Plots of the potential energy vs interatomic spacing, r, are shown below for all diatom sets associated with the interatomic potential. This calculation provides insights into the functional form of the potential's two-body interactions. A system consisting of only two atoms is created, and the potential energy is evaluated for the atoms separated by 0.02 Å <= r <= 6.0> Å in intervals of 0.02 Å. Two plots are shown: one for the "standard" interaction distance range, and one for small values of r. The small r plot is useful for determining whether the potential is suitable for radiation studies.
The calculation method used is available as the iprPy diatom_scan calculation method.
Clicking on the image of a plot will open an interactive version of it in a new tab. The underlying data for the plots can be downloaded by clicking on the links above each plot.
Notes and Disclaimers:
Version Information:
Plots of potential energy vs interatomic spacing, r, are shown below for a number of crystal structures. The structures are generated based on the ideal atomic positions and b/a and c/a lattice parameter ratios for a given crystal prototype. The size of the system is then uniformly scaled, and the energy calculated without relaxing the system. To obtain these plots, values of r are evaluated every 0.02 Å up to 6 Å.
The calculation method used is available as the iprPy E_vs_r_scan calculation method.
Clicking on the image of a plot will open an interactive version of it in a new tab. The underlying data for the plots can be downloaded by clicking on the links above each plot.
Notes and Disclaimers:
Version Information:
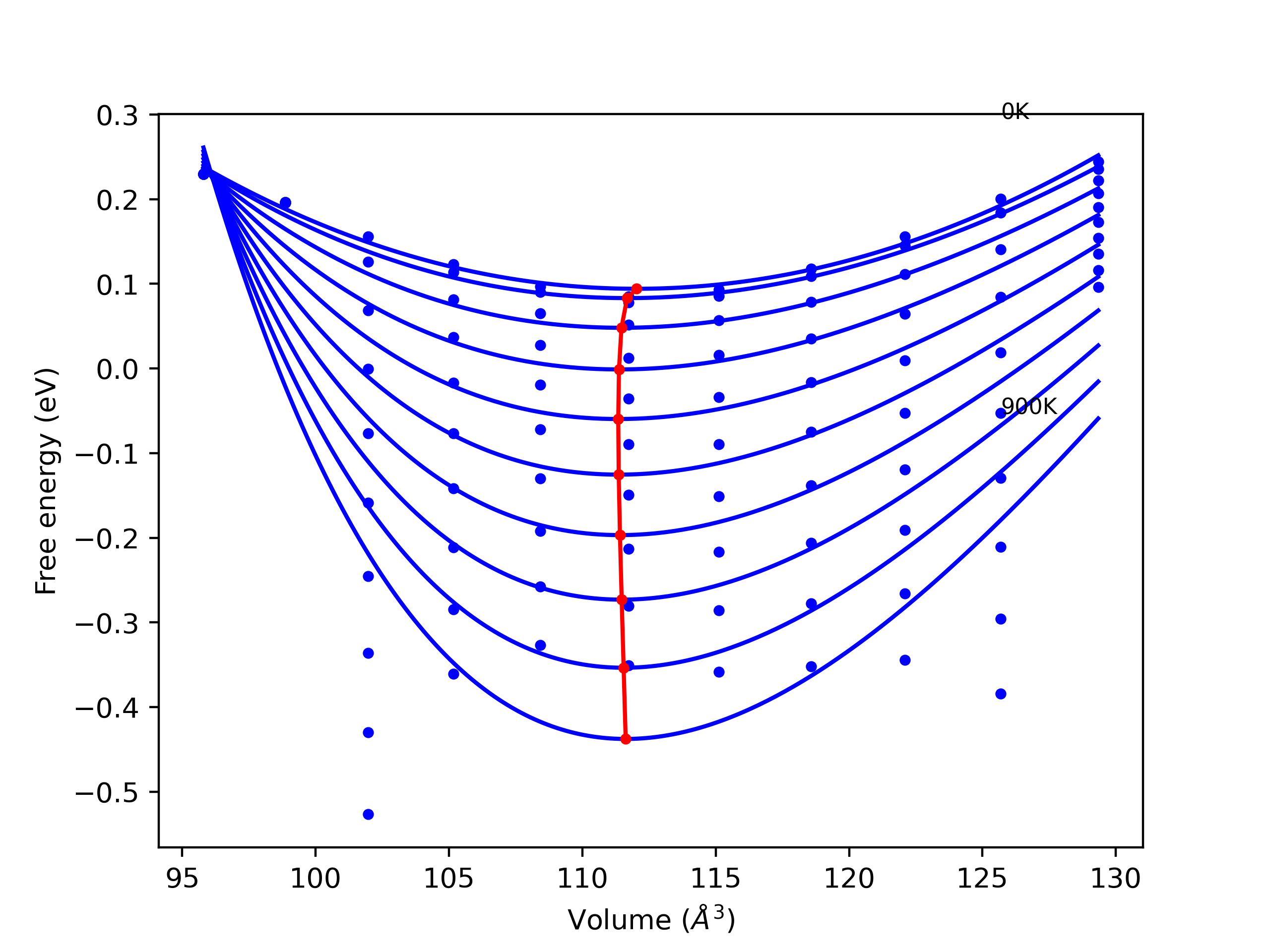
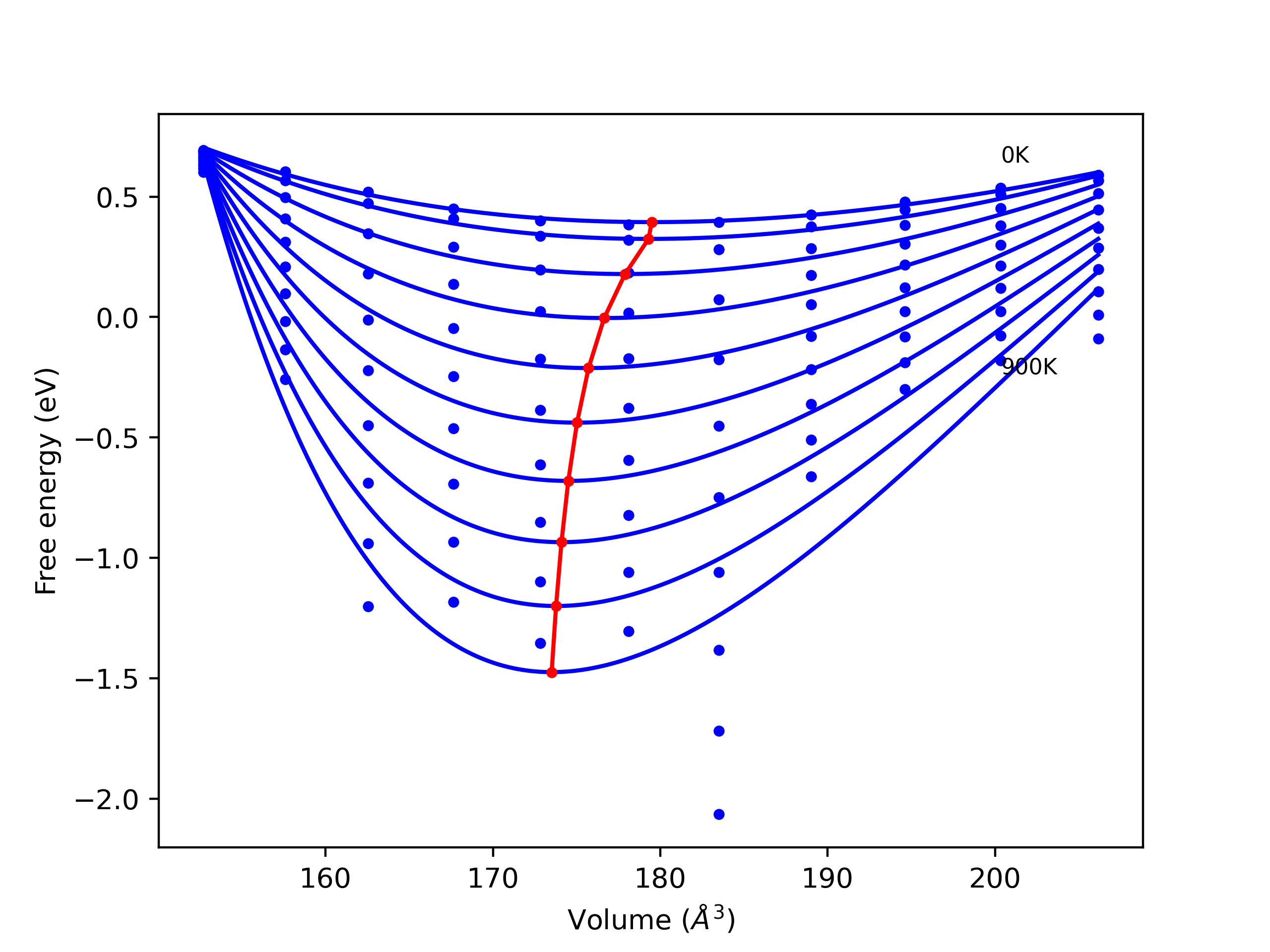
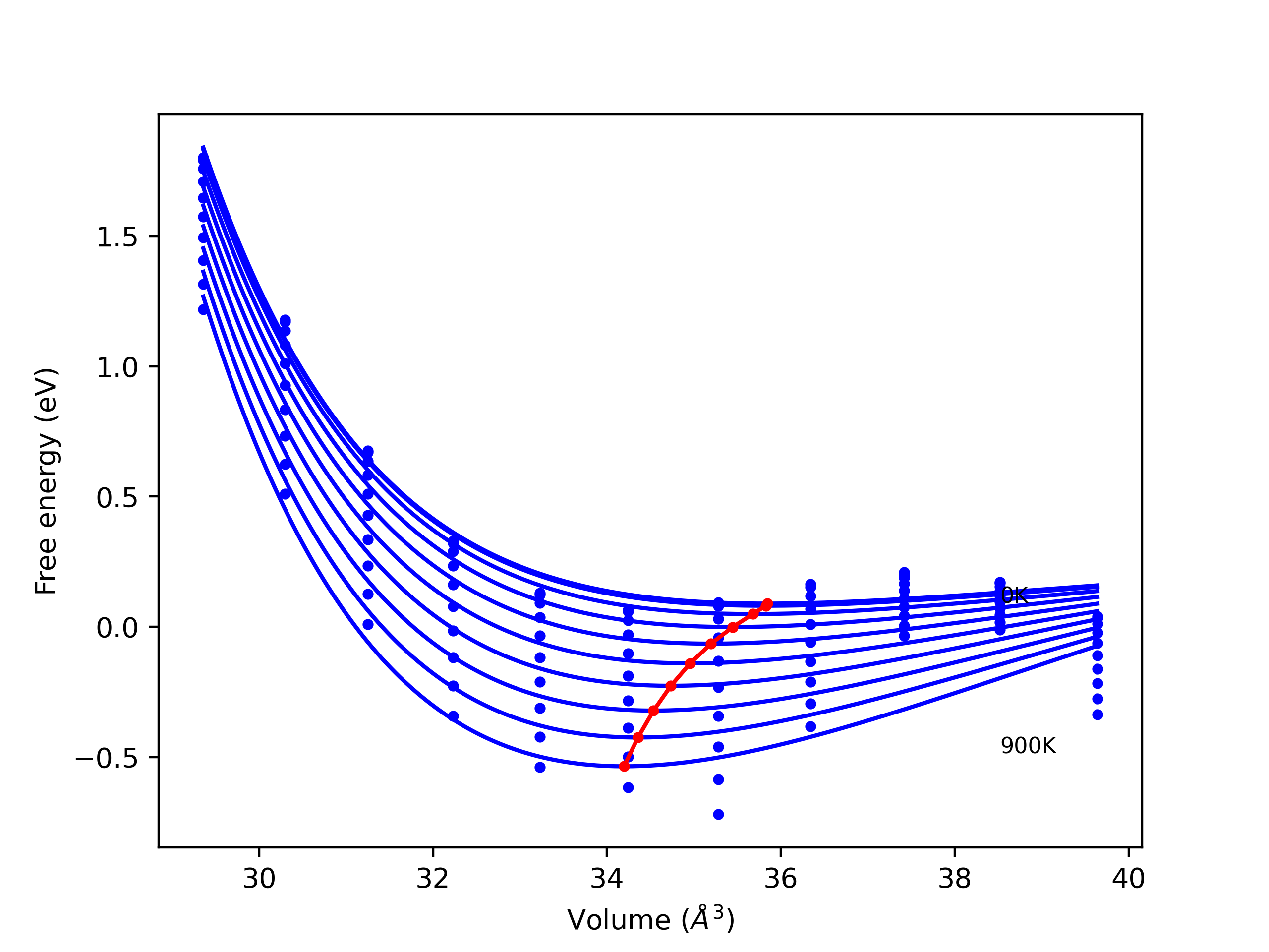
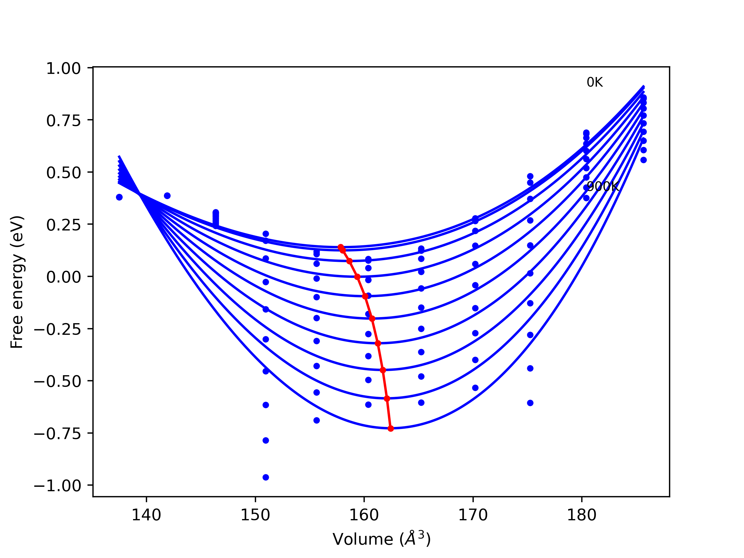
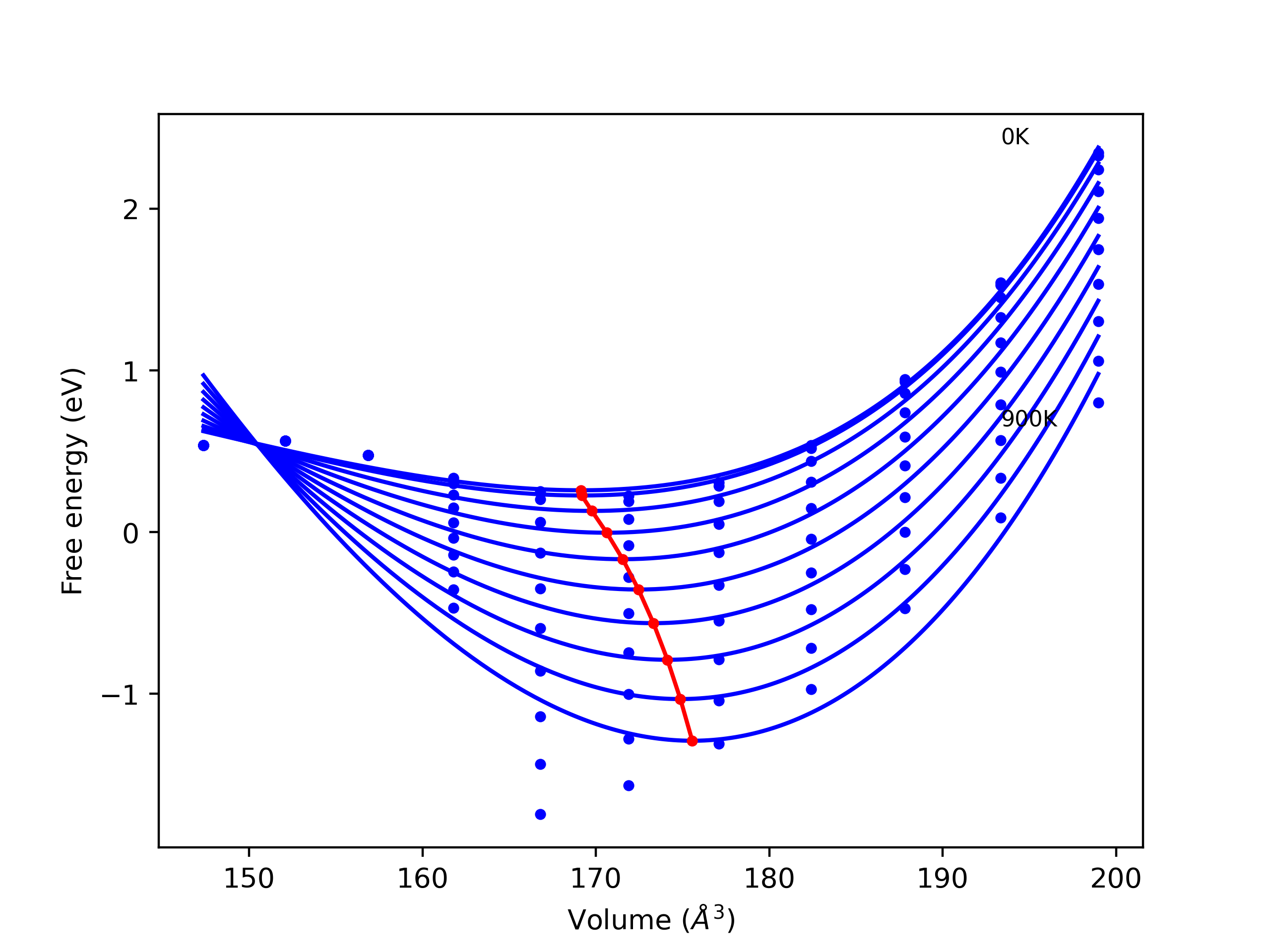
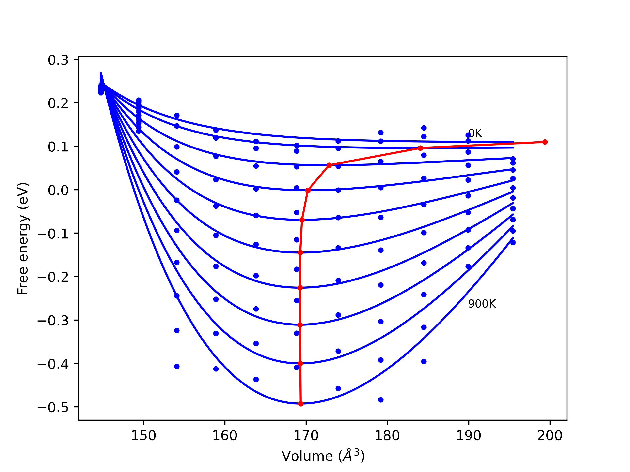
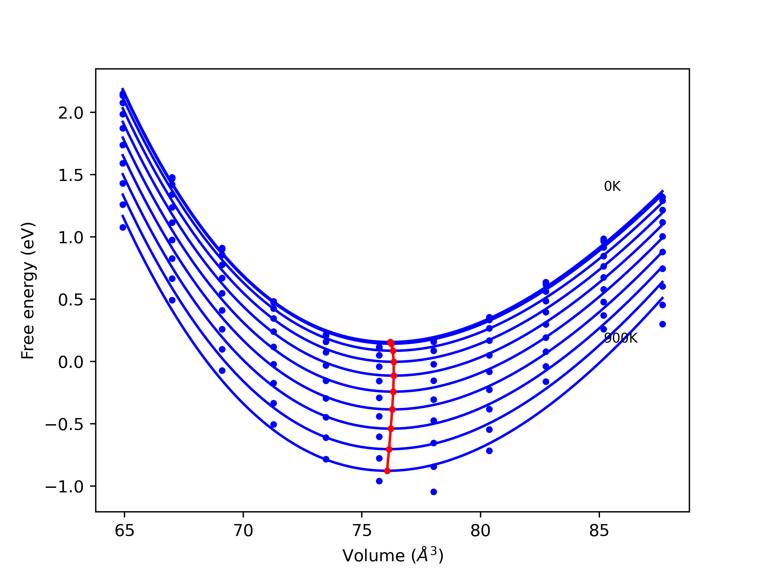
Computed lattice constants and cohesive/potential energies are displayed for a variety of crystal structures. The values displayed here are obtained using the following process.
The calculation methods used are implemented into iprPy as the following calculation styles
Notes and Disclaimers:
Version Information:
Download raw data (including filtered results)
Reference structure matches:
A1--Cu--fcc = mp-8637, oqmd-676152, oqmd-1214544
A15--beta-W = oqmd-1214989, oqmd-1280332
A2--W--bcc = mp-129, oqmd-676469, oqmd-1215167
A3'--alpha-La--double-hcp = mp-1066523, oqmd-1215435
A3--Mg--hcp = oqmd-1215345
A4--C--dc = oqmd-1215524
A5--beta-Sn = oqmd-1215613
A6--In--bct = oqmd-1215702
| prototype | method | Ecoh (eV/atom) | Epot (eV/atom) | a0 (Å) | b0 (Å) | c0 (Å) | α (degrees) | β (degrees) | γ (degrees) |
|---|---|---|---|---|---|---|---|---|---|
| A2--W--bcc | dynamic | -6.8972 | -6.9294 | 3.1474 | 3.1474 | 3.1474 | 90.0 | 90.0 | 90.0 |
| oqmd-1214811 | dynamic | -6.7154 | -6.7476 | 9.7192 | 9.7192 | 9.7192 | 90.0 | 90.0 | 90.0 |
| oqmd-1215256 | static | -6.7066 | -6.7388 | 2.6856 | 5.2167 | 4.5226 | 90.0 | 90.0 | 90.0 |
| A15--beta-W | dynamic | -6.7001 | -6.7322 | 5.0052 | 5.0052 | 5.0052 | 90.0 | 90.0 | 90.0 |
| oqmd-1214900 | dynamic | -6.6722 | -6.7043 | 6.8874 | 6.8874 | 6.8874 | 90.0 | 90.0 | 90.0 |
| A6--In--bct | static | -6.639 | -6.6712 | 2.6551 | 2.6551 | 4.4721 | 90.0 | 90.0 | 90.0 |
| mp-1181019 | box | -6.6151 | -6.6473 | 5.2008 | 4.9822 | 10.0927 | 90.0 | 103.2 | 90.0 |
| A3'--alpha-La--double-hcp | box | -6.6076 | -6.6398 | 2.9215 | 2.9215 | 8.93 | 90.0 | 90.0 | 120.0 |
| A1--Cu--fcc | static | -6.5625 | -6.5947 | 4.014 | 4.014 | 4.014 | 90.0 | 90.0 | 90.0 |
| mp-1180307 | box | -6.5172 | -6.5494 | 9.818 | 3.024 | 9.7127 | 90.0 | 113.5 | 90.0 |
| mp-1190217 | static | -6.449 | -6.4811 | 7.6706 | 2.6694 | 13.4591 | 90.0 | 101.1 | 90.0 |
| mp-1190217 | box | -6.4392 | -6.4714 | 7.6743 | 2.6744 | 13.4613 | 90.0 | 101.1 | 90.0 |
| A5--beta-Sn | dynamic | -6.1466 | -6.1787 | 4.8536 | 4.8536 | 2.7039 | 90.0 | 90.0 | 90.0 |
| mp-1056004 | dynamic | -6.1117 | -6.1439 | 2.7035 | 2.7035 | 2.4861 | 90.0 | 90.0 | 120.0 |
| Ah--alpha-Po--sc | static | -5.7204 | -5.7526 | 2.5644 | 2.5644 | 2.5644 | 90.0 | 90.0 | 90.0 |
| oqmd-1215969 | static | -5.5285 | -5.5607 | 4.3279 | 4.3279 | 4.5146 | 90.0 | 90.0 | 120.0 |
| A4--C--dc | static | -4.8649 | -4.8971 | 5.4746 | 5.4746 | 5.4746 | 90.0 | 90.0 | 90.0 |
| A1--Cu--fcc | dynamic | -0.4352 | -0.4674 | 6.3491 | 6.3491 | 6.3491 | 90.0 | 90.0 | 90.0 |
| A3--Mg--hcp | dynamic | -0.4352 | -0.4674 | 4.4895 | 4.4895 | 7.3313 | 90.0 | 90.0 | 120.0 |
| A3'--alpha-La--double-hcp | dynamic | -0.4352 | -0.4674 | 4.4895 | 4.4895 | 14.6626 | 90.0 | 90.0 | 120.0 |
| A2--W--bcc | dynamic | -0.3463 | -0.3785 | 5.2619 | 5.2619 | 5.2619 | 90.0 | 90.0 | 90.0 |
| A5--beta-Sn | dynamic | -0.2849 | -0.317 | 8.6469 | 8.6469 | 4.4653 | 90.0 | 90.0 | 90.0 |
| A1--Cu--fcc | dynamic | -0.2205 | -0.2526 | 7.6456 | 7.6456 | 7.6456 | 90.0 | 90.0 | 90.0 |
| A3'--alpha-La--double-hcp | dynamic | -0.2205 | -0.2526 | 5.4062 | 5.4062 | 17.6567 | 90.0 | 90.0 | 120.0 |
| A3--Mg--hcp | dynamic | -0.2205 | -0.2526 | 5.4062 | 5.4062 | 8.8283 | 90.0 | 90.0 | 120.0 |
| Ah--alpha-Po--sc | dynamic | -0.2176 | -0.2497 | 4.4896 | 4.4896 | 4.4896 | 90.0 | 90.0 | 90.0 |
| A15--beta-W | static | -0.1995 | -0.2317 | 8.7424 | 8.7424 | 8.7424 | 90.0 | 90.0 | 90.0 |
| A7--alpha-As | static | -0.1639 | -0.1961 | 6.8481 | 6.8481 | 17.4425 | 90.0 | 90.0 | 120.0 |
| A7--alpha-As | dynamic | -0.1639 | -0.1961 | 6.685 | 6.685 | 18.2372 | 90.0 | 90.0 | 120.0 |
| A7--alpha-As | static | -0.1639 | -0.1961 | 6.848 | 6.848 | 17.4427 | 90.0 | 90.0 | 120.0 |
| A2--W--bcc | dynamic | -0.147 | -0.1791 | 6.2426 | 6.2426 | 6.2426 | 90.0 | 90.0 | 90.0 |
| A4--C--dc | dynamic | -0.145 | -0.1772 | 10.3683 | 10.3683 | 10.3683 | 90.0 | 90.0 | 90.0 |
| A5--beta-Sn | dynamic | -0.1102 | -0.1424 | 10.4691 | 10.4691 | 5.4062 | 90.0 | 90.0 | 90.0 |
| Ah--alpha-Po--sc | dynamic | -0.1102 | -0.1424 | 5.4062 | 5.4062 | 5.4062 | 90.0 | 90.0 | 90.0 |
| A7--alpha-As | dynamic | -0.1088 | -0.1409 | 7.0058 | 7.0058 | 22.2979 | 90.0 | 90.0 | 120.0 |
| A4--C--dc | dynamic | -0.0735 | -0.1057 | 12.4852 | 12.4852 | 12.4852 | 90.0 | 90.0 | 90.0 |
| A7--alpha-As | dynamic | -0.0551 | -0.0873 | 8.521 | 8.521 | 18.3878 | 90.0 | 90.0 | 120.0 |
| A7--alpha-As | static | -0.0551 | -0.0873 | 8.0777 | 8.0777 | 22.4233 | 90.0 | 90.0 | 120.0 |
| A15--beta-W | dynamic | -0.0214 | -0.0536 | 11.0523 | 11.0523 | 11.0523 | 90.0 | 90.0 | 90.0 |
Download raw data (including filtered results)
Reference structure matches:
| prototype | method | Ecoh (eV/atom) | Epot (eV/atom) | a0 (Å) | b0 (Å) | c0 (Å) | α (degrees) | β (degrees) | γ (degrees) |
|---|---|---|---|---|---|---|---|---|---|
| C1--CaF2--fluorite | static | -4.8203 | -4.8418 | 6.2595 | 6.2595 | 6.2595 | 90.0 | 90.0 | 90.0 |
| oqmd-1240542 | static | -3.1807 | -3.2021 | 11.2981 | 11.2981 | 11.2981 | 90.0 | 90.0 | 90.0 |
| C1--CaF2--fluorite | dynamic | -1.2768 | -1.2983 | 9.0902 | 9.0902 | 9.0902 | 90.0 | 90.0 | 90.0 |
| C1--CaF2--fluorite | dynamic | -0.0992 | -0.1207 | 10.7722 | 10.7722 | 10.7722 | 90.0 | 90.0 | 90.0 |
Download raw data (including filtered results)
Reference structure matches:
| prototype | method | Ecoh (eV/atom) | Epot (eV/atom) | a0 (Å) | b0 (Å) | c0 (Å) | α (degrees) | β (degrees) | γ (degrees) |
|---|---|---|---|---|---|---|---|---|---|
| oqmd-427941 | static | -4.2667 | -4.2796 | 6.5274 | 6.5274 | 19.388 | 90.0 | 90.0 | 120.0 |
Download raw data (including filtered results)
Reference structure matches:
| prototype | method | Ecoh (eV/atom) | Epot (eV/atom) | a0 (Å) | b0 (Å) | c0 (Å) | α (degrees) | β (degrees) | γ (degrees) |
|---|---|---|---|---|---|---|---|---|---|
| L2_1--AlCu2Mn--heusler | static | -2.1483 | -2.1644 | 6.5646 | 6.5646 | 6.5646 | 90.0 | 90.0 | 90.0 |
| L2_1--AlCu2Mn--heusler | static | -1.9239 | -1.94 | 7.1721 | 7.1721 | 7.1721 | 90.0 | 90.0 | 90.0 |
| L2_1--AlCu2Mn--heusler | static | -0.8506 | -0.8667 | 9.1324 | 9.1324 | 9.1324 | 90.0 | 90.0 | 90.0 |
| L2_1--AlCu2Mn--heusler | dynamic | 0.2321 | 0.2161 | 12.8425 | 12.8425 | 12.8425 | 90.0 | 90.0 | 90.0 |
Download raw data (including filtered results)
Reference structure matches:
| prototype | method | Ecoh (eV/atom) | Epot (eV/atom) | a0 (Å) | b0 (Å) | c0 (Å) | α (degrees) | β (degrees) | γ (degrees) |
|---|---|---|---|---|---|---|---|---|---|
| C1--CaF2--fluorite | dynamic | -1.4691 | -1.4905 | 6.3691 | 6.3691 | 6.3691 | 90.0 | 90.0 | 90.0 |
| C1--CaF2--fluorite | static | -0.8222 | -0.8437 | 7.3457 | 7.3457 | 7.3457 | 90.0 | 90.0 | 90.0 |
| C1--CaF2--fluorite | dynamic | -0.2103 | -0.2318 | 8.9311 | 8.9311 | 8.9311 | 90.0 | 90.0 | 90.0 |
| C1--CaF2--fluorite | dynamic | -0.0436 | -0.065 | 10.7346 | 10.7346 | 10.7346 | 90.0 | 90.0 | 90.0 |
| C1--CaF2--fluorite | dynamic | 0.1076 | 0.0862 | 12.3785 | 12.3785 | 12.3785 | 90.0 | 90.0 | 90.0 |
Download raw data (including filtered results)
Reference structure matches:
D0_3--BiF3 = oqmd-313964
L1_2--AuCu3 = oqmd-344809
| prototype | method | Ecoh (eV/atom) | Epot (eV/atom) | a0 (Å) | b0 (Å) | c0 (Å) | α (degrees) | β (degrees) | γ (degrees) |
|---|---|---|---|---|---|---|---|---|---|
| D0_3--BiF3 | dynamic | -6.0998 | -6.124 | 6.4582 | 6.4582 | 6.4582 | 90.0 | 90.0 | 90.0 |
| oqmd-320323 | static | -5.9227 | -5.9468 | 5.9465 | 5.9465 | 4.6396 | 90.0 | 90.0 | 120.0 |
| L1_2--AuCu3 | static | -5.8614 | -5.8855 | 4.1648 | 4.1648 | 4.1648 | 90.0 | 90.0 | 90.0 |
| A15--Cr3Si | dynamic | -5.8592 | -5.8833 | 5.0262 | 5.0262 | 5.0262 | 90.0 | 90.0 | 90.0 |
| A15--Cr3Si | static | -0.0817 | -0.1058 | 8.3621 | 8.3621 | 8.3621 | 90.0 | 90.0 | 90.0 |
| D0_3--BiF3 | dynamic | -0.0723 | -0.0964 | 10.7707 | 10.7707 | 10.7707 | 90.0 | 90.0 | 90.0 |
| A15--Cr3Si | dynamic | -0.0294 | -0.0536 | 10.8951 | 10.8951 | 10.8951 | 90.0 | 90.0 | 90.0 |
| D0_3--BiF3 | static | 0.1508 | 0.1267 | 12.6199 | 12.6199 | 12.6199 | 90.0 | 90.0 | 90.0 |
| L1_2--AuCu3 | static | 0.2273 | 0.2032 | 7.718 | 7.718 | 7.718 | 90.0 | 90.0 | 90.0 |
Download raw data (including filtered results)
Reference structure matches:
| prototype | method | Ecoh (eV/atom) | Epot (eV/atom) | a0 (Å) | b0 (Å) | c0 (Å) | α (degrees) | β (degrees) | γ (degrees) |
|---|---|---|---|---|---|---|---|---|---|
| D0_3--BiF3 | dynamic | -3.0829 | -3.107 | 6.5427 | 6.5427 | 6.5427 | 90.0 | 90.0 | 90.0 |
| L1_2--AuCu3 | dynamic | -3.0732 | -3.0973 | 4.3616 | 4.3616 | 4.3616 | 90.0 | 90.0 | 90.0 |
| A15--Cr3Si | static | -3.0306 | -3.0547 | 5.2482 | 5.2482 | 5.2482 | 90.0 | 90.0 | 90.0 |
| L1_2--AuCu3 | static | -0.2211 | -0.2452 | 6.2316 | 6.2316 | 6.2316 | 90.0 | 90.0 | 90.0 |
| D0_3--BiF3 | static | -0.1029 | -0.127 | 10.4507 | 10.4507 | 10.4507 | 90.0 | 90.0 | 90.0 |
| A15--Cr3Si | static | -0.0622 | -0.0864 | 8.7285 | 8.7285 | 8.7285 | 90.0 | 90.0 | 90.0 |
| A15--Cr3Si | dynamic | -0.0235 | -0.0476 | 10.9766 | 10.9766 | 10.9766 | 90.0 | 90.0 | 90.0 |
| D0_3--BiF3 | dynamic | 0.0082 | -0.0159 | 12.4416 | 12.4416 | 12.4416 | 90.0 | 90.0 | 90.0 |
| L1_2--AuCu3 | dynamic | 0.0121 | -0.0121 | 7.6159 | 7.6159 | 7.6159 | 90.0 | 90.0 | 90.0 |
| A15--Cr3Si | static | 0.1433 | 0.1192 | 10.0993 | 10.0993 | 10.0993 | 90.0 | 90.0 | 90.0 |
Download raw data (including filtered results)
Reference structure matches:
B1--NaCl--rock-salt = oqmd-1106610
B2--CsCl = oqmd-307425, oqmd-338967
B3--ZnS--cubic-zinc-blende = oqmd-1223406
| prototype | method | Ecoh (eV/atom) | Epot (eV/atom) | a0 (Å) | b0 (Å) | c0 (Å) | α (degrees) | β (degrees) | γ (degrees) |
|---|---|---|---|---|---|---|---|---|---|
| B2--CsCl | static | -5.3554 | -5.3714 | 3.3041 | 3.3041 | 3.3041 | 90.0 | 90.0 | 90.0 |
| mp-1178856 | dynamic | -5.2847 | -5.3008 | 5.5824 | 2.7109 | 9.3182 | 90.0 | 90.7 | 90.0 |
| mp-1079710 | dynamic | -5.2628 | -5.2789 | 5.516 | 2.6882 | 10.8964 | 90.0 | 118.5 | 90.0 |
| mp-1079710 | static | -5.2604 | -5.2765 | 5.5543 | 2.6996 | 11.1078 | 90.0 | 119.8 | 90.0 |
| L1_0--AuCu | static | -5.2495 | -5.2655 | 3.1483 | 3.1483 | 3.8214 | 90.0 | 90.0 | 90.0 |
| oqmd-1230377 | dynamic | -5.2097 | -5.2258 | 2.9554 | 2.9554 | 5.0295 | 90.0 | 90.0 | 120.0 |
| oqmd-328509 | dynamic | -5.2023 | -5.2184 | 2.9897 | 2.9897 | 14.6854 | 90.0 | 90.0 | 120.0 |
| mp-1178856 | box | -5.1933 | -5.2094 | 5.512 | 2.7394 | 9.4404 | 90.0 | 91.7 | 90.0 |
| mp-1079710 | box | -4.7205 | -4.7366 | 5.4298 | 2.763 | 10.0099 | 90.0 | 90.0 | 90.0 |
| B1--NaCl--rock-salt | dynamic | -4.6383 | -4.6544 | 5.523 | 5.523 | 5.523 | 90.0 | 90.0 | 90.0 |
| B1--NaCl--rock-salt | dynamic | -4.5248 | -4.5409 | 5.1547 | 5.1547 | 5.1547 | 90.0 | 90.0 | 90.0 |
| B3--ZnS--cubic-zinc-blende | static | -3.5243 | -3.5404 | 5.8864 | 5.8864 | 5.8864 | 90.0 | 90.0 | 90.0 |
| B1--NaCl--rock-salt | dynamic | -1.6295 | -1.6456 | 7.8817 | 7.8817 | 7.8817 | 90.0 | 90.0 | 90.0 |
| B2--CsCl | static | -1.6208 | -1.6369 | 4.5772 | 4.5772 | 4.5772 | 90.0 | 90.0 | 90.0 |
| B4--ZnS--wurtzite | box | -1.017 | -1.033 | 5.9402 | 5.9402 | 9.7186 | 90.0 | 90.0 | 120.0 |
| B3--ZnS--cubic-zinc-blende | static | -1.0169 | -1.033 | 8.403 | 8.403 | 8.403 | 90.0 | 90.0 | 90.0 |
| B3--ZnS--cubic-zinc-blende | dynamic | -0.8556 | -0.8717 | 9.1647 | 9.1647 | 9.1647 | 90.0 | 90.0 | 90.0 |
| B4--ZnS--wurtzite | static | -0.8556 | -0.8717 | 6.4787 | 6.4787 | 10.5882 | 90.0 | 90.0 | 120.0 |
| B4--ZnS--wurtzite | dynamic | -0.8556 | -0.8717 | 6.4788 | 6.4788 | 10.5878 | 90.0 | 90.0 | 120.0 |
| B1--NaCl--rock-salt | dynamic | -0.0295 | -0.0456 | 9.3161 | 9.3161 | 9.3161 | 90.0 | 90.0 | 90.0 |
| B4--ZnS--wurtzite | dynamic | -0.0197 | -0.0358 | 7.6045 | 7.6045 | 12.4281 | 90.0 | 90.0 | 120.0 |
| B3--ZnS--cubic-zinc-blende | dynamic | -0.0197 | -0.0358 | 10.7573 | 10.7573 | 10.7573 | 90.0 | 90.0 | 90.0 |
| B2--CsCl | dynamic | -0.014 | -0.0301 | 5.433 | 5.433 | 5.433 | 90.0 | 90.0 | 90.0 |
| L1_0--AuCu | dynamic | 0.0764 | 0.0603 | 6.0001 | 6.0001 | 6.9929 | 90.0 | 90.0 | 90.0 |
| B2--CsCl | dynamic | 0.1167 | 0.1006 | 6.3511 | 6.3511 | 6.3511 | 90.0 | 90.0 | 90.0 |
| B1--NaCl--rock-salt | dynamic | 0.2216 | 0.2055 | 11.0955 | 11.0955 | 11.0955 | 90.0 | 90.0 | 90.0 |
Download raw data (including filtered results)
Reference structure matches:
| prototype | method | Ecoh (eV/atom) | Epot (eV/atom) | a0 (Å) | b0 (Å) | c0 (Å) | α (degrees) | β (degrees) | γ (degrees) |
|---|---|---|---|---|---|---|---|---|---|
| mp-30789 | static | -4.8698 | -4.8805 | 3.3608 | 3.3608 | 9.8586 | 90.0 | 90.0 | 90.0 |
| mp-30789 | box | -4.8427 | -4.8534 | 3.3578 | 3.3578 | 9.972 | 90.0 | 90.0 | 90.0 |
| C1--CaF2--fluorite | static | -4.0836 | -4.0944 | 6.5341 | 6.5341 | 6.5341 | 90.0 | 90.0 | 90.0 |
| oqmd-1240541 | static | -2.923 | -2.9337 | 11.4511 | 11.4511 | 11.4511 | 90.0 | 90.0 | 90.0 |
| C1--CaF2--fluorite | dynamic | -0.9868 | -0.9975 | 9.259 | 9.259 | 9.259 | 90.0 | 90.0 | 90.0 |
| C1--CaF2--fluorite | dynamic | 0.0778 | 0.0671 | 12.7023 | 12.7023 | 12.7023 | 90.0 | 90.0 | 90.0 |
| C1--CaF2--fluorite | dynamic | 0.1296 | 0.1189 | 10.8953 | 10.8953 | 10.8953 | 90.0 | 90.0 | 90.0 |
Download raw data (including filtered results)
Reference structure matches:
| prototype | method | Ecoh (eV/atom) | Epot (eV/atom) | a0 (Å) | b0 (Å) | c0 (Å) | α (degrees) | β (degrees) | γ (degrees) |
|---|---|---|---|---|---|---|---|---|---|
| L2_1--AlCu2Mn--heusler | static | -2.0833 | -2.0914 | 6.8044 | 6.8044 | 6.8044 | 90.0 | 90.0 | 90.0 |
| L2_1--AlCu2Mn--heusler | static | -0.2154 | -0.2234 | 9.3743 | 9.3743 | 9.3743 | 90.0 | 90.0 | 90.0 |
| L2_1--AlCu2Mn--heusler | static | 0.1503 | 0.1422 | 10.9896 | 10.9896 | 10.9896 | 90.0 | 90.0 | 90.0 |
| L2_1--AlCu2Mn--heusler | static | 0.3808 | 0.3728 | 12.0874 | 12.0874 | 12.0874 | 90.0 | 90.0 | 90.0 |
Download raw data (including filtered results)
Reference structure matches:
D0_3--BiF3 = oqmd-309781
L1_2--AuCu3 = oqmd-348992
| prototype | method | Ecoh (eV/atom) | Epot (eV/atom) | a0 (Å) | b0 (Å) | c0 (Å) | α (degrees) | β (degrees) | γ (degrees) |
|---|---|---|---|---|---|---|---|---|---|
| D0_3--BiF3 | static | -4.7013 | -4.7094 | 6.7348 | 6.7348 | 6.7348 | 90.0 | 90.0 | 90.0 |
| oqmd-299239 | dynamic | -4.6447 | -4.6527 | 3.9168 | 3.9168 | 10.0806 | 90.0 | 90.0 | 90.0 |
| A15--Cr3Si | dynamic | -4.6412 | -4.6493 | 5.3825 | 5.3825 | 5.3825 | 90.0 | 90.0 | 90.0 |
| L1_2--AuCu3 | static | -4.4867 | -4.4947 | 4.2096 | 4.2096 | 4.2096 | 90.0 | 90.0 | 90.0 |
| L1_2--AuCu3 | dynamic | -4.0781 | -4.0862 | 4.7136 | 4.7136 | 4.7136 | 90.0 | 90.0 | 90.0 |
| A15--Cr3Si | static | -3.7005 | -3.7086 | 6.2272 | 6.2272 | 6.2272 | 90.0 | 90.0 | 90.0 |
| L1_2--AuCu3 | static | -2.4519 | -2.4599 | 5.6185 | 5.6185 | 5.6185 | 90.0 | 90.0 | 90.0 |
| D0_3--BiF3 | static | -1.9363 | -1.9444 | 9.1637 | 9.1637 | 9.1637 | 90.0 | 90.0 | 90.0 |
| L1_2--AuCu3 | dynamic | -0.383 | -0.3911 | 7.7612 | 7.7612 | 7.7612 | 90.0 | 90.0 | 90.0 |
| A15--Cr3Si | dynamic | -0.1158 | -0.1238 | 8.996 | 8.996 | 8.996 | 90.0 | 90.0 | 90.0 |
| L1_2--AuCu3 | dynamic | 0.022 | 0.014 | 6.6085 | 6.6085 | 6.6085 | 90.0 | 90.0 | 90.0 |
| D0_3--BiF3 | dynamic | 0.2091 | 0.201 | 12.7293 | 12.7293 | 12.7293 | 90.0 | 90.0 | 90.0 |
| D0_3--BiF3 | static | 0.3257 | 0.3176 | 11.3003 | 11.3003 | 11.3003 | 90.0 | 90.0 | 90.0 |
Download raw data (including filtered results)
Reference structure matches:
| prototype | method | Ecoh (eV/atom) | Epot (eV/atom) | a0 (Å) | b0 (Å) | c0 (Å) | α (degrees) | β (degrees) | γ (degrees) |
|---|---|---|---|---|---|---|---|---|---|
| L2_1--AlCu2Mn--heusler | dynamic | 0.1043 | 0.0962 | 12.3834 | 12.3834 | 12.3834 | 90.0 | 90.0 | 90.0 |
| L2_1--AlCu2Mn--heusler | static | 0.1489 | 0.1409 | 11.0215 | 11.0215 | 11.0215 | 90.0 | 90.0 | 90.0 |
| L2_1--AlCu2Mn--heusler | static | 0.1786 | 0.1706 | 7.4167 | 7.4167 | 7.4167 | 90.0 | 90.0 | 90.0 |
| L2_1--AlCu2Mn--heusler | static | 0.2782 | 0.2701 | 9.9756 | 9.9756 | 9.9756 | 90.0 | 90.0 | 90.0 |
| L2_1--AlCu2Mn--heusler | static | 0.4429 | 0.4348 | 6.8279 | 6.8279 | 6.8279 | 90.0 | 90.0 | 90.0 |
Download raw data (including filtered results)
Reference structure matches:
| prototype | method | Ecoh (eV/atom) | Epot (eV/atom) | a0 (Å) | b0 (Å) | c0 (Å) | α (degrees) | β (degrees) | γ (degrees) |
|---|---|---|---|---|---|---|---|---|---|
| L1_0--AuCu | static | -0.4669 | -0.483 | 3.5725 | 3.5725 | 4.5044 | 90.0 | 90.0 | 90.0 |
| B2--CsCl | dynamic | -0.4624 | -0.4785 | 3.7888 | 3.7888 | 3.7888 | 90.0 | 90.0 | 90.0 |
| B1--NaCl--rock-salt | dynamic | -0.2261 | -0.2422 | 7.6315 | 7.6315 | 7.6315 | 90.0 | 90.0 | 90.0 |
| B2--CsCl | dynamic | -0.2096 | -0.2257 | 4.4722 | 4.4722 | 4.4722 | 90.0 | 90.0 | 90.0 |
| L1_0--AuCu | static | -0.1772 | -0.1933 | 4.5038 | 4.5038 | 5.4103 | 90.0 | 90.0 | 90.0 |
| B3--ZnS--cubic-zinc-blende | dynamic | -0.1517 | -0.1677 | 7.7184 | 7.7184 | 7.7184 | 90.0 | 90.0 | 90.0 |
| B4--ZnS--wurtzite | dynamic | -0.1298 | -0.1459 | 5.4761 | 5.4761 | 8.8277 | 90.0 | 90.0 | 120.0 |
| B4--ZnS--wurtzite | box | -0.1285 | -0.1446 | 5.4628 | 5.4628 | 8.8613 | 90.0 | 90.0 | 120.0 |
| B1--NaCl--rock-salt | static | -0.1259 | -0.142 | 7.067 | 7.067 | 7.067 | 90.0 | 90.0 | 90.0 |
| B4--ZnS--wurtzite | dynamic | -0.0518 | -0.0679 | 6.1915 | 6.1915 | 10.1107 | 90.0 | 90.0 | 120.0 |
| B3--ZnS--cubic-zinc-blende | static | -0.0518 | -0.0679 | 8.7561 | 8.7561 | 8.7561 | 90.0 | 90.0 | 90.0 |
| B4--ZnS--wurtzite | static | -0.0472 | -0.0632 | 6.8965 | 6.8965 | 11.2709 | 90.0 | 90.0 | 120.0 |
| B4--ZnS--wurtzite | dynamic | -0.0472 | -0.0632 | 6.8964 | 6.8964 | 11.271 | 90.0 | 90.0 | 120.0 |
| B3--ZnS--cubic-zinc-blende | dynamic | -0.0472 | -0.0632 | 9.7557 | 9.7557 | 9.7557 | 90.0 | 90.0 | 90.0 |
| B1--NaCl--rock-salt | dynamic | -0.0413 | -0.0574 | 8.678 | 8.678 | 8.678 | 90.0 | 90.0 | 90.0 |
| B2--CsCl | dynamic | -0.016 | -0.032 | 5.316 | 5.316 | 5.316 | 90.0 | 90.0 | 90.0 |
| B1--NaCl--rock-salt | dynamic | -0.0096 | -0.0257 | 6.4668 | 6.4668 | 6.4668 | 90.0 | 90.0 | 90.0 |
| B3--ZnS--cubic-zinc-blende | dynamic | 0.0805 | 0.0644 | 12.3365 | 12.3365 | 12.3365 | 90.0 | 90.0 | 90.0 |
| B4--ZnS--wurtzite | dynamic | 0.0805 | 0.0644 | 8.7209 | 8.7209 | 14.2526 | 90.0 | 90.0 | 120.0 |
| L1_0--AuCu | dynamic | 0.1043 | 0.0882 | 5.3842 | 5.3842 | 7.5314 | 90.0 | 90.0 | 90.0 |
| B4--ZnS--wurtzite | box | 0.1155 | 0.0995 | 4.5496 | 4.5496 | 7.3088 | 90.0 | 90.0 | 120.0 |
| B1--NaCl--rock-salt | dynamic | 0.1172 | 0.1011 | 10.6744 | 10.6744 | 10.6744 | 90.0 | 90.0 | 90.0 |
| B2--CsCl | dynamic | 0.1502 | 0.1342 | 6.1789 | 6.1789 | 6.1789 | 90.0 | 90.0 | 90.0 |
| B3--ZnS--cubic-zinc-blende | static | 0.1612 | 0.1451 | 6.4026 | 6.4026 | 6.4026 | 90.0 | 90.0 | 90.0 |
| B1--NaCl--rock-salt | static | 0.1827 | 0.1666 | 5.5474 | 5.5474 | 5.5474 | 90.0 | 90.0 | 90.0 |
| B2--CsCl | static | 0.1962 | 0.1801 | 3.3608 | 3.3608 | 3.3608 | 90.0 | 90.0 | 90.0 |
Download raw data (including filtered results)
Reference structure matches:
| prototype | method | Ecoh (eV/atom) | Epot (eV/atom) | a0 (Å) | b0 (Å) | c0 (Å) | α (degrees) | β (degrees) | γ (degrees) |
|---|---|---|---|---|---|---|---|---|---|
| C1--CaF2--fluorite | dynamic | -0.0437 | -0.0544 | 7.9181 | 7.9181 | 7.9181 | 90.0 | 90.0 | 90.0 |
| C1--CaF2--fluorite | dynamic | 0.0999 | 0.0891 | 12.3299 | 12.3299 | 12.3299 | 90.0 | 90.0 | 90.0 |
Download raw data (including filtered results)
Reference structure matches:
| prototype | method | Ecoh (eV/atom) | Epot (eV/atom) | a0 (Å) | b0 (Å) | c0 (Å) | α (degrees) | β (degrees) | γ (degrees) |
|---|---|---|---|---|---|---|---|---|---|
| A15--Cr3Si | dynamic | -0.0484 | -0.0564 | 7.6423 | 7.6423 | 7.6423 | 90.0 | 90.0 | 90.0 |
| L1_2--AuCu3 | dynamic | -0.0313 | -0.0394 | 6.1162 | 6.1162 | 6.1162 | 90.0 | 90.0 | 90.0 |
| A15--Cr3Si | static | -0.0094 | -0.0175 | 11.0739 | 11.0739 | 11.0739 | 90.0 | 90.0 | 90.0 |
| L1_2--AuCu3 | static | 0.0077 | -0.0003 | 5.6147 | 5.6147 | 5.6147 | 90.0 | 90.0 | 90.0 |
| D0_3--BiF3 | static | 0.0122 | 0.0042 | 9.5135 | 9.5135 | 9.5135 | 90.0 | 90.0 | 90.0 |
| D0_3--BiF3 | dynamic | 0.0659 | 0.0579 | 12.3846 | 12.3846 | 12.3846 | 90.0 | 90.0 | 90.0 |
| D0_3--BiF3 | dynamic | 0.0695 | 0.0615 | 10.6778 | 10.6778 | 10.6778 | 90.0 | 90.0 | 90.0 |
| L1_2--AuCu3 | dynamic | 0.1041 | 0.0961 | 7.6149 | 7.6149 | 7.6149 | 90.0 | 90.0 | 90.0 |
| A15--Cr3Si | static | 0.1072 | 0.0991 | 9.8006 | 9.8006 | 9.8006 | 90.0 | 90.0 | 90.0 |
Download raw data (including filtered results)
Reference structure matches:
A1--Cu--fcc = mp-1008669, oqmd-22309, oqmd-1214582
A15--beta-W = oqmd-1215027
A2--W--bcc = mp-108, oqmd-8391, oqmd-1215205
A3'--alpha-La--double-hcp = oqmd-1215473
A3--Mg--hcp = oqmd-1215383
A4--C--dc = oqmd-1215562
A5--beta-Sn = oqmd-1215651
A6--In--bct = oqmd-1215740
Ah--alpha-Po--sc = mp-1056699, oqmd-1215829, oqmd-1215918
| prototype | method | Ecoh (eV/atom) | Epot (eV/atom) | a0 (Å) | b0 (Å) | c0 (Å) | α (degrees) | β (degrees) | γ (degrees) |
|---|---|---|---|---|---|---|---|---|---|
| oqmd-1214760 | dynamic | -4.1909 | -4.1909 | 4.9044 | 10.748 | 3.2205 | 90.0 | 90.0 | 90.0 |
| mp-44 | dynamic | -4.1846 | -4.1846 | 2.8426 | 5.7141 | 4.8909 | 90.0 | 90.0 | 90.0 |
| mp-44 | box | -4.1842 | -4.1842 | 2.8517 | 5.7078 | 4.8919 | 90.0 | 90.0 | 90.0 |
| A5--beta-Sn | dynamic | -4.1558 | -4.1558 | 5.0765 | 5.0765 | 2.9609 | 90.0 | 90.0 | 90.0 |
| A2--W--bcc | static | -4.1475 | -4.1475 | 3.5552 | 3.5552 | 3.5552 | 90.0 | 90.0 | 90.0 |
| A6--In--bct | dynamic | -4.1413 | -4.1413 | 2.7609 | 2.7609 | 5.1391 | 90.0 | 90.0 | 90.0 |
| A7--alpha-As | static | -4.133 | -4.133 | 5.0481 | 5.0481 | 5.7666 | 90.0 | 90.0 | 120.0 |
| mp-1076920 | dynamic | -4.1285 | -4.1285 | 2.9307 | 2.9307 | 2.5159 | 90.0 | 90.0 | 120.0 |
| mp-1077335 | static | -4.0812 | -4.0812 | 7.8866 | 7.4171 | 5.8528 | 90.0 | 130.3 | 90.0 |
| oqmd-1215116 | dynamic | -4.0503 | -4.0503 | 2.7588 | 2.7588 | 10.7398 | 90.0 | 90.0 | 90.0 |
| A3--Mg--hcp | dynamic | -4.0333 | -4.0333 | 3.4546 | 3.4546 | 4.9126 | 90.0 | 90.0 | 120.0 |
| oqmd-1214849 | static | -4.0041 | -4.0041 | 10.6712 | 10.6712 | 10.6712 | 90.0 | 90.0 | 90.0 |
| mp-1178958 | box | -3.9799 | -3.9799 | 6.4789 | 5.0392 | 5.0975 | 90.0 | 90.0 | 90.0 |
| A15--beta-W | dynamic | -3.9713 | -3.9713 | 5.3955 | 5.3955 | 5.3955 | 90.0 | 90.0 | 90.0 |
| mp-93 | box | -3.9484 | -3.9484 | 10.3132 | 10.3132 | 5.5827 | 90.0 | 90.0 | 90.0 |
| mp-43 | box | -3.9345 | -3.9345 | 10.411 | 10.411 | 5.6242 | 90.0 | 90.0 | 90.0 |
| A3'--alpha-La--double-hcp | dynamic | -3.9088 | -3.9088 | 3.4616 | 3.4616 | 9.7377 | 90.0 | 90.0 | 120.0 |
| A1--Cu--fcc | dynamic | -3.8779 | -3.8779 | 4.7997 | 4.7997 | 4.7997 | 90.0 | 90.0 | 90.0 |
| mp-1200324 | box | -3.8762 | -3.8762 | 24.3918 | 5.5366 | 4.976 | 90.0 | 90.0 | 90.0 |
| mp-1197206 | box | -3.847 | -3.847 | 24.2257 | 5.6209 | 5.1927 | 90.0 | 90.0 | 90.0 |
| Ah--alpha-Po--sc | dynamic | -3.8204 | -3.8204 | 2.7567 | 2.7567 | 2.7567 | 90.0 | 90.0 | 90.0 |
| A1--Cu--fcc | static | -3.7712 | -3.7712 | 4.2149 | 4.2149 | 4.2149 | 90.0 | 90.0 | 90.0 |
| A6--In--bct | dynamic | -3.5659 | -3.5659 | 3.2694 | 3.2694 | 6.0381 | 90.0 | 90.0 | 90.0 |
| A15--beta-W | static | -3.4063 | -3.4063 | 6.3697 | 6.3697 | 6.3697 | 90.0 | 90.0 | 90.0 |
| A3'--alpha-La--double-hcp | dynamic | -2.7379 | -2.7379 | 3.9316 | 3.9316 | 12.8404 | 90.0 | 90.0 | 120.0 |
| A1--Cu--fcc | static | -2.7379 | -2.7379 | 5.5601 | 5.5601 | 5.5601 | 90.0 | 90.0 | 90.0 |
| A4--C--dc | static | -2.4265 | -2.4265 | 5.9838 | 5.9838 | 5.9838 | 90.0 | 90.0 | 90.0 |
| A1--Cu--fcc | dynamic | -2.2463 | -2.2463 | 7.7471 | 7.7471 | 7.7471 | 90.0 | 90.0 | 90.0 |
| A3--Mg--hcp | dynamic | -2.2463 | -2.2463 | 5.478 | 5.478 | 8.9456 | 90.0 | 90.0 | 120.0 |
| A3'--alpha-La--double-hcp | dynamic | -2.2463 | -2.2463 | 5.478 | 5.478 | 17.8912 | 90.0 | 90.0 | 120.0 |
| Ah--alpha-Po--sc | dynamic | -2.1435 | -2.1435 | 3.3249 | 3.3249 | 3.3249 | 90.0 | 90.0 | 90.0 |
| A5--beta-Sn | static | -1.4241 | -1.4241 | 7.8561 | 7.8561 | 3.8804 | 90.0 | 90.0 | 90.0 |
| A4--C--dc | dynamic | -1.2916 | -1.2916 | 9.1319 | 9.1319 | 9.1319 | 90.0 | 90.0 | 90.0 |
| A4--C--dc | static | -1.2155 | -1.2155 | 7.1636 | 7.1636 | 7.1636 | 90.0 | 90.0 | 90.0 |
| Ah--alpha-Po--sc | dynamic | -1.0728 | -1.0728 | 4.1101 | 4.1101 | 4.1101 | 90.0 | 90.0 | 90.0 |
| A7--alpha-As | dynamic | -1.0348 | -1.0348 | 6.0458 | 6.0458 | 14.8058 | 90.0 | 90.0 | 120.0 |
| A15--beta-W | dynamic | -0.8036 | -0.8036 | 9.0585 | 9.0585 | 9.0585 | 90.0 | 90.0 | 90.0 |
| A15--beta-W | static | -0.2311 | -0.2311 | 9.8208 | 9.8208 | 9.8208 | 90.0 | 90.0 | 90.0 |
| A2--W--bcc | dynamic | -0.1155 | -0.1155 | 6.3432 | 6.3432 | 6.3432 | 90.0 | 90.0 | 90.0 |
| A7--alpha-As | static | 0.0003 | 0.0003 | 6.6375 | 6.6375 | 22.048 | 90.0 | 90.0 | 120.0 |
| A7--alpha-As | dynamic | 0.0003 | 0.0003 | 7.1114 | 7.1114 | 20.0103 | 90.0 | 90.0 | 120.0 |
| A4--C--dc | dynamic | 0.0328 | 0.0328 | 10.8107 | 10.8107 | 10.8107 | 90.0 | 90.0 | 90.0 |
| Ah--alpha-Po--sc | dynamic | 0.0495 | 0.0495 | 4.6812 | 4.6812 | 4.6812 | 90.0 | 90.0 | 90.0 |
| A2--W--bcc | dynamic | 0.0537 | 0.0537 | 5.7182 | 5.7182 | 5.7182 | 90.0 | 90.0 | 90.0 |
| A3--Mg--hcp | dynamic | 0.1004 | 0.1004 | 4.681 | 4.681 | 7.6441 | 90.0 | 90.0 | 120.0 |
| A1--Cu--fcc | dynamic | 0.1004 | 0.1004 | 6.62 | 6.62 | 6.62 | 90.0 | 90.0 | 90.0 |
| A3'--alpha-La--double-hcp | dynamic | 0.1004 | 0.1004 | 4.681 | 4.681 | 15.2882 | 90.0 | 90.0 | 120.0 |
| A5--beta-Sn | static | 0.258 | 0.258 | 9.0312 | 9.0312 | 5.2489 | 90.0 | 90.0 | 90.0 |
| Ah--alpha-Po--sc | dynamic | 0.2735 | 0.2735 | 5.5269 | 5.5269 | 5.5269 | 90.0 | 90.0 | 90.0 |
| A5--beta-Sn | dynamic | 0.2735 | 0.2735 | 10.7028 | 10.7028 | 5.5269 | 90.0 | 90.0 | 90.0 |
| A2--W--bcc | dynamic | 0.5747 | 0.5747 | 5.2054 | 5.2054 | 5.2054 | 90.0 | 90.0 | 90.0 |
Download raw data (including filtered results)
Reference structure matches:
| prototype | method | Ecoh (eV/atom) | Epot (eV/atom) | a0 (Å) | b0 (Å) | c0 (Å) | α (degrees) | β (degrees) | γ (degrees) |
|---|---|---|---|---|---|---|---|---|---|
| C1--CaF2--fluorite | dynamic | -0.4526 | -0.4526 | 6.7158 | 6.7158 | 6.7158 | 90.0 | 90.0 | 90.0 |
| C1--CaF2--fluorite | static | 0.0458 | 0.0458 | 8.1513 | 8.1513 | 8.1513 | 90.0 | 90.0 | 90.0 |
Download raw data (including filtered results)
Reference structure matches:
| prototype | method | Ecoh (eV/atom) | Epot (eV/atom) | a0 (Å) | b0 (Å) | c0 (Å) | α (degrees) | β (degrees) | γ (degrees) |
|---|---|---|---|---|---|---|---|---|---|
| L1_2--AuCu3 | static | -1.39 | -1.39 | 4.3204 | 4.3204 | 4.3204 | 90.0 | 90.0 | 90.0 |
| A15--Cr3Si | static | -1.31 | -1.31 | 6.3578 | 6.3578 | 6.3578 | 90.0 | 90.0 | 90.0 |
| A15--Cr3Si | static | -1.2654 | -1.2654 | 5.4249 | 5.4249 | 5.4249 | 90.0 | 90.0 | 90.0 |
| L1_2--AuCu3 | static | -1.1869 | -1.1869 | 4.7891 | 4.7891 | 4.7891 | 90.0 | 90.0 | 90.0 |
| D0_3--BiF3 | static | -1.1294 | -1.1294 | 7.1995 | 7.1995 | 7.1995 | 90.0 | 90.0 | 90.0 |
| D0_3--BiF3 | static | -1.0596 | -1.0596 | 6.855 | 6.855 | 6.855 | 90.0 | 90.0 | 90.0 |
| D0_3--BiF3 | static | -0.7619 | -0.7619 | 8.2606 | 8.2606 | 8.2606 | 90.0 | 90.0 | 90.0 |
| D0_3--BiF3 | static | -0.4888 | -0.4888 | 9.3218 | 9.3218 | 9.3218 | 90.0 | 90.0 | 90.0 |
| A15--Cr3Si | dynamic | -0.1171 | -0.1171 | 7.7091 | 7.7091 | 7.7091 | 90.0 | 90.0 | 90.0 |
| L1_2--AuCu3 | dynamic | 0.2859 | 0.2859 | 6.6479 | 6.6479 | 6.6479 | 90.0 | 90.0 | 90.0 |
Download raw data (including filtered results)
Reference structure matches:
| prototype | method | Ecoh (eV/atom) | Epot (eV/atom) | a0 (Å) | b0 (Å) | c0 (Å) | α (degrees) | β (degrees) | γ (degrees) |
|---|---|---|---|---|---|---|---|---|---|
| B4--ZnS--wurtzite | dynamic | 0.0296 | 0.0296 | 8.7052 | 8.7052 | 14.2267 | 90.0 | 90.0 | 120.0 |
| B3--ZnS--cubic-zinc-blende | dynamic | 0.0296 | 0.0296 | 12.3142 | 12.3142 | 12.3142 | 90.0 | 90.0 | 90.0 |
| B2--CsCl | dynamic | 0.0383 | 0.0383 | 5.5446 | 5.5446 | 5.5446 | 90.0 | 90.0 | 90.0 |
| B1--NaCl--rock-salt | static | 0.1661 | 0.1661 | 9.8051 | 9.8051 | 9.8051 | 90.0 | 90.0 | 90.0 |
| B1--NaCl--rock-salt | static | 0.1787 | 0.1787 | 10.3393 | 10.3393 | 10.3393 | 90.0 | 90.0 | 90.0 |
| B3--ZnS--cubic-zinc-blende | dynamic | 0.187 | 0.187 | 10.1014 | 10.1014 | 10.1014 | 90.0 | 90.0 | 90.0 |
| B4--ZnS--wurtzite | static | 0.187 | 0.187 | 7.1409 | 7.1409 | 11.6703 | 90.0 | 90.0 | 120.0 |
| B4--ZnS--wurtzite | dynamic | 0.187 | 0.187 | 7.1409 | 7.1409 | 11.6702 | 90.0 | 90.0 | 120.0 |
| B4--ZnS--wurtzite | dynamic | 0.2406 | 0.2406 | 6.4196 | 6.4196 | 10.9197 | 90.0 | 90.0 | 120.0 |
| L1_0--AuCu | static | 0.2569 | 0.2569 | 5.3668 | 5.3668 | 6.1363 | 90.0 | 90.0 | 90.0 |
| B1--NaCl--rock-salt | dynamic | 0.2678 | 0.2678 | 8.634 | 8.634 | 8.634 | 90.0 | 90.0 | 90.0 |
| B1--NaCl--rock-salt | static | 0.3024 | 0.3024 | 5.9767 | 5.9767 | 5.9767 | 90.0 | 90.0 | 90.0 |
| L1_0--AuCu | static | 0.3952 | 0.3952 | 4.642 | 4.642 | 5.975 | 90.0 | 90.0 | 90.0 |
| L1_0--AuCu | dynamic | 0.4443 | 0.4443 | 3.2527 | 3.2527 | 4.0398 | 90.0 | 90.0 | 90.0 |
| B2--CsCl | static | 0.5472 | 0.5472 | 6.067 | 6.067 | 6.067 | 90.0 | 90.0 | 90.0 |
| B4--ZnS--wurtzite | static | 0.5678 | 0.5678 | 6.0245 | 6.0245 | 9.8275 | 90.0 | 90.0 | 120.0 |
| B4--ZnS--wurtzite | static | 0.5678 | 0.5678 | 6.0245 | 6.0245 | 9.8277 | 90.0 | 90.0 | 120.0 |
| B4--ZnS--wurtzite | box | 0.5689 | 0.5689 | 6.0199 | 6.0199 | 9.851 | 90.0 | 90.0 | 120.0 |
| B4--ZnS--wurtzite | box | 0.5879 | 0.5879 | 5.5421 | 5.5421 | 9.0136 | 90.0 | 90.0 | 120.0 |
| B3--ZnS--cubic-zinc-blende | dynamic | 0.6331 | 0.6331 | 6.6632 | 6.6632 | 6.6632 | 90.0 | 90.0 | 90.0 |
| B2--CsCl | static | 0.6422 | 0.6422 | 4.0505 | 4.0505 | 4.0505 | 90.0 | 90.0 | 90.0 |
| B4--ZnS--wurtzite | dynamic | 0.6537 | 0.6537 | 4.673 | 4.673 | 7.9864 | 90.0 | 90.0 | 120.0 |
| B4--ZnS--wurtzite | box | 0.6793 | 0.6793 | 4.7063 | 4.7063 | 7.7781 | 90.0 | 90.0 | 120.0 |
| B2--CsCl | static | 0.6887 | 0.6887 | 3.7124 | 3.7124 | 3.7124 | 90.0 | 90.0 | 90.0 |
Download raw data (including filtered results)
Reference structure matches:
| prototype | method | Ecoh (eV/atom) | Epot (eV/atom) | a0 (Å) | b0 (Å) | c0 (Å) | α (degrees) | β (degrees) | γ (degrees) |
|---|---|---|---|---|---|---|---|---|---|
| C1--CaF2--fluorite | dynamic | 0.031 | 0.031 | 12.3537 | 12.3537 | 12.3537 | 90.0 | 90.0 | 90.0 |
| C1--CaF2--fluorite | static | 0.2231 | 0.2231 | 10.0432 | 10.0432 | 10.0432 | 90.0 | 90.0 | 90.0 |
| C1--CaF2--fluorite | static | 0.8126 | 0.8126 | 8.5172 | 8.5172 | 8.5172 | 90.0 | 90.0 | 90.0 |
| C1--CaF2--fluorite | dynamic | 1.1367 | 1.1367 | 7.4511 | 7.4511 | 7.4511 | 90.0 | 90.0 | 90.0 |
| C1--CaF2--fluorite | dynamic | 1.3991 | 1.3991 | 6.7877 | 6.7877 | 6.7877 | 90.0 | 90.0 | 90.0 |
Download raw data (including filtered results)
Reference structure matches:
| prototype | method | Ecoh (eV/atom) | Epot (eV/atom) | a0 (Å) | b0 (Å) | c0 (Å) | α (degrees) | β (degrees) | γ (degrees) |
|---|---|---|---|---|---|---|---|---|---|
| A15--Cr3Si | static | -0.0094 | -0.0094 | 11.0839 | 11.0839 | 11.0839 | 90.0 | 90.0 | 90.0 |
| A15--Cr3Si | dynamic | -0.0094 | -0.0094 | 11.0842 | 11.0842 | 11.0842 | 90.0 | 90.0 | 90.0 |
| D0_3--BiF3 | dynamic | 0.1402 | 0.1402 | 12.3503 | 12.3503 | 12.3503 | 90.0 | 90.0 | 90.0 |
| L1_2--AuCu3 | dynamic | 0.1576 | 0.1576 | 6.7598 | 6.7598 | 6.7598 | 90.0 | 90.0 | 90.0 |
| A15--Cr3Si | dynamic | 0.2074 | 0.2074 | 8.5542 | 8.5542 | 8.5542 | 90.0 | 90.0 | 90.0 |
| A15--Cr3Si | dynamic | 0.2681 | 0.2681 | 7.8101 | 7.8101 | 7.8101 | 90.0 | 90.0 | 90.0 |
| L1_2--AuCu3 | dynamic | 0.2831 | 0.2831 | 6.2191 | 6.2191 | 6.2191 | 90.0 | 90.0 | 90.0 |
| L1_2--AuCu3 | dynamic | 0.4842 | 0.4842 | 7.5252 | 7.5252 | 7.5252 | 90.0 | 90.0 | 90.0 |
Download raw data (including filtered results)
Reference structure matches:
A1--Cu--fcc = oqmd-676233
A15--beta-W = oqmd-1215030
A2--W--bcc = mp-979285, oqmd-1215208
A3'--alpha-La--double-hcp = mp-1187761, oqmd-1215476
A3--Mg--hcp = mp-570510, oqmd-675519
A4--C--dc = oqmd-1215565
A5--beta-Sn = oqmd-1215654
A6--In--bct = oqmd-1215743
| prototype | method | Ecoh (eV/atom) | Epot (eV/atom) | a0 (Å) | b0 (Å) | c0 (Å) | α (degrees) | β (degrees) | γ (degrees) |
|---|---|---|---|---|---|---|---|---|---|
| oqmd-1214763 | static | -0.0356 | -0.0356 | 7.547 | 14.3696 | 7.8642 | 90.0 | 90.0 | 90.0 |
| oqmd-1214763 | dynamic | -0.0356 | -0.0356 | 7.5317 | 14.4235 | 7.836 | 90.0 | 90.0 | 90.0 |
| mp-979286 | dynamic | -0.0346 | -0.0346 | 6.4871 | 6.4871 | 8.6561 | 90.0 | 90.0 | 120.0 |
| Ah--alpha-Po--sc | dynamic | -0.0346 | -0.0346 | 4.7279 | 4.7279 | 4.7279 | 90.0 | 90.0 | 90.0 |
| A4--C--dc | dynamic | -0.0279 | -0.0279 | 10.9934 | 10.9934 | 10.9934 | 90.0 | 90.0 | 90.0 |
| A7--alpha-As | static | -0.0269 | -0.0269 | 7.5429 | 7.5429 | 14.8312 | 90.0 | 90.0 | 120.0 |
| A7--alpha-As | dynamic | -0.0269 | -0.0269 | 6.8299 | 6.8299 | 18.6762 | 90.0 | 90.0 | 120.0 |
| A5--beta-Sn | dynamic | -0.0265 | -0.0265 | 9.0825 | 9.0825 | 5.5591 | 90.0 | 90.0 | 90.0 |
| A7--alpha-As | static | -0.0225 | -0.0225 | 6.7434 | 6.7434 | 22.7407 | 90.0 | 90.0 | 120.0 |
| A7--alpha-As | dynamic | -0.0225 | -0.0225 | 6.8474 | 6.8474 | 23.7483 | 90.0 | 90.0 | 120.0 |
| A6--In--bct | static | -0.0211 | -0.0211 | 5.3464 | 5.3464 | 9.7981 | 90.0 | 90.0 | 90.0 |
| A5--beta-Sn | static | -0.021 | -0.021 | 10.2351 | 10.2351 | 6.1881 | 90.0 | 90.0 | 90.0 |
| A5--beta-Sn | dynamic | -0.021 | -0.021 | 10.1218 | 10.1218 | 6.8927 | 90.0 | 90.0 | 90.0 |
| A6--In--bct | dynamic | -0.021 | -0.021 | 5.3462 | 5.3462 | 10.7057 | 90.0 | 90.0 | 90.0 |
| A4--C--dc | dynamic | -0.021 | -0.021 | 12.3466 | 12.3466 | 12.3466 | 90.0 | 90.0 | 90.0 |
| A7--alpha-As | static | -0.0185 | -0.0185 | 7.9369 | 7.9369 | 22.0503 | 90.0 | 90.0 | 120.0 |
| A7--alpha-As | dynamic | -0.0185 | -0.0185 | 7.6879 | 7.6879 | 23.9477 | 90.0 | 90.0 | 120.0 |
| Ah--alpha-Po--sc | dynamic | -0.0175 | -0.0175 | 5.3719 | 5.3719 | 5.3719 | 90.0 | 90.0 | 90.0 |
| A5--beta-Sn | dynamic | -0.0175 | -0.0175 | 10.4026 | 10.4026 | 5.3719 | 90.0 | 90.0 | 90.0 |
| oqmd-1215297 | dynamic | -0.0123 | -0.0123 | 4.6776 | 8.1019 | 7.2971 | 90.0 | 90.0 | 90.0 |
| A6--In--bct | static | -0.0099 | -0.0099 | 4.3715 | 4.3715 | 7.0413 | 90.0 | 90.0 | 90.0 |
| A3--Mg--hcp | dynamic | -0.0096 | -0.0096 | 4.6632 | 4.6632 | 7.6149 | 90.0 | 90.0 | 120.0 |
| A3'--alpha-La--double-hcp | dynamic | -0.0096 | -0.0096 | 4.6632 | 4.6632 | 15.2299 | 90.0 | 90.0 | 120.0 |
| A1--Cu--fcc | dynamic | -0.0096 | -0.0096 | 6.5947 | 6.5947 | 6.5947 | 90.0 | 90.0 | 90.0 |
| oqmd-1216102 | dynamic | -0.0096 | -0.0096 | 4.6632 | 4.6632 | 34.2672 | 90.0 | 90.0 | 120.0 |
| A15--beta-W | dynamic | -0.0095 | -0.0095 | 11.0553 | 11.0553 | 11.0553 | 90.0 | 90.0 | 90.0 |
| A3'--alpha-La--double-hcp | static | -0.006 | -0.006 | 4.6965 | 4.6965 | 13.7091 | 90.0 | 90.0 | 120.0 |
| oqmd-1214674 | dynamic | -0.006 | -0.006 | 4.6965 | 4.6965 | 10.2818 | 90.0 | 90.0 | 120.0 |
| mp-1187777 | dynamic | -0.0053 | -0.0053 | 7.5949 | 17.2779 | 4.7014 | 90.0 | 90.0 | 90.0 |
| Ah--alpha-Po--sc | static | -0.0034 | -0.0034 | 5.8103 | 5.8103 | 5.8103 | 90.0 | 90.0 | 90.0 |
| A5--beta-Sn | dynamic | -0.0003 | -0.0003 | 8.3277 | 8.3277 | 4.6694 | 90.0 | 90.0 | 90.0 |
| A2--W--bcc | dynamic | 0.0018 | 0.0018 | 6.2134 | 6.2134 | 6.2134 | 90.0 | 90.0 | 90.0 |
| A5--beta-Sn | static | 0.0035 | 0.0035 | 8.5061 | 8.5061 | 4.3925 | 90.0 | 90.0 | 90.0 |
| A2--W--bcc | static | 0.0051 | 0.0051 | 6.8575 | 6.8575 | 6.8575 | 90.0 | 90.0 | 90.0 |
| oqmd-1215832 | dynamic | 0.0204 | 0.0204 | 5.3789 | 5.3789 | 9.0019 | 90.0 | 90.0 | 120.0 |
| A15--beta-W | dynamic | 0.0266 | 0.0266 | 7.7763 | 7.7763 | 7.7763 | 90.0 | 90.0 | 90.0 |
| oqmd-1214852 | static | 0.0348 | 0.0348 | 15.4783 | 15.4783 | 15.4783 | 90.0 | 90.0 | 90.0 |
| A2--W--bcc | static | 0.0401 | 0.0401 | 4.894 | 4.894 | 4.894 | 90.0 | 90.0 | 90.0 |
| A15--beta-W | static | 0.0433 | 0.0433 | 10.0561 | 10.0561 | 10.0561 | 90.0 | 90.0 | 90.0 |
| A2--W--bcc | dynamic | 0.0825 | 0.0825 | 5.3647 | 5.3647 | 5.3647 | 90.0 | 90.0 | 90.0 |
| A1--Cu--fcc | dynamic | 0.1074 | 0.1074 | 7.6192 | 7.6192 | 7.6192 | 90.0 | 90.0 | 90.0 |
| A3'--alpha-La--double-hcp | dynamic | 0.1074 | 0.1074 | 5.3876 | 5.3876 | 17.5958 | 90.0 | 90.0 | 120.0 |
| A3--Mg--hcp | dynamic | 0.1074 | 0.1074 | 5.3876 | 5.3876 | 8.7979 | 90.0 | 90.0 | 120.0 |
| oqmd-1216010 | dynamic | 0.1077 | 0.1077 | 6.6718 | 6.6718 | 7.7215 | 90.0 | 90.0 | 120.0 |
| A2--W--bcc | box | 0.1146 | 0.1146 | 5.1811 | 5.1811 | 5.1811 | 90.0 | 90.0 | 90.0 |
| A15--beta-W | dynamic | 0.1156 | 0.1156 | 8.5743 | 8.5743 | 8.5743 | 90.0 | 90.0 | 90.0 |
| Ah--alpha-Po--sc | dynamic | 0.1433 | 0.1433 | 3.8413 | 3.8413 | 3.8413 | 90.0 | 90.0 | 90.0 |
Static elastic constants are displayed for the unique structures identified in Crystal Structure Predictions above. The values displayed here are obtained by measuring the change in virial stresses due to applying small strains to the relaxed crystals. The initial structure and the strained states are all relaxed using force minimization.
The calculation method used is available as the iprPy elastic_constants_static calculation method.
Notes and Disclaimers:
Version Information:
| -20.590 | 152.946 | 152.946 | 0.000 | -0.000 | 0.000 |
| 152.946 | -20.590 | 152.946 | 0.000 | 0.000 | 0.000 |
| 152.946 | 152.946 | -20.590 | 0.000 | 0.000 | 0.000 |
| 0.000 | 0.000 | 0.000 | -10.180 | 0.000 | 0.000 |
| 0.000 | 0.000 | 0.000 | 0.000 | -10.180 | 0.000 |
| 0.000 | 0.000 | 0.000 | 0.000 | 0.000 | -10.180 |
| -20.590 | 152.946 | 152.946 | -0.000 | -0.000 | -0.000 |
| 152.946 | -20.590 | 152.946 | -0.000 | -0.000 | 0.000 |
| 152.946 | 152.946 | -20.590 | -0.000 | -0.000 | -0.000 |
| -0.000 | -0.000 | -0.000 | -10.180 | 0.000 | -0.000 |
| -0.000 | -0.000 | -0.000 | -0.000 | -10.180 | 0.000 |
| -0.000 | -0.000 | -0.000 | -0.000 | -0.000 | -10.180 |
| -20.590 | 152.946 | 152.946 | 0.000 | 0.000 | 0.000 |
| 152.946 | -20.590 | 152.946 | -0.000 | 0.000 | -0.000 |
| 152.946 | 152.946 | -20.590 | 0.000 | 0.000 | 0.000 |
| 0.000 | 0.000 | 0.000 | -10.180 | 0.000 | 0.000 |
| 0.000 | 0.000 | 0.000 | 0.000 | -10.180 | 0.000 |
| 0.000 | 0.000 | 0.000 | 0.000 | 0.000 | -10.180 |
| -20.590 | 152.946 | 152.946 | -0.000 | -0.000 | -0.000 |
| 152.946 | -20.590 | 152.946 | -0.000 | -0.000 | -0.000 |
| 152.946 | 152.946 | -20.590 | 0.000 | -0.000 | -0.000 |
| -0.000 | -0.000 | -0.000 | -10.180 | -0.000 | 0.000 |
| -0.000 | -0.000 | -0.000 | -0.000 | -10.180 | -0.000 |
| -0.000 | -0.000 | -0.000 | -0.000 | 0.000 | -10.180 |
| -20.587 | 152.946 | 152.946 | 0.000 | 0.000 | -0.000 |
| 152.946 | -20.587 | 152.946 | 0.000 | 0.000 | 0.000 |
| 152.946 | 152.946 | -20.587 | 0.000 | 0.000 | -0.000 |
| 0.000 | 0.001 | 0.001 | -10.180 | 0.000 | 0.000 |
| 0.001 | 0.000 | 0.001 | 0.000 | -10.180 | -0.000 |
| 0.001 | 0.001 | 0.000 | -0.000 | 0.000 | -10.180 |
| -20.593 | 152.945 | 152.945 | -0.000 | -0.000 | -0.000 |
| 152.945 | -20.593 | 152.945 | 0.000 | -0.000 | -0.000 |
| 152.945 | 152.945 | -20.593 | -0.000 | -0.000 | -0.000 |
| -0.000 | -0.001 | -0.001 | -10.180 | 0.000 | 0.000 |
| -0.001 | -0.000 | -0.001 | -0.000 | -10.180 | -0.000 |
| -0.001 | -0.001 | -0.000 | 0.000 | -0.000 | -10.180 |
| 117.224 | 58.574 | 58.574 | -0.000 | -0.000 | -0.000 |
| 58.574 | 117.224 | 58.574 | -0.000 | -0.000 | -0.000 |
| 58.574 | 58.574 | 117.224 | -0.000 | -0.000 | -0.000 |
| -0.000 | 0.000 | 0.000 | 58.650 | -0.000 | -0.000 |
| 0.000 | -0.000 | 0.000 | -0.000 | 58.650 | 0.000 |
| 0.000 | 0.000 | -0.000 | -0.000 | 0.000 | 58.650 |
| 117.224 | 58.574 | 58.574 | 0.000 | 0.000 | 0.000 |
| 58.574 | 117.224 | 58.574 | 0.000 | 0.000 | 0.000 |
| 58.574 | 58.574 | 117.224 | 0.000 | 0.000 | 0.000 |
| 0.000 | -0.000 | -0.000 | 58.650 | 0.000 | 0.000 |
| -0.000 | 0.000 | -0.000 | 0.000 | 58.650 | -0.000 |
| -0.000 | -0.000 | 0.000 | 0.000 | -0.000 | 58.650 |
| 117.224 | 58.574 | 58.574 | -0.000 | -0.000 | -0.000 |
| 58.574 | 117.224 | 58.574 | -0.000 | -0.000 | -0.000 |
| 58.574 | 58.574 | 117.224 | -0.000 | -0.000 | -0.000 |
| -0.000 | 0.000 | 0.000 | 58.650 | -0.000 | -0.000 |
| 0.000 | -0.000 | 0.000 | -0.000 | 58.650 | -0.000 |
| 0.000 | 0.000 | -0.000 | -0.000 | -0.000 | 58.650 |
| 117.224 | 58.574 | 58.574 | 0.000 | 0.000 | 0.000 |
| 58.574 | 117.224 | 58.574 | 0.000 | 0.000 | 0.000 |
| 58.574 | 58.574 | 117.224 | 0.000 | 0.000 | 0.000 |
| 0.000 | -0.000 | -0.000 | 58.650 | 0.000 | 0.000 |
| -0.000 | 0.000 | -0.000 | 0.000 | 58.650 | -0.000 |
| -0.000 | -0.000 | 0.000 | 0.000 | -0.000 | 58.650 |
| 117.225 | 58.575 | 58.575 | -0.000 | -0.000 | -0.000 |
| 58.575 | 117.225 | 58.575 | -0.000 | -0.000 | -0.000 |
| 58.575 | 58.575 | 117.225 | -0.000 | -0.000 | -0.000 |
| -0.000 | 0.000 | 0.001 | 58.650 | -0.000 | -0.000 |
| 0.000 | -0.000 | 0.001 | -0.000 | 58.650 | 0.000 |
| 0.000 | 0.001 | -0.000 | -0.000 | 0.000 | 58.650 |
| 117.223 | 58.574 | 58.574 | 0.000 | 0.000 | 0.000 |
| 58.574 | 117.223 | 58.574 | 0.000 | 0.000 | 0.000 |
| 58.574 | 58.574 | 117.223 | 0.000 | 0.000 | 0.000 |
| 0.000 | -0.000 | -0.001 | 58.650 | 0.000 | 0.000 |
| -0.000 | 0.000 | -0.001 | 0.000 | 58.650 | -0.000 |
| -0.000 | -0.001 | 0.000 | 0.000 | -0.000 | 58.650 |
| 47.713 | 23.829 | 23.829 | 0.000 | 0.000 | 0.000 |
| 23.829 | 47.713 | 23.829 | 0.000 | 0.000 | 0.000 |
| 23.829 | 23.829 | 47.713 | 0.000 | 0.000 | -0.000 |
| -0.000 | 0.000 | 0.000 | 23.885 | -0.000 | -0.000 |
| 0.000 | -0.000 | 0.000 | 0.000 | 23.885 | -0.000 |
| 0.000 | 0.000 | -0.000 | 0.000 | -0.000 | 23.885 |
| 47.713 | 23.829 | 23.829 | -0.000 | -0.000 | -0.000 |
| 23.829 | 47.713 | 23.829 | -0.000 | -0.000 | -0.000 |
| 23.829 | 23.829 | 47.713 | -0.000 | -0.000 | 0.000 |
| 0.000 | -0.000 | -0.000 | 23.885 | 0.000 | -0.000 |
| -0.000 | 0.000 | -0.000 | -0.000 | 23.885 | -0.000 |
| -0.000 | -0.000 | 0.000 | -0.000 | -0.000 | 23.885 |
| 47.714 | 23.829 | 23.829 | 0.000 | -0.000 | -0.000 |
| 23.829 | 47.714 | 23.829 | -0.000 | 0.000 | -0.000 |
| 23.829 | 23.829 | 47.714 | 0.000 | -0.000 | -0.000 |
| -0.000 | 0.000 | 0.000 | 23.885 | 0.000 | 0.000 |
| 0.000 | -0.000 | 0.000 | 0.000 | 23.885 | -0.000 |
| 0.000 | 0.000 | -0.000 | 0.000 | -0.000 | 23.885 |
| 47.713 | 23.828 | 23.828 | -0.000 | 0.000 | 0.000 |
| 23.828 | 47.713 | 23.828 | 0.000 | -0.000 | 0.000 |
| 23.828 | 23.828 | 47.713 | -0.000 | -0.000 | 0.000 |
| 0.000 | -0.000 | -0.000 | 23.885 | -0.000 | 0.000 |
| -0.000 | 0.000 | -0.000 | -0.000 | 23.885 | 0.000 |
| -0.000 | -0.000 | 0.000 | -0.000 | 0.000 | 23.885 |
| 47.714 | 23.829 | 23.829 | 0.000 | -0.000 | -0.000 |
| 23.829 | 47.714 | 23.829 | -0.000 | -0.000 | 0.000 |
| 23.829 | 23.829 | 47.714 | 0.000 | 0.000 | -0.000 |
| -0.000 | 0.000 | 0.000 | 23.885 | -0.000 | -0.000 |
| 0.000 | -0.000 | 0.000 | -0.000 | 23.885 | -0.000 |
| 0.000 | 0.000 | -0.000 | 0.000 | -0.000 | 23.885 |
| 47.713 | 23.828 | 23.828 | -0.000 | 0.000 | 0.000 |
| 23.828 | 47.713 | 23.828 | 0.000 | -0.000 | -0.000 |
| 23.828 | 23.828 | 47.713 | -0.000 | -0.000 | 0.000 |
| 0.000 | -0.000 | -0.000 | 23.885 | 0.000 | 0.000 |
| -0.000 | 0.000 | -0.000 | 0.000 | 23.885 | 0.000 |
| -0.000 | -0.000 | 0.000 | -0.000 | 0.000 | 23.885 |
| 323.476 | 188.949 | 188.949 | 0.000 | -0.000 | -0.000 |
| 188.949 | 323.476 | 188.949 | 0.000 | -0.000 | -0.000 |
| 188.949 | 188.949 | 323.476 | 0.000 | -0.000 | 0.000 |
| -0.000 | 0.000 | 0.000 | 22.031 | -0.000 | 0.000 |
| 0.000 | -0.000 | 0.000 | 0.000 | 22.031 | -0.000 |
| 0.000 | 0.000 | 0.000 | 0.000 | -0.000 | 22.031 |
| 322.479 | 189.448 | 189.448 | -0.000 | 0.000 | 0.000 |
| 189.448 | 322.479 | 189.448 | -0.000 | 0.000 | -0.000 |
| 189.448 | 189.448 | 322.479 | -0.000 | 0.000 | -0.000 |
| 0.000 | -0.000 | -0.000 | 22.031 | 0.000 | 0.000 |
| -0.000 | 0.000 | -0.000 | -0.000 | 22.031 | -0.000 |
| -0.000 | -0.000 | -0.000 | -0.000 | 0.000 | 22.031 |
| 322.480 | 189.448 | 189.448 | 0.000 | -0.000 | -0.000 |
| 189.448 | 322.480 | 189.448 | 0.000 | -0.000 | -0.000 |
| 189.448 | 189.448 | 322.480 | 0.000 | -0.000 | -0.000 |
| -0.000 | 0.000 | 0.000 | 22.031 | -0.000 | -0.000 |
| 0.000 | -0.000 | 0.000 | 0.000 | 22.031 | -0.000 |
| 0.000 | 0.000 | -0.000 | 0.000 | -0.000 | 22.031 |
| 322.479 | 189.447 | 189.447 | -0.000 | 0.000 | -0.000 |
| 189.447 | 322.479 | 189.447 | -0.000 | 0.000 | -0.000 |
| 189.447 | 189.447 | 322.479 | -0.000 | 0.000 | 0.000 |
| 0.000 | -0.000 | -0.000 | 22.031 | 0.000 | -0.000 |
| -0.000 | 0.000 | -0.000 | -0.000 | 22.031 | 0.000 |
| -0.000 | -0.000 | 0.000 | -0.000 | 0.000 | 22.031 |
| 322.483 | 189.448 | 189.448 | 0.000 | -0.000 | -0.000 |
| 189.448 | 322.483 | 189.448 | 0.000 | -0.000 | 0.000 |
| 189.448 | 189.448 | 322.483 | 0.000 | -0.000 | 0.000 |
| -0.000 | 0.001 | 0.001 | 22.031 | -0.000 | 0.000 |
| 0.001 | -0.000 | 0.001 | 0.000 | 22.031 | -0.000 |
| 0.001 | 0.001 | -0.000 | 0.000 | -0.000 | 22.031 |
| 322.476 | 189.447 | 189.447 | -0.000 | 0.000 | -0.000 |
| 189.447 | 322.476 | 189.447 | -0.000 | 0.000 | -0.000 |
| 189.447 | 189.447 | 322.476 | -0.000 | 0.000 | 0.000 |
| 0.000 | -0.001 | -0.001 | 22.031 | 0.000 | 0.000 |
| -0.001 | 0.000 | -0.001 | -0.000 | 22.031 | -0.000 |
| -0.001 | -0.001 | 0.000 | -0.000 | 0.000 | 22.031 |
| 13.392 | 20.942 | 20.942 | 0.000 | 0.000 | 0.000 |
| 20.942 | 13.392 | 20.942 | -0.000 | 0.000 | 0.000 |
| 20.942 | 20.942 | 13.392 | -0.000 | 0.000 | 0.000 |
| 0.000 | -0.000 | -0.000 | 4.841 | 0.000 | 0.000 |
| -0.000 | 0.000 | -0.000 | -0.000 | 4.841 | 0.000 |
| -0.000 | -0.000 | 0.000 | 0.000 | 0.000 | 4.841 |
| 13.392 | 20.942 | 20.942 | -0.000 | -0.000 | -0.000 |
| 20.942 | 13.392 | 20.942 | -0.000 | 0.000 | -0.000 |
| 20.942 | 20.942 | 13.392 | 0.000 | 0.000 | -0.000 |
| -0.000 | 0.000 | 0.000 | 4.841 | -0.000 | -0.000 |
| 0.000 | -0.000 | 0.000 | 0.000 | 4.841 | -0.000 |
| 0.000 | 0.000 | -0.000 | -0.000 | -0.000 | 4.841 |
| 13.392 | 20.942 | 20.942 | 0.000 | -0.000 | -0.000 |
| 20.942 | 13.392 | 20.942 | 0.000 | 0.000 | 0.000 |
| 20.942 | 20.942 | 13.392 | -0.000 | 0.000 | 0.000 |
| 0.000 | -0.000 | -0.000 | 4.841 | -0.000 | 0.000 |
| -0.000 | 0.000 | -0.000 | 0.000 | 4.841 | 0.000 |
| -0.000 | -0.000 | 0.000 | 0.000 | 0.000 | 4.841 |
| 13.392 | 20.942 | 20.942 | 0.000 | -0.000 | -0.000 |
| 20.942 | 13.392 | 20.942 | -0.000 | -0.000 | -0.000 |
| 20.942 | 20.942 | 13.392 | -0.000 | -0.000 | -0.000 |
| -0.000 | 0.000 | 0.000 | 4.841 | 0.000 | -0.000 |
| 0.000 | -0.000 | 0.000 | -0.000 | 4.841 | 0.000 |
| 0.000 | 0.000 | -0.000 | -0.000 | -0.000 | 4.841 |
| 13.392 | 20.942 | 20.942 | -0.000 | 0.000 | 0.000 |
| 20.942 | 13.392 | 20.942 | -0.000 | -0.000 | 0.000 |
| 20.942 | 20.942 | 13.392 | 0.000 | 0.000 | -0.000 |
| 0.000 | -0.000 | -0.000 | 4.841 | 0.000 | -0.000 |
| -0.000 | 0.000 | -0.000 | -0.000 | 4.841 | 0.000 |
| -0.000 | -0.000 | 0.000 | 0.000 | 0.000 | 4.841 |
| 13.393 | 20.942 | 20.942 | 0.000 | -0.000 | 0.000 |
| 20.942 | 13.393 | 20.942 | 0.000 | -0.000 | -0.000 |
| 20.942 | 20.942 | 13.393 | 0.000 | -0.000 | -0.000 |
| -0.000 | 0.000 | 0.000 | 4.841 | -0.000 | -0.000 |
| 0.000 | -0.000 | 0.000 | 0.000 | 4.841 | 0.000 |
| 0.000 | 0.000 | -0.000 | -0.000 | -0.000 | 4.841 |
| 33.953 | 9.747 | 9.747 | -0.000 | 0.000 | -0.000 |
| 9.747 | 33.953 | 9.747 | -0.000 | -0.000 | -0.000 |
| 9.747 | 9.747 | 33.953 | -0.000 | 0.000 | -0.000 |
| -0.000 | 0.000 | 0.000 | 0.230 | -0.000 | -0.000 |
| 0.000 | -0.000 | -0.000 | -0.000 | 0.230 | -0.000 |
| 0.000 | 0.000 | -0.000 | -0.000 | -0.000 | 0.230 |
| 33.953 | 9.747 | 9.747 | 0.000 | 0.000 | 0.000 |
| 9.747 | 33.953 | 9.747 | 0.000 | -0.000 | 0.000 |
| 9.747 | 9.747 | 33.953 | 0.000 | -0.000 | 0.000 |
| 0.000 | -0.000 | 0.000 | 0.230 | 0.000 | 0.000 |
| -0.000 | 0.000 | 0.000 | 0.000 | 0.230 | 0.000 |
| -0.000 | 0.000 | 0.000 | 0.000 | 0.000 | 0.230 |
| 33.953 | 9.747 | 9.747 | -0.000 | 0.000 | -0.000 |
| 9.747 | 33.953 | 9.747 | -0.000 | 0.000 | -0.000 |
| 9.747 | 9.747 | 33.953 | -0.000 | 0.000 | -0.000 |
| -0.000 | 0.000 | 0.000 | 0.230 | -0.000 | -0.000 |
| 0.000 | -0.000 | 0.000 | -0.000 | 0.230 | -0.000 |
| 0.000 | 0.000 | -0.000 | -0.000 | -0.000 | 0.230 |
| 33.953 | 9.747 | 9.747 | 0.000 | -0.000 | 0.000 |
| 9.747 | 33.953 | 9.747 | 0.000 | -0.000 | 0.000 |
| 9.747 | 9.747 | 33.953 | 0.000 | -0.000 | 0.000 |
| 0.000 | -0.000 | -0.000 | 0.230 | 0.000 | 0.000 |
| -0.000 | 0.000 | -0.000 | 0.000 | 0.230 | 0.000 |
| -0.000 | -0.000 | 0.000 | 0.000 | 0.000 | 0.230 |
| 33.952 | 9.747 | 9.747 | -0.000 | 0.000 | -0.000 |
| 9.747 | 33.952 | 9.747 | -0.000 | 0.000 | -0.000 |
| 9.747 | 9.747 | 33.952 | -0.000 | -0.000 | -0.000 |
| -0.000 | 0.000 | 0.000 | 0.230 | -0.000 | -0.000 |
| 0.000 | -0.000 | 0.000 | -0.000 | 0.230 | -0.000 |
| 0.000 | 0.000 | -0.000 | -0.000 | -0.000 | 0.230 |
| 33.953 | 9.747 | 9.747 | 0.000 | 0.000 | 0.000 |
| 9.747 | 33.953 | 9.747 | 0.000 | -0.000 | 0.000 |
| 9.747 | 9.747 | 33.953 | 0.000 | -0.000 | 0.000 |
| 0.000 | -0.000 | -0.000 | 0.230 | 0.000 | 0.000 |
| -0.000 | 0.000 | -0.000 | 0.000 | 0.230 | 0.000 |
| -0.000 | -0.000 | 0.000 | 0.000 | 0.000 | 0.230 |
| 568.396 | 230.625 | 230.625 | -0.000 | 0.000 | -0.000 |
| 230.625 | 568.396 | 230.625 | -0.000 | 0.000 | -0.000 |
| 230.625 | 230.625 | 568.396 | -0.000 | 0.000 | 0.000 |
| 0.000 | -0.000 | -0.000 | 169.442 | -0.000 | 0.000 |
| -0.000 | 0.000 | -0.000 | -0.000 | 169.442 | 0.000 |
| -0.000 | -0.000 | -0.000 | -0.000 | 0.000 | 169.442 |
| 568.396 | 230.625 | 230.625 | 0.000 | -0.000 | -0.000 |
| 230.625 | 568.396 | 230.625 | 0.000 | -0.000 | -0.000 |
| 230.625 | 230.625 | 568.396 | 0.000 | -0.000 | -0.000 |
| -0.000 | 0.000 | 0.000 | 169.442 | -0.000 | -0.000 |
| 0.000 | -0.000 | 0.000 | 0.000 | 169.442 | -0.000 |
| 0.000 | 0.000 | 0.000 | 0.000 | -0.000 | 169.442 |
| 568.396 | 230.625 | 230.625 | -0.000 | 0.000 | 0.000 |
| 230.625 | 568.396 | 230.625 | -0.000 | 0.000 | 0.000 |
| 230.625 | 230.625 | 568.396 | -0.000 | 0.000 | 0.000 |
| -0.000 | -0.000 | -0.000 | 169.442 | 0.000 | -0.000 |
| -0.000 | -0.000 | -0.000 | 0.000 | 169.442 | 0.000 |
| -0.000 | -0.000 | -0.000 | 0.000 | 0.000 | 169.442 |
| 568.396 | 230.625 | 230.625 | 0.000 | -0.000 | -0.000 |
| 230.625 | 568.396 | 230.625 | 0.000 | -0.000 | -0.000 |
| 230.625 | 230.625 | 568.396 | 0.000 | -0.000 | -0.000 |
| 0.000 | 0.000 | 0.000 | 169.442 | -0.000 | 0.000 |
| 0.000 | 0.000 | 0.000 | 0.000 | 169.442 | -0.000 |
| 0.000 | 0.000 | 0.000 | 0.000 | -0.000 | 169.442 |
| 568.397 | 230.625 | 230.625 | -0.000 | 0.000 | 0.000 |
| 230.625 | 568.397 | 230.625 | -0.000 | 0.000 | 0.000 |
| 230.625 | 230.625 | 568.397 | -0.000 | 0.000 | 0.000 |
| -0.000 | -0.000 | -0.000 | 169.442 | 0.000 | -0.000 |
| -0.000 | -0.000 | -0.000 | -0.000 | 169.442 | 0.000 |
| -0.000 | -0.000 | -0.000 | -0.000 | 0.000 | 169.442 |
| 568.395 | 230.625 | 230.625 | 0.000 | -0.000 | 0.000 |
| 230.625 | 568.395 | 230.625 | 0.000 | -0.000 | 0.000 |
| 230.625 | 230.625 | 568.395 | 0.000 | -0.000 | -0.000 |
| 0.000 | 0.000 | 0.000 | 169.442 | -0.000 | 0.000 |
| 0.000 | 0.000 | 0.000 | 0.000 | 169.442 | -0.000 |
| 0.000 | 0.000 | 0.000 | 0.000 | -0.000 | 169.442 |
| 49.607 | 27.193 | 27.193 | 0.000 | -0.000 | -0.000 |
| 27.193 | 49.607 | 27.193 | -0.000 | 0.000 | -0.000 |
| 27.193 | 27.193 | 49.607 | 0.000 | -0.000 | -0.000 |
| 0.000 | 0.000 | 0.000 | 27.608 | -0.000 | 0.000 |
| 0.000 | 0.000 | 0.000 | 0.000 | 27.608 | -0.000 |
| 0.000 | 0.000 | 0.000 | 0.000 | -0.000 | 27.608 |
| 49.607 | 27.193 | 27.193 | -0.000 | -0.000 | 0.000 |
| 27.193 | 49.607 | 27.193 | -0.000 | -0.000 | 0.000 |
| 27.193 | 27.193 | 49.607 | -0.000 | -0.000 | 0.000 |
| -0.000 | -0.000 | -0.000 | 27.608 | -0.000 | -0.000 |
| -0.000 | -0.000 | -0.000 | 0.000 | 27.608 | 0.000 |
| -0.000 | -0.000 | -0.000 | -0.000 | 0.000 | 27.608 |
| 49.607 | 27.193 | 27.193 | 0.000 | -0.000 | 0.000 |
| 27.193 | 49.607 | 27.193 | -0.000 | -0.000 | 0.000 |
| 27.193 | 27.193 | 49.607 | 0.000 | 0.000 | -0.000 |
| 0.000 | 0.000 | 0.000 | 27.608 | 0.000 | 0.000 |
| 0.000 | 0.000 | 0.000 | 0.000 | 27.608 | -0.000 |
| 0.000 | 0.000 | 0.000 | 0.000 | 0.000 | 27.608 |
| 49.607 | 27.193 | 27.193 | 0.000 | -0.000 | 0.000 |
| 27.193 | 49.607 | 27.193 | -0.000 | 0.000 | -0.000 |
| 27.193 | 27.193 | 49.607 | -0.000 | -0.000 | -0.000 |
| -0.000 | -0.000 | -0.000 | 27.608 | 0.000 | 0.000 |
| -0.000 | -0.000 | -0.000 | 0.000 | 27.608 | 0.000 |
| -0.000 | -0.000 | -0.000 | -0.000 | -0.000 | 27.608 |
| 49.605 | 27.193 | 27.193 | -0.000 | 0.000 | -0.000 |
| 27.193 | 49.605 | 27.193 | -0.000 | -0.000 | 0.000 |
| 27.193 | 27.193 | 49.605 | 0.000 | 0.000 | 0.000 |
| 0.000 | 0.000 | 0.000 | 27.608 | 0.000 | -0.000 |
| 0.000 | 0.000 | 0.000 | 0.000 | 27.608 | 0.000 |
| 0.000 | 0.000 | 0.000 | -0.000 | 0.000 | 27.608 |
| 49.609 | 27.192 | 27.192 | 0.000 | -0.000 | 0.000 |
| 27.192 | 49.609 | 27.192 | 0.000 | 0.000 | -0.000 |
| 27.192 | 27.192 | 49.609 | 0.000 | 0.000 | -0.000 |
| -0.000 | -0.000 | -0.000 | 27.608 | 0.000 | -0.000 |
| -0.000 | -0.000 | -0.000 | -0.000 | 27.608 | 0.000 |
| -0.000 | -0.000 | -0.000 | 0.000 | 0.000 | 27.608 |
| 19.483 | 19.483 | 19.483 | 0.000 | 0.000 | 0.000 |
| 19.483 | 19.483 | 19.483 | 0.000 | 0.000 | 0.000 |
| 19.483 | 19.483 | 19.483 | 0.000 | 0.000 | 0.000 |
| 0.000 | 0.000 | 0.000 | 19.504 | 0.000 | 0.000 |
| 0.000 | 0.000 | 0.000 | 0.000 | 19.504 | 0.000 |
| 0.000 | 0.000 | 0.000 | 0.000 | 0.000 | 19.504 |
| 19.482 | 19.482 | 19.482 | -0.000 | -0.000 | -0.000 |
| 19.482 | 19.482 | 19.482 | -0.000 | -0.000 | -0.000 |
| 19.482 | 19.482 | 19.482 | -0.000 | -0.000 | 0.000 |
| -0.000 | -0.000 | -0.000 | 19.504 | -0.000 | -0.000 |
| -0.000 | -0.000 | -0.000 | -0.000 | 19.504 | -0.000 |
| -0.000 | -0.000 | -0.000 | -0.000 | -0.000 | 19.504 |
| 19.483 | 19.483 | 19.483 | 0.000 | 0.000 | 0.000 |
| 19.483 | 19.483 | 19.483 | 0.000 | 0.000 | 0.000 |
| 19.483 | 19.483 | 19.483 | 0.000 | 0.000 | -0.000 |
| 0.000 | 0.000 | 0.000 | 19.504 | 0.000 | 0.000 |
| 0.000 | 0.000 | 0.000 | 0.000 | 19.504 | 0.000 |
| 0.000 | 0.000 | 0.000 | 0.000 | 0.000 | 19.504 |
| 19.482 | 19.482 | 19.482 | -0.000 | -0.000 | -0.000 |
| 19.482 | 19.482 | 19.482 | -0.000 | -0.000 | -0.000 |
| 19.482 | 19.482 | 19.482 | -0.000 | -0.000 | -0.000 |
| -0.000 | -0.000 | -0.000 | 19.504 | -0.000 | -0.000 |
| -0.000 | -0.000 | -0.000 | -0.000 | 19.504 | -0.000 |
| -0.000 | -0.000 | -0.000 | -0.000 | -0.000 | 19.504 |
| 19.483 | 19.483 | 19.483 | 0.000 | 0.000 | 0.000 |
| 19.483 | 19.483 | 19.483 | 0.000 | 0.000 | 0.000 |
| 19.483 | 19.483 | 19.483 | 0.000 | 0.000 | 0.000 |
| 0.000 | 0.000 | 0.000 | 19.504 | 0.000 | 0.000 |
| 0.000 | 0.000 | 0.000 | 0.000 | 19.504 | 0.000 |
| 0.000 | 0.000 | 0.000 | 0.000 | 0.000 | 19.504 |
| 19.482 | 19.482 | 19.482 | -0.000 | -0.000 | -0.000 |
| 19.482 | 19.482 | 19.482 | -0.000 | -0.000 | -0.000 |
| 19.482 | 19.482 | 19.482 | -0.000 | -0.000 | -0.000 |
| -0.000 | -0.000 | -0.000 | 19.504 | -0.000 | -0.000 |
| -0.000 | -0.000 | -0.000 | -0.000 | 19.504 | -0.000 |
| -0.000 | -0.000 | -0.000 | -0.000 | -0.000 | 19.504 |
| 334.749 | 266.105 | 266.105 | 0.000 | -0.000 | -0.000 |
| 266.105 | 334.749 | 266.105 | -0.000 | -0.000 | -0.000 |
| 266.105 | 266.105 | 334.749 | -0.000 | 0.000 | -0.000 |
| 0.000 | 0.000 | -0.000 | 50.522 | -0.000 | 0.000 |
| 0.000 | 0.000 | -0.000 | -0.000 | 50.522 | -0.000 |
| 0.000 | 0.000 | -0.000 | -0.000 | -0.000 | 50.522 |
| 334.749 | 266.105 | 266.105 | 0.000 | 0.000 | 0.000 |
| 266.105 | 334.749 | 266.105 | 0.000 | 0.000 | 0.000 |
| 266.105 | 266.105 | 334.749 | 0.000 | 0.000 | 0.000 |
| -0.000 | -0.000 | 0.000 | 50.522 | 0.000 | 0.000 |
| -0.000 | -0.000 | 0.000 | 0.000 | 50.522 | 0.000 |
| -0.000 | -0.000 | 0.000 | 0.000 | 0.000 | 50.522 |
| 334.749 | 266.105 | 266.105 | 0.000 | 0.000 | -0.000 |
| 266.105 | 334.749 | 266.105 | 0.000 | -0.000 | -0.000 |
| 266.105 | 266.105 | 334.749 | 0.000 | -0.000 | -0.000 |
| 0.000 | 0.000 | 0.000 | 11.512 | -0.000 | -0.000 |
| 0.000 | 0.000 | 0.000 | -0.000 | 11.512 | -0.000 |
| 0.000 | 0.000 | 0.000 | -0.000 | -0.000 | 11.512 |
| 334.749 | 266.105 | 266.105 | -0.000 | -0.000 | 0.000 |
| 266.105 | 334.749 | 266.105 | 0.000 | 0.000 | 0.000 |
| 266.105 | 266.105 | 334.749 | -0.000 | 0.000 | 0.000 |
| -0.000 | -0.000 | -0.000 | 11.512 | 0.000 | 0.000 |
| -0.000 | -0.000 | -0.000 | 0.000 | 11.512 | 0.000 |
| -0.000 | -0.000 | -0.000 | 0.000 | 0.000 | 11.512 |
| 334.748 | 266.104 | 266.104 | -0.000 | -0.000 | -0.000 |
| 266.104 | 334.748 | 266.104 | -0.000 | -0.000 | -0.000 |
| 266.104 | 266.104 | 334.748 | 0.000 | 0.000 | -0.000 |
| 0.000 | 0.000 | 0.000 | 11.512 | 0.000 | 0.000 |
| 0.000 | 0.000 | 0.000 | 0.000 | 11.512 | -0.000 |
| 0.000 | 0.000 | 0.000 | -0.000 | -0.000 | 11.512 |
| 334.750 | 266.106 | 266.106 | 0.000 | 0.000 | 0.000 |
| 266.106 | 334.750 | 266.106 | 0.000 | 0.000 | 0.000 |
| 266.106 | 266.106 | 334.750 | 0.000 | -0.000 | 0.000 |
| -0.000 | -0.000 | -0.000 | 11.512 | 0.000 | 0.000 |
| -0.000 | -0.000 | -0.000 | 0.000 | 11.512 | 0.000 |
| -0.000 | -0.000 | -0.000 | -0.000 | 0.000 | 11.512 |
| 12.013 | 12.013 | 12.013 | -0.000 | -0.000 | -0.000 |
| 12.013 | 12.013 | 12.013 | -0.000 | -0.000 | -0.000 |
| 12.013 | 12.013 | 12.013 | -0.000 | -0.000 | -0.000 |
| -0.000 | -0.000 | -0.000 | -0.000 | -0.000 | -0.000 |
| -0.000 | -0.000 | -0.000 | -0.000 | -0.000 | -0.000 |
| -0.000 | -0.000 | -0.000 | -0.000 | -0.000 | -0.000 |
| 12.013 | 12.013 | 12.013 | 0.000 | 0.000 | 0.000 |
| 12.013 | 12.013 | 12.013 | 0.000 | 0.000 | 0.000 |
| 12.013 | 12.013 | 12.013 | 0.000 | 0.000 | 0.000 |
| 0.000 | 0.000 | 0.000 | 0.000 | 0.000 | 0.000 |
| 0.000 | 0.000 | 0.000 | 0.000 | 0.000 | 0.000 |
| 0.000 | 0.000 | 0.000 | 0.000 | 0.000 | 0.000 |
| 12.013 | 12.013 | 12.013 | -0.000 | -0.000 | -0.000 |
| 12.013 | 12.013 | 12.013 | -0.000 | -0.000 | -0.000 |
| 12.013 | 12.013 | 12.013 | -0.000 | -0.000 | -0.000 |
| -0.000 | -0.000 | -0.000 | -0.000 | -0.000 | -0.000 |
| -0.000 | -0.000 | -0.000 | -0.000 | -0.000 | -0.000 |
| -0.000 | -0.000 | -0.000 | -0.000 | -0.000 | -0.000 |
| 12.013 | 12.013 | 12.013 | 0.000 | 0.000 | 0.000 |
| 12.013 | 12.013 | 12.013 | 0.000 | 0.000 | 0.000 |
| 12.013 | 12.013 | 12.013 | 0.000 | 0.000 | 0.000 |
| 0.000 | 0.000 | 0.000 | 0.000 | 0.000 | 0.000 |
| 0.000 | 0.000 | 0.000 | 0.000 | 0.000 | 0.000 |
| 0.000 | 0.000 | 0.000 | 0.000 | 0.000 | 0.000 |
| 12.013 | 12.013 | 12.013 | -0.000 | -0.000 | -0.000 |
| 12.013 | 12.013 | 12.013 | -0.000 | -0.000 | -0.000 |
| 12.013 | 12.013 | 12.013 | -0.000 | -0.000 | -0.000 |
| -0.000 | -0.000 | -0.000 | -0.000 | -0.000 | -0.000 |
| -0.000 | -0.000 | -0.000 | -0.000 | -0.000 | -0.000 |
| -0.000 | -0.000 | -0.000 | -0.000 | -0.000 | -0.000 |
| 12.013 | 12.013 | 12.013 | 0.000 | 0.000 | 0.000 |
| 12.013 | 12.013 | 12.013 | 0.000 | 0.000 | 0.000 |
| 12.013 | 12.013 | 12.013 | 0.000 | 0.000 | 0.000 |
| 0.000 | 0.000 | 0.000 | 0.000 | 0.000 | 0.000 |
| 0.000 | 0.000 | 0.000 | 0.000 | 0.000 | 0.000 |
| 0.000 | 0.000 | 0.000 | 0.000 | 0.000 | -0.000 |
| 4.874 | 4.874 | 4.874 | -0.000 | -0.000 | -0.000 |
| 4.874 | 4.874 | 4.874 | -0.000 | -0.000 | -0.000 |
| 4.874 | 4.874 | 4.874 | -0.000 | -0.000 | -0.000 |
| -0.000 | -0.000 | -0.000 | -0.000 | -0.000 | -0.000 |
| -0.000 | -0.000 | -0.000 | -0.000 | -0.000 | -0.000 |
| -0.000 | -0.000 | -0.000 | -0.000 | -0.000 | -0.000 |
| 4.874 | 4.874 | 4.874 | 0.000 | 0.000 | 0.000 |
| 4.874 | 4.874 | 4.874 | 0.000 | 0.000 | 0.000 |
| 4.874 | 4.874 | 4.874 | 0.000 | 0.000 | 0.000 |
| 0.000 | 0.000 | 0.000 | 0.000 | 0.000 | 0.000 |
| 0.000 | 0.000 | 0.000 | 0.000 | 0.000 | 0.000 |
| 0.000 | 0.000 | 0.000 | 0.000 | 0.000 | 0.000 |
| 4.874 | 4.874 | 4.874 | -0.000 | -0.000 | -0.000 |
| 4.874 | 4.874 | 4.874 | -0.000 | -0.000 | -0.000 |
| 4.874 | 4.874 | 4.874 | -0.000 | -0.000 | -0.000 |
| -0.000 | -0.000 | -0.000 | -0.000 | -0.000 | -0.000 |
| -0.000 | -0.000 | -0.000 | -0.000 | -0.000 | -0.000 |
| -0.000 | -0.000 | -0.000 | -0.000 | -0.000 | -0.000 |
| 4.874 | 4.874 | 4.874 | 0.000 | 0.000 | 0.000 |
| 4.874 | 4.874 | 4.874 | 0.000 | 0.000 | 0.000 |
| 4.874 | 4.874 | 4.874 | 0.000 | 0.000 | 0.000 |
| 0.000 | 0.000 | 0.000 | 0.000 | 0.000 | 0.000 |
| 0.000 | 0.000 | 0.000 | 0.000 | 0.000 | 0.000 |
| 0.000 | 0.000 | 0.000 | 0.000 | 0.000 | 0.000 |
| 4.874 | 4.874 | 4.874 | -0.000 | -0.000 | -0.000 |
| 4.874 | 4.874 | 4.874 | -0.000 | -0.000 | -0.000 |
| 4.874 | 4.874 | 4.874 | -0.000 | -0.000 | -0.000 |
| -0.000 | -0.000 | -0.000 | -0.000 | -0.000 | -0.000 |
| -0.000 | -0.000 | -0.000 | -0.000 | -0.000 | -0.000 |
| -0.000 | -0.000 | -0.000 | -0.000 | -0.000 | -0.000 |
| 4.874 | 4.874 | 4.874 | -0.000 | 0.000 | 0.000 |
| 4.874 | 4.874 | 4.874 | 0.000 | -0.000 | 0.000 |
| 4.874 | 4.874 | 4.874 | 0.000 | 0.000 | -0.000 |
| 0.000 | 0.000 | 0.000 | 0.000 | 0.000 | 0.000 |
| 0.000 | 0.000 | 0.000 | 0.000 | 0.000 | 0.000 |
| 0.000 | 0.000 | 0.000 | 0.000 | 0.000 | 0.000 |
| 538.470 | 275.772 | 227.151 | -0.000 | -0.000 | 0.000 |
| 275.772 | 538.470 | 227.151 | 0.000 | 0.000 | -0.000 |
| 227.151 | 227.151 | 399.678 | 0.000 | 0.000 | -0.000 |
| -0.000 | -0.000 | -0.000 | 63.947 | -0.000 | 0.000 |
| -0.000 | -0.000 | -0.000 | 0.000 | 63.947 | -0.000 |
| -0.000 | -0.000 | 0.000 | 0.000 | 0.000 | 0.159 |
| 538.893 | 275.349 | 227.151 | -0.000 | 0.000 | 0.000 |
| 275.349 | 538.893 | 227.151 | 0.000 | -0.000 | -0.000 |
| 227.151 | 227.151 | 399.679 | 0.000 | 0.000 | 0.000 |
| 0.000 | 0.000 | -0.000 | 63.947 | 0.000 | 0.000 |
| 0.000 | -0.000 | -0.000 | -0.000 | 63.947 | 0.000 |
| 0.000 | 0.000 | -0.000 | -0.000 | -0.000 | 0.159 |
| 538.470 | 275.772 | 227.151 | 0.000 | 0.000 | -0.000 |
| 275.772 | 538.470 | 227.151 | 0.000 | -0.000 | 0.000 |
| 227.151 | 227.151 | 399.678 | 0.000 | 0.000 | -0.000 |
| -0.000 | -0.000 | -0.000 | 63.947 | 0.000 | -0.000 |
| -0.000 | -0.000 | -0.000 | -0.000 | 63.947 | -0.000 |
| -0.000 | -0.000 | -0.000 | 0.000 | 0.000 | 0.159 |
| 538.471 | 275.772 | 227.151 | 0.000 | -0.000 | 0.000 |
| 275.772 | 538.471 | 227.151 | -0.000 | -0.000 | -0.000 |
| 227.151 | 227.151 | 399.679 | -0.000 | -0.000 | 0.000 |
| 0.000 | 0.000 | 0.000 | 63.947 | 0.000 | 0.000 |
| 0.000 | 0.000 | 0.000 | -0.000 | 63.947 | 0.000 |
| 0.000 | 0.000 | 0.000 | -0.000 | -0.000 | 0.159 |
| 538.466 | 275.769 | 227.149 | 0.000 | 0.000 | -0.000 |
| 275.769 | 538.466 | 227.149 | 0.000 | -0.000 | 0.000 |
| 227.150 | 227.150 | 399.678 | 0.000 | -0.000 | -0.000 |
| -0.000 | -0.000 | -0.000 | 63.947 | -0.000 | 0.000 |
| -0.000 | -0.000 | -0.000 | 0.000 | 63.947 | -0.000 |
| -0.000 | -0.001 | -0.000 | 0.000 | 0.000 | 0.159 |
| 538.475 | 275.775 | 227.153 | 0.000 | 0.000 | -0.000 |
| 275.775 | 538.475 | 227.153 | -0.000 | 0.000 | 0.000 |
| 227.152 | 227.152 | 399.679 | -0.000 | -0.000 | 0.000 |
| 0.000 | 0.000 | 0.000 | 63.947 | 0.000 | -0.000 |
| 0.000 | 0.000 | 0.000 | -0.000 | 63.947 | 0.000 |
| 0.000 | 0.001 | 0.000 | 0.000 | -0.000 | 0.159 |
| 87.128 | 0.008 | 16.766 | 0.000 | 0.000 | -0.000 |
| 0.008 | 87.128 | 16.766 | 0.000 | 0.000 | 0.000 |
| 16.766 | 16.766 | 91.150 | -0.000 | 0.000 | 0.000 |
| 0.000 | -0.000 | -0.000 | 16.793 | 0.000 | 0.000 |
| -0.000 | 0.000 | -0.000 | 0.000 | 16.793 | 0.000 |
| -0.000 | -0.000 | -0.000 | 0.000 | 0.000 | -0.000 |
| 87.128 | 0.008 | 16.766 | 0.000 | -0.000 | -0.000 |
| 0.008 | 87.128 | 16.766 | 0.000 | -0.000 | -0.000 |
| 16.766 | 16.766 | 91.150 | -0.000 | -0.000 | -0.000 |
| -0.000 | 0.000 | 0.000 | 16.793 | -0.000 | 0.000 |
| 0.000 | -0.000 | 0.000 | -0.000 | 16.793 | -0.000 |
| 0.000 | 0.000 | 0.000 | -0.000 | -0.000 | -0.000 |
| 87.128 | 0.008 | 16.766 | 0.000 | 0.000 | -0.000 |
| 0.008 | 87.128 | 16.766 | 0.000 | 0.000 | 0.000 |
| 16.766 | 16.766 | 91.150 | 0.000 | 0.000 | 0.000 |
| -0.000 | -0.000 | 0.000 | 16.793 | 0.000 | 0.000 |
| -0.000 | -0.000 | 0.000 | 0.000 | 16.793 | -0.000 |
| -0.000 | -0.000 | -0.000 | 0.000 | 0.000 | -0.000 |
| 87.128 | 0.008 | 16.766 | -0.000 | -0.000 | 0.000 |
| 0.008 | 87.128 | 16.766 | 0.000 | -0.000 | -0.000 |
| 16.766 | 16.766 | 91.150 | -0.000 | -0.000 | -0.000 |
| 0.000 | 0.000 | -0.000 | 16.793 | -0.000 | -0.000 |
| 0.000 | 0.000 | -0.000 | -0.000 | 16.793 | -0.000 |
| 0.000 | 0.000 | 0.000 | -0.000 | -0.000 | 0.000 |
| 87.127 | 0.008 | 16.766 | 0.000 | -0.000 | -0.000 |
| 0.008 | 87.127 | 16.766 | -0.000 | 0.000 | 0.000 |
| 16.766 | 16.766 | 91.149 | 0.000 | 0.000 | -0.000 |
| -0.000 | -0.000 | 0.000 | 16.793 | 0.000 | 0.000 |
| -0.000 | -0.000 | 0.000 | 0.000 | 16.793 | 0.000 |
| -0.000 | -0.000 | -0.000 | -0.000 | 0.000 | 0.000 |
| 87.129 | 0.008 | 16.766 | -0.000 | -0.000 | 0.000 |
| 0.008 | 87.129 | 16.766 | 0.000 | -0.000 | -0.000 |
| 16.766 | 16.766 | 91.151 | -0.000 | -0.000 | 0.000 |
| 0.000 | 0.000 | -0.000 | 16.793 | -0.000 | -0.000 |
| 0.000 | 0.000 | -0.000 | -0.000 | 16.793 | -0.000 |
| 0.000 | 0.000 | 0.000 | -0.000 | -0.000 | 0.000 |
| 22.637 | 9.018 | 2.101 | 0.000 | -0.000 | 0.000 |
| 9.018 | 22.637 | 2.101 | 0.000 | 0.000 | -0.000 |
| 2.101 | 2.101 | 36.305 | 0.000 | 0.000 | 0.000 |
| 0.000 | 0.000 | -0.000 | 0.000 | 0.000 | -0.000 |
| 0.000 | 0.000 | -0.000 | 0.000 | -0.000 | -0.000 |
| 0.000 | 0.000 | -0.000 | 0.000 | 0.000 | -0.000 |
| 22.637 | 9.018 | 2.101 | -0.000 | 0.000 | 0.000 |
| 9.018 | 22.637 | 2.101 | 0.000 | -0.000 | -0.000 |
| 2.101 | 2.101 | 36.305 | -0.000 | -0.000 | 0.000 |
| -0.000 | -0.000 | 0.000 | -0.000 | -0.000 | -0.000 |
| -0.000 | -0.000 | 0.000 | -0.000 | -0.000 | -0.000 |
| -0.000 | -0.000 | 0.000 | -0.000 | -0.000 | -0.000 |
| 16.369 | 15.286 | 2.101 | -0.000 | 0.000 | 0.000 |
| 15.286 | 16.369 | 2.101 | 0.000 | -0.000 | -0.000 |
| 2.101 | 2.101 | 36.305 | 0.000 | 0.000 | -0.000 |
| -0.000 | -0.000 | -0.000 | 0.000 | 0.000 | -0.000 |
| -0.000 | -0.000 | -0.000 | 0.000 | -0.000 | -0.000 |
| -0.000 | -0.000 | -0.000 | 0.000 | 0.000 | 0.000 |
| 18.756 | 12.899 | 2.101 | 0.000 | -0.000 | 0.000 |
| 12.899 | 18.756 | 2.101 | 0.000 | 0.000 | 0.000 |
| 2.101 | 2.101 | 36.305 | -0.000 | -0.000 | -0.000 |
| 0.000 | 0.000 | 0.000 | -0.000 | -0.000 | -0.000 |
| 0.000 | 0.000 | 0.000 | -0.000 | -0.000 | -0.000 |
| 0.000 | 0.000 | 0.000 | -0.000 | -0.000 | 0.000 |
| 15.870 | 15.785 | 2.101 | 0.000 | 0.000 | -0.000 |
| 15.728 | 15.928 | 2.101 | -0.000 | -0.000 | 0.000 |
| 2.101 | 2.101 | 36.305 | 0.000 | 0.000 | 0.000 |
| -0.000 | -0.000 | -0.000 | -0.000 | 0.000 | -0.000 |
| -0.000 | -0.000 | -0.000 | 0.000 | 0.000 | -0.000 |
| 0.000 | -0.000 | -0.000 | -0.000 | -0.000 | 0.000 |
| 15.871 | 15.784 | 2.101 | -0.000 | -0.000 | 0.000 |
| 15.784 | 15.871 | 2.101 | -0.000 | -0.000 | 0.000 |
| 2.101 | 2.101 | 36.305 | -0.000 | -0.000 | -0.000 |
| 0.000 | 0.000 | 0.000 | -0.000 | -0.000 | -0.000 |
| 0.000 | 0.000 | 0.000 | -0.000 | -0.000 | -0.000 |
| -0.000 | 0.000 | 0.000 | 0.000 | 0.000 | 0.000 |
| 282.718 | 142.979 | 115.109 | 0.000 | 0.000 | -0.000 |
| 142.979 | 282.718 | 115.109 | 0.000 | -0.000 | 0.000 |
| 115.109 | 115.109 | 391.656 | 0.000 | 0.000 | 0.000 |
| 0.000 | -0.000 | -0.000 | 26.843 | 0.000 | -0.000 |
| 0.000 | -0.000 | -0.000 | 0.000 | 26.843 | 0.000 |
| 0.000 | 0.000 | -0.000 | 0.000 | 0.000 | -9.986 |
| 282.718 | 142.979 | 115.109 | -0.000 | -0.000 | 0.000 |
| 142.979 | 282.718 | 115.109 | -0.000 | -0.000 | 0.000 |
| 115.109 | 115.109 | 391.657 | -0.000 | -0.000 | -0.000 |
| -0.000 | 0.000 | 0.000 | 26.843 | -0.000 | -0.000 |
| 0.000 | -0.000 | 0.000 | 0.000 | 26.843 | -0.000 |
| -0.000 | -0.000 | 0.000 | -0.000 | -0.000 | -9.986 |
| 282.718 | 142.979 | 115.109 | 0.000 | 0.000 | -0.000 |
| 142.979 | 282.718 | 115.109 | 0.000 | 0.000 | 0.000 |
| 115.109 | 115.109 | 391.656 | 0.000 | 0.000 | 0.000 |
| 0.000 | -0.000 | -0.000 | 26.843 | 0.000 | -0.000 |
| -0.000 | 0.000 | -0.000 | 0.000 | 26.843 | 0.000 |
| 0.000 | 0.000 | -0.000 | -0.000 | 0.000 | -9.986 |
| 282.718 | 142.979 | 115.109 | -0.000 | -0.000 | -0.000 |
| 142.979 | 282.718 | 115.109 | -0.000 | -0.000 | 0.000 |
| 115.109 | 115.109 | 391.657 | -0.000 | -0.000 | -0.000 |
| -0.000 | 0.000 | 0.000 | 26.843 | -0.000 | 0.000 |
| 0.000 | -0.000 | 0.000 | -0.000 | 26.843 | -0.000 |
| -0.000 | -0.000 | 0.000 | -0.000 | 0.000 | -9.986 |
| 282.720 | 142.980 | 115.110 | 0.000 | 0.000 | 0.000 |
| 142.980 | 282.720 | 115.110 | -0.000 | -0.000 | 0.000 |
| 115.109 | 115.109 | 391.655 | 0.000 | 0.000 | 0.000 |
| 0.000 | -0.000 | -0.001 | 26.843 | 0.000 | 0.000 |
| -0.000 | 0.000 | -0.001 | -0.000 | 26.843 | 0.000 |
| 0.000 | 0.000 | -0.000 | -0.000 | 0.000 | -9.986 |
| 282.717 | 142.977 | 115.109 | -0.000 | -0.000 | -0.000 |
| 142.977 | 282.717 | 115.109 | -0.000 | -0.000 | 0.000 |
| 115.109 | 115.109 | 391.658 | -0.000 | -0.000 | -0.000 |
| -0.000 | 0.000 | 0.001 | 26.843 | -0.000 | -0.000 |
| 0.000 | -0.000 | 0.001 | -0.000 | 26.843 | -0.000 |
| -0.000 | -0.000 | 0.000 | -0.000 | -0.000 | -9.986 |
| 351.116 | 263.436 | 263.436 | -0.000 | -0.000 | 0.000 |
| 263.436 | 351.116 | 263.436 | -0.000 | 0.000 | 0.000 |
| 263.436 | 263.436 | 351.116 | -0.000 | 0.000 | 0.000 |
| 0.000 | -0.000 | -0.000 | 12.080 | -0.000 | 0.000 |
| 0.000 | -0.000 | -0.000 | -0.000 | 12.080 | -0.000 |
| -0.000 | -0.000 | -0.000 | -0.000 | -0.000 | 12.080 |
| 351.116 | 263.436 | 263.436 | 0.000 | -0.000 | -0.000 |
| 263.436 | 351.116 | 263.436 | 0.000 | 0.000 | -0.000 |
| 263.436 | 263.436 | 351.116 | 0.000 | -0.000 | -0.000 |
| -0.000 | 0.000 | 0.000 | 12.080 | -0.000 | 0.000 |
| 0.000 | 0.000 | 0.000 | 0.000 | 12.080 | -0.000 |
| 0.000 | 0.000 | 0.000 | 0.000 | -0.000 | 12.080 |
| 351.117 | 263.436 | 263.436 | -0.000 | -0.000 | -0.000 |
| 263.436 | 351.117 | 263.436 | -0.000 | 0.000 | -0.000 |
| 263.436 | 263.436 | 351.117 | -0.000 | -0.000 | 0.000 |
| -0.000 | -0.000 | -0.000 | 12.080 | -0.000 | 0.000 |
| -0.000 | -0.000 | -0.000 | -0.000 | 12.080 | 0.000 |
| -0.000 | -0.000 | -0.000 | -0.000 | 0.000 | 12.080 |
| 351.115 | 263.436 | 263.436 | 0.000 | 0.000 | -0.000 |
| 263.436 | 351.115 | 263.436 | 0.000 | -0.000 | -0.000 |
| 263.436 | 263.436 | 351.115 | 0.000 | 0.000 | -0.000 |
| 0.000 | 0.000 | 0.000 | 12.080 | 0.000 | -0.000 |
| 0.000 | 0.000 | 0.000 | 0.000 | 12.080 | -0.000 |
| 0.000 | 0.000 | 0.000 | 0.000 | -0.000 | 12.080 |
| 351.124 | 263.438 | 263.438 | -0.000 | -0.000 | -0.000 |
| 263.438 | 351.124 | 263.438 | -0.000 | 0.000 | -0.000 |
| 263.438 | 263.438 | 351.124 | -0.000 | -0.000 | 0.000 |
| -0.000 | -0.000 | -0.000 | 12.080 | -0.000 | 0.000 |
| -0.000 | -0.000 | -0.000 | -0.000 | 12.080 | 0.000 |
| -0.000 | -0.000 | -0.000 | -0.000 | -0.000 | 12.080 |
| 351.107 | 263.434 | 263.434 | 0.000 | -0.000 | -0.000 |
| 263.434 | 351.107 | 263.434 | -0.000 | -0.000 | -0.000 |
| 263.434 | 263.434 | 351.107 | 0.000 | -0.000 | -0.000 |
| 0.000 | 0.000 | 0.000 | 12.080 | 0.000 | -0.000 |
| 0.000 | 0.000 | 0.000 | 0.000 | 12.080 | -0.000 |
| 0.000 | 0.000 | 0.000 | 0.000 | 0.000 | 12.080 |
| 83.179 | -0.008 | -0.008 | -0.000 | -0.000 | -0.000 |
| -0.008 | 83.179 | -0.008 | -0.000 | 0.000 | -0.000 |
| -0.008 | -0.008 | 83.179 | -0.000 | -0.000 | 0.000 |
| 0.000 | 0.000 | -0.000 | -0.000 | -0.000 | -0.000 |
| 0.000 | 0.000 | -0.000 | -0.000 | -0.000 | 0.000 |
| 0.000 | -0.000 | 0.000 | -0.000 | 0.000 | -0.000 |
| 83.178 | -0.008 | -0.008 | 0.000 | 0.000 | 0.000 |
| -0.008 | 83.178 | -0.008 | 0.000 | 0.000 | -0.000 |
| -0.008 | -0.008 | 83.178 | 0.000 | 0.000 | 0.000 |
| -0.000 | 0.000 | 0.000 | -0.000 | 0.000 | -0.000 |
| 0.000 | -0.000 | 0.000 | -0.000 | -0.000 | 0.000 |
| 0.000 | 0.000 | -0.000 | -0.000 | 0.000 | -0.000 |
| 83.179 | -0.008 | -0.008 | -0.000 | 0.000 | 0.000 |
| -0.008 | 83.179 | -0.008 | 0.000 | -0.000 | -0.000 |
| -0.008 | -0.008 | 83.179 | -0.000 | -0.000 | -0.000 |
| 0.000 | -0.000 | -0.000 | 0.000 | 0.000 | 0.000 |
| -0.000 | 0.000 | -0.000 | 0.000 | 0.000 | -0.000 |
| -0.000 | -0.000 | 0.000 | 0.000 | 0.000 | 0.000 |
| 83.178 | -0.008 | -0.008 | -0.000 | -0.000 | -0.000 |
| -0.008 | 83.178 | -0.008 | -0.000 | -0.000 | 0.000 |
| -0.008 | -0.008 | 83.178 | -0.000 | -0.000 | -0.000 |
| -0.000 | 0.000 | 0.000 | 0.000 | -0.000 | -0.000 |
| 0.000 | -0.000 | 0.000 | -0.000 | 0.000 | -0.000 |
| 0.000 | 0.000 | -0.000 | -0.000 | 0.000 | 0.000 |
| 83.180 | -0.008 | -0.008 | 0.000 | -0.000 | 0.000 |
| -0.008 | 83.180 | -0.008 | -0.000 | 0.000 | 0.000 |
| -0.008 | -0.008 | 83.180 | -0.000 | -0.000 | 0.000 |
| 0.000 | 0.000 | -0.000 | 0.000 | 0.000 | -0.000 |
| 0.000 | 0.000 | -0.000 | 0.000 | 0.000 | 0.000 |
| 0.000 | -0.000 | 0.000 | 0.000 | -0.000 | 0.000 |
| 83.177 | -0.008 | -0.008 | 0.000 | -0.000 | -0.000 |
| -0.008 | 83.177 | -0.008 | -0.000 | 0.000 | -0.000 |
| -0.008 | -0.008 | 83.177 | -0.000 | -0.000 | -0.000 |
| -0.000 | -0.000 | 0.000 | 0.000 | -0.000 | 0.000 |
| -0.000 | -0.000 | 0.000 | -0.000 | 0.000 | -0.000 |
| -0.000 | 0.000 | -0.000 | -0.000 | -0.000 | 0.000 |
| 33.774 | -0.009 | -0.009 | -0.000 | 0.000 | 0.000 |
| -0.009 | 33.774 | -0.009 | 0.000 | -0.000 | -0.000 |
| -0.009 | -0.009 | 33.774 | -0.000 | 0.000 | -0.000 |
| 0.000 | 0.000 | -0.000 | 0.000 | 0.000 | 0.000 |
| 0.000 | 0.000 | -0.000 | 0.000 | 0.000 | 0.000 |
| 0.000 | -0.000 | 0.000 | 0.000 | 0.000 | 0.000 |
| 33.774 | -0.009 | -0.009 | 0.000 | 0.000 | 0.000 |
| -0.009 | 33.774 | -0.009 | 0.000 | 0.000 | -0.000 |
| -0.009 | -0.009 | 33.774 | 0.000 | 0.000 | -0.000 |
| -0.000 | -0.000 | 0.000 | 0.000 | -0.000 | -0.000 |
| -0.000 | -0.000 | 0.000 | -0.000 | 0.000 | -0.000 |
| -0.000 | 0.000 | -0.000 | -0.000 | -0.000 | 0.000 |
| 33.774 | -0.009 | -0.009 | -0.000 | -0.000 | -0.000 |
| -0.009 | 33.774 | -0.009 | -0.000 | -0.000 | 0.000 |
| -0.009 | -0.009 | 33.774 | -0.000 | -0.000 | -0.000 |
| 0.000 | 0.000 | -0.000 | 0.000 | 0.000 | 0.000 |
| 0.000 | 0.000 | -0.000 | 0.000 | 0.000 | 0.000 |
| 0.000 | -0.000 | 0.000 | 0.000 | 0.000 | 0.000 |
| 33.774 | -0.009 | -0.009 | -0.000 | 0.000 | 0.000 |
| -0.009 | 33.774 | -0.009 | -0.000 | -0.000 | 0.000 |
| -0.009 | -0.009 | 33.774 | 0.000 | 0.000 | -0.000 |
| -0.000 | -0.000 | 0.000 | 0.000 | -0.000 | -0.000 |
| -0.000 | -0.000 | 0.000 | -0.000 | 0.000 | -0.000 |
| -0.000 | 0.000 | -0.000 | -0.000 | -0.000 | 0.000 |
| 33.775 | -0.009 | -0.009 | -0.000 | 0.000 | -0.000 |
| -0.009 | 33.775 | -0.009 | 0.000 | -0.000 | -0.000 |
| -0.009 | -0.009 | 33.775 | -0.000 | -0.000 | 0.000 |
| 0.000 | 0.000 | -0.000 | 0.000 | 0.000 | 0.000 |
| 0.000 | 0.000 | -0.000 | 0.000 | 0.000 | 0.000 |
| 0.000 | -0.000 | 0.000 | 0.000 | 0.000 | 0.000 |
| 33.774 | -0.009 | -0.009 | 0.000 | -0.000 | -0.000 |
| -0.009 | 33.774 | -0.009 | -0.000 | 0.000 | 0.000 |
| -0.009 | -0.009 | 33.774 | 0.000 | 0.000 | -0.000 |
| -0.000 | -0.000 | 0.000 | 0.000 | -0.000 | -0.000 |
| -0.000 | -0.000 | 0.000 | -0.000 | 0.000 | -0.000 |
| -0.000 | 0.000 | -0.000 | -0.000 | -0.000 | 0.000 |
| 463.906 | 244.165 | 278.966 | 0.000 | 0.000 | 0.000 |
| 244.165 | 463.906 | 278.966 | -0.000 | 0.000 | 0.000 |
| 278.966 | 278.966 | 612.636 | 0.000 | 0.000 | 0.000 |
| -0.000 | 0.000 | -0.000 | 48.390 | 0.000 | 0.000 |
| 0.000 | -0.000 | -0.000 | 0.000 | 48.390 | 0.000 |
| 0.000 | 0.000 | -0.000 | -0.000 | 0.000 | 109.871 |
| 463.906 | 244.165 | 278.966 | 0.000 | -0.000 | -0.000 |
| 244.165 | 463.906 | 278.966 | 0.000 | -0.000 | -0.000 |
| 278.966 | 278.966 | 612.636 | -0.000 | -0.000 | -0.000 |
| -0.000 | 0.000 | 0.000 | 48.390 | -0.000 | 0.000 |
| -0.000 | -0.000 | -0.000 | -0.000 | 48.390 | -0.000 |
| -0.000 | 0.000 | 0.000 | -0.000 | -0.000 | 109.871 |
| 463.906 | 244.165 | 278.966 | -0.000 | 0.000 | 0.000 |
| 244.165 | 463.906 | 278.966 | -0.000 | 0.000 | 0.000 |
| 278.966 | 278.966 | 612.637 | -0.000 | 0.000 | 0.000 |
| -0.000 | -0.000 | 0.000 | 48.390 | 0.000 | 0.000 |
| -0.000 | -0.000 | 0.000 | -0.000 | 48.390 | 0.000 |
| 0.000 | -0.000 | 0.000 | -0.000 | 0.000 | 109.871 |
| 463.906 | 244.165 | 278.966 | -0.000 | -0.000 | -0.000 |
| 244.165 | 463.906 | 278.966 | -0.000 | -0.000 | -0.000 |
| 278.966 | 278.966 | 612.635 | -0.000 | -0.000 | -0.000 |
| 0.000 | 0.000 | -0.000 | 48.390 | -0.000 | -0.000 |
| 0.000 | 0.000 | -0.000 | 0.000 | 48.390 | -0.000 |
| -0.000 | 0.000 | -0.000 | 0.000 | -0.000 | 109.871 |
| 463.906 | 244.166 | 278.966 | -0.000 | 0.000 | 0.000 |
| 244.165 | 463.907 | 278.966 | 0.000 | 0.000 | 0.000 |
| 278.967 | 278.967 | 612.644 | -0.000 | 0.000 | 0.000 |
| -0.000 | -0.000 | 0.001 | 48.390 | -0.000 | 0.000 |
| -0.000 | -0.000 | 0.001 | 0.000 | 48.390 | 0.000 |
| 0.000 | -0.001 | 0.000 | -0.000 | 0.000 | 109.871 |
| 463.906 | 244.164 | 278.966 | 0.000 | -0.000 | 0.000 |
| 244.165 | 463.905 | 278.966 | -0.000 | -0.000 | -0.000 |
| 278.965 | 278.965 | 612.628 | 0.000 | -0.000 | -0.000 |
| 0.000 | 0.000 | -0.001 | 48.390 | 0.000 | -0.000 |
| 0.000 | 0.000 | -0.001 | -0.000 | 48.390 | -0.000 |
| -0.000 | 0.001 | -0.000 | 0.000 | -0.000 | 109.871 |
| 443.655 | 230.761 | 230.761 | -0.000 | -0.000 | -0.000 |
| 230.761 | 443.655 | 230.761 | -0.000 | -0.000 | -0.000 |
| 230.761 | 230.761 | 443.655 | -0.000 | -0.000 | -0.000 |
| 1.627 | 1.627 | 1.627 | 92.519 | 0.000 | -0.000 |
| 1.627 | 1.627 | 1.627 | -0.000 | 92.519 | -0.000 |
| 1.627 | 1.627 | 1.627 | -0.000 | -0.000 | 92.519 |
| 426.205 | 231.259 | 231.259 | -0.000 | 0.000 | 0.000 |
| 231.259 | 426.205 | 231.259 | 0.000 | 0.000 | 0.000 |
| 231.259 | 231.259 | 426.205 | -0.000 | 0.000 | 0.000 |
| -1.627 | -1.627 | -1.627 | 92.519 | 0.000 | 0.000 |
| -1.627 | -1.627 | -1.627 | -0.000 | 92.519 | 0.000 |
| -1.627 | -1.627 | -1.627 | 0.000 | 0.000 | 92.519 |
| 443.655 | 230.761 | 230.761 | -0.000 | -0.000 | -0.000 |
| 230.761 | 443.655 | 230.761 | -0.000 | -0.000 | 0.000 |
| 230.761 | 230.761 | 443.655 | -0.000 | -0.000 | -0.000 |
| 0.000 | 0.000 | 0.000 | 107.039 | -0.000 | -0.000 |
| 0.000 | 0.000 | 0.000 | -0.000 | 107.039 | -0.000 |
| 0.000 | 0.000 | 0.000 | 0.000 | -0.000 | 107.039 |
| 433.292 | 231.905 | 231.905 | 0.000 | 0.000 | 0.000 |
| 231.905 | 433.292 | 231.905 | 0.000 | 0.000 | 0.000 |
| 231.905 | 231.905 | 433.292 | 0.000 | 0.000 | 0.000 |
| -0.000 | -0.000 | -0.000 | 107.039 | 0.000 | 0.000 |
| -0.000 | -0.000 | -0.000 | -0.000 | 107.039 | 0.000 |
| -0.000 | -0.000 | -0.000 | 0.000 | 0.000 | 107.039 |
| 433.485 | 231.996 | 231.996 | 0.000 | -0.000 | -0.000 |
| 231.996 | 433.485 | 231.996 | 0.000 | -0.000 | 0.000 |
| 231.996 | 231.996 | 433.485 | 0.000 | -0.000 | -0.000 |
| 0.000 | 0.000 | 0.000 | 107.039 | -0.000 | 0.000 |
| 0.000 | 0.000 | 0.000 | -0.000 | 107.039 | -0.000 |
| 0.000 | 0.000 | 0.000 | 0.000 | -0.000 | 107.039 |
| 433.479 | 231.974 | 231.974 | -0.000 | 0.000 | 0.000 |
| 231.974 | 433.479 | 231.974 | -0.000 | 0.000 | -0.000 |
| 231.974 | 231.974 | 433.479 | 0.000 | 0.000 | 0.000 |
| -0.000 | -0.000 | -0.000 | 107.039 | 0.000 | 0.000 |
| -0.000 | -0.000 | -0.000 | -0.000 | 107.039 | 0.000 |
| -0.000 | -0.000 | -0.000 | -0.000 | 0.000 | 107.039 |
| 666.206 | 571.384 | 571.384 | 0.000 | 0.000 | -0.000 |
| 571.384 | 666.206 | 571.384 | 0.000 | -0.000 | -0.000 |
| 571.384 | 571.384 | 666.206 | -0.000 | -0.000 | -0.000 |
| 403.243 | 403.243 | 403.243 | 42.627 | 0.000 | -0.000 |
| 403.243 | 403.243 | 403.243 | 0.000 | 42.627 | -0.000 |
| 403.243 | 403.243 | 403.243 | -0.000 | -0.000 | 42.627 |
| 286.426 | 172.521 | 172.521 | 0.000 | -0.000 | -0.000 |
| 172.521 | 286.426 | 172.521 | 0.000 | -0.000 | 0.000 |
| 172.521 | 172.521 | 286.426 | 0.000 | 0.000 | 0.000 |
| -403.243 | -403.243 | -403.243 | 42.627 | 0.000 | 0.000 |
| -403.243 | -403.243 | -403.243 | -0.000 | 42.627 | 0.000 |
| -403.243 | -403.243 | -403.243 | 0.000 | 0.000 | 42.627 |
| 304.186 | 208.446 | 208.446 | -0.000 | -0.000 | -0.000 |
| 208.446 | 304.186 | 208.446 | -0.000 | -0.000 | -0.000 |
| 208.446 | 208.446 | 304.186 | 0.000 | 0.000 | -0.000 |
| -0.000 | -0.000 | -0.000 | 66.029 | -0.000 | 0.000 |
| -0.000 | -0.000 | -0.000 | -0.000 | 66.029 | 0.000 |
| -0.000 | -0.000 | -0.000 | -0.000 | -0.000 | 66.029 |
| 188.781 | 91.083 | 91.083 | 0.000 | 0.000 | 0.000 |
| 91.083 | 188.781 | 91.083 | 0.000 | -0.000 | 0.000 |
| 91.083 | 91.083 | 188.781 | 0.000 | 0.000 | 0.000 |
| 0.000 | 0.000 | 0.000 | 66.029 | 0.000 | 0.000 |
| 0.000 | 0.000 | 0.000 | 0.000 | 66.029 | 0.000 |
| 0.000 | 0.000 | 0.000 | 0.000 | -0.000 | 66.029 |
| 286.426 | 172.522 | 172.522 | -0.000 | -0.000 | 0.000 |
| 172.522 | 286.426 | 172.522 | -0.000 | 0.000 | 0.000 |
| 172.522 | 172.522 | 286.426 | -0.000 | 0.000 | -0.000 |
| 8.937 | 8.937 | 8.937 | 51.629 | -0.000 | -0.000 |
| 8.937 | 8.937 | 8.937 | -0.000 | 51.629 | -0.000 |
| 8.937 | 8.937 | 8.937 | -0.000 | -0.000 | 51.629 |
| 261.919 | 166.368 | 166.368 | -0.000 | -0.000 | -0.000 |
| 166.368 | 261.919 | 166.368 | 0.000 | 0.000 | 0.000 |
| 166.368 | 166.368 | 261.919 | 0.000 | 0.000 | 0.000 |
| -8.937 | -8.937 | -8.937 | 51.629 | -0.000 | 0.000 |
| -8.937 | -8.937 | -8.937 | 0.000 | 51.629 | 0.000 |
| -8.937 | -8.937 | -8.937 | 0.000 | 0.000 | 51.629 |
| 293.941 | 116.146 | 163.348 | 0.000 | 0.000 | -0.000 |
| 116.146 | 320.976 | 180.530 | -0.000 | 0.000 | -0.000 |
| 161.957 | 160.986 | 509.670 | 0.000 | -0.000 | -0.000 |
| -0.159 | -2.234 | -0.427 | 92.563 | 0.000 | -0.000 |
| 0.000 | 0.000 | 0.000 | 0.000 | 52.386 | 0.000 |
| 0.000 | -0.000 | -0.000 | 0.000 | 0.000 | 24.316 |
| 293.941 | 116.146 | 163.348 | -0.000 | -0.000 | 0.000 |
| 111.821 | 260.216 | 168.921 | -0.000 | 0.000 | 0.000 |
| 162.906 | 174.310 | 512.216 | -0.000 | -0.000 | 0.000 |
| 0.159 | 2.234 | 0.427 | 92.563 | -0.000 | 0.000 |
| -0.000 | -0.000 | 0.000 | -0.000 | 52.386 | 0.000 |
| -0.000 | 0.000 | -0.000 | -0.000 | 0.000 | 24.316 |
| 293.553 | 110.681 | 162.304 | 0.000 | -0.000 | -0.000 |
| 111.300 | 252.888 | 167.522 | 0.000 | -0.000 | -0.000 |
| 162.384 | 166.982 | 510.816 | 0.000 | 0.000 | -0.000 |
| -0.016 | -0.219 | -0.042 | 92.705 | 0.000 | -0.000 |
| -0.047 | -0.666 | -0.127 | 0.000 | 52.386 | -0.000 |
| -0.047 | -0.666 | -0.127 | -0.000 | 0.000 | -39.272 |
| 293.647 | 112.013 | 162.559 | -0.000 | -0.000 | 0.000 |
| 116.146 | 320.976 | 180.530 | -0.000 | -0.000 | 0.000 |
| 162.479 | 168.314 | 511.070 | -0.000 | -0.000 | 0.000 |
| 0.016 | 0.219 | 0.042 | 92.705 | -0.000 | 0.000 |
| 0.047 | 0.666 | 0.127 | -0.000 | 52.386 | 0.000 |
| 0.047 | 0.666 | 0.127 | 0.000 | -0.000 | -39.272 |
| 293.948 | 116.146 | 163.350 | 0.000 | -0.000 | -0.000 |
| 111.343 | 253.487 | 167.637 | 0.000 | -0.000 | -0.000 |
| 163.349 | 180.530 | 513.405 | 0.000 | 0.000 | -0.000 |
| -0.001 | -0.022 | -0.004 | 92.706 | 0.000 | -0.000 |
| -0.004 | -0.066 | -0.013 | 0.000 | 52.386 | -0.000 |
| 0.003 | -0.063 | -0.011 | -0.000 | 0.000 | -39.272 |
| 293.598 | 111.412 | 162.443 | -0.000 | -0.000 | 0.000 |
| 111.352 | 253.622 | 167.660 | -0.000 | -0.000 | 0.000 |
| 162.436 | 167.714 | 510.954 | -0.000 | -0.000 | 0.000 |
| 0.001 | 0.022 | 0.004 | 92.706 | -0.000 | 0.000 |
| 0.004 | 0.066 | 0.013 | -0.000 | 52.386 | 0.000 |
| -0.003 | 0.063 | 0.011 | 0.000 | -0.000 | -39.272 |
| 301.686 | 207.223 | 88.774 | -0.000 | 0.000 | 0.000 |
| 207.223 | 301.686 | 88.774 | -0.000 | 0.000 | 0.000 |
| 88.774 | 88.774 | 405.824 | -0.000 | 0.000 | -0.000 |
| 0.000 | 0.000 | 0.000 | -68.614 | 0.000 | -0.000 |
| 0.000 | 0.000 | 0.000 | -0.000 | -68.614 | 0.000 |
| -0.000 | 0.000 | 0.000 | -0.000 | 0.000 | 47.232 |
| 301.686 | 207.223 | 88.774 | 0.000 | -0.000 | -0.000 |
| 207.223 | 301.686 | 88.774 | 0.000 | -0.000 | -0.000 |
| 88.774 | 88.774 | 405.824 | 0.000 | -0.000 | -0.000 |
| 0.000 | -0.000 | -0.000 | -68.614 | -0.000 | 0.000 |
| -0.000 | -0.000 | -0.000 | 0.000 | -68.614 | 0.000 |
| 0.000 | -0.000 | -0.000 | 0.000 | -0.000 | 47.232 |
| 72.729 | 436.181 | 88.774 | -0.000 | 0.000 | 0.000 |
| 207.223 | 301.686 | 88.774 | -0.000 | 0.000 | 0.000 |
| 88.774 | 88.774 | 405.825 | -0.000 | -0.000 | 0.000 |
| 0.000 | 0.000 | 0.000 | -68.614 | 0.000 | 0.000 |
| 0.000 | 0.000 | 0.000 | -0.000 | -68.614 | 0.000 |
| -190938898.496 | -178536561.174 | -197560418.845 | -311298.466 | -44086.832 | -1613757.680 |
| 301.686 | 207.223 | 88.774 | 0.000 | -0.000 | -0.000 |
| 183159402.609 | 197825607.502 | 212291457.740 | -20252.299 | -5765.185 | -49346.681 |
| 88.774 | 88.774 | 405.823 | 0.000 | -0.000 | -0.000 |
| -0.000 | -0.000 | -0.000 | -68.614 | -0.000 | -0.000 |
| -0.000 | -0.000 | -0.000 | 0.000 | -68.614 | -0.000 |
| 176627603.437 | 172094299.671 | 201830459.789 | 34584.106 | -61238.972 | 5883791.055 |
| -17815097.389 | -19216913.348 | -21107388.619 | -1569.402 | 2793.594 | -342490.704 |
| 207.223 | 301.687 | 88.775 | -0.000 | 0.000 | 0.000 |
| 88.776 | 88.776 | 405.833 | 0.000 | -0.000 | 0.000 |
| 0.000 | 0.001 | 0.001 | -68.614 | 0.000 | 0.000 |
| 0.002 | -0.001 | 0.001 | -0.000 | -68.614 | -0.000 |
| -19152710.078 | -18366518.468 | -20269794.073 | -8715.321 | 1778.165 | 665805.660 |
| -9524167.379 | -9305041.700 | -4040153.304 | 0.000 | -0.000 | 0.023 |
| 207.223 | 301.686 | 88.772 | 0.000 | 0.000 | -0.000 |
| 88.772 | 88.772 | 405.815 | 0.000 | -0.000 | 0.000 |
| -0.000 | -0.001 | -0.001 | -68.614 | -0.000 | -0.000 |
| -0.002 | 0.001 | -0.001 | 0.000 | -68.614 | -0.000 |
| 17800419.068 | 18291145.369 | 20129168.674 | -2291.540 | -4258.541 | 976712.913 |
| 251.910 | 193.969 | 193.969 | 0.000 | 0.000 | -0.000 |
| 193.969 | 251.910 | 193.969 | -0.000 | 0.000 | -0.000 |
| 193.969 | 193.969 | 251.910 | 0.000 | -0.000 | -0.000 |
| -0.000 | -0.000 | -0.000 | 16.732 | 0.000 | -0.000 |
| -0.000 | -0.000 | -0.000 | -0.000 | 16.732 | -0.000 |
| -0.000 | -0.000 | -0.000 | -0.000 | 0.000 | 16.732 |
| 251.910 | 193.969 | 193.969 | -0.000 | -0.000 | 0.000 |
| 193.969 | 251.910 | 193.969 | 0.000 | -0.000 | 0.000 |
| 193.969 | 193.969 | 251.910 | 0.000 | -0.000 | 0.000 |
| 0.000 | 0.000 | 0.000 | 16.732 | -0.000 | 0.000 |
| 0.000 | 0.000 | 0.000 | 0.000 | 16.732 | 0.000 |
| 0.000 | 0.000 | 0.000 | 0.000 | -0.000 | 16.732 |
| 251.910 | 193.969 | 193.969 | -0.000 | 0.000 | -0.000 |
| 193.969 | 251.910 | 193.969 | 0.000 | 0.000 | 0.000 |
| 193.969 | 193.969 | 251.910 | 0.000 | 0.000 | -0.000 |
| 0.000 | -0.000 | -0.000 | 9.925 | 0.000 | 0.000 |
| -0.000 | 0.000 | -0.000 | -0.000 | 9.925 | -0.000 |
| -0.000 | -0.000 | 0.000 | -0.000 | 0.000 | 9.925 |
| 251.910 | 193.969 | 193.969 | 0.000 | -0.000 | 0.000 |
| 193.969 | 251.910 | 193.969 | 0.000 | -0.000 | 0.000 |
| 193.969 | 193.969 | 251.910 | 0.000 | -0.000 | 0.000 |
| -0.000 | 0.000 | 0.000 | 9.925 | -0.000 | 0.000 |
| 0.000 | -0.000 | 0.000 | 0.000 | 9.925 | 0.000 |
| 0.000 | 0.000 | -0.000 | 0.000 | -0.000 | 9.925 |
| 251.910 | 193.969 | 193.969 | 0.000 | 0.000 | -0.000 |
| 193.969 | 251.910 | 193.969 | 0.000 | 0.000 | -0.000 |
| 193.969 | 193.969 | 251.910 | -0.000 | 0.000 | -0.000 |
| 0.000 | 0.000 | 0.000 | 16.732 | 0.000 | -0.000 |
| 0.000 | 0.000 | 0.000 | -0.000 | 16.732 | -0.000 |
| 0.000 | 0.000 | 0.000 | -0.000 | 0.000 | 16.732 |
| 251.909 | 193.969 | 193.969 | 0.000 | -0.000 | 0.000 |
| 193.969 | 251.909 | 193.969 | -0.000 | -0.000 | 0.000 |
| 193.969 | 193.969 | 251.909 | -0.000 | -0.000 | 0.000 |
| -0.000 | -0.000 | -0.000 | 16.732 | -0.000 | 0.000 |
| -0.000 | -0.000 | -0.000 | 0.000 | 16.732 | 0.000 |
| -0.000 | -0.000 | -0.000 | 0.000 | -0.000 | 16.732 |
| 67.886 | 18.428 | 18.428 | 0.000 | -0.000 | 0.000 |
| 18.428 | 67.886 | 18.428 | 0.000 | 0.000 | 0.000 |
| 18.428 | 18.428 | 67.886 | 0.000 | 0.000 | 0.000 |
| -0.000 | -0.000 | -0.000 | 12.052 | 0.000 | 0.000 |
| -0.000 | -0.000 | -0.000 | 0.000 | 12.052 | 0.000 |
| -0.000 | -0.000 | -0.000 | 0.000 | 0.000 | 12.052 |
| 67.886 | 18.428 | 18.428 | -0.000 | 0.000 | 0.000 |
| 18.428 | 67.886 | 18.428 | 0.000 | 0.000 | -0.000 |
| 18.428 | 18.428 | 67.886 | -0.000 | -0.000 | -0.000 |
| 0.000 | 0.000 | 0.000 | 12.052 | -0.000 | -0.000 |
| 0.000 | 0.000 | 0.000 | -0.000 | 12.052 | -0.000 |
| 0.000 | 0.000 | 0.000 | -0.000 | -0.000 | 12.052 |
| 67.886 | 18.428 | 18.428 | 0.000 | 0.000 | 0.000 |
| 18.428 | 67.886 | 18.428 | 0.000 | 0.000 | 0.000 |
| 18.428 | 18.428 | 67.886 | 0.000 | 0.000 | 0.000 |
| -0.000 | -0.000 | -0.000 | 12.052 | 0.000 | 0.000 |
| -0.000 | -0.000 | -0.000 | 0.000 | 12.052 | 0.000 |
| -0.000 | -0.000 | -0.000 | 0.000 | 0.000 | 12.052 |
| 67.886 | 18.428 | 18.428 | -0.000 | -0.000 | -0.000 |
| 18.428 | 67.886 | 18.428 | -0.000 | -0.000 | -0.000 |
| 18.428 | 18.428 | 67.886 | -0.000 | -0.000 | -0.000 |
| 0.000 | 0.000 | 0.000 | 12.052 | -0.000 | -0.000 |
| 0.000 | 0.000 | 0.000 | -0.000 | 12.052 | -0.000 |
| 0.000 | 0.000 | 0.000 | 0.000 | 0.000 | 12.052 |
| 67.886 | 18.428 | 18.428 | 0.000 | 0.000 | 0.000 |
| 18.428 | 67.886 | 18.428 | 0.000 | -0.000 | 0.000 |
| 18.428 | 18.428 | 67.886 | 0.000 | 0.000 | 0.000 |
| -0.000 | -0.000 | -0.000 | 12.052 | 0.000 | 0.000 |
| -0.000 | -0.000 | -0.000 | 0.000 | 12.052 | -0.000 |
| -0.000 | -0.000 | -0.000 | -0.000 | 0.000 | 12.052 |
| 67.885 | 18.429 | 18.429 | -0.000 | -0.000 | -0.000 |
| 18.429 | 67.885 | 18.429 | -0.000 | -0.000 | -0.000 |
| 18.429 | 18.429 | 67.885 | -0.000 | -0.000 | -0.000 |
| 0.000 | 0.000 | 0.000 | 12.052 | -0.000 | -0.000 |
| 0.000 | 0.000 | 0.000 | -0.000 | 12.052 | 0.000 |
| 0.000 | 0.000 | 0.000 | -0.000 | -0.000 | 12.052 |
| 69.529 | 33.619 | 33.619 | 0.000 | 0.000 | 0.000 |
| 33.619 | 69.529 | 33.619 | 0.000 | 0.000 | 0.000 |
| 33.619 | 33.619 | 69.529 | -0.000 | 0.000 | 0.000 |
| -0.000 | -0.000 | -0.000 | 17.313 | -0.000 | 0.000 |
| -0.000 | -0.000 | -0.000 | -0.000 | 17.313 | 0.000 |
| -0.000 | -0.000 | -0.000 | 0.000 | 0.000 | 17.313 |
| 69.529 | 33.619 | 33.619 | -0.000 | 0.000 | -0.000 |
| 33.619 | 69.529 | 33.619 | -0.000 | -0.000 | -0.000 |
| 33.619 | 33.619 | 69.529 | -0.000 | -0.000 | -0.000 |
| 0.000 | 0.000 | 0.000 | 17.313 | -0.000 | -0.000 |
| 0.000 | 0.000 | 0.000 | -0.000 | 17.313 | -0.000 |
| 0.000 | 0.000 | 0.000 | -0.000 | 0.000 | 17.313 |
| 69.529 | 33.619 | 33.619 | -0.000 | -0.000 | 0.000 |
| 33.619 | 69.529 | 33.619 | -0.000 | -0.000 | 0.000 |
| 33.619 | 33.619 | 69.529 | 0.000 | 0.000 | 0.000 |
| -0.000 | -0.000 | -0.000 | 17.313 | -0.000 | 0.000 |
| -0.000 | -0.000 | -0.000 | 0.000 | 17.313 | 0.000 |
| -0.000 | -0.000 | -0.000 | 0.000 | 0.000 | 17.313 |
| 69.529 | 33.619 | 33.619 | -0.000 | -0.000 | -0.000 |
| 33.619 | 69.529 | 33.619 | -0.000 | -0.000 | -0.000 |
| 33.619 | 33.619 | 69.529 | -0.000 | -0.000 | -0.000 |
| 0.000 | 0.000 | 0.000 | 17.313 | 0.000 | -0.000 |
| 0.000 | 0.000 | 0.000 | -0.000 | 17.313 | -0.000 |
| 0.000 | 0.000 | 0.000 | 0.000 | -0.000 | 17.313 |
| 69.529 | 33.619 | 33.619 | 0.000 | 0.000 | 0.000 |
| 33.619 | 69.529 | 33.619 | -0.000 | -0.000 | 0.000 |
| 33.619 | 33.619 | 69.529 | 0.000 | 0.000 | 0.000 |
| -0.000 | -0.000 | -0.000 | 17.313 | -0.000 | 0.000 |
| -0.000 | -0.000 | -0.000 | 0.000 | 17.313 | 0.000 |
| -0.000 | -0.000 | -0.000 | 0.000 | 0.000 | 17.313 |
| 69.529 | 33.619 | 33.619 | -0.000 | 0.000 | -0.000 |
| 33.619 | 69.529 | 33.619 | -0.000 | 0.000 | -0.000 |
| 33.619 | 33.619 | 69.529 | -0.000 | 0.000 | -0.000 |
| 0.000 | 0.000 | 0.000 | 17.313 | 0.000 | -0.000 |
| 0.000 | 0.000 | 0.000 | 0.000 | 17.313 | -0.000 |
| 0.000 | 0.000 | 0.000 | -0.000 | -0.000 | 17.313 |
| 66.372 | 60.328 | 60.328 | -0.000 | 0.000 | -0.000 |
| 60.328 | 66.372 | 60.328 | -0.000 | -0.000 | 0.000 |
| 60.328 | 60.328 | 66.372 | -0.000 | -0.000 | -0.000 |
| 0.000 | -0.000 | -0.000 | 4.228 | -0.000 | 0.000 |
| -0.000 | -0.000 | -0.000 | -0.000 | 4.228 | 0.000 |
| -0.000 | -0.000 | -0.000 | 0.000 | 0.000 | 4.228 |
| 66.372 | 60.328 | 60.328 | 0.000 | 0.000 | -0.000 |
| 60.328 | 66.372 | 60.328 | 0.000 | 0.000 | -0.000 |
| 60.328 | 60.328 | 66.372 | 0.000 | -0.000 | 0.000 |
| -0.000 | 0.000 | 0.000 | 4.228 | -0.000 | 0.000 |
| 0.000 | 0.000 | 0.000 | 0.000 | 4.228 | 0.000 |
| 0.000 | 0.000 | 0.000 | 0.000 | 0.000 | 4.228 |
| 66.372 | 60.328 | 60.328 | -0.000 | -0.000 | -0.000 |
| 60.328 | 66.372 | 60.328 | -0.000 | -0.000 | -0.000 |
| 60.328 | 60.328 | 66.372 | -0.000 | -0.000 | -0.000 |
| -0.000 | -0.000 | -0.000 | 39.561 | 0.000 | 0.000 |
| -0.000 | -0.000 | -0.000 | 0.000 | 39.561 | 0.000 |
| -0.000 | -0.000 | -0.000 | 0.000 | 0.000 | 39.561 |
| 66.373 | 60.328 | 60.328 | -0.000 | -0.000 | 0.000 |
| 60.328 | 66.373 | 60.328 | 0.000 | -0.000 | 0.000 |
| 60.328 | 60.328 | 66.373 | 0.000 | -0.000 | -0.000 |
| 0.000 | 0.000 | 0.000 | 39.561 | -0.000 | -0.000 |
| 0.000 | 0.000 | 0.000 | -0.000 | 39.561 | -0.000 |
| 0.000 | 0.000 | 0.000 | -0.000 | -0.000 | 39.561 |
| 66.372 | 60.328 | 60.328 | -0.000 | 0.000 | 0.000 |
| 60.328 | 66.372 | 60.328 | -0.000 | -0.000 | 0.000 |
| 60.328 | 60.328 | 66.372 | -0.000 | 0.000 | -0.000 |
| -0.000 | -0.000 | -0.000 | 4.228 | 0.000 | 0.000 |
| -0.000 | -0.000 | -0.000 | -0.000 | 4.228 | 0.000 |
| -0.000 | -0.000 | -0.000 | 0.000 | 0.000 | 4.228 |
| 66.373 | 60.328 | 60.328 | 0.000 | -0.000 | 0.000 |
| 60.328 | 66.373 | 60.328 | 0.000 | -0.000 | 0.000 |
| 60.328 | 60.328 | 66.373 | 0.000 | -0.000 | 0.000 |
| 0.000 | 0.000 | 0.000 | 4.228 | -0.000 | -0.000 |
| 0.000 | 0.000 | 0.000 | 0.000 | 4.228 | -0.000 |
| 0.000 | 0.000 | 0.000 | 0.000 | 0.000 | 4.228 |
| 381.640 | 266.837 | 266.837 | -0.000 | -0.000 | -0.000 |
| 266.837 | 381.641 | 266.837 | -0.000 | -0.000 | -0.000 |
| 266.837 | 266.837 | 381.641 | 0.000 | 0.000 | -0.000 |
| 0.000 | -0.000 | 0.000 | 3.464 | 0.000 | -0.000 |
| -0.000 | 0.000 | 0.000 | 0.000 | 3.464 | -0.000 |
| -0.000 | 0.000 | 0.000 | 0.000 | 0.000 | 3.464 |
| 381.640 | 266.837 | 266.837 | 0.000 | 0.000 | 0.000 |
| 266.837 | 381.640 | 266.837 | 0.000 | -0.000 | 0.000 |
| 266.837 | 266.837 | 381.640 | 0.000 | -0.000 | 0.000 |
| -0.000 | -0.000 | -0.000 | 3.464 | -0.000 | -0.000 |
| 0.000 | -0.000 | -0.000 | 0.000 | 3.464 | 0.000 |
| 0.000 | 0.000 | -0.000 | -0.000 | -0.000 | 3.464 |
| 381.641 | 266.837 | 266.837 | -0.000 | -0.000 | -0.000 |
| 266.837 | 381.641 | 266.837 | -0.000 | -0.000 | 0.000 |
| 266.837 | 266.837 | 381.641 | 0.000 | 0.000 | -0.000 |
| 0.000 | 0.000 | 0.000 | -26.259 | 0.000 | -0.000 |
| 0.000 | 0.000 | 0.000 | 0.000 | -26.259 | -0.000 |
| 0.000 | 0.000 | 0.000 | 0.000 | 0.000 | -26.259 |
| 381.640 | 266.837 | 266.837 | -0.000 | 0.000 | 0.000 |
| 266.837 | 381.640 | 266.837 | 0.000 | 0.000 | 0.000 |
| 266.837 | 266.837 | 381.640 | -0.000 | -0.000 | 0.000 |
| -0.000 | -0.000 | -0.000 | -26.259 | -0.000 | 0.000 |
| -0.000 | -0.000 | -0.000 | -0.000 | -26.259 | 0.000 |
| -0.000 | -0.000 | -0.000 | -0.000 | -0.000 | -26.259 |
| 381.642 | 266.838 | 266.838 | -0.000 | -0.000 | -0.000 |
| 266.838 | 381.642 | 266.838 | -0.000 | -0.000 | -0.000 |
| 266.838 | 266.838 | 381.642 | -0.000 | -0.000 | -0.000 |
| 0.001 | 0.001 | 0.000 | 3.464 | 0.000 | -0.000 |
| 0.001 | 0.001 | 0.000 | 0.000 | 3.464 | -0.000 |
| 0.001 | 0.000 | 0.001 | 0.000 | 0.000 | 3.464 |
| 381.638 | 266.837 | 266.837 | -0.000 | -0.000 | 0.000 |
| 266.837 | 381.638 | 266.837 | -0.000 | -0.000 | 0.000 |
| 266.837 | 266.837 | 381.638 | -0.000 | 0.000 | 0.000 |
| -0.001 | -0.001 | -0.000 | 3.464 | -0.000 | 0.000 |
| -0.001 | -0.001 | -0.000 | -0.000 | 3.464 | 0.000 |
| -0.001 | -0.000 | -0.001 | -0.000 | -0.000 | 3.464 |
| 126.408 | 50.192 | 50.192 | -0.000 | 0.000 | 0.000 |
| 50.192 | 126.408 | 50.192 | -0.000 | 0.000 | 0.000 |
| 50.192 | 50.192 | 126.408 | -0.000 | -0.000 | 0.000 |
| 0.000 | 0.000 | -0.000 | 34.285 | 0.000 | 0.000 |
| -0.000 | 0.000 | -0.000 | -0.000 | 34.285 | 0.000 |
| -0.000 | 0.000 | -0.000 | 0.000 | 0.000 | 34.285 |
| 126.409 | 50.192 | 50.192 | 0.000 | 0.000 | -0.000 |
| 50.192 | 126.409 | 50.192 | 0.000 | -0.000 | -0.000 |
| 50.192 | 50.192 | 126.409 | 0.000 | -0.000 | -0.000 |
| -0.000 | -0.000 | 0.000 | 34.285 | -0.000 | -0.000 |
| 0.000 | -0.000 | 0.000 | 0.000 | 34.285 | -0.000 |
| 0.000 | -0.000 | 0.000 | 0.000 | -0.000 | 34.285 |
| 126.408 | 50.192 | 50.192 | -0.000 | -0.000 | 0.000 |
| 50.192 | 126.408 | 50.192 | -0.000 | 0.000 | -0.000 |
| 50.192 | 50.192 | 126.408 | -0.000 | 0.000 | 0.000 |
| -0.000 | -0.000 | -0.000 | 34.285 | 0.000 | -0.000 |
| -0.000 | -0.000 | -0.000 | -0.000 | 34.285 | 0.000 |
| -0.000 | -0.000 | -0.000 | 0.000 | 0.000 | 34.285 |
| 126.409 | 50.192 | 50.192 | 0.000 | 0.000 | -0.000 |
| 50.192 | 126.409 | 50.192 | 0.000 | 0.000 | -0.000 |
| 50.192 | 50.192 | 126.409 | 0.000 | -0.000 | 0.000 |
| 0.000 | 0.000 | 0.000 | 34.285 | -0.000 | 0.000 |
| 0.000 | 0.000 | 0.000 | 0.000 | 34.285 | -0.000 |
| 0.000 | 0.000 | 0.000 | -0.000 | -0.000 | 34.285 |
| 126.401 | 50.192 | 50.192 | -0.000 | -0.000 | 0.000 |
| 50.192 | 126.401 | 50.192 | -0.000 | 0.000 | 0.000 |
| 50.192 | 50.192 | 126.401 | -0.000 | 0.000 | 0.000 |
| -0.000 | -0.001 | -0.001 | 34.314 | -0.000 | -0.000 |
| -0.001 | -0.000 | -0.001 | -0.000 | 34.314 | -0.000 |
| -0.001 | -0.001 | -0.000 | -0.000 | -0.000 | 34.314 |
| 126.416 | 50.193 | 50.193 | 0.000 | 0.000 | 0.000 |
| 50.193 | 126.416 | 50.193 | 0.000 | 0.000 | 0.000 |
| 50.193 | 50.193 | 126.416 | 0.000 | 0.000 | 0.000 |
| 0.000 | 0.001 | 0.001 | 34.314 | 0.000 | 0.000 |
| 0.001 | 0.000 | 0.001 | 0.000 | 34.314 | 0.000 |
| 0.001 | 0.001 | 0.000 | 0.000 | 0.000 | 34.314 |
| 28.456 | 29.223 | 29.223 | 0.000 | 0.000 | 0.000 |
| 29.223 | 28.456 | 29.223 | 0.000 | 0.000 | 0.000 |
| 29.223 | 29.223 | 28.456 | 0.000 | -0.000 | -0.000 |
| 0.000 | -0.000 | -0.000 | 14.266 | -0.000 | 0.000 |
| -0.000 | 0.000 | -0.000 | 0.000 | 14.266 | 0.000 |
| -0.000 | -0.000 | 0.000 | 0.000 | 0.000 | 14.266 |
| 28.456 | 29.223 | 29.223 | -0.000 | -0.000 | -0.000 |
| 29.223 | 28.456 | 29.223 | -0.000 | -0.000 | -0.000 |
| 29.223 | 29.223 | 28.456 | -0.000 | -0.000 | -0.000 |
| -0.000 | 0.000 | 0.000 | 14.266 | -0.000 | 0.000 |
| 0.000 | -0.000 | 0.000 | -0.000 | 14.266 | 0.000 |
| 0.000 | 0.000 | -0.000 | -0.000 | -0.000 | 14.266 |
| 28.456 | 29.223 | 29.223 | 0.000 | 0.000 | -0.000 |
| 29.223 | 28.456 | 29.223 | 0.000 | 0.000 | 0.000 |
| 29.223 | 29.223 | 28.456 | 0.000 | 0.000 | 0.000 |
| 0.000 | -0.000 | -0.000 | 14.266 | 0.000 | 0.000 |
| -0.000 | 0.000 | -0.000 | 0.000 | 14.266 | 0.000 |
| -0.000 | -0.000 | 0.000 | 0.000 | 0.000 | 14.266 |
| 28.456 | 29.223 | 29.223 | -0.000 | -0.000 | -0.000 |
| 29.223 | 28.456 | 29.223 | -0.000 | -0.000 | -0.000 |
| 29.223 | 29.223 | 28.456 | -0.000 | -0.000 | -0.000 |
| -0.000 | 0.000 | 0.000 | 14.266 | -0.000 | 0.000 |
| 0.000 | -0.000 | 0.000 | -0.000 | 14.266 | -0.000 |
| 0.000 | 0.000 | -0.000 | -0.000 | -0.000 | 14.266 |
| 28.455 | 29.222 | 29.222 | -0.000 | 0.000 | -0.000 |
| 29.222 | 28.455 | 29.222 | 0.000 | 0.000 | 0.000 |
| 29.222 | 29.222 | 28.455 | -0.000 | -0.000 | 0.000 |
| 0.000 | -0.000 | -0.000 | 14.266 | 0.000 | -0.000 |
| -0.000 | 0.000 | -0.000 | 0.000 | 14.266 | 0.000 |
| -0.000 | -0.000 | 0.000 | -0.000 | 0.000 | 14.266 |
| 28.457 | 29.223 | 29.223 | -0.000 | -0.000 | -0.000 |
| 29.223 | 28.457 | 29.223 | -0.000 | -0.000 | -0.000 |
| 29.223 | 29.223 | 28.457 | 0.000 | 0.000 | 0.000 |
| -0.000 | 0.000 | 0.000 | 14.266 | -0.000 | -0.000 |
| 0.000 | -0.000 | 0.000 | -0.000 | 14.266 | -0.000 |
| 0.000 | 0.000 | -0.000 | -0.000 | -0.000 | 14.266 |
| 3.824 | 3.824 | 3.824 | 0.000 | 0.000 | 0.000 |
| 3.824 | 3.824 | 3.824 | 0.000 | 0.000 | -0.000 |
| 3.824 | 3.824 | 3.824 | 0.000 | 0.000 | 0.000 |
| 0.000 | 0.000 | 0.000 | 4.738 | 0.000 | 0.000 |
| 0.000 | 0.000 | 0.000 | 0.000 | 4.738 | 0.000 |
| 0.000 | 0.000 | 0.000 | 0.000 | 0.000 | 4.738 |
| 3.824 | 3.824 | 3.824 | -0.000 | -0.000 | -0.000 |
| 3.824 | 3.824 | 3.824 | -0.000 | -0.000 | -0.000 |
| 3.824 | 3.824 | 3.824 | -0.000 | -0.000 | -0.000 |
| -0.000 | -0.000 | -0.000 | 4.738 | -0.000 | 0.000 |
| -0.000 | -0.000 | -0.000 | -0.000 | 4.738 | 0.000 |
| -0.000 | -0.000 | -0.000 | -0.000 | -0.000 | 4.738 |
| 3.824 | 3.824 | 3.824 | 0.000 | -0.000 | 0.000 |
| 3.824 | 3.824 | 3.824 | 0.000 | 0.000 | 0.000 |
| 3.824 | 3.824 | 3.824 | -0.000 | 0.000 | 0.000 |
| 0.000 | 0.000 | 0.000 | 1.444 | 0.000 | 0.000 |
| 0.000 | 0.000 | 0.000 | 0.000 | 1.444 | 0.000 |
| 0.000 | 0.000 | 0.000 | 0.000 | 0.000 | 1.444 |
| 3.824 | 3.824 | 3.824 | -0.000 | -0.000 | 0.000 |
| 3.824 | 3.824 | 3.824 | -0.000 | -0.000 | 0.000 |
| 3.824 | 3.824 | 3.824 | -0.000 | -0.000 | -0.000 |
| -0.000 | -0.000 | -0.000 | 1.444 | -0.000 | 0.000 |
| -0.000 | -0.000 | -0.000 | -0.000 | 1.444 | 0.000 |
| -0.000 | -0.000 | -0.000 | -0.000 | -0.000 | 1.444 |
| 3.824 | 3.824 | 3.824 | 0.000 | 0.000 | -0.000 |
| 3.824 | 3.824 | 3.824 | 0.000 | 0.000 | -0.000 |
| 3.824 | 3.824 | 3.824 | 0.000 | 0.000 | 0.000 |
| 0.000 | 0.000 | 0.000 | 0.416 | 0.000 | 0.000 |
| 0.000 | 0.000 | 0.000 | 0.000 | 0.416 | 0.000 |
| 0.000 | 0.000 | 0.000 | 0.000 | 0.000 | 0.416 |
| 3.824 | 3.824 | 3.824 | -0.000 | -0.000 | -0.000 |
| 3.824 | 3.824 | 3.824 | -0.000 | -0.000 | -0.000 |
| 3.824 | 3.824 | 3.824 | 0.000 | -0.000 | -0.000 |
| -0.000 | -0.000 | -0.000 | 0.416 | -0.000 | -0.000 |
| -0.000 | -0.000 | -0.000 | 0.000 | 0.416 | -0.000 |
| -0.000 | -0.000 | -0.000 | -0.000 | -0.000 | 0.416 |
| 354.556 | 199.821 | 199.821 | -0.000 | -0.000 | 0.000 |
| 199.821 | 354.556 | 199.821 | -0.000 | -0.000 | 0.000 |
| 199.821 | 199.821 | 354.556 | 0.000 | 0.000 | 0.000 |
| -0.000 | -0.000 | 0.000 | 102.743 | 0.000 | -0.000 |
| -0.000 | 0.000 | 0.000 | 0.000 | 102.743 | 0.000 |
| -0.000 | 0.000 | 0.000 | -0.000 | 0.000 | 102.743 |
| 354.556 | 199.821 | 199.821 | -0.000 | -0.000 | -0.000 |
| 199.821 | 354.556 | 199.821 | 0.000 | 0.000 | 0.000 |
| 199.821 | 199.821 | 354.556 | 0.000 | 0.000 | -0.000 |
| 0.000 | -0.000 | -0.000 | 102.743 | -0.000 | -0.000 |
| -0.000 | 0.000 | -0.000 | 0.000 | 102.743 | -0.000 |
| 0.000 | -0.000 | -0.000 | 0.000 | -0.000 | 102.743 |
| 354.556 | 199.821 | 199.821 | -0.000 | -0.000 | 0.000 |
| 199.821 | 354.556 | 199.821 | -0.000 | 0.000 | 0.000 |
| 199.821 | 199.821 | 354.556 | -0.000 | -0.000 | 0.000 |
| -0.000 | -0.000 | -0.000 | 98.834 | -0.000 | 0.000 |
| -0.000 | -0.000 | -0.000 | -0.000 | 98.834 | 0.000 |
| -0.000 | -0.000 | -0.000 | -0.000 | 0.000 | 98.834 |
| 354.556 | 199.821 | 199.821 | 0.000 | 0.000 | -0.000 |
| 199.821 | 354.556 | 199.821 | 0.000 | -0.000 | -0.000 |
| 199.821 | 199.821 | 354.556 | 0.000 | 0.000 | -0.000 |
| 0.000 | 0.000 | 0.000 | 98.834 | 0.000 | -0.000 |
| 0.000 | 0.000 | 0.000 | 0.000 | 98.834 | -0.000 |
| 0.000 | 0.000 | 0.000 | 0.000 | -0.000 | 98.834 |
| 354.554 | 199.821 | 199.821 | 0.000 | 0.000 | 0.000 |
| 199.821 | 354.554 | 199.821 | 0.000 | 0.000 | -0.000 |
| 199.821 | 199.821 | 354.554 | -0.000 | -0.000 | 0.000 |
| -0.000 | -0.000 | -0.000 | 98.834 | 0.000 | 0.000 |
| -0.000 | -0.000 | -0.000 | -0.000 | 98.834 | 0.000 |
| -0.000 | -0.000 | -0.000 | -0.000 | 0.000 | 98.834 |
| 354.558 | 199.821 | 199.821 | 0.000 | -0.000 | 0.000 |
| 199.821 | 354.558 | 199.821 | 0.000 | -0.000 | -0.000 |
| 199.821 | 199.821 | 354.558 | -0.000 | -0.000 | -0.000 |
| 0.000 | 0.000 | 0.000 | 98.834 | -0.000 | 0.000 |
| 0.000 | 0.000 | 0.000 | -0.000 | 98.834 | -0.000 |
| 0.000 | 0.000 | 0.000 | 0.000 | -0.000 | 98.834 |
| 128.043 | 37.641 | 37.641 | 0.000 | 0.000 | -0.000 |
| 37.641 | 128.043 | 37.641 | 0.000 | 0.000 | -0.000 |
| 37.641 | 37.641 | 128.043 | 0.000 | 0.000 | -0.000 |
| -0.000 | -0.000 | 0.000 | 37.177 | 0.000 | -0.000 |
| -0.000 | -0.000 | 0.000 | 0.000 | 37.177 | -0.000 |
| -0.000 | -0.000 | -0.000 | 0.000 | 0.000 | 37.177 |
| 128.043 | 37.641 | 37.641 | -0.000 | -0.000 | 0.000 |
| 37.641 | 128.043 | 37.641 | -0.000 | 0.000 | 0.000 |
| 37.641 | 37.641 | 128.043 | 0.000 | 0.000 | 0.000 |
| 0.000 | -0.000 | -0.000 | 37.177 | -0.000 | 0.000 |
| 0.000 | -0.000 | -0.000 | -0.000 | 37.177 | 0.000 |
| 0.000 | -0.000 | -0.000 | -0.000 | 0.000 | 37.177 |
| 128.044 | 37.641 | 37.641 | 0.000 | 0.000 | 0.000 |
| 37.641 | 128.044 | 37.641 | 0.000 | 0.000 | -0.000 |
| 37.641 | 37.641 | 128.044 | 0.000 | -0.000 | -0.000 |
| -0.000 | -0.000 | -0.000 | 35.277 | -0.000 | -0.000 |
| -0.000 | -0.000 | -0.000 | 0.000 | 35.277 | -0.000 |
| -0.000 | -0.000 | -0.000 | 0.000 | -0.000 | 35.277 |
| 128.043 | 37.641 | 37.641 | 0.000 | 0.000 | 0.000 |
| 37.641 | 128.043 | 37.641 | -0.000 | 0.000 | 0.000 |
| 37.641 | 37.641 | 128.043 | 0.000 | -0.000 | 0.000 |
| 0.000 | 0.000 | 0.000 | 35.277 | 0.000 | 0.000 |
| 0.000 | 0.000 | 0.000 | 0.000 | 35.277 | 0.000 |
| 0.000 | 0.000 | 0.000 | -0.000 | 0.000 | 35.277 |
| 128.045 | 37.640 | 37.640 | 0.000 | -0.000 | -0.000 |
| 37.640 | 128.045 | 37.640 | 0.000 | -0.000 | -0.000 |
| 37.640 | 37.640 | 128.045 | 0.000 | -0.000 | -0.000 |
| -0.000 | -0.001 | -0.001 | 35.277 | 0.000 | -0.000 |
| -0.001 | -0.000 | -0.001 | 0.000 | 35.277 | -0.000 |
| -0.001 | -0.001 | -0.000 | 0.000 | -0.000 | 35.277 |
| 128.042 | 37.641 | 37.641 | 0.000 | 0.000 | 0.000 |
| 37.641 | 128.042 | 37.641 | -0.000 | 0.000 | 0.000 |
| 37.641 | 37.641 | 128.042 | -0.000 | -0.000 | 0.000 |
| 0.000 | 0.001 | 0.001 | 35.277 | -0.000 | 0.000 |
| 0.001 | 0.000 | 0.001 | -0.000 | 35.277 | 0.000 |
| 0.001 | 0.001 | 0.000 | -0.000 | 0.000 | 35.277 |
| 73.482 | 2.275 | 2.275 | 0.000 | 0.000 | 0.000 |
| 2.275 | 73.482 | 2.275 | 0.000 | -0.000 | 0.000 |
| 2.275 | 2.275 | 73.482 | 0.000 | 0.000 | -0.000 |
| 0.000 | -0.000 | -0.000 | 3.143 | 0.000 | -0.000 |
| -0.000 | 0.000 | -0.000 | 0.000 | 3.143 | -0.000 |
| 0.000 | -0.000 | -0.000 | 0.000 | 0.000 | 3.143 |
| 73.482 | 2.275 | 2.275 | -0.000 | -0.000 | 0.000 |
| 2.275 | 73.482 | 2.275 | -0.000 | -0.000 | 0.000 |
| 2.275 | 2.275 | 73.482 | 0.000 | -0.000 | 0.000 |
| -0.000 | -0.000 | 0.000 | 3.143 | -0.000 | 0.000 |
| -0.000 | -0.000 | 0.000 | -0.000 | 3.143 | 0.000 |
| -0.000 | 0.000 | 0.000 | -0.000 | -0.000 | 3.143 |
| 73.482 | 2.275 | 2.275 | 0.000 | 0.000 | -0.000 |
| 2.275 | 73.482 | 2.275 | 0.000 | -0.000 | -0.000 |
| 2.275 | 2.275 | 73.482 | 0.000 | 0.000 | -0.000 |
| 0.000 | 0.000 | -0.000 | 3.143 | 0.000 | -0.000 |
| 0.000 | 0.000 | -0.000 | 0.000 | 3.143 | -0.000 |
| 0.000 | -0.000 | 0.000 | 0.000 | 0.000 | 3.143 |
| 73.483 | 2.275 | 2.275 | -0.000 | 0.000 | 0.000 |
| 2.275 | 73.483 | 2.275 | -0.000 | 0.000 | 0.000 |
| 2.275 | 2.275 | 73.483 | -0.000 | 0.000 | 0.000 |
| -0.000 | -0.000 | 0.000 | 3.143 | -0.000 | 0.000 |
| -0.000 | -0.000 | 0.000 | -0.000 | 3.143 | 0.000 |
| -0.000 | 0.000 | -0.000 | -0.000 | -0.000 | 3.143 |
| 73.481 | 2.275 | 2.275 | 0.000 | 0.000 | -0.000 |
| 2.275 | 73.481 | 2.275 | 0.000 | 0.000 | -0.000 |
| 2.275 | 2.275 | 73.481 | 0.000 | 0.000 | -0.000 |
| 0.000 | 0.000 | -0.000 | 3.143 | 0.000 | -0.000 |
| 0.000 | 0.000 | -0.000 | 0.000 | 3.143 | -0.000 |
| 0.000 | -0.000 | 0.000 | 0.000 | 0.000 | 3.143 |
| 73.484 | 2.275 | 2.275 | -0.000 | 0.000 | 0.000 |
| 2.275 | 73.484 | 2.275 | -0.000 | -0.000 | 0.000 |
| 2.275 | 2.275 | 73.484 | -0.000 | 0.000 | 0.000 |
| -0.000 | -0.000 | 0.000 | 3.143 | -0.000 | 0.000 |
| -0.000 | -0.000 | 0.000 | -0.000 | 3.143 | 0.000 |
| -0.000 | 0.000 | -0.000 | -0.000 | -0.000 | 3.143 |
| 38.589 | 1.920 | 1.920 | 0.000 | -0.000 | 0.000 |
| 1.920 | 38.589 | 1.920 | 0.000 | -0.000 | -0.000 |
| 1.920 | 1.920 | 38.589 | 0.000 | 0.000 | 0.000 |
| -0.000 | -0.000 | -0.000 | 1.761 | 0.000 | 0.000 |
| -0.000 | -0.000 | -0.000 | 0.000 | 1.761 | -0.000 |
| -0.000 | -0.000 | -0.000 | 0.000 | 0.000 | 1.761 |
| 38.589 | 1.920 | 1.920 | -0.000 | 0.000 | -0.000 |
| 1.920 | 38.589 | 1.920 | -0.000 | 0.000 | -0.000 |
| 1.920 | 1.920 | 38.589 | -0.000 | -0.000 | -0.000 |
| 0.000 | 0.000 | 0.000 | 1.761 | -0.000 | -0.000 |
| 0.000 | 0.000 | 0.000 | -0.000 | 1.761 | 0.000 |
| 0.000 | 0.000 | 0.000 | -0.000 | -0.000 | 1.761 |
| 38.589 | 1.920 | 1.920 | 0.000 | -0.000 | 0.000 |
| 1.920 | 38.589 | 1.920 | 0.000 | -0.000 | -0.000 |
| 1.920 | 1.920 | 38.589 | -0.000 | -0.000 | 0.000 |
| -0.000 | -0.000 | -0.000 | 1.761 | -0.000 | -0.000 |
| -0.000 | -0.000 | -0.000 | 0.000 | 1.761 | -0.000 |
| -0.000 | -0.000 | -0.000 | 0.000 | 0.000 | 1.761 |
| 38.589 | 1.920 | 1.920 | 0.000 | 0.000 | -0.000 |
| 1.920 | 38.589 | 1.920 | -0.000 | 0.000 | 0.000 |
| 1.920 | 1.920 | 38.589 | -0.000 | -0.000 | -0.000 |
| 0.000 | 0.000 | 0.000 | 1.761 | -0.000 | -0.000 |
| 0.000 | 0.000 | 0.000 | -0.000 | 1.761 | 0.000 |
| 0.000 | 0.000 | 0.000 | -0.000 | -0.000 | 1.761 |
| 38.589 | 1.920 | 1.920 | 0.000 | -0.000 | 0.000 |
| 1.920 | 38.589 | 1.920 | 0.000 | -0.000 | -0.000 |
| 1.920 | 1.920 | 38.589 | 0.000 | -0.000 | 0.000 |
| -0.000 | -0.000 | -0.000 | 1.761 | -0.000 | 0.000 |
| -0.000 | -0.000 | -0.000 | 0.000 | 1.761 | -0.000 |
| -0.000 | -0.000 | -0.000 | 0.000 | 0.000 | 1.761 |
| 38.589 | 1.920 | 1.920 | -0.000 | 0.000 | -0.000 |
| 1.920 | 38.589 | 1.920 | -0.000 | 0.000 | 0.000 |
| 1.920 | 1.920 | 38.589 | -0.000 | -0.000 | -0.000 |
| 0.000 | 0.000 | 0.000 | 1.761 | -0.000 | -0.000 |
| 0.000 | 0.000 | 0.000 | -0.000 | 1.761 | 0.000 |
| 0.000 | 0.000 | 0.000 | -0.000 | -0.000 | 1.761 |
| 38.744 | 3.772 | 3.772 | -0.000 | -0.000 | -0.000 |
| 3.772 | 38.744 | 3.772 | -0.000 | -0.000 | 0.000 |
| 3.772 | 3.772 | 38.744 | -0.000 | -0.000 | -0.000 |
| -0.000 | 0.000 | -0.000 | 3.371 | -0.000 | -0.000 |
| 0.000 | -0.000 | -0.000 | -0.000 | 3.371 | -0.000 |
| 0.000 | -0.000 | -0.000 | -0.000 | -0.000 | 3.371 |
| 38.744 | 3.772 | 3.772 | 0.000 | 0.000 | 0.000 |
| 3.772 | 38.744 | 3.772 | 0.000 | 0.000 | 0.000 |
| 3.772 | 3.772 | 38.744 | 0.000 | 0.000 | -0.000 |
| 0.000 | -0.000 | 0.000 | 3.371 | 0.000 | 0.000 |
| -0.000 | 0.000 | 0.000 | 0.000 | 3.371 | 0.000 |
| -0.000 | 0.000 | 0.000 | 0.000 | 0.000 | 3.371 |
| 38.744 | 3.772 | 3.772 | -0.000 | -0.000 | -0.000 |
| 3.772 | 38.744 | 3.772 | -0.000 | -0.000 | 0.000 |
| 3.772 | 3.772 | 38.744 | -0.000 | -0.000 | -0.000 |
| 0.000 | 0.000 | 0.000 | 3.371 | -0.000 | -0.000 |
| 0.000 | 0.000 | 0.000 | -0.000 | 3.371 | -0.000 |
| 0.000 | 0.000 | 0.000 | -0.000 | -0.000 | 3.371 |
| 38.744 | 3.772 | 3.772 | 0.000 | 0.000 | 0.000 |
| 3.772 | 38.744 | 3.772 | 0.000 | 0.000 | 0.000 |
| 3.772 | 3.772 | 38.744 | 0.000 | 0.000 | 0.000 |
| -0.000 | -0.000 | -0.000 | 3.371 | 0.000 | 0.000 |
| -0.000 | -0.000 | -0.000 | 0.000 | 3.371 | 0.000 |
| -0.000 | -0.000 | -0.000 | 0.000 | 0.000 | 3.371 |
| 38.743 | 3.772 | 3.772 | -0.000 | -0.000 | -0.000 |
| 3.772 | 38.743 | 3.772 | -0.000 | -0.000 | -0.000 |
| 3.772 | 3.772 | 38.743 | 0.000 | -0.000 | -0.000 |
| 0.000 | 0.000 | 0.000 | 3.371 | -0.000 | -0.000 |
| 0.000 | 0.000 | 0.000 | -0.000 | 3.371 | -0.000 |
| 0.000 | 0.000 | 0.000 | -0.000 | -0.000 | 3.371 |
| 38.746 | 3.772 | 3.772 | 0.000 | 0.000 | 0.000 |
| 3.772 | 38.746 | 3.772 | 0.000 | 0.000 | 0.000 |
| 3.772 | 3.772 | 38.746 | 0.000 | 0.000 | 0.000 |
| -0.000 | -0.000 | -0.000 | 3.371 | 0.000 | 0.000 |
| -0.000 | -0.000 | -0.000 | 0.000 | 3.371 | 0.000 |
| -0.000 | -0.000 | -0.000 | 0.000 | 0.000 | 3.371 |
| 704.669 | 264.386 | 264.386 | 0.000 | 0.000 | 0.000 |
| 264.386 | 704.669 | 264.386 | 0.000 | 0.000 | 0.000 |
| 264.386 | 264.386 | 704.669 | 0.000 | 0.000 | 0.000 |
| 0.000 | -0.000 | -0.000 | 109.285 | 0.000 | 0.000 |
| 0.000 | -0.000 | -0.000 | 0.000 | 109.285 | 0.000 |
| 0.000 | -0.000 | -0.000 | 0.000 | 0.000 | 109.285 |
| 704.669 | 264.386 | 264.386 | -0.000 | -0.000 | -0.000 |
| 264.386 | 704.669 | 264.386 | -0.000 | -0.000 | -0.000 |
| 264.386 | 264.386 | 704.669 | 0.000 | -0.000 | -0.000 |
| -0.000 | 0.000 | 0.000 | 109.285 | -0.000 | -0.000 |
| -0.000 | 0.000 | 0.000 | -0.000 | 109.285 | -0.000 |
| -0.000 | 0.000 | 0.000 | -0.000 | -0.000 | 109.285 |
| 704.201 | 264.620 | 264.620 | -0.000 | -0.000 | 0.000 |
| 264.620 | 704.201 | 264.620 | -0.000 | -0.000 | 0.000 |
| 264.620 | 264.620 | 704.201 | 0.000 | -0.000 | 0.000 |
| -0.000 | -0.000 | -0.000 | 111.131 | 0.000 | 0.000 |
| -0.000 | -0.000 | -0.000 | 0.000 | 111.131 | 0.000 |
| -0.000 | -0.000 | -0.000 | 0.000 | 0.000 | 111.131 |
| 704.669 | 264.386 | 264.386 | -0.000 | -0.000 | -0.000 |
| 264.386 | 704.669 | 264.386 | 0.000 | -0.000 | -0.000 |
| 264.386 | 264.386 | 704.669 | 0.000 | 0.000 | -0.000 |
| 0.000 | 0.000 | 0.000 | 111.131 | -0.000 | -0.000 |
| 0.000 | 0.000 | 0.000 | 0.000 | 111.131 | -0.000 |
| 0.000 | 0.000 | 0.000 | 0.000 | -0.000 | 111.131 |
| 704.672 | 264.387 | 264.387 | 0.000 | 0.000 | 0.000 |
| 264.387 | 704.672 | 264.387 | 0.000 | 0.000 | 0.000 |
| 264.387 | 264.387 | 704.672 | 0.000 | 0.000 | 0.000 |
| -0.000 | -0.000 | -0.000 | 109.285 | 0.000 | -0.000 |
| -0.000 | -0.000 | -0.000 | -0.000 | 109.285 | 0.000 |
| -0.000 | -0.000 | -0.000 | 0.000 | 0.000 | 109.285 |
| 704.667 | 264.384 | 264.384 | 0.000 | -0.000 | -0.000 |
| 264.384 | 704.667 | 264.384 | -0.000 | -0.000 | -0.000 |
| 264.384 | 264.384 | 704.667 | 0.000 | -0.000 | -0.000 |
| 0.000 | 0.000 | 0.000 | 109.285 | -0.000 | -0.000 |
| 0.000 | 0.000 | 0.000 | -0.000 | 109.285 | -0.000 |
| 0.000 | 0.000 | 0.000 | -0.000 | -0.000 | 109.285 |
| 26.984 | 5.598 | 5.598 | 0.000 | 0.000 | 0.000 |
| 5.598 | 26.984 | 5.598 | 0.000 | 0.000 | 0.000 |
| 5.598 | 5.598 | 26.984 | 0.000 | 0.000 | 0.000 |
| 0.000 | -0.000 | 0.000 | 0.094 | 0.000 | 0.000 |
| -0.000 | 0.000 | -0.000 | 0.000 | 0.094 | 0.000 |
| -0.000 | 0.000 | 0.000 | 0.000 | 0.000 | 0.094 |
| 26.984 | 5.598 | 5.598 | -0.000 | -0.000 | -0.000 |
| 5.598 | 26.984 | 5.598 | -0.000 | -0.000 | -0.000 |
| 5.598 | 5.598 | 26.984 | -0.000 | -0.000 | -0.000 |
| -0.000 | 0.000 | 0.000 | 0.094 | -0.000 | 0.000 |
| 0.000 | -0.000 | 0.000 | -0.000 | 0.094 | -0.000 |
| 0.000 | 0.000 | -0.000 | -0.000 | -0.000 | 0.094 |
| 26.984 | 5.598 | 5.598 | 0.000 | 0.000 | 0.000 |
| 5.598 | 26.984 | 5.598 | 0.000 | 0.000 | 0.000 |
| 5.598 | 5.598 | 26.984 | 0.000 | 0.000 | 0.000 |
| 0.000 | -0.000 | -0.000 | 0.094 | 0.000 | 0.000 |
| -0.000 | 0.000 | -0.000 | 0.000 | 0.094 | 0.000 |
| -0.000 | -0.000 | 0.000 | 0.000 | 0.000 | 0.094 |
| 26.984 | 5.598 | 5.598 | -0.000 | -0.000 | -0.000 |
| 5.598 | 26.984 | 5.598 | -0.000 | -0.000 | -0.000 |
| 5.598 | 5.598 | 26.984 | -0.000 | -0.000 | -0.000 |
| -0.000 | 0.000 | 0.000 | 0.094 | -0.000 | -0.000 |
| 0.000 | -0.000 | 0.000 | -0.000 | 0.094 | -0.000 |
| 0.000 | 0.000 | -0.000 | -0.000 | -0.000 | 0.094 |
| 26.985 | 5.598 | 5.598 | 0.000 | 0.000 | 0.000 |
| 5.598 | 26.985 | 5.598 | 0.000 | 0.000 | 0.000 |
| 5.598 | 5.598 | 26.985 | 0.000 | 0.000 | 0.000 |
| 0.000 | -0.000 | -0.000 | 0.094 | 0.000 | 0.000 |
| -0.000 | 0.000 | -0.000 | 0.000 | 0.094 | 0.000 |
| -0.000 | -0.000 | 0.000 | 0.000 | 0.000 | 0.094 |
| 26.984 | 5.598 | 5.598 | -0.000 | -0.000 | -0.000 |
| 5.598 | 26.984 | 5.598 | -0.000 | -0.000 | -0.000 |
| 5.598 | 5.598 | 26.984 | -0.000 | -0.000 | -0.000 |
| -0.000 | 0.000 | 0.000 | 0.094 | -0.000 | -0.000 |
| 0.000 | -0.000 | 0.000 | -0.000 | 0.094 | -0.000 |
| 0.000 | 0.000 | -0.000 | -0.000 | -0.000 | 0.094 |
| 405.649 | 249.886 | 249.887 | 0.000 | 0.000 | -0.000 |
| 249.887 | 405.649 | 249.887 | 0.000 | 0.000 | -0.000 |
| 249.887 | 249.886 | 405.649 | 0.000 | 0.000 | -0.000 |
| 0.000 | -0.000 | 0.000 | 92.818 | 0.000 | -0.000 |
| -0.000 | -0.000 | 0.000 | 0.000 | 92.818 | -0.000 |
| 0.000 | -0.000 | 0.000 | 0.000 | 0.000 | 92.818 |
| 405.649 | 249.887 | 249.886 | -0.000 | -0.000 | 0.000 |
| 249.886 | 405.649 | 249.886 | -0.000 | -0.000 | 0.000 |
| 249.886 | 249.887 | 405.649 | -0.000 | -0.000 | 0.000 |
| -0.000 | 0.000 | -0.000 | 92.818 | -0.000 | 0.000 |
| -0.000 | 0.000 | -0.000 | -0.000 | 92.818 | 0.000 |
| 0.000 | 0.000 | -0.000 | -0.000 | -0.000 | 92.818 |
| 405.649 | 249.887 | 249.887 | 0.000 | 0.000 | -0.000 |
| 249.887 | 405.649 | 249.887 | 0.000 | 0.000 | -0.000 |
| 249.887 | 249.887 | 405.649 | 0.000 | 0.000 | -0.000 |
| 0.000 | -0.000 | 0.000 | 95.528 | 0.000 | -0.000 |
| -0.000 | 0.000 | 0.000 | 0.000 | 95.528 | -0.000 |
| -0.000 | 0.000 | 0.000 | 0.000 | 0.000 | 95.528 |
| 405.649 | 249.886 | 249.886 | -0.000 | -0.000 | 0.000 |
| 249.886 | 405.649 | 249.886 | -0.000 | -0.000 | 0.000 |
| 249.886 | 249.886 | 405.649 | -0.000 | -0.000 | 0.000 |
| -0.000 | 0.000 | -0.000 | 95.528 | -0.000 | 0.000 |
| 0.000 | -0.000 | -0.000 | -0.000 | 95.528 | 0.000 |
| 0.000 | -0.000 | -0.000 | -0.000 | -0.000 | 95.528 |
| 405.649 | 249.888 | 249.888 | 0.000 | 0.000 | -0.000 |
| 249.888 | 405.649 | 249.888 | 0.000 | 0.000 | -0.000 |
| 249.888 | 249.888 | 405.649 | 0.000 | 0.000 | -0.000 |
| 0.000 | -0.000 | 0.000 | 95.528 | 0.000 | -0.000 |
| -0.000 | 0.000 | 0.000 | 0.000 | 95.528 | -0.000 |
| -0.000 | 0.000 | 0.000 | 0.000 | 0.000 | 95.528 |
| 405.649 | 249.885 | 249.885 | -0.000 | -0.000 | 0.000 |
| 249.885 | 405.649 | 249.885 | -0.000 | -0.000 | 0.000 |
| 249.885 | 249.885 | 405.649 | -0.000 | -0.000 | 0.000 |
| -0.000 | 0.000 | -0.000 | 95.528 | -0.000 | 0.000 |
| 0.000 | -0.000 | -0.000 | -0.000 | 95.528 | 0.000 |
| 0.000 | -0.000 | -0.000 | -0.000 | -0.000 | 95.528 |
| 84.130 | 28.413 | 28.413 | -0.000 | -0.000 | -0.000 |
| 28.413 | 84.130 | 28.413 | -0.000 | -0.000 | -0.000 |
| 28.413 | 28.413 | 84.130 | -0.000 | -0.000 | 0.000 |
| 0.000 | 0.000 | -0.000 | 14.763 | -0.000 | 0.000 |
| 0.000 | 0.000 | -0.000 | -0.000 | 14.763 | 0.000 |
| 0.000 | 0.000 | -0.000 | -0.000 | -0.000 | 14.763 |
| 84.130 | 28.413 | 28.413 | 0.000 | 0.000 | -0.000 |
| 28.413 | 84.130 | 28.413 | 0.000 | 0.000 | -0.000 |
| 28.413 | 28.413 | 84.130 | 0.000 | 0.000 | -0.000 |
| -0.000 | -0.000 | 0.000 | 14.763 | 0.000 | -0.000 |
| -0.000 | -0.000 | 0.000 | 0.000 | 14.763 | -0.000 |
| -0.000 | -0.000 | 0.000 | 0.000 | 0.000 | 14.763 |
| 84.130 | 28.413 | 28.413 | -0.000 | -0.000 | 0.000 |
| 28.413 | 84.130 | 28.413 | -0.000 | -0.000 | 0.000 |
| 28.413 | 28.413 | 84.130 | -0.000 | -0.000 | 0.000 |
| 0.000 | -0.000 | -0.000 | 14.763 | -0.000 | 0.000 |
| -0.000 | 0.000 | -0.000 | -0.000 | 14.763 | -0.000 |
| -0.000 | -0.000 | 0.000 | -0.000 | -0.000 | 14.763 |
| 84.130 | 28.413 | 28.413 | 0.000 | 0.000 | -0.000 |
| 28.413 | 84.130 | 28.413 | 0.000 | 0.000 | 0.000 |
| 28.413 | 28.413 | 84.130 | 0.000 | 0.000 | -0.000 |
| -0.000 | 0.000 | 0.000 | 14.763 | 0.000 | -0.000 |
| 0.000 | -0.000 | 0.000 | 0.000 | 14.763 | -0.000 |
| 0.000 | 0.000 | -0.000 | 0.000 | 0.000 | 14.763 |
| 84.129 | 28.412 | 28.412 | -0.000 | -0.000 | -0.000 |
| 28.412 | 84.129 | 28.412 | -0.000 | -0.000 | 0.000 |
| 28.412 | 28.412 | 84.129 | -0.000 | -0.000 | -0.000 |
| 0.000 | -0.000 | -0.000 | 14.763 | -0.000 | -0.000 |
| -0.000 | 0.000 | -0.000 | -0.000 | 14.763 | 0.000 |
| -0.000 | -0.000 | 0.000 | -0.000 | -0.000 | 14.763 |
| 84.131 | 28.413 | 28.413 | 0.000 | 0.000 | -0.000 |
| 28.413 | 84.131 | 28.413 | 0.000 | 0.000 | -0.000 |
| 28.413 | 28.413 | 84.131 | 0.000 | 0.000 | -0.000 |
| -0.000 | 0.000 | 0.000 | 14.763 | 0.000 | -0.000 |
| 0.000 | -0.000 | 0.000 | 0.000 | 14.763 | -0.000 |
| 0.000 | 0.000 | -0.000 | 0.000 | 0.000 | 14.763 |
| 5.808 | 5.808 | 5.808 | -0.000 | -0.000 | -0.000 |
| 5.808 | 5.808 | 5.808 | -0.000 | -0.000 | -0.000 |
| 5.808 | 5.808 | 5.808 | -0.000 | -0.000 | -0.000 |
| -0.000 | -0.000 | -0.000 | -0.068 | -0.000 | -0.000 |
| -0.000 | -0.000 | -0.000 | -0.000 | -0.068 | -0.000 |
| -0.000 | -0.000 | -0.000 | -0.000 | -0.000 | -0.068 |
| 5.808 | 5.808 | 5.808 | -0.000 | -0.000 | -0.000 |
| 5.808 | 5.808 | 5.808 | -0.000 | -0.000 | -0.000 |
| 5.808 | 5.808 | 5.808 | -0.000 | -0.000 | -0.000 |
| 0.000 | 0.000 | 0.000 | -0.068 | 0.000 | 0.000 |
| 0.000 | 0.000 | 0.000 | 0.000 | -0.068 | 0.000 |
| 0.000 | 0.000 | 0.000 | 0.000 | 0.000 | -0.068 |
| 5.808 | 5.808 | 5.808 | -0.000 | -0.000 | 0.000 |
| 5.808 | 5.808 | 5.808 | -0.000 | -0.000 | 0.000 |
| 5.808 | 5.808 | 5.808 | -0.000 | -0.000 | -0.000 |
| 0.000 | 0.000 | 0.000 | 5.808 | 0.000 | -0.000 |
| 0.000 | 0.000 | 0.000 | -0.000 | 5.808 | 0.000 |
| 0.000 | 0.000 | 0.000 | -0.000 | -0.000 | 5.808 |
| 5.808 | 5.808 | 5.808 | 0.000 | 0.000 | -0.000 |
| 5.808 | 5.808 | 5.808 | 0.000 | 0.000 | -0.000 |
| 5.808 | 5.808 | 5.808 | 0.000 | 0.000 | 0.000 |
| -0.000 | -0.000 | -0.000 | 5.808 | 0.000 | 0.000 |
| -0.000 | -0.000 | -0.000 | 0.000 | 5.808 | 0.000 |
| -0.000 | -0.000 | -0.000 | -0.000 | 0.000 | 5.808 |
| 5.808 | 5.808 | 5.808 | -0.000 | -0.000 | 0.000 |
| 5.808 | 5.808 | 5.808 | -0.000 | -0.000 | 0.000 |
| 5.808 | 5.808 | 5.808 | -0.000 | -0.000 | -0.000 |
| 0.000 | 0.000 | 0.000 | -0.567 | -0.000 | 0.000 |
| 0.000 | 0.000 | 0.000 | -0.000 | -0.567 | 0.000 |
| 0.000 | 0.000 | 0.000 | -0.000 | -0.000 | -0.567 |
| 5.808 | 5.808 | 5.808 | 0.000 | -0.000 | 0.000 |
| 5.808 | 5.808 | 5.808 | 0.000 | 0.000 | 0.000 |
| 5.808 | 5.808 | 5.808 | 0.000 | 0.000 | -0.000 |
| -0.000 | -0.000 | -0.000 | -0.567 | 0.000 | 0.000 |
| -0.000 | -0.000 | -0.000 | 0.000 | -0.567 | 0.000 |
| -0.000 | -0.000 | -0.000 | 0.000 | 0.000 | -0.567 |
| 95.119 | 172.238 | 172.238 | 0.000 | 0.000 | 0.000 |
| 172.238 | 95.119 | 172.238 | -0.000 | -0.000 | 0.000 |
| 172.238 | 172.238 | 95.119 | -0.000 | -0.000 | 0.000 |
| -0.000 | -0.000 | -0.000 | 33.181 | 0.000 | -0.000 |
| -0.000 | -0.000 | -0.000 | -0.000 | 33.181 | 0.000 |
| -0.000 | -0.000 | 0.000 | -0.000 | -0.000 | 33.181 |
| 95.119 | 172.238 | 172.238 | 0.000 | 0.000 | -0.000 |
| 172.238 | 95.119 | 172.238 | 0.000 | 0.000 | -0.000 |
| 172.238 | 172.238 | 95.119 | 0.000 | 0.000 | -0.000 |
| 0.000 | 0.000 | 0.000 | 33.181 | 0.000 | -0.000 |
| 0.000 | 0.000 | 0.000 | 0.000 | 33.181 | -0.000 |
| 0.000 | 0.000 | -0.000 | 0.000 | 0.000 | 33.181 |
| 95.119 | 172.238 | 172.238 | -0.000 | -0.000 | 0.000 |
| 172.238 | 95.119 | 172.238 | -0.000 | 0.000 | -0.000 |
| 172.238 | 172.238 | 95.119 | -0.000 | -0.000 | -0.000 |
| -0.000 | -0.000 | -0.000 | 33.181 | -0.000 | 0.000 |
| -0.000 | -0.000 | -0.000 | -0.000 | 33.181 | 0.000 |
| -0.000 | -0.000 | -0.000 | -0.000 | -0.000 | 33.181 |
| 95.119 | 172.238 | 172.238 | 0.000 | -0.000 | -0.000 |
| 172.238 | 95.119 | 172.238 | 0.000 | 0.000 | -0.000 |
| 172.238 | 172.238 | 95.119 | 0.000 | 0.000 | -0.000 |
| 0.000 | 0.000 | 0.000 | 33.181 | 0.000 | -0.000 |
| 0.000 | 0.000 | 0.000 | 0.000 | 33.181 | -0.000 |
| 0.000 | 0.000 | 0.000 | 0.000 | 0.000 | 33.181 |
| 95.116 | 172.237 | 172.237 | -0.000 | -0.000 | -0.000 |
| 172.237 | 95.116 | 172.237 | -0.000 | 0.000 | 0.000 |
| 172.237 | 172.237 | 95.116 | -0.000 | -0.000 | -0.000 |
| -0.000 | -0.001 | -0.001 | 33.181 | 0.000 | 0.000 |
| -0.001 | -0.000 | -0.001 | -0.000 | 33.181 | -0.000 |
| -0.001 | -0.001 | -0.000 | -0.000 | -0.000 | 33.181 |
| 95.121 | 172.238 | 172.238 | 0.000 | 0.000 | -0.000 |
| 172.238 | 95.121 | 172.238 | 0.000 | 0.000 | 0.000 |
| 172.238 | 172.238 | 95.121 | 0.000 | -0.000 | 0.000 |
| 0.000 | 0.001 | 0.001 | 33.181 | -0.000 | -0.000 |
| 0.001 | 0.000 | 0.001 | -0.000 | 33.181 | -0.000 |
| 0.001 | 0.001 | 0.000 | 0.000 | 0.000 | 33.181 |
| 9.640 | 4.843 | 4.843 | 0.000 | -0.000 | -0.000 |
| 4.843 | 9.640 | 4.843 | -0.000 | -0.000 | 0.000 |
| 4.843 | 4.843 | 9.640 | -0.000 | -0.000 | -0.000 |
| 0.000 | 0.000 | 0.000 | 4.834 | 0.000 | -0.000 |
| 0.000 | 0.000 | 0.000 | 0.000 | 4.834 | 0.000 |
| 0.000 | 0.000 | -0.000 | 0.000 | 0.000 | 4.834 |
| 9.640 | 4.843 | 4.843 | -0.000 | -0.000 | -0.000 |
| 4.843 | 9.640 | 4.843 | -0.000 | -0.000 | 0.000 |
| 4.843 | 4.843 | 9.640 | -0.000 | -0.000 | 0.000 |
| -0.000 | -0.000 | -0.000 | 4.834 | -0.000 | 0.000 |
| -0.000 | -0.000 | -0.000 | -0.000 | 4.834 | -0.000 |
| -0.000 | -0.000 | -0.000 | -0.000 | -0.000 | 4.834 |
| 9.640 | 4.843 | 4.843 | 0.000 | -0.000 | -0.000 |
| 4.843 | 9.640 | 4.843 | -0.000 | 0.000 | -0.000 |
| 4.843 | 4.843 | 9.640 | 0.000 | -0.000 | -0.000 |
| 0.000 | 0.000 | 0.000 | 4.834 | 0.000 | -0.000 |
| 0.000 | -0.000 | 0.000 | 0.000 | 4.834 | -0.000 |
| 0.000 | 0.000 | 0.000 | 0.000 | 0.000 | 4.834 |
| 9.640 | 4.843 | 4.843 | -0.000 | 0.000 | 0.000 |
| 4.843 | 9.640 | 4.843 | -0.000 | 0.000 | -0.000 |
| 4.843 | 4.843 | 9.640 | -0.000 | 0.000 | -0.000 |
| -0.000 | -0.000 | -0.000 | 4.834 | -0.000 | -0.000 |
| -0.000 | 0.000 | -0.000 | -0.000 | 4.834 | 0.000 |
| -0.000 | -0.000 | -0.000 | -0.000 | -0.000 | 4.834 |
| 9.640 | 4.843 | 4.843 | 0.000 | -0.000 | -0.000 |
| 4.843 | 9.640 | 4.843 | 0.000 | 0.000 | 0.000 |
| 4.843 | 4.843 | 9.640 | 0.000 | 0.000 | -0.000 |
| 0.000 | 0.000 | 0.000 | 4.834 | 0.000 | -0.000 |
| 0.000 | 0.000 | 0.000 | 0.000 | 4.834 | 0.000 |
| 0.000 | 0.000 | 0.000 | 0.000 | -0.000 | 4.834 |
| 9.640 | 4.843 | 4.843 | -0.000 | -0.000 | -0.000 |
| 4.843 | 9.640 | 4.843 | -0.000 | -0.000 | -0.000 |
| 4.843 | 4.843 | 9.640 | 0.000 | 0.000 | 0.000 |
| -0.000 | -0.000 | -0.000 | 4.834 | 0.000 | -0.000 |
| -0.000 | -0.000 | -0.000 | 0.000 | 4.834 | -0.000 |
| -0.000 | -0.000 | -0.000 | -0.000 | -0.000 | 4.834 |
| 387.099 | 177.820 | 177.820 | 0.000 | 0.000 | 0.000 |
| 177.820 | 387.099 | 177.820 | 0.000 | 0.000 | 0.000 |
| 177.820 | 177.820 | 387.099 | -0.000 | 0.000 | 0.000 |
| 0.000 | -0.000 | 0.000 | 75.367 | 0.000 | 0.000 |
| 0.000 | -0.000 | 0.000 | 0.000 | 75.367 | 0.000 |
| 0.000 | -0.000 | -0.000 | 0.000 | 0.000 | 75.367 |
| 387.099 | 177.820 | 177.820 | -0.000 | -0.000 | -0.000 |
| 177.820 | 387.099 | 177.820 | 0.000 | -0.000 | -0.000 |
| 177.820 | 177.820 | 387.099 | 0.000 | -0.000 | -0.000 |
| -0.000 | -0.000 | -0.000 | 75.367 | 0.000 | 0.000 |
| -0.000 | 0.000 | -0.000 | -0.000 | 75.367 | -0.000 |
| -0.000 | 0.000 | 0.000 | -0.000 | -0.000 | 75.367 |
| 387.099 | 177.820 | 177.820 | 0.000 | 0.000 | 0.000 |
| 177.820 | 387.099 | 177.820 | 0.000 | 0.000 | 0.000 |
| 177.820 | 177.820 | 387.099 | 0.000 | 0.000 | 0.000 |
| 0.000 | 0.000 | 0.000 | 75.367 | 0.000 | 0.000 |
| 0.000 | 0.000 | 0.000 | 0.000 | 75.367 | 0.000 |
| 0.000 | 0.000 | 0.000 | 0.000 | 0.000 | 75.367 |
| 387.099 | 177.820 | 177.820 | 0.000 | -0.000 | -0.000 |
| 177.820 | 387.099 | 177.820 | -0.000 | -0.000 | -0.000 |
| 177.820 | 177.820 | 387.099 | 0.000 | -0.000 | -0.000 |
| -0.000 | -0.000 | -0.000 | 75.367 | -0.000 | -0.000 |
| -0.000 | -0.000 | -0.000 | 0.000 | 75.367 | -0.000 |
| -0.000 | -0.000 | -0.000 | -0.000 | -0.000 | 75.367 |
| 387.101 | 177.821 | 177.821 | 0.000 | 0.000 | 0.000 |
| 177.821 | 387.101 | 177.821 | -0.000 | 0.000 | 0.000 |
| 177.821 | 177.821 | 387.101 | -0.000 | 0.000 | 0.000 |
| 0.000 | 0.001 | 0.001 | 78.993 | 0.000 | 0.000 |
| 0.001 | 0.000 | 0.001 | -0.000 | 78.993 | 0.000 |
| 0.001 | 0.001 | 0.000 | -0.000 | 0.000 | 78.993 |
| 387.097 | 177.819 | 177.819 | 0.000 | -0.000 | -0.000 |
| 177.819 | 387.097 | 177.819 | 0.000 | -0.000 | -0.000 |
| 177.819 | 177.819 | 387.097 | -0.000 | -0.000 | -0.000 |
| -0.000 | -0.001 | -0.001 | 78.993 | -0.000 | -0.000 |
| -0.001 | -0.000 | -0.001 | 0.000 | 78.993 | -0.000 |
| -0.001 | -0.001 | -0.000 | 0.000 | -0.000 | 78.993 |
| 21.554 | 21.321 | 21.321 | 0.000 | -0.000 | 0.000 |
| 21.321 | 21.554 | 21.321 | 0.000 | 0.000 | 0.000 |
| 21.321 | 21.321 | 21.554 | 0.000 | 0.000 | 0.000 |
| 0.000 | 0.000 | 0.000 | 9.024 | 0.000 | 0.000 |
| 0.000 | 0.000 | 0.000 | 0.000 | 9.024 | 0.000 |
| 0.000 | 0.000 | 0.000 | 0.000 | 0.000 | 9.024 |
| 21.554 | 21.321 | 21.321 | -0.000 | -0.000 | -0.000 |
| 21.321 | 21.554 | 21.321 | -0.000 | -0.000 | -0.000 |
| 21.321 | 21.321 | 21.554 | -0.000 | -0.000 | -0.000 |
| -0.000 | -0.000 | -0.000 | 9.024 | -0.000 | -0.000 |
| -0.000 | -0.000 | -0.000 | -0.000 | 9.024 | -0.000 |
| -0.000 | -0.000 | -0.000 | 0.000 | -0.000 | 9.024 |
| 21.554 | 21.321 | 21.321 | 0.000 | -0.000 | 0.000 |
| 21.321 | 21.554 | 21.321 | 0.000 | 0.000 | 0.000 |
| 21.321 | 21.321 | 21.554 | 0.000 | 0.000 | 0.000 |
| 0.000 | 0.000 | 0.000 | 9.024 | 0.000 | 0.000 |
| 0.000 | 0.000 | 0.000 | 0.000 | 9.024 | 0.000 |
| 0.000 | 0.000 | 0.000 | 0.000 | 0.000 | 9.024 |
| 21.554 | 21.321 | 21.321 | -0.000 | -0.000 | -0.000 |
| 21.321 | 21.554 | 21.321 | -0.000 | -0.000 | -0.000 |
| 21.321 | 21.321 | 21.554 | -0.000 | -0.000 | -0.000 |
| -0.000 | -0.000 | -0.000 | 9.024 | -0.000 | -0.000 |
| -0.000 | -0.000 | -0.000 | 0.000 | 9.024 | -0.000 |
| -0.000 | -0.000 | -0.000 | -0.000 | -0.000 | 9.024 |
| 21.554 | 21.321 | 21.321 | 0.000 | 0.000 | 0.000 |
| 21.321 | 21.554 | 21.321 | 0.000 | 0.000 | 0.000 |
| 21.321 | 21.321 | 21.554 | 0.000 | 0.000 | 0.000 |
| 0.000 | 0.000 | 0.000 | 9.024 | 0.000 | 0.000 |
| 0.000 | 0.000 | 0.000 | -0.000 | 9.024 | 0.000 |
| 0.000 | 0.000 | 0.000 | 0.000 | 0.000 | 9.024 |
| 21.554 | 21.321 | 21.321 | -0.000 | -0.000 | -0.000 |
| 21.321 | 21.554 | 21.321 | -0.000 | -0.000 | -0.000 |
| 21.321 | 21.321 | 21.554 | 0.000 | -0.000 | -0.000 |
| -0.000 | -0.000 | -0.000 | 9.024 | -0.000 | -0.000 |
| -0.000 | -0.000 | -0.000 | 0.000 | 9.024 | -0.000 |
| -0.000 | -0.000 | -0.000 | -0.000 | -0.000 | 9.024 |
| 6.518 | 10.762 | 10.762 | 0.000 | 0.000 | 0.000 |
| 10.762 | 6.518 | 10.762 | 0.000 | 0.000 | 0.000 |
| 10.762 | 10.762 | 6.518 | 0.000 | 0.000 | 0.000 |
| -0.000 | 0.000 | 0.000 | -0.519 | 0.000 | 0.000 |
| 0.000 | -0.000 | 0.000 | 0.000 | -0.519 | 0.000 |
| 0.000 | 0.000 | -0.000 | -0.000 | 0.000 | -0.519 |
| 3931317.140 | 1962069.127 | 1889563.439 | 68466.759 | 122568.914 | -156878.979 |
| 1561766.742 | 3836292.369 | 1544764.236 | 144652.942 | -33143.746 | -6357.313 |
| 1159013.081 | 1506367.167 | 3231676.873 | -30992.993 | 2275.377 | 172990.372 |
| 0.000 | -0.000 | -0.000 | -0.519 | -0.000 | -0.000 |
| -0.000 | 0.000 | -0.000 | 0.000 | -0.519 | -0.000 |
| -0.000 | -0.000 | 0.000 | 0.000 | -0.000 | -0.519 |
| -528149.331 | -115182.455 | 82588.758 | 25260.179 | -13423.652 | -11805.277 |
| -19327.673 | -623514.594 | -170447.922 | 3051.655 | 27351.377 | 14503.796 |
| -151285.536 | -33369.479 | -572577.689 | 17087.784 | 5067.084 | 23614.272 |
| -0.000 | 0.000 | 0.000 | -0.519 | 0.000 | 0.000 |
| 0.000 | -0.000 | 0.000 | 0.000 | -0.519 | -0.000 |
| 0.000 | 0.000 | -0.000 | 0.000 | -0.000 | -0.519 |
| 484376.827 | 208236.969 | 135629.684 | -31886.573 | 14912.264 | -2205.680 |
| 84840.169 | 411840.064 | 185494.302 | -413.619 | 526.917 | -651.149 |
| 197654.882 | 112742.160 | 390052.970 | 4179.722 | -10822.606 | -27820.398 |
| 0.000 | -0.000 | -0.000 | -0.519 | -0.000 | -0.000 |
| -0.000 | 0.000 | -0.000 | 0.000 | -0.519 | 0.000 |
| -0.000 | -0.000 | 0.000 | 0.000 | -0.000 | -0.519 |
| -57131.026 | -11565.215 | 5077.911 | 3348.953 | 851.025 | 96.333 |
| -1778.705 | -53967.845 | -10288.037 | 1329.349 | 2886.381 | -2359.368 |
| -13562.496 | -3734.754 | -56250.860 | -666.322 | 1426.413 | 3226.508 |
| -0.000 | 0.000 | 0.000 | -0.519 | 0.000 | 0.000 |
| 0.000 | -0.000 | 0.000 | -0.000 | -0.519 | -0.000 |
| 0.000 | 0.000 | -0.000 | -0.000 | 0.000 | -0.519 |
| 42867.232 | 21405.647 | 11435.427 | -920.148 | 512.024 | -391.217 |
| 10291.867 | 40811.403 | 18765.515 | 238.620 | 617.169 | 1246.381 |
| 15696.285 | 12596.322 | 43844.820 | -59.889 | -292.736 | -394.724 |
| 0.000 | -0.000 | -0.000 | -0.519 | -0.000 | -0.000 |
| -0.000 | 0.000 | -0.000 | -0.000 | -0.519 | -0.000 |
| -0.000 | -0.000 | 0.000 | -0.000 | -0.000 | -0.519 |
| 16.702 | 2.851 | 2.851 | 0.000 | -0.000 | 0.000 |
| 2.851 | 16.702 | 2.851 | -0.000 | -0.000 | -0.000 |
| 2.851 | 2.851 | 16.702 | -0.000 | -0.000 | 0.000 |
| 0.000 | -0.000 | -0.000 | 0.763 | -0.000 | -0.000 |
| 0.000 | -0.000 | 0.000 | -0.000 | 0.763 | -0.000 |
| -0.000 | -0.000 | 0.000 | -0.000 | -0.000 | 0.763 |
| 16.702 | 2.851 | 2.851 | 0.000 | 0.000 | 0.000 |
| 2.851 | 16.702 | 2.851 | 0.000 | 0.000 | 0.000 |
| 2.851 | 2.851 | 16.702 | 0.000 | 0.000 | -0.000 |
| -0.000 | 0.000 | 0.000 | 0.763 | 0.000 | -0.000 |
| -0.000 | -0.000 | 0.000 | 0.000 | 0.763 | 0.000 |
| 0.000 | 0.000 | -0.000 | 0.000 | 0.000 | 0.763 |
| 16.702 | 2.851 | 2.851 | 0.000 | -0.000 | -0.000 |
| 2.851 | 16.702 | 2.851 | 0.000 | -0.000 | 0.000 |
| 2.851 | 2.851 | 16.702 | 0.000 | -0.000 | 0.000 |
| -0.000 | 0.000 | 0.000 | 0.314 | -0.000 | 0.000 |
| 0.000 | -0.000 | 0.000 | 0.000 | 0.314 | 0.000 |
| 0.000 | 0.000 | -0.000 | 0.000 | -0.000 | 0.314 |
| 16.702 | 2.851 | 2.851 | 0.000 | 0.000 | -0.000 |
| 2.851 | 16.702 | 2.851 | 0.000 | 0.000 | 0.000 |
| 2.851 | 2.851 | 16.702 | -0.000 | 0.000 | 0.000 |
| 0.000 | -0.000 | -0.000 | 0.314 | 0.000 | -0.000 |
| -0.000 | 0.000 | 0.000 | -0.000 | 0.314 | -0.000 |
| -0.000 | -0.000 | 0.000 | -0.000 | 0.000 | 0.314 |
| 16.702 | 2.851 | 2.851 | -0.000 | 0.000 | -0.000 |
| 2.851 | 16.702 | 2.851 | -0.000 | -0.000 | 0.000 |
| 2.851 | 2.851 | 16.702 | 0.000 | -0.000 | 0.000 |
| -0.000 | 0.000 | 0.000 | 0.174 | -0.000 | 0.000 |
| 0.000 | -0.000 | 0.000 | -0.000 | 0.174 | -0.000 |
| -0.000 | -0.000 | 0.000 | 0.000 | -0.000 | 0.202 |
| 16.702 | 2.851 | 2.851 | -0.000 | 0.000 | -0.000 |
| 2.851 | 16.702 | 2.851 | 0.000 | 0.000 | -0.000 |
| 2.851 | 2.851 | 16.702 | -0.000 | 0.000 | -0.000 |
| 0.000 | -0.000 | -0.000 | 0.174 | 0.000 | 0.000 |
| -0.000 | 0.000 | -0.000 | -0.000 | 0.174 | -0.000 |
| 0.000 | 0.000 | -0.000 | 0.000 | 0.000 | 0.763 |
| 399.133 | 197.968 | 197.968 | -0.000 | -0.000 | -0.000 |
| 197.968 | 399.133 | 197.968 | -0.000 | -0.000 | 0.000 |
| 197.968 | 197.968 | 399.133 | 0.000 | -0.000 | -0.000 |
| 0.000 | -0.000 | 0.000 | 69.801 | -0.000 | 0.000 |
| 0.000 | 0.000 | 0.000 | -0.000 | 69.801 | 0.000 |
| 0.000 | 0.000 | 0.000 | -0.000 | -0.000 | 69.801 |
| 399.133 | 197.968 | 197.968 | 0.000 | 0.000 | -0.000 |
| 197.968 | 399.133 | 197.968 | 0.000 | 0.000 | -0.000 |
| 197.968 | 197.968 | 399.133 | -0.000 | 0.000 | 0.000 |
| -0.000 | 0.000 | -0.000 | 69.801 | 0.000 | -0.000 |
| -0.000 | -0.000 | -0.000 | 0.000 | 69.801 | -0.000 |
| -0.000 | -0.000 | -0.000 | 0.000 | 0.000 | 69.801 |
| 399.134 | 197.968 | 197.968 | -0.000 | -0.000 | -0.000 |
| 197.968 | 399.134 | 197.968 | -0.000 | -0.000 | 0.000 |
| 197.968 | 197.968 | 399.134 | -0.000 | -0.000 | 0.000 |
| 0.000 | 0.000 | 0.000 | 55.330 | -0.000 | 0.000 |
| 0.000 | 0.000 | 0.000 | -0.000 | 55.330 | 0.000 |
| 0.000 | 0.000 | 0.000 | -0.000 | -0.000 | 55.330 |
| 399.133 | 197.968 | 197.968 | 0.000 | 0.000 | -0.000 |
| 197.968 | 399.133 | 197.968 | 0.000 | 0.000 | 0.000 |
| 197.968 | 197.968 | 399.133 | 0.000 | 0.000 | -0.000 |
| -0.000 | -0.000 | -0.000 | 55.330 | 0.000 | -0.000 |
| -0.000 | -0.000 | -0.000 | 0.000 | 55.330 | -0.000 |
| -0.000 | -0.000 | -0.000 | 0.000 | 0.000 | 55.330 |
| 399.135 | 197.968 | 197.968 | -0.000 | -0.000 | -0.000 |
| 197.968 | 399.135 | 197.968 | -0.000 | -0.000 | 0.000 |
| 197.968 | 197.968 | 399.135 | -0.000 | -0.000 | -0.000 |
| 0.001 | 0.001 | 0.001 | 55.330 | -0.000 | 0.000 |
| 0.001 | 0.001 | 0.001 | -0.000 | 55.330 | 0.000 |
| 0.001 | 0.001 | 0.001 | -0.000 | -0.000 | 55.330 |
| 399.131 | 197.968 | 197.968 | 0.000 | 0.000 | -0.000 |
| 197.968 | 399.131 | 197.968 | 0.000 | 0.000 | 0.000 |
| 197.968 | 197.968 | 399.131 | 0.000 | 0.000 | -0.000 |
| -0.001 | -0.001 | -0.001 | 55.330 | 0.000 | -0.000 |
| -0.001 | -0.001 | -0.001 | 0.000 | 55.330 | -0.000 |
| -0.001 | -0.001 | -0.001 | 0.000 | 0.000 | 55.330 |
| 5.734 | 10.092 | 10.092 | 0.000 | 0.000 | 0.000 |
| 10.092 | 5.734 | 10.092 | 0.000 | 0.000 | 0.000 |
| 10.092 | 10.092 | 5.734 | 0.000 | 0.000 | 0.000 |
| -0.000 | -0.000 | -0.000 | -58.020 | 0.000 | 0.000 |
| -0.000 | -0.000 | -0.000 | 0.000 | -58.020 | -0.000 |
| -0.000 | -0.000 | -0.000 | 0.000 | 0.000 | -58.020 |
| 5.734 | 10.092 | 10.092 | -0.000 | -0.000 | -0.000 |
| 10.092 | 5.734 | 10.092 | -0.000 | -0.000 | 0.000 |
| 10.092 | 10.092 | 5.734 | -0.000 | -0.000 | -0.000 |
| 0.000 | 0.000 | 0.000 | -58.020 | -0.000 | -0.000 |
| 0.000 | 0.000 | 0.000 | -0.000 | -58.020 | -0.000 |
| 0.000 | 0.000 | 0.000 | -0.000 | -0.000 | -58.020 |
| 5.734 | 10.092 | 10.092 | 0.000 | 0.000 | 0.000 |
| 10.092 | 5.734 | 10.092 | 0.000 | 0.000 | 0.000 |
| 10.092 | 10.092 | 5.734 | 0.000 | 0.000 | 0.000 |
| -0.001 | -0.000 | -0.000 | -68.144 | 0.000 | 0.000 |
| -0.000 | -0.001 | -0.000 | 0.000 | -68.144 | 0.000 |
| -0.000 | -0.000 | -0.001 | 0.000 | 0.000 | -68.144 |
| 5.734 | 10.092 | 10.092 | -0.000 | -0.000 | -0.000 |
| 10.092 | 5.734 | 10.092 | -0.000 | -0.000 | -0.000 |
| 10.092 | 10.092 | 5.734 | -0.000 | -0.000 | -0.000 |
| 0.001 | 0.000 | 0.000 | -68.144 | -0.000 | -0.000 |
| 0.000 | 0.001 | 0.000 | -0.000 | -68.144 | -0.000 |
| 0.000 | 0.000 | 0.001 | -0.000 | -0.000 | -68.144 |
| 5.732 | 10.092 | 10.092 | 0.000 | 0.000 | 0.000 |
| 10.092 | 5.732 | 10.092 | 0.000 | 0.000 | 0.000 |
| 10.092 | 10.092 | 5.732 | 0.000 | 0.000 | -0.000 |
| -0.009 | -0.000 | -0.000 | -58.020 | 0.000 | -0.000 |
| -0.000 | -0.009 | -0.000 | 0.000 | -58.020 | -0.000 |
| -0.000 | -0.000 | -0.009 | 0.000 | 0.000 | -58.020 |
| 5.735 | 10.092 | 10.092 | -0.000 | -0.000 | -0.000 |
| 10.092 | 5.735 | 10.092 | -0.000 | -0.000 | -0.000 |
| 10.092 | 10.092 | 5.735 | -0.000 | -0.000 | -0.000 |
| 0.009 | 0.000 | 0.000 | -58.020 | -0.000 | 0.000 |
| 0.000 | 0.009 | 0.000 | -0.000 | -58.020 | -0.000 |
| 0.000 | 0.000 | 0.009 | -0.000 | -0.000 | -58.020 |
| 13.058 | 13.058 | 13.058 | -0.000 | 0.000 | 0.000 |
| 13.058 | 13.058 | 13.058 | 0.000 | -0.000 | 0.000 |
| 13.058 | 13.058 | 13.058 | -0.000 | -0.000 | 0.000 |
| 0.000 | 0.000 | 0.000 | 9.382 | 0.000 | 0.000 |
| 0.000 | 0.000 | 0.000 | 0.000 | 9.382 | 0.000 |
| 0.000 | 0.000 | 0.000 | 0.000 | 0.000 | 9.382 |
| 13.058 | 13.058 | 13.058 | 0.000 | 0.000 | -0.000 |
| 13.058 | 13.058 | 13.058 | 0.000 | 0.000 | -0.000 |
| 13.058 | 13.058 | 13.058 | 0.000 | 0.000 | -0.000 |
| -0.000 | -0.000 | -0.000 | 9.382 | -0.000 | -0.000 |
| -0.000 | -0.000 | -0.000 | -0.000 | 9.382 | -0.000 |
| -0.000 | -0.000 | -0.000 | -0.000 | -0.000 | 9.382 |
| 13.058 | 13.058 | 13.058 | -0.000 | -0.000 | 0.000 |
| 13.058 | 13.058 | 13.058 | -0.000 | -0.000 | 0.000 |
| 13.058 | 13.058 | 13.058 | -0.000 | -0.000 | 0.000 |
| 0.000 | 0.000 | 0.000 | 9.382 | 0.000 | 0.000 |
| 0.000 | 0.000 | 0.000 | 0.000 | 9.382 | 0.000 |
| 0.000 | 0.000 | 0.000 | 0.000 | 0.000 | 9.382 |
| 13.058 | 13.058 | 13.058 | 0.000 | -0.000 | -0.000 |
| 13.058 | 13.058 | 13.058 | -0.000 | 0.000 | -0.000 |
| 13.058 | 13.058 | 13.058 | 0.000 | 0.000 | -0.000 |
| -0.000 | -0.000 | -0.000 | 9.382 | -0.000 | -0.000 |
| -0.000 | -0.000 | -0.000 | -0.000 | 9.382 | -0.000 |
| -0.000 | -0.000 | -0.000 | -0.000 | -0.000 | 9.382 |
| 13.058 | 13.058 | 13.058 | -0.000 | 0.000 | 0.000 |
| 13.058 | 13.058 | 13.058 | 0.000 | -0.000 | 0.000 |
| 13.058 | 13.058 | 13.058 | -0.000 | -0.000 | 0.000 |
| 0.000 | 0.000 | 0.000 | 9.382 | 0.000 | 0.000 |
| 0.000 | 0.000 | 0.000 | 0.000 | 9.382 | 0.000 |
| 0.000 | 0.000 | 0.000 | 0.000 | 0.000 | 9.382 |
| 13.058 | 13.058 | 13.058 | 0.000 | 0.000 | -0.000 |
| 13.058 | 13.058 | 13.058 | -0.000 | 0.000 | -0.000 |
| 13.058 | 13.058 | 13.058 | 0.000 | 0.000 | -0.000 |
| -0.000 | -0.000 | -0.000 | 9.382 | -0.000 | -0.000 |
| -0.000 | -0.000 | -0.000 | -0.000 | 9.382 | -0.000 |
| -0.000 | -0.000 | -0.000 | -0.000 | -0.000 | 9.382 |
| 443.430 | 209.445 | 209.445 | 0.000 | -0.000 | 0.000 |
| 209.445 | 443.430 | 209.445 | 0.000 | -0.000 | -0.000 |
| 209.445 | 209.445 | 443.430 | 0.000 | -0.000 | -0.000 |
| -0.000 | -0.000 | -0.000 | 190.106 | -0.000 | -0.000 |
| -0.000 | -0.000 | -0.000 | -0.000 | 190.106 | -0.000 |
| -0.000 | -0.000 | -0.000 | 0.000 | -0.000 | 190.106 |
| 443.430 | 209.445 | 209.445 | -0.000 | 0.000 | 0.000 |
| 209.445 | 443.430 | 209.445 | 0.000 | 0.000 | 0.000 |
| 209.445 | 209.445 | 443.430 | 0.000 | 0.000 | 0.000 |
| 0.000 | 0.000 | 0.000 | 190.106 | 0.000 | 0.000 |
| 0.000 | 0.000 | 0.000 | -0.000 | 190.106 | 0.000 |
| 0.000 | 0.000 | 0.000 | 0.000 | 0.000 | 190.106 |
| 443.430 | 209.445 | 209.445 | 0.000 | -0.000 | -0.000 |
| 209.445 | 443.430 | 209.445 | 0.000 | -0.000 | 0.000 |
| 209.445 | 209.445 | 443.430 | 0.000 | -0.000 | -0.000 |
| -0.000 | -0.000 | -0.000 | 190.106 | -0.000 | 0.000 |
| -0.000 | -0.000 | -0.000 | 0.000 | 190.106 | -0.000 |
| -0.000 | -0.000 | -0.000 | 0.000 | -0.000 | 190.106 |
| 443.431 | 209.445 | 209.445 | -0.000 | 0.000 | 0.000 |
| 209.445 | 443.431 | 209.445 | -0.000 | -0.000 | 0.000 |
| 209.445 | 209.445 | 443.431 | -0.000 | -0.000 | 0.000 |
| 0.000 | 0.000 | 0.000 | 190.106 | 0.000 | 0.000 |
| 0.000 | 0.000 | 0.000 | -0.000 | 190.106 | 0.000 |
| 0.000 | 0.000 | 0.000 | -0.000 | 0.000 | 190.106 |
| 443.426 | 209.444 | 209.444 | 0.000 | -0.000 | -0.000 |
| 209.444 | 443.426 | 209.444 | 0.000 | -0.000 | -0.000 |
| 209.444 | 209.444 | 443.426 | 0.000 | 0.000 | -0.000 |
| -0.000 | -0.001 | -0.001 | 190.106 | -0.000 | -0.000 |
| -0.001 | -0.000 | -0.001 | 0.000 | 190.106 | -0.000 |
| -0.001 | -0.001 | -0.000 | 0.000 | -0.000 | 190.106 |
| 443.434 | 209.446 | 209.446 | 0.000 | 0.000 | 0.000 |
| 209.446 | 443.434 | 209.446 | -0.000 | 0.000 | 0.000 |
| 209.446 | 209.446 | 443.434 | -0.000 | 0.000 | 0.000 |
| 0.000 | 0.001 | 0.001 | 190.106 | 0.000 | 0.000 |
| 0.001 | 0.000 | 0.001 | -0.000 | 190.106 | 0.000 |
| 0.001 | 0.001 | 0.000 | 0.000 | 0.000 | 190.106 |
| 21.488 | 11.541 | 11.541 | -0.000 | -0.000 | 0.000 |
| 11.541 | 21.488 | 11.541 | -0.000 | -0.000 | -0.000 |
| 11.541 | 11.541 | 21.488 | -0.000 | -0.000 | -0.000 |
| -0.000 | -0.000 | -0.000 | 10.661 | -0.000 | 0.000 |
| -0.000 | -0.000 | -0.000 | -0.000 | 10.661 | -0.000 |
| -0.000 | -0.000 | 0.000 | -0.000 | 0.000 | 10.661 |
| 21.488 | 11.541 | 11.541 | 0.000 | 0.000 | 0.000 |
| 11.541 | 21.488 | 11.541 | 0.000 | 0.000 | -0.000 |
| 11.541 | 11.541 | 21.488 | 0.000 | 0.000 | 0.000 |
| 0.000 | 0.000 | -0.000 | 10.661 | 0.000 | -0.000 |
| 0.000 | 0.000 | -0.000 | -0.000 | 10.661 | 0.000 |
| 0.000 | 0.000 | -0.000 | 0.000 | -0.000 | 10.661 |
| 21.488 | 11.541 | 11.541 | -0.000 | -0.000 | -0.000 |
| 11.541 | 21.488 | 11.541 | -0.000 | 0.000 | -0.000 |
| 11.541 | 11.541 | 21.488 | -0.000 | -0.000 | 0.000 |
| -0.000 | -0.000 | -0.000 | 10.661 | -0.000 | -0.000 |
| -0.000 | -0.000 | -0.000 | -0.000 | 10.661 | -0.000 |
| -0.000 | -0.000 | -0.000 | -0.000 | -0.000 | 10.661 |
| 21.488 | 11.541 | 11.541 | 0.000 | 0.000 | 0.000 |
| 11.541 | 21.488 | 11.541 | -0.000 | 0.000 | -0.000 |
| 11.541 | 11.541 | 21.488 | 0.000 | 0.000 | 0.000 |
| 0.000 | 0.000 | 0.000 | 10.661 | 0.000 | -0.000 |
| 0.000 | 0.000 | 0.000 | 0.000 | 10.661 | -0.000 |
| 0.000 | 0.000 | 0.000 | 0.000 | 0.000 | 10.661 |
| 21.488 | 11.541 | 11.541 | -0.000 | -0.000 | -0.000 |
| 11.541 | 21.488 | 11.541 | -0.000 | -0.000 | 0.000 |
| 11.541 | 11.541 | 21.488 | -0.000 | -0.000 | -0.000 |
| -0.000 | -0.000 | -0.000 | 10.661 | -0.000 | -0.000 |
| -0.000 | -0.000 | -0.000 | 0.000 | 10.661 | -0.000 |
| -0.000 | -0.000 | -0.000 | -0.000 | -0.000 | 10.661 |
| 21.488 | 11.542 | 11.542 | 0.000 | 0.000 | 0.000 |
| 11.542 | 21.488 | 11.542 | 0.000 | 0.000 | 0.000 |
| 11.542 | 11.542 | 21.488 | 0.000 | 0.000 | 0.000 |
| 0.000 | 0.000 | 0.000 | 10.661 | 0.000 | -0.000 |
| 0.000 | 0.000 | 0.000 | -0.000 | 10.661 | 0.000 |
| 0.000 | 0.000 | 0.000 | 0.000 | 0.000 | 10.661 |
| 31.196 | 15.506 | 15.506 | -0.000 | -0.000 | -0.000 |
| 15.506 | 31.196 | 15.506 | 0.000 | -0.000 | 0.000 |
| 15.506 | 15.506 | 31.196 | -0.000 | -0.000 | 0.000 |
| -0.000 | 0.000 | 0.000 | 15.736 | -0.000 | -0.000 |
| 0.000 | -0.000 | 0.000 | -0.000 | 15.736 | 0.000 |
| 0.000 | 0.000 | -0.000 | -0.000 | 0.000 | 15.736 |
| 31.196 | 15.506 | 15.506 | 0.000 | -0.000 | -0.000 |
| 15.506 | 31.196 | 15.506 | -0.000 | 0.000 | 0.000 |
| 15.506 | 15.506 | 31.196 | 0.000 | 0.000 | 0.000 |
| 0.000 | -0.000 | -0.000 | 15.736 | 0.000 | 0.000 |
| -0.000 | 0.000 | -0.000 | 0.000 | 15.736 | -0.000 |
| -0.000 | -0.000 | 0.000 | 0.000 | -0.000 | 15.736 |
| 31.196 | 15.506 | 15.506 | -0.000 | -0.000 | -0.000 |
| 15.506 | 31.196 | 15.506 | -0.000 | -0.000 | -0.000 |
| 15.506 | 15.506 | 31.196 | -0.000 | -0.000 | 0.000 |
| -0.000 | 0.000 | 0.000 | 15.736 | -0.000 | -0.000 |
| 0.000 | -0.000 | 0.000 | -0.000 | 15.736 | 0.000 |
| 0.000 | 0.000 | -0.000 | -0.000 | 0.000 | 15.736 |
| 31.196 | 15.506 | 15.506 | 0.000 | 0.000 | 0.000 |
| 15.506 | 31.196 | 15.506 | 0.000 | 0.000 | 0.000 |
| 15.506 | 15.506 | 31.196 | 0.000 | 0.000 | 0.000 |
| 0.000 | -0.000 | -0.000 | 15.736 | 0.000 | 0.000 |
| -0.000 | 0.000 | -0.000 | 0.000 | 15.736 | -0.000 |
| -0.000 | -0.000 | 0.000 | 0.000 | -0.000 | 15.736 |
| 31.197 | 15.506 | 15.506 | -0.000 | 0.000 | 0.000 |
| 15.506 | 31.197 | 15.506 | -0.000 | -0.000 | -0.000 |
| 15.506 | 15.506 | 31.197 | -0.000 | -0.000 | -0.000 |
| -0.000 | 0.000 | 0.000 | 15.736 | -0.000 | -0.000 |
| 0.000 | -0.000 | 0.000 | -0.000 | 15.736 | 0.000 |
| 0.000 | 0.000 | -0.000 | -0.000 | 0.000 | 15.736 |
| 31.196 | 15.506 | 15.506 | 0.000 | -0.000 | -0.000 |
| 15.506 | 31.196 | 15.506 | 0.000 | 0.000 | 0.000 |
| 15.506 | 15.506 | 31.196 | 0.000 | 0.000 | 0.000 |
| 0.000 | -0.000 | -0.000 | 15.736 | 0.000 | 0.000 |
| -0.000 | 0.000 | -0.000 | 0.000 | 15.736 | 0.000 |
| -0.000 | -0.000 | 0.000 | 0.000 | 0.000 | 15.736 |
| 1252.125 | 294.543 | 294.543 | -0.000 | 0.000 | 0.000 |
| 294.543 | 1252.125 | 294.543 | -0.000 | 0.000 | 0.000 |
| 294.543 | 294.543 | 1252.125 | -0.000 | 0.000 | 0.000 |
| 0.000 | 0.000 | -0.000 | 209.018 | 0.000 | 0.000 |
| -0.000 | 0.000 | -0.000 | -0.000 | 209.018 | 0.000 |
| -0.000 | 0.000 | 0.000 | -0.000 | 0.000 | 209.018 |
| 1252.125 | 294.543 | 294.543 | 0.000 | -0.000 | -0.000 |
| 294.543 | 1252.125 | 294.543 | 0.000 | -0.000 | -0.000 |
| 294.543 | 294.543 | 1252.125 | 0.000 | -0.000 | -0.000 |
| -0.000 | -0.000 | 0.000 | 209.018 | -0.000 | -0.000 |
| 0.000 | -0.000 | 0.000 | 0.000 | 209.018 | -0.000 |
| 0.000 | -0.000 | -0.000 | 0.000 | -0.000 | 209.018 |
| 1252.126 | 294.543 | 294.543 | -0.000 | 0.000 | 0.000 |
| 294.543 | 1252.126 | 294.543 | -0.000 | 0.000 | 0.000 |
| 294.543 | 294.543 | 1252.126 | -0.000 | -0.000 | 0.000 |
| 0.000 | 0.000 | -0.000 | 209.018 | 0.000 | 0.000 |
| 0.000 | 0.000 | -0.000 | -0.000 | 209.018 | 0.000 |
| 0.000 | 0.000 | 0.000 | -0.000 | 0.000 | 209.018 |
| 1252.125 | 294.543 | 294.543 | 0.000 | -0.000 | -0.000 |
| 294.543 | 1252.125 | 294.543 | 0.000 | -0.000 | -0.000 |
| 294.543 | 294.543 | 1252.125 | 0.000 | -0.000 | -0.000 |
| -0.000 | -0.000 | 0.000 | 209.018 | -0.000 | -0.000 |
| -0.000 | -0.000 | 0.000 | 0.000 | 209.018 | -0.000 |
| -0.000 | -0.000 | -0.000 | 0.000 | -0.000 | 209.018 |
| 1252.128 | 294.545 | 294.545 | -0.000 | 0.000 | 0.000 |
| 294.545 | 1252.128 | 294.545 | -0.000 | 0.000 | 0.000 |
| 294.545 | 294.545 | 1252.128 | -0.000 | 0.000 | 0.000 |
| 0.001 | 0.000 | -0.000 | 209.018 | 0.000 | 0.000 |
| 0.000 | 0.001 | -0.000 | -0.000 | 209.018 | 0.000 |
| 0.000 | -0.000 | 0.001 | -0.000 | 0.000 | 209.018 |
| 1252.123 | 294.541 | 294.541 | 0.000 | -0.000 | -0.000 |
| 294.541 | 1252.123 | 294.541 | 0.000 | -0.000 | -0.000 |
| 294.541 | 294.541 | 1252.123 | 0.000 | 0.000 | -0.000 |
| -0.001 | -0.000 | 0.000 | 209.018 | -0.000 | -0.000 |
| -0.000 | -0.001 | 0.000 | 0.000 | 209.018 | -0.000 |
| -0.000 | 0.000 | -0.001 | 0.000 | -0.000 | 209.018 |
| 1293.680 | 445.219 | 445.219 | 0.000 | -0.000 | -0.000 |
| 445.219 | 1293.680 | 445.219 | 0.000 | -0.000 | -0.000 |
| 445.219 | 445.219 | 1293.680 | -0.000 | -0.000 | -0.000 |
| 0.000 | -0.000 | -0.000 | 211.673 | 0.000 | -0.000 |
| -0.000 | 0.000 | -0.000 | -0.000 | 211.673 | -0.000 |
| -0.000 | -0.000 | -0.000 | -0.000 | -0.000 | 211.673 |
| 1293.680 | 445.219 | 445.219 | 0.000 | 0.000 | 0.000 |
| 445.219 | 1293.680 | 445.219 | -0.000 | 0.000 | 0.000 |
| 445.219 | 445.219 | 1293.680 | -0.000 | -0.000 | 0.000 |
| -0.000 | 0.000 | 0.000 | 211.673 | 0.000 | 0.000 |
| 0.000 | -0.000 | 0.000 | -0.000 | 211.673 | 0.000 |
| 0.000 | 0.000 | 0.000 | 0.000 | 0.000 | 211.673 |
| 1293.678 | 445.219 | 445.219 | 0.000 | -0.000 | -0.000 |
| 445.219 | 1293.678 | 445.219 | -0.000 | -0.000 | -0.000 |
| 445.219 | 445.219 | 1293.678 | -0.000 | 0.000 | -0.000 |
| 0.000 | -0.000 | -0.000 | 211.673 | -0.000 | -0.000 |
| -0.000 | 0.000 | -0.000 | -0.000 | 211.673 | -0.000 |
| -0.000 | -0.000 | 0.000 | -0.000 | -0.000 | 211.673 |
| 1293.682 | 445.219 | 445.219 | -0.000 | 0.000 | 0.000 |
| 445.219 | 1293.682 | 445.219 | 0.000 | 0.000 | 0.000 |
| 445.219 | 445.219 | 1293.682 | 0.000 | -0.000 | 0.000 |
| -0.000 | 0.000 | 0.000 | 211.673 | 0.000 | 0.000 |
| 0.000 | -0.000 | 0.000 | -0.000 | 211.673 | 0.000 |
| 0.000 | 0.000 | -0.000 | 0.000 | 0.000 | 211.673 |
| 1293.663 | 445.220 | 445.220 | 0.000 | 0.000 | -0.000 |
| 445.220 | 1293.663 | 445.220 | 0.000 | -0.000 | -0.000 |
| 445.220 | 445.220 | 1293.663 | -0.000 | -0.000 | -0.000 |
| 0.000 | -0.004 | -0.004 | 211.673 | 0.000 | -0.000 |
| -0.004 | 0.000 | -0.004 | 0.000 | 211.673 | -0.000 |
| -0.004 | -0.004 | 0.000 | -0.000 | -0.000 | 211.673 |
| 1293.697 | 445.219 | 445.219 | 0.000 | -0.000 | 0.000 |
| 445.219 | 1293.697 | 445.219 | 0.000 | 0.000 | 0.000 |
| 445.219 | 445.219 | 1293.697 | -0.000 | 0.000 | 0.000 |
| -0.000 | 0.004 | 0.004 | 211.673 | -0.000 | 0.000 |
| 0.004 | -0.000 | 0.004 | -0.000 | 211.673 | 0.000 |
| 0.004 | 0.004 | -0.000 | -0.000 | 0.000 | 211.673 |
| 670.922 | 244.197 | 244.197 | 0.000 | 0.000 | 0.000 |
| 244.197 | 670.922 | 244.197 | 0.000 | 0.000 | 0.000 |
| 244.197 | 244.197 | 670.922 | -0.000 | 0.000 | 0.000 |
| 0.000 | -0.000 | 0.000 | 245.136 | 0.000 | 0.000 |
| 0.000 | 0.000 | 0.000 | 0.000 | 245.136 | 0.000 |
| 0.000 | 0.000 | 0.000 | 0.000 | 0.000 | 245.136 |
| 670.922 | 244.197 | 244.196 | -0.000 | -0.000 | -0.000 |
| 244.197 | 670.922 | 244.196 | -0.000 | -0.000 | -0.000 |
| 244.197 | 244.197 | 670.922 | -0.000 | -0.000 | -0.000 |
| -0.000 | 0.000 | -0.000 | 245.136 | -0.000 | -0.000 |
| 0.000 | -0.000 | -0.000 | -0.000 | 245.136 | -0.000 |
| -0.000 | -0.000 | -0.000 | -0.000 | -0.000 | 245.136 |
| 670.922 | 244.197 | 244.197 | 0.000 | 0.000 | 0.000 |
| 244.197 | 670.922 | 244.197 | 0.000 | 0.000 | 0.000 |
| 244.197 | 244.197 | 670.922 | 0.000 | 0.000 | 0.000 |
| 0.000 | -0.000 | 0.000 | 245.136 | 0.000 | 0.000 |
| 0.000 | 0.000 | 0.000 | 0.000 | 245.136 | 0.000 |
| 0.000 | 0.000 | 0.000 | 0.000 | 0.000 | 245.136 |
| 670.923 | 244.196 | 244.196 | -0.000 | -0.000 | -0.000 |
| 244.196 | 670.923 | 244.196 | -0.000 | -0.000 | -0.000 |
| 244.196 | 244.196 | 670.923 | 0.000 | -0.000 | -0.000 |
| -0.000 | 0.000 | -0.000 | 245.136 | -0.000 | -0.000 |
| -0.000 | -0.000 | -0.000 | -0.000 | 245.136 | -0.000 |
| 0.000 | -0.000 | -0.000 | 0.000 | -0.000 | 245.136 |
| 670.917 | 244.198 | 244.198 | 0.000 | 0.000 | 0.000 |
| 244.198 | 670.917 | 244.198 | 0.000 | -0.000 | 0.000 |
| 244.198 | 244.198 | 670.917 | 0.000 | 0.000 | 0.000 |
| 0.000 | -0.000 | 0.000 | 245.136 | 0.000 | 0.000 |
| -0.000 | 0.000 | 0.000 | 0.000 | 245.136 | 0.000 |
| -0.000 | 0.000 | 0.000 | 0.000 | 0.000 | 245.136 |
| 670.928 | 244.195 | 244.195 | -0.000 | -0.000 | -0.000 |
| 244.195 | 670.928 | 244.195 | -0.000 | -0.000 | -0.000 |
| 244.195 | 244.195 | 670.928 | -0.000 | -0.000 | -0.000 |
| -0.000 | 0.000 | -0.000 | 245.136 | -0.000 | -0.000 |
| 0.000 | -0.000 | -0.000 | -0.000 | 245.136 | -0.000 |
| 0.000 | -0.000 | -0.000 | -0.000 | -0.000 | 245.136 |
| 106.328 | -0.012 | -0.012 | -0.000 | -0.000 | -0.000 |
| -0.012 | 106.328 | -0.012 | -0.000 | -0.000 | 0.000 |
| -0.012 | -0.012 | 106.328 | 0.000 | 0.000 | -0.000 |
| 0.000 | 0.000 | -0.000 | -0.000 | -0.000 | 0.000 |
| 0.000 | 0.000 | -0.000 | 0.000 | -0.000 | 0.000 |
| 0.000 | -0.000 | 0.000 | 0.000 | -0.000 | -0.000 |
| 106.328 | -0.012 | -0.012 | -0.000 | -0.000 | 0.000 |
| -0.012 | 106.328 | -0.012 | -0.000 | 0.000 | -0.000 |
| -0.012 | -0.012 | 106.328 | -0.000 | -0.000 | 0.000 |
| -0.000 | 0.000 | 0.000 | -0.000 | 0.000 | -0.000 |
| 0.000 | -0.000 | 0.000 | -0.000 | -0.000 | -0.000 |
| 0.000 | 0.000 | -0.000 | -0.000 | 0.000 | -0.000 |
| 106.328 | -0.012 | -0.012 | -0.000 | 0.000 | 0.000 |
| -0.012 | 106.328 | -0.012 | -0.000 | -0.000 | 0.000 |
| -0.012 | -0.012 | 106.328 | 0.000 | 0.000 | -0.000 |
| 0.000 | -0.000 | -0.000 | 0.000 | -0.000 | -0.000 |
| -0.000 | 0.000 | -0.000 | -0.000 | 0.000 | 0.000 |
| -0.000 | -0.000 | 0.000 | 0.000 | 0.000 | 0.000 |
| 106.329 | -0.012 | -0.012 | -0.000 | 0.000 | -0.000 |
| -0.012 | 106.329 | -0.012 | 0.000 | 0.000 | 0.000 |
| -0.012 | -0.012 | 106.329 | -0.000 | -0.000 | 0.000 |
| -0.000 | -0.000 | 0.000 | 0.000 | -0.000 | -0.000 |
| -0.000 | -0.000 | 0.000 | 0.000 | 0.000 | -0.000 |
| -0.000 | 0.000 | -0.000 | -0.000 | 0.000 | 0.000 |
| 106.325 | -0.012 | -0.012 | -0.000 | -0.000 | -0.000 |
| -0.012 | 106.325 | -0.012 | -0.000 | -0.000 | -0.000 |
| -0.012 | -0.012 | 106.325 | 0.000 | 0.000 | -0.000 |
| 0.000 | 0.000 | -0.000 | 0.000 | 0.000 | -0.000 |
| 0.000 | 0.000 | -0.000 | 0.000 | 0.000 | 0.000 |
| 0.000 | -0.000 | 0.000 | -0.000 | -0.000 | 0.000 |
| 106.332 | -0.012 | -0.012 | -0.000 | 0.000 | -0.000 |
| -0.012 | 106.332 | -0.012 | -0.000 | -0.000 | 0.000 |
| -0.012 | -0.012 | 106.332 | -0.000 | -0.000 | -0.000 |
| -0.000 | -0.000 | 0.000 | 0.000 | 0.000 | 0.000 |
| -0.000 | -0.000 | 0.000 | 0.000 | 0.000 | -0.000 |
| -0.000 | 0.000 | -0.000 | -0.000 | -0.000 | 0.000 |
| 24.582 | -1.971 | -1.971 | -0.000 | 0.000 | -0.000 |
| -1.971 | 24.582 | -1.971 | -0.000 | -0.000 | -0.000 |
| -1.971 | -1.971 | 24.582 | 0.000 | 0.000 | -0.000 |
| 0.000 | -0.000 | 0.000 | 0.000 | 0.000 | 0.000 |
| -0.000 | 0.000 | 0.000 | -0.000 | 0.000 | 0.000 |
| -0.000 | 0.000 | 0.000 | -0.000 | 0.000 | 0.000 |
| 24.582 | -1.971 | -1.971 | -0.000 | -0.000 | -0.000 |
| -1.971 | 24.582 | -1.971 | -0.000 | 0.000 | 0.000 |
| -1.971 | -1.971 | 24.582 | -0.000 | -0.000 | -0.000 |
| -0.000 | 0.000 | -0.000 | 0.000 | -0.000 | -0.000 |
| 0.000 | -0.000 | -0.000 | 0.000 | 0.000 | 0.000 |
| 0.000 | -0.000 | -0.000 | 0.000 | -0.000 | 0.000 |
| 24.582 | -1.971 | -1.971 | 0.000 | 0.000 | 0.000 |
| -1.971 | 24.582 | -1.971 | 0.000 | -0.000 | -0.000 |
| -1.971 | -1.971 | 24.582 | 0.000 | 0.000 | -0.000 |
| 0.000 | 0.000 | -0.000 | 0.000 | -0.000 | -0.000 |
| 0.000 | 0.000 | -0.000 | -0.000 | 0.000 | -0.000 |
| 0.000 | -0.000 | 0.000 | -0.000 | -0.000 | 0.000 |
| 24.582 | -1.971 | -1.971 | -0.000 | -0.000 | -0.000 |
| -1.971 | 24.582 | -1.971 | -0.000 | -0.000 | -0.000 |
| -1.971 | -1.971 | 24.582 | -0.000 | -0.000 | 0.000 |
| -0.000 | -0.000 | 0.000 | 0.000 | 0.000 | -0.000 |
| -0.000 | -0.000 | 0.000 | 0.000 | 0.000 | -0.000 |
| -0.000 | 0.000 | -0.000 | 0.000 | -0.000 | 0.000 |
| 24.582 | -1.971 | -1.971 | 0.000 | -0.000 | -0.000 |
| -1.971 | 24.582 | -1.971 | -0.000 | -0.000 | -0.000 |
| -1.971 | -1.971 | 24.582 | 0.000 | 0.000 | -0.000 |
| 0.000 | 0.000 | -0.000 | 0.000 | -0.000 | 0.000 |
| 0.000 | 0.000 | -0.000 | -0.000 | 0.000 | -0.000 |
| 0.000 | -0.000 | 0.000 | -0.000 | 0.000 | 0.000 |
| 24.582 | -1.971 | -1.971 | -0.000 | 0.000 | -0.000 |
| -1.971 | 24.582 | -1.971 | 0.000 | 0.000 | -0.000 |
| -1.971 | -1.971 | 24.582 | -0.000 | -0.000 | -0.000 |
| -0.000 | -0.000 | 0.000 | 0.000 | -0.000 | -0.000 |
| -0.000 | -0.000 | 0.000 | 0.000 | 0.000 | 0.000 |
| -0.000 | 0.000 | -0.000 | 0.000 | -0.000 | 0.000 |
| 394.677 | 291.068 | 291.068 | 0.000 | -0.000 | 0.000 |
| 291.068 | 394.677 | 291.068 | 0.000 | -0.000 | 0.000 |
| 291.068 | 291.068 | 394.677 | 0.000 | 0.000 | 0.000 |
| 0.000 | 0.000 | 0.000 | 47.294 | 0.000 | 0.000 |
| 0.000 | 0.000 | 0.000 | 0.000 | 47.294 | 0.000 |
| 0.000 | 0.000 | 0.000 | 0.000 | -0.000 | 47.294 |
| 394.677 | 291.068 | 291.068 | 0.000 | -0.000 | -0.000 |
| 291.068 | 394.677 | 291.068 | -0.000 | -0.000 | -0.000 |
| 291.068 | 291.068 | 394.677 | -0.000 | -0.000 | -0.000 |
| -0.000 | -0.000 | -0.000 | 47.294 | -0.000 | -0.000 |
| -0.000 | -0.000 | -0.000 | -0.000 | 47.294 | -0.000 |
| -0.000 | -0.000 | -0.000 | 0.000 | -0.000 | 47.294 |
| 394.678 | 291.068 | 291.068 | 0.000 | 0.000 | 0.000 |
| 291.068 | 394.678 | 291.068 | 0.000 | 0.000 | 0.000 |
| 291.068 | 291.068 | 394.678 | 0.000 | 0.000 | 0.000 |
| 0.000 | -0.000 | -0.000 | 47.294 | 0.000 | 0.000 |
| -0.000 | 0.000 | -0.000 | 0.000 | 47.294 | 0.000 |
| -0.000 | -0.000 | 0.000 | 0.000 | -0.000 | 47.294 |
| 394.677 | 291.068 | 291.068 | -0.000 | 0.000 | -0.000 |
| 291.068 | 394.677 | 291.068 | 0.000 | -0.000 | -0.000 |
| 291.068 | 291.068 | 394.677 | -0.000 | 0.000 | 0.000 |
| -0.000 | 0.000 | 0.000 | 47.294 | -0.000 | -0.000 |
| 0.000 | -0.000 | 0.000 | -0.000 | 47.294 | -0.000 |
| 0.000 | 0.000 | -0.000 | -0.000 | -0.000 | 47.294 |
| 394.679 | 291.068 | 291.068 | -0.000 | 0.000 | -0.000 |
| 291.068 | 394.679 | 291.068 | -0.000 | 0.000 | 0.000 |
| 291.068 | 291.068 | 394.679 | 0.000 | 0.000 | 0.000 |
| 0.000 | -0.000 | -0.000 | 47.294 | 0.000 | -0.000 |
| -0.000 | 0.000 | -0.000 | 0.000 | 47.294 | 0.000 |
| -0.000 | -0.000 | 0.000 | -0.000 | 0.000 | 47.294 |
| 394.675 | 291.068 | 291.068 | -0.000 | -0.000 | 0.000 |
| 291.068 | 394.675 | 291.068 | -0.000 | -0.000 | -0.000 |
| 291.068 | 291.068 | 394.675 | -0.000 | -0.000 | -0.000 |
| -0.000 | 0.000 | 0.000 | 47.294 | -0.000 | -0.000 |
| 0.000 | -0.000 | 0.000 | -0.000 | 47.294 | -0.000 |
| 0.000 | 0.000 | -0.000 | -0.000 | -0.000 | 47.294 |
| 38.293 | 47.101 | 47.101 | 0.000 | 0.000 | -0.000 |
| 47.101 | 38.293 | 47.101 | 0.000 | 0.000 | -0.000 |
| 47.101 | 47.101 | 38.293 | 0.000 | 0.000 | -0.000 |
| -0.000 | -0.000 | -0.000 | 42.399 | 0.000 | -0.000 |
| -0.000 | -0.000 | -0.000 | 0.000 | 42.399 | -0.000 |
| -0.000 | -0.000 | -0.000 | 0.000 | 0.000 | 42.399 |
| 38.293 | 47.101 | 47.101 | -0.000 | -0.000 | 0.000 |
| 47.101 | 38.293 | 47.101 | 0.000 | 0.000 | 0.000 |
| 47.101 | 47.101 | 38.293 | -0.000 | -0.000 | 0.000 |
| 0.000 | 0.000 | 0.000 | 42.399 | -0.000 | 0.000 |
| 0.000 | 0.000 | 0.000 | -0.000 | 42.399 | 0.000 |
| 0.000 | 0.000 | 0.000 | -0.000 | -0.000 | 42.399 |
| 38.293 | 47.101 | 47.101 | 0.000 | 0.000 | -0.000 |
| 47.101 | 38.293 | 47.101 | 0.000 | 0.000 | -0.000 |
| 47.101 | 47.101 | 38.293 | 0.000 | 0.000 | -0.000 |
| -0.000 | -0.000 | -0.000 | 42.399 | 0.000 | -0.000 |
| -0.000 | -0.000 | -0.000 | 0.000 | 42.399 | -0.000 |
| -0.000 | -0.000 | -0.000 | 0.000 | 0.000 | 42.399 |
| 38.294 | 47.101 | 47.101 | -0.000 | -0.000 | 0.000 |
| 47.101 | 38.294 | 47.101 | -0.000 | -0.000 | 0.000 |
| 47.101 | 47.101 | 38.294 | -0.000 | -0.000 | 0.000 |
| 0.000 | 0.000 | 0.000 | 42.399 | -0.000 | 0.000 |
| 0.000 | 0.000 | 0.000 | -0.000 | 42.399 | 0.000 |
| 0.000 | 0.000 | 0.000 | -0.000 | -0.000 | 42.399 |
| 38.288 | 47.100 | 47.100 | 0.000 | 0.000 | -0.000 |
| 47.100 | 38.288 | 47.100 | 0.000 | 0.000 | -0.000 |
| 47.100 | 47.100 | 38.288 | -0.000 | -0.000 | -0.000 |
| -0.001 | -0.001 | -0.001 | 42.399 | 0.000 | 0.000 |
| -0.001 | -0.001 | -0.001 | 0.000 | 42.399 | -0.000 |
| -0.001 | -0.001 | -0.001 | 0.000 | 0.000 | 42.399 |
| 38.299 | 47.101 | 47.101 | -0.000 | -0.000 | 0.000 |
| 47.101 | 38.299 | 47.101 | -0.000 | -0.000 | 0.000 |
| 47.101 | 47.101 | 38.299 | -0.000 | -0.000 | 0.000 |
| 0.001 | 0.001 | 0.001 | 42.399 | -0.000 | 0.000 |
| 0.001 | 0.001 | 0.001 | -0.000 | 42.399 | 0.000 |
| 0.001 | 0.001 | 0.001 | -0.000 | -0.000 | 42.399 |
| 193.999 | 96.119 | 96.119 | -0.000 | 0.000 | -0.000 |
| 96.119 | 193.999 | 96.119 | 0.000 | 0.000 | -0.000 |
| 96.119 | 96.119 | 193.999 | -0.000 | -0.000 | -0.000 |
| 0.000 | 0.000 | 0.000 | 101.246 | -0.000 | -0.000 |
| 0.000 | 0.000 | 0.000 | -0.000 | 101.246 | -0.000 |
| 0.000 | 0.000 | 0.000 | 0.000 | 0.000 | 101.246 |
| 193.999 | 96.119 | 96.119 | 0.000 | -0.000 | 0.000 |
| 96.119 | 193.999 | 96.119 | 0.000 | 0.000 | 0.000 |
| 96.119 | 96.119 | 193.999 | 0.000 | 0.000 | 0.000 |
| -0.000 | -0.000 | -0.000 | 101.246 | 0.000 | 0.000 |
| -0.000 | -0.000 | -0.000 | 0.000 | 101.246 | 0.000 |
| -0.000 | -0.000 | -0.000 | 0.000 | 0.000 | 101.246 |
| 193.999 | 96.119 | 96.119 | -0.000 | 0.000 | -0.000 |
| 96.119 | 193.999 | 96.119 | -0.000 | -0.000 | -0.000 |
| 96.119 | 96.119 | 193.999 | -0.000 | -0.000 | -0.000 |
| 0.000 | 0.000 | 0.000 | 101.246 | -0.000 | -0.000 |
| 0.000 | 0.000 | 0.000 | -0.000 | 101.246 | -0.000 |
| 0.000 | 0.000 | 0.000 | -0.000 | -0.000 | 101.246 |
| 193.999 | 96.119 | 96.119 | 0.000 | 0.000 | 0.000 |
| 96.119 | 193.999 | 96.119 | 0.000 | 0.000 | 0.000 |
| 96.119 | 96.119 | 193.999 | 0.000 | 0.000 | 0.000 |
| -0.000 | -0.000 | -0.000 | 101.246 | 0.000 | 0.000 |
| -0.000 | -0.000 | -0.000 | 0.000 | 101.246 | 0.000 |
| -0.000 | -0.000 | -0.000 | 0.000 | -0.000 | 101.246 |
| 193.998 | 96.119 | 96.119 | -0.000 | -0.000 | -0.000 |
| 96.119 | 193.998 | 96.119 | -0.000 | 0.000 | -0.000 |
| 96.119 | 96.119 | 193.998 | -0.000 | 0.000 | -0.000 |
| 0.001 | 0.001 | 0.001 | 101.246 | -0.000 | -0.000 |
| 0.001 | 0.001 | 0.001 | -0.000 | 101.246 | -0.000 |
| 0.001 | 0.001 | 0.001 | -0.000 | 0.000 | 101.246 |
| 194.000 | 96.118 | 96.118 | 0.000 | 0.000 | 0.000 |
| 96.118 | 194.000 | 96.118 | 0.000 | -0.000 | 0.000 |
| 96.118 | 96.118 | 194.000 | 0.000 | 0.000 | 0.000 |
| -0.001 | -0.001 | -0.001 | 101.246 | 0.000 | 0.000 |
| -0.001 | -0.001 | -0.001 | 0.000 | 101.246 | 0.000 |
| -0.001 | -0.001 | -0.001 | 0.000 | -0.000 | 101.246 |
| 35.294 | 35.294 | 35.294 | 0.000 | 0.000 | -0.000 |
| 35.294 | 35.294 | 35.294 | 0.000 | 0.000 | -0.000 |
| 35.294 | 35.294 | 35.294 | 0.000 | 0.000 | -0.000 |
| -0.000 | -0.000 | -0.000 | 36.120 | 0.000 | 0.000 |
| -0.000 | -0.000 | -0.000 | 0.000 | 36.120 | 0.000 |
| -0.000 | -0.000 | -0.000 | 0.000 | 0.000 | 36.120 |
| 35.294 | 35.294 | 35.294 | -0.000 | -0.000 | 0.000 |
| 35.294 | 35.294 | 35.294 | -0.000 | -0.000 | 0.000 |
| 35.294 | 35.294 | 35.294 | -0.000 | -0.000 | -0.000 |
| 0.000 | 0.000 | 0.000 | 36.120 | -0.000 | -0.000 |
| 0.000 | 0.000 | 0.000 | -0.000 | 36.120 | -0.000 |
| 0.000 | 0.000 | 0.000 | -0.000 | -0.000 | 36.120 |
| 35.294 | 35.294 | 35.294 | 0.000 | 0.000 | -0.000 |
| 35.294 | 35.294 | 35.294 | 0.000 | 0.000 | -0.000 |
| 35.294 | 35.294 | 35.294 | 0.000 | 0.000 | 0.000 |
| -0.000 | -0.000 | -0.000 | 36.120 | 0.000 | -0.000 |
| -0.000 | -0.000 | -0.000 | 0.000 | 36.120 | -0.000 |
| -0.000 | -0.000 | -0.000 | 0.000 | 0.000 | 36.120 |
| 35.294 | 35.294 | 35.294 | -0.000 | -0.000 | -0.000 |
| 35.294 | 35.294 | 35.294 | -0.000 | -0.000 | -0.000 |
| 35.294 | 35.294 | 35.294 | -0.000 | -0.000 | -0.000 |
| 0.000 | 0.000 | 0.000 | 36.120 | -0.000 | -0.000 |
| 0.000 | 0.000 | 0.000 | -0.000 | 36.120 | 0.000 |
| 0.000 | 0.000 | 0.000 | -0.000 | -0.000 | 36.120 |
| 35.294 | 35.294 | 35.294 | 0.000 | 0.000 | 0.000 |
| 35.294 | 35.294 | 35.294 | 0.000 | 0.000 | 0.000 |
| 35.294 | 35.294 | 35.294 | 0.000 | 0.000 | -0.000 |
| -0.000 | -0.000 | -0.000 | 36.120 | 0.000 | 0.000 |
| -0.000 | -0.000 | -0.000 | 0.000 | 36.120 | 0.000 |
| -0.000 | -0.000 | -0.000 | 0.000 | 0.000 | 36.120 |
| 35.295 | 35.294 | 35.294 | -0.000 | -0.000 | 0.000 |
| 35.294 | 35.295 | 35.294 | -0.000 | -0.000 | 0.000 |
| 35.294 | 35.294 | 35.295 | -0.000 | -0.000 | -0.000 |
| 0.000 | 0.000 | 0.000 | 36.120 | -0.000 | -0.000 |
| 0.000 | 0.000 | 0.000 | -0.000 | 36.120 | -0.000 |
| 0.000 | 0.000 | 0.000 | -0.000 | -0.000 | 36.120 |
| 125.129 | 218.850 | 218.850 | -0.000 | 0.000 | -0.000 |
| 218.850 | 125.129 | 218.850 | -0.000 | 0.000 | -0.000 |
| 218.850 | 218.850 | 125.129 | -0.000 | 0.000 | -0.000 |
| -0.000 | 0.000 | 0.000 | -161.642 | 0.000 | -0.000 |
| 0.000 | 0.000 | 0.000 | -0.000 | -161.642 | -0.000 |
| 0.000 | 0.000 | 0.000 | -0.000 | 0.000 | -161.642 |
| 125.129 | 218.850 | 218.850 | 0.000 | -0.000 | 0.000 |
| 218.850 | 125.129 | 218.850 | 0.000 | -0.000 | 0.000 |
| 218.850 | 218.850 | 125.129 | 0.000 | -0.000 | 0.000 |
| -0.000 | -0.000 | -0.000 | -161.642 | 0.000 | 0.000 |
| -0.000 | -0.000 | -0.000 | 0.000 | -161.642 | 0.000 |
| -0.000 | -0.000 | -0.000 | 0.000 | -0.000 | -161.642 |
| 125.129 | 218.850 | 218.850 | -0.000 | 0.000 | 0.000 |
| 218.850 | 125.129 | 218.850 | -0.000 | 0.000 | -0.000 |
| 218.850 | 218.850 | 125.129 | -0.000 | 0.000 | -0.000 |
| 0.000 | 0.000 | 0.000 | -161.642 | 0.000 | -0.000 |
| 0.000 | 0.000 | 0.000 | -0.000 | -161.642 | -0.000 |
| 0.000 | 0.000 | 0.000 | -0.000 | 0.000 | -161.642 |
| 125.129 | 218.850 | 218.850 | 0.000 | -0.000 | 0.000 |
| 218.850 | 125.129 | 218.850 | -0.000 | -0.000 | 0.000 |
| 218.850 | 218.850 | 125.129 | 0.000 | 0.000 | 0.000 |
| -0.000 | -0.000 | -0.000 | -161.642 | -0.000 | -0.000 |
| -0.000 | -0.000 | -0.000 | 0.000 | -161.642 | 0.000 |
| -0.000 | -0.000 | -0.000 | 0.000 | -0.000 | -161.642 |
| 125.131 | 218.851 | 218.851 | -0.000 | 0.000 | -0.000 |
| 218.851 | 125.131 | 218.851 | -0.000 | 0.000 | -0.000 |
| 218.851 | 218.851 | 125.131 | -0.000 | 0.000 | -0.000 |
| 0.001 | 0.001 | 0.000 | -161.642 | 0.000 | -0.000 |
| 0.001 | 0.001 | 0.000 | -0.000 | -161.642 | -0.000 |
| 0.001 | 0.000 | 0.001 | -0.000 | 0.000 | -161.642 |
| 125.128 | 218.849 | 218.849 | 0.000 | 0.000 | 0.000 |
| 218.849 | 125.128 | 218.849 | 0.000 | -0.000 | 0.000 |
| 218.849 | 218.849 | 125.128 | 0.000 | 0.000 | 0.000 |
| -0.001 | -0.001 | -0.000 | -161.642 | -0.000 | 0.000 |
| -0.001 | -0.001 | -0.000 | 0.000 | -161.642 | 0.000 |
| -0.001 | -0.000 | -0.001 | 0.000 | -0.000 | -161.642 |
| 98.004 | 33.451 | 33.451 | 0.000 | 0.000 | 0.000 |
| 33.451 | 98.004 | 33.451 | 0.000 | 0.000 | 0.000 |
| 33.451 | 33.451 | 98.004 | 0.000 | 0.000 | 0.000 |
| 11163937.667 | 11474677.703 | 1660307.802 | -34984423.299 | -1759012.686 | -7605766.311 |
| 11839746.064 | 15354712.948 | 10368620.943 | -216963.783 | -37756116.589 | -4829071.327 |
| 13396029.898 | 8315217.348 | 12050007.570 | 99674.036 | -4272269.087 | -35262427.669 |
| 98.004 | 33.451 | 33.451 | 0.000 | 0.000 | 0.000 |
| 33.451 | 98.004 | 33.451 | 0.000 | 0.000 | 0.000 |
| 33.451 | 33.451 | 98.004 | 0.000 | 0.000 | 0.000 |
| 2175841.385 | 598244.748 | 12802308.322 | -26515673.089 | 6340481.033 | -3625779.230 |
| 2121563.375 | 5857363.960 | 10666404.804 | 2791922.555 | -26636353.977 | -895128.961 |
| -1715391.231 | 37729.591 | -5198144.418 | 3863427.779 | 448742.725 | -24396731.904 |
| 98.004 | 33.451 | 33.451 | -0.000 | -0.000 | -0.000 |
| 33.451 | 98.004 | 33.451 | -0.000 | -0.000 | -0.000 |
| 33.451 | 33.451 | 98.004 | -0.000 | -0.000 | -0.000 |
| 2557396.586 | 2330638.328 | 3004713.092 | -3846325.748 | -77570.119 | 273041.861 |
| 3896089.326 | 4025148.703 | 4306363.022 | -257213.808 | -3726183.514 | 279823.136 |
| 3838465.657 | 3895768.224 | 4002872.914 | 81416.211 | 210952.138 | -4244270.035 |
| 98.004 | 33.451 | 33.451 | 0.000 | 0.000 | 0.000 |
| 33.451 | 98.004 | 33.451 | 0.000 | 0.000 | 0.000 |
| 33.451 | 33.451 | 98.004 | 0.000 | 0.000 | 0.000 |
| -1425876.479 | -1439461.137 | -2114956.357 | -3445976.100 | -65924.898 | 528994.257 |
| -628252.886 | -886157.275 | -1159728.560 | -39865.636 | -3235065.813 | 293006.992 |
| -927024.284 | -1636333.284 | -1533986.309 | -27795.591 | 397716.774 | -3186944.714 |
| 98.003 | 33.451 | 33.451 | -0.000 | -0.000 | -0.000 |
| 33.451 | 98.003 | 33.451 | -0.000 | -0.000 | -0.000 |
| 33.451 | 33.451 | 98.003 | -0.000 | -0.000 | 0.000 |
| 160253.121 | 141744.302 | 130475.599 | -374508.856 | 45634.149 | 96870.087 |
| 167159.934 | 162861.660 | 109996.931 | 341.292 | -350929.487 | 111904.274 |
| -179186.522 | -179190.345 | 460851.168 | 0.000 | 0.000 | -1911786.912 |
| 98.006 | 33.452 | 33.452 | 0.000 | 0.000 | 0.000 |
| 33.452 | 98.006 | 33.452 | 0.000 | -0.000 | 0.000 |
| 33.452 | 33.452 | 98.006 | 0.000 | 0.000 | -0.000 |
| -460851.168 | 179186.522 | 179190.345 | -1911786.912 | -0.000 | 0.000 |
| 84150.886 | 18785.097 | 102227.198 | 49891.470 | -323150.054 | 35519.025 |
| 179186.522 | 179190.345 | -460851.168 | -0.000 | 0.000 | -1911786.912 |
| 20.871 | 20.871 | 20.871 | -0.000 | -0.000 | -0.000 |
| 20.871 | 20.871 | 20.871 | -0.000 | -0.000 | -0.000 |
| 20.871 | 20.871 | 20.871 | -0.000 | -0.000 | -0.000 |
| -0.000 | -0.000 | -0.000 | -0.000 | -0.000 | -0.000 |
| -0.000 | -0.000 | -0.000 | -0.000 | -0.000 | -0.000 |
| -0.000 | -0.000 | -0.000 | -0.000 | -0.000 | -0.000 |
| 20.871 | 20.871 | 20.871 | 0.000 | 0.000 | 0.000 |
| 20.871 | 20.871 | 20.871 | 0.000 | 0.000 | 0.000 |
| 20.871 | 20.871 | 20.871 | 0.000 | 0.000 | 0.000 |
| 0.000 | 0.000 | 0.000 | 0.000 | 0.000 | 0.000 |
| 0.000 | 0.000 | 0.000 | 0.000 | 0.000 | 0.000 |
| 0.000 | 0.000 | 0.000 | 0.000 | 0.000 | 0.000 |
| 20.871 | 20.871 | 20.871 | -0.000 | -0.000 | -0.000 |
| 20.871 | 20.871 | 20.871 | -0.000 | -0.000 | -0.000 |
| 20.871 | 20.871 | 20.871 | -0.000 | -0.000 | -0.000 |
| -0.000 | -0.000 | -0.000 | -0.000 | -0.000 | -0.000 |
| -0.000 | -0.000 | -0.000 | -0.000 | -0.000 | -0.000 |
| -0.000 | -0.000 | -0.000 | -0.000 | -0.000 | -0.000 |
| 20.871 | 20.871 | 20.871 | 0.000 | 0.000 | 0.000 |
| 20.871 | 20.871 | 20.871 | 0.000 | 0.000 | 0.000 |
| 20.871 | 20.871 | 20.871 | 0.000 | 0.000 | 0.000 |
| 0.000 | 0.000 | 0.000 | 0.000 | 0.000 | 0.000 |
| 0.000 | 0.000 | 0.000 | 0.000 | 0.000 | 0.000 |
| 0.000 | 0.000 | 0.000 | 0.000 | 0.000 | 0.000 |
| 20.871 | 20.871 | 20.871 | -0.000 | -0.000 | -0.000 |
| 20.871 | 20.871 | 20.871 | -0.000 | -0.000 | -0.000 |
| 20.871 | 20.871 | 20.871 | -0.000 | -0.000 | -0.000 |
| -0.000 | -0.000 | -0.000 | -0.000 | -0.000 | -0.000 |
| -0.000 | -0.000 | -0.000 | -0.000 | -0.000 | -0.000 |
| -0.000 | -0.000 | -0.000 | -0.000 | -0.000 | -0.000 |
| 20.871 | 20.871 | 20.871 | 0.000 | 0.000 | 0.000 |
| 20.871 | 20.871 | 20.871 | 0.000 | 0.000 | 0.000 |
| 20.871 | 20.871 | 20.871 | 0.000 | 0.000 | 0.000 |
| 0.000 | 0.000 | 0.000 | 0.000 | 0.000 | 0.000 |
| 0.000 | 0.000 | 0.000 | 0.000 | 0.000 | 0.000 |
| 0.000 | 0.000 | 0.000 | 0.000 | 0.000 | 0.000 |
| 15.392 | 15.392 | 15.392 | -0.000 | -0.000 | -0.000 |
| 15.392 | 15.392 | 15.392 | -0.000 | -0.000 | -0.000 |
| 15.392 | 15.392 | 15.392 | -0.000 | -0.000 | -0.000 |
| -0.000 | -0.000 | -0.000 | -0.000 | -0.000 | -0.000 |
| -0.000 | -0.000 | -0.000 | -0.000 | -0.000 | -0.000 |
| -0.000 | -0.000 | -0.000 | -0.000 | -0.000 | -0.000 |
| 15.392 | 15.392 | 15.392 | 0.000 | 0.000 | 0.000 |
| 15.392 | 15.392 | 15.392 | 0.000 | 0.000 | 0.000 |
| 15.392 | 15.392 | 15.392 | 0.000 | 0.000 | 0.000 |
| 0.000 | 0.000 | 0.000 | 0.000 | 0.000 | 0.000 |
| 0.000 | 0.000 | 0.000 | 0.000 | 0.000 | 0.000 |
| 0.000 | 0.000 | 0.000 | 0.000 | 0.000 | 0.000 |
| 15.392 | 15.392 | 15.392 | -0.000 | -0.000 | -0.000 |
| 15.392 | 15.392 | 15.392 | -0.000 | -0.000 | -0.000 |
| 15.392 | 15.392 | 15.392 | -0.000 | -0.000 | -0.000 |
| -0.000 | -0.000 | -0.000 | -0.000 | -0.000 | -0.000 |
| -0.000 | -0.000 | -0.000 | -0.000 | -0.000 | -0.000 |
| -0.000 | -0.000 | -0.000 | -0.000 | -0.000 | -0.000 |
| 15.392 | 15.392 | 15.392 | 0.000 | 0.000 | 0.000 |
| 15.392 | 15.392 | 15.392 | 0.000 | 0.000 | 0.000 |
| 15.392 | 15.392 | 15.392 | 0.000 | 0.000 | 0.000 |
| 0.000 | 0.000 | 0.000 | 0.000 | 0.000 | 0.000 |
| 0.000 | 0.000 | 0.000 | 0.000 | 0.000 | 0.000 |
| 0.000 | 0.000 | 0.000 | 0.000 | 0.000 | 0.000 |
| 15.392 | 15.392 | 15.392 | -0.000 | -0.000 | -0.000 |
| 15.392 | 15.392 | 15.392 | -0.000 | -0.000 | -0.000 |
| 15.392 | 15.392 | 15.392 | -0.000 | -0.000 | -0.000 |
| -0.000 | -0.000 | -0.000 | 0.000 | -0.000 | -0.000 |
| -0.000 | -0.000 | -0.000 | -0.000 | 0.000 | -0.000 |
| -0.000 | -0.000 | -0.000 | -0.000 | -0.000 | 0.000 |
| 15.392 | 15.392 | 15.392 | 0.000 | 0.000 | 0.000 |
| 15.392 | 15.392 | 15.392 | 0.000 | 0.000 | 0.000 |
| 15.392 | 15.392 | 15.392 | 0.000 | 0.000 | 0.000 |
| 0.000 | 0.000 | 0.000 | 0.000 | 0.000 | 0.000 |
| 0.000 | 0.000 | 0.000 | 0.000 | 0.000 | 0.000 |
| 0.000 | 0.000 | 0.000 | 0.000 | 0.000 | 0.000 |
| 176.716 | 162.177 | 264.940 | 0.000 | -0.000 | 0.000 |
| 162.177 | 176.716 | 264.940 | 0.000 | -0.000 | 0.000 |
| 264.940 | 264.940 | 934.557 | 0.000 | 0.000 | 0.000 |
| -0.000 | -0.000 | -0.000 | 27.454 | 0.000 | 0.000 |
| -0.000 | -0.000 | -0.000 | -0.000 | 27.454 | 0.000 |
| -0.000 | -0.000 | 0.000 | 0.000 | -0.000 | -29.898 |
| 176.716 | 162.177 | 264.940 | 0.000 | -0.000 | 0.000 |
| 162.177 | 176.716 | 264.940 | 0.000 | 0.000 | 0.000 |
| 264.940 | 264.940 | 934.558 | -0.000 | -0.000 | -0.000 |
| 0.000 | 0.000 | 0.000 | 27.454 | -0.000 | -0.000 |
| 0.000 | 0.000 | 0.000 | 0.000 | 27.454 | -0.000 |
| 0.000 | 0.000 | -0.000 | 0.000 | 0.000 | -29.898 |
| 176.717 | 162.177 | 264.940 | -0.000 | 0.000 | 0.000 |
| 162.177 | 176.717 | 264.940 | -0.000 | 0.000 | 0.000 |
| 264.940 | 264.940 | 934.555 | -0.000 | 0.000 | -0.000 |
| -0.000 | -0.000 | -0.000 | 27.454 | 0.000 | 0.000 |
| -0.000 | -0.000 | -0.000 | -0.000 | 27.454 | 0.000 |
| -0.000 | -0.000 | -0.000 | -0.000 | 0.000 | -29.898 |
| 176.716 | 162.177 | 264.940 | 0.000 | 0.000 | -0.000 |
| 162.177 | 176.716 | 264.940 | 0.000 | 0.000 | -0.000 |
| 264.940 | 264.940 | 934.560 | 0.000 | 0.000 | 0.000 |
| 0.000 | 0.000 | 0.000 | 27.454 | -0.000 | 0.000 |
| 0.000 | 0.000 | 0.000 | 0.000 | 27.454 | -0.000 |
| 0.000 | 0.000 | 0.000 | 0.000 | -0.000 | -29.898 |
| 176.718 | 162.177 | 264.940 | -0.000 | 0.000 | 0.000 |
| 162.177 | 176.718 | 264.940 | -0.000 | -0.000 | -0.000 |
| 264.939 | 264.939 | 934.534 | -0.000 | 0.000 | 0.000 |
| -0.000 | -0.000 | -0.002 | 27.454 | -0.000 | -0.000 |
| -0.000 | -0.000 | -0.002 | 0.000 | 27.454 | 0.000 |
| -0.000 | -0.000 | -0.000 | -0.000 | 0.000 | -29.898 |
| 176.715 | 162.178 | 264.940 | 0.000 | -0.000 | -0.000 |
| 162.178 | 176.715 | 264.940 | -0.000 | -0.000 | -0.000 |
| 264.941 | 264.941 | 934.581 | -0.000 | 0.000 | -0.000 |
| 0.000 | 0.000 | 0.002 | 27.454 | 0.000 | -0.000 |
| 0.000 | 0.000 | 0.002 | -0.000 | 27.454 | -0.000 |
| 0.000 | 0.000 | 0.000 | 0.000 | -0.000 | -29.898 |
| 177.650 | 28.969 | 41.265 | 0.000 | 0.000 | -0.000 |
| 28.969 | 177.650 | 41.265 | 0.000 | 0.000 | -0.000 |
| 41.265 | 41.265 | 57.334 | 0.000 | 0.000 | -0.000 |
| -0.000 | -0.000 | -0.000 | 43.002 | 0.000 | -0.000 |
| -0.000 | -0.000 | -0.000 | 0.000 | 43.002 | -0.000 |
| 0.000 | -0.000 | -0.000 | 0.000 | 0.000 | 31.660 |
| 177.650 | 28.969 | 41.265 | -0.000 | 0.000 | -0.000 |
| 28.969 | 177.650 | 41.265 | 0.000 | -0.000 | -0.000 |
| 41.265 | 41.265 | 57.334 | -0.000 | -0.000 | 0.000 |
| -0.000 | 0.000 | 0.000 | 43.002 | -0.000 | 0.000 |
| 0.000 | -0.000 | 0.000 | -0.000 | 43.002 | 0.000 |
| -0.000 | 0.000 | 0.000 | -0.000 | -0.000 | 31.660 |
| 177.651 | 28.969 | 41.265 | 0.000 | 0.000 | -0.000 |
| 28.969 | 177.651 | 41.265 | 0.000 | 0.000 | -0.000 |
| 41.265 | 41.265 | 57.334 | 0.000 | 0.000 | -0.000 |
| -0.000 | -0.000 | -0.000 | 43.002 | 0.000 | -0.000 |
| -0.000 | -0.000 | -0.000 | 0.000 | 43.002 | -0.000 |
| -0.000 | -0.000 | -0.000 | 0.000 | 0.000 | 31.660 |
| 177.650 | 28.969 | 41.265 | -0.000 | -0.000 | 0.000 |
| 28.969 | 177.650 | 41.265 | -0.000 | -0.000 | 0.000 |
| 41.265 | 41.265 | 57.334 | -0.000 | -0.000 | 0.000 |
| 0.000 | 0.000 | 0.000 | 43.002 | -0.000 | 0.000 |
| 0.000 | 0.000 | 0.000 | -0.000 | 43.002 | -0.000 |
| 0.000 | 0.000 | 0.000 | -0.000 | -0.000 | 31.660 |
| 177.655 | 28.969 | 41.265 | 0.000 | 0.000 | 0.000 |
| 28.969 | 177.655 | 41.265 | 0.000 | 0.000 | 0.000 |
| 41.265 | 41.265 | 57.334 | 0.000 | 0.000 | -0.000 |
| -0.000 | -0.000 | -0.000 | 43.002 | 0.000 | -0.000 |
| -0.000 | -0.000 | -0.000 | 0.000 | 43.002 | -0.000 |
| -0.000 | -0.000 | -0.000 | 0.000 | 0.000 | 31.660 |
| 177.646 | 28.969 | 41.264 | -0.000 | 0.000 | 0.000 |
| 28.969 | 177.646 | 41.264 | 0.000 | -0.000 | -0.000 |
| 41.264 | 41.264 | 57.335 | -0.000 | -0.000 | -0.000 |
| 0.000 | 0.000 | 0.000 | 43.002 | -0.000 | 0.000 |
| 0.000 | 0.000 | 0.000 | -0.000 | 43.002 | 0.000 |
| 0.000 | 0.000 | 0.000 | -0.000 | -0.000 | 31.660 |
| 384.971 | 202.781 | 278.972 | -0.000 | 18.517 | -0.000 |
| 195.101 | 387.290 | 292.488 | -0.000 | 31.832 | -0.000 |
| 278.474 | 293.988 | 501.248 | -0.000 | 42.372 | -0.000 |
| 0.000 | -0.000 | -0.000 | 102.712 | -0.000 | 18.084 |
| 16.250 | 30.866 | 39.089 | -0.000 | 125.243 | -0.000 |
| 0.000 | 0.000 | -0.000 | 18.083 | -0.000 | 41.094 |
| 375.928 | 197.084 | 265.214 | 0.000 | 13.764 | 0.000 |
| 202.439 | 402.523 | 293.987 | 0.000 | 29.083 | 0.000 |
| 269.059 | 288.750 | 476.982 | 0.000 | 34.543 | 0.000 |
| -0.000 | 0.000 | 0.000 | 102.712 | 0.000 | 18.084 |
| 16.953 | 29.083 | 42.372 | 0.000 | 133.063 | 0.000 |
| -0.000 | -0.000 | -0.000 | 18.083 | -0.000 | 41.094 |
| 384.971 | 202.781 | 278.972 | -0.000 | 18.517 | 0.000 |
| 202.439 | 402.523 | 293.987 | -0.000 | 29.083 | -0.000 |
| 269.295 | 288.958 | 477.359 | -0.000 | 36.139 | -0.000 |
| 0.080 | 0.090 | 0.107 | 89.584 | 0.069 | 17.919 |
| 16.953 | 29.083 | 42.372 | -0.000 | 133.063 | -0.000 |
| 0.090 | 0.058 | 0.207 | 15.729 | 0.220 | 37.850 |
| 375.228 | 196.658 | 264.968 | 0.000 | 15.401 | 0.000 |
| 202.439 | 402.523 | 293.987 | 0.000 | 29.083 | -0.000 |
| 278.474 | 293.988 | 501.248 | 0.000 | 42.372 | -0.000 |
| -0.080 | -0.090 | -0.107 | 89.584 | -0.069 | 17.919 |
| 14.679 | 32.073 | 35.724 | -0.000 | 123.190 | 0.000 |
| -0.090 | -0.058 | -0.207 | 15.729 | -0.220 | 37.850 |
| 368.369 | 194.446 | 262.159 | -0.000 | 17.232 | -0.000 |
| 202.440 | 402.522 | 293.988 | -0.000 | 29.083 | -0.000 |
| 269.277 | 288.942 | 477.333 | -0.000 | 36.000 | 0.000 |
| 0.006 | 0.008 | 0.007 | 85.769 | 0.012 | 18.721 |
| 14.801 | 32.145 | 35.927 | -0.000 | 123.341 | -0.000 |
| 0.000 | -0.000 | 0.000 | 18.083 | -0.000 | 41.094 |
| 368.369 | 194.423 | 262.142 | 0.000 | 17.232 | 0.000 |
| 194.679 | 386.775 | 292.837 | 0.000 | 31.502 | 0.000 |
| 263.192 | 291.276 | 468.051 | 0.000 | 37.820 | 0.000 |
| -0.006 | -0.008 | -0.007 | 85.769 | -0.012 | 18.721 |
| 14.780 | 32.131 | 35.891 | -0.000 | 123.315 | 0.000 |
| -0.000 | 0.000 | -0.000 | 18.083 | 0.000 | 41.094 |
| 523.724 | 105.478 | 81.918 | 0.000 | -0.000 | 0.000 |
| 314.120 | 461.255 | 200.794 | -0.000 | -0.000 | 0.000 |
| 303.404 | -17.244 | 249.659 | 0.000 | -0.000 | 0.000 |
| 0.000 | -0.000 | -0.000 | 61.785 | -0.000 | 0.000 |
| 0.000 | -0.000 | -0.000 | 0.000 | 100.150 | 0.000 |
| 23.496 | -199.018 | -197.038 | 0.000 | -0.000 | 101.388 |
| 444.343 | 526.783 | 467.740 | -0.000 | 0.000 | -0.000 |
| 314.120 | 461.255 | 200.794 | 0.000 | 0.000 | -0.000 |
| 297.101 | 200.794 | 473.590 | 0.000 | -0.000 | -0.000 |
| -0.000 | 0.000 | 0.000 | 61.785 | 0.000 | -0.000 |
| -0.000 | 0.000 | 0.000 | 0.000 | 100.150 | -0.000 |
| -23.496 | 199.018 | 197.038 | 0.000 | 0.000 | 101.388 |
| 499.429 | 293.374 | 257.716 | -0.000 | -0.000 | 0.000 |
| 314.120 | 461.255 | 200.794 | 0.000 | -0.000 | 0.000 |
| 277.519 | 150.964 | 417.776 | 0.000 | -0.000 | 0.000 |
| 1.622 | -13.737 | -13.600 | 24.449 | -0.000 | -0.000 |
| 2.207 | -18.692 | -18.506 | -0.000 | 78.335 | 0.000 |
| -0.000 | -0.000 | -0.000 | 0.000 | -0.000 | 110.544 |
| 530.107 | 314.119 | 297.100 | 0.000 | 0.000 | -0.000 |
| 314.120 | 461.255 | 200.794 | 0.000 | 0.000 | -0.000 |
| 279.365 | 200.815 | 466.256 | -0.000 | 0.000 | -0.000 |
| -1.622 | 13.737 | 13.600 | 24.449 | 0.000 | -0.000 |
| -2.207 | 18.692 | 18.506 | 0.000 | 78.335 | -0.000 |
| 0.000 | 0.000 | 0.000 | -0.000 | 0.000 | 110.544 |
| 502.296 | 322.412 | 287.162 | -0.000 | -0.000 | 0.000 |
| 321.994 | 413.524 | 172.144 | -0.000 | -0.000 | 0.000 |
| 281.229 | 180.295 | 445.704 | -0.000 | -0.000 | 0.000 |
| 0.144 | -1.223 | -1.210 | 28.577 | -0.000 | 0.000 |
| 0.209 | -1.768 | -1.751 | 0.000 | 79.512 | 0.000 |
| -0.000 | -0.001 | -0.000 | -0.000 | -0.000 | 110.544 |
| 530.104 | 314.118 | 297.099 | -0.000 | 0.000 | -0.000 |
| 330.371 | 422.890 | 184.367 | 0.000 | 0.000 | 0.000 |
| 280.994 | 184.238 | 449.713 | -0.000 | 0.000 | -0.000 |
| -0.144 | 1.223 | 1.210 | 28.577 | 0.000 | 0.000 |
| -0.209 | 1.768 | 1.751 | -0.000 | 79.512 | -0.000 |
| 0.000 | 0.001 | 0.000 | -0.000 | 0.000 | 110.544 |
| 362.881 | 266.111 | 306.529 | -0.000 | 0.000 | 0.000 |
| 264.516 | 364.475 | 306.529 | -0.000 | 0.000 | 0.000 |
| 306.529 | 306.529 | 585.251 | 0.000 | 0.000 | 0.000 |
| 0.000 | 0.000 | -0.000 | 67.748 | 0.000 | 0.000 |
| 0.000 | 0.000 | -0.000 | 0.000 | 67.748 | 0.000 |
| -0.000 | -0.000 | 0.000 | -0.000 | -0.000 | 49.980 |
| 362.881 | 266.111 | 306.529 | 0.000 | 0.000 | -0.000 |
| 264.516 | 364.475 | 306.529 | 0.000 | 0.000 | -0.000 |
| 306.529 | 306.529 | 585.251 | -0.000 | 0.000 | -0.000 |
| -0.000 | -0.000 | 0.000 | 67.748 | -0.000 | -0.000 |
| -0.000 | -0.000 | 0.000 | -0.000 | 67.748 | -0.000 |
| 0.000 | 0.000 | -0.000 | 0.000 | 0.000 | 49.980 |
| 364.475 | 264.516 | 306.529 | -0.000 | -0.000 | 0.000 |
| 264.516 | 364.475 | 306.529 | -0.000 | -0.000 | -0.000 |
| 306.529 | 306.529 | 585.250 | 0.000 | 0.000 | 0.000 |
| 0.000 | 0.000 | -0.000 | 67.748 | -0.000 | 0.000 |
| 0.000 | 0.000 | -0.000 | 0.000 | 67.748 | 0.000 |
| -0.000 | -0.000 | 0.000 | -0.000 | -0.000 | 49.980 |
| 362.881 | 266.111 | 306.529 | -0.000 | -0.000 | -0.000 |
| 266.111 | 362.881 | 306.529 | -0.000 | 0.000 | -0.000 |
| 306.529 | 306.529 | 585.251 | 0.000 | -0.000 | -0.000 |
| -0.000 | -0.000 | 0.000 | 67.748 | -0.000 | -0.000 |
| -0.000 | -0.000 | 0.000 | 0.000 | 67.748 | -0.000 |
| 0.000 | 0.000 | -0.000 | 0.000 | -0.000 | 49.980 |
| 362.878 | 266.111 | 306.530 | -0.000 | 0.000 | 0.000 |
| 266.111 | 362.878 | 306.530 | 0.000 | -0.000 | 0.000 |
| 306.530 | 306.530 | 585.249 | 0.000 | 0.000 | 0.000 |
| 0.000 | 0.000 | -0.000 | 67.748 | -0.000 | 0.000 |
| 0.000 | 0.000 | -0.000 | -0.000 | 67.748 | 0.000 |
| -0.001 | -0.001 | 0.000 | 0.000 | -0.000 | 48.385 |
| 362.883 | 266.110 | 306.527 | -0.000 | 0.000 | -0.000 |
| 266.111 | 362.883 | 306.527 | -0.000 | -0.000 | -0.000 |
| 306.527 | 306.527 | 585.252 | 0.000 | 0.000 | -0.000 |
| -0.000 | -0.000 | 0.000 | 67.748 | -0.000 | -0.000 |
| -0.000 | -0.000 | 0.000 | 0.000 | 67.748 | -0.000 |
| 0.001 | 0.001 | -0.000 | 0.000 | -0.000 | 48.385 |
| 198.891 | 153.020 | 153.020 | -0.000 | -0.000 | -0.000 |
| 153.020 | 198.891 | 153.020 | -0.000 | -0.000 | -0.000 |
| 153.020 | 153.020 | 198.891 | 0.000 | -0.000 | -0.000 |
| 0.000 | -0.000 | -0.000 | -26.011 | -0.000 | 0.000 |
| -0.000 | 0.000 | -0.000 | 0.000 | -26.011 | -0.000 |
| -0.000 | -0.000 | 0.000 | 0.000 | 0.000 | -26.011 |
| 198.891 | 153.020 | 153.020 | -0.000 | 0.000 | 0.000 |
| 153.020 | 198.891 | 153.020 | -0.000 | 0.000 | 0.000 |
| 153.020 | 153.020 | 198.891 | -0.000 | 0.000 | -0.000 |
| -0.000 | 0.000 | 0.000 | -26.011 | 0.000 | 0.000 |
| 0.000 | -0.000 | 0.000 | -0.000 | -26.011 | 0.000 |
| 0.000 | 0.000 | -0.000 | -0.000 | 0.000 | -26.011 |
| 198.891 | 153.020 | 153.020 | -0.000 | -0.000 | 0.000 |
| 153.020 | 198.891 | 153.020 | 0.000 | -0.000 | 0.000 |
| 153.020 | 153.020 | 198.891 | 0.000 | -0.000 | -0.000 |
| 0.000 | -0.000 | -0.000 | -66.342 | -0.000 | 0.000 |
| -0.000 | 0.000 | -0.000 | -0.000 | -66.342 | -0.000 |
| -0.000 | -0.000 | 0.000 | -0.000 | -0.000 | -66.342 |
| 198.891 | 153.020 | 153.020 | -0.000 | 0.000 | -0.000 |
| 153.020 | 198.891 | 153.020 | -0.000 | 0.000 | 0.000 |
| 153.020 | 153.020 | 198.891 | 0.000 | 0.000 | 0.000 |
| -0.000 | 0.000 | 0.000 | -66.342 | 0.000 | 0.000 |
| 0.000 | -0.000 | 0.000 | -0.000 | -66.342 | 0.000 |
| 0.000 | 0.000 | -0.000 | -0.000 | 0.000 | -66.342 |
| 198.891 | 153.020 | 153.020 | 0.000 | -0.000 | 0.000 |
| 153.020 | 198.891 | 153.020 | 0.000 | -0.000 | 0.000 |
| 153.020 | 153.020 | 198.891 | 0.000 | -0.000 | -0.000 |
| 0.000 | -0.001 | -0.001 | -66.342 | -0.000 | -0.000 |
| -0.001 | 0.000 | -0.001 | -0.000 | -66.342 | -0.000 |
| -0.001 | -0.001 | 0.000 | -0.000 | -0.000 | -66.342 |
| 198.891 | 153.020 | 153.020 | -0.000 | 0.000 | -0.000 |
| 153.020 | 198.891 | 153.020 | 0.000 | -0.000 | 0.000 |
| 153.020 | 153.020 | 198.891 | 0.000 | -0.000 | 0.000 |
| -0.000 | 0.001 | 0.001 | -66.342 | 0.000 | 0.000 |
| 0.001 | -0.000 | 0.001 | 0.000 | -66.342 | 0.000 |
| 0.001 | 0.001 | -0.000 | 0.000 | 0.000 | -66.342 |
| 142.910 | 46.088 | 46.088 | 0.000 | -0.000 | 0.000 |
| 46.088 | 142.910 | 46.088 | 0.000 | -0.000 | -0.000 |
| 46.088 | 46.088 | 142.910 | 0.000 | -0.000 | 0.000 |
| -0.000 | -0.000 | -0.000 | 30.827 | -0.000 | 0.000 |
| -0.000 | -0.000 | -0.000 | 0.000 | 30.827 | -0.000 |
| -0.000 | -0.000 | -0.000 | 0.000 | 0.000 | 30.827 |
| 142.910 | 46.088 | 46.088 | -0.000 | 0.000 | -0.000 |
| 46.088 | 142.910 | 46.088 | -0.000 | 0.000 | -0.000 |
| 46.088 | 46.088 | 142.910 | -0.000 | 0.000 | -0.000 |
| 0.000 | 0.000 | 0.000 | 30.827 | 0.000 | 0.000 |
| 0.000 | 0.000 | 0.000 | -0.000 | 30.827 | -0.000 |
| 0.000 | 0.000 | 0.000 | -0.000 | -0.000 | 30.827 |
| 142.909 | 46.088 | 46.088 | 0.000 | -0.000 | 0.000 |
| 46.088 | 142.909 | 46.088 | 0.000 | -0.000 | 0.000 |
| 46.088 | 46.088 | 142.909 | 0.000 | -0.000 | 0.000 |
| -0.000 | -0.000 | -0.000 | 30.827 | 0.000 | -0.000 |
| -0.000 | -0.000 | -0.000 | 0.000 | 30.827 | 0.000 |
| -0.000 | -0.000 | -0.000 | 0.000 | 0.000 | 30.827 |
| 142.910 | 46.088 | 46.088 | -0.000 | -0.000 | -0.000 |
| 46.088 | 142.910 | 46.088 | -0.000 | -0.000 | 0.000 |
| 46.088 | 46.088 | 142.910 | -0.000 | -0.000 | -0.000 |
| 0.000 | 0.000 | 0.000 | 30.827 | -0.000 | -0.000 |
| 0.000 | 0.000 | 0.000 | -0.000 | 30.827 | 0.000 |
| 0.000 | 0.000 | 0.000 | -0.000 | -0.000 | 30.827 |
| 142.904 | 46.088 | 46.088 | 0.000 | 0.000 | 0.000 |
| 46.088 | 142.904 | 46.088 | 0.000 | -0.000 | 0.000 |
| 46.088 | 46.088 | 142.904 | 0.000 | 0.000 | -0.000 |
| -0.001 | -0.000 | -0.000 | 30.827 | -0.000 | -0.000 |
| -0.000 | -0.001 | -0.000 | 0.000 | 30.827 | 0.000 |
| -0.000 | -0.000 | -0.001 | 0.000 | 0.000 | 30.827 |
| 142.916 | 46.089 | 46.089 | 0.000 | -0.000 | -0.000 |
| 46.089 | 142.916 | 46.089 | -0.000 | -0.000 | -0.000 |
| 46.089 | 46.089 | 142.916 | 0.000 | -0.000 | -0.000 |
| 0.001 | 0.000 | 0.000 | 30.827 | 0.000 | -0.000 |
| 0.000 | 0.001 | 0.000 | -0.000 | 30.827 | 0.000 |
| 0.000 | 0.000 | 0.001 | -0.000 | -0.000 | 30.827 |
| 107.427 | 44.035 | 44.035 | -0.000 | -0.000 | -0.000 |
| 44.035 | 107.427 | 44.035 | -0.000 | -0.000 | 0.000 |
| 44.035 | 44.035 | 107.427 | -0.000 | -0.000 | 0.000 |
| -0.000 | -0.000 | -0.000 | 26.084 | -0.000 | 0.000 |
| -0.000 | -0.000 | -0.000 | -0.000 | 26.084 | 0.000 |
| -0.000 | -0.000 | -0.000 | -0.000 | -0.000 | 26.084 |
| 107.427 | 44.035 | 44.035 | 0.000 | 0.000 | -0.000 |
| 44.035 | 107.427 | 44.035 | 0.000 | 0.000 | 0.000 |
| 44.035 | 44.035 | 107.427 | 0.000 | 0.000 | 0.000 |
| 0.000 | 0.000 | 0.000 | 26.084 | 0.000 | -0.000 |
| 0.000 | 0.000 | 0.000 | 0.000 | 26.084 | 0.000 |
| 0.000 | 0.000 | 0.000 | -0.000 | 0.000 | 26.084 |
| 107.427 | 44.035 | 44.035 | 0.000 | -0.000 | -0.000 |
| 44.035 | 107.427 | 44.035 | -0.000 | -0.000 | 0.000 |
| 44.035 | 44.035 | 107.427 | -0.000 | -0.000 | 0.000 |
| -0.000 | 0.000 | 0.000 | 26.084 | -0.000 | 0.000 |
| 0.000 | -0.000 | 0.000 | -0.000 | 26.084 | 0.000 |
| 0.000 | 0.000 | -0.000 | -0.000 | -0.000 | 26.084 |
| 107.427 | 44.035 | 44.035 | 0.000 | 0.000 | 0.000 |
| 44.035 | 107.427 | 44.035 | 0.000 | 0.000 | 0.000 |
| 44.035 | 44.035 | 107.427 | 0.000 | 0.000 | -0.000 |
| 0.000 | -0.000 | -0.000 | 26.084 | 0.000 | 0.000 |
| -0.000 | 0.000 | -0.000 | 0.000 | 26.084 | -0.000 |
| -0.000 | -0.000 | 0.000 | 0.000 | 0.000 | 26.084 |
| 107.425 | 44.036 | 44.036 | 0.000 | -0.000 | -0.000 |
| 44.036 | 107.425 | 44.036 | -0.000 | -0.000 | 0.000 |
| 44.036 | 44.036 | 107.425 | 0.000 | -0.000 | 0.000 |
| -0.000 | 0.000 | 0.000 | 26.084 | -0.000 | -0.000 |
| 0.000 | -0.000 | 0.000 | -0.000 | 26.084 | 0.000 |
| 0.000 | 0.000 | -0.000 | -0.000 | -0.000 | 26.084 |
| 107.428 | 44.035 | 44.035 | -0.000 | 0.000 | -0.000 |
| 44.035 | 107.428 | 44.035 | 0.000 | 0.000 | -0.000 |
| 44.035 | 44.035 | 107.428 | 0.000 | 0.000 | -0.000 |
| 0.000 | -0.000 | -0.000 | 26.084 | 0.000 | -0.000 |
| -0.000 | 0.000 | -0.000 | 0.000 | 26.084 | 0.000 |
| -0.000 | -0.000 | 0.000 | 0.000 | 0.000 | 26.084 |
| 17.647 | 17.647 | 17.647 | -0.000 | 0.000 | -0.000 |
| 17.647 | 17.647 | 17.647 | 0.000 | -0.000 | -0.000 |
| 17.647 | 17.647 | 17.647 | -0.000 | -0.000 | 0.000 |
| -0.000 | -0.000 | -0.000 | -0.000 | 0.000 | -0.000 |
| -0.000 | -0.000 | -0.000 | 0.000 | -0.000 | -0.000 |
| -0.000 | -0.000 | -0.000 | 0.000 | 0.000 | -0.000 |
| 17.647 | 17.647 | 17.647 | -0.000 | 0.000 | 0.000 |
| 17.647 | 17.647 | 17.647 | 0.000 | -0.000 | 0.000 |
| 17.647 | 17.647 | 17.647 | -0.000 | -0.000 | 0.000 |
| 0.000 | 0.000 | 0.000 | 0.000 | -0.000 | -0.000 |
| 0.000 | 0.000 | 0.000 | -0.000 | 0.000 | -0.000 |
| 0.000 | 0.000 | 0.000 | -0.000 | 0.000 | 0.000 |
| 17.647 | 17.647 | 17.647 | -0.000 | -0.000 | -0.000 |
| 17.647 | 17.647 | 17.647 | -0.000 | -0.000 | -0.000 |
| 17.647 | 17.647 | 17.647 | -0.000 | -0.000 | -0.000 |
| -0.000 | -0.000 | -0.000 | -0.000 | 0.000 | -0.000 |
| -0.000 | -0.000 | -0.000 | 0.000 | -0.000 | -0.000 |
| -0.000 | -0.000 | -0.000 | 0.000 | 0.000 | -0.000 |
| 17.647 | 17.647 | 17.647 | 0.000 | 0.000 | -0.000 |
| 17.647 | 17.647 | 17.647 | 0.000 | 0.000 | -0.000 |
| 17.647 | 17.647 | 17.647 | 0.000 | 0.000 | 0.000 |
| 0.000 | 0.000 | 0.000 | -0.000 | -0.000 | 0.000 |
| 0.000 | 0.000 | 0.000 | -0.000 | -0.000 | 0.000 |
| 0.000 | 0.000 | 0.000 | -0.000 | -0.000 | -0.000 |
| 17.647 | 17.647 | 17.647 | -0.000 | -0.000 | 0.000 |
| 17.647 | 17.647 | 17.647 | -0.000 | -0.000 | -0.000 |
| 17.647 | 17.647 | 17.647 | -0.000 | -0.000 | -0.000 |
| -0.000 | -0.000 | -0.000 | -0.000 | 0.000 | -0.000 |
| -0.000 | -0.000 | -0.000 | 0.000 | -0.000 | -0.000 |
| -0.000 | -0.000 | -0.000 | 0.000 | 0.000 | -0.000 |
| 17.647 | 17.647 | 17.647 | 0.000 | -0.000 | -0.000 |
| 17.647 | 17.647 | 17.647 | -0.000 | 0.000 | -0.000 |
| 17.647 | 17.647 | 17.647 | 0.000 | 0.000 | 0.000 |
| 0.000 | 0.000 | 0.000 | -0.000 | -0.000 | 0.000 |
| 0.000 | 0.000 | 0.000 | -0.000 | -0.000 | 0.000 |
| 0.000 | 0.000 | 0.000 | -0.000 | -0.000 | -0.000 |
| 359.003 | 213.052 | 202.571 | -0.000 | 0.000 | 0.000 |
| 213.052 | 359.003 | 202.571 | -0.000 | 0.000 | -0.000 |
| 203.043 | 203.043 | 268.226 | -0.000 | 0.000 | 0.000 |
| 0.000 | -0.000 | -0.000 | 105.202 | -0.000 | -0.000 |
| -0.000 | -0.000 | 0.000 | 0.000 | 105.202 | -0.000 |
| 0.398 | 0.398 | 0.340 | -0.000 | 0.000 | 117.592 |
| 359.557 | 213.605 | 203.043 | 0.000 | -0.000 | -0.000 |
| 213.605 | 359.557 | 203.043 | 0.000 | 0.000 | -0.000 |
| 201.833 | 201.833 | 267.191 | 0.000 | -0.000 | 0.000 |
| -0.000 | 0.000 | 0.000 | 105.202 | -0.000 | 0.000 |
| 0.000 | 0.000 | -0.000 | -0.000 | 105.202 | 0.000 |
| -0.398 | -0.398 | -0.340 | 0.000 | -0.000 | 117.592 |
| 358.645 | 212.694 | 202.265 | 0.000 | 0.000 | -0.000 |
| 212.694 | 358.645 | 202.265 | -0.000 | 0.000 | -0.000 |
| 202.270 | 202.270 | 267.565 | 0.000 | 0.000 | -0.000 |
| 0.040 | 0.039 | 0.034 | -39.344 | 0.000 | 0.000 |
| 0.039 | 0.040 | 0.034 | -0.000 | -39.344 | -0.000 |
| 0.040 | 0.040 | 0.034 | -0.000 | 0.000 | 117.592 |
| 358.566 | 212.614 | 202.197 | 0.000 | -0.000 | 0.000 |
| 212.614 | 358.566 | 202.197 | -0.000 | -0.000 | 0.000 |
| 202.191 | 202.191 | 267.498 | 0.000 | -0.000 | -0.000 |
| -0.040 | -0.039 | -0.034 | -39.344 | -0.000 | 0.000 |
| -0.039 | -0.040 | -0.034 | 0.000 | -39.344 | 0.000 |
| -0.040 | -0.040 | -0.034 | 0.000 | -0.000 | 117.592 |
| 358.608 | 212.659 | 202.234 | -0.000 | 0.000 | -0.000 |
| 212.659 | 358.608 | 202.234 | 0.000 | 0.000 | -0.000 |
| 203.043 | 203.043 | 268.223 | -0.000 | 0.000 | -0.000 |
| 0.034 | 0.026 | 0.027 | -39.342 | 0.000 | -0.000 |
| 0.026 | 0.034 | 0.027 | -0.000 | -39.342 | 0.000 |
| -0.000 | 0.000 | -0.000 | -0.000 | 0.000 | 117.592 |
| 359.558 | 213.604 | 203.043 | 0.000 | -0.000 | 0.000 |
| 213.604 | 359.558 | 203.043 | 0.000 | -0.000 | 0.000 |
| 202.227 | 202.227 | 267.531 | -0.000 | -0.000 | 0.000 |
| -0.034 | -0.026 | -0.027 | -39.342 | -0.000 | -0.000 |
| -0.026 | -0.034 | -0.027 | 0.000 | -39.342 | 0.000 |
| 0.000 | -0.000 | 0.000 | 0.000 | -0.000 | 117.592 |
| 72.739 | 50.321 | 50.321 | 0.000 | 0.000 | 0.000 |
| 50.321 | 72.739 | 50.321 | 0.000 | -0.000 | 0.000 |
| 50.321 | 50.321 | 72.739 | 0.000 | -0.000 | 0.000 |
| -0.000 | -0.000 | -0.000 | 14.703 | -0.000 | 0.000 |
| -0.000 | -0.000 | -0.000 | 0.000 | 14.703 | 0.000 |
| -0.000 | 0.000 | -0.000 | 0.000 | -0.000 | 14.703 |
| 72.739 | 50.321 | 50.321 | 0.000 | 0.000 | -0.000 |
| 50.321 | 72.739 | 50.321 | -0.000 | 0.000 | -0.000 |
| 50.321 | 50.321 | 72.739 | -0.000 | 0.000 | -0.000 |
| 0.000 | 0.000 | 0.000 | 14.703 | 0.000 | -0.000 |
| 0.000 | 0.000 | 0.000 | -0.000 | 14.703 | -0.000 |
| 0.000 | 0.000 | 0.000 | -0.000 | 0.000 | 14.703 |
| 72.739 | 50.321 | 50.321 | 0.000 | -0.000 | 0.000 |
| 50.321 | 72.739 | 50.321 | 0.000 | -0.000 | 0.000 |
| 50.321 | 50.321 | 72.739 | 0.000 | -0.000 | 0.000 |
| -0.000 | -0.000 | -0.000 | 37.589 | -0.000 | 0.000 |
| -0.000 | -0.000 | -0.000 | 0.000 | 37.589 | 0.000 |
| -0.000 | -0.000 | -0.000 | 0.000 | -0.000 | 37.589 |
| 72.739 | 50.321 | 50.321 | -0.000 | 0.000 | -0.000 |
| 50.321 | 72.739 | 50.321 | -0.000 | -0.000 | -0.000 |
| 50.321 | 50.321 | 72.739 | -0.000 | 0.000 | -0.000 |
| 0.000 | 0.000 | 0.000 | 37.589 | 0.000 | -0.000 |
| 0.000 | 0.000 | 0.000 | 0.000 | 37.589 | -0.000 |
| 0.000 | 0.000 | 0.000 | 0.000 | 0.000 | 37.589 |
| 72.739 | 50.321 | 50.321 | 0.000 | -0.000 | 0.000 |
| 50.321 | 72.739 | 50.321 | 0.000 | 0.000 | 0.000 |
| 50.321 | 50.321 | 72.739 | -0.000 | -0.000 | 0.000 |
| -0.000 | -0.000 | -0.000 | 37.589 | -0.000 | 0.000 |
| -0.000 | -0.000 | -0.000 | -0.000 | 37.589 | -0.000 |
| -0.000 | -0.000 | -0.000 | -0.000 | -0.000 | 37.589 |
| 72.740 | 50.321 | 50.321 | -0.000 | 0.000 | -0.000 |
| 50.321 | 72.740 | 50.321 | -0.000 | -0.000 | 0.000 |
| 50.321 | 50.321 | 72.740 | -0.000 | 0.000 | -0.000 |
| 0.000 | 0.000 | 0.000 | 37.589 | -0.000 | -0.000 |
| 0.000 | 0.000 | 0.000 | -0.000 | 37.589 | -0.000 |
| 0.000 | 0.000 | 0.000 | -0.000 | 0.000 | 37.589 |
| 144.228 | 164.284 | 164.284 | -0.000 | -0.000 | -0.000 |
| 164.284 | 144.228 | 164.284 | -0.000 | -0.000 | -0.000 |
| 164.284 | 164.284 | 144.228 | 0.000 | 0.000 | -0.000 |
| -0.000 | 0.000 | 0.000 | 114.006 | -0.000 | -0.000 |
| 0.000 | 0.000 | 0.000 | -0.000 | 114.006 | -0.000 |
| -0.000 | 0.000 | -0.000 | 0.000 | -0.000 | 114.006 |
| 144.228 | 164.284 | 164.284 | -0.000 | 0.000 | 0.000 |
| 164.284 | 144.228 | 164.284 | 0.000 | -0.000 | 0.000 |
| 164.284 | 164.284 | 144.228 | 0.000 | 0.000 | 0.000 |
| 0.000 | 0.000 | 0.000 | 114.006 | 0.000 | -0.000 |
| -0.000 | 0.000 | 0.000 | -0.000 | 114.006 | 0.000 |
| 0.000 | -0.000 | 0.000 | 0.000 | 0.000 | 114.006 |
| 144.228 | 164.284 | 164.284 | -0.000 | -0.000 | -0.000 |
| 164.284 | 144.228 | 164.284 | -0.000 | -0.000 | -0.000 |
| 164.284 | 164.284 | 144.228 | 0.000 | -0.000 | -0.000 |
| -0.000 | 0.000 | 0.000 | 114.006 | -0.000 | -0.000 |
| 0.000 | -0.000 | 0.000 | 0.000 | 114.006 | -0.000 |
| 0.000 | 0.000 | -0.000 | -0.000 | -0.000 | 114.006 |
| 144.228 | 164.284 | 164.284 | 0.000 | 0.000 | 0.000 |
| 164.284 | 144.228 | 164.284 | 0.000 | 0.000 | 0.000 |
| 164.284 | 164.284 | 144.228 | 0.000 | 0.000 | 0.000 |
| 0.000 | -0.000 | -0.000 | 114.006 | 0.000 | -0.000 |
| -0.000 | 0.000 | -0.000 | 0.000 | 114.006 | 0.000 |
| -0.000 | -0.000 | 0.000 | -0.000 | 0.000 | 114.006 |
| 144.231 | 164.284 | 164.284 | -0.000 | -0.000 | -0.000 |
| 164.284 | 144.231 | 164.284 | 0.000 | -0.000 | -0.000 |
| 164.284 | 164.284 | 144.231 | 0.000 | -0.000 | -0.000 |
| -0.001 | 0.000 | 0.000 | 114.006 | 0.000 | -0.000 |
| 0.000 | -0.001 | 0.000 | 0.000 | 114.006 | -0.000 |
| 0.000 | 0.000 | -0.001 | 0.000 | -0.000 | 114.006 |
| 144.225 | 164.284 | 164.284 | 0.000 | 0.000 | 0.000 |
| 164.284 | 144.225 | 164.284 | 0.000 | 0.000 | -0.000 |
| 164.284 | 164.284 | 144.225 | -0.000 | 0.000 | 0.000 |
| 0.001 | -0.000 | -0.000 | 114.006 | -0.000 | -0.000 |
| -0.000 | 0.001 | -0.000 | -0.000 | 114.006 | 0.000 |
| -0.000 | -0.000 | 0.001 | -0.000 | 0.000 | 114.006 |
| 157.112 | 18.485 | 18.485 | 0.000 | 0.000 | -0.000 |
| 18.485 | 157.112 | 18.485 | 0.000 | 0.000 | -0.000 |
| 18.485 | 18.485 | 157.112 | 0.000 | 0.000 | -0.000 |
| 0.000 | 0.000 | 0.000 | 19.948 | 0.000 | -0.000 |
| 0.000 | 0.000 | 0.000 | 0.000 | 19.948 | -0.000 |
| 0.000 | 0.000 | 0.000 | 0.000 | 0.000 | 19.948 |
| 157.112 | 18.485 | 18.485 | -0.000 | -0.000 | 0.000 |
| 18.485 | 157.112 | 18.485 | -0.000 | -0.000 | 0.000 |
| 18.485 | 18.485 | 157.112 | -0.000 | -0.000 | 0.000 |
| -0.000 | -0.000 | -0.000 | 19.948 | -0.000 | 0.000 |
| -0.000 | -0.000 | -0.000 | -0.000 | 19.948 | 0.000 |
| -0.000 | -0.000 | -0.000 | -0.000 | -0.000 | 19.948 |
| 157.111 | 18.485 | 18.485 | 0.000 | 0.000 | -0.000 |
| 18.485 | 157.111 | 18.485 | 0.000 | 0.000 | -0.000 |
| 18.485 | 18.485 | 157.111 | 0.000 | 0.000 | -0.000 |
| 0.000 | 0.000 | 0.000 | 19.948 | 0.000 | -0.000 |
| 0.000 | 0.000 | 0.000 | 0.000 | 19.948 | -0.000 |
| 0.000 | 0.000 | 0.000 | 0.000 | 0.000 | 19.948 |
| 157.112 | 18.485 | 18.485 | -0.000 | -0.000 | 0.000 |
| 18.485 | 157.112 | 18.485 | -0.000 | -0.000 | 0.000 |
| 18.485 | 18.485 | 157.112 | -0.000 | -0.000 | 0.000 |
| -0.000 | -0.000 | -0.000 | 19.948 | -0.000 | 0.000 |
| -0.000 | -0.000 | -0.000 | -0.000 | 19.948 | 0.000 |
| -0.000 | -0.000 | -0.000 | -0.000 | -0.000 | 19.948 |
| 157.110 | 18.485 | 18.485 | 0.000 | 0.000 | -0.000 |
| 18.485 | 157.110 | 18.485 | 0.000 | 0.000 | -0.000 |
| 18.485 | 18.485 | 157.110 | 0.000 | 0.000 | 0.000 |
| 0.000 | 0.000 | 0.000 | 19.948 | 0.000 | -0.000 |
| 0.000 | 0.000 | 0.000 | 0.000 | 19.948 | -0.000 |
| 0.000 | 0.000 | 0.000 | 0.000 | 0.000 | 19.948 |
| 157.114 | 18.484 | 18.484 | -0.000 | -0.000 | 0.000 |
| 18.484 | 157.114 | 18.484 | -0.000 | -0.000 | 0.000 |
| 18.484 | 18.484 | 157.114 | -0.000 | -0.000 | 0.000 |
| -0.000 | -0.000 | -0.000 | 19.948 | -0.000 | 0.000 |
| -0.000 | -0.000 | -0.000 | -0.000 | 19.948 | 0.000 |
| -0.000 | -0.000 | -0.000 | -0.000 | -0.000 | 19.948 |
| 62.406 | 1.732 | 1.732 | -0.000 | 0.000 | -0.000 |
| 1.732 | 62.406 | 1.732 | 0.000 | 0.000 | -0.000 |
| 1.732 | 1.732 | 62.406 | -0.000 | 0.000 | -0.000 |
| -0.000 | -0.000 | -0.000 | -1.769 | 0.000 | -0.000 |
| -0.000 | -0.000 | -0.000 | -0.000 | -1.769 | 0.000 |
| -0.000 | -0.000 | 0.000 | -0.000 | 0.000 | -1.769 |
| 62.406 | 1.732 | 1.732 | 0.000 | -0.000 | 0.000 |
| 1.732 | 62.406 | 1.732 | 0.000 | -0.000 | 0.000 |
| 1.732 | 1.732 | 62.406 | -0.000 | -0.000 | 0.000 |
| 0.000 | 0.000 | 0.000 | -1.769 | -0.000 | 0.000 |
| 0.000 | 0.000 | 0.000 | -0.000 | -1.769 | 0.000 |
| 0.000 | 0.000 | -0.000 | 0.000 | -0.000 | -1.769 |
| 62.406 | 1.732 | 1.732 | -0.000 | 0.000 | -0.000 |
| 1.732 | 62.406 | 1.732 | -0.000 | 0.000 | -0.000 |
| 1.732 | 1.732 | 62.406 | 0.000 | 0.000 | -0.000 |
| -0.000 | -0.000 | -0.000 | -1.934 | 0.000 | -0.000 |
| -0.000 | -0.000 | -0.000 | -0.000 | -1.934 | -0.000 |
| -0.000 | -0.000 | -0.000 | -0.000 | -0.000 | -1.934 |
| 62.406 | 1.732 | 1.732 | -0.000 | -0.000 | 0.000 |
| 1.732 | 62.406 | 1.732 | -0.000 | -0.000 | 0.000 |
| 1.732 | 1.732 | 62.406 | 0.000 | -0.000 | 0.000 |
| 0.000 | 0.000 | 0.000 | -1.934 | -0.000 | 0.000 |
| 0.000 | 0.000 | 0.000 | 0.000 | -1.934 | 0.000 |
| 0.000 | 0.000 | 0.000 | 0.000 | 0.000 | -1.934 |
| 62.408 | 1.732 | 1.732 | -0.000 | 0.000 | -0.000 |
| 1.732 | 62.408 | 1.732 | -0.000 | 0.000 | -0.000 |
| 1.732 | 1.732 | 62.408 | -0.000 | 0.000 | -0.000 |
| -0.000 | -0.000 | -0.000 | -1.934 | 0.000 | -0.000 |
| -0.000 | -0.000 | -0.000 | -0.000 | -1.934 | -0.000 |
| -0.000 | -0.000 | -0.000 | -0.000 | -0.000 | -1.934 |
| 62.404 | 1.732 | 1.732 | 0.000 | -0.000 | -0.000 |
| 1.732 | 62.404 | 1.732 | 0.000 | -0.000 | 0.000 |
| 1.732 | 1.732 | 62.404 | 0.000 | 0.000 | 0.000 |
| 0.000 | 0.000 | 0.000 | -1.934 | -0.000 | 0.000 |
| 0.000 | 0.000 | 0.000 | 0.000 | -1.934 | 0.000 |
| 0.000 | 0.000 | 0.000 | 0.000 | 0.000 | -1.934 |
| 699.410 | 367.514 | 367.514 | 0.000 | -0.000 | 0.000 |
| 367.514 | 699.410 | 367.514 | 0.000 | -0.000 | 0.000 |
| 367.514 | 367.514 | 699.410 | -0.000 | -0.000 | 0.000 |
| -0.000 | -0.000 | -0.000 | 140.942 | -0.000 | 0.000 |
| -0.000 | 0.000 | -0.000 | 0.000 | 140.942 | 0.000 |
| -0.000 | -0.000 | 0.000 | 0.000 | -0.000 | 140.942 |
| 699.410 | 367.514 | 367.514 | -0.000 | 0.000 | -0.000 |
| 367.514 | 699.410 | 367.514 | -0.000 | -0.000 | -0.000 |
| 367.514 | 367.514 | 699.410 | -0.000 | 0.000 | -0.000 |
| -0.000 | 0.000 | 0.000 | 140.942 | 0.000 | -0.000 |
| 0.000 | -0.000 | 0.000 | -0.000 | 140.942 | -0.000 |
| 0.000 | 0.000 | -0.000 | -0.000 | 0.000 | 140.942 |
| 702.797 | 365.820 | 365.820 | 0.000 | -0.000 | 0.000 |
| 365.820 | 702.797 | 365.820 | 0.000 | -0.000 | 0.000 |
| 365.820 | 365.820 | 702.797 | 0.000 | -0.000 | 0.000 |
| -0.000 | -0.000 | -0.000 | 140.942 | -0.000 | 0.000 |
| -0.000 | -0.000 | -0.000 | 0.000 | 140.942 | 0.000 |
| -0.000 | -0.000 | -0.000 | 0.000 | -0.000 | 140.942 |
| 702.799 | 365.820 | 365.820 | -0.000 | 0.000 | -0.000 |
| 365.820 | 702.799 | 365.820 | -0.000 | 0.000 | -0.000 |
| 365.820 | 365.820 | 702.799 | -0.000 | 0.000 | -0.000 |
| 0.000 | 0.000 | 0.000 | 140.942 | 0.000 | -0.000 |
| 0.000 | 0.000 | 0.000 | -0.000 | 140.942 | -0.000 |
| 0.000 | 0.000 | 0.000 | -0.000 | 0.000 | 140.942 |
| 699.399 | 367.512 | 367.512 | 0.000 | -0.000 | 0.000 |
| 367.512 | 699.399 | 367.512 | 0.000 | -0.000 | 0.000 |
| 367.512 | 367.512 | 699.399 | 0.000 | -0.000 | 0.000 |
| -0.000 | -0.002 | -0.002 | 137.761 | -0.000 | 0.000 |
| -0.002 | -0.000 | -0.002 | 0.000 | 137.761 | 0.000 |
| -0.002 | -0.002 | -0.000 | 0.000 | -0.000 | 137.761 |
| 699.421 | 367.516 | 367.516 | -0.000 | 0.000 | -0.000 |
| 367.516 | 699.421 | 367.516 | -0.000 | 0.000 | -0.000 |
| 367.516 | 367.516 | 699.421 | -0.000 | 0.000 | -0.000 |
| 0.000 | 0.002 | 0.002 | 137.761 | 0.000 | -0.000 |
| 0.002 | 0.000 | 0.002 | -0.000 | 137.761 | -0.000 |
| 0.002 | 0.002 | 0.000 | -0.000 | 0.000 | 137.761 |
| 43.761 | 160.685 | 160.685 | 0.000 | -0.000 | 0.000 |
| 160.685 | 43.761 | 160.685 | 0.000 | 0.000 | 0.000 |
| 160.685 | 160.685 | 43.761 | 0.000 | -0.000 | 0.000 |
| -0.000 | -0.000 | -0.000 | 24.304 | -0.000 | 0.000 |
| -0.000 | -0.000 | -0.000 | 0.000 | 24.304 | 0.000 |
| -0.000 | -0.000 | -0.000 | 0.000 | -0.000 | 24.304 |
| 43.761 | 160.685 | 160.685 | -0.000 | -0.000 | -0.000 |
| 160.685 | 43.761 | 160.685 | -0.000 | -0.000 | -0.000 |
| 160.685 | 160.685 | 43.761 | -0.000 | 0.000 | -0.000 |
| 0.000 | 0.000 | 0.000 | 24.304 | 0.000 | -0.000 |
| 0.000 | 0.000 | 0.000 | -0.000 | 24.304 | -0.000 |
| 0.000 | 0.000 | 0.000 | -0.000 | 0.000 | 24.304 |
| -94500426.362 | -104170339.026 | -106043221.838 | 175955.851 | -737192.731 | -208184.086 |
| -105545663.640 | -91077410.919 | -103537801.512 | -1705964.296 | 1898393.770 | -142023.120 |
| -102595812.439 | -102393330.028 | -90294290.989 | -1395850.197 | -493501.069 | 489536.277 |
| -0.001 | -0.001 | -0.001 | -41.824 | -0.000 | -0.000 |
| -0.001 | -0.001 | -0.001 | 0.000 | -41.824 | 0.000 |
| -0.001 | -0.001 | -0.001 | 0.000 | -0.000 | -41.824 |
| 113.671 | 125.731 | 125.731 | -0.000 | 0.000 | -0.000 |
| 125.731 | 113.671 | 125.731 | 0.000 | 0.000 | -0.000 |
| 125.731 | 125.731 | 113.671 | -0.000 | 0.000 | -0.000 |
| 0.001 | 0.001 | 0.001 | -41.824 | 0.000 | -0.000 |
| 0.001 | 0.001 | 0.001 | -0.000 | -41.824 | -0.000 |
| 0.001 | 0.001 | 0.001 | -0.000 | 0.000 | -41.824 |
| -9093461.022 | -10237792.529 | -10318041.667 | 19349.065 | 95391.240 | -141447.168 |
| -11909662.132 | -13938785.793 | -11909662.132 | 0.000 | -0.000 | 0.000 |
| -10238679.676 | -10370489.229 | -9277230.571 | -35661.943 | 27526.197 | 81176.394 |
| -0.022 | -0.025 | -0.025 | -104.078 | -0.000 | 0.000 |
| -8853710.378 | -9977208.218 | -10546805.548 | 108262.133 | 295898.559 | 18876.484 |
| -0.025 | -0.025 | -0.022 | 0.000 | -0.000 | -104.078 |
| 9988544.011 | 9573386.400 | 9242909.088 | 40580.513 | -3209.077 | -106166.460 |
| 9245436.028 | 9946066.018 | 9561707.548 | -4661.025 | -75817.160 | -4617.141 |
| 9550682.364 | 9385712.903 | 10001770.236 | 48510.407 | -16873.161 | -7572.909 |
| 0.022 | 0.025 | 0.025 | -104.078 | 0.000 | -0.000 |
| 9263081.499 | 9967441.669 | 10598875.422 | 34879.033 | 232709.971 | -1747.757 |
| 0.025 | 0.025 | 0.022 | -0.000 | 0.000 | -104.078 |
| 271.709 | 138.032 | 138.032 | -0.000 | -0.000 | -0.000 |
| 138.032 | 271.709 | 138.032 | -0.000 | -0.000 | -0.000 |
| 138.032 | 138.032 | 271.709 | -0.000 | -0.000 | -0.000 |
| 0.000 | -0.000 | -0.000 | 64.668 | -0.000 | -0.000 |
| 0.000 | -0.000 | -0.000 | -0.000 | 64.668 | -0.000 |
| 0.000 | -0.000 | -0.000 | -0.000 | -0.000 | 64.668 |
| 271.709 | 138.032 | 138.032 | 0.000 | 0.000 | 0.000 |
| 138.032 | 271.709 | 138.032 | 0.000 | 0.000 | -0.000 |
| 138.032 | 138.032 | 271.709 | 0.000 | 0.000 | 0.000 |
| -0.000 | 0.000 | 0.000 | 64.668 | 0.000 | 0.000 |
| -0.000 | 0.000 | 0.000 | 0.000 | 64.668 | 0.000 |
| -0.000 | 0.000 | 0.000 | 0.000 | 0.000 | 64.668 |
| 271.709 | 138.032 | 138.032 | -0.000 | -0.000 | -0.000 |
| 138.032 | 271.709 | 138.032 | -0.000 | -0.000 | -0.000 |
| 138.032 | 138.032 | 271.709 | -0.000 | -0.000 | -0.000 |
| 0.000 | 0.000 | 0.000 | 64.826 | -0.000 | -0.000 |
| 0.000 | 0.000 | 0.000 | -0.000 | 64.826 | -0.000 |
| 0.000 | 0.000 | 0.000 | -0.000 | -0.000 | 64.826 |
| 271.709 | 138.032 | 138.032 | 0.000 | 0.000 | -0.000 |
| 138.032 | 271.709 | 138.032 | 0.000 | 0.000 | 0.000 |
| 138.032 | 138.032 | 271.709 | 0.000 | 0.000 | 0.000 |
| -0.000 | -0.000 | -0.000 | 64.826 | 0.000 | 0.000 |
| -0.000 | -0.000 | -0.000 | 0.000 | 64.826 | 0.000 |
| -0.000 | -0.000 | -0.000 | 0.000 | 0.000 | 64.826 |
| 271.708 | 138.033 | 138.033 | -0.000 | -0.000 | -0.000 |
| 138.033 | 271.708 | 138.033 | -0.000 | -0.000 | -0.000 |
| 138.033 | 138.033 | 271.708 | -0.000 | -0.000 | -0.000 |
| 0.000 | 0.000 | 0.001 | 64.668 | -0.000 | -0.000 |
| 0.000 | 0.000 | 0.001 | -0.000 | 64.668 | -0.000 |
| 0.000 | 0.001 | 0.000 | -0.000 | -0.000 | 64.668 |
| 271.710 | 138.031 | 138.031 | 0.000 | 0.000 | 0.000 |
| 138.031 | 271.710 | 138.031 | 0.000 | 0.000 | 0.000 |
| 138.031 | 138.031 | 271.710 | 0.000 | 0.000 | 0.000 |
| -0.000 | -0.000 | -0.001 | 64.668 | 0.000 | -0.000 |
| -0.000 | -0.000 | -0.001 | 0.000 | 64.668 | 0.000 |
| -0.000 | -0.001 | -0.000 | 0.000 | 0.000 | 64.668 |
| 67.625 | 104.649 | 104.649 | -0.000 | -0.000 | -0.000 |
| 104.649 | 67.625 | 104.649 | -0.000 | 0.000 | 0.000 |
| 104.649 | 104.649 | 67.625 | -0.000 | -0.000 | -0.000 |
| -0.000 | -0.000 | -0.000 | 96.726 | -0.000 | 0.000 |
| -0.000 | -0.000 | -0.000 | -0.000 | 96.726 | 0.000 |
| -0.000 | -0.000 | -0.000 | -0.000 | 0.000 | 96.726 |
| 67.625 | 104.649 | 104.649 | 0.000 | 0.000 | -0.000 |
| 104.649 | 67.625 | 104.649 | 0.000 | 0.000 | -0.000 |
| 104.649 | 104.649 | 67.625 | 0.000 | -0.000 | -0.000 |
| 0.000 | 0.000 | 0.000 | 96.726 | 0.000 | -0.000 |
| 0.000 | 0.000 | 0.000 | 0.000 | 96.726 | -0.000 |
| 0.000 | 0.000 | 0.000 | 0.000 | 0.000 | 96.726 |
| 67.624 | 104.648 | 104.648 | 0.000 | 0.000 | -0.000 |
| 104.648 | 67.624 | 104.648 | -0.000 | 0.000 | 0.000 |
| 104.648 | 104.648 | 67.624 | 0.000 | 0.000 | 0.000 |
| -0.000 | -0.000 | -0.000 | 65.902 | -0.000 | 0.000 |
| -0.000 | -0.000 | -0.000 | -0.000 | 65.902 | 0.000 |
| -0.000 | -0.000 | -0.000 | -0.000 | -0.000 | 65.902 |
| 67.626 | 104.649 | 104.649 | 0.000 | -0.000 | 0.000 |
| 104.649 | 67.626 | 104.649 | 0.000 | 0.000 | -0.000 |
| 104.649 | 104.649 | 67.626 | -0.000 | -0.000 | 0.000 |
| 0.000 | 0.000 | 0.000 | 65.902 | 0.000 | 0.000 |
| 0.000 | 0.000 | 0.000 | 0.000 | 65.902 | -0.000 |
| 0.000 | 0.000 | 0.000 | 0.000 | 0.000 | 65.902 |
| 67.617 | 104.648 | 104.648 | -0.000 | 0.000 | -0.000 |
| 104.648 | 67.617 | 104.648 | -0.000 | -0.000 | -0.000 |
| 104.648 | 104.648 | 67.617 | -0.000 | -0.000 | -0.000 |
| -0.003 | -0.001 | -0.001 | 65.902 | -0.000 | -0.000 |
| -0.001 | -0.003 | -0.001 | -0.000 | 65.902 | 0.000 |
| -0.001 | -0.001 | -0.003 | -0.000 | -0.000 | 65.902 |
| 67.632 | 104.649 | 104.649 | 0.000 | 0.000 | 0.000 |
| 104.649 | 67.632 | 104.649 | 0.000 | 0.000 | -0.000 |
| 104.649 | 104.649 | 67.632 | 0.000 | 0.000 | 0.000 |
| 0.003 | 0.001 | 0.001 | 65.902 | 0.000 | -0.000 |
| 0.001 | 0.003 | 0.001 | 0.000 | 65.902 | -0.000 |
| 0.001 | 0.001 | 0.003 | 0.000 | 0.000 | 65.902 |
| 39.652 | 39.652 | 39.652 | -0.000 | -0.000 | -0.000 |
| 39.652 | 39.652 | 39.652 | -0.000 | -0.000 | -0.000 |
| 39.652 | 39.652 | 39.652 | -0.000 | -0.000 | -0.000 |
| -0.000 | -0.000 | -0.000 | 39.935 | -0.000 | -0.000 |
| -0.000 | -0.000 | -0.000 | -0.000 | 39.935 | -0.000 |
| -0.000 | -0.000 | -0.000 | -0.000 | -0.000 | 39.935 |
| 39.652 | 39.652 | 39.652 | 0.000 | 0.000 | -0.000 |
| 39.652 | 39.652 | 39.652 | 0.000 | 0.000 | -0.000 |
| 39.652 | 39.652 | 39.652 | 0.000 | 0.000 | -0.000 |
| 0.000 | 0.000 | 0.000 | 39.935 | 0.000 | -0.000 |
| 0.000 | 0.000 | 0.000 | 0.000 | 39.935 | -0.000 |
| 0.000 | 0.000 | 0.000 | 0.000 | 0.000 | 39.935 |
| 39.652 | 39.652 | 39.652 | -0.000 | -0.000 | -0.000 |
| 39.652 | 39.652 | 39.652 | -0.000 | -0.000 | -0.000 |
| 39.652 | 39.652 | 39.652 | -0.000 | -0.000 | 0.000 |
| -0.000 | -0.000 | -0.000 | 39.935 | -0.000 | 0.000 |
| -0.000 | -0.000 | -0.000 | -0.000 | 39.935 | 0.000 |
| -0.000 | -0.000 | -0.000 | -0.000 | -0.000 | 39.935 |
| 39.652 | 39.652 | 39.652 | 0.000 | 0.000 | 0.000 |
| 39.652 | 39.652 | 39.652 | 0.000 | 0.000 | 0.000 |
| 39.652 | 39.652 | 39.652 | 0.000 | 0.000 | 0.000 |
| 0.000 | 0.000 | 0.000 | 39.935 | 0.000 | 0.000 |
| 0.000 | 0.000 | 0.000 | 0.000 | 39.935 | 0.000 |
| 0.000 | 0.000 | 0.000 | 0.000 | 0.000 | 39.935 |
| 39.652 | 39.652 | 39.652 | -0.000 | -0.000 | 0.000 |
| 39.652 | 39.652 | 39.652 | -0.000 | -0.000 | 0.000 |
| 39.652 | 39.652 | 39.652 | -0.000 | -0.000 | 0.000 |
| -0.000 | -0.000 | -0.000 | 39.935 | -0.000 | 0.000 |
| -0.000 | -0.000 | -0.000 | -0.000 | 39.935 | 0.000 |
| -0.000 | -0.000 | -0.000 | -0.000 | -0.000 | 39.935 |
| 39.653 | 39.652 | 39.652 | 0.000 | 0.000 | -0.000 |
| 39.652 | 39.653 | 39.652 | 0.000 | 0.000 | -0.000 |
| 39.652 | 39.652 | 39.653 | 0.000 | 0.000 | -0.000 |
| 0.000 | 0.000 | 0.000 | 39.935 | 0.000 | -0.000 |
| 0.000 | 0.000 | 0.000 | 0.000 | 39.935 | -0.000 |
| 0.000 | 0.000 | 0.000 | 0.000 | 0.000 | 39.935 |
| 173.552 | 310.506 | 310.506 | 0.000 | 0.000 | -0.000 |
| 310.506 | 173.552 | 310.506 | -0.000 | -0.000 | 0.000 |
| 310.506 | 310.506 | 173.552 | 0.000 | -0.000 | 0.000 |
| 0.000 | 0.000 | 0.000 | 20.414 | 0.000 | -0.000 |
| 0.000 | 0.000 | 0.000 | 0.000 | 20.414 | -0.000 |
| 0.000 | 0.000 | -0.000 | 0.000 | -0.000 | 20.414 |
| 173.552 | 310.506 | 310.506 | 0.000 | 0.000 | -0.000 |
| 310.506 | 173.552 | 310.506 | 0.000 | 0.000 | 0.000 |
| 310.506 | 310.506 | 173.552 | -0.000 | -0.000 | -0.000 |
| -0.000 | -0.000 | -0.000 | 20.414 | -0.000 | 0.000 |
| -0.000 | -0.000 | -0.000 | 0.000 | 20.414 | -0.000 |
| -0.000 | -0.000 | 0.000 | -0.000 | 0.000 | 20.414 |
| 173.552 | 310.506 | 310.506 | -0.000 | -0.000 | -0.000 |
| 310.506 | 173.552 | 310.506 | 0.000 | -0.000 | -0.000 |
| 310.506 | 310.506 | 173.552 | 0.000 | -0.000 | -0.000 |
| 0.000 | 0.000 | 0.000 | 20.414 | 0.000 | -0.000 |
| 0.000 | 0.000 | 0.000 | 0.000 | 20.414 | -0.000 |
| 0.000 | 0.000 | 0.000 | 0.000 | -0.000 | 20.414 |
| 173.552 | 310.506 | 310.506 | -0.000 | 0.000 | -0.000 |
| 310.506 | 173.552 | 310.506 | -0.000 | 0.000 | 0.000 |
| 310.506 | 310.506 | 173.552 | -0.000 | -0.000 | 0.000 |
| -0.000 | -0.000 | -0.000 | 20.414 | -0.000 | -0.000 |
| -0.000 | -0.000 | -0.000 | -0.000 | 20.414 | 0.000 |
| -0.000 | -0.000 | -0.000 | -0.000 | 0.000 | 20.414 |
| 173.555 | 310.506 | 310.506 | 0.000 | -0.000 | 0.000 |
| 310.506 | 173.555 | 310.506 | -0.000 | -0.000 | -0.000 |
| 310.506 | 310.506 | 173.555 | 0.000 | 0.000 | -0.000 |
| 0.000 | 0.000 | 0.000 | 20.414 | 0.000 | 0.000 |
| 0.000 | 0.000 | 0.000 | 0.000 | 20.414 | 0.000 |
| 0.000 | 0.000 | 0.000 | 0.000 | -0.000 | 20.414 |
| 173.549 | 310.505 | 310.505 | 0.000 | -0.000 | 0.000 |
| 310.505 | 173.549 | 310.505 | -0.000 | 0.000 | 0.000 |
| 310.505 | 310.505 | 173.549 | -0.000 | -0.000 | 0.000 |
| -0.000 | -0.000 | -0.000 | 20.414 | -0.000 | 0.000 |
| -0.000 | -0.000 | -0.000 | -0.000 | 20.414 | -0.000 |
| -0.000 | -0.000 | -0.000 | -0.000 | 0.000 | 20.414 |
| 354.193 | 55.620 | 55.620 | -0.000 | -0.000 | -0.000 |
| 55.620 | 354.193 | 55.620 | 0.000 | -0.000 | -0.000 |
| 55.620 | 55.620 | 354.193 | 0.000 | 0.000 | -0.000 |
| -0.000 | -0.000 | -0.000 | 4.974 | 0.000 | -0.000 |
| -0.000 | -0.000 | -0.000 | -0.000 | 4.974 | -0.000 |
| -0.000 | -0.000 | -0.000 | 0.000 | 0.000 | 4.974 |
| 354.193 | 55.620 | 55.620 | 0.000 | -0.000 | 0.000 |
| 55.620 | 354.193 | 55.620 | -0.000 | -0.000 | -0.000 |
| 55.620 | 55.620 | 354.193 | -0.000 | -0.000 | 0.000 |
| 0.000 | 0.000 | 0.000 | 4.974 | -0.000 | 0.000 |
| 0.000 | 0.000 | 0.000 | 0.000 | 4.974 | 0.000 |
| 0.000 | 0.000 | 0.000 | -0.000 | -0.000 | 4.974 |
| 354.192 | 55.619 | 55.619 | 0.000 | 0.000 | -0.000 |
| 55.619 | 354.192 | 55.619 | 0.000 | 0.000 | -0.000 |
| 55.619 | 55.619 | 354.192 | 0.000 | 0.000 | -0.000 |
| -0.000 | -0.000 | -0.000 | 4.974 | 0.000 | 0.000 |
| -0.000 | -0.000 | -0.000 | 0.000 | 4.974 | -0.000 |
| -0.000 | -0.000 | -0.000 | 0.000 | 0.000 | 4.974 |
| 354.193 | 55.620 | 55.620 | -0.000 | 0.000 | 0.000 |
| 55.620 | 354.193 | 55.620 | -0.000 | -0.000 | 0.000 |
| 55.620 | 55.620 | 354.193 | -0.000 | -0.000 | 0.000 |
| 0.000 | 0.000 | 0.000 | 4.974 | -0.000 | 0.000 |
| 0.000 | 0.000 | 0.000 | 0.000 | 4.974 | 0.000 |
| 0.000 | 0.000 | 0.000 | -0.000 | -0.000 | 4.974 |
| 354.190 | 55.617 | 55.617 | 0.000 | 0.000 | -0.000 |
| 55.617 | 354.190 | 55.617 | 0.000 | 0.000 | -0.000 |
| 55.617 | 55.617 | 354.190 | 0.000 | 0.000 | -0.000 |
| -0.001 | -0.002 | -0.002 | 4.974 | 0.000 | -0.000 |
| -0.002 | -0.001 | -0.002 | 0.000 | 4.974 | -0.000 |
| -0.002 | -0.002 | -0.001 | 0.000 | 0.000 | 4.974 |
| 354.195 | 55.622 | 55.622 | -0.000 | -0.000 | 0.000 |
| 55.622 | 354.195 | 55.622 | -0.000 | -0.000 | 0.000 |
| 55.622 | 55.622 | 354.195 | -0.000 | -0.000 | -0.000 |
| 0.001 | 0.002 | 0.002 | 4.974 | -0.000 | -0.000 |
| 0.002 | 0.001 | 0.002 | -0.000 | 4.974 | 0.000 |
| 0.002 | 0.002 | 0.001 | -0.000 | -0.000 | 4.974 |
| 124.287 | 109.708 | 109.708 | 0.000 | 0.000 | 0.000 |
| 109.708 | 124.287 | 109.708 | 0.000 | 0.000 | 0.000 |
| 109.708 | 109.708 | 124.287 | -0.000 | 0.000 | 0.000 |
| 0.000 | -0.000 | -0.000 | 100.902 | 0.000 | 0.000 |
| -0.000 | -0.000 | -0.000 | 0.000 | 100.902 | 0.000 |
| -0.000 | -0.000 | -0.000 | 0.000 | 0.000 | 100.902 |
| 124.287 | 109.708 | 109.708 | -0.000 | -0.000 | 0.000 |
| 109.708 | 124.287 | 109.708 | 0.000 | -0.000 | -0.000 |
| 109.708 | 109.708 | 124.287 | -0.000 | -0.000 | -0.000 |
| -0.000 | 0.000 | 0.000 | 100.902 | -0.000 | -0.000 |
| 0.000 | 0.000 | 0.000 | -0.000 | 100.902 | -0.000 |
| 0.000 | 0.000 | 0.000 | -0.000 | -0.000 | 100.902 |
| 124.287 | 109.708 | 109.708 | 0.000 | 0.000 | 0.000 |
| 109.708 | 124.287 | 109.708 | 0.000 | 0.000 | 0.000 |
| 109.708 | 109.708 | 124.287 | -0.000 | 0.000 | 0.000 |
| 0.000 | -0.000 | -0.000 | 100.902 | 0.000 | 0.000 |
| -0.000 | 0.000 | -0.000 | 0.000 | 100.902 | 0.000 |
| -0.000 | -0.000 | 0.000 | 0.000 | 0.000 | 100.902 |
| 124.287 | 109.708 | 109.708 | 0.000 | -0.000 | -0.000 |
| 109.708 | 124.287 | 109.708 | -0.000 | -0.000 | -0.000 |
| 109.708 | 109.708 | 124.287 | -0.000 | -0.000 | -0.000 |
| -0.000 | 0.000 | 0.000 | 100.902 | -0.000 | -0.000 |
| 0.000 | -0.000 | 0.000 | -0.000 | 100.902 | -0.000 |
| 0.000 | 0.000 | -0.000 | -0.000 | -0.000 | 100.902 |
| 124.284 | 109.707 | 109.707 | 0.000 | 0.000 | 0.000 |
| 109.707 | 124.284 | 109.707 | 0.000 | 0.000 | 0.000 |
| 109.707 | 109.707 | 124.284 | 0.000 | 0.000 | 0.000 |
| 0.000 | -0.001 | -0.001 | 100.902 | 0.000 | 0.000 |
| -0.001 | 0.000 | -0.001 | -0.000 | 100.902 | 0.000 |
| -0.001 | -0.001 | 0.000 | 0.000 | 0.000 | 100.902 |
| 124.290 | 109.709 | 109.709 | -0.000 | -0.000 | -0.000 |
| 109.709 | 124.290 | 109.709 | -0.000 | -0.000 | -0.000 |
| 109.709 | 109.709 | 124.290 | -0.000 | -0.000 | -0.000 |
| -0.000 | 0.001 | 0.001 | 100.902 | -0.000 | -0.000 |
| 0.001 | -0.000 | 0.001 | -0.000 | 100.902 | -0.000 |
| 0.001 | 0.001 | -0.000 | -0.000 | -0.000 | 100.902 |
| 235.512 | 117.756 | 117.756 | -0.000 | -0.000 | -0.000 |
| 117.756 | 235.512 | 117.756 | -0.000 | -0.000 | -0.000 |
| 117.756 | 117.756 | 235.512 | -0.000 | -0.000 | -0.000 |
| -0.000 | -0.000 | -0.000 | 117.691 | -0.000 | -0.000 |
| -0.000 | -0.000 | -0.000 | -0.000 | 117.691 | -0.000 |
| -0.000 | -0.000 | -0.000 | -0.000 | -0.000 | 117.691 |
| 235.512 | 117.756 | 117.756 | 0.000 | 0.000 | 0.000 |
| 117.756 | 235.512 | 117.756 | 0.000 | 0.000 | 0.000 |
| 117.756 | 117.756 | 235.512 | 0.000 | 0.000 | 0.000 |
| 0.000 | 0.000 | 0.000 | 117.691 | 0.000 | 0.000 |
| 0.000 | 0.000 | 0.000 | 0.000 | 117.691 | 0.000 |
| 0.000 | 0.000 | 0.000 | 0.000 | 0.000 | 117.691 |
| 235.512 | 117.755 | 117.755 | -0.000 | -0.000 | -0.000 |
| 117.755 | 235.512 | 117.755 | -0.000 | -0.000 | -0.000 |
| 117.755 | 117.755 | 235.512 | -0.000 | -0.000 | -0.000 |
| -0.000 | -0.000 | -0.000 | 117.691 | -0.000 | -0.000 |
| -0.000 | -0.000 | -0.000 | -0.000 | 117.691 | -0.000 |
| -0.000 | -0.000 | -0.000 | -0.000 | -0.000 | 117.691 |
| 235.512 | 117.756 | 117.756 | 0.000 | 0.000 | 0.000 |
| 117.756 | 235.512 | 117.756 | 0.000 | 0.000 | 0.000 |
| 117.756 | 117.756 | 235.512 | 0.000 | 0.000 | 0.000 |
| 0.000 | 0.000 | 0.000 | 117.691 | 0.000 | 0.000 |
| 0.000 | 0.000 | 0.000 | 0.000 | 117.691 | 0.000 |
| 0.000 | 0.000 | 0.000 | 0.000 | 0.000 | 117.691 |
| 235.508 | 117.754 | 117.754 | -0.000 | -0.000 | -0.000 |
| 117.754 | 235.508 | 117.754 | -0.000 | -0.000 | -0.000 |
| 117.754 | 117.754 | 235.508 | -0.000 | -0.000 | -0.000 |
| -0.000 | -0.002 | -0.002 | 117.691 | -0.000 | -0.000 |
| -0.002 | -0.000 | -0.002 | -0.000 | 117.691 | -0.000 |
| -0.002 | -0.002 | -0.000 | -0.000 | -0.000 | 117.691 |
| 235.516 | 117.757 | 117.757 | 0.000 | 0.000 | 0.000 |
| 117.757 | 235.516 | 117.757 | 0.000 | 0.000 | 0.000 |
| 117.757 | 117.757 | 235.516 | 0.000 | 0.000 | 0.000 |
| 0.000 | 0.002 | 0.002 | 117.691 | 0.000 | 0.000 |
| 0.002 | 0.000 | 0.002 | 0.000 | 117.691 | 0.000 |
| 0.002 | 0.002 | 0.000 | 0.000 | 0.000 | 117.691 |
| 203.364 | 101.235 | 101.235 | 0.000 | 0.000 | 0.000 |
| 101.235 | 203.364 | 101.235 | -0.000 | 0.000 | 0.000 |
| 101.235 | 101.235 | 203.364 | 0.000 | 0.000 | 0.000 |
| -0.000 | -0.000 | -0.000 | 102.285 | 0.000 | 0.000 |
| -0.000 | -0.000 | -0.000 | 0.000 | 102.285 | -0.000 |
| -0.000 | -0.000 | 0.000 | 0.000 | -0.000 | 102.285 |
| 203.364 | 101.235 | 101.235 | -0.000 | -0.000 | -0.000 |
| 101.235 | 203.364 | 101.235 | -0.000 | -0.000 | -0.000 |
| 101.235 | 101.235 | 203.364 | -0.000 | -0.000 | -0.000 |
| 0.000 | 0.000 | 0.000 | 102.285 | -0.000 | -0.000 |
| 0.000 | -0.000 | 0.000 | -0.000 | 102.285 | 0.000 |
| 0.000 | 0.000 | -0.000 | -0.000 | 0.000 | 102.285 |
| 203.364 | 101.235 | 101.235 | 0.000 | 0.000 | 0.000 |
| 101.235 | 203.364 | 101.235 | 0.000 | 0.000 | 0.000 |
| 101.235 | 101.235 | 203.364 | 0.000 | 0.000 | 0.000 |
| -0.000 | -0.000 | -0.000 | 102.285 | 0.000 | 0.000 |
| -0.000 | -0.000 | -0.000 | 0.000 | 102.285 | -0.000 |
| -0.000 | -0.000 | -0.000 | 0.000 | -0.000 | 102.285 |
| 203.364 | 101.235 | 101.235 | -0.000 | -0.000 | -0.000 |
| 101.235 | 203.364 | 101.235 | -0.000 | -0.000 | -0.000 |
| 101.235 | 101.235 | 203.364 | -0.000 | -0.000 | -0.000 |
| 0.000 | 0.000 | 0.000 | 102.285 | -0.000 | -0.000 |
| 0.000 | 0.000 | 0.000 | -0.000 | 102.285 | 0.000 |
| 0.000 | 0.000 | 0.000 | 0.000 | 0.000 | 102.285 |
| 203.363 | 101.235 | 101.235 | 0.000 | -0.000 | -0.000 |
| 101.235 | 203.363 | 101.235 | -0.000 | 0.000 | 0.000 |
| 101.235 | 101.235 | 203.363 | 0.000 | 0.000 | 0.000 |
| -0.000 | -0.001 | -0.001 | 102.285 | 0.000 | 0.000 |
| -0.001 | -0.000 | -0.001 | 0.000 | 102.285 | -0.000 |
| -0.001 | -0.001 | -0.000 | 0.000 | -0.000 | 102.285 |
| 203.365 | 101.235 | 101.235 | -0.000 | -0.000 | -0.000 |
| 101.235 | 203.365 | 101.235 | -0.000 | -0.000 | -0.000 |
| 101.235 | 101.235 | 203.365 | -0.000 | -0.000 | -0.000 |
| 0.000 | 0.001 | 0.001 | 102.285 | -0.000 | -0.000 |
| 0.001 | 0.000 | 0.001 | -0.000 | 102.285 | 0.000 |
| 0.001 | 0.001 | 0.000 | -0.000 | 0.000 | 102.285 |
| 683.559 | 274.827 | 142.600 | -0.000 | 0.000 | 0.000 |
| 274.827 | 683.559 | 142.600 | 0.000 | 0.000 | 0.000 |
| 142.600 | 142.600 | 369.540 | 0.000 | 0.000 | 0.000 |
| -0.000 | -0.000 | -0.000 | 59.928 | 0.000 | 0.000 |
| -0.000 | -0.000 | -0.000 | -0.000 | 59.928 | 0.000 |
| 0.001 | 0.001 | 0.000 | 0.000 | 0.000 | 77.616 |
| 683.606 | 274.762 | 142.600 | 0.000 | -0.000 | -0.000 |
| 274.762 | 683.606 | 142.600 | -0.000 | -0.000 | -0.000 |
| 142.600 | 142.600 | 369.540 | -0.000 | -0.000 | -0.000 |
| 0.000 | 0.000 | 0.000 | 59.928 | -0.000 | -0.000 |
| 0.000 | 0.000 | 0.000 | 0.000 | 59.928 | -0.000 |
| -0.001 | -0.001 | -0.000 | -0.000 | -0.000 | 77.616 |
| 683.630 | 274.836 | 142.600 | 0.000 | 0.000 | 0.000 |
| 274.836 | 683.630 | 142.600 | 0.000 | 0.000 | 0.000 |
| 142.600 | 142.600 | 369.540 | 0.000 | 0.000 | 0.000 |
| -0.000 | -0.000 | -0.000 | 59.928 | 0.000 | 0.000 |
| -0.000 | -0.000 | -0.000 | 0.000 | 59.928 | 0.000 |
| 0.010 | 0.010 | -0.000 | 0.000 | 0.000 | 77.616 |
| 683.535 | 274.753 | 142.599 | -0.000 | -0.000 | 0.000 |
| 274.753 | 683.535 | 142.599 | -0.000 | -0.000 | -0.000 |
| 142.599 | 142.599 | 369.540 | -0.000 | -0.000 | -0.000 |
| 0.000 | 0.000 | 0.000 | 59.928 | -0.000 | -0.000 |
| 0.000 | 0.000 | 0.000 | 0.000 | 59.928 | -0.000 |
| -0.010 | -0.010 | 0.000 | -0.000 | -0.000 | 77.616 |
| 684.341 | 274.927 | 142.601 | 0.000 | 0.000 | 0.000 |
| 274.927 | 684.341 | 142.601 | -0.000 | 0.000 | 0.000 |
| 142.601 | 142.601 | 369.538 | 0.000 | 0.000 | 0.000 |
| -0.000 | -0.001 | -0.001 | 59.824 | 0.000 | 0.000 |
| -0.001 | -0.000 | -0.001 | 0.000 | 59.824 | 0.000 |
| 0.097 | 0.097 | -0.000 | -0.000 | 0.000 | 77.616 |
| 682.761 | 274.726 | 142.598 | -0.000 | -0.000 | -0.000 |
| 274.726 | 682.761 | 142.598 | -0.000 | -0.000 | -0.000 |
| 142.598 | 142.598 | 369.543 | -0.000 | -0.000 | -0.000 |
| 0.000 | 0.001 | 0.001 | 59.824 | -0.000 | -0.000 |
| 0.001 | 0.000 | 0.001 | -0.000 | 59.824 | -0.000 |
| -0.097 | -0.097 | 0.000 | 0.000 | -0.000 | 77.616 |
| 14.248 | 150.248 | 150.248 | 0.000 | -0.000 | -0.000 |
| 150.248 | 14.248 | 150.248 | 0.000 | -0.000 | -0.000 |
| 150.248 | 150.248 | 14.248 | -0.000 | -0.000 | -0.000 |
| 0.000 | 0.000 | 0.000 | -88.509 | -0.000 | -0.000 |
| 0.000 | 0.000 | 0.000 | -0.000 | -88.509 | -0.000 |
| 0.000 | 0.000 | -0.000 | -0.000 | -0.000 | -88.509 |
| 14.248 | 150.248 | 150.248 | -0.000 | 0.000 | 0.000 |
| 150.248 | 14.248 | 150.248 | -0.000 | 0.000 | 0.000 |
| 150.248 | 150.248 | 14.248 | 0.000 | 0.000 | 0.000 |
| -0.000 | -0.000 | -0.000 | -88.509 | 0.000 | 0.000 |
| -0.000 | -0.000 | 0.000 | 0.000 | -88.509 | 0.000 |
| -0.000 | -0.000 | -0.000 | 0.000 | 0.000 | -88.509 |
| 14.249 | 150.248 | 150.248 | 0.000 | -0.000 | -0.000 |
| 150.248 | 14.249 | 150.248 | 0.000 | 0.000 | -0.000 |
| 150.248 | 150.248 | 14.249 | -0.000 | -0.000 | -0.000 |
| 0.000 | 0.000 | 0.000 | -88.509 | -0.000 | -0.000 |
| 0.000 | 0.000 | 0.000 | 0.000 | -88.509 | -0.000 |
| 0.000 | 0.000 | 0.000 | -0.000 | -0.000 | -88.509 |
| 14.246 | 150.247 | 150.247 | -0.000 | 0.000 | 0.000 |
| 150.247 | 14.246 | 150.247 | -0.000 | 0.000 | 0.000 |
| 150.247 | 150.247 | 14.246 | -0.000 | -0.000 | 0.000 |
| -0.000 | -0.000 | -0.000 | -88.509 | 0.000 | 0.000 |
| -0.000 | -0.000 | -0.000 | 0.000 | -88.509 | 0.000 |
| -0.000 | -0.000 | -0.000 | 0.000 | 0.000 | -88.509 |
| 14.259 | 150.250 | 150.250 | 0.000 | 0.000 | -0.000 |
| 150.250 | 14.259 | 150.250 | 0.000 | -0.000 | -0.000 |
| 150.250 | 150.250 | 14.259 | -0.000 | -0.000 | -0.000 |
| 0.004 | 0.003 | 0.003 | -88.509 | -0.000 | -0.000 |
| 0.003 | 0.004 | 0.003 | 0.000 | -88.509 | -0.000 |
| 0.003 | 0.003 | 0.004 | -0.000 | -0.000 | -88.509 |
| 14.236 | 150.245 | 150.245 | 0.000 | 0.000 | 0.000 |
| 150.245 | 14.236 | 150.245 | 0.000 | 0.000 | 0.000 |
| 150.245 | 150.245 | 14.236 | 0.000 | 0.000 | 0.000 |
| -0.004 | -0.003 | -0.003 | -88.509 | 0.000 | 0.000 |
| -0.003 | -0.004 | -0.003 | -0.000 | -88.509 | 0.000 |
| -0.003 | -0.003 | -0.004 | 0.000 | 0.000 | -88.509 |
| 226.114 | 113.516 | 113.516 | -0.000 | -0.000 | 0.000 |
| 113.516 | 226.114 | 113.516 | -0.000 | -0.000 | 0.000 |
| 113.516 | 113.516 | 226.114 | 0.000 | -0.000 | 0.000 |
| 0.000 | -0.000 | -0.000 | 106.227 | -0.000 | 0.000 |
| -0.000 | 0.000 | 0.000 | -0.000 | 106.227 | 0.000 |
| -0.000 | 0.000 | 0.000 | -0.000 | -0.000 | 106.227 |
| 226.114 | 113.516 | 113.516 | 0.000 | 0.000 | -0.000 |
| 113.516 | 226.114 | 113.516 | 0.000 | 0.000 | -0.000 |
| 113.516 | 113.516 | 226.114 | -0.000 | -0.000 | -0.000 |
| -0.000 | 0.000 | -0.000 | 106.227 | 0.000 | -0.000 |
| 0.000 | -0.000 | -0.000 | 0.000 | 106.227 | -0.000 |
| 0.000 | -0.000 | -0.000 | 0.000 | 0.000 | 106.227 |
| 226.114 | 113.516 | 113.516 | -0.000 | -0.000 | 0.000 |
| 113.516 | 226.114 | 113.516 | -0.000 | -0.000 | 0.000 |
| 113.516 | 113.516 | 226.114 | -0.000 | 0.000 | 0.000 |
| 0.000 | -0.000 | -0.000 | 106.227 | -0.000 | 0.000 |
| -0.000 | 0.000 | -0.000 | -0.000 | 106.227 | 0.000 |
| -0.000 | -0.000 | 0.000 | -0.000 | -0.000 | 106.227 |
| 226.114 | 113.516 | 113.516 | 0.000 | 0.000 | -0.000 |
| 113.516 | 226.114 | 113.516 | 0.000 | 0.000 | -0.000 |
| 113.516 | 113.516 | 226.114 | -0.000 | 0.000 | -0.000 |
| -0.000 | 0.000 | 0.000 | 106.227 | 0.000 | -0.000 |
| 0.000 | -0.000 | 0.000 | 0.000 | 106.227 | -0.000 |
| 0.000 | 0.000 | -0.000 | 0.000 | 0.000 | 106.227 |
| 226.113 | 113.516 | 113.516 | -0.000 | -0.000 | 0.000 |
| 113.516 | 226.113 | 113.516 | -0.000 | -0.000 | 0.000 |
| 113.516 | 113.516 | 226.113 | -0.000 | -0.000 | 0.000 |
| 0.000 | -0.000 | -0.000 | 104.290 | -0.000 | 0.000 |
| -0.000 | 0.000 | -0.000 | -0.000 | 104.290 | 0.000 |
| -0.000 | -0.000 | 0.000 | -0.000 | -0.000 | 104.290 |
| 226.114 | 113.516 | 113.516 | 0.000 | 0.000 | -0.000 |
| 113.516 | 226.114 | 113.516 | 0.000 | 0.000 | -0.000 |
| 113.516 | 113.516 | 226.114 | 0.000 | 0.000 | -0.000 |
| -0.000 | 0.000 | 0.000 | 104.290 | 0.000 | -0.000 |
| 0.000 | -0.000 | 0.000 | 0.000 | 104.290 | -0.000 |
| 0.000 | 0.000 | -0.000 | 0.000 | 0.000 | 104.290 |
| 32.296 | 71.891 | 71.891 | -0.000 | 0.000 | 0.000 |
| 71.891 | 32.296 | 71.891 | -0.000 | 0.000 | 0.000 |
| 71.891 | 71.891 | 32.296 | -0.000 | 0.000 | 0.000 |
| 0.000 | 0.000 | 0.000 | 19.637 | 0.000 | 0.000 |
| 0.000 | 0.000 | 0.000 | -0.000 | 19.637 | 0.000 |
| 0.000 | 0.000 | 0.000 | -0.000 | 0.000 | 19.637 |
| 32.296 | 71.891 | 71.891 | 0.000 | -0.000 | -0.000 |
| 71.891 | 32.296 | 71.891 | 0.000 | -0.000 | -0.000 |
| 71.891 | 71.891 | 32.296 | 0.000 | -0.000 | -0.000 |
| -0.000 | -0.000 | -0.000 | 19.637 | -0.000 | -0.000 |
| -0.000 | -0.000 | -0.000 | 0.000 | 19.637 | -0.000 |
| -0.000 | -0.000 | -0.000 | 0.000 | -0.000 | 19.637 |
| 32.296 | 71.891 | 71.891 | -0.000 | 0.000 | 0.000 |
| 71.891 | 32.296 | 71.891 | -0.000 | 0.000 | 0.000 |
| 71.891 | 71.891 | 32.296 | -0.000 | 0.000 | 0.000 |
| 0.000 | 0.000 | 0.000 | 19.637 | 0.000 | 0.000 |
| 0.000 | 0.000 | 0.000 | -0.000 | 19.637 | 0.000 |
| 0.000 | 0.000 | 0.000 | -0.000 | 0.000 | 19.637 |
| 32.296 | 71.891 | 71.891 | 0.000 | -0.000 | -0.000 |
| 71.891 | 32.296 | 71.891 | 0.000 | -0.000 | -0.000 |
| 71.891 | 71.891 | 32.296 | 0.000 | -0.000 | -0.000 |
| -0.000 | -0.000 | -0.000 | 19.637 | -0.000 | -0.000 |
| -0.000 | -0.000 | -0.000 | 0.000 | 19.637 | -0.000 |
| -0.000 | -0.000 | -0.000 | 0.000 | -0.000 | 19.637 |
| 32.296 | 71.891 | 71.891 | -0.000 | 0.000 | 0.000 |
| 71.891 | 32.296 | 71.891 | 0.000 | 0.000 | 0.000 |
| 71.891 | 71.891 | 32.296 | -0.000 | 0.000 | 0.000 |
| 0.000 | 0.000 | 0.000 | 19.637 | 0.000 | 0.000 |
| 0.000 | 0.000 | 0.000 | -0.000 | 19.637 | 0.000 |
| 0.000 | 0.000 | 0.000 | -0.000 | 0.000 | 19.637 |
| 32.297 | 71.891 | 71.891 | 0.000 | -0.000 | -0.000 |
| 71.891 | 32.297 | 71.891 | 0.000 | -0.000 | -0.000 |
| 71.891 | 71.891 | 32.297 | 0.000 | -0.000 | -0.000 |
| -0.000 | -0.000 | -0.000 | 19.637 | -0.000 | -0.000 |
| -0.000 | -0.000 | -0.000 | 0.000 | 19.637 | -0.000 |
| -0.000 | -0.000 | -0.000 | 0.000 | -0.000 | 19.637 |
| 92.591 | 26.574 | 26.574 | 0.000 | 0.000 | 0.000 |
| 26.574 | 92.591 | 26.574 | 0.000 | 0.000 | 0.000 |
| 26.574 | 26.574 | 92.591 | 0.000 | 0.000 | 0.000 |
| 0.000 | -0.000 | -0.000 | -7.560 | 0.000 | 0.000 |
| -0.000 | 0.000 | -0.000 | 0.000 | -7.560 | 0.000 |
| -0.000 | -0.000 | 0.000 | 0.000 | 0.000 | -7.560 |
| 92.591 | 26.574 | 26.574 | 0.000 | 0.000 | -0.000 |
| 26.574 | 92.591 | 26.574 | 0.000 | 0.000 | -0.000 |
| 26.574 | 26.574 | 92.591 | -0.000 | -0.000 | -0.000 |
| -0.000 | 0.000 | 0.000 | -7.560 | -0.000 | -0.000 |
| 0.000 | -0.000 | 0.000 | -0.000 | -7.560 | -0.000 |
| 0.000 | 0.000 | -0.000 | -0.000 | -0.000 | -7.560 |
| 92.591 | 26.574 | 26.574 | -0.000 | -0.000 | 0.000 |
| 26.574 | 92.591 | 26.574 | -0.000 | -0.000 | 0.000 |
| 26.574 | 26.574 | 92.591 | 0.000 | 0.000 | 0.000 |
| 0.000 | -0.000 | -0.000 | -7.560 | 0.000 | 0.000 |
| -0.000 | 0.000 | -0.000 | 0.000 | -7.560 | 0.000 |
| -0.000 | -0.000 | 0.000 | 0.000 | 0.000 | -7.560 |
| 92.591 | 26.574 | 26.574 | -0.000 | 0.000 | -0.000 |
| 26.574 | 92.591 | 26.574 | 0.000 | -0.000 | -0.000 |
| 26.574 | 26.574 | 92.591 | -0.000 | -0.000 | -0.000 |
| -0.000 | 0.000 | 0.000 | -7.560 | -0.000 | -0.000 |
| 0.000 | -0.000 | 0.000 | -0.000 | -7.560 | -0.000 |
| 0.000 | 0.000 | -0.000 | -0.000 | -0.000 | -7.560 |
| 92.590 | 26.574 | 26.574 | 0.000 | 0.000 | 0.000 |
| 26.574 | 92.590 | 26.574 | 0.000 | 0.000 | 0.000 |
| 26.574 | 26.574 | 92.590 | 0.000 | 0.000 | 0.000 |
| 0.000 | -0.000 | -0.000 | -7.560 | -0.000 | 0.000 |
| -0.000 | 0.000 | -0.000 | 0.000 | -7.560 | 0.000 |
| -0.000 | -0.000 | 0.000 | 0.000 | 0.000 | -7.560 |
| 92.592 | 26.575 | 26.575 | 0.000 | 0.000 | -0.000 |
| 26.575 | 92.592 | 26.575 | 0.000 | 0.000 | -0.000 |
| 26.575 | 26.575 | 92.592 | -0.000 | -0.000 | -0.000 |
| -0.000 | 0.000 | 0.000 | -7.560 | -0.000 | -0.000 |
| 0.000 | -0.000 | 0.000 | -0.000 | -7.560 | -0.000 |
| 0.000 | 0.000 | -0.000 | -0.000 | -0.000 | -7.560 |
| 99.730 | 18.128 | 18.128 | 0.000 | 0.000 | -0.000 |
| 18.128 | 99.730 | 18.128 | 0.000 | 0.000 | -0.000 |
| 18.128 | 18.128 | 99.730 | 0.000 | 0.000 | -0.000 |
| 0.000 | 0.000 | -0.000 | 18.026 | 0.000 | -0.000 |
| 0.000 | 0.000 | -0.000 | 0.000 | 18.026 | -0.000 |
| 0.000 | -0.000 | 0.000 | 0.000 | 0.000 | 18.026 |
| 99.728 | 18.128 | 18.128 | -0.000 | -0.000 | 0.000 |
| 18.128 | 99.728 | 18.128 | -0.000 | -0.000 | 0.000 |
| 18.128 | 18.128 | 99.728 | 0.000 | -0.000 | -0.000 |
| -0.000 | -0.000 | 0.000 | 18.026 | -0.000 | 0.000 |
| -0.000 | -0.000 | 0.000 | -0.000 | 18.026 | 0.000 |
| -0.000 | 0.000 | -0.000 | -0.000 | -0.000 | 18.026 |
| 99.738 | 18.128 | 18.128 | 0.000 | 0.000 | -0.000 |
| 18.128 | 99.738 | 18.128 | -0.000 | 0.000 | 0.000 |
| 18.128 | 18.128 | 99.738 | 0.000 | 0.000 | -0.000 |
| 0.000 | 0.000 | 0.000 | 18.026 | 0.000 | -0.000 |
| 0.000 | 0.000 | 0.000 | 0.000 | 18.026 | -0.000 |
| 0.000 | 0.000 | 0.000 | 0.000 | 0.000 | 18.026 |
| 99.720 | 18.128 | 18.128 | -0.000 | -0.000 | 0.000 |
| 18.128 | 99.720 | 18.128 | -0.000 | -0.000 | 0.000 |
| 18.128 | 18.128 | 99.720 | -0.000 | -0.000 | 0.000 |
| -0.000 | -0.000 | -0.000 | 18.026 | -0.000 | 0.000 |
| -0.000 | -0.000 | -0.000 | 0.000 | 18.026 | 0.000 |
| -0.000 | -0.000 | -0.000 | -0.000 | -0.000 | 18.026 |
| 99.818 | 18.128 | 18.128 | 0.000 | 0.000 | -0.000 |
| 18.128 | 99.818 | 18.128 | 0.000 | 0.000 | 0.000 |
| 18.128 | 18.128 | 99.818 | 0.000 | 0.000 | 0.000 |
| 0.000 | 0.000 | 0.000 | 18.026 | 0.000 | -0.000 |
| 0.000 | 0.000 | 0.000 | 0.000 | 18.026 | -0.000 |
| 0.000 | 0.000 | 0.000 | 0.000 | 0.000 | 18.026 |
| 99.640 | 18.128 | 18.128 | -0.000 | -0.000 | -0.000 |
| 18.128 | 99.640 | 18.128 | -0.000 | -0.000 | -0.000 |
| 18.128 | 18.128 | 99.640 | -0.000 | -0.000 | -0.000 |
| -0.000 | -0.000 | -0.000 | 18.026 | -0.000 | 0.000 |
| -0.000 | -0.000 | -0.000 | -0.000 | 18.026 | -0.000 |
| -0.000 | -0.000 | -0.000 | -0.000 | -0.000 | 18.026 |
| 273.492 | 183.777 | 183.777 | -0.000 | 0.000 | 0.000 |
| 183.777 | 273.492 | 183.777 | -0.000 | 0.000 | 0.000 |
| 183.777 | 183.777 | 273.492 | -0.000 | 0.000 | -0.000 |
| -0.000 | 0.000 | -0.000 | -12.998 | -0.000 | -0.000 |
| -0.000 | 0.000 | -0.000 | -0.000 | -12.998 | -0.000 |
| -0.000 | 0.000 | 0.000 | 0.000 | 0.000 | -12.998 |
| 273.492 | 183.777 | 183.777 | 0.000 | -0.000 | -0.000 |
| 183.777 | 273.492 | 183.777 | 0.000 | -0.000 | 0.000 |
| 183.777 | 183.777 | 273.492 | 0.000 | 0.000 | -0.000 |
| 0.000 | -0.000 | 0.000 | -12.998 | 0.000 | -0.000 |
| 0.000 | -0.000 | 0.000 | 0.000 | -12.998 | -0.000 |
| 0.000 | -0.000 | -0.000 | -0.000 | -0.000 | -12.998 |
| 273.492 | 183.777 | 183.777 | -0.000 | -0.000 | 0.000 |
| 183.777 | 273.492 | 183.777 | -0.000 | -0.000 | 0.000 |
| 183.777 | 183.777 | 273.492 | -0.000 | 0.000 | -0.000 |
| 0.000 | 0.000 | 0.000 | -12.998 | 0.000 | 0.000 |
| 0.000 | 0.000 | 0.000 | -0.000 | -12.998 | -0.000 |
| 0.000 | 0.000 | 0.000 | -0.000 | 0.000 | -12.998 |
| 273.491 | 183.777 | 183.777 | 0.000 | -0.000 | -0.000 |
| 183.777 | 273.491 | 183.777 | 0.000 | -0.000 | -0.000 |
| 183.777 | 183.777 | 273.491 | 0.000 | -0.000 | 0.000 |
| -0.000 | -0.000 | -0.000 | -12.998 | 0.000 | -0.000 |
| -0.000 | -0.000 | -0.000 | 0.000 | -12.998 | -0.000 |
| -0.000 | -0.000 | -0.000 | 0.000 | -0.000 | -12.998 |
| 273.492 | 183.778 | 183.778 | -0.000 | -0.000 | 0.000 |
| 183.778 | 273.492 | 183.778 | -0.000 | 0.000 | 0.000 |
| 183.778 | 183.778 | 273.492 | -0.000 | 0.000 | 0.000 |
| 0.000 | 0.001 | 0.000 | -12.998 | 0.000 | 0.000 |
| 0.001 | 0.000 | 0.000 | -0.000 | -12.998 | -0.000 |
| 0.001 | 0.000 | 0.000 | -0.000 | -0.000 | -12.998 |
| 273.491 | 183.777 | 183.777 | 0.000 | -0.000 | 0.000 |
| 183.777 | 273.491 | 183.777 | 0.000 | 0.000 | -0.000 |
| 183.777 | 183.777 | 273.491 | 0.000 | -0.000 | 0.000 |
| -0.000 | -0.001 | -0.000 | -12.998 | -0.000 | 0.000 |
| -0.001 | -0.000 | -0.000 | 0.000 | -12.998 | -0.000 |
| -0.001 | -0.000 | -0.000 | 0.000 | 0.000 | -12.998 |
| 92.700 | 9.584 | 9.584 | -0.000 | -0.000 | -0.000 |
| 9.584 | 92.700 | 9.584 | -0.000 | 0.000 | 0.000 |
| 9.584 | 9.584 | 92.700 | 0.000 | 0.000 | -0.000 |
| 0.000 | 0.000 | 0.000 | 8.691 | -0.000 | -0.000 |
| 0.000 | 0.000 | 0.000 | 0.000 | 8.691 | -0.000 |
| 0.000 | 0.000 | 0.000 | -0.000 | -0.000 | 8.691 |
| 92.700 | 9.584 | 9.584 | -0.000 | -0.000 | 0.000 |
| 9.584 | 92.700 | 9.584 | -0.000 | -0.000 | 0.000 |
| 9.584 | 9.584 | 92.700 | 0.000 | -0.000 | -0.000 |
| -0.000 | -0.000 | -0.000 | 8.691 | 0.000 | -0.000 |
| -0.000 | -0.000 | -0.000 | 0.000 | 8.691 | 0.000 |
| -0.000 | -0.000 | -0.000 | -0.000 | -0.000 | 8.691 |
| 92.700 | 9.584 | 9.584 | -0.000 | -0.000 | -0.000 |
| 9.584 | 92.700 | 9.584 | -0.000 | 0.000 | 0.000 |
| 9.584 | 9.584 | 92.700 | 0.000 | 0.000 | -0.000 |
| 0.000 | 0.000 | 0.000 | 8.691 | -0.000 | 0.000 |
| 0.000 | 0.000 | 0.000 | 0.000 | 8.691 | -0.000 |
| 0.000 | 0.000 | 0.000 | -0.000 | 0.000 | 8.691 |
| 92.700 | 9.584 | 9.584 | 0.000 | 0.000 | 0.000 |
| 9.584 | 92.700 | 9.584 | 0.000 | 0.000 | 0.000 |
| 9.584 | 9.584 | 92.700 | -0.000 | -0.000 | 0.000 |
| -0.000 | -0.000 | -0.000 | 8.691 | 0.000 | -0.000 |
| -0.000 | -0.000 | -0.000 | -0.000 | 8.691 | 0.000 |
| -0.000 | -0.000 | -0.000 | -0.000 | 0.000 | 8.691 |
| 92.701 | 9.585 | 9.585 | -0.000 | -0.000 | -0.000 |
| 9.585 | 92.701 | 9.585 | 0.000 | -0.000 | 0.000 |
| 9.585 | 9.585 | 92.701 | 0.000 | 0.000 | -0.000 |
| 0.000 | 0.001 | 0.001 | 8.691 | -0.000 | 0.000 |
| 0.001 | 0.000 | 0.001 | 0.000 | 8.691 | -0.000 |
| 0.001 | 0.001 | 0.000 | -0.000 | -0.000 | 8.691 |
| 92.699 | 9.584 | 9.584 | -0.000 | 0.000 | 0.000 |
| 9.584 | 92.699 | 9.584 | 0.000 | 0.000 | 0.000 |
| 9.584 | 9.584 | 92.699 | -0.000 | -0.000 | 0.000 |
| -0.000 | -0.001 | -0.001 | 8.691 | 0.000 | -0.000 |
| -0.001 | -0.000 | -0.001 | -0.000 | 8.691 | 0.000 |
| -0.001 | -0.001 | -0.000 | 0.000 | 0.000 | 8.691 |
| 10.873 | 12.278 | 12.278 | -0.000 | -0.000 | -0.000 |
| 12.278 | 10.873 | 12.278 | -0.000 | 0.000 | -0.000 |
| 12.278 | 12.278 | 10.873 | -0.000 | -0.000 | 0.000 |
| 0.000 | 0.000 | 0.000 | 14.057 | -0.000 | -0.000 |
| 0.000 | 0.000 | 0.000 | -0.000 | 14.057 | -0.000 |
| 0.000 | 0.000 | 0.000 | -0.000 | 0.000 | 14.057 |
| 10.873 | 12.278 | 12.278 | -0.000 | -0.000 | -0.000 |
| 12.278 | 10.873 | 12.278 | -0.000 | -0.000 | -0.000 |
| 12.278 | 12.278 | 10.873 | 0.000 | -0.000 | 0.000 |
| -0.000 | -0.000 | -0.000 | 14.057 | 0.000 | 0.000 |
| -0.000 | -0.000 | -0.000 | 0.000 | 14.057 | 0.000 |
| -0.000 | -0.000 | -0.000 | 0.000 | 0.000 | 14.057 |
| 10.873 | 12.278 | 12.278 | -0.000 | 0.000 | -0.000 |
| 12.278 | 10.873 | 12.278 | 0.000 | -0.000 | -0.000 |
| 12.278 | 12.278 | 10.873 | -0.000 | 0.000 | -0.000 |
| 0.000 | 0.000 | 0.000 | 14.057 | -0.000 | -0.000 |
| 0.000 | 0.000 | 0.000 | -0.000 | 14.057 | -0.000 |
| 0.000 | 0.000 | 0.000 | -0.000 | -0.000 | 14.057 |
| 10.873 | 12.278 | 12.278 | 0.000 | 0.000 | 0.000 |
| 12.278 | 10.873 | 12.278 | 0.000 | 0.000 | 0.000 |
| 12.278 | 12.278 | 10.873 | 0.000 | 0.000 | 0.000 |
| -0.000 | -0.000 | -0.000 | 14.057 | 0.000 | 0.000 |
| -0.000 | -0.000 | -0.000 | -0.000 | 14.057 | 0.000 |
| -0.000 | -0.000 | -0.000 | 0.000 | -0.000 | 14.057 |
| 10.874 | 12.278 | 12.278 | -0.000 | -0.000 | -0.000 |
| 12.278 | 10.874 | 12.278 | -0.000 | -0.000 | -0.000 |
| 12.278 | 12.278 | 10.874 | -0.000 | -0.000 | -0.000 |
| 0.000 | 0.000 | 0.000 | 14.057 | -0.000 | -0.000 |
| 0.000 | 0.000 | 0.000 | -0.000 | 14.057 | -0.000 |
| 0.000 | 0.000 | 0.000 | -0.000 | -0.000 | 14.057 |
| 10.873 | 12.277 | 12.277 | 0.000 | -0.000 | 0.000 |
| 12.277 | 10.873 | 12.277 | 0.000 | -0.000 | -0.000 |
| 12.277 | 12.277 | 10.873 | 0.000 | -0.000 | 0.000 |
| -0.000 | -0.000 | -0.000 | 14.057 | -0.000 | 0.000 |
| -0.000 | -0.000 | -0.000 | 0.000 | 14.057 | 0.000 |
| -0.000 | -0.000 | -0.000 | 0.000 | -0.000 | 14.057 |
| 66.612 | 27.896 | 27.896 | 0.000 | 0.000 | 0.000 |
| 27.896 | 66.612 | 27.896 | 0.000 | 0.000 | -0.000 |
| 27.896 | 27.896 | 66.612 | 0.000 | 0.000 | -0.000 |
| 0.000 | 0.000 | 0.000 | 23.905 | -0.000 | -0.000 |
| 0.000 | 0.000 | 0.000 | 0.000 | 23.905 | -0.000 |
| 0.000 | 0.000 | 0.000 | 0.000 | 0.000 | 23.905 |
| 66.612 | 27.896 | 27.896 | -0.000 | 0.000 | 0.000 |
| 27.896 | 66.612 | 27.896 | 0.000 | -0.000 | 0.000 |
| 27.896 | 27.896 | 66.612 | -0.000 | 0.000 | 0.000 |
| -0.000 | -0.000 | -0.000 | 23.905 | 0.000 | 0.000 |
| -0.000 | -0.000 | -0.000 | -0.000 | 23.905 | -0.000 |
| -0.000 | -0.000 | -0.000 | -0.000 | -0.000 | 23.905 |
| 66.612 | 27.896 | 27.896 | 0.000 | -0.000 | -0.000 |
| 27.896 | 66.612 | 27.896 | -0.000 | 0.000 | -0.000 |
| 27.896 | 27.896 | 66.612 | 0.000 | -0.000 | -0.000 |
| -0.000 | 0.000 | 0.000 | 23.905 | 0.000 | -0.000 |
| 0.000 | -0.000 | 0.000 | 0.000 | 23.905 | -0.000 |
| 0.000 | 0.000 | -0.000 | 0.000 | 0.000 | 23.905 |
| 66.612 | 27.896 | 27.896 | -0.000 | 0.000 | 0.000 |
| 27.896 | 66.612 | 27.896 | 0.000 | -0.000 | 0.000 |
| 27.896 | 27.896 | 66.612 | -0.000 | -0.000 | 0.000 |
| 0.000 | -0.000 | -0.000 | 23.905 | -0.000 | 0.000 |
| -0.000 | 0.000 | -0.000 | -0.000 | 23.905 | 0.000 |
| -0.000 | -0.000 | 0.000 | -0.000 | -0.000 | 23.905 |
| 66.611 | 27.896 | 27.896 | 0.000 | -0.000 | -0.000 |
| 27.896 | 66.611 | 27.896 | 0.000 | 0.000 | -0.000 |
| 27.896 | 27.896 | 66.611 | 0.000 | -0.000 | -0.000 |
| -0.000 | 0.000 | 0.000 | 23.905 | -0.000 | -0.000 |
| 0.000 | -0.000 | 0.000 | 0.000 | 23.905 | -0.000 |
| 0.000 | 0.000 | -0.000 | 0.000 | 0.000 | 23.905 |
| 66.612 | 27.896 | 27.896 | -0.000 | 0.000 | 0.000 |
| 27.896 | 66.612 | 27.896 | 0.000 | -0.000 | 0.000 |
| 27.896 | 27.896 | 66.612 | -0.000 | 0.000 | 0.000 |
| 0.000 | -0.000 | -0.000 | 23.905 | 0.000 | 0.000 |
| -0.000 | 0.000 | -0.000 | -0.000 | 23.905 | 0.000 |
| -0.000 | -0.000 | 0.000 | -0.000 | 0.000 | 23.905 |
| 61.031 | 20.641 | 20.641 | -0.000 | -0.000 | 0.000 |
| 20.641 | 61.031 | 20.641 | -0.000 | 0.000 | 0.000 |
| 20.641 | 20.641 | 61.031 | 0.000 | 0.000 | 0.000 |
| 0.000 | -0.000 | -0.000 | 18.180 | 0.000 | 0.000 |
| -0.000 | 0.000 | -0.000 | 0.000 | 18.180 | 0.000 |
| -0.000 | -0.000 | 0.000 | 0.000 | 0.000 | 18.180 |
| 61.031 | 20.641 | 20.641 | -0.000 | -0.000 | -0.000 |
| 20.641 | 61.031 | 20.641 | 0.000 | 0.000 | -0.000 |
| 20.641 | 20.641 | 61.031 | -0.000 | -0.000 | -0.000 |
| -0.000 | 0.000 | 0.000 | 18.180 | -0.000 | -0.000 |
| 0.000 | -0.000 | 0.000 | -0.000 | 18.180 | -0.000 |
| 0.000 | 0.000 | -0.000 | -0.000 | -0.000 | 18.180 |
| 61.031 | 20.640 | 20.640 | 0.000 | 0.000 | 0.000 |
| 20.640 | 61.031 | 20.640 | 0.000 | 0.000 | 0.000 |
| 20.640 | 20.640 | 61.031 | -0.000 | 0.000 | 0.000 |
| 0.000 | -0.000 | -0.000 | 18.180 | 0.000 | 0.000 |
| -0.000 | 0.000 | -0.000 | 0.000 | 18.180 | 0.000 |
| -0.000 | -0.000 | 0.000 | 0.000 | 0.000 | 18.180 |
| 61.031 | 20.641 | 20.641 | -0.000 | -0.000 | -0.000 |
| 20.641 | 61.031 | 20.641 | -0.000 | -0.000 | -0.000 |
| 20.641 | 20.641 | 61.031 | -0.000 | -0.000 | -0.000 |
| -0.000 | 0.000 | 0.000 | 18.180 | -0.000 | -0.000 |
| 0.000 | -0.000 | 0.000 | -0.000 | 18.180 | -0.000 |
| 0.000 | 0.000 | -0.000 | 0.000 | 0.000 | 18.180 |
| 61.031 | 20.640 | 20.640 | 0.000 | 0.000 | 0.000 |
| 20.640 | 61.031 | 20.640 | 0.000 | 0.000 | 0.000 |
| 20.640 | 20.640 | 61.031 | 0.000 | 0.000 | 0.000 |
| 0.000 | -0.000 | -0.000 | 18.180 | 0.000 | 0.000 |
| -0.000 | 0.000 | -0.000 | 0.000 | 18.180 | 0.000 |
| -0.000 | -0.000 | 0.000 | 0.000 | 0.000 | 18.180 |
| 61.031 | 20.641 | 20.641 | 0.000 | 0.000 | -0.000 |
| 20.641 | 61.031 | 20.641 | 0.000 | -0.000 | -0.000 |
| 20.641 | 20.641 | 61.031 | -0.000 | 0.000 | -0.000 |
| -0.000 | 0.000 | 0.000 | 18.180 | 0.000 | -0.000 |
| 0.000 | -0.000 | 0.000 | -0.000 | 18.180 | -0.000 |
| 0.000 | 0.000 | -0.000 | -0.000 | 0.000 | 18.180 |
| 12.462 | 0.030 | 0.030 | -0.000 | 0.000 | 0.000 |
| 0.030 | 12.462 | 0.030 | 0.000 | -0.000 | -0.000 |
| 0.030 | 0.030 | 12.462 | 0.000 | 0.000 | 0.000 |
| -0.000 | 0.000 | -0.000 | 0.000 | -0.000 | -0.000 |
| 0.000 | -0.000 | -0.000 | -0.000 | 0.000 | -0.000 |
| 0.000 | -0.000 | -0.000 | -0.000 | 0.000 | 0.000 |
| 12.462 | 0.030 | 0.030 | 0.000 | -0.000 | -0.000 |
| 0.030 | 12.462 | 0.030 | -0.000 | 0.000 | -0.000 |
| 0.030 | 0.030 | 12.462 | -0.000 | -0.000 | 0.000 |
| 0.000 | 0.000 | 0.000 | 0.000 | -0.000 | 0.000 |
| 0.000 | 0.000 | 0.000 | 0.000 | 0.000 | 0.000 |
| 0.000 | 0.000 | 0.000 | -0.000 | 0.000 | 0.000 |
| 12.462 | 0.030 | 0.030 | 0.000 | -0.000 | 0.000 |
| 0.030 | 12.462 | 0.030 | -0.000 | 0.000 | 0.000 |
| 0.030 | 0.030 | 12.462 | 0.000 | 0.000 | -0.000 |
| -0.000 | -0.000 | -0.000 | 0.000 | 0.000 | -0.000 |
| -0.000 | -0.000 | -0.000 | -0.000 | 0.000 | -0.000 |
| -0.000 | -0.000 | -0.000 | 0.000 | -0.000 | 0.000 |
| 12.462 | 0.030 | 0.030 | -0.000 | -0.000 | -0.000 |
| 0.030 | 12.462 | 0.030 | -0.000 | -0.000 | -0.000 |
| 0.030 | 0.030 | 12.462 | -0.000 | -0.000 | -0.000 |
| 0.000 | 0.000 | 0.000 | 0.000 | 0.000 | 0.000 |
| 0.000 | 0.000 | 0.000 | 0.000 | 0.000 | 0.000 |
| 0.000 | 0.000 | 0.000 | -0.000 | -0.000 | 0.000 |
| 12.462 | 0.030 | 0.030 | -0.000 | -0.000 | -0.000 |
| 0.030 | 12.462 | 0.030 | -0.000 | 0.000 | 0.000 |
| 0.030 | 0.030 | 12.462 | -0.000 | -0.000 | 0.000 |
| -0.000 | -0.000 | -0.000 | 0.000 | -0.000 | -0.000 |
| -0.000 | -0.000 | -0.000 | -0.000 | 0.000 | 0.000 |
| -0.000 | -0.000 | -0.000 | -0.000 | 0.000 | 0.000 |
| 12.463 | 0.030 | 0.030 | -0.000 | -0.000 | 0.000 |
| 0.030 | 12.463 | 0.030 | 0.000 | -0.000 | -0.000 |
| 0.030 | 0.030 | 12.463 | -0.000 | -0.000 | 0.000 |
| 0.000 | 0.000 | 0.000 | 0.000 | -0.000 | 0.000 |
| 0.000 | 0.000 | 0.000 | -0.000 | 0.000 | 0.000 |
| 0.000 | 0.000 | 0.000 | -0.000 | -0.000 | 0.000 |
| 146.199 | 156.174 | 156.174 | -0.000 | 0.000 | -0.000 |
| 156.174 | 146.199 | 156.174 | -0.000 | 0.000 | 0.000 |
| 156.174 | 156.174 | 146.199 | -0.000 | 0.000 | -0.000 |
| 0.000 | 0.000 | 0.000 | -39.719 | 0.000 | 0.000 |
| 0.000 | 0.000 | 0.000 | -0.000 | -39.719 | -0.000 |
| 0.000 | 0.000 | 0.000 | -0.000 | -0.000 | -39.719 |
| 146.199 | 156.174 | 156.174 | 0.000 | -0.000 | -0.000 |
| 156.174 | 146.199 | 156.174 | 0.000 | -0.000 | 0.000 |
| 156.174 | 156.174 | 146.199 | 0.000 | -0.000 | 0.000 |
| -0.000 | -0.000 | -0.000 | -39.719 | -0.000 | -0.000 |
| -0.000 | -0.000 | -0.000 | 0.000 | -39.719 | 0.000 |
| -0.000 | -0.000 | -0.000 | 0.000 | -0.000 | -39.719 |
| 146.200 | 156.175 | 156.175 | -0.000 | 0.000 | -0.000 |
| 156.175 | 146.200 | 156.175 | -0.000 | -0.000 | 0.000 |
| 156.175 | 156.175 | 146.200 | -0.000 | 0.000 | -0.000 |
| 0.000 | 0.000 | 0.000 | -39.719 | 0.000 | -0.000 |
| 0.000 | 0.000 | 0.000 | -0.000 | -39.719 | -0.000 |
| 0.000 | 0.000 | 0.000 | -0.000 | 0.000 | -39.719 |
| 146.198 | 156.174 | 156.174 | 0.000 | -0.000 | -0.000 |
| 156.174 | 146.198 | 156.174 | 0.000 | 0.000 | 0.000 |
| 156.174 | 156.174 | 146.198 | -0.000 | -0.000 | 0.000 |
| -0.000 | -0.000 | -0.000 | -39.719 | -0.000 | -0.000 |
| -0.000 | -0.000 | -0.000 | -0.000 | -39.719 | 0.000 |
| -0.000 | -0.000 | -0.000 | 0.000 | -0.000 | -39.719 |
| 146.211 | 156.177 | 156.177 | 0.000 | 0.000 | -0.000 |
| 156.177 | 146.211 | 156.177 | 0.000 | 0.000 | -0.000 |
| 156.177 | 156.177 | 146.211 | -0.000 | 0.000 | 0.000 |
| 0.001 | 0.001 | 0.001 | -39.719 | -0.000 | 0.000 |
| 0.001 | 0.001 | 0.001 | -0.000 | -39.719 | -0.000 |
| 0.001 | 0.001 | 0.001 | -0.000 | 0.000 | -39.719 |
| 146.188 | 156.172 | 156.172 | 0.000 | -0.000 | 0.000 |
| 156.172 | 146.188 | 156.172 | 0.000 | -0.000 | 0.000 |
| 156.172 | 156.172 | 146.188 | -0.000 | -0.000 | -0.000 |
| -0.001 | -0.001 | -0.001 | -39.719 | -0.000 | 0.000 |
| -0.001 | -0.001 | -0.001 | 0.000 | -39.719 | 0.000 |
| -0.001 | -0.001 | -0.001 | 0.000 | -0.000 | -39.719 |
| 154.902 | 87.639 | 87.639 | 0.000 | -0.000 | -0.000 |
| 87.639 | 154.902 | 87.639 | -0.000 | 0.000 | -0.000 |
| 87.639 | 87.639 | 154.902 | 0.000 | 0.000 | -0.000 |
| -0.000 | -0.000 | -0.000 | 80.242 | -0.000 | -0.000 |
| -0.000 | -0.000 | -0.000 | -0.000 | 80.242 | -0.000 |
| -0.000 | 0.000 | -0.000 | -0.000 | 0.000 | 80.242 |
| 154.902 | 87.639 | 87.639 | 0.000 | -0.000 | 0.000 |
| 87.639 | 154.902 | 87.639 | 0.000 | -0.000 | 0.000 |
| 87.639 | 87.639 | 154.902 | -0.000 | -0.000 | 0.000 |
| 0.000 | 0.000 | 0.000 | 80.242 | 0.000 | 0.000 |
| 0.000 | 0.000 | 0.000 | 0.000 | 80.242 | 0.000 |
| 0.000 | -0.000 | 0.000 | 0.000 | -0.000 | 80.242 |
| 154.902 | 87.639 | 87.639 | -0.000 | -0.000 | 0.000 |
| 87.639 | 154.902 | 87.639 | 0.000 | 0.000 | 0.000 |
| 87.639 | 87.639 | 154.902 | -0.000 | -0.000 | -0.000 |
| -0.000 | -0.000 | 0.000 | 80.242 | 0.000 | -0.000 |
| -0.000 | -0.000 | 0.000 | 0.000 | 80.242 | -0.000 |
| -0.000 | 0.000 | -0.000 | -0.000 | 0.000 | 80.242 |
| 154.902 | 87.639 | 87.639 | 0.000 | -0.000 | 0.000 |
| 87.639 | 154.902 | 87.639 | 0.000 | 0.000 | 0.000 |
| 87.639 | 87.639 | 154.902 | -0.000 | -0.000 | 0.000 |
| 0.000 | 0.000 | -0.000 | 80.242 | -0.000 | 0.000 |
| 0.000 | 0.000 | -0.000 | 0.000 | 80.242 | 0.000 |
| 0.000 | -0.000 | 0.000 | 0.000 | -0.000 | 80.242 |
| 154.902 | 87.639 | 87.639 | -0.000 | -0.000 | 0.000 |
| 87.639 | 154.902 | 87.639 | 0.000 | 0.000 | 0.000 |
| 87.639 | 87.639 | 154.902 | -0.000 | -0.000 | -0.000 |
| -0.000 | -0.000 | 0.000 | 80.242 | 0.000 | -0.000 |
| -0.000 | -0.000 | 0.000 | -0.000 | 80.242 | -0.000 |
| -0.000 | 0.000 | -0.000 | -0.000 | 0.000 | 80.242 |
| 154.901 | 87.639 | 87.639 | -0.000 | -0.000 | 0.000 |
| 87.639 | 154.901 | 87.639 | 0.000 | -0.000 | 0.000 |
| 87.639 | 87.639 | 154.901 | 0.000 | -0.000 | 0.000 |
| 0.000 | 0.000 | -0.000 | 80.242 | -0.000 | 0.000 |
| 0.000 | 0.000 | -0.000 | 0.000 | 80.242 | 0.000 |
| 0.000 | -0.000 | 0.000 | 0.000 | -0.000 | 80.242 |
| 75.827 | 2.797 | 2.797 | 0.000 | 0.000 | 0.000 |
| 2.797 | 75.827 | 2.797 | -0.000 | 0.000 | -0.000 |
| 2.797 | 2.797 | 75.827 | 0.000 | 0.000 | 0.000 |
| 0.000 | 0.000 | 0.000 | 5.988 | 0.000 | 0.000 |
| 0.000 | 0.000 | 0.000 | 0.000 | 5.988 | 0.000 |
| 0.000 | 0.000 | 0.000 | -0.000 | 0.000 | 5.988 |
| 75.827 | 2.797 | 2.797 | 0.000 | 0.000 | -0.000 |
| 2.797 | 75.827 | 2.797 | 0.000 | 0.000 | 0.000 |
| 2.797 | 2.797 | 75.827 | -0.000 | -0.000 | -0.000 |
| -0.000 | -0.000 | -0.000 | 5.988 | 0.000 | -0.000 |
| -0.000 | -0.000 | -0.000 | -0.000 | 5.988 | -0.000 |
| -0.000 | -0.000 | -0.000 | 0.000 | -0.000 | 5.988 |
| 75.827 | 2.797 | 2.797 | 0.000 | -0.000 | 0.000 |
| 2.797 | 75.827 | 2.797 | -0.000 | 0.000 | -0.000 |
| 2.797 | 2.797 | 75.827 | 0.000 | 0.000 | 0.000 |
| 0.000 | 0.000 | 0.000 | 5.988 | 0.000 | -0.000 |
| 0.000 | 0.000 | 0.000 | 0.000 | 5.988 | 0.000 |
| 0.000 | 0.000 | 0.000 | -0.000 | -0.000 | 5.988 |
| 75.827 | 2.797 | 2.797 | 0.000 | -0.000 | -0.000 |
| 2.797 | 75.827 | 2.797 | 0.000 | -0.000 | -0.000 |
| 2.797 | 2.797 | 75.827 | -0.000 | -0.000 | -0.000 |
| -0.000 | -0.000 | -0.000 | 5.988 | -0.000 | -0.000 |
| -0.000 | -0.000 | -0.000 | 0.000 | 5.988 | -0.000 |
| -0.000 | -0.000 | -0.000 | -0.000 | -0.000 | 5.988 |
| 75.826 | 2.798 | 2.798 | -0.000 | -0.000 | 0.000 |
| 2.798 | 75.826 | 2.798 | -0.000 | -0.000 | 0.000 |
| 2.798 | 2.798 | 75.826 | 0.000 | 0.000 | 0.000 |
| 0.000 | 0.000 | 0.000 | 5.988 | 0.000 | 0.000 |
| 0.000 | 0.000 | 0.000 | 0.000 | 5.988 | 0.000 |
| 0.000 | 0.000 | 0.000 | -0.000 | -0.000 | 5.988 |
| 75.828 | 2.797 | 2.797 | 0.000 | 0.000 | -0.000 |
| 2.797 | 75.828 | 2.797 | 0.000 | 0.000 | 0.000 |
| 2.797 | 2.797 | 75.828 | -0.000 | -0.000 | -0.000 |
| -0.000 | -0.000 | -0.000 | 5.988 | 0.000 | -0.000 |
| -0.000 | -0.000 | -0.000 | -0.000 | 5.988 | -0.000 |
| -0.000 | -0.000 | -0.000 | 0.000 | 0.000 | 5.988 |
| 39.295 | -0.016 | -0.016 | 0.000 | 0.000 | -0.000 |
| -0.016 | 39.295 | -0.016 | -0.000 | -0.000 | -0.000 |
| -0.016 | -0.016 | 39.295 | -0.000 | 0.000 | -0.000 |
| -0.000 | -0.000 | -0.000 | 0.214 | -0.000 | -0.000 |
| -0.000 | -0.000 | -0.000 | -0.000 | 0.214 | -0.000 |
| -0.000 | -0.000 | -0.000 | -0.000 | -0.000 | 0.214 |
| 39.295 | -0.016 | -0.016 | 0.000 | -0.000 | 0.000 |
| -0.016 | 39.295 | -0.016 | 0.000 | 0.000 | 0.000 |
| -0.016 | -0.016 | 39.295 | 0.000 | -0.000 | 0.000 |
| 0.000 | 0.000 | 0.000 | 0.214 | 0.000 | 0.000 |
| 0.000 | 0.000 | 0.000 | 0.000 | 0.214 | 0.000 |
| 0.000 | 0.000 | 0.000 | 0.000 | 0.000 | 0.214 |
| 39.295 | -0.016 | -0.016 | -0.000 | -0.000 | -0.000 |
| -0.016 | 39.295 | -0.016 | -0.000 | -0.000 | -0.000 |
| -0.016 | -0.016 | 39.295 | -0.000 | -0.000 | -0.000 |
| -0.000 | -0.000 | -0.000 | 0.214 | 0.000 | -0.000 |
| -0.000 | -0.000 | -0.000 | -0.000 | 0.214 | -0.000 |
| -0.000 | -0.000 | -0.000 | -0.000 | -0.000 | 0.214 |
| 39.295 | -0.016 | -0.016 | 0.000 | 0.000 | 0.000 |
| -0.016 | 39.295 | -0.016 | 0.000 | 0.000 | 0.000 |
| -0.016 | -0.016 | 39.295 | 0.000 | 0.000 | 0.000 |
| 0.000 | 0.000 | 0.000 | 0.214 | -0.000 | -0.000 |
| 0.000 | 0.000 | 0.000 | 0.000 | 0.214 | 0.000 |
| 0.000 | 0.000 | 0.000 | 0.000 | 0.000 | 0.214 |
| 39.294 | -0.016 | -0.016 | -0.000 | -0.000 | -0.000 |
| -0.016 | 39.294 | -0.016 | -0.000 | -0.000 | -0.000 |
| -0.016 | -0.016 | 39.294 | -0.000 | 0.000 | -0.000 |
| -0.000 | -0.000 | -0.000 | 0.214 | -0.000 | -0.000 |
| -0.000 | -0.000 | -0.000 | -0.000 | 0.214 | -0.000 |
| -0.000 | -0.000 | -0.000 | -0.000 | -0.000 | 0.214 |
| 39.297 | -0.016 | -0.016 | 0.000 | 0.000 | 0.000 |
| -0.016 | 39.297 | -0.016 | 0.000 | 0.000 | 0.000 |
| -0.016 | -0.016 | 39.297 | -0.000 | 0.000 | 0.000 |
| 0.000 | 0.000 | 0.000 | 0.214 | 0.000 | 0.000 |
| 0.000 | 0.000 | 0.000 | 0.000 | 0.214 | 0.000 |
| 0.000 | 0.000 | 0.000 | 0.000 | 0.000 | 0.214 |
| 37.758 | 6.042 | 6.042 | -0.000 | 0.000 | -0.000 |
| 6.042 | 37.758 | 6.042 | 0.000 | 0.000 | 0.000 |
| 6.042 | 6.042 | 37.758 | -0.000 | -0.000 | 0.000 |
| 0.000 | -0.000 | -0.000 | 6.020 | -0.000 | 0.000 |
| -0.000 | 0.000 | -0.000 | -0.000 | 6.020 | -0.000 |
| -0.000 | -0.000 | -0.000 | -0.000 | 0.000 | 6.020 |
| 37.758 | 6.042 | 6.042 | 0.000 | -0.000 | -0.000 |
| 6.042 | 37.758 | 6.042 | -0.000 | -0.000 | -0.000 |
| 6.042 | 6.042 | 37.758 | 0.000 | 0.000 | -0.000 |
| -0.000 | 0.000 | 0.000 | 6.020 | 0.000 | -0.000 |
| 0.000 | -0.000 | 0.000 | 0.000 | 6.020 | -0.000 |
| 0.000 | 0.000 | 0.000 | 0.000 | -0.000 | 6.020 |
| 37.758 | 6.042 | 6.042 | -0.000 | 0.000 | 0.000 |
| 6.042 | 37.758 | 6.042 | 0.000 | -0.000 | 0.000 |
| 6.042 | 6.042 | 37.758 | -0.000 | -0.000 | 0.000 |
| 0.000 | 0.000 | 0.000 | 6.020 | -0.000 | 0.000 |
| 0.000 | 0.000 | 0.000 | -0.000 | 6.020 | 0.000 |
| 0.000 | 0.000 | 0.000 | 0.000 | 0.000 | 6.020 |
| 37.758 | 6.042 | 6.042 | 0.000 | -0.000 | -0.000 |
| 6.042 | 37.758 | 6.042 | -0.000 | 0.000 | 0.000 |
| 6.042 | 6.042 | 37.758 | 0.000 | 0.000 | 0.000 |
| -0.000 | -0.000 | -0.000 | 6.020 | -0.000 | 0.000 |
| -0.000 | -0.000 | -0.000 | -0.000 | 6.020 | -0.000 |
| -0.000 | -0.000 | -0.000 | -0.000 | 0.000 | 6.020 |
| 37.757 | 6.042 | 6.042 | 0.000 | 0.000 | 0.000 |
| 6.042 | 37.757 | 6.042 | 0.000 | 0.000 | 0.000 |
| 6.042 | 6.042 | 37.757 | -0.000 | -0.000 | 0.000 |
| 0.000 | 0.000 | 0.000 | 6.020 | -0.000 | 0.000 |
| 0.000 | 0.000 | 0.000 | -0.000 | 6.020 | -0.000 |
| 0.000 | 0.000 | 0.000 | -0.000 | 0.000 | 6.020 |
| 37.759 | 6.042 | 6.042 | -0.000 | -0.000 | -0.000 |
| 6.042 | 37.759 | 6.042 | -0.000 | -0.000 | 0.000 |
| 6.042 | 6.042 | 37.759 | 0.000 | 0.000 | -0.000 |
| -0.000 | -0.000 | -0.000 | 6.020 | 0.000 | 0.000 |
| -0.000 | -0.000 | -0.000 | 0.000 | 6.020 | -0.000 |
| -0.000 | -0.000 | -0.000 | 0.000 | -0.000 | 6.020 |
| 136.527 | 56.061 | 56.061 | -0.000 | -0.000 | -0.000 |
| 56.061 | 136.527 | 56.061 | -0.000 | -0.000 | -0.000 |
| 56.061 | 56.061 | 136.527 | -0.000 | -0.000 | -0.000 |
| -0.000 | -0.000 | -0.000 | 34.648 | -0.000 | -0.000 |
| -0.000 | -0.000 | -0.000 | -0.000 | 34.648 | -0.000 |
| -0.000 | -0.000 | -0.000 | -0.000 | -0.000 | 34.648 |
| 136.527 | 56.061 | 56.061 | 0.000 | 0.000 | 0.000 |
| 56.061 | 136.527 | 56.061 | 0.000 | 0.000 | 0.000 |
| 56.061 | 56.061 | 136.527 | 0.000 | 0.000 | 0.000 |
| 0.000 | 0.000 | 0.000 | 34.648 | 0.000 | 0.000 |
| 0.000 | 0.000 | 0.000 | 0.000 | 34.648 | 0.000 |
| 0.000 | 0.000 | 0.000 | 0.000 | 0.000 | 34.648 |
| 136.527 | 56.061 | 56.061 | -0.000 | -0.000 | -0.000 |
| 56.061 | 136.527 | 56.061 | -0.000 | -0.000 | -0.000 |
| 56.061 | 56.061 | 136.527 | -0.000 | -0.000 | -0.000 |
| 58116707.042 | 57604218.282 | 57604225.606 | 36620182.254 | 0.039 | -0.078 |
| 60207961.666 | 63566947.880 | 60253246.052 | -37154.833 | -2075994.075 | 145284.850 |
| 59833957.704 | 60204846.365 | 64227447.909 | 268070.113 | -623792.507 | -1705397.750 |
| 136.527 | 56.061 | 56.061 | 0.000 | 0.000 | 0.000 |
| 56.061 | 136.527 | 56.061 | 0.000 | 0.000 | 0.000 |
| 56.061 | 56.061 | 136.527 | 0.000 | 0.000 | 0.000 |
| -63473133.600 | -58611462.099 | -59254731.264 | -2076808.052 | -11161.137 | 149898.497 |
| -57604217.980 | -58116707.085 | -57604225.304 | -2.233 | 36620181.876 | -2.217 |
| -59679051.739 | -59253169.841 | -63920680.479 | 438062.469 | -63578.492 | -2202794.428 |
| 136.525 | 56.061 | 56.061 | -0.000 | -0.000 | -0.000 |
| 56.061 | 136.525 | 56.061 | -0.000 | -0.000 | -0.000 |
| 56.061 | 56.061 | 136.525 | -0.000 | -0.000 | -0.000 |
| 5811699.111 | 5760448.618 | 5760455.942 | 3662043.499 | 0.000 | 0.002 |
| 5760448.618 | 5811699.111 | 5760455.942 | 0.000 | 3662043.499 | 0.002 |
| 5760448.618 | 5760455.942 | 5811699.111 | 0.000 | 0.002 | 3662043.499 |
| 136.528 | 56.061 | 56.061 | 0.000 | 0.000 | 0.000 |
| 56.061 | 136.528 | 56.061 | 0.000 | 0.000 | 0.000 |
| 56.061 | 56.061 | 136.528 | 0.000 | 0.000 | 0.000 |
| -5811699.116 | -5760448.587 | -5760455.911 | 3662043.460 | -0.015 | -0.016 |
| -5760448.587 | -5811699.116 | -5760455.911 | -0.015 | 3662043.460 | -0.016 |
| -5760448.587 | -5760455.911 | -5811699.116 | -0.015 | -0.016 | 3662043.460 |
| 44.358 | 24.921 | 24.921 | -0.000 | -0.000 | -0.000 |
| 24.921 | 44.358 | 24.921 | -0.000 | -0.000 | -0.000 |
| 24.921 | 24.921 | 44.358 | -0.000 | -0.000 | 0.000 |
| -0.000 | 0.000 | 0.000 | 18.329 | -0.000 | -0.000 |
| 0.000 | 0.000 | 0.000 | -0.000 | 18.329 | -0.000 |
| 0.000 | 0.000 | 0.000 | -0.000 | -0.000 | 18.329 |
| 44.358 | 24.921 | 24.921 | 0.000 | 0.000 | -0.000 |
| 24.921 | 44.358 | 24.921 | 0.000 | 0.000 | 0.000 |
| 24.921 | 24.921 | 44.358 | 0.000 | 0.000 | 0.000 |
| 0.000 | -0.000 | -0.000 | 18.329 | 0.000 | 0.000 |
| -0.000 | -0.000 | -0.000 | 0.000 | 18.329 | 0.000 |
| -0.000 | -0.000 | 0.000 | 0.000 | 0.000 | 18.329 |
| 44.358 | 24.922 | 24.922 | -0.000 | -0.000 | 0.000 |
| 24.922 | 44.358 | 24.922 | -0.000 | -0.000 | 0.000 |
| 24.922 | 24.922 | 44.358 | -0.000 | -0.000 | -0.000 |
| -0.000 | 0.000 | 0.000 | 18.329 | -0.000 | -0.000 |
| 0.000 | -0.000 | 0.000 | -0.000 | 18.329 | -0.000 |
| 0.000 | 0.000 | -0.000 | -0.000 | -0.000 | 18.329 |
| 44.358 | 24.921 | 24.921 | 0.000 | 0.000 | 0.000 |
| 24.921 | 44.358 | 24.921 | 0.000 | 0.000 | 0.000 |
| 24.921 | 24.921 | 44.358 | 0.000 | 0.000 | -0.000 |
| 0.000 | -0.000 | -0.000 | 18.329 | 0.000 | 0.000 |
| -0.000 | 0.000 | -0.000 | 0.000 | 18.329 | 0.000 |
| -0.000 | -0.000 | 0.000 | 0.000 | 0.000 | 18.329 |
| 44.358 | 24.922 | 24.922 | 0.000 | -0.000 | -0.000 |
| 24.922 | 44.358 | 24.922 | -0.000 | -0.000 | -0.000 |
| 24.922 | 24.922 | 44.358 | -0.000 | -0.000 | 0.000 |
| -0.000 | 0.000 | 0.000 | 18.329 | -0.000 | -0.000 |
| 0.000 | -0.000 | 0.000 | -0.000 | 18.329 | -0.000 |
| 0.000 | 0.000 | -0.000 | -0.000 | -0.000 | 18.329 |
| 44.358 | 24.921 | 24.921 | 0.000 | 0.000 | 0.000 |
| 24.921 | 44.358 | 24.921 | 0.000 | 0.000 | 0.000 |
| 24.921 | 24.921 | 44.358 | 0.000 | 0.000 | 0.000 |
| 0.000 | -0.000 | -0.000 | 18.329 | 0.000 | -0.000 |
| -0.000 | 0.000 | -0.000 | 0.000 | 18.329 | 0.000 |
| -0.000 | -0.000 | 0.000 | 0.000 | 0.000 | 18.329 |
| 100.182 | 50.881 | 50.881 | 0.000 | 0.000 | 0.000 |
| 50.881 | 100.182 | 50.881 | 0.000 | 0.000 | 0.000 |
| 50.881 | 50.881 | 100.182 | 0.000 | 0.000 | 0.000 |
| 0.000 | 0.000 | 0.000 | 49.659 | -0.000 | -0.000 |
| 0.000 | 0.000 | 0.000 | -0.000 | 49.659 | -0.000 |
| 0.000 | 0.000 | 0.000 | -0.000 | -0.000 | 49.659 |
| 100.181 | 50.880 | 50.880 | -0.000 | 0.000 | 0.000 |
| 50.880 | 100.181 | 50.880 | 0.000 | -0.000 | -0.000 |
| 50.880 | 50.880 | 100.181 | -0.000 | -0.000 | -0.000 |
| -0.000 | -0.000 | -0.000 | 49.659 | 0.000 | 0.000 |
| -0.000 | -0.000 | -0.000 | 0.000 | 49.659 | 0.000 |
| -0.000 | -0.000 | -0.000 | 0.000 | 0.000 | 49.659 |
| 100.187 | 50.883 | 50.883 | 0.000 | 0.000 | 0.000 |
| 50.883 | 100.187 | 50.883 | -0.000 | 0.000 | 0.000 |
| 50.883 | 50.883 | 100.187 | 0.000 | 0.000 | 0.000 |
| -0.000 | 0.003 | 0.003 | 51.145 | -0.000 | 0.000 |
| 0.003 | -0.000 | 0.003 | -0.000 | 51.145 | 0.000 |
| 0.003 | 0.003 | -0.000 | -0.000 | 0.000 | 51.145 |
| 100.177 | 50.878 | 50.878 | -0.000 | -0.000 | -0.000 |
| 50.878 | 100.177 | 50.878 | -0.000 | -0.000 | -0.000 |
| 50.878 | 50.878 | 100.177 | -0.000 | -0.000 | -0.000 |
| 0.000 | -0.003 | -0.003 | 51.145 | -0.000 | -0.000 |
| -0.003 | 0.000 | -0.003 | 0.000 | 51.145 | -0.000 |
| -0.003 | -0.003 | 0.000 | 0.000 | -0.000 | 51.145 |
| 100.232 | 50.906 | 50.906 | 0.000 | -0.000 | -0.000 |
| 50.906 | 100.232 | 50.906 | -0.000 | 0.000 | 0.000 |
| 50.906 | 50.906 | 100.232 | 0.000 | 0.000 | 0.000 |
| -0.000 | 0.025 | 0.025 | 49.659 | -0.000 | -0.000 |
| 0.025 | -0.000 | 0.025 | -0.000 | 49.659 | -0.000 |
| 0.025 | 0.025 | -0.000 | -0.000 | -0.000 | 49.659 |
| 100.131 | 50.855 | 50.855 | -0.000 | -0.000 | -0.000 |
| 50.855 | 100.131 | 50.855 | -0.000 | -0.000 | -0.000 |
| 50.855 | 50.855 | 100.131 | -0.000 | -0.000 | -0.000 |
| 0.000 | -0.025 | -0.025 | 49.659 | 0.000 | 0.000 |
| -0.025 | 0.000 | -0.025 | 0.000 | 49.659 | 0.000 |
| -0.025 | -0.025 | 0.000 | 0.000 | 0.000 | 49.659 |
| 4.733 | 4.733 | 4.733 | -0.000 | -0.000 | -0.000 |
| 4.733 | 4.733 | 4.733 | -0.000 | -0.000 | -0.000 |
| 4.733 | 4.733 | 4.733 | -0.000 | -0.000 | -0.000 |
| -0.000 | -0.000 | -0.000 | -0.000 | -0.000 | -0.000 |
| -0.000 | -0.000 | -0.000 | -0.000 | -0.000 | -0.000 |
| -0.000 | -0.000 | -0.000 | -0.000 | -0.000 | -0.000 |
| 4.733 | 4.733 | 4.733 | 0.000 | 0.000 | 0.000 |
| 4.733 | 4.733 | 4.733 | 0.000 | 0.000 | 0.000 |
| 4.733 | 4.733 | 4.733 | 0.000 | 0.000 | 0.000 |
| 0.000 | 0.000 | 0.000 | 0.000 | 0.000 | 0.000 |
| 0.000 | 0.000 | 0.000 | 0.000 | 0.000 | 0.000 |
| 0.000 | 0.000 | 0.000 | 0.000 | 0.000 | 0.000 |
| 4.733 | 4.733 | 4.733 | -0.000 | -0.000 | -0.000 |
| 4.733 | 4.733 | 4.733 | -0.000 | -0.000 | -0.000 |
| 4.733 | 4.733 | 4.733 | -0.000 | -0.000 | -0.000 |
| -0.000 | -0.000 | -0.000 | -0.000 | -0.000 | -0.000 |
| -0.000 | -0.000 | -0.000 | -0.000 | -0.000 | -0.000 |
| -0.000 | -0.000 | -0.000 | -0.000 | -0.000 | -0.000 |
| 4.733 | 4.733 | 4.733 | 0.000 | 0.000 | 0.000 |
| 4.733 | 4.733 | 4.733 | 0.000 | 0.000 | 0.000 |
| 4.733 | 4.733 | 4.733 | 0.000 | 0.000 | 0.000 |
| 0.000 | 0.000 | 0.000 | 0.000 | 0.000 | 0.000 |
| 0.000 | 0.000 | 0.000 | 0.000 | 0.000 | 0.000 |
| 0.000 | 0.000 | 0.000 | 0.000 | 0.000 | 0.000 |
| 4.733 | 4.733 | 4.733 | -0.000 | -0.000 | -0.000 |
| 4.733 | 4.733 | 4.733 | -0.000 | -0.000 | -0.000 |
| 4.733 | 4.733 | 4.733 | -0.000 | -0.000 | -0.000 |
| -0.000 | -0.000 | -0.000 | -0.000 | -0.000 | -0.000 |
| -0.000 | -0.000 | -0.000 | -0.000 | -0.000 | -0.000 |
| -0.000 | -0.000 | -0.000 | -0.000 | -0.000 | -0.000 |
| 4.733 | 4.733 | 4.733 | 0.000 | 0.000 | 0.000 |
| 4.733 | 4.733 | 4.733 | 0.000 | 0.000 | 0.000 |
| 4.733 | 4.733 | 4.733 | 0.000 | 0.000 | 0.000 |
| 0.000 | 0.000 | 0.000 | 0.000 | 0.000 | 0.000 |
| 0.000 | 0.000 | 0.000 | 0.000 | 0.000 | 0.000 |
| 0.000 | 0.000 | 0.000 | 0.000 | 0.000 | 0.000 |
| 2.060 | 2.060 | 2.060 | 0.000 | 0.000 | 0.000 |
| 2.060 | 2.060 | 2.060 | 0.000 | 0.000 | 0.000 |
| 2.060 | 2.060 | 2.060 | 0.000 | 0.000 | 0.000 |
| -0.000 | -0.000 | -0.000 | 0.000 | 0.000 | 0.000 |
| -0.000 | -0.000 | -0.000 | 0.000 | 0.000 | 0.000 |
| -0.000 | -0.000 | -0.000 | 0.000 | 0.000 | 0.000 |
| 2.060 | 2.060 | 2.060 | 0.000 | -0.000 | -0.000 |
| 2.060 | 2.060 | 2.060 | -0.000 | -0.000 | -0.000 |
| 2.060 | 2.060 | 2.060 | -0.000 | -0.000 | 0.000 |
| 0.000 | 0.000 | 0.000 | -0.000 | -0.000 | -0.000 |
| 0.000 | 0.000 | 0.000 | -0.000 | -0.000 | -0.000 |
| 0.000 | 0.000 | 0.000 | -0.000 | -0.000 | -0.000 |
| 2.060 | 2.060 | 2.060 | 0.000 | 0.000 | 0.000 |
| 2.060 | 2.060 | 2.060 | 0.000 | 0.000 | 0.000 |
| 2.060 | 2.060 | 2.060 | 0.000 | 0.000 | 0.000 |
| -0.000 | -0.000 | -0.000 | 0.000 | 0.000 | 0.000 |
| -0.000 | -0.000 | -0.000 | 0.000 | 0.000 | 0.000 |
| -0.000 | -0.000 | -0.000 | 0.000 | 0.000 | 0.000 |
| 2.060 | 2.060 | 2.060 | -0.000 | -0.000 | -0.000 |
| 2.060 | 2.060 | 2.060 | -0.000 | -0.000 | -0.000 |
| 2.060 | 2.060 | 2.060 | -0.000 | -0.000 | -0.000 |
| 0.000 | 0.000 | 0.000 | -0.000 | -0.000 | -0.000 |
| 0.000 | 0.000 | 0.000 | -0.000 | -0.000 | -0.000 |
| 0.000 | 0.000 | 0.000 | -0.000 | -0.000 | -0.000 |
| 2.060 | 2.060 | 2.060 | 0.000 | 0.000 | 0.000 |
| 2.060 | 2.060 | 2.060 | 0.000 | 0.000 | 0.000 |
| 2.060 | 2.060 | 2.060 | 0.000 | 0.000 | 0.000 |
| -0.000 | -0.000 | -0.000 | 0.000 | 0.000 | 0.000 |
| -0.000 | -0.000 | -0.000 | 0.000 | 0.000 | 0.000 |
| -0.000 | -0.000 | -0.000 | 0.000 | 0.000 | 0.000 |
| 2.060 | 2.060 | 2.060 | -0.000 | -0.000 | -0.000 |
| 2.060 | 2.060 | 2.060 | -0.000 | -0.000 | -0.000 |
| 2.060 | 2.060 | 2.060 | -0.000 | -0.000 | -0.000 |
| 0.000 | 0.000 | 0.000 | -0.000 | -0.000 | -0.000 |
| 0.000 | 0.000 | 0.000 | -0.000 | -0.000 | -0.000 |
| 0.000 | 0.000 | 0.000 | -0.000 | -0.000 | -0.000 |
| 260.629 | 50.395 | 67.718 | 0.000 | 0.000 | 0.000 |
| 50.395 | 260.629 | 67.718 | 0.000 | 0.000 | 0.000 |
| 67.718 | 67.718 | 105.937 | 0.000 | 0.000 | 0.000 |
| 0.000 | 0.000 | 0.000 | 65.508 | 0.000 | 0.000 |
| 0.000 | 0.000 | 0.000 | 0.000 | 65.508 | 0.000 |
| 0.000 | 0.000 | 0.000 | 0.000 | 0.000 | 48.977 |
| 260.629 | 50.395 | 67.718 | -0.000 | -0.000 | -0.000 |
| 50.395 | 260.629 | 67.718 | -0.000 | -0.000 | -0.000 |
| 67.718 | 67.718 | 105.937 | 0.000 | -0.000 | -0.000 |
| -0.000 | -0.000 | -0.000 | 65.508 | -0.000 | -0.000 |
| -0.000 | -0.000 | -0.000 | -0.000 | 65.508 | -0.000 |
| -0.000 | -0.000 | -0.000 | -0.000 | -0.000 | 48.977 |
| 260.629 | 50.395 | 67.719 | 0.000 | 0.000 | 0.000 |
| 50.395 | 260.629 | 67.719 | 0.000 | 0.000 | 0.000 |
| 67.719 | 67.719 | 105.937 | -0.000 | -0.000 | 0.000 |
| 0.000 | 0.000 | 0.000 | 65.508 | 0.000 | -0.000 |
| 0.000 | 0.000 | 0.000 | 0.000 | 65.508 | 0.000 |
| 0.000 | 0.000 | 0.000 | 0.000 | 0.000 | 48.977 |
| 260.628 | 50.394 | 67.718 | -0.000 | -0.000 | -0.000 |
| 50.394 | 260.628 | 67.718 | -0.000 | -0.000 | -0.000 |
| 67.718 | 67.718 | 105.936 | -0.000 | -0.000 | -0.000 |
| -0.000 | -0.000 | -0.000 | 65.508 | -0.000 | -0.000 |
| -0.000 | -0.000 | -0.000 | -0.000 | 65.508 | -0.000 |
| -0.000 | -0.000 | -0.000 | -0.000 | -0.000 | 48.977 |
| 260.633 | 50.395 | 67.720 | 0.000 | 0.000 | 0.000 |
| 50.395 | 260.633 | 67.720 | 0.000 | -0.000 | 0.000 |
| 67.719 | 67.719 | 105.939 | 0.000 | 0.000 | 0.000 |
| 0.000 | 0.001 | 0.001 | 65.508 | 0.000 | 0.000 |
| 0.001 | 0.000 | 0.001 | 0.000 | 65.508 | 0.000 |
| 0.001 | 0.001 | 0.000 | 0.000 | 0.000 | 48.977 |
| 260.625 | 50.394 | 67.717 | -0.000 | -0.000 | -0.000 |
| 50.394 | 260.625 | 67.717 | -0.000 | 0.000 | -0.000 |
| 67.718 | 67.718 | 105.934 | 0.000 | -0.000 | -0.000 |
| -0.000 | -0.001 | -0.001 | 65.508 | -0.000 | -0.000 |
| -0.001 | -0.000 | -0.001 | -0.000 | 65.508 | -0.000 |
| -0.001 | -0.001 | -0.000 | -0.000 | -0.000 | 48.977 |
| 58.450 | 5.821 | 5.647 | -0.000 | -0.000 | -0.000 |
| 5.821 | 58.450 | 5.647 | 0.000 | -0.000 | -0.000 |
| 5.647 | 5.647 | 63.908 | -0.000 | -0.000 | -0.000 |
| -0.000 | -0.000 | -0.000 | 1.346 | -0.000 | -0.000 |
| -0.000 | -0.000 | -0.000 | -0.000 | 1.346 | -0.000 |
| -0.000 | -0.000 | -0.000 | -0.000 | -0.000 | 0.933 |
| 58.450 | 5.821 | 5.647 | -0.000 | 0.000 | 0.000 |
| 5.821 | 58.450 | 5.647 | 0.000 | 0.000 | 0.000 |
| 5.647 | 5.647 | 63.908 | 0.000 | 0.000 | 0.000 |
| 0.000 | 0.000 | 0.000 | 1.346 | 0.000 | 0.000 |
| 0.000 | 0.000 | 0.000 | -0.000 | 1.346 | 0.000 |
| 0.000 | 0.000 | 0.000 | 0.000 | 0.000 | 0.933 |
| 58.450 | 5.821 | 5.647 | 0.000 | -0.000 | -0.000 |
| 5.821 | 58.450 | 5.647 | 0.000 | -0.000 | -0.000 |
| 5.647 | 5.647 | 63.908 | -0.000 | -0.000 | -0.000 |
| -0.000 | -0.000 | -0.000 | 1.346 | -0.000 | -0.000 |
| -0.000 | -0.000 | -0.000 | -0.000 | 1.346 | -0.000 |
| -0.000 | -0.000 | -0.000 | -0.000 | -0.000 | 0.933 |
| 58.450 | 5.821 | 5.647 | -0.000 | 0.000 | 0.000 |
| 5.821 | 58.450 | 5.647 | -0.000 | -0.000 | 0.000 |
| 5.647 | 5.647 | 63.908 | -0.000 | -0.000 | 0.000 |
| 0.000 | 0.000 | 0.000 | 1.346 | 0.000 | 0.000 |
| 0.000 | 0.000 | 0.000 | 0.000 | 1.346 | 0.000 |
| 0.000 | 0.000 | 0.000 | -0.000 | 0.000 | 0.933 |
| 58.450 | 5.821 | 5.647 | -0.000 | 0.000 | -0.000 |
| 5.821 | 58.450 | 5.647 | -0.000 | -0.000 | -0.000 |
| 5.647 | 5.647 | 63.908 | -0.000 | -0.000 | -0.000 |
| -0.000 | -0.000 | -0.000 | 1.346 | -0.000 | -0.000 |
| -0.000 | -0.000 | -0.000 | -0.000 | 1.346 | -0.000 |
| -0.000 | -0.000 | -0.000 | -0.000 | 0.000 | 0.933 |
| 58.449 | 5.821 | 5.647 | 0.000 | -0.000 | 0.000 |
| 5.821 | 58.449 | 5.647 | -0.000 | 0.000 | 0.000 |
| 5.647 | 5.647 | 63.907 | 0.000 | 0.000 | 0.000 |
| 0.000 | 0.000 | 0.000 | 1.346 | 0.000 | 0.000 |
| 0.000 | 0.000 | 0.000 | 0.000 | 1.346 | 0.000 |
| 0.000 | 0.000 | 0.000 | -0.000 | 0.000 | 0.933 |
| 27.547 | 4.727 | 9.779 | 0.000 | 0.000 | 0.000 |
| 4.727 | 27.547 | 9.779 | 0.000 | 0.000 | 0.000 |
| 9.779 | 9.779 | 19.378 | 0.000 | 0.000 | 0.000 |
| 0.000 | 0.000 | 0.000 | 9.089 | 0.000 | 0.000 |
| 0.000 | 0.000 | 0.000 | 0.000 | 9.089 | 0.000 |
| 0.000 | 0.000 | 0.000 | 0.000 | -0.000 | 4.645 |
| 27.547 | 4.727 | 9.779 | -0.000 | -0.000 | -0.000 |
| 4.727 | 27.547 | 9.779 | -0.000 | -0.000 | -0.000 |
| 9.779 | 9.779 | 19.378 | -0.000 | -0.000 | 0.000 |
| -0.000 | -0.000 | -0.000 | 9.089 | -0.000 | 0.000 |
| -0.000 | -0.000 | -0.000 | -0.000 | 9.089 | 0.000 |
| -0.000 | -0.000 | -0.000 | -0.000 | -0.000 | 4.645 |
| 27.547 | 4.727 | 9.779 | 0.000 | -0.000 | -0.000 |
| 4.727 | 27.547 | 9.779 | -0.000 | 0.000 | -0.000 |
| 9.779 | 9.779 | 19.379 | 0.000 | 0.000 | -0.000 |
| 0.000 | 0.000 | 0.000 | 9.089 | 0.000 | -0.000 |
| 0.000 | 0.000 | 0.000 | 0.000 | 9.089 | -0.000 |
| 0.000 | 0.000 | 0.000 | 0.000 | -0.000 | 4.645 |
| 27.547 | 4.727 | 9.779 | 0.000 | 0.000 | 0.000 |
| 4.727 | 27.547 | 9.779 | 0.000 | 0.000 | 0.000 |
| 9.779 | 9.779 | 19.378 | -0.000 | -0.000 | 0.000 |
| -0.000 | -0.000 | -0.000 | 9.089 | -0.000 | 0.000 |
| -0.000 | -0.000 | -0.000 | -0.000 | 9.089 | 0.000 |
| -0.000 | -0.000 | -0.000 | 0.000 | 0.000 | 4.645 |
| 27.547 | 4.727 | 9.779 | 0.000 | 0.000 | 0.000 |
| 4.727 | 27.547 | 9.779 | 0.000 | 0.000 | 0.000 |
| 9.779 | 9.779 | 19.379 | 0.000 | 0.000 | 0.000 |
| 0.000 | 0.000 | 0.000 | 9.089 | 0.000 | 0.000 |
| 0.000 | 0.000 | 0.000 | 0.000 | 9.089 | 0.000 |
| 0.000 | 0.000 | 0.000 | -0.000 | -0.000 | 4.645 |
| 27.547 | 4.727 | 9.779 | -0.000 | 0.000 | 0.000 |
| 4.727 | 27.547 | 9.779 | 0.000 | -0.000 | 0.000 |
| 9.779 | 9.779 | 19.378 | -0.000 | -0.000 | -0.000 |
| -0.000 | -0.000 | -0.000 | 9.089 | -0.000 | -0.000 |
| -0.000 | -0.000 | -0.000 | -0.000 | 9.089 | -0.000 |
| -0.000 | -0.000 | -0.000 | 0.000 | 0.000 | 4.645 |
| 43.332 | 17.071 | 17.071 | -0.000 | 0.000 | 0.000 |
| 17.071 | 43.332 | 17.071 | -0.000 | -0.000 | 0.000 |
| 17.071 | 17.071 | 43.332 | -0.000 | -0.000 | 0.000 |
| 0.000 | 0.000 | 0.000 | 14.328 | -0.000 | 0.000 |
| 0.000 | 0.000 | 0.000 | -0.000 | 14.328 | 0.000 |
| 0.000 | 0.000 | 0.000 | -0.000 | -0.000 | 14.328 |
| 43.332 | 17.071 | 17.071 | 0.000 | 0.000 | -0.000 |
| 17.071 | 43.332 | 17.071 | -0.000 | 0.000 | -0.000 |
| 17.071 | 17.071 | 43.332 | 0.000 | 0.000 | -0.000 |
| -0.000 | -0.000 | -0.000 | 14.328 | 0.000 | -0.000 |
| -0.000 | -0.000 | -0.000 | 0.000 | 14.328 | -0.000 |
| -0.000 | -0.000 | -0.000 | 0.000 | 0.000 | 14.328 |
| 43.332 | 17.071 | 17.071 | 0.000 | 0.000 | 0.000 |
| 17.071 | 43.332 | 17.071 | 0.000 | 0.000 | 0.000 |
| 17.071 | 17.071 | 43.332 | -0.000 | 0.000 | 0.000 |
| 0.000 | 0.000 | 0.000 | 14.328 | -0.000 | 0.000 |
| 0.000 | 0.000 | 0.000 | -0.000 | 14.328 | 0.000 |
| 0.000 | 0.000 | 0.000 | -0.000 | -0.000 | 14.328 |
| 43.332 | 17.071 | 17.071 | -0.000 | -0.000 | -0.000 |
| 17.071 | 43.332 | 17.071 | -0.000 | -0.000 | -0.000 |
| 17.071 | 17.071 | 43.332 | 0.000 | -0.000 | -0.000 |
| -0.000 | -0.000 | -0.000 | 14.328 | 0.000 | -0.000 |
| -0.000 | -0.000 | -0.000 | 0.000 | 14.328 | -0.000 |
| -0.000 | -0.000 | -0.000 | 0.000 | 0.000 | 14.328 |
| 43.333 | 17.071 | 17.071 | -0.000 | -0.000 | 0.000 |
| 17.071 | 43.333 | 17.071 | 0.000 | 0.000 | 0.000 |
| 17.071 | 17.071 | 43.333 | -0.000 | -0.000 | 0.000 |
| 0.000 | 0.000 | 0.000 | 14.328 | -0.000 | 0.000 |
| 0.000 | 0.000 | 0.000 | -0.000 | 14.328 | 0.000 |
| 0.000 | 0.000 | 0.000 | 0.000 | -0.000 | 14.328 |
| 43.332 | 17.071 | 17.071 | 0.000 | -0.000 | -0.000 |
| 17.071 | 43.332 | 17.071 | -0.000 | 0.000 | -0.000 |
| 17.071 | 17.071 | 43.332 | -0.000 | -0.000 | -0.000 |
| -0.000 | -0.000 | -0.000 | 14.328 | 0.000 | -0.000 |
| -0.000 | -0.000 | -0.000 | 0.000 | 14.328 | -0.000 |
| -0.000 | -0.000 | -0.000 | 0.000 | 0.000 | 14.328 |
| 8.893 | 3.148 | 3.148 | -0.000 | -0.000 | -0.000 |
| 3.148 | 8.893 | 3.148 | -0.000 | -0.000 | -0.000 |
| 3.148 | 3.148 | 8.893 | -0.000 | -0.000 | -0.000 |
| -0.000 | -0.000 | -0.000 | 2.010 | -0.000 | -0.000 |
| -0.000 | -0.000 | -0.000 | -0.000 | 2.010 | -0.000 |
| -0.000 | -0.000 | -0.000 | -0.000 | -0.000 | 2.010 |
| 8.893 | 3.148 | 3.148 | 0.000 | 0.000 | 0.000 |
| 3.148 | 8.893 | 3.148 | 0.000 | 0.000 | 0.000 |
| 3.148 | 3.148 | 8.893 | -0.000 | -0.000 | 0.000 |
| 0.000 | 0.000 | 0.000 | 2.010 | 0.000 | 0.000 |
| 0.000 | 0.000 | 0.000 | -0.000 | 2.010 | 0.000 |
| 0.000 | 0.000 | 0.000 | 0.000 | 0.000 | 2.010 |
| 8.893 | 3.148 | 3.148 | -0.000 | -0.000 | -0.000 |
| 3.148 | 8.893 | 3.148 | -0.000 | -0.000 | -0.000 |
| 3.148 | 3.148 | 8.893 | -0.000 | -0.000 | -0.000 |
| -0.000 | -0.000 | -0.000 | 2.010 | -0.000 | -0.000 |
| -0.000 | -0.000 | -0.000 | -0.000 | 2.010 | 0.000 |
| -0.000 | -0.000 | -0.000 | -0.000 | -0.000 | 2.010 |
| 8.893 | 3.148 | 3.148 | 0.000 | 0.000 | 0.000 |
| 3.148 | 8.893 | 3.148 | 0.000 | 0.000 | 0.000 |
| 3.148 | 3.148 | 8.893 | -0.000 | 0.000 | 0.000 |
| 0.000 | 0.000 | 0.000 | 2.010 | 0.000 | 0.000 |
| 0.000 | 0.000 | 0.000 | 0.000 | 2.010 | 0.000 |
| 0.000 | 0.000 | 0.000 | -0.000 | 0.000 | 2.010 |
| 8.892 | 3.148 | 3.148 | -0.000 | -0.000 | -0.000 |
| 3.148 | 8.892 | 3.148 | -0.000 | -0.000 | -0.000 |
| 3.148 | 3.148 | 8.892 | 0.000 | -0.000 | 0.000 |
| -0.000 | -0.000 | -0.000 | 2.010 | -0.000 | -0.000 |
| -0.000 | -0.000 | -0.000 | -0.000 | 2.010 | -0.000 |
| -0.000 | -0.000 | -0.000 | -0.000 | -0.000 | 2.010 |
| 8.893 | 3.148 | 3.148 | 0.000 | 0.000 | 0.000 |
| 3.148 | 8.893 | 3.148 | 0.000 | 0.000 | 0.000 |
| 3.148 | 3.148 | 8.893 | 0.000 | 0.000 | 0.000 |
| 0.000 | 0.000 | 0.000 | 2.010 | 0.000 | 0.000 |
| 0.000 | 0.000 | 0.000 | 0.000 | 2.010 | 0.000 |
| 0.000 | 0.000 | 0.000 | 0.000 | 0.000 | 2.010 |
| 66.466 | 18.302 | 18.302 | 0.000 | 0.000 | 0.000 |
| 18.302 | 66.466 | 18.302 | 0.000 | 0.000 | 0.000 |
| 18.302 | 18.302 | 66.466 | 0.000 | 0.000 | 0.000 |
| -0.000 | -0.000 | -0.000 | 14.843 | -0.000 | -0.000 |
| -0.000 | -0.000 | -0.000 | -0.000 | 14.843 | -0.000 |
| -0.000 | -0.000 | -0.000 | -0.000 | -0.000 | 14.843 |
| 66.466 | 18.302 | 18.302 | -0.000 | -0.000 | -0.000 |
| 18.302 | 66.466 | 18.302 | -0.000 | -0.000 | -0.000 |
| 18.302 | 18.302 | 66.466 | -0.000 | 0.000 | -0.000 |
| 0.000 | 0.000 | 0.000 | 14.843 | 0.000 | 0.000 |
| 0.000 | 0.000 | 0.000 | 0.000 | 14.843 | 0.000 |
| 0.000 | 0.000 | 0.000 | 0.000 | 0.000 | 14.843 |
| 66.466 | 18.302 | 18.302 | 0.000 | 0.000 | 0.000 |
| 18.302 | 66.466 | 18.302 | 0.000 | 0.000 | 0.000 |
| 18.302 | 18.302 | 66.466 | 0.000 | 0.000 | 0.000 |
| -0.000 | -0.000 | -0.000 | 14.843 | -0.000 | -0.000 |
| -0.000 | -0.000 | -0.000 | -0.000 | 14.843 | -0.000 |
| -0.000 | -0.000 | -0.000 | -0.000 | -0.000 | 14.843 |
| 66.466 | 18.302 | 18.302 | -0.000 | -0.000 | -0.000 |
| 18.302 | 66.466 | 18.302 | -0.000 | -0.000 | -0.000 |
| 18.302 | 18.302 | 66.466 | -0.000 | -0.000 | -0.000 |
| 0.000 | 0.000 | 0.000 | 14.843 | 0.000 | 0.000 |
| 0.000 | 0.000 | 0.000 | 0.000 | 14.843 | 0.000 |
| 0.000 | 0.000 | 0.000 | 0.000 | 0.000 | 14.843 |
| 66.466 | 18.302 | 18.302 | 0.000 | 0.000 | 0.000 |
| 18.302 | 66.466 | 18.302 | 0.000 | 0.000 | 0.000 |
| 18.302 | 18.302 | 66.466 | 0.000 | -0.000 | 0.000 |
| -0.000 | -0.000 | -0.000 | 14.843 | -0.000 | -0.000 |
| -0.000 | -0.000 | -0.000 | -0.000 | 14.843 | -0.000 |
| -0.000 | -0.000 | -0.000 | -0.000 | -0.000 | 14.843 |
| 66.466 | 18.302 | 18.302 | -0.000 | -0.000 | -0.000 |
| 18.302 | 66.466 | 18.302 | -0.000 | -0.000 | -0.000 |
| 18.302 | 18.302 | 66.466 | -0.000 | -0.000 | -0.000 |
| 0.000 | 0.000 | 0.000 | 14.843 | 0.000 | 0.000 |
| 0.000 | 0.000 | 0.000 | 0.000 | 14.843 | 0.000 |
| 0.000 | 0.000 | 0.000 | 0.000 | 0.000 | 14.843 |
| 1.848 | 1.996 | 1.996 | 0.000 | -0.000 | 0.000 |
| 1.996 | 1.848 | 1.996 | 0.000 | -0.000 | 0.000 |
| 1.996 | 1.996 | 1.848 | 0.000 | -0.000 | 0.000 |
| -0.000 | -0.000 | -0.000 | -2.949 | -0.000 | 0.000 |
| -0.000 | -0.000 | -0.000 | 0.000 | -2.949 | 0.000 |
| -0.000 | -0.000 | -0.000 | 0.000 | -0.000 | -2.949 |
| 1.848 | 1.996 | 1.996 | -0.000 | 0.000 | -0.000 |
| 1.996 | 1.848 | 1.996 | -0.000 | 0.000 | -0.000 |
| 1.996 | 1.996 | 1.848 | -0.000 | 0.000 | -0.000 |
| 0.000 | 0.000 | 0.000 | -2.949 | 0.000 | -0.000 |
| 0.000 | 0.000 | 0.000 | -0.000 | -2.949 | -0.000 |
| 0.000 | 0.000 | 0.000 | -0.000 | 0.000 | -2.949 |
| 2.717 | 1.561 | 1.561 | 0.000 | -0.000 | 0.000 |
| 1.561 | 2.717 | 1.561 | 0.000 | -0.000 | 0.000 |
| 1.561 | 1.561 | 2.717 | 0.000 | -0.000 | 0.000 |
| -651657.449 | -99611.533 | -78441.903 | 129037.712 | 7634.942 | 4458.635 |
| -39552.487 | -679044.102 | -65374.291 | -6649.286 | 109732.257 | -11119.862 |
| -70894.106 | -59522.398 | -581812.896 | 12272.165 | -11919.422 | 105459.198 |
| 1.848 | 1.996 | 1.996 | -0.000 | 0.000 | -0.000 |
| 1.996 | 1.848 | 1.996 | 0.000 | 0.000 | -0.000 |
| 1.996 | 1.996 | 1.848 | -0.000 | 0.000 | -0.000 |
| 630392.431 | 26550.876 | 45089.057 | 77771.455 | 3810.564 | 621.116 |
| 72938.175 | 625949.602 | 90440.433 | 9152.445 | 95223.680 | 12554.053 |
| 19149.101 | 10313.029 | 641184.168 | 19993.198 | -11100.544 | 69547.297 |
| 4295.600 | -20837.717 | -21609.063 | -126.166 | 891.473 | -114.626 |
| -20104.192 | 5292.702 | -20711.704 | -731.881 | -449.681 | -752.389 |
| -21118.361 | -21634.459 | 3801.023 | -193.549 | 890.332 | -755.828 |
| -56081.271 | -11724.224 | -15337.993 | 8976.661 | 716.845 | -220.679 |
| -12398.613 | -56588.996 | -8894.573 | 1323.025 | 7159.615 | -1122.915 |
| -11661.376 | -11991.094 | -56111.460 | 940.869 | -219.741 | 9443.713 |
| 33584.238 | 22088.352 | 24528.721 | 3780.676 | 129.848 | 1205.310 |
| 21545.993 | 33745.730 | 21740.871 | -1217.768 | 2288.170 | 542.970 |
| 20870.439 | 25104.610 | 31832.382 | -359.930 | -95.798 | 2466.447 |
| 56652.777 | 8296.038 | 8272.034 | 8712.006 | -104.134 | -695.967 |
| 15118.481 | 55613.296 | 12143.332 | -210.179 | 8829.376 | -691.755 |
| 10418.162 | 11520.217 | 62974.895 | -529.343 | 713.186 | 8481.739 |
| 5.616 | 1.319 | 1.319 | 0.000 | 0.000 | 0.000 |
| 1.319 | 5.616 | 1.319 | 0.000 | -0.000 | -0.000 |
| 1.319 | 1.319 | 5.616 | -0.000 | -0.000 | 0.000 |
| 0.000 | 0.000 | 0.000 | 0.839 | -0.000 | -0.000 |
| 0.000 | 0.000 | 0.000 | -0.000 | 0.839 | -0.000 |
| 0.000 | 0.000 | 0.000 | -0.000 | -0.000 | 0.839 |
| 5.616 | 1.319 | 1.319 | 0.000 | -0.000 | -0.000 |
| 1.319 | 5.616 | 1.319 | 0.000 | 0.000 | 0.000 |
| 1.319 | 1.319 | 5.616 | 0.000 | 0.000 | 0.000 |
| -0.000 | -0.000 | -0.000 | 0.839 | 0.000 | -0.000 |
| -0.000 | -0.000 | -0.000 | 0.000 | 0.839 | -0.000 |
| -0.000 | -0.000 | -0.000 | 0.000 | 0.000 | 0.839 |
| 4.729 | 1.762 | 1.762 | -0.000 | -0.000 | -0.000 |
| 1.762 | 4.729 | 1.762 | -0.000 | -0.000 | -0.000 |
| 1.762 | 1.762 | 4.729 | -0.000 | -0.000 | -0.000 |
| 0.000 | 0.000 | 0.000 | 0.839 | -0.000 | -0.000 |
| 0.000 | 0.000 | 0.000 | -0.000 | 0.839 | 0.000 |
| 0.000 | 0.000 | 0.000 | -0.000 | -0.000 | 0.839 |
| 5.616 | 1.319 | 1.319 | -0.000 | -0.000 | -0.000 |
| 1.319 | 5.616 | 1.319 | 0.000 | 0.000 | 0.000 |
| 1.319 | 1.319 | 5.616 | 0.000 | 0.000 | -0.000 |
| -0.000 | -0.000 | -0.000 | 0.839 | 0.000 | 0.000 |
| -0.000 | -0.000 | -0.000 | 0.000 | 0.839 | 0.000 |
| -0.000 | -0.000 | -0.000 | 0.000 | 0.000 | 0.839 |
| 3.411 | 2.422 | 2.422 | -0.000 | -0.000 | -0.000 |
| 2.422 | 3.411 | 2.422 | -0.000 | -0.000 | -0.000 |
| 2.422 | 2.422 | 3.411 | -0.000 | -0.000 | -0.000 |
| 0.000 | -0.000 | -0.000 | 0.341 | -0.000 | -0.000 |
| -0.000 | 0.000 | -0.000 | -0.000 | 0.341 | -0.000 |
| -0.000 | -0.000 | 0.000 | -0.000 | 0.000 | 0.341 |
| 3.411 | 2.421 | 2.421 | 0.000 | -0.000 | -0.000 |
| 2.421 | 3.411 | 2.421 | -0.000 | 0.000 | 0.000 |
| 2.421 | 2.421 | 3.411 | 0.000 | -0.000 | 0.000 |
| -0.000 | 0.000 | 0.000 | 0.341 | 0.000 | 0.000 |
| 0.000 | -0.000 | 0.000 | 0.000 | 0.341 | 0.000 |
| 0.000 | 0.000 | -0.000 | 0.000 | -0.000 | 0.341 |
| 39.802 | 4.098 | 4.098 | 0.000 | 0.000 | 0.000 |
| 4.098 | 39.802 | 4.098 | 0.000 | 0.000 | -0.000 |
| 4.098 | 4.098 | 39.802 | -0.000 | -0.000 | -0.000 |
| -0.000 | -0.000 | -0.000 | 3.825 | 0.000 | 0.000 |
| -0.000 | -0.000 | -0.000 | 0.000 | 3.825 | -0.000 |
| -0.000 | -0.000 | -0.000 | 0.000 | 0.000 | 3.825 |
| 39.802 | 4.098 | 4.098 | -0.000 | -0.000 | 0.000 |
| 4.098 | 39.802 | 4.098 | -0.000 | -0.000 | -0.000 |
| 4.098 | 4.098 | 39.802 | -0.000 | -0.000 | 0.000 |
| 0.000 | 0.000 | 0.000 | 3.825 | -0.000 | 0.000 |
| 0.000 | 0.000 | 0.000 | -0.000 | 3.825 | 0.000 |
| 0.000 | 0.000 | 0.000 | -0.000 | -0.000 | 3.825 |
| 39.802 | 4.098 | 4.098 | 0.000 | 0.000 | -0.000 |
| 4.098 | 39.802 | 4.098 | 0.000 | 0.000 | 0.000 |
| 4.098 | 4.098 | 39.802 | -0.000 | 0.000 | -0.000 |
| -0.000 | -0.000 | -0.000 | 3.825 | 0.000 | 0.000 |
| -0.000 | -0.000 | -0.000 | 0.000 | 3.825 | -0.000 |
| -0.000 | -0.000 | -0.000 | 0.000 | 0.000 | 3.825 |
| 39.802 | 4.098 | 4.098 | -0.000 | -0.000 | 0.000 |
| 4.098 | 39.802 | 4.098 | -0.000 | -0.000 | -0.000 |
| 4.098 | 4.098 | 39.802 | -0.000 | -0.000 | -0.000 |
| 0.000 | 0.000 | 0.000 | 3.825 | -0.000 | 0.000 |
| 0.000 | 0.000 | 0.000 | -0.000 | 3.825 | 0.000 |
| 0.000 | 0.000 | 0.000 | -0.000 | -0.000 | 3.825 |
| 39.801 | 4.098 | 4.098 | 0.000 | 0.000 | 0.000 |
| 4.098 | 39.801 | 4.098 | 0.000 | 0.000 | 0.000 |
| 4.098 | 4.098 | 39.801 | -0.000 | -0.000 | 0.000 |
| -0.000 | -0.000 | -0.000 | 3.825 | 0.000 | 0.000 |
| -0.000 | -0.000 | -0.000 | 0.000 | 3.825 | -0.000 |
| -0.000 | -0.000 | -0.000 | 0.000 | 0.000 | 3.825 |
| 39.803 | 4.099 | 4.099 | -0.000 | -0.000 | 0.000 |
| 4.099 | 39.803 | 4.099 | -0.000 | -0.000 | 0.000 |
| 4.099 | 4.099 | 39.803 | -0.000 | -0.000 | -0.000 |
| 0.000 | 0.000 | 0.000 | 3.825 | -0.000 | 0.000 |
| 0.000 | 0.000 | 0.000 | -0.000 | 3.825 | -0.000 |
| 0.000 | 0.000 | 0.000 | -0.000 | -0.000 | 3.825 |
| 26.426 | 6.587 | 6.587 | -0.000 | 0.000 | -0.000 |
| 6.587 | 26.426 | 6.587 | 0.000 | -0.000 | -0.000 |
| 6.587 | 6.587 | 26.426 | -0.000 | -0.000 | -0.000 |
| 0.000 | 0.000 | 0.000 | 6.228 | 0.000 | 0.000 |
| 0.000 | 0.000 | 0.000 | 0.000 | 6.228 | 0.000 |
| 0.000 | 0.000 | 0.000 | -0.000 | -0.000 | 6.228 |
| 26.425 | 6.587 | 6.587 | 0.000 | -0.000 | -0.000 |
| 6.587 | 26.425 | 6.587 | -0.000 | 0.000 | -0.000 |
| 6.587 | 6.587 | 26.425 | 0.000 | 0.000 | 0.000 |
| -0.000 | -0.000 | -0.000 | 6.228 | -0.000 | -0.000 |
| -0.000 | -0.000 | -0.000 | -0.000 | 6.228 | -0.000 |
| -0.000 | -0.000 | -0.000 | 0.000 | 0.000 | 6.228 |
| 26.428 | 6.587 | 6.587 | -0.000 | 0.000 | 0.000 |
| 6.587 | 26.428 | 6.587 | 0.000 | -0.000 | -0.000 |
| 6.587 | 6.587 | 26.428 | -0.000 | -0.000 | -0.000 |
| 0.000 | 0.000 | 0.000 | 6.228 | 0.000 | -0.000 |
| 0.000 | 0.000 | 0.000 | 0.000 | 6.228 | -0.000 |
| 0.000 | 0.000 | 0.000 | -0.000 | -0.000 | 6.228 |
| 26.423 | 6.587 | 6.587 | 0.000 | 0.000 | 0.000 |
| 6.587 | 26.423 | 6.587 | 0.000 | 0.000 | 0.000 |
| 6.587 | 6.587 | 26.423 | 0.000 | 0.000 | -0.000 |
| -0.000 | -0.000 | -0.000 | 6.228 | -0.000 | 0.000 |
| -0.000 | -0.000 | -0.000 | -0.000 | 6.228 | 0.000 |
| -0.000 | -0.000 | -0.000 | 0.000 | 0.000 | 6.228 |
| 26.453 | 6.587 | 6.587 | -0.000 | -0.000 | 0.000 |
| 6.587 | 26.453 | 6.587 | -0.000 | -0.000 | 0.000 |
| 6.587 | 6.587 | 26.453 | -0.000 | -0.000 | 0.000 |
| 0.000 | 0.000 | 0.000 | 6.228 | -0.000 | 0.000 |
| 0.000 | 0.000 | 0.000 | -0.000 | 6.228 | -0.000 |
| 0.000 | 0.000 | 0.000 | -0.000 | 0.000 | 6.228 |
| 26.397 | 6.586 | 6.586 | 0.000 | -0.000 | -0.000 |
| 6.586 | 26.397 | 6.586 | -0.000 | 0.000 | -0.000 |
| 6.586 | 6.586 | 26.397 | 0.000 | 0.000 | -0.000 |
| -0.000 | -0.000 | -0.000 | 6.228 | 0.000 | -0.000 |
| -0.000 | -0.000 | -0.000 | 0.000 | 6.228 | -0.000 |
| -0.000 | -0.000 | -0.000 | 0.000 | 0.000 | 6.228 |
| 45.709 | 29.628 | 29.628 | -0.000 | -0.000 | 0.000 |
| 29.628 | 45.709 | 29.628 | -0.000 | -0.000 | 0.000 |
| 29.628 | 29.628 | 45.709 | -0.000 | 0.000 | 0.000 |
| 0.000 | 0.000 | 0.000 | 1.346 | -0.000 | 0.000 |
| 0.000 | 0.000 | 0.000 | -0.000 | 1.346 | -0.000 |
| 0.000 | 0.000 | 0.000 | -0.000 | -0.000 | 1.346 |
| 45.709 | 29.628 | 29.628 | 0.000 | 0.000 | -0.000 |
| 29.628 | 45.709 | 29.628 | 0.000 | 0.000 | -0.000 |
| 29.628 | 29.628 | 45.709 | 0.000 | 0.000 | 0.000 |
| -0.000 | -0.000 | -0.000 | 1.346 | 0.000 | 0.000 |
| -0.000 | -0.000 | -0.000 | 0.000 | 1.346 | -0.000 |
| -0.000 | -0.000 | -0.000 | 0.000 | 0.000 | 1.346 |
| 45.709 | 29.628 | 29.628 | -0.000 | -0.000 | 0.000 |
| 29.628 | 45.709 | 29.628 | -0.000 | -0.000 | 0.000 |
| 29.628 | 29.628 | 45.709 | -0.000 | -0.000 | 0.000 |
| 0.000 | 0.000 | 0.000 | 1.346 | -0.000 | 0.000 |
| 0.000 | 0.000 | 0.000 | -0.000 | 1.346 | 0.000 |
| 0.000 | 0.000 | 0.000 | -0.000 | -0.000 | 1.346 |
| 45.709 | 29.628 | 29.628 | 0.000 | 0.000 | 0.000 |
| 29.628 | 45.709 | 29.628 | 0.000 | 0.000 | -0.000 |
| 29.628 | 29.628 | 45.709 | 0.000 | 0.000 | 0.000 |
| -0.000 | -0.000 | -0.000 | 1.346 | -0.000 | -0.000 |
| -0.000 | -0.000 | -0.000 | 0.000 | 1.346 | -0.000 |
| -0.000 | -0.000 | -0.000 | 0.000 | 0.000 | 1.346 |
| 45.710 | 29.628 | 29.628 | -0.000 | -0.000 | -0.000 |
| 29.628 | 45.710 | 29.628 | -0.000 | -0.000 | -0.000 |
| 29.628 | 29.628 | 45.710 | -0.000 | -0.000 | 0.000 |
| 0.000 | 0.000 | 0.000 | 1.346 | -0.000 | 0.000 |
| 0.000 | 0.000 | 0.000 | -0.000 | 1.346 | 0.000 |
| 0.000 | 0.000 | 0.000 | -0.000 | -0.000 | 1.346 |
| 45.709 | 29.628 | 29.628 | 0.000 | 0.000 | 0.000 |
| 29.628 | 45.709 | 29.628 | 0.000 | 0.000 | -0.000 |
| 29.628 | 29.628 | 45.709 | 0.000 | 0.000 | -0.000 |
| -0.000 | -0.000 | -0.000 | 1.346 | 0.000 | -0.000 |
| -0.000 | -0.000 | -0.000 | 0.000 | 1.346 | -0.000 |
| -0.000 | -0.000 | -0.000 | 0.000 | 0.000 | 1.346 |
| 52.425 | 11.138 | 11.138 | -0.000 | -0.000 | -0.000 |
| 11.138 | 52.425 | 11.138 | -0.000 | -0.000 | -0.000 |
| 11.138 | 11.138 | 52.425 | -0.000 | -0.000 | 0.000 |
| 0.000 | 0.000 | 0.000 | 11.633 | -0.000 | 0.000 |
| 0.000 | 0.000 | 0.000 | -0.000 | 11.633 | 0.000 |
| 0.000 | 0.000 | -0.000 | 0.000 | -0.000 | 11.633 |
| 52.425 | 11.138 | 11.138 | 0.000 | 0.000 | 0.000 |
| 11.138 | 52.425 | 11.138 | 0.000 | 0.000 | 0.000 |
| 11.138 | 11.138 | 52.425 | -0.000 | 0.000 | 0.000 |
| -0.000 | -0.000 | -0.000 | 11.633 | 0.000 | -0.000 |
| -0.000 | -0.000 | -0.000 | 0.000 | 11.633 | -0.000 |
| -0.000 | -0.000 | 0.000 | 0.000 | 0.000 | 11.633 |
| 52.425 | 11.138 | 11.138 | -0.000 | -0.000 | -0.000 |
| 11.138 | 52.425 | 11.138 | -0.000 | -0.000 | -0.000 |
| 11.138 | 11.138 | 52.425 | 0.000 | -0.000 | 0.000 |
| 0.000 | 0.000 | 0.000 | 11.633 | -0.000 | -0.000 |
| 0.000 | 0.000 | 0.000 | 0.000 | 11.633 | 0.000 |
| 0.000 | 0.000 | 0.000 | -0.000 | -0.000 | 11.633 |
| 52.425 | 11.138 | 11.138 | 0.000 | 0.000 | 0.000 |
| 11.138 | 52.425 | 11.138 | 0.000 | 0.000 | -0.000 |
| 11.138 | 11.138 | 52.425 | 0.000 | 0.000 | 0.000 |
| -0.000 | -0.000 | -0.000 | 11.633 | 0.000 | 0.000 |
| -0.000 | -0.000 | -0.000 | 0.000 | 11.633 | -0.000 |
| -0.000 | -0.000 | -0.000 | 0.000 | 0.000 | 11.633 |
| 52.423 | 11.138 | 11.138 | -0.000 | -0.000 | -0.000 |
| 11.138 | 52.423 | 11.138 | -0.000 | -0.000 | -0.000 |
| 11.138 | 11.138 | 52.423 | -0.000 | -0.000 | -0.000 |
| 0.000 | 0.000 | 0.000 | 11.633 | -0.000 | 0.000 |
| 0.000 | 0.000 | 0.000 | 0.000 | 11.633 | -0.000 |
| 0.000 | 0.000 | 0.000 | -0.000 | -0.000 | 11.633 |
| 52.426 | 11.138 | 11.138 | 0.000 | 0.000 | 0.000 |
| 11.138 | 52.426 | 11.138 | 0.000 | 0.000 | 0.000 |
| 11.138 | 11.138 | 52.426 | -0.000 | -0.000 | 0.000 |
| -0.000 | -0.000 | -0.000 | 11.633 | 0.000 | 0.000 |
| -0.000 | -0.000 | -0.000 | 0.000 | 11.633 | -0.000 |
| -0.000 | -0.000 | -0.000 | 0.000 | 0.000 | 11.633 |
| 18.603 | 9.378 | 9.378 | 0.000 | 0.000 | 0.000 |
| 9.378 | 18.603 | 9.378 | 0.000 | 0.000 | 0.000 |
| 9.378 | 9.378 | 18.603 | 0.000 | 0.000 | 0.000 |
| 0.000 | 0.000 | 0.000 | 9.057 | 0.000 | 0.000 |
| 0.000 | 0.000 | 0.000 | 0.000 | 9.057 | 0.000 |
| 0.000 | 0.000 | 0.000 | 0.000 | 0.000 | 9.057 |
| 18.603 | 9.378 | 9.378 | -0.000 | 0.000 | 0.000 |
| 9.378 | 18.603 | 9.378 | 0.000 | -0.000 | -0.000 |
| 9.378 | 9.378 | 18.603 | -0.000 | -0.000 | -0.000 |
| -0.000 | -0.000 | -0.000 | 9.057 | -0.000 | -0.000 |
| -0.000 | -0.000 | -0.000 | -0.000 | 9.057 | -0.000 |
| -0.000 | -0.000 | -0.000 | -0.000 | -0.000 | 9.057 |
| 18.603 | 9.378 | 9.378 | 0.000 | -0.000 | 0.000 |
| 9.378 | 18.603 | 9.378 | -0.000 | 0.000 | 0.000 |
| 9.378 | 9.378 | 18.603 | 0.000 | 0.000 | 0.000 |
| 0.000 | 0.000 | 0.000 | 9.057 | 0.000 | 0.000 |
| 0.000 | 0.000 | 0.000 | 0.000 | 9.057 | 0.000 |
| 0.000 | 0.000 | 0.000 | 0.000 | 0.000 | 9.057 |
| 18.603 | 9.378 | 9.378 | -0.000 | -0.000 | -0.000 |
| 9.378 | 18.603 | 9.378 | -0.000 | -0.000 | -0.000 |
| 9.378 | 9.378 | 18.603 | -0.000 | -0.000 | -0.000 |
| -0.000 | -0.000 | -0.000 | 9.057 | -0.000 | -0.000 |
| -0.000 | -0.000 | -0.000 | -0.000 | 9.057 | -0.000 |
| -0.000 | -0.000 | -0.000 | -0.000 | -0.000 | 9.057 |
| 18.604 | 9.378 | 9.378 | 0.000 | 0.000 | 0.000 |
| 9.378 | 18.604 | 9.378 | 0.000 | 0.000 | 0.000 |
| 9.378 | 9.378 | 18.604 | 0.000 | 0.000 | 0.000 |
| 0.000 | 0.000 | 0.000 | 9.057 | 0.000 | 0.000 |
| 0.000 | 0.000 | 0.000 | 0.000 | 9.057 | 0.000 |
| 0.000 | 0.000 | 0.000 | 0.000 | 0.000 | 9.057 |
| 18.603 | 9.378 | 9.378 | -0.000 | -0.000 | -0.000 |
| 9.378 | 18.603 | 9.378 | -0.000 | -0.000 | -0.000 |
| 9.378 | 9.378 | 18.603 | -0.000 | -0.000 | -0.000 |
| -0.000 | -0.000 | -0.000 | 9.057 | -0.000 | -0.000 |
| -0.000 | -0.000 | -0.000 | -0.000 | 9.057 | -0.000 |
| -0.000 | -0.000 | -0.000 | -0.000 | -0.000 | 9.057 |
| 156.985 | 351.247 | 351.247 | -0.000 | -0.000 | -0.000 |
| 351.247 | 156.985 | 351.247 | 0.000 | -0.000 | -0.000 |
| 351.247 | 351.247 | 156.985 | -0.000 | -0.000 | -0.000 |
| -0.000 | 0.000 | 0.000 | 3.443 | -0.000 | -0.000 |
| -0.000 | -0.000 | 0.000 | -0.000 | 3.443 | -0.000 |
| -0.000 | 0.000 | -0.000 | -0.000 | -0.000 | 3.443 |
| 156.985 | 351.247 | 351.247 | -0.000 | 0.000 | 0.000 |
| 351.247 | 156.985 | 351.247 | -0.000 | 0.000 | 0.000 |
| 351.247 | 351.247 | 156.985 | -0.000 | 0.000 | 0.000 |
| 0.000 | -0.000 | -0.000 | 3.443 | 0.000 | -0.000 |
| 0.000 | 0.000 | -0.000 | -0.000 | 3.443 | 0.000 |
| 0.000 | -0.000 | 0.000 | 0.000 | 0.000 | 3.443 |
| 156.985 | 351.247 | 351.247 | 0.000 | -0.000 | -0.000 |
| 351.247 | 156.985 | 351.247 | 0.000 | -0.000 | -0.000 |
| 351.247 | 351.247 | 156.985 | 0.000 | -0.000 | -0.000 |
| -0.000 | 0.000 | 0.000 | 3.443 | -0.000 | -0.000 |
| 0.000 | -0.000 | 0.000 | 0.000 | 3.443 | -0.000 |
| 0.000 | 0.000 | -0.000 | -0.000 | -0.000 | 3.443 |
| 156.985 | 351.247 | 351.247 | 0.000 | 0.000 | 0.000 |
| 351.247 | 156.985 | 351.247 | 0.000 | 0.000 | 0.000 |
| 351.247 | 351.247 | 156.985 | -0.000 | 0.000 | 0.000 |
| 0.000 | -0.000 | -0.000 | 3.443 | 0.000 | 0.000 |
| -0.000 | 0.000 | -0.000 | -0.000 | 3.443 | 0.000 |
| -0.000 | -0.000 | 0.000 | 0.000 | 0.000 | 3.443 |
| 156.988 | 351.246 | 351.246 | 0.000 | -0.000 | -0.000 |
| 351.246 | 156.988 | 351.246 | 0.000 | -0.000 | -0.000 |
| 351.246 | 351.246 | 156.988 | 0.000 | -0.000 | -0.000 |
| -0.000 | 0.001 | 0.001 | 3.443 | -0.000 | -0.000 |
| 0.001 | -0.000 | 0.001 | 0.000 | 3.443 | -0.000 |
| 0.001 | 0.001 | -0.000 | -0.000 | -0.000 | 3.443 |
| 156.982 | 351.248 | 351.248 | 0.000 | 0.000 | 0.000 |
| 351.248 | 156.982 | 351.248 | -0.000 | 0.000 | 0.000 |
| 351.248 | 351.248 | 156.982 | 0.000 | 0.000 | 0.000 |
| 0.000 | -0.001 | -0.001 | 3.443 | 0.000 | 0.000 |
| -0.001 | 0.000 | -0.001 | -0.000 | 3.443 | 0.000 |
| -0.001 | -0.001 | 0.000 | 0.000 | 0.000 | 3.443 |
| 579.194 | 259.079 | 259.079 | 0.000 | 0.000 | -0.000 |
| 259.079 | 579.194 | 259.079 | 0.000 | 0.000 | -0.000 |
| 259.079 | 259.079 | 579.194 | 0.000 | 0.000 | -0.000 |
| -0.000 | -0.000 | -0.000 | 220.723 | 0.000 | 0.000 |
| -0.000 | -0.000 | -0.000 | 0.000 | 220.723 | -0.000 |
| -0.000 | -0.000 | -0.000 | 0.000 | 0.000 | 220.723 |
| 579.194 | 259.079 | 259.079 | -0.000 | -0.000 | 0.000 |
| 259.079 | 579.194 | 259.079 | -0.000 | -0.000 | 0.000 |
| 259.079 | 259.079 | 579.194 | -0.000 | -0.000 | 0.000 |
| 0.000 | 0.000 | 0.000 | 220.723 | -0.000 | 0.000 |
| 0.000 | 0.000 | 0.000 | -0.000 | 220.723 | 0.000 |
| 0.000 | 0.000 | 0.000 | -0.000 | -0.000 | 220.723 |
| 579.194 | 259.079 | 259.079 | 0.000 | 0.000 | -0.000 |
| 259.079 | 579.194 | 259.079 | 0.000 | 0.000 | -0.000 |
| 259.079 | 259.079 | 579.194 | 0.000 | 0.000 | -0.000 |
| -0.000 | -0.000 | -0.000 | 220.723 | 0.000 | -0.000 |
| -0.000 | -0.000 | -0.000 | 0.000 | 220.723 | -0.000 |
| -0.000 | -0.000 | -0.000 | 0.000 | 0.000 | 220.723 |
| 579.194 | 259.079 | 259.079 | -0.000 | -0.000 | 0.000 |
| 259.079 | 579.194 | 259.079 | -0.000 | -0.000 | 0.000 |
| 259.079 | 259.079 | 579.194 | -0.000 | -0.000 | -0.000 |
| 0.000 | 0.000 | 0.000 | 220.723 | -0.000 | -0.000 |
| 0.000 | 0.000 | 0.000 | -0.000 | 220.723 | 0.000 |
| 0.000 | 0.000 | 0.000 | -0.000 | -0.000 | 220.723 |
| 579.197 | 259.079 | 259.079 | 0.000 | 0.000 | -0.000 |
| 259.079 | 579.197 | 259.079 | 0.000 | 0.000 | -0.000 |
| 259.079 | 259.079 | 579.197 | 0.000 | 0.000 | -0.000 |
| -0.001 | -0.002 | -0.002 | 220.723 | 0.000 | -0.000 |
| -0.002 | -0.001 | -0.002 | 0.000 | 220.723 | -0.000 |
| -0.002 | -0.002 | -0.001 | 0.000 | 0.000 | 220.723 |
| 579.192 | 259.079 | 259.079 | -0.000 | -0.000 | 0.000 |
| 259.079 | 579.192 | 259.079 | -0.000 | 0.000 | 0.000 |
| 259.079 | 259.079 | 579.192 | -0.000 | -0.000 | -0.000 |
| 0.001 | 0.002 | 0.002 | 220.723 | -0.000 | -0.000 |
| 0.002 | 0.001 | 0.002 | -0.000 | 220.723 | 0.000 |
| 0.002 | 0.002 | 0.001 | -0.000 | -0.000 | 220.723 |
| 124.956 | 129.567 | 129.567 | -0.000 | -0.000 | -0.000 |
| 129.567 | 124.956 | 129.567 | -0.000 | -0.000 | -0.000 |
| 129.567 | 129.567 | 124.956 | -0.000 | -0.000 | -0.000 |
| 0.000 | -0.000 | -0.000 | 89.136 | -0.000 | -0.000 |
| -0.000 | -0.000 | -0.000 | -0.000 | 89.136 | -0.000 |
| -0.000 | -0.000 | -0.000 | -0.000 | 0.000 | 89.136 |
| 124.956 | 129.567 | 129.567 | 0.000 | -0.000 | 0.000 |
| 129.567 | 124.956 | 129.567 | 0.000 | 0.000 | 0.000 |
| 129.567 | 129.567 | 124.956 | 0.000 | 0.000 | 0.000 |
| -0.000 | 0.000 | 0.000 | 89.136 | 0.000 | 0.000 |
| 0.000 | 0.000 | 0.000 | 0.000 | 89.136 | 0.000 |
| 0.000 | 0.000 | 0.000 | 0.000 | -0.000 | 89.136 |
| 124.956 | 129.567 | 129.567 | -0.000 | 0.000 | -0.000 |
| 129.567 | 124.956 | 129.567 | 0.000 | -0.000 | -0.000 |
| 129.567 | 129.567 | 124.956 | 0.000 | -0.000 | -0.000 |
| 0.000 | -0.000 | -0.000 | 89.136 | -0.000 | -0.000 |
| -0.000 | 0.000 | -0.000 | -0.000 | 89.136 | -0.000 |
| -0.000 | -0.000 | 0.000 | 0.000 | 0.000 | 89.136 |
| 124.956 | 129.567 | 129.567 | 0.000 | 0.000 | 0.000 |
| 129.567 | 124.956 | 129.567 | 0.000 | 0.000 | 0.000 |
| 129.567 | 129.567 | 124.956 | 0.000 | -0.000 | 0.000 |
| -0.000 | 0.000 | 0.000 | 89.136 | 0.000 | 0.000 |
| 0.000 | -0.000 | 0.000 | 0.000 | 89.136 | 0.000 |
| 0.000 | 0.000 | -0.000 | 0.000 | 0.000 | 89.136 |
| 124.953 | 129.566 | 129.566 | -0.000 | -0.000 | -0.000 |
| 129.566 | 124.953 | 129.566 | -0.000 | -0.000 | -0.000 |
| 129.566 | 129.566 | 124.953 | 0.000 | 0.000 | -0.000 |
| 0.000 | -0.001 | -0.001 | 89.136 | -0.000 | -0.000 |
| -0.001 | 0.000 | -0.001 | -0.000 | 89.136 | -0.000 |
| -0.001 | -0.001 | 0.000 | -0.000 | -0.000 | 89.136 |
| 124.959 | 129.567 | 129.567 | 0.000 | 0.000 | 0.000 |
| 129.567 | 124.959 | 129.567 | 0.000 | 0.000 | 0.000 |
| 129.567 | 129.567 | 124.959 | 0.000 | 0.000 | 0.000 |
| -0.000 | 0.001 | 0.001 | 89.136 | 0.000 | 0.000 |
| 0.001 | -0.000 | 0.001 | 0.000 | 89.136 | 0.000 |
| 0.001 | 0.001 | -0.000 | 0.000 | 0.000 | 89.136 |
| 312.859 | 156.467 | 156.467 | 0.000 | -0.000 | -0.000 |
| 156.467 | 312.859 | 156.467 | -0.000 | -0.000 | 0.000 |
| 156.467 | 156.467 | 312.859 | 0.000 | 0.000 | 0.000 |
| -0.000 | -0.000 | -0.000 | 156.391 | -0.000 | -0.000 |
| -0.000 | -0.000 | -0.000 | -0.000 | 156.391 | 0.000 |
| -0.000 | -0.000 | -0.000 | -0.000 | 0.000 | 156.391 |
| 312.859 | 156.467 | 156.467 | 0.000 | -0.000 | -0.000 |
| 156.467 | 312.859 | 156.467 | -0.000 | 0.000 | 0.000 |
| 156.467 | 156.467 | 312.859 | 0.000 | 0.000 | 0.000 |
| 0.000 | 0.000 | 0.000 | 156.391 | 0.000 | 0.000 |
| 0.000 | 0.000 | 0.000 | 0.000 | 156.391 | -0.000 |
| 0.000 | 0.000 | 0.000 | 0.000 | -0.000 | 156.391 |
| 312.858 | 156.467 | 156.467 | 0.000 | 0.000 | 0.000 |
| 156.467 | 312.858 | 156.467 | 0.000 | -0.000 | 0.000 |
| 156.467 | 156.467 | 312.858 | 0.000 | 0.000 | -0.000 |
| -0.000 | -0.000 | -0.000 | 156.391 | 0.000 | -0.000 |
| -0.000 | -0.000 | -0.000 | -0.000 | 156.391 | 0.000 |
| -0.000 | -0.000 | -0.000 | -0.000 | 0.000 | 156.391 |
| 312.859 | 156.468 | 156.468 | 0.000 | 0.000 | 0.000 |
| 156.468 | 312.859 | 156.468 | 0.000 | 0.000 | -0.000 |
| 156.468 | 156.468 | 312.859 | -0.000 | 0.000 | 0.000 |
| 0.000 | 0.000 | 0.000 | 156.391 | -0.000 | 0.000 |
| 0.000 | 0.000 | 0.000 | -0.000 | 156.391 | -0.000 |
| 0.000 | 0.000 | 0.000 | -0.000 | -0.000 | 156.391 |
| 312.854 | 156.466 | 156.466 | -0.000 | -0.000 | -0.000 |
| 156.466 | 312.854 | 156.466 | -0.000 | -0.000 | -0.000 |
| 156.466 | 156.466 | 312.854 | -0.000 | -0.000 | 0.000 |
| -0.000 | -0.002 | -0.002 | 156.391 | -0.000 | -0.000 |
| -0.002 | -0.000 | -0.002 | -0.000 | 156.391 | 0.000 |
| -0.002 | -0.002 | -0.000 | -0.000 | 0.000 | 156.391 |
| 312.863 | 156.469 | 156.469 | -0.000 | 0.000 | 0.000 |
| 156.469 | 312.863 | 156.469 | 0.000 | 0.000 | -0.000 |
| 156.469 | 156.469 | 312.863 | -0.000 | -0.000 | -0.000 |
| 0.000 | 0.002 | 0.002 | 156.391 | 0.000 | -0.000 |
| 0.002 | 0.000 | 0.002 | 0.000 | 156.391 | -0.000 |
| 0.002 | 0.002 | 0.000 | -0.000 | -0.000 | 156.391 |
| 581.837 | 290.587 | 290.587 | -0.000 | -0.000 | -0.000 |
| 290.587 | 581.837 | 290.587 | -0.000 | -0.000 | -0.000 |
| 290.587 | 290.587 | 581.837 | -0.000 | -0.000 | -0.000 |
| -0.000 | -0.000 | -0.000 | 291.249 | -0.000 | -0.000 |
| -0.000 | -0.000 | -0.000 | 0.000 | 291.249 | 0.000 |
| -0.000 | -0.000 | -0.000 | 0.000 | 0.000 | 291.249 |
| 581.837 | 290.588 | 290.588 | -0.000 | -0.000 | -0.000 |
| 290.588 | 581.837 | 290.588 | -0.000 | -0.000 | -0.000 |
| 290.588 | 290.588 | 581.837 | -0.000 | -0.000 | -0.000 |
| 0.000 | 0.000 | 0.000 | 291.249 | 0.000 | 0.000 |
| 0.000 | 0.000 | 0.000 | -0.000 | 291.249 | -0.000 |
| 0.000 | 0.000 | 0.000 | 0.000 | -0.000 | 291.249 |
| 581.836 | 290.587 | 290.587 | -0.000 | 0.000 | 0.000 |
| 290.587 | 581.836 | 290.587 | 0.000 | -0.000 | -0.000 |
| 290.587 | 290.587 | 581.836 | 0.000 | -0.000 | -0.000 |
| -0.000 | -0.000 | -0.000 | 291.249 | 0.000 | -0.000 |
| -0.000 | -0.000 | -0.000 | 0.000 | 291.249 | 0.000 |
| -0.000 | -0.000 | -0.000 | 0.000 | 0.000 | 291.249 |
| 581.837 | 290.588 | 290.588 | -0.000 | -0.000 | -0.000 |
| 290.588 | 581.837 | 290.588 | -0.000 | 0.000 | -0.000 |
| 290.588 | 290.588 | 581.837 | -0.000 | 0.000 | 0.000 |
| 0.000 | 0.000 | 0.000 | 291.249 | -0.000 | 0.000 |
| 0.000 | 0.000 | 0.000 | -0.000 | 291.249 | -0.000 |
| 0.000 | 0.000 | 0.000 | -0.000 | -0.000 | 291.249 |
| 581.831 | 290.585 | 290.585 | -0.000 | 0.000 | 0.000 |
| 290.585 | 581.831 | 290.585 | 0.000 | -0.000 | -0.000 |
| 290.585 | 290.585 | 581.831 | -0.000 | -0.000 | -0.000 |
| -0.000 | -0.003 | -0.003 | 291.249 | -0.000 | -0.000 |
| -0.003 | -0.000 | -0.003 | 0.000 | 291.249 | 0.000 |
| -0.003 | -0.003 | -0.000 | 0.000 | 0.000 | 291.249 |
| 581.842 | 290.590 | 290.590 | 0.000 | -0.000 | -0.000 |
| 290.590 | 581.842 | 290.590 | -0.000 | 0.000 | 0.000 |
| 290.590 | 290.590 | 581.842 | 0.000 | 0.000 | 0.000 |
| 0.000 | 0.003 | 0.003 | 291.249 | 0.000 | 0.000 |
| 0.003 | 0.000 | 0.003 | 0.000 | 291.249 | -0.000 |
| 0.003 | 0.003 | 0.000 | -0.000 | -0.000 | 291.249 |
| 350.062 | 307.260 | 307.260 | -0.000 | -0.000 | -0.000 |
| 307.260 | 350.062 | 307.260 | -0.000 | -0.000 | 0.000 |
| 307.260 | 307.260 | 350.062 | -0.000 | 0.000 | -0.000 |
| 0.000 | 0.000 | -0.000 | 42.531 | -0.000 | 0.000 |
| 0.000 | -0.000 | -0.000 | 0.000 | 42.531 | 0.000 |
| 0.000 | 0.000 | -0.000 | -0.000 | -0.000 | 42.531 |
| 350.062 | 307.260 | 307.260 | 0.000 | -0.000 | -0.000 |
| 307.260 | 350.062 | 307.260 | 0.000 | 0.000 | -0.000 |
| 307.260 | 307.260 | 350.062 | 0.000 | 0.000 | -0.000 |
| -0.000 | -0.000 | 0.000 | 42.531 | 0.000 | -0.000 |
| -0.000 | 0.000 | 0.000 | -0.000 | 42.531 | -0.000 |
| -0.000 | -0.000 | 0.000 | 0.000 | 0.000 | 42.531 |
| 347.650 | 308.466 | 308.466 | -0.000 | 0.000 | 0.000 |
| 308.466 | 347.650 | 308.466 | 0.000 | -0.000 | -0.000 |
| 308.466 | 308.466 | 347.650 | -0.000 | -0.000 | 0.000 |
| 0.000 | 0.000 | 0.000 | 42.531 | -0.000 | 0.000 |
| 0.000 | 0.000 | 0.000 | -0.000 | 42.531 | 0.000 |
| 0.000 | 0.000 | 0.000 | -0.000 | -0.000 | 42.531 |
| 347.649 | 308.466 | 308.466 | 0.000 | 0.000 | -0.000 |
| 308.466 | 347.649 | 308.466 | 0.000 | 0.000 | 0.000 |
| 308.466 | 308.466 | 347.649 | 0.000 | 0.000 | -0.000 |
| -0.000 | -0.000 | -0.000 | 42.531 | 0.000 | -0.000 |
| -0.000 | -0.000 | -0.000 | 0.000 | 42.531 | -0.000 |
| -0.000 | -0.000 | -0.000 | 0.000 | 0.000 | 42.531 |
| 350.064 | 307.261 | 307.261 | -0.000 | -0.000 | 0.000 |
| 307.261 | 350.064 | 307.261 | -0.000 | -0.000 | 0.000 |
| 307.261 | 307.261 | 350.064 | -0.000 | -0.000 | 0.000 |
| 0.000 | -0.000 | 0.000 | 38.574 | -0.000 | 0.000 |
| -0.000 | 0.000 | 0.000 | -0.000 | 38.574 | 0.000 |
| -0.000 | 0.000 | 0.000 | 0.000 | -0.000 | 38.574 |
| 347.648 | 308.465 | 308.465 | 0.000 | 0.000 | -0.000 |
| 308.465 | 347.648 | 308.465 | 0.000 | 0.000 | 0.000 |
| 308.465 | 308.465 | 347.648 | 0.000 | 0.000 | 0.000 |
| -0.000 | 0.000 | -0.000 | 38.574 | 0.000 | -0.000 |
| 0.000 | -0.000 | -0.000 | -0.000 | 38.574 | -0.000 |
| 0.000 | -0.000 | -0.000 | 0.000 | 0.000 | 38.574 |
| 118.707 | 111.856 | 111.856 | 0.000 | -0.000 | 0.000 |
| 111.856 | 118.707 | 111.856 | -0.000 | -0.000 | 0.000 |
| 111.856 | 111.856 | 118.707 | -0.000 | -0.000 | 0.000 |
| -0.000 | -0.000 | -0.000 | 56.408 | -0.000 | 0.000 |
| -0.000 | -0.000 | -0.000 | -0.000 | 56.408 | 0.000 |
| -0.000 | 0.000 | -0.000 | -0.000 | -0.000 | 56.408 |
| 118.707 | 111.856 | 111.856 | -0.000 | 0.000 | -0.000 |
| 111.856 | 118.707 | 111.856 | -0.000 | 0.000 | -0.000 |
| 111.856 | 111.856 | 118.707 | -0.000 | 0.000 | -0.000 |
| 0.000 | 0.000 | 0.000 | 56.408 | 0.000 | -0.000 |
| 0.000 | 0.000 | 0.000 | -0.000 | 56.408 | -0.000 |
| 0.000 | -0.000 | 0.000 | 0.000 | 0.000 | 56.408 |
| 118.707 | 111.856 | 111.856 | 0.000 | -0.000 | 0.000 |
| 111.856 | 118.707 | 111.856 | -0.000 | -0.000 | 0.000 |
| 111.856 | 111.856 | 118.707 | 0.000 | -0.000 | 0.000 |
| -0.000 | -0.000 | -0.000 | 61.534 | -0.000 | 0.000 |
| -0.000 | -0.000 | -0.000 | -0.000 | 61.534 | -0.000 |
| -0.000 | -0.000 | -0.000 | -0.000 | -0.000 | 61.534 |
| 118.707 | 111.856 | 111.856 | -0.000 | 0.000 | -0.000 |
| 111.856 | 118.707 | 111.856 | 0.000 | 0.000 | -0.000 |
| 111.856 | 111.856 | 118.707 | 0.000 | 0.000 | -0.000 |
| 0.000 | 0.000 | 0.000 | 61.534 | 0.000 | -0.000 |
| 0.000 | 0.000 | 0.000 | 0.000 | 61.534 | -0.000 |
| 0.000 | 0.000 | 0.000 | 0.000 | 0.000 | 61.534 |
| 118.708 | 111.856 | 111.856 | -0.000 | -0.000 | 0.000 |
| 111.856 | 118.708 | 111.856 | -0.000 | -0.000 | 0.000 |
| 111.856 | 111.856 | 118.708 | 0.000 | -0.000 | 0.000 |
| -0.000 | -0.000 | -0.000 | 56.408 | -0.000 | 0.000 |
| -0.000 | -0.000 | -0.000 | -0.000 | 56.408 | 0.000 |
| -0.000 | -0.000 | -0.000 | 0.000 | -0.000 | 56.408 |
| 118.706 | 111.855 | 111.855 | -0.000 | 0.000 | -0.000 |
| 111.855 | 118.706 | 111.855 | -0.000 | 0.000 | -0.000 |
| 111.855 | 111.855 | 118.706 | -0.000 | 0.000 | -0.000 |
| 0.000 | 0.000 | 0.000 | 56.408 | 0.000 | -0.000 |
| 0.000 | 0.000 | 0.000 | -0.000 | 56.408 | -0.000 |
| 0.000 | 0.000 | 0.000 | -0.000 | 0.000 | 56.408 |
| 20.268 | 130.623 | 130.623 | -0.000 | 0.000 | -0.000 |
| 130.623 | 20.268 | 130.623 | -0.000 | -0.000 | -0.000 |
| 130.623 | 130.623 | 20.268 | -0.000 | -0.000 | -0.000 |
| 0.000 | -0.000 | -0.000 | -10.783 | -0.000 | -0.000 |
| -0.000 | 0.000 | -0.000 | -0.000 | -10.783 | -0.000 |
| -0.000 | -0.000 | 0.000 | -0.000 | -0.000 | -10.783 |
| 20.268 | 130.623 | 130.623 | 0.000 | -0.000 | -0.000 |
| 130.623 | 20.268 | 130.623 | -0.000 | 0.000 | 0.000 |
| 130.623 | 130.623 | 20.268 | 0.000 | 0.000 | 0.000 |
| -0.000 | 0.000 | 0.000 | -10.783 | 0.000 | 0.000 |
| 0.000 | -0.000 | 0.000 | 0.000 | -10.783 | 0.000 |
| 0.000 | 0.000 | -0.000 | 0.000 | 0.000 | -10.783 |
| 20.268 | 130.623 | 130.623 | -0.000 | 0.000 | -0.000 |
| 130.623 | 20.268 | 130.623 | -0.000 | -0.000 | -0.000 |
| 130.623 | 130.623 | 20.268 | -0.000 | -0.000 | -0.000 |
| 0.000 | -0.000 | -0.000 | -10.783 | -0.000 | -0.000 |
| -0.000 | 0.000 | -0.000 | -0.000 | -10.783 | -0.000 |
| -0.000 | -0.000 | 0.000 | -0.000 | -0.000 | -10.783 |
| 20.269 | 130.623 | 130.623 | 0.000 | 0.000 | 0.000 |
| 130.623 | 20.269 | 130.623 | 0.000 | 0.000 | 0.000 |
| 130.623 | 130.623 | 20.269 | 0.000 | 0.000 | 0.000 |
| -0.000 | 0.000 | 0.000 | -10.783 | 0.000 | 0.000 |
| 0.000 | -0.000 | 0.000 | 0.000 | -10.783 | 0.000 |
| 0.000 | 0.000 | -0.000 | 0.000 | 0.000 | -10.783 |
| 20.264 | 130.623 | 130.623 | -0.000 | -0.000 | 0.000 |
| 130.623 | 20.264 | 130.623 | -0.000 | -0.000 | -0.000 |
| 130.623 | 130.623 | 20.264 | -0.000 | -0.000 | -0.000 |
| 0.000 | -0.000 | -0.000 | -10.783 | -0.000 | -0.000 |
| -0.000 | 0.000 | -0.000 | -0.000 | -10.783 | -0.000 |
| -0.000 | -0.000 | 0.000 | -0.000 | -0.000 | -10.783 |
| 20.273 | 130.623 | 130.623 | 0.000 | 0.000 | 0.000 |
| 130.623 | 20.273 | 130.623 | 0.000 | 0.000 | 0.000 |
| 130.623 | 130.623 | 20.273 | 0.000 | 0.000 | 0.000 |
| -0.000 | 0.000 | 0.000 | -10.783 | 0.000 | 0.000 |
| 0.000 | -0.000 | 0.000 | 0.000 | -10.783 | 0.000 |
| 0.000 | 0.000 | -0.000 | 0.000 | 0.000 | -10.783 |
| 236.637 | 51.565 | 51.565 | -0.000 | -0.000 | -0.000 |
| 51.565 | 236.637 | 51.565 | -0.000 | 0.000 | -0.000 |
| 51.565 | 51.565 | 236.637 | -0.000 | 0.000 | -0.000 |
| 0.000 | -0.000 | -0.000 | 51.545 | 0.000 | 0.000 |
| -0.000 | 0.000 | -0.000 | -0.000 | 51.545 | -0.000 |
| -0.000 | -0.000 | 0.000 | -0.000 | -0.000 | 51.545 |
| 236.637 | 51.565 | 51.565 | 0.000 | -0.000 | 0.000 |
| 51.565 | 236.637 | 51.565 | 0.000 | 0.000 | 0.000 |
| 51.565 | 51.565 | 236.637 | 0.000 | -0.000 | 0.000 |
| -0.000 | 0.000 | 0.000 | 51.545 | -0.000 | 0.000 |
| 0.000 | -0.000 | 0.000 | 0.000 | 51.545 | 0.000 |
| 0.000 | 0.000 | -0.000 | 0.000 | 0.000 | 51.545 |
| 236.637 | 51.565 | 51.565 | 0.000 | 0.000 | -0.000 |
| 51.565 | 236.637 | 51.565 | -0.000 | 0.000 | -0.000 |
| 51.565 | 51.565 | 236.637 | -0.000 | -0.000 | -0.000 |
| 0.000 | -0.000 | -0.000 | 51.545 | 0.000 | 0.000 |
| -0.000 | 0.000 | -0.000 | -0.000 | 51.545 | -0.000 |
| -0.000 | -0.000 | 0.000 | -0.000 | 0.000 | 51.545 |
| 236.638 | 51.565 | 51.565 | 0.000 | -0.000 | 0.000 |
| 51.565 | 236.638 | 51.565 | 0.000 | 0.000 | 0.000 |
| 51.565 | 51.565 | 236.638 | 0.000 | -0.000 | 0.000 |
| -0.000 | 0.000 | 0.000 | 51.545 | -0.000 | -0.000 |
| 0.000 | -0.000 | 0.000 | 0.000 | 51.545 | 0.000 |
| 0.000 | 0.000 | -0.000 | 0.000 | -0.000 | 51.545 |
| 236.633 | 51.565 | 51.565 | -0.000 | 0.000 | -0.000 |
| 51.565 | 236.633 | 51.565 | -0.000 | 0.000 | -0.000 |
| 51.565 | 51.565 | 236.633 | -0.000 | 0.000 | -0.000 |
| 0.000 | -0.001 | -0.001 | 51.545 | 0.000 | -0.000 |
| -0.001 | 0.000 | -0.001 | -0.000 | 51.545 | -0.000 |
| -0.001 | -0.001 | 0.000 | -0.000 | 0.000 | 51.545 |
| 236.641 | 51.566 | 51.566 | 0.000 | -0.000 | 0.000 |
| 51.566 | 236.641 | 51.566 | 0.000 | -0.000 | 0.000 |
| 51.566 | 51.566 | 236.641 | 0.000 | 0.000 | 0.000 |
| -0.000 | 0.001 | 0.001 | 51.545 | -0.000 | -0.000 |
| 0.001 | -0.000 | 0.001 | 0.000 | 51.545 | 0.000 |
| 0.001 | 0.001 | -0.000 | 0.000 | -0.000 | 51.545 |
| 73.095 | 72.508 | 72.508 | -0.000 | -0.000 | -0.000 |
| 72.508 | 73.095 | 72.508 | -0.000 | -0.000 | -0.000 |
| 72.508 | 72.508 | 73.095 | -0.000 | -0.000 | -0.000 |
| 0.000 | 0.000 | 0.000 | 76.081 | -0.000 | -0.000 |
| 0.000 | 0.000 | 0.000 | -0.000 | 76.081 | -0.000 |
| 0.000 | 0.000 | 0.000 | -0.000 | -0.000 | 76.081 |
| 73.095 | 72.508 | 72.508 | 0.000 | -0.000 | 0.000 |
| 72.508 | 73.095 | 72.508 | 0.000 | 0.000 | 0.000 |
| 72.508 | 72.508 | 73.095 | 0.000 | 0.000 | 0.000 |
| -0.000 | -0.000 | -0.000 | 76.081 | 0.000 | 0.000 |
| -0.000 | -0.000 | -0.000 | 0.000 | 76.081 | -0.000 |
| -0.000 | -0.000 | -0.000 | 0.000 | 0.000 | 76.081 |
| 73.095 | 72.508 | 72.508 | -0.000 | -0.000 | -0.000 |
| 72.508 | 73.095 | 72.508 | -0.000 | -0.000 | 0.000 |
| 72.508 | 72.508 | 73.095 | -0.000 | -0.000 | 0.000 |
| 0.000 | 0.000 | 0.000 | 76.081 | -0.000 | -0.000 |
| 0.000 | 0.000 | 0.000 | -0.000 | 76.081 | -0.000 |
| 0.000 | 0.000 | 0.000 | -0.000 | -0.000 | 76.081 |
| 73.095 | 72.508 | 72.508 | 0.000 | 0.000 | 0.000 |
| 72.508 | 73.095 | 72.508 | 0.000 | 0.000 | 0.000 |
| 72.508 | 72.508 | 73.095 | 0.000 | 0.000 | -0.000 |
| -0.000 | -0.000 | -0.000 | 76.081 | 0.000 | 0.000 |
| -0.000 | -0.000 | -0.000 | 0.000 | 76.081 | -0.000 |
| -0.000 | -0.000 | -0.000 | 0.000 | -0.000 | 76.081 |
| 73.095 | 72.509 | 72.509 | -0.000 | -0.000 | -0.000 |
| 72.509 | 73.095 | 72.509 | -0.000 | -0.000 | -0.000 |
| 72.509 | 72.509 | 73.095 | -0.000 | -0.000 | 0.000 |
| 0.001 | 0.000 | 0.001 | 76.081 | -0.000 | 0.000 |
| 0.000 | 0.001 | 0.001 | -0.000 | 76.081 | -0.000 |
| 0.000 | 0.001 | 0.001 | -0.000 | -0.000 | 76.081 |
| 73.095 | 72.508 | 72.508 | 0.000 | 0.000 | 0.000 |
| 72.508 | 73.095 | 72.508 | 0.000 | 0.000 | 0.000 |
| 72.508 | 72.508 | 73.095 | 0.000 | 0.000 | 0.000 |
| -0.001 | -0.000 | -0.001 | 76.081 | 0.000 | 0.000 |
| -0.000 | -0.001 | -0.001 | 0.000 | 76.081 | 0.000 |
| -0.000 | -0.001 | -0.001 | 0.000 | 0.000 | 76.081 |
| 493.234 | 134.495 | 134.495 | -0.000 | 0.000 | 0.000 |
| 134.495 | 493.234 | 134.495 | 0.000 | -0.000 | 0.000 |
| 134.495 | 134.495 | 493.234 | -0.000 | 0.000 | -0.000 |
| 0.000 | 0.000 | 0.000 | 134.677 | -0.000 | 0.000 |
| 0.000 | 0.000 | 0.000 | -0.000 | 134.677 | 0.000 |
| 0.000 | 0.000 | 0.000 | 0.000 | 0.000 | 134.677 |
| 493.234 | 134.495 | 134.495 | -0.000 | -0.000 | -0.000 |
| 134.495 | 493.234 | 134.495 | -0.000 | -0.000 | -0.000 |
| 134.495 | 134.495 | 493.234 | 0.000 | 0.000 | -0.000 |
| -0.000 | 0.000 | -0.000 | 134.677 | -0.000 | -0.000 |
| -0.000 | -0.000 | -0.000 | -0.000 | 134.677 | -0.000 |
| -0.000 | -0.000 | -0.000 | -0.000 | -0.000 | 134.677 |
| 493.234 | 134.495 | 134.495 | -0.000 | -0.000 | 0.000 |
| 134.495 | 493.234 | 134.495 | -0.000 | 0.000 | 0.000 |
| 134.495 | 134.495 | 493.234 | -0.000 | -0.000 | 0.000 |
| 0.000 | 0.000 | 0.000 | 134.677 | -0.000 | 0.000 |
| 0.000 | 0.000 | 0.000 | 0.000 | 134.677 | 0.000 |
| 0.000 | 0.000 | 0.000 | 0.000 | 0.000 | 134.677 |
| 493.234 | 134.495 | 134.495 | 0.000 | -0.000 | -0.000 |
| 134.495 | 493.234 | 134.495 | 0.000 | -0.000 | -0.000 |
| 134.495 | 134.495 | 493.234 | 0.000 | 0.000 | -0.000 |
| -0.000 | -0.000 | -0.000 | 134.677 | 0.000 | -0.000 |
| -0.000 | -0.000 | -0.000 | -0.000 | 134.677 | -0.000 |
| -0.000 | -0.000 | -0.000 | -0.000 | -0.000 | 134.677 |
| 493.234 | 134.496 | 134.496 | 0.000 | -0.000 | 0.000 |
| 134.496 | 493.234 | 134.496 | 0.000 | -0.000 | 0.000 |
| 134.496 | 134.496 | 493.234 | 0.000 | -0.000 | 0.000 |
| 0.001 | 0.000 | 0.000 | 134.677 | 0.000 | -0.000 |
| 0.000 | 0.001 | 0.000 | -0.000 | 134.677 | 0.000 |
| 0.000 | 0.000 | 0.001 | 0.000 | 0.000 | 134.677 |
| 493.234 | 134.494 | 134.494 | 0.000 | 0.000 | 0.000 |
| 134.494 | 493.234 | 134.494 | 0.000 | 0.000 | -0.000 |
| 134.494 | 134.494 | 493.234 | -0.000 | -0.000 | -0.000 |
| -0.001 | -0.000 | -0.000 | 134.677 | -0.000 | -0.000 |
| -0.000 | -0.001 | -0.000 | -0.000 | 134.677 | -0.000 |
| -0.000 | -0.000 | -0.001 | -0.000 | 0.000 | 134.677 |
| 93.504 | 93.504 | 93.504 | 0.000 | -0.000 | 0.000 |
| 93.504 | 93.504 | 93.504 | -0.000 | 0.000 | 0.000 |
| 93.504 | 93.504 | 93.504 | 0.000 | 0.000 | 0.000 |
| -0.000 | -0.000 | -0.000 | 94.816 | 0.000 | 0.000 |
| -0.000 | -0.000 | -0.000 | 0.000 | 94.816 | 0.000 |
| -0.000 | -0.000 | -0.000 | 0.000 | -0.000 | 94.816 |
| 93.504 | 93.504 | 93.504 | -0.000 | 0.000 | -0.000 |
| 93.504 | 93.504 | 93.504 | 0.000 | -0.000 | -0.000 |
| 93.504 | 93.504 | 93.504 | -0.000 | -0.000 | -0.000 |
| 0.000 | 0.000 | 0.000 | 94.816 | -0.000 | -0.000 |
| 0.000 | 0.000 | 0.000 | -0.000 | 94.816 | -0.000 |
| 0.000 | 0.000 | 0.000 | -0.000 | 0.000 | 94.816 |
| 93.504 | 93.504 | 93.504 | 0.000 | -0.000 | 0.000 |
| 93.504 | 93.504 | 93.504 | -0.000 | 0.000 | 0.000 |
| 93.504 | 93.504 | 93.504 | 0.000 | 0.000 | 0.000 |
| -0.000 | -0.000 | -0.000 | 94.816 | 0.000 | 0.000 |
| -0.000 | -0.000 | -0.000 | 0.000 | 94.816 | 0.000 |
| -0.000 | -0.000 | -0.000 | 0.000 | -0.000 | 94.816 |
| 93.504 | 93.504 | 93.504 | -0.000 | 0.000 | -0.000 |
| 93.504 | 93.504 | 93.504 | 0.000 | -0.000 | -0.000 |
| 93.504 | 93.504 | 93.504 | -0.000 | -0.000 | -0.000 |
| 0.000 | 0.000 | 0.000 | 94.816 | -0.000 | -0.000 |
| 0.000 | 0.000 | 0.000 | -0.000 | 94.816 | -0.000 |
| 0.000 | 0.000 | 0.000 | -0.000 | 0.000 | 94.816 |
| 93.504 | 93.504 | 93.504 | 0.000 | -0.000 | 0.000 |
| 93.504 | 93.504 | 93.504 | -0.000 | 0.000 | 0.000 |
| 93.504 | 93.504 | 93.504 | 0.000 | 0.000 | 0.000 |
| -0.001 | -0.001 | -0.001 | 94.816 | 0.000 | 0.000 |
| -0.001 | -0.001 | -0.001 | 0.000 | 94.816 | 0.000 |
| -0.001 | -0.001 | -0.001 | -0.000 | -0.000 | 94.816 |
| 93.505 | 93.505 | 93.505 | -0.000 | 0.000 | -0.000 |
| 93.505 | 93.505 | 93.505 | 0.000 | -0.000 | -0.000 |
| 93.505 | 93.505 | 93.505 | -0.000 | -0.000 | -0.000 |
| 0.001 | 0.001 | 0.001 | 94.816 | -0.000 | -0.000 |
| 0.001 | 0.001 | 0.001 | -0.000 | 94.816 | -0.000 |
| 0.001 | 0.001 | 0.001 | -0.000 | 0.000 | 94.816 |
| 684.917 | 239.544 | 183.944 | 0.000 | 0.000 | -0.000 |
| 239.544 | 684.917 | 183.944 | 0.000 | 0.000 | -0.000 |
| 183.944 | 183.944 | 290.822 | -0.000 | 0.000 | -0.000 |
| 0.000 | -0.000 | -0.000 | 193.267 | 0.000 | -0.000 |
| -0.000 | -0.000 | -0.000 | -0.000 | 193.268 | -0.000 |
| 0.000 | 0.000 | -0.000 | -0.000 | 0.000 | 213.529 |
| 675.759 | 248.701 | 183.944 | 0.000 | -0.000 | -0.000 |
| 239.544 | 684.917 | 183.944 | -0.000 | -0.000 | -0.000 |
| 183.944 | 183.944 | 290.822 | -0.000 | -0.000 | 0.000 |
| -0.000 | 0.000 | 0.000 | 193.267 | -0.000 | 0.000 |
| 0.000 | 0.000 | 0.000 | 0.000 | 193.267 | 0.000 |
| -0.000 | -0.000 | 0.000 | 0.000 | -0.000 | 213.529 |
| 684.917 | 239.544 | 183.944 | 0.000 | 0.000 | 0.000 |
| 239.544 | 684.917 | 183.944 | -0.000 | 0.000 | 0.000 |
| 183.944 | 183.944 | 290.822 | -0.000 | 0.000 | -0.000 |
| -0.000 | -0.000 | -0.000 | 193.267 | 0.000 | 0.000 |
| -0.000 | -0.000 | -0.000 | -0.000 | 193.267 | -0.000 |
| 0.000 | -0.000 | -0.000 | 0.000 | 0.000 | 222.686 |
| 684.917 | 239.544 | 183.945 | -0.000 | -0.000 | 0.000 |
| 239.544 | 684.917 | 183.945 | -0.000 | -0.000 | 0.000 |
| 183.945 | 183.945 | 290.822 | 0.000 | -0.000 | 0.000 |
| 0.000 | 0.000 | 0.000 | 193.267 | -0.000 | -0.000 |
| 0.000 | 0.000 | 0.000 | 0.000 | 193.267 | -0.000 |
| -0.000 | 0.000 | 0.000 | -0.000 | -0.000 | 222.686 |
| 675.762 | 248.703 | 183.942 | -0.000 | 0.000 | 0.000 |
| 248.703 | 675.762 | 183.942 | -0.000 | 0.000 | 0.000 |
| 183.944 | 183.944 | 290.823 | 0.000 | 0.000 | -0.000 |
| -0.001 | -0.003 | -0.002 | 193.267 | 0.000 | 0.000 |
| -0.003 | -0.001 | -0.002 | -0.000 | 193.267 | 0.000 |
| 0.000 | -0.000 | -0.001 | -0.000 | 0.000 | 213.529 |
| 675.757 | 248.700 | 183.947 | 0.000 | -0.000 | 0.000 |
| 239.543 | 684.914 | 183.947 | -0.000 | -0.000 | 0.000 |
| 183.945 | 183.945 | 290.821 | -0.000 | -0.000 | 0.000 |
| 0.001 | 0.003 | 0.002 | 193.267 | 0.000 | -0.000 |
| 0.003 | 0.001 | 0.002 | 0.000 | 193.267 | 0.000 |
| -0.000 | 0.000 | 0.001 | 0.000 | -0.000 | 213.529 |
| 150.448 | 165.035 | 68.606 | 0.000 | -0.000 | -0.000 |
| 99.087 | 216.397 | 68.606 | 0.000 | -0.000 | -0.000 |
| 68.606 | 68.606 | 246.877 | 0.000 | 0.000 | -0.000 |
| -0.000 | -0.000 | -0.000 | 28.175 | -0.000 | 0.000 |
| -0.000 | -0.000 | -0.000 | 0.000 | 28.175 | -0.000 |
| -0.000 | -0.000 | -0.000 | 0.000 | -0.000 | -7.293 |
| 216.397 | 99.087 | 68.606 | -0.000 | 0.000 | 0.000 |
| 165.035 | 150.448 | 68.606 | -0.000 | 0.000 | 0.000 |
| 68.606 | 68.606 | 246.877 | -0.000 | 0.000 | 0.000 |
| 0.000 | 0.000 | 0.000 | 28.175 | 0.000 | 0.000 |
| 0.000 | 0.000 | 0.000 | -0.000 | 28.175 | 0.000 |
| 0.000 | 0.000 | 0.000 | -0.000 | 0.000 | -7.293 |
| 150.448 | 165.035 | 68.606 | 0.000 | -0.000 | -0.000 |
| 99.086 | 216.397 | 68.606 | 0.000 | -0.000 | 0.000 |
| 68.606 | 68.606 | 246.877 | 0.000 | -0.000 | 0.000 |
| -0.000 | -0.000 | -0.000 | 28.175 | -0.000 | -0.000 |
| -0.000 | -0.000 | -0.000 | 0.000 | 28.175 | -0.000 |
| -0.000 | -0.000 | -0.000 | 0.000 | -0.000 | -7.293 |
| 150.449 | 165.035 | 68.606 | -0.000 | 0.000 | 0.000 |
| 165.035 | 150.449 | 68.606 | -0.000 | 0.000 | 0.000 |
| 68.606 | 68.606 | 246.878 | -0.000 | 0.000 | -0.000 |
| 0.000 | 0.000 | 0.000 | 28.175 | 0.000 | -0.000 |
| 0.000 | 0.000 | 0.000 | -0.000 | 28.175 | -0.000 |
| 0.000 | 0.000 | 0.000 | -0.000 | 0.000 | -7.293 |
| 150.441 | 165.036 | 68.604 | 0.000 | -0.000 | -0.000 |
| 165.037 | 150.441 | 68.604 | 0.000 | -0.000 | -0.000 |
| 68.606 | 68.606 | 246.875 | 0.000 | -0.000 | -0.000 |
| -0.000 | -0.000 | -0.001 | 28.175 | -0.000 | -0.000 |
| -0.000 | -0.000 | -0.001 | 0.000 | 28.175 | -0.000 |
| -0.002 | -0.002 | -0.002 | 0.000 | -0.000 | -7.293 |
| 150.455 | 165.035 | 68.609 | -0.000 | 0.000 | 0.000 |
| 165.034 | 150.456 | 68.609 | -0.000 | 0.000 | 0.000 |
| 68.607 | 68.607 | 246.880 | -0.000 | 0.000 | -0.000 |
| 0.000 | 0.000 | 0.001 | 28.175 | 0.000 | 0.000 |
| 0.000 | 0.000 | 0.001 | -0.000 | 28.175 | 0.000 |
| 0.002 | 0.002 | 0.002 | -0.000 | 0.000 | -7.293 |
| 727.461 | 242.046 | 193.504 | 0.000 | 0.000 | -0.000 |
| 242.046 | 727.461 | 193.504 | 0.000 | 0.000 | 0.000 |
| 193.504 | 193.504 | 776.003 | 0.000 | -0.000 | -0.000 |
| -0.000 | -0.000 | -0.000 | 194.166 | -0.000 | -0.000 |
| -0.000 | -0.000 | -0.000 | 0.000 | 194.166 | -0.000 |
| -0.000 | -0.000 | 0.000 | 0.000 | -0.000 | 218.437 |
| 727.461 | 242.046 | 193.504 | -0.000 | -0.000 | -0.000 |
| 242.046 | 727.461 | 193.504 | -0.000 | -0.000 | -0.000 |
| 193.505 | 193.505 | 776.003 | -0.000 | 0.000 | 0.000 |
| 0.000 | 0.000 | 0.000 | 194.166 | 0.000 | 0.000 |
| 0.000 | 0.000 | 0.000 | -0.000 | 194.166 | 0.000 |
| 0.000 | 0.000 | -0.000 | -0.000 | -0.000 | 218.437 |
| 703.189 | 266.317 | 193.504 | 0.000 | 0.000 | -0.000 |
| 266.316 | 703.189 | 193.504 | 0.000 | -0.000 | -0.000 |
| 193.504 | 193.504 | 776.002 | 0.000 | -0.000 | -0.000 |
| -0.000 | -0.000 | -0.000 | 194.166 | 0.000 | -0.000 |
| -0.000 | -0.000 | -0.000 | 0.000 | 194.166 | -0.000 |
| -0.000 | -0.000 | -0.000 | 0.000 | 0.000 | 218.437 |
| 703.192 | 266.317 | 193.505 | -0.000 | -0.000 | 0.000 |
| 266.317 | 703.191 | 193.505 | -0.000 | 0.000 | 0.000 |
| 193.505 | 193.505 | 776.004 | -0.000 | 0.000 | 0.000 |
| 0.000 | 0.000 | 0.000 | 194.166 | 0.000 | 0.000 |
| 0.000 | 0.000 | 0.000 | -0.000 | 194.166 | 0.000 |
| 0.000 | 0.000 | 0.000 | -0.000 | -0.000 | 218.437 |
| 703.179 | 266.316 | 193.504 | 0.000 | 0.000 | -0.000 |
| 266.314 | 703.181 | 193.504 | 0.000 | 0.000 | -0.000 |
| 193.503 | 193.503 | 775.993 | -0.000 | -0.000 | -0.000 |
| -0.001 | -0.001 | -0.003 | 194.166 | 0.000 | -0.000 |
| -0.001 | -0.001 | -0.003 | 0.000 | 194.166 | -0.000 |
| -0.001 | -0.003 | -0.000 | 0.000 | 0.000 | 218.437 |
| 703.202 | 266.317 | 193.505 | -0.000 | 0.000 | 0.000 |
| 266.320 | 703.199 | 193.505 | -0.000 | 0.000 | 0.000 |
| 193.506 | 193.506 | 776.012 | -0.000 | 0.000 | 0.000 |
| 0.001 | 0.001 | 0.003 | 194.166 | 0.000 | 0.000 |
| 0.001 | 0.001 | 0.003 | -0.000 | 194.166 | 0.000 |
| 0.001 | 0.003 | 0.000 | -0.000 | -0.000 | 218.437 |
| 669.437 | 243.682 | 253.848 | -0.000 | -0.000 | -0.000 |
| 243.682 | 669.437 | 253.848 | 0.000 | 0.000 | -0.000 |
| 253.848 | 253.848 | 537.404 | -0.000 | 0.000 | -0.000 |
| -0.000 | -0.000 | -0.000 | 266.849 | -0.000 | -0.000 |
| -0.000 | -0.000 | 0.000 | -0.000 | 266.849 | -0.000 |
| -0.000 | -0.000 | -0.000 | 0.000 | 0.000 | 212.878 |
| 675.363 | 237.756 | 253.848 | -0.000 | -0.000 | 0.000 |
| 243.682 | 669.437 | 253.848 | 0.000 | -0.000 | 0.000 |
| 253.848 | 253.848 | 537.404 | 0.000 | 0.000 | 0.000 |
| 0.000 | 0.000 | 0.000 | 266.849 | 0.000 | 0.000 |
| 0.000 | 0.000 | 0.000 | -0.000 | 266.849 | 0.000 |
| 0.000 | 0.000 | 0.000 | 0.000 | -0.000 | 212.878 |
| 669.437 | 243.682 | 253.848 | -0.000 | 0.000 | -0.000 |
| 243.682 | 669.437 | 253.848 | -0.000 | 0.000 | -0.000 |
| 253.848 | 253.848 | 537.405 | -0.000 | -0.000 | -0.000 |
| -0.000 | -0.000 | 0.000 | 266.849 | 0.000 | -0.000 |
| -0.000 | -0.000 | 0.000 | 0.000 | 266.849 | -0.000 |
| -0.000 | -0.000 | -0.000 | -0.000 | 0.000 | 212.878 |
| 669.437 | 243.682 | 253.848 | 0.000 | -0.000 | 0.000 |
| 237.756 | 675.363 | 253.848 | -0.000 | 0.000 | 0.000 |
| 253.848 | 253.848 | 537.403 | 0.000 | 0.000 | -0.000 |
| 0.000 | 0.000 | -0.000 | 266.849 | -0.000 | 0.000 |
| 0.000 | 0.000 | -0.000 | 0.000 | 266.849 | 0.000 |
| 0.000 | 0.000 | 0.000 | -0.000 | -0.000 | 212.878 |
| 669.437 | 243.682 | 253.847 | -0.000 | 0.000 | -0.000 |
| 243.683 | 669.436 | 253.847 | -0.000 | 0.000 | -0.000 |
| 253.850 | 253.850 | 537.412 | -0.000 | -0.000 | -0.000 |
| -0.000 | -0.001 | 0.001 | 266.849 | 0.000 | -0.000 |
| -0.001 | -0.000 | 0.001 | -0.000 | 266.849 | -0.000 |
| -0.001 | -0.000 | -0.001 | -0.000 | 0.000 | 212.878 |
| 669.437 | 243.681 | 253.849 | 0.000 | -0.000 | 0.000 |
| 243.680 | 669.438 | 253.849 | 0.000 | -0.000 | 0.000 |
| 253.846 | 253.846 | 537.397 | 0.000 | -0.000 | 0.000 |
| 0.000 | 0.001 | -0.001 | 266.849 | -0.000 | 0.000 |
| 0.001 | 0.000 | -0.001 | -0.000 | 266.849 | 0.000 |
| 0.001 | 0.000 | 0.001 | -0.000 | -0.000 | 212.878 |
| 132.295 | 348.642 | 348.642 | -0.000 | 0.000 | -0.000 |
| 348.642 | 132.295 | 348.642 | -0.000 | 0.000 | -0.000 |
| 348.642 | 348.642 | 132.295 | -0.000 | -0.000 | -0.000 |
| 0.000 | -0.000 | 0.000 | -17.437 | -0.000 | 0.000 |
| 0.000 | -0.000 | 0.000 | -0.000 | -17.437 | 0.000 |
| 0.000 | -0.000 | 0.000 | 0.000 | 0.000 | -17.437 |
| 132.295 | 348.642 | 348.642 | 0.000 | 0.000 | 0.000 |
| 348.642 | 132.295 | 348.642 | 0.000 | 0.000 | 0.000 |
| 348.642 | 348.642 | 132.295 | 0.000 | 0.000 | 0.000 |
| 0.000 | 0.000 | -0.000 | -17.437 | -0.000 | -0.000 |
| -0.000 | 0.000 | -0.000 | -0.000 | -17.437 | -0.000 |
| -0.000 | 0.000 | -0.000 | -0.000 | -0.000 | -17.437 |
| 132.295 | 348.642 | 348.642 | -0.000 | -0.000 | -0.000 |
| 348.642 | 132.295 | 348.642 | -0.000 | 0.000 | -0.000 |
| 348.642 | 348.642 | 132.295 | -0.000 | -0.000 | -0.000 |
| -0.000 | 0.000 | -0.000 | -113.725 | -0.000 | -0.000 |
| 0.000 | -0.000 | -0.000 | -0.000 | -113.725 | -0.000 |
| 0.000 | -0.000 | -0.000 | 0.000 | 0.000 | -113.725 |
| 132.296 | 348.642 | 348.642 | 0.000 | -0.000 | 0.000 |
| 348.642 | 132.296 | 348.642 | 0.000 | 0.000 | 0.000 |
| 348.642 | 348.642 | 132.296 | 0.000 | 0.000 | 0.000 |
| 0.000 | -0.000 | 0.000 | -113.725 | 0.000 | -0.000 |
| -0.000 | 0.000 | 0.000 | 0.000 | -113.725 | 0.000 |
| -0.000 | 0.000 | 0.000 | 0.000 | -0.000 | -113.725 |
| 132.293 | 348.641 | 348.641 | -0.000 | -0.000 | -0.000 |
| 348.641 | 132.293 | 348.641 | -0.000 | -0.000 | -0.000 |
| 348.641 | 348.641 | 132.293 | -0.000 | -0.000 | 0.000 |
| -0.000 | 0.000 | -0.000 | -113.725 | -0.000 | -0.000 |
| 0.000 | -0.000 | -0.000 | -0.000 | -113.725 | -0.000 |
| 0.000 | -0.000 | -0.000 | -0.000 | -0.000 | -113.725 |
| 132.298 | 348.642 | 348.642 | 0.000 | -0.000 | 0.000 |
| 348.642 | 132.298 | 348.642 | 0.000 | 0.000 | 0.000 |
| 348.642 | 348.642 | 132.298 | 0.000 | 0.000 | 0.000 |
| 0.000 | -0.000 | 0.000 | -113.725 | 0.000 | 0.000 |
| -0.000 | 0.000 | 0.000 | 0.000 | -113.725 | 0.000 |
| -0.000 | 0.000 | 0.000 | 0.000 | -0.000 | -113.725 |
| 40.642 | 40.642 | 40.642 | -0.000 | -0.000 | -0.000 |
| 40.642 | 40.642 | 40.642 | -0.000 | -0.000 | -0.000 |
| 40.642 | 40.642 | 40.642 | -0.000 | -0.000 | -0.000 |
| 0.000 | 0.000 | 0.000 | -0.000 | -0.000 | -0.000 |
| 0.000 | 0.000 | 0.000 | -0.000 | -0.000 | -0.000 |
| -0.000 | -0.000 | -0.000 | -0.000 | -0.000 | -0.000 |
| 40.642 | 40.642 | 40.642 | 0.000 | 0.000 | 0.000 |
| 40.642 | 40.642 | 40.642 | 0.000 | 0.000 | 0.000 |
| 40.642 | 40.642 | 40.642 | 0.000 | 0.000 | 0.000 |
| -0.000 | -0.000 | -0.000 | 0.000 | 0.000 | 0.000 |
| -0.000 | -0.000 | -0.000 | 0.000 | 0.000 | 0.000 |
| 0.000 | 0.000 | 0.000 | 0.000 | 0.000 | 0.000 |
| 40.642 | 40.642 | 40.642 | -0.000 | -0.000 | -0.000 |
| 40.642 | 40.642 | 40.642 | -0.000 | -0.000 | -0.000 |
| 40.642 | 40.642 | 40.642 | -0.000 | -0.000 | -0.000 |
| -0.000 | -0.000 | -0.000 | -0.000 | -0.000 | -0.000 |
| -0.000 | -0.000 | -0.000 | -0.000 | -0.000 | -0.000 |
| -0.000 | -0.000 | -0.000 | -0.000 | -0.000 | -0.000 |
| 40.642 | 40.642 | 40.642 | 0.000 | 0.000 | 0.000 |
| 40.642 | 40.642 | 40.642 | 0.000 | 0.000 | 0.000 |
| 40.642 | 40.642 | 40.642 | 0.000 | 0.000 | 0.000 |
| 0.000 | 0.000 | 0.000 | 0.000 | 0.000 | 0.000 |
| 0.000 | 0.000 | 0.000 | 0.000 | 0.000 | 0.000 |
| 0.000 | 0.000 | 0.000 | 0.000 | 0.000 | 0.000 |
| 40.642 | 40.642 | 40.642 | -0.000 | -0.000 | -0.000 |
| 40.642 | 40.642 | 40.642 | -0.000 | -0.000 | -0.000 |
| 40.642 | 40.642 | 40.642 | -0.000 | -0.000 | -0.000 |
| -0.000 | -0.000 | -0.000 | 0.000 | -0.000 | -0.000 |
| -0.000 | -0.000 | -0.000 | -0.000 | 0.000 | -0.000 |
| -0.000 | -0.000 | -0.000 | -0.000 | -0.000 | 0.000 |
| 40.642 | 40.642 | 40.642 | 0.000 | 0.000 | 0.000 |
| 40.642 | 40.642 | 40.642 | 0.000 | 0.000 | 0.000 |
| 40.642 | 40.642 | 40.642 | 0.000 | 0.000 | 0.000 |
| 0.000 | 0.000 | 0.000 | 0.000 | 0.000 | 0.000 |
| 0.000 | 0.000 | 0.000 | 0.000 | 0.000 | 0.000 |
| 0.000 | 0.000 | 0.000 | 0.000 | 0.000 | 0.000 |
| 32.673 | 32.673 | 32.673 | -0.000 | 0.000 | -0.000 |
| 32.673 | 32.673 | 32.673 | 0.000 | -0.000 | -0.000 |
| 32.673 | 32.673 | 32.673 | 0.000 | 0.000 | -0.000 |
| -0.000 | -0.000 | -0.000 | -0.000 | 0.000 | 0.000 |
| -0.000 | -0.000 | -0.000 | 0.000 | -0.000 | 0.000 |
| -0.000 | -0.000 | -0.000 | 0.000 | 0.000 | -0.000 |
| 32.673 | 32.673 | 32.673 | -0.000 | 0.000 | 0.000 |
| 32.673 | 32.673 | 32.673 | 0.000 | -0.000 | 0.000 |
| 32.673 | 32.673 | 32.673 | -0.000 | -0.000 | 0.000 |
| 0.000 | 0.000 | 0.000 | -0.000 | -0.000 | -0.000 |
| 0.000 | 0.000 | 0.000 | -0.000 | -0.000 | -0.000 |
| 0.000 | 0.000 | 0.000 | -0.000 | -0.000 | -0.000 |
| 32.673 | 32.673 | 32.673 | -0.000 | 0.000 | -0.000 |
| 32.673 | 32.673 | 32.673 | 0.000 | -0.000 | -0.000 |
| 32.673 | 32.673 | 32.673 | -0.000 | -0.000 | -0.000 |
| -0.000 | -0.000 | -0.000 | 0.000 | 0.000 | 0.000 |
| -0.000 | -0.000 | -0.000 | 0.000 | 0.000 | 0.000 |
| -0.000 | -0.000 | -0.000 | 0.000 | 0.000 | 0.000 |
| 32.673 | 32.673 | 32.673 | 0.000 | -0.000 | -0.000 |
| 32.673 | 32.673 | 32.673 | -0.000 | 0.000 | -0.000 |
| 32.673 | 32.673 | 32.673 | -0.000 | -0.000 | 0.000 |
| 0.000 | 0.000 | 0.000 | -0.000 | 0.000 | -0.000 |
| 0.000 | 0.000 | 0.000 | 0.000 | -0.000 | -0.000 |
| 0.000 | 0.000 | 0.000 | 0.000 | -0.000 | -0.000 |
| 32.673 | 32.673 | 32.673 | -0.000 | -0.000 | -0.000 |
| 32.673 | 32.673 | 32.673 | -0.000 | -0.000 | -0.000 |
| 32.673 | 32.673 | 32.673 | 0.000 | 0.000 | -0.000 |
| -0.000 | -0.000 | -0.000 | -0.000 | 0.000 | 0.000 |
| -0.000 | -0.000 | -0.000 | 0.000 | -0.000 | 0.000 |
| -0.000 | -0.000 | -0.000 | 0.000 | 0.000 | -0.000 |
| 32.673 | 32.673 | 32.673 | -0.000 | -0.000 | -0.000 |
| 32.673 | 32.673 | 32.673 | -0.000 | -0.000 | -0.000 |
| 32.673 | 32.673 | 32.673 | -0.000 | -0.000 | -0.000 |
| 0.000 | 0.000 | 0.000 | -0.000 | -0.000 | -0.000 |
| 0.000 | 0.000 | 0.000 | -0.000 | -0.000 | -0.000 |
| 0.000 | 0.000 | 0.000 | 0.000 | -0.000 | -0.000 |
| 633.708 | 255.136 | 191.995 | 0.000 | -0.000 | -0.000 |
| 255.136 | 633.708 | 191.995 | 0.000 | 0.000 | -0.000 |
| 191.995 | 191.995 | 654.161 | 0.000 | 0.000 | 0.000 |
| -0.000 | 0.000 | 0.000 | 191.175 | 0.000 | -0.000 |
| 0.000 | 0.000 | 0.000 | 0.000 | 191.175 | -0.000 |
| -0.000 | -0.000 | -0.000 | 0.000 | 0.000 | 249.044 |
| 633.708 | 255.136 | 191.995 | -0.000 | -0.000 | 0.000 |
| 255.136 | 633.708 | 191.995 | -0.000 | -0.000 | 0.000 |
| 191.995 | 191.995 | 654.161 | -0.000 | -0.000 | 0.000 |
| 0.000 | -0.000 | -0.000 | 191.175 | -0.000 | 0.000 |
| -0.000 | 0.000 | -0.000 | -0.000 | 191.175 | 0.000 |
| 0.000 | 0.000 | 0.000 | -0.000 | -0.000 | 249.044 |
| 639.774 | 249.069 | 191.995 | -0.000 | 0.000 | -0.000 |
| 249.069 | 639.774 | 191.995 | 0.000 | 0.000 | -0.000 |
| 191.995 | 191.995 | 654.162 | 0.000 | 0.000 | -0.000 |
| -0.000 | 0.000 | 0.000 | 191.175 | 0.000 | 0.000 |
| 0.000 | -0.000 | 0.000 | 0.000 | 191.175 | -0.000 |
| -0.000 | -0.000 | -0.000 | 0.000 | 0.000 | 249.044 |
| 633.707 | 255.136 | 191.995 | -0.000 | -0.000 | 0.000 |
| 255.136 | 633.707 | 191.995 | -0.000 | -0.000 | -0.000 |
| 191.995 | 191.995 | 654.160 | -0.000 | -0.000 | 0.000 |
| 0.000 | -0.000 | -0.000 | 191.175 | -0.000 | 0.000 |
| -0.000 | 0.000 | -0.000 | -0.000 | 191.175 | 0.000 |
| 0.000 | 0.000 | 0.000 | -0.000 | -0.000 | 249.044 |
| 633.709 | 255.135 | 191.997 | -0.000 | 0.000 | -0.000 |
| 255.135 | 633.709 | 191.997 | -0.000 | 0.000 | -0.000 |
| 191.996 | 191.996 | 654.172 | 0.000 | 0.000 | -0.000 |
| -0.000 | 0.001 | 0.001 | 191.175 | 0.000 | -0.000 |
| 0.001 | -0.000 | 0.001 | 0.000 | 191.175 | -0.000 |
| -0.001 | -0.001 | -0.000 | -0.000 | 0.000 | 249.044 |
| 633.706 | 255.137 | 191.993 | -0.000 | -0.000 | 0.000 |
| 255.137 | 633.706 | 191.993 | -0.000 | -0.000 | -0.000 |
| 191.994 | 191.994 | 654.150 | 0.000 | -0.000 | -0.000 |
| 0.000 | -0.001 | -0.001 | 191.175 | -0.000 | 0.000 |
| -0.001 | 0.000 | -0.001 | -0.000 | 191.175 | 0.000 |
| 0.001 | 0.001 | 0.000 | -0.000 | -0.000 | 249.044 |
| -122.414 | 825.953 | 42.821 | -0.000 | -0.000 | 0.000 |
| 825.953 | -122.414 | 42.821 | -0.000 | -0.000 | 0.000 |
| 42.821 | 42.821 | 52.770 | -0.000 | -0.000 | -0.000 |
| -0.000 | 0.000 | 0.000 | -12.755 | -0.000 | -0.000 |
| 0.000 | -0.000 | 0.000 | -0.000 | -12.755 | -0.000 |
| -0.000 | -0.000 | -0.000 | -0.000 | -0.000 | 139.009 |
| -122.415 | 825.954 | 42.821 | 0.000 | 0.000 | -0.000 |
| 825.954 | -122.415 | 42.821 | 0.000 | 0.000 | -0.000 |
| 42.821 | 42.821 | 52.770 | 0.000 | 0.000 | 0.000 |
| 0.000 | -0.000 | -0.000 | -12.755 | 0.000 | -0.000 |
| -0.000 | 0.000 | -0.000 | 0.000 | -12.755 | -0.000 |
| 0.000 | 0.000 | 0.000 | 0.000 | 0.000 | 139.009 |
| -122.409 | 825.952 | 42.824 | -0.000 | -0.000 | 0.000 |
| 825.952 | -122.409 | 42.824 | -0.000 | -0.000 | -0.000 |
| 42.821 | 42.821 | 52.770 | -0.000 | -0.000 | -0.000 |
| -0.000 | 0.000 | 0.000 | -12.755 | -0.000 | -0.000 |
| 0.000 | -0.000 | 0.000 | -0.000 | -12.755 | 0.000 |
| -0.000 | -0.000 | -0.000 | -0.000 | -0.000 | 139.009 |
| -122.420 | 825.956 | 42.818 | 0.000 | -0.000 | -0.000 |
| 825.956 | -122.420 | 42.818 | -0.000 | 0.000 | -0.000 |
| 42.821 | 42.821 | 52.770 | 0.000 | 0.000 | 0.000 |
| 0.000 | -0.000 | -0.000 | -12.755 | 0.000 | -0.000 |
| -0.000 | 0.000 | -0.000 | -0.000 | -12.755 | -0.000 |
| 0.000 | 0.000 | 0.000 | 0.000 | 0.000 | 139.009 |
| -122.393 | 825.965 | 42.848 | -0.000 | -0.000 | 0.000 |
| 825.965 | -122.393 | 42.848 | -0.000 | -0.000 | -0.000 |
| 42.821 | 42.821 | 52.766 | -0.000 | -0.000 | -0.000 |
| -0.001 | 0.002 | 0.001 | -12.758 | -0.000 | -0.000 |
| 0.002 | -0.001 | 0.001 | -0.000 | -12.758 | 0.000 |
| -0.003 | -0.002 | -0.000 | -0.000 | 0.000 | 139.009 |
| -122.474 | 825.981 | 42.794 | 0.000 | 0.000 | 0.000 |
| 825.981 | -122.474 | 42.794 | 0.000 | 0.000 | 0.000 |
| 42.821 | 42.821 | 52.774 | 0.000 | 0.000 | 0.000 |
| 0.001 | -0.002 | -0.001 | -12.758 | 0.000 | -0.000 |
| -0.002 | 0.001 | -0.001 | 0.000 | -12.758 | 0.000 |
| 0.003 | 0.002 | 0.000 | 0.000 | -0.000 | 139.009 |
| 303.619 | 2.214 | 89.219 | 0.000 | 0.000 | -0.000 |
| 2.214 | 303.619 | 89.219 | 0.000 | 0.000 | -0.000 |
| 89.219 | 89.219 | 77.496 | 0.000 | 0.000 | 0.000 |
| -0.000 | 0.000 | 0.000 | 87.840 | 0.000 | -0.000 |
| 0.000 | -0.000 | 0.000 | 0.000 | 87.840 | 0.000 |
| 0.000 | -0.000 | -0.000 | 0.000 | 0.000 | 0.000 |
| 303.619 | 2.214 | 89.219 | -0.000 | -0.000 | -0.000 |
| 2.214 | 303.619 | 89.219 | -0.000 | -0.000 | -0.000 |
| 89.219 | 89.219 | 77.496 | -0.000 | -0.000 | -0.000 |
| 0.000 | -0.000 | -0.000 | 87.840 | -0.000 | -0.000 |
| -0.000 | 0.000 | -0.000 | -0.000 | 87.840 | -0.000 |
| -0.000 | 0.000 | 0.000 | -0.000 | -0.000 | 0.000 |
| 303.620 | 2.214 | 89.219 | 0.000 | 0.000 | 0.000 |
| 2.214 | 303.620 | 89.219 | 0.000 | 0.000 | 0.000 |
| 89.219 | 89.219 | 77.496 | 0.000 | 0.000 | 0.000 |
| 0.000 | 0.000 | 0.000 | 87.840 | 0.000 | -0.000 |
| 0.000 | 0.000 | 0.000 | 0.000 | 87.840 | 0.000 |
| -0.000 | -0.000 | -0.000 | 0.000 | 0.000 | 0.000 |
| 303.619 | 2.214 | 89.219 | -0.000 | -0.000 | -0.000 |
| 2.214 | 303.619 | 89.219 | -0.000 | -0.000 | -0.000 |
| 89.219 | 89.219 | 77.496 | -0.000 | -0.000 | 0.000 |
| -0.000 | -0.000 | -0.000 | 87.840 | -0.000 | -0.000 |
| -0.000 | -0.000 | -0.000 | -0.000 | 87.840 | -0.000 |
| 0.000 | 0.000 | 0.000 | -0.000 | -0.000 | 0.000 |
| 303.623 | 2.214 | 89.220 | 0.000 | 0.000 | 0.000 |
| 2.214 | 303.623 | 89.220 | 0.000 | 0.000 | 0.000 |
| 89.220 | 89.220 | 77.498 | 0.000 | -0.000 | 0.000 |
| 0.000 | 0.001 | 0.001 | 87.840 | 0.000 | 0.000 |
| 0.001 | 0.000 | 0.001 | 0.000 | 87.840 | 0.000 |
| -0.000 | -0.000 | -0.000 | 0.000 | 0.000 | 0.000 |
| 303.615 | 2.214 | 89.218 | -0.000 | -0.000 | -0.000 |
| 2.214 | 303.615 | 89.218 | -0.000 | -0.000 | -0.000 |
| 89.218 | 89.218 | 77.494 | -0.000 | -0.000 | -0.000 |
| -0.000 | -0.001 | -0.001 | 87.840 | -0.000 | -0.000 |
| -0.001 | -0.000 | -0.001 | -0.000 | 87.840 | -0.000 |
| 0.000 | 0.000 | 0.000 | -0.000 | -0.000 | -0.000 |
| 33.333 | 33.333 | 1.790 | -0.000 | -0.000 | -0.000 |
| 33.333 | 33.333 | 1.790 | -0.000 | -0.000 | -0.000 |
| 1.790 | 1.790 | 78.568 | -0.000 | -0.000 | -0.000 |
| 0.000 | -0.000 | -0.000 | 0.000 | 0.000 | 0.000 |
| 0.000 | -0.000 | -0.000 | -0.000 | -0.000 | 0.000 |
| -0.000 | -0.000 | -0.000 | -0.000 | 0.000 | 0.000 |
| 33.333 | 33.333 | 1.790 | 0.000 | -0.000 | -0.000 |
| 33.333 | 33.333 | 1.790 | -0.000 | 0.000 | 0.000 |
| 1.790 | 1.790 | 78.568 | 0.000 | 0.000 | -0.000 |
| -0.000 | 0.000 | 0.000 | 0.000 | -0.000 | 0.000 |
| -0.000 | 0.000 | 0.000 | 0.000 | -0.000 | 0.000 |
| 0.000 | 0.000 | 0.000 | 0.000 | -0.000 | 0.000 |
| 33.333 | 33.333 | 1.790 | -0.000 | 0.000 | -0.000 |
| 33.333 | 33.333 | 1.790 | 0.000 | -0.000 | -0.000 |
| 1.790 | 1.790 | 78.568 | 0.000 | -0.000 | 0.000 |
| -0.000 | 0.000 | -0.000 | 0.000 | 0.000 | 0.000 |
| 0.000 | -0.000 | -0.000 | -0.000 | 0.000 | 0.000 |
| -0.000 | -0.000 | -0.000 | -0.000 | 0.000 | 0.000 |
| 33.333 | 33.333 | 1.790 | 0.000 | -0.000 | 0.000 |
| 33.333 | 33.333 | 1.790 | 0.000 | 0.000 | 0.000 |
| 1.790 | 1.790 | 78.568 | 0.000 | 0.000 | 0.000 |
| 0.000 | -0.000 | 0.000 | -0.000 | -0.000 | 0.000 |
| -0.000 | 0.000 | 0.000 | 0.000 | 0.000 | 0.000 |
| 0.000 | 0.000 | 0.000 | 0.000 | -0.000 | 0.000 |
| 33.333 | 33.333 | 1.790 | -0.000 | 0.000 | 0.000 |
| 33.333 | 33.333 | 1.790 | 0.000 | -0.000 | 0.000 |
| 1.790 | 1.790 | 78.567 | -0.000 | -0.000 | -0.000 |
| -0.000 | 0.000 | -0.000 | -0.000 | -0.000 | 0.000 |
| 0.000 | -0.000 | -0.000 | -0.000 | -0.000 | 0.000 |
| -0.000 | -0.000 | -0.000 | -0.000 | -0.000 | 0.000 |
| 33.333 | 33.333 | 1.789 | 0.000 | -0.000 | 0.000 |
| 33.333 | 33.333 | 1.789 | -0.000 | 0.000 | -0.000 |
| 1.789 | 1.789 | 78.568 | 0.000 | 0.000 | 0.000 |
| 0.000 | -0.000 | 0.000 | -0.000 | 0.000 | 0.000 |
| -0.000 | 0.000 | 0.000 | 0.000 | -0.000 | 0.000 |
| 0.000 | 0.000 | 0.000 | 0.000 | 0.000 | 0.000 |
| 339.326 | 287.980 | 74.665 | -0.000 | -0.000 | -0.000 |
| 287.980 | 339.326 | 74.665 | -0.000 | -0.000 | -0.000 |
| 74.665 | 74.665 | 462.480 | -0.000 | -0.000 | -0.000 |
| -0.000 | -0.000 | 0.000 | 82.274 | 0.000 | -0.000 |
| -0.000 | -0.000 | 0.000 | -0.000 | 82.274 | -0.000 |
| -0.000 | -0.000 | -0.000 | -0.000 | 0.000 | 128.458 |
| 339.326 | 287.980 | 74.665 | 0.000 | 0.000 | 0.000 |
| 287.980 | 339.326 | 74.665 | 0.000 | 0.000 | 0.000 |
| 74.665 | 74.665 | 462.480 | 0.000 | 0.000 | 0.000 |
| 0.000 | 0.000 | -0.000 | 82.274 | 0.000 | 0.000 |
| 0.000 | 0.000 | -0.000 | 0.000 | 82.274 | 0.000 |
| 0.000 | 0.000 | 0.000 | 0.000 | 0.000 | 128.458 |
| 339.326 | 287.980 | 74.665 | -0.000 | 0.000 | 0.000 |
| 287.980 | 339.326 | 74.665 | -0.000 | 0.000 | -0.000 |
| 74.665 | 74.665 | 462.481 | -0.000 | 0.000 | -0.000 |
| 0.000 | -0.000 | 0.000 | 82.274 | 0.000 | -0.000 |
| -0.000 | 0.000 | 0.000 | -0.000 | 82.274 | -0.000 |
| -0.000 | -0.000 | -0.000 | -0.000 | 0.000 | 128.458 |
| 339.326 | 287.980 | 74.665 | 0.000 | -0.000 | 0.000 |
| 287.980 | 339.326 | 74.665 | 0.000 | 0.000 | 0.000 |
| 74.665 | 74.665 | 462.479 | 0.000 | 0.000 | 0.000 |
| -0.000 | 0.000 | -0.000 | 82.274 | -0.000 | 0.000 |
| 0.000 | -0.000 | -0.000 | 0.000 | 82.274 | 0.000 |
| 0.000 | 0.000 | 0.000 | 0.000 | 0.000 | 128.458 |
| 339.329 | 287.982 | 74.666 | -0.000 | -0.000 | -0.000 |
| 287.982 | 339.329 | 74.666 | -0.000 | -0.000 | -0.000 |
| 74.667 | 74.667 | 462.488 | -0.000 | 0.000 | 0.000 |
| 0.000 | -0.000 | 0.001 | 82.274 | -0.000 | -0.000 |
| -0.000 | 0.000 | 0.001 | -0.000 | 82.274 | -0.000 |
| -0.001 | -0.000 | -0.000 | -0.000 | 0.000 | 128.458 |
| 339.323 | 287.978 | 74.665 | 0.000 | -0.000 | 0.000 |
| 287.978 | 339.323 | 74.665 | 0.000 | 0.000 | -0.000 |
| 74.664 | 74.664 | 462.473 | 0.000 | -0.000 | -0.000 |
| -0.000 | 0.000 | -0.001 | 82.274 | -0.000 | 0.000 |
| 0.000 | -0.000 | -0.001 | 0.000 | 82.274 | 0.000 |
| 0.001 | 0.000 | 0.000 | 0.000 | -0.000 | 128.458 |
| 591.365 | 153.928 | 228.686 | -0.000 | -0.000 | 0.000 |
| 153.928 | 591.365 | 228.686 | 0.000 | -0.000 | 0.000 |
| 228.686 | 228.686 | 352.920 | -0.000 | -0.000 | 0.000 |
| 0.000 | 0.000 | 0.000 | 198.722 | -0.000 | 0.000 |
| 0.000 | 0.000 | 0.000 | -0.000 | 198.722 | 0.000 |
| -0.000 | -0.000 | 0.000 | -0.000 | -0.000 | 140.480 |
| 591.364 | 153.928 | 228.686 | 0.000 | 0.000 | -0.000 |
| 153.928 | 591.364 | 228.686 | 0.000 | 0.000 | -0.000 |
| 228.686 | 228.686 | 352.920 | 0.000 | 0.000 | -0.000 |
| -0.000 | -0.000 | -0.000 | 198.722 | 0.000 | -0.000 |
| -0.000 | -0.000 | -0.000 | 0.000 | 198.722 | -0.000 |
| 0.000 | 0.000 | -0.000 | 0.000 | 0.000 | 140.480 |
| 591.365 | 153.928 | 228.686 | -0.000 | -0.000 | 0.000 |
| 153.928 | 591.365 | 228.686 | 0.000 | -0.000 | 0.000 |
| 228.686 | 228.686 | 352.920 | -0.000 | -0.000 | 0.000 |
| 0.000 | 0.000 | 0.000 | 198.722 | -0.000 | 0.000 |
| 0.000 | 0.000 | 0.000 | -0.000 | 198.722 | 0.000 |
| -0.000 | -0.000 | 0.000 | -0.000 | -0.000 | 140.480 |
| 591.363 | 153.928 | 228.685 | 0.000 | 0.000 | -0.000 |
| 153.928 | 591.363 | 228.685 | 0.000 | 0.000 | -0.000 |
| 228.686 | 228.686 | 352.919 | 0.000 | 0.000 | -0.000 |
| -0.000 | -0.000 | -0.000 | 198.722 | 0.000 | -0.000 |
| -0.000 | -0.000 | -0.000 | 0.000 | 198.722 | -0.000 |
| 0.000 | 0.000 | -0.000 | 0.000 | 0.000 | 140.480 |
| 591.374 | 153.929 | 228.692 | -0.000 | -0.000 | 0.000 |
| 153.929 | 591.374 | 228.692 | -0.000 | -0.000 | 0.000 |
| 228.688 | 228.688 | 352.926 | -0.000 | -0.000 | 0.000 |
| 0.001 | 0.003 | 0.001 | 198.722 | -0.000 | 0.000 |
| 0.003 | 0.001 | 0.001 | -0.000 | 198.722 | 0.000 |
| -0.000 | -0.000 | 0.001 | -0.000 | -0.000 | 140.480 |
| 591.355 | 153.927 | 228.680 | 0.000 | 0.000 | -0.000 |
| 153.927 | 591.355 | 228.680 | 0.000 | 0.000 | -0.000 |
| 228.684 | 228.684 | 352.914 | 0.000 | 0.000 | -0.000 |
| -0.001 | -0.003 | -0.001 | 198.722 | 0.000 | -0.000 |
| -0.003 | -0.001 | -0.001 | 0.000 | 198.722 | -0.000 |
| 0.000 | 0.000 | -0.001 | 0.000 | 0.000 | 140.480 |
| 333.368 | 116.360 | 127.676 | -21.617 | -0.000 | 0.000 |
| 113.003 | 337.659 | 125.455 | 22.818 | -0.000 | 0.000 |
| 125.455 | 125.455 | 323.253 | 0.000 | 0.000 | -0.000 |
| -21.629 | 21.630 | -0.002 | 124.758 | 0.000 | 0.000 |
| 0.000 | 0.000 | -0.002 | 0.000 | 124.758 | -21.629 |
| 0.000 | 0.000 | -0.000 | 0.000 | -22.818 | 112.328 |
| 337.659 | 113.003 | 125.455 | -22.818 | -0.000 | -0.000 |
| 113.003 | 337.659 | 125.455 | 22.818 | -0.000 | -0.000 |
| 127.890 | 127.890 | 311.677 | -0.000 | 0.000 | -0.000 |
| -21.630 | 21.629 | 0.002 | 124.758 | 0.000 | -0.000 |
| -0.000 | -0.000 | 0.002 | -0.000 | 124.758 | -21.629 |
| -0.000 | -0.000 | 0.000 | -0.000 | -22.818 | 112.328 |
| 337.659 | 113.003 | 125.455 | -22.818 | 0.000 | 0.000 |
| 116.275 | 333.364 | 127.890 | 21.629 | -0.000 | 0.000 |
| 127.890 | 127.890 | 311.676 | 0.000 | 0.000 | 0.000 |
| -22.818 | 22.818 | 0.000 | 125.132 | -0.000 | -0.000 |
| -0.000 | 0.000 | -0.000 | 0.000 | 124.758 | -21.629 |
| 0.000 | 0.000 | -0.000 | 0.000 | -21.629 | 108.544 |
| 337.658 | 113.003 | 125.455 | -22.818 | -0.000 | -0.000 |
| 116.360 | 333.367 | 127.678 | 21.617 | -0.000 | -0.000 |
| 127.890 | 127.890 | 311.675 | -0.000 | 0.000 | -0.000 |
| -21.629 | 21.629 | 0.000 | 124.759 | -0.000 | -0.000 |
| 0.000 | -0.000 | 0.000 | -0.000 | 124.758 | -21.629 |
| -0.000 | -0.000 | 0.000 | -0.000 | -21.629 | 108.544 |
| 333.375 | 116.360 | 127.678 | -21.616 | 0.000 | 0.000 |
| 116.362 | 333.373 | 127.678 | 21.615 | 0.000 | 0.000 |
| 127.892 | 127.892 | 311.682 | 0.000 | 0.000 | 0.000 |
| -21.629 | 21.629 | 0.001 | 124.757 | 0.000 | 0.000 |
| -0.000 | -0.000 | 0.001 | 0.001 | 124.758 | -21.629 |
| 0.000 | 0.002 | -0.000 | 0.000 | -21.629 | 108.544 |
| 333.360 | 116.360 | 127.678 | -21.617 | -0.000 | -0.000 |
| 116.273 | 333.358 | 127.890 | 21.631 | -0.000 | -0.000 |
| 127.889 | 127.889 | 311.669 | -0.000 | 0.000 | -0.000 |
| -22.818 | 22.819 | -0.001 | 125.133 | -0.000 | -0.000 |
| 0.000 | 0.000 | -0.001 | -0.001 | 124.758 | -21.629 |
| -0.000 | -0.002 | 0.000 | -0.000 | -21.629 | 108.544 |
| 842.634 | 182.543 | 182.543 | -0.000 | 0.000 | 0.000 |
| 182.543 | 842.634 | 182.543 | -0.000 | 0.000 | -0.000 |
| 182.543 | 182.543 | 842.634 | 0.000 | -0.000 | 0.000 |
| -0.000 | -0.000 | -0.000 | 124.644 | -0.000 | -0.000 |
| -0.000 | -0.000 | -0.000 | 0.000 | 124.644 | 0.000 |
| -0.000 | -0.000 | -0.000 | -0.000 | 0.000 | 124.644 |
| 842.635 | 182.543 | 182.543 | -0.000 | -0.000 | 0.000 |
| 182.543 | 842.635 | 182.543 | 0.000 | -0.000 | -0.000 |
| 182.543 | 182.543 | 842.635 | 0.000 | -0.000 | -0.000 |
| 0.000 | 0.000 | 0.000 | 124.644 | 0.000 | -0.000 |
| 0.000 | 0.000 | 0.000 | -0.000 | 124.644 | -0.000 |
| 0.000 | 0.000 | 0.000 | -0.000 | 0.000 | 124.644 |
| 842.633 | 182.543 | 182.543 | 0.000 | -0.000 | -0.000 |
| 182.543 | 842.633 | 182.543 | -0.000 | -0.000 | -0.000 |
| 182.543 | 182.543 | 842.633 | -0.000 | -0.000 | -0.000 |
| -0.000 | -0.000 | -0.000 | 124.644 | -0.000 | -0.000 |
| -0.000 | -0.000 | -0.000 | -0.000 | 124.644 | 0.000 |
| -0.000 | -0.000 | -0.000 | -0.000 | 0.000 | 124.644 |
| 842.636 | 182.543 | 182.543 | 0.000 | 0.000 | -0.000 |
| 182.543 | 842.636 | 182.543 | 0.000 | -0.000 | 0.000 |
| 182.543 | 182.543 | 842.636 | 0.000 | 0.000 | -0.000 |
| 0.000 | 0.000 | 0.000 | 124.644 | 0.000 | -0.000 |
| 0.000 | 0.000 | 0.000 | -0.000 | 124.644 | -0.000 |
| 0.000 | 0.000 | 0.000 | 0.000 | 0.000 | 124.644 |
| 842.621 | 182.542 | 182.542 | -0.000 | -0.000 | -0.000 |
| 182.542 | 842.621 | 182.542 | -0.000 | 0.000 | -0.000 |
| 182.542 | 182.542 | 842.621 | 0.000 | -0.000 | 0.000 |
| -0.000 | -0.001 | -0.002 | 124.644 | 0.000 | -0.000 |
| -0.001 | -0.000 | -0.002 | -0.000 | 124.644 | 0.000 |
| -0.001 | -0.002 | -0.000 | 0.000 | 0.000 | 124.644 |
| 842.648 | 182.543 | 182.543 | 0.000 | -0.000 | -0.000 |
| 182.543 | 842.648 | 182.543 | 0.000 | -0.000 | -0.000 |
| 182.543 | 182.543 | 842.648 | -0.000 | -0.000 | -0.000 |
| 0.000 | 0.001 | 0.002 | 124.644 | -0.000 | -0.000 |
| 0.001 | 0.000 | 0.002 | 0.000 | 124.644 | -0.000 |
| 0.001 | 0.002 | 0.000 | -0.000 | 0.000 | 124.644 |
| 484.156 | 196.439 | 196.439 | -0.000 | -0.000 | 0.000 |
| 196.439 | 484.156 | 196.439 | -0.000 | -0.000 | 0.000 |
| 196.439 | 196.439 | 484.156 | 0.000 | 0.000 | 0.000 |
| 0.000 | 0.000 | 0.000 | 194.711 | 0.000 | -0.000 |
| 0.000 | -0.000 | 0.000 | 0.000 | 194.711 | 0.000 |
| 0.000 | 0.000 | 0.000 | -0.000 | -0.000 | 194.711 |
| 484.156 | 196.439 | 196.439 | -0.000 | 0.000 | -0.000 |
| 196.439 | 484.156 | 196.439 | -0.000 | -0.000 | -0.000 |
| 196.439 | 196.439 | 484.156 | -0.000 | -0.000 | -0.000 |
| -0.000 | -0.000 | -0.000 | 194.711 | -0.000 | -0.000 |
| -0.000 | 0.000 | -0.000 | -0.000 | 194.711 | -0.000 |
| -0.000 | -0.000 | 0.000 | 0.000 | 0.000 | 194.711 |
| 484.157 | 196.439 | 196.439 | -0.000 | -0.000 | 0.000 |
| 196.439 | 484.157 | 196.439 | 0.000 | 0.000 | 0.000 |
| 196.439 | 196.439 | 484.157 | 0.000 | -0.000 | 0.000 |
| -0.000 | 0.000 | 0.000 | 194.711 | 0.000 | 0.000 |
| 0.000 | -0.000 | 0.000 | -0.000 | 194.711 | -0.000 |
| 0.000 | 0.000 | -0.000 | 0.000 | -0.000 | 194.711 |
| 484.156 | 196.439 | 196.439 | 0.000 | -0.000 | -0.000 |
| 196.439 | 484.156 | 196.439 | 0.000 | 0.000 | -0.000 |
| 196.439 | 196.439 | 484.156 | -0.000 | -0.000 | -0.000 |
| 0.000 | -0.000 | -0.000 | 194.711 | 0.000 | -0.000 |
| -0.000 | 0.000 | -0.000 | -0.000 | 194.711 | -0.000 |
| -0.000 | -0.000 | 0.000 | -0.000 | 0.000 | 194.711 |
| 484.159 | 196.441 | 196.441 | 0.000 | 0.000 | 0.000 |
| 196.441 | 484.159 | 196.441 | 0.000 | -0.000 | 0.000 |
| 196.441 | 196.441 | 484.159 | 0.000 | 0.000 | 0.000 |
| -0.000 | 0.001 | 0.002 | 194.711 | 0.000 | 0.000 |
| 0.001 | -0.000 | 0.002 | 0.000 | 194.711 | 0.000 |
| 0.001 | 0.002 | -0.000 | 0.000 | 0.000 | 194.711 |
| 484.154 | 196.437 | 196.437 | 0.000 | 0.000 | -0.000 |
| 196.437 | 484.154 | 196.437 | 0.000 | 0.000 | -0.000 |
| 196.437 | 196.437 | 484.154 | -0.000 | -0.000 | -0.000 |
| 0.000 | -0.001 | -0.002 | 194.711 | -0.000 | -0.000 |
| -0.001 | 0.000 | -0.002 | -0.000 | 194.711 | -0.000 |
| -0.001 | -0.002 | 0.000 | -0.000 | 0.000 | 194.711 |
| 359.162 | 10.681 | 10.681 | 0.000 | -0.000 | -0.000 |
| 10.681 | 359.162 | 10.681 | 0.000 | 0.000 | -0.000 |
| 10.681 | 10.681 | 359.162 | 0.000 | -0.000 | -0.000 |
| 0.000 | -0.000 | -0.000 | 7.879 | 0.000 | -0.000 |
| -0.000 | 0.000 | -0.000 | 0.000 | 7.879 | -0.000 |
| -0.000 | -0.000 | 0.000 | 0.000 | 0.000 | 7.879 |
| 359.161 | 10.681 | 10.681 | -0.000 | -0.000 | 0.000 |
| 10.681 | 359.161 | 10.681 | -0.000 | 0.000 | 0.000 |
| 10.681 | 10.681 | 359.161 | -0.000 | -0.000 | 0.000 |
| -0.000 | 0.000 | 0.000 | 7.879 | -0.000 | 0.000 |
| 0.000 | -0.000 | 0.000 | -0.000 | 7.879 | 0.000 |
| 0.000 | 0.000 | -0.000 | -0.000 | -0.000 | 7.879 |
| 359.162 | 10.681 | 10.681 | 0.000 | 0.000 | 0.000 |
| 10.681 | 359.162 | 10.681 | 0.000 | -0.000 | 0.000 |
| 10.681 | 10.681 | 359.162 | 0.000 | 0.000 | -0.000 |
| -0.000 | -0.000 | -0.000 | 7.879 | 0.000 | -0.000 |
| -0.000 | -0.000 | -0.000 | 0.000 | 7.879 | -0.000 |
| -0.000 | -0.000 | -0.000 | 0.000 | 0.000 | 7.879 |
| 359.161 | 10.681 | 10.681 | -0.000 | -0.000 | 0.000 |
| 10.681 | 359.161 | 10.681 | -0.000 | -0.000 | 0.000 |
| 10.681 | 10.681 | 359.161 | -0.000 | -0.000 | -0.000 |
| 0.000 | 0.000 | 0.000 | 7.879 | -0.000 | 0.000 |
| 0.000 | 0.000 | 0.000 | -0.000 | 7.879 | 0.000 |
| 0.000 | 0.000 | 0.000 | -0.000 | -0.000 | 7.879 |
| 359.167 | 10.679 | 10.679 | 0.000 | 0.000 | 0.000 |
| 10.679 | 359.167 | 10.679 | 0.000 | 0.000 | 0.000 |
| 10.679 | 10.679 | 359.167 | 0.000 | 0.000 | 0.000 |
| -0.000 | -0.002 | -0.002 | 7.879 | -0.000 | -0.000 |
| -0.002 | -0.000 | -0.002 | 0.000 | 7.879 | -0.000 |
| -0.002 | -0.002 | -0.000 | 0.000 | 0.000 | 7.879 |
| 359.156 | 10.683 | 10.683 | -0.000 | -0.000 | 0.000 |
| 10.683 | 359.156 | 10.683 | -0.000 | -0.000 | 0.000 |
| 10.683 | 10.683 | 359.156 | -0.000 | -0.000 | 0.000 |
| 0.000 | 0.002 | 0.002 | 7.879 | 0.000 | -0.000 |
| 0.002 | 0.000 | 0.002 | -0.000 | 7.879 | 0.000 |
| 0.002 | 0.002 | 0.000 | -0.000 | -0.000 | 7.879 |
| 225.144 | 0.011 | 0.011 | 0.000 | -0.000 | -0.000 |
| 0.011 | 225.144 | 0.011 | 0.000 | 0.000 | -0.000 |
| 0.011 | 0.011 | 225.144 | 0.000 | 0.000 | 0.000 |
| -0.000 | -0.000 | -0.000 | 0.000 | -0.000 | -0.000 |
| -0.000 | -0.000 | -0.000 | -0.000 | 0.000 | -0.000 |
| -0.000 | -0.000 | -0.000 | -0.000 | -0.000 | 0.000 |
| 225.144 | 0.011 | 0.011 | -0.000 | -0.000 | -0.000 |
| 0.011 | 225.144 | 0.011 | -0.000 | -0.000 | 0.000 |
| 0.011 | 0.011 | 225.144 | 0.000 | 0.000 | -0.000 |
| 0.000 | 0.000 | 0.000 | 0.000 | 0.000 | -0.000 |
| 0.000 | 0.000 | 0.000 | 0.000 | 0.000 | -0.000 |
| 0.000 | 0.000 | 0.000 | 0.000 | -0.000 | 0.000 |
| 225.143 | 0.011 | 0.011 | 0.000 | 0.000 | -0.000 |
| 0.011 | 225.143 | 0.011 | 0.000 | 0.000 | -0.000 |
| 0.011 | 0.011 | 225.143 | -0.000 | -0.000 | 0.000 |
| -0.000 | -0.000 | -0.000 | 0.000 | -0.000 | -0.000 |
| -0.000 | -0.000 | -0.000 | -0.000 | 0.000 | -0.000 |
| -0.000 | -0.000 | -0.000 | -0.000 | -0.000 | 0.000 |
| 225.144 | 0.011 | 0.011 | -0.000 | 0.000 | 0.000 |
| 0.011 | 225.144 | 0.011 | 0.000 | -0.000 | -0.000 |
| 0.011 | 0.011 | 225.144 | -0.000 | -0.000 | -0.000 |
| 0.000 | 0.000 | 0.000 | 0.000 | -0.000 | 0.000 |
| 0.000 | 0.000 | 0.000 | 0.000 | 0.000 | 0.000 |
| 0.000 | 0.000 | 0.000 | 0.000 | 0.000 | 0.000 |
| 225.138 | 0.011 | 0.011 | 0.000 | 0.000 | 0.000 |
| 0.011 | 225.138 | 0.011 | 0.000 | 0.000 | -0.000 |
| 0.011 | 0.011 | 225.138 | 0.000 | -0.000 | 0.000 |
| -0.000 | -0.000 | -0.000 | 0.000 | -0.000 | 0.000 |
| -0.000 | -0.000 | -0.000 | -0.000 | 0.000 | -0.000 |
| -0.000 | -0.000 | -0.000 | -0.000 | -0.000 | 0.000 |
| 225.150 | 0.011 | 0.011 | -0.000 | 0.000 | 0.000 |
| 0.011 | 225.150 | 0.011 | -0.000 | -0.000 | -0.000 |
| 0.011 | 0.011 | 225.150 | 0.000 | -0.000 | -0.000 |
| 0.000 | 0.000 | 0.000 | 0.000 | 0.000 | -0.000 |
| 0.000 | 0.000 | 0.000 | 0.000 | 0.000 | 0.000 |
| 0.000 | 0.000 | 0.000 | 0.000 | -0.000 | 0.000 |
| 73.765 | -2.655 | -2.655 | 0.000 | -0.000 | -0.000 |
| -2.655 | 73.765 | -2.655 | -0.000 | 0.000 | 0.000 |
| -2.655 | -2.655 | 73.765 | 0.000 | -0.000 | 0.000 |
| -0.000 | -0.000 | -0.000 | -0.000 | -0.000 | -0.000 |
| -0.000 | -0.000 | -0.000 | -0.000 | -0.000 | -0.000 |
| -0.000 | -0.000 | 0.000 | 0.000 | 0.000 | -0.000 |
| 73.765 | -2.655 | -2.655 | -0.000 | 0.000 | -0.000 |
| -2.655 | 73.765 | -2.655 | 0.000 | -0.000 | -0.000 |
| -2.655 | -2.655 | 73.765 | 0.000 | -0.000 | -0.000 |
| 0.000 | 0.000 | 0.000 | -0.000 | -0.000 | 0.000 |
| 0.000 | 0.000 | 0.000 | -0.000 | -0.000 | 0.000 |
| 0.000 | 0.000 | -0.000 | -0.000 | -0.000 | -0.000 |
| 73.765 | -2.655 | -2.655 | 0.000 | 0.000 | -0.000 |
| -2.655 | 73.765 | -2.655 | 0.000 | 0.000 | -0.000 |
| -2.655 | -2.655 | 73.765 | 0.000 | 0.000 | 0.000 |
| 0.000 | 0.000 | -0.000 | 0.000 | 0.000 | -0.000 |
| 0.000 | 0.000 | -0.000 | 0.000 | 0.000 | -0.000 |
| 0.000 | -0.000 | 0.000 | -0.000 | -0.000 | 0.000 |
| 73.765 | -2.655 | -2.655 | -0.000 | 0.000 | -0.000 |
| -2.655 | 73.765 | -2.655 | 0.000 | -0.000 | 0.000 |
| -2.655 | -2.655 | 73.765 | 0.000 | 0.000 | 0.000 |
| -0.000 | -0.000 | 0.000 | 0.000 | 0.000 | 0.000 |
| -0.000 | -0.000 | 0.000 | -0.000 | 0.000 | 0.000 |
| -0.000 | 0.000 | -0.000 | -0.000 | -0.000 | 0.000 |
| 73.765 | -2.655 | -2.655 | -0.000 | -0.000 | 0.000 |
| -2.655 | 73.765 | -2.655 | -0.000 | -0.000 | 0.000 |
| -2.655 | -2.655 | 73.765 | 0.000 | -0.000 | -0.000 |
| 0.000 | 0.000 | -0.000 | 0.000 | -0.000 | -0.000 |
| 0.000 | 0.000 | -0.000 | -0.000 | 0.000 | -0.000 |
| 0.000 | -0.000 | 0.000 | -0.000 | -0.000 | 0.000 |
| 73.766 | -2.655 | -2.655 | 0.000 | 0.000 | 0.000 |
| -2.655 | 73.766 | -2.655 | 0.000 | 0.000 | 0.000 |
| -2.655 | -2.655 | 73.766 | -0.000 | -0.000 | 0.000 |
| -0.000 | -0.000 | 0.000 | 0.000 | -0.000 | 0.000 |
| -0.000 | -0.000 | 0.000 | -0.000 | 0.000 | -0.000 |
| -0.000 | 0.000 | -0.000 | -0.000 | 0.000 | 0.000 |
| 2118.631 | 2025.883 | 253.604 | -0.000 | -0.000 | -0.000 |
| 2025.883 | 2118.631 | 253.604 | -0.000 | -0.000 | 0.000 |
| 1964.194 | 1964.194 | 394.538 | 0.000 | -0.000 | 0.000 |
| 1058.634 | 1058.634 | -1706.863 | 25.674 | -0.000 | 0.000 |
| 1058.634 | 1058.634 | -1706.863 | 0.000 | 25.674 | 0.000 |
| 2077.899 | 2077.899 | 70.065 | -0.000 | 0.000 | 35.528 |
| -843.114 | -945.121 | 1761.617 | 0.000 | 0.000 | 0.000 |
| -945.121 | -843.114 | 1761.617 | 0.000 | 0.000 | -0.000 |
| 87.552 | 87.552 | 285.611 | -0.000 | -0.000 | -0.000 |
| -1058.634 | -1058.634 | 1706.863 | 25.674 | -0.000 | 0.000 |
| -1058.634 | -1058.634 | 1706.863 | 0.000 | 25.674 | -0.000 |
| -2077.899 | -2077.899 | -70.065 | 0.000 | 0.000 | 35.528 |
| 395.959 | 303.843 | 65.884 | -0.000 | -0.000 | -0.000 |
| 303.843 | 395.959 | 65.884 | -0.000 | -0.000 | -0.000 |
| 243.482 | 243.482 | 211.100 | 0.000 | -0.000 | 0.000 |
| 105.994 | 105.994 | -170.897 | 25.669 | -0.000 | 0.000 |
| 105.994 | 105.994 | -170.897 | -0.000 | 25.669 | 0.000 |
| 105.993 | 105.993 | -170.895 | -0.000 | -0.000 | 46.886 |
| 107.246 | 6.229 | 222.964 | 0.000 | 0.000 | -0.000 |
| 6.229 | 107.246 | 222.964 | 0.000 | 0.000 | -0.000 |
| -100.908 | -100.908 | 208.350 | -0.000 | 0.000 | -0.000 |
| -105.994 | -105.994 | 170.897 | 25.669 | 0.000 | 0.000 |
| -105.994 | -105.994 | 170.897 | 0.000 | 25.669 | 0.000 |
| -105.993 | -105.993 | 170.895 | -0.000 | 0.000 | 46.886 |
| 277.914 | 155.159 | 87.553 | 0.000 | -0.000 | -0.000 |
| 155.159 | 277.914 | 87.553 | -0.000 | -0.000 | -0.000 |
| 69.162 | 69.162 | 197.001 | -0.000 | 0.000 | -0.000 |
| 21.446 | 21.446 | -0.610 | -24.709 | 0.000 | -0.000 |
| 21.446 | 21.446 | -0.610 | 0.000 | -24.709 | -0.000 |
| 21.026 | 21.026 | 4.209 | -0.000 | -0.000 | 41.753 |
| 202.457 | 103.041 | 59.168 | 0.000 | 0.000 | -0.000 |
| 103.041 | 202.457 | 59.168 | -0.000 | -0.000 | 0.000 |
| 56.924 | 56.924 | 204.610 | -0.000 | -0.000 | -0.000 |
| -21.446 | -21.446 | 0.610 | -24.709 | 0.000 | 0.000 |
| -21.446 | -21.446 | 0.610 | 0.000 | -24.709 | -0.000 |
| -21.026 | -21.026 | -4.209 | 0.000 | 0.000 | 41.753 |
| 158.856 | 97.334 | 103.816 | 0.000 | 0.000 | 0.000 |
| 97.330 | 295.404 | 105.865 | 0.000 | 0.000 | 0.000 |
| 114.608 | 100.800 | 381.322 | -0.000 | 0.000 | -0.000 |
| -0.001 | 0.000 | -0.000 | 88.985 | 0.000 | 0.000 |
| -0.002 | 0.001 | -0.001 | -0.000 | 96.946 | -0.000 |
| -0.002 | 0.001 | -0.001 | 0.000 | 0.000 | 60.658 |
| 158.860 | 97.331 | 103.818 | -0.000 | -0.000 | -0.000 |
| 97.335 | 295.402 | 105.866 | -0.000 | -0.000 | 0.000 |
| 103.819 | 105.865 | 376.776 | -0.000 | 0.000 | 0.000 |
| 0.001 | -0.000 | 0.000 | 88.985 | -0.000 | 0.000 |
| 0.002 | -0.001 | 0.001 | -0.000 | 96.946 | -0.000 |
| 0.002 | -0.001 | 0.001 | -0.000 | 0.000 | 60.658 |
| 158.858 | 97.333 | 103.817 | 0.000 | -0.000 | 0.000 |
| 97.332 | 295.403 | 105.866 | 0.000 | 0.000 | 0.000 |
| 103.817 | 105.866 | 376.775 | 0.000 | 0.000 | 0.000 |
| -0.000 | 0.000 | 0.000 | 88.985 | -0.000 | 0.000 |
| -0.000 | 0.000 | -0.000 | -0.000 | 96.946 | -0.000 |
| -0.000 | 0.000 | -0.000 | 0.000 | 0.000 | 60.658 |
| 158.858 | 97.332 | 103.817 | 0.000 | -0.000 | -0.000 |
| 97.333 | 295.403 | 105.865 | -0.000 | -0.000 | -0.000 |
| 103.817 | 105.865 | 376.774 | -0.000 | -0.000 | -0.000 |
| 0.000 | -0.000 | -0.000 | 88.985 | 0.000 | 0.000 |
| 0.000 | -0.000 | 0.000 | -0.000 | 96.946 | 0.000 |
| 0.000 | -0.000 | 0.000 | -0.000 | -0.000 | 60.658 |
| 158.860 | 97.334 | 103.818 | 0.000 | 0.000 | 0.000 |
| 97.333 | 295.405 | 105.867 | 0.000 | 0.000 | -0.000 |
| 103.817 | 105.868 | 376.781 | -0.000 | 0.000 | 0.000 |
| 0.000 | 0.001 | 0.002 | 88.994 | 0.000 | -0.000 |
| 0.000 | 0.000 | 0.000 | 0.000 | 96.946 | -0.000 |
| 0.001 | 0.001 | 0.001 | 0.000 | -0.000 | 60.658 |
| 158.857 | 97.331 | 103.815 | -0.000 | 0.000 | -0.000 |
| 97.332 | 295.401 | 105.864 | -0.000 | -0.000 | -0.000 |
| 103.816 | 105.863 | 376.769 | -0.000 | -0.000 | -0.000 |
| -0.000 | -0.001 | -0.002 | 88.994 | -0.000 | 0.000 |
| -0.000 | -0.000 | -0.000 | -0.000 | 96.946 | -0.000 |
| -0.001 | -0.001 | -0.001 | -0.000 | 0.000 | 60.658 |
| -116.357 | -817.077 | 626.512 | 0.000 | -0.000 | 0.000 |
| -158.085 | -394.800 | 715.217 | 0.000 | 0.000 | 0.000 |
| -220.363 | -819.406 | 769.210 | -0.000 | 0.000 | 0.000 |
| -211.858 | -777.092 | 666.382 | 42.542 | 0.000 | 0.000 |
| -313.641 | -878.185 | 533.895 | -0.000 | 91.158 | 0.000 |
| -212.051 | -777.297 | 666.154 | 0.000 | 0.000 | 65.348 |
| 402.315 | 831.245 | -582.364 | -0.000 | -0.000 | -0.000 |
| 374.386 | 1267.624 | -476.358 | -0.000 | 0.000 | -0.000 |
| 295.844 | 826.338 | -442.658 | -0.000 | -0.000 | -0.000 |
| 211.858 | 777.092 | -666.382 | 42.542 | 0.000 | -0.000 |
| 313.641 | 878.185 | -533.895 | 0.000 | 91.158 | -0.000 |
| 212.051 | 777.297 | -666.154 | -0.000 | -0.000 | 65.348 |
| 169.070 | -23.772 | 150.420 | 0.000 | 0.000 | 0.000 |
| 29.311 | 301.405 | 111.081 | 0.000 | 0.000 | 0.000 |
| 93.646 | 54.843 | 242.945 | -0.000 | 0.000 | 0.000 |
| -31.464 | -88.099 | 53.560 | 52.972 | 0.000 | 0.000 |
| -31.422 | -87.982 | 53.489 | 0.000 | 91.154 | 0.000 |
| -21.280 | -77.802 | 66.515 | 0.000 | 0.000 | 65.375 |
| 211.477 | 131.686 | 17.186 | -0.000 | 0.000 | -0.000 |
| 92.177 | 477.500 | 3.947 | -0.000 | 0.000 | -0.000 |
| 124.657 | 146.695 | 181.807 | -0.000 | -0.000 | -0.000 |
| 31.464 | 88.099 | -53.560 | 52.972 | -0.000 | -0.000 |
| 31.422 | 87.982 | -53.489 | -0.000 | 91.154 | -0.000 |
| 21.280 | 77.802 | -66.515 | -0.000 | -0.000 | 65.375 |
| 188.159 | 46.184 | 90.466 | 0.000 | 0.000 | 0.000 |
| 57.146 | 379.471 | 63.481 | 0.000 | 0.000 | 0.000 |
| 81.682 | 41.276 | 230.168 | 0.000 | 0.000 | 0.000 |
| -4.018 | -11.250 | 6.838 | 51.991 | 0.000 | 0.000 |
| -2.121 | -7.778 | 6.665 | 0.000 | 87.937 | 0.000 |
| -3.483 | -9.752 | 5.929 | 0.000 | 0.000 | 68.831 |
| 200.815 | 66.768 | 93.645 | -0.000 | 0.000 | -0.000 |
| 66.767 | 401.756 | 54.843 | -0.000 | -0.000 | -0.000 |
| 96.513 | 68.652 | 228.455 | -0.000 | -0.000 | -0.000 |
| 4.018 | 11.250 | -6.838 | 51.991 | -0.000 | -0.000 |
| 2.121 | 7.778 | -6.665 | -0.000 | 87.937 | -0.000 |
| 3.483 | 9.752 | -5.929 | 0.000 | -0.000 | 68.831 |
| 546.076 | 233.080 | 99.203 | 0.000 | 0.000 | -0.000 |
| 233.080 | 546.076 | 99.203 | 0.000 | 0.000 | -0.000 |
| 99.184 | 99.184 | 701.391 | -0.000 | 0.000 | -0.000 |
| 0.085 | 0.085 | 0.144 | 95.391 | 0.000 | -0.000 |
| 0.085 | 0.085 | 0.144 | 0.000 | 95.391 | -0.000 |
| -0.000 | -0.000 | -0.000 | 0.000 | 0.000 | 140.421 |
| 546.023 | 233.027 | 99.113 | -0.000 | -0.000 | 0.000 |
| 233.027 | 546.023 | 99.113 | -0.000 | 0.000 | 0.000 |
| 99.132 | 99.132 | 701.301 | -0.000 | 0.000 | 0.000 |
| -0.085 | -0.085 | -0.144 | 95.391 | -0.000 | 0.000 |
| -0.085 | -0.085 | -0.144 | -0.000 | 95.391 | 0.000 |
| 0.000 | 0.000 | 0.000 | 0.000 | -0.000 | 140.421 |
| 546.051 | 233.056 | 99.162 | -0.000 | -0.000 | -0.000 |
| 233.056 | 546.051 | 99.162 | 0.000 | 0.000 | -0.000 |
| 99.161 | 99.161 | 701.350 | 0.000 | -0.000 | -0.000 |
| 0.008 | 0.008 | 0.014 | 95.390 | -0.000 | -0.000 |
| 0.008 | 0.008 | 0.014 | 0.000 | 95.390 | -0.000 |
| 0.003 | 0.003 | 0.004 | -0.000 | -0.000 | 140.421 |
| 546.047 | 233.050 | 99.154 | 0.000 | -0.000 | 0.000 |
| 233.050 | 546.047 | 99.154 | -0.000 | 0.000 | 0.000 |
| 109.489 | 109.489 | 718.833 | -0.000 | -0.000 | 0.000 |
| -0.008 | -0.008 | -0.014 | 95.390 | 0.000 | 0.000 |
| -0.008 | -0.008 | -0.014 | 0.000 | 95.390 | 0.000 |
| -0.003 | -0.003 | -0.004 | 0.000 | -0.000 | 140.421 |
| 546.046 | 233.054 | 99.158 | 0.000 | 0.000 | -0.000 |
| 233.054 | 546.046 | 99.158 | 0.000 | -0.000 | -0.000 |
| 99.159 | 99.159 | 701.343 | 0.000 | -0.000 | -0.000 |
| 0.001 | 0.000 | 0.001 | 95.390 | 0.000 | -0.000 |
| 0.000 | 0.001 | 0.001 | -0.000 | 95.390 | -0.000 |
| -0.001 | -0.001 | 0.000 | 0.000 | 0.000 | 140.421 |
| 546.053 | 233.052 | 99.158 | -0.000 | -0.000 | 0.000 |
| 233.052 | 546.053 | 99.158 | 0.000 | -0.000 | 0.000 |
| 99.157 | 99.157 | 701.349 | -0.000 | -0.000 | -0.000 |
| -0.001 | -0.000 | -0.001 | 95.390 | -0.000 | 0.000 |
| -0.000 | -0.001 | -0.001 | 0.000 | 95.390 | 0.000 |
| 0.001 | 0.001 | -0.000 | 0.000 | -0.000 | 140.421 |
| 533.986 | 299.069 | 299.069 | -0.000 | -0.000 | -0.000 |
| 299.069 | 533.986 | 299.069 | -0.000 | -0.000 | -0.000 |
| 299.069 | 299.069 | 533.986 | 0.000 | -0.000 | -0.000 |
| -0.000 | 0.000 | -0.000 | 216.579 | -0.000 | 0.000 |
| 0.000 | 0.000 | -0.000 | -0.000 | 216.579 | 0.000 |
| 0.000 | 0.000 | -0.000 | 0.000 | -0.000 | 216.579 |
| 533.986 | 299.069 | 299.069 | 0.000 | 0.000 | 0.000 |
| 299.069 | 533.986 | 299.069 | 0.000 | 0.000 | 0.000 |
| 299.069 | 299.069 | 533.986 | 0.000 | 0.000 | -0.000 |
| 0.000 | -0.000 | -0.000 | 216.579 | 0.000 | 0.000 |
| -0.000 | 0.000 | 0.000 | -0.000 | 216.579 | -0.000 |
| -0.000 | -0.000 | 0.000 | 0.000 | 0.000 | 216.579 |
| 533.986 | 299.069 | 299.069 | -0.000 | -0.000 | -0.000 |
| 299.069 | 533.986 | 299.069 | -0.000 | -0.000 | -0.000 |
| 299.069 | 299.069 | 533.986 | -0.000 | -0.000 | -0.000 |
| -0.000 | 0.000 | 0.000 | 216.579 | 0.000 | 0.000 |
| 0.000 | -0.000 | 0.000 | -0.000 | 216.579 | 0.000 |
| 0.000 | 0.000 | -0.000 | 0.000 | -0.000 | 216.579 |
| 533.985 | 299.069 | 299.069 | 0.000 | 0.000 | 0.000 |
| 299.069 | 533.985 | 299.069 | 0.000 | 0.000 | 0.000 |
| 299.069 | 299.069 | 533.985 | -0.000 | 0.000 | 0.000 |
| 0.000 | -0.000 | -0.000 | 216.579 | -0.000 | 0.000 |
| -0.000 | 0.000 | -0.000 | 0.000 | 216.579 | -0.000 |
| -0.000 | -0.000 | 0.000 | -0.000 | 0.000 | 216.579 |
| 533.992 | 299.071 | 299.071 | -0.000 | -0.000 | -0.000 |
| 299.071 | 533.992 | 299.071 | -0.000 | -0.000 | -0.000 |
| 299.071 | 299.071 | 533.992 | 0.000 | 0.000 | 0.000 |
| -0.001 | 0.001 | 0.001 | 216.579 | -0.000 | 0.000 |
| 0.001 | -0.001 | 0.001 | 0.000 | 216.579 | -0.000 |
| 0.001 | 0.001 | -0.001 | -0.000 | 0.000 | 216.579 |
| 533.980 | 299.068 | 299.068 | 0.000 | 0.000 | 0.000 |
| 299.068 | 533.980 | 299.068 | 0.000 | 0.000 | 0.000 |
| 299.068 | 299.068 | 533.980 | -0.000 | 0.000 | 0.000 |
| 0.001 | -0.001 | -0.001 | 216.579 | 0.000 | 0.000 |
| -0.001 | 0.001 | -0.001 | 0.000 | 216.579 | 0.000 |
| -0.001 | -0.001 | 0.001 | 0.000 | 0.000 | 216.579 |
| 391.669 | -36.150 | -36.150 | -0.000 | 0.000 | 0.000 |
| -36.150 | 391.669 | -36.150 | 0.000 | -0.000 | 0.000 |
| -36.150 | -36.150 | 391.669 | 0.000 | 0.000 | -0.000 |
| 0.000 | 0.000 | -0.000 | -38.988 | 0.000 | 0.000 |
| 0.000 | 0.000 | -0.000 | 0.000 | -38.988 | 0.000 |
| 0.000 | 0.000 | -0.000 | 0.000 | 0.000 | -38.988 |
| 391.669 | -36.150 | -36.150 | -0.000 | -0.000 | -0.000 |
| -36.150 | 391.669 | -36.150 | -0.000 | -0.000 | -0.000 |
| -36.150 | -36.150 | 391.669 | 0.000 | -0.000 | -0.000 |
| -0.000 | 0.000 | 0.000 | -38.988 | -0.000 | 0.000 |
| -0.000 | -0.000 | 0.000 | -0.000 | -38.988 | -0.000 |
| -0.000 | -0.000 | 0.000 | -0.000 | -0.000 | -38.988 |
| 391.670 | -36.150 | -36.150 | 0.000 | 0.000 | 0.000 |
| -36.150 | 391.670 | -36.150 | 0.000 | 0.000 | 0.000 |
| -36.150 | -36.150 | 391.670 | -0.000 | 0.000 | -0.000 |
| -0.000 | 0.000 | -0.000 | -38.988 | 0.000 | 0.000 |
| 0.000 | -0.000 | -0.000 | 0.000 | -38.988 | 0.000 |
| 0.000 | -0.000 | -0.000 | -0.000 | 0.000 | -38.988 |
| 391.668 | -36.150 | -36.150 | -0.000 | -0.000 | 0.000 |
| -36.150 | 391.668 | -36.150 | -0.000 | 0.000 | 0.000 |
| -36.150 | -36.150 | 391.668 | -0.000 | -0.000 | 0.000 |
| 0.000 | -0.000 | 0.000 | -38.988 | -0.000 | 0.000 |
| -0.000 | 0.000 | 0.000 | -0.000 | -38.988 | -0.000 |
| -0.000 | 0.000 | 0.000 | 0.000 | -0.000 | -38.988 |
| 391.678 | -36.150 | -36.150 | 0.000 | 0.000 | -0.000 |
| -36.150 | 391.678 | -36.150 | 0.000 | 0.000 | -0.000 |
| -36.150 | -36.150 | 391.678 | 0.000 | 0.000 | 0.000 |
| -0.000 | 0.000 | -0.000 | -38.988 | -0.000 | 0.000 |
| 0.000 | -0.000 | -0.000 | 0.000 | -38.988 | 0.000 |
| 0.000 | -0.000 | -0.000 | 0.000 | 0.000 | -38.988 |
| 391.660 | -36.150 | -36.150 | 0.000 | 0.000 | 0.000 |
| -36.150 | 391.660 | -36.150 | -0.000 | 0.000 | 0.000 |
| -36.150 | -36.150 | 391.660 | 0.000 | 0.000 | -0.000 |
| 0.000 | -0.000 | 0.000 | -38.988 | 0.000 | 0.000 |
| -0.000 | 0.000 | 0.000 | 0.000 | -38.988 | -0.000 |
| -0.000 | 0.000 | 0.000 | -0.000 | -0.000 | -38.988 |
| 234.959 | 275.337 | 275.337 | 0.000 | -0.000 | 0.000 |
| 275.337 | 234.959 | 275.337 | 0.000 | 0.000 | 0.000 |
| 275.337 | 275.337 | 234.959 | 0.000 | -0.000 | 0.000 |
| -0.000 | 0.000 | 0.000 | 61.056 | -0.000 | 0.000 |
| 0.000 | -0.000 | 0.000 | 0.000 | 61.056 | 0.000 |
| 0.000 | 0.000 | -0.000 | 0.000 | -0.000 | 61.056 |
| 234.959 | 275.337 | 275.337 | -0.000 | -0.000 | -0.000 |
| 275.337 | 234.959 | 275.337 | -0.000 | 0.000 | -0.000 |
| 275.337 | 275.337 | 234.959 | -0.000 | 0.000 | -0.000 |
| 0.000 | -0.000 | -0.000 | 61.056 | 0.000 | -0.000 |
| -0.000 | 0.000 | -0.000 | -0.000 | 61.056 | -0.000 |
| -0.000 | -0.000 | 0.000 | -0.000 | 0.000 | 61.056 |
| 234.962 | 275.338 | 275.338 | 0.000 | -0.000 | 0.000 |
| 275.338 | 234.962 | 275.338 | 0.000 | -0.000 | 0.000 |
| 275.338 | 275.338 | 234.962 | 0.000 | -0.000 | 0.000 |
| -0.000 | 0.000 | 0.000 | 48.918 | 0.000 | 0.000 |
| 0.000 | -0.000 | 0.000 | 0.000 | 48.918 | 0.000 |
| 0.000 | 0.000 | -0.000 | 0.000 | 0.000 | 48.918 |
| 355.018 | 215.307 | 215.307 | -0.000 | 0.000 | -0.000 |
| 215.307 | 355.018 | 215.307 | -0.000 | 0.000 | -0.000 |
| 215.307 | 215.307 | 355.018 | -0.000 | 0.000 | -0.000 |
| 0.000 | -0.000 | -0.000 | 48.918 | -0.000 | -0.000 |
| -0.000 | 0.000 | -0.000 | -0.000 | 48.918 | -0.000 |
| -0.000 | -0.000 | 0.000 | -0.000 | 0.000 | 48.918 |
| 234.983 | 275.347 | 275.347 | 0.000 | -0.000 | 0.000 |
| 275.347 | 234.983 | 275.347 | 0.000 | -0.000 | 0.000 |
| 275.347 | 275.347 | 234.983 | 0.000 | 0.000 | 0.000 |
| -0.000 | 0.001 | 0.001 | 48.918 | -0.000 | 0.000 |
| 0.001 | -0.000 | 0.001 | 0.000 | 48.918 | 0.000 |
| 0.001 | 0.001 | -0.000 | 0.000 | -0.000 | 48.918 |
| 234.935 | 275.327 | 275.327 | -0.000 | -0.000 | -0.000 |
| 275.327 | 234.935 | 275.327 | -0.000 | -0.000 | -0.000 |
| 275.327 | 275.327 | 234.935 | -0.000 | 0.000 | -0.000 |
| 0.000 | -0.001 | -0.001 | 48.918 | 0.000 | -0.000 |
| -0.001 | 0.000 | -0.001 | -0.000 | 48.918 | -0.000 |
| -0.001 | -0.001 | 0.000 | -0.000 | -0.000 | 48.918 |
| 346.900 | 131.240 | 131.240 | -0.000 | 0.000 | -0.000 |
| 131.240 | 346.900 | 131.240 | -0.000 | -0.000 | -0.000 |
| 131.240 | 131.240 | 346.900 | -0.000 | -0.000 | -0.000 |
| 0.000 | 0.000 | 0.000 | 134.520 | 0.000 | -0.000 |
| 0.000 | 0.000 | 0.000 | -0.000 | 134.520 | -0.000 |
| 0.000 | 0.000 | 0.000 | -0.000 | 0.000 | 134.520 |
| 346.900 | 131.240 | 131.240 | 0.000 | -0.000 | 0.000 |
| 131.240 | 346.900 | 131.240 | 0.000 | 0.000 | 0.000 |
| 131.240 | 131.240 | 346.900 | 0.000 | -0.000 | 0.000 |
| -0.000 | -0.000 | -0.000 | 134.520 | 0.000 | 0.000 |
| -0.000 | -0.000 | -0.000 | 0.000 | 134.520 | 0.000 |
| -0.000 | -0.000 | -0.000 | 0.000 | -0.000 | 134.520 |
| 346.900 | 131.240 | 131.240 | -0.000 | -0.000 | -0.000 |
| 131.240 | 346.900 | 131.240 | -0.000 | 0.000 | -0.000 |
| 131.240 | 131.240 | 346.900 | -0.000 | 0.000 | -0.000 |
| 0.000 | 0.000 | 0.000 | 134.520 | 0.000 | -0.000 |
| 0.000 | 0.000 | 0.000 | -0.000 | 134.520 | -0.000 |
| 0.000 | 0.000 | 0.000 | -0.000 | 0.000 | 134.520 |
| 346.900 | 131.240 | 131.240 | 0.000 | -0.000 | 0.000 |
| 131.240 | 346.900 | 131.240 | 0.000 | 0.000 | 0.000 |
| 131.240 | 131.240 | 346.900 | 0.000 | -0.000 | 0.000 |
| -0.000 | -0.000 | -0.000 | 134.520 | -0.000 | 0.000 |
| -0.000 | -0.000 | -0.000 | 0.000 | 134.520 | 0.000 |
| -0.000 | -0.000 | -0.000 | 0.000 | -0.000 | 134.520 |
| 346.902 | 131.241 | 131.241 | -0.000 | 0.000 | -0.000 |
| 131.241 | 346.902 | 131.241 | -0.000 | -0.000 | -0.000 |
| 131.241 | 131.241 | 346.902 | -0.000 | -0.000 | -0.000 |
| 0.000 | 0.001 | 0.001 | 134.520 | 0.000 | -0.000 |
| 0.001 | 0.000 | 0.001 | 0.000 | 134.520 | -0.000 |
| 0.001 | 0.001 | 0.000 | -0.000 | 0.000 | 134.520 |
| 346.895 | 131.239 | 131.239 | 0.000 | 0.000 | 0.000 |
| 131.239 | 346.895 | 131.239 | 0.000 | -0.000 | 0.000 |
| 131.239 | 131.239 | 346.895 | 0.000 | -0.000 | 0.000 |
| -0.000 | -0.001 | -0.001 | 134.520 | -0.000 | 0.000 |
| -0.001 | -0.000 | -0.001 | 0.000 | 134.520 | 0.000 |
| -0.001 | -0.001 | -0.000 | 0.000 | -0.000 | 134.520 |
| -84.245 | 110.859 | 110.859 | 0.000 | -0.000 | 0.000 |
| 110.859 | -84.245 | 110.859 | 0.000 | -0.000 | 0.000 |
| 110.859 | 110.859 | -84.245 | -0.000 | 0.000 | 0.000 |
| -0.000 | -0.000 | -0.000 | -61.535 | 0.000 | -0.000 |
| -0.000 | -0.000 | 0.000 | 0.000 | -61.535 | 0.000 |
| -0.000 | 0.000 | -0.000 | 0.000 | 0.000 | -61.535 |
| -84.246 | 110.859 | 110.859 | -0.000 | -0.000 | -0.000 |
| 110.859 | -84.245 | 110.859 | -0.000 | -0.000 | -0.000 |
| 110.859 | 110.859 | -84.246 | -0.000 | -0.000 | -0.000 |
| 0.000 | 0.000 | -0.000 | -61.535 | -0.000 | -0.000 |
| 0.000 | 0.000 | -0.000 | -0.000 | -61.535 | -0.000 |
| 0.000 | 0.000 | 0.000 | -0.000 | -0.000 | -61.535 |
| -84.245 | 110.859 | 110.859 | 0.000 | 0.000 | 0.000 |
| 110.859 | -84.245 | 110.859 | 0.000 | 0.000 | 0.000 |
| 110.859 | 110.859 | -84.245 | 0.000 | 0.000 | 0.000 |
| -0.000 | 0.000 | 0.000 | 59.700 | -0.000 | 0.000 |
| 0.000 | -0.000 | 0.000 | -0.000 | 59.700 | -0.000 |
| 0.000 | 0.000 | -0.000 | -0.000 | -0.000 | 59.700 |
| -84.246 | 110.859 | 110.859 | 0.000 | 0.000 | 0.000 |
| 110.859 | -84.246 | 110.859 | 0.000 | -0.000 | -0.000 |
| 110.859 | 110.859 | -84.246 | -0.000 | -0.000 | -0.000 |
| 0.000 | -0.000 | -0.000 | 59.700 | 0.000 | 0.000 |
| -0.000 | 0.000 | -0.000 | 0.000 | 59.700 | 0.000 |
| -0.000 | -0.000 | 0.000 | 0.000 | 0.000 | 59.700 |
| -84.236 | 110.861 | 110.861 | 0.000 | -0.000 | -0.000 |
| 110.861 | -84.236 | 110.861 | 0.000 | 0.000 | -0.000 |
| 110.861 | 110.861 | -84.236 | -0.000 | -0.000 | 0.000 |
| 0.001 | 0.001 | 0.001 | -61.535 | 0.000 | 0.000 |
| 0.001 | 0.001 | 0.001 | 0.000 | -61.535 | 0.000 |
| 0.001 | 0.001 | 0.001 | -0.000 | 0.000 | -61.535 |
| -84.255 | 110.858 | 110.858 | -0.000 | -0.000 | -0.000 |
| 110.858 | -84.255 | 110.858 | -0.000 | -0.000 | -0.000 |
| 110.858 | 110.858 | -84.255 | -0.000 | -0.000 | -0.000 |
| -0.001 | -0.001 | -0.001 | -61.535 | -0.000 | -0.000 |
| -0.001 | -0.001 | -0.001 | -0.000 | -61.535 | -0.000 |
| -0.001 | -0.001 | -0.001 | -0.000 | -0.000 | -61.535 |
| 490.564 | 184.289 | 184.289 | -0.000 | -0.000 | -0.000 |
| 184.289 | 490.564 | 184.289 | -0.000 | -0.000 | -0.000 |
| 184.289 | 184.289 | 490.564 | -0.000 | -0.000 | -0.000 |
| -0.000 | -0.000 | -0.000 | 172.990 | 0.000 | -0.000 |
| -0.000 | -0.000 | -0.000 | 0.000 | 172.990 | -0.000 |
| -0.000 | -0.000 | 0.000 | -0.000 | 0.000 | 172.990 |
| 490.564 | 184.289 | 184.289 | 0.000 | 0.000 | 0.000 |
| 184.289 | 490.564 | 184.289 | 0.000 | 0.000 | 0.000 |
| 184.289 | 184.289 | 490.564 | 0.000 | 0.000 | 0.000 |
| 0.000 | 0.000 | 0.000 | 172.990 | -0.000 | 0.000 |
| 0.000 | 0.000 | 0.000 | 0.000 | 172.990 | 0.000 |
| 0.000 | 0.000 | -0.000 | 0.000 | -0.000 | 172.990 |
| 490.562 | 184.289 | 184.289 | -0.000 | 0.000 | -0.000 |
| 184.289 | 490.562 | 184.289 | -0.000 | 0.000 | -0.000 |
| 184.289 | 184.289 | 490.562 | 0.000 | 0.000 | -0.000 |
| 0.002 | -0.004 | -0.004 | -841.576 | -0.000 | -0.000 |
| -0.004 | 0.002 | -0.004 | -0.000 | -841.576 | -0.000 |
| -0.004 | -0.004 | 0.002 | -0.000 | 0.000 | -841.576 |
| 490.565 | 184.289 | 184.289 | 0.000 | -0.000 | 0.000 |
| 184.289 | 490.565 | 184.289 | 0.000 | -0.000 | 0.000 |
| 184.289 | 184.289 | 490.565 | 0.000 | -0.000 | 0.000 |
| -0.002 | 0.004 | 0.004 | -841.576 | 0.000 | 0.000 |
| 0.004 | -0.002 | 0.004 | 0.000 | -841.576 | 0.000 |
| 0.004 | 0.004 | -0.002 | 0.000 | -0.000 | -841.576 |
| 490.549 | 184.286 | 184.286 | -0.000 | 0.000 | -0.000 |
| 184.286 | 490.549 | 184.286 | -0.000 | -0.000 | -0.000 |
| 184.286 | 184.286 | 490.549 | 0.000 | 0.000 | -0.000 |
| 6532701.029 | 6333496.669 | 6111896.233 | 7614.291 | -33505.021 | -55123.883 |
| 6331264.870 | 6292077.287 | 5944874.553 | -57690.273 | -38489.119 | -4445.687 |
| 6523222.610 | 6273596.819 | 6549962.370 | -20631.297 | -51299.542 | -87283.284 |
| 490.578 | 184.292 | 184.292 | 0.000 | -0.000 | 0.000 |
| 184.292 | 490.578 | 184.292 | 0.000 | 0.000 | 0.000 |
| 184.292 | 184.292 | 490.578 | 0.000 | -0.000 | 0.000 |
| -1.444 | 2.440 | 2.457 | -8228.522 | 0.001 | 0.001 |
| -6167828.166 | -6136743.327 | -5971369.735 | -45418.689 | 14446.342 | 74029.924 |
| 2.441 | 2.457 | -1.444 | 0.001 | 0.001 | -8228.907 |
| 179.120 | -18.407 | -18.407 | -0.000 | -0.000 | 0.000 |
| -18.407 | 179.120 | -18.407 | -0.000 | -0.000 | 0.000 |
| -18.407 | -18.407 | 179.120 | -0.000 | -0.000 | 0.000 |
| 0.000 | -0.000 | -0.000 | -34.921 | 0.000 | 0.000 |
| -0.000 | -0.000 | -0.000 | -0.000 | -34.921 | 0.000 |
| -0.000 | -0.000 | 0.000 | -0.000 | -0.000 | -34.921 |
| 179.120 | -18.407 | -18.407 | 0.000 | 0.000 | -0.000 |
| -18.407 | 179.120 | -18.407 | 0.000 | 0.000 | -0.000 |
| -18.407 | -18.407 | 179.120 | 0.000 | 0.000 | -0.000 |
| -0.000 | 0.000 | 0.000 | -34.921 | -0.000 | -0.000 |
| 0.000 | 0.000 | 0.000 | 0.000 | -34.921 | -0.000 |
| 0.000 | 0.000 | -0.000 | 0.000 | 0.000 | -34.921 |
| 179.120 | -18.407 | -18.407 | -0.000 | -0.000 | 0.000 |
| -18.407 | 179.120 | -18.407 | -0.000 | -0.000 | 0.000 |
| -18.407 | -18.407 | 179.120 | -0.000 | -0.000 | 0.000 |
| 0.000 | -0.000 | -0.000 | -34.921 | -0.000 | 0.000 |
| -0.000 | 0.000 | -0.000 | -0.000 | -34.921 | 0.000 |
| -0.000 | -0.000 | 0.000 | -0.000 | -0.000 | -34.921 |
| 179.120 | -18.407 | -18.407 | 0.000 | 0.000 | -0.000 |
| -18.407 | 179.120 | -18.407 | 0.000 | 0.000 | -0.000 |
| -18.407 | -18.407 | 179.120 | 0.000 | 0.000 | -0.000 |
| -0.000 | 0.000 | 0.000 | -34.921 | 0.000 | -0.000 |
| 0.000 | -0.000 | 0.000 | 0.000 | -34.921 | 0.000 |
| 0.000 | 0.000 | -0.000 | 0.000 | 0.000 | -34.921 |
| 179.120 | -18.408 | -18.408 | -0.000 | -0.000 | 0.000 |
| -18.408 | 179.120 | -18.408 | -0.000 | -0.000 | 0.000 |
| -18.408 | -18.408 | 179.120 | -0.000 | -0.000 | 0.000 |
| 0.001 | -0.001 | -0.001 | -34.921 | 0.000 | 0.000 |
| -0.001 | 0.001 | -0.001 | 0.000 | -34.921 | 0.000 |
| -0.001 | -0.001 | 0.001 | -0.000 | -0.000 | -34.921 |
| 179.120 | -18.406 | -18.406 | 0.000 | 0.000 | -0.000 |
| -18.406 | 179.120 | -18.406 | 0.000 | 0.000 | -0.000 |
| -18.406 | -18.406 | 179.120 | 0.000 | 0.000 | -0.000 |
| -0.001 | 0.001 | 0.001 | -34.921 | 0.000 | -0.000 |
| 0.001 | -0.001 | 0.001 | -0.000 | -34.921 | -0.000 |
| 0.001 | 0.001 | -0.001 | 0.000 | 0.000 | -34.921 |
| 225.300 | 81.684 | 81.684 | -0.000 | -0.000 | 0.000 |
| 81.684 | 225.300 | 81.684 | -0.000 | -0.000 | 0.000 |
| 81.684 | 81.684 | 225.300 | -0.000 | -0.000 | 0.000 |
| -0.000 | -0.000 | -0.000 | -21.716 | -0.000 | -0.000 |
| -0.000 | -0.000 | -0.000 | -0.000 | -21.716 | 0.000 |
| -0.000 | -0.000 | -0.000 | -0.000 | -0.000 | -21.716 |
| 225.300 | 81.684 | 81.684 | 0.000 | 0.000 | -0.000 |
| 81.684 | 225.300 | 81.684 | 0.000 | 0.000 | -0.000 |
| 81.684 | 81.684 | 225.300 | 0.000 | 0.000 | -0.000 |
| 0.000 | 0.000 | 0.000 | -21.716 | 0.000 | 0.000 |
| 0.000 | 0.000 | 0.000 | 0.000 | -21.716 | 0.000 |
| 0.000 | 0.000 | 0.000 | 0.000 | 0.000 | -21.716 |
| 225.299 | 81.684 | 81.684 | -0.000 | -0.000 | 0.000 |
| 81.684 | 225.299 | 81.684 | -0.000 | -0.000 | 0.000 |
| 81.684 | 81.684 | 225.299 | -0.000 | -0.000 | 0.000 |
| -0.000 | -0.000 | -0.000 | -21.716 | -0.000 | 0.000 |
| -0.000 | -0.000 | -0.000 | -0.000 | -21.716 | 0.000 |
| -0.000 | -0.000 | -0.000 | -0.000 | -0.000 | -21.716 |
| 225.300 | 81.684 | 81.684 | 0.000 | 0.000 | -0.000 |
| 81.684 | 225.300 | 81.684 | 0.000 | 0.000 | -0.000 |
| 81.684 | 81.684 | 225.300 | 0.000 | 0.000 | -0.000 |
| 0.000 | 0.000 | 0.000 | -21.716 | 0.000 | -0.000 |
| 0.000 | 0.000 | 0.000 | 0.000 | -21.716 | -0.000 |
| 0.000 | 0.000 | 0.000 | 0.000 | 0.000 | -21.716 |
| 225.293 | 81.684 | 81.684 | -0.000 | -0.000 | 0.000 |
| 81.684 | 225.293 | 81.684 | -0.000 | -0.000 | 0.000 |
| 81.684 | 81.684 | 225.293 | -0.000 | -0.000 | 0.000 |
| -0.002 | -0.000 | -0.000 | -21.716 | -0.000 | -0.000 |
| -0.000 | -0.002 | -0.000 | -0.000 | -21.716 | 0.000 |
| -0.000 | -0.000 | -0.002 | -0.000 | -0.000 | -21.716 |
| 225.306 | 81.685 | 81.685 | 0.000 | 0.000 | -0.000 |
| 81.685 | 225.306 | 81.685 | 0.000 | 0.000 | -0.000 |
| 81.685 | 81.685 | 225.306 | 0.000 | 0.000 | -0.000 |
| 0.002 | 0.000 | 0.000 | -21.716 | 0.000 | 0.000 |
| 0.000 | 0.002 | 0.000 | 0.000 | -21.716 | 0.000 |
| 0.000 | 0.000 | 0.002 | 0.000 | 0.000 | -21.716 |
| 230.335 | 477.847 | 477.847 | 0.000 | 0.000 | -0.000 |
| 477.847 | 230.335 | 477.847 | 0.000 | 0.000 | -0.000 |
| 477.847 | 477.847 | 230.335 | 0.000 | -0.000 | -0.000 |
| -0.000 | 0.000 | 0.000 | 169.779 | -0.000 | -0.000 |
| 0.000 | -0.000 | 0.000 | -0.000 | 169.779 | -0.000 |
| 0.000 | 0.000 | 0.000 | 0.000 | 0.000 | 169.779 |
| 230.335 | 477.847 | 477.847 | -0.000 | -0.000 | 0.000 |
| 477.847 | 230.335 | 477.846 | -0.000 | 0.000 | 0.000 |
| 477.847 | 477.847 | 230.335 | -0.000 | 0.000 | 0.000 |
| 0.000 | 0.000 | -0.000 | 169.779 | -0.000 | 0.000 |
| -0.000 | -0.000 | -0.000 | -0.000 | 169.779 | 0.000 |
| -0.000 | -0.000 | -0.000 | -0.000 | -0.000 | 169.779 |
| 230.335 | 477.847 | 477.847 | 0.000 | 0.000 | -0.000 |
| 477.847 | 230.335 | 477.847 | -0.000 | 0.000 | -0.000 |
| 477.847 | 477.847 | 230.335 | -0.000 | -0.000 | -0.000 |
| -0.000 | 0.000 | 0.000 | 169.779 | -0.000 | -0.000 |
| 0.000 | -0.000 | 0.000 | 0.000 | 169.779 | -0.000 |
| 0.000 | 0.000 | -0.000 | 0.000 | 0.000 | 169.779 |
| 230.335 | 477.846 | 477.846 | -0.000 | 0.000 | -0.000 |
| 477.846 | 230.335 | 477.846 | -0.000 | -0.000 | 0.000 |
| 477.846 | 477.846 | 230.335 | -0.000 | 0.000 | 0.000 |
| 0.000 | -0.000 | -0.000 | 169.779 | -0.000 | 0.000 |
| -0.000 | 0.000 | -0.000 | -0.000 | 169.779 | 0.000 |
| -0.000 | -0.000 | 0.000 | -0.000 | 0.000 | 169.779 |
| 230.338 | 477.849 | 477.849 | 0.000 | 0.000 | -0.000 |
| 477.849 | 230.338 | 477.849 | 0.000 | 0.000 | -0.000 |
| 477.849 | 477.849 | 230.338 | 0.000 | -0.000 | -0.000 |
| -0.000 | 0.000 | 0.001 | 169.779 | 0.000 | -0.000 |
| 0.000 | -0.000 | 0.001 | 0.000 | 169.779 | -0.000 |
| 0.000 | 0.001 | -0.000 | 0.000 | 0.000 | 169.779 |
| 230.332 | 477.845 | 477.845 | -0.000 | 0.000 | -0.000 |
| 477.845 | 230.332 | 477.845 | -0.000 | -0.000 | 0.000 |
| 477.845 | 477.845 | 230.332 | -0.000 | -0.000 | 0.000 |
| 0.000 | -0.000 | -0.001 | 169.779 | -0.000 | 0.000 |
| -0.000 | 0.000 | -0.001 | -0.000 | 169.779 | 0.000 |
| -0.000 | -0.001 | 0.000 | -0.000 | -0.000 | 169.779 |
| 307.845 | 71.839 | 71.839 | -0.000 | -0.000 | -0.000 |
| 71.839 | 307.845 | 71.839 | -0.000 | -0.000 | -0.000 |
| 71.839 | 71.839 | 307.845 | -0.000 | -0.000 | -0.000 |
| -0.000 | -0.000 | -0.000 | 68.884 | -0.000 | -0.000 |
| -0.000 | -0.000 | -0.000 | -0.000 | 68.884 | -0.000 |
| -0.000 | -0.000 | -0.000 | -0.000 | -0.000 | 68.884 |
| 307.845 | 71.839 | 71.839 | 0.000 | 0.000 | 0.000 |
| 71.839 | 307.845 | 71.839 | 0.000 | 0.000 | 0.000 |
| 71.839 | 71.839 | 307.845 | 0.000 | 0.000 | 0.000 |
| 0.000 | 0.000 | 0.000 | 68.884 | 0.000 | 0.000 |
| 0.000 | 0.000 | 0.000 | 0.000 | 68.884 | 0.000 |
| 0.000 | 0.000 | 0.000 | 0.000 | 0.000 | 68.884 |
| 307.845 | 71.839 | 71.839 | -0.000 | -0.000 | -0.000 |
| 71.839 | 307.845 | 71.839 | -0.000 | -0.000 | -0.000 |
| 71.839 | 71.839 | 307.845 | -0.000 | -0.000 | -0.000 |
| -0.000 | -0.000 | -0.000 | 68.884 | -0.000 | -0.000 |
| -0.000 | -0.000 | -0.000 | -0.000 | 68.884 | -0.000 |
| -0.000 | -0.000 | -0.000 | -0.000 | -0.000 | 68.884 |
| 307.845 | 71.840 | 71.840 | 0.000 | 0.000 | 0.000 |
| 71.840 | 307.845 | 71.840 | 0.000 | 0.000 | 0.000 |
| 71.840 | 71.840 | 307.845 | 0.000 | 0.000 | 0.000 |
| 0.000 | 0.000 | 0.000 | 68.884 | 0.000 | 0.000 |
| 0.000 | 0.000 | 0.000 | 0.000 | 68.884 | 0.000 |
| 0.000 | 0.000 | 0.000 | 0.000 | 0.000 | 68.884 |
| 307.845 | 71.837 | 71.837 | -0.000 | -0.000 | -0.000 |
| 71.837 | 307.845 | 71.837 | -0.000 | -0.000 | -0.000 |
| 71.837 | 71.837 | 307.845 | -0.000 | -0.000 | -0.000 |
| -0.001 | -0.002 | -0.002 | 68.884 | -0.000 | -0.000 |
| -0.002 | -0.001 | -0.002 | -0.000 | 68.884 | -0.000 |
| -0.002 | -0.002 | -0.001 | -0.000 | -0.000 | 68.884 |
| 307.845 | 71.841 | 71.841 | 0.000 | 0.000 | -0.000 |
| 71.841 | 307.845 | 71.841 | 0.000 | 0.000 | 0.000 |
| 71.841 | 71.841 | 307.845 | 0.000 | 0.000 | 0.000 |
| 0.001 | 0.002 | 0.002 | 68.884 | 0.000 | 0.000 |
| 0.002 | 0.001 | 0.002 | 0.000 | 68.884 | 0.000 |
| 0.002 | 0.002 | 0.001 | 0.000 | 0.000 | 68.884 |
| 208.121 | 104.079 | 104.079 | 0.000 | 0.000 | -0.000 |
| 104.079 | 208.121 | 104.079 | 0.000 | 0.000 | 0.000 |
| 104.079 | 104.079 | 208.121 | 0.000 | 0.000 | 0.000 |
| -0.000 | 0.000 | 0.000 | 104.041 | -0.000 | -0.000 |
| 0.000 | -0.000 | 0.000 | -0.000 | 104.041 | -0.000 |
| 0.000 | 0.000 | -0.000 | -0.000 | -0.000 | 104.041 |
| 208.121 | 104.079 | 104.079 | -0.000 | -0.000 | 0.000 |
| 104.079 | 208.121 | 104.079 | -0.000 | 0.000 | 0.000 |
| 104.079 | 104.079 | 208.121 | -0.000 | 0.000 | -0.000 |
| 0.000 | -0.000 | -0.000 | 104.041 | 0.000 | -0.000 |
| -0.000 | 0.000 | -0.000 | -0.000 | 104.041 | 0.000 |
| -0.000 | -0.000 | 0.000 | 0.000 | -0.000 | 104.041 |
| 208.121 | 104.079 | 104.079 | 0.000 | -0.000 | 0.000 |
| 104.079 | 208.121 | 104.079 | -0.000 | 0.000 | -0.000 |
| 104.079 | 104.079 | 208.121 | 0.000 | -0.000 | 0.000 |
| -0.000 | 0.000 | 0.000 | 104.041 | 0.000 | -0.000 |
| 0.000 | -0.000 | 0.000 | 0.000 | 104.041 | -0.000 |
| 0.000 | 0.000 | -0.000 | 0.000 | -0.000 | 104.041 |
| 208.121 | 104.078 | 104.078 | -0.000 | 0.000 | 0.000 |
| 104.078 | 208.121 | 104.078 | -0.000 | 0.000 | 0.000 |
| 104.078 | 104.078 | 208.121 | -0.000 | 0.000 | 0.000 |
| 0.000 | -0.000 | -0.000 | 104.041 | -0.000 | -0.000 |
| -0.000 | 0.000 | -0.000 | -0.000 | 104.041 | 0.000 |
| -0.000 | -0.000 | 0.000 | -0.000 | -0.000 | 104.041 |
| 208.122 | 104.079 | 104.079 | 0.000 | -0.000 | -0.000 |
| 104.079 | 208.122 | 104.079 | -0.000 | 0.000 | -0.000 |
| 104.079 | 104.079 | 208.122 | 0.000 | -0.000 | -0.000 |
| -0.000 | 0.001 | 0.001 | 104.041 | 0.000 | 0.000 |
| 0.001 | -0.000 | 0.001 | 0.000 | 104.041 | -0.000 |
| 0.001 | 0.001 | -0.000 | 0.000 | -0.000 | 104.041 |
| 208.120 | 104.078 | 104.078 | -0.000 | 0.000 | 0.000 |
| 104.078 | 208.120 | 104.078 | 0.000 | -0.000 | -0.000 |
| 104.078 | 104.078 | 208.120 | 0.000 | 0.000 | 0.000 |
| 0.000 | -0.001 | -0.001 | 104.041 | 0.000 | 0.000 |
| -0.001 | 0.000 | -0.001 | -0.000 | 104.041 | -0.000 |
| -0.001 | -0.001 | 0.000 | 0.000 | 0.000 | 104.041 |
| 540.995 | 135.643 | 135.643 | 0.000 | -0.000 | 0.000 |
| 135.643 | 540.995 | 135.643 | -0.000 | -0.000 | 0.000 |
| 135.643 | 135.643 | 540.995 | -0.000 | -0.000 | 0.000 |
| -0.000 | 0.000 | 0.000 | -55.225 | 0.000 | 0.000 |
| -0.000 | -0.000 | 0.000 | -0.000 | -55.225 | 0.000 |
| -0.000 | 0.000 | -0.000 | -0.000 | 0.000 | -55.225 |
| 540.995 | 135.643 | 135.643 | -0.000 | 0.000 | -0.000 |
| 135.643 | 540.995 | 135.643 | 0.000 | 0.000 | -0.000 |
| 135.643 | 135.643 | 540.995 | 0.000 | 0.000 | 0.000 |
| 0.000 | -0.000 | -0.000 | -55.225 | 0.000 | -0.000 |
| 0.000 | 0.000 | -0.000 | 0.000 | -55.225 | -0.000 |
| 0.000 | -0.000 | 0.000 | 0.000 | 0.000 | -55.225 |
| 540.995 | 135.643 | 135.643 | -0.000 | -0.000 | 0.000 |
| 135.643 | 540.995 | 135.643 | -0.000 | -0.000 | 0.000 |
| 135.643 | 135.643 | 540.995 | 0.000 | 0.000 | 0.000 |
| -0.000 | 0.000 | 0.000 | -55.225 | -0.000 | 0.000 |
| 0.000 | -0.000 | 0.000 | 0.000 | -55.225 | 0.000 |
| 0.000 | 0.000 | -0.000 | -0.000 | 0.000 | -55.225 |
| 540.995 | 135.643 | 135.643 | -0.000 | -0.000 | 0.000 |
| 135.643 | 540.995 | 135.643 | -0.000 | 0.000 | 0.000 |
| 135.643 | 135.643 | 540.995 | 0.000 | -0.000 | -0.000 |
| 0.000 | -0.000 | -0.000 | -55.225 | -0.000 | 0.000 |
| -0.000 | 0.000 | -0.000 | 0.000 | -55.225 | -0.000 |
| -0.000 | -0.000 | 0.000 | 0.000 | 0.000 | -55.225 |
| 540.993 | 135.643 | 135.643 | -0.000 | 0.000 | 0.000 |
| 135.643 | 540.993 | 135.643 | -0.000 | -0.000 | -0.000 |
| 135.643 | 135.643 | 540.993 | -0.000 | 0.000 | -0.000 |
| -0.001 | 0.001 | 0.001 | -55.225 | -0.000 | 0.000 |
| 0.001 | -0.001 | 0.001 | 0.000 | -55.225 | 0.000 |
| 0.001 | 0.001 | -0.001 | 0.000 | -0.000 | -55.225 |
| 540.997 | 135.643 | 135.643 | 0.000 | -0.000 | -0.000 |
| 135.643 | 540.997 | 135.643 | 0.000 | -0.000 | -0.000 |
| 135.643 | 135.643 | 540.997 | -0.000 | -0.000 | -0.000 |
| 0.001 | -0.001 | -0.001 | -55.225 | 0.000 | -0.000 |
| -0.001 | 0.001 | -0.001 | -0.000 | -55.225 | -0.000 |
| -0.001 | -0.001 | 0.001 | -0.000 | 0.000 | -55.225 |
| 193.344 | 5.415 | 5.415 | -0.000 | -0.000 | -0.000 |
| 5.415 | 193.344 | 5.415 | -0.000 | 0.000 | -0.000 |
| 5.415 | 5.415 | 193.344 | 0.000 | 0.000 | -0.000 |
| -0.000 | 0.000 | 0.000 | 8.389 | -0.000 | 0.000 |
| 0.000 | 0.000 | 0.000 | -0.000 | 8.389 | -0.000 |
| 0.000 | 0.000 | 0.000 | -0.000 | -0.000 | 8.389 |
| 193.343 | 5.415 | 5.415 | 0.000 | 0.000 | 0.000 |
| 5.415 | 193.343 | 5.415 | 0.000 | 0.000 | 0.000 |
| 5.415 | 5.415 | 193.343 | -0.000 | -0.000 | -0.000 |
| 0.000 | -0.000 | -0.000 | 8.389 | 0.000 | 0.000 |
| -0.000 | -0.000 | -0.000 | 0.000 | 8.389 | 0.000 |
| -0.000 | -0.000 | -0.000 | 0.000 | 0.000 | 8.389 |
| 193.344 | 5.416 | 5.416 | -0.000 | -0.000 | -0.000 |
| 5.416 | 193.344 | 5.416 | -0.000 | 0.000 | -0.000 |
| 5.416 | 5.416 | 193.344 | -0.000 | -0.000 | -0.000 |
| 0.000 | 0.000 | 0.000 | 8.389 | 0.000 | 0.000 |
| 0.000 | 0.000 | 0.000 | -0.000 | 8.389 | -0.000 |
| 0.000 | 0.000 | 0.000 | -0.000 | -0.000 | 8.389 |
| 193.343 | 5.415 | 5.415 | 0.000 | -0.000 | 0.000 |
| 5.415 | 193.343 | 5.415 | 0.000 | -0.000 | 0.000 |
| 5.415 | 5.415 | 193.343 | -0.000 | -0.000 | 0.000 |
| -0.000 | -0.000 | -0.000 | 8.389 | -0.000 | 0.000 |
| -0.000 | -0.000 | -0.000 | 0.000 | 8.389 | 0.000 |
| -0.000 | -0.000 | -0.000 | 0.000 | 0.000 | 8.389 |
| 193.349 | 5.417 | 5.417 | -0.000 | 0.000 | -0.000 |
| 5.417 | 193.349 | 5.417 | -0.000 | 0.000 | -0.000 |
| 5.417 | 5.417 | 193.349 | 0.000 | 0.000 | -0.000 |
| 0.000 | 0.001 | 0.001 | 8.389 | -0.000 | 0.000 |
| 0.001 | 0.000 | 0.001 | -0.000 | 8.389 | 0.000 |
| 0.001 | 0.001 | 0.000 | -0.000 | 0.000 | 8.389 |
| 193.338 | 5.414 | 5.414 | 0.000 | 0.000 | 0.000 |
| 5.414 | 193.338 | 5.414 | 0.000 | 0.000 | 0.000 |
| 5.414 | 5.414 | 193.338 | 0.000 | -0.000 | 0.000 |
| -0.000 | -0.001 | -0.001 | 8.389 | 0.000 | 0.000 |
| -0.001 | -0.000 | -0.001 | -0.000 | 8.389 | 0.000 |
| -0.001 | -0.001 | -0.000 | 0.000 | 0.000 | 8.389 |
| -1.951 | 22.760 | 22.760 | -0.000 | 0.000 | -0.000 |
| 22.760 | -1.951 | 22.760 | 0.000 | -0.000 | 0.000 |
| 22.760 | 22.760 | -1.951 | 0.000 | 0.000 | 0.000 |
| -0.000 | -0.000 | -0.000 | -0.000 | 0.000 | 0.000 |
| -0.000 | -0.000 | -0.000 | -0.000 | -0.000 | 0.000 |
| -0.000 | -0.000 | -0.000 | -0.000 | -0.000 | -0.000 |
| -1.951 | 22.760 | 22.760 | 0.000 | -0.000 | -0.000 |
| 22.760 | -1.951 | 22.760 | -0.000 | 0.000 | 0.000 |
| 22.760 | 22.760 | -1.951 | -0.000 | -0.000 | -0.000 |
| 0.000 | 0.000 | 0.000 | -0.000 | -0.000 | -0.000 |
| 0.000 | 0.000 | 0.000 | 0.000 | -0.000 | -0.000 |
| 0.000 | 0.000 | 0.000 | 0.000 | -0.000 | -0.000 |
| -1.951 | 22.760 | 22.760 | 0.000 | -0.000 | 0.000 |
| 22.760 | -1.951 | 22.760 | -0.000 | 0.000 | -0.000 |
| 22.760 | 22.760 | -1.951 | -0.000 | -0.000 | 0.000 |
| -0.000 | -0.000 | 0.000 | -0.000 | -0.000 | 0.000 |
| -0.000 | -0.000 | 0.000 | -0.000 | -0.000 | 0.000 |
| -0.000 | 0.000 | -0.000 | -0.000 | 0.000 | -0.000 |
| -1.951 | 22.760 | 22.760 | 0.000 | -0.000 | 0.000 |
| 22.760 | -1.951 | 22.760 | -0.000 | 0.000 | 0.000 |
| 22.760 | 22.760 | -1.951 | -0.000 | 0.000 | 0.000 |
| 0.000 | 0.000 | -0.000 | -0.000 | -0.000 | 0.000 |
| 0.000 | 0.000 | -0.000 | 0.000 | -0.000 | -0.000 |
| 0.000 | -0.000 | 0.000 | -0.000 | 0.000 | -0.000 |
| -1.949 | 22.761 | 22.761 | 0.000 | -0.000 | 0.000 |
| 22.761 | -1.949 | 22.761 | -0.000 | 0.000 | -0.000 |
| 22.761 | 22.761 | -1.949 | -0.000 | -0.000 | 0.000 |
| -0.000 | -0.000 | 0.000 | -0.000 | -0.000 | 0.000 |
| -0.000 | -0.000 | 0.000 | 0.000 | -0.000 | -0.000 |
| -0.000 | 0.000 | -0.000 | -0.000 | -0.000 | -0.000 |
| -1.952 | 22.760 | 22.760 | 0.000 | 0.000 | -0.000 |
| 22.760 | -1.952 | 22.760 | 0.000 | 0.000 | -0.000 |
| 22.760 | 22.760 | -1.952 | 0.000 | 0.000 | -0.000 |
| 0.000 | 0.000 | -0.000 | -0.000 | 0.000 | -0.000 |
| 0.000 | 0.000 | -0.000 | 0.000 | -0.000 | 0.000 |
| 0.000 | -0.000 | 0.000 | 0.000 | -0.000 | -0.000 |
| -2.405 | 6.843 | 6.843 | -0.000 | -0.000 | 0.000 |
| 6.843 | -2.405 | 6.843 | 0.000 | -0.000 | -0.000 |
| 6.843 | 6.843 | -2.405 | -0.000 | -0.000 | 0.000 |
| -0.000 | -0.000 | -0.000 | 0.000 | -0.000 | 0.000 |
| -0.000 | -0.000 | -0.000 | -0.000 | 0.000 | -0.000 |
| -0.000 | -0.000 | -0.000 | -0.000 | -0.000 | 0.000 |
| -2.405 | 6.843 | 6.843 | 0.000 | -0.000 | 0.000 |
| 6.843 | -2.405 | 6.843 | -0.000 | 0.000 | -0.000 |
| 6.843 | 6.843 | -2.405 | 0.000 | 0.000 | 0.000 |
| 0.000 | 0.000 | 0.000 | 0.000 | 0.000 | -0.000 |
| 0.000 | 0.000 | 0.000 | -0.000 | 0.000 | -0.000 |
| 0.000 | 0.000 | 0.000 | 0.000 | 0.000 | 0.000 |
| -2.405 | 6.843 | 6.843 | -0.000 | 0.000 | 0.000 |
| 6.843 | -2.405 | 6.843 | 0.000 | -0.000 | 0.000 |
| 6.843 | 6.843 | -2.405 | 0.000 | 0.000 | -0.000 |
| -0.000 | -0.000 | 0.000 | -0.000 | -0.000 | -0.000 |
| -0.000 | -0.000 | 0.000 | 0.000 | -0.000 | -0.000 |
| -0.000 | 0.000 | -0.000 | -0.000 | -0.000 | -0.000 |
| -2.405 | 6.843 | 6.843 | -0.000 | 0.000 | 0.000 |
| 6.843 | -2.405 | 6.843 | 0.000 | 0.000 | 0.000 |
| 6.843 | 6.843 | -2.405 | 0.000 | -0.000 | 0.000 |
| 0.000 | 0.000 | -0.000 | -0.000 | 0.000 | -0.000 |
| 0.000 | 0.000 | -0.000 | 0.000 | -0.000 | -0.000 |
| 0.000 | -0.000 | 0.000 | 0.000 | 0.000 | -0.000 |
| -2.405 | 6.843 | 6.843 | 0.000 | -0.000 | 0.000 |
| 6.843 | -2.405 | 6.843 | -0.000 | 0.000 | -0.000 |
| 6.843 | 6.843 | -2.405 | 0.000 | 0.000 | -0.000 |
| -0.000 | -0.000 | 0.000 | -0.000 | 0.000 | -0.000 |
| -0.000 | -0.000 | 0.000 | 0.000 | -0.000 | 0.000 |
| -0.000 | 0.000 | -0.000 | -0.000 | 0.000 | -0.000 |
| -2.404 | 6.843 | 6.843 | -0.000 | -0.000 | 0.000 |
| 6.843 | -2.404 | 6.843 | 0.000 | -0.000 | -0.000 |
| 6.843 | 6.843 | -2.404 | 0.000 | -0.000 | -0.000 |
| 0.000 | 0.000 | -0.000 | -0.000 | -0.000 | -0.000 |
| 0.000 | 0.000 | -0.000 | -0.000 | -0.000 | -0.000 |
| 0.000 | -0.000 | 0.000 | -0.000 | 0.000 | -0.000 |
| 287.820 | 123.599 | 123.599 | 0.000 | 0.000 | 0.000 |
| 123.599 | 287.820 | 123.599 | 0.000 | 0.000 | 0.000 |
| 123.599 | 123.599 | 287.820 | -0.000 | 0.000 | 0.000 |
| -0.000 | -0.000 | -0.000 | 131.094 | 0.000 | 0.000 |
| -0.000 | -0.000 | -0.000 | 0.000 | 131.094 | 0.000 |
| -0.000 | -0.000 | -0.000 | 0.000 | 0.000 | 131.094 |
| 287.820 | 123.599 | 123.599 | -0.000 | -0.000 | -0.000 |
| 123.599 | 287.820 | 123.599 | -0.000 | -0.000 | -0.000 |
| 123.599 | 123.599 | 287.820 | 0.000 | -0.000 | -0.000 |
| 0.000 | 0.000 | 0.000 | 131.094 | 0.000 | -0.000 |
| 0.000 | 0.000 | 0.000 | 0.000 | 131.094 | -0.000 |
| 0.000 | 0.000 | 0.000 | -0.000 | -0.000 | 131.094 |
| 287.820 | 123.599 | 123.599 | 0.000 | 0.000 | 0.000 |
| 123.599 | 287.820 | 123.599 | 0.000 | 0.000 | 0.000 |
| 123.599 | 123.599 | 287.820 | 0.000 | 0.000 | 0.000 |
| -0.000 | -0.000 | -0.000 | 131.094 | 0.000 | 0.000 |
| -0.000 | -0.000 | -0.000 | -0.000 | 131.094 | 0.000 |
| -0.000 | -0.000 | -0.000 | 0.000 | 0.000 | 131.094 |
| 287.821 | 123.599 | 123.599 | 0.000 | -0.000 | -0.000 |
| 123.599 | 287.821 | 123.599 | -0.000 | -0.000 | -0.000 |
| 123.599 | 123.599 | 287.821 | -0.000 | -0.000 | -0.000 |
| 0.000 | 0.000 | 0.000 | 131.094 | -0.000 | -0.000 |
| 0.000 | 0.000 | 0.000 | -0.000 | 131.094 | -0.000 |
| 0.000 | 0.000 | 0.000 | -0.000 | -0.000 | 131.094 |
| 287.812 | 123.598 | 123.598 | 0.000 | 0.000 | 0.000 |
| 123.598 | 287.812 | 123.598 | 0.000 | 0.000 | 0.000 |
| 123.598 | 123.598 | 287.812 | 0.000 | 0.000 | 0.000 |
| -0.000 | -0.001 | -0.000 | 131.094 | 0.000 | 0.000 |
| -0.001 | -0.000 | -0.000 | 0.000 | 131.094 | 0.000 |
| -0.001 | -0.000 | -0.000 | -0.000 | 0.000 | 131.094 |
| 287.828 | 123.600 | 123.600 | -0.000 | -0.000 | -0.000 |
| 123.600 | 287.828 | 123.600 | -0.000 | -0.000 | -0.000 |
| 123.600 | 123.600 | 287.828 | -0.000 | -0.000 | -0.000 |
| 0.000 | 0.001 | 0.000 | 131.094 | -0.000 | -0.000 |
| 0.001 | 0.000 | 0.000 | -0.000 | 131.094 | -0.000 |
| 0.001 | 0.000 | 0.000 | 0.000 | -0.000 | 131.094 |
| 382.106 | -43.056 | -43.056 | 0.000 | 0.000 | -0.000 |
| -43.056 | 382.106 | -43.056 | 0.000 | 0.000 | 0.000 |
| -43.056 | -43.056 | 382.106 | 0.000 | 0.000 | -0.000 |
| -0.000 | -0.000 | -0.000 | -43.204 | 0.000 | -0.000 |
| -0.000 | -0.000 | -0.000 | 0.000 | -43.204 | -0.000 |
| -0.000 | -0.000 | -0.000 | 0.000 | 0.000 | -43.204 |
| 382.106 | -43.056 | -43.056 | -0.000 | -0.000 | 0.000 |
| -43.056 | 382.106 | -43.056 | -0.000 | -0.000 | -0.000 |
| -43.056 | -43.056 | 382.106 | -0.000 | -0.000 | 0.000 |
| 0.000 | 0.000 | 0.000 | -43.204 | -0.000 | 0.000 |
| 0.000 | 0.000 | 0.000 | -0.000 | -43.204 | 0.000 |
| 0.000 | 0.000 | 0.000 | -0.000 | -0.000 | -43.204 |
| 382.105 | -43.056 | -43.056 | 0.000 | 0.000 | -0.000 |
| -43.056 | 382.105 | -43.056 | -0.000 | 0.000 | -0.000 |
| -43.056 | -43.056 | 382.105 | -0.000 | 0.000 | -0.000 |
| -0.000 | -0.000 | -0.000 | -43.204 | 0.000 | 0.000 |
| -0.000 | -0.000 | -0.000 | 0.000 | -43.204 | -0.000 |
| -0.000 | -0.000 | -0.000 | 0.000 | 0.000 | -43.204 |
| 382.106 | -43.056 | -43.056 | -0.000 | -0.000 | 0.000 |
| -43.056 | 382.106 | -43.056 | -0.000 | -0.000 | 0.000 |
| -43.056 | -43.056 | 382.106 | -0.000 | -0.000 | 0.000 |
| 0.000 | 0.000 | 0.000 | -43.204 | -0.000 | 0.000 |
| 0.000 | 0.000 | 0.000 | -0.000 | -43.204 | 0.000 |
| 0.000 | 0.000 | 0.000 | -0.000 | -0.000 | -43.204 |
| 382.102 | -43.056 | -43.056 | 0.000 | -0.000 | -0.000 |
| -43.056 | 382.102 | -43.056 | 0.000 | 0.000 | 0.000 |
| -43.056 | -43.056 | 382.102 | 0.000 | 0.000 | -0.000 |
| -0.000 | -0.000 | -0.000 | -43.204 | 0.000 | 0.000 |
| -0.000 | -0.000 | -0.000 | 0.000 | -43.204 | -0.000 |
| -0.000 | -0.000 | -0.000 | 0.000 | 0.000 | -43.204 |
| 382.110 | -43.056 | -43.056 | -0.000 | -0.000 | 0.000 |
| -43.056 | 382.110 | -43.056 | -0.000 | -0.000 | 0.000 |
| -43.056 | -43.056 | 382.110 | -0.000 | -0.000 | 0.000 |
| 0.000 | 0.000 | 0.000 | -43.204 | -0.000 | 0.000 |
| 0.000 | 0.000 | 0.000 | -0.000 | -43.204 | 0.000 |
| 0.000 | 0.000 | 0.000 | -0.000 | -0.000 | -43.204 |
| 282.207 | 76.678 | 76.678 | -0.000 | -0.000 | -0.000 |
| 76.678 | 282.207 | 76.678 | -0.000 | 0.000 | -0.000 |
| 76.678 | 76.678 | 282.207 | 0.000 | 0.000 | 0.000 |
| 0.000 | 0.000 | 0.000 | 8.512 | 0.000 | -0.000 |
| 0.000 | 0.000 | 0.000 | 0.000 | 8.512 | -0.000 |
| 0.000 | 0.000 | 0.000 | 0.000 | 0.000 | 8.512 |
| 282.207 | 76.678 | 76.678 | -0.000 | -0.000 | 0.000 |
| 76.678 | 282.207 | 76.678 | -0.000 | -0.000 | 0.000 |
| 76.678 | 76.678 | 282.207 | 0.000 | -0.000 | 0.000 |
| -0.000 | -0.000 | -0.000 | 8.512 | -0.000 | 0.000 |
| -0.000 | -0.000 | -0.000 | 0.000 | 8.512 | 0.000 |
| -0.000 | -0.000 | -0.000 | -0.000 | -0.000 | 8.512 |
| 282.207 | 76.678 | 76.678 | 0.000 | 0.000 | -0.000 |
| 76.678 | 282.207 | 76.678 | 0.000 | 0.000 | -0.000 |
| 76.678 | 76.678 | 282.207 | 0.000 | 0.000 | -0.000 |
| -0.000 | -0.000 | -0.000 | 8.512 | 0.000 | -0.000 |
| -0.000 | -0.000 | -0.000 | 0.000 | 8.512 | -0.000 |
| -0.000 | -0.000 | -0.000 | 0.000 | 0.000 | 8.512 |
| 282.208 | 76.679 | 76.679 | -0.000 | -0.000 | 0.000 |
| 76.679 | 282.208 | 76.679 | -0.000 | -0.000 | -0.000 |
| 76.679 | 76.679 | 282.208 | 0.000 | -0.000 | 0.000 |
| 0.000 | 0.000 | 0.000 | 8.512 | -0.000 | 0.000 |
| 0.000 | 0.000 | 0.000 | -0.000 | 8.512 | 0.000 |
| 0.000 | 0.000 | 0.000 | -0.000 | -0.000 | 8.512 |
| 282.204 | 76.678 | 76.678 | 0.000 | 0.000 | 0.000 |
| 76.678 | 282.204 | 76.678 | 0.000 | 0.000 | -0.000 |
| 76.678 | 76.678 | 282.204 | -0.000 | -0.000 | 0.000 |
| -0.000 | -0.000 | -0.000 | 8.512 | 0.000 | -0.000 |
| -0.000 | -0.000 | -0.000 | -0.000 | 8.512 | -0.000 |
| -0.000 | -0.000 | -0.000 | 0.000 | 0.000 | 8.512 |
| 282.211 | 76.679 | 76.679 | 0.000 | 0.000 | -0.000 |
| 76.679 | 282.211 | 76.679 | 0.000 | -0.000 | 0.000 |
| 76.679 | 76.679 | 282.211 | 0.000 | -0.000 | 0.000 |
| 0.000 | 0.000 | 0.000 | 8.512 | -0.000 | 0.000 |
| 0.000 | 0.000 | 0.000 | -0.000 | 8.512 | 0.000 |
| 0.000 | 0.000 | 0.000 | -0.000 | -0.000 | 8.512 |
| 150.505 | -1.675 | -1.675 | 0.000 | 0.000 | 0.000 |
| -1.675 | 150.505 | -1.675 | 0.000 | 0.000 | 0.000 |
| -1.675 | -1.675 | 150.505 | 0.000 | 0.000 | 0.000 |
| -0.000 | -0.000 | -0.000 | -4.346 | 0.000 | -0.000 |
| -0.000 | -0.000 | -0.000 | 0.000 | -4.346 | 0.000 |
| -0.000 | -0.000 | -0.000 | 0.000 | 0.000 | -4.346 |
| 150.505 | -1.675 | -1.675 | -0.000 | -0.000 | -0.000 |
| -1.675 | 150.505 | -1.675 | -0.000 | -0.000 | 0.000 |
| -1.675 | -1.675 | 150.505 | -0.000 | -0.000 | -0.000 |
| 0.000 | 0.000 | 0.000 | -4.346 | -0.000 | -0.000 |
| 0.000 | 0.000 | 0.000 | -0.000 | -4.346 | -0.000 |
| 0.000 | 0.000 | 0.000 | -0.000 | -0.000 | -4.346 |
| 150.505 | -1.675 | -1.675 | 0.000 | 0.000 | -0.000 |
| -1.675 | 150.505 | -1.675 | 0.000 | 0.000 | 0.000 |
| -1.675 | -1.675 | 150.505 | 0.000 | 0.000 | -0.000 |
| -0.000 | -0.000 | -0.000 | -4.346 | -0.000 | 0.000 |
| -0.000 | -0.000 | -0.000 | 0.000 | -4.346 | 0.000 |
| -0.000 | -0.000 | -0.000 | 0.000 | 0.000 | -4.346 |
| 150.505 | -1.675 | -1.675 | -0.000 | -0.000 | 0.000 |
| -1.675 | 150.505 | -1.675 | -0.000 | -0.000 | -0.000 |
| -1.675 | -1.675 | 150.505 | -0.000 | -0.000 | 0.000 |
| 0.000 | 0.000 | 0.000 | -4.346 | 0.000 | 0.000 |
| 0.000 | 0.000 | 0.000 | 0.000 | -4.346 | -0.000 |
| 0.000 | 0.000 | 0.000 | -0.000 | -0.000 | -4.346 |
| 150.505 | -1.675 | -1.675 | 0.000 | 0.000 | 0.000 |
| -1.675 | 150.505 | -1.675 | 0.000 | 0.000 | -0.000 |
| -1.675 | -1.675 | 150.505 | 0.000 | 0.000 | 0.000 |
| -0.000 | -0.000 | -0.000 | -4.346 | -0.000 | -0.000 |
| -0.000 | -0.000 | -0.000 | -0.000 | -4.346 | 0.000 |
| -0.000 | -0.000 | -0.000 | 0.000 | 0.000 | -4.346 |
| 150.505 | -1.675 | -1.675 | -0.000 | -0.000 | -0.000 |
| -1.675 | 150.505 | -1.675 | -0.000 | 0.000 | -0.000 |
| -1.675 | -1.675 | 150.505 | -0.000 | -0.000 | -0.000 |
| 0.000 | 0.000 | 0.000 | -4.346 | 0.000 | -0.000 |
| 0.000 | 0.000 | 0.000 | 0.000 | -4.346 | -0.000 |
| 0.000 | 0.000 | 0.000 | -0.000 | -0.000 | -4.346 |
| 472.104 | 250.024 | 250.024 | -0.000 | -0.000 | -0.000 |
| 250.024 | 472.104 | 250.024 | -0.000 | -0.000 | -0.000 |
| 250.024 | 250.024 | 472.104 | -0.000 | 0.000 | -0.000 |
| 0.000 | 0.000 | 0.000 | 188.767 | -0.000 | -0.000 |
| 0.000 | -0.000 | 0.000 | -0.000 | 188.767 | -0.000 |
| 0.000 | 0.000 | -0.000 | -0.000 | -0.000 | 188.767 |
| 472.104 | 250.024 | 250.024 | 0.000 | 0.000 | 0.000 |
| 250.024 | 472.104 | 250.024 | 0.000 | 0.000 | 0.000 |
| 250.024 | 250.024 | 472.104 | 0.000 | 0.000 | 0.000 |
| -0.000 | -0.000 | -0.000 | 188.767 | 0.000 | 0.000 |
| -0.000 | 0.000 | -0.000 | 0.000 | 188.767 | 0.000 |
| -0.000 | -0.000 | 0.000 | 0.000 | 0.000 | 188.767 |
| 472.104 | 250.024 | 250.024 | -0.000 | -0.000 | -0.000 |
| 250.024 | 472.104 | 250.024 | -0.000 | -0.000 | -0.000 |
| 250.024 | 250.024 | 472.104 | -0.000 | -0.000 | -0.000 |
| 0.000 | 0.000 | 0.000 | 188.767 | -0.000 | -0.000 |
| 0.000 | 0.000 | 0.000 | -0.000 | 188.767 | -0.000 |
| 0.000 | 0.000 | 0.000 | -0.000 | -0.000 | 188.767 |
| 472.103 | 250.024 | 250.024 | 0.000 | 0.000 | 0.000 |
| 250.024 | 472.103 | 250.024 | 0.000 | 0.000 | 0.000 |
| 250.024 | 250.024 | 472.103 | 0.000 | 0.000 | 0.000 |
| -0.000 | -0.000 | -0.000 | 188.767 | 0.000 | 0.000 |
| -0.000 | -0.000 | -0.000 | 0.000 | 188.767 | 0.000 |
| -0.000 | -0.000 | -0.000 | 0.000 | 0.000 | 188.767 |
| 472.108 | 250.025 | 250.025 | -0.000 | -0.000 | -0.000 |
| 250.025 | 472.108 | 250.025 | -0.000 | -0.000 | -0.000 |
| 250.025 | 250.025 | 472.108 | -0.000 | -0.000 | -0.000 |
| 0.000 | 0.001 | 0.002 | 188.767 | -0.000 | -0.000 |
| 0.001 | 0.000 | 0.002 | -0.000 | 188.767 | -0.000 |
| 0.001 | 0.002 | 0.000 | -0.000 | -0.000 | 188.767 |
| 472.100 | 250.022 | 250.022 | 0.000 | 0.000 | 0.000 |
| 250.022 | 472.100 | 250.022 | 0.000 | 0.000 | 0.000 |
| 250.022 | 250.022 | 472.100 | 0.000 | 0.000 | 0.000 |
| -0.000 | -0.001 | -0.002 | 188.767 | 0.000 | 0.000 |
| -0.001 | -0.000 | -0.002 | 0.000 | 188.767 | 0.000 |
| -0.001 | -0.002 | -0.000 | 0.000 | 0.000 | 188.767 |
| 12.702 | 12.702 | 12.702 | 0.000 | 0.000 | 0.000 |
| 12.702 | 12.702 | 12.702 | 0.000 | 0.000 | 0.000 |
| 12.702 | 12.702 | 12.702 | 0.000 | 0.000 | 0.000 |
| 0.000 | 0.000 | 0.000 | 0.000 | 0.000 | 0.000 |
| 0.000 | 0.000 | 0.000 | 0.000 | 0.000 | 0.000 |
| -0.000 | -0.000 | -0.000 | 0.000 | 0.000 | 0.000 |
| 12.702 | 12.702 | 12.702 | 0.000 | -0.000 | -0.000 |
| 12.702 | 12.702 | 12.702 | -0.000 | 0.000 | -0.000 |
| 12.702 | 12.702 | 12.702 | -0.000 | -0.000 | 0.000 |
| 0.000 | 0.000 | 0.000 | -0.000 | -0.000 | -0.000 |
| 0.000 | 0.000 | 0.000 | -0.000 | -0.000 | -0.000 |
| 0.000 | 0.000 | 0.000 | -0.000 | -0.000 | -0.000 |
| 12.702 | 12.702 | 12.702 | 0.000 | 0.000 | 0.000 |
| 12.702 | 12.702 | 12.702 | 0.000 | 0.000 | 0.000 |
| 12.702 | 12.702 | 12.702 | 0.000 | 0.000 | 0.000 |
| -0.000 | -0.000 | -0.000 | 0.000 | 0.000 | 0.000 |
| -0.000 | -0.000 | -0.000 | 0.000 | 0.000 | 0.000 |
| -0.000 | -0.000 | -0.000 | 0.000 | 0.000 | 0.000 |
| 12.702 | 12.702 | 12.702 | -0.000 | -0.000 | -0.000 |
| 12.702 | 12.702 | 12.702 | -0.000 | -0.000 | -0.000 |
| 12.702 | 12.702 | 12.702 | -0.000 | -0.000 | -0.000 |
| 0.000 | 0.000 | 0.000 | -0.000 | -0.000 | -0.000 |
| 0.000 | 0.000 | 0.000 | -0.000 | -0.000 | -0.000 |
| 0.000 | 0.000 | 0.000 | -0.000 | -0.000 | -0.000 |
| 12.702 | 12.702 | 12.702 | 0.000 | 0.000 | 0.000 |
| 12.702 | 12.702 | 12.702 | 0.000 | 0.000 | 0.000 |
| 12.702 | 12.702 | 12.702 | 0.000 | 0.000 | 0.000 |
| -0.000 | -0.000 | -0.000 | -0.000 | 0.000 | 0.000 |
| -0.000 | -0.000 | -0.000 | 0.000 | -0.000 | 0.000 |
| -0.000 | -0.000 | -0.000 | 0.000 | 0.000 | -0.000 |
| 12.702 | 12.702 | 12.702 | 0.000 | -0.000 | -0.000 |
| 12.702 | 12.702 | 12.702 | -0.000 | 0.000 | -0.000 |
| 12.702 | 12.702 | 12.702 | -0.000 | -0.000 | -0.000 |
| 0.000 | 0.000 | 0.000 | -0.000 | -0.000 | -0.000 |
| 0.000 | 0.000 | 0.000 | -0.000 | -0.000 | -0.000 |
| 0.000 | 0.000 | 0.000 | -0.000 | -0.000 | -0.000 |
| 7.131 | 7.131 | 7.131 | 0.000 | 0.000 | -0.000 |
| 7.131 | 7.131 | 7.131 | 0.000 | 0.000 | -0.000 |
| 7.131 | 7.131 | 7.131 | 0.000 | 0.000 | 0.000 |
| -0.000 | -0.000 | -0.000 | 0.000 | 0.000 | 0.000 |
| -0.000 | -0.000 | -0.000 | 0.000 | 0.000 | 0.000 |
| -0.000 | -0.000 | -0.000 | 0.000 | 0.000 | 0.000 |
| 7.131 | 7.131 | 7.131 | 0.000 | 0.000 | 0.000 |
| 7.131 | 7.131 | 7.131 | 0.000 | 0.000 | 0.000 |
| 7.131 | 7.131 | 7.131 | 0.000 | 0.000 | 0.000 |
| 0.000 | 0.000 | 0.000 | -0.000 | -0.000 | -0.000 |
| 0.000 | 0.000 | 0.000 | -0.000 | -0.000 | -0.000 |
| 0.000 | 0.000 | 0.000 | -0.000 | -0.000 | -0.000 |
| 7.131 | 7.131 | 7.131 | 0.000 | -0.000 | -0.000 |
| 7.131 | 7.131 | 7.131 | -0.000 | 0.000 | -0.000 |
| 7.131 | 7.131 | 7.131 | -0.000 | -0.000 | -0.000 |
| -0.000 | -0.000 | -0.000 | 0.000 | 0.000 | 0.000 |
| -0.000 | -0.000 | -0.000 | 0.000 | 0.000 | 0.000 |
| -0.000 | -0.000 | -0.000 | 0.000 | 0.000 | 0.000 |
| 7.131 | 7.131 | 7.131 | 0.000 | 0.000 | 0.000 |
| 7.131 | 7.131 | 7.131 | 0.000 | 0.000 | 0.000 |
| 7.131 | 7.131 | 7.131 | 0.000 | 0.000 | 0.000 |
| 0.000 | 0.000 | 0.000 | -0.000 | -0.000 | -0.000 |
| 0.000 | 0.000 | 0.000 | -0.000 | -0.000 | -0.000 |
| 0.000 | 0.000 | 0.000 | -0.000 | -0.000 | -0.000 |
| 7.131 | 7.131 | 7.131 | -0.000 | -0.000 | -0.000 |
| 7.131 | 7.131 | 7.131 | -0.000 | -0.000 | -0.000 |
| 7.131 | 7.131 | 7.131 | -0.000 | -0.000 | -0.000 |
| -0.000 | -0.000 | -0.000 | 0.000 | 0.000 | 0.000 |
| -0.000 | -0.000 | -0.000 | 0.000 | 0.000 | 0.000 |
| -0.000 | -0.000 | -0.000 | 0.000 | 0.000 | 0.000 |
| 7.131 | 7.131 | 7.131 | -0.000 | 0.000 | 0.000 |
| 7.131 | 7.131 | 7.131 | 0.000 | -0.000 | 0.000 |
| 7.131 | 7.131 | 7.131 | 0.000 | 0.000 | -0.000 |
| 0.000 | 0.000 | 0.000 | -0.000 | -0.000 | -0.000 |
| 0.000 | 0.000 | 0.000 | -0.000 | -0.000 | -0.000 |
| 0.000 | 0.000 | 0.000 | -0.000 | -0.000 | -0.000 |
| 603.904 | 227.552 | 270.566 | -0.000 | -0.000 | -0.000 |
| 227.552 | 603.904 | 270.566 | -0.000 | -0.000 | -0.000 |
| 270.566 | 270.566 | 717.575 | 0.000 | 0.000 | 0.000 |
| 0.000 | 0.000 | 0.000 | 207.465 | -0.000 | 0.000 |
| 0.000 | 0.000 | 0.000 | -0.000 | 207.465 | 0.000 |
| -0.000 | -0.000 | 0.000 | 0.000 | -0.000 | 186.243 |
| 603.904 | 227.552 | 270.566 | 0.000 | 0.000 | 0.000 |
| 227.552 | 603.904 | 270.566 | 0.000 | -0.000 | 0.000 |
| 270.566 | 270.566 | 717.576 | 0.000 | 0.000 | -0.000 |
| -0.000 | -0.000 | -0.000 | 207.465 | 0.000 | 0.000 |
| -0.000 | -0.000 | -0.000 | 0.000 | 207.465 | -0.000 |
| 0.000 | 0.000 | -0.000 | -0.000 | 0.000 | 186.243 |
| 603.905 | 227.552 | 270.566 | -0.000 | -0.000 | 0.000 |
| 227.552 | 603.905 | 270.566 | -0.000 | -0.000 | 0.000 |
| 270.566 | 270.566 | 717.575 | -0.000 | -0.000 | 0.000 |
| 0.000 | 0.000 | 0.000 | 207.465 | -0.000 | 0.000 |
| 0.000 | 0.000 | 0.000 | -0.000 | 207.465 | 0.000 |
| -0.000 | -0.000 | 0.000 | -0.000 | -0.000 | 186.243 |
| 603.904 | 227.552 | 270.566 | 0.000 | -0.000 | -0.000 |
| 227.552 | 603.904 | 270.566 | 0.000 | 0.000 | -0.000 |
| 270.566 | 270.566 | 717.576 | 0.000 | 0.000 | -0.000 |
| -0.000 | -0.000 | -0.000 | 207.465 | -0.000 | -0.000 |
| -0.000 | -0.000 | -0.000 | 0.000 | 207.465 | -0.000 |
| 0.000 | 0.000 | -0.000 | -0.000 | 0.000 | 186.243 |
| 603.912 | 227.552 | 270.569 | -0.000 | -0.000 | 0.000 |
| 227.552 | 603.912 | 270.569 | -0.000 | -0.000 | 0.000 |
| 270.567 | 270.567 | 717.571 | -0.000 | -0.000 | 0.000 |
| 0.001 | 0.002 | 0.002 | 207.465 | -0.000 | 0.000 |
| 0.002 | 0.001 | 0.002 | -0.000 | 207.465 | 0.000 |
| -0.000 | -0.000 | 0.001 | 0.000 | -0.000 | 186.243 |
| 603.897 | 227.551 | 270.563 | 0.000 | -0.000 | -0.000 |
| 227.551 | 603.897 | 270.563 | -0.000 | 0.000 | -0.000 |
| 270.565 | 270.565 | 717.580 | 0.000 | 0.000 | -0.000 |
| -0.001 | -0.002 | -0.002 | 207.465 | 0.000 | 0.000 |
| -0.002 | -0.001 | -0.002 | -0.000 | 207.465 | -0.000 |
| 0.000 | 0.000 | -0.001 | 0.000 | 0.000 | 186.243 |
| 102.452 | 53.071 | 61.822 | -0.000 | -0.000 | -0.000 |
| 53.071 | 102.452 | 61.822 | -0.000 | -0.000 | 0.000 |
| 61.822 | 61.822 | 196.802 | -0.000 | -0.000 | 0.000 |
| 0.000 | 0.000 | 0.000 | -19.689 | -0.000 | 0.000 |
| 0.000 | 0.000 | 0.000 | -0.000 | -19.689 | -0.000 |
| 0.000 | 0.000 | 0.000 | -0.000 | -0.000 | -15.060 |
| 102.452 | 53.071 | 61.822 | 0.000 | 0.000 | -0.000 |
| 53.071 | 102.452 | 61.822 | 0.000 | 0.000 | -0.000 |
| 61.822 | 61.822 | 196.802 | 0.000 | 0.000 | -0.000 |
| -0.000 | -0.000 | -0.000 | -19.689 | 0.000 | -0.000 |
| -0.000 | -0.000 | -0.000 | 0.000 | -19.689 | 0.000 |
| -0.000 | -0.000 | -0.000 | 0.000 | 0.000 | -15.060 |
| 102.452 | 53.071 | 61.822 | -0.000 | -0.000 | -0.000 |
| 53.071 | 102.452 | 61.822 | -0.000 | -0.000 | -0.000 |
| 61.822 | 61.822 | 196.801 | 0.000 | -0.000 | 0.000 |
| 0.000 | 0.000 | 0.000 | -19.689 | -0.000 | -0.000 |
| 0.000 | 0.000 | 0.000 | -0.000 | -19.689 | 0.000 |
| 0.000 | 0.000 | 0.000 | -0.000 | -0.000 | -15.060 |
| 102.452 | 53.071 | 61.822 | 0.000 | -0.000 | 0.000 |
| 53.071 | 102.452 | 61.822 | 0.000 | 0.000 | 0.000 |
| 61.822 | 61.822 | 196.803 | 0.000 | 0.000 | -0.000 |
| -0.000 | -0.000 | -0.000 | -19.689 | 0.000 | -0.000 |
| -0.000 | -0.000 | -0.000 | 0.000 | -19.689 | 0.000 |
| -0.000 | -0.000 | -0.000 | 0.000 | 0.000 | -15.060 |
| 102.450 | 53.071 | 61.822 | -0.000 | -0.000 | -0.000 |
| 53.071 | 102.450 | 61.822 | -0.000 | -0.000 | -0.000 |
| 61.822 | 61.822 | 196.792 | -0.000 | -0.000 | -0.000 |
| 0.001 | 0.001 | 0.001 | -19.689 | -0.000 | 0.000 |
| 0.001 | 0.001 | 0.001 | -0.000 | -19.689 | 0.000 |
| 0.000 | 0.000 | 0.001 | -0.000 | -0.000 | -15.060 |
| 102.454 | 53.070 | 61.822 | 0.000 | 0.000 | -0.000 |
| 53.070 | 102.454 | 61.822 | 0.000 | 0.000 | -0.000 |
| 61.822 | 61.822 | 196.813 | 0.000 | 0.000 | -0.000 |
| -0.001 | -0.001 | -0.001 | -19.689 | 0.000 | -0.000 |
| -0.001 | -0.001 | -0.001 | 0.000 | -19.689 | 0.000 |
| -0.000 | -0.000 | -0.001 | 0.000 | -0.000 | -15.060 |
| 307.595 | 216.935 | 216.935 | -0.000 | 0.000 | -0.000 |
| 216.935 | 307.595 | 216.935 | 0.000 | 0.000 | -0.000 |
| 216.935 | 216.935 | 307.595 | 0.000 | 0.000 | -0.000 |
| 0.000 | 0.000 | 0.000 | 34.922 | 0.000 | 0.000 |
| 0.000 | 0.000 | 0.000 | 0.000 | 34.922 | -0.000 |
| 0.000 | 0.000 | 0.000 | 0.000 | 0.000 | 34.922 |
| 307.595 | 216.935 | 216.935 | 0.000 | -0.000 | 0.000 |
| 216.935 | 307.595 | 216.935 | 0.000 | 0.000 | 0.000 |
| 216.935 | 216.935 | 307.595 | 0.000 | -0.000 | 0.000 |
| -0.000 | -0.000 | -0.000 | 34.922 | -0.000 | 0.000 |
| -0.000 | -0.000 | -0.000 | -0.000 | 34.922 | 0.000 |
| -0.000 | -0.000 | -0.000 | -0.000 | -0.000 | 34.922 |
| 307.596 | 216.935 | 216.935 | -0.000 | -0.000 | -0.000 |
| 216.935 | 307.596 | 216.935 | 0.000 | 0.000 | -0.000 |
| 216.935 | 216.935 | 307.596 | 0.000 | 0.000 | -0.000 |
| 0.000 | 0.000 | 0.000 | 34.922 | 0.000 | 0.000 |
| 0.000 | 0.000 | 0.000 | 0.000 | 34.922 | -0.000 |
| 0.000 | 0.000 | 0.000 | 0.000 | 0.000 | 34.922 |
| 307.594 | 216.935 | 216.935 | 0.000 | 0.000 | 0.000 |
| 216.935 | 307.594 | 216.935 | 0.000 | -0.000 | 0.000 |
| 216.935 | 216.935 | 307.594 | 0.000 | -0.000 | 0.000 |
| -0.000 | -0.000 | -0.000 | 34.922 | -0.000 | 0.000 |
| -0.000 | -0.000 | -0.000 | -0.000 | 34.922 | 0.000 |
| -0.000 | -0.000 | -0.000 | -0.000 | -0.000 | 34.922 |
| 307.604 | 216.937 | 216.937 | 0.000 | 0.000 | -0.000 |
| 216.937 | 307.604 | 216.937 | -0.000 | -0.000 | -0.000 |
| 216.937 | 216.937 | 307.604 | -0.000 | 0.000 | -0.000 |
| 0.002 | 0.002 | 0.002 | 34.922 | 0.000 | -0.000 |
| 0.002 | 0.002 | 0.002 | 0.000 | 34.922 | -0.000 |
| 0.002 | 0.002 | 0.002 | 0.000 | 0.000 | 34.922 |
| 307.586 | 216.933 | 216.933 | 0.000 | 0.000 | 0.000 |
| 216.933 | 307.586 | 216.933 | -0.000 | -0.000 | 0.000 |
| 216.933 | 216.933 | 307.586 | -0.000 | -0.000 | 0.000 |
| -0.002 | -0.002 | -0.002 | 34.922 | -0.000 | 0.000 |
| -0.002 | -0.002 | -0.002 | -0.000 | 34.922 | 0.000 |
| -0.002 | -0.002 | -0.002 | -0.000 | -0.000 | 34.922 |
| 409.855 | 94.193 | 94.193 | 0.000 | 0.000 | 0.000 |
| 94.193 | 409.855 | 94.193 | 0.000 | 0.000 | 0.000 |
| 94.193 | 94.193 | 409.855 | 0.000 | 0.000 | 0.000 |
| -0.000 | -0.000 | -0.000 | 90.991 | 0.000 | 0.000 |
| -0.000 | 0.000 | -0.000 | 0.000 | 90.991 | 0.000 |
| -0.000 | -0.000 | -0.000 | 0.000 | 0.000 | 90.991 |
| 409.855 | 94.193 | 94.193 | -0.000 | -0.000 | 0.000 |
| 94.193 | 409.855 | 94.193 | -0.000 | -0.000 | 0.000 |
| 94.193 | 94.193 | 409.855 | 0.000 | -0.000 | 0.000 |
| 0.000 | 0.000 | 0.000 | 90.991 | -0.000 | 0.000 |
| 0.000 | -0.000 | 0.000 | 0.000 | 90.991 | -0.000 |
| 0.000 | 0.000 | 0.000 | -0.000 | -0.000 | 90.991 |
| 409.854 | 94.193 | 94.193 | 0.000 | 0.000 | 0.000 |
| 94.193 | 409.854 | 94.193 | 0.000 | 0.000 | -0.000 |
| 94.193 | 94.193 | 409.854 | 0.000 | 0.000 | 0.000 |
| -0.000 | -0.000 | -0.000 | 90.991 | 0.000 | 0.000 |
| -0.000 | -0.000 | -0.000 | 0.000 | 90.991 | 0.000 |
| -0.000 | -0.000 | -0.000 | 0.000 | 0.000 | 90.991 |
| 409.855 | 94.193 | 94.193 | -0.000 | -0.000 | 0.000 |
| 94.193 | 409.855 | 94.193 | -0.000 | -0.000 | 0.000 |
| 94.193 | 94.193 | 409.855 | -0.000 | -0.000 | 0.000 |
| 0.000 | 0.000 | 0.000 | 90.991 | -0.000 | 0.000 |
| 0.000 | 0.000 | 0.000 | -0.000 | 90.991 | -0.000 |
| 0.000 | 0.000 | 0.000 | -0.000 | -0.000 | 90.991 |
| 409.849 | 94.192 | 94.192 | 0.000 | 0.000 | 0.000 |
| 94.192 | 409.849 | 94.192 | 0.000 | 0.000 | -0.000 |
| 94.192 | 94.192 | 409.849 | 0.000 | 0.000 | 0.000 |
| -0.000 | -0.001 | -0.001 | 89.187 | 0.000 | -0.000 |
| -0.001 | -0.000 | -0.001 | 0.000 | 89.187 | 0.000 |
| -0.001 | -0.001 | -0.000 | 0.000 | 0.000 | 89.187 |
| 409.860 | 94.193 | 94.193 | -0.000 | -0.000 | 0.000 |
| 94.193 | 409.860 | 94.193 | -0.000 | -0.000 | -0.000 |
| 94.193 | 94.193 | 409.860 | -0.000 | -0.000 | 0.000 |
| 0.000 | 0.001 | 0.001 | 89.187 | -0.000 | 0.000 |
| 0.001 | 0.000 | 0.001 | -0.000 | 89.187 | -0.000 |
| 0.001 | 0.001 | 0.000 | -0.000 | -0.000 | 89.187 |
| 124.130 | 53.044 | 53.044 | 0.000 | 0.000 | 0.000 |
| 53.044 | 124.130 | 53.044 | 0.000 | 0.000 | 0.000 |
| 53.044 | 53.044 | 124.130 | 0.000 | 0.000 | 0.000 |
| -0.000 | 0.000 | 0.000 | 47.152 | 0.000 | 0.000 |
| 0.000 | -0.000 | 0.000 | 0.000 | 47.152 | 0.000 |
| 0.000 | 0.000 | 0.000 | 0.000 | 0.000 | 47.152 |
| 124.130 | 53.044 | 53.044 | 0.000 | 0.000 | 0.000 |
| 53.044 | 124.130 | 53.044 | 0.000 | 0.000 | -0.000 |
| 53.044 | 53.044 | 124.130 | -0.000 | -0.000 | 0.000 |
| 0.000 | -0.000 | -0.000 | 47.152 | -0.000 | -0.000 |
| -0.000 | 0.000 | -0.000 | 0.000 | 47.152 | -0.000 |
| -0.000 | -0.000 | -0.000 | -0.000 | -0.000 | 47.152 |
| 124.130 | 53.044 | 53.044 | -0.000 | 0.000 | 0.000 |
| 53.044 | 124.130 | 53.044 | 0.000 | 0.000 | 0.000 |
| 53.044 | 53.044 | 124.130 | 0.000 | 0.000 | 0.000 |
| 0.000 | 0.000 | 0.000 | 47.152 | 0.000 | 0.000 |
| 0.000 | 0.000 | 0.000 | 0.000 | 47.152 | -0.000 |
| 0.000 | 0.000 | 0.000 | 0.000 | 0.000 | 47.152 |
| 124.130 | 53.044 | 53.044 | 0.000 | -0.000 | -0.000 |
| 53.044 | 124.130 | 53.044 | 0.000 | 0.000 | -0.000 |
| 53.044 | 53.044 | 124.130 | 0.000 | 0.000 | -0.000 |
| -0.000 | -0.000 | -0.000 | 47.152 | -0.000 | -0.000 |
| -0.000 | -0.000 | -0.000 | -0.000 | 47.152 | -0.000 |
| -0.000 | -0.000 | -0.000 | -0.000 | -0.000 | 47.152 |
| 124.132 | 53.045 | 53.045 | -0.000 | 0.000 | 0.000 |
| 53.045 | 124.132 | 53.045 | 0.000 | -0.000 | 0.000 |
| 53.045 | 53.045 | 124.132 | -0.000 | -0.000 | 0.000 |
| -0.001 | 0.003 | 0.003 | 6.949 | 0.000 | 0.000 |
| 0.003 | -0.001 | 0.003 | 0.000 | 6.949 | 0.000 |
| 0.003 | 0.003 | -0.001 | 0.000 | 0.000 | 6.950 |
| 124.128 | 53.043 | 53.043 | 0.000 | -0.000 | 0.000 |
| 53.043 | 124.128 | 53.043 | -0.000 | -0.000 | -0.000 |
| 53.043 | 53.043 | 124.128 | -0.000 | -0.000 | -0.000 |
| 0.001 | -0.003 | -0.003 | 6.982 | -0.000 | -0.000 |
| -0.003 | 0.001 | -0.003 | 0.000 | 6.984 | -0.000 |
| -0.003 | -0.003 | 0.001 | -0.000 | -0.000 | 6.984 |
| 62.590 | 65.364 | 65.364 | 0.000 | 0.000 | -0.000 |
| 65.364 | 62.590 | 65.364 | 0.000 | 0.000 | -0.000 |
| 65.364 | 65.364 | 62.590 | 0.000 | 0.000 | 0.000 |
| 0.000 | 0.000 | 0.000 | -2.873 | -0.000 | -0.000 |
| 0.000 | 0.000 | 0.000 | -0.000 | -2.873 | -0.000 |
| 0.000 | 0.000 | 0.000 | -0.000 | -0.000 | -2.873 |
| 62.590 | 65.364 | 65.364 | 0.000 | -0.000 | 0.000 |
| 65.364 | 62.590 | 65.364 | -0.000 | 0.000 | -0.000 |
| 65.364 | 65.364 | 62.590 | -0.000 | -0.000 | -0.000 |
| -0.000 | -0.000 | -0.000 | -2.873 | 0.000 | 0.000 |
| -0.000 | -0.000 | -0.000 | 0.000 | -2.873 | -0.000 |
| -0.000 | -0.000 | -0.000 | 0.000 | 0.000 | -2.873 |
| 62.590 | 65.364 | 65.364 | 0.000 | 0.000 | -0.000 |
| 65.364 | 62.590 | 65.364 | 0.000 | 0.000 | 0.000 |
| 65.364 | 65.364 | 62.590 | 0.000 | 0.000 | 0.000 |
| 0.000 | 0.000 | 0.000 | -2.873 | 0.000 | 0.000 |
| 0.000 | 0.000 | 0.000 | -0.000 | -2.873 | 0.000 |
| 0.000 | 0.000 | 0.000 | -0.000 | -0.000 | -2.873 |
| 62.590 | 65.364 | 65.364 | -0.000 | 0.000 | -0.000 |
| 65.364 | 62.590 | 65.364 | 0.000 | -0.000 | 0.000 |
| 65.364 | 65.364 | 62.590 | -0.000 | -0.000 | -0.000 |
| -0.000 | -0.000 | -0.000 | -2.873 | -0.000 | -0.000 |
| -0.000 | -0.000 | -0.000 | 0.000 | -2.873 | -0.000 |
| -0.000 | -0.000 | -0.000 | -0.000 | 0.000 | -2.873 |
| 62.591 | 65.365 | 65.365 | 0.000 | -0.000 | 0.000 |
| 65.365 | 62.591 | 65.365 | -0.000 | 0.000 | 0.000 |
| 65.365 | 65.365 | 62.591 | 0.000 | 0.000 | -0.000 |
| 0.000 | 0.000 | 0.000 | -2.873 | -0.000 | -0.000 |
| 0.000 | 0.000 | 0.000 | -0.000 | -2.873 | -0.000 |
| 0.000 | 0.000 | 0.000 | 0.000 | -0.000 | -2.873 |
| 62.590 | 65.364 | 65.364 | -0.000 | 0.000 | -0.000 |
| 65.364 | 62.590 | 65.364 | 0.000 | -0.000 | -0.000 |
| 65.364 | 65.364 | 62.590 | -0.000 | -0.000 | -0.000 |
| -0.000 | -0.000 | -0.000 | -2.873 | 0.000 | 0.000 |
| -0.000 | -0.000 | -0.000 | 0.000 | -2.873 | 0.000 |
| -0.000 | -0.000 | -0.000 | 0.000 | 0.000 | -2.873 |
| 69.016 | 11.905 | 11.905 | 0.000 | 0.000 | -0.000 |
| 11.905 | 69.016 | 11.905 | 0.000 | 0.000 | 0.000 |
| 11.905 | 11.905 | 69.016 | 0.000 | 0.000 | -0.000 |
| 0.000 | 0.000 | 0.000 | 9.445 | 0.000 | -0.000 |
| 0.000 | 0.000 | 0.000 | 0.000 | 9.445 | 0.000 |
| 0.000 | 0.000 | 0.000 | 0.000 | 0.000 | 9.445 |
| 69.016 | 11.905 | 11.905 | -0.000 | -0.000 | -0.000 |
| 11.905 | 69.016 | 11.905 | -0.000 | -0.000 | 0.000 |
| 11.905 | 11.905 | 69.016 | -0.000 | -0.000 | 0.000 |
| -0.000 | -0.000 | -0.000 | 9.445 | -0.000 | 0.000 |
| -0.000 | -0.000 | -0.000 | -0.000 | 9.445 | -0.000 |
| -0.000 | -0.000 | -0.000 | -0.000 | -0.000 | 9.445 |
| 69.016 | 11.905 | 11.905 | 0.000 | 0.000 | -0.000 |
| 11.905 | 69.016 | 11.905 | 0.000 | 0.000 | -0.000 |
| 11.905 | 11.905 | 69.016 | 0.000 | 0.000 | -0.000 |
| 0.000 | 0.000 | 0.000 | 9.445 | 0.000 | -0.000 |
| 0.000 | 0.000 | 0.000 | 0.000 | 9.445 | 0.000 |
| 0.000 | 0.000 | 0.000 | 0.000 | 0.000 | 9.445 |
| 69.016 | 11.905 | 11.905 | -0.000 | -0.000 | 0.000 |
| 11.905 | 69.016 | 11.905 | -0.000 | -0.000 | 0.000 |
| 11.905 | 11.905 | 69.016 | -0.000 | -0.000 | 0.000 |
| -0.000 | -0.000 | -0.000 | 9.445 | -0.000 | -0.000 |
| -0.000 | -0.000 | -0.000 | -0.000 | 9.445 | 0.000 |
| -0.000 | -0.000 | -0.000 | -0.000 | -0.000 | 9.445 |
| 69.015 | 11.905 | 11.905 | 0.000 | 0.000 | -0.000 |
| 11.905 | 69.015 | 11.905 | 0.000 | 0.000 | -0.000 |
| 11.905 | 11.905 | 69.015 | 0.000 | 0.000 | -0.000 |
| 0.000 | 0.000 | 0.000 | 9.445 | 0.000 | -0.000 |
| 0.000 | 0.000 | 0.000 | 0.000 | 9.445 | -0.000 |
| 0.000 | 0.000 | 0.000 | 0.000 | 0.000 | 9.445 |
| 69.017 | 11.905 | 11.905 | -0.000 | -0.000 | 0.000 |
| 11.905 | 69.017 | 11.905 | -0.000 | -0.000 | 0.000 |
| 11.905 | 11.905 | 69.017 | -0.000 | -0.000 | 0.000 |
| -0.000 | -0.000 | -0.000 | 9.445 | -0.000 | 0.000 |
| -0.000 | -0.000 | -0.000 | -0.000 | 9.445 | 0.000 |
| -0.000 | -0.000 | -0.000 | -0.000 | -0.000 | 9.445 |
| 141.705 | 83.396 | 83.396 | 0.000 | 0.000 | -0.000 |
| 83.396 | 141.705 | 83.396 | -0.000 | -0.000 | -0.000 |
| 83.396 | 83.396 | 141.705 | 0.000 | -0.000 | -0.000 |
| 0.000 | -0.000 | -0.000 | 9.453 | -0.000 | -0.000 |
| 0.000 | 0.000 | 0.000 | -0.000 | 9.453 | -0.000 |
| 0.000 | -0.000 | 0.000 | 0.000 | -0.000 | 9.453 |
| 141.705 | 83.396 | 83.396 | -0.000 | 0.000 | -0.000 |
| 83.396 | 141.705 | 83.396 | -0.000 | 0.000 | -0.000 |
| 83.396 | 83.396 | 141.705 | -0.000 | 0.000 | 0.000 |
| -0.000 | 0.000 | 0.000 | 9.453 | 0.000 | -0.000 |
| -0.000 | -0.000 | -0.000 | 0.000 | 9.453 | 0.000 |
| 0.000 | 0.000 | -0.000 | 0.000 | 0.000 | 9.453 |
| 141.705 | 83.396 | 83.396 | 0.000 | -0.000 | 0.000 |
| 83.396 | 141.705 | 83.396 | 0.000 | -0.000 | -0.000 |
| 83.396 | 83.396 | 141.705 | 0.000 | -0.000 | -0.000 |
| 0.000 | -0.000 | -0.000 | 9.453 | -0.000 | -0.000 |
| -0.000 | 0.000 | -0.000 | 0.000 | 9.453 | -0.000 |
| -0.000 | -0.000 | 0.000 | -0.000 | -0.000 | 9.453 |
| 141.705 | 83.396 | 83.396 | 0.000 | 0.000 | -0.000 |
| 83.396 | 141.705 | 83.396 | -0.000 | 0.000 | 0.000 |
| 83.396 | 83.396 | 141.705 | -0.000 | 0.000 | 0.000 |
| -0.000 | 0.000 | 0.000 | 9.453 | 0.000 | -0.000 |
| 0.000 | -0.000 | 0.000 | -0.000 | 9.453 | 0.000 |
| 0.000 | 0.000 | -0.000 | -0.000 | 0.000 | 9.453 |
| 141.707 | 83.397 | 83.397 | -0.000 | -0.000 | -0.000 |
| 83.397 | 141.707 | 83.397 | -0.000 | -0.000 | -0.000 |
| 83.397 | 83.397 | 141.707 | -0.000 | -0.000 | 0.000 |
| 0.000 | -0.000 | -0.000 | 9.453 | -0.000 | -0.000 |
| -0.000 | 0.000 | -0.000 | 0.000 | 9.453 | -0.000 |
| -0.000 | -0.000 | 0.000 | 0.000 | -0.000 | 9.453 |
| 141.703 | 83.396 | 83.396 | -0.000 | -0.000 | -0.000 |
| 83.396 | 141.703 | 83.396 | -0.000 | 0.000 | 0.000 |
| 83.396 | 83.396 | 141.703 | -0.000 | 0.000 | -0.000 |
| -0.000 | 0.000 | 0.000 | 9.453 | 0.000 | 0.000 |
| 0.000 | -0.000 | 0.000 | -0.000 | 9.453 | 0.000 |
| 0.000 | 0.000 | -0.000 | 0.000 | 0.000 | 9.453 |
| 65.449 | 24.850 | 24.850 | -0.000 | 0.000 | -0.000 |
| 24.850 | 65.449 | 24.850 | -0.000 | -0.000 | -0.000 |
| 24.850 | 24.850 | 65.449 | -0.000 | -0.000 | -0.000 |
| -0.000 | -0.000 | -0.000 | -0.080 | -0.000 | -0.000 |
| -0.000 | -0.000 | -0.000 | -0.000 | -0.080 | -0.000 |
| -0.000 | -0.000 | -0.000 | 0.000 | -0.000 | -0.080 |
| 65.449 | 24.850 | 24.850 | -0.000 | 0.000 | 0.000 |
| 24.850 | 65.449 | 24.850 | 0.000 | -0.000 | 0.000 |
| 24.850 | 24.850 | 65.449 | 0.000 | 0.000 | 0.000 |
| 0.000 | 0.000 | 0.000 | -0.080 | 0.000 | 0.000 |
| 0.000 | 0.000 | 0.000 | 0.000 | -0.080 | 0.000 |
| 0.000 | 0.000 | 0.000 | 0.000 | 0.000 | -0.080 |
| 65.449 | 24.850 | 24.850 | -0.000 | -0.000 | -0.000 |
| 24.850 | 65.449 | 24.850 | -0.000 | -0.000 | -0.000 |
| 24.850 | 24.850 | 65.449 | 0.000 | -0.000 | -0.000 |
| -0.000 | -0.000 | -0.000 | -0.080 | -0.000 | -0.000 |
| -0.000 | -0.000 | -0.000 | -0.000 | -0.080 | -0.000 |
| -0.000 | -0.000 | -0.000 | 0.000 | 0.000 | -0.080 |
| 65.449 | 24.850 | 24.850 | 0.000 | 0.000 | 0.000 |
| 24.850 | 65.449 | 24.850 | -0.000 | 0.000 | 0.000 |
| 24.850 | 24.850 | 65.449 | 0.000 | 0.000 | 0.000 |
| 0.000 | 0.000 | 0.000 | -0.080 | 0.000 | 0.000 |
| 0.000 | 0.000 | 0.000 | -0.000 | -0.080 | 0.000 |
| 0.000 | 0.000 | 0.000 | -0.000 | 0.000 | -0.080 |
| 65.449 | 24.850 | 24.850 | -0.000 | -0.000 | -0.000 |
| 24.850 | 65.449 | 24.850 | -0.000 | -0.000 | -0.000 |
| 24.850 | 24.850 | 65.449 | -0.000 | -0.000 | -0.000 |
| -0.000 | -0.001 | -0.001 | -0.080 | -0.000 | -0.000 |
| -0.001 | -0.000 | -0.001 | 0.000 | -0.080 | -0.000 |
| -0.001 | -0.001 | -0.000 | 0.000 | -0.000 | -0.080 |
| 65.449 | 24.850 | 24.850 | 0.000 | -0.000 | 0.000 |
| 24.850 | 65.449 | 24.850 | 0.000 | 0.000 | 0.000 |
| 24.850 | 24.850 | 65.449 | 0.000 | 0.000 | 0.000 |
| 0.000 | 0.001 | 0.001 | -0.080 | 0.000 | 0.000 |
| 0.001 | 0.000 | 0.001 | 0.000 | -0.080 | 0.000 |
| 0.001 | 0.001 | 0.000 | -0.000 | 0.000 | -0.080 |
| -33.986 | -21898.449 | -25370.075 | -2507.286 | -0.000 | 0.000 |
| -25370.075 | -33.986 | -21898.449 | -0.000 | -2507.286 | 0.000 |
| -21946.666 | -25562.944 | -33.986 | -0.000 | -0.000 | -2603.720 |
| -1542945.087 | -675038.682 | -675038.674 | 385736.107 | 0.000 | 0.000 |
| -675038.682 | -1542945.087 | -675038.674 | 0.000 | 385736.107 | 0.000 |
| -675038.682 | -675038.674 | -1542945.087 | -0.000 | 0.000 | 385736.107 |
| 1928681.354 | 1928681.351 | 1928681.351 | -0.000 | -0.000 | -0.000 |
| 1928681.351 | 1928681.354 | 1928681.351 | -0.000 | -0.000 | -0.000 |
| 1928681.351 | 1928681.351 | 1928681.354 | -0.000 | -0.000 | -0.000 |
| 1542945.087 | 675038.682 | 675038.674 | 385736.107 | -0.000 | -0.000 |
| 675038.682 | 1542945.087 | 675038.674 | -0.000 | 385736.107 | -0.000 |
| 675038.682 | 675038.674 | 1542945.087 | 0.000 | 0.000 | 385736.107 |
| -12904.882 | -1417.372 | -1856.147 | 0.000 | -192.868 | -337.519 |
| -1856.147 | -12924.169 | -1422.193 | -327.876 | -0.000 | -192.868 |
| -1431.837 | -1856.147 | -12962.743 | -192.868 | -308.589 | 0.000 |
| -0.025 | -48217.054 | -48217.062 | -38573.620 | -0.000 | 0.000 |
| -48217.054 | -0.025 | -48217.062 | -0.000 | -38573.620 | 0.000 |
| -48217.054 | -48217.062 | -0.025 | -0.000 | -0.000 | -38573.620 |
| 192868.132 | 192868.128 | 192868.128 | -0.000 | -0.000 | -0.000 |
| 192868.128 | 192868.132 | 192868.128 | -0.000 | -0.000 | -0.000 |
| 192868.128 | 192868.128 | 192868.132 | -0.000 | -0.000 | -0.000 |
| 0.025 | 48217.054 | 48217.062 | -38573.620 | 0.000 | -0.000 |
| 48217.054 | 0.025 | 48217.062 | 0.000 | -38573.620 | -0.000 |
| 48217.054 | 48217.062 | 0.025 | 0.000 | -0.000 | -38573.620 |
| -33.851 | -7.944 | -7.944 | -0.000 | -0.000 | 0.000 |
| -7.944 | -33.851 | -7.944 | -0.000 | -0.000 | 0.000 |
| -7.944 | -7.944 | -33.851 | -0.000 | -0.000 | 0.000 |
| 0.001 | -4821.700 | -4821.708 | -3857.371 | -0.000 | 0.000 |
| -4821.700 | 0.001 | -4821.708 | -0.000 | -3857.371 | 0.000 |
| -4821.700 | -4821.708 | 0.001 | -0.000 | -0.000 | -3857.371 |
| 19286.810 | 19286.806 | 19286.806 | -0.000 | -0.000 | -0.000 |
| 19286.806 | 19286.810 | 19286.806 | -0.000 | -0.000 | -0.000 |
| 19286.806 | 19286.806 | 19286.810 | -0.000 | -0.000 | -0.000 |
| -0.001 | 4821.700 | 4821.708 | -3857.371 | 0.000 | -0.000 |
| 4821.700 | -0.001 | 4821.708 | 0.000 | -3857.371 | -0.000 |
| 4821.700 | 4821.708 | -0.001 | 0.000 | -0.000 | -3857.371 |
| -0.004 | -0.007 | -0.007 | 0.000 | -0.000 | -0.000 |
| -0.007 | -0.004 | -0.007 | -0.000 | 0.000 | -0.000 |
| -0.007 | -0.007 | -0.004 | -0.000 | 0.000 | 0.000 |
| 0.000 | -0.000 | 0.000 | 0.007 | -0.000 | -0.000 |
| 0.000 | 0.000 | 0.000 | 0.000 | 0.007 | 0.000 |
| 0.000 | 0.000 | 0.000 | 0.000 | 0.000 | 0.007 |
| -0.004 | -0.007 | -0.007 | 0.000 | -0.000 | -0.000 |
| -0.007 | -0.004 | -0.007 | -0.000 | 0.000 | 0.000 |
| -0.007 | -0.007 | -0.004 | 0.000 | 0.000 | 0.000 |
| -0.000 | -0.000 | -0.000 | 0.007 | 0.000 | 0.000 |
| 0.000 | -0.000 | -0.000 | -0.000 | 0.007 | -0.000 |
| -0.000 | -0.000 | -0.000 | -0.000 | -0.000 | 0.007 |
| -0.004 | -0.007 | -0.007 | 0.000 | -0.000 | 0.000 |
| -0.007 | -0.004 | -0.007 | 0.000 | 0.000 | -0.000 |
| -0.007 | -0.007 | -0.004 | -0.000 | 0.000 | 0.000 |
| 0.000 | -0.000 | 0.000 | 0.007 | 0.000 | -0.000 |
| -0.000 | 0.000 | 0.000 | 0.000 | 0.007 | 0.000 |
| -0.000 | 0.000 | 0.000 | 0.000 | 0.000 | 0.007 |
| -0.004 | -0.007 | -0.007 | 0.000 | -0.000 | -0.000 |
| -0.007 | -0.004 | -0.007 | -0.000 | 0.000 | 0.000 |
| -0.007 | -0.007 | -0.004 | 0.000 | -0.000 | 0.000 |
| -0.000 | 0.000 | -0.000 | 0.007 | -0.000 | 0.000 |
| 0.000 | -0.000 | -0.000 | -0.000 | 0.007 | -0.000 |
| 0.000 | -0.000 | -0.000 | -0.000 | -0.000 | 0.007 |
| -0.004 | -0.007 | -0.007 | 0.000 | 0.000 | 0.000 |
| -0.007 | -0.004 | -0.007 | 0.000 | 0.000 | -0.000 |
| -0.007 | -0.007 | -0.004 | -0.000 | -0.000 | 0.000 |
| 0.000 | -0.000 | 0.000 | 0.007 | 0.000 | -0.000 |
| -0.000 | 0.000 | 0.000 | 0.000 | 0.007 | 0.000 |
| -0.000 | 0.000 | 0.000 | 0.000 | 0.000 | 0.007 |
| -0.004 | -0.007 | -0.007 | 0.000 | 0.000 | -0.000 |
| -0.007 | -0.004 | -0.007 | -0.000 | 0.000 | 0.000 |
| -0.007 | -0.007 | -0.004 | 0.000 | 0.000 | 0.000 |
| -0.000 | 0.000 | -0.000 | 0.007 | -0.000 | 0.000 |
| 0.000 | -0.000 | -0.000 | -0.000 | 0.007 | -0.000 |
| 0.000 | -0.000 | -0.000 | -0.000 | -0.000 | 0.007 |
| 61.054 | 37.099 | 37.099 | -0.000 | 0.000 | 0.000 |
| 37.099 | 61.054 | 37.099 | 0.000 | -0.000 | 0.000 |
| 37.099 | 37.099 | 61.054 | -0.000 | -0.000 | -0.000 |
| 0.000 | 0.000 | 0.000 | 18.915 | -0.000 | 0.000 |
| 0.000 | -0.000 | 0.000 | -0.000 | 18.915 | 0.000 |
| 0.000 | 0.000 | 0.000 | -0.000 | -0.000 | 18.915 |
| 61.054 | 37.099 | 37.099 | 0.000 | -0.000 | -0.000 |
| 37.099 | 61.054 | 37.099 | 0.000 | 0.000 | -0.000 |
| 37.099 | 37.099 | 61.054 | 0.000 | 0.000 | 0.000 |
| -0.000 | -0.000 | -0.000 | 18.915 | 0.000 | 0.000 |
| -0.000 | 0.000 | -0.000 | 0.000 | 18.915 | -0.000 |
| -0.000 | -0.000 | -0.000 | 0.000 | 0.000 | 18.915 |
| 61.054 | 37.099 | 37.099 | -0.000 | -0.000 | -0.000 |
| 37.099 | 61.054 | 37.099 | -0.000 | -0.000 | 0.000 |
| 37.099 | 37.099 | 61.054 | -0.000 | -0.000 | 0.000 |
| 0.000 | 0.000 | 0.000 | 18.915 | -0.000 | 0.000 |
| 0.000 | 0.000 | 0.000 | -0.000 | 18.915 | -0.000 |
| 0.000 | 0.000 | 0.000 | -0.000 | -0.000 | 18.915 |
| 61.054 | 37.099 | 37.099 | 0.000 | 0.000 | -0.000 |
| 37.099 | 61.054 | 37.099 | -0.000 | 0.000 | -0.000 |
| 37.099 | 37.099 | 61.054 | 0.000 | 0.000 | 0.000 |
| -0.000 | -0.000 | -0.000 | 18.915 | 0.000 | -0.000 |
| -0.000 | -0.000 | -0.000 | 0.000 | 18.915 | -0.000 |
| -0.000 | -0.000 | -0.000 | 0.000 | 0.000 | 18.915 |
| 61.056 | 37.100 | 37.100 | -0.000 | -0.000 | 0.000 |
| 37.100 | 61.056 | 37.100 | -0.000 | -0.000 | 0.000 |
| 37.100 | 37.100 | 61.056 | -0.000 | -0.000 | 0.000 |
| 0.000 | 0.001 | 0.001 | 18.915 | -0.000 | -0.000 |
| 0.001 | 0.000 | 0.001 | -0.000 | 18.915 | 0.000 |
| 0.001 | 0.001 | 0.000 | -0.000 | 0.000 | 18.915 |
| 61.053 | 37.098 | 37.098 | 0.000 | 0.000 | -0.000 |
| 37.098 | 61.053 | 37.098 | -0.000 | 0.000 | -0.000 |
| 37.098 | 37.098 | 61.053 | 0.000 | 0.000 | -0.000 |
| -0.000 | -0.001 | -0.001 | 18.915 | 0.000 | 0.000 |
| -0.001 | -0.000 | -0.001 | 0.000 | 18.915 | 0.000 |
| -0.001 | -0.001 | -0.000 | 0.000 | 0.000 | 18.915 |
| 65.038 | 42.086 | 42.086 | -0.000 | -0.000 | -0.000 |
| 42.086 | 65.038 | 42.086 | -0.000 | -0.000 | -0.000 |
| 42.086 | 42.086 | 65.038 | -0.000 | -0.000 | -0.000 |
| -0.000 | 0.000 | 0.000 | 14.169 | -0.000 | -0.000 |
| 0.000 | -0.000 | 0.000 | -0.000 | 14.169 | -0.000 |
| -0.000 | 0.000 | -0.000 | -0.000 | -0.000 | 14.169 |
| 65.038 | 42.086 | 42.086 | 0.000 | 0.000 | 0.000 |
| 42.086 | 65.038 | 42.086 | 0.000 | 0.000 | 0.000 |
| 42.086 | 42.086 | 65.038 | 0.000 | 0.000 | 0.000 |
| 0.000 | 0.000 | 0.000 | 14.169 | 0.000 | 0.000 |
| 0.000 | 0.000 | 0.000 | 0.000 | 14.169 | 0.000 |
| 0.000 | 0.000 | 0.000 | 0.000 | 0.000 | 14.169 |
| 65.038 | 42.086 | 42.086 | 0.000 | -0.000 | -0.000 |
| 42.086 | 65.038 | 42.086 | -0.000 | -0.000 | -0.000 |
| 42.086 | 42.086 | 65.038 | -0.000 | -0.000 | -0.000 |
| -0.000 | 0.000 | 0.000 | 14.169 | -0.000 | -0.000 |
| 0.000 | -0.000 | 0.000 | -0.000 | 14.169 | -0.000 |
| 0.000 | 0.000 | -0.000 | -0.000 | -0.000 | 14.169 |
| 65.038 | 42.086 | 42.086 | 0.000 | 0.000 | 0.000 |
| 42.086 | 65.038 | 42.086 | 0.000 | 0.000 | 0.000 |
| 42.086 | 42.086 | 65.038 | 0.000 | 0.000 | 0.000 |
| 0.000 | -0.000 | -0.000 | 14.169 | 0.000 | 0.000 |
| -0.000 | 0.000 | -0.000 | 0.000 | 14.169 | 0.000 |
| -0.000 | -0.000 | 0.000 | 0.000 | 0.000 | 14.169 |
| 65.038 | 42.086 | 42.086 | -0.000 | -0.000 | -0.000 |
| 42.086 | 65.038 | 42.086 | -0.000 | -0.000 | -0.000 |
| 42.086 | 42.086 | 65.038 | -0.000 | -0.000 | -0.000 |
| -0.000 | 0.000 | 0.000 | 14.169 | -0.000 | -0.000 |
| 0.000 | -0.000 | 0.000 | -0.000 | 14.169 | -0.000 |
| 0.000 | 0.000 | -0.000 | -0.000 | -0.000 | 14.169 |
| 65.039 | 42.087 | 42.087 | 0.000 | 0.000 | 0.000 |
| 42.087 | 65.039 | 42.087 | 0.000 | 0.000 | 0.000 |
| 42.087 | 42.087 | 65.039 | 0.000 | 0.000 | 0.000 |
| 0.000 | -0.000 | -0.000 | 14.169 | 0.000 | 0.000 |
| -0.000 | 0.000 | -0.000 | 0.000 | 14.169 | 0.000 |
| -0.000 | -0.000 | 0.000 | 0.000 | 0.000 | 14.169 |
| 69.472 | 30.437 | 30.437 | -0.000 | -0.000 | -0.000 |
| 30.437 | 69.472 | 30.437 | -0.000 | 0.000 | -0.000 |
| 30.437 | 30.437 | 69.472 | 0.000 | 0.000 | 0.000 |
| -0.000 | -0.000 | -0.000 | 32.766 | -0.000 | -0.000 |
| -0.000 | -0.000 | -0.000 | -0.000 | 32.766 | -0.000 |
| -0.000 | -0.000 | -0.000 | -0.000 | -0.000 | 32.766 |
| 69.472 | 30.437 | 30.437 | 0.000 | 0.000 | 0.000 |
| 30.437 | 69.472 | 30.437 | 0.000 | 0.000 | 0.000 |
| 30.437 | 30.437 | 69.472 | 0.000 | 0.000 | 0.000 |
| 0.000 | 0.000 | 0.000 | 32.766 | 0.000 | 0.000 |
| 0.000 | 0.000 | 0.000 | 0.000 | 32.766 | 0.000 |
| 0.000 | 0.000 | 0.000 | 0.000 | 0.000 | 32.766 |
| 69.472 | 30.437 | 30.437 | -0.000 | -0.000 | -0.000 |
| 30.437 | 69.472 | 30.437 | -0.000 | -0.000 | -0.000 |
| 30.437 | 30.437 | 69.472 | 0.000 | 0.000 | -0.000 |
| -0.000 | -0.000 | -0.000 | 32.766 | -0.000 | -0.000 |
| -0.000 | -0.000 | -0.000 | -0.000 | 32.766 | -0.000 |
| -0.000 | -0.000 | -0.000 | -0.000 | -0.000 | 32.766 |
| 69.472 | 30.437 | 30.437 | 0.000 | 0.000 | 0.000 |
| 30.437 | 69.472 | 30.437 | 0.000 | 0.000 | 0.000 |
| 30.437 | 30.437 | 69.472 | 0.000 | 0.000 | -0.000 |
| 0.000 | 0.000 | 0.000 | 32.766 | 0.000 | 0.000 |
| 0.000 | 0.000 | 0.000 | 0.000 | 32.766 | 0.000 |
| 0.000 | 0.000 | 0.000 | 0.000 | 0.000 | 32.766 |
| 69.471 | 30.437 | 30.437 | -0.000 | -0.000 | -0.000 |
| 30.437 | 69.471 | 30.437 | -0.000 | -0.000 | 0.000 |
| 30.437 | 30.437 | 69.471 | -0.000 | 0.000 | -0.000 |
| -0.000 | -0.001 | -0.001 | 32.766 | -0.000 | -0.000 |
| -0.001 | -0.000 | -0.001 | -0.000 | 32.766 | 0.000 |
| -0.001 | -0.001 | -0.000 | -0.000 | -0.000 | 32.766 |
| 69.473 | 30.438 | 30.438 | 0.000 | 0.000 | 0.000 |
| 30.438 | 69.473 | 30.438 | 0.000 | 0.000 | 0.000 |
| 30.438 | 30.438 | 69.473 | 0.000 | 0.000 | 0.000 |
| 0.000 | 0.001 | 0.001 | 32.766 | -0.000 | -0.000 |
| 0.001 | 0.000 | 0.001 | 0.000 | 32.766 | 0.000 |
| 0.001 | 0.001 | 0.000 | 0.000 | 0.000 | 32.766 |
| 26.074 | 14.209 | 14.209 | -0.000 | -0.000 | -0.000 |
| 14.209 | 26.074 | 14.209 | -0.000 | -0.000 | -0.000 |
| 14.209 | 14.209 | 26.074 | -0.000 | -0.000 | -0.000 |
| -0.000 | -0.000 | -0.000 | 11.865 | -0.000 | -0.000 |
| -0.000 | -0.000 | -0.000 | -0.000 | 11.865 | 0.000 |
| -0.000 | -0.000 | -0.000 | -0.000 | 0.000 | 11.865 |
| 26.074 | 14.209 | 14.209 | 0.000 | -0.000 | -0.000 |
| 14.209 | 26.074 | 14.209 | -0.000 | 0.000 | 0.000 |
| 14.209 | 14.209 | 26.074 | 0.000 | 0.000 | 0.000 |
| 0.000 | 0.000 | 0.000 | 11.865 | 0.000 | 0.000 |
| 0.000 | 0.000 | 0.000 | 0.000 | 11.865 | -0.000 |
| 0.000 | 0.000 | 0.000 | 0.000 | -0.000 | 11.865 |
| 26.074 | 14.209 | 14.209 | -0.000 | -0.000 | -0.000 |
| 14.209 | 26.074 | 14.209 | -0.000 | -0.000 | -0.000 |
| 14.209 | 14.209 | 26.074 | -0.000 | -0.000 | -0.000 |
| -0.000 | -0.000 | -0.000 | 11.865 | -0.000 | -0.000 |
| -0.000 | -0.000 | -0.000 | -0.000 | 11.865 | 0.000 |
| -0.000 | -0.000 | -0.000 | -0.000 | 0.000 | 11.865 |
| 26.074 | 14.209 | 14.209 | 0.000 | 0.000 | 0.000 |
| 14.209 | 26.074 | 14.209 | 0.000 | 0.000 | 0.000 |
| 14.209 | 14.209 | 26.074 | 0.000 | 0.000 | 0.000 |
| 0.000 | 0.000 | 0.000 | 11.865 | 0.000 | 0.000 |
| 0.000 | 0.000 | 0.000 | 0.000 | 11.865 | -0.000 |
| 0.000 | 0.000 | 0.000 | 0.000 | -0.000 | 11.865 |
| 26.074 | 14.208 | 14.208 | -0.000 | -0.000 | -0.000 |
| 14.208 | 26.074 | 14.208 | -0.000 | -0.000 | -0.000 |
| 14.208 | 14.208 | 26.074 | -0.000 | -0.000 | -0.000 |
| -0.000 | -0.000 | -0.000 | 11.865 | -0.000 | -0.000 |
| -0.000 | -0.000 | -0.000 | -0.000 | 11.865 | 0.000 |
| -0.000 | -0.000 | -0.000 | -0.000 | 0.000 | 11.865 |
| 26.075 | 14.209 | 14.209 | 0.000 | 0.000 | 0.000 |
| 14.209 | 26.075 | 14.209 | 0.000 | 0.000 | 0.000 |
| 14.209 | 14.209 | 26.075 | 0.000 | 0.000 | 0.000 |
| 0.000 | 0.000 | 0.000 | 11.865 | 0.000 | 0.000 |
| 0.000 | 0.000 | 0.000 | 0.000 | 11.865 | -0.000 |
| 0.000 | 0.000 | 0.000 | 0.000 | -0.000 | 11.865 |
| 40.518 | 20.267 | 20.267 | -0.000 | 0.000 | 0.000 |
| 20.267 | 40.518 | 20.267 | 0.000 | -0.000 | -0.000 |
| 20.267 | 20.267 | 40.518 | -0.000 | -0.000 | -0.000 |
| -0.000 | 0.000 | 0.000 | 20.251 | -0.000 | -0.000 |
| 0.000 | -0.000 | 0.000 | -0.000 | 20.251 | 0.000 |
| 0.000 | 0.000 | -0.000 | -0.000 | 0.000 | 20.251 |
| 40.518 | 20.267 | 20.267 | 0.000 | 0.000 | 0.000 |
| 20.267 | 40.518 | 20.267 | -0.000 | 0.000 | -0.000 |
| 20.267 | 20.267 | 40.518 | -0.000 | -0.000 | 0.000 |
| 0.000 | -0.000 | -0.000 | 20.251 | 0.000 | 0.000 |
| -0.000 | 0.000 | -0.000 | 0.000 | 20.251 | -0.000 |
| -0.000 | -0.000 | 0.000 | 0.000 | -0.000 | 20.251 |
| 40.518 | 20.267 | 20.267 | -0.000 | 0.000 | 0.000 |
| 20.267 | 40.518 | 20.267 | 0.000 | -0.000 | 0.000 |
| 20.267 | 20.267 | 40.518 | 0.000 | 0.000 | -0.000 |
| -0.000 | 0.000 | 0.000 | 20.251 | 0.000 | -0.000 |
| 0.000 | -0.000 | 0.000 | 0.000 | 20.251 | 0.000 |
| 0.000 | 0.000 | -0.000 | 0.000 | 0.000 | 20.251 |
| 40.518 | 20.267 | 20.267 | 0.000 | 0.000 | 0.000 |
| 20.267 | 40.518 | 20.267 | 0.000 | 0.000 | 0.000 |
| 20.267 | 20.267 | 40.518 | 0.000 | 0.000 | 0.000 |
| 0.000 | -0.000 | -0.000 | 20.251 | -0.000 | 0.000 |
| -0.000 | 0.000 | -0.000 | -0.000 | 20.251 | -0.000 |
| -0.000 | -0.000 | 0.000 | -0.000 | -0.000 | 20.251 |
| 40.518 | 20.267 | 20.267 | -0.000 | 0.000 | 0.000 |
| 20.267 | 40.518 | 20.267 | 0.000 | -0.000 | -0.000 |
| 20.267 | 20.267 | 40.518 | -0.000 | -0.000 | -0.000 |
| -0.000 | 0.000 | 0.000 | 20.251 | 0.000 | -0.000 |
| 0.000 | -0.000 | 0.000 | 0.000 | 20.251 | 0.000 |
| 0.000 | 0.000 | -0.000 | -0.000 | 0.000 | 20.251 |
| 40.517 | 20.267 | 20.267 | 0.000 | -0.000 | -0.000 |
| 20.267 | 40.517 | 20.267 | -0.000 | 0.000 | 0.000 |
| 20.267 | 20.267 | 40.517 | 0.000 | 0.000 | 0.000 |
| 0.000 | -0.000 | -0.000 | 20.251 | 0.000 | 0.000 |
| -0.000 | 0.000 | -0.000 | 0.000 | 20.251 | -0.000 |
| -0.000 | -0.000 | 0.000 | 0.000 | -0.000 | 20.251 |
| 40.930 | 22.696 | 22.696 | -0.000 | 0.000 | -0.000 |
| 22.696 | 40.930 | 22.696 | -0.000 | -0.000 | -0.000 |
| 22.696 | 22.696 | 40.930 | -0.000 | 0.000 | -0.000 |
| -0.000 | 0.000 | 0.000 | 6.614 | 0.000 | -0.000 |
| 0.000 | -0.000 | 0.000 | -0.000 | 6.614 | -0.000 |
| 0.000 | 0.000 | -0.000 | -0.000 | 0.000 | 6.614 |
| 40.930 | 22.696 | 22.696 | 0.000 | -0.000 | 0.000 |
| 22.696 | 40.930 | 22.696 | 0.000 | -0.000 | 0.000 |
| 22.696 | 22.696 | 40.930 | 0.000 | -0.000 | 0.000 |
| 0.000 | -0.000 | -0.000 | 6.614 | -0.000 | 0.000 |
| -0.000 | -0.000 | -0.000 | -0.000 | 6.614 | 0.000 |
| -0.000 | -0.000 | 0.000 | -0.000 | -0.000 | 6.614 |
| 40.930 | 22.696 | 22.696 | 0.000 | -0.000 | -0.000 |
| 22.696 | 40.930 | 22.696 | -0.000 | -0.000 | -0.000 |
| 22.696 | 22.696 | 40.930 | 0.000 | 0.000 | -0.000 |
| -0.000 | 0.000 | 0.000 | 6.614 | 0.000 | -0.000 |
| 0.000 | -0.000 | 0.000 | -0.000 | 6.614 | -0.000 |
| 0.000 | 0.000 | -0.000 | 0.000 | 0.000 | 6.614 |
| 40.930 | 22.696 | 22.696 | 0.000 | -0.000 | 0.000 |
| 22.696 | 40.930 | 22.696 | 0.000 | -0.000 | 0.000 |
| 22.696 | 22.696 | 40.930 | 0.000 | -0.000 | 0.000 |
| 0.000 | -0.000 | -0.000 | 6.614 | -0.000 | 0.000 |
| -0.000 | 0.000 | -0.000 | 0.000 | 6.614 | 0.000 |
| -0.000 | -0.000 | 0.000 | 0.000 | -0.000 | 6.614 |
| 40.931 | 22.696 | 22.696 | 0.000 | 0.000 | -0.000 |
| 22.696 | 40.931 | 22.696 | -0.000 | 0.000 | -0.000 |
| 22.696 | 22.696 | 40.931 | -0.000 | 0.000 | -0.000 |
| -0.000 | 0.000 | 0.000 | 6.614 | 0.000 | -0.000 |
| 0.000 | -0.000 | 0.000 | -0.000 | 6.614 | -0.000 |
| 0.000 | 0.000 | -0.000 | -0.000 | -0.000 | 6.614 |
| 40.930 | 22.696 | 22.696 | 0.000 | 0.000 | 0.000 |
| 22.696 | 40.930 | 22.696 | -0.000 | -0.000 | 0.000 |
| 22.696 | 22.696 | 40.930 | 0.000 | -0.000 | 0.000 |
| 0.000 | -0.000 | -0.000 | 6.614 | -0.000 | -0.000 |
| -0.000 | 0.000 | -0.000 | 0.000 | 6.614 | 0.000 |
| -0.000 | -0.000 | 0.000 | 0.000 | -0.000 | 6.614 |
| 39.732 | 8.412 | 8.412 | -0.000 | 0.000 | 0.000 |
| 8.412 | 39.732 | 8.412 | -0.000 | 0.000 | 0.000 |
| 8.412 | 8.412 | 39.732 | -0.000 | 0.000 | 0.000 |
| -0.000 | -0.000 | -0.000 | 5.257 | 0.000 | 0.000 |
| -0.000 | -0.000 | -0.000 | -0.000 | 5.257 | 0.000 |
| -0.000 | -0.000 | -0.000 | -0.000 | 0.000 | 5.257 |
| 39.732 | 8.412 | 8.412 | 0.000 | 0.000 | -0.000 |
| 8.412 | 39.732 | 8.412 | 0.000 | -0.000 | -0.000 |
| 8.412 | 8.412 | 39.732 | 0.000 | 0.000 | -0.000 |
| 0.000 | 0.000 | 0.000 | 5.257 | -0.000 | -0.000 |
| 0.000 | 0.000 | 0.000 | 0.000 | 5.257 | -0.000 |
| 0.000 | 0.000 | 0.000 | 0.000 | -0.000 | 5.257 |
| 39.732 | 8.412 | 8.412 | -0.000 | 0.000 | 0.000 |
| 8.412 | 39.732 | 8.412 | -0.000 | 0.000 | 0.000 |
| 8.412 | 8.412 | 39.732 | 0.000 | 0.000 | 0.000 |
| -0.000 | -0.000 | -0.000 | 5.257 | 0.000 | 0.000 |
| -0.000 | -0.000 | -0.000 | -0.000 | 5.257 | 0.000 |
| -0.000 | -0.000 | -0.000 | -0.000 | 0.000 | 5.257 |
| 39.732 | 8.412 | 8.412 | 0.000 | 0.000 | -0.000 |
| 8.412 | 39.732 | 8.412 | 0.000 | -0.000 | -0.000 |
| 8.412 | 8.412 | 39.732 | 0.000 | -0.000 | -0.000 |
| 0.000 | 0.000 | 0.000 | 5.257 | -0.000 | -0.000 |
| 0.000 | 0.000 | 0.000 | 0.000 | 5.257 | -0.000 |
| 0.000 | 0.000 | 0.000 | 0.000 | -0.000 | 5.257 |
| 39.732 | 8.412 | 8.412 | -0.000 | 0.000 | 0.000 |
| 8.412 | 39.732 | 8.412 | 0.000 | 0.000 | 0.000 |
| 8.412 | 8.412 | 39.732 | -0.000 | 0.000 | 0.000 |
| -0.000 | -0.000 | -0.000 | 5.257 | 0.000 | 0.000 |
| -0.000 | -0.000 | -0.000 | -0.000 | 5.257 | 0.000 |
| -0.000 | -0.000 | -0.000 | -0.000 | 0.000 | 5.257 |
| 39.732 | 8.413 | 8.413 | 0.000 | -0.000 | -0.000 |
| 8.413 | 39.732 | 8.413 | 0.000 | -0.000 | -0.000 |
| 8.413 | 8.413 | 39.732 | 0.000 | -0.000 | -0.000 |
| 0.000 | 0.000 | 0.000 | 5.257 | -0.000 | -0.000 |
| 0.000 | 0.000 | 0.000 | 0.000 | 5.257 | -0.000 |
| 0.000 | 0.000 | 0.000 | 0.000 | -0.000 | 5.257 |
| 4.956 | 7.093 | 7.093 | 0.000 | -0.000 | -0.000 |
| 7.093 | 4.956 | 7.093 | -0.000 | -0.000 | -0.000 |
| 7.093 | 7.093 | 4.956 | 0.000 | -0.000 | -0.000 |
| -0.000 | 0.000 | 0.000 | -2.247 | -0.000 | -0.000 |
| 0.000 | -0.000 | 0.000 | -0.000 | -2.247 | -0.000 |
| 0.000 | 0.000 | -0.000 | -0.000 | -0.000 | -2.247 |
| 4.956 | 7.093 | 7.093 | -0.000 | 0.000 | 0.000 |
| 7.093 | 4.956 | 7.093 | -0.000 | 0.000 | 0.000 |
| 7.093 | 7.093 | 4.956 | -0.000 | 0.000 | 0.000 |
| 0.000 | -0.000 | -0.000 | -2.247 | 0.000 | 0.000 |
| -0.000 | 0.000 | -0.000 | 0.000 | -2.247 | 0.000 |
| -0.000 | -0.000 | 0.000 | 0.000 | 0.000 | -2.247 |
| 739943.523 | 781656.721 | 766285.177 | 9700.867 | 3558.013 | -868.821 |
| 776286.858 | 746710.638 | 772773.197 | 980.485 | 8963.527 | 3476.333 |
| 761033.418 | 751208.035 | 737362.649 | 1771.848 | 7652.797 | 1194.042 |
| -0.000 | 0.000 | 0.000 | -2.247 | -0.000 | -0.000 |
| 0.000 | -0.000 | 0.000 | -0.000 | -2.247 | -0.000 |
| 0.000 | 0.000 | -0.000 | -0.000 | -0.000 | -2.247 |
| -748762.328 | -765578.475 | -753723.424 | -3235.403 | -17004.141 | -20906.892 |
| -788344.311 | -763571.865 | -787308.865 | -462.264 | 273.502 | -19.398 |
| -735902.676 | -774095.704 | -751832.459 | -4990.830 | -15494.352 | -13470.482 |
| 0.000 | -0.000 | -0.000 | -2.247 | 0.000 | 0.000 |
| -0.000 | 0.000 | -0.000 | 0.000 | -2.247 | 0.000 |
| -0.000 | -0.000 | 0.000 | 0.000 | 0.000 | -2.247 |
| 75906.222 | 77948.916 | 80740.703 | 441.108 | 1059.605 | 1270.323 |
| 77346.862 | 76938.404 | 76095.475 | 1530.596 | 1698.345 | -62.609 |
| 77323.177 | 76065.877 | 74585.843 | 1600.938 | 73.089 | 976.575 |
| -0.000 | 0.000 | 0.000 | -2.247 | -0.000 | 0.000 |
| 0.000 | -0.000 | 0.000 | -0.000 | -2.247 | -0.000 |
| 0.000 | 0.000 | -0.000 | -0.000 | 0.000 | -2.247 |
| -77285.001 | -76270.934 | -78640.621 | -75.693 | -2106.726 | -445.891 |
| -77828.829 | -75758.846 | -77601.888 | 53.847 | 635.710 | -766.649 |
| -77480.889 | -81223.142 | -79623.499 | -650.345 | 482.598 | -627.724 |
| 0.000 | -0.000 | -0.000 | -2.247 | 0.000 | 0.000 |
| -0.000 | 0.000 | -0.000 | 0.000 | -2.247 | 0.000 |
| -0.000 | -0.000 | 0.000 | 0.000 | 0.000 | -2.247 |
| 6.858 | 2.287 | 2.287 | -0.000 | 0.000 | -0.000 |
| 2.287 | 6.858 | 2.287 | -0.000 | 0.000 | 0.000 |
| 2.287 | 2.287 | 6.858 | -0.000 | 0.000 | 0.000 |
| -0.000 | -0.000 | -0.000 | 0.906 | 0.000 | -0.000 |
| -0.000 | -0.000 | -0.000 | -0.000 | 0.906 | 0.000 |
| -0.000 | -0.000 | -0.000 | 0.000 | 0.000 | 0.906 |
| 6.858 | 2.287 | 2.287 | 0.000 | 0.000 | 0.000 |
| 2.287 | 6.858 | 2.287 | 0.000 | -0.000 | -0.000 |
| 2.287 | 2.287 | 6.858 | 0.000 | -0.000 | -0.000 |
| 0.000 | 0.000 | 0.000 | 0.906 | -0.000 | -0.000 |
| 0.000 | 0.000 | 0.000 | 0.000 | 0.906 | -0.000 |
| 0.000 | 0.000 | 0.000 | -0.000 | -0.000 | 0.906 |
| 5.632 | 2.900 | 2.900 | -0.000 | -0.000 | 0.000 |
| 2.900 | 5.632 | 2.900 | 0.000 | -0.000 | 0.000 |
| 2.900 | 2.900 | 5.632 | -0.000 | 0.000 | 0.000 |
| -0.000 | -0.000 | -0.000 | 0.906 | 0.000 | 0.000 |
| -0.000 | -0.000 | -0.000 | -0.000 | 0.906 | 0.000 |
| -0.000 | -0.000 | -0.000 | 0.000 | 0.000 | 0.906 |
| 7.782 | 1.825 | 1.825 | -0.000 | -0.000 | -0.000 |
| 1.825 | 7.782 | 1.825 | -0.000 | -0.000 | -0.000 |
| 1.825 | 1.825 | 7.782 | -0.000 | -0.000 | -0.000 |
| 0.000 | 0.000 | 0.000 | 0.906 | -0.000 | -0.000 |
| 0.000 | 0.000 | 0.000 | 0.000 | 0.906 | -0.000 |
| 0.000 | 0.000 | 0.000 | -0.000 | -0.000 | 0.906 |
| 4.305 | 3.564 | 3.564 | -0.000 | 0.000 | 0.000 |
| 3.564 | 4.305 | 3.564 | 0.000 | -0.000 | 0.000 |
| 3.601 | 3.601 | 4.231 | -0.000 | 0.000 | -0.000 |
| -0.000 | -0.000 | -0.000 | 0.064 | 0.000 | -0.000 |
| -0.000 | -0.000 | -0.000 | -0.000 | 0.064 | -0.000 |
| -0.000 | -0.000 | -0.000 | -0.000 | -0.000 | 0.064 |
| 4.403 | 3.515 | 3.515 | 0.000 | 0.000 | 0.000 |
| 3.515 | 4.403 | 3.515 | -0.000 | -0.000 | -0.000 |
| 3.515 | 3.515 | 4.403 | 0.000 | 0.000 | -0.000 |
| 0.000 | 0.000 | 0.000 | 0.064 | -0.000 | -0.000 |
| 0.000 | 0.000 | 0.000 | 0.000 | 0.064 | -0.000 |
| 0.000 | 0.000 | 0.000 | 0.000 | 0.000 | 0.064 |
| 14.468 | 18.652 | 18.652 | -0.000 | 0.000 | 0.000 |
| 18.652 | 14.468 | 18.652 | -0.000 | -0.000 | -0.000 |
| 18.652 | 18.652 | 14.468 | -0.000 | 0.000 | 0.000 |
| -0.000 | -0.000 | -0.000 | 12.380 | -0.000 | 0.000 |
| -0.000 | -0.000 | -0.000 | -0.000 | 12.380 | 0.000 |
| -0.000 | -0.000 | -0.000 | -0.000 | -0.000 | 12.380 |
| 14.468 | 18.652 | 18.652 | 0.000 | 0.000 | -0.000 |
| 18.652 | 14.468 | 18.652 | 0.000 | 0.000 | -0.000 |
| 18.652 | 18.652 | 14.468 | 0.000 | 0.000 | 0.000 |
| 0.000 | 0.000 | 0.000 | 12.380 | -0.000 | -0.000 |
| 0.000 | 0.000 | 0.000 | 0.000 | 12.380 | 0.000 |
| 0.000 | 0.000 | 0.000 | 0.000 | 0.000 | 12.380 |
| 14.468 | 18.652 | 18.652 | -0.000 | -0.000 | 0.000 |
| 18.652 | 14.468 | 18.652 | -0.000 | -0.000 | 0.000 |
| 18.652 | 18.652 | 14.468 | -0.000 | -0.000 | 0.000 |
| -0.000 | -0.000 | -0.000 | 12.380 | -0.000 | 0.000 |
| -0.000 | -0.000 | -0.000 | -0.000 | 12.380 | -0.000 |
| -0.000 | -0.000 | -0.000 | -0.000 | -0.000 | 12.380 |
| 14.468 | 18.652 | 18.652 | 0.000 | 0.000 | -0.000 |
| 18.652 | 14.468 | 18.652 | 0.000 | 0.000 | -0.000 |
| 18.652 | 18.652 | 14.468 | 0.000 | 0.000 | -0.000 |
| 0.000 | 0.000 | 0.000 | 12.380 | 0.000 | -0.000 |
| 0.000 | 0.000 | 0.000 | 0.000 | 12.380 | -0.000 |
| 0.000 | 0.000 | 0.000 | 0.000 | 0.000 | 12.380 |
| 14.468 | 18.652 | 18.652 | -0.000 | -0.000 | 0.000 |
| 18.652 | 14.468 | 18.652 | -0.000 | -0.000 | 0.000 |
| 18.652 | 18.652 | 14.468 | 0.000 | 0.000 | 0.000 |
| -0.000 | -0.000 | -0.000 | 12.380 | 0.000 | 0.000 |
| -0.000 | -0.000 | -0.000 | -0.000 | 12.380 | 0.000 |
| -0.000 | -0.000 | -0.000 | -0.000 | -0.000 | 12.380 |
| 14.467 | 18.653 | 18.653 | 0.000 | 0.000 | -0.000 |
| 18.653 | 14.467 | 18.653 | 0.000 | 0.000 | -0.000 |
| 18.653 | 18.653 | 14.467 | 0.000 | 0.000 | 0.000 |
| 0.000 | 0.000 | 0.000 | 12.380 | -0.000 | -0.000 |
| 0.000 | 0.000 | 0.000 | 0.000 | 12.380 | -0.000 |
| 0.000 | 0.000 | 0.000 | 0.000 | 0.000 | 12.380 |
| 73.913 | 9.846 | 9.846 | 0.000 | 0.000 | -0.000 |
| 9.846 | 73.913 | 9.846 | 0.000 | 0.000 | -0.000 |
| 9.846 | 9.846 | 73.913 | 0.000 | 0.000 | -0.000 |
| -0.000 | -0.000 | -0.000 | 9.464 | 0.000 | -0.000 |
| -0.000 | -0.000 | -0.000 | 0.000 | 9.464 | -0.000 |
| -0.000 | -0.000 | -0.000 | 0.000 | 0.000 | 9.464 |
| 73.913 | 9.846 | 9.846 | -0.000 | -0.000 | 0.000 |
| 9.846 | 73.913 | 9.846 | -0.000 | -0.000 | 0.000 |
| 9.846 | 9.846 | 73.913 | -0.000 | -0.000 | 0.000 |
| 0.000 | 0.000 | 0.000 | 9.464 | -0.000 | 0.000 |
| 0.000 | 0.000 | 0.000 | -0.000 | 9.464 | -0.000 |
| 0.000 | 0.000 | 0.000 | -0.000 | -0.000 | 9.464 |
| 73.913 | 9.846 | 9.846 | 0.000 | 0.000 | -0.000 |
| 9.846 | 73.913 | 9.846 | 0.000 | 0.000 | -0.000 |
| 9.846 | 9.846 | 73.913 | 0.000 | 0.000 | -0.000 |
| -0.000 | -0.000 | -0.000 | 9.464 | 0.000 | -0.000 |
| -0.000 | -0.000 | -0.000 | 0.000 | 9.464 | -0.000 |
| -0.000 | -0.000 | -0.000 | 0.000 | 0.000 | 9.464 |
| 73.913 | 9.846 | 9.846 | -0.000 | -0.000 | 0.000 |
| 9.846 | 73.913 | 9.846 | -0.000 | -0.000 | 0.000 |
| 9.846 | 9.846 | 73.913 | -0.000 | -0.000 | 0.000 |
| 0.000 | 0.000 | 0.000 | 9.464 | -0.000 | 0.000 |
| 0.000 | 0.000 | 0.000 | -0.000 | 9.464 | 0.000 |
| 0.000 | 0.000 | 0.000 | -0.000 | -0.000 | 9.464 |
| 73.914 | 9.846 | 9.846 | 0.000 | 0.000 | -0.000 |
| 9.846 | 73.914 | 9.846 | 0.000 | 0.000 | -0.000 |
| 9.846 | 9.846 | 73.914 | 0.000 | 0.000 | -0.000 |
| -0.000 | -0.000 | -0.000 | 9.464 | 0.000 | -0.000 |
| -0.000 | -0.000 | -0.000 | 0.000 | 9.464 | 0.000 |
| -0.000 | -0.000 | -0.000 | 0.000 | 0.000 | 9.464 |
| 73.912 | 9.846 | 9.846 | -0.000 | -0.000 | 0.000 |
| 9.846 | 73.912 | 9.846 | -0.000 | -0.000 | 0.000 |
| 9.846 | 9.846 | 73.912 | -0.000 | -0.000 | 0.000 |
| 0.000 | 0.000 | 0.000 | 9.464 | -0.000 | 0.000 |
| 0.000 | 0.000 | 0.000 | -0.000 | 9.464 | 0.000 |
| 0.000 | 0.000 | 0.000 | -0.000 | -0.000 | 9.464 |
| 7.727 | 7.727 | 7.727 | -0.000 | -0.000 | 0.000 |
| 7.727 | 7.727 | 7.727 | -0.000 | -0.000 | 0.000 |
| 7.727 | 7.727 | 7.727 | -0.000 | -0.000 | -0.000 |
| 0.000 | 0.000 | 0.000 | 7.703 | -0.000 | -0.000 |
| 0.000 | 0.000 | 0.000 | -0.000 | 7.703 | -0.000 |
| 0.000 | 0.000 | 0.000 | -0.000 | -0.000 | 7.703 |
| 7.726 | 7.726 | 7.726 | 0.000 | 0.000 | -0.000 |
| 7.726 | 7.726 | 7.726 | 0.000 | 0.000 | -0.000 |
| 7.726 | 7.726 | 7.726 | -0.000 | -0.000 | 0.000 |
| -0.000 | -0.000 | -0.000 | 7.703 | 0.000 | 0.000 |
| -0.000 | -0.000 | -0.000 | 0.000 | 7.703 | 0.000 |
| -0.000 | -0.000 | -0.000 | 0.000 | 0.000 | 7.703 |
| 7.727 | 7.727 | 7.727 | 0.000 | -0.000 | -0.000 |
| 7.727 | 7.727 | 7.727 | -0.000 | 0.000 | -0.000 |
| 7.727 | 7.727 | 7.727 | 0.000 | 0.000 | -0.000 |
| 0.000 | 0.000 | 0.000 | 7.703 | 0.000 | -0.000 |
| 0.000 | 0.000 | 0.000 | 0.000 | 7.703 | -0.000 |
| 0.000 | 0.000 | 0.000 | -0.000 | -0.000 | 7.703 |
| 7.726 | 7.726 | 7.726 | -0.000 | 0.000 | 0.000 |
| 7.726 | 7.726 | 7.726 | 0.000 | -0.000 | 0.000 |
| 7.726 | 7.726 | 7.726 | 0.000 | 0.000 | 0.000 |
| -0.000 | -0.000 | -0.000 | 7.703 | 0.000 | 0.000 |
| -0.000 | -0.000 | -0.000 | 0.000 | 7.703 | 0.000 |
| -0.000 | -0.000 | -0.000 | 0.000 | 0.000 | 7.703 |
| 7.727 | 7.727 | 7.727 | -0.000 | -0.000 | -0.000 |
| 7.727 | 7.727 | 7.727 | -0.000 | -0.000 | -0.000 |
| 7.727 | 7.727 | 7.727 | 0.000 | 0.000 | -0.000 |
| 0.000 | 0.000 | 0.000 | 7.703 | -0.000 | -0.000 |
| 0.000 | 0.000 | 0.000 | -0.000 | 7.703 | -0.000 |
| 0.000 | 0.000 | 0.000 | 0.000 | -0.000 | 7.703 |
| 7.726 | 7.726 | 7.726 | -0.000 | -0.000 | 0.000 |
| 7.726 | 7.726 | 7.726 | -0.000 | -0.000 | 0.000 |
| 7.726 | 7.726 | 7.726 | 0.000 | 0.000 | 0.000 |
| -0.000 | -0.000 | -0.000 | 7.703 | -0.000 | 0.000 |
| -0.000 | -0.000 | -0.000 | -0.000 | 7.703 | 0.000 |
| -0.000 | -0.000 | -0.000 | 0.000 | 0.000 | 7.703 |
| 2.626 | 2.626 | 2.626 | 0.000 | 0.000 | 0.000 |
| 2.626 | 2.626 | 2.626 | 0.000 | 0.000 | 0.000 |
| 2.626 | 2.626 | 2.626 | 0.000 | 0.000 | -0.000 |
| 0.000 | 0.000 | 0.000 | -5.287 | 0.000 | 0.000 |
| 0.000 | 0.000 | 0.000 | 0.000 | -5.287 | 0.000 |
| 0.000 | 0.000 | 0.000 | 0.000 | 0.000 | -5.287 |
| 2.626 | 2.626 | 2.626 | -0.000 | 0.000 | 0.000 |
| 2.626 | 2.626 | 2.626 | 0.000 | -0.000 | 0.000 |
| 2.626 | 2.626 | 2.626 | -0.000 | -0.000 | -0.000 |
| -0.000 | -0.000 | -0.000 | -5.287 | -0.000 | -0.000 |
| -0.000 | -0.000 | -0.000 | -0.000 | -5.287 | -0.000 |
| -0.000 | -0.000 | -0.000 | -0.000 | -0.000 | -5.287 |
| 2.626 | 2.626 | 2.626 | 0.000 | -0.000 | -0.000 |
| 2.626 | 2.626 | 2.626 | -0.000 | 0.000 | -0.000 |
| 2.626 | 2.626 | 2.626 | -0.000 | -0.000 | -0.000 |
| 0.000 | 0.000 | 0.000 | -5.287 | 0.000 | -0.000 |
| 0.000 | 0.000 | 0.000 | 0.000 | -5.287 | -0.000 |
| 0.000 | 0.000 | 0.000 | 0.000 | 0.000 | -5.287 |
| 2.626 | 2.626 | 2.626 | -0.000 | -0.000 | -0.000 |
| 2.626 | 2.626 | 2.626 | -0.000 | -0.000 | -0.000 |
| 2.626 | 2.626 | 2.626 | -0.000 | -0.000 | -0.000 |
| -0.000 | -0.000 | -0.000 | -5.287 | -0.000 | -0.000 |
| -0.000 | -0.000 | -0.000 | -0.000 | -5.287 | -0.000 |
| -0.000 | -0.000 | -0.000 | -0.000 | -0.000 | -5.287 |
| 2.626 | 2.626 | 2.626 | 0.000 | 0.000 | 0.000 |
| 2.626 | 2.626 | 2.626 | 0.000 | 0.000 | 0.000 |
| 2.626 | 2.626 | 2.626 | 0.000 | 0.000 | 0.000 |
| 0.000 | 0.000 | 0.000 | -5.287 | 0.000 | 0.000 |
| 0.000 | 0.000 | 0.000 | 0.000 | -5.287 | 0.000 |
| 0.000 | 0.000 | 0.000 | -0.000 | 0.000 | -5.287 |
| 2.625 | 2.625 | 2.625 | 0.000 | 0.000 | 0.000 |
| 2.625 | 2.625 | 2.625 | 0.000 | 0.000 | 0.000 |
| 2.625 | 2.625 | 2.625 | 0.000 | 0.000 | 0.000 |
| -0.000 | -0.000 | -0.000 | -5.287 | 0.000 | 0.000 |
| -0.000 | -0.000 | -0.000 | 0.000 | -5.287 | 0.000 |
| -0.000 | -0.000 | -0.000 | -0.000 | 0.000 | -5.287 |
| 31.524 | 12.714 | 10.254 | -0.000 | -0.000 | -0.000 |
| 12.714 | 31.524 | 10.254 | -0.000 | -0.000 | -0.000 |
| 10.254 | 10.254 | 33.984 | -0.000 | -0.000 | -0.000 |
| -0.000 | -0.000 | -0.000 | 7.910 | -0.000 | -0.000 |
| -0.000 | -0.000 | -0.000 | -0.000 | 7.910 | -0.000 |
| -0.000 | -0.000 | -0.000 | 0.000 | 0.000 | 9.888 |
| 31.524 | 12.714 | 10.254 | 0.000 | 0.000 | 0.000 |
| 12.714 | 31.524 | 10.254 | 0.000 | 0.000 | 0.000 |
| 10.254 | 10.254 | 33.984 | 0.000 | 0.000 | 0.000 |
| 0.000 | 0.000 | 0.000 | 7.910 | 0.000 | 0.000 |
| 0.000 | 0.000 | 0.000 | 0.000 | 7.910 | 0.000 |
| 0.000 | 0.000 | 0.000 | -0.000 | -0.000 | 9.888 |
| 31.524 | 12.714 | 10.254 | -0.000 | -0.000 | -0.000 |
| 12.231 | 32.007 | 10.254 | -0.000 | 0.000 | -0.000 |
| 10.254 | 10.254 | 33.984 | 0.000 | -0.000 | -0.000 |
| -0.000 | -0.000 | -0.000 | 7.910 | 0.000 | -0.000 |
| -0.000 | -0.000 | -0.000 | 0.000 | 7.910 | 0.000 |
| -0.000 | -0.000 | -0.000 | -0.000 | -0.000 | 9.405 |
| 32.007 | 12.231 | 10.254 | -0.000 | -0.000 | 0.000 |
| 12.714 | 31.524 | 10.254 | 0.000 | 0.000 | 0.000 |
| 10.254 | 10.254 | 33.984 | -0.000 | 0.000 | 0.000 |
| 0.000 | 0.000 | 0.000 | 7.910 | 0.000 | 0.000 |
| 0.000 | 0.000 | 0.000 | -0.000 | 7.910 | 0.000 |
| 0.000 | 0.000 | 0.000 | 0.000 | 0.000 | 9.405 |
| 31.523 | 12.714 | 10.254 | -0.000 | -0.000 | -0.000 |
| 12.231 | 32.006 | 10.253 | -0.000 | 0.000 | -0.000 |
| 10.253 | 10.253 | 33.984 | -0.000 | -0.000 | -0.000 |
| -0.000 | -0.000 | -0.000 | 7.910 | -0.000 | -0.000 |
| -0.000 | -0.000 | -0.000 | -0.000 | 7.910 | -0.000 |
| -0.000 | -0.000 | -0.000 | -0.000 | -0.000 | 9.405 |
| 31.053 | 13.185 | 10.254 | 0.000 | 0.000 | 0.000 |
| 12.961 | 31.277 | 10.254 | 0.000 | 0.000 | 0.000 |
| 10.254 | 10.254 | 33.985 | -0.000 | 0.000 | 0.000 |
| 0.000 | 0.000 | 0.000 | 7.910 | 0.000 | 0.000 |
| 0.000 | 0.000 | 0.000 | 0.000 | 7.910 | 0.000 |
| 0.000 | 0.000 | 0.000 | 0.000 | 0.000 | 9.405 |
| 32.007 | 12.231 | 10.254 | -0.000 | 0.000 | 0.000 |
| 12.231 | 32.007 | 10.254 | 0.000 | -0.000 | 0.000 |
| 10.254 | 10.254 | 33.984 | -0.000 | 0.000 | 0.000 |
| -0.000 | -0.000 | -0.000 | 7.910 | 0.000 | 0.000 |
| -0.000 | -0.000 | -0.000 | -0.000 | 7.910 | 0.000 |
| -0.000 | -0.000 | -0.000 | 0.000 | 0.000 | 8.922 |
| 31.041 | 13.197 | 10.254 | 0.000 | 0.000 | -0.000 |
| 12.231 | 32.007 | 10.254 | -0.000 | 0.000 | -0.000 |
| 10.254 | 10.254 | 33.984 | 0.000 | -0.000 | -0.000 |
| 0.000 | 0.000 | 0.000 | 7.910 | -0.000 | -0.000 |
| 0.000 | 0.000 | 0.000 | 0.000 | 7.910 | -0.000 |
| 0.000 | 0.000 | 0.000 | 0.000 | 0.000 | 8.922 |
| 32.007 | 12.231 | 10.254 | -0.000 | 0.000 | 0.000 |
| 13.197 | 31.041 | 10.254 | -0.000 | -0.000 | 0.000 |
| 10.254 | 10.254 | 33.984 | -0.000 | 0.000 | 0.000 |
| -0.000 | -0.000 | -0.000 | 7.910 | -0.000 | 0.000 |
| -0.000 | -0.000 | -0.000 | -0.000 | 7.910 | 0.000 |
| -0.000 | -0.000 | -0.000 | 0.000 | -0.000 | 8.922 |
| 31.041 | 13.197 | 10.254 | 0.000 | 0.000 | -0.000 |
| 12.231 | 32.007 | 10.254 | -0.000 | 0.000 | -0.000 |
| 10.254 | 10.254 | 33.984 | -0.000 | -0.000 | -0.000 |
| 0.000 | 0.000 | 0.000 | 7.910 | 0.000 | -0.000 |
| 0.000 | 0.000 | 0.000 | 0.000 | 7.910 | -0.000 |
| 0.000 | 0.000 | 0.000 | -0.000 | -0.000 | 8.922 |
| 31.018 | 13.219 | 10.254 | 0.000 | -0.000 | 0.000 |
| 13.197 | 31.040 | 10.254 | -0.000 | 0.000 | 0.000 |
| 10.253 | 10.253 | 33.984 | -0.000 | 0.000 | 0.000 |
| -0.000 | -0.000 | -0.000 | 7.910 | -0.000 | 0.000 |
| -0.000 | -0.000 | -0.000 | -0.000 | 7.910 | 0.000 |
| -0.000 | -0.000 | -0.000 | -0.000 | -0.000 | 8.922 |
| 31.019 | 13.219 | 10.254 | -0.000 | 0.000 | -0.000 |
| 13.197 | 31.042 | 10.254 | 0.000 | 0.000 | -0.000 |
| 10.254 | 10.254 | 33.985 | -0.000 | -0.000 | -0.000 |
| 0.000 | 0.000 | 0.000 | 7.910 | 0.000 | -0.000 |
| 0.000 | 0.000 | 0.000 | -0.000 | 7.910 | -0.000 |
| 0.000 | 0.000 | 0.000 | 0.000 | -0.000 | 8.900 |
| 1.356 | 1.356 | 1.356 | 0.000 | 0.000 | 0.000 |
| 1.356 | 1.356 | 1.356 | 0.000 | 0.000 | 0.000 |
| 1.356 | 1.356 | 1.356 | 0.000 | 0.000 | 0.000 |
| 0.000 | -0.000 | -0.000 | 0.413 | 0.000 | 0.000 |
| -0.000 | 0.000 | -0.000 | 0.000 | 0.413 | 0.000 |
| -0.000 | 0.000 | 0.000 | 0.000 | 0.000 | 0.413 |
| 1.356 | 1.356 | 1.356 | -0.000 | -0.000 | -0.000 |
| 1.356 | 1.356 | 1.356 | -0.000 | -0.000 | -0.000 |
| 1.356 | 1.356 | 1.356 | -0.000 | -0.000 | -0.000 |
| -0.000 | 0.000 | 0.000 | 0.413 | -0.000 | -0.000 |
| 0.000 | -0.000 | 0.000 | -0.000 | 0.413 | -0.000 |
| 0.000 | -0.000 | -0.000 | -0.000 | -0.000 | 0.413 |
| 1.356 | 1.356 | 1.356 | 0.000 | 0.000 | 0.000 |
| 1.356 | 1.356 | 1.356 | 0.000 | 0.000 | 0.000 |
| 1.356 | 1.356 | 1.356 | 0.000 | 0.000 | 0.000 |
| -0.000 | -0.000 | -0.000 | 0.143 | 0.000 | 0.000 |
| -0.000 | -0.000 | -0.000 | 0.000 | 0.143 | 0.000 |
| -0.000 | -0.000 | -0.000 | 0.000 | 0.000 | 0.143 |
| 1.356 | 1.356 | 1.356 | -0.000 | -0.000 | -0.000 |
| 1.356 | 1.356 | 1.356 | -0.000 | -0.000 | -0.000 |
| 1.356 | 1.356 | 1.356 | -0.000 | -0.000 | -0.000 |
| 0.000 | 0.000 | 0.000 | 0.143 | -0.000 | -0.000 |
| 0.000 | 0.000 | 0.000 | -0.000 | 0.143 | -0.000 |
| 0.000 | 0.000 | 0.000 | -0.000 | -0.000 | 0.143 |
| 1.356 | 1.356 | 1.356 | 0.000 | 0.000 | 0.000 |
| 1.356 | 1.356 | 1.356 | 0.000 | 0.000 | 0.000 |
| 1.356 | 1.356 | 1.356 | 0.000 | 0.000 | 0.000 |
| -0.000 | -0.000 | -0.000 | 0.006 | 0.000 | 0.000 |
| -0.000 | -0.000 | -0.000 | 0.000 | 0.006 | 0.000 |
| -0.000 | -0.000 | -0.000 | 0.000 | 0.000 | 0.006 |
| 1.356 | 1.356 | 1.356 | 0.000 | -0.000 | -0.000 |
| 1.356 | 1.356 | 1.356 | -0.000 | 0.000 | -0.000 |
| 1.356 | 1.356 | 1.356 | -0.000 | -0.000 | 0.000 |
| 0.000 | 0.000 | 0.000 | 0.006 | -0.000 | -0.000 |
| 0.000 | 0.000 | 0.000 | -0.000 | 0.006 | -0.000 |
| 0.000 | 0.000 | 0.000 | -0.000 | -0.000 | 0.006 |
| 0.577 | 0.577 | 0.577 | 0.000 | 0.000 | 0.000 |
| 0.577 | 0.577 | 0.577 | 0.000 | 0.000 | 0.000 |
| 0.577 | 0.577 | 0.577 | 0.000 | 0.000 | 0.000 |
| -0.000 | -0.000 | -0.000 | 0.548 | 0.000 | 0.000 |
| -0.000 | -0.000 | -0.000 | 0.000 | 0.548 | 0.000 |
| -0.000 | -0.000 | -0.000 | 0.000 | 0.000 | 0.548 |
| 0.577 | 0.577 | 0.577 | 0.000 | -0.000 | -0.000 |
| 0.577 | 0.577 | 0.577 | -0.000 | 0.000 | -0.000 |
| 0.577 | 0.577 | 0.577 | -0.000 | -0.000 | 0.000 |
| 0.000 | 0.000 | 0.000 | 0.548 | 0.000 | -0.000 |
| 0.000 | 0.000 | 0.000 | 0.000 | 0.548 | -0.000 |
| 0.000 | 0.000 | 0.000 | 0.000 | -0.000 | 0.548 |
| 0.577 | 0.577 | 0.577 | 0.000 | 0.000 | 0.000 |
| 0.577 | 0.577 | 0.577 | 0.000 | 0.000 | 0.000 |
| 0.577 | 0.577 | 0.577 | 0.000 | 0.000 | 0.000 |
| -0.000 | -0.000 | -0.000 | 0.363 | 0.000 | 0.000 |
| -0.000 | -0.000 | -0.000 | 0.000 | 0.363 | 0.000 |
| -0.000 | -0.000 | -0.000 | 0.000 | 0.000 | 0.363 |
| 0.577 | 0.577 | 0.577 | -0.000 | -0.000 | -0.000 |
| 0.577 | 0.577 | 0.577 | -0.000 | -0.000 | -0.000 |
| 0.577 | 0.577 | 0.577 | -0.000 | -0.000 | -0.000 |
| 0.000 | 0.000 | 0.000 | 0.363 | -0.000 | -0.000 |
| 0.000 | 0.000 | 0.000 | -0.000 | 0.363 | -0.000 |
| 0.000 | 0.000 | 0.000 | -0.000 | -0.000 | 0.363 |
| 0.577 | 0.577 | 0.577 | 0.000 | 0.000 | 0.000 |
| 0.577 | 0.577 | 0.577 | 0.000 | 0.000 | 0.000 |
| 0.577 | 0.577 | 0.577 | 0.000 | 0.000 | 0.000 |
| -0.000 | -0.000 | -0.000 | 0.046 | 0.000 | 0.000 |
| -0.000 | -0.000 | -0.000 | 0.000 | 0.046 | 0.000 |
| -0.000 | -0.000 | -0.000 | 0.000 | 0.000 | 0.046 |
| 0.577 | 0.577 | 0.577 | -0.000 | -0.000 | -0.000 |
| 0.577 | 0.577 | 0.577 | -0.000 | -0.000 | -0.000 |
| 0.577 | 0.577 | 0.577 | -0.000 | -0.000 | -0.000 |
| 0.000 | 0.000 | 0.000 | 0.046 | -0.000 | -0.000 |
| 0.000 | 0.000 | 0.000 | -0.000 | 0.046 | -0.000 |
| 0.000 | 0.000 | 0.000 | -0.000 | -0.000 | 0.046 |
| 17.512 | 2.417 | 5.068 | 0.000 | 0.000 | 0.000 |
| 2.417 | 17.512 | 5.068 | 0.000 | 0.000 | 0.000 |
| 5.068 | 5.068 | 23.133 | -0.000 | 0.000 | -0.000 |
| -0.000 | 0.000 | 0.000 | 3.221 | 0.000 | -0.000 |
| 0.000 | -0.000 | 0.000 | 0.000 | 3.221 | -0.000 |
| -0.000 | 0.000 | -0.000 | 0.000 | 0.000 | -0.000 |
| 17.512 | 2.417 | 5.068 | -0.000 | -0.000 | -0.000 |
| 2.417 | 17.512 | 5.068 | -0.000 | -0.000 | 0.000 |
| 5.068 | 5.068 | 23.133 | -0.000 | -0.000 | 0.000 |
| 0.000 | -0.000 | -0.000 | 3.221 | -0.000 | -0.000 |
| -0.000 | 0.000 | -0.000 | -0.000 | 3.221 | 0.000 |
| 0.000 | -0.000 | 0.000 | -0.000 | -0.000 | 0.000 |
| 17.512 | 2.417 | 5.068 | 0.000 | 0.000 | -0.000 |
| 2.417 | 17.512 | 5.068 | 0.000 | 0.000 | -0.000 |
| 5.068 | 5.068 | 23.133 | 0.000 | 0.000 | -0.000 |
| -0.000 | 0.000 | 0.000 | 3.221 | 0.000 | 0.000 |
| 0.000 | -0.000 | 0.000 | 0.000 | 3.221 | -0.000 |
| -0.000 | -0.000 | -0.000 | 0.000 | 0.000 | -0.000 |
| 17.512 | 2.417 | 5.068 | -0.000 | -0.000 | 0.000 |
| 2.417 | 17.512 | 5.068 | -0.000 | -0.000 | 0.000 |
| 5.068 | 5.068 | 23.133 | -0.000 | -0.000 | 0.000 |
| 0.000 | -0.000 | -0.000 | 3.221 | -0.000 | 0.000 |
| -0.000 | 0.000 | -0.000 | -0.000 | 3.221 | -0.000 |
| 0.000 | 0.000 | 0.000 | -0.000 | -0.000 | 0.000 |
| 17.513 | 2.417 | 5.068 | 0.000 | 0.000 | 0.000 |
| 2.417 | 17.513 | 5.068 | 0.000 | 0.000 | 0.000 |
| 5.068 | 5.068 | 23.132 | 0.000 | 0.000 | -0.000 |
| -0.000 | 0.000 | 0.000 | 3.221 | 0.000 | 0.000 |
| 0.000 | -0.000 | 0.000 | 0.000 | 3.221 | -0.000 |
| -0.000 | -0.000 | -0.000 | 0.000 | 0.000 | 0.000 |
| 17.502 | 2.427 | 5.068 | -0.000 | -0.000 | 0.000 |
| 2.427 | 17.502 | 5.068 | 0.000 | -0.000 | 0.000 |
| 5.068 | 5.068 | 23.133 | -0.000 | -0.000 | 0.000 |
| 0.000 | -0.000 | -0.000 | 3.221 | -0.000 | 0.000 |
| -0.000 | 0.000 | -0.000 | -0.000 | 3.221 | -0.000 |
| 0.000 | 0.000 | 0.000 | -0.000 | -0.000 | 0.000 |
| 16.696 | 2.417 | 9.116 | 0.000 | -0.000 | 0.000 |
| 2.417 | 16.696 | 9.116 | 0.000 | -0.000 | 0.000 |
| 9.116 | 9.116 | 12.177 | -0.000 | 0.000 | -0.000 |
| -0.000 | 0.000 | -0.000 | 6.952 | -0.000 | -0.000 |
| 0.000 | -0.000 | -0.000 | -0.000 | 6.952 | 0.000 |
| -0.000 | -0.000 | -0.000 | -0.000 | 0.000 | 0.000 |
| 16.696 | 2.417 | 9.116 | -0.000 | 0.000 | 0.000 |
| 2.417 | 16.696 | 9.116 | -0.000 | 0.000 | 0.000 |
| 9.116 | 9.116 | 12.177 | -0.000 | 0.000 | -0.000 |
| 0.000 | -0.000 | 0.000 | 6.952 | 0.000 | -0.000 |
| -0.000 | 0.000 | 0.000 | -0.000 | 6.952 | 0.000 |
| 0.000 | 0.000 | 0.000 | 0.000 | -0.000 | -0.000 |
| 16.696 | 2.417 | 9.116 | 0.000 | -0.000 | 0.000 |
| 2.417 | 16.696 | 9.116 | -0.000 | -0.000 | -0.000 |
| 9.116 | 9.116 | 12.177 | 0.000 | -0.000 | -0.000 |
| -0.000 | 0.000 | -0.000 | 6.952 | -0.000 | -0.000 |
| 0.000 | -0.000 | -0.000 | -0.000 | 6.952 | 0.000 |
| -0.000 | -0.000 | -0.000 | -0.000 | -0.000 | -0.000 |
| 16.696 | 2.417 | 9.116 | -0.000 | -0.000 | 0.000 |
| 2.417 | 16.696 | 9.116 | -0.000 | 0.000 | -0.000 |
| 9.116 | 9.116 | 12.177 | 0.000 | -0.000 | 0.000 |
| 0.000 | -0.000 | 0.000 | 6.952 | -0.000 | -0.000 |
| -0.000 | 0.000 | 0.000 | 0.000 | 6.952 | 0.000 |
| 0.000 | 0.000 | 0.000 | 0.000 | 0.000 | -0.000 |
| 16.697 | 2.417 | 9.116 | 0.000 | -0.000 | -0.000 |
| 2.417 | 16.697 | 9.116 | -0.000 | -0.000 | -0.000 |
| 9.116 | 9.116 | 12.177 | 0.000 | -0.000 | 0.000 |
| -0.000 | 0.000 | -0.000 | 6.952 | -0.000 | -0.000 |
| 0.000 | -0.000 | -0.000 | -0.000 | 6.952 | 0.000 |
| -0.000 | -0.000 | -0.000 | -0.000 | -0.000 | 0.000 |
| 16.696 | 2.417 | 9.116 | 0.000 | 0.000 | -0.000 |
| 2.417 | 16.696 | 9.116 | 0.000 | 0.000 | -0.000 |
| 9.116 | 9.116 | 12.177 | 0.000 | 0.000 | 0.000 |
| 0.000 | -0.000 | 0.000 | 6.952 | 0.000 | -0.000 |
| -0.000 | 0.000 | 0.000 | -0.000 | 6.952 | 0.000 |
| 0.000 | 0.000 | 0.000 | 0.000 | 0.000 | -0.000 |
| 2.569 | 0.210 | 0.322 | 0.000 | -0.000 | 0.000 |
| 0.210 | 2.569 | 0.322 | 0.000 | 0.000 | -0.000 |
| 0.322 | 0.322 | 0.075 | 0.000 | 0.000 | -0.000 |
| -0.000 | 0.000 | -0.000 | 0.167 | 0.000 | 0.000 |
| -0.000 | 0.000 | -0.000 | 0.000 | 0.167 | -0.000 |
| 0.000 | -0.000 | -0.000 | 0.000 | -0.000 | 0.000 |
| 2.569 | 0.210 | 0.322 | -0.000 | -0.000 | 0.000 |
| 0.210 | 2.569 | 0.322 | -0.000 | -0.000 | 0.000 |
| 0.322 | 0.322 | 0.075 | -0.000 | 0.000 | 0.000 |
| 0.000 | -0.000 | 0.000 | 0.167 | -0.000 | 0.000 |
| 0.000 | -0.000 | 0.000 | -0.000 | 0.167 | -0.000 |
| -0.000 | 0.000 | 0.000 | -0.000 | -0.000 | 0.000 |
| 2.445 | 0.334 | 0.322 | 0.000 | 0.000 | -0.000 |
| 0.334 | 2.445 | 0.322 | 0.000 | 0.000 | 0.000 |
| 0.322 | 0.322 | 0.075 | 0.000 | -0.000 | 0.000 |
| 0.000 | -0.000 | -0.000 | 0.306 | -0.000 | -0.000 |
| -0.000 | 0.000 | -0.000 | 0.000 | 0.306 | -0.000 |
| -0.000 | -0.000 | -0.000 | 0.000 | 0.000 | 0.000 |
| 2.708 | 0.071 | 0.322 | -0.000 | -0.000 | -0.000 |
| 0.071 | 2.708 | 0.322 | -0.000 | 0.000 | -0.000 |
| 0.322 | 0.322 | 0.075 | -0.000 | -0.000 | -0.000 |
| -0.000 | 0.000 | 0.000 | 0.306 | 0.000 | 0.000 |
| 0.000 | -0.000 | 0.000 | -0.000 | 0.306 | -0.000 |
| 0.000 | 0.000 | 0.000 | -0.000 | -0.000 | 0.000 |
| 1.777 | 1.001 | 0.322 | 0.000 | 0.000 | 0.000 |
| 1.001 | 1.777 | 0.322 | 0.000 | 0.000 | -0.000 |
| 0.322 | 0.322 | 0.075 | 0.000 | -0.000 | -0.000 |
| -0.000 | -0.000 | -0.000 | 0.015 | 0.000 | -0.000 |
| -0.000 | -0.000 | -0.000 | 0.000 | 0.015 | -0.000 |
| -0.000 | -0.000 | -0.000 | 0.000 | -0.000 | 0.000 |
| 1.931 | 0.848 | 0.322 | -0.000 | -0.000 | -0.000 |
| 0.848 | 1.931 | 0.322 | -0.000 | -0.000 | 0.000 |
| 0.322 | 0.322 | 0.075 | 0.000 | -0.000 | 0.000 |
| 0.000 | 0.000 | 0.000 | 0.015 | -0.000 | -0.000 |
| 0.000 | 0.000 | 0.000 | -0.000 | 0.015 | -0.000 |
| 0.000 | 0.000 | 0.000 | -0.000 | -0.000 | 0.000 |
| 2.959 | 0.208 | 0.321 | 0.000 | -0.000 | -0.000 |
| 0.081 | 3.086 | 0.321 | 0.000 | -0.000 | -0.000 |
| 0.321 | 0.321 | 19.926 | -0.000 | -0.000 | 0.000 |
| 0.000 | -0.000 | -0.000 | 0.275 | -0.000 | -0.000 |
| 0.000 | -0.000 | -0.000 | 0.000 | 0.275 | 0.000 |
| 0.000 | -0.000 | -0.000 | -0.000 | 0.000 | 0.000 |
| 2.959 | 0.208 | 0.321 | 0.000 | -0.000 | -0.000 |
| 0.208 | 2.959 | 0.321 | -0.000 | -0.000 | -0.000 |
| 0.321 | 0.321 | 19.926 | 0.000 | 0.000 | -0.000 |
| -0.000 | 0.000 | 0.000 | 0.275 | 0.000 | 0.000 |
| -0.000 | 0.000 | 0.000 | -0.000 | 0.275 | 0.000 |
| -0.000 | 0.000 | 0.000 | 0.000 | 0.000 | 0.000 |
| 3.086 | 0.081 | 0.321 | 0.000 | 0.000 | 0.000 |
| 0.081 | 3.086 | 0.321 | 0.000 | -0.000 | -0.000 |
| 0.321 | 0.321 | 19.929 | 0.000 | 0.000 | 0.000 |
| 0.000 | -0.000 | -0.000 | 0.275 | 0.000 | -0.000 |
| -0.000 | 0.000 | -0.000 | 0.000 | 0.275 | -0.000 |
| -0.000 | -0.000 | -0.000 | 0.000 | -0.000 | 0.000 |
| 2.959 | 0.208 | 0.321 | 0.000 | 0.000 | -0.000 |
| 0.208 | 2.959 | 0.321 | 0.000 | -0.000 | -0.000 |
| 0.321 | 0.321 | 19.923 | -0.000 | 0.000 | 0.000 |
| -0.000 | 0.000 | 0.000 | 0.275 | -0.000 | -0.000 |
| 0.000 | -0.000 | 0.000 | -0.000 | 0.275 | -0.000 |
| 0.000 | 0.000 | 0.000 | -0.000 | 0.000 | 0.000 |
| 1.981 | 1.186 | 0.321 | 0.000 | 0.000 | 0.000 |
| 1.186 | 1.981 | 0.321 | 0.000 | 0.000 | 0.000 |
| 0.321 | 0.321 | 19.953 | -0.000 | 0.000 | -0.000 |
| -0.000 | -0.000 | -0.000 | 0.042 | -0.000 | 0.000 |
| -0.000 | -0.000 | -0.000 | -0.000 | 0.042 | 0.000 |
| -0.000 | -0.000 | -0.000 | -0.000 | 0.000 | 0.000 |
| 2.102 | 1.065 | 0.321 | -0.000 | 0.000 | 0.000 |
| 1.065 | 2.102 | 0.321 | 0.000 | -0.000 | -0.000 |
| 0.321 | 0.321 | 19.899 | 0.000 | -0.000 | -0.000 |
| 0.000 | 0.000 | 0.000 | 0.042 | 0.000 | -0.000 |
| 0.000 | 0.000 | 0.000 | 0.000 | 0.042 | 0.000 |
| 0.000 | 0.000 | 0.000 | 0.000 | 0.000 | 0.000 |
| 6.889 | 0.506 | 0.518 | 0.000 | 0.000 | 0.000 |
| 0.506 | 6.889 | 0.518 | 0.000 | 0.000 | -0.000 |
| 0.518 | 0.518 | 8.460 | 0.000 | 0.000 | -0.000 |
| -0.000 | 0.000 | 0.000 | 0.490 | 0.000 | -0.000 |
| 0.000 | -0.000 | 0.000 | 0.000 | 0.490 | 0.000 |
| 0.000 | -0.000 | -0.000 | 0.000 | 0.000 | 0.000 |
| 7.372 | 0.024 | 0.518 | -0.000 | -0.000 | -0.000 |
| 0.024 | 7.372 | 0.518 | -0.000 | -0.000 | -0.000 |
| 0.518 | 0.518 | 8.460 | -0.000 | -0.000 | 0.000 |
| 0.000 | -0.000 | 0.000 | 0.490 | -0.000 | -0.000 |
| -0.000 | 0.000 | -0.000 | -0.000 | 0.490 | 0.000 |
| -0.000 | 0.000 | 0.000 | -0.000 | 0.000 | 0.000 |
| 6.889 | 0.506 | 0.518 | 0.000 | 0.000 | 0.000 |
| 0.506 | 6.889 | 0.518 | 0.000 | 0.000 | 0.000 |
| 0.518 | 0.518 | 8.460 | 0.000 | 0.000 | -0.000 |
| -0.000 | 0.000 | -0.000 | 0.490 | 0.000 | -0.000 |
| 0.000 | -0.000 | -0.000 | 0.000 | 0.490 | 0.000 |
| -0.000 | -0.000 | -0.000 | 0.000 | 0.000 | 0.000 |
| 6.889 | 0.506 | 0.518 | -0.000 | -0.000 | 0.000 |
| 0.506 | 6.889 | 0.518 | -0.000 | -0.000 | -0.000 |
| 0.518 | 0.518 | 8.460 | -0.000 | -0.000 | 0.000 |
| 0.000 | -0.000 | 0.000 | 0.490 | -0.000 | -0.000 |
| -0.000 | 0.000 | 0.000 | -0.000 | 0.490 | 0.000 |
| 0.000 | 0.000 | 0.000 | -0.000 | -0.000 | 0.000 |
| 4.209 | 3.187 | 0.518 | 0.000 | 0.000 | 0.000 |
| 3.187 | 4.209 | 0.518 | 0.000 | 0.000 | 0.000 |
| 0.518 | 0.518 | 8.460 | 0.000 | 0.000 | -0.000 |
| -0.000 | -0.000 | -0.000 | 0.007 | 0.000 | 0.000 |
| -0.000 | -0.000 | -0.000 | 0.000 | 0.007 | 0.000 |
| -0.000 | -0.000 | -0.000 | 0.000 | 0.000 | 0.000 |
| 4.596 | 2.800 | 0.518 | -0.000 | -0.000 | 0.000 |
| 2.800 | 4.596 | 0.518 | -0.000 | -0.000 | 0.000 |
| 0.518 | 0.518 | 8.460 | -0.000 | -0.000 | 0.000 |
| 0.000 | 0.000 | 0.000 | 0.007 | -0.000 | 0.000 |
| 0.000 | 0.000 | 0.000 | -0.000 | 0.007 | 0.000 |
| 0.000 | 0.000 | 0.000 | -0.000 | -0.000 | 0.000 |
| 61.991 | 54.654 | 18.293 | 0.000 | 0.000 | -0.000 |
| 54.654 | 61.991 | 18.293 | -0.000 | 0.000 | 0.000 |
| 18.293 | 18.293 | 39.551 | -0.000 | 0.000 | -0.000 |
| -0.000 | -0.000 | -0.000 | 13.824 | 0.000 | 0.000 |
| -0.000 | -0.000 | -0.000 | -0.000 | 13.824 | -0.000 |
| -0.000 | -0.000 | -0.000 | -0.000 | -0.000 | 49.237 |
| 61.991 | 54.654 | 18.293 | 0.000 | 0.000 | 0.000 |
| 54.654 | 61.991 | 18.293 | 0.000 | -0.000 | -0.000 |
| 18.293 | 18.293 | 39.551 | 0.000 | -0.000 | -0.000 |
| 0.000 | 0.000 | 0.000 | 13.824 | -0.000 | -0.000 |
| 0.000 | 0.000 | 0.000 | -0.000 | 13.824 | 0.000 |
| 0.000 | 0.000 | 0.000 | 0.000 | -0.000 | 49.237 |
| 61.991 | 54.653 | 18.293 | 0.000 | 0.000 | 0.000 |
| 54.653 | 61.991 | 18.293 | -0.000 | 0.000 | 0.000 |
| 18.293 | 18.293 | 39.551 | 0.000 | 0.000 | -0.000 |
| -0.000 | -0.000 | -0.000 | 13.824 | 0.000 | 0.000 |
| -0.000 | -0.000 | -0.000 | 0.000 | 13.824 | -0.000 |
| -0.000 | -0.000 | -0.000 | -0.000 | -0.000 | 49.237 |
| 61.992 | 54.654 | 18.293 | 0.000 | -0.000 | 0.000 |
| 54.654 | 61.992 | 18.293 | -0.000 | -0.000 | -0.000 |
| 18.293 | 18.293 | 39.552 | 0.000 | -0.000 | -0.000 |
| 0.000 | 0.000 | 0.000 | 13.824 | -0.000 | -0.000 |
| 0.000 | 0.000 | 0.000 | -0.000 | 13.824 | 0.000 |
| 0.000 | 0.000 | 0.000 | 0.000 | 0.000 | 49.237 |
| 61.988 | 54.649 | 18.293 | 0.000 | 0.000 | 0.000 |
| 54.649 | 61.988 | 18.293 | 0.000 | 0.000 | 0.000 |
| 18.293 | 18.293 | 39.551 | 0.000 | 0.000 | 0.000 |
| -0.000 | -0.000 | -0.000 | 13.824 | 0.000 | 0.000 |
| -0.000 | -0.000 | -0.000 | 0.000 | 13.824 | -0.000 |
| -0.004 | -0.004 | -0.000 | -0.000 | 0.000 | 49.237 |
| 61.995 | 54.658 | 18.293 | -0.000 | -0.000 | 0.000 |
| 54.658 | 61.995 | 18.293 | -0.000 | -0.000 | -0.000 |
| 18.293 | 18.293 | 39.552 | -0.000 | -0.000 | -0.000 |
| 0.000 | 0.000 | 0.000 | 13.824 | -0.000 | -0.000 |
| 0.000 | 0.000 | 0.000 | 0.000 | 13.824 | 0.000 |
| 0.004 | 0.004 | 0.000 | -0.000 | -0.000 | 49.237 |
| 3.891 | 0.102 | 0.000 | 0.000 | 0.000 | 0.000 |
| 0.102 | 3.891 | 0.000 | 0.000 | 0.000 | -0.000 |
| 0.000 | 0.000 | 0.000 | 0.000 | 0.000 | 0.000 |
| 0.000 | 0.000 | 0.000 | 0.000 | 0.000 | -0.000 |
| 0.000 | 0.000 | 0.000 | 0.000 | 0.000 | -0.000 |
| -0.000 | -0.000 | 0.000 | 0.000 | 0.000 | -0.000 |
| 3.891 | 0.102 | -0.000 | -0.000 | -0.000 | -0.000 |
| 0.102 | 3.891 | -0.000 | -0.000 | -0.000 | 0.000 |
| 0.000 | 0.000 | -0.000 | -0.000 | -0.000 | 0.000 |
| 0.000 | 0.000 | -0.000 | -0.000 | -0.000 | 0.000 |
| 0.000 | 0.000 | -0.000 | -0.000 | -0.000 | -0.000 |
| 0.000 | 0.000 | -0.000 | -0.000 | -0.000 | -0.000 |
| 3.891 | 0.102 | 0.000 | 0.000 | 0.000 | 0.000 |
| 0.102 | 3.891 | 0.000 | 0.000 | 0.000 | 0.000 |
| 0.000 | 0.000 | 0.000 | 0.000 | 0.000 | 0.000 |
| -0.000 | -0.000 | 0.000 | 0.000 | 0.000 | -0.000 |
| -0.000 | -0.000 | 0.000 | 0.000 | 0.000 | -0.000 |
| -0.000 | -0.000 | 0.000 | 0.000 | 0.000 | -0.000 |
| 3.891 | 0.102 | -0.000 | -0.000 | -0.000 | -0.000 |
| 0.102 | 3.891 | -0.000 | -0.000 | -0.000 | 0.000 |
| 0.000 | 0.000 | -0.000 | -0.000 | -0.000 | 0.000 |
| 0.000 | 0.000 | -0.000 | -0.000 | -0.000 | 0.000 |
| 0.000 | 0.000 | -0.000 | -0.000 | -0.000 | 0.000 |
| 0.000 | 0.000 | -0.000 | -0.000 | -0.000 | -0.000 |
| 3.891 | 0.102 | 0.000 | 0.000 | 0.000 | -0.000 |
| 0.102 | 3.891 | 0.000 | 0.000 | 0.000 | 0.000 |
| 0.000 | 0.000 | 0.000 | 0.000 | 0.000 | 0.000 |
| -0.000 | -0.000 | 0.000 | 0.000 | 0.000 | -0.000 |
| -0.000 | -0.000 | 0.000 | 0.000 | 0.000 | -0.000 |
| -0.000 | -0.000 | 0.000 | 0.000 | 0.000 | 0.000 |
| 3.891 | 0.102 | -0.000 | -0.000 | -0.000 | 0.000 |
| 0.102 | 3.891 | -0.000 | -0.000 | -0.000 | 0.000 |
| 0.000 | 0.000 | -0.000 | -0.000 | -0.000 | 0.000 |
| 0.000 | 0.000 | -0.000 | -0.000 | -0.000 | -0.000 |
| 0.000 | 0.000 | -0.000 | -0.000 | -0.000 | 0.000 |
| 0.000 | 0.000 | -0.000 | -0.000 | -0.000 | 0.000 |
| 7.524 | 3.370 | 10.848 | -0.000 | -0.000 | 0.000 |
| 3.370 | 7.524 | 10.848 | -0.000 | -0.000 | 0.000 |
| 10.849 | 10.849 | 36.107 | -0.000 | -0.000 | 0.000 |
| 0.000 | 0.000 | 0.000 | 10.724 | -0.000 | 0.000 |
| 0.000 | 0.000 | 0.000 | -0.000 | 10.724 | 0.000 |
| 0.000 | 0.000 | 0.000 | -0.000 | -0.000 | 3.193 |
| 7.524 | 3.370 | 10.848 | 0.000 | 0.000 | -0.000 |
| 3.370 | 7.524 | 10.848 | 0.000 | 0.000 | -0.000 |
| 10.848 | 10.848 | 36.106 | 0.000 | 0.000 | 0.000 |
| -0.000 | -0.000 | -0.000 | 10.724 | 0.000 | -0.000 |
| -0.000 | -0.000 | -0.000 | 0.000 | 10.724 | -0.000 |
| -0.000 | -0.000 | -0.000 | 0.000 | 0.000 | 3.193 |
| 7.524 | 3.370 | 10.849 | -0.000 | -0.000 | 0.000 |
| 3.370 | 7.524 | 10.849 | -0.000 | -0.000 | 0.000 |
| 10.849 | 10.849 | 36.110 | -0.000 | -0.000 | -0.000 |
| 0.000 | 0.000 | 0.001 | 10.724 | -0.000 | 0.000 |
| 0.000 | 0.000 | 0.001 | -0.000 | 10.724 | 0.000 |
| 0.000 | 0.000 | 0.000 | -0.000 | -0.000 | 3.193 |
| 7.524 | 3.370 | 10.848 | 0.000 | 0.000 | -0.000 |
| 3.370 | 7.524 | 10.848 | 0.000 | 0.000 | -0.000 |
| 10.848 | 10.848 | 36.103 | 0.000 | 0.000 | -0.000 |
| -0.000 | -0.000 | -0.001 | 10.724 | 0.000 | -0.000 |
| -0.000 | -0.000 | -0.001 | 0.000 | 10.724 | -0.000 |
| -0.000 | -0.000 | -0.000 | 0.000 | 0.000 | 3.193 |
| 7.525 | 3.371 | 10.851 | -0.000 | -0.000 | -0.000 |
| 3.371 | 7.525 | 10.851 | -0.000 | -0.000 | -0.000 |
| 10.858 | 10.858 | 36.137 | -0.000 | -0.000 | 0.000 |
| 0.003 | 0.003 | 0.009 | 10.724 | -0.000 | 0.000 |
| 0.003 | 0.003 | 0.009 | -0.000 | 10.724 | 0.000 |
| 0.001 | 0.001 | 0.003 | -0.000 | -0.000 | 3.193 |
| 7.523 | 3.369 | 10.846 | 0.000 | 0.000 | 0.000 |
| 3.369 | 7.523 | 10.846 | 0.000 | 0.000 | 0.000 |
| 10.839 | 10.839 | 36.075 | 0.000 | 0.000 | -0.000 |
| -0.003 | -0.003 | -0.009 | 10.724 | 0.000 | -0.000 |
| -0.003 | -0.003 | -0.009 | 0.000 | 10.724 | -0.000 |
| -0.001 | -0.001 | -0.003 | 0.000 | 0.000 | 3.193 |
| -10.840 | -11.307 | -10.230 | -0.317 | -0.000 | 0.000 |
| -11.307 | -10.840 | -10.230 | 0.317 | 0.000 | -0.000 |
| -18.103 | -18.103 | -16.724 | -0.000 | 0.000 | -0.000 |
| -0.528 | 0.528 | 0.000 | 0.718 | 0.000 | -0.000 |
| -18.380 | -18.380 | -16.980 | -0.000 | 0.259 | -0.191 |
| -18.380 | -18.380 | -16.980 | -0.000 | -0.191 | 0.140 |
| 1.260 | 0.483 | 0.805 | -0.528 | -0.000 | 0.000 |
| 0.483 | 1.260 | 0.805 | 0.528 | -0.000 | 0.000 |
| 18.657 | 18.657 | 17.236 | 0.000 | -0.000 | 0.000 |
| -0.528 | 0.528 | -0.000 | 0.718 | -0.000 | 0.000 |
| 18.380 | 18.380 | 16.980 | 0.000 | 0.259 | -0.191 |
| 18.380 | 18.380 | 16.980 | 0.000 | -0.191 | 0.140 |
| 1.260 | 0.483 | 0.805 | -0.528 | -0.000 | 0.000 |
| 0.483 | 1.260 | 0.805 | 0.528 | 0.000 | -0.000 |
| -0.686 | -0.686 | -0.634 | -0.000 | 0.000 | -0.000 |
| -0.528 | 0.528 | 0.000 | 0.718 | 0.000 | -0.000 |
| 0.000 | 0.000 | 0.000 | -0.000 | 0.718 | -0.528 |
| -1.158 | -1.158 | -1.070 | -0.000 | -0.317 | 0.234 |
| 2.278 | 1.998 | 1.975 | -0.191 | 0.000 | -0.000 |
| 1.436 | 1.903 | 1.543 | 0.317 | -0.000 | 0.000 |
| 2.115 | 2.115 | 1.954 | 0.000 | -0.000 | 0.000 |
| -0.528 | 0.528 | -0.000 | 0.718 | -0.000 | 0.000 |
| -0.000 | -0.000 | -0.000 | 0.000 | 0.718 | -0.528 |
| 1.158 | 1.158 | 1.070 | 0.000 | -0.317 | 0.234 |
| -0.093 | -0.195 | -0.133 | -0.069 | -0.000 | 0.000 |
| -0.195 | -0.093 | -0.133 | 0.069 | 0.000 | -0.000 |
| -0.152 | -0.152 | -0.140 | -0.000 | 0.000 | -0.000 |
| -0.338 | -0.109 | -0.207 | 0.156 | 0.000 | -0.000 |
| -0.224 | -0.224 | -0.207 | 0.000 | 0.156 | -0.115 |
| -0.116 | -0.116 | -0.107 | -0.000 | -0.317 | 0.234 |
| 0.624 | 0.343 | 0.447 | -0.191 | 0.000 | -0.000 |
| 0.300 | 0.401 | 0.324 | 0.069 | -0.000 | 0.000 |
| 0.342 | 0.342 | 0.316 | 0.000 | -0.000 | 0.000 |
| 0.109 | 0.338 | 0.207 | 0.156 | -0.000 | 0.000 |
| 0.224 | 0.224 | 0.207 | -0.000 | 0.156 | -0.115 |
| 0.116 | 0.116 | 0.107 | 0.000 | -0.317 | 0.234 |
| 88.887 | 29.991 | 29.991 | -0.000 | -0.000 | -0.000 |
| 29.991 | 88.887 | 29.991 | -0.000 | -0.000 | -0.000 |
| 29.991 | 29.991 | 88.887 | -0.000 | -0.000 | -0.000 |
| -0.000 | 0.000 | 0.000 | 11.293 | -0.000 | -0.000 |
| 0.000 | -0.000 | 0.000 | -0.000 | 11.293 | -0.000 |
| 0.000 | 0.000 | -0.000 | -0.000 | -0.000 | 11.293 |
| 88.887 | 29.991 | 29.991 | 0.000 | -0.000 | -0.000 |
| 29.991 | 88.887 | 29.991 | -0.000 | 0.000 | -0.000 |
| 29.991 | 29.991 | 88.887 | 0.000 | 0.000 | 0.000 |
| 0.000 | -0.000 | -0.000 | 11.293 | -0.000 | 0.000 |
| -0.000 | 0.000 | -0.000 | 0.000 | 11.293 | -0.000 |
| -0.000 | -0.000 | 0.000 | -0.000 | -0.000 | 11.293 |
| 88.887 | 29.991 | 29.991 | -0.000 | 0.000 | 0.000 |
| 29.991 | 88.887 | 29.991 | 0.000 | -0.000 | -0.000 |
| 29.991 | 29.991 | 88.887 | -0.000 | -0.000 | -0.000 |
| -0.000 | 0.000 | 0.000 | 11.293 | 0.000 | -0.000 |
| 0.000 | -0.000 | 0.000 | -0.000 | 11.293 | -0.000 |
| 0.000 | 0.000 | -0.000 | -0.000 | 0.000 | 11.293 |
| 88.887 | 29.991 | 29.991 | 0.000 | 0.000 | 0.000 |
| 29.991 | 88.887 | 29.991 | 0.000 | 0.000 | -0.000 |
| 29.991 | 29.991 | 88.887 | 0.000 | 0.000 | 0.000 |
| 0.000 | -0.000 | -0.000 | 11.293 | 0.000 | 0.000 |
| -0.000 | 0.000 | -0.000 | 0.000 | 11.293 | 0.000 |
| -0.000 | -0.000 | 0.000 | 0.000 | 0.000 | 11.293 |
| 88.887 | 29.991 | 29.991 | -0.000 | 0.000 | -0.000 |
| 29.991 | 88.887 | 29.991 | -0.000 | -0.000 | 0.000 |
| 29.991 | 29.991 | 88.887 | -0.000 | -0.000 | 0.000 |
| -0.000 | 0.000 | 0.000 | 11.293 | 0.000 | -0.000 |
| 0.000 | -0.000 | 0.000 | -0.000 | 11.293 | 0.000 |
| 0.000 | 0.000 | -0.000 | -0.000 | 0.000 | 11.293 |
| 88.887 | 29.991 | 29.991 | 0.000 | 0.000 | 0.000 |
| 29.991 | 88.887 | 29.991 | 0.000 | 0.000 | 0.000 |
| 29.991 | 29.991 | 88.887 | 0.000 | 0.000 | 0.000 |
| 0.000 | -0.000 | -0.000 | 11.293 | 0.000 | 0.000 |
| -0.000 | 0.000 | -0.000 | 0.000 | 11.293 | 0.000 |
| -0.000 | -0.000 | 0.000 | 0.000 | -0.000 | 11.293 |
| 12.700 | 0.590 | 0.590 | -0.000 | 0.000 | -0.000 |
| 0.590 | 12.700 | 0.590 | -0.000 | -0.000 | 0.000 |
| 0.590 | 0.590 | 12.700 | 0.000 | 0.000 | -0.000 |
| -0.000 | 0.000 | -0.000 | -0.000 | 0.000 | 0.000 |
| 0.000 | -0.000 | -0.000 | 0.000 | -0.000 | 0.000 |
| 0.000 | -0.000 | -0.000 | -0.000 | 0.000 | -0.000 |
| 12.700 | 0.590 | 0.590 | 0.000 | 0.000 | -0.000 |
| 0.590 | 12.700 | 0.590 | 0.000 | 0.000 | 0.000 |
| 0.590 | 0.590 | 12.700 | 0.000 | 0.000 | 0.000 |
| 0.000 | -0.000 | 0.000 | -0.000 | -0.000 | -0.000 |
| -0.000 | 0.000 | 0.000 | -0.000 | -0.000 | -0.000 |
| -0.000 | 0.000 | 0.000 | 0.000 | -0.000 | -0.000 |
| 12.700 | 0.590 | 0.590 | 0.000 | 0.000 | 0.000 |
| 0.590 | 12.700 | 0.590 | -0.000 | -0.000 | -0.000 |
| 0.590 | 0.590 | 12.700 | -0.000 | -0.000 | 0.000 |
| -0.000 | -0.000 | -0.000 | 0.000 | 0.000 | 0.000 |
| -0.000 | -0.000 | -0.000 | -0.000 | 0.000 | 0.000 |
| -0.000 | -0.000 | -0.000 | -0.000 | -0.000 | 0.000 |
| 12.700 | 0.590 | 0.590 | -0.000 | -0.000 | -0.000 |
| 0.590 | 12.700 | 0.590 | -0.000 | -0.000 | 0.000 |
| 0.590 | 0.590 | 12.700 | 0.000 | -0.000 | -0.000 |
| 0.000 | 0.000 | 0.000 | 0.000 | -0.000 | 0.000 |
| 0.000 | 0.000 | 0.000 | 0.000 | 0.000 | -0.000 |
| 0.000 | 0.000 | 0.000 | 0.000 | -0.000 | 0.000 |
| 12.700 | 0.590 | 0.590 | -0.000 | 0.000 | -0.000 |
| 0.590 | 12.700 | 0.590 | 0.000 | -0.000 | -0.000 |
| 0.590 | 0.590 | 12.700 | -0.000 | -0.000 | 0.000 |
| -0.000 | -0.000 | -0.000 | 0.000 | 0.000 | -0.000 |
| -0.000 | -0.000 | -0.000 | 0.000 | 0.000 | -0.000 |
| -0.000 | -0.000 | -0.000 | -0.000 | -0.000 | 0.000 |
| 12.700 | 0.590 | 0.590 | -0.000 | 0.000 | 0.000 |
| 0.590 | 12.700 | 0.590 | -0.000 | -0.000 | 0.000 |
| 0.590 | 0.590 | 12.700 | 0.000 | 0.000 | 0.000 |
| 0.000 | 0.000 | 0.000 | 0.000 | 0.000 | 0.000 |
| 0.000 | 0.000 | 0.000 | -0.000 | 0.000 | -0.000 |
| 0.000 | 0.000 | 0.000 | 0.000 | -0.000 | 0.000 |
| 7.864 | 0.025 | 0.025 | -0.000 | 0.000 | 0.000 |
| 0.025 | 7.864 | 0.025 | -0.000 | 0.000 | 0.000 |
| 0.025 | 0.025 | 7.864 | 0.000 | 0.000 | 0.000 |
| -0.000 | 0.000 | -0.000 | 0.000 | -0.000 | 0.000 |
| 0.000 | -0.000 | -0.000 | -0.000 | 0.000 | 0.000 |
| 0.000 | -0.000 | -0.000 | -0.000 | 0.000 | 0.000 |
| 7.864 | 0.025 | 0.025 | 0.000 | 0.000 | 0.000 |
| 0.025 | 7.864 | 0.025 | -0.000 | 0.000 | 0.000 |
| 0.025 | 0.025 | 7.864 | 0.000 | 0.000 | -0.000 |
| -0.000 | -0.000 | 0.000 | 0.000 | -0.000 | -0.000 |
| -0.000 | -0.000 | 0.000 | -0.000 | 0.000 | 0.000 |
| -0.000 | 0.000 | 0.000 | -0.000 | 0.000 | 0.000 |
| 7.864 | 0.025 | 0.025 | -0.000 | 0.000 | 0.000 |
| 0.025 | 7.864 | 0.025 | -0.000 | 0.000 | 0.000 |
| 0.025 | 0.025 | 7.864 | -0.000 | -0.000 | -0.000 |
| -0.000 | -0.000 | -0.000 | 0.000 | 0.000 | -0.000 |
| -0.000 | -0.000 | -0.000 | 0.000 | 0.000 | 0.000 |
| -0.000 | -0.000 | -0.000 | -0.000 | 0.000 | 0.000 |
| 7.864 | 0.025 | 0.025 | -0.000 | -0.000 | 0.000 |
| 0.025 | 7.864 | 0.025 | -0.000 | -0.000 | 0.000 |
| 0.025 | 0.025 | 7.864 | -0.000 | -0.000 | 0.000 |
| 0.000 | -0.000 | 0.000 | 0.000 | -0.000 | 0.000 |
| -0.000 | 0.000 | 0.000 | -0.000 | 0.000 | -0.000 |
| -0.000 | 0.000 | 0.000 | 0.000 | -0.000 | 0.000 |
| 7.864 | 0.025 | 0.025 | -0.000 | -0.000 | -0.000 |
| 0.025 | 7.864 | 0.025 | -0.000 | -0.000 | 0.000 |
| 0.025 | 0.025 | 7.864 | -0.000 | 0.000 | -0.000 |
| -0.000 | -0.000 | -0.000 | 0.000 | 0.000 | -0.000 |
| -0.000 | -0.000 | -0.000 | -0.000 | 0.000 | -0.000 |
| -0.000 | -0.000 | -0.000 | 0.000 | 0.000 | 0.000 |
| 7.863 | 0.025 | 0.025 | 0.000 | -0.000 | -0.000 |
| 0.025 | 7.863 | 0.025 | -0.000 | -0.000 | 0.000 |
| 0.025 | 0.025 | 7.863 | 0.000 | 0.000 | 0.000 |
| 0.000 | 0.000 | 0.000 | 0.000 | -0.000 | -0.000 |
| 0.000 | 0.000 | 0.000 | 0.000 | 0.000 | -0.000 |
| 0.000 | 0.000 | 0.000 | -0.000 | 0.000 | 0.000 |
| -1.091 | 2.584 | 2.584 | -0.000 | 0.000 | 0.000 |
| 2.584 | -1.091 | 2.584 | 0.000 | -0.000 | 0.000 |
| 2.584 | 2.584 | -1.091 | 0.000 | 0.000 | -0.000 |
| -0.000 | -0.000 | -0.000 | 0.000 | 0.000 | 0.000 |
| 0.000 | -0.000 | -0.000 | 0.000 | 0.000 | 0.000 |
| -0.000 | -0.000 | -0.000 | 0.000 | 0.000 | 0.000 |
| -1.091 | 2.584 | 2.584 | 0.000 | 0.000 | 0.000 |
| 2.584 | -1.091 | 2.584 | 0.000 | 0.000 | 0.000 |
| 2.584 | 2.584 | -1.091 | 0.000 | 0.000 | 0.000 |
| -0.000 | 0.000 | -0.000 | 0.000 | 0.000 | -0.000 |
| 0.000 | -0.000 | -0.000 | 0.000 | 0.000 | -0.000 |
| 0.000 | -0.000 | -0.000 | -0.000 | -0.000 | 0.000 |
| -1.091 | 2.584 | 2.584 | 0.000 | 0.000 | 0.000 |
| 2.584 | -1.091 | 2.584 | -0.000 | 0.000 | -0.000 |
| 2.584 | 2.584 | -1.091 | -0.000 | -0.000 | -0.000 |
| -0.000 | -0.000 | 0.000 | -0.000 | -0.000 | -0.000 |
| -0.000 | -0.000 | 0.000 | -0.000 | -0.000 | 0.000 |
| -0.000 | 0.000 | -0.000 | -0.000 | -0.000 | -0.000 |
| -1.091 | 2.584 | 2.584 | -0.000 | -0.000 | -0.000 |
| 2.584 | -1.091 | 2.584 | -0.000 | -0.000 | -0.000 |
| 2.584 | 2.584 | -1.091 | 0.000 | -0.000 | 0.000 |
| 0.000 | 0.000 | -0.000 | -0.000 | -0.000 | -0.000 |
| 0.000 | 0.000 | -0.000 | 0.000 | -0.000 | 0.000 |
| 0.000 | -0.000 | 0.000 | 0.000 | 0.000 | -0.000 |
| -1.091 | 2.584 | 2.584 | -0.000 | 0.000 | 0.000 |
| 2.584 | -1.091 | 2.584 | 0.000 | -0.000 | 0.000 |
| 2.584 | 2.584 | -1.091 | 0.000 | -0.000 | -0.000 |
| -0.000 | -0.000 | 0.000 | -0.000 | -0.000 | 0.000 |
| -0.000 | -0.000 | 0.000 | -0.000 | -0.000 | 0.000 |
| -0.000 | 0.000 | -0.000 | 0.000 | -0.000 | -0.000 |
| -1.091 | 2.584 | 2.584 | 0.000 | -0.000 | -0.000 |
| 2.584 | -1.091 | 2.584 | -0.000 | 0.000 | 0.000 |
| 2.584 | 2.584 | -1.091 | 0.000 | 0.000 | -0.000 |
| 0.000 | 0.000 | -0.000 | -0.000 | -0.000 | 0.000 |
| 0.000 | 0.000 | -0.000 | 0.000 | -0.000 | 0.000 |
| 0.000 | -0.000 | 0.000 | 0.000 | 0.000 | -0.000 |
| 22.593 | 7.689 | 5.069 | 2.644 | 0.000 | 0.000 |
| 7.689 | 22.593 | 5.069 | -2.644 | -0.000 | -0.000 |
| 5.069 | 5.069 | 7.879 | -0.000 | -0.000 | -0.000 |
| 2.644 | -2.644 | 0.000 | 4.580 | -0.000 | -0.000 |
| 0.000 | 0.000 | 0.000 | 0.000 | 4.580 | 2.644 |
| 0.000 | 0.000 | -0.000 | 0.000 | 2.644 | 7.452 |
| 22.592 | 7.689 | 5.069 | 2.644 | 0.000 | 0.000 |
| 7.689 | 22.592 | 5.069 | -2.644 | 0.000 | 0.000 |
| 5.069 | 5.069 | 7.879 | -0.000 | 0.000 | 0.000 |
| 2.644 | -2.644 | -0.000 | 4.580 | 0.000 | 0.000 |
| -0.000 | -0.000 | -0.000 | -0.000 | 4.580 | 2.644 |
| -0.000 | -0.000 | 0.000 | -0.000 | 2.644 | 7.452 |
| 22.597 | 7.690 | 5.069 | 2.644 | -0.000 | -0.000 |
| 7.690 | 22.596 | 5.069 | -2.644 | -0.000 | -0.000 |
| 5.069 | 5.069 | 7.879 | 0.000 | -0.000 | -0.000 |
| 2.644 | -2.644 | 0.000 | 4.580 | -0.000 | -0.000 |
| 0.000 | 0.000 | 0.000 | 0.000 | 4.580 | 2.644 |
| 0.000 | 0.001 | -0.000 | 0.000 | 2.644 | 7.452 |
| 22.588 | 7.689 | 5.069 | 2.644 | 0.000 | 0.000 |
| 7.688 | 22.589 | 5.069 | -2.644 | 0.000 | 0.000 |
| 5.069 | 5.069 | 7.879 | 0.000 | 0.000 | 0.000 |
| 2.644 | -2.644 | -0.000 | 4.580 | 0.000 | 0.000 |
| -0.000 | -0.000 | -0.000 | -0.000 | 4.580 | 2.644 |
| -0.000 | -0.001 | 0.000 | -0.000 | 2.644 | 7.452 |
| 22.637 | 7.693 | 5.069 | 2.644 | -0.000 | -0.000 |
| 7.701 | 22.629 | 5.069 | -2.644 | -0.000 | -0.000 |
| 5.069 | 5.069 | 7.879 | -0.000 | -0.000 | -0.000 |
| 2.644 | -2.644 | 0.000 | 4.580 | -0.000 | -0.000 |
| 0.000 | 0.000 | 0.000 | 0.000 | 4.580 | 2.644 |
| 0.004 | 0.012 | -0.000 | 0.000 | 2.644 | 7.452 |
| 22.549 | 7.685 | 5.069 | 2.644 | 0.000 | 0.000 |
| 7.677 | 22.557 | 5.069 | -2.644 | 0.000 | 0.000 |
| 5.069 | 5.069 | 7.879 | 0.000 | 0.000 | 0.000 |
| 2.644 | -2.644 | -0.000 | 4.580 | 0.000 | 0.000 |
| -0.000 | -0.000 | -0.000 | -0.000 | 4.580 | 2.644 |
| -0.004 | -0.012 | 0.000 | -0.000 | 2.644 | 7.452 |
| 39.673 | 17.183 | 10.917 | 0.963 | 0.000 | 0.000 |
| 17.183 | 39.673 | 10.917 | -0.963 | 0.000 | 0.000 |
| 10.917 | 10.917 | 19.896 | 0.000 | 0.000 | 0.000 |
| 0.963 | -0.963 | 0.000 | 2.434 | 0.000 | 0.000 |
| 0.000 | 0.000 | 0.000 | 0.000 | 2.434 | 0.963 |
| -0.000 | 0.000 | -0.000 | 0.000 | 0.963 | 11.245 |
| 39.673 | 17.183 | 10.917 | 0.963 | -0.000 | 0.000 |
| 17.183 | 39.673 | 10.917 | -0.963 | -0.000 | -0.000 |
| 10.917 | 10.917 | 19.896 | -0.000 | -0.000 | -0.000 |
| 0.963 | -0.963 | -0.000 | 2.434 | -0.000 | -0.000 |
| -0.000 | -0.000 | -0.000 | -0.000 | 2.434 | 0.963 |
| 0.000 | -0.000 | 0.000 | -0.000 | 0.963 | 11.245 |
| 39.673 | 17.183 | 10.917 | 0.963 | 0.000 | 0.000 |
| 17.183 | 39.673 | 10.917 | -0.963 | 0.000 | -0.000 |
| 10.917 | 10.917 | 19.896 | -0.000 | 0.000 | 0.000 |
| 0.963 | -0.963 | 0.000 | 2.434 | 0.000 | 0.000 |
| 0.000 | 0.000 | 0.000 | 0.000 | 2.434 | 0.963 |
| -0.000 | 0.000 | -0.000 | 0.000 | 0.963 | 11.245 |
| 39.673 | 17.183 | 10.917 | 0.963 | -0.000 | -0.000 |
| 17.183 | 39.673 | 10.917 | -0.963 | -0.000 | 0.000 |
| 10.917 | 10.917 | 19.896 | 0.000 | -0.000 | -0.000 |
| 0.963 | -0.963 | -0.000 | 2.434 | -0.000 | -0.000 |
| -0.000 | -0.000 | -0.000 | -0.000 | 2.434 | 0.963 |
| 0.000 | -0.000 | 0.000 | -0.000 | 0.963 | 11.245 |
| 39.674 | 17.183 | 10.917 | 0.963 | 0.000 | 0.000 |
| 17.183 | 39.673 | 10.917 | -0.963 | 0.000 | 0.000 |
| 10.917 | 10.917 | 19.896 | 0.000 | 0.000 | 0.000 |
| 0.963 | -0.963 | 0.000 | 2.434 | 0.000 | 0.000 |
| 0.000 | 0.000 | 0.000 | 0.000 | 2.434 | 0.963 |
| -0.000 | 0.000 | -0.000 | 0.000 | 0.963 | 11.245 |
| 39.673 | 17.183 | 10.917 | 0.963 | -0.000 | -0.000 |
| 17.183 | 39.673 | 10.917 | -0.963 | -0.000 | 0.000 |
| 10.917 | 10.917 | 19.896 | -0.000 | -0.000 | -0.000 |
| 0.963 | -0.963 | -0.000 | 2.434 | -0.000 | -0.000 |
| -0.000 | -0.000 | -0.000 | -0.000 | 2.434 | 0.963 |
| 0.000 | -0.000 | 0.000 | -0.000 | 0.963 | 11.245 |
| 9.071 | 4.762 | 1.198 | -0.000 | 0.000 | 0.000 |
| 5.388 | 8.828 | 6.015 | -0.000 | 0.000 | -0.000 |
| 1.411 | 5.350 | 6.162 | -0.000 | -0.000 | 0.000 |
| -0.000 | 0.000 | -0.000 | 0.325 | 0.000 | 0.000 |
| -0.000 | 0.000 | -0.000 | -0.000 | 3.105 | -0.000 |
| -0.000 | 0.000 | -0.000 | -0.000 | 0.000 | 0.000 |
| 9.071 | 4.762 | 1.198 | 0.000 | 0.000 | 0.000 |
| 5.388 | 8.828 | 6.015 | 0.000 | 0.000 | 0.000 |
| 1.411 | 5.350 | 6.162 | 0.000 | 0.000 | -0.000 |
| 0.000 | -0.000 | 0.000 | 0.325 | -0.000 | 0.000 |
| 0.000 | -0.000 | 0.000 | 0.000 | 3.105 | -0.000 |
| 0.000 | -0.000 | 0.000 | 0.000 | 0.000 | 0.000 |
| 9.071 | 4.762 | 1.198 | -0.000 | -0.000 | 0.000 |
| 3.562 | 9.693 | 4.283 | 0.000 | 0.000 | -0.000 |
| 1.411 | 5.350 | 6.162 | -0.000 | -0.000 | 0.000 |
| -0.000 | 0.000 | -0.000 | 0.325 | 0.000 | -0.000 |
| -0.000 | 0.000 | -0.000 | -0.000 | 3.105 | 0.000 |
| -0.000 | 0.000 | -0.000 | -0.000 | 0.000 | 0.000 |
| 8.487 | 5.318 | 0.793 | 0.000 | 0.000 | -0.000 |
| 5.329 | 8.699 | 5.877 | 0.000 | 0.000 | -0.000 |
| 1.411 | 5.350 | 6.162 | 0.000 | 0.000 | -0.000 |
| 0.000 | -0.000 | 0.000 | 0.325 | -0.000 | 0.000 |
| 0.000 | -0.000 | 0.000 | 0.000 | 3.105 | 0.000 |
| 0.000 | -0.000 | 0.000 | 0.000 | 0.000 | -0.000 |
| 8.435 | 5.369 | 0.756 | -0.000 | -0.000 | -0.000 |
| 5.369 | 8.680 | 5.914 | -0.000 | -0.000 | 0.000 |
| 0.756 | 5.913 | 5.676 | -0.000 | -0.000 | -0.000 |
| 0.000 | -0.000 | -0.000 | 0.324 | 0.000 | -0.000 |
| 0.000 | 0.000 | -0.000 | -0.000 | 3.105 | -0.000 |
| -0.000 | -0.000 | -0.000 | -0.000 | 0.000 | -0.000 |
| 8.435 | 5.369 | 0.756 | 0.000 | 0.000 | 0.000 |
| 5.369 | 8.680 | 5.914 | 0.000 | 0.000 | -0.000 |
| 1.411 | 5.350 | 6.162 | 0.000 | 0.000 | -0.000 |
| -0.000 | 0.000 | 0.000 | 0.324 | -0.000 | -0.000 |
| -0.000 | -0.000 | 0.000 | 0.000 | 3.105 | 0.000 |
| 0.000 | 0.000 | 0.000 | 0.000 | 0.000 | 0.000 |
Phonon band structures and crystal properties estimated from quasi-harmonic approximation (QHA) calculations are displayed for select crystals. The calculations were performed using phonopy and LAMMPS. For the phonon calculations, 3x3 supercells of the potential-specific relaxed crystals were used. The QHA calculations were based on 11 strain states ranging from -0.05 to 0.05.
The calculation method used is available as the iprPy phonon calculation method.
Notes and Disclaimers:
Version Information:

























































































































































































































































































































































































































































































































































































































































































Static free surface formation energies are displayed for select crystals. The values displayed here are obtained by taking a perfect periodic bulk crystal, slicing along a crystallographic plane, and using force minimization to statically relax the surfaces. The free surface formation energy is computed by comparing the energy of the defect system to the bulk system and dividing by the total surface area created by the cut.
The calculation method used is available as the iprPy surface_energy_static calculation method.
Notes and Disclaimers:
Version Information:
| Surface | γfs (mJ/m2) |
|---|---|
| (100) | 10.07 |
| (310) | 12.74 |
| (210) | 13.51 |
| (320) | 13.97 |
| (110) | 14.24 |
| (311) | 15.18 |
| (321) | 16.15 |
| (331) | 16.17 |
| (211) | 16.45 |
| (221) | 16.79 |
| (322) | 17.10 |
| (332) | 17.18 |
| (111) | 17.45 |
| Surface | γfs (mJ/m2) |
|---|---|
| (210) | -27.88 |
| (320) | -27.67 |
| (310) | -27.61 |
| (321) | -26.69 |
| (110) | -26.47 |
| (311) | -26.35 |
| (331) | -25.79 |
| (211) | -25.50 |
| (221) | -25.00 |
| (100) | -24.98 |
| (322) | -24.26 |
| (332) | -24.00 |
| (111) | -21.69 |
| Surface | γfs (mJ/m2) |
|---|---|
| (332) | -79777.70 |
| (331) | -73098.86 |
| (322) | -70382.78 |
| (321) | -63465.44 |
| (311) | -58762.73 |
| (320) | -58286.17 |
| (310) | -51460.31 |
| (221) | -48024.00 |
| (211) | -41876.17 |
| (210) | -34545.05 |
| (111) | -29460.17 |
| (110) | -21457.93 |
| (100) | -1918.57 |
| Surface | γfs (mJ/m2) |
|---|---|
| (332) | -33663.20 |
| (320) | -30744.17 |
| (331) | -30523.05 |
| (322) | -22525.16 |
| (310) | -22361.56 |
| (311) | -21740.78 |
| (321) | -20176.05 |
| (221) | -19063.34 |
| (211) | -17613.53 |
| (111) | -10475.69 |
| (100) | -2932.11 |
| (210) | 254.03 |
| (110) | 255.98 |
| Surface | γfs (mJ/m2) |
|---|---|
| (111) 1 | -7.80 |
| (331) 1 | -5.18 |
| (100) | -4.52 |
| (221) | -4.52 |
| (322) | -4.38 |
| (310) | -4.29 |
| (311) 1 | -4.09 |
| (311) 2 | -4.09 |
| (210) | -4.05 |
| (332) | -3.86 |
| (320) | -3.77 |
| (211) | -3.69 |
| (321) | -3.63 |
| (110) | -3.20 |
| (331) 2 | -3.12 |
| (111) 2 | -2.62 |
| Surface | γfs (mJ/m2) |
|---|---|
| (211) 2 | -2341.57 |
| (211) 1 | -2328.02 |
| (201) | -2083.02 |
| (110) | -1916.31 |
| (111) | -1720.07 |
| (001) | -781.68 |
| (112) | -636.75 |
| (101) 2 | -623.46 |
| (101) 1 | -615.38 |
| (100) | 36.27 |
| Surface | γfs (mJ/m2) |
|---|---|
| (111) | -10.51 |
| (332) | -10.36 |
| (322) | -10.31 |
| (221) | -10.13 |
| (211) | -9.92 |
| (331) | -9.76 |
| (321) | -9.75 |
| (311) | -9.17 |
| (110) | -8.60 |
| (320) | -8.44 |
| (210) | -8.17 |
| (310) | -7.71 |
| (100) | -6.10 |
| Surface | γfs (mJ/m2) |
|---|---|
| (332) | -3565.24 |
| (322) | -2984.73 |
| (331) | -2835.14 |
| (321) | -2480.24 |
| (320) | -2311.49 |
| (311) | -2253.69 |
| (310) | -2063.77 |
| (221) | -1867.19 |
| (211) | -1446.41 |
| (210) | -1442.03 |
| (111) | -1134.35 |
| (110) | 27.39 |
| (100) | 36.55 |
| Surface | γfs (mJ/m2) |
|---|---|
| (321) | -62.07 |
| (310) | -61.99 |
| (320) | -61.75 |
| (210) | -61.62 |
| (331) | -61.36 |
| (211) | -61.19 |
| (311) | -60.93 |
| (221) | -60.85 |
| (322) | -60.04 |
| (110) | -60.02 |
| (332) | -59.75 |
| (100) | -58.27 |
| (111) | -56.39 |
| Surface | γfs (mJ/m2) |
|---|---|
| (331) | -41.45 |
| (111) | -39.69 |
| (322) | -39.25 |
| (321) 2 | -37.82 |
| (332) 1 | -37.40 |
| (211) 1 | -36.86 |
| (221) | -35.36 |
| (332) 2 | -34.81 |
| (311) | -34.30 |
| (321) 1 | -32.12 |
| (211) 2 | -30.31 |
| (110) | -29.35 |
| (310) | -29.23 |
| (320) | -28.63 |
| (210) | -24.31 |
| (100) | -22.64 |
| Surface | γfs (mJ/m2) |
|---|---|
| (332) 1 | -3843.27 |
| (332) 2 | -3801.75 |
| (331) | -3710.86 |
| (322) | -3541.53 |
| (321) 1 | -3211.22 |
| (321) 2 | -3127.70 |
| (320) | -3015.16 |
| (311) | -2843.23 |
| (310) | -2676.27 |
| (221) | -2351.22 |
| (211) 1 | -2047.98 |
| (211) 2 | -1938.15 |
| (210) | -1854.97 |
| (111) | -1360.08 |
| Surface | γfs (mJ/m2) |
|---|---|
| (221) | -72.71 |
| (332) | -72.55 |
| (322) | -72.53 |
| (321) | -72.42 |
| (311) | -72.39 |
| (331) | -72.07 |
| (210) | -71.91 |
| (111) | -71.68 |
| (211) | -71.38 |
| (310) | -71.28 |
| (320) | -71.23 |
| (100) | -68.68 |
| (110) | -67.88 |
| Surface | γfs (mJ/m2) |
|---|---|
| (321) | -11.95 |
| (221) | -11.77 |
| (331) | -11.77 |
| (211) | -11.72 |
| (332) | -11.65 |
| (322) | -11.65 |
| (311) | -11.51 |
| (320) | -11.50 |
| (210) | -11.38 |
| (110) | -11.31 |
| (111) | -11.16 |
| (310) | -11.03 |
| (100) | -9.43 |
| Surface | γfs (mJ/m2) |
|---|---|
| (310) | -135.97 |
| (331) | -135.13 |
| (211) | -125.31 |
| (221) | -119.43 |
| (311) | -117.89 |
| (210) | -114.55 |
| (321) | -114.04 |
| (322) | -103.46 |
| (332) | -102.08 |
| (320) | -97.26 |
| (111) | -69.37 |
| (110) | -66.73 |
| (100) | -50.51 |
Stacking fault energy plots and maps are displayed for select crystals. The values are computed by
The calculation method used is available as the iprPy stacking_fault_map_2D calculation method.
Notes and Disclaimers:
Version Information:
| E_usf a/2 [0 -1 1] | 150.63 |
| τ_ideal a/2 [0 -1 1] | 108.40 |




| E_isf | 0.00 |
| E_usf a/2 [0 -1 1] | 164.34 |
| τ_ideal a/2 [0 -1 1] | 196.96 |




| E_usf a/2 [-1 1 -1] | 1438.20 |
| τ_ideal a/2 [-1 1 -1] | 13.00 |




| E_usf a/2 [-1 -1 1] | 1566.57 |
| τ_ideal a/2 [-1 -1 1] | 15.78 |




| E_usf a/2 [-1 -1 1] | 1563.91 |
| τ_ideal a/2 [-1 -1 1] | 15.64 |




| E_usf a/2 [0 -1 1] | 730.65 |
| τ_ideal a/2 [0 -1 1] | 119.58 |




| E_isf | -242.45 |
| E_usf a/2 [0 -1 1] | 389.73 |
| τ_ideal a/2 [0 -1 1] | 53.54 |




| E_usf a/2 [0 -1 1] | 1420.78 |
| τ_ideal a/2 [0 -1 1] | 27.43 |




| E_isf | 0.00 |
| E_usf a/2 [0 -1 1] | 929.38 |
| τ_ideal a/2 [0 -1 1] | 18.26 |




| E_usf a/2 [-1 -1 1] | 136.61 |
| τ_ideal a/2 [-1 -1 1] | 13.28 |




| E_isf | 391.19 |
| E_usf a/3 [-2 1 1 0] | 1000.46 |
| τ_ideal a/3 [-2 1 1 0] | 12.72 |




| E_usf a/3 [-1 2 -1 0] | 329.73 |
| τ_ideal a/3 [-1 2 -1 0] | 10.31 |




| E_usf a/3 [-1 2 -1 0] | 1741.17 |
| τ_ideal a/3 [-1 2 -1 0] | 15.74 |




| E_usf a/3 [-1 2 -1 0] | 317.79 |
| E_usf a/3 [-2 1 1 3] | 2100.43 |
| τ_ideal a/3 [-1 2 -1 0] | 10.67 |
| τ_ideal a/3 [-2 1 1 3] | 40.98 |





| E_usf a/3 [-1 2 -1 0] | 887.27 |
| E_usf a/3 [-2 1 1 3] | 846.24 |
| τ_ideal a/3 [-1 2 -1 0] | 11.01 |
| τ_ideal a/3 [-2 1 1 3] | 26.49 |





| E_usf a/3 [-2 1 1 3] | 1204.77 |
| τ_ideal a/3 [-2 1 1 3] | 16.96 |




| E_usf a/2 [0 -1 1] | 26.87 |
| τ_ideal a/2 [0 -1 1] | 2.88 |




| E_isf | -0.00 |
| E_usf a/2 [0 -1 1] | 38.45 |
| τ_ideal a/2 [0 -1 1] | 1.28 |




Static point defect formation energies, Ef, and elastic dipole tensors, pij, are displayed for select crystals. Relaxed defect configurations are obtained by taking a 12x12x12 supercell of a perfect periodic bulk crystal, inserting the point defect, and using force minimization to statically relax the atomic positions while keeping the system dimensions constant. Ef is computed by comparing the energy of the defect system to the same number of atoms in a perfect bulk crystal. pij is estimated as the difference in the system's global pressure with and without the defect multiplied by the system's volume.
Simple structural comparisons of the unrelaxed and relaxed defect configurations are used to help determine if the defect structure has relaxed to a different configuration. Relaxed structures that are identified as no longer consistent with the ideal defect definition are excluded from the table below. The only exception to this is if the lowest energy interstitial configuration does not coincide with a known ideal defect, its energies and pressure tensor are included under the listing "relaxed interstitial". The full list of calculation results including the transformed structures and the structural comparison values is included in the csv file available from the "Download raw data" link.
The calculation method used is available as the iprPy point_defect_static calculation method.
Notes and Disclaimers:
| Point Defect | Ef (eV) | p11 (eV) | p22 (eV) | p33 (eV) | p12 (eV) | p13 (eV) | p23 (eV) |
|---|---|---|---|---|---|---|---|
| 100 dumbbell | -43.737 | -40.900 | -40.900 | -37.733 | 0.000 | 0.000 | 0.000 |
| octahedral interstitial | -22.870 | -3.434 | -3.434 | -3.434 | 0.000 | 0.000 | 0.000 |
| 110 dumbbell | -17.602 | -17.302 | -9.134 | -9.134 | 0.000 | 0.000 | 3.269 |
| vacancy | 0.435 | 0.004 | 0.004 | 0.004 | 0.000 | 0.000 | 0.000 |
| 1nn divacancy | 0.798 | 0.007 | 0.008 | 0.008 | 0.000 | 0.000 | -0.000 |
| 2nn divacancy | 0.871 | 0.008 | 0.008 | 0.008 | 0.000 | 0.000 | 0.000 |
| Point Defect | Ef (eV) | p11 (eV) | p22 (eV) | p33 (eV) | p12 (eV) | p13 (eV) | p23 (eV) |
|---|---|---|---|---|---|---|---|
| relaxed interstitial | -45.684 | -10.389 | -10.389 | -9.487 | 0.000 | -0.000 | -0.000 |
| octahedral interstitial | -23.115 | -10.697 | -10.697 | -10.697 | -0.000 | -0.000 | -0.000 |
| vacancy | 0.220 | 0.000 | 0.000 | 0.000 | -0.000 | -0.000 | -0.000 |
| 1nn divacancy | 0.404 | 0.001 | 0.001 | 0.001 | -0.000 | -0.000 | -0.000 |
| 2nn divacancy | 0.441 | 0.001 | 0.001 | 0.001 | -0.000 | -0.000 | -0.000 |
| Point Defect | Ef (eV) | p11 (eV) | p22 (eV) | p33 (eV) | p12 (eV) | p13 (eV) | p23 (eV) |
|---|---|---|---|---|---|---|---|
| vacancy | 2.609 | -6.063 | -6.063 | -6.063 | 0.000 | 0.000 | -0.000 |
| 2nn divacancy | 5.126 | -11.862 | -11.862 | -13.124 | 0.000 | 0.000 | -0.000 |
| 1nn divacancy | 5.234 | -10.855 | -10.855 | -10.855 | 0.533 | 0.533 | 0.533 |
| 111 dumbbell | 6.448 | 33.604 | 33.604 | 33.604 | 8.385 | 8.385 | 8.385 |
| 110 dumbbell | 6.684 | 35.366 | 34.158 | 34.158 | 0.000 | 0.000 | 8.823 |
| tetrahedral interstitial | 7.185 | 37.557 | 33.676 | 37.557 | 0.000 | 0.000 | -0.000 |
| 100 dumbbell | 7.420 | 31.523 | 31.523 | 41.609 | 0.000 | -0.000 | 0.000 |
| Point Defect | Ef (eV) | p11 (eV) | p22 (eV) | p33 (eV) | p12 (eV) | p13 (eV) | p23 (eV) |
|---|---|---|---|---|---|---|---|
| 111 dumbbell | -17.385 | -1.854 | -1.854 | -1.854 | -0.325 | -0.325 | -0.325 |
| tetrahedral interstitial | -15.691 | -8.005 | -5.876 | -8.005 | 0.000 | 0.000 | 0.000 |
| vacancy | 0.297 | -0.229 | -0.229 | -0.229 | 0.000 | 0.000 | 0.000 |
| 1nn divacancy | 0.555 | -0.518 | -0.518 | -0.518 | -0.264 | -0.264 | -0.264 |
| 2nn divacancy | 0.569 | -1.141 | -1.141 | 1.298 | 0.000 | 0.000 | 0.000 |
| Point Defect | Ef (eV) | p11 (eV) | p22 (eV) | p33 (eV) | p12 (eV) | p13 (eV) | p23 (eV) |
|---|---|---|---|---|---|---|---|
| 110 dumbbell | -21.251 | -2.098 | -2.443 | -2.443 | 0.000 | 0.000 | 2.739 |
| 100 dumbbell | -17.344 | -1.259 | -1.259 | -1.258 | -0.000 | -0.000 | 0.000 |
| 111 dumbbell | -17.026 | -2.464 | -2.464 | -2.464 | 0.360 | 0.360 | 0.360 |
| crowdion interstitial | -10.266 | -1.998 | -1.998 | -1.998 | 0.229 | 0.229 | 0.229 |
| vacancy | 0.147 | 0.000 | 0.000 | 0.000 | -0.000 | 0.000 | 0.000 |
| 1nn divacancy | 0.257 | 0.000 | 0.000 | 0.000 | 0.000 | 0.000 | 0.000 |
| 2nn divacancy | 0.294 | 0.000 | 0.000 | 0.000 | -0.000 | -0.000 | 0.000 |
| Point Defect | Ef (eV) | p11 (eV) | p22 (eV) | p33 (eV) | p12 (eV) | p13 (eV) | p23 (eV) |
|---|---|---|---|---|---|---|---|
| hexagonal interstitial | -0.290 | -8.848 | -8.848 | -8.869 | 0.006 | 0.003 | 0.003 |
| tetragonal interstitial | -0.280 | -0.000 | -0.000 | -0.000 | 0.000 | 0.000 | 0.000 |
| vacancy | 0.145 | 0.000 | 0.000 | 0.000 | -0.000 | -0.000 | -0.000 |
| 1nn divacancy | 0.218 | 0.000 | 0.000 | 0.000 | 0.000 | -0.000 | 0.000 |
| Point Defect | Ef (eV) | p11 (eV) | p22 (eV) | p33 (eV) | p12 (eV) | p13 (eV) | p23 (eV) |
|---|---|---|---|---|---|---|---|
| 100 dumbbell | -8.762 | -6.260 | -6.260 | -6.261 | -0.000 | -0.000 | -0.000 |
| tetragonal interstitial | -0.073 | -0.000 | -0.000 | -0.000 | 0.000 | 0.000 | 0.000 |
| vacancy | 0.073 | 0.000 | 0.000 | 0.000 | 0.000 | 0.000 | 0.000 |
| 1nn divacancy | 0.110 | 0.000 | 0.000 | 0.000 | -0.000 | -0.000 | -0.000 |
| Point Defect | Ef (eV) | p11 (eV) | p22 (eV) | p33 (eV) | p12 (eV) | p13 (eV) | p23 (eV) |
|---|---|---|---|---|---|---|---|
| 111 dumbbell | 0.140 | -8.752 | -8.752 | -8.752 | 4.842 | 4.842 | 4.842 |
| 110 dumbbell | 0.278 | -14.009 | -8.354 | -8.354 | 0.000 | 0.000 | 2.171 |
| 100 dumbbell | 0.482 | -5.202 | -5.202 | -11.154 | -0.000 | -0.000 | 0.000 |
| octahedral interstitial | 0.497 | -2.538 | -2.538 | -2.538 | -0.000 | -0.000 | 0.000 |
| tetrahedral interstitial | 0.620 | -8.501 | -8.501 | -8.501 | 0.000 | 0.000 | 0.000 |
| vacancy | 2.747 | 2.727 | 2.727 | 2.727 | -0.000 | -0.000 | -0.000 |
| 1nn divacancy | 4.990 | 5.526 | 3.969 | 3.969 | -0.000 | -0.000 | -0.379 |
| 2nn divacancy | 5.608 | 5.525 | 5.525 | 3.851 | -0.000 | -0.000 | -0.000 |
| Point Defect | Ef (eV) | p11 (eV) | p22 (eV) | p33 (eV) | p12 (eV) | p13 (eV) | p23 (eV) |
|---|---|---|---|---|---|---|---|
| 111 dumbbell | -12.415 | -37.754 | -37.754 | -37.754 | 8.880 | 8.880 | 8.880 |
| 100 dumbbell | -10.906 | -19.933 | -19.933 | -12.474 | 0.000 | 0.000 | 0.000 |
| 110 dumbbell | -8.986 | -20.935 | -13.405 | -13.405 | 0.000 | 0.000 | 3.630 |
| tetrahedral interstitial | -7.416 | -10.359 | -10.359 | -10.359 | 0.000 | 0.000 | 0.000 |
| crowdion interstitial | -6.198 | -2.254 | -2.254 | -8.543 | 4.857 | -0.000 | -0.000 |
| octahedral interstitial | -4.961 | 0.726 | 0.726 | 0.726 | -0.000 | -0.000 | -0.000 |
| 2nn divacancy | -0.206 | 0.030 | 0.030 | 0.029 | 0.000 | 0.000 | 0.000 |
| 1nn divacancy | -0.189 | 0.026 | 0.027 | 0.027 | 0.000 | 0.000 | -0.000 |
| vacancy | -0.103 | 0.015 | 0.015 | 0.015 | 0.000 | 0.000 | 0.000 |
| Point Defect | Ef (eV) | p11 (eV) | p22 (eV) | p33 (eV) | p12 (eV) | p13 (eV) | p23 (eV) |
|---|---|---|---|---|---|---|---|
| tetrahedral interstitial | 6.971 | 9.848 | 9.848 | 9.848 | 0.000 | 0.000 | 0.000 |
| octahedral interstitial | 8.447 | -21.125 | -21.125 | -21.125 | -0.000 | -0.000 | -0.000 |
| vacancy | 8.798 | 3.230 | 3.230 | 3.230 | -0.000 | -0.000 | -0.000 |
| 1nn divacancy | 15.562 | 5.626 | 5.902 | 5.902 | -0.000 | -0.000 | -0.061 |
| 111 dumbbell | 16.918 | 25.938 | 25.938 | 25.938 | -1.548 | -1.548 | -1.548 |
| 2nn divacancy | 17.028 | 6.617 | 6.617 | 6.227 | -0.000 | -0.000 | -0.000 |
| Point Defect | Ef (eV) | p11 (eV) | p22 (eV) | p33 (eV) | p12 (eV) | p13 (eV) | p23 (eV) |
|---|---|---|---|---|---|---|---|
| relaxed interstitial | -11658.219 | -3450.706 | -3389.387 | -3558.118 | 55.976 | 2.234 | 50.658 |
| vacancy | -0.140 | 8.487 | 8.487 | 8.487 | -0.000 | -0.000 | 0.000 |
| Point Defect | Ef (eV) | p11 (eV) | p22 (eV) | p33 (eV) | p12 (eV) | p13 (eV) | p23 (eV) |
|---|---|---|---|---|---|---|---|
| 111 dumbbell | -5.502 | 10.218 | 10.218 | 10.218 | -5.101 | -5.101 | -5.101 |
| crowdion interstitial | -5.106 | -2.564 | -2.564 | -2.564 | -8.180 | -8.180 | -8.180 |
| 110 dumbbell | -3.674 | -27.407 | -26.975 | -27.695 | -0.000 | -0.000 | 0.888 |
| tetrahedral interstitial | -0.965 | -24.238 | -24.213 | -24.238 | 0.000 | -0.000 | -0.000 |
| 100 dumbbell | 1.895 | -24.968 | -24.968 | -24.236 | -0.000 | -0.000 | -0.000 |
| vacancy | 1.930 | 2.355 | 2.355 | 2.355 | -0.000 | -0.000 | -0.000 |
| 1nn divacancy | 3.377 | 4.514 | 4.514 | 4.514 | 0.135 | 0.135 | 0.135 |
| 2nn divacancy | 3.498 | -1.405 | -1.405 | -1.405 | 0.000 | 0.000 | -0.000 |
| Point Defect | Ef (eV) | p11 (eV) | p22 (eV) | p33 (eV) | p12 (eV) | p13 (eV) | p23 (eV) |
|---|---|---|---|---|---|---|---|
| relaxed interstitial | 0.641 | 1.613 | 0.314 | 2.863 | -0.669 | 0.632 | -0.170 |
| vacancy | 2.664 | 2.737 | 2.737 | -1.519 | -0.000 | -0.000 | -0.000 |
| Point Defect | Ef (eV) | p11 (eV) | p22 (eV) | p33 (eV) | p12 (eV) | p13 (eV) | p23 (eV) |
|---|---|---|---|---|---|---|---|
| relaxed interstitial | -39.933 | -1149.761 | -1150.018 | -1150.016 | 1.190 | -0.107 | -0.578 |
| tetragonal interstitial | -0.885 | 0.000 | 0.000 | 0.000 | -0.000 | 0.000 | -0.000 |
| vacancy | 1.183 | -0.000 | -0.000 | -0.000 | -0.000 | 0.000 | -0.000 |
| 1nn divacancy | 1.774 | 0.000 | 0.000 | 0.000 | 0.000 | 0.000 | 0.000 |
| Point Defect | Ef (eV) | p11 (eV) | p22 (eV) | p33 (eV) | p12 (eV) | p13 (eV) | p23 (eV) |
|---|---|---|---|---|---|---|---|
| 1nn divacancy | -0.050 | 0.000 | 0.000 | 0.000 | -0.000 | -0.000 | -0.000 |
| vacancy | -0.033 | 0.000 | 0.000 | 0.000 | -0.000 | -0.000 | -0.000 |
| Point Defect | Ef (eV) | p11 (eV) | p22 (eV) | p33 (eV) | p12 (eV) | p13 (eV) | p23 (eV) |
|---|---|---|---|---|---|---|---|
| 2nn divacancy | -0.221 | 1.261 | 1.261 | 1.198 | -0.000 | -0.000 | -0.000 |
| 1nn divacancy | -0.202 | 1.079 | 1.132 | 1.132 | -0.000 | 0.000 | -0.011 |
| vacancy | -0.116 | 0.628 | 0.628 | 0.628 | 0.000 | 0.000 | 0.000 |
| octahedral interstitial | 0.552 | 1.150 | 1.150 | 1.150 | -0.000 | -0.000 | -0.000 |
| tetrahedral interstitial | 0.730 | 0.133 | 0.133 | 0.133 | -0.000 | -0.000 | -0.000 |
| Point Defect | Ef (eV) | p11 (eV) | p22 (eV) | p33 (eV) | p12 (eV) | p13 (eV) | p23 (eV) |
|---|---|---|---|---|---|---|---|
| 111 dumbbell | -1.193 | -3.619 | -3.619 | -3.619 | -0.384 | -0.384 | -0.384 |
| 2nn divacancy | -0.843 | -0.224 | -0.224 | -0.211 | 0.000 | 0.000 | 0.000 |
| 1nn divacancy | -0.771 | -0.191 | -0.200 | -0.200 | 0.000 | 0.000 | 0.002 |
| tetrahedral interstitial | -0.604 | -2.262 | -2.262 | -2.262 | 0.000 | 0.000 | 0.000 |
| crowdion interstitial | -0.591 | 2.545 | 2.545 | -1.895 | -0.757 | 0.000 | 0.000 |
| vacancy | -0.436 | -0.110 | -0.110 | -0.110 | -0.000 | -0.000 | -0.000 |
| 100 dumbbell | -0.379 | 1.105 | 1.105 | -0.097 | 0.000 | 0.000 | 0.000 |
| octahedral interstitial | 0.056 | 0.549 | 0.549 | 0.549 | 0.000 | 0.000 | 0.000 |
| Point Defect | Ef (eV) | p11 (eV) | p22 (eV) | p33 (eV) | p12 (eV) | p13 (eV) | p23 (eV) |
|---|---|---|---|---|---|---|---|
| 1nn divacancy | -0.706 | 0.700 | 0.700 | 0.700 | -0.008 | -0.008 | -0.008 |
| 2nn divacancy | -0.700 | 0.705 | 0.705 | 0.818 | -0.000 | -0.000 | 0.000 |
| vacancy | -0.391 | 0.377 | 0.377 | 0.377 | -0.000 | 0.000 | -0.000 |
| tetrahedral interstitial | -0.238 | 1.347 | 7.961 | 1.347 | -0.000 | 0.000 | 0.000 |
| 111 dumbbell | -0.235 | -0.899 | -0.899 | -0.899 | 1.526 | 1.526 | 1.526 |
| 100 dumbbell | -0.076 | 6.598 | 6.598 | 2.284 | -0.000 | -0.000 | 0.000 |
| 110 dumbbell | 0.169 | -16.954 | -10.847 | -10.847 | -0.000 | -0.000 | 7.592 |
| octahedral interstitial | 0.197 | 3.317 | 3.641 | 3.641 | 0.000 | 0.000 | -0.000 |
| Point Defect | Ef (eV) | p11 (eV) | p22 (eV) | p33 (eV) | p12 (eV) | p13 (eV) | p23 (eV) |
|---|---|---|---|---|---|---|---|
| tetrahedral interstitial | -0.235 | -0.717 | -0.643 | -0.727 | 0.000 | -0.000 | -0.000 |
| 2nn divacancy | -0.172 | -0.116 | -0.116 | -0.116 | 0.000 | 0.000 | 0.000 |
| 1nn divacancy | -0.167 | -0.126 | -0.126 | -0.126 | -0.003 | -0.003 | -0.003 |
| octahedral interstitial | -0.163 | 0.844 | 0.937 | 0.937 | -0.000 | -0.000 | -0.000 |
| vacancy | -0.095 | -0.066 | -0.066 | -0.066 | -0.000 | -0.000 | 0.000 |
| 100 dumbbell | -0.013 | 1.611 | 1.611 | 1.725 | 0.000 | 0.000 | 0.000 |
| crowdion interstitial | 0.203 | 2.570 | 2.570 | 2.570 | -0.065 | -0.065 | -0.065 |
| 111 dumbbell | 0.273 | 2.391 | 2.391 | 2.391 | 0.125 | 0.125 | 0.125 |
| Point Defect | Ef (eV) | p11 (eV) | p22 (eV) | p33 (eV) | p12 (eV) | p13 (eV) | p23 (eV) |
|---|---|---|---|---|---|---|---|
| 100 dumbbell | 0.011 | 0.464 | 0.464 | 0.464 | 0.000 | 0.000 | 0.000 |
| bond centered interstitial | 0.012 | 0.616 | 0.616 | 0.616 | -0.000 | -0.000 | -0.000 |
| tetragonal interstitial | 0.016 | -0.366 | -0.366 | -0.366 | 0.000 | 0.000 | 0.000 |
| vacancy | 0.022 | 0.026 | 0.026 | 0.026 | 0.000 | 0.000 | 0.000 |
| 1nn divacancy | 0.033 | 0.035 | 0.035 | 0.035 | 0.000 | 0.000 | 0.000 |
| Point Defect | Ef (eV) | p11 (eV) | p22 (eV) | p33 (eV) | p12 (eV) | p13 (eV) | p23 (eV) |
|---|---|---|---|---|---|---|---|
| bond centered interstitial | -0.020 | -0.473 | -0.473 | -0.473 | 0.000 | 0.000 | 0.000 |
| 100 dumbbell | -0.010 | 0.275 | 0.275 | 0.275 | 0.000 | 0.000 | 0.000 |
| tetragonal interstitial | 0.001 | 0.041 | 0.041 | 0.041 | 0.000 | 0.000 | 0.000 |
| vacancy | 0.010 | -0.019 | -0.019 | -0.019 | 0.000 | 0.000 | 0.000 |
| 1nn divacancy | 0.016 | -0.027 | -0.027 | -0.027 | -0.000 | -0.000 | -0.000 |
Plots of the atomic structure of dislocation cores are shown here. The dislocations were constructed using dislocation monopole configurations in which a straight dislocation is created in the center of the system using anisotropic elasticity and the elastic constants computed above. A cylindrical region centered around the dislocation is allowed to relax while the remaining atoms are held fixed. The relaxation consists of 1 million NVT steps at 10 K followed by an energy/force minimization. The final plots show the atomic configuration near the center of the monopole system, and display differential displacement arrows and Nye tensor color maps that are both taken with respect to the Burgers vector direction.
These plots show a wide range of final structures, some corresponding to expected dislocation structures and others not. While the characterizations are dislocation-type dependent, some general classification guidelines are listed here.
The calculation method used is available as the iprPy dislocation_monopole calculation method.
Links are provided above the images allowing for users to download the final defect configuration and a corresponding defect-free configuration if they wish to further analyze the structures or use them for subsequent simulations.
Notes and Disclaimers:
Version Information:
Plots of lattice and elastic constants are shown as a function of temperature. The 0K points were taken from the Crystal Structure Predictions and the Elastic Constants Predictions sections above for the unique crystal structures relaxed with the "dynamic" method. Starting from the 0 K relaxed crystal unit cells, supercell systems are created by replicating all three dimensions by the same multiplier to achieve at least 4000 atoms. The systems are then relaxed at 50 K and zero pressure using 1 million NPT steps. Lattice constants are estimated by averaging the measured box dimensions. Temperatures are iteratively increased by 50 K, with each subsequent relaxation calculation starting from the final atomic configuration at the previous temperature and relaxing for another 1 million steps.
The elastic constants are calculated using the deformation–fluctuation hybrid method. Starting from the final atomic configurations of the dynamic relaxations, the system is allowed to evolve at constant volume with a Langevin thermostat. The Born matrix is computed during this run by evaluating how the atomic forces would vary due to applied linear strain fields. The elastic constants can then be estimated using the averaged Born matrix values and the averaged stresses on the system.
The calculation methods used are available as the iprPy relax_dynamic and elastic_constants_dynamic calculation methods.
Clicking on the image of a plot will open an interactive version of it in a new tab. The underlying data for the plots can be downloaded by clicking on the links above each plot.
Notes and Disclaimers:
Version Information:
Plots of radial distribution functions at different temperatures and the temperature-dependent diffusion and viscosity are shown here for elemental liquids. Melt phases are constructed by starting with a 10x10x10 fcc super cell and relaxing with 50,000 NPT steps at zero pressure and a high melting temperature (3000 K for most potentials and elements). Following the melt, liquid structures are relaxed by running NPT for 10,000 steps over which the temperature is dropped by 50 K, then 50,000 NPT at the target temperature to estimate the equilibrium volume, followed by 20,000 NVT steps at the averaged equilibrium volume and target temperature. Structures from the NVT run are sampled to compute the radial distribution function of the liquid at the corresponding temperature.
The final relaxed configurations at each temperature explored are used as the initial configurations for the diffusion and viscosity calculations. For diffusion, the system is integrated for 100 runs of 2,000 NVT steps during which both the mean squared displacement (MSD) and the velocity auto correlation function (VACF) are computed. From these simulations, three estimates of diffusion are computed: one from the MSD of the full 200,000 step run, one in which the MSD is reset for each short run and then averaged, and one from the VACF computed for each short run and averaged. For viscosity, the Green-Kubo method is used which is evaluated during a 1 million step NVT run.
The calculation methods used are available as the iprPy relax_liquid_redo, diffusion_liquid, and viscosity_green_kubo calculation methods.
Clicking on the image of a plot will open an interactive version of it in a new tab. The underlying data for the plots can be downloaded by clicking on the links above each plot.
Notes and Disclaimers:
Version Information:
Plots of internal energy, Gibbs free energy, entropy, heat capacity and volume are shown here as a function of temperature for various crystal structures and liquid phases. The included crystal structures correspond to those in the Solid Structures vs. Temperature section, and the liquid phases to those in the Liquid Properties section. Internal energy and volume are taken from the associated structure relaxations mentioned in those previous sections. Constant pressure heat capacity is estimated using 3-point numerical derivatives of enthalpy versus temperature. Note that since all simulations done here are at 0 pressure, internal energy and enthalpy are equivalent.
The Gibbs energies of the phases are estimated using thermodynamic integration between the interatomic potential in question and a simpler model with known Gibbs free energy values. For solids, the reference model is an Einstein solid, while for liquids it is the Uhlenbeck-Ford potential. Besides a short run at the start of the solid calculations to estimate Einstein model spring constants, the two calculations proceed similarly. Starting with the final relaxation configurations, the systems are stabilized for 25,000 steps. Then, over the next 50,000 steps the potential is swapped out for the reference potential. The system is then stabilized for another 25,000 steps with the reference model before a reverse swap of 50,000 steps is performed. The simulation ends with one final 25,000 step stabilization period. From the simulation, the irreversible work of transformation is estimated and used to compute the absolute Gibbs free energy of the target phase and potential relative to the reference potential. Entropy is estimated as the difference in enthalpy and Gibbs free energy and divided by temperature.
The calculation methods used are available as the iprPy relax_dynamic, relax_liquid_redo, free_energy, and free_energy_liquid calculation methods.
Clicking on the image of a plot will open an interactive version of it in a new tab. The underlying data for the plots can be downloaded by clicking on the links above each plot.
Notes and Disclaimers:
Version Information:






