.000 | 0.000 | 0.000 | 118.184 | 0.000 | -0.000 |
| 0.000 | 0.000 | 0.000 | -0.000 | 118.184 | 0.000 |
| 0.001 | 0.001 | 0.000 | 0.000 | 0.000 | 39.944 |
| 285.267 | 101.426 | 74.899 | -37.509 | 0.000 | 0.000 |
| 101.426 | 285.267 | 74.899 | 37.509 | 0.000 | -0.000 |
| 74.899 | 74.899 | 311.204 | 0.000 | 0.000 | -0.000 |
| -37.509 | 37.509 | -0.000 | 65.723 | 0.000 | -0.000 |
| -0.000 | 0.000 | -0.000 | 0.000 | 65.723 | -37.509 |
| -0.000 | -0.000 | -0.000 | 0.000 | -37.509 | 91.920 |
| 285.267 | 101.426 | 74.899 | -37.509 | -0.000 | -0.000 |
| 101.426 | 285.267 | 74.899 | 37.509 | -0.000 | -0.000 |
| 74.899 | 74.899 | 311.204 | -0.000 | -0.000 | 0.000 |
| -37.509 | 37.509 | 0.000 | 65.723 | -0.000 | 0.000 |
| 0.000 | 0.000 | 0.000 | -0.000 | 65.723 | -37.509 |
| 0.000 | 0.000 | 0.000 | -0.000 | -37.509 | 91.921 |
| 285.267 | 101.426 | 74.899 | -37.509 | 0.000 | 0.000 |
| 101.426 | 285.267 | 74.899 | 37.509 | 0.000 | -0.000 |
| 74.899 | 74.899 | 311.204 | 0.000 | 0.000 | -0.000 |
| -37.509 | 37.509 | -0.000 | 65.723 | 0.000 | -0.000 |
| -0.000 | -0.000 | -0.000 | -0.000 | 65.723 | -37.509 |
| -0.000 | -0.000 | -0.000 | -0.000 | -37.509 | 91.921 |
| 285.267 | 101.426 | 74.899 | -37.509 | -0.000 | -0.000 |
| 101.426 | 285.267 | 74.899 | 37.509 | -0.000 | 0.000 |
| 74.899 | 74.899 | 311.204 | -0.000 | -0.000 | 0.000 |
| -37.509 | 37.509 | 0.000 | 65.723 | -0.000 | 0.000 |
| 0.000 | 0.000 | 0.000 | 0.000 | 65.723 | -37.509 |
| 0.000 | 0.000 | 0.000 | 0.000 | -37.509 | 91.921 |
| 285.265 | 101.426 | 74.899 | -37.509 | 0.000 | -0.000 |
| 101.425 | 285.265 | 74.899 | 37.509 | 0.000 | 0.000 |
| 74.898 | 74.898 | 311.203 | 0.000 | 0.000 | -0.000 |
| -37.509 | 37.508 | -0.001 | 65.723 | 0.000 | -0.000 |
| -0.001 | -0.000 | -0.001 | -0.000 | 65.723 | -37.509 |
| -0.000 | -0.000 | -0.000 | -0.000 | -37.509 | 91.921 |
| 285.269 | 101.426 | 74.900 | -37.508 | -0.000 | 0.000 |
| 101.427 | 285.269 | 74.900 | 37.508 | -0.000 | 0.000 |
| 74.900 | 74.900 | 311.206 | -0.000 | -0.000 | 0.000 |
| -37.509 | 37.509 | 0.001 | 65.723 | -0.000 | 0.000 |
| 0.001 | 0.000 | 0.001 | 0.000 | 65.723 | -37.509 |
| 0.000 | 0.000 | 0.000 | 0.000 | -37.509 | 91.921 |
| 229.907 | 83.480 | 89.004 | -0.000 | -0.000 | -0.000 |
| 83.024 | 303.830 | 137.443 | -0.000 | -0.000 | 0.000 |
| 88.025 | 136.852 | 288.874 | -0.000 | -0.000 | 0.000 |
| -0.135 | -0.303 | 0.114 | 54.953 | -0.000 | 0.000 |
| 0.000 | 0.000 | 0.000 | -0.000 | 76.444 | 0.000 |
| -0.056 | -0.126 | 0.048 | -0.000 | -0.000 | 66.783 |
| 229.996 | 83.734 | 88.885 | 0.000 | 0.000 | -0.000 |
| 83.269 | 304.290 | 137.310 | 0.000 | 0.000 | -0.000 |
| 88.197 | 138.017 | 288.092 | 0.000 | 0.000 | -0.000 |
| 0.135 | 0.303 | -0.114 | 54.953 | 0.000 | -0.000 |
| -0.000 | -0.000 | -0.000 | 0.000 | 76.444 | -0.000 |
| 0.056 | 0.126 | -0.048 | 0.000 | 0.000 | 66.783 |
| 229.948 | 83.591 | 88.954 | -0.000 | -0.000 | 0.000 |
| 83.134 | 304.022 | 137.396 | -0.000 | -0.000 | 0.000 |
| 88.100 | 137.387 | 288.510 | -0.000 | -0.000 | 0.000 |
| -0.013 | -0.030 | 0.011 | 54.932 | -0.000 | 0.000 |
| 0.000 | 0.000 | 0.000 | 0.000 | 76.444 | 0.000 |
| -0.005 | -0.013 | 0.005 | -0.000 | -0.000 | 66.783 |
| 230.623 | 83.029 | 90.082 | 0.000 | 0.000 | -0.000 |
| 81.830 | 338.622 | 107.863 | 0.000 | 0.000 | -0.000 |
| 88.722 | 139.211 | 287.637 | 0.000 | -0.000 | 0.000 |
| 0.013 | 0.030 | -0.011 | 54.932 | 0.000 | -0.000 |
| -0.000 | -0.000 | -0.000 | -0.000 | 76.444 | -0.000 |
| 0.005 | 0.013 | -0.005 | -0.000 | 0.000 | 66.783 |
| 230.628 | 83.030 | 90.083 | 0.000 | -0.000 | 0.000 |
| 83.250 | 304.029 | 137.507 | -0.000 | 0.000 | 0.000 |
| 88.717 | 139.182 | 287.654 | 0.000 | -0.000 | -0.000 |
| 0.002 | -0.003 | 0.004 | 54.883 | 0.000 | 0.000 |
| 0.000 | -0.002 | 0.002 | -0.000 | 74.953 | 0.000 |
| 0.001 | -0.001 | 0.001 | -0.000 | -0.000 | 66.783 |
| 230.620 | 83.028 | 90.081 | -0.000 | 0.000 | 0.000 |
| 83.148 | 304.043 | 137.390 | 0.000 | 0.000 | 0.000 |
| 88.109 | 137.451 | 288.469 | 0.000 | 0.000 | -0.000 |
| -0.002 | 0.003 | -0.004 | 54.883 | -0.000 | -0.000 |
| -0.000 | 0.002 | -0.002 | 0.000 | 74.953 | -0.000 |
| -0.001 | 0.001 | -0.001 | 0.000 | 0.000 | 66.783 |
| 189.960 | 66.657 | -37.722 | 0.000 | 0.000 | 0.000 |
| 154.893 | 101.724 | -37.722 | -0.000 | -0.000 | 0.000 |
| -37.680 | -37.680 | 405.051 | -0.000 | -0.000 | 0.000 |
| -0.000 | -0.000 | 0.000 | -43.838 | -0.000 | 0.000 |
| -0.000 | 0.000 | 0.000 | -0.000 | -43.838 | 0.000 |
| -0.000 | 0.000 | 0.000 | 0.000 | -0.000 | 61.652 |
| 189.960 | 66.657 | -37.722 | -0.000 | 0.000 | 0.000 |
| 154.893 | 101.724 | -37.722 | -0.000 | -0.000 | 0.000 |
| -37.680 | -37.680 | 405.051 | -0.000 | 0.000 | -0.000 |
| 0.000 | -0.000 | -0.000 | -43.838 | 0.000 | -0.000 |
| 0.000 | -0.000 | -0.000 | -0.000 | -43.838 | -0.000 |
| 0.000 | -0.000 | -0.000 | -0.000 | -0.000 | 61.652 |
| 189.960 | 66.657 | -37.722 | 0.000 | -0.000 | -0.000 |
| 66.657 | 189.960 | -37.722 | 0.000 | -0.000 | -0.000 |
| -37.680 | -37.680 | 405.051 | 0.000 | 0.000 | -0.000 |
| -0.000 | -0.000 | -0.000 | -43.838 | 0.000 | -0.000 |
| -0.000 | -0.000 | -0.000 | -0.000 | -43.838 | 0.000 |
| -0.000 | -0.000 | 0.000 | 0.000 | -0.000 | -26.585 |
| 101.039 | 155.578 | -37.722 | 0.000 | 0.000 | -0.000 |
| 66.657 | 189.960 | -37.722 | -0.000 | -0.000 | -0.000 |
| -37.680 | -37.680 | 405.051 | -0.000 | 0.000 | -0.000 |
| 0.000 | 0.000 | 0.000 | -43.838 | -0.000 | -0.000 |
| 0.000 | 0.000 | 0.000 | -0.000 | -43.838 | -0.000 |
| 0.000 | 0.000 | -0.000 | -0.000 | -0.000 | -26.585 |
| 189.960 | 66.657 | -37.722 | 0.000 | -0.000 | 0.000 |
| -7107884.255 | -6908824.295 | -7164325.424 | 33469.765 | -26435.892 | -92072.990 |
| -37.680 | -37.680 | 405.055 | 0.000 | -0.000 | 0.000 |
| -0.000 | -0.000 | -0.000 | -43.838 | 0.000 | 0.000 |
| -0.000 | -0.000 | -0.000 | 0.000 | -43.838 | 0.000 |
| -0.000 | -0.000 | -0.000 | -0.000 | -0.000 | -26.585 |
| 189.960 | 66.656 | -37.721 | 0.000 | 0.000 | 0.000 |
| 154.888 | 101.729 | -37.721 | -0.000 | -0.000 | -0.000 |
| -37.680 | -37.680 | 405.047 | 0.000 | -0.000 | -0.000 |
| 0.000 | 0.000 | 0.000 | -43.838 | -0.000 | 0.000 |
| 0.000 | 0.000 | 0.000 | 0.000 | -43.838 | -0.000 |
| 0.000 | 0.000 | 0.000 | -0.000 | -0.000 | -26.585 |
| 255.785 | 132.478 | 75.963 | 0.000 | 0.000 | 0.000 |
| 132.478 | 255.785 | 75.963 | 0.000 | 0.000 | 0.000 |
| 75.963 | 75.963 | 240.868 | 0.000 | 0.000 | 0.000 |
| -0.000 | 0.000 | 0.000 | 79.192 | 0.000 | 0.000 |
| -0.000 | 0.000 | 0.000 | 0.000 | 79.192 | 0.000 |
| 0.000 | 0.000 | 0.000 | -0.000 | 0.000 | 98.333 |
| 255.785 | 132.478 | 75.963 | -0.000 | -0.000 | 0.000 |
| 95.799 | 292.464 | 75.963 | 0.000 | -0.000 | -0.000 |
| 75.963 | 75.963 | 240.868 | -0.000 | -0.000 | -0.000 |
| -0.000 | -0.000 | -0.000 | 79.192 | -0.000 | -0.000 |
| 0.000 | -0.000 | -0.000 | -0.000 | 79.192 | -0.000 |
| -0.000 | -0.000 | -0.000 | 0.000 | -0.000 | 98.333 |
| 255.786 | 132.478 | 75.963 | 0.000 | 0.000 | 0.000 |
| 132.478 | 255.786 | 75.963 | 0.000 | 0.000 | 0.000 |
| 75.963 | 75.963 | 240.869 | 0.000 | 0.000 | 0.000 |
| 0.000 | 0.000 | 0.000 | 79.192 | 0.000 | 0.000 |
| 0.000 | 0.000 | 0.000 | 0.000 | 79.192 | 0.000 |
| -0.000 | 0.000 | -0.000 | 0.000 | 0.000 | 61.654 |
| 292.464 | 95.799 | 75.963 | 0.000 | -0.000 | -0.000 |
| 95.799 | 292.464 | 75.963 | 0.000 | -0.000 | -0.000 |
| 75.963 | 75.963 | 240.868 | -0.000 | -0.000 | -0.000 |
| -0.000 | -0.000 | -0.000 | 79.192 | -0.000 | -0.000 |
| -0.000 | -0.000 | -0.000 | 0.000 | 79.192 | -0.000 |
| 0.000 | -0.000 | 0.000 | -0.000 | -0.000 | 61.654 |
| 255.790 | 132.478 | 75.963 | 0.000 | 0.000 | 0.000 |
| 95.800 | 292.468 | 75.963 | -0.000 | 0.000 | 0.000 |
| 75.964 | 75.964 | 240.873 | 0.000 | 0.000 | 0.000 |
| 0.000 | 0.000 | 0.001 | 79.192 | 0.000 | 0.000 |
| 0.000 | 0.000 | 0.001 | 0.000 | 79.192 | -0.000 |
| -0.000 | 0.001 | -0.000 | 0.000 | 0.000 | 61.654 |
| 292.460 | 95.799 | 75.963 | 0.000 | -0.000 | -0.000 |
| 132.476 | 255.784 | 75.963 | -0.000 | -0.000 | -0.000 |
| 75.962 | 75.962 | 240.864 | -0.000 | -0.000 | -0.000 |
| -0.000 | -0.000 | -0.001 | 79.192 | -0.000 | 0.000 |
| -0.000 | -0.000 | -0.001 | -0.000 | 79.192 | -0.000 |
| 0.000 | -0.001 | 0.000 | -0.000 | -0.000 | 61.654 |
| 129.746 | 136.817 | 136.817 | 0.000 | 0.000 | 0.000 |
| 136.817 | 129.746 | 136.817 | 0.000 | 0.000 | -0.000 |
| 136.817 | 136.817 | 129.746 | 0.000 | 0.000 | 0.000 |
| 0.000 | 0.000 | 0.000 | 123.727 | 0.000 | -0.000 |
| 0.000 | -0.000 | 0.000 | -0.000 | 123.727 | -0.000 |
| 0.000 | 0.000 | 0.000 | 0.000 | 0.000 | 123.727 |
| 129.746 | 136.817 | 136.817 | -0.000 | -0.000 | 0.000 |
| 136.817 | 129.746 | 136.817 | -0.000 | -0.000 | -0.000 |
| 136.817 | 136.817 | 129.746 | 0.000 | -0.000 | 0.000 |
| -0.000 | -0.000 | -0.000 | 123.727 | -0.000 | -0.000 |
| -0.000 | 0.000 | -0.000 | 0.000 | 123.727 | 0.000 |
| -0.000 | 0.000 | -0.000 | -0.000 | -0.000 | 123.727 |
| 129.746 | 136.817 | 136.817 | 0.000 | 0.000 | -0.000 |
| 136.817 | 129.746 | 136.817 | 0.000 | 0.000 | -0.000 |
| 136.817 | 136.817 | 129.746 | -0.000 | 0.000 | 0.000 |
| 0.000 | -0.000 | -0.000 | -0.874 | 0.000 | 0.000 |
| -0.000 | 0.000 | -0.000 | -0.000 | -0.874 | -0.000 |
| -0.000 | -0.000 | 0.000 | 0.000 | 0.000 | -0.874 |
| 129.745 | 136.817 | 136.817 | 0.000 | -0.000 | 0.000 |
| 136.817 | 129.745 | 136.817 | -0.000 | -0.000 | -0.000 |
| 136.817 | 136.817 | 129.745 | -0.000 | -0.000 | 0.000 |
| -0.000 | 0.000 | 0.000 | -0.874 | -0.000 | 0.000 |
| 0.000 | -0.000 | 0.000 | 0.000 | -0.874 | 0.000 |
| 0.000 | 0.000 | -0.000 | -0.000 | -0.000 | -0.874 |
| 129.749 | 136.817 | 136.817 | -0.000 | 0.000 | -0.000 |
| 136.817 | 129.749 | 136.817 | -0.000 | 0.000 | -0.000 |
| 136.817 | 136.817 | 129.749 | 0.000 | 0.000 | -0.000 |
| 0.000 | -0.000 | -0.000 | -0.874 | 0.000 | -0.000 |
| -0.000 | 0.000 | -0.000 | -0.000 | -0.874 | -0.000 |
| -0.000 | -0.000 | 0.000 | 0.000 | 0.000 | -0.874 |
| 129.742 | 136.816 | 136.816 | 0.000 | -0.000 | 0.000 |
| 136.816 | 129.742 | 136.816 | 0.000 | -0.000 | 0.000 |
| 136.816 | 136.816 | 129.742 | -0.000 | -0.000 | -0.000 |
| -0.000 | 0.000 | 0.000 | -0.874 | -0.000 | -0.000 |
| 0.000 | -0.000 | 0.000 | 0.000 | -0.874 | 0.000 |
| 0.000 | 0.000 | -0.000 | -0.000 | -0.000 | -0.874 |
| 317.442 | 142.190 | 142.190 | 0.000 | 0.000 | 0.000 |
| 142.190 | 317.442 | 142.190 | 0.000 | 0.000 | 0.000 |
| 142.190 | 142.190 | 317.442 | 0.000 | 0.000 | 0.000 |
| 0.000 | -0.000 | 0.000 | 95.418 | 0.000 | 0.000 |
| 0.000 | -0.000 | 0.000 | 0.000 | 95.418 | 0.000 |
| 0.000 | -0.000 | -0.000 | 0.000 | 0.000 | 95.418 |
| 317.442 | 142.190 | 142.190 | -0.000 | -0.000 | -0.000 |
| 142.190 | 317.442 | 142.190 | -0.000 | -0.000 | -0.000 |
| 142.190 | 142.190 | 317.442 | -0.000 | 0.000 | -0.000 |
| -0.000 | 0.000 | -0.000 | 95.418 | -0.000 | -0.000 |
| -0.000 | 0.000 | -0.000 | -0.000 | 95.418 | -0.000 |
| -0.000 | 0.000 | 0.000 | -0.000 | -0.000 | 95.418 |
| 317.442 | 142.190 | 142.190 | 0.000 | 0.000 | 0.000 |
| 142.190 | 317.442 | 142.190 | 0.000 | -0.000 | 0.000 |
| 142.190 | 142.190 | 317.442 | 0.000 | -0.000 | 0.000 |
| -0.000 | 0.000 | 0.000 | 95.418 | 0.000 | 0.000 |
| 0.000 | -0.000 | 0.000 | 0.000 | 95.418 | 0.000 |
| 0.000 | 0.000 | -0.000 | 0.000 | 0.000 | 95.418 |
| 317.442 | 142.190 | 142.190 | -0.000 | -0.000 | -0.000 |
| 142.190 | 317.442 | 142.190 | -0.000 | -0.000 | 0.000 |
| 142.190 | 142.190 | 317.442 | -0.000 | -0.000 | -0.000 |
| 0.000 | -0.000 | -0.000 | 95.418 | -0.000 | -0.000 |
| -0.000 | 0.000 | -0.000 | -0.000 | 95.418 | -0.000 |
| -0.000 | -0.000 | 0.000 | -0.000 | -0.000 | 95.418 |
| 317.444 | 142.191 | 142.191 | 0.000 | 0.000 | 0.000 |
| 142.191 | 317.444 | 142.191 | 0.000 | -0.000 | -0.000 |
| 142.191 | 142.191 | 317.444 | 0.000 | 0.000 | 0.000 |
| -0.000 | 0.000 | 0.000 | 100.665 | -0.000 | 0.000 |
| 0.000 | -0.000 | 0.000 | 0.000 | 100.665 | 0.000 |
| 0.000 | 0.000 | -0.000 | 0.000 | 0.000 | 100.665 |
| 317.440 | 142.190 | 142.190 | -0.000 | 0.000 | -0.000 |
| 142.190 | 317.440 | 142.190 | 0.000 | 0.000 | -0.000 |
| 142.190 | 142.190 | 317.440 | -0.000 | -0.000 | -0.000 |
| 0.000 | -0.000 | -0.000 | 100.665 | 0.000 | -0.000 |
| -0.000 | 0.000 | -0.000 | 0.000 | 100.665 | -0.000 |
| -0.000 | -0.000 | 0.000 | -0.000 | -0.000 | 100.665 |
| 302.008 | 151.856 | 57.013 | -0.000 | 0.000 | 0.000 |
| 137.560 | 232.801 | 134.630 | -0.000 | 0.000 | 0.000 |
| 60.820 | 152.734 | 298.815 | -0.000 | 0.000 | 0.000 |
| 0.000 | 0.000 | -0.000 | 120.862 | 0.000 | -0.000 |
| 1.822 | 16.049 | -1.943 | -0.000 | 44.207 | -0.000 |
| -0.000 | 0.000 | 0.000 | 0.000 | 0.000 | 120.794 |
| 298.365 | 119.758 | 60.898 | 0.000 | -0.000 | -0.000 |
| 133.917 | 200.703 | 138.516 | 0.000 | -0.000 | -0.000 |
| 58.986 | 136.573 | 300.771 | -0.000 | -0.000 | -0.000 |
| -0.000 | -0.000 | 0.000 | 120.862 | -0.000 | -0.000 |
| -1.822 | -16.049 | 1.943 | 0.000 | 44.207 | 0.000 |
| 0.000 | -0.000 | -0.000 | -0.000 | -0.000 | 120.794 |
| 300.198 | 135.911 | 58.943 | -0.000 | 0.000 | 0.000 |
| 135.842 | 217.670 | 136.462 | -0.000 | 0.000 | -0.000 |
| 59.181 | 138.289 | 300.563 | -0.000 | 0.000 | 0.000 |
| 0.000 | -0.000 | 0.000 | 120.862 | 0.000 | 0.000 |
| 0.182 | 1.608 | -0.195 | -0.000 | 44.207 | -0.000 |
| -0.000 | 0.000 | 0.000 | -0.000 | 0.000 | 120.794 |
| 300.005 | 134.202 | 59.150 | 0.000 | -0.000 | -0.000 |
| 135.842 | 217.671 | 136.462 | 0.000 | -0.000 | 0.000 |
| 58.816 | 135.080 | 300.952 | 0.000 | -0.000 | -0.000 |
| -0.000 | 0.000 | -0.000 | 120.862 | -0.000 | 0.000 |
| -0.182 | -1.608 | 0.195 | 0.000 | 44.207 | 0.000 |
| 0.000 | -0.000 | -0.000 | 0.000 | -0.000 | 120.794 |
| 300.203 | 135.967 | 58.935 | 0.000 | -0.000 | -0.000 |
| 135.756 | 216.910 | 136.554 | 0.000 | 0.000 | 0.000 |
| 58.985 | 136.573 | 300.771 | -0.000 | 0.000 | -0.000 |
| 0.018 | 0.160 | -0.019 | 120.049 | 0.000 | -0.000 |
| -0.001 | 0.000 | -0.001 | -0.000 | 44.217 | 0.000 |
| -0.000 | -0.000 | -0.000 | -0.000 | 0.000 | 120.794 |
| 300.201 | 135.911 | 58.944 | 0.000 | -0.000 | -0.000 |
| 135.720 | 216.598 | 136.593 | 0.000 | -0.000 | 0.000 |
| 58.987 | 136.573 | 300.772 | -0.000 | -0.000 | 0.000 |
| -0.018 | -0.160 | 0.019 | 120.049 | -0.000 | -0.000 |
| 0.001 | -0.000 | 0.001 | 0.000 | 44.217 | 0.000 |
| 0.000 | 0.000 | 0.000 | 0.000 | -0.000 | 120.794 |
| 13.550 | 15.892 | 15.892 | 0.000 | 0.000 | 0.000 |
| 15.892 | 13.550 | 15.892 | 0.000 | 0.000 | 0.000 |
| 15.892 | 15.892 | 13.550 | 0.000 | 0.000 | 0.000 |
| 0.000 | -0.000 | 0.000 | 15.861 | 0.000 | -0.000 |
| 0.000 | -0.000 | 0.000 | 0.000 | 15.861 | -0.000 |
| 0.000 | -0.000 | 0.000 | 0.000 | -0.000 | 15.861 |
| 13.550 | 15.892 | 15.892 | -0.000 | -0.000 | -0.000 |
| 15.892 | 13.550 | 15.892 | -0.000 | -0.000 | -0.000 |
| 15.892 | 15.892 | 13.550 | -0.000 | -0.000 | -0.000 |
| -0.000 | 0.000 | -0.000 | 15.861 | 0.000 | 0.000 |
| -0.000 | 0.000 | -0.000 | 0.000 | 15.861 | 0.000 |
| -0.000 | 0.000 | -0.000 | 0.000 | 0.000 | 15.861 |
| 13.550 | 15.892 | 15.892 | 0.000 | 0.000 | 0.000 |
| 15.892 | 13.550 | 15.892 | 0.000 | 0.000 | 0.000 |
| 15.892 | 15.892 | 13.550 | 0.000 | 0.000 | 0.000 |
| 0.000 | 0.000 | 0.000 | 15.861 | -0.000 | -0.000 |
| 0.000 | 0.000 | 0.000 | -0.000 | 15.861 | -0.000 |
| 0.000 | 0.000 | 0.000 | -0.000 | -0.000 | 15.861 |
| 13.550 | 15.892 | 15.892 | -0.000 | -0.000 | -0.000 |
| 15.892 | 13.550 | 15.892 | -0.000 | -0.000 | -0.000 |
| 15.892 | 15.892 | 13.550 | -0.000 | -0.000 | -0.000 |
| -0.000 | -0.000 | -0.000 | 15.861 | 0.000 | 0.000 |
| -0.000 | -0.000 | -0.000 | -0.000 | 15.861 | 0.000 |
| -0.000 | -0.000 | -0.000 | -0.000 | -0.000 | 15.861 |
| 13.550 | 15.892 | 15.892 | 0.000 | 0.000 | 0.000 |
| 15.892 | 13.550 | 15.892 | 0.000 | 0.000 | 0.000 |
| 15.892 | 15.892 | 13.550 | 0.000 | 0.000 | 0.000 |
| -0.000 | 0.000 | 0.000 | -3.264 | 0.000 | 0.000 |
| 0.000 | -0.000 | 0.000 | 0.000 | -3.264 | 0.000 |
| 0.000 | 0.000 | -0.000 | 0.000 | 0.000 | -3.264 |
| 13.550 | 15.891 | 15.891 | -0.000 | -0.000 | -0.000 |
| 15.891 | 13.550 | 15.891 | -0.000 | -0.000 | -0.000 |
| 15.891 | 15.891 | 13.550 | -0.000 | -0.000 | -0.000 |
| 0.000 | -0.000 | -0.000 | -3.264 | -0.000 | -0.000 |
| -0.000 | 0.000 | -0.000 | -0.000 | -3.264 | -0.000 |
| -0.000 | -0.000 | 0.000 | -0.000 | -0.000 | -3.264 |
| 446.953 | 94.846 | 94.846 | 0.000 | -0.000 | 0.000 |
| 94.846 | 446.953 | 94.846 | 0.000 | -0.000 | 0.000 |
| 94.846 | 94.846 | 446.953 | 0.000 | -0.000 | 0.000 |
| 0.000 | 0.000 | -0.000 | 40.780 | -0.000 | 0.000 |
| 0.000 | 0.000 | 0.000 | 0.000 | 40.780 | -0.000 |
| 0.000 | 0.000 | 0.000 | 0.000 | -0.000 | 40.780 |
| 446.953 | 94.846 | 94.846 | -0.000 | 0.000 | -0.000 |
| 94.846 | 446.953 | 94.846 | -0.000 | 0.000 | 0.000 |
| 94.846 | 94.846 | 446.953 | -0.000 | 0.000 | -0.000 |
| -0.000 | -0.000 | 0.000 | 40.780 | 0.000 | 0.000 |
| -0.000 | 0.000 | -0.000 | -0.000 | 40.780 | 0.000 |
| -0.000 | -0.000 | -0.000 | -0.000 | 0.000 | 40.780 |
| 446.953 | 94.846 | 94.846 | 0.000 | -0.000 | -0.000 |
| 94.846 | 446.953 | 94.846 | 0.000 | -0.000 | 0.000 |
| 94.846 | 94.846 | 446.953 | 0.000 | -0.000 | 0.000 |
| 0.000 | 0.000 | -0.000 | 57.684 | -0.000 | 0.000 |
| 0.000 | 0.000 | -0.000 | 0.000 | 57.683 | 0.000 |
| 0.000 | 0.000 | 0.000 | 0.000 | -0.000 | 57.683 |
| 446.135 | 95.255 | 95.255 | -0.000 | 0.000 | -0.000 |
| 95.255 | 446.135 | 95.255 | -0.000 | 0.000 | -0.000 |
| 95.255 | 95.255 | 446.135 | -0.000 | 0.000 | 0.000 |
| -0.000 | -0.000 | 0.000 | 57.683 | 0.000 | -0.000 |
| -0.000 | -0.000 | 0.000 | -0.000 | 57.684 | -0.000 |
| -0.000 | -0.000 | -0.000 | -0.000 | 0.000 | 57.683 |
| 446.140 | 95.255 | 95.255 | 0.000 | -0.000 | 0.000 |
| 95.255 | 446.140 | 95.255 | 0.000 | -0.000 | 0.000 |
| 95.255 | 95.255 | 446.140 | 0.000 | -0.000 | 0.000 |
| 0.000 | 0.000 | 0.000 | 57.684 | -0.000 | 0.000 |
| 0.000 | 0.000 | 0.000 | 0.000 | 57.684 | 0.000 |
| 0.000 | 0.000 | 0.000 | 0.000 | -0.000 | 57.684 |
| 446.952 | 94.845 | 94.845 | -0.000 | 0.000 | -0.000 |
| 94.845 | 446.952 | 94.845 | 0.000 | 0.000 | -0.000 |
| 94.845 | 94.845 | 446.952 | -0.000 | 0.000 | -0.000 |
| -0.000 | -0.000 | -0.000 | 57.684 | 0.000 | 0.000 |
| -0.000 | -0.000 | -0.000 | -0.000 | 57.684 | -0.000 |
| -0.000 | -0.000 | -0.000 | -0.000 | 0.000 | 57.684 |
| 127.214 | 157.947 | 157.947 | 0.000 | 0.000 | 0.000 |
| 157.947 | 127.214 | 157.947 | 0.000 | 0.000 | -0.000 |
| 157.947 | 157.947 | 127.214 | 0.000 | 0.000 | -0.000 |
| 0.000 | 0.000 | -0.000 | 155.081 | 0.000 | -0.000 |
| 0.000 | 0.000 | -0.000 | -0.000 | 155.081 | -0.000 |
| 0.000 | 0.000 | 0.000 | 0.000 | 0.000 | 155.081 |
| 127.214 | 157.947 | 157.947 | -0.000 | 0.000 | 0.000 |
| 157.947 | 127.214 | 157.947 | 0.000 | -0.000 | 0.000 |
| 157.947 | 157.947 | 127.214 | -0.000 | -0.000 | 0.000 |
| -0.000 | -0.000 | 0.000 | 155.081 | -0.000 | 0.000 |
| -0.000 | -0.000 | 0.000 | 0.000 | 155.081 | 0.000 |
| -0.000 | -0.000 | -0.000 | -0.000 | -0.000 | 155.081 |
| 127.214 | 157.947 | 157.947 | 0.000 | 0.000 | -0.000 |
| 157.947 | 127.214 | 157.947 | 0.000 | 0.000 | -0.000 |
| 157.947 | 157.947 | 127.214 | 0.000 | 0.000 | -0.000 |
| 0.000 | 0.000 | 0.000 | 155.081 | 0.000 | -0.000 |
| 0.000 | 0.000 | 0.000 | 0.000 | 155.081 | -0.000 |
| 0.000 | 0.000 | 0.000 | 0.000 | 0.000 | 155.081 |
| 127.214 | 157.947 | 157.947 | -0.000 | -0.000 | 0.000 |
| 157.947 | 127.214 | 157.947 | -0.000 | -0.000 | 0.000 |
| 157.947 | 157.947 | 127.214 | 0.000 | -0.000 | 0.000 |
| -0.000 | -0.000 | -0.000 | 155.081 | -0.000 | -0.000 |
| -0.000 | -0.000 | -0.000 | -0.000 | 155.081 | 0.000 |
| -0.000 | -0.000 | -0.000 | -0.000 | -0.000 | 155.081 |
| 127.215 | 157.947 | 157.947 | 0.000 | 0.000 | -0.000 |
| 157.947 | 127.215 | 157.947 | 0.000 | 0.000 | -0.000 |
| 157.947 | 157.947 | 127.215 | -0.000 | 0.000 | -0.000 |
| 0.001 | 0.000 | 0.001 | 155.571 | 0.000 | 0.000 |
| 0.000 | 0.001 | 0.001 | 0.000 | 155.571 | -0.000 |
| 0.000 | 0.001 | 0.001 | -0.000 | 0.000 | 155.571 |
| 127.214 | 157.947 | 157.947 | -0.000 | -0.000 | 0.000 |
| 157.947 | 127.214 | 157.947 | -0.000 | -0.000 | 0.000 |
| 157.947 | 157.947 | 127.214 | -0.000 | -0.000 | 0.000 |
| -0.001 | -0.000 | -0.001 | 155.571 | -0.000 | 0.000 |
| -0.000 | -0.001 | -0.001 | -0.000 | 155.571 | 0.000 |
| -0.000 | -0.001 | -0.001 | 0.000 | -0.000 | 155.571 |
| 228.451 | 139.120 | 139.120 | -0.000 | -0.000 | -0.000 |
| 139.120 | 228.451 | 139.120 | 0.000 | -0.000 | 0.000 |
| 139.120 | 139.120 | 228.451 | -0.000 | -0.000 | -0.000 |
| -0.000 | -0.000 | -0.000 | 121.004 | -0.000 | -0.000 |
| -0.000 | -0.000 | -0.000 | -0.000 | 121.004 | -0.000 |
| -0.000 | -0.000 | -0.000 | 0.000 | -0.000 | 121.004 |
| 228.451 | 139.120 | 139.120 | -0.000 | 0.000 | 0.000 |
| 139.120 | 228.451 | 139.120 | -0.000 | 0.000 | 0.000 |
| 139.120 | 139.120 | 228.451 | 0.000 | 0.000 | 0.000 |
| 0.000 | 0.000 | 0.000 | 121.004 | 0.000 | 0.000 |
| 0.000 | 0.000 | 0.000 | -0.000 | 121.004 | 0.000 |
| 0.000 | 0.000 | 0.000 | -0.000 | 0.000 | 121.004 |
| 228.451 | 139.120 | 139.120 | 0.000 | -0.000 | -0.000 |
| 139.120 | 228.451 | 139.120 | -0.000 | -0.000 | -0.000 |
| 139.120 | 139.120 | 228.451 | 0.000 | -0.000 | -0.000 |
| -0.000 | -0.000 | -0.000 | 121.004 | -0.000 | -0.000 |
| -0.000 | -0.000 | -0.000 | 0.000 | 121.004 | -0.000 |
| -0.000 | -0.000 | -0.000 | 0.000 | -0.000 | 121.004 |
| 228.451 | 139.121 | 139.121 | 0.000 | 0.000 | 0.000 |
| 139.121 | 228.451 | 139.121 | 0.000 | 0.000 | 0.000 |
| 139.121 | 139.121 | 228.451 | 0.000 | 0.000 | 0.000 |
| 0.000 | 0.000 | 0.000 | 121.004 | 0.000 | 0.000 |
| 0.000 | 0.000 | 0.000 | -0.000 | 121.004 | 0.000 |
| 0.000 | 0.000 | 0.000 | 0.000 | 0.000 | 121.004 |
| 228.447 | 139.120 | 139.120 | -0.000 | -0.000 | -0.000 |
| 139.120 | 228.447 | 139.120 | -0.000 | -0.000 | -0.000 |
| 139.120 | 139.120 | 228.447 | -0.000 | -0.000 | -0.000 |
| -0.000 | -0.001 | -0.000 | 121.004 | -0.000 | -0.000 |
| -0.001 | -0.000 | -0.000 | -0.000 | 121.004 | -0.000 |
| -0.001 | -0.000 | -0.000 | 0.000 | -0.000 | 121.004 |
| 228.454 | 139.121 | 139.121 | 0.000 | 0.000 | 0.000 |
| 139.121 | 228.454 | 139.121 | 0.000 | 0.000 | -0.000 |
| 139.121 | 139.121 | 228.454 | -0.000 | 0.000 | 0.000 |
| 0.000 | 0.001 | 0.000 | 121.004 | 0.000 | 0.000 |
| 0.001 | 0.000 | 0.000 | -0.000 | 121.004 | 0.000 |
| 0.001 | 0.000 | 0.000 | -0.000 | 0.000 | 121.004 |
| 226.553 | 138.157 | 137.800 | -0.000 | 0.000 | -0.000 |
| 138.157 | 226.553 | 137.800 | -0.000 | -0.000 | -0.000 |
| 137.800 | 137.800 | 225.586 | -0.000 | 0.000 | 0.000 |
| 0.000 | -0.000 | 0.000 | 121.198 | 0.000 | -0.000 |
| 0.000 | -0.000 | 0.000 | 0.000 | 121.198 | -0.000 |
| 0.000 | 0.000 | 0.000 | 0.000 | 0.000 | 121.424 |
| 226.553 | 138.157 | 137.800 | -0.000 | 0.000 | 0.000 |
| 138.157 | 226.553 | 137.800 | 0.000 | 0.000 | 0.000 |
| 137.800 | 137.800 | 225.586 | -0.000 | -0.000 | 0.000 |
| -0.000 | 0.000 | -0.000 | 121.198 | -0.000 | 0.000 |
| -0.000 | 0.000 | -0.000 | -0.000 | 121.198 | 0.000 |
| -0.000 | -0.000 | -0.000 | -0.000 | 0.000 | 121.424 |
| 226.553 | 138.157 | 137.800 | -0.000 | 0.000 | -0.000 |
| 138.157 | 226.553 | 137.800 | 0.000 | -0.000 | -0.000 |
| 137.800 | 137.800 | 225.586 | -0.000 | 0.000 | -0.000 |
| 0.000 | -0.000 | 0.000 | 121.198 | 0.000 | -0.000 |
| -0.000 | 0.000 | 0.000 | 0.000 | 121.198 | -0.000 |
| -0.000 | 0.000 | 0.000 | 0.000 | 0.000 | 121.424 |
| 227.151 | 137.559 | 137.800 | 0.000 | 0.000 | 0.000 |
| 137.559 | 227.151 | 137.800 | 0.000 | 0.000 | -0.000 |
| 137.800 | 137.800 | 225.586 | -0.000 | -0.000 | 0.000 |
| -0.000 | 0.000 | -0.000 | 121.198 | -0.000 | -0.000 |
| 0.000 | -0.000 | -0.000 | -0.000 | 121.198 | 0.000 |
| 0.000 | -0.000 | -0.000 | 0.000 | 0.000 | 121.424 |
| 226.550 | 138.157 | 137.800 | -0.000 | 0.000 | -0.000 |
| 138.157 | 226.550 | 137.800 | 0.000 | -0.000 | -0.000 |
| 137.800 | 137.800 | 225.584 | 0.000 | 0.000 | -0.000 |
| 0.000 | -0.000 | 0.000 | 121.198 | 0.000 | -0.000 |
| -0.000 | 0.000 | 0.000 | 0.000 | 121.198 | -0.000 |
| -0.000 | 0.000 | 0.000 | 0.000 | -0.000 | 121.424 |
| 226.555 | 138.157 | 137.800 | 0.000 | -0.000 | 0.000 |
| 138.157 | 226.555 | 137.800 | -0.000 | -0.000 | 0.000 |
| 137.800 | 137.800 | 225.589 | -0.000 | -0.000 | 0.000 |
| -0.000 | 0.000 | -0.000 | 121.198 | -0.000 | -0.000 |
| 0.000 | -0.000 | -0.000 | -0.000 | 121.198 | 0.000 |
| 0.000 | -0.000 | -0.000 | -0.000 | -0.000 | 121.424 |
| 303.454 | 110.639 | 89.128 | 38.271 | 0.000 | 0.000 |
| 110.409 | 303.186 | 87.885 | -38.215 | 0.000 | 0.000 |
| 88.886 | 88.886 | 345.266 | 0.000 | -0.000 | -0.000 |
| 38.271 | -38.271 | -0.000 | 74.518 | 0.000 | 0.000 |
| -0.000 | -0.000 | -0.000 | 0.000 | 74.518 | 38.271 |
| 0.001 | 0.001 | 0.005 | 0.000 | 38.050 | 96.333 |
| 303.185 | 110.408 | 87.883 | 38.215 | 0.000 | -0.000 |
| 110.408 | 303.185 | 87.883 | -38.215 | -0.000 | -0.000 |
| 88.886 | 88.886 | 345.266 | -0.000 | -0.000 | -0.000 |
| 38.271 | -38.271 | 0.000 | 74.518 | 0.000 | -0.000 |
| 0.000 | 0.000 | 0.000 | -0.000 | 74.518 | 38.271 |
| -0.001 | -0.001 | -0.005 | -0.000 | 38.050 | 96.333 |
| 303.454 | 110.639 | 89.128 | 38.271 | -0.000 | 0.000 |
| 110.477 | 303.144 | 87.951 | -38.050 | 0.000 | 0.000 |
| 88.886 | 88.886 | 345.267 | 0.000 | 0.000 | 0.000 |
| 38.050 | -38.050 | 0.000 | 73.860 | 0.000 | 0.000 |
| -0.000 | -0.000 | -0.000 | 0.000 | 74.518 | 38.271 |
| 0.000 | 0.000 | 0.000 | 0.000 | 38.050 | 96.333 |
| 303.144 | 110.477 | 87.951 | 38.050 | -0.000 | 0.000 |
| 110.409 | 303.186 | 87.884 | -38.215 | 0.000 | 0.000 |
| 87.709 | 87.709 | 339.394 | -0.000 | 0.000 | -0.000 |
| 38.050 | -38.050 | -0.000 | 73.860 | -0.000 | -0.000 |
| 0.000 | 0.000 | 0.000 | -0.000 | 74.518 | 38.271 |
| -0.000 | -0.000 | -0.000 | -0.000 | 38.050 | 96.333 |
| 303.454 | 110.639 | 89.127 | 38.271 | 0.000 | 0.000 |
| 110.408 | 303.185 | 87.884 | -38.215 | 0.000 | 0.000 |
| 87.708 | 87.708 | 339.395 | 0.000 | 0.000 | 0.000 |
| 38.271 | -38.271 | 0.000 | 74.518 | -0.000 | 0.000 |
| -0.000 | -0.000 | 0.000 | 0.000 | 74.518 | 38.271 |
| -0.000 | 0.000 | -0.000 | 0.000 | 38.271 | 96.407 |
| 303.454 | 110.639 | 89.128 | 38.271 | 0.000 | -0.000 |
| 110.409 | 303.186 | 87.885 | -38.214 | -0.000 | -0.000 |
| 88.886 | 88.886 | 345.265 | -0.000 | 0.000 | -0.000 |
| 38.050 | -38.050 | 0.000 | 73.860 | -0.000 | -0.000 |
| 0.000 | 0.000 | -0.000 | -0.000 | 74.518 | 38.271 |
| 0.000 | -0.000 | 0.000 | -0.000 | 38.271 | 96.407 |
| 282.735 | 144.785 | 82.171 | -0.000 | 0.000 | 0.000 |
| 145.480 | 282.366 | 82.533 | -0.000 | 0.000 | -0.000 |
| 82.519 | 82.519 | 225.209 | -0.000 | 0.000 | -0.000 |
| 0.000 | -0.000 | 0.000 | 68.596 | -0.000 | -0.000 |
| 0.000 | -0.000 | 0.000 | -0.000 | 68.596 | -0.000 |
| 0.000 | 0.000 | -0.000 | -0.000 | 0.000 | 99.812 |
| 282.366 | 145.480 | 82.533 | 0.000 | 0.000 | 0.000 |
| 144.785 | 282.735 | 82.171 | 0.000 | -0.000 | 0.000 |
| 82.711 | 82.711 | 225.634 | 0.000 | -0.000 | 0.000 |
| -0.000 | 0.000 | -0.000 | 68.596 | 0.000 | 0.000 |
| -0.000 | 0.000 | -0.000 | 0.000 | 68.596 | 0.000 |
| -0.000 | -0.000 | 0.000 | 0.000 | -0.000 | 99.812 |
| 282.360 | 145.473 | 82.518 | -0.000 | -0.000 | -0.000 |
| 144.785 | 282.735 | 82.171 | -0.000 | 0.000 | -0.000 |
| 82.519 | 82.519 | 225.210 | -0.000 | -0.000 | -0.000 |
| 0.000 | 0.000 | 0.000 | 69.241 | -0.000 | -0.000 |
| -0.000 | 0.000 | 0.000 | -0.000 | 68.596 | -0.000 |
| 0.000 | 0.000 | 0.000 | -0.000 | 0.000 | 99.812 |
| 282.735 | 144.785 | 82.171 | 0.000 | -0.000 | 0.000 |
| 114.194 | 313.818 | 82.717 | 0.000 | -0.000 | 0.000 |
| 82.711 | 82.711 | 225.634 | 0.000 | 0.000 | 0.000 |
| -0.000 | -0.000 | -0.000 | 69.241 | 0.000 | 0.000 |
| 0.000 | -0.000 | -0.000 | 0.000 | 68.596 | 0.000 |
| -0.000 | -0.000 | -0.000 | -0.000 | -0.000 | 99.812 |
| 313.823 | 114.194 | 82.717 | -0.000 | 0.000 | -0.000 |
| 145.482 | 282.368 | 82.533 | -0.000 | 0.000 | -0.000 |
| 82.712 | 82.712 | 225.638 | -0.000 | -0.000 | 0.000 |
| 0.000 | 0.000 | 0.001 | 69.241 | 0.000 | -0.000 |
| 0.000 | 0.000 | 0.001 | -0.000 | 69.241 | -0.000 |
| -0.000 | 0.001 | -0.000 | -0.000 | -0.000 | 68.514 |
| 282.731 | 144.785 | 82.172 | 0.000 | 0.000 | 0.000 |
| 144.783 | 282.733 | 82.172 | 0.000 | 0.000 | 0.000 |
| 82.710 | 82.710 | 225.630 | 0.000 | 0.000 | -0.000 |
| -0.000 | -0.000 | -0.001 | 69.241 | 0.000 | 0.000 |
| -0.000 | -0.000 | -0.001 | 0.000 | 69.241 | 0.000 |
| 0.000 | -0.001 | 0.000 | 0.000 | 0.000 | 68.514 |
| 170.321 | 121.969 | 121.969 | 0.000 | 0.000 | -0.000 |
| 121.969 | 170.321 | 121.969 | -0.000 | 0.000 | -0.000 |
| 121.969 | 121.969 | 170.321 | -0.000 | -0.000 | -0.000 |
| -0.000 | -0.000 | 0.000 | 76.294 | -0.000 | -0.000 |
| -0.000 | -0.000 | -0.000 | -0.000 | 76.294 | -0.000 |
| -0.000 | 0.000 | -0.000 | 0.000 | 0.000 | 76.294 |
| 170.321 | 121.969 | 121.969 | 0.000 | -0.000 | 0.000 |
| 121.969 | 170.321 | 121.969 | 0.000 | 0.000 | 0.000 |
| 121.969 | 121.969 | 170.321 | 0.000 | 0.000 | 0.000 |
| 0.000 | 0.000 | 0.000 | 76.294 | 0.000 | 0.000 |
| 0.000 | 0.000 | 0.000 | 0.000 | 76.294 | 0.000 |
| 0.000 | -0.000 | 0.000 | -0.000 | -0.000 | 76.294 |
| 170.321 | 121.969 | 121.969 | -0.000 | 0.000 | -0.000 |
| 121.969 | 170.321 | 121.969 | -0.000 | 0.000 | 0.000 |
| 121.969 | 121.969 | 170.321 | -0.000 | -0.000 | 0.000 |
| -0.000 | -0.000 | 0.000 | 76.294 | -0.000 | -0.000 |
| -0.000 | -0.000 | 0.000 | -0.000 | 76.294 | 0.000 |
| -0.000 | 0.000 | -0.000 | -0.000 | 0.000 | 76.294 |
| 170.321 | 121.969 | 121.969 | 0.000 | -0.000 | 0.000 |
| 121.969 | 170.321 | 121.969 | 0.000 | 0.000 | 0.000 |
| 121.969 | 121.969 | 170.321 | 0.000 | -0.000 | 0.000 |
| 0.000 | 0.000 | -0.000 | 76.294 | 0.000 | 0.000 |
| 0.000 | 0.000 | -0.000 | 0.000 | 76.294 | 0.000 |
| 0.000 | -0.000 | 0.000 | 0.000 | 0.000 | 76.294 |
| 170.321 | 121.969 | 121.969 | -0.000 | -0.000 | -0.000 |
| 121.969 | 170.321 | 121.969 | -0.000 | 0.000 | -0.000 |
| 121.969 | 121.969 | 170.321 | -0.000 | 0.000 | 0.000 |
| -0.000 | -0.000 | 0.000 | 76.294 | -0.000 | -0.000 |
| -0.000 | -0.000 | 0.000 | 0.000 | 76.294 | -0.000 |
| -0.000 | 0.000 | -0.000 | -0.000 | 0.000 | 76.294 |
| 170.321 | 121.969 | 121.969 | 0.000 | 0.000 | -0.000 |
| 121.969 | 170.321 | 121.969 | 0.000 | 0.000 | 0.000 |
| 121.969 | 121.969 | 170.321 | 0.000 | 0.000 | 0.000 |
| 0.000 | 0.000 | -0.000 | 76.294 | 0.000 | 0.000 |
| 0.000 | 0.000 | -0.000 | -0.000 | 76.294 | 0.000 |
| 0.000 | -0.000 | 0.000 | 0.000 | 0.000 | 76.294 |
| 153.928 | 13.994 | 13.994 | 0.000 | -0.000 | -0.000 |
| 13.994 | 153.928 | 13.994 | 0.000 | -0.000 | -0.000 |
| 13.994 | 13.994 | 153.928 | -0.000 | -0.000 | -0.000 |
| 0.000 | -0.000 | -0.000 | 11.235 | 0.000 | 0.000 |
| 0.000 | -0.000 | -0.000 | 0.000 | 11.235 | -0.000 |
| 0.000 | -0.000 | -0.000 | 0.000 | -0.000 | 11.235 |
| 153.928 | 13.994 | 13.994 | -0.000 | 0.000 | 0.000 |
| 13.994 | 153.928 | 13.994 | -0.000 | 0.000 | 0.000 |
| 13.994 | 13.994 | 153.928 | -0.000 | 0.000 | 0.000 |
| -0.000 | 0.000 | 0.000 | 11.235 | -0.000 | 0.000 |
| -0.000 | 0.000 | 0.000 | -0.000 | 11.235 | 0.000 |
| -0.000 | 0.000 | 0.000 | -0.000 | -0.000 | 11.235 |
| 153.927 | 13.994 | 13.994 | 0.000 | -0.000 | -0.000 |
| 13.994 | 153.927 | 13.994 | 0.000 | -0.000 | -0.000 |
| 13.994 | 13.994 | 153.927 | 0.000 | -0.000 | -0.000 |
| 0.000 | 0.000 | -0.000 | 11.235 | 0.000 | 0.000 |
| 0.000 | -0.000 | -0.000 | 0.000 | 11.235 | -0.000 |
| 0.000 | -0.000 | -0.000 | 0.000 | -0.000 | 11.235 |
| 153.928 | 13.994 | 13.994 | -0.000 | 0.000 | 0.000 |
| 13.994 | 153.928 | 13.994 | -0.000 | 0.000 | 0.000 |
| 13.994 | 13.994 | 153.928 | -0.000 | 0.000 | 0.000 |
| -0.000 | -0.000 | 0.000 | 11.235 | -0.000 | 0.000 |
| -0.000 | 0.000 | 0.000 | -0.000 | 11.235 | 0.000 |
| -0.000 | 0.000 | 0.000 | -0.000 | 0.000 | 11.235 |
| 153.923 | 13.994 | 13.994 | 0.000 | -0.000 | -0.000 |
| 13.994 | 153.923 | 13.994 | 0.000 | -0.000 | -0.000 |
| 13.994 | 13.994 | 153.923 | 0.000 | 0.000 | -0.000 |
| -0.000 | 0.000 | -0.000 | 11.235 | -0.000 | -0.000 |
| 0.000 | -0.000 | -0.000 | 0.000 | 11.235 | -0.000 |
| 0.000 | -0.000 | -0.000 | 0.000 | 0.000 | 11.235 |
| 153.932 | 13.994 | 13.994 | -0.000 | -0.000 | 0.000 |
| 13.994 | 153.932 | 13.994 | -0.000 | 0.000 | 0.000 |
| 13.994 | 13.994 | 153.932 | -0.000 | 0.000 | -0.000 |
| 0.000 | -0.000 | 0.000 | 11.235 | 0.000 | 0.000 |
| -0.000 | 0.000 | 0.000 | -0.000 | 11.235 | 0.000 |
| -0.000 | 0.000 | 0.000 | -0.000 | 0.000 | 11.235 |
| 2114.826 | 1057.413 | 1057.413 | 0.000 | 0.000 | 0.000 |
| 1057.413 | 2114.826 | 1057.413 | 0.000 | 0.000 | 0.000 |
| 1057.413 | 1057.413 | 2114.826 | 0.000 | 0.000 | 0.000 |
| 0.000 | -0.000 | -0.000 | 1057.413 | 0.000 | 0.000 |
| -0.000 | 0.000 | -0.000 | 0.000 | 1057.413 | 0.000 |
| -0.000 | -0.000 | 0.000 | 0.000 | 0.000 | 1057.413 |
| 2114.827 | 1057.413 | 1057.413 | -0.000 | -0.000 | -0.000 |
| 1057.413 | 2114.827 | 1057.413 | -0.000 | -0.000 | -0.000 |
| 1057.413 | 1057.413 | 2114.827 | -0.000 | -0.000 | -0.000 |
| -0.000 | 0.000 | 0.000 | 1057.413 | -0.000 | -0.000 |
| 0.000 | -0.000 | 0.000 | -0.000 | 1057.413 | -0.000 |
| 0.000 | 0.000 | -0.000 | -0.000 | -0.000 | 1057.413 |
| 2114.826 | 1057.413 | 1057.413 | 0.000 | 0.000 | 0.000 |
| 1057.413 | 2114.826 | 1057.413 | 0.000 | 0.000 | 0.000 |
| 1057.413 | 1057.413 | 2114.826 | 0.000 | 0.000 | 0.000 |
| -0.000 | -0.001 | -0.000 | 1057.413 | 0.000 | 0.000 |
| -0.001 | -0.000 | -0.000 | 0.000 | 1057.413 | 0.000 |
| -0.001 | -0.000 | -0.000 | 0.000 | 0.000 | 1057.413 |
| 2114.827 | 1057.413 | 1057.413 | -0.000 | -0.000 | -0.000 |
| 1057.413 | 2114.827 | 1057.413 | -0.000 | -0.000 | -0.000 |
| 1057.413 | 1057.413 | 2114.827 | -0.000 | -0.000 | -0.000 |
| 0.000 | 0.001 | 0.000 | 1057.413 | -0.000 | -0.000 |
| 0.001 | 0.000 | 0.000 | -0.000 | 1057.413 | -0.000 |
| 0.001 | 0.000 | 0.000 | -0.000 | -0.000 | 1057.413 |
| 2114.818 | 1057.411 | 1057.411 | 0.000 | 0.000 | 0.000 |
| 1057.411 | 2114.818 | 1057.411 | 0.000 | 0.000 | 0.000 |
| 1057.411 | 1057.411 | 2114.818 | 0.000 | 0.000 | 0.000 |
| -0.001 | -0.005 | -0.004 | 1057.413 | 0.000 | 0.000 |
| -0.005 | -0.001 | -0.004 | 0.000 | 1057.413 | 0.000 |
| -0.005 | -0.004 | -0.001 | 0.000 | 0.000 | 1057.413 |
| 2114.835 | 1057.415 | 1057.415 | -0.000 | -0.000 | -0.000 |
| 1057.415 | 2114.835 | 1057.415 | -0.000 | -0.000 | -0.000 |
| 1057.415 | 1057.415 | 2114.835 | -0.000 | -0.000 | -0.000 |
| 0.001 | 0.005 | 0.004 | 1057.413 | -0.000 | -0.000 |
| 0.005 | 0.001 | 0.004 | -0.000 | 1057.413 | -0.000 |
| 0.005 | 0.004 | 0.001 | -0.000 | -0.000 | 1057.413 |
| 17.540 | 8.770 | 8.770 | 0.000 | 0.000 | 0.000 |
| 8.770 | 17.540 | 8.770 | 0.000 | 0.000 | 0.000 |
| 8.770 | 8.770 | 17.540 | 0.000 | 0.000 | 0.000 |
| -0.000 | 0.000 | 0.000 | 8.770 | 0.000 | 0.000 |
| 0.000 | -0.000 | 0.000 | 0.000 | 8.770 | 0.000 |
| 0.000 | 0.000 | -0.000 | 0.000 | 0.000 | 8.770 |
| 17.540 | 8.770 | 8.770 | -0.000 | -0.000 | -0.000 |
| 8.770 | 17.540 | 8.770 | -0.000 | -0.000 | -0.000 |
| 8.770 | 8.770 | 17.540 | -0.000 | -0.000 | -0.000 |
| 0.000 | -0.000 | -0.000 | 8.770 | -0.000 | -0.000 |
| -0.000 | 0.000 | -0.000 | -0.000 | 8.770 | -0.000 |
| -0.000 | -0.000 | 0.000 | -0.000 | -0.000 | 8.770 |
| 17.540 | 8.770 | 8.770 | 0.000 | 0.000 | 0.000 |
| 8.770 | 17.540 | 8.770 | 0.000 | 0.000 | 0.000 |
| 8.770 | 8.770 | 17.540 | 0.000 | 0.000 | 0.000 |
| -0.000 | 0.000 | 0.000 | 8.770 | 0.000 | 0.000 |
| 0.000 | -0.000 | 0.000 | 0.000 | 8.770 | 0.000 |
| 0.000 | 0.000 | -0.000 | 0.000 | 0.000 | 8.770 |
| 17.540 | 8.770 | 8.770 | -0.000 | -0.000 | -0.000 |
| 8.770 | 17.540 | 8.770 | -0.000 | -0.000 | -0.000 |
| 8.770 | 8.770 | 17.540 | -0.000 | -0.000 | -0.000 |
| 0.000 | -0.000 | -0.000 | 8.770 | -0.000 | -0.000 |
| -0.000 | 0.000 | -0.000 | -0.000 | 8.770 | -0.000 |
| -0.000 | -0.000 | 0.000 | -0.000 | -0.000 | 8.770 |
| 17.541 | 8.771 | 8.771 | 0.000 | 0.000 | 0.000 |
| 8.771 | 17.541 | 8.771 | 0.000 | 0.000 | 0.000 |
| 8.771 | 8.771 | 17.541 | 0.000 | 0.000 | 0.000 |
| -0.000 | 0.000 | 0.000 | 8.770 | 0.000 | 0.000 |
| 0.000 | -0.000 | 0.000 | 0.000 | 8.770 | 0.000 |
| 0.000 | 0.000 | -0.000 | 0.000 | 0.000 | 8.770 |
| 17.540 | 8.770 | 8.770 | -0.000 | -0.000 | -0.000 |
| 8.770 | 17.540 | 8.770 | -0.000 | -0.000 | -0.000 |
| 8.770 | 8.770 | 17.540 | -0.000 | -0.000 | -0.000 |
| 0.000 | -0.000 | -0.000 | 8.770 | -0.000 | -0.000 |
| -0.000 | 0.000 | -0.000 | -0.000 | 8.770 | -0.000 |
| -0.000 | -0.000 | 0.000 | -0.000 | -0.000 | 8.770 |
| 252.042 | 53.971 | 53.971 | 0.000 | -0.000 | -0.000 |
| 53.971 | 252.042 | 53.971 | 0.000 | -0.000 | -0.000 |
| 53.971 | 53.971 | 252.042 | -0.000 | -0.000 | -0.000 |
| 0.000 | 0.000 | -0.000 | -27.027 | -0.000 | -0.000 |
| 0.000 | 0.000 | -0.000 | 0.000 | -27.027 | -0.000 |
| 0.000 | -0.000 | 0.000 | -0.000 | -0.000 | -27.027 |
| 253.415 | 53.285 | 53.285 | -0.000 | 0.000 | -0.000 |
| 53.285 | 253.415 | 53.285 | -0.000 | 0.000 | 0.000 |
| 53.285 | 53.285 | 253.415 | -0.000 | 0.000 | 0.000 |
| 0.000 | -0.000 | 0.000 | -27.027 | 0.000 | -0.000 |
| -0.000 | 0.000 | 0.000 | 0.000 | -27.027 | 0.000 |
| -0.000 | 0.000 | 0.000 | 0.000 | 0.000 | -27.027 |
| 253.415 | 53.285 | 53.285 | 0.000 | -0.000 | 0.000 |
| 53.285 | 253.415 | 53.285 | 0.000 | -0.000 | 0.000 |
| 53.285 | 53.285 | 253.415 | 0.000 | -0.000 | -0.000 |
| 0.000 | 0.000 | -0.000 | -27.027 | -0.000 | -0.000 |
| 0.000 | 0.000 | -0.000 | -0.000 | -27.027 | -0.000 |
| 0.000 | -0.000 | 0.000 | 0.000 | -0.000 | -27.027 |
| 252.042 | 53.971 | 53.971 | -0.000 | 0.000 | 0.000 |
| 53.971 | 252.042 | 53.971 | -0.000 | 0.000 | -0.000 |
| 53.971 | 53.971 | 252.042 | -0.000 | 0.000 | 0.000 |
| -0.000 | -0.000 | 0.000 | -27.027 | 0.000 | 0.000 |
| -0.000 | -0.000 | 0.000 | -0.000 | -27.027 | 0.000 |
| -0.000 | 0.000 | -0.000 | 0.000 | 0.000 | -27.027 |
| 253.416 | 53.285 | 53.285 | 0.000 | -0.000 | 0.000 |
| 53.285 | 253.416 | 53.285 | -0.000 | -0.000 | 0.000 |
| 53.285 | 53.285 | 253.416 | 0.000 | -0.000 | 0.000 |
| 0.000 | 0.000 | -0.000 | -27.027 | -0.000 | -0.000 |
| 0.000 | 0.000 | -0.000 | 0.000 | -27.027 | -0.000 |
| 0.000 | -0.000 | 0.000 | -0.000 | -0.000 | -27.027 |
| 253.414 | 53.285 | 53.285 | -0.000 | 0.000 | 0.000 |
| 53.285 | 253.414 | 53.285 | 0.000 | 0.000 | 0.000 |
| 53.285 | 53.285 | 253.414 | -0.000 | 0.000 | -0.000 |
| -0.000 | -0.000 | 0.000 | -27.027 | 0.000 | 0.000 |
| -0.000 | -0.000 | 0.000 | -0.000 | -27.027 | 0.000 |
| -0.000 | 0.000 | -0.000 | 0.000 | 0.000 | -27.027 |
| -2605193482.150 | -202018274.386 | -319766136.997 | -174412160.192 | -61985912.907 | 10213068.795 |
| -280083898.944 | -2438689103.494 | -300583414.493 | 32498475.538 | -120819961.069 | -37578418.015 |
| -309241844.731 | -282215188.783 | -2439894589.126 | -32187358.151 | 68851518.332 | -89056828.268 |
| -0.000 | 0.000 | 0.000 | 49.725 | -0.000 | -0.000 |
| 0.000 | 0.000 | 0.000 | -0.000 | 49.725 | -0.000 |
| 0.000 | 0.000 | -0.000 | -0.000 | -0.000 | 49.725 |
| 182.115 | -22.572 | -22.572 | 0.000 | 0.000 | -0.000 |
| -22.572 | 182.115 | -22.572 | 0.000 | -0.000 | 0.000 |
| 949656167.344 | 1221813991.599 | -494498677.132 | 37502412.117 | 35960228.704 | 17502994.456 |
| 0.000 | -0.000 | -0.000 | 49.725 | 0.000 | -0.000 |
| -0.000 | 0.000 | -0.000 | 0.000 | 49.725 | 0.000 |
| -0.000 | -0.000 | 0.000 | 0.000 | 0.000 | 49.725 |
| -254562111.145 | -35649520.399 | -24291571.167 | -13560218.204 | -7738323.551 | 5083076.750 |
| -31148452.272 | -206272194.236 | -25568911.416 | -2159897.098 | -12845258.790 | -232803.537 |
| -38241716.991 | -23032420.680 | -253253555.592 | -1411460.582 | -2724268.738 | -9648766.224 |
| -0.019 | 0.453 | 0.453 | -12932.895 | 0.000 | 0.000 |
| 0.453 | -0.019 | 0.453 | -0.000 | -12932.895 | 0.000 |
| 0.453 | 0.453 | -0.019 | 0.000 | -0.000 | -12932.895 |
| -54786958.974 | 73415516.336 | 131626943.318 | 619866.629 | -1509120.886 | -1496317.642 |
| 100349095.749 | -56985900.097 | 95305968.018 | 188524.022 | -354058.876 | -4350859.671 |
| 80021783.679 | 111545413.076 | -55037419.015 | 1075810.625 | 3246302.394 | -851467.662 |
| 0.019 | -0.453 | -0.453 | -12932.895 | -0.000 | -0.000 |
| -0.453 | 0.019 | -0.453 | 0.000 | -12932.895 | -0.000 |
| -0.453 | -0.453 | 0.019 | -0.000 | -0.000 | -12932.895 |
| -23221424.876 | -2447975.431 | -2985546.523 | -1311792.833 | -352362.662 | -16322.724 |
| -2215689.590 | -23655483.539 | -2727207.009 | 327680.602 | -1510324.292 | 116759.132 |
| -2893904.876 | -3258341.663 | -24061134.541 | 352832.384 | -170261.397 | -1851699.332 |
| -0.187 | 4.534 | 4.525 | -12932.969 | -0.000 | 0.000 |
| 4.534 | -0.187 | 4.525 | -0.000 | -12932.969 | 0.000 |
| 4.534 | 4.525 | -0.187 | 0.000 | -0.000 | -12932.969 |
| -4454261.707 | 9593762.168 | 9303748.000 | 125686.207 | 86476.805 | 516495.544 |
| 8617620.546 | -3037932.615 | 11935085.183 | 147614.816 | 253782.455 | -65750.941 |
| 12634477.828 | 7321054.260 | -3808876.955 | 221016.131 | -442500.212 | 53828.476 |
| 0.187 | -4.534 | -4.525 | -12932.969 | -0.000 | -0.000 |
| -4.534 | 0.187 | -4.525 | 0.000 | -12932.969 | -0.000 |
| -4.534 | -4.525 | 0.187 | 0.000 | -0.000 | -12932.969 |
| 3.587 | 1.654 | 1.654 | 0.000 | -0.000 | -0.000 |
| 1.654 | 3.587 | 1.654 | -0.000 | 0.000 | 0.000 |
| 1.654 | 1.654 | 3.587 | -0.000 | 0.000 | 0.000 |
| 0.000 | 0.000 | 0.000 | 1.450 | 0.000 | 0.000 |
| 0.000 | -0.000 | 0.000 | -0.000 | 1.450 | -0.000 |
| 0.000 | 0.000 | 0.000 | 0.000 | 0.000 | 1.450 |
| 3.587 | 1.654 | 1.654 | -0.000 | -0.000 | -0.000 |
| 1.654 | 3.587 | 1.654 | -0.000 | -0.000 | -0.000 |
| 1.654 | 1.654 | 3.587 | -0.000 | -0.000 | -0.000 |
| -0.000 | -0.000 | -0.000 | 1.450 | -0.000 | 0.000 |
| -0.000 | 0.000 | -0.000 | -0.000 | 1.450 | -0.000 |
| -0.000 | -0.000 | 0.000 | -0.000 | -0.000 | 1.450 |
| 3.587 | 1.654 | 1.654 | 0.000 | 0.000 | -0.000 |
| 1.654 | 3.587 | 1.654 | 0.000 | 0.000 | 0.000 |
| 1.654 | 1.654 | 3.587 | 0.000 | 0.000 | 0.000 |
| 0.000 | -0.000 | -0.000 | 0.365 | 0.000 | -0.000 |
| -0.000 | 0.000 | -0.000 | 0.000 | 0.365 | -0.000 |
| -0.000 | -0.000 | 0.000 | 0.000 | 0.000 | 0.365 |
| 3.587 | 1.654 | 1.654 | -0.000 | 0.000 | -0.000 |
| 1.654 | 3.587 | 1.654 | -0.000 | -0.000 | -0.000 |
| 1.654 | 1.654 | 3.587 | -0.000 | -0.000 | -0.000 |
| -0.000 | 0.000 | 0.000 | 0.365 | -0.000 | -0.000 |
| 0.000 | -0.000 | 0.000 | -0.000 | 0.365 | -0.000 |
| 0.000 | 0.000 | -0.000 | -0.000 | -0.000 | 0.365 |
| -29994.035 | 988757.486 | 988757.485 | 0.000 | -0.000 | 0.000 |
| 988757.485 | -29994.035 | 988757.486 | -0.000 | -0.000 | 0.000 |
| 988757.486 | 988757.485 | -29994.035 | 0.000 | -0.000 | -0.000 |
| 0.000 | -0.000 | -0.000 | 0.583 | 0.000 | 0.000 |
| -0.000 | 0.000 | -0.000 | 0.000 | 0.583 | 0.000 |
| -0.000 | -0.000 | 0.000 | 0.000 | 0.000 | 0.583 |
| -2003099.880 | 8643.388 | 8643.388 | 0.000 | 0.000 | 0.000 |
| 8643.388 | -2003099.880 | 8643.388 | 0.000 | -0.000 | 0.000 |
| 8643.388 | 8643.388 | -2003099.880 | 0.000 | 0.000 | -0.000 |
| -0.000 | 0.000 | 0.000 | 0.583 | -0.000 | -0.000 |
| 0.000 | -0.000 | 0.000 | -0.000 | 0.583 | -0.000 |
| 0.000 | 0.000 | -0.000 | -0.000 | -0.000 | 0.583 |
| 31.790 | 131.708 | 131.708 | 0.000 | 0.000 | -0.000 |
| 131.708 | 31.790 | 131.708 | 0.000 | -0.000 | -0.000 |
| 131.708 | 131.708 | 31.790 | -0.000 | -0.000 | -0.000 |
| 0.000 | -0.000 | 0.000 | 51.997 | -0.000 | -0.000 |
| 0.000 | 0.000 | 0.000 | 0.000 | 51.997 | -0.000 |
| 0.000 | 0.000 | 0.000 | 0.000 | 0.000 | 51.997 |
| 31.790 | 131.708 | 131.708 | 0.000 | 0.000 | -0.000 |
| 131.708 | 31.790 | 131.708 | -0.000 | 0.000 | 0.000 |
| 131.708 | 131.708 | 31.790 | -0.000 | 0.000 | 0.000 |
| -0.000 | 0.000 | 0.000 | 51.997 | 0.000 | -0.000 |
| 0.000 | -0.000 | -0.000 | -0.000 | 51.997 | 0.000 |
| -0.000 | -0.000 | -0.000 | -0.000 | -0.000 | 51.997 |
| 31.790 | 131.708 | 131.708 | 0.000 | 0.000 | -0.000 |
| 131.708 | 31.790 | 131.708 | 0.000 | 0.000 | -0.000 |
| 131.708 | 131.708 | 31.790 | 0.000 | -0.000 | -0.000 |
| 0.000 | -0.000 | 0.000 | 51.997 | 0.000 | -0.000 |
| -0.000 | 0.000 | 0.000 | 0.000 | 51.997 | -0.000 |
| -0.000 | 0.000 | 0.000 | 0.000 | -0.000 | 51.997 |
| 31.790 | 131.708 | 131.708 | -0.000 | 0.000 | 0.000 |
| 131.708 | 31.790 | 131.708 | -0.000 | -0.000 | 0.000 |
| 131.708 | 131.708 | 31.790 | -0.000 | 0.000 | 0.000 |
| -0.000 | 0.000 | -0.000 | 51.997 | -0.000 | 0.000 |
| 0.000 | -0.000 | -0.000 | -0.000 | 51.997 | 0.000 |
| 0.000 | -0.000 | -0.000 | -0.000 | 0.000 | 51.997 |
| 31.790 | 131.708 | 131.708 | 0.000 | -0.000 | -0.000 |
| 131.708 | 31.790 | 131.708 | 0.000 | 0.000 | -0.000 |
| 131.708 | 131.708 | 31.790 | 0.000 | 0.000 | -0.000 |
| 0.000 | -0.000 | 0.000 | 51.997 | -0.000 | -0.000 |
| -0.000 | 0.000 | 0.000 | 0.000 | 51.997 | -0.000 |
| -0.000 | 0.000 | 0.000 | 0.000 | -0.000 | 51.997 |
| 31.790 | 131.707 | 131.707 | -0.000 | 0.000 | 0.000 |
| 131.707 | 31.790 | 131.707 | 0.000 | 0.000 | 0.000 |
| 131.707 | 131.707 | 31.790 | -0.000 | -0.000 | 0.000 |
| -0.000 | 0.000 | -0.000 | 51.997 | 0.000 | 0.000 |
| 0.000 | -0.000 | -0.000 | -0.000 | 51.997 | 0.000 |
| 0.000 | -0.000 | -0.000 | -0.000 | 0.000 | 51.997 |
| 426.839 | 369.892 | 369.892 | -0.000 | -0.000 | -0.000 |
| 369.892 | 426.839 | 369.892 | -0.000 | -0.000 | -0.000 |
| 369.892 | 369.892 | 426.839 | -0.000 | -0.000 | -0.000 |
| -0.000 | -0.000 | -0.000 | 369.892 | -0.000 | -0.000 |
| -0.000 | -0.000 | -0.000 | -0.000 | 369.892 | -0.000 |
| -0.000 | -0.000 | -0.000 | -0.000 | -0.000 | 369.892 |
| 426.839 | 369.892 | 369.892 | 0.000 | 0.000 | 0.000 |
| 369.892 | 426.839 | 369.892 | 0.000 | 0.000 | 0.000 |
| 369.892 | 369.892 | 426.839 | 0.000 | 0.000 | 0.000 |
| 0.000 | 0.000 | 0.000 | 369.892 | 0.000 | 0.000 |
| 0.000 | 0.000 | 0.000 | 0.000 | 369.892 | 0.000 |
| 0.000 | 0.000 | 0.000 | 0.000 | 0.000 | 369.892 |
| 426.839 | 369.892 | 369.892 | -0.000 | -0.000 | -0.000 |
| 369.892 | 426.839 | 369.892 | -0.000 | -0.000 | -0.000 |
| 369.892 | 369.892 | 426.839 | -0.000 | -0.000 | -0.000 |
| -0.000 | -0.000 | -0.000 | 369.892 | -0.000 | -0.000 |
| -0.000 | -0.000 | -0.000 | -0.000 | 369.892 | -0.000 |
| -0.000 | -0.000 | -0.000 | -0.000 | -0.000 | 369.892 |
| 426.839 | 369.892 | 369.892 | 0.000 | 0.000 | 0.000 |
| 369.892 | 426.839 | 369.892 | 0.000 | 0.000 | 0.000 |
| 369.892 | 369.892 | 426.839 | 0.000 | 0.000 | 0.000 |
| 0.000 | 0.000 | 0.000 | 369.892 | -0.000 | 0.000 |
| 0.000 | 0.000 | 0.000 | -0.000 | 369.892 | 0.000 |
| 0.000 | 0.000 | 0.000 | -0.000 | 0.000 | 369.892 |
| 426.837 | 369.891 | 369.891 | -0.000 | -0.000 | -0.000 |
| 369.891 | 426.837 | 369.891 | -0.000 | -0.000 | -0.000 |
| 369.891 | 369.891 | 426.837 | -0.000 | 0.000 | -0.000 |
| -0.001 | -0.002 | -0.001 | 369.892 | -0.000 | -0.000 |
| -0.002 | -0.001 | -0.001 | -0.000 | 369.892 | -0.000 |
| -0.002 | -0.001 | -0.001 | -0.000 | -0.000 | 369.892 |
| 426.840 | 369.892 | 369.892 | 0.000 | -0.000 | 0.000 |
| 369.892 | 426.840 | 369.892 | -0.000 | 0.000 | 0.000 |
| 369.892 | 369.892 | 426.840 | 0.000 | -0.000 | 0.000 |
| 0.001 | 0.002 | 0.001 | 369.892 | 0.000 | 0.000 |
| 0.002 | 0.001 | 0.001 | 0.000 | 369.892 | 0.000 |
| 0.002 | 0.001 | 0.001 | 0.000 | 0.000 | 369.892 |
| 7.161 | 7.161 | 7.161 | 0.000 | 0.000 | 0.000 |
| 7.161 | 7.161 | 7.161 | 0.000 | 0.000 | 0.000 |
| 7.161 | 7.161 | 7.161 | 0.000 | 0.000 | -0.000 |
| 0.000 | 0.000 | 0.000 | 7.161 | 0.000 | -0.000 |
| 0.000 | 0.000 | 0.000 | 0.000 | 7.161 | -0.000 |
| 0.000 | 0.000 | 0.000 | 0.000 | -0.000 | 7.161 |
| 7.161 | 7.161 | 7.161 | -0.000 | -0.000 | 0.000 |
| 7.161 | 7.161 | 7.161 | -0.000 | -0.000 | 0.000 |
| 7.161 | 7.161 | 7.161 | -0.000 | -0.000 | 0.000 |
| -0.000 | -0.000 | -0.000 | 7.161 | -0.000 | 0.000 |
| -0.000 | -0.000 | -0.000 | -0.000 | 7.161 | 0.000 |
| -0.000 | -0.000 | -0.000 | -0.000 | 0.000 | 7.161 |
| 7.161 | 7.161 | 7.161 | 0.000 | 0.000 | 0.000 |
| 7.161 | 7.161 | 7.161 | 0.000 | 0.000 | 0.000 |
| 7.161 | 7.161 | 7.161 | 0.000 | 0.000 | -0.000 |
| 0.000 | 0.000 | 0.000 | 7.161 | 0.000 | -0.000 |
| 0.000 | 0.000 | 0.000 | 0.000 | 7.161 | -0.000 |
| 0.000 | 0.000 | 0.000 | 0.000 | -0.000 | 7.161 |
| 7.161 | 7.161 | 7.161 | -0.000 | -0.000 | -0.000 |
| 7.161 | 7.161 | 7.161 | -0.000 | -0.000 | -0.000 |
| 7.161 | 7.161 | 7.161 | -0.000 | -0.000 | 0.000 |
| -0.000 | -0.000 | -0.000 | 7.161 | -0.000 | 0.000 |
| -0.000 | -0.000 | -0.000 | -0.000 | 7.161 | 0.000 |
| -0.000 | -0.000 | -0.000 | -0.000 | -0.000 | 7.161 |
| 7.161 | 7.161 | 7.161 | -0.000 | 0.000 | 0.000 |
| 7.161 | 7.161 | 7.161 | 0.000 | -0.000 | 0.000 |
| 7.161 | 7.161 | 7.161 | -0.000 | -0.000 | -0.000 |
| 0.000 | 0.000 | 0.000 | 7.161 | 0.000 | -0.000 |
| 0.000 | 0.000 | 0.000 | 0.000 | 7.161 | -0.000 |
| 0.000 | 0.000 | 0.000 | 0.000 | -0.000 | 7.161 |
| 7.160 | 7.160 | 7.160 | -0.000 | -0.000 | -0.000 |
| 7.160 | 7.160 | 7.160 | -0.000 | -0.000 | -0.000 |
| 7.160 | 7.160 | 7.160 | -0.000 | -0.000 | 0.000 |
| -0.000 | -0.000 | -0.000 | 7.161 | -0.000 | 0.000 |
| -0.000 | -0.000 | -0.000 | -0.000 | 7.161 | 0.000 |
| -0.000 | -0.000 | -0.000 | -0.000 | 0.000 | 7.161 |
| 222.938 | 104.607 | 88.044 | 0.000 | 0.000 | 0.000 |
| 104.607 | 222.938 | 88.044 | -0.000 | 0.000 | 0.000 |
| 88.044 | 88.044 | 227.973 | -0.000 | 0.000 | 0.000 |
| 0.000 | 0.000 | -0.000 | 42.337 | 0.000 | 0.000 |
| 0.000 | 0.000 | -0.000 | -0.000 | 42.337 | 0.000 |
| 0.000 | 0.000 | -0.000 | -0.000 | 0.000 | 46.979 |
| 222.938 | 104.607 | 88.044 | 0.000 | -0.000 | -0.000 |
| 116.794 | 210.752 | 88.044 | 0.000 | -0.000 | -0.000 |
| 88.044 | 88.044 | 227.973 | 0.000 | -0.000 | -0.000 |
| -0.000 | -0.000 | 0.000 | 42.337 | -0.000 | -0.000 |
| -0.000 | -0.000 | 0.000 | 0.000 | 42.337 | -0.000 |
| -0.000 | -0.000 | 0.000 | 0.000 | -0.000 | 46.979 |
| 210.752 | 116.794 | 88.044 | -0.000 | 0.000 | 0.000 |
| 104.607 | 222.938 | 88.044 | -0.000 | 0.000 | 0.000 |
| 88.044 | 88.044 | 227.973 | -0.000 | 0.000 | 0.000 |
| -0.000 | -0.000 | -0.000 | 42.337 | 0.000 | 0.000 |
| -0.000 | -0.000 | -0.000 | -0.000 | 42.337 | 0.000 |
| -0.000 | 0.000 | -0.000 | 0.000 | 0.000 | 59.165 |
| 222.938 | 104.607 | 88.044 | -0.000 | -0.000 | -0.000 |
| 116.794 | 210.752 | 88.044 | 0.000 | -0.000 | -0.000 |
| 88.044 | 88.044 | 227.973 | 0.000 | -0.000 | -0.000 |
| 0.000 | 0.000 | 0.000 | 42.337 | -0.000 | -0.000 |
| 0.000 | 0.000 | 0.000 | 0.000 | 42.337 | -0.000 |
| 0.000 | -0.000 | 0.000 | -0.000 | -0.000 | 59.165 |
| 210.752 | 116.794 | 88.044 | -0.000 | 0.000 | 0.000 |
| 116.794 | 210.752 | 88.044 | 0.000 | 0.000 | 0.000 |
| 88.044 | 88.044 | 227.973 | -0.000 | 0.000 | 0.000 |
| -0.000 | -0.000 | 0.000 | 42.337 | 0.000 | 0.000 |
| -0.000 | -0.000 | 0.000 | -0.000 | 42.337 | 0.000 |
| -0.000 | 0.000 | -0.000 | 0.000 | 0.000 | 59.165 |
| 210.752 | 116.794 | 88.044 | 0.000 | -0.000 | -0.000 |
| 116.794 | 210.752 | 88.044 | 0.000 | -0.000 | -0.000 |
| 88.044 | 88.044 | 227.974 | -0.000 | -0.000 | -0.000 |
| -0.000 | 0.000 | -0.000 | 42.337 | -0.000 | -0.000 |
| 0.000 | 0.000 | -0.000 | 0.000 | 42.337 | -0.000 |
| 0.000 | -0.000 | 0.000 | -0.000 | -0.000 | 59.165 |
| 2555.415 | 969.295 | 704.942 | -0.000 | -0.000 | 0.000 |
| 969.295 | 2555.415 | 704.942 | -0.000 | -0.000 | 0.000 |
| 704.942 | 704.942 | 2819.768 | -0.000 | -0.000 | 0.000 |
| -0.000 | -0.000 | -0.000 | 704.942 | -0.000 | -0.000 |
| -0.000 | -0.000 | -0.000 | -0.000 | 704.942 | -0.000 |
| -0.000 | -0.000 | 0.000 | -0.000 | -0.000 | 881.178 |
| 2555.415 | 969.295 | 704.942 | 0.000 | 0.000 | -0.000 |
| 881.178 | 2643.533 | 704.942 | -0.000 | -0.000 | 0.000 |
| 704.942 | 704.942 | 2819.769 | 0.000 | 0.000 | 0.000 |
| 0.000 | 0.000 | 0.000 | 704.942 | 0.000 | 0.000 |
| 0.000 | 0.000 | 0.000 | 0.000 | 704.942 | -0.000 |
| 0.000 | 0.000 | -0.000 | -0.000 | -0.000 | 881.178 |
| 2555.414 | 969.296 | 704.942 | -0.000 | -0.000 | 0.000 |
| 969.295 | 2555.414 | 704.942 | -0.000 | -0.000 | 0.000 |
| 704.942 | 704.942 | 2819.767 | -0.000 | -0.000 | -0.000 |
| -0.000 | -0.000 | -0.000 | 704.942 | -0.000 | -0.000 |
| -0.000 | -0.000 | -0.000 | 0.000 | 704.942 | -0.000 |
| -0.000 | -0.000 | -0.000 | -0.000 | -0.000 | 881.178 |
| 2555.417 | 969.295 | 704.942 | 0.000 | 0.000 | -0.000 |
| 881.178 | 2643.534 | 704.942 | 0.000 | -0.000 | 0.000 |
| 704.942 | 704.942 | 2819.770 | 0.000 | 0.000 | 0.000 |
| 0.000 | 0.000 | 0.000 | 704.942 | 0.000 | 0.000 |
| 0.000 | 0.000 | 0.000 | -0.000 | 704.942 | -0.000 |
| 0.000 | 0.000 | 0.000 | 0.000 | 0.000 | 881.178 |
| 2555.398 | 969.296 | 704.942 | -0.000 | -0.000 | 0.000 |
| 881.175 | 2643.519 | 704.942 | -0.000 | 0.000 | -0.000 |
| 704.940 | 704.940 | 2819.755 | -0.000 | -0.000 | -0.000 |
| -0.001 | -0.002 | -0.004 | 704.942 | -0.000 | 0.000 |
| -0.002 | -0.001 | -0.004 | -0.000 | 704.942 | 0.000 |
| -0.003 | -0.005 | -0.001 | -0.000 | -0.000 | 793.060 |
| 2555.432 | 969.294 | 704.943 | 0.000 | 0.000 | -0.000 |
| 969.300 | 2555.427 | 704.943 | 0.000 | 0.000 | -0.000 |
| 704.944 | 704.944 | 2819.783 | 0.000 | 0.000 | 0.000 |
| 0.001 | 0.002 | 0.004 | 704.942 | 0.000 | -0.000 |
| 0.002 | 0.001 | 0.004 | 0.000 | 704.942 | -0.000 |
| 0.003 | 0.005 | 0.001 | 0.000 | 0.000 | 793.060 |
| 21.926 | 7.309 | 5.847 | -0.000 | 0.000 | -0.000 |
| 7.309 | 21.925 | 5.847 | 0.000 | -0.000 | -0.000 |
| 5.847 | 5.847 | 23.387 | 0.000 | -0.000 | -0.000 |
| 0.000 | 0.000 | 0.000 | 5.847 | -0.000 | -0.000 |
| 0.000 | 0.000 | 0.000 | 0.000 | 5.847 | -0.000 |
| 0.000 | 0.000 | 0.000 | 0.000 | -0.000 | 7.308 |
| 21.925 | 7.309 | 5.847 | -0.000 | 0.000 | -0.000 |
| 7.309 | 21.925 | 5.847 | 0.000 | 0.000 | 0.000 |
| 5.847 | 5.847 | 23.387 | -0.000 | 0.000 | 0.000 |
| -0.000 | -0.000 | -0.000 | 5.847 | 0.000 | 0.000 |
| -0.000 | -0.000 | -0.000 | -0.000 | 5.847 | -0.000 |
| -0.000 | -0.000 | -0.000 | -0.000 | -0.000 | 7.308 |
| 21.608 | 7.627 | 5.847 | 0.000 | -0.000 | -0.000 |
| 7.309 | 21.926 | 5.847 | 0.000 | -0.000 | -0.000 |
| 5.847 | 5.847 | 23.387 | -0.000 | -0.000 | -0.000 |
| 0.000 | 0.000 | 0.000 | 5.847 | -0.000 | -0.000 |
| 0.000 | 0.000 | 0.000 | 0.000 | 5.847 | -0.000 |
| 0.000 | 0.000 | -0.000 | 0.000 | -0.000 | 6.709 |
| 21.925 | 7.309 | 5.847 | -0.000 | 0.000 | 0.000 |
| 7.627 | 21.607 | 5.847 | -0.000 | 0.000 | 0.000 |
| 5.847 | 5.847 | 23.387 | -0.000 | 0.000 | 0.000 |
| -0.000 | -0.000 | -0.000 | 5.847 | -0.000 | 0.000 |
| -0.000 | -0.000 | -0.000 | -0.000 | 5.847 | 0.000 |
| -0.000 | -0.000 | 0.000 | -0.000 | 0.000 | 6.709 |
| 21.328 | 7.908 | 5.847 | 0.000 | -0.000 | -0.000 |
| 7.807 | 21.429 | 5.847 | 0.000 | -0.000 | -0.000 |
| 5.847 | 5.847 | 23.388 | 0.000 | -0.000 | -0.000 |
| 0.000 | 0.000 | 0.000 | 5.847 | -0.000 | -0.000 |
| 0.000 | 0.000 | 0.000 | 0.000 | 5.847 | -0.000 |
| 0.000 | 0.000 | -0.000 | 0.000 | -0.000 | 6.652 |
| 21.426 | 7.806 | 5.847 | -0.000 | 0.000 | 0.000 |
| 7.965 | 21.268 | 5.847 | -0.000 | 0.000 | 0.000 |
| 5.847 | 5.847 | 23.386 | -0.000 | 0.000 | 0.000 |
| -0.000 | -0.000 | -0.000 | 5.847 | 0.000 | 0.000 |
| -0.000 | -0.000 | -0.000 | -0.000 | 5.847 | -0.000 |
| -0.000 | -0.000 | 0.000 | -0.000 | 0.000 | 6.652 |
| 230.429 | 110.792 | 95.527 | 0.000 | 0.000 | 0.000 |
| 110.792 | 230.429 | 95.527 | 0.000 | -0.000 | -0.000 |
| 95.527 | 95.527 | 223.674 | -0.000 | 0.000 | -0.000 |
| 0.000 | -0.000 | 0.000 | 43.943 | -0.000 | -0.000 |
| 0.000 | -0.000 | -0.000 | 0.000 | 43.943 | -0.000 |
| 0.000 | -0.000 | 0.000 | -0.000 | 0.000 | 49.820 |
| 220.430 | 120.791 | 95.527 | -0.000 | -0.000 | 0.000 |
| 120.791 | 220.430 | 95.527 | -0.000 | -0.000 | 0.000 |
| 95.527 | 95.527 | 223.674 | 0.000 | -0.000 | 0.000 |
| -0.000 | 0.000 | -0.000 | 43.943 | 0.000 | 0.000 |
| -0.000 | 0.000 | 0.000 | 0.000 | 43.943 | 0.000 |
| -0.000 | 0.000 | -0.000 | -0.000 | -0.000 | 49.820 |
| 230.429 | 110.792 | 95.527 | 0.000 | 0.000 | 0.000 |
| 110.792 | 230.429 | 95.527 | 0.000 | -0.000 | 0.000 |
| 95.527 | 95.527 | 223.674 | -0.000 | 0.000 | -0.000 |
| 0.000 | -0.000 | 0.000 | 43.943 | -0.000 | -0.000 |
| -0.000 | 0.000 | 0.000 | -0.000 | 43.943 | -0.000 |
| -0.000 | 0.000 | -0.000 | 0.000 | 0.000 | 49.820 |
| 230.429 | 110.792 | 95.527 | -0.000 | -0.000 | 0.000 |
| 110.792 | 230.429 | 95.527 | 0.000 | -0.000 | 0.000 |
| 95.527 | 95.527 | 223.674 | -0.000 | -0.000 | -0.000 |
| -0.000 | 0.000 | -0.000 | 43.943 | 0.000 | 0.000 |
| 0.000 | -0.000 | -0.000 | 0.000 | 43.943 | 0.000 |
| 0.000 | -0.000 | 0.000 | 0.000 | 0.000 | 49.820 |
| 230.429 | 110.792 | 95.528 | 0.000 | 0.000 | 0.000 |
| 120.791 | 220.430 | 95.528 | -0.000 | 0.000 | -0.000 |
| 95.528 | 95.528 | 223.674 | 0.000 | -0.000 | 0.000 |
| 0.000 | -0.000 | 0.000 | 43.943 | -0.000 | -0.000 |
| -0.000 | 0.000 | 0.000 | -0.000 | 43.943 | -0.000 |
| -0.000 | 0.000 | -0.000 | 0.000 | -0.000 | 59.818 |
| 230.428 | 110.792 | 95.527 | 0.000 | -0.000 | -0.000 |
| 120.791 | 220.430 | 95.527 | -0.000 | -0.000 | 0.000 |
| 95.527 | 95.527 | 223.674 | -0.000 | 0.000 | 0.000 |
| -0.000 | 0.000 | -0.000 | 43.943 | 0.000 | 0.000 |
| 0.000 | -0.000 | -0.000 | -0.000 | 43.943 | 0.000 |
| 0.000 | -0.000 | 0.000 | 0.000 | 0.000 | 59.818 |
| 2643.533 | 881.178 | 704.942 | 0.000 | 0.000 | -0.000 |
| 881.178 | 2643.533 | 704.942 | 0.000 | 0.000 | -0.000 |
| 704.942 | 704.942 | 2819.768 | 0.000 | 0.000 | 0.000 |
| -0.000 | -0.000 | -0.000 | 704.942 | 0.000 | 0.000 |
| -0.000 | 0.000 | -0.000 | -0.000 | 704.942 | -0.000 |
| -0.000 | -0.000 | 0.000 | -0.000 | 0.000 | 793.060 |
| 2643.533 | 881.178 | 704.942 | -0.000 | -0.000 | 0.000 |
| 969.295 | 2555.415 | 704.942 | 0.000 | 0.000 | -0.000 |
| 704.942 | 704.942 | 2819.769 | -0.000 | -0.000 | -0.000 |
| 0.000 | 0.000 | 0.000 | 704.942 | -0.000 | -0.000 |
| 0.000 | -0.000 | 0.000 | 0.000 | 704.942 | -0.000 |
| 0.000 | 0.000 | -0.000 | 0.000 | 0.000 | 793.060 |
| 2555.413 | 969.296 | 704.942 | -0.000 | 0.000 | 0.000 |
| 969.295 | 2555.414 | 704.942 | -0.000 | -0.000 | 0.000 |
| 704.942 | 704.942 | 2819.767 | 0.000 | 0.000 | 0.000 |
| -0.000 | -0.000 | -0.000 | 704.942 | -0.000 | -0.000 |
| -0.000 | -0.000 | -0.000 | -0.000 | 704.942 | -0.000 |
| -0.000 | -0.000 | -0.000 | -0.000 | 0.000 | 793.060 |
| 2643.535 | 881.178 | 704.942 | -0.000 | -0.000 | -0.000 |
| 969.296 | 2555.416 | 704.942 | 0.000 | 0.000 | -0.000 |
| 704.942 | 704.942 | 2819.770 | 0.000 | 0.000 | -0.000 |
| 0.000 | 0.000 | 0.000 | 704.942 | -0.000 | 0.000 |
| 0.000 | 0.000 | 0.000 | 0.000 | 704.942 | -0.000 |
| 0.000 | 0.000 | 0.000 | 0.000 | -0.000 | 793.060 |
| 2555.396 | 969.298 | 704.942 | -0.000 | 0.000 | 0.000 |
| 969.289 | 2555.405 | 704.942 | -0.000 | -0.000 | 0.000 |
| 704.940 | 704.940 | 2819.755 | 0.000 | -0.000 | 0.000 |
| -0.001 | -0.002 | -0.004 | 704.942 | -0.000 | 0.000 |
| -0.002 | -0.001 | -0.004 | -0.000 | 704.942 | 0.000 |
| -0.003 | -0.005 | -0.001 | 0.000 | 0.000 | 793.060 |
| 2555.434 | 969.293 | 704.943 | 0.000 | -0.000 | -0.000 |
| 969.302 | 2555.425 | 704.943 | 0.000 | 0.000 | -0.000 |
| 704.944 | 704.944 | 2819.783 | -0.000 | 0.000 | -0.000 |
| 0.001 | 0.002 | 0.004 | 704.942 | 0.000 | -0.000 |
| 0.002 | 0.001 | 0.004 | 0.000 | 704.942 | -0.000 |
| 0.003 | 0.005 | 0.001 | -0.000 | -0.000 | 793.060 |
| 21.926 | 7.309 | 5.847 | 0.000 | 0.000 | -0.000 |
| 7.309 | 21.925 | 5.847 | -0.000 | 0.000 | -0.000 |
| 5.847 | 5.847 | 23.387 | -0.000 | 0.000 | -0.000 |
| 0.000 | 0.000 | 0.000 | 5.847 | 0.000 | -0.000 |
| 0.000 | 0.000 | 0.000 | -0.000 | 5.847 | -0.000 |
| 0.000 | 0.000 | 0.000 | 0.000 | 0.000 | 6.672 |
| 21.925 | 7.309 | 5.847 | 0.000 | 0.000 | -0.000 |
| 7.309 | 21.925 | 5.847 | -0.000 | -0.000 | 0.000 |
| 5.847 | 5.847 | 23.387 | 0.000 | -0.000 | 0.000 |
| -0.000 | -0.000 | -0.000 | 5.847 | 0.000 | 0.000 |
| -0.000 | -0.000 | -0.000 | 0.000 | 5.847 | 0.000 |
| -0.000 | -0.000 | -0.000 | -0.000 | 0.000 | 6.672 |
| 21.289 | 7.945 | 5.847 | -0.000 | 0.000 | -0.000 |
| 7.309 | 21.926 | 5.847 | -0.000 | 0.000 | -0.000 |
| 5.847 | 5.847 | 23.387 | -0.000 | 0.000 | -0.000 |
| 0.000 | 0.000 | 0.000 | 5.847 | 0.000 | -0.000 |
| 0.000 | 0.000 | 0.000 | -0.000 | 5.847 | -0.000 |
| 0.000 | 0.000 | 0.000 | -0.000 | 0.000 | 7.308 |
| 21.925 | 7.309 | 5.847 | 0.000 | -0.000 | -0.000 |
| 7.945 | 21.289 | 5.847 | -0.000 | -0.000 | 0.000 |
| 5.847 | 5.847 | 23.387 | -0.000 | -0.000 | 0.000 |
| -0.000 | -0.000 | -0.000 | 5.847 | -0.000 | 0.000 |
| -0.000 | -0.000 | -0.000 | 0.000 | 5.847 | -0.000 |
| -0.000 | -0.000 | -0.000 | 0.000 | 0.000 | 7.308 |
| 21.291 | 7.945 | 5.847 | -0.000 | 0.000 | -0.000 |
| 7.945 | 21.291 | 5.847 | -0.000 | 0.000 | -0.000 |
| 5.847 | 5.847 | 23.388 | -0.000 | -0.000 | -0.000 |
| 0.000 | 0.000 | 0.000 | 5.847 | 0.000 | -0.000 |
| 0.000 | 0.000 | 0.000 | -0.000 | 5.847 | -0.000 |
| 0.000 | 0.000 | -0.000 | -0.000 | -0.000 | 6.590 |
| 21.195 | 8.038 | 5.847 | 0.000 | 0.000 | 0.000 |
| 8.037 | 21.195 | 5.847 | 0.000 | -0.000 | 0.000 |
| 5.847 | 5.847 | 23.386 | 0.000 | -0.000 | 0.000 |
| -0.000 | -0.000 | -0.000 | 5.847 | -0.000 | 0.000 |
| -0.000 | -0.000 | -0.000 | 0.000 | 5.847 | 0.000 |
| -0.000 | -0.000 | 0.000 | 0.000 | -0.000 | 6.590 |
| 77.259 | 57.649 | 57.649 | -0.000 | -0.000 | -0.000 |
| 57.649 | 77.259 | 57.649 | -0.000 | -0.000 | -0.000 |
| 57.649 | 57.649 | 77.259 | -0.000 | -0.000 | -0.000 |
| 0.000 | -0.000 | -0.000 | 52.835 | 0.000 | 0.000 |
| -0.000 | -0.000 | 0.000 | 0.000 | 52.835 | -0.000 |
| 0.000 | 0.000 | -0.000 | 0.000 | 0.000 | 52.835 |
| 77.259 | 57.649 | 57.649 | 0.000 | 0.000 | 0.000 |
| 57.649 | 77.259 | 57.649 | 0.000 | 0.000 | 0.000 |
| 57.649 | 57.649 | 77.259 | 0.000 | 0.000 | 0.000 |
| 0.000 | 0.000 | 0.000 | 52.835 | -0.000 | 0.000 |
| 0.000 | 0.000 | 0.000 | 0.000 | 52.835 | 0.000 |
| 0.000 | 0.000 | 0.000 | 0.000 | -0.000 | 52.835 |
| 77.259 | 57.649 | 57.649 | -0.000 | -0.000 | -0.000 |
| 57.649 | 77.259 | 57.649 | -0.000 | -0.000 | -0.000 |
| 57.649 | 57.649 | 77.259 | -0.000 | -0.000 | -0.000 |
| 0.000 | -0.000 | -0.000 | 52.835 | 0.000 | 0.000 |
| -0.000 | 0.000 | -0.000 | 0.000 | 52.835 | -0.000 |
| -0.000 | -0.000 | 0.000 | -0.000 | 0.000 | 52.835 |
| 77.259 | 57.649 | 57.649 | 0.000 | 0.000 | 0.000 |
| 57.649 | 77.259 | 57.649 | 0.000 | 0.000 | 0.000 |
| 57.649 | 57.649 | 77.259 | 0.000 | 0.000 | 0.000 |
| -0.000 | 0.000 | 0.000 | 52.835 | -0.000 | 0.000 |
| 0.000 | -0.000 | 0.000 | -0.000 | 52.835 | 0.000 |
| 0.000 | 0.000 | -0.000 | -0.000 | -0.000 | 52.835 |
| 77.259 | 57.649 | 57.649 | -0.000 | -0.000 | -0.000 |
| 57.649 | 77.259 | 57.649 | -0.000 | -0.000 | -0.000 |
| 57.649 | 57.649 | 77.259 | -0.000 | -0.000 | -0.000 |
| -0.000 | -0.000 | -0.000 | -44.426 | -0.000 | -0.000 |
| -0.000 | -0.000 | -0.000 | -0.000 | -44.426 | -0.000 |
| -0.000 | -0.000 | -0.000 | -0.000 | -0.000 | -44.426 |
| 77.259 | 57.649 | 57.649 | 0.000 | 0.000 | 0.000 |
| 57.649 | 77.259 | 57.649 | 0.000 | 0.000 | 0.000 |
| 57.649 | 57.649 | 77.259 | 0.000 | 0.000 | 0.000 |
| 0.000 | 0.000 | 0.000 | -44.426 | 0.000 | 0.000 |
| 0.000 | 0.000 | 0.000 | 0.000 | -44.426 | 0.000 |
| 0.000 | 0.000 | 0.000 | 0.000 | 0.000 | -44.426 |
| 125.509 | 52.311 | 52.311 | 0.000 | -0.000 | 0.000 |
| 52.311 | 125.509 | 52.311 | 0.000 | -0.000 | 0.000 |
| 52.311 | 52.311 | 125.509 | 0.000 | -0.000 | 0.000 |
| 222575100.217 | -274669130.425 | -274669140.324 | -494938502.838 | 0.090 | -0.073 |
| -274669130.341 | 222575100.562 | -274669140.239 | 0.240 | -494938502.856 | 0.012 |
| -274669130.421 | -274669140.320 | 222575100.232 | -0.034 | 0.056 | -494938502.839 |
| 125.509 | 52.311 | 52.311 | -0.000 | 0.000 | -0.000 |
| 52.311 | 125.509 | 52.311 | 0.000 | -0.000 | -0.000 |
| 52.311 | 52.311 | 125.509 | 0.000 | -0.000 | 0.000 |
| -222575100.220 | 274669130.424 | 274669140.323 | -494938502.838 | -0.015 | 0.084 |
| 274669130.425 | -222575100.217 | 274669140.324 | 0.121 | -494938502.838 | 0.097 |
| 274669130.429 | 274669140.328 | -222575100.199 | 0.111 | -0.046 | -494938502.837 |
| 125.509 | 52.311 | 52.311 | -0.000 | -0.000 | -0.000 |
| 52.311 | 125.509 | 52.311 | 0.000 | -0.000 | -0.000 |
| 52.311 | 52.311 | 125.509 | -0.000 | -0.000 | -0.000 |
| 22257498.276 | -27466898.834 | -27466908.733 | -49493782.372 | -0.002 | 0.002 |
| -27466898.834 | 22257498.276 | -27466908.733 | -0.001 | -49493782.372 | -0.000 |
| -27466898.834 | -27466908.733 | 22257498.276 | 0.002 | -0.002 | -49493782.372 |
| 125.508 | 52.311 | 52.311 | -0.000 | 0.000 | -0.000 |
| 52.311 | 125.508 | 52.311 | -0.000 | 0.000 | -0.000 |
| 52.311 | 52.311 | 125.508 | -0.000 | 0.000 | -0.000 |
| -22257498.276 | 27466898.834 | 27466908.733 | -49493782.372 | -0.001 | 0.000 |
| 27466898.834 | -22257498.276 | 27466908.733 | -0.002 | -49493782.372 | -0.002 |
| 27466898.834 | 27466908.733 | -22257498.276 | 0.000 | -0.001 | -49493782.372 |
| 125.511 | 52.312 | 52.312 | 0.000 | -0.000 | 0.000 |
| 52.312 | 125.511 | 52.312 | -0.000 | -0.000 | 0.000 |
| 52.312 | 52.312 | 125.511 | -0.000 | -0.000 | 0.000 |
| 2225738.085 | -2746675.674 | -2746685.572 | -4949310.326 | -0.000 | 0.000 |
| -2746675.674 | 2225738.085 | -2746685.572 | -0.000 | -4949310.326 | -0.000 |
| -2746675.674 | -2746685.572 | 2225738.085 | 0.000 | -0.000 | -4949310.326 |
| 125.507 | 52.310 | 52.310 | -0.000 | 0.000 | -0.000 |
| 52.310 | 125.507 | 52.310 | -0.000 | 0.000 | -0.000 |
| 52.310 | 52.310 | 125.507 | -0.000 | 0.000 | -0.000 |
| -2225738.085 | 2746675.674 | 2746685.572 | -4949310.326 | -0.000 | 0.000 |
| 2746675.674 | -2225738.085 | 2746685.572 | -0.000 | -4949310.326 | -0.000 |
| 2746675.674 | 2746685.572 | -2225738.085 | 0.000 | -0.000 | -4949310.326 |
| 17.966 | 17.966 | 17.966 | -0.000 | 0.000 | -0.000 |
| 17.966 | 17.966 | 17.966 | 0.000 | -0.000 | -0.000 |
| 17.966 | 17.966 | 17.966 | 0.000 | 0.000 | -0.000 |
| -0.000 | -0.000 | -0.000 | -0.000 | 0.000 | 0.000 |
| -0.000 | -0.000 | -0.000 | 0.000 | -0.000 | 0.000 |
| -0.000 | -0.000 | -0.000 | 0.000 | 0.000 | -0.000 |
| 17.966 | 17.966 | 17.966 | 0.000 | -0.000 | -0.000 |
| 17.966 | 17.966 | 17.966 | -0.000 | 0.000 | -0.000 |
| 17.966 | 17.966 | 17.966 | -0.000 | -0.000 | 0.000 |
| 0.000 | 0.000 | 0.000 | -0.000 | -0.000 | 0.000 |
| 0.000 | 0.000 | 0.000 | -0.000 | -0.000 | 0.000 |
| 0.000 | 0.000 | 0.000 | -0.000 | -0.000 | 0.000 |
| 17.966 | 17.966 | 17.966 | -0.000 | 0.000 | 0.000 |
| 17.966 | 17.966 | 17.966 | 0.000 | -0.000 | 0.000 |
| 17.966 | 17.966 | 17.966 | 0.000 | 0.000 | -0.000 |
| -0.000 | -0.000 | -0.000 | -0.000 | 0.000 | -0.000 |
| -0.000 | -0.000 | -0.000 | 0.000 | -0.000 | -0.000 |
| -0.000 | -0.000 | -0.000 | -0.000 | 0.000 | -0.000 |
| 17.966 | 17.966 | 17.966 | 0.000 | -0.000 | 0.000 |
| 17.966 | 17.966 | 17.966 | -0.000 | 0.000 | 0.000 |
| 17.966 | 17.966 | 17.966 | -0.000 | -0.000 | 0.000 |
| 0.000 | 0.000 | 0.000 | -0.000 | 0.000 | 0.000 |
| 0.000 | 0.000 | 0.000 | 0.000 | -0.000 | 0.000 |
| 0.000 | 0.000 | 0.000 | 0.000 | -0.000 | 0.000 |
| 17.966 | 17.966 | 17.966 | -0.000 | 0.000 | -0.000 |
| 17.966 | 17.966 | 17.966 | 0.000 | -0.000 | -0.000 |
| 17.966 | 17.966 | 17.966 | 0.000 | 0.000 | -0.000 |
| -0.000 | -0.000 | -0.000 | -0.000 | 0.000 | -0.000 |
| -0.000 | -0.000 | -0.000 | 0.000 | -0.000 | -0.000 |
| -0.000 | -0.000 | -0.000 | 0.000 | 0.000 | -0.000 |
| 17.966 | 17.966 | 17.966 | -0.000 | -0.000 | -0.000 |
| 17.966 | 17.966 | 17.966 | -0.000 | -0.000 | -0.000 |
| 17.966 | 17.966 | 17.966 | -0.000 | -0.000 | 0.000 |
| 0.000 | 0.000 | 0.000 | -0.000 | -0.000 | 0.000 |
| 0.000 | 0.000 | 0.000 | -0.000 | -0.000 | 0.000 |
| 0.000 | 0.000 | 0.000 | -0.000 | -0.000 | -0.000 |
| 1.790 | 1.790 | 1.790 | -0.000 | 0.000 | 0.000 |
| 1.790 | 1.790 | 1.790 | 0.000 | 0.000 | 0.000 |
| 1.790 | 1.790 | 1.790 | 0.000 | 0.000 | -0.000 |
| -0.000 | -0.000 | -0.000 | -0.000 | 0.000 | -0.000 |
| -0.000 | -0.000 | -0.000 | -0.000 | 0.000 | -0.000 |
| -0.000 | -0.000 | -0.000 | -0.000 | 0.000 | -0.000 |
| 1.790 | 1.790 | 1.790 | 0.000 | -0.000 | -0.000 |
| 1.790 | 1.790 | 1.790 | -0.000 | -0.000 | -0.000 |
| 1.790 | 1.790 | 1.790 | -0.000 | -0.000 | 0.000 |
| 0.000 | 0.000 | 0.000 | -0.000 | -0.000 | 0.000 |
| 0.000 | 0.000 | 0.000 | 0.000 | -0.000 | 0.000 |
| 0.000 | 0.000 | 0.000 | 0.000 | -0.000 | -0.000 |
| 1.790 | 1.790 | 1.790 | -0.000 | 0.000 | 0.000 |
| 1.790 | 1.790 | 1.790 | 0.000 | 0.000 | 0.000 |
| 1.790 | 1.790 | 1.790 | 0.000 | 0.000 | -0.000 |
| -0.000 | -0.000 | -0.000 | -0.000 | 0.000 | -0.000 |
| -0.000 | -0.000 | -0.000 | -0.000 | 0.000 | -0.000 |
| -0.000 | -0.000 | -0.000 | -0.000 | 0.000 | -0.000 |
| 1.790 | 1.790 | 1.790 | 0.000 | -0.000 | -0.000 |
| 1.790 | 1.790 | 1.790 | -0.000 | -0.000 | -0.000 |
| 1.790 | 1.790 | 1.790 | -0.000 | -0.000 | 0.000 |
| 0.000 | 0.000 | 0.000 | -0.000 | -0.000 | 0.000 |
| 0.000 | 0.000 | 0.000 | 0.000 | -0.000 | 0.000 |
| 0.000 | 0.000 | 0.000 | 0.000 | -0.000 | -0.000 |
| 1.790 | 1.790 | 1.790 | -0.000 | 0.000 | 0.000 |
| 1.790 | 1.790 | 1.790 | 0.000 | 0.000 | 0.000 |
| 1.790 | 1.790 | 1.790 | 0.000 | 0.000 | -0.000 |
| -0.000 | -0.000 | -0.000 | -0.000 | 0.000 | -0.000 |
| -0.000 | -0.000 | -0.000 | -0.000 | 0.000 | -0.000 |
| -0.000 | -0.000 | -0.000 | -0.000 | 0.000 | -0.000 |
| 1.790 | 1.790 | 1.790 | 0.000 | -0.000 | -0.000 |
| 1.790 | 1.790 | 1.790 | -0.000 | -0.000 | -0.000 |
| 1.790 | 1.790 | 1.790 | 0.000 | 0.000 | -0.000 |
| 0.000 | 0.000 | 0.000 | 0.000 | -0.000 | 0.000 |
| 0.000 | 0.000 | 0.000 | 0.000 | -0.000 | 0.000 |
| 0.000 | 0.000 | 0.000 | 0.000 | -0.000 | 0.000 |
| 12.214 | 105.762 | 55.608 | -0.000 | 0.000 | -0.000 |
| 105.762 | 12.214 | 55.608 | 0.000 | -0.000 | -0.000 |
| 55.608 | 55.608 | 7.416 | -0.000 | -0.000 | -0.000 |
| -0.000 | 0.000 | -0.000 | -43.969 | 0.000 | -0.000 |
| -0.000 | 0.000 | 0.000 | -0.000 | -43.969 | -0.000 |
| -0.000 | 0.000 | -0.000 | 0.000 | 0.000 | -11.551 |
| 12.214 | 105.762 | 55.608 | 0.000 | -0.000 | 0.000 |
| 105.762 | 12.214 | 55.608 | -0.000 | 0.000 | 0.000 |
| 55.608 | 55.608 | 7.416 | -0.000 | 0.000 | 0.000 |
| 0.000 | -0.000 | 0.000 | -43.969 | 0.000 | 0.000 |
| 0.000 | -0.000 | -0.000 | 0.000 | -43.969 | 0.000 |
| 0.000 | -0.000 | 0.000 | 0.000 | -0.000 | -11.551 |
| 12.214 | 105.762 | 55.608 | -0.000 | 0.000 | -0.000 |
| 105.762 | 12.214 | 55.608 | 0.000 | -0.000 | -0.000 |
| 55.608 | 55.608 | 7.416 | -0.000 | -0.000 | -0.000 |
| 0.000 | 0.000 | 0.000 | -43.969 | -0.000 | -0.000 |
| 0.000 | 0.000 | 0.000 | -0.000 | -43.969 | -0.000 |
| 0.000 | 0.000 | -0.000 | 0.000 | -0.000 | -11.551 |
| 12.214 | 105.762 | 55.608 | -0.000 | 0.000 | 0.000 |
| 105.762 | 12.214 | 55.608 | 0.000 | 0.000 | 0.000 |
| 55.608 | 55.608 | 7.416 | 0.000 | 0.000 | 0.000 |
| -0.000 | -0.000 | -0.000 | -43.969 | 0.000 | 0.000 |
| -0.000 | -0.000 | -0.000 | 0.000 | -43.969 | 0.000 |
| -0.000 | -0.000 | 0.000 | -0.000 | -0.000 | -11.551 |
| 12.215 | 105.763 | 55.608 | -0.000 | 0.000 | -0.000 |
| 105.763 | 12.215 | 55.608 | -0.000 | -0.000 | -0.000 |
| 55.608 | 55.608 | 7.416 | 0.000 | -0.000 | -0.000 |
| 0.000 | 0.000 | 0.000 | -43.969 | 0.000 | -0.000 |
| 0.000 | 0.000 | 0.000 | 0.000 | -43.969 | -0.000 |
| 0.001 | 0.001 | -0.000 | -0.000 | -0.000 | -11.551 |
| 12.214 | 105.762 | 55.608 | 0.000 | -0.000 | 0.000 |
| 105.762 | 12.214 | 55.608 | -0.000 | 0.000 | 0.000 |
| 55.608 | 55.608 | 7.416 | 0.000 | 0.000 | 0.000 |
| -0.000 | -0.000 | -0.000 | -43.969 | -0.000 | 0.000 |
| -0.000 | -0.000 | -0.000 | 0.000 | -43.969 | 0.000 |
| -0.001 | -0.001 | 0.000 | 0.000 | -0.000 | -11.551 |
| -151.575 | 453.710 | -22.268 | -0.000 | -0.000 | -0.000 |
| 453.710 | -151.575 | -22.268 | -0.000 | -0.000 | -0.000 |
| -22.268 | -22.268 | 125.453 | -0.000 | -0.000 | 0.000 |
| 0.000 | -0.000 | -0.000 | -48.143 | 0.000 | -0.000 |
| -0.000 | 0.000 | -0.000 | -0.000 | -48.143 | -0.000 |
| -0.000 | -0.000 | -0.000 | -0.000 | -0.000 | 8.484 |
| -151.574 | 453.710 | -22.268 | 0.000 | 0.000 | 0.000 |
| 453.710 | -151.574 | -22.268 | 0.000 | 0.000 | -0.000 |
| -22.268 | -22.268 | 125.453 | 0.000 | -0.000 | 0.000 |
| -0.000 | 0.000 | 0.000 | -48.143 | -0.000 | -0.000 |
| 0.000 | -0.000 | 0.000 | -0.000 | -48.143 | 0.000 |
| 0.000 | 0.000 | 0.000 | 0.000 | 0.000 | 8.484 |
| 293.367 | 8.769 | -22.268 | -0.000 | 0.000 | -0.000 |
| 8.769 | 293.367 | -22.268 | -0.000 | -0.000 | -0.000 |
| -22.268 | -22.268 | 125.453 | -0.000 | -0.000 | -0.000 |
| -0.000 | -0.000 | -0.000 | -21.086 | -0.000 | -0.000 |
| -0.000 | -0.000 | -0.000 | -0.000 | -21.086 | -0.000 |
| -0.000 | -0.000 | -0.000 | -0.000 | -0.000 | 8.484 |
| -149983616.531 | 114786646.952 | -7676618.037 | 0.000 | 0.000 | -0.000 |
| 114786646.952 | -149983616.531 | -7676618.037 | 0.000 | 0.000 | -0.000 |
| -22.268 | -22.268 | 125.453 | 0.000 | 0.000 | 0.000 |
| 0.000 | 0.000 | 0.000 | -21.086 | 0.000 | -0.000 |
| 0.000 | 0.000 | 0.000 | 0.000 | -21.086 | 0.000 |
| 0.000 | 0.000 | 0.000 | 0.000 | 0.000 | 8.484 |
| -11478508.297 | 14998475.938 | 767690.239 | -0.000 | -0.000 | -0.000 |
| 14998475.938 | -11478508.297 | 767690.239 | -0.000 | -0.000 | -0.000 |
| -22.268 | -22.268 | 125.454 | 0.000 | 0.000 | -0.000 |
| -0.000 | -0.000 | -0.001 | -48.143 | 0.000 | -0.000 |
| -0.000 | -0.000 | -0.001 | -0.000 | -48.143 | -0.000 |
| -0.000 | -0.000 | -0.000 | -0.000 | -0.000 | 8.484 |
| -14997760.136 | 11478683.570 | -767641.721 | 0.000 | 0.000 | -0.000 |
| 11478683.570 | -14997760.136 | -767641.721 | 0.000 | 0.000 | -0.000 |
| -22.268 | -22.268 | 125.452 | -0.000 | -0.000 | 0.000 |
| 0.000 | 0.000 | 0.001 | -48.143 | -0.000 | -0.000 |
| 0.000 | 0.000 | 0.001 | 0.000 | -48.143 | 0.000 |
| 0.000 | 0.000 | 0.000 | 0.000 | 0.000 | 8.484 |
| -42.379 | -42.039 | -10.003 | -0.000 | 0.000 | -0.000 |
| -42.039 | -42.379 | -10.003 | 0.000 | -0.000 | 0.000 |
| -10.003 | -10.003 | -2.371 | -0.000 | -0.000 | 0.000 |
| -0.000 | -0.000 | -0.000 | -0.040 | 0.000 | 0.000 |
| -0.000 | -0.000 | -0.000 | -0.000 | -0.040 | 0.000 |
| 0.000 | 0.000 | 0.000 | 0.000 | 0.000 | 0.000 |
| -42.377 | -42.041 | -10.003 | 0.000 | -0.000 | -0.000 |
| -42.039 | -42.379 | -10.003 | 0.000 | 0.000 | 0.000 |
| -10.003 | -10.003 | -2.371 | 0.000 | -0.000 | -0.000 |
| 0.000 | 0.000 | 0.000 | -0.040 | -0.000 | 0.000 |
| 0.000 | 0.000 | 0.000 | 0.000 | -0.040 | 0.000 |
| -0.000 | -0.000 | -0.000 | -0.000 | 0.000 | 0.000 |
| -42.377 | -42.041 | -10.003 | -0.000 | -0.000 | 0.000 |
| -42.041 | -42.377 | -10.003 | 0.000 | 0.000 | -0.000 |
| -10.003 | -10.003 | -2.371 | 0.000 | 0.000 | 0.000 |
| -0.000 | -0.000 | -0.000 | -0.042 | -0.000 | 0.000 |
| -0.000 | -0.000 | -0.000 | -0.000 | -0.042 | 0.000 |
| 0.000 | 0.000 | 0.000 | -0.000 | 0.000 | 0.000 |
| -42.379 | -42.039 | -10.003 | 0.000 | -0.000 | -0.000 |
| -42.039 | -42.379 | -10.003 | -0.000 | 0.000 | 0.000 |
| -10.003 | -10.003 | -2.371 | 0.000 | 0.000 | -0.000 |
| 0.000 | 0.000 | 0.000 | -0.042 | 0.000 | -0.000 |
| 0.000 | 0.000 | 0.000 | 0.000 | -0.042 | 0.000 |
| -0.000 | -0.000 | -0.000 | 0.000 | 0.000 | 0.000 |
| -42.378 | -42.041 | -10.003 | -0.000 | -0.000 | 0.000 |
| -42.041 | -42.378 | -10.003 | -0.000 | 0.000 | 0.000 |
| -10.003 | -10.003 | -2.371 | 0.000 | 0.000 | 0.000 |
| -0.000 | -0.000 | -0.000 | -0.040 | -0.000 | 0.000 |
| -0.000 | -0.000 | -0.000 | 0.000 | -0.040 | -0.000 |
| 0.000 | 0.000 | 0.000 | 0.000 | -0.000 | -0.000 |
| -42.377 | -42.041 | -10.003 | 0.000 | 0.000 | 0.000 |
| -42.041 | -42.377 | -10.003 | 0.000 | -0.000 | -0.000 |
| -10.003 | -10.003 | -2.371 | -0.000 | 0.000 | -0.000 |
| 0.000 | 0.000 | 0.000 | -0.040 | 0.000 | -0.000 |
| 0.000 | 0.000 | 0.000 | -0.000 | -0.040 | -0.000 |
| -0.000 | -0.000 | -0.000 | -0.000 | -0.000 | -0.000 |
| 16.444 | -0.050 | -0.114 | 0.000 | 0.000 | -0.000 |
| -0.050 | 16.444 | -0.114 | 0.000 | 0.000 | -0.000 |
| -0.114 | -0.114 | -0.257 | 0.000 | 0.000 | 0.000 |
| -0.000 | -0.000 | -0.000 | -0.114 | -0.000 | -0.000 |
| -0.000 | -0.000 | -0.000 | -0.000 | -0.114 | -0.000 |
| -0.000 | -0.000 | -0.000 | 0.000 | -0.000 | -0.050 |
| 16.444 | -0.050 | -0.114 | -0.000 | -0.000 | -0.000 |
| -0.050 | 16.444 | -0.114 | -0.000 | -0.000 | -0.000 |
| -0.114 | -0.114 | -0.257 | -0.000 | -0.000 | 0.000 |
| 0.000 | 0.000 | 0.000 | -0.114 | -0.000 | 0.000 |
| 0.000 | 0.000 | 0.000 | -0.000 | -0.114 | 0.000 |
| 0.000 | 0.000 | 0.000 | -0.000 | 0.000 | -0.050 |
| 16.445 | -0.050 | -0.114 | 0.000 | 0.000 | 0.000 |
| -0.050 | 16.445 | -0.114 | 0.000 | 0.000 | 0.000 |
| -0.114 | -0.114 | -0.257 | 0.000 | 0.000 | -0.000 |
| -0.000 | -0.000 | -0.000 | -0.114 | 0.000 | 0.000 |
| -0.000 | -0.000 | -0.000 | 0.000 | -0.114 | 0.000 |
| -0.000 | -0.000 | -0.000 | 0.000 | -0.000 | -0.050 |
| 16.444 | -0.050 | -0.114 | -0.000 | -0.000 | -0.000 |
| -0.050 | 16.444 | -0.114 | -0.000 | -0.000 | -0.000 |
| -0.114 | -0.114 | -0.257 | -0.000 | -0.000 | -0.000 |
| 0.000 | 0.000 | 0.000 | -0.114 | -0.000 | -0.000 |
| 0.000 | 0.000 | 0.000 | -0.000 | -0.114 | -0.000 |
| 0.000 | 0.000 | 0.000 | -0.000 | -0.000 | -0.050 |
| 16.446 | -0.051 | -0.114 | 0.000 | 0.000 | 0.000 |
| -0.051 | 16.446 | -0.114 | 0.000 | 0.000 | 0.000 |
| -0.114 | -0.114 | -0.258 | 0.000 | 0.000 | 0.000 |
| -0.000 | -0.000 | -0.000 | -0.114 | 0.000 | 0.000 |
| -0.000 | -0.000 | -0.000 | 0.000 | -0.114 | 0.000 |
| -0.000 | -0.000 | -0.000 | 0.000 | -0.000 | -0.050 |
| 16.443 | -0.050 | -0.114 | -0.000 | -0.000 | -0.000 |
| -0.050 | 16.443 | -0.114 | -0.000 | -0.000 | -0.000 |
| -0.113 | -0.113 | -0.257 | -0.000 | -0.000 | -0.000 |
| 0.000 | 0.000 | 0.000 | -0.114 | -0.000 | -0.000 |
| 0.000 | 0.000 | 0.000 | -0.000 | -0.114 | -0.000 |
| 0.000 | 0.000 | 0.000 | -0.000 | -0.000 | -0.050 |
| 476.238 | 39.125 | 39.125 | -0.000 | 0.000 | -0.000 |
| 39.125 | 476.238 | 39.125 | 0.000 | 0.000 | -0.000 |
| 39.125 | 39.125 | 476.238 | 0.000 | 0.000 | -0.000 |
| -0.000 | 0.000 | -0.000 | 39.079 | 0.000 | -0.000 |
| -0.000 | -0.000 | -0.000 | -0.000 | 39.079 | -0.000 |
| 0.000 | -0.000 | 0.000 | 0.000 | 0.000 | 39.079 |
| 476.238 | 39.125 | 39.125 | -0.000 | -0.000 | 0.000 |
| 39.125 | 476.238 | 39.125 | -0.000 | -0.000 | 0.000 |
| 39.125 | 39.125 | 476.238 | -0.000 | 0.000 | 0.000 |
| 0.000 | -0.000 | 0.000 | 39.079 | -0.000 | 0.000 |
| 0.000 | 0.000 | 0.000 | -0.000 | 39.079 | 0.000 |
| 0.000 | 0.000 | 0.000 | -0.000 | -0.000 | 39.079 |
| 476.239 | 39.125 | 39.125 | 0.000 | 0.000 | -0.000 |
| 39.125 | 476.239 | 39.125 | 0.000 | -0.000 | -0.000 |
| 39.125 | 39.125 | 476.239 | 0.000 | 0.000 | -0.000 |
| -0.000 | -0.000 | -0.000 | 39.079 | 0.000 | -0.000 |
| -0.000 | -0.000 | -0.000 | 0.000 | 39.079 | -0.000 |
| -0.000 | -0.000 | -0.000 | -0.000 | 0.000 | 39.079 |
| 476.238 | 39.125 | 39.125 | -0.000 | -0.000 | 0.000 |
| 39.125 | 476.238 | 39.125 | 0.000 | 0.000 | 0.000 |
| 39.125 | 39.125 | 476.238 | -0.000 | -0.000 | 0.000 |
| 0.000 | 0.000 | 0.000 | 39.079 | -0.000 | 0.000 |
| 0.000 | 0.000 | 0.000 | -0.000 | 39.079 | 0.000 |
| 0.000 | 0.000 | 0.000 | 0.000 | -0.000 | 39.079 |
| 476.241 | 39.125 | 39.125 | 0.000 | 0.000 | 0.000 |
| 39.125 | 476.241 | 39.125 | 0.000 | 0.000 | -0.000 |
| 39.125 | 39.125 | 476.241 | 0.000 | 0.000 | -0.000 |
| -0.000 | -0.000 | -0.000 | 39.079 | 0.000 | 0.000 |
| -0.000 | -0.000 | -0.000 | 0.000 | 39.079 | -0.000 |
| -0.000 | -0.000 | -0.000 | 0.000 | 0.000 | 39.079 |
| 476.235 | 39.125 | 39.125 | -0.000 | -0.000 | -0.000 |
| 39.125 | 476.235 | 39.125 | -0.000 | -0.000 | -0.000 |
| 39.125 | 39.125 | 476.235 | -0.000 | -0.000 | -0.000 |
| 0.000 | 0.000 | 0.000 | 39.079 | -0.000 | 0.000 |
| 0.000 | 0.000 | 0.000 | -0.000 | 39.079 | 0.000 |
| 0.000 | 0.000 | 0.000 | -0.000 | -0.000 | 39.079 |
| 156.251 | 63.437 | 63.437 | -0.000 | 0.000 | 0.000 |
| 63.437 | 156.251 | 63.437 | -0.000 | -0.000 | 0.000 |
| 63.437 | 63.437 | 156.251 | -0.000 | 0.000 | 0.000 |
| -0.000 | -0.000 | -0.000 | 63.201 | -0.000 | 0.000 |
| -0.000 | -0.000 | -0.000 | -0.000 | 63.201 | 0.000 |
| -0.000 | -0.000 | -0.000 | -0.000 | 0.000 | 63.201 |
| 156.251 | 63.437 | 63.437 | 0.000 | -0.000 | -0.000 |
| 63.437 | 156.251 | 63.437 | 0.000 | -0.000 | -0.000 |
| 63.437 | 63.437 | 156.251 | 0.000 | 0.000 | -0.000 |
| 0.000 | 0.000 | 0.000 | 63.201 | -0.000 | -0.000 |
| 0.000 | 0.000 | 0.000 | 0.000 | 63.201 | -0.000 |
| 0.000 | 0.000 | 0.000 | 0.000 | 0.000 | 63.201 |
| 156.251 | 63.437 | 63.437 | -0.000 | 0.000 | 0.000 |
| 63.437 | 156.251 | 63.437 | 0.000 | -0.000 | -0.000 |
| 63.437 | 63.437 | 156.251 | 0.000 | 0.000 | 0.000 |
| -0.000 | -0.000 | -0.000 | 63.201 | 0.000 | 0.000 |
| -0.000 | -0.000 | -0.000 | -0.000 | 63.201 | 0.000 |
| -0.000 | -0.000 | -0.000 | -0.000 | 0.000 | 63.201 |
| 156.251 | 63.437 | 63.437 | -0.000 | -0.000 | 0.000 |
| 63.437 | 156.251 | 63.437 | 0.000 | -0.000 | -0.000 |
| 63.437 | 63.437 | 156.251 | -0.000 | -0.000 | -0.000 |
| 0.000 | 0.000 | 0.000 | 63.201 | -0.000 | -0.000 |
| 0.000 | 0.000 | 0.000 | 0.000 | 63.201 | -0.000 |
| 0.000 | 0.000 | 0.000 | 0.000 | -0.000 | 63.201 |
| 156.250 | 63.437 | 63.437 | -0.000 | 0.000 | 0.000 |
| 63.437 | 156.250 | 63.437 | -0.000 | -0.000 | 0.000 |
| 63.437 | 63.437 | 156.250 | -0.000 | 0.000 | 0.000 |
| -0.000 | -0.000 | -0.000 | 63.201 | 0.000 | 0.000 |
| -0.000 | -0.000 | -0.000 | -0.000 | 63.201 | -0.000 |
| -0.000 | -0.000 | -0.000 | -0.000 | 0.000 | 63.201 |
| 156.252 | 63.437 | 63.437 | 0.000 | -0.000 | -0.000 |
| 63.437 | 156.252 | 63.437 | 0.000 | -0.000 | -0.000 |
| 63.437 | 63.437 | 156.252 | 0.000 | -0.000 | -0.000 |
| 0.000 | 0.000 | 0.000 | 63.201 | -0.000 | -0.000 |
| 0.000 | 0.000 | 0.000 | 0.000 | 63.201 | -0.000 |
| 0.000 | 0.000 | 0.000 | 0.000 | -0.000 | 63.201 |
| 223.923 | 80.804 | 89.173 | 0.000 | 2.855 | -0.000 |
| 81.323 | 489.465 | 45.593 | 0.000 | 0.821 | -0.000 |
| 88.499 | 46.444 | 241.961 | 0.000 | 0.746 | -0.000 |
| -0.000 | 0.000 | 0.000 | 40.447 | 0.000 | 0.329 |
| 2.258 | 0.871 | 0.879 | 0.000 | 65.524 | -0.000 |
| 0.000 | -0.000 | -0.000 | 0.238 | 0.000 | 57.053 |
| 226.808 | 77.691 | 88.189 | -0.000 | 3.014 | 0.000 |
| 81.323 | 489.465 | 45.593 | -0.000 | 0.821 | -0.000 |
| 89.483 | 45.377 | 241.622 | -0.000 | 0.812 | 0.000 |
| 0.000 | -0.000 | -0.000 | 40.447 | -0.000 | 0.329 |
| 2.258 | 0.871 | 0.879 | -0.000 | 65.524 | -0.000 |
| -0.000 | 0.000 | 0.000 | 0.238 | -0.000 | 57.053 |
| 223.923 | 80.804 | 89.173 | 0.000 | 2.855 | 0.000 |
| 78.216 | 492.828 | 46.658 | 0.000 | 0.632 | 0.000 |
| 89.483 | 45.377 | 241.622 | 0.000 | 0.812 | -0.000 |
| 0.000 | 0.000 | 0.000 | 40.443 | 0.000 | 0.093 |
| 2.258 | 0.871 | 0.879 | 0.000 | 65.524 | 0.000 |
| 0.000 | 0.000 | -0.000 | 0.238 | 0.000 | 57.053 |
| 223.923 | 80.804 | 89.172 | -0.000 | 2.855 | -0.000 |
| 78.216 | 492.827 | 46.658 | -0.000 | 0.632 | 0.000 |
| 89.483 | 45.377 | 241.621 | -0.000 | 0.812 | 0.000 |
| -0.000 | -0.000 | -0.000 | 40.443 | -0.000 | 0.093 |
| 2.581 | 0.488 | 0.746 | -0.000 | 65.608 | -0.000 |
| -0.000 | -0.000 | 0.000 | 0.238 | -0.000 | 57.053 |
| 223.925 | 80.804 | 89.173 | 0.000 | 2.854 | -0.000 |
| 81.323 | 489.471 | 45.594 | 0.000 | 0.821 | -0.000 |
| 89.475 | 45.379 | 241.622 | 0.000 | 0.824 | 0.000 |
| 0.000 | 0.001 | 0.000 | 40.443 | 0.000 | 0.093 |
| 2.453 | 0.678 | 0.824 | 0.000 | 65.501 | -0.000 |
| 0.000 | 0.000 | -0.000 | 0.238 | -0.000 | 57.053 |
| 226.806 | 77.691 | 88.188 | -0.000 | 3.014 | 0.000 |
| 81.323 | 489.459 | 45.592 | -0.000 | 0.821 | 0.000 |
| 89.483 | 45.376 | 241.620 | 0.000 | 0.812 | 0.000 |
| -0.000 | -0.001 | -0.000 | 40.443 | -0.000 | 0.093 |
| 2.580 | 0.488 | 0.746 | -0.000 | 65.608 | -0.000 |
| -0.000 | -0.000 | 0.000 | 0.238 | 0.000 | 57.053 |
| -16.460 | -74.303 | -632.052 | -9.998 | 0.000 | -0.000 |
| -74.307 | -16.464 | -632.074 | 9.998 | 0.000 | 0.000 |
| 29.653 | 29.653 | 94.904 | -0.000 | 0.000 | -0.000 |
| 101.973 | 107.843 | -24.765 | 5.126 | 0.000 | 0.000 |
| -128.538 | -128.538 | -754.544 | -0.000 | 16.675 | -9.762 |
| -0.000 | -0.000 | -0.000 | -0.000 | -10.401 | 29.137 |
| 226.716 | 169.132 | 778.134 | -9.760 | -0.000 | 0.000 |
| 42.153 | 100.427 | 29.671 | 10.401 | -0.000 | 0.000 |
| 29.653 | 29.653 | 94.904 | 0.000 | -0.000 | -0.000 |
| 105.213 | 125.209 | 656.467 | 17.116 | -0.000 | 0.000 |
| 128.538 | 128.538 | 754.544 | 0.000 | 16.675 | -9.762 |
| 0.000 | 0.000 | 0.000 | 0.000 | -10.401 | 29.137 |
| 100.427 | 42.153 | 29.671 | -10.401 | 0.000 | -0.000 |
| 42.153 | 100.427 | 29.671 | 10.401 | 0.000 | -0.000 |
| 12.716 | 12.716 | 8.614 | -0.000 | 0.000 | -0.000 |
| -22.626 | -3.106 | -75.537 | 16.672 | -0.000 | 0.000 |
| -11.525 | -11.525 | -65.671 | -0.000 | 17.116 | -9.998 |
| -0.000 | 0.000 | -0.000 | -0.000 | -10.401 | 29.137 |
| 100.427 | 42.153 | 29.671 | -10.401 | -0.000 | 0.000 |
| 42.153 | 100.427 | 29.671 | 10.401 | -0.000 | 0.000 |
| 35.765 | 35.765 | 148.376 | 0.000 | -0.000 | 0.000 |
| 1.528 | 21.523 | 65.671 | 17.116 | 0.000 | 0.000 |
| 11.525 | 11.525 | 65.671 | 0.000 | 17.116 | -9.998 |
| 0.000 | -0.000 | 0.000 | 0.000 | -10.401 | 29.137 |
| 100.427 | 42.153 | 29.671 | -10.401 | 0.000 | -0.000 |
| 39.620 | 97.435 | 17.198 | 9.971 | -0.000 | -0.000 |
| 12.233 | 12.233 | 34.959 | -0.000 | 0.000 | -0.000 |
| -11.178 | 8.788 | -6.808 | 17.087 | 0.000 | 0.000 |
| -1.195 | -1.195 | -6.808 | -0.000 | 17.087 | -9.983 |
| -0.000 | 0.000 | -0.000 | -0.000 | -10.401 | 29.137 |
| 100.427 | 42.153 | 29.672 | -10.401 | -0.000 | 0.000 |
| 42.153 | 100.427 | 29.672 | 10.401 | -0.000 | 0.000 |
| 29.653 | 29.653 | 94.904 | -0.000 | -0.000 | 0.000 |
| -8.788 | 11.178 | 6.809 | 17.087 | 0.000 | 0.000 |
| 1.195 | 1.195 | 6.808 | 0.000 | 17.087 | -9.983 |
| 0.000 | -0.000 | 0.000 | 0.000 | -10.401 | 29.137 |
| 258.716 | 62.131 | 167.743 | -0.000 | 0.000 | 0.000 |
| 113.563 | 201.096 | 113.567 | 0.000 | 0.000 | -0.000 |
| 167.742 | 62.130 | 258.764 | 0.000 | 0.000 | 0.000 |
| 40.310 | -97.591 | 40.313 | 29.315 | 0.000 | 0.000 |
| 66.807 | -161.719 | 66.812 | 0.000 | 159.835 | 0.000 |
| 40.788 | -98.748 | 40.791 | 0.000 | 0.000 | 7.333 |
| 212.262 | 174.590 | 121.287 | -0.000 | -0.000 | 0.000 |
| 59.064 | 333.027 | 59.064 | 0.000 | -0.000 | 0.000 |
| 121.289 | 174.589 | 212.306 | 0.000 | -0.000 | -0.000 |
| -40.310 | 97.591 | -40.313 | 29.315 | -0.000 | 0.000 |
| -66.807 | 161.719 | -66.812 | -0.000 | 159.835 | 0.000 |
| -40.788 | 98.748 | -40.791 | -0.000 | -0.000 | 7.333 |
| 256.115 | 68.421 | 165.143 | 0.000 | 0.000 | -0.000 |
| 76.854 | 289.969 | 76.855 | -0.000 | 0.000 | 0.000 |
| 167.743 | 62.130 | 258.764 | 0.000 | 0.000 | -0.000 |
| 6.699 | -16.217 | 6.700 | 32.900 | 0.000 | 0.000 |
| 6.681 | -16.172 | 6.681 | 0.000 | 159.835 | -0.000 |
| 6.699 | -16.217 | 6.700 | 0.000 | 0.000 | 29.832 |
| 258.715 | 62.131 | 167.743 | -0.000 | -0.000 | 0.000 |
| 59.064 | 333.027 | 59.064 | -0.000 | -0.000 | -0.000 |
| 167.742 | 62.130 | 258.763 | -0.000 | -0.000 | -0.000 |
| -6.699 | 16.217 | -6.700 | 32.900 | -0.000 | 0.000 |
| -6.681 | 16.172 | -6.681 | 0.000 | 159.835 | 0.000 |
| -6.699 | 16.217 | -6.700 | 0.000 | -0.000 | 29.832 |
| 258.719 | 62.131 | 167.745 | -0.000 | 0.000 | 0.000 |
| 74.819 | 294.899 | 74.820 | -0.000 | 0.000 | -0.000 |
| 160.418 | 79.859 | 251.441 | 0.000 | 0.000 | -0.000 |
| 0.837 | -2.025 | 0.837 | 30.959 | 0.000 | 0.000 |
| 0.001 | -0.000 | 0.001 | 0.000 | 159.835 | 0.000 |
| -0.939 | 2.273 | -0.939 | 0.000 | 0.000 | 7.867 |
| 250.523 | 81.950 | 159.553 | -0.000 | -0.000 | 0.000 |
| 74.063 | 296.722 | 74.064 | 0.000 | -0.000 | 0.000 |
| 159.552 | 81.949 | 250.570 | -0.000 | -0.000 | 0.000 |
| -0.837 | 2.025 | -0.837 | 30.959 | -0.000 | 0.000 |
| -0.001 | 0.000 | -0.001 | -0.000 | 159.835 | -0.000 |
| 0.939 | -2.273 | 0.939 | -0.000 | -0.000 | 7.867 |
| 151.753 | 71.415 | 71.415 | -0.000 | 0.000 | -0.000 |
| 71.415 | 151.753 | 71.415 | -0.000 | 0.000 | 0.000 |
| 71.415 | 71.415 | 151.753 | 0.000 | -0.000 | 0.000 |
| 8.454 | 8.454 | 8.454 | 5.102 | -0.000 | -0.000 |
| 8.454 | 8.454 | 8.454 | -0.000 | 5.102 | -0.000 |
| 8.454 | 8.454 | 8.454 | -0.000 | 0.000 | 5.102 |
| 172.428 | 52.403 | 52.403 | -0.000 | 0.000 | 0.000 |
| 52.403 | 172.428 | 52.403 | 0.000 | 0.000 | -0.000 |
| 52.403 | 52.403 | 172.428 | 0.000 | 0.000 | 0.000 |
| -8.454 | -8.454 | -8.454 | 5.102 | 0.000 | -0.000 |
| -8.454 | -8.454 | -8.454 | 0.000 | 5.102 | 0.000 |
| -8.454 | -8.454 | -8.454 | 0.000 | 0.000 | 5.102 |
| 172.429 | 52.403 | 52.403 | 0.000 | -0.000 | 0.000 |
| 52.403 | 172.429 | 52.403 | -0.000 | -0.000 | -0.000 |
| 52.403 | 52.403 | 172.429 | 0.000 | -0.000 | -0.000 |
| -0.000 | 0.000 | 0.000 | 28.184 | -0.000 | 0.000 |
| 0.000 | -0.000 | 0.000 | 0.000 | 28.184 | -0.000 |
| 0.000 | 0.000 | 0.000 | 0.000 | 0.000 | 28.184 |
| 172.428 | 52.403 | 52.403 | 0.000 | -0.000 | -0.000 |
| 52.403 | 172.428 | 52.403 | -0.000 | -0.000 | -0.000 |
| 52.403 | 52.403 | 172.428 | 0.000 | 0.000 | 0.000 |
| -0.000 | -0.000 | -0.000 | 28.184 | -0.000 | 0.000 |
| -0.000 | 0.000 | -0.000 | 0.000 | 28.184 | -0.000 |
| -0.000 | -0.000 | -0.000 | 0.000 | 0.000 | 28.184 |
| 172.430 | 52.403 | 52.403 | 0.000 | -0.000 | 0.000 |
| 52.403 | 172.430 | 52.403 | -0.000 | 0.000 | 0.000 |
| 52.403 | 52.403 | 172.430 | -0.000 | 0.000 | -0.000 |
| -0.000 | 0.000 | 0.000 | 28.184 | -0.000 | 0.000 |
| 0.000 | -0.000 | 0.000 | -0.000 | 28.184 | -0.000 |
| 0.000 | 0.000 | -0.000 | -0.000 | 0.000 | 28.184 |
| 152.996 | 57.289 | 57.289 | -0.000 | 0.000 | -0.000 |
| 57.289 | 152.996 | 57.289 | 0.000 | -0.000 | -0.000 |
| 57.289 | 57.289 | 152.996 | -0.000 | 0.000 | -0.000 |
| 0.000 | -0.000 | -0.000 | 28.184 | -0.000 | 0.000 |
| -0.000 | 0.000 | -0.000 | -0.000 | 28.184 | 0.000 |
| -0.000 | -0.000 | 0.000 | -0.000 | -0.000 | 28.184 |
| 98.680 | 62.700 | 62.740 | -0.074 | -0.044 | 0.050 |
| 62.751 | 98.648 | 62.747 | -0.074 | -0.044 | 0.050 |
| 85.022 | 85.022 | 135.465 | 0.000 | -0.000 | 0.000 |
| 0.000 | 0.000 | 0.000 | 49.727 | 0.000 | 0.000 |
| 0.000 | 0.000 | 0.000 | 0.000 | 49.727 | 0.000 |
| 0.000 | 0.000 | 0.000 | 0.000 | -0.000 | 49.727 |
| 155.466 | 116.955 | 116.985 | -0.060 | -0.036 | 0.041 |
| 116.997 | 155.483 | 116.994 | -0.061 | -0.036 | 0.041 |
| 116.988 | 116.956 | 155.468 | -0.060 | -0.036 | 0.041 |
| -0.000 | 0.000 | -0.000 | 49.727 | -0.000 | -0.000 |
| -0.000 | 0.000 | -0.000 | -0.000 | 49.727 | -0.000 |
| -0.000 | 0.000 | -0.000 | -0.000 | -0.000 | 49.727 |
| 135.465 | 85.022 | 85.022 | 0.000 | 0.000 | 0.000 |
| 85.022 | 135.465 | 85.022 | 0.000 | 0.000 | 0.000 |
| 85.022 | 85.022 | 135.465 | 0.000 | -0.000 | 0.000 |
| -1.919 | -1.922 | -1.919 | 30.185 | -0.004 | 0.004 |
| -1.919 | -1.922 | -1.919 | -0.006 | 30.185 | 0.004 |
| -1.920 | -1.923 | -1.920 | -0.006 | -0.004 | 30.185 |
| 135.464 | 85.022 | 85.022 | -0.000 | -0.000 | -0.000 |
| 85.022 | 135.464 | 85.022 | -0.000 | -0.000 | -0.000 |
| 85.022 | 85.022 | 135.464 | -0.000 | 0.000 | -0.000 |
| 1.920 | 1.923 | 1.920 | 30.185 | 0.004 | -0.004 |
| 1.919 | 1.923 | 1.920 | 0.006 | 30.185 | -0.004 |
| 1.919 | 1.922 | 1.919 | 0.006 | 0.004 | 30.185 |
| 135.465 | 85.022 | 85.022 | 0.000 | 0.000 | 0.000 |
| 85.022 | 135.465 | 85.022 | 0.000 | 0.000 | 0.000 |
| 85.022 | 85.022 | 135.465 | 0.000 | -0.000 | 0.000 |
| 0.000 | 0.000 | 0.000 | 49.727 | -0.000 | 0.000 |
| 0.000 | 0.000 | 0.000 | 0.000 | 49.727 | 0.000 |
| 0.000 | 0.000 | 0.000 | 0.000 | -0.000 | 49.727 |
| 135.464 | 85.022 | 85.022 | -0.000 | 0.000 | -0.000 |
| 85.022 | 135.464 | 85.022 | -0.000 | 0.000 | -0.000 |
| 85.022 | 85.022 | 135.464 | -0.000 | -0.000 | -0.000 |
| 0.189 | 0.190 | 0.189 | 30.465 | 0.000 | -0.000 |
| -0.000 | -0.000 | -0.000 | -0.000 | 49.727 | -0.000 |
| -0.000 | -0.000 | -0.000 | -0.000 | -0.000 | 49.727 |
| 160.585 | -21.614 | 72.184 | 0.000 | 0.000 | 0.000 |
| -22.639 | 276.295 | 36.629 | 0.000 | 0.000 | 0.000 |
| 73.280 | 38.751 | 178.546 | 0.000 | 0.000 | 0.000 |
| 0.000 | 0.000 | 0.000 | 18.363 | 0.000 | 0.000 |
| 0.000 | 0.000 | -0.000 | 0.000 | 53.152 | -0.000 |
| 0.000 | 0.000 | -0.000 | 0.000 | -0.000 | -46.267 |
| 160.585 | -21.614 | 72.184 | -0.000 | 0.000 | 0.000 |
| -22.639 | 276.294 | 36.629 | -0.000 | -0.000 | -0.000 |
| 76.530 | 53.445 | 174.350 | 0.000 | 0.000 | -0.000 |
| -0.000 | -0.000 | 0.000 | 18.363 | -0.000 | 0.000 |
| -0.000 | -0.000 | 0.000 | -0.000 | 53.152 | -0.000 |
| -0.000 | -0.000 | 0.000 | -0.000 | -0.000 | -46.267 |
| 158.069 | -32.992 | 75.434 | 0.000 | 0.000 | -0.000 |
| -34.018 | 224.840 | 51.323 | 0.000 | 0.000 | -0.000 |
| 73.280 | 38.751 | 178.546 | -0.000 | 0.000 | -0.000 |
| 0.000 | 0.000 | 0.000 | 18.363 | 0.000 | 0.000 |
| 0.000 | 0.000 | 0.000 | 0.000 | 53.152 | 0.000 |
| 20779959.748 | -80236727.591 | -4346470.235 | 0.000 | -0.000 | -7141785.111 |
| 160.585 | -21.614 | 72.184 | -0.000 | -0.000 | -0.000 |
| -22.639 | 276.294 | 36.629 | -0.000 | 0.000 | -0.000 |
| 76.530 | 53.445 | 174.350 | -0.000 | -0.000 | -0.000 |
| -0.000 | -0.000 | -0.000 | 18.363 | -0.000 | 0.000 |
| -0.000 | -0.000 | -0.000 | -0.000 | 53.152 | 0.000 |
| -20779959.750 | 80236727.588 | 4346470.233 | -0.000 | -0.000 | -7141785.113 |
| 160.587 | -21.613 | 72.185 | 0.000 | -0.000 | 0.000 |
| -34.018 | 224.842 | 51.324 | 0.000 | 0.000 | 0.000 |
| 76.530 | 53.446 | 174.351 | 0.000 | -0.000 | -0.000 |
| 0.001 | 0.001 | 0.000 | -17.770 | 0.000 | 0.000 |
| 0.001 | 0.000 | 0.000 | 0.000 | 53.152 | 0.000 |
| 2077977.920 | -8023603.945 | -434634.611 | 0.000 | 0.000 | -714243.623 |
| 160.583 | -21.614 | 72.184 | -0.000 | -0.000 | 0.000 |
| -34.021 | 224.825 | 51.325 | -0.000 | -0.000 | 0.000 |
| 76.530 | 53.445 | 174.349 | -0.000 | 0.000 | -0.000 |
| -0.001 | -0.001 | -0.000 | -17.770 | -0.000 | 0.000 |
| -0.001 | -0.000 | -0.000 | -0.000 | 53.152 | -0.000 |
| -2077977.920 | 8023603.945 | 434634.611 | -0.000 | -0.000 | -714243.622 |
| 220.821 | 120.509 | 95.060 | -0.000 | 0.000 | 0.000 |
| 109.980 | 231.689 | 95.684 | 0.000 | 0.000 | 0.000 |
| 93.968 | 96.822 | 223.766 | -0.000 | 0.000 | 0.000 |
| -1.480 | 1.458 | 0.005 | 44.402 | 0.000 | 0.000 |
| -1.480 | 1.458 | 0.005 | -0.000 | 43.413 | 0.000 |
| -1.508 | 1.486 | 0.005 | -0.000 | 0.000 | 48.899 |
| 223.782 | 117.592 | 95.050 | 0.000 | -0.000 | -0.000 |
| 121.212 | 220.624 | 95.645 | 0.000 | -0.000 | -0.000 |
| 96.929 | 93.905 | 223.756 | 0.000 | -0.000 | -0.000 |
| 1.480 | -1.458 | -0.005 | 44.402 | -0.000 | -0.000 |
| 1.480 | -1.458 | -0.005 | 0.000 | 43.413 | -0.000 |
| 1.508 | -1.486 | -0.005 | 0.000 | -0.000 | 48.899 |
| 222.154 | 119.197 | 95.056 | -0.000 | 0.000 | 0.000 |
| 109.980 | 231.689 | 95.684 | -0.000 | 0.000 | 0.000 |
| 95.301 | 95.509 | 223.761 | -0.000 | 0.000 | 0.000 |
| 0.000 | -0.000 | 0.000 | 44.402 | 0.000 | 0.000 |
| -0.148 | 0.146 | 0.001 | -0.000 | 43.413 | 0.000 |
| -0.151 | 0.149 | 0.001 | -0.000 | 0.000 | 48.894 |
| 222.450 | 118.905 | 95.054 | 0.000 | 0.000 | -0.000 |
| 119.879 | 221.937 | 95.650 | 0.000 | -0.000 | -0.000 |
| 95.415 | 95.397 | 223.761 | 0.000 | 0.000 | -0.000 |
| 0.147 | -0.145 | -0.001 | 44.402 | -0.000 | -0.000 |
| 0.148 | -0.146 | -0.001 | 0.000 | 43.413 | -0.000 |
| 0.151 | -0.149 | -0.001 | 0.000 | -0.000 | 48.894 |
| 232.201 | 109.300 | 95.021 | -0.000 | 0.000 | 0.000 |
| 109.981 | 231.690 | 95.684 | -0.000 | 0.000 | 0.000 |
| 95.434 | 95.379 | 223.761 | -0.000 | -0.000 | 0.000 |
| -0.010 | 0.010 | 0.000 | 44.402 | 0.000 | 0.000 |
| -0.015 | 0.015 | 0.000 | -0.000 | 43.413 | -0.000 |
| -0.000 | 0.000 | 0.000 | -0.000 | 0.000 | 59.039 |
| 222.316 | 119.036 | 95.055 | 0.000 | -0.000 | -0.000 |
| 119.746 | 222.068 | 95.650 | 0.000 | -0.000 | -0.000 |
| 95.414 | 95.396 | 223.761 | 0.000 | -0.000 | -0.000 |
| 0.010 | -0.010 | -0.000 | 44.402 | -0.000 | 0.000 |
| 0.015 | -0.015 | -0.000 | 0.000 | 43.413 | -0.000 |
| 0.000 | -0.000 | -0.000 | 0.000 | -0.000 | 59.039 |
| -274.791 | -382.227 | -404.230 | 0.000 | -0.000 | 0.000 |
| -252.045 | -404.974 | -404.230 | 0.000 | -0.000 | -0.000 |
| -404.230 | -404.230 | 250.309 | -0.000 | -0.000 | -0.000 |
| -0.000 | 0.000 | -0.000 | -44.627 | -0.000 | -0.000 |
| -0.000 | 0.000 | 0.000 | 0.000 | -44.628 | -0.000 |
| 0.000 | 0.000 | -0.000 | 0.000 | -0.000 | 53.718 |
| -404.973 | -252.045 | -404.230 | -0.000 | 0.000 | 0.000 |
| -252.045 | -404.973 | -404.230 | -0.000 | 0.000 | 0.000 |
| -404.230 | -404.230 | 250.309 | -0.000 | 0.000 | 0.000 |
| 0.000 | -0.000 | 0.000 | -44.628 | 0.000 | 0.000 |
| 0.000 | -0.000 | -0.000 | -0.000 | -44.627 | 0.000 |
| -0.000 | -0.000 | 0.000 | -0.000 | 0.000 | 53.718 |
| -406.358 | -250.661 | -404.230 | 0.000 | -0.000 | -0.000 |
| -382.228 | -274.791 | -404.230 | 0.000 | -0.000 | 0.000 |
| -404.230 | -404.230 | 250.309 | 0.000 | -0.000 | -0.000 |
| 0.000 | 0.000 | -0.000 | -44.627 | -0.000 | -0.000 |
| 0.000 | 0.000 | -0.000 | 0.000 | -44.627 | -0.000 |
| 0.000 | 0.000 | -0.000 | 0.000 | -0.000 | 53.718 |
| -406.366 | -250.652 | -404.230 | -0.000 | 0.000 | -0.000 |
| -250.605 | -406.412 | -404.230 | -0.000 | 0.000 | 0.000 |
| -404.230 | -404.230 | 250.308 | -0.000 | 0.000 | 0.000 |
| -0.000 | -0.000 | 0.000 | -44.627 | 0.000 | 0.000 |
| -0.000 | -0.000 | 0.000 | -0.000 | -44.627 | 0.000 |
| -0.000 | -0.000 | 0.000 | -0.000 | 0.000 | 53.718 |
| 25303633.644 | 23512940.355 | -8938349.516 | 179467.876 | 120395.339 | 976224.145 |
| -252.157 | -404.867 | -404.234 | 0.000 | -0.000 | -0.000 |
| -404.231 | -404.231 | 250.311 | 0.000 | -0.000 | -0.000 |
| 0.000 | 0.000 | -0.000 | -44.627 | -0.000 | -0.000 |
| 0.000 | 0.000 | -0.000 | 0.000 | -44.627 | -0.000 |
| -0.001 | 0.001 | -0.000 | 0.000 | -0.000 | -76.464 |
| -35070681.544 | -32012406.848 | -6450452.793 | 32276.000 | 119889.523 | -88822.259 |
| -252.082 | -404.930 | -404.226 | -0.000 | 0.000 | 0.000 |
| -404.229 | -404.229 | 250.306 | -0.000 | 0.000 | 0.000 |
| -0.000 | -0.000 | 0.000 | -44.627 | 0.000 | -0.000 |
| -0.000 | -0.000 | 0.000 | -0.000 | -44.627 | 0.000 |
| 0.001 | -0.001 | 0.000 | -0.000 | 0.000 | -76.464 |
| 89.743 | 31.554 | 31.554 | -0.000 | -0.000 | 0.000 |
| 31.554 | 89.743 | 31.554 | 0.000 | -0.000 | 0.000 |
| 31.554 | 31.554 | 89.743 | 0.000 | -0.000 | 0.000 |
| 0.000 | 0.000 | -0.000 | 14.218 | -0.000 | 0.000 |
| 0.000 | 0.000 | -0.000 | -0.000 | 14.218 | 0.000 |
| 0.000 | -0.000 | -0.000 | -0.000 | -0.000 | 14.218 |
| 89.743 | 31.554 | 31.555 | 0.000 | -0.000 | -0.000 |
| 31.554 | 89.743 | 31.555 | -0.000 | 0.000 | -0.000 |
| 31.554 | 31.554 | 89.743 | 0.000 | -0.000 | -0.000 |
| -0.000 | -0.000 | 0.000 | 14.218 | 0.000 | -0.000 |
| -0.000 | -0.000 | -0.000 | -0.000 | 14.218 | -0.000 |
| -0.000 | 0.000 | 0.000 | 0.000 | -0.000 | 14.218 |
| -173.167 | -113.721 | -113.721 | 0.000 | -0.000 | 0.000 |
| -113.721 | -173.167 | -113.721 | 0.000 | -0.000 | 0.000 |
| -113.721 | -113.721 | -173.167 | -0.000 | -0.000 | 0.000 |
| -179.886 | -179.886 | -179.886 | -24.050 | -0.000 | 0.000 |
| -179.886 | -179.886 | -179.886 | 0.000 | -24.050 | 0.000 |
| -179.886 | -179.886 | -179.886 | -0.000 | 0.000 | -24.050 |
| 89.743 | 31.554 | 31.554 | -0.000 | -0.000 | -0.000 |
| 31.554 | 89.743 | 31.554 | -0.000 | 0.000 | -0.000 |
| 31.554 | 31.554 | 89.743 | 0.000 | 0.000 | -0.000 |
| 179.886 | 179.886 | 179.886 | -24.050 | 0.000 | -0.000 |
| 179.886 | 179.886 | 179.886 | -0.000 | -24.050 | -0.000 |
| 179.886 | 179.886 | 179.886 | -0.000 | 0.000 | -24.050 |
| 89.743 | 31.554 | 31.554 | -0.000 | 0.000 | 0.000 |
| 31.554 | 89.743 | 31.554 | 0.000 | -0.000 | 0.000 |
| 31.554 | 31.554 | 89.743 | 0.000 | -0.000 | 0.000 |
| -0.000 | -0.000 | -0.000 | 14.218 | -0.000 | 0.000 |
| -0.000 | -0.000 | -0.000 | 0.000 | 14.218 | 0.000 |
| -0.000 | -0.000 | -0.000 | -0.000 | -0.000 | 14.218 |
| 89.743 | 31.554 | 31.554 | -0.000 | 0.000 | -0.000 |
| 31.554 | 89.743 | 31.554 | 0.000 | 0.000 | -0.000 |
| 31.554 | 31.554 | 89.743 | -0.000 | 0.000 | -0.000 |
| 0.000 | 0.000 | 0.000 | 14.218 | -0.000 | -0.000 |
| 0.000 | 0.000 | 0.000 | -0.000 | 14.218 | -0.000 |
| 0.000 | 0.000 | 0.000 | 0.000 | 0.000 | 14.218 |
| 25.661 | 27.996 | 27.996 | 0.000 | 0.000 | 0.000 |
| 27.996 | 25.661 | 27.996 | 0.000 | 0.000 | 0.000 |
| 27.996 | 27.996 | 25.661 | 0.000 | 0.000 | 0.000 |
| 0.000 | 0.000 | 0.000 | 54.299 | 0.000 | 0.000 |
| 0.000 | 0.000 | 0.000 | 0.000 | 54.299 | 0.000 |
| 0.000 | 0.000 | 0.000 | 0.000 | 0.000 | 54.299 |
| 25.661 | 27.996 | 27.996 | -0.000 | -0.000 | -0.000 |
| 27.996 | 25.661 | 27.996 | -0.000 | -0.000 | -0.000 |
| 27.996 | 27.996 | 25.661 | -0.000 | -0.000 | 0.000 |
| -0.000 | -0.000 | -0.000 | 54.299 | -0.000 | -0.000 |
| -0.000 | -0.000 | -0.000 | -0.000 | 54.299 | -0.000 |
| -0.000 | -0.000 | -0.000 | -0.000 | -0.000 | 54.299 |
| 25.661 | 27.996 | 27.996 | 0.000 | 0.000 | 0.000 |
| 27.996 | 25.661 | 27.996 | 0.000 | 0.000 | 0.000 |
| 27.996 | 27.996 | 25.661 | 0.000 | 0.000 | 0.000 |
| -0.000 | -0.000 | -0.000 | -10.015 | 0.000 | 0.000 |
| -0.000 | -0.000 | -0.000 | 0.000 | -10.015 | 0.000 |
| -0.000 | -0.000 | -0.000 | 0.000 | 0.000 | -10.015 |
| 25.662 | 27.996 | 27.996 | -0.000 | -0.000 | 0.000 |
| 27.996 | 25.662 | 27.996 | -0.000 | -0.000 | -0.000 |
| 27.996 | 27.996 | 25.662 | -0.000 | -0.000 | -0.000 |
| 0.000 | 0.000 | 0.000 | -10.015 | -0.000 | -0.000 |
| 0.000 | 0.000 | 0.000 | -0.000 | -10.015 | -0.000 |
| 0.000 | 0.000 | 0.000 | -0.000 | -0.000 | -10.015 |
| 25.660 | 27.996 | 27.996 | 0.000 | 0.000 | 0.000 |
| 27.996 | 25.660 | 27.996 | 0.000 | 0.000 | 0.000 |
| 27.996 | 27.996 | 25.660 | -0.000 | 0.000 | 0.000 |
| 0.000 | 0.000 | 0.000 | 54.299 | 0.000 | 0.000 |
| 0.000 | 0.000 | 0.000 | 0.000 | 54.299 | 0.000 |
| 0.000 | 0.000 | 0.000 | 0.000 | 0.000 | 54.299 |
| 25.663 | 27.996 | 27.996 | -0.000 | -0.000 | -0.000 |
| 27.996 | 25.663 | 27.996 | -0.000 | -0.000 | -0.000 |
| 27.996 | 27.996 | 25.663 | -0.000 | -0.000 | 0.000 |
| -0.000 | -0.000 | -0.000 | 54.299 | -0.000 | -0.000 |
| -0.000 | -0.000 | -0.000 | -0.000 | 54.299 | -0.000 |
| -0.000 | -0.000 | -0.000 | -0.000 | -0.000 | 54.299 |
| 1218.573 | 1185.943 | 1185.943 | -0.000 | 0.000 | -0.000 |
| 1185.943 | 1218.573 | 1185.943 | -0.000 | 0.000 | -0.000 |
| 1185.943 | 1185.943 | 1218.573 | -0.000 | -0.000 | -0.000 |
| 0.000 | 0.000 | 0.000 | 1.528 | -0.000 | -0.000 |
| 0.000 | 0.000 | 0.000 | -0.000 | 1.528 | -0.000 |
| 0.000 | 0.000 | 0.000 | -0.000 | -0.000 | 1.528 |
| 1218.573 | 1185.944 | 1185.944 | -0.000 | -0.000 | 0.000 |
| 1185.944 | 1218.573 | 1185.944 | -0.000 | -0.000 | 0.000 |
| 1185.944 | 1185.944 | 1218.573 | 0.000 | 0.000 | 0.000 |
| -0.000 | -0.000 | -0.000 | 1.528 | 0.000 | 0.000 |
| -0.000 | -0.000 | -0.000 | 0.000 | 1.528 | 0.000 |
| -0.000 | -0.000 | -0.000 | 0.000 | 0.000 | 1.528 |
| 1218.571 | 1185.941 | 1185.941 | 0.000 | 0.000 | -0.000 |
| 1185.941 | 1218.571 | 1185.941 | 0.000 | 0.000 | -0.000 |
| 1185.941 | 1185.941 | 1218.571 | -0.000 | -0.000 | -0.000 |
| 0.000 | 0.000 | 0.000 | 1.528 | -0.000 | -0.000 |
| 0.000 | 0.000 | 0.000 | -0.000 | 1.528 | -0.000 |
| 0.000 | 0.000 | 0.000 | -0.000 | -0.000 | 1.528 |
| 1218.575 | 1185.945 | 1185.945 | 0.000 | -0.000 | 0.000 |
| 1185.945 | 1218.575 | 1185.945 | -0.000 | -0.000 | 0.000 |
| 1185.945 | 1185.945 | 1218.575 | -0.000 | -0.000 | 0.000 |
| -0.000 | -0.000 | -0.000 | 1.528 | 0.000 | 0.000 |
| -0.000 | -0.000 | -0.000 | 0.000 | 1.528 | 0.000 |
| -0.000 | -0.000 | -0.000 | 0.000 | 0.000 | 1.528 |
| 1218.552 | 1185.921 | 1185.921 | -0.000 | -0.000 | -0.000 |
| 1185.921 | 1218.552 | 1185.921 | -0.000 | -0.000 | -0.000 |
| 1185.921 | 1185.921 | 1218.552 | -0.000 | -0.000 | -0.000 |
| 0.000 | 0.000 | 0.000 | 1.528 | -0.000 | -0.000 |
| 0.000 | 0.000 | 0.000 | -0.000 | 1.528 | -0.000 |
| 0.000 | 0.000 | 0.000 | -0.000 | -0.000 | 1.528 |
| 1218.595 | 1185.965 | 1185.965 | -0.000 | -0.000 | 0.000 |
| 1185.965 | 1218.595 | 1185.965 | 0.000 | -0.000 | 0.000 |
| 1185.965 | 1185.965 | 1218.595 | 0.000 | 0.000 | 0.000 |
| -0.000 | -0.000 | -0.000 | 1.528 | 0.000 | 0.000 |
| -0.000 | -0.000 | -0.000 | 0.000 | 1.528 | 0.000 |
| -0.000 | -0.000 | -0.000 | 0.000 | 0.000 | 1.528 |
| 349.399 | 349.399 | 349.399 | 0.000 | -0.000 | 0.000 |
| 349.399 | 349.399 | 349.399 | -0.000 | 0.000 | 0.000 |
| 349.399 | 349.399 | 349.399 | 0.000 | 0.000 | 0.000 |
| 0.000 | 0.000 | 0.000 | 0.908 | 0.000 | 0.000 |
| 0.000 | 0.000 | 0.000 | 0.000 | 0.908 | 0.000 |
| 0.000 | 0.000 | 0.000 | 0.000 | 0.000 | 0.908 |
| 349.399 | 349.399 | 349.399 | 0.000 | -0.000 | -0.000 |
| 349.399 | 349.399 | 349.399 | -0.000 | 0.000 | -0.000 |
| 349.399 | 349.399 | 349.399 | -0.000 | -0.000 | 0.000 |
| -0.000 | -0.000 | -0.000 | 0.908 | -0.000 | -0.000 |
| -0.000 | -0.000 | -0.000 | -0.000 | 0.908 | -0.000 |
| -0.000 | -0.000 | -0.000 | -0.000 | 0.000 | 0.908 |
| 349.400 | 349.401 | 349.401 | 0.000 | 0.000 | 0.000 |
| 349.401 | 349.400 | 349.401 | 0.000 | 0.000 | 0.000 |
| 349.401 | 349.401 | 349.400 | 0.000 | 0.000 | -0.000 |
| 0.000 | 0.000 | 0.000 | 0.908 | 0.000 | 0.000 |
| 0.000 | 0.000 | 0.000 | 0.000 | 0.908 | 0.000 |
| 0.000 | 0.000 | 0.000 | 0.000 | -0.000 | 0.908 |
| 349.398 | 349.398 | 349.398 | -0.000 | 0.000 | 0.000 |
| 349.398 | 349.398 | 349.398 | 0.000 | -0.000 | 0.000 |
| 349.398 | 349.398 | 349.398 | -0.000 | -0.000 | -0.000 |
| -0.000 | -0.000 | -0.000 | 0.908 | -0.000 | 0.000 |
| -0.000 | -0.000 | -0.000 | -0.000 | 0.908 | 0.000 |
| -0.000 | -0.000 | -0.000 | -0.000 | 0.000 | 0.908 |
| 349.411 | 349.412 | 349.412 | 0.000 | 0.000 | 0.000 |
| 349.412 | 349.411 | 349.412 | 0.000 | 0.000 | 0.000 |
| 349.412 | 349.412 | 349.411 | 0.000 | 0.000 | 0.000 |
| 0.003 | 0.003 | 0.003 | 1.097 | 0.000 | 0.000 |
| 0.003 | 0.003 | 0.003 | 0.000 | 1.097 | 0.000 |
| 0.003 | 0.003 | 0.003 | 0.000 | 0.000 | 1.097 |
| 349.387 | 349.387 | 349.387 | 0.000 | 0.000 | 0.000 |
| 349.387 | 349.387 | 349.387 | 0.000 | 0.000 | 0.000 |
| 349.387 | 349.387 | 349.387 | -0.000 | 0.000 | 0.000 |
| -0.003 | -0.003 | -0.003 | 1.097 | -0.000 | 0.000 |
| -0.003 | -0.003 | -0.003 | -0.000 | 1.097 | 0.000 |
| -0.003 | -0.003 | -0.003 | 0.000 | 0.000 | 1.097 |
| 174.056 | 234.828 | 234.828 | 0.000 | 0.000 | -0.000 |
| 234.828 | 174.056 | 234.828 | 0.000 | 0.000 | -0.000 |
| 234.828 | 234.828 | 174.056 | -0.000 | 0.000 | -0.000 |
| -0.000 | -0.000 | -0.000 | 167.476 | 0.000 | -0.000 |
| -0.000 | -0.000 | -0.000 | -0.000 | 167.476 | -0.000 |
| -0.000 | -0.000 | -0.000 | 0.000 | 0.000 | 167.476 |
| 174.056 | 234.828 | 234.828 | 0.000 | -0.000 | 0.000 |
| 234.828 | 174.056 | 234.828 | -0.000 | -0.000 | 0.000 |
| 234.828 | 234.828 | 174.056 | -0.000 | -0.000 | 0.000 |
| 0.000 | 0.000 | 0.000 | 167.476 | -0.000 | 0.000 |
| 0.000 | 0.000 | 0.000 | 0.000 | 167.476 | 0.000 |
| 0.000 | 0.000 | 0.000 | 0.000 | -0.000 | 167.476 |
| 174.056 | 234.828 | 234.828 | -0.000 | -0.000 | -0.000 |
| 234.828 | 174.056 | 234.828 | 0.000 | 0.000 | -0.000 |
| 234.828 | 234.828 | 174.056 | 0.000 | 0.000 | -0.000 |
| 0.000 | 0.000 | 0.000 | 167.476 | 0.000 | -0.000 |
| 0.000 | 0.000 | 0.000 | -0.000 | 167.476 | -0.000 |
| 0.000 | 0.000 | 0.000 | -0.000 | 0.000 | 167.476 |
| 174.056 | 234.828 | 234.828 | -0.000 | -0.000 | 0.000 |
| 234.828 | 174.056 | 234.828 | -0.000 | 0.000 | 0.000 |
| 234.828 | 234.828 | 174.056 | 0.000 | -0.000 | 0.000 |
| -0.000 | -0.000 | -0.000 | 167.476 | -0.000 | 0.000 |
| -0.000 | -0.000 | -0.000 | -0.000 | 167.476 | 0.000 |
| -0.000 | -0.000 | -0.000 | 0.000 | -0.000 | 167.476 |
| 174.058 | 234.830 | 234.830 | -0.000 | 0.000 | -0.000 |
| 234.830 | 174.058 | 234.830 | 0.000 | -0.000 | -0.000 |
| 234.830 | 234.830 | 174.058 | 0.000 | 0.000 | -0.000 |
| 0.001 | 0.000 | 0.001 | 171.317 | -0.000 | -0.000 |
| 0.000 | 0.001 | 0.001 | 0.000 | 171.317 | -0.000 |
| 0.000 | 0.001 | 0.001 | -0.000 | 0.000 | 171.317 |
| 174.054 | 234.827 | 234.827 | -0.000 | -0.000 | 0.000 |
| 234.827 | 174.054 | 234.827 | 0.000 | 0.000 | 0.000 |
| 234.827 | 234.827 | 174.054 | 0.000 | 0.000 | 0.000 |
| -0.001 | -0.000 | -0.001 | 171.317 | -0.000 | -0.000 |
| -0.000 | -0.001 | -0.001 | -0.000 | 171.317 | 0.000 |
| -0.000 | -0.001 | -0.001 | 0.000 | -0.000 | 171.317 |
| 1248.098 | 1238.113 | 1238.113 | -0.000 | -0.000 | -0.000 |
| 1238.113 | 1248.098 | 1238.113 | 0.000 | -0.000 | 0.000 |
| 1238.113 | 1238.113 | 1248.098 | -0.000 | -0.000 | 0.000 |
| -0.000 | -0.000 | -0.000 | -1.055 | -0.000 | 0.000 |
| -0.000 | -0.000 | -0.000 | -0.000 | -1.055 | -0.000 |
| -0.000 | -0.000 | -0.000 | -0.000 | -0.000 | -1.055 |
| 1248.099 | 1238.114 | 1238.114 | -0.000 | 0.000 | 0.000 |
| 1238.114 | 1248.099 | 1238.114 | -0.000 | 0.000 | 0.000 |
| 1238.114 | 1238.114 | 1248.099 | 0.000 | 0.000 | 0.000 |
| 0.000 | 0.000 | 0.000 | -1.055 | 0.000 | 0.000 |
| 0.000 | 0.000 | 0.000 | 0.000 | -1.055 | 0.000 |
| 0.000 | 0.000 | 0.000 | 0.000 | -0.000 | -1.055 |
| 1248.096 | 1238.111 | 1238.111 | -0.000 | -0.000 | -0.000 |
| 1238.111 | 1248.096 | 1238.111 | -0.000 | -0.000 | -0.000 |
| 1238.111 | 1238.111 | 1248.096 | -0.000 | -0.000 | -0.000 |
| 0.000 | 0.000 | 0.000 | -0.069 | -0.000 | -0.000 |
| 0.000 | 0.000 | 0.000 | -0.000 | -0.069 | 0.000 |
| 0.000 | 0.000 | 0.000 | 0.000 | 0.000 | -0.069 |
| 1248.101 | 1238.116 | 1238.116 | 0.000 | 0.000 | -0.000 |
| 1238.116 | 1248.101 | 1238.116 | 0.000 | 0.000 | 0.000 |
| 1238.116 | 1238.116 | 1248.101 | 0.000 | 0.000 | -0.000 |
| -0.000 | -0.000 | -0.000 | -0.069 | 0.000 | -0.000 |
| -0.000 | -0.000 | -0.000 | 0.000 | -0.069 | -0.000 |
| -0.000 | -0.000 | -0.000 | -0.000 | -0.000 | -0.069 |
| 1248.075 | 1238.091 | 1238.091 | -0.000 | -0.000 | -0.000 |
| 1238.091 | 1248.075 | 1238.091 | -0.000 | -0.000 | -0.000 |
| 1238.091 | 1238.091 | 1248.075 | -0.000 | -0.000 | -0.000 |
| 0.001 | 0.001 | 0.001 | -0.069 | -0.000 | 0.000 |
| 0.001 | 0.001 | 0.001 | -0.000 | -0.069 | 0.000 |
| 0.001 | 0.001 | 0.001 | 0.000 | 0.000 | -0.069 |
| 1248.121 | 1238.135 | 1238.135 | 0.000 | 0.000 | 0.000 |
| 1238.135 | 1248.121 | 1238.135 | 0.000 | 0.000 | 0.000 |
| 1238.135 | 1238.135 | 1248.121 | 0.000 | 0.000 | 0.000 |
| -0.001 | -0.001 | -0.001 | -0.069 | 0.000 | 0.000 |
| -0.001 | -0.001 | -0.001 | 0.000 | -0.069 | -0.000 |
| -0.001 | -0.001 | -0.001 | -0.000 | 0.000 | -0.069 |
| 336.410 | 336.410 | 336.410 | -0.000 | -0.000 | -0.000 |
| 336.410 | 336.410 | 336.410 | -0.000 | -0.000 | -0.000 |
| 336.410 | 336.410 | 336.410 | -0.000 | -0.000 | -0.000 |
| 0.000 | 0.000 | 0.000 | -21.519 | 0.000 | -0.000 |
| 0.000 | 0.000 | 0.000 | 0.000 | -21.519 | -0.000 |
| 0.000 | 0.000 | 0.000 | 0.000 | 0.000 | -21.519 |
| 336.410 | 336.410 | 336.410 | 0.000 | 0.000 | -0.000 |
| 336.410 | 336.410 | 336.410 | 0.000 | 0.000 | -0.000 |
| 336.410 | 336.410 | 336.410 | 0.000 | 0.000 | -0.000 |
| -0.000 | -0.000 | -0.000 | -21.519 | -0.000 | 0.000 |
| -0.000 | -0.000 | -0.000 | -0.000 | -21.519 | 0.000 |
| -0.000 | -0.000 | -0.000 | -0.000 | 0.000 | -21.519 |
| 336.411 | 336.411 | 336.411 | -0.000 | -0.000 | -0.000 |
| 336.411 | 336.411 | 336.411 | -0.000 | -0.000 | -0.000 |
| 336.411 | 336.411 | 336.411 | -0.000 | -0.000 | -0.000 |
| 0.000 | 0.000 | 0.000 | 0.907 | 0.000 | -0.000 |
| 0.000 | 0.000 | 0.000 | 0.000 | 0.907 | -0.000 |
| 0.000 | 0.000 | 0.000 | 0.000 | 0.000 | 0.907 |
| 336.409 | 336.409 | 336.409 | 0.000 | 0.000 | 0.000 |
| 336.409 | 336.409 | 336.409 | 0.000 | 0.000 | 0.000 |
| 336.409 | 336.409 | 336.409 | 0.000 | 0.000 | 0.000 |
| -0.000 | -0.000 | -0.000 | 0.907 | -0.000 | 0.000 |
| -0.000 | -0.000 | -0.000 | -0.000 | 0.907 | 0.000 |
| -0.000 | -0.000 | -0.000 | -0.000 | -0.000 | 0.907 |
| 336.422 | 336.422 | 336.422 | -0.000 | -0.000 | 0.000 |
| 336.422 | 336.422 | 336.422 | -0.000 | -0.000 | -0.000 |
| 336.422 | 336.422 | 336.422 | -0.000 | -0.000 | -0.000 |
| 0.485 | 0.485 | 0.485 | -156.300 | -0.000 | 0.000 |
| 0.485 | 0.485 | 0.485 | -0.000 | -156.300 | 0.000 |
| 0.485 | 0.485 | 0.485 | -0.000 | -0.000 | -156.300 |
| 336.398 | 336.398 | 336.398 | 0.000 | 0.000 | -0.000 |
| 336.398 | 336.398 | 336.398 | 0.000 | 0.000 | -0.000 |
| 336.398 | 336.398 | 336.398 | 0.000 | 0.000 | 0.000 |
| -0.485 | -0.485 | -0.485 | -156.299 | -0.000 | -0.000 |
| -0.485 | -0.485 | -0.485 | -0.000 | -156.299 | -0.000 |
| -0.485 | -0.485 | -0.485 | -0.000 | 0.000 | -156.299 |
| 121.060 | 123.308 | 123.308 | 0.000 | -0.000 | 0.000 |
| 123.308 | 121.060 | 123.308 | 0.000 | -0.000 | -0.000 |
| 123.308 | 123.308 | 121.060 | 0.000 | 0.000 | 0.000 |
| 0.000 | -0.000 | 0.000 | 102.836 | -0.000 | 0.000 |
| 0.000 | 0.000 | 0.000 | 0.000 | 102.836 | 0.000 |
| 0.000 | 0.000 | 0.000 | 0.000 | -0.000 | 102.836 |
| 121.060 | 123.308 | 123.308 | -0.000 | 0.000 | -0.000 |
| 123.308 | 121.060 | 123.308 | -0.000 | 0.000 | -0.000 |
| 123.308 | 123.308 | 121.060 | -0.000 | -0.000 | -0.000 |
| -0.000 | -0.000 | -0.000 | 102.836 | 0.000 | 0.000 |
| -0.000 | -0.000 | -0.000 | -0.000 | 102.836 | -0.000 |
| -0.000 | -0.000 | -0.000 | -0.000 | 0.000 | 102.836 |
| 121.060 | 123.308 | 123.308 | -0.000 | -0.000 | 0.000 |
| 123.308 | 121.060 | 123.308 | 0.000 | -0.000 | 0.000 |
| 123.308 | 123.308 | 121.060 | -0.000 | -0.000 | 0.000 |
| 0.000 | 0.000 | 0.000 | 102.836 | 0.000 | 0.000 |
| 0.000 | 0.000 | 0.000 | 0.000 | 102.836 | 0.000 |
| 0.000 | 0.000 | 0.000 | 0.000 | -0.000 | 102.836 |
| 121.060 | 123.308 | 123.308 | 0.000 | 0.000 | -0.000 |
| 123.308 | 121.060 | 123.308 | 0.000 | 0.000 | -0.000 |
| 123.308 | 123.308 | 121.060 | -0.000 | -0.000 | -0.000 |
| -0.000 | -0.000 | -0.000 | 102.836 | -0.000 | -0.000 |
| -0.000 | -0.000 | -0.000 | -0.000 | 102.836 | -0.000 |
| -0.000 | -0.000 | -0.000 | -0.000 | 0.000 | 102.836 |
| 121.061 | 123.309 | 123.309 | 0.000 | -0.000 | 0.000 |
| 123.309 | 121.061 | 123.309 | 0.000 | -0.000 | 0.000 |
| 123.309 | 123.309 | 121.061 | 0.000 | -0.000 | 0.000 |
| 0.001 | 0.000 | 0.000 | -42.211 | 0.000 | 0.000 |
| 0.000 | 0.001 | 0.000 | -0.000 | -42.211 | 0.000 |
| 0.000 | 0.000 | 0.001 | -0.000 | -0.000 | -42.211 |
| 121.058 | 123.308 | 123.308 | 0.000 | 0.000 | -0.000 |
| 123.308 | 121.058 | 123.308 | -0.000 | 0.000 | 0.000 |
| 123.308 | 123.308 | 121.058 | 0.000 | 0.000 | -0.000 |
| -0.001 | -0.000 | -0.000 | -42.211 | -0.000 | -0.000 |
| -0.000 | -0.001 | -0.000 | -0.000 | -42.211 | -0.000 |
| -0.000 | -0.000 | -0.001 | 0.000 | 0.000 | -42.211 |
| 247.171 | 1.163 | 1.163 | -0.000 | -0.000 | -0.000 |
| 1.163 | 247.171 | 1.163 | -0.000 | -0.000 | -0.000 |
| 1.163 | 1.163 | 247.171 | -0.000 | -0.000 | 0.000 |
| 0.000 | 0.000 | 0.000 | 4.223 | -0.000 | -0.000 |
| 0.000 | 0.000 | 0.000 | -0.000 | 4.223 | -0.000 |
| 0.000 | 0.000 | 0.000 | -0.000 | -0.000 | 4.223 |
| 247.171 | 1.163 | 1.163 | 0.000 | -0.000 | -0.000 |
| 1.163 | 247.171 | 1.163 | 0.000 | -0.000 | -0.000 |
| 1.163 | 1.163 | 247.171 | 0.000 | -0.000 | 0.000 |
| -0.000 | -0.000 | -0.000 | 4.223 | 0.000 | -0.000 |
| -0.000 | -0.000 | -0.000 | 0.000 | 4.223 | 0.000 |
| -0.000 | -0.000 | -0.000 | 0.000 | 0.000 | 4.223 |
| 247.171 | 1.163 | 1.163 | -0.000 | 0.000 | 0.000 |
| 1.163 | 247.171 | 1.163 | -0.000 | -0.000 | -0.000 |
| 1.163 | 1.163 | 247.171 | -0.000 | 0.000 | -0.000 |
| 0.000 | 0.000 | 0.000 | 4.223 | -0.000 | -0.000 |
| 0.000 | 0.000 | 0.000 | -0.000 | 4.223 | -0.000 |
| 0.000 | 0.000 | 0.000 | -0.000 | 0.000 | 4.223 |
| 247.171 | 1.163 | 1.163 | 0.000 | -0.000 | 0.000 |
| 1.163 | 247.171 | 1.163 | 0.000 | -0.000 | 0.000 |
| 1.163 | 1.163 | 247.171 | 0.000 | 0.000 | 0.000 |
| -0.000 | -0.000 | -0.000 | 4.223 | 0.000 | -0.000 |
| -0.000 | -0.000 | -0.000 | 0.000 | 4.223 | 0.000 |
| -0.000 | -0.000 | -0.000 | 0.000 | 0.000 | 4.223 |
| 247.170 | 1.163 | 1.163 | -0.000 | -0.000 | -0.000 |
| 1.163 | 247.170 | 1.163 | -0.000 | -0.000 | 0.000 |
| 1.163 | 1.163 | 247.170 | -0.000 | -0.000 | -0.000 |
| 0.000 | 0.000 | 0.000 | 4.223 | -0.000 | -0.000 |
| 0.000 | 0.000 | 0.000 | -0.000 | 4.223 | 0.000 |
| 0.000 | 0.000 | 0.000 | -0.000 | -0.000 | 4.223 |
| 247.173 | 1.163 | 1.163 | 0.000 | -0.000 | 0.000 |
| 1.163 | 247.173 | 1.163 | 0.000 | -0.000 | 0.000 |
| 1.163 | 1.163 | 247.173 | 0.000 | -0.000 | -0.000 |
| -0.000 | -0.000 | -0.000 | 4.223 | -0.000 | -0.000 |
| -0.000 | -0.000 | -0.000 | 0.000 | 4.223 | 0.000 |
| -0.000 | -0.000 | -0.000 | 0.000 | 0.000 | 4.223 |
| 0.255 | 0.255 | 0.255 | -0.000 | -0.000 | -0.000 |
| 0.255 | 0.255 | 0.255 | -0.000 | -0.000 | -0.000 |
| 0.255 | 0.255 | 0.255 | -0.000 | -0.000 | -0.000 |
| 0.000 | 0.000 | 0.000 | 0.245 | -0.000 | -0.000 |
| 0.000 | 0.000 | 0.000 | -0.000 | 0.245 | -0.000 |
| 0.000 | 0.000 | 0.000 | -0.000 | -0.000 | 0.245 |
| 0.255 | 0.255 | 0.255 | 0.000 | 0.000 | 0.000 |
| 0.255 | 0.255 | 0.255 | 0.000 | 0.000 | 0.000 |
| 0.255 | 0.255 | 0.255 | 0.000 | 0.000 | 0.000 |
| -0.000 | -0.000 | -0.000 | 0.245 | 0.000 | 0.000 |
| -0.000 | -0.000 | -0.000 | 0.000 | 0.245 | 0.000 |
| -0.000 | -0.000 | -0.000 | 0.000 | -0.000 | 0.245 |
| 0.255 | 0.255 | 0.255 | -0.000 | -0.000 | -0.000 |
| 0.255 | 0.255 | 0.255 | -0.000 | -0.000 | -0.000 |
| 0.255 | 0.255 | 0.255 | -0.000 | -0.000 | -0.000 |
| 0.000 | 0.000 | 0.000 | 0.206 | 0.000 | -0.000 |
| 0.000 | 0.000 | 0.000 | 0.000 | 0.206 | -0.000 |
| 0.000 | 0.000 | 0.000 | 0.000 | -0.000 | 0.206 |
| 0.255 | 0.255 | 0.255 | 0.000 | 0.000 | 0.000 |
| 0.255 | 0.255 | 0.255 | 0.000 | 0.000 | 0.000 |
| 0.255 | 0.255 | 0.255 | 0.000 | 0.000 | 0.000 |
| -0.000 | -0.000 | -0.000 | 0.206 | -0.000 | 0.000 |
| -0.000 | -0.000 | -0.000 | -0.000 | 0.206 | 0.000 |
| -0.000 | -0.000 | -0.000 | -0.000 | 0.000 | 0.206 |
| 0.255 | 0.255 | 0.255 | -0.000 | -0.000 | -0.000 |
| 0.255 | 0.255 | 0.255 | -0.000 | -0.000 | -0.000 |
| 0.255 | 0.255 | 0.255 | -0.000 | -0.000 | -0.000 |
| 0.000 | 0.000 | 0.000 | 0.028 | 0.000 | -0.000 |
| 0.000 | 0.000 | 0.000 | 0.000 | 0.028 | -0.000 |
| 0.000 | 0.000 | 0.000 | -0.000 | 0.000 | 0.028 |
| 0.255 | 0.255 | 0.255 | 0.000 | 0.000 | 0.000 |
| 0.255 | 0.255 | 0.255 | 0.000 | 0.000 | 0.000 |
| 0.255 | 0.255 | 0.255 | 0.000 | 0.000 | 0.000 |
| -0.000 | -0.000 | -0.000 | 0.028 | -0.000 | 0.000 |
| -0.000 | -0.000 | -0.000 | -0.000 | 0.028 | 0.000 |
| -0.000 | -0.000 | -0.000 | 0.000 | -0.000 | 0.028 |
| 42.281 | 86.720 | 86.801 | -0.000 | -0.000 | -0.000 |
| 86.720 | 42.281 | 86.801 | -0.000 | -0.000 | -0.000 |
| 77.605 | 77.605 | 141.271 | -0.000 | -0.000 | -0.000 |
| -1.220 | -1.220 | 4.630 | 0.420 | 0.000 | -0.000 |
| -1.220 | -1.220 | 4.630 | -0.000 | 0.420 | -0.000 |
| -0.746 | -0.746 | 2.832 | -0.000 | 0.000 | 79.483 |
| 50.443 | 91.636 | 61.973 | 0.000 | -0.000 | 0.000 |
| 91.636 | 50.443 | 61.973 | 0.000 | -0.000 | 0.000 |
| 79.064 | 79.064 | 135.733 | 0.000 | -0.000 | 0.000 |
| 1.220 | 1.220 | -4.630 | 0.420 | -0.000 | 0.000 |
| 1.220 | 1.220 | -4.630 | 0.000 | 0.420 | 0.000 |
| 0.746 | 0.746 | -2.832 | -0.000 | -0.000 | 79.483 |
| 50.443 | 91.636 | 61.973 | -0.000 | 0.000 | -0.000 |
| 91.636 | 50.443 | 61.973 | 0.000 | -0.000 | -0.000 |
| 60.893 | 60.893 | 204.721 | 0.000 | 0.000 | -0.000 |
| -0.122 | -0.122 | 0.464 | 0.291 | 0.000 | -0.000 |
| -0.122 | -0.122 | 0.464 | -0.000 | 0.291 | -0.000 |
| -0.075 | -0.075 | 0.283 | -0.000 | 0.000 | 79.480 |
| 42.742 | 87.418 | 84.599 | 0.000 | -0.000 | 0.000 |
| 87.418 | 42.742 | 84.599 | 0.000 | 0.000 | 0.000 |
| 60.893 | 60.893 | 204.720 | -0.000 | 0.000 | 0.000 |
| 0.122 | 0.122 | -0.464 | 0.291 | -0.000 | 0.000 |
| 0.122 | 0.122 | -0.464 | 0.000 | 0.291 | 0.000 |
| 0.075 | 0.075 | -0.283 | -0.000 | -0.000 | 79.480 |
| -2800941.473 | -3180720.195 | -4336105.824 | 30992.946 | -11325.466 | 33404.447 |
| -2819662.059 | -2709020.579 | -4070680.069 | 7171.897 | 17040.031 | 67800.702 |
| 78.328 | 78.328 | 138.530 | 0.000 | 0.000 | -0.000 |
| -0.012 | -0.012 | 0.047 | 0.290 | 0.000 | -0.000 |
| -0.012 | -0.012 | 0.047 | -0.000 | 0.290 | -0.000 |
| -0.007 | -0.007 | 0.029 | -0.000 | 0.000 | 79.480 |
| 42.709 | 87.361 | 84.767 | 0.000 | -0.000 | 0.000 |
| 87.361 | 42.709 | 84.767 | 0.000 | -0.000 | 0.000 |
| 78.341 | 78.341 | 138.474 | 0.000 | -0.000 | 0.000 |
| 0.012 | 0.012 | -0.047 | 0.290 | -0.000 | 0.000 |
| 0.012 | 0.012 | -0.047 | -0.000 | 0.290 | 0.000 |
| 0.007 | 0.007 | -0.029 | 0.000 | -0.000 | 79.480 |
| 274.492 | 102.115 | 79.704 | 0.315 | -0.000 | 0.000 |
| 102.115 | 274.492 | 79.704 | -0.315 | -0.000 | 0.000 |
| 80.670 | 80.670 | 392.107 | -0.000 | -0.000 | -0.000 |
| 0.315 | -0.315 | 0.000 | 56.013 | 0.000 | -0.000 |
| -0.000 | -0.000 | 0.000 | 0.000 | 56.013 | 0.315 |
| 0.000 | -0.000 | 0.000 | -0.000 | 0.315 | 86.189 |
| 454.520 | 375.838 | 71.611 | -4.952 | 0.000 | 0.000 |
| 102.115 | 274.492 | 79.704 | -0.315 | -0.000 | -0.000 |
| 80.670 | 80.670 | 392.107 | 0.000 | 0.000 | -0.000 |
| 0.315 | -0.315 | -0.000 | 56.013 | 0.000 | -0.000 |
| -0.000 | 0.000 | 0.000 | -0.000 | 56.013 | 0.315 |
| -0.000 | 0.000 | 0.000 | -0.000 | 0.315 | 86.189 |
| 274.492 | 102.115 | 79.704 | 0.315 | 0.000 | -0.000 |
| 102.115 | 274.492 | 79.704 | -0.315 | 0.000 | 0.000 |
| 71.475 | 71.475 | 358.716 | 0.000 | 0.000 | 0.000 |
| 0.315 | -0.315 | 0.000 | 56.013 | -0.000 | -0.000 |
| 0.000 | 0.000 | 0.000 | 0.000 | 56.013 | 0.315 |
| -24.912 | -24.912 | 2.317 | -0.000 | -5.308 | 36.173 |
| 274.492 | 102.115 | 79.704 | 0.315 | -0.000 | 0.000 |
| 168.253 | 243.367 | 91.583 | 5.153 | 0.000 | 0.000 |
| 80.670 | 80.670 | 392.106 | -0.000 | 0.000 | 0.000 |
| 0.315 | -0.315 | -0.000 | 56.013 | 0.000 | -0.000 |
| -0.000 | 0.000 | -0.000 | -0.000 | 56.013 | 0.315 |
| 24.912 | 24.912 | -2.317 | 0.000 | -5.308 | 36.173 |
| 274.493 | 102.115 | 79.704 | 0.315 | 0.000 | -0.000 |
| 102.115 | 274.493 | 79.704 | -0.315 | -0.000 | 0.000 |
| 98.822 | 98.822 | 332.161 | -0.000 | 0.000 | -0.000 |
| 0.315 | -0.315 | 0.000 | 56.013 | 0.000 | 0.000 |
| -4.527 | -4.527 | 0.421 | 0.000 | 9.992 | -9.903 |
| -4.286 | -4.286 | 0.399 | -0.000 | -9.359 | 0.146 |
| 176.736 | 184.007 | 105.390 | -9.784 | -0.000 | -0.000 |
| 102.114 | 274.491 | 79.704 | -0.315 | -0.000 | 0.000 |
| 80.670 | 80.670 | 392.104 | -0.000 | 0.000 | 0.000 |
| 0.315 | -0.315 | -0.000 | 56.013 | 0.000 | -0.000 |
| 4.527 | 4.527 | -0.421 | -0.000 | 9.992 | -9.903 |
| 4.286 | 4.286 | -0.399 | 0.000 | -9.359 | 0.146 |
| 305.944 | 69.361 | 69.361 | -0.000 | 0.000 | -0.000 |
| 69.361 | 305.944 | 69.361 | 0.000 | 0.000 | -0.000 |
| 69.361 | 69.361 | 305.944 | 0.000 | -0.000 | -0.000 |
| -0.000 | -0.000 | 0.000 | 24.692 | 0.000 | -0.000 |
| -0.000 | 0.000 | -0.000 | -0.000 | 24.692 | 0.000 |
| -0.000 | -0.000 | -0.000 | 0.000 | 0.000 | 24.692 |
| 305.944 | 69.361 | 69.361 | -0.000 | -0.000 | -0.000 |
| 69.361 | 305.944 | 69.361 | 0.000 | 0.000 | -0.000 |
| 69.361 | 69.361 | 305.944 | 0.000 | 0.000 | 0.000 |
| 0.000 | 0.000 | -0.000 | 24.692 | -0.000 | 0.000 |
| 0.000 | -0.000 | 0.000 | 0.000 | 24.692 | 0.000 |
| 0.000 | 0.000 | 0.000 | 0.000 | -0.000 | 24.692 |
| 304.585 | 70.041 | 70.041 | 0.000 | 0.000 | -0.000 |
| 70.041 | 304.585 | 70.041 | 0.000 | -0.000 | -0.000 |
| 70.041 | 70.041 | 304.585 | -0.000 | 0.000 | 0.000 |
| -0.000 | -0.000 | -0.000 | 24.692 | -0.000 | -0.000 |
| -0.000 | -0.000 | -0.000 | -0.000 | 24.692 | -0.000 |
| -0.000 | -0.000 | -0.000 | 0.000 | 0.000 | 24.692 |
| 304.584 | 70.041 | 70.041 | -0.000 | -0.000 | 0.000 |
| 70.041 | 304.584 | 70.041 | 0.000 | -0.000 | 0.000 |
| 70.041 | 70.041 | 304.584 | -0.000 | 0.000 | -0.000 |
| 0.000 | 0.000 | 0.000 | 24.692 | -0.000 | 0.000 |
| 0.000 | 0.000 | 0.000 | 0.000 | 24.692 | 0.000 |
| 0.000 | 0.000 | 0.000 | -0.000 | -0.000 | 24.692 |
| 304.585 | 70.041 | 70.041 | 0.000 | -0.000 | -0.000 |
| 70.041 | 304.585 | 70.041 | -0.000 | -0.000 | -0.000 |
| 70.041 | 70.041 | 304.585 | 0.000 | 0.000 | 0.000 |
| -0.000 | -0.000 | -0.001 | -14.657 | 0.000 | -0.000 |
| -0.000 | -0.000 | -0.001 | -0.000 | -14.657 | -0.000 |
| -0.000 | -0.001 | -0.000 | -0.000 | 0.000 | -14.657 |
| 304.584 | 70.041 | 70.041 | 0.000 | -0.000 | -0.000 |
| 70.041 | 304.584 | 70.041 | -0.000 | -0.000 | 0.000 |
| 70.041 | 70.041 | 304.584 | -0.000 | -0.000 | -0.000 |
| 0.000 | 0.000 | 0.001 | -14.657 | -0.000 | -0.000 |
| 0.000 | 0.000 | 0.001 | 0.000 | -14.657 | 0.000 |
| 0.000 | 0.001 | 0.000 | 0.000 | -0.000 | -14.657 |
| 3396.822 | 3410.526 | 3410.526 | 0.000 | -0.000 | 0.000 |
| 3410.526 | 3396.822 | 3410.526 | -0.000 | -0.000 | -0.000 |
| 3410.526 | 3410.526 | 3396.822 | 0.000 | -0.000 | -0.000 |
| -0.000 | -0.000 | -0.000 | 8.704 | -0.000 | 0.000 |
| -0.000 | -0.000 | -0.000 | 0.000 | 8.704 | -0.000 |
| -0.000 | -0.000 | -0.000 | -0.000 | -0.000 | 8.704 |
| 187059179.464 | 123671463.892 | 114327158.224 | 2574986.595 | -11310457.095 | -3154751.119 |
| 112934779.993 | 186523528.232 | 115891763.321 | 2753524.971 | -19857935.893 | -7576888.346 |
| 113748265.344 | 125964850.334 | 192433888.990 | 9975395.485 | -3800562.520 | 3535998.719 |
| 0.000 | 0.000 | 0.000 | 8.704 | 0.000 | 0.000 |
| 0.000 | 0.000 | 0.000 | -0.000 | 8.704 | 0.000 |
| 0.000 | 0.000 | 0.000 | 0.000 | 0.000 | 8.704 |
| -11978429.328 | -18647204.457 | -17908062.581 | -368389.783 | 350943.026 | 152583.999 |
| -15735980.272 | -12151062.343 | -16269783.926 | 148815.356 | -522727.762 | 886391.332 |
| -17772227.066 | -15906956.430 | -10688449.301 | -982733.002 | -71560.156 | -213151.555 |
| 0.000 | 0.000 | 0.000 | 8.704 | -0.000 | -0.000 |
| 0.000 | 0.000 | 0.000 | 0.000 | 8.704 | 0.000 |
| 0.000 | 0.000 | 0.000 | 0.000 | -0.000 | 8.704 |
| 19359204.514 | 12280816.886 | 12779671.942 | -341603.033 | 290981.132 | 362559.473 |
| 10100553.261 | 20075516.887 | 11383679.829 | 848676.405 | 235265.650 | 51777.010 |
| 12748926.601 | 11889966.764 | 19346353.780 | 251496.262 | 123959.388 | -140687.261 |
| -0.000 | -0.000 | -0.000 | 8.704 | 0.000 | 0.000 |
| -0.000 | -0.000 | -0.000 | -0.000 | 8.704 | 0.000 |
| -0.000 | -0.000 | -0.000 | 0.000 | 0.000 | 8.704 |
| -1201371.678 | -1762106.440 | -1612098.174 | 19012.533 | -5441.481 | 22870.324 |
| -1732507.318 | -907193.177 | -1625498.074 | 90514.425 | -66065.336 | 4945.093 |
| -1718108.219 | -1734171.287 | -1165805.837 | 94446.995 | 61537.323 | 4345.381 |
| 0.002 | 0.002 | 0.002 | 8.704 | -0.000 | 0.000 |
| 0.002 | 0.002 | 0.002 | 0.000 | 8.704 | -0.000 |
| 0.002 | 0.002 | 0.002 | -0.000 | -0.000 | 8.704 |
| 2013980.011 | 1245639.925 | 1279944.274 | 20491.309 | 5246.218 | 24768.887 |
| 1082227.978 | 1777646.568 | 1130289.431 | -34980.744 | -10293.537 | 78428.297 |
| 1350033.346 | 1128049.962 | 1997404.091 | -59097.630 | -93858.853 | 7757.818 |
| -0.002 | -0.002 | -0.002 | 8.704 | 0.000 | 0.000 |
| -0.002 | -0.002 | -0.002 | -0.000 | 8.704 | 0.000 |
| -0.002 | -0.002 | -0.002 | -0.000 | 0.000 | 8.704 |
| 510.427 | 509.904 | 509.904 | -0.000 | -0.000 | -0.000 |
| 509.904 | 510.427 | 509.904 | -0.000 | -0.000 | 0.000 |
| 509.904 | 509.904 | 510.427 | -0.000 | -0.000 | -0.000 |
| 0.000 | 0.000 | 0.000 | 1.472 | -0.000 | -0.000 |
| 0.000 | 0.000 | 0.000 | -0.000 | 1.472 | -0.000 |
| 0.000 | 0.000 | 0.000 | -0.000 | 0.000 | 1.472 |
| 510.426 | 509.904 | 509.904 | 0.000 | -0.000 | -0.000 |
| 509.904 | 510.426 | 509.904 | 0.000 | -0.000 | 0.000 |
| 509.904 | 509.904 | 510.426 | 0.000 | 0.000 | 0.000 |
| -0.000 | -0.000 | -0.000 | 1.472 | -0.000 | -0.000 |
| -0.000 | -0.000 | -0.000 | -0.000 | 1.472 | -0.000 |
| -0.000 | -0.000 | -0.000 | -0.000 | 0.000 | 1.472 |
| 510.430 | 509.906 | 509.906 | -0.000 | 0.000 | -0.000 |
| 509.906 | 510.430 | 509.906 | -0.000 | 0.000 | 0.000 |
| 509.906 | 509.906 | 510.430 | -0.000 | 0.000 | -0.000 |
| 0.000 | 0.000 | 0.000 | 0.618 | -0.000 | -0.000 |
| 0.000 | 0.000 | 0.000 | -0.000 | 0.618 | -0.000 |
| 0.000 | 0.000 | 0.000 | -0.000 | -0.000 | 0.618 |
| 510.423 | 509.902 | 509.902 | 0.000 | -0.000 | -0.000 |
| 509.902 | 510.423 | 509.902 | -0.000 | -0.000 | 0.000 |
| 509.902 | 509.902 | 510.423 | 0.000 | -0.000 | 0.000 |
| -0.000 | -0.000 | -0.000 | 0.618 | -0.000 | 0.000 |
| -0.000 | -0.000 | -0.000 | 0.000 | 0.618 | 0.000 |
| -0.000 | -0.000 | -0.000 | 0.000 | -0.000 | 0.618 |
| 205867.365 | 203300.781 | 196294.971 | -1711.579 | -665.878 | -1056.128 |
| 247438.059 | 268156.657 | 268669.232 | -161.799 | -3418.148 | -1759.533 |
| 212213.535 | 203352.444 | 205398.823 | 1207.056 | -245.799 | -1333.212 |
| 0.001 | -0.001 | -0.001 | 0.111 | 0.000 | 0.000 |
| -0.001 | 0.001 | -0.001 | 0.000 | 0.110 | -0.000 |
| -0.001 | -0.001 | 0.001 | -0.000 | 0.000 | 0.111 |
| -208341.275 | -215288.940 | -204492.717 | 628.349 | 146.993 | 481.292 |
| -199121.905 | -185670.999 | -194453.185 | 1456.344 | 162.765 | 1735.150 |
| -223017.021 | -215104.630 | -214616.204 | 658.624 | 1552.060 | 1807.606 |
| -0.001 | 0.001 | 0.001 | 0.110 | 0.000 | 0.000 |
| 0.001 | -0.001 | 0.001 | 0.000 | 0.110 | -0.000 |
| 0.001 | 0.001 | -0.001 | 0.000 | 0.000 | 0.110 |
| 79.299 | 167.622 | 167.622 | 0.000 | 0.000 | 0.000 |
| 167.622 | 79.299 | 167.622 | 0.000 | 0.000 | 0.000 |
| 167.622 | 167.622 | 79.299 | 0.000 | 0.000 | 0.000 |
| 0.000 | 0.000 | 0.000 | 131.702 | 0.000 | 0.000 |
| 0.000 | 0.000 | 0.000 | 0.000 | 131.702 | 0.000 |
| 0.000 | 0.000 | 0.000 | 0.000 | 0.000 | 131.702 |
| 79.299 | 167.622 | 167.622 | -0.000 | -0.000 | -0.000 |
| 167.622 | 79.299 | 167.622 | -0.000 | -0.000 | -0.000 |
| 167.622 | 167.622 | 79.299 | -0.000 | -0.000 | -0.000 |
| -0.000 | -0.000 | -0.000 | 131.702 | -0.000 | -0.000 |
| -0.000 | -0.000 | -0.000 | -0.000 | 131.702 | -0.000 |
| -0.000 | -0.000 | -0.000 | 0.000 | -0.000 | 131.702 |
| 79.299 | 167.622 | 167.622 | 0.000 | 0.000 | 0.000 |
| 167.622 | 79.299 | 167.622 | 0.000 | 0.000 | 0.000 |
| 167.622 | 167.622 | 79.299 | -0.000 | -0.000 | 0.000 |
| 0.000 | 0.000 | 0.000 | 135.696 | 0.000 | 0.000 |
| 0.000 | 0.000 | 0.000 | -0.000 | 135.696 | 0.000 |
| 0.000 | 0.000 | 0.000 | 0.000 | 0.000 | 135.696 |
| 79.299 | 167.622 | 167.622 | -0.000 | -0.000 | -0.000 |
| 167.622 | 79.299 | 167.622 | -0.000 | -0.000 | -0.000 |
| 167.622 | 167.622 | 79.299 | -0.000 | -0.000 | -0.000 |
| -0.000 | -0.000 | -0.000 | 135.696 | -0.000 | -0.000 |
| -0.000 | -0.000 | -0.000 | 0.000 | 135.696 | -0.000 |
| -0.000 | -0.000 | -0.000 | -0.000 | -0.000 | 135.696 |
| 79.299 | 167.622 | 167.622 | 0.000 | 0.000 | 0.000 |
| 167.622 | 79.299 | 167.622 | 0.000 | 0.000 | 0.000 |
| 167.622 | 167.622 | 79.299 | 0.000 | 0.000 | 0.000 |
| 0.001 | 0.000 | 0.000 | 131.702 | 0.000 | 0.000 |
| 0.000 | 0.001 | 0.000 | 0.000 | 131.702 | 0.000 |
| 0.000 | 0.000 | 0.001 | 0.000 | 0.000 | 131.702 |
| 79.300 | 167.621 | 167.621 | 0.000 | 0.000 | -0.000 |
| 167.621 | 79.300 | 167.621 | 0.000 | 0.000 | -0.000 |
| 167.621 | 167.621 | 79.300 | 0.000 | 0.000 | -0.000 |
| -0.001 | -0.000 | -0.000 | 131.702 | -0.000 | -0.000 |
| -0.000 | -0.001 | -0.000 | -0.000 | 131.702 | -0.000 |
| -0.000 | -0.000 | -0.001 | -0.000 | -0.000 | 131.702 |
| 1969.429 | 1936.002 | 1936.002 | -0.000 | -0.000 | -0.000 |
| 1936.002 | 1969.429 | 1936.002 | -0.000 | -0.000 | 0.000 |
| 1936.002 | 1936.002 | 1969.429 | -0.000 | -0.000 | 0.000 |
| -0.000 | -0.000 | -0.000 | -2.518 | 0.000 | 0.000 |
| -0.000 | -0.000 | -0.000 | 0.000 | -2.518 | 0.000 |
| -0.000 | -0.000 | -0.000 | -0.000 | -0.000 | -2.518 |
| 1969.429 | 1936.003 | 1936.003 | 0.000 | 0.000 | -0.000 |
| 1936.003 | 1969.429 | 1936.003 | 0.000 | 0.000 | -0.000 |
| 1936.003 | 1936.003 | 1969.429 | 0.000 | 0.000 | 0.000 |
| 0.000 | 0.000 | 0.000 | -2.518 | 0.000 | -0.000 |
| 0.000 | 0.000 | 0.000 | 0.000 | -2.518 | -0.000 |
| 0.000 | 0.000 | 0.000 | 0.000 | 0.000 | -2.518 |
| 1969.427 | 1935.999 | 1935.999 | -0.000 | -0.000 | -0.000 |
| 1935.999 | 1969.427 | 1935.999 | -0.000 | -0.000 | -0.000 |
| 1935.999 | 1935.999 | 1969.427 | 0.000 | -0.000 | 0.000 |
| -0.000 | -0.000 | -0.000 | -2.518 | -0.000 | 0.000 |
| -0.000 | -0.000 | -0.000 | -0.000 | -2.518 | 0.000 |
| -0.000 | -0.000 | -0.000 | 0.000 | -0.000 | -2.518 |
| 1969.431 | 1936.006 | 1936.006 | 0.000 | 0.000 | -0.000 |
| 1936.006 | 1969.431 | 1936.006 | 0.000 | 0.000 | -0.000 |
| 1936.006 | 1936.006 | 1969.431 | 0.000 | 0.000 | 0.000 |
| 0.000 | 0.000 | 0.000 | -2.518 | -0.000 | 0.000 |
| 0.000 | 0.000 | 0.000 | 0.000 | -2.518 | -0.000 |
| 0.000 | 0.000 | 0.000 | -0.000 | 0.000 | -2.518 |
| 1969.408 | 1935.966 | 1935.966 | -0.000 | -0.000 | 0.000 |
| 1935.966 | 1969.408 | 1935.966 | -0.000 | -0.000 | 0.000 |
| 1935.966 | 1935.966 | 1969.408 | 0.000 | -0.000 | 0.000 |
| -0.001 | -0.001 | -0.001 | -2.518 | 0.000 | 0.000 |
| -0.001 | -0.001 | -0.001 | 0.000 | -2.518 | 0.000 |
| -0.001 | -0.001 | -0.001 | -0.000 | -0.000 | -2.518 |
| 1969.449 | 1936.038 | 1936.038 | 0.000 | 0.000 | 0.000 |
| 1936.038 | 1969.449 | 1936.038 | 0.000 | 0.000 | 0.000 |
| 1936.038 | 1936.038 | 1969.449 | -0.000 | -0.000 | -0.000 |
| 0.001 | 0.001 | 0.001 | -2.518 | 0.000 | -0.000 |
| 0.001 | 0.001 | 0.001 | -0.000 | -2.518 | 0.000 |
| 0.001 | 0.001 | 0.001 | 0.000 | 0.000 | -2.518 |
| 604.170 | 118.637 | 118.637 | -0.000 | -0.000 | -0.000 |
| 118.637 | 604.170 | 118.637 | -0.000 | -0.000 | -0.000 |
| 118.637 | 118.637 | 604.170 | -0.000 | -0.000 | 0.000 |
| 0.000 | 0.000 | 0.000 | 220.472 | -0.000 | 0.000 |
| 0.000 | 0.000 | 0.000 | -0.000 | 220.472 | 0.000 |
| 0.000 | 0.000 | 0.000 | -0.000 | -0.000 | 220.472 |
| 604.170 | 118.637 | 118.637 | 0.000 | 0.000 | -0.000 |
| 118.637 | 604.170 | 118.637 | 0.000 | 0.000 | -0.000 |
| 118.637 | 118.637 | 604.170 | 0.000 | 0.000 | -0.000 |
| -0.000 | -0.000 | -0.000 | 220.472 | 0.000 | 0.000 |
| -0.000 | -0.000 | -0.000 | 0.000 | 220.472 | -0.000 |
| -0.000 | -0.000 | -0.000 | 0.000 | 0.000 | 220.472 |
| 604.172 | 118.638 | 118.638 | -0.000 | 0.000 | 0.000 |
| 118.638 | 604.172 | 118.638 | -0.000 | -0.000 | 0.000 |
| 118.638 | 118.638 | 604.172 | -0.000 | -0.000 | 0.000 |
| 0.000 | 0.000 | 0.000 | 220.472 | -0.000 | -0.000 |
| 0.000 | 0.000 | 0.000 | -0.000 | 220.472 | 0.000 |
| 0.000 | 0.000 | 0.000 | -0.000 | -0.000 | 220.472 |
| 604.169 | 118.637 | 118.637 | 0.000 | 0.000 | -0.000 |
| 118.637 | 604.169 | 118.637 | 0.000 | 0.000 | -0.000 |
| 118.637 | 118.637 | 604.169 | 0.000 | -0.000 | -0.000 |
| -0.000 | -0.000 | -0.000 | 220.472 | 0.000 | -0.000 |
| -0.000 | -0.000 | -0.000 | 0.000 | 220.472 | -0.000 |
| -0.000 | -0.000 | -0.000 | 0.000 | 0.000 | 220.472 |
| 604.185 | 118.641 | 118.641 | -0.000 | -0.000 | 0.000 |
| 118.641 | 604.185 | 118.641 | -0.000 | -0.000 | 0.000 |
| 118.641 | 118.641 | 604.185 | -0.000 | -0.000 | 0.000 |
| 0.000 | 0.002 | 0.002 | 220.472 | -0.000 | -0.000 |
| 0.002 | 0.000 | 0.002 | -0.000 | 220.472 | 0.000 |
| 0.002 | 0.002 | 0.000 | -0.000 | 0.000 | 220.472 |
| 604.155 | 118.633 | 118.633 | 0.000 | 0.000 | -0.000 |
| 118.633 | 604.155 | 118.633 | 0.000 | 0.000 | -0.000 |
| 118.633 | 118.633 | 604.155 | 0.000 | -0.000 | 0.000 |
| -0.000 | -0.002 | -0.002 | 220.472 | 0.000 | 0.000 |
| -0.002 | -0.000 | -0.002 | 0.000 | 220.472 | -0.000 |
| -0.002 | -0.002 | -0.000 | 0.000 | -0.000 | 220.472 |
| 151.711 | 117.170 | 117.170 | 0.000 | 0.000 | 0.000 |
| 117.170 | 151.711 | 117.170 | -0.000 | 0.000 | 0.000 |
| 117.170 | 117.170 | 151.711 | 0.000 | 0.000 | 0.000 |
| 0.000 | -0.000 | -0.000 | 59.918 | 0.000 | 0.000 |
| -0.000 | 0.000 | 0.000 | 0.000 | 59.918 | 0.000 |
| -0.000 | -0.000 | -0.000 | 0.000 | 0.000 | 59.918 |
| 151.711 | 117.170 | 117.170 | -0.000 | -0.000 | -0.000 |
| 117.170 | 151.711 | 117.170 | 0.000 | -0.000 | -0.000 |
| 117.170 | 117.170 | 151.711 | 0.000 | -0.000 | -0.000 |
| 0.000 | 0.000 | -0.000 | 59.918 | -0.000 | -0.000 |
| 0.000 | -0.000 | -0.000 | -0.000 | 59.918 | -0.000 |
| 0.000 | -0.000 | 0.000 | -0.000 | -0.000 | 59.918 |
| 151.711 | 117.169 | 117.169 | 0.000 | 0.000 | 0.000 |
| 117.169 | 151.711 | 117.169 | 0.000 | 0.000 | 0.000 |
| 117.169 | 117.169 | 151.711 | 0.000 | 0.000 | 0.000 |
| -0.000 | -0.000 | -0.000 | 59.918 | -0.000 | 0.000 |
| -0.000 | -0.000 | -0.000 | 0.000 | 59.918 | 0.000 |
| -0.000 | -0.000 | -0.000 | 0.000 | 0.000 | 59.918 |
| 151.711 | 117.170 | 117.170 | -0.000 | -0.000 | -0.000 |
| 117.170 | 151.711 | 117.170 | -0.000 | -0.000 | -0.000 |
| 117.170 | 117.170 | 151.711 | -0.000 | -0.000 | -0.000 |
| 0.000 | 0.000 | 0.000 | 59.918 | 0.000 | -0.000 |
| 0.000 | 0.000 | 0.000 | -0.000 | 59.918 | -0.000 |
| 0.000 | 0.000 | 0.000 | 0.000 | -0.000 | 59.918 |
| 151.707 | 117.167 | 117.167 | 0.000 | 0.000 | 0.000 |
| 117.167 | 151.707 | 117.167 | 0.000 | 0.000 | 0.000 |
| 117.167 | 117.167 | 151.707 | 0.000 | 0.000 | 0.000 |
| -0.000 | -0.000 | -0.000 | 59.918 | 0.000 | 0.000 |
| -0.000 | -0.000 | -0.000 | 0.000 | 59.918 | 0.000 |
| -0.000 | -0.000 | -0.000 | -0.000 | 0.000 | 59.918 |
| 151.715 | 117.172 | 117.172 | 0.000 | -0.000 | -0.000 |
| 117.172 | 151.715 | 117.172 | -0.000 | -0.000 | -0.000 |
| 117.172 | 117.172 | 151.715 | -0.000 | -0.000 | 0.000 |
| 0.000 | 0.000 | 0.000 | 59.918 | -0.000 | -0.000 |
| 0.000 | 0.000 | 0.000 | 0.000 | 59.918 | -0.000 |
| 0.000 | 0.000 | 0.000 | 0.000 | -0.000 | 59.918 |
| 3090.323 | 3090.051 | 3090.051 | 0.000 | 0.000 | 0.000 |
| 3090.051 | 3090.323 | 3090.051 | 0.000 | 0.000 | 0.000 |
| 3090.051 | 3090.051 | 3090.323 | 0.000 | 0.000 | -0.000 |
| 0.000 | 0.000 | 0.000 | -0.978 | -0.000 | -0.000 |
| 0.000 | 0.000 | 0.000 | 0.000 | -0.978 | 0.000 |
| 0.000 | 0.000 | 0.000 | 0.000 | 0.000 | -0.978 |
| 3090.324 | 3090.052 | 3090.052 | 0.000 | -0.000 | -0.000 |
| 3090.052 | 3090.324 | 3090.052 | 0.000 | -0.000 | -0.000 |
| 3090.052 | 3090.052 | 3090.324 | -0.000 | -0.000 | -0.000 |
| -0.000 | -0.000 | -0.000 | -0.978 | 0.000 | 0.000 |
| -0.000 | -0.000 | -0.000 | -0.000 | -0.978 | -0.000 |
| -0.000 | -0.000 | -0.000 | -0.000 | -0.000 | -0.978 |
| 3090.314 | 3090.042 | 3090.042 | 0.000 | -0.000 | -0.000 |
| 3090.042 | 3090.314 | 3090.042 | -0.000 | 0.000 | 0.000 |
| 3090.042 | 3090.042 | 3090.314 | 0.000 | 0.000 | -0.000 |
| 0.000 | 0.000 | 0.000 | -0.978 | 0.000 | -0.000 |
| 0.000 | 0.000 | 0.000 | 0.000 | -0.978 | 0.000 |
| 0.000 | 0.000 | 0.000 | -0.000 | 0.000 | -0.978 |
| 3090.333 | 3090.061 | 3090.061 | -0.000 | -0.000 | -0.000 |
| 3090.061 | 3090.333 | 3090.061 | 0.000 | -0.000 | -0.000 |
| 3090.061 | 3090.061 | 3090.333 | -0.000 | -0.000 | -0.000 |
| -0.000 | -0.000 | -0.000 | -0.978 | -0.000 | -0.000 |
| -0.000 | -0.000 | -0.000 | 0.000 | -0.978 | -0.000 |
| -0.000 | -0.000 | -0.000 | 0.000 | 0.000 | -0.978 |
| 3090.231 | 3089.961 | 3089.961 | 0.000 | -0.000 | -0.000 |
| 3089.961 | 3090.231 | 3089.961 | -0.000 | 0.000 | 0.000 |
| 3089.961 | 3089.961 | 3090.231 | 0.000 | -0.000 | 0.000 |
| 0.000 | 0.000 | 0.000 | -0.978 | 0.000 | -0.000 |
| 0.000 | 0.000 | 0.000 | 0.000 | -0.978 | -0.000 |
| 0.000 | 0.000 | 0.000 | 0.000 | 0.000 | -0.978 |
| 3090.417 | 3090.142 | 3090.142 | -0.000 | -0.000 | -0.000 |
| 3090.142 | 3090.417 | 3090.142 | -0.000 | -0.000 | -0.000 |
| 3090.142 | 3090.142 | 3090.417 | 0.000 | -0.000 | -0.000 |
| -0.000 | -0.000 | -0.000 | -0.978 | -0.000 | 0.000 |
| -0.000 | -0.000 | -0.000 | -0.000 | -0.978 | -0.000 |
| -0.000 | -0.000 | -0.000 | -0.000 | -0.000 | -0.978 |
| 437.335 | 437.204 | 437.204 | -0.000 | -0.000 | -0.000 |
| 437.204 | 437.335 | 437.204 | -0.000 | -0.000 | -0.000 |
| 437.204 | 437.204 | 437.335 | 0.000 | -0.000 | -0.000 |
| 0.000 | 0.000 | 0.000 | 2.649 | -0.000 | 0.000 |
| 0.000 | 0.000 | 0.000 | 0.000 | 2.649 | -0.000 |
| 0.000 | 0.000 | 0.000 | 0.000 | -0.000 | 2.649 |
| 437.335 | 437.203 | 437.203 | -0.000 | 0.000 | -0.000 |
| 437.203 | 437.335 | 437.203 | 0.000 | 0.000 | 0.000 |
| 437.203 | 437.203 | 437.335 | -0.000 | -0.000 | 0.000 |
| -0.000 | -0.000 | -0.000 | 2.649 | -0.000 | 0.000 |
| -0.000 | -0.000 | -0.000 | 0.000 | 2.649 | 0.000 |
| -0.000 | -0.000 | -0.000 | 0.000 | 0.000 | 2.649 |
| 437.337 | 437.206 | 437.206 | -0.000 | -0.000 | -0.000 |
| 437.206 | 437.337 | 437.206 | 0.000 | -0.000 | -0.000 |
| 437.206 | 437.206 | 437.337 | -0.000 | 0.000 | -0.000 |
| 0.000 | 0.000 | 0.000 | 2.649 | -0.000 | -0.000 |
| 0.000 | 0.000 | 0.000 | -0.000 | 2.649 | -0.000 |
| 0.000 | 0.000 | 0.000 | 0.000 | 0.000 | 2.649 |
| 437.332 | 437.202 | 437.202 | -0.000 | 0.000 | 0.000 |
| 437.202 | 437.332 | 437.202 | 0.000 | 0.000 | 0.000 |
| 437.202 | 437.202 | 437.332 | 0.000 | 0.000 | 0.000 |
| -0.000 | -0.000 | -0.000 | 2.649 | 0.000 | 0.000 |
| -0.000 | -0.000 | -0.000 | 0.000 | 2.649 | 0.000 |
| -0.000 | -0.000 | -0.000 | 0.000 | 0.000 | 2.649 |
| 437.361 | 437.224 | 437.224 | -0.000 | -0.000 | -0.000 |
| 437.224 | 437.361 | 437.224 | -0.000 | -0.000 | -0.000 |
| 437.224 | 437.224 | 437.361 | 0.000 | -0.000 | -0.000 |
| 0.003 | 0.003 | 0.003 | 2.649 | -0.000 | 0.000 |
| 0.003 | 0.003 | 0.003 | -0.000 | 2.649 | -0.000 |
| 0.003 | 0.003 | 0.003 | -0.000 | 0.000 | 2.649 |
| 437.309 | 437.183 | 437.183 | 0.000 | -0.000 | -0.000 |
| 437.183 | 437.309 | 437.183 | 0.000 | 0.000 | 0.000 |
| 437.183 | 437.183 | 437.309 | -0.000 | -0.000 | -0.000 |
| -0.003 | -0.003 | -0.003 | 2.649 | 0.000 | 0.000 |
| -0.003 | -0.003 | -0.003 | 0.000 | 2.649 | 0.000 |
| -0.003 | -0.003 | -0.003 | 0.000 | -0.000 | 2.649 |
| 356.827 | 252.908 | 200.774 | 0.000 | -0.000 | 0.000 |
| 252.908 | 356.827 | 200.774 | 0.000 | -0.000 | -0.000 |
| 200.318 | 200.318 | 325.247 | -0.000 | 0.000 | 0.000 |
| -0.000 | 0.000 | 0.000 | 49.339 | 0.000 | -0.000 |
| -0.298 | -0.298 | -0.281 | -0.000 | 48.344 | 0.000 |
| -0.000 | 0.000 | 0.000 | 0.000 | -0.000 | 51.959 |
| 341.440 | 267.872 | 200.574 | -0.000 | -0.000 | -0.000 |
| 252.908 | 356.827 | 200.774 | -0.000 | 0.000 | -0.000 |
| 200.745 | 200.745 | 325.649 | -0.000 | -0.000 | -0.000 |
| 0.000 | -0.000 | -0.000 | 49.339 | -0.000 | -0.000 |
| 0.298 | 0.298 | 0.281 | 0.000 | 48.344 | -0.000 |
| 0.000 | -0.000 | -0.000 | -0.000 | 0.000 | 51.959 |
| 356.827 | 252.908 | 200.774 | 0.000 | -0.000 | 0.000 |
| 262.114 | 345.971 | 199.996 | 0.000 | 0.000 | -0.000 |
| 200.745 | 200.745 | 325.649 | 0.000 | 0.000 | 0.000 |
| -0.035 | -0.035 | -0.033 | 48.160 | -0.000 | 0.000 |
| -0.000 | 0.000 | 0.000 | 0.000 | 49.339 | -0.000 |
| -0.000 | 0.000 | -0.000 | 0.000 | -0.000 | 51.959 |
| 345.829 | 262.363 | 200.046 | -0.000 | -0.000 | -0.000 |
| 252.908 | 356.827 | 200.774 | -0.000 | -0.000 | -0.000 |
| 200.745 | 200.745 | 325.649 | -0.000 | -0.000 | -0.000 |
| 0.035 | 0.035 | 0.033 | 48.160 | 0.000 | -0.000 |
| 0.000 | -0.000 | -0.000 | -0.000 | 49.339 | -0.000 |
| 0.000 | -0.000 | 0.000 | -0.000 | 0.000 | 51.959 |
| 356.824 | 252.905 | 200.772 | 0.000 | 0.000 | 0.000 |
| 267.693 | 341.322 | 200.435 | 0.000 | 0.000 | 0.000 |
| 200.449 | 200.449 | 325.371 | 0.000 | 0.000 | -0.000 |
| -0.003 | -0.004 | -0.003 | 48.157 | 0.000 | 0.000 |
| -0.004 | -0.003 | -0.003 | -0.000 | 48.157 | 0.000 |
| -0.000 | 0.000 | -0.000 | 0.000 | -0.000 | 51.959 |
| 356.830 | 252.911 | 200.775 | -0.000 | 0.000 | 0.000 |
| 252.911 | 356.830 | 200.775 | -0.000 | 0.000 | -0.000 |
| 200.745 | 200.745 | 325.649 | -0.000 | -0.000 | -0.000 |
| 0.003 | 0.004 | 0.003 | 48.157 | 0.000 | -0.000 |
| 0.004 | 0.003 | 0.003 | 0.000 | 48.157 | -0.000 |
| 0.000 | -0.000 | 0.000 | -0.000 | 0.000 | 51.959 |
| 149.209 | 249.258 | 280.817 | 0.000 | 0.000 | 0.000 |
| 189.599 | 325.549 | 72.087 | 0.000 | 0.000 | -0.000 |
| 279.008 | 156.446 | 413.356 | -0.000 | 0.000 | 0.000 |
| 0.000 | -0.000 | 0.000 | -41.121 | 0.000 | 0.000 |
| 1.392 | 1.010 | 2.007 | 0.000 | 74.879 | 0.000 |
| 0.596 | 0.432 | 0.859 | -0.000 | 0.000 | 100.978 |
| 65.046 | 188.176 | 159.502 | 0.000 | -0.000 | 0.000 |
| 249.653 | 369.134 | 158.650 | -0.000 | -0.000 | 0.000 |
| 279.008 | 156.446 | 413.356 | -0.000 | -0.000 | 0.000 |
| -0.000 | -0.000 | 0.000 | -41.121 | -0.000 | 0.000 |
| -1.392 | -1.010 | -2.007 | -0.000 | 74.879 | 0.000 |
| -0.596 | -0.432 | -0.859 | 0.000 | -0.000 | 100.978 |
| 149.209 | 249.258 | 280.817 | -0.000 | 0.000 | 0.000 |
| 249.653 | 369.134 | 158.650 | -0.000 | 0.000 | 0.000 |
| 158.611 | 69.068 | 239.813 | 0.000 | 0.000 | -0.000 |
| -0.000 | -0.000 | -0.000 | -41.121 | 0.000 | -0.000 |
| 0.139 | 0.101 | 0.201 | -0.000 | 74.866 | 0.000 |
| 0.060 | 0.043 | 0.086 | -0.000 | 0.000 | 100.978 |
| 65.582 | 188.565 | 160.275 | -0.000 | -0.000 | 0.000 |
| 188.944 | 325.074 | 71.143 | 0.000 | -0.000 | 0.000 |
| 158.492 | 68.982 | 239.642 | 0.000 | -0.000 | -0.000 |
| 0.000 | 0.000 | 0.000 | -41.121 | -0.000 | 0.000 |
| -0.139 | -0.101 | -0.201 | 0.000 | 74.866 | 0.000 |
| -0.060 | -0.043 | -0.086 | -0.000 | -0.000 | 100.978 |
| 65.648 | 188.613 | 160.371 | -0.000 | 0.000 | 0.000 |
| 249.654 | 369.135 | 158.650 | 0.000 | 0.000 | 0.000 |
| 158.555 | 69.027 | 239.732 | -0.000 | 0.000 | -0.000 |
| -0.000 | -0.000 | -0.000 | -41.121 | 0.000 | -0.000 |
| 0.013 | 0.010 | 0.019 | 0.000 | 74.866 | -0.000 |
| 0.000 | 0.001 | -0.000 | 0.000 | 0.000 | 100.978 |
| 149.209 | 249.258 | 280.817 | -0.000 | -0.000 | -0.000 |
| 188.997 | 325.112 | 71.222 | 0.000 | -0.000 | 0.000 |
| 158.548 | 69.023 | 239.723 | 0.000 | -0.000 | 0.000 |
| 0.000 | 0.000 | 0.000 | -41.121 | -0.000 | -0.000 |
| -0.013 | -0.010 | -0.019 | -0.000 | 74.866 | 0.000 |
| -0.000 | -0.001 | 0.000 | 0.000 | -0.000 | 100.978 |
| 231.041 | 171.775 | 113.765 | -0.000 | -0.000 | -0.000 |
| 171.775 | 231.041 | 113.765 | -0.000 | 0.000 | -0.000 |
| 113.765 | 113.765 | 164.183 | -0.000 | -0.000 | -0.000 |
| 0.000 | 0.000 | -0.000 | 77.257 | -0.000 | -0.000 |
| 0.000 | 0.000 | 0.000 | -0.000 | 77.257 | 0.000 |
| 0.000 | -0.000 | 0.000 | -0.000 | -0.000 | 63.729 |
| 231.041 | 171.775 | 113.765 | -0.000 | -0.000 | -0.000 |
| 171.775 | 231.041 | 113.765 | 0.000 | -0.000 | -0.000 |
| 113.765 | 113.765 | 164.183 | 0.000 | 0.000 | -0.000 |
| -0.000 | -0.000 | -0.000 | 77.257 | 0.000 | -0.000 |
| -0.000 | -0.000 | -0.000 | 0.000 | 77.257 | -0.000 |
| -0.000 | 0.000 | -0.000 | 0.000 | 0.000 | 63.729 |
| 231.260 | 171.556 | 113.765 | -0.000 | -0.000 | 0.000 |
| 171.556 | 231.260 | 113.765 | -0.000 | -0.000 | 0.000 |
| 113.765 | 113.765 | 164.183 | 0.000 | -0.000 | -0.000 |
| -0.000 | 0.000 | 0.000 | 77.429 | -0.000 | -0.000 |
| 0.000 | -0.000 | 0.000 | 0.000 | 77.429 | 0.000 |
| -0.000 | -0.000 | -0.000 | -0.000 | 0.000 | 63.729 |
| 231.041 | 171.775 | 113.765 | 0.000 | 0.000 | -0.000 |
| 171.775 | 231.041 | 113.765 | -0.000 | 0.000 | -0.000 |
| 113.765 | 113.765 | 164.183 | -0.000 | 0.000 | -0.000 |
| 0.000 | -0.000 | -0.000 | 77.429 | 0.000 | -0.000 |
| -0.000 | 0.000 | -0.000 | -0.000 | 77.429 | -0.000 |
| 0.000 | 0.000 | 0.000 | 0.000 | 0.000 | 63.729 |
| 231.039 | 171.774 | 113.765 | -0.000 | -0.000 | -0.000 |
| 171.774 | 231.039 | 113.765 | -0.000 | -0.000 | -0.000 |
| 113.765 | 113.765 | 164.186 | -0.000 | 0.000 | 0.000 |
| -0.000 | 0.000 | 0.000 | 77.429 | -0.000 | 0.000 |
| 0.000 | -0.000 | 0.000 | -0.000 | 77.429 | 0.000 |
| -0.000 | -0.000 | -0.000 | -0.000 | -0.000 | 63.729 |
| 231.261 | 171.557 | 113.765 | -0.000 | -0.000 | -0.000 |
| 171.557 | 231.261 | 113.765 | 0.000 | -0.000 | -0.000 |
| 113.765 | 113.765 | 164.180 | 0.000 | -0.000 | -0.000 |
| 0.000 | -0.000 | -0.000 | 77.429 | 0.000 | 0.000 |
| -0.000 | 0.000 | -0.000 | 0.000 | 77.429 | -0.000 |
| 0.000 | 0.000 | 0.000 | 0.000 | 0.000 | 63.729 |
| 285.152 | 68.386 | 68.386 | 0.000 | -0.000 | 0.000 |
| 68.386 | 285.152 | 68.386 | 0.000 | -0.000 | 0.000 |
| 68.386 | 68.386 | 285.152 | 0.000 | -0.000 | 0.000 |
| -0.000 | 0.000 | 0.000 | -9.982 | -0.000 | 0.000 |
| -0.000 | 0.000 | 0.000 | 0.000 | -9.982 | 0.000 |
| -0.000 | 0.000 | 0.000 | 0.000 | -0.000 | -9.982 |
| 285.152 | 68.386 | 68.386 | -0.000 | -0.000 | -0.000 |
| 68.386 | 285.152 | 68.386 | -0.000 | 0.000 | 0.000 |
| 68.386 | 68.386 | 285.152 | -0.000 | 0.000 | -0.000 |
| 0.000 | 0.000 | -0.000 | -9.982 | 0.000 | -0.000 |
| 0.000 | -0.000 | -0.000 | -0.000 | -9.982 | -0.000 |
| 0.000 | -0.000 | -0.000 | -0.000 | 0.000 | -9.982 |
| 284.311 | 68.806 | 68.806 | 0.000 | -0.000 | 0.000 |
| 68.806 | 284.311 | 68.806 | 0.000 | -0.000 | -0.000 |
| 68.806 | 68.806 | 284.311 | -0.000 | -0.000 | 0.000 |
| -0.000 | 0.000 | -0.000 | 28.011 | -0.000 | 0.000 |
| 0.000 | -0.000 | -0.000 | 0.000 | 28.011 | -0.000 |
| 0.000 | -0.000 | -0.000 | 0.000 | -0.000 | 28.011 |
| 284.311 | 68.806 | 68.806 | -0.000 | 0.000 | 0.000 |
| 68.806 | 284.311 | 68.806 | 0.000 | 0.000 | -0.000 |
| 68.806 | 68.806 | 284.311 | -0.000 | 0.000 | -0.000 |
| 0.000 | -0.000 | 0.000 | 28.011 | 0.000 | -0.000 |
| -0.000 | 0.000 | 0.000 | 0.000 | 28.011 | 0.000 |
| -0.000 | 0.000 | 0.000 | -0.000 | 0.000 | 28.011 |
| 285.153 | 68.386 | 68.386 | 0.000 | -0.000 | -0.000 |
| 68.386 | 285.153 | 68.386 | 0.000 | -0.000 | 0.000 |
| 68.386 | 68.386 | 285.153 | 0.000 | -0.000 | 0.000 |
| -0.000 | 0.000 | -0.000 | 28.011 | -0.000 | -0.000 |
| 0.000 | -0.000 | -0.000 | 0.000 | 28.011 | 0.000 |
| 0.000 | -0.000 | -0.000 | 0.000 | -0.000 | 28.011 |
| 285.150 | 68.385 | 68.385 | -0.000 | 0.000 | -0.000 |
| 68.385 | 285.150 | 68.385 | 0.000 | 0.000 | -0.000 |
| 68.385 | 68.385 | 285.150 | 0.000 | 0.000 | -0.000 |
| 0.000 | -0.000 | 0.000 | 28.011 | 0.000 | 0.000 |
| -0.000 | 0.000 | 0.000 | 0.000 | 28.011 | -0.000 |
| -0.000 | 0.000 | 0.000 | -0.000 | 0.000 | 28.011 |
| 141970351.818 | 215058525.940 | 182457227.529 | -4842535.453 | 2528467.777 | -1638733.984 |
| 197805198.071 | 152882259.542 | 217673499.163 | 12466665.725 | 2187889.540 | -4461059.792 |
| 192559390.906 | 175017181.541 | 155807360.792 | -1457248.190 | -13082317.235 | 11628670.068 |
| -0.000 | -0.000 | -0.000 | 49.777 | -0.000 | -0.000 |
| -0.000 | -0.000 | 0.000 | -0.000 | 49.777 | -0.000 |
| -0.000 | 0.000 | -0.000 | 0.000 | -0.000 | 49.777 |
| -165500730.737 | -162480660.292 | -166762215.132 | 7113648.398 | -10928140.010 | -6084563.796 |
| -129687153.540 | -159720660.765 | -154767924.708 | 9161609.912 | -14342779.788 | 8389438.669 |
| -150325573.988 | -168201200.959 | -199486219.840 | -3522736.876 | -3354332.668 | -3421291.559 |
| 0.000 | -0.000 | 0.000 | 49.777 | 0.000 | -0.000 |
| 0.000 | 0.000 | -0.000 | -0.000 | 49.777 | -0.000 |
| 0.000 | -0.000 | 0.000 | 0.000 | 0.000 | 49.777 |
| 17229224.232 | 19204745.498 | 17840034.372 | -141093.530 | 267095.686 | 1006332.678 |
| 19374000.384 | 15413142.000 | 18566749.871 | 310307.739 | 605494.959 | -352679.557 |
| 18083201.905 | 17455520.128 | 16394046.273 | -292560.697 | -602652.670 | -20057.945 |
| -0.000 | 0.000 | 0.000 | 49.777 | -0.000 | -0.000 |
| 0.000 | -0.000 | 0.000 | -0.000 | 49.777 | -0.000 |
| 0.000 | 0.000 | -0.000 | -0.000 | -0.000 | 49.777 |
| -22937020.197 | -17035508.027 | -17002854.170 | -620918.900 | -711149.717 | -556602.100 |
| -13127051.218 | -18110623.077 | -13495917.353 | -189919.272 | -44351.186 | -715949.886 |
| -15897690.829 | -12713360.992 | -17633381.855 | -797331.221 | -13545.199 | 60608.881 |
| 0.000 | -0.000 | -0.000 | 49.777 | 0.000 | -0.000 |
| -0.000 | 0.000 | -0.000 | -0.000 | 49.777 | 0.000 |
| -0.000 | -0.000 | 0.000 | 0.000 | 0.000 | 49.777 |
| -8645006.365 | 1062730.522 | 1062730.521 | -0.000 | -0.000 | -0.000 |
| 1062730.520 | -8645006.365 | 1062730.523 | -0.000 | -0.000 | -0.000 |
| 1062730.523 | 1062730.520 | -8645006.365 | -0.000 | 0.000 | -0.000 |
| -0.001 | 0.000 | 0.000 | 49.777 | -0.000 | -0.000 |
| 0.000 | -0.001 | 0.000 | -0.000 | 49.777 | -0.000 |
| 0.000 | 0.000 | -0.001 | -0.000 | -0.000 | 49.777 |
| -2109620.337 | -1657020.677 | -1716782.355 | 58060.586 | -58539.645 | -28116.072 |
| -1270047.985 | -1556314.402 | -1056007.258 | 33396.808 | 21572.825 | 134534.582 |
| -1352152.408 | -1345946.385 | -1489454.558 | -110190.836 | 54511.417 | -43474.457 |
| 0.001 | -0.000 | -0.000 | 49.777 | 0.000 | 0.000 |
| -0.000 | 0.001 | -0.000 | 0.000 | 49.777 | 0.000 |
| -0.000 | -0.000 | 0.001 | 0.000 | 0.000 | 49.777 |
| 53.696 | 160.314 | 160.314 | -0.000 | -0.000 | 0.000 |
| 160.314 | 53.696 | 160.314 | -0.000 | -0.000 | -0.000 |
| 160.314 | 160.314 | 53.696 | -0.000 | -0.000 | 0.000 |
| 0.000 | -0.000 | -0.000 | 70.366 | -0.000 | -0.000 |
| 0.000 | 0.000 | -0.000 | -0.000 | 70.366 | 0.000 |
| 0.000 | 0.000 | 0.000 | -0.000 | -0.000 | 70.366 |
| 53.696 | 160.314 | 160.314 | 0.000 | -0.000 | -0.000 |
| 160.314 | 53.696 | 160.314 | 0.000 | 0.000 | -0.000 |
| 160.314 | 160.314 | 53.696 | 0.000 | 0.000 | -0.000 |
| -0.000 | 0.000 | 0.000 | 70.366 | 0.000 | -0.000 |
| -0.000 | -0.000 | 0.000 | 0.000 | 70.366 | -0.000 |
| -0.000 | -0.000 | -0.000 | 0.000 | 0.000 | 70.366 |
| 53.696 | 160.314 | 160.314 | -0.000 | -0.000 | 0.000 |
| 160.314 | 53.696 | 160.314 | -0.000 | -0.000 | 0.000 |
| 160.314 | 160.314 | 53.696 | 0.000 | 0.000 | -0.000 |
| 0.000 | 0.000 | 0.000 | 70.366 | -0.000 | 0.000 |
| 0.000 | 0.000 | 0.000 | -0.000 | 70.366 | 0.000 |
| 0.000 | 0.000 | 0.000 | -0.000 | -0.000 | 70.366 |
| 53.696 | 160.314 | 160.314 | 0.000 | 0.000 | -0.000 |
| 160.314 | 53.696 | 160.314 | 0.000 | 0.000 | -0.000 |
| 160.314 | 160.314 | 53.696 | 0.000 | 0.000 | -0.000 |
| -0.000 | -0.000 | -0.000 | 70.366 | 0.000 | -0.000 |
| -0.000 | -0.000 | -0.000 | 0.000 | 70.366 | -0.000 |
| -0.000 | -0.000 | -0.000 | 0.000 | 0.000 | 70.366 |
| 53.697 | 160.315 | 160.315 | -0.000 | -0.000 | 0.000 |
| 160.315 | 53.697 | 160.315 | -0.000 | -0.000 | -0.000 |
| 160.315 | 160.315 | 53.697 | -0.000 | -0.000 | 0.000 |
| 0.001 | 0.000 | 0.001 | 70.362 | -0.000 | 0.000 |
| 0.000 | 0.001 | 0.001 | -0.000 | 70.362 | 0.000 |
| 0.000 | 0.001 | 0.001 | -0.000 | -0.000 | 70.362 |
| 53.695 | 160.313 | 160.313 | 0.000 | 0.000 | -0.000 |
| 160.313 | 53.695 | 160.313 | 0.000 | 0.000 | -0.000 |
| 160.313 | 160.313 | 53.695 | 0.000 | 0.000 | -0.000 |
| -0.001 | -0.000 | -0.001 | 70.362 | 0.000 | -0.000 |
| -0.000 | -0.001 | -0.001 | 0.000 | 70.362 | -0.000 |
| -0.000 | -0.001 | -0.001 | 0.000 | 0.000 | 70.362 |
| 367.895 | -89.956 | -89.956 | -0.000 | -0.000 | -0.000 |
| -89.956 | 367.895 | -89.956 | -0.000 | -0.000 | 0.000 |
| -89.956 | -89.956 | 367.895 | -0.000 | -0.000 | -0.000 |
| 29319964.542 | -163708378.295 | -163695441.395 | 71173151.067 | 30915.103 | 19475.079 |
| -163826862.686 | 29280586.074 | -163748524.618 | 17056.031 | 71195431.195 | 2916.637 |
| -163588349.318 | -163707344.550 | 29311502.197 | 9837.099 | 2808.691 | 71291703.605 |
| 367.895 | -89.956 | -89.956 | 0.000 | 0.000 | -0.000 |
| -89.956 | 367.895 | -89.956 | 0.000 | 0.000 | 0.000 |
| -89.956 | -89.956 | 367.895 | 0.000 | 0.000 | 0.000 |
| -29351876.581 | 163998149.500 | 163988396.146 | 71975456.191 | 10547.209 | -9245.767 |
| 163685148.628 | -29077486.449 | 163621316.100 | -8124.575 | 72208070.827 | 44472.535 |
| 163306368.085 | 163250009.837 | -29456376.467 | 19589.344 | -7377.839 | 71590991.489 |
| 367.895 | -89.956 | -89.956 | -0.000 | -0.000 | -0.000 |
| -89.956 | 367.895 | -89.956 | -0.000 | -0.000 | -0.000 |
| -89.956 | -89.956 | 367.895 | -0.000 | -0.000 | -0.000 |
| 2902506.925 | -16376400.331 | -16378747.157 | 7125422.118 | -6056.591 | -5792.753 |
| -16394593.129 | 2887984.824 | -16397739.184 | 1653.128 | 7168405.002 | 860.915 |
| -16387052.125 | -16383310.642 | 2916388.857 | 3324.939 | 4039.746 | 7114664.625 |
| 367.895 | -89.956 | -89.956 | 0.000 | 0.000 | -0.000 |
| -89.956 | 367.895 | -89.956 | 0.000 | 0.000 | 0.000 |
| -89.956 | -89.956 | 367.895 | 0.000 | 0.000 | 0.000 |
| -2912079.192 | 16391906.193 | 16390662.926 | 7160748.817 | 2971.093 | -2792.975 |
| 16407515.448 | -2867915.898 | 16388189.573 | 743.835 | 7227051.714 | 537.190 |
| 16381083.121 | 16399924.539 | -2915634.579 | 3997.652 | -2506.950 | 7114226.482 |
| 367.747 | -89.957 | -89.957 | -0.000 | 0.000 | -0.000 |
| -89.957 | 367.747 | -89.957 | -0.000 | -0.000 | 0.000 |
| -89.957 | -89.957 | 367.747 | -0.000 | -0.000 | -0.000 |
| 291749.556 | -1640328.949 | -1640048.520 | 720579.457 | -154.550 | -306.465 |
| -1634527.991 | 294137.456 | -1634163.546 | 68.619 | 712462.637 | 389.924 |
| -1636082.409 | -1635960.275 | 293826.460 | -63.884 | -55.396 | 715993.179 |
| 367.897 | -89.955 | -89.955 | 0.000 | 0.000 | 0.000 |
| -89.955 | 367.897 | -89.955 | 0.000 | 0.000 | 0.000 |
| -89.955 | -89.955 | 367.897 | 0.000 | 0.000 | 0.000 |
| -290848.174 | 1638485.704 | 1637404.709 | 713958.216 | -132.526 | 215.815 |
| 1637054.249 | -290408.511 | 1637401.710 | 51.985 | 713885.217 | -132.876 |
| 1634858.957 | 1635049.175 | -292175.713 | -80.064 | 231.836 | 712284.695 |
| 3.785 | 3.785 | 3.785 | 0.000 | 0.000 | 0.000 |
| 3.785 | 3.785 | 3.785 | 0.000 | 0.000 | 0.000 |
| 3.785 | 3.785 | 3.785 | 0.000 | 0.000 | 0.000 |
| 0.000 | 0.000 | 0.000 | 2.797 | 0.000 | 0.000 |
| 0.000 | 0.000 | 0.000 | 0.000 | 2.797 | 0.000 |
| 0.000 | 0.000 | 0.000 | 0.000 | -0.000 | 2.797 |
| 3.785 | 3.785 | 3.785 | -0.000 | 0.000 | -0.000 |
| 3.785 | 3.785 | 3.785 | 0.000 | -0.000 | -0.000 |
| 3.785 | 3.785 | 3.785 | -0.000 | -0.000 | -0.000 |
| -0.000 | -0.000 | -0.000 | 2.797 | -0.000 | -0.000 |
| -0.000 | -0.000 | -0.000 | -0.000 | 2.797 | -0.000 |
| -0.000 | -0.000 | -0.000 | -0.000 | 0.000 | 2.797 |
| 3.785 | 3.785 | 3.785 | 0.000 | 0.000 | 0.000 |
| 3.785 | 3.785 | 3.785 | 0.000 | 0.000 | 0.000 |
| 3.785 | 3.785 | 3.785 | 0.000 | 0.000 | 0.000 |
| 0.000 | 0.000 | 0.000 | 2.416 | 0.000 | 0.000 |
| 0.000 | 0.000 | 0.000 | 0.000 | 2.416 | 0.000 |
| 0.000 | 0.000 | 0.000 | 0.000 | -0.000 | 2.416 |
| 3.785 | 3.785 | 3.785 | -0.000 | -0.000 | -0.000 |
| 3.785 | 3.785 | 3.785 | -0.000 | -0.000 | -0.000 |
| 3.785 | 3.785 | 3.785 | -0.000 | -0.000 | -0.000 |
| -0.000 | -0.000 | -0.000 | 2.416 | -0.000 | -0.000 |
| -0.000 | -0.000 | -0.000 | -0.000 | 2.416 | -0.000 |
| -0.000 | -0.000 | -0.000 | -0.000 | 0.000 | 2.416 |
| 3.785 | 3.785 | 3.785 | 0.000 | -0.000 | 0.000 |
| 3.785 | 3.785 | 3.785 | -0.000 | 0.000 | 0.000 |
| 3.785 | 3.785 | 3.785 | 0.000 | 0.000 | 0.000 |
| 0.000 | 0.000 | 0.000 | 2.190 | 0.000 | 0.000 |
| 0.000 | 0.000 | 0.000 | 0.000 | 2.190 | 0.000 |
| 0.000 | 0.000 | 0.000 | 0.000 | -0.000 | 2.190 |
| 3.785 | 3.785 | 3.785 | -0.000 | -0.000 | -0.000 |
| 3.785 | 3.785 | 3.785 | -0.000 | 0.000 | -0.000 |
| 3.785 | 3.785 | 3.785 | -0.000 | -0.000 | -0.000 |
| -0.000 | -0.000 | -0.000 | 2.190 | 0.000 | -0.000 |
| -0.000 | -0.000 | -0.000 | 0.000 | 2.190 | -0.000 |
| -0.000 | -0.000 | -0.000 | -0.000 | 0.000 | 2.190 |
| 395.050 | 53.054 | 53.054 | 0.000 | 0.000 | 0.000 |
| 53.054 | 395.050 | 53.054 | 0.000 | 0.000 | 0.000 |
| 53.054 | 53.054 | 395.050 | 0.000 | 0.000 | 0.000 |
| 0.000 | 0.000 | 0.000 | 188.209 | 0.000 | 0.000 |
| 0.000 | 0.000 | 0.000 | 0.000 | 188.209 | 0.000 |
| 0.000 | 0.000 | -0.000 | 0.000 | 0.000 | 188.209 |
| 395.050 | 53.054 | 53.054 | -0.000 | 0.000 | -0.000 |
| 53.054 | 395.050 | 53.054 | -0.000 | -0.000 | -0.000 |
| 53.054 | 53.054 | 395.050 | -0.000 | -0.000 | -0.000 |
| -0.000 | -0.000 | -0.000 | 188.209 | -0.000 | -0.000 |
| -0.000 | -0.000 | -0.000 | -0.000 | 188.209 | -0.000 |
| -0.000 | -0.000 | 0.000 | -0.000 | -0.000 | 188.209 |
| 395.051 | 53.054 | 53.054 | 0.000 | 0.000 | 0.000 |
| 53.054 | 395.051 | 53.054 | 0.000 | 0.000 | 0.000 |
| 53.054 | 53.054 | 395.051 | 0.000 | 0.000 | 0.000 |
| 0.000 | 0.000 | 0.000 | 188.209 | 0.000 | 0.000 |
| 0.000 | 0.000 | 0.000 | 0.000 | 188.209 | 0.000 |
| 0.000 | 0.000 | 0.000 | 0.000 | 0.000 | 188.209 |
| 395.049 | 53.053 | 53.053 | -0.000 | -0.000 | -0.000 |
| 53.053 | 395.049 | 53.053 | -0.000 | -0.000 | -0.000 |
| 53.053 | 53.053 | 395.049 | -0.000 | -0.000 | -0.000 |
| -0.000 | -0.000 | -0.000 | 188.209 | -0.000 | -0.000 |
| -0.000 | -0.000 | -0.000 | -0.000 | 188.209 | -0.000 |
| -0.000 | -0.000 | -0.000 | -0.000 | -0.000 | 188.209 |
| 395.063 | 53.056 | 53.056 | 0.000 | 0.000 | 0.000 |
| 53.056 | 395.063 | 53.056 | 0.000 | 0.000 | 0.000 |
| 53.056 | 53.056 | 395.063 | 0.000 | 0.000 | 0.000 |
| 0.000 | 0.001 | 0.001 | 188.209 | 0.000 | 0.000 |
| 0.001 | 0.000 | 0.001 | 0.000 | 188.209 | 0.000 |
| 0.001 | 0.001 | 0.000 | 0.000 | 0.000 | 188.209 |
| 395.038 | 53.051 | 53.051 | -0.000 | -0.000 | -0.000 |
| 53.051 | 395.038 | 53.051 | -0.000 | -0.000 | -0.000 |
| 53.051 | 53.051 | 395.038 | -0.000 | -0.000 | -0.000 |
| -0.000 | -0.001 | -0.001 | 188.209 | -0.000 | -0.000 |
| -0.001 | -0.000 | -0.001 | -0.000 | 188.209 | -0.000 |
| -0.001 | -0.001 | -0.000 | -0.000 | -0.000 | 188.209 |
| 9.272 | 4.636 | 4.636 | 0.000 | 0.000 | 0.000 |
| 4.636 | 9.272 | 4.636 | 0.000 | 0.000 | 0.000 |
| 4.636 | 4.636 | 9.272 | 0.000 | 0.000 | -0.000 |
| -0.000 | 0.000 | 0.000 | 4.636 | 0.000 | 0.000 |
| 0.000 | -0.000 | 0.000 | 0.000 | 4.636 | -0.000 |
| 0.000 | 0.000 | -0.000 | 0.000 | -0.000 | 4.636 |
| 9.272 | 4.636 | 4.636 | -0.000 | 0.000 | 0.000 |
| 4.636 | 9.272 | 4.636 | 0.000 | -0.000 | -0.000 |
| 4.636 | 4.636 | 9.272 | -0.000 | -0.000 | -0.000 |
| 0.000 | -0.000 | -0.000 | 4.636 | -0.000 | 0.000 |
| -0.000 | 0.000 | -0.000 | -0.000 | 4.636 | 0.000 |
| -0.000 | -0.000 | 0.000 | -0.000 | 0.000 | 4.636 |
| 9.272 | 4.636 | 4.636 | 0.000 | 0.000 | 0.000 |
| 4.636 | 9.272 | 4.636 | 0.000 | 0.000 | -0.000 |
| 4.636 | 4.636 | 9.272 | 0.000 | 0.000 | 0.000 |
| -0.000 | 0.000 | 0.000 | 4.636 | -0.000 | 0.000 |
| 0.000 | -0.000 | 0.000 | -0.000 | 4.636 | -0.000 |
| 0.000 | 0.000 | -0.000 | -0.000 | -0.000 | 4.636 |
| 9.272 | 4.636 | 4.636 | -0.000 | -0.000 | -0.000 |
| 4.636 | 9.272 | 4.636 | -0.000 | -0.000 | -0.000 |
| 4.636 | 4.636 | 9.272 | 0.000 | 0.000 | -0.000 |
| 0.000 | -0.000 | -0.000 | 4.636 | 0.000 | -0.000 |
| -0.000 | 0.000 | -0.000 | 0.000 | 4.636 | 0.000 |
| -0.000 | -0.000 | 0.000 | 0.000 | 0.000 | 4.636 |
| 9.272 | 4.636 | 4.636 | 0.000 | 0.000 | -0.000 |
| 4.636 | 9.272 | 4.636 | 0.000 | 0.000 | -0.000 |
| 4.636 | 4.636 | 9.272 | -0.000 | -0.000 | 0.000 |
| -0.000 | 0.000 | 0.000 | 4.636 | 0.000 | 0.000 |
| 0.000 | -0.000 | 0.000 | 0.000 | 4.636 | -0.000 |
| 0.000 | 0.000 | -0.000 | 0.000 | -0.000 | 4.636 |
| 9.271 | 4.636 | 4.636 | -0.000 | -0.000 | 0.000 |
| 4.636 | 9.271 | 4.636 | 0.000 | -0.000 | 0.000 |
| 4.636 | 4.636 | 9.271 | 0.000 | -0.000 | 0.000 |
| 0.000 | -0.000 | -0.000 | 4.636 | -0.000 | -0.000 |
| -0.000 | 0.000 | -0.000 | -0.000 | 4.636 | 0.000 |
| -0.000 | -0.000 | 0.000 | -0.000 | 0.000 | 4.636 |
| 57.649 | 150.225 | 171.137 | 0.000 | 0.000 | 0.000 |
| 150.615 | 172.462 | 37.159 | 0.000 | 0.000 | 0.000 |
| 170.817 | 36.449 | 210.949 | -0.000 | 0.000 | 0.000 |
| 49.711 | 5.070 | 82.782 | -48.413 | 0.000 | 0.000 |
| 49.698 | 5.069 | 82.761 | -0.000 | 61.999 | 0.000 |
| 49.698 | 5.069 | 82.761 | 0.000 | 0.000 | 66.809 |
| 57.649 | 150.225 | 171.137 | 0.000 | -0.000 | -0.000 |
| 150.615 | 172.462 | 37.159 | 0.000 | -0.000 | -0.000 |
| 170.817 | 36.449 | 210.949 | 0.000 | -0.000 | -0.000 |
| -49.711 | -5.070 | -82.782 | -48.413 | -0.000 | -0.000 |
| -49.698 | -5.069 | -82.761 | 0.000 | 61.999 | -0.000 |
| -49.698 | -5.069 | -82.761 | 0.000 | -0.000 | 66.809 |
| 57.649 | 150.225 | 171.137 | -0.000 | 0.000 | 0.000 |
| 154.543 | 172.863 | 43.700 | -0.000 | 0.000 | 0.000 |
| 170.817 | 36.449 | 210.949 | 0.000 | 0.000 | 0.000 |
| -0.000 | 0.000 | -0.000 | -48.362 | 0.000 | 0.000 |
| -0.000 | -0.000 | 0.000 | -0.000 | 87.093 | 0.000 |
| 4.970 | 0.507 | 8.276 | 0.000 | 0.000 | 66.809 |
| 42.463 | 148.676 | 145.849 | 0.000 | 0.000 | -0.000 |
| 144.603 | 171.849 | 27.148 | -0.000 | -0.000 | -0.000 |
| 148.835 | 34.207 | 174.343 | -0.000 | -0.000 | -0.000 |
| 0.000 | -0.000 | 0.000 | -48.362 | -0.000 | -0.000 |
| 0.000 | 0.000 | -0.000 | -0.000 | 87.093 | -0.000 |
| -4.970 | -0.507 | -8.276 | 0.000 | -0.000 | 66.809 |
| 57.650 | 150.226 | 171.138 | -0.000 | 0.000 | 0.000 |
| 150.617 | 172.465 | 37.160 | 0.000 | 0.000 | 0.000 |
| 170.818 | 36.449 | 210.950 | -0.000 | 0.000 | 0.000 |
| 2.617 | 0.267 | 4.358 | -48.633 | 0.000 | 0.000 |
| -0.000 | -0.000 | 0.001 | -0.000 | 87.093 | 0.000 |
| 0.497 | 0.052 | 0.828 | 0.000 | 0.000 | 66.809 |
| 46.935 | 149.131 | 153.297 | 0.000 | -0.000 | -0.000 |
| 149.075 | 172.303 | 34.596 | 0.000 | -0.000 | -0.000 |
| 153.307 | 34.663 | 181.791 | -0.000 | -0.000 | -0.000 |
| -2.617 | -0.267 | -4.358 | -48.633 | -0.000 | -0.000 |
| 0.000 | 0.000 | -0.001 | 0.000 | 87.093 | -0.000 |
| -0.497 | -0.052 | -0.828 | -0.000 | -0.000 | 66.809 |
| 152.503 | 80.674 | 93.225 | 0.000 | 0.000 | 0.000 |
| 80.674 | 152.503 | 93.225 | -0.000 | 0.000 | 0.000 |
| 93.225 | 93.225 | 174.314 | 0.000 | -0.000 | 0.000 |
| 0.000 | -0.000 | -0.000 | 88.547 | 0.000 | 0.000 |
| 0.000 | -0.000 | 0.000 | -0.000 | 88.547 | -0.000 |
| 0.000 | -0.000 | -0.000 | 0.000 | 0.000 | 89.112 |
| 152.503 | 80.674 | 93.225 | 0.000 | -0.000 | -0.000 |
| 80.674 | 152.503 | 93.225 | -0.000 | 0.000 | -0.000 |
| 93.225 | 93.225 | 174.314 | -0.000 | -0.000 | 0.000 |
| -0.000 | 0.000 | 0.000 | 88.547 | -0.000 | 0.000 |
| -0.000 | 0.000 | -0.000 | -0.000 | 88.547 | 0.000 |
| -0.000 | 0.000 | 0.000 | -0.000 | -0.000 | 89.112 |
| 152.503 | 80.674 | 93.225 | 0.000 | 0.000 | -0.000 |
| 80.674 | 152.503 | 93.225 | 0.000 | 0.000 | 0.000 |
| 93.225 | 93.225 | 174.314 | 0.000 | 0.000 | -0.000 |
| -0.000 | -0.000 | 0.000 | 88.635 | 0.000 | 0.000 |
| -0.000 | -0.000 | 0.000 | 0.000 | 88.635 | 0.000 |
| -0.000 | 0.000 | -0.000 | 0.000 | 0.000 | 89.112 |
| 152.503 | 80.674 | 93.225 | -0.000 | -0.000 | -0.000 |
| 80.674 | 152.503 | 93.225 | -0.000 | 0.000 | 0.000 |
| 93.225 | 93.225 | 174.314 | -0.000 | -0.000 | -0.000 |
| 0.000 | 0.000 | -0.000 | 88.635 | -0.000 | -0.000 |
| 0.000 | 0.000 | -0.000 | -0.000 | 88.635 | -0.000 |
| 0.000 | -0.000 | 0.000 | -0.000 | -0.000 | 89.112 |
| 152.639 | 80.537 | 93.225 | -0.000 | 0.000 | 0.000 |
| 80.537 | 152.639 | 93.225 | 0.000 | 0.000 | 0.000 |
| 93.225 | 93.225 | 174.314 | 0.000 | 0.000 | 0.000 |
| -0.000 | -0.000 | 0.000 | 88.635 | -0.000 | 0.000 |
| -0.000 | -0.000 | 0.000 | 0.000 | 88.635 | 0.000 |
| -0.000 | 0.000 | -0.000 | 0.000 | 0.000 | 89.112 |
| 152.504 | 80.675 | 93.225 | -0.000 | -0.000 | 0.000 |
| 80.675 | 152.504 | 93.225 | 0.000 | -0.000 | -0.000 |
| 93.225 | 93.225 | 174.314 | -0.000 | -0.000 | -0.000 |
| 0.000 | 0.000 | -0.000 | 88.635 | 0.000 | -0.000 |
| 0.000 | 0.000 | -0.000 | -0.000 | 88.635 | -0.000 |
| 0.000 | -0.000 | 0.000 | -0.000 | -0.000 | 89.112 |
| 258.606 | 134.300 | 98.382 | 0.000 | 0.000 | 0.000 |
| 124.950 | 268.063 | 98.345 | 0.000 | -0.000 | 0.000 |
| 98.337 | 98.337 | 230.439 | -0.000 | -0.000 | 0.000 |
| 0.000 | 0.000 | 0.000 | 45.960 | -0.000 | -0.000 |
| 0.000 | 0.000 | 0.000 | 0.000 | 45.960 | -0.000 |
| 0.026 | 0.026 | -0.018 | 0.000 | -0.000 | 62.155 |
| 258.531 | 134.229 | 98.431 | 0.000 | 0.000 | -0.000 |
| 124.950 | 268.063 | 98.345 | -0.000 | 0.000 | -0.000 |
| 98.337 | 98.337 | 230.439 | 0.000 | 0.000 | 0.000 |
| -0.000 | 0.000 | -0.000 | 45.960 | 0.000 | -0.000 |
| -0.000 | -0.000 | -0.000 | -0.000 | 45.960 | -0.000 |
| -0.026 | -0.026 | 0.018 | -0.000 | -0.000 | 62.155 |
| 258.566 | 134.253 | 98.411 | -0.000 | 0.000 | 0.000 |
| 132.471 | 259.827 | 98.589 | 0.000 | 0.000 | 0.000 |
| 98.336 | 98.336 | 230.439 | 0.000 | 0.000 | 0.000 |
| 0.000 | -0.000 | 0.000 | 45.960 | -0.000 | -0.000 |
| 0.012 | 0.012 | -0.008 | -0.000 | 45.851 | 0.000 |
| 0.015 | 0.015 | -0.010 | -0.000 | 0.000 | 62.592 |
| 268.063 | 124.950 | 98.345 | -0.000 | 0.000 | -0.000 |
| 124.950 | 268.063 | 98.345 | -0.000 | 0.000 | -0.000 |
| 98.337 | 98.337 | 230.439 | -0.000 | 0.000 | -0.000 |
| -0.000 | 0.000 | -0.000 | 45.960 | -0.000 | -0.000 |
| -0.012 | -0.012 | 0.008 | -0.000 | 45.851 | -0.000 |
| -0.015 | -0.015 | 0.010 | -0.000 | -0.000 | 62.592 |
| 258.568 | 134.265 | 98.406 | 0.000 | 0.000 | -0.000 |
| 124.949 | 268.062 | 98.345 | 0.000 | 0.000 | 0.000 |
| 98.336 | 98.336 | 230.438 | -0.000 | -0.000 | 0.000 |
| -0.000 | -0.000 | 0.000 | 45.960 | -0.000 | 0.000 |
| -0.000 | -0.000 | 0.000 | -0.000 | 45.960 | 0.000 |
| 0.001 | 0.002 | -0.001 | 0.000 | 0.000 | 62.590 |
| 259.892 | 132.386 | 98.597 | -0.000 | -0.000 | 0.000 |
| 124.951 | 268.064 | 98.346 | -0.000 | 0.000 | 0.000 |
| 98.403 | 98.403 | 230.395 | 0.000 | 0.000 | -0.000 |
| 0.000 | 0.000 | -0.000 | 45.960 | -0.000 | 0.000 |
| 0.000 | 0.000 | -0.000 | -0.000 | 45.960 | -0.000 |
| -0.001 | -0.002 | 0.001 | -0.000 | 0.000 | 62.590 |
| 207.991 | 107.206 | 94.101 | -28.453 | -0.000 | -0.000 |
| 107.207 | 207.991 | 94.101 | 28.453 | 0.000 | 0.000 |
| 67.386 | 67.386 | 209.227 | 0.000 | 0.000 | 0.000 |
| -28.453 | 28.453 | 0.000 | 31.818 | 0.000 | 0.000 |
| 0.000 | 0.000 | 0.000 | 0.000 | 31.818 | -28.453 |
| -13.639 | -13.639 | -11.661 | 0.000 | -28.402 | 50.232 |
| 207.991 | 107.207 | 94.101 | -28.453 | -0.000 | -0.000 |
| 120.414 | 220.677 | 106.891 | 28.383 | -0.000 | -0.000 |
| 93.682 | 93.682 | 240.939 | -0.000 | 0.000 | -0.000 |
| -9.500 | 47.266 | 21.074 | 31.524 | -0.000 | -0.000 |
| -0.000 | -0.000 | -0.000 | 0.000 | 31.818 | -28.453 |
| 13.639 | 13.639 | 11.661 | -0.000 | -28.402 | 50.232 |
| 199.774 | 99.547 | 83.676 | -28.380 | 0.000 | 0.000 |
| 99.426 | 199.822 | 83.036 | 28.391 | -0.000 | 0.000 |
| 85.380 | 85.380 | 227.092 | -0.000 | 0.000 | -0.000 |
| -30.627 | 26.113 | -2.653 | 31.459 | 0.000 | 0.000 |
| -0.000 | 0.000 | 0.000 | -0.000 | 31.818 | -28.453 |
| -0.000 | 0.000 | 0.000 | -0.000 | -28.453 | 50.392 |
| 207.991 | 107.207 | 94.101 | -28.453 | -0.000 | -0.000 |
| 103.130 | 203.341 | 87.560 | 28.377 | -0.000 | -0.000 |
| 89.431 | 89.431 | 232.420 | -0.000 | -0.000 | -0.000 |
| -28.453 | 28.453 | -0.000 | 31.818 | 0.000 | -0.000 |
| 0.000 | -0.000 | -0.000 | 0.000 | 31.818 | -28.453 |
| 0.000 | -0.000 | -0.000 | 0.000 | -28.453 | 50.392 |
| 201.910 | 101.478 | 85.188 | -28.397 | -0.000 | 0.000 |
| 101.924 | 200.992 | 85.583 | 28.354 | -0.000 | 0.000 |
| 93.682 | 93.682 | 240.939 | 0.000 | 0.000 | 0.000 |
| -28.684 | 27.946 | -0.315 | 31.304 | -0.000 | 0.000 |
| -0.369 | -0.369 | -0.315 | -0.000 | 31.304 | -28.315 |
| -0.441 | -0.441 | -0.687 | -0.000 | -28.293 | 49.634 |
| 207.991 | 107.207 | 94.102 | -28.453 | 0.000 | -0.000 |
| 107.207 | 207.992 | 94.102 | 28.453 | 0.000 | -0.000 |
| 87.853 | 87.853 | 230.308 | -0.000 | 0.000 | -0.000 |
| -28.453 | 28.453 | -0.000 | 31.818 | -0.000 | -0.000 |
| 0.369 | 0.369 | 0.315 | 0.000 | 31.304 | -28.315 |
| 0.441 | 0.441 | 0.687 | 0.000 | -28.293 | 49.634 |
| 752.896 | 40.422 | 40.422 | 0.000 | 0.000 | -0.000 |
| 40.422 | 752.896 | 40.422 | -0.000 | -0.000 | -0.000 |
| 40.422 | 40.422 | 752.896 | 0.000 | -0.000 | -0.000 |
| 0.000 | -0.000 | 0.000 | 35.611 | -0.000 | -0.000 |
| 0.000 | -0.000 | 0.000 | 0.000 | 35.611 | -0.000 |
| 0.000 | -0.000 | 0.000 | 0.000 | -0.000 | 35.611 |
| 752.896 | 40.422 | 40.422 | -0.000 | 0.000 | 0.000 |
| 40.422 | 752.896 | 40.422 | 0.000 | 0.000 | 0.000 |
| 40.422 | 40.422 | 752.896 | -0.000 | 0.000 | 0.000 |
| -0.000 | 0.000 | 0.000 | 35.611 | 0.000 | 0.000 |
| -0.000 | 0.000 | -0.000 | -0.000 | 35.611 | 0.000 |
| -0.000 | 0.000 | 0.000 | -0.000 | 0.000 | 35.611 |
| 752.896 | 40.422 | 40.422 | -0.000 | 0.000 | -0.000 |
| 40.422 | 752.896 | 40.422 | 0.000 | -0.000 | -0.000 |
| 40.422 | 40.422 | 752.896 | -0.000 | -0.000 | -0.000 |
| 0.000 | -0.000 | -0.000 | 35.611 | -0.000 | -0.000 |
| -0.000 | 0.000 | -0.000 | 0.000 | 35.611 | -0.000 |
| -0.000 | -0.000 | 0.000 | 0.000 | -0.000 | 35.611 |
| 752.896 | 40.422 | 40.422 | -0.000 | -0.000 | 0.000 |
| 40.422 | 752.896 | 40.422 | 0.000 | 0.000 | 0.000 |
| 40.422 | 40.422 | 752.896 | -0.000 | -0.000 | 0.000 |
| -0.000 | 0.000 | 0.000 | 35.611 | 0.000 | 0.000 |
| 0.000 | -0.000 | 0.000 | -0.000 | 35.611 | 0.000 |
| 0.000 | 0.000 | -0.000 | 0.000 | 0.000 | 35.611 |
| 752.898 | 40.422 | 40.422 | 0.000 | -0.000 | -0.000 |
| 40.422 | 752.898 | 40.422 | -0.000 | -0.000 | -0.000 |
| 40.422 | 40.422 | 752.898 | 0.000 | -0.000 | -0.000 |
| 0.000 | -0.000 | -0.000 | 35.611 | -0.000 | -0.000 |
| -0.000 | 0.000 | -0.000 | 0.000 | 35.611 | -0.000 |
| -0.000 | -0.000 | 0.000 | 0.000 | -0.000 | 35.611 |
| 752.894 | 40.422 | 40.422 | -0.000 | 0.000 | 0.000 |
| 40.422 | 752.894 | 40.422 | -0.000 | 0.000 | 0.000 |
| 40.422 | 40.422 | 752.894 | 0.000 | -0.000 | 0.000 |
| -0.000 | 0.000 | 0.000 | 35.611 | 0.000 | 0.000 |
| 0.000 | -0.000 | 0.000 | -0.000 | 35.611 | 0.000 |
| 0.000 | 0.000 | -0.000 | -0.000 | 0.000 | 35.611 |
| 590.898 | 189.184 | 189.184 | -0.000 | -0.000 | -0.000 |
| 189.184 | 590.898 | 189.184 | -0.000 | -0.000 | -0.000 |
| 189.184 | 189.184 | 590.898 | 0.000 | -0.000 | -0.000 |
| -0.000 | 0.000 | 0.000 | 238.651 | -0.000 | -0.000 |
| 0.000 | -0.000 | 0.000 | -0.000 | 238.651 | -0.000 |
| 0.000 | 0.000 | -0.000 | -0.000 | -0.000 | 238.651 |
| 590.898 | 189.184 | 189.184 | 0.000 | 0.000 | 0.000 |
| 189.184 | 590.898 | 189.184 | 0.000 | 0.000 | 0.000 |
| 189.184 | 189.184 | 590.898 | -0.000 | 0.000 | 0.000 |
| 0.000 | -0.000 | -0.000 | 238.651 | 0.000 | 0.000 |
| -0.000 | 0.000 | -0.000 | -0.000 | 238.651 | 0.000 |
| -0.000 | -0.000 | 0.000 | 0.000 | 0.000 | 238.651 |
| 590.898 | 189.184 | 189.184 | -0.000 | -0.000 | -0.000 |
| 189.184 | 590.898 | 189.184 | -0.000 | -0.000 | -0.000 |
| 189.184 | 189.184 | 590.898 | 0.000 | -0.000 | -0.000 |
| -0.000 | 0.000 | 0.000 | 238.651 | 0.000 | -0.000 |
| 0.000 | -0.000 | 0.000 | 0.000 | 238.651 | -0.000 |
| 0.000 | 0.000 | -0.000 | -0.000 | -0.000 | 238.651 |
| 590.898 | 189.184 | 189.184 | 0.000 | 0.000 | 0.000 |
| 189.184 | 590.898 | 189.184 | -0.000 | 0.000 | 0.000 |
| 189.184 | 189.184 | 590.898 | 0.000 | 0.000 | 0.000 |
| 0.000 | -0.000 | -0.000 | 238.651 | 0.000 | 0.000 |
| -0.000 | 0.000 | -0.000 | 0.000 | 238.651 | 0.000 |
| -0.000 | -0.000 | 0.000 | 0.000 | 0.000 | 238.651 |
| 590.898 | 189.185 | 189.185 | -0.000 | -0.000 | -0.000 |
| 189.185 | 590.898 | 189.185 | 0.000 | -0.000 | -0.000 |
| 189.185 | 189.185 | 590.898 | -0.000 | -0.000 | -0.000 |
| -0.000 | 0.002 | 0.002 | 238.651 | -0.000 | -0.000 |
| 0.002 | -0.000 | 0.002 | -0.000 | 238.651 | -0.000 |
| 0.002 | 0.002 | -0.000 | -0.000 | -0.000 | 238.651 |
| 590.899 | 189.183 | 189.183 | 0.000 | 0.000 | 0.000 |
| 189.183 | 590.899 | 189.183 | 0.000 | 0.000 | 0.000 |
| 189.183 | 189.183 | 590.899 | 0.000 | 0.000 | 0.000 |
| 0.000 | -0.002 | -0.002 | 238.651 | 0.000 | 0.000 |
| -0.002 | 0.000 | -0.002 | 0.000 | 238.651 | 0.000 |
| -0.002 | -0.002 | 0.000 | 0.000 | 0.000 | 238.651 |
| 265.095 | 296.620 | 296.620 | 0.000 | 0.000 | -0.000 |
| 296.620 | 265.095 | 296.620 | 0.000 | -0.000 | -0.000 |
| 296.620 | 296.620 | 265.095 | 0.000 | 0.000 | -0.000 |
| 0.000 | 0.000 | 0.000 | 205.002 | 0.000 | -0.000 |
| -0.000 | 0.000 | 0.000 | 0.000 | 205.002 | -0.000 |
| -0.000 | 0.000 | 0.000 | 0.000 | -0.000 | 205.002 |
| 265.095 | 296.620 | 296.620 | -0.000 | 0.000 | 0.000 |
| 296.620 | 265.095 | 296.620 | -0.000 | -0.000 | 0.000 |
| 296.620 | 296.620 | 265.095 | -0.000 | -0.000 | 0.000 |
| -0.000 | -0.000 | -0.000 | 205.002 | -0.000 | 0.000 |
| 0.000 | -0.000 | -0.000 | -0.000 | 205.002 | 0.000 |
| 0.000 | -0.000 | -0.000 | 0.000 | 0.000 | 205.002 |
| 265.096 | 296.620 | 296.620 | 0.000 | -0.000 | -0.000 |
| 296.620 | 265.096 | 296.620 | 0.000 | -0.000 | -0.000 |
| 296.620 | 296.620 | 265.096 | -0.000 | -0.000 | -0.000 |
| 0.000 | 0.000 | 0.000 | 205.002 | 0.000 | -0.000 |
| 0.000 | 0.000 | 0.000 | 0.000 | 205.002 | -0.000 |
| 0.000 | 0.000 | 0.000 | 0.000 | -0.000 | 205.002 |
| 265.095 | 296.619 | 296.619 | -0.000 | -0.000 | 0.000 |
| 296.619 | 265.095 | 296.619 | -0.000 | 0.000 | 0.000 |
| 296.619 | 296.619 | 265.095 | -0.000 | 0.000 | 0.000 |
| -0.000 | -0.000 | -0.000 | 205.002 | -0.000 | 0.000 |
| -0.000 | -0.000 | -0.000 | -0.000 | 205.002 | 0.000 |
| -0.000 | -0.000 | -0.000 | -0.000 | -0.000 | 205.002 |
| 265.098 | 296.621 | 296.621 | 0.000 | -0.000 | 0.000 |
| 296.621 | 265.098 | 296.621 | 0.000 | -0.000 | 0.000 |
| 296.621 | 296.621 | 265.098 | 0.000 | 0.000 | -0.000 |
| 0.001 | 0.000 | 0.001 | 205.002 | 0.000 | 0.000 |
| 0.000 | 0.001 | 0.001 | 0.000 | 205.002 | -0.000 |
| 0.000 | 0.001 | 0.001 | 0.000 | 0.000 | 205.002 |
| 265.092 | 296.618 | 296.618 | -0.000 | -0.000 | 0.000 |
| 296.618 | 265.092 | 296.618 | -0.000 | 0.000 | 0.000 |
| 296.618 | 296.618 | 265.092 | -0.000 | -0.000 | 0.000 |
| -0.001 | -0.000 | -0.001 | 205.002 | -0.000 | -0.000 |
| -0.000 | -0.001 | -0.001 | -0.000 | 205.002 | 0.000 |
| -0.000 | -0.001 | -0.001 | -0.000 | -0.000 | 205.002 |
| 5377.836 | 5382.822 | 5382.822 | -0.000 | 0.000 | -0.000 |
| 5382.822 | 5377.836 | 5382.822 | -0.000 | -0.000 | -0.000 |
| 5382.822 | 5382.822 | 5377.836 | -0.000 | -0.000 | -0.000 |
| 0.000 | 0.000 | 0.000 | -4.035 | 0.000 | 0.000 |
| 0.000 | 0.000 | 0.000 | -0.000 | -4.035 | -0.000 |
| 0.000 | 0.000 | 0.000 | -0.000 | -0.000 | -4.035 |
| 5377.839 | 5382.825 | 5382.825 | 0.000 | -0.000 | 0.000 |
| 5382.825 | 5377.839 | 5382.825 | 0.000 | -0.000 | 0.000 |
| 5382.825 | 5382.825 | 5377.839 | 0.000 | 0.000 | -0.000 |
| -0.000 | -0.000 | -0.000 | -4.035 | -0.000 | 0.000 |
| -0.000 | -0.000 | -0.000 | 0.000 | -4.035 | 0.000 |
| -0.000 | -0.000 | -0.000 | 0.000 | -0.000 | -4.035 |
| 5377.823 | 5382.811 | 5382.811 | -0.000 | 0.000 | -0.000 |
| 5382.811 | 5377.823 | 5382.811 | -0.000 | 0.000 | -0.000 |
| 5382.811 | 5382.811 | 5377.823 | -0.000 | -0.000 | -0.000 |
| 0.000 | 0.000 | 0.000 | -4.035 | 0.000 | 0.000 |
| 0.000 | 0.000 | 0.000 | -0.000 | -4.035 | -0.000 |
| 0.000 | 0.000 | 0.000 | -0.000 | -0.000 | -4.035 |
| 5377.852 | 5382.836 | 5382.836 | 0.000 | -0.000 | 0.000 |
| 5382.836 | 5377.852 | 5382.836 | 0.000 | -0.000 | 0.000 |
| 5382.836 | 5382.836 | 5377.852 | 0.000 | 0.000 | 0.000 |
| -0.000 | -0.000 | -0.000 | -4.035 | -0.000 | 0.000 |
| -0.000 | -0.000 | -0.000 | 0.000 | -4.035 | 0.000 |
| -0.000 | -0.000 | -0.000 | 0.000 | -0.000 | -4.035 |
| 5377.696 | 5382.695 | 5382.695 | -0.000 | 0.000 | -0.000 |
| 5382.695 | 5377.696 | 5382.695 | -0.000 | 0.000 | -0.000 |
| 5382.695 | 5382.695 | 5377.696 | -0.000 | -0.000 | -0.000 |
| 0.002 | 0.002 | 0.002 | -4.035 | -0.000 | -0.000 |
| 0.002 | 0.002 | 0.002 | -0.000 | -4.035 | -0.000 |
| 0.002 | 0.002 | 0.002 | -0.000 | -0.000 | -4.035 |
| 5377.980 | 5382.952 | 5382.952 | 0.000 | 0.000 | 0.000 |
| 5382.952 | 5377.980 | 5382.952 | 0.000 | -0.000 | 0.000 |
| 5382.952 | 5382.952 | 5377.980 | 0.000 | -0.000 | 0.000 |
| -0.002 | -0.002 | -0.002 | -4.035 | -0.000 | 0.000 |
| -0.002 | -0.002 | -0.002 | 0.000 | -4.035 | -0.000 |
| -0.002 | -0.002 | -0.002 | 0.000 | 0.000 | -4.035 |
| 698.666 | 698.666 | 698.666 | -0.000 | -0.000 | 0.000 |
| 698.666 | 698.666 | 698.666 | -0.000 | -0.000 | 0.000 |
| 698.666 | 698.666 | 698.666 | -0.000 | -0.000 | 0.000 |
| 0.000 | 0.000 | 0.000 | 2.191 | -0.000 | 0.000 |
| 0.000 | 0.000 | 0.000 | -0.000 | 2.191 | 0.000 |
| 0.000 | 0.000 | 0.000 | -0.000 | -0.000 | 2.191 |
| 698.665 | 698.665 | 698.665 | 0.000 | 0.000 | 0.000 |
| 698.665 | 698.665 | 698.665 | 0.000 | 0.000 | 0.000 |
| 698.665 | 698.665 | 698.665 | 0.000 | 0.000 | -0.000 |
| -0.000 | -0.000 | -0.000 | 2.191 | 0.000 | 0.000 |
| -0.000 | -0.000 | -0.000 | 0.000 | 2.191 | -0.000 |
| -0.000 | -0.000 | -0.000 | 0.000 | 0.000 | 2.191 |
| 698.668 | 698.668 | 698.668 | -0.000 | -0.000 | -0.000 |
| 698.668 | 698.668 | 698.668 | -0.000 | -0.000 | -0.000 |
| 698.668 | 698.668 | 698.668 | -0.000 | -0.000 | -0.000 |
| 0.001 | 0.001 | 0.001 | 2.191 | -0.000 | -0.000 |
| 0.001 | 0.001 | 0.001 | -0.000 | 2.191 | -0.000 |
| 0.001 | 0.001 | 0.001 | -0.000 | -0.000 | 2.191 |
| 698.663 | 698.663 | 698.663 | 0.000 | 0.000 | -0.000 |
| 698.663 | 698.663 | 698.663 | 0.000 | 0.000 | -0.000 |
| 698.663 | 698.663 | 698.663 | 0.000 | 0.000 | -0.000 |
| -0.001 | -0.001 | -0.001 | 2.191 | 0.000 | -0.000 |
| -0.001 | -0.001 | -0.001 | 0.000 | 2.191 | -0.000 |
| -0.001 | -0.001 | -0.001 | 0.000 | 0.000 | 2.191 |
| 698.689 | 698.691 | 698.691 | -0.000 | -0.000 | -0.000 |
| 698.691 | 698.689 | 698.691 | -0.000 | -0.000 | -0.000 |
| 698.691 | 698.691 | 698.689 | -0.000 | -0.000 | 0.000 |
| 0.005 | 0.005 | 0.005 | 2.191 | -0.000 | 0.000 |
| 0.005 | 0.005 | 0.005 | -0.000 | 2.191 | 0.000 |
| 0.005 | 0.005 | 0.005 | -0.000 | -0.000 | 2.191 |
| 698.641 | 698.640 | 698.640 | 0.000 | 0.000 | -0.000 |
| 698.640 | 698.641 | 698.640 | 0.000 | 0.000 | -0.000 |
| 698.640 | 698.640 | 698.641 | 0.000 | 0.000 | -0.000 |
| -0.005 | -0.005 | -0.005 | 2.191 | 0.000 | -0.000 |
| -0.005 | -0.005 | -0.005 | 0.000 | 2.191 | -0.000 |
| -0.005 | -0.005 | -0.005 | 0.000 | 0.000 | 2.191 |
| 470.904 | 530.730 | 530.730 | -0.000 | -0.000 | -0.000 |
| 530.730 | 470.904 | 530.730 | -0.000 | -0.000 | -0.000 |
| 530.730 | 530.730 | 470.904 | -0.000 | -0.000 | -0.000 |
| 0.000 | 0.000 | 0.000 | -84.870 | -0.000 | -0.000 |
| -0.000 | 0.000 | 0.000 | -0.000 | -84.870 | -0.000 |
| -0.000 | 0.000 | 0.000 | -0.000 | -0.000 | -84.870 |
| 470.904 | 530.730 | 530.730 | 0.000 | 0.000 | 0.000 |
| 530.730 | 470.904 | 530.730 | 0.000 | 0.000 | 0.000 |
| 530.730 | 530.730 | 470.904 | 0.000 | 0.000 | 0.000 |
| 0.000 | -0.000 | -0.000 | -84.870 | 0.000 | 0.000 |
| -0.000 | -0.000 | -0.000 | 0.000 | -84.870 | 0.000 |
| 0.000 | 0.000 | -0.000 | 0.000 | 0.000 | -84.870 |
| 470.904 | 530.730 | 530.730 | -0.000 | -0.000 | -0.000 |
| 530.730 | 470.904 | 530.730 | -0.000 | -0.000 | -0.000 |
| 530.730 | 530.730 | 470.904 | -0.000 | -0.000 | -0.000 |
| 0.000 | 0.000 | 0.000 | -84.870 | -0.000 | -0.000 |
| 0.000 | 0.000 | 0.000 | -0.000 | -84.870 | -0.000 |
| 0.000 | 0.000 | 0.000 | -0.000 | -0.000 | -84.870 |
| 470.904 | 530.730 | 530.730 | 0.000 | 0.000 | 0.000 |
| 530.730 | 470.904 | 530.730 | 0.000 | 0.000 | 0.000 |
| 530.730 | 530.730 | 470.904 | 0.000 | 0.000 | 0.000 |
| -0.000 | -0.000 | -0.000 | -84.870 | 0.000 | 0.000 |
| -0.000 | -0.000 | -0.000 | 0.000 | -84.870 | 0.000 |
| -0.000 | -0.000 | -0.000 | 0.000 | 0.000 | -84.870 |
| 470.906 | 530.730 | 530.730 | -0.000 | -0.000 | -0.000 |
| 530.730 | 470.906 | 530.730 | -0.000 | -0.000 | -0.000 |
| 530.730 | 530.730 | 470.906 | -0.000 | -0.000 | -0.000 |
| 0.001 | 0.001 | 0.000 | -84.870 | -0.000 | -0.000 |
| 0.001 | 0.001 | 0.000 | -0.000 | -84.870 | -0.000 |
| 0.001 | 0.000 | 0.001 | -0.000 | -0.000 | -84.870 |
| 470.903 | 530.730 | 530.730 | 0.000 | 0.000 | 0.000 |
| 530.730 | 470.903 | 530.730 | 0.000 | 0.000 | 0.000 |
| 530.730 | 530.730 | 470.903 | 0.000 | 0.000 | 0.000 |
| -0.001 | -0.001 | -0.000 | -84.870 | 0.000 | 0.000 |
| -0.001 | -0.001 | -0.000 | 0.000 | -84.870 | 0.000 |
| -0.001 | -0.000 | -0.001 | 0.000 | 0.000 | -84.870 |
| 670.240 | 243.493 | 243.493 | -0.000 | -0.000 | -0.000 |
| 243.493 | 670.240 | 243.493 | -0.000 | -0.000 | -0.000 |
| 243.493 | 243.493 | 670.240 | -0.000 | -0.000 | -0.000 |
| -0.000 | -0.000 | -0.000 | 188.856 | -0.000 | -0.000 |
| -0.000 | -0.000 | -0.000 | -0.000 | 188.856 | -0.000 |
| -0.000 | -0.000 | 0.000 | -0.000 | -0.000 | 188.856 |
| 670.240 | 243.493 | 243.493 | 0.000 | 0.000 | 0.000 |
| 243.493 | 670.240 | 243.493 | 0.000 | 0.000 | 0.000 |
| 243.493 | 243.493 | 670.240 | 0.000 | 0.000 | 0.000 |
| 0.000 | 0.000 | 0.000 | 188.856 | 0.000 | 0.000 |
| 0.000 | 0.000 | 0.000 | 0.000 | 188.856 | 0.000 |
| 0.000 | 0.000 | -0.000 | 0.000 | 0.000 | 188.856 |
| 670.240 | 243.493 | 243.493 | -0.000 | 0.000 | -0.000 |
| 243.493 | 670.240 | 243.493 | -0.000 | -0.000 | -0.000 |
| 243.493 | 243.493 | 670.240 | -0.000 | -0.000 | -0.000 |
| 0.000 | -0.000 | -0.000 | 188.455 | -0.000 | -0.000 |
| -0.000 | 0.000 | -0.000 | -0.000 | 188.455 | -0.000 |
| -0.000 | -0.000 | 0.000 | -0.000 | -0.000 | 188.455 |
| 670.240 | 243.493 | 243.493 | 0.000 | 0.000 | 0.000 |
| 243.493 | 670.240 | 243.493 | 0.000 | -0.000 | 0.000 |
| 243.493 | 243.493 | 670.240 | 0.000 | 0.000 | 0.000 |
| -0.000 | 0.000 | 0.000 | 188.455 | 0.000 | 0.000 |
| 0.000 | -0.000 | 0.000 | 0.000 | 188.455 | 0.000 |
| 0.000 | 0.000 | -0.000 | 0.000 | 0.000 | 188.455 |
| 670.239 | 243.494 | 243.494 | -0.000 | -0.000 | -0.000 |
| 243.494 | 670.239 | 243.494 | 0.000 | 0.000 | -0.000 |
| 243.494 | 243.494 | 670.239 | -0.000 | 0.000 | -0.000 |
| 0.000 | -0.001 | -0.001 | 188.455 | -0.000 | -0.000 |
| -0.001 | 0.000 | -0.001 | -0.000 | 188.455 | -0.000 |
| -0.001 | -0.001 | 0.000 | -0.000 | -0.000 | 188.455 |
| 670.240 | 243.493 | 243.493 | 0.000 | 0.000 | 0.000 |
| 243.493 | 670.240 | 243.493 | 0.000 | 0.000 | 0.000 |
| 243.493 | 243.493 | 670.240 | 0.000 | 0.000 | 0.000 |
| -0.000 | 0.001 | 0.001 | 188.455 | 0.000 | 0.000 |
| 0.001 | -0.000 | 0.001 | 0.000 | 188.455 | 0.000 |
| 0.001 | 0.001 | -0.000 | 0.000 | 0.000 | 188.455 |
| 26.806 | 27.139 | 27.139 | 0.000 | 0.000 | 0.000 |
| 27.139 | 26.806 | 27.139 | 0.000 | 0.000 | 0.000 |
| 27.139 | 27.139 | 26.806 | 0.000 | 0.000 | 0.000 |
| -0.000 | 0.000 | 0.000 | -0.676 | 0.000 | 0.000 |
| 0.000 | -0.000 | 0.000 | 0.000 | -0.676 | 0.000 |
| 0.000 | 0.000 | 0.000 | 0.000 | -0.000 | -0.676 |
| 26.806 | 27.139 | 27.139 | 0.000 | 0.000 | -0.000 |
| 27.139 | 26.806 | 27.139 | 0.000 | 0.000 | -0.000 |
| 27.139 | 27.139 | 26.806 | 0.000 | 0.000 | -0.000 |
| 0.000 | -0.000 | -0.000 | -0.676 | -0.000 | -0.000 |
| -0.000 | 0.000 | -0.000 | -0.000 | -0.676 | -0.000 |
| -0.000 | -0.000 | -0.000 | -0.000 | 0.000 | -0.676 |
| 26.806 | 27.139 | 27.139 | 0.000 | 0.000 | 0.000 |
| 27.139 | 26.806 | 27.139 | 0.000 | 0.000 | 0.000 |
| 27.139 | 27.139 | 26.806 | 0.000 | 0.000 | 0.000 |
| -0.000 | 0.000 | 0.000 | -0.676 | 0.000 | 0.000 |
| 0.000 | -0.000 | 0.000 | 0.000 | -0.676 | 0.000 |
| 0.000 | 0.000 | -0.000 | 0.000 | -0.000 | -0.676 |
| 26.805 | 27.139 | 27.139 | -0.000 | -0.000 | -0.000 |
| 27.139 | 26.805 | 27.139 | -0.000 | -0.000 | -0.000 |
| 27.139 | 27.139 | 26.805 | 0.000 | -0.000 | -0.000 |
| 0.000 | -0.000 | -0.000 | -0.676 | -0.000 | -0.000 |
| -0.000 | 0.000 | -0.000 | -0.000 | -0.676 | -0.000 |
| -0.000 | -0.000 | 0.000 | -0.000 | 0.000 | -0.676 |
| 26.811 | 27.142 | 27.142 | 0.000 | 0.000 | 0.000 |
| 27.142 | 26.811 | 27.142 | 0.000 | 0.000 | 0.000 |
| 27.142 | 27.142 | 26.811 | 0.000 | 0.000 | 0.000 |
| -0.000 | 0.003 | 0.003 | -0.676 | 0.000 | 0.000 |
| 0.003 | -0.000 | 0.003 | 0.000 | -0.676 | 0.000 |
| 0.003 | 0.003 | -0.000 | 0.000 | -0.000 | -0.676 |
| 26.800 | 27.136 | 27.136 | -0.000 | -0.000 | -0.000 |
| 27.136 | 26.800 | 27.136 | -0.000 | -0.000 | -0.000 |
| 27.136 | 27.136 | 26.800 | -0.000 | -0.000 | -0.000 |
| 0.000 | -0.003 | -0.003 | -0.676 | -0.000 | -0.000 |
| -0.003 | 0.000 | -0.003 | -0.000 | -0.676 | -0.000 |
| -0.003 | -0.003 | 0.000 | -0.000 | 0.000 | -0.676 |
| 306.806 | 306.806 | 306.806 | 0.000 | 0.000 | 0.000 |
| 306.806 | 306.806 | 306.806 | 0.000 | 0.000 | 0.000 |
| 306.806 | 306.806 | 306.806 | 0.000 | 0.000 | 0.000 |
| 0.000 | 0.000 | 0.000 | -0.153 | 0.000 | 0.000 |
| 0.000 | 0.000 | 0.000 | 0.000 | -0.153 | 0.000 |
| 0.000 | 0.000 | 0.000 | 0.000 | 0.000 | -0.153 |
| 306.806 | 306.806 | 306.806 | -0.000 | -0.000 | -0.000 |
| 306.806 | 306.806 | 306.806 | -0.000 | -0.000 | -0.000 |
| 306.806 | 306.806 | 306.806 | -0.000 | -0.000 | -0.000 |
| -0.000 | -0.000 | -0.000 | -0.153 | -0.000 | -0.000 |
| -0.000 | -0.000 | -0.000 | -0.000 | -0.153 | -0.000 |
| -0.000 | -0.000 | -0.000 | -0.000 | -0.000 | -0.153 |
| 306.805 | 306.805 | 306.805 | 0.000 | 0.000 | 0.000 |
| 306.805 | 306.805 | 306.805 | 0.000 | 0.000 | 0.000 |
| 306.805 | 306.805 | 306.805 | 0.000 | 0.000 | 0.000 |
| 0.000 | 0.000 | 0.000 | -0.153 | 0.000 | 0.000 |
| 0.000 | 0.000 | 0.000 | 0.000 | -0.153 | 0.000 |
| 0.000 | 0.000 | 0.000 | 0.000 | 0.000 | -0.153 |
| 306.806 | 306.806 | 306.806 | -0.000 | -0.000 | -0.000 |
| 306.806 | 306.806 | 306.806 | -0.000 | -0.000 | -0.000 |
| 306.806 | 306.806 | 306.806 | -0.000 | -0.000 | -0.000 |
| -0.000 | -0.000 | -0.000 | -0.153 | -0.000 | -0.000 |
| -0.000 | -0.000 | -0.000 | -0.000 | -0.153 | -0.000 |
| -0.000 | -0.000 | -0.000 | -0.000 | -0.000 | -0.153 |
| 306.803 | 306.804 | 306.804 | 0.000 | 0.000 | 0.000 |
| 306.804 | 306.803 | 306.804 | 0.000 | 0.000 | 0.000 |
| 306.804 | 306.804 | 306.803 | 0.000 | 0.000 | 0.000 |
| -149598.491 | -153526.004 | -153416.615 | -26531.373 | -1730.528 | 3.028 |
| -149721.871 | -145880.979 | -149589.075 | -1687.684 | -25867.433 | 26.281 |
| -150448.175 | -150535.223 | -146656.600 | -1885.413 | -496.176 | -26933.427 |
| 306.808 | 306.807 | 306.807 | -0.000 | -0.000 | -0.000 |
| 306.807 | 306.808 | 306.807 | -0.000 | -0.000 | -0.000 |
| 306.807 | 306.807 | 306.808 | -0.000 | -0.000 | -0.000 |
| 149715.910 | 153436.406 | 153102.124 | -27114.798 | 1905.618 | -602.613 |
| 154470.535 | 150737.445 | 154149.005 | 1935.068 | -27242.228 | -523.281 |
| 152560.343 | 152329.919 | 149062.217 | 2207.274 | -957.218 | -26472.495 |
| 175.070 | 175.070 | 175.070 | -0.000 | 0.000 | 0.000 |
| 175.070 | 175.070 | 175.070 | 0.000 | -0.000 | 0.000 |
| 175.070 | 175.070 | 175.070 | 0.000 | 0.000 | -0.000 |
| 0.000 | 0.000 | 0.000 | 0.291 | 0.000 | 0.000 |
| 0.000 | 0.000 | 0.000 | 0.000 | 0.291 | 0.000 |
| 0.000 | 0.000 | 0.000 | 0.000 | 0.000 | 0.291 |
| 175.070 | 175.070 | 175.070 | -0.000 | -0.000 | -0.000 |
| 175.070 | 175.070 | 175.070 | -0.000 | -0.000 | -0.000 |
| 175.070 | 175.070 | 175.070 | -0.000 | -0.000 | -0.000 |
| -0.000 | -0.000 | -0.000 | 0.291 | 0.000 | -0.000 |
| -0.000 | -0.000 | -0.000 | 0.000 | 0.291 | -0.000 |
| -0.000 | -0.000 | -0.000 | 0.000 | -0.000 | 0.291 |
| 175.070 | 175.070 | 175.070 | 0.000 | 0.000 | 0.000 |
| 175.070 | 175.070 | 175.070 | 0.000 | 0.000 | 0.000 |
| 175.070 | 175.070 | 175.070 | 0.000 | 0.000 | 0.000 |
| 0.000 | 0.000 | 0.000 | 0.291 | -0.000 | 0.000 |
| 0.000 | 0.000 | 0.000 | -0.000 | 0.291 | 0.000 |
| 0.000 | 0.000 | 0.000 | -0.000 | 0.000 | 0.291 |
| 175.069 | 175.069 | 175.069 | -0.000 | -0.000 | -0.000 |
| 175.069 | 175.069 | 175.069 | -0.000 | -0.000 | -0.000 |
| 175.069 | 175.069 | 175.069 | -0.000 | -0.000 | -0.000 |
| -0.000 | -0.000 | -0.000 | 0.291 | 0.000 | -0.000 |
| -0.000 | -0.000 | -0.000 | 0.000 | 0.291 | -0.000 |
| -0.000 | -0.000 | -0.000 | 0.000 | -0.000 | 0.291 |
| 175.073 | 175.074 | 175.074 | 0.000 | 0.000 | 0.000 |
| 175.074 | 175.073 | 175.074 | 0.000 | 0.000 | 0.000 |
| 175.074 | 175.074 | 175.073 | 0.000 | 0.000 | 0.000 |
| 0.000 | 0.000 | 0.000 | 0.239 | -0.000 | 0.000 |
| 0.000 | 0.000 | 0.000 | -0.000 | 0.239 | 0.000 |
| 0.000 | 0.000 | 0.000 | -0.000 | 0.000 | 0.239 |
| 175.066 | 175.066 | 175.066 | 0.000 | -0.000 | -0.000 |
| 175.066 | 175.066 | 175.066 | -0.000 | 0.000 | -0.000 |
| 175.066 | 175.066 | 175.066 | -0.000 | -0.000 | 0.000 |
| -0.000 | -0.000 | -0.000 | 0.239 | -0.000 | -0.000 |
| -0.000 | -0.000 | -0.000 | -0.000 | 0.239 | -0.000 |
| -0.000 | -0.000 | -0.000 | -0.000 | -0.000 | 0.239 |
| 372.529 | 260.828 | 173.773 | -0.000 | 0.000 | -0.000 |
| 260.828 | 372.529 | 173.773 | 0.000 | 0.000 | -0.000 |
| 173.773 | 173.773 | 270.179 | -0.000 | 0.000 | -0.000 |
| 0.000 | 0.000 | 0.000 | 76.730 | 0.000 | -0.000 |
| -0.000 | 0.000 | 0.000 | -0.000 | 76.730 | -0.000 |
| 0.000 | 0.000 | 0.000 | 0.000 | -0.000 | 25.235 |
| 372.529 | 260.828 | 173.773 | 0.000 | -0.000 | 0.000 |
| 260.828 | 372.529 | 173.773 | 0.000 | -0.000 | 0.000 |
| 173.773 | 173.773 | 270.179 | 0.000 | -0.000 | 0.000 |
| -0.000 | 0.000 | -0.000 | 76.730 | -0.000 | 0.000 |
| 0.000 | -0.000 | -0.000 | 0.000 | 76.730 | 0.000 |
| -0.000 | -0.000 | -0.000 | 0.000 | 0.000 | 25.235 |
| 372.529 | 260.827 | 173.773 | -0.000 | 0.000 | -0.000 |
| 260.827 | 372.529 | 173.773 | -0.000 | -0.000 | -0.000 |
| 173.773 | 173.773 | 270.179 | -0.000 | -0.000 | -0.000 |
| -0.000 | -0.000 | 0.000 | 76.730 | -0.000 | 0.000 |
| -0.000 | -0.000 | 0.000 | -0.000 | 76.730 | -0.000 |
| 0.000 | 0.000 | 0.000 | -0.000 | -0.000 | 25.235 |
| 372.530 | 260.828 | 173.773 | 0.000 | 0.000 | 0.000 |
| 260.828 | 372.530 | 173.773 | 0.000 | 0.000 | 0.000 |
| 173.773 | 173.773 | 270.179 | 0.000 | -0.000 | 0.000 |
| 0.000 | 0.000 | -0.000 | 76.730 | 0.000 | 0.000 |
| 0.000 | 0.000 | -0.000 | 0.000 | 76.730 | 0.000 |
| -0.000 | -0.000 | -0.000 | 0.000 | 0.000 | 25.235 |
| 372.526 | 260.825 | 173.771 | -0.000 | -0.000 | -0.000 |
| 260.825 | 372.526 | 173.771 | -0.000 | 0.000 | -0.000 |
| 173.771 | 173.771 | 270.181 | 0.000 | -0.000 | -0.000 |
| -0.000 | -0.000 | 0.000 | 76.730 | -0.000 | -0.000 |
| -0.000 | -0.000 | 0.000 | -0.000 | 76.730 | -0.000 |
| 0.000 | 0.000 | 0.000 | -0.000 | -0.000 | 25.235 |
| 372.533 | 260.830 | 173.774 | 0.000 | -0.000 | 0.000 |
| 260.830 | 372.533 | 173.774 | 0.000 | 0.000 | 0.000 |
| 173.774 | 173.774 | 270.177 | 0.000 | -0.000 | -0.000 |
| 0.000 | 0.000 | -0.000 | 76.730 | 0.000 | 0.000 |
| 0.000 | 0.000 | -0.000 | 0.000 | 76.730 | 0.000 |
| -0.000 | -0.000 | -0.000 | 0.000 | -0.000 | 25.235 |
| 522.434 | 522.434 | 795.647 | 0.000 | 0.000 | -0.000 |
| 522.434 | 522.434 | 795.647 | 0.000 | 0.000 | -0.000 |
| 795.647 | 795.647 | 1211.740 | 0.000 | 0.000 | 0.000 |
| 0.000 | 0.000 | 0.000 | 2.495 | 0.000 | -0.000 |
| 0.000 | 0.000 | 0.000 | 0.000 | 2.495 | -0.000 |
| 0.000 | 0.000 | 0.000 | 0.000 | -0.000 | 1.638 |
| 522.434 | 522.434 | 795.646 | -0.000 | -0.000 | -0.000 |
| 522.434 | 522.434 | 795.646 | -0.000 | -0.000 | -0.000 |
| 795.646 | 795.646 | 1211.739 | -0.000 | -0.000 | -0.000 |
| -0.000 | -0.000 | -0.000 | 2.495 | -0.000 | -0.000 |
| -0.000 | -0.000 | -0.000 | -0.000 | 2.495 | -0.000 |
| -0.000 | -0.000 | -0.000 | -0.000 | -0.000 | 1.638 |
| 522.436 | 522.436 | 795.649 | 0.000 | 0.000 | 0.000 |
| 522.436 | 522.436 | 795.649 | 0.000 | 0.000 | 0.000 |
| 795.650 | 795.650 | 1211.745 | 0.000 | 0.000 | -0.000 |
| 0.000 | 0.000 | 0.001 | 2.495 | 0.000 | 0.000 |
| 0.000 | 0.000 | 0.001 | 0.000 | 2.495 | 0.000 |
| 0.000 | 0.000 | 0.000 | 0.000 | 0.000 | 1.638 |
| 522.432 | 522.432 | 795.644 | -0.000 | -0.000 | 0.000 |
| 522.432 | 522.432 | 795.644 | -0.000 | -0.000 | 0.000 |
| 795.643 | 795.643 | 1211.734 | -0.000 | -0.000 | 0.000 |
| -0.000 | -0.000 | -0.001 | 2.495 | -0.000 | 0.000 |
| -0.000 | -0.000 | -0.001 | -0.000 | 2.495 | 0.000 |
| -0.000 | -0.000 | -0.000 | -0.000 | -0.000 | 1.638 |
| 522.449 | 522.450 | 795.671 | 0.000 | -0.000 | 0.000 |
| 522.450 | 522.449 | 795.671 | -0.000 | 0.000 | 0.000 |
| 795.684 | 795.684 | 1211.793 | 0.000 | 0.000 | 0.000 |
| 0.005 | 0.005 | 0.007 | 2.495 | 0.000 | 0.000 |
| 0.005 | 0.005 | 0.007 | 0.000 | 2.495 | 0.000 |
| 0.003 | 0.003 | 0.005 | 0.000 | 0.000 | 1.638 |
| 522.419 | 522.418 | 795.622 | -0.000 | -0.000 | -0.000 |
| 522.418 | 522.419 | 795.622 | -0.000 | -0.000 | -0.000 |
| 795.609 | 795.609 | 1211.685 | -0.000 | -0.000 | 0.000 |
| -0.005 | -0.005 | -0.007 | 2.495 | -0.000 | 0.000 |
| -0.005 | -0.005 | -0.007 | -0.000 | 2.495 | 0.000 |
| -0.003 | -0.003 | -0.005 | -0.000 | -0.000 | 1.638 |
| 134.224 | 193.456 | 171.787 | 0.000 | 0.000 | -0.000 |
| 193.456 | 295.200 | 88.010 | 0.000 | 0.000 | -0.000 |
| 171.787 | 88.010 | 203.892 | 0.000 | 0.000 | 0.000 |
| -0.000 | -0.000 | -0.000 | -21.946 | 0.000 | -0.000 |
| -0.000 | -0.000 | 0.000 | 0.000 | 73.655 | -0.000 |
| -0.000 | 0.000 | -0.000 | 0.000 | 0.000 | 66.838 |
| 134.224 | 193.456 | 171.787 | -0.000 | -0.000 | 0.000 |
| 193.456 | 295.201 | 88.010 | -0.000 | -0.000 | -0.000 |
| 171.787 | 88.010 | 203.892 | -0.000 | -0.000 | 0.000 |
| 0.000 | 0.000 | 0.000 | -21.946 | -0.000 | -0.000 |
| 0.000 | 0.000 | -0.000 | -0.000 | 73.655 | 0.000 |
| 0.000 | -0.000 | 0.000 | -0.000 | -0.000 | 66.838 |
| 134.224 | 193.456 | 171.787 | 0.000 | 0.000 | 0.000 |
| 193.456 | 295.200 | 88.009 | 0.000 | -0.000 | -0.000 |
| 171.787 | 88.009 | 203.892 | 0.000 | 0.000 | -0.000 |
| -0.000 | -0.000 | -0.000 | -21.946 | 0.000 | -0.000 |
| -0.000 | -0.000 | 0.000 | 0.000 | 73.655 | -0.000 |
| 0.000 | 0.000 | -0.000 | 0.000 | 0.000 | 66.838 |
| 134.224 | 193.456 | 171.787 | -0.000 | -0.000 | 0.000 |
| 193.456 | 295.201 | 88.010 | -0.000 | -0.000 | -0.000 |
| 171.787 | 88.010 | 203.892 | -0.000 | -0.000 | -0.000 |
| 0.000 | 0.000 | 0.000 | -21.946 | -0.000 | -0.000 |
| 0.000 | 0.000 | -0.000 | -0.000 | 73.655 | 0.000 |
| -0.000 | -0.000 | 0.000 | -0.000 | -0.000 | 66.838 |
| 134.223 | 193.454 | 171.786 | 0.000 | 0.000 | -0.000 |
| 193.455 | 295.200 | 88.008 | 0.000 | 0.000 | -0.000 |
| 171.786 | 88.008 | 203.892 | 0.000 | 0.000 | -0.000 |
| -0.000 | -0.000 | -0.000 | -21.946 | 0.000 | 0.000 |
| -0.000 | -0.000 | 0.001 | 0.000 | 73.655 | 0.000 |
| 0.000 | 0.001 | -0.000 | 0.000 | 0.000 | 66.838 |
| 134.225 | 193.458 | 171.788 | -0.000 | -0.000 | -0.000 |
| 193.458 | 295.201 | 88.012 | -0.000 | -0.000 | -0.000 |
| 171.788 | 88.011 | 203.892 | -0.000 | -0.000 | -0.000 |
| 0.000 | 0.000 | 0.000 | -21.946 | -0.000 | 0.000 |
| 0.000 | 0.000 | -0.001 | -0.000 | 73.655 | -0.000 |
| -0.000 | -0.001 | 0.000 | -0.000 | -0.000 | 66.838 |
| 182.559 | 158.275 | 158.275 | -0.000 | 0.000 | -0.000 |
| 158.275 | 182.559 | 158.275 | 0.000 | -0.000 | -0.000 |
| 158.275 | 158.275 | 182.559 | 0.000 | -0.000 | -0.000 |
| -0.000 | 0.000 | 0.000 | 178.117 | 0.000 | -0.000 |
| -0.000 | 0.000 | 0.000 | 0.000 | 178.117 | -0.000 |
| -0.000 | 0.000 | 0.000 | -0.000 | 0.000 | 178.117 |
| 182.559 | 158.275 | 158.275 | 0.000 | -0.000 | 0.000 |
| 158.275 | 182.559 | 158.275 | 0.000 | -0.000 | 0.000 |
| 158.275 | 158.275 | 182.559 | -0.000 | -0.000 | 0.000 |
| 0.000 | -0.000 | -0.000 | 178.117 | -0.000 | -0.000 |
| 0.000 | -0.000 | -0.000 | -0.000 | 178.117 | 0.000 |
| 0.000 | -0.000 | -0.000 | 0.000 | -0.000 | 178.117 |
| 182.559 | 158.275 | 158.275 | -0.000 | 0.000 | -0.000 |
| 158.275 | 182.559 | 158.275 | -0.000 | 0.000 | -0.000 |
| 158.275 | 158.275 | 182.559 | 0.000 | 0.000 | -0.000 |
| 0.000 | -0.000 | 0.000 | 178.117 | 0.000 | 0.000 |
| -0.000 | 0.000 | 0.000 | 0.000 | 178.117 | -0.000 |
| -0.000 | 0.000 | 0.000 | 0.000 | 0.000 | 178.117 |
| 182.559 | 158.275 | 158.275 | 0.000 | -0.000 | 0.000 |
| 158.275 | 182.559 | 158.275 | 0.000 | 0.000 | -0.000 |
| 158.275 | 158.275 | 182.559 | 0.000 | -0.000 | 0.000 |
| -0.000 | 0.000 | -0.000 | 178.117 | -0.000 | 0.000 |
| 0.000 | -0.000 | -0.000 | -0.000 | 178.117 | 0.000 |
| 0.000 | -0.000 | -0.000 | -0.000 | -0.000 | 178.117 |
| 182.562 | 158.275 | 158.275 | -0.000 | 0.000 | -0.000 |
| 158.275 | 182.562 | 158.275 | -0.000 | 0.000 | -0.000 |
| 158.275 | 158.275 | 182.562 | 0.000 | 0.000 | -0.000 |
| 0.000 | -0.000 | -0.000 | 13.394 | 0.000 | 0.000 |
| -0.000 | 0.000 | -0.000 | -0.000 | 13.394 | -0.000 |
| -0.000 | -0.000 | 0.000 | -0.000 | 0.000 | 13.394 |
| 182.556 | 158.274 | 158.274 | -0.000 | -0.000 | 0.000 |
| 158.274 | 182.556 | 158.274 | 0.000 | -0.000 | 0.000 |
| 158.274 | 158.274 | 182.556 | 0.000 | -0.000 | 0.000 |
| -0.000 | 0.000 | 0.000 | 13.394 | -0.000 | 0.000 |
| 0.000 | -0.000 | 0.000 | -0.000 | 13.394 | 0.000 |
| 0.000 | 0.000 | -0.000 | -0.000 | -0.000 | 13.394 |
| 70.584 | 72.337 | 72.337 | 0.000 | -0.000 | 0.000 |
| 72.337 | 70.584 | 72.337 | 0.000 | 0.000 | 0.000 |
| 72.337 | 72.337 | 70.584 | 0.000 | 0.000 | 0.000 |
| -0.000 | -0.000 | -0.000 | 37.572 | 0.000 | 0.000 |
| -0.000 | 0.000 | -0.000 | 0.000 | 37.572 | 0.000 |
| -0.000 | -0.000 | 0.000 | 0.000 | 0.000 | 37.572 |
| 70.584 | 72.337 | 72.337 | -0.000 | -0.000 | -0.000 |
| 72.337 | 70.584 | 72.337 | -0.000 | -0.000 | -0.000 |
| 72.337 | 72.337 | 70.584 | -0.000 | -0.000 | -0.000 |
| 0.000 | 0.000 | 0.000 | 37.572 | -0.000 | -0.000 |
| 0.000 | -0.000 | 0.000 | -0.000 | 37.572 | -0.000 |
| 0.000 | 0.000 | -0.000 | -0.000 | -0.000 | 37.572 |
| 70.584 | 72.337 | 72.337 | 0.000 | -0.000 | 0.000 |
| 72.337 | 70.584 | 72.337 | 0.000 | 0.000 | 0.000 |
| 72.337 | 72.337 | 70.584 | 0.000 | -0.000 | 0.000 |
| -0.000 | -0.000 | -0.000 | 34.399 | -0.000 | 0.000 |
| -0.000 | -0.000 | -0.000 | 0.000 | 34.399 | 0.000 |
| -0.000 | -0.000 | -0.000 | 0.000 | 0.000 | 34.399 |
| 70.584 | 72.337 | 72.337 | -0.000 | 0.000 | -0.000 |
| 72.337 | 70.584 | 72.337 | -0.000 | -0.000 | -0.000 |
| 72.337 | 72.337 | 70.584 | 0.000 | -0.000 | -0.000 |
| 0.000 | 0.000 | 0.000 | 34.399 | -0.000 | -0.000 |
| 0.000 | 0.000 | 0.000 | -0.000 | 34.399 | -0.000 |
| 0.000 | 0.000 | 0.000 | -0.000 | -0.000 | 34.399 |
| 70.584 | 72.336 | 72.336 | 0.000 | -0.000 | 0.000 |
| 72.336 | 70.584 | 72.336 | 0.000 | 0.000 | 0.000 |
| 72.336 | 72.336 | 70.584 | 0.000 | -0.000 | 0.000 |
| -0.000 | -0.000 | -0.000 | 37.572 | 0.000 | 0.000 |
| -0.000 | -0.000 | -0.000 | 0.000 | 37.572 | 0.000 |
| -0.000 | -0.000 | -0.000 | 0.000 | 0.000 | 37.572 |
| 70.585 | 72.337 | 72.337 | -0.000 | 0.000 | -0.000 |
| 72.337 | 70.585 | 72.337 | 0.000 | 0.000 | -0.000 |
| 72.337 | 72.337 | 70.585 | -0.000 | 0.000 | -0.000 |
| 0.000 | 0.000 | 0.000 | 37.572 | -0.000 | -0.000 |
| 0.000 | 0.000 | 0.000 | -0.000 | 37.572 | -0.000 |
| 0.000 | 0.000 | 0.000 | -0.000 | -0.000 | 37.572 |
| 174.734 | 42.987 | 42.987 | -0.000 | 0.000 | 0.000 |
| 42.987 | 174.734 | 42.987 | 0.000 | 0.000 | 0.000 |
| 42.987 | 42.987 | 174.734 | 0.000 | 0.000 | 0.000 |
| 0.000 | -0.000 | 0.000 | 36.337 | 0.000 | -0.000 |
| -0.000 | 0.000 | 0.000 | 0.000 | 36.337 | -0.000 |
| -0.000 | 0.000 | -0.000 | 0.000 | 0.000 | 36.337 |
| 174.734 | 42.987 | 42.987 | 0.000 | -0.000 | -0.000 |
| 42.987 | 174.734 | 42.987 | -0.000 | -0.000 | -0.000 |
| 42.987 | 42.987 | 174.734 | -0.000 | -0.000 | 0.000 |
| -0.000 | 0.000 | -0.000 | 36.337 | -0.000 | -0.000 |
| 0.000 | -0.000 | -0.000 | -0.000 | 36.337 | -0.000 |
| 0.000 | -0.000 | 0.000 | -0.000 | -0.000 | 36.337 |
| 174.734 | 42.987 | 42.987 | 0.000 | 0.000 | 0.000 |
| 42.987 | 174.734 | 42.987 | 0.000 | -0.000 | 0.000 |
| 42.987 | 42.987 | 174.734 | 0.000 | 0.000 | 0.000 |
| 0.000 | 0.000 | 0.000 | 50.761 | 0.000 | -0.000 |
| 0.000 | 0.000 | 0.000 | 0.000 | 50.761 | 0.000 |
| 0.000 | 0.000 | 0.000 | 0.000 | 0.000 | 50.761 |
| 174.734 | 42.987 | 42.987 | 0.000 | -0.000 | -0.000 |
| 42.987 | 174.734 | 42.987 | 0.000 | 0.000 | -0.000 |
| 42.987 | 42.987 | 174.734 | 0.000 | -0.000 | -0.000 |
| -0.000 | -0.000 | -0.000 | 50.761 | -0.000 | -0.000 |
| -0.000 | -0.000 | -0.000 | -0.000 | 50.761 | -0.000 |
| -0.000 | -0.000 | -0.000 | -0.000 | -0.000 | 50.761 |
| 174.732 | 42.987 | 42.987 | -0.000 | -0.000 | -0.000 |
| 42.987 | 174.732 | 42.987 | -0.000 | -0.000 | -0.000 |
| 42.987 | 42.987 | 174.732 | 0.000 | 0.000 | 0.000 |
| 0.000 | 0.000 | 0.000 | 36.337 | 0.000 | 0.000 |
| 0.000 | 0.000 | 0.000 | -0.000 | 36.337 | -0.000 |
| 0.000 | 0.000 | 0.000 | 0.000 | 0.000 | 36.337 |
| 174.735 | 42.987 | 42.987 | 0.000 | 0.000 | 0.000 |
| 42.987 | 174.735 | 42.987 | -0.000 | 0.000 | 0.000 |
| 42.987 | 42.987 | 174.735 | -0.000 | -0.000 | -0.000 |
| -0.000 | -0.000 | -0.000 | 36.337 | 0.000 | 0.000 |
| -0.000 | -0.000 | -0.000 | -0.000 | 36.337 | 0.000 |
| -0.000 | -0.000 | -0.000 | -0.000 | -0.000 | 36.337 |
| 350.049 | 350.049 | 350.049 | -0.000 | -0.000 | -0.000 |
| 350.049 | 350.049 | 350.049 | -0.000 | -0.000 | -0.000 |
| 350.049 | 350.049 | 350.049 | -0.000 | -0.000 | 0.000 |
| 0.000 | 0.000 | 0.000 | 0.586 | 0.000 | 0.000 |
| 0.000 | 0.000 | 0.000 | 0.000 | 0.586 | 0.000 |
| 0.000 | 0.000 | 0.000 | 0.000 | 0.000 | 0.586 |
| 350.048 | 350.048 | 350.048 | 0.000 | -0.000 | -0.000 |
| 350.048 | 350.048 | 350.048 | -0.000 | 0.000 | -0.000 |
| 350.048 | 350.048 | 350.048 | 0.000 | 0.000 | -0.000 |
| -0.000 | -0.000 | -0.000 | 0.586 | -0.000 | -0.000 |
| -0.000 | -0.000 | -0.000 | -0.000 | 0.586 | -0.000 |
| -0.000 | -0.000 | -0.000 | -0.000 | -0.000 | 0.586 |
| 350.049 | 350.049 | 350.049 | 0.000 | 0.000 | 0.000 |
| 350.049 | 350.049 | 350.049 | 0.000 | 0.000 | 0.000 |
| 350.049 | 350.049 | 350.049 | 0.000 | 0.000 | 0.000 |
| 0.000 | 0.000 | 0.000 | 0.586 | 0.000 | -0.000 |
| 0.000 | 0.000 | 0.000 | 0.000 | 0.586 | -0.000 |
| 0.000 | 0.000 | 0.000 | 0.000 | -0.000 | 0.586 |
| 350.048 | 350.048 | 350.048 | 0.000 | 0.000 | -0.000 |
| 350.048 | 350.048 | 350.048 | 0.000 | 0.000 | -0.000 |
| 350.048 | 350.048 | 350.048 | 0.000 | 0.000 | -0.000 |
| -0.000 | -0.000 | -0.000 | 0.586 | -0.000 | -0.000 |
| -0.000 | -0.000 | -0.000 | -0.000 | 0.586 | -0.000 |
| -0.000 | -0.000 | -0.000 | -0.000 | -0.000 | 0.586 |
| 350.055 | 350.056 | 350.056 | 0.000 | 0.000 | 0.000 |
| 350.056 | 350.055 | 350.056 | 0.000 | 0.000 | 0.000 |
| 350.056 | 350.056 | 350.055 | 0.000 | 0.000 | 0.000 |
| 0.001 | 0.001 | 0.001 | 0.533 | -0.000 | 0.000 |
| 0.001 | 0.001 | 0.001 | -0.000 | 0.533 | 0.000 |
| 0.001 | 0.001 | 0.001 | -0.000 | -0.000 | 0.533 |
| 350.042 | 350.041 | 350.041 | -0.000 | 0.000 | -0.000 |
| 350.041 | 350.042 | 350.041 | 0.000 | -0.000 | -0.000 |
| 350.041 | 350.041 | 350.042 | -0.000 | -0.000 | 0.000 |
| -0.001 | -0.001 | -0.001 | 0.533 | 0.000 | -0.000 |
| -0.001 | -0.001 | -0.001 | 0.000 | 0.533 | -0.000 |
| -0.001 | -0.001 | -0.001 | 0.000 | 0.000 | 0.533 |
| 214.757 | 235.294 | 235.294 | -0.000 | 0.000 | 0.000 |
| 235.294 | 214.757 | 235.294 | -0.000 | -0.000 | 0.000 |
| 235.294 | 235.294 | 214.757 | -0.000 | -0.000 | 0.000 |
| -0.000 | 0.000 | 0.000 | 200.690 | -0.000 | 0.000 |
| 0.000 | 0.000 | -0.000 | -0.000 | 200.690 | 0.000 |
| -0.000 | -0.000 | 0.000 | -0.000 | 0.000 | 200.690 |
| 214.757 | 235.294 | 235.294 | 0.000 | -0.000 | -0.000 |
| 235.294 | 214.757 | 235.294 | 0.000 | -0.000 | -0.000 |
| 235.294 | 235.294 | 214.757 | -0.000 | -0.000 | -0.000 |
| 0.000 | -0.000 | 0.000 | 200.690 | 0.000 | -0.000 |
| 0.000 | -0.000 | -0.000 | -0.000 | 200.690 | -0.000 |
| 0.000 | -0.000 | -0.000 | 0.000 | -0.000 | 200.690 |
| 214.757 | 235.294 | 235.294 | -0.000 | 0.000 | 0.000 |
| 235.294 | 214.757 | 235.294 | -0.000 | 0.000 | 0.000 |
| 235.294 | 235.294 | 214.757 | -0.000 | -0.000 | -0.000 |
| 0.000 | 0.000 | 0.000 | 200.690 | -0.000 | -0.000 |
| 0.000 | 0.000 | 0.000 | -0.000 | 200.690 | 0.000 |
| 0.000 | 0.000 | 0.000 | -0.000 | 0.000 | 200.690 |
| 214.756 | 235.294 | 235.294 | 0.000 | -0.000 | -0.000 |
| 235.294 | 214.756 | 235.294 | 0.000 | -0.000 | 0.000 |
| 235.294 | 235.294 | 214.756 | 0.000 | 0.000 | -0.000 |
| -0.000 | -0.000 | -0.000 | 200.690 | 0.000 | -0.000 |
| -0.000 | -0.000 | -0.000 | 0.000 | 200.690 | -0.000 |
| -0.000 | -0.000 | -0.000 | 0.000 | -0.000 | 200.690 |
| 214.758 | 235.295 | 235.295 | -0.000 | -0.000 | 0.000 |
| 235.295 | 214.758 | 235.295 | -0.000 | -0.000 | 0.000 |
| 235.295 | 235.295 | 214.758 | -0.000 | 0.000 | 0.000 |
| 0.001 | 0.000 | 0.001 | 200.695 | 0.000 | 0.000 |
| 0.000 | 0.001 | 0.001 | -0.000 | 200.695 | 0.000 |
| 0.000 | 0.001 | 0.001 | -0.000 | 0.000 | 200.695 |
| 214.755 | 235.293 | 235.293 | 0.000 | -0.000 | -0.000 |
| 235.293 | 214.755 | 235.293 | 0.000 | 0.000 | 0.000 |
| 235.293 | 235.293 | 214.755 | 0.000 | -0.000 | 0.000 |
| -0.001 | -0.000 | -0.001 | 200.695 | -0.000 | -0.000 |
| -0.000 | -0.001 | -0.001 | 0.000 | 200.695 | -0.000 |
| -0.000 | -0.001 | -0.001 | 0.000 | -0.000 | 200.695 |
| 2043.292 | 2040.848 | 2040.848 | -0.000 | -0.000 | 0.000 |
| 2040.848 | 2043.292 | 2040.848 | -0.000 | 0.000 | 0.000 |
| 2040.848 | 2040.848 | 2043.292 | 0.000 | 0.000 | -0.000 |
| 0.000 | 0.000 | 0.000 | -0.065 | 0.000 | 0.000 |
| 0.000 | 0.000 | 0.000 | 0.000 | -0.065 | 0.000 |
| 0.000 | 0.000 | 0.000 | 0.000 | 0.000 | -0.065 |
| 2043.292 | 2040.848 | 2040.848 | 0.000 | 0.000 | 0.000 |
| 2040.848 | 2043.292 | 2040.848 | 0.000 | 0.000 | 0.000 |
| 2040.848 | 2040.848 | 2043.292 | 0.000 | 0.000 | -0.000 |
| -0.000 | -0.000 | -0.000 | -0.065 | 0.000 | -0.000 |
| -0.000 | -0.000 | -0.000 | 0.000 | -0.065 | -0.000 |
| -0.000 | -0.000 | -0.000 | 0.000 | 0.000 | -0.065 |
| 2043.292 | 2040.846 | 2040.846 | 0.000 | -0.000 | -0.000 |
| 2040.846 | 2043.292 | 2040.846 | -0.000 | 0.000 | -0.000 |
| 2040.846 | 2040.846 | 2043.292 | -0.000 | -0.000 | -0.000 |
| 0.000 | 0.000 | 0.000 | -0.065 | 0.000 | 0.000 |
| 0.000 | 0.000 | 0.000 | -0.000 | -0.065 | -0.000 |
| 0.000 | 0.000 | 0.000 | -0.000 | 0.000 | -0.065 |
| 2043.292 | 2040.850 | 2040.850 | 0.000 | 0.000 | -0.000 |
| 2040.850 | 2043.292 | 2040.850 | 0.000 | 0.000 | -0.000 |
| 2040.850 | 2040.850 | 2043.292 | 0.000 | 0.000 | -0.000 |
| -0.000 | -0.000 | -0.000 | -0.065 | -0.000 | -0.000 |
| -0.000 | -0.000 | -0.000 | -0.000 | -0.065 | 0.000 |
| -0.000 | -0.000 | -0.000 | 0.000 | -0.000 | -0.065 |
| 2043.291 | 2040.829 | 2040.829 | 0.000 | -0.000 | 0.000 |
| 2040.829 | 2043.291 | 2040.829 | 0.000 | 0.000 | -0.000 |
| 2040.829 | 2040.829 | 2043.291 | -0.000 | -0.000 | -0.000 |
| 0.001 | 0.001 | 0.001 | -0.065 | -0.000 | 0.000 |
| 0.001 | 0.001 | 0.001 | 0.000 | -0.065 | -0.000 |
| 0.001 | 0.001 | 0.001 | -0.000 | -0.000 | -0.065 |
| 2043.293 | 2040.866 | 2040.866 | 0.000 | 0.000 | -0.000 |
| 2040.866 | 2043.293 | 2040.866 | 0.000 | 0.000 | -0.000 |
| 2040.866 | 2040.866 | 2043.293 | 0.000 | 0.000 | -0.000 |
| -0.001 | -0.001 | -0.001 | -0.065 | -0.000 | -0.000 |
| -0.001 | -0.001 | -0.001 | -0.000 | -0.065 | -0.000 |
| -0.001 | -0.001 | -0.001 | -0.000 | 0.000 | -0.065 |
| 352.625 | 352.625 | 352.625 | 0.000 | 0.000 | 0.000 |
| 352.625 | 352.625 | 352.625 | 0.000 | 0.000 | 0.000 |
| 352.625 | 352.625 | 352.625 | 0.000 | 0.000 | 0.000 |
| 0.000 | 0.000 | 0.000 | 0.561 | -0.000 | -0.000 |
| 0.000 | 0.000 | 0.000 | -0.000 | 0.561 | -0.000 |
| 0.000 | 0.000 | 0.000 | -0.000 | -0.000 | 0.561 |
| 352.625 | 352.625 | 352.625 | -0.000 | -0.000 | -0.000 |
| 352.625 | 352.625 | 352.625 | -0.000 | -0.000 | -0.000 |
| 352.625 | 352.625 | 352.625 | -0.000 | -0.000 | 0.000 |
| -0.000 | -0.000 | -0.000 | 0.561 | -0.000 | -0.000 |
| -0.000 | -0.000 | -0.000 | -0.000 | 0.561 | 0.000 |
| -0.000 | -0.000 | -0.000 | 0.000 | 0.000 | 0.561 |
| 352.626 | 352.626 | 352.626 | 0.000 | 0.000 | -0.000 |
| 352.626 | 352.626 | 352.626 | 0.000 | 0.000 | -0.000 |
| 352.626 | 352.626 | 352.626 | 0.000 | 0.000 | 0.000 |
| 0.001 | 0.001 | 0.001 | -6.768 | -0.000 | -0.000 |
| 0.001 | 0.001 | 0.001 | -0.000 | -6.768 | 0.000 |
| 0.001 | 0.001 | 0.001 | 0.000 | 0.000 | -6.768 |
| 352.624 | 352.624 | 352.624 | -0.000 | -0.000 | 0.000 |
| 352.624 | 352.624 | 352.624 | -0.000 | -0.000 | 0.000 |
| 352.624 | 352.624 | 352.624 | -0.000 | -0.000 | 0.000 |
| -0.001 | -0.001 | -0.001 | -6.765 | 0.000 | -0.000 |
| -0.001 | -0.001 | -0.001 | 0.000 | -6.765 | 0.000 |
| -0.001 | -0.001 | -0.001 | 0.000 | -0.000 | -6.765 |
| 352.632 | 352.633 | 352.633 | -0.000 | 0.000 | -0.000 |
| 352.633 | 352.632 | 352.633 | 0.000 | -0.000 | -0.000 |
| 352.633 | 352.633 | 352.632 | -0.000 | 0.000 | -0.000 |
| 0.000 | 0.000 | 0.000 | -0.673 | -0.000 | -0.000 |
| 0.000 | 0.000 | 0.000 | -0.000 | -0.673 | 0.000 |
| 0.000 | 0.000 | 0.000 | -0.000 | -0.000 | -0.673 |
| 352.618 | 352.617 | 352.617 | -0.000 | 0.000 | 0.000 |
| 352.617 | 352.618 | 352.617 | 0.000 | -0.000 | 0.000 |
| 352.617 | 352.617 | 352.618 | -0.000 | -0.000 | 0.000 |
| -0.000 | -0.000 | -0.000 | -0.673 | 0.000 | -0.000 |
| -0.000 | -0.000 | -0.000 | 0.000 | -0.673 | -0.000 |
| -0.000 | -0.000 | -0.000 | 0.000 | 0.000 | -0.673 |
| 449.005 | 116.154 | 116.154 | -0.000 | -0.000 | -0.000 |
| 116.154 | 449.005 | 116.154 | -0.000 | -0.000 | -0.000 |
| 116.154 | 116.154 | 449.005 | -0.000 | -0.000 | -0.000 |
| -0.000 | -0.000 | -0.000 | -5.298 | -0.000 | -0.000 |
| -0.000 | 0.000 | -0.000 | -0.000 | -5.298 | -0.000 |
| -0.000 | -0.000 | -0.000 | -0.000 | -0.000 | -5.298 |
| 447.965 | 116.674 | 116.674 | 0.000 | -0.000 | 0.000 |
| 116.674 | 447.965 | 116.674 | 0.000 | 0.000 | 0.000 |
| 116.674 | 116.674 | 447.965 | -0.000 | 0.000 | 0.000 |
| 0.000 | 0.000 | 0.000 | -5.298 | -0.000 | 0.000 |
| 0.000 | -0.000 | 0.000 | 0.000 | -5.298 | 0.000 |
| 0.000 | 0.000 | 0.000 | 0.000 | 0.000 | -5.298 |
| 447.965 | 116.674 | 116.674 | -0.000 | -0.000 | -0.000 |
| 116.674 | 447.965 | 116.674 | -0.000 | 0.000 | -0.000 |
| 116.674 | 116.674 | 447.965 | 0.000 | -0.000 | -0.000 |
| 0.001 | -0.000 | -0.001 | -9.698 | -0.000 | -0.000 |
| -0.000 | 0.001 | -0.001 | 0.000 | -9.698 | -0.000 |
| -0.000 | -0.001 | 0.001 | -0.000 | -0.000 | -9.698 |
| 449.005 | 116.154 | 116.154 | 0.000 | 0.000 | 0.000 |
| 116.154 | 449.005 | 116.154 | 0.000 | 0.000 | 0.000 |
| 116.154 | 116.154 | 449.005 | 0.000 | 0.000 | 0.000 |
| -0.001 | 0.000 | 0.001 | -9.698 | -0.000 | 0.000 |
| 0.000 | -0.001 | 0.000 | 0.000 | -9.698 | 0.000 |
| 0.000 | 0.001 | -0.001 | 0.000 | 0.000 | -9.698 |
| 449.003 | 116.154 | 116.154 | 0.000 | -0.000 | -0.000 |
| 116.154 | 449.003 | 116.154 | -0.000 | -0.000 | -0.000 |
| 116.154 | 116.154 | 449.003 | -0.000 | 0.000 | -0.000 |
| -0.000 | -0.001 | -0.001 | -5.298 | -0.000 | -0.000 |
| -0.001 | -0.000 | -0.001 | -0.000 | -5.298 | -0.000 |
| -0.001 | -0.001 | -0.000 | -0.000 | -0.000 | -5.298 |
| 449.007 | 116.154 | 116.154 | 0.000 | 0.000 | 0.000 |
| 116.154 | 449.007 | 116.154 | 0.000 | -0.000 | 0.000 |
| 116.154 | 116.154 | 449.007 | -0.000 | 0.000 | 0.000 |
| 0.000 | 0.001 | 0.001 | -5.298 | 0.000 | 0.000 |
| 0.001 | 0.000 | 0.001 | 0.000 | -5.298 | 0.000 |
| 0.001 | 0.001 | 0.000 | 0.000 | 0.000 | -5.298 |
| 628.272 | 546.122 | 546.122 | -0.000 | 0.000 | -0.000 |
| 546.122 | 628.272 | 546.122 | 0.000 | 0.000 | -0.000 |
| 546.122 | 546.122 | 628.272 | 0.000 | 0.000 | 0.000 |
| 0.000 | 0.000 | 0.000 | -185.599 | 0.000 | 0.000 |
| 0.000 | 0.000 | 0.000 | 0.000 | -185.599 | 0.000 |
| 0.000 | 0.000 | 0.000 | 0.000 | 0.000 | -185.599 |
| 591.371 | 564.573 | 564.573 | -0.000 | 0.000 | 0.000 |
| 564.573 | 591.371 | 564.573 | -0.000 | -0.000 | 0.000 |
| 564.573 | 564.573 | 591.371 | -0.000 | -0.000 | 0.000 |
| -0.000 | -0.000 | -0.000 | -185.598 | -0.000 | 0.000 |
| -0.000 | -0.000 | -0.000 | -0.000 | -185.599 | 0.000 |
| -0.000 | -0.000 | -0.000 | -0.000 | -0.000 | -185.598 |
| 591.369 | 564.572 | 564.572 | 0.000 | 0.000 | 0.000 |
| 564.572 | 591.369 | 564.572 | -0.000 | 0.000 | -0.000 |
| 564.572 | 564.572 | 591.369 | 0.000 | 0.000 | 0.000 |
| -0.000 | -0.000 | -0.000 | -35.692 | -0.000 | -0.000 |
| -0.000 | -0.000 | -0.000 | -0.000 | -35.692 | 0.000 |
| -0.000 | -0.000 | -0.000 | 0.000 | -0.000 | -35.692 |
| 628.273 | 546.123 | 546.123 | -0.000 | -0.000 | -0.000 |
| 546.123 | 628.273 | 546.123 | 0.000 | 0.000 | 0.000 |
| 546.123 | 546.123 | 628.273 | -0.000 | -0.000 | -0.000 |
| 0.000 | 0.000 | 0.000 | -35.692 | -0.000 | -0.000 |
| 0.000 | 0.000 | 0.000 | -0.000 | -35.692 | -0.000 |
| 0.000 | 0.000 | 0.000 | -0.000 | -0.000 | -35.692 |
| 591.355 | 564.563 | 564.563 | 0.000 | -0.000 | 0.000 |
| 564.563 | 591.355 | 564.563 | -0.000 | 0.000 | 0.000 |
| 564.563 | 564.563 | 591.355 | 0.000 | 0.000 | 0.000 |
| -0.000 | -0.000 | -0.000 | -35.692 | -0.000 | 0.000 |
| -0.000 | -0.000 | -0.000 | -0.000 | -35.692 | 0.000 |
| -0.000 | -0.000 | -0.000 | -0.000 | 0.000 | -35.692 |
| 591.385 | 564.583 | 564.583 | -0.000 | -0.000 | -0.000 |
| 564.583 | 591.385 | 564.583 | 0.000 | -0.000 | -0.000 |
| 564.583 | 564.583 | 591.385 | -0.000 | -0.000 | 0.000 |
| 0.000 | 0.000 | 0.000 | -35.692 | -0.000 | -0.000 |
| 0.000 | 0.000 | 0.000 | -0.000 | -35.692 | -0.000 |
| 0.000 | 0.000 | 0.000 | -0.000 | -0.000 | -35.692 |
| 2232.968 | 2249.649 | 2249.649 | -0.000 | -0.000 | -0.000 |
| 2249.649 | 2232.968 | 2249.649 | 0.000 | -0.000 | 0.000 |
| 2249.649 | 2249.649 | 2232.968 | 0.000 | -0.000 | -0.000 |
| 0.000 | 0.000 | 0.000 | 0.855 | -0.000 | -0.000 |
| 0.000 | 0.000 | 0.000 | 0.000 | 0.855 | -0.000 |
| 0.000 | 0.000 | 0.000 | 0.000 | -0.000 | 0.855 |
| 2232.976 | 2249.644 | 2249.644 | -0.000 | 0.000 | 0.000 |
| 2249.644 | 2232.976 | 2249.644 | 0.000 | 0.000 | 0.000 |
| 2249.644 | 2249.644 | 2232.976 | 0.000 | 0.000 | -0.000 |
| -0.000 | -0.000 | -0.000 | 0.855 | 0.000 | 0.000 |
| -0.000 | -0.000 | -0.000 | 0.000 | 0.855 | 0.000 |
| -0.000 | -0.000 | -0.000 | 0.000 | -0.000 | 0.855 |
| 2232.929 | 2249.667 | 2249.667 | 0.000 | -0.000 | 0.000 |
| 2249.667 | 2232.929 | 2249.667 | 0.000 | -0.000 | -0.000 |
| 2249.667 | 2249.667 | 2232.929 | 0.000 | 0.000 | -0.000 |
| -0.002 | 0.000 | 0.002 | 0.811 | -0.000 | -0.000 |
| 0.000 | -0.002 | 0.002 | 0.000 | 0.811 | -0.000 |
| 0.000 | 0.002 | -0.002 | 0.000 | -0.000 | 0.811 |
| 2233.015 | 2249.626 | 2249.626 | -0.000 | 0.000 | 0.000 |
| 2249.626 | 2233.015 | 2249.626 | -0.000 | 0.000 | 0.000 |
| 2249.626 | 2249.626 | 2233.015 | 0.000 | 0.000 | 0.000 |
| 0.002 | -0.000 | -0.002 | 0.811 | 0.000 | -0.000 |
| -0.000 | 0.002 | -0.002 | 0.000 | 0.811 | -0.000 |
| -0.000 | -0.002 | 0.002 | 0.000 | 0.000 | 0.811 |
| 2232.986 | 2249.629 | 2249.629 | 0.000 | -0.000 | -0.000 |
| 2249.629 | 2232.986 | 2249.629 | 0.000 | -0.000 | 0.000 |
| 2249.629 | 2249.629 | 2232.986 | 0.000 | 0.000 | -0.000 |
| 0.002 | 0.002 | 0.001 | 0.855 | 0.000 | 0.000 |
| 0.002 | 0.002 | 0.001 | 0.000 | 0.855 | -0.000 |
| 0.002 | 0.001 | 0.002 | 0.000 | -0.000 | 0.855 |
| 2232.958 | 2249.664 | 2249.664 | -0.000 | 0.000 | -0.000 |
| 2249.664 | 2232.958 | 2249.664 | 0.000 | 0.000 | 0.000 |
| 2249.664 | 2249.664 | 2232.958 | 0.000 | 0.000 | -0.000 |
| -0.002 | -0.002 | -0.001 | 0.855 | 0.000 | 0.000 |
| -0.002 | -0.002 | -0.001 | -0.000 | 0.855 | 0.000 |
| -0.002 | -0.001 | -0.002 | 0.000 | 0.000 | 0.855 |
| 955.439 | 923.328 | 923.328 | 0.000 | -0.000 | -0.000 |
| 923.328 | 955.439 | 923.328 | 0.000 | -0.000 | -0.000 |
| 923.328 | 923.328 | 955.439 | 0.000 | 0.000 | -0.000 |
| -0.000 | -0.000 | -0.000 | -0.338 | -0.000 | -0.000 |
| -0.000 | -0.000 | -0.000 | -0.000 | -0.338 | -0.000 |
| -0.000 | -0.000 | -0.000 | 0.000 | 0.000 | -0.338 |
| 955.439 | 923.328 | 923.328 | -0.000 | -0.000 | 0.000 |
| 923.328 | 955.439 | 923.328 | -0.000 | -0.000 | 0.000 |
| 923.328 | 923.328 | 955.439 | -0.000 | 0.000 | 0.000 |
| 0.000 | 0.000 | 0.000 | -0.338 | 0.000 | 0.000 |
| 0.000 | 0.000 | 0.000 | -0.000 | -0.338 | 0.000 |
| 0.000 | 0.000 | 0.000 | -0.000 | -0.000 | -0.338 |
| 955.440 | 923.329 | 923.329 | -0.000 | -0.000 | -0.000 |
| 923.329 | 955.440 | 923.329 | 0.000 | 0.000 | -0.000 |
| 923.329 | 923.329 | 955.440 | 0.000 | 0.000 | 0.000 |
| -0.000 | -0.000 | -0.000 | -0.338 | -0.000 | 0.000 |
| -0.000 | -0.000 | -0.000 | -0.000 | -0.338 | -0.000 |
| -0.000 | -0.000 | -0.000 | -0.000 | -0.000 | -0.338 |
| 955.438 | 923.327 | 923.327 | -0.000 | -0.000 | 0.000 |
| 923.327 | 955.438 | 923.327 | 0.000 | 0.000 | 0.000 |
| 923.327 | 923.327 | 955.438 | -0.000 | -0.000 | 0.000 |
| 0.000 | 0.000 | 0.000 | -0.338 | 0.000 | 0.000 |
| 0.000 | 0.000 | 0.000 | -0.000 | -0.338 | 0.000 |
| 0.000 | 0.000 | 0.000 | -0.000 | 0.000 | -0.338 |
| 955.446 | 923.338 | 923.338 | 0.000 | -0.000 | -0.000 |
| 923.338 | 955.446 | 923.338 | 0.000 | 0.000 | 0.000 |
| 923.338 | 923.338 | 955.446 | 0.000 | -0.000 | -0.000 |
| -0.001 | -0.001 | -0.001 | -0.338 | -0.000 | -0.000 |
| -0.001 | -0.001 | -0.001 | -0.000 | -0.338 | -0.000 |
| -0.001 | -0.001 | -0.001 | -0.000 | -0.000 | -0.338 |
| 955.432 | 923.319 | 923.319 | -0.000 | 0.000 | -0.000 |
| 923.319 | 955.432 | 923.319 | -0.000 | 0.000 | 0.000 |
| 923.319 | 923.319 | 955.432 | 0.000 | 0.000 | 0.000 |
| 0.001 | 0.001 | 0.001 | -0.338 | 0.000 | 0.000 |
| 0.001 | 0.001 | 0.001 | 0.000 | -0.338 | 0.000 |
| 0.001 | 0.001 | 0.001 | 0.000 | 0.000 | -0.338 |
| 285.813 | 298.821 | 298.821 | 0.000 | 0.000 | -0.000 |
| 298.821 | 285.813 | 298.821 | 0.000 | 0.000 | -0.000 |
| 298.821 | 298.821 | 285.813 | -0.000 | -0.000 | 0.000 |
| 0.000 | 0.000 | 0.000 | 188.075 | -0.000 | -0.000 |
| 0.000 | 0.000 | -0.000 | 0.000 | 188.075 | 0.000 |
| 0.000 | 0.000 | 0.000 | 0.000 | -0.000 | 188.075 |
| 285.813 | 298.821 | 298.821 | -0.000 | -0.000 | -0.000 |
| 298.821 | 285.813 | 298.821 | -0.000 | -0.000 | 0.000 |
| 298.821 | 298.821 | 285.813 | -0.000 | -0.000 | -0.000 |
| -0.000 | -0.000 | -0.000 | 188.075 | 0.000 | -0.000 |
| -0.000 | -0.000 | -0.000 | -0.000 | 188.075 | -0.000 |
| -0.000 | -0.000 | -0.000 | -0.000 | -0.000 | 188.075 |
| 285.813 | 298.821 | 298.821 | -0.000 | 0.000 | -0.000 |
| 298.821 | 285.813 | 298.821 | 0.000 | 0.000 | -0.000 |
| 298.821 | 298.821 | 285.813 | 0.000 | 0.000 | -0.000 |
| 0.000 | 0.000 | 0.000 | 188.075 | -0.000 | 0.000 |
| 0.000 | 0.000 | 0.000 | 0.000 | 188.075 | 0.000 |
| 0.000 | 0.000 | 0.000 | 0.000 | 0.000 | 188.075 |
| 285.813 | 298.820 | 298.820 | 0.000 | -0.000 | -0.000 |
| 298.820 | 285.813 | 298.820 | -0.000 | -0.000 | 0.000 |
| 298.820 | 298.820 | 285.813 | 0.000 | -0.000 | 0.000 |
| -0.000 | -0.000 | -0.000 | 188.075 | -0.000 | 0.000 |
| -0.000 | -0.000 | -0.000 | -0.000 | 188.075 | -0.000 |
| -0.000 | -0.000 | -0.000 | -0.000 | -0.000 | 188.075 |
| 285.814 | 298.822 | 298.822 | 0.000 | 0.000 | 0.000 |
| 298.822 | 285.814 | 298.822 | 0.000 | -0.000 | -0.000 |
| 298.822 | 298.822 | 285.814 | 0.000 | 0.000 | 0.000 |
| 0.001 | 0.000 | 0.001 | 188.075 | -0.000 | -0.000 |
| 0.000 | 0.001 | 0.001 | 0.000 | 188.075 | 0.000 |
| 0.000 | 0.001 | 0.001 | 0.000 | -0.000 | 188.075 |
| 285.813 | 298.819 | 298.819 | -0.000 | 0.000 | 0.000 |
| 298.819 | 285.813 | 298.819 | -0.000 | 0.000 | 0.000 |
| 298.819 | 298.819 | 285.813 | -0.000 | 0.000 | -0.000 |
| -0.001 | -0.000 | -0.001 | 188.075 | 0.000 | 0.000 |
| -0.000 | -0.001 | -0.001 | -0.000 | 188.075 | -0.000 |
| -0.000 | -0.001 | -0.001 | -0.000 | -0.000 | 188.075 |
| 1316.446 | 1343.394 | 1343.394 | 0.000 | -0.000 | 0.000 |
| 1343.394 | 1316.446 | 1343.394 | 0.000 | -0.000 | 0.000 |
| 1343.394 | 1343.394 | 1316.446 | -0.000 | -0.000 | 0.000 |
| 0.000 | 0.000 | 0.000 | -15.367 | -0.000 | 0.000 |
| 0.000 | 0.000 | 0.000 | -0.000 | -15.367 | 0.000 |
| 0.000 | 0.000 | 0.000 | -0.000 | -0.000 | -15.367 |
| 1316.446 | 1343.394 | 1343.394 | -0.000 | 0.000 | -0.000 |
| 1343.394 | 1316.446 | 1343.394 | -0.000 | 0.000 | -0.000 |
| 1343.394 | 1343.394 | 1316.446 | 0.000 | 0.000 | -0.000 |
| -0.000 | -0.000 | -0.000 | -15.367 | 0.000 | -0.000 |
| -0.000 | -0.000 | -0.000 | 0.000 | -15.367 | -0.000 |
| -0.000 | -0.000 | -0.000 | 0.000 | 0.000 | -15.367 |
| 1316.446 | 1343.393 | 1343.393 | 0.000 | -0.000 | 0.000 |
| 1343.393 | 1316.446 | 1343.393 | 0.000 | -0.000 | -0.000 |
| 1343.393 | 1343.393 | 1316.446 | -0.000 | -0.000 | 0.000 |
| 138459894.135 | 130792209.974 | 124280867.864 | 14421329.401 | -1321852.427 | -1940248.176 |
| 123799253.317 | 135389896.400 | 122678213.145 | 750813.342 | 15549432.136 | -280646.545 |
| 126848709.155 | 124986022.720 | 141786281.623 | -778648.412 | 707382.348 | 19326185.768 |
| 1316.446 | 1343.395 | 1343.395 | 0.000 | 0.000 | -0.000 |
| 1343.395 | 1316.446 | 1343.395 | -0.000 | 0.000 | -0.000 |
| 1343.395 | 1343.395 | 1316.446 | 0.000 | 0.000 | -0.000 |
| -144146007.842 | -132455458.943 | -126984377.841 | 17986387.089 | -205080.081 | 922560.122 |
| -127897905.641 | -135593172.326 | -126245155.036 | -319891.679 | 14847130.704 | 390798.160 |
| -126362730.289 | -124421433.398 | -136097229.800 | 1320474.085 | -1653342.805 | 16664346.180 |
| 1316.444 | 1343.384 | 1343.384 | 0.000 | 0.000 | 0.000 |
| 1343.384 | 1316.444 | 1343.384 | 0.000 | 0.000 | 0.000 |
| 1343.384 | 1343.384 | 1316.444 | -0.000 | -0.000 | 0.000 |
| 14239635.438 | 13440236.352 | 12789537.274 | 1483626.002 | -102739.251 | -27389.845 |
| 12342213.419 | 12758166.630 | 11994670.523 | 195190.756 | 1096870.425 | 316279.815 |
| 12857518.266 | 13083797.026 | 13520875.031 | 126328.963 | 245872.031 | 1125878.638 |
| 1316.448 | 1343.404 | 1343.404 | -0.000 | 0.000 | -0.000 |
| 1343.404 | 1316.448 | 1343.404 | 0.000 | 0.000 | -0.000 |
| 1343.404 | 1343.404 | 1316.448 | 0.000 | 0.000 | -0.000 |
| -14443136.326 | -13465430.235 | -12921147.284 | 1329472.662 | 38726.852 | -125590.971 |
| -12927677.516 | -13982101.472 | -12760991.978 | -62137.284 | 1092457.243 | -82757.895 |
| -13660001.551 | -13525059.651 | -14414995.475 | -150485.502 | 105188.382 | 1475298.712 |
| 21.554 | 55.265 | 55.265 | -0.000 | -0.000 | 0.000 |
| 55.265 | 21.554 | 55.265 | -0.000 | -0.000 | 0.000 |
| 55.265 | 55.265 | 21.554 | 0.000 | 0.000 | 0.000 |
| 0.000 | 0.000 | 0.000 | -11.986 | -0.000 | 0.000 |
| 0.000 | 0.000 | 0.000 | -0.000 | -11.986 | 0.000 |
| 0.000 | 0.000 | 0.000 | -0.000 | -0.000 | -11.986 |
| 21.554 | 55.265 | 55.265 | 0.000 | 0.000 | -0.000 |
| 55.265 | 21.554 | 55.265 | 0.000 | 0.000 | -0.000 |
| 55.265 | 55.265 | 21.554 | 0.000 | 0.000 | -0.000 |
| -0.000 | -0.000 | -0.000 | -11.986 | 0.000 | 0.000 |
| -0.000 | -0.000 | -0.000 | 0.000 | -11.986 | 0.000 |
| -0.000 | -0.000 | -0.000 | 0.000 | 0.000 | -11.986 |
| 21.554 | 55.265 | 55.265 | -0.000 | -0.000 | 0.000 |
| 55.265 | 21.554 | 55.265 | 0.000 | -0.000 | 0.000 |
| 55.265 | 55.265 | 21.554 | -0.000 | -0.000 | 0.000 |
| 0.000 | 0.000 | 0.000 | -11.986 | 0.000 | 0.000 |
| 0.000 | 0.000 | 0.000 | -0.000 | -11.986 | 0.000 |
| 0.000 | 0.000 | 0.000 | -0.000 | -0.000 | -11.986 |
| 21.554 | 55.265 | 55.265 | -0.000 | -0.000 | -0.000 |
| 55.265 | 21.554 | 55.265 | -0.000 | 0.000 | -0.000 |
| 55.265 | 55.265 | 21.554 | -0.000 | -0.000 | 0.000 |
| -0.000 | -0.000 | -0.000 | -11.986 | 0.000 | 0.000 |
| -0.000 | -0.000 | -0.000 | 0.000 | -11.986 | -0.000 |
| -0.000 | -0.000 | -0.000 | 0.000 | 0.000 | -11.986 |
| 21.553 | 55.266 | 55.266 | -0.000 | 0.000 | -0.000 |
| 55.266 | 21.553 | 55.266 | 0.000 | -0.000 | -0.000 |
| 55.266 | 55.266 | 21.553 | -0.000 | -0.000 | 0.000 |
| 166259.171 | 200414.195 | 167351.917 | -9156.518 | -291.409 | -1712.248 |
| 186692.664 | 165667.750 | 156316.949 | -232.922 | -14090.573 | 3589.585 |
| 193534.376 | 157777.821 | 160841.522 | 4319.789 | -1496.471 | -11138.605 |
| 21.555 | 55.264 | 55.264 | -0.000 | 0.000 | -0.000 |
| 55.264 | 21.555 | 55.264 | 0.000 | -0.000 | -0.000 |
| 55.264 | 55.264 | 21.555 | -0.000 | -0.000 | 0.000 |
| -152612.020 | -199990.008 | -153632.228 | -14027.940 | 6521.650 | 2620.595 |
| -198673.016 | -161321.035 | -160295.224 | 2454.722 | -8425.186 | 2152.068 |
| -197997.305 | -153301.581 | -161050.674 | 5149.022 | 4306.172 | -11651.167 |
| 0.931 | 0.931 | 0.931 | 0.000 | 0.000 | 0.000 |
| 0.931 | 0.931 | 0.931 | 0.000 | 0.000 | -0.000 |
| 0.931 | 0.931 | 0.931 | 0.000 | 0.000 | -0.000 |
| 0.000 | 0.000 | 0.000 | -1.442 | -0.000 | -0.000 |
| 0.000 | 0.000 | 0.000 | -0.000 | -1.442 | -0.000 |
| 0.000 | 0.000 | 0.000 | -0.000 | -0.000 | -1.442 |
| 0.931 | 0.931 | 0.931 | -0.000 | -0.000 | 0.000 |
| 0.931 | 0.931 | 0.931 | -0.000 | -0.000 | 0.000 |
| 0.931 | 0.931 | 0.931 | -0.000 | -0.000 | 0.000 |
| -0.000 | -0.000 | -0.000 | -1.442 | 0.000 | -0.000 |
| -0.000 | -0.000 | -0.000 | 0.000 | -1.442 | -0.000 |
| -0.000 | -0.000 | -0.000 | 0.000 | -0.000 | -1.442 |
| 0.931 | 0.931 | 0.931 | 0.000 | -0.000 | -0.000 |
| 0.931 | 0.931 | 0.931 | -0.000 | 0.000 | -0.000 |
| 0.931 | 0.931 | 0.931 | 0.000 | 0.000 | -0.000 |
| 0.001 | 0.001 | 0.001 | -6.802 | 0.000 | -0.000 |
| 0.001 | 0.001 | 0.001 | 0.000 | -6.802 | -0.000 |
| 0.001 | 0.001 | 0.001 | -0.000 | -0.000 | -6.802 |
| 0.931 | 0.931 | 0.931 | -0.000 | 0.000 | 0.000 |
| 0.931 | 0.931 | 0.931 | 0.000 | -0.000 | 0.000 |
| 0.931 | 0.931 | 0.931 | -0.000 | -0.000 | 0.000 |
| -0.001 | -0.001 | -0.001 | -6.802 | -0.000 | 0.000 |
| -0.001 | -0.001 | -0.001 | -0.000 | -6.802 | 0.000 |
| -0.001 | -0.001 | -0.001 | -0.000 | -0.000 | -6.802 |
| 0.932 | 0.932 | 0.932 | 0.000 | 0.000 | -0.000 |
| 0.932 | 0.932 | 0.932 | 0.000 | 0.000 | -0.000 |
| 0.932 | 0.932 | 0.932 | 0.000 | 0.000 | -0.000 |
| 0.014 | 0.014 | 0.014 | -7.308 | -0.000 | -0.000 |
| 0.014 | 0.014 | 0.014 | -0.000 | -7.308 | -0.000 |
| 0.014 | 0.014 | 0.014 | 0.000 | 0.000 | -7.308 |
| 0.930 | 0.930 | 0.930 | -0.000 | -0.000 | -0.000 |
| 0.930 | 0.930 | 0.930 | -0.000 | -0.000 | 0.000 |
| 0.930 | 0.930 | 0.930 | -0.000 | -0.000 | 0.000 |
| -0.014 | -0.014 | -0.014 | -7.308 | 0.000 | 0.000 |
| -0.014 | -0.014 | -0.014 | -0.000 | -7.308 | -0.000 |
| -0.014 | -0.014 | -0.014 | 0.000 | -0.000 | -7.308 |
| 169.739 | 187.383 | 187.383 | 0.000 | 0.000 | -0.000 |
| 187.383 | 169.739 | 187.383 | -0.000 | 0.000 | 0.000 |
| 187.383 | 187.383 | 169.739 | 0.000 | -0.000 | -0.000 |
| -0.000 | -0.000 | -0.000 | 45.551 | 0.000 | -0.000 |
| -0.000 | -0.000 | -0.000 | -0.000 | 45.551 | -0.000 |
| -0.000 | -0.000 | -0.000 | 0.000 | 0.000 | 45.551 |
| 169.739 | 187.383 | 187.383 | 0.000 | -0.000 | -0.000 |
| 187.383 | 169.739 | 187.383 | 0.000 | -0.000 | -0.000 |
| 187.383 | 187.383 | 169.739 | 0.000 | 0.000 | 0.000 |
| 0.000 | 0.000 | 0.000 | 45.551 | -0.000 | 0.000 |
| 0.000 | 0.000 | 0.000 | 0.000 | 45.551 | -0.000 |
| 0.000 | 0.000 | 0.000 | 0.000 | -0.000 | 45.551 |
| 169.739 | 187.382 | 187.382 | -0.000 | 0.000 | -0.000 |
| 187.382 | 169.739 | 187.382 | -0.000 | -0.000 | 0.000 |
| 187.382 | 187.382 | 169.739 | -0.000 | 0.000 | 0.000 |
| -0.000 | -0.000 | 0.000 | 45.551 | 0.000 | -0.000 |
| -0.000 | -0.000 | 0.000 | -0.000 | 45.551 | 0.000 |
| -0.000 | 0.000 | -0.000 | 0.000 | 0.000 | 45.551 |
| 169.739 | 187.383 | 187.383 | -0.000 | -0.000 | -0.000 |
| 187.383 | 169.739 | 187.383 | 0.000 | -0.000 | 0.000 |
| 187.383 | 187.383 | 169.739 | -0.000 | 0.000 | 0.000 |
| 0.000 | 0.000 | -0.000 | 45.551 | -0.000 | -0.000 |
| 0.000 | 0.000 | -0.000 | 0.000 | 45.551 | 0.000 |
| 0.000 | -0.000 | 0.000 | -0.000 | -0.000 | 45.551 |
| 169.736 | 187.382 | 187.382 | 0.000 | 0.000 | -0.000 |
| 187.382 | 169.736 | 187.382 | 0.000 | 0.000 | 0.000 |
| 187.382 | 187.382 | 169.736 | 0.000 | 0.000 | -0.000 |
| -0.000 | -0.000 | 0.000 | 45.551 | 0.000 | 0.000 |
| -0.000 | -0.000 | 0.000 | -0.000 | 45.551 | -0.000 |
| -0.000 | 0.000 | -0.000 | 0.000 | 0.000 | 45.551 |
| 169.742 | 187.384 | 187.384 | -0.000 | -0.000 | 0.000 |
| 187.384 | 169.742 | 187.384 | -0.000 | -0.000 | -0.000 |
| 187.384 | 187.384 | 169.742 | 0.000 | -0.000 | -0.000 |
| 0.000 | 0.000 | -0.000 | 45.551 | -0.000 | -0.000 |
| 0.000 | 0.000 | -0.000 | 0.000 | 45.551 | 0.000 |
| 0.000 | -0.000 | 0.000 | -0.000 | -0.000 | 45.551 |
| 482.937 | 383.570 | 383.570 | -0.000 | 0.000 | 0.000 |
| 383.570 | 482.937 | 383.570 | -0.000 | 0.000 | -0.000 |
| 383.570 | 383.570 | 482.937 | -0.000 | 0.000 | 0.000 |
| -0.000 | -0.000 | -0.000 | 4.820 | 0.000 | -0.000 |
| -0.000 | -0.000 | -0.000 | -0.000 | 4.820 | -0.000 |
| -0.000 | -0.000 | -0.000 | -0.000 | -0.000 | 4.820 |
| 482.937 | 383.570 | 383.570 | 0.000 | 0.000 | 0.000 |
| 383.570 | 482.937 | 383.570 | 0.000 | 0.000 | 0.000 |
| 383.570 | 383.570 | 482.937 | 0.000 | 0.000 | -0.000 |
| 0.000 | 0.000 | 0.000 | 4.820 | -0.000 | -0.000 |
| 0.000 | 0.000 | 0.000 | 0.000 | 4.820 | -0.000 |
| 0.000 | 0.000 | 0.000 | 0.000 | -0.000 | 4.820 |
| 482.936 | 383.569 | 383.569 | -0.000 | -0.000 | 0.000 |
| 383.569 | 482.936 | 383.569 | -0.000 | -0.000 | -0.000 |
| 383.569 | 383.569 | 482.936 | -0.000 | -0.000 | 0.000 |
| -0.000 | -0.000 | -0.000 | 4.820 | 0.000 | 0.000 |
| -0.000 | -0.000 | -0.000 | -0.000 | 4.820 | 0.000 |
| -0.000 | -0.000 | -0.000 | -0.000 | -0.000 | 4.820 |
| 482.938 | 383.570 | 383.570 | 0.000 | 0.000 | -0.000 |
| 383.570 | 482.938 | 383.570 | -0.000 | -0.000 | 0.000 |
| 383.570 | 383.570 | 482.938 | -0.000 | -0.000 | -0.000 |
| 0.000 | 0.000 | 0.000 | 4.820 | -0.000 | 0.000 |
| 0.000 | 0.000 | 0.000 | 0.000 | 4.820 | -0.000 |
| 0.000 | 0.000 | 0.000 | 0.000 | 0.000 | 4.820 |
| 482.927 | 383.563 | 383.563 | -0.000 | -0.000 | 0.000 |
| 383.563 | 482.927 | 383.563 | -0.000 | -0.000 | 0.000 |
| 383.563 | 383.563 | 482.927 | -0.000 | 0.000 | -0.000 |
| -0.000 | -0.001 | -0.001 | 4.820 | 0.000 | -0.000 |
| -0.001 | -0.000 | -0.001 | -0.000 | 4.820 | 0.000 |
| -0.001 | -0.001 | -0.000 | -0.000 | -0.000 | 4.820 |
| 482.947 | 383.576 | 383.576 | 0.000 | 0.000 | 0.000 |
| 383.576 | 482.947 | 383.576 | 0.000 | -0.000 | -0.000 |
| 383.576 | 383.576 | 482.947 | -0.000 | 0.000 | -0.000 |
| 0.000 | 0.001 | 0.001 | 4.820 | 0.000 | 0.000 |
| 0.001 | 0.000 | 0.001 | 0.000 | 4.820 | -0.000 |
| 0.001 | 0.001 | 0.000 | 0.000 | -0.000 | 4.820 |
| 2.281 | 1.140 | 1.140 | 0.000 | -0.000 | -0.000 |
| 1.140 | 2.281 | 1.140 | -0.000 | 0.000 | -0.000 |
| 1.140 | 1.140 | 2.281 | 0.000 | 0.000 | 0.000 |
| 0.000 | 0.000 | 0.000 | 1.141 | 0.000 | -0.000 |
| 0.000 | 0.000 | 0.000 | 0.000 | 1.141 | 0.000 |
| 0.000 | 0.000 | 0.000 | 0.000 | 0.000 | 1.141 |
| 2.281 | 1.140 | 1.140 | -0.000 | 0.000 | -0.000 |
| 1.140 | 2.281 | 1.140 | 0.000 | -0.000 | -0.000 |
| 1.140 | 1.140 | 2.281 | -0.000 | -0.000 | -0.000 |
| -0.000 | -0.000 | -0.000 | 1.141 | -0.000 | -0.000 |
| -0.000 | -0.000 | -0.000 | -0.000 | 1.141 | -0.000 |
| -0.000 | -0.000 | -0.000 | 0.000 | -0.000 | 1.141 |
| 2.281 | 1.141 | 1.141 | 0.000 | -0.000 | -0.000 |
| 1.141 | 2.281 | 1.141 | -0.000 | 0.000 | 0.000 |
| 1.141 | 1.141 | 2.281 | 0.000 | 0.000 | -0.000 |
| -0.000 | 0.000 | 0.000 | 1.141 | 0.000 | 0.000 |
| 0.000 | -0.000 | 0.000 | 0.000 | 1.141 | 0.000 |
| 0.000 | 0.000 | -0.000 | 0.000 | 0.000 | 1.141 |
| 2.281 | 1.140 | 1.140 | -0.000 | -0.000 | 0.000 |
| 1.140 | 2.281 | 1.140 | -0.000 | -0.000 | -0.000 |
| 1.140 | 1.140 | 2.281 | -0.000 | -0.000 | -0.000 |
| 0.000 | -0.000 | -0.000 | 1.141 | -0.000 | -0.000 |
| -0.000 | 0.000 | -0.000 | -0.000 | 1.141 | -0.000 |
| -0.000 | -0.000 | 0.000 | -0.000 | -0.000 | 1.141 |
| 2.284 | 1.142 | 1.142 | 0.000 | -0.000 | -0.000 |
| 1.142 | 2.284 | 1.142 | -0.000 | 0.000 | 0.000 |
| 1.142 | 1.142 | 2.284 | 0.000 | -0.000 | 0.000 |
| -0.000 | 0.002 | 0.002 | 1.141 | 0.000 | -0.000 |
| 0.002 | -0.000 | 0.002 | 0.000 | 1.141 | 0.000 |
| 0.002 | 0.002 | -0.000 | 0.000 | 0.000 | 1.141 |
| 2.278 | 1.139 | 1.139 | -0.000 | 0.000 | -0.000 |
| 1.139 | 2.278 | 1.139 | 0.000 | -0.000 | -0.000 |
| 1.139 | 1.139 | 2.278 | -0.000 | -0.000 | -0.000 |
| 0.000 | -0.002 | -0.002 | 1.141 | -0.000 | -0.000 |
| -0.002 | 0.000 | -0.002 | -0.000 | 1.141 | -0.000 |
| -0.002 | -0.002 | 0.000 | -0.000 | -0.000 | 1.141 |
| 180.159 | 168.063 | 148.312 | 0.000 | 0.000 | -0.000 |
| 168.063 | 180.159 | 148.312 | 0.000 | 0.000 | -0.000 |
| 148.312 | 148.312 | 265.482 | 0.000 | 0.000 | -0.000 |
| -0.000 | 0.000 | -0.000 | 69.671 | 0.000 | -0.000 |
| 0.000 | 0.000 | 0.000 | 0.000 | 69.671 | -0.000 |
| -0.000 | -0.000 | -0.000 | 0.000 | 0.000 | 50.948 |
| 180.159 | 168.063 | 148.312 | -0.000 | -0.000 | 0.000 |
| 168.063 | 180.159 | 148.312 | -0.000 | 0.000 | 0.000 |
| 148.312 | 148.312 | 265.482 | -0.000 | 0.000 | 0.000 |
| 0.000 | -0.000 | -0.000 | 69.671 | -0.000 | 0.000 |
| -0.000 | -0.000 | -0.000 | -0.000 | 69.671 | 0.000 |
| 0.000 | -0.000 | 0.000 | -0.000 | -0.000 | 50.948 |
| 179.779 | 168.443 | 148.312 | 0.000 | -0.000 | -0.000 |
| 168.443 | 179.779 | 148.312 | 0.000 | 0.000 | -0.000 |
| 148.312 | 148.312 | 265.483 | 0.000 | -0.000 | -0.000 |
| -0.000 | 0.000 | 0.000 | 69.920 | 0.000 | -0.000 |
| 0.000 | -0.000 | 0.000 | 0.000 | 69.920 | -0.000 |
| -0.000 | -0.000 | -0.000 | -0.000 | -0.000 | 50.948 |
| 180.160 | 168.063 | 148.312 | -0.000 | -0.000 | 0.000 |
| 168.063 | 180.160 | 148.312 | -0.000 | 0.000 | 0.000 |
| 148.312 | 148.312 | 265.481 | -0.000 | 0.000 | 0.000 |
| 0.000 | -0.000 | -0.000 | 69.920 | -0.000 | 0.000 |
| -0.000 | 0.000 | -0.000 | -0.000 | 69.920 | 0.000 |
| 0.000 | 0.000 | 0.000 | -0.000 | 0.000 | 50.948 |
| 179.776 | 168.442 | 148.312 | 0.000 | 0.000 | -0.000 |
| 168.442 | 179.776 | 148.312 | 0.000 | 0.000 | -0.000 |
| 148.312 | 148.312 | 265.488 | 0.000 | 0.000 | -0.000 |
| -0.000 | 0.000 | 0.001 | 69.920 | 0.000 | -0.000 |
| 0.000 | -0.000 | 0.001 | 0.000 | 69.920 | -0.000 |
| -0.000 | -0.000 | -0.000 | 0.000 | 0.000 | 50.948 |
| 180.162 | 168.064 | 148.312 | -0.000 | 0.000 | 0.000 |
| 168.064 | 180.162 | 148.312 | -0.000 | 0.000 | 0.000 |
| 148.311 | 148.311 | 265.476 | -0.000 | 0.000 | 0.000 |
| 0.000 | -0.000 | -0.001 | 69.920 | -0.000 | 0.000 |
| -0.000 | 0.000 | -0.001 | -0.000 | 69.920 | 0.000 |
| 0.000 | 0.000 | 0.000 | -0.000 | -0.000 | 50.948 |
| 280.600 | 137.177 | 104.687 | 25.629 | 0.000 | -0.000 |
| 137.177 | 280.600 | 104.687 | -25.629 | -0.000 | -0.000 |
| 108.665 | 108.665 | 262.713 | 0.000 | 0.000 | -0.000 |
| 25.797 | -25.797 | -0.000 | 46.874 | 0.000 | -0.000 |
| 0.358 | 0.358 | -3.204 | -0.000 | 46.590 | 25.634 |
| 0.356 | 0.356 | -3.187 | -0.000 | 25.635 | 71.715 |
| 279.999 | 136.567 | 111.487 | 25.637 | -0.000 | 0.000 |
| 139.253 | 282.874 | 115.869 | -25.797 | -0.000 | 0.000 |
| 108.476 | 108.476 | 271.286 | -0.000 | -0.000 | 0.000 |
| 25.276 | -25.992 | 3.204 | 46.590 | -0.000 | 0.000 |
| -0.358 | -0.358 | 3.204 | -0.000 | 46.590 | 25.634 |
| -0.356 | -0.356 | 3.187 | 0.000 | 25.635 | 71.715 |
| 282.875 | 139.253 | 115.869 | 25.797 | 0.000 | -0.000 |
| 136.488 | 279.882 | 106.435 | -25.605 | 0.000 | -0.000 |
| 116.648 | 116.648 | 292.925 | 0.000 | 0.000 | -0.000 |
| 25.015 | -24.964 | -0.349 | 45.453 | 0.000 | -0.000 |
| 0.000 | 0.000 | 0.000 | 0.000 | 46.874 | 25.797 |
| 0.045 | 0.045 | -0.401 | -0.000 | 25.593 | 71.690 |
| 282.874 | 139.253 | 115.869 | 25.797 | -0.000 | 0.000 |
| 139.253 | 282.874 | 115.869 | -25.797 | -0.000 | 0.000 |
| 107.897 | 107.897 | 265.506 | 0.000 | -0.000 | 0.000 |
| 25.797 | -25.797 | -0.000 | 46.874 | -0.000 | 0.000 |
| -0.000 | -0.000 | -0.000 | -0.000 | 46.874 | 25.797 |
| -0.045 | -0.045 | 0.401 | 0.000 | 25.593 | 71.690 |
| 279.883 | 136.485 | 106.888 | 25.607 | 0.000 | -0.000 |
| 139.254 | 282.875 | 115.869 | -25.796 | 0.000 | -0.000 |
| 116.648 | 116.648 | 292.925 | 0.000 | 0.000 | -0.000 |
| 25.035 | -25.001 | -0.153 | 45.514 | 0.000 | -0.000 |
| 0.017 | 0.017 | -0.153 | 0.000 | 45.514 | 25.018 |
| 0.000 | 0.000 | 0.000 | -0.000 | 25.797 | 71.810 |
| 282.873 | 139.254 | 115.869 | 25.797 | -0.000 | 0.000 |
| 136.496 | 279.893 | 107.026 | -25.609 | -0.000 | 0.000 |
| 116.649 | 116.649 | 292.925 | -0.000 | -0.000 | 0.000 |
| 25.001 | -25.036 | 0.153 | 45.514 | -0.000 | 0.000 |
| -0.017 | -0.017 | 0.153 | -0.000 | 45.514 | 25.018 |
| -0.000 | -0.000 | -0.000 | 0.000 | 25.797 | 71.810 |
| 157.189 | 139.063 | 139.063 | -0.000 | -0.000 | 0.000 |
| 139.063 | 157.189 | 139.063 | -0.000 | -0.000 | 0.000 |
| 139.063 | 139.063 | 157.189 | -0.000 | -0.000 | 0.000 |
| -0.000 | -0.000 | -0.000 | 149.523 | -0.000 | 0.000 |
| -0.000 | -0.000 | -0.000 | -0.000 | 149.523 | 0.000 |
| -0.000 | -0.000 | -0.000 | -0.000 | -0.000 | 149.523 |
| 157.189 | 139.063 | 139.063 | 0.000 | 0.000 | -0.000 |
| 139.063 | 157.189 | 139.063 | 0.000 | 0.000 | -0.000 |
| 139.063 | 139.063 | 157.189 | 0.000 | 0.000 | 0.000 |
| 0.000 | 0.000 | 0.000 | 149.523 | 0.000 | -0.000 |
| 0.000 | 0.000 | 0.000 | 0.000 | 149.523 | -0.000 |
| 0.000 | 0.000 | 0.000 | -0.000 | 0.000 | 149.523 |
| 157.189 | 139.063 | 139.063 | 0.000 | -0.000 | 0.000 |
| 139.063 | 157.189 | 139.063 | -0.000 | 0.000 | 0.000 |
| 139.063 | 139.063 | 157.189 | 0.000 | -0.000 | 0.000 |
| 0.000 | 0.000 | 0.000 | 5.970 | 0.000 | 0.000 |
| 0.000 | 0.000 | 0.000 | -0.000 | 5.970 | 0.000 |
| 0.000 | 0.000 | 0.000 | -0.000 | -0.000 | 5.970 |
| 157.189 | 139.063 | 139.063 | 0.000 | 0.000 | -0.000 |
| 139.063 | 157.189 | 139.063 | 0.000 | 0.000 | -0.000 |
| 139.063 | 139.063 | 157.189 | 0.000 | 0.000 | -0.000 |
| -0.000 | -0.000 | -0.000 | 5.970 | 0.000 | -0.000 |
| -0.000 | -0.000 | -0.000 | 0.000 | 5.970 | -0.000 |
| -0.000 | -0.000 | -0.000 | 0.000 | 0.000 | 5.970 |
| 157.192 | 139.064 | 139.064 | -0.000 | -0.000 | 0.000 |
| 139.064 | 157.192 | 139.064 | -0.000 | -0.000 | 0.000 |
| 139.064 | 139.064 | 157.192 | -0.000 | -0.000 | 0.000 |
| 0.000 | 0.000 | 0.000 | 5.970 | -0.000 | -0.000 |
| 0.000 | 0.000 | 0.000 | -0.000 | 5.970 | 0.000 |
| 0.000 | 0.000 | 0.000 | -0.000 | -0.000 | 5.970 |
| 157.186 | 139.062 | 139.062 | 0.000 | -0.000 | -0.000 |
| 139.062 | 157.186 | 139.062 | -0.000 | 0.000 | -0.000 |
| 139.062 | 139.062 | 157.186 | -0.000 | 0.000 | -0.000 |
| -0.000 | -0.000 | -0.000 | 5.970 | 0.000 | -0.000 |
| -0.000 | -0.000 | -0.000 | 0.000 | 5.970 | -0.000 |
| -0.000 | -0.000 | -0.000 | 0.000 | 0.000 | 5.970 |
| 103.349 | 97.100 | 97.100 | -0.000 | 0.000 | 0.000 |
| 97.100 | 103.349 | 97.100 | 0.000 | 0.000 | -0.000 |
| 97.100 | 97.100 | 103.349 | 0.000 | -0.000 | 0.000 |
| 0.000 | 0.000 | 0.000 | 100.958 | -0.000 | -0.000 |
| -0.000 | 0.000 | -0.000 | -0.000 | 100.958 | 0.000 |
| -0.000 | 0.000 | -0.000 | -0.000 | 0.000 | 100.958 |
| 103.349 | 97.100 | 97.100 | 0.000 | -0.000 | -0.000 |
| 97.100 | 103.349 | 97.100 | -0.000 | -0.000 | -0.000 |
| 97.100 | 97.100 | 103.349 | 0.000 | -0.000 | 0.000 |
| 0.000 | -0.000 | -0.000 | 100.958 | -0.000 | -0.000 |
| 0.000 | -0.000 | -0.000 | 0.000 | 100.958 | -0.000 |
| 0.000 | -0.000 | -0.000 | 0.000 | -0.000 | 100.958 |
| 103.349 | 97.100 | 97.100 | 0.000 | 0.000 | 0.000 |
| 97.100 | 103.349 | 97.100 | 0.000 | 0.000 | -0.000 |
| 97.100 | 97.100 | 103.349 | -0.000 | 0.000 | 0.000 |
| 0.000 | 0.000 | 0.000 | 100.958 | -0.000 | 0.000 |
| 0.000 | 0.000 | 0.000 | -0.000 | 100.958 | -0.000 |
| 0.000 | 0.000 | 0.000 | -0.000 | 0.000 | 100.958 |
| 103.349 | 97.100 | 97.100 | 0.000 | -0.000 | -0.000 |
| 97.100 | 103.349 | 97.100 | -0.000 | -0.000 | -0.000 |
| 97.100 | 97.100 | 103.349 | -0.000 | -0.000 | -0.000 |
| -0.000 | -0.000 | -0.000 | 100.958 | -0.000 | -0.000 |
| -0.000 | -0.000 | -0.000 | 0.000 | 100.958 | -0.000 |
| -0.000 | -0.000 | -0.000 | 0.000 | -0.000 | 100.958 |
| 103.350 | 97.100 | 97.100 | -0.000 | 0.000 | 0.000 |
| 97.100 | 103.350 | 97.100 | 0.000 | 0.000 | 0.000 |
| 97.100 | 97.100 | 103.350 | -0.000 | 0.000 | 0.000 |
| 0.000 | 0.000 | 0.000 | 100.958 | 0.000 | 0.000 |
| 0.000 | 0.000 | 0.000 | -0.000 | 100.958 | -0.000 |
| 0.000 | 0.000 | 0.000 | -0.000 | 0.000 | 100.958 |
| 103.348 | 97.100 | 97.100 | -0.000 | -0.000 | 0.000 |
| 97.100 | 103.348 | 97.100 | -0.000 | -0.000 | -0.000 |
| 97.100 | 97.100 | 103.348 | 0.000 | -0.000 | -0.000 |
| -0.000 | -0.000 | -0.000 | 100.958 | -0.000 | -0.000 |
| -0.000 | -0.000 | -0.000 | 0.000 | 100.958 | -0.000 |
| -0.000 | -0.000 | -0.000 | 0.000 | -0.000 | 100.958 |
| 154.311 | 128.191 | 128.191 | -0.000 | -0.000 | 0.000 |
| 128.191 | 154.311 | 128.191 | 0.000 | -0.000 | 0.000 |
| 128.191 | 128.191 | 154.311 | 0.000 | -0.000 | 0.000 |
| 0.000 | 0.000 | 0.000 | 139.135 | -0.000 | 0.000 |
| 0.000 | 0.000 | -0.000 | -0.000 | 139.135 | 0.000 |
| 0.000 | 0.000 | -0.000 | 0.000 | -0.000 | 139.135 |
| 154.311 | 128.191 | 128.191 | -0.000 | 0.000 | -0.000 |
| 128.191 | 154.311 | 128.191 | 0.000 | 0.000 | -0.000 |
| 128.191 | 128.191 | 154.311 | -0.000 | 0.000 | -0.000 |
| -0.000 | -0.000 | 0.000 | 139.135 | 0.000 | -0.000 |
| -0.000 | -0.000 | 0.000 | -0.000 | 139.135 | -0.000 |
| -0.000 | -0.000 | -0.000 | -0.000 | 0.000 | 139.135 |
| 154.311 | 128.191 | 128.191 | -0.000 | -0.000 | 0.000 |
| 128.191 | 154.311 | 128.191 | -0.000 | -0.000 | 0.000 |
| 128.191 | 128.191 | 154.311 | 0.000 | -0.000 | 0.000 |
| 0.000 | -0.000 | 0.000 | 139.135 | -0.000 | 0.000 |
| -0.000 | 0.000 | 0.000 | 0.000 | 139.135 | 0.000 |
| -0.000 | 0.000 | 0.000 | 0.000 | -0.000 | 139.135 |
| 154.311 | 128.191 | 128.191 | -0.000 | 0.000 | -0.000 |
| 128.191 | 154.311 | 128.191 | -0.000 | 0.000 | -0.000 |
| 128.191 | 128.191 | 154.311 | 0.000 | 0.000 | -0.000 |
| -0.000 | 0.000 | -0.000 | 139.135 | 0.000 | -0.000 |
| 0.000 | -0.000 | -0.000 | 0.000 | 139.135 | -0.000 |
| 0.000 | -0.000 | -0.000 | -0.000 | 0.000 | 139.135 |
| 154.311 | 128.192 | 128.192 | -0.000 | -0.000 | 0.000 |
| 128.192 | 154.311 | 128.192 | -0.000 | -0.000 | 0.000 |
| 128.192 | 128.192 | 154.311 | -0.000 | -0.000 | 0.000 |
| 0.000 | -0.000 | -0.000 | 4.220 | -0.000 | 0.000 |
| -0.000 | 0.000 | -0.000 | -0.000 | 4.220 | 0.000 |
| -0.000 | -0.000 | 0.000 | 0.000 | -0.000 | 4.220 |
| 154.311 | 128.191 | 128.191 | -0.000 | -0.000 | -0.000 |
| 128.191 | 154.311 | 128.191 | -0.000 | -0.000 | -0.000 |
| 128.191 | 128.191 | 154.311 | 0.000 | 0.000 | -0.000 |
| -0.000 | 0.000 | 0.000 | 4.220 | 0.000 | -0.000 |
| 0.000 | -0.000 | 0.000 | 0.000 | 4.220 | -0.000 |
| 0.000 | 0.000 | -0.000 | -0.000 | 0.000 | 4.220 |
| 159.694 | 202.031 | 202.031 | -0.000 | -0.000 | -0.000 |
| 202.031 | 159.694 | 202.031 | -0.000 | -0.000 | -0.000 |
| 202.031 | 202.031 | 159.694 | 0.000 | 0.000 | -0.000 |
| -0.000 | 0.000 | 0.000 | 163.327 | -0.000 | 0.000 |
| -0.000 | 0.000 | 0.000 | -0.000 | 163.327 | 0.000 |
| -0.000 | 0.000 | 0.000 | 0.000 | 0.000 | 163.327 |
| 159.694 | 202.031 | 202.031 | 0.000 | 0.000 | -0.000 |
| 202.031 | 159.694 | 202.031 | 0.000 | -0.000 | -0.000 |
| 202.031 | 202.031 | 159.694 | 0.000 | -0.000 | -0.000 |
| 0.000 | -0.000 | -0.000 | 163.327 | 0.000 | -0.000 |
| 0.000 | -0.000 | -0.000 | 0.000 | 163.327 | -0.000 |
| 0.000 | -0.000 | -0.000 | 0.000 | 0.000 | 163.327 |
| 159.694 | 202.031 | 202.031 | 0.000 | 0.000 | 0.000 |
| 202.031 | 159.694 | 202.031 | -0.000 | 0.000 | 0.000 |
| 202.031 | 202.031 | 159.694 | -0.000 | -0.000 | -0.000 |
| 0.000 | 0.000 | 0.000 | 163.327 | 0.000 | 0.000 |
| 0.000 | 0.000 | 0.000 | -0.000 | 163.327 | 0.000 |
| 0.000 | 0.000 | 0.000 | 0.000 | -0.000 | 163.327 |
| 159.694 | 202.031 | 202.031 | 0.000 | -0.000 | -0.000 |
| 202.031 | 159.694 | 202.031 | 0.000 | 0.000 | -0.000 |
| 202.031 | 202.031 | 159.694 | 0.000 | 0.000 | -0.000 |
| -0.000 | -0.000 | -0.000 | 163.327 | 0.000 | -0.000 |
| -0.000 | -0.000 | -0.000 | -0.000 | 163.327 | -0.000 |
| -0.000 | -0.000 | -0.000 | -0.000 | 0.000 | 163.327 |
| 159.695 | 202.031 | 202.031 | -0.000 | -0.000 | 0.000 |
| 202.031 | 159.695 | 202.031 | 0.000 | -0.000 | 0.000 |
| 202.031 | 202.031 | 159.695 | -0.000 | 0.000 | -0.000 |
| 0.001 | 0.000 | 0.001 | 160.897 | 0.000 | 0.000 |
| 0.000 | 0.001 | 0.001 | -0.000 | 160.897 | 0.000 |
| 0.000 | 0.001 | 0.001 | 0.000 | 0.000 | 160.897 |
| 159.694 | 202.031 | 202.031 | -0.000 | 0.000 | -0.000 |
| 202.031 | 159.694 | 202.031 | 0.000 | 0.000 | 0.000 |
| 202.031 | 202.031 | 159.694 | -0.000 | -0.000 | -0.000 |
| -0.001 | -0.000 | -0.001 | 160.897 | -0.000 | -0.000 |
| -0.000 | -0.001 | -0.001 | 0.000 | 160.897 | -0.000 |
| -0.000 | -0.001 | -0.001 | -0.000 | -0.000 | 160.897 |
| 1121.171 | 1106.242 | 1106.242 | 0.000 | -0.000 | 0.000 |
| 1106.242 | 1121.171 | 1106.242 | -0.000 | 0.000 | 0.000 |
| 1106.242 | 1106.242 | 1121.171 | -0.000 | -0.000 | 0.000 |
| -116463717.188 | 12148604.056 | 14013970.332 | 40383868.188 | 89597.109 | 89716.288 |
| 7011921.219 | -120986806.574 | 8869903.773 | 669279.187 | 39757211.650 | -789499.570 |
| 8150292.283 | 11012544.869 | -100615664.584 | -939332.934 | 3030504.665 | 40171590.305 |
| 1121.171 | 1106.242 | 1106.242 | -0.000 | 0.000 | -0.000 |
| 1106.242 | 1121.171 | 1106.242 | 0.000 | 0.000 | -0.000 |
| 1106.242 | 1106.242 | 1121.171 | 0.000 | 0.000 | -0.000 |
| 63901178.578 | 4631700.148 | 11094657.939 | 30903265.114 | -1055024.741 | -559330.482 |
| 5761747.904 | 64623538.484 | 5890870.427 | 4078975.949 | 30377065.108 | -820318.030 |
| 8769313.296 | 8499825.900 | 85526200.189 | 2083628.752 | 2405407.088 | 35576835.915 |
| 1121.171 | 1106.241 | 1106.241 | -0.000 | 0.000 | 0.000 |
| 1106.241 | 1121.171 | 1106.241 | 0.000 | -0.000 | 0.000 |
| 1106.241 | 1106.241 | 1121.171 | -0.000 | 0.000 | 0.000 |
| -11911080.705 | 813373.659 | 889170.790 | 4010845.817 | 77774.505 | -233348.086 |
| 1034573.962 | -8928299.835 | 784591.239 | 135981.396 | 3483167.369 | -275947.517 |
| 620662.841 | 572869.219 | -11301504.235 | 4346.927 | 27965.619 | 3949529.876 |
| 1121.172 | 1106.243 | 1106.243 | 0.000 | -0.000 | -0.000 |
| 1106.243 | 1121.172 | 1106.243 | 0.000 | 0.000 | -0.000 |
| 1106.243 | 1106.243 | 1121.172 | -0.000 | -0.000 | -0.000 |
| 12610508.994 | -694498.216 | -561325.543 | 4555736.835 | 175488.189 | -52277.187 |
| -314039.640 | 11666704.227 | -900574.631 | -54748.172 | 3630211.449 | 115142.994 |
| -889684.133 | -862151.867 | 10921791.526 | 328596.692 | -190877.394 | 3673582.123 |
| 1121.167 | 1106.230 | 1106.230 | -0.000 | 0.000 | 0.000 |
| 1106.230 | 1121.167 | 1106.230 | 0.000 | 0.000 | 0.000 |
| 1106.230 | 1106.230 | 1121.167 | 0.000 | 0.000 | 0.000 |
| -981425.979 | 1088.003 | 53224.438 | 406247.270 | 11173.772 | -58255.061 |
| 38381.607 | -1056413.602 | 60117.824 | -17128.524 | 427070.219 | -2957.401 |
| 76871.420 | 45840.633 | -718397.259 | -4275.389 | -2806.212 | 373030.729 |
| 1121.176 | 1106.254 | 1106.254 | 0.000 | 0.000 | -0.000 |
| 1106.254 | 1121.176 | 1106.254 | 0.000 | -0.000 | -0.000 |
| 1106.254 | 1106.254 | 1121.176 | 0.000 | -0.000 | -0.000 |
| 764201.142 | 15300.558 | 14954.927 | 358247.426 | -1232.607 | -14945.815 |
| -178798.753 | 1876759.591 | -176365.409 | 13999.003 | 491222.395 | -9918.442 |
| -36858.966 | -66394.884 | 1036594.710 | 26813.218 | -1790.753 | 440041.043 |
| 504.544 | 492.329 | 492.329 | -0.000 | 0.000 | 0.000 |
| 492.329 | 504.544 | 492.329 | -0.000 | 0.000 | 0.000 |
| 492.329 | 492.329 | 504.544 | -0.000 | 0.000 | -0.000 |
| 0.000 | 0.000 | 0.000 | -7.663 | 0.000 | 0.000 |
| 0.000 | 0.000 | 0.000 | -0.000 | -7.663 | 0.000 |
| 0.000 | 0.000 | 0.000 | -0.000 | 0.000 | -7.663 |
| 504.544 | 492.329 | 492.329 | 0.000 | -0.000 | -0.000 |
| 492.329 | 504.544 | 492.329 | 0.000 | -0.000 | -0.000 |
| 492.329 | 492.329 | 504.544 | 0.000 | -0.000 | -0.000 |
| -0.000 | -0.000 | -0.000 | -7.663 | -0.000 | 0.000 |
| -0.000 | -0.000 | -0.000 | 0.000 | -7.663 | -0.000 |
| -0.000 | -0.000 | -0.000 | 0.000 | -0.000 | -7.663 |
| 504.546 | 492.330 | 492.330 | -0.000 | 0.000 | 0.000 |
| 492.330 | 504.546 | 492.330 | -0.000 | 0.000 | 0.000 |
| 492.330 | 492.330 | 504.546 | -0.000 | 0.000 | 0.000 |
| -0.000 | -0.000 | -0.000 | -2.969 | 0.000 | 0.000 |
| -0.000 | -0.000 | -0.000 | -0.000 | -2.969 | 0.000 |
| -0.000 | -0.000 | -0.000 | -0.000 | 0.000 | -2.969 |
| 504.542 | 492.328 | 492.328 | 0.000 | -0.000 | 0.000 |
| 492.328 | 504.542 | 492.328 | 0.000 | -0.000 | -0.000 |
| 492.328 | 492.328 | 504.542 | 0.000 | -0.000 | -0.000 |
| 0.000 | 0.000 | 0.000 | -2.969 | -0.000 | -0.000 |
| 0.000 | 0.000 | 0.000 | 0.000 | -2.969 | -0.000 |
| 0.000 | 0.000 | 0.000 | 0.000 | -0.000 | -2.969 |
| 504.568 | 492.341 | 492.341 | -0.000 | 0.000 | 0.000 |
| 492.341 | 504.568 | 492.341 | -0.000 | 0.000 | 0.000 |
| 492.341 | 492.341 | 504.568 | -0.000 | 0.000 | 0.000 |
| -117938.526 | -333798.942 | -321174.266 | -265592.194 | -7786.803 | 8004.645 |
| -306615.686 | -133340.096 | -314988.529 | -2371.872 | -238540.704 | 588.011 |
| -326763.609 | -330155.803 | -119312.036 | -7825.374 | -7822.203 | -253219.564 |
| 504.520 | 492.317 | 492.317 | 0.000 | -0.000 | -0.000 |
| 492.317 | 504.520 | 492.317 | 0.000 | -0.000 | -0.000 |
| 492.317 | 492.317 | 504.520 | 0.000 | -0.000 | -0.000 |
| 117700.454 | 330977.452 | 316068.971 | -257019.249 | 1179.589 | 1073.660 |
| 311532.984 | 120214.474 | 334408.683 | -6842.004 | -264420.285 | -358.742 |
| 342368.329 | 344835.847 | 125851.424 | -6730.788 | -7780.378 | -276944.615 |
| 0.028 | 0.028 | 0.028 | -0.000 | -0.000 | -0.000 |
| 0.028 | 0.028 | 0.028 | -0.000 | -0.000 | -0.000 |
| 0.028 | 0.028 | 0.028 | -0.000 | -0.000 | -0.000 |
| 0.000 | 0.000 | 0.000 | 0.028 | -0.000 | -0.000 |
| 0.000 | 0.000 | 0.000 | -0.000 | 0.028 | -0.000 |
| 0.000 | 0.000 | 0.000 | -0.000 | -0.000 | 0.028 |
| 0.028 | 0.028 | 0.028 | 0.000 | 0.000 | 0.000 |
| 0.028 | 0.028 | 0.028 | 0.000 | 0.000 | 0.000 |
| 0.028 | 0.028 | 0.028 | 0.000 | 0.000 | 0.000 |
| -0.000 | -0.000 | -0.000 | 0.028 | 0.000 | 0.000 |
| -0.000 | -0.000 | -0.000 | 0.000 | 0.028 | 0.000 |
| -0.000 | -0.000 | -0.000 | 0.000 | 0.000 | 0.028 |
| 0.028 | 0.028 | 0.028 | -0.000 | -0.000 | -0.000 |
| 0.028 | 0.028 | 0.028 | -0.000 | -0.000 | -0.000 |
| 0.028 | 0.028 | 0.028 | -0.000 | -0.000 | -0.000 |
| 0.000 | 0.000 | 0.000 | 0.028 | -0.000 | -0.000 |
| 0.000 | 0.000 | 0.000 | -0.000 | 0.028 | -0.000 |
| 0.000 | 0.000 | 0.000 | -0.000 | -0.000 | 0.028 |
| 0.028 | 0.028 | 0.028 | 0.000 | 0.000 | 0.000 |
| 0.028 | 0.028 | 0.028 | 0.000 | 0.000 | 0.000 |
| 0.028 | 0.028 | 0.028 | 0.000 | 0.000 | 0.000 |
| -0.000 | -0.000 | -0.000 | 0.028 | 0.000 | 0.000 |
| -0.000 | -0.000 | -0.000 | 0.000 | 0.028 | 0.000 |
| -0.000 | -0.000 | -0.000 | 0.000 | 0.000 | 0.028 |
| 0.028 | 0.028 | 0.028 | -0.000 | -0.000 | -0.000 |
| 0.028 | 0.028 | 0.028 | -0.000 | -0.000 | -0.000 |
| 0.028 | 0.028 | 0.028 | -0.000 | -0.000 | -0.000 |
| 0.000 | 0.000 | 0.000 | 0.024 | -0.000 | -0.000 |
| 0.000 | 0.000 | 0.000 | -0.000 | 0.024 | -0.000 |
| 0.000 | 0.000 | 0.000 | -0.000 | -0.000 | 0.024 |
| 0.028 | 0.028 | 0.028 | 0.000 | 0.000 | 0.000 |
| 0.028 | 0.028 | 0.028 | 0.000 | 0.000 | 0.000 |
| 0.028 | 0.028 | 0.028 | 0.000 | 0.000 | 0.000 |
| -0.000 | -0.000 | -0.000 | 0.024 | 0.000 | 0.000 |
| -0.000 | -0.000 | -0.000 | 0.000 | 0.024 | 0.000 |
| -0.000 | -0.000 | -0.000 | 0.000 | -0.000 | 0.024 |
| 423.508 | 10.909 | 10.909 | -0.000 | -0.000 | 0.000 |
| 10.909 | 423.508 | 10.909 | -0.000 | -0.000 | -0.000 |
| 10.909 | 10.909 | 423.508 | -0.000 | -0.000 | 0.000 |
| -0.000 | 0.000 | -0.000 | 9.635 | 0.000 | -0.000 |
| -0.000 | 0.000 | -0.000 | -0.000 | 9.635 | -0.000 |
| -0.000 | -0.000 | 0.000 | -0.000 | -0.000 | 9.635 |
| 423.508 | 10.909 | 10.909 | 0.000 | 0.000 | -0.000 |
| 10.909 | 423.508 | 10.909 | 0.000 | 0.000 | -0.000 |
| 10.909 | 10.909 | 423.508 | 0.000 | 0.000 | -0.000 |
| 0.000 | -0.000 | 0.000 | 9.635 | 0.000 | -0.000 |
| 0.000 | -0.000 | 0.000 | 0.000 | 9.635 | -0.000 |
| 0.000 | 0.000 | -0.000 | 0.000 | 0.000 | 9.635 |
| 423.509 | 10.909 | 10.909 | -0.000 | -0.000 | 0.000 |
| 10.909 | 423.509 | 10.909 | -0.000 | -0.000 | 0.000 |
| 10.909 | 10.909 | 423.509 | 0.000 | -0.000 | 0.000 |
| 0.000 | -0.000 | -0.000 | 9.635 | -0.000 | 0.000 |
| -0.000 | 0.000 | -0.000 | -0.000 | 9.635 | 0.000 |
| -0.000 | -0.000 | 0.000 | -0.000 | -0.000 | 9.635 |
| 423.508 | 10.909 | 10.909 | 0.000 | 0.000 | -0.000 |
| 10.909 | 423.508 | 10.909 | 0.000 | 0.000 | -0.000 |
| 10.909 | 10.909 | 423.508 | 0.000 | 0.000 | -0.000 |
| -0.000 | 0.000 | 0.000 | 9.635 | -0.000 | 0.000 |
| 0.000 | -0.000 | 0.000 | 0.000 | 9.635 | -0.000 |
| 0.000 | 0.000 | -0.000 | 0.000 | 0.000 | 9.635 |
| 423.510 | 10.908 | 10.908 | -0.000 | -0.000 | 0.000 |
| 10.908 | 423.510 | 10.908 | -0.000 | 0.000 | 0.000 |
| 10.908 | 10.908 | 423.510 | -0.000 | -0.000 | 0.000 |
| 0.000 | -0.000 | -0.000 | 9.635 | -0.000 | -0.000 |
| -0.000 | 0.000 | -0.000 | -0.000 | 9.635 | 0.000 |
| -0.000 | -0.000 | 0.000 | -0.000 | -0.000 | 9.635 |
| 423.507 | 10.909 | 10.909 | 0.000 | -0.000 | -0.000 |
| 10.909 | 423.507 | 10.909 | 0.000 | -0.000 | -0.000 |
| 10.909 | 10.909 | 423.507 | 0.000 | 0.000 | -0.000 |
| -0.000 | 0.000 | 0.000 | 9.635 | 0.000 | -0.000 |
| 0.000 | -0.000 | 0.000 | 0.000 | 9.635 | -0.000 |
| 0.000 | 0.000 | -0.000 | 0.000 | 0.000 | 9.635 |
| 581.585 | 204.631 | 204.631 | 0.000 | -0.000 | -0.000 |
| 204.631 | 581.585 | 204.631 | 0.000 | -0.000 | -0.000 |
| 204.631 | 204.631 | 581.585 | -0.000 | -0.000 | -0.000 |
| -0.000 | -0.000 | -0.000 | 206.422 | 0.000 | 0.000 |
| -0.000 | -0.000 | -0.000 | 0.000 | 206.422 | -0.000 |
| -0.000 | -0.000 | -0.000 | 0.000 | -0.000 | 206.422 |
| 581.586 | 204.631 | 204.631 | -0.000 | 0.000 | 0.000 |
| 204.631 | 581.586 | 204.631 | 0.000 | 0.000 | 0.000 |
| 204.631 | 204.631 | 581.586 | -0.000 | 0.000 | 0.000 |
| 0.000 | 0.000 | 0.000 | 206.422 | -0.000 | 0.000 |
| 0.000 | 0.000 | 0.000 | -0.000 | 206.422 | 0.000 |
| 0.000 | 0.000 | 0.000 | -0.000 | 0.000 | 206.422 |
| 581.585 | 204.631 | 204.631 | 0.000 | 0.000 | -0.000 |
| 204.631 | 581.585 | 204.631 | 0.000 | 0.000 | -0.000 |
| 204.631 | 204.631 | 581.585 | -0.000 | -0.000 | -0.000 |
| -0.000 | -0.000 | -0.000 | 206.422 | 0.000 | -0.000 |
| -0.000 | -0.000 | -0.000 | 0.000 | 206.422 | -0.000 |
| -0.000 | -0.000 | -0.000 | 0.000 | 0.000 | 206.422 |
| 581.586 | 204.631 | 204.631 | -0.000 | 0.000 | 0.000 |
| 204.631 | 581.586 | 204.631 | -0.000 | 0.000 | 0.000 |
| 204.631 | 204.631 | 581.586 | -0.000 | 0.000 | 0.000 |
| 0.000 | 0.000 | 0.000 | 206.422 | 0.000 | 0.000 |
| 0.000 | 0.000 | 0.000 | 0.000 | 206.422 | 0.000 |
| 0.000 | 0.000 | 0.000 | -0.000 | 0.000 | 206.422 |
| 581.582 | 204.630 | 204.630 | -0.000 | -0.000 | -0.000 |
| 204.630 | 581.582 | 204.630 | -0.000 | -0.000 | -0.000 |
| 204.630 | 204.630 | 581.582 | 0.000 | -0.000 | -0.000 |
| -0.000 | -0.002 | -0.002 | 206.422 | 0.000 | -0.000 |
| -0.002 | -0.000 | -0.002 | 0.000 | 206.422 | -0.000 |
| -0.002 | -0.002 | -0.000 | 0.000 | 0.000 | 206.422 |
| 581.589 | 204.633 | 204.633 | -0.000 | 0.000 | 0.000 |
| 204.633 | 581.589 | 204.633 | -0.000 | 0.000 | 0.000 |
| 204.633 | 204.633 | 581.589 | 0.000 | 0.000 | 0.000 |
| 0.000 | 0.002 | 0.002 | 206.422 | -0.000 | 0.000 |
| 0.002 | 0.000 | 0.002 | -0.000 | 206.422 | 0.000 |
| 0.002 | 0.002 | 0.000 | -0.000 | 0.000 | 206.422 |
| 75.052 | 37.767 | 37.767 | 0.000 | -0.000 | 0.000 |
| 37.767 | 75.052 | 37.767 | 0.000 | 0.000 | 0.000 |
| 37.767 | 37.767 | 75.052 | 0.000 | -0.000 | 0.000 |
| -0.000 | 0.000 | 0.000 | 37.664 | -0.000 | 0.000 |
| 0.000 | 0.000 | 0.000 | 0.000 | 37.664 | 0.000 |
| 0.000 | 0.000 | 0.000 | 0.000 | 0.000 | 37.664 |
| 75.051 | 37.767 | 37.767 | -0.000 | 0.000 | -0.000 |
| 37.767 | 75.051 | 37.767 | -0.000 | -0.000 | -0.000 |
| 37.767 | 37.767 | 75.051 | -0.000 | -0.000 | -0.000 |
| 0.000 | -0.000 | -0.000 | 37.664 | 0.000 | -0.000 |
| -0.000 | -0.000 | -0.000 | -0.000 | 37.664 | -0.000 |
| -0.000 | -0.000 | -0.000 | -0.000 | -0.000 | 37.664 |
| 75.052 | 37.767 | 37.767 | 0.000 | 0.000 | 0.000 |
| 37.767 | 75.052 | 37.767 | 0.000 | 0.000 | 0.000 |
| 37.767 | 37.767 | 75.052 | 0.000 | 0.000 | 0.000 |
| -0.000 | 0.000 | 0.000 | 37.664 | 0.000 | 0.000 |
| 0.000 | -0.000 | 0.000 | 0.000 | 37.664 | 0.000 |
| 0.000 | 0.000 | -0.000 | 0.000 | 0.000 | 37.664 |
| 75.051 | 37.767 | 37.767 | -0.000 | -0.000 | -0.000 |
| 37.767 | 75.051 | 37.767 | -0.000 | -0.000 | -0.000 |
| 37.767 | 37.767 | 75.051 | 0.000 | -0.000 | -0.000 |
| 0.000 | -0.000 | -0.000 | 37.664 | -0.000 | -0.000 |
| -0.000 | 0.000 | -0.000 | -0.000 | 37.664 | -0.000 |
| -0.000 | -0.000 | 0.000 | -0.000 | -0.000 | 37.664 |
| 75.052 | 37.767 | 37.767 | 0.000 | 0.000 | 0.000 |
| 37.767 | 75.052 | 37.767 | 0.000 | 0.000 | 0.000 |
| 37.767 | 37.767 | 75.052 | 0.000 | 0.000 | 0.000 |
| -0.000 | 0.000 | 0.000 | 37.664 | 0.000 | 0.000 |
| 0.000 | -0.000 | 0.000 | 0.000 | 37.664 | 0.000 |
| 0.000 | 0.000 | -0.000 | 0.000 | 0.000 | 37.664 |
| 75.051 | 37.766 | 37.766 | -0.000 | -0.000 | -0.000 |
| 37.766 | 75.051 | 37.766 | -0.000 | -0.000 | -0.000 |
| 37.766 | 37.766 | 75.051 | -0.000 | -0.000 | -0.000 |
| 0.000 | -0.000 | -0.000 | 37.664 | -0.000 | -0.000 |
| -0.000 | 0.000 | -0.000 | -0.000 | 37.664 | -0.000 |
| -0.000 | -0.000 | 0.000 | -0.000 | -0.000 | 37.664 |
| 71.483 | 153.615 | 153.615 | -0.000 | -0.000 | -0.000 |
| 153.615 | 71.483 | 153.615 | 0.000 | -0.000 | -0.000 |
| 153.615 | 153.615 | 71.483 | -0.000 | -0.000 | -0.000 |
| 0.000 | 0.000 | 0.000 | 118.107 | -0.000 | -0.000 |
| 0.000 | 0.000 | 0.000 | 0.000 | 118.107 | -0.000 |
| 0.000 | 0.000 | 0.000 | 0.000 | -0.000 | 118.107 |
| 71.483 | 153.615 | 153.615 | -0.000 | 0.000 | 0.000 |
| 153.615 | 71.483 | 153.615 | -0.000 | 0.000 | 0.000 |
| 153.615 | 153.615 | 71.483 | 0.000 | 0.000 | 0.000 |
| -0.000 | -0.000 | -0.000 | 118.107 | 0.000 | 0.000 |
| -0.000 | -0.000 | -0.000 | 0.000 | 118.107 | 0.000 |
| -0.000 | -0.000 | -0.000 | -0.000 | 0.000 | 118.107 |
| 71.483 | 153.616 | 153.616 | 0.000 | -0.000 | -0.000 |
| 153.616 | 71.483 | 153.616 | -0.000 | -0.000 | -0.000 |
| 153.616 | 153.616 | 71.483 | -0.000 | 0.000 | -0.000 |
| 0.000 | 0.000 | 0.000 | 118.107 | -0.000 | -0.000 |
| 0.000 | 0.000 | 0.000 | 0.000 | 118.107 | -0.000 |
| 0.000 | 0.000 | 0.000 | 0.000 | -0.000 | 118.107 |
| 71.483 | 153.615 | 153.615 | 0.000 | 0.000 | 0.000 |
| 153.615 | 71.483 | 153.615 | 0.000 | -0.000 | 0.000 |
| 153.615 | 153.615 | 71.483 | 0.000 | 0.000 | 0.000 |
| -0.000 | -0.000 | -0.000 | 118.107 | 0.000 | 0.000 |
| -0.000 | -0.000 | -0.000 | 0.000 | 118.107 | 0.000 |
| -0.000 | -0.000 | -0.000 | -0.000 | 0.000 | 118.107 |
| 71.484 | 153.616 | 153.616 | 0.000 | -0.000 | -0.000 |
| 153.616 | 71.484 | 153.616 | 0.000 | -0.000 | -0.000 |
| 153.616 | 153.616 | 71.484 | -0.000 | -0.000 | -0.000 |
| 0.001 | 0.000 | 0.001 | 118.107 | -0.000 | -0.000 |
| 0.000 | 0.001 | 0.001 | 0.000 | 118.107 | -0.000 |
| 0.000 | 0.001 | 0.001 | 0.000 | -0.000 | 118.107 |
| 71.481 | 153.615 | 153.615 | 0.000 | 0.000 | 0.000 |
| 153.615 | 71.481 | 153.615 | 0.000 | 0.000 | 0.000 |
| 153.615 | 153.615 | 71.481 | -0.000 | 0.000 | 0.000 |
| -0.001 | -0.000 | -0.001 | 118.107 | 0.000 | 0.000 |
| -0.000 | -0.001 | -0.001 | -0.000 | 118.107 | 0.000 |
| -0.000 | -0.001 | -0.001 | -0.000 | 0.000 | 118.107 |
| 150.366 | -6.056 | -6.056 | 0.000 | 0.000 | 0.000 |
| -6.056 | 150.366 | -6.056 | -0.000 | 0.000 | -0.000 |
| -6.056 | -6.056 | 150.366 | 0.000 | 0.000 | -0.000 |
| 0.000 | 0.000 | 0.000 | 6.459 | 0.000 | 0.000 |
| 0.000 | 0.000 | 0.000 | 0.000 | 6.459 | -0.000 |
| 0.000 | 0.000 | 0.000 | 0.000 | 0.000 | 6.459 |
| 150.367 | -6.056 | -6.056 | -0.000 | -0.000 | 0.000 |
| -6.056 | 150.367 | -6.056 | -0.000 | -0.000 | -0.000 |
| -6.056 | -6.056 | 150.367 | -0.000 | -0.000 | 0.000 |
| -0.000 | -0.000 | -0.000 | 6.459 | -0.000 | 0.000 |
| -0.000 | -0.000 | -0.000 | -0.000 | 6.459 | -0.000 |
| -0.000 | -0.000 | -0.000 | -0.000 | -0.000 | 6.459 |
| 150.366 | -6.056 | -6.056 | 0.000 | 0.000 | -0.000 |
| -6.056 | 150.366 | -6.056 | 0.000 | 0.000 | -0.000 |
| -6.056 | -6.056 | 150.366 | 0.000 | 0.000 | -0.000 |
| 0.000 | 0.000 | 0.000 | 6.459 | 0.000 | 0.000 |
| 0.000 | 0.000 | 0.000 | 0.000 | 6.459 | -0.000 |
| 0.000 | 0.000 | 0.000 | 0.000 | 0.000 | 6.459 |
| 150.367 | -6.056 | -6.056 | -0.000 | -0.000 | 0.000 |
| -6.056 | 150.367 | -6.056 | -0.000 | -0.000 | 0.000 |
| -6.056 | -6.056 | 150.367 | -0.000 | -0.000 | 0.000 |
| -0.000 | -0.000 | -0.000 | 6.459 | -0.000 | 0.000 |
| -0.000 | -0.000 | -0.000 | -0.000 | 6.459 | -0.000 |
| -0.000 | -0.000 | -0.000 | -0.000 | -0.000 | 6.459 |
| 150.365 | -6.056 | -6.056 | 0.000 | 0.000 | -0.000 |
| -6.056 | 150.365 | -6.056 | -0.000 | 0.000 | 0.000 |
| -6.056 | -6.056 | 150.365 | 0.000 | 0.000 | -0.000 |
| 0.000 | 0.000 | 0.000 | 6.459 | 0.000 | -0.000 |
| 0.000 | 0.000 | 0.000 | 0.000 | 6.459 | 0.000 |
| 0.000 | 0.000 | 0.000 | 0.000 | 0.000 | 6.459 |
| 150.368 | -6.056 | -6.056 | -0.000 | -0.000 | 0.000 |
| -6.056 | 150.368 | -6.056 | -0.000 | -0.000 | 0.000 |
| -6.056 | -6.056 | 150.368 | -0.000 | -0.000 | -0.000 |
| -0.000 | -0.000 | -0.000 | 6.459 | -0.000 | 0.000 |
| -0.000 | -0.000 | -0.000 | -0.000 | 6.459 | 0.000 |
| -0.000 | -0.000 | -0.000 | -0.000 | -0.000 | 6.459 |
| 0.511 | 0.511 | 0.511 | -0.000 | -0.000 | -0.000 |
| 0.511 | 0.511 | 0.511 | -0.000 | -0.000 | -0.000 |
| 0.511 | 0.511 | 0.511 | -0.000 | -0.000 | -0.000 |
| 0.000 | 0.000 | 0.000 | 0.511 | -0.000 | -0.000 |
| 0.000 | 0.000 | 0.000 | -0.000 | 0.511 | -0.000 |
| 0.000 | 0.000 | 0.000 | -0.000 | -0.000 | 0.511 |
| 0.511 | 0.511 | 0.511 | 0.000 | 0.000 | 0.000 |
| 0.511 | 0.511 | 0.511 | 0.000 | 0.000 | 0.000 |
| 0.511 | 0.511 | 0.511 | 0.000 | 0.000 | 0.000 |
| -0.000 | -0.000 | -0.000 | 0.511 | 0.000 | 0.000 |
| -0.000 | -0.000 | -0.000 | 0.000 | 0.511 | 0.000 |
| -0.000 | -0.000 | -0.000 | 0.000 | -0.000 | 0.511 |
| 0.511 | 0.511 | 0.511 | -0.000 | -0.000 | -0.000 |
| 0.511 | 0.511 | 0.511 | -0.000 | -0.000 | -0.000 |
| 0.511 | 0.511 | 0.511 | -0.000 | -0.000 | -0.000 |
| 0.000 | 0.000 | 0.000 | 0.511 | -0.000 | -0.000 |
| 0.000 | 0.000 | 0.000 | -0.000 | 0.511 | -0.000 |
| 0.000 | 0.000 | 0.000 | -0.000 | -0.000 | 0.511 |
| 0.511 | 0.511 | 0.511 | 0.000 | 0.000 | 0.000 |
| 0.511 | 0.511 | 0.511 | 0.000 | 0.000 | 0.000 |
| 0.511 | 0.511 | 0.511 | 0.000 | 0.000 | 0.000 |
| -0.000 | -0.000 | -0.000 | 0.511 | 0.000 | 0.000 |
| -0.000 | -0.000 | -0.000 | 0.000 | 0.511 | 0.000 |
| -0.000 | -0.000 | -0.000 | 0.000 | 0.000 | 0.511 |
| 0.511 | 0.511 | 0.511 | -0.000 | -0.000 | -0.000 |
| 0.511 | 0.511 | 0.511 | -0.000 | -0.000 | -0.000 |
| 0.511 | 0.511 | 0.511 | -0.000 | -0.000 | -0.000 |
| 0.000 | 0.000 | 0.000 | 0.511 | -0.000 | -0.000 |
| 0.000 | 0.000 | 0.000 | -0.000 | 0.511 | -0.000 |
| 0.000 | 0.000 | 0.000 | -0.000 | -0.000 | 0.511 |
| 0.511 | 0.511 | 0.511 | 0.000 | 0.000 | 0.000 |
| 0.511 | 0.511 | 0.511 | 0.000 | 0.000 | 0.000 |
| 0.511 | 0.511 | 0.511 | 0.000 | 0.000 | 0.000 |
| -0.000 | -0.000 | -0.000 | 0.511 | 0.000 | 0.000 |
| -0.000 | -0.000 | -0.000 | 0.000 | 0.511 | 0.000 |
| -0.000 | -0.000 | -0.000 | 0.000 | 0.000 | 0.511 |
| 67.669 | 92.291 | 92.291 | -0.000 | 0.000 | 0.000 |
| 92.292 | 67.669 | 92.291 | 0.000 | -0.000 | 0.000 |
| 92.292 | 92.291 | 67.669 | 0.000 | 0.000 | -0.000 |
| 0.000 | 0.000 | 0.000 | -50.313 | 0.000 | 0.000 |
| 0.000 | 0.000 | 0.000 | 0.000 | -50.313 | -0.000 |
| 0.000 | 0.000 | 0.000 | 0.000 | 0.000 | -50.313 |
| 67.669 | 92.291 | 92.291 | -0.000 | 0.000 | -0.000 |
| 92.291 | 67.669 | 92.291 | -0.000 | 0.000 | -0.000 |
| 92.291 | 92.291 | 67.669 | -0.000 | -0.000 | 0.000 |
| -0.000 | -0.000 | -0.000 | -50.313 | -0.000 | 0.000 |
| -0.000 | -0.000 | -0.000 | -0.000 | -50.313 | -0.000 |
| -0.000 | -0.000 | -0.000 | -0.000 | -0.000 | -50.313 |
| 67.669 | 92.291 | 92.291 | -0.000 | -0.000 | -0.000 |
| 92.291 | 67.669 | 92.291 | 0.000 | -0.000 | -0.000 |
| 92.291 | 92.291 | 67.669 | 0.000 | -0.000 | -0.000 |
| -0.000 | 0.000 | 0.000 | -50.313 | -0.000 | -0.000 |
| 0.000 | -0.000 | 0.000 | 0.000 | -50.313 | -0.000 |
| 0.000 | 0.000 | -0.000 | 0.000 | 0.000 | -50.313 |
| 67.669 | 92.291 | 92.291 | -0.000 | -0.000 | 0.000 |
| 92.291 | 67.669 | 92.291 | -0.000 | -0.000 | -0.000 |
| 92.291 | 92.291 | 67.669 | -0.000 | -0.000 | -0.000 |
| 0.000 | -0.000 | -0.000 | -50.313 | -0.000 | 0.000 |
| -0.000 | 0.000 | -0.000 | -0.000 | -50.313 | -0.000 |
| -0.000 | -0.000 | 0.000 | -0.000 | -0.000 | -50.313 |
| 67.670 | 92.292 | 92.292 | -0.000 | 0.000 | 0.000 |
| 92.292 | 67.670 | 92.292 | 0.000 | -0.000 | 0.000 |
| 92.292 | 92.292 | 67.670 | 0.000 | 0.000 | -0.000 |
| 0.000 | 0.000 | 0.000 | 71.176 | -0.000 | 0.000 |
| 0.000 | 0.000 | 0.000 | 0.000 | 71.176 | 0.000 |
| 0.000 | 0.000 | 0.000 | 0.000 | 0.000 | 71.176 |
| 67.669 | 92.291 | 92.291 | 0.000 | 0.000 | -0.000 |
| 92.291 | 67.669 | 92.291 | -0.000 | -0.000 | -0.000 |
| 92.291 | 92.291 | 67.669 | -0.000 | 0.000 | 0.000 |
| -0.000 | -0.000 | -0.000 | 71.176 | 0.000 | -0.000 |
| -0.000 | -0.000 | -0.000 | 0.000 | 71.176 | 0.000 |
| -0.000 | -0.000 | -0.000 | 0.000 | -0.000 | 71.176 |
| 39.500 | 10.089 | 10.089 | 0.000 | 0.000 | 0.000 |
| 10.089 | 39.500 | 10.089 | 0.000 | 0.000 | 0.000 |
| 10.089 | 10.089 | 39.500 | 0.000 | 0.000 | -0.000 |
| 0.000 | -0.000 | 0.000 | 10.226 | 0.000 | -0.000 |
| 0.000 | -0.000 | 0.000 | 0.000 | 10.226 | 0.000 |
| -0.000 | -0.000 | 0.000 | 0.000 | 0.000 | 10.226 |
| 39.500 | 10.089 | 10.089 | -0.000 | -0.000 | -0.000 |
| 10.089 | 39.500 | 10.089 | -0.000 | -0.000 | -0.000 |
| 10.089 | 10.089 | 39.500 | -0.000 | -0.000 | -0.000 |
| -0.000 | 0.000 | -0.000 | 10.226 | 0.000 | -0.000 |
| 0.000 | 0.000 | 0.000 | 0.000 | 10.226 | -0.000 |
| -0.000 | 0.000 | -0.000 | 0.000 | -0.000 | 10.226 |
| 39.500 | 10.089 | 10.089 | -0.000 | 0.000 | 0.000 |
| 10.089 | 39.500 | 10.089 | 0.000 | 0.000 | 0.000 |
| 10.089 | 10.089 | 39.500 | 0.000 | -0.000 | -0.000 |
| -396349.971 | -38560194.177 | -38790664.857 | -19630000.217 | 63336.286 | 34001.313 |
| -37642135.505 | 387412.910 | -37897015.277 | 26966.869 | -22560771.803 | -26813.404 |
| -37750643.968 | -37910211.163 | 437851.427 | -1762.313 | -38385.292 | -22214490.727 |
| 39.501 | 10.089 | 10.089 | -0.000 | -0.000 | -0.000 |
| 10.089 | 39.501 | 10.089 | -0.000 | -0.000 | -0.000 |
| 10.089 | 10.089 | 39.501 | 0.000 | -0.000 | -0.000 |
| -295153.302 | 37578281.100 | 37488626.883 | -17843430.252 | -7421.964 | 15210.329 |
| 37940566.616 | -220797.182 | 37755051.328 | -7308.427 | -17992116.548 | -3924.244 |
| 37982906.042 | 37803635.616 | -234099.425 | 15326.321 | -11189.691 | -17822104.134 |
| 39.500 | 10.089 | 10.089 | 0.000 | 0.000 | 0.000 |
| 10.089 | 39.500 | 10.089 | 0.000 | 0.000 | 0.000 |
| 10.089 | 10.089 | 39.500 | 0.000 | 0.000 | -0.000 |
| 26977.153 | -3848841.482 | -3844762.137 | -2280014.946 | -4564.816 | 1402.957 |
| -3830764.666 | 32994.680 | -3815311.168 | -4516.978 | -2275217.388 | -2229.984 |
| -3804586.758 | -3812176.800 | 31030.666 | -3666.119 | -5222.188 | -2271807.978 |
| 39.501 | 10.089 | 10.089 | 0.000 | 0.000 | 0.000 |
| 10.089 | 39.501 | 10.089 | 0.000 | 0.000 | 0.000 |
| 10.089 | 10.089 | 39.501 | 0.000 | 0.000 | 0.000 |
| -34780.170 | 3720816.395 | 3730151.164 | -2215286.641 | 2170.895 | -6040.547 |
| 3729961.491 | -40215.611 | 3728848.697 | -1239.421 | -2222443.262 | 476.413 |
| 3768288.500 | 3741568.912 | -39222.705 | -1726.146 | -1162.173 | -2202802.093 |
| 0.128 | 0.128 | 0.128 | 0.000 | -0.000 | -0.000 |
| 0.128 | 0.128 | 0.128 | -0.000 | 0.000 | -0.000 |
| 0.128 | 0.128 | 0.128 | -0.000 | -0.000 | 0.000 |
| 0.000 | 0.000 | 0.000 | 0.128 | 0.000 | -0.000 |
| 0.000 | 0.000 | 0.000 | 0.000 | 0.128 | -0.000 |
| 0.000 | 0.000 | 0.000 | 0.000 | -0.000 | 0.128 |
| 0.128 | 0.128 | 0.128 | -0.000 | 0.000 | 0.000 |
| 0.128 | 0.128 | 0.128 | 0.000 | -0.000 | 0.000 |
| 0.128 | 0.128 | 0.128 | 0.000 | 0.000 | -0.000 |
| -0.000 | -0.000 | -0.000 | 0.117 | 0.000 | 0.000 |
| -0.000 | -0.000 | -0.000 | 0.000 | 0.117 | 0.000 |
| -0.000 | -0.000 | -0.000 | 0.000 | 0.000 | 0.117 |
| 0.128 | 0.128 | 0.128 | -0.000 | -0.000 | -0.000 |
| 0.128 | 0.128 | 0.128 | -0.000 | -0.000 | -0.000 |
| 0.128 | 0.128 | 0.128 | -0.000 | -0.000 | -0.000 |
| 0.000 | 0.000 | 0.000 | 0.099 | -0.000 | -0.000 |
| 0.000 | 0.000 | 0.000 | -0.000 | 0.099 | -0.000 |
| 0.000 | 0.000 | 0.000 | -0.000 | -0.000 | 0.099 |
| 0.128 | 0.128 | 0.128 | 0.000 | 0.000 | 0.000 |
| 0.128 | 0.128 | 0.128 | 0.000 | 0.000 | 0.000 |
| 0.128 | 0.128 | 0.128 | 0.000 | 0.000 | 0.000 |
| -0.000 | -0.000 | -0.000 | 0.099 | 0.000 | 0.000 |
| -0.000 | -0.000 | -0.000 | 0.000 | 0.099 | 0.000 |
| -0.000 | -0.000 | -0.000 | 0.000 | 0.000 | 0.099 |
| 0.128 | 0.128 | 0.128 | -0.000 | -0.000 | -0.000 |
| 0.128 | 0.128 | 0.128 | -0.000 | -0.000 | -0.000 |
| 0.128 | 0.128 | 0.128 | -0.000 | -0.000 | -0.000 |
| 0.000 | -0.000 | 0.000 | 0.010 | -0.000 | -0.000 |
| -0.000 | 0.000 | 0.000 | -0.000 | 0.010 | -0.000 |
| -0.000 | 0.000 | 0.000 | -0.000 | -0.000 | 0.010 |
| 0.128 | 0.128 | 0.128 | 0.000 | 0.000 | 0.000 |
| 0.128 | 0.128 | 0.128 | 0.000 | 0.000 | 0.000 |
| 0.128 | 0.128 | 0.128 | 0.000 | 0.000 | 0.000 |
| -0.000 | 0.000 | -0.000 | 0.010 | 0.000 | 0.000 |
| 0.000 | -0.000 | -0.000 | 0.000 | 0.010 | 0.000 |
| 0.000 | -0.000 | -0.000 | 0.000 | 0.000 | 0.010 |
| 377.098 | -46.239 | 74.154 | 0.000 | -0.000 | 0.000 |
| -46.239 | 377.098 | 74.154 | -0.000 | -0.000 | 0.000 |
| 74.155 | 74.155 | 361.773 | -0.000 | -0.000 | 0.000 |
| 0.000 | 0.000 | 0.000 | 183.739 | -0.000 | 0.000 |
| 0.000 | 0.000 | 0.000 | 0.000 | 183.739 | 0.000 |
| 0.000 | 0.000 | 0.000 | -0.000 | -0.000 | 117.619 |
| 377.098 | -46.239 | 74.154 | -0.000 | 0.000 | 0.000 |
| -46.239 | 377.098 | 74.154 | -0.000 | 0.000 | -0.000 |
| 74.154 | 74.154 | 361.773 | -0.000 | 0.000 | 0.000 |
| -0.000 | -0.000 | -0.000 | 183.739 | 0.000 | -0.000 |
| -0.000 | -0.000 | -0.000 | 0.000 | 183.739 | 0.000 |
| -0.000 | -0.000 | -0.000 | -0.000 | 0.000 | 117.619 |
| 377.099 | -46.238 | 74.155 | -0.000 | -0.000 | 0.000 |
| -46.238 | 377.099 | 74.155 | 0.000 | 0.000 | 0.000 |
| 74.155 | 74.155 | 361.774 | -0.000 | -0.000 | -0.000 |
| 0.000 | 0.000 | 0.000 | 183.739 | 0.000 | -0.000 |
| 0.000 | 0.000 | 0.000 | 0.000 | 183.739 | -0.000 |
| 0.000 | 0.000 | 0.000 | 0.000 | -0.000 | 117.619 |
| 377.097 | -46.239 | 74.154 | -0.000 | 0.000 | -0.000 |
| -46.239 | 377.097 | 74.154 | 0.000 | -0.000 | -0.000 |
| 74.154 | 74.154 | 361.772 | 0.000 | 0.000 | -0.000 |
| -0.000 | -0.000 | -0.000 | 183.739 | 0.000 | -0.000 |
| -0.000 | -0.000 | -0.000 | 0.000 | 183.739 | 0.000 |
| -0.000 | -0.000 | -0.000 | -0.000 | 0.000 | 117.619 |
| 377.106 | -46.237 | 74.156 | -0.000 | -0.000 | -0.000 |
| -46.237 | 377.106 | 74.156 | -0.000 | 0.000 | 0.000 |
| 74.157 | 74.157 | 361.781 | 0.000 | 0.000 | 0.000 |
| 0.001 | 0.000 | 0.001 | 183.739 | -0.000 | 0.000 |
| 0.000 | 0.001 | 0.001 | -0.000 | 183.739 | -0.000 |
| 0.001 | 0.001 | 0.001 | 0.000 | -0.000 | 117.619 |
| 377.090 | -46.240 | 74.153 | -0.000 | -0.000 | -0.000 |
| -46.240 | 377.090 | 74.153 | -0.000 | 0.000 | 0.000 |
| 74.152 | 74.152 | 361.766 | 0.000 | 0.000 | -0.000 |
| -0.001 | -0.000 | -0.001 | 183.739 | 0.000 | -0.000 |
| -0.000 | -0.001 | -0.001 | -0.000 | 183.739 | 0.000 |
| -0.001 | -0.001 | -0.001 | -0.000 | 0.000 | 117.619 |
| 0.351 | 0.351 | 0.601 | -0.000 | -0.000 | -0.000 |
| 0.351 | 0.351 | 0.601 | -0.000 | -0.000 | -0.000 |
| 0.601 | 0.601 | 1.030 | 0.000 | 0.000 | -0.000 |
| 0.000 | 0.000 | 0.000 | 0.601 | -0.000 | -0.000 |
| 0.000 | 0.000 | 0.000 | -0.000 | 0.601 | -0.000 |
| 0.000 | 0.000 | 0.000 | 0.000 | 0.000 | 0.351 |
| 0.351 | 0.351 | 0.601 | -0.000 | 0.000 | 0.000 |
| 0.351 | 0.351 | 0.601 | 0.000 | -0.000 | 0.000 |
| 0.601 | 0.601 | 1.030 | 0.000 | 0.000 | 0.000 |
| -0.000 | -0.000 | -0.000 | 0.601 | 0.000 | 0.000 |
| -0.000 | -0.000 | -0.000 | 0.000 | 0.601 | 0.000 |
| -0.000 | -0.000 | -0.000 | -0.000 | 0.000 | 0.351 |
| 0.351 | 0.351 | 0.601 | 0.000 | -0.000 | -0.000 |
| 0.351 | 0.351 | 0.601 | -0.000 | 0.000 | -0.000 |
| 0.601 | 0.601 | 1.030 | 0.000 | 0.000 | -0.000 |
| 0.000 | 0.000 | 0.000 | 0.601 | -0.000 | -0.000 |
| 0.000 | 0.000 | 0.000 | -0.000 | 0.601 | -0.000 |
| 0.000 | 0.000 | 0.000 | -0.000 | -0.000 | 0.351 |
| 0.351 | 0.351 | 0.601 | -0.000 | 0.000 | 0.000 |
| 0.351 | 0.351 | 0.601 | 0.000 | 0.000 | 0.000 |
| 0.601 | 0.601 | 1.030 | 0.000 | 0.000 | 0.000 |
| -0.000 | -0.000 | -0.000 | 0.601 | 0.000 | 0.000 |
| -0.000 | -0.000 | -0.000 | 0.000 | 0.601 | 0.000 |
| -0.000 | -0.000 | -0.000 | -0.000 | 0.000 | 0.351 |
| 0.351 | 0.351 | 0.601 | -0.000 | -0.000 | -0.000 |
| 0.351 | 0.351 | 0.601 | -0.000 | -0.000 | -0.000 |
| 0.601 | 0.601 | 1.031 | -0.000 | -0.000 | -0.000 |
| 0.000 | 0.000 | 0.000 | 0.601 | -0.000 | -0.000 |
| 0.000 | 0.000 | 0.000 | -0.000 | 0.601 | -0.000 |
| 0.000 | 0.000 | 0.000 | -0.000 | -0.000 | 0.351 |
| 0.351 | 0.351 | 0.601 | 0.000 | 0.000 | 0.000 |
| 0.351 | 0.351 | 0.601 | 0.000 | 0.000 | 0.000 |
| 0.601 | 0.601 | 1.030 | 0.000 | 0.000 | 0.000 |
| -0.000 | -0.000 | -0.000 | 0.601 | 0.000 | 0.000 |
| -0.000 | -0.000 | -0.000 | 0.000 | 0.601 | 0.000 |
| -0.000 | -0.000 | -0.000 | 0.000 | 0.000 | 0.351 |
| 322.924 | 59.542 | 31.001 | 0.000 | 0.000 | 0.000 |
| 59.542 | 322.924 | 31.001 | 0.000 | 0.000 | 0.000 |
| 31.001 | 31.001 | 205.417 | 0.000 | -0.000 | 0.000 |
| -0.000 | -0.000 | 0.000 | 81.373 | -0.000 | 0.000 |
| -0.000 | -0.000 | 0.000 | 0.000 | 81.373 | 0.000 |
| -0.000 | 0.000 | 0.000 | 0.000 | 0.000 | 131.691 |
| 312.098 | 70.368 | 31.001 | -0.000 | 0.000 | -0.000 |
| 70.368 | 312.098 | 31.001 | -0.000 | 0.000 | -0.000 |
| 31.001 | 31.001 | 205.417 | -0.000 | -0.000 | -0.000 |
| 0.000 | 0.000 | -0.000 | 81.373 | -0.000 | -0.000 |
| 0.000 | 0.000 | -0.000 | 0.000 | 81.373 | -0.000 |
| 0.000 | -0.000 | -0.000 | -0.000 | -0.000 | 131.691 |
| 322.925 | 59.542 | 31.001 | 0.000 | 0.000 | 0.000 |
| 59.542 | 322.925 | 31.001 | 0.000 | 0.000 | 0.000 |
| 31.001 | 31.001 | 205.417 | 0.000 | 0.000 | 0.000 |
| 0.000 | 0.000 | 0.000 | 81.373 | -0.000 | 0.000 |
| 0.000 | 0.000 | 0.000 | 0.000 | 81.373 | 0.000 |
| 0.000 | 0.000 | 0.000 | -0.000 | -0.000 | 120.865 |
| 312.098 | 70.368 | 31.001 | -0.000 | -0.000 | 0.000 |
| 70.368 | 312.098 | 31.001 | 0.000 | -0.000 | -0.000 |
| 31.001 | 31.001 | 205.417 | -0.000 | 0.000 | -0.000 |
| -0.000 | -0.000 | -0.000 | 81.373 | 0.000 | -0.000 |
| -0.000 | -0.000 | -0.000 | 0.000 | 81.373 | -0.000 |
| -0.000 | -0.000 | -0.000 | -0.000 | 0.000 | 120.865 |
| 322.930 | 59.543 | 31.002 | 0.000 | 0.000 | 0.000 |
| 59.544 | 322.929 | 31.002 | 0.000 | -0.000 | 0.000 |
| 31.002 | 31.002 | 205.420 | -0.000 | -0.000 | 0.000 |
| 0.000 | 0.000 | 0.001 | 81.373 | 0.000 | 0.000 |
| 0.000 | 0.000 | 0.001 | 0.000 | 81.373 | 0.000 |
| 0.000 | 0.001 | 0.000 | 0.000 | -0.000 | 120.865 |
| 312.092 | 70.367 | 31.000 | -0.000 | 0.000 | -0.000 |
| 70.365 | 312.094 | 31.000 | -0.000 | 0.000 | -0.000 |
| 31.000 | 31.000 | 205.414 | 0.000 | 0.000 | -0.000 |
| -0.000 | -0.000 | -0.001 | 81.373 | 0.000 | -0.000 |
| -0.000 | -0.000 | -0.001 | -0.000 | 81.373 | -0.000 |
| -0.000 | -0.001 | -0.000 | 0.000 | 0.000 | 120.865 |
| 261.567 | 34.892 | 20.141 | -26.204 | 0.000 | -0.000 |
| 34.892 | 261.567 | 20.141 | 26.204 | -0.000 | -0.000 |
| 20.141 | 20.141 | 266.651 | -0.000 | -0.000 | 0.000 |
| -26.204 | 26.204 | 0.000 | 78.781 | 0.000 | -0.000 |
| 0.000 | 0.000 | 0.000 | -0.000 | 78.781 | -26.204 |
| 0.000 | 0.000 | 0.000 | -0.000 | -26.204 | 113.337 |
| 261.567 | 34.892 | 20.141 | -26.204 | -0.000 | 0.000 |
| 34.892 | 261.567 | 20.141 | 26.204 | -0.000 | -0.000 |
| 20.141 | 20.141 | 266.651 | -0.000 | -0.000 | -0.000 |
| -26.204 | 26.204 | -0.000 | 78.781 | -0.000 | 0.000 |
| -0.000 | 0.000 | -0.000 | -0.000 | 78.781 | -26.204 |
| -0.000 | -0.000 | -0.000 | -0.000 | -26.204 | 113.337 |
| 261.567 | 34.892 | 20.142 | -26.204 | 0.000 | -0.000 |
| 34.892 | 261.567 | 20.142 | 26.204 | 0.000 | 0.000 |
| 20.141 | 20.141 | 266.651 | 0.000 | 0.000 | -0.000 |
| -26.204 | 26.204 | 0.000 | 78.781 | 0.000 | -0.000 |
| 0.000 | 0.000 | 0.000 | 0.000 | 78.781 | -26.204 |
| 0.000 | 0.000 | 0.000 | 0.000 | -26.204 | 113.337 |
| 261.566 | 34.892 | 20.141 | -26.204 | 0.000 | -0.000 |
| 34.892 | 261.566 | 20.141 | 26.204 | 0.000 | -0.000 |
| 20.141 | 20.141 | 266.651 | -0.000 | -0.000 | -0.000 |
| -26.204 | 26.204 | -0.000 | 78.781 | -0.000 | 0.000 |
| -0.000 | -0.000 | -0.000 | -0.000 | 78.781 | -26.204 |
| -0.000 | -0.000 | -0.000 | -0.000 | -26.204 | 113.337 |
| 261.573 | 34.893 | 20.142 | -26.203 | 0.000 | 0.000 |
| 34.894 | 261.572 | 20.142 | 26.203 | 0.000 | 0.000 |
| 20.142 | 20.142 | 266.651 | -0.000 | -0.000 | -0.000 |
| -26.203 | 26.204 | 0.000 | 78.781 | -0.000 | -0.000 |
| 0.000 | 0.000 | 0.000 | 0.000 | 78.781 | -26.204 |
| 0.001 | 0.002 | 0.000 | 0.000 | -26.204 | 113.337 |
| 261.560 | 34.891 | 20.141 | -26.204 | -0.000 | -0.000 |
| 34.890 | 261.561 | 20.141 | 26.204 | 0.000 | -0.000 |
| 20.141 | 20.141 | 266.650 | -0.000 | -0.000 | 0.000 |
| -26.204 | 26.203 | -0.000 | 78.781 | -0.000 | 0.000 |
| -0.000 | -0.000 | -0.000 | -0.000 | 78.781 | -26.204 |
| -0.001 | -0.002 | -0.000 | -0.000 | -26.204 | 113.337 |
| -109.603 | -1712.983 | 2374.151 | -0.000 | -0.000 | 0.000 |
| -235.387 | -1521.091 | 2417.507 | -0.000 | -0.000 | 0.000 |
| -233.130 | -1667.366 | 2562.080 | -0.000 | -0.000 | 0.000 |
| -307.574 | -1784.948 | 2299.400 | 72.589 | -0.000 | 0.000 |
| -307.574 | -1784.947 | 2299.399 | -0.000 | 46.104 | 0.000 |
| -307.574 | -1784.946 | 2299.397 | -0.000 | -0.000 | 46.902 |
| 478.898 | 582.039 | -953.634 | 0.000 | 0.000 | -0.000 |
| 379.761 | 2048.802 | -2181.286 | -0.000 | 0.000 | -0.000 |
| 382.019 | 1902.529 | -2036.718 | 0.000 | 0.000 | -0.000 |
| 307.574 | 1784.948 | -2299.400 | 72.589 | 0.000 | -0.000 |
| 307.574 | 1784.947 | -2299.399 | 0.000 | 46.104 | -0.000 |
| 307.574 | 1784.946 | -2299.397 | 0.000 | 0.000 | 46.902 |
| 169.893 | 21.305 | 177.230 | -0.000 | -0.000 | 0.000 |
| 72.599 | 273.502 | 108.087 | -0.000 | 0.000 | -0.000 |
| 43.687 | -60.913 | 492.621 | -0.000 | -0.000 | 0.000 |
| -30.758 | -178.498 | 229.944 | 72.589 | -0.000 | 0.000 |
| -30.757 | -178.493 | 229.938 | 0.000 | 46.104 | 0.000 |
| 0.000 | -0.000 | -0.000 | -0.000 | -0.000 | 46.902 |
| 228.729 | 250.460 | -155.188 | 0.000 | 0.000 | -0.000 |
| 102.944 | 442.350 | -111.829 | 0.000 | 0.000 | -0.000 |
| 105.202 | 296.076 | 32.741 | 0.000 | 0.000 | -0.000 |
| 30.758 | 178.498 | -229.944 | 72.589 | 0.000 | -0.000 |
| 30.757 | 178.493 | -229.938 | 0.000 | 46.104 | -0.000 |
| -0.000 | 0.000 | 0.000 | 0.000 | 0.000 | 46.902 |
| 194.894 | 54.115 | 97.745 | -0.000 | -0.000 | -0.000 |
| 69.110 | 246.005 | 141.103 | 0.000 | -0.000 | 0.000 |
| 73.810 | 107.558 | 273.491 | -0.000 | -0.000 | 0.000 |
| -3.076 | -17.856 | 23.000 | 72.526 | -0.000 | 0.000 |
| -2.815 | -5.108 | 10.301 | 0.000 | 46.572 | 0.000 |
| 0.000 | -0.000 | -0.000 | -0.000 | -0.000 | 46.902 |
| 198.098 | 72.378 | 74.118 | 0.000 | 0.000 | -0.000 |
| 75.264 | 281.706 | 95.117 | 0.000 | 0.000 | -0.000 |
| 77.521 | 135.432 | 239.687 | 0.000 | 0.000 | -0.000 |
| 3.076 | 17.856 | -23.000 | 72.526 | 0.000 | -0.000 |
| 2.815 | 5.108 | -10.301 | 0.000 | 46.572 | -0.000 |
| -0.000 | 0.000 | 0.000 | 0.000 | 0.000 | 46.902 |
| 56.828 | 153.401 | -25.114 | 0.000 | 0.000 | -0.000 |
| 63.526 | 146.703 | -25.114 | -0.000 | 0.000 | -0.000 |
| -25.111 | -25.111 | 341.142 | -0.000 | -0.000 | -0.000 |
| 0.000 | -0.000 | -0.000 | -31.502 | 0.000 | -0.000 |
| 0.000 | -0.000 | -0.000 | -0.000 | -31.502 | -0.000 |
| 0.000 | 0.000 | -0.000 | -0.000 | 0.000 | 41.589 |
| 56.828 | 153.401 | -25.114 | -0.000 | -0.000 | 0.000 |
| 153.401 | 56.828 | -25.114 | -0.000 | -0.000 | 0.000 |
| -25.111 | -25.111 | 341.142 | 0.000 | 0.000 | 0.000 |
| -0.000 | 0.000 | 0.000 | -31.502 | -0.000 | 0.000 |
| -0.000 | 0.000 | 0.000 | 0.000 | -31.502 | 0.000 |
| -0.000 | -0.000 | 0.000 | 0.000 | -0.000 | 41.589 |
| 56.418 | 153.811 | -25.114 | -0.000 | 0.000 | -0.000 |
| 153.401 | 56.828 | -25.114 | 0.000 | 0.000 | -0.000 |
| -25.111 | -25.111 | 341.142 | -0.000 | 0.000 | -0.000 |
| -0.000 | -0.000 | -0.000 | -31.502 | -0.000 | -0.000 |
| -0.000 | -0.000 | -0.000 | 0.000 | -31.502 | -0.000 |
| -26861835.692 | -21622243.140 | -41389390.735 | 179093.218 | 329805.808 | 5377288.333 |
| 56.828 | 153.401 | -25.114 | -0.000 | -0.000 | 0.000 |
| 153.811 | 56.418 | -25.114 | 0.000 | -0.000 | 0.000 |
| -25.111 | -25.111 | 341.142 | 0.000 | -0.000 | 0.000 |
| 0.000 | 0.000 | 0.000 | -31.502 | -0.000 | 0.000 |
| 0.000 | 0.000 | 0.000 | -0.000 | -31.502 | 0.000 |
| 32662273.883 | 29441685.204 | 46891647.125 | 67633.895 | -104220.967 | 3246095.151 |
| 56.832 | 153.397 | -25.114 | 0.000 | 0.000 | -0.000 |
| 153.406 | 56.824 | -25.114 | 0.000 | 0.000 | -0.000 |
| -25.112 | -25.112 | 341.145 | 0.000 | 0.000 | -0.000 |
| -0.000 | -0.000 | -0.000 | -31.502 | 0.000 | -0.000 |
| -0.000 | -0.000 | -0.000 | -0.000 | -31.502 | -0.000 |
| -0.000 | -0.000 | -0.000 | 0.000 | 0.000 | -48.286 |
| 2418937.253 | 2623971.043 | 3571738.718 | -15937.876 | -36868.842 | -32175.939 |
| 2753562.097 | 3208324.930 | 4090418.765 | -18460.238 | -672.908 | 36519.469 |
| -25.111 | -25.111 | 341.140 | 0.000 | -0.000 | 0.000 |
| 0.000 | 0.000 | 0.000 | -31.502 | -0.000 | 0.000 |
| 0.000 | 0.000 | 0.000 | 0.000 | -31.502 | 0.000 |
| 0.000 | 0.000 | 0.000 | -0.000 | -0.000 | -48.286 |
| 146.451 | 147.481 | 147.481 | 0.000 | 0.000 | 0.000 |
| 147.481 | 146.451 | 147.481 | 0.000 | 0.000 | -0.000 |
| 147.481 | 147.481 | 146.451 | -0.000 | -0.000 | -0.000 |
| 0.000 | -0.000 | -0.000 | -17.394 | 0.000 | 0.000 |
| 0.000 | -0.000 | -0.000 | 0.000 | -17.394 | 0.000 |
| 0.000 | -0.000 | -0.000 | 0.000 | 0.000 | -17.394 |
| 146.451 | 147.481 | 147.481 | -0.000 | -0.000 | 0.000 |
| 147.481 | 146.451 | 147.481 | -0.000 | -0.000 | -0.000 |
| 147.481 | 147.481 | 146.451 | 0.000 | -0.000 | -0.000 |
| -0.000 | -0.000 | 0.000 | -17.394 | -0.000 | -0.000 |
| -0.000 | 0.000 | 0.000 | -0.000 | -17.394 | -0.000 |
| -0.000 | 0.000 | 0.000 | -0.000 | -0.000 | -17.394 |
| 146.451 | 147.481 | 147.481 | 0.000 | 0.000 | -0.000 |
| 147.481 | 146.451 | 147.481 | 0.000 | 0.000 | -0.000 |
| 147.481 | 147.481 | 146.451 | -0.000 | 0.000 | 0.000 |
| 0.000 | 0.000 | 0.000 | 118.918 | 0.000 | -0.000 |
| 0.000 | 0.000 | 0.000 | 0.000 | 118.918 | 0.000 |
| 0.000 | 0.000 | 0.000 | 0.000 | 0.000 | 118.918 |
| 146.451 | 147.481 | 147.481 | 0.000 | -0.000 | 0.000 |
| 147.481 | 146.451 | 147.481 | -0.000 | -0.000 | -0.000 |
| 147.481 | 147.481 | 146.451 | -0.000 | -0.000 | 0.000 |
| -0.000 | -0.000 | -0.000 | 118.918 | -0.000 | -0.000 |
| -0.000 | -0.000 | -0.000 | -0.000 | 118.918 | -0.000 |
| -0.000 | -0.000 | -0.000 | -0.000 | -0.000 | 118.918 |
| 146.452 | 147.481 | 147.481 | 0.000 | 0.000 | -0.000 |
| 147.481 | 146.452 | 147.481 | 0.000 | 0.000 | 0.000 |
| 147.481 | 147.481 | 146.452 | 0.000 | 0.000 | -0.000 |
| 0.000 | 0.000 | 0.000 | -17.394 | 0.000 | -0.000 |
| 0.000 | 0.000 | 0.000 | 0.000 | -17.394 | 0.000 |
| 0.000 | 0.000 | 0.000 | 0.000 | 0.000 | -17.394 |
| 146.451 | 147.480 | 147.480 | -0.000 | 0.000 | 0.000 |
| 147.480 | 146.451 | 147.480 | 0.000 | 0.000 | -0.000 |
| 147.480 | 147.480 | 146.451 | 0.000 | 0.000 | 0.000 |
| -0.000 | -0.000 | -0.000 | -17.394 | -0.000 | -0.000 |
| -0.000 | -0.000 | -0.000 | 0.000 | -17.394 | -0.000 |
| -0.000 | -0.000 | -0.000 | -0.000 | -0.000 | -17.394 |
| 0.257 | 0.257 | 0.257 | -0.000 | -0.000 | -0.000 |
| 0.257 | 0.257 | 0.257 | -0.000 | -0.000 | -0.000 |
| 0.257 | 0.257 | 0.257 | 0.000 | 0.000 | -0.000 |
| 0.000 | 0.000 | 0.000 | 0.246 | -0.000 | -0.000 |
| 0.000 | 0.000 | 0.000 | -0.000 | 0.246 | -0.000 |
| 0.000 | 0.000 | 0.000 | -0.000 | -0.000 | 0.246 |
| 0.257 | 0.257 | 0.257 | -0.000 | 0.000 | 0.000 |
| 0.257 | 0.257 | 0.257 | 0.000 | -0.000 | 0.000 |
| 0.257 | 0.257 | 0.257 | 0.000 | 0.000 | -0.000 |
| -0.000 | -0.000 | -0.000 | 0.246 | 0.000 | -0.000 |
| -0.000 | -0.000 | -0.000 | 0.000 | 0.246 | -0.000 |
| -0.000 | -0.000 | -0.000 | 0.000 | -0.000 | 0.246 |
| 0.257 | 0.257 | 0.257 | 0.000 | -0.000 | -0.000 |
| 0.257 | 0.257 | 0.257 | -0.000 | 0.000 | -0.000 |
| 0.257 | 0.257 | 0.257 | -0.000 | -0.000 | 0.000 |
| 0.000 | 0.000 | 0.000 | 0.246 | -0.000 | -0.000 |
| 0.000 | 0.000 | 0.000 | -0.000 | 0.246 | -0.000 |
| 0.000 | 0.000 | 0.000 | -0.000 | 0.000 | 0.246 |
| 0.257 | 0.257 | 0.257 | 0.000 | 0.000 | 0.000 |
| 0.257 | 0.257 | 0.257 | 0.000 | 0.000 | 0.000 |
| 0.257 | 0.257 | 0.257 | 0.000 | 0.000 | 0.000 |
| -0.000 | -0.000 | -0.000 | 0.246 | 0.000 | 0.000 |
| -0.000 | -0.000 | -0.000 | 0.000 | 0.246 | 0.000 |
| -0.000 | -0.000 | -0.000 | 0.000 | 0.000 | 0.246 |
| 0.257 | 0.257 | 0.257 | 0.000 | 0.000 | 0.000 |
| 0.257 | 0.257 | 0.257 | 0.000 | 0.000 | 0.000 |
| 0.257 | 0.257 | 0.257 | 0.000 | 0.000 | -0.000 |
| 0.000 | 0.000 | 0.000 | 0.034 | -0.000 | -0.000 |
| 0.000 | 0.000 | 0.000 | -0.000 | 0.034 | -0.000 |
| 0.000 | 0.000 | 0.000 | -0.000 | 0.000 | 0.034 |
| 0.256 | 0.256 | 0.256 | -0.000 | -0.000 | -0.000 |
| 0.256 | 0.256 | 0.256 | -0.000 | -0.000 | -0.000 |
| 0.256 | 0.256 | 0.256 | -0.000 | -0.000 | 0.000 |
| -0.000 | -0.000 | -0.000 | 0.034 | 0.000 | 0.000 |
| -0.000 | -0.000 | -0.000 | 0.000 | 0.034 | 0.000 |
| -0.000 | -0.000 | -0.000 | 0.000 | 0.000 | 0.034 |
| 11.084 | 12.952 | 12.952 | 0.000 | 0.000 | -0.000 |
| 12.952 | 11.084 | 12.952 | -0.000 | 0.000 | 0.000 |
| 12.952 | 12.952 | 11.084 | -0.000 | -0.000 | 0.000 |
| -0.000 | -0.000 | 0.000 | -2.693 | -0.000 | -0.000 |
| -0.000 | -0.000 | 0.000 | -0.000 | -2.693 | -0.000 |
| -0.000 | 0.000 | 0.000 | -0.000 | -0.000 | -2.693 |
| 11.084 | 12.952 | 12.952 | -0.000 | -0.000 | -0.000 |
| 12.952 | 11.084 | 12.952 | 0.000 | -0.000 | -0.000 |
| 12.952 | 12.952 | 11.084 | -0.000 | -0.000 | -0.000 |
| 0.000 | 0.000 | 0.000 | -2.693 | 0.000 | 0.000 |
| 0.000 | -0.000 | 0.000 | 0.000 | -2.693 | 0.000 |
| 0.000 | -0.000 | 0.000 | 0.000 | 0.000 | -2.693 |
| 11.084 | 12.952 | 12.952 | -0.000 | -0.000 | -0.000 |
| 12.952 | 11.084 | 12.952 | -0.000 | -0.000 | 0.000 |
| 12.952 | 12.952 | 11.084 | -0.000 | -0.000 | 0.000 |
| -0.000 | -0.000 | -0.000 | -2.693 | -0.000 | -0.000 |
| -0.000 | -0.000 | -0.000 | -0.000 | -2.693 | -0.000 |
| -0.000 | -0.000 | -0.000 | -0.000 | -0.000 | -2.693 |
| 11.084 | 12.952 | 12.952 | -0.000 | 0.000 | -0.000 |
| 12.952 | 11.084 | 12.952 | 0.000 | -0.000 | -0.000 |
| 12.952 | 12.952 | 11.084 | -0.000 | 0.000 | -0.000 |
| 0.000 | 0.000 | 0.000 | -2.693 | 0.000 | 0.000 |
| 0.000 | 0.000 | 0.000 | 0.000 | -2.693 | 0.000 |
| 0.000 | 0.000 | 0.000 | 0.000 | 0.000 | -2.693 |
| 11.084 | 12.952 | 12.952 | -0.000 | 0.000 | -0.000 |
| 12.952 | 11.084 | 12.952 | -0.000 | -0.000 | -0.000 |
| 12.952 | 12.952 | 11.084 | 0.000 | 0.000 | 0.000 |
| -0.000 | -0.000 | -0.000 | -2.693 | -0.000 | -0.000 |
| -0.000 | -0.000 | -0.000 | -0.000 | -2.693 | -0.000 |
| -0.000 | -0.000 | -0.000 | -0.000 | -0.000 | -2.693 |
| 11.084 | 12.952 | 12.952 | -0.000 | 0.000 | -0.000 |
| 12.952 | 11.084 | 12.952 | 0.000 | -0.000 | -0.000 |
| 12.952 | 12.952 | 11.084 | 0.000 | -0.000 | -0.000 |
| 0.000 | 0.000 | 0.000 | -2.693 | 0.000 | 0.000 |
| 0.000 | 0.000 | 0.000 | 0.000 | -2.693 | 0.000 |
| 0.000 | 0.000 | 0.000 | 0.000 | 0.000 | -2.693 |
| 422.529 | 77.345 | 77.345 | 0.000 | 0.000 | 0.000 |
| 77.345 | 422.529 | 77.345 | 0.000 | -0.000 | -0.000 |
| 77.345 | 77.345 | 422.529 | 0.000 | 0.000 | -0.000 |
| 0.000 | 0.000 | 0.000 | 20.304 | 0.000 | -0.000 |
| 0.000 | 0.000 | 0.000 | 0.000 | 20.304 | -0.000 |
| 0.000 | 0.000 | 0.000 | 0.000 | 0.000 | 20.304 |
| 422.529 | 77.345 | 77.345 | -0.000 | -0.000 | 0.000 |
| 77.345 | 422.529 | 77.345 | -0.000 | -0.000 | 0.000 |
| 77.345 | 77.345 | 422.529 | -0.000 | 0.000 | -0.000 |
| -0.000 | -0.000 | -0.000 | 20.304 | -0.000 | 0.000 |
| -0.000 | -0.000 | -0.000 | -0.000 | 20.304 | 0.000 |
| -0.000 | 0.000 | -0.000 | -0.000 | -0.000 | 20.304 |
| 422.529 | 77.345 | 77.345 | 0.000 | 0.000 | -0.000 |
| 77.345 | 422.529 | 77.345 | 0.000 | 0.000 | -0.000 |
| 77.345 | 77.345 | 422.529 | 0.000 | -0.000 | -0.000 |
| 0.000 | 0.000 | 0.000 | 49.840 | 0.000 | -0.000 |
| 0.000 | 0.000 | 0.000 | 0.000 | 49.840 | 0.000 |
| 0.000 | 0.000 | 0.000 | 0.000 | 0.000 | 49.840 |
| 424.436 | 76.392 | 76.392 | -0.000 | -0.000 | 0.000 |
| 76.392 | 424.436 | 76.392 | -0.000 | -0.000 | 0.000 |
| 76.392 | 76.392 | 424.436 | -0.000 | -0.000 | -0.000 |
| -0.000 | -0.000 | -0.000 | 49.840 | 0.000 | 0.000 |
| -0.000 | -0.000 | -0.000 | -0.000 | 49.840 | -0.000 |
| -0.000 | -0.000 | -0.000 | -0.000 | -0.000 | 49.840 |
| 422.531 | 77.346 | 77.346 | 0.000 | 0.000 | -0.000 |
| 77.346 | 422.531 | 77.346 | 0.000 | 0.000 | -0.000 |
| 77.346 | 77.346 | 422.531 | 0.000 | -0.000 | -0.000 |
| 0.000 | 0.000 | 0.000 | 49.840 | 0.000 | 0.000 |
| 0.000 | 0.000 | 0.000 | 0.000 | 49.840 | 0.000 |
| 0.000 | 0.000 | 0.000 | 0.000 | 0.000 | 49.840 |
| 422.528 | 77.345 | 77.345 | -0.000 | -0.000 | 0.000 |
| 77.345 | 422.528 | 77.345 | -0.000 | -0.000 | 0.000 |
| 77.345 | 77.345 | 422.528 | 0.000 | 0.000 | 0.000 |
| -0.000 | -0.000 | -0.000 | 49.840 | -0.000 | -0.000 |
| -0.000 | -0.000 | -0.000 | -0.000 | 49.840 | -0.000 |
| -0.000 | -0.000 | -0.000 | -0.000 | -0.000 | 49.840 |
| 114.941 | 173.607 | 173.607 | 0.000 | -0.000 | -0.000 |
| 173.607 | 114.941 | 173.607 | -0.000 | -0.000 | -0.000 |
| 173.607 | 173.607 | 114.941 | -0.000 | -0.000 | -0.000 |
| -0.000 | 0.000 | 0.000 | 138.893 | 0.000 | -0.000 |
| 0.000 | -0.000 | 0.000 | 0.000 | 138.893 | -0.000 |
| -0.000 | 0.000 | 0.000 | -0.000 | -0.000 | 138.893 |
| 114.941 | 173.607 | 173.607 | 0.000 | 0.000 | 0.000 |
| 173.607 | 114.941 | 173.607 | 0.000 | 0.000 | 0.000 |
| 173.607 | 173.607 | 114.941 | 0.000 | 0.000 | 0.000 |
| 0.000 | -0.000 | -0.000 | 138.893 | 0.000 | -0.000 |
| -0.000 | 0.000 | -0.000 | -0.000 | 138.893 | 0.000 |
| -0.000 | 0.000 | -0.000 | 0.000 | 0.000 | 138.893 |
| 114.941 | 173.607 | 173.607 | 0.000 | -0.000 | -0.000 |
| 173.607 | 114.941 | 173.607 | -0.000 | 0.000 | -0.000 |
| 173.607 | 173.607 | 114.941 | -0.000 | -0.000 | -0.000 |
| 0.000 | 0.000 | 0.000 | 138.884 | 0.000 | -0.000 |
| 0.000 | 0.000 | 0.000 | 0.000 | 138.884 | -0.000 |
| 0.000 | 0.000 | 0.000 | 0.000 | -0.000 | 138.884 |
| 114.941 | 173.607 | 173.607 | -0.000 | 0.000 | 0.000 |
| 173.607 | 114.941 | 173.607 | -0.000 | 0.000 | 0.000 |
| 173.607 | 173.607 | 114.941 | 0.000 | -0.000 | 0.000 |
| -0.000 | -0.000 | -0.000 | 138.884 | -0.000 | 0.000 |
| -0.000 | -0.000 | -0.000 | -0.000 | 138.884 | 0.000 |
| -0.000 | -0.000 | -0.000 | -0.000 | 0.000 | 138.884 |
| 114.942 | 173.607 | 173.607 | 0.000 | -0.000 | -0.000 |
| 173.607 | 114.942 | 173.607 | 0.000 | 0.000 | -0.000 |
| 173.607 | 173.607 | 114.942 | 0.000 | -0.000 | -0.000 |
| 0.001 | 0.000 | 0.001 | 138.893 | 0.000 | -0.000 |
| 0.000 | 0.001 | 0.001 | 0.000 | 138.893 | -0.000 |
| 0.000 | 0.001 | 0.001 | -0.000 | -0.000 | 138.893 |
| 114.940 | 173.607 | 173.607 | 0.000 | -0.000 | 0.000 |
| 173.607 | 114.940 | 173.607 | 0.000 | -0.000 | 0.000 |
| 173.607 | 173.607 | 114.940 | 0.000 | -0.000 | 0.000 |
| -0.001 | -0.000 | -0.001 | 138.893 | -0.000 | -0.000 |
| -0.000 | -0.001 | -0.001 | -0.000 | 138.893 | 0.000 |
| -0.000 | -0.001 | -0.001 | 0.000 | -0.000 | 138.893 |
| 81.277 | 71.760 | 71.760 | -0.000 | -0.000 | -0.000 |
| 71.760 | 81.277 | 71.760 | -0.000 | -0.000 | -0.000 |
| 71.760 | 71.760 | 81.277 | -0.000 | -0.000 | -0.000 |
| -5837640.487 | -2808468.993 | -2296903.569 | -3157508.258 | 53902.601 | 31831.433 |
| -2364131.935 | -6012155.353 | -2466043.792 | 12836.835 | -3515434.425 | -207023.513 |
| -3207819.139 | -3076376.079 | -6108298.764 | 284221.906 | 187997.490 | -3867124.875 |
| 81.277 | 71.760 | 71.760 | 0.000 | 0.000 | 0.000 |
| 71.760 | 81.277 | 71.760 | 0.000 | 0.000 | 0.000 |
| 71.760 | 71.760 | 81.277 | 0.000 | 0.000 | 0.000 |
| 4345696.261 | 2922843.367 | 4355791.454 | -5440342.744 | -65505.887 | -18681.606 |
| 2892748.072 | 4448133.842 | 4622831.062 | -165690.609 | -5603080.191 | -109144.108 |
| 3644057.783 | 4882141.427 | 3656957.454 | 174065.798 | 126079.001 | -6044656.653 |
| 81.276 | 71.760 | 71.760 | -0.000 | -0.000 | -0.000 |
| 71.760 | 81.276 | 71.760 | -0.000 | -0.000 | -0.000 |
| 71.760 | 71.760 | 81.276 | 0.000 | 0.000 | -0.000 |
| 0.000 | 0.000 | 0.000 | -10.104 | -0.000 | -0.000 |
| 0.000 | 0.000 | 0.000 | 0.000 | -10.104 | -0.000 |
| 0.000 | 0.000 | 0.000 | 0.000 | -0.000 | -10.104 |
| 81.277 | 71.760 | 71.760 | 0.000 | 0.000 | 0.000 |
| 71.760 | 81.277 | 71.760 | 0.000 | 0.000 | 0.000 |
| 71.760 | 71.760 | 81.277 | -0.000 | -0.000 | 0.000 |
| -0.000 | -0.000 | -0.000 | -10.104 | 0.000 | 0.000 |
| -0.000 | -0.000 | -0.000 | -0.000 | -10.104 | 0.000 |
| -0.000 | -0.000 | -0.000 | 0.000 | 0.000 | -10.104 |
| 81.274 | 71.761 | 71.761 | -0.000 | -0.000 | -0.000 |
| 71.761 | 81.274 | 71.761 | -0.000 | -0.000 | -0.000 |
| 71.761 | 71.761 | 81.274 | -0.000 | -0.000 | -0.000 |
| -84851.350 | -30909.211 | -41722.750 | -34147.034 | -2408.791 | 2661.530 |
| -409110.201 | 904308.851 | -409111.077 | 0.000 | -437923.593 | -0.000 |
| -22298.566 | -38483.631 | -68574.641 | -1636.149 | 1226.173 | -37170.924 |
| 81.280 | 71.760 | 71.760 | 0.000 | 0.000 | 0.000 |
| 71.760 | 81.280 | 71.760 | 0.000 | 0.000 | 0.000 |
| 71.760 | 71.760 | 81.280 | -0.000 | 0.000 | 0.000 |
| 83452.102 | 42934.945 | 45465.635 | -30389.844 | 622.165 | 1223.875 |
| 43925.751 | 87188.592 | 49005.046 | -1017.529 | -30539.785 | -857.537 |
| 39545.854 | 43472.508 | 95575.931 | 1209.558 | 742.842 | -28718.900 |
| 179.728 | 76.670 | 76.670 | -0.000 | 0.000 | -0.000 |
| 76.670 | 179.728 | 76.670 | 0.000 | -0.000 | -0.000 |
| 76.670 | 76.670 | 179.728 | -0.000 | -0.000 | -0.000 |
| -0.000 | -0.000 | 0.000 | 115.977 | -0.000 | -0.000 |
| -0.000 | -0.000 | -0.000 | -0.000 | 115.977 | -0.000 |
| -0.000 | -0.000 | -0.000 | -0.000 | 0.000 | 115.977 |
| 179.728 | 76.670 | 76.670 | 0.000 | 0.000 | 0.000 |
| 76.670 | 179.728 | 76.670 | 0.000 | 0.000 | 0.000 |
| 76.670 | 76.670 | 179.728 | 0.000 | 0.000 | -0.000 |
| 0.000 | 0.000 | 0.000 | 115.977 | 0.000 | 0.000 |
| 0.000 | 0.000 | 0.000 | 0.000 | 115.977 | 0.000 |
| 0.000 | 0.000 | 0.000 | 0.000 | 0.000 | 115.977 |
| 179.728 | 76.670 | 76.670 | -0.000 | -0.000 | -0.000 |
| 76.670 | 179.728 | 76.670 | -0.000 | -0.000 | -0.000 |
| 76.670 | 76.670 | 179.728 | -0.000 | -0.000 | -0.000 |
| 0.000 | -0.000 | 0.000 | 115.977 | -0.000 | -0.000 |
| -0.000 | 0.000 | 0.000 | -0.000 | 115.977 | 0.000 |
| -0.000 | 0.000 | 0.000 | -0.000 | -0.000 | 115.977 |
| 179.728 | 76.670 | 76.670 | 0.000 | 0.000 | 0.000 |
| 76.670 | 179.728 | 76.670 | 0.000 | 0.000 | 0.000 |
| 76.670 | 76.670 | 179.728 | 0.000 | 0.000 | 0.000 |
| -0.000 | 0.000 | -0.000 | 115.977 | 0.000 | 0.000 |
| 0.000 | -0.000 | -0.000 | 0.000 | 115.977 | 0.000 |
| 0.000 | -0.000 | -0.000 | 0.000 | 0.000 | 115.977 |
| 179.726 | 76.669 | 76.669 | -0.000 | -0.000 | -0.000 |
| 76.669 | 179.726 | 76.669 | -0.000 | -0.000 | -0.000 |
| 76.669 | 76.669 | 179.726 | -0.000 | -0.000 | -0.000 |
| 0.000 | -0.000 | 0.000 | 115.977 | -0.000 | -0.000 |
| -0.000 | 0.000 | 0.000 | -0.000 | 115.977 | 0.000 |
| -0.000 | 0.000 | 0.000 | -0.000 | 0.000 | 115.977 |
| 179.729 | 76.670 | 76.670 | 0.000 | 0.000 | 0.000 |
| 76.670 | 179.729 | 76.670 | 0.000 | 0.000 | 0.000 |
| 76.670 | 76.670 | 179.729 | 0.000 | 0.000 | 0.000 |
| -0.000 | 0.000 | -0.000 | 115.977 | 0.000 | 0.000 |
| 0.000 | -0.000 | -0.000 | 0.000 | 115.977 | -0.000 |
| 0.000 | -0.000 | -0.000 | 0.000 | -0.000 | 115.977 |
| 202.827 | 93.033 | 102.236 | 0.000 | 0.000 | -0.000 |
| 93.033 | 202.827 | 102.236 | 0.000 | 0.000 | -0.000 |
| 102.236 | 102.236 | 223.537 | 0.000 | 0.000 | -0.000 |
| 0.000 | -0.000 | 0.000 | 115.662 | 0.000 | -0.000 |
| -0.000 | -0.000 | 0.000 | 0.000 | 115.662 | -0.000 |
| -0.000 | -0.000 | 0.000 | 0.000 | 0.000 | 116.771 |
| 202.827 | 93.033 | 102.236 | -0.000 | -0.000 | 0.000 |
| 93.033 | 202.827 | 102.236 | -0.000 | -0.000 | 0.000 |
| 102.236 | 102.236 | 223.537 | -0.000 | 0.000 | 0.000 |
| -0.000 | 0.000 | -0.000 | 115.662 | -0.000 | 0.000 |
| 0.000 | 0.000 | -0.000 | -0.000 | 115.662 | 0.000 |
| -0.000 | -0.000 | -0.000 | -0.000 | -0.000 | 116.771 |
| 202.827 | 93.033 | 102.236 | 0.000 | -0.000 | -0.000 |
| 93.033 | 202.827 | 102.236 | 0.000 | -0.000 | -0.000 |
| 102.236 | 102.236 | 223.537 | 0.000 | 0.000 | -0.000 |
| 0.000 | -0.000 | 0.000 | 115.662 | 0.000 | -0.000 |
| -0.000 | 0.000 | 0.000 | 0.000 | 115.662 | -0.000 |
| -0.000 | 0.000 | 0.000 | -0.000 | -0.000 | 116.771 |
| 202.828 | 93.033 | 102.236 | 0.000 | 0.000 | 0.000 |
| 93.033 | 202.828 | 102.236 | -0.000 | -0.000 | 0.000 |
| 102.236 | 102.236 | 223.537 | -0.000 | 0.000 | 0.000 |
| -0.000 | 0.000 | -0.000 | 115.662 | -0.000 | 0.000 |
| 0.000 | -0.000 | -0.000 | -0.000 | 115.662 | 0.000 |
| 0.000 | -0.000 | -0.000 | -0.000 | -0.000 | 116.771 |
| 202.826 | 93.033 | 102.236 | 0.000 | -0.000 | -0.000 |
| 93.033 | 202.826 | 102.236 | 0.000 | 0.000 | -0.000 |
| 102.236 | 102.236 | 223.536 | 0.000 | 0.000 | -0.000 |
| 0.000 | -0.000 | 0.000 | 115.662 | -0.000 | -0.000 |
| -0.000 | 0.000 | 0.000 | 0.000 | 115.662 | -0.000 |
| -0.000 | 0.000 | 0.000 | -0.000 | 0.000 | 116.771 |
| 203.141 | 92.721 | 102.236 | -0.000 | -0.000 | 0.000 |
| 92.721 | 203.141 | 102.236 | -0.000 | 0.000 | 0.000 |
| 102.236 | 102.236 | 223.538 | -0.000 | -0.000 | 0.000 |
| -0.000 | 0.000 | -0.000 | 115.662 | 0.000 | 0.000 |
| 0.000 | -0.000 | -0.000 | -0.000 | 115.662 | 0.000 |
| 0.000 | -0.000 | -0.000 | -0.000 | -0.000 | 116.771 |
| -1255.417 | -338.015 | -2132.031 | -0.000 | -0.000 | 0.000 |
| -1192.942 | -231.400 | -2284.925 | 0.000 | -0.000 | -0.000 |
| -1203.416 | -501.384 | -2033.942 | 0.000 | -0.000 | -0.000 |
| -1306.445 | -451.550 | -2235.025 | -30.261 | 0.000 | -0.000 |
| -1306.443 | -451.549 | -2235.020 | 0.000 | 114.590 | -0.000 |
| -1306.443 | -451.549 | -2235.020 | -0.000 | -0.000 | 136.828 |
| 1357.468 | 565.084 | 2338.010 | 0.000 | 0.000 | -0.000 |
| 117.378 | 221.489 | -43.272 | -0.000 | 0.000 | 0.000 |
| 1409.469 | 401.715 | 2436.098 | 0.000 | -0.000 | 0.000 |
| 1306.445 | 451.550 | 2235.025 | -30.261 | -0.000 | 0.000 |
| 1306.443 | 451.549 | 2235.020 | -0.000 | 114.590 | 0.000 |
| 1306.443 | 451.549 | 2235.020 | 0.000 | 0.000 | 136.828 |
| -79.619 | 68.380 | -120.512 | -0.000 | -0.000 | 0.000 |
| 117.378 | 221.489 | -43.272 | -0.000 | -0.000 | -0.000 |
| -27.618 | -94.989 | -22.424 | -0.000 | -0.000 | 0.000 |
| -130.693 | -45.172 | -223.586 | -33.410 | -0.000 | -0.000 |
| -130.644 | -45.155 | -223.502 | 0.000 | 114.590 | -0.000 |
| -130.644 | -45.155 | -223.502 | -0.000 | -0.000 | 136.828 |
| 181.670 | 158.690 | 326.492 | -0.000 | 0.000 | -0.000 |
| 244.145 | 265.304 | 173.597 | 0.000 | 0.000 | -0.000 |
| 122.218 | -43.201 | 233.909 | 0.000 | 0.000 | -0.000 |
| 130.693 | 45.172 | 223.586 | -33.410 | -0.000 | -0.000 |
| 130.644 | 45.155 | 223.502 | -0.000 | 114.590 | 0.000 |
| 130.644 | 45.155 | 223.502 | 0.000 | 0.000 | 136.828 |
| 37.961 | 109.019 | 80.639 | 0.000 | -0.000 | 0.000 |
| 117.378 | 221.490 | -43.273 | -0.000 | 0.000 | 0.000 |
| 122.218 | -43.201 | 233.911 | 0.000 | -0.000 | 0.000 |
| -13.559 | -4.686 | -23.197 | -33.480 | 0.000 | -0.000 |
| -13.064 | -4.515 | -22.349 | -0.000 | 114.590 | -0.000 |
| -13.064 | -4.514 | -22.350 | -0.000 | -0.000 | 136.828 |
| 64.090 | 118.050 | 125.340 | -0.000 | 0.000 | -0.000 |
| 126.565 | 224.664 | -27.554 | 0.000 | 0.000 | -0.000 |
| 116.090 | -45.318 | 223.426 | 0.000 | 0.000 | -0.000 |
| 13.559 | 4.686 | 23.197 | -33.480 | -0.000 | 0.000 |
| 13.064 | 4.515 | 22.349 | 0.000 | 114.590 | 0.000 |
| 13.064 | 4.514 | 22.350 | 0.000 | 0.000 | 136.828 |
| 290.706 | 103.016 | 54.090 | -0.000 | 0.000 | -0.000 |
| 165.866 | 323.832 | 21.099 | -0.000 | 0.000 | -0.000 |
| 102.912 | 102.912 | 116.409 | 0.000 | 0.000 | -0.000 |
| -0.000 | 0.000 | -0.000 | 44.269 | 0.000 | -0.000 |
| -0.000 | 0.000 | -0.000 | 0.000 | 44.269 | -0.000 |
| 48.507 | 48.507 | -33.348 | 0.000 | 0.000 | 89.584 |
| 290.706 | 103.016 | 54.090 | -0.000 | -0.000 | 0.000 |
| 68.910 | 226.876 | 87.755 | 0.000 | -0.000 | 0.000 |
| 54.098 | 54.098 | 149.969 | 0.000 | -0.000 | 0.000 |
| 0.000 | -0.000 | 0.000 | 44.269 | -0.000 | 0.000 |
| 0.000 | -0.000 | 0.000 | -0.000 | 44.269 | 0.000 |
| -48.507 | -48.507 | 33.348 | -0.000 | -0.000 | 89.584 |
| 290.706 | 103.016 | 54.090 | -0.000 | 0.000 | -0.000 |
| 112.265 | 290.812 | 50.874 | 0.000 | 0.000 | -0.000 |
| 59.283 | 59.283 | 146.404 | 0.000 | 0.000 | -0.000 |
| 4.857 | 4.857 | -3.339 | 44.151 | 0.000 | -0.000 |
| 4.857 | 4.857 | -3.339 | 0.000 | 44.151 | -0.000 |
| 5.137 | 5.137 | -3.532 | 0.000 | 0.000 | 89.332 |
| 270.438 | 112.610 | 57.759 | 0.000 | -0.000 | 0.000 |
| 112.537 | 270.502 | 57.762 | 0.000 | -0.000 | 0.000 |
| 49.587 | 49.587 | 153.070 | -0.000 | -0.000 | 0.000 |
| -4.857 | -4.857 | 3.339 | 44.151 | -0.000 | 0.000 |
| -4.857 | -4.857 | 3.339 | -0.000 | 44.151 | 0.000 |
| -5.137 | -5.137 | 3.532 | -0.000 | -0.000 | 89.332 |
| 275.790 | 117.918 | 54.094 | 0.000 | 0.000 | -0.000 |
| 103.016 | 290.706 | 54.089 | 0.000 | 0.000 | -0.000 |
| 54.097 | 54.097 | 149.968 | -0.000 | 0.000 | -0.000 |
| 0.571 | 0.571 | -0.393 | 44.130 | 0.000 | -0.000 |
| 0.485 | 0.485 | -0.333 | 0.000 | 43.758 | -0.000 |
| -0.000 | 0.000 | -0.000 | -0.000 | 0.000 | 93.845 |
| 290.706 | 103.016 | 54.091 | 0.000 | -0.000 | 0.000 |
| 109.266 | 280.745 | 55.367 | 0.000 | -0.000 | 0.000 |
| 54.099 | 54.099 | 149.971 | -0.000 | -0.000 | 0.000 |
| -0.571 | -0.571 | 0.393 | 44.130 | -0.000 | 0.000 |
| -0.485 | -0.485 | 0.333 | 0.000 | 43.758 | 0.000 |
| 0.000 | -0.000 | 0.000 | 0.000 | -0.000 | 93.845 |
| 189.997 | 159.244 | 159.244 | -0.000 | 0.000 | 0.000 |
| 159.244 | 189.997 | 159.244 | 0.000 | -0.000 | -0.000 |
| 159.244 | 159.244 | 189.997 | -0.000 | 0.000 | -0.000 |
| -0.000 | 0.000 | 0.000 | 76.861 | 0.000 | 0.000 |
| 0.000 | 0.000 | 0.000 | -0.000 | 76.861 | -0.000 |
| 0.000 | 0.000 | 0.000 | -0.000 | -0.000 | 76.861 |
| 189.997 | 159.244 | 159.244 | 0.000 | -0.000 | 0.000 |
| 159.244 | 189.997 | 159.244 | -0.000 | 0.000 | -0.000 |
| 159.244 | 159.244 | 189.997 | 0.000 | -0.000 | 0.000 |
| 0.000 | -0.000 | -0.000 | 76.861 | -0.000 | 0.000 |
| -0.000 | 0.000 | -0.000 | 0.000 | 76.861 | 0.000 |
| -0.000 | -0.000 | 0.000 | 0.000 | 0.000 | 76.861 |
| 189.998 | 159.244 | 159.244 | 0.000 | -0.000 | -0.000 |
| 159.244 | 189.998 | 159.244 | -0.000 | 0.000 | -0.000 |
| 159.244 | 159.244 | 189.998 | -0.000 | 0.000 | -0.000 |
| -0.000 | 0.000 | 0.000 | 76.861 | 0.000 | 0.000 |
| 0.000 | -0.000 | 0.000 | 0.000 | 76.861 | -0.000 |
| 0.000 | 0.000 | -0.000 | -0.000 | 0.000 | 76.861 |
| 189.996 | 159.244 | 159.244 | 0.000 | -0.000 | -0.000 |
| 159.244 | 189.996 | 159.244 | 0.000 | -0.000 | 0.000 |
| 159.244 | 159.244 | 189.996 | -0.000 | -0.000 | 0.000 |
| 0.000 | -0.000 | -0.000 | 76.861 | -0.000 | -0.000 |
| -0.000 | 0.000 | -0.000 | -0.000 | 76.861 | 0.000 |
| -0.000 | -0.000 | 0.000 | 0.000 | 0.000 | 76.861 |
| 190.005 | 159.245 | 159.245 | -0.000 | -0.000 | 0.000 |
| 159.245 | 190.005 | 159.245 | 0.000 | 0.000 | -0.000 |
| 159.245 | 159.245 | 190.005 | -0.000 | -0.000 | 0.000 |
| -0.000 | 0.001 | 0.001 | 76.861 | 0.000 | 0.000 |
| 0.001 | -0.000 | 0.001 | 0.000 | 76.861 | -0.000 |
| 0.001 | 0.001 | -0.000 | -0.000 | -0.000 | 76.861 |
| 189.990 | 159.243 | 159.243 | 0.000 | 0.000 | 0.000 |
| 159.243 | 189.990 | 159.243 | 0.000 | 0.000 | -0.000 |
| 159.243 | 159.243 | 189.990 | -0.000 | 0.000 | 0.000 |
| 0.000 | -0.001 | -0.001 | 76.861 | 0.000 | 0.000 |
| -0.001 | 0.000 | -0.001 | -0.000 | 76.861 | 0.000 |
| -0.001 | -0.001 | 0.000 | -0.000 | 0.000 | 76.861 |
| 1164.551 | 1129.389 | 1129.389 | -0.000 | -0.000 | -0.000 |
| 1129.389 | 1164.551 | 1129.389 | -0.000 | 0.000 | -0.000 |
| 1129.389 | 1129.389 | 1164.551 | 0.000 | 0.000 | -0.000 |
| -0.000 | -0.000 | -0.000 | 59.323 | -0.000 | -0.000 |
| -0.000 | -0.000 | -0.000 | -0.000 | 59.323 | -0.000 |
| -0.000 | -0.000 | -0.000 | 0.000 | -0.000 | 59.323 |
| 1164.551 | 1129.389 | 1129.389 | 0.000 | 0.000 | 0.000 |
| 1129.389 | 1164.551 | 1129.389 | -0.000 | 0.000 | 0.000 |
| 1129.389 | 1129.389 | 1164.551 | -0.000 | 0.000 | 0.000 |
| 0.000 | 0.000 | 0.000 | 59.323 | 0.000 | 0.000 |
| 0.000 | 0.000 | 0.000 | 0.000 | 59.323 | 0.000 |
| 0.000 | 0.000 | 0.000 | 0.000 | 0.000 | 59.323 |
| 1164.550 | 1129.388 | 1129.388 | -0.000 | -0.000 | -0.000 |
| 1129.388 | 1164.550 | 1129.388 | -0.000 | -0.000 | -0.000 |
| 1129.388 | 1129.388 | 1164.550 | -0.000 | -0.000 | -0.000 |
| 0.000 | -0.000 | 0.000 | 59.323 | -0.000 | -0.000 |
| -0.000 | 0.000 | 0.000 | -0.000 | 59.323 | -0.000 |
| -0.000 | 0.000 | 0.000 | -0.000 | -0.000 | 59.323 |
| 1164.552 | 1129.390 | 1129.390 | -0.000 | -0.000 | 0.000 |
| 1129.390 | 1164.552 | 1129.390 | 0.000 | 0.000 | 0.000 |
| 1129.390 | 1129.390 | 1164.552 | 0.000 | -0.000 | 0.000 |
| -0.000 | 0.000 | -0.000 | 59.323 | 0.000 | 0.000 |
| 0.000 | -0.000 | -0.000 | 0.000 | 59.323 | -0.000 |
| 0.000 | -0.000 | -0.000 | 0.000 | -0.000 | 59.323 |
| 1164.538 | 1129.378 | 1129.378 | -0.000 | 0.000 | -0.000 |
| 1129.378 | 1164.538 | 1129.378 | -0.000 | -0.000 | -0.000 |
| 1129.378 | 1129.378 | 1164.538 | 0.000 | -0.000 | -0.000 |
| 0.001 | -0.000 | 0.000 | 59.323 | -0.000 | -0.000 |
| -0.000 | 0.001 | 0.000 | -0.000 | 59.323 | -0.000 |
| -0.000 | 0.000 | 0.001 | 0.000 | -0.000 | 59.323 |
| 1164.564 | 1129.401 | 1129.401 | -0.000 | 0.000 | 0.000 |
| 1129.401 | 1164.564 | 1129.401 | 0.000 | -0.000 | 0.000 |
| 1129.401 | 1129.401 | 1164.564 | 0.000 | 0.000 | 0.000 |
| -0.001 | 0.000 | -0.000 | 59.323 | 0.000 | 0.000 |
| 0.000 | -0.001 | -0.000 | 0.000 | 59.323 | 0.000 |
| 0.000 | -0.000 | -0.001 | -0.000 | 0.000 | 59.323 |
| 402.921 | 218.276 | 218.276 | -0.000 | -0.000 | -0.000 |
| 218.276 | 402.921 | 218.276 | -0.000 | -0.000 | -0.000 |
| 218.276 | 218.276 | 402.921 | -0.000 | -0.000 | -0.000 |
| 0.000 | 0.000 | 0.000 | 218.407 | -0.000 | -0.000 |
| 0.000 | 0.000 | 0.000 | -0.000 | 218.407 | -0.000 |
| 0.000 | 0.000 | 0.000 | -0.000 | -0.000 | 218.407 |
| 402.922 | 218.276 | 218.276 | 0.000 | 0.000 | 0.000 |
| 218.276 | 402.922 | 218.276 | 0.000 | 0.000 | 0.000 |
| 218.276 | 218.276 | 402.922 | 0.000 | 0.000 | 0.000 |
| -0.000 | -0.000 | -0.000 | 218.407 | 0.000 | 0.000 |
| -0.000 | -0.000 | -0.000 | 0.000 | 218.407 | 0.000 |
| -0.000 | -0.000 | -0.000 | 0.000 | 0.000 | 218.407 |
| 402.920 | 218.276 | 218.276 | -0.000 | -0.000 | -0.000 |
| 218.276 | 402.920 | 218.276 | -0.000 | -0.000 | -0.000 |
| 218.276 | 218.276 | 402.920 | -0.000 | -0.000 | -0.000 |
| -0.000 | 0.000 | 0.000 | 218.407 | -0.000 | -0.000 |
| 0.000 | -0.000 | 0.000 | -0.000 | 218.407 | -0.000 |
| 0.000 | 0.000 | -0.000 | -0.000 | -0.000 | 218.407 |
| 402.923 | 218.275 | 218.275 | 0.000 | 0.000 | 0.000 |
| 218.275 | 402.923 | 218.275 | 0.000 | 0.000 | 0.000 |
| 218.275 | 218.275 | 402.923 | 0.000 | 0.000 | 0.000 |
| 0.000 | -0.000 | -0.000 | 218.407 | 0.000 | 0.000 |
| -0.000 | 0.000 | -0.000 | 0.000 | 218.407 | 0.000 |
| -0.000 | -0.000 | 0.000 | 0.000 | 0.000 | 218.407 |
| 402.902 | 218.280 | 218.280 | -0.000 | -0.000 | -0.000 |
| 218.280 | 402.902 | 218.280 | -0.000 | -0.000 | -0.000 |
| 218.280 | 218.280 | 402.902 | -0.000 | -0.000 | -0.000 |
| -0.000 | 0.004 | 0.004 | 218.407 | -0.000 | -0.000 |
| 0.004 | -0.000 | 0.004 | -0.000 | 218.407 | -0.000 |
| 0.004 | 0.004 | -0.000 | -0.000 | -0.000 | 218.407 |
| 402.940 | 218.271 | 218.271 | 0.000 | 0.000 | 0.000 |
| 218.271 | 402.940 | 218.271 | 0.000 | 0.000 | 0.000 |
| 218.271 | 218.271 | 402.940 | 0.000 | 0.000 | 0.000 |
| 0.000 | -0.004 | -0.004 | 218.407 | 0.000 | 0.000 |
| -0.004 | 0.000 | -0.004 | 0.000 | 218.407 | 0.000 |
| -0.004 | -0.004 | 0.000 | 0.000 | 0.000 | 218.407 |
| 62.896 | 31.449 | 31.449 | -0.000 | -0.000 | -0.000 |
| 31.449 | 62.896 | 31.449 | -0.000 | -0.000 | -0.000 |
| 31.449 | 31.449 | 62.896 | -0.000 | -0.000 | -0.000 |
| -0.000 | -0.000 | -0.000 | 31.448 | -0.000 | -0.000 |
| -0.000 | -0.000 | -0.000 | -0.000 | 31.448 | 0.000 |
| -0.000 | -0.000 | -0.000 | -0.000 | 0.000 | 31.448 |
| 62.897 | 31.449 | 31.449 | 0.000 | 0.000 | 0.000 |
| 31.449 | 62.897 | 31.449 | 0.000 | 0.000 | 0.000 |
| 31.449 | 31.449 | 62.897 | 0.000 | 0.000 | 0.000 |
| 0.000 | 0.000 | 0.000 | 31.448 | 0.000 | 0.000 |
| 0.000 | 0.000 | 0.000 | 0.000 | 31.448 | -0.000 |
| 0.000 | 0.000 | 0.000 | 0.000 | -0.000 | 31.448 |
| 62.896 | 31.448 | 31.448 | -0.000 | -0.000 | -0.000 |
| 31.448 | 62.896 | 31.448 | -0.000 | -0.000 | -0.000 |
| 31.448 | 31.448 | 62.896 | -0.000 | -0.000 | -0.000 |
| -0.000 | -0.000 | -0.000 | 31.448 | -0.000 | -0.000 |
| -0.000 | -0.000 | -0.000 | -0.000 | 31.448 | 0.000 |
| -0.000 | -0.000 | -0.000 | -0.000 | -0.000 | 31.448 |
| 62.898 | 31.449 | 31.449 | 0.000 | 0.000 | 0.000 |
| 31.449 | 62.898 | 31.449 | 0.000 | 0.000 | 0.000 |
| 31.449 | 31.449 | 62.898 | 0.000 | 0.000 | 0.000 |
| 0.000 | 0.000 | 0.000 | 31.448 | 0.000 | 0.000 |
| 0.000 | 0.000 | 0.000 | 0.000 | 31.448 | 0.000 |
| 0.000 | 0.000 | 0.000 | 0.000 | 0.000 | 31.448 |
| 62.887 | 31.444 | 31.444 | -0.000 | -0.000 | -0.000 |
| 31.444 | 62.887 | 31.444 | -0.000 | -0.000 | -0.000 |
| 31.444 | 31.444 | 62.887 | -0.000 | -0.000 | -0.000 |
| -0.000 | -0.005 | -0.005 | 31.448 | -0.000 | -0.000 |
| -0.005 | -0.000 | -0.005 | -0.000 | 31.448 | -0.000 |
| -0.005 | -0.005 | -0.000 | -0.000 | -0.000 | 31.448 |
| 62.906 | 31.453 | 31.453 | 0.000 | -0.000 | -0.000 |
| 31.453 | 62.906 | 31.453 | -0.000 | 0.000 | 0.000 |
| 31.453 | 31.453 | 62.906 | 0.000 | 0.000 | 0.000 |
| 0.000 | 0.005 | 0.005 | 31.448 | 0.000 | 0.000 |
| 0.005 | 0.000 | 0.005 | 0.000 | 31.448 | 0.000 |
| 0.005 | 0.005 | 0.000 | 0.000 | 0.000 | 31.448 |
| 522.983 | 181.883 | 181.883 | 0.000 | 0.000 | 0.000 |
| 181.883 | 522.983 | 181.883 | 0.000 | 0.000 | -0.000 |
| 181.883 | 181.883 | 522.983 | -0.000 | -0.000 | 0.000 |
| -0.000 | -0.000 | -0.000 | -71.914 | -0.000 | 0.000 |
| -0.000 | -0.000 | -0.000 | 0.000 | -71.914 | 0.000 |
| -0.000 | -0.000 | -0.000 | -0.000 | 0.000 | -71.914 |
| 522.304 | 182.222 | 182.222 | -0.000 | -0.000 | -0.000 |
| 182.222 | 522.304 | 182.222 | -0.000 | -0.000 | -0.000 |
| 182.222 | 182.222 | 522.304 | 0.000 | 0.000 | -0.000 |
| 0.000 | 0.000 | 0.000 | -71.914 | 0.000 | -0.000 |
| 0.000 | 0.000 | 0.000 | 0.000 | -71.914 | -0.000 |
| 0.000 | 0.000 | 0.000 | -0.000 | -0.000 | -71.914 |
| 522.304 | 182.222 | 182.222 | 0.000 | 0.000 | 0.000 |
| 182.222 | 522.304 | 182.222 | 0.000 | 0.000 | -0.000 |
| 182.222 | 182.222 | 522.304 | 0.000 | -0.000 | -0.000 |
| -0.000 | -0.000 | -0.000 | -71.914 | -0.000 | -0.000 |
| -0.000 | -0.000 | -0.000 | 0.000 | -71.914 | 0.000 |
| -0.000 | -0.000 | -0.000 | 0.000 | -0.000 | -71.914 |
| 522.304 | 182.222 | 182.222 | -0.000 | -0.000 | -0.000 |
| 182.222 | 522.304 | 182.222 | -0.000 | 0.000 | -0.000 |
| 182.222 | 182.222 | 522.304 | 0.000 | 0.000 | -0.000 |
| 0.000 | 0.000 | 0.000 | -71.914 | 0.000 | -0.000 |
| 0.000 | 0.000 | 0.000 | -0.000 | -71.914 | 0.000 |
| 0.000 | 0.000 | 0.000 | -0.000 | 0.000 | -71.914 |
| 522.983 | 181.883 | 181.883 | 0.000 | -0.000 | 0.000 |
| 181.883 | 522.983 | 181.883 | 0.000 | -0.000 | -0.000 |
| 181.883 | 181.883 | 522.983 | -0.000 | -0.000 | -0.000 |
| -0.001 | -0.002 | -0.002 | -71.914 | 0.000 | -0.000 |
| -0.002 | -0.001 | -0.002 | 0.000 | -71.914 | 0.000 |
| -0.002 | -0.002 | -0.001 | 0.000 | 0.000 | -71.914 |
| 522.983 | 181.882 | 181.882 | -0.000 | 0.000 | -0.000 |
| 181.882 | 522.983 | 181.882 | -0.000 | -0.000 | -0.000 |
| 181.882 | 181.882 | 522.983 | -0.000 | -0.000 | 0.000 |
| 0.001 | 0.002 | 0.002 | -71.914 | 0.000 | -0.000 |
| 0.002 | 0.001 | 0.002 | -0.000 | -71.914 | -0.000 |
| 0.002 | 0.002 | 0.001 | -0.000 | 0.000 | -71.914 |
| 463.271 | 462.251 | 462.251 | -0.000 | 0.000 | -0.000 |
| 462.251 | 463.271 | 462.251 | -0.000 | 0.000 | -0.000 |
| 462.251 | 462.251 | 463.271 | 0.000 | 0.000 | -0.000 |
| -0.000 | -0.000 | -0.000 | -40.709 | 0.000 | 0.000 |
| -0.000 | -0.000 | -0.000 | -0.000 | -40.709 | -0.000 |
| -0.000 | -0.000 | -0.000 | -0.000 | 0.000 | -40.709 |
| 463.271 | 462.251 | 462.251 | -0.000 | -0.000 | 0.000 |
| 462.251 | 463.271 | 462.251 | 0.000 | -0.000 | 0.000 |
| 462.251 | 462.251 | 463.271 | 0.000 | -0.000 | 0.000 |
| 0.000 | 0.000 | 0.000 | -40.709 | -0.000 | -0.000 |
| 0.000 | 0.000 | 0.000 | 0.000 | -40.709 | 0.000 |
| 0.000 | 0.000 | 0.000 | -0.000 | -0.000 | -40.709 |
| 463.271 | 462.250 | 462.250 | -0.000 | 0.000 | -0.000 |
| 462.250 | 463.271 | 462.250 | -0.000 | 0.000 | 0.000 |
| 462.250 | 462.250 | 463.271 | -0.000 | 0.000 | 0.000 |
| -0.000 | -0.000 | -0.000 | -40.709 | 0.000 | -0.000 |
| -0.000 | -0.000 | -0.000 | -0.000 | -40.709 | -0.000 |
| -0.000 | -0.000 | -0.000 | -0.000 | 0.000 | -40.709 |
| 463.272 | 462.252 | 462.252 | 0.000 | -0.000 | 0.000 |
| 462.252 | 463.272 | 462.252 | -0.000 | -0.000 | -0.000 |
| 462.252 | 462.252 | 463.272 | 0.000 | -0.000 | -0.000 |
| 0.000 | 0.000 | 0.000 | -40.709 | -0.000 | 0.000 |
| 0.000 | 0.000 | 0.000 | 0.000 | -40.709 | 0.000 |
| 0.000 | 0.000 | 0.000 | 0.000 | -0.000 | -40.709 |
| -242129.069 | -310146.274 | -273291.366 | -24098.516 | 20704.367 | -54186.056 |
| -403376.664 | -366843.376 | -388611.154 | -4389.405 | -49630.296 | -59928.943 |
| -244358.040 | -276619.298 | -139520.097 | -79671.452 | 59621.591 | -15809.579 |
| -704287.153 | -702066.257 | -417473.345 | -1757.548 | -50870.969 | 29015.853 |
| -316733.211 | -410948.001 | -538769.147 | 97705.216 | 100423.923 | -142158.824 |
| -659476.659 | -507893.184 | -805632.757 | -21054.121 | -38397.469 | -110525.670 |
| 361025.730 | 292129.776 | 269478.245 | 40944.970 | -11185.967 | 12290.200 |
| 52923.012 | 267965.303 | 75309.736 | 12438.957 | -31956.286 | 24373.949 |
| 74147.783 | 85128.427 | 195807.113 | 28046.464 | -47419.001 | 1855.625 |
| 427528.723 | 303484.893 | 424593.282 | 59085.016 | 97378.705 | -25517.829 |
| 380233.301 | 324805.334 | 326149.308 | 76265.329 | 136478.289 | 193988.692 |
| 669713.541 | 412687.921 | 490935.349 | -55916.763 | 22891.839 | -37000.223 |
| 279.425 | 95.767 | 95.767 | 0.000 | -0.000 | 0.000 |
| 95.767 | 279.425 | 95.767 | 0.000 | -0.000 | -0.000 |
| 95.767 | 95.767 | 279.425 | 0.000 | -0.000 | 0.000 |
| 0.000 | 0.000 | 0.000 | -20.914 | -0.000 | 0.000 |
| 0.000 | 0.000 | 0.000 | -0.000 | -20.914 | 0.000 |
| 0.000 | 0.000 | 0.000 | 0.000 | -0.000 | -20.914 |
| 279.425 | 95.767 | 95.767 | -0.000 | -0.000 | -0.000 |
| 95.767 | 279.425 | 95.767 | -0.000 | 0.000 | 0.000 |
| 95.767 | 95.767 | 279.425 | -0.000 | 0.000 | -0.000 |
| -0.000 | -0.000 | -0.000 | -20.914 | 0.000 | 0.000 |
| -0.000 | -0.000 | -0.000 | 0.000 | -20.914 | -0.000 |
| -0.000 | -0.000 | -0.000 | -0.000 | 0.000 | -20.914 |
| 279.426 | 95.767 | 95.767 | 0.000 | -0.000 | -0.000 |
| 95.767 | 279.426 | 95.767 | 0.000 | 0.000 | 0.000 |
| 95.767 | 95.767 | 279.426 | 0.000 | -0.000 | 0.000 |
| 0.000 | 0.000 | 0.000 | -20.914 | -0.000 | -0.000 |
| 0.000 | 0.000 | 0.000 | 0.000 | -20.914 | 0.000 |
| 0.000 | 0.000 | 0.000 | 0.000 | -0.000 | -20.914 |
| 304.658 | 83.150 | 83.150 | 0.000 | 0.000 | 0.000 |
| 83.150 | 304.658 | 83.150 | -0.000 | 0.000 | -0.000 |
| 83.150 | 83.150 | 304.658 | -0.000 | 0.000 | 0.000 |
| -0.000 | -0.000 | -0.000 | -20.914 | 0.000 | -0.000 |
| -0.000 | -0.000 | -0.000 | 0.000 | -20.914 | 0.000 |
| -0.000 | -0.000 | -0.000 | 0.000 | 0.000 | -20.914 |
| 279.432 | 95.768 | 95.768 | -0.000 | -0.000 | 0.000 |
| 95.768 | 279.432 | 95.768 | 0.000 | 0.000 | 0.000 |
| 95.768 | 95.768 | 279.432 | 0.000 | -0.000 | 0.000 |
| 0.002 | 0.004 | 0.004 | -20.914 | -0.000 | 0.000 |
| 0.004 | 0.002 | 0.004 | 0.000 | -20.914 | 0.000 |
| 0.004 | 0.004 | 0.002 | -0.000 | -0.000 | -20.914 |
| 279.418 | 95.766 | 95.766 | -0.000 | -0.000 | 0.000 |
| 95.766 | 279.418 | 95.766 | -0.000 | 0.000 | -0.000 |
| 95.766 | 95.766 | 279.418 | -0.000 | 0.000 | -0.000 |
| -0.002 | -0.004 | -0.004 | -20.914 | 0.000 | 0.000 |
| -0.004 | -0.002 | -0.004 | 0.000 | -20.914 | -0.000 |
| -0.004 | -0.004 | -0.002 | 0.000 | 0.000 | -20.914 |
| 185.029 | 187.448 | 187.448 | 0.000 | 0.000 | 0.000 |
| 187.448 | 185.029 | 187.448 | 0.000 | 0.000 | 0.000 |
| 187.448 | 187.448 | 185.029 | 0.000 | -0.000 | 0.000 |
| 0.000 | 0.000 | 0.000 | 164.908 | 0.000 | 0.000 |
| 0.000 | 0.000 | 0.000 | 0.000 | 164.908 | 0.000 |
| 0.000 | 0.000 | 0.000 | 0.000 | 0.000 | 164.908 |
| 185.029 | 187.448 | 187.448 | -0.000 | 0.000 | -0.000 |
| 187.448 | 185.029 | 187.448 | -0.000 | -0.000 | -0.000 |
| 187.448 | 187.448 | 185.029 | -0.000 | -0.000 | -0.000 |
| -0.000 | -0.000 | -0.000 | 164.908 | -0.000 | -0.000 |
| -0.000 | -0.000 | -0.000 | -0.000 | 164.908 | -0.000 |
| -0.000 | -0.000 | -0.000 | -0.000 | -0.000 | 164.908 |
| 185.028 | 187.448 | 187.448 | 0.000 | 0.000 | 0.000 |
| 187.448 | 185.028 | 187.448 | 0.000 | -0.000 | 0.000 |
| 187.448 | 187.448 | 185.028 | 0.000 | 0.000 | -0.000 |
| 0.000 | 0.000 | 0.000 | 164.908 | 0.000 | 0.000 |
| 0.000 | 0.000 | 0.000 | 0.000 | 164.908 | 0.000 |
| 0.000 | 0.000 | 0.000 | 0.000 | -0.000 | 164.908 |
| 185.029 | 187.448 | 187.448 | -0.000 | 0.000 | -0.000 |
| 187.448 | 185.029 | 187.448 | -0.000 | -0.000 | -0.000 |
| 187.448 | 187.448 | 185.029 | -0.000 | -0.000 | -0.000 |
| -0.000 | -0.000 | -0.000 | 164.908 | -0.000 | 0.000 |
| -0.000 | -0.000 | -0.000 | -0.000 | 164.908 | -0.000 |
| -0.000 | -0.000 | -0.000 | -0.000 | -0.000 | 164.908 |
| 185.027 | 187.449 | 187.449 | 0.000 | 0.000 | 0.000 |
| 187.449 | 185.027 | 187.449 | 0.000 | -0.000 | 0.000 |
| 187.449 | 187.449 | 185.027 | 0.000 | 0.000 | 0.000 |
| 0.001 | 0.000 | 0.001 | 164.908 | -0.000 | 0.000 |
| 0.000 | 0.001 | 0.001 | 0.000 | 164.908 | 0.000 |
| 0.000 | 0.001 | 0.001 | 0.000 | 0.000 | 164.908 |
| 185.031 | 187.447 | 187.447 | -0.000 | -0.000 | -0.000 |
| 187.447 | 185.031 | 187.447 | -0.000 | 0.000 | -0.000 |
| 187.447 | 187.447 | 185.031 | -0.000 | 0.000 | 0.000 |
| -0.001 | -0.000 | -0.001 | 164.908 | 0.000 | -0.000 |
| -0.000 | -0.001 | -0.001 | -0.000 | 164.908 | -0.000 |
| -0.000 | -0.001 | -0.001 | -0.000 | -0.000 | 164.908 |
| 38.209 | 172.419 | 172.419 | 0.000 | 0.000 | 0.000 |
| 172.419 | 38.209 | 172.419 | -0.000 | 0.000 | -0.000 |
| 172.419 | 172.419 | 38.209 | 0.000 | 0.000 | -0.000 |
| -0.000 | -0.000 | 0.000 | 172.471 | 0.000 | -0.000 |
| -0.000 | -0.000 | 0.000 | 0.000 | 172.471 | 0.000 |
| -0.000 | -0.000 | 0.000 | 0.000 | 0.000 | 172.471 |
| 38.209 | 172.419 | 172.419 | -0.000 | -0.000 | -0.000 |
| 172.419 | 38.209 | 172.419 | -0.000 | -0.000 | 0.000 |
| 172.419 | 172.419 | 38.209 | -0.000 | -0.000 | 0.000 |
| 0.000 | 0.000 | -0.000 | 172.471 | -0.000 | -0.000 |
| 0.000 | 0.000 | -0.000 | -0.000 | 172.471 | -0.000 |
| 0.000 | 0.000 | -0.000 | 0.000 | -0.000 | 172.471 |
| 38.209 | 172.419 | 172.419 | 0.000 | 0.000 | -0.000 |
| 172.419 | 38.209 | 172.419 | 0.000 | 0.000 | 0.000 |
| 172.419 | 172.419 | 38.209 | 0.000 | 0.000 | 0.000 |
| -0.000 | -0.000 | -0.000 | 172.471 | 0.000 | -0.000 |
| -0.000 | -0.000 | -0.000 | -0.000 | 172.471 | 0.000 |
| -0.000 | -0.000 | -0.000 | 0.000 | 0.000 | 172.471 |
| 38.209 | 172.419 | 172.419 | -0.000 | -0.000 | 0.000 |
| 172.419 | 38.209 | 172.419 | -0.000 | -0.000 | 0.000 |
| 172.419 | 172.419 | 38.209 | 0.000 | 0.000 | -0.000 |
| 0.000 | 0.000 | 0.000 | 172.471 | -0.000 | -0.000 |
| 0.000 | 0.000 | 0.000 | -0.000 | 172.471 | -0.000 |
| 0.000 | 0.000 | 0.000 | 0.000 | -0.000 | 172.471 |
| 38.207 | 172.419 | 172.419 | 0.000 | 0.000 | 0.000 |
| 172.419 | 38.207 | 172.419 | -0.000 | 0.000 | 0.000 |
| 172.419 | 172.419 | 38.207 | -0.000 | -0.000 | -0.000 |
| -0.001 | -0.001 | -0.000 | 172.471 | 0.000 | -0.000 |
| -0.001 | -0.001 | -0.000 | 0.000 | 172.471 | 0.000 |
| -0.001 | -0.000 | -0.001 | -0.000 | 0.000 | 172.471 |
| 38.211 | 172.420 | 172.420 | 0.000 | -0.000 | -0.000 |
| 172.420 | 38.211 | 172.420 | -0.000 | -0.000 | 0.000 |
| 172.420 | 172.420 | 38.211 | 0.000 | 0.000 | 0.000 |
| 0.001 | 0.001 | 0.000 | 172.471 | -0.000 | -0.000 |
| 0.001 | 0.001 | 0.000 | -0.000 | 172.471 | 0.000 |
| 0.001 | 0.000 | 0.001 | 0.000 | -0.000 | 172.471 |
| 206.411 | -51.851 | -51.851 | -0.000 | -0.000 | -0.000 |
| -51.851 | 206.411 | -51.851 | -0.000 | -0.000 | -0.000 |
| -51.851 | -51.851 | 206.411 | -0.000 | -0.000 | -0.000 |
| -0.000 | -0.000 | -0.000 | -51.821 | 0.000 | -0.000 |
| -0.000 | -0.000 | -0.000 | -0.000 | -51.821 | -0.000 |
| -0.000 | -0.000 | -0.000 | 0.000 | 0.000 | -51.821 |
| 206.410 | -51.851 | -51.851 | 0.000 | 0.000 | 0.000 |
| -51.851 | 206.410 | -51.851 | 0.000 | 0.000 | 0.000 |
| -51.851 | -51.851 | 206.410 | 0.000 | 0.000 | 0.000 |
| 0.000 | 0.000 | 0.000 | -51.821 | -0.000 | 0.000 |
| 0.000 | 0.000 | 0.000 | -0.000 | -51.821 | 0.000 |
| 0.000 | 0.000 | 0.000 | -0.000 | -0.000 | -51.821 |
| 206.413 | -51.851 | -51.851 | -0.000 | 0.000 | -0.000 |
| -51.851 | 206.413 | -51.851 | 0.000 | 0.000 | -0.000 |
| -51.851 | -51.851 | 206.413 | -0.000 | 0.000 | -0.000 |
| -0.000 | 0.000 | -0.000 | -51.821 | 0.000 | -0.000 |
| 0.000 | -0.000 | -0.000 | 0.000 | -51.821 | -0.000 |
| 0.000 | -0.000 | -0.000 | 0.000 | -0.000 | -51.821 |
| 206.408 | -51.851 | -51.851 | -0.000 | -0.000 | 0.000 |
| -51.851 | 206.408 | -51.851 | -0.000 | -0.000 | 0.000 |
| -51.851 | -51.851 | 206.408 | -0.000 | -0.000 | 0.000 |
| 0.000 | -0.000 | 0.000 | -51.821 | -0.000 | 0.000 |
| -0.000 | 0.000 | 0.000 | -0.000 | -51.821 | 0.000 |
| -0.000 | 0.000 | 0.000 | -0.000 | -0.000 | -51.821 |
| 206.431 | -51.851 | -51.851 | 0.000 | 0.000 | -0.000 |
| -51.851 | 206.431 | -51.851 | 0.000 | 0.000 | -0.000 |
| -51.851 | -51.851 | 206.431 | -0.000 | 0.000 | -0.000 |
| -0.000 | 0.000 | -0.000 | -51.821 | 0.000 | -0.000 |
| 0.000 | -0.000 | -0.000 | 0.000 | -51.821 | -0.000 |
| 0.000 | -0.000 | -0.000 | 0.000 | 0.000 | -51.821 |
| 206.390 | -51.851 | -51.851 | -0.000 | -0.000 | 0.000 |
| -51.851 | 206.390 | -51.851 | 0.000 | -0.000 | 0.000 |
| -51.851 | -51.851 | 206.390 | -0.000 | -0.000 | 0.000 |
| 0.000 | -0.000 | 0.000 | -51.821 | -0.000 | 0.000 |
| -0.000 | 0.000 | 0.000 | -0.000 | -51.821 | 0.000 |
| -0.000 | 0.000 | 0.000 | -0.000 | -0.000 | -51.821 |
| 25.702 | 25.702 | 25.702 | -0.000 | 0.000 | -0.000 |
| 25.702 | 25.702 | 25.702 | 0.000 | -0.000 | -0.000 |
| 25.702 | 25.702 | 25.702 | -0.000 | -0.000 | -0.000 |
| -0.000 | -0.000 | -0.000 | 25.702 | -0.000 | -0.000 |
| -0.000 | -0.000 | -0.000 | -0.000 | 25.702 | -0.000 |
| -0.000 | -0.000 | -0.000 | -0.000 | 0.000 | 25.702 |
| 25.702 | 25.702 | 25.702 | 0.000 | 0.000 | 0.000 |
| 25.702 | 25.702 | 25.702 | 0.000 | 0.000 | 0.000 |
| 25.702 | 25.702 | 25.702 | 0.000 | 0.000 | 0.000 |
| 0.000 | 0.000 | 0.000 | 25.702 | 0.000 | 0.000 |
| 0.000 | 0.000 | 0.000 | 0.000 | 25.702 | 0.000 |
| 0.000 | 0.000 | 0.000 | 0.000 | -0.000 | 25.702 |
| 25.702 | 25.702 | 25.702 | 0.000 | 0.000 | -0.000 |
| 25.702 | 25.702 | 25.702 | 0.000 | 0.000 | -0.000 |
| 25.702 | 25.702 | 25.702 | 0.000 | 0.000 | -0.000 |
| -0.000 | -0.000 | -0.000 | 25.702 | -0.000 | -0.000 |
| -0.000 | -0.000 | -0.000 | -0.000 | 25.702 | -0.000 |
| -0.000 | -0.000 | -0.000 | -0.000 | 0.000 | 25.702 |
| 25.702 | 25.702 | 25.702 | 0.000 | 0.000 | 0.000 |
| 25.702 | 25.702 | 25.702 | 0.000 | 0.000 | 0.000 |
| 25.702 | 25.702 | 25.702 | 0.000 | 0.000 | 0.000 |
| 0.000 | 0.000 | 0.000 | 25.702 | 0.000 | 0.000 |
| 0.000 | 0.000 | 0.000 | 0.000 | 25.702 | 0.000 |
| 0.000 | 0.000 | 0.000 | 0.000 | -0.000 | 25.702 |
| 25.699 | 25.699 | 25.699 | -0.000 | -0.000 | -0.000 |
| 25.699 | 25.699 | 25.699 | -0.000 | -0.000 | -0.000 |
| 25.699 | 25.699 | 25.699 | -0.000 | -0.000 | -0.000 |
| -0.003 | -0.003 | -0.003 | 25.702 | -0.000 | -0.000 |
| -0.003 | -0.003 | -0.003 | -0.000 | 25.702 | -0.000 |
| -0.003 | -0.003 | -0.003 | 0.000 | 0.000 | 25.702 |
| 25.705 | 25.705 | 25.705 | 0.000 | 0.000 | 0.000 |
| 25.705 | 25.705 | 25.705 | 0.000 | 0.000 | 0.000 |
| 25.705 | 25.705 | 25.705 | -0.000 | -0.000 | 0.000 |
| 0.003 | 0.003 | 0.003 | 25.702 | 0.000 | 0.000 |
| 0.003 | 0.003 | 0.003 | 0.000 | 25.702 | 0.000 |
| 0.003 | 0.003 | 0.003 | 0.000 | -0.000 | 25.702 |
| 189.439 | 107.402 | 114.035 | -0.000 | 0.000 | 0.000 |
| 107.402 | 189.439 | 114.035 | -0.000 | 0.000 | -0.000 |
| 114.035 | 114.035 | 343.796 | -0.000 | 0.000 | -0.000 |
| -0.000 | -0.000 | 0.000 | 48.323 | 0.000 | -0.000 |
| 0.000 | -0.000 | 0.000 | -0.000 | 48.323 | -0.000 |
| 0.000 | -0.000 | 0.000 | -0.000 | 0.000 | 6.010 |
| 154.431 | 142.410 | 114.035 | 0.000 | -0.000 | 0.000 |
| 142.410 | 154.431 | 114.035 | 0.000 | -0.000 | 0.000 |
| 114.035 | 114.035 | 343.796 | -0.000 | 0.000 | 0.000 |
| -0.000 | 0.000 | -0.000 | 48.323 | -0.000 | -0.000 |
| -0.000 | 0.000 | -0.000 | 0.000 | 48.323 | 0.000 |
| -0.000 | 0.000 | -0.000 | 0.000 | -0.000 | 6.010 |
| 154.431 | 142.410 | 114.035 | -0.000 | -0.000 | -0.000 |
| 142.410 | 154.431 | 114.035 | -0.000 | 0.000 | 0.000 |
| 114.035 | 114.035 | 343.796 | -0.000 | -0.000 | -0.000 |
| 0.000 | 0.000 | 0.000 | 48.323 | 0.000 | -0.000 |
| 0.000 | 0.000 | 0.000 | -0.000 | 48.323 | -0.000 |
| 0.000 | 0.000 | 0.000 | -0.000 | 0.000 | 6.010 |
| 189.439 | 107.401 | 114.035 | 0.000 | 0.000 | 0.000 |
| 107.401 | 189.439 | 114.035 | -0.000 | 0.000 | 0.000 |
| 114.035 | 114.035 | 343.795 | 0.000 | 0.000 | 0.000 |
| -0.000 | -0.000 | -0.000 | 48.323 | -0.000 | 0.000 |
| -0.000 | -0.000 | -0.000 | 0.000 | 48.323 | 0.000 |
| -0.000 | -0.000 | -0.000 | 0.000 | -0.000 | 6.010 |
| 154.436 | 142.410 | 114.036 | -0.000 | 0.000 | -0.000 |
| 107.403 | 189.442 | 114.035 | -0.000 | 0.000 | 0.000 |
| 114.036 | 114.036 | 343.798 | -0.000 | 0.000 | -0.000 |
| 0.000 | 0.000 | 0.001 | 48.323 | 0.000 | -0.000 |
| 0.000 | 0.000 | 0.001 | -0.000 | 48.323 | -0.000 |
| 0.000 | 0.001 | 0.000 | -0.000 | 0.000 | 41.019 |
| 154.426 | 142.410 | 114.033 | 0.000 | -0.000 | 0.000 |
| 107.401 | 189.436 | 114.034 | 0.000 | -0.000 | 0.000 |
| 114.034 | 114.034 | 343.793 | 0.000 | -0.000 | 0.000 |
| -0.000 | -0.000 | -0.001 | 48.323 | -0.000 | 0.000 |
| -0.000 | -0.000 | -0.001 | 0.000 | 48.323 | -0.000 |
| -0.000 | -0.001 | -0.000 | 0.000 | -0.000 | 41.019 |
| 529.005 | 176.248 | 134.220 | -0.000 | 0.000 | 0.000 |
| 202.542 | 502.711 | 134.220 | -0.000 | 0.000 | 0.000 |
| 134.220 | 134.220 | 571.033 | -0.000 | 0.000 | 0.000 |
| -0.000 | -0.000 | 0.000 | 134.351 | -0.000 | 0.000 |
| -0.000 | -0.000 | 0.000 | -0.000 | 134.351 | 0.000 |
| -0.000 | 0.000 | -0.000 | -0.000 | 0.000 | 150.084 |
| 502.711 | 202.542 | 134.220 | 0.000 | -0.000 | -0.000 |
| 202.542 | 502.711 | 134.220 | 0.000 | -0.000 | -0.000 |
| 134.220 | 134.220 | 571.033 | 0.000 | -0.000 | -0.000 |
| 0.000 | 0.000 | -0.000 | 134.351 | 0.000 | -0.000 |
| 0.000 | 0.000 | -0.000 | 0.000 | 134.351 | -0.000 |
| 0.000 | -0.000 | 0.000 | 0.000 | 0.000 | 150.084 |
| 502.711 | 202.542 | 134.219 | -0.000 | 0.000 | 0.000 |
| 176.248 | 529.006 | 134.220 | 0.000 | -0.000 | 0.000 |
| 134.220 | 134.220 | 571.034 | -0.000 | 0.000 | 0.000 |
| 0.000 | -0.000 | 0.000 | 134.351 | 0.000 | 0.000 |
| -0.000 | 0.000 | 0.000 | -0.000 | 134.351 | 0.000 |
| -0.001 | 0.000 | -0.000 | -0.000 | 0.000 | 150.084 |
| 529.004 | 176.248 | 134.220 | -0.000 | -0.000 | -0.000 |
| 176.247 | 529.005 | 134.220 | -0.000 | -0.000 | -0.000 |
| 134.220 | 134.220 | 571.032 | 0.000 | -0.000 | -0.000 |
| -0.000 | 0.000 | -0.000 | 134.351 | 0.000 | -0.000 |
| 0.000 | -0.000 | -0.000 | 0.000 | 134.351 | -0.000 |
| 0.001 | -0.000 | 0.000 | 0.000 | -0.000 | 150.084 |
| 502.718 | 202.540 | 134.214 | -0.000 | 0.000 | 0.000 |
| 202.553 | 502.704 | 134.214 | -0.000 | 0.000 | 0.000 |
| 134.221 | 134.221 | 571.044 | -0.000 | 0.000 | 0.000 |
| 0.000 | -0.005 | 0.000 | 134.351 | -0.000 | 0.000 |
| -0.003 | -0.001 | 0.000 | -0.000 | 134.351 | 0.000 |
| -0.005 | 0.003 | -0.004 | -0.000 | 0.000 | 150.084 |
| 502.704 | 202.545 | 134.226 | 0.000 | 0.000 | -0.000 |
| 202.531 | 502.717 | 134.226 | 0.000 | -0.000 | -0.000 |
| 134.219 | 134.219 | 571.022 | 0.000 | -0.000 | -0.000 |
| -0.000 | 0.005 | -0.000 | 134.351 | 0.000 | -0.000 |
| 0.003 | 0.001 | -0.000 | 0.000 | 134.351 | 0.000 |
| 0.005 | -0.003 | 0.004 | 0.000 | -0.000 | 150.084 |
| 76.000 | 28.828 | 20.966 | -0.000 | 0.000 | 0.000 |
| 28.828 | 76.000 | 20.966 | -0.000 | 0.000 | 0.000 |
| 20.966 | 20.966 | 83.862 | -0.000 | -0.000 | 0.000 |
| -0.000 | -0.000 | -0.000 | 20.965 | -0.000 | 0.000 |
| -0.000 | -0.000 | -0.000 | 0.000 | 20.965 | -0.000 |
| -0.000 | -0.000 | 0.000 | -0.000 | 0.000 | 23.586 |
| 76.000 | 28.828 | 20.966 | -0.000 | 0.000 | -0.000 |
| 28.828 | 76.000 | 20.966 | -0.000 | -0.000 | -0.000 |
| 20.966 | 20.966 | 83.862 | 0.000 | 0.000 | -0.000 |
| 0.000 | 0.000 | 0.000 | 20.965 | 0.000 | -0.000 |
| 0.000 | 0.000 | 0.000 | -0.000 | 20.965 | -0.000 |
| 0.000 | 0.000 | -0.000 | -0.000 | -0.000 | 23.586 |
| 75.998 | 28.828 | 20.966 | 0.000 | 0.000 | 0.000 |
| 28.827 | 75.998 | 20.966 | -0.000 | 0.000 | 0.000 |
| 20.966 | 20.966 | 83.860 | -0.000 | -0.000 | 0.000 |
| -0.000 | -0.000 | -0.000 | 20.965 | 0.000 | 0.000 |
| -0.000 | -0.000 | -0.000 | -0.000 | 20.965 | 0.000 |
| -0.000 | -0.001 | -0.000 | -0.000 | 0.000 | 23.586 |
| 76.002 | 28.828 | 20.966 | 0.000 | 0.000 | -0.000 |
| 28.829 | 76.001 | 20.966 | -0.000 | -0.000 | -0.000 |
| 20.966 | 20.966 | 83.864 | 0.000 | 0.000 | -0.000 |
| 0.000 | 0.000 | 0.000 | 20.965 | -0.000 | -0.000 |
| 0.000 | 0.000 | 0.000 | 0.000 | 20.965 | -0.000 |
| 0.000 | 0.001 | 0.000 | 0.000 | -0.000 | 23.586 |
| 75.980 | 28.826 | 20.965 | 0.000 | 0.000 | 0.000 |
| 28.822 | 75.984 | 20.965 | -0.000 | 0.000 | 0.000 |
| 20.962 | 20.962 | 83.845 | -0.000 | -0.000 | 0.000 |
| -0.001 | -0.001 | -0.004 | 20.965 | 0.000 | 0.000 |
| -0.001 | -0.001 | -0.004 | 0.000 | 20.965 | 0.000 |
| -0.002 | -0.005 | -0.000 | -0.000 | 0.000 | 23.586 |
| 76.020 | 28.830 | 20.967 | 0.000 | 0.000 | -0.000 |
| 28.834 | 76.016 | 20.967 | -0.000 | -0.000 | -0.000 |
| 20.970 | 20.970 | 83.879 | 0.000 | 0.000 | -0.000 |
| 0.001 | 0.001 | 0.004 | 20.965 | -0.000 | -0.000 |
| 0.001 | 0.001 | 0.004 | 0.000 | 20.965 | -0.000 |
| 0.002 | 0.005 | 0.000 | -0.000 | -0.000 | 23.586 |
| 144.608 | 90.815 | 131.694 | 0.000 | -0.000 | -0.000 |
| 90.815 | 144.608 | 131.694 | -0.000 | -0.000 | 0.000 |
| 131.694 | 131.694 | 439.040 | 0.000 | -0.000 | 0.000 |
| -0.000 | -0.000 | 0.000 | 70.535 | -0.000 | 0.000 |
| -0.000 | -0.000 | 0.000 | 0.000 | 70.535 | 0.000 |
| -0.000 | -0.000 | -0.000 | -0.000 | -0.000 | 26.897 |
| 109.382 | 126.041 | 131.694 | 0.000 | 0.000 | -0.000 |
| 126.041 | 109.382 | 131.694 | -0.000 | 0.000 | -0.000 |
| 131.694 | 131.694 | 439.040 | -0.000 | 0.000 | -0.000 |
| 0.000 | 0.000 | -0.000 | 70.535 | -0.000 | 0.000 |
| 0.000 | 0.000 | -0.000 | -0.000 | 70.535 | -0.000 |
| 0.000 | -0.000 | 0.000 | 0.000 | 0.000 | 26.897 |
| 109.382 | 126.041 | 131.694 | 0.000 | -0.000 | 0.000 |
| 90.815 | 144.608 | 131.694 | 0.000 | -0.000 | 0.000 |
| 131.694 | 131.694 | 439.040 | 0.000 | -0.000 | 0.000 |
| 0.000 | -0.000 | 0.000 | 70.535 | 0.000 | 0.000 |
| -0.000 | 0.000 | 0.000 | 0.000 | 70.535 | -0.000 |
| 0.000 | 0.000 | -0.000 | 0.000 | -0.000 | -8.329 |
| 144.608 | 90.815 | 131.694 | -0.000 | 0.000 | 0.000 |
| 90.815 | 144.608 | 131.694 | -0.000 | 0.000 | -0.000 |
| 131.694 | 131.694 | 439.040 | -0.000 | 0.000 | -0.000 |
| -0.000 | 0.000 | -0.000 | 70.535 | -0.000 | 0.000 |
| 0.000 | -0.000 | -0.000 | -0.000 | 70.535 | -0.000 |
| -0.000 | -0.000 | 0.000 | -0.000 | 0.000 | -8.329 |
| 109.384 | 126.040 | 131.694 | 0.000 | -0.000 | 0.000 |
| 126.041 | 109.383 | 131.694 | 0.000 | -0.000 | 0.000 |
| 131.694 | 131.694 | 439.043 | 0.000 | -0.000 | 0.000 |
| 0.000 | -0.000 | 0.001 | 70.535 | -0.000 | 0.000 |
| -0.000 | 0.000 | 0.001 | 0.000 | 70.535 | 0.000 |
| -0.000 | 0.000 | -0.000 | -0.000 | -0.000 | 26.897 |
| 144.607 | 90.815 | 131.694 | 0.000 | 0.000 | 0.000 |
| 126.041 | 109.381 | 131.694 | -0.000 | -0.000 | -0.000 |
| 131.693 | 131.693 | 439.037 | 0.000 | 0.000 | -0.000 |
| -0.000 | 0.000 | -0.001 | 70.535 | 0.000 | -0.000 |
| 0.000 | -0.000 | -0.001 | -0.000 | 70.535 | -0.000 |
| 0.000 | -0.000 | 0.000 | -0.000 | 0.000 | 26.897 |
| 109.322 | 126.058 | 131.699 | 0.000 | 0.000 | 0.000 |
| 90.816 | 144.564 | 131.699 | 0.000 | 0.000 | 0.000 |
| 131.700 | 131.700 | 438.969 | 0.000 | 0.000 | 0.000 |
| 0.000 | 0.000 | 0.000 | 70.527 | 0.000 | -0.000 |
| 0.000 | 0.000 | 0.000 | 0.000 | 70.527 | 0.000 |
| 0.000 | 0.000 | 0.000 | 0.000 | 0.000 | -8.368 |
| 109.322 | 126.058 | 131.699 | -0.000 | -0.000 | 0.000 |
| 126.058 | 109.322 | 131.699 | -0.000 | -0.000 | -0.000 |
| 131.700 | 131.700 | 438.969 | -0.000 | -0.000 | -0.000 |
| -0.000 | 0.000 | -0.000 | 70.527 | -0.000 | 0.000 |
| -0.000 | -0.000 | -0.000 | 0.000 | 70.527 | 0.000 |
| -0.000 | -0.000 | -0.000 | -0.000 | -0.000 | -8.368 |
| 144.564 | 90.816 | 131.699 | 0.000 | 0.000 | -0.000 |
| 90.816 | 144.564 | 131.699 | 0.000 | 0.000 | -0.000 |
| 131.700 | 131.700 | 438.970 | 0.000 | -0.000 | 0.000 |
| 0.000 | -0.000 | 0.000 | 70.527 | 0.000 | -0.000 |
| -0.000 | 0.000 | 0.000 | 0.000 | 70.527 | 0.000 |
| 0.000 | 0.000 | -0.000 | 0.000 | 0.000 | -8.368 |
| 109.322 | 126.058 | 131.699 | 0.000 | 0.000 | -0.000 |
| 126.058 | 109.322 | 131.699 | -0.000 | -0.000 | -0.000 |
| 131.700 | 131.700 | 438.969 | 0.000 | 0.000 | 0.000 |
| -0.000 | 0.000 | -0.000 | 70.527 | -0.000 | -0.000 |
| 0.000 | -0.000 | -0.000 | 0.000 | 70.527 | 0.000 |
| -0.000 | -0.000 | 0.000 | -0.000 | -0.000 | -8.368 |
| 109.324 | 126.057 | 131.699 | 0.000 | 0.000 | 0.000 |
| 126.058 | 109.323 | 131.699 | 0.000 | 0.000 | -0.000 |
| 131.700 | 131.700 | 438.972 | 0.000 | 0.000 | -0.000 |
| 0.000 | -0.000 | 0.001 | 70.527 | -0.000 | -0.000 |
| -0.000 | 0.000 | 0.001 | -0.000 | 70.527 | 0.000 |
| 0.000 | 0.000 | -0.000 | 0.000 | 0.000 | -8.368 |
| 109.320 | 126.058 | 131.699 | -0.000 | -0.000 | -0.000 |
| 90.816 | 144.563 | 131.699 | -0.000 | -0.000 | 0.000 |
| 131.699 | 131.699 | 438.967 | 0.000 | -0.000 | -0.000 |
| -0.000 | 0.000 | -0.001 | 70.527 | 0.000 | -0.000 |
| 0.000 | -0.000 | -0.001 | -0.000 | 70.527 | 0.000 |
| -0.000 | -0.000 | 0.000 | -0.000 | -0.000 | -8.368 |
| 528.888 | 580.475 | 507.529 | -0.000 | 0.000 | -0.000 |
| 580.475 | 528.888 | 507.529 | -0.000 | 0.000 | -0.000 |
| 507.529 | 507.529 | 397.523 | -0.000 | 0.000 | -0.000 |
| -0.000 | -0.000 | 0.000 | 22.683 | 0.000 | -0.000 |
| -0.000 | -0.000 | 0.000 | -0.000 | 22.683 | -0.000 |
| -0.000 | -0.000 | 0.000 | -0.000 | 0.000 | -13.611 |
| 528.888 | 580.475 | 507.529 | 0.000 | -0.000 | 0.000 |
| 580.475 | 528.888 | 507.529 | 0.000 | -0.000 | 0.000 |
| 507.529 | 507.529 | 397.523 | 0.000 | 0.000 | 0.000 |
| 0.000 | 0.000 | -0.000 | 22.683 | -0.000 | 0.000 |
| 0.000 | 0.000 | -0.000 | 0.000 | 22.683 | 0.000 |
| 0.000 | 0.000 | -0.000 | 0.000 | -0.000 | -13.611 |
| 541.069 | 568.291 | 507.528 | -0.000 | 0.000 | -0.000 |
| 580.474 | 528.887 | 507.528 | -0.000 | 0.000 | -0.000 |
| 507.528 | 507.528 | 397.523 | -0.000 | 0.000 | -0.000 |
| -0.000 | -0.000 | -0.000 | 22.683 | 0.000 | -0.000 |
| -0.000 | -0.000 | -0.000 | -0.000 | 22.683 | -0.000 |
| -0.000 | -0.000 | -0.000 | -0.000 | 0.000 | -13.611 |
| 541.072 | 568.293 | 507.529 | 0.000 | -0.000 | 0.000 |
| 580.476 | 528.889 | 507.529 | 0.000 | -0.000 | 0.000 |
| 507.529 | 507.529 | 397.523 | 0.000 | -0.000 | 0.000 |
| 0.000 | 0.000 | 0.000 | 22.683 | -0.000 | 0.000 |
| 0.000 | 0.000 | 0.000 | 0.000 | 22.683 | 0.000 |
| 0.000 | 0.000 | 0.000 | 0.000 | -0.000 | -13.611 |
| 541.058 | 568.283 | 507.521 | -0.000 | 0.000 | -0.000 |
| 568.283 | 541.058 | 507.521 | -0.000 | 0.000 | -0.000 |
| 507.524 | 507.524 | 397.520 | -0.000 | 0.000 | -0.000 |
| -0.000 | -0.001 | -0.000 | 22.683 | 0.000 | -0.000 |
| -0.001 | -0.000 | -0.000 | -0.000 | 22.683 | -0.000 |
| -0.001 | -0.001 | -0.001 | -0.000 | 0.000 | -25.793 |
| 528.901 | 580.484 | 507.537 | 0.000 | -0.000 | 0.000 |
| 568.302 | 541.083 | 507.536 | 0.000 | -0.000 | 0.000 |
| 507.533 | 507.533 | 397.526 | 0.000 | -0.000 | 0.000 |
| 0.000 | 0.001 | 0.000 | 22.683 | -0.000 | -0.000 |
| 0.001 | 0.000 | 0.000 | 0.000 | 22.683 | 0.000 |
| 0.001 | 0.001 | 0.001 | 0.000 | -0.000 | -25.793 |
| 529.005 | 176.248 | 134.220 | -0.000 | 0.000 | 0.000 |
| 176.248 | 529.005 | 134.220 | -0.000 | -0.000 | -0.000 |
| 134.220 | 134.220 | 571.033 | 0.000 | 0.000 | 0.000 |
| -0.000 | -0.000 | 0.000 | 134.351 | 0.000 | 0.000 |
| -0.000 | -0.000 | 0.000 | -0.000 | 134.351 | -0.000 |
| -0.000 | 0.000 | -0.000 | 0.000 | 0.000 | 150.084 |
| 529.005 | 176.248 | 134.220 | 0.000 | -0.000 | 0.000 |
| 202.542 | 502.711 | 134.220 | 0.000 | -0.000 | -0.000 |
| 134.220 | 134.220 | 571.033 | 0.000 | -0.000 | -0.000 |
| 0.000 | 0.000 | -0.000 | 134.351 | -0.000 | -0.000 |
| 0.000 | 0.000 | -0.000 | 0.000 | 134.351 | -0.000 |
| 0.000 | -0.000 | 0.000 | -0.000 | 0.000 | 150.084 |
| 529.006 | 176.248 | 134.220 | -0.000 | 0.000 | 0.000 |
| 202.544 | 502.710 | 134.219 | -0.000 | 0.000 | 0.000 |
| 134.220 | 134.220 | 571.034 | -0.000 | 0.000 | 0.000 |
| 0.000 | -0.000 | 0.000 | 134.351 | 0.000 | 0.000 |
| -0.000 | 0.000 | 0.000 | -0.000 | 134.351 | 0.000 |
| -0.001 | 0.000 | -0.000 | -0.000 | -0.000 | 150.084 |
| 502.710 | 202.543 | 134.220 | 0.000 | -0.000 | -0.000 |
| 176.247 | 529.005 | 134.220 | 0.000 | -0.000 | 0.000 |
| 134.220 | 134.220 | 571.032 | 0.000 | -0.000 | -0.000 |
| -0.000 | 0.000 | -0.000 | 134.351 | -0.000 | -0.000 |
| 0.000 | -0.000 | -0.000 | -0.000 | 134.351 | -0.000 |
| 0.001 | -0.000 | 0.000 | 0.000 | -0.000 | 150.084 |
| 502.720 | 202.538 | 134.214 | 0.000 | 0.000 | 0.000 |
| 202.555 | 502.702 | 134.214 | -0.000 | 0.000 | 0.000 |
| 134.221 | 134.221 | 571.044 | -0.000 | 0.000 | 0.000 |
| 0.000 | -0.005 | 0.000 | 134.351 | 0.000 | 0.000 |
| -0.003 | -0.001 | 0.000 | -0.000 | 134.351 | -0.000 |
| -0.005 | 0.003 | -0.004 | -0.000 | 0.000 | 150.084 |
| 502.730 | 202.518 | 134.226 | -0.000 | -0.000 | -0.000 |
| 202.529 | 502.719 | 134.226 | 0.000 | -0.000 | -0.000 |
| 134.219 | 134.219 | 571.022 | 0.000 | -0.000 | -0.000 |
| -0.000 | 0.005 | -0.000 | 134.351 | -0.000 | -0.000 |
| 0.003 | 0.001 | -0.000 | 0.000 | 134.351 | -0.000 |
| 0.005 | -0.003 | 0.004 | 0.000 | 0.000 | 150.084 |
| 76.000 | 28.828 | 20.966 | 0.000 | -0.000 | 0.000 |
| 28.828 | 76.000 | 20.966 | 0.000 | -0.000 | 0.000 |
| 20.966 | 20.966 | 83.862 | 0.000 | -0.000 | 0.000 |
| -0.000 | -0.000 | -0.000 | 20.965 | -0.000 | 0.000 |
| -0.000 | -0.000 | -0.000 | -0.000 | 20.965 | -0.000 |
| -0.000 | -0.000 | 0.000 | 0.000 | -0.000 | 23.586 |
| 76.000 | 28.828 | 20.966 | -0.000 | 0.000 | -0.000 |
| 28.828 | 76.000 | 20.966 | -0.000 | 0.000 | -0.000 |
| 20.966 | 20.966 | 83.862 | -0.000 | 0.000 | -0.000 |
| 0.000 | 0.000 | 0.000 | 20.965 | 0.000 | -0.000 |
| 0.000 | 0.000 | 0.000 | 0.000 | 20.965 | -0.000 |
| 0.000 | 0.000 | -0.000 | -0.000 | 0.000 | 23.586 |
| 75.998 | 28.828 | 20.966 | 0.000 | -0.000 | 0.000 |
| 28.827 | 75.998 | 20.966 | 0.000 | -0.000 | 0.000 |
| 20.966 | 20.966 | 83.860 | -0.000 | -0.000 | 0.000 |
| -0.000 | -0.000 | -0.000 | 20.965 | -0.000 | 0.000 |
| -0.000 | -0.000 | -0.000 | 0.000 | 20.965 | 0.000 |
| -0.000 | -0.001 | -0.000 | 0.000 | -0.000 | 23.586 |
| 76.002 | 28.828 | 20.966 | -0.000 | 0.000 | -0.000 |
| 28.829 | 76.001 | 20.966 | -0.000 | 0.000 | -0.000 |
| 20.966 | 20.966 | 83.864 | -0.000 | 0.000 | -0.000 |
| 0.000 | 0.000 | 0.000 | 20.965 | 0.000 | -0.000 |
| 0.000 | 0.000 | 0.000 | -0.000 | 20.965 | -0.000 |
| 0.000 | 0.001 | 0.000 | -0.000 | 0.000 | 23.586 |
| 75.980 | 28.826 | 20.965 | 0.000 | -0.000 | 0.000 |
| 28.822 | 75.984 | 20.965 | 0.000 | -0.000 | 0.000 |
| 20.962 | 20.962 | 83.845 | 0.000 | 0.000 | 0.000 |
| -0.001 | -0.001 | -0.004 | 20.965 | -0.000 | 0.000 |
| -0.001 | -0.001 | -0.004 | 0.000 | 20.965 | 0.000 |
| -0.002 | -0.005 | -0.000 | 0.000 | -0.000 | 23.586 |
| 76.020 | 28.830 | 20.967 | -0.000 | 0.000 | -0.000 |
| 28.834 | 76.016 | 20.967 | -0.000 | 0.000 | -0.000 |
| 20.970 | 20.970 | 83.879 | 0.000 | 0.000 | -0.000 |
| 0.001 | 0.001 | 0.004 | 20.965 | 0.000 | -0.000 |
| 0.001 | 0.001 | 0.004 | -0.000 | 20.965 | -0.000 |
| 0.002 | 0.005 | 0.000 | -0.000 | 0.000 | 23.586 |
| 164.626 | 285.958 | 285.958 | 0.000 | 0.000 | 0.000 |
| 285.958 | 164.626 | 285.958 | 0.000 | 0.000 | 0.000 |
| 285.958 | 285.958 | 164.626 | 0.000 | 0.000 | -0.000 |
| 0.000 | -0.000 | -0.000 | -81.895 | 0.000 | 0.000 |
| 0.000 | -0.000 | -0.000 | 0.000 | -81.895 | 0.000 |
| 0.000 | 0.000 | -0.000 | 0.000 | 0.000 | -81.895 |
| 164.625 | 285.958 | 285.958 | -0.000 | -0.000 | -0.000 |
| 285.958 | 164.625 | 285.958 | -0.000 | -0.000 | -0.000 |
| 285.958 | 285.958 | 164.625 | -0.000 | -0.000 | -0.000 |
| 0.000 | -0.000 | 0.000 | -81.895 | -0.000 | -0.000 |
| 0.000 | 0.000 | 0.000 | -0.000 | -81.895 | -0.000 |
| -0.000 | 0.000 | 0.000 | -0.000 | -0.000 | -81.895 |
| 164.626 | 285.959 | 285.959 | 0.000 | 0.000 | 0.000 |
| 285.959 | 164.626 | 285.959 | 0.000 | 0.000 | 0.000 |
| 285.959 | 285.959 | 164.626 | 0.000 | 0.000 | 0.000 |
| -0.000 | -0.000 | -0.000 | -81.895 | 0.000 | 0.000 |
| -0.000 | -0.000 | -0.000 | 0.000 | -81.895 | 0.000 |
| -0.000 | -0.000 | -0.000 | 0.000 | 0.000 | -81.895 |
| 164.625 | 285.958 | 285.958 | -0.000 | -0.000 | -0.000 |
| 285.958 | 164.625 | 285.958 | -0.000 | -0.000 | -0.000 |
| 285.958 | 285.958 | 164.625 | -0.000 | -0.000 | -0.000 |
| 0.000 | 0.000 | 0.000 | -81.895 | -0.000 | -0.000 |
| 0.000 | 0.000 | 0.000 | -0.000 | -81.895 | -0.000 |
| 0.000 | 0.000 | 0.000 | -0.000 | -0.000 | -81.895 |
| 164.631 | 285.960 | 285.960 | 0.000 | 0.000 | 0.000 |
| 285.960 | 164.631 | 285.960 | 0.000 | 0.000 | 0.000 |
| 285.960 | 285.960 | 164.631 | 0.000 | 0.000 | 0.000 |
| -0.000 | -0.000 | -0.000 | -81.895 | 0.000 | 0.000 |
| -0.000 | -0.000 | -0.000 | 0.000 | -81.895 | 0.000 |
| -0.000 | -0.000 | -0.000 | 0.000 | 0.000 | -81.895 |
| 164.620 | 285.957 | 285.957 | -0.000 | -0.000 | -0.000 |
| 285.957 | 164.620 | 285.957 | -0.000 | -0.000 | -0.000 |
| 285.957 | 285.957 | 164.620 | -0.000 | -0.000 | -0.000 |
| 0.000 | 0.000 | 0.000 | -81.895 | -0.000 | -0.000 |
| 0.000 | 0.000 | 0.000 | -0.000 | -81.895 | -0.000 |
| 0.000 | 0.000 | 0.000 | -0.000 | -0.000 | -81.895 |
| 49.502 | 49.502 | 49.502 | -0.000 | -0.000 | -0.000 |
| 49.502 | 49.502 | 49.502 | -0.000 | -0.000 | -0.000 |
| 49.502 | 49.502 | 49.502 | -0.000 | -0.000 | -0.000 |
| -0.000 | -0.000 | -0.000 | -0.000 | -0.000 | -0.000 |
| -0.000 | -0.000 | -0.000 | -0.000 | -0.000 | -0.000 |
| 0.000 | 0.000 | 0.000 | -0.000 | -0.000 | -0.000 |
| 49.502 | 49.502 | 49.502 | 0.000 | 0.000 | 0.000 |
| 49.502 | 49.502 | 49.502 | 0.000 | 0.000 | 0.000 |
| 49.502 | 49.502 | 49.502 | 0.000 | 0.000 | 0.000 |
| 0.000 | 0.000 | 0.000 | 0.000 | 0.000 | 0.000 |
| 0.000 | 0.000 | 0.000 | 0.000 | 0.000 | 0.000 |
| 0.000 | 0.000 | 0.000 | 0.000 | 0.000 | 0.000 |
| 49.502 | 49.502 | 49.502 | -0.000 | -0.000 | -0.000 |
| 49.502 | 49.502 | 49.502 | -0.000 | -0.000 | -0.000 |
| 49.502 | 49.502 | 49.502 | -0.000 | -0.000 | -0.000 |
| -0.000 | -0.000 | -0.000 | -0.000 | -0.000 | -0.000 |
| -0.000 | -0.000 | -0.000 | -0.000 | -0.000 | -0.000 |
| -0.000 | -0.000 | -0.000 | -0.000 | -0.000 | -0.000 |
| 49.502 | 49.502 | 49.502 | 0.000 | 0.000 | 0.000 |
| 49.502 | 49.502 | 49.502 | 0.000 | 0.000 | 0.000 |
| 49.502 | 49.502 | 49.502 | 0.000 | 0.000 | 0.000 |
| 0.000 | 0.000 | 0.000 | 0.000 | 0.000 | 0.000 |
| 0.000 | 0.000 | 0.000 | 0.000 | 0.000 | 0.000 |
| 0.000 | 0.000 | 0.000 | 0.000 | 0.000 | 0.000 |
| 49.502 | 49.502 | 49.502 | -0.000 | -0.000 | -0.000 |
| 49.502 | 49.502 | 49.502 | -0.000 | -0.000 | -0.000 |
| 49.502 | 49.502 | 49.502 | -0.000 | -0.000 | -0.000 |
| -0.000 | -0.000 | -0.000 | -0.000 | -0.000 | -0.000 |
| -0.000 | -0.000 | -0.000 | -0.000 | -0.000 | -0.000 |
| -0.000 | -0.000 | -0.000 | -0.000 | -0.000 | -0.000 |
| 49.502 | 49.502 | 49.502 | 0.000 | 0.000 | 0.000 |
| 49.502 | 49.502 | 49.502 | 0.000 | 0.000 | 0.000 |
| 49.502 | 49.502 | 49.502 | 0.000 | 0.000 | 0.000 |
| 0.000 | 0.000 | 0.000 | -0.000 | 0.000 | 0.000 |
| 0.000 | 0.000 | 0.000 | 0.000 | -0.000 | 0.000 |
| 0.000 | 0.000 | 0.000 | 0.000 | 0.000 | -0.000 |
| 6.431 | 6.431 | 6.431 | -0.000 | -0.000 | -0.000 |
| 6.431 | 6.431 | 6.431 | -0.000 | -0.000 | -0.000 |
| 6.431 | 6.431 | 6.431 | -0.000 | -0.000 | -0.000 |
| -0.000 | -0.000 | -0.000 | -0.000 | -0.000 | -0.000 |
| -0.000 | -0.000 | -0.000 | -0.000 | -0.000 | -0.000 |
| -0.000 | -0.000 | -0.000 | -0.000 | -0.000 | -0.000 |
| 6.431 | 6.431 | 6.431 | 0.000 | 0.000 | 0.000 |
| 6.431 | 6.431 | 6.431 | 0.000 | 0.000 | 0.000 |
| 6.431 | 6.431 | 6.431 | 0.000 | 0.000 | 0.000 |
| 0.000 | 0.000 | 0.000 | 0.000 | 0.000 | 0.000 |
| 0.000 | 0.000 | 0.000 | 0.000 | 0.000 | 0.000 |
| 0.000 | 0.000 | 0.000 | 0.000 | 0.000 | 0.000 |
| 6.431 | 6.431 | 6.431 | -0.000 | -0.000 | -0.000 |
| 6.431 | 6.431 | 6.431 | -0.000 | -0.000 | -0.000 |
| 6.431 | 6.431 | 6.431 | -0.000 | -0.000 | -0.000 |
| -0.000 | -0.000 | -0.000 | -0.000 | -0.000 | -0.000 |
| -0.000 | -0.000 | -0.000 | -0.000 | -0.000 | -0.000 |
| -0.000 | -0.000 | -0.000 | -0.000 | -0.000 | -0.000 |
| 6.431 | 6.431 | 6.431 | 0.000 | 0.000 | 0.000 |
| 6.431 | 6.431 | 6.431 | 0.000 | 0.000 | 0.000 |
| 6.431 | 6.431 | 6.431 | 0.000 | 0.000 | 0.000 |
| 0.000 | 0.000 | 0.000 | 0.000 | 0.000 | 0.000 |
| 0.000 | 0.000 | 0.000 | 0.000 | 0.000 | 0.000 |
| 0.000 | 0.000 | 0.000 | 0.000 | 0.000 | 0.000 |
| 6.430 | 6.430 | 6.430 | -0.000 | -0.000 | -0.000 |
| 6.430 | 6.430 | 6.430 | -0.000 | -0.000 | -0.000 |
| 6.430 | 6.430 | 6.430 | -0.000 | -0.000 | -0.000 |
| -0.000 | -0.000 | -0.000 | 0.000 | -0.000 | -0.000 |
| -0.000 | -0.000 | -0.000 | -0.000 | 0.000 | -0.000 |
| -0.000 | -0.000 | -0.000 | -0.000 | -0.000 | 0.000 |
| 6.432 | 6.432 | 6.432 | 0.000 | 0.000 | 0.000 |
| 6.432 | 6.432 | 6.432 | 0.000 | 0.000 | 0.000 |
| 6.432 | 6.432 | 6.432 | 0.000 | 0.000 | 0.000 |
| 0.000 | 0.000 | 0.000 | 0.000 | 0.000 | 0.000 |
| 0.000 | 0.000 | 0.000 | 0.000 | 0.000 | 0.000 |
| 0.000 | 0.000 | 0.000 | 0.000 | 0.000 | 0.000 |
| 334.279 | 1177.628 | 309.927 | -0.000 | -0.000 | 0.000 |
| 1177.628 | 334.279 | 309.927 | -0.000 | -0.000 | 0.000 |
| 309.927 | 309.927 | 994.955 | -0.000 | -0.000 | 0.000 |
| -0.000 | 0.000 | -0.000 | -13.363 | -0.000 | 0.000 |
| -0.000 | 0.000 | -0.000 | -0.000 | -13.363 | 0.000 |
| -0.000 | -0.000 | 0.000 | -0.000 | -0.000 | -31.775 |
| 1116.486 | 395.420 | 309.927 | 0.000 | 0.000 | -0.000 |
| 395.420 | 1116.486 | 309.927 | 0.000 | 0.000 | -0.000 |
| 309.927 | 309.927 | 994.955 | 0.000 | 0.000 | -0.000 |
| 0.000 | -0.000 | 0.000 | -13.363 | 0.000 | -0.000 |
| 0.000 | -0.000 | 0.000 | 0.000 | -13.363 | -0.000 |
| 0.000 | 0.000 | -0.000 | 0.000 | 0.000 | -31.775 |
| 334.278 | 1177.629 | 309.927 | -0.000 | -0.000 | 0.000 |
| 1177.629 | 334.278 | 309.927 | -0.000 | -0.000 | 0.000 |
| 309.927 | 309.927 | 994.956 | -0.000 | -0.000 | 0.000 |
| -0.000 | 0.000 | -0.000 | -13.363 | -0.000 | -0.000 |
| 0.000 | -0.000 | -0.000 | -0.000 | -13.363 | 0.000 |
| 0.000 | -0.000 | -0.000 | -0.000 | -0.000 | -31.775 |
| 1116.486 | 395.420 | 309.927 | 0.000 | 0.000 | -0.000 |
| 395.420 | 1116.486 | 309.927 | 0.000 | 0.000 | -0.000 |
| 309.927 | 309.927 | 994.955 | 0.000 | 0.000 | -0.000 |
| 0.000 | -0.000 | 0.000 | -13.363 | 0.000 | -0.000 |
| -0.000 | 0.000 | 0.000 | 0.000 | -13.363 | -0.000 |
| -0.000 | 0.000 | 0.000 | 0.000 | 0.000 | -31.775 |
| 334.268 | 1177.638 | 309.929 | -0.000 | 0.000 | 0.000 |
| 1177.638 | 334.268 | 309.929 | -0.000 | -0.000 | 0.000 |
| 309.928 | 309.928 | 994.961 | -0.000 | -0.000 | 0.000 |
| -0.000 | 0.000 | -0.001 | -13.363 | -0.000 | 0.000 |
| 0.000 | -0.000 | -0.001 | -0.000 | -13.363 | 0.000 |
| -0.000 | 0.000 | -0.000 | -0.000 | 0.000 | -31.775 |
| 334.290 | 1177.618 | 309.925 | 0.000 | 0.000 | -0.000 |
| 1177.618 | 334.290 | 309.925 | 0.000 | 0.000 | -0.000 |
| 309.926 | 309.926 | 994.950 | 0.000 | 0.000 | -0.000 |
| 0.000 | -0.000 | 0.001 | -13.363 | 0.000 | 0.000 |
| -0.000 | 0.000 | 0.001 | 0.000 | -13.363 | -0.000 |
| 0.000 | -0.000 | 0.000 | 0.000 | 0.000 | -31.775 |
| 961.011 | 25.351 | 25.351 | 0.000 | -0.000 | -0.000 |
| 25.351 | 961.011 | 25.351 | -0.000 | -0.000 | -0.000 |
| 25.351 | 25.351 | 961.011 | -0.000 | 0.000 | -0.000 |
| 0.000 | 0.000 | -0.000 | -128.509 | -0.000 | 0.000 |
| 0.000 | 0.000 | -0.000 | -0.000 | -128.509 | -0.000 |
| 0.000 | -0.000 | 0.000 | -0.000 | -0.000 | -128.509 |
| 961.011 | 25.351 | 25.351 | -0.000 | 0.000 | 0.000 |
| 25.351 | 961.011 | 25.351 | 0.000 | 0.000 | 0.000 |
| 25.351 | 25.351 | 961.011 | -0.000 | 0.000 | -0.000 |
| -0.000 | -0.000 | 0.000 | -128.509 | 0.000 | -0.000 |
| -0.000 | -0.000 | 0.000 | 0.000 | -128.509 | -0.000 |
| -0.000 | 0.000 | -0.000 | 0.000 | -0.000 | -128.509 |
| 961.012 | 25.351 | 25.351 | -0.000 | -0.000 | 0.000 |
| 25.351 | 961.012 | 25.351 | -0.000 | -0.000 | 0.000 |
| 25.351 | 25.351 | 961.012 | 0.000 | -0.000 | -0.000 |
| 0.000 | 0.000 | -0.000 | -128.509 | -0.000 | -0.000 |
| 0.000 | 0.000 | -0.000 | -0.000 | -128.509 | 0.000 |
| 0.000 | -0.000 | 0.000 | 0.000 | -0.000 | -128.509 |
| 961.011 | 25.351 | 25.351 | -0.000 | 0.000 | 0.000 |
| 25.351 | 961.011 | 25.351 | 0.000 | 0.000 | -0.000 |
| 25.351 | 25.351 | 961.011 | 0.000 | 0.000 | 0.000 |
| -0.000 | -0.000 | 0.000 | -128.509 | 0.000 | 0.000 |
| -0.000 | -0.000 | 0.000 | 0.000 | -128.509 | -0.000 |
| -0.000 | 0.000 | -0.000 | -0.000 | 0.000 | -128.509 |
| 961.016 | 25.353 | 25.353 | -0.000 | -0.000 | -0.000 |
| 25.353 | 961.016 | 25.353 | -0.000 | -0.000 | 0.000 |
| 25.353 | 25.353 | 961.016 | 0.000 | -0.000 | 0.000 |
| 0.001 | 0.000 | -0.000 | -128.509 | 0.000 | -0.000 |
| 0.000 | 0.001 | -0.000 | -0.000 | -128.509 | -0.000 |
| 0.000 | -0.000 | 0.001 | -0.000 | -0.000 | -128.509 |
| 961.006 | 25.349 | 25.349 | -0.000 | 0.000 | -0.000 |
| 25.349 | 961.006 | 25.349 | 0.000 | -0.000 | 0.000 |
| 25.349 | 25.349 | 961.006 | 0.000 | 0.000 | 0.000 |
| -0.001 | -0.000 | 0.000 | -128.509 | 0.000 | 0.000 |
| -0.000 | -0.001 | 0.000 | 0.000 | -128.509 | -0.000 |
| -0.000 | 0.000 | -0.001 | 0.000 | -0.000 | -128.509 |
| 170.964 | 66.896 | 66.896 | -0.000 | -0.000 | -0.000 |
| 66.896 | 170.964 | 66.896 | -0.000 | -0.000 | -0.000 |
| 66.896 | 66.896 | 170.964 | -0.000 | -0.000 | -0.000 |
| -0.000 | -0.000 | -0.000 | -2.899 | 0.000 | -0.000 |
| -0.000 | -0.000 | -0.000 | 0.000 | -2.899 | -0.000 |
| -0.000 | -0.000 | -0.000 | 0.000 | -0.000 | -2.899 |
| 170.964 | 66.896 | 66.896 | -0.000 | 0.000 | 0.000 |
| 66.896 | 170.964 | 66.896 | -0.000 | 0.000 | 0.000 |
| 66.896 | 66.896 | 170.964 | 0.000 | 0.000 | 0.000 |
| -0.000 | 0.000 | 0.000 | -2.899 | 0.000 | 0.000 |
| 0.000 | 0.000 | 0.000 | 0.000 | -2.899 | 0.000 |
| 0.000 | 0.000 | 0.000 | 0.000 | 0.000 | -2.899 |
| 170.964 | 66.896 | 66.896 | 0.000 | -0.000 | -0.000 |
| 66.896 | 170.964 | 66.896 | -0.000 | 0.000 | -0.000 |
| 66.896 | 66.896 | 170.964 | -0.000 | -0.000 | -0.000 |
| -0.000 | -0.000 | -0.000 | -2.899 | -0.000 | 0.000 |
| -0.000 | -0.000 | -0.000 | -0.000 | -2.899 | 0.000 |
| -0.000 | -0.000 | -0.000 | -0.000 | -0.000 | -2.899 |
| 170.965 | 66.896 | 66.896 | 0.000 | 0.000 | 0.000 |
| 66.896 | 170.965 | 66.896 | 0.000 | -0.000 | 0.000 |
| 66.896 | 66.896 | 170.965 | 0.000 | 0.000 | 0.000 |
| 0.000 | 0.000 | 0.000 | -2.899 | 0.000 | 0.000 |
| 0.000 | 0.000 | 0.000 | -0.000 | -2.899 | 0.000 |
| 0.000 | 0.000 | 0.000 | -0.000 | 0.000 | -2.899 |
| 170.961 | 66.895 | 66.895 | -0.000 | 0.000 | 0.000 |
| 66.895 | 170.961 | 66.895 | -0.000 | -0.000 | -0.000 |
| 66.895 | 66.895 | 170.961 | -0.000 | -0.000 | -0.000 |
| -0.000 | -0.000 | -0.000 | -2.899 | -0.000 | -0.000 |
| -0.000 | -0.000 | -0.000 | -0.000 | -2.899 | -0.000 |
| -0.000 | -0.000 | -0.000 | -0.000 | -0.000 | -2.899 |
| 170.967 | 66.898 | 66.898 | 0.000 | 0.000 | -0.000 |
| 66.898 | 170.967 | 66.898 | -0.000 | 0.000 | 0.000 |
| 66.898 | 66.898 | 170.967 | -0.000 | -0.000 | -0.000 |
| 0.000 | 0.000 | 0.000 | -2.899 | 0.000 | 0.000 |
| 0.000 | 0.000 | 0.000 | 0.000 | -2.899 | 0.000 |
| 0.000 | 0.000 | 0.000 | 0.000 | 0.000 | -2.899 |
| 319.560 | -12.190 | -12.190 | -0.000 | -0.000 | 0.000 |
| -12.190 | 319.560 | -12.190 | -0.000 | -0.000 | 0.000 |
| -12.190 | -12.190 | 319.560 | -0.000 | -0.000 | 0.000 |
| 0.000 | -0.000 | 0.000 | -12.165 | -0.000 | -0.000 |
| -0.000 | 0.000 | 0.000 | -0.000 | -12.165 | 0.000 |
| -0.000 | 0.000 | 0.000 | -0.000 | -0.000 | -12.165 |
| 319.560 | -12.190 | -12.190 | -0.000 | 0.000 | 0.000 |
| -12.190 | 319.560 | -12.190 | 0.000 | 0.000 | 0.000 |
| -12.190 | -12.190 | 319.560 | 0.000 | 0.000 | 0.000 |
| -0.000 | 0.000 | -0.000 | -12.165 | 0.000 | -0.000 |
| 0.000 | -0.000 | -0.000 | 0.000 | -12.165 | -0.000 |
| 0.000 | -0.000 | -0.000 | 0.000 | -0.000 | -12.165 |
| 319.560 | -12.190 | -12.190 | -0.000 | 0.000 | 0.000 |
| -12.190 | 319.560 | -12.190 | 0.000 | -0.000 | -0.000 |
| -12.190 | -12.190 | 319.560 | -0.000 | -0.000 | -0.000 |
| 0.000 | 0.000 | -0.000 | -12.165 | -0.000 | -0.000 |
| 0.000 | 0.000 | -0.000 | -0.000 | -12.165 | 0.000 |
| 0.000 | -0.000 | 0.000 | -0.000 | 0.000 | -12.165 |
| 319.560 | -12.190 | -12.190 | -0.000 | -0.000 | -0.000 |
| -12.190 | 319.560 | -12.190 | -0.000 | 0.000 | 0.000 |
| -12.190 | -12.190 | 319.560 | -0.000 | -0.000 | 0.000 |
| -0.000 | -0.000 | 0.000 | -12.165 | 0.000 | 0.000 |
| -0.000 | -0.000 | 0.000 | 0.000 | -12.165 | -0.000 |
| -0.000 | 0.000 | -0.000 | 0.000 | 0.000 | -12.165 |
| 319.561 | -12.190 | -12.190 | -0.000 | 0.000 | 0.000 |
| -12.190 | 319.561 | -12.190 | -0.000 | -0.000 | -0.000 |
| -12.190 | -12.190 | 319.561 | 0.000 | -0.000 | 0.000 |
| 0.000 | 0.000 | -0.000 | -12.165 | -0.000 | 0.000 |
| 0.000 | 0.000 | -0.000 | -0.000 | -12.165 | 0.000 |
| 0.000 | -0.000 | 0.000 | -0.000 | 0.000 | -12.165 |
| 319.559 | -12.190 | -12.190 | 0.000 | -0.000 | -0.000 |
| -12.190 | 319.559 | -12.190 | -0.000 | 0.000 | 0.000 |
| -12.190 | -12.190 | 319.559 | -0.000 | -0.000 | -0.000 |
| -0.000 | -0.000 | 0.000 | -12.165 | 0.000 | 0.000 |
| -0.000 | -0.000 | 0.000 | 0.000 | -12.165 | -0.000 |
| -0.000 | 0.000 | -0.000 | 0.000 | 0.000 | -12.165 |
| 915.405 | 448.695 | 394.134 | -0.000 | -0.000 | 0.000 |
| 448.695 | 915.405 | 394.134 | -0.000 | -0.000 | 0.000 |
| 394.134 | 394.134 | 1624.780 | -0.000 | 0.000 | 0.000 |
| -0.000 | 0.000 | 0.000 | 16.340 | 0.000 | 0.000 |
| -0.000 | 0.000 | -0.000 | -0.000 | 16.340 | 0.000 |
| 0.000 | 0.000 | 0.000 | -0.000 | -0.000 | 233.355 |
| 915.405 | 448.695 | 394.133 | 0.000 | 0.000 | -0.000 |
| 448.695 | 915.405 | 394.133 | 0.000 | -0.000 | -0.000 |
| 394.133 | 394.133 | 1624.780 | 0.000 | 0.000 | -0.000 |
| 0.000 | 0.000 | 0.000 | 16.340 | -0.000 | -0.000 |
| 0.000 | -0.000 | 0.000 | 0.000 | 16.340 | -0.000 |
| -0.000 | -0.000 | -0.000 | 0.000 | 0.000 | 233.355 |
| 915.406 | 448.695 | 394.134 | -0.000 | -0.000 | 0.000 |
| 448.695 | 915.406 | 394.134 | 0.000 | -0.000 | 0.000 |
| 394.134 | 394.134 | 1624.781 | -0.000 | -0.000 | 0.000 |
| 0.000 | 0.000 | -0.000 | 16.340 | 0.000 | 0.000 |
| 0.000 | 0.000 | -0.000 | -0.000 | 16.340 | 0.000 |
| 0.000 | 0.000 | 0.000 | -0.000 | -0.000 | 233.355 |
| 915.404 | 448.695 | 394.133 | 0.000 | 0.000 | -0.000 |
| 448.694 | 915.404 | 394.133 | 0.000 | 0.000 | 0.000 |
| 394.133 | 394.133 | 1624.779 | -0.000 | 0.000 | -0.000 |
| -0.000 | -0.000 | 0.000 | 16.340 | -0.000 | -0.000 |
| -0.000 | -0.000 | 0.000 | 0.000 | 16.340 | -0.000 |
| -0.000 | -0.000 | -0.000 | 0.000 | 0.000 | 233.355 |
| 915.414 | 448.697 | 394.137 | -0.000 | -0.000 | 0.000 |
| 448.699 | 915.413 | 394.137 | -0.000 | -0.000 | 0.000 |
| 394.138 | 394.138 | 1624.788 | -0.000 | -0.000 | 0.000 |
| 0.000 | 0.000 | -0.001 | 16.340 | -0.000 | 0.000 |
| 0.000 | 0.000 | -0.001 | -0.000 | 16.340 | 0.000 |
| 0.000 | 0.002 | 0.000 | -0.000 | -0.000 | 233.355 |
| 915.395 | 448.692 | 394.130 | 0.000 | 0.000 | -0.000 |
| 448.690 | 915.397 | 394.130 | 0.000 | 0.000 | -0.000 |
| 394.129 | 394.129 | 1624.771 | 0.000 | 0.000 | -0.000 |
| -0.000 | -0.000 | 0.001 | 16.340 | 0.000 | 0.000 |
| -0.000 | -0.000 | 0.001 | 0.000 | 16.340 | -0.000 |
| -0.000 | -0.002 | -0.000 | 0.000 | 0.000 | 233.355 |
| 401.051 | 190.851 | -750.807 | -0.000 | -0.000 | -0.000 |
| 190.851 | 401.051 | -750.807 | -0.000 | -0.000 | -0.000 |
| 162.595 | 162.595 | 532.563 | -0.000 | -0.000 | -0.000 |
| -0.000 | 0.000 | -0.000 | 40.865 | -0.000 | -0.000 |
| 0.000 | 0.000 | -0.000 | -0.000 | 40.865 | -0.000 |
| -1001.553 | -1001.552 | -1502.300 | 0.000 | -0.000 | -8.678 |
| 2942.108 | 3190.707 | 3045.084 | 0.000 | 0.000 | 0.000 |
| 3190.707 | 2942.108 | 3045.084 | 0.000 | 0.000 | 0.000 |
| 2936.332 | 2936.332 | 3401.784 | 0.000 | 0.000 | 0.000 |
| -0.000 | -0.000 | 0.000 | 40.865 | -0.000 | 0.000 |
| -0.000 | -0.000 | 0.000 | 0.000 | 40.865 | 0.000 |
| 1001.553 | 1001.552 | 1502.300 | 0.000 | -0.000 | -8.678 |
| 408.289 | 199.850 | 70.411 | -0.000 | 0.000 | -0.000 |
| 199.850 | 408.289 | 70.411 | 0.000 | 0.000 | -0.000 |
| 162.595 | 162.595 | 532.563 | -0.000 | 0.000 | -0.000 |
| -0.000 | 0.000 | -0.000 | 40.865 | -0.000 | -0.000 |
| 0.000 | -0.000 | -0.000 | -0.000 | 40.865 | -0.000 |
| -99.533 | -99.533 | -149.504 | -0.000 | -0.000 | -8.296 |
| 444.924 | 170.634 | 163.621 | 0.000 | 0.000 | 0.000 |
| 170.634 | 444.924 | 163.621 | 0.000 | 0.000 | 0.000 |
| 265.687 | 265.687 | 672.473 | 0.000 | 0.000 | 0.000 |
| 0.000 | -0.000 | 0.000 | 40.865 | 0.000 | 0.000 |
| -0.000 | 0.000 | 0.000 | 0.000 | 40.865 | 0.000 |
| 99.533 | 99.533 | 149.504 | -0.000 | 0.000 | -8.296 |
| 287.303 | 282.312 | 145.713 | -0.000 | 0.000 | -0.000 |
| 282.312 | 287.303 | 145.713 | -0.000 | -0.000 | -0.000 |
| 163.325 | 163.325 | 516.658 | -0.000 | 0.000 | -0.000 |
| -0.000 | 0.001 | -0.000 | 40.865 | 0.000 | -0.000 |
| 0.001 | -0.000 | -0.000 | -0.000 | 40.865 | -0.000 |
| -0.104 | -0.104 | -10.449 | -0.000 | 0.000 | 28.367 |
| 311.989 | 309.756 | 177.474 | 0.000 | 0.000 | 0.000 |
| 309.756 | 311.989 | 177.474 | -0.000 | -0.000 | 0.000 |
| 162.595 | 162.595 | 532.564 | 0.000 | -0.000 | 0.000 |
| 0.000 | -0.001 | 0.000 | 40.865 | -0.000 | 0.000 |
| -0.001 | 0.000 | 0.000 | 0.000 | 40.865 | 0.000 |
| 0.104 | 0.104 | 10.449 | 0.000 | 0.000 | 28.367 |
| 18015061.013 | -54631947.952 | -26686263.978 | -14381207.125 | -2657369.613 | -16032318.362 |
| 18014832.870 | -54632653.715 | -26686687.665 | -14381263.883 | -2657383.921 | -16032572.893 |
| 18014854.754 | -54632557.125 | -26686545.491 | -14381255.254 | -2657372.939 | -16032507.655 |
| 18014743.419 | -54632605.308 | -26686693.004 | -14381186.242 | -2657374.550 | -16032481.759 |
| 18014727.747 | -54632857.362 | -26686848.922 | -14381263.032 | -2657342.495 | -16032560.998 |
| 18014693.184 | -54632896.543 | -26686869.401 | -14381266.944 | -2657371.992 | -16032562.909 |
| -18014474.911 | 54632844.312 | 26686876.237 | 14381249.727 | 2657376.033 | 16032500.572 |
| -18014636.988 | 54632839.559 | 26686860.003 | 14381246.948 | 2657370.629 | 16032491.552 |
| -18014621.134 | 54632938.710 | 26687001.965 | 14381256.335 | 2657379.102 | 16032548.187 |
| -18014730.143 | 54632872.613 | 26686843.872 | 14381324.523 | 2657374.771 | 16032568.219 |
| -18014744.514 | 54632657.776 | 26686713.350 | 14381249.981 | 2657408.505 | 16032502.336 |
| -18014782.833 | 54632597.309 | 26686677.053 | 14381242.246 | 2657378.959 | 16032492.389 |
| 1801756.252 | -5462983.246 | -2668467.282 | -1438109.460 | -265739.942 | -1603210.284 |
| 1801622.088 | -5462556.264 | -2668210.704 | -1438097.757 | -265746.788 | -1603087.170 |
| 1801621.727 | -5462638.727 | -2668178.702 | -1438102.836 | -265738.188 | -1603089.066 |
| 1801506.585 | -5462839.438 | -2668418.987 | -1438043.802 | -265743.964 | -1603115.043 |
| 1801512.642 | -5462823.141 | -2668402.949 | -1438103.070 | -265707.888 | -1603100.032 |
| 1801486.772 | -5462740.636 | -2668348.607 | -1438097.580 | -265739.472 | -1603061.160 |
| -1801162.805 | 5463585.697 | 2668914.493 | 1438136.544 | 265731.117 | 1603297.316 |
| -1801358.909 | 5463528.012 | 2668860.741 | 1438130.712 | 265732.669 | 1603269.742 |
| -1801273.030 | 5464270.941 | 2669392.911 | 1438159.341 | 265733.766 | 1603529.877 |
| -1801484.083 | 5463195.194 | 2668618.509 | 1438181.203 | 265734.613 | 1603222.422 |
| -1801507.640 | 5462848.529 | 2668412.105 | 1438106.569 | 265776.547 | 1603121.222 |
| -1801529.943 | 5462988.868 | 2668495.178 | 1438113.441 | 265746.461 | 1603176.823 |
| 180419.608 | -546129.437 | -266710.439 | -143805.275 | -26573.277 | -160317.571 |
| 180251.674 | -546149.889 | -266730.649 | -143807.190 | -26578.386 | -160331.928 |
| 180253.492 | -546221.709 | -266694.729 | -143814.150 | -26569.598 | -160332.959 |
| 180148.906 | -546277.371 | -266846.897 | -143747.170 | -26577.059 | -160310.583 |
| 180145.439 | -546346.679 | -266885.247 | -143812.311 | -26539.400 | -160325.863 |
| 180110.990 | -546351.793 | -266884.914 | -143812.681 | -26567.479 | -160316.016 |
| -179872.277 | 546533.721 | 267032.049 | 143819.608 | 26575.050 | 160335.384 |
| -180034.734 | 546565.774 | 267040.931 | 143818.950 | 26569.548 | 160339.629 |
| -180023.421 | 546608.252 | 267149.380 | 143817.584 | 26577.293 | 160374.424 |
| -180146.836 | 546342.731 | 266869.556 | 143875.276 | 26570.301 | 160328.150 |
| -180140.637 | 546369.447 | 266892.107 | 143813.593 | 26607.971 | 160344.255 |
| -180160.150 | 546526.411 | 266984.587 | 143822.482 | 26578.410 | 160408.937 |
| 227.572 | 106.996 | 137.266 | -0.000 | 0.000 | -0.000 |
| 108.011 | 156.399 | 148.941 | -0.000 | 0.000 | -0.000 |
| 137.853 | 148.518 | 441.609 | -0.000 | 0.000 | 0.000 |
| 0.000 | 0.000 | 0.000 | 83.672 | -0.000 | -0.000 |
| 0.000 | 0.000 | 0.000 | -0.000 | 73.882 | 0.000 |
| -0.000 | 0.000 | 0.000 | -0.000 | 0.000 | -5.551 |
| 227.572 | 106.996 | 137.266 | 0.000 | -0.000 | -0.000 |
| 108.011 | 156.399 | 148.941 | 0.000 | -0.000 | -0.000 |
| 137.853 | 148.518 | 441.609 | 0.000 | 0.000 | -0.000 |
| -0.000 | -0.000 | -0.000 | 83.672 | -0.000 | -0.000 |
| -0.000 | -0.000 | -0.000 | 0.000 | 73.882 | 0.000 |
| 0.000 | -0.000 | -0.000 | 0.000 | -0.000 | -5.551 |
| 227.573 | 106.996 | 137.266 | -0.000 | 0.000 | 0.000 |
| 108.011 | 156.399 | 148.941 | -0.000 | 0.000 | -0.000 |
| 137.855 | 148.515 | 441.610 | -0.000 | 0.000 | -0.000 |
| 0.000 | -0.000 | 0.000 | 83.672 | 0.000 | 0.000 |
| 0.000 | 0.000 | 0.000 | -0.000 | 73.882 | -0.000 |
| 0.000 | 0.000 | 0.000 | -0.000 | 0.000 | -5.552 |
| 245.505 | 89.691 | 136.582 | 0.000 | -0.000 | -0.000 |
| 108.011 | 156.399 | 148.941 | 0.000 | -0.000 | -0.000 |
| 137.855 | 148.515 | 441.609 | 0.000 | -0.000 | 0.000 |
| -0.000 | 0.000 | -0.000 | 83.672 | -0.000 | 0.000 |
| -0.000 | -0.000 | -0.000 | 0.000 | 73.882 | -0.000 |
| -0.000 | -0.000 | -0.000 | 0.000 | 0.000 | -5.552 |
| 227.577 | 106.996 | 137.266 | -0.000 | 0.000 | 0.000 |
| 108.011 | 156.399 | 148.941 | -0.000 | 0.000 | -0.000 |
| 137.856 | 148.516 | 441.612 | -0.000 | 0.000 | 0.000 |
| 0.000 | -0.000 | 0.001 | 83.682 | 0.000 | -0.000 |
| 0.000 | 0.000 | 0.001 | -0.000 | 73.882 | 0.000 |
| 0.001 | 0.001 | 0.000 | -0.000 | -0.000 | -5.552 |
| 227.567 | 106.996 | 137.265 | 0.000 | -0.000 | 0.000 |
| 108.011 | 156.400 | 148.941 | 0.000 | -0.000 | -0.000 |
| 137.855 | 148.514 | 441.607 | 0.000 | -0.000 | -0.000 |
| -0.000 | 0.000 | -0.001 | 83.682 | -0.000 | 0.000 |
| -0.000 | -0.000 | -0.001 | 0.000 | 73.882 | 0.000 |
| -0.001 | -0.001 | -0.000 | 0.000 | -0.000 | -5.552 |
| 126.954 | 128.227 | 145.889 | 0.000 | -0.000 | -0.000 |
| 128.227 | 241.300 | 146.123 | 0.000 | 0.000 | 0.000 |
| 145.889 | 146.123 | 442.107 | 0.000 | 0.000 | -0.000 |
| 0.000 | 0.000 | 0.000 | 80.039 | 0.000 | 0.000 |
| -0.000 | -0.000 | -0.000 | 0.000 | 83.855 | 0.000 |
| -0.000 | -0.000 | -0.000 | 0.000 | 0.000 | 23.531 |
| 126.954 | 128.227 | 145.889 | -0.000 | -0.000 | 0.000 |
| 128.227 | 241.300 | 146.123 | -0.000 | -0.000 | -0.000 |
| 145.889 | 146.123 | 442.107 | -0.000 | 0.000 | 0.000 |
| -0.000 | -0.000 | -0.000 | 80.039 | -0.000 | 0.000 |
| 0.000 | 0.000 | 0.000 | -0.000 | 83.855 | 0.000 |
| 0.000 | 0.000 | 0.000 | -0.000 | 0.000 | 23.531 |
| 126.954 | 128.227 | 145.889 | 0.000 | 0.000 | 0.000 |
| 128.227 | 241.301 | 146.123 | 0.000 | 0.000 | -0.000 |
| 145.889 | 146.123 | 442.107 | 0.000 | -0.000 | -0.000 |
| -0.000 | 0.000 | 0.000 | 80.039 | 0.000 | -0.000 |
| -0.000 | -0.000 | 0.000 | 0.000 | 83.855 | 0.000 |
| -0.000 | 0.000 | -0.000 | 0.000 | 0.000 | 23.531 |
| 126.954 | 128.227 | 145.889 | -0.000 | -0.000 | 0.000 |
| 128.227 | 241.300 | 146.123 | -0.000 | 0.000 | 0.000 |
| 145.889 | 146.123 | 442.107 | -0.000 | -0.000 | 0.000 |
| 0.000 | -0.000 | -0.000 | 80.039 | -0.000 | 0.000 |
| 0.000 | 0.000 | -0.000 | -0.000 | 83.855 | 0.000 |
| 0.000 | -0.000 | 0.000 | -0.000 | -0.000 | 23.531 |
| 126.952 | 128.226 | 145.888 | 0.000 | 0.000 | -0.000 |
| 128.226 | 241.305 | 146.123 | 0.000 | 0.000 | -0.000 |
| 145.889 | 146.123 | 442.109 | 0.000 | 0.000 | -0.000 |
| -0.000 | 0.000 | 0.001 | 80.039 | -0.000 | -0.000 |
| -0.000 | -0.000 | 0.001 | 0.000 | 83.855 | -0.000 |
| -0.001 | 0.000 | -0.000 | 0.000 | 0.000 | 23.531 |
| 126.956 | 128.227 | 145.889 | -0.000 | 0.000 | -0.000 |
| 128.227 | 241.296 | 146.122 | -0.000 | 0.000 | 0.000 |
| 145.888 | 146.122 | 442.104 | -0.000 | -0.000 | 0.000 |
| 0.000 | -0.000 | -0.001 | 80.039 | 0.000 | 0.000 |
| 0.000 | 0.000 | -0.001 | -0.000 | 83.855 | -0.000 |
| 0.001 | -0.000 | 0.000 | -0.000 | 0.000 | 23.531 |
| 266.187 | 152.781 | 152.781 | 0.000 | -0.000 | -0.000 |
| 152.781 | 266.187 | 152.781 | 0.000 | -0.000 | -0.000 |
| 152.781 | 152.781 | 266.187 | 0.000 | -0.000 | -0.000 |
| 125.915 | 125.915 | 125.915 | 24.737 | -0.000 | -0.000 |
| 125.915 | 125.915 | 125.915 | 0.000 | 24.737 | -0.000 |
| 125.915 | 125.915 | 125.915 | 0.000 | -0.000 | 24.737 |
| 215.738 | 51.096 | 51.096 | -0.000 | 0.000 | 0.000 |
| 51.096 | 215.738 | 51.096 | -0.000 | 0.000 | 0.000 |
| 51.096 | 51.096 | 215.738 | -0.000 | 0.000 | 0.000 |
| -125.915 | -125.915 | -125.915 | 24.737 | 0.000 | 0.000 |
| -125.915 | -125.915 | -125.915 | -0.000 | 24.737 | 0.000 |
| -125.915 | -125.915 | -125.915 | -0.000 | 0.000 | 24.737 |
| 290.840 | 181.892 | 181.892 | 0.000 | -0.000 | -0.000 |
| 181.892 | 290.840 | 181.892 | 0.000 | -0.000 | -0.000 |
| 181.892 | 181.892 | 290.840 | 0.000 | -0.000 | -0.000 |
| 12.612 | 12.612 | 12.612 | 24.711 | -0.000 | -0.000 |
| 12.612 | 12.612 | 12.612 | 0.000 | 24.711 | -0.000 |
| 12.612 | 12.612 | 12.612 | 0.000 | -0.000 | 24.711 |
| 311.894 | 180.479 | 180.479 | -0.000 | 0.000 | 0.000 |
| 180.479 | 311.894 | 180.479 | -0.000 | 0.000 | 0.000 |
| 180.479 | 180.479 | 311.894 | -0.000 | 0.000 | 0.000 |
| -12.612 | -12.612 | -12.612 | 24.711 | 0.000 | 0.000 |
| -12.612 | -12.612 | -12.612 | -0.000 | 24.711 | 0.000 |
| -12.612 | -12.612 | -12.612 | -0.000 | 0.000 | 24.711 |
| 361.222 | 170.492 | 170.492 | 0.000 | -0.000 | -0.000 |
| 170.492 | 361.222 | 170.492 | 0.000 | -0.000 | 0.000 |
| 170.492 | 170.492 | 361.222 | -0.000 | -0.000 | 0.000 |
| 1.400 | 1.400 | 1.400 | 22.925 | -0.000 | -0.000 |
| 1.400 | 1.400 | 1.400 | 0.000 | 22.925 | -0.000 |
| 1.400 | 1.400 | 1.400 | 0.000 | -0.000 | 22.925 |
| 336.562 | 176.684 | 176.684 | -0.000 | 0.000 | 0.000 |
| 176.684 | 336.562 | 176.684 | -0.000 | 0.000 | 0.000 |
| 176.684 | 176.684 | 336.562 | -0.000 | 0.000 | 0.000 |
| -1.400 | -1.400 | -1.400 | 22.925 | 0.000 | 0.000 |
| -1.400 | -1.400 | -1.400 | -0.000 | 22.925 | 0.000 |
| -1.400 | -1.400 | -1.400 | -0.000 | 0.000 | 22.925 |
| 524.734 | 424.146 | 424.170 | -0.121 | -0.267 | -0.034 |
| 424.118 | 524.680 | 424.199 | -0.120 | -0.266 | -0.034 |
| 424.130 | 424.187 | 524.657 | -0.120 | -0.266 | -0.034 |
| 0.000 | 0.000 | -0.000 | 85.947 | 0.000 | 0.000 |
| 0.000 | -0.000 | 0.000 | 0.000 | 85.947 | -0.000 |
| 0.000 | -0.000 | 0.000 | 0.000 | 0.000 | 85.947 |
| -87.020 | -137.661 | -137.653 | -0.036 | -0.080 | -0.010 |
| -137.679 | -87.002 | -137.653 | -0.036 | -0.080 | -0.010 |
| -137.679 | -137.661 | -86.994 | -0.036 | -0.080 | -0.010 |
| -0.000 | 0.000 | -0.000 | 85.947 | 0.000 | 0.000 |
| -0.000 | -0.000 | -0.000 | 0.000 | 85.947 | -0.000 |
| -0.000 | -0.000 | -0.000 | -0.000 | -0.000 | 85.947 |
| 240.409 | 170.542 | 170.542 | 0.000 | 0.000 | -0.000 |
| 170.542 | 240.409 | 170.542 | 0.000 | 0.000 | -0.000 |
| 170.542 | 170.542 | 240.409 | 0.000 | 0.000 | -0.000 |
| 0.000 | 0.000 | 0.000 | 85.947 | -0.000 | 0.000 |
| 0.000 | 0.000 | 0.000 | -0.000 | 85.947 | 0.000 |
| 0.000 | 0.000 | 0.000 | 0.000 | -0.000 | 85.947 |
| 207.611 | 164.631 | 164.632 | -0.009 | -0.019 | -0.002 |
| 164.626 | 207.609 | 164.631 | -0.009 | -0.019 | -0.002 |
| 164.625 | 164.629 | 207.609 | -0.009 | -0.019 | -0.002 |
| -0.000 | -0.000 | -0.000 | 85.947 | -0.000 | 0.000 |
| -0.000 | -0.000 | -0.000 | -0.000 | 85.947 | -0.000 |
| -0.000 | -0.000 | -0.000 | -0.000 | -0.000 | 85.947 |
| 216.363 | 162.056 | 162.056 | 0.000 | 0.001 | 0.000 |
| 162.056 | 216.363 | 162.056 | 0.000 | 0.001 | 0.000 |
| 162.056 | 162.056 | 216.362 | 0.000 | 0.001 | 0.000 |
| 0.000 | 0.000 | 0.000 | 85.947 | 0.000 | -0.000 |
| 0.000 | 0.000 | 0.000 | 0.000 | 85.947 | 0.000 |
| 0.000 | 0.000 | 0.000 | 0.000 | -0.000 | 85.947 |
| 240.407 | 170.542 | 170.542 | -0.000 | -0.000 | -0.000 |
| 170.542 | 240.407 | 170.542 | -0.000 | -0.000 | -0.000 |
| 170.542 | 170.542 | 240.407 | -0.000 | -0.000 | 0.000 |
| -0.000 | -0.000 | -0.000 | 85.947 | 0.000 | -0.000 |
| -0.000 | -0.000 | -0.000 | -0.000 | 85.947 | 0.000 |
| -0.000 | -0.000 | -0.000 | -0.000 | -0.000 | 85.947 |
| 401.875 | 367.977 | 295.396 | 0.000 | 0.000 | -0.000 |
| 369.447 | 801.541 | 231.200 | 0.000 | 0.000 | -0.000 |
| 297.612 | 231.945 | 1045.079 | 0.000 | 0.000 | -0.000 |
| -0.006 | 0.005 | 0.005 | -143.546 | 0.000 | -0.000 |
| 0.000 | 0.000 | -0.000 | 0.000 | 115.315 | -0.000 |
| 0.000 | 0.000 | 0.000 | -0.000 | 0.000 | 210.536 |
| 401.875 | 367.977 | 295.396 | 0.000 | 0.000 | 0.000 |
| 369.447 | 801.541 | 231.200 | -0.000 | -0.000 | 0.000 |
| 290.752 | 237.209 | 1050.364 | -0.000 | -0.000 | 0.000 |
| 0.006 | -0.005 | -0.005 | -143.546 | -0.000 | 0.000 |
| -0.000 | -0.000 | 0.000 | -0.000 | 115.315 | 0.000 |
| -0.000 | -0.000 | 0.000 | 0.000 | -0.000 | 210.536 |
| 410.779 | 361.145 | 288.537 | 0.000 | 0.000 | -0.000 |
| 362.616 | 806.784 | 236.464 | 0.000 | -0.000 | -0.000 |
| 297.612 | 231.946 | 1045.080 | -0.000 | 0.000 | -0.000 |
| -0.000 | 0.000 | -0.000 | -50.625 | 0.000 | -0.000 |
| 0.000 | 0.000 | 0.000 | 0.000 | 115.315 | -0.000 |
| 0.000 | 0.000 | 0.000 | 0.000 | 0.000 | 210.536 |
| 401.875 | 367.977 | 295.396 | -0.000 | -0.000 | 0.000 |
| 362.615 | 806.783 | 236.463 | -0.000 | -0.000 | 0.000 |
| 290.752 | 237.209 | 1050.363 | 0.000 | -0.000 | 0.000 |
| 0.000 | -0.000 | 0.000 | -50.625 | -0.000 | 0.000 |
| -0.000 | -0.000 | -0.000 | -0.000 | 115.315 | 0.000 |
| -0.000 | -0.000 | -0.000 | -0.000 | -0.000 | 210.536 |
| 410.783 | 361.147 | 288.539 | -0.000 | 0.000 | -0.000 |
| 362.619 | 806.791 | 236.466 | -0.000 | 0.000 | -0.000 |
| 297.616 | 231.948 | 1045.090 | 0.000 | 0.000 | -0.000 |
| -3007008.360 | 6478395.952 | -22150317.659 | 6952566.876 | 0.000 | -0.000 |
| 0.001 | 0.001 | 0.001 | 0.000 | 28.152 | -0.000 |
| 0.000 | 0.002 | 0.000 | 0.000 | 0.000 | 210.536 |
| 401.871 | 367.975 | 295.394 | -0.000 | -0.000 | 0.000 |
| 369.443 | 801.534 | 231.198 | -0.000 | -0.000 | 0.000 |
| 297.608 | 231.943 | 1045.068 | -0.000 | -0.000 | 0.000 |
| 3007008.360 | -6478395.952 | 22150317.659 | 6952566.876 | -0.000 | 0.000 |
| -0.001 | -0.001 | -0.001 | -0.000 | 28.152 | 0.000 |
| -0.000 | -0.002 | -0.000 | 0.000 | -0.000 | 210.536 |
| 355.427 | 113.991 | 137.078 | -0.000 | 0.000 | 0.000 |
| 103.198 | 205.757 | 147.679 | 0.000 | -0.000 | 0.000 |
| 140.171 | 151.134 | 392.332 | -0.000 | 0.000 | 0.000 |
| 0.000 | -0.000 | 0.000 | 77.056 | -0.000 | 0.000 |
| -2.424 | 3.629 | 0.435 | -0.000 | 70.068 | 0.000 |
| -2.995 | 4.484 | 0.538 | -0.000 | 0.000 | 6.422 |
| 360.274 | 106.733 | 136.207 | 0.000 | -0.000 | -0.000 |
| 116.888 | 185.260 | 145.219 | 0.000 | -0.000 | -0.000 |
| 145.018 | 143.876 | 391.461 | 0.000 | 0.000 | -0.000 |
| -0.000 | -0.000 | -0.000 | 77.056 | 0.000 | -0.000 |
| 2.424 | -3.629 | -0.435 | 0.000 | 70.068 | 0.000 |
| 2.995 | -4.484 | -0.538 | 0.000 | -0.000 | 6.422 |
| 357.609 | 110.725 | 136.686 | -0.000 | 0.000 | -0.000 |
| 114.222 | 189.252 | 145.698 | -0.000 | -0.000 | 0.000 |
| 142.352 | 147.868 | 391.941 | -0.000 | 0.000 | 0.000 |
| -0.060 | 0.089 | 0.011 | 77.041 | 0.000 | 0.000 |
| -0.242 | 0.363 | 0.044 | -0.000 | 70.068 | 0.000 |
| -0.304 | 0.455 | 0.055 | -0.000 | 0.000 | 6.194 |
| 358.091 | 109.999 | 136.599 | 0.000 | -0.000 | -0.000 |
| 114.706 | 188.527 | 145.611 | 0.000 | -0.000 | -0.000 |
| 142.837 | 147.142 | 391.853 | 0.000 | -0.000 | -0.000 |
| 0.060 | -0.089 | -0.011 | 77.041 | -0.000 | -0.000 |
| 0.242 | -0.363 | -0.044 | 0.000 | 70.068 | -0.000 |
| 0.304 | -0.455 | -0.055 | 0.000 | -0.000 | 6.194 |
| 357.838 | 110.398 | 136.648 | -0.000 | -0.000 | 0.000 |
| 114.440 | 188.924 | 145.659 | -0.000 | 0.000 | 0.000 |
| 142.571 | 147.542 | 391.904 | -0.000 | 0.000 | 0.000 |
| -0.005 | 0.008 | 0.002 | 77.042 | 0.000 | 0.000 |
| -0.024 | 0.036 | 0.005 | -0.000 | 70.068 | 0.000 |
| -0.029 | 0.046 | 0.006 | -0.000 | 0.000 | 6.191 |
| 357.863 | 110.325 | 136.637 | 0.000 | -0.000 | -0.000 |
| 114.488 | 188.854 | 145.650 | 0.000 | -0.000 | -0.000 |
| 141.242 | 149.528 | 392.137 | 0.000 | -0.000 | -0.000 |
| 0.005 | -0.008 | -0.002 | 77.042 | -0.000 | -0.000 |
| 0.024 | -0.036 | -0.005 | 0.000 | 70.068 | 0.000 |
| 0.029 | -0.046 | -0.006 | 0.000 | -0.000 | 6.191 |
| 153.983 | 115.557 | 110.367 | 17.575 | 0.000 | 0.000 |
| 130.717 | 142.691 | 117.922 | -21.847 | 0.000 | 0.000 |
| 120.546 | 120.546 | 377.143 | 0.000 | 0.000 | -0.000 |
| 21.847 | -21.847 | 0.000 | 51.229 | 0.000 | 0.000 |
| 0.000 | 0.000 | 0.000 | 0.000 | 51.229 | 21.847 |
| -0.000 | 0.000 | -0.000 | 0.000 | 12.476 | 35.000 |
| 172.415 | 102.415 | 120.698 | 12.476 | -0.000 | -0.000 |
| 115.556 | 153.983 | 110.367 | -17.575 | -0.000 | -0.000 |
| 117.769 | 117.769 | 366.297 | -0.000 | -0.000 | -0.000 |
| 21.847 | -21.847 | -0.000 | 51.229 | -0.000 | -0.000 |
| -0.000 | -0.000 | -0.000 | -0.000 | 51.229 | 21.847 |
| 0.000 | -0.000 | -0.000 | -0.000 | 12.476 | 35.000 |
| 172.415 | 102.415 | 120.698 | 12.476 | 0.000 | 0.000 |
| 102.415 | 172.415 | 120.698 | -12.476 | 0.000 | 0.000 |
| 117.770 | 117.770 | 366.298 | 0.000 | 0.000 | 0.000 |
| 12.476 | -12.476 | 0.000 | 54.256 | 0.000 | 0.000 |
| 0.000 | 0.000 | 0.000 | 0.000 | 51.229 | 21.847 |
| 0.000 | 0.000 | 0.000 | -0.000 | 21.847 | 5.987 |
| 172.414 | 102.415 | 120.698 | 12.476 | -0.000 | -0.000 |
| 102.415 | 172.414 | 120.698 | -12.476 | -0.000 | 0.000 |
| 120.546 | 120.546 | 377.143 | -0.000 | -0.000 | -0.000 |
| 12.476 | -12.476 | -0.000 | 54.256 | -0.000 | 0.000 |
| -0.000 | -0.000 | -0.000 | -0.000 | 51.229 | 21.847 |
| -0.000 | -0.000 | -0.000 | 0.000 | 21.847 | 5.987 |
| 172.417 | 102.415 | 120.699 | 12.476 | 0.000 | 0.000 |
| 102.415 | 172.417 | 120.699 | -12.476 | 0.000 | 0.000 |
| 120.547 | 120.547 | 377.146 | 0.000 | -0.000 | -0.000 |
| 21.847 | -21.847 | 0.001 | 51.229 | 0.000 | 0.000 |
| 0.000 | 0.000 | 0.001 | 0.000 | 51.229 | 21.847 |
| 0.000 | 0.001 | 0.000 | -0.000 | 12.476 | 35.000 |
| 172.412 | 102.415 | 120.698 | 12.476 | -0.000 | -0.000 |
| 102.414 | 172.413 | 120.698 | -12.476 | -0.000 | -0.000 |
| 117.769 | 117.769 | 366.294 | -0.000 | -0.000 | -0.000 |
| 21.847 | -21.848 | -0.001 | 51.229 | -0.000 | -0.000 |
| -0.000 | -0.000 | -0.001 | -0.000 | 51.229 | 21.847 |
| -0.000 | -0.001 | -0.000 | 0.000 | 12.476 | 35.000 |
| -61.638 | -122.004 | -937.057 | 0.000 | -0.000 | -0.000 |
| -122.004 | -61.638 | -937.057 | 0.000 | -0.000 | -0.000 |
| -79.231 | -79.231 | 96.443 | 0.000 | -0.000 | -0.000 |
| -241.117 | -241.117 | -425.879 | 34.512 | -0.000 | -0.000 |
| -241.117 | -241.117 | -425.879 | 0.000 | 34.512 | -0.000 |
| -0.000 | 0.000 | -0.000 | 0.000 | -0.000 | 64.449 |
| 717.587 | 656.150 | 1253.013 | -0.000 | 0.000 | 0.000 |
| 656.150 | 717.587 | 1253.013 | -0.000 | 0.000 | 0.000 |
| 549.266 | 549.266 | 1613.188 | -0.000 | 0.000 | 0.000 |
| 241.117 | 241.117 | 425.879 | 34.512 | -0.000 | 0.000 |
| 241.117 | 241.117 | 425.879 | -0.000 | 34.512 | 0.000 |
| -0.000 | -0.000 | -0.000 | -0.000 | 0.000 | 64.449 |
| 365.211 | 189.036 | 120.441 | 0.000 | -0.000 | -0.000 |
| 189.036 | 365.211 | 120.441 | 0.000 | -0.000 | -0.000 |
| 120.904 | 120.904 | 408.973 | -0.000 | -0.000 | 0.000 |
| -281.571 | -281.571 | -279.233 | -11.876 | -0.000 | -0.000 |
| -281.571 | -281.571 | -279.233 | 0.000 | -11.876 | -0.000 |
| -140.015 | -140.015 | -132.208 | 0.000 | -0.000 | -14.173 |
| 615.904 | 1385.555 | 850.146 | -0.000 | 0.000 | -0.000 |
| 1385.555 | 615.904 | 850.146 | -0.000 | 0.000 | -0.000 |
| 199.030 | 199.030 | 627.643 | -0.000 | -0.000 | 0.000 |
| 281.571 | 281.571 | 279.233 | -11.876 | 0.000 | 0.000 |
| 281.571 | 281.571 | 279.233 | -0.000 | -11.876 | 0.000 |
| 140.015 | 140.015 | 132.208 | -0.000 | 0.000 | -14.173 |
| 441.257 | 169.552 | 162.105 | 0.000 | -0.000 | -0.000 |
| 169.552 | 441.257 | 162.105 | 0.000 | -0.000 | -0.000 |
| 160.078 | 160.078 | 518.140 | 0.000 | 0.000 | -0.000 |
| -0.000 | 0.001 | -0.000 | 41.168 | 0.000 | -0.000 |
| 0.001 | -0.000 | -0.000 | 0.000 | 41.168 | -0.000 |
| 0.000 | 0.000 | -0.000 | 0.000 | -0.000 | 64.449 |
| 322.388 | 283.506 | 170.478 | -0.000 | 0.000 | -0.000 |
| 283.506 | 322.388 | 170.478 | -0.000 | 0.000 | -0.000 |
| 164.092 | 164.092 | 529.782 | -0.000 | 0.000 | 0.000 |
| 0.000 | -0.001 | 0.000 | 41.168 | 0.000 | 0.000 |
| -0.001 | 0.000 | 0.000 | -0.000 | 41.168 | 0.000 |
| -0.000 | -0.000 | 0.000 | -0.000 | 0.000 | 64.449 |
| 960.905 | 25.237 | 25.246 | -0.000 | -0.000 | 0.000 |
| 25.237 | 960.905 | 25.246 | -0.000 | -0.000 | 0.000 |
| 25.266 | 25.266 | 961.043 | 0.000 | -0.000 | 0.000 |
| 0.000 | 0.000 | -0.000 | -128.493 | -0.000 | 0.000 |
| 0.000 | 0.000 | -0.000 | -0.000 | -128.493 | 0.000 |
| 0.000 | 0.000 | -0.000 | -0.000 | -0.000 | -128.530 |
| 960.905 | 25.237 | 25.246 | 0.000 | 0.000 | -0.000 |
| 25.237 | 960.905 | 25.246 | 0.000 | 0.000 | -0.000 |
| 25.266 | 25.266 | 961.042 | 0.000 | 0.000 | -0.000 |
| -0.000 | -0.000 | 0.000 | -128.493 | 0.000 | -0.000 |
| -0.000 | -0.000 | 0.000 | 0.000 | -128.493 | -0.000 |
| -0.000 | -0.000 | 0.000 | -0.000 | 0.000 | -128.530 |
| 960.905 | 25.237 | 25.246 | -0.000 | -0.000 | 0.000 |
| 25.237 | 960.905 | 25.246 | 0.000 | -0.000 | 0.000 |
| 25.266 | 25.266 | 961.043 | 0.000 | 0.000 | 0.000 |
| 0.000 | 0.000 | -0.000 | -128.493 | 0.000 | 0.000 |
| 0.000 | 0.000 | -0.000 | 0.000 | -128.493 | 0.000 |
| 0.000 | -0.000 | 0.000 | 0.000 | -0.000 | -128.530 |
| 960.904 | 25.237 | 25.246 | -0.000 | 0.000 | -0.000 |
| 25.237 | 960.904 | 25.246 | 0.000 | -0.000 | -0.000 |
| 25.266 | 25.266 | 961.042 | 0.000 | -0.000 | -0.000 |
| -0.000 | -0.000 | 0.000 | -128.493 | -0.000 | 0.000 |
| -0.000 | -0.000 | 0.000 | 0.000 | -128.493 | -0.000 |
| -0.000 | 0.000 | -0.000 | -0.000 | -0.000 | -128.530 |
| 960.910 | 25.239 | 25.248 | 0.000 | -0.000 | 0.000 |
| 25.239 | 960.910 | 25.248 | -0.000 | 0.000 | 0.000 |
| 25.268 | 25.268 | 961.045 | -0.000 | 0.000 | 0.000 |
| 0.001 | 0.000 | -0.000 | -128.493 | -0.000 | 0.000 |
| 0.000 | 0.001 | -0.000 | -0.000 | -128.493 | 0.000 |
| 0.000 | -0.000 | 0.001 | -0.000 | 0.000 | -128.530 |
| 960.900 | 25.235 | 25.244 | -0.000 | 0.000 | -0.000 |
| 25.235 | 960.900 | 25.244 | -0.000 | 0.000 | -0.000 |
| 25.264 | 25.264 | 961.040 | 0.000 | -0.000 | -0.000 |
| -0.001 | -0.000 | 0.000 | -128.493 | 0.000 | -0.000 |
| -0.000 | -0.001 | 0.000 | 0.000 | -128.493 | -0.000 |
| -0.000 | 0.000 | -0.001 | 0.000 | 0.000 | -128.530 |
| 173.722 | 161.759 | 161.759 | -0.000 | -0.000 | -0.000 |
| 161.759 | 173.722 | 161.759 | 0.000 | -0.000 | 0.000 |
| 161.759 | 161.759 | 173.722 | -0.000 | -0.000 | -0.000 |
| -0.000 | 0.000 | -0.000 | 35.278 | -0.000 | -0.000 |
| -0.000 | -0.000 | 0.000 | -0.000 | 35.278 | 0.000 |
| -0.000 | 0.000 | -0.000 | -0.000 | -0.000 | 35.278 |
| 173.722 | 161.759 | 161.759 | -0.000 | -0.000 | -0.000 |
| 161.759 | 173.722 | 161.759 | 0.000 | 0.000 | 0.000 |
| 161.759 | 161.759 | 173.722 | -0.000 | 0.000 | 0.000 |
| 0.000 | -0.000 | 0.000 | 35.278 | 0.000 | -0.000 |
| 0.000 | 0.000 | -0.000 | -0.000 | 35.278 | -0.000 |
| 0.000 | -0.000 | 0.000 | 0.000 | 0.000 | 35.278 |
| 173.722 | 161.759 | 161.759 | -0.000 | -0.000 | 0.000 |
| 161.759 | 173.722 | 161.759 | 0.000 | 0.000 | 0.000 |
| 161.759 | 161.759 | 173.722 | 0.000 | -0.000 | -0.000 |
| 0.000 | -0.000 | -0.000 | 35.278 | -0.000 | 0.000 |
| -0.000 | 0.000 | -0.000 | 0.000 | 35.278 | -0.000 |
| -0.000 | -0.000 | 0.000 | -0.000 | -0.000 | 35.278 |
| 173.722 | 161.759 | 161.759 | 0.000 | 0.000 | 0.000 |
| 161.759 | 173.722 | 161.759 | 0.000 | 0.000 | 0.000 |
| 161.759 | 161.759 | 173.722 | 0.000 | 0.000 | 0.000 |
| -0.000 | 0.000 | 0.000 | 35.278 | 0.000 | -0.000 |
| 0.000 | -0.000 | 0.000 | 0.000 | 35.278 | 0.000 |
| 0.000 | 0.000 | -0.000 | 0.000 | 0.000 | 35.278 |
| 173.721 | 161.759 | 161.759 | 0.000 | 0.000 | 0.000 |
| 161.759 | 173.721 | 161.759 | 0.000 | -0.000 | -0.000 |
| 161.759 | 161.759 | 173.721 | 0.000 | 0.000 | 0.000 |
| 0.000 | -0.000 | 0.000 | 171.658 | -0.000 | -0.000 |
| -0.000 | 0.000 | 0.000 | -0.000 | 171.658 | -0.000 |
| -0.000 | 0.000 | 0.000 | -0.000 | -0.000 | 171.658 |
| 173.723 | 161.758 | 161.758 | -0.000 | 0.000 | 0.000 |
| 161.758 | 173.723 | 161.758 | 0.000 | -0.000 | -0.000 |
| 161.758 | 161.758 | 173.723 | -0.000 | 0.000 | -0.000 |
| -0.000 | 0.000 | -0.000 | 171.658 | 0.000 | 0.000 |
| 0.000 | -0.000 | -0.000 | 0.000 | 171.658 | 0.000 |
| 0.000 | -0.000 | -0.000 | 0.000 | 0.000 | 171.658 |
| 124.063 | 32.181 | 32.181 | -0.000 | -0.000 | 0.000 |
| 32.181 | 124.063 | 32.181 | 0.000 | 0.000 | 0.000 |
| 32.181 | 32.181 | 124.063 | 0.000 | 0.000 | 0.000 |
| -0.000 | -0.000 | -0.000 | 35.252 | 0.000 | 0.000 |
| -0.000 | -0.000 | -0.000 | 0.000 | 35.252 | 0.000 |
| -0.000 | -0.000 | -0.000 | 0.000 | 0.000 | 35.252 |
| 124.063 | 32.181 | 32.181 | -0.000 | -0.000 | -0.000 |
| 32.181 | 124.063 | 32.181 | -0.000 | -0.000 | -0.000 |
| 32.181 | 32.181 | 124.063 | -0.000 | -0.000 | -0.000 |
| 0.000 | 0.000 | 0.000 | 35.252 | -0.000 | -0.000 |
| 0.000 | 0.000 | 0.000 | -0.000 | 35.252 | -0.000 |
| 0.000 | 0.000 | 0.000 | -0.000 | -0.000 | 35.252 |
| 124.063 | 32.181 | 32.181 | -0.000 | -0.000 | 0.000 |
| 32.181 | 124.063 | 32.181 | 0.000 | -0.000 | 0.000 |
| 32.181 | 32.181 | 124.063 | 0.000 | -0.000 | 0.000 |
| 0.000 | -0.000 | -0.000 | 35.252 | 0.000 | 0.000 |
| -0.000 | 0.000 | -0.000 | 0.000 | 35.252 | 0.000 |
| -0.000 | -0.000 | -0.000 | 0.000 | 0.000 | 35.252 |
| 124.062 | 32.181 | 32.181 | 0.000 | -0.000 | -0.000 |
| 32.181 | 124.062 | 32.181 | -0.000 | 0.000 | -0.000 |
| 32.181 | 32.181 | 124.062 | -0.000 | -0.000 | -0.000 |
| -0.000 | 0.000 | 0.000 | 35.252 | -0.000 | -0.000 |
| 0.000 | -0.000 | 0.000 | -0.000 | 35.252 | -0.000 |
| 0.000 | 0.000 | 0.000 | -0.000 | -0.000 | 35.252 |
| 124.067 | 32.181 | 32.181 | 0.000 | 0.000 | 0.000 |
| 32.181 | 124.067 | 32.181 | 0.000 | -0.000 | 0.000 |
| 32.181 | 32.181 | 124.067 | 0.000 | 0.000 | 0.000 |
| 0.000 | -0.000 | -0.000 | 26.388 | 0.000 | 0.000 |
| -0.000 | 0.000 | -0.000 | 0.000 | 26.388 | 0.000 |
| -0.000 | -0.000 | 0.000 | 0.000 | 0.000 | 26.388 |
| 124.058 | 32.181 | 32.181 | 0.000 | 0.000 | -0.000 |
| 32.181 | 124.058 | 32.181 | 0.000 | -0.000 | -0.000 |
| 32.181 | 32.181 | 124.058 | -0.000 | -0.000 | -0.000 |
| -0.000 | 0.000 | 0.000 | 26.388 | -0.000 | -0.000 |
| 0.000 | -0.000 | 0.000 | -0.000 | 26.388 | -0.000 |
| 0.000 | 0.000 | -0.000 | -0.000 | -0.000 | 26.388 |
| 2.492 | 2.492 | 2.492 | -0.000 | -0.000 | -0.000 |
| 2.492 | 2.492 | 2.492 | -0.000 | -0.000 | -0.000 |
| 2.492 | 2.492 | 2.492 | -0.000 | -0.000 | -0.000 |
| -0.000 | -0.000 | -0.000 | 1.629 | -0.000 | -0.000 |
| -0.000 | -0.000 | -0.000 | -0.000 | 1.629 | -0.000 |
| -0.000 | -0.000 | -0.000 | -0.000 | -0.000 | 1.629 |
| 2.492 | 2.492 | 2.492 | 0.000 | 0.000 | 0.000 |
| 2.492 | 2.492 | 2.492 | 0.000 | 0.000 | 0.000 |
| 2.492 | 2.492 | 2.492 | 0.000 | 0.000 | 0.000 |
| 0.000 | 0.000 | 0.000 | 1.629 | 0.000 | 0.000 |
| 0.000 | 0.000 | 0.000 | 0.000 | 1.629 | 0.000 |
| 0.000 | 0.000 | 0.000 | 0.000 | 0.000 | 1.629 |
| 2.492 | 2.492 | 2.492 | -0.000 | -0.000 | -0.000 |
| 2.492 | 2.492 | 2.492 | -0.000 | -0.000 | -0.000 |
| 2.492 | 2.492 | 2.492 | -0.000 | -0.000 | -0.000 |
| -0.000 | -0.000 | -0.000 | 0.958 | -0.000 | -0.000 |
| -0.000 | -0.000 | -0.000 | -0.000 | 0.958 | -0.000 |
| -0.000 | -0.000 | -0.000 | -0.000 | -0.000 | 0.958 |
| 2.492 | 2.492 | 2.492 | 0.000 | 0.000 | 0.000 |
| 2.492 | 2.492 | 2.492 | 0.000 | 0.000 | -0.000 |
| 2.492 | 2.492 | 2.492 | 0.000 | 0.000 | 0.000 |
| 0.000 | 0.000 | 0.000 | 0.958 | 0.000 | -0.000 |
| 0.000 | 0.000 | 0.000 | 0.000 | 0.958 | -0.000 |
| 0.000 | 0.000 | 0.000 | 0.000 | 0.000 | 0.958 |
| 2.492 | 2.492 | 2.492 | -0.000 | -0.000 | 0.000 |
| 2.492 | 2.492 | 2.492 | -0.000 | -0.000 | 0.000 |
| 2.492 | 2.492 | 2.492 | -0.000 | -0.000 | -0.000 |
| -0.000 | -0.000 | -0.000 | 0.115 | 0.000 | -0.000 |
| -0.000 | -0.000 | -0.000 | 0.000 | 0.115 | 0.000 |
| -0.000 | -0.000 | -0.000 | -0.000 | 0.000 | 0.115 |
| 2.493 | 2.493 | 2.493 | -0.000 | 0.000 | 0.000 |
| 2.493 | 2.493 | 2.493 | 0.000 | -0.000 | 0.000 |
| 2.493 | 2.493 | 2.493 | 0.000 | 0.000 | 0.000 |
| 0.000 | 0.000 | 0.000 | 0.115 | -0.000 | -0.000 |
| 0.000 | 0.000 | 0.000 | -0.000 | 0.115 | 0.000 |
| 0.000 | 0.000 | 0.000 | 0.000 | 0.000 | 0.115 |
| 0.016 | 0.016 | 0.016 | -0.000 | -0.000 | 0.000 |
| 0.016 | 0.016 | 0.016 | -0.000 | -0.000 | 0.000 |
| 0.016 | 0.016 | 0.016 | -0.000 | -0.000 | -0.000 |
| 0.000 | 0.000 | 0.000 | 0.016 | -0.000 | -0.000 |
| 0.000 | 0.000 | 0.000 | -0.000 | 0.016 | -0.000 |
| 0.000 | 0.000 | 0.000 | -0.000 | -0.000 | 0.016 |
| 0.016 | 0.016 | 0.016 | -0.000 | -0.000 | -0.000 |
| 0.016 | 0.016 | 0.016 | -0.000 | -0.000 | -0.000 |
| 0.016 | 0.016 | 0.016 | -0.000 | -0.000 | -0.000 |
| -0.000 | -0.000 | -0.000 | 0.016 | -0.000 | -0.000 |
| -0.000 | -0.000 | -0.000 | -0.000 | 0.016 | -0.000 |
| -0.000 | -0.000 | -0.000 | -0.000 | 0.000 | 0.016 |
| 0.016 | 0.016 | 0.016 | -0.000 | -0.000 | 0.000 |
| 0.016 | 0.016 | 0.016 | -0.000 | -0.000 | 0.000 |
| 0.016 | 0.016 | 0.016 | -0.000 | -0.000 | 0.000 |
| 0.000 | 0.000 | 0.000 | 0.016 | -0.000 | -0.000 |
| 0.000 | 0.000 | 0.000 | -0.000 | 0.016 | -0.000 |
| 0.000 | 0.000 | 0.000 | -0.000 | -0.000 | 0.016 |
| 0.016 | 0.016 | 0.016 | -0.000 | -0.000 | -0.000 |
| 0.016 | 0.016 | 0.016 | -0.000 | -0.000 | -0.000 |
| 0.016 | 0.016 | 0.016 | -0.000 | -0.000 | -0.000 |
| -0.000 | -0.000 | -0.000 | 0.016 | 0.000 | 0.000 |
| -0.000 | -0.000 | -0.000 | 0.000 | 0.016 | 0.000 |
| -0.000 | -0.000 | -0.000 | 0.000 | 0.000 | 0.016 |
| 0.016 | 0.016 | 0.016 | 0.000 | 0.000 | 0.000 |
| 0.016 | 0.016 | 0.016 | 0.000 | 0.000 | 0.000 |
| 0.016 | 0.016 | 0.016 | -0.000 | -0.000 | 0.000 |
| 0.000 | 0.000 | 0.000 | 0.016 | -0.000 | 0.000 |
| 0.000 | 0.000 | 0.000 | -0.000 | 0.016 | 0.000 |
| 0.000 | 0.000 | 0.000 | 0.000 | -0.000 | 0.016 |
| 0.016 | 0.016 | 0.016 | 0.000 | 0.000 | 0.000 |
| 0.016 | 0.016 | 0.016 | 0.000 | 0.000 | 0.000 |
| 0.016 | 0.016 | 0.016 | 0.000 | 0.000 | 0.000 |
| -0.000 | -0.000 | -0.000 | 0.016 | 0.000 | 0.000 |
| -0.000 | -0.000 | -0.000 | 0.000 | 0.016 | 0.000 |
| -0.000 | -0.000 | -0.000 | 0.000 | -0.000 | 0.016 |
| 420.360 | 277.241 | 277.241 | 0.000 | -0.000 | 0.000 |
| 277.241 | 420.360 | 277.241 | 0.000 | -0.000 | -0.000 |
| 277.241 | 277.241 | 420.360 | 0.000 | -0.000 | 0.000 |
| -0.000 | -0.000 | 0.000 | 152.672 | -0.000 | -0.000 |
| 0.000 | -0.000 | 0.000 | 0.000 | 152.672 | 0.000 |
| 0.000 | -0.000 | 0.000 | 0.000 | -0.000 | 152.672 |
| 420.360 | 277.241 | 277.241 | 0.000 | 0.000 | -0.000 |
| 277.241 | 420.360 | 277.241 | -0.000 | 0.000 | -0.000 |
| 277.241 | 277.241 | 420.360 | -0.000 | 0.000 | -0.000 |
| 0.000 | 0.000 | -0.000 | 152.672 | 0.000 | -0.000 |
| -0.000 | 0.000 | -0.000 | -0.000 | 152.672 | -0.000 |
| -0.000 | 0.000 | -0.000 | -0.000 | 0.000 | 152.672 |
| 420.360 | 277.241 | 277.241 | 0.000 | -0.000 | 0.000 |
| 277.241 | 420.360 | 277.241 | 0.000 | -0.000 | 0.000 |
| 277.241 | 277.241 | 420.360 | 0.000 | -0.000 | 0.000 |
| -0.000 | -0.000 | 0.000 | 152.671 | -0.000 | 0.000 |
| -0.000 | -0.000 | 0.000 | 0.000 | 152.671 | 0.000 |
| -0.000 | 0.000 | -0.000 | 0.000 | -0.000 | 152.671 |
| 420.360 | 277.241 | 277.241 | -0.000 | 0.000 | -0.000 |
| 277.241 | 420.360 | 277.241 | -0.000 | 0.000 | -0.000 |
| 277.241 | 277.241 | 420.360 | -0.000 | 0.000 | -0.000 |
| 0.000 | 0.000 | -0.000 | 152.671 | 0.000 | 0.000 |
| 0.000 | 0.000 | -0.000 | -0.000 | 152.671 | -0.000 |
| 0.000 | -0.000 | 0.000 | -0.000 | 0.000 | 152.671 |
| 420.359 | 277.242 | 277.242 | 0.000 | -0.000 | -0.000 |
| 277.242 | 420.359 | 277.242 | 0.000 | -0.000 | 0.000 |
| 277.242 | 277.242 | 420.359 | 0.000 | -0.000 | 0.000 |
| -0.000 | -0.000 | 0.000 | 152.672 | -0.000 | 0.000 |
| -0.000 | -0.000 | 0.000 | 0.000 | 152.672 | 0.000 |
| -0.000 | 0.000 | -0.000 | 0.000 | -0.000 | 152.672 |
| 420.361 | 277.240 | 277.240 | -0.000 | 0.000 | 0.000 |
| 277.240 | 420.361 | 277.240 | -0.000 | 0.000 | -0.000 |
| 277.240 | 277.240 | 420.361 | -0.000 | 0.000 | -0.000 |
| 0.000 | 0.000 | -0.000 | 152.672 | 0.000 | -0.000 |
| 0.000 | 0.000 | -0.000 | -0.000 | 152.672 | -0.000 |
| 0.000 | -0.000 | 0.000 | -0.000 | 0.000 | 152.672 |
| 339.927 | 160.919 | 143.131 | -20.378 | 0.000 | -0.000 |
| 165.022 | 344.035 | 153.272 | 20.364 | 0.000 | -0.000 |
| 142.186 | 142.186 | 336.138 | 0.000 | 0.000 | -0.000 |
| -20.480 | 20.386 | -0.116 | 77.304 | -0.000 | -0.000 |
| 0.000 | 0.000 | 0.000 | 0.000 | 77.669 | -20.364 |
| -0.045 | -0.045 | -0.112 | 0.000 | -20.431 | 89.494 |
| 339.945 | 160.937 | 143.176 | -20.378 | -0.000 | 0.000 |
| 165.022 | 344.035 | 153.272 | 20.364 | 0.000 | 0.000 |
| 152.308 | 152.308 | 361.140 | 0.000 | -0.000 | 0.000 |
| -20.386 | 20.480 | 0.116 | 77.304 | -0.000 | 0.000 |
| -0.000 | -0.000 | -0.000 | -0.000 | 77.669 | -20.364 |
| 0.045 | 0.045 | 0.112 | -0.000 | -20.431 | 89.494 |
| 344.036 | 165.022 | 153.272 | -20.364 | 0.000 | -0.000 |
| 160.928 | 339.936 | 143.151 | 20.378 | 0.000 | 0.000 |
| 142.194 | 142.194 | 336.158 | -0.000 | 0.000 | -0.000 |
| -20.438 | 20.428 | -0.011 | 77.303 | 0.000 | -0.000 |
| 0.000 | 0.000 | 0.000 | 0.000 | 77.669 | -20.364 |
| -0.005 | -0.005 | -0.012 | 0.000 | -20.433 | 89.494 |
| 344.035 | 165.022 | 153.271 | -20.364 | -0.000 | 0.000 |
| 165.022 | 344.035 | 153.271 | 20.364 | 0.000 | 0.000 |
| 152.308 | 152.308 | 361.140 | -0.000 | -0.000 | 0.000 |
| -20.428 | 20.438 | 0.011 | 77.303 | -0.000 | 0.000 |
| -0.000 | -0.000 | -0.000 | -0.000 | 77.669 | -20.364 |
| 0.005 | 0.005 | 0.012 | -0.000 | -20.433 | 89.494 |
| 339.940 | 160.929 | 143.154 | -20.377 | 0.000 | 0.000 |
| 160.929 | 339.939 | 143.154 | 20.377 | 0.000 | -0.000 |
| 152.309 | 152.309 | 361.142 | -0.000 | -0.000 | -0.000 |
| -20.364 | 20.365 | 0.001 | 77.669 | 0.000 | -0.000 |
| 0.001 | 0.000 | 0.001 | 0.000 | 77.669 | -20.364 |
| 0.000 | 0.001 | 0.000 | 0.000 | -20.364 | 89.506 |
| 344.032 | 165.022 | 153.271 | -20.365 | 0.000 | 0.000 |
| 165.022 | 344.032 | 153.271 | 20.365 | -0.000 | -0.000 |
| 142.194 | 142.194 | 336.158 | -0.000 | -0.000 | 0.000 |
| -20.433 | 20.433 | -0.000 | 77.304 | 0.000 | 0.000 |
| -0.001 | -0.000 | -0.001 | -0.000 | 77.669 | -20.364 |
| -0.000 | -0.001 | -0.000 | -0.000 | -20.364 | 89.506 |
| 335.368 | 343.791 | 343.791 | 0.000 | 0.000 | -0.000 |
| 343.791 | 335.368 | 343.791 | -0.000 | -0.000 | -0.000 |
| 343.791 | 343.791 | 335.368 | -0.000 | -0.000 | -0.000 |
| 0.000 | -0.000 | -0.000 | -30.403 | -0.000 | 0.000 |
| 0.000 | -0.000 | -0.000 | -0.000 | -30.403 | -0.000 |
| -0.000 | -0.000 | -0.000 | -0.000 | -0.000 | -30.403 |
| 335.369 | 343.791 | 343.791 | 0.000 | 0.000 | 0.000 |
| 343.791 | 335.368 | 343.791 | -0.000 | -0.000 | 0.000 |
| 343.791 | 343.791 | 335.369 | 0.000 | 0.000 | 0.000 |
| -0.000 | 0.000 | 0.000 | -30.403 | 0.000 | -0.000 |
| 0.000 | 0.000 | 0.000 | 0.000 | -30.403 | 0.000 |
| 0.000 | 0.000 | 0.000 | 0.000 | 0.000 | -30.403 |
| 335.368 | 343.790 | 343.790 | 0.000 | 0.000 | 0.000 |
| 343.790 | 335.368 | 343.790 | 0.000 | 0.000 | 0.000 |
| 343.790 | 343.790 | 335.368 | 0.000 | 0.000 | 0.000 |
| -22419086.021 | -23602554.113 | -23187023.877 | -5772931.798 | -208105.589 | -199036.679 |
| -23283456.853 | -22307047.572 | -23180869.433 | 113732.837 | -5752008.329 | -100434.777 |
| -22855959.595 | -23411216.015 | -22087595.156 | -232974.438 | -165852.145 | -5747100.065 |
| 335.369 | 343.791 | 343.791 | -0.000 | -0.000 | -0.000 |
| 343.791 | 335.369 | 343.791 | -0.000 | -0.000 | -0.000 |
| 343.791 | 343.791 | 335.369 | -0.000 | -0.000 | -0.000 |
| 23163928.079 | 23863764.681 | 23503325.375 | -5914690.578 | 49166.629 | 203895.182 |
| 23631208.813 | 23164371.613 | 23576429.149 | 173112.022 | -5821544.448 | -45132.806 |
| 23721965.529 | 23932890.881 | 22979959.316 | -55398.553 | 274870.902 | -5610622.904 |
| 335.367 | 343.789 | 343.789 | -0.000 | -0.000 | 0.000 |
| 343.789 | 335.367 | 343.789 | 0.000 | -0.000 | -0.000 |
| 343.789 | 343.789 | 335.367 | -0.000 | -0.000 | -0.000 |
| -2302532.017 | -2360735.111 | -2363380.370 | -593397.567 | -12615.859 | 29320.514 |
| -2322649.928 | -2207109.673 | -2305398.562 | -19991.793 | -586474.268 | -3277.742 |
| -2364730.384 | -2340890.795 | -2249881.313 | -20218.310 | -14854.125 | -581875.644 |
| 335.370 | 343.792 | 343.792 | -0.000 | -0.000 | -0.000 |
| 343.792 | 335.370 | 343.792 | -0.000 | -0.000 | -0.000 |
| 343.792 | 343.792 | 335.370 | -0.000 | -0.000 | -0.000 |
| 2325689.257 | 2398635.986 | 2390083.959 | -566662.567 | 18401.043 | 39512.872 |
| 2383078.904 | 2349283.021 | 2354898.358 | 28405.250 | -595342.296 | 15677.047 |
| 2479814.187 | 2454772.587 | 2442456.429 | 36699.688 | 33717.453 | -587621.964 |
| -2714.436 | -2724.132 | 4180.628 | -16.685 | -0.000 | 0.000 |
| -2723.934 | -2714.226 | 4180.342 | 16.683 | -0.000 | 0.000 |
| 67.951 | 67.951 | 436.872 | -0.000 | -0.000 | -0.000 |
| -2922.576 | -2889.248 | 4066.094 | 10.726 | -0.000 | -0.000 |
| -2905.912 | -2905.912 | 4066.094 | -0.000 | 10.726 | -16.664 |
| -3995.656 | -3995.656 | 7409.680 | 0.000 | -15.666 | -46.047 |
| 4149.056 | 4204.618 | -7273.205 | 8.268 | 0.000 | 0.000 |
| 4221.479 | 4129.385 | -7270.853 | 15.666 | 0.000 | 0.000 |
| 3044.059 | 3044.059 | -3762.639 | -0.000 | 0.000 | 0.000 |
| 2889.248 | 2922.576 | -4066.094 | 10.726 | 0.000 | -0.000 |
| 2905.912 | 2905.912 | -4066.094 | -0.000 | 10.726 | -16.664 |
| 3995.656 | 3995.656 | -7409.680 | 0.000 | -15.666 | -46.047 |
| -252.998 | -195.047 | 888.859 | 8.535 | -0.000 | -0.000 |
| -108.719 | -101.872 | 523.062 | 16.925 | -0.000 | 0.000 |
| -156.504 | -156.504 | 720.148 | 0.000 | -0.000 | -0.000 |
| -0.398 | 0.398 | 0.000 | 61.495 | -0.000 | -0.000 |
| -292.157 | -292.157 | 408.800 | 0.000 | 10.453 | -16.752 |
| -399.900 | -399.900 | 742.882 | -0.000 | -15.628 | -46.276 |
| 484.893 | 473.818 | -295.091 | -16.568 | 0.000 | 0.000 |
| 112.672 | 315.525 | 72.421 | 0.398 | 0.000 | -0.000 |
| 67.951 | 67.951 | 436.872 | -0.000 | 0.000 | 0.000 |
| 275.405 | 308.909 | -408.800 | 10.453 | 0.000 | 0.000 |
| 292.157 | 292.157 | -408.800 | -0.000 | 10.453 | -16.752 |
| 399.900 | 399.900 | -742.882 | 0.000 | -15.628 | -46.276 |
| 315.527 | 112.673 | 72.421 | -0.398 | -0.000 | 0.000 |
| 189.272 | 88.855 | 221.429 | 14.108 | -0.000 | -0.000 |
| 74.911 | 74.911 | 396.328 | -0.000 | -0.000 | 0.000 |
| -57.634 | -28.017 | 84.422 | -35.729 | -0.000 | 0.000 |
| -37.670 | -37.670 | 52.709 | 0.000 | -4.317 | -21.484 |
| -49.468 | -49.469 | 96.171 | -0.000 | 23.365 | -243.004 |
| 200.201 | 241.393 | 67.689 | -20.975 | 0.000 | 0.000 |
| 112.672 | 315.524 | 72.421 | 0.397 | 0.000 | 0.000 |
| 174.068 | 174.068 | 232.413 | 0.000 | 0.000 | -0.000 |
| -0.398 | 0.398 | -0.000 | 61.496 | 0.000 | 0.000 |
| 37.670 | 37.670 | -52.709 | -0.000 | -4.317 | -21.484 |
| 49.468 | 49.469 | -96.171 | 0.000 | 23.365 | -243.004 |
| 473.662 | 157.244 | 157.244 | 0.000 | 0.000 | 0.000 |
| 157.244 | 473.662 | 157.244 | 0.000 | 0.000 | 0.000 |
| 157.244 | 157.244 | 473.662 | 0.000 | 0.000 | 0.000 |
| -0.000 | -0.000 | 0.000 | -6.615 | -0.000 | 0.000 |
| -0.000 | 0.000 | -0.000 | 0.000 | -6.615 | 0.000 |
| -0.000 | -0.000 | 0.000 | 0.000 | 0.000 | -6.615 |
| 473.662 | 157.244 | 157.244 | -0.000 | -0.000 | -0.000 |
| 157.244 | 473.662 | 157.244 | -0.000 | 0.000 | -0.000 |
| 157.244 | 157.244 | 473.662 | -0.000 | -0.000 | -0.000 |
| 0.000 | 0.000 | -0.000 | -6.615 | 0.000 | -0.000 |
| 0.000 | -0.000 | 0.000 | -0.000 | -6.615 | -0.000 |
| 0.000 | -0.000 | 0.000 | -0.000 | -0.000 | -6.615 |
| 473.662 | 157.244 | 157.244 | 0.000 | 0.000 | 0.000 |
| 157.244 | 473.662 | 157.244 | 0.000 | 0.000 | 0.000 |
| 157.244 | 157.244 | 473.662 | -0.000 | -0.000 | 0.000 |
| 0.002 | -0.001 | -0.002 | -28.139 | 0.000 | 0.000 |
| -0.001 | 0.001 | -0.001 | 0.000 | -28.152 | 0.000 |
| -0.001 | -0.002 | 0.002 | 0.000 | -0.000 | -28.139 |
| 473.662 | 157.244 | 157.244 | -0.000 | -0.000 | -0.000 |
| 157.244 | 473.662 | 157.244 | -0.000 | -0.000 | -0.000 |
| 157.244 | 157.244 | 473.662 | -0.000 | -0.000 | -0.000 |
| -0.002 | 0.001 | 0.002 | -28.147 | -0.000 | -0.000 |
| 0.001 | -0.002 | 0.001 | -0.000 | -28.140 | -0.000 |
| 0.001 | 0.002 | -0.002 | -0.000 | -0.000 | -28.147 |
| 473.662 | 157.244 | 157.244 | 0.000 | 0.000 | 0.000 |
| 157.244 | 473.662 | 157.244 | 0.000 | 0.000 | 0.000 |
| 157.244 | 157.244 | 473.662 | 0.000 | 0.000 | 0.000 |
| -0.000 | -0.001 | -0.001 | -6.615 | 0.000 | 0.000 |
| -0.001 | -0.000 | -0.001 | 0.000 | -6.615 | 0.000 |
| -0.001 | -0.001 | -0.000 | 0.000 | 0.000 | -6.615 |
| 474.025 | 157.062 | 157.062 | -0.000 | -0.000 | -0.000 |
| 157.062 | 474.025 | 157.062 | -0.000 | -0.000 | -0.000 |
| 157.062 | 157.062 | 474.025 | -0.000 | 0.000 | -0.000 |
| 0.000 | 0.001 | 0.001 | -6.615 | -0.000 | -0.000 |
| 0.001 | 0.000 | 0.001 | -0.000 | -6.615 | -0.000 |
| 0.001 | 0.001 | 0.000 | -0.000 | -0.000 | -6.615 |
| 140.368 | 180.229 | 180.229 | 0.000 | -0.000 | -0.000 |
| 180.229 | 140.368 | 180.229 | 0.000 | -0.000 | -0.000 |
| 180.229 | 180.229 | 140.368 | 0.000 | 0.000 | -0.000 |
| -0.000 | 0.000 | 0.000 | -44.225 | -0.000 | -0.000 |
| 0.000 | 0.000 | 0.000 | 0.000 | -44.225 | -0.000 |
| 0.000 | 0.000 | 0.000 | 0.000 | 0.000 | -44.225 |
| 204.017 | 148.404 | 148.404 | -0.000 | 0.000 | -0.000 |
| 148.404 | 204.017 | 148.404 | -0.000 | -0.000 | 0.000 |
| 148.404 | 148.404 | 204.017 | -0.000 | -0.000 | 0.000 |
| 0.000 | -0.000 | -0.000 | -44.225 | 0.000 | 0.000 |
| -0.000 | -0.000 | -0.000 | -0.000 | -44.225 | 0.000 |
| -0.000 | -0.000 | -0.000 | -0.000 | -0.000 | -44.225 |
| 140.367 | 180.228 | 180.228 | -0.000 | -0.000 | -0.000 |
| 180.228 | 140.367 | 180.228 | 0.000 | 0.000 | -0.000 |
| 180.228 | 180.228 | 140.367 | 0.000 | 0.000 | -0.000 |
| 0.000 | 0.000 | 0.000 | -44.225 | 0.000 | 0.000 |
| 0.000 | 0.000 | 0.000 | 0.000 | -44.225 | -0.000 |
| 0.000 | 0.000 | 0.000 | 0.000 | 0.000 | -44.225 |
| 204.018 | 148.405 | 148.405 | -0.000 | -0.000 | 0.000 |
| 148.405 | 204.018 | 148.405 | -0.000 | -0.000 | 0.000 |
| 148.405 | 148.405 | 204.018 | -0.000 | 0.000 | 0.000 |
| -0.000 | -0.000 | -0.000 | -44.225 | -0.000 | 0.000 |
| -0.000 | -0.000 | -0.000 | -0.000 | -44.225 | 0.000 |
| -0.000 | -0.000 | -0.000 | -0.000 | -0.000 | -44.225 |
| -1196194.892 | -968734.350 | -1152094.457 | 28663.343 | 7881.612 | -33580.400 |
| -1290363.381 | -1357811.639 | -1101539.205 | 3341.341 | -43752.805 | 19106.137 |
| -1039478.177 | -1175980.377 | -1259231.562 | 57057.913 | -10646.107 | 15221.792 |
| -2198418.668 | -1013746.585 | -1009396.570 | -123148.601 | 24391.799 | -19280.082 |
| -1189221.305 | -2119041.813 | -959549.418 | -12004.660 | -281065.313 | 42728.651 |
| -1142557.523 | -885143.832 | -1801736.014 | 1829.797 | 7058.751 | -189664.263 |
| 140.377 | 180.237 | 180.237 | -0.000 | 0.000 | 0.000 |
| 180.237 | 140.377 | 180.237 | 0.000 | 0.000 | -0.000 |
| 180.237 | 180.237 | 140.377 | -0.000 | -0.000 | 0.000 |
| 2030474.775 | 826527.939 | 1079858.152 | -375615.582 | 12000.080 | -65542.921 |
| 1188627.478 | 2093176.397 | 1106103.438 | -33840.171 | -409725.914 | -49155.028 |
| 969335.050 | 1064837.554 | 2095238.578 | -13355.311 | -72397.637 | -370202.694 |
| -277.349 | 291.447 | 291.447 | -0.000 | -0.000 | 0.000 |
| 291.447 | -277.349 | 291.447 | -0.000 | -0.000 | 0.000 |
| 291.447 | 291.447 | -277.349 | -0.000 | -0.000 | 0.000 |
| 0.000 | 0.000 | 0.000 | 59.098 | 0.000 | 0.000 |
| 0.000 | 0.000 | 0.000 | -0.000 | 59.098 | 0.000 |
| 0.000 | 0.000 | 0.000 | -0.000 | -0.000 | 59.098 |
| -277.346 | 291.446 | 291.446 | 0.000 | -0.000 | -0.000 |
| 291.446 | -277.346 | 291.446 | -0.000 | 0.000 | -0.000 |
| 291.446 | 291.446 | -277.346 | 0.000 | -0.000 | 0.000 |
| -0.000 | -0.000 | -0.000 | 59.098 | 0.000 | 0.000 |
| -0.000 | -0.000 | -0.000 | 0.000 | 59.098 | -0.000 |
| -0.000 | -0.000 | -0.000 | 0.000 | 0.000 | 59.098 |
| -277.364 | 291.453 | 291.453 | -0.000 | -0.000 | 0.000 |
| 291.453 | -277.364 | 291.453 | 0.000 | -0.000 | 0.000 |
| 291.453 | 291.453 | -277.364 | -0.000 | -0.000 | 0.000 |
| 0.000 | 0.000 | 0.000 | 59.098 | -0.000 | 0.000 |
| 0.000 | 0.000 | 0.000 | -0.000 | 59.098 | -0.000 |
| 0.000 | 0.000 | 0.000 | -0.000 | -0.000 | 59.098 |
| -277.330 | 291.441 | 291.441 | 0.000 | -0.000 | -0.000 |
| 291.441 | -277.330 | 291.441 | 0.000 | -0.000 | -0.000 |
| 291.441 | 291.441 | -277.330 | 0.000 | 0.000 | -0.000 |
| -0.000 | -0.000 | -0.000 | 59.098 | 0.000 | 0.000 |
| -0.000 | -0.000 | -0.000 | -0.000 | 59.098 | -0.000 |
| -0.000 | -0.000 | -0.000 | 0.000 | 0.000 | 59.098 |
| -277.518 | 291.508 | 291.508 | -0.000 | 0.000 | 0.000 |
| 291.508 | -277.518 | 291.508 | 0.000 | -0.000 | 0.000 |
| 291.508 | 291.508 | -277.518 | -0.000 | -0.000 | 0.000 |
| 0.002 | 0.001 | 0.001 | 59.098 | -0.000 | -0.000 |
| 0.001 | 0.002 | 0.001 | -0.000 | 59.098 | -0.000 |
| 0.001 | 0.001 | 0.002 | -0.000 | -0.000 | 59.098 |
| -277.177 | 291.385 | 291.385 | 0.000 | -0.000 | -0.000 |
| 291.385 | -277.177 | 291.385 | 0.000 | 0.000 | -0.000 |
| 291.385 | 291.385 | -277.177 | 0.000 | 0.000 | -0.000 |
| -0.002 | -0.001 | -0.001 | 59.098 | 0.000 | -0.000 |
| -0.001 | -0.002 | -0.001 | 0.000 | 59.098 | 0.000 |
| -0.001 | -0.001 | -0.002 | 0.000 | 0.000 | 59.098 |
| 199.854 | 209.486 | 209.486 | -0.000 | -0.000 | 0.000 |
| 209.486 | 199.854 | 209.486 | -0.000 | -0.000 | -0.000 |
| 209.486 | 209.486 | 199.854 | 0.000 | 0.000 | -0.000 |
| 0.000 | 0.000 | 0.000 | 191.110 | 0.000 | 0.000 |
| 0.000 | 0.000 | -0.000 | 0.000 | 191.111 | 0.000 |
| 0.000 | 0.000 | -0.000 | -0.000 | 0.000 | 191.110 |
| 199.854 | 209.486 | 209.486 | -0.000 | -0.000 | -0.000 |
| 209.486 | 199.854 | 209.486 | 0.000 | 0.000 | -0.000 |
| 209.486 | 209.486 | 199.854 | 0.000 | 0.000 | -0.000 |
| -0.000 | -0.000 | 0.000 | 191.110 | -0.000 | 0.000 |
| -0.000 | -0.000 | 0.000 | -0.000 | 191.110 | 0.000 |
| -0.000 | -0.000 | 0.000 | 0.000 | -0.000 | 191.110 |
| 199.854 | 209.486 | 209.486 | -0.000 | 0.000 | -0.000 |
| 209.486 | 199.854 | 209.486 | -0.000 | 0.000 | -0.000 |
| 209.486 | 209.486 | 199.854 | -0.000 | 0.000 | -0.000 |
| 0.000 | 0.000 | 0.000 | 188.758 | -0.000 | 0.000 |
| 0.000 | 0.000 | 0.000 | -0.000 | 188.758 | 0.000 |
| 0.000 | 0.000 | 0.000 | 0.000 | 0.000 | 188.758 |
| 199.854 | 209.486 | 209.486 | 0.000 | -0.000 | -0.000 |
| 209.486 | 199.854 | 209.486 | -0.000 | 0.000 | -0.000 |
| 209.486 | 209.486 | 199.854 | -0.000 | -0.000 | 0.000 |
| -0.000 | -0.000 | -0.000 | 188.758 | 0.000 | -0.000 |
| -0.000 | -0.000 | -0.000 | 0.000 | 188.758 | 0.000 |
| -0.000 | -0.000 | -0.000 | 0.000 | -0.000 | 188.758 |
| 199.855 | 209.487 | 209.487 | -0.000 | 0.000 | 0.000 |
| 209.487 | 199.855 | 209.487 | 0.000 | 0.000 | 0.000 |
| 209.487 | 209.487 | 199.855 | 0.000 | 0.000 | 0.000 |
| 0.001 | 0.000 | 0.001 | 191.110 | 0.000 | -0.000 |
| 0.000 | 0.001 | 0.001 | 0.000 | 191.110 | -0.000 |
| 0.000 | 0.001 | 0.001 | -0.000 | 0.000 | 191.110 |
| 199.854 | 209.486 | 209.486 | 0.000 | -0.000 | -0.000 |
| 209.486 | 199.854 | 209.486 | 0.000 | -0.000 | -0.000 |
| 209.486 | 209.486 | 199.854 | -0.000 | -0.000 | 0.000 |
| -0.001 | -0.000 | -0.001 | 191.110 | -0.000 | -0.000 |
| -0.000 | -0.001 | -0.001 | 0.000 | 191.110 | -0.000 |
| -0.000 | -0.001 | -0.001 | 0.000 | -0.000 | 191.110 |
| 23.355 | 68.458 | 68.458 | -0.000 | -0.000 | 0.000 |
| 68.458 | 23.355 | 68.458 | -0.000 | -0.000 | 0.000 |
| 68.458 | 68.458 | 23.355 | -0.000 | -0.000 | 0.000 |
| -0.001 | 0.000 | 0.000 | -415.249 | -0.000 | 0.000 |
| 0.000 | -0.001 | 0.000 | -0.000 | -415.249 | 0.000 |
| 0.000 | 0.000 | -0.001 | -0.000 | -0.000 | -415.249 |
| 23.355 | 68.458 | 68.458 | 0.000 | 0.000 | -0.000 |
| 68.458 | 23.355 | 68.458 | 0.000 | 0.000 | 0.000 |
| 68.458 | 68.458 | 23.355 | 0.000 | 0.000 | -0.000 |
| 0.001 | -0.000 | -0.000 | -415.249 | 0.000 | 0.000 |
| -0.000 | 0.001 | -0.000 | 0.000 | -415.249 | 0.000 |
| -0.000 | -0.000 | 0.001 | 0.000 | 0.000 | -415.249 |
| 23.355 | 68.458 | 68.458 | -0.000 | -0.000 | 0.000 |
| 68.458 | 23.355 | 68.458 | -0.000 | -0.000 | 0.000 |
| 68.458 | 68.458 | 23.355 | -0.000 | -0.000 | 0.000 |
| 0.000 | 0.000 | 0.000 | 68.885 | -0.000 | 0.000 |
| 0.000 | 0.000 | 0.000 | -0.000 | 68.885 | 0.000 |
| 0.000 | 0.000 | 0.000 | -0.000 | -0.000 | 68.885 |
| 23.354 | 68.458 | 68.458 | 0.000 | 0.000 | -0.000 |
| 68.458 | 23.354 | 68.458 | 0.000 | 0.000 | -0.000 |
| 68.458 | 68.458 | 23.354 | 0.000 | 0.000 | -0.000 |
| -0.000 | -0.000 | -0.000 | 68.885 | 0.000 | 0.000 |
| -0.000 | -0.000 | -0.000 | 0.000 | 68.885 | 0.000 |
| -0.000 | -0.000 | -0.000 | 0.000 | 0.000 | 68.885 |
| 23.358 | 68.458 | 68.458 | -0.000 | -0.000 | 0.000 |
| 68.458 | 23.358 | 68.458 | -0.000 | -0.000 | 0.000 |
| 68.458 | 68.458 | 23.358 | -0.000 | -0.000 | 0.000 |
| -0.132 | 0.035 | 0.034 | -415.249 | -0.000 | -0.000 |
| 0.035 | -0.132 | 0.034 | -0.000 | -415.249 | 0.000 |
| 0.035 | 0.034 | -0.132 | -0.000 | -0.000 | -415.249 |
| 23.351 | 68.457 | 68.457 | 0.000 | 0.000 | -0.000 |
| 68.457 | 23.351 | 68.457 | 0.000 | 0.000 | -0.000 |
| 68.457 | 68.457 | 23.351 | 0.000 | 0.000 | -0.000 |
| 0.132 | -0.035 | -0.034 | -415.249 | 0.000 | 0.000 |
| -0.035 | 0.132 | -0.034 | 0.000 | -415.249 | 0.000 |
| -0.035 | -0.034 | 0.132 | 0.000 | 0.000 | -415.249 |
| 13.428 | 13.428 | 13.428 | -0.000 | -0.000 | -0.000 |
| 13.428 | 13.428 | 13.428 | -0.000 | -0.000 | -0.000 |
| 13.428 | 13.428 | 13.428 | -0.000 | -0.000 | -0.000 |
| -0.000 | -0.000 | -0.000 | -0.591 | -0.000 | -0.000 |
| -0.000 | -0.000 | -0.000 | -0.000 | -0.591 | -0.000 |
| -0.000 | -0.000 | -0.000 | -0.000 | -0.000 | -0.591 |
| 13.428 | 13.428 | 13.428 | 0.000 | -0.000 | 0.000 |
| 13.428 | 13.428 | 13.428 | -0.000 | 0.000 | 0.000 |
| 13.428 | 13.428 | 13.428 | 0.000 | 0.000 | 0.000 |
| 0.000 | 0.000 | 0.000 | -0.591 | 0.000 | -0.000 |
| 0.000 | 0.000 | 0.000 | 0.000 | -0.591 | -0.000 |
| 0.000 | 0.000 | 0.000 | 0.000 | 0.000 | -0.591 |
| 13.428 | 13.428 | 13.428 | -0.000 | -0.000 | 0.000 |
| 13.428 | 13.428 | 13.428 | -0.000 | -0.000 | 0.000 |
| 13.428 | 13.428 | 13.428 | -0.000 | -0.000 | -0.000 |
| -0.000 | -0.000 | -0.000 | -0.591 | -0.000 | -0.000 |
| -0.000 | -0.000 | -0.000 | -0.000 | -0.591 | -0.000 |
| -0.000 | -0.000 | -0.000 | -0.000 | -0.000 | -0.591 |
| 13.428 | 13.428 | 13.428 | 0.000 | 0.000 | -0.000 |
| 13.428 | 13.428 | 13.428 | 0.000 | 0.000 | -0.000 |
| 13.428 | 13.428 | 13.428 | 0.000 | 0.000 | 0.000 |
| 0.000 | 0.000 | 0.000 | -0.591 | 0.000 | -0.000 |
| 0.000 | 0.000 | 0.000 | 0.000 | -0.591 | -0.000 |
| 0.000 | 0.000 | 0.000 | 0.000 | 0.000 | -0.591 |
| 13.429 | 13.429 | 13.429 | -0.000 | -0.000 | 0.000 |
| 13.429 | 13.429 | 13.429 | -0.000 | -0.000 | 0.000 |
| 13.429 | 13.429 | 13.429 | -0.000 | -0.000 | -0.000 |
| -0.001 | -0.001 | -0.001 | -0.591 | -0.000 | 0.000 |
| -0.001 | -0.001 | -0.001 | -0.000 | -0.591 | 0.000 |
| -0.001 | -0.001 | -0.001 | -0.000 | -0.000 | -0.591 |
| 13.426 | 13.426 | 13.426 | 0.000 | 0.000 | -0.000 |
| 13.426 | 13.426 | 13.426 | 0.000 | 0.000 | -0.000 |
| 13.426 | 13.426 | 13.426 | 0.000 | 0.000 | 0.000 |
| 0.001 | 0.001 | 0.001 | -0.591 | 0.000 | 0.000 |
| 0.001 | 0.001 | 0.001 | 0.000 | -0.591 | 0.000 |
| 0.001 | 0.001 | 0.001 | 0.000 | 0.000 | -0.591 |
| 219.565 | 152.526 | 152.526 | -0.000 | 0.000 | -0.000 |
| 152.526 | 219.565 | 152.526 | -0.000 | 0.000 | 0.000 |
| 152.526 | 152.526 | 219.565 | -0.000 | 0.000 | -0.000 |
| -0.000 | 0.000 | 0.000 | 84.765 | 0.000 | -0.000 |
| 0.000 | -0.000 | 0.000 | -0.000 | 84.765 | -0.000 |
| 0.000 | 0.000 | -0.000 | -0.000 | 0.000 | 84.765 |
| 219.565 | 152.526 | 152.526 | 0.000 | 0.000 | 0.000 |
| 152.526 | 219.565 | 152.526 | 0.000 | -0.000 | -0.000 |
| 152.526 | 152.526 | 219.565 | -0.000 | -0.000 | 0.000 |
| 0.000 | -0.000 | -0.000 | 84.765 | 0.000 | 0.000 |
| -0.000 | 0.000 | -0.000 | 0.000 | 84.765 | 0.000 |
| -0.000 | -0.000 | 0.000 | 0.000 | -0.000 | 84.765 |
| 219.565 | 152.526 | 152.526 | -0.000 | 0.000 | 0.000 |
| 152.526 | 219.565 | 152.526 | -0.000 | 0.000 | -0.000 |
| 152.526 | 152.526 | 219.565 | -0.000 | 0.000 | -0.000 |
| -0.000 | 0.000 | 0.000 | 84.765 | 0.000 | -0.000 |
| 0.000 | -0.000 | 0.000 | -0.000 | 84.765 | -0.000 |
| 0.000 | 0.000 | -0.000 | -0.000 | 0.000 | 84.765 |
| 219.564 | 152.526 | 152.526 | 0.000 | -0.000 | 0.000 |
| 152.526 | 219.564 | 152.526 | 0.000 | -0.000 | -0.000 |
| 152.526 | 152.526 | 219.564 | 0.000 | -0.000 | 0.000 |
| 0.000 | -0.000 | -0.000 | 84.765 | 0.000 | 0.000 |
| -0.000 | 0.000 | -0.000 | 0.000 | 84.765 | 0.000 |
| -0.000 | -0.000 | 0.000 | 0.000 | -0.000 | 84.765 |
| 219.570 | 152.526 | 152.526 | -0.000 | -0.000 | -0.000 |
| 152.526 | 219.570 | 152.526 | -0.000 | 0.000 | 0.000 |
| 152.526 | 152.526 | 219.570 | 0.000 | 0.000 | -0.000 |
| -0.000 | 0.000 | 0.001 | 84.765 | 0.000 | 0.000 |
| 0.000 | -0.000 | 0.001 | -0.000 | 84.765 | -0.000 |
| 0.000 | 0.001 | -0.000 | 0.000 | 0.000 | 84.765 |
| 219.560 | 152.525 | 152.525 | 0.000 | -0.000 | -0.000 |
| 152.525 | 219.560 | 152.525 | 0.000 | -0.000 | 0.000 |
| 152.525 | 152.525 | 219.560 | -0.000 | -0.000 | -0.000 |
| 0.000 | -0.000 | -0.001 | 84.765 | -0.000 | 0.000 |
| -0.000 | 0.000 | -0.001 | 0.000 | 84.765 | 0.000 |
| -0.000 | -0.001 | 0.000 | 0.000 | -0.000 | 84.765 |
| 421.489 | 430.435 | 430.435 | -0.000 | -0.000 | -0.000 |
| 430.435 | 421.489 | 430.435 | -0.000 | 0.000 | -0.000 |
| 430.435 | 430.435 | 421.489 | -0.000 | 0.000 | -0.000 |
| -0.000 | -0.000 | -0.000 | -0.242 | 0.000 | -0.000 |
| -0.000 | -0.000 | -0.000 | -0.000 | -0.242 | -0.000 |
| -0.000 | -0.000 | -0.000 | -0.000 | -0.000 | -0.242 |
| 421.490 | 430.435 | 430.435 | 0.000 | 0.000 | 0.000 |
| 430.435 | 421.490 | 430.435 | 0.000 | -0.000 | 0.000 |
| 430.435 | 430.435 | 421.490 | 0.000 | 0.000 | 0.000 |
| 0.000 | 0.000 | 0.000 | -0.242 | -0.000 | -0.000 |
| 0.000 | 0.000 | 0.000 | 0.000 | -0.242 | -0.000 |
| 0.000 | 0.000 | 0.000 | 0.000 | -0.000 | -0.242 |
| 421.488 | 430.434 | 430.434 | -0.000 | 0.000 | -0.000 |
| 430.434 | 421.488 | 430.434 | -0.000 | -0.000 | -0.000 |
| 430.434 | 430.434 | 421.488 | -0.000 | 0.000 | -0.000 |
| -0.000 | -0.000 | -0.000 | -0.242 | 0.000 | -0.000 |
| -0.000 | -0.000 | -0.000 | -0.000 | -0.242 | -0.000 |
| -0.000 | -0.000 | -0.000 | 0.000 | -0.000 | -0.242 |
| 421.491 | 430.436 | 430.436 | 0.000 | -0.000 | 0.000 |
| 430.436 | 421.491 | 430.436 | 0.000 | -0.000 | 0.000 |
| 430.436 | 430.436 | 421.491 | 0.000 | -0.000 | 0.000 |
| 0.000 | 0.000 | 0.000 | -0.242 | -0.000 | 0.000 |
| 0.000 | 0.000 | 0.000 | 0.000 | -0.242 | 0.000 |
| 0.000 | 0.000 | 0.000 | 0.000 | 0.000 | -0.242 |
| 421.477 | 430.423 | 430.423 | -0.000 | -0.000 | -0.000 |
| 430.423 | 421.477 | 430.423 | -0.000 | -0.000 | -0.000 |
| 430.423 | 430.423 | 421.477 | 0.000 | -0.000 | -0.000 |
| -0.000 | -0.001 | -0.001 | -0.242 | -0.000 | 0.000 |
| -0.001 | -0.000 | -0.001 | -0.000 | -0.242 | -0.000 |
| -0.001 | -0.001 | -0.000 | -0.000 | 0.000 | -0.242 |
| 421.502 | 430.446 | 430.446 | 0.000 | 0.000 | 0.000 |
| 430.446 | 421.502 | 430.446 | 0.000 | -0.000 | 0.000 |
| 430.446 | 430.446 | 421.502 | -0.000 | -0.000 | 0.000 |
| 0.000 | 0.001 | 0.001 | -0.242 | 0.000 | 0.000 |
| 0.001 | 0.000 | 0.001 | -0.000 | -0.242 | -0.000 |
| 0.001 | 0.001 | 0.000 | 0.000 | 0.000 | -0.242 |
| 161.010 | 83.778 | 83.778 | 0.000 | 0.000 | 0.000 |
| 83.778 | 161.010 | 83.778 | -0.000 | 0.000 | 0.000 |
| 83.778 | 83.778 | 161.010 | -0.000 | 0.000 | 0.000 |
| 0.000 | 0.000 | 0.000 | 82.212 | 0.000 | -0.000 |
| 0.000 | -0.000 | 0.000 | -0.000 | 82.212 | 0.000 |
| 0.000 | 0.000 | 0.000 | -0.000 | 0.000 | 82.212 |
| 161.010 | 83.778 | 83.778 | 0.000 | -0.000 | -0.000 |
| 83.778 | 161.010 | 83.778 | 0.000 | 0.000 | -0.000 |
| 83.778 | 83.778 | 161.010 | 0.000 | 0.000 | -0.000 |
| -0.000 | -0.000 | -0.000 | 82.212 | -0.000 | -0.000 |
| -0.000 | 0.000 | -0.000 | -0.000 | 82.212 | -0.000 |
| -0.000 | -0.000 | -0.000 | -0.000 | -0.000 | 82.212 |
| 161.010 | 83.778 | 83.778 | 0.000 | 0.000 | 0.000 |
| 83.778 | 161.010 | 83.778 | 0.000 | 0.000 | 0.000 |
| 83.778 | 83.778 | 161.010 | 0.000 | 0.000 | 0.000 |
| -0.000 | 0.000 | 0.000 | 82.212 | 0.000 | 0.000 |
| 0.000 | -0.000 | 0.000 | 0.000 | 82.212 | 0.000 |
| 0.000 | 0.000 | -0.000 | 0.000 | -0.000 | 82.212 |
| 161.010 | 83.778 | 83.778 | 0.000 | -0.000 | -0.000 |
| 83.778 | 161.010 | 83.778 | -0.000 | -0.000 | 0.000 |
| 83.778 | 83.778 | 161.010 | -0.000 | -0.000 | 0.000 |
| 0.000 | -0.000 | -0.000 | 82.212 | -0.000 | 0.000 |
| -0.000 | 0.000 | -0.000 | -0.000 | 82.212 | 0.000 |
| -0.000 | -0.000 | 0.000 | 0.000 | 0.000 | 82.212 |
| 161.012 | 83.780 | 83.780 | 0.000 | 0.000 | 0.000 |
| 83.780 | 161.012 | 83.780 | -0.000 | 0.000 | 0.000 |
| 83.780 | 83.780 | 161.012 | 0.000 | 0.000 | 0.000 |
| -0.000 | 0.001 | 0.001 | 82.212 | 0.000 | 0.000 |
| 0.001 | -0.000 | 0.001 | 0.000 | 82.212 | 0.000 |
| 0.001 | 0.001 | -0.000 | -0.000 | -0.000 | 82.212 |
| 161.008 | 83.777 | 83.777 | -0.000 | -0.000 | -0.000 |
| 83.777 | 161.008 | 83.777 | 0.000 | -0.000 | -0.000 |
| 83.777 | 83.777 | 161.008 | -0.000 | -0.000 | -0.000 |
| 0.000 | -0.001 | -0.001 | 82.212 | -0.000 | -0.000 |
| -0.001 | 0.000 | -0.001 | -0.000 | 82.212 | 0.000 |
| -0.001 | -0.001 | 0.000 | -0.000 | -0.000 | 82.212 |
| 32.886 | 16.443 | 16.443 | 0.000 | -0.000 | -0.000 |
| 16.443 | 32.886 | 16.443 | -0.000 | 0.000 | 0.000 |
| 16.443 | 16.443 | 32.886 | 0.000 | 0.000 | 0.000 |
| 0.000 | 0.000 | 0.000 | 16.443 | 0.000 | -0.000 |
| 0.000 | 0.000 | 0.000 | 0.000 | 16.443 | 0.000 |
| 0.000 | 0.000 | 0.000 | 0.000 | 0.000 | 16.443 |
| 32.886 | 16.443 | 16.443 | -0.000 | 0.000 | 0.000 |
| 16.443 | 32.886 | 16.443 | 0.000 | -0.000 | 0.000 |
| 16.443 | 16.443 | 32.886 | -0.000 | -0.000 | -0.000 |
| -0.000 | -0.000 | -0.000 | 16.443 | -0.000 | 0.000 |
| -0.000 | -0.000 | -0.000 | -0.000 | 16.443 | -0.000 |
| -0.000 | -0.000 | -0.000 | -0.000 | -0.000 | 16.443 |
| 32.887 | 16.444 | 16.444 | 0.000 | -0.000 | -0.000 |
| 16.444 | 32.887 | 16.444 | -0.000 | 0.000 | 0.000 |
| 16.444 | 16.444 | 32.887 | 0.000 | 0.000 | 0.000 |
| -0.000 | 0.000 | 0.000 | 16.443 | -0.000 | -0.000 |
| 0.000 | -0.000 | 0.000 | -0.000 | 16.443 | 0.000 |
| 0.000 | 0.000 | -0.000 | 0.000 | 0.000 | 16.443 |
| 32.886 | 16.443 | 16.443 | -0.000 | 0.000 | 0.000 |
| 16.443 | 32.886 | 16.443 | 0.000 | -0.000 | 0.000 |
| 16.443 | 16.443 | 32.886 | 0.000 | 0.000 | -0.000 |
| 0.000 | -0.000 | -0.000 | 16.443 | 0.000 | -0.000 |
| -0.000 | 0.000 | -0.000 | -0.000 | 16.443 | -0.000 |
| -0.000 | -0.000 | 0.000 | -0.000 | -0.000 | 16.443 |
| 32.892 | 16.446 | 16.446 | 0.000 | -0.000 | -0.000 |
| 16.446 | 32.892 | 16.446 | 0.000 | 0.000 | -0.000 |
| 16.446 | 16.446 | 32.892 | 0.000 | 0.000 | 0.000 |
| -0.000 | 0.003 | 0.003 | 16.443 | -0.000 | -0.000 |
| 0.003 | -0.000 | 0.003 | 0.000 | 16.443 | 0.000 |
| 0.003 | 0.003 | -0.000 | 0.000 | -0.000 | 16.443 |
| 32.881 | 16.441 | 16.441 | -0.000 | -0.000 | -0.000 |
| 16.441 | 32.881 | 16.441 | -0.000 | -0.000 | 0.000 |
| 16.441 | 16.441 | 32.881 | 0.000 | 0.000 | -0.000 |
| 0.000 | -0.003 | -0.003 | 16.443 | 0.000 | 0.000 |
| -0.003 | 0.000 | -0.003 | 0.000 | 16.443 | 0.000 |
| -0.003 | -0.003 | 0.000 | 0.000 | 0.000 | 16.443 |
| 224.151 | 154.462 | 147.721 | -0.000 | 0.000 | -0.000 |
| 154.462 | 224.151 | 147.721 | -0.000 | 0.000 | 0.000 |
| 147.721 | 147.721 | 249.744 | -0.000 | 0.000 | 0.000 |
| -0.000 | 0.000 | -0.000 | 91.568 | -0.000 | 0.000 |
| -0.000 | -0.000 | 0.000 | -0.000 | 91.568 | 0.000 |
| -0.000 | 0.000 | -0.000 | -0.000 | -0.000 | 90.351 |
| 224.151 | 154.462 | 147.721 | 0.000 | 0.000 | -0.000 |
| 154.462 | 224.151 | 147.721 | 0.000 | -0.000 | 0.000 |
| 147.721 | 147.721 | 249.743 | 0.000 | -0.000 | 0.000 |
| 0.000 | -0.000 | 0.000 | 91.568 | 0.000 | -0.000 |
| 0.000 | 0.000 | 0.000 | 0.000 | 91.568 | -0.000 |
| 0.000 | -0.000 | 0.000 | 0.000 | 0.000 | 90.351 |
| 222.137 | 156.476 | 147.721 | -0.000 | -0.000 | 0.000 |
| 156.476 | 222.137 | 147.721 | -0.000 | 0.000 | 0.000 |
| 147.721 | 147.721 | 249.744 | -0.000 | 0.000 | 0.000 |
| -0.000 | 0.000 | 0.000 | 90.476 | -0.000 | 0.000 |
| 0.000 | -0.000 | 0.000 | -0.000 | 90.476 | 0.000 |
| 0.000 | 0.000 | -0.000 | -0.000 | -0.000 | 90.351 |
| 224.151 | 154.462 | 147.720 | 0.000 | 0.000 | 0.000 |
| 154.462 | 224.151 | 147.720 | 0.000 | -0.000 | -0.000 |
| 147.720 | 147.720 | 249.743 | 0.000 | -0.000 | 0.000 |
| 0.000 | -0.000 | -0.000 | 90.476 | 0.000 | 0.000 |
| -0.000 | 0.000 | -0.000 | 0.000 | 90.476 | -0.000 |
| -0.000 | -0.000 | 0.000 | 0.000 | 0.000 | 90.351 |
| 224.156 | 154.462 | 147.721 | -0.000 | -0.000 | 0.000 |
| 154.462 | 224.156 | 147.721 | -0.000 | -0.000 | 0.000 |
| 147.721 | 147.721 | 249.750 | -0.000 | 0.000 | -0.000 |
| -0.000 | 0.000 | 0.001 | 90.476 | 0.000 | -0.000 |
| 0.000 | -0.000 | 0.001 | -0.000 | 90.476 | -0.000 |
| 0.000 | 0.001 | -0.000 | -0.000 | 0.000 | 90.351 |
| 224.146 | 154.461 | 147.720 | 0.000 | -0.000 | -0.000 |
| 154.461 | 224.146 | 147.720 | 0.000 | 0.000 | -0.000 |
| 147.720 | 147.720 | 249.737 | 0.000 | -0.000 | -0.000 |
| 0.000 | -0.000 | -0.001 | 90.476 | -0.000 | -0.000 |
| -0.000 | 0.000 | -0.001 | 0.000 | 90.476 | -0.000 |
| -0.000 | -0.001 | 0.000 | 0.000 | -0.000 | 90.351 |
| 305.799 | 143.592 | 127.276 | 21.031 | 0.000 | 0.000 |
| 143.592 | 305.799 | 127.276 | -21.031 | 0.000 | 0.000 |
| 136.032 | 136.032 | 334.434 | 0.000 | 0.000 | 0.000 |
| 21.035 | -21.035 | -0.000 | 70.065 | 0.000 | 0.000 |
| 0.000 | -0.000 | -0.000 | -0.000 | 70.065 | 21.035 |
| -0.000 | -0.000 | -0.000 | -0.000 | 21.013 | 81.104 |
| 309.083 | 146.875 | 136.401 | 21.035 | -0.000 | -0.000 |
| 146.875 | 309.083 | 136.401 | -21.035 | -0.000 | -0.000 |
| 126.906 | 126.906 | 309.072 | -0.000 | 0.000 | -0.000 |
| 21.013 | -21.013 | 0.000 | 68.598 | -0.000 | -0.000 |
| -0.000 | 0.000 | -0.000 | 0.000 | 70.065 | 21.035 |
| 0.000 | 0.000 | 0.000 | 0.000 | 21.013 | 81.104 |
| 309.084 | 146.875 | 136.402 | 21.035 | 0.000 | 0.000 |
| 143.592 | 305.800 | 127.276 | -21.031 | 0.000 | 0.000 |
| 136.032 | 136.032 | 334.434 | 0.000 | 0.000 | 0.000 |
| 21.013 | -21.013 | 0.000 | 68.598 | 0.000 | 0.000 |
| 0.000 | 0.000 | 0.000 | -0.000 | 70.065 | 21.035 |
| 0.000 | 0.000 | 0.000 | -0.000 | 21.013 | 81.104 |
| 309.083 | 146.875 | 136.401 | 21.035 | -0.000 | -0.000 |
| 143.592 | 305.799 | 127.276 | -21.031 | 0.000 | -0.000 |
| 136.031 | 136.031 | 334.434 | -0.000 | -0.000 | -0.000 |
| 21.035 | -21.035 | -0.000 | 70.065 | -0.000 | -0.000 |
| -0.000 | -0.000 | -0.000 | 0.000 | 70.065 | 21.035 |
| -0.000 | -0.000 | -0.000 | 0.000 | 21.013 | 81.104 |
| 305.803 | 143.592 | 127.277 | 21.030 | 0.000 | 0.000 |
| 146.876 | 309.087 | 136.403 | -21.034 | 0.000 | 0.000 |
| 126.907 | 126.907 | 309.075 | 0.000 | 0.000 | 0.000 |
| 21.013 | -21.012 | 0.001 | 68.598 | 0.000 | 0.000 |
| 0.001 | 0.000 | 0.001 | -0.000 | 68.598 | 21.013 |
| 0.000 | 0.001 | 0.000 | -0.000 | 21.035 | 81.104 |
| 305.795 | 143.591 | 127.275 | 21.014 | -0.000 | -0.000 |
| 143.591 | 305.796 | 127.275 | -21.014 | -0.000 | -0.000 |
| 136.030 | 136.030 | 334.431 | -0.000 | -0.000 | -0.000 |
| 21.035 | -21.036 | -0.001 | 70.065 | -0.000 | -0.000 |
| -0.001 | -0.000 | -0.001 | 0.000 | 68.598 | 21.013 |
| -0.000 | -0.001 | -0.000 | 0.000 | 21.035 | 81.104 |
| 4300.621 | 4181.950 | 5150.191 | 0.000 | -0.000 | 0.000 |
| 4195.257 | 4287.559 | 5150.343 | 0.000 | 0.000 | -0.000 |
| 4180.546 | 4180.546 | 5416.977 | 0.000 | -0.000 | -0.000 |
| 4056.350 | 4056.350 | 5025.903 | 67.667 | 0.000 | 0.000 |
| 4056.350 | 4056.350 | 5025.903 | 0.000 | 67.667 | 0.000 |
| 4056.473 | 4056.473 | 5026.056 | 0.000 | 0.000 | 46.151 |
| 249.753 | 124.781 | 127.176 | -0.000 | -0.000 | 0.000 |
| -3917.837 | -3825.549 | -4901.960 | -0.000 | -0.000 | 0.000 |
| -3932.153 | -3932.153 | -4634.828 | -0.000 | -0.000 | 0.000 |
| -4056.350 | -4056.350 | -5025.903 | 67.667 | -0.000 | 0.000 |
| -4056.350 | -4056.350 | -5025.903 | -0.000 | 67.667 | 0.000 |
| -4056.473 | -4056.473 | -5026.056 | -0.000 | -0.000 | 46.151 |
| 249.753 | 124.781 | 127.176 | 0.000 | 0.000 | -0.000 |
| 544.432 | 636.714 | 626.881 | 0.000 | 0.000 | -0.000 |
| 127.086 | 127.086 | 394.654 | 0.000 | 0.000 | -0.000 |
| 405.637 | 405.637 | 502.592 | 66.249 | 0.000 | -0.000 |
| 0.000 | 0.000 | 0.000 | 0.000 | 68.438 | -0.000 |
| 405.635 | 405.635 | 502.590 | 0.000 | 0.000 | 46.145 |
| 249.753 | 124.781 | 127.176 | -0.000 | -0.000 | 0.000 |
| -280.050 | -161.379 | -378.321 | -0.000 | -0.000 | 0.000 |
| -281.438 | -281.438 | -111.516 | -0.000 | -0.000 | 0.000 |
| -405.637 | -405.637 | -502.592 | 66.249 | -0.000 | -0.000 |
| -0.000 | -0.000 | -0.000 | -0.000 | 68.438 | -0.000 |
| -405.635 | -405.635 | -502.590 | -0.000 | -0.000 | 46.145 |
| 284.975 | 166.327 | 174.734 | 0.000 | 0.000 | -0.000 |
| 124.781 | 249.755 | 127.177 | 0.000 | 0.000 | -0.000 |
| 164.761 | 164.761 | 441.335 | 0.000 | 0.000 | -0.000 |
| 0.000 | 0.000 | 0.000 | 68.438 | 0.000 | -0.000 |
| 0.000 | 0.000 | 0.000 | 0.000 | 68.438 | -0.000 |
| 40.707 | 40.707 | 50.436 | 0.000 | 0.000 | 59.325 |
| 249.750 | 124.781 | 127.176 | -0.000 | -0.000 | -0.000 |
| 124.780 | 249.751 | 127.176 | -0.000 | -0.000 | 0.000 |
| 83.633 | 83.633 | 340.814 | -0.000 | -0.000 | 0.000 |
| -0.000 | -0.000 | -0.000 | 68.438 | -0.000 | -0.000 |
| -0.000 | -0.000 | -0.000 | -0.000 | 68.438 | 0.000 |
| -40.707 | -40.707 | -50.436 | -0.000 | -0.000 | 59.325 |
| 290.426 | 100.012 | 144.775 | -0.000 | -0.000 | -0.000 |
| 100.012 | 290.426 | 144.775 | -0.000 | -0.000 | -0.000 |
| 144.940 | 144.940 | 271.782 | -0.000 | -0.000 | -0.000 |
| 0.000 | -0.000 | -0.000 | 96.149 | -0.000 | -0.000 |
| -0.000 | -0.000 | -0.000 | -0.000 | 96.149 | -0.000 |
| 2.908 | 2.908 | 4.105 | -0.000 | 0.000 | 41.098 |
| 290.426 | 100.012 | 144.775 | 0.000 | 0.000 | 0.000 |
| 100.012 | 290.426 | 144.775 | 0.000 | 0.000 | 0.000 |
| 143.768 | 143.768 | 271.371 | 0.000 | 0.000 | 0.000 |
| -0.000 | 0.000 | 0.000 | 96.149 | 0.000 | 0.000 |
| 0.000 | 0.000 | 0.000 | 0.000 | 96.149 | 0.000 |
| -2.908 | -2.908 | -4.105 | 0.000 | 0.000 | 41.098 |
| 289.944 | 99.530 | 143.433 | -0.000 | 0.000 | -0.000 |
| 99.530 | 289.944 | 143.433 | -0.000 | 0.000 | -0.000 |
| 143.605 | 143.605 | 268.434 | -0.000 | -0.000 | -0.000 |
| 0.000 | -0.000 | 0.000 | 96.149 | -0.000 | -0.000 |
| -0.000 | 0.000 | 0.000 | -0.000 | 96.149 | -0.000 |
| 0.000 | 0.000 | 0.000 | -0.000 | -0.000 | 41.098 |
| 290.426 | 100.012 | 144.775 | 0.000 | 0.000 | 0.000 |
| 100.012 | 290.426 | 144.775 | 0.000 | 0.000 | 0.000 |
| 143.736 | 143.736 | 268.586 | 0.000 | -0.000 | 0.000 |
| -0.000 | 0.000 | -0.000 | 96.149 | 0.000 | 0.000 |
| 0.000 | -0.000 | -0.000 | 0.000 | 96.149 | 0.000 |
| -0.000 | -0.000 | -0.000 | 0.000 | -0.000 | 41.098 |
| 290.429 | 100.013 | 144.775 | -0.000 | -0.000 | -0.000 |
| 100.013 | 290.429 | 144.775 | -0.000 | -0.000 | -0.000 |
| 144.941 | 144.941 | 271.786 | -0.000 | -0.000 | -0.000 |
| 0.000 | -0.000 | 0.000 | 96.149 | -0.000 | -0.000 |
| -0.000 | 0.000 | 0.000 | -0.000 | 96.149 | -0.000 |
| 0.001 | 0.001 | 0.000 | -0.000 | -0.000 | 41.098 |
| 290.423 | 100.011 | 144.775 | 0.000 | 0.000 | 0.000 |
| 100.011 | 290.423 | 144.775 | 0.000 | 0.000 | 0.000 |
| 143.912 | 143.912 | 268.922 | 0.000 | 0.000 | 0.000 |
| -0.000 | 0.000 | -0.000 | 96.149 | 0.000 | 0.000 |
| 0.000 | -0.000 | -0.000 | 0.000 | 96.149 | 0.000 |
| -0.001 | -0.001 | -0.000 | 0.000 | 0.000 | 41.098 |
| 673.253 | -24.703 | -24.703 | 0.000 | -0.000 | 0.000 |
| -24.703 | 673.253 | -24.703 | -0.000 | -0.000 | -0.000 |
| -24.703 | -24.703 | 673.253 | 0.000 | -0.000 | 0.000 |
| -0.000 | -0.000 | -0.000 | -60.955 | 0.000 | 0.000 |
| -0.000 | -0.000 | -0.000 | 0.000 | -60.955 | 0.000 |
| -0.000 | -0.000 | -0.000 | 0.000 | -0.000 | -60.955 |
| 673.253 | -24.703 | -24.703 | -0.000 | 0.000 | -0.000 |
| -24.703 | 673.253 | -24.703 | -0.000 | -0.000 | -0.000 |
| -24.703 | -24.703 | 673.253 | 0.000 | -0.000 | -0.000 |
| 0.000 | 0.000 | 0.000 | -60.955 | -0.000 | -0.000 |
| 0.000 | -0.000 | 0.000 | -0.000 | -60.955 | -0.000 |
| 0.000 | 0.000 | 0.000 | -0.000 | 0.000 | -60.955 |
| 673.253 | -24.703 | -24.703 | 0.000 | -0.000 | 0.000 |
| -24.703 | 673.253 | -24.703 | 0.000 | -0.000 | 0.000 |
| -24.703 | -24.703 | 673.253 | 0.000 | 0.000 | -0.000 |
| 0.000 | 0.000 | -0.000 | -60.955 | -0.000 | 0.000 |
| -0.000 | 0.000 | -0.000 | 0.000 | -60.955 | 0.000 |
| -0.000 | -0.000 | 0.000 | 0.000 | -0.000 | -60.955 |
| 673.252 | -24.703 | -24.703 | -0.000 | 0.000 | 0.000 |
| -24.703 | 673.252 | -24.703 | -0.000 | 0.000 | -0.000 |
| -24.703 | -24.703 | 673.252 | -0.000 | 0.000 | -0.000 |
| -0.000 | -0.000 | 0.000 | -60.955 | 0.000 | -0.000 |
| 0.000 | -0.000 | 0.000 | -0.000 | -60.955 | -0.000 |
| 0.000 | 0.000 | -0.000 | -0.000 | 0.000 | -60.955 |
| 673.256 | -24.703 | -24.703 | 0.000 | 0.000 | 0.000 |
| -24.703 | 673.256 | -24.703 | 0.000 | -0.000 | 0.000 |
| -24.703 | -24.703 | 673.256 | 0.000 | -0.000 | 0.000 |
| 0.000 | 0.000 | -0.000 | -60.955 | -0.000 | 0.000 |
| 0.000 | 0.000 | -0.000 | 0.000 | -60.955 | 0.000 |
| 0.000 | -0.000 | 0.000 | 0.000 | -0.000 | -60.955 |
| 673.250 | -24.703 | -24.703 | 0.000 | 0.000 | -0.000 |
| -24.703 | 673.250 | -24.703 | -0.000 | 0.000 | -0.000 |
| -24.703 | -24.703 | 673.250 | -0.000 | 0.000 | 0.000 |
| -0.000 | -0.000 | 0.000 | -60.955 | 0.000 | -0.000 |
| -0.000 | -0.000 | 0.000 | -0.000 | -60.955 | -0.000 |
| -0.000 | 0.000 | -0.000 | 0.000 | 0.000 | -60.955 |
| 179.851 | 187.042 | 187.042 | 0.000 | 0.000 | -0.000 |
| 187.042 | 179.851 | 187.042 | -0.000 | -0.000 | -0.000 |
| 187.042 | 187.042 | 179.851 | -0.000 | 0.000 | -0.000 |
| 0.000 | 0.000 | 0.000 | 203.850 | -0.000 | 0.000 |
| 0.000 | 0.000 | 0.000 | -0.000 | 203.850 | -0.000 |
| 0.000 | 0.000 | 0.000 | -0.000 | 0.000 | 203.850 |
| 179.851 | 187.042 | 187.042 | 0.000 | -0.000 | 0.000 |
| 187.042 | 179.851 | 187.042 | -0.000 | -0.000 | 0.000 |
| 187.042 | 187.042 | 179.851 | 0.000 | -0.000 | 0.000 |
| -0.000 | -0.000 | -0.000 | 203.850 | 0.000 | 0.000 |
| -0.000 | -0.000 | -0.000 | 0.000 | 203.850 | 0.000 |
| -0.000 | -0.000 | -0.000 | -0.000 | -0.000 | 203.850 |
| 179.851 | 187.042 | 187.042 | -0.000 | 0.000 | -0.000 |
| 187.042 | 179.851 | 187.042 | 0.000 | 0.000 | -0.000 |
| 187.042 | 187.042 | 179.851 | -0.000 | 0.000 | -0.000 |
| 0.000 | 0.000 | 0.000 | 203.850 | 0.000 | -0.000 |
| 0.000 | 0.000 | 0.000 | -0.000 | 203.850 | -0.000 |
| 0.000 | 0.000 | 0.000 | -0.000 | -0.000 | 203.850 |
| 179.851 | 187.042 | 187.042 | 0.000 | -0.000 | 0.000 |
| 187.042 | 179.851 | 187.042 | 0.000 | -0.000 | 0.000 |
| 187.042 | 187.042 | 179.851 | 0.000 | -0.000 | -0.000 |
| -0.000 | -0.000 | -0.000 | 203.850 | -0.000 | -0.000 |
| -0.000 | -0.000 | -0.000 | -0.000 | 203.850 | 0.000 |
| -0.000 | -0.000 | -0.000 | 0.000 | -0.000 | 203.850 |
| 179.853 | 187.043 | 187.043 | 0.000 | 0.000 | -0.000 |
| 187.043 | 179.853 | 187.043 | -0.000 | 0.000 | -0.000 |
| 187.043 | 187.043 | 179.853 | 0.000 | 0.000 | -0.000 |
| 0.001 | 0.000 | 0.001 | 203.850 | 0.000 | -0.000 |
| 0.000 | 0.001 | 0.001 | -0.000 | 203.850 | -0.000 |
| 0.000 | 0.001 | 0.001 | -0.000 | 0.000 | 203.850 |
| 179.849 | 187.042 | 187.042 | 0.000 | 0.000 | 0.000 |
| 187.042 | 179.849 | 187.042 | -0.000 | -0.000 | 0.000 |
| 187.042 | 187.042 | 179.849 | 0.000 | 0.000 | 0.000 |
| -0.001 | -0.000 | -0.001 | 203.850 | -0.000 | 0.000 |
| -0.000 | -0.001 | -0.001 | 0.000 | 203.850 | 0.000 |
| -0.000 | -0.001 | -0.001 | 0.000 | -0.000 | 203.850 |
| 52.781 | 13.059 | 13.059 | 0.000 | 0.000 | 0.000 |
| 13.059 | 52.781 | 13.059 | -0.000 | 0.000 | -0.000 |
| 13.059 | 13.059 | 52.781 | 0.000 | 0.000 | -0.000 |
| -0.000 | -0.000 | -0.000 | 27.584 | 0.000 | 0.000 |
| -0.000 | -0.000 | -0.000 | 0.000 | 27.584 | 0.000 |
| -0.000 | -0.000 | 0.000 | -0.000 | -0.000 | 27.584 |
| 52.781 | 13.059 | 13.059 | -0.000 | 0.000 | -0.000 |
| 13.059 | 52.781 | 13.059 | 0.000 | -0.000 | -0.000 |
| 13.059 | 13.059 | 52.781 | 0.000 | -0.000 | -0.000 |
| 0.000 | 0.000 | -0.000 | 27.584 | 0.000 | -0.000 |
| 0.000 | 0.000 | 0.000 | 0.000 | 27.584 | -0.000 |
| 0.000 | 0.000 | -0.000 | 0.000 | 0.000 | 27.584 |
| 52.781 | 13.059 | 13.059 | 0.000 | -0.000 | 0.000 |
| 13.059 | 52.781 | 13.059 | -0.000 | 0.000 | 0.000 |
| 13.059 | 13.059 | 52.781 | -0.000 | -0.000 | -0.000 |
| -0.000 | -0.000 | -0.000 | 27.584 | -0.000 | 0.000 |
| -0.000 | -0.000 | -0.000 | -0.000 | 27.584 | 0.000 |
| -0.000 | -0.000 | -0.000 | -0.000 | -0.000 | 27.584 |
| 52.781 | 13.059 | 13.059 | 0.000 | -0.000 | -0.000 |
| 13.059 | 52.781 | 13.059 | 0.000 | -0.000 | -0.000 |
| 13.059 | 13.059 | 52.781 | -0.000 | -0.000 | -0.000 |
| 0.000 | 0.000 | 0.000 | 27.584 | 0.000 | -0.000 |
| 0.000 | 0.000 | 0.000 | 0.000 | 27.584 | -0.000 |
| 0.000 | 0.000 | 0.000 | 0.000 | 0.000 | 27.584 |
| 52.781 | 13.059 | 13.059 | -0.000 | -0.000 | 0.000 |
| 13.059 | 52.781 | 13.059 | 0.000 | -0.000 | 0.000 |
| 13.059 | 13.059 | 52.781 | -0.000 | 0.000 | 0.000 |
| -0.000 | -0.000 | -0.000 | 27.584 | -0.000 | 0.000 |
| -0.000 | -0.000 | -0.000 | -0.000 | 27.584 | 0.000 |
| -0.000 | -0.000 | -0.000 | -0.000 | -0.000 | 27.584 |
| 52.781 | 13.059 | 13.059 | -0.000 | -0.000 | -0.000 |
| 13.059 | 52.781 | 13.059 | -0.000 | -0.000 | -0.000 |
| 13.059 | 13.059 | 52.781 | 0.000 | 0.000 | -0.000 |
| 0.000 | 0.000 | 0.000 | 27.584 | 0.000 | -0.000 |
| 0.000 | 0.000 | 0.000 | 0.000 | 27.584 | -0.000 |
| 0.000 | 0.000 | 0.000 | 0.000 | 0.000 | 27.584 |
| 5.017 | 5.017 | 5.017 | -0.000 | 0.000 | 0.000 |
| 5.017 | 5.017 | 5.017 | 0.000 | -0.000 | 0.000 |
| 5.017 | 5.017 | 5.017 | -0.000 | -0.000 | 0.000 |
| -0.000 | -0.000 | -0.000 | 5.570 | -0.000 | 0.000 |
| -0.000 | -0.000 | -0.000 | -0.000 | 5.570 | 0.000 |
| -0.000 | -0.000 | -0.000 | 0.000 | 0.000 | 5.570 |
| 5.017 | 5.017 | 5.017 | 0.000 | -0.000 | -0.000 |
| 5.017 | 5.017 | 5.017 | -0.000 | 0.000 | -0.000 |
| 5.017 | 5.017 | 5.017 | 0.000 | 0.000 | -0.000 |
| 0.000 | 0.000 | 0.000 | 5.570 | 0.000 | -0.000 |
| 0.000 | 0.000 | 0.000 | 0.000 | 5.570 | -0.000 |
| 0.000 | 0.000 | 0.000 | -0.000 | -0.000 | 5.570 |
| 5.017 | 5.017 | 5.017 | -0.000 | -0.000 | 0.000 |
| 5.017 | 5.017 | 5.017 | -0.000 | -0.000 | 0.000 |
| 5.017 | 5.017 | 5.017 | -0.000 | -0.000 | 0.000 |
| -0.000 | -0.000 | -0.000 | 5.570 | -0.000 | -0.000 |
| -0.000 | -0.000 | -0.000 | -0.000 | 5.570 | -0.000 |
| -0.000 | -0.000 | -0.000 | 0.000 | 0.000 | 5.570 |
| 5.017 | 5.017 | 5.017 | 0.000 | -0.000 | -0.000 |
| 5.017 | 5.017 | 5.017 | -0.000 | 0.000 | -0.000 |
| 5.017 | 5.017 | 5.017 | 0.000 | 0.000 | -0.000 |
| 0.000 | 0.000 | 0.000 | 5.570 | 0.000 | -0.000 |
| 0.000 | 0.000 | 0.000 | 0.000 | 5.570 | -0.000 |
| 0.000 | 0.000 | 0.000 | 0.000 | -0.000 | 5.570 |
| 5.017 | 5.017 | 5.017 | -0.000 | 0.000 | 0.000 |
| 5.017 | 5.017 | 5.017 | 0.000 | -0.000 | 0.000 |
| 5.017 | 5.017 | 5.017 | -0.000 | -0.000 | 0.000 |
| -0.001 | -0.001 | -0.001 | 5.570 | -0.000 | 0.000 |
| -0.001 | -0.001 | -0.001 | -0.000 | 5.570 | 0.000 |
| -0.001 | -0.001 | -0.001 | -0.000 | 0.000 | 5.570 |
| 5.018 | 5.018 | 5.018 | -0.000 | -0.000 | -0.000 |
| 5.018 | 5.018 | 5.018 | -0.000 | -0.000 | -0.000 |
| 5.018 | 5.018 | 5.018 | 0.000 | 0.000 | -0.000 |
| 0.001 | 0.001 | 0.001 | 5.570 | -0.000 | -0.000 |
| 0.001 | 0.001 | 0.001 | -0.000 | 5.570 | -0.000 |
| 0.001 | 0.001 | 0.001 | -0.000 | -0.000 | 5.570 |
| 0.033 | 0.033 | 0.033 | 0.000 | -0.000 | -0.000 |
| 0.033 | 0.033 | 0.033 | -0.000 | 0.000 | -0.000 |
| 0.033 | 0.033 | 0.033 | -0.000 | -0.000 | 0.000 |
| 0.000 | 0.000 | 0.000 | 0.033 | 0.000 | -0.000 |
| 0.000 | 0.000 | 0.000 | 0.000 | 0.033 | -0.000 |
| 0.000 | 0.000 | 0.000 | 0.000 | 0.000 | 0.033 |
| 0.033 | 0.033 | 0.033 | 0.000 | 0.000 | 0.000 |
| 0.033 | 0.033 | 0.033 | 0.000 | 0.000 | 0.000 |
| 0.033 | 0.033 | 0.033 | 0.000 | 0.000 | -0.000 |
| -0.000 | -0.000 | -0.000 | 0.033 | 0.000 | 0.000 |
| -0.000 | -0.000 | -0.000 | 0.000 | 0.033 | 0.000 |
| -0.000 | -0.000 | -0.000 | 0.000 | 0.000 | 0.033 |
| 0.033 | 0.033 | 0.033 | -0.000 | -0.000 | -0.000 |
| 0.033 | 0.033 | 0.033 | -0.000 | -0.000 | -0.000 |
| 0.033 | 0.033 | 0.033 | -0.000 | -0.000 | 0.000 |
| 0.000 | 0.000 | 0.000 | 0.033 | -0.000 | -0.000 |
| 0.000 | 0.000 | 0.000 | -0.000 | 0.033 | -0.000 |
| 0.000 | 0.000 | 0.000 | -0.000 | -0.000 | 0.033 |
| 0.033 | 0.033 | 0.033 | 0.000 | 0.000 | 0.000 |
| 0.033 | 0.033 | 0.033 | 0.000 | 0.000 | 0.000 |
| 0.033 | 0.033 | 0.033 | 0.000 | 0.000 | -0.000 |
| -0.000 | -0.000 | -0.000 | 0.033 | 0.000 | 0.000 |
| -0.000 | -0.000 | -0.000 | 0.000 | 0.033 | 0.000 |
| -0.000 | -0.000 | -0.000 | 0.000 | 0.000 | 0.033 |
| 0.033 | 0.033 | 0.033 | -0.000 | -0.000 | -0.000 |
| 0.033 | 0.033 | 0.033 | -0.000 | -0.000 | -0.000 |
| 0.033 | 0.033 | 0.033 | -0.000 | -0.000 | -0.000 |
| 0.000 | 0.000 | 0.000 | 0.033 | -0.000 | -0.000 |
| 0.000 | 0.000 | 0.000 | -0.000 | 0.033 | -0.000 |
| 0.000 | 0.000 | 0.000 | -0.000 | -0.000 | 0.033 |
| 0.032 | 0.032 | 0.032 | 0.000 | 0.000 | -0.000 |
| 0.032 | 0.032 | 0.032 | 0.000 | 0.000 | -0.000 |
| 0.032 | 0.032 | 0.032 | -0.000 | -0.000 | -0.000 |
| -0.000 | -0.000 | -0.000 | 0.033 | 0.000 | 0.000 |
| -0.000 | -0.000 | -0.000 | 0.000 | 0.033 | 0.000 |
| -0.000 | -0.000 | -0.000 | 0.000 | 0.000 | 0.033 |
| 196.269 | 278.764 | 278.764 | -0.000 | -0.000 | -0.000 |
| 278.764 | 196.269 | 278.764 | -0.000 | -0.000 | -0.000 |
| 278.764 | 278.764 | 196.269 | -0.000 | -0.000 | -0.000 |
| -0.000 | 0.000 | 0.000 | -107.167 | -0.000 | -0.000 |
| -0.000 | 0.000 | 0.000 | 0.000 | -107.167 | -0.000 |
| -0.000 | 0.000 | 0.000 | -0.000 | -0.000 | -107.167 |
| 196.269 | 278.764 | 278.764 | 0.000 | 0.000 | 0.000 |
| 278.764 | 196.269 | 278.764 | 0.000 | 0.000 | 0.000 |
| 278.764 | 278.764 | 196.269 | 0.000 | 0.000 | 0.000 |
| -0.000 | -0.000 | -0.000 | -107.167 | 0.000 | 0.000 |
| 0.000 | -0.000 | -0.000 | 0.000 | -107.167 | 0.000 |
| 0.000 | -0.000 | -0.000 | 0.000 | 0.000 | -107.167 |
| 196.270 | 278.764 | 278.764 | -0.000 | -0.000 | -0.000 |
| 278.764 | 196.270 | 278.764 | -0.000 | -0.000 | -0.000 |
| 278.764 | 278.764 | 196.270 | -0.000 | -0.000 | -0.000 |
| 0.000 | 0.000 | 0.000 | 88.348 | 0.000 | -0.000 |
| 0.000 | 0.000 | 0.000 | 0.000 | 88.348 | 0.000 |
| 0.000 | 0.000 | 0.000 | -0.000 | -0.000 | 88.348 |
| 196.268 | 278.764 | 278.764 | 0.000 | 0.000 | 0.000 |
| 278.764 | 196.268 | 278.764 | 0.000 | 0.000 | 0.000 |
| 278.764 | 278.764 | 196.268 | 0.000 | 0.000 | 0.000 |
| -0.000 | -0.000 | -0.000 | 88.348 | -0.000 | 0.000 |
| -0.000 | -0.000 | -0.000 | -0.000 | 88.348 | 0.000 |
| -0.000 | -0.000 | -0.000 | 0.000 | -0.000 | 88.348 |
| 196.278 | 278.765 | 278.765 | -0.000 | -0.000 | -0.000 |
| 278.765 | 196.278 | 278.765 | -0.000 | -0.000 | -0.000 |
| 278.765 | 278.765 | 196.278 | -0.000 | -0.000 | -0.000 |
| 0.001 | 0.001 | 0.001 | -107.167 | -0.000 | -0.000 |
| 0.001 | 0.001 | 0.001 | -0.000 | -107.167 | -0.000 |
| 0.001 | 0.001 | 0.001 | -0.000 | -0.000 | -107.167 |
| 196.260 | 278.763 | 278.763 | 0.000 | 0.000 | 0.000 |
| 278.763 | 196.260 | 278.763 | 0.000 | 0.000 | 0.000 |
| 278.763 | 278.763 | 196.260 | 0.000 | 0.000 | 0.000 |
| -0.001 | -0.001 | -0.001 | -107.167 | 0.000 | 0.000 |
| -0.001 | -0.001 | -0.001 | 0.000 | -107.167 | 0.000 |
| -0.001 | -0.001 | -0.001 | 0.000 | 0.000 | -107.167 |
| 0.792 | 0.792 | 0.792 | 0.000 | 0.000 | 0.000 |
| 0.792 | 0.792 | 0.792 | 0.000 | 0.000 | 0.000 |
| 0.792 | 0.792 | 0.792 | 0.000 | 0.000 | 0.000 |
| -0.000 | -0.000 | -0.000 | 0.416 | 0.000 | 0.000 |
| -0.000 | -0.000 | -0.000 | 0.000 | 0.416 | 0.000 |
| -0.000 | -0.000 | -0.000 | 0.000 | 0.000 | 0.416 |
| 0.792 | 0.792 | 0.792 | -0.000 | -0.000 | -0.000 |
| 0.792 | 0.792 | 0.792 | -0.000 | -0.000 | -0.000 |
| 0.792 | 0.792 | 0.792 | -0.000 | -0.000 | -0.000 |
| 0.000 | 0.000 | 0.000 | 0.416 | -0.000 | -0.000 |
| 0.000 | 0.000 | 0.000 | -0.000 | 0.416 | -0.000 |
| 0.000 | 0.000 | 0.000 | -0.000 | -0.000 | 0.416 |
| 0.792 | 0.792 | 0.792 | 0.000 | 0.000 | 0.000 |
| 0.792 | 0.792 | 0.792 | 0.000 | 0.000 | 0.000 |
| 0.792 | 0.792 | 0.792 | 0.000 | 0.000 | 0.000 |
| -0.000 | -0.000 | -0.000 | 0.416 | -0.000 | 0.000 |
| -0.000 | -0.000 | -0.000 | -0.000 | 0.416 | 0.000 |
| -0.000 | -0.000 | -0.000 | -0.000 | 0.000 | 0.416 |
| 0.792 | 0.792 | 0.792 | -0.000 | -0.000 | -0.000 |
| 0.792 | 0.792 | 0.792 | -0.000 | -0.000 | -0.000 |
| 0.792 | 0.792 | 0.792 | -0.000 | -0.000 | -0.000 |
| 0.000 | 0.000 | 0.000 | 0.416 | -0.000 | -0.000 |
| 0.000 | 0.000 | 0.000 | -0.000 | 0.416 | -0.000 |
| 0.000 | 0.000 | 0.000 | -0.000 | -0.000 | 0.416 |
| 0.792 | 0.792 | 0.792 | 0.000 | 0.000 | 0.000 |
| 0.792 | 0.792 | 0.792 | 0.000 | 0.000 | 0.000 |
| 0.792 | 0.792 | 0.792 | 0.000 | 0.000 | 0.000 |
| -0.000 | -0.000 | -0.000 | 0.091 | 0.000 | 0.000 |
| -0.000 | -0.000 | -0.000 | 0.000 | 0.091 | 0.000 |
| -0.000 | -0.000 | -0.000 | 0.000 | 0.000 | 0.091 |
| 0.792 | 0.792 | 0.792 | -0.000 | -0.000 | -0.000 |
| 0.792 | 0.792 | 0.792 | -0.000 | 0.000 | -0.000 |
| 0.792 | 0.792 | 0.792 | -0.000 | -0.000 | 0.000 |
| 0.000 | 0.000 | 0.000 | 0.091 | -0.000 | -0.000 |
| 0.000 | 0.000 | 0.000 | -0.000 | 0.091 | -0.000 |
| 0.000 | 0.000 | 0.000 | -0.000 | -0.000 | 0.091 |
| 0.008 | 0.008 | 0.008 | -0.000 | -0.000 | -0.000 |
| 0.008 | 0.008 | 0.008 | -0.000 | -0.000 | -0.000 |
| 0.008 | 0.008 | 0.008 | -0.000 | -0.000 | -0.000 |
| 0.000 | 0.000 | 0.000 | 0.008 | 0.000 | -0.000 |
| 0.000 | 0.000 | 0.000 | 0.000 | 0.008 | -0.000 |
| 0.000 | 0.000 | 0.000 | 0.000 | -0.000 | 0.008 |
| 0.008 | 0.008 | 0.008 | -0.000 | 0.000 | 0.000 |
| 0.008 | 0.008 | 0.008 | 0.000 | -0.000 | 0.000 |
| 0.008 | 0.008 | 0.008 | 0.000 | 0.000 | -0.000 |
| -0.000 | -0.000 | -0.000 | 0.008 | 0.000 | 0.000 |
| -0.000 | -0.000 | -0.000 | 0.000 | 0.008 | 0.000 |
| -0.000 | -0.000 | -0.000 | 0.000 | 0.000 | 0.008 |
| 0.008 | 0.008 | 0.008 | 0.000 | -0.000 | -0.000 |
| 0.008 | 0.008 | 0.008 | -0.000 | 0.000 | -0.000 |
| 0.008 | 0.008 | 0.008 | -0.000 | -0.000 | 0.000 |
| 0.000 | 0.000 | 0.000 | 0.008 | -0.000 | -0.000 |
| 0.000 | 0.000 | 0.000 | -0.000 | 0.008 | -0.000 |
| 0.000 | 0.000 | 0.000 | -0.000 | -0.000 | 0.008 |
| 0.008 | 0.008 | 0.008 | -0.000 | 0.000 | 0.000 |
| 0.008 | 0.008 | 0.008 | 0.000 | -0.000 | 0.000 |
| 0.008 | 0.008 | 0.008 | 0.000 | 0.000 | -0.000 |
| -0.000 | -0.000 | -0.000 | 0.008 | -0.000 | 0.000 |
| -0.000 | -0.000 | -0.000 | -0.000 | 0.008 | 0.000 |
| -0.000 | -0.000 | -0.000 | -0.000 | 0.000 | 0.008 |
| 0.008 | 0.008 | 0.008 | 0.000 | -0.000 | -0.000 |
| 0.008 | 0.008 | 0.008 | -0.000 | 0.000 | -0.000 |
| 0.008 | 0.008 | 0.008 | -0.000 | -0.000 | 0.000 |
| 0.000 | 0.000 | 0.000 | 0.008 | 0.000 | -0.000 |
| 0.000 | 0.000 | 0.000 | 0.000 | 0.008 | -0.000 |
| 0.000 | 0.000 | 0.000 | 0.000 | -0.000 | 0.008 |
| 0.008 | 0.008 | 0.008 | 0.000 | 0.000 | 0.000 |
| 0.008 | 0.008 | 0.008 | 0.000 | 0.000 | 0.000 |
| 0.008 | 0.008 | 0.008 | 0.000 | 0.000 | 0.000 |
| -0.000 | -0.000 | -0.000 | 0.008 | -0.000 | 0.000 |
| -0.000 | -0.000 | -0.000 | -0.000 | 0.008 | 0.000 |
| -0.000 | -0.000 | -0.000 | -0.000 | 0.000 | 0.008 |
| 292.510 | 98.426 | 138.133 | -0.000 | -0.000 | -0.000 |
| 98.426 | 292.510 | 138.133 | -0.000 | -0.000 | 0.000 |
| 138.133 | 138.133 | 266.379 | -0.000 | -0.000 | -0.000 |
| 0.000 | -0.000 | 0.000 | 97.803 | -0.000 | -0.000 |
| -0.000 | -0.000 | 0.000 | -0.000 | 97.803 | -0.000 |
| 0.000 | -0.000 | -0.000 | -0.000 | -0.000 | 43.505 |
| 292.510 | 98.426 | 138.133 | -0.000 | 0.000 | -0.000 |
| 98.426 | 292.510 | 138.133 | 0.000 | -0.000 | -0.000 |
| 138.133 | 138.133 | 266.379 | -0.000 | -0.000 | -0.000 |
| 0.000 | 0.000 | -0.000 | 97.803 | 0.000 | 0.000 |
| 0.000 | 0.000 | -0.000 | 0.000 | 97.803 | 0.000 |
| -0.000 | -0.000 | 0.000 | 0.000 | 0.000 | 43.505 |
| 292.510 | 98.426 | 138.133 | -0.000 | 0.000 | -0.000 |
| 98.426 | 292.510 | 138.133 | 0.000 | 0.000 | 0.000 |
| 138.133 | 138.133 | 266.379 | -0.000 | -0.000 | -0.000 |
| 0.000 | -0.000 | 0.000 | 97.803 | -0.000 | -0.000 |
| -0.000 | 0.000 | 0.000 | -0.000 | 97.803 | -0.000 |
| 0.000 | 0.000 | 0.000 | -0.000 | -0.000 | 43.505 |
| 292.510 | 98.426 | 138.133 | -0.000 | 0.000 | -0.000 |
| 98.426 | 292.510 | 138.133 | 0.000 | 0.000 | -0.000 |
| 138.133 | 138.133 | 266.379 | 0.000 | -0.000 | 0.000 |
| -0.000 | 0.000 | -0.000 | 97.803 | 0.000 | 0.000 |
| 0.000 | -0.000 | -0.000 | 0.000 | 97.803 | 0.000 |
| -0.000 | -0.000 | -0.000 | 0.000 | 0.000 | 43.505 |
| 292.511 | 98.427 | 138.133 | 0.000 | -0.000 | -0.000 |
| 98.427 | 292.511 | 138.133 | -0.000 | -0.000 | -0.000 |
| 138.134 | 138.134 | 266.382 | -0.000 | -0.000 | -0.000 |
| 0.000 | -0.000 | 0.000 | 97.803 | 0.000 | -0.000 |
| -0.000 | 0.000 | 0.000 | -0.000 | 97.803 | -0.000 |
| 0.001 | 0.001 | 0.000 | 0.000 | -0.000 | 43.505 |
| 292.509 | 98.426 | 138.133 | -0.000 | -0.000 | 0.000 |
| 98.426 | 292.509 | 138.133 | 0.000 | -0.000 | -0.000 |
| 138.133 | 138.133 | 266.376 | 0.000 | -0.000 | -0.000 |
| -0.000 | 0.000 | -0.000 | 97.803 | -0.000 | 0.000 |
| 0.000 | -0.000 | -0.000 | 0.000 | 97.803 | 0.000 |
| -0.001 | -0.001 | -0.000 | 0.000 | 0.000 | 43.505 |
| 30.253 | -1.106 | -2.028 | -0.000 | -0.000 | 0.000 |
| -1.106 | 30.253 | -2.028 | -0.000 | -0.000 | 0.000 |
| -2.028 | -2.028 | -3.720 | -0.000 | -0.000 | 0.000 |
| 0.000 | 0.000 | 0.000 | -1.903 | -0.000 | 0.000 |
| 0.000 | 0.000 | 0.000 | -0.000 | -1.903 | 0.000 |
| 0.000 | 0.000 | 0.000 | -0.000 | -0.000 | -1.037 |
| 30.253 | -1.106 | -2.028 | -0.000 | -0.000 | -0.000 |
| -1.106 | 30.253 | -2.028 | -0.000 | -0.000 | -0.000 |
| -2.028 | -2.028 | -3.720 | 0.000 | 0.000 | -0.000 |
| -0.000 | -0.000 | -0.000 | -1.903 | 0.000 | -0.000 |
| -0.000 | -0.000 | -0.000 | 0.000 | -1.903 | -0.000 |
| -0.000 | -0.000 | -0.000 | 0.000 | 0.000 | -1.037 |
| 30.252 | -1.106 | -2.028 | 0.000 | 0.000 | 0.000 |
| -1.106 | 30.252 | -2.028 | 0.000 | 0.000 | 0.000 |
| -2.028 | -2.028 | -3.720 | -0.000 | -0.000 | -0.000 |
| 0.000 | 0.000 | 0.000 | -1.903 | -0.000 | 0.000 |
| 0.000 | 0.000 | 0.000 | -0.000 | -1.903 | 0.000 |
| 0.000 | 0.000 | 0.000 | -0.000 | -0.000 | -1.037 |
| 30.253 | -1.106 | -2.028 | -0.000 | -0.000 | -0.000 |
| -1.106 | 30.253 | -2.028 | -0.000 | -0.000 | -0.000 |
| -2.029 | -2.029 | -3.721 | 0.000 | 0.000 | -0.000 |
| -0.000 | -0.000 | -0.000 | -1.903 | 0.000 | -0.000 |
| -0.000 | -0.000 | -0.000 | 0.000 | -1.903 | -0.000 |
| -0.000 | -0.000 | -0.000 | 0.000 | 0.000 | -1.037 |
| 30.247 | -1.105 | -2.027 | 0.000 | 0.000 | 0.000 |
| -1.105 | 30.247 | -2.027 | 0.000 | 0.000 | 0.000 |
| -2.026 | -2.026 | -3.717 | -0.000 | -0.000 | 0.000 |
| 0.001 | 0.001 | 0.002 | -1.903 | -0.000 | 0.000 |
| 0.001 | 0.001 | 0.002 | -0.000 | -1.903 | 0.000 |
| 0.001 | 0.001 | 0.001 | -0.000 | -0.000 | -1.037 |
| 30.258 | -1.106 | -2.029 | -0.000 | -0.000 | -0.000 |
| -1.106 | 30.258 | -2.029 | -0.000 | -0.000 | -0.000 |
| -2.030 | -2.030 | -3.724 | 0.000 | 0.000 | 0.000 |
| -0.001 | -0.001 | -0.002 | -1.903 | 0.000 | -0.000 |
| -0.001 | -0.001 | -0.002 | 0.000 | -1.903 | -0.000 |
| -0.001 | -0.001 | -0.001 | 0.000 | 0.000 | -1.037 |
| 0.022 | 0.022 | 0.038 | 0.000 | 0.000 | 0.000 |
| 0.022 | 0.022 | 0.038 | 0.000 | 0.000 | 0.000 |
| 0.038 | 0.038 | 0.066 | 0.000 | 0.000 | -0.000 |
| 0.000 | 0.000 | 0.000 | 0.038 | -0.000 | 0.000 |
| 0.000 | 0.000 | 0.000 | -0.000 | 0.038 | 0.000 |
| 0.000 | 0.000 | 0.000 | 0.000 | 0.000 | 0.022 |
| 0.022 | 0.022 | 0.038 | 0.000 | -0.000 | -0.000 |
| 0.022 | 0.022 | 0.038 | -0.000 | 0.000 | -0.000 |
| 0.038 | 0.038 | 0.066 | 0.000 | 0.000 | -0.000 |
| -0.000 | -0.000 | -0.000 | 0.038 | -0.000 | -0.000 |
| -0.000 | -0.000 | -0.000 | -0.000 | 0.038 | -0.000 |
| -0.000 | -0.000 | -0.000 | 0.000 | -0.000 | 0.022 |
| 0.022 | 0.022 | 0.038 | -0.000 | -0.000 | -0.000 |
| 0.022 | 0.022 | 0.038 | -0.000 | -0.000 | -0.000 |
| 0.038 | 0.038 | 0.066 | -0.000 | -0.000 | 0.000 |
| 0.000 | 0.000 | 0.000 | 0.038 | -0.000 | 0.000 |
| 0.000 | 0.000 | 0.000 | -0.000 | 0.038 | 0.000 |
| 0.000 | 0.000 | 0.000 | -0.000 | 0.000 | 0.022 |
| 0.022 | 0.022 | 0.038 | -0.000 | -0.000 | -0.000 |
| 0.022 | 0.022 | 0.038 | -0.000 | -0.000 | -0.000 |
| 0.038 | 0.038 | 0.066 | 0.000 | 0.000 | -0.000 |
| -0.000 | -0.000 | -0.000 | 0.038 | -0.000 | -0.000 |
| -0.000 | -0.000 | -0.000 | -0.000 | 0.038 | -0.000 |
| -0.000 | -0.000 | -0.000 | -0.000 | 0.000 | 0.022 |
| 0.022 | 0.022 | 0.038 | 0.000 | 0.000 | 0.000 |
| 0.022 | 0.022 | 0.038 | 0.000 | 0.000 | 0.000 |
| 0.038 | 0.038 | 0.066 | -0.000 | -0.000 | 0.000 |
| 0.000 | 0.000 | 0.000 | 0.038 | -0.000 | 0.000 |
| 0.000 | 0.000 | 0.000 | -0.000 | 0.038 | 0.000 |
| 0.000 | 0.000 | 0.000 | 0.000 | -0.000 | 0.022 |
| 0.022 | 0.022 | 0.038 | -0.000 | -0.000 | -0.000 |
| 0.022 | 0.022 | 0.038 | -0.000 | -0.000 | -0.000 |
| 0.038 | 0.038 | 0.066 | -0.000 | -0.000 | 0.000 |
| -0.000 | -0.000 | -0.000 | 0.038 | 0.000 | -0.000 |
| -0.000 | -0.000 | -0.000 | 0.000 | 0.038 | -0.000 |
| -0.000 | -0.000 | -0.000 | 0.000 | -0.000 | 0.022 |
| 145.022 | 180.791 | 190.986 | -0.000 | -0.000 | 0.000 |
| 180.791 | 326.148 | 14.117 | -0.000 | -0.000 | 0.000 |
| 190.986 | 14.117 | 323.147 | -0.000 | 0.000 | 0.000 |
| -0.000 | -0.000 | -0.000 | -12.889 | -0.000 | -0.000 |
| -0.000 | -0.000 | 0.000 | 0.000 | 161.334 | 0.000 |
| 0.000 | 0.000 | 0.000 | 0.000 | -0.000 | 150.812 |
| 145.022 | 180.791 | 190.986 | -0.000 | -0.000 | -0.000 |
| 180.791 | 326.148 | 14.117 | 0.000 | -0.000 | 0.000 |
| 190.986 | 14.118 | 323.147 | -0.000 | -0.000 | 0.000 |
| 0.000 | 0.000 | 0.000 | -12.889 | 0.000 | 0.000 |
| -0.000 | 0.000 | -0.000 | 0.000 | 161.334 | -0.000 |
| -0.000 | 0.000 | 0.000 | -0.000 | 0.000 | 150.812 |
| 145.022 | 180.791 | 190.986 | -0.000 | 0.000 | 0.000 |
| 180.791 | 326.148 | 14.117 | -0.000 | 0.000 | 0.000 |
| 190.986 | 14.117 | 323.148 | 0.000 | 0.000 | 0.000 |
| -0.000 | 0.000 | -0.000 | -12.889 | -0.000 | -0.000 |
| 0.000 | -0.000 | 0.000 | -0.000 | 161.334 | 0.000 |
| 0.000 | 0.000 | -0.000 | -0.000 | -0.000 | 150.812 |
| 145.022 | 180.791 | 190.986 | -0.000 | -0.000 | -0.000 |
| 180.791 | 326.148 | 14.118 | 0.000 | 0.000 | -0.000 |
| 190.985 | 14.118 | 323.147 | 0.000 | 0.000 | -0.000 |
| 0.000 | -0.000 | 0.000 | -12.889 | 0.000 | 0.000 |
| -0.000 | 0.000 | -0.000 | -0.000 | 161.334 | 0.000 |
| -0.000 | -0.000 | 0.000 | 0.000 | 0.000 | 150.812 |
| 145.022 | 180.791 | 190.986 | -0.000 | -0.000 | 0.000 |
| 180.792 | 326.150 | 14.117 | 0.000 | 0.000 | -0.000 |
| 190.987 | 14.117 | 323.150 | 0.000 | -0.000 | -0.000 |
| -0.000 | 0.000 | -0.000 | -12.889 | -0.000 | -0.000 |
| 0.000 | -0.000 | 0.002 | -0.000 | 161.334 | 0.000 |
| 0.000 | 0.002 | -0.000 | -0.000 | -0.000 | 150.812 |
| 145.021 | 180.790 | 190.985 | -0.000 | 0.000 | 0.000 |
| 180.790 | 326.146 | 14.118 | -0.000 | 0.000 | -0.000 |
| 190.984 | 14.118 | 323.145 | 0.000 | 0.000 | 0.000 |
| 0.000 | -0.000 | 0.000 | -12.889 | 0.000 | -0.000 |
| -0.000 | 0.000 | -0.002 | 0.000 | 161.334 | -0.000 |
| -0.000 | -0.002 | 0.000 | 0.000 | 0.000 | 150.812 |
| 318.670 | 125.140 | 93.192 | 0.000 | 0.000 | -0.000 |
| 109.233 | 292.664 | 130.409 | 0.000 | 0.000 | 0.000 |
| 100.844 | 152.265 | 291.473 | 0.000 | -0.000 | -0.000 |
| -8.458 | 8.863 | -16.816 | 69.690 | -0.000 | 0.000 |
| -8.297 | 8.000 | -16.066 | 0.000 | 59.535 | 0.000 |
| -8.449 | 8.776 | -16.751 | 0.000 | 0.000 | 63.261 |
| 331.189 | 116.658 | 115.214 | -0.000 | -0.000 | -0.000 |
| 125.772 | 277.664 | 161.847 | -0.000 | 0.000 | 0.000 |
| 117.792 | 138.077 | 322.960 | -0.000 | -0.000 | -0.000 |
| 8.458 | -8.863 | 16.816 | 69.690 | -0.000 | -0.000 |
| 8.297 | -8.000 | 16.066 | -0.000 | 59.535 | -0.000 |
| 8.449 | -8.776 | 16.751 | -0.000 | -0.000 | 63.261 |
| 326.525 | 115.069 | 109.947 | 0.000 | -0.000 | 0.000 |
| 117.617 | 296.025 | 139.563 | 0.000 | 0.000 | 0.000 |
| 108.321 | 137.789 | 310.446 | 0.000 | -0.000 | -0.000 |
| -0.847 | 0.889 | -1.685 | 69.451 | 0.000 | -0.000 |
| -0.856 | 0.631 | -1.537 | 0.000 | 60.407 | -0.000 |
| -0.845 | 0.878 | -1.675 | 0.000 | 0.000 | 63.261 |
| 328.021 | 115.159 | 111.896 | -0.000 | -0.000 | 0.000 |
| 115.230 | 287.270 | 141.780 | -0.000 | -0.000 | 0.000 |
| 110.138 | 142.611 | 309.898 | -0.000 | 0.000 | -0.000 |
| 0.847 | -0.889 | 1.685 | 69.451 | -0.000 | 0.000 |
| -0.000 | -0.000 | -0.000 | -0.000 | 66.877 | 0.000 |
| 0.845 | -0.878 | 1.675 | -0.000 | 0.000 | 63.261 |
| 327.035 | 116.452 | 109.775 | 0.000 | -0.000 | -0.000 |
| 114.445 | 289.798 | 139.165 | 0.000 | -0.000 | -0.000 |
| 109.209 | 143.577 | 308.057 | 0.000 | -0.000 | -0.000 |
| -0.085 | 0.089 | -0.168 | 69.449 | -0.000 | 0.000 |
| -0.091 | 0.059 | -0.159 | 0.000 | 60.422 | -0.000 |
| -0.084 | 0.088 | -0.167 | 0.000 | 0.000 | 63.261 |
| 327.203 | 116.276 | 110.110 | -0.000 | 0.000 | 0.000 |
| 117.617 | 296.023 | 139.563 | -0.000 | -0.000 | -0.000 |
| 109.377 | 143.401 | 308.389 | -0.000 | 0.000 | -0.000 |
| 0.085 | -0.089 | 0.168 | 69.449 | 0.000 | 0.000 |
| 0.091 | -0.059 | 0.159 | -0.000 | 60.422 | -0.000 |
| 0.084 | -0.088 | 0.167 | -0.000 | 0.000 | 63.261 |
| 102.898 | 88.502 | 24.896 | -0.000 | -0.000 | -0.000 |
| 52.079 | 139.322 | 24.896 | -0.000 | -0.000 | 0.000 |
| 24.896 | 24.896 | 216.243 | -0.000 | -0.000 | 0.000 |
| -0.000 | 0.000 | 0.000 | 9.381 | -0.000 | 0.000 |
| 0.000 | 0.000 | 0.000 | -0.000 | 9.381 | 0.000 |
| 0.000 | 0.000 | 0.000 | -0.000 | -0.000 | 43.621 |
| 139.322 | 52.079 | 24.896 | 0.000 | 0.000 | 0.000 |
| 65.642 | 125.759 | 24.896 | 0.000 | 0.000 | 0.000 |
| 24.896 | 24.896 | 216.243 | 0.000 | 0.000 | -0.000 |
| -0.000 | 0.000 | -0.000 | 9.381 | 0.000 | -0.000 |
| -0.000 | -0.000 | -0.000 | 0.000 | 9.381 | 0.000 |
| -0.000 | -0.000 | -0.000 | 0.000 | 0.000 | 43.621 |
| 139.322 | 52.079 | 24.896 | -0.000 | -0.000 | 0.000 |
| 88.502 | 102.898 | 24.896 | -0.000 | -0.000 | 0.000 |
| 24.896 | 24.896 | 216.243 | -0.000 | -0.000 | 0.000 |
| 0.000 | 0.000 | -0.000 | 9.381 | -0.000 | 0.000 |
| 0.000 | 0.000 | -0.000 | -0.000 | 9.381 | 0.000 |
| -0.000 | -0.000 | -0.000 | -0.000 | -0.000 | 7.198 |
| 139.321 | 52.079 | 24.896 | 0.000 | 0.000 | -0.000 |
| 52.079 | 139.321 | 24.896 | 0.000 | 0.000 | -0.000 |
| 24.896 | 24.896 | 216.243 | 0.000 | 0.000 | -0.000 |
| -0.000 | -0.000 | 0.000 | 9.381 | 0.000 | -0.000 |
| -0.000 | -0.000 | 0.000 | 0.000 | 9.381 | -0.000 |
| 0.000 | 0.000 | 0.000 | 0.000 | 0.000 | 7.198 |
| 120.042 | 71.359 | 24.896 | -0.000 | -0.000 | 0.000 |
| 52.079 | 139.323 | 24.896 | -0.000 | -0.000 | -0.000 |
| 24.896 | 24.896 | 216.246 | -0.000 | -0.000 | 0.000 |
| 0.000 | 0.000 | -0.000 | 9.381 | -0.000 | -0.000 |
| 0.000 | 0.000 | -0.000 | -0.000 | 9.381 | 0.000 |
| -0.001 | 0.000 | -0.000 | -0.000 | -0.000 | 24.344 |
| 102.898 | 88.503 | 24.896 | 0.000 | 0.000 | -0.000 |
| 88.506 | 102.894 | 24.896 | 0.000 | 0.000 | -0.000 |
| 24.896 | 24.896 | 216.240 | 0.000 | 0.000 | -0.000 |
| -0.000 | -0.000 | 0.000 | 9.381 | 0.000 | -0.000 |
| -0.000 | -0.000 | 0.000 | 0.000 | 9.381 | 0.000 |
| 0.001 | -0.000 | 0.000 | 0.000 | 0.000 | 24.344 |
| 274.959 | 111.078 | 82.865 | 0.000 | 0.000 | 0.000 |
| 111.078 | 274.959 | 82.865 | 0.000 | 0.000 | -0.000 |
| 82.865 | 82.865 | 280.723 | 0.000 | 0.000 | -0.000 |
| 0.000 | -0.000 | 0.000 | 58.145 | 0.000 | -0.000 |
| 0.000 | -0.000 | 0.000 | 0.000 | 58.145 | 0.000 |
| 0.000 | 0.000 | 0.000 | 0.000 | 0.000 | 81.941 |
| 274.959 | 111.078 | 82.865 | -0.000 | -0.000 | -0.000 |
| 123.528 | 262.509 | 82.865 | -0.000 | -0.000 | 0.000 |
| 82.865 | 82.865 | 280.723 | -0.000 | -0.000 | -0.000 |
| 0.000 | 0.000 | -0.000 | 58.145 | -0.000 | -0.000 |
| -0.000 | 0.000 | -0.000 | -0.000 | 58.145 | 0.000 |
| -0.000 | -0.000 | -0.000 | -0.000 | -0.000 | 81.941 |
| 274.959 | 111.078 | 82.865 | 0.000 | 0.000 | -0.000 |
| 123.528 | 262.509 | 82.865 | 0.000 | 0.000 | -0.000 |
| 82.865 | 82.865 | 280.723 | -0.000 | 0.000 | 0.000 |
| 0.000 | 0.000 | 0.000 | 58.145 | 0.000 | -0.000 |
| 0.000 | 0.000 | 0.000 | 0.000 | 58.145 | 0.000 |
| 0.000 | 0.000 | 0.000 | 0.000 | 0.000 | 69.491 |
| 274.959 | 111.078 | 82.865 | -0.000 | -0.000 | -0.000 |
| 123.528 | 262.509 | 82.865 | -0.000 | -0.000 | -0.000 |
| 82.865 | 82.865 | 280.723 | -0.000 | -0.000 | -0.000 |
| -0.000 | -0.000 | -0.000 | 58.145 | -0.000 | -0.000 |
| -0.000 | -0.000 | -0.000 | -0.000 | 58.145 | 0.000 |
| -0.000 | -0.000 | -0.000 | -0.000 | -0.000 | 69.491 |
| 274.961 | 111.078 | 82.865 | 0.000 | 0.000 | -0.000 |
| 123.528 | 262.511 | 82.865 | 0.000 | 0.000 | -0.000 |
| 82.866 | 82.866 | 280.723 | 0.000 | 0.000 | -0.000 |
| 0.000 | 0.000 | 0.000 | 58.145 | 0.000 | -0.000 |
| 0.000 | 0.000 | 0.000 | 0.000 | 58.145 | 0.000 |
| 0.000 | 0.001 | 0.000 | 0.000 | 0.000 | 69.491 |
| 262.507 | 123.527 | 82.865 | -0.000 | -0.000 | 0.000 |
| 123.527 | 262.507 | 82.865 | -0.000 | -0.000 | 0.000 |
| 82.865 | 82.865 | 280.723 | -0.000 | -0.000 | 0.000 |
| -0.000 | -0.000 | -0.000 | 58.145 | -0.000 | -0.000 |
| -0.000 | -0.000 | -0.000 | -0.000 | 58.145 | 0.000 |
| -0.000 | -0.001 | -0.000 | -0.000 | -0.000 | 69.491 |
| 137.156 | 124.253 | 124.253 | 0.000 | 0.000 | 0.000 |
| 124.253 | 137.156 | 124.253 | 0.000 | -0.000 | -0.000 |
| 124.253 | 124.253 | 137.156 | 0.000 | 0.000 | -0.000 |
| 0.000 | -0.000 | 0.000 | -8.259 | -0.000 | -0.000 |
| 0.000 | -0.000 | 0.000 | 0.000 | -8.259 | -0.000 |
| 0.000 | 0.000 | 0.000 | 0.000 | 0.000 | -8.259 |
| 137.156 | 124.253 | 124.253 | -0.000 | -0.000 | 0.000 |
| 124.253 | 137.156 | 124.253 | -0.000 | -0.000 | 0.000 |
| 124.253 | 124.253 | 137.156 | -0.000 | -0.000 | 0.000 |
| -0.000 | 0.000 | -0.000 | -8.259 | 0.000 | 0.000 |
| -0.000 | 0.000 | -0.000 | -0.000 | -8.259 | 0.000 |
| -0.000 | 0.000 | -0.000 | -0.000 | -0.000 | -8.259 |
| 137.156 | 124.253 | 124.253 | 0.000 | -0.000 | 0.000 |
| 124.253 | 137.156 | 124.253 | 0.000 | -0.000 | -0.000 |
| 124.253 | 124.253 | 137.156 | -0.000 | 0.000 | -0.000 |
| 0.000 | -0.000 | -0.000 | -8.259 | -0.000 | -0.000 |
| -0.000 | 0.000 | -0.000 | 0.000 | -8.259 | -0.000 |
| -0.000 | -0.000 | 0.000 | 0.000 | 0.000 | -8.259 |
| 137.155 | 124.253 | 124.253 | -0.000 | -0.000 | 0.000 |
| 124.253 | 137.155 | 124.253 | 0.000 | -0.000 | 0.000 |
| 124.253 | 124.253 | 137.156 | 0.000 | -0.000 | 0.000 |
| -0.000 | 0.000 | 0.000 | -8.259 | 0.000 | -0.000 |
| 0.000 | -0.000 | 0.000 | 0.000 | -8.259 | 0.000 |
| 0.000 | 0.000 | -0.000 | -0.000 | -0.000 | -8.259 |
| 137.157 | 124.253 | 124.253 | 0.000 | 0.000 | -0.000 |
| 124.253 | 137.157 | 124.253 | 0.000 | 0.000 | -0.000 |
| 124.253 | 124.253 | 137.157 | -0.000 | -0.000 | -0.000 |
| 0.000 | -0.000 | -0.000 | -8.259 | -0.000 | 0.000 |
| -0.000 | 0.000 | -0.000 | 0.000 | -8.259 | -0.000 |
| -0.000 | -0.000 | 0.000 | 0.000 | 0.000 | -8.259 |
| 137.155 | 124.252 | 124.252 | 0.000 | -0.000 | 0.000 |
| 124.252 | 137.155 | 124.252 | -0.000 | -0.000 | -0.000 |
| 124.252 | 124.252 | 137.155 | -0.000 | -0.000 | 0.000 |
| -0.000 | 0.000 | 0.000 | -8.259 | 0.000 | 0.000 |
| 0.000 | -0.000 | 0.000 | -0.000 | -8.259 | 0.000 |
| 0.000 | 0.000 | -0.000 | 0.000 | -0.000 | -8.259 |
| 1.599 | 1.599 | 1.599 | 0.000 | -0.000 | -0.000 |
| 1.599 | 1.599 | 1.599 | -0.000 | 0.000 | -0.000 |
| 1.599 | 1.599 | 1.599 | 0.000 | 0.000 | -0.000 |
| -0.000 | -0.000 | -0.000 | 1.311 | 0.000 | -0.000 |
| -0.000 | -0.000 | -0.000 | 0.000 | 1.311 | -0.000 |
| -0.000 | -0.000 | -0.000 | 0.000 | 0.000 | 1.311 |
| 1.599 | 1.599 | 1.599 | -0.000 | 0.000 | 0.000 |
| 1.599 | 1.599 | 1.599 | 0.000 | -0.000 | 0.000 |
| 1.599 | 1.599 | 1.599 | -0.000 | -0.000 | 0.000 |
| 0.000 | 0.000 | 0.000 | 1.311 | -0.000 | 0.000 |
| 0.000 | 0.000 | 0.000 | -0.000 | 1.311 | 0.000 |
| 0.000 | 0.000 | 0.000 | -0.000 | -0.000 | 1.311 |
| 1.599 | 1.599 | 1.599 | 0.000 | 0.000 | 0.000 |
| 1.599 | 1.599 | 1.599 | 0.000 | 0.000 | -0.000 |
| 1.599 | 1.599 | 1.599 | 0.000 | 0.000 | -0.000 |
| -0.000 | -0.000 | -0.000 | 1.311 | 0.000 | -0.000 |
| -0.000 | -0.000 | -0.000 | 0.000 | 1.311 | -0.000 |
| -0.000 | -0.000 | -0.000 | 0.000 | 0.000 | 1.311 |
| 1.599 | 1.599 | 1.599 | -0.000 | -0.000 | 0.000 |
| 1.599 | 1.599 | 1.599 | -0.000 | -0.000 | 0.000 |
| 1.599 | 1.599 | 1.599 | -0.000 | -0.000 | -0.000 |
| 0.000 | 0.000 | 0.000 | 1.311 | -0.000 | -0.000 |
| 0.000 | 0.000 | 0.000 | -0.000 | 1.311 | -0.000 |
| 0.000 | 0.000 | 0.000 | -0.000 | -0.000 | 1.311 |
| 1.599 | 1.599 | 1.599 | -0.000 | 0.000 | -0.000 |
| 1.599 | 1.599 | 1.599 | 0.000 | -0.000 | -0.000 |
| 1.599 | 1.599 | 1.599 | 0.000 | 0.000 | 0.000 |
| -0.000 | -0.000 | -0.000 | 0.202 | 0.000 | -0.000 |
| -0.000 | -0.000 | -0.000 | 0.000 | 0.202 | -0.000 |
| -0.000 | -0.000 | -0.000 | 0.000 | 0.000 | 0.202 |
| 1.599 | 1.599 | 1.599 | -0.000 | -0.000 | 0.000 |
| 1.599 | 1.599 | 1.599 | -0.000 | -0.000 | 0.000 |
| 1.599 | 1.599 | 1.599 | -0.000 | -0.000 | -0.000 |
| 0.000 | 0.000 | 0.000 | 0.202 | -0.000 | 0.000 |
| 0.000 | 0.000 | 0.000 | -0.000 | 0.202 | 0.000 |
| 0.000 | 0.000 | 0.000 | -0.000 | -0.000 | 0.202 |
| 0.016 | 0.016 | 0.016 | 0.000 | 0.000 | 0.000 |
| 0.016 | 0.016 | 0.016 | 0.000 | 0.000 | 0.000 |
| 0.016 | 0.016 | 0.016 | 0.000 | 0.000 | 0.000 |
| 0.000 | 0.000 | 0.000 | 0.016 | 0.000 | 0.000 |
| 0.000 | 0.000 | 0.000 | 0.000 | 0.016 | 0.000 |
| 0.000 | 0.000 | 0.000 | 0.000 | 0.000 | 0.016 |
| 0.016 | 0.016 | 0.016 | -0.000 | -0.000 | -0.000 |
| 0.016 | 0.016 | 0.016 | -0.000 | -0.000 | -0.000 |
| 0.016 | 0.016 | 0.016 | -0.000 | -0.000 | -0.000 |
| -0.000 | -0.000 | -0.000 | 0.016 | -0.000 | -0.000 |
| -0.000 | -0.000 | -0.000 | -0.000 | 0.016 | -0.000 |
| -0.000 | -0.000 | -0.000 | -0.000 | -0.000 | 0.016 |
| 0.016 | 0.016 | 0.016 | 0.000 | 0.000 | 0.000 |
| 0.016 | 0.016 | 0.016 | 0.000 | 0.000 | 0.000 |
| 0.016 | 0.016 | 0.016 | 0.000 | 0.000 | 0.000 |
| 0.000 | 0.000 | 0.000 | 0.016 | 0.000 | 0.000 |
| 0.000 | 0.000 | 0.000 | 0.000 | 0.016 | 0.000 |
| 0.000 | 0.000 | 0.000 | 0.000 | 0.000 | 0.016 |
| 0.016 | 0.016 | 0.016 | -0.000 | -0.000 | -0.000 |
| 0.016 | 0.016 | 0.016 | -0.000 | -0.000 | -0.000 |
| 0.016 | 0.016 | 0.016 | -0.000 | -0.000 | -0.000 |
| -0.000 | -0.000 | -0.000 | 0.016 | -0.000 | -0.000 |
| -0.000 | -0.000 | -0.000 | -0.000 | 0.016 | -0.000 |
| -0.000 | -0.000 | -0.000 | -0.000 | -0.000 | 0.016 |
| 0.016 | 0.016 | 0.016 | 0.000 | 0.000 | 0.000 |
| 0.016 | 0.016 | 0.016 | 0.000 | 0.000 | 0.000 |
| 0.016 | 0.016 | 0.016 | 0.000 | 0.000 | 0.000 |
| 0.000 | 0.000 | 0.000 | 0.016 | 0.000 | 0.000 |
| 0.000 | 0.000 | 0.000 | 0.000 | 0.016 | 0.000 |
| 0.000 | 0.000 | 0.000 | 0.000 | 0.000 | 0.016 |
| 0.016 | 0.016 | 0.016 | -0.000 | -0.000 | -0.000 |
| 0.016 | 0.016 | 0.016 | -0.000 | -0.000 | -0.000 |
| 0.016 | 0.016 | 0.016 | -0.000 | -0.000 | -0.000 |
| -0.000 | -0.000 | -0.000 | 0.016 | -0.000 | -0.000 |
| -0.000 | -0.000 | -0.000 | -0.000 | 0.016 | -0.000 |
| -0.000 | -0.000 | -0.000 | -0.000 | -0.000 | 0.016 |
| 411.042 | 215.190 | 215.190 | -0.000 | 0.000 | 0.000 |
| 215.190 | 411.042 | 215.190 | -0.000 | 0.000 | 0.000 |
| 215.190 | 215.190 | 411.042 | 0.000 | -0.000 | 0.000 |
| -0.000 | 0.000 | 0.000 | 138.230 | -0.000 | 0.000 |
| -0.000 | 0.000 | 0.000 | -0.000 | 138.230 | 0.000 |
| -0.000 | 0.000 | -0.000 | -0.000 | 0.000 | 138.230 |
| 411.042 | 215.190 | 215.190 | 0.000 | -0.000 | -0.000 |
| 215.190 | 411.042 | 215.190 | 0.000 | 0.000 | -0.000 |
| 215.190 | 215.190 | 411.042 | 0.000 | 0.000 | -0.000 |
| 0.000 | -0.000 | 0.000 | 138.230 | 0.000 | -0.000 |
| 0.000 | -0.000 | 0.000 | 0.000 | 138.230 | -0.000 |
| 0.000 | -0.000 | 0.000 | 0.000 | -0.000 | 138.230 |
| 411.042 | 215.190 | 215.190 | 0.000 | 0.000 | 0.000 |
| 215.190 | 411.042 | 215.190 | -0.000 | -0.000 | 0.000 |
| 215.190 | 215.190 | 411.042 | -0.000 | -0.000 | 0.000 |
| -0.000 | 0.000 | 0.000 | 131.643 | -0.000 | 0.000 |
| 0.000 | -0.000 | 0.000 | -0.000 | 131.643 | 0.000 |
| 0.000 | 0.000 | -0.000 | -0.000 | -0.000 | 131.643 |
| 411.042 | 215.190 | 215.190 | -0.000 | 0.000 | -0.000 |
| 215.190 | 411.042 | 215.190 | 0.000 | 0.000 | -0.000 |
| 215.190 | 215.190 | 411.042 | 0.000 | -0.000 | -0.000 |
| 0.000 | -0.000 | -0.000 | 131.643 | 0.000 | -0.000 |
| -0.000 | 0.000 | -0.000 | 0.000 | 131.643 | -0.000 |
| -0.000 | -0.000 | 0.000 | 0.000 | 0.000 | 131.643 |
| 411.044 | 215.190 | 215.190 | -0.000 | -0.000 | 0.000 |
| 215.190 | 411.044 | 215.190 | -0.000 | 0.000 | 0.000 |
| 215.190 | 215.190 | 411.044 | 0.000 | 0.000 | 0.000 |
| -0.000 | 0.000 | 0.000 | 138.230 | -0.000 | 0.000 |
| 0.000 | -0.000 | 0.000 | -0.000 | 138.230 | 0.000 |
| 0.000 | 0.000 | -0.000 | 0.000 | -0.000 | 138.230 |
| 411.040 | 215.190 | 215.190 | -0.000 | -0.000 | -0.000 |
| 215.190 | 411.040 | 215.190 | 0.000 | -0.000 | -0.000 |
| 215.190 | 215.190 | 411.040 | 0.000 | 0.000 | -0.000 |
| 0.000 | -0.000 | -0.000 | 138.230 | 0.000 | -0.000 |
| -0.000 | 0.000 | -0.000 | 0.000 | 138.230 | -0.000 |
| -0.000 | -0.000 | 0.000 | 0.000 | 0.000 | 138.230 |
| 29.817 | 32.409 | 32.409 | -0.000 | 0.000 | 0.000 |
| 32.409 | 29.817 | 32.409 | 0.000 | -0.000 | 0.000 |
| 32.409 | 32.409 | 29.817 | 0.000 | 0.000 | -0.000 |
| -0.000 | 0.000 | 0.000 | -3.577 | 0.000 | 0.000 |
| -0.000 | 0.000 | 0.000 | 0.000 | -3.577 | 0.000 |
| -0.000 | 0.000 | -0.000 | 0.000 | 0.000 | -3.577 |
| 29.817 | 32.409 | 32.409 | -0.000 | -0.000 | -0.000 |
| 32.409 | 29.817 | 32.409 | -0.000 | -0.000 | -0.000 |
| 32.409 | 32.409 | 29.817 | -0.000 | -0.000 | -0.000 |
| 0.000 | -0.000 | 0.000 | -3.577 | -0.000 | -0.000 |
| -0.000 | -0.000 | -0.000 | -0.000 | -3.577 | -0.000 |
| 0.000 | -0.000 | 0.000 | -0.000 | -0.000 | -3.577 |
| 29.817 | 32.409 | 32.409 | 0.000 | 0.000 | 0.000 |
| 32.409 | 29.817 | 32.409 | 0.000 | 0.000 | 0.000 |
| 32.409 | 32.409 | 29.817 | 0.000 | 0.000 | 0.000 |
| -0.000 | 0.000 | 0.000 | -3.577 | 0.000 | 0.000 |
| 0.000 | -0.000 | 0.000 | 0.000 | -3.577 | 0.000 |
| 0.000 | 0.000 | -0.000 | 0.000 | 0.000 | -3.577 |
| 29.817 | 32.409 | 32.409 | -0.000 | -0.000 | -0.000 |
| 32.409 | 29.817 | 32.409 | -0.000 | -0.000 | -0.000 |
| 32.409 | 32.409 | 29.817 | -0.000 | -0.000 | -0.000 |
| 0.000 | -0.000 | -0.000 | -3.577 | -0.000 | -0.000 |
| -0.000 | 0.000 | -0.000 | -0.000 | -3.577 | -0.000 |
| -0.000 | -0.000 | 0.000 | -0.000 | -0.000 | -3.577 |
| 29.817 | 32.409 | 32.409 | 0.000 | 0.000 | 0.000 |
| 32.409 | 29.817 | 32.409 | 0.000 | 0.000 | 0.000 |
| 32.409 | 32.409 | 29.817 | 0.000 | 0.000 | 0.000 |
| -0.000 | 0.000 | 0.000 | -3.577 | 0.000 | 0.000 |
| 0.000 | -0.000 | 0.000 | 0.000 | -3.577 | 0.000 |
| 0.000 | 0.000 | -0.000 | 0.000 | 0.000 | -3.577 |
| 29.817 | 32.409 | 32.409 | -0.000 | -0.000 | -0.000 |
| 32.409 | 29.817 | 32.409 | -0.000 | -0.000 | -0.000 |
| 32.409 | 32.409 | 29.817 | -0.000 | -0.000 | -0.000 |
| 0.000 | -0.000 | -0.000 | -3.577 | -0.000 | -0.000 |
| -0.000 | 0.000 | -0.000 | -0.000 | -3.577 | -0.000 |
| -0.000 | -0.000 | 0.000 | -0.000 | -0.000 | -3.577 |
| 455.698 | 103.449 | 103.449 | 0.000 | -0.000 | 0.000 |
| 103.448 | 455.698 | 103.449 | 0.000 | -0.000 | 0.000 |
| 103.448 | 103.449 | 455.698 | 0.000 | 0.000 | 0.000 |
| -0.000 | -0.000 | 0.000 | 46.908 | 0.000 | -0.000 |
| -0.000 | 0.000 | 0.000 | 0.000 | 46.908 | -0.000 |
| -0.000 | 0.000 | 0.000 | 0.000 | 0.000 | 46.908 |
| 455.698 | 103.448 | 103.448 | -0.000 | 0.000 | -0.000 |
| 103.448 | 455.698 | 103.448 | -0.000 | 0.000 | -0.000 |
| 103.448 | 103.448 | 455.698 | -0.000 | -0.000 | -0.000 |
| 0.000 | -0.000 | -0.000 | 46.908 | -0.000 | -0.000 |
| 0.000 | -0.000 | -0.000 | -0.000 | 46.908 | -0.000 |
| 0.000 | -0.000 | -0.000 | -0.000 | -0.000 | 46.908 |
| 458.523 | 102.036 | 102.036 | 0.000 | 0.000 | 0.000 |
| 102.036 | 458.523 | 102.036 | 0.000 | 0.000 | -0.000 |
| 102.036 | 102.036 | 458.523 | 0.000 | -0.000 | 0.000 |
| 0.000 | 0.000 | -0.000 | 46.908 | 0.000 | 0.000 |
| 0.000 | 0.000 | -0.000 | 0.000 | 46.908 | -0.000 |
| 0.000 | -0.000 | 0.000 | 0.000 | 0.000 | 46.908 |
| 458.523 | 102.036 | 102.036 | -0.000 | -0.000 | -0.000 |
| 102.036 | 458.523 | 102.036 | -0.000 | -0.000 | -0.000 |
| 102.036 | 102.036 | 458.523 | -0.000 | -0.000 | -0.000 |
| -0.000 | -0.000 | 0.000 | 46.908 | -0.000 | 0.000 |
| -0.000 | -0.000 | 0.000 | -0.000 | 46.908 | -0.000 |
| -0.000 | 0.000 | -0.000 | -0.000 | -0.000 | 46.908 |
| 455.703 | 103.450 | 103.450 | 0.000 | 0.000 | -0.000 |
| 103.450 | 455.703 | 103.450 | 0.000 | 0.000 | 0.000 |
| 103.450 | 103.450 | 455.703 | 0.000 | 0.000 | 0.000 |
| 0.000 | 0.001 | 0.001 | 4.922 | 0.000 | 0.000 |
| 0.001 | 0.000 | 0.001 | 0.000 | 4.922 | -0.000 |
| 0.001 | 0.001 | 0.000 | 0.000 | 0.000 | 4.922 |
| 455.697 | 103.448 | 103.448 | -0.000 | -0.000 | 0.000 |
| 103.448 | 455.697 | 103.448 | -0.000 | -0.000 | 0.000 |
| 103.448 | 103.448 | 455.697 | 0.000 | -0.000 | -0.000 |
| -0.000 | -0.001 | -0.001 | 4.922 | -0.000 | 0.000 |
| -0.001 | -0.000 | -0.001 | -0.000 | 4.922 | 0.000 |
| -0.001 | -0.001 | -0.000 | -0.000 | -0.000 | 4.922 |
| 7.119 | 2.190 | 2.190 | -0.000 | -0.000 | 0.000 |
| 2.190 | 7.119 | 2.190 | -0.000 | -0.000 | 0.000 |
| 2.190 | 2.190 | 7.119 | -0.000 | -0.000 | 0.000 |
| -0.000 | -0.000 | -0.000 | 2.242 | 0.000 | -0.000 |
| -0.000 | -0.000 | -0.000 | -0.000 | 2.242 | 0.000 |
| -0.000 | -0.000 | -0.000 | -0.000 | 0.000 | 2.242 |
| 7.119 | 2.190 | 2.190 | 0.000 | 0.000 | 0.000 |
| 2.190 | 7.119 | 2.190 | 0.000 | 0.000 | -0.000 |
| 2.190 | 2.190 | 7.119 | 0.000 | -0.000 | 0.000 |
| 0.000 | 0.000 | 0.000 | 2.242 | 0.000 | 0.000 |
| 0.000 | 0.000 | 0.000 | 0.000 | 2.242 | 0.000 |
| 0.000 | 0.000 | 0.000 | 0.000 | 0.000 | 2.242 |
| 6.844 | 2.328 | 2.328 | -0.000 | 0.000 | 0.000 |
| 2.545 | 6.410 | 2.545 | -0.000 | -0.000 | -0.000 |
| 2.328 | 2.328 | 6.844 | -0.000 | -0.000 | 0.000 |
| -0.000 | -0.000 | -0.000 | 2.242 | -0.000 | -0.000 |
| -0.000 | -0.000 | -0.000 | -0.000 | 2.242 | 0.000 |
| -0.000 | -0.000 | -0.000 | -0.000 | 0.000 | 2.242 |
| 7.120 | 2.191 | 2.191 | 0.000 | 0.000 | -0.000 |
| 2.191 | 7.120 | 2.191 | 0.000 | 0.000 | -0.000 |
| 2.191 | 2.191 | 7.120 | -0.000 | 0.000 | -0.000 |
| 0.000 | 0.000 | 0.000 | 2.242 | 0.000 | -0.000 |
| 0.000 | 0.000 | 0.000 | 0.000 | 2.242 | -0.000 |
| 0.000 | 0.000 | 0.000 | -0.000 | -0.000 | 2.242 |
| -1695.319 | 48449.196 | 92579.196 | -299.387 | -87.720 | 184.501 |
| 94791.126 | -14498.899 | 45425.071 | -117.567 | -464.136 | -810.314 |
| 47884.722 | 93221.969 | -7438.317 | 72.202 | 233.904 | -680.652 |
| -0.000 | -0.000 | -0.000 | 2.242 | -0.000 | -0.000 |
| -0.000 | -0.000 | -0.000 | -0.000 | 2.242 | -0.000 |
| -0.000 | -0.000 | -0.000 | -0.000 | -0.000 | 2.242 |
| -490019.002 | -22108.130 | -47153.716 | -4282.955 | 981.692 | -771.192 |
| -46727.641 | -483767.559 | -19430.623 | 1932.039 | -4755.600 | 177.550 |
| -16556.809 | -51014.084 | -483894.587 | 74.006 | -742.767 | -2842.712 |
| 0.000 | 0.000 | 0.000 | 2.242 | 0.000 | -0.000 |
| 0.000 | 0.000 | 0.000 | 0.000 | 2.242 | 0.000 |
| 0.000 | 0.000 | 0.000 | 0.000 | 0.000 | 2.242 |
| 160.207 | 186.293 | 186.293 | 0.000 | 0.000 | 0.000 |
| 186.293 | 160.207 | 186.293 | 0.000 | 0.000 | 0.000 |
| 186.293 | 186.293 | 160.207 | 0.000 | 0.000 | 0.000 |
| 0.000 | -0.000 | -0.000 | 185.358 | 0.000 | -0.000 |
| -0.000 | 0.000 | 0.000 | 0.000 | 185.358 | 0.000 |
| -0.000 | -0.000 | -0.000 | 0.000 | 0.000 | 185.358 |
| 160.207 | 186.293 | 186.293 | -0.000 | -0.000 | -0.000 |
| 186.293 | 160.207 | 186.293 | -0.000 | -0.000 | -0.000 |
| 186.293 | 186.293 | 160.207 | -0.000 | -0.000 | -0.000 |
| -0.000 | 0.000 | 0.000 | 185.358 | -0.000 | -0.000 |
| 0.000 | -0.000 | 0.000 | -0.000 | 185.358 | -0.000 |
| 0.000 | 0.000 | 0.000 | -0.000 | -0.000 | 185.358 |
| 160.208 | 186.293 | 186.293 | 0.000 | 0.000 | -0.000 |
| 186.293 | 160.208 | 186.293 | 0.000 | 0.000 | 0.000 |
| 186.293 | 186.293 | 160.208 | 0.000 | 0.000 | 0.000 |
| 0.000 | 0.000 | 0.000 | 185.358 | -0.000 | 0.000 |
| 0.000 | 0.000 | 0.000 | 0.000 | 185.358 | 0.000 |
| 0.000 | 0.000 | 0.000 | 0.000 | 0.000 | 185.358 |
| 160.207 | 186.293 | 186.293 | -0.000 | 0.000 | 0.000 |
| 186.293 | 160.207 | 186.293 | -0.000 | -0.000 | -0.000 |
| 186.293 | 186.293 | 160.207 | -0.000 | -0.000 | -0.000 |
| -0.000 | -0.000 | -0.000 | 185.358 | -0.000 | -0.000 |
| -0.000 | -0.000 | -0.000 | -0.000 | 185.358 | -0.000 |
| -0.000 | -0.000 | -0.000 | -0.000 | -0.000 | 185.358 |
| 160.209 | 186.294 | 186.294 | 0.000 | 0.000 | 0.000 |
| 186.294 | 160.209 | 186.294 | -0.000 | 0.000 | 0.000 |
| 186.294 | 186.294 | 160.209 | 0.000 | 0.000 | 0.000 |
| 0.001 | 0.000 | 0.001 | 185.358 | 0.000 | 0.000 |
| 0.000 | 0.001 | 0.001 | 0.000 | 185.358 | 0.000 |
| 0.000 | 0.001 | 0.001 | 0.000 | 0.000 | 185.358 |
| 160.206 | 186.293 | 186.293 | -0.000 | -0.000 | -0.000 |
| 186.293 | 160.206 | 186.293 | -0.000 | -0.000 | -0.000 |
| 186.293 | 186.293 | 160.206 | -0.000 | 0.000 | -0.000 |
| -0.001 | -0.000 | -0.001 | 185.358 | -0.000 | -0.000 |
| -0.000 | -0.001 | -0.001 | -0.000 | 185.358 | -0.000 |
| -0.000 | -0.001 | -0.001 | -0.000 | -0.000 | 185.358 |
| 258.272 | 133.435 | 133.435 | 0.000 | -0.000 | -0.000 |
| 133.435 | 258.272 | 133.435 | 0.000 | -0.000 | -0.000 |
| 133.435 | 133.435 | 258.272 | 0.000 | -0.000 | 0.000 |
| -0.000 | -0.000 | 0.000 | 112.063 | -0.000 | -0.000 |
| -0.000 | -0.000 | -0.000 | 0.000 | 112.063 | -0.000 |
| -0.000 | -0.000 | -0.000 | 0.000 | -0.000 | 112.063 |
| 258.272 | 133.435 | 133.435 | -0.000 | 0.000 | 0.000 |
| 133.435 | 258.272 | 133.435 | -0.000 | 0.000 | 0.000 |
| 133.435 | 133.435 | 258.272 | -0.000 | 0.000 | 0.000 |
| 0.000 | 0.000 | -0.000 | 112.063 | 0.000 | 0.000 |
| 0.000 | 0.000 | 0.000 | -0.000 | 112.063 | 0.000 |
| 0.000 | 0.000 | 0.000 | -0.000 | 0.000 | 112.063 |
| 258.272 | 133.435 | 133.435 | 0.000 | -0.000 | -0.000 |
| 133.435 | 258.272 | 133.435 | 0.000 | -0.000 | -0.000 |
| 133.435 | 133.435 | 258.272 | -0.000 | -0.000 | -0.000 |
| -0.000 | -0.000 | 0.000 | 112.063 | -0.000 | -0.000 |
| -0.000 | -0.000 | 0.000 | 0.000 | 112.063 | -0.000 |
| -0.000 | 0.000 | -0.000 | 0.000 | -0.000 | 112.063 |
| 258.272 | 133.435 | 133.435 | 0.000 | 0.000 | 0.000 |
| 133.435 | 258.272 | 133.435 | -0.000 | 0.000 | 0.000 |
| 133.435 | 133.435 | 258.272 | 0.000 | 0.000 | 0.000 |
| 0.000 | 0.000 | -0.000 | 112.063 | 0.000 | 0.000 |
| 0.000 | 0.000 | -0.000 | -0.000 | 112.063 | 0.000 |
| 0.000 | -0.000 | 0.000 | -0.000 | 0.000 | 112.063 |
| 258.272 | 133.435 | 133.435 | 0.000 | -0.000 | -0.000 |
| 133.435 | 258.272 | 133.435 | 0.000 | -0.000 | -0.000 |
| 133.435 | 133.435 | 258.272 | 0.000 | -0.000 | -0.000 |
| -0.000 | -0.000 | 0.000 | 112.063 | -0.000 | -0.000 |
| -0.000 | -0.000 | 0.000 | 0.000 | 112.063 | -0.000 |
| -0.000 | 0.000 | -0.000 | 0.000 | -0.000 | 112.063 |
| 258.272 | 133.434 | 133.434 | -0.000 | 0.000 | 0.000 |
| 133.434 | 258.272 | 133.434 | -0.000 | 0.000 | 0.000 |
| 133.434 | 133.434 | 258.272 | -0.000 | 0.000 | 0.000 |
| 0.000 | 0.000 | -0.000 | 112.063 | 0.000 | 0.000 |
| 0.000 | 0.000 | -0.000 | -0.000 | 112.063 | 0.000 |
| 0.000 | -0.000 | 0.000 | 0.000 | 0.000 | 112.063 |
| 5.418 | 2.696 | 2.696 | 0.000 | -0.000 | -0.000 |
| 2.696 | 5.418 | 2.696 | -0.000 | 0.000 | -0.000 |
| 2.696 | 2.696 | 5.418 | 0.000 | 0.000 | 0.000 |
| -0.000 | 0.000 | 0.000 | 2.961 | 0.000 | 0.000 |
| 0.000 | -0.000 | 0.000 | 0.000 | 2.961 | 0.000 |
| 0.000 | 0.000 | -0.000 | 0.000 | 0.000 | 2.961 |
| 5.418 | 2.696 | 2.696 | -0.000 | 0.000 | 0.000 |
| 2.696 | 5.418 | 2.696 | 0.000 | -0.000 | -0.000 |
| 2.696 | 2.696 | 5.418 | -0.000 | -0.000 | -0.000 |
| 0.000 | -0.000 | -0.000 | 2.961 | -0.000 | -0.000 |
| -0.000 | 0.000 | -0.000 | -0.000 | 2.961 | 0.000 |
| -0.000 | -0.000 | 0.000 | -0.000 | -0.000 | 2.961 |
| 5.418 | 2.696 | 2.696 | 0.000 | -0.000 | -0.000 |
| 2.696 | 5.418 | 2.696 | -0.000 | 0.000 | -0.000 |
| 2.696 | 2.696 | 5.418 | -0.000 | 0.000 | 0.000 |
| -0.000 | 0.000 | 0.000 | 2.961 | 0.000 | 0.000 |
| 0.000 | -0.000 | 0.000 | -0.000 | 2.961 | -0.000 |
| 0.000 | 0.000 | -0.000 | -0.000 | -0.000 | 2.961 |
| 5.418 | 2.696 | 2.696 | -0.000 | -0.000 | 0.000 |
| 2.696 | 5.418 | 2.696 | -0.000 | -0.000 | 0.000 |
| 2.696 | 2.696 | 5.418 | 0.000 | 0.000 | -0.000 |
| 0.000 | -0.000 | -0.000 | 2.961 | -0.000 | -0.000 |
| -0.000 | 0.000 | -0.000 | 0.000 | 2.961 | 0.000 |
| -0.000 | -0.000 | 0.000 | 0.000 | -0.000 | 2.961 |
| 5.418 | 2.696 | 2.696 | 0.000 | 0.000 | -0.000 |
| 2.696 | 5.418 | 2.696 | 0.000 | 0.000 | -0.000 |
| 2.696 | 2.696 | 5.418 | 0.000 | 0.000 | 0.000 |
| -0.000 | 0.000 | 0.000 | 2.961 | 0.000 | -0.000 |
| 0.000 | -0.000 | 0.000 | 0.000 | 2.961 | 0.000 |
| 0.000 | 0.000 | -0.000 | 0.000 | 0.000 | 2.961 |
| 5.418 | 2.696 | 2.696 | -0.000 | -0.000 | 0.000 |
| 2.696 | 5.418 | 2.696 | -0.000 | -0.000 | 0.000 |
| 2.696 | 2.696 | 5.418 | -0.000 | -0.000 | -0.000 |
| 0.000 | -0.000 | -0.000 | 2.961 | -0.000 | -0.000 |
| -0.000 | 0.000 | -0.000 | -0.000 | 2.961 | 0.000 |
| -0.000 | -0.000 | 0.000 | -0.000 | 0.000 | 2.961 |
| 274.493 | 148.698 | 140.646 | 0.000 | 0.000 | 0.000 |
| 148.698 | 274.493 | 140.646 | 0.000 | 0.000 | 0.000 |
| 140.646 | 140.646 | 266.073 | 0.000 | 0.000 | -0.000 |
| -0.000 | -0.000 | 0.000 | 117.409 | 0.000 | -0.000 |
| -0.000 | -0.000 | 0.000 | -0.000 | 117.409 | -0.000 |
| -0.000 | -0.000 | -0.000 | 0.000 | 0.000 | 115.934 |
| 276.369 | 146.823 | 140.646 | -0.000 | -0.000 | -0.000 |
| 146.823 | 276.369 | 140.646 | -0.000 | -0.000 | 0.000 |
| 140.646 | 140.646 | 266.073 | -0.000 | -0.000 | 0.000 |
| 0.000 | 0.000 | -0.000 | 117.409 | -0.000 | 0.000 |
| 0.000 | 0.000 | -0.000 | -0.000 | 117.409 | 0.000 |
| 0.000 | 0.000 | -0.000 | -0.000 | -0.000 | 115.934 |
| 274.493 | 148.698 | 140.646 | 0.000 | 0.000 | -0.000 |
| 148.698 | 274.493 | 140.646 | -0.000 | 0.000 | -0.000 |
| 140.646 | 140.646 | 266.073 | 0.000 | 0.000 | 0.000 |
| -0.000 | -0.000 | 0.000 | 117.409 | 0.000 | -0.000 |
| -0.000 | -0.000 | 0.000 | 0.000 | 117.409 | -0.000 |
| -0.000 | 0.000 | -0.000 | 0.000 | 0.000 | 115.934 |
| 274.493 | 148.698 | 140.646 | -0.000 | -0.000 | 0.000 |
| 148.698 | 274.493 | 140.646 | -0.000 | -0.000 | 0.000 |
| 140.646 | 140.646 | 266.073 | 0.000 | -0.000 | 0.000 |
| 0.000 | 0.000 | -0.000 | 117.409 | -0.000 | 0.000 |
| 0.000 | 0.000 | -0.000 | -0.000 | 117.409 | 0.000 |
| 0.000 | -0.000 | 0.000 | -0.000 | -0.000 | 115.934 |
| 274.493 | 148.698 | 140.646 | -0.000 | 0.000 | -0.000 |
| 148.698 | 274.493 | 140.646 | 0.000 | -0.000 | -0.000 |
| 140.646 | 140.646 | 266.073 | -0.000 | 0.000 | -0.000 |
| -0.000 | -0.000 | 0.000 | 116.217 | 0.000 | -0.000 |
| -0.000 | -0.000 | 0.000 | -0.000 | 116.217 | -0.000 |
| -0.000 | 0.000 | -0.000 | 0.000 | 0.000 | 115.934 |
| 274.493 | 148.698 | 140.646 | -0.000 | -0.000 | 0.000 |
| 148.698 | 274.493 | 140.646 | -0.000 | -0.000 | 0.000 |
| 140.646 | 140.646 | 266.073 | -0.000 | -0.000 | 0.000 |
| 0.000 | 0.000 | -0.000 | 116.217 | -0.000 | 0.000 |
| 0.000 | 0.000 | -0.000 | 0.000 | 116.217 | 0.000 |
| 0.000 | -0.000 | 0.000 | -0.000 | -0.000 | 115.934 |
| 249.752 | 85.330 | 109.307 | 0.000 | 0.000 | -0.000 |
| 100.417 | 291.852 | 179.352 | -0.000 | 0.000 | -0.000 |
| 92.484 | 129.437 | 343.599 | 0.000 | 0.000 | -0.000 |
| 0.000 | 0.000 | 0.000 | 103.052 | -0.000 | 0.000 |
| 11.221 | -24.545 | 40.028 | 0.000 | 53.587 | -0.000 |
| 11.914 | -2.851 | 28.116 | -0.000 | -0.000 | 56.903 |
| 225.764 | 116.500 | 34.544 | 0.000 | 0.000 | 0.000 |
| 77.624 | 326.822 | 106.600 | -0.000 | 0.000 | 0.000 |
| 82.018 | 130.402 | 324.844 | -0.000 | 0.000 | 0.000 |
| -0.000 | -0.000 | -0.000 | 103.052 | -0.000 | 0.000 |
| -11.221 | 24.545 | -40.028 | 0.000 | 53.587 | 0.000 |
| -11.914 | 2.851 | -28.116 | 0.000 | -0.000 | 56.903 |
| 238.738 | 87.685 | 83.966 | -0.000 | -0.000 | -0.000 |
| 90.467 | 313.378 | 145.590 | -0.000 | 0.000 | -0.000 |
| 81.780 | 137.555 | 310.406 | 0.000 | 0.000 | -0.000 |
| 2.057 | -0.492 | 4.855 | 92.244 | 0.000 | 0.000 |
| -0.000 | -0.000 | -0.000 | 0.000 | 55.781 | -0.000 |
| 1.213 | -0.290 | 2.863 | -0.000 | 0.000 | 56.901 |
| 236.629 | 88.558 | 78.134 | -0.000 | -0.000 | -0.000 |
| 87.089 | 323.765 | 129.399 | 0.000 | -0.000 | 0.000 |
| 78.873 | 133.110 | 309.871 | -0.000 | 0.000 | 0.000 |
| -2.057 | 0.492 | -4.855 | 92.244 | -0.000 | 0.000 |
| 0.000 | 0.000 | 0.000 | -0.000 | 55.781 | 0.000 |
| -1.213 | 0.290 | -2.863 | 0.000 | -0.000 | 56.901 |
| 237.814 | 88.614 | 80.984 | -0.000 | -0.000 | -0.000 |
| 88.137 | 318.256 | 134.936 | -0.000 | -0.000 | 0.000 |
| 82.018 | 130.403 | 324.846 | 0.000 | -0.000 | -0.000 |
| 0.058 | -0.351 | 0.347 | 86.291 | -0.000 | -0.000 |
| 0.117 | -0.305 | 0.448 | -0.000 | 53.177 | -0.000 |
| 0.160 | -0.038 | 0.376 | -0.000 | -0.000 | 56.864 |
| 237.558 | 89.459 | 79.617 | 0.000 | 0.000 | 0.000 |
| 88.836 | 328.712 | 130.396 | -0.000 | -0.000 | 0.000 |
| 79.958 | 133.133 | 311.336 | -0.000 | -0.000 | 0.000 |
| -0.058 | 0.351 | -0.347 | 86.291 | -0.000 | -0.000 |
| -0.117 | 0.305 | -0.448 | 0.000 | 53.177 | 0.000 |
| -0.160 | 0.038 | -0.376 | 0.000 | 0.000 | 56.864 |
| 874.153 | 669.539 | 1226.442 | 25.981 | -0.000 | -0.000 |
| 139.395 | 344.094 | 121.329 | -25.966 | 0.000 | -0.000 |
| 121.381 | 121.381 | 363.399 | -0.000 | 0.000 | -0.000 |
| 558.402 | 506.440 | 1109.948 | 83.604 | 0.000 | -0.000 |
| 532.421 | 532.421 | 1109.948 | -0.000 | 83.604 | 25.981 |
| 532.421 | 532.421 | 1109.948 | 0.000 | 25.981 | 102.307 |
| 344.094 | 139.395 | 121.329 | 25.966 | 0.000 | -0.000 |
| 139.395 | 344.094 | 121.329 | -25.966 | -0.000 | -0.000 |
| -415.874 | -415.874 | -756.628 | 0.000 | -0.000 | -0.000 |
| 25.966 | -25.966 | -0.000 | 83.610 | -0.000 | -0.000 |
| -532.421 | -532.421 | -1109.948 | 0.000 | 83.604 | 25.981 |
| -532.421 | -532.421 | -1109.948 | -0.000 | 25.981 | 102.307 |
| 394.976 | 190.362 | 227.492 | 25.981 | 0.000 | -0.000 |
| 190.362 | 394.976 | 227.492 | -25.981 | 0.000 | 0.000 |
| 121.381 | 121.381 | 363.399 | -0.000 | 0.000 | -0.000 |
| 25.966 | -25.966 | 0.000 | 83.610 | 0.000 | -0.000 |
| -0.000 | -0.000 | 0.000 | 0.000 | 83.610 | 25.966 |
| -0.000 | 0.000 | -0.000 | 0.000 | 25.966 | 102.350 |
| 344.094 | 139.395 | 121.329 | 25.966 | -0.000 | 0.000 |
| 139.395 | 344.094 | 121.329 | -25.966 | -0.000 | -0.000 |
| 121.381 | 121.381 | 363.399 | 0.000 | -0.000 | 0.000 |
| 25.966 | -25.966 | -0.000 | 83.610 | 0.000 | 0.000 |
| 0.000 | 0.000 | -0.000 | -0.000 | 83.610 | 25.966 |
| 0.000 | -0.000 | 0.000 | -0.000 | 25.966 | 102.350 |
| 346.907 | 142.593 | 127.594 | 26.034 | 0.000 | -0.000 |
| 139.395 | 344.094 | 121.329 | -25.966 | 0.000 | -0.000 |
| 121.871 | 121.871 | 364.419 | -0.000 | 0.000 | -0.000 |
| 31.359 | -20.710 | 11.100 | 83.585 | 0.000 | 0.000 |
| 5.326 | 5.326 | 11.103 | 0.000 | 83.604 | 25.981 |
| 5.324 | 5.324 | 11.099 | 0.000 | 26.034 | 102.157 |
| 344.093 | 139.394 | 121.329 | 25.966 | -0.000 | 0.000 |
| 131.944 | 336.257 | 105.395 | -26.034 | -0.000 | -0.000 |
| 111.222 | 111.222 | 342.219 | -0.000 | -0.000 | 0.000 |
| 25.966 | -25.965 | -0.000 | 83.610 | -0.000 | 0.000 |
| -5.326 | -5.326 | -11.103 | -0.000 | 83.604 | 25.981 |
| -5.324 | -5.324 | -11.099 | -0.000 | 26.034 | 102.157 |
| 324.771 | 133.446 | 91.348 | 0.000 | 0.000 | 0.000 |
| 133.446 | 324.771 | 91.348 | 0.000 | 0.000 | 0.000 |
| 88.360 | 88.360 | 238.741 | 0.000 | 0.000 | -0.000 |
| -0.000 | 0.000 | -0.000 | 55.814 | 0.000 | -0.000 |
| -1.679 | -1.679 | -1.879 | 0.000 | 54.196 | -0.000 |
| -0.969 | -0.969 | -1.084 | 0.000 | 0.000 | 82.028 |
| 310.193 | 146.138 | 90.293 | -0.000 | -0.000 | 0.000 |
| 142.180 | 311.384 | 88.744 | -0.000 | -0.000 | 0.000 |
| 90.178 | 90.178 | 240.776 | -0.000 | -0.000 | -0.000 |
| 0.000 | -0.000 | 0.000 | 55.814 | -0.000 | 0.000 |
| 1.679 | 1.679 | 1.879 | -0.000 | 54.196 | 0.000 |
| 0.969 | 0.969 | 1.084 | -0.000 | -0.000 | 82.028 |
| 324.771 | 133.446 | 91.348 | 0.000 | 0.000 | -0.000 |
| 133.446 | 324.771 | 91.348 | 0.000 | 0.000 | -0.000 |
| 89.178 | 89.178 | 239.657 | 0.000 | 0.000 | 0.000 |
| -0.299 | -0.299 | -0.335 | 52.929 | 0.000 | 0.000 |
| -0.000 | -0.000 | -0.000 | 0.000 | 55.814 | 0.000 |
| -0.123 | -0.123 | -0.138 | 0.000 | 0.000 | 81.989 |
| 324.771 | 133.446 | 91.348 | -0.000 | -0.000 | 0.000 |
| 138.379 | 313.108 | 87.582 | -0.000 | -0.000 | 0.000 |
| 89.360 | 89.360 | 239.860 | -0.000 | -0.000 | -0.000 |
| 0.299 | 0.299 | 0.335 | 52.929 | -0.000 | 0.000 |
| 0.000 | 0.000 | 0.000 | -0.000 | 55.814 | 0.000 |
| 0.123 | 0.123 | 0.138 | -0.000 | -0.000 | 81.989 |
| 324.772 | 133.446 | 91.348 | 0.000 | 0.000 | -0.000 |
| 138.034 | 313.277 | 87.484 | 0.000 | 0.000 | -0.000 |
| 91.273 | 91.273 | 242.000 | 0.000 | 0.000 | -0.000 |
| -0.009 | -0.009 | -0.010 | 52.894 | 0.000 | 0.000 |
| -0.000 | -0.000 | -0.000 | 0.000 | 55.814 | -0.000 |
| -0.013 | -0.012 | -0.014 | 0.000 | 0.000 | 81.987 |
| 324.770 | 133.446 | 91.348 | -0.000 | -0.000 | -0.000 |
| 145.257 | 309.326 | 89.315 | -0.000 | -0.000 | 0.000 |
| 91.273 | 91.273 | 242.002 | -0.000 | -0.000 | -0.000 |
| 0.009 | 0.009 | 0.010 | 52.894 | -0.000 | 0.000 |
| 0.000 | 0.000 | 0.000 | -0.000 | 55.814 | 0.000 |
| 0.013 | 0.012 | 0.014 | -0.000 | -0.000 | 81.987 |
| 247.992 | 147.877 | 147.877 | 0.000 | -0.000 | -0.000 |
| 147.877 | 247.992 | 147.877 | -0.000 | 0.000 | -0.000 |
| 147.877 | 147.877 | 247.992 | 0.000 | 0.000 | -0.000 |
| 0.000 | 0.000 | 0.000 | 125.044 | 0.000 | -0.000 |
| 0.000 | 0.000 | 0.000 | 0.000 | 125.044 | -0.000 |
| 0.000 | 0.000 | 0.000 | 0.000 | -0.000 | 125.044 |
| 247.992 | 147.877 | 147.877 | -0.000 | -0.000 | -0.000 |
| 147.877 | 247.992 | 147.877 | -0.000 | -0.000 | 0.000 |
| 147.877 | 147.877 | 247.992 | -0.000 | -0.000 | 0.000 |
| -0.000 | -0.000 | -0.000 | 125.044 | -0.000 | 0.000 |
| -0.000 | -0.000 | -0.000 | -0.000 | 125.044 | 0.000 |
| -0.000 | -0.000 | -0.000 | -0.000 | 0.000 | 125.044 |
| 247.991 | 147.877 | 147.877 | 0.000 | -0.000 | -0.000 |
| 147.877 | 247.991 | 147.877 | -0.000 | 0.000 | -0.000 |
| 147.877 | 147.877 | 247.991 | 0.000 | 0.000 | -0.000 |
| -0.000 | -0.000 | 0.000 | 125.044 | 0.000 | -0.000 |
| -0.000 | -0.000 | 0.000 | 0.000 | 125.044 | -0.000 |
| -0.000 | 0.000 | -0.000 | 0.000 | -0.000 | 125.044 |
| 247.992 | 147.877 | 147.877 | -0.000 | -0.000 | 0.000 |
| 147.877 | 247.992 | 147.877 | -0.000 | -0.000 | 0.000 |
| 147.877 | 147.877 | 247.992 | -0.000 | -0.000 | 0.000 |
| 0.000 | 0.000 | -0.000 | 125.044 | -0.000 | 0.000 |
| 0.000 | 0.000 | -0.000 | -0.000 | 125.044 | 0.000 |
| 0.000 | -0.000 | 0.000 | -0.000 | 0.000 | 125.044 |
| 247.989 | 147.877 | 147.877 | 0.000 | -0.000 | -0.000 |
| 147.877 | 247.989 | 147.877 | -0.000 | 0.000 | -0.000 |
| 147.877 | 147.877 | 247.989 | 0.000 | 0.000 | -0.000 |
| -0.000 | -0.000 | 0.000 | 125.044 | 0.000 | -0.000 |
| -0.000 | -0.000 | 0.000 | 0.000 | 125.044 | -0.000 |
| -0.000 | 0.000 | -0.000 | 0.000 | -0.000 | 125.044 |
| 247.994 | 147.876 | 147.876 | -0.000 | -0.000 | 0.000 |
| 147.876 | 247.994 | 147.876 | 0.000 | -0.000 | -0.000 |
| 147.876 | 147.876 | 247.994 | -0.000 | -0.000 | 0.000 |
| 0.000 | 0.000 | -0.000 | 125.044 | -0.000 | 0.000 |
| 0.000 | 0.000 | -0.000 | -0.000 | 125.044 | 0.000 |
| 0.000 | -0.000 | 0.000 | -0.000 | 0.000 | 125.044 |
| 3.095 | 1.548 | 1.548 | -0.000 | 0.000 | 0.000 |
| 1.548 | 3.095 | 1.548 | 0.000 | -0.000 | 0.000 |
| 1.548 | 1.548 | 3.095 | 0.000 | 0.000 | -0.000 |
| -0.000 | 0.000 | 0.000 | 1.548 | -0.000 | -0.000 |
| 0.000 | -0.000 | 0.000 | -0.000 | 1.548 | -0.000 |
| 0.000 | 0.000 | -0.000 | -0.000 | -0.000 | 1.548 |
| 3.095 | 1.548 | 1.548 | 0.000 | 0.000 | 0.000 |
| 1.548 | 3.095 | 1.548 | 0.000 | 0.000 | 0.000 |
| 1.548 | 1.548 | 3.095 | 0.000 | 0.000 | 0.000 |
| 0.000 | -0.000 | -0.000 | 1.548 | 0.000 | -0.000 |
| -0.000 | 0.000 | -0.000 | 0.000 | 1.548 | 0.000 |
| -0.000 | -0.000 | 0.000 | 0.000 | 0.000 | 1.548 |
| 3.095 | 1.548 | 1.548 | -0.000 | -0.000 | -0.000 |
| 1.548 | 3.095 | 1.548 | -0.000 | 0.000 | -0.000 |
| 1.548 | 1.548 | 3.095 | -0.000 | -0.000 | -0.000 |
| -0.000 | 0.000 | 0.000 | 1.548 | -0.000 | 0.000 |
| 0.000 | -0.000 | 0.000 | -0.000 | 1.548 | -0.000 |
| 0.000 | 0.000 | -0.000 | -0.000 | -0.000 | 1.548 |
| 3.095 | 1.548 | 1.548 | 0.000 | -0.000 | -0.000 |
| 1.548 | 3.095 | 1.548 | -0.000 | 0.000 | 0.000 |
| 1.548 | 1.548 | 3.095 | 0.000 | 0.000 | 0.000 |
| 0.000 | -0.000 | -0.000 | 1.548 | 0.000 | -0.000 |
| -0.000 | 0.000 | -0.000 | 0.000 | 1.548 | -0.000 |
| -0.000 | -0.000 | 0.000 | 0.000 | -0.000 | 1.548 |
| 3.096 | 1.548 | 1.548 | -0.000 | -0.000 | -0.000 |
| 1.548 | 3.096 | 1.548 | -0.000 | -0.000 | -0.000 |
| 1.548 | 1.548 | 3.096 | -0.000 | -0.000 | -0.000 |
| -0.000 | 0.000 | 0.000 | 1.548 | -0.000 | -0.000 |
| 0.000 | -0.000 | 0.000 | -0.000 | 1.548 | -0.000 |
| 0.000 | 0.000 | -0.000 | -0.000 | -0.000 | 1.548 |
| 3.095 | 1.548 | 1.548 | 0.000 | 0.000 | 0.000 |
| 1.548 | 3.095 | 1.548 | 0.000 | 0.000 | 0.000 |
| 1.548 | 1.548 | 3.095 | 0.000 | 0.000 | 0.000 |
| 0.000 | -0.000 | -0.000 | 1.548 | 0.000 | 0.000 |
| -0.000 | 0.000 | -0.000 | 0.000 | 1.548 | 0.000 |
| -0.000 | -0.000 | 0.000 | 0.000 | 0.000 | 1.548 |
| 482.683 | 104.730 | 104.730 | 0.000 | -0.000 | 0.000 |
| 104.730 | 482.683 | 104.730 | -0.000 | 0.000 | 0.000 |
| 104.730 | 104.730 | 482.683 | -0.000 | 0.000 | -0.000 |
| 0.000 | 0.000 | 0.000 | 68.307 | 0.000 | -0.000 |
| -0.000 | -0.000 | -0.000 | 0.000 | 68.307 | -0.000 |
| 0.000 | -0.000 | 0.000 | -0.000 | 0.000 | 68.307 |
| 482.683 | 104.730 | 104.730 | 0.000 | -0.000 | 0.000 |
| 104.730 | 482.683 | 104.730 | -0.000 | -0.000 | 0.000 |
| 104.730 | 104.730 | 482.683 | -0.000 | -0.000 | -0.000 |
| -0.000 | -0.000 | -0.000 | 68.307 | -0.000 | 0.000 |
| -0.000 | 0.000 | -0.000 | -0.000 | 68.307 | 0.000 |
| -0.000 | -0.000 | -0.000 | -0.000 | -0.000 | 68.307 |
| 481.617 | 105.264 | 105.264 | -0.000 | -0.000 | 0.000 |
| 105.264 | 481.617 | 105.264 | -0.000 | 0.000 | -0.000 |
| 105.264 | 105.264 | 481.617 | -0.000 | -0.000 | -0.000 |
| 0.000 | 0.000 | -0.000 | 49.969 | 0.000 | -0.000 |
| 0.000 | 0.000 | -0.000 | 0.000 | 49.969 | 0.000 |
| 0.000 | -0.000 | 0.000 | -0.000 | 0.000 | 49.969 |
| 482.683 | 104.730 | 104.730 | -0.000 | -0.000 | 0.000 |
| 104.730 | 482.683 | 104.730 | 0.000 | -0.000 | -0.000 |
| 104.730 | 104.730 | 482.683 | 0.000 | -0.000 | 0.000 |
| -0.000 | -0.000 | 0.000 | 49.969 | -0.000 | -0.000 |
| -0.000 | -0.000 | 0.000 | 0.000 | 49.969 | 0.000 |
| -0.000 | 0.000 | -0.000 | 0.000 | -0.000 | 49.969 |
| 482.684 | 104.731 | 104.731 | -0.000 | 0.000 | -0.000 |
| 104.731 | 482.684 | 104.731 | 0.000 | -0.000 | -0.000 |
| 104.731 | 104.731 | 482.684 | -0.000 | -0.000 | 0.000 |
| 0.000 | 0.000 | -0.000 | 68.307 | 0.000 | 0.000 |
| 0.000 | 0.000 | -0.000 | -0.000 | 68.307 | -0.000 |
| 0.000 | -0.000 | 0.000 | -0.000 | 0.000 | 68.307 |
| 481.615 | 105.263 | 105.263 | -0.000 | -0.000 | -0.000 |
| 105.263 | 481.615 | 105.263 | 0.000 | -0.000 | 0.000 |
| 105.263 | 105.263 | 481.615 | 0.000 | 0.000 | 0.000 |
| -0.000 | -0.000 | 0.000 | 68.307 | -0.000 | -0.000 |
| -0.000 | -0.000 | 0.000 | 0.000 | 68.307 | 0.000 |
| -0.000 | 0.000 | -0.000 | 0.000 | -0.000 | 68.307 |
| 2.521 | 1.345 | 1.345 | -0.000 | 0.000 | 0.000 |
| 1.345 | 2.521 | 1.345 | 0.000 | 0.000 | 0.000 |
| 1.345 | 1.345 | 2.521 | 0.000 | 0.000 | -0.000 |
| -0.000 | -0.000 | -0.000 | 1.344 | -0.000 | -0.000 |
| -0.000 | -0.000 | -0.000 | -0.000 | 1.344 | -0.000 |
| -0.000 | -0.000 | -0.000 | -0.000 | -0.000 | 1.344 |
| 2.519 | 1.346 | 1.346 | 0.000 | 0.000 | 0.000 |
| 1.346 | 2.519 | 1.346 | 0.000 | -0.000 | 0.000 |
| 1.346 | 1.346 | 2.519 | 0.000 | 0.000 | 0.000 |
| 0.000 | 0.000 | 0.000 | 1.344 | -0.000 | -0.000 |
| 0.000 | 0.000 | 0.000 | -0.000 | 1.344 | 0.000 |
| 0.000 | 0.000 | 0.000 | 0.000 | 0.000 | 1.344 |
| 2.519 | 1.346 | 1.346 | -0.000 | -0.000 | -0.000 |
| 1.346 | 2.519 | 1.346 | -0.000 | -0.000 | -0.000 |
| 1.346 | 1.346 | 2.519 | -0.000 | 0.000 | 0.000 |
| -0.000 | -0.000 | -0.000 | 1.344 | -0.000 | -0.000 |
| -0.000 | -0.000 | -0.000 | -0.000 | 1.344 | -0.000 |
| -0.000 | -0.000 | -0.000 | -0.000 | -0.000 | 1.344 |
| 2.521 | 1.345 | 1.345 | 0.000 | -0.000 | -0.000 |
| 1.345 | 2.521 | 1.345 | -0.000 | 0.000 | 0.000 |
| 1.345 | 1.345 | 2.521 | 0.000 | 0.000 | 0.000 |
| 0.000 | 0.000 | 0.000 | 1.344 | 0.000 | 0.000 |
| 0.000 | 0.000 | 0.000 | 0.000 | 1.344 | 0.000 |
| 0.000 | 0.000 | 0.000 | 0.000 | 0.000 | 1.344 |
| -52484.584 | -152889.676 | -109214.979 | 1778.342 | -1623.547 | 3546.188 |
| -111767.660 | -53607.059 | -166370.435 | 4882.604 | 367.967 | -9727.454 |
| -155254.700 | -122371.842 | -53573.854 | -3952.448 | 7785.675 | 3213.295 |
| -0.000 | -0.000 | -0.000 | 1.342 | -0.000 | -0.000 |
| -0.000 | -0.000 | -0.000 | -0.000 | 1.342 | -0.000 |
| -0.000 | -0.000 | -0.000 | 0.000 | -0.000 | 1.342 |
| 89599.262 | 96007.553 | 123100.558 | -4859.793 | -1459.435 | -1117.204 |
| 135733.217 | 97030.136 | 94898.740 | -1940.203 | -531.142 | 7363.654 |
| 99862.774 | 128620.652 | 92034.511 | 3553.016 | 2031.981 | 4227.890 |
| 0.000 | 0.000 | 0.000 | 1.342 | 0.000 | 0.000 |
| 0.000 | 0.000 | 0.000 | 0.000 | 1.342 | 0.000 |
| 0.000 | 0.000 | 0.000 | 0.000 | 0.000 | 1.342 |
| 112.175 | 153.718 | 153.718 | 0.000 | -0.000 | 0.000 |
| 153.718 | 112.175 | 153.718 | 0.000 | -0.000 | 0.000 |
| 153.718 | 153.718 | 112.175 | -0.000 | 0.000 | 0.000 |
| 0.000 | -0.000 | 0.000 | 161.787 | 0.000 | 0.000 |
| 0.000 | 0.000 | 0.000 | 0.000 | 161.787 | 0.000 |
| -0.000 | 0.000 | 0.000 | 0.000 | -0.000 | 161.787 |
| 112.175 | 153.718 | 153.718 | -0.000 | 0.000 | -0.000 |
| 153.718 | 112.175 | 153.718 | -0.000 | 0.000 | -0.000 |
| 153.718 | 153.718 | 112.175 | -0.000 | 0.000 | -0.000 |
| -0.000 | 0.000 | -0.000 | 161.787 | -0.000 | -0.000 |
| -0.000 | -0.000 | -0.000 | -0.000 | 161.787 | -0.000 |
| 0.000 | -0.000 | -0.000 | -0.000 | 0.000 | 161.787 |
| 112.175 | 153.718 | 153.718 | 0.000 | 0.000 | 0.000 |
| 153.718 | 112.175 | 153.718 | 0.000 | -0.000 | 0.000 |
| 153.718 | 153.718 | 112.175 | -0.000 | 0.000 | 0.000 |
| 0.000 | 0.000 | 0.000 | 161.787 | 0.000 | -0.000 |
| 0.000 | 0.000 | 0.000 | 0.000 | 161.787 | 0.000 |
| 0.000 | 0.000 | 0.000 | 0.000 | -0.000 | 161.787 |
| 112.175 | 153.718 | 153.718 | -0.000 | 0.000 | -0.000 |
| 153.718 | 112.175 | 153.718 | -0.000 | 0.000 | -0.000 |
| 153.718 | 153.718 | 112.175 | -0.000 | -0.000 | -0.000 |
| -0.000 | -0.000 | -0.000 | 161.787 | -0.000 | -0.000 |
| -0.000 | -0.000 | -0.000 | -0.000 | 161.787 | -0.000 |
| -0.000 | -0.000 | -0.000 | -0.000 | 0.000 | 161.787 |
| 112.176 | 153.718 | 153.718 | 0.000 | 0.000 | 0.000 |
| 153.718 | 112.176 | 153.718 | 0.000 | -0.000 | 0.000 |
| 153.718 | 153.718 | 112.176 | -0.000 | 0.000 | -0.000 |
| 0.001 | 0.000 | 0.001 | 161.787 | -0.000 | -0.000 |
| 0.000 | 0.001 | 0.001 | 0.000 | 161.787 | 0.000 |
| 0.000 | 0.001 | 0.001 | 0.000 | -0.000 | 161.787 |
| 112.175 | 153.718 | 153.718 | -0.000 | 0.000 | -0.000 |
| 153.718 | 112.175 | 153.718 | -0.000 | -0.000 | -0.000 |
| 153.718 | 153.718 | 112.175 | 0.000 | 0.000 | -0.000 |
| -0.001 | -0.000 | -0.001 | 161.787 | 0.000 | -0.000 |
| -0.000 | -0.001 | -0.001 | -0.000 | 161.787 | -0.000 |
| -0.000 | -0.001 | -0.001 | -0.000 | -0.000 | 161.787 |
| 1.264 | 1.264 | 1.264 | -0.000 | 0.000 | -0.000 |
| 1.264 | 1.264 | 1.264 | 0.000 | -0.000 | -0.000 |
| 1.264 | 1.264 | 1.264 | -0.000 | -0.000 | -0.000 |
| 0.000 | 0.000 | 0.000 | 1.264 | -0.000 | -0.000 |
| 0.000 | 0.000 | 0.000 | -0.000 | 1.264 | -0.000 |
| 0.000 | 0.000 | 0.000 | -0.000 | -0.000 | 1.264 |
| 1.264 | 1.264 | 1.264 | 0.000 | 0.000 | 0.000 |
| 1.264 | 1.264 | 1.264 | 0.000 | 0.000 | 0.000 |
| 1.264 | 1.264 | 1.264 | 0.000 | 0.000 | 0.000 |
| -0.000 | -0.000 | -0.000 | 1.264 | 0.000 | 0.000 |
| -0.000 | -0.000 | -0.000 | 0.000 | 1.264 | 0.000 |
| -0.000 | -0.000 | -0.000 | 0.000 | 0.000 | 1.264 |
| 1.264 | 1.264 | 1.264 | -0.000 | 0.000 | -0.000 |
| 1.264 | 1.264 | 1.264 | 0.000 | -0.000 | -0.000 |
| 1.264 | 1.264 | 1.264 | -0.000 | -0.000 | -0.000 |
| 0.000 | 0.000 | 0.000 | 1.264 | -0.000 | -0.000 |
| 0.000 | 0.000 | 0.000 | -0.000 | 1.264 | -0.000 |
| 0.000 | 0.000 | 0.000 | -0.000 | -0.000 | 1.264 |
| 1.264 | 1.264 | 1.264 | 0.000 | 0.000 | 0.000 |
| 1.264 | 1.264 | 1.264 | 0.000 | 0.000 | 0.000 |
| 1.264 | 1.264 | 1.264 | 0.000 | 0.000 | 0.000 |
| -0.000 | -0.000 | -0.000 | 1.264 | 0.000 | 0.000 |
| -0.000 | -0.000 | -0.000 | 0.000 | 1.264 | 0.000 |
| -0.000 | -0.000 | -0.000 | 0.000 | 0.000 | 1.264 |
| 1.264 | 1.264 | 1.264 | -0.000 | -0.000 | -0.000 |
| 1.264 | 1.264 | 1.264 | -0.000 | -0.000 | -0.000 |
| 1.264 | 1.264 | 1.264 | -0.000 | -0.000 | -0.000 |
| 0.000 | 0.000 | 0.000 | 1.264 | -0.000 | -0.000 |
| 0.000 | 0.000 | 0.000 | -0.000 | 1.264 | -0.000 |
| 0.000 | 0.000 | 0.000 | -0.000 | -0.000 | 1.264 |
| 1.264 | 1.264 | 1.264 | 0.000 | 0.000 | 0.000 |
| 1.264 | 1.264 | 1.264 | 0.000 | 0.000 | 0.000 |
| 1.264 | 1.264 | 1.264 | 0.000 | 0.000 | 0.000 |
| -0.000 | -0.000 | -0.000 | 1.264 | 0.000 | 0.000 |
| -0.000 | -0.000 | -0.000 | 0.000 | 1.264 | 0.000 |
| -0.000 | -0.000 | -0.000 | 0.000 | 0.000 | 1.264 |
| 325.342 | 121.193 | 80.561 | 0.000 | 0.000 | 0.000 |
| 143.753 | 302.782 | 80.561 | 0.000 | 0.000 | 0.000 |
| 80.561 | 80.561 | 259.797 | -0.000 | -0.000 | 0.000 |
| -0.000 | -0.000 | 0.000 | 61.722 | 0.000 | -0.000 |
| 0.000 | 0.000 | 0.000 | 0.000 | 61.722 | 0.000 |
| 0.000 | 0.000 | -0.000 | 0.000 | 0.000 | 102.075 |
| 325.342 | 121.193 | 80.561 | 0.000 | -0.000 | -0.000 |
| 143.753 | 302.782 | 80.561 | -0.000 | -0.000 | -0.000 |
| 80.561 | 80.561 | 259.797 | -0.000 | -0.000 | -0.000 |
| -0.000 | 0.000 | -0.000 | 61.722 | -0.000 | -0.000 |
| 0.000 | -0.000 | -0.000 | -0.000 | 61.722 | -0.000 |
| -0.000 | -0.000 | 0.000 | -0.000 | -0.000 | 102.075 |
| 302.783 | 143.753 | 80.560 | 0.000 | 0.000 | 0.000 |
| 143.753 | 302.783 | 80.560 | 0.000 | 0.000 | 0.000 |
| 80.561 | 80.561 | 259.797 | 0.000 | 0.000 | 0.000 |
| 0.000 | -0.000 | 0.000 | 61.722 | 0.000 | -0.000 |
| -0.000 | 0.000 | 0.000 | 0.000 | 61.722 | 0.000 |
| 0.000 | 0.000 | -0.000 | -0.000 | 0.000 | 102.075 |
| 325.342 | 121.193 | 80.561 | -0.000 | -0.000 | -0.000 |
| 121.193 | 325.342 | 80.561 | -0.000 | -0.000 | -0.000 |
| 80.560 | 80.560 | 259.797 | -0.000 | -0.000 | -0.000 |
| -0.000 | 0.000 | -0.000 | 61.722 | 0.000 | -0.000 |
| 0.000 | -0.000 | -0.000 | -0.000 | 61.722 | -0.000 |
| -0.000 | -0.000 | 0.000 | -0.000 | -0.000 | 102.075 |
| 325.346 | 121.193 | 80.560 | -0.000 | 0.000 | 0.000 |
| 143.754 | 302.784 | 80.560 | 0.000 | 0.000 | 0.000 |
| 80.561 | 80.561 | 259.799 | 0.000 | 0.000 | 0.000 |
| -0.000 | -0.000 | 0.001 | 61.722 | 0.000 | 0.000 |
| -0.000 | 0.000 | 0.001 | -0.000 | 61.722 | 0.000 |
| -0.001 | 0.001 | -0.000 | 0.000 | 0.000 | 79.515 |
| 302.780 | 143.753 | 80.561 | -0.000 | -0.000 | -0.000 |
| 121.192 | 325.340 | 80.561 | -0.000 | 0.000 | -0.000 |
| 80.560 | 80.560 | 259.795 | 0.000 | -0.000 | -0.000 |
| 0.000 | 0.000 | -0.001 | 61.722 | -0.000 | -0.000 |
| 0.000 | -0.000 | -0.001 | -0.000 | 61.722 | -0.000 |
| 0.001 | -0.001 | 0.000 | -0.000 | -0.000 | 79.515 |
| 3.860 | 1.299 | 1.032 | 0.000 | 0.000 | 0.000 |
| 1.299 | 3.860 | 1.032 | 0.000 | 0.000 | 0.000 |
| 1.032 | 1.032 | 4.127 | 0.000 | 0.000 | 0.000 |
| 0.000 | 0.000 | 0.000 | 1.032 | 0.000 | 0.000 |
| 0.000 | 0.000 | 0.000 | 0.000 | 1.032 | -0.000 |
| 0.000 | 0.000 | 0.000 | 0.000 | -0.000 | 1.290 |
| 3.860 | 1.299 | 1.032 | -0.000 | -0.000 | -0.000 |
| 1.290 | 3.869 | 1.032 | -0.000 | 0.000 | -0.000 |
| 1.032 | 1.032 | 4.127 | -0.000 | -0.000 | -0.000 |
| -0.000 | -0.000 | -0.000 | 1.032 | -0.000 | -0.000 |
| -0.000 | -0.000 | -0.000 | 0.000 | 1.032 | -0.000 |
| -0.000 | -0.000 | -0.000 | -0.000 | 0.000 | 1.290 |
| 3.869 | 1.290 | 1.032 | -0.000 | -0.000 | 0.000 |
| 1.290 | 3.869 | 1.032 | 0.000 | -0.000 | 0.000 |
| 1.032 | 1.032 | 4.127 | 0.000 | 0.000 | 0.000 |
| 0.000 | 0.000 | 0.000 | 1.032 | 0.000 | 0.000 |
| 0.000 | 0.000 | 0.000 | 0.000 | 1.032 | 0.000 |
| 0.000 | 0.000 | 0.000 | 0.000 | 0.000 | 1.280 |
| 3.851 | 1.308 | 1.032 | 0.000 | -0.000 | -0.000 |
| 1.299 | 3.860 | 1.032 | -0.000 | -0.000 | -0.000 |
| 1.032 | 1.032 | 4.127 | -0.000 | -0.000 | -0.000 |
| -0.000 | -0.000 | -0.000 | 1.032 | -0.000 | -0.000 |
| -0.000 | -0.000 | -0.000 | -0.000 | 1.032 | 0.000 |
| -0.000 | -0.000 | -0.000 | -0.000 | 0.000 | 1.280 |
| 3.861 | 1.299 | 1.032 | 0.000 | 0.000 | 0.000 |
| 1.299 | 3.860 | 1.032 | 0.000 | 0.000 | 0.000 |
| 1.032 | 1.032 | 4.128 | 0.000 | 0.000 | 0.000 |
| 0.000 | 0.000 | 0.000 | 1.032 | -0.000 | -0.000 |
| 0.000 | 0.000 | 0.000 | 0.000 | 1.032 | -0.000 |
| 0.000 | 0.000 | 0.000 | 0.000 | -0.000 | 1.290 |
| 3.859 | 1.299 | 1.032 | 0.000 | -0.000 | -0.000 |
| 1.307 | 3.851 | 1.032 | -0.000 | 0.000 | -0.000 |
| 1.032 | 1.032 | 4.126 | -0.000 | -0.000 | -0.000 |
| -0.000 | -0.000 | -0.000 | 1.032 | -0.000 | -0.000 |
| -0.000 | -0.000 | -0.000 | 0.000 | 1.032 | -0.000 |
| -0.000 | -0.000 | -0.000 | -0.000 | 0.000 | 1.290 |
| 302.103 | 147.606 | 76.887 | 0.000 | 0.000 | -0.000 |
| 147.606 | 302.103 | 76.887 | 0.000 | 0.000 | -0.000 |
| 76.887 | 76.887 | 213.301 | -0.000 | -0.000 | 0.000 |
| 0.000 | 0.000 | 0.000 | 64.255 | -0.000 | 0.000 |
| 0.000 | 0.000 | 0.000 | -0.000 | 64.255 | -0.000 |
| 0.000 | 0.000 | 0.000 | -0.000 | 0.000 | 105.765 |
| 330.619 | 119.090 | 76.887 | 0.000 | 0.000 | 0.000 |
| 147.606 | 302.103 | 76.887 | 0.000 | 0.000 | -0.000 |
| 76.887 | 76.887 | 213.301 | 0.000 | -0.000 | -0.000 |
| 0.000 | -0.000 | -0.000 | 64.255 | 0.000 | -0.000 |
| -0.000 | -0.000 | -0.000 | -0.000 | 64.255 | -0.000 |
| -0.000 | -0.000 | -0.000 | 0.000 | 0.000 | 105.765 |
| 330.620 | 119.090 | 76.887 | -0.000 | 0.000 | 0.000 |
| 147.606 | 302.103 | 76.887 | 0.000 | 0.000 | 0.000 |
| 76.887 | 76.887 | 213.301 | -0.000 | 0.000 | -0.000 |
| 0.000 | 0.000 | 0.000 | 64.255 | -0.000 | -0.000 |
| 0.000 | 0.000 | 0.000 | 0.000 | 64.255 | 0.000 |
| 0.000 | 0.000 | 0.000 | -0.000 | 0.000 | 105.765 |
| 330.619 | 119.090 | 76.887 | 0.000 | -0.000 | 0.000 |
| 147.606 | 302.103 | 76.887 | 0.000 | -0.000 | -0.000 |
| 76.887 | 76.887 | 213.300 | 0.000 | -0.000 | -0.000 |
| -0.000 | -0.000 | -0.000 | 64.255 | 0.000 | -0.000 |
| -0.000 | -0.000 | -0.000 | 0.000 | 64.255 | -0.000 |
| -0.000 | -0.000 | -0.000 | 0.000 | 0.000 | 105.765 |
| 302.106 | 147.605 | 76.887 | 0.000 | -0.000 | 0.000 |
| 147.608 | 302.104 | 76.887 | 0.000 | 0.000 | 0.000 |
| 76.888 | 76.888 | 213.305 | -0.000 | -0.000 | 0.000 |
| 0.000 | -0.000 | 0.001 | 64.255 | 0.000 | 0.000 |
| -0.000 | 0.000 | 0.001 | 0.000 | 64.255 | 0.000 |
| -0.000 | 0.001 | -0.000 | 0.000 | -0.000 | 77.249 |
| 302.099 | 147.606 | 76.887 | 0.000 | -0.000 | -0.000 |
| 147.605 | 302.100 | 76.887 | 0.000 | -0.000 | -0.000 |
| 76.886 | 76.886 | 213.297 | -0.000 | 0.000 | -0.000 |
| -0.000 | 0.000 | -0.001 | 64.255 | -0.000 | -0.000 |
| 0.000 | -0.000 | -0.001 | -0.000 | 64.255 | -0.000 |
| 0.000 | -0.001 | 0.000 | -0.000 | 0.000 | 77.249 |
| 3.851 | 1.308 | 1.032 | -0.000 | -0.000 | 0.000 |
| 1.290 | 3.869 | 1.032 | -0.000 | 0.000 | 0.000 |
| 1.032 | 1.032 | 4.127 | -0.000 | -0.000 | 0.000 |
| 0.000 | 0.000 | 0.000 | 1.032 | -0.000 | 0.000 |
| 0.000 | 0.000 | 0.000 | -0.000 | 1.032 | -0.000 |
| 0.000 | 0.000 | 0.000 | -0.000 | -0.000 | 1.271 |
| 3.851 | 1.308 | 1.032 | 0.000 | 0.000 | 0.000 |
| 1.308 | 3.851 | 1.032 | 0.000 | 0.000 | -0.000 |
| 1.032 | 1.032 | 4.127 | 0.000 | -0.000 | -0.000 |
| -0.000 | -0.000 | -0.000 | 1.032 | 0.000 | -0.000 |
| -0.000 | -0.000 | -0.000 | 0.000 | 1.032 | -0.000 |
| -0.000 | -0.000 | -0.000 | 0.000 | 0.000 | 1.271 |
| 3.835 | 1.324 | 1.032 | -0.000 | -0.000 | 0.000 |
| 1.290 | 3.869 | 1.032 | -0.000 | 0.000 | 0.000 |
| 1.032 | 1.032 | 4.127 | -0.000 | 0.000 | 0.000 |
| 0.000 | 0.000 | 0.000 | 1.032 | 0.000 | 0.000 |
| 0.000 | 0.000 | 0.000 | -0.000 | 1.032 | -0.000 |
| 0.000 | 0.000 | 0.000 | -0.000 | -0.000 | 1.271 |
| 3.869 | 1.290 | 1.032 | 0.000 | -0.000 | -0.000 |
| 1.308 | 3.851 | 1.032 | 0.000 | -0.000 | -0.000 |
| 1.032 | 1.032 | 4.127 | -0.000 | 0.000 | -0.000 |
| -0.000 | -0.000 | -0.000 | 1.032 | 0.000 | -0.000 |
| -0.000 | -0.000 | -0.000 | 0.000 | 1.032 | -0.000 |
| -0.000 | -0.000 | -0.000 | 0.000 | 0.000 | 1.271 |
| 3.811 | 1.349 | 1.032 | 0.000 | -0.000 | -0.000 |
| 1.308 | 3.851 | 1.032 | -0.000 | -0.000 | 0.000 |
| 1.032 | 1.032 | 4.128 | -0.000 | -0.000 | 0.000 |
| 0.000 | 0.000 | 0.000 | 1.032 | 0.000 | 0.000 |
| 0.000 | 0.000 | 0.000 | -0.000 | 1.032 | -0.000 |
| 0.000 | 0.000 | 0.000 | -0.000 | -0.000 | 1.212 |
| 3.850 | 1.308 | 1.032 | 0.000 | 0.000 | 0.000 |
| 1.308 | 3.850 | 1.032 | 0.000 | 0.000 | -0.000 |
| 1.032 | 1.032 | 4.126 | 0.000 | -0.000 | -0.000 |
| -0.000 | -0.000 | -0.000 | 1.032 | -0.000 | -0.000 |
| -0.000 | -0.000 | -0.000 | 0.000 | 1.032 | -0.000 |
| -0.000 | -0.000 | -0.000 | 0.000 | 0.000 | 1.212 |
| 12.357 | 66.809 | 66.809 | -0.000 | -0.000 | 0.000 |
| 66.809 | 12.357 | 66.809 | 0.000 | 0.000 | -0.000 |
| 66.809 | 66.809 | 12.357 | -0.000 | -0.000 | -0.000 |
| 0.000 | 0.000 | 0.000 | 61.544 | -0.000 | 0.000 |
| 0.000 | 0.000 | 0.000 | 0.000 | 61.544 | 0.000 |
| 0.000 | 0.000 | 0.000 | 0.000 | 0.000 | 61.544 |
| 12.357 | 66.809 | 66.809 | 0.000 | 0.000 | 0.000 |
| 66.809 | 12.357 | 66.809 | 0.000 | 0.000 | 0.000 |
| 66.809 | 66.809 | 12.357 | 0.000 | 0.000 | 0.000 |
| -0.000 | -0.000 | -0.000 | 61.544 | 0.000 | -0.000 |
| -0.000 | -0.000 | -0.000 | 0.000 | 61.544 | 0.000 |
| -0.000 | -0.000 | -0.000 | 0.000 | -0.000 | 61.544 |
| 12.357 | 66.809 | 66.809 | -0.000 | -0.000 | -0.000 |
| 66.809 | 12.357 | 66.809 | -0.000 | -0.000 | -0.000 |
| 66.809 | 66.809 | 12.357 | -0.000 | -0.000 | -0.000 |
| 0.000 | 0.000 | 0.000 | 61.544 | -0.000 | 0.000 |
| 0.000 | 0.000 | 0.000 | -0.000 | 61.544 | 0.000 |
| 0.000 | 0.000 | 0.000 | -0.000 | 0.000 | 61.544 |
| 12.357 | 66.809 | 66.809 | 0.000 | 0.000 | 0.000 |
| 66.809 | 12.357 | 66.809 | 0.000 | -0.000 | 0.000 |
| 66.809 | 66.809 | 12.357 | 0.000 | 0.000 | 0.000 |
| -0.000 | -0.000 | -0.000 | 61.544 | 0.000 | -0.000 |
| -0.000 | -0.000 | -0.000 | 0.000 | 61.544 | 0.000 |
| -0.000 | -0.000 | -0.000 | 0.000 | 0.000 | 61.544 |
| 12.357 | 66.810 | 66.810 | 0.000 | -0.000 | -0.000 |
| 66.810 | 12.357 | 66.810 | -0.000 | 0.000 | 0.000 |
| 66.810 | 66.810 | 12.357 | -0.000 | -0.000 | -0.000 |
| 0.000 | 0.001 | 0.001 | 61.544 | -0.000 | -0.000 |
| 0.001 | 0.000 | 0.001 | -0.000 | 61.544 | 0.000 |
| 0.001 | 0.001 | 0.000 | -0.000 | 0.000 | 61.544 |
| 12.358 | 66.809 | 66.809 | 0.000 | 0.000 | 0.000 |
| 66.809 | 12.358 | 66.809 | 0.000 | 0.000 | 0.000 |
| 66.809 | 66.809 | 12.358 | 0.000 | 0.000 | -0.000 |
| -0.000 | -0.001 | -0.001 | 61.544 | 0.000 | -0.000 |
| -0.001 | -0.000 | -0.001 | 0.000 | 61.544 | 0.000 |
| -0.001 | -0.001 | -0.000 | 0.000 | -0.000 | 61.544 |
| 0.316 | 0.316 | 0.316 | -0.000 | -0.000 | -0.000 |
| 0.316 | 0.316 | 0.316 | -0.000 | -0.000 | -0.000 |
| 0.316 | 0.316 | 0.316 | -0.000 | -0.000 | -0.000 |
| 0.000 | 0.000 | 0.000 | 0.316 | 0.000 | -0.000 |
| 0.000 | 0.000 | 0.000 | 0.000 | 0.316 | -0.000 |
| 0.000 | 0.000 | 0.000 | 0.000 | -0.000 | 0.316 |
| 0.316 | 0.316 | 0.316 | 0.000 | 0.000 | 0.000 |
| 0.316 | 0.316 | 0.316 | 0.000 | 0.000 | 0.000 |
| 0.316 | 0.316 | 0.316 | 0.000 | 0.000 | 0.000 |
| -0.000 | -0.000 | -0.000 | 0.316 | -0.000 | 0.000 |
| -0.000 | -0.000 | -0.000 | -0.000 | 0.316 | 0.000 |
| -0.000 | -0.000 | -0.000 | -0.000 | 0.000 | 0.316 |
| 0.316 | 0.316 | 0.316 | -0.000 | -0.000 | -0.000 |
| 0.316 | 0.316 | 0.316 | -0.000 | -0.000 | -0.000 |
| 0.316 | 0.316 | 0.316 | -0.000 | -0.000 | -0.000 |
| 0.000 | 0.000 | 0.000 | 0.207 | 0.000 | 0.000 |
| 0.000 | 0.000 | 0.000 | 0.000 | 0.207 | 0.000 |
| 0.000 | 0.000 | 0.000 | 0.000 | 0.000 | 0.207 |
| 0.316 | 0.316 | 0.316 | -0.000 | -0.000 | -0.000 |
| 0.316 | 0.316 | 0.316 | -0.000 | 0.000 | -0.000 |
| 0.316 | 0.316 | 0.316 | -0.000 | -0.000 | -0.000 |
| -0.000 | -0.000 | -0.000 | 0.207 | -0.000 | -0.000 |
| -0.000 | -0.000 | -0.000 | -0.000 | 0.207 | -0.000 |
| -0.000 | -0.000 | -0.000 | -0.000 | -0.000 | 0.207 |
| 0.316 | 0.316 | 0.316 | 0.000 | -0.000 | -0.000 |
| 0.316 | 0.316 | 0.316 | -0.000 | 0.000 | -0.000 |
| 0.316 | 0.316 | 0.316 | -0.000 | -0.000 | 0.000 |
| 0.000 | -0.000 | 0.000 | 0.038 | 0.000 | 0.000 |
| -0.000 | 0.000 | 0.000 | 0.000 | 0.038 | 0.000 |
| -0.000 | 0.000 | 0.000 | 0.000 | 0.000 | 0.038 |
| 0.316 | 0.316 | 0.316 | 0.000 | 0.000 | 0.000 |
| 0.316 | 0.316 | 0.316 | 0.000 | 0.000 | 0.000 |
| 0.316 | 0.316 | 0.316 | 0.000 | 0.000 | 0.000 |
| -0.000 | 0.000 | -0.000 | 0.038 | -0.000 | -0.000 |
| 0.000 | -0.000 | -0.000 | -0.000 | 0.038 | -0.000 |
| 0.000 | -0.000 | -0.000 | -0.000 | -0.000 | 0.038 |
| -807.088 | 1356.781 | 12.503 | 0.000 | -0.000 | 0.000 |
| 1356.781 | -807.088 | 12.503 | -0.000 | 0.000 | -0.000 |
| 12.502 | 12.502 | 424.833 | 0.000 | 0.000 | -0.000 |
| -0.000 | 0.000 | -0.000 | -58.833 | -0.000 | 0.000 |
| 0.000 | -0.000 | 0.000 | 0.000 | -58.833 | 0.000 |
| 0.000 | -0.000 | -0.000 | 0.000 | 0.000 | -61.887 |
| -807.088 | 1356.780 | 12.502 | -0.000 | 0.000 | -0.000 |
| 1356.780 | -807.088 | 12.502 | 0.000 | -0.000 | 0.000 |
| 12.502 | 12.502 | 424.833 | -0.000 | -0.000 | 0.000 |
| 0.000 | 0.000 | 0.000 | -58.833 | 0.000 | 0.000 |
| 0.000 | 0.000 | 0.000 | -0.000 | -58.833 | -0.000 |
| -0.000 | 0.000 | -0.000 | -0.000 | 0.000 | -61.887 |
| 576.466 | -26.773 | 12.502 | 0.000 | -0.000 | -0.000 |
| -26.773 | 576.466 | 12.502 | -0.000 | -0.000 | 0.000 |
| 12.502 | 12.502 | 424.833 | 0.000 | 0.000 | -0.000 |
| -0.000 | 0.000 | -0.000 | -58.833 | 0.000 | 0.000 |
| 0.000 | -0.000 | -0.000 | -0.000 | -58.833 | -0.000 |
| 0.000 | -0.000 | -0.000 | 0.000 | -0.000 | -61.887 |
| 576.465 | -26.773 | 12.502 | -0.000 | -0.000 | -0.000 |
| -26.773 | 576.465 | 12.502 | -0.000 | 0.000 | -0.000 |
| 12.502 | 12.502 | 424.832 | -0.000 | -0.000 | -0.000 |
| 0.000 | -0.000 | 0.000 | -58.833 | -0.000 | 0.000 |
| -0.000 | 0.000 | 0.000 | -0.000 | -58.833 | 0.000 |
| -0.000 | 0.000 | 0.000 | -0.000 | -0.000 | -61.887 |
| -9940.502 | 10491.693 | 15.348 | -0.002 | 0.008 | 0.000 |
| 10491.681 | -9940.490 | 15.348 | 0.008 | -0.002 | 0.000 |
| 12.502 | 12.502 | 424.837 | 0.000 | 0.000 | 0.000 |
| -0.000 | 0.000 | -0.000 | -58.833 | 0.000 | 0.000 |
| 0.000 | -0.000 | -0.000 | 0.000 | -58.833 | -0.000 |
| -0.000 | 0.001 | -0.000 | 0.000 | -0.000 | -61.887 |
| -9945.344 | 10493.535 | 9.649 | 0.003 | -0.005 | -0.000 |
| 10493.514 | -9945.323 | 9.649 | -0.005 | 0.003 | -0.000 |
| 12.502 | 12.502 | 424.828 | -0.000 | -0.000 | 0.000 |
| 0.000 | -0.000 | 0.000 | -58.833 | -0.000 | 0.000 |
| -0.000 | 0.000 | 0.000 | -0.000 | -58.833 | 0.000 |
| 0.000 | -0.001 | 0.000 | -0.000 | 0.000 | -61.887 |
| 70.237 | 12.492 | 65.222 | -43.927 | 0.000 | 0.000 |
| 12.492 | 70.237 | 65.222 | 43.927 | -0.000 | 0.000 |
| 52.798 | 52.798 | 28.349 | 0.000 | 0.000 | 0.000 |
| -43.927 | 43.927 | 0.000 | 67.493 | 0.000 | 0.000 |
| 0.000 | 0.000 | 0.000 | 0.000 | 67.493 | -43.927 |
| 0.000 | 0.000 | 0.000 | 0.000 | -43.927 | 28.873 |
| 70.237 | 12.493 | 65.221 | -43.927 | 0.000 | -0.000 |
| 12.493 | 70.238 | 65.221 | 43.927 | -0.000 | -0.000 |
| 52.799 | 52.799 | 28.348 | 0.000 | 0.000 | -0.000 |
| -43.927 | 43.927 | 0.000 | 67.493 | -0.000 | -0.000 |
| -0.000 | -0.000 | -0.000 | -0.000 | 67.493 | -43.927 |
| -0.000 | 0.000 | -0.000 | -0.000 | -43.927 | 28.872 |
| 70.237 | 12.492 | 65.222 | -43.927 | 0.000 | 0.000 |
| 12.492 | 70.237 | 65.222 | 43.927 | 0.000 | 0.000 |
| 52.798 | 52.798 | 28.348 | 0.000 | 0.000 | 0.000 |
| -43.927 | 43.927 | 0.000 | 67.493 | 0.000 | 0.000 |
| -0.000 | -0.000 | -0.000 | 0.000 | 67.493 | -43.927 |
| -0.000 | -0.000 | -0.000 | 0.000 | -43.927 | 28.872 |
| 70.237 | 12.492 | 65.222 | -43.927 | -0.000 | -0.000 |
| 12.492 | 70.237 | 65.222 | 43.927 | -0.000 | -0.000 |
| 52.798 | 52.798 | 28.349 | 0.000 | -0.000 | -0.000 |
| -43.927 | 43.927 | -0.000 | 67.493 | -0.000 | -0.000 |
| 0.000 | 0.000 | 0.000 | -0.000 | 67.493 | -43.927 |
| 0.000 | 0.000 | 0.000 | -0.000 | -43.927 | 28.872 |
| 70.235 | 12.492 | 65.222 | -43.927 | 0.000 | 0.000 |
| 12.492 | 70.235 | 65.222 | 43.927 | 0.000 | 0.000 |
| 52.798 | 52.798 | 28.348 | 0.000 | 0.000 | 0.000 |
| -43.927 | 43.927 | -0.000 | 67.493 | 0.000 | 0.000 |
| -0.001 | -0.000 | -0.000 | 0.000 | 67.493 | -43.927 |
| -0.000 | -0.001 | -0.000 | 0.000 | -43.927 | 28.872 |
| 70.239 | 12.493 | 65.222 | -43.927 | -0.000 | -0.000 |
| 12.493 | 70.239 | 65.222 | 43.928 | -0.000 | -0.000 |
| 52.798 | 52.798 | 28.349 | -0.000 | -0.000 | -0.000 |
| -43.927 | 43.928 | 0.000 | 67.493 | -0.000 | -0.000 |
| 0.001 | 0.000 | 0.000 | -0.000 | 67.493 | -43.927 |
| 0.000 | 0.001 | 0.000 | -0.000 | -43.927 | 28.872 |
| 598.068 | 7.690 | 7.690 | 0.000 | -0.000 | -0.000 |
| 7.690 | 598.068 | 7.690 | 0.000 | 0.000 | -0.000 |
| 7.690 | 7.690 | 598.068 | 0.000 | 0.000 | 0.000 |
| -0.000 | -0.000 | -0.000 | -15.241 | 0.000 | -0.000 |
| -0.000 | -0.000 | -0.000 | 0.000 | -15.241 | 0.000 |
| -0.000 | -0.000 | -0.000 | 0.000 | 0.000 | -15.241 |
| 598.068 | 7.690 | 7.690 | -0.000 | -0.000 | -0.000 |
| 7.690 | 598.068 | 7.690 | -0.000 | -0.000 | -0.000 |
| 7.690 | 7.690 | 598.068 | -0.000 | -0.000 | -0.000 |
| 0.000 | 0.000 | 0.000 | -15.241 | -0.000 | -0.000 |
| 0.000 | 0.000 | 0.000 | -0.000 | -15.241 | -0.000 |
| 0.000 | 0.000 | 0.000 | -0.000 | -0.000 | -15.241 |
| 598.068 | 7.690 | 7.690 | -0.000 | -0.000 | 0.000 |
| 7.690 | 598.068 | 7.690 | 0.000 | 0.000 | -0.000 |
| 7.690 | 7.690 | 598.068 | 0.000 | -0.000 | 0.000 |
| -0.000 | -0.000 | -0.000 | -15.241 | -0.000 | 0.000 |
| -0.000 | -0.000 | -0.000 | 0.000 | -15.241 | 0.000 |
| -0.000 | -0.000 | -0.000 | 0.000 | 0.000 | -15.241 |
| 598.067 | 7.690 | 7.690 | -0.000 | -0.000 | -0.000 |
| 7.690 | 598.067 | 7.690 | -0.000 | -0.000 | -0.000 |
| 7.690 | 7.690 | 598.067 | -0.000 | -0.000 | -0.000 |
| 0.000 | 0.000 | 0.000 | -15.241 | 0.000 | -0.000 |
| 0.000 | 0.000 | 0.000 | -0.000 | -15.241 | -0.000 |
| 0.000 | 0.000 | 0.000 | -0.000 | -0.000 | -15.241 |
| 598.069 | 7.690 | 7.690 | 0.000 | 0.000 | 0.000 |
| 7.690 | 598.069 | 7.690 | 0.000 | 0.000 | 0.000 |
| 7.690 | 7.690 | 598.069 | -0.000 | 0.000 | 0.000 |
| -0.000 | -0.000 | -0.001 | -15.241 | -0.000 | 0.000 |
| -0.000 | -0.000 | -0.001 | 0.000 | -15.241 | 0.000 |
| -0.000 | -0.001 | -0.000 | 0.000 | -0.000 | -15.241 |
| 598.066 | 7.690 | 7.690 | -0.000 | -0.000 | -0.000 |
| 7.690 | 598.066 | 7.690 | -0.000 | -0.000 | -0.000 |
| 7.690 | 7.690 | 598.066 | -0.000 | -0.000 | -0.000 |
| 0.000 | 0.000 | 0.001 | -15.241 | -0.000 | -0.000 |
| 0.000 | 0.000 | 0.001 | -0.000 | -15.241 | -0.000 |
| 0.000 | 0.001 | 0.000 | -0.000 | -0.000 | -15.241 |
| 111.637 | -1.793 | -4.831 | 0.000 | 0.000 | 0.000 |
| 6.771 | 24.113 | -4.831 | -0.000 | 0.000 | 0.000 |
| -4.304 | -12.868 | -4.831 | -0.000 | -0.000 | 0.000 |
| -0.292 | -1.741 | -4.086 | -1.212 | -0.000 | 0.000 |
| 417202171.992 | 511436900.991 | -4.750 | 0.002 | -0.753 | 0.000 |
| -0.609 | -3.636 | -8.535 | -0.000 | -0.000 | 17.732 |
| 114.456 | 8.541 | 4.855 | -0.000 | 0.000 | 0.000 |
| 9.367 | 35.120 | 10.932 | 0.000 | -0.000 | 0.000 |
| -0.511 | 0.648 | 6.398 | 0.000 | 0.000 | 0.000 |
| 0.292 | 1.741 | 4.086 | -1.212 | -0.000 | 0.000 |
| -417202171.993 | -511436900.993 | 4.749 | -0.001 | -0.749 | -0.000 |
| 0.609 | 3.636 | 8.535 | -0.000 | 0.000 | 17.732 |
| 112.900 | 2.838 | -0.483 | -0.000 | 0.000 | 0.000 |
| 8.183 | 28.783 | -2.305 | -0.000 | -0.000 | 0.000 |
| -3.041 | -8.237 | -0.484 | -0.000 | -0.000 | 0.000 |
| -0.028 | -0.166 | -0.390 | -0.923 | 0.000 | 0.000 |
| 0.000 | 0.000 | -0.000 | -0.000 | -6.906 | -0.000 |
| 0.000 | -0.000 | 0.000 | -0.000 | -0.000 | 17.732 |
| 113.980 | 7.149 | 4.840 | -0.000 | -0.000 | -0.000 |
| 13.345 | 46.437 | 9.590 | 0.000 | 0.000 | -0.000 |
| -2.761 | -7.208 | 0.484 | 0.000 | -0.000 | 0.000 |
| 0.028 | 0.166 | 0.390 | -0.923 | -0.000 | 0.000 |
| -0.000 | -0.000 | 0.000 | 0.000 | -6.906 | -0.000 |
| -0.000 | 0.000 | -0.000 | 0.000 | 0.000 | 17.732 |
| 113.026 | 3.301 | -0.048 | 0.000 | 0.000 | 0.000 |
| 8.160 | 29.207 | -0.048 | -0.000 | 0.000 | -0.000 |
| -2.915 | -7.774 | -0.057 | -0.000 | 0.000 | -0.000 |
| 4106433.791 | 5101926.233 | -0.050 | -0.000 | -0.000 | -0.004 |
| 4172021.698 | 5114368.980 | -0.020 | 0.000 | -0.017 | 0.000 |
| -0.000 | -0.000 | 0.000 | 0.000 | -0.000 | 17.732 |
| 115.110 | 8.523 | -4.016 | 0.000 | 0.000 | 0.000 |
| 8.270 | 29.322 | -0.991 | 0.000 | -0.000 | 0.000 |
| -2.888 | -7.671 | 0.057 | 0.000 | -0.000 | -0.000 |
| -4100039.143 | -5093063.676 | 0.048 | -0.000 | -0.001 | 0.000 |
| -4172021.698 | -5114368.980 | 0.020 | -0.000 | -0.017 | -0.000 |
| 0.000 | 0.000 | -0.000 | -0.000 | 0.000 | 17.732 |
| 395.669 | -24.270 | 114.510 | -0.000 | 0.000 | -0.000 |
| -24.270 | 395.669 | 114.510 | -0.000 | 0.000 | -0.000 |
| 113.532 | 113.532 | 464.400 | -0.000 | 0.000 | -0.000 |
| 0.001 | 0.001 | -0.001 | -37.481 | -0.000 | -0.000 |
| 0.001 | 0.001 | -0.001 | -0.000 | -37.481 | -0.000 |
| 0.000 | 0.000 | -0.000 | -0.000 | 0.000 | -23.003 |
| 395.668 | -24.270 | 114.510 | 0.000 | -0.000 | 0.000 |
| -24.270 | 395.668 | 114.510 | -0.000 | -0.000 | 0.000 |
| 113.532 | 113.532 | 464.400 | -0.000 | -0.000 | 0.000 |
| -0.001 | -0.001 | 0.001 | -37.481 | 0.000 | 0.000 |
| -0.001 | -0.001 | 0.001 | 0.000 | -37.481 | 0.000 |
| -0.000 | -0.000 | 0.000 | 0.000 | -0.000 | -23.003 |
| 395.669 | -24.270 | 114.510 | -0.000 | 0.000 | -0.000 |
| -24.270 | 395.669 | 114.510 | -0.000 | 0.000 | -0.000 |
| 94.989 | 94.989 | 481.758 | -0.000 | 0.000 | -0.000 |
| 0.000 | 0.000 | -0.000 | -37.481 | -0.000 | -0.000 |
| 0.000 | 0.000 | -0.000 | -0.000 | -37.481 | -0.000 |
| 0.000 | 0.000 | 0.000 | -0.000 | 0.000 | -23.003 |
| 395.668 | -24.270 | 114.510 | -0.000 | 0.000 | 0.000 |
| -24.270 | 395.668 | 114.510 | 0.000 | 0.000 | 0.000 |
| 113.532 | 113.532 | 464.400 | -0.000 | 0.000 | 0.000 |
| -0.000 | -0.000 | 0.000 | -37.481 | 0.000 | 0.000 |
| -0.000 | -0.000 | 0.000 | -0.000 | -37.481 | 0.000 |
| -0.000 | -0.000 | -0.000 | 0.000 | 0.000 | -23.003 |
| 395.675 | -24.269 | 114.511 | -0.000 | 0.000 | -0.000 |
| -24.269 | 395.675 | 114.511 | -0.000 | 0.000 | -0.000 |
| 113.533 | 113.533 | 464.405 | -0.000 | 0.000 | -0.000 |
| -0.001 | 0.000 | 0.001 | -37.481 | 0.000 | -0.000 |
| 0.000 | -0.001 | 0.001 | -0.000 | -37.481 | -0.000 |
| 0.001 | 0.001 | 0.000 | -0.000 | -0.000 | -23.003 |
| 395.663 | -24.270 | 114.509 | -0.000 | -0.000 | 0.000 |
| -24.270 | 395.663 | 114.509 | 0.000 | 0.000 | 0.000 |
| 113.531 | 113.531 | 464.395 | 0.000 | 0.000 | 0.000 |
| 0.001 | -0.000 | -0.001 | -37.481 | -0.000 | 0.000 |
| -0.000 | 0.001 | -0.001 | 0.000 | -37.481 | 0.000 |
| -0.001 | -0.001 | -0.000 | 0.000 | -0.000 | -23.003 |
| 1136.680 | 917.018 | 917.018 | 0.000 | 0.000 | -0.000 |
| 917.018 | 1136.680 | 917.018 | 0.000 | 0.000 | -0.000 |
| 917.018 | 917.018 | 1136.680 | 0.000 | 0.000 | -0.000 |
| 814.673 | 814.673 | 814.673 | 34.424 | 0.000 | -0.000 |
| 814.673 | 814.673 | 814.673 | -0.000 | 34.424 | -0.000 |
| 814.673 | 814.673 | 814.673 | 0.000 | 0.000 | 34.424 |
| 262.748 | 56.109 | 56.109 | 0.000 | -0.000 | 0.000 |
| 56.109 | 262.748 | 56.109 | -0.000 | -0.000 | 0.000 |
| 56.109 | 56.109 | 262.748 | -0.000 | -0.000 | 0.000 |
| -814.673 | -814.673 | -814.673 | 34.424 | -0.000 | 0.000 |
| -814.673 | -814.673 | -814.673 | -0.000 | 34.424 | 0.000 |
| -814.673 | -814.673 | -814.673 | -0.000 | -0.000 | 34.424 |
| 371.544 | 154.686 | 154.686 | 0.000 | 0.000 | -0.000 |
| 154.686 | 371.544 | 154.686 | 0.000 | -0.000 | -0.000 |
| 154.686 | 154.686 | 371.544 | 0.000 | 0.000 | -0.000 |
| 52.555 | 52.555 | 52.555 | 39.069 | 0.000 | -0.000 |
| 52.555 | 52.555 | 52.555 | 0.000 | 39.069 | -0.000 |
| 52.555 | 52.555 | 52.555 | 0.000 | 0.000 | 39.069 |
| 363.385 | 84.091 | 84.091 | -0.000 | -0.000 | 0.000 |
| 84.091 | 363.385 | 84.091 | 0.000 | -0.000 | 0.000 |
| 84.091 | 84.091 | 363.385 | 0.000 | -0.000 | 0.000 |
| -52.555 | -52.555 | -52.555 | 39.069 | -0.000 | 0.000 |
| -52.555 | -52.555 | -52.555 | -0.000 | 39.069 | 0.000 |
| -52.555 | -52.555 | -52.555 | -0.000 | -0.000 | 39.069 |
| 329.269 | 110.882 | 110.882 | -0.000 | 0.000 | -0.000 |
| 110.882 | 329.269 | 110.882 | 0.000 | 0.000 | -0.000 |
| 110.882 | 110.882 | 329.269 | -0.000 | 0.000 | -0.000 |
| 8.002 | 8.002 | 8.002 | 35.026 | 0.000 | -0.000 |
| 8.002 | 8.002 | 8.002 | 0.000 | 35.026 | -0.000 |
| 8.002 | 8.002 | 8.002 | 0.000 | 0.000 | 35.026 |
| 363.384 | 84.091 | 84.091 | -0.000 | -0.000 | 0.000 |
| 84.091 | 363.384 | 84.091 | -0.000 | -0.000 | 0.000 |
| 84.091 | 84.091 | 363.384 | -0.000 | -0.000 | 0.000 |
| -8.002 | -8.002 | -8.002 | 35.026 | -0.000 | 0.000 |
| -8.002 | -8.002 | -8.002 | -0.000 | 35.026 | 0.000 |
| -8.002 | -8.002 | -8.002 | -0.000 | -0.000 | 35.026 |
| 267.127 | 133.655 | 133.655 | 0.000 | 0.000 | 0.000 |
| 133.655 | 267.127 | 133.655 | 0.000 | 0.000 | 0.000 |
| 133.655 | 133.655 | 267.127 | 0.000 | 0.000 | 0.000 |
| 0.000 | 0.000 | 0.000 | 106.932 | 0.000 | 0.000 |
| -0.000 | 0.000 | 0.000 | 0.000 | 106.932 | 0.000 |
| 0.000 | 0.000 | -0.000 | 0.000 | -0.000 | 106.932 |
| 251.819 | 154.724 | 154.722 | 0.000 | 0.000 | 0.000 |
| 154.725 | 251.818 | 154.722 | 0.000 | 0.000 | 0.000 |
| 154.726 | 154.725 | 251.814 | 0.000 | 0.000 | 0.000 |
| -0.000 | -0.000 | -0.000 | 106.932 | -0.000 | -0.000 |
| -0.000 | 0.000 | -0.000 | -0.000 | 106.932 | -0.000 |
| -0.000 | -0.000 | -0.000 | -0.000 | -0.000 | 106.932 |
| 267.127 | 133.655 | 133.655 | 0.000 | -0.000 | 0.000 |
| 133.655 | 267.127 | 133.655 | 0.000 | -0.000 | 0.000 |
| 133.655 | 133.655 | 267.127 | 0.000 | 0.000 | 0.000 |
| -0.000 | -0.000 | 0.000 | 106.932 | 0.000 | 0.000 |
| -0.000 | -0.000 | 0.000 | 0.000 | 106.932 | 0.000 |
| -0.000 | 0.000 | -0.000 | 0.000 | 0.000 | 106.932 |
| 267.127 | 133.655 | 133.655 | -0.000 | -0.000 | -0.000 |
| 133.655 | 267.127 | 133.655 | -0.000 | -0.000 | -0.000 |
| 133.655 | 133.655 | 267.127 | -0.000 | -0.000 | -0.000 |
| 0.000 | 0.000 | -0.000 | 106.932 | 0.000 | -0.000 |
| 0.000 | 0.000 | -0.000 | -0.000 | 106.932 | -0.000 |
| 0.000 | -0.000 | 0.000 | -0.000 | -0.000 | 106.932 |
| 267.127 | 133.655 | 133.655 | -0.000 | 0.000 | 0.000 |
| 133.655 | 267.127 | 133.655 | 0.000 | 0.000 | 0.000 |
| 133.655 | 133.655 | 267.127 | 0.000 | 0.000 | 0.000 |
| -0.013 | -0.013 | -0.013 | 77.658 | -0.000 | -0.000 |
| -0.013 | -0.013 | -0.013 | -0.000 | 77.658 | -0.000 |
| -0.013 | -0.013 | -0.013 | -0.000 | -0.000 | 77.658 |
| 254.574 | 139.772 | 139.772 | 0.000 | 0.000 | 0.000 |
| 139.772 | 254.574 | 139.772 | 0.000 | 0.000 | 0.000 |
| 139.772 | 139.772 | 254.574 | 0.000 | 0.000 | 0.000 |
| 0.013 | 0.013 | 0.013 | 77.658 | 0.000 | 0.000 |
| 0.013 | 0.013 | 0.013 | 0.000 | 77.658 | 0.000 |
| 0.013 | 0.013 | 0.013 | 0.000 | 0.000 | 77.658 |
| 261.258 | 143.724 | 56.849 | -0.000 | 0.000 | 0.000 |
| 146.032 | 344.359 | -56.543 | -0.000 | 0.000 | 0.000 |
| 59.078 | -55.976 | 401.671 | -0.000 | 0.000 | 0.000 |
| 0.000 | -0.000 | 0.000 | -86.221 | 0.000 | 0.000 |
| -0.000 | -0.000 | -0.000 | 0.000 | -169.984 | 0.000 |
| 0.000 | 0.000 | 0.000 | 0.000 | 0.000 | 122.534 |
| 290.012 | 144.421 | 58.948 | 0.000 | -0.000 | -0.000 |
| 146.032 | 344.359 | -56.543 | -0.000 | -0.000 | -0.000 |
| 59.078 | -55.976 | 401.671 | -0.000 | -0.000 | -0.000 |
| -0.000 | 0.000 | -0.000 | -86.221 | -0.000 | -0.000 |
| 0.000 | 0.000 | 0.000 | -0.000 | -169.984 | -0.000 |
| -0.000 | 0.000 | -0.000 | -0.000 | -0.000 | 122.534 |
| 290.012 | 144.422 | 58.948 | 0.000 | 0.000 | 0.000 |
| 145.335 | 344.343 | -56.594 | 0.000 | 0.000 | 0.000 |
| 61.177 | -55.925 | 401.825 | 0.000 | 0.000 | 0.000 |
| -108976720.576 | -143759658.210 | -41381158.520 | -36026584.980 | 857706.171 | 727996.272 |
| -0.000 | 0.000 | -0.000 | 0.000 | -169.984 | 0.000 |
| 0.000 | 0.000 | -0.000 | 0.000 | 0.000 | 122.534 |
| 290.012 | 144.421 | 58.948 | -0.000 | 0.000 | -0.000 |
| 146.032 | 344.359 | -56.543 | 0.000 | -0.000 | -0.000 |
| 59.078 | -55.976 | 401.671 | -0.000 | -0.000 | -0.000 |
| 104561267.800 | 135895844.203 | 40423877.616 | -36280831.611 | -551703.197 | 3435766.260 |
| 0.000 | -0.000 | 0.000 | -0.000 | -169.984 | -0.000 |
| -0.000 | -0.000 | 0.000 | 0.000 | -0.000 | 122.534 |
| 261.258 | 143.725 | 56.849 | 0.000 | 0.000 | 0.000 |
| 145.336 | 344.344 | -56.594 | 0.000 | 0.000 | 0.000 |
| 61.177 | -55.925 | 401.827 | -0.000 | 0.000 | 0.000 |
| -9402586.294 | 8873475.006 | -17035515.195 | -10458856.333 | 0.000 | 0.000 |
| -0.002 | 0.000 | -0.001 | 0.000 | -169.984 | 0.000 |
| 0.000 | 0.001 | -0.000 | 0.000 | 0.000 | 122.534 |
| 261.258 | 143.724 | 56.849 | 0.000 | 0.000 | -0.000 |
| 145.334 | 344.341 | -56.594 | -0.000 | 0.000 | -0.000 |
| 59.078 | -55.976 | 401.669 | -0.000 | 0.000 | -0.000 |
| 9402586.294 | -8873475.006 | 17035515.195 | -10458856.333 | -0.000 | -0.000 |
| 0.002 | -0.000 | 0.001 | 0.000 | -169.984 | -0.000 |
| -0.000 | -0.001 | 0.000 | -0.000 | -0.000 | 122.534 |
| -1544.231 | 1790.451 | 109.603 | -0.000 | 0.000 | 0.000 |
| -1730.650 | 1955.447 | 114.004 | -0.000 | 0.000 | 0.000 |
| -1795.716 | 1729.788 | 242.939 | -0.000 | 0.000 | 0.000 |
| -1869.266 | 1653.127 | 36.914 | 64.791 | 0.000 | 0.000 |
| 0.000 | 0.000 | 0.000 | -0.000 | 59.536 | 0.000 |
| -1869.296 | 1653.154 | 36.915 | -0.000 | 0.000 | 70.756 |
| 2194.302 | -1515.803 | 35.774 | 0.000 | -0.000 | -0.000 |
| 113.280 | 324.726 | 77.590 | 0.000 | -0.000 | -0.000 |
| 1942.817 | -1576.467 | 169.111 | -0.000 | -0.000 | -0.000 |
| 1869.266 | -1653.127 | -36.914 | 64.791 | -0.000 | -0.000 |
| -0.000 | -0.000 | -0.000 | 0.000 | 59.536 | 0.000 |
| 1869.296 | -1653.154 | -36.915 | 0.000 | -0.000 | 70.756 |
| 138.102 | 302.643 | 76.380 | -0.000 | 0.000 | 0.000 |
| -48.310 | 467.633 | 80.782 | -0.000 | 0.000 | 0.000 |
| -113.376 | 241.973 | 209.717 | 0.000 | 0.000 | 0.000 |
| -186.927 | 165.313 | 3.692 | 64.797 | 0.000 | 0.000 |
| -186.927 | 165.313 | 3.692 | -0.000 | 59.535 | 0.000 |
| -186.927 | 165.313 | 3.691 | -0.000 | 0.000 | 68.675 |
| 511.962 | -27.988 | 68.997 | 0.000 | 0.000 | -0.000 |
| 325.542 | 137.007 | 73.399 | 0.000 | -0.000 | -0.000 |
| 260.477 | -88.652 | 202.333 | 0.000 | -0.000 | -0.000 |
| 186.927 | -165.313 | -3.692 | 64.797 | -0.000 | -0.000 |
| 186.927 | -165.313 | -3.692 | 0.000 | 59.535 | -0.000 |
| 186.927 | -165.313 | -3.691 | 0.000 | -0.000 | 68.675 |
| 306.343 | 153.858 | 73.058 | -0.000 | 0.000 | 0.000 |
| 119.925 | 318.852 | 77.459 | -0.000 | 0.000 | 0.000 |
| 54.859 | 93.193 | 206.398 | -0.000 | 0.000 | 0.000 |
| -18.692 | 16.531 | 0.370 | 64.797 | 0.000 | 0.000 |
| -18.693 | 16.532 | 0.370 | -0.000 | 59.535 | 0.000 |
| -18.692 | 16.532 | 0.369 | -0.000 | 0.000 | 68.675 |
| 343.724 | 120.793 | 72.319 | 0.000 | -0.000 | -0.000 |
| 157.307 | 285.787 | 76.721 | 0.000 | -0.000 | -0.000 |
| 92.242 | 60.128 | 205.652 | 0.000 | -0.000 | -0.000 |
| 18.692 | -16.531 | -0.370 | 64.797 | -0.000 | -0.000 |
| 18.693 | -16.532 | -0.370 | 0.000 | 59.535 | -0.000 |
| 18.692 | -16.532 | -0.369 | 0.000 | -0.000 | 68.675 |
| -11636359413.982 | -6140757381.411 | -9690160683.149 | -450580957.342 | 6581014.975 | -124777515.020 |
| -939.662 | -1386.482 | -303.493 | 0.000 | -0.000 | 0.000 |
| -303.493 | -303.493 | 903.611 | -0.000 | 0.000 | 0.000 |
| 0.000 | 0.000 | 0.000 | 385.694 | -0.000 | -0.000 |
| 0.000 | -0.000 | 0.000 | 0.000 | 385.694 | -0.000 |
| 0.000 | 0.000 | 0.000 | -0.000 | -0.000 | -223.410 |
| 10434893919.121 | 9457639039.233 | 17362356690.324 | 32781641.156 | 326343385.133 | -263388893.735 |
| 14484206969.611 | 7992518581.586 | 12165539573.777 | 32116764.714 | 255863806.032 | 109544741.801 |
| -303.493 | -303.493 | 903.610 | -0.000 | 0.000 | 0.000 |
| -0.000 | 0.000 | -0.000 | 385.694 | -0.000 | 0.000 |
| -0.000 | 0.000 | -0.000 | -0.000 | 385.694 | 0.000 |
| -0.000 | -0.000 | -0.000 | 0.000 | 0.000 | -223.410 |
| -1274174836.105 | -809981700.704 | -1173557157.713 | -53057696.145 | 11771570.666 | 11116749.510 |
| -1135440995.978 | -1049799532.802 | -1721923780.148 | 5842980.083 | 18389839.592 | -7790827.954 |
| -303.493 | -303.493 | 903.614 | 0.000 | 0.000 | -0.000 |
| 0.000 | 0.000 | 0.001 | 385.694 | 0.000 | -0.000 |
| 0.000 | 0.000 | 0.001 | 0.000 | 385.694 | -0.000 |
| -765027869.280 | -1028622780.191 | -1089548468.215 | -31742216.330 | 41136731.694 | -229713743.097 |
| 1151971253.369 | 1072413489.219 | 1599133457.867 | -1689411.271 | -2883602.364 | 22456588.861 |
| 1429748857.658 | 869102842.359 | 1159322569.319 | 17497800.416 | -12093413.079 | 35324399.356 |
| -303.493 | -303.493 | 903.606 | -0.000 | 0.000 | 0.000 |
| -0.000 | -0.000 | -0.001 | 385.694 | -0.000 | 0.000 |
| -0.000 | -0.000 | -0.001 | -0.000 | 385.694 | -0.000 |
| 712197058.023 | 932705360.371 | 984721286.197 | 76899747.616 | 125577022.470 | -236135273.678 |
| -84416046.328 | -85408792.179 | 5888033.928 | -0.000 | 0.000 | -0.000 |
| 23983235.353 | 22947820.120 | -73799940.707 | 0.000 | -0.000 | 0.001 |
| -303.493 | -303.493 | 903.652 | -0.000 | -0.000 | -0.000 |
| 0.015 | -0.010 | 0.006 | 385.694 | 0.000 | 0.000 |
| 0.003 | 0.001 | 0.006 | -0.000 | 385.694 | -0.000 |
| -90052661.919 | -116204753.869 | -120547139.400 | -3209273.450 | -3307128.317 | -25182249.695 |
| -23985185.002 | -22949447.858 | 73798861.529 | -0.000 | 0.000 | -0.001 |
| 84417004.366 | 85407571.294 | -5888151.100 | 0.000 | 0.000 | 0.000 |
| -303.493 | -303.493 | 903.568 | -0.000 | 0.000 | 0.000 |
| -0.015 | 0.010 | -0.006 | 385.694 | -0.000 | -0.000 |
| -0.003 | -0.001 | -0.006 | 0.000 | 385.694 | 0.000 |
| 67578892.770 | 91736783.349 | 102236449.738 | 3173826.364 | 4606286.779 | -21706876.861 |
Phonon band structures and crystal properties estimated from quasi-harmonic approximation (QHA) calculations are displayed for select crystals. The calculations were performed using phonopy and LAMMPS. For the phonon calculations, 3x3 supercells of the potential-specific relaxed crystals were used. The QHA calculations were based on 11 strain states ranging from -0.05 to 0.05.
The calculation method used is available as the iprPy phonon calculation method.
Notes and Disclaimers:
Version Information:
















































































Plots of the atomic structure of dislocation cores are shown here. The dislocations were constructed using dislocation monopole configurations in which a straight dislocation is created in the center of the system using anisotropic elasticity and the elastic constants computed above. A cylindrical region centered around the dislocation is allowed to relax while the remaining atoms are held fixed. The relaxation consists of 1 million NVT steps at 10 K followed by an energy/force minimization. The final plots show the atomic configuration near the center of the monopole system, and display differential displacement arrows and Nye tensor color maps that are both taken with respect to the Burgers vector direction.
These plots show a wide range of final structures, some corresponding to expected dislocation structures and others not. While the characterizations are dislocation-type dependent, some general classification guidelines are listed here.
The calculation method used is available as the iprPy dislocation_monopole calculation method.
Links are provided above the images allowing for users to download the final defect configuration and a corresponding defect-free configuration if they wish to further analyze the structures or use them for subsequent simulations.
Notes and Disclaimers:
Version Information:
Plots of lattice and elastic constants are shown as a function of temperature. The 0K points were taken from the Crystal Structure Predictions and the Elastic Constants Predictions sections above for the unique crystal structures relaxed with the "dynamic" method. Starting from the 0 K relaxed crystal unit cells, supercell systems are created by replicating all three dimensions by the same multiplier to achieve at least 4000 atoms. The systems are then relaxed at 50 K and zero pressure using 1 million NPT steps. Lattice constants are estimated by averaging the measured box dimensions. Temperatures are iteratively increased by 50 K, with each subsequent relaxation calculation starting from the final atomic configuration at the previous temperature and relaxing for another 1 million steps.
The elastic constants are calculated using the deformation–fluctuation hybrid method. Starting from the final atomic configurations of the dynamic relaxations, the system is allowed to evolve at constant volume with a Langevin thermostat. The Born matrix is computed during this run by evaluating how the atomic forces would vary due to applied linear strain fields. The elastic constants can then be estimated using the averaged Born matrix values and the averaged stresses on the system.
The calculation methods used are available as the iprPy relax_dynamic and elastic_constants_dynamic calculation methods.
Clicking on the image of a plot will open an interactive version of it in a new tab. The underlying data for the plots can be downloaded by clicking on the links above each plot.
Notes and Disclaimers:
Version Information:
Plots of internal energy, Gibbs free energy, entropy, heat capacity and volume are shown here as a function of temperature for various crystal structures and liquid phases. The included crystal structures correspond to those in the Solid Structures vs. Temperature section, and the liquid phases to those in the Liquid Properties section. Internal energy and volume are taken from the associated structure relaxations mentioned in those previous sections. Constant pressure heat capacity is estimated using 3-point numerical derivatives of enthalpy versus temperature. Note that since all simulations done here are at 0 pressure, internal energy and enthalpy are equivalent.
The Gibbs energies of the phases are estimated using thermodynamic integration between the interatomic potential in question and a simpler model with known Gibbs free energy values. For solids, the reference model is an Einstein solid, while for liquids it is the Uhlenbeck-Ford potential. Besides a short run at the start of the solid calculations to estimate Einstein model spring constants, the two calculations proceed similarly. Starting with the final relaxation configurations, the systems are stabilized for 25,000 steps. Then, over the next 50,000 steps the potential is swapped out for the reference potential. The system is then stabilized for another 25,000 steps with the reference model before a reverse swap of 50,000 steps is performed. The simulation ends with one final 25,000 step stabilization period. From the simulation, the irreversible work of transformation is estimated and used to compute the absolute Gibbs free energy of the target phase and potential relative to the reference potential. Entropy is estimated as the difference in enthalpy and Gibbs free energy and divided by temperature.
The calculation methods used are available as the iprPy relax_dynamic, relax_liquid_redo, free_energy, and free_energy_liquid calculation methods.
Clicking on the image of a plot will open an interactive version of it in a new tab. The underlying data for the plots can be downloaded by clicking on the links above each plot.
Notes and Disclaimers:
Version Information:





