Plots of the potential energy vs interatomic spacing, r, are shown below for all diatom sets associated with the interatomic potential. This calculation provides insights into the functional form of the potential's two-body interactions. A system consisting of only two atoms is created, and the potential energy is evaluated for the atoms separated by 0.02 Å <= r <= 6.0> Å in intervals of 0.02 Å. Two plots are shown: one for the "standard" interaction distance range, and one for small values of r. The small r plot is useful for determining whether the potential is suitable for radiation studies.
The calculation method used is available as the iprPy diatom_scan calculation method.
Clicking on the image of a plot will open an interactive version of it in a new tab. The underlying data for the plots can be downloaded by clicking on the links above each plot.
Notes and Disclaimers:
Version Information:
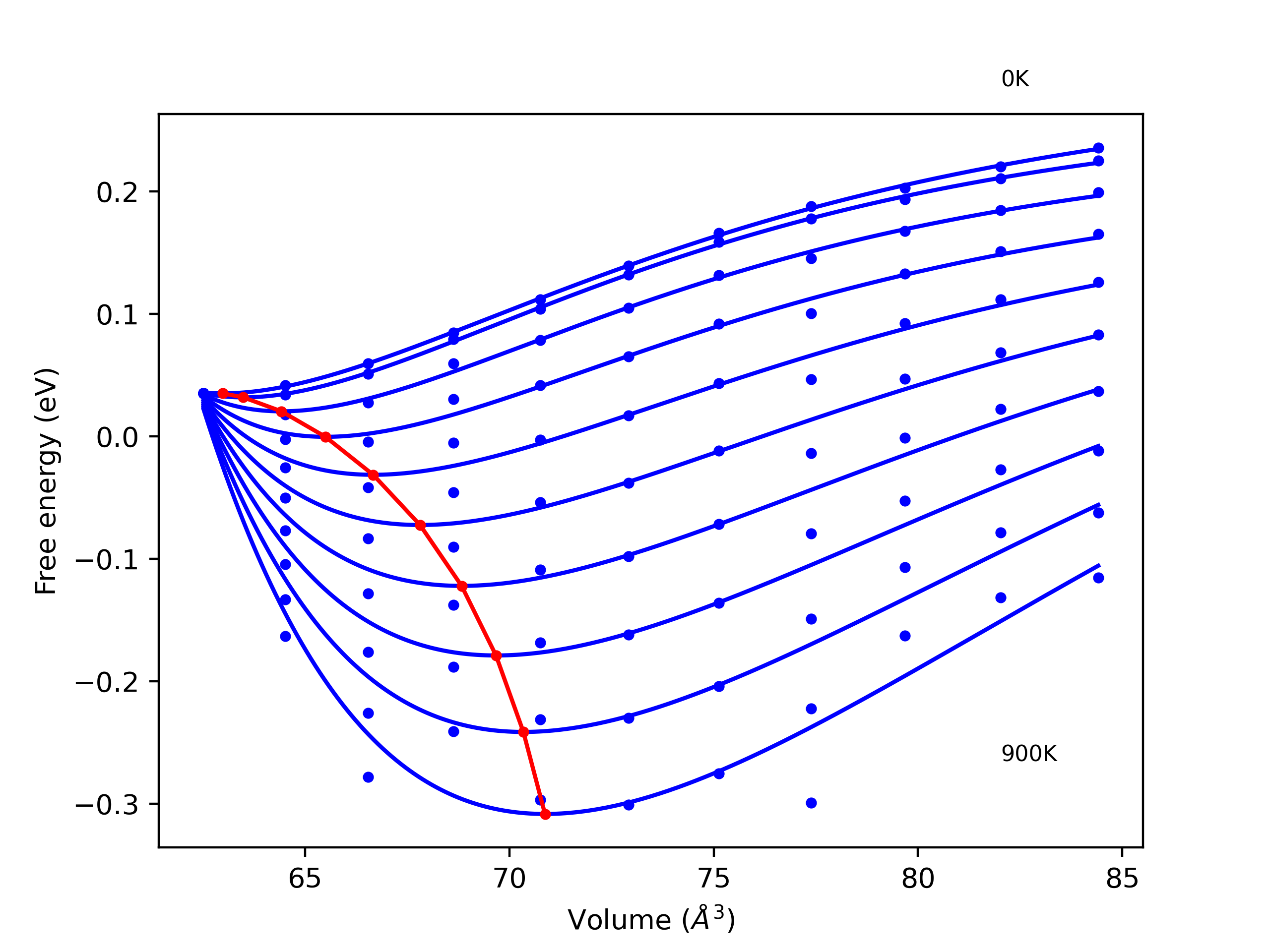
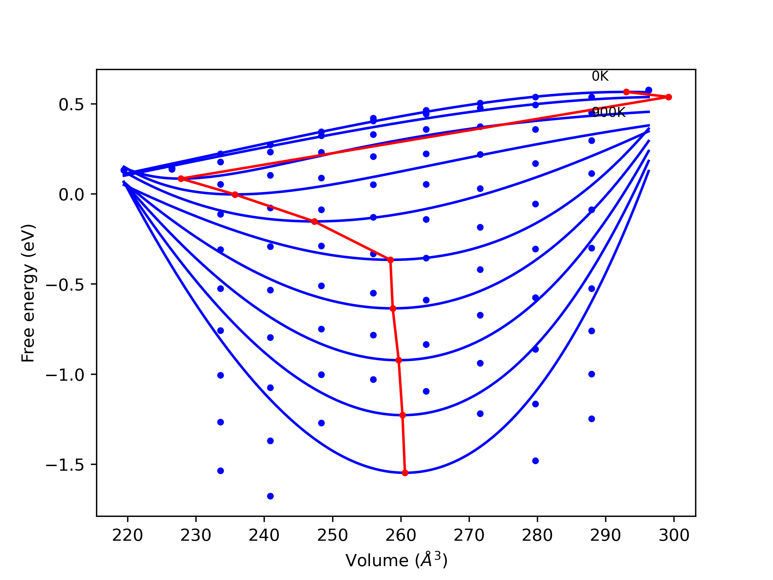
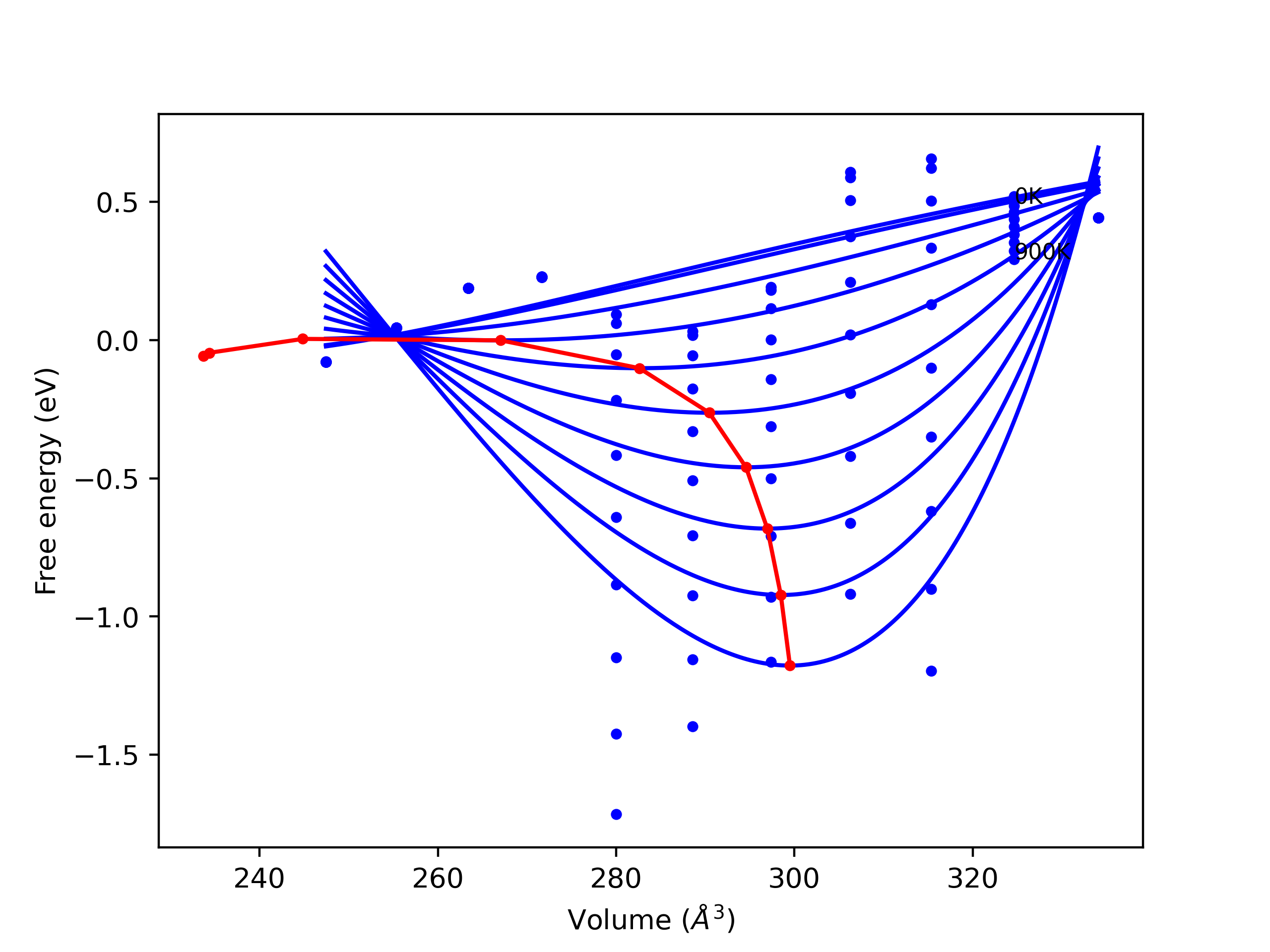
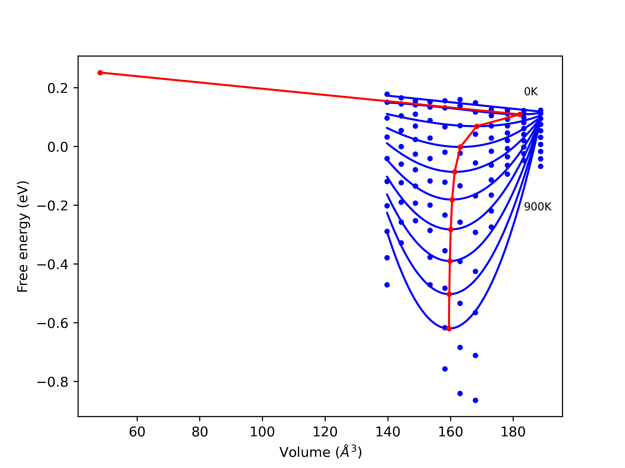
Plots of potential energy vs interatomic spacing, r, are shown below for a number of crystal structures. The structures are generated based on the ideal atomic positions and b/a and c/a lattice parameter ratios for a given crystal prototype. The size of the system is then uniformly scaled, and the energy calculated without relaxing the system. To obtain these plots, values of r are evaluated every 0.02 Å up to 6 Å.
The calculation method used is available as the iprPy E_vs_r_scan calculation method.
Clicking on the image of a plot will open an interactive version of it in a new tab. The underlying data for the plots can be downloaded by clicking on the links above each plot.
Notes and Disclaimers:
Version Information:
Computed lattice constants and cohesive/potential energies are displayed for a variety of crystal structures. The values displayed here are obtained using the following process.
The calculation methods used are implemented into iprPy as the following calculation styles
Notes and Disclaimers:
Version Information:
Download raw data (including filtered results)
Reference structure matches:
A1--Cu--fcc = mp-8637, oqmd-676152, oqmd-1214544
A15--beta-W = oqmd-1214989, oqmd-1280332
A2--W--bcc = mp-129, oqmd-676469, oqmd-1215167
A3'--alpha-La--double-hcp = mp-1066523, oqmd-1215435
A3--Mg--hcp = oqmd-1215345
A4--C--dc = oqmd-1215524
A5--beta-Sn = oqmd-1215613
A6--In--bct = oqmd-1215702
| prototype | method | Ecoh (eV/atom) | Epot (eV/atom) | a0 (Å) | b0 (Å) | c0 (Å) | α (degrees) | β (degrees) | γ (degrees) |
|---|---|---|---|---|---|---|---|---|---|
| A2--W--bcc | dynamic | -6.8972 | -6.9294 | 3.1474 | 3.1474 | 3.1474 | 90.0 | 90.0 | 90.0 |
| oqmd-1214811 | dynamic | -6.7154 | -6.7476 | 9.7192 | 9.7192 | 9.7192 | 90.0 | 90.0 | 90.0 |
| oqmd-1215256 | static | -6.7066 | -6.7388 | 2.6856 | 5.2167 | 4.5226 | 90.0 | 90.0 | 90.0 |
| A15--beta-W | dynamic | -6.7001 | -6.7322 | 5.0052 | 5.0052 | 5.0052 | 90.0 | 90.0 | 90.0 |
| oqmd-1215256 | box | -6.6973 | -6.7294 | 2.6816 | 5.2855 | 4.5178 | 90.0 | 90.0 | 90.0 |
| oqmd-1214811 | box | -6.674 | -6.7061 | 9.7133 | 9.7133 | 9.7133 | 90.0 | 90.0 | 90.0 |
| oqmd-1214900 | dynamic | -6.6722 | -6.7043 | 6.8874 | 6.8874 | 6.8874 | 90.0 | 90.0 | 90.0 |
| oqmd-1214900 | box | -6.6566 | -6.6888 | 6.8752 | 6.8752 | 6.8752 | 90.0 | 90.0 | 90.0 |
| A3--Mg--hcp | box | -6.6499 | -6.6821 | 2.9226 | 2.9226 | 4.4907 | 90.0 | 90.0 | 120.0 |
| A6--In--bct | static | -6.639 | -6.6712 | 2.6551 | 2.6551 | 4.4721 | 90.0 | 90.0 | 90.0 |
| oqmd-1216061 | box | -6.6221 | -6.6542 | 2.9298 | 2.9298 | 20.021 | 90.0 | 90.0 | 120.0 |
| mp-1181019 | box | -6.6151 | -6.6473 | 5.2008 | 4.9822 | 10.0927 | 90.0 | 103.2 | 90.0 |
| A3'--alpha-La--double-hcp | box | -6.6076 | -6.6398 | 2.9215 | 2.9215 | 8.93 | 90.0 | 90.0 | 120.0 |
| A1--Cu--fcc | static | -6.5625 | -6.5947 | 4.014 | 4.014 | 4.014 | 90.0 | 90.0 | 90.0 |
| mp-1180307 | box | -6.5172 | -6.5494 | 9.818 | 3.024 | 9.7127 | 90.0 | 113.5 | 90.0 |
| mp-1190217 | static | -6.449 | -6.4811 | 7.6706 | 2.6694 | 13.4589 | 90.0 | 101.1 | 90.0 |
| mp-1190217 | box | -6.4392 | -6.4714 | 7.6743 | 2.6744 | 13.4613 | 90.0 | 101.1 | 90.0 |
| oqmd-1215078 | box | -6.4085 | -6.4407 | 4.4764 | 9.5577 | 3.0024 | 90.0 | 90.0 | 90.0 |
| A5--beta-Sn | dynamic | -6.1466 | -6.1787 | 4.8536 | 4.8536 | 2.7039 | 90.0 | 90.0 | 90.0 |
| mp-1056004 | dynamic | -6.1117 | -6.1439 | 2.7035 | 2.7035 | 2.4861 | 90.0 | 90.0 | 120.0 |
| oqmd-1214722 | box | -5.8185 | -5.8506 | 4.3168 | 7.9899 | 4.3161 | 90.0 | 90.0 | 90.0 |
| Ah--alpha-Po--sc | static | -5.7204 | -5.7526 | 2.5644 | 2.5644 | 2.5644 | 90.0 | 90.0 | 90.0 |
| oqmd-1215969 | static | -5.5285 | -5.5607 | 4.3279 | 4.3279 | 4.5146 | 90.0 | 90.0 | 120.0 |
| A7--alpha-As | box | -5.4959 | -5.528 | 3.4961 | 3.4961 | 10.2256 | 90.0 | 90.0 | 120.0 |
| A4--C--dc | static | -4.8649 | -4.8971 | 5.4746 | 5.4746 | 5.4746 | 90.0 | 90.0 | 90.0 |
| A6--In--bct | box | -4.0251 | -4.0572 | 5.7948 | 5.7948 | 2.1258 | 90.0 | 90.0 | 90.0 |
| A2--W--bcc | static | -0.5622 | -0.5943 | 4.9883 | 4.9883 | 4.9883 | 90.0 | 90.0 | 90.0 |
| A1--Cu--fcc | static | -0.5481 | -0.5802 | 6.0528 | 6.0528 | 6.0528 | 90.0 | 90.0 | 90.0 |
| A3'--alpha-La--double-hcp | static | -0.5481 | -0.5802 | 4.28 | 4.28 | 13.9784 | 90.0 | 90.0 | 120.0 |
| A3--Mg--hcp | static | -0.5481 | -0.5802 | 4.28 | 4.28 | 6.9892 | 90.0 | 90.0 | 120.0 |
| A6--In--bct | static | -0.5478 | -0.5799 | 4.22 | 4.22 | 6.33 | 90.0 | 90.0 | 90.0 |
| A1--Cu--fcc | box | -0.5356 | -0.5677 | 5.9519 | 5.9519 | 5.9519 | 90.0 | 90.0 | 90.0 |
| A3--Mg--hcp | box | -0.5356 | -0.5677 | 4.2086 | 4.2086 | 6.8726 | 90.0 | 90.0 | 120.0 |
| A3'--alpha-La--double-hcp | box | -0.5356 | -0.5677 | 4.2086 | 4.2086 | 13.7453 | 90.0 | 90.0 | 120.0 |
| A1--Cu--fcc | dynamic | -0.5051 | -0.5373 | 6.3491 | 6.3491 | 6.3491 | 90.0 | 90.0 | 90.0 |
| A3'--alpha-La--double-hcp | dynamic | -0.5051 | -0.5373 | 4.4895 | 4.4895 | 14.6625 | 90.0 | 90.0 | 120.0 |
| A3--Mg--hcp | dynamic | -0.5051 | -0.5372 | 4.4896 | 4.4896 | 7.3315 | 90.0 | 90.0 | 120.0 |
| A2--W--bcc | dynamic | -0.4786 | -0.5108 | 5.2636 | 5.2636 | 5.2636 | 90.0 | 90.0 | 90.0 |
| A5--beta-Sn | static | -0.4049 | -0.4371 | 7.8293 | 7.8293 | 4.3061 | 90.0 | 90.0 | 90.0 |
| Ah--alpha-Po--sc | static | -0.3195 | -0.3517 | 4.2021 | 4.2021 | 4.2021 | 90.0 | 90.0 | 90.0 |
| Ah--alpha-Po--sc | box | -0.3195 | -0.3516 | 4.1995 | 4.1995 | 4.1995 | 90.0 | 90.0 | 90.0 |
| Ah--alpha-Po--sc | dynamic | -0.2529 | -0.2851 | 4.487 | 4.487 | 4.487 | 90.0 | 90.0 | 90.0 |
| A7--alpha-As | box | -0.2275 | -0.2597 | 6.4543 | 6.4543 | 16.1901 | 90.0 | 90.0 | 120.0 |
| A7--alpha-As | static | -0.2267 | -0.2588 | 5.9163 | 5.9163 | 16.4295 | 90.0 | 90.0 | 120.0 |
| A7--alpha-As | static | -0.2169 | -0.2491 | 6.2748 | 6.2748 | 17.4253 | 90.0 | 90.0 | 120.0 |
| A7--alpha-As | box | -0.1929 | -0.225 | 5.8976 | 5.8976 | 22.4584 | 90.0 | 90.0 | 120.0 |
| A6--In--bct | box | -0.1896 | -0.2218 | 6.6213 | 6.6213 | 5.4063 | 90.0 | 90.0 | 90.0 |
| A4--C--dc | static | -0.1786 | -0.2108 | 10.0228 | 10.0228 | 10.0228 | 90.0 | 90.0 | 90.0 |
| A4--C--dc | dynamic | -0.1684 | -0.2005 | 10.3683 | 10.3683 | 10.3683 | 90.0 | 90.0 | 90.0 |
Download raw data (including filtered results)
Reference structure matches:
| prototype | method | Ecoh (eV/atom) | Epot (eV/atom) | a0 (Å) | b0 (Å) | c0 (Å) | α (degrees) | β (degrees) | γ (degrees) |
|---|---|---|---|---|---|---|---|---|---|
| C1--CaF2--fluorite | static | -4.8203 | -4.8418 | 6.2595 | 6.2595 | 6.2595 | 90.0 | 90.0 | 90.0 |
| oqmd-1233863 | dynamic | -4.6725 | -4.694 | 7.0414 | 7.0414 | 2.5896 | 90.0 | 90.0 | 90.0 |
| oqmd-1233863 | box | -4.1122 | -4.1336 | 6.5813 | 6.5813 | 3.2486 | 90.0 | 90.0 | 90.0 |
| oqmd-1240542 | static | -3.1807 | -3.2021 | 11.2981 | 11.2981 | 11.2981 | 90.0 | 90.0 | 90.0 |
| C1--CaF2--fluorite | dynamic | -1.2768 | -1.2983 | 9.0902 | 9.0902 | 9.0902 | 90.0 | 90.0 | 90.0 |
| C1--CaF2--fluorite | static | -0.2067 | -0.2281 | 10.1152 | 10.1152 | 10.1152 | 90.0 | 90.0 | 90.0 |
| C1--CaF2--fluorite | box | -0.1656 | -0.187 | 10.3752 | 10.3752 | 10.3752 | 90.0 | 90.0 | 90.0 |
| C1--CaF2--fluorite | static | -0.1457 | -0.1672 | 12.7941 | 12.7941 | 12.7941 | 90.0 | 90.0 | 90.0 |
| C1--CaF2--fluorite | static | -0.1211 | -0.1425 | 10.808 | 10.808 | 10.808 | 90.0 | 90.0 | 90.0 |
| C1--CaF2--fluorite | dynamic | -0.1207 | -0.1421 | 10.7717 | 10.7717 | 10.7717 | 90.0 | 90.0 | 90.0 |
Download raw data (including filtered results)
Reference structure matches:
| prototype | method | Ecoh (eV/atom) | Epot (eV/atom) | a0 (Å) | b0 (Å) | c0 (Å) | α (degrees) | β (degrees) | γ (degrees) |
|---|---|---|---|---|---|---|---|---|---|
| oqmd-427941 | static | -4.2667 | -4.2796 | 6.5274 | 6.5274 | 19.388 | 90.0 | 90.0 | 120.0 |
Download raw data (including filtered results)
Reference structure matches:
| prototype | method | Ecoh (eV/atom) | Epot (eV/atom) | a0 (Å) | b0 (Å) | c0 (Å) | α (degrees) | β (degrees) | γ (degrees) |
|---|---|---|---|---|---|---|---|---|---|
| L2_1--AlCu2Mn--heusler | static | -2.1483 | -2.1644 | 6.5646 | 6.5646 | 6.5646 | 90.0 | 90.0 | 90.0 |
| L2_1--AlCu2Mn--heusler | static | -1.9239 | -1.94 | 7.1721 | 7.1721 | 7.1721 | 90.0 | 90.0 | 90.0 |
| L2_1--AlCu2Mn--heusler | static | -0.8508 | -0.8669 | 9.2838 | 9.2838 | 9.2838 | 90.0 | 90.0 | 90.0 |
| L2_1--AlCu2Mn--heusler | static | -0.8506 | -0.8667 | 9.1324 | 9.1324 | 9.1324 | 90.0 | 90.0 | 90.0 |
| L2_1--AlCu2Mn--heusler | static | -0.2046 | -0.2207 | 10.2537 | 10.2537 | 10.2537 | 90.0 | 90.0 | 90.0 |
| L2_1--AlCu2Mn--heusler | box | -0.2032 | -0.2193 | 10.3284 | 10.3284 | 10.3284 | 90.0 | 90.0 | 90.0 |
| L2_1--AlCu2Mn--heusler | static | -0.143 | -0.159 | 12.7479 | 12.7479 | 12.7479 | 90.0 | 90.0 | 90.0 |
Download raw data (including filtered results)
Reference structure matches:
| prototype | method | Ecoh (eV/atom) | Epot (eV/atom) | a0 (Å) | b0 (Å) | c0 (Å) | α (degrees) | β (degrees) | γ (degrees) |
|---|---|---|---|---|---|---|---|---|---|
| C1--CaF2--fluorite | dynamic | -1.4691 | -1.4905 | 6.3691 | 6.3691 | 6.3691 | 90.0 | 90.0 | 90.0 |
| C1--CaF2--fluorite | static | -0.8222 | -0.8437 | 7.3457 | 7.3457 | 7.3457 | 90.0 | 90.0 | 90.0 |
| C1--CaF2--fluorite | static | -0.2133 | -0.2348 | 10.069 | 10.069 | 10.069 | 90.0 | 90.0 | 90.0 |
| C1--CaF2--fluorite | dynamic | -0.2103 | -0.2318 | 8.9311 | 8.9311 | 8.9311 | 90.0 | 90.0 | 90.0 |
| C1--CaF2--fluorite | box | -0.1598 | -0.1813 | 10.7408 | 10.7408 | 10.7408 | 90.0 | 90.0 | 90.0 |
Download raw data (including filtered results)
Reference structure matches:
D0_3--BiF3 = oqmd-313964
L1_2--AuCu3 = oqmd-344809
| prototype | method | Ecoh (eV/atom) | Epot (eV/atom) | a0 (Å) | b0 (Å) | c0 (Å) | α (degrees) | β (degrees) | γ (degrees) |
|---|---|---|---|---|---|---|---|---|---|
| D0_3--BiF3 | dynamic | -6.0998 | -6.124 | 6.4582 | 6.4582 | 6.4582 | 90.0 | 90.0 | 90.0 |
| oqmd-320323 | box | -5.9128 | -5.937 | 5.9395 | 5.9395 | 4.6435 | 90.0 | 90.0 | 120.0 |
| L1_2--AuCu3 | static | -5.8614 | -5.8855 | 4.1648 | 4.1648 | 4.1648 | 90.0 | 90.0 | 90.0 |
| A15--Cr3Si | dynamic | -5.8592 | -5.8833 | 5.0262 | 5.0262 | 5.0262 | 90.0 | 90.0 | 90.0 |
| D0_3--BiF3 | static | -0.3586 | -0.3827 | 10.1614 | 10.1614 | 10.1614 | 90.0 | 90.0 | 90.0 |
| D0_3--BiF3 | box | -0.3275 | -0.3516 | 10.4147 | 10.4147 | 10.4147 | 90.0 | 90.0 | 90.0 |
| D0_3--BiF3 | static | -0.2828 | -0.3069 | 10.7618 | 10.7618 | 10.7618 | 90.0 | 90.0 | 90.0 |
| D0_3--BiF3 | dynamic | -0.2787 | -0.3028 | 10.6503 | 10.6503 | 10.6503 | 90.0 | 90.0 | 90.0 |
| D0_3--BiF3 | dynamic | -0.2787 | -0.3028 | 10.6504 | 10.6504 | 10.6504 | 90.0 | 90.0 | 90.0 |
| L1_2--AuCu3 | static | -0.2658 | -0.2899 | 7.3256 | 7.3256 | 7.3256 | 90.0 | 90.0 | 90.0 |
| L1_2--AuCu3 | box | -0.2643 | -0.2884 | 7.253 | 7.253 | 7.253 | 90.0 | 90.0 | 90.0 |
| L1_2--AuCu3 | static | -0.2563 | -0.2805 | 7.7216 | 7.7216 | 7.7216 | 90.0 | 90.0 | 90.0 |
| L1_2--AuCu3 | box | -0.2561 | -0.2803 | 7.7323 | 7.7323 | 7.7323 | 90.0 | 90.0 | 90.0 |
| D0_3--BiF3 | static | -0.2449 | -0.269 | 11.1775 | 11.1775 | 11.1775 | 90.0 | 90.0 | 90.0 |
| A15--Cr3Si | static | -0.2388 | -0.2629 | 9.8 | 9.8 | 9.8 | 90.0 | 90.0 | 90.0 |
| A15--Cr3Si | box | -0.2313 | -0.2555 | 9.6732 | 9.6732 | 9.6732 | 90.0 | 90.0 | 90.0 |
| D0_3--BiF3 | static | -0.1725 | -0.1967 | 12.6175 | 12.6175 | 12.6175 | 90.0 | 90.0 | 90.0 |
| D0_3--BiF3 | static | -0.1707 | -0.1948 | 12.3784 | 12.3784 | 12.3784 | 90.0 | 90.0 | 90.0 |
| A15--Cr3Si | static | -0.0418 | -0.0659 | 10.84 | 10.84 | 10.84 | 90.0 | 90.0 | 90.0 |
| A15--Cr3Si | dynamic | -0.0388 | -0.0629 | 10.896 | 10.896 | 10.896 | 90.0 | 90.0 | 90.0 |
Download raw data (including filtered results)
Reference structure matches:
| prototype | method | Ecoh (eV/atom) | Epot (eV/atom) | a0 (Å) | b0 (Å) | c0 (Å) | α (degrees) | β (degrees) | γ (degrees) |
|---|---|---|---|---|---|---|---|---|---|
| D0_3--BiF3 | dynamic | -3.0829 | -3.107 | 6.5427 | 6.5427 | 6.5427 | 90.0 | 90.0 | 90.0 |
| L1_2--AuCu3 | dynamic | -3.0732 | -3.0973 | 4.3616 | 4.3616 | 4.3616 | 90.0 | 90.0 | 90.0 |
| A15--Cr3Si | static | -3.0306 | -3.0547 | 5.2482 | 5.2482 | 5.2482 | 90.0 | 90.0 | 90.0 |
| D0_3--BiF3 | static | -0.375 | -0.3991 | 10.0228 | 10.0228 | 10.0228 | 90.0 | 90.0 | 90.0 |
| D0_3--BiF3 | box | -0.3703 | -0.3944 | 10.1782 | 10.1782 | 10.1782 | 90.0 | 90.0 | 90.0 |
| L1_2--AuCu3 | static | -0.3579 | -0.3821 | 6.0811 | 6.0811 | 6.0811 | 90.0 | 90.0 | 90.0 |
| L1_2--AuCu3 | dynamic | -0.3528 | -0.3769 | 6.2288 | 6.2288 | 6.2288 | 90.0 | 90.0 | 90.0 |
| A15--Cr3Si | static | -0.3476 | -0.3717 | 8.2 | 8.2 | 8.2 | 90.0 | 90.0 | 90.0 |
| A15--Cr3Si | box | -0.3433 | -0.3675 | 8.3466 | 8.3466 | 8.3466 | 90.0 | 90.0 | 90.0 |
Download raw data (including filtered results)
Reference structure matches:
B1--NaCl--rock-salt = oqmd-1106610
B2--CsCl = oqmd-307425, oqmd-338967
B3--ZnS--cubic-zinc-blende = oqmd-1223406
| prototype | method | Ecoh (eV/atom) | Epot (eV/atom) | a0 (Å) | b0 (Å) | c0 (Å) | α (degrees) | β (degrees) | γ (degrees) |
|---|---|---|---|---|---|---|---|---|---|
| B2--CsCl | static | -5.3554 | -5.3714 | 3.3041 | 3.3041 | 3.3041 | 90.0 | 90.0 | 90.0 |
| mp-1178856 | dynamic | -5.2847 | -5.3008 | 5.5824 | 2.7109 | 9.3182 | 90.0 | 90.7 | 90.0 |
| oqmd-1221212 | box | -5.2755 | -5.2916 | 4.8114 | 3.1528 | 4.8407 | 90.0 | 90.0 | 90.0 |
| mp-1079710 | dynamic | -5.2604 | -5.2765 | 5.5543 | 2.6996 | 11.1078 | 90.0 | 119.8 | 90.0 |
| L1_0--AuCu | static | -5.2495 | -5.2655 | 3.1483 | 3.1483 | 3.8214 | 90.0 | 90.0 | 90.0 |
| oqmd-1230377 | dynamic | -5.2097 | -5.2258 | 2.9554 | 2.9554 | 5.0295 | 90.0 | 90.0 | 120.0 |
| oqmd-328509 | dynamic | -5.2023 | -5.2184 | 2.9897 | 2.9897 | 14.6854 | 90.0 | 90.0 | 120.0 |
| mp-1178856 | box | -5.1933 | -5.2094 | 5.512 | 2.7394 | 9.4404 | 90.0 | 91.7 | 90.0 |
| mp-1079710 | box | -4.7205 | -4.7366 | 5.4298 | 2.763 | 10.0099 | 90.0 | 90.0 | 90.0 |
| B1--NaCl--rock-salt | dynamic | -4.6383 | -4.6544 | 5.523 | 5.523 | 5.523 | 90.0 | 90.0 | 90.0 |
| B1--NaCl--rock-salt | dynamic | -4.5248 | -4.5409 | 5.1547 | 5.1547 | 5.1547 | 90.0 | 90.0 | 90.0 |
| B3--ZnS--cubic-zinc-blende | static | -3.5243 | -3.5404 | 5.8864 | 5.8864 | 5.8864 | 90.0 | 90.0 | 90.0 |
| L1_0--AuCu | box | -3.5061 | -3.5221 | 2.5131 | 2.5131 | 9.7969 | 90.0 | 90.0 | 90.0 |
| B2--CsCl | box | -1.6208 | -1.6369 | 4.5772 | 4.5772 | 4.5772 | 90.0 | 90.0 | 90.0 |
| B1--NaCl--rock-salt | static | -1.2171 | -1.2332 | 8.0 | 8.0 | 8.0 | 90.0 | 90.0 | 90.0 |
| B3--ZnS--cubic-zinc-blende | static | -1.0169 | -1.033 | 8.403 | 8.403 | 8.403 | 90.0 | 90.0 | 90.0 |
| B3--ZnS--cubic-zinc-blende | dynamic | -0.8556 | -0.8717 | 9.1647 | 9.1647 | 9.1647 | 90.0 | 90.0 | 90.0 |
| L1_0--AuCu | static | -0.2382 | -0.2543 | 5.7485 | 5.7485 | 7.5283 | 90.0 | 90.0 | 90.0 |
| B2--CsCl | static | -0.2186 | -0.2347 | 6.397 | 6.397 | 6.397 | 90.0 | 90.0 | 90.0 |
| B2--CsCl | box | -0.1719 | -0.1879 | 6.1856 | 6.1856 | 6.1856 | 90.0 | 90.0 | 90.0 |
| L1_0--AuCu | box | -0.169 | -0.1851 | 5.3255 | 5.3255 | 7.5182 | 90.0 | 90.0 | 90.0 |
| B1--NaCl--rock-salt | static | -0.1639 | -0.18 | 11.08 | 11.08 | 11.08 | 90.0 | 90.0 | 90.0 |
| B3--ZnS--cubic-zinc-blende | static | -0.1093 | -0.1254 | 12.7941 | 12.7941 | 12.7941 | 90.0 | 90.0 | 90.0 |
| B2--CsCl | static | -0.0855 | -0.1015 | 5.404 | 5.404 | 5.404 | 90.0 | 90.0 | 90.0 |
| B2--CsCl | box | -0.0797 | -0.0958 | 5.3795 | 5.3795 | 5.3795 | 90.0 | 90.0 | 90.0 |
| L1_0--AuCu | dynamic | -0.0735 | -0.0896 | 4.6439 | 4.6439 | 6.6068 | 90.0 | 90.0 | 90.0 |
| B1--NaCl--rock-salt | static | -0.0535 | -0.0695 | 9.36 | 9.36 | 9.36 | 90.0 | 90.0 | 90.0 |
| B1--NaCl--rock-salt | dynamic | -0.053 | -0.069 | 9.318 | 9.318 | 9.318 | 90.0 | 90.0 | 90.0 |
| L1_0--AuCu | static | -0.0374 | -0.0535 | 4.8354 | 4.8354 | 6.3325 | 90.0 | 90.0 | 90.0 |
| B3--ZnS--cubic-zinc-blende | static | -0.0357 | -0.0518 | 10.808 | 10.808 | 10.808 | 90.0 | 90.0 | 90.0 |
| B3--ZnS--cubic-zinc-blende | dynamic | -0.0353 | -0.0513 | 10.757 | 10.757 | 10.757 | 90.0 | 90.0 | 90.0 |
| L1_0--AuCu | dynamic | -0.0136 | -0.0296 | 6.4425 | 6.4425 | 8.1278 | 90.0 | 90.0 | 90.0 |
| B2--CsCl | dynamic | -0.0136 | -0.0296 | 7.0492 | 7.0492 | 7.0492 | 90.0 | 90.0 | 90.0 |
Download raw data (including filtered results)
Reference structure matches:
| prototype | method | Ecoh (eV/atom) | Epot (eV/atom) | a0 (Å) | b0 (Å) | c0 (Å) | α (degrees) | β (degrees) | γ (degrees) |
|---|---|---|---|---|---|---|---|---|---|
| oqmd-17717 | static | -4.8698 | -4.8805 | 3.3608 | 3.3608 | 9.8586 | 90.0 | 90.0 | 90.0 |
| mp-30789 | box | -4.8427 | -4.8534 | 3.3578 | 3.3578 | 9.972 | 90.0 | 90.0 | 90.0 |
| oqmd-17717 | box | -4.842 | -4.8527 | 3.3579 | 3.3579 | 9.9756 | 90.0 | 90.0 | 90.0 |
| C1--CaF2--fluorite | static | -4.0836 | -4.0944 | 6.5341 | 6.5341 | 6.5341 | 90.0 | 90.0 | 90.0 |
| oqmd-1240541 | dynamic | -2.923 | -2.9337 | 11.4511 | 11.4511 | 11.4511 | 90.0 | 90.0 | 90.0 |
| C1--CaF2--fluorite | dynamic | -0.9868 | -0.9975 | 9.259 | 9.259 | 9.259 | 90.0 | 90.0 | 90.0 |
| C1--CaF2--fluorite | static | -0.1457 | -0.1564 | 12.7941 | 12.7941 | 12.7941 | 90.0 | 90.0 | 90.0 |
| C1--CaF2--fluorite | static | 0.0052 | -0.0055 | 10.8542 | 10.8542 | 10.8542 | 90.0 | 90.0 | 90.0 |
| C1--CaF2--fluorite | box | 0.0226 | 0.0118 | 10.7115 | 10.7115 | 10.7115 | 90.0 | 90.0 | 90.0 |
Download raw data (including filtered results)
Reference structure matches:
| prototype | method | Ecoh (eV/atom) | Epot (eV/atom) | a0 (Å) | b0 (Å) | c0 (Å) | α (degrees) | β (degrees) | γ (degrees) |
|---|---|---|---|---|---|---|---|---|---|
| L2_1--AlCu2Mn--heusler | static | -2.0833 | -2.0914 | 6.8044 | 6.8044 | 6.8044 | 90.0 | 90.0 | 90.0 |
| L2_1--AlCu2Mn--heusler | box | -0.2154 | -0.2234 | 9.3743 | 9.3743 | 9.3743 | 90.0 | 90.0 | 90.0 |
| L2_1--AlCu2Mn--heusler | static | -0.1552 | -0.1633 | 12.5631 | 12.5631 | 12.5631 | 90.0 | 90.0 | 90.0 |
| L2_1--AlCu2Mn--heusler | static | 0.1333 | 0.1252 | 10.1152 | 10.1152 | 10.1152 | 90.0 | 90.0 | 90.0 |
| L2_1--AlCu2Mn--heusler | box | 0.1645 | 0.1565 | 10.4994 | 10.4994 | 10.4994 | 90.0 | 90.0 | 90.0 |
Download raw data (including filtered results)
Reference structure matches:
D0_3--BiF3 = oqmd-309781
L1_2--AuCu3 = oqmd-348992
| prototype | method | Ecoh (eV/atom) | Epot (eV/atom) | a0 (Å) | b0 (Å) | c0 (Å) | α (degrees) | β (degrees) | γ (degrees) |
|---|---|---|---|---|---|---|---|---|---|
| D0_3--BiF3 | static | -4.7013 | -4.7094 | 6.7348 | 6.7348 | 6.7348 | 90.0 | 90.0 | 90.0 |
| oqmd-299239 | dynamic | -4.6447 | -4.6527 | 3.9168 | 3.9168 | 10.0806 | 90.0 | 90.0 | 90.0 |
| A15--Cr3Si | dynamic | -4.6412 | -4.6493 | 5.3825 | 5.3825 | 5.3825 | 90.0 | 90.0 | 90.0 |
| L1_2--AuCu3 | static | -4.4867 | -4.4947 | 4.2096 | 4.2096 | 4.2096 | 90.0 | 90.0 | 90.0 |
| L1_2--AuCu3 | dynamic | -4.0781 | -4.0862 | 4.7136 | 4.7136 | 4.7136 | 90.0 | 90.0 | 90.0 |
| A15--Cr3Si | static | -3.7005 | -3.7086 | 6.2272 | 6.2272 | 6.2272 | 90.0 | 90.0 | 90.0 |
| L1_2--AuCu3 | static | -2.4519 | -2.4599 | 5.6185 | 5.6185 | 5.6185 | 90.0 | 90.0 | 90.0 |
| D0_3--BiF3 | static | -1.9363 | -1.9444 | 9.1637 | 9.1637 | 9.1637 | 90.0 | 90.0 | 90.0 |
| L1_2--AuCu3 | static | -0.1524 | -0.1604 | 7.9762 | 7.9762 | 7.9762 | 90.0 | 90.0 | 90.0 |
| A15--Cr3Si | static | -0.1188 | -0.1269 | 10.033 | 10.033 | 10.033 | 90.0 | 90.0 | 90.0 |
| A15--Cr3Si | box | -0.1184 | -0.1264 | 10.0485 | 10.0485 | 10.0485 | 90.0 | 90.0 | 90.0 |
| A15--Cr3Si | box | -0.103 | -0.1111 | 9.8339 | 9.8339 | 9.8339 | 90.0 | 90.0 | 90.0 |
| D0_3--BiF3 | static | -0.1016 | -0.1096 | 13.025 | 13.025 | 13.025 | 90.0 | 90.0 | 90.0 |
| L1_2--AuCu3 | box | -0.0468 | -0.0548 | 7.613 | 7.613 | 7.613 | 90.0 | 90.0 | 90.0 |
| L1_2--AuCu3 | dynamic | -0.0461 | -0.0542 | 8.5569 | 8.5569 | 8.5569 | 90.0 | 90.0 | 90.0 |
| A15--Cr3Si | dynamic | -0.0122 | -0.0203 | 12.0676 | 12.0676 | 12.0676 | 90.0 | 90.0 | 90.0 |
| A15--Cr3Si | static | -0.0028 | -0.0109 | 11.48 | 11.48 | 11.48 | 90.0 | 90.0 | 90.0 |
| A15--Cr3Si | static | 0.0041 | -0.0039 | 10.88 | 10.88 | 10.88 | 90.0 | 90.0 | 90.0 |
| L1_2--AuCu3 | dynamic | 0.022 | 0.014 | 6.6085 | 6.6085 | 6.6085 | 90.0 | 90.0 | 90.0 |
| D0_3--BiF3 | box | 0.0239 | 0.0158 | 11.4411 | 11.4411 | 11.4411 | 90.0 | 90.0 | 90.0 |
| D0_3--BiF3 | static | 0.0239 | 0.0159 | 11.4546 | 11.4546 | 11.4546 | 90.0 | 90.0 | 90.0 |
| D0_3--BiF3 | static | 0.0562 | 0.0482 | 10.9004 | 10.9004 | 10.9004 | 90.0 | 90.0 | 90.0 |
| D0_3--BiF3 | box | 0.0619 | 0.0538 | 10.7981 | 10.7981 | 10.7981 | 90.0 | 90.0 | 90.0 |
| A15--Cr3Si | static | 0.0839 | 0.0759 | 8.36 | 8.36 | 8.36 | 90.0 | 90.0 | 90.0 |
Download raw data (including filtered results)
Reference structure matches:
| prototype | method | Ecoh (eV/atom) | Epot (eV/atom) | a0 (Å) | b0 (Å) | c0 (Å) | α (degrees) | β (degrees) | γ (degrees) |
|---|---|---|---|---|---|---|---|---|---|
| L2_1--AlCu2Mn--heusler | static | -0.0972 | -0.1052 | 12.3784 | 12.3784 | 12.3784 | 90.0 | 90.0 | 90.0 |
| L2_1--AlCu2Mn--heusler | dynamic | -0.0969 | -0.1049 | 12.4262 | 12.4262 | 12.4262 | 90.0 | 90.0 | 90.0 |
| L2_1--AlCu2Mn--heusler | static | -0.0473 | -0.0553 | 11.1313 | 11.1313 | 11.1313 | 90.0 | 90.0 | 90.0 |
| L2_1--AlCu2Mn--heusler | static | -0.0158 | -0.0238 | 13.8102 | 13.8102 | 13.8102 | 90.0 | 90.0 | 90.0 |
| L2_1--AlCu2Mn--heusler | dynamic | 0.0 | -0.008 | 14.7659 | 14.7659 | 14.7659 | 90.0 | 90.0 | 90.0 |
| L2_1--AlCu2Mn--heusler | box | 0.0604 | 0.0524 | 10.5052 | 10.5052 | 10.5052 | 90.0 | 90.0 | 90.0 |
| L2_1--AlCu2Mn--heusler | static | 0.0886 | 0.0805 | 10.069 | 10.069 | 10.069 | 90.0 | 90.0 | 90.0 |
| L2_1--AlCu2Mn--heusler | box | 0.0988 | 0.0907 | 9.9108 | 9.9108 | 9.9108 | 90.0 | 90.0 | 90.0 |
| L2_1--AlCu2Mn--heusler | static | 0.1296 | 0.1216 | 8.0367 | 8.0367 | 8.0367 | 90.0 | 90.0 | 90.0 |
| L2_1--AlCu2Mn--heusler | static | 0.1786 | 0.1706 | 7.4167 | 7.4167 | 7.4167 | 90.0 | 90.0 | 90.0 |
| L2_1--AlCu2Mn--heusler | static | 0.4429 | 0.4348 | 6.8279 | 6.8279 | 6.8279 | 90.0 | 90.0 | 90.0 |
Download raw data (including filtered results)
Reference structure matches:
| prototype | method | Ecoh (eV/atom) | Epot (eV/atom) | a0 (Å) | b0 (Å) | c0 (Å) | α (degrees) | β (degrees) | γ (degrees) |
|---|---|---|---|---|---|---|---|---|---|
| L1_0--AuCu | static | -0.4669 | -0.483 | 3.5725 | 3.5725 | 4.5044 | 90.0 | 90.0 | 90.0 |
| L1_0--AuCu | box | -0.4634 | -0.4795 | 3.5459 | 3.5459 | 4.6806 | 90.0 | 90.0 | 90.0 |
| B2--CsCl | dynamic | -0.4624 | -0.4785 | 3.7888 | 3.7888 | 3.7888 | 90.0 | 90.0 | 90.0 |
| B1--NaCl--rock-salt | static | -0.2255 | -0.2416 | 7.6076 | 7.6076 | 7.6076 | 90.0 | 90.0 | 90.0 |
| B1--NaCl--rock-salt | dynamic | -0.2221 | -0.2382 | 7.6306 | 7.6306 | 7.6306 | 90.0 | 90.0 | 90.0 |
| B1--NaCl--rock-salt | box | -0.2217 | -0.2378 | 7.6333 | 7.6333 | 7.6333 | 90.0 | 90.0 | 90.0 |
| B2--CsCl | dynamic | -0.2096 | -0.2257 | 4.4722 | 4.4722 | 4.4722 | 90.0 | 90.0 | 90.0 |
| B2--CsCl | static | -0.1965 | -0.2125 | 4.8036 | 4.8036 | 4.8036 | 90.0 | 90.0 | 90.0 |
| L1_0--AuCu | static | -0.1904 | -0.2065 | 4.6279 | 4.6279 | 6.0607 | 90.0 | 90.0 | 90.0 |
| L1_0--AuCu | dynamic | -0.1898 | -0.2059 | 4.5357 | 4.5357 | 5.4397 | 90.0 | 90.0 | 90.0 |
| L1_0--AuCu | box | -0.1533 | -0.1694 | 4.2077 | 4.2077 | 5.3622 | 90.0 | 90.0 | 90.0 |
| B3--ZnS--cubic-zinc-blende | dynamic | -0.1517 | -0.1677 | 7.7184 | 7.7184 | 7.7184 | 90.0 | 90.0 | 90.0 |
| B1--NaCl--rock-salt | static | -0.1259 | -0.142 | 7.067 | 7.067 | 7.067 | 90.0 | 90.0 | 90.0 |
| B1--NaCl--rock-salt | static | -0.0903 | -0.1064 | 9.0 | 9.0 | 9.0 | 90.0 | 90.0 | 90.0 |
| B1--NaCl--rock-salt | dynamic | -0.0867 | -0.1028 | 8.6711 | 8.6711 | 8.6711 | 90.0 | 90.0 | 90.0 |
| B3--ZnS--cubic-zinc-blende | static | -0.0602 | -0.0763 | 10.3923 | 10.3923 | 10.3923 | 90.0 | 90.0 | 90.0 |
| B3--ZnS--cubic-zinc-blende | dynamic | -0.054 | -0.0701 | 9.7584 | 9.7584 | 9.7584 | 90.0 | 90.0 | 90.0 |
| B3--ZnS--cubic-zinc-blende | static | -0.0518 | -0.0679 | 8.7561 | 8.7561 | 8.7561 | 90.0 | 90.0 | 90.0 |
| B1--NaCl--rock-salt | dynamic | -0.0096 | -0.0257 | 6.4668 | 6.4668 | 6.4668 | 90.0 | 90.0 | 90.0 |
| B3--ZnS--cubic-zinc-blende | static | 0.1612 | 0.1451 | 6.4026 | 6.4026 | 6.4026 | 90.0 | 90.0 | 90.0 |
| B1--NaCl--rock-salt | static | 0.1827 | 0.1666 | 5.5474 | 5.5474 | 5.5474 | 90.0 | 90.0 | 90.0 |
| B2--CsCl | static | 0.1962 | 0.1801 | 3.3608 | 3.3608 | 3.3608 | 90.0 | 90.0 | 90.0 |
Download raw data (including filtered results)
Reference structure matches:
| prototype | method | Ecoh (eV/atom) | Epot (eV/atom) | a0 (Å) | b0 (Å) | c0 (Å) | α (degrees) | β (degrees) | γ (degrees) |
|---|---|---|---|---|---|---|---|---|---|
| C1--CaF2--fluorite | static | -0.0725 | -0.0832 | 9.077 | 9.077 | 9.077 | 90.0 | 90.0 | 90.0 |
| C1--CaF2--fluorite | static | -0.0535 | -0.0642 | 9.5609 | 9.5609 | 9.5609 | 90.0 | 90.0 | 90.0 |
| C1--CaF2--fluorite | static | -0.0528 | -0.0635 | 10.6694 | 10.6694 | 10.6694 | 90.0 | 90.0 | 90.0 |
| C1--CaF2--fluorite | dynamic | -0.0508 | -0.0616 | 9.7451 | 9.7451 | 9.7451 | 90.0 | 90.0 | 90.0 |
| C1--CaF2--fluorite | dynamic | -0.0507 | -0.0614 | 9.7507 | 9.7507 | 9.7507 | 90.0 | 90.0 | 90.0 |
| C1--CaF2--fluorite | dynamic | -0.0507 | -0.0614 | 9.7523 | 9.7523 | 9.7523 | 90.0 | 90.0 | 90.0 |
| C1--CaF2--fluorite | static | -0.0495 | -0.0602 | 12.3351 | 12.3351 | 12.3351 | 90.0 | 90.0 | 90.0 |
| C1--CaF2--fluorite | dynamic | -0.0495 | -0.0602 | 12.3513 | 12.3513 | 12.3513 | 90.0 | 90.0 | 90.0 |
| C1--CaF2--fluorite | dynamic | -0.0437 | -0.0544 | 7.9181 | 7.9181 | 7.9181 | 90.0 | 90.0 | 90.0 |
Download raw data (including filtered results)
Reference structure matches:
| prototype | method | Ecoh (eV/atom) | Epot (eV/atom) | a0 (Å) | b0 (Å) | c0 (Å) | α (degrees) | β (degrees) | γ (degrees) |
|---|---|---|---|---|---|---|---|---|---|
| L1_2--AuCu3 | static | -0.0703 | -0.0783 | 6.6185 | 6.6185 | 6.6185 | 90.0 | 90.0 | 90.0 |
| L1_2--AuCu3 | dynamic | -0.0702 | -0.0783 | 6.5891 | 6.5891 | 6.5891 | 90.0 | 90.0 | 90.0 |
| L1_2--AuCu3 | box | -0.0702 | -0.0782 | 6.5859 | 6.5859 | 6.5859 | 90.0 | 90.0 | 90.0 |
| D0_3--BiF3 | static | -0.0553 | -0.0633 | 10.7156 | 10.7156 | 10.7156 | 90.0 | 90.0 | 90.0 |
| D0_3--BiF3 | dynamic | -0.0552 | -0.0633 | 10.7059 | 10.7059 | 10.7059 | 90.0 | 90.0 | 90.0 |
| D0_3--BiF3 | static | -0.0473 | -0.0553 | 9.9304 | 9.9304 | 9.9304 | 90.0 | 90.0 | 90.0 |
| L1_2--AuCu3 | dynamic | -0.0466 | -0.0546 | 6.1092 | 6.1092 | 6.1092 | 90.0 | 90.0 | 90.0 |
| D0_3--BiF3 | dynamic | -0.0442 | -0.0523 | 9.7236 | 9.7236 | 9.7236 | 90.0 | 90.0 | 90.0 |
| A15--Cr3Si | static | -0.0426 | -0.0507 | 7.76 | 7.76 | 7.76 | 90.0 | 90.0 | 90.0 |
| A15--Cr3Si | dynamic | -0.0396 | -0.0476 | 7.6749 | 7.6749 | 7.6749 | 90.0 | 90.0 | 90.0 |
| A15--Cr3Si | static | -0.0319 | -0.04 | 10.04 | 10.04 | 10.04 | 90.0 | 90.0 | 90.0 |
| A15--Cr3Si | static | -0.0301 | -0.0381 | 8.72 | 8.72 | 8.72 | 90.0 | 90.0 | 90.0 |
| A15--Cr3Si | box | -0.0299 | -0.0379 | 10.1356 | 10.1356 | 10.1356 | 90.0 | 90.0 | 90.0 |
| A15--Cr3Si | static | -0.024 | -0.032 | 10.48 | 10.48 | 10.48 | 90.0 | 90.0 | 90.0 |
| L1_2--AuCu3 | static | -0.0181 | -0.0262 | 7.5236 | 7.5236 | 7.5236 | 90.0 | 90.0 | 90.0 |
| L1_2--AuCu3 | dynamic | -0.0181 | -0.0261 | 7.5389 | 7.5389 | 7.5389 | 90.0 | 90.0 | 90.0 |
| A15--Cr3Si | box | -0.0135 | -0.0216 | 9.1881 | 9.1881 | 9.1881 | 90.0 | 90.0 | 90.0 |
| D0_3--BiF3 | static | -0.0122 | -0.0202 | 12.286 | 12.286 | 12.286 | 90.0 | 90.0 | 90.0 |
| D0_3--BiF3 | dynamic | -0.012 | -0.0201 | 12.34 | 12.34 | 12.34 | 90.0 | 90.0 | 90.0 |
| D0_3--BiF3 | box | -0.012 | -0.0201 | 12.3447 | 12.3447 | 12.3447 | 90.0 | 90.0 | 90.0 |
| A15--Cr3Si | dynamic | -0.0064 | -0.0144 | 9.361 | 9.361 | 9.361 | 90.0 | 90.0 | 90.0 |
| A15--Cr3Si | dynamic | 0.0112 | 0.0032 | 11.0755 | 11.0755 | 11.0755 | 90.0 | 90.0 | 90.0 |
| L1_2--AuCu3 | static | 0.0112 | 0.0032 | 5.5624 | 5.5624 | 5.5624 | 90.0 | 90.0 | 90.0 |
Download raw data (including filtered results)
Reference structure matches:
A1--Cu--fcc = mp-1008669, oqmd-22309, oqmd-1214582
A15--beta-W = oqmd-1215027
A2--W--bcc = mp-108, oqmd-8391, oqmd-1215205
A3'--alpha-La--double-hcp = oqmd-1215473
A3--Mg--hcp = oqmd-1215383
A4--C--dc = oqmd-1215562
A5--beta-Sn = oqmd-1215651
A6--In--bct = oqmd-1215740
Ah--alpha-Po--sc = mp-1056699, oqmd-1215829, oqmd-1215918
| prototype | method | Ecoh (eV/atom) | Epot (eV/atom) | a0 (Å) | b0 (Å) | c0 (Å) | α (degrees) | β (degrees) | γ (degrees) |
|---|---|---|---|---|---|---|---|---|---|
| oqmd-1214760 | dynamic | -4.1909 | -4.1909 | 4.9044 | 10.748 | 3.2205 | 90.0 | 90.0 | 90.0 |
| oqmd-675537 | dynamic | -4.1846 | -4.1846 | 2.8426 | 5.7141 | 4.8909 | 90.0 | 90.0 | 90.0 |
| oqmd-686734 | box | -4.1846 | -4.1846 | 2.8406 | 5.7161 | 4.891 | 90.0 | 90.0 | 90.0 |
| oqmd-675537 | box | -4.1846 | -4.1846 | 2.8459 | 5.7111 | 4.891 | 90.0 | 90.0 | 90.0 |
| mp-44 | box | -4.1842 | -4.1842 | 2.8517 | 5.7078 | 4.8919 | 90.0 | 90.0 | 90.0 |
| A5--beta-Sn | dynamic | -4.1558 | -4.1558 | 5.0765 | 5.0765 | 2.9609 | 90.0 | 90.0 | 90.0 |
| A2--W--bcc | static | -4.1475 | -4.1475 | 3.5552 | 3.5552 | 3.5552 | 90.0 | 90.0 | 90.0 |
| A6--In--bct | dynamic | -4.1413 | -4.1413 | 2.7609 | 2.7609 | 5.1391 | 90.0 | 90.0 | 90.0 |
| A7--alpha-As | static | -4.133 | -4.133 | 5.0481 | 5.0481 | 5.7666 | 90.0 | 90.0 | 120.0 |
| mp-1076920 | dynamic | -4.1285 | -4.1285 | 2.9307 | 2.9307 | 2.5159 | 90.0 | 90.0 | 120.0 |
| mp-1077335 | static | -4.0812 | -4.0812 | 7.8867 | 7.417 | 5.8528 | 90.0 | 130.3 | 90.0 |
| oqmd-1215116 | dynamic | -4.0503 | -4.0503 | 2.7588 | 2.7588 | 10.7398 | 90.0 | 90.0 | 90.0 |
| A3--Mg--hcp | dynamic | -4.0333 | -4.0333 | 3.4546 | 3.4546 | 4.9126 | 90.0 | 90.0 | 120.0 |
| oqmd-1214849 | static | -4.0041 | -4.0041 | 10.6712 | 10.6712 | 10.6712 | 90.0 | 90.0 | 90.0 |
| oqmd-1214849 | box | -3.9915 | -3.9915 | 10.6112 | 10.6112 | 10.6112 | 90.0 | 90.0 | 90.0 |
| mp-1178958 | box | -3.9799 | -3.9799 | 6.4789 | 5.0392 | 5.0975 | 90.0 | 90.0 | 90.0 |
| A15--beta-W | dynamic | -3.9713 | -3.9713 | 5.3955 | 5.3955 | 5.3955 | 90.0 | 90.0 | 90.0 |
| oqmd-8009 | box | -3.9498 | -3.9498 | 10.3258 | 10.3258 | 5.5855 | 90.0 | 90.0 | 90.0 |
| mp-93 | box | -3.9484 | -3.9484 | 10.3132 | 10.3132 | 5.5827 | 90.0 | 90.0 | 90.0 |
| oqmd-2472 | box | -3.9353 | -3.9353 | 10.4151 | 10.4151 | 5.6307 | 90.0 | 90.0 | 90.0 |
| mp-43 | box | -3.9345 | -3.9345 | 10.411 | 10.411 | 5.6242 | 90.0 | 90.0 | 90.0 |
| A3'--alpha-La--double-hcp | dynamic | -3.9088 | -3.9088 | 3.4616 | 3.4616 | 9.7377 | 90.0 | 90.0 | 120.0 |
| oqmd-1214938 | box | -3.908 | -3.908 | 7.5126 | 7.5126 | 7.5126 | 90.0 | 90.0 | 90.0 |
| A1--Cu--fcc | dynamic | -3.8779 | -3.8779 | 4.7997 | 4.7997 | 4.7997 | 90.0 | 90.0 | 90.0 |
| mp-1200324 | box | -3.8762 | -3.8762 | 24.3918 | 5.5366 | 4.976 | 90.0 | 90.0 | 90.0 |
| A3--Mg--hcp | box | -3.8521 | -3.8521 | 2.9295 | 2.9295 | 5.0837 | 90.0 | 90.0 | 120.0 |
| mp-1197206 | box | -3.847 | -3.847 | 24.2257 | 5.6209 | 5.1927 | 90.0 | 90.0 | 90.0 |
| Ah--alpha-Po--sc | dynamic | -3.8204 | -3.8204 | 2.7567 | 2.7567 | 2.7567 | 90.0 | 90.0 | 90.0 |
| A3'--alpha-La--double-hcp | box | -3.8138 | -3.8138 | 2.914 | 2.914 | 10.2407 | 90.0 | 90.0 | 120.0 |
| A1--Cu--fcc | static | -3.7712 | -3.7712 | 4.2149 | 4.2149 | 4.2149 | 90.0 | 90.0 | 90.0 |
| A6--In--bct | dynamic | -3.5659 | -3.5659 | 3.2694 | 3.2694 | 6.0381 | 90.0 | 90.0 | 90.0 |
| A15--beta-W | static | -3.4063 | -3.4063 | 6.3697 | 6.3697 | 6.3697 | 90.0 | 90.0 | 90.0 |
| A1--Cu--fcc | box | -3.3891 | -3.3891 | 4.4989 | 4.4989 | 4.4989 | 90.0 | 90.0 | 90.0 |
| A6--In--bct | box | -2.9345 | -2.9345 | 2.7185 | 2.7185 | 8.0764 | 90.0 | 90.0 | 90.0 |
| oqmd-47874 | box | -2.8067 | -2.8067 | 10.0767 | 10.0767 | 8.539 | 90.0 | 90.0 | 90.0 |
| A3'--alpha-La--double-hcp | dynamic | -2.7379 | -2.7379 | 3.9316 | 3.9316 | 12.8404 | 90.0 | 90.0 | 120.0 |
| A1--Cu--fcc | static | -2.7379 | -2.7379 | 5.5601 | 5.5601 | 5.5601 | 90.0 | 90.0 | 90.0 |
| A3--Mg--hcp | box | -2.7379 | -2.7379 | 3.9316 | 3.9316 | 6.4202 | 90.0 | 90.0 | 120.0 |
| A4--C--dc | static | -2.4265 | -2.4265 | 5.9838 | 5.9838 | 5.9838 | 90.0 | 90.0 | 90.0 |
| A2--W--bcc | box | -2.158 | -2.158 | 4.5307 | 4.5307 | 4.5307 | 90.0 | 90.0 | 90.0 |
| Ah--alpha-Po--sc | dynamic | -2.1435 | -2.1435 | 3.3249 | 3.3249 | 3.3249 | 90.0 | 90.0 | 90.0 |
| A5--beta-Sn | box | -1.6213 | -1.6213 | 8.0396 | 8.0396 | 3.1878 | 90.0 | 90.0 | 90.0 |
| A4--C--dc | dynamic | -1.2916 | -1.2916 | 9.1319 | 9.1319 | 9.1319 | 90.0 | 90.0 | 90.0 |
| A4--C--dc | static | -1.2675 | -1.2675 | 8.5144 | 8.5144 | 8.5144 | 90.0 | 90.0 | 90.0 |
| A4--C--dc | static | -1.2155 | -1.2155 | 7.1636 | 7.1636 | 7.1636 | 90.0 | 90.0 | 90.0 |
| Ah--alpha-Po--sc | dynamic | -1.0728 | -1.0728 | 4.1101 | 4.1101 | 4.1101 | 90.0 | 90.0 | 90.0 |
| A7--alpha-As | dynamic | -1.0348 | -1.0348 | 6.0458 | 6.0458 | 14.8058 | 90.0 | 90.0 | 120.0 |
| A3'--alpha-La--double-hcp | dynamic | -0.0972 | -0.0972 | 6.0339 | 6.0339 | 19.7066 | 90.0 | 90.0 | 120.0 |
| A3--Mg--hcp | dynamic | -0.0972 | -0.0972 | 6.0339 | 6.0339 | 9.8533 | 90.0 | 90.0 | 120.0 |
| A1--Cu--fcc | dynamic | -0.0972 | -0.0972 | 8.5332 | 8.5332 | 8.5332 | 90.0 | 90.0 | 90.0 |
| A2--W--bcc | dynamic | -0.065 | -0.065 | 6.9673 | 6.9673 | 6.9673 | 90.0 | 90.0 | 90.0 |
| A5--beta-Sn | dynamic | -0.0489 | -0.0489 | 11.6845 | 11.6845 | 6.0338 | 90.0 | 90.0 | 90.0 |
| Ah--alpha-Po--sc | dynamic | -0.0489 | -0.0489 | 6.0338 | 6.0338 | 6.0338 | 90.0 | 90.0 | 90.0 |
| A4--C--dc | dynamic | -0.0326 | -0.0326 | 13.9345 | 13.9345 | 13.9345 | 90.0 | 90.0 | 90.0 |
| A7--alpha-As | dynamic | -0.0245 | -0.0245 | 8.5118 | 8.5118 | 26.0439 | 90.0 | 90.0 | 120.0 |
| A3--Mg--hcp | static | -0.0225 | -0.0225 | 5.74 | 5.74 | 9.3734 | 90.0 | 90.0 | 120.0 |
| A1--Cu--fcc | static | -0.0225 | -0.0225 | 8.1176 | 8.1176 | 8.1176 | 90.0 | 90.0 | 90.0 |
| A3'--alpha-La--double-hcp | static | -0.0225 | -0.0225 | 5.74 | 5.74 | 18.7468 | 90.0 | 90.0 | 120.0 |
| A2--W--bcc | static | -0.015 | -0.015 | 6.628 | 6.628 | 6.628 | 90.0 | 90.0 | 90.0 |
| A15--beta-W | dynamic | -0.0122 | -0.0122 | 12.0676 | 12.0676 | 12.0676 | 90.0 | 90.0 | 90.0 |
| Ah--alpha-Po--sc | static | -0.0112 | -0.0112 | 5.74 | 5.74 | 5.74 | 90.0 | 90.0 | 90.0 |
| A6--In--bct | static | -0.0079 | -0.0079 | 5.62 | 5.62 | 8.43 | 90.0 | 90.0 | 90.0 |
| A4--C--dc | static | -0.0075 | -0.0075 | 13.256 | 13.256 | 13.256 | 90.0 | 90.0 | 90.0 |
| A7--alpha-As | static | -0.0056 | -0.0056 | 8.5756 | 8.5756 | 23.8145 | 90.0 | 90.0 | 120.0 |
| A5--beta-Sn | static | -0.0049 | -0.0049 | 11.1462 | 11.1462 | 6.1304 | 90.0 | 90.0 | 90.0 |
| A15--beta-W | static | -0.0028 | -0.0028 | 11.48 | 11.48 | 11.48 | 90.0 | 90.0 | 90.0 |
| A15--beta-W | static | 0.0032 | 0.0032 | 10.84 | 10.84 | 10.84 | 90.0 | 90.0 | 90.0 |
| A15--beta-W | box | 0.0051 | 0.0051 | 10.7941 | 10.7941 | 10.7941 | 90.0 | 90.0 | 90.0 |
| A15--beta-W | box | 0.008 | 0.008 | 11.0535 | 11.0535 | 11.0535 | 90.0 | 90.0 | 90.0 |
| A15--beta-W | static | 0.0232 | 0.0232 | 10.28 | 10.28 | 10.28 | 90.0 | 90.0 | 90.0 |
| A4--C--dc | dynamic | 0.0328 | 0.0328 | 10.8107 | 10.8107 | 10.8107 | 90.0 | 90.0 | 90.0 |
| A7--alpha-As | box | 0.0459 | 0.0459 | 5.9873 | 5.9873 | 21.4955 | 90.0 | 90.0 | 120.0 |
| Ah--alpha-Po--sc | dynamic | 0.0495 | 0.0495 | 4.6812 | 4.6812 | 4.6812 | 90.0 | 90.0 | 90.0 |
| A4--C--dc | box | 0.0568 | 0.0568 | 12.4581 | 12.4581 | 12.4581 | 90.0 | 90.0 | 90.0 |
| A5--beta-Sn | box | 0.0568 | 0.0568 | 10.1376 | 10.1376 | 7.3842 | 90.0 | 90.0 | 90.0 |
| A7--alpha-As | static | 0.0686 | 0.0686 | 6.8426 | 6.8426 | 19.0018 | 90.0 | 90.0 | 120.0 |
| Ah--alpha-Po--sc | box | 0.0852 | 0.0852 | 5.3945 | 5.3945 | 5.3945 | 90.0 | 90.0 | 90.0 |
| A3'--alpha-La--double-hcp | dynamic | 0.1004 | 0.1004 | 4.681 | 4.681 | 15.2882 | 90.0 | 90.0 | 120.0 |
| A3--Mg--hcp | dynamic | 0.1004 | 0.1004 | 4.681 | 4.681 | 7.6441 | 90.0 | 90.0 | 120.0 |
| A1--Cu--fcc | dynamic | 0.1004 | 0.1004 | 6.62 | 6.62 | 6.62 | 90.0 | 90.0 | 90.0 |
| A5--beta-Sn | static | 0.1328 | 0.1328 | 8.6778 | 8.6778 | 4.7728 | 90.0 | 90.0 | 90.0 |
| A5--beta-Sn | dynamic | 0.1644 | 0.1644 | 9.2514 | 9.2514 | 4.7699 | 90.0 | 90.0 | 90.0 |
| A6--In--bct | box | 0.1689 | 0.1689 | 4.5035 | 4.5035 | 6.8622 | 90.0 | 90.0 | 90.0 |
| A3'--alpha-La--double-hcp | box | 0.1703 | 0.1703 | 5.3945 | 5.3945 | 17.6184 | 90.0 | 90.0 | 120.0 |
| A2--W--bcc | static | 0.1919 | 0.1919 | 5.7966 | 5.7966 | 5.7966 | 90.0 | 90.0 | 90.0 |
| A2--W--bcc | box | 0.1999 | 0.1999 | 5.7032 | 5.7032 | 5.7032 | 90.0 | 90.0 | 90.0 |
| A15--beta-W | static | 0.2407 | 0.2407 | 8.36 | 8.36 | 8.36 | 90.0 | 90.0 | 90.0 |
| A2--W--bcc | box | 0.2896 | 0.2896 | 5.4089 | 5.4089 | 5.4089 | 90.0 | 90.0 | 90.0 |
Download raw data (including filtered results)
Reference structure matches:
| prototype | method | Ecoh (eV/atom) | Epot (eV/atom) | a0 (Å) | b0 (Å) | c0 (Å) | α (degrees) | β (degrees) | γ (degrees) |
|---|---|---|---|---|---|---|---|---|---|
| C1--CaF2--fluorite | dynamic | -0.4526 | -0.4526 | 6.7158 | 6.7158 | 6.7158 | 90.0 | 90.0 | 90.0 |
| C1--CaF2--fluorite | static | -0.0805 | -0.0805 | 12.4246 | 12.4246 | 12.4246 | 90.0 | 90.0 | 90.0 |
| C1--CaF2--fluorite | dynamic | -0.0801 | -0.0801 | 12.4491 | 12.4491 | 12.4491 | 90.0 | 90.0 | 90.0 |
| C1--CaF2--fluorite | dynamic | 0.0 | 0.0 | 14.8482 | 14.8482 | 14.8482 | 90.0 | 90.0 | 90.0 |
| C1--CaF2--fluorite | static | 0.0081 | 0.0081 | 13.7183 | 13.7183 | 13.7183 | 90.0 | 90.0 | 90.0 |
| C1--CaF2--fluorite | box | 0.0458 | 0.0458 | 8.1513 | 8.1513 | 8.1513 | 90.0 | 90.0 | 90.0 |
| C1--CaF2--fluorite | static | 0.305 | 0.305 | 10.2076 | 10.2076 | 10.2076 | 90.0 | 90.0 | 90.0 |
Download raw data (including filtered results)
Reference structure matches:
| prototype | method | Ecoh (eV/atom) | Epot (eV/atom) | a0 (Å) | b0 (Å) | c0 (Å) | α (degrees) | β (degrees) | γ (degrees) |
|---|---|---|---|---|---|---|---|---|---|
| L1_2--AuCu3 | static | -1.39 | -1.39 | 4.3204 | 4.3204 | 4.3204 | 90.0 | 90.0 | 90.0 |
| A15--Cr3Si | static | -1.31 | -1.31 | 6.3578 | 6.3578 | 6.3578 | 90.0 | 90.0 | 90.0 |
| A15--Cr3Si | static | -1.2654 | -1.2654 | 5.4249 | 5.4249 | 5.4249 | 90.0 | 90.0 | 90.0 |
| L1_2--AuCu3 | static | -1.1869 | -1.1869 | 4.7891 | 4.7891 | 4.7891 | 90.0 | 90.0 | 90.0 |
| D0_3--BiF3 | static | -1.1294 | -1.1294 | 7.1995 | 7.1995 | 7.1995 | 90.0 | 90.0 | 90.0 |
| D0_3--BiF3 | static | -1.0596 | -1.0596 | 6.855 | 6.855 | 6.855 | 90.0 | 90.0 | 90.0 |
| D0_3--BiF3 | static | -0.7619 | -0.7619 | 8.2606 | 8.2606 | 8.2606 | 90.0 | 90.0 | 90.0 |
| L1_2--AuCu3 | box | -0.6527 | -0.6527 | 5.7546 | 5.7546 | 5.7546 | 90.0 | 90.0 | 90.0 |
| D0_3--BiF3 | static | -0.4888 | -0.4888 | 9.3218 | 9.3218 | 9.3218 | 90.0 | 90.0 | 90.0 |
| A15--Cr3Si | dynamic | -0.1171 | -0.1171 | 7.7091 | 7.7091 | 7.7091 | 90.0 | 90.0 | 90.0 |
| A15--Cr3Si | static | -0.0477 | -0.0477 | 9.52 | 9.52 | 9.52 | 90.0 | 90.0 | 90.0 |
| L1_2--AuCu3 | static | -0.0224 | -0.0224 | 7.8065 | 7.8065 | 7.8065 | 90.0 | 90.0 | 90.0 |
| A15--Cr3Si | box | -0.0184 | -0.0184 | 9.7719 | 9.7719 | 9.7719 | 90.0 | 90.0 | 90.0 |
| L1_2--AuCu3 | dynamic | -0.0162 | -0.0162 | 8.5905 | 8.5905 | 8.5905 | 90.0 | 90.0 | 90.0 |
| D0_3--BiF3 | static | -0.015 | -0.015 | 12.7479 | 12.7479 | 12.7479 | 90.0 | 90.0 | 90.0 |
| L1_2--AuCu3 | box | -0.0145 | -0.0145 | 7.6892 | 7.6892 | 7.6892 | 90.0 | 90.0 | 90.0 |
| A15--Cr3Si | dynamic | -0.0122 | -0.0122 | 12.0676 | 12.0676 | 12.0676 | 90.0 | 90.0 | 90.0 |
| A15--Cr3Si | static | -0.0028 | -0.0028 | 11.48 | 11.48 | 11.48 | 90.0 | 90.0 | 90.0 |
| A15--Cr3Si | static | 0.0373 | 0.0373 | 10.64 | 10.64 | 10.64 | 90.0 | 90.0 | 90.0 |
| A15--Cr3Si | box | 0.0452 | 0.0452 | 10.5398 | 10.5398 | 10.5398 | 90.0 | 90.0 | 90.0 |
| L1_2--AuCu3 | dynamic | 0.2859 | 0.2859 | 6.6479 | 6.6479 | 6.6479 | 90.0 | 90.0 | 90.0 |
Download raw data (including filtered results)
Reference structure matches:
| prototype | method | Ecoh (eV/atom) | Epot (eV/atom) | a0 (Å) | b0 (Å) | c0 (Å) | α (degrees) | β (degrees) | γ (degrees) |
|---|---|---|---|---|---|---|---|---|---|
| B2--CsCl | static | -0.1208 | -0.1208 | 6.2123 | 6.2123 | 6.2123 | 90.0 | 90.0 | 90.0 |
| B2--CsCl | dynamic | -0.1201 | -0.1201 | 6.2243 | 6.2243 | 6.2243 | 90.0 | 90.0 | 90.0 |
| L1_0--AuCu | dynamic | -0.107 | -0.107 | 6.0331 | 6.0331 | 6.5927 | 90.0 | 90.0 | 90.0 |
| L1_0--AuCu | static | -0.0998 | -0.0998 | 5.5825 | 5.5825 | 7.3109 | 90.0 | 90.0 | 90.0 |
| B1--NaCl--rock-salt | static | -0.0906 | -0.0906 | 10.76 | 10.76 | 10.76 | 90.0 | 90.0 | 90.0 |
| B1--NaCl--rock-salt | dynamic | -0.0901 | -0.0901 | 10.7794 | 10.7794 | 10.7794 | 90.0 | 90.0 | 90.0 |
| L1_0--AuCu | box | -0.0793 | -0.0793 | 5.3976 | 5.3976 | 7.6152 | 90.0 | 90.0 | 90.0 |
| B3--ZnS--cubic-zinc-blende | static | -0.0604 | -0.0604 | 12.4246 | 12.4246 | 12.4246 | 90.0 | 90.0 | 90.0 |
| B3--ZnS--cubic-zinc-blende | dynamic | -0.0601 | -0.0601 | 12.4454 | 12.4454 | 12.4454 | 90.0 | 90.0 | 90.0 |
| B1--NaCl--rock-salt | dynamic | 0.0 | 0.0 | 12.979 | 12.979 | 12.979 | 90.0 | 90.0 | 90.0 |
| B3--ZnS--cubic-zinc-blende | dynamic | 0.0 | 0.0 | 15.0111 | 15.0111 | 15.0111 | 90.0 | 90.0 | 90.0 |
| L1_0--AuCu | dynamic | 0.0 | 0.0 | 7.0651 | 7.0651 | 10.5918 | 90.0 | 90.0 | 90.0 |
| B2--CsCl | dynamic | 0.0 | 0.0 | 8.3173 | 8.3173 | 8.3173 | 90.0 | 90.0 | 90.0 |
| B3--ZnS--cubic-zinc-blende | static | 0.006 | 0.006 | 13.7183 | 13.7183 | 13.7183 | 90.0 | 90.0 | 90.0 |
| B1--NaCl--rock-salt | static | 0.0091 | 0.0091 | 11.8804 | 11.8804 | 11.8804 | 90.0 | 90.0 | 90.0 |
| B2--CsCl | static | 0.0121 | 0.0121 | 6.8592 | 6.8592 | 6.8592 | 90.0 | 90.0 | 90.0 |
| L1_0--AuCu | static | 0.0127 | 0.0127 | 6.164 | 6.164 | 8.0743 | 90.0 | 90.0 | 90.0 |
| B3--ZnS--cubic-zinc-blende | static | 0.1579 | 0.1579 | 10.2076 | 10.2076 | 10.2076 | 90.0 | 90.0 | 90.0 |
| B3--ZnS--cubic-zinc-blende | dynamic | 0.1613 | 0.1613 | 10.1033 | 10.1033 | 10.1033 | 90.0 | 90.0 | 90.0 |
| B1--NaCl--rock-salt | static | 0.2369 | 0.2369 | 8.84 | 8.84 | 8.84 | 90.0 | 90.0 | 90.0 |
| B1--NaCl--rock-salt | dynamic | 0.2678 | 0.2678 | 8.634 | 8.634 | 8.634 | 90.0 | 90.0 | 90.0 |
| B1--NaCl--rock-salt | static | 0.3024 | 0.3024 | 5.9767 | 5.9767 | 5.9767 | 90.0 | 90.0 | 90.0 |
| L1_0--AuCu | box | 0.3566 | 0.3566 | 4.4981 | 4.4981 | 6.0239 | 90.0 | 90.0 | 90.0 |
| L1_0--AuCu | static | 0.3575 | 0.3575 | 4.5449 | 4.5449 | 5.952 | 90.0 | 90.0 | 90.0 |
| B2--CsCl | static | 0.3846 | 0.3846 | 5.0228 | 5.0228 | 5.0228 | 90.0 | 90.0 | 90.0 |
| B2--CsCl | box | 0.4059 | 0.4059 | 4.9935 | 4.9935 | 4.9935 | 90.0 | 90.0 | 90.0 |
| L1_0--AuCu | dynamic | 0.4443 | 0.4443 | 3.2527 | 3.2527 | 4.0398 | 90.0 | 90.0 | 90.0 |
| B3--ZnS--cubic-zinc-blende | box | 0.5683 | 0.5683 | 8.5162 | 8.5162 | 8.5162 | 90.0 | 90.0 | 90.0 |
| B3--ZnS--cubic-zinc-blende | dynamic | 0.6331 | 0.6331 | 6.6632 | 6.6632 | 6.6632 | 90.0 | 90.0 | 90.0 |
| B2--CsCl | static | 0.6422 | 0.6422 | 4.0505 | 4.0505 | 4.0505 | 90.0 | 90.0 | 90.0 |
| B3--ZnS--cubic-zinc-blende | static | 0.6822 | 0.6822 | 8.0829 | 8.0829 | 8.0829 | 90.0 | 90.0 | 90.0 |
| B2--CsCl | box | 0.6887 | 0.6887 | 3.7124 | 3.7124 | 3.7124 | 90.0 | 90.0 | 90.0 |
| B3--ZnS--cubic-zinc-blende | box | 0.7407 | 0.7407 | 7.7358 | 7.7358 | 7.7358 | 90.0 | 90.0 | 90.0 |
| B2--CsCl | static | 0.786 | 0.786 | 3.4179 | 3.4179 | 3.4179 | 90.0 | 90.0 | 90.0 |
Download raw data (including filtered results)
Reference structure matches:
| prototype | method | Ecoh (eV/atom) | Epot (eV/atom) | a0 (Å) | b0 (Å) | c0 (Å) | α (degrees) | β (degrees) | γ (degrees) |
|---|---|---|---|---|---|---|---|---|---|
| C1--CaF2--fluorite | static | -0.0805 | -0.0805 | 12.4246 | 12.4246 | 12.4246 | 90.0 | 90.0 | 90.0 |
| C1--CaF2--fluorite | dynamic | -0.0801 | -0.0801 | 12.4491 | 12.4491 | 12.4491 | 90.0 | 90.0 | 90.0 |
| C1--CaF2--fluorite | dynamic | 0.0 | 0.0 | 14.8482 | 14.8482 | 14.8482 | 90.0 | 90.0 | 90.0 |
| C1--CaF2--fluorite | static | 0.0081 | 0.0081 | 13.7183 | 13.7183 | 13.7183 | 90.0 | 90.0 | 90.0 |
| C1--CaF2--fluorite | static | 0.2181 | 0.2181 | 9.9766 | 9.9766 | 9.9766 | 90.0 | 90.0 | 90.0 |
| C1--CaF2--fluorite | dynamic | 0.2298 | 0.2298 | 10.1037 | 10.1037 | 10.1037 | 90.0 | 90.0 | 90.0 |
| C1--CaF2--fluorite | static | 0.8126 | 0.8126 | 8.5172 | 8.5172 | 8.5172 | 90.0 | 90.0 | 90.0 |
| C1--CaF2--fluorite | dynamic | 1.1367 | 1.1367 | 7.4511 | 7.4511 | 7.4511 | 90.0 | 90.0 | 90.0 |
| C1--CaF2--fluorite | dynamic | 1.3991 | 1.3991 | 6.7877 | 6.7877 | 6.7877 | 90.0 | 90.0 | 90.0 |
Download raw data (including filtered results)
Reference structure matches:
| prototype | method | Ecoh (eV/atom) | Epot (eV/atom) | a0 (Å) | b0 (Å) | c0 (Å) | α (degrees) | β (degrees) | γ (degrees) |
|---|---|---|---|---|---|---|---|---|---|
| L1_2--AuCu3 | static | -0.0528 | -0.0528 | 7.6085 | 7.6085 | 7.6085 | 90.0 | 90.0 | 90.0 |
| L1_2--AuCu3 | dynamic | -0.0523 | -0.0523 | 7.6201 | 7.6201 | 7.6201 | 90.0 | 90.0 | 90.0 |
| A15--Cr3Si | static | -0.0401 | -0.0401 | 9.68 | 9.68 | 9.68 | 90.0 | 90.0 | 90.0 |
| A15--Cr3Si | box | -0.0376 | -0.0376 | 9.5841 | 9.5841 | 9.5841 | 90.0 | 90.0 | 90.0 |
| D0_3--BiF3 | static | -0.0352 | -0.0352 | 12.4246 | 12.4246 | 12.4246 | 90.0 | 90.0 | 90.0 |
| D0_3--BiF3 | dynamic | -0.0349 | -0.0349 | 12.4435 | 12.4435 | 12.4435 | 90.0 | 90.0 | 90.0 |
| A15--Cr3Si | static | 0.0095 | 0.0095 | 10.88 | 10.88 | 10.88 | 90.0 | 90.0 | 90.0 |
| L1_2--AuCu3 | box | 0.0562 | 0.0562 | 8.3587 | 8.3587 | 8.3587 | 90.0 | 90.0 | 90.0 |
| D0_3--BiF3 | static | 0.0698 | 0.0698 | 10.9466 | 10.9466 | 10.9466 | 90.0 | 90.0 | 90.0 |
| D0_3--BiF3 | dynamic | 0.072 | 0.072 | 11.0096 | 11.0096 | 11.0096 | 90.0 | 90.0 | 90.0 |
| L1_2--AuCu3 | static | 0.1204 | 0.1204 | 6.8448 | 6.8448 | 6.8448 | 90.0 | 90.0 | 90.0 |
| L1_2--AuCu3 | static | 0.2552 | 0.2552 | 6.1943 | 6.1943 | 6.1943 | 90.0 | 90.0 | 90.0 |
| A15--Cr3Si | static | 0.2555 | 0.2555 | 7.76 | 7.76 | 7.76 | 90.0 | 90.0 | 90.0 |
| L1_2--AuCu3 | dynamic | 0.2627 | 0.2627 | 6.229 | 6.229 | 6.229 | 90.0 | 90.0 | 90.0 |
| L1_2--AuCu3 | box | 0.2635 | 0.2635 | 6.2329 | 6.2329 | 6.2329 | 90.0 | 90.0 | 90.0 |
| A15--Cr3Si | dynamic | 0.2723 | 0.2723 | 7.8564 | 7.8564 | 7.8564 | 90.0 | 90.0 | 90.0 |
| A15--Cr3Si | box | 0.3027 | 0.3027 | 8.0314 | 8.0314 | 8.0314 | 90.0 | 90.0 | 90.0 |
Download raw data (including filtered results)
Reference structure matches:
A1--Cu--fcc = oqmd-676233
A15--beta-W = oqmd-1215030
A2--W--bcc = mp-979285, oqmd-1215208
A3'--alpha-La--double-hcp = mp-1187761, oqmd-1215476
A3--Mg--hcp = mp-570510, oqmd-675519
A4--C--dc = oqmd-1215565
A5--beta-Sn = oqmd-1215654
A6--In--bct = oqmd-1215743
| prototype | method | Ecoh (eV/atom) | Epot (eV/atom) | a0 (Å) | b0 (Å) | c0 (Å) | α (degrees) | β (degrees) | γ (degrees) |
|---|---|---|---|---|---|---|---|---|---|
| A4--C--dc | static | 0.0103 | 0.0103 | 10.8542 | 10.8542 | 10.8542 | 90.0 | 90.0 | 90.0 |
| A15--beta-W | static | 0.0112 | 0.0112 | 11.0673 | 11.0673 | 11.0673 | 90.0 | 90.0 | 90.0 |
| A15--beta-W | dynamic | 0.0113 | 0.0113 | 11.0577 | 11.0577 | 11.0577 | 90.0 | 90.0 | 90.0 |
| A15--beta-W | box | 0.0113 | 0.0113 | 11.0547 | 11.0547 | 11.0547 | 90.0 | 90.0 | 90.0 |
| A7--alpha-As | dynamic | 0.0135 | 0.0135 | 7.0752 | 7.0752 | 22.6931 | 90.0 | 90.0 | 120.0 |
| A7--alpha-As | dynamic | 0.0135 | 0.0135 | 7.0665 | 7.0665 | 22.693 | 90.0 | 90.0 | 120.0 |
| Ah--alpha-Po--sc | static | 0.0155 | 0.0155 | 4.7 | 4.7 | 4.7 | 90.0 | 90.0 | 90.0 |
| A4--C--dc | dynamic | 0.0175 | 0.0175 | 11.1676 | 11.1676 | 11.1676 | 90.0 | 90.0 | 90.0 |
| A4--C--dc | dynamic | 0.018 | 0.018 | 11.1798 | 11.1798 | 11.1798 | 90.0 | 90.0 | 90.0 |
| A7--alpha-As | static | 0.0189 | 0.0189 | 8.0378 | 8.0378 | 22.3209 | 90.0 | 90.0 | 120.0 |
| A7--alpha-As | static | 0.0245 | 0.0245 | 7.4809 | 7.4809 | 20.8408 | 90.0 | 90.0 | 120.0 |
| oqmd-1214763 | static | 0.0248 | 0.0248 | 7.6303 | 14.2872 | 7.4842 | 90.0 | 90.0 | 90.0 |
| A4--C--dc | static | 0.0252 | 0.0252 | 12.4246 | 12.4246 | 12.4246 | 90.0 | 90.0 | 90.0 |
| Ah--alpha-Po--sc | dynamic | 0.0269 | 0.0269 | 4.841 | 4.841 | 4.841 | 90.0 | 90.0 | 90.0 |
| A1--Cu--fcc | static | 0.0309 | 0.0309 | 6.6468 | 6.6468 | 6.6468 | 90.0 | 90.0 | 90.0 |
| A3'--alpha-La--double-hcp | static | 0.0309 | 0.0309 | 4.7 | 4.7 | 15.3501 | 90.0 | 90.0 | 120.0 |
| A3--Mg--hcp | static | 0.0309 | 0.0309 | 4.7 | 4.7 | 7.6751 | 90.0 | 90.0 | 120.0 |
| A7--alpha-As | static | 0.0358 | 0.0358 | 6.5438 | 6.5438 | 18.1721 | 90.0 | 90.0 | 120.0 |
| A6--In--bct | static | 0.0366 | 0.0366 | 4.6 | 4.6 | 6.9 | 90.0 | 90.0 | 90.0 |
| Ah--alpha-Po--sc | static | 0.0378 | 0.0378 | 5.38 | 5.38 | 5.38 | 90.0 | 90.0 | 90.0 |
| A5--beta-Sn | static | 0.0423 | 0.0423 | 9.5263 | 9.5263 | 5.2395 | 90.0 | 90.0 | 90.0 |
| A5--beta-Sn | static | 0.0425 | 0.0425 | 10.3363 | 10.3363 | 5.685 | 90.0 | 90.0 | 90.0 |
| mp-979286 | static | 0.0445 | 0.0445 | 6.0017 | 6.0017 | 9.4191 | 90.0 | 90.0 | 120.0 |
| A6--In--bct | box | 0.0454 | 0.0454 | 4.841 | 4.841 | 9.9562 | 90.0 | 90.0 | 90.0 |
| mp-1187777 | static | 0.0471 | 0.0471 | 7.9556 | 17.1161 | 4.6717 | 90.0 | 90.0 | 90.0 |
| mp-1187769 | box | 0.0475 | 0.0475 | 4.841 | 4.841 | 48.2061 | 90.0 | 90.0 | 120.0 |
| mp-979286 | box | 0.0475 | 0.0475 | 6.0415 | 6.0415 | 10.0708 | 90.0 | 90.0 | 120.0 |
| A5--beta-Sn | dynamic | 0.0488 | 0.0488 | 9.8824 | 9.8824 | 4.9368 | 90.0 | 90.0 | 90.0 |
| A3--Mg--hcp | dynamic | 0.0494 | 0.0494 | 4.824 | 4.824 | 7.8776 | 90.0 | 90.0 | 120.0 |
| A2--W--bcc | static | 0.0504 | 0.0504 | 6.2123 | 6.2123 | 6.2123 | 90.0 | 90.0 | 90.0 |
| A5--beta-Sn | dynamic | 0.0505 | 0.0505 | 9.0837 | 9.0837 | 4.6919 | 90.0 | 90.0 | 90.0 |
| A5--beta-Sn | dynamic | 0.0505 | 0.0505 | 9.084 | 9.084 | 4.691 | 90.0 | 90.0 | 90.0 |
| A5--beta-Sn | dynamic | 0.0505 | 0.0505 | 9.802 | 9.802 | 4.999 | 90.0 | 90.0 | 90.0 |
| A6--In--bct | dynamic | 0.0523 | 0.0523 | 4.82 | 4.82 | 6.88 | 90.0 | 90.0 | 90.0 |
| A5--beta-Sn | box | 0.0526 | 0.0526 | 9.6499 | 9.6499 | 4.8624 | 90.0 | 90.0 | 90.0 |
| A3--Mg--hcp | dynamic | 0.0533 | 0.0533 | 4.8392 | 4.8392 | 7.9012 | 90.0 | 90.0 | 120.0 |
| A1--Cu--fcc | dynamic | 0.0534 | 0.0534 | 6.8435 | 6.8435 | 6.8435 | 90.0 | 90.0 | 90.0 |
| A3'--alpha-La--double-hcp | dynamic | 0.0535 | 0.0535 | 4.8409 | 4.8409 | 15.7979 | 90.0 | 90.0 | 120.0 |
| A3--Mg--hcp | dynamic | 0.0539 | 0.0539 | 4.8411 | 4.8411 | 7.9052 | 90.0 | 90.0 | 120.0 |
| A3'--alpha-La--double-hcp | dynamic | 0.0539 | 0.0539 | 4.841 | 4.841 | 15.8106 | 90.0 | 90.0 | 120.0 |
| A3'--alpha-La--double-hcp | dynamic | 0.0539 | 0.0539 | 4.841 | 4.841 | 15.8106 | 90.0 | 90.0 | 120.0 |
| A3--Mg--hcp | dynamic | 0.0539 | 0.0539 | 4.841 | 4.841 | 7.9053 | 90.0 | 90.0 | 120.0 |
| A3'--alpha-La--double-hcp | dynamic | 0.0539 | 0.0539 | 4.841 | 4.841 | 15.8107 | 90.0 | 90.0 | 120.0 |
| A1--Cu--fcc | dynamic | 0.0539 | 0.0539 | 6.8462 | 6.8462 | 6.8462 | 90.0 | 90.0 | 90.0 |
| mp-1187769 | dynamic | 0.0539 | 0.0539 | 4.8412 | 4.8412 | 35.5747 | 90.0 | 90.0 | 120.0 |
| A5--beta-Sn | static | 0.0556 | 0.0556 | 8.4079 | 8.4079 | 4.6243 | 90.0 | 90.0 | 90.0 |
| A2--W--bcc | static | 0.0592 | 0.0592 | 5.404 | 5.404 | 5.404 | 90.0 | 90.0 | 90.0 |
| A15--beta-W | static | 0.0633 | 0.0633 | 10.08 | 10.08 | 10.08 | 90.0 | 90.0 | 90.0 |
| A15--beta-W | dynamic | 0.0635 | 0.0635 | 10.0533 | 10.0533 | 10.0533 | 90.0 | 90.0 | 90.0 |
| A15--beta-W | box | 0.0637 | 0.0637 | 10.0462 | 10.0462 | 10.0462 | 90.0 | 90.0 | 90.0 |
| A6--In--bct | static | 0.0645 | 0.0645 | 4.3624 | 4.3624 | 6.5448 | 90.0 | 90.0 | 90.0 |
| oqmd-1215119 | static | 0.0656 | 0.0656 | 7.2947 | 16.2669 | 4.9478 | 90.0 | 90.0 | 90.0 |
| A1--Cu--fcc | static | 0.0675 | 0.0675 | 6.2035 | 6.2035 | 6.2035 | 90.0 | 90.0 | 90.0 |
| A3'--alpha-La--double-hcp | static | 0.0678 | 0.0678 | 4.4006 | 4.4006 | 14.128 | 90.0 | 90.0 | 120.0 |
| A3--Mg--hcp | static | 0.0682 | 0.0682 | 4.3734 | 4.3734 | 7.1072 | 90.0 | 90.0 | 120.0 |
| oqmd-1216102 | static | 0.0685 | 0.0685 | 4.3892 | 4.3892 | 31.7348 | 90.0 | 90.0 | 120.0 |
| A15--beta-W | static | 0.0747 | 0.0747 | 8.6 | 8.6 | 8.6 | 90.0 | 90.0 | 90.0 |
| A1--Cu--fcc | static | 0.0756 | 0.0756 | 7.6085 | 7.6085 | 7.6085 | 90.0 | 90.0 | 90.0 |
| A3'--alpha-La--double-hcp | static | 0.0756 | 0.0756 | 5.38 | 5.38 | 17.571 | 90.0 | 90.0 | 120.0 |
| A3--Mg--hcp | static | 0.0756 | 0.0756 | 5.38 | 5.38 | 8.7855 | 90.0 | 90.0 | 120.0 |
| oqmd-1214941 | dynamic | 0.0765 | 0.0765 | 12.1043 | 12.1043 | 12.1043 | 90.0 | 90.0 | 90.0 |
| oqmd-1214852 | dynamic | 0.0767 | 0.0767 | 17.4235 | 17.4235 | 17.4235 | 90.0 | 90.0 | 90.0 |
| A2--W--bcc | dynamic | 0.0775 | 0.0775 | 5.5578 | 5.5578 | 5.5578 | 90.0 | 90.0 | 90.0 |
| A15--beta-W | static | 0.0781 | 0.0781 | 7.76 | 7.76 | 7.76 | 90.0 | 90.0 | 90.0 |
| A15--beta-W | static | 0.0804 | 0.0804 | 7.8453 | 7.8453 | 7.8453 | 90.0 | 90.0 | 90.0 |
| A6--In--bct | static | 0.0805 | 0.0805 | 5.26 | 5.26 | 7.89 | 90.0 | 90.0 | 90.0 |
| oqmd-1214941 | static | 0.0858 | 0.0858 | 10.6233 | 10.6233 | 10.6233 | 90.0 | 90.0 | 90.0 |
| oqmd-1214852 | box | 0.0886 | 0.0886 | 17.2216 | 17.2216 | 17.2216 | 90.0 | 90.0 | 90.0 |
| A2--W--bcc | static | 0.0918 | 0.0918 | 4.936 | 4.936 | 4.936 | 90.0 | 90.0 | 90.0 |
| A2--W--bcc | static | 0.0918 | 0.0918 | 4.9421 | 4.9421 | 4.9421 | 90.0 | 90.0 | 90.0 |
| oqmd-1214941 | box | 0.0925 | 0.0925 | 12.3393 | 12.3393 | 12.3393 | 90.0 | 90.0 | 90.0 |
| A2--W--bcc | static | 0.0974 | 0.0974 | 5.1189 | 5.1189 | 5.1189 | 90.0 | 90.0 | 90.0 |
| A15--beta-W | dynamic | 0.1077 | 0.1077 | 9.2046 | 9.2046 | 9.2046 | 90.0 | 90.0 | 90.0 |
| A15--beta-W | dynamic | 0.1078 | 0.1078 | 9.1885 | 9.1885 | 9.1885 | 90.0 | 90.0 | 90.0 |
| A15--beta-W | dynamic | 0.1079 | 0.1079 | 9.1793 | 9.1793 | 9.1793 | 90.0 | 90.0 | 90.0 |
| oqmd-1216010 | dynamic | 0.1187 | 0.1187 | 7.3502 | 7.3502 | 7.7165 | 90.0 | 90.0 | 120.0 |
| A5--beta-Sn | box | 0.1407 | 0.1407 | 7.7345 | 7.7345 | 4.7198 | 90.0 | 90.0 | 90.0 |
| A5--beta-Sn | static | 0.1538 | 0.1538 | 7.867 | 7.867 | 4.2199 | 90.0 | 90.0 | 90.0 |
| oqmd-1215921 | box | 0.1539 | 0.1539 | 5.9664 | 5.9664 | 6.8661 | 90.0 | 90.0 | 120.0 |
| Ah--alpha-Po--sc | dynamic | 0.1861 | 0.1861 | 4.0634 | 4.0634 | 4.0634 | 90.0 | 90.0 | 90.0 |
| Ah--alpha-Po--sc | static | 0.1882 | 0.1882 | 3.9 | 3.9 | 3.9 | 90.0 | 90.0 | 90.0 |
Static elastic constants are displayed for the unique structures identified in Crystal Structure Predictions above. The values displayed here are obtained by measuring the change in virial stresses due to applying small strains to the relaxed crystals. The initial structure and the strained states are all relaxed using force minimization.
The calculation method used is available as the iprPy elastic_constants_static calculation method.
Notes and Disclaimers:
Version Information:
| -20.590 | 152.946 | 152.946 | 0.000 | -0.000 | -0.000 |
| 152.946 | -20.590 | 152.946 | -0.000 | -0.000 | -0.000 |
| 152.946 | 152.946 | -20.590 | -0.000 | -0.000 | -0.000 |
| 0.000 | 0.000 | 0.000 | -10.180 | -0.000 | -0.000 |
| 0.000 | 0.000 | 0.000 | -0.000 | -10.180 | -0.000 |
| 0.000 | 0.000 | 0.000 | 0.000 | -0.000 | -10.180 |
| -20.590 | 152.946 | 152.946 | 0.000 | 0.000 | 0.000 |
| 152.946 | -20.590 | 152.946 | 0.000 | 0.000 | -0.000 |
| 152.946 | 152.946 | -20.590 | 0.000 | 0.000 | 0.000 |
| -0.000 | -0.000 | -0.000 | -10.180 | 0.000 | -0.000 |
| -0.000 | -0.000 | -0.000 | -0.000 | -10.180 | 0.000 |
| -0.000 | -0.000 | -0.000 | 0.000 | 0.000 | -10.180 |
| -20.590 | 152.946 | 152.946 | 0.000 | -0.000 | -0.000 |
| 152.946 | -20.590 | 152.946 | -0.000 | -0.000 | -0.000 |
| 152.946 | 152.946 | -20.590 | -0.000 | -0.000 | -0.000 |
| 0.000 | 0.000 | 0.000 | -10.180 | -0.000 | -0.000 |
| 0.000 | 0.000 | 0.000 | 0.000 | -10.180 | -0.000 |
| 0.000 | 0.000 | 0.000 | 0.000 | -0.000 | -10.180 |
| -20.590 | 152.946 | 152.946 | -0.000 | 0.000 | 0.000 |
| 152.946 | -20.590 | 152.946 | 0.000 | 0.000 | 0.000 |
| 152.946 | 152.946 | -20.590 | 0.000 | 0.000 | 0.000 |
| -0.000 | -0.000 | -0.000 | -10.180 | 0.000 | 0.000 |
| -0.000 | -0.000 | -0.000 | 0.000 | -10.180 | 0.000 |
| -0.000 | -0.000 | -0.000 | -0.000 | 0.000 | -10.180 |
| -20.587 | 152.946 | 152.946 | -0.000 | -0.000 | 0.000 |
| 152.946 | -20.587 | 152.946 | 0.000 | -0.000 | -0.000 |
| 152.946 | 152.946 | -20.587 | -0.000 | -0.000 | -0.000 |
| 0.000 | 0.001 | 0.001 | -10.180 | -0.000 | -0.000 |
| 0.001 | 0.000 | 0.001 | -0.000 | -10.180 | -0.000 |
| 0.001 | 0.001 | 0.000 | -0.000 | -0.000 | -10.180 |
| -20.593 | 152.945 | 152.945 | 0.000 | 0.000 | -0.000 |
| 152.945 | -20.593 | 152.945 | -0.000 | 0.000 | 0.000 |
| 152.945 | 152.945 | -20.593 | -0.000 | -0.000 | 0.000 |
| -0.000 | -0.001 | -0.001 | -10.180 | 0.000 | 0.000 |
| -0.001 | -0.000 | -0.001 | -0.000 | -10.180 | 0.000 |
| -0.001 | -0.001 | -0.000 | 0.000 | 0.000 | -10.180 |
| -224.530 | -60.549 | -60.549 | -0.000 | -0.000 | -0.000 |
| -60.549 | -224.530 | -60.549 | -0.000 | -0.000 | -0.000 |
| -60.549 | -60.549 | -224.530 | 0.000 | 0.000 | -0.000 |
| -0.000 | -0.000 | -0.000 | -60.549 | 0.000 | 0.000 |
| -0.000 | -0.000 | -0.000 | 0.000 | -60.549 | 0.000 |
| -0.000 | -0.000 | -0.000 | 0.000 | 0.000 | -60.549 |
| -224.530 | -60.549 | -60.549 | -0.000 | 0.000 | 0.000 |
| -60.549 | -224.530 | -60.549 | 0.000 | -0.000 | 0.000 |
| -60.549 | -60.549 | -224.530 | 0.000 | 0.000 | -0.000 |
| 0.000 | 0.000 | 0.000 | -60.549 | -0.000 | -0.000 |
| 0.000 | 0.000 | 0.000 | -0.000 | -60.549 | -0.000 |
| 0.000 | 0.000 | 0.000 | -0.000 | -0.000 | -60.549 |
| -224.530 | -60.549 | -60.549 | 0.000 | 0.000 | 0.000 |
| -60.549 | -224.530 | -60.549 | 0.000 | 0.000 | 0.000 |
| -60.549 | -60.549 | -224.530 | 0.000 | 0.000 | 0.000 |
| 0.000 | -0.000 | -0.000 | -60.549 | -0.000 | 0.000 |
| -0.000 | 0.000 | -0.000 | -0.000 | -60.549 | 0.000 |
| -0.000 | -0.000 | 0.000 | 0.000 | 0.000 | -60.549 |
| -224.530 | -60.549 | -60.549 | -0.000 | -0.000 | 0.000 |
| -60.549 | -224.530 | -60.549 | -0.000 | -0.000 | 0.000 |
| -60.549 | -60.549 | -224.530 | 0.000 | 0.000 | -0.000 |
| -0.000 | 0.000 | 0.000 | -60.549 | -0.000 | 0.000 |
| 0.000 | -0.000 | 0.000 | -0.000 | -60.549 | 0.000 |
| 0.000 | 0.000 | -0.000 | 0.000 | 0.000 | -60.549 |
| -224.530 | -60.549 | -60.549 | 0.000 | 0.000 | 0.000 |
| -60.549 | -224.530 | -60.549 | 0.000 | 0.000 | 0.000 |
| -60.549 | -60.549 | -224.530 | 0.000 | 0.000 | 0.000 |
| 0.000 | -0.000 | -0.000 | -60.549 | -0.000 | -0.000 |
| -0.000 | 0.000 | -0.000 | -0.000 | -60.549 | -0.000 |
| -0.000 | -0.000 | 0.000 | 0.000 | -0.000 | -60.549 |
| -224.530 | -60.548 | -60.548 | 0.000 | 0.000 | 0.000 |
| -60.548 | -224.530 | -60.548 | 0.000 | 0.000 | 0.000 |
| -60.548 | -60.548 | -224.530 | 0.000 | 0.000 | 0.000 |
| -0.000 | 0.000 | 0.000 | -60.549 | -0.000 | 0.000 |
| 0.000 | -0.000 | 0.000 | -0.000 | -60.549 | 0.000 |
| 0.000 | 0.000 | -0.000 | -0.000 | 0.000 | -60.549 |
| -90.674 | -30.531 | -30.531 | -0.000 | -0.000 | -0.000 |
| -30.531 | -90.674 | -30.531 | 0.000 | -0.000 | -0.000 |
| -30.531 | -30.531 | -90.674 | 0.000 | -0.000 | -0.000 |
| 0.000 | 0.000 | 0.000 | -39.444 | -0.000 | 0.000 |
| 0.000 | 0.000 | 0.000 | 0.000 | -39.444 | 0.000 |
| 0.000 | 0.000 | 0.000 | 0.000 | 0.000 | -39.444 |
| -90.674 | -30.531 | -30.531 | 0.000 | 0.000 | -0.000 |
| -30.531 | -90.674 | -30.531 | -0.000 | 0.000 | -0.000 |
| -30.531 | -30.531 | -90.674 | -0.000 | -0.000 | 0.000 |
| -0.000 | -0.000 | -0.000 | -39.444 | -0.000 | -0.000 |
| 0.000 | -0.000 | -0.000 | -0.000 | -39.444 | 0.000 |
| 0.000 | -0.000 | -0.000 | -0.000 | -0.000 | -39.444 |
| -90.675 | -30.531 | -30.531 | -0.000 | -0.000 | 0.000 |
| -30.531 | -90.675 | -30.531 | -0.000 | -0.000 | 0.000 |
| -30.531 | -30.531 | -90.675 | -0.000 | -0.000 | -0.000 |
| 0.000 | -0.000 | -0.000 | -39.444 | -0.000 | 0.000 |
| -0.000 | 0.000 | -0.000 | -0.000 | -39.444 | 0.000 |
| -0.000 | -0.000 | 0.000 | 0.000 | 0.000 | -39.444 |
| -90.674 | -30.531 | -30.531 | -0.000 | -0.000 | -0.000 |
| -30.531 | -90.674 | -30.531 | -0.000 | -0.000 | -0.000 |
| -30.531 | -30.531 | -90.674 | 0.000 | 0.000 | -0.000 |
| -0.000 | 0.000 | 0.000 | -39.444 | -0.000 | 0.000 |
| 0.000 | -0.000 | 0.000 | -0.000 | -39.444 | 0.000 |
| 0.000 | 0.000 | -0.000 | -0.000 | -0.000 | -39.444 |
| -90.679 | -30.532 | -30.532 | 0.000 | 0.000 | 0.000 |
| -30.532 | -90.679 | -30.532 | 0.000 | 0.000 | 0.000 |
| -30.532 | -30.532 | -90.679 | -0.000 | -0.000 | 0.000 |
| 0.000 | -0.000 | -0.001 | -39.444 | 0.000 | 0.000 |
| -0.000 | 0.000 | -0.001 | 0.000 | -39.444 | 0.000 |
| -0.000 | -0.001 | 0.000 | 0.000 | 0.000 | -39.444 |
| -90.669 | -30.530 | -30.530 | -0.000 | -0.000 | -0.000 |
| -30.530 | -90.669 | -30.530 | -0.000 | -0.000 | -0.000 |
| -30.530 | -30.530 | -90.669 | 0.000 | 0.000 | -0.000 |
| -0.000 | 0.000 | 0.001 | -39.444 | -0.000 | -0.000 |
| 0.000 | -0.000 | 0.001 | 0.000 | -39.444 | -0.000 |
| 0.000 | 0.001 | -0.000 | -0.000 | -0.000 | -39.444 |
| 117.996 | 59.011 | 59.011 | -0.000 | -0.000 | -0.000 |
| 59.011 | 117.996 | 59.011 | -0.000 | -0.000 | -0.000 |
| 59.011 | 59.011 | 117.996 | -0.000 | -0.000 | -0.000 |
| 0.000 | 0.000 | 0.000 | 58.994 | -0.000 | -0.000 |
| 0.000 | 0.000 | 0.000 | -0.000 | 58.994 | -0.000 |
| 0.000 | 0.000 | 0.000 | -0.000 | -0.000 | 58.994 |
| 117.996 | 59.011 | 59.011 | -0.000 | 0.000 | 0.000 |
| 59.011 | 117.996 | 59.011 | 0.000 | -0.000 | 0.000 |
| 59.011 | 59.011 | 117.996 | 0.000 | 0.000 | -0.000 |
| -0.000 | -0.000 | -0.000 | 58.994 | 0.000 | 0.000 |
| -0.000 | -0.000 | -0.000 | 0.000 | 58.994 | 0.000 |
| -0.000 | -0.000 | -0.000 | 0.000 | 0.000 | 58.994 |
| 117.996 | 59.011 | 59.011 | -0.000 | -0.000 | -0.000 |
| 59.011 | 117.996 | 59.011 | -0.000 | -0.000 | -0.000 |
| 59.011 | 59.011 | 117.996 | -0.000 | -0.000 | -0.000 |
| -0.000 | 0.000 | 0.000 | 58.994 | -0.000 | 0.000 |
| 0.000 | -0.000 | 0.000 | -0.000 | 58.994 | 0.000 |
| 0.000 | 0.000 | -0.000 | -0.000 | 0.000 | 58.994 |
| 117.996 | 59.011 | 59.011 | 0.000 | 0.000 | 0.000 |
| 59.011 | 117.996 | 59.011 | 0.000 | 0.000 | 0.000 |
| 59.011 | 59.011 | 117.996 | -0.000 | -0.000 | 0.000 |
| 0.000 | -0.000 | -0.000 | 58.994 | -0.000 | -0.000 |
| -0.000 | 0.000 | -0.000 | -0.000 | 58.994 | -0.000 |
| -0.000 | -0.000 | 0.000 | -0.000 | -0.000 | 58.994 |
| 117.997 | 59.011 | 59.011 | -0.000 | -0.000 | -0.000 |
| 59.011 | 117.997 | 59.011 | -0.000 | -0.000 | -0.000 |
| 59.011 | 59.011 | 117.997 | -0.000 | -0.000 | -0.000 |
| -0.000 | 0.000 | 0.001 | 58.994 | 0.000 | -0.000 |
| 0.000 | -0.000 | 0.001 | 0.000 | 58.994 | -0.000 |
| 0.000 | 0.001 | -0.000 | 0.000 | -0.000 | 58.994 |
| 117.995 | 59.010 | 59.010 | -0.000 | 0.000 | 0.000 |
| 59.010 | 117.995 | 59.010 | 0.000 | -0.000 | 0.000 |
| 59.010 | 59.010 | 117.995 | 0.000 | 0.000 | -0.000 |
| 0.000 | -0.000 | -0.001 | 58.994 | -0.000 | -0.000 |
| -0.000 | 0.000 | -0.001 | -0.000 | 58.994 | -0.000 |
| -0.000 | -0.001 | 0.000 | -0.000 | -0.000 | 58.994 |
| 322.479 | 189.448 | 189.448 | 0.000 | 0.000 | -0.000 |
| 189.448 | 322.479 | 189.448 | -0.000 | -0.000 | -0.000 |
| 189.448 | 189.448 | 322.479 | -0.000 | -0.000 | -0.000 |
| 0.000 | 0.000 | 0.000 | 22.031 | 0.000 | -0.000 |
| 0.000 | -0.000 | 0.000 | 0.000 | 22.031 | -0.000 |
| 0.000 | 0.000 | -0.000 | 0.000 | -0.000 | 22.031 |
| 322.479 | 189.448 | 189.448 | -0.000 | -0.000 | 0.000 |
| 189.448 | 322.479 | 189.448 | -0.000 | -0.000 | -0.000 |
| 189.448 | 189.448 | 322.479 | -0.000 | -0.000 | 0.000 |
| -0.000 | -0.000 | -0.000 | 22.031 | 0.000 | 0.000 |
| -0.000 | 0.000 | -0.000 | 0.000 | 22.031 | -0.000 |
| -0.000 | -0.000 | 0.000 | 0.000 | -0.000 | 22.031 |
| 322.480 | 189.448 | 189.448 | 0.000 | -0.000 | -0.000 |
| 189.448 | 322.480 | 189.448 | 0.000 | 0.000 | -0.000 |
| 189.448 | 189.448 | 322.480 | -0.000 | 0.000 | -0.000 |
| -0.000 | 0.000 | 0.000 | 22.031 | 0.000 | -0.000 |
| 0.000 | -0.000 | 0.000 | -0.000 | 22.031 | -0.000 |
| 0.000 | 0.000 | -0.000 | 0.000 | -0.000 | 22.031 |
| 322.479 | 189.447 | 189.447 | -0.000 | -0.000 | 0.000 |
| 189.447 | 322.479 | 189.447 | -0.000 | 0.000 | 0.000 |
| 189.447 | 189.447 | 322.479 | -0.000 | -0.000 | 0.000 |
| 0.000 | -0.000 | -0.000 | 22.031 | -0.000 | -0.000 |
| -0.000 | 0.000 | -0.000 | -0.000 | 22.031 | 0.000 |
| -0.000 | -0.000 | 0.000 | -0.000 | 0.000 | 22.031 |
| 322.483 | 189.448 | 189.448 | 0.000 | 0.000 | 0.000 |
| 189.448 | 322.483 | 189.448 | 0.000 | 0.000 | -0.000 |
| 189.448 | 189.448 | 322.483 | 0.000 | 0.000 | -0.000 |
| -0.000 | 0.001 | 0.001 | 22.031 | -0.000 | -0.000 |
| 0.001 | -0.000 | 0.001 | 0.000 | 22.031 | -0.000 |
| 0.001 | 0.001 | -0.000 | 0.000 | -0.000 | 22.031 |
| 322.476 | 189.447 | 189.447 | -0.000 | 0.000 | 0.000 |
| 189.447 | 322.476 | 189.447 | -0.000 | 0.000 | -0.000 |
| 189.447 | 189.447 | 322.476 | -0.000 | -0.000 | 0.000 |
| 0.000 | -0.001 | -0.001 | 22.031 | 0.000 | -0.000 |
| -0.001 | 0.000 | -0.001 | -0.000 | 22.031 | 0.000 |
| -0.001 | -0.001 | 0.000 | -0.000 | -0.000 | 22.031 |
| 568.396 | 230.625 | 230.625 | -0.000 | -0.000 | 0.000 |
| 230.625 | 568.396 | 230.625 | -0.000 | -0.000 | 0.000 |
| 230.625 | 230.625 | 568.396 | -0.000 | -0.000 | 0.000 |
| -0.000 | -0.000 | -0.000 | 169.442 | -0.000 | -0.000 |
| -0.000 | -0.000 | -0.000 | -0.000 | 169.442 | 0.000 |
| -0.000 | -0.000 | -0.000 | -0.000 | -0.000 | 169.442 |
| 568.396 | 230.625 | 230.625 | 0.000 | 0.000 | -0.000 |
| 230.625 | 568.396 | 230.625 | 0.000 | 0.000 | 0.000 |
| 230.625 | 230.625 | 568.396 | 0.000 | 0.000 | -0.000 |
| 0.000 | 0.000 | 0.000 | 169.442 | 0.000 | -0.000 |
| 0.000 | 0.000 | 0.000 | 0.000 | 169.442 | -0.000 |
| 0.000 | 0.000 | 0.000 | 0.000 | 0.000 | 169.442 |
| 568.396 | 230.625 | 230.625 | -0.000 | -0.000 | 0.000 |
| 230.625 | 568.396 | 230.625 | -0.000 | -0.000 | 0.000 |
| 230.625 | 230.625 | 568.396 | 0.000 | -0.000 | 0.000 |
| -0.000 | -0.000 | -0.000 | 169.442 | -0.000 | 0.000 |
| -0.000 | -0.000 | -0.000 | -0.000 | 169.442 | 0.000 |
| -0.000 | -0.000 | -0.000 | -0.000 | -0.000 | 169.442 |
| 568.396 | 230.625 | 230.625 | 0.000 | 0.000 | -0.000 |
| 230.625 | 568.396 | 230.625 | 0.000 | 0.000 | -0.000 |
| 230.625 | 230.625 | 568.396 | 0.000 | 0.000 | -0.000 |
| 0.000 | 0.000 | 0.000 | 169.442 | 0.000 | -0.000 |
| 0.000 | 0.000 | 0.000 | 0.000 | 169.442 | -0.000 |
| 0.000 | 0.000 | 0.000 | 0.000 | 0.000 | 169.442 |
| 568.397 | 230.625 | 230.625 | -0.000 | -0.000 | 0.000 |
| 230.625 | 568.397 | 230.625 | -0.000 | -0.000 | -0.000 |
| 230.625 | 230.625 | 568.397 | -0.000 | -0.000 | 0.000 |
| -0.000 | -0.000 | -0.000 | 169.442 | -0.000 | 0.000 |
| -0.000 | -0.000 | -0.000 | -0.000 | 169.442 | 0.000 |
| -0.000 | -0.000 | -0.000 | -0.000 | -0.000 | 169.442 |
| 568.395 | 230.625 | 230.625 | 0.000 | 0.000 | -0.000 |
| 230.625 | 568.395 | 230.625 | 0.000 | 0.000 | 0.000 |
| 230.625 | 230.625 | 568.395 | 0.000 | 0.000 | -0.000 |
| 0.000 | 0.000 | 0.000 | 169.442 | 0.000 | -0.000 |
| 0.000 | 0.000 | 0.000 | 0.000 | 169.442 | -0.000 |
| 0.000 | 0.000 | 0.000 | 0.000 | 0.000 | 169.442 |
| -58.455 | -11.309 | -11.309 | 0.000 | 0.000 | 0.000 |
| -11.309 | -58.455 | -11.309 | 0.000 | -0.000 | 0.000 |
| -11.309 | -11.309 | -58.455 | 0.000 | -0.000 | -0.000 |
| 0.000 | 0.000 | 0.000 | -14.231 | -0.000 | 0.000 |
| 0.000 | 0.000 | 0.000 | -0.000 | -14.231 | 0.000 |
| 0.000 | 0.000 | 0.000 | -0.000 | 0.000 | -14.231 |
| -58.455 | -11.309 | -11.309 | 0.000 | 0.000 | -0.000 |
| -11.309 | -58.455 | -11.309 | 0.000 | 0.000 | -0.000 |
| -11.309 | -11.309 | -58.455 | -0.000 | -0.000 | -0.000 |
| -0.000 | -0.000 | -0.000 | -14.231 | 0.000 | 0.000 |
| -0.000 | -0.000 | -0.000 | 0.000 | -14.231 | -0.000 |
| -0.000 | -0.000 | -0.000 | -0.000 | 0.000 | -14.231 |
| -58.455 | -11.309 | -11.309 | -0.000 | -0.000 | 0.000 |
| -11.309 | -58.455 | -11.309 | -0.000 | -0.000 | -0.000 |
| -11.309 | -11.309 | -58.455 | -0.000 | -0.000 | 0.000 |
| -0.000 | -0.000 | -0.000 | -14.231 | 0.000 | 0.000 |
| -0.000 | -0.000 | -0.000 | 0.000 | -14.231 | -0.000 |
| -0.000 | -0.000 | -0.000 | 0.000 | -0.000 | -14.231 |
| -58.455 | -11.309 | -11.309 | -0.000 | -0.000 | -0.000 |
| -11.309 | -58.455 | -11.309 | -0.000 | -0.000 | 0.000 |
| -11.309 | -11.309 | -58.455 | 0.000 | 0.000 | -0.000 |
| 0.000 | 0.000 | 0.000 | -14.231 | 0.000 | -0.000 |
| 0.000 | 0.000 | 0.000 | 0.000 | -14.231 | 0.000 |
| 0.000 | 0.000 | 0.000 | -0.000 | 0.000 | -14.231 |
| -58.455 | -11.309 | -11.309 | -0.000 | -0.000 | 0.000 |
| -11.309 | -58.455 | -11.309 | 0.000 | -0.000 | 0.000 |
| -11.309 | -11.309 | -58.455 | -0.000 | -0.000 | 0.000 |
| -0.000 | -0.000 | -0.000 | -14.231 | -0.000 | 0.000 |
| -0.000 | -0.000 | -0.000 | -0.000 | -14.231 | 0.000 |
| -0.000 | -0.000 | -0.000 | -0.000 | 0.000 | -14.231 |
| -58.456 | -11.308 | -11.308 | 0.000 | 0.000 | 0.000 |
| -11.308 | -58.456 | -11.308 | 0.000 | 0.000 | 0.000 |
| -11.308 | -11.308 | -58.456 | 0.000 | 0.000 | -0.000 |
| 0.000 | 0.000 | 0.000 | -14.231 | 0.000 | 0.000 |
| 0.000 | 0.000 | 0.000 | 0.000 | -14.231 | 0.000 |
| 0.000 | 0.000 | 0.000 | 0.000 | 0.000 | -14.231 |
| 51.829 | 27.693 | 27.693 | -0.000 | -0.000 | 0.000 |
| 27.693 | 51.829 | 27.693 | -0.000 | -0.000 | -0.000 |
| 27.693 | 27.693 | 51.829 | -0.000 | -0.000 | 0.000 |
| 0.000 | 0.000 | 0.000 | 27.693 | -0.000 | 0.000 |
| 0.000 | 0.000 | 0.000 | -0.000 | 27.693 | 0.000 |
| 0.000 | 0.000 | 0.000 | -0.000 | 0.000 | 27.693 |
| 51.829 | 27.693 | 27.693 | 0.000 | 0.000 | 0.000 |
| 27.693 | 51.829 | 27.693 | 0.000 | 0.000 | -0.000 |
| 27.693 | 27.693 | 51.829 | 0.000 | -0.000 | 0.000 |
| -0.000 | -0.000 | -0.000 | 27.693 | 0.000 | 0.000 |
| -0.000 | -0.000 | -0.000 | 0.000 | 27.693 | -0.000 |
| -0.000 | -0.000 | -0.000 | 0.000 | 0.000 | 27.693 |
| 51.829 | 27.694 | 27.694 | -0.000 | -0.000 | 0.000 |
| 27.694 | 51.829 | 27.694 | -0.000 | -0.000 | 0.000 |
| 27.694 | 27.694 | 51.829 | -0.000 | -0.000 | -0.000 |
| 0.000 | 0.000 | 0.000 | 27.693 | -0.000 | 0.000 |
| 0.000 | 0.000 | 0.000 | -0.000 | 27.693 | 0.000 |
| 0.000 | 0.000 | 0.000 | -0.000 | -0.000 | 27.693 |
| 51.829 | 27.693 | 27.693 | 0.000 | 0.000 | -0.000 |
| 27.693 | 51.829 | 27.693 | 0.000 | 0.000 | -0.000 |
| 27.693 | 27.693 | 51.829 | 0.000 | -0.000 | 0.000 |
| -0.000 | -0.000 | -0.000 | 27.693 | 0.000 | -0.000 |
| -0.000 | -0.000 | -0.000 | 0.000 | 27.693 | -0.000 |
| -0.000 | -0.000 | -0.000 | 0.000 | 0.000 | 27.693 |
| 51.827 | 27.694 | 27.694 | -0.000 | -0.000 | 0.000 |
| 27.694 | 51.827 | 27.694 | -0.000 | -0.000 | 0.000 |
| 27.694 | 27.694 | 51.827 | -0.000 | -0.000 | -0.000 |
| 0.000 | 0.000 | 0.000 | 27.693 | -0.000 | 0.000 |
| 0.000 | 0.000 | 0.000 | -0.000 | 27.693 | -0.000 |
| 0.000 | 0.000 | 0.000 | -0.000 | -0.000 | 27.693 |
| 51.831 | 27.693 | 27.693 | 0.000 | -0.000 | -0.000 |
| 27.693 | 51.831 | 27.693 | -0.000 | 0.000 | -0.000 |
| 27.693 | 27.693 | 51.831 | -0.000 | -0.000 | -0.000 |
| -0.000 | -0.000 | -0.000 | 27.693 | 0.000 | -0.000 |
| -0.000 | -0.000 | -0.000 | 0.000 | 27.693 | -0.000 |
| -0.000 | -0.000 | -0.000 | 0.000 | 0.000 | 27.693 |
| -25.615 | 226.296 | 90.467 | -0.000 | 0.000 | 0.000 |
| 106.126 | 94.555 | 90.466 | -0.000 | 0.000 | 0.000 |
| 90.466 | 90.467 | 244.573 | -0.000 | -0.000 | 0.000 |
| -0.000 | 0.000 | 0.000 | -26.137 | -0.000 | 0.000 |
| -0.000 | 0.000 | 0.000 | -0.000 | -26.137 | -0.000 |
| -932190280.963 | 158953564.747 | -207504714.256 | -0.000 | -0.000 | -944958294.940 |
| 94.555 | 106.126 | 90.466 | 0.000 | 0.000 | -0.000 |
| 106.126 | 94.555 | 90.466 | 0.000 | -0.000 | -0.000 |
| 90.466 | 90.466 | 244.573 | 0.000 | 0.000 | -0.000 |
| 0.000 | -0.000 | -0.000 | -26.137 | -0.000 | -0.000 |
| 0.000 | -0.000 | -0.000 | 0.000 | -26.137 | -0.000 |
| 932190291.408 | -158953578.202 | 207504712.753 | 0.000 | -0.000 | -944958286.436 |
| -25.615 | 226.296 | 90.467 | -0.000 | 0.000 | 0.000 |
| 70452689.290 | -147775937.492 | -20750315.608 | -0.000 | 0.000 | -0.000 |
| 90.467 | 90.467 | 244.573 | 0.000 | -0.000 | 0.000 |
| 0.000 | 0.000 | 0.000 | -26.137 | 0.000 | 0.000 |
| 0.000 | 0.000 | 0.000 | -0.000 | -26.137 | 0.000 |
| -0.000 | -0.000 | 0.000 | -0.000 | -0.000 | -5.786 |
| 94.555 | 106.126 | 90.466 | 0.000 | 0.000 | 0.000 |
| 106.126 | 94.555 | 90.466 | 0.000 | -0.000 | -0.000 |
| 90.466 | 90.466 | 244.573 | 0.000 | 0.000 | -0.000 |
| -0.000 | -0.000 | -0.000 | -26.137 | 0.000 | -0.000 |
| -0.000 | -0.000 | -0.000 | -0.000 | -26.137 | 0.000 |
| 0.000 | 0.000 | -0.000 | 0.000 | 0.000 | -5.786 |
| -5886965.713 | 1160744.829 | 576628.217 | 0.000 | 0.000 | 0.004 |
| 7045391.651 | -14777345.394 | -2074899.227 | -0.000 | -0.000 | -0.000 |
| 90.467 | 90.467 | 244.574 | 0.000 | -0.000 | 0.000 |
| 0.000 | 0.000 | 0.000 | -26.137 | -0.000 | 0.000 |
| 0.000 | 0.000 | 0.000 | -0.000 | -26.137 | 0.000 |
| -9321875.618 | 1589535.282 | -2075065.712 | -0.000 | -0.000 | -9449539.062 |
| -7045046.456 | 14777736.981 | 2075224.003 | 0.000 | -0.000 | 0.000 |
| 5887262.821 | -1160406.734 | -576312.014 | 0.000 | -0.000 | -0.004 |
| 90.466 | 90.466 | 244.573 | 0.000 | -0.000 | -0.000 |
| -0.000 | -0.000 | -0.000 | -26.137 | 0.000 | -0.000 |
| -0.000 | -0.000 | -0.000 | -0.000 | -26.137 | 0.000 |
| 9321875.575 | -1589535.319 | 2075065.672 | 0.000 | -0.000 | -9449539.021 |
| -203.088 | -67.696 | -74.843 | -0.000 | -0.000 | 0.000 |
| -62.003 | -208.781 | -74.843 | -0.000 | -0.000 | 0.000 |
| -74.843 | -74.843 | -195.941 | -0.000 | 0.000 | 0.000 |
| 0.000 | 0.000 | -0.000 | -74.843 | -0.000 | -0.000 |
| 0.000 | -0.000 | -0.000 | -0.000 | -74.843 | 0.000 |
| 0.000 | -0.000 | 0.000 | -0.000 | -0.000 | -73.389 |
| -208.781 | -62.003 | -74.843 | 0.000 | 0.000 | -0.000 |
| -62.003 | -208.781 | -74.843 | 0.000 | -0.000 | -0.000 |
| -74.843 | -74.843 | -195.941 | 0.000 | 0.000 | 0.000 |
| -0.000 | -0.000 | 0.000 | -74.843 | 0.000 | 0.000 |
| -0.000 | 0.000 | 0.000 | 0.000 | -74.843 | -0.000 |
| -0.000 | 0.000 | -0.000 | 0.000 | 0.000 | -73.389 |
| -208.781 | -62.003 | -74.843 | -0.000 | -0.000 | 0.000 |
| -67.696 | -203.088 | -74.843 | -0.000 | -0.000 | -0.000 |
| -74.843 | -74.843 | -195.941 | -0.000 | -0.000 | -0.000 |
| -0.000 | 0.000 | -0.000 | -74.843 | -0.000 | 0.000 |
| 0.000 | 0.000 | -0.000 | -0.000 | -74.843 | 0.000 |
| 0.000 | -0.000 | 0.000 | -0.000 | -0.000 | -73.389 |
| -203.088 | -67.696 | -74.843 | 0.000 | 0.000 | 0.000 |
| -62.003 | -208.781 | -74.843 | 0.000 | 0.000 | -0.000 |
| -74.843 | -74.843 | -195.941 | 0.000 | 0.000 | 0.000 |
| 0.000 | -0.000 | 0.000 | -74.843 | 0.000 | -0.000 |
| -0.000 | -0.000 | 0.000 | 0.000 | -74.843 | 0.000 |
| -0.000 | 0.000 | -0.000 | 0.000 | 0.000 | -73.389 |
| -203.090 | -67.696 | -74.843 | -0.000 | -0.000 | -0.000 |
| -67.697 | -203.089 | -74.843 | -0.000 | 0.000 | -0.000 |
| -74.844 | -74.844 | -195.942 | -0.000 | -0.000 | -0.000 |
| -0.000 | 0.000 | -0.000 | -74.843 | -0.000 | 0.000 |
| 0.000 | 0.000 | -0.000 | -0.000 | -74.843 | -0.000 |
| 0.000 | -0.000 | 0.000 | -0.000 | -0.000 | -67.696 |
| -203.087 | -67.696 | -74.843 | 0.000 | -0.000 | 0.000 |
| -67.696 | -203.087 | -74.843 | 0.000 | 0.000 | 0.000 |
| -74.843 | -74.843 | -195.940 | 0.000 | -0.000 | -0.000 |
| 0.000 | -0.000 | 0.000 | -74.843 | -0.000 | -0.000 |
| -0.000 | -0.000 | 0.000 | -0.000 | -74.843 | -0.000 |
| -0.000 | 0.000 | -0.000 | 0.000 | -0.000 | -67.696 |
| -100.047 | -27.407 | -24.283 | -0.000 | -0.000 | -0.000 |
| -27.407 | -100.047 | -24.283 | -0.000 | -0.000 | -0.000 |
| -24.283 | -24.283 | -103.171 | -0.000 | 0.000 | -0.000 |
| -0.000 | -0.000 | -0.000 | -33.196 | -0.000 | -0.000 |
| -0.000 | -0.000 | -0.000 | -0.000 | -33.196 | -0.000 |
| -0.000 | -0.000 | -0.000 | -0.000 | 0.000 | -36.320 |
| -100.046 | -27.407 | -24.283 | 0.000 | -0.000 | 0.000 |
| -27.407 | -100.046 | -24.283 | 0.000 | 0.000 | 0.000 |
| -24.283 | -24.283 | -103.171 | 0.000 | 0.000 | 0.000 |
| 0.000 | 0.000 | 0.000 | -33.196 | -0.000 | 0.000 |
| 0.000 | 0.000 | 0.000 | 0.000 | -33.196 | 0.000 |
| 0.000 | 0.000 | 0.000 | 0.000 | -0.000 | -36.320 |
| -100.047 | -27.407 | -24.283 | 0.000 | 0.000 | -0.000 |
| -27.407 | -100.047 | -24.283 | -0.000 | 0.000 | -0.000 |
| -24.283 | -24.283 | -103.171 | -0.000 | 0.000 | -0.000 |
| -0.000 | -0.000 | -0.000 | -33.196 | -0.000 | -0.000 |
| -0.000 | -0.000 | -0.000 | 0.000 | -33.196 | -0.000 |
| -0.000 | -0.000 | -0.000 | -0.000 | 0.000 | -37.426 |
| -100.046 | -27.407 | -24.283 | -0.000 | -0.000 | 0.000 |
| -27.407 | -100.046 | -24.283 | -0.000 | 0.000 | 0.000 |
| -24.283 | -24.283 | -103.170 | 0.000 | 0.000 | 0.000 |
| 0.000 | 0.000 | 0.000 | -33.196 | 0.000 | -0.000 |
| 0.000 | 0.000 | 0.000 | -0.000 | -33.196 | 0.000 |
| 0.000 | 0.000 | 0.000 | 0.000 | 0.000 | -37.426 |
| -100.050 | -27.407 | -24.284 | 0.000 | 0.000 | -0.000 |
| -27.408 | -100.049 | -24.284 | 0.000 | -0.000 | -0.000 |
| -24.284 | -24.284 | -103.173 | -0.000 | 0.000 | -0.000 |
| -0.000 | -0.001 | -0.001 | -33.196 | 0.000 | -0.000 |
| -0.001 | -0.000 | -0.001 | -0.000 | -33.196 | -0.000 |
| -0.000 | -0.001 | -0.000 | -0.000 | 0.000 | -36.320 |
| -101.150 | -26.300 | -24.282 | -0.000 | 0.000 | 0.000 |
| -27.406 | -100.044 | -24.282 | -0.000 | 0.000 | 0.000 |
| -24.282 | -24.282 | -103.168 | 0.000 | -0.000 | -0.000 |
| 0.000 | 0.001 | 0.001 | -33.196 | -0.000 | 0.000 |
| 0.001 | 0.000 | 0.001 | 0.000 | -33.196 | 0.000 |
| 0.000 | 0.001 | 0.000 | 0.000 | -0.000 | -36.320 |
| 147.497 | 49.177 | 39.343 | 0.000 | 0.000 | -0.000 |
| 49.177 | 147.497 | 39.343 | 0.000 | 0.000 | 0.000 |
| 39.343 | 39.343 | 157.331 | 0.000 | 0.000 | 0.000 |
| 0.000 | 0.000 | 0.000 | 39.326 | 0.000 | 0.000 |
| 0.000 | 0.000 | 0.000 | 0.000 | 39.326 | -0.000 |
| 0.000 | 0.000 | -0.000 | 0.000 | 0.000 | 44.242 |
| 142.579 | 54.095 | 39.343 | -0.000 | -0.000 | -0.000 |
| 54.095 | 142.579 | 39.343 | -0.000 | 0.000 | -0.000 |
| 39.343 | 39.343 | 157.331 | 0.000 | -0.000 | -0.000 |
| -0.000 | -0.000 | -0.000 | 39.326 | -0.000 | -0.000 |
| -0.000 | -0.000 | -0.000 | -0.000 | 39.326 | -0.000 |
| -0.000 | -0.000 | 0.000 | -0.000 | -0.000 | 44.242 |
| 142.579 | 54.095 | 39.343 | 0.000 | 0.000 | 0.000 |
| 54.095 | 142.579 | 39.343 | 0.000 | 0.000 | 0.000 |
| 39.343 | 39.343 | 157.331 | 0.000 | 0.000 | 0.000 |
| 0.000 | 0.000 | 0.000 | 39.326 | -0.000 | 0.000 |
| 0.000 | 0.000 | 0.000 | 0.000 | 39.326 | -0.000 |
| 0.000 | 0.000 | -0.000 | 0.000 | 0.000 | 44.242 |
| 147.497 | 49.177 | 39.343 | -0.000 | -0.000 | -0.000 |
| 54.095 | 142.579 | 39.343 | -0.000 | -0.000 | -0.000 |
| 39.343 | 39.343 | 157.331 | -0.000 | -0.000 | -0.000 |
| -0.000 | -0.000 | -0.000 | 39.326 | -0.000 | -0.000 |
| -0.000 | -0.000 | -0.000 | -0.000 | 39.326 | -0.000 |
| -0.000 | -0.000 | 0.000 | -0.000 | -0.000 | 44.242 |
| 142.581 | 54.095 | 39.343 | 0.000 | 0.000 | 0.000 |
| 49.178 | 147.499 | 39.343 | 0.000 | 0.000 | 0.000 |
| 39.344 | 39.344 | 157.333 | 0.000 | 0.000 | 0.000 |
| 0.000 | 0.000 | 0.000 | 39.326 | -0.000 | 0.000 |
| 0.000 | 0.000 | 0.000 | 0.000 | 39.326 | 0.000 |
| 0.000 | 0.001 | -0.000 | 0.000 | 0.000 | 44.242 |
| 142.577 | 54.095 | 39.343 | -0.000 | -0.000 | -0.000 |
| 54.094 | 142.577 | 39.343 | -0.000 | -0.000 | -0.000 |
| 39.343 | 39.343 | 157.329 | -0.000 | -0.000 | -0.000 |
| -0.000 | -0.000 | -0.000 | 39.326 | -0.000 | -0.000 |
| -0.000 | -0.000 | -0.000 | -0.000 | 39.326 | -0.000 |
| -0.000 | -0.001 | 0.000 | -0.000 | -0.000 | 44.242 |
| -162.107 | 343.211 | 81.879 | -0.000 | 0.000 | -0.000 |
| 94.826 | 86.278 | 81.879 | -0.000 | 0.000 | 0.000 |
| 81.879 | 81.879 | 406.653 | -0.000 | 0.000 | -0.000 |
| 0.000 | -0.000 | -0.000 | -8.092 | 0.000 | -0.000 |
| 0.000 | -0.000 | -0.000 | 0.000 | -8.092 | -0.000 |
| 0.000 | -0.000 | 0.000 | -0.000 | 0.000 | -252.659 |
| -639322419.781 | 1185294372.998 | 326976042.766 | 0.004 | 0.000 | -5.505 |
| 94.826 | 86.278 | 81.879 | -0.000 | -0.000 | -0.000 |
| 81.879 | 81.879 | 406.653 | -0.000 | -0.000 | 0.000 |
| -0.000 | 0.000 | 0.000 | -8.092 | -0.000 | 0.000 |
| -0.000 | 0.000 | 0.000 | 0.000 | -8.092 | 0.000 |
| -0.000 | 0.000 | -0.000 | 0.000 | -0.000 | -252.659 |
| 86.277 | 94.826 | 81.879 | 0.000 | 0.000 | 0.000 |
| 94.826 | 86.278 | 81.879 | -0.000 | 0.000 | 0.000 |
| 81.879 | 81.879 | 406.653 | 0.000 | 0.000 | -0.000 |
| 0.000 | -0.000 | -0.000 | -8.092 | -0.000 | 0.000 |
| -0.000 | 0.000 | -0.000 | -0.000 | -8.092 | 0.000 |
| -92150972.008 | -167476890.069 | -100456133.989 | 0.000 | 0.000 | -68203222.349 |
| 86.279 | 94.826 | 81.879 | 0.000 | -0.000 | -0.000 |
| 94.826 | 86.278 | 81.879 | -0.000 | -0.000 | -0.000 |
| 81.879 | 81.879 | 406.652 | -0.000 | -0.000 | 0.000 |
| -0.000 | 0.000 | 0.000 | -8.092 | 0.000 | -0.000 |
| 0.000 | -0.000 | 0.000 | 0.000 | -8.092 | 0.000 |
| 94042996.739 | 170923536.025 | 103039250.162 | 0.000 | 0.000 | -69480065.685 |
| -6286764.717 | 401355.019 | -2478495.215 | 0.000 | 0.000 | -0.004 |
| 6393337.089 | -11853011.686 | -3269709.486 | -0.000 | -0.000 | 0.001 |
| 81.878 | 81.878 | 406.653 | -0.000 | 0.000 | -0.000 |
| 0.000 | -0.000 | -0.000 | -8.092 | -0.000 | 0.000 |
| -0.000 | 0.000 | -0.000 | -0.000 | -8.092 | -0.000 |
| -14193824.440 | -15765633.738 | -12860841.475 | 0.000 | 0.000 | -1809668.614 |
| -6393054.694 | 11853038.394 | 3269903.431 | 0.000 | 0.000 | -0.001 |
| 6287034.313 | -401060.839 | 2478775.357 | -0.000 | -0.000 | 0.004 |
| 81.879 | 81.879 | 406.652 | 0.000 | -0.000 | 0.000 |
| -0.000 | 0.000 | 0.000 | -8.092 | -0.000 | -0.000 |
| 0.000 | -0.000 | 0.000 | 0.000 | -8.092 | -0.000 |
| 6434901.532 | 14539645.121 | 6445446.612 | 0.000 | -0.000 | -4450846.191 |
| -203.088 | -67.696 | -74.843 | -0.000 | 0.000 | 0.000 |
| -67.696 | -203.088 | -74.843 | -0.000 | 0.000 | -0.000 |
| -74.843 | -74.843 | -195.941 | -0.000 | 0.000 | -0.000 |
| 0.000 | -0.000 | -0.000 | -74.843 | 0.000 | -0.000 |
| 0.000 | -0.000 | -0.000 | -0.000 | -74.843 | -0.000 |
| 0.000 | -0.000 | 0.000 | -0.000 | 0.000 | -67.696 |
| -203.088 | -67.696 | -74.843 | 0.000 | -0.000 | 0.000 |
| -56.310 | -214.474 | -74.843 | 0.000 | -0.000 | 0.000 |
| -74.843 | -74.843 | -195.941 | 0.000 | -0.000 | 0.000 |
| -0.000 | 0.000 | 0.000 | -74.843 | -0.000 | 0.000 |
| -0.000 | 0.000 | 0.000 | 0.000 | -74.843 | -0.000 |
| -0.000 | 0.000 | -0.000 | 0.000 | -0.000 | -67.696 |
| -203.088 | -67.696 | -74.843 | -0.000 | 0.000 | -0.000 |
| -56.310 | -214.474 | -74.843 | -0.000 | 0.000 | -0.000 |
| -74.843 | -74.843 | -195.941 | -0.000 | 0.000 | -0.000 |
| -0.000 | 0.000 | -0.000 | -74.843 | 0.000 | -0.000 |
| 0.000 | 0.000 | -0.000 | -0.000 | -74.843 | -0.000 |
| 0.000 | -0.000 | 0.000 | -0.000 | 0.000 | -67.696 |
| -203.088 | -67.696 | -74.843 | 0.000 | -0.000 | 0.000 |
| -67.696 | -203.088 | -74.843 | 0.000 | -0.000 | 0.000 |
| -74.843 | -74.843 | -195.941 | 0.000 | -0.000 | 0.000 |
| -0.000 | -0.000 | 0.000 | -74.843 | -0.000 | 0.000 |
| -0.000 | -0.000 | 0.000 | 0.000 | -74.843 | -0.000 |
| -0.000 | 0.000 | -0.000 | 0.000 | -0.000 | -67.696 |
| -203.090 | -67.696 | -74.843 | -0.000 | 0.000 | -0.000 |
| -67.697 | -203.089 | -74.843 | -0.000 | 0.000 | -0.000 |
| -74.844 | -74.844 | -195.942 | -0.000 | 0.000 | -0.000 |
| 0.000 | 0.000 | -0.000 | -74.843 | 0.000 | -0.000 |
| 0.000 | 0.000 | -0.000 | -0.000 | -74.843 | 0.000 |
| 0.000 | -0.000 | 0.000 | 0.000 | 0.000 | -67.696 |
| -203.087 | -67.696 | -74.843 | 0.000 | -0.000 | 0.000 |
| -67.696 | -203.087 | -74.843 | 0.000 | -0.000 | 0.000 |
| -74.843 | -74.843 | -195.940 | 0.000 | -0.000 | 0.000 |
| 0.000 | -0.000 | 0.000 | -74.843 | -0.000 | 0.000 |
| -0.000 | -0.000 | 0.000 | 0.000 | -74.843 | 0.000 |
| -0.000 | 0.000 | -0.000 | -0.000 | -0.000 | -67.696 |
| -100.047 | -27.407 | -24.283 | -0.000 | 0.000 | -0.000 |
| 24.980 | -152.435 | -24.284 | -0.000 | 0.000 | 0.000 |
| -24.283 | -24.283 | -103.171 | -0.000 | 0.000 | 0.000 |
| -0.000 | 0.000 | -0.000 | -33.196 | -0.000 | -0.000 |
| -0.000 | 0.000 | 0.000 | -0.000 | -33.196 | 0.000 |
| -0.000 | -0.000 | 0.000 | -0.000 | 0.000 | -36.320 |
| -100.046 | -27.407 | -24.283 | 0.000 | -0.000 | -0.000 |
| -27.407 | -100.046 | -24.283 | 0.000 | -0.000 | 0.000 |
| -24.283 | -24.283 | -103.171 | 0.000 | -0.000 | -0.000 |
| 0.000 | -0.000 | 0.000 | -33.196 | 0.000 | 0.000 |
| 0.000 | -0.000 | -0.000 | 0.000 | -33.196 | -0.000 |
| 0.000 | 0.000 | -0.000 | 0.000 | -0.000 | -36.320 |
| -102.259 | -25.195 | -24.283 | -0.000 | 0.000 | 0.000 |
| -27.407 | -100.047 | -24.283 | -0.000 | 0.000 | 0.000 |
| -24.283 | -24.283 | -103.171 | -0.000 | 0.000 | 0.000 |
| -0.000 | -0.000 | -0.000 | -33.196 | 0.000 | -0.000 |
| -0.000 | -0.000 | -0.000 | -0.000 | -33.196 | -0.000 |
| -0.000 | -0.000 | -0.000 | -0.000 | 0.000 | -36.320 |
| -102.259 | -25.194 | -24.283 | 0.000 | -0.000 | -0.000 |
| -25.194 | -102.259 | -24.283 | 0.000 | -0.000 | -0.000 |
| -24.283 | -24.283 | -103.170 | 0.000 | -0.000 | -0.000 |
| 0.000 | 0.000 | 0.000 | -33.196 | -0.000 | 0.000 |
| 0.000 | 0.000 | 0.000 | 0.000 | -33.196 | 0.000 |
| 0.000 | 0.000 | 0.000 | 0.000 | -0.000 | -36.320 |
| -100.050 | -27.407 | -24.284 | -0.000 | 0.000 | 0.000 |
| -27.408 | -100.049 | -24.284 | -0.000 | 0.000 | 0.000 |
| -24.284 | -24.284 | -103.173 | -0.000 | 0.000 | -0.000 |
| -0.000 | -0.001 | -0.001 | -33.196 | 0.000 | 0.000 |
| -0.001 | -0.000 | -0.001 | -0.000 | -33.196 | -0.000 |
| -0.000 | -0.001 | -0.000 | -0.000 | 0.000 | -36.320 |
| -100.043 | -27.406 | -24.282 | 0.000 | -0.000 | 0.000 |
| -27.406 | -100.044 | -24.282 | 0.000 | -0.000 | -0.000 |
| -24.282 | -24.282 | -103.168 | 0.000 | -0.000 | -0.000 |
| 0.000 | 0.001 | 0.001 | -33.196 | -0.000 | 0.000 |
| 0.001 | 0.000 | 0.001 | 0.000 | -33.196 | 0.000 |
| 0.000 | 0.001 | 0.000 | 0.000 | -0.000 | -36.320 |
| 142.396 | 54.013 | 39.282 | -0.000 | 0.000 | 0.000 |
| 54.013 | 142.396 | 39.282 | 0.000 | -0.000 | 0.000 |
| 39.282 | 39.282 | 157.127 | 0.000 | 0.000 | 0.000 |
| 0.000 | 0.000 | 0.000 | 39.281 | 0.000 | 0.000 |
| 0.000 | 0.000 | 0.000 | -0.000 | 39.281 | 0.000 |
| 0.000 | 0.000 | -0.000 | 0.000 | -0.000 | 44.191 |
| 142.396 | 54.013 | 39.282 | 0.000 | -0.000 | -0.000 |
| 54.013 | 142.396 | 39.282 | -0.000 | -0.000 | -0.000 |
| 39.282 | 39.282 | 157.127 | -0.000 | 0.000 | -0.000 |
| -0.000 | -0.000 | -0.000 | 39.281 | -0.000 | -0.000 |
| -0.000 | -0.000 | -0.000 | 0.000 | 39.281 | -0.000 |
| -0.000 | -0.000 | 0.000 | -0.000 | -0.000 | 44.191 |
| 142.396 | 54.013 | 39.282 | -0.000 | 0.000 | 0.000 |
| 54.013 | 142.396 | 39.282 | -0.000 | -0.000 | 0.000 |
| 39.283 | 39.283 | 157.127 | -0.000 | 0.000 | 0.000 |
| 0.000 | 0.000 | 0.000 | 39.281 | 0.000 | 0.000 |
| 0.000 | 0.000 | 0.000 | -0.000 | 39.281 | -0.000 |
| 0.000 | 0.000 | -0.000 | -0.000 | 0.000 | 44.191 |
| 142.396 | 54.013 | 39.282 | 0.000 | -0.000 | -0.000 |
| 54.013 | 142.396 | 39.282 | 0.000 | 0.000 | -0.000 |
| 39.282 | 39.282 | 157.127 | 0.000 | -0.000 | -0.000 |
| -0.000 | -0.000 | -0.000 | 39.281 | -0.000 | -0.000 |
| -0.000 | -0.000 | -0.000 | 0.000 | 39.281 | -0.000 |
| -0.000 | -0.000 | 0.000 | 0.000 | 0.000 | 44.191 |
| 142.398 | 54.013 | 39.283 | -0.000 | 0.000 | 0.000 |
| 54.014 | 142.398 | 39.283 | -0.000 | 0.000 | 0.000 |
| 39.283 | 39.283 | 157.129 | -0.000 | 0.000 | 0.000 |
| 0.000 | 0.000 | 0.000 | 39.281 | 0.000 | 0.000 |
| 0.000 | 0.000 | 0.000 | 0.000 | 39.281 | 0.000 |
| 0.000 | 0.001 | -0.000 | 0.000 | 0.000 | 44.191 |
| 142.393 | 54.013 | 39.282 | -0.000 | -0.000 | -0.000 |
| 54.012 | 142.394 | 39.282 | 0.000 | 0.000 | -0.000 |
| 39.282 | 39.282 | 157.125 | 0.000 | -0.000 | -0.000 |
| -0.000 | -0.000 | -0.000 | 39.281 | -0.000 | -0.000 |
| -0.000 | -0.000 | -0.000 | -0.000 | 39.281 | -0.000 |
| -0.000 | -0.001 | 0.000 | -0.000 | -0.000 | 44.191 |
| 334.749 | 266.105 | 266.105 | 0.000 | 0.000 | 0.000 |
| 266.105 | 334.749 | 266.105 | 0.000 | 0.000 | 0.000 |
| 266.105 | 266.105 | 334.749 | 0.000 | 0.000 | 0.000 |
| -0.000 | -0.000 | -0.000 | 50.522 | 0.000 | -0.000 |
| -0.000 | -0.000 | -0.000 | 0.000 | 50.522 | -0.000 |
| -0.000 | -0.000 | -0.000 | 0.000 | -0.000 | 50.522 |
| 334.749 | 266.105 | 266.105 | -0.000 | -0.000 | -0.000 |
| 266.105 | 334.749 | 266.105 | -0.000 | -0.000 | -0.000 |
| 266.105 | 266.105 | 334.749 | -0.000 | -0.000 | -0.000 |
| 0.000 | 0.000 | 0.000 | 50.522 | 0.000 | 0.000 |
| 0.000 | 0.000 | 0.000 | 0.000 | 50.522 | 0.000 |
| 0.000 | 0.000 | 0.000 | 0.000 | 0.000 | 50.522 |
| 334.749 | 266.105 | 266.105 | -0.000 | -0.000 | -0.000 |
| 266.105 | 334.749 | 266.105 | -0.000 | -0.000 | -0.000 |
| 266.105 | 266.105 | 334.749 | -0.000 | -0.000 | -0.000 |
| 0.000 | 0.000 | 0.000 | 11.512 | 0.000 | 0.000 |
| 0.000 | 0.000 | 0.000 | 0.000 | 11.512 | 0.000 |
| 0.000 | 0.000 | 0.000 | 0.000 | 0.000 | 11.512 |
| 334.749 | 266.105 | 266.105 | -0.000 | -0.000 | -0.000 |
| 266.105 | 334.749 | 266.105 | -0.000 | -0.000 | -0.000 |
| 266.105 | 266.105 | 334.749 | -0.000 | -0.000 | -0.000 |
| -0.000 | -0.000 | -0.000 | 11.512 | -0.000 | -0.000 |
| -0.000 | -0.000 | -0.000 | -0.000 | 11.512 | -0.000 |
| -0.000 | -0.000 | -0.000 | -0.000 | -0.000 | 11.512 |
| 334.748 | 266.104 | 266.104 | 0.000 | 0.000 | 0.000 |
| 266.104 | 334.748 | 266.104 | 0.000 | 0.000 | 0.000 |
| 266.104 | 266.104 | 334.748 | 0.000 | 0.000 | 0.000 |
| 0.000 | 0.000 | 0.000 | 11.512 | 0.000 | 0.000 |
| 0.000 | 0.000 | 0.000 | 0.000 | 11.512 | 0.000 |
| 0.000 | 0.000 | 0.000 | 0.000 | 0.000 | 11.512 |
| 334.750 | 266.106 | 266.106 | -0.000 | -0.000 | -0.000 |
| 266.106 | 334.750 | 266.106 | -0.000 | -0.000 | -0.000 |
| 266.106 | 266.106 | 334.750 | -0.000 | -0.000 | -0.000 |
| -0.000 | -0.000 | -0.000 | 11.512 | -0.000 | -0.000 |
| -0.000 | -0.000 | -0.000 | -0.000 | 11.512 | -0.000 |
| -0.000 | -0.000 | -0.000 | -0.000 | -0.000 | 11.512 |
| -1.847 | -0.672 | -0.672 | -0.000 | -0.000 | 0.000 |
| -0.672 | -1.847 | -0.672 | -0.000 | -0.000 | 0.000 |
| -0.672 | -0.672 | -1.847 | 0.000 | 0.000 | -0.000 |
| 0.000 | -0.000 | 0.000 | -1.847 | 0.000 | 0.000 |
| 0.000 | 0.000 | 0.000 | 0.000 | -1.847 | -0.000 |
| 0.000 | -0.000 | -0.000 | 0.000 | 0.000 | -1.847 |
| -1.847 | -0.672 | -0.672 | 0.000 | -0.000 | -0.000 |
| -0.672 | -1.847 | -0.672 | -0.000 | 0.000 | -0.000 |
| -0.672 | -0.672 | -1.847 | -0.000 | -0.000 | -0.000 |
| -0.000 | 0.000 | -0.000 | -1.847 | -0.000 | -0.000 |
| -0.000 | 0.000 | 0.000 | -0.000 | -1.847 | -0.000 |
| -0.000 | 0.000 | 0.000 | -0.000 | -0.000 | -1.847 |
| -1.847 | -0.672 | -0.672 | -0.000 | -0.000 | 0.000 |
| -0.672 | -1.847 | -0.672 | -0.000 | -0.000 | -0.000 |
| -0.672 | -0.672 | -1.847 | 0.000 | 0.000 | -0.000 |
| -0.000 | -0.000 | -0.000 | -2.640 | 0.000 | -0.000 |
| -0.000 | -0.000 | -0.000 | 0.000 | -2.640 | -0.000 |
| -0.000 | -0.000 | -0.000 | 0.000 | -0.000 | -2.640 |
| -1.847 | -0.672 | -0.672 | 0.000 | 0.000 | -0.000 |
| -0.672 | -1.847 | -0.672 | 0.000 | 0.000 | 0.000 |
| -0.672 | -0.672 | -1.847 | -0.000 | -0.000 | -0.000 |
| 0.000 | 0.000 | 0.000 | -2.640 | 0.000 | 0.000 |
| 0.000 | 0.000 | 0.000 | 0.000 | -2.640 | 0.000 |
| 0.000 | 0.000 | 0.000 | 0.000 | 0.000 | -2.640 |
| -1.847 | -0.672 | -0.672 | -0.000 | -0.000 | 0.000 |
| -0.672 | -1.847 | -0.672 | -0.000 | -0.000 | 0.000 |
| -0.672 | -0.672 | -1.847 | 0.000 | 0.000 | -0.000 |
| -0.000 | -0.000 | -0.000 | -1.847 | 0.000 | -0.000 |
| -0.000 | -0.000 | -0.000 | 0.000 | -1.847 | 0.000 |
| -0.000 | -0.000 | -0.000 | 0.000 | 0.000 | -1.847 |
| -1.847 | -0.671 | -0.671 | -0.000 | 0.000 | 0.000 |
| -0.671 | -1.847 | -0.671 | 0.000 | -0.000 | 0.000 |
| -0.671 | -0.671 | -1.847 | -0.000 | -0.000 | -0.000 |
| 0.000 | 0.000 | 0.000 | -1.847 | -0.000 | 0.000 |
| 0.000 | 0.000 | 0.000 | -0.000 | -1.847 | 0.000 |
| 0.000 | 0.000 | 0.000 | -0.000 | -0.000 | -1.847 |
| 12.026 | 12.026 | 12.026 | -0.000 | 0.000 | 0.000 |
| 12.026 | 12.026 | 12.026 | 0.000 | -0.000 | 0.000 |
| 12.026 | 12.026 | 12.026 | 0.000 | 0.000 | -0.000 |
| -0.000 | -0.000 | -0.000 | 0.000 | 0.000 | 0.000 |
| -0.000 | -0.000 | -0.000 | 0.000 | 0.000 | 0.000 |
| -0.000 | -0.000 | -0.000 | 0.000 | 0.000 | 0.000 |
| 12.026 | 12.026 | 12.026 | -0.000 | -0.000 | -0.000 |
| 12.026 | 12.026 | 12.026 | -0.000 | -0.000 | -0.000 |
| 12.026 | 12.026 | 12.026 | -0.000 | -0.000 | -0.000 |
| 0.000 | 0.000 | 0.000 | 0.000 | -0.000 | -0.000 |
| 0.000 | 0.000 | 0.000 | -0.000 | 0.000 | -0.000 |
| 0.000 | 0.000 | 0.000 | -0.000 | -0.000 | 0.000 |
| 12.026 | 12.026 | 12.026 | 0.000 | 0.000 | 0.000 |
| 12.026 | 12.026 | 12.026 | 0.000 | 0.000 | 0.000 |
| 12.026 | 12.026 | 12.026 | 0.000 | 0.000 | 0.000 |
| -0.000 | -0.000 | -0.000 | 0.000 | 0.000 | 0.000 |
| -0.000 | -0.000 | -0.000 | 0.000 | 0.000 | 0.000 |
| -0.000 | -0.000 | -0.000 | 0.000 | 0.000 | 0.000 |
| 12.026 | 12.026 | 12.026 | -0.000 | -0.000 | -0.000 |
| 12.026 | 12.026 | 12.026 | -0.000 | -0.000 | -0.000 |
| 12.026 | 12.026 | 12.026 | -0.000 | -0.000 | -0.000 |
| 0.000 | 0.000 | 0.000 | -0.000 | -0.000 | -0.000 |
| 0.000 | 0.000 | 0.000 | -0.000 | -0.000 | -0.000 |
| 0.000 | 0.000 | 0.000 | -0.000 | -0.000 | -0.000 |
| 12.026 | 12.026 | 12.026 | 0.000 | 0.000 | 0.000 |
| 12.026 | 12.026 | 12.026 | 0.000 | 0.000 | 0.000 |
| 12.026 | 12.026 | 12.026 | 0.000 | 0.000 | 0.000 |
| -0.000 | -0.000 | -0.000 | -0.000 | 0.000 | 0.000 |
| -0.000 | -0.000 | -0.000 | 0.000 | -0.000 | 0.000 |
| -0.000 | -0.000 | -0.000 | 0.000 | 0.000 | -0.000 |
| 12.026 | 12.026 | 12.026 | -0.000 | -0.000 | -0.000 |
| 12.026 | 12.026 | 12.026 | -0.000 | -0.000 | -0.000 |
| 12.026 | 12.026 | 12.026 | -0.000 | -0.000 | -0.000 |
| 0.000 | 0.000 | 0.000 | -0.000 | -0.000 | -0.000 |
| 0.000 | 0.000 | 0.000 | -0.000 | -0.000 | -0.000 |
| 0.000 | 0.000 | 0.000 | -0.000 | -0.000 | -0.000 |
| 538.470 | 275.772 | 227.151 | -0.000 | -0.000 | 0.000 |
| 275.772 | 538.470 | 227.151 | -0.000 | -0.000 | -0.000 |
| 227.151 | 227.151 | 399.679 | -0.000 | -0.000 | -0.000 |
| 0.000 | -0.000 | 0.000 | 63.947 | -0.000 | -0.000 |
| -0.000 | 0.000 | 0.000 | -0.000 | 63.947 | -0.000 |
| -0.000 | -0.000 | -0.000 | 0.000 | -0.000 | 0.159 |
| 538.470 | 275.772 | 227.151 | 0.000 | 0.000 | -0.000 |
| 275.772 | 538.470 | 227.151 | 0.000 | 0.000 | -0.000 |
| 227.151 | 227.151 | 399.679 | 0.000 | -0.000 | -0.000 |
| -0.000 | -0.000 | -0.000 | 63.947 | 0.000 | -0.000 |
| 0.000 | -0.000 | -0.000 | 0.000 | 63.947 | -0.000 |
| 0.000 | 0.000 | 0.000 | 0.000 | 0.000 | 0.159 |
| 538.470 | 275.772 | 227.151 | -0.000 | 0.000 | -0.000 |
| 275.772 | 538.470 | 227.151 | -0.000 | -0.000 | 0.000 |
| 227.151 | 227.151 | 399.679 | -0.000 | -0.000 | 0.000 |
| -0.000 | -0.000 | -0.000 | 63.947 | -0.000 | 0.000 |
| -0.000 | -0.000 | -0.000 | -0.000 | 63.947 | -0.000 |
| -0.000 | -0.000 | -0.000 | -0.000 | -0.000 | 0.159 |
| 538.471 | 275.773 | 227.151 | 0.000 | 0.000 | -0.000 |
| 275.773 | 538.471 | 227.151 | 0.000 | -0.000 | 0.000 |
| 227.151 | 227.151 | 399.679 | 0.000 | 0.000 | -0.000 |
| 0.000 | 0.000 | 0.000 | 63.947 | 0.000 | 0.000 |
| 0.000 | 0.000 | 0.000 | 0.000 | 63.947 | -0.000 |
| 0.000 | 0.000 | 0.000 | 0.000 | 0.000 | 0.159 |
| 538.466 | 275.769 | 227.149 | -0.000 | -0.000 | -0.000 |
| 275.769 | 538.466 | 227.149 | -0.000 | -0.000 | -0.000 |
| 227.150 | 227.150 | 399.678 | 0.000 | 0.000 | 0.000 |
| -0.000 | -0.000 | -0.000 | 63.947 | 0.000 | -0.000 |
| -0.000 | -0.000 | -0.000 | -0.000 | 63.947 | -0.000 |
| -0.000 | -0.001 | -0.000 | -0.000 | -0.000 | 0.159 |
| 538.898 | 275.352 | 227.153 | 0.000 | 0.000 | -0.000 |
| 275.352 | 538.898 | 227.153 | 0.000 | -0.000 | -0.000 |
| 227.152 | 227.152 | 399.679 | 0.000 | -0.000 | -0.000 |
| 0.000 | 0.000 | 0.000 | 63.947 | -0.000 | -0.000 |
| 0.000 | 0.000 | 0.000 | 0.000 | 63.947 | 0.000 |
| 0.000 | 0.001 | 0.000 | 0.000 | -0.000 | 0.159 |
| -225.045 | -65.061 | -44.723 | 0.000 | 0.000 | -0.000 |
| -65.061 | -225.045 | -44.723 | -0.000 | 0.000 | -0.000 |
| -49.740 | -49.740 | -68.804 | -0.000 | 0.000 | -0.000 |
| 0.000 | 0.000 | 0.000 | -46.861 | -0.000 | -0.000 |
| 0.000 | 0.000 | 0.000 | -0.000 | -46.861 | -0.000 |
| 0.000 | 0.000 | 0.000 | -0.000 | -0.000 | -57.164 |
| -225.045 | -65.061 | -44.723 | 0.000 | 0.000 | 0.000 |
| -65.061 | -225.045 | -44.723 | 0.000 | 0.000 | -0.000 |
| -49.740 | -49.740 | -68.804 | -0.000 | 0.000 | -0.000 |
| -0.000 | -0.000 | -0.000 | -46.861 | 0.000 | -0.000 |
| -0.000 | -0.000 | -0.000 | 0.000 | -46.861 | 0.000 |
| -0.000 | -0.000 | -0.000 | -0.000 | 0.000 | -57.164 |
| -225.045 | -65.061 | -44.723 | -0.000 | -0.000 | 0.000 |
| -65.061 | -225.045 | -44.723 | -0.000 | -0.000 | -0.000 |
| -49.740 | -49.740 | -68.804 | -0.000 | -0.000 | -0.000 |
| 0.000 | 0.001 | 0.000 | -88.180 | -0.000 | -0.000 |
| 0.001 | 0.000 | 0.000 | -0.000 | -88.180 | -0.000 |
| 0.000 | 0.000 | 0.000 | -0.000 | -0.000 | -57.164 |
| -225.045 | -65.061 | -44.723 | -0.000 | 0.000 | 0.000 |
| -65.061 | -225.045 | -44.723 | 0.000 | -0.000 | 0.000 |
| -49.740 | -49.740 | -68.804 | -0.000 | 0.000 | -0.000 |
| -0.000 | -0.001 | -0.000 | -88.180 | 0.000 | -0.000 |
| -0.001 | -0.000 | -0.000 | 0.000 | -88.180 | -0.000 |
| -0.000 | -0.000 | -0.000 | 0.000 | 0.000 | -57.164 |
| -225.044 | -65.061 | -44.723 | 0.000 | -0.000 | 0.000 |
| -65.061 | -225.044 | -44.723 | -0.000 | -0.000 | 0.000 |
| -49.740 | -49.740 | -68.806 | -0.000 | -0.000 | -0.000 |
| 0.000 | 0.002 | 0.000 | -67.520 | -0.000 | -0.000 |
| 0.002 | 0.000 | 0.000 | 0.000 | -67.520 | -0.000 |
| 0.000 | 0.000 | 0.000 | -0.000 | -0.000 | -57.164 |
| -225.047 | -65.061 | -44.724 | 0.000 | -0.000 | 0.000 |
| -65.061 | -225.047 | -44.724 | 0.000 | -0.000 | 0.000 |
| -49.740 | -49.740 | -68.803 | 0.000 | -0.000 | 0.000 |
| -0.000 | -0.002 | -0.000 | -67.520 | 0.000 | -0.000 |
| -0.002 | -0.000 | -0.000 | 0.000 | -67.520 | 0.000 |
| -0.000 | -0.000 | -0.000 | 0.000 | -0.000 | -57.164 |
| 282.718 | 142.979 | 115.109 | 0.000 | 0.000 | 0.000 |
| 142.979 | 282.718 | 115.109 | 0.000 | 0.000 | -0.000 |
| 115.109 | 115.109 | 391.656 | 0.000 | -0.000 | -0.000 |
| -0.000 | -0.000 | -0.000 | 26.843 | 0.000 | -0.000 |
| -0.000 | -0.000 | -0.000 | 0.000 | 26.843 | -0.000 |
| 0.000 | 0.000 | -0.000 | 0.000 | 0.000 | -9.986 |
| 282.718 | 142.979 | 115.109 | 0.000 | 0.000 | -0.000 |
| 142.979 | 282.718 | 115.109 | 0.000 | -0.000 | 0.000 |
| 115.109 | 115.109 | 391.657 | -0.000 | -0.000 | 0.000 |
| 0.000 | 0.000 | 0.000 | 26.843 | -0.000 | 0.000 |
| 0.000 | 0.000 | 0.000 | -0.000 | 26.843 | 0.000 |
| -0.000 | -0.000 | 0.000 | -0.000 | -0.000 | -9.986 |
| 282.718 | 142.979 | 115.109 | -0.000 | 0.000 | -0.000 |
| 142.979 | 282.718 | 115.109 | -0.000 | -0.000 | 0.000 |
| 115.109 | 115.109 | 391.656 | 0.000 | 0.000 | -0.000 |
| 0.000 | -0.000 | -0.000 | 26.843 | 0.000 | -0.000 |
| -0.000 | 0.000 | -0.000 | 0.000 | 26.843 | -0.000 |
| 0.000 | 0.000 | -0.000 | 0.000 | 0.000 | -9.986 |
| 282.718 | 142.979 | 115.109 | -0.000 | 0.000 | -0.000 |
| 142.979 | 282.718 | 115.109 | 0.000 | -0.000 | 0.000 |
| 115.109 | 115.109 | 391.657 | 0.000 | 0.000 | 0.000 |
| -0.000 | 0.000 | 0.000 | 26.843 | 0.000 | 0.000 |
| 0.000 | -0.000 | 0.000 | -0.000 | 26.843 | -0.000 |
| -0.000 | -0.000 | 0.000 | 0.000 | -0.000 | -9.986 |
| 282.720 | 142.980 | 115.110 | -0.000 | -0.000 | -0.000 |
| 142.980 | 282.720 | 115.110 | -0.000 | -0.000 | -0.000 |
| 115.109 | 115.109 | 391.655 | 0.000 | 0.000 | -0.000 |
| 0.000 | -0.000 | -0.001 | 26.843 | -0.000 | -0.000 |
| -0.000 | 0.000 | -0.001 | 0.000 | 26.843 | -0.000 |
| 0.000 | 0.000 | -0.000 | 0.000 | 0.000 | -9.986 |
| 282.717 | 142.977 | 115.109 | 0.000 | -0.000 | 0.000 |
| 142.977 | 282.717 | 115.109 | 0.000 | 0.000 | 0.000 |
| 115.109 | 115.109 | 391.658 | -0.000 | -0.000 | 0.000 |
| -0.000 | 0.000 | 0.001 | 26.843 | -0.000 | 0.000 |
| 0.000 | -0.000 | 0.001 | -0.000 | 26.843 | 0.000 |
| -0.000 | -0.000 | 0.000 | 0.000 | 0.000 | -9.986 |
| -159.655 | -47.668 | 2.638 | 0.000 | 0.000 | 0.000 |
| -47.668 | -159.655 | 2.638 | 0.000 | 0.000 | 0.000 |
| 1.078 | 1.078 | -7.798 | 0.000 | 0.000 | -0.000 |
| 0.000 | 0.000 | -0.000 | -5.813 | 0.000 | 0.000 |
| 0.000 | 0.000 | -0.000 | 0.000 | -5.813 | 0.000 |
| 0.000 | 0.000 | 0.000 | 0.000 | 0.000 | -52.998 |
| -159.655 | -47.668 | 2.638 | -0.000 | -0.000 | -0.000 |
| -47.668 | -159.655 | 2.638 | -0.000 | -0.000 | -0.000 |
| 1.078 | 1.078 | -7.798 | -0.000 | -0.000 | -0.000 |
| -0.000 | -0.000 | 0.000 | -5.813 | -0.000 | -0.000 |
| -0.000 | -0.000 | 0.000 | -0.000 | -5.813 | -0.000 |
| -0.000 | -0.000 | -0.000 | -0.000 | -0.000 | -52.998 |
| -159.655 | -47.668 | 2.638 | 0.000 | 0.000 | -0.000 |
| -47.668 | -159.655 | 2.638 | 0.000 | 0.000 | 0.000 |
| 1.078 | 1.078 | -7.798 | -0.000 | 0.000 | 0.000 |
| -0.000 | -0.000 | -0.000 | -5.813 | 0.000 | 0.000 |
| -0.000 | -0.000 | -0.000 | 0.000 | -5.813 | 0.000 |
| 0.000 | -0.000 | -0.000 | 0.000 | 0.000 | -52.998 |
| -159.655 | -47.668 | 2.638 | -0.000 | -0.000 | 0.000 |
| -47.668 | -159.655 | 2.638 | -0.000 | -0.000 | 0.000 |
| 1.078 | 1.078 | -7.797 | -0.000 | -0.000 | 0.000 |
| 0.000 | 0.000 | 0.000 | -5.813 | -0.000 | 0.000 |
| 0.000 | 0.000 | 0.000 | -0.000 | -5.813 | -0.000 |
| -0.000 | 0.000 | 0.000 | -0.000 | -0.000 | -52.998 |
| -159.657 | -47.668 | 2.638 | 0.000 | 0.000 | 0.000 |
| -47.668 | -159.657 | 2.638 | 0.000 | 0.000 | 0.000 |
| 1.077 | 1.077 | -7.799 | 0.000 | 0.000 | -0.000 |
| -0.000 | -0.000 | -0.001 | -5.813 | 0.000 | -0.000 |
| -0.000 | -0.000 | -0.001 | 0.000 | -5.813 | -0.000 |
| 0.000 | -0.000 | -0.000 | 0.000 | 0.000 | -52.998 |
| -159.654 | -47.668 | 2.638 | -0.000 | -0.000 | 0.000 |
| -47.668 | -159.654 | 2.638 | -0.000 | -0.000 | 0.000 |
| 1.078 | 1.078 | -7.796 | -0.000 | -0.000 | -0.000 |
| 0.000 | 0.000 | 0.001 | -5.813 | -0.000 | 0.000 |
| 0.000 | 0.000 | 0.001 | -0.000 | -5.813 | -0.000 |
| -0.000 | 0.000 | 0.000 | -0.000 | -0.000 | -52.998 |
| -108.303 | 0.736 | -13.532 | 0.000 | 0.000 | -0.000 |
| 0.736 | -108.303 | -13.532 | 0.000 | -0.000 | -0.000 |
| -13.532 | -13.532 | 359.613 | 0.000 | 0.000 | 0.000 |
| -0.000 | 0.000 | -0.000 | -1.359 | -0.000 | -0.000 |
| 0.000 | -0.000 | -0.000 | 0.000 | -1.359 | -0.000 |
| -0.000 | -0.000 | 0.000 | 0.000 | -0.000 | 0.488 |
| -108.303 | 0.736 | -13.532 | -0.000 | -0.000 | 0.000 |
| 0.736 | -108.303 | -13.532 | -0.000 | 0.000 | 0.000 |
| -13.532 | -13.532 | 359.613 | -0.000 | -0.000 | -0.000 |
| 0.000 | -0.000 | 0.000 | -1.359 | 0.000 | -0.000 |
| -0.000 | 0.000 | 0.000 | 0.000 | -1.359 | 0.000 |
| 0.000 | 0.000 | -0.000 | -0.000 | -0.000 | 0.488 |
| -108.303 | 0.736 | -13.532 | 0.000 | -0.000 | 0.000 |
| 0.736 | -108.303 | -13.532 | 0.000 | 0.000 | -0.000 |
| -13.532 | -13.532 | 359.613 | 0.000 | -0.000 | 0.000 |
| -0.000 | 0.000 | -0.000 | -1.359 | 0.000 | 0.000 |
| 0.000 | -0.000 | -0.000 | 0.000 | -1.359 | -0.000 |
| -0.000 | -0.000 | 0.000 | 0.000 | -0.000 | 0.488 |
| -108.303 | 0.736 | -13.532 | -0.000 | -0.000 | -0.000 |
| 0.736 | -108.303 | -13.532 | -0.000 | -0.000 | -0.000 |
| -13.532 | -13.532 | 359.613 | -0.000 | 0.000 | -0.000 |
| 0.000 | -0.000 | 0.000 | -1.359 | -0.000 | 0.000 |
| -0.000 | 0.000 | 0.000 | -0.000 | -1.359 | 0.000 |
| 0.000 | 0.000 | -0.000 | -0.000 | -0.000 | 0.488 |
| -108.304 | 0.735 | -13.533 | 0.000 | 0.000 | 0.000 |
| 0.735 | -108.304 | -13.533 | 0.000 | 0.000 | 0.000 |
| -13.532 | -13.532 | 359.609 | 0.000 | 0.000 | 0.000 |
| -0.000 | 0.000 | -0.000 | -1.359 | -0.000 | 0.000 |
| 0.000 | -0.000 | -0.000 | 0.000 | -1.359 | -0.000 |
| -0.001 | -0.001 | 0.000 | 0.000 | 0.000 | 0.488 |
| -108.303 | 0.736 | -13.532 | 0.000 | 0.000 | -0.000 |
| 0.736 | -108.303 | -13.532 | -0.000 | -0.000 | 0.000 |
| -13.532 | -13.532 | 359.616 | -0.000 | 0.000 | -0.000 |
| 0.000 | -0.000 | 0.000 | -1.359 | 0.000 | 0.000 |
| -0.000 | 0.000 | 0.000 | -0.000 | -1.359 | 0.000 |
| 0.001 | 0.001 | -0.000 | -0.000 | 0.000 | 0.488 |
| 25.341 | 25.341 | 16.894 | -0.000 | -0.000 | -0.000 |
| 25.341 | 25.341 | 16.894 | -0.000 | -0.000 | -0.000 |
| 16.894 | 16.894 | 56.312 | -0.000 | -0.000 | -0.000 |
| 0.000 | 0.000 | 0.000 | 16.894 | -0.000 | -0.000 |
| 0.000 | 0.000 | 0.000 | -0.000 | 16.894 | -0.000 |
| 0.000 | 0.000 | 0.000 | -0.000 | -0.000 | 25.341 |
| 25.341 | 25.341 | 16.894 | 0.000 | 0.000 | 0.000 |
| 25.341 | 25.341 | 16.894 | 0.000 | 0.000 | 0.000 |
| 16.894 | 16.894 | 56.312 | 0.000 | 0.000 | 0.000 |
| -0.000 | -0.000 | -0.000 | 16.894 | 0.000 | 0.000 |
| -0.000 | -0.000 | -0.000 | 0.000 | 16.894 | 0.000 |
| -0.000 | -0.000 | -0.000 | 0.000 | 0.000 | 25.341 |
| 25.341 | 25.341 | 16.894 | -0.000 | -0.000 | -0.000 |
| 25.341 | 25.341 | 16.894 | -0.000 | -0.000 | -0.000 |
| 16.894 | 16.894 | 56.312 | -0.000 | -0.000 | -0.000 |
| 0.000 | 0.000 | 0.000 | 16.894 | -0.000 | -0.000 |
| 0.000 | 0.000 | 0.000 | -0.000 | 16.894 | -0.000 |
| 0.000 | 0.000 | 0.000 | -0.000 | -0.000 | 25.341 |
| 25.341 | 25.341 | 16.894 | 0.000 | -0.000 | 0.000 |
| 25.341 | 25.341 | 16.894 | -0.000 | 0.000 | 0.000 |
| 16.894 | 16.894 | 56.312 | 0.000 | 0.000 | 0.000 |
| -0.000 | -0.000 | -0.000 | 16.894 | -0.000 | 0.000 |
| -0.000 | -0.000 | -0.000 | -0.000 | 16.894 | 0.000 |
| -0.000 | -0.000 | -0.000 | 0.000 | 0.000 | 25.341 |
| 25.341 | 25.341 | 16.894 | 0.000 | -0.000 | -0.000 |
| 25.341 | 25.341 | 16.894 | -0.000 | 0.000 | -0.000 |
| 16.894 | 16.894 | 56.313 | -0.000 | -0.000 | -0.000 |
| 0.000 | 0.000 | 0.000 | 16.894 | -0.000 | -0.000 |
| 0.000 | 0.000 | 0.000 | -0.000 | 16.894 | -0.000 |
| 0.000 | 0.000 | 0.000 | -0.000 | -0.000 | 25.341 |
| 25.341 | 25.340 | 16.894 | 0.000 | 0.000 | 0.000 |
| 25.340 | 25.341 | 16.894 | 0.000 | 0.000 | 0.000 |
| 16.894 | 16.894 | 56.312 | 0.000 | 0.000 | 0.000 |
| -0.000 | -0.000 | -0.000 | 16.894 | 0.000 | 0.000 |
| -0.000 | -0.000 | -0.000 | 0.000 | 16.894 | 0.000 |
| -0.000 | -0.000 | -0.000 | 0.000 | 0.000 | 25.341 |
| 53.560 | 81.478 | 155.345 | -16.819 | 0.000 | 0.000 |
| 81.478 | 53.560 | 155.345 | 16.819 | 0.000 | 0.000 |
| 140.933 | 140.933 | -21.546 | -0.000 | -0.000 | 0.000 |
| -16.819 | 16.819 | -0.001 | 3.647 | -0.000 | 0.000 |
| -0.000 | -0.000 | -0.001 | 0.000 | 3.647 | -16.819 |
| 0.000 | -0.000 | -0.000 | -0.000 | -16.819 | -13.959 |
| 53.560 | 81.478 | 155.346 | -16.819 | -0.000 | -0.000 |
| 81.478 | 53.560 | 155.346 | 16.819 | 0.000 | -0.000 |
| 140.934 | 140.934 | -21.541 | -0.000 | -0.000 | -0.000 |
| -16.819 | 16.819 | 0.001 | 3.647 | 0.000 | 0.000 |
| 0.000 | 0.000 | 0.001 | -0.000 | 3.647 | -16.819 |
| -0.000 | 0.000 | 0.000 | 0.000 | -16.819 | -13.959 |
| 53.559 | 81.478 | 155.343 | -16.819 | -0.000 | 0.000 |
| 81.478 | 53.559 | 155.343 | 16.819 | -0.000 | 0.000 |
| 140.927 | 140.927 | -21.571 | 0.000 | -0.000 | 0.000 |
| -16.820 | 16.817 | -0.006 | 3.647 | 0.000 | 0.000 |
| -0.002 | -0.001 | -0.006 | 0.000 | 3.647 | -16.819 |
| -0.000 | -0.000 | -0.001 | -0.000 | -16.819 | -13.959 |
| 53.561 | 81.478 | 155.348 | -16.819 | -0.000 | -0.000 |
| 81.478 | 53.561 | 155.348 | 16.819 | -0.000 | -0.000 |
| 140.939 | 140.939 | -21.517 | 0.000 | 0.000 | -0.000 |
| -16.819 | 16.821 | 0.006 | 3.647 | -0.000 | -0.000 |
| 0.002 | 0.001 | 0.006 | -0.000 | 3.647 | -16.819 |
| 0.000 | 0.000 | 0.001 | 0.000 | -16.819 | -13.959 |
| 53.551 | 81.477 | 155.324 | -16.820 | 0.000 | 0.000 |
| 81.475 | 53.553 | 155.324 | 16.820 | 0.000 | 0.000 |
| 140.870 | 140.870 | -21.814 | 0.000 | 0.000 | 0.000 |
| -16.827 | 16.797 | -0.063 | 3.647 | 0.000 | 0.000 |
| -0.022 | -0.007 | -0.063 | 0.000 | 3.647 | -16.819 |
| -0.000 | -0.003 | -0.007 | -0.000 | -16.819 | -13.959 |
| 53.569 | 81.479 | 155.368 | -16.819 | 0.000 | 0.000 |
| 81.481 | 53.567 | 155.368 | 16.819 | -0.000 | -0.000 |
| 140.996 | 140.996 | -21.273 | -0.000 | -0.000 | -0.000 |
| -16.812 | 16.841 | 0.063 | 3.647 | -0.000 | -0.000 |
| 0.022 | 0.007 | 0.063 | -0.000 | 3.647 | -16.819 |
| 0.000 | 0.003 | 0.007 | 0.000 | -16.819 | -13.959 |
| -50.605 | -16.868 | -5.280 | 1.515 | -0.000 | -0.000 |
| -16.868 | -50.605 | -5.280 | -1.515 | -0.000 | 0.000 |
| -5.280 | -5.280 | -24.266 | 0.000 | -0.000 | -0.000 |
| 1.515 | -1.515 | 0.000 | -5.280 | -0.000 | -0.000 |
| 0.000 | 0.000 | 0.000 | 0.000 | -5.280 | 1.515 |
| 0.000 | 0.000 | 0.000 | 0.000 | 1.515 | -16.868 |
| -50.605 | -16.868 | -5.280 | 1.515 | -0.000 | -0.000 |
| -16.868 | -50.605 | -5.280 | -1.515 | -0.000 | 0.000 |
| -5.280 | -5.280 | -24.266 | -0.000 | 0.000 | 0.000 |
| 1.515 | -1.514 | 0.003 | -5.280 | 0.000 | 0.000 |
| -0.000 | -0.000 | -0.000 | -0.000 | -5.280 | 1.515 |
| -0.000 | -0.000 | -0.000 | -0.000 | 1.515 | -16.868 |
| -50.605 | -16.868 | -5.280 | 1.515 | -0.000 | -0.000 |
| -16.868 | -50.605 | -5.280 | -1.515 | -0.000 | 0.000 |
| -5.280 | -5.280 | -24.266 | 0.000 | -0.000 | -0.000 |
| 1.515 | -1.515 | -0.000 | -5.280 | -0.000 | 0.000 |
| -0.000 | -0.000 | -0.000 | 0.000 | -5.280 | 1.515 |
| 0.000 | 0.000 | -0.000 | 0.000 | 1.515 | -16.868 |
| -50.605 | -16.868 | -5.280 | 1.515 | -0.000 | -0.000 |
| -16.868 | -50.605 | -5.280 | -1.515 | -0.000 | 0.000 |
| -5.280 | -5.280 | -24.266 | 0.000 | 0.000 | 0.000 |
| 1.515 | -1.515 | 0.000 | -5.280 | 0.000 | -0.000 |
| 0.000 | 0.000 | 0.000 | -0.000 | -5.280 | 1.515 |
| -0.000 | -0.000 | 0.000 | -0.000 | 1.515 | -16.868 |
| -50.605 | -16.868 | -5.280 | 1.515 | -0.000 | -0.000 |
| -16.868 | -50.605 | -5.280 | -1.515 | -0.000 | -0.000 |
| -5.280 | -5.280 | -24.266 | 0.000 | 0.000 | -0.000 |
| 1.515 | -1.515 | -0.000 | -5.280 | -0.000 | 0.000 |
| -0.000 | -0.000 | -0.000 | 0.000 | -5.280 | 1.515 |
| 0.000 | 0.000 | -0.000 | 0.000 | 1.515 | -16.868 |
| -50.605 | -16.868 | -5.280 | 1.515 | 0.000 | 0.000 |
| -16.868 | -50.605 | -5.280 | -1.514 | -0.000 | 0.000 |
| -5.280 | -5.280 | -24.266 | -0.000 | -0.000 | 0.000 |
| 1.515 | -1.514 | 0.000 | -5.280 | 0.000 | 0.000 |
| 0.000 | 0.000 | 0.000 | -0.000 | -5.280 | 1.515 |
| -0.000 | -0.000 | 0.000 | -0.000 | 1.515 | -16.868 |
| -92.212 | -35.995 | -17.550 | 11.069 | 0.000 | -0.000 |
| -35.995 | -92.212 | -17.550 | -11.069 | 0.000 | -0.000 |
| -18.330 | -18.330 | -11.306 | 0.000 | 0.000 | -0.000 |
| 11.069 | -11.069 | 0.000 | -11.223 | -0.000 | -0.000 |
| -0.000 | 0.000 | 0.000 | -0.000 | -11.223 | 11.069 |
| -0.000 | 0.000 | 0.000 | -0.000 | 11.069 | -28.108 |
| -92.212 | -35.995 | -17.550 | 11.069 | 0.000 | 0.000 |
| -35.995 | -92.212 | -17.550 | -11.069 | -0.000 | -0.000 |
| -18.330 | -18.330 | -11.306 | -0.000 | -0.000 | -0.000 |
| 11.069 | -11.069 | 0.000 | -11.223 | -0.000 | 0.000 |
| 0.000 | -0.000 | -0.000 | 0.000 | -11.223 | 11.069 |
| 0.000 | -0.000 | -0.000 | 0.000 | 11.069 | -28.108 |
| -92.212 | -35.995 | -17.550 | 11.069 | 0.000 | -0.000 |
| -35.995 | -92.212 | -17.550 | -11.069 | -0.000 | -0.000 |
| -18.330 | -18.330 | -11.306 | -0.000 | -0.000 | 0.000 |
| 11.069 | -11.069 | 0.000 | -11.223 | -0.000 | -0.000 |
| 0.000 | 0.000 | 0.000 | -0.000 | -11.223 | 11.069 |
| 0.000 | 0.000 | 0.000 | -0.000 | 11.069 | -28.108 |
| -92.212 | -35.995 | -17.550 | 11.069 | 0.000 | -0.000 |
| -35.995 | -92.212 | -17.550 | -11.069 | -0.000 | 0.000 |
| -18.330 | -18.330 | -11.306 | -0.000 | -0.000 | 0.000 |
| 11.069 | -11.069 | -0.000 | -11.223 | -0.000 | 0.000 |
| -0.000 | -0.000 | -0.000 | 0.000 | -11.223 | 11.069 |
| -0.000 | -0.000 | -0.000 | 0.000 | 11.069 | -28.108 |
| -92.212 | -35.995 | -17.550 | 11.069 | 0.000 | 0.000 |
| -35.995 | -92.212 | -17.550 | -11.069 | -0.000 | 0.000 |
| -18.330 | -18.330 | -11.306 | -0.000 | 0.000 | 0.000 |
| 11.069 | -11.069 | 0.000 | -11.223 | 0.000 | -0.000 |
| 0.000 | 0.000 | 0.000 | -0.000 | -11.223 | 11.069 |
| 0.000 | 0.000 | 0.000 | -0.000 | 11.069 | -28.108 |
| -92.212 | -35.995 | -17.550 | 11.069 | -0.000 | 0.000 |
| -35.995 | -92.212 | -17.550 | -11.069 | -0.000 | -0.000 |
| -18.330 | -18.330 | -11.306 | -0.000 | -0.000 | 0.000 |
| 11.069 | -11.069 | -0.000 | -11.223 | -0.000 | 0.000 |
| -0.000 | -0.000 | -0.000 | 0.000 | -11.223 | 11.069 |
| -0.000 | -0.000 | -0.000 | 0.000 | 11.069 | -28.108 |
| -26.101 | -8.386 | -15.696 | 11.523 | -0.000 | 0.000 |
| -8.386 | -26.101 | -15.696 | -11.523 | -0.000 | 0.000 |
| -16.148 | -16.148 | -21.303 | -0.000 | -0.000 | 0.000 |
| 11.523 | -11.523 | -0.000 | -17.071 | -0.000 | 0.000 |
| 0.000 | -0.000 | -0.000 | 0.000 | -17.071 | 11.523 |
| 0.000 | 0.000 | 0.000 | 0.000 | 11.523 | -8.857 |
| -26.101 | -8.386 | -15.696 | 11.523 | 0.000 | -0.000 |
| -8.386 | -26.101 | -15.696 | -11.523 | 0.000 | -0.000 |
| -16.148 | -16.148 | -21.303 | 0.000 | 0.000 | -0.000 |
| 11.523 | -11.523 | 0.000 | -17.071 | 0.000 | -0.000 |
| 0.000 | 0.000 | 0.000 | -0.000 | -17.071 | 11.523 |
| -0.000 | -0.000 | -0.000 | -0.000 | 11.523 | -8.857 |
| -26.101 | -8.386 | -15.696 | 11.523 | -0.000 | 0.000 |
| -8.386 | -26.101 | -15.696 | -11.523 | -0.000 | -0.000 |
| -16.148 | -16.148 | -21.303 | -0.000 | -0.000 | 0.000 |
| 11.523 | -11.523 | -0.000 | -17.071 | -0.000 | 0.000 |
| -0.000 | -0.000 | -0.000 | 0.000 | -17.071 | 11.523 |
| -0.000 | -0.000 | -0.000 | 0.000 | 11.523 | -8.857 |
| -26.101 | -8.386 | -15.696 | 11.523 | 0.000 | -0.000 |
| -8.386 | -26.101 | -15.696 | -11.523 | 0.000 | -0.000 |
| -16.148 | -16.148 | -21.303 | 0.000 | 0.000 | -0.000 |
| 11.523 | -11.523 | 0.000 | -17.071 | 0.000 | 0.000 |
| 0.000 | 0.000 | 0.000 | -0.000 | -17.071 | 11.523 |
| 0.000 | 0.000 | 0.000 | -0.000 | 11.523 | -8.857 |
| -26.101 | -8.386 | -15.696 | 11.524 | -0.000 | 0.000 |
| -8.386 | -26.101 | -15.696 | -11.524 | -0.000 | 0.000 |
| -16.148 | -16.148 | -21.304 | -0.000 | -0.000 | 0.000 |
| 11.523 | -11.524 | -0.000 | -17.072 | -0.000 | -0.000 |
| -0.000 | -0.000 | -0.000 | 0.000 | -17.071 | 11.523 |
| -0.000 | -0.000 | -0.000 | 0.000 | 11.523 | -8.857 |
| -26.101 | -8.386 | -15.696 | 11.523 | 0.000 | -0.000 |
| -8.386 | -26.101 | -15.696 | -11.523 | 0.000 | -0.000 |
| -16.148 | -16.148 | -21.303 | 0.000 | 0.000 | -0.000 |
| 11.524 | -11.523 | 0.000 | -17.071 | 0.000 | -0.000 |
| 0.000 | 0.000 | 0.000 | -0.000 | -17.071 | 11.523 |
| 0.000 | 0.000 | 0.000 | -0.000 | 11.523 | -8.857 |
| -28.626 | -9.542 | -16.045 | 11.952 | -0.000 | 0.000 |
| -9.542 | -28.626 | -16.045 | -11.952 | -0.000 | 0.000 |
| 16225610.914 | 16225617.906 | -9395687.966 | 3.133 | -0.638 | 0.712 |
| 1752702.772 | -1731177.375 | -34358.228 | -1191266.887 | -0.042 | 0.063 |
| 3063.111 | 17357.002 | -34891.875 | 17016.088 | -1174096.338 | 1734805.596 |
| 261.514 | 8068.016 | -17502.843 | 9220.100 | 868536.659 | -1283359.590 |
| -15873609.148 | 7026385.434 | 4960101.491 | 9027116.457 | 0.176 | -0.281 |
| 6239543.160 | -15048680.019 | 4921577.435 | -7276896.500 | 0.239 | -0.286 |
| -16.045 | -16.045 | -18.002 | 0.000 | 0.000 | -0.000 |
| 1718163.086 | -1737167.047 | 35335.167 | -1156941.615 | 0.044 | -0.063 |
| -3063.106 | -17356.998 | 34891.877 | -17016.092 | -1174096.477 | 1734805.801 |
| -261.514 | -8068.015 | 17502.843 | -9220.099 | 868536.663 | -1283359.595 |
| -28.626 | -9.542 | -16.045 | 11.952 | -0.000 | 0.000 |
| -9.542 | -28.626 | -16.045 | -11.952 | -0.000 | 0.000 |
| 1586788.421 | 1586788.491 | -932586.805 | 0.031 | -0.007 | 0.007 |
| 6306.495 | -6289.707 | -11.196 | -4271.437 | -0.000 | 0.000 |
| 3.545 | 17.116 | -32.950 | 15.767 | -11369.164 | 16789.148 |
| 3.234 | 7.169 | -11.639 | 4.571 | 6122.860 | -9040.032 |
| -1353261.558 | 597002.934 | 413035.545 | 750129.943 | 0.002 | -0.003 |
| 542184.781 | -1295806.577 | 410949.892 | -626296.942 | 0.002 | -0.002 |
| -16.045 | -16.045 | -18.002 | 0.000 | 0.000 | -0.000 |
| 16772.177 | -16792.835 | 32.945 | -11353.493 | 0.000 | -0.000 |
| -3.545 | -17.116 | 32.950 | -15.767 | -11369.166 | 16789.152 |
| -3.234 | -7.169 | 11.639 | -4.571 | 6122.858 | -9040.029 |
| -28.626 | -9.542 | -16.045 | 11.952 | -0.000 | 0.000 |
| -9.542 | -28.626 | -16.045 | -11.952 | -0.000 | 0.000 |
| 158897.785 | 158897.785 | -93316.748 | 0.000 | -0.000 | 0.000 |
| 184.277 | -184.268 | -0.036 | -132.667 | -0.000 | 0.000 |
| -0.006 | 0.016 | -0.036 | 0.020 | -132.645 | 184.260 |
| 0.001 | 0.006 | -0.010 | 0.004 | 63.235 | -85.327 |
| -136206.670 | 60312.173 | 41518.344 | 75649.549 | 0.000 | -0.000 |
| 54740.093 | -130366.128 | 41305.154 | -63068.864 | 0.000 | -0.000 |
| -16.045 | -16.045 | -18.002 | 0.000 | 0.000 | -0.000 |
| 184.242 | -184.251 | 0.036 | -132.624 | 0.000 | -0.000 |
| 0.006 | -0.016 | 0.036 | -0.020 | -132.645 | 184.260 |
| -0.001 | -0.006 | 0.010 | -0.004 | 63.235 | -85.327 |
| 351.116 | 263.436 | 263.436 | 0.000 | 0.000 | 0.000 |
| 263.436 | 351.116 | 263.436 | -0.000 | 0.000 | 0.000 |
| 263.436 | 263.436 | 351.116 | 0.000 | 0.000 | 0.000 |
| -0.000 | 0.000 | -0.000 | 12.080 | 0.000 | -0.000 |
| -0.000 | 0.000 | -0.000 | -0.000 | 12.080 | -0.000 |
| -0.000 | 0.000 | 0.000 | 0.000 | 0.000 | 12.080 |
| 351.116 | 263.436 | 263.436 | -0.000 | -0.000 | -0.000 |
| 263.436 | 351.116 | 263.436 | -0.000 | -0.000 | -0.000 |
| 263.436 | 263.436 | 351.116 | -0.000 | -0.000 | 0.000 |
| 0.000 | -0.000 | 0.000 | 12.080 | 0.000 | 0.000 |
| 0.000 | -0.000 | 0.000 | 0.000 | 12.080 | 0.000 |
| 0.000 | 0.000 | -0.000 | -0.000 | -0.000 | 12.080 |
| 351.117 | 263.436 | 263.436 | 0.000 | -0.000 | -0.000 |
| 263.436 | 351.117 | 263.436 | -0.000 | -0.000 | 0.000 |
| 263.436 | 263.436 | 351.117 | 0.000 | 0.000 | -0.000 |
| -0.000 | -0.000 | -0.000 | 12.080 | -0.000 | 0.000 |
| -0.000 | -0.000 | -0.000 | -0.000 | 12.080 | 0.000 |
| -0.000 | -0.000 | -0.000 | 0.000 | 0.000 | 12.080 |
| 351.115 | 263.436 | 263.436 | -0.000 | -0.000 | -0.000 |
| 263.436 | 351.115 | 263.436 | -0.000 | 0.000 | 0.000 |
| 263.436 | 263.436 | 351.115 | -0.000 | -0.000 | -0.000 |
| 0.000 | 0.000 | 0.000 | 12.080 | 0.000 | 0.000 |
| 0.000 | 0.000 | 0.000 | -0.000 | 12.080 | -0.000 |
| 0.000 | 0.000 | 0.000 | -0.000 | -0.000 | 12.080 |
| 351.124 | 263.438 | 263.438 | 0.000 | 0.000 | 0.000 |
| 263.438 | 351.124 | 263.438 | 0.000 | 0.000 | -0.000 |
| 263.438 | 263.438 | 351.124 | 0.000 | 0.000 | -0.000 |
| -0.000 | -0.000 | -0.000 | 12.080 | 0.000 | 0.000 |
| -0.000 | -0.000 | -0.000 | 0.000 | 12.080 | 0.000 |
| -0.000 | -0.000 | -0.000 | 0.000 | 0.000 | 12.080 |
| 351.107 | 263.434 | 263.434 | -0.000 | -0.000 | -0.000 |
| 263.434 | 351.107 | 263.434 | -0.000 | -0.000 | -0.000 |
| 263.434 | 263.434 | 351.107 | -0.000 | 0.000 | -0.000 |
| 0.000 | 0.000 | 0.000 | 12.080 | -0.000 | -0.000 |
| 0.000 | 0.000 | 0.000 | -0.000 | 12.080 | -0.000 |
| 0.000 | 0.000 | 0.000 | -0.000 | -0.000 | 12.080 |
| -162.256 | -36.034 | -36.034 | 0.000 | 0.000 | 0.000 |
| -36.034 | -162.256 | -36.034 | 0.000 | -0.000 | -0.000 |
| -36.034 | -36.034 | -162.256 | 0.000 | 0.000 | 0.000 |
| -0.000 | 0.000 | 0.000 | -36.034 | 0.000 | 0.000 |
| 0.000 | -0.000 | 0.000 | 0.000 | -36.034 | 0.000 |
| 0.000 | 0.000 | -0.000 | -0.000 | 0.000 | -36.034 |
| -162.256 | -36.034 | -36.034 | -0.000 | -0.000 | -0.000 |
| -36.034 | -162.256 | -36.034 | -0.000 | 0.000 | -0.000 |
| -36.034 | -36.034 | -162.256 | 0.000 | -0.000 | -0.000 |
| -0.000 | -0.000 | -0.000 | -36.034 | -0.000 | 0.000 |
| -0.000 | 0.000 | -0.000 | -0.000 | -36.034 | -0.000 |
| -0.000 | -0.000 | -0.000 | -0.000 | -0.000 | -36.034 |
| -162.256 | -36.034 | -36.034 | -0.000 | 0.000 | 0.000 |
| -36.034 | -162.256 | -36.034 | 0.000 | -0.000 | 0.000 |
| -36.034 | -36.034 | -162.256 | -0.000 | -0.000 | 0.000 |
| 0.000 | 0.000 | 0.000 | -36.034 | 0.000 | 0.000 |
| 0.000 | 0.000 | 0.000 | 0.000 | -36.034 | -0.000 |
| 0.000 | 0.000 | 0.000 | -0.000 | 0.000 | -36.034 |
| -162.256 | -36.034 | -36.034 | -0.000 | -0.000 | -0.000 |
| -36.034 | -162.256 | -36.034 | -0.000 | -0.000 | -0.000 |
| -36.034 | -36.034 | -162.256 | 0.000 | 0.000 | 0.000 |
| -0.000 | -0.000 | -0.000 | -36.034 | 0.000 | -0.000 |
| -0.000 | -0.000 | -0.000 | 0.000 | -36.034 | -0.000 |
| -0.000 | -0.000 | -0.000 | -0.000 | -0.000 | -36.034 |
| -162.257 | -36.034 | -36.034 | 0.000 | -0.000 | 0.000 |
| -36.034 | -162.257 | -36.034 | -0.000 | 0.000 | 0.000 |
| -36.034 | -36.034 | -162.257 | 0.000 | 0.000 | -0.000 |
| 0.000 | 0.000 | 0.000 | -36.034 | -0.000 | -0.000 |
| 0.000 | 0.000 | 0.000 | -0.000 | -36.034 | -0.000 |
| 0.000 | 0.000 | 0.000 | -0.000 | -0.000 | -36.034 |
| -162.255 | -36.034 | -36.034 | -0.000 | 0.000 | -0.000 |
| -36.034 | -162.255 | -36.034 | 0.000 | -0.000 | -0.000 |
| -36.034 | -36.034 | -162.255 | -0.000 | -0.000 | -0.000 |
| -0.000 | -0.000 | -0.000 | -36.034 | 0.000 | -0.000 |
| -0.000 | -0.000 | -0.000 | 0.000 | -36.034 | -0.000 |
| -0.000 | -0.000 | -0.000 | -0.000 | -0.000 | -36.034 |
| -161.327 | -36.003 | -36.004 | 0.000 | 0.000 | 0.000 |
| -36.003 | -161.327 | -36.004 | 0.000 | 0.000 | 0.000 |
| -36.003 | -36.004 | -161.327 | 0.000 | 0.000 | 0.000 |
| 0.000 | 0.000 | 0.000 | -36.293 | 0.000 | 0.000 |
| 0.000 | 0.000 | 0.000 | 0.000 | -36.293 | 0.000 |
| 0.000 | 0.000 | 0.000 | -0.000 | 0.000 | -36.293 |
| -161.327 | -36.004 | -36.004 | -0.000 | -0.000 | -0.000 |
| -36.004 | -161.327 | -36.004 | -0.000 | -0.000 | -0.000 |
| -36.004 | -36.004 | -161.327 | -0.000 | -0.000 | -0.000 |
| -0.000 | -0.000 | -0.000 | -36.293 | -0.000 | 0.000 |
| -0.000 | -0.000 | -0.000 | 0.000 | -36.293 | 0.000 |
| -0.000 | -0.000 | -0.000 | 0.000 | -0.000 | -36.293 |
| -161.327 | -36.003 | -36.003 | 0.000 | 0.000 | 0.000 |
| -36.003 | -161.327 | -36.003 | 0.000 | 0.000 | 0.000 |
| -36.003 | -36.003 | -161.327 | 0.000 | 0.000 | 0.000 |
| 0.000 | 0.000 | 0.000 | -36.293 | 0.000 | 0.000 |
| 0.000 | 0.000 | 0.000 | 0.000 | -36.293 | 0.000 |
| 0.000 | 0.000 | 0.000 | 0.000 | 0.000 | -36.293 |
| -161.327 | -36.004 | -36.004 | 0.000 | -0.000 | -0.000 |
| -36.004 | -161.327 | -36.004 | -0.000 | -0.000 | -0.000 |
| -36.004 | -36.004 | -161.327 | -0.000 | -0.000 | -0.000 |
| -0.000 | -0.000 | -0.000 | -36.293 | -0.000 | -0.000 |
| -0.000 | -0.000 | -0.000 | -0.000 | -36.293 | -0.000 |
| -0.000 | -0.000 | -0.000 | -0.000 | -0.000 | -36.293 |
| -161.327 | -36.003 | -36.003 | 0.000 | 0.000 | 0.000 |
| -36.003 | -161.327 | -36.003 | 0.000 | 0.000 | 0.000 |
| -36.003 | -36.003 | -161.327 | 0.000 | 0.000 | 0.000 |
| 0.000 | 0.000 | 0.000 | -36.293 | 0.000 | 0.000 |
| 0.000 | 0.000 | 0.000 | 0.000 | -36.293 | 0.000 |
| 0.000 | 0.000 | 0.000 | 0.000 | 0.000 | -36.293 |
| -161.326 | -36.004 | -36.004 | -0.000 | -0.000 | -0.000 |
| -36.004 | -161.326 | -36.004 | -0.000 | -0.000 | -0.000 |
| -36.004 | -36.004 | -161.326 | -0.000 | -0.000 | -0.000 |
| -0.000 | -0.000 | -0.000 | -36.293 | -0.000 | -0.000 |
| -0.000 | -0.000 | -0.000 | -0.000 | -36.293 | -0.000 |
| -0.000 | -0.000 | -0.000 | -0.000 | -0.000 | -36.293 |
| 83.566 | 0.048 | 0.048 | 0.000 | 0.000 | -0.000 |
| 0.048 | 83.566 | 0.048 | -0.000 | 0.000 | -0.000 |
| 0.048 | 0.048 | 83.566 | 0.000 | 0.000 | -0.000 |
| -0.000 | -0.000 | -0.000 | -0.048 | 0.000 | -0.000 |
| -0.000 | -0.000 | -0.000 | 0.000 | -0.048 | -0.000 |
| -0.000 | -0.000 | -0.000 | 0.000 | 0.000 | -0.048 |
| 83.566 | 0.048 | 0.048 | -0.000 | -0.000 | 0.000 |
| 0.048 | 83.566 | 0.048 | -0.000 | -0.000 | 0.000 |
| 0.048 | 0.048 | 83.566 | 0.000 | 0.000 | 0.000 |
| 0.000 | 0.000 | 0.000 | -0.048 | -0.000 | 0.000 |
| 0.000 | 0.000 | 0.000 | -0.000 | -0.048 | 0.000 |
| 0.000 | 0.000 | 0.000 | -0.000 | -0.000 | -0.048 |
| 83.566 | 0.048 | 0.048 | 0.000 | 0.000 | -0.000 |
| 0.048 | 83.566 | 0.048 | 0.000 | 0.000 | -0.000 |
| 0.048 | 0.048 | 83.566 | 0.000 | 0.000 | -0.000 |
| -0.000 | -0.000 | -0.000 | -0.048 | 0.000 | -0.000 |
| -0.000 | -0.000 | -0.000 | 0.000 | -0.048 | -0.000 |
| -0.000 | -0.000 | -0.000 | 0.000 | 0.000 | -0.048 |
| 83.566 | 0.048 | 0.048 | -0.000 | -0.000 | 0.000 |
| 0.048 | 83.566 | 0.048 | -0.000 | -0.000 | 0.000 |
| 0.048 | 0.048 | 83.566 | 0.000 | -0.000 | 0.000 |
| 0.000 | 0.000 | 0.000 | -0.048 | -0.000 | 0.000 |
| 0.000 | 0.000 | 0.000 | -0.000 | -0.048 | 0.000 |
| 0.000 | 0.000 | 0.000 | -0.000 | -0.000 | -0.048 |
| 83.565 | 0.048 | 0.048 | 0.000 | 0.000 | -0.000 |
| 0.048 | 83.565 | 0.048 | 0.000 | 0.000 | -0.000 |
| 0.048 | 0.048 | 83.565 | 0.000 | 0.000 | -0.000 |
| -0.000 | 0.000 | -0.000 | -0.048 | 0.000 | -0.000 |
| 0.000 | -0.000 | -0.000 | 0.000 | -0.048 | -0.000 |
| 0.000 | -0.000 | -0.000 | 0.000 | 0.000 | -0.048 |
| 83.567 | 0.048 | 0.048 | -0.000 | -0.000 | 0.000 |
| 0.048 | 83.567 | 0.048 | -0.000 | -0.000 | 0.000 |
| 0.048 | 0.048 | 83.567 | -0.000 | -0.000 | 0.000 |
| 0.000 | -0.000 | 0.000 | -0.048 | -0.000 | 0.000 |
| -0.000 | 0.000 | 0.000 | -0.000 | -0.048 | 0.000 |
| -0.000 | 0.000 | 0.000 | -0.000 | -0.000 | -0.048 |
| 463.906 | 244.165 | 278.966 | -0.000 | 0.000 | 0.000 |
| 244.165 | 463.906 | 278.966 | -0.000 | -0.000 | 0.000 |
| 278.966 | 278.966 | 612.636 | -0.000 | -0.000 | 0.000 |
| 0.000 | 0.000 | 0.000 | 48.390 | -0.000 | 0.000 |
| -0.000 | 0.000 | 0.000 | -0.000 | 48.390 | 0.000 |
| 0.000 | -0.000 | 0.000 | -0.000 | -0.000 | 109.871 |
| 463.906 | 244.165 | 278.966 | 0.000 | -0.000 | -0.000 |
| 244.165 | 463.906 | 278.966 | 0.000 | -0.000 | -0.000 |
| 278.966 | 278.966 | 612.636 | 0.000 | -0.000 | -0.000 |
| -0.000 | 0.000 | -0.000 | 48.390 | 0.000 | -0.000 |
| -0.000 | -0.000 | -0.000 | 0.000 | 48.390 | -0.000 |
| -0.000 | 0.000 | -0.000 | 0.000 | 0.000 | 109.871 |
| 463.906 | 244.165 | 278.966 | 0.000 | -0.000 | 0.000 |
| 244.165 | 463.906 | 278.966 | -0.000 | -0.000 | 0.000 |
| 278.966 | 278.966 | 612.637 | -0.000 | 0.000 | 0.000 |
| -0.000 | -0.000 | 0.000 | 48.390 | -0.000 | 0.000 |
| -0.000 | -0.000 | 0.000 | -0.000 | 48.390 | 0.000 |
| 0.000 | -0.000 | 0.000 | -0.000 | 0.000 | 109.871 |
| 463.906 | 244.165 | 278.966 | 0.000 | 0.000 | -0.000 |
| 244.165 | 463.906 | 278.966 | 0.000 | 0.000 | -0.000 |
| 278.966 | 278.966 | 612.635 | 0.000 | 0.000 | -0.000 |
| 0.000 | 0.000 | -0.000 | 48.390 | 0.000 | -0.000 |
| 0.000 | 0.000 | -0.000 | 0.000 | 48.390 | -0.000 |
| -0.000 | 0.000 | -0.000 | 0.000 | 0.000 | 109.871 |
| 463.906 | 244.166 | 278.966 | -0.000 | -0.000 | 0.000 |
| 244.165 | 463.907 | 278.966 | -0.000 | 0.000 | 0.000 |
| 278.967 | 278.967 | 612.644 | -0.000 | 0.000 | 0.000 |
| -0.000 | -0.000 | 0.001 | 48.390 | -0.000 | -0.000 |
| -0.000 | -0.000 | 0.001 | -0.000 | 48.390 | 0.000 |
| 0.000 | -0.001 | 0.000 | -0.000 | 0.000 | 109.871 |
| 463.906 | 244.164 | 278.966 | 0.000 | 0.000 | -0.000 |
| 244.165 | 463.905 | 278.966 | 0.000 | 0.000 | -0.000 |
| 278.965 | 278.965 | 612.628 | 0.000 | -0.000 | -0.000 |
| 0.000 | 0.000 | -0.001 | 48.390 | -0.000 | -0.000 |
| 0.000 | 0.000 | -0.001 | 0.000 | 48.390 | -0.000 |
| -0.000 | 0.001 | -0.000 | 0.000 | 0.000 | 109.871 |
| -3005.982 | 1821.283 | 5120.110 | -0.000 | -348.704 | 0.000 |
| -2167.777 | 1732.986 | 3295.475 | 0.000 | -1229.756 | -0.000 |
| -2146.480 | 1539.539 | 3444.664 | 0.000 | -1230.040 | 0.000 |
| -1519.175 | 1423.455 | 1532.709 | 83.837 | -902.719 | -17.594 |
| -2361.048 | 1378.782 | 3131.414 | 0.000 | -1152.834 | -0.000 |
| -3264.788 | 1061.742 | 4442.110 | -29.645 | -572.571 | 28.315 |
| 2689.870 | -1201.918 | -2941.245 | 0.000 | 1244.172 | -0.000 |
| 2526.483 | -1034.171 | -2984.117 | 0.000 | 1224.866 | 0.000 |
| 3544.104 | -1474.621 | -4607.812 | 0.000 | 358.281 | 0.000 |
| 1519.175 | -1423.455 | -1532.709 | 83.837 | 902.719 | -17.594 |
| 2333.054 | -1388.275 | -3148.031 | -0.000 | 1301.665 | -0.000 |
| 2347.195 | -1383.632 | -3139.882 | -24.487 | 1227.349 | 42.893 |
| 107.884 | 320.072 | 512.568 | -0.000 | -105.925 | 0.000 |
| 170.567 | 376.570 | 167.091 | -0.000 | -2.711 | -0.000 |
| -135.839 | 324.179 | 803.517 | -0.000 | -42.735 | -0.000 |
| -234.732 | 138.360 | 314.015 | 79.935 | -122.739 | -25.564 |
| -167.015 | 138.576 | 153.963 | 0.000 | -8.280 | 0.000 |
| -234.937 | 138.424 | 314.344 | -24.504 | -122.835 | 42.847 |
| 665.691 | 78.213 | -242.713 | 0.000 | 74.053 | 0.000 |
| 170.567 | 376.569 | 167.091 | -0.000 | -2.711 | 0.000 |
| 546.645 | -5.174 | -148.355 | -0.000 | 37.362 | -0.000 |
| 234.732 | -138.360 | -314.015 | 79.935 | 122.739 | -25.564 |
| 136.909 | -146.198 | -152.678 | 0.000 | 172.297 | 0.000 |
| -0.000 | -0.000 | -0.000 | -10.670 | -0.000 | 81.016 |
| 339.086 | 190.137 | 213.680 | -0.000 | 12.912 | 0.000 |
| 155.960 | 363.245 | 186.776 | -0.000 | -14.353 | -0.000 |
| 194.363 | 167.836 | 355.995 | -0.000 | 5.697 | -0.000 |
| -23.715 | 13.905 | 31.795 | 79.842 | -12.385 | -25.750 |
| -15.278 | -3.787 | 5.696 | -0.000 | 92.028 | 0.000 |
| -25.492 | 14.445 | 34.652 | -26.017 | -13.210 | 38.661 |
| 373.219 | 169.413 | 151.410 | -0.000 | 19.758 | 0.000 |
| 215.426 | 341.651 | 115.421 | 0.000 | 6.130 | 0.000 |
| 222.702 | 142.348 | 271.223 | 0.000 | 7.424 | -0.000 |
| 23.715 | -13.905 | -31.795 | 79.842 | 12.385 | -25.750 |
| 14.340 | -13.339 | -50.279 | 0.000 | 79.108 | 0.000 |
| 25.492 | -14.445 | -34.652 | -26.017 | 13.210 | 38.661 |
| 403.049 | 165.197 | 196.796 | 0.000 | -45.503 | 0.000 |
| -120.479 | 110.288 | 149.275 | 0.000 | -48.041 | 0.000 |
| -98.994 | 34.752 | 245.446 | 0.000 | -102.775 | -0.000 |
| -465.975 | -429.017 | 228.010 | 34.007 | -79.092 | -22.542 |
| -67.604 | -5.617 | -43.653 | 0.000 | 60.807 | -0.000 |
| 0.000 | 0.000 | -0.000 | -9.903 | 0.000 | 58.666 |
| 682.959 | 298.119 | 211.937 | -0.000 | 6.520 | 0.000 |
| 474.403 | 367.104 | 198.738 | -0.000 | 75.089 | 0.000 |
| 495.489 | 290.946 | 294.491 | -0.000 | 20.550 | -0.000 |
| 465.975 | 429.017 | -228.010 | 34.007 | 79.092 | -22.542 |
| -67.604 | -5.617 | -43.653 | -0.000 | 60.807 | -0.000 |
| -0.000 | -0.000 | -0.000 | -9.903 | -0.000 | 58.666 |
| 354.912 | 157.080 | 184.472 | 0.000 | -61.659 | 0.000 |
| 177.806 | 272.302 | 177.629 | 0.000 | -1.703 | 0.000 |
| 206.037 | 165.333 | 292.826 | 0.000 | -43.653 | 0.000 |
| 0.000 | 0.000 | 0.000 | 55.823 | -0.000 | -13.817 |
| -67.604 | -5.617 | -43.653 | 0.000 | 60.807 | 0.000 |
| 0.000 | 0.000 | 0.000 | -9.903 | -0.000 | 58.666 |
| 405.318 | 295.982 | 144.501 | -0.000 | -85.165 | -0.000 |
| 207.956 | 252.935 | 176.675 | 0.000 | 19.542 | -0.000 |
| 206.037 | 165.333 | 292.826 | -0.000 | -43.653 | -0.000 |
| -0.000 | -0.000 | -0.000 | 55.823 | 0.000 | -13.817 |
| -43.954 | 23.364 | -39.025 | -0.000 | 53.725 | -0.000 |
| -0.000 | -0.000 | -0.000 | -9.903 | 0.000 | 58.666 |
| 347.745 | 178.769 | 181.085 | 0.000 | -76.537 | 0.000 |
| 109.878 | -56.898 | 133.870 | 0.000 | 164.822 | -0.000 |
| 195.739 | 161.587 | 274.381 | 0.000 | -42.498 | 0.000 |
| -3.306 | -1.425 | -0.275 | 41.018 | -0.686 | -15.719 |
| -83.022 | 17.757 | -40.677 | 0.000 | 38.461 | -0.000 |
| -5.509 | -5.741 | 3.478 | -21.991 | -0.884 | 29.038 |
| 373.484 | 178.045 | 177.468 | -0.000 | -64.146 | 0.000 |
| 181.904 | 57.014 | 174.417 | -0.000 | 114.481 | 0.000 |
| 196.063 | 168.267 | 265.801 | -0.000 | -41.818 | -0.000 |
| 3.306 | 1.425 | 0.275 | 41.018 | 0.686 | -15.719 |
| -88.292 | 73.047 | -49.329 | -0.000 | 8.586 | 0.000 |
| 5.509 | 5.741 | -3.478 | -21.991 | 0.884 | 29.038 |
| 382.660 | 164.336 | 191.497 | -0.000 | 18.371 | -0.000 |
| 78.572 | 172.966 | -57.883 | 0.000 | -88.108 | 0.000 |
| 97.562 | -34.997 | 182.734 | 0.000 | -93.902 | -0.000 |
| 0.000 | 0.000 | 0.000 | 53.366 | 0.000 | -6.249 |
| -2.504 | -4.793 | -6.575 | -0.000 | 107.344 | 0.000 |
| 412.407 | 315.437 | 174.954 | -7.804 | -301.818 | 66.833 |
| 352.630 | 278.766 | 327.506 | -0.000 | 123.002 | -0.000 |
| 156.680 | 475.903 | 303.239 | -0.000 | 110.670 | 0.000 |
| 192.718 | 159.701 | 422.106 | 0.000 | -6.575 | -0.000 |
| -0.000 | -0.000 | -0.000 | 53.366 | -0.000 | -6.249 |
| -2.504 | -4.793 | -6.575 | 0.000 | 107.344 | 0.000 |
| -856.343 | -762.206 | -613.247 | -10.962 | 784.523 | 64.511 |
| 382.661 | 164.336 | 191.497 | -0.000 | 18.371 | -0.000 |
| 141.036 | 336.155 | 127.528 | 0.000 | -6.648 | 0.000 |
| 192.718 | 159.701 | 422.106 | -0.000 | -6.575 | -0.000 |
| 0.000 | 0.000 | 0.000 | 53.366 | 0.000 | -6.249 |
| 85.011 | 69.177 | 54.407 | -0.000 | -11.780 | -0.000 |
| 0.000 | 0.000 | 0.000 | -6.306 | -0.000 | 70.592 |
| 322.346 | 132.714 | 154.856 | -0.000 | 25.860 | 0.000 |
| 118.911 | 324.998 | 122.840 | -0.000 | 10.219 | 0.000 |
| 136.371 | 106.747 | 365.998 | -0.000 | 30.675 | 0.000 |
| -0.000 | -0.000 | -0.000 | 53.366 | -0.000 | -6.249 |
| -2.504 | -4.793 | -6.575 | 0.000 | 107.344 | 0.000 |
| -0.000 | -0.000 | -0.000 | -6.306 | 0.000 | 70.592 |
| 382.663 | 164.337 | 191.498 | -0.000 | 18.371 | 0.000 |
| 165.526 | 369.384 | 160.017 | -0.000 | -4.850 | -0.000 |
| 173.491 | 141.196 | 396.967 | -0.000 | -6.150 | 0.000 |
| 0.000 | 0.000 | 0.000 | 53.366 | 0.000 | -6.249 |
| -2.504 | -4.793 | -6.574 | -0.000 | 107.344 | -0.000 |
| 0.001 | 0.000 | 0.000 | -6.306 | -0.000 | 70.592 |
| 350.637 | 145.594 | 172.125 | 0.000 | 19.371 | -0.000 |
| 150.259 | 351.807 | 143.865 | 0.000 | -2.896 | 0.000 |
| 192.717 | 159.700 | 422.104 | 0.000 | -6.575 | -0.000 |
| -0.000 | -0.000 | -0.000 | 53.366 | -0.000 | -6.249 |
| -2.504 | -4.794 | -6.575 | 0.000 | 107.344 | 0.000 |
| -0.001 | -0.000 | -0.000 | -6.306 | 0.000 | 70.592 |
| 233.821 | 301.481 | 130.292 | 0.000 | 0.000 | 0.000 |
| 156.332 | 433.697 | 156.415 | 0.000 | 0.000 | -0.000 |
| 113.317 | 168.453 | 216.716 | -0.000 | 0.000 | 0.000 |
| 18.865 | 149.076 | 18.995 | 27.439 | 0.000 | 0.000 |
| 0.000 | 0.000 | 0.000 | 0.000 | 88.732 | -0.000 |
| 0.000 | 0.000 | -0.000 | 0.000 | 0.000 | 42.827 |
| 216.979 | 168.386 | 113.333 | 0.000 | -0.000 | 0.000 |
| 156.332 | 433.697 | 156.415 | -0.000 | -0.000 | 0.000 |
| 113.317 | 168.453 | 216.716 | 0.000 | -0.000 | 0.000 |
| -18.865 | -149.076 | -18.995 | 27.439 | -0.000 | -0.000 |
| -0.000 | -0.000 | -0.000 | -0.000 | 88.732 | -0.000 |
| -0.000 | -0.000 | 0.000 | -0.000 | -0.000 | 42.827 |
| 216.979 | 168.386 | 113.333 | -0.000 | 0.000 | 0.000 |
| 156.332 | 433.697 | 156.415 | -0.000 | 0.000 | 0.000 |
| 113.210 | 167.602 | 216.608 | -0.000 | 0.000 | -0.000 |
| 0.000 | 0.000 | -0.000 | 54.848 | 0.000 | -0.000 |
| 0.000 | 0.000 | 0.000 | 0.000 | 88.732 | 0.000 |
| -0.000 | 0.000 | 0.000 | 0.000 | 0.000 | 42.827 |
| 216.979 | 168.386 | 113.333 | -0.000 | -0.000 | 0.000 |
| 136.664 | 278.276 | 136.611 | -0.000 | -0.000 | -0.000 |
| 109.406 | 137.546 | 212.778 | 0.000 | -0.000 | -0.000 |
| -0.000 | -0.000 | 0.000 | 54.848 | -0.000 | -0.000 |
| -0.000 | -0.000 | -0.000 | -0.000 | 88.732 | 0.000 |
| 0.000 | -0.000 | -0.000 | -0.000 | -0.000 | 42.827 |
| 216.979 | 168.386 | 113.334 | 0.000 | 0.000 | 0.000 |
| 137.352 | 283.708 | 137.304 | 0.000 | 0.000 | -0.000 |
| 113.318 | 168.454 | 216.716 | 0.000 | 0.000 | -0.000 |
| 0.647 | 5.109 | 0.651 | -39.098 | 0.000 | -0.000 |
| 0.232 | 1.833 | 0.234 | 0.000 | 88.732 | -0.000 |
| 0.232 | 1.832 | 0.234 | 0.000 | 0.000 | -61.121 |
| 216.978 | 168.385 | 113.332 | -0.000 | -0.000 | 0.000 |
| 136.889 | 280.050 | 136.837 | -0.000 | -0.000 | -0.000 |
| 110.632 | 147.236 | 214.013 | 0.000 | -0.000 | 0.000 |
| -0.647 | -5.109 | -0.651 | -39.098 | -0.000 | -0.000 |
| -0.232 | -1.833 | -0.234 | -0.000 | 88.732 | 0.000 |
| -0.232 | -1.832 | -0.234 | -0.000 | -0.000 | -61.121 |
| 155.252 | -42.275 | -42.275 | 0.000 | -0.000 | -0.000 |
| -42.275 | 155.252 | -42.275 | -0.000 | -0.000 | 0.000 |
| -42.275 | -42.275 | 155.252 | 0.000 | -0.000 | 0.000 |
| -276.378 | -276.378 | -276.378 | 95.268 | -0.000 | 0.000 |
| -276.378 | -276.378 | -276.378 | 0.000 | 95.268 | 0.000 |
| -276.378 | -276.378 | -276.378 | 0.000 | -0.000 | 95.268 |
| 897.878 | 696.601 | 696.601 | 0.000 | 0.000 | -0.000 |
| 696.601 | 897.878 | 696.601 | 0.000 | -0.000 | -0.000 |
| 696.601 | 696.601 | 897.878 | 0.000 | 0.000 | -0.000 |
| 276.378 | 276.378 | 276.378 | 95.268 | 0.000 | 0.000 |
| 276.378 | 276.378 | 276.378 | 0.000 | 95.268 | 0.000 |
| 276.378 | 276.378 | 276.378 | -0.000 | 0.000 | 95.268 |
| 403.689 | 206.954 | 206.954 | -0.000 | -0.000 | 0.000 |
| 206.954 | 403.689 | 206.954 | 0.000 | -0.000 | 0.000 |
| 206.954 | 206.954 | 403.689 | 0.000 | -0.000 | -0.000 |
| -27.483 | -27.483 | -27.483 | 95.337 | -0.000 | 0.000 |
| -27.483 | -27.483 | -27.483 | -0.000 | 95.337 | -0.000 |
| -27.483 | -27.483 | -27.483 | 0.000 | -0.000 | 95.337 |
| 481.722 | 280.394 | 280.394 | 0.000 | 0.000 | 0.000 |
| 280.394 | 481.722 | 280.394 | -0.000 | 0.000 | -0.000 |
| 280.394 | 280.394 | 481.722 | -0.000 | 0.000 | 0.000 |
| 27.483 | 27.483 | 27.483 | 95.337 | 0.000 | -0.000 |
| 27.483 | 27.483 | 27.483 | 0.000 | 95.337 | -0.000 |
| 27.483 | 27.483 | 27.483 | 0.000 | -0.000 | 95.337 |
| 433.054 | 233.267 | 233.267 | -0.000 | -0.000 | 0.000 |
| 233.267 | 433.054 | 233.267 | -0.000 | -0.000 | 0.000 |
| 233.267 | 233.267 | 433.054 | -0.000 | -0.000 | -0.000 |
| -4.879 | -4.879 | -4.879 | 95.959 | -0.000 | 0.000 |
| -4.879 | -4.879 | -4.879 | 0.000 | 95.959 | 0.000 |
| -4.879 | -4.879 | -4.879 | 0.000 | -0.000 | 95.959 |
| 449.387 | 234.066 | 234.066 | 0.000 | 0.000 | 0.000 |
| 234.066 | 449.387 | 234.066 | 0.000 | 0.000 | -0.000 |
| 234.066 | 234.066 | 449.387 | -0.000 | 0.000 | 0.000 |
| 4.879 | 4.879 | 4.879 | 95.959 | -0.000 | -0.000 |
| 4.879 | 4.879 | 4.879 | 0.000 | 95.959 | 0.000 |
| 4.879 | 4.879 | 4.879 | -0.000 | 0.000 | 95.959 |
| 430.912 | 234.528 | 234.528 | -0.000 | -0.000 | -0.000 |
| 234.528 | 430.912 | 234.528 | -0.000 | -0.000 | -0.000 |
| 234.528 | 234.528 | 430.912 | -0.000 | -0.000 | -0.000 |
| 1.998 | 1.998 | 1.998 | 95.274 | -0.000 | -0.000 |
| 1.998 | 1.998 | 1.998 | -0.000 | 95.274 | -0.000 |
| 1.998 | 1.998 | 1.998 | -0.000 | -0.000 | 95.274 |
| 426.876 | 230.539 | 230.539 | 0.000 | 0.000 | 0.000 |
| 230.539 | 426.876 | 230.539 | 0.000 | 0.000 | 0.000 |
| 230.539 | 230.539 | 426.876 | 0.000 | 0.000 | 0.000 |
| -1.998 | -1.998 | -1.998 | 95.274 | 0.000 | 0.000 |
| -1.998 | -1.998 | -1.998 | 0.000 | 95.274 | 0.000 |
| -1.998 | -1.998 | -1.998 | 0.000 | 0.000 | 95.274 |
| 430.452 | 232.553 | 232.553 | -0.000 | -0.000 | -0.000 |
| 232.553 | 430.452 | 232.553 | -0.000 | -0.000 | -0.000 |
| 232.553 | 232.553 | 430.452 | -0.000 | -0.000 | -0.000 |
| 0.534 | 0.534 | 0.534 | 96.856 | -0.000 | -0.000 |
| 0.534 | 0.534 | 0.534 | -0.000 | 96.856 | -0.000 |
| 0.534 | 0.534 | 0.534 | 0.000 | -0.000 | 96.856 |
| 431.057 | 229.296 | 229.296 | 0.000 | 0.000 | 0.000 |
| 229.296 | 431.057 | 229.296 | 0.000 | 0.000 | 0.000 |
| 229.296 | 229.296 | 431.057 | 0.000 | 0.000 | 0.000 |
| -0.534 | -0.534 | -0.534 | 96.856 | 0.000 | -0.000 |
| -0.534 | -0.534 | -0.534 | 0.000 | 96.856 | 0.000 |
| -0.534 | -0.534 | -0.534 | 0.000 | 0.000 | 96.856 |
| 443.657 | 230.762 | 230.762 | 0.000 | -0.000 | -0.000 |
| 230.762 | 443.657 | 230.762 | -0.000 | -0.000 | -0.000 |
| 230.762 | 230.762 | 443.657 | -0.000 | -0.000 | -0.000 |
| 0.016 | 0.016 | 0.017 | 97.381 | -0.000 | -0.000 |
| 0.016 | 0.016 | 0.017 | -0.000 | 97.381 | -0.000 |
| 0.016 | 0.017 | 0.016 | -0.000 | -0.000 | 97.381 |
| 431.787 | 230.851 | 230.851 | 0.000 | 0.000 | 0.000 |
| 230.851 | 431.787 | 230.851 | 0.000 | 0.000 | 0.000 |
| 230.851 | 230.851 | 431.787 | -0.000 | 0.000 | 0.000 |
| -0.016 | -0.016 | -0.017 | 97.381 | 0.000 | 0.000 |
| -0.016 | -0.016 | -0.017 | 0.000 | 97.381 | 0.000 |
| -0.016 | -0.017 | -0.016 | -0.000 | 0.000 | 97.381 |
| 291.114 | 175.794 | 175.794 | 0.000 | -0.000 | -0.000 |
| 175.794 | 291.114 | 175.794 | 0.000 | -0.000 | 0.000 |
| 175.794 | 175.794 | 291.114 | -0.000 | -0.000 | -0.000 |
| -0.000 | 0.000 | 0.000 | 66.501 | -0.000 | 0.000 |
| 0.000 | 0.000 | 0.000 | 0.000 | 66.501 | -0.000 |
| 0.000 | 0.000 | -0.000 | 0.000 | -0.000 | 66.501 |
| 280.881 | 174.375 | 174.375 | -0.000 | 0.000 | 0.000 |
| 174.375 | 280.881 | 174.375 | -0.000 | -0.000 | -0.000 |
| 174.375 | 174.375 | 280.881 | -0.000 | -0.000 | -0.000 |
| -0.000 | -0.000 | -0.000 | 66.501 | 0.000 | -0.000 |
| -0.000 | -0.000 | -0.000 | -0.000 | 66.501 | -0.000 |
| 0.000 | -0.000 | 0.000 | -0.000 | 0.000 | 66.501 |
| 291.114 | 175.794 | 175.794 | 0.000 | 0.000 | 0.000 |
| 175.794 | 291.114 | 175.794 | 0.000 | -0.000 | -0.000 |
| 175.794 | 175.794 | 291.114 | 0.000 | -0.000 | 0.000 |
| 0.003 | 0.003 | 0.003 | 55.927 | 0.000 | -0.000 |
| 0.003 | 0.003 | 0.003 | 0.000 | 55.927 | 0.000 |
| 0.003 | 0.003 | 0.003 | 0.000 | 0.000 | 55.927 |
| 280.887 | 174.403 | 174.403 | -0.000 | -0.000 | -0.000 |
| 174.403 | 280.887 | 174.403 | -0.000 | -0.000 | -0.000 |
| 174.403 | 174.403 | 280.887 | -0.000 | -0.000 | 0.000 |
| -0.003 | -0.003 | -0.003 | 55.927 | -0.000 | -0.000 |
| -0.003 | -0.003 | -0.003 | -0.000 | 55.927 | 0.000 |
| -0.003 | -0.003 | -0.003 | 0.000 | 0.000 | 55.927 |
| 280.889 | 174.407 | 174.407 | 0.000 | 0.000 | 0.000 |
| 174.407 | 280.889 | 174.407 | 0.000 | 0.000 | 0.000 |
| 174.407 | 174.407 | 280.889 | 0.000 | 0.000 | 0.000 |
| 0.000 | 0.000 | 0.000 | 66.501 | -0.000 | 0.000 |
| 0.000 | 0.000 | 0.000 | 0.000 | 66.501 | 0.000 |
| 0.000 | 0.000 | 0.000 | 0.000 | -0.000 | 66.501 |
| 276.326 | 177.099 | 177.099 | -0.000 | 0.000 | -0.000 |
| 175.794 | 291.112 | 175.794 | -0.000 | 0.000 | -0.000 |
| 175.794 | 175.794 | 291.112 | -0.000 | 0.000 | -0.000 |
| -0.000 | -0.000 | -0.000 | 66.501 | -0.000 | -0.000 |
| -0.000 | -0.000 | -0.000 | -0.000 | 66.501 | 0.000 |
| -0.000 | -0.000 | -0.000 | -0.000 | 0.000 | 66.501 |
| 286.426 | 172.521 | 172.521 | 0.000 | 0.000 | -0.000 |
| 172.521 | 286.426 | 172.521 | 0.000 | 0.000 | -0.000 |
| 172.521 | 172.521 | 286.426 | 0.000 | 0.000 | -0.000 |
| -1.286 | -1.286 | -1.286 | 49.087 | 0.000 | -0.000 |
| -1.286 | -1.286 | -1.286 | -0.000 | 49.087 | -0.000 |
| -1.286 | -1.286 | -1.286 | -0.000 | 0.000 | 49.087 |
| 276.637 | 170.454 | 170.454 | -0.000 | -0.000 | -0.000 |
| 170.454 | 276.637 | 170.454 | 0.000 | -0.000 | -0.000 |
| 170.454 | 170.454 | 276.637 | -0.000 | -0.000 | -0.000 |
| 1.286 | 1.286 | 1.286 | 49.087 | -0.000 | 0.000 |
| 1.286 | 1.286 | 1.286 | 0.000 | 49.087 | 0.000 |
| 1.286 | 1.286 | 1.286 | 0.000 | -0.000 | 49.087 |
| 275.775 | 171.460 | 171.460 | -0.000 | 0.000 | 0.000 |
| 171.460 | 275.775 | 171.460 | -0.000 | -0.000 | 0.000 |
| 171.460 | 171.460 | 275.775 | -0.000 | 0.000 | 0.000 |
| 0.120 | 0.120 | 0.120 | 55.758 | -0.000 | 0.000 |
| 0.120 | 0.120 | 0.120 | -0.000 | 55.758 | 0.000 |
| 0.120 | 0.120 | 0.120 | 0.000 | -0.000 | 55.758 |
| 276.087 | 171.258 | 171.258 | -0.000 | -0.000 | -0.000 |
| 171.258 | 276.087 | 171.258 | 0.000 | 0.000 | -0.000 |
| 171.258 | 171.258 | 276.087 | 0.000 | -0.000 | -0.000 |
| -0.120 | -0.120 | -0.120 | 55.758 | -0.000 | -0.000 |
| -0.120 | -0.120 | -0.120 | 0.000 | 55.758 | -0.000 |
| -0.120 | -0.120 | -0.120 | 0.000 | -0.000 | 55.758 |
| 275.925 | 171.367 | 171.367 | -0.000 | -0.000 | 0.000 |
| 171.367 | 275.925 | 171.367 | 0.000 | 0.000 | 0.000 |
| 171.367 | 171.367 | 275.925 | -0.000 | -0.000 | 0.000 |
| -0.015 | -0.016 | -0.016 | 48.427 | 0.000 | -0.000 |
| -0.000 | -0.000 | -0.000 | 0.000 | 66.029 | -0.000 |
| -0.000 | -0.000 | -0.000 | 0.000 | 0.000 | 66.029 |
| 275.955 | 171.346 | 171.346 | 0.000 | -0.000 | -0.000 |
| 171.346 | 275.955 | 171.346 | 0.000 | -0.000 | -0.000 |
| 171.346 | 171.346 | 275.955 | -0.000 | -0.000 | -0.000 |
| 0.000 | 0.000 | 0.000 | 66.029 | -0.000 | 0.000 |
| 0.016 | 0.015 | 0.016 | 0.000 | 48.427 | 0.000 |
| 0.016 | 0.016 | 0.015 | 0.000 | -0.000 | 48.427 |
| 550.267 | 228.283 | 215.754 | -0.000 | -0.000 | 0.000 |
| 226.007 | 435.923 | 159.939 | 0.000 | 0.000 | -0.000 |
| 218.022 | 163.611 | 416.465 | 0.000 | -0.000 | 0.000 |
| -0.113 | 1.228 | -1.325 | -109.323 | 0.000 | 0.000 |
| -0.000 | -0.000 | -0.000 | -0.000 | 119.127 | 0.000 |
| 0.000 | 0.000 | 0.000 | -0.000 | 0.000 | 97.605 |
| 550.589 | 224.770 | 219.542 | 0.000 | 0.000 | 0.000 |
| 225.694 | 439.333 | 156.262 | -0.000 | 0.000 | -0.000 |
| 218.244 | 161.186 | 419.079 | 0.000 | -0.000 | -0.000 |
| 0.113 | -1.228 | 1.325 | -109.323 | -0.000 | -0.000 |
| 0.000 | 0.000 | 0.000 | 0.000 | 119.127 | 0.000 |
| -0.000 | -0.000 | -0.000 | 0.000 | 0.000 | 97.605 |
| 550.453 | 226.245 | 217.953 | -0.000 | -0.000 | -0.000 |
| 226.092 | 435.004 | 160.932 | -0.000 | -0.000 | 0.000 |
| 218.587 | 157.447 | 423.113 | -0.000 | 0.000 | 0.000 |
| -0.011 | 0.123 | -0.132 | -109.776 | 0.000 | 0.000 |
| -0.000 | 0.000 | -0.000 | -0.000 | 119.127 | 0.000 |
| -0.000 | 0.000 | 0.000 | -0.000 | 0.000 | 97.605 |
| 550.454 | 226.244 | 217.952 | 0.000 | 0.000 | 0.000 |
| 225.694 | 439.332 | 156.262 | 0.000 | -0.000 | -0.000 |
| 218.587 | 157.447 | 423.112 | 0.000 | -0.000 | -0.000 |
| 0.011 | -0.123 | 0.132 | -109.776 | 0.000 | -0.000 |
| 0.000 | -0.000 | 0.000 | 0.000 | 119.127 | -0.000 |
| 0.000 | -0.000 | -0.000 | 0.000 | 0.000 | 97.605 |
| 550.452 | 226.245 | 217.953 | -0.000 | 0.000 | 0.000 |
| 225.696 | 439.338 | 156.265 | -0.000 | -0.000 | -0.000 |
| 218.588 | 157.449 | 423.117 | 0.000 | 0.000 | 0.000 |
| -0.008 | 0.088 | -0.089 | -109.779 | -0.000 | -0.000 |
| -0.001 | 0.000 | -0.000 | -0.000 | 119.127 | -0.000 |
| -0.000 | 0.001 | 0.000 | -0.000 | -0.000 | 97.605 |
| 550.418 | 226.640 | 217.525 | 0.000 | -0.000 | 0.000 |
| 225.692 | 439.327 | 156.260 | 0.000 | 0.000 | 0.000 |
| 218.586 | 157.445 | 423.107 | 0.000 | -0.000 | -0.000 |
| 0.008 | -0.088 | 0.089 | -109.779 | -0.000 | -0.000 |
| 0.001 | -0.000 | 0.000 | 0.000 | 119.127 | -0.000 |
| 0.000 | -0.001 | -0.000 | 0.000 | -0.000 | 97.605 |
| 263.769 | 89.851 | 141.950 | 0.000 | -0.000 | -0.000 |
| 92.288 | 277.929 | 136.483 | 0.000 | -0.000 | -0.000 |
| 142.424 | 134.520 | 484.833 | 0.000 | -0.000 | -0.000 |
| -0.000 | -0.000 | -0.000 | 82.710 | -0.000 | -0.000 |
| -0.000 | -0.000 | -0.000 | 0.000 | 42.611 | -0.000 |
| -0.000 | -0.002 | -0.000 | 0.000 | -0.000 | -112.746 |
| 263.769 | 89.852 | 141.951 | -0.000 | 0.000 | 0.000 |
| 92.288 | 277.930 | 136.483 | -0.000 | 0.000 | 0.000 |
| 148.338 | 163.463 | 493.283 | 0.000 | 0.000 | 0.000 |
| 0.000 | 0.000 | 0.000 | 82.710 | 0.000 | 0.000 |
| 0.000 | 0.000 | 0.000 | -0.000 | 42.611 | 0.000 |
| 0.000 | 0.002 | 0.000 | -0.000 | 0.000 | -112.746 |
| 263.770 | 89.852 | 141.951 | 0.000 | -0.000 | -0.000 |
| 112.544 | 377.059 | 165.426 | 0.000 | -0.000 | -0.000 |
| 148.338 | 163.463 | 493.283 | 0.000 | -0.000 | -0.000 |
| 0.000 | -0.000 | -0.000 | 93.181 | 0.000 | -0.000 |
| 0.000 | 0.000 | -0.000 | 0.000 | 42.611 | 0.000 |
| 0.001 | 0.000 | 0.000 | 0.000 | -0.000 | -112.746 |
| 263.768 | 89.851 | 141.950 | -0.000 | 0.000 | 0.000 |
| 112.544 | 377.059 | 165.426 | -0.000 | 0.000 | 0.000 |
| 142.424 | 134.520 | 484.833 | -0.000 | 0.000 | 0.000 |
| -0.000 | 0.000 | 0.000 | 93.181 | -0.000 | 0.000 |
| -0.000 | -0.000 | 0.000 | -0.000 | 42.611 | 0.000 |
| -0.001 | -0.000 | -0.000 | -0.000 | 0.000 | -112.746 |
| 267.913 | 110.109 | 147.866 | 0.000 | -0.000 | -0.000 |
| 92.290 | 277.932 | 136.485 | 0.000 | -0.000 | -0.000 |
| 148.338 | 163.463 | 493.284 | -0.000 | -0.000 | -0.000 |
| 0.000 | -0.000 | -0.000 | 82.710 | 0.000 | -0.000 |
| 0.001 | 0.001 | 0.000 | 0.000 | 42.611 | 0.000 |
| 0.013 | 0.006 | 0.003 | 0.000 | -0.000 | -112.746 |
| 267.903 | 110.106 | 147.863 | -0.000 | 0.000 | 0.000 |
| 92.285 | 277.926 | 136.481 | -0.000 | 0.000 | 0.000 |
| 142.423 | 134.519 | 484.831 | -0.000 | 0.000 | 0.000 |
| -0.000 | 0.000 | 0.000 | 82.710 | 0.000 | 0.000 |
| -0.001 | -0.001 | -0.000 | -0.000 | 42.611 | 0.000 |
| -0.027 | -0.029 | -0.010 | 0.000 | 0.000 | -170.737 |
| 293.273 | 106.753 | 161.554 | -0.000 | -0.000 | 0.000 |
| 116.146 | 320.975 | 180.530 | -0.000 | 0.000 | 0.000 |
| 162.105 | 163.055 | 510.066 | -0.000 | 0.000 | 0.000 |
| -0.108 | -1.524 | -0.291 | 92.638 | 0.000 | 0.000 |
| 0.000 | 0.000 | -0.000 | -0.000 | 52.386 | 0.000 |
| -1.265 | -17.772 | -3.395 | -0.000 | 0.000 | -35.584 |
| 293.941 | 116.146 | 163.349 | 0.000 | -0.000 | -0.000 |
| 111.674 | 258.148 | 168.527 | 0.000 | -0.000 | -0.000 |
| 162.759 | 172.242 | 511.821 | 0.000 | -0.000 | -0.000 |
| 0.108 | 1.524 | 0.291 | 92.638 | -0.000 | 0.000 |
| -0.000 | -0.000 | 0.000 | 0.000 | 52.386 | 0.000 |
| 1.265 | 17.772 | 3.395 | 0.000 | -0.000 | -35.584 |
| 293.942 | 116.146 | 163.349 | -0.000 | 0.000 | -0.000 |
| 111.315 | 253.094 | 167.561 | -0.000 | 0.000 | -0.000 |
| 162.399 | 167.189 | 510.856 | -0.000 | 0.000 | 0.000 |
| -0.011 | -0.151 | -0.029 | 92.706 | 0.000 | 0.000 |
| 0.000 | 0.000 | 0.000 | -0.000 | 52.386 | -0.000 |
| -0.133 | -1.885 | -0.360 | -0.000 | 0.000 | -39.231 |
| 293.632 | 111.806 | 162.519 | 0.000 | -0.000 | 0.000 |
| 116.146 | 320.975 | 180.530 | 0.000 | -0.000 | 0.000 |
| 162.464 | 168.108 | 511.031 | 0.000 | -0.000 | -0.000 |
| 0.011 | 0.151 | 0.029 | 92.706 | -0.000 | 0.000 |
| -0.000 | -0.000 | -0.000 | 0.000 | 52.386 | 0.000 |
| 0.133 | 1.885 | 0.360 | 0.000 | -0.000 | -39.231 |
| 293.603 | 111.302 | 162.424 | -0.000 | -0.000 | -0.000 |
| 111.344 | 253.507 | 167.641 | -0.000 | 0.000 | 0.000 |
| 162.429 | 167.604 | 510.936 | -0.000 | 0.000 | 0.000 |
| -0.001 | -0.015 | -0.003 | 92.707 | -0.000 | -0.000 |
| -0.002 | -0.045 | -0.009 | -0.000 | 52.386 | -0.000 |
| -0.006 | -0.186 | -0.034 | -0.000 | -0.000 | -39.271 |
| 293.935 | 116.145 | 163.347 | 0.000 | -0.000 | -0.000 |
| 111.350 | 253.600 | 167.657 | 0.000 | -0.000 | -0.000 |
| 162.435 | 167.694 | 510.951 | 0.000 | 0.000 | -0.000 |
| 0.001 | 0.015 | 0.003 | 92.707 | -0.000 | -0.000 |
| 0.002 | 0.045 | 0.009 | 0.000 | 52.386 | -0.000 |
| 0.006 | 0.186 | 0.034 | 0.000 | -0.000 | -39.271 |
| -1662612178.990 | -1853703094.489 | -2031072769.726 | -1389815.784 | -338241.432 | -11153681.723 |
| 436.182 | 72.728 | 88.773 | 0.000 | 0.000 | 0.000 |
| 88.774 | 88.773 | 405.823 | 0.000 | -0.000 | -0.000 |
| 0.000 | -0.000 | 0.000 | -68.614 | -0.000 | 0.000 |
| 0.000 | -0.000 | 0.000 | -0.000 | -68.614 | 0.000 |
| -0.000 | 0.000 | 0.000 | -0.000 | -0.000 | 47.232 |
| 301.686 | 207.223 | 88.773 | 0.000 | 0.000 | 0.000 |
| 207.223 | 301.686 | 88.773 | -0.000 | 0.000 | 0.000 |
| 88.773 | 88.774 | 405.822 | -0.000 | -0.000 | -0.000 |
| -0.000 | 0.000 | -0.000 | -68.614 | 0.000 | 0.000 |
| -0.000 | 0.000 | -0.000 | 0.000 | -68.614 | 0.000 |
| 0.000 | -0.000 | -0.000 | 0.000 | 0.000 | 47.232 |
| -185941009.963 | -206209255.831 | -243977632.066 | 10939.902 | -28469.938 | -1020083.942 |
| 95244684.865 | 93053869.542 | 40404976.046 | -0.007 | -0.000 | 0.473 |
| 88.774 | 88.774 | 405.823 | -0.000 | -0.000 | 0.000 |
| -0.000 | 0.000 | 0.000 | -68.614 | -0.000 | 0.000 |
| 0.000 | 0.000 | 0.000 | 0.000 | -68.614 | -0.000 |
| 0.000 | 0.000 | 0.000 | 0.000 | 0.000 | -181.727 |
| 301.686 | 207.223 | 88.773 | 0.000 | 0.000 | 0.000 |
| 163114115.297 | 189568258.202 | 217879577.385 | 27479.531 | -2259.240 | 4960728.627 |
| 88.773 | 88.773 | 405.822 | -0.000 | 0.000 | 0.000 |
| 0.000 | -0.000 | -0.000 | -68.614 | 0.000 | -0.000 |
| -0.000 | -0.000 | -0.000 | -0.000 | -68.614 | 0.000 |
| -0.000 | -0.000 | -0.000 | -0.000 | -0.000 | -181.727 |
| 301.686 | 207.223 | 88.775 | 0.000 | -0.000 | -0.000 |
| 9524802.661 | 9305584.212 | 4040561.746 | 0.000 | 0.000 | 0.009 |
| 88.776 | 88.776 | 405.831 | 0.000 | -0.000 | 0.000 |
| 0.000 | 0.001 | 0.001 | -68.614 | -0.000 | -0.000 |
| 0.001 | 0.000 | 0.001 | -0.000 | -68.614 | -0.000 |
| -17454990.814 | -15136191.030 | -18379428.865 | -8604.980 | 4173.288 | 570533.598 |
| -9524064.585 | -9305080.979 | -4040230.539 | 0.000 | 0.000 | -0.007 |
| 207.223 | 301.686 | 88.772 | -0.000 | 0.000 | 0.000 |
| 88.771 | 88.771 | 405.814 | 0.000 | 0.000 | -0.000 |
| -0.000 | -0.001 | -0.001 | -68.614 | 0.000 | 0.000 |
| -0.001 | -0.000 | -0.001 | 0.000 | -68.614 | 0.000 |
| 19184512.361 | 18627658.804 | 21968898.594 | 11455.246 | -13533.037 | 908845.283 |
| -48.905 | 268.644 | 133.988 | 49.120 | 0.000 | -0.000 |
| 596307520.528 | -896970753.372 | 79232767.459 | -379730140.626 | 0.088 | -0.007 |
| 92.037 | 92.037 | 303.769 | 0.000 | 0.000 | -0.000 |
| 17.331 | -17.331 | -0.000 | -13.394 | -0.000 | -0.000 |
| 0.000 | 0.000 | -0.002 | -0.000 | -19.542 | 49.120 |
| -0.000 | -0.000 | -0.000 | -0.000 | 17.331 | 5.617 |
| 119.929 | 108.696 | 92.241 | 17.331 | -0.000 | 0.000 |
| 108.696 | 119.929 | 92.241 | -17.331 | 0.000 | 0.000 |
| 92.037 | 92.037 | 303.769 | 0.000 | 0.000 | 0.000 |
| 49.120 | -49.121 | 0.002 | -19.542 | -0.000 | 0.000 |
| -0.000 | -0.000 | 0.002 | 0.000 | -19.542 | 49.120 |
| 0.000 | 0.000 | 0.000 | 0.000 | 17.331 | 5.617 |
| -140669689.584 | -116960452.824 | -60941193.621 | 11892866.113 | 3184538.121 | -2724234.887 |
| 108.696 | 119.929 | 92.241 | -17.331 | 0.000 | 0.000 |
| 99.009 | 99.009 | 238.267 | -0.000 | 0.000 | -0.000 |
| 17.331 | -17.331 | -0.000 | -13.394 | 0.000 | -0.000 |
| 0.000 | 0.000 | 0.000 | -0.000 | -19.542 | 49.120 |
| -0.000 | -0.000 | 0.000 | -0.000 | 17.331 | 5.617 |
| 119.929 | 108.696 | 92.241 | 17.331 | -0.000 | 0.000 |
| 132274221.481 | 123398799.980 | 57892516.174 | -9507461.047 | -4482137.319 | 2582738.341 |
| 92.037 | 92.037 | 303.769 | 0.000 | -0.000 | 0.000 |
| 49.120 | -49.120 | -0.000 | -19.542 | -0.000 | 0.000 |
| -0.000 | -0.000 | -0.000 | 0.000 | -19.542 | 49.120 |
| 0.000 | 0.000 | -0.000 | 0.000 | 17.331 | 5.617 |
| -5126860.543 | 1572768.326 | 995368.478 | 2962105.373 | 0.000 | -0.000 |
| 118.693 | 109.376 | 94.851 | -19.318 | 0.000 | -0.000 |
| 99.010 | 99.010 | 238.267 | -0.000 | 0.000 | -0.000 |
| 5963106.256 | -8969743.219 | 792336.303 | -3797247.891 | -0.000 | 0.000 |
| -5236519.202 | 2229882.452 | 792335.508 | 1898632.509 | -3288516.533 | 6466115.516 |
| -5236490.541 | 2229885.471 | 792333.048 | 1898655.183 | 3288588.952 | -6466053.510 |
| -5962906.085 | 8969819.637 | -792211.374 | 3797322.886 | -0.000 | 0.000 |
| 108.696 | 119.930 | 92.241 | -17.332 | -0.000 | -0.000 |
| 99.009 | 99.009 | 238.264 | 0.000 | -0.000 | 0.000 |
| 13173959.342 | 12272735.334 | 5742380.693 | -814593.691 | -824043.096 | 239912.412 |
| 5236518.571 | -2229882.775 | -792336.551 | -1898632.151 | -3288516.243 | 6466115.276 |
| 5236490.944 | -2229885.853 | -792333.470 | -1898657.651 | 3288587.690 | -6466053.737 |
| 251.910 | 193.969 | 193.969 | -0.000 | -0.000 | -0.000 |
| 193.969 | 251.910 | 193.969 | -0.000 | -0.000 | -0.000 |
| 193.969 | 193.969 | 251.910 | -0.000 | -0.000 | -0.000 |
| 0.000 | 0.000 | -0.000 | 16.732 | 0.000 | -0.000 |
| 0.000 | -0.000 | -0.000 | -0.000 | 16.732 | 0.000 |
| 0.000 | 0.000 | -0.000 | 0.000 | 0.000 | 16.732 |
| 251.910 | 193.969 | 193.969 | 0.000 | -0.000 | 0.000 |
| 193.969 | 251.910 | 193.969 | 0.000 | 0.000 | 0.000 |
| 193.969 | 193.969 | 251.910 | 0.000 | 0.000 | 0.000 |
| -0.000 | -0.000 | 0.000 | 16.732 | -0.000 | 0.000 |
| -0.000 | 0.000 | 0.000 | -0.000 | 16.732 | -0.000 |
| -0.000 | -0.000 | 0.000 | -0.000 | -0.000 | 16.732 |
| 251.910 | 193.969 | 193.969 | -0.000 | 0.000 | 0.000 |
| 193.969 | 251.910 | 193.969 | 0.000 | -0.000 | 0.000 |
| 193.969 | 193.969 | 251.910 | 0.000 | 0.000 | -0.000 |
| 0.000 | -0.000 | -0.000 | 9.925 | 0.000 | 0.000 |
| -0.000 | 0.000 | -0.000 | 0.000 | 9.925 | -0.000 |
| -0.000 | -0.000 | 0.000 | -0.000 | 0.000 | 9.925 |
| 251.910 | 193.969 | 193.969 | -0.000 | 0.000 | 0.000 |
| 193.969 | 251.910 | 193.969 | 0.000 | 0.000 | -0.000 |
| 193.969 | 193.969 | 251.910 | -0.000 | -0.000 | 0.000 |
| -0.000 | 0.000 | 0.000 | 9.925 | -0.000 | 0.000 |
| 0.000 | -0.000 | 0.000 | -0.000 | 9.925 | 0.000 |
| 0.000 | 0.000 | -0.000 | -0.000 | -0.000 | 9.925 |
| 251.910 | 193.969 | 193.969 | 0.000 | -0.000 | -0.000 |
| 193.969 | 251.910 | 193.969 | -0.000 | -0.000 | 0.000 |
| 193.969 | 193.969 | 251.910 | -0.000 | 0.000 | -0.000 |
| 0.000 | 0.000 | 0.000 | 16.732 | 0.000 | 0.000 |
| 0.000 | 0.000 | 0.000 | 0.000 | 16.732 | 0.000 |
| 0.000 | 0.000 | 0.000 | 0.000 | 0.000 | 16.732 |
| 251.909 | 193.969 | 193.969 | 0.000 | 0.000 | 0.000 |
| 193.969 | 251.909 | 193.969 | 0.000 | -0.000 | -0.000 |
| 193.969 | 193.969 | 251.909 | -0.000 | -0.000 | -0.000 |
| -0.000 | -0.000 | -0.000 | 16.732 | -0.000 | -0.000 |
| -0.000 | -0.000 | -0.000 | -0.000 | 16.732 | -0.000 |
| -0.000 | -0.000 | -0.000 | -0.000 | -0.000 | 16.732 |
| 67.886 | 18.428 | 18.428 | -0.000 | 0.000 | -0.000 |
| 18.428 | 67.886 | 18.428 | 0.000 | 0.000 | 0.000 |
| 18.428 | 18.428 | 67.886 | 0.000 | 0.000 | -0.000 |
| -0.000 | 0.000 | 0.000 | 12.052 | 0.000 | 0.000 |
| 0.000 | -0.000 | 0.000 | 0.000 | 12.052 | -0.000 |
| -0.000 | 0.000 | -0.000 | -0.000 | -0.000 | 12.052 |
| 67.886 | 18.428 | 18.428 | -0.000 | -0.000 | 0.000 |
| 18.428 | 67.886 | 18.428 | -0.000 | 0.000 | -0.000 |
| 18.428 | 18.428 | 67.886 | -0.000 | -0.000 | 0.000 |
| 0.000 | 0.000 | 0.000 | 12.052 | 0.000 | -0.000 |
| 0.000 | -0.000 | 0.000 | 0.000 | 12.052 | 0.000 |
| 0.000 | 0.000 | 0.000 | 0.000 | 0.000 | 12.052 |
| 67.886 | 18.428 | 18.428 | 0.000 | -0.000 | -0.000 |
| 18.428 | 67.886 | 18.428 | -0.000 | -0.000 | -0.000 |
| 18.428 | 18.428 | 67.886 | -0.000 | -0.000 | -0.000 |
| -0.000 | -0.000 | -0.000 | 12.052 | -0.000 | 0.000 |
| -0.000 | -0.000 | -0.000 | -0.000 | 12.052 | -0.000 |
| -0.000 | -0.000 | -0.000 | -0.000 | -0.000 | 12.052 |
| 67.886 | 18.428 | 18.428 | -0.000 | -0.000 | -0.000 |
| 18.428 | 67.886 | 18.428 | 0.000 | -0.000 | -0.000 |
| 18.428 | 18.428 | 67.886 | -0.000 | -0.000 | -0.000 |
| 0.000 | 0.000 | 0.000 | 12.052 | 0.000 | -0.000 |
| 0.000 | 0.000 | 0.000 | -0.000 | 12.052 | 0.000 |
| 0.000 | 0.000 | 0.000 | -0.000 | 0.000 | 12.052 |
| 67.886 | 18.428 | 18.428 | -0.000 | -0.000 | -0.000 |
| 18.428 | 67.886 | 18.428 | -0.000 | -0.000 | 0.000 |
| 18.428 | 18.428 | 67.886 | 0.000 | 0.000 | -0.000 |
| -0.000 | -0.000 | -0.000 | 12.052 | 0.000 | 0.000 |
| -0.000 | -0.000 | -0.000 | 0.000 | 12.052 | -0.000 |
| -0.000 | -0.000 | -0.000 | 0.000 | -0.000 | 12.052 |
| 67.885 | 18.429 | 18.429 | -0.000 | -0.000 | 0.000 |
| 18.429 | 67.885 | 18.429 | 0.000 | -0.000 | -0.000 |
| 18.429 | 18.429 | 67.885 | -0.000 | -0.000 | 0.000 |
| 0.000 | 0.000 | 0.000 | 12.052 | 0.000 | -0.000 |
| 0.000 | 0.000 | 0.000 | -0.000 | 12.052 | 0.000 |
| 0.000 | 0.000 | 0.000 | 0.000 | 0.000 | 12.052 |
| -84.595 | -62.628 | -62.628 | 0.000 | 0.000 | -0.000 |
| -62.628 | -84.595 | -62.628 | -0.000 | 0.000 | 0.000 |
| -62.628 | -62.628 | -84.595 | 0.000 | 0.000 | 0.000 |
| 0.000 | 0.000 | 0.000 | -52.646 | 0.000 | 0.000 |
| 0.000 | 0.000 | 0.000 | 0.000 | -52.646 | 0.000 |
| 0.000 | 0.000 | 0.000 | 0.000 | 0.000 | -52.646 |
| -84.595 | -62.628 | -62.628 | -0.000 | -0.000 | 0.000 |
| -62.628 | -84.595 | -62.628 | 0.000 | -0.000 | -0.000 |
| -62.628 | -62.628 | -84.595 | -0.000 | -0.000 | -0.000 |
| -0.000 | -0.000 | -0.000 | -52.646 | -0.000 | -0.000 |
| -0.000 | -0.000 | -0.000 | -0.000 | -52.646 | -0.000 |
| -0.000 | -0.000 | -0.000 | 0.000 | -0.000 | -52.646 |
| -84.595 | -62.628 | -62.628 | 0.000 | 0.000 | 0.000 |
| -62.628 | -84.595 | -62.628 | -0.000 | 0.000 | -0.000 |
| -62.628 | -62.628 | -84.595 | 0.000 | 0.000 | 0.000 |
| -0.000 | 0.000 | -0.000 | -52.646 | 0.000 | -0.000 |
| 0.000 | -0.000 | -0.000 | 0.000 | -52.646 | 0.000 |
| 0.000 | -0.000 | -0.000 | 0.000 | 0.000 | -52.646 |
| -84.595 | -62.628 | -62.628 | -0.000 | -0.000 | -0.000 |
| -62.628 | -84.595 | -62.628 | -0.000 | 0.000 | 0.000 |
| -62.628 | -62.628 | -84.595 | -0.000 | -0.000 | -0.000 |
| 0.000 | -0.000 | 0.000 | -52.646 | -0.000 | -0.000 |
| -0.000 | 0.000 | 0.000 | -0.000 | -52.646 | 0.000 |
| -0.000 | -0.000 | 0.000 | -0.000 | 0.000 | -52.646 |
| -84.594 | -62.628 | -62.628 | -0.000 | -0.000 | 0.000 |
| -62.628 | -84.594 | -62.628 | -0.000 | 0.000 | 0.000 |
| -62.628 | -62.628 | -84.594 | 0.000 | 0.000 | 0.000 |
| -0.000 | 0.000 | -0.000 | -52.646 | 0.000 | -0.000 |
| 0.000 | -0.000 | -0.000 | -0.000 | -52.646 | 0.000 |
| 0.000 | -0.000 | -0.000 | 0.000 | -0.000 | -52.646 |
| -84.595 | -62.628 | -62.628 | -0.000 | -0.000 | 0.000 |
| -62.628 | -84.595 | -62.628 | 0.000 | -0.000 | -0.000 |
| -62.628 | -62.628 | -84.595 | -0.000 | -0.000 | 0.000 |
| 0.000 | -0.000 | 0.000 | -52.646 | -0.000 | -0.000 |
| -0.000 | 0.000 | 0.000 | -0.000 | -52.646 | -0.000 |
| -0.000 | 0.000 | 0.000 | -0.000 | -0.000 | -52.646 |
| -64.704 | -47.140 | -47.140 | 0.000 | 0.000 | 0.000 |
| -47.140 | -64.704 | -47.140 | 0.000 | 0.000 | 0.000 |
| -47.140 | -47.140 | -64.704 | 0.000 | 0.000 | 0.000 |
| -0.000 | -0.000 | -0.000 | -47.140 | 0.000 | -0.000 |
| -0.000 | -0.000 | -0.000 | 0.000 | -47.140 | 0.000 |
| -0.000 | -0.000 | -0.000 | 0.000 | 0.000 | -47.140 |
| -64.704 | -47.140 | -47.140 | -0.000 | -0.000 | -0.000 |
| -47.140 | -64.704 | -47.140 | -0.000 | -0.000 | -0.000 |
| -47.140 | -47.140 | -64.704 | -0.000 | -0.000 | -0.000 |
| 0.000 | 0.000 | 0.000 | -47.140 | -0.000 | -0.000 |
| 0.000 | 0.000 | 0.000 | -0.000 | -47.140 | -0.000 |
| 0.000 | 0.000 | 0.000 | -0.000 | -0.000 | -47.140 |
| -64.705 | -47.140 | -47.140 | 0.000 | 0.000 | 0.000 |
| -47.140 | -64.705 | -47.140 | 0.000 | 0.000 | 0.000 |
| -47.140 | -47.140 | -64.705 | 0.000 | 0.000 | 0.000 |
| -0.000 | -0.000 | -0.000 | -47.140 | 0.000 | 0.000 |
| -0.000 | -0.000 | -0.000 | 0.000 | -47.140 | 0.000 |
| -0.000 | -0.000 | -0.000 | 0.000 | 0.000 | -47.140 |
| -64.704 | -47.140 | -47.140 | 0.000 | -0.000 | 0.000 |
| -47.140 | -64.704 | -47.140 | 0.000 | -0.000 | 0.000 |
| -47.140 | -47.140 | -64.704 | 0.000 | 0.000 | -0.000 |
| 0.000 | 0.000 | 0.000 | -47.140 | -0.000 | -0.000 |
| 0.000 | 0.000 | 0.000 | -0.000 | -47.140 | -0.000 |
| 0.000 | 0.000 | 0.000 | -0.000 | -0.000 | -47.140 |
| -64.706 | -47.141 | -47.141 | 0.000 | 0.000 | -0.000 |
| -47.141 | -64.706 | -47.141 | 0.000 | 0.000 | -0.000 |
| -47.141 | -47.141 | -64.706 | -0.000 | -0.000 | 0.000 |
| -0.000 | -0.000 | -0.000 | -47.140 | 0.000 | 0.000 |
| -0.000 | -0.000 | -0.000 | 0.000 | -47.140 | 0.000 |
| -0.000 | -0.000 | -0.000 | 0.000 | 0.000 | -47.140 |
| -64.703 | -47.140 | -47.140 | -0.000 | -0.000 | -0.000 |
| -47.140 | -64.703 | -47.140 | -0.000 | -0.000 | -0.000 |
| -47.140 | -47.140 | -64.703 | -0.000 | -0.000 | -0.000 |
| 0.000 | 0.000 | 0.000 | -47.140 | -0.000 | -0.000 |
| 0.000 | 0.000 | 0.000 | -0.000 | -47.140 | -0.000 |
| 0.000 | 0.000 | 0.000 | -0.000 | -0.000 | -47.140 |
| 69.569 | 33.626 | 33.626 | 0.000 | -0.000 | -0.000 |
| 33.626 | 69.569 | 33.626 | -0.000 | -0.000 | 0.000 |
| 33.626 | 33.626 | 69.569 | -0.000 | -0.000 | -0.000 |
| -0.000 | -0.000 | -0.000 | 17.292 | -0.000 | 0.000 |
| -0.000 | -0.000 | -0.000 | -0.000 | 17.292 | 0.000 |
| -0.000 | -0.000 | -0.000 | -0.000 | -0.000 | 17.292 |
| 69.569 | 33.626 | 33.626 | 0.000 | 0.000 | 0.000 |
| 33.626 | 69.569 | 33.626 | 0.000 | 0.000 | 0.000 |
| 33.626 | 33.626 | 69.569 | 0.000 | 0.000 | -0.000 |
| 0.000 | 0.000 | 0.000 | 17.292 | 0.000 | -0.000 |
| 0.000 | 0.000 | 0.000 | 0.000 | 17.292 | -0.000 |
| 0.000 | 0.000 | 0.000 | 0.000 | 0.000 | 17.292 |
| 69.569 | 33.626 | 33.626 | -0.000 | -0.000 | -0.000 |
| 33.626 | 69.569 | 33.626 | -0.000 | -0.000 | -0.000 |
| 33.626 | 33.626 | 69.569 | -0.000 | -0.000 | -0.000 |
| -0.000 | -0.000 | -0.000 | 17.292 | -0.000 | 0.000 |
| -0.000 | -0.000 | -0.000 | -0.000 | 17.292 | -0.000 |
| -0.000 | -0.000 | -0.000 | -0.000 | -0.000 | 17.292 |
| 69.569 | 33.626 | 33.626 | 0.000 | 0.000 | 0.000 |
| 33.626 | 69.569 | 33.626 | 0.000 | 0.000 | -0.000 |
| 33.626 | 33.626 | 69.569 | 0.000 | 0.000 | -0.000 |
| 0.000 | 0.000 | 0.000 | 17.292 | 0.000 | -0.000 |
| 0.000 | 0.000 | 0.000 | 0.000 | 17.292 | -0.000 |
| 0.000 | 0.000 | 0.000 | 0.000 | 0.000 | 17.292 |
| 69.569 | 33.626 | 33.626 | -0.000 | -0.000 | -0.000 |
| 33.626 | 69.569 | 33.626 | -0.000 | -0.000 | -0.000 |
| 33.626 | 33.626 | 69.569 | -0.000 | -0.000 | -0.000 |
| -0.000 | -0.000 | -0.000 | 17.292 | -0.000 | 0.000 |
| -0.000 | -0.000 | -0.000 | -0.000 | 17.292 | -0.000 |
| -0.000 | -0.000 | -0.000 | -0.000 | -0.000 | 17.292 |
| 69.569 | 33.627 | 33.627 | 0.000 | 0.000 | 0.000 |
| 33.627 | 69.569 | 33.627 | 0.000 | 0.000 | -0.000 |
| 33.627 | 33.627 | 69.569 | 0.000 | 0.000 | 0.000 |
| 0.000 | 0.000 | 0.000 | 17.292 | 0.000 | 0.000 |
| 0.000 | 0.000 | 0.000 | 0.000 | 17.292 | -0.000 |
| 0.000 | 0.000 | 0.000 | 0.000 | 0.000 | 17.292 |
| 74.934 | 40.024 | 40.024 | 0.000 | 0.000 | -0.000 |
| 40.024 | 74.934 | 40.024 | 0.000 | 0.000 | 0.000 |
| 40.024 | 40.024 | 74.934 | 0.000 | 0.000 | -0.000 |
| 0.000 | 0.000 | -0.000 | 19.089 | 0.000 | -0.000 |
| 0.000 | 0.000 | -0.000 | 0.000 | 19.089 | -0.000 |
| 0.000 | 0.000 | 0.000 | 0.000 | 0.000 | 19.089 |
| 74.934 | 40.024 | 40.024 | -0.000 | -0.000 | 0.000 |
| 40.024 | 74.934 | 40.024 | -0.000 | -0.000 | 0.000 |
| 40.024 | 40.024 | 74.934 | -0.000 | -0.000 | 0.000 |
| -0.000 | -0.000 | 0.000 | 19.089 | -0.000 | 0.000 |
| -0.000 | -0.000 | 0.000 | 0.000 | 19.089 | 0.000 |
| -0.000 | -0.000 | -0.000 | -0.000 | -0.000 | 19.089 |
| 74.934 | 40.024 | 40.024 | 0.000 | 0.000 | -0.000 |
| 40.024 | 74.934 | 40.024 | 0.000 | 0.000 | -0.000 |
| 40.024 | 40.024 | 74.934 | 0.000 | 0.000 | -0.000 |
| -0.000 | -0.000 | -0.000 | 19.089 | 0.000 | -0.000 |
| -0.000 | -0.000 | -0.000 | 0.000 | 19.089 | -0.000 |
| -0.000 | -0.000 | -0.000 | 0.000 | 0.000 | 19.089 |
| 74.934 | 40.024 | 40.024 | -0.000 | -0.000 | -0.000 |
| 40.024 | 74.934 | 40.024 | -0.000 | -0.000 | 0.000 |
| 40.024 | 40.024 | 74.934 | 0.000 | 0.000 | 0.000 |
| 0.000 | 0.000 | 0.000 | 19.089 | -0.000 | 0.000 |
| 0.000 | 0.000 | 0.000 | -0.000 | 19.089 | 0.000 |
| 0.000 | 0.000 | 0.000 | -0.000 | -0.000 | 19.089 |
| 74.934 | 40.023 | 40.023 | 0.000 | 0.000 | -0.000 |
| 40.023 | 74.934 | 40.023 | 0.000 | 0.000 | -0.000 |
| 40.023 | 40.023 | 74.934 | -0.000 | 0.000 | -0.000 |
| -0.000 | -0.000 | -0.000 | 19.089 | 0.000 | -0.000 |
| -0.000 | -0.000 | -0.000 | 0.000 | 19.089 | -0.000 |
| -0.000 | -0.000 | -0.000 | 0.000 | -0.000 | 19.089 |
| 74.934 | 40.024 | 40.024 | -0.000 | -0.000 | 0.000 |
| 40.024 | 74.934 | 40.024 | -0.000 | -0.000 | -0.000 |
| 40.024 | 40.024 | 74.934 | -0.000 | -0.000 | -0.000 |
| 0.000 | 0.000 | 0.000 | 19.089 | -0.000 | 0.000 |
| 0.000 | 0.000 | 0.000 | -0.000 | 19.089 | 0.000 |
| 0.000 | 0.000 | 0.000 | -0.000 | -0.000 | 19.089 |
| -8.448 | -7.326 | -7.326 | -0.000 | -0.000 | -0.000 |
| -7.326 | -8.448 | -7.326 | -0.000 | -0.000 | -0.000 |
| -7.326 | -7.326 | -8.448 | -0.000 | -0.000 | -0.000 |
| 0.000 | 0.000 | 0.000 | -18.374 | -0.000 | -0.000 |
| 0.000 | 0.000 | 0.000 | -0.000 | -18.374 | -0.000 |
| 0.000 | 0.000 | 0.000 | -0.000 | -0.000 | -18.374 |
| -8.448 | -7.326 | -7.326 | 0.000 | 0.000 | 0.000 |
| -7.326 | -8.448 | -7.326 | 0.000 | 0.000 | 0.000 |
| -7.326 | -7.326 | -8.448 | 0.000 | 0.000 | 0.000 |
| -0.000 | -0.000 | -0.000 | -18.374 | 0.000 | 0.000 |
| -0.000 | -0.000 | -0.000 | 0.000 | -18.374 | 0.000 |
| -0.000 | -0.000 | -0.000 | 0.000 | 0.000 | -18.374 |
| -8.448 | -7.326 | -7.326 | -0.000 | -0.000 | -0.000 |
| -7.326 | -8.448 | -7.326 | -0.000 | -0.000 | -0.000 |
| -7.326 | -7.326 | -8.448 | -0.000 | -0.000 | -0.000 |
| 0.000 | 0.000 | 0.000 | -8.445 | -0.000 | 0.000 |
| 0.000 | 0.000 | 0.000 | -0.000 | -8.445 | -0.000 |
| 0.000 | 0.000 | 0.000 | -0.000 | -0.000 | -8.445 |
| -8.448 | -7.326 | -7.326 | 0.000 | 0.000 | 0.000 |
| -7.326 | -8.448 | -7.326 | 0.000 | 0.000 | -0.000 |
| -7.326 | -7.326 | -8.448 | 0.000 | 0.000 | 0.000 |
| -0.000 | -0.000 | -0.000 | -8.445 | 0.000 | -0.000 |
| -0.000 | -0.000 | -0.000 | 0.000 | -8.445 | 0.000 |
| -0.000 | -0.000 | -0.000 | 0.000 | 0.000 | -8.445 |
| -8.448 | -7.326 | -7.326 | -0.000 | -0.000 | -0.000 |
| -7.326 | -8.448 | -7.326 | -0.000 | -0.000 | 0.000 |
| -7.326 | -7.326 | -8.448 | 0.000 | 0.000 | -0.000 |
| 0.000 | 0.000 | 0.000 | -8.445 | -0.000 | -0.000 |
| 0.000 | 0.000 | 0.000 | -0.000 | -8.445 | -0.000 |
| 0.000 | 0.000 | 0.000 | -0.000 | -0.000 | -8.445 |
| -8.448 | -7.326 | -7.326 | 0.000 | 0.000 | 0.000 |
| -7.326 | -8.448 | -7.326 | 0.000 | 0.000 | 0.000 |
| -7.326 | -7.326 | -8.448 | 0.000 | 0.000 | 0.000 |
| -0.000 | -0.000 | -0.000 | -8.445 | 0.000 | 0.000 |
| -0.000 | -0.000 | -0.000 | 0.000 | -8.445 | 0.000 |
| -0.000 | -0.000 | -0.000 | 0.000 | 0.000 | -8.445 |
| 225.100 | 202.157 | 175.825 | -0.000 | -0.000 | -0.000 |
| 202.157 | 225.100 | 175.825 | -0.000 | -0.000 | -0.000 |
| 187.673 | 187.673 | 226.207 | 0.000 | -0.000 | -0.000 |
| -0.000 | -0.000 | -0.000 | 9.774 | 0.000 | -0.000 |
| -0.000 | -0.000 | -0.000 | 0.000 | 9.774 | -0.000 |
| -0.000 | -0.000 | -0.000 | -0.000 | -0.000 | 76.344 |
| 225.100 | 202.157 | 175.825 | 0.000 | 0.000 | 0.000 |
| 202.157 | 225.100 | 175.825 | -0.000 | 0.000 | -0.000 |
| 187.673 | 187.673 | 226.207 | 0.000 | 0.000 | -0.000 |
| 0.000 | 0.000 | 0.000 | 9.774 | -0.000 | 0.000 |
| 0.000 | 0.000 | 0.000 | -0.000 | 9.774 | -0.000 |
| 0.000 | 0.000 | 0.000 | 0.000 | 0.000 | 76.344 |
| 225.099 | 202.157 | 175.825 | -0.000 | -0.000 | -0.000 |
| 202.157 | 225.099 | 175.825 | 0.000 | -0.000 | -0.000 |
| 187.673 | 187.673 | 226.207 | 0.000 | 0.000 | -0.000 |
| -0.000 | -0.000 | -0.000 | 9.774 | -0.000 | -0.000 |
| -0.000 | -0.000 | -0.000 | 0.000 | 9.774 | -0.000 |
| -0.000 | -0.000 | -0.000 | -0.000 | -0.000 | 76.344 |
| 245.101 | 210.781 | 173.132 | 0.000 | 0.000 | -0.000 |
| 210.781 | 245.101 | 173.132 | -0.000 | 0.000 | 0.000 |
| 187.673 | 187.673 | 226.207 | 0.000 | 0.000 | 0.000 |
| 0.000 | 0.000 | 0.000 | 9.774 | -0.000 | 0.000 |
| 0.000 | 0.000 | 0.000 | -0.000 | 9.774 | 0.000 |
| 0.000 | 0.000 | 0.000 | 0.000 | 0.000 | 76.344 |
| -9087097.682 | -8665309.588 | -3453832.605 | -44841.649 | -30907.838 | -364822.834 |
| -8344468.105 | -8529041.597 | -2885813.649 | -22611.749 | -26347.304 | -183968.632 |
| 185.878 | 185.878 | 226.543 | -0.000 | -0.000 | -0.000 |
| 0.000 | -0.002 | -0.001 | 9.767 | 0.000 | 0.000 |
| -0.002 | 0.000 | -0.001 | 0.000 | 9.767 | 0.000 |
| -0.001 | -0.001 | -0.000 | -0.000 | -0.000 | 74.975 |
| 8295231.955 | 8811590.571 | 2297983.540 | 20053.065 | 15492.923 | 386643.014 |
| 8977412.401 | 8126942.710 | 3615678.895 | -34805.161 | 10680.422 | 79994.345 |
| 185.881 | 185.881 | 226.546 | 0.000 | 0.000 | 0.000 |
| -0.000 | 0.002 | 0.001 | 9.767 | -0.000 | -0.000 |
| 0.002 | -0.000 | 0.001 | -0.000 | 9.767 | -0.000 |
| 0.001 | 0.001 | 0.000 | 0.000 | 0.000 | 74.975 |
| 449.822 | 202.179 | 177.414 | -0.000 | -0.000 | 0.000 |
| 202.179 | 449.822 | 177.414 | -0.000 | -0.000 | 0.000 |
| 178.513 | 178.513 | 444.553 | -0.000 | -0.000 | 0.000 |
| -0.000 | -0.000 | -0.000 | 80.380 | -0.000 | 0.000 |
| -0.000 | -0.000 | -0.000 | -0.000 | 80.380 | -0.000 |
| -0.000 | -0.000 | -0.000 | 0.000 | 0.000 | 174.587 |
| 449.822 | 202.179 | 177.414 | 0.000 | 0.000 | -0.000 |
| 202.179 | 449.822 | 177.414 | 0.000 | 0.000 | -0.000 |
| 195.594 | 195.594 | 458.813 | 0.000 | 0.000 | 0.000 |
| 0.000 | 0.000 | 0.000 | 80.380 | 0.000 | -0.000 |
| 0.000 | 0.000 | 0.000 | 0.000 | 80.380 | -0.000 |
| 0.000 | 0.000 | 0.000 | 0.000 | -0.000 | 174.587 |
| 473.875 | 221.677 | 195.594 | -0.000 | -0.000 | -0.000 |
| 221.677 | 473.875 | 195.594 | -0.000 | 0.000 | 0.000 |
| 195.594 | 195.594 | 458.813 | -0.000 | -0.000 | 0.000 |
| -0.000 | -0.000 | -0.000 | 75.063 | -0.000 | 0.000 |
| -0.000 | -0.000 | -0.000 | -0.000 | 75.063 | 0.000 |
| -0.000 | -0.000 | -0.000 | -0.000 | -0.000 | 174.587 |
| 473.876 | 221.677 | 195.594 | 0.000 | 0.000 | 0.000 |
| 221.677 | 473.876 | 195.594 | 0.000 | 0.000 | -0.000 |
| 178.513 | 178.513 | 444.553 | 0.000 | 0.000 | -0.000 |
| 0.000 | 0.000 | 0.000 | 75.063 | -0.000 | -0.000 |
| 0.000 | 0.000 | 0.000 | 0.000 | 75.063 | -0.000 |
| 0.000 | 0.000 | 0.000 | 0.000 | 0.000 | 174.587 |
| 449.817 | 202.179 | 177.413 | -0.000 | -0.000 | 0.000 |
| 202.179 | 449.817 | 177.413 | -0.000 | -0.000 | 0.000 |
| 178.513 | 178.513 | 444.553 | -0.000 | -0.000 | 0.000 |
| -0.001 | -0.002 | -0.001 | 75.063 | 0.000 | 0.000 |
| -0.002 | -0.001 | -0.001 | 0.000 | 75.063 | 0.000 |
| -0.001 | -0.001 | -0.000 | -0.000 | 0.000 | 174.587 |
| 447.501 | 207.139 | 178.515 | 0.000 | 0.000 | -0.000 |
| 207.139 | 447.501 | 178.515 | 0.000 | 0.000 | -0.000 |
| 178.514 | 178.514 | 444.552 | 0.000 | -0.000 | -0.000 |
| 0.001 | 0.002 | 0.001 | 75.063 | 0.000 | -0.000 |
| 0.002 | 0.001 | 0.001 | 0.000 | 75.063 | -0.000 |
| 0.001 | 0.001 | 0.000 | 0.000 | 0.000 | 174.587 |
| 66.372 | 60.328 | 60.328 | -0.000 | -0.000 | -0.000 |
| 60.328 | 66.372 | 60.328 | -0.000 | -0.000 | -0.000 |
| 60.328 | 60.328 | 66.372 | -0.000 | -0.000 | -0.000 |
| -0.000 | -0.000 | -0.000 | 4.228 | -0.000 | -0.000 |
| -0.000 | -0.000 | 0.000 | -0.000 | 4.228 | -0.000 |
| -0.000 | -0.000 | 0.000 | -0.000 | 0.000 | 4.228 |
| 66.373 | 60.328 | 60.328 | 0.000 | 0.000 | 0.000 |
| 60.328 | 66.373 | 60.328 | 0.000 | 0.000 | 0.000 |
| 60.328 | 60.328 | 66.372 | 0.000 | 0.000 | 0.000 |
| 0.000 | 0.000 | 0.000 | 4.228 | 0.000 | 0.000 |
| 0.000 | 0.000 | 0.000 | -0.000 | 4.228 | 0.000 |
| 0.000 | 0.000 | -0.000 | 0.000 | 0.000 | 4.228 |
| 66.372 | 60.328 | 60.328 | -0.000 | -0.000 | -0.000 |
| 60.328 | 66.372 | 60.328 | -0.000 | -0.000 | -0.000 |
| 60.328 | 60.328 | 66.372 | -0.000 | -0.000 | -0.000 |
| -0.000 | -0.000 | -0.000 | 39.561 | 0.000 | -0.000 |
| -0.000 | -0.000 | -0.000 | 0.000 | 39.561 | -0.000 |
| -0.000 | -0.000 | -0.000 | -0.000 | -0.000 | 39.561 |
| 66.373 | 60.328 | 60.328 | 0.000 | 0.000 | 0.000 |
| 60.328 | 66.373 | 60.328 | 0.000 | 0.000 | 0.000 |
| 60.328 | 60.328 | 66.373 | 0.000 | 0.000 | 0.000 |
| 0.000 | 0.000 | 0.000 | 39.561 | 0.000 | 0.000 |
| 0.000 | 0.000 | 0.000 | 0.000 | 39.561 | 0.000 |
| 0.000 | 0.000 | 0.000 | 0.000 | 0.000 | 39.561 |
| 66.372 | 60.328 | 60.328 | -0.000 | -0.000 | -0.000 |
| 60.328 | 66.372 | 60.328 | -0.000 | -0.000 | -0.000 |
| 60.328 | 60.328 | 66.372 | -0.000 | -0.000 | -0.000 |
| -0.000 | -0.000 | -0.000 | 4.228 | -0.000 | -0.000 |
| -0.000 | -0.000 | -0.000 | -0.000 | 4.228 | -0.000 |
| -0.000 | -0.000 | -0.000 | -0.000 | -0.000 | 4.228 |
| 66.373 | 60.328 | 60.328 | 0.000 | 0.000 | 0.000 |
| 60.328 | 66.373 | 60.328 | 0.000 | 0.000 | 0.000 |
| 60.328 | 60.328 | 66.373 | 0.000 | 0.000 | 0.000 |
| 0.000 | 0.000 | 0.000 | 4.228 | 0.000 | 0.000 |
| 0.000 | 0.000 | 0.000 | 0.000 | 4.228 | 0.000 |
| 0.000 | 0.000 | 0.000 | 0.000 | 0.000 | 4.228 |
| 381.640 | 266.837 | 266.837 | -0.000 | 0.000 | -0.000 |
| 266.837 | 381.640 | 266.837 | 0.000 | -0.000 | -0.000 |
| 266.837 | 266.837 | 381.641 | -0.000 | -0.000 | -0.000 |
| 0.000 | 0.000 | 0.000 | 3.464 | 0.000 | -0.000 |
| 0.000 | 0.000 | 0.000 | 0.000 | 3.464 | 0.000 |
| 0.000 | 0.000 | 0.000 | 0.000 | 0.000 | 3.464 |
| 381.641 | 266.837 | 266.837 | 0.000 | -0.000 | 0.000 |
| 266.837 | 381.641 | 266.837 | 0.000 | -0.000 | 0.000 |
| 266.837 | 266.837 | 381.640 | 0.000 | 0.000 | 0.000 |
| -0.000 | -0.000 | -0.000 | 3.464 | -0.000 | -0.000 |
| -0.000 | -0.000 | -0.000 | -0.000 | 3.464 | -0.000 |
| -0.000 | 0.000 | -0.000 | 0.000 | -0.000 | 3.464 |
| 381.641 | 266.837 | 266.837 | -0.000 | -0.000 | -0.000 |
| 266.837 | 381.641 | 266.837 | -0.000 | -0.000 | -0.000 |
| 266.837 | 266.837 | 381.641 | -0.000 | -0.000 | -0.000 |
| 0.000 | 0.000 | 0.000 | 3.464 | -0.000 | 0.000 |
| 0.000 | 0.000 | 0.000 | -0.000 | 3.464 | 0.000 |
| 0.000 | 0.000 | 0.000 | -0.000 | -0.000 | 3.464 |
| 381.640 | 266.837 | 266.837 | 0.000 | -0.000 | 0.000 |
| 266.837 | 381.640 | 266.837 | 0.000 | -0.000 | -0.000 |
| 266.837 | 266.837 | 381.640 | -0.000 | -0.000 | 0.000 |
| -0.000 | -0.000 | -0.000 | 3.464 | 0.000 | -0.000 |
| -0.000 | -0.000 | -0.000 | 0.000 | 3.464 | 0.000 |
| -0.000 | -0.000 | -0.000 | 0.000 | -0.000 | 3.464 |
| 381.642 | 266.838 | 266.838 | -0.000 | -0.000 | -0.000 |
| 266.838 | 381.642 | 266.838 | -0.000 | -0.000 | -0.000 |
| 266.838 | 266.838 | 381.642 | -0.000 | -0.000 | -0.000 |
| 0.001 | 0.001 | 0.000 | 3.464 | 0.000 | 0.000 |
| 0.001 | 0.001 | 0.000 | 0.000 | 3.464 | -0.000 |
| 0.001 | 0.000 | 0.001 | -0.000 | -0.000 | 3.464 |
| 381.638 | 266.837 | 266.837 | 0.000 | -0.000 | 0.000 |
| 266.837 | 381.638 | 266.837 | -0.000 | 0.000 | 0.000 |
| 266.837 | 266.837 | 381.638 | 0.000 | 0.000 | 0.000 |
| -0.001 | -0.001 | -0.000 | 3.464 | 0.000 | 0.000 |
| -0.001 | -0.001 | -0.000 | 0.000 | 3.464 | 0.000 |
| -0.001 | -0.000 | -0.001 | 0.000 | -0.000 | 3.464 |
| 126.409 | 50.192 | 50.192 | -0.000 | -0.000 | -0.000 |
| 50.192 | 126.409 | 50.192 | -0.000 | -0.000 | -0.000 |
| 50.192 | 50.192 | 126.409 | 0.000 | 0.000 | -0.000 |
| -0.000 | -0.000 | -0.000 | 34.314 | 0.000 | -0.000 |
| -0.000 | -0.000 | -0.000 | 0.000 | 34.314 | -0.000 |
| -0.000 | -0.000 | -0.000 | -0.000 | -0.000 | 34.314 |
| 126.409 | 50.192 | 50.192 | 0.000 | -0.000 | 0.000 |
| 50.192 | 126.409 | 50.192 | -0.000 | -0.000 | 0.000 |
| 50.192 | 50.192 | 126.409 | 0.000 | 0.000 | 0.000 |
| 0.000 | 0.000 | 0.000 | 34.314 | 0.000 | 0.000 |
| 0.000 | 0.000 | 0.000 | 0.000 | 34.314 | 0.000 |
| 0.000 | 0.000 | 0.000 | 0.000 | 0.000 | 34.314 |
| 126.408 | 50.192 | 50.192 | -0.000 | -0.000 | -0.000 |
| 50.192 | 126.408 | 50.192 | -0.000 | 0.000 | -0.000 |
| 50.192 | 50.192 | 126.408 | -0.000 | -0.000 | -0.000 |
| -0.000 | -0.000 | -0.000 | 34.285 | -0.000 | -0.000 |
| -0.000 | -0.000 | -0.000 | -0.000 | 34.285 | -0.000 |
| -0.000 | -0.000 | -0.000 | -0.000 | -0.000 | 34.285 |
| 126.410 | 50.193 | 50.193 | 0.000 | -0.000 | 0.000 |
| 50.193 | 126.410 | 50.193 | 0.000 | 0.000 | -0.000 |
| 50.193 | 50.193 | 126.410 | 0.000 | -0.000 | -0.000 |
| 0.000 | 0.000 | 0.000 | 34.285 | -0.000 | 0.000 |
| 0.000 | 0.000 | 0.000 | 0.000 | 34.285 | 0.000 |
| 0.000 | 0.000 | 0.000 | -0.000 | 0.000 | 34.285 |
| 126.401 | 50.192 | 50.192 | -0.000 | -0.000 | -0.000 |
| 50.192 | 126.401 | 50.192 | 0.000 | 0.000 | -0.000 |
| 50.192 | 50.192 | 126.401 | -0.000 | -0.000 | -0.000 |
| -0.000 | -0.001 | -0.001 | 34.314 | -0.000 | -0.000 |
| -0.001 | -0.000 | -0.001 | -0.000 | 34.314 | -0.000 |
| -0.001 | -0.001 | -0.000 | -0.000 | -0.000 | 34.314 |
| 126.416 | 50.193 | 50.193 | -0.000 | 0.000 | 0.000 |
| 50.193 | 126.416 | 50.193 | 0.000 | 0.000 | -0.000 |
| 50.193 | 50.193 | 126.416 | 0.000 | 0.000 | -0.000 |
| 0.000 | 0.001 | 0.001 | 34.314 | -0.000 | 0.000 |
| 0.001 | 0.000 | 0.001 | -0.000 | 34.314 | 0.000 |
| 0.001 | 0.001 | 0.000 | 0.000 | 0.000 | 34.314 |
| 28.456 | 29.223 | 29.223 | 0.000 | 0.000 | 0.000 |
| 29.223 | 28.456 | 29.223 | 0.000 | 0.000 | 0.000 |
| 29.223 | 29.223 | 28.456 | 0.000 | 0.000 | 0.000 |
| -0.000 | -0.000 | 0.000 | 28.026 | 0.000 | 0.000 |
| -0.000 | -0.000 | 0.000 | 0.000 | 28.026 | 0.000 |
| -0.000 | 0.000 | 0.000 | 0.000 | 0.000 | 28.026 |
| 28.456 | 29.223 | 29.223 | 0.000 | 0.000 | 0.000 |
| 29.223 | 28.456 | 29.223 | 0.000 | 0.000 | -0.000 |
| 29.223 | 29.223 | 28.456 | -0.000 | -0.000 | 0.000 |
| 0.000 | -0.000 | -0.000 | 28.026 | -0.000 | -0.000 |
| 0.000 | 0.000 | -0.000 | -0.000 | 28.026 | -0.000 |
| 0.000 | -0.000 | -0.000 | -0.000 | -0.000 | 28.026 |
| 28.456 | 29.223 | 29.223 | -0.000 | -0.000 | -0.000 |
| 29.223 | 28.456 | 29.223 | -0.000 | -0.000 | 0.000 |
| 29.223 | 29.223 | 28.456 | 0.000 | 0.000 | 0.000 |
| 0.000 | -0.000 | -0.000 | 14.266 | 0.000 | 0.000 |
| -0.000 | 0.000 | -0.000 | 0.000 | 14.266 | 0.000 |
| -0.000 | -0.000 | 0.000 | 0.000 | 0.000 | 14.266 |
| 28.456 | 29.223 | 29.223 | -0.000 | -0.000 | -0.000 |
| 29.223 | 28.456 | 29.223 | -0.000 | -0.000 | -0.000 |
| 29.223 | 29.223 | 28.456 | -0.000 | -0.000 | -0.000 |
| -0.000 | 0.000 | 0.000 | 14.266 | -0.000 | -0.000 |
| 0.000 | -0.000 | 0.000 | -0.000 | 14.266 | -0.000 |
| 0.000 | 0.000 | -0.000 | -0.000 | -0.000 | 14.266 |
| 28.455 | 29.222 | 29.222 | -0.000 | -0.000 | 0.000 |
| 29.222 | 28.455 | 29.222 | 0.000 | -0.000 | -0.000 |
| 29.222 | 29.222 | 28.455 | -0.000 | -0.000 | -0.000 |
| 0.000 | -0.000 | -0.000 | 14.266 | 0.000 | -0.000 |
| -0.000 | 0.000 | -0.000 | 0.000 | 14.266 | 0.000 |
| -0.000 | -0.000 | 0.000 | 0.000 | 0.000 | 14.266 |
| 28.457 | 29.223 | 29.223 | -0.000 | -0.000 | -0.000 |
| 29.223 | 28.457 | 29.223 | -0.000 | -0.000 | -0.000 |
| 29.223 | 29.223 | 28.457 | -0.000 | -0.000 | -0.000 |
| -0.000 | 0.000 | 0.000 | 14.266 | -0.000 | -0.000 |
| 0.000 | -0.000 | 0.000 | -0.000 | 14.266 | -0.000 |
| 0.000 | 0.000 | -0.000 | -0.000 | -0.000 | 14.266 |
| 78.481 | 72.861 | 72.861 | -0.000 | -0.000 | -0.000 |
| 72.861 | 78.481 | 72.861 | -0.000 | -0.000 | -0.000 |
| 72.861 | 72.861 | 78.481 | -0.000 | -0.000 | -0.000 |
| 0.000 | 0.000 | 0.000 | -4.257 | -0.000 | -0.000 |
| 0.000 | 0.000 | 0.000 | -0.000 | -4.257 | -0.000 |
| 0.000 | 0.000 | 0.000 | -0.000 | -0.000 | -4.257 |
| 78.481 | 72.861 | 72.861 | -0.000 | 0.000 | 0.000 |
| 72.861 | 78.481 | 72.861 | 0.000 | -0.000 | 0.000 |
| 72.861 | 72.861 | 78.481 | 0.000 | 0.000 | 0.000 |
| -0.000 | -0.000 | -0.000 | -4.257 | 0.000 | 0.000 |
| -0.000 | -0.000 | -0.000 | 0.000 | -4.257 | 0.000 |
| -0.000 | -0.000 | -0.000 | 0.000 | 0.000 | -4.257 |
| 78.481 | 72.861 | 72.861 | -0.000 | -0.000 | -0.000 |
| 72.861 | 78.481 | 72.861 | -0.000 | -0.000 | -0.000 |
| 72.861 | 72.861 | 78.481 | 0.000 | 0.000 | -0.000 |
| -0.000 | -0.000 | -0.000 | 77.680 | 0.000 | -0.000 |
| -0.000 | -0.000 | -0.000 | -0.000 | 77.680 | -0.000 |
| -0.000 | -0.000 | -0.000 | -0.000 | -0.000 | 77.680 |
| 78.481 | 72.861 | 72.861 | -0.000 | -0.000 | 0.000 |
| 72.861 | 78.481 | 72.861 | -0.000 | -0.000 | 0.000 |
| 72.861 | 72.861 | 78.481 | 0.000 | 0.000 | 0.000 |
| 0.000 | 0.000 | 0.000 | 77.680 | 0.000 | 0.000 |
| 0.000 | 0.000 | 0.000 | 0.000 | 77.680 | 0.000 |
| 0.000 | 0.000 | 0.000 | 0.000 | 0.000 | 77.680 |
| 78.480 | 72.860 | 72.860 | -0.000 | -0.000 | -0.000 |
| 72.860 | 78.480 | 72.860 | -0.000 | -0.000 | -0.000 |
| 72.860 | 72.860 | 78.480 | 0.000 | 0.000 | -0.000 |
| 0.001 | 0.000 | 0.000 | -4.257 | -0.000 | -0.000 |
| 0.000 | 0.001 | 0.000 | -0.000 | -4.257 | -0.000 |
| 0.000 | 0.000 | 0.001 | -0.000 | -0.000 | -4.257 |
| 78.481 | 72.861 | 72.861 | 0.000 | 0.000 | 0.000 |
| 72.861 | 78.481 | 72.861 | 0.000 | -0.000 | 0.000 |
| 72.861 | 72.861 | 78.481 | -0.000 | -0.000 | 0.000 |
| -0.001 | -0.000 | -0.000 | -4.257 | -0.000 | 0.000 |
| -0.000 | -0.001 | -0.000 | 0.000 | -4.257 | 0.000 |
| -0.000 | -0.000 | -0.001 | 0.000 | 0.000 | -4.257 |
| -121.916 | -59.943 | -59.943 | 0.000 | 0.000 | 0.000 |
| -59.943 | -121.916 | -59.943 | 0.000 | 0.000 | 0.000 |
| -59.943 | -59.943 | -121.916 | 0.000 | 0.000 | 0.000 |
| 0.000 | -0.000 | 0.000 | -56.630 | 0.000 | 0.000 |
| -0.000 | 0.000 | 0.000 | 0.000 | -56.630 | 0.000 |
| -0.000 | 0.000 | -0.000 | 0.000 | 0.000 | -56.630 |
| -121.916 | -59.943 | -59.943 | -0.000 | -0.000 | -0.000 |
| -59.943 | -121.916 | -59.943 | -0.000 | -0.000 | 0.000 |
| -59.943 | -59.943 | -121.916 | 0.000 | -0.000 | -0.000 |
| -0.000 | 0.000 | -0.000 | -56.630 | -0.000 | -0.000 |
| 0.000 | -0.000 | -0.000 | -0.000 | -56.630 | 0.000 |
| 0.000 | -0.000 | 0.000 | -0.000 | -0.000 | -56.630 |
| -121.916 | -59.943 | -59.943 | 0.000 | 0.000 | 0.000 |
| -59.943 | -121.916 | -59.943 | 0.000 | 0.000 | 0.000 |
| -59.943 | -59.943 | -121.916 | 0.000 | 0.000 | 0.000 |
| 0.000 | 0.000 | 0.000 | -56.630 | 0.000 | 0.000 |
| 0.000 | 0.000 | 0.000 | 0.000 | -56.630 | 0.000 |
| 0.000 | 0.000 | 0.000 | 0.000 | 0.000 | -56.630 |
| -121.917 | -59.943 | -59.943 | -0.000 | -0.000 | -0.000 |
| -59.943 | -121.917 | -59.943 | -0.000 | -0.000 | -0.000 |
| -59.943 | -59.943 | -121.917 | -0.000 | -0.000 | -0.000 |
| -0.000 | -0.000 | -0.000 | -56.630 | -0.000 | -0.000 |
| -0.000 | -0.000 | -0.000 | -0.000 | -56.630 | -0.000 |
| -0.000 | -0.000 | -0.000 | -0.000 | -0.000 | -56.630 |
| -121.916 | -59.943 | -59.943 | 0.000 | 0.000 | -0.000 |
| -59.943 | -121.916 | -59.943 | 0.000 | 0.000 | 0.000 |
| -59.943 | -59.943 | -121.916 | 0.000 | 0.000 | 0.000 |
| 0.000 | 0.000 | 0.000 | -56.630 | 0.000 | 0.000 |
| 0.000 | 0.000 | 0.000 | 0.000 | -56.630 | 0.000 |
| 0.000 | 0.000 | 0.000 | 0.000 | 0.000 | -56.630 |
| -121.917 | -59.943 | -59.943 | -0.000 | -0.000 | -0.000 |
| -59.943 | -121.917 | -59.943 | -0.000 | -0.000 | -0.000 |
| -59.943 | -59.943 | -121.917 | -0.000 | -0.000 | -0.000 |
| -0.000 | -0.000 | -0.000 | -56.630 | -0.000 | -0.000 |
| -0.000 | -0.000 | -0.000 | -0.000 | -56.630 | -0.000 |
| -0.000 | -0.000 | -0.000 | 0.000 | -0.000 | -56.630 |
| -94.634 | -59.580 | -59.580 | 0.000 | 0.000 | 0.000 |
| -59.580 | -94.634 | -59.580 | 0.000 | 0.000 | 0.000 |
| -59.580 | -59.580 | -94.634 | 0.000 | 0.000 | 0.000 |
| -0.000 | 0.000 | 0.000 | -293.006 | 0.000 | 0.000 |
| 0.000 | -0.000 | 0.000 | 0.000 | -293.006 | 0.000 |
| 0.000 | 0.000 | -0.000 | 0.000 | 0.000 | -293.006 |
| -94.634 | -59.580 | -59.580 | -0.000 | -0.000 | -0.000 |
| -59.580 | -94.634 | -59.580 | -0.000 | -0.000 | 0.000 |
| -59.580 | -59.580 | -94.634 | -0.000 | -0.000 | -0.000 |
| 0.000 | -0.000 | -0.000 | -293.006 | -0.000 | -0.000 |
| -0.000 | 0.000 | -0.000 | -0.000 | -293.006 | -0.000 |
| -0.000 | -0.000 | 0.000 | -0.000 | -0.000 | -293.006 |
| -94.634 | -59.580 | -59.580 | 0.000 | -0.000 | -0.000 |
| -59.580 | -94.634 | -59.580 | -0.000 | 0.000 | -0.000 |
| -59.580 | -59.580 | -94.634 | 0.000 | 0.000 | 0.000 |
| 0.000 | 0.000 | 0.000 | -59.580 | 0.000 | -0.000 |
| 0.000 | 0.000 | 0.000 | 0.000 | -59.580 | 0.000 |
| 0.000 | 0.000 | 0.000 | 0.000 | 0.000 | -59.580 |
| -94.634 | -59.580 | -59.580 | -0.000 | -0.000 | -0.000 |
| -59.580 | -94.634 | -59.580 | -0.000 | -0.000 | 0.000 |
| -59.580 | -59.580 | -94.634 | -0.000 | -0.000 | -0.000 |
| -0.000 | -0.000 | -0.000 | -59.580 | -0.000 | 0.000 |
| -0.000 | -0.000 | -0.000 | -0.000 | -59.580 | -0.000 |
| -0.000 | -0.000 | -0.000 | -0.000 | -0.000 | -59.580 |
| -94.636 | -59.580 | -59.580 | -0.000 | 0.000 | 0.000 |
| -59.580 | -94.636 | -59.580 | 0.000 | 0.000 | 0.000 |
| -59.580 | -59.580 | -94.636 | 0.000 | -0.000 | 0.000 |
| 0.000 | 0.000 | 0.000 | -59.580 | 0.000 | 0.000 |
| 0.000 | 0.000 | 0.000 | 0.000 | -59.580 | 0.000 |
| 0.000 | 0.000 | 0.000 | 0.000 | 0.000 | -59.580 |
| -94.632 | -59.580 | -59.580 | 0.000 | 0.000 | -0.000 |
| -59.580 | -94.632 | -59.580 | 0.000 | 0.000 | -0.000 |
| -59.580 | -59.580 | -94.632 | -0.000 | -0.000 | -0.000 |
| -0.000 | -0.000 | -0.000 | -59.580 | -0.000 | -0.000 |
| -0.000 | -0.000 | -0.000 | -0.000 | -59.580 | -0.000 |
| -0.000 | -0.000 | -0.000 | -0.000 | -0.000 | -59.580 |
| -7.497 | -6.958 | -6.958 | 0.000 | 0.000 | 0.000 |
| -6.958 | -7.497 | -6.958 | 0.000 | 0.000 | 0.000 |
| -6.958 | -6.958 | -7.497 | 0.000 | 0.000 | -0.000 |
| 0.000 | 0.000 | 0.000 | -7.498 | -0.000 | -0.000 |
| 0.000 | 0.000 | 0.000 | 0.000 | -7.498 | -0.000 |
| 0.000 | 0.000 | 0.000 | 0.000 | -0.000 | -7.498 |
| -7.497 | -6.958 | -6.958 | -0.000 | -0.000 | -0.000 |
| -6.958 | -7.497 | -6.958 | -0.000 | -0.000 | -0.000 |
| -6.958 | -6.958 | -7.497 | -0.000 | -0.000 | 0.000 |
| -0.000 | -0.000 | -0.000 | -7.498 | -0.000 | 0.000 |
| -0.000 | -0.000 | -0.000 | -0.000 | -7.498 | 0.000 |
| -0.000 | -0.000 | -0.000 | 0.000 | -0.000 | -7.498 |
| -7.497 | -6.958 | -6.958 | 0.000 | 0.000 | -0.000 |
| -6.958 | -7.497 | -6.958 | 0.000 | 0.000 | 0.000 |
| -6.958 | -6.958 | -7.497 | 0.000 | 0.000 | -0.000 |
| 0.000 | 0.000 | 0.000 | -7.498 | 0.000 | -0.000 |
| 0.000 | 0.000 | 0.000 | 0.000 | -7.498 | -0.000 |
| 0.000 | 0.000 | 0.000 | 0.000 | 0.000 | -7.498 |
| -7.497 | -6.958 | -6.958 | -0.000 | -0.000 | -0.000 |
| -6.958 | -7.497 | -6.958 | -0.000 | -0.000 | 0.000 |
| -6.958 | -6.958 | -7.497 | 0.000 | 0.000 | 0.000 |
| -0.000 | -0.000 | -0.000 | -7.498 | 0.000 | 0.000 |
| -0.000 | -0.000 | -0.000 | -0.000 | -7.498 | 0.000 |
| -0.000 | -0.000 | -0.000 | -0.000 | -0.000 | -7.498 |
| -7.497 | -6.958 | -6.958 | 0.000 | 0.000 | 0.000 |
| -6.958 | -7.497 | -6.958 | 0.000 | 0.000 | 0.000 |
| -6.958 | -6.958 | -7.497 | 0.000 | 0.000 | -0.000 |
| 0.000 | 0.000 | 0.000 | -7.498 | -0.000 | -0.000 |
| 0.000 | 0.000 | 0.000 | -0.000 | -7.498 | -0.000 |
| 0.000 | 0.000 | 0.000 | 0.000 | -0.000 | -7.498 |
| -7.497 | -6.958 | -6.958 | -0.000 | -0.000 | 0.000 |
| -6.958 | -7.497 | -6.958 | -0.000 | -0.000 | 0.000 |
| -6.958 | -6.958 | -7.497 | -0.000 | -0.000 | -0.000 |
| -0.000 | -0.000 | -0.000 | -7.498 | -0.000 | 0.000 |
| -0.000 | -0.000 | -0.000 | -0.000 | -7.498 | 0.000 |
| -0.000 | -0.000 | -0.000 | -0.000 | 0.000 | -7.498 |
| 354.556 | 199.821 | 199.821 | 0.000 | 0.000 | 0.000 |
| 199.821 | 354.556 | 199.821 | 0.000 | 0.000 | 0.000 |
| 199.821 | 199.821 | 354.556 | 0.000 | 0.000 | 0.000 |
| 0.000 | 0.000 | 0.000 | 102.743 | 0.000 | 0.000 |
| 0.000 | 0.000 | 0.000 | 0.000 | 102.743 | 0.000 |
| -0.000 | 0.000 | 0.000 | 0.000 | 0.000 | 102.743 |
| 354.556 | 199.821 | 199.821 | -0.000 | -0.000 | -0.000 |
| 199.821 | 354.556 | 199.821 | -0.000 | -0.000 | -0.000 |
| 199.821 | 199.821 | 354.556 | -0.000 | -0.000 | -0.000 |
| -0.000 | -0.000 | -0.000 | 102.743 | -0.000 | -0.000 |
| -0.000 | -0.000 | -0.000 | -0.000 | 102.743 | -0.000 |
| -0.000 | -0.000 | -0.000 | -0.000 | -0.000 | 102.743 |
| 354.556 | 199.821 | 199.821 | 0.000 | 0.000 | 0.000 |
| 199.821 | 354.556 | 199.821 | 0.000 | 0.000 | 0.000 |
| 199.821 | 199.821 | 354.556 | 0.000 | 0.000 | 0.000 |
| -0.000 | -0.000 | -0.000 | 98.834 | 0.000 | 0.000 |
| -0.000 | -0.000 | -0.000 | 0.000 | 98.834 | 0.000 |
| -0.000 | -0.000 | -0.000 | 0.000 | 0.000 | 98.834 |
| 354.556 | 199.821 | 199.821 | -0.000 | -0.000 | -0.000 |
| 199.821 | 354.556 | 199.821 | -0.000 | -0.000 | -0.000 |
| 199.821 | 199.821 | 354.556 | -0.000 | -0.000 | -0.000 |
| 0.000 | 0.000 | 0.000 | 98.834 | -0.000 | -0.000 |
| 0.000 | 0.000 | 0.000 | -0.000 | 98.834 | -0.000 |
| 0.000 | 0.000 | 0.000 | -0.000 | -0.000 | 98.834 |
| 354.554 | 199.821 | 199.821 | 0.000 | 0.000 | 0.000 |
| 199.821 | 354.554 | 199.821 | 0.000 | 0.000 | 0.000 |
| 199.821 | 199.821 | 354.554 | 0.000 | 0.000 | 0.000 |
| -0.000 | -0.000 | -0.000 | 98.834 | 0.000 | -0.000 |
| -0.000 | -0.000 | -0.000 | 0.000 | 98.834 | 0.000 |
| -0.000 | -0.000 | -0.000 | 0.000 | 0.000 | 98.834 |
| 354.558 | 199.821 | 199.821 | -0.000 | -0.000 | -0.000 |
| 199.821 | 354.558 | 199.821 | -0.000 | -0.000 | -0.000 |
| 199.821 | 199.821 | 354.558 | -0.000 | -0.000 | -0.000 |
| 0.000 | 0.000 | 0.000 | 98.834 | -0.000 | 0.000 |
| 0.000 | 0.000 | 0.000 | -0.000 | 98.834 | -0.000 |
| 0.000 | 0.000 | 0.000 | -0.000 | -0.000 | 98.834 |
| 128.043 | 37.641 | 37.641 | 0.000 | 0.000 | 0.000 |
| 37.641 | 128.043 | 37.641 | 0.000 | 0.000 | 0.000 |
| 37.641 | 37.641 | 128.043 | 0.000 | 0.000 | 0.000 |
| 0.000 | -0.000 | -0.000 | 37.177 | 0.000 | 0.000 |
| -0.000 | 0.000 | -0.000 | 0.000 | 37.177 | 0.000 |
| -0.000 | -0.000 | -0.000 | 0.000 | 0.000 | 37.177 |
| 128.043 | 37.641 | 37.641 | -0.000 | -0.000 | -0.000 |
| 37.641 | 128.043 | 37.641 | -0.000 | -0.000 | -0.000 |
| 37.641 | 37.641 | 128.043 | -0.000 | -0.000 | -0.000 |
| -0.000 | -0.000 | 0.000 | 37.177 | 0.000 | -0.000 |
| 0.000 | -0.000 | 0.000 | -0.000 | 37.177 | -0.000 |
| 0.000 | -0.000 | -0.000 | -0.000 | -0.000 | 37.177 |
| 128.044 | 37.641 | 37.641 | 0.000 | 0.000 | 0.000 |
| 37.641 | 128.044 | 37.641 | 0.000 | 0.000 | 0.000 |
| 37.641 | 37.641 | 128.044 | 0.000 | 0.000 | 0.000 |
| -0.000 | -0.000 | -0.000 | 35.277 | 0.000 | 0.000 |
| -0.000 | -0.000 | -0.000 | 0.000 | 35.277 | 0.000 |
| -0.000 | -0.000 | -0.000 | 0.000 | 0.000 | 35.277 |
| 128.043 | 37.641 | 37.641 | -0.000 | -0.000 | -0.000 |
| 37.641 | 128.043 | 37.641 | -0.000 | -0.000 | -0.000 |
| 37.641 | 37.641 | 128.043 | -0.000 | -0.000 | -0.000 |
| 0.000 | 0.000 | 0.000 | 35.277 | -0.000 | -0.000 |
| 0.000 | 0.000 | 0.000 | -0.000 | 35.277 | -0.000 |
| 0.000 | 0.000 | 0.000 | -0.000 | -0.000 | 35.277 |
| 128.045 | 37.640 | 37.640 | 0.000 | 0.000 | 0.000 |
| 37.640 | 128.045 | 37.640 | 0.000 | 0.000 | 0.000 |
| 37.640 | 37.640 | 128.045 | 0.000 | 0.000 | 0.000 |
| -0.000 | -0.001 | -0.001 | 35.277 | 0.000 | -0.000 |
| -0.001 | -0.000 | -0.001 | 0.000 | 35.277 | 0.000 |
| -0.001 | -0.001 | -0.000 | 0.000 | 0.000 | 35.277 |
| 128.042 | 37.641 | 37.641 | -0.000 | 0.000 | 0.000 |
| 37.641 | 128.042 | 37.641 | 0.000 | -0.000 | -0.000 |
| 37.641 | 37.641 | 128.042 | -0.000 | -0.000 | -0.000 |
| 0.000 | 0.001 | 0.001 | 35.277 | -0.000 | -0.000 |
| 0.001 | 0.000 | 0.001 | -0.000 | 35.277 | -0.000 |
| 0.001 | 0.001 | 0.000 | -0.000 | -0.000 | 35.277 |
| 73.482 | 2.275 | 2.275 | 0.000 | 0.000 | 0.000 |
| 2.275 | 73.482 | 2.275 | 0.000 | 0.000 | 0.000 |
| 2.275 | 2.275 | 73.482 | 0.000 | 0.000 | 0.000 |
| -0.000 | -0.000 | 0.000 | 3.143 | 0.000 | -0.000 |
| -0.000 | -0.000 | 0.000 | 0.000 | 3.143 | 0.000 |
| -0.000 | -0.000 | 0.000 | 0.000 | 0.000 | 3.143 |
| 73.482 | 2.275 | 2.275 | -0.000 | -0.000 | -0.000 |
| 2.275 | 73.482 | 2.275 | -0.000 | -0.000 | -0.000 |
| 2.275 | 2.275 | 73.482 | -0.000 | -0.000 | -0.000 |
| 0.000 | 0.000 | -0.000 | 3.143 | -0.000 | -0.000 |
| 0.000 | 0.000 | -0.000 | -0.000 | 3.143 | -0.000 |
| 0.000 | 0.000 | -0.000 | -0.000 | -0.000 | 3.143 |
| 73.482 | 2.275 | 2.275 | 0.000 | 0.000 | -0.000 |
| 2.275 | 73.482 | 2.275 | 0.000 | 0.000 | -0.000 |
| 2.275 | 2.275 | 73.482 | 0.000 | 0.000 | -0.000 |
| 0.000 | 0.000 | -0.000 | 3.143 | 0.000 | -0.000 |
| 0.000 | 0.000 | -0.000 | 0.000 | 3.143 | 0.000 |
| 0.000 | -0.000 | 0.000 | 0.000 | 0.000 | 3.143 |
| 73.483 | 2.275 | 2.275 | -0.000 | -0.000 | 0.000 |
| 2.275 | 73.483 | 2.275 | -0.000 | -0.000 | 0.000 |
| 2.275 | 2.275 | 73.483 | -0.000 | -0.000 | 0.000 |
| -0.000 | -0.000 | 0.000 | 3.143 | -0.000 | 0.000 |
| -0.000 | -0.000 | 0.000 | -0.000 | 3.143 | -0.000 |
| -0.000 | 0.000 | -0.000 | -0.000 | -0.000 | 3.143 |
| 73.481 | 2.275 | 2.275 | 0.000 | 0.000 | -0.000 |
| 2.275 | 73.481 | 2.275 | 0.000 | 0.000 | -0.000 |
| 2.275 | 2.275 | 73.481 | 0.000 | 0.000 | -0.000 |
| 0.000 | 0.000 | -0.000 | 3.143 | 0.000 | -0.000 |
| 0.000 | 0.000 | -0.000 | 0.000 | 3.143 | 0.000 |
| 0.000 | -0.000 | 0.000 | 0.000 | 0.000 | 3.143 |
| 73.484 | 2.275 | 2.275 | -0.000 | -0.000 | 0.000 |
| 2.275 | 73.484 | 2.275 | -0.000 | -0.000 | -0.000 |
| 2.275 | 2.275 | 73.484 | -0.000 | -0.000 | 0.000 |
| -0.000 | -0.000 | 0.000 | 3.143 | -0.000 | -0.000 |
| -0.000 | -0.000 | 0.000 | -0.000 | 3.143 | -0.000 |
| -0.000 | 0.000 | -0.000 | -0.000 | -0.000 | 3.143 |
| -23.476 | 3.046 | 3.046 | -0.000 | 0.000 | 0.000 |
| 3.046 | -23.476 | 3.046 | -0.000 | -0.000 | -0.000 |
| 3.046 | 3.046 | -23.476 | -0.000 | -0.000 | -0.000 |
| 0.000 | 0.000 | 0.000 | 5.275 | 0.000 | -0.000 |
| 0.000 | 0.000 | 0.000 | 0.000 | 5.275 | -0.000 |
| 0.000 | 0.000 | 0.000 | 0.000 | 0.000 | 5.275 |
| -23.476 | 3.046 | 3.046 | -0.000 | 0.000 | -0.000 |
| 3.046 | -23.476 | 3.046 | 0.000 | -0.000 | -0.000 |
| 3.046 | 3.046 | -23.476 | -0.000 | -0.000 | -0.000 |
| -0.000 | -0.000 | -0.000 | 5.275 | -0.000 | 0.000 |
| -0.000 | -0.000 | -0.000 | -0.000 | 5.275 | 0.000 |
| -0.000 | -0.000 | -0.000 | -0.000 | -0.000 | 5.275 |
| -23.476 | 3.046 | 3.046 | -0.000 | 0.000 | 0.000 |
| 3.046 | -23.476 | 3.046 | -0.000 | -0.000 | -0.000 |
| 3.046 | 3.046 | -23.476 | 0.000 | 0.000 | 0.000 |
| 0.000 | 0.000 | 0.000 | 5.275 | -0.000 | 0.000 |
| 0.000 | 0.000 | 0.000 | 0.000 | 5.275 | -0.000 |
| 0.000 | 0.000 | 0.000 | 0.000 | 0.000 | 5.275 |
| -23.476 | 3.046 | 3.046 | -0.000 | -0.000 | -0.000 |
| 3.046 | -23.476 | 3.046 | 0.000 | -0.000 | -0.000 |
| 3.046 | 3.046 | -23.476 | -0.000 | -0.000 | -0.000 |
| -0.000 | -0.000 | -0.000 | 5.275 | 0.000 | 0.000 |
| -0.000 | -0.000 | -0.000 | -0.000 | 5.275 | 0.000 |
| -0.000 | -0.000 | -0.000 | -0.000 | -0.000 | 5.275 |
| -23.476 | 3.046 | 3.046 | 0.000 | 0.000 | -0.000 |
| 3.046 | -23.476 | 3.046 | 0.000 | 0.000 | -0.000 |
| 3.046 | 3.046 | -23.476 | 0.000 | 0.000 | -0.000 |
| 0.000 | 0.000 | 0.000 | 5.275 | 0.000 | -0.000 |
| 0.000 | 0.000 | 0.000 | 0.000 | 5.275 | -0.000 |
| 0.000 | 0.000 | 0.000 | 0.000 | 0.000 | 5.275 |
| -23.476 | 3.046 | 3.046 | 0.000 | 0.000 | -0.000 |
| 3.046 | -23.476 | 3.046 | 0.000 | 0.000 | 0.000 |
| 3.046 | 3.046 | -23.476 | 0.000 | 0.000 | -0.000 |
| -0.000 | -0.000 | -0.000 | 5.275 | -0.000 | 0.000 |
| -0.000 | -0.000 | -0.000 | -0.000 | 5.275 | 0.000 |
| -0.000 | -0.000 | -0.000 | -0.000 | -0.000 | 5.275 |
| 39.845 | 2.090 | 2.090 | -0.000 | -0.000 | -0.000 |
| 2.090 | 39.845 | 2.090 | -0.000 | -0.000 | -0.000 |
| 2.090 | 2.090 | 39.845 | -0.000 | -0.000 | -0.000 |
| -0.000 | -0.000 | -0.000 | 1.979 | -0.000 | -0.000 |
| -0.000 | -0.000 | -0.000 | -0.000 | 1.979 | -0.000 |
| -0.000 | -0.000 | -0.000 | -0.000 | -0.000 | 1.979 |
| 39.845 | 2.090 | 2.090 | 0.000 | 0.000 | 0.000 |
| 2.090 | 39.845 | 2.090 | 0.000 | 0.000 | -0.000 |
| 2.090 | 2.090 | 39.845 | 0.000 | -0.000 | 0.000 |
| 0.000 | 0.000 | 0.000 | 1.979 | 0.000 | 0.000 |
| 0.000 | 0.000 | 0.000 | 0.000 | 1.979 | 0.000 |
| 0.000 | 0.000 | 0.000 | 0.000 | 0.000 | 1.979 |
| 39.845 | 2.090 | 2.090 | -0.000 | -0.000 | -0.000 |
| 2.090 | 39.845 | 2.090 | -0.000 | -0.000 | -0.000 |
| 2.090 | 2.090 | 39.845 | -0.000 | -0.000 | -0.000 |
| -0.000 | -0.000 | -0.000 | 1.979 | -0.000 | -0.000 |
| -0.000 | -0.000 | -0.000 | -0.000 | 1.979 | -0.000 |
| -0.000 | -0.000 | -0.000 | -0.000 | -0.000 | 1.979 |
| 39.845 | 2.090 | 2.090 | 0.000 | 0.000 | 0.000 |
| 2.090 | 39.845 | 2.090 | 0.000 | 0.000 | 0.000 |
| 2.090 | 2.090 | 39.845 | 0.000 | 0.000 | 0.000 |
| 0.000 | 0.000 | 0.000 | 1.979 | 0.000 | 0.000 |
| 0.000 | 0.000 | 0.000 | 0.000 | 1.979 | 0.000 |
| 0.000 | 0.000 | 0.000 | 0.000 | 0.000 | 1.979 |
| 39.845 | 2.090 | 2.090 | -0.000 | -0.000 | -0.000 |
| 2.090 | 39.845 | 2.090 | -0.000 | -0.000 | -0.000 |
| 2.090 | 2.090 | 39.845 | -0.000 | -0.000 | -0.000 |
| -0.000 | -0.000 | -0.000 | 1.979 | -0.000 | -0.000 |
| -0.000 | -0.000 | -0.000 | -0.000 | 1.979 | -0.000 |
| -0.000 | -0.000 | -0.000 | -0.000 | -0.000 | 1.979 |
| 39.844 | 2.090 | 2.090 | 0.000 | 0.000 | 0.000 |
| 2.090 | 39.844 | 2.090 | 0.000 | 0.000 | 0.000 |
| 2.090 | 2.090 | 39.844 | 0.000 | 0.000 | 0.000 |
| 0.000 | 0.000 | 0.000 | 1.979 | 0.000 | 0.000 |
| 0.000 | 0.000 | 0.000 | 0.000 | 1.979 | 0.000 |
| 0.000 | 0.000 | 0.000 | 0.000 | 0.000 | 1.979 |
| 704.669 | 264.386 | 264.386 | -0.000 | 0.000 | -0.000 |
| 264.386 | 704.669 | 264.386 | -0.000 | 0.000 | -0.000 |
| 264.386 | 264.386 | 704.669 | -0.000 | 0.000 | -0.000 |
| -0.000 | -0.000 | 0.000 | 109.285 | -0.000 | -0.000 |
| -0.000 | -0.000 | -0.000 | -0.000 | 109.285 | -0.000 |
| -0.000 | -0.000 | -0.000 | -0.000 | -0.000 | 109.285 |
| 704.201 | 264.620 | 264.620 | 0.000 | 0.000 | 0.000 |
| 264.620 | 704.201 | 264.620 | 0.000 | 0.000 | 0.000 |
| 264.620 | 264.620 | 704.201 | 0.000 | 0.000 | 0.000 |
| 0.000 | 0.000 | 0.000 | 109.285 | -0.000 | 0.000 |
| 0.000 | 0.000 | 0.000 | 0.000 | 109.285 | 0.000 |
| 0.000 | 0.000 | 0.000 | 0.000 | -0.000 | 109.285 |
| 704.201 | 264.620 | 264.620 | -0.000 | -0.000 | -0.000 |
| 264.620 | 704.201 | 264.620 | -0.000 | -0.000 | -0.000 |
| 264.620 | 264.620 | 704.201 | -0.000 | -0.000 | -0.000 |
| -0.000 | -0.000 | -0.000 | 111.131 | -0.000 | -0.000 |
| -0.000 | -0.000 | -0.000 | -0.000 | 111.131 | -0.000 |
| -0.000 | -0.000 | -0.000 | -0.000 | -0.000 | 111.131 |
| 704.201 | 264.620 | 264.620 | 0.000 | 0.000 | 0.000 |
| 264.620 | 704.201 | 264.620 | 0.000 | 0.000 | 0.000 |
| 264.620 | 264.620 | 704.201 | 0.000 | 0.000 | 0.000 |
| 0.000 | 0.000 | 0.000 | 111.131 | 0.000 | 0.000 |
| 0.000 | 0.000 | 0.000 | 0.000 | 111.131 | 0.000 |
| 0.000 | 0.000 | 0.000 | 0.000 | -0.000 | 111.131 |
| 704.203 | 264.622 | 264.622 | -0.000 | -0.000 | -0.000 |
| 264.622 | 704.203 | 264.622 | -0.000 | -0.000 | -0.000 |
| 264.622 | 264.622 | 704.203 | -0.000 | -0.000 | -0.000 |
| -0.000 | -0.000 | -0.000 | 109.285 | -0.000 | -0.000 |
| -0.000 | -0.000 | -0.000 | -0.000 | 109.285 | -0.000 |
| -0.000 | -0.000 | -0.000 | -0.000 | 0.000 | 109.285 |
| 704.667 | 264.384 | 264.384 | 0.000 | -0.000 | 0.000 |
| 264.384 | 704.667 | 264.384 | 0.000 | 0.000 | 0.000 |
| 264.384 | 264.384 | 704.667 | 0.000 | -0.000 | 0.000 |
| 0.000 | 0.000 | 0.000 | 109.285 | -0.000 | 0.000 |
| 0.000 | 0.000 | 0.000 | 0.000 | 109.285 | 0.000 |
| 0.000 | 0.000 | 0.000 | 0.000 | -0.000 | 109.285 |
| -39.852 | -14.646 | -14.646 | 0.000 | 0.000 | -0.000 |
| -14.646 | -39.852 | -14.646 | 0.000 | 0.000 | 0.000 |
| -14.646 | -14.646 | -39.852 | 0.000 | -0.000 | 0.000 |
| 0.000 | 0.000 | 0.000 | -14.646 | -0.000 | -0.000 |
| 0.000 | -0.000 | 0.000 | 0.000 | -19.610 | 0.000 |
| 0.000 | 0.000 | 0.000 | -0.000 | 0.000 | -14.646 |
| -44.816 | -12.164 | -12.164 | -0.000 | -0.000 | -0.000 |
| -12.164 | -44.816 | -12.164 | -0.000 | 0.000 | 0.000 |
| -12.164 | -12.164 | -44.816 | -0.000 | -0.000 | -0.000 |
| -0.000 | -0.000 | -0.000 | -14.646 | 0.000 | 0.000 |
| -0.000 | 0.000 | -0.000 | -0.000 | -19.610 | -0.000 |
| -0.000 | -0.000 | -0.000 | -0.000 | -0.000 | -14.646 |
| -39.851 | -14.646 | -14.646 | 0.000 | -0.000 | 0.000 |
| -14.646 | -39.851 | -14.646 | 0.000 | 0.000 | 0.000 |
| -14.646 | -14.646 | -39.851 | 0.000 | 0.000 | -0.000 |
| 0.000 | 0.000 | 0.000 | -14.646 | 0.000 | -0.000 |
| 0.000 | 0.000 | 0.000 | 0.000 | -14.646 | 0.000 |
| 0.000 | 0.000 | 0.000 | -0.000 | 0.000 | -14.646 |
| -39.852 | -14.646 | -14.646 | -0.000 | 0.000 | -0.000 |
| -14.646 | -39.852 | -14.646 | -0.000 | -0.000 | 0.000 |
| -14.646 | -14.646 | -39.852 | 0.000 | -0.000 | 0.000 |
| -0.000 | -0.000 | -0.000 | -14.646 | -0.000 | -0.000 |
| -0.000 | -0.000 | -0.000 | -0.000 | -14.646 | 0.000 |
| -0.000 | -0.000 | -0.000 | 0.000 | -0.000 | -14.646 |
| -39.851 | -14.646 | -14.646 | 0.000 | 0.000 | -0.000 |
| -14.646 | -39.851 | -14.646 | 0.000 | 0.000 | -0.000 |
| -14.646 | -14.646 | -39.851 | 0.000 | 0.000 | 0.000 |
| 0.000 | 0.000 | 0.000 | -14.646 | -0.000 | 0.000 |
| 0.000 | 0.000 | 0.000 | 0.000 | -14.646 | -0.000 |
| 0.000 | 0.000 | 0.000 | -0.000 | 0.000 | -14.646 |
| -39.852 | -14.646 | -14.646 | -0.000 | -0.000 | -0.000 |
| -14.646 | -39.852 | -14.646 | -0.000 | -0.000 | -0.000 |
| -14.646 | -14.646 | -39.852 | -0.000 | -0.000 | 0.000 |
| -0.000 | -0.000 | -0.000 | -14.646 | -0.000 | -0.000 |
| -0.000 | -0.000 | -0.000 | -0.000 | -14.646 | -0.000 |
| -0.000 | -0.000 | -0.000 | 0.000 | -0.000 | -14.646 |
| -42.922 | -13.238 | -13.238 | 0.000 | 0.000 | 0.000 |
| -13.238 | -42.922 | -13.238 | 0.000 | 0.000 | 0.000 |
| -13.238 | -13.238 | -42.922 | 0.000 | 0.000 | 0.000 |
| -0.000 | 0.000 | 0.000 | -15.162 | 0.000 | 0.000 |
| 0.000 | -0.000 | -0.000 | -0.000 | -15.162 | 0.000 |
| 0.000 | 0.000 | -0.000 | 0.000 | 0.000 | -15.162 |
| -42.922 | -13.238 | -13.238 | -0.000 | -0.000 | -0.000 |
| -13.238 | -42.922 | -13.238 | 0.000 | -0.000 | -0.000 |
| -13.238 | -13.238 | -42.922 | 0.000 | -0.000 | -0.000 |
| 0.000 | -0.000 | 0.000 | -15.162 | -0.000 | -0.000 |
| -0.000 | 0.000 | 0.000 | 0.000 | -15.162 | -0.000 |
| -0.000 | 0.000 | 0.000 | -0.000 | -0.000 | -15.162 |
| -43.524 | -12.937 | -12.937 | -0.000 | 0.000 | 0.000 |
| -12.937 | -43.524 | -12.937 | -0.000 | 0.000 | 0.000 |
| -12.937 | -12.937 | -43.524 | -0.000 | 0.000 | 0.000 |
| -0.000 | -0.000 | -0.000 | -15.763 | 0.000 | 0.000 |
| -0.000 | -0.000 | -0.000 | 0.000 | -15.763 | 0.000 |
| -0.000 | -0.000 | -0.000 | -0.000 | 0.000 | -15.763 |
| -42.922 | -13.238 | -13.238 | 0.000 | -0.000 | -0.000 |
| -13.238 | -42.922 | -13.238 | 0.000 | -0.000 | -0.000 |
| -13.238 | -13.238 | -42.922 | -0.000 | -0.000 | -0.000 |
| 0.000 | 0.000 | 0.000 | -15.763 | -0.000 | -0.000 |
| 0.000 | 0.000 | 0.000 | 0.000 | -15.763 | -0.000 |
| 0.000 | 0.000 | 0.000 | 0.000 | -0.000 | -15.763 |
| -43.524 | -12.937 | -12.937 | -0.000 | 0.000 | 0.000 |
| -12.937 | -43.524 | -12.937 | -0.000 | 0.000 | 0.000 |
| -12.937 | -12.937 | -43.524 | -0.000 | 0.000 | 0.000 |
| -0.000 | -0.000 | -0.000 | -15.763 | 0.000 | 0.000 |
| -0.000 | -0.000 | -0.000 | 0.000 | -15.763 | 0.000 |
| -0.000 | -0.000 | -0.000 | -0.000 | 0.000 | -15.763 |
| -43.523 | -12.937 | -12.937 | 0.000 | -0.000 | -0.000 |
| -12.937 | -43.523 | -12.937 | 0.000 | -0.000 | -0.000 |
| -12.937 | -12.937 | -43.523 | 0.000 | -0.000 | -0.000 |
| 0.000 | 0.000 | 0.000 | -15.763 | -0.000 | -0.000 |
| 0.000 | 0.000 | 0.000 | 0.000 | -15.763 | -0.000 |
| 0.000 | 0.000 | 0.000 | 0.000 | -0.000 | -15.763 |
| 37.392 | 9.375 | 9.375 | -0.000 | 0.000 | -0.000 |
| 9.375 | 37.392 | 9.375 | -0.000 | -0.000 | -0.000 |
| 9.375 | 9.375 | 37.392 | -0.000 | 0.000 | -0.000 |
| 0.000 | 0.000 | -0.000 | -0.307 | 0.000 | -0.000 |
| 0.000 | 0.000 | 0.000 | -0.000 | -0.307 | -0.000 |
| 0.000 | -0.000 | 0.000 | -0.000 | -0.000 | -0.307 |
| 37.392 | 9.375 | 9.375 | 0.000 | -0.000 | 0.000 |
| 9.375 | 37.392 | 9.375 | 0.000 | -0.000 | 0.000 |
| 9.375 | 9.375 | 37.392 | 0.000 | 0.000 | 0.000 |
| -0.000 | -0.000 | -0.000 | -0.307 | 0.000 | 0.000 |
| -0.000 | -0.000 | -0.000 | 0.000 | -0.307 | 0.000 |
| -0.000 | -0.000 | -0.000 | 0.000 | 0.000 | -0.307 |
| 37.392 | 9.375 | 9.375 | 0.000 | 0.000 | -0.000 |
| 9.375 | 37.392 | 9.375 | -0.000 | 0.000 | -0.000 |
| 9.375 | 9.375 | 37.392 | -0.000 | 0.000 | -0.000 |
| 0.000 | -0.000 | -0.000 | -0.307 | -0.000 | -0.000 |
| -0.000 | 0.000 | -0.000 | -0.000 | -0.307 | -0.000 |
| -0.000 | -0.000 | 0.000 | -0.000 | -0.000 | -0.307 |
| 37.392 | 9.375 | 9.375 | 0.000 | -0.000 | 0.000 |
| 9.375 | 37.392 | 9.375 | 0.000 | 0.000 | 0.000 |
| 9.375 | 9.375 | 37.392 | 0.000 | 0.000 | 0.000 |
| -0.000 | 0.000 | 0.000 | -0.307 | 0.000 | 0.000 |
| 0.000 | -0.000 | 0.000 | 0.000 | -0.307 | 0.000 |
| 0.000 | 0.000 | -0.000 | 0.000 | 0.000 | -0.307 |
| 37.392 | 9.375 | 9.375 | -0.000 | -0.000 | -0.000 |
| 9.375 | 37.392 | 9.375 | -0.000 | 0.000 | -0.000 |
| 9.375 | 9.375 | 37.392 | -0.000 | 0.000 | -0.000 |
| 0.000 | -0.000 | -0.000 | -0.307 | -0.000 | -0.000 |
| -0.000 | 0.000 | -0.000 | -0.000 | -0.307 | -0.000 |
| -0.000 | -0.000 | 0.000 | -0.000 | -0.000 | -0.307 |
| 37.391 | 9.375 | 9.375 | 0.000 | -0.000 | 0.000 |
| 9.375 | 37.391 | 9.375 | 0.000 | -0.000 | 0.000 |
| 9.375 | 9.375 | 37.391 | 0.000 | -0.000 | 0.000 |
| -0.000 | 0.000 | 0.000 | -0.307 | 0.000 | 0.000 |
| 0.000 | -0.000 | 0.000 | 0.000 | -0.307 | 0.000 |
| 0.000 | 0.000 | -0.000 | 0.000 | 0.000 | -0.307 |
| 27.005 | 5.704 | 5.704 | 0.000 | -0.000 | -0.000 |
| 5.704 | 27.005 | 5.704 | -0.000 | 0.000 | 0.000 |
| 5.704 | 5.704 | 27.005 | 0.000 | 0.000 | -0.000 |
| -0.000 | -0.000 | -0.000 | 0.095 | 0.000 | -0.000 |
| -0.000 | 0.000 | -0.000 | -0.000 | 0.095 | -0.000 |
| -0.000 | -0.000 | 0.000 | -0.000 | -0.000 | 0.095 |
| 27.005 | 5.704 | 5.704 | 0.000 | -0.000 | 0.000 |
| 5.704 | 27.005 | 5.704 | 0.000 | 0.000 | 0.000 |
| 5.704 | 5.704 | 27.005 | 0.000 | -0.000 | 0.000 |
| -0.000 | 0.000 | 0.000 | 0.095 | 0.000 | 0.000 |
| 0.000 | -0.000 | 0.000 | 0.000 | 0.095 | 0.000 |
| 0.000 | 0.000 | -0.000 | 0.000 | -0.000 | 0.095 |
| 27.006 | 5.704 | 5.704 | 0.000 | 0.000 | -0.000 |
| 5.704 | 27.006 | 5.704 | -0.000 | 0.000 | -0.000 |
| 5.704 | 5.704 | 27.006 | -0.000 | 0.000 | -0.000 |
| 0.000 | -0.000 | -0.000 | 0.095 | 0.000 | -0.000 |
| -0.000 | 0.000 | -0.000 | 0.000 | 0.095 | -0.000 |
| -0.000 | -0.000 | 0.000 | -0.000 | 0.000 | 0.095 |
| 27.005 | 5.704 | 5.704 | 0.000 | 0.000 | 0.000 |
| 5.704 | 27.005 | 5.704 | -0.000 | -0.000 | 0.000 |
| 5.704 | 5.704 | 27.005 | 0.000 | 0.000 | 0.000 |
| -0.000 | 0.000 | 0.000 | 0.095 | -0.000 | 0.000 |
| 0.000 | -0.000 | 0.000 | -0.000 | 0.095 | 0.000 |
| 0.000 | 0.000 | -0.000 | 0.000 | -0.000 | 0.095 |
| 27.006 | 5.704 | 5.704 | 0.000 | 0.000 | -0.000 |
| 5.704 | 27.006 | 5.704 | -0.000 | 0.000 | -0.000 |
| 5.704 | 5.704 | 27.006 | -0.000 | 0.000 | 0.000 |
| 0.000 | -0.000 | -0.000 | 0.095 | 0.000 | -0.000 |
| -0.000 | 0.000 | -0.000 | 0.000 | 0.095 | -0.000 |
| -0.000 | -0.000 | 0.000 | -0.000 | 0.000 | 0.095 |
| 27.005 | 5.703 | 5.703 | -0.000 | -0.000 | -0.000 |
| 5.703 | 27.005 | 5.703 | -0.000 | 0.000 | 0.000 |
| 5.703 | 5.703 | 27.005 | 0.000 | 0.000 | 0.000 |
| -0.000 | 0.000 | 0.000 | 0.095 | -0.000 | 0.000 |
| 0.000 | -0.000 | 0.000 | -0.000 | 0.095 | 0.000 |
| 0.000 | 0.000 | -0.000 | 0.000 | -0.000 | 0.095 |
| 405.649 | 249.887 | 249.887 | 0.000 | 0.000 | 0.000 |
| 249.887 | 405.649 | 249.887 | 0.000 | 0.000 | 0.000 |
| 249.887 | 249.887 | 405.649 | 0.000 | 0.000 | 0.000 |
| 0.000 | -0.000 | 0.000 | 92.818 | 0.000 | 0.000 |
| -0.000 | 0.000 | 0.000 | 0.000 | 92.818 | 0.000 |
| -0.000 | 0.000 | 0.000 | 0.000 | 0.000 | 92.818 |
| 405.649 | 249.886 | 249.886 | -0.000 | 0.000 | -0.000 |
| 249.886 | 405.649 | 249.886 | 0.000 | -0.000 | 0.000 |
| 249.886 | 249.886 | 405.649 | 0.000 | 0.000 | -0.000 |
| -0.000 | 0.000 | -0.000 | 92.818 | -0.000 | -0.000 |
| 0.000 | -0.000 | -0.000 | -0.000 | 92.818 | -0.000 |
| 0.000 | -0.000 | -0.000 | -0.000 | -0.000 | 92.818 |
| 405.649 | 249.887 | 249.887 | 0.000 | 0.000 | 0.000 |
| 249.887 | 405.649 | 249.887 | 0.000 | 0.000 | 0.000 |
| 249.887 | 249.887 | 405.649 | 0.000 | 0.000 | 0.000 |
| 0.000 | -0.000 | 0.000 | 95.528 | 0.000 | 0.000 |
| -0.000 | 0.000 | 0.000 | 0.000 | 95.528 | 0.000 |
| -0.000 | 0.000 | 0.000 | 0.000 | -0.000 | 95.528 |
| 405.649 | 249.886 | 249.886 | -0.000 | -0.000 | -0.000 |
| 249.886 | 405.649 | 249.886 | -0.000 | -0.000 | 0.000 |
| 249.886 | 249.886 | 405.649 | 0.000 | 0.000 | -0.000 |
| -0.000 | 0.000 | -0.000 | 95.528 | -0.000 | -0.000 |
| 0.000 | -0.000 | -0.000 | -0.000 | 95.528 | -0.000 |
| 0.000 | -0.000 | -0.000 | -0.000 | 0.000 | 95.528 |
| 405.649 | 249.888 | 249.888 | 0.000 | 0.000 | 0.000 |
| 249.888 | 405.649 | 249.888 | 0.000 | 0.000 | 0.000 |
| 249.888 | 249.888 | 405.649 | 0.000 | -0.000 | 0.000 |
| 0.000 | -0.000 | 0.000 | 95.528 | -0.000 | 0.000 |
| -0.000 | 0.000 | 0.000 | 0.000 | 95.528 | 0.000 |
| -0.000 | 0.000 | 0.000 | -0.000 | -0.000 | 95.528 |
| 405.649 | 249.885 | 249.885 | -0.000 | 0.000 | -0.000 |
| 249.885 | 405.649 | 249.885 | -0.000 | -0.000 | 0.000 |
| 249.885 | 249.885 | 405.649 | 0.000 | 0.000 | -0.000 |
| -0.000 | 0.000 | -0.000 | 95.528 | -0.000 | -0.000 |
| 0.000 | -0.000 | -0.000 | -0.000 | 95.528 | -0.000 |
| 0.000 | -0.000 | -0.000 | 0.000 | 0.000 | 95.528 |
| -112.677 | -51.186 | -51.186 | 0.000 | 0.000 | -0.000 |
| -51.186 | -112.677 | -51.186 | 0.000 | 0.000 | -0.000 |
| -51.186 | -51.186 | -112.677 | -0.000 | -0.000 | -0.000 |
| 0.000 | -0.000 | -0.000 | -43.664 | -0.000 | -0.000 |
| 0.000 | -0.000 | -0.000 | -0.000 | -43.664 | 0.000 |
| 0.000 | -0.000 | -0.000 | -0.000 | -0.000 | -43.664 |
| -112.677 | -51.186 | -51.186 | 0.000 | -0.000 | -0.000 |
| -51.186 | -112.677 | -51.186 | -0.000 | 0.000 | 0.000 |
| -51.186 | -51.186 | -112.677 | 0.000 | 0.000 | 0.000 |
| -0.000 | -0.000 | 0.000 | -43.664 | -0.000 | -0.000 |
| -0.000 | 0.000 | 0.000 | -0.000 | -43.664 | 0.000 |
| -0.000 | 0.000 | 0.000 | -0.000 | 0.000 | -43.664 |
| -112.677 | -51.186 | -51.186 | -0.000 | 0.000 | 0.000 |
| -51.186 | -112.677 | -51.186 | 0.000 | 0.000 | 0.000 |
| -51.186 | -51.186 | -112.677 | 0.000 | 0.000 | -0.000 |
| -0.000 | -0.000 | -0.000 | -43.664 | -0.000 | 0.000 |
| -0.000 | -0.000 | -0.000 | -0.000 | -43.664 | 0.000 |
| -0.000 | -0.000 | -0.000 | 0.000 | -0.000 | -43.664 |
| -112.677 | -51.186 | -51.186 | -0.000 | -0.000 | -0.000 |
| -51.186 | -112.677 | -51.186 | -0.000 | 0.000 | 0.000 |
| -51.186 | -51.186 | -112.677 | 0.000 | 0.000 | -0.000 |
| 0.000 | 0.000 | 0.000 | -43.664 | 0.000 | -0.000 |
| 0.000 | 0.000 | 0.000 | 0.000 | -43.664 | 0.000 |
| 0.000 | 0.000 | 0.000 | 0.000 | 0.000 | -43.664 |
| -112.677 | -51.186 | -51.186 | 0.000 | 0.000 | 0.000 |
| -51.186 | -112.677 | -51.186 | 0.000 | 0.000 | -0.000 |
| -51.186 | -51.186 | -112.677 | -0.000 | -0.000 | 0.000 |
| -0.000 | -0.000 | -0.000 | -43.664 | 0.000 | 0.000 |
| -0.000 | -0.000 | -0.000 | 0.000 | -43.664 | 0.000 |
| -0.000 | -0.000 | -0.000 | -0.000 | 0.000 | -43.664 |
| -112.676 | -51.186 | -51.186 | -0.000 | -0.000 | -0.000 |
| -51.186 | -112.676 | -51.186 | -0.000 | 0.000 | 0.000 |
| -51.186 | -51.186 | -112.676 | -0.000 | 0.000 | -0.000 |
| 0.000 | 0.000 | 0.000 | -43.664 | -0.000 | -0.000 |
| 0.000 | 0.000 | 0.000 | -0.000 | -43.664 | 0.000 |
| 0.000 | 0.000 | 0.000 | 0.000 | 0.000 | -43.664 |
| -41.910 | -17.841 | -17.841 | 0.000 | -0.000 | 0.000 |
| -17.841 | -41.910 | -17.841 | 0.000 | 0.000 | 0.000 |
| -17.841 | -17.841 | -41.910 | 0.000 | 0.000 | 0.000 |
| -0.000 | -0.000 | -0.000 | -17.841 | 0.000 | 0.000 |
| -0.000 | -0.000 | -0.000 | 0.000 | -17.841 | 0.000 |
| -0.000 | -0.000 | -0.000 | 0.000 | -0.000 | -17.841 |
| -41.910 | -17.841 | -17.841 | -0.000 | -0.000 | -0.000 |
| -17.841 | -41.910 | -17.841 | -0.000 | -0.000 | -0.000 |
| -17.841 | -17.841 | -41.910 | -0.000 | -0.000 | -0.000 |
| 0.000 | 0.000 | 0.000 | -17.841 | -0.000 | -0.000 |
| 0.000 | 0.000 | 0.000 | -0.000 | -17.841 | -0.000 |
| 0.000 | 0.000 | 0.000 | -0.000 | -0.000 | -17.841 |
| -41.910 | -17.841 | -17.841 | 0.000 | 0.000 | 0.000 |
| -17.841 | -41.910 | -17.841 | 0.000 | 0.000 | 0.000 |
| -17.841 | -17.841 | -41.910 | 0.000 | 0.000 | 0.000 |
| -0.000 | -0.000 | -0.000 | -17.841 | 0.000 | 0.000 |
| -0.000 | -0.000 | -0.000 | 0.000 | -17.841 | 0.000 |
| -0.000 | -0.000 | -0.000 | 0.000 | 0.000 | -17.841 |
| -41.910 | -17.841 | -17.841 | -0.000 | -0.000 | -0.000 |
| -17.841 | -41.910 | -17.841 | -0.000 | -0.000 | -0.000 |
| -17.841 | -17.841 | -41.910 | -0.000 | 0.000 | -0.000 |
| 0.000 | 0.000 | 0.000 | -17.841 | -0.000 | -0.000 |
| 0.000 | 0.000 | 0.000 | -0.000 | -17.841 | -0.000 |
| 0.000 | 0.000 | 0.000 | -0.000 | -0.000 | -17.841 |
| -41.911 | -17.841 | -17.841 | 0.000 | 0.000 | 0.000 |
| -17.841 | -41.911 | -17.841 | 0.000 | 0.000 | 0.000 |
| -17.841 | -17.841 | -41.911 | 0.000 | 0.000 | 0.000 |
| -0.000 | -0.000 | -0.000 | -17.841 | 0.000 | 0.000 |
| -0.000 | -0.000 | -0.000 | 0.000 | -17.841 | 0.000 |
| -0.000 | -0.000 | -0.000 | 0.000 | -0.000 | -17.841 |
| -41.909 | -17.840 | -17.840 | -0.000 | 0.000 | -0.000 |
| -17.840 | -41.909 | -17.840 | -0.000 | 0.000 | -0.000 |
| -17.840 | -17.840 | -41.909 | -0.000 | -0.000 | -0.000 |
| 0.000 | 0.000 | 0.000 | -17.841 | -0.000 | -0.000 |
| 0.000 | 0.000 | 0.000 | -0.000 | -17.841 | -0.000 |
| 0.000 | 0.000 | 0.000 | -0.000 | -0.000 | -17.841 |
| 43.417 | 16.163 | 16.163 | 0.000 | 0.000 | 0.000 |
| 16.163 | 43.417 | 16.163 | -0.000 | 0.000 | 0.000 |
| 16.163 | 16.163 | 43.417 | 0.000 | 0.000 | -0.000 |
| -0.000 | -0.000 | -0.000 | 15.914 | 0.000 | 0.000 |
| -0.000 | -0.000 | -0.000 | -0.000 | 15.914 | -0.000 |
| -0.000 | -0.000 | -0.000 | 0.000 | 0.000 | 15.914 |
| 43.417 | 16.163 | 16.163 | 0.000 | -0.000 | 0.000 |
| 16.163 | 43.417 | 16.163 | -0.000 | -0.000 | -0.000 |
| 16.163 | 16.163 | 43.417 | 0.000 | -0.000 | 0.000 |
| 0.000 | 0.000 | 0.000 | 15.914 | -0.000 | -0.000 |
| 0.000 | 0.000 | 0.000 | 0.000 | 15.914 | 0.000 |
| 0.000 | 0.000 | 0.000 | -0.000 | -0.000 | 15.914 |
| 43.417 | 16.163 | 16.163 | -0.000 | 0.000 | -0.000 |
| 16.163 | 43.417 | 16.163 | 0.000 | -0.000 | 0.000 |
| 16.163 | 16.163 | 43.417 | 0.000 | 0.000 | -0.000 |
| -0.000 | -0.000 | -0.000 | 15.914 | 0.000 | 0.000 |
| -0.000 | -0.000 | -0.000 | -0.000 | 15.914 | 0.000 |
| -0.000 | -0.000 | -0.000 | 0.000 | 0.000 | 15.914 |
| 43.417 | 16.163 | 16.163 | 0.000 | -0.000 | -0.000 |
| 16.163 | 43.417 | 16.163 | 0.000 | -0.000 | -0.000 |
| 16.163 | 16.163 | 43.417 | -0.000 | -0.000 | 0.000 |
| 0.000 | 0.000 | 0.000 | 15.914 | -0.000 | -0.000 |
| 0.000 | 0.000 | 0.000 | 0.000 | 15.914 | 0.000 |
| 0.000 | 0.000 | 0.000 | -0.000 | -0.000 | 15.914 |
| 43.415 | 16.163 | 16.163 | -0.000 | 0.000 | 0.000 |
| 16.163 | 43.415 | 16.163 | -0.000 | 0.000 | 0.000 |
| 16.163 | 16.163 | 43.415 | -0.000 | 0.000 | 0.000 |
| -0.000 | -0.000 | -0.000 | 15.914 | 0.000 | 0.000 |
| -0.000 | -0.000 | -0.000 | -0.000 | 15.914 | 0.000 |
| -0.000 | -0.000 | -0.000 | 0.000 | 0.000 | 15.914 |
| 43.418 | 16.163 | 16.163 | 0.000 | -0.000 | -0.000 |
| 16.163 | 43.418 | 16.163 | 0.000 | 0.000 | -0.000 |
| 16.163 | 16.163 | 43.418 | 0.000 | -0.000 | 0.000 |
| 0.000 | 0.000 | 0.000 | 15.914 | -0.000 | -0.000 |
| 0.000 | 0.000 | 0.000 | 0.000 | 15.914 | -0.000 |
| 0.000 | 0.000 | 0.000 | -0.000 | -0.000 | 15.914 |
| 43.444 | 16.173 | 16.173 | 0.000 | 0.000 | 0.000 |
| 16.173 | 43.444 | 16.173 | 0.000 | 0.000 | 0.000 |
| 16.173 | 16.173 | 43.444 | 0.000 | 0.000 | 0.000 |
| -0.000 | -0.000 | -0.000 | 15.923 | 0.000 | 0.000 |
| -0.000 | -0.000 | -0.000 | 0.000 | 15.923 | 0.000 |
| -0.000 | -0.000 | -0.000 | 0.000 | 0.000 | 15.923 |
| 43.444 | 16.173 | 16.173 | -0.000 | -0.000 | -0.000 |
| 16.173 | 43.444 | 16.173 | -0.000 | -0.000 | -0.000 |
| 16.173 | 16.173 | 43.444 | -0.000 | -0.000 | -0.000 |
| 0.000 | 0.000 | 0.000 | 15.923 | -0.000 | -0.000 |
| 0.000 | 0.000 | 0.000 | -0.000 | 15.923 | -0.000 |
| 0.000 | 0.000 | 0.000 | -0.000 | -0.000 | 15.923 |
| 43.444 | 16.173 | 16.173 | 0.000 | 0.000 | 0.000 |
| 16.173 | 43.444 | 16.173 | 0.000 | 0.000 | 0.000 |
| 16.173 | 16.173 | 43.444 | 0.000 | 0.000 | 0.000 |
| -0.000 | -0.000 | -0.000 | 15.923 | 0.000 | 0.000 |
| -0.000 | -0.000 | -0.000 | 0.000 | 15.923 | 0.000 |
| -0.000 | -0.000 | -0.000 | 0.000 | 0.000 | 15.923 |
| 43.444 | 16.173 | 16.173 | -0.000 | -0.000 | -0.000 |
| 16.173 | 43.444 | 16.173 | -0.000 | -0.000 | -0.000 |
| 16.173 | 16.173 | 43.444 | -0.000 | -0.000 | -0.000 |
| 0.000 | 0.000 | 0.000 | 15.923 | -0.000 | -0.000 |
| 0.000 | 0.000 | 0.000 | -0.000 | 15.923 | -0.000 |
| 0.000 | 0.000 | 0.000 | -0.000 | -0.000 | 15.923 |
| 43.443 | 16.173 | 16.173 | 0.000 | 0.000 | 0.000 |
| 16.173 | 43.443 | 16.173 | 0.000 | 0.000 | 0.000 |
| 16.173 | 16.173 | 43.443 | 0.000 | 0.000 | 0.000 |
| -0.000 | -0.000 | -0.000 | 15.923 | 0.000 | 0.000 |
| -0.000 | -0.000 | -0.000 | 0.000 | 15.923 | 0.000 |
| -0.000 | -0.000 | -0.000 | 0.000 | 0.000 | 15.923 |
| 43.446 | 16.173 | 16.173 | -0.000 | -0.000 | -0.000 |
| 16.173 | 43.446 | 16.173 | -0.000 | -0.000 | -0.000 |
| 16.173 | 16.173 | 43.446 | 0.000 | 0.000 | -0.000 |
| 0.000 | 0.000 | 0.000 | 15.923 | -0.000 | -0.000 |
| 0.000 | 0.000 | 0.000 | -0.000 | 15.923 | -0.000 |
| 0.000 | 0.000 | 0.000 | -0.000 | -0.000 | 15.923 |
| 58.009 | 30.461 | 30.461 | 0.000 | 0.000 | 0.000 |
| 30.461 | 58.009 | 30.461 | 0.000 | 0.000 | 0.000 |
| 30.461 | 30.461 | 58.009 | 0.000 | 0.000 | 0.000 |
| 0.000 | 0.000 | 0.000 | 17.622 | 0.000 | -0.000 |
| 0.000 | 0.000 | 0.000 | -0.000 | 17.622 | 0.000 |
| 0.000 | 0.000 | 0.000 | -0.000 | 0.000 | 17.622 |
| 58.009 | 30.461 | 30.461 | -0.000 | 0.000 | -0.000 |
| 30.461 | 58.009 | 30.461 | 0.000 | -0.000 | -0.000 |
| 30.461 | 30.461 | 58.009 | -0.000 | -0.000 | -0.000 |
| -0.000 | -0.000 | -0.000 | 17.622 | 0.000 | -0.000 |
| -0.000 | -0.000 | -0.000 | 0.000 | 17.622 | -0.000 |
| -0.000 | -0.000 | -0.000 | 0.000 | -0.000 | 17.622 |
| 58.009 | 30.461 | 30.461 | -0.000 | 0.000 | 0.000 |
| 30.461 | 58.009 | 30.461 | 0.000 | -0.000 | 0.000 |
| 30.461 | 30.461 | 58.009 | 0.000 | 0.000 | 0.000 |
| 0.000 | 0.000 | 0.000 | 17.622 | 0.000 | 0.000 |
| 0.000 | 0.000 | 0.000 | 0.000 | 17.622 | 0.000 |
| 0.000 | 0.000 | 0.000 | 0.000 | 0.000 | 17.622 |
| 58.009 | 30.461 | 30.461 | -0.000 | -0.000 | -0.000 |
| 30.461 | 58.009 | 30.461 | -0.000 | -0.000 | -0.000 |
| 30.461 | 30.461 | 58.009 | -0.000 | -0.000 | -0.000 |
| -0.000 | -0.000 | -0.000 | 17.622 | -0.000 | -0.000 |
| -0.000 | -0.000 | -0.000 | -0.000 | 17.622 | -0.000 |
| -0.000 | -0.000 | -0.000 | 0.000 | -0.000 | 17.622 |
| 58.010 | 30.460 | 30.460 | 0.000 | 0.000 | 0.000 |
| 30.460 | 58.010 | 30.460 | 0.000 | 0.000 | 0.000 |
| 30.460 | 30.460 | 58.010 | 0.000 | -0.000 | 0.000 |
| 0.000 | 0.000 | 0.000 | 17.622 | 0.000 | 0.000 |
| 0.000 | 0.000 | 0.000 | 0.000 | 17.622 | 0.000 |
| 0.000 | 0.000 | 0.000 | -0.000 | 0.000 | 17.622 |
| 58.009 | 30.461 | 30.461 | 0.000 | -0.000 | -0.000 |
| 30.461 | 58.009 | 30.461 | -0.000 | 0.000 | -0.000 |
| 30.461 | 30.461 | 58.009 | 0.000 | -0.000 | -0.000 |
| -0.000 | -0.000 | -0.000 | 17.622 | 0.000 | -0.000 |
| -0.000 | -0.000 | -0.000 | 0.000 | 17.622 | -0.000 |
| -0.000 | -0.000 | -0.000 | 0.000 | -0.000 | 17.622 |
| -17.311 | -8.640 | -8.640 | 0.000 | 0.000 | -0.000 |
| -8.640 | -17.311 | -8.640 | 0.000 | 0.000 | 0.000 |
| -8.640 | -8.640 | -17.311 | 0.000 | 0.000 | 0.000 |
| -0.000 | -0.000 | -0.000 | -1.879 | 0.000 | -0.000 |
| -0.000 | -0.000 | -0.000 | 0.000 | -1.879 | -0.000 |
| -0.000 | -0.000 | -0.000 | -0.000 | -0.000 | -1.879 |
| -17.311 | -8.640 | -8.640 | -0.000 | -0.000 | 0.000 |
| -8.640 | -17.311 | -8.640 | 0.000 | -0.000 | -0.000 |
| -8.640 | -8.640 | -17.311 | -0.000 | -0.000 | -0.000 |
| 0.000 | 0.000 | 0.000 | -1.879 | -0.000 | 0.000 |
| 0.000 | 0.000 | 0.000 | -0.000 | -1.879 | 0.000 |
| 0.000 | 0.000 | 0.000 | -0.000 | 0.000 | -1.879 |
| -17.311 | -8.640 | -8.640 | -0.000 | 0.000 | -0.000 |
| -8.640 | -17.311 | -8.640 | 0.000 | 0.000 | -0.000 |
| -8.640 | -8.640 | -17.311 | 0.000 | 0.000 | -0.000 |
| 0.000 | 0.000 | 0.000 | -1.879 | 0.000 | -0.000 |
| 0.000 | 0.000 | 0.000 | -0.000 | -1.879 | -0.000 |
| 0.000 | 0.000 | 0.000 | 0.000 | -0.000 | -1.879 |
| -17.312 | -8.640 | -8.640 | -0.000 | -0.000 | 0.000 |
| -8.640 | -17.312 | -8.640 | -0.000 | -0.000 | 0.000 |
| -8.640 | -8.640 | -17.312 | 0.000 | -0.000 | 0.000 |
| -0.000 | -0.000 | -0.000 | -1.879 | -0.000 | 0.000 |
| -0.000 | -0.000 | -0.000 | -0.000 | -1.879 | 0.000 |
| -0.000 | -0.000 | -0.000 | 0.000 | -0.000 | -1.879 |
| -17.311 | -8.640 | -8.640 | 0.000 | 0.000 | -0.000 |
| -8.640 | -17.311 | -8.640 | -0.000 | 0.000 | -0.000 |
| -8.640 | -8.640 | -17.311 | 0.000 | 0.000 | -0.000 |
| 0.000 | 0.000 | 0.000 | -1.879 | 0.000 | -0.000 |
| 0.000 | 0.000 | 0.000 | -0.000 | -1.879 | -0.000 |
| 0.000 | 0.000 | 0.000 | 0.000 | 0.000 | -1.879 |
| -17.312 | -8.640 | -8.640 | -0.000 | -0.000 | 0.000 |
| -8.640 | -17.312 | -8.640 | -0.000 | -0.000 | 0.000 |
| -8.640 | -8.640 | -17.312 | -0.000 | -0.000 | 0.000 |
| -0.000 | -0.000 | -0.000 | -1.879 | -0.000 | 0.000 |
| -0.000 | -0.000 | -0.000 | -0.000 | -1.879 | 0.000 |
| -0.000 | -0.000 | -0.000 | 0.000 | -0.000 | -1.879 |
| 31.631 | 9.012 | 9.012 | -0.000 | -0.000 | -0.000 |
| 9.012 | 31.631 | 9.012 | -0.000 | -0.000 | -0.000 |
| 9.012 | 9.012 | 31.631 | -0.000 | -0.000 | -0.000 |
| -0.000 | 0.000 | 0.000 | 4.187 | -0.000 | -0.000 |
| 0.000 | -0.000 | 0.000 | 0.000 | 4.187 | 0.000 |
| 0.000 | 0.000 | -0.000 | 0.000 | 0.000 | 4.187 |
| 31.631 | 9.012 | 9.012 | -0.000 | -0.000 | 0.000 |
| 9.012 | 31.631 | 9.012 | -0.000 | -0.000 | 0.000 |
| 9.012 | 9.012 | 31.631 | -0.000 | 0.000 | 0.000 |
| 0.000 | -0.000 | -0.000 | 4.187 | -0.000 | 0.000 |
| -0.000 | 0.000 | -0.000 | -0.000 | 4.187 | 0.000 |
| -0.000 | -0.000 | 0.000 | -0.000 | 0.000 | 4.187 |
| 31.631 | 9.012 | 9.012 | 0.000 | 0.000 | -0.000 |
| 9.012 | 31.631 | 9.012 | 0.000 | 0.000 | -0.000 |
| 9.012 | 9.012 | 31.631 | -0.000 | -0.000 | -0.000 |
| -0.000 | 0.000 | 0.000 | 4.187 | 0.000 | 0.000 |
| 0.000 | -0.000 | 0.000 | 0.000 | 4.187 | -0.000 |
| 0.000 | 0.000 | -0.000 | 0.000 | 0.000 | 4.187 |
| 31.631 | 9.012 | 9.012 | -0.000 | -0.000 | 0.000 |
| 9.012 | 31.631 | 9.012 | -0.000 | -0.000 | -0.000 |
| 9.012 | 9.012 | 31.631 | 0.000 | 0.000 | 0.000 |
| 0.000 | -0.000 | -0.000 | 4.187 | -0.000 | -0.000 |
| -0.000 | 0.000 | -0.000 | -0.000 | 4.187 | 0.000 |
| -0.000 | -0.000 | 0.000 | -0.000 | 0.000 | 4.187 |
| 31.632 | 9.012 | 9.012 | -0.000 | -0.000 | -0.000 |
| 9.012 | 31.632 | 9.012 | -0.000 | -0.000 | 0.000 |
| 9.012 | 9.012 | 31.632 | 0.000 | 0.000 | -0.000 |
| -0.000 | 0.000 | 0.000 | 4.187 | -0.000 | -0.000 |
| 0.000 | -0.000 | 0.000 | 0.000 | 4.187 | -0.000 |
| 0.000 | 0.000 | -0.000 | 0.000 | 0.000 | 4.187 |
| 31.631 | 9.012 | 9.012 | -0.000 | -0.000 | 0.000 |
| 9.012 | 31.631 | 9.012 | -0.000 | -0.000 | 0.000 |
| 9.012 | 9.012 | 31.631 | 0.000 | 0.000 | 0.000 |
| 0.000 | -0.000 | -0.000 | 4.187 | 0.000 | 0.000 |
| -0.000 | 0.000 | -0.000 | -0.000 | 4.187 | 0.000 |
| -0.000 | -0.000 | 0.000 | -0.000 | -0.000 | 4.187 |
| 2.266 | 2.275 | 2.275 | -0.000 | 0.000 | 0.000 |
| 2.275 | 2.266 | 2.275 | 0.000 | -0.000 | 0.000 |
| 2.275 | 2.275 | 2.266 | -0.000 | 0.000 | 0.000 |
| 0.000 | 0.000 | 0.000 | 2.266 | -0.000 | 0.000 |
| 0.000 | 0.000 | 0.000 | -0.000 | 2.266 | 0.000 |
| 0.000 | 0.000 | 0.000 | -0.000 | 0.000 | 2.266 |
| 2.266 | 2.275 | 2.275 | -0.000 | 0.000 | -0.000 |
| 2.275 | 2.266 | 2.275 | -0.000 | -0.000 | -0.000 |
| 2.275 | 2.275 | 2.266 | -0.000 | -0.000 | -0.000 |
| -0.000 | -0.000 | -0.000 | 2.266 | 0.000 | -0.000 |
| -0.000 | -0.000 | -0.000 | 0.000 | 2.266 | -0.000 |
| -0.000 | -0.000 | -0.000 | 0.000 | -0.000 | 2.266 |
| 2.266 | 2.275 | 2.275 | 0.000 | 0.000 | 0.000 |
| 2.275 | 2.266 | 2.275 | 0.000 | 0.000 | 0.000 |
| 2.275 | 2.275 | 2.266 | -0.000 | 0.000 | 0.000 |
| 0.000 | 0.000 | 0.000 | 2.266 | -0.000 | 0.000 |
| 0.000 | 0.000 | 0.000 | -0.000 | 2.266 | 0.000 |
| 0.000 | 0.000 | 0.000 | -0.000 | -0.000 | 2.266 |
| 2.266 | 2.275 | 2.275 | -0.000 | -0.000 | -0.000 |
| 2.275 | 2.266 | 2.275 | 0.000 | -0.000 | -0.000 |
| 2.275 | 2.275 | 2.266 | -0.000 | -0.000 | -0.000 |
| -0.000 | -0.000 | -0.000 | 2.266 | 0.000 | -0.000 |
| -0.000 | -0.000 | -0.000 | 0.000 | 2.266 | -0.000 |
| -0.000 | -0.000 | -0.000 | 0.000 | -0.000 | 2.266 |
| 2.266 | 2.275 | 2.275 | -0.000 | -0.000 | 0.000 |
| 2.275 | 2.266 | 2.275 | -0.000 | -0.000 | 0.000 |
| 2.275 | 2.275 | 2.266 | 0.000 | 0.000 | -0.000 |
| 0.000 | 0.000 | 0.000 | 2.266 | -0.000 | 0.000 |
| 0.000 | 0.000 | 0.000 | -0.000 | 2.266 | 0.000 |
| 0.000 | 0.000 | 0.000 | -0.000 | -0.000 | 2.266 |
| 2.266 | 2.275 | 2.275 | -0.000 | 0.000 | -0.000 |
| 2.275 | 2.266 | 2.275 | 0.000 | -0.000 | -0.000 |
| 2.275 | 2.275 | 2.266 | 0.000 | -0.000 | -0.000 |
| -0.000 | -0.000 | -0.000 | 2.266 | 0.000 | -0.000 |
| -0.000 | -0.000 | -0.000 | 0.000 | 2.266 | -0.000 |
| -0.000 | -0.000 | -0.000 | 0.000 | 0.000 | 2.266 |
| 95.119 | 172.238 | 172.238 | -0.000 | -0.000 | -0.000 |
| 172.238 | 95.119 | 172.238 | -0.000 | -0.000 | -0.000 |
| 172.238 | 172.238 | 95.119 | -0.000 | -0.000 | -0.000 |
| -0.000 | -0.000 | -0.000 | 33.181 | -0.000 | -0.000 |
| -0.000 | -0.000 | -0.000 | -0.000 | 33.181 | -0.000 |
| -0.000 | -0.000 | 0.000 | -0.000 | -0.000 | 33.181 |
| 95.119 | 172.238 | 172.238 | 0.000 | 0.000 | 0.000 |
| 172.238 | 95.119 | 172.238 | 0.000 | 0.000 | 0.000 |
| 172.238 | 172.238 | 95.119 | 0.000 | 0.000 | 0.000 |
| 0.000 | 0.000 | 0.000 | 33.181 | 0.000 | 0.000 |
| 0.000 | 0.000 | 0.000 | 0.000 | 33.181 | 0.000 |
| 0.000 | 0.000 | -0.000 | 0.000 | 0.000 | 33.181 |
| 95.119 | 172.238 | 172.238 | -0.000 | -0.000 | -0.000 |
| 172.238 | 95.119 | 172.238 | -0.000 | -0.000 | -0.000 |
| 172.238 | 172.238 | 95.119 | -0.000 | -0.000 | -0.000 |
| -0.000 | -0.000 | -0.000 | 33.181 | -0.000 | -0.000 |
| -0.000 | -0.000 | -0.000 | -0.000 | 33.181 | -0.000 |
| -0.000 | -0.000 | -0.000 | -0.000 | -0.000 | 33.181 |
| 95.119 | 172.238 | 172.238 | 0.000 | 0.000 | 0.000 |
| 172.238 | 95.119 | 172.238 | 0.000 | 0.000 | 0.000 |
| 172.238 | 172.238 | 95.119 | 0.000 | 0.000 | 0.000 |
| 0.000 | 0.000 | 0.000 | 33.181 | 0.000 | 0.000 |
| 0.000 | 0.000 | 0.000 | 0.000 | 33.181 | 0.000 |
| 0.000 | 0.000 | 0.000 | 0.000 | 0.000 | 33.181 |
| 95.116 | 172.237 | 172.237 | -0.000 | -0.000 | -0.000 |
| 172.237 | 95.116 | 172.237 | -0.000 | -0.000 | -0.000 |
| 172.237 | 172.237 | 95.116 | -0.000 | -0.000 | -0.000 |
| -0.000 | -0.001 | -0.001 | 33.181 | -0.000 | -0.000 |
| -0.001 | -0.000 | -0.001 | -0.000 | 33.181 | -0.000 |
| -0.001 | -0.001 | -0.000 | -0.000 | -0.000 | 33.181 |
| 95.121 | 172.238 | 172.238 | 0.000 | 0.000 | 0.000 |
| 172.238 | 95.121 | 172.238 | 0.000 | 0.000 | 0.000 |
| 172.238 | 172.238 | 95.121 | 0.000 | 0.000 | 0.000 |
| 0.000 | 0.001 | 0.001 | 33.181 | -0.000 | 0.000 |
| 0.001 | 0.000 | 0.001 | 0.000 | 33.181 | 0.000 |
| 0.001 | 0.001 | 0.000 | 0.000 | 0.000 | 33.181 |
| -42.558 | -21.279 | -21.279 | -0.000 | -0.000 | -0.000 |
| -21.279 | -42.558 | -21.279 | -0.000 | -0.000 | -0.000 |
| -21.279 | -21.279 | -42.558 | -0.000 | -0.000 | -0.000 |
| -0.000 | -0.000 | -0.000 | -21.279 | 0.000 | 0.000 |
| -0.000 | -0.000 | -0.000 | -0.000 | -21.279 | -0.000 |
| -0.000 | -0.000 | 0.000 | -0.000 | -0.000 | -21.279 |
| -42.558 | -21.279 | -21.279 | 0.000 | 0.000 | -0.000 |
| -21.279 | -42.558 | -21.279 | 0.000 | 0.000 | 0.000 |
| -21.279 | -21.279 | -42.558 | 0.000 | -0.000 | 0.000 |
| 0.000 | 0.000 | 0.000 | -21.279 | -0.000 | -0.000 |
| 0.000 | 0.000 | 0.000 | -0.000 | -21.279 | 0.000 |
| 0.000 | 0.000 | -0.000 | 0.000 | -0.000 | -21.279 |
| -42.558 | -21.279 | -21.279 | -0.000 | 0.000 | 0.000 |
| -21.279 | -42.558 | -21.279 | 0.000 | 0.000 | 0.000 |
| -21.279 | -21.279 | -42.558 | -0.000 | -0.000 | -0.000 |
| 0.000 | -0.000 | -0.000 | -21.279 | 0.000 | 0.000 |
| -0.000 | 0.000 | -0.000 | -0.000 | -21.279 | -0.000 |
| -0.000 | -0.000 | 0.000 | -0.000 | 0.000 | -21.279 |
| -42.558 | -21.279 | -21.279 | 0.000 | 0.000 | -0.000 |
| -21.279 | -42.558 | -21.279 | 0.000 | 0.000 | 0.000 |
| -21.279 | -21.279 | -42.558 | -0.000 | -0.000 | 0.000 |
| -0.000 | 0.000 | 0.000 | -21.279 | -0.000 | 0.000 |
| 0.000 | -0.000 | 0.000 | 0.000 | -21.279 | -0.000 |
| 0.000 | 0.000 | -0.000 | 0.000 | -0.000 | -21.279 |
| -42.558 | -21.279 | -21.279 | -0.000 | -0.000 | -0.000 |
| -21.279 | -42.558 | -21.279 | -0.000 | -0.000 | -0.000 |
| -21.279 | -21.279 | -42.558 | -0.000 | -0.000 | -0.000 |
| 0.000 | -0.000 | -0.000 | -21.279 | 0.000 | 0.000 |
| -0.000 | 0.000 | -0.000 | 0.000 | -21.279 | 0.000 |
| -0.000 | -0.000 | 0.000 | 0.000 | 0.000 | -21.279 |
| -42.558 | -21.279 | -21.279 | 0.000 | 0.000 | 0.000 |
| -21.279 | -42.558 | -21.279 | 0.000 | 0.000 | 0.000 |
| -21.279 | -21.279 | -42.558 | 0.000 | -0.000 | 0.000 |
| -0.000 | 0.000 | 0.000 | -21.279 | -0.000 | -0.000 |
| 0.000 | -0.000 | 0.000 | -0.000 | -21.279 | -0.000 |
| 0.000 | 0.000 | -0.000 | -0.000 | -0.000 | -21.279 |
| -26.383 | -12.177 | -12.177 | 0.000 | 0.000 | 0.000 |
| -12.177 | -26.383 | -12.177 | -0.000 | 0.000 | 0.000 |
| -12.177 | -12.177 | -26.383 | 0.000 | 0.000 | 0.000 |
| 0.000 | 0.000 | -0.000 | -13.530 | -0.000 | 0.000 |
| 0.000 | 0.000 | -0.000 | -0.000 | -13.530 | 0.000 |
| -0.000 | -0.000 | 0.000 | -0.000 | 0.000 | -13.530 |
| -26.383 | -12.177 | -12.177 | -0.000 | -0.000 | -0.000 |
| -12.177 | -26.383 | -12.177 | -0.000 | -0.000 | -0.000 |
| -12.177 | -12.177 | -26.383 | -0.000 | -0.000 | -0.000 |
| -0.000 | 0.000 | 0.000 | -13.530 | -0.000 | -0.000 |
| 0.000 | -0.000 | 0.000 | -0.000 | -13.530 | -0.000 |
| 0.000 | 0.000 | -0.000 | -0.000 | -0.000 | -13.530 |
| -26.383 | -12.177 | -12.177 | 0.000 | 0.000 | 0.000 |
| -12.177 | -26.383 | -12.177 | 0.000 | 0.000 | 0.000 |
| -12.177 | -12.177 | -26.383 | 0.000 | 0.000 | 0.000 |
| 0.000 | -0.000 | -0.000 | -13.530 | 0.000 | 0.000 |
| -0.000 | 0.000 | -0.000 | 0.000 | -13.530 | 0.000 |
| -0.000 | -0.000 | 0.000 | 0.000 | 0.000 | -13.530 |
| -26.383 | -12.177 | -12.177 | -0.000 | -0.000 | -0.000 |
| -12.177 | -26.383 | -12.177 | -0.000 | -0.000 | -0.000 |
| -12.177 | -12.177 | -26.383 | -0.000 | -0.000 | -0.000 |
| -0.000 | 0.000 | 0.000 | -13.530 | -0.000 | -0.000 |
| 0.000 | -0.000 | 0.000 | -0.000 | -13.530 | -0.000 |
| 0.000 | 0.000 | -0.000 | -0.000 | -0.000 | -13.530 |
| -26.383 | -12.177 | -12.177 | -0.000 | 0.000 | 0.000 |
| -12.177 | -26.383 | -12.177 | 0.000 | 0.000 | 0.000 |
| -12.177 | -12.177 | -26.383 | 0.000 | 0.000 | 0.000 |
| 0.000 | -0.000 | -0.000 | -13.530 | 0.000 | 0.000 |
| -0.000 | 0.000 | -0.000 | 0.000 | -13.530 | 0.000 |
| -0.000 | -0.000 | 0.000 | 0.000 | 0.000 | -13.530 |
| -26.382 | -12.176 | -12.176 | -0.000 | -0.000 | -0.000 |
| -12.176 | -26.382 | -12.176 | -0.000 | -0.000 | -0.000 |
| -12.176 | -12.176 | -26.382 | -0.000 | -0.000 | -0.000 |
| -0.000 | 0.000 | 0.000 | -13.530 | -0.000 | -0.000 |
| 0.000 | -0.000 | 0.000 | -0.000 | -13.530 | -0.000 |
| 0.000 | 0.000 | -0.000 | -0.000 | -0.000 | -13.530 |
| 6.049 | 3.047 | 3.047 | 0.000 | 0.000 | 0.000 |
| 3.047 | 6.049 | 3.047 | 0.000 | -0.000 | -0.000 |
| 3.047 | 3.047 | 6.049 | -0.000 | -0.000 | -0.000 |
| 0.000 | 0.000 | 0.000 | 3.017 | -0.000 | 0.000 |
| 0.000 | 0.000 | 0.000 | -0.000 | 3.017 | 0.000 |
| 0.000 | 0.000 | -0.000 | 0.000 | -0.000 | 3.017 |
| 6.049 | 3.047 | 3.047 | 0.000 | -0.000 | 0.000 |
| 3.047 | 6.049 | 3.047 | -0.000 | 0.000 | -0.000 |
| 3.047 | 3.047 | 6.049 | -0.000 | -0.000 | -0.000 |
| -0.000 | -0.000 | -0.000 | 3.017 | -0.000 | -0.000 |
| -0.000 | -0.000 | -0.000 | -0.000 | 3.017 | 0.000 |
| -0.000 | -0.000 | 0.000 | 0.000 | 0.000 | 3.017 |
| 6.049 | 3.047 | 3.047 | -0.000 | 0.000 | 0.000 |
| 3.047 | 6.049 | 3.047 | 0.000 | -0.000 | 0.000 |
| 3.047 | 3.047 | 6.049 | 0.000 | 0.000 | 0.000 |
| -0.000 | 0.000 | 0.000 | 3.017 | 0.000 | 0.000 |
| 0.000 | -0.000 | 0.000 | 0.000 | 3.017 | -0.000 |
| 0.000 | 0.000 | -0.000 | -0.000 | -0.000 | 3.017 |
| 6.049 | 3.047 | 3.047 | 0.000 | 0.000 | 0.000 |
| 3.047 | 6.049 | 3.047 | 0.000 | 0.000 | 0.000 |
| 3.047 | 3.047 | 6.049 | 0.000 | 0.000 | -0.000 |
| 0.000 | -0.000 | -0.000 | 3.017 | 0.000 | -0.000 |
| -0.000 | 0.000 | -0.000 | 0.000 | 3.017 | 0.000 |
| -0.000 | -0.000 | 0.000 | 0.000 | 0.000 | 3.017 |
| 6.049 | 3.047 | 3.047 | -0.000 | -0.000 | -0.000 |
| 3.047 | 6.049 | 3.047 | -0.000 | -0.000 | 0.000 |
| 3.047 | 3.047 | 6.049 | -0.000 | 0.000 | -0.000 |
| -0.000 | 0.000 | 0.000 | 3.017 | 0.000 | 0.000 |
| 0.000 | -0.000 | 0.000 | -0.000 | 3.017 | 0.000 |
| 0.000 | 0.000 | -0.000 | 0.000 | 0.000 | 3.017 |
| 6.049 | 3.047 | 3.047 | 0.000 | 0.000 | -0.000 |
| 3.047 | 6.049 | 3.047 | 0.000 | 0.000 | 0.000 |
| 3.047 | 3.047 | 6.049 | 0.000 | 0.000 | 0.000 |
| 0.000 | -0.000 | -0.000 | 3.017 | 0.000 | -0.000 |
| -0.000 | 0.000 | -0.000 | 0.000 | 3.017 | 0.000 |
| -0.000 | -0.000 | 0.000 | -0.000 | -0.000 | 3.017 |
| 5.032 | 2.516 | 2.516 | 0.000 | -0.000 | -0.000 |
| 2.516 | 5.032 | 2.516 | -0.000 | 0.000 | -0.000 |
| 2.516 | 2.516 | 5.032 | 0.000 | 0.000 | -0.000 |
| -0.000 | 0.000 | 0.000 | 2.516 | 0.000 | -0.000 |
| 0.000 | -0.000 | 0.000 | 0.000 | 2.516 | -0.000 |
| 0.000 | 0.000 | 0.000 | -0.000 | 0.000 | 2.516 |
| 5.032 | 2.516 | 2.516 | 0.000 | 0.000 | -0.000 |
| 2.516 | 5.032 | 2.516 | 0.000 | 0.000 | -0.000 |
| 2.516 | 2.516 | 5.032 | -0.000 | -0.000 | 0.000 |
| 0.000 | -0.000 | -0.000 | 2.516 | 0.000 | 0.000 |
| -0.000 | 0.000 | -0.000 | -0.000 | 2.516 | 0.000 |
| -0.000 | -0.000 | -0.000 | -0.000 | -0.000 | 2.516 |
| 5.032 | 2.516 | 2.516 | 0.000 | -0.000 | -0.000 |
| 2.516 | 5.032 | 2.516 | -0.000 | 0.000 | -0.000 |
| 2.516 | 2.516 | 5.032 | -0.000 | -0.000 | -0.000 |
| -0.000 | 0.000 | 0.000 | 2.516 | 0.000 | -0.000 |
| 0.000 | -0.000 | 0.000 | -0.000 | 2.516 | -0.000 |
| 0.000 | 0.000 | -0.000 | -0.000 | 0.000 | 2.516 |
| 5.032 | 2.516 | 2.516 | -0.000 | 0.000 | 0.000 |
| 2.516 | 5.032 | 2.516 | 0.000 | 0.000 | 0.000 |
| 2.516 | 2.516 | 5.032 | 0.000 | 0.000 | 0.000 |
| 0.000 | -0.000 | -0.000 | 2.516 | -0.000 | 0.000 |
| -0.000 | 0.000 | -0.000 | -0.000 | 2.516 | 0.000 |
| -0.000 | -0.000 | 0.000 | -0.000 | -0.000 | 2.516 |
| 5.033 | 2.516 | 2.516 | 0.000 | -0.000 | -0.000 |
| 2.516 | 5.033 | 2.516 | -0.000 | 0.000 | -0.000 |
| 2.516 | 2.516 | 5.033 | -0.000 | -0.000 | -0.000 |
| -0.000 | 0.000 | 0.000 | 2.516 | 0.000 | -0.000 |
| 0.000 | -0.000 | 0.000 | 0.000 | 2.516 | -0.000 |
| 0.000 | 0.000 | -0.000 | 0.000 | 0.000 | 2.516 |
| 5.032 | 2.516 | 2.516 | -0.000 | 0.000 | 0.000 |
| 2.516 | 5.032 | 2.516 | 0.000 | 0.000 | 0.000 |
| 2.516 | 2.516 | 5.032 | 0.000 | 0.000 | 0.000 |
| 0.000 | -0.000 | -0.000 | 2.516 | -0.000 | -0.000 |
| -0.000 | 0.000 | -0.000 | -0.000 | 2.516 | 0.000 |
| -0.000 | -0.000 | 0.000 | -0.000 | -0.000 | 2.516 |
| 197.295 | 157.841 | 166.457 | -0.000 | -0.000 | 0.000 |
| 157.841 | 197.295 | 166.457 | 0.000 | -0.000 | 0.000 |
| 259.563 | 259.563 | 405.709 | -0.000 | 0.000 | 0.000 |
| -0.000 | -0.000 | -0.000 | 12.199 | 0.000 | 0.000 |
| 93.129 | 93.129 | 18.711 | -0.000 | 12.199 | 0.000 |
| -0.000 | -0.000 | -0.000 | -0.000 | 0.000 | 19.727 |
| -70.895 | 236.446 | 147.412 | 0.000 | -0.000 | -0.000 |
| 157.841 | 197.295 | 166.457 | 0.000 | -0.000 | -0.000 |
| 73.312 | 73.312 | 368.289 | 0.000 | 0.000 | -0.000 |
| 0.000 | 0.000 | 0.000 | 12.199 | 0.000 | -0.000 |
| -93.129 | -93.129 | -18.711 | 0.000 | 12.199 | -0.000 |
| 0.000 | 0.000 | 0.000 | 0.000 | -0.000 | 19.727 |
| 191.662 | 184.049 | 168.524 | -0.000 | -0.000 | 0.000 |
| 398.933 | -13.404 | 169.509 | -0.000 | -0.000 | 0.000 |
| 166.670 | 166.670 | 387.046 | -0.000 | 0.000 | 0.000 |
| 9.313 | 9.313 | 1.871 | 12.199 | -0.000 | 0.000 |
| -0.000 | -0.000 | -0.000 | -0.000 | 12.199 | 0.000 |
| 11.166 | 11.166 | 2.243 | -0.000 | -0.000 | 4.598 |
| 170.591 | 160.324 | 164.024 | 0.000 | 0.000 | -0.000 |
| 157.841 | 197.295 | 166.457 | 0.000 | 0.000 | -0.000 |
| 166.670 | 166.670 | 387.046 | 0.000 | 0.000 | -0.000 |
| -9.313 | -9.313 | -1.871 | 12.199 | 0.000 | -0.000 |
| 0.000 | 0.000 | 0.000 | 0.000 | 12.199 | -0.000 |
| -11.166 | -11.166 | -2.243 | 0.000 | 0.000 | 4.598 |
| -5265161.605 | -2059647.120 | -1264493.503 | 0.000 | -0.000 | 0.121 |
| 3834710.747 | -8775203.973 | -3666696.939 | -0.000 | 0.000 | 0.074 |
| 167.368 | 167.368 | 387.185 | -0.000 | -0.000 | 0.000 |
| 0.931 | 0.931 | 0.186 | 12.199 | -0.000 | 0.000 |
| 0.931 | 0.931 | 0.186 | -0.000 | 12.199 | 0.000 |
| 0.643 | 0.642 | 0.129 | -0.000 | 0.000 | 11.013 |
| -3834297.969 | 8775625.717 | 3667064.379 | 0.000 | -0.000 | -0.071 |
| 157.842 | 197.297 | 166.457 | 0.000 | 0.000 | -0.000 |
| 166.671 | 166.671 | 387.047 | 0.000 | -0.000 | -0.000 |
| -0.931 | -0.931 | -0.186 | 12.199 | -0.000 | -0.000 |
| -0.931 | -0.931 | -0.186 | 0.000 | 12.199 | -0.000 |
| -0.643 | -0.642 | -0.129 | 0.000 | 0.000 | 11.013 |
| 387.099 | 177.820 | 177.820 | -0.000 | 0.000 | -0.000 |
| 177.820 | 387.099 | 177.820 | -0.000 | 0.000 | -0.000 |
| 177.820 | 177.820 | 387.099 | 0.000 | 0.000 | -0.000 |
| 0.000 | 0.000 | 0.000 | 78.993 | 0.000 | -0.000 |
| 0.000 | 0.000 | 0.000 | 0.000 | 75.367 | -0.000 |
| 0.000 | 0.000 | 0.000 | -0.000 | 0.000 | 75.367 |
| 387.099 | 177.820 | 177.820 | 0.000 | -0.000 | 0.000 |
| 177.820 | 387.099 | 177.820 | 0.000 | -0.000 | -0.000 |
| 177.820 | 177.820 | 387.099 | 0.000 | -0.000 | -0.000 |
| -0.000 | -0.000 | -0.000 | 78.993 | -0.000 | 0.000 |
| -0.000 | -0.000 | -0.000 | 0.000 | 75.367 | 0.000 |
| -0.000 | -0.000 | -0.000 | 0.000 | -0.000 | 75.367 |
| 387.099 | 177.820 | 177.820 | -0.000 | 0.000 | -0.000 |
| 177.820 | 387.099 | 177.820 | -0.000 | 0.000 | -0.000 |
| 177.820 | 177.820 | 387.099 | 0.000 | 0.000 | -0.000 |
| 0.000 | 0.000 | 0.000 | 75.367 | -0.000 | -0.000 |
| 0.000 | 0.000 | 0.000 | 0.000 | 75.367 | -0.000 |
| 0.000 | 0.000 | 0.000 | -0.000 | 0.000 | 75.367 |
| 394.806 | 173.967 | 173.967 | 0.000 | -0.000 | 0.000 |
| 173.967 | 394.806 | 173.967 | 0.000 | -0.000 | 0.000 |
| 173.967 | 173.967 | 394.806 | 0.000 | -0.000 | 0.000 |
| -0.000 | -0.000 | -0.000 | 75.367 | -0.000 | 0.000 |
| -0.000 | -0.000 | -0.000 | -0.000 | 75.367 | 0.000 |
| -0.000 | -0.000 | -0.000 | -0.000 | -0.000 | 75.367 |
| 387.101 | 177.821 | 177.821 | -0.000 | 0.000 | -0.000 |
| 177.821 | 387.101 | 177.821 | -0.000 | 0.000 | -0.000 |
| 177.821 | 177.821 | 387.101 | -0.000 | -0.000 | -0.000 |
| 0.000 | 0.000 | 0.000 | 75.367 | 0.000 | 0.000 |
| 0.000 | 0.000 | 0.000 | -0.000 | 75.367 | -0.000 |
| 0.000 | 0.000 | 0.000 | -0.000 | 0.000 | 75.367 |
| 394.803 | 173.966 | 173.966 | 0.000 | -0.000 | 0.000 |
| 173.966 | 394.803 | 173.966 | 0.000 | -0.000 | 0.000 |
| 173.966 | 173.966 | 394.803 | 0.000 | -0.000 | 0.000 |
| -0.000 | -0.000 | -0.000 | 75.367 | -0.000 | 0.000 |
| -0.000 | -0.000 | -0.000 | 0.000 | 75.367 | -0.000 |
| -0.000 | -0.000 | -0.000 | -0.000 | -0.000 | 75.367 |
| -75.190 | -12.257 | -12.257 | -0.000 | -0.000 | 0.000 |
| -12.257 | -75.190 | -12.257 | -0.000 | -0.000 | -0.000 |
| -12.257 | -12.257 | -75.190 | -0.000 | -0.000 | -0.000 |
| -0.000 | 0.000 | 0.000 | -20.482 | -0.000 | -0.000 |
| 0.000 | 0.000 | 0.000 | -0.000 | -20.482 | -0.000 |
| 0.000 | 0.000 | 0.000 | -0.000 | -0.000 | -20.482 |
| -67.548 | -16.078 | -16.078 | 0.000 | 0.000 | -0.000 |
| -16.078 | -67.548 | -16.078 | -0.000 | -0.000 | 0.000 |
| -16.078 | -16.078 | -67.548 | -0.000 | 0.000 | -0.000 |
| 0.000 | -0.000 | -0.000 | -20.482 | 0.000 | -0.000 |
| -0.000 | -0.000 | -0.000 | 0.000 | -20.482 | 0.000 |
| -0.000 | -0.000 | -0.000 | 0.000 | 0.000 | -20.482 |
| -75.190 | -12.257 | -12.257 | -0.000 | -0.000 | -0.000 |
| -12.257 | -75.190 | -12.257 | -0.000 | -0.000 | 0.000 |
| -12.257 | -12.257 | -75.190 | -0.000 | -0.000 | -0.000 |
| 0.000 | 0.000 | 0.000 | -20.482 | -0.000 | -0.000 |
| 0.000 | 0.000 | 0.000 | -0.000 | -20.482 | -0.000 |
| 0.000 | 0.000 | 0.000 | -0.000 | -0.000 | -20.482 |
| -67.548 | -16.078 | -16.078 | 0.000 | -0.000 | 0.000 |
| -16.078 | -67.548 | -16.078 | 0.000 | -0.000 | 0.000 |
| -16.078 | -16.078 | -67.548 | 0.000 | 0.000 | -0.000 |
| -0.000 | -0.000 | -0.000 | -20.482 | 0.000 | 0.000 |
| -0.000 | -0.000 | -0.000 | 0.000 | -20.482 | -0.000 |
| -0.000 | -0.000 | -0.000 | 0.000 | 0.000 | -20.482 |
| -67.548 | -16.078 | -16.078 | -0.000 | 0.000 | 0.000 |
| -16.078 | -67.548 | -16.078 | -0.000 | 0.000 | 0.000 |
| -16.078 | -16.078 | -67.548 | -0.000 | -0.000 | 0.000 |
| 0.000 | 0.000 | 0.000 | -12.840 | -0.000 | 0.000 |
| 0.000 | 0.000 | 0.000 | -0.000 | -12.840 | -0.000 |
| 0.000 | 0.000 | 0.000 | -0.000 | 0.000 | -12.840 |
| -67.548 | -16.078 | -16.078 | 0.000 | -0.000 | 0.000 |
| -16.078 | -67.548 | -16.078 | -0.000 | -0.000 | -0.000 |
| -16.078 | -16.078 | -67.548 | -0.000 | -0.000 | 0.000 |
| -0.000 | -0.000 | -0.000 | -12.840 | 0.000 | 0.000 |
| -0.000 | -0.000 | -0.000 | 0.000 | -12.840 | 0.000 |
| -0.000 | -0.000 | -0.000 | 0.000 | -0.000 | -12.840 |
| -51.735 | -15.663 | -15.663 | -0.000 | -0.000 | -0.000 |
| -15.663 | -51.735 | -15.663 | 0.000 | 0.000 | 0.000 |
| -15.663 | -15.663 | -51.735 | 0.000 | -0.000 | -0.000 |
| 0.000 | 0.000 | 0.000 | -59.436 | -0.000 | -0.000 |
| 0.000 | 0.000 | 0.000 | 0.000 | -59.436 | -0.000 |
| 0.000 | 0.000 | 0.000 | -0.000 | 0.000 | -59.436 |
| -95.508 | 6.224 | 6.224 | 0.000 | -0.000 | -0.000 |
| 6.224 | -95.508 | 6.224 | -0.000 | 0.000 | -0.000 |
| 6.224 | 6.224 | -95.508 | 0.000 | 0.000 | 0.000 |
| -0.000 | -0.000 | -0.000 | -59.436 | 0.000 | 0.000 |
| -0.000 | -0.000 | -0.000 | 0.000 | -59.436 | 0.000 |
| -0.000 | -0.000 | -0.000 | -0.000 | -0.000 | -59.436 |
| -51.735 | -15.663 | -15.663 | 0.000 | 0.000 | -0.000 |
| -15.663 | -51.735 | -15.663 | 0.000 | -0.000 | -0.000 |
| -15.663 | -15.663 | -51.735 | 0.000 | 0.000 | -0.000 |
| 0.000 | 0.000 | 0.000 | -15.663 | 0.000 | -0.000 |
| 0.000 | 0.000 | 0.000 | 0.000 | -15.663 | -0.000 |
| 0.000 | 0.000 | 0.000 | -0.000 | 0.000 | -15.663 |
| -51.735 | -15.663 | -15.663 | -0.000 | -0.000 | 0.000 |
| -15.663 | -51.735 | -15.663 | -0.000 | -0.000 | 0.000 |
| -15.663 | -15.663 | -51.735 | -0.000 | -0.000 | 0.000 |
| -0.000 | -0.000 | -0.000 | -15.663 | -0.000 | -0.000 |
| -0.000 | -0.000 | -0.000 | -0.000 | -15.663 | -0.000 |
| -0.000 | -0.000 | -0.000 | 0.000 | -0.000 | -15.663 |
| -51.735 | -15.663 | -15.663 | -0.000 | 0.000 | -0.000 |
| -15.663 | -51.735 | -15.663 | 0.000 | 0.000 | -0.000 |
| -15.663 | -15.663 | -51.735 | 0.000 | 0.000 | -0.000 |
| 0.000 | 0.000 | 0.000 | -15.663 | 0.000 | -0.000 |
| 0.000 | 0.000 | 0.000 | 0.000 | -15.663 | -0.000 |
| 0.000 | 0.000 | 0.000 | 0.000 | 0.000 | -15.663 |
| -51.734 | -15.663 | -15.663 | -0.000 | -0.000 | 0.000 |
| -15.663 | -51.734 | -15.663 | -0.000 | -0.000 | 0.000 |
| -15.663 | -15.663 | -51.734 | 0.000 | 0.000 | -0.000 |
| -0.000 | -0.000 | -0.000 | -15.663 | -0.000 | 0.000 |
| -0.000 | -0.000 | -0.000 | -0.000 | -15.663 | -0.000 |
| -0.000 | -0.000 | -0.000 | 0.000 | -0.000 | -15.663 |
| 399.133 | 197.968 | 197.968 | -0.000 | -0.000 | -0.000 |
| 197.968 | 399.133 | 197.968 | -0.000 | -0.000 | 0.000 |
| 197.968 | 197.968 | 399.133 | 0.000 | 0.000 | -0.000 |
| 0.000 | 0.000 | 0.000 | 55.330 | -0.000 | -0.000 |
| 0.000 | 0.000 | 0.000 | -0.000 | 55.330 | -0.000 |
| 0.000 | 0.000 | 0.000 | -0.000 | -0.000 | 55.330 |
| 399.133 | 197.968 | 197.968 | 0.000 | 0.000 | 0.000 |
| 197.968 | 399.133 | 197.968 | 0.000 | 0.000 | -0.000 |
| 197.968 | 197.968 | 399.133 | -0.000 | -0.000 | 0.000 |
| -0.000 | -0.000 | -0.000 | 55.330 | 0.000 | 0.000 |
| -0.000 | -0.000 | -0.000 | 0.000 | 55.330 | 0.000 |
| -0.000 | -0.000 | -0.000 | 0.000 | 0.000 | 55.330 |
| 399.134 | 197.968 | 197.968 | -0.000 | -0.000 | -0.000 |
| 197.968 | 399.134 | 197.968 | -0.000 | -0.000 | 0.000 |
| 197.968 | 197.968 | 399.134 | 0.000 | 0.000 | -0.000 |
| 0.000 | 0.000 | 0.000 | 55.330 | -0.000 | -0.000 |
| 0.000 | 0.000 | 0.000 | -0.000 | 55.330 | -0.000 |
| 0.000 | 0.000 | 0.000 | -0.000 | -0.000 | 55.330 |
| 399.133 | 197.968 | 197.968 | 0.000 | 0.000 | 0.000 |
| 197.968 | 399.133 | 197.968 | 0.000 | 0.000 | 0.000 |
| 197.968 | 197.968 | 399.133 | -0.000 | 0.000 | 0.000 |
| -0.000 | -0.000 | -0.000 | 55.330 | 0.000 | 0.000 |
| -0.000 | -0.000 | -0.000 | 0.000 | 55.330 | 0.000 |
| -0.000 | -0.000 | -0.000 | 0.000 | 0.000 | 55.330 |
| 399.135 | 197.968 | 197.968 | -0.000 | -0.000 | -0.000 |
| 197.968 | 399.135 | 197.968 | -0.000 | -0.000 | 0.000 |
| 197.968 | 197.968 | 399.135 | -0.000 | -0.000 | -0.000 |
| 0.001 | 0.001 | 0.001 | 55.330 | -0.000 | -0.000 |
| 0.001 | 0.001 | 0.001 | -0.000 | 55.330 | -0.000 |
| 0.001 | 0.001 | 0.001 | -0.000 | -0.000 | 55.330 |
| 399.131 | 197.968 | 197.968 | 0.000 | 0.000 | 0.000 |
| 197.968 | 399.131 | 197.968 | 0.000 | 0.000 | 0.000 |
| 197.968 | 197.968 | 399.131 | 0.000 | 0.000 | 0.000 |
| -0.001 | -0.001 | -0.001 | 55.330 | 0.000 | 0.000 |
| -0.001 | -0.001 | -0.001 | -0.000 | 55.330 | 0.000 |
| -0.001 | -0.001 | -0.001 | 0.000 | 0.000 | 55.330 |
| -34.088 | 3.575 | 3.575 | -0.000 | -0.000 | -0.000 |
| 3.575 | -34.088 | 3.575 | -0.000 | -0.000 | -0.000 |
| 3.575 | 3.575 | -34.088 | 0.000 | -0.000 | -0.000 |
| -0.000 | -0.000 | -0.000 | -5.790 | -0.000 | -0.000 |
| -0.000 | -0.000 | -0.000 | -0.000 | -5.790 | -0.000 |
| -0.000 | -0.000 | -0.000 | -0.000 | -0.000 | -5.790 |
| -34.088 | 3.575 | 3.575 | 0.000 | 0.000 | 0.000 |
| 3.575 | -34.088 | 3.575 | 0.000 | 0.000 | 0.000 |
| 3.575 | 3.575 | -34.088 | 0.000 | 0.000 | 0.000 |
| 0.000 | 0.000 | 0.000 | -5.790 | 0.000 | 0.000 |
| 0.000 | 0.000 | 0.000 | 0.000 | -5.790 | 0.000 |
| 0.000 | 0.000 | 0.000 | 0.000 | 0.000 | -5.790 |
| -34.088 | 3.575 | 3.575 | -0.000 | 0.000 | 0.000 |
| 3.575 | -34.088 | 3.575 | 0.000 | 0.000 | -0.000 |
| 3.575 | 3.575 | -34.088 | -0.000 | -0.000 | -0.000 |
| -0.000 | -0.000 | -0.000 | 4.405 | -0.000 | -0.000 |
| -0.000 | -0.000 | -0.000 | -0.000 | 4.405 | 0.000 |
| -0.000 | -0.000 | -0.000 | -0.000 | 0.000 | 4.405 |
| -34.088 | 3.575 | 3.575 | -0.000 | -0.000 | -0.000 |
| 3.575 | -34.088 | 3.575 | -0.000 | -0.000 | 0.000 |
| 3.575 | 3.575 | -34.088 | 0.000 | 0.000 | -0.000 |
| 0.000 | 0.000 | 0.000 | 4.405 | 0.000 | 0.000 |
| 0.000 | 0.000 | 0.000 | 0.000 | 4.405 | -0.000 |
| 0.000 | 0.000 | 0.000 | 0.000 | -0.000 | 4.405 |
| -34.088 | 3.575 | 3.575 | -0.000 | -0.000 | -0.000 |
| 3.575 | -34.088 | 3.575 | -0.000 | -0.000 | -0.000 |
| 3.575 | 3.575 | -34.088 | -0.000 | -0.000 | -0.000 |
| -0.000 | -0.000 | -0.000 | 4.405 | -0.000 | -0.000 |
| -0.000 | -0.000 | -0.000 | -0.000 | 4.405 | 0.000 |
| -0.000 | -0.000 | -0.000 | 0.000 | 0.000 | 4.405 |
| -34.089 | 3.576 | 3.576 | 0.000 | -0.000 | 0.000 |
| 3.576 | -34.089 | 3.576 | -0.000 | -0.000 | -0.000 |
| 3.576 | 3.576 | -34.089 | -0.000 | -0.000 | -0.000 |
| 0.000 | 0.000 | 0.000 | 4.405 | 0.000 | -0.000 |
| 0.000 | 0.000 | 0.000 | 0.000 | 4.405 | 0.000 |
| 0.000 | 0.000 | 0.000 | -0.000 | -0.000 | 4.405 |
| -44.779 | 8.812 | 8.812 | 0.000 | -0.000 | -0.000 |
| 8.812 | -44.779 | 8.812 | -0.000 | -0.000 | 0.000 |
| 8.812 | 8.812 | -44.779 | 0.000 | -0.000 | 0.000 |
| 0.000 | 0.000 | 0.000 | -7.742 | -0.000 | 0.000 |
| 0.000 | 0.000 | 0.000 | -0.000 | -7.742 | -0.000 |
| 0.000 | 0.000 | 0.000 | -0.000 | -0.000 | -7.742 |
| -44.779 | 8.812 | 8.812 | 0.000 | 0.000 | 0.000 |
| 8.812 | -44.779 | 8.812 | 0.000 | 0.000 | -0.000 |
| 8.812 | 8.812 | -44.779 | 0.000 | 0.000 | -0.000 |
| -0.000 | -0.000 | -0.000 | -7.742 | 0.000 | -0.000 |
| -0.000 | -0.000 | -0.000 | 0.000 | -7.742 | 0.000 |
| -0.000 | -0.000 | -0.000 | 0.000 | 0.000 | -7.742 |
| -44.779 | 8.812 | 8.812 | -0.000 | -0.000 | -0.000 |
| 8.812 | -44.779 | 8.812 | -0.000 | -0.000 | 0.000 |
| 8.812 | 8.812 | -44.779 | -0.000 | -0.000 | -0.000 |
| -0.000 | -0.000 | -0.000 | 8.812 | -0.000 | 0.000 |
| -0.000 | -0.000 | -0.000 | -0.000 | 8.812 | -0.000 |
| -0.000 | -0.000 | -0.000 | -0.000 | -0.000 | 8.812 |
| -44.779 | 8.812 | 8.812 | 0.000 | 0.000 | 0.000 |
| 8.812 | -44.779 | 8.812 | 0.000 | 0.000 | -0.000 |
| 8.812 | 8.812 | -44.779 | -0.000 | -0.000 | 0.000 |
| 0.000 | 0.000 | 0.000 | 8.812 | 0.000 | 0.000 |
| 0.000 | 0.000 | 0.000 | 0.000 | 8.812 | 0.000 |
| 0.000 | 0.000 | 0.000 | 0.000 | 0.000 | 8.812 |
| -44.778 | 8.812 | 8.812 | -0.000 | -0.000 | 0.000 |
| 8.812 | -44.778 | 8.812 | -0.000 | -0.000 | 0.000 |
| 8.812 | 8.812 | -44.778 | 0.000 | 0.000 | 0.000 |
| -0.000 | -0.000 | -0.000 | 8.812 | -0.000 | -0.000 |
| -0.000 | -0.000 | -0.000 | -0.000 | 8.812 | 0.000 |
| -0.000 | -0.000 | -0.000 | -0.000 | -0.000 | 8.812 |
| -44.780 | 8.812 | 8.812 | -0.000 | 0.000 | 0.000 |
| 8.812 | -44.780 | 8.812 | -0.000 | 0.000 | 0.000 |
| 8.812 | 8.812 | -44.780 | 0.000 | 0.000 | 0.000 |
| 0.000 | 0.000 | 0.000 | 8.812 | 0.000 | -0.000 |
| 0.000 | 0.000 | 0.000 | 0.000 | 8.812 | 0.000 |
| 0.000 | 0.000 | 0.000 | 0.000 | 0.000 | 8.812 |
| 443.430 | 209.445 | 209.445 | 0.000 | 0.000 | -0.000 |
| 209.445 | 443.430 | 209.445 | -0.000 | -0.000 | 0.000 |
| 209.445 | 209.445 | 443.430 | 0.000 | 0.000 | 0.000 |
| -0.000 | -0.000 | -0.000 | 190.106 | 0.000 | 0.000 |
| -0.000 | -0.000 | -0.000 | 0.000 | 190.106 | 0.000 |
| -0.000 | -0.000 | 0.000 | 0.000 | 0.000 | 190.106 |
| 443.430 | 209.445 | 209.445 | 0.000 | -0.000 | -0.000 |
| 209.445 | 443.430 | 209.445 | -0.000 | 0.000 | -0.000 |
| 209.445 | 209.445 | 443.430 | -0.000 | -0.000 | 0.000 |
| 0.000 | 0.000 | 0.000 | 190.106 | -0.000 | -0.000 |
| 0.000 | -0.000 | 0.000 | -0.000 | 190.106 | -0.000 |
| 0.000 | 0.000 | -0.000 | -0.000 | -0.000 | 190.106 |
| 443.430 | 209.445 | 209.445 | 0.000 | 0.000 | 0.000 |
| 209.445 | 443.430 | 209.445 | 0.000 | -0.000 | 0.000 |
| 209.445 | 209.445 | 443.430 | 0.000 | 0.000 | -0.000 |
| -0.000 | -0.000 | -0.000 | 190.106 | 0.000 | 0.000 |
| -0.000 | -0.000 | -0.000 | 0.000 | 190.106 | 0.000 |
| -0.000 | -0.000 | -0.000 | 0.000 | 0.000 | 190.106 |
| 443.431 | 209.445 | 209.445 | 0.000 | -0.000 | -0.000 |
| 209.445 | 443.431 | 209.445 | -0.000 | 0.000 | -0.000 |
| 209.445 | 209.445 | 443.431 | -0.000 | -0.000 | 0.000 |
| 0.000 | 0.000 | 0.000 | 190.106 | -0.000 | -0.000 |
| 0.000 | 0.000 | 0.000 | -0.000 | 190.106 | 0.000 |
| 0.000 | 0.000 | 0.000 | -0.000 | -0.000 | 190.106 |
| 443.426 | 209.444 | 209.444 | -0.000 | -0.000 | -0.000 |
| 209.444 | 443.426 | 209.444 | -0.000 | -0.000 | -0.000 |
| 209.444 | 209.444 | 443.426 | 0.000 | 0.000 | -0.000 |
| -0.000 | -0.001 | -0.001 | 190.106 | 0.000 | 0.000 |
| -0.001 | -0.000 | -0.001 | 0.000 | 190.106 | 0.000 |
| -0.001 | -0.001 | -0.000 | 0.000 | 0.000 | 190.106 |
| 443.434 | 209.446 | 209.446 | -0.000 | -0.000 | -0.000 |
| 209.446 | 443.434 | 209.446 | -0.000 | 0.000 | -0.000 |
| 209.446 | 209.446 | 443.434 | 0.000 | 0.000 | 0.000 |
| 0.000 | 0.001 | 0.001 | 190.106 | -0.000 | -0.000 |
| 0.001 | 0.000 | 0.001 | -0.000 | 190.106 | -0.000 |
| 0.001 | 0.001 | 0.000 | -0.000 | -0.000 | 190.106 |
| 11.878 | 3.146 | 3.146 | 0.000 | 0.000 | 0.000 |
| 3.146 | 11.878 | 3.146 | 0.000 | 0.000 | 0.000 |
| 3.146 | 3.146 | 11.878 | 0.000 | 0.000 | 0.000 |
| 0.000 | 0.000 | 0.000 | -0.627 | 0.000 | 0.000 |
| 0.000 | 0.000 | 0.000 | 0.000 | -0.627 | 0.000 |
| 0.000 | 0.000 | 0.000 | 0.000 | 0.000 | -0.627 |
| 11.878 | 3.146 | 3.146 | -0.000 | -0.000 | -0.000 |
| 3.146 | 11.878 | 3.146 | -0.000 | -0.000 | -0.000 |
| 3.146 | 3.146 | 11.878 | -0.000 | -0.000 | -0.000 |
| -0.000 | -0.000 | -0.000 | -0.627 | -0.000 | -0.000 |
| -0.000 | -0.000 | -0.000 | -0.000 | -0.627 | -0.000 |
| -0.000 | -0.000 | -0.000 | -0.000 | -0.000 | -0.627 |
| 11.878 | 3.146 | 3.146 | 0.000 | 0.000 | 0.000 |
| 3.146 | 11.878 | 3.146 | 0.000 | 0.000 | 0.000 |
| 3.146 | 3.146 | 11.878 | 0.000 | 0.000 | 0.000 |
| 0.000 | -0.000 | -0.000 | -0.627 | 0.000 | 0.000 |
| -0.000 | 0.000 | -0.000 | 0.000 | -0.627 | 0.000 |
| -0.000 | -0.000 | 0.000 | 0.000 | 0.000 | -0.627 |
| 11.878 | 3.146 | 3.146 | -0.000 | -0.000 | -0.000 |
| 3.146 | 11.878 | 3.146 | -0.000 | -0.000 | -0.000 |
| 3.146 | 3.146 | 11.878 | -0.000 | -0.000 | -0.000 |
| -0.000 | 0.000 | 0.000 | -0.627 | -0.000 | 0.000 |
| 0.000 | -0.000 | 0.000 | -0.000 | -0.627 | -0.000 |
| 0.000 | 0.000 | -0.000 | 0.000 | -0.000 | -0.627 |
| 11.875 | 3.146 | 3.146 | 0.000 | 0.000 | 0.000 |
| 3.146 | 11.875 | 3.146 | 0.000 | 0.000 | 0.000 |
| 3.146 | 3.146 | 11.875 | 0.000 | 0.000 | 0.000 |
| -0.000 | -0.000 | -0.000 | -0.627 | 0.000 | 0.000 |
| -0.000 | -0.000 | -0.000 | 0.000 | -0.627 | 0.000 |
| -0.000 | -0.000 | -0.000 | 0.000 | 0.000 | -0.627 |
| 11.881 | 3.146 | 3.146 | -0.000 | -0.000 | -0.000 |
| 3.146 | 11.881 | 3.146 | -0.000 | -0.000 | -0.000 |
| 3.146 | 3.146 | 11.881 | -0.000 | -0.000 | -0.000 |
| 0.000 | 0.000 | 0.000 | -0.627 | 0.000 | -0.000 |
| 0.000 | 0.000 | 0.000 | 0.000 | -0.627 | -0.000 |
| 0.000 | 0.000 | 0.000 | 0.000 | -0.000 | -0.627 |
| 21.099 | 10.549 | 10.549 | -0.000 | -0.000 | -0.000 |
| 10.549 | 21.099 | 10.549 | -0.000 | -0.000 | -0.000 |
| 10.549 | 10.549 | 21.099 | -0.000 | -0.000 | -0.000 |
| 0.000 | -0.000 | -0.000 | 10.549 | -0.000 | -0.000 |
| -0.000 | 0.000 | -0.000 | -0.000 | 10.549 | -0.000 |
| -0.000 | -0.000 | -0.000 | -0.000 | -0.000 | 10.549 |
| 21.099 | 10.549 | 10.549 | 0.000 | 0.000 | 0.000 |
| 10.549 | 21.099 | 10.549 | 0.000 | 0.000 | 0.000 |
| 10.549 | 10.549 | 21.099 | 0.000 | 0.000 | 0.000 |
| -0.000 | 0.000 | 0.000 | 10.549 | 0.000 | 0.000 |
| 0.000 | -0.000 | 0.000 | 0.000 | 10.549 | 0.000 |
| 0.000 | 0.000 | -0.000 | 0.000 | 0.000 | 10.549 |
| 21.099 | 10.549 | 10.549 | -0.000 | -0.000 | -0.000 |
| 10.549 | 21.099 | 10.549 | -0.000 | -0.000 | -0.000 |
| 10.549 | 10.549 | 21.099 | -0.000 | -0.000 | -0.000 |
| -0.000 | -0.000 | -0.000 | 10.549 | -0.000 | -0.000 |
| -0.000 | -0.000 | -0.000 | -0.000 | 10.549 | -0.000 |
| -0.000 | -0.000 | -0.000 | -0.000 | -0.000 | 10.549 |
| 21.099 | 10.549 | 10.549 | 0.000 | 0.000 | -0.000 |
| 10.549 | 21.099 | 10.549 | 0.000 | 0.000 | 0.000 |
| 10.549 | 10.549 | 21.099 | 0.000 | 0.000 | 0.000 |
| 0.000 | 0.000 | 0.000 | 10.549 | 0.000 | 0.000 |
| 0.000 | 0.000 | 0.000 | 0.000 | 10.549 | 0.000 |
| 0.000 | 0.000 | 0.000 | 0.000 | 0.000 | 10.549 |
| 21.098 | 10.549 | 10.549 | -0.000 | -0.000 | -0.000 |
| 10.549 | 21.098 | 10.549 | -0.000 | -0.000 | -0.000 |
| 10.549 | 10.549 | 21.098 | -0.000 | -0.000 | -0.000 |
| -0.000 | -0.000 | -0.000 | 10.549 | -0.000 | -0.000 |
| -0.000 | -0.000 | -0.000 | -0.000 | 10.549 | -0.000 |
| -0.000 | -0.000 | -0.000 | -0.000 | -0.000 | 10.549 |
| 21.099 | 10.549 | 10.549 | 0.000 | 0.000 | -0.000 |
| 10.549 | 21.099 | 10.549 | 0.000 | 0.000 | -0.000 |
| 10.549 | 10.549 | 21.099 | 0.000 | 0.000 | 0.000 |
| 0.000 | 0.000 | 0.000 | 10.549 | 0.000 | 0.000 |
| 0.000 | 0.000 | 0.000 | 0.000 | 10.549 | 0.000 |
| 0.000 | 0.000 | 0.000 | 0.000 | 0.000 | 10.549 |
| 1252.125 | 294.543 | 294.543 | 0.000 | 0.000 | -0.000 |
| 294.543 | 1252.125 | 294.543 | 0.000 | 0.000 | -0.000 |
| 294.543 | 294.543 | 1252.125 | 0.000 | 0.000 | -0.000 |
| 0.000 | 0.000 | 0.000 | 209.018 | 0.000 | 0.000 |
| -0.000 | 0.000 | 0.000 | 0.000 | 209.018 | -0.000 |
| -0.000 | 0.000 | 0.000 | 0.000 | 0.000 | 209.018 |
| 1252.125 | 294.543 | 294.543 | -0.000 | -0.000 | -0.000 |
| 294.543 | 1252.125 | 294.543 | -0.000 | -0.000 | 0.000 |
| 294.543 | 294.543 | 1252.125 | -0.000 | -0.000 | 0.000 |
| -0.000 | -0.000 | -0.000 | 209.018 | -0.000 | 0.000 |
| 0.000 | -0.000 | -0.000 | -0.000 | 209.018 | -0.000 |
| 0.000 | 0.000 | -0.000 | -0.000 | -0.000 | 209.018 |
| 1252.126 | 294.543 | 294.543 | 0.000 | 0.000 | 0.000 |
| 294.543 | 1252.126 | 294.543 | 0.000 | 0.000 | -0.000 |
| 294.543 | 294.543 | 1252.126 | -0.000 | 0.000 | -0.000 |
| 0.000 | 0.000 | -0.000 | 209.018 | 0.000 | 0.000 |
| 0.000 | 0.000 | -0.000 | 0.000 | 209.018 | -0.000 |
| 0.000 | -0.000 | 0.000 | 0.000 | 0.000 | 209.018 |
| 1252.125 | 294.543 | 294.543 | -0.000 | -0.000 | 0.000 |
| 294.543 | 1252.125 | 294.543 | -0.000 | -0.000 | 0.000 |
| 294.543 | 294.543 | 1252.125 | 0.000 | -0.000 | 0.000 |
| -0.000 | -0.000 | 0.000 | 209.018 | -0.000 | 0.000 |
| -0.000 | -0.000 | 0.000 | -0.000 | 209.018 | 0.000 |
| -0.000 | 0.000 | -0.000 | -0.000 | -0.000 | 209.018 |
| 1252.128 | 294.545 | 294.545 | 0.000 | 0.000 | -0.000 |
| 294.545 | 1252.128 | 294.545 | 0.000 | 0.000 | 0.000 |
| 294.545 | 294.545 | 1252.128 | 0.000 | 0.000 | 0.000 |
| 0.001 | 0.000 | -0.000 | 209.018 | 0.000 | -0.000 |
| 0.000 | 0.001 | -0.000 | -0.000 | 209.018 | -0.000 |
| 0.000 | -0.000 | 0.001 | 0.000 | 0.000 | 209.018 |
| 1252.123 | 294.541 | 294.541 | -0.000 | -0.000 | 0.000 |
| 294.541 | 1252.123 | 294.541 | -0.000 | -0.000 | -0.000 |
| 294.541 | 294.541 | 1252.123 | -0.000 | -0.000 | 0.000 |
| -0.001 | -0.000 | 0.000 | 209.018 | -0.000 | -0.000 |
| -0.000 | -0.001 | 0.000 | -0.000 | 209.018 | 0.000 |
| -0.000 | 0.000 | -0.001 | -0.000 | -0.000 | 209.018 |
| 1293.680 | 445.219 | 445.219 | -0.000 | -0.000 | -0.000 |
| 445.219 | 1293.680 | 445.219 | -0.000 | -0.000 | -0.000 |
| 445.219 | 445.219 | 1293.680 | -0.000 | -0.000 | -0.000 |
| -0.000 | -0.000 | -0.000 | 211.673 | 0.000 | -0.000 |
| -0.000 | -0.000 | -0.000 | 0.000 | 211.673 | -0.000 |
| -0.000 | -0.000 | -0.000 | -0.000 | -0.000 | 211.673 |
| 1293.680 | 445.219 | 445.219 | 0.000 | 0.000 | 0.000 |
| 445.219 | 1293.680 | 445.219 | 0.000 | 0.000 | 0.000 |
| 445.219 | 445.219 | 1293.680 | 0.000 | 0.000 | 0.000 |
| 0.000 | 0.000 | 0.000 | 211.673 | -0.000 | -0.000 |
| 0.000 | 0.000 | 0.000 | 0.000 | 211.673 | 0.000 |
| 0.000 | 0.000 | 0.000 | 0.000 | 0.000 | 211.673 |
| 1293.678 | 445.219 | 445.219 | -0.000 | -0.000 | -0.000 |
| 445.219 | 1293.678 | 445.219 | -0.000 | -0.000 | 0.000 |
| 445.219 | 445.219 | 1293.678 | 0.000 | 0.000 | -0.000 |
| 0.000 | -0.000 | -0.000 | 211.673 | 0.000 | 0.000 |
| -0.000 | 0.000 | -0.000 | 0.000 | 211.673 | -0.000 |
| -0.000 | -0.000 | 0.000 | -0.000 | -0.000 | 211.673 |
| 1293.682 | 445.219 | 445.219 | 0.000 | 0.000 | 0.000 |
| 445.219 | 1293.682 | 445.219 | 0.000 | 0.000 | -0.000 |
| 445.219 | 445.219 | 1293.682 | 0.000 | 0.000 | 0.000 |
| -0.000 | 0.000 | 0.000 | 211.673 | 0.000 | 0.000 |
| 0.000 | -0.000 | 0.000 | 0.000 | 211.673 | 0.000 |
| 0.000 | 0.000 | -0.000 | 0.000 | 0.000 | 211.673 |
| 1293.663 | 445.220 | 445.220 | -0.000 | -0.000 | -0.000 |
| 445.220 | 1293.663 | 445.220 | -0.000 | -0.000 | -0.000 |
| 445.220 | 445.220 | 1293.663 | -0.000 | -0.000 | -0.000 |
| 0.000 | -0.004 | -0.004 | 211.673 | -0.000 | 0.000 |
| -0.004 | 0.000 | -0.004 | -0.000 | 211.673 | -0.000 |
| -0.004 | -0.004 | 0.000 | -0.000 | -0.000 | 211.673 |
| 1293.697 | 445.219 | 445.219 | 0.000 | 0.000 | 0.000 |
| 445.219 | 1293.697 | 445.219 | 0.000 | 0.000 | 0.000 |
| 445.219 | 445.219 | 1293.697 | 0.000 | 0.000 | 0.000 |
| -0.000 | 0.004 | 0.004 | 211.673 | 0.000 | -0.000 |
| 0.004 | -0.000 | 0.004 | 0.000 | 211.673 | 0.000 |
| 0.004 | 0.004 | -0.000 | 0.000 | 0.000 | 211.673 |
| 107.733 | -34.534 | -34.534 | -0.000 | -0.000 | 0.000 |
| -34.534 | 107.733 | -34.534 | -0.000 | -0.000 | 0.000 |
| -34.534 | -34.534 | 107.733 | 0.000 | 0.000 | 0.000 |
| 0.000 | 0.000 | 0.000 | -42.394 | 0.000 | -0.000 |
| 0.000 | 0.000 | 0.000 | 0.000 | -42.394 | 0.000 |
| 0.000 | 0.000 | 0.000 | 0.000 | 0.000 | -42.394 |
| 107.734 | -34.534 | -34.534 | -0.000 | 0.000 | -0.000 |
| -34.534 | 107.734 | -34.534 | 0.000 | -0.000 | -0.000 |
| -34.534 | -34.534 | 107.734 | -0.000 | -0.000 | -0.000 |
| -0.000 | -0.000 | -0.000 | -42.394 | -0.000 | -0.000 |
| -0.000 | -0.000 | -0.000 | -0.000 | -42.394 | -0.000 |
| -0.000 | -0.000 | -0.000 | -0.000 | -0.000 | -42.394 |
| 107.733 | -34.534 | -34.534 | 0.000 | 0.000 | 0.000 |
| -34.534 | 107.733 | -34.534 | 0.000 | 0.000 | 0.000 |
| -34.534 | -34.534 | 107.733 | -0.000 | -0.000 | 0.000 |
| 0.000 | 0.000 | 0.000 | -42.394 | 0.000 | 0.000 |
| 0.000 | 0.000 | 0.000 | 0.000 | -42.394 | 0.000 |
| 0.000 | 0.000 | 0.000 | 0.000 | -0.000 | -42.394 |
| 107.734 | -34.534 | -34.534 | 0.000 | 0.000 | 0.000 |
| -34.534 | 107.734 | -34.534 | 0.000 | 0.000 | 0.000 |
| -34.534 | -34.534 | 107.734 | 0.000 | 0.000 | -0.000 |
| -0.000 | -0.000 | -0.000 | -42.394 | 0.000 | -0.000 |
| -0.000 | -0.000 | -0.000 | -0.000 | -42.394 | -0.000 |
| -0.000 | -0.000 | -0.000 | 0.000 | 0.000 | -42.394 |
| 107.729 | -34.534 | -34.534 | -0.000 | -0.000 | 0.000 |
| -34.534 | 107.729 | -34.534 | -0.000 | -0.000 | 0.000 |
| -34.534 | -34.534 | 107.729 | 0.000 | 0.000 | 0.000 |
| 0.000 | 0.000 | 0.000 | -42.394 | 0.000 | 0.000 |
| 0.000 | 0.000 | 0.000 | 0.000 | -42.394 | 0.000 |
| 0.000 | 0.000 | 0.000 | 0.000 | 0.000 | -42.394 |
| 107.738 | -34.534 | -34.534 | -0.000 | -0.000 | -0.000 |
| -34.534 | 107.738 | -34.534 | -0.000 | -0.000 | 0.000 |
| -34.534 | -34.534 | 107.738 | -0.000 | -0.000 | -0.000 |
| -0.000 | -0.000 | -0.000 | -42.394 | -0.000 | -0.000 |
| -0.000 | -0.000 | -0.000 | -0.000 | -42.394 | -0.000 |
| -0.000 | -0.000 | -0.000 | -0.000 | -0.000 | -42.394 |
| 107.922 | 0.031 | 0.031 | -0.000 | 0.000 | 0.000 |
| 0.031 | 107.922 | 0.031 | -0.000 | -0.000 | 0.000 |
| 0.031 | 0.031 | 107.922 | 0.000 | -0.000 | 0.000 |
| 0.000 | -0.000 | -0.000 | 0.027 | 0.000 | 0.000 |
| -0.000 | 0.000 | -0.000 | 0.000 | 0.027 | 0.000 |
| -0.000 | -0.000 | 0.000 | 0.000 | 0.000 | 0.027 |
| 107.922 | 0.031 | 0.031 | 0.000 | 0.000 | -0.000 |
| 0.031 | 107.922 | 0.031 | 0.000 | 0.000 | -0.000 |
| 0.031 | 0.031 | 107.922 | 0.000 | 0.000 | 0.000 |
| -0.000 | 0.000 | 0.000 | 0.027 | -0.000 | -0.000 |
| 0.000 | -0.000 | 0.000 | -0.000 | 0.027 | -0.000 |
| 0.000 | 0.000 | -0.000 | -0.000 | -0.000 | 0.027 |
| 107.922 | 0.031 | 0.031 | 0.000 | -0.000 | -0.000 |
| 0.031 | 107.922 | 0.031 | -0.000 | -0.000 | 0.000 |
| 0.031 | 0.031 | 107.922 | 0.000 | 0.000 | 0.000 |
| 0.000 | -0.000 | -0.000 | 0.027 | 0.000 | -0.000 |
| -0.000 | 0.000 | -0.000 | 0.000 | 0.027 | 0.000 |
| -0.000 | -0.000 | 0.000 | 0.000 | 0.000 | 0.027 |
| 107.922 | 0.031 | 0.031 | -0.000 | -0.000 | -0.000 |
| 0.031 | 107.922 | 0.031 | -0.000 | -0.000 | -0.000 |
| 0.031 | 0.031 | 107.922 | -0.000 | -0.000 | 0.000 |
| -0.000 | 0.000 | 0.000 | 0.027 | -0.000 | 0.000 |
| 0.000 | -0.000 | 0.000 | -0.000 | 0.027 | -0.000 |
| 0.000 | 0.000 | -0.000 | 0.000 | 0.000 | 0.027 |
| 107.918 | 0.031 | 0.031 | 0.000 | 0.000 | 0.000 |
| 0.031 | 107.918 | 0.031 | 0.000 | 0.000 | 0.000 |
| 0.031 | 0.031 | 107.918 | 0.000 | 0.000 | -0.000 |
| -0.000 | -0.000 | -0.000 | 0.027 | 0.000 | 0.000 |
| -0.000 | -0.000 | -0.000 | 0.000 | 0.027 | 0.000 |
| -0.000 | -0.000 | -0.000 | 0.000 | 0.000 | 0.027 |
| 107.926 | 0.031 | 0.031 | 0.000 | 0.000 | 0.000 |
| 0.031 | 107.926 | 0.031 | 0.000 | 0.000 | -0.000 |
| 0.031 | 0.031 | 107.926 | -0.000 | -0.000 | 0.000 |
| 0.000 | 0.000 | 0.000 | 0.027 | -0.000 | 0.000 |
| 0.000 | 0.000 | 0.000 | -0.000 | 0.027 | -0.000 |
| 0.000 | 0.000 | 0.000 | 0.000 | 0.000 | 0.027 |
| 140.429 | -0.578 | -0.578 | 0.000 | 0.000 | 0.000 |
| -0.578 | 140.429 | -0.578 | 0.000 | 0.000 | -0.000 |
| -0.578 | -0.578 | 140.429 | -0.000 | 0.000 | 0.000 |
| 0.000 | 0.000 | 0.000 | 0.583 | 0.000 | -0.000 |
| 0.000 | 0.000 | 0.000 | 0.000 | 0.583 | -0.000 |
| 0.000 | 0.000 | 0.000 | 0.000 | 0.000 | 0.583 |
| 140.429 | -0.578 | -0.578 | -0.000 | -0.000 | -0.000 |
| -0.578 | 140.429 | -0.578 | -0.000 | -0.000 | 0.000 |
| -0.578 | -0.578 | 140.429 | -0.000 | -0.000 | -0.000 |
| -0.000 | -0.000 | -0.000 | 0.583 | -0.000 | 0.000 |
| -0.000 | -0.000 | -0.000 | -0.000 | 0.583 | 0.000 |
| -0.000 | -0.000 | -0.000 | -0.000 | -0.000 | 0.583 |
| 140.428 | -0.578 | -0.578 | 0.000 | 0.000 | 0.000 |
| -0.578 | 140.428 | -0.578 | 0.000 | 0.000 | -0.000 |
| -0.578 | -0.578 | 140.428 | 0.000 | 0.000 | 0.000 |
| 0.000 | 0.000 | -0.000 | 0.583 | -0.000 | 0.000 |
| 0.000 | 0.000 | -0.000 | -0.000 | 0.583 | 0.000 |
| 0.000 | -0.000 | 0.000 | 0.000 | 0.000 | 0.583 |
| 140.429 | -0.578 | -0.578 | -0.000 | -0.000 | -0.000 |
| -0.578 | 140.429 | -0.578 | -0.000 | -0.000 | -0.000 |
| -0.578 | -0.578 | 140.429 | 0.000 | -0.000 | -0.000 |
| -0.000 | -0.000 | 0.000 | 0.583 | 0.000 | 0.000 |
| -0.000 | -0.000 | 0.000 | 0.000 | 0.583 | -0.000 |
| -0.000 | 0.000 | -0.000 | -0.000 | -0.000 | 0.583 |
| 140.425 | -0.578 | -0.578 | 0.000 | 0.000 | 0.000 |
| -0.578 | 140.425 | -0.578 | 0.000 | 0.000 | 0.000 |
| -0.578 | -0.578 | 140.425 | -0.000 | 0.000 | -0.000 |
| 0.000 | -0.000 | -0.000 | 0.583 | 0.000 | 0.000 |
| -0.000 | 0.000 | -0.000 | 0.000 | 0.583 | -0.000 |
| -0.000 | -0.000 | 0.000 | 0.000 | 0.000 | 0.583 |
| 140.432 | -0.578 | -0.578 | -0.000 | -0.000 | -0.000 |
| -0.578 | 140.432 | -0.578 | -0.000 | -0.000 | -0.000 |
| -0.578 | -0.578 | 140.432 | -0.000 | -0.000 | -0.000 |
| -0.000 | 0.000 | 0.000 | 0.583 | -0.000 | -0.000 |
| 0.000 | -0.000 | 0.000 | -0.000 | 0.583 | -0.000 |
| 0.000 | 0.000 | -0.000 | -0.000 | -0.000 | 0.583 |
| -27.963 | 0.645 | 0.645 | 0.000 | 0.000 | -0.000 |
| 0.645 | -27.963 | 0.645 | 0.000 | 0.000 | -0.000 |
| 0.645 | 0.645 | -27.963 | -0.000 | -0.000 | 0.000 |
| 0.000 | 0.000 | 0.000 | -0.647 | -0.000 | -0.000 |
| 0.000 | 0.000 | 0.000 | -0.000 | -0.647 | -0.000 |
| 0.000 | 0.000 | 0.000 | 0.000 | -0.000 | -0.647 |
| -27.963 | 0.645 | 0.645 | 0.000 | -0.000 | 0.000 |
| 0.645 | -27.963 | 0.645 | -0.000 | 0.000 | 0.000 |
| 0.645 | 0.645 | -27.963 | -0.000 | -0.000 | 0.000 |
| -0.000 | -0.000 | -0.000 | -0.647 | 0.000 | 0.000 |
| -0.000 | -0.000 | -0.000 | 0.000 | -0.647 | -0.000 |
| -0.000 | -0.000 | -0.000 | -0.000 | 0.000 | -0.647 |
| -27.963 | 0.645 | 0.645 | 0.000 | 0.000 | 0.000 |
| 0.645 | -27.963 | 0.645 | 0.000 | 0.000 | -0.000 |
| 0.645 | 0.645 | -27.963 | 0.000 | 0.000 | -0.000 |
| 0.000 | 0.000 | 0.000 | -0.647 | 0.000 | -0.000 |
| 0.000 | 0.000 | 0.000 | 0.000 | -0.647 | -0.000 |
| 0.000 | 0.000 | 0.000 | -0.000 | -0.000 | -0.647 |
| -27.963 | 0.645 | 0.645 | 0.000 | -0.000 | -0.000 |
| 0.645 | -27.963 | 0.645 | -0.000 | -0.000 | 0.000 |
| 0.645 | 0.645 | -27.963 | -0.000 | -0.000 | -0.000 |
| -0.000 | -0.000 | -0.000 | -0.647 | -0.000 | 0.000 |
| -0.000 | -0.000 | -0.000 | -0.000 | -0.647 | -0.000 |
| -0.000 | -0.000 | -0.000 | 0.000 | -0.000 | -0.647 |
| -27.962 | 0.645 | 0.645 | -0.000 | -0.000 | -0.000 |
| 0.645 | -27.962 | 0.645 | 0.000 | -0.000 | -0.000 |
| 0.645 | 0.645 | -27.962 | 0.000 | 0.000 | -0.000 |
| 0.000 | 0.000 | 0.000 | -0.647 | 0.000 | -0.000 |
| 0.000 | 0.000 | 0.000 | 0.000 | -0.647 | -0.000 |
| 0.000 | 0.000 | 0.000 | 0.000 | 0.000 | -0.647 |
| -27.963 | 0.645 | 0.645 | 0.000 | -0.000 | 0.000 |
| 0.645 | -27.963 | 0.645 | -0.000 | -0.000 | -0.000 |
| 0.645 | 0.645 | -27.963 | -0.000 | -0.000 | 0.000 |
| -0.000 | -0.000 | -0.000 | -0.647 | -0.000 | -0.000 |
| -0.000 | -0.000 | -0.000 | -0.000 | -0.647 | 0.000 |
| -0.000 | -0.000 | -0.000 | -0.000 | -0.000 | -0.647 |
| 394.677 | 291.068 | 291.068 | 0.000 | 0.000 | 0.000 |
| 291.068 | 394.677 | 291.068 | 0.000 | 0.000 | -0.000 |
| 291.068 | 291.068 | 394.677 | 0.000 | 0.000 | 0.000 |
| 0.000 | -0.000 | 0.000 | 47.294 | -0.000 | 0.000 |
| -0.000 | 0.000 | 0.000 | 0.000 | 47.294 | 0.000 |
| -0.000 | 0.000 | 0.000 | 0.000 | 0.000 | 47.294 |
| 394.677 | 291.068 | 291.068 | 0.000 | -0.000 | -0.000 |
| 291.068 | 394.677 | 291.068 | -0.000 | 0.000 | -0.000 |
| 291.068 | 291.068 | 394.677 | -0.000 | -0.000 | 0.000 |
| -0.000 | 0.000 | -0.000 | 47.294 | -0.000 | 0.000 |
| 0.000 | -0.000 | -0.000 | -0.000 | 47.294 | -0.000 |
| 0.000 | -0.000 | -0.000 | -0.000 | -0.000 | 47.294 |
| 394.678 | 291.068 | 291.068 | 0.000 | -0.000 | 0.000 |
| 291.068 | 394.678 | 291.068 | 0.000 | 0.000 | 0.000 |
| 291.068 | 291.068 | 394.678 | -0.000 | -0.000 | 0.000 |
| 0.000 | -0.000 | -0.000 | 47.294 | 0.000 | 0.000 |
| -0.000 | 0.000 | -0.000 | 0.000 | 47.294 | 0.000 |
| -0.000 | -0.000 | 0.000 | 0.000 | 0.000 | 47.294 |
| 394.677 | 291.068 | 291.068 | -0.000 | -0.000 | -0.000 |
| 291.068 | 394.677 | 291.068 | -0.000 | -0.000 | -0.000 |
| 291.068 | 291.068 | 394.677 | -0.000 | 0.000 | -0.000 |
| -0.000 | 0.000 | 0.000 | 47.294 | 0.000 | -0.000 |
| 0.000 | -0.000 | 0.000 | -0.000 | 47.294 | -0.000 |
| 0.000 | 0.000 | -0.000 | -0.000 | -0.000 | 47.294 |
| 394.679 | 291.068 | 291.068 | 0.000 | 0.000 | 0.000 |
| 291.068 | 394.679 | 291.068 | 0.000 | 0.000 | 0.000 |
| 291.068 | 291.068 | 394.679 | 0.000 | 0.000 | 0.000 |
| 0.000 | -0.000 | -0.000 | 47.294 | 0.000 | -0.000 |
| -0.000 | 0.000 | -0.000 | 0.000 | 47.294 | 0.000 |
| -0.000 | -0.000 | 0.000 | 0.000 | 0.000 | 47.294 |
| 394.675 | 291.068 | 291.068 | -0.000 | -0.000 | -0.000 |
| 291.068 | 394.675 | 291.068 | -0.000 | -0.000 | -0.000 |
| 291.068 | 291.068 | 394.675 | -0.000 | -0.000 | 0.000 |
| -0.000 | 0.000 | 0.000 | 47.294 | -0.000 | -0.000 |
| 0.000 | -0.000 | 0.000 | -0.000 | 47.294 | -0.000 |
| 0.000 | 0.000 | -0.000 | -0.000 | 0.000 | 47.294 |
| 38.293 | 47.101 | 47.101 | 0.000 | -0.000 | -0.000 |
| 47.101 | 38.293 | 47.101 | -0.000 | 0.000 | -0.000 |
| 47.101 | 47.101 | 38.293 | 0.000 | 0.000 | -0.000 |
| -0.000 | -0.000 | -0.000 | 42.399 | 0.000 | 0.000 |
| -0.000 | -0.000 | -0.000 | 0.000 | 42.399 | -0.000 |
| -0.000 | -0.000 | -0.000 | -0.000 | -0.000 | 42.399 |
| 38.293 | 47.101 | 47.101 | -0.000 | -0.000 | 0.000 |
| 47.101 | 38.293 | 47.101 | -0.000 | -0.000 | 0.000 |
| 47.101 | 47.101 | 38.293 | 0.000 | 0.000 | 0.000 |
| 0.000 | 0.000 | 0.000 | 42.399 | -0.000 | 0.000 |
| 0.000 | 0.000 | 0.000 | -0.000 | 42.399 | 0.000 |
| 0.000 | 0.000 | 0.000 | -0.000 | -0.000 | 42.399 |
| 38.293 | 47.101 | 47.101 | 0.000 | -0.000 | -0.000 |
| 47.101 | 38.293 | 47.101 | -0.000 | -0.000 | -0.000 |
| 47.101 | 47.101 | 38.293 | 0.000 | -0.000 | -0.000 |
| -0.000 | -0.000 | -0.000 | 42.399 | 0.000 | -0.000 |
| -0.000 | -0.000 | -0.000 | 0.000 | 42.399 | -0.000 |
| -0.000 | -0.000 | -0.000 | 0.000 | 0.000 | 42.399 |
| 38.294 | 47.101 | 47.101 | -0.000 | 0.000 | 0.000 |
| 47.101 | 38.294 | 47.101 | -0.000 | -0.000 | 0.000 |
| 47.101 | 47.101 | 38.294 | 0.000 | 0.000 | -0.000 |
| 0.000 | 0.000 | 0.000 | 42.399 | -0.000 | 0.000 |
| 0.000 | 0.000 | 0.000 | -0.000 | 42.399 | -0.000 |
| 0.000 | 0.000 | 0.000 | -0.000 | -0.000 | 42.399 |
| 38.288 | 47.100 | 47.100 | 0.000 | 0.000 | -0.000 |
| 47.100 | 38.288 | 47.100 | 0.000 | 0.000 | -0.000 |
| 47.100 | 47.100 | 38.288 | 0.000 | 0.000 | 0.000 |
| -0.001 | -0.001 | -0.001 | 42.399 | 0.000 | -0.000 |
| -0.001 | -0.001 | -0.001 | 0.000 | 42.399 | -0.000 |
| -0.001 | -0.001 | -0.001 | 0.000 | -0.000 | 42.399 |
| 38.299 | 47.101 | 47.101 | -0.000 | -0.000 | -0.000 |
| 47.101 | 38.299 | 47.101 | -0.000 | -0.000 | -0.000 |
| 47.101 | 47.101 | 38.299 | -0.000 | -0.000 | 0.000 |
| 0.001 | 0.001 | 0.001 | 42.399 | -0.000 | 0.000 |
| 0.001 | 0.001 | 0.001 | -0.000 | 42.399 | -0.000 |
| 0.001 | 0.001 | 0.001 | -0.000 | -0.000 | 42.399 |
| 52.437 | 62.153 | 62.153 | 0.000 | 0.000 | 0.000 |
| 62.153 | 52.437 | 62.153 | 0.000 | 0.000 | 0.000 |
| 62.153 | 62.153 | 52.437 | 0.000 | 0.000 | 0.000 |
| -0.000 | -0.000 | -0.000 | 61.900 | 0.000 | 0.000 |
| -0.000 | -0.000 | -0.000 | 0.000 | 61.900 | 0.000 |
| -0.000 | -0.000 | -0.000 | 0.000 | 0.000 | 61.900 |
| 52.437 | 62.153 | 62.153 | -0.000 | -0.000 | 0.000 |
| 62.153 | 52.437 | 62.153 | -0.000 | -0.000 | -0.000 |
| 62.153 | 62.153 | 52.437 | -0.000 | -0.000 | 0.000 |
| 0.000 | 0.000 | 0.000 | 61.900 | 0.000 | 0.000 |
| 0.000 | 0.000 | 0.000 | -0.000 | 61.900 | -0.000 |
| 0.000 | 0.000 | 0.000 | -0.000 | -0.000 | 61.900 |
| 52.437 | 62.153 | 62.153 | 0.000 | 0.000 | 0.000 |
| 62.153 | 52.437 | 62.153 | 0.000 | -0.000 | 0.000 |
| 62.153 | 62.153 | 52.437 | -0.000 | 0.000 | -0.000 |
| -0.000 | -0.000 | -0.000 | 61.900 | -0.000 | -0.000 |
| -0.000 | -0.000 | -0.000 | 0.000 | 61.900 | -0.000 |
| -0.000 | -0.000 | -0.000 | 0.000 | 0.000 | 61.900 |
| 52.437 | 62.154 | 62.154 | -0.000 | -0.000 | -0.000 |
| 62.154 | 52.437 | 62.154 | -0.000 | 0.000 | -0.000 |
| 62.154 | 62.154 | 52.437 | -0.000 | -0.000 | 0.000 |
| 0.000 | 0.000 | 0.000 | 61.900 | -0.000 | 0.000 |
| 0.000 | 0.000 | 0.000 | -0.000 | 61.900 | 0.000 |
| 0.000 | 0.000 | 0.000 | -0.000 | -0.000 | 61.900 |
| 52.437 | 62.153 | 62.153 | 0.000 | 0.000 | 0.000 |
| 62.153 | 52.437 | 62.153 | 0.000 | 0.000 | 0.000 |
| 62.153 | 62.153 | 52.437 | 0.000 | -0.000 | -0.000 |
| -0.001 | -0.001 | -0.001 | 61.900 | 0.000 | -0.000 |
| -0.001 | -0.001 | -0.001 | 0.000 | 61.900 | -0.000 |
| -0.001 | -0.001 | -0.001 | 0.000 | -0.000 | 61.900 |
| 52.437 | 62.154 | 62.154 | -0.000 | 0.000 | -0.000 |
| 62.154 | 52.437 | 62.154 | 0.000 | -0.000 | -0.000 |
| 62.154 | 62.154 | 52.437 | -0.000 | 0.000 | 0.000 |
| 0.001 | 0.001 | 0.001 | 61.900 | -0.000 | -0.000 |
| 0.001 | 0.001 | 0.001 | 0.000 | 61.900 | 0.000 |
| 0.001 | 0.001 | 0.001 | -0.000 | -0.000 | 61.900 |
| 66.024 | 79.643 | 79.643 | -0.000 | 0.000 | 0.000 |
| 79.643 | 66.024 | 79.643 | 0.000 | -0.000 | 0.000 |
| 79.643 | 79.643 | 66.024 | 0.000 | 0.000 | 0.000 |
| -0.000 | -0.000 | -0.000 | 81.430 | -0.000 | 0.000 |
| -0.000 | -0.000 | -0.000 | -0.000 | 81.430 | 0.000 |
| -0.000 | -0.000 | -0.000 | 0.000 | -0.000 | 81.430 |
| 66.024 | 79.643 | 79.643 | -0.000 | 0.000 | 0.000 |
| 79.643 | 66.024 | 79.643 | 0.000 | -0.000 | 0.000 |
| 79.643 | 79.643 | 66.024 | 0.000 | 0.000 | -0.000 |
| 0.000 | 0.000 | 0.000 | 81.430 | -0.000 | -0.000 |
| 0.000 | 0.000 | 0.000 | -0.000 | 81.430 | -0.000 |
| 0.000 | 0.000 | 0.000 | 0.000 | 0.000 | 81.430 |
| 66.024 | 79.643 | 79.643 | 0.000 | 0.000 | 0.000 |
| 79.643 | 66.024 | 79.643 | -0.000 | 0.000 | 0.000 |
| 79.643 | 79.643 | 66.024 | -0.000 | -0.000 | 0.000 |
| -0.000 | -0.000 | -0.000 | 81.430 | 0.000 | 0.000 |
| -0.000 | -0.000 | -0.000 | -0.000 | 81.430 | 0.000 |
| -0.000 | -0.000 | -0.000 | 0.000 | 0.000 | 81.430 |
| 66.024 | 79.643 | 79.643 | 0.000 | -0.000 | -0.000 |
| 79.643 | 66.024 | 79.643 | 0.000 | 0.000 | -0.000 |
| 79.643 | 79.643 | 66.024 | 0.000 | 0.000 | -0.000 |
| 0.000 | 0.000 | 0.000 | 81.430 | 0.000 | -0.000 |
| 0.000 | 0.000 | 0.000 | 0.000 | 81.430 | -0.000 |
| 0.000 | 0.000 | 0.000 | -0.000 | 0.000 | 81.430 |
| 66.024 | 79.643 | 79.643 | -0.000 | -0.000 | 0.000 |
| 79.643 | 66.024 | 79.643 | -0.000 | -0.000 | 0.000 |
| 79.643 | 79.643 | 66.024 | -0.000 | -0.000 | 0.000 |
| -0.001 | -0.001 | -0.001 | 81.430 | -0.000 | 0.000 |
| -0.001 | -0.001 | -0.001 | -0.000 | 81.430 | 0.000 |
| -0.001 | -0.001 | -0.001 | -0.000 | -0.000 | 81.430 |
| 66.024 | 79.644 | 79.644 | -0.000 | -0.000 | -0.000 |
| 79.644 | 66.024 | 79.644 | -0.000 | -0.000 | 0.000 |
| 79.644 | 79.644 | 66.024 | 0.000 | 0.000 | -0.000 |
| 0.001 | 0.001 | 0.001 | 81.430 | 0.000 | 0.000 |
| 0.001 | 0.001 | 0.001 | 0.000 | 81.430 | 0.000 |
| 0.001 | 0.001 | 0.001 | 0.000 | 0.000 | 81.430 |
| -52.265 | -4.973 | -4.973 | 0.000 | -0.000 | -0.000 |
| -4.973 | -52.265 | -4.973 | -0.000 | -0.000 | 0.000 |
| -4.973 | -4.973 | -52.265 | -0.000 | -0.000 | -0.000 |
| -0.000 | 0.000 | 0.000 | -4.973 | 0.000 | -0.000 |
| -0.000 | -0.000 | 0.000 | 0.000 | -4.973 | -0.000 |
| 0.000 | 0.000 | 0.000 | -0.000 | -0.000 | -4.973 |
| -52.266 | -4.973 | -4.973 | -0.000 | 0.000 | 0.000 |
| -4.973 | -52.266 | -4.973 | 0.000 | 0.000 | 0.000 |
| -4.973 | -4.973 | -52.266 | 0.000 | 0.000 | 0.000 |
| -0.000 | -0.000 | -0.000 | -4.973 | -0.000 | -0.000 |
| -0.000 | -0.000 | -0.000 | -0.000 | -4.973 | 0.000 |
| -0.000 | -0.000 | 0.000 | 0.000 | 0.000 | -4.973 |
| -52.265 | -4.973 | -4.973 | -0.000 | -0.000 | -0.000 |
| -4.973 | -52.265 | -4.973 | -0.000 | -0.000 | 0.000 |
| -4.973 | -4.973 | -52.265 | 0.000 | 0.000 | -0.000 |
| 0.000 | 0.000 | 0.000 | -4.973 | -0.000 | -0.000 |
| 0.000 | 0.000 | 0.000 | 0.000 | -4.973 | -0.000 |
| 0.000 | 0.000 | 0.000 | 0.000 | -0.000 | -4.973 |
| -52.266 | -4.973 | -4.973 | 0.000 | 0.000 | -0.000 |
| -4.973 | -52.266 | -4.973 | 0.000 | 0.000 | 0.000 |
| -4.973 | -4.973 | -52.266 | 0.000 | 0.000 | 0.000 |
| -0.000 | -0.000 | -0.000 | -4.973 | 0.000 | -0.000 |
| -0.000 | -0.000 | -0.000 | -0.000 | -4.973 | 0.000 |
| -0.000 | -0.000 | -0.000 | -0.000 | 0.000 | -4.973 |
| -52.263 | -4.973 | -4.973 | -0.000 | -0.000 | -0.000 |
| -4.973 | -52.263 | -4.973 | -0.000 | -0.000 | 0.000 |
| -4.973 | -4.973 | -52.263 | 0.000 | 0.000 | -0.000 |
| 0.000 | 0.000 | 0.000 | -4.973 | 0.000 | 0.000 |
| 0.000 | 0.000 | 0.000 | 0.000 | -4.973 | -0.000 |
| 0.000 | 0.000 | 0.000 | -0.000 | -0.000 | -4.973 |
| -52.268 | -4.973 | -4.973 | -0.000 | 0.000 | 0.000 |
| -4.973 | -52.268 | -4.973 | 0.000 | 0.000 | 0.000 |
| -4.973 | -4.973 | -52.268 | -0.000 | 0.000 | -0.000 |
| -0.000 | -0.000 | -0.000 | -4.973 | -0.000 | 0.000 |
| -0.000 | -0.000 | -0.000 | -0.000 | -4.973 | 0.000 |
| -0.000 | -0.000 | -0.000 | -0.000 | 0.000 | -4.973 |
| -16.895 | -14.653 | -14.653 | -0.000 | 0.000 | 0.000 |
| -14.653 | -16.895 | -14.653 | 0.000 | -0.000 | 0.000 |
| -14.653 | -14.653 | -16.895 | -0.000 | -0.000 | 0.000 |
| 0.000 | 0.000 | 0.000 | -16.891 | -0.000 | 0.000 |
| 0.000 | 0.000 | 0.000 | -0.000 | -16.891 | 0.000 |
| 0.000 | 0.000 | 0.000 | -0.000 | -0.000 | -16.891 |
| -16.895 | -14.653 | -14.653 | 0.000 | 0.000 | 0.000 |
| -14.653 | -16.895 | -14.653 | 0.000 | 0.000 | -0.000 |
| -14.653 | -14.653 | -16.895 | 0.000 | 0.000 | -0.000 |
| -0.000 | -0.000 | -0.000 | -16.891 | 0.000 | -0.000 |
| -0.000 | -0.000 | -0.000 | 0.000 | -16.891 | 0.000 |
| -0.000 | -0.000 | -0.000 | 0.000 | 0.000 | -16.891 |
| -16.895 | -14.653 | -14.653 | -0.000 | -0.000 | -0.000 |
| -14.653 | -16.895 | -14.653 | -0.000 | -0.000 | 0.000 |
| -14.653 | -14.653 | -16.895 | -0.000 | -0.000 | 0.000 |
| 0.000 | 0.000 | 0.000 | -16.891 | -0.000 | 0.000 |
| 0.000 | 0.000 | 0.000 | -0.000 | -16.891 | 0.000 |
| 0.000 | 0.000 | 0.000 | -0.000 | -0.000 | -16.891 |
| -16.895 | -14.653 | -14.653 | 0.000 | -0.000 | -0.000 |
| -14.653 | -16.895 | -14.653 | -0.000 | 0.000 | -0.000 |
| -14.653 | -14.653 | -16.895 | 0.000 | 0.000 | -0.000 |
| -0.000 | -0.000 | -0.000 | -16.891 | 0.000 | 0.000 |
| -0.000 | -0.000 | -0.000 | 0.000 | -16.891 | -0.000 |
| -0.000 | -0.000 | -0.000 | 0.000 | 0.000 | -16.891 |
| -16.895 | -14.653 | -14.653 | -0.000 | -0.000 | -0.000 |
| -14.653 | -16.895 | -14.653 | -0.000 | -0.000 | 0.000 |
| -14.653 | -14.653 | -16.895 | -0.000 | -0.000 | -0.000 |
| 0.000 | 0.000 | 0.000 | -16.891 | -0.000 | 0.000 |
| 0.000 | 0.000 | 0.000 | -0.000 | -16.891 | -0.000 |
| 0.000 | 0.000 | 0.000 | -0.000 | -0.000 | -16.891 |
| -16.895 | -14.653 | -14.653 | 0.000 | 0.000 | -0.000 |
| -14.653 | -16.895 | -14.653 | 0.000 | 0.000 | 0.000 |
| -14.653 | -14.653 | -16.895 | 0.000 | 0.000 | -0.000 |
| -0.000 | -0.000 | -0.000 | -16.891 | 0.000 | -0.000 |
| -0.000 | -0.000 | -0.000 | 0.000 | -16.891 | 0.000 |
| -0.000 | -0.000 | -0.000 | 0.000 | 0.000 | -16.891 |
| 9.892 | 9.892 | 9.892 | 0.000 | 0.000 | 0.000 |
| 9.892 | 9.892 | 9.892 | 0.000 | 0.000 | 0.000 |
| 9.892 | 9.892 | 9.892 | 0.000 | 0.000 | 0.000 |
| 0.000 | 0.000 | 0.000 | 9.793 | 0.000 | 0.000 |
| 0.000 | 0.000 | 0.000 | 0.000 | 9.793 | -0.000 |
| 0.000 | 0.000 | 0.000 | -0.000 | -0.000 | 9.793 |
| 9.892 | 9.892 | 9.892 | -0.000 | -0.000 | -0.000 |
| 9.892 | 9.892 | 9.892 | -0.000 | -0.000 | 0.000 |
| 9.892 | 9.892 | 9.892 | 0.000 | 0.000 | -0.000 |
| -0.000 | -0.000 | -0.000 | 9.793 | -0.000 | -0.000 |
| -0.000 | -0.000 | -0.000 | -0.000 | 9.793 | -0.000 |
| -0.000 | -0.000 | -0.000 | -0.000 | -0.000 | 9.793 |
| 9.892 | 9.892 | 9.892 | 0.000 | 0.000 | 0.000 |
| 9.892 | 9.892 | 9.892 | 0.000 | 0.000 | -0.000 |
| 9.892 | 9.892 | 9.892 | -0.000 | -0.000 | 0.000 |
| 0.000 | 0.000 | 0.000 | 9.793 | 0.000 | 0.000 |
| 0.000 | 0.000 | 0.000 | 0.000 | 9.793 | 0.000 |
| 0.000 | 0.000 | 0.000 | 0.000 | 0.000 | 9.793 |
| 9.892 | 9.892 | 9.892 | 0.000 | -0.000 | -0.000 |
| 9.892 | 9.892 | 9.892 | -0.000 | 0.000 | -0.000 |
| 9.892 | 9.892 | 9.892 | -0.000 | -0.000 | -0.000 |
| -0.000 | -0.000 | -0.000 | 9.793 | 0.000 | -0.000 |
| -0.000 | -0.000 | -0.000 | 0.000 | 9.793 | -0.000 |
| -0.000 | -0.000 | -0.000 | -0.000 | -0.000 | 9.793 |
| 9.892 | 9.892 | 9.892 | 0.000 | 0.000 | 0.000 |
| 9.892 | 9.892 | 9.892 | 0.000 | 0.000 | -0.000 |
| 9.892 | 9.892 | 9.892 | -0.000 | -0.000 | 0.000 |
| 0.000 | 0.000 | 0.000 | 9.793 | 0.000 | -0.000 |
| 0.000 | 0.000 | 0.000 | 0.000 | 9.793 | 0.000 |
| 0.000 | 0.000 | 0.000 | -0.000 | 0.000 | 9.793 |
| 9.892 | 9.892 | 9.892 | -0.000 | -0.000 | -0.000 |
| 9.892 | 9.892 | 9.892 | -0.000 | -0.000 | 0.000 |
| 9.892 | 9.892 | 9.892 | -0.000 | 0.000 | -0.000 |
| -0.000 | -0.000 | -0.000 | 9.793 | -0.000 | -0.000 |
| -0.000 | -0.000 | -0.000 | -0.000 | 9.793 | -0.000 |
| -0.000 | -0.000 | -0.000 | -0.000 | -0.000 | 9.793 |
| 125.129 | 218.850 | 218.850 | -0.000 | -0.000 | 0.000 |
| 218.850 | 125.129 | 218.850 | 0.000 | 0.000 | 0.000 |
| 218.850 | 218.850 | 125.129 | -0.000 | -0.000 | 0.000 |
| 0.000 | 0.000 | 0.000 | -161.642 | 0.000 | 0.000 |
| 0.000 | 0.000 | 0.000 | 0.000 | -161.642 | 0.000 |
| 0.000 | 0.000 | 0.000 | 0.000 | 0.000 | -161.642 |
| 125.129 | 218.850 | 218.850 | 0.000 | -0.000 | -0.000 |
| 218.850 | 125.129 | 218.850 | -0.000 | 0.000 | -0.000 |
| 218.850 | 218.850 | 125.129 | -0.000 | 0.000 | -0.000 |
| -0.000 | -0.000 | -0.000 | -161.642 | -0.000 | -0.000 |
| -0.000 | -0.000 | -0.000 | -0.000 | -161.642 | -0.000 |
| -0.000 | -0.000 | -0.000 | -0.000 | -0.000 | -161.642 |
| 125.129 | 218.850 | 218.850 | 0.000 | -0.000 | 0.000 |
| 218.850 | 125.129 | 218.850 | 0.000 | 0.000 | 0.000 |
| 218.850 | 218.850 | 125.129 | 0.000 | -0.000 | 0.000 |
| 0.000 | 0.000 | 0.000 | -10.492 | -0.000 | -0.000 |
| 0.000 | 0.000 | 0.000 | -0.000 | -10.492 | -0.000 |
| 0.000 | 0.000 | 0.000 | -0.000 | -0.000 | -10.492 |
| 125.129 | 218.850 | 218.850 | -0.000 | 0.000 | 0.000 |
| 218.850 | 125.129 | 218.850 | 0.000 | 0.000 | -0.000 |
| 218.850 | 218.850 | 125.129 | -0.000 | -0.000 | -0.000 |
| -0.000 | -0.000 | -0.000 | -10.492 | 0.000 | 0.000 |
| -0.000 | -0.000 | -0.000 | 0.000 | -10.492 | -0.000 |
| -0.000 | -0.000 | -0.000 | -0.000 | 0.000 | -10.492 |
| 125.131 | 218.851 | 218.851 | 0.000 | 0.000 | 0.000 |
| 218.851 | 125.131 | 218.851 | 0.000 | 0.000 | 0.000 |
| 218.851 | 218.851 | 125.131 | 0.000 | 0.000 | 0.000 |
| 0.001 | 0.001 | 0.000 | -161.642 | 0.000 | 0.000 |
| 0.001 | 0.001 | 0.000 | 0.000 | -161.642 | 0.000 |
| 0.001 | 0.000 | 0.001 | -0.000 | -0.000 | -161.642 |
| 125.128 | 218.849 | 218.849 | 0.000 | -0.000 | -0.000 |
| 218.849 | 125.128 | 218.849 | -0.000 | 0.000 | -0.000 |
| 218.849 | 218.849 | 125.128 | -0.000 | 0.000 | 0.000 |
| -0.001 | -0.001 | -0.000 | -161.642 | -0.000 | -0.000 |
| -0.001 | -0.001 | -0.000 | -0.000 | -161.642 | -0.000 |
| -0.001 | -0.000 | -0.001 | -0.000 | -0.000 | -161.642 |
| 98.004 | 33.451 | 33.451 | -0.000 | -0.000 | -0.000 |
| 33.451 | 98.004 | 33.451 | -0.000 | -0.000 | -0.000 |
| 33.451 | 33.451 | 98.004 | -0.000 | -0.000 | -0.000 |
| -13804501.489 | -1973779.277 | -594759.785 | -32053283.093 | 223973.704 | -3844446.431 |
| -2704376.837 | -12722790.908 | 2387682.124 | 1060429.984 | -33262100.852 | -3687398.884 |
| -4684931.816 | 895345.981 | -11350974.824 | 2591128.597 | -3292709.850 | -35399783.501 |
| 98.004 | 33.451 | 33.451 | 0.000 | 0.000 | 0.000 |
| 33.451 | 98.004 | 33.451 | 0.000 | 0.000 | 0.000 |
| 33.451 | 33.451 | 98.004 | 0.000 | 0.000 | 0.000 |
| 15158939.460 | 15495484.290 | 21348427.289 | -28641366.102 | 1510261.677 | 3407799.762 |
| 13586765.583 | 16400038.792 | 16538757.639 | 2261124.846 | -28426038.049 | 4358874.349 |
| 15617630.749 | 19759166.973 | 16617799.770 | 849305.535 | 3081826.215 | -29371243.973 |
| 98.004 | 33.451 | 33.451 | -0.000 | 0.000 | 0.000 |
| 33.451 | 98.004 | 33.451 | 0.000 | -0.000 | 0.000 |
| 33.451 | 33.451 | 98.004 | 0.000 | 0.000 | -0.000 |
| -2319068.803 | -1150333.006 | -2254508.074 | -2251679.162 | 7027.927 | 235575.148 |
| -1874522.323 | -2790813.604 | -2913084.213 | -160358.947 | -2576325.741 | 64217.974 |
| -1745463.036 | -3023525.637 | -2280553.333 | -198561.212 | 151782.827 | -2750968.207 |
| 98.004 | 33.451 | 33.451 | 0.000 | -0.000 | -0.000 |
| 33.451 | 98.004 | 33.451 | -0.000 | 0.000 | -0.000 |
| 33.451 | 33.451 | 98.004 | -0.000 | -0.000 | 0.000 |
| 480840.581 | 262689.204 | 94132.643 | -3532040.493 | -99451.311 | 73384.226 |
| -133779.904 | 314631.339 | -114856.694 | -297538.651 | -3637267.057 | 116620.665 |
| 151837.117 | -482851.329 | 271309.063 | 125513.501 | 53582.056 | -3457060.008 |
| 98.003 | 33.451 | 33.451 | -0.000 | 0.000 | 0.000 |
| 33.451 | 98.003 | 33.451 | 0.000 | -0.000 | 0.000 |
| 33.451 | 33.451 | 98.003 | 0.000 | 0.000 | -0.000 |
| -157562.559 | -33928.904 | -17588.943 | -235355.768 | 49454.617 | 701.072 |
| -111803.195 | -160977.075 | -84656.082 | 29535.925 | -257337.057 | 11095.786 |
| -109715.897 | -81377.358 | -205139.053 | 14716.596 | 21389.038 | -252912.492 |
| 98.006 | 33.452 | 33.452 | 0.000 | -0.000 | -0.000 |
| 33.452 | 98.006 | 33.452 | -0.000 | 0.000 | -0.000 |
| 33.452 | 33.452 | 98.006 | -0.000 | -0.000 | 0.000 |
| -460851.170 | 179186.520 | 179190.344 | -1911786.914 | 0.000 | -0.000 |
| 179186.520 | -460851.170 | 179190.344 | 0.000 | -1911786.914 | -0.000 |
| 196678.809 | -11854.108 | 160876.190 | -11246.051 | -45866.455 | -262838.403 |
| 20.871 | 20.871 | 20.871 | -0.000 | -0.000 | -0.000 |
| 20.871 | 20.871 | 20.871 | -0.000 | -0.000 | -0.000 |
| 20.871 | 20.871 | 20.871 | -0.000 | -0.000 | -0.000 |
| -0.000 | -0.000 | -0.000 | -0.000 | -0.000 | -0.000 |
| -0.000 | -0.000 | 0.000 | -0.000 | -0.000 | -0.000 |
| -0.000 | -0.000 | -0.000 | -0.000 | -0.000 | -0.000 |
| 20.871 | 20.871 | 20.871 | 0.000 | 0.000 | 0.000 |
| 20.871 | 20.871 | 20.871 | 0.000 | 0.000 | 0.000 |
| 20.871 | 20.871 | 20.871 | 0.000 | 0.000 | 0.000 |
| 0.000 | 0.000 | 0.000 | 0.000 | 0.000 | 0.000 |
| 0.000 | 0.000 | 0.000 | 0.000 | 0.000 | 0.000 |
| 0.000 | 0.000 | -0.000 | 0.000 | 0.000 | 0.000 |
| 20.871 | 20.871 | 20.871 | -0.000 | -0.000 | -0.000 |
| 20.871 | 20.871 | 20.871 | -0.000 | -0.000 | -0.000 |
| 20.871 | 20.871 | 20.871 | -0.000 | -0.000 | -0.000 |
| -0.000 | -0.000 | -0.000 | -0.000 | -0.000 | -0.000 |
| -0.000 | -0.000 | -0.000 | -0.000 | -0.000 | -0.000 |
| -0.000 | -0.000 | -0.000 | -0.000 | -0.000 | -0.000 |
| 20.871 | 20.871 | 20.871 | 0.000 | 0.000 | 0.000 |
| 20.871 | 20.871 | 20.871 | 0.000 | 0.000 | 0.000 |
| 20.871 | 20.871 | 20.871 | 0.000 | 0.000 | 0.000 |
| 0.000 | 0.000 | 0.000 | 0.000 | 0.000 | 0.000 |
| 0.000 | 0.000 | 0.000 | 0.000 | 0.000 | 0.000 |
| 0.000 | 0.000 | 0.000 | 0.000 | 0.000 | 0.000 |
| 20.871 | 20.871 | 20.871 | -0.000 | -0.000 | -0.000 |
| 20.871 | 20.871 | 20.871 | -0.000 | -0.000 | -0.000 |
| 20.871 | 20.871 | 20.871 | -0.000 | -0.000 | -0.000 |
| -0.000 | -0.000 | -0.000 | 0.000 | -0.000 | -0.000 |
| -0.000 | -0.000 | -0.000 | -0.000 | 0.000 | -0.000 |
| -0.000 | -0.000 | -0.000 | -0.000 | -0.000 | 0.000 |
| 20.871 | 20.871 | 20.871 | 0.000 | 0.000 | 0.000 |
| 20.871 | 20.871 | 20.871 | 0.000 | 0.000 | 0.000 |
| 20.871 | 20.871 | 20.871 | 0.000 | 0.000 | 0.000 |
| 0.000 | 0.000 | 0.000 | 0.000 | 0.000 | 0.000 |
| 0.000 | 0.000 | 0.000 | 0.000 | 0.000 | 0.000 |
| 0.000 | 0.000 | 0.000 | 0.000 | 0.000 | 0.000 |
| 15.385 | 15.385 | 15.385 | 0.000 | 0.000 | 0.000 |
| 15.385 | 15.385 | 15.385 | 0.000 | 0.000 | 0.000 |
| 15.385 | 15.385 | 15.385 | 0.000 | 0.000 | 0.000 |
| -0.000 | -0.000 | -0.000 | 0.000 | 0.000 | 0.000 |
| -0.000 | -0.000 | -0.000 | 0.000 | 0.000 | 0.000 |
| -0.000 | -0.000 | -0.000 | 0.000 | 0.000 | 0.000 |
| 15.385 | 15.385 | 15.385 | -0.000 | -0.000 | -0.000 |
| 15.385 | 15.385 | 15.385 | -0.000 | -0.000 | -0.000 |
| 15.385 | 15.385 | 15.385 | -0.000 | -0.000 | -0.000 |
| 0.000 | 0.000 | 0.000 | -0.000 | -0.000 | -0.000 |
| 0.000 | 0.000 | 0.000 | -0.000 | -0.000 | -0.000 |
| 0.000 | 0.000 | 0.000 | -0.000 | -0.000 | -0.000 |
| 15.385 | 15.385 | 15.385 | 0.000 | 0.000 | 0.000 |
| 15.385 | 15.385 | 15.385 | 0.000 | 0.000 | 0.000 |
| 15.385 | 15.385 | 15.385 | 0.000 | 0.000 | 0.000 |
| -0.000 | -0.000 | -0.000 | 0.000 | 0.000 | 0.000 |
| -0.000 | -0.000 | -0.000 | 0.000 | 0.000 | 0.000 |
| -0.000 | -0.000 | -0.000 | 0.000 | 0.000 | 0.000 |
| 15.385 | 15.385 | 15.385 | -0.000 | -0.000 | -0.000 |
| 15.385 | 15.385 | 15.385 | -0.000 | -0.000 | -0.000 |
| 15.385 | 15.385 | 15.385 | -0.000 | -0.000 | -0.000 |
| 0.000 | 0.000 | 0.000 | -0.000 | -0.000 | -0.000 |
| 0.000 | 0.000 | 0.000 | -0.000 | -0.000 | -0.000 |
| 0.000 | 0.000 | 0.000 | -0.000 | -0.000 | -0.000 |
| 15.385 | 15.385 | 15.385 | 0.000 | 0.000 | 0.000 |
| 15.385 | 15.385 | 15.385 | 0.000 | 0.000 | 0.000 |
| 15.385 | 15.385 | 15.385 | 0.000 | 0.000 | 0.000 |
| -0.000 | -0.000 | -0.000 | 0.000 | 0.000 | 0.000 |
| -0.000 | -0.000 | -0.000 | 0.000 | 0.000 | 0.000 |
| -0.000 | -0.000 | -0.000 | 0.000 | 0.000 | 0.000 |
| 15.385 | 15.385 | 15.385 | -0.000 | -0.000 | -0.000 |
| 15.385 | 15.385 | 15.385 | -0.000 | -0.000 | -0.000 |
| 15.385 | 15.385 | 15.385 | -0.000 | -0.000 | -0.000 |
| 0.000 | 0.000 | 0.000 | -0.000 | -0.000 | -0.000 |
| 0.000 | 0.000 | 0.000 | -0.000 | -0.000 | -0.000 |
| 0.000 | 0.000 | 0.000 | -0.000 | -0.000 | -0.000 |
| 20.496 | 19.992 | 19.992 | -0.000 | -0.000 | -0.000 |
| 19.992 | 20.496 | 19.992 | -0.000 | -0.000 | -0.000 |
| 19.992 | 19.992 | 20.496 | 0.000 | 0.000 | -0.000 |
| -0.000 | -0.000 | 0.000 | 0.501 | -0.000 | -0.000 |
| -0.000 | -0.000 | 0.000 | -0.000 | 0.501 | -0.000 |
| -0.000 | -0.000 | 0.000 | -0.000 | -0.000 | 0.501 |
| 20.496 | 19.992 | 19.992 | -0.000 | -0.000 | 0.000 |
| 19.992 | 20.496 | 19.992 | -0.000 | -0.000 | 0.000 |
| 19.992 | 19.992 | 20.496 | -0.000 | -0.000 | -0.000 |
| 0.000 | 0.000 | -0.000 | 0.501 | 0.000 | 0.000 |
| 0.000 | 0.000 | -0.000 | 0.000 | 0.501 | 0.000 |
| 0.000 | 0.000 | -0.000 | 0.000 | 0.000 | 0.501 |
| 20.496 | 19.992 | 19.992 | -0.000 | -0.000 | -0.000 |
| 19.992 | 20.496 | 19.992 | -0.000 | -0.000 | -0.000 |
| 19.992 | 19.992 | 20.496 | 0.000 | -0.000 | -0.000 |
| -0.000 | -0.000 | -0.000 | 0.501 | -0.000 | -0.000 |
| -0.000 | -0.000 | -0.000 | -0.000 | 0.501 | -0.000 |
| -0.000 | -0.000 | -0.000 | -0.000 | -0.000 | 0.501 |
| 20.496 | 19.992 | 19.992 | 0.000 | 0.000 | 0.000 |
| 19.992 | 20.496 | 19.992 | 0.000 | 0.000 | 0.000 |
| 19.992 | 19.992 | 20.496 | -0.000 | -0.000 | 0.000 |
| 0.000 | 0.000 | 0.000 | 0.501 | 0.000 | 0.000 |
| 0.000 | 0.000 | 0.000 | 0.000 | 0.501 | 0.000 |
| 0.000 | 0.000 | 0.000 | 0.000 | 0.000 | 0.501 |
| 20.496 | 19.992 | 19.992 | -0.000 | -0.000 | -0.000 |
| 19.992 | 20.496 | 19.992 | -0.000 | -0.000 | -0.000 |
| 19.992 | 19.992 | 20.496 | 0.000 | 0.000 | -0.000 |
| -0.000 | -0.000 | -0.000 | 0.501 | -0.000 | -0.000 |
| -0.000 | -0.000 | -0.000 | -0.000 | 0.501 | -0.000 |
| -0.000 | -0.000 | -0.000 | -0.000 | -0.000 | 0.501 |
| 20.497 | 19.992 | 19.992 | 0.000 | 0.000 | 0.000 |
| 19.992 | 20.497 | 19.992 | 0.000 | 0.000 | 0.000 |
| 19.992 | 19.992 | 20.497 | -0.000 | -0.000 | 0.000 |
| 0.000 | 0.000 | 0.000 | 0.501 | 0.000 | 0.000 |
| 0.000 | 0.000 | 0.000 | 0.000 | 0.501 | 0.000 |
| 0.000 | 0.000 | 0.000 | 0.000 | 0.000 | 0.501 |
| -4.223 | -3.663 | -3.663 | 0.000 | -0.000 | -0.000 |
| -3.663 | -4.223 | -3.663 | -0.000 | 0.000 | -0.000 |
| -3.663 | -3.663 | -4.223 | -0.000 | -0.000 | 0.000 |
| 0.000 | 0.000 | 0.000 | -14.151 | 0.000 | -0.000 |
| 0.000 | 0.000 | 0.000 | 0.000 | -14.151 | -0.000 |
| 0.000 | 0.000 | 0.000 | 0.000 | -0.000 | -14.151 |
| -4.223 | -3.663 | -3.663 | 0.000 | 0.000 | 0.000 |
| -3.663 | -4.223 | -3.663 | 0.000 | 0.000 | 0.000 |
| -3.663 | -3.663 | -4.223 | 0.000 | 0.000 | -0.000 |
| -0.000 | -0.000 | -0.000 | -4.223 | 0.000 | 0.000 |
| -0.000 | -0.000 | -0.000 | 0.000 | -4.223 | 0.000 |
| -0.000 | -0.000 | -0.000 | 0.000 | 0.000 | -4.223 |
| -4.223 | -3.663 | -3.663 | 0.000 | -0.000 | -0.000 |
| -3.663 | -4.223 | -3.663 | -0.000 | 0.000 | -0.000 |
| -3.663 | -3.663 | -4.223 | -0.000 | -0.000 | 0.000 |
| 0.000 | 0.000 | 0.000 | -4.223 | -0.000 | -0.000 |
| 0.000 | 0.000 | 0.000 | -0.000 | -4.223 | -0.000 |
| 0.000 | 0.000 | 0.000 | -0.000 | -0.000 | -4.223 |
| -4.223 | -3.663 | -3.663 | -0.000 | 0.000 | 0.000 |
| -3.663 | -4.223 | -3.663 | 0.000 | -0.000 | 0.000 |
| -3.663 | -3.663 | -4.223 | 0.000 | 0.000 | -0.000 |
| -0.000 | -0.000 | -0.000 | -4.223 | 0.000 | 0.000 |
| -0.000 | -0.000 | -0.000 | 0.000 | -4.223 | 0.000 |
| -0.000 | -0.000 | -0.000 | 0.000 | 0.000 | -4.223 |
| -4.223 | -3.663 | -3.663 | -0.000 | -0.000 | -0.000 |
| -3.663 | -4.223 | -3.663 | -0.000 | -0.000 | -0.000 |
| -3.663 | -3.663 | -4.223 | -0.000 | -0.000 | -0.000 |
| 0.000 | 0.000 | 0.000 | -4.223 | -0.000 | -0.000 |
| 0.000 | 0.000 | 0.000 | -0.000 | -4.223 | -0.000 |
| 0.000 | 0.000 | 0.000 | -0.000 | -0.000 | -4.223 |
| -4.223 | -3.663 | -3.663 | -0.000 | 0.000 | 0.000 |
| -3.663 | -4.223 | -3.663 | 0.000 | -0.000 | 0.000 |
| -3.663 | -3.663 | -4.223 | 0.000 | 0.000 | -0.000 |
| -0.000 | -0.000 | -0.000 | -4.223 | 0.000 | 0.000 |
| -0.000 | -0.000 | -0.000 | 0.000 | -4.223 | 0.000 |
| -0.000 | -0.000 | -0.000 | 0.000 | 0.000 | -4.223 |
| 359.035 | 237.977 | 30.909 | 0.000 | 0.000 | -0.000 |
| 237.977 | 359.035 | 30.909 | 0.000 | -0.000 | -0.000 |
| 30.909 | 30.909 | -42.417 | 0.000 | 0.000 | -0.000 |
| 0.000 | 0.000 | -0.000 | -3.511 | 0.000 | -0.000 |
| 0.000 | 0.000 | -0.000 | 0.000 | -3.511 | -0.000 |
| -0.000 | -0.000 | -0.000 | 0.000 | 0.000 | 5.858 |
| 359.035 | 237.977 | 30.909 | -0.000 | -0.000 | 0.000 |
| 237.977 | 359.035 | 30.909 | -0.000 | -0.000 | 0.000 |
| 30.909 | 30.909 | -42.417 | -0.000 | -0.000 | 0.000 |
| 0.000 | 0.000 | 0.000 | -3.511 | -0.000 | 0.000 |
| 0.000 | 0.000 | 0.000 | -0.000 | -3.511 | 0.000 |
| 0.000 | 0.000 | 0.000 | -0.000 | -0.000 | 5.858 |
| 359.036 | 237.977 | 30.909 | 0.000 | 0.000 | -0.000 |
| 237.977 | 359.036 | 30.909 | 0.000 | 0.000 | -0.000 |
| 30.909 | 30.909 | -42.417 | 0.000 | 0.000 | -0.000 |
| 0.000 | 0.000 | 0.000 | -3.511 | 0.000 | -0.000 |
| 0.000 | 0.000 | 0.000 | 0.000 | -3.511 | -0.000 |
| -0.000 | -0.000 | -0.000 | 0.000 | 0.000 | 5.858 |
| 359.035 | 237.977 | 30.909 | -0.000 | -0.000 | 0.000 |
| 237.977 | 359.035 | 30.909 | -0.000 | -0.000 | 0.000 |
| 30.909 | 30.909 | -42.417 | -0.000 | -0.000 | 0.000 |
| -0.000 | -0.000 | -0.000 | -3.511 | -0.000 | 0.000 |
| -0.000 | -0.000 | -0.000 | -0.000 | -3.511 | 0.000 |
| 0.000 | 0.000 | 0.000 | -0.000 | -0.000 | 5.858 |
| 359.040 | 237.977 | 30.909 | 0.000 | 0.000 | -0.000 |
| 237.977 | 359.040 | 30.909 | 0.000 | 0.000 | -0.000 |
| 30.909 | 30.909 | -42.415 | -0.000 | -0.000 | -0.000 |
| 0.000 | 0.000 | 0.000 | -3.511 | 0.000 | -0.000 |
| 0.000 | 0.000 | 0.000 | 0.000 | -3.511 | -0.000 |
| -0.000 | -0.000 | -0.000 | 0.000 | 0.000 | 5.858 |
| 359.031 | 237.976 | 30.909 | -0.000 | -0.000 | 0.000 |
| 237.976 | 359.031 | 30.909 | -0.000 | -0.000 | 0.000 |
| 30.908 | 30.908 | -42.418 | -0.000 | -0.000 | 0.000 |
| -0.000 | -0.000 | -0.000 | -3.511 | -0.000 | 0.000 |
| -0.000 | -0.000 | -0.000 | -0.000 | -3.511 | 0.000 |
| 0.000 | 0.000 | 0.000 | -0.000 | -0.000 | 5.858 |
| 176.716 | 162.177 | 264.940 | -0.000 | 0.000 | -0.000 |
| 162.177 | 176.716 | 264.940 | 0.000 | -0.000 | -0.000 |
| 264.940 | 264.940 | 934.557 | 0.000 | 0.000 | -0.000 |
| -0.000 | -0.000 | -0.000 | 27.454 | 0.000 | -0.000 |
| -0.000 | -0.000 | -0.000 | -0.000 | 27.454 | -0.000 |
| -0.000 | -0.000 | 0.000 | 0.000 | -0.000 | -29.898 |
| 176.716 | 162.177 | 264.940 | 0.000 | 0.000 | 0.000 |
| 162.177 | 176.716 | 264.940 | -0.000 | 0.000 | 0.000 |
| 264.940 | 264.940 | 934.558 | -0.000 | -0.000 | 0.000 |
| 0.000 | 0.000 | 0.000 | 27.454 | 0.000 | 0.000 |
| 0.000 | 0.000 | 0.000 | 0.000 | 27.454 | 0.000 |
| 0.000 | 0.000 | -0.000 | 0.000 | -0.000 | -29.898 |
| 176.717 | 162.177 | 264.940 | -0.000 | 0.000 | 0.000 |
| 162.177 | 176.717 | 264.940 | 0.000 | -0.000 | -0.000 |
| 264.940 | 264.940 | 934.555 | 0.000 | 0.000 | -0.000 |
| -0.000 | -0.000 | -0.000 | 27.454 | -0.000 | -0.000 |
| -0.000 | -0.000 | -0.000 | 0.000 | 27.454 | -0.000 |
| -0.000 | -0.000 | -0.000 | 0.000 | 0.000 | -29.898 |
| 176.716 | 162.177 | 264.940 | -0.000 | 0.000 | 0.000 |
| 162.177 | 176.716 | 264.940 | -0.000 | -0.000 | 0.000 |
| 264.940 | 264.940 | 934.560 | 0.000 | 0.000 | 0.000 |
| 0.000 | 0.000 | 0.000 | 27.454 | -0.000 | 0.000 |
| 0.000 | 0.000 | 0.000 | -0.000 | 27.454 | 0.000 |
| 0.000 | 0.000 | 0.000 | -0.000 | -0.000 | -29.898 |
| 176.718 | 162.177 | 264.940 | -0.000 | -0.000 | -0.000 |
| 162.177 | 176.718 | 264.940 | -0.000 | -0.000 | -0.000 |
| 264.939 | 264.939 | 934.534 | -0.000 | -0.000 | -0.000 |
| -0.000 | -0.000 | -0.002 | 27.454 | -0.000 | -0.000 |
| -0.000 | -0.000 | -0.002 | -0.000 | 27.454 | -0.000 |
| -0.000 | -0.000 | -0.000 | 0.000 | 0.000 | -29.898 |
| 176.715 | 162.178 | 264.940 | 0.000 | -0.000 | 0.000 |
| 162.178 | 176.715 | 264.940 | 0.000 | 0.000 | 0.000 |
| 264.941 | 264.941 | 934.580 | -0.000 | 0.000 | 0.000 |
| 0.000 | 0.000 | 0.002 | 27.454 | 0.000 | 0.000 |
| 0.000 | 0.000 | 0.002 | 0.000 | 27.454 | 0.000 |
| 0.000 | 0.000 | 0.000 | -0.000 | -0.000 | -29.898 |
| 136.310 | 37.160 | 75.258 | 0.000 | 0.000 | -0.000 |
| 37.160 | 136.310 | 75.258 | 0.000 | 0.000 | -0.000 |
| 75.258 | 75.258 | 152.497 | 0.000 | 0.000 | -0.000 |
| -0.000 | -0.000 | -0.000 | 75.165 | 0.000 | -0.000 |
| -0.000 | -0.000 | -0.000 | 0.000 | 75.165 | -0.000 |
| -0.000 | -0.000 | -0.000 | 0.000 | 0.000 | 37.135 |
| 136.310 | 37.160 | 75.258 | -0.000 | -0.000 | 0.000 |
| 37.160 | 136.310 | 75.258 | -0.000 | -0.000 | 0.000 |
| 75.258 | 75.258 | 152.497 | -0.000 | -0.000 | 0.000 |
| 0.000 | 0.000 | 0.000 | 75.165 | -0.000 | 0.000 |
| 0.000 | 0.000 | 0.000 | -0.000 | 75.165 | 0.000 |
| 0.000 | 0.000 | 0.000 | -0.000 | -0.000 | 37.135 |
| 136.310 | 37.160 | 75.258 | 0.000 | 0.000 | -0.000 |
| 37.160 | 136.310 | 75.258 | 0.000 | 0.000 | -0.000 |
| 75.258 | 75.258 | 152.497 | 0.000 | 0.000 | -0.000 |
| -0.000 | -0.000 | -0.000 | 75.165 | 0.000 | -0.000 |
| -0.000 | -0.000 | -0.000 | 0.000 | 75.165 | -0.000 |
| -0.000 | -0.000 | -0.000 | 0.000 | 0.000 | 37.135 |
| 136.310 | 37.160 | 75.258 | -0.000 | -0.000 | 0.000 |
| 37.160 | 136.310 | 75.258 | -0.000 | -0.000 | 0.000 |
| 75.258 | 75.258 | 152.497 | -0.000 | -0.000 | 0.000 |
| 0.000 | 0.000 | 0.000 | 75.165 | -0.000 | 0.000 |
| 0.000 | 0.000 | 0.000 | -0.000 | 75.165 | 0.000 |
| 0.000 | 0.000 | 0.000 | -0.000 | -0.000 | 37.135 |
| 136.306 | 37.159 | 75.257 | 0.000 | 0.000 | -0.000 |
| 37.159 | 136.306 | 75.257 | 0.000 | 0.000 | 0.000 |
| 75.257 | 75.257 | 152.494 | 0.000 | 0.000 | -0.000 |
| -0.001 | -0.001 | -0.001 | 75.165 | 0.000 | -0.000 |
| -0.001 | -0.001 | -0.001 | 0.000 | 75.165 | -0.000 |
| -0.000 | -0.000 | -0.001 | 0.000 | 0.000 | 37.135 |
| 136.314 | 37.160 | 75.258 | -0.000 | -0.000 | 0.000 |
| 37.160 | 136.314 | 75.258 | -0.000 | -0.000 | 0.000 |
| 75.259 | 75.259 | 152.500 | -0.000 | -0.000 | -0.000 |
| 0.001 | 0.001 | 0.001 | 75.165 | -0.000 | 0.000 |
| 0.001 | 0.001 | 0.001 | -0.000 | 75.165 | 0.000 |
| 0.000 | 0.000 | 0.001 | -0.000 | -0.000 | 37.135 |
| 51.692 | 38.863 | 74.433 | 0.000 | 0.000 | -0.000 |
| 38.863 | 51.692 | 74.433 | 0.000 | 0.000 | -0.000 |
| 69.967 | 69.967 | 128.080 | 0.000 | 0.000 | -0.000 |
| 0.000 | 0.000 | -0.000 | 74.586 | -0.000 | -0.000 |
| 0.000 | 0.000 | -0.000 | -0.000 | 74.586 | -0.000 |
| 0.000 | 0.000 | -0.000 | 0.000 | 0.000 | 48.007 |
| 51.692 | 38.863 | 74.433 | -0.000 | -0.000 | 0.000 |
| 38.863 | 51.692 | 74.433 | -0.000 | 0.000 | 0.000 |
| 69.967 | 69.967 | 128.080 | 0.000 | 0.000 | 0.000 |
| -0.000 | -0.000 | 0.000 | 74.586 | -0.000 | 0.000 |
| -0.000 | -0.000 | 0.000 | -0.000 | 74.586 | 0.000 |
| -0.000 | -0.000 | 0.000 | -0.000 | 0.000 | 48.007 |
| 51.692 | 38.863 | 74.433 | 0.000 | 0.000 | 0.000 |
| 38.863 | 51.692 | 74.433 | 0.000 | 0.000 | -0.000 |
| 69.967 | 69.967 | 128.080 | -0.000 | -0.000 | -0.000 |
| -0.000 | -0.000 | -0.000 | 74.586 | -0.000 | -0.000 |
| -0.000 | -0.000 | -0.000 | -0.000 | 74.586 | -0.000 |
| -0.000 | -0.000 | -0.000 | 0.000 | 0.000 | 48.007 |
| 51.691 | 38.863 | 74.434 | -0.000 | -0.000 | 0.000 |
| 38.863 | 51.691 | 74.434 | -0.000 | -0.000 | 0.000 |
| 69.967 | 69.967 | 128.080 | -0.000 | -0.000 | 0.000 |
| 0.000 | 0.000 | 0.000 | 74.586 | 0.000 | 0.000 |
| 0.000 | 0.000 | 0.000 | -0.000 | 74.586 | 0.000 |
| 0.000 | 0.000 | 0.000 | -0.000 | -0.000 | 48.007 |
| 51.694 | 38.862 | 74.433 | 0.000 | 0.000 | -0.000 |
| 38.862 | 51.694 | 74.433 | 0.000 | 0.000 | -0.000 |
| 69.966 | 69.966 | 128.078 | -0.000 | -0.000 | -0.000 |
| -0.001 | -0.001 | -0.001 | 74.586 | 0.000 | -0.000 |
| -0.001 | -0.001 | -0.001 | 0.000 | 74.586 | -0.000 |
| -0.000 | -0.000 | -0.001 | 0.000 | 0.000 | 48.007 |
| 51.689 | 38.863 | 74.434 | 0.000 | -0.000 | 0.000 |
| 38.863 | 51.689 | 74.434 | -0.000 | 0.000 | 0.000 |
| 69.968 | 69.968 | 128.082 | 0.000 | 0.000 | -0.000 |
| 0.001 | 0.001 | 0.001 | 74.586 | 0.000 | 0.000 |
| 0.001 | 0.001 | 0.001 | -0.000 | 74.586 | 0.000 |
| 0.000 | 0.000 | 0.001 | -0.000 | -0.000 | 48.007 |
| -5.640 | -2.833 | -5.647 | -0.000 | -0.000 | 0.000 |
| -2.833 | -5.640 | -5.647 | -0.000 | -0.000 | 0.000 |
| -5.647 | -5.647 | -11.255 | -0.000 | 0.000 | 0.000 |
| -0.000 | -0.000 | -0.000 | -5.647 | -0.000 | 0.000 |
| -0.000 | -0.000 | -0.000 | -0.000 | -5.647 | 0.000 |
| 0.000 | -0.000 | 0.000 | -0.000 | -0.000 | -2.833 |
| -5.640 | -2.833 | -5.647 | 0.000 | 0.000 | -0.000 |
| -2.833 | -5.640 | -5.647 | 0.000 | 0.000 | -0.000 |
| -5.647 | -5.647 | -11.255 | 0.000 | 0.000 | -0.000 |
| 0.000 | -0.000 | 0.000 | -5.647 | 0.000 | -0.000 |
| -0.000 | 0.000 | 0.000 | 0.000 | -5.647 | -0.000 |
| -0.000 | 0.000 | -0.000 | 0.000 | 0.000 | -2.833 |
| -5.640 | -2.833 | -5.647 | 0.000 | -0.000 | 0.000 |
| -2.833 | -5.640 | -5.647 | -0.000 | 0.000 | 0.000 |
| -5.647 | -5.647 | -11.255 | -0.000 | -0.000 | 0.000 |
| -0.000 | -0.000 | -0.000 | -5.647 | -0.000 | 0.000 |
| -0.000 | -0.000 | -0.000 | -0.000 | -5.647 | 0.000 |
| -0.000 | -0.000 | -0.000 | 0.000 | -0.000 | -2.833 |
| -5.640 | -2.833 | -5.647 | 0.000 | 0.000 | -0.000 |
| -2.833 | -5.640 | -5.647 | 0.000 | 0.000 | -0.000 |
| -5.647 | -5.647 | -11.255 | -0.000 | -0.000 | -0.000 |
| 0.000 | 0.000 | 0.000 | -5.647 | -0.000 | -0.000 |
| 0.000 | 0.000 | 0.000 | -0.000 | -5.647 | -0.000 |
| 0.000 | 0.000 | 0.000 | 0.000 | 0.000 | -2.833 |
| -5.640 | -2.833 | -5.647 | -0.000 | 0.000 | 0.000 |
| -2.833 | -5.640 | -5.647 | -0.000 | -0.000 | 0.000 |
| -5.647 | -5.647 | -11.255 | -0.000 | -0.000 | 0.000 |
| -0.000 | -0.000 | -0.000 | -5.647 | -0.000 | 0.000 |
| -0.000 | -0.000 | -0.000 | -0.000 | -5.647 | 0.000 |
| -0.000 | -0.000 | -0.000 | -0.000 | -0.000 | -2.833 |
| -5.639 | -2.833 | -5.647 | 0.000 | 0.000 | -0.000 |
| -2.833 | -5.639 | -5.647 | 0.000 | 0.000 | -0.000 |
| -5.647 | -5.647 | -11.255 | 0.000 | 0.000 | -0.000 |
| 0.000 | 0.000 | 0.000 | -5.647 | 0.000 | -0.000 |
| 0.000 | 0.000 | 0.000 | 0.000 | -5.647 | -0.000 |
| 0.000 | 0.000 | 0.000 | 0.000 | 0.000 | -2.833 |
| -58.845 | -7.791 | -16.924 | 0.000 | -0.000 | -0.000 |
| -7.791 | -58.845 | -16.924 | -0.000 | 0.000 | -0.000 |
| -15.528 | -15.528 | -33.462 | -0.000 | -0.000 | -0.000 |
| 0.000 | 0.000 | 0.000 | -20.192 | 0.000 | 0.000 |
| 0.000 | 0.000 | 0.000 | 0.000 | -20.192 | 0.000 |
| 0.000 | 0.000 | 0.000 | -0.000 | 0.000 | -13.850 |
| -58.845 | -7.791 | -16.924 | -0.000 | 0.000 | 0.000 |
| -7.791 | -58.845 | -16.924 | 0.000 | -0.000 | -0.000 |
| -15.528 | -15.528 | -33.462 | 0.000 | -0.000 | 0.000 |
| -0.000 | -0.000 | -0.000 | -20.192 | -0.000 | 0.000 |
| -0.000 | -0.000 | -0.000 | -0.000 | -20.192 | -0.000 |
| -0.000 | -0.000 | -0.000 | 0.000 | 0.000 | -13.850 |
| -58.844 | -7.791 | -16.924 | -0.000 | 0.000 | -0.000 |
| -7.791 | -58.844 | -16.924 | 0.000 | -0.000 | 0.000 |
| -15.528 | -15.528 | -33.462 | 0.000 | 0.000 | -0.000 |
| 0.000 | 0.000 | 0.000 | -20.192 | 0.000 | 0.000 |
| 0.000 | 0.000 | 0.000 | 0.000 | -20.192 | 0.000 |
| 0.000 | 0.000 | 0.000 | -0.000 | 0.000 | -13.850 |
| -58.845 | -7.791 | -16.924 | 0.000 | 0.000 | 0.000 |
| -7.791 | -58.845 | -16.924 | 0.000 | 0.000 | -0.000 |
| -15.528 | -15.528 | -33.462 | -0.000 | -0.000 | 0.000 |
| -0.000 | -0.000 | -0.000 | -20.192 | -0.000 | -0.000 |
| -0.000 | -0.000 | -0.000 | -0.000 | -20.192 | 0.000 |
| -0.000 | -0.000 | -0.000 | 0.000 | -0.000 | -13.850 |
| -58.844 | -7.791 | -16.924 | -0.000 | -0.000 | 0.000 |
| -7.791 | -58.844 | -16.924 | -0.000 | -0.000 | -0.000 |
| -15.528 | -15.528 | -33.462 | -0.000 | -0.000 | -0.000 |
| 0.000 | 0.000 | 0.000 | -20.192 | -0.000 | -0.000 |
| 0.000 | 0.000 | 0.000 | -0.000 | -20.192 | 0.000 |
| 0.000 | 0.000 | 0.000 | 0.000 | 0.000 | -13.850 |
| -58.845 | -7.791 | -16.924 | 0.000 | 0.000 | 0.000 |
| -7.791 | -58.845 | -16.924 | 0.000 | 0.000 | -0.000 |
| -15.528 | -15.528 | -33.462 | -0.000 | 0.000 | 0.000 |
| -0.000 | -0.000 | -0.000 | -20.192 | -0.000 | -0.000 |
| -0.000 | -0.000 | -0.000 | -0.000 | -20.192 | 0.000 |
| -0.000 | -0.000 | -0.000 | 0.000 | -0.000 | -13.850 |
| 7.166 | 7.166 | 11.406 | -0.000 | -0.000 | 0.000 |
| 7.166 | 7.166 | 11.406 | -0.000 | -0.000 | -0.000 |
| 11.406 | 11.406 | 18.154 | -0.000 | -0.000 | 0.000 |
| 0.000 | 0.000 | 0.000 | 11.291 | -0.000 | 0.000 |
| 0.000 | 0.000 | 0.000 | -0.000 | 11.291 | 0.000 |
| 0.000 | 0.000 | 0.000 | -0.000 | -0.000 | 7.094 |
| 7.166 | 7.166 | 11.406 | 0.000 | 0.000 | 0.000 |
| 7.166 | 7.166 | 11.406 | 0.000 | 0.000 | -0.000 |
| 11.406 | 11.406 | 18.154 | 0.000 | 0.000 | -0.000 |
| -0.000 | -0.000 | -0.000 | 11.291 | 0.000 | -0.000 |
| -0.000 | -0.000 | -0.000 | 0.000 | 11.291 | -0.000 |
| -0.000 | -0.000 | -0.000 | 0.000 | 0.000 | 7.094 |
| 7.166 | 7.166 | 11.406 | -0.000 | -0.000 | 0.000 |
| 7.166 | 7.166 | 11.406 | -0.000 | -0.000 | 0.000 |
| 11.406 | 11.406 | 18.154 | -0.000 | -0.000 | 0.000 |
| 0.000 | 0.000 | 0.000 | 11.291 | -0.000 | 0.000 |
| 0.000 | 0.000 | 0.000 | -0.000 | 11.291 | 0.000 |
| 0.000 | 0.000 | 0.000 | -0.000 | -0.000 | 7.094 |
| 7.166 | 7.166 | 11.406 | 0.000 | 0.000 | -0.000 |
| 7.166 | 7.166 | 11.406 | 0.000 | 0.000 | -0.000 |
| 11.406 | 11.406 | 18.154 | -0.000 | 0.000 | -0.000 |
| -0.000 | -0.000 | -0.000 | 11.291 | 0.000 | -0.000 |
| -0.000 | -0.000 | -0.000 | 0.000 | 11.291 | -0.000 |
| -0.000 | -0.000 | -0.000 | 0.000 | 0.000 | 7.094 |
| 7.166 | 7.166 | 11.406 | -0.000 | -0.000 | 0.000 |
| 7.166 | 7.166 | 11.406 | -0.000 | -0.000 | 0.000 |
| 11.406 | 11.406 | 18.155 | -0.000 | -0.000 | 0.000 |
| 0.000 | 0.000 | 0.000 | 11.291 | -0.000 | 0.000 |
| 0.000 | 0.000 | 0.000 | -0.000 | 11.291 | 0.000 |
| 0.000 | 0.000 | 0.000 | -0.000 | -0.000 | 7.094 |
| 7.166 | 7.166 | 11.406 | 0.000 | 0.000 | -0.000 |
| 7.166 | 7.166 | 11.406 | 0.000 | 0.000 | -0.000 |
| 11.406 | 11.406 | 18.154 | 0.000 | -0.000 | -0.000 |
| -0.000 | -0.000 | -0.000 | 11.291 | 0.000 | 0.000 |
| -0.000 | -0.000 | -0.000 | 0.000 | 11.291 | -0.000 |
| -0.000 | -0.000 | -0.000 | 0.000 | 0.000 | 7.094 |
| 343.157 | 249.162 | 221.982 | 0.000 | -33.540 | 0.000 |
| 247.317 | 245.699 | 193.306 | 0.000 | -53.982 | 0.000 |
| 228.754 | 204.253 | 460.780 | 0.000 | -5.396 | 0.000 |
| -1.378 | -1.124 | 0.508 | 18.712 | 0.202 | -27.799 |
| -30.220 | -52.447 | -3.750 | 0.000 | 131.166 | 0.000 |
| -1.327 | -0.737 | 1.606 | -26.571 | -0.228 | 61.139 |
| 345.427 | 250.291 | 219.117 | -0.000 | -33.122 | -0.000 |
| 249.568 | 247.119 | 191.240 | -0.000 | -53.858 | -0.000 |
| 230.114 | 204.815 | 458.624 | -0.000 | -4.978 | 0.000 |
| 1.378 | 1.124 | -0.508 | 18.712 | -0.202 | -27.799 |
| -28.298 | -51.227 | -5.462 | -0.000 | 131.254 | -0.000 |
| 1.327 | 0.737 | -1.606 | -26.571 | 0.228 | 61.139 |
| 344.003 | 250.139 | 221.898 | 0.000 | -33.757 | 0.000 |
| 246.897 | 245.905 | 193.714 | 0.000 | -54.021 | 0.000 |
| 229.373 | 204.530 | 459.858 | 0.000 | -5.228 | 0.000 |
| -0.138 | -0.113 | 0.051 | 18.693 | 0.020 | -27.796 |
| -28.525 | -51.387 | -5.033 | 0.000 | 131.158 | 0.000 |
| -0.138 | -0.113 | 0.051 | -30.477 | 0.020 | 60.341 |
| 344.197 | 250.240 | 221.688 | -0.000 | -33.734 | -0.000 |
| 247.090 | 246.007 | 193.504 | -0.000 | -53.998 | -0.000 |
| 229.508 | 204.585 | 459.641 | -0.000 | -5.185 | -0.000 |
| 0.138 | 0.113 | -0.051 | 18.693 | -0.020 | -27.796 |
| -28.330 | -51.291 | -5.256 | -0.000 | 131.186 | -0.000 |
| 0.138 | 0.113 | -0.051 | -30.477 | -0.020 | 60.341 |
| 344.089 | 250.185 | 221.840 | 0.000 | -33.761 | 0.000 |
| 246.975 | 245.947 | 193.715 | 0.000 | -54.043 | 0.000 |
| 229.218 | 204.315 | 459.755 | 0.000 | -5.143 | 0.000 |
| -0.015 | -0.012 | 0.006 | 18.693 | 0.002 | -27.796 |
| -28.439 | -51.364 | -5.130 | 0.000 | 131.170 | 0.000 |
| -0.015 | -0.013 | 0.005 | -30.479 | 0.002 | 60.341 |
| 344.111 | 250.196 | 221.817 | -0.000 | -33.757 | -0.000 |
| 246.996 | 245.962 | 193.694 | -0.000 | -54.041 | -0.000 |
| 229.236 | 204.325 | 459.729 | -0.000 | -5.140 | -0.000 |
| 0.015 | 0.012 | -0.006 | 18.693 | -0.002 | -27.796 |
| -28.419 | -51.354 | -5.152 | -0.000 | 131.173 | -0.000 |
| 0.015 | 0.013 | -0.005 | -30.479 | -0.002 | 60.341 |
| 372.465 | 227.745 | 174.465 | -0.000 | 68.464 | -0.000 |
| 165.143 | 294.002 | 131.872 | -0.000 | 106.914 | 0.000 |
| 180.383 | 165.431 | 281.308 | -0.000 | 174.833 | -0.000 |
| -37.392 | -76.283 | -90.201 | 79.990 | 92.783 | 24.862 |
| 61.896 | 121.337 | 51.705 | -0.000 | 105.460 | -0.000 |
| -37.322 | -76.141 | -90.033 | 25.662 | 92.609 | 37.406 |
| 335.694 | 167.008 | 316.852 | 0.000 | -20.498 | -0.000 |
| 124.380 | 231.782 | 263.361 | 0.000 | 15.275 | -0.000 |
| 228.543 | 248.962 | 396.559 | 0.000 | 83.098 | -0.000 |
| 37.392 | 76.283 | 90.201 | 79.990 | -92.783 | 24.862 |
| 26.925 | 60.744 | 191.781 | 0.000 | 20.809 | 0.000 |
| 37.322 | 76.141 | 90.033 | 25.662 | -92.609 | 37.406 |
| 334.761 | 173.502 | 207.397 | -0.000 | 30.359 | -0.000 |
| 190.620 | 328.244 | 248.558 | -0.000 | 43.005 | 0.000 |
| 213.165 | 233.141 | 360.441 | -0.000 | 91.921 | -0.000 |
| 0.000 | -0.000 | 0.000 | 90.095 | -0.000 | 25.000 |
| 15.590 | 42.205 | 83.098 | -0.000 | 89.643 | 0.000 |
| -3.832 | -7.818 | -9.245 | 25.658 | 9.509 | 37.176 |
| 345.486 | 188.182 | 226.932 | 0.000 | 19.890 | 0.000 |
| 190.620 | 328.244 | 248.558 | 0.000 | 43.005 | 0.000 |
| 206.660 | 229.541 | 362.515 | 0.000 | 80.842 | 0.000 |
| -0.000 | 0.000 | -0.000 | 90.095 | 0.000 | 25.000 |
| 15.590 | 42.205 | 83.098 | 0.000 | 89.643 | -0.000 |
| 3.832 | 7.818 | 9.245 | 25.658 | -9.509 | 37.176 |
| 326.771 | 167.694 | 207.337 | -0.000 | 20.436 | -0.000 |
| 180.401 | 308.736 | 238.012 | -0.000 | 57.949 | 0.000 |
| 215.538 | 239.531 | 366.263 | -0.000 | 83.112 | -0.000 |
| 0.499 | 0.530 | -0.330 | 52.852 | 0.675 | 32.870 |
| 17.307 | 53.905 | 80.979 | -0.000 | 72.645 | 0.000 |
| -0.001 | -0.001 | 0.000 | 25.800 | -0.000 | 45.989 |
| 326.711 | 166.968 | 208.296 | 0.000 | 21.786 | 0.000 |
| 178.451 | 305.180 | 237.727 | 0.000 | 59.522 | 0.000 |
| 216.071 | 241.088 | 367.580 | 0.000 | 80.903 | 0.000 |
| -0.499 | -0.530 | 0.330 | 52.852 | -0.675 | 32.870 |
| 19.716 | 68.051 | 91.376 | 0.000 | 50.291 | -0.000 |
| 0.001 | 0.001 | -0.000 | 25.800 | 0.000 | 45.989 |
| 384.968 | 202.779 | 278.970 | 0.000 | 18.516 | 0.000 |
| 202.437 | 402.522 | 293.985 | 0.000 | 29.083 | 0.000 |
| 278.472 | 293.985 | 501.243 | 0.000 | 42.368 | -0.000 |
| -0.447 | -0.572 | -1.815 | 93.966 | -0.761 | 16.101 |
| 15.402 | 30.053 | 36.612 | 0.000 | 123.576 | 0.000 |
| 0.000 | -0.000 | 0.000 | 18.083 | -0.000 | 41.095 |
| 374.436 | 196.689 | 266.067 | -0.000 | 16.552 | -0.000 |
| 202.437 | 402.522 | 293.985 | -0.000 | 29.084 | 0.000 |
| 269.337 | 289.326 | 478.197 | -0.000 | 36.515 | -0.000 |
| 0.447 | 0.572 | 1.815 | 93.966 | 0.761 | 16.101 |
| 16.039 | 30.891 | 39.203 | -0.000 | 124.609 | 0.000 |
| -0.000 | -0.000 | -0.000 | 18.083 | 0.000 | 41.095 |
| 384.968 | 202.779 | 278.970 | 0.000 | 18.516 | -0.000 |
| 194.141 | 385.724 | 291.514 | 0.000 | 32.106 | -0.000 |
| 269.262 | 288.898 | 477.230 | -0.000 | 35.929 | -0.000 |
| -0.045 | -0.058 | -0.183 | 93.917 | -0.077 | 16.090 |
| 16.951 | 29.084 | 42.368 | 0.000 | 133.059 | -0.000 |
| 0.000 | -0.000 | 0.000 | 18.083 | -0.000 | 41.095 |
| 384.968 | 202.779 | 278.970 | -0.000 | 18.516 | -0.000 |
| 197.079 | 392.318 | 287.572 | -0.000 | 31.805 | 0.000 |
| 278.471 | 293.985 | 501.243 | -0.000 | 42.368 | -0.000 |
| 0.045 | 0.058 | 0.183 | 93.917 | 0.077 | 16.090 |
| 14.838 | 32.187 | 36.130 | -0.000 | 123.390 | 0.000 |
| -0.000 | 0.000 | -0.000 | 18.083 | 0.000 | 41.095 |
| 384.969 | 202.780 | 278.970 | 0.000 | 18.516 | -0.000 |
| 194.202 | 385.765 | 291.758 | 0.000 | 32.228 | -0.000 |
| 261.039 | 292.520 | 465.666 | -0.000 | 33.621 | -0.000 |
| -0.005 | -0.006 | -0.019 | 93.917 | -0.008 | 16.090 |
| 14.784 | 32.134 | 35.882 | 0.000 | 123.316 | -0.000 |
| -0.004 | -0.005 | -0.018 | 17.506 | -0.005 | 36.671 |
| 384.967 | 202.778 | 278.969 | -0.000 | 18.516 | 0.000 |
| 194.685 | 386.785 | 292.846 | -0.000 | 31.500 | -0.000 |
| 263.197 | 291.292 | 468.071 | -0.000 | 37.828 | -0.000 |
| 0.005 | 0.006 | 0.019 | 93.917 | 0.008 | 16.090 |
| 15.726 | 30.471 | 37.927 | -0.000 | 124.119 | -0.000 |
| 0.004 | 0.005 | 0.018 | 17.506 | 0.005 | 36.671 |
| 530.106 | 314.119 | 297.100 | -0.000 | 0.000 | -0.000 |
| 449.530 | 75.724 | -46.862 | -0.000 | 0.000 | -0.000 |
| 365.986 | -181.840 | 192.516 | -0.000 | 0.000 | -0.000 |
| -0.000 | -0.000 | -0.000 | 61.785 | 0.000 | -0.000 |
| 0.000 | -0.000 | -0.000 | -0.000 | 100.150 | -0.000 |
| 118.177 | -343.733 | -229.041 | -0.000 | 0.000 | 101.424 |
| 392.191 | 671.681 | 520.358 | 0.000 | -0.000 | 0.000 |
| 213.227 | 763.127 | 411.278 | 0.000 | -0.000 | 0.000 |
| 297.100 | 200.793 | 473.590 | 0.000 | -0.000 | -0.000 |
| -0.000 | 0.000 | 0.000 | 61.785 | -0.000 | -0.000 |
| -0.000 | 0.000 | 0.000 | 0.000 | 100.150 | 0.000 |
| -118.177 | 343.733 | 229.041 | 0.000 | -0.000 | 101.424 |
| 491.170 | 280.512 | 249.412 | -0.000 | 0.000 | 0.000 |
| 342.846 | 385.791 | 159.487 | -0.000 | 0.000 | 0.000 |
| 291.554 | 143.918 | 420.499 | -0.000 | 0.000 | -0.000 |
| 0.000 | -0.000 | -0.000 | 61.785 | 0.000 | -0.000 |
| 0.000 | 0.000 | -0.000 | -0.000 | 100.150 | -0.000 |
| 11.443 | -33.283 | -22.178 | -0.000 | 0.000 | 101.713 |
| 530.106 | 314.119 | 297.100 | 0.000 | -0.000 | 0.000 |
| 314.119 | 461.255 | 200.793 | 0.000 | -0.000 | 0.000 |
| 277.968 | 210.434 | 470.440 | 0.000 | -0.000 | 0.000 |
| -0.000 | 0.000 | 0.000 | 61.785 | -0.000 | 0.000 |
| -0.000 | -0.000 | 0.000 | 0.000 | 100.150 | 0.000 |
| -11.443 | 33.283 | 22.178 | 0.000 | -0.000 | 101.713 |
| 530.109 | 314.120 | 297.102 | -0.000 | 0.000 | -0.000 |
| 322.496 | 412.064 | 171.582 | -0.000 | 0.000 | 0.000 |
| 297.101 | 200.794 | 473.588 | -0.000 | 0.000 | -0.000 |
| 0.669 | -3.973 | -3.019 | 28.246 | 0.000 | 0.000 |
| 0.988 | -4.163 | -2.910 | -0.000 | 68.166 | 0.000 |
| -0.000 | -0.001 | -0.000 | -0.000 | 0.000 | 110.544 |
| 501.141 | 325.394 | 289.264 | 0.000 | -0.000 | 0.000 |
| 329.592 | 424.002 | 184.569 | 0.000 | -0.000 | 0.000 |
| 280.654 | 186.074 | 450.769 | 0.000 | -0.000 | 0.000 |
| -0.669 | 3.973 | 3.019 | 28.246 | -0.000 | -0.000 |
| -0.000 | -0.000 | 0.000 | 0.000 | 100.150 | 0.000 |
| 0.000 | 0.001 | 0.000 | 0.000 | -0.000 | 110.544 |
| 377.610 | 202.613 | 224.215 | 0.000 | -0.000 | 0.000 |
| 158.208 | 276.091 | 180.003 | 0.000 | -0.000 | 0.000 |
| 226.472 | 197.763 | 369.553 | 0.000 | -0.000 | -0.000 |
| 5.404 | 8.414 | -3.828 | 59.275 | -0.000 | 0.000 |
| 0.000 | 0.000 | 0.000 | 0.000 | 132.955 | -0.000 |
| 0.000 | -0.000 | 0.000 | 0.000 | -0.000 | 49.941 |
| 320.763 | 136.752 | 221.139 | 0.000 | 0.000 | -0.000 |
| 194.995 | 315.631 | 187.889 | -0.000 | 0.000 | 0.000 |
| 213.766 | 181.657 | 371.517 | -0.000 | 0.000 | -0.000 |
| -5.404 | -8.414 | 3.828 | 59.275 | 0.000 | -0.000 |
| -0.000 | -0.000 | -0.000 | -0.000 | 132.955 | 0.000 |
| -0.000 | 0.000 | -0.000 | -0.000 | 0.000 | 49.941 |
| 377.610 | 202.613 | 224.215 | 0.000 | -0.000 | 0.000 |
| 148.451 | 263.655 | 181.641 | -0.000 | -0.000 | 0.000 |
| 221.836 | 193.148 | 367.855 | 0.000 | -0.000 | 0.000 |
| 1.984 | 2.464 | -0.209 | 56.074 | -0.000 | 0.000 |
| 0.604 | 0.940 | -0.428 | 0.000 | 127.281 | 0.000 |
| -0.000 | 0.000 | -0.000 | -0.000 | -0.000 | 49.941 |
| 377.610 | 202.612 | 224.214 | -0.000 | 0.000 | 0.000 |
| 145.352 | 259.781 | 182.017 | -0.000 | -0.000 | -0.000 |
| 226.472 | 197.763 | 369.553 | -0.000 | 0.000 | 0.000 |
| -1.984 | -2.464 | 0.209 | 56.074 | -0.000 | 0.000 |
| -0.604 | -0.940 | 0.428 | 0.000 | 127.281 | -0.000 |
| 0.000 | -0.000 | 0.000 | -0.000 | 0.000 | 49.941 |
| 334.009 | 153.310 | 219.536 | 0.000 | -0.000 | -0.000 |
| 145.659 | 259.599 | 183.060 | 0.000 | 0.000 | 0.000 |
| 221.925 | 193.102 | 368.148 | 0.000 | -0.000 | 0.000 |
| 0.077 | 0.107 | -0.031 | 56.022 | -0.000 | 0.000 |
| -0.000 | 0.000 | -0.000 | 0.000 | 132.955 | -0.000 |
| -0.000 | 0.000 | -0.000 | -0.000 | 0.000 | 49.941 |
| 335.485 | 155.580 | 218.547 | 0.000 | 0.000 | -0.000 |
| 146.771 | 261.557 | 181.843 | -0.000 | 0.000 | -0.000 |
| 226.470 | 197.761 | 369.551 | 0.000 | 0.000 | -0.000 |
| -0.077 | -0.107 | 0.031 | 56.022 | 0.000 | 0.000 |
| 0.000 | -0.000 | 0.000 | -0.000 | 132.955 | 0.000 |
| 0.000 | -0.000 | 0.000 | 0.000 | 0.000 | 49.941 |
| 362.881 | 266.111 | 306.529 | 0.000 | -0.000 | -0.000 |
| 266.111 | 362.881 | 306.529 | 0.000 | -0.000 | -0.000 |
| 306.529 | 306.529 | 585.251 | 0.000 | 0.000 | 0.000 |
| 0.000 | 0.000 | -0.000 | 67.748 | -0.000 | 0.000 |
| 0.000 | -0.000 | -0.000 | 0.000 | 67.748 | 0.000 |
| -0.000 | -0.000 | -0.000 | 0.000 | -0.000 | 48.385 |
| 362.881 | 266.111 | 306.529 | -0.000 | 0.000 | -0.000 |
| 264.516 | 364.475 | 306.529 | -0.000 | -0.000 | -0.000 |
| 306.529 | 306.529 | 585.251 | -0.000 | -0.000 | -0.000 |
| -0.000 | 0.000 | 0.000 | 67.748 | -0.000 | -0.000 |
| -0.000 | 0.000 | 0.000 | -0.000 | 67.748 | -0.000 |
| 0.000 | 0.000 | 0.000 | -0.000 | 0.000 | 48.385 |
| 362.880 | 266.111 | 306.529 | 0.000 | -0.000 | 0.000 |
| 264.516 | 364.475 | 306.529 | 0.000 | 0.000 | 0.000 |
| 306.529 | 306.529 | 585.250 | 0.000 | 0.000 | -0.000 |
| 0.000 | 0.000 | -0.000 | 67.748 | -0.000 | 0.000 |
| 0.000 | 0.000 | -0.000 | 0.000 | 67.748 | 0.000 |
| -0.000 | -0.000 | 0.000 | 0.000 | 0.000 | 49.980 |
| 362.881 | 266.111 | 306.529 | -0.000 | 0.000 | -0.000 |
| 266.111 | 362.881 | 306.529 | -0.000 | 0.000 | -0.000 |
| 306.529 | 306.529 | 585.251 | -0.000 | -0.000 | -0.000 |
| -0.000 | -0.000 | 0.000 | 67.748 | -0.000 | -0.000 |
| -0.000 | -0.000 | 0.000 | -0.000 | 67.748 | -0.000 |
| 0.000 | 0.000 | -0.000 | -0.000 | -0.000 | 49.980 |
| 364.473 | 264.516 | 306.530 | 0.000 | 0.000 | 0.000 |
| 264.516 | 364.473 | 306.530 | 0.000 | 0.000 | -0.000 |
| 306.530 | 306.530 | 585.249 | 0.000 | 0.000 | 0.000 |
| 0.000 | 0.000 | -0.000 | 67.748 | 0.000 | 0.000 |
| 0.000 | 0.000 | -0.000 | 0.000 | 67.748 | 0.000 |
| -0.001 | -0.001 | 0.000 | 0.000 | -0.000 | 48.385 |
| 364.478 | 264.515 | 306.527 | -0.000 | -0.000 | -0.000 |
| 264.516 | 364.478 | 306.527 | -0.000 | -0.000 | -0.000 |
| 306.527 | 306.527 | 585.252 | -0.000 | -0.000 | 0.000 |
| -0.000 | -0.000 | 0.000 | 67.748 | 0.000 | -0.000 |
| -0.000 | -0.000 | 0.000 | -0.000 | 67.748 | -0.000 |
| 0.001 | 0.001 | -0.000 | -0.000 | 0.000 | 48.385 |
| 198.891 | 153.020 | 153.020 | 0.000 | 0.000 | 0.000 |
| 153.020 | 198.891 | 153.020 | 0.000 | 0.000 | 0.000 |
| 153.020 | 153.020 | 198.891 | 0.000 | 0.000 | 0.000 |
| 0.000 | -0.000 | -0.000 | -66.342 | 0.000 | 0.000 |
| 0.000 | 0.000 | -0.000 | 0.000 | -66.342 | 0.000 |
| 0.000 | 0.000 | 0.000 | 0.000 | 0.000 | -66.342 |
| 198.891 | 153.020 | 153.020 | -0.000 | -0.000 | -0.000 |
| 153.020 | 198.891 | 153.020 | -0.000 | -0.000 | -0.000 |
| 153.020 | 153.020 | 198.891 | -0.000 | -0.000 | -0.000 |
| -0.000 | -0.000 | -0.000 | -66.342 | -0.000 | -0.000 |
| -0.000 | -0.000 | -0.000 | -0.000 | -66.342 | -0.000 |
| 0.000 | -0.000 | -0.000 | -0.000 | -0.000 | -66.342 |
| 198.891 | 153.020 | 153.020 | 0.000 | 0.000 | 0.000 |
| 153.020 | 198.891 | 153.020 | 0.000 | -0.000 | 0.000 |
| 153.020 | 153.020 | 198.891 | 0.000 | 0.000 | 0.000 |
| 0.000 | -0.000 | -0.000 | -66.342 | 0.000 | 0.000 |
| -0.000 | 0.000 | -0.000 | 0.000 | -66.342 | 0.000 |
| -0.000 | -0.000 | 0.000 | 0.000 | 0.000 | -66.342 |
| 198.891 | 153.020 | 153.020 | -0.000 | -0.000 | -0.000 |
| 153.020 | 198.891 | 153.020 | -0.000 | -0.000 | -0.000 |
| 153.020 | 153.020 | 198.891 | -0.000 | -0.000 | -0.000 |
| -0.000 | 0.000 | 0.000 | -66.342 | -0.000 | -0.000 |
| 0.000 | -0.000 | 0.000 | -0.000 | -66.342 | -0.000 |
| 0.000 | 0.000 | -0.000 | -0.000 | -0.000 | -66.342 |
| 198.891 | 153.020 | 153.020 | 0.000 | 0.000 | 0.000 |
| 153.020 | 198.891 | 153.020 | 0.000 | -0.000 | 0.000 |
| 153.020 | 153.020 | 198.891 | 0.000 | 0.000 | 0.000 |
| 0.000 | -0.001 | -0.001 | -66.342 | 0.000 | 0.000 |
| -0.001 | 0.000 | -0.001 | 0.000 | -66.342 | 0.000 |
| -0.001 | -0.001 | 0.000 | 0.000 | 0.000 | -66.342 |
| 198.891 | 153.020 | 153.020 | -0.000 | -0.000 | 0.000 |
| 153.020 | 198.891 | 153.020 | -0.000 | 0.000 | -0.000 |
| 153.020 | 153.020 | 198.891 | -0.000 | -0.000 | -0.000 |
| -0.000 | 0.001 | 0.001 | -66.342 | -0.000 | -0.000 |
| 0.001 | -0.000 | 0.001 | -0.000 | -66.342 | -0.000 |
| 0.001 | 0.001 | -0.000 | -0.000 | -0.000 | -66.342 |
| 142.910 | 46.088 | 46.088 | 0.000 | 0.000 | 0.000 |
| 46.088 | 142.910 | 46.088 | 0.000 | 0.000 | -0.000 |
| 46.088 | 46.088 | 142.910 | -0.000 | -0.000 | 0.000 |
| -0.000 | -0.000 | -0.000 | 30.827 | 0.000 | -0.000 |
| -0.000 | -0.000 | -0.000 | 0.000 | 30.827 | 0.000 |
| -0.000 | -0.000 | -0.000 | 0.000 | 0.000 | 30.827 |
| 142.910 | 46.088 | 46.088 | -0.000 | -0.000 | -0.000 |
| 46.088 | 142.910 | 46.088 | -0.000 | -0.000 | -0.000 |
| 46.088 | 46.088 | 142.910 | -0.000 | -0.000 | -0.000 |
| 0.000 | 0.000 | 0.000 | 30.827 | 0.000 | -0.000 |
| 0.000 | 0.000 | 0.000 | 0.000 | 30.827 | 0.000 |
| 0.000 | 0.000 | 0.000 | -0.000 | -0.000 | 30.827 |
| 142.909 | 46.088 | 46.088 | -0.000 | 0.000 | 0.000 |
| 46.088 | 142.909 | 46.088 | 0.000 | 0.000 | -0.000 |
| 46.088 | 46.088 | 142.909 | 0.000 | 0.000 | -0.000 |
| -0.000 | -0.000 | -0.000 | 30.827 | -0.000 | 0.000 |
| -0.000 | -0.000 | -0.000 | -0.000 | 30.827 | -0.000 |
| -0.000 | -0.000 | -0.000 | -0.000 | 0.000 | 30.827 |
| 142.910 | 46.088 | 46.088 | 0.000 | 0.000 | 0.000 |
| 46.088 | 142.910 | 46.088 | 0.000 | 0.000 | -0.000 |
| 46.088 | 46.088 | 142.910 | -0.000 | -0.000 | -0.000 |
| 0.000 | 0.000 | 0.000 | 30.827 | -0.000 | 0.000 |
| 0.000 | 0.000 | 0.000 | -0.000 | 30.827 | 0.000 |
| 0.000 | 0.000 | 0.000 | -0.000 | 0.000 | 30.827 |
| 142.904 | 46.088 | 46.088 | 0.000 | 0.000 | -0.000 |
| 46.088 | 142.904 | 46.088 | 0.000 | 0.000 | 0.000 |
| 46.088 | 46.088 | 142.904 | 0.000 | 0.000 | 0.000 |
| -0.001 | -0.000 | -0.000 | 30.827 | -0.000 | 0.000 |
| -0.000 | -0.001 | -0.000 | -0.000 | 30.827 | 0.000 |
| -0.000 | -0.000 | -0.001 | 0.000 | 0.000 | 30.827 |
| 142.916 | 46.089 | 46.089 | 0.000 | -0.000 | -0.000 |
| 46.089 | 142.916 | 46.089 | -0.000 | -0.000 | -0.000 |
| 46.089 | 46.089 | 142.916 | 0.000 | 0.000 | -0.000 |
| 0.001 | 0.000 | 0.000 | 30.827 | 0.000 | 0.000 |
| 0.000 | 0.001 | 0.000 | 0.000 | 30.827 | -0.000 |
| 0.000 | 0.000 | 0.001 | -0.000 | -0.000 | 30.827 |
| -21.659 | 21.950 | 21.950 | -0.000 | -0.000 | -0.000 |
| 21.950 | -21.659 | 21.950 | -0.000 | -0.000 | -0.000 |
| 21.950 | 21.950 | -21.659 | -0.000 | -0.000 | -0.000 |
| -0.000 | -0.000 | -0.000 | 21.796 | -0.000 | -0.000 |
| -0.000 | -0.000 | -0.000 | -0.000 | 21.796 | -0.000 |
| -0.000 | -0.000 | -0.000 | -0.000 | -0.000 | 21.796 |
| -21.659 | 21.950 | 21.950 | 0.000 | 0.000 | 0.000 |
| 21.950 | -21.659 | 21.950 | 0.000 | 0.000 | 0.000 |
| 21.950 | 21.950 | -21.659 | 0.000 | 0.000 | 0.000 |
| 0.000 | 0.000 | 0.000 | 21.796 | 0.000 | -0.000 |
| 0.000 | 0.000 | 0.000 | 0.000 | 21.796 | 0.000 |
| 0.000 | 0.000 | 0.000 | 0.000 | 0.000 | 21.796 |
| -21.659 | 21.950 | 21.950 | -0.000 | -0.000 | -0.000 |
| 21.950 | -21.659 | 21.950 | -0.000 | -0.000 | -0.000 |
| 21.950 | 21.950 | -21.659 | -0.000 | -0.000 | -0.000 |
| 0.000 | -0.000 | -0.000 | -41.724 | -0.000 | -0.000 |
| -0.000 | 0.000 | -0.000 | -0.000 | -41.724 | -0.000 |
| -0.000 | -0.000 | 0.000 | -0.000 | -0.000 | -41.724 |
| -21.659 | 21.950 | 21.950 | 0.000 | 0.000 | 0.000 |
| 21.950 | -21.659 | 21.950 | 0.000 | 0.000 | 0.000 |
| 21.950 | 21.950 | -21.659 | 0.000 | 0.000 | 0.000 |
| -0.000 | 0.000 | 0.000 | -41.724 | 0.000 | -0.000 |
| 0.000 | -0.000 | 0.000 | 0.000 | -41.724 | 0.000 |
| 0.000 | 0.000 | -0.000 | 0.000 | 0.000 | -41.724 |
| -21.659 | 21.950 | 21.950 | -0.000 | -0.000 | -0.000 |
| 21.950 | -21.659 | 21.950 | -0.000 | -0.000 | -0.000 |
| 21.950 | 21.950 | -21.659 | -0.000 | -0.000 | 0.000 |
| 0.002 | -0.001 | -0.001 | -41.724 | -0.000 | -0.000 |
| -0.001 | 0.002 | -0.001 | -0.000 | -41.724 | -0.000 |
| -0.001 | -0.001 | 0.002 | -0.000 | -0.000 | -41.724 |
| -21.659 | 21.951 | 21.951 | 0.000 | 0.000 | -0.000 |
| 21.951 | -21.659 | 21.951 | 0.000 | 0.000 | 0.000 |
| 21.951 | 21.951 | -21.659 | 0.000 | 0.000 | -0.000 |
| -0.002 | 0.001 | 0.001 | -41.724 | 0.000 | 0.000 |
| 0.001 | -0.002 | 0.001 | 0.000 | -41.724 | -0.000 |
| 0.001 | 0.001 | -0.002 | 0.000 | 0.000 | -41.724 |
| -1.657 | 48.541 | 48.541 | 0.000 | -0.000 | 0.000 |
| 48.541 | -1.657 | 48.541 | -0.000 | 0.000 | 0.000 |
| 48.541 | 48.541 | -1.657 | 0.000 | 0.000 | 0.000 |
| 0.043 | 0.043 | 0.043 | 50.026 | 0.000 | 0.000 |
| 0.043 | 0.043 | 0.043 | 0.000 | 50.026 | -0.000 |
| 0.043 | 0.043 | 0.043 | 0.000 | 0.000 | 50.026 |
| -1.744 | 48.454 | 48.454 | -0.000 | -0.000 | 0.000 |
| 48.454 | -1.744 | 48.454 | -0.000 | -0.000 | 0.000 |
| 48.454 | 48.454 | -1.744 | -0.000 | -0.000 | -0.000 |
| -0.043 | -0.043 | -0.043 | 50.026 | -0.000 | -0.000 |
| -0.043 | -0.043 | -0.043 | -0.000 | 50.026 | 0.000 |
| -0.043 | -0.043 | -0.043 | 0.000 | -0.000 | 50.026 |
| -1.657 | 48.540 | 48.540 | 0.000 | 0.000 | -0.000 |
| 48.540 | -1.657 | 48.540 | 0.000 | 0.000 | -0.000 |
| 48.540 | 48.540 | -1.657 | 0.000 | 0.000 | 0.000 |
| 0.043 | 0.043 | 0.043 | 50.026 | -0.000 | 0.000 |
| 0.043 | 0.043 | 0.043 | -0.000 | 50.026 | 0.000 |
| 0.043 | 0.043 | 0.043 | 0.000 | -0.000 | 50.026 |
| -1.744 | 48.454 | 48.454 | -0.000 | -0.000 | -0.000 |
| 48.454 | -1.744 | 48.454 | -0.000 | -0.000 | 0.000 |
| 48.454 | 48.454 | -1.744 | 0.000 | -0.000 | -0.000 |
| -0.043 | -0.043 | -0.043 | 50.026 | 0.000 | -0.000 |
| -0.043 | -0.043 | -0.043 | 0.000 | 50.026 | 0.000 |
| -0.043 | -0.043 | -0.043 | -0.000 | 0.000 | 50.026 |
| -1.657 | 48.540 | 48.540 | 0.000 | -0.000 | -0.000 |
| 48.540 | -1.657 | 48.540 | -0.000 | 0.000 | 0.000 |
| 48.540 | 48.540 | -1.657 | 0.000 | 0.000 | 0.000 |
| 0.008 | 0.007 | 0.007 | 8.941 | 0.000 | -0.000 |
| 0.007 | 0.008 | 0.007 | 0.000 | 8.941 | -0.000 |
| 0.007 | 0.007 | 0.008 | -0.000 | 0.000 | 8.941 |
| -1.745 | 48.454 | 48.454 | 0.000 | -0.000 | -0.000 |
| 48.454 | -1.745 | 48.454 | -0.000 | 0.000 | 0.000 |
| 48.454 | 48.454 | -1.745 | -0.000 | -0.000 | -0.000 |
| -0.008 | -0.007 | -0.007 | 8.941 | -0.000 | -0.000 |
| -0.007 | -0.008 | -0.007 | -0.000 | 8.941 | -0.000 |
| -0.007 | -0.007 | -0.008 | -0.000 | 0.000 | 8.941 |
| -8.446 | -7.325 | -7.325 | -0.000 | -0.000 | -0.000 |
| -7.325 | -8.446 | -7.325 | 0.000 | -0.000 | -0.000 |
| -7.325 | -7.325 | -8.446 | 0.000 | 0.000 | 0.000 |
| -0.000 | -0.000 | 0.000 | -18.374 | 0.000 | -0.000 |
| -0.000 | -0.000 | 0.000 | 0.000 | -18.374 | -0.000 |
| -0.000 | -0.000 | 0.000 | 0.000 | 0.000 | -18.374 |
| -8.446 | -7.325 | -7.325 | 0.000 | 0.000 | 0.000 |
| -7.325 | -8.446 | -7.325 | -0.000 | 0.000 | 0.000 |
| -7.325 | -7.325 | -8.446 | -0.000 | -0.000 | 0.000 |
| 0.000 | 0.000 | -0.000 | -18.374 | 0.000 | 0.000 |
| 0.000 | 0.000 | -0.000 | -0.000 | -18.374 | 0.000 |
| 0.000 | 0.000 | -0.000 | -0.000 | -0.000 | -18.374 |
| -8.446 | -7.325 | -7.325 | -0.000 | -0.000 | -0.000 |
| -7.325 | -8.446 | -7.325 | 0.000 | -0.000 | 0.000 |
| -7.325 | -7.325 | -8.446 | 0.000 | 0.000 | -0.000 |
| 0.000 | 0.000 | 0.000 | -8.445 | -0.000 | -0.000 |
| 0.000 | 0.000 | 0.000 | -0.000 | -8.445 | -0.000 |
| 0.000 | 0.000 | 0.000 | -0.000 | 0.000 | -8.445 |
| -8.446 | -7.325 | -7.325 | 0.000 | 0.000 | -0.000 |
| -7.325 | -8.446 | -7.325 | -0.000 | 0.000 | 0.000 |
| -7.325 | -7.325 | -8.446 | -0.000 | 0.000 | 0.000 |
| -0.000 | -0.000 | -0.000 | -8.445 | 0.000 | 0.000 |
| -0.000 | -0.000 | -0.000 | 0.000 | -8.445 | 0.000 |
| -0.000 | -0.000 | -0.000 | 0.000 | 0.000 | -8.445 |
| -8.446 | -7.325 | -7.325 | -0.000 | -0.000 | -0.000 |
| -7.325 | -8.446 | -7.325 | -0.000 | -0.000 | -0.000 |
| -7.325 | -7.325 | -8.446 | -0.000 | 0.000 | -0.000 |
| 0.000 | 0.000 | 0.000 | -8.445 | -0.000 | -0.000 |
| 0.000 | 0.000 | 0.000 | -0.000 | -8.445 | -0.000 |
| 0.000 | 0.000 | 0.000 | 0.000 | 0.000 | -8.445 |
| -8.446 | -7.325 | -7.325 | -0.000 | -0.000 | -0.000 |
| -7.325 | -8.446 | -7.325 | -0.000 | 0.000 | 0.000 |
| -7.325 | -7.325 | -8.446 | -0.000 | 0.000 | 0.000 |
| -0.000 | -0.000 | -0.000 | -8.445 | 0.000 | 0.000 |
| -0.000 | -0.000 | -0.000 | 0.000 | -8.445 | 0.000 |
| -0.000 | -0.000 | -0.000 | -0.000 | 0.000 | -8.445 |
| 377.270 | 224.504 | 226.476 | -0.000 | -0.000 | 0.000 |
| 224.504 | 377.270 | 226.476 | -0.000 | -0.000 | -0.000 |
| 226.647 | 226.647 | 338.601 | -0.000 | 0.000 | 0.000 |
| 20.106 | 20.106 | 21.104 | 107.202 | 0.000 | 0.000 |
| 20.106 | 20.106 | 21.104 | -0.000 | 107.202 | 0.000 |
| 0.000 | 0.000 | 0.000 | -0.000 | -0.000 | 116.860 |
| 337.764 | 184.998 | 185.010 | 0.000 | 0.000 | -0.000 |
| 184.998 | 337.764 | 185.010 | 0.000 | 0.000 | 0.000 |
| 187.141 | 187.141 | 297.135 | 0.000 | 0.000 | 0.000 |
| -20.106 | -20.106 | -21.104 | 107.202 | 0.000 | -0.000 |
| -20.106 | -20.106 | -21.104 | 0.000 | 107.202 | 0.000 |
| -0.000 | -0.000 | -0.000 | 0.000 | 0.000 | 116.860 |
| 359.492 | 206.726 | 207.816 | -0.000 | -0.000 | 0.000 |
| 206.726 | 359.492 | 207.816 | -0.000 | -0.000 | 0.000 |
| 207.542 | 207.542 | 318.548 | -0.000 | -0.000 | -0.000 |
| 4.922 | 4.921 | 5.166 | 88.657 | -0.000 | 0.000 |
| 4.921 | 4.922 | 5.166 | -0.000 | 88.657 | 0.000 |
| 1.975 | 1.975 | 2.073 | -0.000 | -0.000 | 116.860 |
| 355.542 | 202.775 | 203.669 | 0.000 | 0.000 | -0.000 |
| 202.775 | 355.542 | 203.669 | 0.000 | 0.000 | -0.000 |
| 207.542 | 207.542 | 318.548 | 0.000 | 0.000 | -0.000 |
| -4.922 | -4.921 | -5.166 | 88.657 | -0.000 | -0.000 |
| -4.921 | -4.922 | -5.166 | -0.000 | 88.657 | -0.000 |
| -1.975 | -1.975 | -2.073 | 0.000 | 0.000 | 116.860 |
| 358.135 | 205.369 | 206.391 | -0.000 | -0.000 | 0.000 |
| 205.369 | 358.135 | 206.391 | -0.000 | -0.000 | -0.000 |
| 207.092 | 207.092 | 318.073 | -0.000 | -0.000 | 0.000 |
| 0.200 | 0.191 | 0.207 | -4.923 | 0.000 | 0.000 |
| 0.191 | 0.200 | 0.207 | 0.000 | -4.923 | 0.000 |
| 0.198 | 0.198 | 0.208 | -0.000 | -0.000 | 116.860 |
| 358.134 | 205.367 | 206.391 | 0.000 | 0.000 | -0.000 |
| 205.367 | 358.134 | 206.391 | 0.000 | 0.000 | 0.000 |
| 206.696 | 206.696 | 317.663 | 0.000 | 0.000 | -0.000 |
| -0.200 | -0.191 | -0.207 | -4.923 | 0.000 | -0.000 |
| -0.191 | -0.200 | -0.207 | 0.000 | -4.923 | 0.000 |
| -0.198 | -0.198 | -0.208 | 0.000 | 0.000 | 116.860 |
| 72.739 | 50.321 | 50.321 | -0.000 | 0.000 | 0.000 |
| 50.321 | 72.739 | 50.321 | 0.000 | -0.000 | 0.000 |
| 50.321 | 50.321 | 72.739 | 0.000 | 0.000 | -0.000 |
| -0.000 | -0.000 | -0.000 | 37.589 | 0.000 | 0.000 |
| -0.000 | -0.000 | -0.000 | 0.000 | 37.589 | 0.000 |
| -0.000 | -0.000 | -0.000 | 0.000 | 0.000 | 37.589 |
| 72.739 | 50.321 | 50.321 | 0.000 | 0.000 | 0.000 |
| 50.321 | 72.739 | 50.321 | 0.000 | 0.000 | 0.000 |
| 50.321 | 50.321 | 72.739 | 0.000 | 0.000 | 0.000 |
| 0.000 | 0.000 | 0.000 | 37.589 | -0.000 | -0.000 |
| 0.000 | 0.000 | 0.000 | -0.000 | 37.589 | -0.000 |
| 0.000 | 0.000 | 0.000 | -0.000 | -0.000 | 37.589 |
| 72.739 | 50.321 | 50.321 | -0.000 | -0.000 | -0.000 |
| 50.321 | 72.739 | 50.321 | -0.000 | -0.000 | -0.000 |
| 50.321 | 50.321 | 72.739 | -0.000 | -0.000 | -0.000 |
| -0.000 | -0.000 | -0.000 | 37.589 | 0.000 | 0.000 |
| -0.000 | -0.000 | -0.000 | 0.000 | 37.589 | 0.000 |
| -0.000 | -0.000 | -0.000 | 0.000 | 0.000 | 37.589 |
| 72.739 | 50.321 | 50.321 | 0.000 | -0.000 | -0.000 |
| 50.321 | 72.739 | 50.321 | 0.000 | 0.000 | -0.000 |
| 50.321 | 50.321 | 72.739 | 0.000 | 0.000 | -0.000 |
| 0.000 | 0.000 | 0.000 | 37.589 | -0.000 | -0.000 |
| 0.000 | 0.000 | 0.000 | -0.000 | 37.589 | -0.000 |
| 0.000 | 0.000 | 0.000 | -0.000 | 0.000 | 37.589 |
| 72.738 | 50.321 | 50.321 | -0.000 | -0.000 | -0.000 |
| 50.321 | 72.738 | 50.321 | -0.000 | -0.000 | -0.000 |
| 50.321 | 50.321 | 72.738 | -0.000 | -0.000 | 0.000 |
| -0.000 | -0.000 | -0.000 | 14.703 | -0.000 | -0.000 |
| -0.000 | -0.000 | -0.000 | -0.000 | 14.703 | -0.000 |
| -0.000 | -0.000 | -0.000 | -0.000 | -0.000 | 14.703 |
| 72.739 | 50.321 | 50.321 | 0.000 | 0.000 | 0.000 |
| 50.321 | 72.739 | 50.321 | 0.000 | 0.000 | 0.000 |
| 50.321 | 50.321 | 72.739 | 0.000 | 0.000 | 0.000 |
| 0.000 | 0.000 | 0.000 | 14.703 | 0.000 | 0.000 |
| 0.000 | 0.000 | 0.000 | 0.000 | 14.703 | 0.000 |
| 0.000 | 0.000 | 0.000 | 0.000 | 0.000 | 14.703 |
| 357.496 | 204.243 | 205.879 | -0.000 | 0.000 | -0.000 |
| 204.243 | 357.496 | 205.879 | -0.000 | -0.000 | -0.000 |
| 207.067 | 207.067 | 320.212 | -0.000 | -0.000 | 0.000 |
| 0.000 | 0.000 | -0.000 | 120.656 | 0.000 | 0.000 |
| 0.000 | 0.000 | -0.000 | -0.000 | 120.656 | -0.000 |
| 0.000 | 0.000 | 0.000 | -0.000 | -0.000 | 116.704 |
| 358.095 | 204.843 | 206.506 | -0.000 | 0.000 | -0.000 |
| 204.843 | 358.095 | 206.506 | 0.000 | -0.000 | -0.000 |
| 207.694 | 207.694 | 320.867 | -0.000 | 0.000 | -0.000 |
| -0.000 | -0.000 | 0.000 | 120.656 | 0.000 | -0.000 |
| -0.000 | -0.000 | 0.000 | 0.000 | 120.656 | -0.000 |
| -0.000 | -0.000 | -0.000 | 0.000 | -0.000 | 116.704 |
| 357.496 | 204.243 | 205.879 | -0.000 | -0.000 | 0.000 |
| 204.243 | 357.496 | 205.879 | -0.000 | -0.000 | 0.000 |
| 207.694 | 207.694 | 320.867 | 0.000 | 0.000 | 0.000 |
| 0.000 | -0.001 | 0.000 | -3.368 | 0.000 | 0.000 |
| -0.001 | 0.000 | 0.000 | 0.000 | -3.368 | 0.000 |
| 0.000 | 0.000 | 0.000 | -0.000 | -0.000 | 116.704 |
| 358.095 | 204.843 | 206.506 | 0.000 | -0.000 | 0.000 |
| 204.843 | 358.095 | 206.506 | 0.000 | -0.000 | 0.000 |
| 207.067 | 207.067 | 320.212 | -0.000 | -0.000 | -0.000 |
| -0.000 | 0.001 | -0.000 | -3.368 | 0.000 | 0.000 |
| 0.001 | -0.000 | -0.000 | 0.000 | -3.368 | -0.000 |
| -0.000 | -0.000 | -0.000 | 0.000 | 0.000 | 116.704 |
| 357.496 | 204.244 | 205.879 | 0.000 | -0.000 | -0.000 |
| 204.244 | 357.496 | 205.879 | -0.000 | -0.000 | -0.000 |
| 207.694 | 207.694 | 320.864 | 0.000 | -0.000 | -0.000 |
| 0.001 | -0.008 | -0.002 | -3.368 | -0.000 | 0.000 |
| -0.008 | 0.001 | -0.002 | -0.000 | -3.368 | 0.000 |
| 0.001 | 0.001 | 0.000 | -0.000 | -0.000 | 116.704 |
| 357.495 | 204.242 | 205.879 | 0.000 | -0.000 | -0.000 |
| 204.242 | 357.495 | 205.879 | 0.000 | 0.000 | 0.000 |
| 207.694 | 207.694 | 320.870 | -0.000 | 0.000 | -0.000 |
| -0.001 | 0.008 | 0.002 | -3.368 | 0.000 | -0.000 |
| 0.008 | -0.001 | 0.002 | 0.000 | -3.368 | -0.000 |
| -0.001 | -0.001 | -0.000 | 0.000 | 0.000 | 116.704 |
| 237.843 | 91.891 | 99.001 | -0.000 | 0.000 | -0.000 |
| 91.891 | 237.843 | 99.001 | 0.000 | -0.000 | 0.000 |
| 203.044 | 203.044 | 268.227 | -0.000 | -0.000 | -0.000 |
| -120.876 | -120.876 | -103.326 | 88.940 | 0.000 | -0.000 |
| -120.876 | -120.876 | -103.326 | -0.000 | 88.940 | -0.000 |
| -0.000 | 0.000 | 0.000 | 0.000 | 0.000 | 117.592 |
| 359.557 | 213.605 | 203.044 | 0.000 | -0.000 | 0.000 |
| 213.605 | 359.557 | 203.044 | -0.000 | -0.000 | 0.000 |
| 322.993 | 322.993 | 370.761 | 0.000 | -0.000 | 0.000 |
| 120.876 | 120.876 | 103.326 | 88.940 | -0.000 | 0.000 |
| 120.876 | 120.876 | 103.326 | 0.000 | 88.940 | -0.000 |
| 0.000 | -0.000 | -0.000 | -0.000 | -0.000 | 117.592 |
| 346.529 | 200.578 | 191.908 | 0.000 | -0.000 | -0.000 |
| 200.578 | 346.529 | 191.908 | -0.000 | 0.000 | -0.000 |
| 203.044 | 203.044 | 268.227 | 0.000 | 0.000 | -0.000 |
| -13.199 | -13.199 | -11.282 | 87.445 | -0.000 | 0.000 |
| -13.199 | -13.199 | -11.282 | -0.000 | 87.445 | 0.000 |
| -0.000 | 0.000 | -0.000 | -0.000 | -0.000 | 117.592 |
| 359.557 | 213.605 | 203.044 | 0.000 | -0.000 | 0.000 |
| 213.605 | 359.557 | 203.044 | 0.000 | -0.000 | -0.000 |
| 214.307 | 214.307 | 277.855 | -0.000 | -0.000 | 0.000 |
| 13.199 | 13.199 | 11.282 | 87.445 | -0.000 | -0.000 |
| 13.199 | 13.199 | 11.282 | 0.000 | 87.445 | -0.000 |
| 0.000 | -0.000 | 0.000 | -0.000 | -0.000 | 117.592 |
| 357.397 | 211.447 | 201.198 | 0.000 | 0.000 | 0.000 |
| 211.447 | 357.397 | 201.198 | -0.000 | -0.000 | 0.000 |
| 203.043 | 203.043 | 268.224 | -0.000 | -0.000 | 0.000 |
| -1.210 | -1.218 | -1.036 | -39.341 | -0.000 | -0.000 |
| -1.218 | -1.210 | -1.036 | -0.000 | -39.341 | -0.000 |
| -1.208 | -1.208 | -1.032 | -0.000 | 0.000 | 117.592 |
| 359.558 | 213.604 | 203.044 | -0.000 | -0.000 | 0.000 |
| 213.604 | 359.558 | 203.044 | 0.000 | -0.000 | 0.000 |
| 203.044 | 203.044 | 268.230 | -0.000 | -0.000 | 0.000 |
| 1.210 | 1.218 | 1.036 | -39.341 | -0.000 | 0.000 |
| 1.218 | 1.210 | 1.036 | 0.000 | -39.341 | -0.000 |
| 1.208 | 1.208 | 1.032 | 0.000 | -0.000 | 117.592 |
| 144.228 | 164.284 | 164.284 | 0.000 | -0.000 | -0.000 |
| 164.284 | 144.228 | 164.284 | -0.000 | -0.000 | 0.000 |
| 164.284 | 164.284 | 144.228 | 0.000 | 0.000 | -0.000 |
| -0.000 | -0.000 | -0.000 | 114.006 | -0.000 | 0.000 |
| -0.000 | -0.000 | -0.000 | -0.000 | 114.006 | 0.000 |
| -0.000 | -0.000 | -0.000 | -0.000 | -0.000 | 114.006 |
| 144.228 | 164.284 | 164.284 | -0.000 | 0.000 | 0.000 |
| 164.284 | 144.228 | 164.284 | 0.000 | -0.000 | -0.000 |
| 164.284 | 164.284 | 144.228 | 0.000 | 0.000 | 0.000 |
| 0.000 | 0.000 | -0.000 | 114.006 | 0.000 | -0.000 |
| 0.000 | 0.000 | -0.000 | 0.000 | 114.006 | -0.000 |
| -0.000 | -0.000 | 0.000 | 0.000 | 0.000 | 114.006 |
| 144.228 | 164.284 | 164.284 | -0.000 | -0.000 | 0.000 |
| 164.284 | 144.228 | 164.284 | 0.000 | -0.000 | 0.000 |
| 164.284 | 164.284 | 144.228 | 0.000 | -0.000 | 0.000 |
| -0.000 | 0.000 | 0.000 | -7.190 | -0.000 | 0.000 |
| 0.000 | -0.000 | 0.000 | -0.000 | -7.190 | 0.000 |
| 0.000 | 0.000 | -0.000 | -0.000 | -0.000 | -7.190 |
| 144.228 | 164.284 | 164.284 | -0.000 | 0.000 | -0.000 |
| 164.284 | 144.228 | 164.284 | -0.000 | 0.000 | -0.000 |
| 164.284 | 164.284 | 144.228 | 0.000 | 0.000 | 0.000 |
| 0.000 | -0.000 | -0.000 | -7.190 | 0.000 | -0.000 |
| -0.000 | 0.000 | -0.000 | 0.000 | -7.190 | -0.000 |
| -0.000 | -0.000 | 0.000 | 0.000 | 0.000 | -7.190 |
| 144.231 | 164.284 | 164.284 | -0.000 | -0.000 | 0.000 |
| 164.284 | 144.231 | 164.284 | 0.000 | -0.000 | 0.000 |
| 164.284 | 164.284 | 144.231 | 0.000 | 0.000 | -0.000 |
| -0.001 | 0.000 | 0.000 | 114.006 | -0.000 | 0.000 |
| 0.000 | -0.001 | 0.000 | -0.000 | 114.006 | 0.000 |
| 0.000 | 0.000 | -0.001 | 0.000 | -0.000 | 114.006 |
| 144.225 | 164.284 | 164.284 | 0.000 | -0.000 | -0.000 |
| 164.284 | 144.225 | 164.284 | -0.000 | 0.000 | -0.000 |
| 164.284 | 164.284 | 144.225 | 0.000 | 0.000 | -0.000 |
| 0.001 | -0.000 | -0.000 | 114.006 | 0.000 | -0.000 |
| -0.000 | 0.001 | -0.000 | 0.000 | 114.006 | -0.000 |
| -0.000 | -0.000 | 0.001 | -0.000 | 0.000 | 114.006 |
| 298.802 | 47.174 | 47.174 | 0.000 | 0.000 | -0.000 |
| 47.174 | 298.802 | 47.174 | 0.000 | 0.000 | -0.000 |
| 47.174 | 47.174 | 298.802 | 0.000 | 0.000 | 0.000 |
| -0.000 | -0.000 | -0.000 | -7.944 | 0.000 | -0.000 |
| -0.000 | -0.000 | -0.000 | 0.000 | -7.944 | -0.000 |
| -0.000 | -0.000 | -0.000 | -0.000 | 0.000 | -7.944 |
| 298.802 | 47.174 | 47.174 | 0.000 | 0.000 | -0.000 |
| 47.174 | 298.802 | 47.174 | 0.000 | 0.000 | -0.000 |
| 47.174 | 47.174 | 298.802 | 0.000 | 0.000 | -0.000 |
| 0.000 | 0.000 | 0.000 | -7.944 | -0.000 | 0.000 |
| 0.000 | 0.000 | 0.000 | -0.000 | -7.944 | -0.000 |
| 0.000 | 0.000 | 0.000 | 0.000 | -0.000 | -7.944 |
| 298.801 | 47.174 | 47.174 | 0.000 | 0.000 | 0.000 |
| 47.174 | 298.801 | 47.174 | 0.000 | 0.000 | -0.000 |
| 47.174 | 47.174 | 298.801 | -0.000 | -0.000 | 0.000 |
| -0.000 | -0.000 | -0.000 | 42.988 | -0.000 | -0.000 |
| -0.000 | -0.000 | -0.000 | -0.000 | 42.988 | -0.000 |
| -0.000 | -0.000 | -0.000 | 0.000 | 0.000 | 42.988 |
| 298.803 | 47.174 | 47.174 | 0.000 | -0.000 | 0.000 |
| 47.174 | 298.803 | 47.174 | -0.000 | 0.000 | 0.000 |
| 47.174 | 47.174 | 298.803 | -0.000 | -0.000 | 0.000 |
| 0.000 | 0.000 | 0.000 | 42.988 | 0.000 | -0.000 |
| 0.000 | 0.000 | 0.000 | 0.000 | 42.988 | 0.000 |
| 0.000 | 0.000 | 0.000 | -0.000 | -0.000 | 42.988 |
| 298.795 | 47.173 | 47.173 | -0.000 | -0.000 | 0.000 |
| 47.173 | 298.795 | 47.173 | -0.000 | -0.000 | 0.000 |
| 47.173 | 47.173 | 298.795 | -0.000 | -0.000 | 0.000 |
| -0.001 | -0.000 | -0.000 | -7.944 | -0.000 | -0.000 |
| -0.000 | -0.001 | -0.000 | -0.000 | -7.944 | -0.000 |
| -0.000 | -0.000 | -0.001 | 0.000 | -0.000 | -7.944 |
| 298.809 | 47.174 | 47.174 | 0.000 | 0.000 | -0.000 |
| 47.174 | 298.809 | 47.174 | 0.000 | 0.000 | -0.000 |
| 47.174 | 47.174 | 298.809 | 0.000 | 0.000 | -0.000 |
| 0.001 | 0.000 | 0.000 | -7.944 | 0.000 | -0.000 |
| 0.000 | 0.001 | 0.000 | 0.000 | -7.944 | 0.000 |
| 0.000 | 0.000 | 0.001 | -0.000 | -0.000 | -7.944 |
| -83.401 | -41.313 | -41.313 | -0.000 | 0.000 | 0.000 |
| -41.313 | -83.401 | -41.313 | 0.000 | -0.000 | -0.000 |
| -41.313 | -41.313 | -83.401 | -0.000 | -0.000 | -0.000 |
| 0.000 | -0.000 | 0.000 | -25.313 | -0.000 | -0.000 |
| -0.000 | 0.000 | 0.000 | -0.000 | -25.313 | -0.000 |
| -0.000 | 0.000 | 0.000 | -0.000 | -0.000 | -25.313 |
| -83.401 | -41.313 | -41.313 | 0.000 | -0.000 | -0.000 |
| -41.313 | -83.401 | -41.313 | -0.000 | 0.000 | 0.000 |
| -41.313 | -41.313 | -83.401 | 0.000 | 0.000 | -0.000 |
| -0.000 | 0.000 | -0.000 | -25.313 | 0.000 | 0.000 |
| 0.000 | -0.000 | -0.000 | 0.000 | -25.313 | 0.000 |
| 0.000 | -0.000 | -0.000 | 0.000 | 0.000 | -25.313 |
| -83.403 | -41.313 | -41.313 | -0.000 | -0.000 | -0.000 |
| -41.313 | -83.403 | -41.313 | 0.000 | 0.000 | 0.000 |
| -41.313 | -41.313 | -83.403 | 0.000 | -0.000 | 0.000 |
| 0.000 | 0.000 | 0.000 | -25.313 | -0.000 | -0.000 |
| 0.000 | 0.000 | 0.000 | -0.000 | -25.313 | -0.000 |
| 0.000 | 0.000 | 0.000 | -0.000 | -0.000 | -25.313 |
| -83.399 | -41.312 | -41.312 | 0.000 | -0.000 | -0.000 |
| -41.312 | -83.399 | -41.312 | -0.000 | 0.000 | 0.000 |
| -41.312 | -41.312 | -83.399 | 0.000 | 0.000 | 0.000 |
| -0.000 | -0.000 | -0.000 | -25.313 | 0.000 | 0.000 |
| -0.000 | -0.000 | -0.000 | 0.000 | -25.313 | 0.000 |
| -0.000 | -0.000 | -0.000 | 0.000 | 0.000 | -25.313 |
| -59.418 | -34.729 | -34.729 | 0.000 | 0.000 | 0.000 |
| -34.729 | -59.418 | -34.729 | 0.000 | 0.000 | -0.000 |
| -34.729 | -34.729 | -59.418 | 0.000 | 0.000 | 0.000 |
| -0.000 | -0.000 | -0.000 | -34.729 | 0.000 | -0.000 |
| -0.000 | -0.000 | -0.000 | 0.000 | -34.729 | 0.000 |
| -0.000 | -0.000 | -0.000 | 0.000 | 0.000 | -34.728 |
| -59.418 | -34.728 | -34.728 | -0.000 | -0.000 | -0.000 |
| -34.728 | -59.418 | -34.728 | -0.000 | -0.000 | -0.000 |
| -34.728 | -34.728 | -59.418 | -0.000 | -0.000 | 0.000 |
| 0.000 | 0.000 | 0.000 | -34.729 | -0.000 | 0.000 |
| 0.000 | 0.000 | 0.000 | -0.000 | -34.729 | 0.000 |
| 0.000 | 0.000 | 0.000 | -0.000 | -0.000 | -34.729 |
| -59.418 | -34.729 | -34.729 | 0.000 | 0.000 | -0.000 |
| -34.729 | -59.418 | -34.729 | 0.000 | 0.000 | -0.000 |
| -34.729 | -34.729 | -59.418 | 0.000 | 0.000 | 0.000 |
| -1018889.979 | -7615000.995 | -7615001.580 | -2925198.858 | 0.000 | -0.000 |
| -7615000.995 | -1018889.979 | -7615001.580 | 0.000 | -2925198.858 | 0.000 |
| -7615000.999 | -7615001.584 | -1018889.982 | 0.000 | 0.000 | -2925198.859 |
| -59.418 | -34.728 | -34.728 | -0.000 | -0.000 | -0.000 |
| -34.728 | -59.418 | -34.728 | -0.000 | -0.000 | -0.000 |
| -34.728 | -34.728 | -59.418 | -0.000 | -0.000 | -0.000 |
| 1018890.013 | 7615001.047 | 7615001.632 | -2925198.868 | -0.000 | 0.000 |
| 7615001.047 | 1018890.013 | 7615001.632 | -0.000 | -2925198.868 | 0.000 |
| 7615001.048 | 7615001.633 | 1018890.014 | -0.000 | 0.000 | -2925198.868 |
| -59.418 | -34.729 | -34.729 | -0.000 | 0.000 | 0.000 |
| -34.729 | -59.418 | -34.729 | 0.000 | -0.000 | 0.000 |
| -34.729 | -34.729 | -59.418 | 0.000 | 0.000 | -0.000 |
| -0.000 | -0.000 | -0.000 | -34.729 | 0.000 | -0.000 |
| -0.000 | -0.000 | -0.000 | 0.000 | -34.729 | -0.000 |
| -0.000 | -0.000 | -0.000 | 0.000 | 0.000 | -34.729 |
| -59.418 | -34.728 | -34.728 | -0.000 | -0.000 | 0.000 |
| -34.728 | -59.418 | -34.728 | -0.000 | -0.000 | 0.000 |
| -34.728 | -34.728 | -59.418 | -0.000 | -0.000 | -0.000 |
| 0.000 | 0.000 | 0.000 | -34.729 | -0.000 | 0.000 |
| 0.000 | 0.000 | 0.000 | -0.000 | -34.729 | 0.000 |
| 0.000 | 0.000 | 0.000 | -0.000 | -0.000 | -34.729 |
| 6.947 | 6.654 | 6.654 | 0.000 | 0.000 | 0.000 |
| 6.654 | 6.947 | 6.654 | 0.000 | 0.000 | -0.000 |
| 6.654 | 6.654 | 6.947 | 0.000 | 0.000 | -0.000 |
| 0.000 | 0.000 | 0.000 | -33.210 | 0.000 | -0.000 |
| 0.000 | 0.000 | 0.000 | 0.000 | -33.210 | -0.000 |
| 0.000 | 0.000 | 0.000 | 0.000 | 0.000 | -33.210 |
| 6.947 | 6.654 | 6.654 | -0.000 | -0.000 | -0.000 |
| 6.654 | 6.947 | 6.654 | -0.000 | -0.000 | -0.000 |
| 6.654 | 6.654 | 6.947 | -0.000 | -0.000 | -0.000 |
| -0.000 | -0.000 | -0.000 | -33.210 | -0.000 | -0.000 |
| -0.000 | -0.000 | -0.000 | -0.000 | -33.210 | 0.000 |
| -0.000 | -0.000 | -0.000 | -0.000 | -0.000 | -33.210 |
| 6.947 | 6.654 | 6.654 | 0.000 | 0.000 | -0.000 |
| 6.654 | 6.947 | 6.654 | 0.000 | 0.000 | 0.000 |
| 6.654 | 6.654 | 6.947 | 0.000 | 0.000 | -0.000 |
| 0.000 | 0.000 | 0.000 | -33.210 | 0.000 | 0.000 |
| 0.000 | 0.000 | 0.000 | 0.000 | -33.210 | -0.000 |
| 0.000 | 0.000 | 0.000 | 0.000 | 0.000 | -33.210 |
| 6.947 | 6.654 | 6.654 | -0.000 | -0.000 | 0.000 |
| 6.654 | 6.947 | 6.654 | -0.000 | -0.000 | 0.000 |
| 6.654 | 6.654 | 6.947 | -0.000 | -0.000 | 0.000 |
| -0.000 | -0.000 | -0.000 | -33.210 | -0.000 | 0.000 |
| -0.000 | -0.000 | -0.000 | -0.000 | -33.210 | 0.000 |
| -0.000 | -0.000 | -0.000 | -0.000 | -0.000 | -33.210 |
| 6.947 | 6.654 | 6.654 | 0.000 | 0.000 | 0.000 |
| 6.654 | 6.947 | 6.654 | 0.000 | 0.000 | 0.000 |
| 6.654 | 6.654 | 6.947 | 0.000 | 0.000 | -0.000 |
| 0.000 | 0.000 | 0.000 | 6.947 | 0.000 | 0.000 |
| 0.000 | 0.000 | 0.000 | -0.000 | 6.947 | 0.000 |
| 0.000 | 0.000 | 0.000 | 0.000 | 0.000 | 6.947 |
| 6.947 | 6.654 | 6.654 | -0.000 | -0.000 | -0.000 |
| 6.654 | 6.947 | 6.654 | -0.000 | -0.000 | -0.000 |
| 6.654 | 6.654 | 6.947 | -0.000 | -0.000 | 0.000 |
| -0.000 | -0.000 | -0.000 | 6.947 | -0.000 | -0.000 |
| -0.000 | -0.000 | -0.000 | -0.000 | 6.947 | 0.000 |
| -0.000 | -0.000 | -0.000 | -0.000 | -0.000 | 6.947 |
| 702.799 | 365.820 | 365.820 | -0.000 | 0.000 | 0.000 |
| 365.820 | 702.799 | 365.820 | -0.000 | 0.000 | 0.000 |
| 365.820 | 365.820 | 702.799 | 0.000 | -0.000 | -0.000 |
| -0.000 | -0.000 | -0.000 | 140.942 | 0.000 | -0.000 |
| -0.000 | -0.000 | -0.000 | 0.000 | 140.942 | -0.000 |
| -0.000 | -0.000 | -0.000 | -0.000 | 0.000 | 140.942 |
| 699.411 | 367.514 | 367.514 | 0.000 | -0.000 | -0.000 |
| 367.514 | 699.411 | 367.514 | 0.000 | -0.000 | -0.000 |
| 367.514 | 367.514 | 699.411 | -0.000 | 0.000 | -0.000 |
| 0.000 | 0.000 | 0.000 | 140.942 | 0.000 | -0.000 |
| 0.000 | 0.000 | 0.000 | -0.000 | 140.942 | 0.000 |
| 0.000 | 0.000 | 0.000 | 0.000 | 0.000 | 140.942 |
| 699.409 | 367.514 | 367.514 | -0.000 | -0.000 | -0.000 |
| 367.514 | 699.409 | 367.514 | -0.000 | -0.000 | -0.000 |
| 367.514 | 367.514 | 699.409 | -0.000 | -0.000 | 0.000 |
| -0.000 | -0.000 | -0.000 | 137.761 | 0.000 | -0.000 |
| -0.000 | -0.000 | -0.000 | 0.000 | 137.761 | 0.000 |
| -0.000 | -0.000 | -0.000 | -0.000 | 0.000 | 137.761 |
| 699.412 | 367.514 | 367.514 | 0.000 | -0.000 | 0.000 |
| 367.514 | 699.412 | 367.514 | 0.000 | 0.000 | -0.000 |
| 367.514 | 367.514 | 699.412 | 0.000 | 0.000 | -0.000 |
| 0.000 | 0.000 | 0.000 | 137.761 | 0.000 | 0.000 |
| 0.000 | 0.000 | 0.000 | 0.000 | 137.761 | 0.000 |
| 0.000 | 0.000 | 0.000 | 0.000 | 0.000 | 137.761 |
| 699.399 | 367.512 | 367.512 | -0.000 | -0.000 | -0.000 |
| 367.512 | 699.399 | 367.512 | -0.000 | -0.000 | 0.000 |
| 367.512 | 367.512 | 699.399 | -0.000 | -0.000 | -0.000 |
| -0.000 | -0.002 | -0.002 | 137.761 | 0.000 | -0.000 |
| -0.002 | -0.000 | -0.002 | -0.000 | 137.761 | -0.000 |
| -0.002 | -0.002 | -0.000 | -0.000 | 0.000 | 137.761 |
| 702.810 | 365.822 | 365.822 | 0.000 | -0.000 | 0.000 |
| 365.822 | 702.810 | 365.822 | 0.000 | -0.000 | 0.000 |
| 365.822 | 365.822 | 702.810 | 0.000 | -0.000 | 0.000 |
| 0.000 | 0.002 | 0.002 | 137.761 | -0.000 | 0.000 |
| 0.002 | 0.000 | 0.002 | 0.000 | 137.761 | 0.000 |
| 0.002 | 0.002 | 0.000 | 0.000 | -0.000 | 137.761 |
| 43.761 | 160.685 | 160.685 | -0.000 | -0.000 | 0.000 |
| 160.685 | 43.761 | 160.685 | -0.000 | -0.000 | 0.000 |
| 160.685 | 160.685 | 43.761 | 0.000 | -0.000 | 0.000 |
| -0.000 | -0.000 | -0.000 | 24.304 | -0.000 | 0.000 |
| -0.000 | -0.000 | -0.000 | 0.000 | 24.304 | -0.000 |
| -0.000 | -0.000 | -0.000 | -0.000 | -0.000 | 24.304 |
| 43.761 | 160.685 | 160.685 | 0.000 | 0.000 | -0.000 |
| 160.685 | 43.761 | 160.685 | -0.000 | 0.000 | -0.000 |
| 160.685 | 160.685 | 43.761 | -0.000 | 0.000 | 0.000 |
| 0.000 | 0.000 | 0.000 | 24.304 | 0.000 | 0.000 |
| 0.000 | 0.000 | 0.000 | 0.000 | 24.304 | 0.000 |
| 0.000 | 0.000 | 0.000 | 0.000 | 0.000 | 24.304 |
| -92546766.036 | -101817963.844 | -102902312.024 | -1575320.623 | 1153379.876 | -1446472.980 |
| -103758976.323 | -89367736.759 | -102515624.502 | 636573.408 | -1367654.981 | 2088653.096 |
| -103203966.067 | -103660414.580 | -91811461.279 | -925048.080 | 1012437.446 | 411586.867 |
| -0.001 | -0.001 | -0.001 | -41.824 | 0.000 | 0.000 |
| -0.001 | -0.001 | -0.001 | 0.000 | -41.824 | 0.000 |
| -0.001 | -0.001 | -0.001 | 0.000 | -0.000 | -41.824 |
| 101224021.357 | 96609656.181 | 94045813.809 | -55975.949 | -407741.132 | -394329.787 |
| 94198163.758 | 100341487.210 | 97729536.363 | 53.282 | -818481.277 | 834905.629 |
| 96376224.723 | 93992767.195 | 100339222.843 | 106851.343 | -1181294.337 | 25980.740 |
| 0.001 | 0.001 | 0.001 | -41.824 | 0.000 | 0.000 |
| 0.001 | 0.001 | 0.001 | -0.000 | -41.824 | -0.000 |
| 0.001 | 0.001 | 0.001 | -0.000 | 0.000 | -41.824 |
| -9753835.430 | -10489656.044 | -10650352.237 | 46623.800 | -15207.548 | 113222.687 |
| -10371639.991 | -10020748.086 | -10272283.616 | -19787.972 | 4867.240 | -3311.321 |
| -10608863.556 | -10773808.116 | -9894278.423 | -55487.766 | 62113.644 | 96728.994 |
| -10122757.129 | -9000643.245 | -10425303.043 | -188922.927 | 57292.355 | -59908.695 |
| -8992569.689 | -10171853.970 | -10650088.777 | 24295.489 | 222674.633 | -4202.476 |
| -9172073.509 | -10564750.951 | -10165578.259 | -113406.842 | -6820.738 | -220649.887 |
| 10011755.694 | 9543738.140 | 9481186.720 | -55422.957 | -22317.568 | -217169.189 |
| 9592281.789 | 10225994.565 | 9749600.770 | -67221.871 | -27994.419 | 35181.523 |
| 9828941.690 | 9586134.189 | 10029390.258 | -37530.854 | -82719.085 | 12099.231 |
| 10105636.591 | 8565395.000 | 10404390.543 | -82670.961 | -24698.196 | -19294.912 |
| 9197908.102 | 9965657.129 | 10645336.606 | 68842.199 | 14812.907 | -63750.087 |
| 9164129.715 | 10429739.519 | 10234437.501 | -20254.098 | -18229.110 | -182890.684 |
| 119.769 | 25.292 | 25.292 | 0.000 | 0.000 | 0.000 |
| 25.292 | 119.769 | 25.292 | 0.000 | 0.000 | 0.000 |
| 25.292 | 25.292 | 119.769 | -0.000 | 0.000 | -0.000 |
| -0.000 | -0.000 | -0.000 | 8.310 | -0.000 | -0.000 |
| -0.000 | 0.000 | -0.000 | 0.000 | 8.310 | -0.000 |
| -0.000 | 0.000 | 0.000 | -0.000 | -0.000 | 8.310 |
| 119.769 | 25.292 | 25.292 | -0.000 | 0.000 | 0.000 |
| 25.292 | 119.769 | 25.292 | -0.000 | -0.000 | -0.000 |
| 25.292 | 25.292 | 119.769 | -0.000 | -0.000 | 0.000 |
| 0.000 | -0.000 | 0.000 | 8.310 | 0.000 | 0.000 |
| 0.000 | -0.000 | 0.000 | -0.000 | 8.310 | 0.000 |
| 0.000 | -0.000 | -0.000 | 0.000 | 0.000 | 8.310 |
| 119.769 | 25.292 | 25.292 | -0.000 | -0.000 | -0.000 |
| 25.292 | 119.769 | 25.292 | 0.000 | 0.000 | -0.000 |
| 25.292 | 25.292 | 119.769 | 0.000 | 0.000 | -0.000 |
| -0.000 | -0.000 | -0.000 | 8.310 | 0.000 | 0.000 |
| -0.000 | -0.000 | -0.000 | -0.000 | 8.310 | 0.000 |
| -0.000 | -0.000 | -0.000 | 0.000 | 0.000 | 8.310 |
| 119.769 | 25.292 | 25.292 | -0.000 | -0.000 | 0.000 |
| 25.292 | 119.769 | 25.292 | -0.000 | -0.000 | 0.000 |
| 25.292 | 25.292 | 119.769 | -0.000 | 0.000 | 0.000 |
| 0.000 | 0.000 | 0.000 | 8.310 | -0.000 | 0.000 |
| 0.000 | 0.000 | 0.000 | -0.000 | 8.310 | 0.000 |
| 0.000 | 0.000 | 0.000 | -0.000 | 0.000 | 8.310 |
| 119.768 | 25.293 | 25.293 | 0.000 | 0.000 | -0.000 |
| 25.293 | 119.768 | 25.293 | -0.000 | -0.000 | 0.000 |
| 25.293 | 25.293 | 119.768 | 0.000 | 0.000 | -0.000 |
| -0.001 | -0.001 | -0.001 | 8.310 | 0.000 | -0.000 |
| -0.001 | -0.001 | -0.001 | -0.000 | 8.310 | -0.000 |
| -0.001 | -0.001 | -0.001 | 0.000 | -0.000 | 8.310 |
| 119.770 | 25.292 | 25.292 | -0.000 | -0.000 | 0.000 |
| 25.292 | 119.770 | 25.292 | -0.000 | 0.000 | 0.000 |
| 25.292 | 25.292 | 119.770 | 0.000 | -0.000 | 0.000 |
| 0.001 | 0.001 | 0.001 | 8.310 | 0.000 | 0.000 |
| 0.001 | 0.001 | 0.001 | -0.000 | 8.310 | 0.000 |
| 0.001 | 0.001 | 0.001 | -0.000 | 0.000 | 8.310 |
| -15309811.122 | 8920990.321 | 8920992.761 | -0.049 | -0.059 | -0.003 |
| 8920992.579 | -15309810.907 | 8920990.202 | 0.003 | -0.051 | -0.016 |
| 8920990.187 | 8920992.580 | -15309810.896 | -0.055 | 0.000 | -0.007 |
| 0.000 | 0.000 | 0.000 | 22.720 | -0.000 | -0.000 |
| 0.000 | 0.000 | 0.000 | -0.000 | 22.720 | -0.000 |
| 0.000 | 0.000 | 0.000 | -0.000 | -0.000 | 22.720 |
| -17181479.343 | 7325821.958 | 7325824.578 | 0.045 | 0.060 | 0.006 |
| 7325824.589 | -17181479.343 | 7325821.946 | -0.002 | 0.046 | 0.020 |
| 7325821.942 | 7325824.603 | -17181479.358 | 0.061 | -0.002 | 0.008 |
| -0.000 | -0.000 | -0.000 | 22.720 | 0.000 | 0.000 |
| -0.000 | -0.000 | -0.000 | 0.000 | 22.720 | 0.000 |
| -0.000 | -0.000 | -0.000 | 0.000 | 0.000 | 22.720 |
| 51.865 | 46.899 | 46.899 | 0.000 | -0.000 | 0.000 |
| 46.899 | 51.865 | 46.899 | 0.000 | -0.000 | 0.000 |
| 46.899 | 46.899 | 51.865 | 0.000 | -0.000 | 0.000 |
| 0.000 | 0.000 | 0.000 | 22.720 | -0.000 | 0.000 |
| 0.000 | 0.000 | 0.000 | -0.000 | 22.720 | -0.000 |
| 0.000 | 0.000 | 0.000 | 0.000 | -0.000 | 22.720 |
| 51.864 | 46.899 | 46.899 | -0.000 | 0.000 | 0.000 |
| 46.899 | 51.864 | 46.899 | 0.000 | 0.000 | -0.000 |
| 46.899 | 46.899 | 51.864 | 0.000 | 0.000 | -0.000 |
| -0.000 | -0.000 | -0.000 | 22.720 | 0.000 | 0.000 |
| -0.000 | -0.000 | -0.000 | 0.000 | 22.720 | -0.000 |
| -0.000 | -0.000 | -0.000 | -0.000 | 0.000 | 22.720 |
| 51.866 | 46.899 | 46.899 | -0.000 | -0.000 | 0.000 |
| 46.899 | 51.866 | 46.899 | 0.000 | -0.000 | 0.000 |
| 46.899 | 46.899 | 51.866 | 0.000 | 0.000 | 0.000 |
| 0.000 | 0.001 | 0.001 | 46.899 | -0.000 | -0.000 |
| 0.001 | 0.000 | 0.001 | -0.000 | 46.899 | -0.000 |
| 0.001 | 0.001 | 0.000 | -0.000 | -0.000 | 46.899 |
| 51.863 | 46.898 | 46.898 | 0.000 | 0.000 | 0.000 |
| 46.898 | 51.863 | 46.898 | 0.000 | 0.000 | 0.000 |
| 46.898 | 46.898 | 51.863 | 0.000 | 0.000 | -0.000 |
| -0.000 | -0.001 | -0.001 | 46.899 | 0.000 | -0.000 |
| -0.001 | -0.000 | -0.001 | 0.000 | 46.899 | 0.000 |
| -0.001 | -0.001 | -0.000 | 0.000 | 0.000 | 46.899 |
| -79.204 | -19.659 | -19.659 | -0.000 | -0.000 | -0.000 |
| -19.659 | -79.204 | -19.659 | -0.000 | -0.000 | -0.000 |
| -19.659 | -19.659 | -79.204 | -0.000 | -0.000 | -0.000 |
| 0.000 | 0.000 | 0.000 | -27.528 | -0.000 | -0.000 |
| 0.000 | 0.000 | 0.000 | -0.000 | -27.528 | -0.000 |
| 0.000 | 0.000 | 0.000 | -0.000 | -0.000 | -27.528 |
| -73.695 | -22.414 | -22.414 | 0.000 | 0.000 | -0.000 |
| -22.414 | -73.695 | -22.414 | -0.000 | -0.000 | 0.000 |
| -22.414 | -22.414 | -73.695 | 0.000 | 0.000 | 0.000 |
| -0.000 | -0.000 | -0.000 | -27.528 | 0.000 | 0.000 |
| -0.000 | -0.000 | -0.000 | 0.000 | -27.528 | 0.000 |
| -0.000 | -0.000 | -0.000 | 0.000 | 0.000 | -27.528 |
| -79.204 | -19.659 | -19.659 | -0.000 | -0.000 | -0.000 |
| -19.659 | -79.204 | -19.659 | -0.000 | -0.000 | -0.000 |
| -19.659 | -19.659 | -79.204 | -0.000 | -0.000 | -0.000 |
| 0.000 | 0.000 | 0.000 | -22.018 | -0.000 | -0.000 |
| 0.000 | 0.000 | 0.000 | -0.000 | -22.018 | -0.000 |
| 0.000 | 0.000 | 0.000 | -0.000 | -0.000 | -22.018 |
| -79.205 | -19.659 | -19.659 | 0.000 | 0.000 | 0.000 |
| -19.659 | -79.205 | -19.659 | 0.000 | 0.000 | 0.000 |
| -19.659 | -19.659 | -79.205 | 0.000 | 0.000 | 0.000 |
| -0.000 | -0.000 | -0.000 | -22.018 | 0.000 | -0.000 |
| -0.000 | -0.000 | -0.000 | 0.000 | -22.018 | 0.000 |
| -0.000 | -0.000 | -0.000 | 0.000 | 0.000 | -22.018 |
| -73.693 | -22.413 | -22.413 | 0.000 | -0.000 | -0.000 |
| -22.413 | -73.693 | -22.413 | 0.000 | -0.000 | -0.000 |
| -22.413 | -22.413 | -73.693 | 0.000 | -0.000 | 0.000 |
| 0.000 | 0.001 | 0.001 | -22.018 | -0.000 | 0.000 |
| 0.001 | 0.000 | 0.001 | -0.000 | -22.018 | 0.000 |
| 0.001 | 0.001 | 0.000 | 0.000 | -0.000 | -22.018 |
| -73.697 | -22.415 | -22.415 | 0.000 | 0.000 | -0.000 |
| -22.415 | -73.697 | -22.415 | -0.000 | 0.000 | 0.000 |
| -22.415 | -22.415 | -73.697 | 0.000 | 0.000 | 0.000 |
| -0.000 | -0.001 | -0.001 | -22.018 | 0.000 | -0.000 |
| -0.001 | -0.000 | -0.001 | -0.000 | -22.018 | -0.000 |
| -0.001 | -0.001 | -0.000 | -0.000 | 0.000 | -22.018 |
| -83.021 | -27.327 | -27.327 | -0.000 | -0.000 | -0.000 |
| -27.327 | -83.021 | -27.327 | -0.000 | 0.000 | -0.000 |
| -27.327 | -27.327 | -83.021 | -0.000 | -0.000 | -0.000 |
| 0.000 | 0.000 | 0.000 | -43.967 | -0.000 | -0.000 |
| 0.000 | 0.000 | 0.000 | -0.000 | -43.967 | -0.000 |
| 0.000 | 0.000 | 0.000 | -0.000 | -0.000 | -43.967 |
| -83.021 | -27.327 | -27.327 | 0.000 | -0.000 | 0.000 |
| -27.327 | -83.021 | -27.327 | 0.000 | -0.000 | 0.000 |
| -27.327 | -27.327 | -83.021 | 0.000 | 0.000 | 0.000 |
| -0.000 | -0.000 | -0.000 | -43.967 | 0.000 | 0.000 |
| -0.000 | -0.000 | -0.000 | 0.000 | -43.967 | 0.000 |
| -0.000 | -0.000 | -0.000 | 0.000 | 0.000 | -43.967 |
| -83.021 | -27.327 | -27.327 | 0.000 | 0.000 | -0.000 |
| -27.327 | -83.021 | -27.327 | -0.000 | -0.000 | -0.000 |
| -27.327 | -27.327 | -83.021 | -0.000 | -0.000 | -0.000 |
| 0.000 | 0.000 | 0.000 | -27.327 | 0.000 | -0.000 |
| 0.000 | 0.000 | 0.000 | 0.000 | -27.327 | -0.000 |
| 0.000 | 0.000 | 0.000 | -0.000 | 0.000 | -27.327 |
| -83.021 | -27.327 | -27.327 | 0.000 | -0.000 | 0.000 |
| -27.327 | -83.021 | -27.327 | 0.000 | 0.000 | 0.000 |
| -27.327 | -27.327 | -83.021 | 0.000 | 0.000 | 0.000 |
| -0.000 | -0.000 | -0.000 | -27.327 | 0.000 | 0.000 |
| -0.000 | -0.000 | -0.000 | 0.000 | -27.327 | 0.000 |
| -0.000 | -0.000 | -0.000 | 0.000 | 0.000 | -27.327 |
| -83.019 | -27.326 | -27.326 | -0.000 | 0.000 | -0.000 |
| -27.326 | -83.019 | -27.326 | -0.000 | 0.000 | -0.000 |
| -27.326 | -27.326 | -83.019 | 0.000 | -0.000 | -0.000 |
| 0.000 | 0.001 | 0.001 | -27.327 | -0.000 | -0.000 |
| 0.001 | 0.000 | 0.001 | -0.000 | -27.327 | -0.000 |
| 0.001 | 0.001 | 0.000 | -0.000 | -0.000 | -27.327 |
| -83.022 | -27.327 | -27.327 | 0.000 | 0.000 | 0.000 |
| -27.327 | -83.022 | -27.327 | -0.000 | 0.000 | 0.000 |
| -27.327 | -27.327 | -83.022 | 0.000 | -0.000 | 0.000 |
| -0.000 | -0.001 | -0.001 | -27.327 | -0.000 | 0.000 |
| -0.001 | -0.000 | -0.001 | 0.000 | -27.327 | 0.000 |
| -0.001 | -0.001 | -0.000 | 0.000 | 0.000 | -27.327 |
| 2.018 | 10.407 | 10.407 | -0.000 | 0.000 | -0.000 |
| 10.407 | 2.018 | 10.407 | -0.000 | 0.000 | -0.000 |
| 10.407 | 10.407 | 2.018 | -0.000 | 0.000 | -0.000 |
| 0.000 | 0.000 | 0.000 | -0.488 | 0.000 | -0.000 |
| 0.000 | 0.000 | 0.000 | -0.000 | -0.488 | -0.000 |
| 0.000 | 0.000 | 0.000 | -0.000 | 0.000 | -0.488 |
| 2.018 | 10.407 | 10.407 | 0.000 | -0.000 | 0.000 |
| 10.407 | 2.018 | 10.407 | 0.000 | 0.000 | 0.000 |
| 10.407 | 10.407 | 2.018 | 0.000 | -0.000 | 0.000 |
| -0.000 | -0.000 | -0.000 | -0.488 | -0.000 | 0.000 |
| -0.000 | -0.000 | -0.000 | 0.000 | -0.488 | 0.000 |
| -0.000 | -0.000 | -0.000 | 0.000 | 0.000 | -0.488 |
| 2.018 | 10.407 | 10.407 | -0.000 | 0.000 | -0.000 |
| 10.407 | 2.018 | 10.407 | -0.000 | -0.000 | -0.000 |
| 10.407 | 10.407 | 2.018 | -0.000 | 0.000 | -0.000 |
| 0.000 | -0.000 | -0.000 | -0.488 | 0.000 | -0.000 |
| -0.000 | 0.000 | -0.000 | -0.000 | -0.488 | -0.000 |
| -0.000 | -0.000 | 0.000 | -0.000 | -0.000 | -0.488 |
| 2.018 | 10.407 | 10.407 | 0.000 | -0.000 | 0.000 |
| 10.407 | 2.018 | 10.407 | 0.000 | -0.000 | 0.000 |
| 10.407 | 10.407 | 2.018 | 0.000 | -0.000 | 0.000 |
| -0.000 | 0.000 | 0.000 | -0.488 | -0.000 | 0.000 |
| 0.000 | -0.000 | 0.000 | 0.000 | -0.488 | 0.000 |
| 0.000 | 0.000 | -0.000 | 0.000 | 0.000 | -0.488 |
| 2.018 | 10.408 | 10.408 | -0.000 | 0.000 | -0.000 |
| 10.408 | 2.018 | 10.408 | -0.000 | 0.000 | -0.000 |
| 10.408 | 10.408 | 2.018 | -0.000 | -0.000 | -0.000 |
| 0.000 | -0.000 | -0.000 | -0.488 | 0.000 | -0.000 |
| -0.000 | 0.000 | -0.000 | -0.000 | -0.488 | -0.000 |
| -0.000 | -0.000 | 0.000 | -0.000 | 0.000 | -0.488 |
| 2.018 | 10.406 | 10.406 | 0.000 | -0.000 | 0.000 |
| 10.406 | 2.018 | 10.406 | 0.000 | -0.000 | 0.000 |
| 10.406 | 10.406 | 2.018 | 0.000 | -0.000 | 0.000 |
| -0.000 | 0.000 | 0.000 | -0.488 | -0.000 | 0.000 |
| 0.000 | -0.000 | 0.000 | 0.000 | -0.488 | 0.000 |
| 0.000 | 0.000 | -0.000 | 0.000 | -0.000 | -0.488 |
| -11.553 | 0.835 | 0.835 | -0.000 | 0.000 | -0.000 |
| 0.835 | -11.553 | 0.835 | 0.000 | 0.000 | -0.000 |
| 0.835 | 0.835 | -11.553 | 0.000 | -0.000 | -0.000 |
| -0.000 | 0.000 | -0.000 | -0.835 | -0.000 | -0.000 |
| 0.000 | -0.000 | -0.000 | -0.000 | -0.835 | -0.000 |
| 0.000 | -0.000 | -0.000 | -0.000 | -0.000 | -0.835 |
| -11.553 | 0.835 | 0.835 | 0.000 | 0.000 | 0.000 |
| 0.835 | -11.553 | 0.835 | 0.000 | 0.000 | 0.000 |
| 0.835 | 0.835 | -11.553 | -0.000 | 0.000 | 0.000 |
| 0.000 | -0.000 | 0.000 | -0.835 | 0.000 | 0.000 |
| -0.000 | 0.000 | 0.000 | 0.000 | -0.835 | 0.000 |
| 0.000 | 0.000 | 0.000 | 0.000 | 0.000 | -0.835 |
| -11.553 | 0.835 | 0.835 | -0.000 | -0.000 | -0.000 |
| 0.835 | -11.553 | 0.835 | -0.000 | -0.000 | -0.000 |
| 0.835 | 0.835 | -11.553 | -0.000 | 0.000 | -0.000 |
| -0.000 | 0.000 | 0.000 | -0.835 | -0.000 | -0.000 |
| 0.000 | -0.000 | 0.000 | -0.000 | -0.835 | -0.000 |
| 0.000 | 0.000 | -0.000 | -0.000 | -0.000 | -0.835 |
| -11.553 | 0.835 | 0.835 | 0.000 | 0.000 | 0.000 |
| 0.835 | -11.553 | 0.835 | 0.000 | 0.000 | 0.000 |
| 0.835 | 0.835 | -11.553 | 0.000 | 0.000 | 0.000 |
| 0.000 | -0.000 | -0.000 | -0.835 | 0.000 | 0.000 |
| -0.000 | 0.000 | -0.000 | 0.000 | -0.835 | 0.000 |
| -0.000 | -0.000 | 0.000 | 0.000 | 0.000 | -0.835 |
| -11.553 | 0.835 | 0.835 | -0.000 | -0.000 | -0.000 |
| 0.835 | -11.553 | 0.835 | -0.000 | -0.000 | -0.000 |
| 0.835 | 0.835 | -11.553 | -0.000 | 0.000 | -0.000 |
| -0.000 | 0.000 | 0.000 | -0.835 | 0.000 | -0.000 |
| 0.000 | -0.000 | 0.000 | -0.000 | -0.835 | -0.000 |
| 0.000 | 0.000 | -0.000 | -0.000 | -0.000 | -0.835 |
| -11.553 | 0.835 | 0.835 | 0.000 | 0.000 | 0.000 |
| 0.835 | -11.553 | 0.835 | 0.000 | 0.000 | 0.000 |
| 0.835 | 0.835 | -11.553 | 0.000 | -0.000 | 0.000 |
| 0.000 | -0.000 | -0.000 | -0.835 | -0.000 | 0.000 |
| -0.000 | 0.000 | -0.000 | 0.000 | -0.835 | 0.000 |
| -0.000 | -0.000 | 0.000 | 0.000 | 0.000 | -0.835 |
| 24.687 | 0.000 | 0.000 | -0.000 | 0.000 | -0.000 |
| 0.000 | 24.687 | 0.000 | -0.000 | 0.000 | 0.000 |
| 0.000 | 0.000 | 24.687 | 0.000 | -0.000 | 0.000 |
| 0.000 | -0.000 | -0.000 | 0.000 | 0.000 | -0.000 |
| -0.000 | 0.000 | -0.000 | -0.000 | 0.000 | 0.000 |
| -0.000 | -0.000 | 0.000 | -0.000 | 0.000 | 0.000 |
| 24.687 | -0.000 | -0.000 | 0.000 | -0.000 | 0.000 |
| -0.000 | 24.687 | -0.000 | 0.000 | -0.000 | 0.000 |
| -0.000 | -0.000 | 24.687 | 0.000 | -0.000 | -0.000 |
| -0.000 | 0.000 | 0.000 | 0.000 | -0.000 | -0.000 |
| 0.000 | -0.000 | 0.000 | 0.000 | 0.000 | -0.000 |
| 0.000 | 0.000 | -0.000 | 0.000 | -0.000 | 0.000 |
| 24.687 | 0.000 | 0.000 | -0.000 | 0.000 | -0.000 |
| 0.000 | 24.687 | 0.000 | -0.000 | 0.000 | 0.000 |
| 0.000 | 0.000 | 24.687 | -0.000 | 0.000 | 0.000 |
| 0.000 | -0.000 | -0.000 | 0.000 | 0.000 | -0.000 |
| -0.000 | 0.000 | -0.000 | -0.000 | 0.000 | 0.000 |
| -0.000 | -0.000 | 0.000 | -0.000 | 0.000 | 0.000 |
| 24.687 | -0.000 | -0.000 | 0.000 | -0.000 | -0.000 |
| -0.000 | 24.687 | -0.000 | 0.000 | -0.000 | 0.000 |
| -0.000 | -0.000 | 24.687 | 0.000 | 0.000 | -0.000 |
| -0.000 | 0.000 | 0.000 | 0.000 | -0.000 | -0.000 |
| 0.000 | -0.000 | 0.000 | 0.000 | 0.000 | -0.000 |
| 0.000 | 0.000 | -0.000 | 0.000 | -0.000 | 0.000 |
| 24.688 | 0.000 | 0.000 | -0.000 | 0.000 | -0.000 |
| 0.000 | 24.688 | 0.000 | -0.000 | 0.000 | -0.000 |
| 0.000 | 0.000 | 24.688 | -0.000 | -0.000 | 0.000 |
| 0.000 | -0.000 | -0.000 | 0.000 | 0.000 | 0.000 |
| -0.000 | 0.000 | -0.000 | -0.000 | 0.000 | -0.000 |
| -0.000 | -0.000 | 0.000 | -0.000 | -0.000 | 0.000 |
| 24.686 | -0.000 | -0.000 | 0.000 | -0.000 | 0.000 |
| -0.000 | 24.686 | -0.000 | 0.000 | -0.000 | 0.000 |
| -0.000 | -0.000 | 24.686 | -0.000 | -0.000 | -0.000 |
| -0.000 | 0.000 | 0.000 | 0.000 | -0.000 | 0.000 |
| 0.000 | -0.000 | 0.000 | 0.000 | 0.000 | 0.000 |
| 0.000 | 0.000 | -0.000 | 0.000 | -0.000 | 0.000 |
| 271.709 | 138.032 | 138.032 | -0.000 | -0.000 | -0.000 |
| 138.032 | 271.709 | 138.032 | -0.000 | -0.000 | -0.000 |
| 138.032 | 138.032 | 271.709 | -0.000 | -0.000 | -0.000 |
| 0.000 | 0.000 | -0.000 | 64.668 | -0.000 | -0.000 |
| 0.000 | 0.000 | -0.000 | -0.000 | 64.668 | 0.000 |
| 0.000 | 0.000 | -0.000 | -0.000 | -0.000 | 64.668 |
| 271.709 | 138.032 | 138.032 | 0.000 | 0.000 | 0.000 |
| 138.032 | 271.709 | 138.032 | 0.000 | 0.000 | 0.000 |
| 138.032 | 138.032 | 271.709 | -0.000 | -0.000 | 0.000 |
| -0.000 | -0.000 | 0.000 | 64.668 | 0.000 | 0.000 |
| -0.000 | -0.000 | 0.000 | 0.000 | 64.668 | 0.000 |
| -0.000 | -0.000 | 0.000 | 0.000 | 0.000 | 64.668 |
| 271.709 | 138.032 | 138.032 | -0.000 | -0.000 | -0.000 |
| 138.032 | 271.709 | 138.032 | -0.000 | -0.000 | -0.000 |
| 138.032 | 138.032 | 271.709 | 0.000 | 0.000 | -0.000 |
| 0.000 | 0.000 | 0.000 | 64.826 | -0.000 | 0.000 |
| 0.000 | 0.000 | 0.000 | -0.000 | 64.826 | -0.000 |
| 0.000 | 0.000 | 0.000 | -0.000 | -0.000 | 64.826 |
| 271.709 | 138.032 | 138.032 | 0.000 | 0.000 | 0.000 |
| 138.032 | 271.709 | 138.032 | 0.000 | 0.000 | 0.000 |
| 138.032 | 138.032 | 271.709 | -0.000 | -0.000 | 0.000 |
| -0.000 | -0.000 | -0.000 | 64.826 | 0.000 | 0.000 |
| -0.000 | -0.000 | -0.000 | 0.000 | 64.826 | 0.000 |
| -0.000 | -0.000 | -0.000 | 0.000 | 0.000 | 64.826 |
| 271.708 | 138.033 | 138.033 | -0.000 | -0.000 | -0.000 |
| 138.033 | 271.708 | 138.033 | -0.000 | -0.000 | -0.000 |
| 138.033 | 138.033 | 271.708 | -0.000 | -0.000 | -0.000 |
| 0.000 | 0.000 | 0.001 | 64.668 | -0.000 | 0.000 |
| 0.000 | 0.000 | 0.001 | -0.000 | 64.668 | -0.000 |
| 0.000 | 0.001 | 0.000 | -0.000 | -0.000 | 64.668 |
| 271.710 | 138.031 | 138.031 | 0.000 | 0.000 | 0.000 |
| 138.031 | 271.710 | 138.031 | 0.000 | 0.000 | -0.000 |
| 138.031 | 138.031 | 271.710 | -0.000 | -0.000 | 0.000 |
| -0.000 | -0.000 | -0.001 | 64.668 | 0.000 | 0.000 |
| -0.000 | -0.000 | -0.001 | 0.000 | 64.668 | 0.000 |
| -0.000 | -0.001 | -0.000 | 0.000 | 0.000 | 64.668 |
| 67.625 | 104.648 | 104.649 | -0.000 | -0.000 | -0.000 |
| 104.648 | 67.625 | 104.649 | -0.000 | -0.000 | -0.000 |
| 104.648 | 104.648 | 67.625 | -0.000 | -0.000 | -0.000 |
| -0.000 | -0.000 | -0.000 | 96.726 | -0.000 | -0.000 |
| -0.000 | -0.000 | -0.000 | -0.000 | 96.726 | -0.000 |
| -0.000 | -0.000 | -0.000 | -0.000 | -0.000 | 96.726 |
| 67.625 | 104.649 | 104.649 | 0.000 | 0.000 | 0.000 |
| 104.649 | 67.625 | 104.649 | 0.000 | 0.000 | 0.000 |
| 104.649 | 104.649 | 67.625 | 0.000 | 0.000 | 0.000 |
| 0.000 | 0.000 | 0.000 | 96.726 | 0.000 | 0.000 |
| 0.000 | 0.000 | 0.000 | 0.000 | 96.726 | 0.000 |
| 0.000 | 0.000 | 0.000 | 0.000 | 0.000 | 96.726 |
| 67.624 | 104.648 | 104.648 | -0.000 | -0.000 | -0.000 |
| 104.648 | 67.624 | 104.648 | -0.000 | -0.000 | -0.000 |
| 104.648 | 104.648 | 67.624 | -0.000 | -0.000 | -0.000 |
| -0.000 | -0.000 | -0.000 | 65.902 | -0.000 | -0.000 |
| -0.000 | -0.000 | -0.000 | -0.000 | 65.902 | -0.000 |
| -0.000 | -0.000 | -0.000 | -0.000 | -0.000 | 65.902 |
| 67.626 | 104.649 | 104.649 | 0.000 | 0.000 | 0.000 |
| 104.649 | 67.626 | 104.649 | 0.000 | 0.000 | 0.000 |
| 104.649 | 104.649 | 67.626 | 0.000 | 0.000 | 0.000 |
| 0.000 | 0.000 | 0.000 | 65.902 | 0.000 | 0.000 |
| 0.000 | 0.000 | 0.000 | 0.000 | 65.902 | 0.000 |
| 0.000 | 0.000 | 0.000 | 0.000 | 0.000 | 65.902 |
| 67.617 | 104.648 | 104.648 | -0.000 | -0.000 | -0.000 |
| 104.648 | 67.617 | 104.648 | -0.000 | -0.000 | -0.000 |
| 104.648 | 104.648 | 67.617 | -0.000 | -0.000 | -0.000 |
| -0.003 | -0.001 | -0.001 | 65.902 | -0.000 | -0.000 |
| -0.001 | -0.003 | -0.001 | -0.000 | 65.902 | -0.000 |
| -0.001 | -0.001 | -0.003 | -0.000 | -0.000 | 65.902 |
| 67.632 | 104.649 | 104.649 | 0.000 | 0.000 | 0.000 |
| 104.649 | 67.632 | 104.649 | 0.000 | 0.000 | 0.000 |
| 104.649 | 104.649 | 67.632 | 0.000 | 0.000 | 0.000 |
| 0.003 | 0.001 | 0.001 | 65.902 | 0.000 | 0.000 |
| 0.001 | 0.003 | 0.001 | 0.000 | 65.902 | 0.000 |
| 0.001 | 0.001 | 0.003 | 0.000 | 0.000 | 65.902 |
| 38.568 | 100.167 | 100.167 | 0.000 | 0.000 | -0.000 |
| 100.167 | 38.568 | 100.167 | 0.000 | 0.000 | -0.000 |
| 100.167 | 100.167 | 38.568 | 0.000 | 0.000 | -0.000 |
| -0.000 | -0.000 | -0.000 | 90.214 | 0.000 | -0.000 |
| -0.000 | -0.000 | -0.000 | 0.000 | 90.214 | -0.000 |
| -0.000 | -0.000 | -0.000 | 0.000 | 0.000 | 90.214 |
| 38.568 | 100.167 | 100.167 | -0.000 | -0.000 | -0.000 |
| 100.167 | 38.568 | 100.167 | -0.000 | -0.000 | 0.000 |
| 100.167 | 100.167 | 38.568 | -0.000 | -0.000 | 0.000 |
| 0.000 | 0.000 | 0.000 | 90.214 | -0.000 | -0.000 |
| 0.000 | 0.000 | 0.000 | -0.000 | 90.214 | 0.000 |
| 0.000 | 0.000 | 0.000 | -0.000 | -0.000 | 90.214 |
| 38.568 | 100.167 | 100.167 | 0.000 | 0.000 | -0.000 |
| 100.167 | 38.568 | 100.167 | 0.000 | 0.000 | -0.000 |
| 100.167 | 100.167 | 38.568 | 0.000 | 0.000 | -0.000 |
| -0.000 | -0.000 | -0.000 | 90.214 | 0.000 | 0.000 |
| -0.000 | -0.000 | -0.000 | 0.000 | 90.214 | -0.000 |
| -0.000 | -0.000 | -0.000 | 0.000 | 0.000 | 90.214 |
| 38.569 | 100.167 | 100.167 | -0.000 | -0.000 | 0.000 |
| 100.167 | 38.569 | 100.167 | -0.000 | -0.000 | 0.000 |
| 100.167 | 100.167 | 38.569 | -0.000 | -0.000 | 0.000 |
| 0.000 | 0.000 | 0.000 | 90.214 | -0.000 | 0.000 |
| 0.000 | 0.000 | 0.000 | -0.000 | 90.214 | 0.000 |
| 0.000 | 0.000 | 0.000 | -0.000 | -0.000 | 90.214 |
| 38.568 | 100.166 | 100.166 | 0.000 | 0.000 | -0.000 |
| 100.166 | 38.568 | 100.166 | 0.000 | 0.000 | -0.000 |
| 100.166 | 100.166 | 38.568 | 0.000 | 0.000 | -0.000 |
| -0.001 | -0.001 | -0.001 | 90.214 | 0.000 | -0.000 |
| -0.001 | -0.001 | -0.001 | 0.000 | 90.214 | -0.000 |
| -0.001 | -0.001 | -0.001 | -0.000 | 0.000 | 90.214 |
| 38.569 | 100.168 | 100.168 | -0.000 | -0.000 | -0.000 |
| 100.168 | 38.569 | 100.168 | -0.000 | -0.000 | 0.000 |
| 100.168 | 100.168 | 38.569 | -0.000 | -0.000 | -0.000 |
| 0.001 | 0.001 | 0.001 | 90.214 | -0.000 | 0.000 |
| 0.001 | 0.001 | 0.001 | -0.000 | 90.214 | 0.000 |
| 0.001 | 0.001 | 0.001 | 0.000 | -0.000 | 90.214 |
| 40.306 | 107.876 | 107.876 | 0.000 | 0.000 | 0.000 |
| 107.876 | 40.306 | 107.876 | 0.000 | 0.000 | 0.000 |
| 107.876 | 107.876 | 40.306 | 0.000 | 0.000 | 0.000 |
| 0.000 | 0.000 | 0.000 | 101.713 | 0.000 | 0.000 |
| 0.000 | 0.000 | 0.000 | 0.000 | 101.713 | 0.000 |
| 0.000 | 0.000 | 0.000 | 0.000 | 0.000 | 101.713 |
| 40.306 | 107.876 | 107.876 | -0.000 | -0.000 | -0.000 |
| 107.876 | 40.306 | 107.876 | -0.000 | -0.000 | -0.000 |
| 107.876 | 107.876 | 40.306 | -0.000 | 0.000 | -0.000 |
| -0.000 | -0.000 | -0.000 | 101.713 | -0.000 | -0.000 |
| -0.000 | -0.000 | -0.000 | -0.000 | 101.713 | -0.000 |
| -0.000 | -0.000 | -0.000 | -0.000 | -0.000 | 101.713 |
| 40.306 | 107.876 | 107.876 | 0.000 | 0.000 | 0.000 |
| 107.876 | 40.306 | 107.876 | 0.000 | 0.000 | 0.000 |
| 107.876 | 107.876 | 40.306 | 0.000 | 0.000 | 0.000 |
| 0.000 | 0.000 | 0.000 | 101.713 | 0.000 | -0.000 |
| 0.000 | 0.000 | 0.000 | 0.000 | 101.713 | 0.000 |
| 0.000 | 0.000 | 0.000 | 0.000 | 0.000 | 101.713 |
| 40.306 | 107.876 | 107.876 | -0.000 | -0.000 | -0.000 |
| 107.876 | 40.306 | 107.876 | -0.000 | -0.000 | -0.000 |
| 107.876 | 107.876 | 40.306 | -0.000 | -0.000 | -0.000 |
| -0.000 | -0.000 | -0.000 | 101.713 | 0.000 | -0.000 |
| -0.000 | -0.000 | -0.000 | 0.000 | 101.713 | -0.000 |
| -0.000 | -0.000 | -0.000 | -0.000 | -0.000 | 101.713 |
| 40.307 | 107.877 | 107.877 | 0.000 | -0.000 | -0.000 |
| 107.877 | 40.307 | 107.877 | 0.000 | 0.000 | -0.000 |
| 107.877 | 107.877 | 40.307 | -0.000 | 0.000 | 0.000 |
| 0.001 | 0.001 | 0.001 | 101.713 | 0.000 | 0.000 |
| 0.001 | 0.001 | 0.001 | 0.000 | 101.713 | 0.000 |
| 0.001 | 0.001 | 0.001 | 0.000 | 0.000 | 101.713 |
| 40.305 | 107.875 | 107.875 | -0.000 | -0.000 | -0.000 |
| 107.875 | 40.305 | 107.875 | -0.000 | -0.000 | -0.000 |
| 107.875 | 107.875 | 40.305 | -0.000 | -0.000 | -0.000 |
| -0.001 | -0.001 | -0.001 | 101.713 | -0.000 | -0.000 |
| -0.001 | -0.001 | -0.001 | -0.000 | 101.713 | -0.000 |
| -0.001 | -0.001 | -0.001 | -0.000 | -0.000 | 101.713 |
| -120.156 | -50.387 | -50.387 | -0.000 | 0.000 | 0.000 |
| -50.387 | -120.156 | -50.387 | -0.000 | -0.000 | 0.000 |
| -50.387 | -50.387 | -120.156 | -0.000 | -0.000 | 0.000 |
| -0.000 | -0.000 | -0.000 | -56.224 | -0.000 | 0.000 |
| -0.000 | -0.000 | -0.000 | -0.000 | -56.224 | 0.000 |
| -0.000 | -0.000 | -0.000 | -0.000 | 0.000 | -56.224 |
| -120.156 | -50.387 | -50.387 | 0.000 | -0.000 | -0.000 |
| -50.387 | -120.156 | -50.387 | 0.000 | -0.000 | -0.000 |
| -50.387 | -50.387 | -120.156 | -0.000 | -0.000 | -0.000 |
| 0.000 | 0.000 | 0.000 | -56.224 | -0.000 | -0.000 |
| 0.000 | 0.000 | 0.000 | -0.000 | -56.224 | -0.000 |
| 0.000 | 0.000 | 0.000 | -0.000 | -0.000 | -56.224 |
| -120.156 | -50.387 | -50.387 | -0.000 | 0.000 | 0.000 |
| -50.387 | -120.156 | -50.387 | 0.000 | 0.000 | 0.000 |
| -50.387 | -50.387 | -120.156 | -0.000 | 0.000 | 0.000 |
| -0.000 | -0.000 | -0.000 | -50.387 | -0.000 | 0.000 |
| -0.000 | -0.000 | -0.000 | -0.000 | -50.387 | 0.000 |
| -0.000 | -0.000 | -0.000 | -0.000 | -0.000 | -50.387 |
| -120.156 | -50.387 | -50.387 | 0.000 | 0.000 | 0.000 |
| -50.387 | -120.156 | -50.387 | 0.000 | 0.000 | -0.000 |
| -50.387 | -50.387 | -120.156 | 0.000 | 0.000 | -0.000 |
| 0.000 | 0.000 | 0.000 | -50.387 | 0.000 | -0.000 |
| 0.000 | 0.000 | 0.000 | 0.000 | -50.387 | -0.000 |
| 0.000 | 0.000 | 0.000 | 0.000 | 0.000 | -50.387 |
| -120.156 | -50.387 | -50.387 | -0.000 | 0.000 | 0.000 |
| -50.387 | -120.156 | -50.387 | 0.000 | -0.000 | 0.000 |
| -50.387 | -50.387 | -120.156 | -0.000 | 0.000 | 0.000 |
| -0.000 | -0.000 | -0.000 | -50.387 | -0.000 | 0.000 |
| -0.000 | -0.000 | -0.000 | -0.000 | -50.387 | 0.000 |
| -0.000 | -0.000 | -0.000 | -0.000 | -0.000 | -50.387 |
| -120.156 | -50.387 | -50.387 | -0.000 | -0.000 | -0.000 |
| -50.387 | -120.156 | -50.387 | 0.000 | 0.000 | -0.000 |
| -50.387 | -50.387 | -120.156 | 0.000 | 0.000 | 0.000 |
| 0.000 | 0.000 | 0.000 | -50.387 | 0.000 | -0.000 |
| 0.000 | 0.000 | 0.000 | 0.000 | -50.387 | -0.000 |
| 0.000 | 0.000 | 0.000 | 0.000 | -0.000 | -50.387 |
| -117.819 | -48.639 | -48.639 | 0.000 | -0.000 | -0.000 |
| -48.639 | -117.819 | -48.639 | 0.000 | 0.000 | -0.000 |
| -48.639 | -48.639 | -117.819 | 0.000 | -0.000 | -0.000 |
| -0.000 | -0.000 | -0.000 | -49.153 | 0.000 | -0.000 |
| -0.000 | -0.000 | -0.000 | 0.000 | -49.153 | -0.000 |
| -0.000 | -0.000 | -0.000 | 0.000 | 0.000 | -49.153 |
| -117.819 | -48.639 | -48.639 | -0.000 | -0.000 | 0.000 |
| -48.639 | -117.819 | -48.639 | -0.000 | -0.000 | 0.000 |
| -48.639 | -48.639 | -117.819 | -0.000 | -0.000 | 0.000 |
| 0.000 | 0.000 | 0.000 | -49.153 | 0.000 | 0.000 |
| 0.000 | 0.000 | 0.000 | -0.000 | -49.153 | 0.000 |
| 0.000 | 0.000 | 0.000 | -0.000 | 0.000 | -49.153 |
| -117.819 | -48.639 | -48.639 | 0.000 | 0.000 | -0.000 |
| -48.639 | -117.819 | -48.639 | 0.000 | 0.000 | -0.000 |
| -48.639 | -48.639 | -117.819 | -0.000 | 0.000 | -0.000 |
| -0.000 | -0.000 | -0.000 | -49.153 | -0.000 | -0.000 |
| -0.000 | -0.000 | -0.000 | -0.000 | -49.153 | -0.000 |
| -0.000 | -0.000 | -0.000 | 0.000 | 0.000 | -49.153 |
| -117.819 | -48.639 | -48.639 | -0.000 | 0.000 | 0.000 |
| -48.639 | -117.819 | -48.639 | 0.000 | -0.000 | 0.000 |
| -48.639 | -48.639 | -117.819 | 0.000 | 0.000 | 0.000 |
| 0.000 | 0.000 | 0.000 | -49.153 | -0.000 | 0.000 |
| 0.000 | 0.000 | 0.000 | 0.000 | -49.153 | 0.000 |
| 0.000 | 0.000 | 0.000 | -0.000 | 0.000 | -49.153 |
| -117.819 | -48.639 | -48.639 | 0.000 | 0.000 | -0.000 |
| -48.639 | -117.819 | -48.639 | 0.000 | 0.000 | -0.000 |
| -48.639 | -48.639 | -117.819 | 0.000 | 0.000 | -0.000 |
| -0.000 | -0.000 | -0.000 | -49.153 | -0.000 | -0.000 |
| -0.000 | -0.000 | -0.000 | -0.000 | -49.153 | -0.000 |
| -0.000 | -0.000 | -0.000 | 0.000 | 0.000 | -49.153 |
| -117.819 | -48.638 | -48.638 | -0.000 | -0.000 | 0.000 |
| -48.638 | -117.819 | -48.638 | -0.000 | -0.000 | 0.000 |
| -48.638 | -48.638 | -117.819 | -0.000 | -0.000 | 0.000 |
| 0.000 | 0.000 | 0.000 | -49.153 | -0.000 | 0.000 |
| 0.000 | 0.000 | 0.000 | -0.000 | -49.153 | 0.000 |
| 0.000 | 0.000 | 0.000 | -0.000 | -0.000 | -49.153 |
| -26.847 | -20.508 | -20.508 | 0.000 | 0.000 | 0.000 |
| -20.508 | -26.847 | -20.508 | 0.000 | 0.000 | 0.000 |
| -20.508 | -20.508 | -26.847 | 0.000 | 0.000 | 0.000 |
| 0.000 | 0.000 | 0.000 | -26.847 | 0.000 | -0.000 |
| 0.000 | 0.000 | 0.000 | 0.000 | -26.847 | 0.000 |
| 0.000 | 0.000 | 0.000 | 0.000 | 0.000 | -26.847 |
| -26.847 | -20.508 | -20.508 | -0.000 | -0.000 | -0.000 |
| -20.508 | -26.847 | -20.508 | -0.000 | -0.000 | -0.000 |
| -20.508 | -20.508 | -26.847 | -0.000 | -0.000 | -0.000 |
| -0.000 | -0.000 | -0.000 | -26.847 | -0.000 | -0.000 |
| -0.000 | -0.000 | -0.000 | -0.000 | -26.847 | -0.000 |
| -0.000 | -0.000 | -0.000 | 0.000 | -0.000 | -26.847 |
| -26.847 | -20.508 | -20.508 | 0.000 | -0.000 | 0.000 |
| -20.508 | -26.847 | -20.508 | -0.000 | 0.000 | -0.000 |
| -20.508 | -20.508 | -26.847 | -0.000 | -0.000 | 0.000 |
| 0.000 | 0.000 | 0.000 | -26.847 | 0.000 | 0.000 |
| 0.000 | 0.000 | 0.000 | 0.000 | -26.847 | 0.000 |
| 0.000 | 0.000 | 0.000 | -0.000 | -0.000 | -26.847 |
| -26.847 | -20.508 | -20.508 | 0.000 | -0.000 | -0.000 |
| -20.508 | -26.847 | -20.508 | -0.000 | 0.000 | -0.000 |
| -20.508 | -20.508 | -26.847 | -0.000 | -0.000 | 0.000 |
| -0.000 | -0.000 | -0.000 | -26.847 | -0.000 | -0.000 |
| -0.000 | -0.000 | -0.000 | -0.000 | -26.847 | -0.000 |
| -0.000 | -0.000 | -0.000 | 0.000 | -0.000 | -26.847 |
| 173.552 | 310.506 | 310.506 | -0.000 | 0.000 | 0.000 |
| 310.506 | 173.552 | 310.506 | 0.000 | 0.000 | 0.000 |
| 310.506 | 310.506 | 173.552 | -0.000 | 0.000 | 0.000 |
| 0.000 | 0.000 | 0.000 | 20.414 | 0.000 | 0.000 |
| 0.000 | 0.000 | 0.000 | 0.000 | 20.414 | 0.000 |
| 0.000 | 0.000 | -0.000 | 0.000 | 0.000 | 20.414 |
| 173.552 | 310.506 | 310.506 | -0.000 | -0.000 | -0.000 |
| 310.506 | 173.552 | 310.506 | -0.000 | -0.000 | -0.000 |
| 310.506 | 310.506 | 173.552 | -0.000 | -0.000 | -0.000 |
| -0.000 | -0.000 | -0.000 | 20.414 | 0.000 | -0.000 |
| -0.000 | -0.000 | -0.000 | -0.000 | 20.414 | -0.000 |
| -0.000 | -0.000 | 0.000 | -0.000 | -0.000 | 20.414 |
| 173.552 | 310.506 | 310.506 | 0.000 | 0.000 | 0.000 |
| 310.506 | 173.552 | 310.506 | 0.000 | 0.000 | 0.000 |
| 310.506 | 310.506 | 173.552 | -0.000 | 0.000 | 0.000 |
| 0.000 | 0.000 | 0.000 | 20.414 | 0.000 | 0.000 |
| 0.000 | 0.000 | 0.000 | 0.000 | 20.414 | 0.000 |
| 0.000 | 0.000 | 0.000 | 0.000 | 0.000 | 20.414 |
| 173.552 | 310.506 | 310.506 | -0.000 | -0.000 | -0.000 |
| 310.506 | 173.552 | 310.506 | -0.000 | -0.000 | -0.000 |
| 310.506 | 310.506 | 173.552 | -0.000 | -0.000 | -0.000 |
| -0.000 | -0.000 | -0.000 | 20.414 | -0.000 | -0.000 |
| -0.000 | -0.000 | -0.000 | -0.000 | 20.414 | -0.000 |
| -0.000 | -0.000 | -0.000 | -0.000 | -0.000 | 20.414 |
| 173.555 | 310.506 | 310.506 | 0.000 | 0.000 | 0.000 |
| 310.506 | 173.555 | 310.506 | -0.000 | 0.000 | 0.000 |
| 310.506 | 310.506 | 173.555 | -0.000 | 0.000 | 0.000 |
| 0.000 | 0.000 | 0.000 | 20.414 | 0.000 | 0.000 |
| 0.000 | 0.000 | 0.000 | 0.000 | 20.414 | 0.000 |
| 0.000 | 0.000 | 0.000 | 0.000 | 0.000 | 20.414 |
| 173.549 | 310.505 | 310.505 | 0.000 | -0.000 | -0.000 |
| 310.505 | 173.549 | 310.505 | -0.000 | -0.000 | -0.000 |
| 310.505 | 310.505 | 173.549 | 0.000 | -0.000 | -0.000 |
| -0.000 | -0.000 | -0.000 | 20.414 | -0.000 | -0.000 |
| -0.000 | -0.000 | -0.000 | 0.000 | 20.414 | -0.000 |
| -0.000 | -0.000 | -0.000 | -0.000 | -0.000 | 20.414 |
| 354.193 | 55.620 | 55.620 | 0.000 | -0.000 | -0.000 |
| 55.620 | 354.193 | 55.620 | -0.000 | 0.000 | 0.000 |
| 55.620 | 55.620 | 354.193 | -0.000 | -0.000 | 0.000 |
| -0.000 | -0.000 | -0.000 | 4.974 | -0.000 | 0.000 |
| -0.000 | -0.000 | -0.000 | -0.000 | 4.974 | 0.000 |
| -0.000 | -0.000 | -0.000 | 0.000 | -0.000 | 4.974 |
| 354.193 | 55.620 | 55.620 | -0.000 | 0.000 | 0.000 |
| 55.620 | 354.193 | 55.620 | 0.000 | -0.000 | 0.000 |
| 55.620 | 55.620 | 354.193 | -0.000 | 0.000 | 0.000 |
| 0.000 | 0.000 | 0.000 | 4.974 | 0.000 | -0.000 |
| 0.000 | 0.000 | 0.000 | -0.000 | 4.974 | -0.000 |
| 0.000 | 0.000 | 0.000 | -0.000 | -0.000 | 4.974 |
| 354.192 | 55.619 | 55.619 | -0.000 | -0.000 | 0.000 |
| 55.619 | 354.192 | 55.619 | 0.000 | 0.000 | -0.000 |
| 55.619 | 55.619 | 354.192 | 0.000 | 0.000 | -0.000 |
| -0.000 | -0.000 | -0.000 | 4.974 | -0.000 | 0.000 |
| -0.000 | -0.000 | -0.000 | -0.000 | 4.974 | 0.000 |
| -0.000 | -0.000 | -0.000 | 0.000 | -0.000 | 4.974 |
| 354.193 | 55.620 | 55.620 | -0.000 | -0.000 | -0.000 |
| 55.620 | 354.193 | 55.620 | -0.000 | -0.000 | -0.000 |
| 55.620 | 55.620 | 354.193 | -0.000 | -0.000 | -0.000 |
| 0.000 | 0.000 | 0.000 | 4.974 | 0.000 | 0.000 |
| 0.000 | 0.000 | 0.000 | 0.000 | 4.974 | -0.000 |
| 0.000 | 0.000 | 0.000 | -0.000 | 0.000 | 4.974 |
| 354.190 | 55.617 | 55.617 | 0.000 | -0.000 | 0.000 |
| 55.617 | 354.190 | 55.617 | 0.000 | 0.000 | 0.000 |
| 55.617 | 55.617 | 354.190 | 0.000 | 0.000 | 0.000 |
| -0.001 | -0.002 | -0.002 | 4.974 | -0.000 | -0.000 |
| -0.002 | -0.001 | -0.002 | 0.000 | 4.974 | -0.000 |
| -0.002 | -0.002 | -0.001 | -0.000 | -0.000 | 4.974 |
| 354.195 | 55.622 | 55.622 | -0.000 | 0.000 | 0.000 |
| 55.622 | 354.195 | 55.622 | 0.000 | -0.000 | -0.000 |
| 55.622 | 55.622 | 354.195 | 0.000 | 0.000 | -0.000 |
| 0.001 | 0.002 | 0.002 | 4.974 | -0.000 | -0.000 |
| 0.002 | 0.001 | 0.002 | -0.000 | 4.974 | 0.000 |
| 0.002 | 0.002 | 0.001 | 0.000 | -0.000 | 4.974 |
| 124.287 | 109.708 | 109.708 | -0.000 | 0.000 | 0.000 |
| 109.708 | 124.287 | 109.708 | -0.000 | -0.000 | -0.000 |
| 109.708 | 109.708 | 124.287 | -0.000 | -0.000 | -0.000 |
| 0.000 | -0.000 | -0.000 | 100.902 | -0.000 | 0.000 |
| -0.000 | -0.000 | -0.000 | -0.000 | 100.902 | -0.000 |
| -0.000 | -0.000 | -0.000 | -0.000 | -0.000 | 100.902 |
| 124.287 | 109.708 | 109.708 | 0.000 | 0.000 | 0.000 |
| 109.708 | 124.287 | 109.708 | 0.000 | 0.000 | 0.000 |
| 109.708 | 109.708 | 124.287 | 0.000 | 0.000 | 0.000 |
| 0.000 | 0.000 | 0.000 | 100.902 | 0.000 | -0.000 |
| 0.000 | 0.000 | 0.000 | 0.000 | 100.902 | 0.000 |
| 0.000 | 0.000 | 0.000 | 0.000 | 0.000 | 100.902 |
| 124.287 | 109.708 | 109.708 | -0.000 | -0.000 | -0.000 |
| 109.708 | 124.287 | 109.708 | -0.000 | 0.000 | 0.000 |
| 109.708 | 109.708 | 124.287 | -0.000 | 0.000 | -0.000 |
| 0.000 | -0.000 | -0.000 | 100.902 | -0.000 | -0.000 |
| -0.000 | 0.000 | -0.000 | -0.000 | 100.902 | -0.000 |
| -0.000 | -0.000 | 0.000 | -0.000 | -0.000 | 100.902 |
| 124.287 | 109.708 | 109.708 | 0.000 | 0.000 | 0.000 |
| 109.708 | 124.287 | 109.708 | 0.000 | -0.000 | 0.000 |
| 109.708 | 109.708 | 124.287 | 0.000 | 0.000 | -0.000 |
| -0.000 | 0.000 | 0.000 | 100.902 | 0.000 | 0.000 |
| 0.000 | -0.000 | 0.000 | 0.000 | 100.902 | 0.000 |
| 0.000 | 0.000 | -0.000 | 0.000 | 0.000 | 100.902 |
| 124.284 | 109.707 | 109.707 | -0.000 | -0.000 | -0.000 |
| 109.707 | 124.284 | 109.707 | -0.000 | 0.000 | 0.000 |
| 109.707 | 109.707 | 124.284 | -0.000 | -0.000 | -0.000 |
| 0.000 | -0.001 | -0.001 | 100.902 | -0.000 | 0.000 |
| -0.001 | 0.000 | -0.001 | -0.000 | 100.902 | -0.000 |
| -0.001 | -0.001 | 0.000 | -0.000 | -0.000 | 100.902 |
| 124.290 | 109.709 | 109.709 | 0.000 | 0.000 | 0.000 |
| 109.709 | 124.290 | 109.709 | 0.000 | 0.000 | -0.000 |
| 109.709 | 109.709 | 124.290 | 0.000 | 0.000 | 0.000 |
| -0.000 | 0.001 | 0.001 | 100.902 | 0.000 | -0.000 |
| 0.001 | -0.000 | 0.001 | 0.000 | 100.902 | 0.000 |
| 0.001 | 0.001 | -0.000 | 0.000 | -0.000 | 100.902 |
| 235.512 | 117.756 | 117.756 | 0.000 | 0.000 | 0.000 |
| 117.756 | 235.512 | 117.756 | 0.000 | 0.000 | -0.000 |
| 117.756 | 117.756 | 235.512 | 0.000 | 0.000 | 0.000 |
| -0.000 | -0.000 | -0.000 | 117.691 | 0.000 | -0.000 |
| -0.000 | -0.000 | -0.000 | 0.000 | 117.691 | 0.000 |
| -0.000 | -0.000 | -0.000 | 0.000 | 0.000 | 117.691 |
| 235.512 | 117.756 | 117.756 | -0.000 | -0.000 | -0.000 |
| 117.756 | 235.512 | 117.756 | -0.000 | -0.000 | -0.000 |
| 117.756 | 117.756 | 235.512 | -0.000 | -0.000 | -0.000 |
| 0.000 | 0.000 | 0.000 | 117.691 | -0.000 | -0.000 |
| 0.000 | 0.000 | 0.000 | -0.000 | 117.691 | -0.000 |
| 0.000 | 0.000 | 0.000 | -0.000 | -0.000 | 117.691 |
| 235.512 | 117.755 | 117.755 | 0.000 | 0.000 | 0.000 |
| 117.755 | 235.512 | 117.755 | 0.000 | 0.000 | 0.000 |
| 117.755 | 117.755 | 235.512 | 0.000 | 0.000 | 0.000 |
| -0.000 | -0.000 | -0.000 | 117.691 | 0.000 | 0.000 |
| -0.000 | -0.000 | -0.000 | 0.000 | 117.691 | 0.000 |
| -0.000 | -0.000 | -0.000 | 0.000 | 0.000 | 117.691 |
| 235.512 | 117.756 | 117.756 | -0.000 | -0.000 | -0.000 |
| 117.756 | 235.512 | 117.756 | -0.000 | -0.000 | -0.000 |
| 117.756 | 117.756 | 235.512 | -0.000 | -0.000 | -0.000 |
| 0.000 | 0.000 | 0.000 | 117.691 | -0.000 | -0.000 |
| 0.000 | 0.000 | 0.000 | -0.000 | 117.691 | -0.000 |
| 0.000 | 0.000 | 0.000 | -0.000 | -0.000 | 117.691 |
| 235.508 | 117.754 | 117.754 | 0.000 | 0.000 | 0.000 |
| 117.754 | 235.508 | 117.754 | 0.000 | 0.000 | 0.000 |
| 117.754 | 117.754 | 235.508 | 0.000 | 0.000 | 0.000 |
| -0.000 | -0.002 | -0.002 | 117.691 | 0.000 | 0.000 |
| -0.002 | -0.000 | -0.002 | 0.000 | 117.691 | 0.000 |
| -0.002 | -0.002 | -0.000 | 0.000 | 0.000 | 117.691 |
| 235.516 | 117.757 | 117.757 | -0.000 | -0.000 | -0.000 |
| 117.757 | 235.516 | 117.757 | -0.000 | -0.000 | -0.000 |
| 117.757 | 117.757 | 235.516 | 0.000 | 0.000 | -0.000 |
| 0.000 | 0.002 | 0.002 | 117.691 | -0.000 | -0.000 |
| 0.002 | 0.000 | 0.002 | -0.000 | 117.691 | -0.000 |
| 0.002 | 0.002 | 0.000 | -0.000 | -0.000 | 117.691 |
| -41.182 | -20.591 | -20.591 | -0.000 | -0.000 | -0.000 |
| -20.591 | -41.182 | -20.591 | -0.000 | -0.000 | -0.000 |
| -20.591 | -20.591 | -41.182 | -0.000 | -0.000 | 0.000 |
| 0.000 | 0.000 | 0.000 | -20.591 | 0.000 | 0.000 |
| 0.000 | -0.000 | 0.000 | 0.000 | -20.591 | -0.000 |
| 0.000 | 0.000 | 0.000 | -0.000 | -0.000 | -20.591 |
| -41.182 | -20.591 | -20.591 | -0.000 | -0.000 | -0.000 |
| -20.591 | -41.182 | -20.591 | -0.000 | 0.000 | -0.000 |
| -20.591 | -20.591 | -41.182 | -0.000 | -0.000 | -0.000 |
| -0.000 | -0.000 | -0.000 | -20.591 | -0.000 | -0.000 |
| -0.000 | -0.000 | -0.000 | -0.000 | -20.591 | 0.000 |
| -0.000 | -0.000 | -0.000 | -0.000 | -0.000 | -20.591 |
| -41.182 | -20.591 | -20.591 | -0.000 | -0.000 | -0.000 |
| -20.591 | -41.182 | -20.591 | -0.000 | -0.000 | 0.000 |
| -20.591 | -20.591 | -41.182 | -0.000 | -0.000 | 0.000 |
| 0.000 | 0.000 | 0.000 | -20.591 | -0.000 | 0.000 |
| 0.000 | 0.000 | 0.000 | 0.000 | -20.591 | 0.000 |
| 0.000 | 0.000 | 0.000 | 0.000 | -0.000 | -20.591 |
| -41.182 | -20.591 | -20.591 | -0.000 | 0.000 | -0.000 |
| -20.591 | -41.182 | -20.591 | -0.000 | -0.000 | 0.000 |
| -20.591 | -20.591 | -41.182 | -0.000 | 0.000 | -0.000 |
| -0.000 | -0.000 | -0.000 | -20.591 | 0.000 | -0.000 |
| -0.000 | -0.000 | -0.000 | 0.000 | -20.591 | 0.000 |
| -0.000 | -0.000 | -0.000 | 0.000 | 0.000 | -20.591 |
| -41.182 | -20.591 | -20.591 | 0.000 | 0.000 | 0.000 |
| -20.591 | -41.182 | -20.591 | 0.000 | 0.000 | 0.000 |
| -20.591 | -20.591 | -41.182 | 0.000 | 0.000 | 0.000 |
| 0.000 | 0.000 | 0.000 | -20.591 | -0.000 | 0.000 |
| 0.000 | 0.000 | 0.000 | -0.000 | -20.591 | -0.000 |
| 0.000 | 0.000 | 0.000 | -0.000 | -0.000 | -20.591 |
| -41.182 | -20.591 | -20.591 | 0.000 | 0.000 | 0.000 |
| -20.591 | -41.182 | -20.591 | 0.000 | 0.000 | 0.000 |
| -20.591 | -20.591 | -41.182 | 0.000 | 0.000 | 0.000 |
| -0.000 | -0.000 | -0.000 | -20.591 | 0.000 | -0.000 |
| -0.000 | -0.000 | -0.000 | -0.000 | -20.591 | 0.000 |
| -0.000 | -0.000 | -0.000 | 0.000 | 0.000 | -20.591 |
| -63.173 | -23.823 | -23.823 | 0.000 | 0.000 | 0.000 |
| -23.823 | -63.173 | -23.823 | 0.000 | 0.000 | -0.000 |
| -23.823 | -23.823 | -63.173 | 0.000 | -0.000 | 0.000 |
| 0.000 | 0.000 | 0.000 | -34.175 | 0.000 | -0.000 |
| 0.000 | 0.000 | 0.000 | 0.000 | -34.175 | 0.000 |
| 0.000 | 0.000 | 0.000 | 0.000 | -0.000 | -34.175 |
| -63.173 | -23.823 | -23.823 | 0.000 | 0.000 | 0.000 |
| -23.823 | -63.173 | -23.823 | 0.000 | 0.000 | 0.000 |
| -23.823 | -23.823 | -63.173 | 0.000 | 0.000 | 0.000 |
| -0.000 | -0.000 | -0.000 | -34.175 | -0.000 | 0.000 |
| -0.000 | -0.000 | -0.000 | -0.000 | -34.175 | -0.000 |
| -0.000 | -0.000 | -0.000 | -0.000 | 0.000 | -34.175 |
| -63.173 | -23.823 | -23.823 | 0.000 | -0.000 | -0.000 |
| -23.823 | -63.173 | -23.823 | -0.000 | -0.000 | -0.000 |
| -23.823 | -23.823 | -63.173 | 0.000 | -0.000 | -0.000 |
| 0.000 | 0.000 | 0.000 | -34.175 | 0.000 | -0.000 |
| 0.000 | 0.000 | 0.000 | 0.000 | -34.175 | -0.000 |
| 0.000 | 0.000 | 0.000 | -0.000 | -0.000 | -34.175 |
| -63.173 | -23.823 | -23.823 | 0.000 | 0.000 | 0.000 |
| -23.823 | -63.173 | -23.823 | 0.000 | 0.000 | 0.000 |
| -23.823 | -23.823 | -63.173 | -0.000 | -0.000 | 0.000 |
| -0.000 | -0.000 | -0.000 | -34.175 | 0.000 | 0.000 |
| -0.000 | -0.000 | -0.000 | 0.000 | -34.175 | 0.000 |
| -0.000 | -0.000 | -0.000 | 0.000 | 0.000 | -34.175 |
| -63.173 | -23.823 | -23.823 | -0.000 | 0.000 | -0.000 |
| -23.823 | -63.173 | -23.823 | 0.000 | 0.000 | -0.000 |
| -23.823 | -23.823 | -63.173 | 0.000 | -0.000 | 0.000 |
| 0.000 | 0.000 | 0.000 | -34.175 | 0.000 | -0.000 |
| 0.000 | 0.000 | 0.000 | -0.000 | -34.175 | -0.000 |
| 0.000 | 0.000 | 0.000 | -0.000 | -0.000 | -34.175 |
| -63.174 | -23.823 | -23.823 | 0.000 | 0.000 | 0.000 |
| -23.823 | -63.174 | -23.823 | 0.000 | 0.000 | 0.000 |
| -23.823 | -23.823 | -63.174 | 0.000 | 0.000 | 0.000 |
| -0.000 | -0.000 | -0.000 | -34.175 | -0.000 | 0.000 |
| -0.000 | -0.000 | -0.000 | -0.000 | -34.175 | 0.000 |
| -0.000 | -0.000 | -0.000 | 0.000 | -0.000 | -34.175 |
| 81.095 | 40.541 | 40.541 | 0.000 | 0.000 | 0.000 |
| 40.541 | 81.095 | 40.541 | 0.000 | 0.000 | 0.000 |
| 40.541 | 40.541 | 81.095 | 0.000 | 0.000 | 0.000 |
| -0.000 | 0.000 | 0.000 | 40.512 | -0.000 | 0.000 |
| 0.000 | -0.000 | 0.000 | -0.000 | 40.512 | 0.000 |
| 0.000 | 0.000 | -0.000 | -0.000 | 0.000 | 40.512 |
| 81.095 | 40.541 | 40.541 | -0.000 | -0.000 | -0.000 |
| 40.541 | 81.095 | 40.541 | -0.000 | -0.000 | 0.000 |
| 40.541 | 40.541 | 81.095 | 0.000 | 0.000 | -0.000 |
| 0.000 | -0.000 | -0.000 | 40.512 | 0.000 | -0.000 |
| -0.000 | 0.000 | -0.000 | 0.000 | 40.512 | -0.000 |
| -0.000 | -0.000 | 0.000 | -0.000 | -0.000 | 40.512 |
| 81.095 | 40.541 | 40.541 | 0.000 | 0.000 | 0.000 |
| 40.541 | 81.095 | 40.541 | -0.000 | 0.000 | -0.000 |
| 40.541 | 40.541 | 81.095 | -0.000 | -0.000 | 0.000 |
| -0.000 | 0.000 | 0.000 | 40.512 | 0.000 | -0.000 |
| 0.000 | -0.000 | 0.000 | -0.000 | 40.512 | 0.000 |
| 0.000 | 0.000 | -0.000 | 0.000 | 0.000 | 40.512 |
| 81.095 | 40.541 | 40.541 | -0.000 | -0.000 | -0.000 |
| 40.541 | 81.095 | 40.541 | -0.000 | -0.000 | 0.000 |
| 40.541 | 40.541 | 81.095 | 0.000 | 0.000 | -0.000 |
| 0.000 | -0.000 | -0.000 | 40.512 | 0.000 | -0.000 |
| -0.000 | 0.000 | -0.000 | 0.000 | 40.512 | -0.000 |
| -0.000 | -0.000 | 0.000 | 0.000 | 0.000 | 40.512 |
| 81.097 | 40.542 | 40.542 | 0.000 | 0.000 | 0.000 |
| 40.542 | 81.097 | 40.542 | 0.000 | 0.000 | 0.000 |
| 40.542 | 40.542 | 81.097 | 0.000 | 0.000 | 0.000 |
| -0.000 | 0.001 | 0.001 | 40.512 | -0.000 | 0.000 |
| 0.001 | -0.000 | 0.001 | -0.000 | 40.512 | 0.000 |
| 0.001 | 0.001 | -0.000 | 0.000 | 0.000 | 40.512 |
| 81.094 | 40.540 | 40.540 | -0.000 | -0.000 | -0.000 |
| 40.540 | 81.094 | 40.540 | -0.000 | -0.000 | -0.000 |
| 40.540 | 40.540 | 81.094 | 0.000 | 0.000 | -0.000 |
| 0.000 | -0.001 | -0.001 | 40.512 | -0.000 | -0.000 |
| -0.001 | 0.000 | -0.001 | -0.000 | 40.512 | -0.000 |
| -0.001 | -0.001 | 0.000 | -0.000 | -0.000 | 40.512 |
| 683.630 | 274.765 | 142.600 | 0.000 | 0.000 | 0.000 |
| 274.765 | 683.630 | 142.600 | 0.000 | 0.000 | 0.000 |
| 142.600 | 142.600 | 369.540 | -0.000 | 0.000 | 0.000 |
| 0.000 | -0.000 | -0.000 | 59.824 | 0.000 | 0.000 |
| -0.000 | -0.000 | -0.000 | 0.000 | 59.824 | 0.000 |
| 0.001 | 0.001 | 0.000 | -0.000 | -0.000 | 77.618 |
| 683.550 | 274.827 | 142.600 | -0.000 | 0.000 | -0.000 |
| 274.827 | 683.550 | 142.600 | 0.000 | -0.000 | -0.000 |
| 142.600 | 142.600 | 369.540 | 0.000 | 0.000 | -0.000 |
| -0.000 | 0.000 | 0.000 | 59.824 | -0.000 | -0.000 |
| 0.000 | 0.000 | 0.000 | 0.000 | 59.824 | -0.000 |
| -0.001 | -0.001 | -0.000 | 0.000 | -0.000 | 77.618 |
| 683.701 | 274.774 | 142.600 | 0.000 | 0.000 | 0.000 |
| 274.774 | 683.701 | 142.600 | 0.000 | 0.000 | 0.000 |
| 142.600 | 142.600 | 369.540 | 0.000 | 0.000 | 0.000 |
| -0.000 | -0.000 | -0.000 | 59.824 | 0.000 | 0.000 |
| -0.000 | -0.000 | -0.000 | 0.000 | 59.824 | 0.000 |
| 0.010 | 0.010 | -0.000 | -0.000 | -0.000 | 77.618 |
| 683.543 | 274.754 | 142.599 | 0.000 | -0.000 | -0.000 |
| 274.754 | 683.543 | 142.599 | -0.000 | 0.000 | -0.000 |
| 142.599 | 142.599 | 369.540 | 0.000 | 0.000 | -0.000 |
| 0.000 | 0.000 | 0.000 | 59.824 | -0.000 | -0.000 |
| 0.000 | 0.000 | 0.000 | -0.000 | 59.824 | -0.000 |
| -0.010 | -0.010 | 0.000 | 0.000 | 0.000 | 77.618 |
| 684.412 | 274.865 | 142.601 | 0.000 | 0.000 | 0.000 |
| 274.865 | 684.412 | 142.601 | 0.000 | 0.000 | 0.000 |
| 142.601 | 142.601 | 369.538 | -0.000 | -0.000 | 0.000 |
| -0.000 | -0.001 | -0.001 | 59.824 | -0.000 | 0.000 |
| -0.001 | -0.000 | -0.001 | -0.000 | 59.824 | 0.000 |
| 0.097 | 0.097 | -0.000 | -0.000 | -0.000 | 77.618 |
| 682.832 | 274.664 | 142.598 | -0.000 | -0.000 | -0.000 |
| 274.664 | 682.832 | 142.598 | 0.000 | -0.000 | -0.000 |
| 142.598 | 142.598 | 369.543 | 0.000 | 0.000 | -0.000 |
| 0.000 | 0.001 | 0.001 | 59.824 | -0.000 | -0.000 |
| 0.001 | 0.000 | 0.001 | -0.000 | 59.824 | -0.000 |
| -0.097 | -0.097 | 0.000 | 0.000 | 0.000 | 77.618 |
| 14.248 | 150.248 | 150.248 | -0.000 | -0.000 | -0.000 |
| 150.248 | 14.248 | 150.248 | -0.000 | -0.000 | -0.000 |
| 150.248 | 150.248 | 14.248 | -0.000 | -0.000 | -0.000 |
| 0.000 | 0.000 | 0.000 | -88.509 | -0.000 | -0.000 |
| 0.000 | 0.000 | 0.000 | -0.000 | -88.509 | -0.000 |
| 0.000 | 0.000 | 0.000 | -0.000 | -0.000 | -88.509 |
| 14.248 | 150.248 | 150.248 | 0.000 | 0.000 | 0.000 |
| 150.248 | 14.248 | 150.248 | 0.000 | 0.000 | 0.000 |
| 150.248 | 150.248 | 14.247 | 0.000 | 0.000 | 0.000 |
| -0.000 | -0.000 | -0.000 | -88.509 | 0.000 | 0.000 |
| -0.000 | -0.000 | -0.000 | 0.000 | -88.509 | 0.000 |
| -0.000 | -0.000 | -0.000 | 0.000 | 0.000 | -88.509 |
| 14.249 | 150.248 | 150.248 | -0.000 | -0.000 | -0.000 |
| 150.248 | 14.249 | 150.248 | -0.000 | -0.000 | -0.000 |
| 150.248 | 150.248 | 14.249 | -0.000 | -0.000 | -0.000 |
| 0.000 | 0.000 | 0.000 | -88.509 | -0.000 | -0.000 |
| 0.000 | 0.000 | 0.000 | -0.000 | -88.509 | -0.000 |
| 0.000 | 0.000 | 0.000 | -0.000 | -0.000 | -88.509 |
| 14.246 | 150.247 | 150.247 | 0.000 | 0.000 | 0.000 |
| 150.247 | 14.246 | 150.247 | 0.000 | 0.000 | 0.000 |
| 150.247 | 150.247 | 14.246 | 0.000 | 0.000 | 0.000 |
| -0.000 | -0.000 | -0.000 | -88.509 | 0.000 | 0.000 |
| -0.000 | -0.000 | -0.000 | 0.000 | -88.509 | 0.000 |
| -0.000 | -0.000 | -0.000 | 0.000 | 0.000 | -88.509 |
| 14.259 | 150.250 | 150.250 | -0.000 | -0.000 | -0.000 |
| 150.250 | 14.259 | 150.250 | -0.000 | -0.000 | -0.000 |
| 150.250 | 150.250 | 14.259 | -0.000 | -0.000 | -0.000 |
| 0.004 | 0.003 | 0.003 | -88.509 | -0.000 | -0.000 |
| 0.003 | 0.004 | 0.003 | -0.000 | -88.509 | -0.000 |
| 0.003 | 0.003 | 0.004 | -0.000 | -0.000 | -88.509 |
| 14.236 | 150.245 | 150.245 | 0.000 | 0.000 | 0.000 |
| 150.245 | 14.236 | 150.245 | 0.000 | 0.000 | 0.000 |
| 150.245 | 150.245 | 14.236 | 0.000 | 0.000 | 0.000 |
| -0.004 | -0.003 | -0.003 | -88.509 | 0.000 | 0.000 |
| -0.003 | -0.004 | -0.003 | 0.000 | -88.509 | 0.000 |
| -0.003 | -0.003 | -0.004 | 0.000 | 0.000 | -88.509 |
| 226.114 | 113.516 | 113.516 | -0.000 | -0.000 | -0.000 |
| 113.516 | 226.114 | 113.516 | -0.000 | -0.000 | -0.000 |
| 113.516 | 113.516 | 226.114 | -0.000 | -0.000 | -0.000 |
| 0.000 | 0.000 | -0.000 | 104.290 | -0.000 | -0.000 |
| 0.000 | 0.000 | -0.000 | -0.000 | 104.290 | -0.000 |
| 0.000 | 0.000 | -0.000 | -0.000 | -0.000 | 104.290 |
| 226.114 | 113.516 | 113.516 | -0.000 | 0.000 | 0.000 |
| 113.516 | 226.114 | 113.516 | -0.000 | 0.000 | -0.000 |
| 113.516 | 113.516 | 226.114 | 0.000 | 0.000 | 0.000 |
| -0.000 | -0.000 | -0.000 | 104.290 | -0.000 | 0.000 |
| -0.000 | -0.000 | -0.000 | -0.000 | 104.290 | 0.000 |
| -0.000 | -0.000 | 0.000 | 0.000 | 0.000 | 104.290 |
| 226.114 | 113.516 | 113.516 | -0.000 | -0.000 | -0.000 |
| 113.516 | 226.114 | 113.516 | 0.000 | -0.000 | -0.000 |
| 113.516 | 113.516 | 226.114 | 0.000 | 0.000 | -0.000 |
| 0.000 | -0.000 | -0.000 | 106.227 | -0.000 | -0.000 |
| -0.000 | 0.000 | -0.000 | -0.000 | 106.227 | -0.000 |
| -0.000 | -0.000 | 0.000 | -0.000 | -0.000 | 106.227 |
| 226.114 | 113.516 | 113.516 | -0.000 | -0.000 | 0.000 |
| 113.516 | 226.114 | 113.516 | -0.000 | 0.000 | 0.000 |
| 113.516 | 113.516 | 226.114 | -0.000 | 0.000 | 0.000 |
| -0.000 | 0.000 | 0.000 | 106.227 | 0.000 | 0.000 |
| 0.000 | -0.000 | 0.000 | 0.000 | 106.227 | 0.000 |
| 0.000 | 0.000 | -0.000 | 0.000 | 0.000 | 106.227 |
| 226.113 | 113.516 | 113.516 | -0.000 | -0.000 | -0.000 |
| 113.516 | 226.113 | 113.516 | -0.000 | -0.000 | -0.000 |
| 113.516 | 113.516 | 226.113 | -0.000 | -0.000 | -0.000 |
| 0.000 | -0.000 | -0.000 | 104.290 | -0.000 | 0.000 |
| -0.000 | 0.000 | -0.000 | 0.000 | 104.290 | -0.000 |
| -0.000 | -0.000 | 0.000 | -0.000 | -0.000 | 104.290 |
| 226.114 | 113.516 | 113.516 | 0.000 | 0.000 | 0.000 |
| 113.516 | 226.114 | 113.516 | 0.000 | 0.000 | 0.000 |
| 113.516 | 113.516 | 226.114 | 0.000 | 0.000 | 0.000 |
| -0.000 | 0.000 | 0.000 | 104.290 | 0.000 | 0.000 |
| 0.000 | -0.000 | 0.000 | 0.000 | 104.290 | 0.000 |
| 0.000 | 0.000 | -0.000 | 0.000 | 0.000 | 104.290 |
| 103.998 | -30.664 | -30.664 | -0.000 | -0.000 | -0.000 |
| -30.664 | 103.998 | -30.664 | -0.000 | -0.000 | -0.000 |
| -30.664 | -30.664 | 103.998 | 0.000 | 0.000 | 0.000 |
| -0.000 | -0.000 | -0.000 | -37.339 | 0.000 | -0.000 |
| -0.000 | -0.000 | -0.000 | 0.000 | -37.339 | -0.000 |
| -0.000 | -0.000 | 0.000 | -0.000 | -0.000 | -37.339 |
| 103.998 | -30.664 | -30.664 | -0.000 | -0.000 | -0.000 |
| -30.664 | 103.998 | -30.664 | -0.000 | -0.000 | -0.000 |
| -30.664 | -30.664 | 103.998 | -0.000 | 0.000 | -0.000 |
| 0.000 | 0.000 | 0.000 | -37.339 | -0.000 | 0.000 |
| 0.000 | 0.000 | 0.000 | -0.000 | -37.339 | 0.000 |
| 0.000 | -0.000 | -0.000 | 0.000 | 0.000 | -37.339 |
| 103.998 | -30.664 | -30.664 | -0.000 | -0.000 | -0.000 |
| -30.664 | 103.998 | -30.664 | -0.000 | -0.000 | -0.000 |
| -30.664 | -30.664 | 103.998 | -0.000 | -0.000 | -0.000 |
| 0.000 | -0.000 | -0.000 | -37.339 | -0.000 | -0.000 |
| -0.000 | 0.000 | -0.000 | -0.000 | -37.339 | -0.000 |
| -0.000 | -0.000 | 0.000 | -0.000 | -0.000 | -37.339 |
| 103.998 | -30.664 | -30.664 | 0.000 | 0.000 | 0.000 |
| -30.664 | 103.998 | -30.664 | 0.000 | 0.000 | 0.000 |
| -30.664 | -30.664 | 103.998 | 0.000 | 0.000 | 0.000 |
| -0.000 | 0.000 | 0.000 | -37.339 | -0.000 | -0.000 |
| 0.000 | -0.000 | 0.000 | -0.000 | -37.339 | 0.000 |
| 0.000 | 0.000 | -0.000 | 0.000 | 0.000 | -37.339 |
| 103.994 | -30.664 | -30.664 | -0.000 | -0.000 | -0.000 |
| -30.664 | 103.994 | -30.664 | -0.000 | -0.000 | -0.000 |
| -30.664 | -30.664 | 103.994 | -0.000 | -0.000 | -0.000 |
| 0.001 | -0.000 | -0.000 | -60.823 | -0.000 | -0.000 |
| -0.000 | 0.001 | -0.000 | -0.000 | -60.823 | -0.000 |
| -0.000 | -0.000 | 0.001 | -0.000 | -0.000 | -60.823 |
| 104.002 | -30.663 | -30.663 | 0.000 | 0.000 | 0.000 |
| -30.663 | 104.002 | -30.663 | 0.000 | 0.000 | 0.000 |
| -30.663 | -30.663 | 104.002 | 0.000 | 0.000 | 0.000 |
| -0.001 | 0.000 | 0.000 | -60.823 | 0.000 | 0.000 |
| 0.000 | -0.001 | 0.000 | 0.000 | -60.823 | 0.000 |
| 0.000 | 0.000 | -0.001 | 0.000 | 0.000 | -60.823 |
| 7.005 | 83.112 | 83.112 | -0.000 | -0.000 | 0.000 |
| 83.112 | 7.005 | 83.112 | -0.000 | -0.000 | 0.000 |
| 83.112 | 83.112 | 7.005 | 0.000 | 0.000 | 0.000 |
| 0.000 | -0.000 | 0.000 | 40.579 | -0.000 | 0.000 |
| -0.000 | -0.000 | 0.000 | -0.000 | 40.579 | 0.000 |
| -0.000 | 0.000 | -0.000 | -0.000 | -0.000 | 40.579 |
| 7.005 | 83.112 | 83.112 | 0.000 | 0.000 | -0.000 |
| 83.112 | 7.005 | 83.112 | 0.000 | 0.000 | -0.000 |
| 83.112 | 83.112 | 7.005 | -0.000 | -0.000 | -0.000 |
| 0.000 | 0.000 | -0.000 | 40.579 | 0.000 | -0.000 |
| 0.000 | 0.000 | -0.000 | 0.000 | 40.579 | -0.000 |
| 0.000 | -0.000 | 0.000 | 0.000 | -0.000 | 40.579 |
| 7.005 | 83.111 | 83.111 | -0.000 | -0.000 | 0.000 |
| 83.111 | 7.005 | 83.111 | -0.000 | -0.000 | 0.000 |
| 83.111 | 83.111 | 7.005 | 0.000 | 0.000 | 0.000 |
| 0.000 | 0.000 | 0.000 | 40.579 | 0.000 | 0.000 |
| 0.000 | 0.000 | 0.000 | -0.000 | 40.579 | -0.000 |
| 0.000 | 0.000 | 0.000 | -0.000 | -0.000 | 40.579 |
| 7.005 | 83.112 | 83.112 | 0.000 | 0.000 | 0.000 |
| 83.112 | 7.005 | 83.112 | 0.000 | 0.000 | -0.000 |
| 83.112 | 83.112 | 7.005 | -0.000 | -0.000 | -0.000 |
| -0.000 | -0.000 | -0.000 | 40.579 | -0.000 | -0.000 |
| -0.000 | -0.000 | -0.000 | -0.000 | 40.579 | -0.000 |
| -0.000 | -0.000 | -0.000 | 0.000 | 0.000 | 40.579 |
| 7.003 | 83.111 | 83.111 | -0.000 | -0.000 | 0.000 |
| 83.111 | 7.003 | 83.111 | -0.000 | -0.000 | 0.000 |
| 83.111 | 83.111 | 7.003 | -0.000 | -0.000 | 0.000 |
| 0.000 | 0.000 | 0.000 | 40.579 | 0.000 | 0.000 |
| 0.000 | 0.000 | 0.000 | 0.000 | 40.579 | 0.000 |
| 0.000 | 0.000 | 0.000 | 0.000 | -0.000 | 40.579 |
| 7.006 | 83.112 | 83.112 | 0.000 | 0.000 | 0.000 |
| 83.112 | 7.006 | 83.112 | 0.000 | 0.000 | -0.000 |
| 83.112 | 83.112 | 7.006 | 0.000 | 0.000 | -0.000 |
| -0.000 | -0.000 | -0.000 | 40.579 | 0.000 | -0.000 |
| -0.000 | -0.000 | -0.000 | 0.000 | 40.579 | -0.000 |
| -0.000 | -0.000 | -0.000 | -0.000 | -0.000 | 40.579 |
| -8.856 | 36.653 | 36.653 | -0.000 | -0.000 | 0.000 |
| 36.653 | -8.856 | 36.653 | -0.000 | -0.000 | -0.000 |
| 36.653 | 36.653 | -8.856 | -0.000 | -0.000 | 0.000 |
| 0.000 | 0.000 | 0.000 | 17.136 | -0.000 | -0.000 |
| 0.000 | 0.000 | 0.000 | -0.000 | 17.136 | 0.000 |
| 0.000 | 0.000 | 0.000 | -0.000 | -0.000 | 17.136 |
| -8.856 | 36.653 | 36.653 | 0.000 | -0.000 | -0.000 |
| 36.653 | -8.856 | 36.653 | -0.000 | 0.000 | 0.000 |
| 36.653 | 36.653 | -8.856 | 0.000 | 0.000 | -0.000 |
| -0.000 | -0.000 | -0.000 | 17.136 | 0.000 | 0.000 |
| -0.000 | -0.000 | -0.000 | 0.000 | 17.136 | 0.000 |
| -0.000 | -0.000 | -0.000 | 0.000 | 0.000 | 17.136 |
| -8.856 | 36.653 | 36.653 | -0.000 | -0.000 | -0.000 |
| 36.653 | -8.856 | 36.653 | -0.000 | -0.000 | -0.000 |
| 36.653 | 36.653 | -8.856 | -0.000 | -0.000 | -0.000 |
| 0.000 | 0.000 | 0.000 | 17.136 | -0.000 | -0.000 |
| 0.000 | 0.000 | 0.000 | -0.000 | 17.136 | 0.000 |
| 0.000 | 0.000 | 0.000 | -0.000 | -0.000 | 17.136 |
| -8.856 | 36.653 | 36.653 | 0.000 | 0.000 | -0.000 |
| 36.653 | -8.856 | 36.653 | 0.000 | 0.000 | -0.000 |
| 36.653 | 36.653 | -8.856 | -0.000 | -0.000 | -0.000 |
| -0.000 | -0.000 | -0.000 | 17.136 | 0.000 | 0.000 |
| -0.000 | -0.000 | -0.000 | 0.000 | 17.136 | 0.000 |
| -0.000 | -0.000 | -0.000 | 0.000 | 0.000 | 17.136 |
| -8.857 | 36.654 | 36.654 | -0.000 | -0.000 | 0.000 |
| 36.654 | -8.857 | 36.654 | -0.000 | -0.000 | 0.000 |
| 36.654 | 36.654 | -8.857 | -0.000 | -0.000 | 0.000 |
| 0.000 | 0.000 | 0.000 | 17.136 | 0.000 | 0.000 |
| 0.000 | 0.000 | 0.000 | -0.000 | 17.136 | 0.000 |
| 0.000 | 0.000 | 0.000 | -0.000 | -0.000 | 17.136 |
| -8.855 | 36.653 | 36.653 | 0.000 | 0.000 | 0.000 |
| 36.653 | -8.855 | 36.653 | 0.000 | 0.000 | 0.000 |
| 36.653 | 36.653 | -8.855 | 0.000 | 0.000 | 0.000 |
| -0.000 | -0.000 | -0.000 | 17.136 | 0.000 | 0.000 |
| -0.000 | -0.000 | -0.000 | 0.000 | 17.136 | 0.000 |
| -0.000 | -0.000 | -0.000 | 0.000 | 0.000 | 17.136 |
| -30.209 | -18.837 | -18.837 | -0.000 | -0.000 | -0.000 |
| -18.837 | -30.209 | -18.837 | -0.000 | -0.000 | -0.000 |
| -18.837 | -18.837 | -30.209 | -0.000 | -0.000 | -0.000 |
| -0.000 | -0.000 | -0.000 | -18.837 | -0.000 | -0.000 |
| -0.000 | -0.000 | -0.000 | -0.000 | -18.837 | -0.000 |
| -0.000 | -0.000 | -0.000 | -0.000 | 0.000 | -18.837 |
| -30.209 | -18.837 | -18.837 | 0.000 | 0.000 | 0.000 |
| -18.837 | -30.209 | -18.837 | 0.000 | 0.000 | -0.000 |
| -18.837 | -18.837 | -30.209 | 0.000 | -0.000 | 0.000 |
| 0.000 | 0.000 | 0.000 | -18.837 | 0.000 | 0.000 |
| 0.000 | 0.000 | 0.000 | 0.000 | -18.837 | 0.000 |
| 0.000 | 0.000 | 0.000 | 0.000 | 0.000 | -18.837 |
| -30.209 | -18.838 | -18.838 | -0.000 | -0.000 | 0.000 |
| -18.838 | -30.209 | -18.838 | -0.000 | -0.000 | -0.000 |
| -18.838 | -18.838 | -30.209 | -0.000 | -0.000 | -0.000 |
| 237085.240 | -1711167.432 | -1666940.155 | 909789.940 | -3.853 | 4.128 |
| -1711493.703 | 236549.131 | -1667388.799 | -3.811 | 909436.017 | 4.983 |
| -1710399.142 | -1666241.566 | 238046.590 | 1.954 | 24.565 | 910385.360 |
| -30.209 | -18.837 | -18.837 | 0.000 | 0.000 | 0.000 |
| -18.837 | -30.209 | -18.837 | 0.000 | 0.000 | 0.000 |
| -18.837 | -18.837 | -30.209 | -0.000 | -0.000 | 0.000 |
| -299258.494 | 1681495.705 | 1604068.645 | 956758.686 | 49.598 | 0.881 |
| 1681527.184 | -299205.337 | 1604120.635 | 48.732 | 956725.312 | 1.206 |
| 1680081.680 | 1602364.282 | -301196.271 | 33.592 | -13.551 | 958175.088 |
| -30.209 | -18.838 | -18.838 | -0.000 | -0.000 | -0.000 |
| -18.838 | -30.209 | -18.838 | -0.000 | -0.000 | 0.000 |
| -18.838 | -18.838 | -30.209 | 0.000 | 0.000 | -0.000 |
| 9388.259 | -182154.428 | -178413.768 | 80984.282 | 3.293 | -1.388 |
| -182155.198 | 9387.439 | -178414.223 | 3.285 | 80983.733 | -1.352 |
| -182160.967 | -178430.953 | 9368.415 | 3.277 | -1.629 | 80972.854 |
| -30.208 | -18.837 | -18.837 | 0.000 | 0.000 | 0.000 |
| -18.837 | -30.208 | -18.837 | 0.000 | -0.000 | 0.000 |
| -18.837 | -18.837 | -30.208 | 0.000 | 0.000 | 0.000 |
| -10461.952 | 182555.572 | 177496.545 | 81433.950 | -1.892 | 0.202 |
| 182559.501 | -10459.212 | 177498.998 | -1.946 | 81431.705 | 0.222 |
| 182497.800 | 177419.553 | -10556.072 | -1.981 | 0.920 | 81488.181 |
| -26.919 | 2.749 | 2.749 | -0.000 | -0.000 | -0.000 |
| 2.749 | -26.919 | 2.749 | -0.000 | -0.000 | -0.000 |
| 2.749 | 2.749 | -26.919 | -0.000 | -0.000 | -0.000 |
| -0.000 | -0.000 | -0.000 | 1.014 | -0.000 | -0.000 |
| -0.000 | -0.000 | -0.000 | -0.000 | 1.014 | -0.000 |
| -0.000 | -0.000 | -0.000 | -0.000 | -0.000 | 1.014 |
| -26.919 | 2.749 | 2.749 | 0.000 | 0.000 | 0.000 |
| 2.749 | -26.919 | 2.749 | 0.000 | 0.000 | -0.000 |
| 2.749 | 2.749 | -26.919 | 0.000 | 0.000 | 0.000 |
| 0.000 | 0.000 | 0.000 | 1.014 | 0.000 | 0.000 |
| 0.000 | 0.000 | 0.000 | 0.000 | 1.014 | 0.000 |
| 0.000 | 0.000 | 0.000 | 0.000 | 0.000 | 1.014 |
| -26.919 | 2.749 | 2.749 | -0.000 | -0.000 | -0.000 |
| 2.749 | -26.919 | 2.749 | -0.000 | -0.000 | -0.000 |
| 2.749 | 2.749 | -26.919 | -0.000 | -0.000 | -0.000 |
| 0.000 | 0.000 | 0.000 | 1.014 | -0.000 | -0.000 |
| 0.000 | 0.000 | 0.000 | -0.000 | 1.014 | -0.000 |
| 0.000 | 0.000 | 0.000 | -0.000 | -0.000 | 1.014 |
| -26.919 | 2.749 | 2.749 | 0.000 | 0.000 | 0.000 |
| 2.749 | -26.919 | 2.749 | 0.000 | 0.000 | -0.000 |
| 2.749 | 2.749 | -26.919 | 0.000 | 0.000 | 0.000 |
| -0.000 | -0.000 | -0.000 | 1.014 | 0.000 | 0.000 |
| -0.000 | -0.000 | -0.000 | 0.000 | 1.014 | 0.000 |
| -0.000 | -0.000 | -0.000 | 0.000 | 0.000 | 1.014 |
| -26.919 | 2.749 | 2.749 | -0.000 | -0.000 | -0.000 |
| 2.749 | -26.919 | 2.749 | -0.000 | -0.000 | -0.000 |
| 2.749 | 2.749 | -26.919 | -0.000 | -0.000 | -0.000 |
| 0.000 | 0.000 | 0.000 | 1.024 | -0.000 | -0.000 |
| 0.000 | 0.000 | 0.000 | -0.000 | 1.024 | -0.000 |
| 0.000 | 0.000 | 0.000 | -0.000 | -0.000 | 1.024 |
| -26.919 | 2.749 | 2.749 | 0.000 | 0.000 | 0.000 |
| 2.749 | -26.919 | 2.749 | 0.000 | 0.000 | 0.000 |
| 2.749 | 2.749 | -26.919 | 0.000 | 0.000 | 0.000 |
| -0.000 | -0.000 | -0.000 | 1.024 | 0.000 | 0.000 |
| -0.000 | -0.000 | -0.000 | 0.000 | 1.024 | 0.000 |
| -0.000 | -0.000 | -0.000 | 0.000 | 0.000 | 1.024 |
| 6.799 | 21.562 | 21.562 | 0.000 | -0.000 | 0.000 |
| 21.562 | 6.799 | 21.562 | -0.000 | 0.000 | 0.000 |
| 21.562 | 21.562 | 6.799 | 0.000 | 0.000 | -0.000 |
| 0.000 | 0.000 | 0.000 | 12.925 | 0.000 | 0.000 |
| 0.000 | 0.000 | 0.000 | 0.000 | 12.925 | 0.000 |
| 0.000 | 0.000 | 0.000 | 0.000 | 0.000 | 12.925 |
| 6.798 | 21.562 | 21.562 | -0.000 | -0.000 | -0.000 |
| 21.562 | 6.798 | 21.562 | -0.000 | -0.000 | -0.000 |
| 21.562 | 21.562 | 6.798 | -0.000 | -0.000 | -0.000 |
| -0.000 | -0.000 | -0.000 | 12.925 | -0.000 | -0.000 |
| -0.000 | -0.000 | -0.000 | -0.000 | 12.925 | -0.000 |
| -0.000 | -0.000 | -0.000 | -0.000 | -0.000 | 12.925 |
| 6.801 | 21.562 | 21.562 | -0.000 | 0.000 | 0.000 |
| 21.562 | 6.801 | 21.562 | 0.000 | -0.000 | 0.000 |
| 21.562 | 21.562 | 6.801 | 0.000 | -0.000 | 0.000 |
| 0.001 | 0.000 | 0.000 | 12.925 | 0.000 | 0.000 |
| 0.000 | 0.001 | 0.000 | 0.000 | 12.925 | 0.000 |
| 0.000 | 0.000 | 0.001 | -0.000 | -0.000 | 12.925 |
| 6.796 | 21.562 | 21.562 | -0.000 | 0.000 | -0.000 |
| 21.562 | 6.796 | 21.562 | -0.000 | -0.000 | -0.000 |
| 21.562 | 21.562 | 6.796 | -0.000 | -0.000 | -0.000 |
| -0.001 | -0.000 | -0.000 | 12.925 | 0.000 | -0.000 |
| -0.000 | -0.001 | -0.000 | 0.000 | 12.925 | -0.000 |
| -0.000 | -0.000 | -0.001 | -0.000 | -0.000 | 12.925 |
| 6.819 | 21.562 | 21.562 | 0.000 | 0.000 | 0.000 |
| 21.562 | 6.819 | 21.562 | 0.000 | 0.000 | 0.000 |
| 21.562 | 21.562 | 6.819 | 0.000 | 0.000 | 0.000 |
| 0.007 | 0.000 | 0.000 | 12.925 | -0.000 | 0.000 |
| 0.000 | 0.007 | 0.000 | 0.000 | 12.925 | 0.000 |
| 0.000 | 0.000 | 0.007 | 0.000 | -0.000 | 12.925 |
| 6.778 | 21.562 | 21.562 | -0.000 | -0.000 | -0.000 |
| 21.562 | 6.778 | 21.562 | -0.000 | -0.000 | -0.000 |
| 21.562 | 21.562 | 6.778 | -0.000 | -0.000 | -0.000 |
| -0.007 | -0.000 | -0.000 | 12.925 | -0.000 | -0.000 |
| -0.000 | -0.007 | -0.000 | -0.000 | 12.925 | -0.000 |
| -0.000 | -0.000 | -0.007 | -0.000 | -0.000 | 12.925 |
| 19.336 | 19.360 | 19.360 | -0.000 | -0.000 | -0.000 |
| 19.360 | 19.336 | 19.360 | -0.000 | -0.000 | -0.000 |
| 19.360 | 19.360 | 19.336 | -0.000 | -0.000 | -0.000 |
| 0.000 | 0.000 | 0.000 | 11.474 | -0.000 | -0.000 |
| 0.000 | 0.000 | 0.000 | -0.000 | 11.474 | 0.000 |
| 0.000 | 0.000 | 0.000 | -0.000 | 0.000 | 11.474 |
| 19.336 | 19.360 | 19.360 | 0.000 | 0.000 | 0.000 |
| 19.360 | 19.336 | 19.360 | 0.000 | 0.000 | 0.000 |
| 19.360 | 19.360 | 19.336 | 0.000 | 0.000 | 0.000 |
| -0.000 | -0.000 | -0.000 | 11.474 | 0.000 | 0.000 |
| -0.000 | -0.000 | -0.000 | 0.000 | 11.474 | 0.000 |
| -0.000 | -0.000 | -0.000 | 0.000 | 0.000 | 11.474 |
| 19.336 | 19.360 | 19.360 | 0.000 | -0.000 | -0.000 |
| 19.360 | 19.336 | 19.360 | -0.000 | 0.000 | -0.000 |
| 19.360 | 19.360 | 19.336 | -0.000 | -0.000 | -0.000 |
| 0.000 | 0.000 | 0.000 | 11.474 | -0.000 | -0.000 |
| 0.000 | 0.000 | 0.000 | -0.000 | 11.474 | -0.000 |
| 0.000 | 0.000 | 0.000 | -0.000 | 0.000 | 11.474 |
| 19.336 | 19.360 | 19.360 | 0.000 | 0.000 | 0.000 |
| 19.360 | 19.336 | 19.360 | 0.000 | 0.000 | 0.000 |
| 19.360 | 19.360 | 19.336 | 0.000 | 0.000 | 0.000 |
| -0.000 | -0.000 | -0.000 | 11.474 | 0.000 | 0.000 |
| -0.000 | -0.000 | -0.000 | 0.000 | 11.474 | 0.000 |
| -0.000 | -0.000 | -0.000 | 0.000 | 0.000 | 11.474 |
| 19.336 | 19.360 | 19.360 | -0.000 | -0.000 | -0.000 |
| 19.360 | 19.336 | 19.360 | -0.000 | -0.000 | -0.000 |
| 19.360 | 19.360 | 19.336 | -0.000 | -0.000 | -0.000 |
| 0.000 | 0.000 | 0.000 | 11.474 | -0.000 | -0.000 |
| 0.000 | 0.000 | 0.000 | -0.000 | 11.474 | -0.000 |
| 0.000 | 0.000 | 0.000 | -0.000 | -0.000 | 11.474 |
| 19.336 | 19.359 | 19.359 | 0.000 | 0.000 | 0.000 |
| 19.359 | 19.336 | 19.359 | 0.000 | 0.000 | 0.000 |
| 19.359 | 19.359 | 19.336 | 0.000 | 0.000 | 0.000 |
| -0.000 | -0.000 | -0.000 | 11.474 | 0.000 | -0.000 |
| -0.000 | -0.000 | -0.000 | 0.000 | 11.474 | -0.000 |
| -0.000 | -0.000 | -0.000 | 0.000 | -0.000 | 11.474 |
| 3.140 | 5.003 | 5.003 | -0.000 | -0.000 | 0.000 |
| 5.003 | 3.140 | 5.003 | -0.000 | -0.000 | 0.000 |
| 5.003 | 5.003 | 3.140 | 0.000 | -0.000 | 0.000 |
| -0.000 | -0.000 | 0.000 | 3.140 | 0.000 | 0.000 |
| -0.000 | -0.000 | 0.000 | -0.000 | 3.140 | -0.000 |
| -0.000 | -0.000 | 0.000 | 0.000 | -0.000 | 3.140 |
| 3.140 | 5.003 | 5.003 | 0.000 | 0.000 | 0.000 |
| 5.003 | 3.140 | 5.003 | 0.000 | 0.000 | -0.000 |
| 5.003 | 5.003 | 3.140 | -0.000 | 0.000 | 0.000 |
| 0.000 | 0.000 | -0.000 | 3.140 | 0.000 | -0.000 |
| 0.000 | 0.000 | -0.000 | 0.000 | 3.140 | 0.000 |
| 0.000 | 0.000 | -0.000 | 0.000 | 0.000 | 3.140 |
| 3.140 | 5.003 | 5.003 | -0.000 | -0.000 | 0.000 |
| 5.003 | 3.140 | 5.003 | 0.000 | -0.000 | 0.000 |
| 5.003 | 5.003 | 3.140 | 0.000 | 0.000 | 0.000 |
| -0.000 | -0.000 | -0.000 | 3.140 | -0.000 | -0.000 |
| -0.000 | -0.000 | -0.000 | -0.000 | 3.140 | 0.000 |
| -0.000 | -0.000 | -0.000 | -0.000 | 0.000 | 3.140 |
| 3.140 | 5.003 | 5.003 | 0.000 | 0.000 | 0.000 |
| 5.003 | 3.140 | 5.003 | 0.000 | 0.000 | -0.000 |
| 5.003 | 5.003 | 3.140 | -0.000 | -0.000 | 0.000 |
| 0.000 | 0.000 | 0.000 | 3.140 | 0.000 | -0.000 |
| 0.000 | 0.000 | 0.000 | 0.000 | 3.140 | 0.000 |
| 0.000 | 0.000 | 0.000 | 0.000 | 0.000 | 3.140 |
| 3.140 | 5.003 | 5.003 | -0.000 | -0.000 | -0.000 |
| 5.003 | 3.140 | 5.003 | -0.000 | -0.000 | 0.000 |
| 5.003 | 5.003 | 3.140 | -0.000 | -0.000 | -0.000 |
| -0.000 | -0.000 | -0.000 | 3.140 | 0.000 | 0.000 |
| -0.000 | -0.000 | -0.000 | 0.000 | 3.140 | -0.000 |
| -0.000 | -0.000 | -0.000 | 0.000 | -0.000 | 3.140 |
| 3.140 | 5.004 | 5.004 | 0.000 | 0.000 | -0.000 |
| 5.004 | 3.140 | 5.004 | 0.000 | 0.000 | -0.000 |
| 5.004 | 5.004 | 3.140 | -0.000 | -0.000 | -0.000 |
| 0.000 | 0.000 | 0.000 | 3.140 | 0.000 | -0.000 |
| 0.000 | 0.000 | 0.000 | 0.000 | 3.140 | -0.000 |
| 0.000 | 0.000 | 0.000 | 0.000 | -0.000 | 3.140 |
| 273.492 | 183.777 | 183.777 | -0.000 | -0.000 | 0.000 |
| 183.777 | 273.492 | 183.777 | -0.000 | 0.000 | 0.000 |
| 183.777 | 183.777 | 273.492 | 0.000 | 0.000 | 0.000 |
| 0.000 | 0.000 | 0.000 | -12.998 | 0.000 | 0.000 |
| 0.000 | -0.000 | 0.000 | 0.000 | -12.998 | 0.000 |
| 0.000 | 0.000 | 0.000 | -0.000 | 0.000 | -12.998 |
| 273.492 | 183.777 | 183.777 | 0.000 | -0.000 | 0.000 |
| 183.777 | 273.492 | 183.777 | 0.000 | -0.000 | 0.000 |
| 183.777 | 183.777 | 273.492 | 0.000 | 0.000 | -0.000 |
| -0.000 | -0.000 | -0.000 | -12.998 | -0.000 | -0.000 |
| -0.000 | 0.000 | -0.000 | -0.000 | -12.998 | -0.000 |
| -0.000 | -0.000 | 0.000 | 0.000 | 0.000 | -12.998 |
| 273.492 | 183.777 | 183.777 | -0.000 | -0.000 | 0.000 |
| 183.777 | 273.492 | 183.777 | -0.000 | -0.000 | 0.000 |
| 183.777 | 183.777 | 273.492 | -0.000 | 0.000 | 0.000 |
| 0.000 | 0.000 | 0.000 | -12.998 | 0.000 | 0.000 |
| 0.000 | 0.000 | 0.000 | -0.000 | -12.998 | 0.000 |
| 0.000 | 0.000 | 0.000 | -0.000 | -0.000 | -12.998 |
| 273.491 | 183.777 | 183.777 | 0.000 | -0.000 | -0.000 |
| 183.777 | 273.491 | 183.777 | 0.000 | -0.000 | -0.000 |
| 183.777 | 183.777 | 273.491 | 0.000 | -0.000 | -0.000 |
| -0.000 | -0.000 | -0.000 | -12.998 | -0.000 | 0.000 |
| -0.000 | -0.000 | -0.000 | 0.000 | -12.998 | -0.000 |
| -0.000 | -0.000 | -0.000 | 0.000 | -0.000 | -12.998 |
| 273.492 | 183.778 | 183.778 | -0.000 | 0.000 | 0.000 |
| 183.778 | 273.492 | 183.778 | -0.000 | 0.000 | 0.000 |
| 183.778 | 183.778 | 273.492 | -0.000 | 0.000 | 0.000 |
| 0.000 | 0.001 | 0.000 | -12.998 | 0.000 | 0.000 |
| 0.001 | 0.000 | 0.000 | -0.000 | -12.998 | 0.000 |
| 0.001 | 0.000 | 0.000 | -0.000 | 0.000 | -12.998 |
| 273.491 | 183.777 | 183.777 | 0.000 | -0.000 | -0.000 |
| 183.777 | 273.491 | 183.777 | 0.000 | 0.000 | 0.000 |
| 183.777 | 183.777 | 273.491 | 0.000 | 0.000 | -0.000 |
| -0.000 | -0.001 | -0.000 | -12.998 | -0.000 | -0.000 |
| -0.001 | -0.000 | -0.000 | -0.000 | -12.998 | -0.000 |
| -0.001 | -0.000 | -0.000 | 0.000 | 0.000 | -12.998 |
| 92.700 | 9.584 | 9.584 | -0.000 | -0.000 | -0.000 |
| 9.584 | 92.700 | 9.584 | -0.000 | -0.000 | -0.000 |
| 9.584 | 9.584 | 92.700 | -0.000 | -0.000 | -0.000 |
| 0.000 | 0.000 | 0.000 | 8.691 | -0.000 | -0.000 |
| 0.000 | 0.000 | 0.000 | -0.000 | 8.691 | -0.000 |
| 0.000 | 0.000 | 0.000 | -0.000 | -0.000 | 8.691 |
| 92.700 | 9.584 | 9.584 | 0.000 | 0.000 | 0.000 |
| 9.584 | 92.700 | 9.584 | 0.000 | 0.000 | 0.000 |
| 9.584 | 9.584 | 92.700 | 0.000 | 0.000 | 0.000 |
| -0.000 | -0.000 | -0.000 | 8.691 | 0.000 | 0.000 |
| -0.000 | -0.000 | -0.000 | 0.000 | 8.691 | 0.000 |
| -0.000 | -0.000 | -0.000 | 0.000 | 0.000 | 8.691 |
| 92.700 | 9.584 | 9.584 | -0.000 | -0.000 | -0.000 |
| 9.584 | 92.700 | 9.584 | -0.000 | -0.000 | 0.000 |
| 9.584 | 9.584 | 92.700 | -0.000 | -0.000 | -0.000 |
| 0.000 | 0.000 | 0.000 | 8.691 | -0.000 | -0.000 |
| 0.000 | 0.000 | 0.000 | -0.000 | 8.691 | -0.000 |
| 0.000 | 0.000 | 0.000 | -0.000 | -0.000 | 8.691 |
| 92.700 | 9.584 | 9.584 | 0.000 | 0.000 | 0.000 |
| 9.584 | 92.700 | 9.584 | -0.000 | 0.000 | 0.000 |
| 9.584 | 9.584 | 92.700 | 0.000 | 0.000 | 0.000 |
| -0.000 | -0.000 | -0.000 | 8.691 | 0.000 | 0.000 |
| -0.000 | -0.000 | -0.000 | 0.000 | 8.691 | 0.000 |
| -0.000 | -0.000 | -0.000 | 0.000 | 0.000 | 8.691 |
| 92.701 | 9.585 | 9.585 | -0.000 | -0.000 | -0.000 |
| 9.585 | 92.701 | 9.585 | -0.000 | -0.000 | 0.000 |
| 9.585 | 9.585 | 92.701 | -0.000 | -0.000 | -0.000 |
| 0.000 | 0.001 | 0.001 | 8.691 | -0.000 | -0.000 |
| 0.001 | 0.000 | 0.001 | -0.000 | 8.691 | -0.000 |
| 0.001 | 0.001 | 0.000 | -0.000 | -0.000 | 8.691 |
| 92.699 | 9.584 | 9.584 | 0.000 | 0.000 | 0.000 |
| 9.584 | 92.699 | 9.584 | 0.000 | 0.000 | 0.000 |
| 9.584 | 9.584 | 92.699 | -0.000 | 0.000 | 0.000 |
| -0.000 | -0.001 | -0.001 | 8.691 | 0.000 | 0.000 |
| -0.001 | -0.000 | -0.001 | 0.000 | 8.691 | 0.000 |
| -0.001 | -0.001 | -0.000 | 0.000 | 0.000 | 8.691 |
| 10.873 | 12.278 | 12.278 | -0.000 | 0.000 | 0.000 |
| 12.278 | 10.873 | 12.278 | -0.000 | 0.000 | 0.000 |
| 12.278 | 12.278 | 10.873 | 0.000 | 0.000 | 0.000 |
| 0.000 | 0.000 | 0.000 | 14.057 | -0.000 | 0.000 |
| 0.000 | 0.000 | 0.000 | -0.000 | 14.057 | 0.000 |
| 0.000 | 0.000 | 0.000 | -0.000 | 0.000 | 14.057 |
| 10.873 | 12.278 | 12.278 | -0.000 | 0.000 | 0.000 |
| 12.278 | 10.873 | 12.278 | -0.000 | -0.000 | -0.000 |
| 12.278 | 12.278 | 10.873 | -0.000 | -0.000 | -0.000 |
| -0.000 | -0.000 | -0.000 | 14.057 | -0.000 | 0.000 |
| -0.000 | -0.000 | -0.000 | -0.000 | 14.057 | -0.000 |
| -0.000 | -0.000 | -0.000 | 0.000 | -0.000 | 14.057 |
| 10.873 | 12.278 | 12.278 | 0.000 | -0.000 | 0.000 |
| 12.278 | 10.873 | 12.278 | 0.000 | -0.000 | 0.000 |
| 12.278 | 12.278 | 10.873 | -0.000 | -0.000 | 0.000 |
| 0.000 | 0.000 | 0.000 | 14.057 | 0.000 | 0.000 |
| 0.000 | 0.000 | 0.000 | 0.000 | 14.057 | -0.000 |
| 0.000 | 0.000 | 0.000 | 0.000 | 0.000 | 14.057 |
| 10.873 | 12.278 | 12.278 | -0.000 | 0.000 | -0.000 |
| 12.278 | 10.873 | 12.278 | -0.000 | -0.000 | 0.000 |
| 12.278 | 12.278 | 10.873 | -0.000 | -0.000 | -0.000 |
| -0.000 | -0.000 | -0.000 | 14.057 | -0.000 | -0.000 |
| -0.000 | -0.000 | -0.000 | -0.000 | 14.057 | 0.000 |
| -0.000 | -0.000 | -0.000 | -0.000 | 0.000 | 14.057 |
| 10.874 | 12.278 | 12.278 | 0.000 | -0.000 | -0.000 |
| 12.278 | 10.874 | 12.278 | -0.000 | 0.000 | -0.000 |
| 12.278 | 12.278 | 10.874 | 0.000 | 0.000 | 0.000 |
| 0.000 | 0.000 | 0.000 | 14.057 | 0.000 | -0.000 |
| 0.000 | 0.000 | 0.000 | 0.000 | 14.057 | -0.000 |
| 0.000 | 0.000 | 0.000 | 0.000 | 0.000 | 14.057 |
| 10.873 | 12.277 | 12.277 | 0.000 | 0.000 | -0.000 |
| 12.277 | 10.873 | 12.277 | -0.000 | 0.000 | -0.000 |
| 12.277 | 12.277 | 10.873 | 0.000 | -0.000 | 0.000 |
| -0.000 | -0.000 | -0.000 | 14.057 | -0.000 | -0.000 |
| -0.000 | -0.000 | -0.000 | -0.000 | 14.057 | -0.000 |
| -0.000 | -0.000 | -0.000 | -0.000 | 0.000 | 14.057 |
| 63.773 | 25.399 | 25.399 | 0.000 | 0.000 | 0.000 |
| 25.399 | 63.773 | 25.399 | 0.000 | 0.000 | 0.000 |
| 25.399 | 25.399 | 63.773 | 0.000 | 0.000 | 0.000 |
| 0.000 | 0.000 | 0.000 | 24.637 | 0.000 | 0.000 |
| 0.000 | 0.000 | 0.000 | 0.000 | 24.637 | 0.000 |
| 0.000 | 0.000 | 0.000 | 0.000 | 0.000 | 24.637 |
| 63.773 | 25.399 | 25.399 | -0.000 | -0.000 | 0.000 |
| 25.399 | 63.773 | 25.399 | -0.000 | -0.000 | 0.000 |
| 25.399 | 25.399 | 63.773 | -0.000 | -0.000 | 0.000 |
| -0.000 | -0.000 | -0.000 | 24.637 | -0.000 | 0.000 |
| -0.000 | -0.000 | -0.000 | -0.000 | 24.637 | -0.000 |
| -0.000 | -0.000 | -0.000 | -0.000 | -0.000 | 24.637 |
| 63.773 | 25.399 | 25.399 | 0.000 | 0.000 | 0.000 |
| 25.399 | 63.773 | 25.399 | 0.000 | 0.000 | -0.000 |
| 25.399 | 25.399 | 63.773 | 0.000 | 0.000 | -0.000 |
| -0.000 | 0.000 | 0.000 | 24.637 | 0.000 | 0.000 |
| 0.000 | -0.000 | 0.000 | 0.000 | 24.637 | 0.000 |
| 0.000 | 0.000 | -0.000 | 0.000 | 0.000 | 24.637 |
| 63.773 | 25.399 | 25.399 | -0.000 | -0.000 | -0.000 |
| 25.399 | 63.773 | 25.399 | -0.000 | -0.000 | 0.000 |
| 25.399 | 25.399 | 63.773 | -0.000 | -0.000 | -0.000 |
| 0.000 | -0.000 | -0.000 | 24.637 | -0.000 | 0.000 |
| -0.000 | 0.000 | -0.000 | -0.000 | 24.637 | -0.000 |
| -0.000 | -0.000 | 0.000 | -0.000 | -0.000 | 24.637 |
| 63.773 | 25.399 | 25.399 | 0.000 | 0.000 | 0.000 |
| 25.399 | 63.773 | 25.399 | 0.000 | 0.000 | 0.000 |
| 25.399 | 25.399 | 63.773 | 0.000 | 0.000 | 0.000 |
| -0.000 | 0.000 | 0.000 | 24.637 | 0.000 | -0.000 |
| 0.000 | -0.000 | 0.000 | 0.000 | 24.637 | -0.000 |
| 0.000 | 0.000 | -0.000 | 0.000 | 0.000 | 24.637 |
| 63.773 | 25.399 | 25.399 | -0.000 | -0.000 | -0.000 |
| 25.399 | 63.773 | 25.399 | -0.000 | -0.000 | 0.000 |
| 25.399 | 25.399 | 63.773 | -0.000 | -0.000 | 0.000 |
| 0.000 | -0.000 | -0.000 | 24.637 | -0.000 | 0.000 |
| -0.000 | 0.000 | -0.000 | -0.000 | 24.637 | -0.000 |
| -0.000 | -0.000 | 0.000 | -0.000 | -0.000 | 24.637 |
| 62.532 | 23.894 | 23.894 | -0.000 | 0.000 | -0.000 |
| 23.894 | 62.532 | 23.894 | -0.000 | -0.000 | 0.000 |
| 23.894 | 23.894 | 62.532 | -0.000 | -0.000 | -0.000 |
| -0.000 | 0.000 | 0.000 | 23.798 | -0.000 | -0.000 |
| 0.000 | -0.000 | 0.000 | -0.000 | 23.798 | -0.000 |
| 0.000 | 0.000 | -0.000 | 0.000 | 0.000 | 23.798 |
| 62.532 | 23.894 | 23.894 | 0.000 | 0.000 | 0.000 |
| 23.894 | 62.532 | 23.894 | 0.000 | -0.000 | -0.000 |
| 23.894 | 23.894 | 62.532 | 0.000 | 0.000 | 0.000 |
| 0.000 | -0.000 | -0.000 | 23.798 | -0.000 | 0.000 |
| -0.000 | 0.000 | -0.000 | -0.000 | 23.798 | 0.000 |
| -0.000 | -0.000 | 0.000 | 0.000 | 0.000 | 23.798 |
| 62.532 | 23.894 | 23.894 | -0.000 | 0.000 | 0.000 |
| 23.894 | 62.532 | 23.894 | 0.000 | -0.000 | 0.000 |
| 23.894 | 23.894 | 62.532 | 0.000 | 0.000 | -0.000 |
| -0.000 | 0.000 | 0.000 | 23.798 | 0.000 | -0.000 |
| 0.000 | -0.000 | 0.000 | -0.000 | 23.798 | -0.000 |
| 0.000 | 0.000 | -0.000 | -0.000 | -0.000 | 23.798 |
| 62.532 | 23.894 | 23.894 | 0.000 | 0.000 | 0.000 |
| 23.894 | 62.532 | 23.894 | -0.000 | 0.000 | 0.000 |
| 23.894 | 23.894 | 62.532 | 0.000 | 0.000 | 0.000 |
| 0.000 | -0.000 | -0.000 | 23.798 | -0.000 | -0.000 |
| -0.000 | 0.000 | -0.000 | -0.000 | 23.798 | 0.000 |
| -0.000 | -0.000 | 0.000 | 0.000 | 0.000 | 23.798 |
| 62.532 | 23.894 | 23.894 | -0.000 | 0.000 | -0.000 |
| 23.894 | 62.532 | 23.894 | 0.000 | 0.000 | -0.000 |
| 23.894 | 23.894 | 62.532 | -0.000 | -0.000 | 0.000 |
| -0.000 | 0.000 | 0.000 | 23.798 | 0.000 | -0.000 |
| 0.000 | -0.000 | 0.000 | 0.000 | 23.798 | -0.000 |
| 0.000 | 0.000 | -0.000 | -0.000 | 0.000 | 23.798 |
| 62.532 | 23.894 | 23.894 | 0.000 | 0.000 | 0.000 |
| 23.894 | 62.532 | 23.894 | 0.000 | 0.000 | 0.000 |
| 23.894 | 23.894 | 62.532 | 0.000 | 0.000 | 0.000 |
| 0.000 | -0.000 | -0.000 | 23.798 | -0.000 | 0.000 |
| -0.000 | 0.000 | -0.000 | -0.000 | 23.798 | 0.000 |
| -0.000 | -0.000 | 0.000 | -0.000 | -0.000 | 23.798 |
| 62.372 | 23.720 | 23.720 | -0.000 | 0.000 | 0.000 |
| 23.720 | 62.372 | 23.720 | 0.000 | 0.000 | -0.000 |
| 23.720 | 23.720 | 62.372 | -0.000 | -0.000 | 0.000 |
| 0.000 | 0.000 | 0.000 | 23.699 | -0.000 | -0.000 |
| 0.000 | 0.000 | 0.000 | -0.000 | 23.699 | 0.000 |
| 0.000 | 0.000 | 0.000 | -0.000 | 0.000 | 23.699 |
| 62.372 | 23.720 | 23.720 | -0.000 | -0.000 | -0.000 |
| 23.720 | 62.372 | 23.720 | -0.000 | -0.000 | -0.000 |
| 23.720 | 23.720 | 62.372 | -0.000 | -0.000 | -0.000 |
| 0.000 | -0.000 | -0.000 | 23.699 | 0.000 | -0.000 |
| -0.000 | 0.000 | -0.000 | 0.000 | 23.699 | -0.000 |
| -0.000 | 0.000 | 0.000 | 0.000 | -0.000 | 23.699 |
| 62.372 | 23.721 | 23.721 | 0.000 | 0.000 | 0.000 |
| 23.721 | 62.372 | 23.721 | 0.000 | 0.000 | -0.000 |
| 23.721 | 23.721 | 62.372 | -0.000 | -0.000 | 0.000 |
| -0.000 | 0.000 | 0.000 | 23.699 | -0.000 | 0.000 |
| 0.000 | -0.000 | 0.000 | -0.000 | 23.699 | 0.000 |
| 0.000 | 0.000 | -0.000 | 0.000 | 0.000 | 23.699 |
| 62.372 | 23.720 | 23.720 | -0.000 | -0.000 | -0.000 |
| 23.720 | 62.372 | 23.720 | -0.000 | -0.000 | 0.000 |
| 23.720 | 23.720 | 62.372 | 0.000 | 0.000 | -0.000 |
| 0.000 | -0.000 | -0.000 | 23.699 | -0.000 | 0.000 |
| -0.000 | 0.000 | -0.000 | -0.000 | 23.699 | 0.000 |
| -0.000 | -0.000 | 0.000 | -0.000 | -0.000 | 23.699 |
| 62.372 | 23.721 | 23.721 | 0.000 | 0.000 | 0.000 |
| 23.721 | 62.372 | 23.721 | -0.000 | 0.000 | 0.000 |
| 23.721 | 23.721 | 62.372 | 0.000 | 0.000 | 0.000 |
| -0.000 | 0.000 | 0.000 | 23.699 | -0.000 | -0.000 |
| 0.000 | -0.000 | 0.000 | 0.000 | 23.699 | 0.000 |
| 0.000 | 0.000 | -0.000 | -0.000 | 0.000 | 23.699 |
| 62.372 | 23.720 | 23.720 | -0.000 | -0.000 | 0.000 |
| 23.720 | 62.372 | 23.720 | -0.000 | -0.000 | 0.000 |
| 23.720 | 23.720 | 62.372 | 0.000 | 0.000 | -0.000 |
| 0.000 | -0.000 | -0.000 | 23.699 | -0.000 | 0.000 |
| -0.000 | 0.000 | -0.000 | -0.000 | 23.699 | -0.000 |
| -0.000 | -0.000 | 0.000 | -0.000 | -0.000 | 23.699 |
| 56.120 | 15.864 | 15.864 | 0.000 | 0.000 | -0.000 |
| 15.864 | 56.120 | 15.864 | 0.000 | 0.000 | -0.000 |
| 15.864 | 15.864 | 56.120 | 0.000 | 0.000 | -0.000 |
| -0.000 | -0.000 | -0.000 | 15.864 | 0.000 | -0.000 |
| -0.000 | -0.000 | -0.000 | 0.000 | 15.864 | -0.000 |
| -0.000 | -0.000 | -0.000 | 0.000 | 0.000 | 15.864 |
| 56.120 | 15.864 | 15.864 | -0.000 | -0.000 | -0.000 |
| 15.864 | 56.120 | 15.864 | -0.000 | -0.000 | 0.000 |
| 15.864 | 15.864 | 56.120 | 0.000 | -0.000 | 0.000 |
| 0.000 | 0.000 | 0.000 | 15.864 | -0.000 | 0.000 |
| 0.000 | 0.000 | 0.000 | -0.000 | 15.864 | -0.000 |
| 0.000 | 0.000 | 0.000 | -0.000 | -0.000 | 15.864 |
| 56.120 | 15.864 | 15.864 | 0.000 | 0.000 | -0.000 |
| 15.864 | 56.120 | 15.864 | 0.000 | 0.000 | 0.000 |
| 15.864 | 15.864 | 56.120 | 0.000 | 0.000 | 0.000 |
| -0.000 | -0.000 | -0.000 | 15.864 | 0.000 | -0.000 |
| -0.000 | -0.000 | -0.000 | 0.000 | 15.864 | 0.000 |
| -0.000 | -0.000 | -0.000 | -0.000 | 0.000 | 15.864 |
| 56.120 | 15.864 | 15.864 | -0.000 | -0.000 | 0.000 |
| 15.864 | 56.120 | 15.864 | -0.000 | -0.000 | -0.000 |
| 15.864 | 15.864 | 56.120 | -0.000 | -0.000 | -0.000 |
| 0.000 | 0.000 | 0.000 | 15.864 | -0.000 | 0.000 |
| 0.000 | 0.000 | 0.000 | -0.000 | 15.864 | 0.000 |
| 0.000 | 0.000 | 0.000 | 0.000 | -0.000 | 15.864 |
| 56.120 | 15.864 | 15.864 | 0.000 | 0.000 | -0.000 |
| 15.864 | 56.120 | 15.864 | 0.000 | 0.000 | -0.000 |
| 15.864 | 15.864 | 56.120 | 0.000 | 0.000 | 0.000 |
| -0.000 | -0.000 | -0.000 | 15.864 | 0.000 | -0.000 |
| -0.000 | -0.000 | -0.000 | 0.000 | 15.864 | -0.000 |
| -0.000 | -0.000 | -0.000 | 0.000 | -0.000 | 15.864 |
| 56.120 | 15.865 | 15.865 | -0.000 | -0.000 | -0.000 |
| 15.865 | 56.120 | 15.865 | -0.000 | -0.000 | -0.000 |
| 15.865 | 15.865 | 56.120 | -0.000 | -0.000 | 0.000 |
| 0.000 | 0.000 | 0.000 | 15.864 | -0.000 | 0.000 |
| 0.000 | 0.000 | 0.000 | -0.000 | 15.864 | -0.000 |
| 0.000 | 0.000 | 0.000 | -0.000 | -0.000 | 15.864 |
| -30.799 | -0.681 | -0.681 | 0.000 | 0.000 | 0.000 |
| -0.681 | -30.799 | -0.681 | 0.000 | 0.000 | -0.000 |
| -0.681 | -0.681 | -30.799 | 0.000 | 0.000 | -0.000 |
| -0.000 | -0.000 | 0.000 | 0.681 | 0.000 | -0.000 |
| -0.000 | -0.000 | 0.000 | 0.000 | 0.681 | 0.000 |
| -0.000 | -0.000 | 0.000 | 0.000 | 0.000 | 0.681 |
| -30.799 | -0.681 | -0.681 | -0.000 | -0.000 | -0.000 |
| -0.681 | -30.799 | -0.681 | -0.000 | -0.000 | 0.000 |
| -0.681 | -0.681 | -30.799 | -0.000 | -0.000 | 0.000 |
| 0.000 | 0.000 | -0.000 | 0.681 | -0.000 | 0.000 |
| 0.000 | 0.000 | -0.000 | -0.000 | 0.681 | -0.000 |
| 0.000 | 0.000 | -0.000 | -0.000 | -0.000 | 0.681 |
| -30.799 | -0.681 | -0.681 | 0.000 | 0.000 | 0.000 |
| -0.681 | -30.799 | -0.681 | 0.000 | 0.000 | -0.000 |
| -0.681 | -0.681 | -30.799 | 0.000 | 0.000 | -0.000 |
| -0.000 | -0.000 | 0.000 | 0.681 | 0.000 | -0.000 |
| -0.000 | -0.000 | 0.000 | 0.000 | 0.681 | 0.000 |
| -0.000 | 0.000 | 0.000 | 0.000 | 0.000 | 0.681 |
| -30.799 | -0.681 | -0.681 | -0.000 | -0.000 | -0.000 |
| -0.681 | -30.799 | -0.681 | -0.000 | -0.000 | -0.000 |
| -0.681 | -0.681 | -30.799 | -0.000 | -0.000 | 0.000 |
| 0.000 | 0.000 | -0.000 | 0.681 | -0.000 | 0.000 |
| 0.000 | 0.000 | -0.000 | -0.000 | 0.681 | -0.000 |
| 0.000 | -0.000 | -0.000 | -0.000 | -0.000 | 0.681 |
| -30.800 | -0.681 | -0.681 | 0.000 | 0.000 | 0.000 |
| -0.681 | -30.800 | -0.681 | 0.000 | 0.000 | -0.000 |
| -0.681 | -0.681 | -30.800 | 0.000 | 0.000 | -0.000 |
| -0.000 | -0.000 | 0.000 | 0.681 | 0.000 | -0.000 |
| -0.000 | -0.000 | 0.000 | 0.000 | 0.681 | -0.000 |
| -0.000 | 0.000 | 0.000 | 0.000 | 0.000 | 0.681 |
| -30.799 | -0.681 | -0.681 | -0.000 | -0.000 | -0.000 |
| -0.681 | -30.799 | -0.681 | -0.000 | -0.000 | -0.000 |
| -0.681 | -0.681 | -30.799 | 0.000 | -0.000 | 0.000 |
| 0.000 | 0.000 | -0.000 | 0.681 | -0.000 | 0.000 |
| 0.000 | 0.000 | -0.000 | -0.000 | 0.681 | -0.000 |
| 0.000 | -0.000 | -0.000 | -0.000 | -0.000 | 0.681 |
| 146.199 | 156.174 | 156.174 | 0.000 | -0.000 | -0.000 |
| 156.174 | 146.199 | 156.174 | -0.000 | -0.000 | 0.000 |
| 156.174 | 156.174 | 146.199 | 0.000 | 0.000 | -0.000 |
| -0.000 | 0.000 | 0.000 | -39.719 | 0.000 | -0.000 |
| 0.000 | -0.000 | 0.000 | 0.000 | -39.719 | 0.000 |
| 0.000 | -0.000 | 0.000 | 0.000 | 0.000 | -39.719 |
| 146.199 | 156.174 | 156.174 | -0.000 | 0.000 | -0.000 |
| 156.174 | 146.199 | 156.174 | -0.000 | 0.000 | 0.000 |
| 156.174 | 156.174 | 146.199 | -0.000 | 0.000 | -0.000 |
| 0.000 | -0.000 | -0.000 | -39.719 | -0.000 | -0.000 |
| -0.000 | 0.000 | -0.000 | -0.000 | -39.719 | -0.000 |
| -0.000 | 0.000 | 0.000 | -0.000 | 0.000 | -39.719 |
| 146.200 | 156.175 | 156.175 | 0.000 | 0.000 | 0.000 |
| 156.175 | 146.200 | 156.175 | 0.000 | 0.000 | -0.000 |
| 156.175 | 156.175 | 146.200 | 0.000 | 0.000 | 0.000 |
| 0.000 | 0.000 | 0.000 | -39.719 | 0.000 | 0.000 |
| 0.000 | 0.000 | 0.000 | 0.000 | -39.719 | -0.000 |
| 0.000 | 0.000 | 0.000 | 0.000 | 0.000 | -39.719 |
| 146.198 | 156.174 | 156.174 | -0.000 | -0.000 | -0.000 |
| 156.174 | 146.198 | 156.174 | 0.000 | 0.000 | -0.000 |
| 156.174 | 156.174 | 146.198 | -0.000 | 0.000 | 0.000 |
| -0.000 | -0.000 | -0.000 | -39.719 | 0.000 | -0.000 |
| -0.000 | -0.000 | -0.000 | -0.000 | -39.719 | -0.000 |
| -0.000 | -0.000 | -0.000 | -0.000 | -0.000 | -39.719 |
| 146.211 | 156.177 | 156.177 | 0.000 | 0.000 | 0.000 |
| 156.177 | 146.211 | 156.177 | 0.000 | 0.000 | 0.000 |
| 156.177 | 156.177 | 146.211 | 0.000 | 0.000 | 0.000 |
| 0.001 | 0.001 | 0.001 | -39.719 | -0.000 | -0.000 |
| 0.001 | 0.001 | 0.001 | 0.000 | -39.719 | 0.000 |
| 0.001 | 0.001 | 0.001 | 0.000 | 0.000 | -39.719 |
| 146.188 | 156.172 | 156.172 | -0.000 | -0.000 | 0.000 |
| 156.172 | 146.188 | 156.172 | -0.000 | -0.000 | -0.000 |
| 156.172 | 156.172 | 146.188 | -0.000 | 0.000 | 0.000 |
| -0.001 | -0.001 | -0.001 | -39.719 | 0.000 | 0.000 |
| -0.001 | -0.001 | -0.001 | -0.000 | -39.719 | -0.000 |
| -0.001 | -0.001 | -0.001 | -0.000 | -0.000 | -39.719 |
| 154.902 | 87.639 | 87.639 | 0.000 | -0.000 | 0.000 |
| 87.639 | 154.902 | 87.639 | -0.000 | 0.000 | 0.000 |
| 87.639 | 87.639 | 154.902 | 0.000 | 0.000 | 0.000 |
| -0.000 | -0.000 | -0.000 | 80.242 | 0.000 | 0.000 |
| -0.000 | -0.000 | -0.000 | 0.000 | 80.242 | 0.000 |
| -0.000 | 0.000 | -0.000 | 0.000 | 0.000 | 80.242 |
| 154.902 | 87.639 | 87.639 | 0.000 | 0.000 | -0.000 |
| 87.639 | 154.902 | 87.639 | 0.000 | 0.000 | -0.000 |
| 87.639 | 87.639 | 154.902 | 0.000 | 0.000 | -0.000 |
| 0.000 | 0.000 | 0.000 | 80.242 | -0.000 | -0.000 |
| 0.000 | 0.000 | 0.000 | -0.000 | 80.242 | -0.000 |
| -0.000 | 0.000 | 0.000 | -0.000 | 0.000 | 80.242 |
| 154.902 | 87.639 | 87.639 | -0.000 | 0.000 | 0.000 |
| 87.639 | 154.902 | 87.639 | 0.000 | 0.000 | 0.000 |
| 87.639 | 87.639 | 154.902 | -0.000 | 0.000 | 0.000 |
| -0.000 | -0.000 | 0.000 | 80.242 | -0.000 | 0.000 |
| -0.000 | -0.000 | 0.000 | -0.000 | 80.242 | 0.000 |
| -0.000 | 0.000 | -0.000 | 0.000 | 0.000 | 80.242 |
| 154.902 | 87.639 | 87.639 | -0.000 | 0.000 | -0.000 |
| 87.639 | 154.902 | 87.639 | 0.000 | -0.000 | -0.000 |
| 87.639 | 87.639 | 154.902 | -0.000 | -0.000 | -0.000 |
| 0.000 | 0.000 | -0.000 | 80.242 | 0.000 | -0.000 |
| 0.000 | 0.000 | -0.000 | 0.000 | 80.242 | -0.000 |
| 0.000 | -0.000 | 0.000 | -0.000 | -0.000 | 80.242 |
| 154.902 | 87.639 | 87.639 | 0.000 | -0.000 | 0.000 |
| 87.639 | 154.902 | 87.639 | -0.000 | 0.000 | 0.000 |
| 87.639 | 87.639 | 154.902 | 0.000 | 0.000 | 0.000 |
| -0.000 | -0.000 | 0.000 | 80.242 | 0.000 | 0.000 |
| -0.000 | -0.000 | 0.000 | 0.000 | 80.242 | 0.000 |
| -0.000 | 0.000 | -0.000 | 0.000 | 0.000 | 80.242 |
| 154.901 | 87.639 | 87.639 | -0.000 | 0.000 | 0.000 |
| 87.639 | 154.901 | 87.639 | 0.000 | -0.000 | -0.000 |
| 87.639 | 87.639 | 154.901 | 0.000 | -0.000 | -0.000 |
| 0.000 | 0.000 | -0.000 | 80.242 | 0.000 | -0.000 |
| 0.000 | 0.000 | -0.000 | 0.000 | 80.242 | -0.000 |
| 0.000 | -0.000 | 0.000 | -0.000 | -0.000 | 80.242 |
| 75.827 | 2.797 | 2.797 | 0.000 | 0.000 | 0.000 |
| 2.797 | 75.827 | 2.797 | 0.000 | 0.000 | 0.000 |
| 2.797 | 2.797 | 75.827 | 0.000 | 0.000 | 0.000 |
| -0.000 | -0.000 | 0.000 | 5.988 | 0.000 | -0.000 |
| -0.000 | -0.000 | 0.000 | 0.000 | 5.988 | 0.000 |
| -0.000 | -0.000 | 0.000 | 0.000 | 0.000 | 5.988 |
| 75.827 | 2.797 | 2.797 | -0.000 | -0.000 | -0.000 |
| 2.797 | 75.827 | 2.797 | -0.000 | -0.000 | 0.000 |
| 2.797 | 2.797 | 75.827 | 0.000 | 0.000 | -0.000 |
| 0.000 | -0.000 | -0.000 | 5.988 | -0.000 | -0.000 |
| -0.000 | -0.000 | -0.000 | -0.000 | 5.988 | -0.000 |
| 0.000 | -0.000 | -0.000 | -0.000 | -0.000 | 5.988 |
| 75.827 | 2.797 | 2.797 | 0.000 | 0.000 | 0.000 |
| 2.797 | 75.827 | 2.797 | 0.000 | 0.000 | 0.000 |
| 2.797 | 2.797 | 75.827 | 0.000 | 0.000 | 0.000 |
| 0.000 | 0.000 | 0.000 | 5.988 | 0.000 | 0.000 |
| 0.000 | 0.000 | 0.000 | 0.000 | 5.988 | 0.000 |
| 0.000 | 0.000 | 0.000 | 0.000 | 0.000 | 5.988 |
| 75.827 | 2.797 | 2.797 | -0.000 | -0.000 | -0.000 |
| 2.797 | 75.827 | 2.797 | -0.000 | -0.000 | -0.000 |
| 2.797 | 2.797 | 75.827 | -0.000 | -0.000 | -0.000 |
| -0.000 | -0.000 | -0.000 | 5.988 | -0.000 | -0.000 |
| -0.000 | -0.000 | -0.000 | -0.000 | 5.988 | -0.000 |
| -0.000 | -0.000 | -0.000 | -0.000 | -0.000 | 5.988 |
| 75.826 | 2.798 | 2.798 | 0.000 | 0.000 | -0.000 |
| 2.798 | 75.826 | 2.798 | 0.000 | 0.000 | 0.000 |
| 2.798 | 2.798 | 75.826 | 0.000 | 0.000 | 0.000 |
| 0.000 | 0.000 | 0.000 | 5.988 | 0.000 | 0.000 |
| 0.000 | 0.000 | 0.000 | 0.000 | 5.988 | 0.000 |
| 0.000 | 0.000 | 0.000 | 0.000 | 0.000 | 5.988 |
| 75.828 | 2.797 | 2.797 | -0.000 | -0.000 | -0.000 |
| 2.797 | 75.828 | 2.797 | -0.000 | -0.000 | -0.000 |
| 2.797 | 2.797 | 75.828 | -0.000 | -0.000 | -0.000 |
| -0.000 | -0.000 | -0.000 | 5.988 | 0.000 | -0.000 |
| -0.000 | -0.000 | -0.000 | 0.000 | 5.988 | -0.000 |
| -0.000 | -0.000 | -0.000 | -0.000 | -0.000 | 5.988 |
| -4.460 | 5.586 | 5.586 | 0.000 | -0.000 | -0.000 |
| 5.586 | -4.460 | 5.586 | -0.000 | 0.000 | -0.000 |
| 5.586 | 5.586 | -4.460 | -0.000 | -0.000 | -0.000 |
| -0.000 | -0.000 | -0.000 | 6.263 | -0.000 | -0.000 |
| -0.000 | -0.000 | -0.000 | -0.000 | 6.263 | -0.000 |
| -0.000 | -0.000 | -0.000 | -0.000 | -0.000 | 6.263 |
| -4.460 | 5.586 | 5.586 | 0.000 | -0.000 | 0.000 |
| 5.586 | -4.460 | 5.586 | -0.000 | -0.000 | 0.000 |
| 5.586 | 5.586 | -4.460 | 0.000 | 0.000 | 0.000 |
| 0.000 | 0.000 | 0.000 | 6.263 | 0.000 | 0.000 |
| 0.000 | 0.000 | 0.000 | -0.000 | 6.263 | 0.000 |
| 0.000 | 0.000 | 0.000 | 0.000 | 0.000 | 6.263 |
| -4.460 | 5.586 | 5.586 | 0.000 | 0.000 | -0.000 |
| 5.586 | -4.460 | 5.586 | 0.000 | 0.000 | -0.000 |
| 5.586 | 5.586 | -4.460 | -0.000 | -0.000 | -0.000 |
| -0.000 | -0.000 | -0.000 | 6.263 | 0.000 | -0.000 |
| -0.000 | -0.000 | -0.000 | 0.000 | 6.263 | -0.000 |
| -0.000 | -0.000 | -0.000 | 0.000 | 0.000 | 6.263 |
| -4.460 | 5.586 | 5.586 | -0.000 | -0.000 | 0.000 |
| 5.586 | -4.460 | 5.586 | -0.000 | -0.000 | 0.000 |
| 5.586 | 5.586 | -4.460 | -0.000 | -0.000 | 0.000 |
| 0.000 | 0.000 | 0.000 | 6.263 | -0.000 | 0.000 |
| 0.000 | 0.000 | 0.000 | 0.000 | 6.263 | 0.000 |
| 0.000 | 0.000 | 0.000 | -0.000 | 0.000 | 6.263 |
| -4.461 | 5.586 | 5.586 | -0.000 | 0.000 | -0.000 |
| 5.586 | -4.461 | 5.586 | 0.000 | 0.000 | -0.000 |
| 5.586 | 5.586 | -4.461 | 0.000 | 0.000 | -0.000 |
| -0.000 | -0.000 | -0.000 | 6.263 | 0.000 | -0.000 |
| -0.000 | -0.000 | -0.000 | 0.000 | 6.263 | -0.000 |
| -0.000 | -0.000 | -0.000 | -0.000 | 0.000 | 6.263 |
| -4.460 | 5.587 | 5.587 | 0.000 | -0.000 | 0.000 |
| 5.587 | -4.460 | 5.587 | -0.000 | -0.000 | 0.000 |
| 5.587 | 5.587 | -4.460 | 0.000 | 0.000 | 0.000 |
| 0.000 | 0.000 | 0.000 | 6.263 | -0.000 | 0.000 |
| 0.000 | 0.000 | 0.000 | -0.000 | 6.263 | 0.000 |
| 0.000 | 0.000 | 0.000 | 0.000 | 0.000 | 6.263 |
| 136.527 | 56.061 | 56.061 | -0.000 | 0.000 | 0.000 |
| 56.061 | 136.527 | 56.061 | 0.000 | 0.000 | -0.000 |
| 56.061 | 56.061 | 136.527 | -0.000 | -0.000 | 0.000 |
| 653815137.564 | 594530938.189 | 597260633.016 | -20685378.610 | 125763.189 | 2504096.084 |
| 593134403.945 | 655990780.163 | 592951882.108 | -830705.885 | -24576329.910 | 3385155.132 |
| 597907287.740 | 599868697.817 | 657707786.225 | 167735.045 | 3217202.567 | -21359716.116 |
| 136.527 | 56.061 | 56.061 | -0.000 | -0.000 | 0.000 |
| 56.061 | 136.527 | 56.061 | -0.000 | -0.000 | 0.000 |
| 56.061 | 56.061 | 136.527 | 0.000 | 0.000 | -0.000 |
| -643956666.277 | -596532571.079 | -600532334.331 | -27088017.828 | 4522317.240 | 1642630.068 |
| -596428369.205 | -644723778.037 | -605110534.290 | -1482191.874 | -26175758.920 | 4451684.541 |
| -609141947.714 | -603135323.967 | -646621794.703 | 6429580.622 | 2040389.275 | -25214974.396 |
| 136.527 | 56.061 | 56.061 | 0.000 | 0.000 | -0.000 |
| 56.061 | 136.527 | 56.061 | -0.000 | 0.000 | -0.000 |
| 56.061 | 56.061 | 136.527 | -0.000 | -0.000 | 0.000 |
| 58116707.035 | 57604218.336 | 57604225.660 | 36620182.321 | 0.051 | -0.095 |
| 57604218.335 | 58116707.035 | 57604225.659 | 0.050 | 36620182.320 | -0.095 |
| 60258471.588 | 60119785.171 | 64380590.860 | 130194.324 | -142735.533 | -2054960.162 |
| 136.527 | 56.061 | 56.061 | -0.000 | -0.000 | 0.000 |
| 56.061 | 136.527 | 56.061 | -0.000 | -0.000 | 0.000 |
| 56.061 | 56.061 | 136.527 | 0.000 | 0.000 | -0.000 |
| -64556264.656 | -60069416.800 | -60078949.103 | -2826103.037 | -173860.355 | -508918.476 |
| -57604218.284 | -58116707.042 | -57604225.608 | -1.102 | 36620182.255 | -1.083 |
| -57604218.283 | -57604225.607 | -58116707.042 | -1.103 | -1.084 | 36620182.254 |
| 136.525 | 56.061 | 56.061 | 0.000 | 0.000 | -0.000 |
| 56.061 | 136.525 | 56.061 | 0.000 | 0.000 | -0.000 |
| 56.061 | 56.061 | 136.525 | -0.000 | -0.000 | 0.000 |
| 5811699.116 | 5760448.587 | 5760455.911 | 3662043.460 | 0.007 | 0.009 |
| 5760448.587 | 5811699.116 | 5760455.911 | 0.007 | 3662043.460 | 0.009 |
| 5760448.587 | 5760455.911 | 5811699.116 | 0.007 | 0.009 | 3662043.460 |
| 136.528 | 56.061 | 56.061 | -0.000 | -0.000 | 0.000 |
| 56.061 | 136.528 | 56.061 | -0.000 | -0.000 | 0.000 |
| 56.061 | 56.061 | 136.528 | 0.000 | 0.000 | -0.000 |
| -5811699.116 | -5760448.587 | -5760455.911 | 3662043.460 | -0.009 | -0.009 |
| -5760448.587 | -5811699.116 | -5760455.911 | -0.009 | 3662043.460 | -0.009 |
| -5760448.587 | -5760455.911 | -5811699.116 | -0.009 | -0.009 | 3662043.460 |
| 44.358 | 24.921 | 24.921 | 0.000 | 0.000 | 0.000 |
| 24.921 | 44.358 | 24.921 | 0.000 | 0.000 | 0.000 |
| 24.921 | 24.921 | 44.358 | 0.000 | 0.000 | 0.000 |
| 0.000 | 0.000 | 0.000 | 18.329 | -0.000 | -0.000 |
| 0.000 | 0.000 | 0.000 | -0.000 | 18.329 | -0.000 |
| 0.000 | 0.000 | -0.000 | -0.000 | -0.000 | 18.329 |
| 44.358 | 24.921 | 24.921 | 0.000 | -0.000 | -0.000 |
| 24.921 | 44.358 | 24.921 | -0.000 | 0.000 | -0.000 |
| 24.921 | 24.921 | 44.358 | 0.000 | 0.000 | 0.000 |
| -0.000 | -0.000 | -0.000 | 18.329 | 0.000 | 0.000 |
| -0.000 | 0.000 | -0.000 | 0.000 | 18.329 | -0.000 |
| -0.000 | -0.000 | 0.000 | -0.000 | -0.000 | 18.329 |
| 44.358 | 24.922 | 24.922 | 0.000 | 0.000 | 0.000 |
| 24.922 | 44.358 | 24.922 | 0.000 | 0.000 | -0.000 |
| 24.922 | 24.922 | 44.358 | 0.000 | -0.000 | 0.000 |
| -0.000 | 0.000 | 0.000 | 18.329 | -0.000 | -0.000 |
| 0.000 | -0.000 | 0.000 | -0.000 | 18.329 | -0.000 |
| 0.000 | 0.000 | -0.000 | -0.000 | -0.000 | 18.329 |
| 44.358 | 24.921 | 24.921 | -0.000 | -0.000 | -0.000 |
| 24.921 | 44.358 | 24.921 | -0.000 | -0.000 | -0.000 |
| 24.921 | 24.921 | 44.358 | -0.000 | -0.000 | -0.000 |
| 0.000 | -0.000 | -0.000 | 18.329 | 0.000 | -0.000 |
| -0.000 | 0.000 | -0.000 | 0.000 | 18.329 | -0.000 |
| -0.000 | -0.000 | 0.000 | 0.000 | 0.000 | 18.329 |
| 44.358 | 24.922 | 24.922 | 0.000 | 0.000 | 0.000 |
| 24.922 | 44.358 | 24.922 | 0.000 | 0.000 | 0.000 |
| 24.922 | 24.922 | 44.358 | 0.000 | 0.000 | -0.000 |
| -0.000 | 0.000 | 0.000 | 18.329 | -0.000 | -0.000 |
| 0.000 | -0.000 | 0.000 | -0.000 | 18.329 | -0.000 |
| 0.000 | 0.000 | -0.000 | 0.000 | -0.000 | 18.329 |
| 44.358 | 24.921 | 24.921 | 0.000 | -0.000 | -0.000 |
| 24.921 | 44.358 | 24.921 | -0.000 | -0.000 | 0.000 |
| 24.921 | 24.921 | 44.358 | 0.000 | 0.000 | -0.000 |
| 0.000 | -0.000 | -0.000 | 18.329 | 0.000 | 0.000 |
| -0.000 | 0.000 | -0.000 | 0.000 | 18.329 | 0.000 |
| -0.000 | -0.000 | 0.000 | 0.000 | 0.000 | 18.329 |
| 100.182 | 50.881 | 50.881 | 0.000 | -0.000 | -0.000 |
| 50.881 | 100.182 | 50.881 | -0.000 | 0.000 | -0.000 |
| 50.881 | 50.881 | 100.182 | -0.000 | -0.000 | 0.000 |
| -0.000 | 0.000 | 0.000 | 49.659 | -0.000 | -0.000 |
| 0.000 | -0.000 | 0.000 | -0.000 | 49.659 | 0.000 |
| 0.000 | 0.000 | -0.000 | 0.000 | 0.000 | 49.659 |
| 100.181 | 50.880 | 50.880 | -0.000 | -0.000 | 0.000 |
| 50.880 | 100.181 | 50.880 | 0.000 | 0.000 | 0.000 |
| 50.880 | 50.880 | 100.181 | 0.000 | 0.000 | 0.000 |
| 0.000 | -0.000 | -0.000 | 49.659 | -0.000 | 0.000 |
| -0.000 | 0.000 | -0.000 | -0.000 | 49.659 | 0.000 |
| -0.000 | -0.000 | 0.000 | 0.000 | 0.000 | 49.659 |
| 100.187 | 50.883 | 50.883 | 0.000 | 0.000 | 0.000 |
| 50.883 | 100.187 | 50.883 | 0.000 | 0.000 | -0.000 |
| 50.883 | 50.883 | 100.187 | -0.000 | -0.000 | 0.000 |
| -0.000 | 0.003 | 0.003 | 51.145 | 0.000 | 0.000 |
| 0.003 | -0.000 | 0.003 | 0.000 | 51.145 | 0.000 |
| 0.003 | 0.003 | -0.000 | 0.000 | 0.000 | 51.145 |
| 100.177 | 50.878 | 50.878 | -0.000 | -0.000 | -0.000 |
| 50.878 | 100.177 | 50.878 | -0.000 | -0.000 | 0.000 |
| 50.878 | 50.878 | 100.177 | -0.000 | -0.000 | 0.000 |
| 0.000 | -0.003 | -0.003 | 51.145 | -0.000 | -0.000 |
| -0.003 | 0.000 | -0.003 | -0.000 | 51.145 | 0.000 |
| -0.003 | -0.003 | 0.000 | 0.000 | -0.000 | 51.145 |
| 100.232 | 50.906 | 50.906 | 0.000 | -0.000 | -0.000 |
| 50.906 | 100.232 | 50.906 | -0.000 | -0.000 | -0.000 |
| 50.906 | 50.906 | 100.232 | -0.000 | -0.000 | 0.000 |
| -0.000 | 0.025 | 0.025 | 49.659 | 0.000 | -0.000 |
| 0.025 | -0.000 | 0.025 | -0.000 | 49.659 | -0.000 |
| 0.025 | 0.025 | -0.000 | 0.000 | 0.000 | 49.659 |
| 100.131 | 50.855 | 50.855 | -0.000 | 0.000 | 0.000 |
| 50.855 | 100.131 | 50.855 | 0.000 | -0.000 | 0.000 |
| 50.855 | 50.855 | 100.131 | -0.000 | -0.000 | 0.000 |
| 0.000 | -0.025 | -0.025 | 49.659 | 0.000 | 0.000 |
| -0.025 | 0.000 | -0.025 | 0.000 | 49.659 | 0.000 |
| -0.025 | -0.025 | 0.000 | 0.000 | 0.000 | 49.659 |
| 4.907 | 4.903 | 4.903 | 0.000 | 0.000 | 0.000 |
| 4.903 | 4.907 | 4.903 | 0.000 | 0.000 | 0.000 |
| 4.903 | 4.903 | 4.907 | 0.000 | 0.000 | 0.000 |
| -0.000 | -0.000 | -0.000 | 0.005 | 0.000 | 0.000 |
| -0.000 | -0.000 | -0.000 | 0.000 | 0.005 | 0.000 |
| -0.000 | -0.000 | -0.000 | 0.000 | 0.000 | 0.005 |
| 4.907 | 4.903 | 4.903 | -0.000 | -0.000 | -0.000 |
| 4.903 | 4.907 | 4.903 | -0.000 | -0.000 | -0.000 |
| 4.903 | 4.903 | 4.907 | -0.000 | -0.000 | -0.000 |
| 0.000 | 0.000 | 0.000 | 0.005 | -0.000 | -0.000 |
| 0.000 | 0.000 | 0.000 | -0.000 | 0.005 | -0.000 |
| 0.000 | 0.000 | 0.000 | -0.000 | -0.000 | 0.005 |
| 4.907 | 4.903 | 4.903 | 0.000 | 0.000 | 0.000 |
| 4.903 | 4.907 | 4.903 | 0.000 | 0.000 | 0.000 |
| 4.903 | 4.903 | 4.907 | 0.000 | 0.000 | 0.000 |
| -0.000 | -0.000 | -0.000 | 0.005 | 0.000 | 0.000 |
| -0.000 | -0.000 | -0.000 | 0.000 | 0.005 | 0.000 |
| -0.000 | -0.000 | -0.000 | 0.000 | 0.000 | 0.005 |
| 4.907 | 4.903 | 4.903 | -0.000 | -0.000 | -0.000 |
| 4.903 | 4.907 | 4.903 | -0.000 | -0.000 | -0.000 |
| 4.903 | 4.903 | 4.907 | -0.000 | -0.000 | -0.000 |
| 0.000 | 0.000 | 0.000 | 0.005 | -0.000 | -0.000 |
| 0.000 | 0.000 | 0.000 | -0.000 | 0.005 | -0.000 |
| 0.000 | 0.000 | 0.000 | -0.000 | -0.000 | 0.005 |
| 4.907 | 4.903 | 4.903 | 0.000 | 0.000 | 0.000 |
| 4.903 | 4.907 | 4.903 | 0.000 | 0.000 | 0.000 |
| 4.903 | 4.903 | 4.907 | 0.000 | 0.000 | 0.000 |
| -0.000 | -0.000 | -0.000 | 0.005 | 0.000 | 0.000 |
| -0.000 | -0.000 | -0.000 | 0.000 | 0.005 | 0.000 |
| -0.000 | -0.000 | -0.000 | 0.000 | 0.000 | 0.005 |
| 4.908 | 4.903 | 4.903 | -0.000 | -0.000 | -0.000 |
| 4.903 | 4.908 | 4.903 | -0.000 | -0.000 | -0.000 |
| 4.903 | 4.903 | 4.908 | -0.000 | -0.000 | -0.000 |
| 0.000 | 0.000 | 0.000 | 0.005 | -0.000 | -0.000 |
| 0.000 | 0.000 | 0.000 | -0.000 | 0.005 | -0.000 |
| 0.000 | 0.000 | 0.000 | -0.000 | -0.000 | 0.005 |
| -4.249 | -4.838 | -4.838 | 0.000 | -0.000 | -0.000 |
| -4.838 | -4.249 | -4.838 | -0.000 | 0.000 | 0.000 |
| -4.838 | -4.838 | -4.249 | 0.000 | 0.000 | 0.000 |
| -0.000 | -0.000 | -0.000 | -14.962 | 0.000 | 0.000 |
| -0.000 | -0.000 | -0.000 | 0.000 | -14.962 | 0.000 |
| -0.000 | -0.000 | -0.000 | 0.000 | 0.000 | -14.962 |
| -4.249 | -4.838 | -4.838 | -0.000 | 0.000 | 0.000 |
| -4.838 | -4.249 | -4.838 | -0.000 | -0.000 | 0.000 |
| -4.838 | -4.838 | -4.249 | 0.000 | 0.000 | -0.000 |
| 0.000 | 0.000 | 0.000 | -14.962 | -0.000 | -0.000 |
| 0.000 | 0.000 | 0.000 | -0.000 | -14.962 | -0.000 |
| 0.000 | 0.000 | 0.000 | -0.000 | -0.000 | -14.962 |
| -4.249 | -4.838 | -4.838 | -0.000 | -0.000 | -0.000 |
| -4.838 | -4.249 | -4.838 | -0.000 | -0.000 | 0.000 |
| -4.838 | -4.838 | -4.249 | 0.000 | -0.000 | -0.000 |
| -0.000 | -0.000 | -0.000 | -4.249 | -0.000 | -0.000 |
| -0.000 | -0.000 | -0.000 | -0.000 | -4.249 | 0.000 |
| -0.000 | -0.000 | -0.000 | -0.000 | -0.000 | -4.249 |
| -4.249 | -4.838 | -4.838 | -0.000 | 0.000 | -0.000 |
| -4.838 | -4.249 | -4.838 | 0.000 | -0.000 | -0.000 |
| -4.838 | -4.838 | -4.249 | -0.000 | -0.000 | -0.000 |
| 0.000 | 0.000 | 0.000 | -4.249 | 0.000 | 0.000 |
| 0.000 | 0.000 | 0.000 | 0.000 | -4.249 | 0.000 |
| 0.000 | 0.000 | 0.000 | 0.000 | 0.000 | -4.249 |
| -4.249 | -4.838 | -4.838 | 0.000 | 0.000 | -0.000 |
| -4.838 | -4.249 | -4.838 | 0.000 | 0.000 | -0.000 |
| -4.838 | -4.838 | -4.249 | -0.000 | -0.000 | 0.000 |
| -0.000 | -0.000 | -0.000 | -4.249 | 0.000 | -0.000 |
| -0.000 | -0.000 | -0.000 | 0.000 | -4.249 | -0.000 |
| -0.000 | -0.000 | -0.000 | 0.000 | -0.000 | -4.249 |
| -4.249 | -4.838 | -4.838 | -0.000 | -0.000 | -0.000 |
| -4.838 | -4.249 | -4.838 | -0.000 | -0.000 | -0.000 |
| -4.838 | -4.838 | -4.249 | -0.000 | -0.000 | -0.000 |
| 0.000 | 0.000 | 0.000 | -4.249 | 0.000 | 0.000 |
| 0.000 | 0.000 | 0.000 | 0.000 | -4.249 | -0.000 |
| 0.000 | 0.000 | 0.000 | 0.000 | -0.000 | -4.249 |
| 240.847 | 53.299 | 49.780 | -0.000 | 0.000 | 0.000 |
| 53.299 | 240.847 | 49.780 | 0.000 | -0.000 | -0.000 |
| 49.780 | 49.780 | -66.633 | -0.000 | 0.000 | 0.000 |
| 0.000 | 0.000 | 0.000 | 47.309 | 0.000 | -0.000 |
| 0.000 | 0.000 | 0.000 | 0.000 | 47.309 | -0.000 |
| 0.000 | 0.000 | -0.000 | 0.000 | -0.000 | 52.022 |
| 240.847 | 53.299 | 49.780 | -0.000 | -0.000 | 0.000 |
| 53.299 | 240.847 | 49.780 | -0.000 | -0.000 | 0.000 |
| 49.780 | 49.780 | -66.633 | -0.000 | -0.000 | 0.000 |
| -0.000 | -0.000 | 0.000 | 47.309 | -0.000 | 0.000 |
| -0.000 | -0.000 | -0.000 | -0.000 | 47.309 | 0.000 |
| -0.000 | -0.000 | 0.000 | 0.000 | 0.000 | 52.022 |
| 240.847 | 53.300 | 49.780 | 0.000 | -0.000 | -0.000 |
| 53.300 | 240.847 | 49.780 | -0.000 | 0.000 | -0.000 |
| 49.780 | 49.780 | -66.632 | 0.000 | 0.000 | 0.000 |
| 0.000 | 0.000 | 0.000 | 47.309 | 0.000 | -0.000 |
| 0.000 | 0.000 | 0.000 | 0.000 | 47.309 | -0.000 |
| 0.000 | 0.000 | 0.000 | -0.000 | 0.000 | 52.022 |
| 240.846 | 53.299 | 49.780 | -0.000 | -0.000 | 0.000 |
| 53.299 | 240.846 | 49.780 | -0.000 | -0.000 | 0.000 |
| 49.780 | 49.780 | -66.633 | -0.000 | 0.000 | 0.000 |
| -0.000 | -0.000 | -0.000 | 47.309 | -0.000 | 0.000 |
| -0.000 | -0.000 | -0.000 | 0.000 | 47.309 | 0.000 |
| -0.000 | -0.000 | -0.000 | -0.000 | -0.000 | 52.022 |
| 240.850 | 53.300 | 49.781 | -0.000 | 0.000 | -0.000 |
| 53.300 | 240.850 | 49.781 | 0.000 | -0.000 | -0.000 |
| 49.781 | 49.781 | -66.630 | 0.000 | 0.000 | -0.000 |
| 0.000 | 0.001 | 0.001 | 47.309 | 0.000 | -0.000 |
| 0.001 | 0.000 | 0.001 | 0.000 | 47.309 | -0.000 |
| 0.001 | 0.001 | 0.000 | -0.000 | -0.000 | 52.022 |
| 240.843 | 53.299 | 49.779 | 0.000 | -0.000 | 0.000 |
| 53.299 | 240.843 | 49.779 | 0.000 | 0.000 | 0.000 |
| 49.779 | 49.779 | -66.636 | 0.000 | 0.000 | 0.000 |
| -0.000 | -0.001 | -0.001 | 47.309 | -0.000 | 0.000 |
| -0.001 | -0.000 | -0.001 | -0.000 | 47.309 | 0.000 |
| -0.001 | -0.001 | -0.000 | -0.000 | 0.000 | 52.022 |
| -110.880 | -48.454 | -11.674 | -0.000 | -0.000 | -0.000 |
| -48.454 | -110.880 | -11.674 | -0.000 | -0.000 | 0.000 |
| -11.674 | -11.674 | 42.115 | -0.000 | -0.000 | -0.000 |
| -0.000 | 0.000 | 0.000 | -11.674 | -0.000 | 0.000 |
| 0.000 | -0.000 | 0.000 | -0.000 | -11.674 | -0.000 |
| 0.000 | 0.000 | 0.000 | -0.000 | -0.000 | -48.454 |
| -110.880 | -48.454 | -11.674 | 0.000 | 0.000 | 0.000 |
| -48.454 | -110.880 | -11.674 | 0.000 | 0.000 | 0.000 |
| -11.674 | -11.674 | 42.115 | 0.000 | 0.000 | 0.000 |
| -0.000 | -0.000 | -0.000 | -11.674 | 0.000 | -0.000 |
| -0.000 | -0.000 | -0.000 | 0.000 | -11.674 | -0.000 |
| -0.000 | -0.000 | -0.000 | 0.000 | 0.000 | -48.454 |
| -110.880 | -48.454 | -11.674 | -0.000 | -0.000 | 0.000 |
| -48.454 | -110.880 | -11.674 | -0.000 | -0.000 | 0.000 |
| -11.674 | -11.674 | 42.115 | -0.000 | -0.000 | -0.000 |
| 0.000 | 0.000 | 0.000 | -11.674 | -0.000 | 0.000 |
| 0.000 | 0.000 | 0.000 | -0.000 | -11.674 | -0.000 |
| 0.000 | 0.000 | 0.000 | -0.000 | -0.000 | -48.454 |
| -110.880 | -48.454 | -11.674 | 0.000 | 0.000 | -0.000 |
| -48.454 | -110.880 | -11.674 | 0.000 | 0.000 | -0.000 |
| -11.674 | -11.674 | 42.115 | 0.000 | 0.000 | 0.000 |
| -0.000 | -0.000 | -0.000 | -11.674 | 0.000 | -0.000 |
| -0.000 | -0.000 | -0.000 | 0.000 | -11.674 | 0.000 |
| -0.000 | -0.000 | -0.000 | 0.000 | 0.000 | -48.454 |
| -110.880 | -48.454 | -11.674 | -0.000 | -0.000 | 0.000 |
| -48.454 | -110.880 | -11.674 | -0.000 | -0.000 | 0.000 |
| -11.674 | -11.674 | 42.116 | -0.000 | -0.000 | -0.000 |
| 0.000 | 0.000 | 0.000 | -11.674 | -0.000 | 0.000 |
| 0.000 | 0.000 | 0.000 | -0.000 | -11.674 | -0.000 |
| 0.000 | 0.000 | 0.000 | -0.000 | -0.000 | -48.454 |
| -110.879 | -48.454 | -11.674 | 0.000 | 0.000 | -0.000 |
| -48.454 | -110.879 | -11.674 | 0.000 | 0.000 | -0.000 |
| -11.674 | -11.674 | 42.114 | 0.000 | 0.000 | 0.000 |
| -0.000 | -0.000 | -0.000 | -11.674 | 0.000 | -0.000 |
| -0.000 | -0.000 | -0.000 | 0.000 | -11.674 | 0.000 |
| -0.000 | -0.000 | -0.000 | 0.000 | 0.000 | -48.454 |
| 64.244 | 12.031 | 17.304 | -0.000 | 0.000 | 0.000 |
| 12.031 | 64.244 | 17.304 | 0.000 | 0.000 | 0.000 |
| 17.304 | 17.304 | 67.385 | 0.000 | 0.000 | 0.000 |
| -0.000 | -0.000 | -0.000 | 17.304 | -0.000 | 0.000 |
| -0.000 | -0.000 | -0.000 | -0.000 | 17.304 | 0.000 |
| -0.000 | -0.000 | -0.000 | -0.000 | 0.000 | 12.031 |
| 64.244 | 12.031 | 17.304 | 0.000 | -0.000 | -0.000 |
| 12.031 | 64.244 | 17.304 | -0.000 | 0.000 | -0.000 |
| 17.304 | 17.304 | 67.385 | -0.000 | -0.000 | -0.000 |
| 0.000 | 0.000 | 0.000 | 17.304 | -0.000 | -0.000 |
| 0.000 | 0.000 | 0.000 | -0.000 | 17.304 | -0.000 |
| 0.000 | 0.000 | 0.000 | 0.000 | -0.000 | 12.031 |
| 64.244 | 12.031 | 17.304 | 0.000 | 0.000 | 0.000 |
| 12.031 | 64.244 | 17.304 | 0.000 | 0.000 | 0.000 |
| 17.304 | 17.304 | 67.385 | 0.000 | 0.000 | 0.000 |
| -0.000 | -0.000 | -0.000 | 17.304 | 0.000 | 0.000 |
| -0.000 | -0.000 | -0.000 | 0.000 | 17.304 | 0.000 |
| -0.000 | -0.000 | -0.000 | -0.000 | 0.000 | 12.031 |
| 64.244 | 12.031 | 17.304 | 0.000 | -0.000 | -0.000 |
| 12.031 | 64.244 | 17.304 | -0.000 | 0.000 | -0.000 |
| 17.304 | 17.304 | 67.385 | -0.000 | -0.000 | -0.000 |
| 0.000 | 0.000 | 0.000 | 17.304 | -0.000 | -0.000 |
| 0.000 | 0.000 | 0.000 | -0.000 | 17.304 | -0.000 |
| 0.000 | 0.000 | 0.000 | 0.000 | -0.000 | 12.031 |
| 64.244 | 12.031 | 17.304 | -0.000 | 0.000 | 0.000 |
| 12.031 | 64.244 | 17.304 | 0.000 | -0.000 | 0.000 |
| 17.304 | 17.304 | 67.385 | 0.000 | 0.000 | 0.000 |
| -0.000 | -0.000 | -0.000 | 17.304 | 0.000 | 0.000 |
| -0.000 | -0.000 | -0.000 | 0.000 | 17.304 | 0.000 |
| -0.000 | -0.000 | -0.000 | -0.000 | 0.000 | 12.031 |
| 64.243 | 12.031 | 17.304 | 0.000 | -0.000 | -0.000 |
| 12.031 | 64.243 | 17.304 | -0.000 | 0.000 | -0.000 |
| 17.304 | 17.304 | 67.385 | -0.000 | -0.000 | -0.000 |
| 0.000 | 0.000 | 0.000 | 17.304 | -0.000 | -0.000 |
| 0.000 | 0.000 | 0.000 | -0.000 | 17.304 | -0.000 |
| 0.000 | 0.000 | 0.000 | 0.000 | -0.000 | 12.031 |
| 9.161 | -12.087 | -18.522 | 0.000 | 0.000 | -0.000 |
| -12.087 | 9.161 | -18.522 | 0.000 | 0.000 | -0.000 |
| -19.117 | -19.117 | -39.306 | 0.000 | 0.000 | -0.000 |
| 0.000 | 0.000 | 0.000 | -15.201 | -0.000 | -0.000 |
| 0.000 | 0.000 | 0.000 | 0.000 | -15.201 | -0.000 |
| 0.000 | 0.000 | 0.000 | 0.000 | 0.000 | -7.576 |
| 9.161 | -12.087 | -18.522 | -0.000 | -0.000 | 0.000 |
| -12.087 | 9.161 | -18.522 | -0.000 | -0.000 | 0.000 |
| -19.117 | -19.117 | -39.306 | -0.000 | 0.000 | 0.000 |
| -0.000 | -0.000 | -0.000 | -15.201 | -0.000 | 0.000 |
| -0.000 | -0.000 | -0.000 | -0.000 | -15.201 | 0.000 |
| -0.000 | -0.000 | -0.000 | -0.000 | -0.000 | -7.576 |
| 9.161 | -12.087 | -18.522 | 0.000 | 0.000 | -0.000 |
| -12.087 | 9.161 | -18.522 | 0.000 | 0.000 | -0.000 |
| -19.117 | -19.117 | -39.306 | 0.000 | -0.000 | -0.000 |
| 0.000 | 0.000 | 0.000 | -15.201 | -0.000 | -0.000 |
| 0.000 | 0.000 | 0.000 | -0.000 | -15.201 | -0.000 |
| 0.000 | 0.000 | 0.000 | 0.000 | 0.000 | -7.576 |
| 9.161 | -12.087 | -18.522 | -0.000 | -0.000 | 0.000 |
| -12.087 | 9.161 | -18.522 | -0.000 | -0.000 | 0.000 |
| -19.117 | -19.117 | -39.306 | -0.000 | -0.000 | 0.000 |
| -0.000 | -0.000 | -0.000 | -15.201 | 0.000 | 0.000 |
| -0.000 | -0.000 | -0.000 | 0.000 | -15.201 | 0.000 |
| -0.000 | -0.000 | -0.000 | -0.000 | -0.000 | -7.576 |
| 9.162 | -12.087 | -18.522 | 0.000 | 0.000 | -0.000 |
| -12.087 | 9.162 | -18.522 | 0.000 | 0.000 | -0.000 |
| -19.117 | -19.117 | -39.308 | 0.000 | 0.000 | -0.000 |
| 0.000 | 0.000 | 0.000 | -15.201 | 0.000 | -0.000 |
| 0.000 | 0.000 | 0.000 | 0.000 | -15.201 | -0.000 |
| 0.000 | 0.000 | 0.000 | 0.000 | 0.000 | -7.576 |
| 9.161 | -12.087 | -18.522 | -0.000 | -0.000 | 0.000 |
| -12.087 | 9.161 | -18.522 | -0.000 | -0.000 | 0.000 |
| -19.117 | -19.117 | -39.304 | -0.000 | -0.000 | 0.000 |
| -0.000 | -0.000 | -0.000 | -15.201 | -0.000 | 0.000 |
| -0.000 | -0.000 | -0.000 | -0.000 | -15.201 | 0.000 |
| -0.000 | -0.000 | -0.000 | -0.000 | -0.000 | -7.576 |
| 43.332 | 17.071 | 17.071 | 0.000 | 0.000 | 0.000 |
| 17.071 | 43.332 | 17.071 | 0.000 | 0.000 | 0.000 |
| 17.071 | 17.071 | 43.332 | 0.000 | 0.000 | 0.000 |
| 0.000 | 0.000 | 0.000 | 14.328 | 0.000 | 0.000 |
| 0.000 | 0.000 | 0.000 | 0.000 | 14.328 | 0.000 |
| 0.000 | 0.000 | 0.000 | 0.000 | 0.000 | 14.328 |
| 43.332 | 17.071 | 17.071 | -0.000 | -0.000 | -0.000 |
| 17.071 | 43.332 | 17.071 | -0.000 | -0.000 | -0.000 |
| 17.071 | 17.071 | 43.332 | -0.000 | -0.000 | -0.000 |
| -0.000 | -0.000 | -0.000 | 14.328 | -0.000 | -0.000 |
| -0.000 | -0.000 | -0.000 | -0.000 | 14.328 | -0.000 |
| -0.000 | -0.000 | -0.000 | -0.000 | -0.000 | 14.328 |
| 43.332 | 17.071 | 17.071 | 0.000 | 0.000 | 0.000 |
| 17.071 | 43.332 | 17.071 | 0.000 | 0.000 | 0.000 |
| 17.071 | 17.071 | 43.332 | 0.000 | 0.000 | 0.000 |
| 0.000 | 0.000 | 0.000 | 14.328 | 0.000 | 0.000 |
| 0.000 | 0.000 | 0.000 | 0.000 | 14.328 | 0.000 |
| 0.000 | 0.000 | 0.000 | 0.000 | 0.000 | 14.328 |
| 43.332 | 17.071 | 17.071 | -0.000 | -0.000 | -0.000 |
| 17.071 | 43.332 | 17.071 | -0.000 | -0.000 | -0.000 |
| 17.071 | 17.071 | 43.332 | -0.000 | -0.000 | -0.000 |
| -0.000 | -0.000 | -0.000 | 14.328 | -0.000 | -0.000 |
| -0.000 | -0.000 | -0.000 | -0.000 | 14.328 | -0.000 |
| -0.000 | -0.000 | -0.000 | -0.000 | -0.000 | 14.328 |
| 43.333 | 17.071 | 17.071 | 0.000 | 0.000 | 0.000 |
| 17.071 | 43.333 | 17.071 | 0.000 | 0.000 | 0.000 |
| 17.071 | 17.071 | 43.333 | 0.000 | 0.000 | 0.000 |
| 0.000 | 0.000 | 0.000 | 14.328 | 0.000 | 0.000 |
| 0.000 | 0.000 | 0.000 | 0.000 | 14.328 | 0.000 |
| 0.000 | 0.000 | 0.000 | 0.000 | 0.000 | 14.328 |
| 43.332 | 17.071 | 17.071 | -0.000 | -0.000 | -0.000 |
| 17.071 | 43.332 | 17.071 | -0.000 | -0.000 | -0.000 |
| 17.071 | 17.071 | 43.332 | -0.000 | -0.000 | -0.000 |
| -0.000 | -0.000 | -0.000 | 14.328 | -0.000 | -0.000 |
| -0.000 | -0.000 | -0.000 | -0.000 | 14.328 | -0.000 |
| -0.000 | -0.000 | -0.000 | -0.000 | -0.000 | 14.328 |
| 4.095 | 0.968 | 0.968 | -0.000 | -0.000 | 0.000 |
| 0.968 | 4.095 | 0.968 | -0.000 | -0.000 | 0.000 |
| 0.968 | 0.968 | 4.095 | 0.000 | -0.000 | -0.000 |
| -0.000 | -0.000 | -0.000 | -0.643 | -0.000 | -0.000 |
| -0.000 | -0.000 | 0.000 | -0.000 | -0.643 | 0.000 |
| 0.000 | 0.000 | -0.000 | 0.000 | 0.000 | -0.643 |
| 2.976 | -0.151 | -0.151 | 0.000 | 0.000 | 0.000 |
| -0.151 | 2.976 | -0.151 | 0.000 | 0.000 | 0.000 |
| -0.151 | -0.151 | 2.976 | 0.000 | 0.000 | 0.000 |
| 0.000 | -0.000 | -0.000 | -0.643 | 0.000 | -0.000 |
| -0.000 | 0.000 | -0.000 | 0.000 | -0.643 | -0.000 |
| -0.000 | -0.000 | 0.000 | -0.000 | -0.000 | -0.643 |
| 4.095 | 0.968 | 0.968 | 0.000 | -0.000 | -0.000 |
| 0.968 | 4.095 | 0.968 | -0.000 | -0.000 | -0.000 |
| 0.968 | 0.968 | 4.095 | -0.000 | -0.000 | -0.000 |
| 0.000 | 0.000 | 0.000 | -0.670 | -0.000 | 0.000 |
| 0.000 | 0.000 | 0.000 | -0.000 | -0.670 | 0.000 |
| 0.000 | 0.000 | 0.000 | 0.000 | 0.000 | -0.670 |
| 2.975 | -0.152 | -0.152 | 0.000 | 0.000 | 0.000 |
| -0.152 | 2.975 | -0.152 | 0.000 | 0.000 | 0.000 |
| -0.152 | -0.152 | 2.975 | 0.000 | 0.000 | 0.000 |
| -0.000 | -0.000 | -0.000 | -0.643 | 0.000 | -0.000 |
| -0.000 | -0.000 | -0.000 | 0.000 | -0.643 | -0.000 |
| -0.000 | -0.000 | -0.000 | -0.000 | -0.000 | -0.643 |
| 4.095 | 0.968 | 0.968 | -0.000 | -0.000 | 0.000 |
| 0.968 | 4.095 | 0.968 | -0.000 | -0.000 | -0.000 |
| 0.968 | 0.968 | 4.095 | -0.000 | -0.000 | 0.000 |
| 0.000 | 0.000 | 0.000 | -0.692 | -0.000 | 0.000 |
| 0.000 | 0.000 | 0.000 | -0.000 | -0.692 | 0.000 |
| 0.000 | 0.000 | 0.000 | 0.000 | 0.000 | -0.692 |
| 2.975 | -0.152 | -0.152 | 0.000 | 0.000 | -0.000 |
| -0.152 | 2.975 | -0.152 | 0.000 | 0.000 | 0.000 |
| -0.152 | -0.152 | 2.975 | 0.000 | 0.000 | 0.000 |
| -0.000 | -0.000 | -0.000 | -0.692 | 0.000 | -0.000 |
| -0.000 | -0.000 | -0.000 | 0.000 | -0.692 | -0.000 |
| -0.000 | -0.000 | -0.000 | -0.000 | 0.000 | -0.692 |
| 6.206 | 1.169 | 1.169 | -0.000 | -0.000 | -0.000 |
| 1.169 | 6.206 | 1.169 | -0.000 | -0.000 | -0.000 |
| 1.169 | 1.169 | 6.206 | -0.000 | -0.000 | -0.000 |
| -0.000 | -0.000 | -0.000 | 0.333 | -0.000 | -0.000 |
| -0.000 | -0.000 | -0.000 | -0.000 | 0.333 | -0.000 |
| -0.000 | -0.000 | -0.000 | -0.000 | -0.000 | 0.333 |
| 6.206 | 1.169 | 1.169 | 0.000 | 0.000 | 0.000 |
| 1.169 | 6.206 | 1.169 | 0.000 | 0.000 | 0.000 |
| 1.169 | 1.169 | 6.206 | 0.000 | 0.000 | 0.000 |
| 0.000 | 0.000 | 0.000 | 0.333 | 0.000 | 0.000 |
| 0.000 | 0.000 | 0.000 | 0.000 | 0.333 | 0.000 |
| 0.000 | 0.000 | 0.000 | 0.000 | 0.000 | 0.333 |
| 6.206 | 1.169 | 1.169 | -0.000 | -0.000 | -0.000 |
| 1.169 | 6.206 | 1.169 | -0.000 | -0.000 | -0.000 |
| 1.169 | 1.169 | 6.206 | -0.000 | -0.000 | -0.000 |
| -0.000 | -0.000 | -0.000 | 0.408 | -0.000 | -0.000 |
| -0.000 | -0.000 | -0.000 | -0.000 | 0.408 | -0.000 |
| -0.000 | -0.000 | -0.000 | -0.000 | -0.000 | 0.408 |
| 6.206 | 1.169 | 1.169 | 0.000 | 0.000 | 0.000 |
| 1.169 | 6.206 | 1.169 | 0.000 | 0.000 | 0.000 |
| 1.169 | 1.169 | 6.206 | 0.000 | 0.000 | 0.000 |
| 0.000 | 0.000 | 0.000 | 0.408 | 0.000 | 0.000 |
| 0.000 | 0.000 | 0.000 | 0.000 | 0.408 | 0.000 |
| 0.000 | 0.000 | 0.000 | 0.000 | 0.000 | 0.408 |
| 6.206 | 1.169 | 1.169 | -0.000 | -0.000 | -0.000 |
| 1.169 | 6.206 | 1.169 | -0.000 | -0.000 | -0.000 |
| 1.169 | 1.169 | 6.206 | -0.000 | -0.000 | -0.000 |
| -0.000 | -0.000 | -0.000 | 0.313 | -0.000 | -0.000 |
| -0.000 | -0.000 | -0.000 | -0.000 | 0.313 | -0.000 |
| -0.000 | -0.000 | -0.000 | -0.000 | -0.000 | 0.313 |
| 6.206 | 1.169 | 1.169 | 0.000 | 0.000 | 0.000 |
| 1.169 | 6.206 | 1.169 | 0.000 | 0.000 | 0.000 |
| 1.169 | 1.169 | 6.206 | -0.000 | -0.000 | 0.000 |
| 0.000 | 0.000 | 0.000 | 0.313 | 0.000 | 0.000 |
| 0.000 | 0.000 | 0.000 | 0.000 | 0.313 | 0.000 |
| 0.000 | 0.000 | 0.000 | 0.000 | 0.000 | 0.313 |
| 10.391 | 9.226 | 9.226 | -0.000 | -0.000 | -0.000 |
| 9.226 | 10.391 | 9.226 | -0.000 | -0.000 | -0.000 |
| 9.226 | 9.226 | 10.391 | -0.000 | -0.000 | -0.000 |
| 0.000 | -0.000 | 0.000 | 1.050 | -0.000 | -0.000 |
| -0.000 | 0.000 | 0.000 | 0.000 | 1.050 | -0.000 |
| -0.000 | -0.000 | 0.000 | -0.000 | -0.000 | 1.050 |
| 10.391 | 9.226 | 9.226 | -0.000 | 0.000 | 0.000 |
| 9.226 | 10.391 | 9.226 | 0.000 | 0.000 | -0.000 |
| 9.226 | 9.226 | 10.391 | 0.000 | 0.000 | 0.000 |
| -0.000 | 0.000 | -0.000 | 1.050 | 0.000 | 0.000 |
| 0.000 | -0.000 | -0.000 | -0.000 | 1.050 | 0.000 |
| 0.000 | -0.000 | -0.000 | 0.000 | 0.000 | 1.050 |
| 10.391 | 9.226 | 9.226 | -0.000 | 0.000 | 0.000 |
| 9.226 | 10.391 | 9.226 | 0.000 | -0.000 | 0.000 |
| 9.226 | 9.226 | 10.391 | -0.000 | -0.000 | -0.000 |
| 0.000 | -0.000 | -0.000 | 1.050 | -0.000 | 0.000 |
| -0.000 | 0.000 | -0.000 | -0.000 | 1.050 | -0.000 |
| -0.000 | -0.000 | 0.000 | -0.000 | -0.000 | 1.050 |
| 10.391 | 9.226 | 9.226 | -0.000 | 0.000 | -0.000 |
| 9.226 | 10.391 | 9.226 | 0.000 | 0.000 | -0.000 |
| 9.226 | 9.226 | 10.391 | 0.000 | 0.000 | 0.000 |
| -0.000 | 0.000 | 0.000 | 1.050 | 0.000 | 0.000 |
| 0.000 | -0.000 | 0.000 | 0.000 | 1.050 | -0.000 |
| 0.000 | 0.000 | -0.000 | 0.000 | 0.000 | 1.050 |
| 10.391 | 9.226 | 9.226 | 0.000 | 0.000 | 0.000 |
| 9.226 | 10.391 | 9.226 | 0.000 | -0.000 | 0.000 |
| 9.226 | 9.226 | 10.391 | 0.000 | -0.000 | 0.000 |
| 0.000 | -0.000 | -0.000 | 1.050 | -0.000 | 0.000 |
| -0.000 | 0.000 | -0.000 | -0.000 | 1.050 | -0.000 |
| -0.000 | -0.000 | 0.000 | -0.000 | -0.000 | 1.050 |
| 10.391 | 9.226 | 9.226 | 0.000 | 0.000 | -0.000 |
| 9.226 | 10.391 | 9.226 | -0.000 | 0.000 | 0.000 |
| 9.226 | 9.226 | 10.391 | 0.000 | 0.000 | 0.000 |
| -0.000 | 0.000 | 0.000 | 1.050 | 0.000 | 0.000 |
| 0.000 | -0.000 | 0.000 | 0.000 | 1.050 | -0.000 |
| 0.000 | 0.000 | -0.000 | 0.000 | 0.000 | 1.050 |
| 10.529 | 9.469 | 9.469 | 0.000 | 0.000 | -0.000 |
| 9.469 | 10.529 | 9.469 | 0.000 | 0.000 | 0.000 |
| 9.469 | 9.469 | 10.529 | 0.000 | -0.000 | -0.000 |
| 0.000 | -0.000 | 0.000 | 0.974 | -0.000 | -0.000 |
| -0.000 | 0.000 | 0.000 | -0.000 | 0.974 | 0.000 |
| 0.000 | 0.000 | 0.000 | 0.000 | 0.000 | 0.974 |
| 10.529 | 9.469 | 9.469 | -0.000 | -0.000 | 0.000 |
| 9.469 | 10.529 | 9.469 | -0.000 | -0.000 | 0.000 |
| 9.469 | 9.469 | 10.529 | -0.000 | 0.000 | -0.000 |
| -0.000 | -0.000 | -0.000 | 0.974 | 0.000 | -0.000 |
| -0.000 | -0.000 | -0.000 | 0.000 | 0.974 | 0.000 |
| -0.000 | -0.000 | -0.000 | -0.000 | -0.000 | 0.974 |
| 10.529 | 9.469 | 9.469 | 0.000 | 0.000 | 0.000 |
| 9.469 | 10.529 | 9.469 | 0.000 | 0.000 | 0.000 |
| 9.469 | 9.469 | 10.529 | 0.000 | 0.000 | 0.000 |
| 0.000 | -0.000 | -0.000 | 0.974 | 0.000 | 0.000 |
| -0.000 | 0.000 | -0.000 | 0.000 | 0.974 | 0.000 |
| -0.000 | -0.000 | 0.000 | 0.000 | 0.000 | 0.974 |
| 10.529 | 9.469 | 9.469 | -0.000 | 0.000 | 0.000 |
| 9.469 | 10.529 | 9.469 | 0.000 | -0.000 | -0.000 |
| 9.469 | 9.469 | 10.529 | -0.000 | -0.000 | -0.000 |
| -0.000 | 0.000 | 0.000 | 0.974 | -0.000 | 0.000 |
| 0.000 | -0.000 | 0.000 | -0.000 | 0.974 | -0.000 |
| 0.000 | 0.000 | -0.000 | -0.000 | -0.000 | 0.974 |
| 10.530 | 9.469 | 9.469 | 0.000 | 0.000 | -0.000 |
| 9.469 | 10.530 | 9.469 | 0.000 | 0.000 | 0.000 |
| 9.469 | 9.469 | 10.530 | 0.000 | 0.000 | 0.000 |
| 0.000 | -0.000 | -0.000 | 0.974 | -0.000 | 0.000 |
| -0.000 | 0.000 | -0.000 | -0.000 | 0.974 | -0.000 |
| -0.000 | -0.000 | 0.000 | 0.000 | -0.000 | 0.974 |
| 10.529 | 9.469 | 9.469 | -0.000 | -0.000 | -0.000 |
| 9.469 | 10.529 | 9.469 | -0.000 | -0.000 | 0.000 |
| 9.469 | 9.469 | 10.529 | -0.000 | 0.000 | 0.000 |
| -0.000 | 0.000 | 0.000 | 0.974 | -0.000 | 0.000 |
| 0.000 | -0.000 | 0.000 | -0.000 | 0.974 | 0.000 |
| 0.000 | 0.000 | -0.000 | -0.000 | -0.000 | 0.974 |
| 10.564 | 9.535 | 9.535 | 0.000 | 0.000 | 0.000 |
| 9.535 | 10.564 | 9.535 | 0.000 | 0.000 | 0.000 |
| 9.535 | 9.535 | 10.564 | -0.000 | -0.000 | 0.000 |
| 0.000 | 0.000 | 0.000 | 0.950 | 0.000 | 0.000 |
| 0.000 | 0.000 | -0.000 | 0.000 | 0.950 | 0.000 |
| 0.000 | 0.000 | 0.000 | 0.000 | 0.000 | 0.950 |
| 10.564 | 9.535 | 9.535 | -0.000 | -0.000 | -0.000 |
| 9.535 | 10.564 | 9.535 | -0.000 | -0.000 | -0.000 |
| 9.535 | 9.535 | 10.564 | -0.000 | -0.000 | -0.000 |
| -0.000 | -0.000 | 0.000 | 0.950 | -0.000 | -0.000 |
| -0.000 | -0.000 | 0.000 | -0.000 | 0.950 | -0.000 |
| -0.000 | -0.000 | -0.000 | -0.000 | -0.000 | 0.950 |
| 10.564 | 9.535 | 9.535 | 0.000 | 0.000 | 0.000 |
| 9.535 | 10.564 | 9.535 | 0.000 | 0.000 | 0.000 |
| 9.535 | 9.535 | 10.564 | 0.000 | 0.000 | 0.000 |
| 0.000 | -0.000 | -0.000 | 0.950 | 0.000 | 0.000 |
| -0.000 | 0.000 | -0.000 | 0.000 | 0.950 | 0.000 |
| -0.000 | -0.000 | 0.000 | 0.000 | 0.000 | 0.950 |
| 10.564 | 9.535 | 9.535 | -0.000 | -0.000 | -0.000 |
| 9.535 | 10.564 | 9.535 | -0.000 | -0.000 | -0.000 |
| 9.535 | 9.535 | 10.564 | -0.000 | -0.000 | -0.000 |
| -0.000 | 0.000 | 0.000 | 0.950 | -0.000 | -0.000 |
| 0.000 | -0.000 | 0.000 | -0.000 | 0.950 | -0.000 |
| 0.000 | 0.000 | -0.000 | -0.000 | -0.000 | 0.950 |
| 10.564 | 9.535 | 9.535 | 0.000 | 0.000 | 0.000 |
| 9.535 | 10.564 | 9.535 | 0.000 | 0.000 | 0.000 |
| 9.535 | 9.535 | 10.564 | 0.000 | 0.000 | 0.000 |
| 0.000 | -0.000 | -0.000 | 0.950 | 0.000 | 0.000 |
| -0.000 | 0.000 | -0.000 | 0.000 | 0.950 | 0.000 |
| -0.000 | -0.000 | 0.000 | 0.000 | 0.000 | 0.950 |
| 10.564 | 9.535 | 9.535 | -0.000 | -0.000 | -0.000 |
| 9.535 | 10.564 | 9.535 | -0.000 | -0.000 | -0.000 |
| 9.535 | 9.535 | 10.564 | -0.000 | -0.000 | -0.000 |
| -0.000 | 0.000 | 0.000 | 0.950 | -0.000 | -0.000 |
| 0.000 | -0.000 | 0.000 | -0.000 | 0.950 | -0.000 |
| 0.000 | 0.000 | -0.000 | -0.000 | -0.000 | 0.950 |
| -0.246 | -0.395 | -0.395 | 0.000 | 0.000 | 0.000 |
| -0.395 | -0.246 | -0.395 | 0.000 | 0.000 | 0.000 |
| -0.395 | -0.395 | -0.246 | 0.000 | 0.000 | 0.000 |
| -0.000 | 0.000 | 0.000 | 0.126 | 0.000 | -0.000 |
| 0.000 | -0.000 | 0.000 | 0.000 | 0.126 | -0.000 |
| 0.000 | 0.000 | 0.000 | 0.000 | 0.000 | 0.126 |
| -0.246 | -0.395 | -0.395 | -0.000 | 0.000 | 0.000 |
| -0.395 | -0.246 | -0.395 | 0.000 | -0.000 | -0.000 |
| -0.395 | -0.395 | -0.246 | -0.000 | -0.000 | -0.000 |
| 0.000 | -0.000 | 0.000 | 0.126 | 0.000 | 0.000 |
| -0.000 | 0.000 | 0.000 | 0.000 | 0.126 | 0.000 |
| -0.000 | 0.000 | -0.000 | -0.000 | -0.000 | 0.126 |
| -0.247 | -0.395 | -0.395 | -0.000 | 0.000 | 0.000 |
| -0.395 | -0.247 | -0.395 | 0.000 | -0.000 | 0.000 |
| -0.395 | -0.395 | -0.247 | 0.000 | 0.000 | -0.000 |
| -0.000 | -0.000 | -0.000 | 0.124 | 0.000 | -0.000 |
| -0.000 | -0.000 | -0.000 | 0.000 | 0.124 | -0.000 |
| -0.000 | -0.000 | -0.000 | 0.000 | 0.000 | 0.124 |
| -0.246 | -0.395 | -0.395 | -0.000 | -0.000 | -0.000 |
| -0.395 | -0.246 | -0.395 | -0.000 | -0.000 | 0.000 |
| -0.395 | -0.395 | -0.246 | -0.000 | -0.000 | -0.000 |
| 0.000 | 0.000 | 0.000 | 0.124 | -0.000 | 0.000 |
| 0.000 | 0.000 | 0.000 | -0.000 | 0.124 | -0.000 |
| 0.000 | 0.000 | 0.000 | -0.000 | -0.000 | 0.124 |
| -0.247 | -0.395 | -0.395 | 0.000 | 0.000 | 0.000 |
| -0.395 | -0.247 | -0.395 | 0.000 | 0.000 | 0.000 |
| -0.395 | -0.395 | -0.247 | 0.000 | 0.000 | 0.000 |
| -0.000 | -0.000 | -0.000 | 0.121 | 0.000 | -0.000 |
| -0.000 | -0.000 | -0.000 | 0.000 | 0.121 | -0.000 |
| -0.000 | -0.000 | -0.000 | 0.000 | 0.000 | 0.121 |
| -0.246 | -0.395 | -0.395 | -0.000 | -0.000 | 0.000 |
| -0.395 | -0.246 | -0.395 | -0.000 | -0.000 | 0.000 |
| -0.395 | -0.395 | -0.246 | -0.000 | 0.000 | -0.000 |
| 0.000 | 0.000 | 0.000 | 0.121 | -0.000 | 0.000 |
| 0.000 | 0.000 | 0.000 | -0.000 | 0.121 | 0.000 |
| 0.000 | 0.000 | 0.000 | -0.000 | -0.000 | 0.121 |
| 10.289 | 4.484 | 4.484 | -0.000 | -0.000 | -0.000 |
| 4.484 | 10.289 | 4.484 | -0.000 | -0.000 | 0.000 |
| 4.484 | 4.484 | 10.289 | -0.000 | -0.000 | -0.000 |
| -0.000 | 0.000 | 0.000 | 2.495 | -0.000 | -0.000 |
| 0.000 | -0.000 | 0.000 | -0.000 | 2.495 | -0.000 |
| 0.000 | 0.000 | -0.000 | -0.000 | -0.000 | 2.495 |
| 10.289 | 4.484 | 4.484 | 0.000 | 0.000 | 0.000 |
| 4.484 | 10.289 | 4.484 | 0.000 | 0.000 | 0.000 |
| 4.484 | 4.484 | 10.289 | 0.000 | 0.000 | 0.000 |
| 0.000 | -0.000 | -0.000 | 2.495 | 0.000 | -0.000 |
| -0.000 | 0.000 | -0.000 | 0.000 | 2.495 | -0.000 |
| -0.000 | -0.000 | 0.000 | 0.000 | 0.000 | 2.495 |
| 10.289 | 4.484 | 4.484 | -0.000 | -0.000 | -0.000 |
| 4.484 | 10.289 | 4.484 | -0.000 | -0.000 | -0.000 |
| 4.484 | 4.484 | 10.289 | -0.000 | -0.000 | -0.000 |
| -0.000 | -0.000 | -0.000 | 2.495 | -0.000 | -0.000 |
| -0.000 | -0.000 | -0.000 | -0.000 | 2.495 | -0.000 |
| -0.000 | -0.000 | -0.000 | -0.000 | -0.000 | 2.495 |
| 10.289 | 4.484 | 4.484 | 0.000 | 0.000 | 0.000 |
| 4.484 | 10.289 | 4.484 | 0.000 | 0.000 | -0.000 |
| 4.484 | 4.484 | 10.289 | 0.000 | 0.000 | 0.000 |
| 0.000 | 0.000 | 0.000 | 2.495 | 0.000 | 0.000 |
| 0.000 | 0.000 | 0.000 | 0.000 | 2.495 | 0.000 |
| 0.000 | 0.000 | 0.000 | 0.000 | 0.000 | 2.495 |
| 10.289 | 4.484 | 4.484 | -0.000 | -0.000 | 0.000 |
| 4.484 | 10.289 | 4.484 | -0.000 | -0.000 | 0.000 |
| 4.484 | 4.484 | 10.289 | -0.000 | -0.000 | -0.000 |
| -0.000 | -0.000 | -0.000 | 4.432 | 0.000 | 0.000 |
| -0.000 | -0.000 | -0.000 | 0.000 | 4.432 | 0.000 |
| -0.000 | -0.000 | -0.000 | -0.000 | 0.000 | 4.432 |
| 10.289 | 4.484 | 4.484 | 0.000 | 0.000 | 0.000 |
| 4.484 | 10.289 | 4.484 | 0.000 | -0.000 | -0.000 |
| 4.484 | 4.484 | 10.289 | 0.000 | 0.000 | 0.000 |
| 0.000 | 0.000 | 0.000 | 4.432 | -0.000 | -0.000 |
| 0.000 | 0.000 | 0.000 | -0.000 | 4.432 | -0.000 |
| 0.000 | 0.000 | 0.000 | 0.000 | -0.000 | 4.432 |
| 11.016 | 4.327 | 4.327 | -0.000 | -0.000 | 0.000 |
| 4.327 | 11.016 | 4.327 | -0.000 | -0.000 | 0.000 |
| 4.327 | 4.327 | 11.016 | 0.000 | 0.000 | -0.000 |
| -0.000 | 0.000 | 0.000 | 2.625 | 0.000 | 0.000 |
| 0.000 | -0.000 | 0.000 | -0.000 | 2.625 | 0.000 |
| 0.000 | -0.000 | -0.000 | 0.000 | 0.000 | 2.625 |
| 11.016 | 4.327 | 4.327 | 0.000 | -0.000 | -0.000 |
| 4.327 | 11.016 | 4.327 | 0.000 | -0.000 | -0.000 |
| 4.327 | 4.327 | 11.016 | -0.000 | -0.000 | -0.000 |
| 0.000 | -0.000 | 0.000 | 2.625 | -0.000 | -0.000 |
| -0.000 | 0.000 | 0.000 | -0.000 | 2.625 | -0.000 |
| -0.000 | 0.000 | 0.000 | -0.000 | -0.000 | 2.625 |
| 11.016 | 4.327 | 4.327 | -0.000 | -0.000 | 0.000 |
| 4.327 | 11.016 | 4.327 | -0.000 | -0.000 | 0.000 |
| 4.327 | 4.327 | 11.016 | 0.000 | 0.000 | 0.000 |
| -0.000 | 0.000 | 0.000 | 2.625 | 0.000 | 0.000 |
| 0.000 | -0.000 | 0.000 | 0.000 | 2.625 | 0.000 |
| 0.000 | 0.000 | -0.000 | -0.000 | 0.000 | 2.625 |
| 11.016 | 4.327 | 4.327 | -0.000 | -0.000 | -0.000 |
| 4.327 | 11.016 | 4.327 | -0.000 | -0.000 | -0.000 |
| 4.327 | 4.327 | 11.016 | -0.000 | -0.000 | -0.000 |
| 0.000 | -0.000 | -0.000 | 2.625 | -0.000 | -0.000 |
| -0.000 | 0.000 | -0.000 | -0.000 | 2.625 | -0.000 |
| -0.000 | -0.000 | 0.000 | -0.000 | -0.000 | 2.625 |
| 11.016 | 4.327 | 4.327 | 0.000 | -0.000 | 0.000 |
| 4.327 | 11.016 | 4.327 | -0.000 | 0.000 | 0.000 |
| 4.327 | 4.327 | 11.016 | 0.000 | 0.000 | 0.000 |
| 0.000 | 0.000 | 0.000 | 4.327 | 0.000 | 0.000 |
| 0.000 | 0.000 | 0.000 | 0.000 | 4.327 | 0.000 |
| 0.000 | 0.000 | 0.000 | 0.000 | 0.000 | 4.327 |
| 11.017 | 4.327 | 4.327 | -0.000 | 0.000 | -0.000 |
| 4.327 | 11.017 | 4.327 | 0.000 | -0.000 | -0.000 |
| 4.327 | 4.327 | 11.017 | -0.000 | -0.000 | 0.000 |
| -0.000 | -0.000 | -0.000 | 4.327 | 0.000 | -0.000 |
| -0.000 | -0.000 | -0.000 | 0.000 | 4.327 | -0.000 |
| -0.000 | -0.000 | -0.000 | 0.000 | -0.000 | 4.327 |
| 58.772 | 15.130 | 15.130 | 0.000 | 0.000 | 0.000 |
| 15.130 | 58.772 | 15.130 | 0.000 | 0.000 | 0.000 |
| 15.130 | 15.130 | 58.772 | 0.000 | -0.000 | 0.000 |
| 0.000 | 0.000 | 0.000 | 11.363 | 0.000 | 0.000 |
| 0.000 | 0.000 | 0.000 | -0.000 | 11.363 | -0.000 |
| 0.000 | 0.000 | 0.000 | 0.000 | -0.000 | 11.363 |
| 58.772 | 15.130 | 15.130 | -0.000 | -0.000 | -0.000 |
| 15.130 | 58.772 | 15.130 | -0.000 | -0.000 | 0.000 |
| 15.130 | 15.130 | 58.772 | -0.000 | -0.000 | -0.000 |
| -0.000 | -0.000 | -0.000 | 11.363 | -0.000 | -0.000 |
| -0.000 | -0.000 | -0.000 | 0.000 | 11.363 | 0.000 |
| -0.000 | -0.000 | -0.000 | -0.000 | -0.000 | 11.363 |
| 58.772 | 15.130 | 15.130 | 0.000 | 0.000 | 0.000 |
| 15.130 | 58.772 | 15.130 | 0.000 | 0.000 | 0.000 |
| 15.130 | 15.130 | 58.772 | 0.000 | 0.000 | 0.000 |
| 0.000 | 0.000 | 0.000 | 11.363 | -0.000 | 0.000 |
| 0.000 | 0.000 | 0.000 | -0.000 | 11.363 | -0.000 |
| 0.000 | 0.000 | 0.000 | -0.000 | -0.000 | 11.363 |
| 58.772 | 15.130 | 15.130 | -0.000 | -0.000 | 0.000 |
| 15.130 | 58.772 | 15.130 | -0.000 | -0.000 | -0.000 |
| 15.130 | 15.130 | 58.772 | -0.000 | -0.000 | -0.000 |
| -0.000 | -0.000 | -0.000 | 11.363 | -0.000 | 0.000 |
| -0.000 | -0.000 | -0.000 | 0.000 | 11.363 | 0.000 |
| -0.000 | -0.000 | -0.000 | -0.000 | 0.000 | 11.363 |
| 58.773 | 15.130 | 15.130 | 0.000 | 0.000 | 0.000 |
| 15.130 | 58.773 | 15.130 | 0.000 | -0.000 | -0.000 |
| 15.130 | 15.130 | 58.773 | -0.000 | -0.000 | 0.000 |
| 0.000 | 0.000 | 0.000 | 11.363 | -0.000 | 0.000 |
| 0.000 | 0.000 | 0.000 | -0.000 | 11.363 | 0.000 |
| 0.000 | 0.000 | 0.000 | 0.000 | -0.000 | 11.363 |
| 58.771 | 15.130 | 15.130 | -0.000 | -0.000 | -0.000 |
| 15.130 | 58.771 | 15.130 | -0.000 | -0.000 | -0.000 |
| 15.130 | 15.130 | 58.771 | -0.000 | -0.000 | -0.000 |
| -0.000 | -0.000 | -0.000 | 11.363 | 0.000 | 0.000 |
| -0.000 | -0.000 | -0.000 | 0.000 | 11.363 | -0.000 |
| -0.000 | -0.000 | -0.000 | -0.000 | 0.000 | 11.363 |
| 37.206 | 8.017 | 8.017 | 0.000 | -0.000 | -0.000 |
| 8.017 | 37.206 | 8.017 | 0.000 | -0.000 | -0.000 |
| 8.017 | 8.017 | 37.206 | 0.000 | -0.000 | -0.000 |
| 0.000 | 0.000 | 0.000 | 8.381 | 0.000 | -0.000 |
| 0.000 | 0.000 | 0.000 | 0.000 | 8.381 | -0.000 |
| 0.000 | 0.000 | 0.000 | 0.000 | -0.000 | 8.381 |
| 37.206 | 8.017 | 8.017 | -0.000 | 0.000 | 0.000 |
| 8.017 | 37.206 | 8.017 | -0.000 | 0.000 | -0.000 |
| 8.017 | 8.017 | 37.206 | -0.000 | -0.000 | 0.000 |
| -0.000 | -0.000 | -0.000 | 8.381 | -0.000 | 0.000 |
| -0.000 | -0.000 | -0.000 | -0.000 | 8.381 | 0.000 |
| -0.000 | -0.000 | -0.000 | -0.000 | 0.000 | 8.381 |
| 37.206 | 8.017 | 8.017 | -0.000 | -0.000 | -0.000 |
| 8.017 | 37.206 | 8.017 | -0.000 | -0.000 | -0.000 |
| 8.017 | 8.017 | 37.206 | 0.000 | 0.000 | -0.000 |
| 0.000 | 0.000 | 0.000 | 8.381 | 0.000 | -0.000 |
| 0.000 | 0.000 | 0.000 | 0.000 | 8.381 | -0.000 |
| 0.000 | 0.000 | 0.000 | 0.000 | 0.000 | 8.381 |
| 37.206 | 8.017 | 8.017 | -0.000 | 0.000 | 0.000 |
| 8.017 | 37.206 | 8.017 | -0.000 | 0.000 | 0.000 |
| 8.017 | 8.017 | 37.206 | -0.000 | 0.000 | 0.000 |
| -0.000 | -0.000 | -0.000 | 8.381 | 0.000 | 0.000 |
| -0.000 | -0.000 | -0.000 | -0.000 | 8.381 | 0.000 |
| -0.000 | -0.000 | -0.000 | -0.000 | 0.000 | 8.381 |
| 37.207 | 8.017 | 8.017 | 0.000 | -0.000 | -0.000 |
| 8.017 | 37.207 | 8.017 | 0.000 | -0.000 | -0.000 |
| 8.017 | 8.017 | 37.207 | 0.000 | -0.000 | -0.000 |
| 0.000 | 0.000 | 0.000 | 8.381 | -0.000 | -0.000 |
| 0.000 | 0.000 | 0.000 | 0.000 | 8.381 | -0.000 |
| 0.000 | 0.000 | 0.000 | 0.000 | 0.000 | 8.381 |
| 37.206 | 8.017 | 8.017 | -0.000 | 0.000 | 0.000 |
| 8.017 | 37.206 | 8.017 | -0.000 | 0.000 | 0.000 |
| 8.017 | 8.017 | 37.206 | -0.000 | -0.000 | 0.000 |
| -0.000 | -0.000 | -0.000 | 8.381 | -0.000 | -0.000 |
| -0.000 | -0.000 | -0.000 | -0.000 | 8.381 | 0.000 |
| -0.000 | -0.000 | -0.000 | -0.000 | -0.000 | 8.381 |
| -2.210 | -1.942 | -1.942 | -0.000 | -0.000 | 0.000 |
| -1.942 | -2.210 | -1.942 | -0.000 | -0.000 | -0.000 |
| -1.942 | -1.942 | -2.210 | -0.000 | -0.000 | 0.000 |
| 0.000 | 0.000 | 0.000 | -0.204 | -0.000 | -0.000 |
| 0.000 | 0.000 | 0.000 | -0.000 | -0.204 | 0.000 |
| 0.000 | 0.000 | 0.000 | -0.000 | -0.000 | -0.204 |
| -2.178 | -1.958 | -1.958 | 0.000 | 0.000 | -0.000 |
| -1.942 | -2.210 | -1.942 | 0.000 | 0.000 | -0.000 |
| -1.958 | -1.958 | -2.178 | -0.000 | -0.000 | -0.000 |
| -0.000 | -0.000 | -0.000 | -0.204 | 0.000 | 0.000 |
| -0.000 | -0.000 | -0.000 | 0.000 | -0.204 | -0.000 |
| 0.000 | -0.000 | -0.000 | 0.000 | 0.000 | -0.204 |
| -2.210 | -1.942 | -1.942 | -0.000 | -0.000 | 0.000 |
| -1.942 | -2.210 | -1.942 | -0.000 | -0.000 | 0.000 |
| -1.942 | -1.942 | -2.210 | -0.000 | -0.000 | 0.000 |
| 0.000 | 0.000 | 0.000 | -0.172 | -0.000 | -0.000 |
| 0.000 | 0.000 | 0.000 | -0.000 | -0.172 | 0.000 |
| 0.000 | 0.000 | 0.000 | -0.000 | -0.000 | -0.172 |
| -2.210 | -1.942 | -1.942 | 0.000 | 0.000 | -0.000 |
| -1.942 | -2.210 | -1.942 | 0.000 | 0.000 | -0.000 |
| -1.942 | -1.942 | -2.210 | -0.000 | -0.000 | -0.000 |
| -0.000 | -0.000 | -0.000 | -0.172 | 0.000 | 0.000 |
| -0.000 | -0.000 | -0.000 | 0.000 | -0.319 | -0.000 |
| -0.000 | -0.000 | -0.000 | 0.000 | 0.000 | -0.172 |
| -2.327 | -1.883 | -1.883 | -0.000 | -0.000 | 0.000 |
| -1.883 | -2.327 | -1.883 | -0.000 | -0.000 | 0.000 |
| -1.883 | -1.883 | -2.327 | 0.000 | 0.000 | 0.000 |
| 0.000 | 0.000 | 0.000 | -0.410 | -0.000 | 0.000 |
| 0.000 | 0.000 | 0.000 | -0.000 | -0.410 | 0.000 |
| 0.000 | 0.000 | 0.000 | -0.000 | -0.000 | -0.410 |
| -2.339 | -1.878 | -1.878 | 0.000 | 0.000 | -0.000 |
| -1.878 | -2.339 | -1.878 | 0.000 | 0.000 | -0.000 |
| -1.878 | -1.878 | -2.339 | -0.000 | 0.000 | -0.000 |
| -0.000 | -0.000 | -0.000 | -0.410 | 0.000 | -0.000 |
| -0.000 | -0.000 | -0.000 | -0.000 | -0.410 | -0.000 |
| -0.000 | -0.000 | -0.000 | 0.000 | 0.000 | -0.410 |
| -17.580 | 0.657 | 0.657 | 0.000 | -0.000 | -0.000 |
| 0.657 | -17.580 | 0.657 | -0.000 | 0.000 | -0.000 |
| 0.657 | 0.657 | -17.580 | -0.000 | -0.000 | -0.000 |
| -0.000 | -0.000 | -0.000 | -44.027 | 0.000 | -0.000 |
| -21060810.155 | -5802322.320 | -21016193.105 | -119040.104 | -26109932.377 | -118919.890 |
| -0.000 | -0.000 | -0.000 | 0.000 | -0.000 | -44.027 |
| -17.580 | 0.657 | 0.657 | -0.000 | -0.000 | 0.000 |
| 0.657 | -17.580 | 0.657 | -0.000 | -0.000 | 0.000 |
| 0.657 | 0.657 | -17.580 | 0.000 | -0.000 | 0.000 |
| 0.000 | 0.000 | 0.000 | -44.027 | -0.000 | 0.000 |
| 0.000 | -0.000 | 0.000 | -0.000 | -19.761 | -0.000 |
| 0.000 | 0.000 | 0.000 | -0.000 | -0.000 | -19.761 |
| -11.771 | -2.248 | -2.248 | 0.000 | -0.000 | -0.000 |
| -2.248 | -11.771 | -2.248 | 0.000 | -0.000 | 0.000 |
| -2.248 | -2.248 | -11.771 | 0.000 | -0.000 | -0.000 |
| -0.000 | -0.000 | -0.000 | -2.248 | -0.000 | 0.000 |
| -0.000 | -0.000 | -0.000 | 0.000 | -2.248 | -0.000 |
| -0.000 | -0.000 | -0.000 | -0.000 | -0.000 | -2.248 |
| -11.771 | -2.248 | -2.248 | -0.000 | 0.000 | -0.000 |
| -2.248 | -11.771 | -2.248 | -0.000 | 0.000 | 0.000 |
| -2.248 | -2.248 | -11.771 | 0.000 | 0.000 | 0.000 |
| 0.000 | 0.000 | 0.000 | -2.248 | 0.000 | -0.000 |
| 0.000 | 0.000 | 0.000 | -0.000 | -2.248 | 0.000 |
| 0.000 | 0.000 | 0.000 | 0.000 | 0.000 | -2.248 |
| -11.771 | -2.248 | -2.248 | 0.000 | -0.000 | -0.000 |
| -2.248 | -11.771 | -2.248 | 0.000 | 0.000 | -0.000 |
| -2.248 | -2.248 | -11.771 | 0.000 | -0.000 | -0.000 |
| -0.000 | -0.000 | -0.000 | -2.248 | 0.000 | 0.000 |
| -0.000 | -0.000 | -0.000 | -0.000 | -2.248 | -0.000 |
| -0.000 | -0.000 | -0.000 | 0.000 | -0.000 | -2.248 |
| -11.770 | -2.248 | -2.248 | -0.000 | 0.000 | 0.000 |
| -2.248 | -11.770 | -2.248 | 0.000 | 0.000 | -0.000 |
| -2.248 | -2.248 | -11.770 | 0.000 | -0.000 | 0.000 |
| 0.000 | 0.000 | 0.000 | -2.248 | -0.000 | 0.000 |
| 0.000 | 0.000 | 0.000 | 0.000 | -2.248 | 0.000 |
| 0.000 | 0.000 | 0.000 | -0.000 | 0.000 | -2.248 |
| 7.790 | 4.103 | 4.103 | 0.000 | 0.000 | -0.000 |
| 4.103 | 7.790 | 4.103 | 0.000 | 0.000 | 0.000 |
| 4.103 | 4.103 | 7.790 | 0.000 | 0.000 | -0.000 |
| -0.000 | -0.000 | -0.000 | 1.791 | -0.000 | 0.000 |
| -0.000 | 0.000 | -0.000 | 0.000 | 1.791 | 0.000 |
| -0.000 | -0.000 | 0.000 | 0.000 | 0.000 | 1.791 |
| 7.790 | 4.103 | 4.103 | -0.000 | -0.000 | -0.000 |
| 4.103 | 7.790 | 4.103 | -0.000 | -0.000 | -0.000 |
| 4.103 | 4.103 | 7.790 | -0.000 | -0.000 | -0.000 |
| 0.000 | 0.000 | 0.000 | 1.791 | 0.000 | -0.000 |
| 0.000 | -0.000 | 0.000 | -0.000 | 1.791 | -0.000 |
| 0.000 | 0.000 | -0.000 | -0.000 | -0.000 | 1.791 |
| 7.790 | 4.103 | 4.103 | 0.000 | 0.000 | 0.000 |
| 4.103 | 7.790 | 4.103 | 0.000 | 0.000 | 0.000 |
| 4.103 | 4.103 | 7.790 | 0.000 | 0.000 | -0.000 |
| -0.000 | -0.000 | -0.000 | 1.791 | 0.000 | -0.000 |
| -0.000 | -0.000 | -0.000 | 0.000 | 1.791 | 0.000 |
| -0.000 | -0.000 | -0.000 | 0.000 | 0.000 | 1.791 |
| 7.790 | 4.103 | 4.103 | -0.000 | -0.000 | 0.000 |
| 4.103 | 7.790 | 4.103 | -0.000 | -0.000 | -0.000 |
| 4.103 | 4.103 | 7.790 | -0.000 | -0.000 | 0.000 |
| 0.000 | 0.000 | 0.000 | 1.791 | 0.000 | -0.000 |
| 0.000 | 0.000 | 0.000 | 0.000 | 1.791 | -0.000 |
| 0.000 | 0.000 | 0.000 | -0.000 | -0.000 | 1.791 |
| 7.790 | 4.103 | 4.103 | 0.000 | 0.000 | 0.000 |
| 4.103 | 7.790 | 4.103 | 0.000 | 0.000 | -0.000 |
| 4.103 | 4.103 | 7.790 | 0.000 | 0.000 | -0.000 |
| -0.000 | -0.000 | -0.000 | 1.791 | 0.000 | 0.000 |
| -0.000 | -0.000 | -0.000 | -0.000 | 1.791 | 0.000 |
| -0.000 | -0.000 | -0.000 | 0.000 | 0.000 | 1.791 |
| 7.791 | 4.103 | 4.103 | -0.000 | -0.000 | -0.000 |
| 4.103 | 7.791 | 4.103 | -0.000 | -0.000 | 0.000 |
| 4.103 | 4.103 | 7.791 | -0.000 | -0.000 | -0.000 |
| 0.000 | 0.000 | 0.000 | 1.791 | -0.000 | -0.000 |
| 0.000 | 0.000 | 0.000 | -0.000 | 1.791 | 0.000 |
| 0.000 | 0.000 | 0.000 | -0.000 | -0.000 | 1.791 |
| -7.843 | -1.116 | -1.116 | 0.000 | -0.000 | -0.000 |
| -1.116 | -7.843 | -1.116 | -0.000 | -0.000 | -0.000 |
| -1.116 | -1.116 | -7.843 | 0.000 | 0.000 | -0.000 |
| 0.000 | 0.000 | 0.000 | -0.790 | -0.000 | -0.000 |
| 0.000 | 0.000 | 0.000 | 0.000 | -0.790 | -0.000 |
| 0.000 | 0.000 | -0.000 | 0.000 | 0.000 | -0.790 |
| -7.843 | -1.116 | -1.116 | 0.000 | -0.000 | 0.000 |
| -1.116 | -7.843 | -1.116 | -0.000 | 0.000 | 0.000 |
| -1.116 | -1.116 | -7.843 | -0.000 | -0.000 | 0.000 |
| 0.000 | -0.000 | -0.000 | -0.790 | -0.000 | 0.000 |
| -0.000 | -0.000 | -0.000 | -0.000 | -0.790 | 0.000 |
| -0.000 | -0.000 | 0.000 | -0.000 | -0.000 | -0.790 |
| -15.625 | 2.775 | 2.775 | -0.000 | 0.000 | -0.000 |
| 2.775 | -15.625 | 2.775 | 0.000 | 0.000 | -0.000 |
| 4.794 | 4.794 | -19.663 | 0.000 | 0.000 | -0.000 |
| -0.000 | -0.000 | -0.000 | -0.790 | 0.000 | -0.000 |
| -0.000 | -0.000 | -0.000 | 0.000 | -0.790 | -0.000 |
| -0.000 | -0.000 | -0.000 | -0.000 | 0.000 | -0.790 |
| -15.625 | 2.775 | 2.775 | -0.000 | -0.000 | 0.000 |
| 2.775 | -15.625 | 2.775 | -0.000 | 0.000 | 0.000 |
| 2.775 | 2.775 | -15.625 | -0.000 | 0.000 | 0.000 |
| 0.000 | 0.000 | 0.000 | -0.790 | -0.000 | 0.000 |
| 0.000 | 0.000 | 0.000 | -0.000 | -0.790 | 0.000 |
| 0.000 | 0.000 | 0.000 | 0.000 | -0.000 | -0.790 |
| -17.643 | 3.784 | 3.784 | 0.000 | 0.000 | -0.000 |
| 3.784 | -17.643 | 3.784 | -0.000 | -0.000 | -0.000 |
| 3.784 | 3.784 | -17.643 | -0.000 | 0.000 | -0.000 |
| -0.000 | -0.000 | -0.000 | -0.790 | 0.000 | -0.000 |
| -0.000 | -0.000 | -0.000 | 0.000 | -0.790 | -0.000 |
| -0.000 | -0.000 | -0.000 | 0.000 | 0.000 | -0.790 |
| -17.645 | 3.785 | 3.785 | -0.000 | -0.000 | 0.000 |
| 3.785 | -17.645 | 3.785 | -0.000 | -0.000 | 0.000 |
| 3.785 | 3.785 | -17.645 | -0.000 | 0.000 | 0.000 |
| 0.000 | 0.000 | 0.000 | -0.790 | 0.000 | 0.000 |
| 0.000 | 0.000 | 0.000 | -0.000 | -0.790 | 0.000 |
| 0.000 | 0.000 | 0.000 | -0.000 | -0.000 | -0.790 |
| -19.822 | -4.694 | -4.694 | 0.000 | -0.000 | -0.000 |
| -4.694 | -19.822 | -4.694 | 0.000 | 0.000 | -0.000 |
| -4.694 | -4.694 | -19.822 | -0.000 | 0.000 | 0.000 |
| -0.000 | 0.000 | 0.000 | -10.269 | 0.000 | 0.000 |
| 0.000 | -0.000 | 0.000 | 0.000 | -10.269 | 0.000 |
| 0.000 | 0.000 | -0.000 | 0.000 | 0.000 | -10.269 |
| -24181282.978 | 5311740.238 | 5311740.130 | -0.348 | -0.640 | -0.608 |
| -4.694 | -19.822 | -4.694 | 0.000 | -0.000 | -0.000 |
| -4.694 | -4.694 | -19.822 | -0.000 | 0.000 | -0.000 |
| 0.000 | -0.000 | -0.000 | -10.269 | -0.000 | -0.000 |
| -0.000 | 0.000 | -0.000 | 0.000 | -10.269 | 0.000 |
| -0.000 | -0.000 | 0.000 | -0.000 | -0.000 | -10.269 |
| -1598070.560 | 1897189.446 | 1897189.476 | 0.026 | 0.008 | 0.008 |
| 1897189.476 | -1598070.560 | 1897189.446 | 0.008 | 0.026 | 0.008 |
| 1897189.446 | 1897189.476 | -1598070.560 | 0.008 | 0.008 | 0.026 |
| 0.000 | 0.000 | 0.000 | -4.694 | -0.000 | -0.000 |
| 0.000 | 0.000 | 0.000 | 0.000 | -4.694 | 0.000 |
| 0.000 | 0.000 | 0.000 | -0.000 | -0.000 | -4.694 |
| -2444651.283 | 534090.696 | 534090.700 | -0.002 | -0.004 | -0.004 |
| 534090.700 | -2444651.283 | 534090.696 | -0.004 | -0.002 | -0.004 |
| 534090.696 | 534090.700 | -2444651.283 | -0.004 | -0.004 | -0.002 |
| -0.000 | -0.000 | -0.000 | -4.694 | 0.000 | 0.000 |
| -0.000 | -0.000 | -0.000 | -0.000 | -4.694 | -0.000 |
| -0.000 | -0.000 | -0.000 | 0.000 | 0.000 | -4.694 |
| -160066.450 | 190386.533 | 190386.533 | 0.000 | 0.000 | 0.000 |
| 190386.533 | -160066.450 | 190386.533 | 0.000 | 0.000 | 0.000 |
| 190386.533 | 190386.533 | -160066.450 | 0.000 | 0.000 | 0.000 |
| 0.000 | 0.000 | 0.000 | -4.694 | 0.000 | 0.000 |
| 0.000 | 0.000 | 0.000 | 0.000 | -4.694 | 0.000 |
| 0.000 | 0.000 | 0.000 | 0.000 | 0.000 | -4.694 |
| -241743.525 | 53102.147 | 53102.147 | -0.000 | -0.000 | -0.000 |
| 53102.147 | -241743.525 | 53102.147 | -0.000 | -0.000 | -0.000 |
| 53102.147 | 53102.147 | -241743.525 | -0.000 | -0.000 | -0.000 |
| -0.000 | -0.000 | -0.000 | -4.694 | -0.000 | -0.000 |
| -0.000 | -0.000 | -0.000 | -0.000 | -4.694 | 0.000 |
| -0.000 | -0.000 | -0.000 | -0.000 | -0.000 | -4.694 |
| -9.558 | -0.188 | -0.188 | 0.000 | 0.000 | -0.000 |
| -0.188 | -9.558 | -0.188 | 0.000 | 0.000 | 0.000 |
| -0.188 | -0.188 | -9.558 | 0.000 | -0.000 | 0.000 |
| 0.000 | 0.000 | 0.000 | -3.831 | 0.000 | -0.000 |
| 0.000 | 0.000 | -0.000 | -0.000 | -3.831 | -0.000 |
| 0.000 | -0.000 | 0.000 | 0.000 | 0.000 | -3.831 |
| -8.712 | -0.611 | -0.611 | -0.000 | -0.000 | 0.000 |
| -0.611 | -8.712 | -0.611 | -0.000 | -0.000 | 0.000 |
| -0.611 | -0.611 | -8.712 | -0.000 | -0.000 | 0.000 |
| -0.000 | 0.000 | -0.000 | -3.831 | -0.000 | 0.000 |
| 0.000 | -0.000 | 0.000 | -0.000 | -3.831 | 0.000 |
| 0.000 | 0.000 | -0.000 | -0.000 | -0.000 | -3.831 |
| -8.712 | -0.611 | -0.611 | -0.000 | 0.000 | 0.000 |
| -0.611 | -8.712 | -0.611 | -0.000 | -0.000 | -0.000 |
| -0.611 | -0.611 | -8.712 | 0.000 | 0.000 | -0.000 |
| 0.000 | -0.000 | -0.000 | -2.985 | 0.000 | -0.000 |
| -0.000 | 0.000 | -0.000 | 0.000 | -2.985 | 0.000 |
| -0.000 | -0.000 | 0.000 | -0.000 | -0.000 | -2.985 |
| -8.711 | -0.611 | -0.611 | -0.000 | -0.000 | -0.000 |
| -0.611 | -8.711 | -0.611 | 0.000 | 0.000 | -0.000 |
| -0.611 | -0.611 | -8.711 | -0.000 | -0.000 | 0.000 |
| -0.000 | 0.000 | 0.000 | -2.985 | -0.000 | 0.000 |
| 0.000 | -0.000 | 0.000 | -0.000 | -2.985 | 0.000 |
| 0.000 | 0.000 | -0.000 | 0.000 | -0.000 | -2.985 |
| -8.712 | -0.611 | -0.611 | -0.000 | 0.000 | 0.000 |
| -0.611 | -8.712 | -0.611 | -0.000 | -0.000 | -0.000 |
| -0.611 | -0.611 | -8.712 | -0.000 | 0.000 | -0.000 |
| 0.000 | -0.000 | -0.000 | -2.985 | 0.000 | -0.000 |
| -0.000 | 0.000 | -0.000 | 0.000 | -2.985 | -0.000 |
| -0.000 | -0.000 | 0.000 | -0.000 | -0.000 | -2.985 |
| -8.711 | -0.611 | -0.611 | 0.000 | -0.000 | 0.000 |
| -0.611 | -8.711 | -0.611 | 0.000 | -0.000 | 0.000 |
| -0.611 | -0.611 | -8.711 | -0.000 | -0.000 | 0.000 |
| -0.000 | 0.000 | 0.000 | -2.985 | -0.000 | 0.000 |
| 0.000 | -0.000 | 0.000 | -0.000 | -2.985 | 0.000 |
| 0.000 | 0.000 | -0.000 | 0.000 | 0.000 | -2.985 |
| 9.621 | 2.263 | 2.263 | 0.000 | -0.000 | 0.000 |
| 2.263 | 9.621 | 2.263 | 0.000 | 0.000 | 0.000 |
| 2.263 | 2.263 | 9.621 | 0.000 | 0.000 | 0.000 |
| -0.000 | 0.000 | 0.000 | 2.261 | 0.000 | 0.000 |
| 0.000 | -0.000 | 0.000 | 0.000 | 2.261 | 0.000 |
| 0.000 | 0.000 | -0.000 | 0.000 | 0.000 | 2.261 |
| 8.206 | 2.971 | 2.971 | -0.000 | 0.000 | -0.000 |
| 2.971 | 8.206 | 2.971 | -0.000 | -0.000 | 0.000 |
| 2.971 | 2.971 | 8.206 | 0.000 | -0.000 | -0.000 |
| 0.000 | -0.000 | -0.000 | 2.261 | -0.000 | 0.000 |
| -0.000 | 0.000 | -0.000 | -0.000 | 2.261 | -0.000 |
| -0.000 | -0.000 | 0.000 | -0.000 | -0.000 | 2.261 |
| 9.622 | 2.263 | 2.263 | 0.000 | -0.000 | 0.000 |
| 2.263 | 9.622 | 2.263 | 0.000 | 0.000 | 0.000 |
| 2.263 | 2.263 | 9.622 | -0.000 | 0.000 | -0.000 |
| -0.000 | 0.000 | 0.000 | 2.261 | 0.000 | 0.000 |
| 0.000 | -0.000 | 0.000 | 0.000 | 2.261 | 0.000 |
| 0.000 | 0.000 | -0.000 | 0.000 | -0.000 | 2.261 |
| 9.620 | 2.263 | 2.263 | -0.000 | 0.000 | 0.000 |
| 2.263 | 9.620 | 2.263 | -0.000 | -0.000 | -0.000 |
| 2.263 | 2.263 | 9.620 | -0.000 | -0.000 | -0.000 |
| 0.000 | -0.000 | -0.000 | 2.261 | -0.000 | 0.000 |
| -0.000 | 0.000 | -0.000 | -0.000 | 2.261 | -0.000 |
| -0.000 | -0.000 | 0.000 | -0.000 | -0.000 | 2.261 |
| 9.628 | 2.264 | 2.264 | 0.000 | -0.000 | 0.000 |
| 2.264 | 9.628 | 2.264 | 0.000 | 0.000 | 0.000 |
| 2.264 | 2.264 | 9.628 | 0.000 | -0.000 | 0.000 |
| -0.000 | 0.001 | 0.001 | 2.261 | 0.000 | 0.000 |
| 0.001 | -0.000 | 0.001 | 0.000 | 2.261 | 0.000 |
| 0.001 | 0.001 | -0.000 | 0.000 | 0.000 | 2.261 |
| 9.614 | 2.262 | 2.262 | -0.000 | 0.000 | -0.000 |
| 2.262 | 9.614 | 2.262 | -0.000 | 0.000 | -0.000 |
| 2.262 | 2.262 | 9.614 | -0.000 | -0.000 | -0.000 |
| 0.000 | -0.001 | -0.001 | 2.261 | -0.000 | -0.000 |
| -0.001 | 0.000 | -0.001 | -0.000 | 2.261 | -0.000 |
| -0.001 | -0.001 | 0.000 | -0.000 | -0.000 | 2.261 |
| 10.463 | 10.146 | 10.146 | -0.000 | -0.000 | -0.000 |
| 10.146 | 10.463 | 10.146 | -0.000 | -0.000 | -0.000 |
| 10.146 | 10.146 | 10.463 | -0.000 | -0.000 | -0.000 |
| 0.000 | -0.000 | -0.000 | 6.564 | 0.000 | -0.000 |
| -0.000 | 0.000 | -0.000 | -0.000 | 6.564 | 0.000 |
| -0.000 | -0.000 | 0.000 | -0.000 | -0.000 | 6.564 |
| 10.463 | 10.146 | 10.146 | 0.000 | 0.000 | 0.000 |
| 10.146 | 10.463 | 10.146 | 0.000 | 0.000 | 0.000 |
| 10.146 | 10.146 | 10.463 | 0.000 | 0.000 | 0.000 |
| -0.000 | 0.000 | 0.000 | 6.564 | 0.000 | -0.000 |
| 0.000 | -0.000 | 0.000 | 0.000 | 6.564 | -0.000 |
| 0.000 | 0.000 | -0.000 | 0.000 | 0.000 | 6.564 |
| 10.463 | 10.146 | 10.146 | -0.000 | 0.000 | -0.000 |
| 10.146 | 10.463 | 10.146 | 0.000 | -0.000 | -0.000 |
| 10.146 | 10.146 | 10.463 | -0.000 | -0.000 | -0.000 |
| 0.000 | -0.000 | -0.000 | 6.564 | -0.000 | -0.000 |
| -0.000 | 0.000 | -0.000 | -0.000 | 6.564 | -0.000 |
| -0.000 | -0.000 | 0.000 | -0.000 | -0.000 | 6.564 |
| 10.463 | 10.146 | 10.146 | 0.000 | 0.000 | 0.000 |
| 10.146 | 10.463 | 10.146 | 0.000 | -0.000 | 0.000 |
| 10.146 | 10.146 | 10.463 | 0.000 | 0.000 | 0.000 |
| -0.000 | 0.000 | 0.000 | 6.564 | -0.000 | -0.000 |
| 0.000 | -0.000 | 0.000 | 0.000 | 6.564 | -0.000 |
| 0.000 | 0.000 | -0.000 | 0.000 | -0.000 | 6.564 |
| 10.464 | 10.146 | 10.146 | -0.000 | -0.000 | -0.000 |
| 10.146 | 10.464 | 10.146 | -0.000 | -0.000 | -0.000 |
| 10.146 | 10.146 | 10.464 | -0.000 | 0.000 | -0.000 |
| -0.000 | -0.000 | -0.000 | 10.146 | -0.000 | -0.000 |
| -0.000 | -0.000 | -0.000 | -0.000 | 10.146 | -0.000 |
| -0.000 | -0.000 | -0.000 | -0.000 | 0.000 | 10.146 |
| 10.463 | 10.146 | 10.146 | 0.000 | 0.000 | 0.000 |
| 10.146 | 10.463 | 10.146 | 0.000 | 0.000 | -0.000 |
| 10.146 | 10.146 | 10.463 | -0.000 | -0.000 | 0.000 |
| 0.000 | 0.000 | 0.000 | 10.146 | 0.000 | 0.000 |
| 0.000 | 0.000 | 0.000 | 0.000 | 10.146 | 0.000 |
| 0.000 | 0.000 | 0.000 | 0.000 | 0.000 | 10.146 |
| 2.339 | 11.669 | 11.669 | 0.000 | 0.000 | 0.000 |
| 11.669 | 2.339 | 11.669 | 0.000 | -0.000 | 0.000 |
| 11.669 | 11.669 | 2.339 | 0.000 | 0.000 | 0.000 |
| -0.000 | 0.000 | 0.000 | 4.427 | -0.000 | 0.000 |
| 0.000 | 0.000 | 0.000 | 0.000 | 4.427 | 0.000 |
| 0.000 | -0.000 | 0.000 | 0.000 | 0.000 | 4.427 |
| 2.339 | 11.669 | 11.669 | 0.000 | 0.000 | -0.000 |
| 11.669 | 2.339 | 11.669 | 0.000 | 0.000 | -0.000 |
| 11.669 | 11.669 | 2.339 | -0.000 | -0.000 | 0.000 |
| 0.000 | -0.000 | -0.000 | 4.427 | 0.000 | -0.000 |
| -0.000 | -0.000 | -0.000 | 0.000 | 4.427 | -0.000 |
| -0.000 | -0.000 | -0.000 | -0.000 | 0.000 | 4.427 |
| 2.339 | 11.669 | 11.669 | -0.000 | 0.000 | 0.000 |
| 11.669 | 2.339 | 11.669 | 0.000 | -0.000 | -0.000 |
| 11.669 | 11.669 | 2.339 | -0.000 | -0.000 | -0.000 |
| 0.000 | 0.000 | 0.000 | 4.427 | -0.000 | 0.000 |
| 0.000 | 0.000 | 0.000 | 0.000 | 4.427 | 0.000 |
| 0.000 | 0.000 | 0.000 | 0.000 | 0.000 | 4.427 |
| 2.339 | 11.669 | 11.669 | -0.000 | 0.000 | 0.000 |
| 11.669 | 2.339 | 11.669 | 0.000 | 0.000 | -0.000 |
| 11.669 | 11.669 | 2.339 | -0.000 | -0.000 | -0.000 |
| -0.000 | -0.000 | -0.000 | 4.427 | -0.000 | -0.000 |
| -0.000 | -0.000 | -0.000 | 0.000 | 4.427 | -0.000 |
| -0.000 | -0.000 | -0.000 | -0.000 | -0.000 | 4.427 |
| 2.339 | 11.669 | 11.669 | 0.000 | 0.000 | 0.000 |
| 11.669 | 2.339 | 11.669 | 0.000 | -0.000 | -0.000 |
| 11.669 | 11.669 | 2.339 | -0.000 | -0.000 | -0.000 |
| 0.000 | 0.000 | 0.000 | 13.074 | 0.000 | 0.000 |
| 0.000 | 0.000 | 0.000 | 0.000 | 13.074 | 0.000 |
| 0.000 | 0.000 | 0.000 | 0.000 | 0.000 | 13.074 |
| 2.339 | 11.669 | 11.669 | -0.000 | -0.000 | -0.000 |
| 11.669 | 2.339 | 11.669 | -0.000 | 0.000 | -0.000 |
| 11.669 | 11.669 | 2.339 | -0.000 | -0.000 | -0.000 |
| -0.000 | -0.000 | -0.000 | 13.074 | -0.000 | -0.000 |
| -0.000 | -0.000 | -0.000 | -0.000 | 13.074 | -0.000 |
| -0.000 | -0.000 | -0.000 | -0.000 | 0.000 | 13.074 |
| 16.797 | 3.372 | 3.372 | -0.000 | -0.000 | -0.000 |
| 3.372 | 16.797 | 3.372 | -0.000 | -0.000 | 0.000 |
| 3.372 | 3.372 | 16.797 | 0.000 | 0.000 | -0.000 |
| -0.000 | -0.000 | -0.000 | 3.131 | -0.000 | -0.000 |
| -0.000 | -0.000 | -0.000 | -0.000 | 3.131 | -0.000 |
| -0.000 | -0.000 | -0.000 | -0.000 | -0.000 | 3.131 |
| 16.797 | 3.372 | 3.372 | 0.000 | 0.000 | 0.000 |
| 3.372 | 16.797 | 3.372 | 0.000 | 0.000 | 0.000 |
| 3.372 | 3.372 | 16.797 | 0.000 | 0.000 | 0.000 |
| 0.000 | 0.000 | 0.000 | 3.131 | 0.000 | -0.000 |
| 0.000 | 0.000 | 0.000 | 0.000 | 3.131 | 0.000 |
| 0.000 | 0.000 | 0.000 | 0.000 | 0.000 | 3.131 |
| 16.797 | 3.372 | 3.372 | -0.000 | -0.000 | -0.000 |
| 3.372 | 16.797 | 3.372 | -0.000 | -0.000 | -0.000 |
| 3.372 | 3.372 | 16.797 | -0.000 | -0.000 | -0.000 |
| -0.000 | -0.000 | -0.000 | 3.372 | -0.000 | -0.000 |
| -0.000 | -0.000 | -0.000 | -0.000 | 3.372 | 0.000 |
| -0.000 | -0.000 | -0.000 | -0.000 | -0.000 | 3.372 |
| 16.797 | 3.372 | 3.372 | 0.000 | 0.000 | 0.000 |
| 3.372 | 16.797 | 3.372 | 0.000 | 0.000 | 0.000 |
| 3.372 | 3.372 | 16.797 | -0.000 | 0.000 | 0.000 |
| 0.000 | 0.000 | 0.000 | 3.372 | 0.000 | -0.000 |
| 0.000 | 0.000 | 0.000 | 0.000 | 3.372 | -0.000 |
| 0.000 | 0.000 | 0.000 | 0.000 | 0.000 | 3.372 |
| 16.797 | 3.372 | 3.372 | -0.000 | -0.000 | -0.000 |
| 3.372 | 16.797 | 3.372 | -0.000 | -0.000 | -0.000 |
| 3.372 | 3.372 | 16.797 | -0.000 | -0.000 | -0.000 |
| -0.000 | -0.000 | -0.000 | 3.131 | -0.000 | -0.000 |
| -0.000 | -0.000 | -0.000 | -0.000 | 3.131 | -0.000 |
| -0.000 | -0.000 | -0.000 | -0.000 | -0.000 | 3.131 |
| 16.797 | 3.372 | 3.372 | 0.000 | 0.000 | 0.000 |
| 3.372 | 16.797 | 3.372 | 0.000 | 0.000 | 0.000 |
| 3.372 | 3.372 | 16.797 | 0.000 | -0.000 | 0.000 |
| 0.000 | 0.000 | 0.000 | 3.131 | 0.000 | 0.000 |
| 0.000 | 0.000 | 0.000 | 0.000 | 3.131 | 0.000 |
| 0.000 | 0.000 | 0.000 | 0.000 | -0.000 | 3.131 |
| 16.822 | 3.718 | 3.718 | -0.000 | -0.000 | -0.000 |
| 3.718 | 16.822 | 3.718 | -0.000 | -0.000 | -0.000 |
| 3.718 | 3.718 | 16.822 | -0.000 | -0.000 | -0.000 |
| -0.000 | -0.000 | -0.000 | 3.604 | -0.000 | -0.000 |
| -0.000 | -0.000 | -0.000 | -0.000 | 3.604 | -0.000 |
| -0.000 | -0.000 | -0.000 | -0.000 | -0.000 | 3.604 |
| 16.822 | 3.718 | 3.718 | 0.000 | 0.000 | 0.000 |
| 3.718 | 16.822 | 3.718 | 0.000 | 0.000 | 0.000 |
| 3.718 | 3.718 | 16.822 | 0.000 | 0.000 | 0.000 |
| 0.000 | 0.000 | 0.000 | 3.604 | 0.000 | 0.000 |
| 0.000 | 0.000 | 0.000 | 0.000 | 3.604 | 0.000 |
| 0.000 | 0.000 | 0.000 | 0.000 | 0.000 | 3.604 |
| 16.822 | 3.718 | 3.718 | -0.000 | -0.000 | -0.000 |
| 3.718 | 16.822 | 3.718 | -0.000 | -0.000 | -0.000 |
| 3.718 | 3.718 | 16.822 | -0.000 | -0.000 | -0.000 |
| -0.000 | -0.000 | -0.000 | 3.761 | -0.000 | -0.000 |
| -0.000 | -0.000 | -0.000 | -0.000 | 3.761 | -0.000 |
| -0.000 | -0.000 | -0.000 | 0.000 | -0.000 | 3.761 |
| 16.822 | 3.718 | 3.718 | 0.000 | 0.000 | 0.000 |
| 3.718 | 16.822 | 3.718 | 0.000 | 0.000 | 0.000 |
| 3.718 | 3.718 | 16.822 | 0.000 | 0.000 | 0.000 |
| 0.000 | 0.000 | 0.000 | 3.761 | 0.000 | 0.000 |
| 0.000 | 0.000 | 0.000 | 0.000 | 3.761 | 0.000 |
| 0.000 | 0.000 | 0.000 | 0.000 | 0.000 | 3.761 |
| 16.823 | 3.718 | 3.718 | -0.000 | -0.000 | -0.000 |
| 3.718 | 16.823 | 3.718 | -0.000 | -0.000 | -0.000 |
| 3.718 | 3.718 | 16.823 | -0.000 | -0.000 | -0.000 |
| -0.000 | -0.000 | -0.000 | 3.503 | -0.000 | -0.000 |
| -0.000 | -0.000 | -0.000 | -0.000 | 3.503 | -0.000 |
| -0.000 | -0.000 | -0.000 | -0.000 | -0.000 | 3.503 |
| 16.822 | 3.718 | 3.718 | 0.000 | 0.000 | 0.000 |
| 3.718 | 16.822 | 3.718 | 0.000 | 0.000 | 0.000 |
| 3.718 | 3.718 | 16.822 | 0.000 | 0.000 | 0.000 |
| 0.000 | 0.000 | 0.000 | 3.503 | 0.000 | 0.000 |
| 0.000 | 0.000 | 0.000 | 0.000 | 3.503 | 0.000 |
| 0.000 | 0.000 | 0.000 | 0.000 | 0.000 | 3.503 |
| 17.288 | 3.600 | 3.600 | 0.000 | 0.000 | 0.000 |
| 3.600 | 17.288 | 3.600 | -0.000 | 0.000 | 0.000 |
| 3.600 | 3.600 | 17.288 | 0.000 | 0.000 | 0.000 |
| 0.000 | 0.000 | 0.000 | 1.369 | 0.000 | -0.000 |
| 0.000 | 0.000 | 0.000 | 0.000 | 1.369 | 0.000 |
| 0.000 | 0.000 | 0.000 | -0.000 | 0.000 | 1.369 |
| 17.288 | 3.600 | 3.600 | -0.000 | -0.000 | 0.000 |
| 3.600 | 17.288 | 3.600 | -0.000 | -0.000 | -0.000 |
| 3.600 | 3.600 | 17.288 | -0.000 | -0.000 | -0.000 |
| -0.000 | -0.000 | -0.000 | 1.369 | -0.000 | 0.000 |
| -0.000 | -0.000 | -0.000 | -0.000 | 1.369 | -0.000 |
| -0.000 | -0.000 | -0.000 | 0.000 | 0.000 | 1.369 |
| 17.288 | 3.600 | 3.600 | 0.000 | 0.000 | -0.000 |
| 3.600 | 17.288 | 3.600 | -0.000 | 0.000 | -0.000 |
| 3.600 | 3.600 | 17.288 | -0.000 | -0.000 | -0.000 |
| -0.000 | -0.000 | -0.000 | 1.369 | -0.000 | 0.000 |
| -0.000 | -0.000 | -0.000 | -0.000 | 1.369 | 0.000 |
| -0.000 | -0.000 | -0.000 | -0.000 | 0.000 | 1.369 |
| 17.288 | 3.600 | 3.600 | -0.000 | -0.000 | 0.000 |
| 3.600 | 17.288 | 3.600 | -0.000 | -0.000 | -0.000 |
| 3.600 | 3.600 | 17.288 | -0.000 | -0.000 | 0.000 |
| 0.000 | 0.000 | 0.000 | 1.369 | -0.000 | -0.000 |
| 0.000 | 0.000 | 0.000 | -0.000 | 1.369 | -0.000 |
| 0.000 | 0.000 | 0.000 | 0.000 | -0.000 | 1.369 |
| 17.288 | 3.600 | 3.600 | 0.000 | 0.000 | -0.000 |
| 3.600 | 17.288 | 3.600 | 0.000 | 0.000 | 0.000 |
| 3.600 | 3.600 | 17.288 | 0.000 | 0.000 | 0.000 |
| -0.000 | -0.000 | -0.000 | 3.355 | 0.000 | -0.000 |
| -0.000 | -0.000 | -0.000 | 0.000 | 3.355 | -0.000 |
| -0.000 | -0.000 | -0.000 | -0.000 | 0.000 | 3.355 |
| 17.288 | 3.600 | 3.600 | -0.000 | -0.000 | 0.000 |
| 3.600 | 17.288 | 3.600 | -0.000 | -0.000 | -0.000 |
| 3.600 | 3.600 | 17.288 | -0.000 | -0.000 | 0.000 |
| 0.000 | 0.000 | 0.000 | 3.355 | -0.000 | 0.000 |
| 0.000 | 0.000 | 0.000 | -0.000 | 3.355 | -0.000 |
| 0.000 | 0.000 | 0.000 | 0.000 | -0.000 | 3.355 |
| 17.722 | 4.115 | 4.115 | 0.000 | 0.000 | 0.000 |
| 4.115 | 17.722 | 4.115 | 0.000 | 0.000 | -0.000 |
| 4.115 | 4.115 | 17.722 | 0.000 | 0.000 | 0.000 |
| 0.000 | 0.000 | 0.000 | 1.828 | -0.000 | -0.000 |
| 0.000 | 0.000 | 0.000 | -0.000 | 1.828 | -0.000 |
| 0.000 | 0.000 | 0.000 | -0.000 | -0.000 | 1.828 |
| 17.722 | 4.115 | 4.115 | 0.000 | 0.000 | -0.000 |
| 4.115 | 17.722 | 4.115 | 0.000 | 0.000 | -0.000 |
| 4.115 | 4.115 | 17.722 | 0.000 | 0.000 | -0.000 |
| -0.000 | -0.000 | -0.000 | 1.828 | 0.000 | -0.000 |
| -0.000 | -0.000 | -0.000 | 0.000 | 1.828 | 0.000 |
| -0.000 | -0.000 | -0.000 | 0.000 | 0.000 | 1.828 |
| 17.722 | 4.115 | 4.115 | 0.000 | 0.000 | 0.000 |
| 4.115 | 17.722 | 4.115 | 0.000 | 0.000 | 0.000 |
| 4.115 | 4.115 | 17.722 | 0.000 | 0.000 | 0.000 |
| -0.000 | 0.000 | 0.000 | 1.828 | -0.000 | 0.000 |
| 0.000 | -0.000 | 0.000 | -0.000 | 1.828 | -0.000 |
| 0.000 | 0.000 | -0.000 | -0.000 | -0.000 | 1.828 |
| 17.722 | 4.115 | 4.115 | 0.000 | 0.000 | -0.000 |
| 4.115 | 17.722 | 4.115 | 0.000 | 0.000 | 0.000 |
| 4.115 | 4.115 | 17.722 | 0.000 | 0.000 | -0.000 |
| 0.000 | -0.000 | -0.000 | 1.828 | 0.000 | 0.000 |
| -0.000 | 0.000 | -0.000 | 0.000 | 1.828 | 0.000 |
| -0.000 | -0.000 | 0.000 | 0.000 | 0.000 | 1.828 |
| 17.722 | 4.115 | 4.115 | -0.000 | -0.000 | 0.000 |
| 4.115 | 17.722 | 4.115 | -0.000 | -0.000 | -0.000 |
| 4.115 | 4.115 | 17.722 | -0.000 | -0.000 | 0.000 |
| 0.000 | 0.000 | 0.000 | 4.096 | 0.000 | -0.000 |
| 0.000 | 0.000 | 0.000 | 0.000 | 4.096 | -0.000 |
| 0.000 | 0.000 | 0.000 | -0.000 | 0.000 | 4.096 |
| 17.722 | 4.115 | 4.115 | -0.000 | -0.000 | -0.000 |
| 4.115 | 17.722 | 4.115 | -0.000 | -0.000 | 0.000 |
| 4.115 | 4.115 | 17.722 | 0.000 | 0.000 | -0.000 |
| -0.000 | -0.000 | -0.000 | 4.096 | -0.000 | -0.000 |
| -0.000 | -0.000 | -0.000 | -0.000 | 4.096 | 0.000 |
| -0.000 | -0.000 | -0.000 | 0.000 | 0.000 | 4.096 |
| 17.673 | 4.072 | 4.072 | 0.000 | 0.000 | 0.000 |
| 4.072 | 17.673 | 4.072 | -0.000 | 0.000 | 0.000 |
| 4.072 | 4.072 | 17.673 | 0.000 | 0.000 | 0.000 |
| -0.000 | -0.000 | -0.000 | 1.836 | 0.000 | 0.000 |
| -0.000 | -0.000 | -0.000 | 0.000 | 1.836 | 0.000 |
| 0.000 | -0.000 | -0.000 | 0.000 | 0.000 | 1.836 |
| 17.673 | 4.072 | 4.072 | -0.000 | -0.000 | -0.000 |
| 4.072 | 17.673 | 4.072 | -0.000 | -0.000 | -0.000 |
| 4.072 | 4.072 | 17.673 | 0.000 | -0.000 | -0.000 |
| 0.000 | -0.000 | 0.000 | 1.836 | -0.000 | -0.000 |
| -0.000 | 0.000 | 0.000 | -0.000 | 1.836 | -0.000 |
| -0.000 | -0.000 | 0.000 | -0.000 | -0.000 | 1.836 |
| 17.673 | 4.072 | 4.072 | 0.000 | 0.000 | -0.000 |
| 4.072 | 17.673 | 4.072 | 0.000 | 0.000 | 0.000 |
| 4.072 | 4.072 | 17.673 | 0.000 | 0.000 | 0.000 |
| -0.000 | -0.000 | -0.000 | 1.836 | 0.000 | 0.000 |
| -0.000 | -0.000 | -0.000 | 0.000 | 1.836 | 0.000 |
| -0.000 | -0.000 | -0.000 | 0.000 | 0.000 | 1.836 |
| 17.673 | 4.072 | 4.072 | -0.000 | -0.000 | -0.000 |
| 4.072 | 17.673 | 4.072 | 0.000 | -0.000 | -0.000 |
| 4.072 | 4.072 | 17.673 | -0.000 | -0.000 | -0.000 |
| 0.000 | 0.000 | 0.000 | 1.836 | -0.000 | -0.000 |
| 0.000 | 0.000 | 0.000 | 0.000 | 1.836 | -0.000 |
| 0.000 | 0.000 | 0.000 | -0.000 | -0.000 | 1.836 |
| 17.673 | 4.072 | 4.072 | 0.000 | -0.000 | 0.000 |
| 4.072 | 17.673 | 4.072 | -0.000 | 0.000 | -0.000 |
| 4.072 | 4.072 | 17.673 | -0.000 | -0.000 | -0.000 |
| 0.000 | 0.000 | 0.000 | 4.072 | 0.000 | 0.000 |
| 0.000 | 0.000 | 0.000 | 0.000 | 4.072 | 0.000 |
| 0.000 | 0.000 | 0.000 | 0.000 | 0.000 | 4.072 |
| 17.673 | 4.072 | 4.072 | -0.000 | -0.000 | 0.000 |
| 4.072 | 17.673 | 4.072 | -0.000 | -0.000 | -0.000 |
| 4.072 | 4.072 | 17.673 | -0.000 | -0.000 | -0.000 |
| -0.000 | -0.000 | -0.000 | 4.072 | -0.000 | -0.000 |
| -0.000 | -0.000 | -0.000 | 0.000 | 4.072 | -0.000 |
| -0.000 | -0.000 | -0.000 | -0.000 | -0.000 | 4.072 |
| 39.095 | 14.451 | 14.451 | 0.000 | 0.000 | 0.000 |
| 14.451 | 39.095 | 14.451 | 0.000 | 0.000 | 0.000 |
| 14.451 | 14.451 | 39.095 | 0.000 | 0.000 | 0.000 |
| 0.000 | 0.000 | 0.000 | 6.703 | 0.000 | 0.000 |
| 0.000 | 0.000 | 0.000 | 0.000 | 6.703 | 0.000 |
| 0.000 | 0.000 | -0.000 | 0.000 | 0.000 | 6.703 |
| 33.402 | 9.005 | 9.005 | -0.000 | -0.000 | -0.000 |
| 9.005 | 33.402 | 9.005 | -0.000 | -0.000 | -0.000 |
| 9.005 | 9.005 | 33.402 | -0.000 | -0.000 | -0.000 |
| -0.000 | -0.000 | -0.000 | 6.703 | -0.000 | -0.000 |
| -0.000 | -0.000 | -0.000 | -0.000 | 6.703 | -0.000 |
| -0.000 | -0.000 | 0.000 | -0.000 | -0.000 | 6.703 |
| 39.095 | 14.451 | 14.451 | 0.000 | 0.000 | 0.000 |
| 14.451 | 39.095 | 14.451 | 0.000 | 0.000 | 0.000 |
| 14.451 | 14.451 | 39.095 | 0.000 | 0.000 | 0.000 |
| 0.000 | 0.000 | 0.000 | 6.703 | 0.000 | 0.000 |
| 0.000 | 0.000 | 0.000 | 0.000 | 6.703 | 0.000 |
| 0.000 | 0.000 | -0.000 | 0.000 | 0.000 | 6.703 |
| 33.402 | 9.004 | 9.004 | -0.000 | -0.000 | -0.000 |
| 9.004 | 33.402 | 9.004 | -0.000 | -0.000 | -0.000 |
| 9.004 | 9.004 | 33.402 | -0.000 | -0.000 | -0.000 |
| -0.000 | -0.000 | -0.000 | 6.703 | -0.000 | -0.000 |
| -0.000 | -0.000 | -0.000 | -0.000 | 6.703 | -0.000 |
| -0.000 | -0.000 | 0.000 | -0.000 | -0.000 | 6.703 |
| 39.095 | 14.451 | 14.451 | 0.000 | 0.000 | 0.000 |
| 14.451 | 39.095 | 14.451 | 0.000 | 0.000 | 0.000 |
| 14.451 | 14.451 | 39.095 | 0.000 | 0.000 | 0.000 |
| -0.000 | 0.000 | 0.000 | 6.703 | 0.000 | 0.000 |
| 0.000 | -0.000 | 0.000 | 0.000 | 6.703 | 0.000 |
| 0.000 | 0.000 | -0.000 | 0.000 | 0.000 | 6.703 |
| 33.401 | 9.004 | 9.004 | -0.000 | -0.000 | -0.000 |
| 9.004 | 33.401 | 9.004 | -0.000 | -0.000 | -0.000 |
| 9.004 | 9.004 | 33.401 | -0.000 | -0.000 | -0.000 |
| 0.000 | -0.000 | -0.000 | 6.703 | -0.000 | 0.000 |
| -0.000 | 0.000 | -0.000 | -0.000 | 6.703 | -0.000 |
| -0.000 | -0.000 | 0.000 | -0.000 | -0.000 | 6.703 |
| 36.815 | 12.017 | 12.017 | 0.000 | -0.000 | 0.000 |
| 12.017 | 36.815 | 12.017 | 0.000 | -0.000 | 0.000 |
| 12.017 | 12.017 | 36.815 | -0.000 | -0.000 | 0.000 |
| -0.000 | 0.000 | 0.000 | 12.017 | 0.000 | 0.000 |
| 0.000 | -0.000 | 0.000 | 0.000 | 12.017 | -0.000 |
| 0.000 | 0.000 | -0.000 | 0.000 | -0.000 | 12.017 |
| 36.815 | 12.017 | 12.017 | 0.000 | 0.000 | 0.000 |
| 12.017 | 36.815 | 12.017 | 0.000 | 0.000 | -0.000 |
| 12.017 | 12.017 | 36.815 | -0.000 | 0.000 | -0.000 |
| 0.000 | -0.000 | -0.000 | 12.017 | 0.000 | -0.000 |
| -0.000 | 0.000 | -0.000 | -0.000 | 12.017 | 0.000 |
| -0.000 | -0.000 | 0.000 | -0.000 | 0.000 | 12.017 |
| 36.814 | 12.017 | 12.017 | 0.000 | -0.000 | 0.000 |
| 12.017 | 36.814 | 12.017 | -0.000 | -0.000 | 0.000 |
| 12.017 | 12.017 | 36.814 | 0.000 | -0.000 | 0.000 |
| -0.000 | 0.000 | 0.000 | 12.017 | -0.000 | 0.000 |
| 0.000 | -0.000 | 0.000 | 0.000 | 12.017 | -0.000 |
| 0.000 | 0.000 | -0.000 | -0.000 | -0.000 | 12.017 |
| 36.815 | 12.017 | 12.017 | -0.000 | 0.000 | 0.000 |
| 12.017 | 36.815 | 12.017 | 0.000 | 0.000 | 0.000 |
| 12.017 | 12.017 | 36.815 | 0.000 | 0.000 | -0.000 |
| 0.000 | -0.000 | -0.000 | 12.017 | 0.000 | -0.000 |
| -0.000 | 0.000 | -0.000 | 0.000 | 12.017 | 0.000 |
| -0.000 | -0.000 | 0.000 | -0.000 | 0.000 | 12.017 |
| 36.813 | 12.017 | 12.017 | 0.000 | -0.000 | 0.000 |
| 12.017 | 36.813 | 12.017 | 0.000 | 0.000 | -0.000 |
| 12.017 | 12.017 | 36.813 | -0.000 | -0.000 | 0.000 |
| -0.000 | 0.000 | 0.000 | 12.017 | -0.000 | 0.000 |
| 0.000 | -0.000 | 0.000 | 0.000 | 12.017 | -0.000 |
| 0.000 | 0.000 | -0.000 | 0.000 | -0.000 | 12.017 |
| 36.816 | 12.017 | 12.017 | -0.000 | 0.000 | 0.000 |
| 12.017 | 36.816 | 12.017 | 0.000 | 0.000 | -0.000 |
| 12.017 | 12.017 | 36.816 | -0.000 | 0.000 | -0.000 |
| 0.000 | -0.000 | -0.000 | 12.017 | 0.000 | 0.000 |
| -0.000 | 0.000 | -0.000 | -0.000 | 12.017 | -0.000 |
| -0.000 | -0.000 | 0.000 | -0.000 | 0.000 | 12.017 |
| 12.604 | 6.302 | 6.302 | 0.000 | -0.000 | 0.000 |
| 6.302 | 12.604 | 6.302 | -0.000 | 0.000 | 0.000 |
| 6.302 | 6.302 | 12.604 | 0.000 | 0.000 | 0.000 |
| 0.000 | -0.000 | -0.000 | 6.302 | -0.000 | 0.000 |
| -0.000 | 0.000 | -0.000 | -0.000 | 6.302 | 0.000 |
| -0.000 | -0.000 | 0.000 | -0.000 | -0.000 | 6.302 |
| 12.604 | 6.302 | 6.302 | 0.000 | 0.000 | -0.000 |
| 6.302 | 12.604 | 6.302 | 0.000 | 0.000 | -0.000 |
| 6.302 | 6.302 | 12.604 | 0.000 | 0.000 | -0.000 |
| -0.000 | 0.000 | 0.000 | 6.302 | 0.000 | -0.000 |
| 0.000 | -0.000 | 0.000 | 0.000 | 6.302 | -0.000 |
| 0.000 | 0.000 | -0.000 | 0.000 | 0.000 | 6.302 |
| 12.604 | 6.302 | 6.302 | 0.000 | -0.000 | 0.000 |
| 6.302 | 12.604 | 6.302 | -0.000 | 0.000 | 0.000 |
| 6.302 | 6.302 | 12.604 | 0.000 | 0.000 | 0.000 |
| -0.000 | -0.000 | -0.000 | 6.302 | -0.000 | 0.000 |
| -0.000 | -0.000 | -0.000 | -0.000 | 6.302 | 0.000 |
| -0.000 | -0.000 | -0.000 | -0.000 | -0.000 | 6.302 |
| 12.604 | 6.302 | 6.302 | -0.000 | -0.000 | -0.000 |
| 6.302 | 12.604 | 6.302 | -0.000 | 0.000 | -0.000 |
| 6.302 | 6.302 | 12.604 | -0.000 | -0.000 | -0.000 |
| 0.000 | 0.000 | 0.000 | 6.302 | 0.000 | -0.000 |
| 0.000 | 0.000 | 0.000 | 0.000 | 6.302 | -0.000 |
| 0.000 | 0.000 | 0.000 | 0.000 | 0.000 | 6.302 |
| 12.604 | 6.302 | 6.302 | 0.000 | 0.000 | 0.000 |
| 6.302 | 12.604 | 6.302 | 0.000 | 0.000 | 0.000 |
| 6.302 | 6.302 | 12.604 | 0.000 | 0.000 | 0.000 |
| -0.000 | -0.000 | -0.000 | 6.302 | 0.000 | 0.000 |
| -0.000 | -0.000 | -0.000 | 0.000 | 6.302 | 0.000 |
| -0.000 | -0.000 | -0.000 | -0.000 | -0.000 | 6.302 |
| 12.604 | 6.302 | 6.302 | 0.000 | 0.000 | 0.000 |
| 6.302 | 12.604 | 6.302 | 0.000 | 0.000 | -0.000 |
| 6.302 | 6.302 | 12.604 | -0.000 | -0.000 | -0.000 |
| 0.000 | 0.000 | 0.000 | 6.302 | -0.000 | -0.000 |
| 0.000 | 0.000 | 0.000 | -0.000 | 6.302 | -0.000 |
| 0.000 | 0.000 | 0.000 | 0.000 | 0.000 | 6.302 |
| 13.097 | 6.529 | 6.529 | -0.000 | -0.000 | -0.000 |
| 6.529 | 13.097 | 6.529 | -0.000 | -0.000 | -0.000 |
| 6.529 | 6.529 | 13.097 | -0.000 | -0.000 | -0.000 |
| 0.000 | -0.000 | -0.000 | 6.555 | -0.000 | -0.000 |
| -0.000 | 0.000 | -0.000 | -0.000 | 6.555 | -0.000 |
| -0.000 | -0.000 | 0.000 | -0.000 | 0.000 | 6.555 |
| 13.097 | 6.529 | 6.529 | 0.000 | 0.000 | 0.000 |
| 6.529 | 13.097 | 6.529 | 0.000 | 0.000 | 0.000 |
| 6.529 | 6.529 | 13.097 | -0.000 | 0.000 | 0.000 |
| -0.000 | 0.000 | 0.000 | 6.555 | 0.000 | 0.000 |
| 0.000 | -0.000 | 0.000 | 0.000 | 6.555 | -0.000 |
| 0.000 | 0.000 | -0.000 | 0.000 | -0.000 | 6.555 |
| 13.097 | 6.529 | 6.529 | -0.000 | 0.000 | 0.000 |
| 6.529 | 13.097 | 6.529 | -0.000 | -0.000 | -0.000 |
| 6.529 | 6.529 | 13.097 | -0.000 | -0.000 | 0.000 |
| -0.000 | -0.000 | -0.000 | 6.555 | 0.000 | 0.000 |
| -0.000 | -0.000 | -0.000 | -0.000 | 6.555 | -0.000 |
| -0.000 | -0.000 | -0.000 | -0.000 | -0.000 | 6.555 |
| 13.097 | 6.529 | 6.529 | 0.000 | 0.000 | 0.000 |
| 6.529 | 13.097 | 6.529 | 0.000 | 0.000 | -0.000 |
| 6.529 | 6.529 | 13.097 | 0.000 | -0.000 | 0.000 |
| 0.000 | 0.000 | 0.000 | 6.555 | 0.000 | 0.000 |
| 0.000 | 0.000 | 0.000 | 0.000 | 6.555 | 0.000 |
| 0.000 | 0.000 | 0.000 | 0.000 | 0.000 | 6.555 |
| 13.096 | 6.529 | 6.529 | -0.000 | 0.000 | -0.000 |
| 6.529 | 13.096 | 6.529 | -0.000 | -0.000 | -0.000 |
| 6.529 | 6.529 | 13.096 | -0.000 | -0.000 | 0.000 |
| -0.000 | -0.000 | -0.000 | 6.555 | -0.000 | -0.000 |
| -0.000 | -0.000 | -0.000 | -0.000 | 6.555 | 0.000 |
| -0.000 | -0.000 | -0.000 | -0.000 | 0.000 | 6.555 |
| 13.097 | 6.529 | 6.529 | 0.000 | 0.000 | 0.000 |
| 6.529 | 13.097 | 6.529 | 0.000 | 0.000 | 0.000 |
| 6.529 | 6.529 | 13.097 | 0.000 | 0.000 | 0.000 |
| 0.000 | 0.000 | 0.000 | 6.555 | 0.000 | 0.000 |
| 0.000 | 0.000 | 0.000 | 0.000 | 6.555 | 0.000 |
| 0.000 | 0.000 | 0.000 | 0.000 | -0.000 | 6.555 |
| 17.446 | 8.502 | 8.502 | -0.000 | -0.000 | -0.000 |
| 8.502 | 17.446 | 8.502 | -0.000 | -0.000 | 0.000 |
| 8.502 | 8.502 | 17.446 | -0.000 | 0.000 | -0.000 |
| 0.000 | -0.000 | -0.000 | 8.797 | -0.000 | -0.000 |
| -0.000 | 0.000 | -0.000 | -0.000 | 8.797 | -0.000 |
| -0.000 | -0.000 | 0.000 | -0.000 | -0.000 | 8.797 |
| 17.446 | 8.502 | 8.502 | -0.000 | 0.000 | 0.000 |
| 8.502 | 17.446 | 8.502 | 0.000 | 0.000 | 0.000 |
| 8.502 | 8.502 | 17.446 | 0.000 | 0.000 | 0.000 |
| -0.000 | 0.000 | 0.000 | 8.797 | 0.000 | -0.000 |
| 0.000 | -0.000 | 0.000 | 0.000 | 8.797 | 0.000 |
| 0.000 | 0.000 | -0.000 | 0.000 | 0.000 | 8.797 |
| 17.446 | 8.502 | 8.502 | -0.000 | -0.000 | -0.000 |
| 8.502 | 17.446 | 8.502 | -0.000 | -0.000 | -0.000 |
| 8.502 | 8.502 | 17.446 | -0.000 | -0.000 | -0.000 |
| -0.000 | -0.000 | -0.000 | 8.797 | -0.000 | -0.000 |
| -0.000 | -0.000 | -0.000 | -0.000 | 8.797 | -0.000 |
| -0.000 | -0.000 | -0.000 | -0.000 | -0.000 | 8.797 |
| 17.446 | 8.502 | 8.502 | -0.000 | -0.000 | -0.000 |
| 8.502 | 17.446 | 8.502 | -0.000 | 0.000 | -0.000 |
| 8.502 | 8.502 | 17.446 | 0.000 | -0.000 | 0.000 |
| 0.000 | 0.000 | 0.000 | 8.797 | 0.000 | 0.000 |
| 0.000 | 0.000 | 0.000 | 0.000 | 8.797 | 0.000 |
| 0.000 | 0.000 | 0.000 | 0.000 | 0.000 | 8.797 |
| 17.446 | 8.502 | 8.502 | 0.000 | -0.000 | 0.000 |
| 8.502 | 17.446 | 8.502 | 0.000 | 0.000 | -0.000 |
| 8.502 | 8.502 | 17.446 | -0.000 | -0.000 | -0.000 |
| -0.000 | -0.000 | -0.000 | 8.797 | -0.000 | -0.000 |
| -0.000 | -0.000 | -0.000 | -0.000 | 8.797 | -0.000 |
| -0.000 | -0.000 | -0.000 | -0.000 | -0.000 | 8.797 |
| 17.447 | 8.502 | 8.502 | 0.000 | 0.000 | 0.000 |
| 8.502 | 17.447 | 8.502 | 0.000 | 0.000 | 0.000 |
| 8.502 | 8.502 | 17.447 | -0.000 | 0.000 | 0.000 |
| 0.000 | 0.000 | 0.000 | 8.797 | -0.000 | -0.000 |
| 0.000 | 0.000 | 0.000 | 0.000 | 8.797 | 0.000 |
| 0.000 | 0.000 | 0.000 | 0.000 | 0.000 | 8.797 |
| 8.482 | 4.296 | 4.296 | 0.000 | 0.000 | 0.000 |
| 4.296 | 8.482 | 4.296 | 0.000 | 0.000 | -0.000 |
| 4.296 | 4.296 | 8.482 | -0.000 | -0.000 | 0.000 |
| 0.000 | -0.000 | -0.000 | 4.222 | 0.000 | 0.000 |
| -0.000 | 0.000 | -0.000 | 0.000 | 4.222 | 0.000 |
| -0.000 | -0.000 | 0.000 | 0.000 | 0.000 | 4.222 |
| 8.482 | 4.296 | 4.296 | -0.000 | -0.000 | -0.000 |
| 4.296 | 8.482 | 4.296 | -0.000 | -0.000 | -0.000 |
| 4.296 | 4.296 | 8.482 | -0.000 | -0.000 | -0.000 |
| -0.000 | 0.000 | 0.000 | 4.222 | -0.000 | -0.000 |
| 0.000 | -0.000 | 0.000 | -0.000 | 4.222 | -0.000 |
| 0.000 | 0.000 | -0.000 | -0.000 | -0.000 | 4.222 |
| 8.482 | 4.296 | 4.296 | 0.000 | 0.000 | 0.000 |
| 4.296 | 8.482 | 4.296 | 0.000 | 0.000 | 0.000 |
| 4.296 | 4.296 | 8.482 | -0.000 | -0.000 | 0.000 |
| -0.000 | -0.000 | -0.000 | 4.222 | -0.000 | 0.000 |
| -0.000 | -0.000 | -0.000 | -0.000 | 4.222 | 0.000 |
| -0.000 | -0.000 | -0.000 | 0.000 | 0.000 | 4.222 |
| 8.482 | 4.296 | 4.296 | -0.000 | -0.000 | -0.000 |
| 4.296 | 8.482 | 4.296 | -0.000 | 0.000 | 0.000 |
| 4.296 | 4.296 | 8.482 | 0.000 | 0.000 | -0.000 |
| 0.000 | 0.000 | 0.000 | 4.222 | -0.000 | -0.000 |
| 0.000 | 0.000 | 0.000 | -0.000 | 4.222 | -0.000 |
| 0.000 | 0.000 | 0.000 | -0.000 | -0.000 | 4.222 |
| 8.481 | 4.296 | 4.296 | 0.000 | 0.000 | 0.000 |
| 4.296 | 8.481 | 4.296 | -0.000 | 0.000 | 0.000 |
| 4.296 | 4.296 | 8.481 | -0.000 | -0.000 | 0.000 |
| -0.000 | -0.000 | -0.000 | 4.222 | 0.000 | 0.000 |
| -0.000 | -0.000 | -0.000 | -0.000 | 4.222 | 0.000 |
| -0.000 | -0.000 | -0.000 | 0.000 | 0.000 | 4.222 |
| 8.482 | 4.296 | 4.296 | 0.000 | -0.000 | 0.000 |
| 4.296 | 8.482 | 4.296 | -0.000 | 0.000 | 0.000 |
| 4.296 | 4.296 | 8.482 | 0.000 | 0.000 | 0.000 |
| 0.000 | 0.000 | 0.000 | 4.222 | -0.000 | 0.000 |
| 0.000 | 0.000 | 0.000 | -0.000 | 4.222 | -0.000 |
| 0.000 | 0.000 | 0.000 | -0.000 | -0.000 | 4.222 |
| 9.634 | 4.817 | 4.817 | -0.000 | -0.000 | -0.000 |
| 4.817 | 9.634 | 4.817 | -0.000 | -0.000 | -0.000 |
| 4.817 | 4.817 | 9.634 | -0.000 | -0.000 | -0.000 |
| -0.000 | -0.000 | -0.000 | 4.817 | -0.000 | -0.000 |
| -0.000 | -0.000 | -0.000 | -0.000 | 4.817 | -0.000 |
| -0.000 | -0.000 | 0.000 | -0.000 | -0.000 | 4.817 |
| 9.634 | 4.817 | 4.817 | 0.000 | 0.000 | 0.000 |
| 4.817 | 9.634 | 4.817 | 0.000 | 0.000 | 0.000 |
| 4.817 | 4.817 | 9.634 | 0.000 | 0.000 | 0.000 |
| 0.000 | 0.000 | 0.000 | 4.817 | 0.000 | -0.000 |
| 0.000 | 0.000 | 0.000 | 0.000 | 4.817 | 0.000 |
| 0.000 | 0.000 | -0.000 | 0.000 | 0.000 | 4.817 |
| 9.634 | 4.817 | 4.817 | -0.000 | -0.000 | -0.000 |
| 4.817 | 9.634 | 4.817 | -0.000 | -0.000 | -0.000 |
| 4.817 | 4.817 | 9.634 | -0.000 | -0.000 | -0.000 |
| -0.000 | -0.000 | -0.000 | 4.817 | -0.000 | -0.000 |
| -0.000 | -0.000 | -0.000 | -0.000 | 4.817 | -0.000 |
| -0.000 | -0.000 | -0.000 | -0.000 | -0.000 | 4.817 |
| 9.634 | 4.817 | 4.817 | 0.000 | 0.000 | 0.000 |
| 4.817 | 9.634 | 4.817 | 0.000 | 0.000 | 0.000 |
| 4.817 | 4.817 | 9.634 | 0.000 | 0.000 | 0.000 |
| 0.000 | 0.000 | 0.000 | 4.817 | 0.000 | 0.000 |
| 0.000 | 0.000 | 0.000 | 0.000 | 4.817 | 0.000 |
| 0.000 | 0.000 | 0.000 | 0.000 | 0.000 | 4.817 |
| 9.633 | 4.817 | 4.817 | -0.000 | -0.000 | -0.000 |
| 4.817 | 9.633 | 4.817 | -0.000 | -0.000 | -0.000 |
| 4.817 | 4.817 | 9.633 | -0.000 | -0.000 | -0.000 |
| -0.000 | -0.000 | -0.000 | 4.817 | -0.000 | 0.000 |
| -0.000 | -0.000 | -0.000 | -0.000 | 4.817 | -0.000 |
| -0.000 | -0.000 | -0.000 | -0.000 | -0.000 | 4.817 |
| 9.634 | 4.817 | 4.817 | 0.000 | 0.000 | 0.000 |
| 4.817 | 9.634 | 4.817 | 0.000 | 0.000 | 0.000 |
| 4.817 | 4.817 | 9.634 | 0.000 | 0.000 | 0.000 |
| 0.000 | 0.000 | 0.000 | 4.817 | 0.000 | 0.000 |
| 0.000 | 0.000 | 0.000 | 0.000 | 4.817 | 0.000 |
| 0.000 | 0.000 | 0.000 | 0.000 | 0.000 | 4.817 |
| 156.985 | 351.247 | 351.247 | -0.000 | -0.000 | -0.000 |
| 351.247 | 156.985 | 351.247 | 0.000 | 0.000 | 0.000 |
| 351.247 | 351.247 | 156.985 | -0.000 | 0.000 | -0.000 |
| -0.000 | 0.000 | 0.000 | 3.443 | -0.000 | -0.000 |
| 0.000 | -0.000 | 0.000 | 0.000 | 3.443 | -0.000 |
| 0.000 | 0.000 | -0.000 | -0.000 | -0.000 | 3.443 |
| 156.985 | 351.247 | 351.247 | -0.000 | 0.000 | -0.000 |
| 351.247 | 156.985 | 351.247 | -0.000 | 0.000 | 0.000 |
| 351.247 | 351.247 | 156.985 | -0.000 | 0.000 | 0.000 |
| 0.000 | -0.000 | -0.000 | 3.443 | 0.000 | -0.000 |
| -0.000 | 0.000 | -0.000 | 0.000 | 3.443 | -0.000 |
| -0.000 | -0.000 | 0.000 | -0.000 | 0.000 | 3.443 |
| 156.985 | 351.247 | 351.247 | -0.000 | -0.000 | -0.000 |
| 351.247 | 156.985 | 351.247 | 0.000 | 0.000 | -0.000 |
| 351.247 | 351.247 | 156.985 | -0.000 | -0.000 | -0.000 |
| -0.000 | 0.000 | 0.000 | 3.443 | -0.000 | 0.000 |
| 0.000 | -0.000 | 0.000 | -0.000 | 3.443 | -0.000 |
| 0.000 | 0.000 | -0.000 | 0.000 | -0.000 | 3.443 |
| 156.985 | 351.247 | 351.247 | 0.000 | 0.000 | 0.000 |
| 351.247 | 156.985 | 351.247 | -0.000 | 0.000 | -0.000 |
| 351.247 | 351.247 | 156.985 | 0.000 | 0.000 | -0.000 |
| 0.000 | -0.000 | -0.000 | 3.443 | 0.000 | 0.000 |
| -0.000 | 0.000 | -0.000 | -0.000 | 3.443 | -0.000 |
| -0.000 | -0.000 | 0.000 | -0.000 | 0.000 | 3.443 |
| 156.988 | 351.246 | 351.246 | 0.000 | 0.000 | -0.000 |
| 351.246 | 156.988 | 351.246 | 0.000 | -0.000 | 0.000 |
| 351.246 | 351.246 | 156.988 | -0.000 | 0.000 | 0.000 |
| -0.000 | 0.001 | 0.001 | 3.443 | -0.000 | -0.000 |
| 0.001 | -0.000 | 0.001 | 0.000 | 3.443 | -0.000 |
| 0.001 | 0.001 | -0.000 | 0.000 | 0.000 | 3.443 |
| 156.982 | 351.248 | 351.248 | -0.000 | 0.000 | -0.000 |
| 351.248 | 156.982 | 351.248 | -0.000 | 0.000 | -0.000 |
| 351.248 | 351.248 | 156.982 | -0.000 | 0.000 | 0.000 |
| 0.000 | -0.001 | -0.001 | 3.443 | 0.000 | 0.000 |
| -0.001 | 0.000 | -0.001 | -0.000 | 3.443 | 0.000 |
| -0.001 | -0.001 | 0.000 | 0.000 | 0.000 | 3.443 |
| -943.375 | -180.813 | -180.813 | 0.000 | 0.000 | -0.000 |
| -180.813 | -943.375 | -180.813 | -0.000 | 0.000 | 0.000 |
| -180.813 | -180.813 | -943.375 | -0.000 | 0.000 | 0.000 |
| 0.000 | 0.000 | 0.000 | -232.607 | 0.000 | 0.000 |
| 0.000 | 0.000 | 0.000 | 0.000 | -232.607 | 0.000 |
| 0.000 | 0.000 | 0.000 | 0.000 | 0.000 | -232.607 |
| -943.375 | -180.813 | -180.813 | 0.000 | 0.000 | -0.000 |
| -180.813 | -943.375 | -180.813 | 0.000 | -0.000 | -0.000 |
| -180.813 | -180.813 | -943.375 | -0.000 | -0.000 | -0.000 |
| -0.000 | -0.000 | -0.000 | -232.607 | -0.000 | -0.000 |
| -0.000 | -0.000 | -0.000 | -0.000 | -232.607 | -0.000 |
| -0.000 | -0.000 | -0.000 | -0.000 | -0.000 | -232.607 |
| -943.376 | -180.813 | -180.813 | -0.000 | 0.000 | -0.000 |
| -180.813 | -943.376 | -180.813 | 0.000 | -0.000 | 0.000 |
| -180.813 | -180.813 | -943.376 | -0.000 | 0.000 | 0.000 |
| 0.000 | 0.000 | 0.000 | -232.607 | 0.000 | -0.000 |
| 0.000 | 0.000 | 0.000 | -0.000 | -232.607 | -0.000 |
| 0.000 | 0.000 | 0.000 | 0.000 | 0.000 | -232.607 |
| -943.374 | -180.813 | -180.813 | -0.000 | -0.000 | -0.000 |
| -180.813 | -943.374 | -180.813 | 0.000 | -0.000 | -0.000 |
| -180.813 | -180.813 | -943.374 | 0.000 | 0.000 | -0.000 |
| -0.000 | -0.000 | -0.000 | -232.607 | -0.000 | -0.000 |
| -0.000 | -0.000 | -0.000 | 0.000 | -232.607 | 0.000 |
| -0.000 | -0.000 | -0.000 | -0.000 | -0.000 | -232.607 |
| -943.383 | -180.811 | -180.811 | 0.000 | -0.000 | 0.000 |
| -180.811 | -943.383 | -180.811 | 0.000 | -0.000 | -0.000 |
| -180.811 | -180.811 | -943.383 | -0.000 | -0.000 | -0.000 |
| 0.000 | 0.001 | 0.001 | -232.607 | 0.000 | -0.000 |
| 0.001 | 0.000 | 0.001 | -0.000 | -232.607 | 0.000 |
| 0.001 | 0.001 | 0.000 | 0.000 | -0.000 | -232.607 |
| -943.367 | -180.815 | -180.815 | -0.000 | -0.000 | -0.000 |
| -180.815 | -943.367 | -180.815 | -0.000 | -0.000 | -0.000 |
| -180.815 | -180.815 | -943.367 | 0.000 | -0.000 | -0.000 |
| -0.000 | -0.001 | -0.001 | -232.607 | -0.000 | 0.000 |
| -0.001 | -0.000 | -0.001 | -0.000 | -232.607 | -0.000 |
| -0.001 | -0.001 | -0.000 | 0.000 | -0.000 | -232.607 |
| 579.194 | 259.079 | 259.079 | 0.000 | -0.000 | -0.000 |
| 259.079 | 579.194 | 259.079 | 0.000 | -0.000 | 0.000 |
| 259.079 | 259.079 | 579.194 | 0.000 | -0.000 | 0.000 |
| -0.000 | -0.000 | -0.000 | 220.723 | -0.000 | 0.000 |
| -0.000 | -0.000 | -0.000 | 0.000 | 220.723 | 0.000 |
| -0.000 | -0.000 | -0.000 | 0.000 | -0.000 | 220.723 |
| 579.194 | 259.079 | 259.079 | -0.000 | 0.000 | 0.000 |
| 259.079 | 579.194 | 259.079 | -0.000 | -0.000 | -0.000 |
| 259.079 | 259.079 | 579.194 | -0.000 | 0.000 | 0.000 |
| 0.000 | 0.000 | 0.000 | 220.723 | 0.000 | -0.000 |
| 0.000 | 0.000 | 0.000 | -0.000 | 220.723 | -0.000 |
| 0.000 | 0.000 | 0.000 | -0.000 | 0.000 | 220.723 |
| 579.194 | 259.079 | 259.079 | 0.000 | -0.000 | -0.000 |
| 259.079 | 579.194 | 259.079 | 0.000 | -0.000 | 0.000 |
| 259.079 | 259.079 | 579.194 | 0.000 | -0.000 | 0.000 |
| -0.000 | -0.000 | -0.000 | 220.723 | -0.000 | 0.000 |
| -0.000 | -0.000 | -0.000 | 0.000 | 220.723 | 0.000 |
| -0.000 | -0.000 | -0.000 | 0.000 | -0.000 | 220.723 |
| 579.194 | 259.079 | 259.079 | -0.000 | 0.000 | -0.000 |
| 259.079 | 579.194 | 259.079 | -0.000 | 0.000 | -0.000 |
| 259.079 | 259.079 | 579.194 | -0.000 | 0.000 | 0.000 |
| 0.000 | 0.000 | 0.000 | 220.723 | 0.000 | 0.000 |
| 0.000 | 0.000 | 0.000 | -0.000 | 220.723 | 0.000 |
| 0.000 | 0.000 | 0.000 | -0.000 | 0.000 | 220.723 |
| 579.197 | 259.079 | 259.079 | 0.000 | -0.000 | 0.000 |
| 259.079 | 579.197 | 259.079 | 0.000 | -0.000 | 0.000 |
| 259.079 | 259.079 | 579.197 | 0.000 | -0.000 | 0.000 |
| -0.001 | -0.002 | -0.002 | 220.723 | 0.000 | 0.000 |
| -0.002 | -0.001 | -0.002 | 0.000 | 220.723 | 0.000 |
| -0.002 | -0.002 | -0.001 | 0.000 | -0.000 | 220.723 |
| 579.192 | 259.079 | 259.079 | -0.000 | 0.000 | -0.000 |
| 259.079 | 579.192 | 259.079 | -0.000 | 0.000 | -0.000 |
| 259.079 | 259.079 | 579.192 | -0.000 | 0.000 | -0.000 |
| 0.001 | 0.002 | 0.002 | 220.723 | 0.000 | -0.000 |
| 0.002 | 0.001 | 0.002 | -0.000 | 220.723 | 0.000 |
| 0.002 | 0.002 | 0.001 | -0.000 | -0.000 | 220.723 |
| 124.956 | 129.567 | 129.567 | -0.000 | 0.000 | 0.000 |
| 129.567 | 124.956 | 129.567 | -0.000 | -0.000 | 0.000 |
| 129.567 | 129.567 | 124.956 | -0.000 | 0.000 | -0.000 |
| 0.000 | -0.000 | -0.000 | 89.136 | 0.000 | 0.000 |
| -0.000 | 0.000 | -0.000 | -0.000 | 89.136 | -0.000 |
| -0.000 | -0.000 | 0.000 | -0.000 | -0.000 | 89.136 |
| 124.956 | 129.567 | 129.567 | 0.000 | 0.000 | 0.000 |
| 129.567 | 124.956 | 129.567 | 0.000 | 0.000 | 0.000 |
| 129.567 | 129.567 | 124.956 | 0.000 | 0.000 | 0.000 |
| -0.000 | 0.000 | 0.000 | 89.136 | -0.000 | -0.000 |
| 0.000 | -0.000 | 0.000 | 0.000 | 89.136 | -0.000 |
| 0.000 | 0.000 | -0.000 | 0.000 | 0.000 | 89.136 |
| 124.956 | 129.567 | 129.567 | 0.000 | -0.000 | -0.000 |
| 129.567 | 124.956 | 129.567 | 0.000 | 0.000 | -0.000 |
| 129.567 | 129.567 | 124.956 | -0.000 | -0.000 | -0.000 |
| 0.000 | -0.000 | -0.000 | 89.136 | -0.000 | 0.000 |
| -0.000 | 0.000 | -0.000 | -0.000 | 89.136 | 0.000 |
| -0.000 | -0.000 | 0.000 | -0.000 | -0.000 | 89.136 |
| 124.956 | 129.567 | 129.567 | 0.000 | 0.000 | 0.000 |
| 129.567 | 124.956 | 129.567 | 0.000 | -0.000 | -0.000 |
| 129.567 | 129.567 | 124.956 | -0.000 | -0.000 | -0.000 |
| -0.000 | 0.000 | 0.000 | 89.136 | -0.000 | -0.000 |
| 0.000 | -0.000 | 0.000 | 0.000 | 89.136 | 0.000 |
| 0.000 | 0.000 | -0.000 | 0.000 | -0.000 | 89.136 |
| 124.953 | 129.566 | 129.566 | -0.000 | -0.000 | -0.000 |
| 129.566 | 124.953 | 129.566 | -0.000 | -0.000 | -0.000 |
| 129.566 | 129.566 | 124.953 | -0.000 | -0.000 | 0.000 |
| 0.000 | -0.001 | -0.001 | 89.136 | -0.000 | -0.000 |
| -0.001 | 0.000 | -0.001 | -0.000 | 89.136 | -0.000 |
| -0.001 | -0.001 | 0.000 | -0.000 | -0.000 | 89.136 |
| 124.959 | 129.567 | 129.567 | 0.000 | -0.000 | 0.000 |
| 129.567 | 124.959 | 129.567 | -0.000 | -0.000 | -0.000 |
| 129.567 | 129.567 | 124.959 | 0.000 | 0.000 | -0.000 |
| -0.000 | 0.001 | 0.001 | 89.136 | 0.000 | 0.000 |
| 0.001 | -0.000 | 0.001 | 0.000 | 89.136 | -0.000 |
| 0.001 | 0.001 | -0.000 | 0.000 | 0.000 | 89.136 |
| 312.859 | 156.467 | 156.467 | -0.000 | 0.000 | 0.000 |
| 156.467 | 312.859 | 156.467 | 0.000 | -0.000 | 0.000 |
| 156.467 | 156.467 | 312.859 | 0.000 | 0.000 | -0.000 |
| -0.000 | -0.000 | -0.000 | 156.391 | -0.000 | -0.000 |
| -0.000 | -0.000 | -0.000 | -0.000 | 156.391 | -0.000 |
| -0.000 | -0.000 | -0.000 | -0.000 | -0.000 | 156.391 |
| 312.859 | 156.467 | 156.467 | 0.000 | 0.000 | 0.000 |
| 156.467 | 312.859 | 156.467 | 0.000 | 0.000 | 0.000 |
| 156.467 | 156.467 | 312.859 | 0.000 | 0.000 | 0.000 |
| 0.000 | 0.000 | 0.000 | 156.391 | 0.000 | 0.000 |
| 0.000 | 0.000 | 0.000 | 0.000 | 156.391 | 0.000 |
| 0.000 | 0.000 | 0.000 | 0.000 | 0.000 | 156.391 |
| 312.858 | 156.467 | 156.467 | 0.000 | 0.000 | 0.000 |
| 156.467 | 312.858 | 156.467 | 0.000 | 0.000 | 0.000 |
| 156.467 | 156.467 | 312.858 | 0.000 | 0.000 | 0.000 |
| -0.000 | -0.000 | -0.000 | 156.391 | -0.000 | 0.000 |
| -0.000 | -0.000 | -0.000 | -0.000 | 156.391 | 0.000 |
| -0.000 | -0.000 | -0.000 | -0.000 | 0.000 | 156.391 |
| 312.859 | 156.468 | 156.468 | 0.000 | -0.000 | -0.000 |
| 156.468 | 312.859 | 156.468 | -0.000 | 0.000 | -0.000 |
| 156.468 | 156.468 | 312.859 | -0.000 | -0.000 | 0.000 |
| 0.000 | 0.000 | 0.000 | 156.391 | 0.000 | -0.000 |
| 0.000 | 0.000 | 0.000 | 0.000 | 156.391 | -0.000 |
| 0.000 | 0.000 | 0.000 | 0.000 | -0.000 | 156.391 |
| 312.854 | 156.466 | 156.466 | 0.000 | 0.000 | 0.000 |
| 156.466 | 312.854 | 156.466 | 0.000 | 0.000 | 0.000 |
| 156.466 | 156.466 | 312.854 | 0.000 | 0.000 | 0.000 |
| -0.000 | -0.002 | -0.002 | 156.391 | 0.000 | 0.000 |
| -0.002 | -0.000 | -0.002 | 0.000 | 156.391 | 0.000 |
| -0.002 | -0.002 | -0.000 | 0.000 | 0.000 | 156.391 |
| 312.863 | 156.469 | 156.469 | 0.000 | 0.000 | 0.000 |
| 156.469 | 312.863 | 156.469 | 0.000 | 0.000 | 0.000 |
| 156.469 | 156.469 | 312.863 | 0.000 | 0.000 | 0.000 |
| 0.000 | 0.002 | 0.002 | 156.391 | 0.000 | -0.000 |
| 0.002 | 0.000 | 0.002 | 0.000 | 156.391 | -0.000 |
| 0.002 | 0.002 | 0.000 | 0.000 | -0.000 | 156.391 |
| -70.079 | -20.866 | -20.866 | 0.000 | 0.000 | -0.000 |
| -20.866 | -70.079 | -20.866 | 0.000 | 0.000 | -0.000 |
| -20.866 | -20.866 | -70.079 | 0.000 | 0.000 | 0.000 |
| 0.000 | 0.000 | 0.000 | -39.764 | 0.000 | 0.000 |
| 0.000 | 0.000 | 0.000 | -0.000 | -39.764 | -0.000 |
| 0.000 | -0.000 | 0.000 | 0.000 | 0.000 | -39.764 |
| -70.079 | -20.866 | -20.866 | -0.000 | -0.000 | 0.000 |
| -20.866 | -70.079 | -20.866 | -0.000 | -0.000 | 0.000 |
| -20.866 | -20.866 | -70.079 | -0.000 | -0.000 | 0.000 |
| -0.000 | -0.000 | 0.000 | -39.764 | -0.000 | 0.000 |
| -0.000 | -0.000 | 0.000 | -0.000 | -39.764 | 0.000 |
| -0.000 | -0.000 | -0.000 | -0.000 | 0.000 | -39.764 |
| -70.079 | -20.866 | -20.866 | 0.000 | 0.000 | -0.000 |
| -20.866 | -70.079 | -20.866 | 0.000 | -0.000 | 0.000 |
| -20.866 | -20.866 | -70.079 | 0.000 | 0.000 | -0.000 |
| 0.000 | -0.000 | -0.000 | -39.764 | 0.000 | -0.000 |
| -0.000 | 0.000 | -0.000 | 0.000 | -39.764 | -0.000 |
| -0.000 | -0.000 | 0.000 | 0.000 | 0.000 | -39.764 |
| -70.079 | -20.866 | -20.866 | 0.000 | 0.000 | 0.000 |
| -20.866 | -70.079 | -20.866 | -0.000 | 0.000 | 0.000 |
| -20.866 | -20.866 | -70.079 | 0.000 | 0.000 | 0.000 |
| -0.000 | 0.000 | 0.000 | -39.764 | 0.000 | -0.000 |
| 0.000 | -0.000 | 0.000 | 0.000 | -39.764 | 0.000 |
| 0.000 | 0.000 | -0.000 | -0.000 | -0.000 | -39.764 |
| -70.080 | -20.866 | -20.866 | 0.000 | 0.000 | -0.000 |
| -20.866 | -70.080 | -20.866 | 0.000 | 0.000 | -0.000 |
| -20.866 | -20.866 | -70.080 | -0.000 | -0.000 | 0.000 |
| 0.000 | -0.000 | -0.000 | -39.764 | -0.000 | -0.000 |
| -0.000 | 0.000 | -0.000 | -0.000 | -39.764 | -0.000 |
| -0.000 | -0.000 | 0.000 | -0.000 | 0.000 | -39.764 |
| -70.079 | -20.866 | -20.866 | 0.000 | 0.000 | 0.000 |
| -20.866 | -70.079 | -20.866 | 0.000 | 0.000 | 0.000 |
| -20.866 | -20.866 | -70.079 | -0.000 | -0.000 | 0.000 |
| -0.000 | 0.000 | 0.000 | -39.764 | 0.000 | 0.000 |
| 0.000 | -0.000 | 0.000 | 0.000 | -39.764 | -0.000 |
| 0.000 | 0.000 | -0.000 | 0.000 | -0.000 | -39.764 |
| 137.218 | 68.619 | 68.619 | 0.000 | -0.000 | -0.000 |
| 68.619 | 137.218 | 68.619 | -0.000 | 0.000 | -0.000 |
| 68.619 | 68.619 | 137.218 | -0.000 | -0.000 | 0.000 |
| -0.000 | 0.000 | 0.000 | 68.599 | 0.000 | -0.000 |
| 0.000 | -0.000 | 0.000 | 0.000 | 68.599 | -0.000 |
| 0.000 | 0.000 | -0.000 | 0.000 | -0.000 | 68.599 |
| 137.218 | 68.619 | 68.619 | -0.000 | -0.000 | -0.000 |
| 68.619 | 137.218 | 68.619 | -0.000 | -0.000 | -0.000 |
| 68.619 | 68.619 | 137.218 | -0.000 | -0.000 | -0.000 |
| 0.000 | -0.000 | -0.000 | 68.599 | 0.000 | 0.000 |
| -0.000 | 0.000 | -0.000 | 0.000 | 68.599 | 0.000 |
| -0.000 | -0.000 | 0.000 | 0.000 | 0.000 | 68.599 |
| 137.218 | 68.619 | 68.619 | 0.000 | -0.000 | -0.000 |
| 68.619 | 137.218 | 68.619 | -0.000 | 0.000 | -0.000 |
| 68.619 | 68.619 | 137.218 | -0.000 | -0.000 | 0.000 |
| -0.000 | 0.000 | 0.000 | 68.599 | -0.000 | 0.000 |
| 0.000 | -0.000 | 0.000 | -0.000 | 68.599 | 0.000 |
| 0.000 | 0.000 | -0.000 | -0.000 | 0.000 | 68.599 |
| 137.218 | 68.619 | 68.619 | -0.000 | 0.000 | 0.000 |
| 68.619 | 137.218 | 68.619 | 0.000 | -0.000 | 0.000 |
| 68.619 | 68.619 | 137.218 | 0.000 | 0.000 | -0.000 |
| 0.000 | -0.000 | -0.000 | 68.599 | 0.000 | 0.000 |
| -0.000 | 0.000 | -0.000 | 0.000 | 68.599 | 0.000 |
| -0.000 | -0.000 | 0.000 | 0.000 | 0.000 | 68.599 |
| 137.220 | 68.620 | 68.620 | -0.000 | -0.000 | -0.000 |
| 68.620 | 137.220 | 68.620 | -0.000 | -0.000 | -0.000 |
| 68.620 | 68.620 | 137.220 | -0.000 | -0.000 | -0.000 |
| -0.000 | 0.001 | 0.001 | 68.599 | 0.000 | -0.000 |
| 0.001 | -0.000 | 0.001 | 0.000 | 68.599 | -0.000 |
| 0.001 | 0.001 | -0.000 | 0.000 | -0.000 | 68.599 |
| 137.216 | 68.617 | 68.617 | -0.000 | 0.000 | 0.000 |
| 68.617 | 137.216 | 68.617 | 0.000 | -0.000 | 0.000 |
| 68.617 | 68.617 | 137.216 | 0.000 | 0.000 | -0.000 |
| 0.000 | -0.001 | -0.001 | 68.599 | 0.000 | 0.000 |
| -0.001 | 0.000 | -0.001 | 0.000 | 68.599 | 0.000 |
| -0.001 | -0.001 | 0.000 | 0.000 | 0.000 | 68.599 |
| 350.062 | 307.260 | 307.260 | -0.000 | -0.000 | 0.000 |
| 307.260 | 350.062 | 307.260 | -0.000 | -0.000 | -0.000 |
| 307.260 | 307.260 | 350.062 | -0.000 | 0.000 | 0.000 |
| 0.000 | 0.000 | 0.000 | 42.531 | -0.000 | -0.000 |
| 0.000 | 0.000 | 0.000 | -0.000 | 42.531 | -0.000 |
| 0.000 | 0.000 | 0.000 | -0.000 | -0.000 | 42.531 |
| 350.062 | 307.260 | 307.260 | 0.000 | -0.000 | 0.000 |
| 307.260 | 350.062 | 307.260 | 0.000 | -0.000 | -0.000 |
| 307.260 | 307.260 | 350.062 | -0.000 | 0.000 | 0.000 |
| -0.000 | -0.000 | -0.000 | 42.531 | 0.000 | 0.000 |
| -0.000 | -0.000 | -0.000 | -0.000 | 42.531 | 0.000 |
| -0.000 | -0.000 | -0.000 | 0.000 | 0.000 | 42.531 |
| 347.650 | 308.466 | 308.466 | -0.000 | -0.000 | -0.000 |
| 308.466 | 347.650 | 308.466 | -0.000 | -0.000 | -0.000 |
| 308.466 | 308.466 | 347.650 | -0.000 | -0.000 | 0.000 |
| 0.000 | 0.000 | 0.000 | 42.531 | 0.000 | -0.000 |
| 0.000 | 0.000 | 0.000 | 0.000 | 42.531 | -0.000 |
| 0.000 | 0.000 | 0.000 | -0.000 | 0.000 | 42.531 |
| 347.649 | 308.466 | 308.466 | -0.000 | 0.000 | 0.000 |
| 308.466 | 347.649 | 308.466 | 0.000 | -0.000 | 0.000 |
| 308.466 | 308.466 | 347.649 | -0.000 | 0.000 | 0.000 |
| -0.000 | -0.000 | -0.000 | 42.531 | 0.000 | -0.000 |
| -0.000 | -0.000 | -0.000 | -0.000 | 42.531 | 0.000 |
| -0.000 | -0.000 | -0.000 | 0.000 | 0.000 | 42.531 |
| 350.064 | 307.261 | 307.261 | -0.000 | -0.000 | -0.000 |
| 307.261 | 350.064 | 307.261 | -0.000 | 0.000 | 0.000 |
| 307.261 | 307.261 | 350.064 | 0.000 | -0.000 | -0.000 |
| 0.000 | -0.000 | 0.000 | 38.574 | -0.000 | -0.000 |
| -0.000 | 0.000 | 0.000 | -0.000 | 38.574 | 0.000 |
| -0.000 | 0.000 | 0.000 | -0.000 | -0.000 | 38.574 |
| 347.648 | 308.465 | 308.465 | -0.000 | 0.000 | 0.000 |
| 308.465 | 347.648 | 308.465 | -0.000 | -0.000 | 0.000 |
| 308.465 | 308.465 | 347.648 | -0.000 | -0.000 | 0.000 |
| -0.000 | 0.000 | -0.000 | 38.574 | 0.000 | 0.000 |
| 0.000 | -0.000 | -0.000 | -0.000 | 38.574 | 0.000 |
| 0.000 | -0.000 | -0.000 | 0.000 | 0.000 | 38.574 |
| 118.707 | 111.856 | 111.856 | -0.000 | -0.000 | -0.000 |
| 111.856 | 118.707 | 111.856 | -0.000 | 0.000 | -0.000 |
| 111.856 | 111.856 | 118.707 | -0.000 | 0.000 | -0.000 |
| -0.000 | -0.000 | -0.000 | 61.534 | 0.000 | 0.000 |
| -0.000 | -0.000 | -0.000 | 0.000 | 61.534 | 0.000 |
| -0.000 | -0.000 | -0.000 | 0.000 | -0.000 | 61.534 |
| 123.124 | 109.648 | 109.648 | 0.000 | 0.000 | -0.000 |
| 109.648 | 123.124 | 109.648 | 0.000 | -0.000 | -0.000 |
| 109.648 | 109.648 | 123.124 | 0.000 | -0.000 | -0.000 |
| 0.000 | 0.000 | 0.000 | 61.534 | -0.000 | -0.000 |
| 0.000 | 0.000 | 0.000 | -0.000 | 61.534 | -0.000 |
| 0.000 | 0.000 | 0.000 | -0.000 | 0.000 | 61.534 |
| 118.707 | 111.856 | 111.856 | 0.000 | -0.000 | -0.000 |
| 111.856 | 118.707 | 111.856 | -0.000 | -0.000 | -0.000 |
| 111.856 | 111.856 | 118.707 | -0.000 | -0.000 | -0.000 |
| -0.000 | -0.000 | -0.000 | 61.534 | -0.000 | 0.000 |
| -0.000 | -0.000 | -0.000 | 0.000 | 61.534 | 0.000 |
| -0.000 | -0.000 | -0.000 | 0.000 | 0.000 | 61.534 |
| 118.707 | 111.856 | 111.856 | 0.000 | 0.000 | -0.000 |
| 111.856 | 118.707 | 111.856 | 0.000 | 0.000 | 0.000 |
| 111.856 | 111.856 | 118.707 | 0.000 | 0.000 | 0.000 |
| 0.000 | 0.000 | 0.000 | 61.534 | 0.000 | -0.000 |
| 0.000 | 0.000 | 0.000 | -0.000 | 61.534 | -0.000 |
| 0.000 | 0.000 | 0.000 | -0.000 | 0.000 | 61.534 |
| 118.708 | 111.856 | 111.856 | -0.000 | -0.000 | -0.000 |
| 111.856 | 118.708 | 111.856 | -0.000 | 0.000 | -0.000 |
| 111.856 | 111.856 | 118.708 | -0.000 | 0.000 | -0.000 |
| -0.000 | -0.000 | -0.000 | 56.408 | 0.000 | -0.000 |
| -0.000 | -0.000 | -0.000 | 0.000 | 56.408 | 0.000 |
| -0.000 | -0.000 | -0.000 | 0.000 | -0.000 | 56.408 |
| 118.706 | 111.855 | 111.855 | 0.000 | -0.000 | 0.000 |
| 111.855 | 118.706 | 111.855 | 0.000 | 0.000 | 0.000 |
| 111.855 | 111.855 | 118.706 | 0.000 | 0.000 | -0.000 |
| 0.000 | 0.000 | 0.000 | 56.408 | 0.000 | -0.000 |
| 0.000 | 0.000 | 0.000 | -0.000 | 56.408 | 0.000 |
| 0.000 | 0.000 | 0.000 | -0.000 | 0.000 | 56.408 |
| 172.127 | 53.523 | 53.523 | -0.000 | -0.000 | 0.000 |
| 53.523 | 172.127 | 53.523 | -0.000 | -0.000 | 0.000 |
| 53.523 | 53.523 | 172.127 | -0.000 | -0.000 | 0.000 |
| -0.000 | -0.000 | -0.000 | 7.268 | -0.000 | 0.000 |
| 0.000 | 0.000 | -0.000 | -0.000 | 7.268 | 0.000 |
| -0.000 | -0.000 | -0.000 | -0.000 | -0.000 | 7.268 |
| 172.127 | 53.523 | 53.523 | 0.000 | 0.000 | -0.000 |
| 53.523 | 172.127 | 53.523 | 0.000 | 0.000 | -0.000 |
| 53.523 | 53.523 | 172.127 | 0.000 | 0.000 | -0.000 |
| -0.000 | 0.000 | 0.000 | 7.268 | -0.000 | -0.000 |
| 0.000 | -0.000 | 0.000 | 0.000 | 7.268 | -0.000 |
| 0.000 | 0.000 | 0.000 | 0.000 | 0.000 | 7.268 |
| 172.126 | 53.523 | 53.523 | -0.000 | -0.000 | 0.000 |
| 53.523 | 172.126 | 53.523 | -0.000 | -0.000 | 0.000 |
| 53.523 | 53.523 | 172.126 | -0.000 | -0.000 | -0.000 |
| -0.000 | -0.000 | -0.000 | 7.268 | 0.000 | 0.000 |
| -0.000 | -0.000 | -0.000 | -0.000 | 7.268 | 0.000 |
| -0.000 | -0.000 | -0.000 | -0.000 | 0.000 | 7.268 |
| 172.127 | 53.523 | 53.523 | 0.000 | 0.000 | -0.000 |
| 53.523 | 172.127 | 53.523 | 0.000 | 0.000 | -0.000 |
| 53.523 | 53.523 | 172.127 | 0.000 | -0.000 | -0.000 |
| 0.000 | 0.000 | 0.000 | 7.268 | -0.000 | -0.000 |
| 0.000 | 0.000 | 0.000 | 0.000 | 7.268 | -0.000 |
| 0.000 | 0.000 | 0.000 | 0.000 | 0.000 | 7.268 |
| 172.124 | 53.524 | 53.524 | -0.000 | -0.000 | 0.000 |
| 53.524 | 172.124 | 53.524 | -0.000 | -0.000 | 0.000 |
| 53.524 | 53.524 | 172.124 | -0.000 | 0.000 | 0.000 |
| -0.001 | -0.001 | -0.001 | 7.268 | -0.000 | 0.000 |
| -0.001 | -0.001 | -0.001 | -0.000 | 7.268 | -0.000 |
| -0.001 | -0.001 | -0.001 | -0.000 | -0.000 | 7.268 |
| 172.129 | 53.521 | 53.521 | 0.000 | 0.000 | -0.000 |
| 53.521 | 172.129 | 53.521 | 0.000 | 0.000 | 0.000 |
| 53.521 | 53.521 | 172.129 | 0.000 | 0.000 | 0.000 |
| 0.001 | 0.001 | 0.001 | 7.268 | 0.000 | -0.000 |
| 0.001 | 0.001 | 0.001 | 0.000 | 7.268 | 0.000 |
| 0.001 | 0.001 | 0.001 | 0.000 | 0.000 | 7.268 |
| -68.559 | 6.346 | 6.346 | 0.000 | 0.000 | -0.000 |
| 6.346 | -68.559 | 6.346 | 0.000 | 0.000 | 0.000 |
| 6.346 | 6.346 | -68.559 | 0.000 | 0.000 | -0.000 |
| 0.000 | 0.000 | 0.000 | -13.799 | 0.000 | -0.000 |
| -0.000 | 0.000 | -0.000 | 0.000 | -13.799 | -0.000 |
| -0.000 | 0.000 | 0.000 | -0.000 | 0.000 | -13.799 |
| -68.559 | 6.346 | 6.346 | -0.000 | 0.000 | 0.000 |
| 6.346 | -68.559 | 6.346 | -0.000 | 0.000 | 0.000 |
| 6.346 | 6.346 | -68.559 | -0.000 | 0.000 | 0.000 |
| -0.000 | -0.000 | -0.000 | -13.799 | -0.000 | 0.000 |
| 0.000 | -0.000 | 0.000 | -0.000 | -13.799 | 0.000 |
| 0.000 | -0.000 | -0.000 | 0.000 | -0.000 | -13.799 |
| -45.793 | -5.037 | -5.037 | -0.000 | -0.000 | 0.000 |
| -5.037 | -45.793 | -5.037 | -0.000 | 0.000 | -0.000 |
| -5.037 | -5.037 | -45.793 | 0.000 | -0.000 | 0.000 |
| 0.000 | 0.000 | 0.000 | -13.799 | -0.000 | 0.000 |
| 0.000 | 0.000 | 0.000 | -0.000 | -13.799 | -0.000 |
| 0.000 | 0.000 | 0.000 | -0.000 | -0.000 | -13.799 |
| -45.793 | -5.037 | -5.037 | 0.000 | -0.000 | -0.000 |
| -5.037 | -45.793 | -5.037 | 0.000 | -0.000 | 0.000 |
| -5.037 | -5.037 | -45.793 | 0.000 | 0.000 | 0.000 |
| -0.000 | -0.000 | -0.000 | -13.799 | -0.000 | -0.000 |
| -0.000 | -0.000 | -0.000 | 0.000 | -13.799 | 0.000 |
| -0.000 | -0.000 | -0.000 | -0.000 | -0.000 | -13.799 |
| -45.793 | -5.038 | -5.038 | -0.000 | 0.000 | -0.000 |
| -5.038 | -45.793 | -5.038 | -0.000 | 0.000 | -0.000 |
| -5.038 | -5.038 | -45.793 | -0.000 | 0.000 | -0.000 |
| 0.000 | 0.000 | 0.000 | -13.799 | 0.000 | -0.000 |
| 0.000 | 0.000 | 0.000 | -0.000 | -13.799 | 0.000 |
| 0.000 | 0.000 | 0.000 | -0.000 | 0.000 | -13.799 |
| -45.793 | -5.037 | -5.037 | 0.000 | -0.000 | -0.000 |
| -5.037 | -45.793 | -5.037 | 0.000 | -0.000 | -0.000 |
| -5.037 | -5.037 | -45.793 | 0.000 | 0.000 | -0.000 |
| -0.000 | -0.000 | -0.000 | -13.799 | -0.000 | -0.000 |
| -0.000 | -0.000 | -0.000 | 0.000 | -13.799 | 0.000 |
| -0.000 | -0.000 | -0.000 | 0.000 | -0.000 | -13.799 |
| -47.552 | 85.876 | 85.876 | -0.000 | -0.000 | -0.000 |
| 85.876 | -47.552 | 85.876 | -0.000 | -0.000 | -0.000 |
| 85.876 | 85.876 | -47.552 | -0.000 | -0.000 | -0.000 |
| 0.000 | -0.000 | -0.000 | -0.009 | 0.000 | 0.000 |
| -0.000 | 0.000 | -0.000 | -0.000 | -0.009 | 0.000 |
| -0.000 | -0.000 | 0.000 | 0.000 | 0.000 | -0.009 |
| 80.580 | 21.810 | 21.810 | -0.000 | -0.000 | -0.000 |
| 21.810 | 80.580 | 21.810 | -0.000 | -0.000 | -0.000 |
| 21.810 | 21.810 | 80.580 | -0.000 | -0.000 | -0.000 |
| -0.000 | 0.000 | 0.000 | -0.009 | -0.000 | -0.000 |
| 0.000 | -0.000 | 0.000 | 0.000 | -0.009 | -0.000 |
| 0.000 | 0.000 | -0.000 | -0.000 | -0.000 | -0.009 |
| -47.552 | 85.877 | 85.877 | -0.000 | 0.000 | 0.000 |
| 85.877 | -47.552 | 85.877 | 0.000 | -0.000 | 0.000 |
| 85.877 | 85.877 | -47.552 | 0.000 | 0.000 | -0.000 |
| 0.000 | -0.000 | -0.000 | -0.009 | 0.000 | 0.000 |
| -0.000 | 0.000 | -0.000 | -0.000 | -0.009 | -0.000 |
| -0.000 | -0.000 | 0.000 | -0.000 | 0.000 | -0.009 |
| -47.552 | 85.875 | 85.875 | 0.000 | 0.000 | 0.000 |
| 85.875 | -47.552 | 85.875 | 0.000 | 0.000 | 0.000 |
| 85.875 | 85.875 | -47.552 | 0.000 | 0.000 | 0.000 |
| -0.000 | 0.000 | 0.000 | -0.009 | -0.000 | -0.000 |
| 0.000 | -0.000 | 0.000 | 0.000 | -0.009 | 0.000 |
| 0.000 | 0.000 | -0.000 | 0.000 | -0.000 | -0.009 |
| -47.556 | 85.883 | 85.883 | -0.000 | 0.000 | -0.000 |
| 85.883 | -47.556 | 85.883 | -0.000 | -0.000 | 0.000 |
| 85.883 | 85.883 | -47.556 | 0.000 | -0.000 | -0.000 |
| 0.000 | -0.000 | -0.000 | -0.009 | 0.000 | 0.000 |
| -0.000 | 0.000 | -0.000 | -0.000 | -0.009 | 0.000 |
| -0.000 | -0.000 | 0.000 | 0.000 | 0.000 | -0.009 |
| -47.548 | 85.869 | 85.869 | 0.000 | -0.000 | 0.000 |
| 85.869 | -47.548 | 85.869 | 0.000 | 0.000 | -0.000 |
| 85.869 | 85.869 | -47.548 | -0.000 | 0.000 | 0.000 |
| -0.000 | 0.000 | 0.000 | -0.009 | -0.000 | -0.000 |
| 0.000 | -0.000 | 0.000 | 0.000 | -0.009 | -0.000 |
| 0.000 | 0.000 | -0.000 | -0.000 | -0.000 | -0.009 |
| -8.558 | 43.913 | 43.913 | 0.000 | 0.000 | 0.000 |
| 43.913 | -8.558 | 43.913 | 0.000 | 0.000 | -0.000 |
| 43.913 | 43.913 | -8.558 | -0.000 | 0.000 | 0.000 |
| 0.000 | -0.000 | -0.000 | 0.510 | 0.000 | 0.000 |
| -0.000 | 0.000 | -0.000 | -0.000 | 0.510 | 0.000 |
| -0.000 | -0.000 | 0.000 | 0.000 | 0.000 | 0.510 |
| 50.453 | 14.408 | 14.408 | 0.000 | 0.000 | 0.000 |
| 14.408 | 50.453 | 14.408 | 0.000 | 0.000 | 0.000 |
| 14.408 | 14.408 | 50.453 | 0.000 | -0.000 | 0.000 |
| -0.000 | 0.000 | 0.000 | 0.510 | -0.000 | -0.000 |
| 0.000 | -0.000 | 0.000 | 0.000 | 0.510 | 0.000 |
| 0.000 | 0.000 | -0.000 | 0.000 | -0.000 | 0.510 |
| 50.453 | 14.408 | 14.408 | -0.000 | -0.000 | 0.000 |
| 14.408 | 50.453 | 14.408 | -0.000 | -0.000 | -0.000 |
| 14.408 | 14.408 | 50.453 | -0.000 | 0.000 | -0.000 |
| 0.000 | -0.000 | -0.000 | 0.510 | 0.000 | -0.000 |
| -0.000 | 0.000 | -0.000 | -0.000 | 0.510 | 0.000 |
| -0.000 | -0.000 | 0.000 | -0.000 | 0.000 | 0.510 |
| 50.452 | 14.408 | 14.408 | 0.000 | 0.000 | 0.000 |
| 14.408 | 50.452 | 14.408 | -0.000 | 0.000 | -0.000 |
| 14.408 | 14.408 | 50.452 | -0.000 | -0.000 | 0.000 |
| -0.000 | 0.000 | 0.000 | 0.510 | -0.000 | 0.000 |
| 0.000 | -0.000 | 0.000 | -0.000 | 0.510 | 0.000 |
| 0.000 | 0.000 | -0.000 | 0.000 | -0.000 | 0.510 |
| 20.946 | 29.162 | 29.162 | -0.000 | 0.000 | -0.000 |
| 29.162 | 20.946 | 29.162 | 0.000 | 0.000 | 0.000 |
| 29.162 | 29.162 | 20.946 | 0.000 | 0.000 | 0.000 |
| 0.000 | -0.000 | -0.000 | 0.510 | 0.000 | -0.000 |
| -0.000 | 0.000 | -0.000 | -0.000 | 0.510 | -0.000 |
| -0.000 | -0.000 | 0.000 | 0.000 | 0.000 | 0.510 |
| 20.948 | 29.159 | 29.159 | 0.000 | -0.000 | 0.000 |
| 29.159 | 20.948 | 29.159 | -0.000 | -0.000 | 0.000 |
| 29.159 | 29.159 | 20.948 | -0.000 | -0.000 | -0.000 |
| -0.000 | 0.000 | 0.000 | 0.510 | -0.000 | -0.000 |
| 0.000 | -0.000 | 0.000 | 0.000 | 0.510 | 0.000 |
| 0.000 | 0.000 | -0.000 | -0.000 | -0.000 | 0.510 |
| -88.290 | -17.098 | -17.098 | -0.000 | -0.000 | -0.000 |
| -17.098 | -88.290 | -17.098 | -0.000 | -0.000 | -0.000 |
| -17.098 | -17.098 | -88.290 | -0.000 | -0.000 | -0.000 |
| 122897.744 | -1421979.054 | -1422000.381 | -14657656.139 | -0.157 | -0.144 |
| -1422000.212 | 122898.836 | -1421979.461 | -0.161 | -14657656.312 | -0.160 |
| -1421979.078 | -1422000.358 | 122897.763 | -0.149 | -0.144 | -14657656.141 |
| -88.290 | -17.098 | -17.098 | 0.000 | 0.000 | 0.000 |
| -17.098 | -88.290 | -17.098 | 0.000 | 0.000 | 0.000 |
| -17.098 | -17.098 | -88.290 | 0.000 | 0.000 | 0.000 |
| -122898.165 | 1421978.701 | 1422000.092 | -14657655.892 | 0.158 | 0.113 |
| 1422002.393 | -122898.841 | 1421981.534 | 0.154 | -14657658.130 | 0.161 |
| 1421978.729 | 1422000.073 | -122898.190 | 0.149 | 0.113 | -14657655.898 |
| -88.290 | -17.098 | -17.098 | -0.000 | -0.000 | -0.000 |
| -17.098 | -88.290 | -17.098 | -0.000 | -0.000 | -0.000 |
| -17.098 | -17.098 | -88.290 | -0.000 | -0.000 | -0.000 |
| 17340.421 | -251410.101 | -251410.501 | -1560416.669 | -0.002 | -0.001 |
| -251410.398 | 17340.432 | -251410.268 | -0.002 | -1560416.698 | -0.002 |
| -251410.101 | -251410.501 | 17340.422 | -0.002 | -0.001 | -1560416.669 |
| -88.291 | -17.098 | -17.098 | 0.000 | 0.000 | 0.000 |
| -17.098 | -88.291 | -17.098 | 0.000 | 0.000 | 0.000 |
| -17.098 | -17.098 | -88.291 | 0.000 | 0.000 | 0.000 |
| -17340.420 | 251410.140 | 251410.535 | -1560416.701 | 0.002 | 0.001 |
| 251410.387 | -17340.433 | 251410.261 | 0.002 | -1560416.690 | 0.002 |
| 251410.140 | 251410.535 | -17340.421 | 0.002 | 0.001 | -1560416.701 |
| -88.288 | -17.098 | -17.098 | -0.000 | -0.000 | -0.000 |
| -17.098 | -88.288 | -17.098 | -0.000 | -0.000 | -0.000 |
| -17.098 | -17.098 | -88.288 | -0.000 | -0.000 | -0.000 |
| 988.851 | -7532.873 | -7533.018 | -140873.483 | -0.000 | -0.000 |
| -7532.875 | 988.851 | -7533.017 | -0.000 | -140873.484 | -0.000 |
| -7532.873 | -7533.018 | 988.851 | -0.000 | -0.000 | -140873.483 |
| -88.293 | -17.098 | -17.098 | 0.000 | 0.000 | 0.000 |
| -17.098 | -88.293 | -17.098 | 0.000 | 0.000 | 0.000 |
| -17.098 | -17.098 | -88.293 | 0.000 | 0.000 | 0.000 |
| -988.851 | 7532.873 | 7533.018 | -140873.483 | 0.000 | 0.000 |
| 7532.875 | -988.851 | 7533.016 | 0.000 | -140873.483 | 0.000 |
| 7532.873 | 7533.018 | -988.851 | 0.000 | 0.000 | -140873.483 |
| -11.553 | 0.835 | 0.835 | -0.000 | 0.000 | -0.000 |
| 0.835 | -11.553 | 0.835 | -0.000 | 0.000 | -0.000 |
| 0.835 | 0.835 | -11.553 | 0.000 | -0.000 | -0.000 |
| -0.000 | -0.000 | 0.000 | -0.835 | 0.000 | -0.000 |
| 0.000 | -0.000 | 0.000 | -0.000 | -0.835 | -0.000 |
| -0.000 | -0.000 | 0.000 | -0.000 | 0.000 | -0.835 |
| -11.553 | 0.835 | 0.835 | 0.000 | -0.000 | 0.000 |
| 0.835 | -11.553 | 0.835 | 0.000 | -0.000 | 0.000 |
| 0.835 | 0.835 | -11.553 | -0.000 | 0.000 | 0.000 |
| 0.000 | -0.000 | -0.000 | -0.835 | -0.000 | 0.000 |
| -0.000 | 0.000 | -0.000 | 0.000 | -0.835 | 0.000 |
| -0.000 | 0.000 | -0.000 | 0.000 | -0.000 | -0.835 |
| -11.553 | 0.835 | 0.835 | -0.000 | 0.000 | -0.000 |
| 0.835 | -11.553 | 0.835 | -0.000 | 0.000 | -0.000 |
| 0.835 | 0.835 | -11.553 | 0.000 | -0.000 | -0.000 |
| -0.000 | 0.000 | 0.000 | -0.835 | 0.000 | -0.000 |
| 0.000 | -0.000 | 0.000 | 0.000 | -0.835 | -0.000 |
| 0.000 | 0.000 | 0.000 | -0.000 | 0.000 | -0.835 |
| -11.553 | 0.835 | 0.835 | 0.000 | -0.000 | 0.000 |
| 0.835 | -11.553 | 0.835 | 0.000 | -0.000 | 0.000 |
| 0.835 | 0.835 | -11.553 | -0.000 | 0.000 | 0.000 |
| 0.000 | -0.000 | -0.000 | -0.835 | -0.000 | 0.000 |
| -0.000 | 0.000 | -0.000 | -0.000 | -0.835 | 0.000 |
| -0.000 | -0.000 | -0.000 | 0.000 | -0.000 | -0.835 |
| -11.553 | 0.835 | 0.835 | -0.000 | 0.000 | -0.000 |
| 0.835 | -11.553 | 0.835 | -0.000 | 0.000 | -0.000 |
| 0.835 | 0.835 | -11.553 | 0.000 | -0.000 | -0.000 |
| -0.000 | 0.000 | 0.000 | -0.835 | -0.000 | -0.000 |
| 0.000 | -0.000 | 0.000 | -0.000 | -0.835 | -0.000 |
| 0.000 | 0.000 | 0.000 | -0.000 | 0.000 | -0.835 |
| -11.553 | 0.835 | 0.835 | 0.000 | -0.000 | 0.000 |
| 0.835 | -11.553 | 0.835 | 0.000 | -0.000 | 0.000 |
| 0.835 | 0.835 | -11.553 | 0.000 | -0.000 | 0.000 |
| 0.000 | -0.000 | -0.000 | -0.835 | 0.000 | 0.000 |
| -0.000 | 0.000 | -0.000 | 0.000 | -0.835 | 0.000 |
| -0.000 | -0.000 | -0.000 | 0.000 | -0.000 | -0.835 |
| 24.687 | 0.000 | 0.000 | -0.000 | 0.000 | -0.000 |
| 0.000 | 24.687 | 0.000 | -0.000 | 0.000 | 0.000 |
| 0.000 | 0.000 | 24.687 | 0.000 | -0.000 | 0.000 |
| 0.000 | -0.000 | -0.000 | 0.000 | 0.000 | -0.000 |
| -0.000 | 0.000 | -0.000 | -0.000 | 0.000 | 0.000 |
| -0.000 | -0.000 | 0.000 | -0.000 | 0.000 | 0.000 |
| 24.687 | -0.000 | -0.000 | 0.000 | -0.000 | 0.000 |
| -0.000 | 24.687 | -0.000 | 0.000 | -0.000 | 0.000 |
| -0.000 | -0.000 | 24.687 | 0.000 | -0.000 | -0.000 |
| -0.000 | 0.000 | 0.000 | 0.000 | -0.000 | -0.000 |
| 0.000 | -0.000 | 0.000 | 0.000 | 0.000 | -0.000 |
| 0.000 | 0.000 | -0.000 | 0.000 | -0.000 | 0.000 |
| 24.687 | 0.000 | 0.000 | -0.000 | 0.000 | -0.000 |
| 0.000 | 24.687 | 0.000 | -0.000 | 0.000 | 0.000 |
| 0.000 | 0.000 | 24.687 | -0.000 | 0.000 | 0.000 |
| 0.000 | -0.000 | -0.000 | 0.000 | 0.000 | -0.000 |
| -0.000 | 0.000 | -0.000 | -0.000 | 0.000 | 0.000 |
| -0.000 | -0.000 | 0.000 | -0.000 | 0.000 | 0.000 |
| 24.687 | -0.000 | -0.000 | 0.000 | -0.000 | -0.000 |
| -0.000 | 24.687 | -0.000 | 0.000 | -0.000 | 0.000 |
| -0.000 | -0.000 | 24.687 | 0.000 | 0.000 | -0.000 |
| -0.000 | 0.000 | 0.000 | 0.000 | -0.000 | -0.000 |
| 0.000 | -0.000 | 0.000 | 0.000 | 0.000 | -0.000 |
| 0.000 | 0.000 | -0.000 | 0.000 | -0.000 | 0.000 |
| 24.688 | 0.000 | 0.000 | -0.000 | 0.000 | -0.000 |
| 0.000 | 24.688 | 0.000 | -0.000 | 0.000 | -0.000 |
| 0.000 | 0.000 | 24.688 | -0.000 | -0.000 | 0.000 |
| 0.000 | -0.000 | -0.000 | 0.000 | 0.000 | 0.000 |
| -0.000 | 0.000 | -0.000 | -0.000 | 0.000 | -0.000 |
| -0.000 | -0.000 | 0.000 | -0.000 | -0.000 | 0.000 |
| 24.686 | -0.000 | -0.000 | 0.000 | -0.000 | 0.000 |
| -0.000 | 24.686 | -0.000 | 0.000 | -0.000 | 0.000 |
| -0.000 | -0.000 | 24.686 | -0.000 | -0.000 | -0.000 |
| -0.000 | 0.000 | 0.000 | 0.000 | -0.000 | 0.000 |
| 0.000 | -0.000 | 0.000 | 0.000 | 0.000 | 0.000 |
| 0.000 | 0.000 | -0.000 | 0.000 | -0.000 | 0.000 |
| 236.637 | 51.565 | 51.565 | -0.000 | 0.000 | -0.000 |
| 51.565 | 236.637 | 51.565 | -0.000 | -0.000 | -0.000 |
| 51.565 | 51.565 | 236.637 | -0.000 | -0.000 | -0.000 |
| 0.000 | -0.000 | -0.000 | 51.545 | -0.000 | -0.000 |
| -0.000 | 0.000 | -0.000 | 0.000 | 51.545 | -0.000 |
| -0.000 | -0.000 | 0.000 | -0.000 | -0.000 | 51.545 |
| 236.637 | 51.565 | 51.565 | 0.000 | 0.000 | 0.000 |
| 51.565 | 236.637 | 51.565 | 0.000 | 0.000 | 0.000 |
| 51.565 | 51.565 | 236.637 | 0.000 | 0.000 | 0.000 |
| -0.000 | 0.000 | 0.000 | 51.545 | 0.000 | 0.000 |
| 0.000 | -0.000 | 0.000 | 0.000 | 51.545 | 0.000 |
| 0.000 | 0.000 | -0.000 | 0.000 | 0.000 | 51.545 |
| 236.637 | 51.565 | 51.565 | -0.000 | -0.000 | 0.000 |
| 51.565 | 236.637 | 51.565 | -0.000 | -0.000 | -0.000 |
| 51.565 | 51.565 | 236.637 | -0.000 | 0.000 | -0.000 |
| 0.000 | -0.000 | -0.000 | 51.545 | -0.000 | -0.000 |
| -0.000 | 0.000 | -0.000 | -0.000 | 51.545 | -0.000 |
| -0.000 | -0.000 | 0.000 | -0.000 | -0.000 | 51.545 |
| 236.638 | 51.565 | 51.565 | 0.000 | 0.000 | 0.000 |
| 51.565 | 236.638 | 51.565 | 0.000 | 0.000 | 0.000 |
| 51.565 | 51.565 | 236.638 | 0.000 | -0.000 | 0.000 |
| -0.000 | 0.000 | 0.000 | 51.545 | 0.000 | 0.000 |
| 0.000 | -0.000 | 0.000 | 0.000 | 51.545 | 0.000 |
| 0.000 | 0.000 | -0.000 | 0.000 | 0.000 | 51.545 |
| 236.633 | 51.565 | 51.565 | -0.000 | -0.000 | 0.000 |
| 51.565 | 236.633 | 51.565 | -0.000 | 0.000 | -0.000 |
| 51.565 | 51.565 | 236.633 | -0.000 | 0.000 | -0.000 |
| 0.000 | -0.001 | -0.001 | 51.545 | -0.000 | -0.000 |
| -0.001 | 0.000 | -0.001 | -0.000 | 51.545 | -0.000 |
| -0.001 | -0.001 | 0.000 | -0.000 | -0.000 | 51.545 |
| 236.641 | 51.566 | 51.566 | 0.000 | 0.000 | 0.000 |
| 51.566 | 236.641 | 51.566 | 0.000 | 0.000 | 0.000 |
| 51.566 | 51.566 | 236.641 | 0.000 | -0.000 | 0.000 |
| -0.000 | 0.001 | 0.001 | 51.545 | 0.000 | 0.000 |
| 0.001 | -0.000 | 0.001 | -0.000 | 51.545 | 0.000 |
| 0.001 | 0.001 | -0.000 | 0.000 | 0.000 | 51.545 |
| -82.070 | 102.417 | 102.417 | 0.000 | 0.000 | -0.000 |
| 102.417 | -82.070 | 102.417 | 0.000 | 0.000 | -0.000 |
| 102.417 | 102.417 | -82.070 | 0.000 | 0.000 | -0.000 |
| -0.000 | -0.000 | -0.000 | 78.895 | 0.000 | -0.000 |
| -0.000 | -0.000 | -0.000 | 0.000 | 78.895 | -0.000 |
| -0.000 | -0.000 | -0.000 | -0.000 | -0.000 | 78.895 |
| -82.070 | 102.417 | 102.417 | 0.000 | -0.000 | 0.000 |
| 102.417 | -82.070 | 102.417 | -0.000 | 0.000 | 0.000 |
| 102.417 | 102.417 | -82.070 | -0.000 | 0.000 | 0.000 |
| 0.000 | 0.000 | 0.000 | 78.895 | -0.000 | 0.000 |
| 0.000 | 0.000 | 0.000 | 0.000 | 78.895 | 0.000 |
| 0.000 | 0.000 | 0.000 | -0.000 | 0.000 | 78.895 |
| -82.071 | 102.417 | 102.417 | 0.000 | 0.000 | -0.000 |
| 102.417 | -82.071 | 102.417 | 0.000 | 0.000 | -0.000 |
| 102.417 | 102.417 | -82.071 | 0.000 | 0.000 | -0.000 |
| -0.000 | -0.000 | -0.000 | 78.895 | -0.000 | -0.000 |
| -0.000 | -0.000 | -0.000 | -0.000 | 78.895 | -0.000 |
| -0.000 | -0.000 | -0.000 | 0.000 | 0.000 | 78.895 |
| -82.070 | 102.417 | 102.417 | -0.000 | 0.000 | 0.000 |
| 102.417 | -82.070 | 102.417 | 0.000 | -0.000 | 0.000 |
| 102.417 | 102.417 | -82.070 | -0.000 | -0.000 | 0.000 |
| 0.000 | 0.000 | 0.000 | 78.895 | -0.000 | 0.000 |
| 0.000 | 0.000 | 0.000 | -0.000 | 78.895 | 0.000 |
| 0.000 | 0.000 | 0.000 | -0.000 | -0.000 | 78.895 |
| -82.078 | 102.417 | 102.417 | 0.000 | -0.000 | -0.000 |
| 102.417 | -82.078 | 102.417 | 0.000 | 0.000 | -0.000 |
| 102.417 | 102.417 | -82.078 | -0.000 | -0.000 | -0.000 |
| -0.001 | -0.001 | -0.000 | 78.895 | 0.000 | -0.000 |
| -0.001 | -0.001 | -0.000 | 0.000 | 78.895 | -0.000 |
| -0.001 | -0.000 | -0.001 | 0.000 | 0.000 | 78.895 |
| -82.063 | 102.418 | 102.418 | 0.000 | -0.000 | 0.000 |
| 102.418 | -82.063 | 102.418 | -0.000 | 0.000 | 0.000 |
| 102.418 | 102.418 | -82.063 | -0.000 | -0.000 | 0.000 |
| 0.001 | 0.001 | 0.000 | 78.895 | 0.000 | 0.000 |
| 0.001 | 0.001 | 0.000 | 0.000 | 78.895 | 0.000 |
| 0.001 | 0.000 | 0.001 | 0.000 | -0.000 | 78.895 |
| 36.451 | 135.874 | 135.874 | -0.000 | -0.000 | -0.000 |
| 135.874 | 36.451 | 135.874 | -0.000 | -0.000 | -0.000 |
| 135.874 | 135.874 | 36.451 | 0.000 | 0.000 | 0.000 |
| -0.000 | -0.000 | -0.000 | 135.874 | -0.000 | -0.000 |
| -0.000 | -0.000 | -0.000 | -0.000 | 135.874 | -0.000 |
| -0.000 | -0.000 | -0.000 | -0.000 | -0.000 | 135.874 |
| 36.451 | 135.874 | 135.874 | 0.000 | -0.000 | -0.000 |
| 135.874 | 36.451 | 135.874 | -0.000 | 0.000 | -0.000 |
| 135.874 | 135.874 | 36.451 | -0.000 | -0.000 | -0.000 |
| 0.000 | 0.000 | 0.000 | 135.874 | -0.000 | -0.000 |
| 0.000 | 0.000 | 0.000 | -0.000 | 135.874 | 0.000 |
| 0.000 | 0.000 | 0.000 | -0.000 | 0.000 | 135.874 |
| 36.451 | 135.874 | 135.874 | -0.000 | -0.000 | -0.000 |
| 135.874 | 36.451 | 135.874 | -0.000 | -0.000 | -0.000 |
| 135.874 | 135.874 | 36.451 | -0.000 | -0.000 | -0.000 |
| -0.000 | -0.000 | -0.000 | 135.874 | -0.000 | -0.000 |
| -0.000 | -0.000 | -0.000 | -0.000 | 135.874 | -0.000 |
| -0.000 | -0.000 | -0.000 | -0.000 | -0.000 | 135.874 |
| 36.451 | 135.875 | 135.875 | -0.000 | 0.000 | -0.000 |
| 135.875 | 36.451 | 135.875 | 0.000 | -0.000 | -0.000 |
| 135.875 | 135.875 | 36.451 | 0.000 | -0.000 | -0.000 |
| 0.000 | 0.000 | 0.000 | 135.874 | 0.000 | 0.000 |
| 0.000 | 0.000 | 0.000 | 0.000 | 135.874 | 0.000 |
| 0.000 | 0.000 | 0.000 | 0.000 | 0.000 | 135.874 |
| 36.450 | 135.873 | 135.873 | -0.000 | -0.000 | -0.000 |
| 135.873 | 36.450 | 135.873 | -0.000 | -0.000 | -0.000 |
| 135.873 | 135.873 | 36.450 | -0.000 | -0.000 | -0.000 |
| -0.001 | -0.001 | -0.001 | 135.874 | -0.000 | -0.000 |
| -0.001 | -0.001 | -0.001 | -0.000 | 135.874 | -0.000 |
| -0.001 | -0.001 | -0.001 | -0.000 | -0.000 | 135.874 |
| 36.452 | 135.875 | 135.875 | 0.000 | -0.000 | -0.000 |
| 135.875 | 36.452 | 135.875 | -0.000 | 0.000 | -0.000 |
| 135.875 | 135.875 | 36.452 | 0.000 | 0.000 | 0.000 |
| 0.001 | 0.001 | 0.001 | 135.874 | 0.000 | 0.000 |
| 0.001 | 0.001 | 0.001 | 0.000 | 135.874 | 0.000 |
| 0.001 | 0.001 | 0.001 | 0.000 | 0.000 | 135.874 |
| -156.613 | -61.899 | -61.899 | 0.000 | -0.000 | -0.000 |
| -61.899 | -156.613 | -61.899 | -0.000 | 0.000 | -0.000 |
| -61.899 | -61.899 | -156.613 | -0.000 | -0.000 | -0.000 |
| -0.000 | -0.000 | -0.000 | -61.899 | -0.000 | -0.000 |
| -0.000 | -0.000 | -0.000 | -0.000 | -61.899 | -0.000 |
| -0.000 | -0.000 | -0.000 | -0.000 | -0.000 | -61.899 |
| -156.613 | -61.899 | -61.899 | 0.000 | 0.000 | 0.000 |
| -61.899 | -156.613 | -61.899 | 0.000 | 0.000 | 0.000 |
| -61.899 | -61.899 | -156.613 | -0.000 | 0.000 | 0.000 |
| 0.000 | 0.000 | 0.000 | -61.899 | 0.000 | 0.000 |
| 0.000 | 0.000 | 0.000 | 0.000 | -61.899 | 0.000 |
| 0.000 | 0.000 | 0.000 | 0.000 | 0.000 | -61.899 |
| -156.613 | -61.899 | -61.899 | -0.000 | -0.000 | -0.000 |
| -61.899 | -156.613 | -61.899 | -0.000 | -0.000 | -0.000 |
| -61.899 | -61.899 | -156.613 | -0.000 | -0.000 | -0.000 |
| -0.000 | -0.000 | -0.000 | -61.899 | -0.000 | -0.000 |
| -0.000 | -0.000 | -0.000 | -0.000 | -61.899 | -0.000 |
| -0.000 | -0.000 | -0.000 | -0.000 | -0.000 | -61.899 |
| -156.613 | -61.899 | -61.899 | -0.000 | 0.000 | 0.000 |
| -61.899 | -156.613 | -61.899 | 0.000 | -0.000 | 0.000 |
| -61.899 | -61.899 | -156.613 | -0.000 | -0.000 | -0.000 |
| 0.000 | 0.000 | 0.000 | -61.899 | 0.000 | 0.000 |
| 0.000 | 0.000 | 0.000 | 0.000 | -61.899 | 0.000 |
| 0.000 | 0.000 | 0.000 | 0.000 | 0.000 | -61.899 |
| -156.614 | -61.900 | -61.900 | -0.000 | -0.000 | -0.000 |
| -61.900 | -156.614 | -61.900 | -0.000 | 0.000 | -0.000 |
| -61.900 | -61.900 | -156.614 | -0.000 | 0.000 | -0.000 |
| -0.000 | -0.000 | -0.000 | -61.899 | -0.000 | -0.000 |
| -0.000 | -0.000 | -0.000 | -0.000 | -61.899 | 0.000 |
| -0.000 | -0.000 | -0.000 | -0.000 | -0.000 | -61.899 |
| -156.612 | -61.899 | -61.899 | 0.000 | -0.000 | 0.000 |
| -61.899 | -156.612 | -61.899 | -0.000 | 0.000 | -0.000 |
| -61.899 | -61.899 | -156.612 | 0.000 | -0.000 | 0.000 |
| 0.000 | 0.000 | 0.000 | -61.899 | 0.000 | -0.000 |
| 0.000 | 0.000 | 0.000 | 0.000 | -61.899 | 0.000 |
| 0.000 | 0.000 | 0.000 | 0.000 | -0.000 | -61.899 |
| -62.500 | -31.628 | -31.628 | -0.000 | 0.000 | 0.000 |
| -31.628 | -62.500 | -31.628 | -0.000 | -0.000 | 0.000 |
| -31.628 | -31.628 | -62.500 | -0.000 | 0.000 | 0.000 |
| 0.000 | 0.000 | 0.000 | -38.769 | 0.000 | 0.000 |
| 0.000 | 0.000 | 0.000 | -0.000 | -38.769 | 0.000 |
| 0.000 | 0.000 | 0.000 | -0.000 | -0.000 | -38.769 |
| -62.500 | -31.628 | -31.628 | 0.000 | 0.000 | -0.000 |
| -31.628 | -62.500 | -31.628 | 0.000 | -0.000 | -0.000 |
| -31.628 | -31.628 | -62.500 | 0.000 | -0.000 | -0.000 |
| -0.000 | -0.000 | -0.000 | -38.769 | -0.000 | 0.000 |
| -0.000 | -0.000 | -0.000 | 0.000 | -38.769 | -0.000 |
| -0.000 | -0.000 | -0.000 | 0.000 | 0.000 | -38.769 |
| -62.501 | -31.628 | -31.628 | -0.000 | -0.000 | 0.000 |
| -31.628 | -62.501 | -31.628 | -0.000 | 0.000 | 0.000 |
| -31.628 | -31.628 | -62.501 | -0.000 | 0.000 | 0.000 |
| -0.000 | -0.000 | -0.000 | -38.769 | 0.000 | 0.000 |
| -0.000 | -0.000 | -0.000 | -0.000 | -38.769 | 0.000 |
| -0.000 | -0.000 | -0.000 | -0.000 | -0.000 | -38.769 |
| -62.499 | -31.628 | -31.628 | 0.000 | 0.000 | -0.000 |
| -31.628 | -62.499 | -31.628 | 0.000 | -0.000 | 0.000 |
| -31.628 | -31.628 | -62.499 | 0.000 | 0.000 | 0.000 |
| 0.000 | 0.000 | 0.000 | -38.769 | 0.000 | -0.000 |
| 0.000 | 0.000 | 0.000 | 0.000 | -38.769 | 0.000 |
| 0.000 | 0.000 | 0.000 | 0.000 | -0.000 | -38.769 |
| -62.506 | -31.629 | -31.629 | 0.000 | 0.000 | 0.000 |
| -31.629 | -62.506 | -31.629 | -0.000 | 0.000 | 0.000 |
| -31.629 | -31.629 | -62.506 | -0.000 | -0.000 | 0.000 |
| -0.000 | -0.000 | -0.000 | -38.769 | -0.000 | 0.000 |
| -0.000 | -0.000 | -0.000 | -0.000 | -38.769 | 0.000 |
| -0.000 | -0.000 | -0.000 | -0.000 | 0.000 | -38.769 |
| -62.494 | -31.628 | -31.628 | 0.000 | -0.000 | -0.000 |
| -31.628 | -62.494 | -31.628 | -0.000 | -0.000 | -0.000 |
| -31.628 | -31.628 | -62.494 | 0.000 | 0.000 | -0.000 |
| 0.000 | 0.000 | 0.000 | -38.769 | -0.000 | -0.000 |
| 0.000 | 0.000 | 0.000 | 0.000 | -38.769 | -0.000 |
| 0.000 | 0.000 | 0.000 | 0.000 | 0.000 | -38.769 |
| -30.539 | -18.966 | -18.966 | 0.000 | 0.000 | 0.000 |
| -18.966 | -30.539 | -18.966 | 0.000 | 0.000 | 0.000 |
| -18.966 | -18.966 | -30.539 | 0.000 | 0.000 | 0.000 |
| 0.000 | 0.000 | 0.000 | -30.539 | 0.000 | 0.000 |
| 0.000 | 0.000 | 0.000 | 0.000 | -30.539 | 0.000 |
| 0.000 | 0.000 | 0.000 | 0.000 | 0.000 | -30.539 |
| -30.539 | -18.966 | -18.966 | -0.000 | -0.000 | -0.000 |
| -18.966 | -30.539 | -18.966 | -0.000 | -0.000 | -0.000 |
| -18.966 | -18.966 | -30.539 | -0.000 | -0.000 | -0.000 |
| -0.000 | -0.000 | -0.000 | -30.539 | -0.000 | 0.000 |
| -0.000 | -0.000 | -0.000 | -0.000 | -30.539 | -0.000 |
| -0.000 | -0.000 | -0.000 | -0.000 | -0.000 | -30.539 |
| -30.539 | -18.966 | -18.966 | 0.000 | 0.000 | 0.000 |
| -18.966 | -30.539 | -18.966 | 0.000 | 0.000 | -0.000 |
| -18.966 | -18.966 | -30.539 | 0.000 | 0.000 | 0.000 |
| -0.000 | -0.000 | -0.000 | -30.539 | 0.000 | 0.000 |
| -0.000 | -0.000 | -0.000 | 0.000 | -30.539 | 0.000 |
| -0.000 | -0.000 | -0.000 | 0.000 | 0.000 | -30.539 |
| -30.539 | -18.966 | -18.966 | -0.000 | -0.000 | -0.000 |
| -18.966 | -30.539 | -18.966 | -0.000 | -0.000 | -0.000 |
| -18.966 | -18.966 | -30.539 | -0.000 | -0.000 | -0.000 |
| 0.000 | 0.000 | 0.000 | -30.539 | -0.000 | -0.000 |
| 0.000 | 0.000 | 0.000 | -0.000 | -30.539 | -0.000 |
| 0.000 | 0.000 | 0.000 | -0.000 | -0.000 | -30.539 |
| -30.539 | -18.966 | -18.966 | 0.000 | 0.000 | 0.000 |
| -18.966 | -30.539 | -18.966 | 0.000 | 0.000 | -0.000 |
| -18.966 | -18.966 | -30.539 | 0.000 | 0.000 | -0.000 |
| -0.000 | -0.000 | -0.000 | -30.539 | 0.000 | 0.000 |
| -0.000 | -0.000 | -0.000 | 0.000 | -30.539 | -0.000 |
| -0.000 | -0.000 | -0.000 | 0.000 | 0.000 | -30.539 |
| -30.539 | -18.966 | -18.966 | -0.000 | -0.000 | -0.000 |
| -18.966 | -30.539 | -18.966 | -0.000 | -0.000 | -0.000 |
| -18.966 | -18.966 | -30.539 | -0.000 | -0.000 | -0.000 |
| 0.000 | 0.000 | 0.000 | -30.539 | -0.000 | -0.000 |
| 0.000 | 0.000 | 0.000 | -0.000 | -30.539 | -0.000 |
| 0.000 | 0.000 | 0.000 | -0.000 | -0.000 | -30.539 |
| 56.423 | 56.423 | 56.423 | 0.000 | 0.000 | 0.000 |
| 56.423 | 56.423 | 56.423 | 0.000 | 0.000 | 0.000 |
| 56.423 | 56.423 | 56.423 | 0.000 | 0.000 | 0.000 |
| 0.000 | 0.000 | 0.000 | 56.416 | 0.000 | 0.000 |
| 0.000 | 0.000 | 0.000 | 0.000 | 56.416 | 0.000 |
| 0.000 | 0.000 | 0.000 | 0.000 | 0.000 | 56.416 |
| 56.423 | 56.423 | 56.423 | -0.000 | -0.000 | -0.000 |
| 56.423 | 56.423 | 56.423 | -0.000 | -0.000 | -0.000 |
| 56.423 | 56.423 | 56.423 | -0.000 | -0.000 | -0.000 |
| -0.000 | -0.000 | -0.000 | 56.416 | -0.000 | -0.000 |
| -0.000 | -0.000 | -0.000 | -0.000 | 56.416 | -0.000 |
| -0.000 | -0.000 | -0.000 | -0.000 | -0.000 | 56.416 |
| 56.423 | 56.423 | 56.423 | 0.000 | 0.000 | -0.000 |
| 56.423 | 56.423 | 56.423 | 0.000 | 0.000 | -0.000 |
| 56.423 | 56.423 | 56.423 | 0.000 | 0.000 | 0.000 |
| 0.000 | 0.000 | 0.000 | 56.416 | 0.000 | 0.000 |
| 0.000 | 0.000 | 0.000 | 0.000 | 56.416 | 0.000 |
| 0.000 | 0.000 | 0.000 | 0.000 | 0.000 | 56.416 |
| 56.423 | 56.423 | 56.423 | -0.000 | -0.000 | -0.000 |
| 56.423 | 56.423 | 56.423 | -0.000 | -0.000 | -0.000 |
| 56.423 | 56.423 | 56.423 | -0.000 | -0.000 | -0.000 |
| -0.000 | -0.000 | -0.000 | 56.416 | -0.000 | -0.000 |
| -0.000 | -0.000 | -0.000 | -0.000 | 56.416 | -0.000 |
| -0.000 | -0.000 | -0.000 | -0.000 | -0.000 | 56.416 |
| 56.424 | 56.424 | 56.424 | 0.000 | 0.000 | 0.000 |
| 56.424 | 56.424 | 56.424 | 0.000 | 0.000 | 0.000 |
| 56.424 | 56.424 | 56.424 | 0.000 | 0.000 | -0.000 |
| 0.001 | 0.001 | 0.001 | 56.416 | 0.000 | 0.000 |
| 0.001 | 0.001 | 0.001 | 0.000 | 56.416 | 0.000 |
| 0.001 | 0.001 | 0.001 | 0.000 | 0.000 | 56.416 |
| 56.422 | 56.422 | 56.422 | -0.000 | -0.000 | -0.000 |
| 56.422 | 56.422 | 56.422 | -0.000 | -0.000 | -0.000 |
| 56.422 | 56.422 | 56.422 | -0.000 | -0.000 | -0.000 |
| -0.001 | -0.001 | -0.001 | 56.416 | -0.000 | -0.000 |
| -0.001 | -0.001 | -0.001 | -0.000 | 56.416 | -0.000 |
| -0.001 | -0.001 | -0.001 | -0.000 | -0.000 | 56.416 |
| 406029978.054 | 417798780.842 | -76081219.979 | 3556748.498 | 1655007.223 | 570118.124 |
| 299.198 | 298.354 | 214.934 | 0.000 | 0.000 | 0.000 |
| 214.917 | 214.917 | 287.483 | 0.000 | 0.000 | 0.000 |
| -0.000 | 0.000 | 0.000 | -36.548 | 0.000 | 0.000 |
| 0.000 | 0.000 | 0.000 | 0.000 | -36.548 | 0.000 |
| 1203421173.380 | 1643905537.040 | 1274071365.808 | 0.013 | -0.008 | -381470671.715 |
| 298.354 | 299.198 | 214.934 | -0.000 | -0.000 | -0.000 |
| 440.878 | 156.674 | 214.934 | -0.000 | -0.000 | -0.000 |
| 214.917 | 214.917 | 287.483 | -0.000 | -0.000 | -0.000 |
| 0.000 | -0.000 | -0.000 | -36.548 | -0.000 | -0.000 |
| -0.000 | -0.000 | -0.000 | -0.000 | -36.548 | -0.000 |
| -1132014363.509 | -1439611212.875 | -1059182751.969 | 5126474.438 | -683777.029 | -319600323.177 |
| 156.675 | 440.879 | 214.934 | 0.000 | 0.000 | 0.000 |
| 135412958.132 | 98316236.291 | 27561939.230 | 249881.856 | -161036.896 | 3198264.674 |
| 214.917 | 214.917 | 287.483 | 0.000 | 0.000 | 0.000 |
| 0.000 | 0.000 | 0.000 | -36.548 | 0.000 | 0.000 |
| 0.000 | 0.000 | 0.000 | 0.000 | -36.548 | 0.000 |
| 0.001 | 0.000 | 0.000 | 0.000 | 0.000 | -142.102 |
| 298.354 | 299.198 | 214.933 | -0.000 | -0.000 | -0.000 |
| -40009918.106 | -40287176.080 | 14082367.400 | 13764.715 | -946828.626 | -19347.213 |
| 214.917 | 214.917 | 287.483 | -0.000 | -0.000 | -0.000 |
| -0.000 | -0.000 | -0.000 | -36.548 | -0.000 | -0.000 |
| -0.000 | -0.000 | -0.000 | -0.000 | -36.548 | 0.000 |
| -0.001 | -0.000 | -0.000 | -0.000 | -0.000 | -142.102 |
| 5466046.004 | 18443809.526 | 137735.888 | 0.000 | -0.000 | -0.000 |
| 15606337.199 | 10759757.760 | 7071651.390 | -16024.629 | 5573.139 | -263691.003 |
| 214.919 | 214.919 | 287.484 | 0.000 | 0.000 | 0.000 |
| 0.000 | 0.001 | 0.001 | -36.548 | 0.000 | 0.000 |
| 0.001 | 0.000 | 0.001 | 0.000 | -36.548 | -0.000 |
| 0.001 | 0.001 | 0.001 | 0.000 | 0.000 | -0.422 |
| -16099534.541 | -11132155.940 | -7691749.600 | -20804.738 | 21504.141 | 192957.595 |
| -5465731.884 | -18443374.892 | -137587.623 | 0.000 | -0.000 | 0.000 |
| 214.916 | 214.916 | 287.481 | -0.000 | -0.000 | -0.000 |
| -0.000 | -0.001 | -0.001 | -36.548 | -0.000 | -0.000 |
| -0.001 | -0.000 | -0.001 | -0.000 | -36.548 | -0.000 |
| -0.001 | -0.001 | -0.001 | -0.000 | -0.000 | -0.422 |
| 675.759 | 248.702 | 183.944 | -0.000 | -0.000 | 0.000 |
| 248.702 | 675.759 | 183.944 | -0.000 | -0.000 | 0.000 |
| 183.944 | 183.944 | 290.822 | 0.000 | 0.000 | 0.000 |
| -0.000 | -0.000 | -0.000 | 193.267 | 0.000 | 0.000 |
| -0.000 | -0.000 | -0.000 | -0.000 | 193.267 | 0.000 |
| 0.000 | -0.000 | -0.000 | -0.000 | 0.000 | 222.686 |
| 675.759 | 248.701 | 183.944 | 0.000 | 0.000 | -0.000 |
| 239.544 | 684.917 | 183.944 | 0.000 | -0.000 | 0.000 |
| 183.944 | 183.944 | 290.822 | 0.000 | 0.000 | -0.000 |
| 0.000 | 0.000 | 0.000 | 193.267 | 0.000 | -0.000 |
| 0.000 | 0.000 | 0.000 | 0.000 | 193.267 | -0.000 |
| -0.000 | 0.000 | 0.000 | 0.000 | -0.000 | 222.686 |
| 675.760 | 248.702 | 183.944 | -0.000 | -0.000 | 0.000 |
| 248.702 | 675.760 | 183.944 | -0.000 | -0.000 | 0.000 |
| 183.944 | 183.944 | 290.822 | -0.000 | 0.000 | -0.000 |
| -0.000 | -0.000 | -0.000 | 193.267 | -0.000 | -0.000 |
| -0.000 | -0.000 | -0.000 | -0.000 | 193.267 | 0.000 |
| 0.000 | -0.000 | -0.000 | -0.000 | 0.000 | 222.686 |
| 675.759 | 248.701 | 183.945 | 0.000 | 0.000 | -0.000 |
| 248.701 | 675.759 | 183.945 | 0.000 | -0.000 | -0.000 |
| 183.945 | 183.945 | 290.822 | 0.000 | -0.000 | -0.000 |
| 0.000 | 0.000 | 0.000 | 193.267 | -0.000 | -0.000 |
| 0.000 | 0.000 | 0.000 | 0.000 | 193.267 | -0.000 |
| -0.000 | 0.000 | 0.000 | 0.000 | -0.000 | 222.686 |
| 675.762 | 248.703 | 183.942 | 0.000 | -0.000 | 0.000 |
| 248.703 | 675.762 | 183.942 | -0.000 | -0.000 | 0.000 |
| 183.944 | 183.944 | 290.823 | -0.000 | 0.000 | 0.000 |
| -0.001 | -0.003 | -0.002 | 193.267 | 0.000 | 0.000 |
| -0.003 | -0.001 | -0.002 | 0.000 | 193.267 | 0.000 |
| 0.000 | -0.000 | -0.001 | -0.000 | -0.000 | 213.529 |
| 684.914 | 239.542 | 183.947 | 0.000 | 0.000 | -0.000 |
| 248.700 | 675.756 | 183.947 | 0.000 | 0.000 | -0.000 |
| 183.945 | 183.945 | 290.821 | -0.000 | 0.000 | -0.000 |
| 0.001 | 0.003 | 0.002 | 193.267 | -0.000 | -0.000 |
| 0.003 | 0.001 | 0.002 | 0.000 | 193.267 | -0.000 |
| -0.000 | 0.000 | 0.001 | 0.000 | 0.000 | 213.529 |
| 150.448 | 165.035 | 68.606 | -0.000 | 0.000 | -0.000 |
| 165.035 | 150.448 | 68.606 | -0.000 | 0.000 | -0.000 |
| 68.606 | 68.606 | 246.877 | 0.000 | 0.000 | -0.000 |
| -0.000 | -0.000 | -0.000 | 28.175 | 0.000 | -0.000 |
| -0.000 | -0.000 | -0.000 | -0.000 | 28.175 | -0.000 |
| -0.000 | 0.000 | -0.000 | -0.000 | -0.000 | -7.293 |
| 216.397 | 99.087 | 68.606 | 0.000 | -0.000 | -0.000 |
| 165.035 | 150.448 | 68.606 | 0.000 | -0.000 | 0.000 |
| 68.606 | 68.606 | 246.877 | 0.000 | -0.000 | 0.000 |
| 0.000 | 0.000 | 0.000 | 28.175 | -0.000 | 0.000 |
| 0.000 | 0.000 | 0.000 | 0.000 | 28.175 | 0.000 |
| 0.000 | -0.000 | 0.000 | 0.000 | -0.000 | -7.293 |
| 216.397 | 99.087 | 68.606 | -0.000 | 0.000 | 0.000 |
| 165.035 | 150.448 | 68.606 | -0.000 | 0.000 | -0.000 |
| 68.606 | 68.606 | 246.877 | -0.000 | 0.000 | -0.000 |
| -0.000 | -0.000 | -0.000 | 28.175 | 0.000 | -0.000 |
| -0.000 | -0.000 | -0.000 | 0.000 | 28.175 | -0.000 |
| -0.000 | -0.000 | -0.000 | -0.000 | 0.000 | 58.655 |
| 216.397 | 99.087 | 68.606 | 0.000 | -0.000 | 0.000 |
| 165.035 | 150.449 | 68.606 | 0.000 | -0.000 | 0.000 |
| 68.606 | 68.606 | 246.878 | -0.000 | -0.000 | 0.000 |
| 0.000 | 0.000 | 0.000 | 28.175 | -0.000 | 0.000 |
| 0.000 | 0.000 | 0.000 | -0.000 | 28.175 | -0.000 |
| 0.000 | 0.000 | 0.000 | 0.000 | -0.000 | 58.655 |
| 150.441 | 165.036 | 68.604 | -0.000 | 0.000 | -0.000 |
| 99.086 | 216.394 | 68.606 | -0.000 | 0.000 | -0.000 |
| 68.606 | 68.606 | 246.875 | 0.000 | 0.000 | -0.000 |
| -0.000 | -0.000 | -0.001 | 28.175 | 0.000 | -0.000 |
| -0.000 | -0.000 | -0.001 | -0.000 | 28.175 | -0.000 |
| -0.002 | -0.002 | -0.002 | -0.000 | -0.000 | -7.293 |
| 150.455 | 165.035 | 68.609 | 0.000 | -0.000 | 0.000 |
| 165.034 | 150.456 | 68.609 | 0.000 | -0.000 | 0.000 |
| 68.607 | 68.607 | 246.880 | 0.000 | -0.000 | 0.000 |
| 0.000 | 0.000 | 0.001 | 28.175 | -0.000 | 0.000 |
| 0.000 | 0.000 | 0.001 | 0.000 | 28.175 | 0.000 |
| 0.002 | 0.002 | 0.002 | -0.000 | -0.000 | -7.293 |
| 378.022 | 143.435 | 104.337 | -0.000 | 0.000 | 0.000 |
| 143.435 | 378.022 | 104.337 | -0.000 | 0.000 | 0.000 |
| 104.337 | 104.337 | 417.120 | -0.000 | 0.000 | 0.000 |
| -0.000 | -0.000 | -0.000 | 104.261 | -0.000 | 0.000 |
| -0.000 | -0.000 | -0.000 | -0.000 | 104.261 | -0.000 |
| -0.000 | -0.000 | -0.000 | -0.000 | 0.000 | 117.294 |
| 378.022 | 143.435 | 104.337 | 0.000 | -0.000 | -0.000 |
| 143.435 | 378.022 | 104.337 | 0.000 | -0.000 | -0.000 |
| 104.337 | 104.337 | 417.120 | 0.000 | 0.000 | -0.000 |
| 0.000 | 0.000 | 0.000 | 104.261 | -0.000 | -0.000 |
| 0.000 | 0.000 | 0.000 | 0.000 | 104.261 | -0.000 |
| 0.000 | 0.000 | 0.000 | 0.000 | -0.000 | 117.294 |
| 378.021 | 143.435 | 104.337 | -0.000 | 0.000 | 0.000 |
| 143.435 | 378.021 | 104.337 | -0.000 | 0.000 | 0.000 |
| 104.337 | 104.337 | 417.119 | -0.000 | 0.000 | 0.000 |
| -0.000 | -0.000 | -0.000 | 104.261 | -0.000 | 0.000 |
| -0.000 | -0.000 | -0.000 | -0.000 | 104.261 | 0.000 |
| -0.000 | -0.000 | -0.000 | -0.000 | 0.000 | 117.294 |
| 378.023 | 143.435 | 104.337 | 0.000 | -0.000 | -0.000 |
| 143.435 | 378.023 | 104.337 | 0.000 | -0.000 | -0.000 |
| 104.337 | 104.337 | 417.120 | 0.000 | -0.000 | -0.000 |
| 0.000 | 0.000 | 0.000 | 104.261 | -0.000 | -0.000 |
| 0.000 | 0.000 | 0.000 | 0.000 | 104.261 | 0.000 |
| 0.000 | 0.000 | 0.000 | 0.000 | -0.000 | 117.294 |
| 378.013 | 143.434 | 104.337 | -0.000 | -0.000 | 0.000 |
| 143.432 | 378.015 | 104.337 | -0.000 | -0.000 | 0.000 |
| 104.335 | 104.335 | 417.112 | -0.000 | -0.000 | 0.000 |
| -0.000 | -0.001 | -0.002 | 104.261 | 0.000 | 0.000 |
| -0.001 | -0.000 | -0.002 | -0.000 | 104.261 | 0.000 |
| -0.001 | -0.002 | -0.000 | -0.000 | 0.000 | 117.294 |
| 378.031 | 143.435 | 104.337 | 0.000 | 0.000 | -0.000 |
| 143.437 | 378.029 | 104.337 | 0.000 | -0.000 | -0.000 |
| 104.339 | 104.339 | 417.127 | 0.000 | -0.000 | -0.000 |
| 0.000 | 0.001 | 0.002 | 104.261 | -0.000 | -0.000 |
| 0.001 | 0.000 | 0.002 | 0.000 | 104.261 | -0.000 |
| 0.001 | 0.002 | 0.000 | 0.000 | -0.000 | 117.294 |
| -84.989 | -28.330 | -22.664 | 0.000 | 0.000 | 0.000 |
| -23.744 | -89.575 | -22.664 | 0.000 | 0.000 | -0.000 |
| -22.664 | -22.664 | -90.655 | -0.000 | 0.000 | 0.000 |
| 0.000 | 0.000 | 0.000 | -22.664 | 0.000 | 0.000 |
| 0.000 | 0.000 | 0.000 | 0.000 | -22.664 | -0.000 |
| 61916.835 | 15315.905 | 90557.626 | 0.065 | 0.687 | -2126803.707 |
| -84.989 | -28.330 | -22.664 | -0.000 | -0.000 | 0.000 |
| -23.744 | -89.575 | -22.664 | -0.000 | 0.000 | 0.000 |
| -22.664 | -22.664 | -90.655 | -0.000 | -0.000 | -0.000 |
| -0.000 | -0.000 | -0.000 | -22.664 | -0.000 | -0.000 |
| -0.000 | -0.000 | -0.000 | -0.000 | -22.664 | 0.000 |
| -61916.884 | -15315.918 | -90557.695 | -0.065 | 0.687 | -2126804.582 |
| -181596.028 | 187120.370 | 6527.460 | 0.005 | 0.000 | -0.000 |
| 368873.616 | -346001.402 | 27305.942 | -0.020 | 0.000 | -0.000 |
| -22.664 | -22.664 | -90.655 | 0.000 | 0.000 | 0.000 |
| 0.000 | 0.000 | 0.000 | -22.664 | 0.000 | 0.000 |
| 0.000 | 0.000 | 0.000 | 0.000 | -22.664 | -0.000 |
| 0.000 | 0.000 | 0.000 | 0.000 | 0.000 | -28.330 |
| -84.989 | -28.330 | -22.664 | -0.000 | -0.000 | 0.000 |
| 181482.760 | -187233.693 | -6572.694 | -0.005 | -0.000 | 0.000 |
| -22.664 | -22.664 | -90.655 | 0.000 | -0.000 | -0.000 |
| -0.000 | -0.000 | -0.000 | -22.664 | -0.000 | -0.000 |
| -0.000 | -0.000 | -0.000 | -0.000 | -22.664 | 0.000 |
| -0.000 | -0.000 | -0.000 | -0.000 | -0.000 | -28.330 |
| -18944.545 | 19436.864 | 678.089 | 0.000 | 0.000 | -0.000 |
| -28.330 | -84.989 | -22.664 | 0.000 | 0.000 | 0.000 |
| -22.664 | -22.664 | -90.655 | 0.000 | 0.000 | -0.000 |
| 0.000 | 0.000 | 0.000 | -22.664 | 0.000 | 0.000 |
| 0.000 | 0.000 | 0.000 | 0.000 | -22.664 | 0.000 |
| 497.591 | 123.373 | 732.859 | 0.000 | 0.000 | -19009.335 |
| -84.990 | -28.330 | -22.664 | 0.000 | -0.000 | -0.000 |
| 18831.348 | -19550.269 | -723.341 | -0.000 | -0.000 | 0.000 |
| -22.664 | -22.664 | -90.656 | -0.000 | -0.000 | -0.000 |
| -0.000 | -0.000 | -0.000 | -22.664 | -0.000 | -0.000 |
| -0.000 | -0.000 | -0.000 | 0.000 | -22.664 | -0.000 |
| -497.592 | -123.373 | -732.860 | -0.000 | 0.000 | -19009.336 |
| -85.237 | -15.814 | -10.761 | 0.000 | 0.000 | 0.000 |
| -11.933 | -89.117 | -10.761 | -0.000 | 0.000 | 0.000 |
| -10.761 | -10.761 | -90.290 | -0.000 | 0.000 | 0.000 |
| 0.000 | 0.000 | -0.000 | -29.659 | -0.000 | 0.000 |
| 0.000 | 0.000 | -0.000 | 0.000 | -29.659 | 0.000 |
| -0.000 | 0.000 | -0.000 | 0.000 | 0.000 | -34.712 |
| -89.117 | -11.933 | -10.761 | 0.000 | -0.000 | -0.000 |
| -11.933 | -89.117 | -10.761 | 0.000 | -0.000 | -0.000 |
| -10.761 | -10.761 | -90.290 | -0.000 | -0.000 | -0.000 |
| -0.000 | -0.000 | 0.000 | -29.659 | -0.000 | -0.000 |
| -0.000 | -0.000 | 0.000 | -0.000 | -29.659 | -0.000 |
| -0.000 | -0.000 | 0.000 | -0.000 | -0.000 | -34.712 |
| -85.237 | -15.814 | -10.761 | -0.000 | 0.000 | 0.000 |
| -15.814 | -85.237 | -10.761 | 0.000 | 0.000 | 0.000 |
| -10.761 | -10.761 | -90.290 | 0.000 | 0.000 | 0.000 |
| -0.000 | 0.000 | -0.000 | -29.659 | 0.000 | 0.000 |
| 0.000 | 0.000 | -0.000 | -0.000 | -29.659 | 0.000 |
| 0.000 | -0.000 | -0.000 | -0.000 | 0.000 | -34.712 |
| -85.237 | -15.814 | -10.761 | 0.000 | -0.000 | -0.000 |
| -15.814 | -85.237 | -10.761 | 0.000 | -0.000 | -0.000 |
| -10.761 | -10.761 | -90.289 | -0.000 | -0.000 | -0.000 |
| 0.000 | -0.000 | 0.000 | -29.659 | -0.000 | -0.000 |
| -0.000 | -0.000 | 0.000 | 0.000 | -29.659 | -0.000 |
| -0.000 | 0.000 | 0.000 | 0.000 | -0.000 | -34.712 |
| -85.237 | -15.814 | -10.761 | 0.000 | 0.000 | 0.000 |
| -15.814 | -85.237 | -10.761 | -0.000 | 0.000 | -0.000 |
| -10.761 | -10.761 | -90.290 | 0.000 | 0.000 | 0.000 |
| -0.000 | 0.000 | -0.000 | -29.659 | 0.000 | 0.000 |
| -0.000 | 0.000 | -0.000 | 0.000 | -29.659 | 0.000 |
| 0.000 | -0.000 | -0.000 | 0.000 | 0.000 | -34.712 |
| -85.236 | -15.814 | -10.761 | -0.000 | -0.000 | -0.000 |
| -15.813 | -85.237 | -10.761 | 0.000 | -0.000 | -0.000 |
| -10.761 | -10.761 | -90.289 | -0.000 | -0.000 | -0.000 |
| 0.000 | -0.000 | 0.000 | -29.659 | 0.000 | -0.000 |
| 0.000 | -0.000 | 0.000 | 0.000 | -29.659 | -0.000 |
| -0.000 | 0.000 | 0.000 | 0.000 | 0.000 | -34.712 |
| -20.763 | 471.855 | 64.885 | 0.000 | 0.000 | -0.000 |
| 229.479 | 221.613 | 64.884 | 0.000 | 0.000 | -0.000 |
| 64.884 | 64.884 | 312.977 | 0.000 | 0.000 | -0.000 |
| 0.000 | -0.000 | 0.000 | -14.305 | 0.000 | -0.000 |
| 0.000 | -0.000 | 0.000 | -0.000 | -14.305 | -0.000 |
| 0.000 | 0.000 | 0.000 | 0.000 | -0.000 | -3.933 |
| 221.613 | 229.478 | 64.884 | -0.000 | 0.000 | 0.000 |
| 229.478 | 221.613 | 64.884 | -0.000 | -0.000 | 0.000 |
| 64.884 | 64.884 | 312.977 | 0.000 | 0.000 | 0.000 |
| -0.000 | 0.000 | -0.000 | -14.305 | -0.000 | 0.000 |
| -0.000 | 0.000 | -0.000 | -0.000 | -14.305 | 0.000 |
| -0.000 | -0.000 | -0.000 | -0.000 | -0.000 | -3.933 |
| 221.614 | 229.479 | 64.885 | 0.000 | 0.000 | -0.000 |
| 126036273.986 | 95317473.214 | 70310320.397 | 565515.741 | -1810943.091 | -6613096.276 |
| 64.885 | 64.885 | 312.978 | 0.000 | 0.000 | -0.000 |
| 0.000 | 0.000 | 0.000 | -14.305 | 0.000 | -0.000 |
| 0.000 | 0.000 | 0.000 | 0.000 | -14.305 | 0.000 |
| 0.000 | 0.000 | 0.000 | -0.000 | 0.000 | -3.933 |
| 221.613 | 229.478 | 64.884 | 0.000 | -0.000 | 0.000 |
| -40441491.404 | -169565979.974 | 60019456.958 | 0.000 | 0.000 | -0.123 |
| 64.884 | 64.884 | 312.977 | 0.000 | -0.000 | 0.000 |
| -0.000 | -0.000 | -0.000 | -14.305 | -0.000 | 0.000 |
| -0.000 | -0.000 | -0.000 | -0.000 | -14.305 | 0.000 |
| -0.000 | -0.000 | -0.000 | 0.000 | -0.000 | -3.933 |
| 4044271.836 | 16956775.707 | -6001920.409 | -0.000 | 0.000 | 0.001 |
| 17245013.015 | 8733670.253 | 8378460.571 | -0.000 | 0.000 | 0.000 |
| 64.886 | 64.886 | 312.982 | -0.000 | -0.000 | -0.000 |
| 0.001 | 0.001 | 0.002 | -14.305 | 0.000 | -0.000 |
| 0.001 | 0.001 | 0.002 | -0.000 | -14.305 | 0.000 |
| 13728542.102 | 7272219.616 | -6001955.597 | 0.003 | -0.005 | -5591237.110 |
| -17244839.566 | -8733358.898 | -8378344.956 | 0.000 | 0.000 | -0.000 |
| -4044017.376 | -16956451.598 | 6001995.995 | 0.000 | -0.000 | -0.001 |
| 64.883 | 64.883 | 312.973 | 0.000 | 0.000 | 0.000 |
| -0.001 | -0.001 | -0.002 | -14.305 | -0.000 | 0.000 |
| -0.001 | -0.001 | -0.002 | 0.000 | -14.305 | -0.000 |
| -13728541.989 | -7272219.578 | 6001955.630 | -0.001 | -0.002 | -5591236.978 |
| 669.437 | 243.682 | 253.848 | -0.000 | 0.000 | 0.000 |
| 243.682 | 669.437 | 253.848 | 0.000 | 0.000 | 0.000 |
| 253.848 | 253.848 | 537.404 | -0.000 | 0.000 | -0.000 |
| -0.000 | -0.000 | 0.000 | 266.849 | 0.000 | 0.000 |
| -0.000 | -0.000 | 0.000 | -0.000 | 266.849 | 0.000 |
| -0.000 | -0.000 | -0.000 | 0.000 | -0.000 | 218.803 |
| 669.437 | 243.682 | 253.848 | -0.000 | -0.000 | 0.000 |
| 243.682 | 669.437 | 253.848 | -0.000 | 0.000 | -0.000 |
| 253.848 | 253.848 | 537.404 | 0.000 | 0.000 | 0.000 |
| 0.000 | 0.000 | -0.000 | 266.849 | -0.000 | 0.000 |
| 0.000 | 0.000 | -0.000 | -0.000 | 266.849 | -0.000 |
| 0.000 | 0.000 | 0.000 | -0.000 | 0.000 | 218.803 |
| 669.437 | 243.682 | 253.848 | 0.000 | 0.000 | 0.000 |
| 243.682 | 669.437 | 253.848 | -0.000 | 0.000 | 0.000 |
| 253.848 | 253.848 | 537.405 | 0.000 | -0.000 | -0.000 |
| -0.000 | -0.000 | 0.000 | 266.849 | 0.000 | 0.000 |
| -0.000 | -0.000 | 0.000 | -0.000 | 266.849 | -0.000 |
| -0.000 | -0.000 | -0.000 | 0.000 | -0.000 | 212.878 |
| 669.437 | 243.682 | 253.848 | -0.000 | 0.000 | -0.000 |
| 237.756 | 675.363 | 253.848 | 0.000 | 0.000 | 0.000 |
| 253.848 | 253.848 | 537.403 | 0.000 | -0.000 | 0.000 |
| 0.000 | 0.000 | -0.000 | 266.849 | -0.000 | 0.000 |
| 0.000 | 0.000 | -0.000 | 0.000 | 266.849 | -0.000 |
| 0.000 | 0.000 | 0.000 | -0.000 | -0.000 | 212.878 |
| 669.437 | 243.682 | 253.847 | -0.000 | 0.000 | -0.000 |
| 243.683 | 669.436 | 253.847 | -0.000 | 0.000 | 0.000 |
| 253.850 | 253.850 | 537.412 | 0.000 | -0.000 | -0.000 |
| -0.000 | -0.001 | 0.001 | 266.849 | -0.000 | 0.000 |
| -0.001 | -0.000 | 0.001 | -0.000 | 266.849 | 0.000 |
| -0.001 | -0.000 | -0.001 | -0.000 | -0.000 | 212.878 |
| 669.437 | 243.681 | 253.849 | 0.000 | 0.000 | -0.000 |
| 243.680 | 669.438 | 253.849 | -0.000 | 0.000 | -0.000 |
| 253.846 | 253.846 | 537.397 | -0.000 | -0.000 | 0.000 |
| 0.000 | 0.001 | -0.001 | 266.849 | -0.000 | 0.000 |
| 0.001 | 0.000 | -0.001 | -0.000 | 266.849 | 0.000 |
| 0.001 | 0.000 | 0.001 | 0.000 | -0.000 | 212.878 |
| 216.397 | 99.087 | 68.606 | 0.000 | -0.000 | 0.000 |
| 165.035 | 150.448 | 68.606 | 0.000 | -0.000 | 0.000 |
| 68.606 | 68.606 | 246.877 | 0.000 | -0.000 | 0.000 |
| -0.000 | -0.000 | -0.000 | 28.175 | -0.000 | 0.000 |
| -0.000 | -0.000 | -0.000 | 0.000 | 28.175 | -0.000 |
| -0.000 | -0.000 | -0.000 | 0.000 | -0.000 | -7.293 |
| 150.448 | 165.035 | 68.606 | -0.000 | 0.000 | -0.000 |
| 165.035 | 150.448 | 68.606 | -0.000 | -0.000 | -0.000 |
| 68.606 | 68.606 | 246.877 | -0.000 | -0.000 | -0.000 |
| 0.000 | 0.000 | 0.000 | 28.175 | -0.000 | -0.000 |
| 0.000 | 0.000 | 0.000 | -0.000 | 28.175 | -0.000 |
| 0.000 | 0.000 | 0.000 | -0.000 | 0.000 | -7.293 |
| 216.397 | 99.087 | 68.606 | 0.000 | -0.000 | 0.000 |
| 165.035 | 150.448 | 68.606 | -0.000 | 0.000 | 0.000 |
| 68.606 | 68.606 | 246.877 | -0.000 | -0.000 | 0.000 |
| -0.000 | -0.000 | -0.000 | 28.175 | 0.000 | 0.000 |
| -0.000 | -0.000 | -0.000 | 0.000 | 28.175 | -0.000 |
| -0.000 | -0.000 | -0.000 | 0.000 | 0.000 | 58.655 |
| 216.397 | 99.087 | 68.606 | -0.000 | 0.000 | 0.000 |
| 165.035 | 150.449 | 68.606 | -0.000 | 0.000 | -0.000 |
| 68.606 | 68.606 | 246.878 | 0.000 | 0.000 | -0.000 |
| 0.000 | 0.000 | 0.000 | 28.175 | 0.000 | -0.000 |
| 0.000 | 0.000 | 0.000 | -0.000 | 28.175 | -0.000 |
| 0.000 | 0.000 | 0.000 | -0.000 | -0.000 | 58.655 |
| 150.441 | 165.037 | 68.604 | -0.000 | 0.000 | 0.000 |
| 165.036 | 150.442 | 68.604 | 0.000 | 0.000 | 0.000 |
| 68.606 | 68.606 | 246.875 | 0.000 | -0.000 | 0.000 |
| -0.000 | -0.000 | -0.001 | 28.175 | 0.000 | 0.000 |
| -0.000 | -0.000 | -0.001 | 0.000 | 28.175 | 0.000 |
| -0.002 | -0.002 | -0.002 | 0.000 | 0.000 | -7.293 |
| 150.456 | 165.034 | 68.609 | -0.000 | -0.000 | -0.000 |
| 165.035 | 150.455 | 68.609 | 0.000 | 0.000 | -0.000 |
| 68.607 | 68.607 | 246.880 | -0.000 | 0.000 | -0.000 |
| 0.000 | 0.000 | 0.001 | 28.175 | 0.000 | -0.000 |
| 0.000 | 0.000 | 0.001 | -0.000 | 28.175 | -0.000 |
| 0.002 | 0.002 | 0.002 | -0.000 | -0.000 | -7.293 |
| 378.022 | 143.435 | 104.337 | 0.000 | -0.000 | 0.000 |
| 143.435 | 378.022 | 104.337 | 0.000 | -0.000 | 0.000 |
| 104.337 | 104.337 | 417.120 | -0.000 | -0.000 | 0.000 |
| -0.000 | -0.000 | -0.000 | 104.261 | 0.000 | 0.000 |
| -0.000 | -0.000 | -0.000 | -0.000 | 104.261 | 0.000 |
| -0.000 | -0.000 | -0.000 | 0.000 | -0.000 | 117.294 |
| 378.022 | 143.435 | 104.337 | -0.000 | -0.000 | -0.000 |
| 143.435 | 378.022 | 104.337 | -0.000 | 0.000 | -0.000 |
| 104.337 | 104.337 | 417.120 | 0.000 | -0.000 | -0.000 |
| 0.000 | 0.000 | 0.000 | 104.261 | 0.000 | -0.000 |
| 0.000 | 0.000 | 0.000 | 0.000 | 104.261 | -0.000 |
| 0.000 | 0.000 | 0.000 | -0.000 | 0.000 | 117.294 |
| 378.021 | 143.435 | 104.337 | -0.000 | -0.000 | 0.000 |
| 143.435 | 378.021 | 104.337 | 0.000 | 0.000 | 0.000 |
| 104.337 | 104.337 | 417.119 | -0.000 | -0.000 | 0.000 |
| -0.000 | -0.000 | -0.000 | 104.261 | 0.000 | 0.000 |
| -0.000 | -0.000 | -0.000 | -0.000 | 104.261 | 0.000 |
| -0.000 | -0.000 | -0.000 | 0.000 | 0.000 | 117.294 |
| 378.023 | 143.435 | 104.337 | 0.000 | -0.000 | -0.000 |
| 143.435 | 378.023 | 104.337 | -0.000 | -0.000 | -0.000 |
| 104.337 | 104.337 | 417.120 | 0.000 | 0.000 | -0.000 |
| 0.000 | 0.000 | 0.000 | 104.261 | 0.000 | -0.000 |
| 0.000 | 0.000 | 0.000 | 0.000 | 104.261 | -0.000 |
| 0.000 | 0.000 | 0.000 | -0.000 | -0.000 | 117.294 |
| 378.013 | 143.434 | 104.337 | -0.000 | -0.000 | 0.000 |
| 143.432 | 378.015 | 104.337 | -0.000 | -0.000 | 0.000 |
| 104.335 | 104.335 | 417.112 | -0.000 | -0.000 | 0.000 |
| -0.000 | -0.001 | -0.002 | 104.261 | 0.000 | 0.000 |
| -0.001 | -0.000 | -0.002 | -0.000 | 104.261 | 0.000 |
| -0.001 | -0.002 | -0.000 | 0.000 | -0.000 | 117.294 |
| 378.031 | 143.435 | 104.337 | 0.000 | 0.000 | -0.000 |
| 143.437 | 378.029 | 104.337 | -0.000 | 0.000 | -0.000 |
| 104.339 | 104.339 | 417.127 | 0.000 | 0.000 | -0.000 |
| 0.000 | 0.001 | 0.002 | 104.261 | -0.000 | -0.000 |
| 0.001 | 0.000 | 0.002 | 0.000 | 104.261 | -0.000 |
| 0.001 | 0.002 | 0.000 | -0.000 | -0.000 | 117.294 |
| -85.237 | -15.814 | -10.761 | -0.000 | -0.000 | 0.000 |
| -8.053 | -92.997 | -10.761 | -0.000 | -0.000 | 0.000 |
| -10.761 | -10.761 | -90.290 | -0.000 | -0.000 | 0.000 |
| 0.000 | -0.000 | -0.000 | -29.659 | -0.000 | 0.000 |
| 0.000 | 0.000 | -0.000 | -0.000 | -29.659 | 0.000 |
| -0.000 | 0.000 | -0.000 | 0.000 | -0.000 | -34.712 |
| -85.237 | -15.814 | -10.761 | -0.000 | 0.000 | -0.000 |
| -15.814 | -85.237 | -10.761 | 0.000 | 0.000 | -0.000 |
| -10.761 | -10.761 | -90.289 | 0.000 | 0.000 | -0.000 |
| -0.000 | 0.000 | 0.000 | -29.659 | 0.000 | -0.000 |
| 0.000 | -0.000 | 0.000 | 0.000 | -29.659 | 0.000 |
| 0.000 | -0.000 | 0.000 | 0.000 | 0.000 | -34.712 |
| -85.237 | -15.814 | -10.761 | 0.000 | -0.000 | 0.000 |
| -15.814 | -85.237 | -10.761 | 0.000 | -0.000 | 0.000 |
| -10.761 | -10.761 | -90.290 | -0.000 | -0.000 | 0.000 |
| -0.000 | 0.000 | -0.000 | -29.659 | -0.000 | 0.000 |
| 0.000 | -0.000 | -0.000 | -0.000 | -29.659 | 0.000 |
| 0.000 | -0.000 | -0.000 | 0.000 | -0.000 | -34.712 |
| -85.237 | -15.814 | -10.761 | -0.000 | 0.000 | 0.000 |
| -15.814 | -85.237 | -10.761 | -0.000 | 0.000 | -0.000 |
| -10.761 | -10.761 | -90.289 | -0.000 | 0.000 | -0.000 |
| 0.000 | -0.000 | 0.000 | -29.659 | 0.000 | -0.000 |
| 0.000 | -0.000 | 0.000 | -0.000 | -29.659 | -0.000 |
| -0.000 | 0.000 | 0.000 | 0.000 | 0.000 | -34.712 |
| -85.237 | -15.814 | -10.761 | -0.000 | -0.000 | 0.000 |
| -15.814 | -85.237 | -10.761 | 0.000 | -0.000 | 0.000 |
| -10.761 | -10.761 | -90.290 | -0.000 | -0.000 | -0.000 |
| -0.000 | 0.000 | -0.000 | -29.659 | 0.000 | 0.000 |
| 0.000 | -0.000 | -0.000 | -0.000 | -29.659 | -0.000 |
| 0.000 | -0.000 | -0.000 | -0.000 | -0.000 | -34.712 |
| -85.236 | -15.814 | -10.761 | 0.000 | 0.000 | 0.000 |
| -15.813 | -85.237 | -10.761 | 0.000 | 0.000 | -0.000 |
| -10.761 | -10.761 | -90.289 | -0.000 | 0.000 | -0.000 |
| 0.000 | -0.000 | 0.000 | -29.659 | -0.000 | -0.000 |
| -0.000 | 0.000 | 0.000 | 0.000 | -29.659 | -0.000 |
| -0.000 | 0.000 | 0.000 | 0.000 | 0.000 | -34.712 |
| 132.295 | 348.642 | 348.642 | -0.000 | -0.000 | -0.000 |
| 348.642 | 132.295 | 348.642 | -0.000 | -0.000 | -0.000 |
| 348.642 | 348.642 | 132.295 | -0.000 | -0.000 | -0.000 |
| -0.000 | 0.000 | 0.000 | -113.725 | -0.000 | -0.000 |
| 0.000 | -0.000 | 0.000 | -0.000 | -113.725 | -0.000 |
| 0.000 | 0.000 | -0.000 | -0.000 | -0.000 | -113.725 |
| 132.295 | 348.642 | 348.642 | 0.000 | 0.000 | 0.000 |
| 348.642 | 132.295 | 348.642 | 0.000 | 0.000 | 0.000 |
| 348.642 | 348.642 | 132.295 | 0.000 | 0.000 | 0.000 |
| 0.000 | -0.000 | -0.000 | -113.725 | 0.000 | 0.000 |
| -0.000 | 0.000 | -0.000 | 0.000 | -113.725 | 0.000 |
| -0.000 | -0.000 | 0.000 | 0.000 | 0.000 | -113.725 |
| 132.295 | 348.642 | 348.642 | -0.000 | -0.000 | -0.000 |
| 348.642 | 132.295 | 348.642 | -0.000 | -0.000 | -0.000 |
| 348.642 | 348.642 | 132.295 | -0.000 | -0.000 | -0.000 |
| -0.000 | 0.000 | -0.000 | -113.725 | -0.000 | -0.000 |
| 0.000 | -0.000 | -0.000 | -0.000 | -113.725 | -0.000 |
| 0.000 | -0.000 | -0.000 | -0.000 | -0.000 | -113.725 |
| 132.296 | 348.642 | 348.642 | 0.000 | 0.000 | 0.000 |
| 348.642 | 132.296 | 348.642 | 0.000 | 0.000 | 0.000 |
| 348.642 | 348.642 | 132.296 | 0.000 | 0.000 | 0.000 |
| -0.000 | -0.000 | -0.000 | -17.437 | 0.000 | 0.000 |
| -0.000 | -0.000 | -0.000 | 0.000 | -17.437 | 0.000 |
| -0.000 | -0.000 | -0.000 | 0.000 | 0.000 | -17.437 |
| 132.293 | 348.641 | 348.641 | -0.000 | -0.000 | -0.000 |
| 348.641 | 132.293 | 348.641 | -0.000 | -0.000 | -0.000 |
| 348.641 | 348.641 | 132.293 | -0.000 | -0.000 | -0.000 |
| -0.000 | 0.000 | -0.000 | -113.725 | -0.000 | -0.000 |
| 0.000 | -0.000 | -0.000 | -0.000 | -113.725 | -0.000 |
| 0.000 | -0.000 | -0.000 | -0.000 | -0.000 | -113.725 |
| 132.298 | 348.642 | 348.642 | 0.000 | 0.000 | 0.000 |
| 348.642 | 132.298 | 348.642 | 0.000 | 0.000 | 0.000 |
| 348.642 | 348.642 | 132.298 | 0.000 | 0.000 | 0.000 |
| 0.000 | -0.000 | 0.000 | -113.725 | 0.000 | 0.000 |
| -0.000 | 0.000 | 0.000 | 0.000 | -113.725 | 0.000 |
| -0.000 | 0.000 | 0.000 | 0.000 | 0.000 | -113.725 |
| 502.532 | 73.376 | 73.376 | -0.000 | -0.000 | -0.000 |
| 73.376 | 502.532 | 73.376 | -0.000 | -0.000 | -0.000 |
| 73.376 | 73.376 | 502.532 | -0.000 | -0.000 | -0.000 |
| -0.000 | -0.000 | -0.000 | -66.323 | -0.000 | -0.000 |
| -0.000 | -0.000 | -0.000 | -0.000 | -66.323 | -0.000 |
| -0.000 | -0.000 | -0.000 | -0.000 | -0.000 | -66.323 |
| 502.533 | 73.376 | 73.376 | -0.000 | 0.000 | 0.000 |
| 73.376 | 502.533 | 73.376 | 0.000 | -0.000 | 0.000 |
| 73.376 | 73.376 | 502.533 | 0.000 | 0.000 | -0.000 |
| 0.000 | 0.000 | 0.000 | -66.323 | 0.000 | 0.000 |
| 0.000 | 0.000 | 0.000 | 0.000 | -66.323 | 0.000 |
| 0.000 | 0.000 | 0.000 | 0.000 | 0.000 | -66.323 |
| 502.531 | 73.375 | 73.375 | -0.000 | -0.000 | -0.000 |
| 73.375 | 502.531 | 73.375 | -0.000 | -0.000 | -0.000 |
| 73.375 | 73.375 | 502.531 | -0.000 | -0.000 | -0.000 |
| -0.000 | -0.000 | -0.000 | -66.323 | -0.000 | -0.000 |
| -0.000 | -0.000 | -0.000 | -0.000 | -66.323 | -0.000 |
| -0.000 | -0.000 | -0.000 | -0.000 | -0.000 | -66.323 |
| 502.534 | 73.376 | 73.376 | 0.000 | 0.000 | 0.000 |
| 73.376 | 502.534 | 73.376 | 0.000 | 0.000 | 0.000 |
| 73.376 | 73.376 | 502.534 | 0.000 | 0.000 | 0.000 |
| 0.000 | 0.000 | 0.000 | -66.323 | 0.000 | 0.000 |
| 0.000 | 0.000 | 0.000 | 0.000 | -66.323 | 0.000 |
| 0.000 | 0.000 | 0.000 | 0.000 | 0.000 | -66.323 |
| 502.520 | 73.373 | 73.373 | -0.000 | -0.000 | -0.000 |
| 73.373 | 502.520 | 73.373 | -0.000 | -0.000 | -0.000 |
| 73.373 | 73.373 | 502.520 | -0.000 | -0.000 | -0.000 |
| -0.002 | -0.002 | -0.002 | -66.323 | -0.000 | -0.000 |
| -0.002 | -0.002 | -0.002 | -0.000 | -66.323 | -0.000 |
| -0.002 | -0.002 | -0.002 | -0.000 | -0.000 | -66.323 |
| 502.545 | 73.378 | 73.378 | 0.000 | 0.000 | 0.000 |
| 73.378 | 502.545 | 73.378 | 0.000 | 0.000 | 0.000 |
| 73.378 | 73.378 | 502.545 | 0.000 | 0.000 | 0.000 |
| 0.002 | 0.002 | 0.002 | -66.323 | 0.000 | 0.000 |
| 0.002 | 0.002 | 0.002 | 0.000 | -66.323 | 0.000 |
| 0.002 | 0.002 | 0.002 | 0.000 | 0.000 | -66.323 |
| 224.246 | 91.354 | 91.354 | 0.000 | 0.000 | 0.000 |
| 91.354 | 224.246 | 91.354 | 0.000 | 0.000 | 0.000 |
| 91.354 | 91.354 | 224.246 | 0.000 | 0.000 | 0.000 |
| -288217193.383 | -316705331.909 | -316705334.120 | -110564229.260 | 0.056 | 0.050 |
| -316705331.909 | -288217193.383 | -316705334.120 | 0.056 | -110564229.260 | 0.050 |
| -316705331.909 | -316705334.120 | -288217193.383 | 0.056 | 0.050 | -110564229.260 |
| 224.246 | 91.354 | 91.354 | -0.000 | -0.000 | -0.000 |
| 91.354 | 224.246 | 91.354 | -0.000 | -0.000 | -0.000 |
| 91.354 | 91.354 | 224.246 | -0.000 | -0.000 | -0.000 |
| 288217193.388 | 316705331.912 | 316705334.123 | -110564229.256 | 0.088 | 0.076 |
| 316705331.912 | 288217193.388 | 316705334.123 | 0.088 | -110564229.256 | 0.076 |
| 316705331.912 | 316705334.123 | 288217193.388 | 0.088 | 0.076 | -110564229.256 |
| 224.246 | 91.354 | 91.354 | -0.000 | -0.000 | -0.000 |
| 91.354 | 224.246 | 91.354 | -0.000 | -0.000 | -0.000 |
| 91.354 | 91.354 | 224.246 | -0.000 | -0.000 | -0.000 |
| -28821717.508 | -31670527.548 | -31670529.759 | -11056313.861 | -0.064 | -0.064 |
| -31670527.548 | -28821717.508 | -31670529.759 | -0.064 | -11056313.861 | -0.064 |
| -31670527.548 | -31670529.759 | -28821717.508 | -0.064 | -0.064 | -11056313.861 |
| 224.246 | 91.354 | 91.354 | -0.000 | -0.000 | -0.000 |
| 91.354 | 224.246 | 91.354 | -0.000 | -0.000 | -0.000 |
| 91.354 | 91.354 | 224.246 | -0.000 | -0.000 | -0.000 |
| 28821717.507 | 31670527.547 | 31670529.759 | -11056313.861 | -0.005 | 0.004 |
| 31670527.547 | 28821717.507 | 31670529.759 | -0.005 | -11056313.861 | 0.004 |
| 31670527.547 | 31670529.759 | 28821717.507 | -0.005 | 0.004 | -11056313.861 |
| 224.250 | 91.356 | 91.356 | 0.000 | 0.000 | 0.000 |
| 91.356 | 224.250 | 91.356 | 0.000 | 0.000 | 0.000 |
| 91.356 | 91.356 | 224.250 | 0.000 | 0.000 | 0.000 |
| -2882169.912 | -3167047.106 | -3167049.317 | -1105522.328 | -0.001 | -0.001 |
| -3167047.106 | -2882169.912 | -3167049.317 | -0.001 | -1105522.328 | -0.001 |
| -3167047.106 | -3167049.317 | -2882169.912 | -0.001 | -0.001 | -1105522.328 |
| 224.242 | 91.352 | 91.352 | -0.000 | -0.000 | -0.000 |
| 91.352 | 224.242 | 91.352 | -0.000 | -0.000 | -0.000 |
| 91.352 | 91.352 | 224.242 | -0.000 | -0.000 | -0.000 |
| 2882169.912 | 3167047.106 | 3167049.317 | -1105522.328 | -0.000 | 0.000 |
| 3167047.106 | 2882169.912 | 3167049.317 | -0.000 | -1105522.328 | 0.000 |
| 3167047.106 | 3167049.317 | 2882169.912 | -0.000 | 0.000 | -1105522.328 |
| 40.642 | 40.642 | 40.642 | 0.000 | 0.000 | 0.000 |
| 40.642 | 40.642 | 40.642 | 0.000 | 0.000 | 0.000 |
| 40.642 | 40.642 | 40.642 | 0.000 | 0.000 | 0.000 |
| -0.000 | -0.000 | -0.000 | 0.000 | 0.000 | 0.000 |
| -0.000 | -0.000 | -0.000 | 0.000 | 0.000 | 0.000 |
| -0.000 | -0.000 | -0.000 | 0.000 | 0.000 | 0.000 |
| 40.642 | 40.642 | 40.642 | -0.000 | -0.000 | -0.000 |
| 40.642 | 40.642 | 40.642 | -0.000 | -0.000 | -0.000 |
| 40.642 | 40.642 | 40.642 | -0.000 | -0.000 | -0.000 |
| 0.000 | 0.000 | 0.000 | 0.000 | -0.000 | -0.000 |
| 0.000 | 0.000 | 0.000 | -0.000 | 0.000 | -0.000 |
| 0.000 | 0.000 | 0.000 | -0.000 | -0.000 | 0.000 |
| 40.642 | 40.642 | 40.642 | 0.000 | 0.000 | 0.000 |
| 40.642 | 40.642 | 40.642 | 0.000 | 0.000 | 0.000 |
| 40.642 | 40.642 | 40.642 | 0.000 | 0.000 | 0.000 |
| -0.000 | -0.000 | -0.000 | 0.000 | 0.000 | 0.000 |
| -0.000 | -0.000 | -0.000 | 0.000 | 0.000 | 0.000 |
| -0.000 | -0.000 | -0.000 | 0.000 | 0.000 | 0.000 |
| 40.642 | 40.642 | 40.642 | -0.000 | -0.000 | -0.000 |
| 40.642 | 40.642 | 40.642 | -0.000 | -0.000 | -0.000 |
| 40.642 | 40.642 | 40.642 | -0.000 | -0.000 | -0.000 |
| 0.000 | 0.000 | 0.000 | -0.000 | -0.000 | -0.000 |
| 0.000 | 0.000 | 0.000 | -0.000 | -0.000 | -0.000 |
| 0.000 | 0.000 | 0.000 | -0.000 | -0.000 | -0.000 |
| 40.642 | 40.642 | 40.642 | 0.000 | 0.000 | 0.000 |
| 40.642 | 40.642 | 40.642 | 0.000 | 0.000 | 0.000 |
| 40.642 | 40.642 | 40.642 | 0.000 | 0.000 | 0.000 |
| -0.000 | -0.000 | -0.000 | 0.000 | -0.000 | 0.000 |
| -0.000 | -0.000 | -0.000 | -0.000 | 0.000 | 0.000 |
| -0.000 | -0.000 | -0.000 | -0.000 | 0.000 | 0.000 |
| 40.642 | 40.642 | 40.642 | -0.000 | -0.000 | -0.000 |
| 40.642 | 40.642 | 40.642 | -0.000 | -0.000 | -0.000 |
| 40.642 | 40.642 | 40.642 | -0.000 | -0.000 | -0.000 |
| 0.000 | 0.000 | 0.000 | 0.000 | -0.000 | -0.000 |
| 0.000 | 0.000 | 0.000 | -0.000 | 0.000 | -0.000 |
| 0.000 | 0.000 | 0.000 | -0.000 | -0.000 | 0.000 |
| 32.673 | 32.673 | 32.673 | 0.000 | 0.000 | 0.000 |
| 32.673 | 32.673 | 32.673 | 0.000 | 0.000 | 0.000 |
| 32.673 | 32.673 | 32.673 | 0.000 | 0.000 | 0.000 |
| -0.000 | -0.000 | -0.000 | 0.000 | 0.000 | 0.000 |
| -0.000 | -0.000 | -0.000 | 0.000 | 0.000 | 0.000 |
| -0.000 | -0.000 | -0.000 | 0.000 | 0.000 | 0.000 |
| 32.673 | 32.673 | 32.673 | -0.000 | -0.000 | -0.000 |
| 32.673 | 32.673 | 32.673 | -0.000 | -0.000 | -0.000 |
| 32.673 | 32.673 | 32.673 | -0.000 | -0.000 | -0.000 |
| 0.000 | 0.000 | 0.000 | -0.000 | -0.000 | -0.000 |
| 0.000 | 0.000 | 0.000 | -0.000 | -0.000 | -0.000 |
| 0.000 | 0.000 | 0.000 | -0.000 | -0.000 | -0.000 |
| 32.673 | 32.673 | 32.673 | 0.000 | 0.000 | 0.000 |
| 32.673 | 32.673 | 32.673 | 0.000 | 0.000 | 0.000 |
| 32.673 | 32.673 | 32.673 | 0.000 | 0.000 | 0.000 |
| -0.000 | -0.000 | -0.000 | 0.000 | 0.000 | 0.000 |
| -0.000 | -0.000 | -0.000 | 0.000 | 0.000 | 0.000 |
| -0.000 | -0.000 | -0.000 | 0.000 | 0.000 | 0.000 |
| 32.673 | 32.673 | 32.673 | -0.000 | -0.000 | -0.000 |
| 32.673 | 32.673 | 32.673 | -0.000 | -0.000 | -0.000 |
| 32.673 | 32.673 | 32.673 | -0.000 | -0.000 | -0.000 |
| 0.000 | 0.000 | 0.000 | -0.000 | -0.000 | -0.000 |
| 0.000 | 0.000 | 0.000 | -0.000 | -0.000 | -0.000 |
| 0.000 | 0.000 | 0.000 | -0.000 | -0.000 | -0.000 |
| 32.673 | 32.673 | 32.673 | 0.000 | 0.000 | 0.000 |
| 32.673 | 32.673 | 32.673 | 0.000 | 0.000 | 0.000 |
| 32.673 | 32.673 | 32.673 | 0.000 | 0.000 | 0.000 |
| -0.000 | -0.000 | -0.000 | -0.000 | 0.000 | 0.000 |
| -0.000 | -0.000 | -0.000 | 0.000 | -0.000 | 0.000 |
| -0.000 | -0.000 | -0.000 | 0.000 | 0.000 | -0.000 |
| 32.673 | 32.673 | 32.673 | -0.000 | -0.000 | -0.000 |
| 32.673 | 32.673 | 32.673 | -0.000 | -0.000 | -0.000 |
| 32.673 | 32.673 | 32.673 | -0.000 | -0.000 | -0.000 |
| 0.000 | 0.000 | 0.000 | -0.000 | -0.000 | -0.000 |
| 0.000 | 0.000 | 0.000 | -0.000 | -0.000 | -0.000 |
| 0.000 | 0.000 | 0.000 | -0.000 | -0.000 | -0.000 |
| -6.939 | -6.939 | -6.939 | 0.000 | 0.000 | 0.000 |
| -6.939 | -6.939 | -6.939 | 0.000 | 0.000 | 0.000 |
| -6.939 | -6.939 | -6.939 | 0.000 | 0.000 | 0.000 |
| 0.000 | 0.000 | 0.000 | -6.939 | 0.000 | 0.000 |
| 0.000 | 0.000 | 0.000 | 0.000 | -6.939 | 0.000 |
| 0.000 | 0.000 | 0.000 | 0.000 | 0.000 | -6.939 |
| -6.939 | -6.939 | -6.939 | -0.000 | -0.000 | -0.000 |
| -6.939 | -6.939 | -6.939 | -0.000 | -0.000 | -0.000 |
| -6.939 | -6.939 | -6.939 | -0.000 | -0.000 | -0.000 |
| -0.000 | -0.000 | -0.000 | -6.939 | -0.000 | -0.000 |
| -0.000 | -0.000 | -0.000 | -0.000 | -6.939 | -0.000 |
| -0.000 | -0.000 | -0.000 | -0.000 | -0.000 | -6.939 |
| -6.939 | -6.939 | -6.939 | 0.000 | 0.000 | 0.000 |
| -6.939 | -6.939 | -6.939 | 0.000 | 0.000 | 0.000 |
| -6.939 | -6.939 | -6.939 | 0.000 | 0.000 | 0.000 |
| 12716.274 | 6974.906 | 6974.817 | -446146.367 | 0.004 | 0.006 |
| 6974.906 | 12716.274 | 6974.817 | 0.004 | -446146.367 | 0.006 |
| 6974.906 | 6974.817 | 12716.274 | 0.004 | 0.006 | -446146.367 |
| -6.939 | -6.939 | -6.939 | -0.000 | -0.000 | -0.000 |
| -6.939 | -6.939 | -6.939 | -0.000 | -0.000 | -0.000 |
| -6.939 | -6.939 | -6.939 | -0.000 | -0.000 | -0.000 |
| -12716.274 | -6974.906 | -6974.817 | -446146.361 | -0.009 | -0.006 |
| -6974.906 | -12716.274 | -6974.817 | -0.009 | -446146.361 | -0.006 |
| -6974.906 | -6974.817 | -12716.274 | -0.009 | -0.006 | -446146.361 |
| -7.635 | -4.741 | -4.741 | 0.000 | 0.000 | -0.000 |
| -4.741 | -7.635 | -4.741 | 0.000 | 0.000 | -0.000 |
| -4.741 | -4.741 | -7.635 | 0.000 | 0.000 | -0.000 |
| 0.000 | -0.000 | 0.000 | -7.635 | 0.000 | -0.000 |
| -0.000 | 0.000 | 0.000 | 0.000 | -7.635 | -0.000 |
| -0.000 | 0.000 | 0.000 | -0.000 | 0.000 | -7.635 |
| -7.635 | -4.741 | -4.741 | -0.000 | -0.000 | -0.000 |
| -4.741 | -7.635 | -4.741 | -0.000 | -0.000 | -0.000 |
| -4.741 | -4.741 | -7.635 | -0.000 | -0.000 | -0.000 |
| -0.000 | 0.000 | -0.000 | -7.635 | -0.000 | 0.000 |
| 0.000 | -0.000 | -0.000 | -0.000 | -7.635 | 0.000 |
| 0.000 | -0.000 | -0.000 | -0.000 | 0.000 | -7.635 |
| -7.635 | -4.741 | -4.741 | 0.000 | 0.000 | 0.000 |
| -4.741 | -7.635 | -4.741 | 0.000 | 0.000 | 0.000 |
| -4.741 | -4.741 | -7.635 | 0.000 | 0.000 | 0.000 |
| -0.000 | -0.000 | -0.000 | -7.635 | 0.000 | -0.000 |
| -0.000 | -0.000 | -0.000 | 0.000 | -7.635 | -0.000 |
| -0.000 | -0.000 | -0.000 | 0.000 | 0.000 | -7.635 |
| -7.635 | -4.741 | -4.741 | -0.000 | -0.000 | 0.000 |
| -4.741 | -7.635 | -4.741 | 0.000 | -0.000 | 0.000 |
| -4.741 | -4.741 | -7.635 | -0.000 | -0.000 | 0.000 |
| 0.000 | 0.000 | 0.000 | -7.635 | -0.000 | 0.000 |
| 0.000 | 0.000 | 0.000 | -0.000 | -7.635 | 0.000 |
| 0.000 | 0.000 | 0.000 | 0.000 | -0.000 | -7.635 |
| -7.635 | -4.741 | -4.741 | 0.000 | 0.000 | 0.000 |
| -4.741 | -7.635 | -4.741 | 0.000 | 0.000 | 0.000 |
| -4.741 | -4.741 | -7.635 | 0.000 | 0.000 | 0.000 |
| -0.000 | -0.000 | -0.000 | -7.635 | 0.000 | -0.000 |
| -0.000 | -0.000 | -0.000 | 0.000 | -7.635 | -0.000 |
| -0.000 | -0.000 | -0.000 | 0.000 | 0.000 | -7.635 |
| -7.635 | -4.741 | -4.741 | -0.000 | -0.000 | 0.000 |
| -4.741 | -7.635 | -4.741 | -0.000 | -0.000 | 0.000 |
| -4.741 | -4.741 | -7.635 | -0.000 | -0.000 | 0.000 |
| 0.000 | 0.000 | 0.000 | -7.635 | -0.000 | 0.000 |
| 0.000 | 0.000 | 0.000 | 0.000 | -7.635 | 0.000 |
| 0.000 | 0.000 | 0.000 | 0.000 | -0.000 | -7.635 |
| 14.206 | 14.206 | 14.206 | -0.000 | 0.000 | 0.000 |
| 14.206 | 14.206 | 14.206 | 0.000 | -0.000 | 0.000 |
| 14.206 | 14.206 | 14.206 | 0.000 | 0.000 | -0.000 |
| -0.000 | -0.000 | -0.000 | -0.000 | -0.000 | -0.000 |
| -0.000 | -0.000 | -0.000 | -0.000 | -0.000 | -0.000 |
| -0.000 | -0.000 | -0.000 | -0.000 | -0.000 | -0.000 |
| 14.206 | 14.206 | 14.206 | -0.000 | -0.000 | -0.000 |
| 14.206 | 14.206 | 14.206 | -0.000 | -0.000 | -0.000 |
| 14.206 | 14.206 | 14.206 | -0.000 | -0.000 | -0.000 |
| 0.000 | 0.000 | 0.000 | 0.000 | 0.000 | 0.000 |
| 0.000 | 0.000 | 0.000 | 0.000 | 0.000 | 0.000 |
| 0.000 | 0.000 | 0.000 | 0.000 | 0.000 | 0.000 |
| 14.206 | 14.206 | 14.206 | -0.000 | 0.000 | 0.000 |
| 14.206 | 14.206 | 14.206 | 0.000 | -0.000 | 0.000 |
| 14.206 | 14.206 | 14.206 | 0.000 | 0.000 | -0.000 |
| -0.000 | -0.000 | -0.000 | -0.000 | -0.000 | -0.000 |
| -0.000 | -0.000 | -0.000 | -0.000 | -0.000 | -0.000 |
| -0.000 | -0.000 | -0.000 | -0.000 | -0.000 | -0.000 |
| 14.206 | 14.206 | 14.206 | 0.000 | -0.000 | -0.000 |
| 14.206 | 14.206 | 14.206 | -0.000 | 0.000 | -0.000 |
| 14.206 | 14.206 | 14.206 | -0.000 | -0.000 | 0.000 |
| 0.000 | 0.000 | 0.000 | 0.000 | 0.000 | 0.000 |
| 0.000 | 0.000 | 0.000 | 0.000 | 0.000 | 0.000 |
| 0.000 | 0.000 | 0.000 | 0.000 | 0.000 | 0.000 |
| 14.206 | 14.206 | 14.206 | -0.000 | 0.000 | 0.000 |
| 14.206 | 14.206 | 14.206 | 0.000 | -0.000 | 0.000 |
| 14.206 | 14.206 | 14.206 | 0.000 | 0.000 | -0.000 |
| -0.000 | -0.000 | -0.000 | -0.000 | -0.000 | -0.000 |
| -0.000 | -0.000 | -0.000 | -0.000 | -0.000 | -0.000 |
| -0.000 | -0.000 | -0.000 | -0.000 | -0.000 | -0.000 |
| 14.206 | 14.206 | 14.206 | 0.000 | -0.000 | -0.000 |
| 14.206 | 14.206 | 14.206 | -0.000 | 0.000 | -0.000 |
| 14.206 | 14.206 | 14.206 | -0.000 | -0.000 | 0.000 |
| 0.000 | 0.000 | 0.000 | -0.000 | 0.000 | 0.000 |
| 0.000 | 0.000 | 0.000 | 0.000 | -0.000 | 0.000 |
| 0.000 | 0.000 | 0.000 | 0.000 | 0.000 | -0.000 |
| 633.708 | 255.136 | 191.995 | 0.000 | 0.000 | 0.000 |
| 255.136 | 633.708 | 191.995 | 0.000 | -0.000 | -0.000 |
| 191.995 | 191.995 | 654.161 | -0.000 | 0.000 | -0.000 |
| -0.000 | 0.000 | 0.000 | 191.175 | 0.000 | 0.000 |
| 0.000 | -0.000 | 0.000 | -0.000 | 191.175 | -0.000 |
| -0.000 | -0.000 | -0.000 | 0.000 | 0.000 | 249.044 |
| 633.708 | 255.136 | 191.995 | -0.000 | 0.000 | 0.000 |
| 255.136 | 633.708 | 191.995 | -0.000 | 0.000 | -0.000 |
| 191.995 | 191.995 | 654.161 | -0.000 | -0.000 | 0.000 |
| 0.000 | -0.000 | -0.000 | 191.175 | -0.000 | 0.000 |
| -0.000 | 0.000 | -0.000 | -0.000 | 191.175 | 0.000 |
| 0.000 | 0.000 | 0.000 | -0.000 | -0.000 | 249.044 |
| 633.708 | 255.136 | 191.995 | 0.000 | 0.000 | -0.000 |
| 255.136 | 633.708 | 191.995 | 0.000 | -0.000 | -0.000 |
| 191.995 | 191.995 | 654.162 | 0.000 | -0.000 | -0.000 |
| -0.000 | 0.000 | 0.000 | 192.924 | 0.000 | 0.000 |
| 0.000 | -0.000 | 0.000 | 0.000 | 192.924 | 0.000 |
| -0.000 | -0.000 | -0.000 | 0.000 | -0.000 | 249.044 |
| 639.774 | 249.069 | 191.995 | 0.000 | 0.000 | -0.000 |
| 249.069 | 639.774 | 191.995 | -0.000 | -0.000 | -0.000 |
| 191.995 | 191.995 | 654.160 | -0.000 | -0.000 | 0.000 |
| 0.000 | -0.000 | -0.000 | 192.924 | -0.000 | 0.000 |
| -0.000 | 0.000 | -0.000 | -0.000 | 192.924 | -0.000 |
| 0.000 | 0.000 | 0.000 | -0.000 | -0.000 | 249.044 |
| 633.709 | 255.135 | 191.997 | 0.000 | 0.000 | -0.000 |
| 255.135 | 633.709 | 191.997 | 0.000 | -0.000 | -0.000 |
| 191.996 | 191.996 | 654.172 | 0.000 | 0.000 | -0.000 |
| -0.000 | 0.001 | 0.001 | 191.175 | 0.000 | -0.000 |
| 0.001 | -0.000 | 0.001 | 0.000 | 191.175 | -0.000 |
| -0.001 | -0.001 | -0.000 | 0.000 | -0.000 | 249.044 |
| 633.706 | 255.137 | 191.993 | -0.000 | 0.000 | 0.000 |
| 255.137 | 633.706 | 191.993 | -0.000 | 0.000 | -0.000 |
| 191.994 | 191.994 | 654.150 | -0.000 | -0.000 | -0.000 |
| 0.000 | -0.001 | -0.001 | 191.175 | 0.000 | -0.000 |
| -0.001 | 0.000 | -0.001 | -0.000 | 191.175 | -0.000 |
| 0.001 | 0.001 | 0.000 | -0.000 | -0.000 | 249.044 |
| 738.732 | 229.967 | 76.407 | 0.000 | -0.000 | 0.000 |
| 229.967 | 738.732 | 76.407 | 0.000 | -0.000 | 0.000 |
| 76.407 | 76.407 | -52.787 | 0.000 | -0.000 | 0.000 |
| -0.000 | -0.000 | -0.000 | 74.708 | -0.000 | 0.000 |
| -0.000 | -0.000 | -0.000 | -0.000 | 74.708 | 0.000 |
| -0.000 | -0.000 | -0.000 | 0.000 | -0.000 | 210.009 |
| 738.732 | 229.967 | 76.407 | 0.000 | 0.000 | -0.000 |
| 229.967 | 738.732 | 76.407 | -0.000 | 0.000 | -0.000 |
| 76.407 | 76.407 | -52.786 | -0.000 | 0.000 | -0.000 |
| 0.000 | 0.000 | 0.000 | 74.708 | 0.000 | -0.000 |
| 0.000 | 0.000 | 0.000 | -0.000 | 74.708 | -0.000 |
| 0.000 | 0.000 | 0.000 | -0.000 | 0.000 | 210.009 |
| 738.732 | 229.967 | 76.407 | 0.000 | -0.000 | 0.000 |
| 229.967 | 738.732 | 76.407 | 0.000 | -0.000 | 0.000 |
| 76.407 | 76.407 | -52.787 | 0.000 | -0.000 | 0.000 |
| -0.000 | -0.000 | -0.000 | 74.708 | -0.000 | 0.000 |
| -0.000 | -0.000 | -0.000 | 0.000 | 74.708 | 0.000 |
| -0.000 | -0.000 | -0.000 | 0.000 | -0.000 | 210.009 |
| 738.731 | 229.967 | 76.407 | -0.000 | 0.000 | -0.000 |
| 229.967 | 738.731 | 76.407 | -0.000 | 0.000 | -0.000 |
| 76.407 | 76.407 | -52.786 | -0.000 | 0.000 | -0.000 |
| 0.000 | 0.000 | 0.000 | 74.708 | 0.000 | -0.000 |
| 0.000 | 0.000 | 0.000 | -0.000 | 74.708 | -0.000 |
| 0.000 | 0.000 | 0.000 | -0.000 | 0.000 | 210.009 |
| 738.739 | 229.964 | 76.406 | 0.000 | -0.000 | 0.000 |
| 229.964 | 738.739 | 76.406 | 0.000 | -0.000 | 0.000 |
| 76.406 | 76.406 | -52.788 | 0.000 | -0.000 | 0.000 |
| -0.000 | -0.001 | -0.000 | 74.708 | -0.000 | 0.000 |
| -0.001 | -0.000 | -0.000 | 0.000 | 74.708 | 0.000 |
| -0.003 | -0.003 | -0.000 | 0.000 | -0.000 | 210.009 |
| 738.724 | 229.970 | 76.408 | -0.000 | 0.000 | -0.000 |
| 229.970 | 738.724 | 76.408 | -0.000 | 0.000 | -0.000 |
| 76.407 | 76.407 | -52.785 | -0.000 | 0.000 | -0.000 |
| 0.000 | 0.001 | 0.000 | 74.708 | 0.000 | -0.000 |
| 0.001 | 0.000 | 0.000 | -0.000 | 74.708 | -0.000 |
| 0.003 | 0.003 | 0.000 | -0.000 | -0.000 | 210.009 |
| -341.406 | 85.862 | -44.619 | -0.000 | 0.000 | -0.000 |
| 85.861 | -341.405 | -44.619 | -0.000 | 0.000 | -0.000 |
| -40.794 | -40.794 | 125.456 | -0.000 | 0.000 | 0.000 |
| -0.000 | -0.000 | -0.000 | -125.478 | 0.000 | -0.000 |
| -0.001 | 0.000 | -0.000 | -0.000 | -125.478 | -0.000 |
| -0.000 | 0.000 | 0.000 | -0.000 | -0.000 | -2.648 |
| -258.192 | 2.648 | -44.619 | 0.000 | -0.000 | 0.000 |
| 85.862 | -341.406 | -44.619 | 0.000 | -0.000 | 0.000 |
| -40.793 | -40.794 | 125.456 | 0.000 | -0.000 | 0.000 |
| 0.000 | 0.000 | 0.000 | -125.478 | -0.000 | 0.000 |
| 0.001 | -0.000 | 0.000 | 0.000 | -125.478 | -0.000 |
| 0.000 | -0.000 | -0.000 | 0.000 | -0.000 | -2.648 |
| -258.193 | 2.648 | -44.619 | -0.000 | -0.000 | -0.000 |
| 2.648 | -258.193 | -44.619 | -0.000 | 0.000 | 0.000 |
| -40.794 | -40.794 | 125.456 | -0.000 | 0.000 | -0.000 |
| 0.000 | -0.000 | -0.000 | -42.265 | 0.000 | -0.000 |
| -0.000 | 0.000 | -0.000 | -0.000 | -42.265 | -0.000 |
| -0.000 | 0.000 | 0.000 | -0.000 | 0.000 | -2.648 |
| -258.192 | 2.648 | -44.619 | 0.000 | 0.000 | 0.000 |
| 2.648 | -258.192 | -44.619 | 0.000 | 0.000 | 0.000 |
| -40.794 | -40.794 | 125.455 | 0.000 | -0.000 | -0.000 |
| -0.000 | 0.000 | 0.000 | -42.265 | 0.000 | -0.000 |
| 0.000 | -0.000 | 0.000 | 0.000 | -42.265 | -0.000 |
| 0.000 | -0.000 | -0.000 | 0.000 | -0.000 | -2.648 |
| -258.197 | 2.648 | -44.620 | -0.000 | 0.000 | -0.000 |
| 2.648 | -258.197 | -44.620 | -0.000 | 0.000 | 0.000 |
| -40.794 | -40.794 | 125.461 | -0.000 | 0.000 | -0.000 |
| 0.000 | -0.000 | -0.000 | -42.265 | 0.000 | -0.000 |
| -0.000 | 0.000 | -0.000 | -0.000 | -42.265 | -0.000 |
| -0.000 | 0.000 | 0.000 | -0.000 | 0.000 | -2.648 |
| -258.187 | 2.648 | -44.619 | 0.000 | 0.000 | 0.000 |
| 2.648 | -258.187 | -44.619 | 0.000 | 0.000 | 0.000 |
| -40.794 | -40.794 | 125.450 | -0.000 | -0.000 | 0.000 |
| -0.000 | 0.000 | 0.000 | -42.265 | -0.000 | 0.000 |
| 0.000 | -0.000 | 0.000 | 0.000 | -42.265 | -0.000 |
| 0.000 | -0.000 | -0.000 | 0.000 | -0.000 | -2.648 |
| 147.402 | 1.409 | 25.637 | -0.000 | -0.000 | -0.000 |
| 1.409 | 147.402 | 25.637 | -0.000 | -0.000 | 0.000 |
| 25.418 | 25.418 | 171.455 | -0.000 | -0.000 | 0.000 |
| 0.000 | -0.000 | -0.000 | 24.650 | -0.000 | -0.000 |
| -0.000 | 0.000 | -0.000 | 0.000 | 24.650 | -0.000 |
| -0.000 | -0.000 | 0.000 | 0.000 | -0.000 | -0.041 |
| 147.402 | 1.409 | 25.637 | 0.000 | 0.000 | 0.000 |
| 1.409 | 147.402 | 25.637 | 0.000 | 0.000 | 0.000 |
| 25.418 | 25.418 | 171.455 | 0.000 | 0.000 | -0.000 |
| -0.000 | 0.000 | 0.000 | 24.650 | 0.000 | -0.000 |
| 0.000 | -0.000 | 0.000 | -0.000 | 24.650 | 0.000 |
| -0.000 | 0.000 | -0.000 | 0.000 | 0.000 | -0.041 |
| 147.402 | 1.409 | 25.637 | -0.000 | -0.000 | -0.000 |
| 1.409 | 147.402 | 25.637 | -0.000 | -0.000 | 0.000 |
| 25.418 | 25.418 | 171.455 | -0.000 | -0.000 | 0.000 |
| 0.000 | -0.000 | -0.000 | 24.650 | -0.000 | -0.000 |
| -0.000 | 0.000 | -0.000 | -0.000 | 24.650 | -0.000 |
| -0.000 | -0.000 | -0.000 | -0.000 | -0.000 | -0.041 |
| 147.402 | 1.409 | 25.637 | 0.000 | -0.000 | 0.000 |
| 1.409 | 147.402 | 25.637 | 0.000 | 0.000 | -0.000 |
| 25.418 | 25.418 | 171.454 | 0.000 | 0.000 | 0.000 |
| -0.000 | 0.000 | 0.000 | 24.650 | 0.000 | -0.000 |
| 0.000 | -0.000 | 0.000 | 0.000 | 24.650 | 0.000 |
| 0.000 | 0.000 | 0.000 | 0.000 | 0.000 | -0.041 |
| 147.403 | 1.409 | 25.636 | -0.000 | -0.000 | -0.000 |
| 1.409 | 147.403 | 25.636 | 0.000 | 0.000 | -0.000 |
| 25.417 | 25.417 | 171.459 | -0.000 | -0.000 | -0.000 |
| 0.000 | -0.001 | -0.001 | 24.650 | -0.000 | -0.000 |
| -0.001 | 0.000 | -0.001 | -0.000 | 24.650 | -0.000 |
| -0.000 | -0.000 | -0.000 | -0.000 | 0.000 | -0.041 |
| 147.400 | 1.408 | 25.638 | 0.000 | 0.000 | 0.000 |
| 1.408 | 147.400 | 25.638 | 0.000 | 0.000 | 0.000 |
| 25.418 | 25.418 | 171.451 | 0.000 | 0.000 | -0.000 |
| -0.000 | 0.001 | 0.001 | 24.650 | 0.000 | -0.000 |
| 0.001 | -0.000 | 0.001 | 0.000 | 24.650 | 0.000 |
| 0.000 | 0.000 | 0.000 | 0.000 | 0.000 | -0.041 |
| -31.009 | -0.000 | -4.113 | 0.000 | -0.000 | -0.000 |
| 10024017.707 | -9474298.709 | 195577.096 | 0.256 | -0.192 | 0.000 |
| -4.113 | -4.113 | -1.091 | 0.000 | -0.000 | 0.000 |
| 44765.084 | 696257.576 | 74556.551 | -6064668.710 | -0.050 | -0.001 |
| 696257.995 | 44764.941 | 74556.579 | 0.099 | -6064669.824 | 0.003 |
| 0.000 | -0.000 | 0.000 | 0.000 | -0.000 | -0.000 |
| -31.009 | 0.000 | -4.113 | -0.000 | 0.000 | -0.000 |
| -0.000 | -31.009 | -4.113 | -0.000 | 0.000 | -0.000 |
| -4.113 | -4.113 | -1.091 | -0.000 | 0.000 | -0.000 |
| -44765.096 | -696257.677 | -74556.563 | -6064669.166 | 0.050 | -0.001 |
| -696257.675 | -44764.926 | -74556.545 | -0.099 | -6064668.478 | 0.003 |
| -0.000 | 0.000 | -0.000 | -0.000 | -0.000 | -0.000 |
| -871224.788 | 917357.456 | 16439.819 | 0.003 | -0.002 | -0.000 |
| 917357.465 | -871224.796 | 16439.819 | 0.003 | -0.002 | 0.000 |
| -4.113 | -4.113 | -1.091 | 0.000 | -0.000 | -0.000 |
| 2425.582 | 37830.580 | 4053.893 | -446293.384 | -0.000 | -0.000 |
| 37830.579 | 2425.581 | 4053.892 | 0.001 | -446293.367 | 0.000 |
| 0.000 | 0.000 | 0.000 | 0.000 | -0.000 | -0.000 |
| -917389.468 | 871194.754 | -16448.061 | -0.003 | 0.001 | -0.000 |
| 871194.747 | -917389.460 | -16448.061 | -0.003 | 0.002 | -0.000 |
| -4.113 | -4.113 | -1.091 | -0.000 | 0.000 | -0.000 |
| -2425.582 | -37830.579 | -4053.893 | -446293.374 | 0.000 | -0.000 |
| -37830.584 | -2425.581 | -4053.893 | -0.001 | -446293.397 | 0.000 |
| -0.000 | -0.000 | -0.000 | -0.000 | 0.000 | -0.000 |
| -89873.950 | 94765.690 | 1748.527 | 0.000 | -0.000 | 0.000 |
| 94765.690 | -89873.950 | 1748.527 | 0.000 | -0.000 | -0.000 |
| -4.113 | -4.113 | -1.091 | 0.000 | -0.000 | 0.000 |
| 253.144 | 3951.353 | 423.418 | -45607.246 | -0.000 | -0.000 |
| 3951.353 | 253.144 | 423.418 | 0.000 | -45607.246 | 0.000 |
| 0.000 | 0.000 | 0.000 | 0.000 | -0.000 | -0.000 |
| -94797.940 | 89844.177 | -1756.773 | -0.000 | 0.000 | -0.000 |
| 89844.177 | -94797.940 | -1756.773 | -0.000 | 0.000 | -0.000 |
| -4.113 | -4.113 | -1.091 | -0.000 | 0.000 | 0.000 |
| -253.144 | -3951.353 | -423.418 | -45607.246 | 0.000 | -0.000 |
| -3951.353 | -253.144 | -423.418 | -0.000 | -45607.246 | 0.000 |
| -0.000 | -0.000 | -0.000 | -0.000 | 0.000 | -0.000 |
| -28.244 | 3.384 | -2.118 | -0.000 | -0.000 | 0.000 |
| 3.384 | -28.244 | -2.118 | -0.000 | 0.000 | -0.000 |
| 1.503 | 1.503 | -23.196 | 0.000 | 0.000 | 0.000 |
| 0.000 | 0.000 | 0.000 | -1.642 | -0.000 | 0.000 |
| 0.000 | 0.000 | 0.000 | -0.000 | -1.642 | -0.000 |
| 0.000 | 0.000 | 0.000 | -0.000 | 0.000 | -3.384 |
| -28.244 | 3.384 | -2.118 | 0.000 | 0.000 | 0.000 |
| 3.384 | -28.244 | -2.118 | 0.000 | -0.000 | -0.000 |
| 1.503 | 1.503 | -23.196 | 0.000 | -0.000 | 0.000 |
| -0.000 | -0.000 | -0.000 | -1.642 | -0.000 | -0.000 |
| -0.000 | -0.000 | -0.000 | 0.000 | -1.642 | 0.000 |
| -0.000 | -0.000 | -0.000 | 0.000 | 0.000 | -3.384 |
| -28.245 | 3.384 | -2.118 | -0.000 | 0.000 | 0.000 |
| 3.384 | -28.245 | -2.118 | -0.000 | 0.000 | 0.000 |
| 1.503 | 1.503 | -23.196 | 0.000 | 0.000 | -0.000 |
| 0.000 | -0.000 | -0.000 | -1.642 | -0.000 | 0.000 |
| -0.000 | 0.000 | -0.000 | -0.000 | -1.642 | -0.000 |
| 0.000 | 0.000 | 0.000 | -0.000 | -0.000 | -3.384 |
| -28.244 | 3.384 | -2.118 | 0.000 | -0.000 | -0.000 |
| 3.384 | -28.244 | -2.118 | 0.000 | 0.000 | -0.000 |
| 1.503 | 1.503 | -23.197 | 0.000 | -0.000 | 0.000 |
| -0.000 | 0.000 | 0.000 | -1.642 | 0.000 | 0.000 |
| 0.000 | -0.000 | 0.000 | 0.000 | -1.642 | -0.000 |
| -0.000 | -0.000 | -0.000 | -0.000 | -0.000 | -3.384 |
| -28.247 | 3.384 | -2.118 | -0.000 | -0.000 | 0.000 |
| 3.384 | -28.247 | -2.118 | -0.000 | -0.000 | 0.000 |
| 1.503 | 1.503 | -23.192 | -0.000 | -0.000 | -0.000 |
| 0.000 | -0.000 | -0.000 | -1.642 | -0.000 | 0.000 |
| -0.000 | 0.000 | -0.000 | -0.000 | -1.642 | 0.000 |
| 0.000 | 0.000 | 0.000 | -0.000 | -0.000 | -3.384 |
| -28.242 | 3.384 | -2.118 | 0.000 | 0.000 | -0.000 |
| 3.384 | -28.242 | -2.118 | 0.000 | 0.000 | 0.000 |
| 1.503 | 1.503 | -23.201 | 0.000 | -0.000 | -0.000 |
| -0.000 | 0.000 | 0.000 | -1.642 | 0.000 | 0.000 |
| 0.000 | -0.000 | 0.000 | 0.000 | -1.642 | 0.000 |
| -0.000 | -0.000 | -0.000 | 0.000 | 0.000 | -3.384 |
| 45.962 | 45.962 | 6.131 | 0.000 | -0.000 | -0.000 |
| 45.962 | 45.962 | 6.131 | -0.000 | 0.000 | 0.000 |
| 6.131 | 6.131 | 105.403 | 0.000 | -0.000 | 0.000 |
| -0.000 | 0.000 | -0.000 | -0.000 | 0.000 | -0.000 |
| -0.000 | 0.000 | -0.000 | 0.000 | -0.000 | -0.000 |
| -0.000 | 0.000 | -0.000 | 0.000 | -0.000 | 0.000 |
| 45.962 | 45.962 | 6.131 | -0.000 | 0.000 | 0.000 |
| 45.962 | 45.962 | 6.131 | -0.000 | -0.000 | -0.000 |
| 6.131 | 6.131 | 105.403 | -0.000 | 0.000 | 0.000 |
| 0.000 | -0.000 | 0.000 | -0.000 | -0.000 | -0.000 |
| 0.000 | -0.000 | 0.000 | -0.000 | -0.000 | -0.000 |
| 0.000 | -0.000 | 0.000 | -0.000 | -0.000 | 0.000 |
| 45.962 | 45.962 | 6.131 | 0.000 | -0.000 | -0.000 |
| 45.962 | 45.962 | 6.131 | 0.000 | 0.000 | 0.000 |
| 6.131 | 6.131 | 105.404 | 0.000 | -0.000 | -0.000 |
| 0.000 | -0.000 | -0.000 | -0.000 | 0.000 | -0.000 |
| -0.000 | 0.000 | -0.000 | -0.000 | -0.000 | 0.000 |
| -0.000 | -0.000 | -0.000 | 0.000 | -0.000 | 0.000 |
| 45.962 | 45.962 | 6.131 | -0.000 | -0.000 | -0.000 |
| 45.962 | 45.962 | 6.131 | -0.000 | -0.000 | 0.000 |
| 6.131 | 6.131 | 105.403 | -0.000 | 0.000 | 0.000 |
| -0.000 | 0.000 | 0.000 | -0.000 | -0.000 | -0.000 |
| 0.000 | -0.000 | 0.000 | 0.000 | -0.000 | 0.000 |
| 0.000 | 0.000 | 0.000 | -0.000 | -0.000 | 0.000 |
| 45.962 | 45.963 | 6.131 | 0.000 | 0.000 | 0.000 |
| 45.963 | 45.962 | 6.131 | 0.000 | 0.000 | -0.000 |
| 6.131 | 6.131 | 105.407 | 0.000 | 0.000 | 0.000 |
| 0.000 | -0.000 | -0.000 | -0.000 | 0.000 | -0.000 |
| -0.000 | 0.000 | -0.000 | 0.000 | -0.000 | -0.000 |
| -0.000 | -0.000 | -0.000 | -0.000 | -0.000 | 0.000 |
| 45.962 | 45.961 | 6.131 | -0.000 | 0.000 | 0.000 |
| 45.961 | 45.962 | 6.131 | -0.000 | -0.000 | -0.000 |
| 6.131 | 6.131 | 105.399 | -0.000 | -0.000 | 0.000 |
| -0.000 | 0.000 | 0.000 | -0.000 | -0.000 | -0.000 |
| 0.000 | -0.000 | 0.000 | -0.000 | -0.000 | -0.000 |
| 0.000 | 0.000 | 0.000 | 0.000 | -0.000 | 0.000 |
| 132.771 | 113.060 | -20.084 | 0.000 | 0.000 | -0.000 |
| 113.060 | 132.771 | -20.084 | 0.000 | -0.000 | 0.000 |
| -20.084 | -20.084 | -265.468 | 0.000 | 0.000 | 0.000 |
| -0.000 | -0.000 | -0.000 | 26.100 | 0.000 | 0.000 |
| -0.000 | -0.000 | -0.000 | 0.000 | 26.100 | 0.000 |
| 0.000 | 0.000 | 0.000 | 0.000 | 0.000 | 81.470 |
| 132.771 | 113.060 | -20.084 | -0.000 | -0.000 | -0.000 |
| 113.060 | 132.771 | -20.084 | 0.000 | -0.000 | -0.000 |
| -20.084 | -20.084 | -265.468 | -0.000 | -0.000 | -0.000 |
| 0.000 | 0.000 | 0.000 | 26.100 | -0.000 | -0.000 |
| 0.000 | 0.000 | 0.000 | -0.000 | 26.100 | -0.000 |
| -0.000 | -0.000 | -0.000 | -0.000 | 0.000 | 81.470 |
| 132.771 | 113.060 | -20.084 | -0.000 | 0.000 | -0.000 |
| 113.060 | 132.771 | -20.084 | 0.000 | 0.000 | 0.000 |
| -20.084 | -20.084 | -265.469 | 0.000 | 0.000 | 0.000 |
| -0.000 | -0.000 | -0.000 | 26.100 | 0.000 | 0.000 |
| -0.000 | -0.000 | -0.000 | 0.000 | 26.100 | -0.000 |
| -0.000 | 0.000 | 0.000 | 0.000 | 0.000 | 81.470 |
| 132.771 | 113.060 | -20.084 | 0.000 | 0.000 | -0.000 |
| 113.060 | 132.771 | -20.084 | 0.000 | 0.000 | -0.000 |
| -20.084 | -20.084 | -265.468 | -0.000 | -0.000 | 0.000 |
| 0.000 | 0.000 | 0.000 | 26.100 | -0.000 | -0.000 |
| 0.000 | 0.000 | 0.000 | -0.000 | 26.100 | -0.000 |
| 0.000 | -0.000 | -0.000 | 0.000 | -0.000 | 81.470 |
| 132.772 | 113.060 | -20.085 | 0.000 | 0.000 | -0.000 |
| 113.060 | 132.772 | -20.085 | 0.000 | 0.000 | -0.000 |
| -20.084 | -20.084 | -265.472 | 0.000 | 0.000 | 0.000 |
| -0.000 | -0.000 | -0.000 | 26.100 | 0.000 | 0.000 |
| -0.000 | -0.000 | -0.000 | 0.000 | 26.100 | 0.000 |
| -0.000 | 0.000 | 0.000 | 0.000 | 0.000 | 81.470 |
| 132.770 | 113.059 | -20.084 | -0.000 | 0.000 | -0.000 |
| 113.059 | 132.770 | -20.084 | -0.000 | -0.000 | 0.000 |
| -20.084 | -20.084 | -265.464 | -0.000 | -0.000 | -0.000 |
| 0.000 | 0.000 | 0.000 | 26.100 | -0.000 | -0.000 |
| 0.000 | 0.000 | 0.000 | -0.000 | 26.100 | -0.000 |
| 0.000 | -0.000 | -0.000 | -0.000 | -0.000 | 81.470 |
| 339.326 | 287.980 | 74.665 | 0.000 | 0.000 | 0.000 |
| 287.980 | 339.326 | 74.665 | 0.000 | -0.000 | 0.000 |
| 74.665 | 74.665 | 462.480 | -0.000 | -0.000 | 0.000 |
| 0.000 | -0.000 | 0.000 | 82.274 | -0.000 | 0.000 |
| -0.000 | 0.000 | 0.000 | -0.000 | 82.274 | 0.000 |
| -0.000 | -0.000 | -0.000 | -0.000 | -0.000 | 128.458 |
| 339.326 | 287.980 | 74.665 | -0.000 | -0.000 | -0.000 |
| 287.980 | 339.326 | 74.665 | 0.000 | 0.000 | -0.000 |
| 74.665 | 74.665 | 462.480 | -0.000 | 0.000 | -0.000 |
| -0.000 | 0.000 | -0.000 | 82.274 | -0.000 | -0.000 |
| -0.000 | -0.000 | -0.000 | 0.000 | 82.274 | -0.000 |
| 0.000 | 0.000 | 0.000 | 0.000 | -0.000 | 128.458 |
| 339.326 | 287.980 | 74.665 | -0.000 | -0.000 | 0.000 |
| 287.980 | 339.326 | 74.665 | -0.000 | 0.000 | 0.000 |
| 74.665 | 74.665 | 462.481 | -0.000 | -0.000 | 0.000 |
| 0.000 | -0.000 | 0.000 | 82.274 | 0.000 | 0.000 |
| -0.000 | 0.000 | 0.000 | 0.000 | 82.274 | 0.000 |
| -0.000 | -0.000 | -0.000 | 0.000 | 0.000 | 128.458 |
| 339.326 | 287.980 | 74.665 | 0.000 | 0.000 | -0.000 |
| 287.980 | 339.326 | 74.665 | 0.000 | 0.000 | -0.000 |
| 74.665 | 74.665 | 462.479 | -0.000 | -0.000 | -0.000 |
| -0.000 | 0.000 | -0.000 | 82.274 | 0.000 | -0.000 |
| 0.000 | -0.000 | -0.000 | 0.000 | 82.274 | -0.000 |
| 0.000 | 0.000 | 0.000 | 0.000 | 0.000 | 128.458 |
| 339.329 | 287.982 | 74.666 | 0.000 | -0.000 | 0.000 |
| 287.982 | 339.329 | 74.666 | 0.000 | 0.000 | 0.000 |
| 74.667 | 74.667 | 462.488 | -0.000 | -0.000 | 0.000 |
| 0.000 | -0.000 | 0.001 | 82.274 | 0.000 | 0.000 |
| -0.000 | 0.000 | 0.001 | -0.000 | 82.274 | 0.000 |
| -0.001 | -0.000 | -0.000 | -0.000 | 0.000 | 128.458 |
| 339.323 | 287.978 | 74.665 | 0.000 | 0.000 | -0.000 |
| 287.978 | 339.323 | 74.665 | 0.000 | 0.000 | -0.000 |
| 74.664 | 74.664 | 462.473 | 0.000 | 0.000 | -0.000 |
| -0.000 | 0.000 | -0.001 | 82.274 | 0.000 | -0.000 |
| 0.000 | -0.000 | -0.001 | -0.000 | 82.274 | -0.000 |
| 0.001 | 0.000 | 0.000 | 0.000 | 0.000 | 128.458 |
| 591.365 | 153.928 | 228.686 | -0.000 | 0.000 | 0.000 |
| 153.928 | 591.365 | 228.686 | 0.000 | -0.000 | 0.000 |
| 228.686 | 228.686 | 352.920 | -0.000 | -0.000 | 0.000 |
| 0.000 | 0.000 | 0.000 | 198.722 | -0.000 | 0.000 |
| 0.000 | 0.000 | 0.000 | -0.000 | 198.722 | 0.000 |
| -0.000 | -0.000 | 0.000 | -0.000 | -0.000 | 140.480 |
| 591.364 | 153.928 | 228.686 | 0.000 | 0.000 | -0.000 |
| 153.928 | 591.364 | 228.686 | 0.000 | 0.000 | -0.000 |
| 228.686 | 228.686 | 352.920 | 0.000 | 0.000 | -0.000 |
| -0.000 | -0.000 | -0.000 | 198.722 | 0.000 | -0.000 |
| -0.000 | -0.000 | -0.000 | -0.000 | 198.722 | -0.000 |
| 0.000 | 0.000 | -0.000 | 0.000 | 0.000 | 140.480 |
| 591.365 | 153.928 | 228.686 | 0.000 | -0.000 | 0.000 |
| 153.928 | 591.365 | 228.686 | -0.000 | -0.000 | 0.000 |
| 228.686 | 228.686 | 352.920 | -0.000 | -0.000 | 0.000 |
| 0.000 | 0.000 | 0.000 | 198.722 | -0.000 | 0.000 |
| 0.000 | 0.000 | 0.000 | -0.000 | 198.722 | 0.000 |
| -0.000 | -0.000 | 0.000 | -0.000 | -0.000 | 140.480 |
| 591.363 | 153.928 | 228.685 | 0.000 | 0.000 | -0.000 |
| 153.928 | 591.363 | 228.685 | 0.000 | 0.000 | -0.000 |
| 228.686 | 228.686 | 352.919 | 0.000 | 0.000 | -0.000 |
| -0.000 | -0.000 | -0.000 | 198.722 | 0.000 | -0.000 |
| -0.000 | -0.000 | -0.000 | 0.000 | 198.722 | -0.000 |
| 0.000 | 0.000 | -0.000 | 0.000 | 0.000 | 140.480 |
| 591.374 | 153.929 | 228.692 | 0.000 | -0.000 | 0.000 |
| 153.929 | 591.374 | 228.692 | -0.000 | -0.000 | 0.000 |
| 228.688 | 228.688 | 352.926 | -0.000 | -0.000 | 0.000 |
| 0.001 | 0.003 | 0.001 | 198.722 | -0.000 | 0.000 |
| 0.003 | 0.001 | 0.001 | 0.000 | 198.722 | 0.000 |
| -0.000 | -0.000 | 0.001 | -0.000 | -0.000 | 140.480 |
| 591.355 | 153.927 | 228.680 | 0.000 | 0.000 | -0.000 |
| 153.927 | 591.355 | 228.680 | 0.000 | 0.000 | -0.000 |
| 228.684 | 228.684 | 352.914 | -0.000 | 0.000 | -0.000 |
| -0.001 | -0.003 | -0.001 | 198.722 | -0.000 | -0.000 |
| -0.003 | -0.001 | -0.001 | -0.000 | 198.722 | -0.000 |
| 0.000 | 0.000 | -0.001 | 0.000 | 0.000 | 140.480 |
| -235.636 | 71.101 | 164.881 | -0.000 | -0.000 | -0.000 |
| 71.101 | -235.636 | 164.881 | -0.000 | -0.000 | -0.000 |
| 164.881 | 164.881 | 382.666 | 0.000 | 0.000 | -0.000 |
| -0.000 | -0.000 | -0.000 | 164.780 | -0.000 | -0.000 |
| -0.000 | -0.000 | -0.000 | -0.000 | 164.780 | -0.000 |
| -0.000 | -0.000 | -0.000 | 0.000 | 0.000 | 70.971 |
| -235.636 | 71.101 | 164.881 | 0.000 | 0.000 | 0.000 |
| 71.101 | -235.636 | 164.881 | 0.000 | 0.000 | 0.000 |
| 164.881 | 164.881 | 382.666 | -0.000 | -0.000 | 0.000 |
| 0.000 | 0.000 | 0.000 | 164.780 | -0.000 | 0.000 |
| 0.000 | 0.000 | 0.000 | -0.000 | 164.780 | 0.000 |
| 0.000 | 0.000 | 0.000 | 0.000 | -0.000 | 70.971 |
| -235.637 | 71.101 | 164.881 | -0.000 | -0.000 | -0.000 |
| 71.101 | -235.637 | 164.881 | -0.000 | -0.000 | -0.000 |
| 164.881 | 164.881 | 382.665 | 0.000 | 0.000 | -0.000 |
| -0.000 | -0.000 | -0.000 | 164.780 | -0.000 | -0.000 |
| -0.000 | -0.000 | -0.000 | -0.000 | 164.780 | -0.000 |
| -0.000 | -0.000 | -0.000 | -0.000 | -0.000 | 70.971 |
| -235.635 | 71.101 | 164.882 | 0.000 | 0.000 | 0.000 |
| 71.101 | -235.635 | 164.882 | 0.000 | 0.000 | 0.000 |
| 164.882 | 164.882 | 382.666 | -0.000 | -0.000 | 0.000 |
| 0.000 | 0.000 | 0.000 | 164.780 | 0.000 | 0.000 |
| 0.000 | 0.000 | 0.000 | 0.000 | 164.780 | 0.000 |
| 0.000 | 0.000 | 0.000 | 0.000 | -0.000 | 70.971 |
| -235.644 | 71.101 | 164.881 | 0.000 | 0.000 | -0.000 |
| 71.101 | -235.644 | 164.881 | 0.000 | 0.000 | -0.000 |
| 164.879 | 164.879 | 382.660 | 0.000 | 0.000 | -0.000 |
| -0.001 | -0.001 | -0.002 | 164.780 | -0.000 | -0.000 |
| -0.001 | -0.001 | -0.002 | -0.000 | 164.780 | -0.000 |
| -0.001 | -0.000 | -0.001 | -0.000 | -0.000 | 70.971 |
| -235.628 | 71.101 | 164.882 | 0.000 | 0.000 | 0.000 |
| 71.101 | -235.628 | 164.882 | 0.000 | 0.000 | 0.000 |
| 164.884 | 164.884 | 382.671 | 0.000 | 0.000 | 0.000 |
| 0.001 | 0.001 | 0.002 | 164.780 | -0.000 | 0.000 |
| 0.001 | 0.001 | 0.002 | -0.000 | 164.780 | 0.000 |
| 0.001 | 0.000 | 0.001 | -0.000 | 0.000 | 70.971 |
| -89.770 | 3.097 | -0.057 | -0.000 | 0.000 | -0.000 |
| 3.097 | -89.770 | -0.057 | -0.000 | 0.000 | -0.000 |
| -3.171 | -3.171 | -36.607 | -0.000 | -0.000 | 0.000 |
| -0.000 | -0.000 | 0.000 | -22.505 | -0.000 | -0.000 |
| -0.000 | -0.000 | 0.000 | -0.000 | -22.505 | -0.000 |
| -0.000 | 0.000 | 0.000 | 0.000 | 0.000 | -13.125 |
| -89.770 | 3.097 | -0.057 | -0.000 | -0.000 | 0.000 |
| 3.097 | -89.770 | -0.057 | -0.000 | -0.000 | 0.000 |
| -3.171 | -3.171 | -36.607 | 0.000 | -0.000 | -0.000 |
| 0.000 | 0.000 | -0.000 | -22.505 | 0.000 | 0.000 |
| 0.000 | 0.000 | -0.000 | 0.000 | -22.505 | 0.000 |
| 0.000 | -0.000 | -0.000 | 0.000 | -0.000 | -13.125 |
| -89.770 | 3.097 | -0.057 | 0.000 | 0.000 | -0.000 |
| 3.097 | -89.770 | -0.057 | -0.000 | 0.000 | -0.000 |
| -3.171 | -3.171 | -36.607 | -0.000 | -0.000 | 0.000 |
| -0.000 | -0.000 | -0.000 | -22.505 | 0.000 | -0.000 |
| -0.000 | -0.000 | -0.000 | -0.000 | -22.505 | -0.000 |
| -0.000 | -0.000 | -0.000 | 0.000 | 0.000 | -13.125 |
| -89.770 | 3.097 | -0.057 | -0.000 | -0.000 | 0.000 |
| 3.097 | -89.770 | -0.057 | -0.000 | -0.000 | 0.000 |
| -3.170 | -3.170 | -36.607 | 0.000 | -0.000 | 0.000 |
| 0.000 | 0.000 | 0.000 | -22.505 | 0.000 | 0.000 |
| 0.000 | 0.000 | 0.000 | 0.000 | -22.505 | 0.000 |
| 0.000 | 0.000 | 0.000 | -0.000 | -0.000 | -13.125 |
| -89.770 | 3.097 | -0.058 | -0.000 | 0.000 | -0.000 |
| 3.097 | -89.770 | -0.058 | 0.000 | -0.000 | -0.000 |
| -3.172 | -3.172 | -36.610 | -0.000 | -0.000 | -0.000 |
| -0.000 | -0.000 | -0.001 | -22.505 | -0.000 | 0.000 |
| -0.000 | -0.000 | -0.001 | -0.000 | -22.505 | -0.000 |
| -0.000 | -0.000 | -0.000 | 0.000 | 0.000 | -13.125 |
| -89.769 | 3.097 | -0.057 | -0.000 | -0.000 | 0.000 |
| 3.097 | -89.769 | -0.057 | 0.000 | -0.000 | 0.000 |
| -3.169 | -3.169 | -36.605 | -0.000 | -0.000 | 0.000 |
| 0.000 | 0.000 | 0.001 | -22.505 | 0.000 | 0.000 |
| 0.000 | 0.000 | 0.001 | 0.000 | -22.505 | 0.000 |
| 0.000 | 0.000 | 0.000 | -0.000 | -0.000 | -13.125 |
| 272.362 | 90.787 | -62.288 | 37.281 | 0.000 | 0.000 |
| 90.787 | 272.362 | -62.288 | -37.281 | -0.000 | 0.000 |
| -62.288 | -62.288 | -102.949 | 0.000 | -0.000 | 0.000 |
| 37.281 | -37.281 | -0.000 | -62.288 | -0.000 | 0.000 |
| 0.000 | 0.000 | -0.000 | 0.000 | -62.288 | 37.281 |
| 0.000 | 0.000 | -0.000 | 0.000 | 37.281 | 90.787 |
| 272.362 | 90.787 | -62.288 | 37.281 | 0.000 | -0.000 |
| 90.787 | 272.362 | -62.288 | -37.281 | 0.000 | -0.000 |
| -62.288 | -62.288 | -102.949 | -0.000 | 0.000 | -0.000 |
| 37.281 | -37.281 | -0.000 | -62.288 | 0.000 | -0.000 |
| -0.000 | -0.000 | 0.000 | -0.000 | -62.288 | 37.281 |
| -0.000 | -0.000 | 0.000 | -0.000 | 37.281 | 90.787 |
| 272.363 | 90.788 | -62.288 | 37.281 | 0.000 | 0.000 |
| 90.788 | 272.363 | -62.288 | -37.281 | -0.000 | 0.000 |
| -62.288 | -62.288 | -102.949 | 0.000 | -0.000 | 0.000 |
| 37.281 | -37.281 | -0.000 | -62.288 | -0.000 | 0.000 |
| 0.000 | -0.000 | -0.000 | 0.000 | -62.288 | 37.281 |
| 0.000 | 0.000 | -0.000 | 0.000 | 37.281 | 90.787 |
| 272.361 | 90.787 | -62.288 | 37.281 | 0.000 | -0.000 |
| 90.787 | 272.361 | -62.288 | -37.281 | 0.000 | -0.000 |
| -62.288 | -62.288 | -102.949 | 0.000 | 0.000 | -0.000 |
| 37.281 | -37.281 | 0.000 | -62.288 | 0.000 | 0.000 |
| -0.000 | 0.000 | 0.000 | -0.000 | -62.288 | 37.281 |
| -0.000 | -0.000 | 0.000 | -0.000 | 37.281 | 90.787 |
| 272.372 | 90.788 | -62.288 | 37.281 | -0.000 | 0.000 |
| 90.790 | 272.370 | -62.288 | -37.281 | -0.000 | -0.000 |
| -62.288 | -62.288 | -102.949 | -0.000 | -0.000 | 0.000 |
| 37.281 | -37.281 | -0.000 | -62.288 | -0.000 | 0.000 |
| 0.000 | -0.000 | -0.000 | 0.000 | -62.288 | 37.281 |
| 0.001 | 0.003 | -0.000 | 0.000 | 37.281 | 90.787 |
| 272.352 | 90.786 | -62.288 | 37.281 | -0.000 | -0.000 |
| 90.784 | 272.354 | -62.288 | -37.281 | 0.000 | -0.000 |
| -62.288 | -62.288 | -102.949 | 0.000 | 0.000 | 0.000 |
| 37.281 | -37.281 | 0.000 | -62.288 | 0.000 | -0.000 |
| -0.000 | 0.000 | 0.000 | -0.000 | -62.288 | 37.281 |
| -0.001 | -0.003 | 0.000 | -0.000 | 37.281 | 90.787 |
| -25.634 | -5.572 | -16.746 | 12.066 | 0.000 | -0.000 |
| -5.571 | -25.633 | -16.740 | -12.066 | 0.000 | -0.000 |
| -17.919 | -17.919 | -37.062 | -0.000 | -0.000 | 0.000 |
| 12.068 | -12.065 | 0.012 | -23.554 | 0.000 | 0.000 |
| 0.000 | 0.000 | -0.000 | 0.000 | -23.554 | 12.066 |
| 0.002 | 0.002 | 0.015 | 0.000 | 12.066 | -10.031 |
| -25.634 | -5.572 | -16.748 | 12.066 | 0.000 | -0.000 |
| -5.574 | -25.636 | -16.760 | -12.066 | -0.000 | -0.000 |
| -17.921 | -17.921 | -37.074 | 0.000 | -0.000 | -0.000 |
| 12.065 | -12.068 | -0.010 | -23.554 | 0.000 | -0.000 |
| 0.000 | -0.000 | 0.000 | -0.000 | -23.554 | 12.066 |
| -0.002 | -0.002 | -0.015 | -0.000 | 12.066 | -10.031 |
| -25.634 | -5.572 | -16.746 | 12.066 | -0.000 | 0.000 |
| -5.572 | -25.634 | -16.744 | -12.066 | 0.000 | -0.000 |
| -17.920 | -17.920 | -37.068 | -0.000 | -0.000 | 0.000 |
| 12.066 | -12.066 | 0.001 | -23.554 | 0.000 | 0.000 |
| -0.000 | -0.000 | -0.000 | 0.000 | -23.554 | 12.066 |
| 0.000 | 0.000 | 0.000 | 0.000 | 12.066 | -10.031 |
| -25.634 | -5.572 | -16.746 | 12.066 | 0.000 | -0.000 |
| -5.573 | -25.634 | -16.750 | -12.066 | 0.000 | 0.000 |
| -17.921 | -17.921 | -37.074 | -0.000 | -0.000 | -0.000 |
| 12.066 | -12.066 | -0.001 | -23.554 | 0.000 | -0.000 |
| 0.000 | 0.000 | 0.000 | -0.000 | -23.554 | 12.066 |
| -0.000 | -0.000 | -0.000 | -0.000 | 12.066 | -10.031 |
| -25.635 | -5.573 | -16.747 | 12.067 | 0.000 | 0.000 |
| -5.572 | -25.635 | -16.747 | -12.067 | -0.000 | 0.000 |
| -17.921 | -17.921 | -37.074 | -0.000 | 0.000 | 0.000 |
| 12.066 | -12.067 | -0.000 | -23.554 | 0.000 | 0.000 |
| -0.000 | -0.000 | -0.000 | 0.000 | -23.554 | 12.066 |
| -0.000 | -0.000 | -0.000 | 0.000 | 12.066 | -10.031 |
| -25.633 | -5.572 | -16.746 | 12.066 | -0.000 | 0.000 |
| -5.572 | -25.633 | -16.746 | -12.066 | -0.000 | -0.000 |
| -17.921 | -17.921 | -37.074 | 0.000 | -0.000 | -0.000 |
| 12.066 | -12.066 | 0.000 | -23.554 | -0.000 | 0.000 |
| 0.000 | 0.000 | 0.000 | -0.000 | -23.554 | 12.066 |
| 0.000 | 0.000 | 0.000 | -0.000 | 12.066 | -10.031 |
| -11.382 | -1.934 | -3.622 | 3.905 | -0.000 | 0.000 |
| -1.934 | -11.382 | -3.622 | -3.905 | 0.000 | 0.000 |
| -3.187 | -3.187 | -4.112 | 0.000 | -0.000 | 0.000 |
| 3.905 | -3.905 | -0.000 | -5.541 | 0.000 | 0.000 |
| -0.000 | 0.000 | -0.000 | 0.000 | -5.541 | 3.905 |
| 0.000 | 0.000 | -0.000 | 0.000 | 3.905 | -4.724 |
| -11.382 | -1.934 | -3.622 | 3.905 | 0.000 | -0.000 |
| -1.934 | -11.382 | -3.622 | -3.905 | 0.000 | -0.000 |
| -3.187 | -3.187 | -4.112 | -0.000 | -0.000 | -0.000 |
| 3.905 | -3.905 | 0.000 | -5.541 | -0.000 | -0.000 |
| -0.000 | -0.000 | 0.000 | -0.000 | -5.541 | 3.905 |
| -0.000 | -0.000 | 0.000 | -0.000 | 3.905 | -4.724 |
| -11.382 | -1.934 | -3.622 | 3.905 | 0.000 | 0.000 |
| -1.934 | -11.382 | -3.622 | -3.905 | 0.000 | -0.000 |
| -3.187 | -3.187 | -4.112 | -0.000 | -0.000 | 0.000 |
| 3.905 | -3.905 | -0.000 | -5.541 | -0.000 | 0.000 |
| -0.000 | -0.000 | -0.000 | 0.000 | -5.541 | 3.905 |
| -0.000 | 0.000 | -0.000 | 0.000 | 3.905 | -4.724 |
| -11.382 | -1.934 | -3.622 | 3.905 | 0.000 | -0.000 |
| -1.934 | -11.382 | -3.622 | -3.905 | 0.000 | -0.000 |
| -3.187 | -3.187 | -4.112 | 0.000 | 0.000 | -0.000 |
| 3.905 | -3.905 | 0.000 | -5.541 | 0.000 | -0.000 |
| 0.000 | 0.000 | 0.000 | -0.000 | -5.541 | 3.905 |
| 0.000 | -0.000 | 0.000 | -0.000 | 3.905 | -4.724 |
| -11.382 | -1.934 | -3.622 | 3.905 | -0.000 | -0.000 |
| -1.934 | -11.382 | -3.622 | -3.905 | 0.000 | 0.000 |
| -3.187 | -3.187 | -4.112 | -0.000 | -0.000 | 0.000 |
| 3.905 | -3.905 | -0.000 | -5.541 | 0.000 | 0.000 |
| -0.000 | -0.000 | -0.000 | 0.000 | -5.541 | 3.905 |
| -0.000 | -0.000 | -0.000 | 0.000 | 3.905 | -4.724 |
| -11.382 | -1.934 | -3.622 | 3.905 | -0.000 | -0.000 |
| -1.934 | -11.382 | -3.622 | -3.905 | -0.000 | -0.000 |
| -3.187 | -3.187 | -4.112 | -0.000 | -0.000 | -0.000 |
| 3.905 | -3.905 | 0.000 | -5.541 | -0.000 | 0.000 |
| 0.000 | 0.000 | 0.000 | -0.000 | -5.541 | 3.905 |
| 0.000 | 0.000 | 0.000 | -0.000 | 3.905 | -4.724 |
| 842.634 | 182.543 | 182.543 | -0.000 | -0.000 | -0.000 |
| 182.543 | 842.634 | 182.543 | 0.000 | -0.000 | -0.000 |
| 182.543 | 182.543 | 842.634 | 0.000 | 0.000 | -0.000 |
| -0.000 | -0.000 | -0.000 | 124.644 | 0.000 | -0.000 |
| -0.000 | -0.000 | -0.000 | 0.000 | 124.644 | 0.000 |
| -0.000 | -0.000 | -0.000 | 0.000 | 0.000 | 124.644 |
| 842.635 | 182.543 | 182.543 | -0.000 | -0.000 | -0.000 |
| 182.543 | 842.635 | 182.543 | -0.000 | 0.000 | -0.000 |
| 182.543 | 182.543 | 842.635 | 0.000 | -0.000 | 0.000 |
| 0.000 | 0.000 | 0.000 | 124.644 | -0.000 | -0.000 |
| 0.000 | -0.000 | 0.000 | -0.000 | 124.644 | -0.000 |
| 0.000 | 0.000 | 0.000 | -0.000 | 0.000 | 124.644 |
| 842.633 | 182.543 | 182.543 | 0.000 | 0.000 | 0.000 |
| 182.543 | 842.633 | 182.543 | 0.000 | 0.000 | -0.000 |
| 182.543 | 182.543 | 842.633 | 0.000 | 0.000 | 0.000 |
| -0.000 | -0.000 | -0.000 | 124.644 | 0.000 | -0.000 |
| -0.000 | -0.000 | -0.000 | 0.000 | 124.644 | -0.000 |
| -0.000 | -0.000 | -0.000 | 0.000 | 0.000 | 124.644 |
| 842.636 | 182.543 | 182.543 | -0.000 | -0.000 | -0.000 |
| 182.543 | 842.636 | 182.543 | -0.000 | 0.000 | 0.000 |
| 182.543 | 182.543 | 842.636 | -0.000 | -0.000 | 0.000 |
| 0.000 | 0.000 | 0.000 | 124.644 | 0.000 | -0.000 |
| 0.000 | 0.000 | 0.000 | -0.000 | 124.644 | 0.000 |
| 0.000 | 0.000 | 0.000 | -0.000 | 0.000 | 124.644 |
| 842.621 | 182.542 | 182.542 | 0.000 | 0.000 | -0.000 |
| 182.542 | 842.621 | 182.542 | 0.000 | 0.000 | 0.000 |
| 182.542 | 182.542 | 842.621 | 0.000 | 0.000 | -0.000 |
| -0.000 | -0.001 | -0.002 | 124.644 | 0.000 | -0.000 |
| -0.001 | -0.000 | -0.002 | 0.000 | 124.644 | -0.000 |
| -0.001 | -0.002 | -0.000 | 0.000 | -0.000 | 124.644 |
| 842.648 | 182.543 | 182.543 | -0.000 | -0.000 | 0.000 |
| 182.543 | 842.648 | 182.543 | -0.000 | -0.000 | 0.000 |
| 182.543 | 182.543 | 842.648 | -0.000 | -0.000 | -0.000 |
| 0.000 | 0.001 | 0.002 | 124.644 | -0.000 | -0.000 |
| 0.001 | 0.000 | 0.002 | -0.000 | 124.644 | 0.000 |
| 0.001 | 0.002 | 0.000 | -0.000 | -0.000 | 124.644 |
| 484.156 | 196.439 | 196.439 | 0.000 | 0.000 | 0.000 |
| 196.439 | 484.156 | 196.439 | 0.000 | -0.000 | 0.000 |
| 196.439 | 196.439 | 484.156 | 0.000 | -0.000 | 0.000 |
| -0.000 | 0.000 | 0.000 | 194.711 | -0.000 | -0.000 |
| 0.000 | -0.000 | 0.000 | 0.000 | 194.711 | 0.000 |
| 0.000 | 0.000 | -0.000 | 0.000 | 0.000 | 194.711 |
| 484.156 | 196.439 | 196.439 | -0.000 | -0.000 | -0.000 |
| 196.439 | 484.156 | 196.439 | -0.000 | -0.000 | -0.000 |
| 196.439 | 196.439 | 484.156 | 0.000 | 0.000 | -0.000 |
| 0.000 | -0.000 | -0.000 | 194.711 | 0.000 | -0.000 |
| -0.000 | 0.000 | -0.000 | -0.000 | 194.711 | -0.000 |
| -0.000 | -0.000 | 0.000 | -0.000 | -0.000 | 194.711 |
| 484.157 | 196.439 | 196.439 | 0.000 | 0.000 | 0.000 |
| 196.439 | 484.157 | 196.439 | 0.000 | -0.000 | 0.000 |
| 196.439 | 196.439 | 484.157 | 0.000 | 0.000 | 0.000 |
| -0.000 | 0.000 | 0.000 | 194.711 | -0.000 | -0.000 |
| 0.000 | -0.000 | 0.000 | -0.000 | 194.711 | 0.000 |
| 0.000 | 0.000 | -0.000 | 0.000 | -0.000 | 194.711 |
| 484.156 | 196.439 | 196.439 | -0.000 | 0.000 | -0.000 |
| 196.439 | 484.156 | 196.439 | -0.000 | 0.000 | -0.000 |
| 196.439 | 196.439 | 484.156 | -0.000 | -0.000 | -0.000 |
| 0.000 | -0.000 | -0.000 | 194.711 | -0.000 | -0.000 |
| -0.000 | 0.000 | -0.000 | -0.000 | 194.711 | -0.000 |
| -0.000 | -0.000 | 0.000 | -0.000 | 0.000 | 194.711 |
| 484.159 | 196.441 | 196.441 | 0.000 | 0.000 | 0.000 |
| 196.441 | 484.159 | 196.441 | 0.000 | -0.000 | 0.000 |
| 196.441 | 196.441 | 484.159 | 0.000 | 0.000 | 0.000 |
| -0.000 | 0.001 | 0.002 | 194.711 | -0.000 | 0.000 |
| 0.001 | -0.000 | 0.002 | 0.000 | 194.711 | 0.000 |
| 0.001 | 0.002 | -0.000 | 0.000 | -0.000 | 194.711 |
| 484.154 | 196.437 | 196.437 | -0.000 | 0.000 | 0.000 |
| 196.437 | 484.154 | 196.437 | -0.000 | 0.000 | -0.000 |
| 196.437 | 196.437 | 484.154 | -0.000 | 0.000 | -0.000 |
| 0.000 | -0.001 | -0.002 | 194.711 | -0.000 | -0.000 |
| -0.001 | 0.000 | -0.002 | -0.000 | 194.711 | -0.000 |
| -0.001 | -0.002 | 0.000 | -0.000 | -0.000 | 194.711 |
| 359.162 | 10.681 | 10.681 | 0.000 | 0.000 | 0.000 |
| 10.681 | 359.162 | 10.681 | 0.000 | 0.000 | 0.000 |
| 10.681 | 10.681 | 359.162 | -0.000 | -0.000 | 0.000 |
| 0.000 | -0.000 | -0.000 | 7.879 | -0.000 | 0.000 |
| -0.000 | -0.000 | -0.000 | 0.000 | 7.879 | -0.000 |
| -0.000 | -0.000 | 0.000 | 0.000 | 0.000 | 7.879 |
| 359.161 | 10.681 | 10.681 | 0.000 | -0.000 | -0.000 |
| 10.681 | 359.161 | 10.681 | -0.000 | -0.000 | -0.000 |
| 10.681 | 10.681 | 359.161 | 0.000 | 0.000 | -0.000 |
| -0.000 | 0.000 | 0.000 | 7.879 | -0.000 | -0.000 |
| 0.000 | 0.000 | 0.000 | 0.000 | 7.879 | -0.000 |
| 0.000 | 0.000 | -0.000 | 0.000 | -0.000 | 7.879 |
| 359.162 | 10.681 | 10.681 | 0.000 | 0.000 | 0.000 |
| 10.681 | 359.162 | 10.681 | -0.000 | 0.000 | 0.000 |
| 10.681 | 10.681 | 359.162 | -0.000 | 0.000 | -0.000 |
| -0.000 | -0.000 | -0.000 | 7.879 | -0.000 | 0.000 |
| -0.000 | -0.000 | -0.000 | -0.000 | 7.879 | 0.000 |
| -0.000 | -0.000 | -0.000 | -0.000 | -0.000 | 7.879 |
| 359.161 | 10.681 | 10.681 | -0.000 | -0.000 | -0.000 |
| 10.681 | 359.161 | 10.681 | -0.000 | -0.000 | -0.000 |
| 10.681 | 10.681 | 359.161 | 0.000 | 0.000 | -0.000 |
| 0.000 | 0.000 | 0.000 | 7.879 | -0.000 | -0.000 |
| 0.000 | 0.000 | 0.000 | 0.000 | 7.879 | -0.000 |
| 0.000 | 0.000 | 0.000 | 0.000 | 0.000 | 7.879 |
| 359.167 | 10.679 | 10.679 | 0.000 | 0.000 | 0.000 |
| 10.679 | 359.167 | 10.679 | -0.000 | 0.000 | 0.000 |
| 10.679 | 10.679 | 359.167 | 0.000 | 0.000 | 0.000 |
| -0.000 | -0.002 | -0.002 | 7.879 | 0.000 | 0.000 |
| -0.002 | -0.000 | -0.002 | 0.000 | 7.879 | 0.000 |
| -0.002 | -0.002 | -0.000 | -0.000 | 0.000 | 7.879 |
| 359.156 | 10.683 | 10.683 | 0.000 | -0.000 | -0.000 |
| 10.683 | 359.156 | 10.683 | 0.000 | -0.000 | 0.000 |
| 10.683 | 10.683 | 359.156 | -0.000 | -0.000 | -0.000 |
| 0.000 | 0.002 | 0.002 | 7.879 | -0.000 | 0.000 |
| 0.002 | 0.000 | 0.002 | 0.000 | 7.879 | -0.000 |
| 0.002 | 0.002 | 0.000 | 0.000 | -0.000 | 7.879 |
| 225.144 | 0.011 | 0.011 | 0.000 | 0.000 | -0.000 |
| 0.011 | 225.144 | 0.011 | -0.000 | 0.000 | 0.000 |
| 0.011 | 0.011 | 225.144 | -0.000 | -0.000 | -0.000 |
| 0.000 | -0.000 | -0.000 | 0.000 | 0.000 | -0.000 |
| -0.000 | 0.000 | -0.000 | 0.000 | 0.000 | -0.000 |
| -0.000 | -0.000 | 0.000 | 0.000 | 0.000 | 0.000 |
| 225.144 | 0.011 | 0.011 | -0.000 | -0.000 | -0.000 |
| 0.011 | 225.144 | 0.011 | -0.000 | -0.000 | 0.000 |
| 0.011 | 0.011 | 225.144 | -0.000 | -0.000 | 0.000 |
| -0.000 | -0.000 | 0.000 | 0.000 | -0.000 | 0.000 |
| -0.000 | -0.000 | 0.000 | -0.000 | 0.000 | 0.000 |
| -0.000 | 0.000 | -0.000 | -0.000 | -0.000 | 0.000 |
| 225.143 | 0.011 | 0.011 | -0.000 | -0.000 | -0.000 |
| 0.011 | 225.143 | 0.011 | -0.000 | -0.000 | -0.000 |
| 0.011 | 0.011 | 225.143 | -0.000 | -0.000 | -0.000 |
| 0.000 | -0.000 | -0.000 | 0.000 | -0.000 | -0.000 |
| -0.000 | 0.000 | -0.000 | 0.000 | 0.000 | -0.000 |
| -0.000 | -0.000 | 0.000 | 0.000 | 0.000 | 0.000 |
| 225.144 | 0.011 | 0.011 | 0.000 | 0.000 | -0.000 |
| 0.011 | 225.144 | 0.011 | 0.000 | -0.000 | -0.000 |
| 0.011 | 0.011 | 225.144 | -0.000 | -0.000 | 0.000 |
| -0.000 | 0.000 | 0.000 | 0.000 | 0.000 | 0.000 |
| 0.000 | -0.000 | 0.000 | -0.000 | 0.000 | 0.000 |
| 0.000 | 0.000 | -0.000 | -0.000 | -0.000 | 0.000 |
| 225.138 | 0.011 | 0.011 | -0.000 | 0.000 | 0.000 |
| 0.011 | 225.138 | 0.011 | -0.000 | -0.000 | -0.000 |
| 0.011 | 0.011 | 225.138 | 0.000 | 0.000 | -0.000 |
| -0.000 | -0.000 | -0.000 | 0.000 | 0.000 | -0.000 |
| -0.000 | -0.000 | -0.000 | 0.000 | 0.000 | -0.000 |
| -0.000 | -0.000 | -0.000 | 0.000 | 0.000 | 0.000 |
| 225.150 | 0.011 | 0.011 | 0.000 | 0.000 | 0.000 |
| 0.011 | 225.150 | 0.011 | 0.000 | 0.000 | -0.000 |
| 0.011 | 0.011 | 225.150 | -0.000 | -0.000 | -0.000 |
| 0.000 | 0.000 | 0.000 | 0.000 | -0.000 | 0.000 |
| 0.000 | 0.000 | 0.000 | -0.000 | 0.000 | 0.000 |
| 0.000 | 0.000 | 0.000 | -0.000 | -0.000 | 0.000 |
| -48.077 | -0.000 | -0.000 | -0.000 | -0.000 | -0.000 |
| -0.000 | -48.077 | -0.000 | -0.000 | -0.000 | 0.000 |
| -0.000 | -0.000 | -48.077 | 0.000 | 0.000 | -0.000 |
| 0.000 | -0.000 | 0.000 | -0.000 | 0.000 | 0.000 |
| -0.000 | 0.000 | 0.000 | 0.000 | -0.000 | 0.000 |
| -0.000 | 0.000 | 0.000 | 0.000 | 0.000 | -0.000 |
| -48.077 | -0.000 | -0.000 | -0.000 | -0.000 | -0.000 |
| -0.000 | -48.077 | -0.000 | -0.000 | -0.000 | 0.000 |
| -0.000 | -0.000 | -48.077 | -0.000 | 0.000 | 0.000 |
| -0.000 | 0.000 | -0.000 | -0.000 | -0.000 | -0.000 |
| 0.000 | -0.000 | -0.000 | -0.000 | -0.000 | -0.000 |
| 0.000 | -0.000 | -0.000 | -0.000 | -0.000 | -0.000 |
| -48.077 | 0.000 | 0.000 | 0.000 | -0.000 | -0.000 |
| 0.000 | -48.077 | 0.000 | -0.000 | 0.000 | -0.000 |
| 0.000 | 0.000 | -48.077 | 0.000 | -0.000 | -0.000 |
| 0.000 | -0.000 | 0.000 | -0.000 | 0.000 | 0.000 |
| -0.000 | -0.000 | 0.000 | 0.000 | -0.000 | 0.000 |
| -0.000 | 0.000 | 0.000 | 0.000 | 0.000 | -0.000 |
| -48.077 | -0.000 | -0.000 | -0.000 | 0.000 | 0.000 |
| -0.000 | -48.077 | -0.000 | -0.000 | -0.000 | 0.000 |
| -0.000 | -0.000 | -48.077 | 0.000 | 0.000 | 0.000 |
| -0.000 | 0.000 | -0.000 | -0.000 | -0.000 | -0.000 |
| 0.000 | -0.000 | -0.000 | -0.000 | -0.000 | -0.000 |
| 0.000 | -0.000 | -0.000 | -0.000 | -0.000 | -0.000 |
| -48.077 | 0.000 | 0.000 | 0.000 | -0.000 | -0.000 |
| 0.000 | -48.077 | 0.000 | -0.000 | 0.000 | 0.000 |
| -0.000 | -0.000 | -48.077 | 0.000 | 0.000 | -0.000 |
| -0.000 | -0.000 | 0.000 | -0.000 | 0.000 | 0.000 |
| -0.000 | -0.000 | 0.000 | 0.000 | -0.000 | 0.000 |
| -0.000 | 0.000 | -0.000 | -0.000 | 0.000 | -0.000 |
| -48.078 | -0.000 | -0.000 | -0.000 | -0.000 | -0.000 |
| -0.000 | -48.078 | -0.000 | -0.000 | -0.000 | 0.000 |
| 0.000 | 0.000 | -48.078 | 0.000 | 0.000 | 0.000 |
| -0.000 | 0.000 | -0.000 | -0.000 | -0.000 | -0.000 |
| 0.000 | 0.000 | -0.000 | -0.000 | -0.000 | -0.000 |
| 0.000 | -0.000 | -0.000 | -0.000 | -0.000 | -0.000 |
| -46.213 | 3.341 | 3.341 | -0.000 | -0.000 | 0.000 |
| 3.341 | -46.213 | 3.341 | 0.000 | -0.000 | -0.000 |
| 3.341 | 3.341 | -46.213 | 0.000 | 0.000 | 0.000 |
| 0.000 | 0.000 | 0.000 | -3.341 | -0.000 | 0.000 |
| 0.000 | 0.000 | 0.000 | -0.000 | -3.341 | 0.000 |
| 0.000 | 0.000 | 0.000 | -0.000 | -0.000 | -3.341 |
| -46.213 | 3.341 | 3.341 | 0.000 | 0.000 | -0.000 |
| 3.341 | -46.213 | 3.341 | -0.000 | 0.000 | -0.000 |
| 3.341 | 3.341 | -46.213 | -0.000 | 0.000 | -0.000 |
| -0.000 | -0.000 | -0.000 | -3.341 | 0.000 | -0.000 |
| -0.000 | -0.000 | -0.000 | 0.000 | -3.341 | -0.000 |
| -0.000 | -0.000 | -0.000 | 0.000 | 0.000 | -3.341 |
| -46.213 | 3.341 | 3.341 | -0.000 | -0.000 | 0.000 |
| 3.341 | -46.213 | 3.341 | 0.000 | -0.000 | 0.000 |
| 3.341 | 3.341 | -46.213 | 0.000 | -0.000 | 0.000 |
| 0.000 | 0.000 | 0.000 | -3.341 | -0.000 | 0.000 |
| 0.000 | 0.000 | 0.000 | -0.000 | -3.341 | -0.000 |
| 0.000 | 0.000 | 0.000 | 0.000 | 0.000 | -3.341 |
| -46.213 | 3.341 | 3.341 | 0.000 | 0.000 | -0.000 |
| 3.341 | -46.213 | 3.341 | -0.000 | 0.000 | -0.000 |
| 3.341 | 3.341 | -46.213 | -0.000 | -0.000 | -0.000 |
| -0.000 | -0.000 | -0.000 | -3.341 | 0.000 | -0.000 |
| -0.000 | -0.000 | -0.000 | 0.000 | -3.341 | 0.000 |
| -0.000 | -0.000 | -0.000 | -0.000 | -0.000 | -3.341 |
| -46.213 | 3.341 | 3.341 | -0.000 | -0.000 | 0.000 |
| 3.341 | -46.213 | 3.341 | 0.000 | -0.000 | 0.000 |
| 3.341 | 3.341 | -46.213 | 0.000 | -0.000 | 0.000 |
| 0.000 | 0.000 | 0.000 | -3.341 | -0.000 | 0.000 |
| 0.000 | 0.000 | 0.000 | 0.000 | -3.341 | -0.000 |
| 0.000 | 0.000 | 0.000 | -0.000 | -0.000 | -3.341 |
| -46.213 | 3.341 | 3.341 | 0.000 | 0.000 | 0.000 |
| 3.341 | -46.213 | 3.341 | -0.000 | 0.000 | 0.000 |
| 3.341 | 3.341 | -46.213 | -0.000 | 0.000 | -0.000 |
| -0.000 | -0.000 | -0.000 | -3.341 | 0.000 | -0.000 |
| -0.000 | -0.000 | -0.000 | -0.000 | -3.341 | -0.000 |
| -0.000 | -0.000 | -0.000 | 0.000 | 0.000 | -3.341 |
| 98.049 | 0.003 | 0.003 | 0.000 | -0.000 | 0.000 |
| 0.003 | 98.049 | 0.003 | -0.000 | 0.000 | -0.000 |
| 0.003 | 0.003 | 98.049 | -0.000 | -0.000 | 0.000 |
| -0.000 | 0.000 | -0.000 | -0.000 | 0.000 | 0.000 |
| 0.000 | -0.000 | -0.000 | 0.000 | -0.000 | 0.000 |
| 0.000 | -0.000 | -0.000 | 0.000 | 0.000 | -0.000 |
| 98.049 | 0.003 | 0.003 | 0.000 | -0.000 | 0.000 |
| 0.003 | 98.049 | 0.003 | -0.000 | 0.000 | -0.000 |
| 0.003 | 0.003 | 98.049 | 0.000 | 0.000 | -0.000 |
| 0.000 | -0.000 | 0.000 | -0.000 | -0.000 | -0.000 |
| -0.000 | 0.000 | 0.000 | -0.000 | -0.000 | 0.000 |
| -0.000 | 0.000 | 0.000 | -0.000 | 0.000 | -0.000 |
| 98.049 | 0.003 | 0.003 | -0.000 | 0.000 | -0.000 |
| 0.003 | 98.049 | 0.003 | 0.000 | -0.000 | -0.000 |
| 0.003 | 0.003 | 98.049 | -0.000 | -0.000 | 0.000 |
| -0.000 | -0.000 | -0.000 | 0.000 | 0.000 | 0.000 |
| -0.000 | -0.000 | -0.000 | 0.000 | 0.000 | 0.000 |
| -0.000 | -0.000 | -0.000 | 0.000 | 0.000 | 0.000 |
| 98.048 | 0.003 | 0.003 | -0.000 | -0.000 | -0.000 |
| 0.003 | 98.048 | 0.003 | -0.000 | -0.000 | 0.000 |
| 0.003 | 0.003 | 98.048 | -0.000 | -0.000 | 0.000 |
| 0.000 | 0.000 | 0.000 | 0.000 | -0.000 | -0.000 |
| 0.000 | 0.000 | 0.000 | -0.000 | 0.000 | -0.000 |
| 0.000 | 0.000 | 0.000 | -0.000 | -0.000 | 0.000 |
| 98.052 | 0.003 | 0.003 | 0.000 | -0.000 | -0.000 |
| 0.003 | 98.052 | 0.003 | -0.000 | 0.000 | -0.000 |
| 0.003 | 0.003 | 98.052 | -0.000 | -0.000 | -0.000 |
| -0.000 | -0.000 | -0.000 | 0.000 | -0.000 | 0.000 |
| -0.000 | -0.000 | -0.000 | -0.000 | 0.000 | 0.000 |
| -0.000 | -0.000 | -0.000 | 0.000 | -0.000 | 0.000 |
| 98.045 | 0.003 | 0.003 | 0.000 | -0.000 | -0.000 |
| 0.003 | 98.045 | 0.003 | -0.000 | 0.000 | 0.000 |
| 0.003 | 0.003 | 98.045 | 0.000 | 0.000 | 0.000 |
| 0.000 | 0.000 | 0.000 | 0.000 | 0.000 | -0.000 |
| 0.000 | 0.000 | 0.000 | 0.000 | 0.000 | -0.000 |
| 0.000 | 0.000 | 0.000 | -0.000 | -0.000 | 0.000 |
| 262.583 | 291.677 | 264.707 | -0.000 | -0.000 | -0.000 |
| 119.322 | 291.383 | 51.370 | -0.000 | 0.000 | -0.000 |
| 183.906 | 214.116 | 441.610 | 0.000 | -0.000 | -0.000 |
| 0.000 | 0.000 | 0.000 | 38.091 | 0.000 | -0.000 |
| 187.365 | 194.949 | 275.422 | -0.000 | 42.543 | -0.000 |
| 188.051 | 195.662 | 276.430 | 0.000 | -0.000 | 72.809 |
| -125.749 | -103.506 | -297.815 | 0.000 | 0.000 | 0.000 |
| -81.249 | 68.476 | -249.589 | 0.000 | 0.000 | -0.000 |
| -190.911 | -176.181 | -109.612 | 0.000 | 0.000 | 0.000 |
| -0.000 | -0.000 | -0.000 | 38.091 | -0.000 | -0.000 |
| -187.365 | -194.949 | -275.422 | -0.000 | 42.543 | 0.000 |
| -188.051 | -195.662 | -276.430 | 0.000 | 0.000 | 72.809 |
| 172.859 | 124.632 | 63.691 | 0.000 | 0.000 | 0.000 |
| 124.707 | 280.834 | 54.666 | -0.000 | -0.000 | -0.000 |
| 15.442 | 37.915 | 193.227 | 0.000 | -0.000 | -0.000 |
| 25.742 | 17.843 | 29.104 | 33.432 | -0.000 | 0.000 |
| 7600296.407 | 740473.282 | 7058223.280 | 0.000 | 39480365.046 | 0.000 |
| 0.000 | 0.000 | 0.000 | -0.000 | -0.000 | 83.296 |
| 18.121 | 70.979 | -63.074 | -0.000 | 0.000 | 0.000 |
| 87.591 | 246.131 | -0.544 | 0.000 | 0.000 | 0.000 |
| 59.698 | 52.686 | 232.900 | -0.000 | 0.000 | 0.000 |
| -25.742 | -17.843 | -29.104 | 33.432 | 0.000 | 0.000 |
| -7600296.428 | -740473.282 | -7058223.280 | -0.000 | 39480365.051 | -0.000 |
| -0.000 | -0.000 | -0.000 | 0.000 | -0.000 | 83.296 |
| 41.584 | 99.714 | -24.529 | -0.000 | -0.000 | -0.000 |
| 101.913 | 263.736 | 27.721 | -0.000 | -0.000 | -0.000 |
| -34.657 | 27.665 | 152.903 | -0.000 | -0.000 | -0.000 |
| 1.316 | 1.369 | 1.933 | 33.532 | -0.000 | -0.000 |
| 760032.195 | 74064.136 | 705938.827 | 0.000 | 3948008.716 | 0.000 |
| 5450775.899 | 2293456.048 | 300657.633 | -242.896 | -31431.069 | -580219.186 |
| 29.209 | 102.171 | -33.671 | 0.000 | 0.000 | 0.000 |
| 103.303 | 263.604 | 23.039 | 0.000 | 0.000 | 0.000 |
| -40.939 | 24.035 | 146.404 | 0.000 | 0.000 | 0.000 |
| -1.316 | -1.369 | -1.933 | 33.532 | 0.000 | 0.000 |
| -760032.195 | -74064.136 | -705938.828 | -0.000 | 3948008.716 | -0.000 |
| -5583105.029 | -2386575.938 | -319824.409 | -290.200 | -18.883 | -436347.988 |
| -5484636.607 | 7082995.387 | -2210278.128 | 1421097.732 | 206127.075 | 521334.683 |
| -5315079.615 | 6945781.166 | -2159394.739 | 1264754.427 | 71350.902 | 367699.516 |
| -5452814.017 | 7104283.545 | -2220891.819 | 1431390.051 | 186763.712 | 536656.223 |
| -5315585.802 | 6945240.596 | -2160030.339 | 1266132.619 | 71508.260 | 367835.862 |
| -5484989.044 | 7083538.582 | -2209820.355 | 1420622.976 | 206187.509 | 520877.231 |
| -5484242.784 | 7083017.530 | -2210109.197 | 1421391.562 | 206149.227 | 521828.520 |
| 5487051.475 | -7083469.947 | 2210119.084 | -1420929.496 | -206438.469 | -520030.981 |
| 5486472.086 | -7082788.637 | 2210300.396 | -1420807.480 | -206225.534 | -520132.584 |
| 5453982.059 | -7105315.897 | 2221463.088 | -1431555.376 | -186939.635 | -536853.602 |
| 5485263.967 | -7083371.784 | 2209985.675 | -1420795.514 | -206350.424 | -520869.676 |
| 5276435.050 | -6979280.782 | 2137530.857 | -1272133.498 | -64005.866 | -360015.843 |
| 5483699.769 | -7083366.523 | 2209265.342 | -1420386.012 | -206234.697 | -520984.311 |
| -554985.093 | 729830.657 | -219624.140 | 134566.252 | 23650.922 | 53513.062 |
| -531456.368 | 694698.043 | -215913.244 | 126559.657 | 7166.821 | 36778.990 |
| -531469.185 | 694625.411 | -215781.669 | 126519.882 | 7129.259 | 36785.831 |
| -548420.480 | 708314.164 | -221013.899 | 142166.907 | 20610.150 | 52164.970 |
| -535438.831 | 742422.472 | -191501.760 | 123640.636 | 18214.186 | 27022.586 |
| -535586.769 | 742486.099 | -191505.336 | 123650.449 | 18185.515 | 26924.895 |
| 531604.078 | -694432.481 | 216009.767 | -126497.007 | -7125.578 | -36767.398 |
| 531549.424 | -694271.177 | 216079.169 | -126556.807 | -7145.043 | -36763.365 |
| 531681.183 | -694474.428 | 216172.795 | -126641.668 | -7167.873 | -36781.944 |
| 535532.721 | -742489.725 | 191513.086 | -123688.200 | -18206.923 | -26886.403 |
| 531509.915 | -694475.090 | 216034.357 | -126598.149 | -7109.510 | -36790.574 |
| 548512.730 | -708292.075 | 221035.243 | -142119.250 | -20607.983 | -52072.518 |
| -53010.976 | 69495.198 | -21537.257 | 12650.838 | 714.165 | 3676.238 |
| -54801.596 | 71026.125 | -22041.045 | 14212.891 | 2058.318 | 5215.269 |
| -53763.771 | 71662.741 | -21278.777 | 11875.442 | 1006.944 | 3811.607 |
| -53143.342 | 69447.134 | -21596.433 | 12689.209 | 711.418 | 3675.737 |
| -55127.081 | 73333.899 | -21709.203 | 13505.598 | 2336.289 | 5280.749 |
| -53151.844 | 69452.557 | -21599.345 | 12660.361 | 714.590 | 3704.483 |
| 52900.705 | -69748.501 | 21431.011 | -12719.423 | -640.869 | -3597.840 |
| 53877.331 | -71412.918 | 21507.713 | -11867.471 | -1010.693 | -3818.381 |
| 53208.705 | -69388.511 | 21771.201 | -12649.565 | -712.464 | -3678.681 |
| 53154.414 | -69450.294 | 21605.718 | -12621.760 | -716.945 | -3679.198 |
| 53153.866 | -69453.185 | 21601.101 | -12654.157 | -666.127 | -3679.085 |
| 53153.580 | -69449.846 | 21598.579 | -12653.474 | -714.953 | -3650.687 |
| -1707776.937 | 1553471.133 | 883556.498 | -387354.552 | 267869.575 | 35411.657 |
| -1323842.645 | 1445557.030 | 764566.975 | -453193.393 | 232749.748 | -284686.538 |
| -1446195.567 | 1283963.001 | 683340.729 | -451059.153 | 184145.460 | -155611.929 |
| -1426290.408 | 1732109.486 | 713900.300 | -469199.452 | 296247.757 | 59491.833 |
| -1407730.847 | 1741631.100 | 714138.195 | -463277.266 | 296393.542 | 68038.753 |
| -1431893.690 | 1294549.905 | 677545.967 | -449396.287 | 173654.851 | -168229.282 |
| 1611542.901 | -1273268.046 | -746568.396 | 374228.740 | -158959.658 | 228550.998 |
| 1348230.513 | -1404613.211 | -729431.611 | 452996.332 | -207582.819 | 273903.947 |
| 1355968.037 | -1469482.828 | -727348.884 | 472249.835 | -202856.136 | 283972.632 |
| 1355768.830 | -1467924.722 | -727040.291 | 473069.283 | -203281.036 | 284514.100 |
| 1342558.743 | -1412482.353 | -686801.553 | 468088.615 | -195215.224 | 279635.772 |
| 1355135.793 | -1465871.296 | -727164.096 | 472019.716 | -203295.642 | 283032.718 |
| -161405.082 | 126875.716 | 75844.088 | -37308.555 | 16172.242 | -22471.457 |
| -134213.183 | 142361.789 | 68947.065 | -46859.796 | 19527.798 | -28302.686 |
| -132378.739 | 144803.906 | 76595.320 | -45354.753 | 23270.384 | -28599.703 |
| -135565.355 | 146883.309 | 72750.989 | -47215.759 | 20341.068 | -28387.063 |
| -142501.932 | 171893.188 | 70677.085 | -46545.736 | 30474.245 | 8089.493 |
| -159300.234 | 136740.010 | 80504.540 | -40865.677 | 18925.750 | -33422.336 |
| 132833.811 | -142604.124 | -71925.176 | 45227.622 | -19803.570 | 28879.622 |
| 135617.820 | -146257.326 | -72621.006 | 47222.623 | -20326.352 | 28069.511 |
| 135642.294 | -146861.778 | -72543.607 | 47298.315 | -20289.660 | 28417.556 |
| 143059.923 | -129957.742 | -67804.481 | 44967.902 | -17372.528 | 16923.191 |
| 132472.504 | -144765.911 | -76396.045 | 45320.240 | -23235.271 | 28677.205 |
| 134222.175 | -142240.177 | -68872.861 | 46831.470 | -19530.255 | 28241.676 |
| -13534.601 | 14621.218 | 7286.245 | -4756.645 | 2112.175 | -2762.966 |
| -13186.558 | 14603.373 | 7718.415 | -4535.483 | 2323.576 | -2847.030 |
| -14014.794 | 17299.467 | 7314.718 | -4620.164 | 2951.300 | 633.772 |
| -13495.430 | 14038.624 | 7289.626 | -4483.520 | 2073.891 | -2739.633 |
| -14083.043 | 17353.756 | 7134.109 | -4625.012 | 3024.715 | 699.713 |
| -16123.866 | 12773.821 | 7591.594 | -3724.516 | 1618.160 | -2250.618 |
| 13759.293 | -14615.786 | -7176.961 | 4725.248 | -2033.141 | 2834.589 |
| 14361.794 | -12801.486 | -6697.135 | 4490.736 | -1735.088 | 1684.088 |
| 14169.105 | -17330.740 | -6930.643 | 4637.230 | -2962.087 | -680.668 |
| 13252.130 | -14495.386 | -7639.886 | 4579.864 | -2327.467 | 2875.440 |
| 13729.101 | -14540.718 | -7203.453 | 4755.903 | -2047.479 | 2744.969 |
| 16130.523 | -12760.775 | -7588.290 | 3721.070 | -1616.007 | 2286.680 |
| 16965400.943 | 13565897.683 | 29988544.412 | 2454897.583 | -1580354.395 | -1457090.098 |
| 16676685.621 | 17669299.087 | 31543856.525 | 1728002.488 | -1390448.591 | -2640433.857 |
| 16393910.188 | 15311585.656 | 31098765.601 | 1863619.651 | -1508039.661 | -1172685.410 |
| 18405874.998 | 15691988.277 | 31448564.134 | 2278144.672 | -683104.626 | -2111808.582 |
| 18429534.456 | 16191293.553 | 30329771.209 | 2604768.072 | -826095.265 | -2380116.982 |
| 16151057.156 | 15108869.774 | 31303668.387 | 1222343.564 | 162510.318 | -2381409.740 |
| -17681008.661 | -16795274.094 | -30786125.118 | -1234011.473 | 923924.149 | 2221841.853 |
| -16418223.406 | -15489742.672 | -30699716.690 | -1999416.413 | 1035474.692 | 1771067.354 |
| -18940973.150 | -15791998.493 | -30463871.418 | -2630051.544 | 1166072.470 | 1958429.166 |
| -16838555.445 | -15508876.862 | -31718230.381 | -1438078.010 | 199466.060 | 2130613.775 |
| -16190127.243 | -15823069.750 | -31210181.538 | -1239007.792 | 1447849.433 | 2254817.310 |
| -17139862.949 | -14557898.168 | -29882079.403 | -988459.660 | 1010493.853 | 1762627.880 |
| 1588431.902 | 1536596.515 | 2951954.164 | 187885.349 | -4009.589 | -89828.495 |
| 1507846.917 | 1550633.110 | 2852307.842 | 297466.928 | -57210.453 | -297709.524 |
| 1489782.987 | 1532665.817 | 2992523.695 | 215451.296 | -92496.531 | -201128.249 |
| 1443795.852 | 1492694.361 | 2890586.654 | 250467.700 | -47069.685 | -319617.352 |
| 1548380.323 | 1454888.889 | 2952217.828 | 286473.995 | -2830.914 | -173572.397 |
| 1615637.901 | 1452444.540 | 3034900.608 | 182964.652 | -88292.674 | -131168.039 |
| -1593402.309 | -1963367.214 | -3280253.912 | -143384.459 | 96996.938 | 178846.594 |
| -1619743.355 | -1481568.814 | -3025672.937 | -229803.443 | 36587.753 | 151432.516 |
| -1617227.084 | -1422825.703 | -3068294.174 | -233811.993 | -2776.850 | 268842.245 |
| -1616278.019 | -1353035.023 | -2968589.646 | -262275.044 | 125520.171 | 250647.969 |
| -1561670.922 | -1476714.919 | -2875451.875 | -267602.393 | 134301.723 | 179021.290 |
| -1677412.678 | -1453925.882 | -2953078.589 | -272772.737 | 64211.635 | 214229.004 |
| 150090.096 | 159668.515 | 316036.345 | 14875.661 | -27290.691 | -5245.760 |
| 150322.691 | 165122.385 | 312882.041 | 9264.215 | -19506.145 | -23775.325 |
| 159419.841 | 159741.229 | 291778.821 | 21524.822 | -11020.667 | -6404.877 |
| 175962.557 | 160462.872 | 307036.057 | 28908.810 | -21144.944 | -17812.875 |
| 160709.068 | 191891.724 | 321270.677 | 14820.394 | -23670.948 | -6153.388 |
| 166476.287 | 156008.531 | 313306.406 | 21394.019 | -7440.880 | -15315.496 |
| -170071.576 | -136534.385 | -268424.677 | -20503.777 | 5844.419 | 33905.027 |
| -162545.899 | -157184.481 | -269019.286 | -14309.129 | 18809.087 | 23886.257 |
| -176647.681 | -174741.106 | -306526.713 | -9301.080 | 6169.530 | 34053.946 |
| -175854.821 | -157573.179 | -301125.472 | -20389.793 | 25483.857 | 19127.117 |
| -181025.816 | -162233.529 | -319762.111 | -2578.124 | 11842.513 | 24237.557 |
| -133773.668 | -175200.194 | -309883.271 | -29432.205 | 3172.461 | 24348.914 |
| 184.471 | 85.309 | 114.608 | -0.000 | -0.000 | 0.000 |
| 97.330 | 295.404 | 105.865 | 0.000 | -0.000 | -0.000 |
| 103.814 | 105.867 | 376.774 | 0.000 | -0.000 | 0.000 |
| -0.001 | 0.000 | -0.000 | 88.985 | -0.000 | 0.000 |
| -0.002 | 0.001 | -0.001 | 0.000 | 96.946 | 0.000 |
| -0.003 | 0.001 | -0.001 | 0.000 | -0.000 | 60.658 |
| 158.861 | 97.331 | 103.818 | -0.000 | 0.000 | 0.000 |
| 97.335 | 295.402 | 105.867 | -0.000 | 0.000 | -0.000 |
| 103.819 | 105.865 | 376.776 | -0.000 | 0.000 | 0.000 |
| 0.001 | -0.000 | 0.000 | 88.985 | 0.000 | -0.000 |
| 0.002 | -0.001 | 0.001 | -0.000 | 96.946 | 0.000 |
| 0.003 | -0.001 | 0.001 | -0.000 | 0.000 | 60.658 |
| 158.858 | 97.333 | 103.817 | 0.000 | -0.000 | 0.000 |
| 97.332 | 295.403 | 105.866 | 0.000 | -0.000 | 0.000 |
| 103.817 | 105.866 | 376.775 | 0.000 | -0.000 | -0.000 |
| -0.000 | 0.000 | 0.000 | 88.985 | -0.000 | -0.000 |
| -0.000 | 0.000 | -0.000 | 0.000 | 96.946 | 0.000 |
| -0.000 | 0.000 | -0.000 | 0.000 | 0.000 | 60.658 |
| 158.858 | 97.332 | 103.817 | -0.000 | -0.000 | 0.000 |
| 97.333 | 295.403 | 105.866 | -0.000 | -0.000 | 0.000 |
| 114.608 | 100.799 | 381.321 | 0.000 | 0.000 | -0.000 |
| 0.000 | -0.000 | -0.000 | 88.985 | 0.000 | -0.000 |
| 0.000 | -0.000 | 0.000 | -0.000 | 96.946 | 0.000 |
| 0.000 | -0.000 | 0.000 | -0.000 | 0.000 | 60.658 |
| 158.860 | 97.334 | 103.818 | 0.000 | 0.000 | -0.000 |
| 97.333 | 295.405 | 105.867 | 0.000 | -0.000 | 0.000 |
| 103.817 | 105.868 | 376.781 | 0.000 | -0.000 | -0.000 |
| 0.000 | 0.001 | 0.002 | 88.985 | 0.000 | 0.000 |
| 0.000 | 0.000 | 0.000 | 0.000 | 96.946 | 0.000 |
| 0.001 | 0.001 | 0.001 | 0.000 | -0.000 | 60.658 |
| 158.857 | 97.331 | 103.815 | -0.000 | 0.000 | -0.000 |
| 97.332 | 295.401 | 105.864 | -0.000 | 0.000 | 0.000 |
| 103.816 | 105.863 | 376.769 | -0.000 | -0.000 | -0.000 |
| -0.000 | -0.001 | -0.002 | 88.985 | 0.000 | -0.000 |
| -0.000 | -0.000 | -0.000 | -0.000 | 96.946 | 0.000 |
| -0.001 | -0.001 | -0.001 | -0.000 | -0.000 | 60.658 |
| 183.964 | 83.445 | 113.133 | -0.000 | 0.000 | -0.000 |
| 24.390 | 322.641 | 73.702 | -0.000 | 0.000 | -0.000 |
| 32.124 | 132.760 | 344.718 | -0.000 | 0.000 | 0.000 |
| -68.687 | 26.495 | -32.340 | 89.171 | -0.000 | 0.000 |
| -68.788 | 26.534 | -32.387 | -0.000 | 96.014 | -0.000 |
| 0.000 | 0.000 | 0.000 | 0.000 | -0.000 | 60.447 |
| 226.964 | 66.859 | 133.378 | 0.000 | 0.000 | 0.000 |
| 161.965 | 269.573 | 138.476 | 0.000 | -0.000 | 0.000 |
| 169.699 | 79.692 | 409.491 | 0.000 | 0.000 | -0.000 |
| 68.687 | -26.495 | 32.340 | 89.171 | 0.000 | -0.000 |
| 68.788 | -26.534 | 32.387 | 0.000 | 96.014 | 0.000 |
| -0.000 | -0.000 | -0.000 | -0.000 | -0.000 | 60.447 |
| 183.965 | 83.446 | 113.133 | 0.000 | 0.000 | -0.000 |
| 83.230 | 299.944 | 101.406 | 0.000 | 0.000 | -0.000 |
| 94.033 | 108.880 | 373.866 | -0.000 | -0.000 | -0.000 |
| 0.000 | 0.000 | 0.000 | 89.326 | 0.000 | 0.000 |
| -6.879 | 2.653 | -3.239 | -0.000 | 96.014 | -0.000 |
| -7.330 | 2.828 | -3.451 | -0.000 | -0.000 | 58.509 |
| 165.055 | 90.740 | 104.230 | 0.000 | -0.000 | 0.000 |
| 100.056 | 293.453 | 109.328 | 0.000 | 0.000 | 0.000 |
| 107.790 | 103.572 | 380.343 | 0.000 | 0.000 | -0.000 |
| 6.879 | -2.654 | 3.239 | 89.269 | -0.000 | 0.000 |
| 6.879 | -2.653 | 3.239 | 0.000 | 96.014 | -0.000 |
| 7.330 | -2.828 | 3.451 | 0.000 | 0.000 | 58.509 |
| 157.490 | 93.660 | 100.669 | -0.000 | 0.000 | -0.000 |
| 92.490 | 296.375 | 105.767 | -0.000 | -0.000 | -0.000 |
| 100.224 | 106.494 | 376.787 | -0.000 | -0.000 | 0.000 |
| -0.687 | 0.267 | -0.322 | 89.269 | -0.000 | -0.000 |
| -0.688 | 0.266 | -0.324 | -0.000 | 96.014 | -0.000 |
| -0.783 | 0.303 | -0.369 | -0.000 | 0.000 | 58.375 |
| 158.862 | 93.126 | 101.314 | 0.000 | 0.000 | 0.000 |
| 93.864 | 295.839 | 106.412 | 0.000 | 0.000 | 0.000 |
| 101.599 | 105.958 | 377.422 | 0.000 | 0.000 | 0.000 |
| 0.687 | -0.267 | 0.322 | 89.269 | 0.000 | 0.000 |
| 0.688 | -0.266 | 0.324 | 0.000 | 96.014 | -0.000 |
| 0.783 | -0.303 | 0.369 | 0.000 | 0.000 | 58.375 |
| 248.188 | 177.256 | 798.678 | 0.000 | 0.000 | 0.000 |
| 177.256 | 248.188 | 798.678 | 0.000 | 0.000 | 0.000 |
| 163.040 | 163.040 | 309.135 | 0.000 | -0.000 | 0.000 |
| 0.000 | 0.000 | 0.000 | 9.066 | 0.000 | 0.000 |
| 0.000 | 0.000 | 0.000 | 0.000 | 9.066 | 0.000 |
| 36.550 | 36.550 | 683.610 | 0.000 | 0.000 | 31.897 |
| 537.790 | 511.340 | 1424.204 | -0.000 | -0.000 | -0.000 |
| 511.340 | 537.790 | 1424.204 | -0.000 | -0.000 | -0.000 |
| 74.579 | 74.579 | -483.349 | -0.000 | -0.000 | -0.000 |
| -0.000 | -0.000 | -0.000 | 9.066 | 0.000 | 0.000 |
| -0.000 | -0.000 | -0.000 | 0.000 | 9.066 | 0.000 |
| -36.550 | -36.550 | -683.610 | -0.000 | 0.000 | 31.897 |
| 256.436 | 171.206 | 163.046 | 0.000 | 0.000 | 0.000 |
| 171.206 | 256.436 | 163.046 | 0.000 | 0.000 | 0.000 |
| 163.041 | 163.041 | 309.139 | 0.000 | 0.000 | 0.000 |
| -54.762 | -54.761 | -179.372 | -49.739 | -0.000 | 0.000 |
| -54.761 | -54.762 | -179.372 | 0.000 | -49.739 | 0.000 |
| 3.689 | 3.689 | 68.993 | 0.000 | 0.000 | 31.876 |
| 256.436 | 171.205 | 163.046 | -0.000 | -0.000 | -0.000 |
| 171.205 | 256.436 | 163.046 | -0.000 | 0.000 | -0.000 |
| 163.039 | 163.039 | 309.129 | -0.000 | -0.000 | 0.000 |
| 54.762 | 54.761 | 179.372 | -49.739 | -0.000 | -0.000 |
| 54.761 | 54.762 | 179.372 | -0.000 | -49.739 | -0.000 |
| -3.689 | -3.689 | -68.993 | -0.000 | -0.000 | 31.876 |
| 100.057 | 64.642 | -40.898 | 0.000 | 0.000 | -0.000 |
| 64.642 | 100.057 | -40.898 | 0.000 | 0.000 | -0.000 |
| -13.073 | -13.073 | -50.537 | 0.000 | 0.000 | 0.000 |
| 5318726.427 | 5763883.190 | 4978993.207 | -184877.449 | 24300.302 | -5237.301 |
| 5837589.256 | 5414998.015 | 4948582.805 | 15517.797 | -170216.832 | 4921.094 |
| 0.001 | 0.001 | 0.001 | 0.000 | 0.000 | 34.112 |
| 77.475 | 72.424 | -24.253 | -0.000 | -0.000 | -0.000 |
| 72.424 | 77.475 | -24.253 | -0.000 | -0.000 | -0.000 |
| 43.583 | 43.583 | 54.759 | -0.000 | -0.000 | 0.000 |
| -5367699.281 | -5785587.428 | -4976482.409 | -151765.378 | 6459.574 | 15129.433 |
| -5748667.984 | -5370542.793 | -4992154.364 | 41715.063 | -155583.011 | -4366.689 |
| -0.001 | -0.001 | -0.001 | -0.000 | -0.000 | 34.112 |
| 194.225 | 55.763 | 92.469 | 0.000 | 0.000 | 0.000 |
| 59.751 | 387.193 | 58.336 | -0.000 | 0.000 | 0.000 |
| 93.646 | 54.843 | 242.945 | 0.000 | 0.000 | 0.000 |
| 0.086 | 0.059 | 0.156 | 39.295 | 0.000 | 0.000 |
| 0.067 | 0.108 | 0.019 | 0.000 | 87.938 | 0.000 |
| 0.000 | 0.000 | -0.000 | 0.000 | 0.000 | 70.125 |
| 200.819 | 66.768 | 93.646 | -0.000 | -0.000 | -0.000 |
| 66.768 | 401.757 | 54.843 | 0.000 | -0.000 | -0.000 |
| 83.715 | 48.946 | 223.423 | 0.000 | 0.000 | 0.000 |
| -0.086 | -0.059 | -0.156 | 39.295 | 0.000 | -0.000 |
| -0.067 | -0.108 | -0.019 | 0.000 | 87.938 | -0.000 |
| -0.000 | -0.000 | 0.000 | -0.000 | -0.000 | 70.125 |
| 190.282 | 53.967 | 83.811 | -0.000 | 0.000 | 0.000 |
| 53.966 | 382.498 | 49.059 | 0.000 | 0.000 | -0.000 |
| 92.501 | 60.139 | 230.759 | -0.000 | -0.000 | 0.000 |
| 0.000 | -0.000 | -0.000 | 56.514 | -0.000 | -0.000 |
| 0.000 | 0.000 | 0.000 | -0.000 | 93.744 | -0.000 |
| 0.000 | 0.000 | 0.000 | 0.000 | -0.000 | 70.125 |
| 190.264 | 53.947 | 83.794 | -0.000 | -0.000 | -0.000 |
| 66.768 | 401.757 | 54.843 | 0.000 | 0.000 | 0.000 |
| 92.489 | 60.131 | 230.738 | 0.000 | 0.000 | 0.000 |
| -0.000 | 0.000 | 0.000 | 56.514 | 0.000 | -0.000 |
| -0.000 | -0.000 | -0.000 | 0.000 | 93.744 | -0.000 |
| -0.000 | -0.000 | -0.000 | -0.000 | -0.000 | 70.125 |
| 200.824 | 66.768 | 93.647 | -0.000 | -0.000 | -0.000 |
| 59.708 | 387.120 | 58.332 | -0.000 | -0.000 | 0.000 |
| 93.646 | 54.843 | 242.944 | -0.000 | 0.000 | 0.000 |
| 0.001 | 0.001 | -0.001 | 45.069 | -0.000 | 0.000 |
| 0.001 | 0.000 | 0.000 | 0.000 | 93.744 | 0.000 |
| 0.002 | 0.002 | 0.000 | -0.000 | 0.000 | 65.483 |
| 190.267 | 53.956 | 83.800 | 0.000 | 0.000 | -0.000 |
| 59.706 | 387.117 | 58.331 | 0.000 | 0.000 | -0.000 |
| 83.802 | 49.050 | 223.511 | -0.000 | -0.000 | 0.000 |
| -0.001 | -0.000 | 0.000 | 39.295 | -0.000 | 0.000 |
| -0.001 | -0.000 | -0.000 | -0.000 | 93.744 | 0.000 |
| -0.002 | -0.002 | -0.000 | 0.000 | -0.000 | 65.483 |
| 268.756 | 170.535 | 170.535 | -0.000 | 0.000 | 0.000 |
| 170.535 | 268.756 | 170.535 | -0.000 | -0.000 | 0.000 |
| 170.535 | 170.535 | 268.756 | -0.000 | 0.000 | 0.000 |
| -278.161 | -278.161 | -278.161 | 8.354 | -0.000 | 0.000 |
| -278.161 | -278.161 | -278.161 | -0.000 | 8.354 | -0.000 |
| -278.161 | -278.161 | -278.161 | 0.000 | 0.000 | 8.354 |
| 258.557 | 225.801 | 225.801 | 0.000 | 0.000 | 0.000 |
| 225.801 | 258.557 | 225.801 | 0.000 | 0.000 | -0.000 |
| 225.801 | 225.801 | 258.557 | 0.000 | -0.000 | 0.000 |
| 278.161 | 278.161 | 278.161 | 8.354 | 0.000 | 0.000 |
| 278.161 | 278.161 | 278.161 | 0.000 | 8.354 | 0.000 |
| 278.161 | 278.161 | 278.161 | 0.000 | 0.000 | 8.354 |
| 150.937 | 102.466 | 102.466 | -0.000 | 0.000 | -0.000 |
| 102.466 | 150.937 | 102.466 | -0.000 | 0.000 | -0.000 |
| 102.466 | 102.466 | 150.937 | -0.000 | -0.000 | -0.000 |
| -24.030 | -24.030 | -24.030 | 10.995 | 0.000 | -0.000 |
| -24.030 | -24.030 | -24.030 | -0.000 | 10.995 | -0.000 |
| -24.030 | -24.030 | -24.030 | 0.000 | 0.000 | 10.995 |
| 268.756 | 170.535 | 170.535 | 0.000 | -0.000 | -0.000 |
| 170.535 | 268.756 | 170.535 | 0.000 | -0.000 | -0.000 |
| 170.535 | 170.535 | 268.756 | 0.000 | -0.000 | -0.000 |
| 24.030 | 24.030 | 24.030 | 10.995 | 0.000 | 0.000 |
| 24.030 | 24.030 | 24.030 | 0.000 | 10.995 | 0.000 |
| 24.030 | 24.030 | 24.030 | 0.000 | 0.000 | 10.995 |
| 268.756 | 170.536 | 170.536 | 0.000 | 0.000 | 0.000 |
| 170.536 | 268.756 | 170.536 | 0.000 | -0.000 | 0.000 |
| 170.536 | 170.536 | 268.756 | -0.000 | 0.000 | 0.000 |
| 0.000 | 0.000 | 0.000 | 27.754 | 0.000 | 0.000 |
| 0.000 | 0.000 | 0.000 | -0.000 | 27.754 | 0.000 |
| 0.000 | 0.000 | 0.000 | 0.000 | 0.000 | 27.754 |
| 268.756 | 170.534 | 170.534 | 0.000 | 0.000 | -0.000 |
| 170.534 | 268.756 | 170.534 | 0.000 | -0.000 | -0.000 |
| 170.534 | 170.534 | 268.756 | 0.000 | -0.000 | -0.000 |
| -0.000 | -0.000 | -0.000 | 27.754 | -0.000 | -0.000 |
| -0.000 | -0.000 | -0.000 | 0.000 | 27.754 | 0.000 |
| -0.000 | -0.000 | -0.000 | 0.000 | -0.000 | 27.754 |
| 203.320 | 118.657 | 118.657 | -0.000 | -0.000 | -0.000 |
| 118.657 | 203.320 | 118.657 | 0.000 | 0.000 | 0.000 |
| 118.657 | 118.657 | 203.320 | -0.000 | -0.000 | -0.000 |
| -608.005 | -608.005 | -608.005 | -14.160 | 0.000 | 0.000 |
| -608.005 | -608.005 | -608.005 | 0.000 | -14.160 | -0.000 |
| -608.005 | -608.005 | -608.005 | -0.000 | -0.000 | -14.160 |
| 203.320 | 118.657 | 118.657 | -0.000 | 0.000 | 0.000 |
| 118.657 | 203.320 | 118.657 | -0.000 | 0.000 | 0.000 |
| 118.657 | 118.657 | 203.320 | 0.000 | 0.000 | -0.000 |
| 608.005 | 608.005 | 608.005 | -14.160 | 0.000 | -0.000 |
| 608.005 | 608.005 | 608.005 | -0.000 | -14.160 | 0.000 |
| 608.005 | 608.005 | 608.005 | -0.000 | 0.000 | -14.160 |
| 22.962 | 80.127 | 80.127 | -0.000 | 0.000 | 0.000 |
| 80.127 | 22.962 | 80.127 | 0.000 | 0.000 | 0.000 |
| 80.127 | 80.127 | 22.962 | 0.000 | 0.000 | -0.000 |
| -42.627 | -42.627 | -42.627 | -25.125 | 0.000 | 0.000 |
| -42.627 | -42.627 | -42.627 | -0.000 | -25.125 | -0.000 |
| -42.627 | -42.627 | -42.627 | -0.000 | 0.000 | -25.125 |
| 144.787 | 175.780 | 175.780 | -0.000 | -0.000 | -0.000 |
| 175.780 | 144.787 | 175.780 | 0.000 | 0.000 | -0.000 |
| 175.780 | 175.780 | 144.787 | 0.000 | -0.000 | 0.000 |
| 42.627 | 42.627 | 42.627 | -25.125 | -0.000 | -0.000 |
| 42.627 | 42.627 | 42.627 | 0.000 | -25.125 | -0.000 |
| 42.627 | 42.627 | 42.627 | 0.000 | -0.000 | -25.125 |
| 71.205 | 122.751 | 122.751 | -0.000 | -0.000 | -0.000 |
| 122.751 | 71.205 | 122.751 | -0.000 | 0.000 | 0.000 |
| 122.751 | 122.751 | 71.205 | -0.000 | -0.000 | -0.000 |
| -9.853 | -9.856 | -9.856 | -47.647 | 0.000 | -0.000 |
| -9.856 | -9.853 | -9.856 | -0.000 | -47.647 | -0.000 |
| -9.856 | -9.856 | -9.853 | -0.000 | -0.000 | -47.647 |
| 82.532 | 135.839 | 135.839 | -0.000 | -0.000 | 0.000 |
| 135.839 | 82.532 | 135.839 | 0.000 | 0.000 | -0.000 |
| 135.839 | 135.839 | 82.532 | 0.000 | 0.000 | 0.000 |
| 9.853 | 9.856 | 9.856 | -47.647 | 0.000 | 0.000 |
| 9.856 | 9.853 | 9.856 | 0.000 | -47.647 | -0.000 |
| 9.856 | 9.856 | 9.853 | 0.000 | 0.000 | -47.647 |
| 552.153 | 239.157 | 109.489 | -0.000 | -0.000 | 0.000 |
| 239.157 | 552.153 | 109.489 | -0.000 | -0.000 | 0.000 |
| 99.188 | 99.188 | 701.397 | -0.000 | -0.000 | 0.000 |
| 0.096 | 0.096 | 0.163 | 95.391 | 0.000 | 0.000 |
| 0.096 | 0.096 | 0.163 | -0.000 | 95.391 | 0.000 |
| 0.030 | 0.030 | 0.051 | -0.000 | -0.000 | 140.421 |
| 546.019 | 233.023 | 99.107 | 0.000 | 0.000 | -0.000 |
| 233.023 | 546.019 | 99.107 | 0.000 | -0.000 | -0.000 |
| 99.128 | 99.128 | 701.296 | 0.000 | -0.000 | -0.000 |
| -0.096 | -0.096 | -0.163 | 95.391 | -0.000 | -0.000 |
| -0.096 | -0.096 | -0.163 | -0.000 | 95.391 | -0.000 |
| -0.030 | -0.030 | -0.051 | 0.000 | -0.000 | 140.421 |
| 546.052 | 233.056 | 99.163 | -0.000 | 0.000 | 0.000 |
| 233.056 | 546.052 | 99.163 | -0.000 | 0.000 | 0.000 |
| 109.489 | 109.489 | 718.832 | -0.000 | -0.000 | 0.000 |
| 0.010 | 0.010 | 0.016 | 95.390 | 0.000 | 0.000 |
| 0.010 | 0.010 | 0.016 | 0.000 | 95.390 | 0.000 |
| 0.003 | 0.003 | 0.005 | 0.000 | 0.000 | 140.421 |
| 552.153 | 239.156 | 109.489 | 0.000 | -0.000 | -0.000 |
| 239.156 | 552.153 | 109.489 | 0.000 | 0.000 | -0.000 |
| 99.155 | 99.155 | 701.342 | -0.000 | -0.000 | -0.000 |
| -0.010 | -0.010 | -0.016 | 95.390 | -0.000 | -0.000 |
| -0.010 | -0.010 | -0.016 | -0.000 | 95.390 | -0.000 |
| -0.003 | -0.003 | -0.005 | -0.000 | -0.000 | 140.421 |
| 546.046 | 233.054 | 99.158 | -0.000 | 0.000 | 0.000 |
| 233.054 | 546.046 | 99.158 | -0.000 | 0.000 | 0.000 |
| 99.160 | 99.160 | 701.344 | -0.000 | -0.000 | 0.000 |
| 0.001 | 0.001 | 0.001 | 95.390 | 0.000 | 0.000 |
| 0.001 | 0.001 | 0.001 | 0.000 | 95.390 | 0.000 |
| -0.001 | -0.001 | 0.001 | -0.000 | -0.000 | 140.421 |
| 546.053 | 233.052 | 99.158 | -0.000 | 0.000 | -0.000 |
| 233.052 | 546.053 | 99.158 | 0.000 | -0.000 | -0.000 |
| 99.157 | 99.157 | 701.349 | 0.000 | -0.000 | -0.000 |
| -0.001 | -0.001 | -0.001 | 95.390 | -0.000 | -0.000 |
| -0.001 | -0.001 | -0.001 | -0.000 | 95.390 | -0.000 |
| 0.001 | 0.001 | -0.001 | 0.000 | -0.000 | 140.421 |
| 23789854.560 | 18712798.708 | 27188360.228 | 542493.929 | -4932729.793 | 3381789.918 |
| 24673624.199 | 19566540.517 | 27283013.662 | 1391836.896 | -4549083.497 | 3592076.013 |
| 24320304.018 | 18509163.503 | 26991789.173 | 506180.870 | -4383568.772 | 3869418.037 |
| 24129851.555 | 19056024.524 | 27233822.242 | 1464192.467 | -4524123.377 | 3458498.814 |
| 23920945.328 | 19710149.971 | 27085286.544 | 1701533.262 | -4862716.299 | 3446983.270 |
| 24027174.256 | 19224756.720 | 27124312.361 | 1174780.832 | -4370401.283 | 3842939.807 |
| -24024506.052 | -18496279.133 | -27011614.955 | -1300659.098 | 5263962.438 | -3307429.942 |
| -23993380.401 | -19013930.674 | -27148192.765 | -1351472.808 | 4770133.137 | -3377820.935 |
| -23936810.470 | -19009154.619 | -26927684.431 | -1053546.020 | 4303629.467 | -3675200.165 |
| -24362131.524 | -19185997.682 | -26512632.633 | -2068150.043 | 4254605.536 | -3147065.712 |
| -23935892.943 | -19296129.407 | -26256025.939 | -930985.461 | 4571630.813 | -3701066.445 |
| -24124584.677 | -18780908.923 | -26819789.065 | -1518813.588 | 4840146.872 | -3286409.024 |
| 2373999.670 | 2011272.939 | 2670963.266 | 234472.489 | -492520.253 | 307401.633 |
| 2330663.238 | 1873090.486 | 2601060.130 | 139171.490 | -464938.783 | 328505.569 |
| 2322194.508 | 2076528.242 | 2602861.317 | 275588.806 | -500505.508 | 324603.301 |
| 2335183.387 | 1924505.662 | 2608454.630 | 97781.543 | -538287.844 | 363247.241 |
| 2346569.256 | 2046840.848 | 2601995.198 | 260292.869 | -458679.268 | 312635.336 |
| 2323760.628 | 2068266.440 | 2595637.411 | 227840.871 | -438057.197 | 270396.875 |
| -2281274.736 | -1892406.030 | -2789357.809 | -126669.290 | 400982.682 | -280457.179 |
| -2291501.144 | -1892417.339 | -2545618.988 | -105513.141 | 534892.788 | -352489.380 |
| -2371935.007 | -1929652.371 | -2578192.265 | -94849.885 | 492361.060 | -320489.032 |
| -2336807.495 | -1868393.379 | -2574732.026 | -102855.071 | 395800.398 | -331807.350 |
| -2417793.205 | -1906697.413 | -2693576.444 | -130231.789 | 484160.310 | -320407.947 |
| -2360640.879 | -1995055.959 | -2630818.005 | -235999.938 | 350808.107 | -341129.842 |
| 231086.212 | 191154.615 | 252546.592 | 22874.415 | -32257.707 | 43088.821 |
| 226795.023 | 198712.309 | 257908.062 | 13699.725 | -38092.480 | 43358.961 |
| 208510.482 | 196613.210 | 269543.204 | 27497.153 | -42196.406 | 33993.611 |
| 240935.411 | 199045.400 | 269825.533 | 8158.432 | -48037.296 | 46002.718 |
| 222447.911 | 199602.939 | 223195.973 | 13275.942 | -35439.893 | 38171.635 |
| 249224.900 | 203180.545 | 252694.577 | 2755.931 | -33784.377 | 33237.464 |
| -236973.966 | -192075.468 | -231794.818 | -10154.505 | 34037.272 | -34848.762 |
| -247149.771 | -192992.070 | -278071.006 | -6487.221 | 26906.172 | -27982.911 |
| -229503.889 | -189666.489 | -252596.822 | -8456.728 | 35700.815 | -42564.804 |
| -247234.367 | -181921.284 | -267491.494 | -3014.644 | 31758.460 | -48628.674 |
| -251490.202 | -200225.501 | -258740.686 | -21026.684 | 57532.634 | -28827.621 |
| -235115.518 | -201172.671 | -266306.743 | -8763.465 | 44253.723 | -34420.174 |
| 164.693 | 119.784 | -799.330 | 0.000 | -0.000 | -0.000 |
| 119.784 | 164.693 | -799.330 | 0.000 | -0.000 | -0.000 |
| 65.845 | 65.845 | 172.390 | -0.000 | -0.000 | 0.000 |
| 116.795 | 116.795 | -824.821 | 21.241 | -0.000 | -0.000 |
| 116.795 | 116.795 | -824.821 | 0.000 | 21.241 | -0.000 |
| 116.701 | 116.701 | -824.887 | 0.000 | -0.000 | 14.580 |
| -70.669 | -114.750 | 849.677 | -0.000 | 0.000 | 0.000 |
| -114.750 | -70.669 | 849.677 | -0.000 | 0.000 | 0.000 |
| -631.195 | -631.195 | 463.470 | -0.000 | 0.000 | 0.000 |
| -116.795 | -116.795 | 824.821 | 21.241 | 0.000 | 0.000 |
| -116.795 | -116.795 | 824.821 | -0.000 | 21.241 | 0.000 |
| -116.701 | -116.701 | 824.887 | 0.000 | 0.000 | 14.580 |
| 168.310 | 72.806 | 62.822 | 0.000 | -0.000 | -0.000 |
| 72.806 | 168.310 | 62.822 | -0.000 | 0.000 | 0.000 |
| 33.455 | 33.455 | 27.929 | 0.000 | -0.000 | -0.000 |
| 12.417 | 12.417 | -82.180 | 21.122 | -0.000 | -0.000 |
| 12.417 | 12.417 | -82.180 | 0.000 | 21.122 | -0.000 |
| 11.527 | 11.527 | -82.818 | 0.000 | -0.000 | 14.543 |
| -15.412 | -61.483 | 45.107 | 0.000 | 0.000 | 0.000 |
| -61.483 | -15.412 | 45.107 | 0.000 | 0.000 | 0.000 |
| -46.796 | -46.796 | 156.930 | 0.000 | 0.000 | 0.000 |
| -12.417 | -12.417 | 82.180 | 21.122 | 0.000 | 0.000 |
| -12.417 | -12.417 | 82.180 | 0.000 | 21.122 | 0.000 |
| -11.527 | -11.527 | 82.818 | 0.000 | 0.000 | 14.543 |
| -2726033.812 | -2594967.198 | -86945.553 | 19542.374 | 51678.895 | 22903.368 |
| -2623585.104 | -2785095.431 | -107938.276 | 27817.374 | 3766.483 | 1329.798 |
| 36.075 | 36.075 | 93.072 | 0.000 | -0.000 | -0.000 |
| -2881501.137 | -2606492.667 | 165058.504 | 571419.199 | -12710.627 | -37383.271 |
| -2562002.160 | -2799816.065 | 205031.783 | 8792.738 | 538609.979 | -879.895 |
| 0.000 | 0.000 | -0.000 | -0.000 | -0.000 | 26.552 |
| 15.687 | -13.906 | 55.318 | -0.000 | 0.000 | 0.000 |
| -13.906 | 15.687 | 55.318 | -0.000 | -0.000 | 0.000 |
| 20.700 | 20.700 | 123.198 | -0.000 | 0.000 | 0.000 |
| 2795467.068 | 2586496.968 | -208201.564 | 572710.549 | 13413.029 | -15388.117 |
| 2534824.645 | 2763550.239 | -280502.109 | 4259.750 | 520501.630 | -26782.347 |
| -0.000 | -0.000 | 0.000 | -0.000 | -0.000 | 26.552 |
| 158.620 | 94.218 | 101.551 | 0.000 | 0.000 | -0.000 |
| 94.041 | 295.965 | 106.140 | 0.000 | -0.000 | -0.000 |
| 101.485 | 106.251 | 377.200 | 0.000 | 0.000 | -0.000 |
| -0.000 | 0.000 | 0.000 | 89.286 | 0.000 | -0.000 |
| -0.000 | 0.000 | -0.000 | 0.000 | 96.200 | -0.000 |
| -0.000 | 0.000 | -0.000 | 0.000 | 0.000 | 58.886 |
| 158.620 | 94.218 | 101.551 | -0.000 | 0.000 | 0.000 |
| 94.041 | 295.965 | 106.140 | -0.000 | 0.000 | 0.000 |
| 101.485 | 106.251 | 377.200 | -0.000 | 0.000 | 0.000 |
| 0.000 | -0.000 | -0.000 | 89.286 | -0.000 | 0.000 |
| 0.000 | -0.000 | 0.000 | -0.000 | 96.200 | -0.000 |
| 0.000 | -0.000 | 0.000 | -0.000 | -0.000 | 58.886 |
| 158.620 | 94.218 | 101.551 | 0.000 | 0.000 | -0.000 |
| 94.041 | 295.965 | 106.140 | 0.000 | 0.000 | -0.000 |
| 113.369 | 101.481 | 382.688 | 0.000 | -0.000 | -0.000 |
| 0.000 | 0.000 | 0.000 | 89.286 | -0.000 | -0.000 |
| 0.000 | 0.000 | 0.000 | -0.000 | 96.200 | -0.000 |
| 0.000 | 0.000 | 0.000 | -0.000 | -0.000 | 60.864 |
| 184.357 | 83.888 | 113.435 | 0.000 | -0.000 | 0.000 |
| 94.041 | 295.965 | 106.140 | -0.000 | 0.000 | 0.000 |
| 101.485 | 106.250 | 377.199 | -0.000 | 0.000 | 0.000 |
| -0.000 | -0.000 | -0.000 | 89.286 | 0.000 | 0.000 |
| -0.000 | -0.000 | -0.000 | -0.000 | 96.200 | 0.000 |
| -0.000 | -0.000 | -0.000 | 0.000 | -0.000 | 60.864 |
| 158.621 | 94.220 | 101.552 | 0.000 | 0.000 | -0.000 |
| 94.042 | 295.968 | 106.141 | 0.000 | 0.000 | -0.000 |
| 101.486 | 106.253 | 377.206 | 0.000 | 0.000 | -0.000 |
| 0.000 | 0.001 | 0.002 | 89.286 | 0.000 | -0.000 |
| 0.000 | 0.000 | 0.000 | 0.000 | 96.200 | -0.000 |
| 0.001 | 0.001 | 0.001 | 0.000 | -0.000 | 58.886 |
| 158.619 | 94.216 | 101.550 | -0.000 | 0.000 | 0.000 |
| 94.040 | 295.962 | 106.138 | -0.000 | -0.000 | 0.000 |
| 101.484 | 106.248 | 377.194 | -0.000 | -0.000 | 0.000 |
| -0.000 | -0.001 | -0.002 | 89.286 | -0.000 | 0.000 |
| -0.000 | -0.000 | -0.000 | -0.000 | 96.200 | 0.000 |
| -0.001 | -0.001 | -0.001 | -0.000 | -0.000 | 58.886 |
| 159.629 | 99.213 | 105.084 | -0.000 | -0.000 | 0.000 |
| 99.326 | 294.888 | 105.349 | -0.000 | 0.000 | 0.000 |
| 115.264 | 100.104 | 379.902 | 0.000 | 0.000 | 0.000 |
| 0.000 | 0.000 | 0.000 | 88.557 | 0.000 | -0.000 |
| 0.000 | 0.000 | 0.000 | -0.000 | 97.350 | 0.000 |
| 0.000 | 0.000 | 0.000 | -0.000 | 0.000 | 61.721 |
| 159.629 | 99.213 | 105.084 | 0.000 | 0.000 | -0.000 |
| 99.326 | 294.888 | 105.349 | 0.000 | -0.000 | -0.000 |
| 105.129 | 105.282 | 375.892 | 0.000 | -0.000 | -0.000 |
| 0.000 | -0.000 | -0.000 | 88.557 | -0.000 | -0.000 |
| -0.000 | -0.000 | -0.000 | 0.000 | 97.350 | -0.000 |
| -0.000 | -0.000 | -0.000 | 0.000 | -0.000 | 61.721 |
| 185.242 | 86.128 | 115.219 | 0.000 | 0.000 | -0.000 |
| 99.326 | 294.888 | 105.349 | -0.000 | 0.000 | 0.000 |
| 105.129 | 105.282 | 375.892 | -0.000 | 0.000 | -0.000 |
| 0.000 | 0.000 | 0.000 | 88.557 | 0.000 | -0.000 |
| 0.000 | 0.000 | 0.000 | -0.000 | 97.350 | -0.000 |
| 0.000 | 0.000 | 0.000 | -0.000 | 0.000 | 61.721 |
| 185.241 | 86.128 | 115.218 | 0.000 | 0.000 | -0.000 |
| 86.241 | 301.573 | 100.171 | 0.000 | 0.000 | -0.000 |
| 105.129 | 105.282 | 375.891 | 0.000 | -0.000 | -0.000 |
| -0.000 | -0.000 | -0.000 | 88.557 | 0.000 | -0.000 |
| -0.000 | -0.000 | -0.000 | 0.000 | 97.350 | -0.000 |
| -0.000 | -0.000 | -0.000 | 0.000 | -0.000 | 61.721 |
| 159.631 | 99.215 | 105.085 | -0.000 | 0.000 | 0.000 |
| 99.327 | 294.890 | 105.351 | -0.000 | 0.000 | 0.000 |
| 105.130 | 105.284 | 375.898 | -0.000 | 0.000 | 0.000 |
| 0.000 | 0.001 | 0.002 | 88.557 | 0.000 | 0.000 |
| 0.000 | 0.000 | 0.000 | 0.000 | 97.350 | 0.000 |
| 0.001 | 0.001 | 0.000 | -0.000 | 0.000 | 61.721 |
| 159.627 | 99.212 | 105.082 | 0.000 | -0.000 | -0.000 |
| 99.326 | 294.886 | 105.348 | 0.000 | -0.000 | -0.000 |
| 105.129 | 105.279 | 375.886 | 0.000 | -0.000 | -0.000 |
| -0.000 | -0.001 | -0.002 | 88.557 | 0.000 | -0.000 |
| -0.000 | -0.000 | -0.000 | -0.000 | 97.350 | 0.000 |
| -0.001 | -0.001 | -0.000 | 0.000 | -0.000 | 61.721 |
| 4102.172 | 4050.517 | 3384.265 | -0.000 | -0.000 | 0.000 |
| 1687.200 | 1753.473 | -1785.245 | 0.000 | -0.000 | -0.000 |
| 7298.584 | 7298.584 | 2226.639 | 0.000 | -0.000 | 0.000 |
| 0.000 | 0.000 | 0.000 | 9.235 | 0.000 | -0.000 |
| 0.000 | 0.000 | 0.000 | -0.000 | 9.235 | 0.000 |
| 7380.664 | 7380.664 | 2353.161 | 0.000 | -0.000 | 20.152 |
| -7319.022 | -7342.091 | -2404.445 | -0.000 | 0.000 | -0.000 |
| -7342.091 | -7319.022 | -2404.445 | -0.000 | 0.000 | -0.000 |
| 164.782 | 164.782 | 308.004 | -0.000 | 0.000 | 0.000 |
| -0.000 | -0.000 | -0.000 | 9.235 | -0.000 | 0.000 |
| -0.000 | -0.000 | -0.000 | 0.000 | 9.235 | 0.000 |
| -1562.319 | -1562.319 | 1875.707 | -0.000 | 0.000 | 31.120 |
| 255.738 | 171.321 | 164.797 | 0.000 | 0.000 | 0.000 |
| 171.321 | 255.738 | 164.797 | -0.000 | 0.000 | 0.000 |
| 419.360 | 419.360 | 314.942 | 0.000 | -0.000 | 0.000 |
| 398.248 | 398.248 | 340.487 | -21.042 | -0.000 | 0.000 |
| 398.248 | 398.248 | 340.487 | -0.000 | -21.042 | 0.000 |
| 156.221 | 156.221 | -187.557 | -0.000 | -0.000 | 31.120 |
| -675.819 | -698.239 | -286.899 | -0.000 | 0.000 | 0.000 |
| -698.239 | -675.819 | -286.899 | 0.000 | 0.000 | 0.000 |
| -779.021 | -779.021 | -357.823 | -0.000 | 0.000 | -0.000 |
| -398.248 | -398.248 | -340.487 | -21.042 | 0.000 | -0.000 |
| -398.248 | -398.248 | -340.487 | 0.000 | -21.042 | 0.000 |
| -156.221 | -156.221 | 187.557 | 0.000 | 0.000 | 31.120 |
| 220.862 | 151.722 | 78.797 | -0.000 | 0.000 | 0.000 |
| 151.722 | 220.862 | 78.797 | -0.000 | -0.000 | 0.000 |
| 129.580 | 129.580 | 144.938 | -0.000 | -0.000 | -0.000 |
| 5405095.839 | 5819302.510 | 5071856.665 | -225073.390 | -8967.120 | -17383.808 |
| 5935911.992 | 5455943.147 | 5033204.995 | 6975.467 | -219673.142 | 22794.832 |
| 15.996 | 15.996 | -19.204 | -0.000 | -0.000 | 31.053 |
| -2554901.587 | -2554972.325 | -4747114.072 | 0.006 | 0.026 | -0.069 |
| -2554971.970 | -2554900.934 | -4747112.877 | 0.001 | 0.026 | 0.040 |
| 98.058 | 98.058 | 121.140 | 0.000 | 0.000 | 0.000 |
| -5440903.556 | -5878742.963 | -5114235.116 | -161918.091 | 30722.851 | -10282.506 |
| -5828408.090 | -5455884.510 | -5079731.883 | -2532.045 | -167735.464 | 14827.821 |
| -15.996 | -15.996 | 19.204 | 0.000 | 0.000 | 31.053 |
| 533.986 | 299.069 | 299.069 | -0.000 | -0.000 | -0.000 |
| 299.069 | 533.986 | 299.069 | -0.000 | -0.000 | 0.000 |
| 299.069 | 299.069 | 533.986 | -0.000 | -0.000 | 0.000 |
| 0.000 | 0.000 | 0.000 | 216.579 | -0.000 | 0.000 |
| 0.000 | 0.000 | 0.000 | -0.000 | 216.579 | 0.000 |
| 0.000 | 0.000 | -0.000 | -0.000 | -0.000 | 216.579 |
| 533.986 | 299.069 | 299.069 | 0.000 | 0.000 | 0.000 |
| 299.069 | 533.986 | 299.069 | 0.000 | -0.000 | -0.000 |
| 299.069 | 299.069 | 533.986 | 0.000 | -0.000 | -0.000 |
| 0.000 | -0.000 | -0.000 | 216.579 | 0.000 | -0.000 |
| -0.000 | 0.000 | -0.000 | 0.000 | 216.579 | -0.000 |
| -0.000 | -0.000 | 0.000 | 0.000 | 0.000 | 216.579 |
| 533.986 | 299.069 | 299.069 | -0.000 | -0.000 | 0.000 |
| 299.069 | 533.986 | 299.069 | -0.000 | -0.000 | 0.000 |
| 299.069 | 299.069 | 533.986 | 0.000 | 0.000 | -0.000 |
| -0.000 | 0.000 | 0.000 | 216.579 | -0.000 | -0.000 |
| 0.000 | -0.000 | 0.000 | -0.000 | 216.579 | 0.000 |
| 0.000 | 0.000 | -0.000 | -0.000 | -0.000 | 216.579 |
| 533.985 | 299.069 | 299.069 | -0.000 | -0.000 | -0.000 |
| 299.069 | 533.985 | 299.069 | -0.000 | -0.000 | -0.000 |
| 299.069 | 299.069 | 533.985 | -0.000 | -0.000 | -0.000 |
| 0.000 | -0.000 | -0.000 | 216.579 | 0.000 | -0.000 |
| -0.000 | 0.000 | -0.000 | 0.000 | 216.579 | -0.000 |
| -0.000 | -0.000 | 0.000 | 0.000 | 0.000 | 216.579 |
| 533.992 | 299.071 | 299.071 | 0.000 | 0.000 | 0.000 |
| 299.071 | 533.992 | 299.071 | 0.000 | 0.000 | 0.000 |
| 299.071 | 299.071 | 533.992 | -0.000 | 0.000 | 0.000 |
| -0.001 | 0.001 | 0.001 | 216.579 | -0.000 | 0.000 |
| 0.001 | -0.001 | 0.001 | -0.000 | 216.579 | 0.000 |
| 0.001 | 0.001 | -0.001 | 0.000 | -0.000 | 216.579 |
| 533.980 | 299.068 | 299.068 | -0.000 | 0.000 | -0.000 |
| 299.068 | 533.980 | 299.068 | 0.000 | 0.000 | 0.000 |
| 299.068 | 299.068 | 533.980 | 0.000 | 0.000 | -0.000 |
| 0.001 | -0.001 | -0.001 | 216.579 | -0.000 | -0.000 |
| -0.001 | 0.001 | -0.001 | -0.000 | 216.579 | 0.000 |
| -0.001 | -0.001 | 0.001 | -0.000 | 0.000 | 216.579 |
| 391.669 | -36.150 | -36.150 | -0.000 | -0.000 | -0.000 |
| -36.150 | 391.669 | -36.150 | -0.000 | -0.000 | -0.000 |
| -36.150 | -36.150 | 391.669 | 0.000 | -0.000 | 0.000 |
| -0.000 | -0.000 | -0.000 | -38.988 | -0.000 | 0.000 |
| 0.000 | -0.000 | -0.000 | -0.000 | -38.988 | 0.000 |
| 0.000 | -0.000 | -0.000 | 0.000 | -0.000 | -38.988 |
| 391.669 | -36.150 | -36.150 | 0.000 | 0.000 | -0.000 |
| -36.150 | 391.669 | -36.150 | 0.000 | 0.000 | -0.000 |
| -36.150 | -36.150 | 391.669 | 0.000 | 0.000 | -0.000 |
| 0.000 | 0.000 | 0.000 | -38.988 | 0.000 | 0.000 |
| 0.000 | 0.000 | 0.000 | 0.000 | -38.988 | -0.000 |
| 0.000 | 0.000 | 0.000 | -0.000 | -0.000 | -38.988 |
| 391.670 | -36.150 | -36.150 | -0.000 | 0.000 | 0.000 |
| -36.150 | 391.670 | -36.150 | 0.000 | -0.000 | -0.000 |
| -36.150 | -36.150 | 391.670 | -0.000 | -0.000 | 0.000 |
| -0.000 | 0.000 | -0.000 | -38.988 | -0.000 | -0.000 |
| 0.000 | -0.000 | -0.000 | -0.000 | -38.988 | 0.000 |
| 0.000 | -0.000 | -0.000 | 0.000 | -0.000 | -38.988 |
| 391.668 | -36.150 | -36.150 | -0.000 | 0.000 | -0.000 |
| -36.150 | 391.668 | -36.150 | 0.000 | 0.000 | -0.000 |
| -36.150 | -36.150 | 391.668 | -0.000 | -0.000 | -0.000 |
| 0.000 | -0.000 | 0.000 | -38.988 | 0.000 | 0.000 |
| -0.000 | 0.000 | 0.000 | 0.000 | -38.988 | -0.000 |
| -0.000 | 0.000 | 0.000 | -0.000 | -0.000 | -38.988 |
| 391.678 | -36.150 | -36.150 | 0.000 | -0.000 | -0.000 |
| -36.150 | 391.678 | -36.150 | -0.000 | -0.000 | -0.000 |
| -36.150 | -36.150 | 391.678 | -0.000 | -0.000 | 0.000 |
| -0.000 | 0.000 | -0.000 | -38.988 | -0.000 | 0.000 |
| 0.000 | -0.000 | -0.000 | -0.000 | -38.988 | -0.000 |
| 0.000 | -0.000 | -0.000 | 0.000 | -0.000 | -38.988 |
| 391.660 | -36.150 | -36.150 | 0.000 | 0.000 | -0.000 |
| -36.150 | 391.660 | -36.150 | 0.000 | 0.000 | -0.000 |
| -36.150 | -36.150 | 391.660 | 0.000 | 0.000 | 0.000 |
| 0.000 | -0.000 | 0.000 | -38.988 | 0.000 | -0.000 |
| -0.000 | 0.000 | 0.000 | 0.000 | -38.988 | 0.000 |
| -0.000 | 0.000 | 0.000 | -0.000 | 0.000 | -38.988 |
| -6.827 | 4.847 | 4.847 | -0.000 | -0.000 | 0.000 |
| 4.847 | -6.827 | 4.847 | -0.000 | -0.000 | 0.000 |
| 4.847 | 4.847 | -6.827 | -0.000 | 0.000 | -0.000 |
| 0.000 | 0.000 | 0.000 | 9.422 | -0.000 | -0.000 |
| 0.000 | 0.000 | 0.000 | -0.000 | 9.422 | 0.000 |
| 0.000 | 0.000 | 0.000 | -0.000 | -0.000 | 9.422 |
| -6.827 | 4.847 | 4.847 | 0.000 | 0.000 | 0.000 |
| 4.847 | -6.827 | 4.847 | 0.000 | 0.000 | 0.000 |
| 4.847 | 4.847 | -6.827 | 0.000 | 0.000 | 0.000 |
| -0.000 | -0.000 | -0.000 | 9.422 | 0.000 | -0.000 |
| -0.000 | -0.000 | -0.000 | 0.000 | 9.422 | -0.000 |
| -0.000 | -0.000 | -0.000 | 0.000 | 0.000 | 9.422 |
| -6.827 | 4.847 | 4.847 | -0.000 | -0.000 | 0.000 |
| 4.847 | -6.827 | 4.847 | -0.000 | -0.000 | -0.000 |
| 4.847 | 4.847 | -6.827 | -0.000 | -0.000 | -0.000 |
| -0.000 | 0.000 | 0.000 | 2.382 | -0.000 | -0.000 |
| 0.000 | -0.000 | 0.000 | -0.000 | 2.382 | -0.000 |
| 0.000 | 0.000 | -0.000 | -0.000 | -0.000 | 2.382 |
| -6.827 | 4.846 | 4.846 | 0.000 | 0.000 | -0.000 |
| 4.846 | -6.827 | 4.846 | 0.000 | 0.000 | 0.000 |
| 4.846 | 4.846 | -6.827 | -0.000 | -0.000 | 0.000 |
| 0.000 | -0.000 | -0.000 | 2.382 | 0.000 | 0.000 |
| -0.000 | 0.000 | -0.000 | 0.000 | 2.382 | 0.000 |
| -0.000 | -0.000 | 0.000 | 0.000 | 0.000 | 2.382 |
| -6.829 | 4.847 | 4.847 | -0.000 | -0.000 | -0.000 |
| 4.847 | -6.829 | 4.847 | -0.000 | -0.000 | 0.000 |
| 4.847 | 4.847 | -6.829 | 0.000 | 0.000 | -0.000 |
| -0.001 | -0.000 | 0.000 | 2.382 | -0.000 | -0.000 |
| -0.000 | -0.001 | 0.000 | -0.000 | 2.382 | -0.000 |
| -0.000 | 0.000 | -0.001 | -0.000 | -0.000 | 2.382 |
| -6.826 | 4.846 | 4.846 | 0.000 | 0.000 | 0.000 |
| 4.846 | -6.826 | 4.846 | 0.000 | 0.000 | -0.000 |
| 4.846 | 4.846 | -6.826 | 0.000 | 0.000 | 0.000 |
| 0.001 | 0.000 | -0.000 | 2.382 | 0.000 | 0.000 |
| 0.000 | 0.001 | -0.000 | 0.000 | 2.382 | 0.000 |
| 0.000 | -0.000 | 0.001 | 0.000 | 0.000 | 2.382 |
| 15.791 | 15.985 | 15.985 | -0.000 | 0.000 | 0.000 |
| 15.985 | 15.791 | 15.985 | 0.000 | 0.000 | -0.000 |
| 15.985 | 15.985 | 15.791 | 0.000 | 0.000 | 0.000 |
| -0.000 | -0.000 | -0.000 | -0.194 | 0.000 | 0.000 |
| -0.000 | -0.000 | -0.000 | 0.000 | -0.194 | 0.000 |
| -0.000 | -0.000 | -0.000 | 0.000 | 0.000 | -0.194 |
| 15.791 | 15.985 | 15.985 | -0.000 | -0.000 | 0.000 |
| 15.985 | 15.791 | 15.985 | -0.000 | -0.000 | -0.000 |
| 15.985 | 15.985 | 15.791 | -0.000 | -0.000 | -0.000 |
| 0.000 | 0.000 | 0.000 | -0.194 | -0.000 | -0.000 |
| 0.000 | 0.000 | 0.000 | -0.000 | -0.194 | 0.000 |
| 0.000 | 0.000 | 0.000 | -0.000 | -0.000 | -0.194 |
| 15.791 | 15.985 | 15.985 | 0.000 | 0.000 | 0.000 |
| 15.985 | 15.791 | 15.985 | 0.000 | 0.000 | -0.000 |
| 15.985 | 15.985 | 15.791 | 0.000 | 0.000 | 0.000 |
| -0.000 | -0.000 | -0.000 | -0.194 | 0.000 | 0.000 |
| -0.000 | -0.000 | -0.000 | 0.000 | -0.194 | 0.000 |
| -0.000 | -0.000 | -0.000 | 0.000 | 0.000 | -0.194 |
| 15.791 | 15.985 | 15.985 | 0.000 | -0.000 | -0.000 |
| 15.985 | 15.791 | 15.985 | -0.000 | 0.000 | 0.000 |
| 15.985 | 15.985 | 15.791 | -0.000 | 0.000 | 0.000 |
| 0.000 | 0.000 | 0.000 | -0.194 | -0.000 | -0.000 |
| 0.000 | 0.000 | 0.000 | -0.000 | -0.194 | 0.000 |
| 0.000 | 0.000 | 0.000 | -0.000 | 0.000 | -0.194 |
| 15.791 | 15.985 | 15.985 | 0.000 | 0.000 | 0.000 |
| 15.985 | 15.791 | 15.985 | 0.000 | 0.000 | -0.000 |
| 15.985 | 15.985 | 15.791 | -0.000 | -0.000 | 0.000 |
| -0.000 | -0.000 | -0.000 | -0.194 | 0.000 | -0.000 |
| -0.000 | -0.000 | -0.000 | 0.000 | -0.194 | 0.000 |
| -0.000 | -0.000 | -0.000 | 0.000 | 0.000 | -0.194 |
| 15.791 | 15.985 | 15.985 | -0.000 | 0.000 | -0.000 |
| 15.985 | 15.791 | 15.985 | 0.000 | -0.000 | -0.000 |
| 15.985 | 15.985 | 15.791 | -0.000 | -0.000 | 0.000 |
| 0.000 | 0.000 | 0.000 | -0.194 | 0.000 | 0.000 |
| 0.000 | 0.000 | 0.000 | 0.000 | -0.194 | -0.000 |
| 0.000 | 0.000 | 0.000 | 0.000 | -0.000 | -0.194 |
| 15.144 | 15.154 | 15.154 | -0.000 | 0.000 | 0.000 |
| 15.154 | 15.144 | 15.154 | 0.000 | -0.000 | -0.000 |
| 15.154 | 15.154 | 15.144 | -0.000 | -0.000 | 0.000 |
| -0.000 | 0.000 | -0.000 | -0.010 | 0.000 | -0.000 |
| 0.000 | 0.000 | -0.000 | 0.000 | -0.010 | 0.000 |
| -0.000 | -0.000 | -0.000 | 0.000 | 0.000 | -0.010 |
| 15.144 | 15.154 | 15.154 | -0.000 | -0.000 | 0.000 |
| 15.154 | 15.144 | 15.154 | -0.000 | -0.000 | 0.000 |
| 15.154 | 15.154 | 15.144 | -0.000 | -0.000 | -0.000 |
| 0.000 | -0.000 | 0.000 | -0.010 | -0.000 | -0.000 |
| 0.000 | 0.000 | 0.000 | -0.000 | -0.010 | -0.000 |
| 0.000 | -0.000 | -0.000 | -0.000 | -0.000 | -0.010 |
| 15.144 | 15.154 | 15.154 | 0.000 | 0.000 | 0.000 |
| 15.154 | 15.144 | 15.154 | 0.000 | 0.000 | 0.000 |
| 15.154 | 15.154 | 15.144 | 0.000 | 0.000 | 0.000 |
| -0.000 | -0.000 | -0.000 | -0.010 | 0.000 | 0.000 |
| -0.000 | -0.000 | -0.000 | 0.000 | -0.010 | 0.000 |
| -0.000 | -0.000 | -0.000 | -0.000 | 0.000 | -0.010 |
| 15.144 | 15.154 | 15.154 | -0.000 | -0.000 | 0.000 |
| 15.154 | 15.144 | 15.154 | -0.000 | -0.000 | -0.000 |
| 15.154 | 15.154 | 15.144 | 0.000 | 0.000 | -0.000 |
| 0.000 | 0.000 | 0.000 | -0.010 | 0.000 | -0.000 |
| 0.000 | 0.000 | 0.000 | 0.000 | -0.010 | -0.000 |
| 0.000 | 0.000 | 0.000 | 0.000 | -0.000 | -0.010 |
| 15.144 | 15.154 | 15.154 | -0.000 | -0.000 | 0.000 |
| 15.154 | 15.144 | 15.154 | 0.000 | 0.000 | -0.000 |
| 15.154 | 15.154 | 15.144 | 0.000 | 0.000 | -0.000 |
| -0.000 | -0.000 | -0.000 | -0.010 | -0.000 | -0.000 |
| -0.000 | -0.000 | -0.000 | -0.000 | -0.010 | -0.000 |
| -0.000 | -0.000 | -0.000 | 0.000 | -0.000 | -0.010 |
| 15.144 | 15.153 | 15.153 | -0.000 | -0.000 | -0.000 |
| 15.153 | 15.144 | 15.153 | -0.000 | -0.000 | -0.000 |
| 15.153 | 15.153 | 15.144 | -0.000 | -0.000 | -0.000 |
| 0.000 | 0.000 | 0.000 | -0.010 | 0.000 | -0.000 |
| 0.000 | 0.000 | 0.000 | 0.000 | -0.010 | -0.000 |
| 0.000 | 0.000 | 0.000 | 0.000 | -0.000 | -0.010 |
| -5.107 | -4.513 | -4.513 | 0.000 | 0.000 | 0.000 |
| -4.513 | -5.107 | -4.513 | 0.000 | 0.000 | 0.000 |
| -4.513 | -4.513 | -5.107 | 0.000 | 0.000 | 0.000 |
| -184.708 | -344.289 | -344.293 | -207841.809 | -0.000 | 0.000 |
| -344.289 | -184.708 | -344.293 | -0.000 | -207841.809 | 0.000 |
| -344.289 | -344.293 | -184.708 | -0.000 | 0.000 | -207841.808 |
| -5.107 | -4.513 | -4.513 | -0.000 | -0.000 | -0.000 |
| -4.513 | -5.107 | -4.513 | -0.000 | -0.000 | 0.000 |
| -4.513 | -4.513 | -5.107 | 0.000 | 0.000 | -0.000 |
| 184.708 | 344.289 | 344.294 | -207841.956 | -0.000 | 0.000 |
| 344.289 | 184.708 | 344.294 | -0.000 | -207841.956 | 0.000 |
| 344.290 | 344.294 | 184.708 | 0.000 | 0.000 | -207841.963 |
| -5.107 | -4.513 | -4.513 | 0.000 | 0.000 | 0.000 |
| -4.513 | -5.107 | -4.513 | 0.000 | 0.000 | -0.000 |
| -4.513 | -4.513 | -5.107 | -0.000 | -0.000 | -0.000 |
| -9.144 | -17.878 | -17.881 | -15381.622 | -0.000 | 0.000 |
| -17.878 | -9.144 | -17.881 | -0.000 | -15381.622 | 0.000 |
| -17.878 | -17.881 | -9.144 | -0.000 | 0.000 | -15381.622 |
| -5.107 | -4.513 | -4.513 | -0.000 | -0.000 | -0.000 |
| -4.513 | -5.107 | -4.513 | -0.000 | -0.000 | -0.000 |
| -4.513 | -4.513 | -5.107 | -0.000 | -0.000 | -0.000 |
| 9.144 | 17.878 | 17.881 | -15381.620 | -0.000 | -0.000 |
| 17.878 | 9.144 | 17.881 | -0.000 | -15381.620 | -0.000 |
| 17.878 | 17.881 | 9.144 | -0.000 | -0.000 | -15381.620 |
| -5.640 | -5.045 | -5.045 | 0.000 | 0.000 | 0.000 |
| -5.045 | -5.640 | -5.045 | 0.000 | 0.000 | 0.000 |
| -5.045 | -5.045 | -5.640 | 0.000 | 0.000 | 0.000 |
| -0.802 | -1.581 | -1.584 | -1457.358 | -0.000 | 0.000 |
| -1.581 | -0.802 | -1.584 | -0.000 | -1457.358 | 0.000 |
| -1.581 | -1.584 | -0.802 | 0.000 | 0.000 | -1457.358 |
| -5.108 | -4.513 | -4.513 | -0.000 | -0.000 | -0.000 |
| -4.513 | -5.108 | -4.513 | -0.000 | -0.000 | 0.000 |
| -4.513 | -4.513 | -5.108 | -0.000 | -0.000 | -0.000 |
| 0.802 | 1.581 | 1.584 | -1457.358 | -0.000 | 0.000 |
| 1.581 | 0.802 | 1.584 | -0.000 | -1457.358 | 0.000 |
| 1.581 | 1.584 | 0.802 | -0.000 | -0.000 | -1457.358 |
| 234.959 | 275.337 | 275.337 | 0.000 | 0.000 | 0.000 |
| 275.337 | 234.959 | 275.337 | 0.000 | 0.000 | -0.000 |
| 275.337 | 275.337 | 234.959 | 0.000 | 0.000 | 0.000 |
| -0.000 | 0.000 | 0.000 | 48.918 | 0.000 | 0.000 |
| 0.000 | -0.000 | 0.000 | 0.000 | 48.918 | 0.000 |
| 0.000 | 0.000 | -0.000 | 0.000 | 0.000 | 48.918 |
| 234.959 | 275.337 | 275.337 | -0.000 | -0.000 | -0.000 |
| 275.337 | 234.959 | 275.337 | -0.000 | -0.000 | 0.000 |
| 275.337 | 275.337 | 234.959 | -0.000 | 0.000 | -0.000 |
| 0.000 | -0.000 | -0.000 | 48.918 | -0.000 | 0.000 |
| -0.000 | 0.000 | -0.000 | 0.000 | 48.918 | -0.000 |
| -0.000 | -0.000 | 0.000 | -0.000 | 0.000 | 48.918 |
| 234.962 | 275.338 | 275.338 | 0.000 | 0.000 | -0.000 |
| 275.338 | 234.962 | 275.338 | 0.000 | 0.000 | -0.000 |
| 275.338 | 275.338 | 234.962 | 0.000 | -0.000 | 0.000 |
| -0.000 | 0.000 | 0.000 | 48.918 | 0.000 | -0.000 |
| 0.000 | -0.000 | 0.000 | -0.000 | 48.918 | 0.000 |
| 0.000 | 0.000 | -0.000 | 0.000 | 0.000 | 48.918 |
| 234.957 | 275.336 | 275.336 | -0.000 | -0.000 | 0.000 |
| 275.336 | 234.957 | 275.336 | -0.000 | -0.000 | -0.000 |
| 275.336 | 275.336 | 234.957 | -0.000 | 0.000 | -0.000 |
| 0.000 | -0.000 | -0.000 | 48.918 | -0.000 | 0.000 |
| -0.000 | 0.000 | -0.000 | -0.000 | 48.918 | 0.000 |
| -0.000 | -0.000 | 0.000 | 0.000 | -0.000 | 48.918 |
| 234.983 | 275.347 | 275.347 | 0.000 | 0.000 | -0.000 |
| 275.347 | 234.983 | 275.347 | 0.000 | 0.000 | -0.000 |
| 275.347 | 275.347 | 234.983 | 0.000 | -0.000 | 0.000 |
| -0.000 | 0.001 | 0.001 | 48.918 | 0.000 | -0.000 |
| 0.001 | -0.000 | 0.001 | 0.000 | 48.918 | 0.000 |
| 0.001 | 0.001 | -0.000 | 0.000 | 0.000 | 48.918 |
| 234.935 | 275.327 | 275.327 | -0.000 | -0.000 | -0.000 |
| 275.327 | 234.935 | 275.327 | -0.000 | -0.000 | -0.000 |
| 275.327 | 275.327 | 234.935 | -0.000 | -0.000 | 0.000 |
| 0.000 | -0.001 | -0.001 | 48.918 | 0.000 | 0.000 |
| -0.001 | 0.000 | -0.001 | 0.000 | 48.918 | -0.000 |
| -0.001 | -0.001 | 0.000 | -0.000 | -0.000 | 48.918 |
| 318.770 | 196.948 | 196.948 | 0.000 | 0.000 | -0.000 |
| 196.948 | 318.770 | 196.948 | 0.000 | 0.000 | 0.000 |
| 196.948 | 196.948 | 318.770 | 0.000 | -0.000 | -0.000 |
| -0.000 | -0.000 | -0.000 | 131.232 | -0.000 | -0.000 |
| -0.000 | -0.000 | -0.000 | 0.000 | 131.232 | -0.000 |
| -0.000 | -0.000 | -0.000 | -0.000 | -0.000 | 131.232 |
| 308.507 | 202.079 | 202.079 | -0.000 | 0.000 | 0.000 |
| 202.079 | 308.507 | 202.079 | 0.000 | 0.000 | 0.000 |
| 202.079 | 202.079 | 308.507 | -0.000 | -0.000 | 0.000 |
| 0.000 | 0.000 | 0.000 | 131.232 | 0.000 | 0.000 |
| 0.000 | 0.000 | 0.000 | 0.000 | 131.232 | -0.000 |
| 0.000 | 0.000 | 0.000 | 0.000 | 0.000 | 131.232 |
| 308.507 | 202.079 | 202.079 | -0.000 | -0.000 | -0.000 |
| 202.079 | 308.507 | 202.079 | -0.000 | -0.000 | -0.000 |
| 202.079 | 202.079 | 308.507 | 0.000 | 0.000 | -0.000 |
| -0.000 | -0.000 | -0.000 | 131.232 | -0.000 | -0.000 |
| -0.000 | -0.000 | -0.000 | 0.000 | 131.232 | 0.000 |
| -0.000 | -0.000 | -0.000 | -0.000 | -0.000 | 131.232 |
| 308.508 | 202.079 | 202.079 | 0.000 | 0.000 | 0.000 |
| 202.079 | 308.508 | 202.079 | 0.000 | 0.000 | 0.000 |
| 202.079 | 202.079 | 308.508 | 0.000 | 0.000 | 0.000 |
| 0.000 | 0.000 | 0.000 | 131.232 | 0.000 | 0.000 |
| 0.000 | 0.000 | 0.000 | -0.000 | 131.232 | 0.000 |
| 0.000 | 0.000 | 0.000 | 0.000 | 0.000 | 131.232 |
| 308.506 | 202.079 | 202.079 | -0.000 | -0.000 | -0.000 |
| 202.079 | 308.506 | 202.079 | -0.000 | -0.000 | -0.000 |
| 202.079 | 202.079 | 308.506 | -0.000 | -0.000 | -0.000 |
| -0.001 | -0.001 | -0.001 | 131.232 | -0.000 | -0.000 |
| -0.001 | -0.001 | -0.001 | -0.000 | 131.232 | -0.000 |
| -0.001 | -0.001 | -0.001 | -0.000 | -0.000 | 131.232 |
| 308.509 | 202.078 | 202.078 | 0.000 | 0.000 | -0.000 |
| 202.078 | 308.509 | 202.078 | 0.000 | 0.000 | 0.000 |
| 202.078 | 202.078 | 308.509 | 0.000 | -0.000 | 0.000 |
| 0.001 | 0.001 | 0.001 | 131.232 | 0.000 | 0.000 |
| 0.001 | 0.001 | 0.001 | -0.000 | 131.232 | -0.000 |
| 0.001 | 0.001 | 0.001 | 0.000 | 0.000 | 131.232 |
| 346.900 | 131.240 | 131.240 | 0.000 | -0.000 | 0.000 |
| 131.240 | 346.900 | 131.240 | 0.000 | -0.000 | 0.000 |
| 131.240 | 131.240 | 346.900 | 0.000 | -0.000 | 0.000 |
| 0.000 | 0.000 | 0.000 | 134.520 | -0.000 | 0.000 |
| 0.000 | 0.000 | 0.000 | 0.000 | 134.520 | 0.000 |
| 0.000 | 0.000 | 0.000 | 0.000 | 0.000 | 134.520 |
| 346.900 | 131.240 | 131.240 | -0.000 | 0.000 | -0.000 |
| 131.240 | 346.900 | 131.240 | 0.000 | -0.000 | -0.000 |
| 131.240 | 131.240 | 346.900 | -0.000 | -0.000 | -0.000 |
| -0.000 | -0.000 | -0.000 | 134.520 | -0.000 | -0.000 |
| -0.000 | -0.000 | -0.000 | 0.000 | 134.520 | -0.000 |
| -0.000 | -0.000 | -0.000 | 0.000 | -0.000 | 134.520 |
| 346.900 | 131.240 | 131.240 | 0.000 | -0.000 | 0.000 |
| 131.240 | 346.900 | 131.240 | -0.000 | 0.000 | 0.000 |
| 131.240 | 131.240 | 346.900 | 0.000 | -0.000 | 0.000 |
| 0.000 | 0.000 | 0.000 | 134.520 | -0.000 | 0.000 |
| 0.000 | 0.000 | 0.000 | 0.000 | 134.520 | 0.000 |
| 0.000 | 0.000 | 0.000 | 0.000 | -0.000 | 134.520 |
| 346.900 | 131.240 | 131.240 | -0.000 | 0.000 | -0.000 |
| 131.240 | 346.900 | 131.240 | -0.000 | -0.000 | -0.000 |
| 131.240 | 131.240 | 346.900 | 0.000 | 0.000 | -0.000 |
| -0.000 | -0.000 | -0.000 | 134.520 | -0.000 | -0.000 |
| -0.000 | -0.000 | -0.000 | -0.000 | 134.520 | -0.000 |
| -0.000 | -0.000 | -0.000 | 0.000 | -0.000 | 134.520 |
| 346.902 | 131.241 | 131.241 | -0.000 | -0.000 | 0.000 |
| 131.241 | 346.902 | 131.241 | -0.000 | -0.000 | 0.000 |
| 131.241 | 131.241 | 346.902 | 0.000 | 0.000 | 0.000 |
| 0.000 | 0.001 | 0.001 | 134.520 | -0.000 | 0.000 |
| 0.001 | 0.000 | 0.001 | 0.000 | 134.520 | 0.000 |
| 0.001 | 0.001 | 0.000 | -0.000 | 0.000 | 134.520 |
| 346.895 | 131.239 | 131.239 | -0.000 | 0.000 | -0.000 |
| 131.239 | 346.895 | 131.239 | -0.000 | -0.000 | -0.000 |
| 131.239 | 131.239 | 346.895 | 0.000 | 0.000 | -0.000 |
| -0.000 | -0.001 | -0.001 | 134.520 | 0.000 | -0.000 |
| -0.001 | -0.000 | -0.001 | 0.000 | 134.520 | -0.000 |
| -0.001 | -0.001 | -0.000 | -0.000 | -0.000 | 134.520 |
| 105.655 | 29.153 | 29.153 | -0.000 | -0.000 | 0.000 |
| 29.153 | 105.655 | 29.153 | -0.000 | -0.000 | -0.000 |
| 29.153 | 29.153 | 105.655 | -0.000 | -0.000 | 0.000 |
| 0.000 | 0.000 | 0.000 | 13.660 | -0.000 | -0.000 |
| 0.000 | 0.000 | 0.000 | -0.000 | 13.660 | -0.000 |
| 0.000 | 0.000 | 0.000 | -0.000 | -0.000 | 13.660 |
| 105.655 | 29.153 | 29.153 | 0.000 | 0.000 | 0.000 |
| 29.153 | 105.655 | 29.153 | 0.000 | 0.000 | 0.000 |
| 29.153 | 29.153 | 105.655 | 0.000 | 0.000 | -0.000 |
| -0.000 | 0.000 | -0.000 | 13.660 | 0.000 | 0.000 |
| -0.000 | -0.000 | -0.000 | 0.000 | 13.660 | 0.000 |
| -0.000 | -0.000 | -0.000 | 0.000 | 0.000 | 13.660 |
| 105.655 | 29.152 | 29.152 | -0.000 | -0.000 | -0.000 |
| 29.152 | 105.655 | 29.152 | -0.000 | -0.000 | -0.000 |
| 29.152 | 29.152 | 105.655 | -0.000 | -0.000 | -0.000 |
| -0.000 | -0.000 | -0.000 | 13.660 | -0.000 | -0.000 |
| -0.000 | -0.000 | -0.000 | -0.000 | 13.660 | 0.000 |
| -0.000 | -0.000 | -0.000 | -0.000 | 0.000 | 13.660 |
| 105.655 | 29.153 | 29.153 | 0.000 | 0.000 | 0.000 |
| 29.153 | 105.655 | 29.153 | 0.000 | 0.000 | 0.000 |
| 29.153 | 29.153 | 105.655 | 0.000 | 0.000 | 0.000 |
| 0.000 | 0.000 | 0.000 | 13.660 | 0.000 | -0.000 |
| 0.000 | 0.000 | 0.000 | 0.000 | 13.660 | -0.000 |
| 0.000 | 0.000 | 0.000 | 0.000 | 0.000 | 13.660 |
| 105.654 | 29.152 | 29.152 | -0.000 | -0.000 | -0.000 |
| 29.152 | 105.654 | 29.152 | -0.000 | -0.000 | -0.000 |
| 29.152 | 29.152 | 105.654 | -0.000 | -0.000 | -0.000 |
| -0.000 | -0.001 | -0.001 | 13.660 | -0.000 | -0.000 |
| -0.001 | -0.000 | -0.001 | -0.000 | 13.660 | -0.000 |
| -0.001 | -0.001 | -0.000 | -0.000 | -0.000 | 13.660 |
| 105.657 | 29.153 | 29.153 | 0.000 | 0.000 | 0.000 |
| 29.153 | 105.657 | 29.153 | -0.000 | 0.000 | 0.000 |
| 29.153 | 29.153 | 105.657 | 0.000 | 0.000 | 0.000 |
| 0.000 | 0.001 | 0.001 | 13.660 | 0.000 | 0.000 |
| 0.001 | 0.000 | 0.001 | 0.000 | 13.660 | 0.000 |
| 0.001 | 0.001 | 0.000 | 0.000 | 0.000 | 13.660 |
| 72.568 | 128.170 | 128.170 | 0.000 | -0.000 | -0.000 |
| 128.170 | 72.568 | 128.170 | -0.000 | 0.000 | -0.000 |
| 128.170 | 128.170 | 72.568 | 0.000 | -0.000 | -0.000 |
| 0.000 | 0.000 | 0.000 | 66.292 | -0.000 | -0.000 |
| 0.000 | 0.000 | 0.000 | -0.000 | 66.292 | 0.000 |
| 0.000 | 0.000 | -0.000 | -0.000 | -0.000 | 66.292 |
| 72.568 | 128.170 | 128.170 | 0.000 | 0.000 | 0.000 |
| 128.170 | 72.568 | 128.170 | 0.000 | 0.000 | -0.000 |
| 128.170 | 128.170 | 72.568 | -0.000 | 0.000 | 0.000 |
| -0.000 | -0.000 | -0.000 | 66.292 | 0.000 | 0.000 |
| -0.000 | -0.000 | -0.000 | -0.000 | 66.292 | 0.000 |
| -0.000 | -0.000 | 0.000 | -0.000 | -0.000 | 66.292 |
| 72.569 | 128.171 | 128.171 | 0.000 | -0.000 | -0.000 |
| 128.171 | 72.569 | 128.171 | -0.000 | -0.000 | -0.000 |
| 128.171 | 128.171 | 72.569 | -0.000 | -0.000 | -0.000 |
| -0.000 | -0.000 | 0.000 | 66.292 | -0.000 | -0.000 |
| -0.000 | -0.000 | 0.000 | 0.000 | 66.292 | -0.000 |
| -0.000 | 0.000 | -0.000 | 0.000 | -0.000 | 66.292 |
| 72.568 | 128.170 | 128.170 | -0.000 | 0.000 | 0.000 |
| 128.170 | 72.568 | 128.170 | 0.000 | 0.000 | 0.000 |
| 128.170 | 128.170 | 72.568 | 0.000 | 0.000 | 0.000 |
| 0.000 | 0.000 | -0.000 | 66.292 | 0.000 | 0.000 |
| 0.000 | 0.000 | -0.000 | -0.000 | 66.292 | 0.000 |
| 0.000 | -0.000 | 0.000 | -0.000 | 0.000 | 66.292 |
| 164.382 | 82.264 | 82.264 | -0.000 | -0.000 | 0.000 |
| 82.264 | 164.382 | 82.264 | -0.000 | -0.000 | -0.000 |
| 82.264 | 82.264 | 164.382 | -0.000 | 0.000 | 0.000 |
| -0.000 | -0.000 | -0.000 | 82.264 | -0.000 | -0.000 |
| -0.000 | -0.000 | -0.000 | -0.000 | 82.264 | -0.000 |
| -0.000 | -0.000 | -0.000 | -0.000 | -0.000 | 82.264 |
| 164.379 | 82.264 | 82.264 | 0.000 | 0.000 | 0.000 |
| 82.264 | 164.379 | 82.264 | 0.000 | 0.000 | 0.000 |
| 82.264 | 82.264 | 164.379 | -0.000 | 0.000 | -0.000 |
| 0.000 | 0.000 | 0.000 | 82.264 | 0.000 | -0.000 |
| 0.000 | 0.000 | 0.000 | 0.000 | 82.264 | 0.000 |
| 0.000 | 0.000 | 0.000 | 0.000 | 0.000 | 82.264 |
| -10914230.819 | 9799470.114 | 9799511.802 | 0.013 | 0.013 | 0.004 |
| 9799511.805 | -10914230.822 | 9799470.118 | 0.005 | 0.013 | 0.013 |
| 9799470.114 | 9799511.802 | -10914230.819 | 0.013 | 0.004 | 0.013 |
| 0.000 | -0.000 | -0.000 | -13.252 | -0.000 | -0.000 |
| -0.000 | -0.000 | -0.000 | -0.000 | -5.447 | -0.000 |
| -154168.312 | -154168.405 | 16332.804 | 0.005 | 0.007 | -4217365.734 |
| -30.448 | -5.447 | -5.447 | 0.000 | -0.000 | 0.000 |
| -5.447 | -30.448 | -5.447 | 0.000 | 0.000 | -0.000 |
| -5.447 | -5.447 | -30.448 | -0.000 | 0.000 | 0.000 |
| -0.000 | 0.000 | 0.000 | -13.252 | 0.000 | 0.000 |
| 154168.180 | -16332.392 | 154167.869 | -0.007 | -4217363.882 | -0.006 |
| 154168.128 | 154168.897 | -16333.479 | -0.005 | -0.006 | -4217363.085 |
| -1233337.146 | 1161566.939 | 1161567.453 | 0.000 | 0.000 | 0.000 |
| 1161567.453 | -1233337.146 | 1161566.939 | 0.000 | 0.000 | 0.000 |
| 1161566.939 | 1161567.453 | -1233337.146 | 0.000 | 0.000 | 0.000 |
| 776.675 | -7330.536 | -7330.554 | -290744.053 | 0.000 | 0.000 |
| -7330.536 | 776.669 | -7330.548 | 0.000 | -290744.065 | 0.000 |
| -7330.536 | -7330.554 | 776.675 | 0.000 | 0.000 | -290744.054 |
| -1121654.997 | 15887.883 | 15888.417 | -0.000 | -0.000 | -0.000 |
| 15888.417 | -1121654.997 | 15887.883 | -0.000 | -0.000 | -0.000 |
| 15887.883 | 15888.417 | -1121654.997 | -0.000 | -0.000 | -0.000 |
| -776.675 | 7330.536 | 7330.553 | -290744.055 | -0.000 | -0.000 |
| 7330.534 | -776.670 | 7330.547 | -0.000 | -290744.026 | -0.000 |
| 7330.536 | 7330.553 | -776.675 | -0.000 | -0.000 | -290744.055 |
| -107869.846 | 96375.058 | 96375.062 | 0.000 | 0.000 | 0.000 |
| 96375.062 | -107869.846 | 96375.058 | 0.000 | 0.000 | 0.000 |
| 96375.058 | 96375.062 | -107869.846 | 0.000 | 0.000 | 0.000 |
| 162.659 | -1530.147 | -1530.168 | -42010.182 | 0.000 | 0.000 |
| -1530.147 | 162.659 | -1530.168 | 0.000 | -42010.182 | 0.000 |
| -1530.147 | -1530.168 | 162.659 | 0.000 | 0.000 | -42010.182 |
| -99232.684 | 7134.978 | 7134.982 | -0.000 | -0.000 | -0.000 |
| 7134.982 | -99232.684 | 7134.978 | -0.000 | -0.000 | -0.000 |
| 7134.978 | 7134.982 | -99232.684 | -0.000 | -0.000 | -0.000 |
| -162.659 | 1530.147 | 1530.168 | -42010.182 | -0.000 | -0.000 |
| 1530.147 | -162.659 | 1530.168 | -0.000 | -42010.182 | -0.000 |
| 1530.147 | 1530.168 | -162.659 | -0.000 | -0.000 | -42010.182 |
| -28.163 | -4.451 | -4.451 | -0.000 | -0.000 | -0.000 |
| -4.451 | -28.163 | -4.451 | -0.000 | -0.000 | -0.000 |
| -4.451 | -4.451 | -28.163 | 0.000 | -0.000 | -0.000 |
| 0.000 | 0.000 | 0.000 | -4.502 | 0.000 | -0.000 |
| 0.000 | 0.000 | 0.000 | -0.000 | -4.502 | -0.000 |
| 0.000 | 0.000 | 0.000 | -0.000 | -0.000 | -4.502 |
| -8931592.409 | -1320811.442 | -1320809.312 | 0.005 | 0.002 | 0.005 |
| -1320809.312 | -8931592.409 | -1320811.442 | 0.005 | 0.005 | 0.002 |
| -1320811.442 | -1320809.312 | -8931592.409 | 0.002 | 0.005 | 0.005 |
| -0.000 | -0.000 | -0.000 | -4.502 | 0.000 | 0.000 |
| -0.000 | -0.000 | -0.000 | -0.000 | -4.502 | 0.000 |
| -0.000 | -0.000 | -0.000 | 0.000 | 0.000 | -4.502 |
| -1176979.836 | 1330513.670 | 1330513.745 | -0.000 | -0.000 | -0.000 |
| 1330513.745 | -1176979.836 | 1330513.670 | -0.000 | -0.000 | -0.000 |
| 1330513.670 | 1330513.745 | -1176979.836 | -0.000 | -0.000 | -0.000 |
| 34620.530 | -240416.503 | -240416.410 | -1125667.965 | 0.000 | -0.000 |
| -240416.363 | 34620.546 | -240416.300 | -0.000 | -1125667.757 | -0.000 |
| -240416.503 | -240416.409 | 34620.530 | 0.000 | -0.000 | -1125667.965 |
| -1003418.912 | -240348.479 | -240348.432 | 0.000 | -0.000 | 0.000 |
| -240348.432 | -1003418.912 | -240348.479 | 0.000 | 0.000 | -0.000 |
| -240348.479 | -240348.432 | -1003418.912 | -0.000 | 0.000 | 0.000 |
| -34620.530 | 240416.468 | 240416.376 | -1125667.910 | -0.000 | 0.000 |
| 240416.455 | -34620.545 | 240416.387 | 0.000 | -1125667.900 | 0.000 |
| 240416.468 | 240416.376 | -34620.530 | -0.000 | 0.000 | -1125667.910 |
| -117932.061 | 133399.280 | 133399.280 | -0.000 | 0.000 | 0.000 |
| 133399.280 | -117932.061 | 133399.280 | 0.000 | -0.000 | 0.000 |
| 133399.280 | 133399.280 | -117932.061 | 0.000 | 0.000 | -0.000 |
| 3646.583 | -23661.366 | -23661.260 | -111852.221 | 0.000 | -0.000 |
| -23661.365 | 3646.583 | -23661.260 | -0.000 | -111852.221 | -0.000 |
| -23661.366 | -23661.260 | 3646.583 | 0.000 | -0.000 | -111852.221 |
| -100519.809 | -24207.426 | -24207.426 | 0.000 | 0.000 | -0.000 |
| -24207.426 | -100519.809 | -24207.426 | -0.000 | 0.000 | 0.000 |
| -24207.426 | -24207.426 | -100519.809 | 0.000 | -0.000 | 0.000 |
| -3646.583 | 23661.366 | 23661.261 | -111852.222 | -0.000 | 0.000 |
| 23661.365 | -3646.584 | 23661.260 | 0.000 | -111852.220 | 0.000 |
| 23661.366 | 23661.261 | -3646.583 | -0.000 | 0.000 | -111852.222 |
| -11.553 | 0.835 | 0.835 | -0.000 | 0.000 | -0.000 |
| 0.835 | -11.553 | 0.835 | -0.000 | 0.000 | -0.000 |
| 0.835 | 0.835 | -11.553 | 0.000 | -0.000 | -0.000 |
| -0.000 | -0.000 | 0.000 | -0.835 | 0.000 | -0.000 |
| 0.000 | -0.000 | 0.000 | -0.000 | -0.835 | -0.000 |
| -0.000 | -0.000 | 0.000 | -0.000 | 0.000 | -0.835 |
| -11.553 | 0.835 | 0.835 | 0.000 | -0.000 | 0.000 |
| 0.835 | -11.553 | 0.835 | 0.000 | -0.000 | 0.000 |
| 0.835 | 0.835 | -11.553 | -0.000 | 0.000 | 0.000 |
| 0.000 | -0.000 | -0.000 | -0.835 | -0.000 | 0.000 |
| -0.000 | 0.000 | -0.000 | 0.000 | -0.835 | 0.000 |
| -0.000 | 0.000 | -0.000 | 0.000 | -0.000 | -0.835 |
| -11.553 | 0.835 | 0.835 | -0.000 | 0.000 | -0.000 |
| 0.835 | -11.553 | 0.835 | -0.000 | 0.000 | -0.000 |
| 0.835 | 0.835 | -11.553 | 0.000 | -0.000 | -0.000 |
| -0.000 | 0.000 | 0.000 | -0.835 | 0.000 | -0.000 |
| 0.000 | -0.000 | 0.000 | 0.000 | -0.835 | -0.000 |
| 0.000 | 0.000 | 0.000 | -0.000 | 0.000 | -0.835 |
| -11.553 | 0.835 | 0.835 | 0.000 | -0.000 | 0.000 |
| 0.835 | -11.553 | 0.835 | 0.000 | -0.000 | 0.000 |
| 0.835 | 0.835 | -11.553 | -0.000 | 0.000 | 0.000 |
| 0.000 | -0.000 | -0.000 | -0.835 | -0.000 | 0.000 |
| -0.000 | 0.000 | -0.000 | -0.000 | -0.835 | 0.000 |
| -0.000 | -0.000 | -0.000 | 0.000 | -0.000 | -0.835 |
| -11.553 | 0.835 | 0.835 | -0.000 | 0.000 | -0.000 |
| 0.835 | -11.553 | 0.835 | -0.000 | 0.000 | -0.000 |
| 0.835 | 0.835 | -11.553 | 0.000 | -0.000 | -0.000 |
| -0.000 | 0.000 | 0.000 | -0.835 | -0.000 | -0.000 |
| 0.000 | -0.000 | 0.000 | -0.000 | -0.835 | -0.000 |
| 0.000 | 0.000 | 0.000 | -0.000 | 0.000 | -0.835 |
| -11.553 | 0.835 | 0.835 | 0.000 | -0.000 | 0.000 |
| 0.835 | -11.553 | 0.835 | 0.000 | -0.000 | 0.000 |
| 0.835 | 0.835 | -11.553 | 0.000 | -0.000 | 0.000 |
| 0.000 | -0.000 | -0.000 | -0.835 | 0.000 | 0.000 |
| -0.000 | 0.000 | -0.000 | 0.000 | -0.835 | 0.000 |
| -0.000 | -0.000 | -0.000 | 0.000 | -0.000 | -0.835 |
| 24.687 | 0.000 | 0.000 | -0.000 | 0.000 | -0.000 |
| 0.000 | 24.687 | 0.000 | -0.000 | 0.000 | 0.000 |
| 0.000 | 0.000 | 24.687 | 0.000 | -0.000 | 0.000 |
| 0.000 | -0.000 | -0.000 | 0.000 | 0.000 | -0.000 |
| -0.000 | 0.000 | -0.000 | -0.000 | 0.000 | 0.000 |
| -0.000 | -0.000 | 0.000 | -0.000 | 0.000 | 0.000 |
| 24.687 | -0.000 | -0.000 | 0.000 | -0.000 | 0.000 |
| -0.000 | 24.687 | -0.000 | 0.000 | -0.000 | 0.000 |
| -0.000 | -0.000 | 24.687 | 0.000 | -0.000 | -0.000 |
| -0.000 | 0.000 | 0.000 | 0.000 | -0.000 | -0.000 |
| 0.000 | -0.000 | 0.000 | 0.000 | 0.000 | -0.000 |
| 0.000 | 0.000 | -0.000 | 0.000 | -0.000 | 0.000 |
| 24.687 | 0.000 | 0.000 | -0.000 | 0.000 | -0.000 |
| 0.000 | 24.687 | 0.000 | -0.000 | 0.000 | 0.000 |
| 0.000 | 0.000 | 24.687 | -0.000 | 0.000 | 0.000 |
| 0.000 | -0.000 | -0.000 | 0.000 | 0.000 | -0.000 |
| -0.000 | 0.000 | -0.000 | -0.000 | 0.000 | 0.000 |
| -0.000 | -0.000 | 0.000 | -0.000 | 0.000 | 0.000 |
| 24.687 | -0.000 | -0.000 | 0.000 | -0.000 | -0.000 |
| -0.000 | 24.687 | -0.000 | 0.000 | -0.000 | 0.000 |
| -0.000 | -0.000 | 24.687 | 0.000 | 0.000 | -0.000 |
| -0.000 | 0.000 | 0.000 | 0.000 | -0.000 | -0.000 |
| 0.000 | -0.000 | 0.000 | 0.000 | 0.000 | -0.000 |
| 0.000 | 0.000 | -0.000 | 0.000 | -0.000 | 0.000 |
| 24.688 | 0.000 | 0.000 | -0.000 | 0.000 | -0.000 |
| 0.000 | 24.688 | 0.000 | -0.000 | 0.000 | -0.000 |
| 0.000 | 0.000 | 24.688 | -0.000 | -0.000 | 0.000 |
| 0.000 | -0.000 | -0.000 | 0.000 | 0.000 | 0.000 |
| -0.000 | 0.000 | -0.000 | -0.000 | 0.000 | -0.000 |
| -0.000 | -0.000 | 0.000 | -0.000 | -0.000 | 0.000 |
| 24.686 | -0.000 | -0.000 | 0.000 | -0.000 | 0.000 |
| -0.000 | 24.686 | -0.000 | 0.000 | -0.000 | 0.000 |
| -0.000 | -0.000 | 24.686 | -0.000 | -0.000 | -0.000 |
| -0.000 | 0.000 | 0.000 | 0.000 | -0.000 | 0.000 |
| 0.000 | -0.000 | 0.000 | 0.000 | 0.000 | 0.000 |
| 0.000 | 0.000 | -0.000 | 0.000 | -0.000 | 0.000 |
| -84.246 | 110.859 | 110.859 | -0.000 | -0.000 | -0.000 |
| 110.859 | -84.246 | 110.859 | -0.000 | -0.000 | -0.000 |
| 110.859 | 110.859 | -84.246 | -0.000 | -0.000 | -0.000 |
| 0.000 | 0.000 | 0.000 | -61.535 | -0.000 | -0.000 |
| 0.000 | 0.000 | 0.000 | -0.000 | -61.535 | -0.000 |
| 0.000 | 0.000 | 0.000 | -0.000 | 0.000 | -61.535 |
| -84.246 | 110.859 | 110.859 | 0.000 | 0.000 | 0.000 |
| 110.859 | -84.246 | 110.859 | 0.000 | 0.000 | 0.000 |
| 110.859 | 110.859 | -84.246 | 0.000 | 0.000 | 0.000 |
| -0.000 | -0.000 | -0.000 | -61.535 | 0.000 | 0.000 |
| -0.000 | -0.000 | -0.000 | 0.000 | -61.535 | 0.000 |
| -0.000 | -0.000 | -0.000 | 0.000 | 0.000 | -61.535 |
| -84.245 | 110.859 | 110.859 | -0.000 | -0.000 | -0.000 |
| 110.859 | -84.245 | 110.859 | -0.000 | -0.000 | 0.000 |
| 110.859 | 110.859 | -84.245 | 0.000 | -0.000 | -0.000 |
| 0.000 | 0.000 | 0.000 | -61.535 | -0.000 | -0.000 |
| 0.000 | 0.000 | 0.000 | -0.000 | -61.535 | -0.000 |
| 0.000 | 0.000 | 0.000 | 0.000 | -0.000 | -61.535 |
| -84.247 | 110.859 | 110.859 | 0.000 | 0.000 | 0.000 |
| 110.859 | -84.247 | 110.859 | 0.000 | -0.000 | 0.000 |
| 110.859 | 110.859 | -84.247 | 0.000 | 0.000 | 0.000 |
| -0.000 | -0.000 | -0.000 | -61.535 | 0.000 | 0.000 |
| -0.000 | -0.000 | -0.000 | 0.000 | -61.535 | 0.000 |
| -0.000 | -0.000 | -0.000 | 0.000 | 0.000 | -61.535 |
| -84.237 | 110.861 | 110.861 | -0.000 | -0.000 | -0.000 |
| 110.861 | -84.237 | 110.861 | -0.000 | -0.000 | -0.000 |
| 110.861 | 110.861 | -84.237 | -0.000 | -0.000 | -0.000 |
| 0.001 | 0.001 | 0.001 | -61.535 | -0.000 | -0.000 |
| 0.001 | 0.001 | 0.001 | -0.000 | -61.535 | -0.000 |
| 0.001 | 0.001 | 0.001 | -0.000 | -0.000 | -61.535 |
| -84.255 | 110.858 | 110.858 | 0.000 | 0.000 | 0.000 |
| 110.858 | -84.255 | 110.858 | 0.000 | 0.000 | 0.000 |
| 110.858 | 110.858 | -84.255 | 0.000 | 0.000 | 0.000 |
| -0.001 | -0.001 | -0.001 | -61.535 | 0.000 | 0.000 |
| -0.001 | -0.001 | -0.001 | 0.000 | -61.535 | 0.000 |
| -0.001 | -0.001 | -0.001 | 0.000 | 0.000 | -61.535 |
| 490.564 | 184.289 | 184.289 | 0.000 | 0.000 | -0.000 |
| 184.289 | 490.564 | 184.289 | 0.000 | 0.000 | -0.000 |
| 184.289 | 184.289 | 490.564 | -0.000 | 0.000 | 0.000 |
| -0.000 | -0.000 | -0.000 | 172.990 | 0.000 | -0.000 |
| -0.000 | -0.000 | -0.000 | 0.000 | 172.990 | 0.000 |
| -0.000 | -0.000 | -0.000 | 0.000 | 0.000 | 172.990 |
| 490.564 | 184.289 | 184.289 | -0.000 | -0.000 | -0.000 |
| 184.289 | 490.564 | 184.289 | -0.000 | -0.000 | -0.000 |
| 184.289 | 184.289 | 490.564 | -0.000 | -0.000 | -0.000 |
| 0.000 | 0.000 | 0.000 | 172.990 | 0.000 | 0.000 |
| 0.000 | 0.000 | 0.000 | 0.000 | 172.990 | 0.000 |
| 0.000 | 0.000 | 0.000 | 0.000 | -0.000 | 172.990 |
| 490.562 | 184.289 | 184.289 | 0.000 | 0.000 | 0.000 |
| 184.289 | 490.562 | 184.289 | -0.000 | 0.000 | -0.000 |
| 184.289 | 184.289 | 490.562 | -0.000 | -0.000 | -0.000 |
| 0.002 | -0.004 | -0.004 | -841.576 | 0.000 | 0.000 |
| -0.004 | 0.002 | -0.004 | 0.000 | -841.576 | 0.000 |
| -0.004 | -0.004 | 0.002 | 0.000 | 0.000 | -841.576 |
| 490.565 | 184.289 | 184.289 | 0.000 | -0.000 | 0.000 |
| 184.289 | 490.565 | 184.289 | -0.000 | -0.000 | -0.000 |
| 184.289 | 184.289 | 490.565 | -0.000 | -0.000 | 0.000 |
| -0.002 | 0.004 | 0.004 | -841.576 | 0.000 | 0.000 |
| 0.004 | -0.002 | 0.004 | -0.000 | -841.576 | 0.000 |
| 0.004 | 0.004 | -0.002 | 0.000 | -0.000 | -841.576 |
| 490.549 | 184.286 | 184.286 | 0.000 | 0.000 | 0.000 |
| 184.286 | 490.549 | 184.286 | 0.000 | 0.000 | 0.000 |
| 184.286 | 184.286 | 490.549 | 0.000 | 0.000 | -0.000 |
| 6353101.936 | 6384035.913 | 6169609.818 | 68871.485 | -135700.254 | -7513.707 |
| -2.431 | 1.438 | -2.448 | -0.000 | -8212.625 | -0.000 |
| 6304708.312 | 5967564.327 | 6272933.106 | 623.008 | 42587.013 | -9293.337 |
| 490.578 | 184.292 | 184.292 | -0.000 | -0.000 | -0.000 |
| 184.292 | 490.578 | 184.292 | -0.000 | -0.000 | 0.000 |
| 184.292 | 184.292 | 490.578 | -0.000 | -0.000 | -0.000 |
| -6069433.078 | -6138826.193 | -5871872.773 | 31429.728 | -16185.167 | -23054.525 |
| -6421873.151 | -6322969.523 | -6060833.945 | -38678.353 | 29579.651 | -16770.496 |
| -6423592.450 | -5871703.001 | -6027047.945 | 39584.384 | -47794.639 | 20892.961 |
| 179.120 | -18.407 | -18.407 | -0.000 | -0.000 | -0.000 |
| -18.407 | 179.120 | -18.407 | -0.000 | -0.000 | 0.000 |
| -18.407 | -18.407 | 179.120 | -0.000 | -0.000 | 0.000 |
| 0.000 | -0.000 | -0.000 | -34.921 | -0.000 | -0.000 |
| -0.000 | 0.000 | -0.000 | -0.000 | -34.921 | -0.000 |
| -0.000 | -0.000 | 0.000 | -0.000 | -0.000 | -34.921 |
| 179.120 | -18.407 | -18.407 | -0.000 | 0.000 | 0.000 |
| -18.407 | 179.120 | -18.407 | -0.000 | 0.000 | 0.000 |
| -18.407 | -18.407 | 179.120 | 0.000 | 0.000 | 0.000 |
| -0.000 | 0.000 | 0.000 | -34.921 | 0.000 | 0.000 |
| 0.000 | -0.000 | 0.000 | -0.000 | -34.921 | 0.000 |
| 0.000 | 0.000 | -0.000 | 0.000 | 0.000 | -34.921 |
| 179.120 | -18.407 | -18.407 | 0.000 | -0.000 | -0.000 |
| -18.407 | 179.120 | -18.407 | -0.000 | 0.000 | 0.000 |
| -18.407 | -18.407 | 179.120 | -0.000 | -0.000 | -0.000 |
| 0.000 | -0.000 | -0.000 | -34.921 | -0.000 | -0.000 |
| -0.000 | 0.000 | -0.000 | -0.000 | -34.921 | 0.000 |
| -0.000 | -0.000 | 0.000 | -0.000 | -0.000 | -34.921 |
| 179.120 | -18.407 | -18.407 | 0.000 | 0.000 | 0.000 |
| -18.407 | 179.120 | -18.407 | -0.000 | 0.000 | 0.000 |
| -18.407 | -18.407 | 179.120 | -0.000 | 0.000 | -0.000 |
| -0.000 | 0.000 | 0.000 | -34.921 | 0.000 | 0.000 |
| 0.000 | -0.000 | 0.000 | 0.000 | -34.921 | -0.000 |
| 0.000 | 0.000 | -0.000 | 0.000 | 0.000 | -34.921 |
| 179.120 | -18.408 | -18.408 | -0.000 | -0.000 | 0.000 |
| -18.408 | 179.120 | -18.408 | -0.000 | -0.000 | -0.000 |
| -18.408 | -18.408 | 179.120 | -0.000 | -0.000 | -0.000 |
| 0.001 | -0.001 | -0.001 | -34.921 | -0.000 | -0.000 |
| -0.001 | 0.001 | -0.001 | -0.000 | -34.921 | -0.000 |
| -0.001 | -0.001 | 0.001 | -0.000 | -0.000 | -34.921 |
| 179.120 | -18.406 | -18.406 | 0.000 | 0.000 | -0.000 |
| -18.406 | 179.120 | -18.406 | 0.000 | 0.000 | 0.000 |
| -18.406 | -18.406 | 179.120 | 0.000 | 0.000 | -0.000 |
| -0.001 | 0.001 | 0.001 | -34.921 | 0.000 | 0.000 |
| 0.001 | -0.001 | 0.001 | 0.000 | -34.921 | 0.000 |
| 0.001 | 0.001 | -0.001 | 0.000 | 0.000 | -34.921 |
| 225.300 | 81.684 | 81.684 | 0.000 | -0.000 | -0.000 |
| 81.684 | 225.300 | 81.684 | -0.000 | 0.000 | -0.000 |
| 81.684 | 81.684 | 225.300 | -0.000 | -0.000 | 0.000 |
| -0.000 | 0.000 | -0.000 | -21.716 | 0.000 | -0.000 |
| 0.000 | -0.000 | -0.000 | 0.000 | -21.716 | -0.000 |
| 0.000 | -0.000 | -0.000 | 0.000 | 0.000 | -21.716 |
| 225.300 | 81.684 | 81.684 | -0.000 | 0.000 | 0.000 |
| 81.684 | 225.300 | 81.684 | 0.000 | -0.000 | 0.000 |
| 81.684 | 81.684 | 225.300 | -0.000 | -0.000 | 0.000 |
| 0.000 | 0.000 | 0.000 | -21.716 | -0.000 | 0.000 |
| -0.000 | 0.000 | 0.000 | -0.000 | -21.716 | 0.000 |
| -0.000 | 0.000 | 0.000 | -0.000 | -0.000 | -21.716 |
| 225.299 | 81.684 | 81.684 | 0.000 | 0.000 | -0.000 |
| 81.684 | 225.299 | 81.684 | -0.000 | 0.000 | -0.000 |
| 81.684 | 81.684 | 225.299 | -0.000 | 0.000 | 0.000 |
| -0.000 | -0.000 | -0.000 | -21.716 | 0.000 | -0.000 |
| -0.000 | -0.000 | -0.000 | 0.000 | -21.716 | -0.000 |
| -0.000 | -0.000 | -0.000 | 0.000 | 0.000 | -21.716 |
| 225.300 | 81.684 | 81.684 | -0.000 | -0.000 | -0.000 |
| 81.684 | 225.300 | 81.684 | -0.000 | -0.000 | 0.000 |
| 81.684 | 81.684 | 225.300 | -0.000 | -0.000 | -0.000 |
| 0.000 | 0.000 | 0.000 | -21.716 | -0.000 | 0.000 |
| 0.000 | 0.000 | 0.000 | -0.000 | -21.716 | 0.000 |
| 0.000 | 0.000 | 0.000 | -0.000 | -0.000 | -21.716 |
| 225.293 | 81.684 | 81.684 | 0.000 | 0.000 | -0.000 |
| 81.684 | 225.293 | 81.684 | 0.000 | 0.000 | -0.000 |
| 81.684 | 81.684 | 225.293 | 0.000 | 0.000 | -0.000 |
| -0.002 | -0.000 | -0.000 | -21.716 | 0.000 | -0.000 |
| -0.000 | -0.002 | -0.000 | 0.000 | -21.716 | -0.000 |
| -0.000 | -0.000 | -0.002 | 0.000 | 0.000 | -21.716 |
| 225.306 | 81.685 | 81.685 | 0.000 | -0.000 | 0.000 |
| 81.685 | 225.306 | 81.685 | -0.000 | 0.000 | 0.000 |
| 81.685 | 81.685 | 225.306 | -0.000 | 0.000 | 0.000 |
| 0.002 | 0.000 | 0.000 | -21.716 | -0.000 | 0.000 |
| 0.000 | 0.002 | 0.000 | -0.000 | -21.716 | 0.000 |
| 0.000 | 0.000 | 0.002 | -0.000 | -0.000 | -21.716 |
| -11.768 | -11.100 | -11.100 | 0.000 | 0.000 | -0.000 |
| -11.100 | -11.768 | -11.100 | 0.000 | 0.000 | 0.000 |
| -11.100 | -11.100 | -11.768 | 0.000 | 0.000 | -0.000 |
| 0.000 | 0.000 | 0.000 | -11.768 | -0.000 | 0.000 |
| 0.000 | 0.000 | 0.000 | -0.000 | -11.768 | -0.000 |
| 0.000 | 0.000 | 0.000 | 0.000 | 0.000 | -11.768 |
| -11.768 | -11.100 | -11.100 | -0.000 | -0.000 | 0.000 |
| -11.100 | -11.768 | -11.100 | -0.000 | -0.000 | 0.000 |
| -11.100 | -11.100 | -11.768 | -0.000 | -0.000 | 0.000 |
| -0.000 | -0.000 | -0.000 | -11.768 | -0.000 | 0.000 |
| -0.000 | -0.000 | -0.000 | -0.000 | -11.768 | 0.000 |
| -0.000 | -0.000 | -0.000 | 0.000 | -0.000 | -11.768 |
| -11.768 | -11.100 | -11.100 | 0.000 | 0.000 | -0.000 |
| -11.100 | -11.768 | -11.100 | 0.000 | 0.000 | 0.000 |
| -11.100 | -11.100 | -11.768 | -0.000 | -0.000 | -0.000 |
| 0.000 | 0.000 | 0.000 | -11.768 | 0.000 | 0.000 |
| 0.000 | 0.000 | 0.000 | 0.000 | -11.768 | -0.000 |
| 0.000 | 0.000 | 0.000 | 0.000 | 0.000 | -11.768 |
| -11.768 | -11.100 | -11.100 | -0.000 | -0.000 | -0.000 |
| -11.100 | -11.768 | -11.100 | -0.000 | 0.000 | 0.000 |
| -11.100 | -11.100 | -11.768 | 0.000 | -0.000 | -0.000 |
| -0.000 | -0.000 | -0.000 | -11.768 | 0.000 | 0.000 |
| -0.000 | -0.000 | -0.000 | 0.000 | -11.768 | 0.000 |
| -0.000 | -0.000 | -0.000 | -0.000 | -0.000 | -11.768 |
| -11.767 | -11.100 | -11.100 | 0.000 | 0.000 | -0.000 |
| -11.100 | -11.767 | -11.100 | -0.000 | 0.000 | 0.000 |
| -11.100 | -11.100 | -11.767 | -0.000 | -0.000 | 0.000 |
| 0.000 | 0.000 | 0.000 | -11.768 | 0.000 | -0.000 |
| 0.000 | 0.000 | 0.000 | 0.000 | -11.768 | -0.000 |
| 0.000 | 0.000 | 0.000 | 0.000 | 0.000 | -11.768 |
| -11.768 | -11.100 | -11.100 | -0.000 | -0.000 | 0.000 |
| -11.100 | -11.768 | -11.100 | -0.000 | -0.000 | -0.000 |
| -11.100 | -11.100 | -11.768 | -0.000 | -0.000 | 0.000 |
| -0.000 | -0.000 | -0.000 | -11.768 | -0.000 | -0.000 |
| -0.000 | -0.000 | -0.000 | -0.000 | -11.768 | 0.000 |
| -0.000 | -0.000 | -0.000 | -0.000 | 0.000 | -11.768 |
| 230.335 | 477.847 | 477.847 | 0.000 | 0.000 | 0.000 |
| 477.847 | 230.335 | 477.847 | 0.000 | 0.000 | -0.000 |
| 477.847 | 477.847 | 230.335 | 0.000 | 0.000 | 0.000 |
| 0.000 | 0.000 | 0.000 | 169.779 | 0.000 | -0.000 |
| 0.000 | -0.000 | 0.000 | 0.000 | 169.779 | -0.000 |
| 0.000 | 0.000 | -0.000 | 0.000 | 0.000 | 169.779 |
| 230.335 | 477.847 | 477.847 | -0.000 | -0.000 | -0.000 |
| 477.847 | 230.335 | 477.847 | -0.000 | -0.000 | 0.000 |
| 477.847 | 477.847 | 230.335 | -0.000 | -0.000 | -0.000 |
| -0.000 | -0.000 | -0.000 | 169.779 | -0.000 | -0.000 |
| -0.000 | 0.000 | -0.000 | -0.000 | 169.779 | -0.000 |
| -0.000 | -0.000 | 0.000 | -0.000 | -0.000 | 169.779 |
| 230.335 | 477.847 | 477.847 | 0.000 | 0.000 | -0.000 |
| 477.847 | 230.335 | 477.847 | 0.000 | 0.000 | 0.000 |
| 477.847 | 477.847 | 230.335 | 0.000 | 0.000 | -0.000 |
| -0.000 | 0.000 | 0.000 | 169.779 | 0.000 | -0.000 |
| 0.000 | -0.000 | 0.000 | 0.000 | 169.779 | 0.000 |
| 0.000 | 0.000 | -0.000 | 0.000 | 0.000 | 169.779 |
| 230.335 | 477.846 | 477.846 | 0.000 | 0.000 | 0.000 |
| 477.846 | 230.335 | 477.846 | 0.000 | -0.000 | 0.000 |
| 477.846 | 477.846 | 230.335 | 0.000 | 0.000 | 0.000 |
| 0.000 | -0.000 | -0.000 | 169.779 | -0.000 | 0.000 |
| -0.000 | 0.000 | -0.000 | -0.000 | 169.779 | -0.000 |
| -0.000 | -0.000 | 0.000 | -0.000 | -0.000 | 169.779 |
| 230.338 | 477.849 | 477.849 | 0.000 | 0.000 | 0.000 |
| 477.849 | 230.338 | 477.849 | 0.000 | 0.000 | -0.000 |
| 477.849 | 477.849 | 230.338 | 0.000 | -0.000 | -0.000 |
| -0.000 | 0.000 | 0.001 | 169.779 | 0.000 | 0.000 |
| 0.000 | -0.000 | 0.001 | 0.000 | 169.779 | 0.000 |
| 0.000 | 0.001 | -0.000 | 0.000 | 0.000 | 169.779 |
| 230.332 | 477.845 | 477.845 | -0.000 | -0.000 | -0.000 |
| 477.845 | 230.332 | 477.845 | -0.000 | -0.000 | 0.000 |
| 477.845 | 477.845 | 230.332 | -0.000 | -0.000 | 0.000 |
| 0.000 | -0.000 | -0.001 | 169.779 | -0.000 | -0.000 |
| -0.000 | 0.000 | -0.001 | -0.000 | 169.779 | -0.000 |
| -0.000 | -0.001 | 0.000 | -0.000 | -0.000 | 169.779 |
| 307.845 | 71.839 | 71.839 | -0.000 | 0.000 | -0.000 |
| 71.839 | 307.845 | 71.839 | 0.000 | -0.000 | -0.000 |
| 71.839 | 71.839 | 307.845 | 0.000 | -0.000 | -0.000 |
| -0.000 | -0.000 | -0.000 | 68.884 | -0.000 | -0.000 |
| -0.000 | -0.000 | -0.000 | 0.000 | 68.884 | -0.000 |
| -0.000 | -0.000 | -0.000 | -0.000 | -0.000 | 68.884 |
| 307.845 | 71.839 | 71.839 | -0.000 | -0.000 | -0.000 |
| 71.839 | 307.845 | 71.839 | -0.000 | 0.000 | 0.000 |
| 71.839 | 71.839 | 307.845 | -0.000 | 0.000 | 0.000 |
| 0.000 | 0.000 | 0.000 | 68.884 | 0.000 | 0.000 |
| 0.000 | 0.000 | 0.000 | -0.000 | 68.884 | 0.000 |
| 0.000 | 0.000 | 0.000 | -0.000 | 0.000 | 68.884 |
| 307.845 | 71.839 | 71.839 | 0.000 | -0.000 | -0.000 |
| 71.839 | 307.845 | 71.839 | 0.000 | 0.000 | -0.000 |
| 71.839 | 71.839 | 307.845 | 0.000 | 0.000 | -0.000 |
| -0.000 | -0.000 | -0.000 | 68.884 | -0.000 | -0.000 |
| -0.000 | -0.000 | -0.000 | 0.000 | 68.884 | -0.000 |
| -0.000 | -0.000 | -0.000 | -0.000 | -0.000 | 68.884 |
| 307.845 | 71.840 | 71.840 | -0.000 | 0.000 | 0.000 |
| 71.840 | 307.845 | 71.840 | -0.000 | -0.000 | 0.000 |
| 71.840 | 71.840 | 307.845 | 0.000 | 0.000 | 0.000 |
| 0.000 | 0.000 | 0.000 | 68.884 | -0.000 | -0.000 |
| 0.000 | 0.000 | 0.000 | -0.000 | 68.884 | 0.000 |
| 0.000 | 0.000 | 0.000 | -0.000 | 0.000 | 68.884 |
| 307.845 | 71.837 | 71.837 | 0.000 | -0.000 | -0.000 |
| 71.837 | 307.845 | 71.837 | 0.000 | 0.000 | -0.000 |
| 71.837 | 71.837 | 307.845 | 0.000 | -0.000 | -0.000 |
| -0.001 | -0.002 | -0.002 | 68.884 | -0.000 | -0.000 |
| -0.002 | -0.001 | -0.002 | 0.000 | 68.884 | -0.000 |
| -0.002 | -0.002 | -0.001 | -0.000 | -0.000 | 68.884 |
| 307.845 | 71.841 | 71.841 | -0.000 | 0.000 | 0.000 |
| 71.841 | 307.845 | 71.841 | 0.000 | -0.000 | 0.000 |
| 71.841 | 71.841 | 307.845 | -0.000 | 0.000 | 0.000 |
| 0.001 | 0.002 | 0.002 | 68.884 | 0.000 | 0.000 |
| 0.002 | 0.001 | 0.002 | -0.000 | 68.884 | 0.000 |
| 0.002 | 0.002 | 0.001 | -0.000 | -0.000 | 68.884 |
| 160.907 | 102.829 | 102.829 | 0.000 | 0.000 | 0.000 |
| 102.829 | 160.907 | 102.829 | -0.000 | 0.000 | 0.000 |
| 102.829 | 102.829 | 160.907 | 0.000 | 0.000 | 0.000 |
| 0.000 | 0.000 | 0.000 | 105.225 | -0.000 | 0.000 |
| 0.000 | 0.000 | 0.000 | 0.000 | 105.225 | 0.000 |
| 0.000 | 0.000 | 0.000 | 0.000 | 0.000 | 105.225 |
| 160.907 | 102.829 | 102.829 | -0.000 | -0.000 | -0.000 |
| 102.829 | 160.907 | 102.829 | -0.000 | -0.000 | -0.000 |
| 102.829 | 102.829 | 160.907 | -0.000 | -0.000 | -0.000 |
| -0.000 | -0.000 | -0.000 | 105.225 | -0.000 | -0.000 |
| -0.000 | -0.000 | -0.000 | -0.000 | 105.225 | -0.000 |
| -0.000 | -0.000 | -0.000 | -0.000 | -0.000 | 105.225 |
| 160.907 | 102.829 | 102.829 | 0.000 | 0.000 | 0.000 |
| 102.829 | 160.907 | 102.829 | 0.000 | 0.000 | 0.000 |
| 102.829 | 102.829 | 160.907 | 0.000 | 0.000 | 0.000 |
| -0.000 | 0.000 | 0.000 | 105.225 | 0.000 | 0.000 |
| 0.000 | -0.000 | 0.000 | 0.000 | 105.225 | 0.000 |
| 0.000 | 0.000 | -0.000 | 0.000 | 0.000 | 105.225 |
| 160.907 | 102.829 | 102.829 | -0.000 | -0.000 | -0.000 |
| 102.829 | 160.907 | 102.829 | -0.000 | -0.000 | -0.000 |
| 102.829 | 102.829 | 160.907 | -0.000 | 0.000 | -0.000 |
| 0.000 | -0.000 | -0.000 | 105.225 | -0.000 | -0.000 |
| -0.000 | 0.000 | -0.000 | -0.000 | 105.225 | -0.000 |
| -0.000 | -0.000 | 0.000 | -0.000 | 0.000 | 105.225 |
| 160.908 | 102.830 | 102.830 | 0.000 | 0.000 | 0.000 |
| 102.830 | 160.908 | 102.830 | 0.000 | 0.000 | 0.000 |
| 102.830 | 102.830 | 160.908 | -0.000 | -0.000 | 0.000 |
| -0.000 | 0.001 | 0.001 | 105.225 | 0.000 | 0.000 |
| 0.001 | -0.000 | 0.001 | 0.000 | 105.225 | 0.000 |
| 0.001 | 0.001 | -0.000 | 0.000 | 0.000 | 105.225 |
| 160.906 | 102.828 | 102.828 | -0.000 | -0.000 | -0.000 |
| 102.828 | 160.906 | 102.828 | -0.000 | -0.000 | 0.000 |
| 102.828 | 102.828 | 160.906 | -0.000 | -0.000 | -0.000 |
| 0.000 | -0.001 | -0.001 | 105.225 | -0.000 | -0.000 |
| -0.001 | 0.000 | -0.001 | -0.000 | 105.225 | -0.000 |
| -0.001 | -0.001 | 0.000 | -0.000 | -0.000 | 105.225 |
| 208.121 | 104.079 | 104.079 | 0.000 | 0.000 | 0.000 |
| 104.079 | 208.121 | 104.079 | 0.000 | -0.000 | 0.000 |
| 104.079 | 104.079 | 208.121 | -0.000 | -0.000 | 0.000 |
| -0.000 | 0.000 | 0.000 | 104.041 | 0.000 | 0.000 |
| 0.000 | -0.000 | 0.000 | 0.000 | 104.041 | -0.000 |
| 0.000 | 0.000 | -0.000 | -0.000 | -0.000 | 104.041 |
| 208.121 | 104.079 | 104.079 | -0.000 | 0.000 | 0.000 |
| 104.079 | 208.121 | 104.079 | 0.000 | -0.000 | -0.000 |
| 104.079 | 104.079 | 208.121 | -0.000 | -0.000 | -0.000 |
| 0.000 | -0.000 | -0.000 | 104.041 | 0.000 | 0.000 |
| -0.000 | 0.000 | -0.000 | 0.000 | 104.041 | 0.000 |
| -0.000 | -0.000 | 0.000 | 0.000 | 0.000 | 104.041 |
| 208.121 | 104.079 | 104.079 | 0.000 | -0.000 | -0.000 |
| 104.079 | 208.121 | 104.079 | -0.000 | 0.000 | -0.000 |
| 104.079 | 104.079 | 208.121 | -0.000 | 0.000 | 0.000 |
| -0.000 | 0.000 | 0.000 | 104.041 | 0.000 | -0.000 |
| 0.000 | -0.000 | 0.000 | 0.000 | 104.041 | -0.000 |
| 0.000 | 0.000 | -0.000 | -0.000 | -0.000 | 104.041 |
| 208.121 | 104.078 | 104.078 | -0.000 | 0.000 | 0.000 |
| 104.078 | 208.121 | 104.078 | -0.000 | -0.000 | 0.000 |
| 104.078 | 104.078 | 208.121 | 0.000 | 0.000 | -0.000 |
| 0.000 | -0.000 | -0.000 | 104.041 | -0.000 | 0.000 |
| -0.000 | 0.000 | -0.000 | -0.000 | 104.041 | 0.000 |
| -0.000 | -0.000 | 0.000 | -0.000 | 0.000 | 104.041 |
| 208.122 | 104.079 | 104.079 | 0.000 | -0.000 | -0.000 |
| 104.079 | 208.122 | 104.079 | -0.000 | 0.000 | -0.000 |
| 104.079 | 104.079 | 208.122 | -0.000 | -0.000 | 0.000 |
| -0.000 | 0.001 | 0.001 | 104.041 | 0.000 | -0.000 |
| 0.001 | -0.000 | 0.001 | 0.000 | 104.041 | -0.000 |
| 0.001 | 0.001 | -0.000 | -0.000 | -0.000 | 104.041 |
| 208.120 | 104.078 | 104.078 | -0.000 | -0.000 | -0.000 |
| 104.078 | 208.120 | 104.078 | -0.000 | -0.000 | -0.000 |
| 104.078 | 104.078 | 208.120 | -0.000 | 0.000 | -0.000 |
| 0.000 | -0.001 | -0.001 | 104.041 | -0.000 | 0.000 |
| -0.001 | 0.000 | -0.001 | -0.000 | 104.041 | 0.000 |
| -0.001 | -0.001 | 0.000 | 0.000 | 0.000 | 104.041 |
| -8.000 | -4.000 | -4.000 | -0.000 | 0.000 | -0.000 |
| -4.000 | -8.000 | -4.000 | -0.000 | -0.000 | -0.000 |
| -4.000 | -4.000 | -8.000 | -0.000 | -0.000 | -0.000 |
| 0.000 | 0.000 | 0.000 | -4.000 | -0.000 | -0.000 |
| 0.000 | 0.000 | 0.000 | -0.000 | -4.000 | -0.000 |
| 0.000 | 0.000 | 0.000 | -0.000 | -0.000 | -4.000 |
| -8.000 | -4.000 | -4.000 | 0.000 | 0.000 | 0.000 |
| -4.000 | -8.000 | -4.000 | 0.000 | 0.000 | 0.000 |
| -4.000 | -4.000 | -8.000 | 0.000 | 0.000 | 0.000 |
| -0.000 | -0.000 | -0.000 | -4.000 | 0.000 | 0.000 |
| -0.000 | -0.000 | -0.000 | 0.000 | -4.000 | 0.000 |
| -0.000 | -0.000 | -0.000 | 0.000 | 0.000 | -4.000 |
| -8.000 | -4.000 | -4.000 | -0.000 | -0.000 | -0.000 |
| -4.000 | -8.000 | -4.000 | 0.000 | 0.000 | -0.000 |
| -4.000 | -4.000 | -8.000 | -0.000 | -0.000 | -0.000 |
| 0.000 | 0.000 | 0.000 | -4.000 | -0.000 | -0.000 |
| 0.000 | 0.000 | 0.000 | -0.000 | -4.000 | -0.000 |
| 0.000 | 0.000 | 0.000 | -0.000 | -0.000 | -4.000 |
| -8.000 | -4.000 | -4.000 | 0.000 | 0.000 | 0.000 |
| -4.000 | -8.000 | -4.000 | 0.000 | 0.000 | 0.000 |
| -4.000 | -4.000 | -8.000 | 0.000 | 0.000 | 0.000 |
| -0.000 | -0.000 | -0.000 | -4.000 | 0.000 | 0.000 |
| -0.000 | -0.000 | -0.000 | 0.000 | -4.000 | 0.000 |
| -0.000 | -0.000 | -0.000 | 0.000 | 0.000 | -4.000 |
| -8.000 | -4.000 | -4.000 | 0.000 | 0.000 | -0.000 |
| -4.000 | -8.000 | -4.000 | 0.000 | 0.000 | -0.000 |
| -4.000 | -4.000 | -8.000 | -0.000 | -0.000 | -0.000 |
| 0.000 | 0.000 | 0.000 | -4.000 | -0.000 | -0.000 |
| 0.000 | 0.000 | 0.000 | 0.000 | -4.000 | -0.000 |
| 0.000 | 0.000 | 0.000 | -0.000 | 0.000 | -4.000 |
| -8.000 | -4.000 | -4.000 | -0.000 | -0.000 | 0.000 |
| -4.000 | -8.000 | -4.000 | -0.000 | -0.000 | 0.000 |
| -4.000 | -4.000 | -8.000 | -0.000 | -0.000 | 0.000 |
| -0.000 | -0.000 | -0.000 | -4.000 | 0.000 | 0.000 |
| -0.000 | -0.000 | -0.000 | 0.000 | -4.000 | 0.000 |
| -0.000 | -0.000 | -0.000 | -0.000 | 0.000 | -4.000 |
| -28.552 | -13.458 | -13.458 | -0.000 | -0.000 | 0.000 |
| -13.458 | -28.552 | -13.458 | -0.000 | -0.000 | 0.000 |
| -13.458 | -13.458 | -28.552 | -0.000 | -0.000 | 0.000 |
| 0.000 | 0.000 | 0.000 | -14.549 | -0.000 | 0.000 |
| 0.000 | 0.000 | 0.000 | -0.000 | -14.549 | 0.000 |
| 0.000 | 0.000 | 0.000 | -0.000 | -0.000 | -14.549 |
| -28.552 | -13.458 | -13.458 | 0.000 | 0.000 | -0.000 |
| -13.458 | -28.552 | -13.458 | 0.000 | 0.000 | -0.000 |
| -13.458 | -13.458 | -28.552 | 0.000 | 0.000 | -0.000 |
| -0.000 | -0.000 | -0.000 | -14.549 | 0.000 | -0.000 |
| -0.000 | -0.000 | -0.000 | 0.000 | -14.549 | -0.000 |
| -0.000 | -0.000 | -0.000 | 0.000 | 0.000 | -14.549 |
| -28.552 | -13.458 | -13.458 | -0.000 | -0.000 | 0.000 |
| -13.458 | -28.552 | -13.458 | -0.000 | -0.000 | 0.000 |
| -13.458 | -13.458 | -28.552 | -0.000 | -0.000 | 0.000 |
| 0.000 | 0.000 | 0.000 | -14.549 | -0.000 | -0.000 |
| 0.000 | 0.000 | 0.000 | -0.000 | -14.549 | 0.000 |
| 0.000 | 0.000 | 0.000 | -0.000 | -0.000 | -14.549 |
| -28.552 | -13.458 | -13.458 | 0.000 | 0.000 | -0.000 |
| -13.458 | -28.552 | -13.458 | 0.000 | 0.000 | -0.000 |
| -13.458 | -13.458 | -28.552 | 0.000 | 0.000 | -0.000 |
| -0.000 | -0.000 | -0.000 | -14.549 | 0.000 | -0.000 |
| -0.000 | -0.000 | -0.000 | 0.000 | -14.549 | -0.000 |
| -0.000 | -0.000 | -0.000 | 0.000 | 0.000 | -14.549 |
| -28.552 | -13.458 | -13.458 | -0.000 | -0.000 | -0.000 |
| -13.458 | -28.552 | -13.458 | -0.000 | -0.000 | 0.000 |
| -13.458 | -13.458 | -28.552 | -0.000 | -0.000 | 0.000 |
| 0.000 | 0.000 | 0.000 | -14.549 | -0.000 | 0.000 |
| 0.000 | 0.000 | 0.000 | -0.000 | -14.549 | 0.000 |
| 0.000 | 0.000 | 0.000 | -0.000 | -0.000 | -14.549 |
| -28.552 | -13.459 | -13.459 | 0.000 | 0.000 | 0.000 |
| -13.459 | -28.552 | -13.459 | 0.000 | 0.000 | 0.000 |
| -13.459 | -13.459 | -28.552 | 0.000 | 0.000 | -0.000 |
| -0.000 | -0.000 | -0.000 | -14.549 | 0.000 | -0.000 |
| -0.000 | -0.000 | -0.000 | 0.000 | -14.549 | 0.000 |
| -0.000 | -0.000 | -0.000 | 0.000 | 0.000 | -14.549 |
| 40.972 | 20.353 | 20.353 | -0.000 | 0.000 | 0.000 |
| 20.353 | 40.972 | 20.353 | 0.000 | -0.000 | 0.000 |
| 20.353 | 20.353 | 40.972 | -0.000 | 0.000 | 0.000 |
| -0.000 | 0.000 | 0.000 | 20.511 | 0.000 | 0.000 |
| 0.000 | -0.000 | 0.000 | 0.000 | 20.511 | 0.000 |
| 0.000 | 0.000 | -0.000 | 0.000 | -0.000 | 20.511 |
| 40.972 | 20.353 | 20.353 | -0.000 | -0.000 | -0.000 |
| 20.353 | 40.972 | 20.353 | -0.000 | -0.000 | -0.000 |
| 20.353 | 20.353 | 40.972 | -0.000 | -0.000 | -0.000 |
| 0.000 | -0.000 | -0.000 | 20.511 | -0.000 | -0.000 |
| -0.000 | 0.000 | -0.000 | -0.000 | 20.511 | -0.000 |
| -0.000 | -0.000 | 0.000 | 0.000 | 0.000 | 20.511 |
| 40.972 | 20.353 | 20.353 | -0.000 | 0.000 | 0.000 |
| 20.353 | 40.972 | 20.353 | 0.000 | -0.000 | 0.000 |
| 20.353 | 20.353 | 40.972 | -0.000 | -0.000 | 0.000 |
| -0.000 | 0.000 | 0.000 | 20.511 | 0.000 | 0.000 |
| 0.000 | -0.000 | 0.000 | -0.000 | 20.511 | 0.000 |
| 0.000 | 0.000 | -0.000 | 0.000 | -0.000 | 20.511 |
| 40.971 | 20.353 | 20.353 | -0.000 | -0.000 | -0.000 |
| 20.353 | 40.971 | 20.353 | -0.000 | -0.000 | -0.000 |
| 20.353 | 20.353 | 40.971 | -0.000 | -0.000 | -0.000 |
| 0.000 | -0.000 | -0.000 | 20.511 | -0.000 | -0.000 |
| -0.000 | 0.000 | -0.000 | 0.000 | 20.511 | -0.000 |
| -0.000 | -0.000 | 0.000 | -0.000 | -0.000 | 20.511 |
| 40.973 | 20.354 | 20.354 | 0.000 | 0.000 | 0.000 |
| 20.354 | 40.973 | 20.354 | -0.000 | 0.000 | 0.000 |
| 20.354 | 20.354 | 40.973 | 0.000 | 0.000 | 0.000 |
| -0.000 | 0.000 | 0.001 | 20.511 | 0.000 | 0.000 |
| 0.000 | -0.000 | 0.001 | 0.000 | 20.511 | 0.000 |
| 0.000 | 0.001 | -0.000 | -0.000 | -0.000 | 20.511 |
| 40.971 | 20.352 | 20.352 | -0.000 | -0.000 | -0.000 |
| 20.352 | 40.971 | 20.352 | -0.000 | -0.000 | -0.000 |
| 20.352 | 20.352 | 40.971 | -0.000 | -0.000 | -0.000 |
| 0.000 | -0.000 | -0.001 | 20.511 | -0.000 | -0.000 |
| -0.000 | 0.000 | -0.001 | -0.000 | 20.511 | -0.000 |
| -0.000 | -0.001 | 0.000 | -0.000 | 0.000 | 20.511 |
| 540.995 | 135.643 | 135.643 | -0.000 | 0.000 | 0.000 |
| 135.643 | 540.995 | 135.643 | -0.000 | 0.000 | -0.000 |
| 135.643 | 135.643 | 540.995 | 0.000 | 0.000 | 0.000 |
| -0.000 | 0.000 | 0.000 | -55.225 | 0.000 | -0.000 |
| 0.000 | -0.000 | 0.000 | -0.000 | -55.225 | 0.000 |
| 0.000 | 0.000 | -0.000 | 0.000 | 0.000 | -55.225 |
| 540.995 | 135.643 | 135.643 | -0.000 | -0.000 | -0.000 |
| 135.643 | 540.995 | 135.643 | 0.000 | -0.000 | 0.000 |
| 135.643 | 135.643 | 540.995 | 0.000 | 0.000 | -0.000 |
| 0.000 | -0.000 | -0.000 | -55.225 | 0.000 | -0.000 |
| -0.000 | 0.000 | -0.000 | -0.000 | -55.225 | -0.000 |
| -0.000 | -0.000 | 0.000 | -0.000 | -0.000 | -55.225 |
| 540.995 | 135.643 | 135.643 | 0.000 | 0.000 | 0.000 |
| 135.643 | 540.995 | 135.643 | -0.000 | -0.000 | -0.000 |
| 135.643 | 135.643 | 540.995 | -0.000 | -0.000 | 0.000 |
| -0.000 | 0.000 | 0.000 | -55.225 | 0.000 | 0.000 |
| 0.000 | -0.000 | 0.000 | 0.000 | -55.225 | 0.000 |
| 0.000 | 0.000 | -0.000 | 0.000 | -0.000 | -55.225 |
| 540.995 | 135.643 | 135.643 | -0.000 | -0.000 | -0.000 |
| 135.643 | 540.995 | 135.643 | -0.000 | -0.000 | 0.000 |
| 135.643 | 135.643 | 540.995 | 0.000 | -0.000 | -0.000 |
| 0.000 | -0.000 | -0.000 | -55.225 | -0.000 | -0.000 |
| -0.000 | 0.000 | -0.000 | 0.000 | -55.225 | -0.000 |
| -0.000 | -0.000 | 0.000 | -0.000 | -0.000 | -55.225 |
| 540.993 | 135.643 | 135.643 | 0.000 | 0.000 | 0.000 |
| 135.643 | 540.993 | 135.643 | -0.000 | 0.000 | 0.000 |
| 135.643 | 135.643 | 540.993 | 0.000 | 0.000 | 0.000 |
| -0.001 | 0.001 | 0.001 | -55.225 | 0.000 | 0.000 |
| 0.001 | -0.001 | 0.001 | 0.000 | -55.225 | 0.000 |
| 0.001 | 0.001 | -0.001 | 0.000 | 0.000 | -55.225 |
| 540.997 | 135.643 | 135.643 | -0.000 | -0.000 | -0.000 |
| 135.643 | 540.997 | 135.643 | -0.000 | -0.000 | 0.000 |
| 135.643 | 135.643 | 540.997 | 0.000 | 0.000 | -0.000 |
| 0.001 | -0.001 | -0.001 | -55.225 | -0.000 | 0.000 |
| -0.001 | 0.001 | -0.001 | 0.000 | -55.225 | -0.000 |
| -0.001 | -0.001 | 0.001 | -0.000 | -0.000 | -55.225 |
| 193.344 | 5.415 | 5.415 | -0.000 | -0.000 | -0.000 |
| 5.415 | 193.344 | 5.415 | -0.000 | 0.000 | -0.000 |
| 5.415 | 5.415 | 193.344 | -0.000 | 0.000 | -0.000 |
| -0.000 | 0.000 | 0.000 | 8.389 | -0.000 | -0.000 |
| 0.000 | -0.000 | 0.000 | 0.000 | 8.389 | -0.000 |
| 0.000 | 0.000 | -0.000 | -0.000 | -0.000 | 8.389 |
| 193.343 | 5.415 | 5.415 | 0.000 | -0.000 | -0.000 |
| 5.415 | 193.343 | 5.415 | -0.000 | 0.000 | -0.000 |
| 5.415 | 5.415 | 193.343 | -0.000 | 0.000 | 0.000 |
| 0.000 | -0.000 | -0.000 | 8.389 | 0.000 | 0.000 |
| -0.000 | 0.000 | -0.000 | 0.000 | 8.389 | 0.000 |
| -0.000 | -0.000 | 0.000 | 0.000 | -0.000 | 8.389 |
| 193.344 | 5.416 | 5.416 | 0.000 | -0.000 | -0.000 |
| 5.416 | 193.344 | 5.416 | -0.000 | -0.000 | -0.000 |
| 5.416 | 5.416 | 193.344 | 0.000 | 0.000 | -0.000 |
| 0.000 | 0.000 | 0.000 | 8.389 | -0.000 | -0.000 |
| 0.000 | 0.000 | 0.000 | -0.000 | 8.389 | -0.000 |
| 0.000 | 0.000 | 0.000 | -0.000 | -0.000 | 8.389 |
| 193.343 | 5.415 | 5.415 | -0.000 | 0.000 | 0.000 |
| 5.415 | 193.343 | 5.415 | 0.000 | 0.000 | -0.000 |
| 5.415 | 5.415 | 193.343 | 0.000 | 0.000 | 0.000 |
| -0.000 | -0.000 | -0.000 | 8.389 | -0.000 | 0.000 |
| -0.000 | -0.000 | -0.000 | 0.000 | 8.389 | 0.000 |
| -0.000 | -0.000 | -0.000 | 0.000 | 0.000 | 8.389 |
| 193.349 | 5.417 | 5.417 | -0.000 | -0.000 | -0.000 |
| 5.417 | 193.349 | 5.417 | 0.000 | -0.000 | 0.000 |
| 5.417 | 5.417 | 193.349 | -0.000 | -0.000 | -0.000 |
| 0.000 | 0.001 | 0.001 | 8.389 | -0.000 | 0.000 |
| 0.001 | 0.000 | 0.001 | -0.000 | 8.389 | -0.000 |
| 0.001 | 0.001 | 0.000 | 0.000 | 0.000 | 8.389 |
| 193.338 | 5.414 | 5.414 | 0.000 | 0.000 | -0.000 |
| 5.414 | 193.338 | 5.414 | 0.000 | 0.000 | 0.000 |
| 5.414 | 5.414 | 193.338 | -0.000 | -0.000 | 0.000 |
| -0.000 | -0.001 | -0.001 | 8.389 | 0.000 | 0.000 |
| -0.001 | -0.000 | -0.001 | -0.000 | 8.389 | 0.000 |
| -0.001 | -0.001 | -0.000 | -0.000 | 0.000 | 8.389 |
| 26.281 | -0.709 | -0.709 | -0.000 | -0.000 | 0.000 |
| -0.709 | 26.281 | -0.709 | -0.000 | -0.000 | -0.000 |
| -0.709 | -0.709 | 26.281 | 0.000 | -0.000 | -0.000 |
| 0.000 | 0.000 | 0.000 | 0.596 | -0.000 | -0.000 |
| -0.000 | 0.000 | 0.000 | -0.000 | 0.596 | -0.000 |
| -0.000 | 0.000 | 0.000 | -0.000 | -0.000 | 0.596 |
| 26.281 | -0.709 | -0.709 | 0.000 | 0.000 | -0.000 |
| -0.709 | 26.281 | -0.709 | -0.000 | 0.000 | 0.000 |
| -0.709 | -0.709 | 26.281 | -0.000 | 0.000 | 0.000 |
| -0.000 | -0.000 | -0.000 | 0.596 | 0.000 | 0.000 |
| -0.000 | -0.000 | -0.000 | 0.000 | 0.596 | 0.000 |
| -0.000 | -0.000 | -0.000 | 0.000 | 0.000 | 0.596 |
| 26.282 | -0.709 | -0.709 | -0.000 | -0.000 | 0.000 |
| -0.709 | 26.282 | -0.709 | 0.000 | -0.000 | -0.000 |
| -0.709 | -0.709 | 26.282 | -0.000 | -0.000 | -0.000 |
| 0.000 | -0.000 | -0.000 | 0.596 | -0.000 | -0.000 |
| -0.000 | 0.000 | -0.000 | -0.000 | 0.596 | 0.000 |
| -0.000 | -0.000 | 0.000 | -0.000 | -0.000 | 0.596 |
| 26.281 | -0.709 | -0.709 | 0.000 | 0.000 | 0.000 |
| -0.709 | 26.281 | -0.709 | -0.000 | 0.000 | 0.000 |
| -0.709 | -0.709 | 26.281 | -0.000 | 0.000 | 0.000 |
| -0.000 | -0.000 | 0.000 | 0.596 | 0.000 | -0.000 |
| -0.000 | -0.000 | 0.000 | 0.000 | 0.596 | 0.000 |
| 0.000 | 0.000 | -0.000 | 0.000 | 0.000 | 0.596 |
| 26.285 | -0.709 | -0.709 | -0.000 | -0.000 | -0.000 |
| -0.709 | 26.285 | -0.709 | -0.000 | -0.000 | -0.000 |
| -0.709 | -0.709 | 26.285 | -0.000 | -0.000 | -0.000 |
| 0.000 | -0.000 | -0.000 | 0.596 | -0.000 | -0.000 |
| -0.000 | 0.000 | -0.000 | -0.000 | 0.596 | -0.000 |
| -0.000 | -0.000 | 0.000 | -0.000 | -0.000 | 0.596 |
| 26.278 | -0.709 | -0.709 | 0.000 | 0.000 | -0.000 |
| -0.709 | 26.278 | -0.709 | -0.000 | 0.000 | 0.000 |
| -0.709 | -0.709 | 26.278 | -0.000 | 0.000 | 0.000 |
| -0.000 | 0.000 | 0.000 | 0.596 | 0.000 | 0.000 |
| 0.000 | -0.000 | 0.000 | 0.000 | 0.596 | 0.000 |
| 0.000 | 0.000 | -0.000 | 0.000 | 0.000 | 0.596 |
| 54.925 | 0.112 | 0.112 | -0.000 | -0.000 | -0.000 |
| 0.112 | 54.925 | 0.112 | -0.000 | -0.000 | 0.000 |
| 0.112 | 0.112 | 54.925 | -0.000 | -0.000 | -0.000 |
| 0.000 | 0.000 | 0.000 | -0.112 | -0.000 | 0.000 |
| 0.000 | 0.000 | 0.000 | -0.000 | -0.112 | -0.000 |
| 0.000 | -0.000 | 0.000 | -0.000 | -0.000 | -0.112 |
| 54.925 | 0.112 | 0.112 | 0.000 | 0.000 | -0.000 |
| 0.112 | 54.925 | 0.112 | 0.000 | 0.000 | 0.000 |
| 0.112 | 0.112 | 54.925 | 0.000 | 0.000 | 0.000 |
| -0.000 | -0.000 | -0.000 | -0.112 | 0.000 | 0.000 |
| -0.000 | -0.000 | -0.000 | 0.000 | -0.112 | -0.000 |
| -0.000 | 0.000 | -0.000 | 0.000 | 0.000 | -0.112 |
| 54.925 | 0.112 | 0.112 | -0.000 | -0.000 | -0.000 |
| 0.112 | 54.925 | 0.112 | -0.000 | -0.000 | 0.000 |
| 0.112 | 0.112 | 54.925 | -0.000 | -0.000 | -0.000 |
| 0.000 | 0.000 | -0.000 | -0.112 | -0.000 | 0.000 |
| 0.000 | 0.000 | -0.000 | -0.000 | -0.112 | -0.000 |
| 0.000 | -0.000 | 0.000 | -0.000 | -0.000 | -0.112 |
| 54.925 | 0.112 | 0.112 | 0.000 | 0.000 | -0.000 |
| 0.112 | 54.925 | 0.112 | 0.000 | 0.000 | 0.000 |
| 0.112 | 0.112 | 54.925 | 0.000 | 0.000 | 0.000 |
| -0.000 | -0.000 | 0.000 | -0.112 | 0.000 | -0.000 |
| -0.000 | -0.000 | 0.000 | 0.000 | -0.112 | -0.000 |
| -0.000 | 0.000 | -0.000 | 0.000 | 0.000 | -0.112 |
| 54.926 | 0.112 | 0.112 | -0.000 | -0.000 | 0.000 |
| 0.112 | 54.926 | 0.112 | -0.000 | -0.000 | 0.000 |
| 0.112 | 0.112 | 54.926 | -0.000 | -0.000 | -0.000 |
| 0.000 | 0.000 | -0.000 | -0.112 | -0.000 | 0.000 |
| 0.000 | 0.000 | -0.000 | -0.000 | -0.112 | -0.000 |
| 0.000 | -0.000 | 0.000 | -0.000 | -0.000 | -0.112 |
| 54.925 | 0.112 | 0.112 | 0.000 | 0.000 | -0.000 |
| 0.112 | 54.925 | 0.112 | -0.000 | 0.000 | 0.000 |
| 0.112 | 0.112 | 54.925 | 0.000 | 0.000 | 0.000 |
| -0.000 | -0.000 | 0.000 | -0.112 | 0.000 | -0.000 |
| -0.000 | -0.000 | 0.000 | 0.000 | -0.112 | 0.000 |
| -0.000 | 0.000 | -0.000 | 0.000 | 0.000 | -0.112 |
| 52.685 | 0.015 | 0.015 | 0.000 | 0.000 | -0.000 |
| 0.015 | 52.685 | 0.015 | 0.000 | 0.000 | 0.000 |
| 0.015 | 0.015 | 52.685 | -0.000 | -0.000 | 0.000 |
| 0.000 | 0.000 | -0.000 | -0.015 | -0.000 | -0.000 |
| 0.000 | 0.000 | -0.000 | -0.000 | -0.015 | -0.000 |
| 0.000 | -0.000 | 0.000 | 0.000 | 0.000 | -0.015 |
| 52.685 | 0.015 | 0.015 | -0.000 | -0.000 | 0.000 |
| 0.015 | 52.685 | 0.015 | -0.000 | -0.000 | 0.000 |
| 0.015 | 0.015 | 52.685 | 0.000 | 0.000 | -0.000 |
| -0.000 | -0.000 | 0.000 | -0.015 | 0.000 | 0.000 |
| -0.000 | -0.000 | 0.000 | 0.000 | -0.015 | 0.000 |
| -0.000 | 0.000 | -0.000 | -0.000 | 0.000 | -0.015 |
| 52.685 | 0.015 | 0.015 | 0.000 | 0.000 | -0.000 |
| 0.015 | 52.685 | 0.015 | 0.000 | 0.000 | -0.000 |
| 0.015 | 0.015 | 52.685 | 0.000 | 0.000 | 0.000 |
| 0.000 | 0.000 | -0.000 | -0.015 | -0.000 | 0.000 |
| 0.000 | 0.000 | -0.000 | -0.000 | -0.015 | -0.000 |
| 0.000 | -0.000 | 0.000 | 0.000 | 0.000 | -0.015 |
| 52.685 | 0.015 | 0.015 | -0.000 | 0.000 | 0.000 |
| 0.015 | 52.685 | 0.015 | 0.000 | -0.000 | 0.000 |
| 0.015 | 0.015 | 52.685 | 0.000 | 0.000 | -0.000 |
| -0.000 | -0.000 | 0.000 | -0.015 | 0.000 | 0.000 |
| -0.000 | -0.000 | 0.000 | 0.000 | -0.015 | 0.000 |
| -0.000 | 0.000 | -0.000 | -0.000 | -0.000 | -0.015 |
| 52.685 | 0.015 | 0.015 | 0.000 | 0.000 | -0.000 |
| 0.015 | 52.685 | 0.015 | 0.000 | 0.000 | -0.000 |
| 0.015 | 0.015 | 52.685 | -0.000 | -0.000 | 0.000 |
| 0.000 | 0.000 | -0.000 | -0.015 | -0.000 | -0.000 |
| 0.000 | 0.000 | -0.000 | -0.000 | -0.015 | -0.000 |
| 0.000 | -0.000 | 0.000 | 0.000 | 0.000 | -0.015 |
| 52.684 | 0.015 | 0.015 | -0.000 | -0.000 | 0.000 |
| 0.015 | 52.684 | 0.015 | -0.000 | -0.000 | 0.000 |
| 0.015 | 0.015 | 52.684 | -0.000 | -0.000 | -0.000 |
| -0.000 | -0.000 | 0.000 | -0.015 | 0.000 | 0.000 |
| -0.000 | -0.000 | 0.000 | 0.000 | -0.015 | 0.000 |
| -0.000 | 0.000 | -0.000 | -0.000 | -0.000 | -0.015 |
| -18.950 | 0.991 | 0.991 | -0.000 | -0.000 | -0.000 |
| 0.991 | -18.950 | 0.991 | -0.000 | -0.000 | 0.000 |
| 0.991 | 0.991 | -18.950 | 0.000 | 0.000 | -0.000 |
| 0.000 | 0.000 | 0.000 | -0.343 | -0.000 | 0.000 |
| 0.000 | 0.000 | 0.000 | -0.000 | -0.343 | -0.000 |
| 0.000 | 0.000 | 0.000 | -0.000 | -0.000 | -0.343 |
| -18.950 | 0.991 | 0.991 | 0.000 | 0.000 | 0.000 |
| 0.991 | -18.950 | 0.991 | 0.000 | 0.000 | 0.000 |
| 0.991 | 0.991 | -18.950 | -0.000 | -0.000 | 0.000 |
| -0.000 | -0.000 | -0.000 | -0.343 | 0.000 | -0.000 |
| -0.000 | -0.000 | -0.000 | 0.000 | -0.343 | 0.000 |
| -0.000 | -0.000 | -0.000 | 0.000 | 0.000 | -0.343 |
| -18.950 | 0.991 | 0.991 | -0.000 | -0.000 | -0.000 |
| 0.991 | -18.950 | 0.991 | -0.000 | -0.000 | -0.000 |
| 0.991 | 0.991 | -18.950 | -0.000 | -0.000 | -0.000 |
| 0.000 | 0.000 | 0.000 | -0.343 | -0.000 | 0.000 |
| 0.000 | 0.000 | 0.000 | -0.000 | -0.343 | -0.000 |
| 0.000 | 0.000 | 0.000 | -0.000 | -0.000 | -0.343 |
| -18.950 | 0.991 | 0.991 | 0.000 | 0.000 | 0.000 |
| 0.991 | -18.950 | 0.991 | 0.000 | 0.000 | 0.000 |
| 0.991 | 0.991 | -18.950 | -0.000 | -0.000 | 0.000 |
| -0.000 | -0.000 | -0.000 | -0.343 | 0.000 | 0.000 |
| -0.000 | -0.000 | -0.000 | 0.000 | -0.343 | 0.000 |
| -0.000 | -0.000 | -0.000 | 0.000 | 0.000 | -0.343 |
| -19.412 | 0.530 | 0.530 | -0.000 | -0.000 | -0.000 |
| 0.530 | -19.412 | 0.530 | -0.000 | -0.000 | -0.000 |
| 0.530 | 0.530 | -19.412 | -0.000 | -0.000 | -0.000 |
| -0.000 | 0.000 | 0.000 | -0.343 | 0.000 | 0.000 |
| 0.000 | -0.000 | 0.000 | 0.000 | -0.343 | -0.000 |
| 0.000 | 0.000 | -0.000 | -0.000 | -0.000 | -0.343 |
| -18.950 | 0.991 | 0.991 | 0.000 | 0.000 | 0.000 |
| 0.991 | -18.950 | 0.991 | 0.000 | 0.000 | -0.000 |
| 0.991 | 0.991 | -18.950 | -0.000 | -0.000 | 0.000 |
| 0.000 | -0.000 | -0.000 | -0.343 | -0.000 | -0.000 |
| -0.000 | 0.000 | -0.000 | -0.000 | -0.343 | 0.000 |
| -0.000 | -0.000 | 0.000 | 0.000 | 0.000 | -0.343 |
| 217.436 | 304.052 | 304.052 | 0.000 | 0.000 | -0.000 |
| 304.052 | 217.436 | 304.052 | 0.000 | 0.000 | -0.000 |
| 304.052 | 304.052 | 217.436 | 0.000 | 0.000 | -0.000 |
| 0.000 | 0.000 | 0.000 | 207.253 | 0.000 | -0.000 |
| 0.000 | 0.000 | 0.000 | 0.000 | 207.253 | -0.000 |
| 0.000 | 0.000 | 0.000 | -0.000 | -0.000 | 207.253 |
| 217.436 | 304.052 | 304.052 | -0.000 | 0.000 | 0.000 |
| 304.052 | 217.436 | 304.052 | 0.000 | -0.000 | 0.000 |
| 304.052 | 304.052 | 217.436 | 0.000 | 0.000 | 0.000 |
| -0.000 | -0.000 | -0.000 | 207.253 | 0.000 | 0.000 |
| -0.000 | -0.000 | -0.000 | 0.000 | 207.253 | 0.000 |
| -0.000 | -0.000 | -0.000 | 0.000 | 0.000 | 207.253 |
| 217.437 | 304.052 | 304.052 | 0.000 | -0.000 | -0.000 |
| 304.052 | 217.437 | 304.052 | -0.000 | 0.000 | 0.000 |
| 304.052 | 304.052 | 217.437 | 0.000 | 0.000 | -0.000 |
| 0.000 | 0.000 | 0.000 | 207.253 | 0.000 | -0.000 |
| 0.000 | 0.000 | 0.000 | 0.000 | 207.253 | -0.000 |
| 0.000 | 0.000 | 0.000 | -0.000 | 0.000 | 207.253 |
| 217.435 | 304.052 | 304.052 | -0.000 | 0.000 | 0.000 |
| 304.052 | 217.435 | 304.052 | 0.000 | -0.000 | 0.000 |
| 304.052 | 304.052 | 217.435 | 0.000 | 0.000 | -0.000 |
| -0.000 | -0.000 | -0.000 | 207.253 | 0.000 | 0.000 |
| -0.000 | -0.000 | -0.000 | 0.000 | 207.253 | 0.000 |
| -0.000 | -0.000 | -0.000 | 0.000 | -0.000 | 207.253 |
| 217.450 | 304.054 | 304.054 | -0.000 | 0.000 | -0.000 |
| 304.054 | 217.450 | 304.054 | -0.000 | -0.000 | 0.000 |
| 304.054 | 304.054 | 217.450 | -0.000 | -0.000 | -0.000 |
| 0.000 | 0.002 | 0.003 | 207.253 | 0.000 | 0.000 |
| 0.002 | 0.000 | 0.003 | -0.000 | 207.253 | -0.000 |
| 0.002 | 0.003 | 0.000 | 0.000 | -0.000 | 207.253 |
| 217.422 | 304.050 | 304.050 | 0.000 | -0.000 | 0.000 |
| 304.050 | 217.422 | 304.050 | -0.000 | 0.000 | 0.000 |
| 304.050 | 304.050 | 217.422 | -0.000 | -0.000 | 0.000 |
| -0.000 | -0.002 | -0.003 | 207.253 | 0.000 | -0.000 |
| -0.002 | -0.000 | -0.003 | -0.000 | 207.253 | 0.000 |
| -0.002 | -0.003 | -0.000 | -0.000 | -0.000 | 207.253 |
| 287.820 | 123.599 | 123.599 | -0.000 | -0.000 | -0.000 |
| 123.599 | 287.820 | 123.599 | -0.000 | -0.000 | -0.000 |
| 123.599 | 123.599 | 287.820 | -0.000 | -0.000 | -0.000 |
| -0.000 | -0.000 | -0.000 | 131.094 | -0.000 | 0.000 |
| -0.000 | -0.000 | -0.000 | -0.000 | 131.094 | -0.000 |
| -0.000 | -0.000 | -0.000 | -0.000 | -0.000 | 131.094 |
| 287.820 | 123.599 | 123.599 | 0.000 | 0.000 | 0.000 |
| 123.599 | 287.820 | 123.599 | 0.000 | 0.000 | 0.000 |
| 123.599 | 123.599 | 287.820 | 0.000 | 0.000 | 0.000 |
| 0.000 | 0.000 | 0.000 | 131.094 | 0.000 | 0.000 |
| 0.000 | 0.000 | 0.000 | 0.000 | 131.094 | 0.000 |
| 0.000 | 0.000 | 0.000 | 0.000 | 0.000 | 131.094 |
| 287.820 | 123.599 | 123.599 | -0.000 | -0.000 | -0.000 |
| 123.599 | 287.820 | 123.599 | -0.000 | -0.000 | -0.000 |
| 123.599 | 123.599 | 287.820 | -0.000 | -0.000 | -0.000 |
| -0.000 | -0.000 | -0.000 | 131.094 | -0.000 | -0.000 |
| -0.000 | -0.000 | -0.000 | -0.000 | 131.094 | -0.000 |
| -0.000 | -0.000 | -0.000 | -0.000 | -0.000 | 131.094 |
| 287.821 | 123.599 | 123.599 | 0.000 | 0.000 | 0.000 |
| 123.599 | 287.821 | 123.599 | 0.000 | 0.000 | 0.000 |
| 123.599 | 123.599 | 287.821 | 0.000 | 0.000 | 0.000 |
| 0.000 | 0.000 | 0.000 | 131.094 | 0.000 | 0.000 |
| 0.000 | 0.000 | 0.000 | 0.000 | 131.094 | 0.000 |
| 0.000 | 0.000 | 0.000 | 0.000 | 0.000 | 131.094 |
| 287.812 | 123.598 | 123.598 | -0.000 | -0.000 | -0.000 |
| 123.598 | 287.812 | 123.598 | -0.000 | -0.000 | -0.000 |
| 123.598 | 123.598 | 287.812 | -0.000 | -0.000 | -0.000 |
| -0.000 | -0.001 | -0.000 | 131.094 | -0.000 | 0.000 |
| -0.001 | -0.000 | -0.000 | -0.000 | 131.094 | -0.000 |
| -0.001 | -0.000 | -0.000 | -0.000 | -0.000 | 131.094 |
| 287.828 | 123.600 | 123.600 | 0.000 | 0.000 | 0.000 |
| 123.600 | 287.828 | 123.600 | 0.000 | 0.000 | 0.000 |
| 123.600 | 123.600 | 287.828 | 0.000 | 0.000 | 0.000 |
| 0.000 | 0.001 | 0.000 | 131.094 | 0.000 | 0.000 |
| 0.001 | 0.000 | 0.000 | 0.000 | 131.094 | 0.000 |
| 0.001 | 0.000 | 0.000 | 0.000 | 0.000 | 131.094 |
| 382.106 | -43.056 | -43.056 | 0.000 | 0.000 | 0.000 |
| -43.056 | 382.106 | -43.056 | 0.000 | 0.000 | 0.000 |
| -43.056 | -43.056 | 382.106 | 0.000 | -0.000 | 0.000 |
| 0.000 | 0.000 | -0.000 | -43.204 | 0.000 | 0.000 |
| 0.000 | 0.000 | -0.000 | 0.000 | -43.204 | 0.000 |
| 0.000 | 0.000 | 0.000 | 0.000 | 0.000 | -43.204 |
| 382.106 | -43.056 | -43.056 | -0.000 | -0.000 | -0.000 |
| -43.056 | 382.106 | -43.056 | -0.000 | -0.000 | 0.000 |
| -43.056 | -43.056 | 382.106 | 0.000 | 0.000 | -0.000 |
| -0.000 | -0.000 | 0.000 | -43.204 | -0.000 | -0.000 |
| -0.000 | -0.000 | 0.000 | -0.000 | -43.204 | -0.000 |
| -0.000 | -0.000 | -0.000 | -0.000 | -0.000 | -43.204 |
| 382.105 | -43.056 | -43.056 | 0.000 | 0.000 | 0.000 |
| -43.056 | 382.105 | -43.056 | 0.000 | 0.000 | 0.000 |
| -43.056 | -43.056 | 382.105 | 0.000 | 0.000 | -0.000 |
| -0.000 | -0.000 | -0.000 | -43.204 | -0.000 | 0.000 |
| -0.000 | -0.000 | -0.000 | -0.000 | -43.204 | 0.000 |
| -0.000 | -0.000 | -0.000 | 0.000 | 0.000 | -43.204 |
| 382.106 | -43.056 | -43.056 | -0.000 | -0.000 | -0.000 |
| -43.056 | 382.106 | -43.056 | -0.000 | -0.000 | -0.000 |
| -43.056 | -43.056 | 382.106 | -0.000 | -0.000 | -0.000 |
| 0.000 | 0.000 | 0.000 | -43.204 | -0.000 | 0.000 |
| 0.000 | 0.000 | 0.000 | -0.000 | -43.204 | -0.000 |
| 0.000 | 0.000 | 0.000 | -0.000 | -0.000 | -43.204 |
| 382.102 | -43.056 | -43.056 | 0.000 | 0.000 | 0.000 |
| -43.056 | 382.102 | -43.056 | 0.000 | 0.000 | 0.000 |
| -43.056 | -43.056 | 382.102 | 0.000 | -0.000 | 0.000 |
| -0.000 | -0.000 | -0.000 | -43.204 | 0.000 | -0.000 |
| -0.000 | -0.000 | -0.000 | 0.000 | -43.204 | 0.000 |
| -0.000 | -0.000 | -0.000 | 0.000 | 0.000 | -43.204 |
| 382.110 | -43.056 | -43.056 | -0.000 | -0.000 | -0.000 |
| -43.056 | 382.110 | -43.056 | -0.000 | -0.000 | -0.000 |
| -43.056 | -43.056 | 382.110 | -0.000 | -0.000 | -0.000 |
| 0.000 | 0.000 | 0.000 | -43.204 | -0.000 | -0.000 |
| 0.000 | 0.000 | 0.000 | -0.000 | -43.204 | -0.000 |
| 0.000 | 0.000 | 0.000 | -0.000 | -0.000 | -43.204 |
| 6.389 | 82.968 | 82.968 | -0.000 | -0.000 | -0.000 |
| 82.968 | 6.389 | 82.968 | -0.000 | -0.000 | -0.000 |
| 82.968 | 82.968 | 6.389 | -0.000 | 0.000 | -0.000 |
| 0.000 | 0.000 | 0.000 | 99.232 | 0.000 | -0.000 |
| 0.000 | 0.000 | 0.000 | -0.000 | 99.232 | -0.000 |
| 0.000 | 0.000 | 0.000 | -0.000 | 0.000 | 99.232 |
| 6.389 | 82.968 | 82.968 | 0.000 | 0.000 | 0.000 |
| 82.968 | 6.389 | 82.968 | 0.000 | -0.000 | 0.000 |
| 82.968 | 82.968 | 6.389 | 0.000 | 0.000 | 0.000 |
| -0.000 | -0.000 | -0.000 | 99.232 | 0.000 | 0.000 |
| -0.000 | -0.000 | -0.000 | 0.000 | 99.232 | 0.000 |
| -0.000 | -0.000 | -0.000 | 0.000 | 0.000 | 99.232 |
| 6.388 | 82.968 | 82.968 | -0.000 | 0.000 | -0.000 |
| 82.968 | 6.388 | 82.968 | 0.000 | -0.000 | -0.000 |
| 82.968 | 82.968 | 6.388 | -0.000 | -0.000 | -0.000 |
| 0.000 | 0.000 | 0.000 | 99.232 | -0.000 | -0.000 |
| 0.000 | 0.000 | 0.000 | -0.000 | 99.232 | -0.000 |
| 0.000 | 0.000 | 0.000 | -0.000 | -0.000 | 99.232 |
| 6.389 | 82.968 | 82.968 | 0.000 | 0.000 | 0.000 |
| 82.968 | 6.389 | 82.968 | 0.000 | 0.000 | 0.000 |
| 82.968 | 82.968 | 6.389 | -0.000 | -0.000 | 0.000 |
| -0.000 | -0.000 | -0.000 | 99.232 | 0.000 | 0.000 |
| -0.000 | -0.000 | -0.000 | 0.000 | 99.232 | 0.000 |
| -0.000 | -0.000 | -0.000 | 0.000 | -0.000 | 99.232 |
| 6.387 | 82.969 | 82.969 | -0.000 | -0.000 | -0.000 |
| 82.969 | 6.387 | 82.969 | -0.000 | -0.000 | -0.000 |
| 82.969 | 82.969 | 6.387 | 0.000 | 0.000 | -0.000 |
| 0.001 | 0.000 | 0.001 | 99.232 | -0.000 | -0.000 |
| 0.000 | 0.001 | 0.001 | -0.000 | 99.232 | -0.000 |
| 0.000 | 0.001 | 0.001 | -0.000 | -0.000 | 99.232 |
| 6.390 | 82.967 | 82.967 | 0.000 | 0.000 | 0.000 |
| 82.967 | 6.390 | 82.967 | 0.000 | 0.000 | 0.000 |
| 82.967 | 82.967 | 6.390 | 0.000 | -0.000 | 0.000 |
| -0.001 | -0.000 | -0.001 | 99.232 | 0.000 | 0.000 |
| -0.000 | -0.001 | -0.001 | 0.000 | 99.232 | 0.000 |
| -0.000 | -0.001 | -0.001 | 0.000 | 0.000 | 99.232 |
| 31.806 | 89.478 | 89.478 | 0.000 | 0.000 | -0.000 |
| 89.478 | 31.806 | 89.478 | -0.000 | 0.000 | -0.000 |
| 89.478 | 89.478 | 31.806 | -0.000 | -0.000 | -0.000 |
| 0.000 | 0.000 | 0.000 | 78.762 | -0.000 | 0.000 |
| 0.000 | 0.000 | 0.000 | -0.000 | 78.762 | 0.000 |
| 0.000 | 0.000 | 0.000 | -0.000 | -0.000 | 78.762 |
| 31.806 | 89.478 | 89.478 | 0.000 | -0.000 | 0.000 |
| 89.478 | 31.806 | 89.478 | -0.000 | 0.000 | -0.000 |
| 89.478 | 89.478 | 31.806 | -0.000 | -0.000 | 0.000 |
| -0.000 | -0.000 | -0.000 | 78.762 | 0.000 | 0.000 |
| -0.000 | -0.000 | -0.000 | 0.000 | 78.762 | -0.000 |
| -0.000 | -0.000 | -0.000 | 0.000 | -0.000 | 78.762 |
| 31.806 | 89.477 | 89.477 | 0.000 | 0.000 | -0.000 |
| 89.477 | 31.806 | 89.477 | -0.000 | 0.000 | 0.000 |
| 89.477 | 89.477 | 31.806 | 0.000 | 0.000 | -0.000 |
| 0.000 | 0.000 | 0.000 | 78.762 | 0.000 | 0.000 |
| 0.000 | 0.000 | 0.000 | 0.000 | 78.762 | 0.000 |
| 0.000 | 0.000 | 0.000 | -0.000 | 0.000 | 78.762 |
| 31.807 | 89.478 | 89.478 | 0.000 | -0.000 | 0.000 |
| 89.478 | 31.807 | 89.478 | 0.000 | 0.000 | -0.000 |
| 89.478 | 89.478 | 31.807 | -0.000 | -0.000 | 0.000 |
| -0.000 | -0.000 | -0.000 | 78.762 | -0.000 | -0.000 |
| -0.000 | -0.000 | -0.000 | -0.000 | 78.762 | -0.000 |
| -0.000 | -0.000 | -0.000 | 0.000 | 0.000 | 78.762 |
| 31.803 | 89.476 | 89.476 | -0.000 | 0.000 | 0.000 |
| 89.476 | 31.803 | 89.476 | 0.000 | -0.000 | -0.000 |
| 89.476 | 89.476 | 31.803 | -0.000 | -0.000 | 0.000 |
| 0.001 | 0.001 | 0.001 | 78.762 | 0.000 | -0.000 |
| 0.001 | 0.001 | 0.001 | 0.000 | 78.762 | -0.000 |
| 0.001 | 0.001 | 0.001 | 0.000 | 0.000 | 78.762 |
| 31.809 | 89.480 | 89.480 | -0.000 | 0.000 | -0.000 |
| 89.480 | 31.809 | 89.480 | 0.000 | -0.000 | 0.000 |
| 89.480 | 89.480 | 31.809 | 0.000 | 0.000 | 0.000 |
| -0.001 | -0.001 | -0.001 | 78.762 | -0.000 | 0.000 |
| -0.001 | -0.001 | -0.001 | -0.000 | 78.762 | -0.000 |
| -0.001 | -0.001 | -0.001 | -0.000 | 0.000 | 78.762 |
| 31.582 | 31.969 | 31.969 | 0.000 | 0.000 | -0.000 |
| 31.969 | 31.582 | 31.969 | 0.000 | 0.000 | -0.000 |
| 31.969 | 31.969 | 31.582 | 0.000 | 0.000 | -0.000 |
| 0.000 | 0.000 | 0.000 | 31.582 | -0.000 | -0.000 |
| 0.000 | 0.000 | 0.000 | 0.000 | 31.582 | -0.000 |
| 0.000 | 0.000 | 0.000 | 0.000 | 0.000 | 31.582 |
| 31.582 | 31.969 | 31.969 | -0.000 | 0.000 | 0.000 |
| 31.969 | 31.582 | 31.969 | -0.000 | -0.000 | 0.000 |
| 31.969 | 31.969 | 31.582 | -0.000 | -0.000 | 0.000 |
| -0.000 | -0.000 | -0.000 | 31.582 | -0.000 | 0.000 |
| -0.000 | -0.000 | -0.000 | -0.000 | 31.582 | 0.000 |
| -0.000 | -0.000 | -0.000 | -0.000 | -0.000 | 31.582 |
| 31.582 | 31.969 | 31.969 | 0.000 | 0.000 | -0.000 |
| 31.969 | 31.582 | 31.969 | 0.000 | -0.000 | -0.000 |
| 31.969 | 31.969 | 31.582 | 0.000 | 0.000 | -0.000 |
| 0.000 | 0.000 | 0.000 | 31.582 | 0.000 | -0.000 |
| 0.000 | 0.000 | 0.000 | 0.000 | 31.582 | -0.000 |
| 0.000 | 0.000 | 0.000 | 0.000 | -0.000 | 31.582 |
| 31.582 | 31.969 | 31.969 | -0.000 | 0.000 | 0.000 |
| 31.969 | 31.582 | 31.969 | -0.000 | -0.000 | 0.000 |
| 31.969 | 31.969 | 31.582 | -0.000 | -0.000 | 0.000 |
| -0.000 | -0.000 | -0.000 | 31.582 | -0.000 | 0.000 |
| -0.000 | -0.000 | -0.000 | -0.000 | 31.582 | 0.000 |
| -0.000 | -0.000 | -0.000 | -0.000 | -0.000 | 31.582 |
| 31.582 | 31.969 | 31.969 | 0.000 | 0.000 | -0.000 |
| 31.969 | 31.582 | 31.969 | 0.000 | 0.000 | -0.000 |
| 31.969 | 31.969 | 31.582 | -0.000 | 0.000 | -0.000 |
| 0.000 | 0.000 | 0.000 | 31.582 | -0.000 | -0.000 |
| 0.000 | 0.000 | 0.000 | 0.000 | 31.582 | -0.000 |
| 0.000 | 0.000 | 0.000 | 0.000 | 0.000 | 31.582 |
| 31.582 | 31.969 | 31.969 | -0.000 | 0.000 | 0.000 |
| 31.969 | 31.582 | 31.969 | -0.000 | 0.000 | 0.000 |
| 31.969 | 31.969 | 31.582 | -0.000 | -0.000 | 0.000 |
| -0.000 | -0.000 | -0.000 | 31.582 | -0.000 | 0.000 |
| -0.000 | -0.000 | -0.000 | -0.000 | 31.582 | 0.000 |
| -0.000 | -0.000 | -0.000 | -0.000 | -0.000 | 31.582 |
| 30.313 | 30.340 | 30.340 | 0.000 | -0.000 | -0.000 |
| 30.340 | 30.313 | 30.340 | -0.000 | 0.000 | 0.000 |
| 30.340 | 30.340 | 30.313 | -0.000 | 0.000 | -0.000 |
| 0.000 | 0.000 | 0.000 | 30.313 | 0.000 | 0.000 |
| 0.000 | 0.000 | 0.000 | 0.000 | 30.313 | 0.000 |
| 0.000 | 0.000 | 0.000 | 0.000 | 0.000 | 30.313 |
| 30.313 | 30.340 | 30.340 | -0.000 | -0.000 | 0.000 |
| 30.340 | 30.313 | 30.340 | -0.000 | -0.000 | 0.000 |
| 30.340 | 30.340 | 30.313 | -0.000 | -0.000 | -0.000 |
| -0.000 | -0.000 | -0.000 | 30.313 | 0.000 | 0.000 |
| -0.000 | -0.000 | -0.000 | 0.000 | 30.313 | -0.000 |
| -0.000 | -0.000 | -0.000 | 0.000 | -0.000 | 30.313 |
| 30.313 | 30.340 | 30.340 | 0.000 | 0.000 | 0.000 |
| 30.340 | 30.313 | 30.340 | 0.000 | 0.000 | -0.000 |
| 30.340 | 30.340 | 30.313 | 0.000 | 0.000 | -0.000 |
| 0.000 | 0.000 | 0.000 | 30.313 | 0.000 | 0.000 |
| 0.000 | 0.000 | 0.000 | 0.000 | 30.313 | -0.000 |
| 0.000 | 0.000 | 0.000 | 0.000 | -0.000 | 30.313 |
| 30.313 | 30.340 | 30.340 | -0.000 | -0.000 | -0.000 |
| 30.340 | 30.313 | 30.340 | -0.000 | -0.000 | 0.000 |
| 30.340 | 30.340 | 30.313 | -0.000 | -0.000 | -0.000 |
| -0.000 | -0.000 | -0.000 | 30.313 | -0.000 | -0.000 |
| -0.000 | -0.000 | -0.000 | -0.000 | 30.313 | -0.000 |
| -0.000 | -0.000 | -0.000 | -0.000 | -0.000 | 30.313 |
| 30.314 | 30.340 | 30.340 | -0.000 | -0.000 | -0.000 |
| 30.340 | 30.314 | 30.340 | -0.000 | 0.000 | -0.000 |
| 30.340 | 30.340 | 30.314 | -0.000 | -0.000 | 0.000 |
| 0.000 | 0.000 | 0.000 | 30.313 | -0.000 | -0.000 |
| 0.000 | 0.000 | 0.000 | -0.000 | 30.313 | 0.000 |
| 0.000 | 0.000 | 0.000 | -0.000 | 0.000 | 30.313 |
| 30.313 | 30.340 | 30.340 | 0.000 | -0.000 | -0.000 |
| 30.340 | 30.313 | 30.340 | -0.000 | 0.000 | -0.000 |
| 30.340 | 30.340 | 30.313 | -0.000 | -0.000 | 0.000 |
| -0.000 | -0.000 | -0.000 | 30.313 | -0.000 | -0.000 |
| -0.000 | -0.000 | -0.000 | 0.000 | 30.313 | -0.000 |
| -0.000 | -0.000 | -0.000 | 0.000 | -0.000 | 30.313 |
| -10.215 | -9.025 | -9.025 | 0.000 | 0.000 | 0.000 |
| -9.025 | -10.215 | -9.025 | 0.000 | 0.000 | 0.000 |
| -9.025 | -9.025 | -10.215 | 0.000 | 0.000 | 0.000 |
| -0.000 | -0.000 | -0.000 | -11.712 | 0.000 | 0.000 |
| -0.000 | -0.000 | -0.000 | 0.000 | -11.712 | 0.000 |
| -0.000 | -0.000 | -0.000 | 0.000 | 0.000 | -11.712 |
| -10.215 | -9.025 | -9.025 | -0.000 | -0.000 | -0.000 |
| -9.025 | -10.215 | -9.025 | -0.000 | -0.000 | 0.000 |
| -9.025 | -9.025 | -10.215 | -0.000 | -0.000 | -0.000 |
| 0.000 | -0.000 | 0.000 | -11.712 | -0.000 | -0.000 |
| -0.000 | 0.000 | 0.000 | -0.000 | -11.712 | -0.000 |
| -0.000 | 0.000 | 0.000 | -0.000 | -0.000 | -11.712 |
| -10.215 | -9.025 | -9.025 | 0.000 | 0.000 | 0.000 |
| -9.025 | -10.215 | -9.025 | 0.000 | 0.000 | -0.000 |
| -9.025 | -9.025 | -10.215 | 0.000 | 0.000 | 0.000 |
| -0.000 | -0.000 | -0.000 | -11.712 | 0.000 | -0.000 |
| -0.000 | -0.000 | -0.000 | 0.000 | -11.712 | 0.000 |
| -0.000 | -0.000 | -0.000 | 0.000 | 0.000 | -11.712 |
| -10.215 | -9.026 | -9.026 | -0.000 | -0.000 | 0.000 |
| -9.026 | -10.215 | -9.026 | -0.000 | -0.000 | -0.000 |
| -9.026 | -9.026 | -10.215 | -0.000 | -0.000 | -0.000 |
| 0.000 | 0.000 | 0.000 | -11.712 | -0.000 | -0.000 |
| 0.000 | 0.000 | 0.000 | -0.000 | -11.712 | -0.000 |
| 0.000 | 0.000 | 0.000 | -0.000 | -0.000 | -11.712 |
| -11.280 | -10.090 | -10.090 | 0.000 | 0.000 | 0.000 |
| -10.090 | -11.280 | -10.090 | 0.000 | 0.000 | -0.000 |
| -10.090 | -10.090 | -11.280 | 0.000 | 0.000 | 0.000 |
| -0.000 | -0.000 | -0.000 | -11.712 | 0.000 | 0.000 |
| -0.000 | -0.000 | -0.000 | 0.000 | -11.712 | 0.000 |
| -0.000 | -0.000 | -0.000 | 0.000 | 0.000 | -11.712 |
| -10.215 | -9.026 | -9.026 | -0.000 | -0.000 | 0.000 |
| -9.026 | -10.215 | -9.026 | -0.000 | -0.000 | -0.000 |
| -9.026 | -9.026 | -10.215 | -0.000 | -0.000 | -0.000 |
| 0.000 | 0.000 | 0.000 | -11.712 | -0.000 | -0.000 |
| 0.000 | 0.000 | 0.000 | -0.000 | -11.712 | -0.000 |
| 0.000 | 0.000 | 0.000 | -0.000 | -0.000 | -11.712 |
| 472.104 | 250.024 | 250.024 | -0.000 | -0.000 | -0.000 |
| 250.024 | 472.104 | 250.024 | -0.000 | -0.000 | -0.000 |
| 250.024 | 250.024 | 472.104 | -0.000 | -0.000 | -0.000 |
| 0.000 | 0.000 | 0.000 | 188.767 | -0.000 | -0.000 |
| 0.000 | 0.000 | 0.000 | -0.000 | 188.767 | -0.000 |
| 0.000 | 0.000 | 0.000 | -0.000 | -0.000 | 188.767 |
| 472.104 | 250.024 | 250.024 | 0.000 | 0.000 | 0.000 |
| 250.024 | 472.104 | 250.024 | 0.000 | 0.000 | 0.000 |
| 250.024 | 250.024 | 472.104 | 0.000 | 0.000 | 0.000 |
| -0.000 | -0.000 | -0.000 | 188.767 | 0.000 | 0.000 |
| -0.000 | -0.000 | -0.000 | 0.000 | 188.767 | 0.000 |
| -0.000 | -0.000 | -0.000 | 0.000 | 0.000 | 188.767 |
| 472.104 | 250.024 | 250.024 | -0.000 | -0.000 | -0.000 |
| 250.024 | 472.104 | 250.024 | -0.000 | -0.000 | -0.000 |
| 250.024 | 250.024 | 472.104 | -0.000 | -0.000 | -0.000 |
| 0.000 | 0.000 | 0.000 | 188.767 | -0.000 | -0.000 |
| 0.000 | 0.000 | 0.000 | -0.000 | 188.767 | -0.000 |
| 0.000 | 0.000 | 0.000 | -0.000 | -0.000 | 188.767 |
| 472.103 | 250.024 | 250.024 | 0.000 | 0.000 | 0.000 |
| 250.024 | 472.103 | 250.024 | 0.000 | 0.000 | 0.000 |
| 250.024 | 250.024 | 472.103 | 0.000 | 0.000 | 0.000 |
| -0.000 | -0.000 | -0.000 | 188.767 | 0.000 | 0.000 |
| -0.000 | -0.000 | -0.000 | 0.000 | 188.767 | -0.000 |
| -0.000 | -0.000 | -0.000 | -0.000 | -0.000 | 188.767 |
| 472.108 | 250.025 | 250.025 | -0.000 | -0.000 | -0.000 |
| 250.025 | 472.108 | 250.025 | -0.000 | -0.000 | -0.000 |
| 250.025 | 250.025 | 472.108 | -0.000 | -0.000 | -0.000 |
| 0.000 | 0.001 | 0.002 | 188.767 | -0.000 | -0.000 |
| 0.001 | 0.000 | 0.002 | -0.000 | 188.767 | -0.000 |
| 0.001 | 0.002 | 0.000 | -0.000 | -0.000 | 188.767 |
| 472.100 | 250.022 | 250.022 | 0.000 | 0.000 | 0.000 |
| 250.022 | 472.100 | 250.022 | 0.000 | 0.000 | 0.000 |
| 250.022 | 250.022 | 472.100 | 0.000 | 0.000 | 0.000 |
| -0.000 | -0.001 | -0.002 | 188.767 | 0.000 | 0.000 |
| -0.001 | -0.000 | -0.002 | 0.000 | 188.767 | 0.000 |
| -0.001 | -0.002 | -0.000 | 0.000 | 0.000 | 188.767 |
| -78.607 | -38.922 | -38.922 | -0.000 | -0.000 | -0.000 |
| -38.922 | -78.607 | -38.922 | -0.000 | -0.000 | -0.000 |
| -38.922 | -38.922 | -78.607 | -0.000 | -0.000 | -0.000 |
| -0.000 | 0.000 | 0.000 | -38.913 | 0.000 | -0.000 |
| 0.000 | -0.000 | 0.000 | 0.000 | -38.913 | -0.000 |
| 0.000 | 0.000 | 0.000 | -0.000 | -0.000 | -38.913 |
| -78.607 | -38.922 | -38.922 | 0.000 | 0.000 | 0.000 |
| -38.922 | -78.607 | -38.922 | 0.000 | 0.000 | 0.000 |
| -38.922 | -38.922 | -78.607 | -0.000 | -0.000 | 0.000 |
| 0.000 | -0.000 | -0.000 | -38.913 | 0.000 | 0.000 |
| -0.000 | 0.000 | -0.000 | -0.000 | -38.913 | 0.000 |
| -0.000 | -0.000 | 0.000 | -0.000 | 0.000 | -38.913 |
| -78.607 | -38.922 | -38.922 | -0.000 | -0.000 | -0.000 |
| -38.922 | -78.607 | -38.922 | -0.000 | -0.000 | 0.000 |
| -38.922 | -38.922 | -78.607 | 0.000 | 0.000 | -0.000 |
| 0.000 | 0.000 | 0.000 | -38.913 | 0.000 | -0.000 |
| 0.000 | 0.000 | 0.000 | 0.000 | -38.913 | 0.000 |
| 0.000 | 0.000 | 0.000 | 0.000 | 0.000 | -38.913 |
| -78.607 | -38.922 | -38.922 | -0.000 | 0.000 | 0.000 |
| -38.922 | -78.607 | -38.922 | 0.000 | 0.000 | -0.000 |
| -38.922 | -38.922 | -78.607 | -0.000 | -0.000 | 0.000 |
| -0.000 | -0.000 | -0.000 | -38.913 | -0.000 | 0.000 |
| -0.000 | -0.000 | -0.000 | -0.000 | -38.913 | -0.000 |
| -0.000 | -0.000 | -0.000 | 0.000 | -0.000 | -38.913 |
| -78.607 | -38.922 | -38.922 | -0.000 | -0.000 | -0.000 |
| -38.922 | -78.607 | -38.922 | -0.000 | -0.000 | -0.000 |
| -38.922 | -38.922 | -78.607 | -0.000 | -0.000 | -0.000 |
| 0.000 | 0.000 | 0.000 | -38.913 | 0.000 | 0.000 |
| 0.000 | 0.000 | 0.000 | -0.000 | -38.913 | -0.000 |
| 0.000 | 0.000 | 0.000 | -0.000 | 0.000 | -38.913 |
| -78.608 | -38.922 | -38.922 | 0.000 | 0.000 | 0.000 |
| -38.922 | -78.608 | -38.922 | 0.000 | 0.000 | -0.000 |
| -38.922 | -38.922 | -78.608 | -0.000 | -0.000 | 0.000 |
| -0.000 | -0.000 | -0.000 | -38.913 | 0.000 | 0.000 |
| -0.000 | -0.000 | -0.000 | 0.000 | -38.913 | 0.000 |
| -0.000 | -0.000 | -0.000 | 0.000 | 0.000 | -38.913 |
| -69.002 | -25.784 | -25.784 | -0.000 | -0.000 | -0.000 |
| -25.784 | -69.002 | -25.784 | -0.000 | -0.000 | -0.000 |
| -25.784 | -25.784 | -69.002 | -0.000 | -0.000 | -0.000 |
| 357318.261 | -2047447.137 | -2047447.429 | -24308610.721 | 1.352 | 1.727 |
| -2047446.897 | 357318.220 | -2047447.186 | 1.362 | -24308609.262 | 1.729 |
| -2047428.068 | -2047428.363 | 357315.002 | 1.340 | 1.730 | -24308497.675 |
| -69.002 | -25.784 | -25.784 | 0.000 | -0.000 | -0.000 |
| -25.784 | -69.002 | -25.784 | 0.000 | 0.000 | 0.000 |
| -25.784 | -25.784 | -69.002 | 0.000 | 0.000 | 0.000 |
| -357255.957 | 2047088.584 | 2047088.670 | -24306479.648 | -2.138 | -1.282 |
| 2047087.712 | -357255.811 | 2047087.793 | -2.160 | -24306474.463 | -1.274 |
| 2047093.429 | 2047093.518 | -357256.799 | -2.161 | -1.294 | -24306508.402 |
| -69.002 | -25.784 | -25.784 | -0.000 | -0.000 | 0.000 |
| -25.784 | -69.002 | -25.784 | -0.000 | -0.000 | -0.000 |
| -25.784 | -25.784 | -69.002 | -0.000 | -0.000 | -0.000 |
| 36307.417 | -207843.735 | -207844.224 | -2449431.040 | 0.004 | 0.016 |
| -207843.893 | 36307.443 | -207844.383 | 0.005 | -2449431.969 | 0.016 |
| -207843.623 | -207844.113 | 36307.398 | 0.005 | 0.016 | -2449430.388 |
| -69.002 | -25.784 | -25.784 | 0.000 | 0.000 | -0.000 |
| -25.784 | -69.002 | -25.784 | 0.000 | -0.000 | -0.000 |
| -25.784 | -25.784 | -69.002 | 0.000 | -0.000 | 0.000 |
| -36306.926 | 207840.745 | 207841.234 | -2449413.543 | -0.032 | -0.012 |
| 207840.638 | -36306.908 | 207841.128 | -0.032 | -2449412.920 | -0.012 |
| 207840.669 | 207841.158 | -36306.913 | -0.032 | -0.012 | -2449413.099 |
| -69.002 | -25.784 | -25.784 | 0.000 | -0.000 | 0.000 |
| -25.784 | -69.002 | -25.784 | -0.000 | 0.000 | 0.000 |
| -25.784 | -25.784 | -69.002 | -0.000 | -0.000 | 0.000 |
| -0.000 | -0.000 | -0.000 | -39.906 | -0.000 | -0.000 |
| -0.000 | -0.000 | -0.000 | -0.000 | -39.906 | -0.000 |
| -0.000 | -0.000 | -0.000 | -0.000 | -0.000 | -39.906 |
| -69.001 | -25.783 | -25.783 | 0.000 | 0.000 | 0.000 |
| -25.783 | -69.001 | -25.783 | 0.000 | 0.000 | 0.000 |
| -25.783 | -25.783 | -69.001 | 0.000 | 0.000 | 0.000 |
| 0.000 | 0.000 | 0.000 | -39.906 | -0.000 | 0.000 |
| 0.000 | 0.000 | 0.000 | 0.000 | -39.906 | 0.000 |
| 0.000 | 0.000 | 0.000 | 0.000 | 0.000 | -39.906 |
| 136.943 | 66.155 | 66.155 | -0.000 | -0.000 | -0.000 |
| 66.155 | 136.943 | 66.155 | -0.000 | -0.000 | -0.000 |
| 66.155 | 66.155 | 136.943 | -0.000 | -0.000 | -0.000 |
| 113798575.635 | 48858614.874 | 48858614.047 | -41359149.719 | -0.093 | -0.096 |
| 48858614.874 | 113798575.635 | 48858614.047 | -0.093 | -41359149.719 | -0.096 |
| 48858614.874 | 48858614.047 | 113798575.635 | -0.093 | -0.096 | -41359149.719 |
| 136.943 | 66.155 | 66.155 | -0.000 | 0.000 | 0.000 |
| 66.155 | 136.943 | 66.155 | 0.000 | -0.000 | 0.000 |
| 66.155 | 66.155 | 136.943 | 0.000 | 0.000 | 0.000 |
| -113798575.633 | -48858614.872 | -48858614.045 | -41359149.708 | 0.023 | 0.049 |
| -48858614.872 | -113798575.633 | -48858614.045 | 0.023 | -41359149.708 | 0.049 |
| -0.000 | -0.000 | 0.000 | 0.000 | 0.000 | 66.698 |
| 136.943 | 66.155 | 66.155 | -0.000 | 0.000 | -0.000 |
| 66.155 | 136.943 | 66.155 | -0.000 | -0.000 | -0.000 |
| 66.155 | 66.155 | 136.943 | -0.000 | -0.000 | -0.000 |
| 11379841.697 | 4885864.481 | 4885863.654 | -4135843.685 | 0.003 | 0.004 |
| 4885864.481 | 11379841.697 | 4885863.654 | 0.003 | -4135843.685 | 0.004 |
| 4885864.481 | 4885863.654 | 11379841.697 | 0.003 | 0.004 | -4135843.685 |
| 136.943 | 66.155 | 66.155 | 0.000 | 0.000 | 0.000 |
| 66.155 | 136.943 | 66.155 | 0.000 | 0.000 | 0.000 |
| 66.155 | 66.155 | 136.943 | 0.000 | -0.000 | 0.000 |
| -11379841.696 | -4885864.481 | -4885863.654 | -4135843.682 | -0.018 | -0.018 |
| -4885864.481 | -11379841.696 | -4885863.654 | -0.018 | -4135843.682 | -0.018 |
| -4885864.481 | -4885863.654 | -11379841.696 | -0.018 | -0.018 | -4135843.682 |
| 136.945 | 66.156 | 66.156 | -0.000 | 0.000 | -0.000 |
| 66.156 | 136.945 | 66.156 | 0.000 | -0.000 | -0.000 |
| 66.156 | 66.156 | 136.945 | -0.000 | -0.000 | -0.000 |
| 1137968.297 | 488589.438 | 488588.611 | -413513.052 | 0.000 | 0.000 |
| 488589.438 | 1137968.297 | 488588.611 | 0.000 | -413513.052 | 0.000 |
| 488589.438 | 488588.611 | 1137968.297 | 0.000 | 0.000 | -413513.052 |
| 136.941 | 66.154 | 66.154 | 0.000 | 0.000 | -0.000 |
| 66.154 | 136.941 | 66.154 | 0.000 | 0.000 | 0.000 |
| 66.154 | 66.154 | 136.941 | 0.000 | 0.000 | 0.000 |
| -1137968.297 | -488589.438 | -488588.611 | -413513.052 | -0.000 | -0.000 |
| -488589.438 | -1137968.297 | -488588.611 | -0.000 | -413513.052 | -0.000 |
| -488589.438 | -488588.611 | -1137968.297 | -0.000 | -0.000 | -413513.052 |
| 12.623 | 12.599 | 12.599 | 0.000 | 0.000 | 0.000 |
| 12.599 | 12.623 | 12.599 | 0.000 | 0.000 | 0.000 |
| 12.599 | 12.599 | 12.623 | 0.000 | 0.000 | 0.000 |
| 0.000 | 0.000 | -0.000 | 0.024 | 0.000 | 0.000 |
| 0.000 | 0.000 | -0.000 | 0.000 | 0.024 | 0.000 |
| 0.000 | 0.000 | 0.000 | 0.000 | 0.000 | 0.024 |
| 12.623 | 12.599 | 12.599 | -0.000 | -0.000 | -0.000 |
| 12.599 | 12.623 | 12.599 | -0.000 | -0.000 | -0.000 |
| 12.599 | 12.599 | 12.623 | -0.000 | -0.000 | -0.000 |
| -0.000 | -0.000 | -0.000 | 0.024 | -0.000 | -0.000 |
| -0.000 | -0.000 | 0.000 | -0.000 | 0.024 | -0.000 |
| -0.000 | -0.000 | 0.000 | -0.000 | -0.000 | 0.024 |
| 12.623 | 12.599 | 12.599 | 0.000 | 0.000 | 0.000 |
| 12.599 | 12.623 | 12.599 | 0.000 | 0.000 | 0.000 |
| 12.599 | 12.599 | 12.623 | 0.000 | 0.000 | 0.000 |
| -0.000 | -0.000 | -0.000 | 0.024 | 0.000 | 0.000 |
| -0.000 | -0.000 | -0.000 | 0.000 | 0.024 | 0.000 |
| -0.000 | -0.000 | -0.000 | 0.000 | 0.000 | 0.024 |
| 12.623 | 12.599 | 12.599 | -0.000 | -0.000 | -0.000 |
| 12.599 | 12.623 | 12.599 | -0.000 | -0.000 | -0.000 |
| 12.599 | 12.599 | 12.623 | -0.000 | -0.000 | -0.000 |
| 0.000 | 0.000 | 0.000 | 0.024 | -0.000 | -0.000 |
| 0.000 | 0.000 | 0.000 | -0.000 | 0.024 | -0.000 |
| 0.000 | 0.000 | 0.000 | -0.000 | -0.000 | 0.024 |
| 12.623 | 12.599 | 12.599 | 0.000 | 0.000 | 0.000 |
| 12.599 | 12.623 | 12.599 | 0.000 | 0.000 | 0.000 |
| 12.599 | 12.599 | 12.623 | 0.000 | 0.000 | 0.000 |
| -0.000 | -0.000 | -0.000 | 0.024 | 0.000 | 0.000 |
| -0.000 | -0.000 | -0.000 | 0.000 | 0.024 | 0.000 |
| -0.000 | -0.000 | -0.000 | 0.000 | 0.000 | 0.024 |
| 12.623 | 12.599 | 12.599 | -0.000 | -0.000 | -0.000 |
| 12.599 | 12.623 | 12.599 | -0.000 | -0.000 | -0.000 |
| 12.599 | 12.599 | 12.623 | -0.000 | -0.000 | -0.000 |
| 0.000 | 0.000 | 0.000 | 0.024 | -0.000 | -0.000 |
| 0.000 | 0.000 | 0.000 | -0.000 | 0.024 | -0.000 |
| 0.000 | 0.000 | 0.000 | -0.000 | -0.000 | 0.024 |
| 4.064 | 3.547 | 3.547 | 0.000 | 0.000 | 0.000 |
| 3.547 | 4.064 | 3.547 | 0.000 | 0.000 | 0.000 |
| 3.547 | 3.547 | 4.064 | 0.000 | 0.000 | 0.000 |
| 0.000 | 0.000 | 0.000 | 0.500 | 0.000 | 0.000 |
| 0.000 | 0.000 | 0.000 | 0.000 | 0.500 | -0.000 |
| 0.000 | 0.000 | 0.000 | -0.000 | -0.000 | 0.500 |
| 4.064 | 3.547 | 3.547 | -0.000 | -0.000 | -0.000 |
| 3.547 | 4.064 | 3.547 | -0.000 | -0.000 | -0.000 |
| 3.547 | 3.547 | 4.064 | -0.000 | -0.000 | -0.000 |
| -0.000 | -0.000 | -0.000 | 0.500 | -0.000 | -0.000 |
| -0.000 | -0.000 | -0.000 | -0.000 | 0.500 | -0.000 |
| -0.000 | -0.000 | -0.000 | -0.000 | -0.000 | 0.500 |
| 4.064 | 3.548 | 3.548 | 0.000 | 0.000 | 0.000 |
| 3.548 | 4.064 | 3.548 | 0.000 | 0.000 | 0.000 |
| 3.548 | 3.548 | 4.064 | 0.000 | 0.000 | 0.000 |
| -0.000 | -0.000 | -0.000 | 0.500 | 0.000 | 0.000 |
| -0.000 | -0.000 | -0.000 | 0.000 | 0.500 | -0.000 |
| -0.000 | -0.000 | -0.000 | 0.000 | 0.000 | 0.500 |
| 4.064 | 3.547 | 3.547 | -0.000 | -0.000 | -0.000 |
| 3.547 | 4.064 | 3.547 | -0.000 | -0.000 | -0.000 |
| 3.547 | 3.547 | 4.064 | -0.000 | -0.000 | -0.000 |
| 0.000 | 0.000 | 0.000 | 0.500 | -0.000 | -0.000 |
| 0.000 | 0.000 | 0.000 | -0.000 | 0.500 | 0.000 |
| 0.000 | 0.000 | 0.000 | -0.000 | -0.000 | 0.500 |
| 4.064 | 3.548 | 3.548 | 0.000 | 0.000 | 0.000 |
| 3.548 | 4.064 | 3.548 | 0.000 | 0.000 | 0.000 |
| 3.548 | 3.548 | 4.064 | 0.000 | 0.000 | 0.000 |
| -0.000 | -0.000 | -0.000 | 0.500 | 0.000 | -0.000 |
| -0.000 | -0.000 | -0.000 | 0.000 | 0.500 | 0.000 |
| -0.000 | -0.000 | -0.000 | 0.000 | 0.000 | 0.500 |
| 4.064 | 3.547 | 3.547 | -0.000 | -0.000 | -0.000 |
| 3.547 | 4.064 | 3.547 | -0.000 | -0.000 | -0.000 |
| 3.547 | 3.547 | 4.064 | -0.000 | -0.000 | -0.000 |
| 0.000 | 0.000 | 0.000 | 0.500 | -0.000 | -0.000 |
| 0.000 | 0.000 | 0.000 | -0.000 | 0.500 | -0.000 |
| 0.000 | 0.000 | 0.000 | -0.000 | -0.000 | 0.500 |
| 7.896 | 7.992 | 7.992 | -0.000 | -0.000 | -0.000 |
| 7.992 | 7.896 | 7.992 | -0.000 | -0.000 | -0.000 |
| 7.992 | 7.992 | 7.896 | -0.000 | -0.000 | -0.000 |
| 0.000 | 0.000 | -0.000 | -0.097 | -0.000 | 0.000 |
| 0.000 | 0.000 | -0.000 | -0.000 | -0.097 | 0.000 |
| 0.000 | 0.000 | -0.000 | -0.000 | -0.000 | -0.097 |
| 7.896 | 7.992 | 7.992 | 0.000 | 0.000 | 0.000 |
| 7.992 | 7.896 | 7.992 | 0.000 | 0.000 | 0.000 |
| 7.992 | 7.992 | 7.896 | 0.000 | 0.000 | 0.000 |
| -0.000 | -0.000 | 0.000 | -0.097 | 0.000 | 0.000 |
| -0.000 | -0.000 | 0.000 | 0.000 | -0.097 | 0.000 |
| -0.000 | -0.000 | 0.000 | 0.000 | 0.000 | -0.097 |
| 7.896 | 7.992 | 7.992 | -0.000 | -0.000 | -0.000 |
| 7.992 | 7.896 | 7.992 | -0.000 | -0.000 | -0.000 |
| 7.992 | 7.992 | 7.896 | -0.000 | -0.000 | -0.000 |
| -0.000 | -0.000 | -0.000 | -0.097 | -0.000 | -0.000 |
| -0.000 | -0.000 | -0.000 | -0.000 | -0.097 | -0.000 |
| -0.000 | -0.000 | -0.000 | -0.000 | -0.000 | -0.097 |
| 7.896 | 7.992 | 7.992 | 0.000 | 0.000 | 0.000 |
| 7.992 | 7.896 | 7.992 | 0.000 | 0.000 | 0.000 |
| 7.992 | 7.992 | 7.896 | 0.000 | 0.000 | 0.000 |
| 0.000 | 0.000 | 0.000 | -0.097 | 0.000 | 0.000 |
| 0.000 | 0.000 | 0.000 | 0.000 | -0.097 | 0.000 |
| 0.000 | 0.000 | 0.000 | 0.000 | 0.000 | -0.097 |
| 7.896 | 7.992 | 7.992 | -0.000 | -0.000 | -0.000 |
| 7.992 | 7.896 | 7.992 | -0.000 | -0.000 | -0.000 |
| 7.992 | 7.992 | 7.896 | -0.000 | -0.000 | -0.000 |
| -0.000 | -0.000 | -0.000 | -0.097 | -0.000 | -0.000 |
| -0.000 | -0.000 | -0.000 | -0.000 | -0.097 | -0.000 |
| -0.000 | -0.000 | -0.000 | -0.000 | -0.000 | -0.097 |
| 7.896 | 7.992 | 7.992 | 0.000 | 0.000 | 0.000 |
| 7.992 | 7.896 | 7.992 | 0.000 | 0.000 | 0.000 |
| 7.992 | 7.992 | 7.896 | 0.000 | 0.000 | 0.000 |
| 0.000 | 0.000 | 0.000 | -0.097 | 0.000 | 0.000 |
| 0.000 | 0.000 | 0.000 | 0.000 | -0.097 | 0.000 |
| 0.000 | 0.000 | 0.000 | 0.000 | 0.000 | -0.097 |
| 7.620 | 7.639 | 7.639 | 0.000 | 0.000 | 0.000 |
| 7.639 | 7.620 | 7.639 | 0.000 | 0.000 | 0.000 |
| 7.639 | 7.639 | 7.620 | 0.000 | 0.000 | 0.000 |
| -0.000 | -0.000 | -0.000 | -0.019 | 0.000 | 0.000 |
| -0.000 | -0.000 | -0.000 | 0.000 | -0.019 | 0.000 |
| -0.000 | -0.000 | -0.000 | 0.000 | 0.000 | -0.019 |
| 7.620 | 7.639 | 7.639 | -0.000 | -0.000 | -0.000 |
| 7.639 | 7.620 | 7.639 | -0.000 | -0.000 | -0.000 |
| 7.639 | 7.639 | 7.620 | -0.000 | -0.000 | -0.000 |
| 0.000 | 0.000 | 0.000 | -0.019 | -0.000 | -0.000 |
| 0.000 | 0.000 | 0.000 | -0.000 | -0.019 | -0.000 |
| 0.000 | 0.000 | 0.000 | -0.000 | -0.000 | -0.019 |
| 7.620 | 7.639 | 7.639 | 0.000 | 0.000 | 0.000 |
| 7.639 | 7.620 | 7.639 | 0.000 | 0.000 | 0.000 |
| 7.639 | 7.639 | 7.620 | 0.000 | 0.000 | 0.000 |
| -0.000 | -0.000 | -0.000 | -0.019 | 0.000 | 0.000 |
| -0.000 | -0.000 | -0.000 | 0.000 | -0.019 | 0.000 |
| -0.000 | -0.000 | -0.000 | 0.000 | 0.000 | -0.019 |
| 7.620 | 7.639 | 7.639 | -0.000 | -0.000 | -0.000 |
| 7.639 | 7.620 | 7.639 | -0.000 | -0.000 | -0.000 |
| 7.639 | 7.639 | 7.620 | -0.000 | -0.000 | -0.000 |
| 0.000 | 0.000 | 0.000 | -0.019 | -0.000 | -0.000 |
| 0.000 | 0.000 | 0.000 | -0.000 | -0.019 | -0.000 |
| 0.000 | 0.000 | 0.000 | -0.000 | -0.000 | -0.019 |
| 7.620 | 7.639 | 7.639 | 0.000 | 0.000 | 0.000 |
| 7.639 | 7.620 | 7.639 | 0.000 | 0.000 | 0.000 |
| 7.639 | 7.639 | 7.620 | 0.000 | 0.000 | 0.000 |
| -0.000 | -0.000 | -0.000 | -0.019 | 0.000 | 0.000 |
| -0.000 | -0.000 | -0.000 | 0.000 | -0.019 | 0.000 |
| -0.000 | -0.000 | -0.000 | 0.000 | 0.000 | -0.019 |
| 7.620 | 7.639 | 7.639 | -0.000 | -0.000 | -0.000 |
| 7.639 | 7.620 | 7.639 | -0.000 | -0.000 | -0.000 |
| 7.639 | 7.639 | 7.620 | -0.000 | -0.000 | -0.000 |
| 0.000 | 0.000 | 0.000 | -0.019 | -0.000 | -0.000 |
| 0.000 | 0.000 | 0.000 | -0.000 | -0.019 | -0.000 |
| 0.000 | 0.000 | 0.000 | -0.000 | -0.000 | -0.019 |
| -2.741 | -2.443 | -2.443 | -0.000 | -0.000 | -0.000 |
| -2.443 | -2.741 | -2.443 | -0.000 | -0.000 | -0.000 |
| -2.443 | -2.443 | -2.741 | -0.000 | -0.000 | -0.000 |
| -96.894 | -176.022 | -176.024 | -103488.075 | -0.015 | -0.071 |
| -176.022 | -96.894 | -176.024 | -0.015 | -103488.075 | -0.071 |
| -176.022 | -176.024 | -96.894 | -0.015 | -0.021 | -103488.040 |
| -2.741 | -2.443 | -2.443 | -0.000 | 0.000 | 0.000 |
| -2.443 | -2.741 | -2.443 | 0.000 | -0.000 | 0.000 |
| -2.443 | -2.443 | -2.741 | 0.000 | 0.000 | 0.000 |
| 96.894 | 176.022 | 176.024 | -103488.049 | 0.031 | 0.071 |
| 176.022 | 96.894 | 176.024 | 0.031 | -103488.049 | 0.071 |
| 176.022 | 176.024 | 96.894 | 0.031 | 0.021 | -103488.000 |
| -2.874 | -2.577 | -2.577 | -0.000 | -0.000 | -0.000 |
| -2.577 | -2.874 | -2.577 | -0.000 | -0.000 | -0.000 |
| -2.577 | -2.577 | -2.874 | -0.000 | -0.000 | -0.000 |
| -1.156 | -2.085 | -2.088 | -1124.253 | -0.000 | -0.000 |
| -2.085 | -1.156 | -2.088 | -0.000 | -1124.253 | -0.000 |
| -2.085 | -2.088 | -1.156 | -0.000 | -0.000 | -1124.253 |
| -2.741 | -2.443 | -2.443 | 0.000 | 0.000 | 0.000 |
| -2.443 | -2.741 | -2.443 | 0.000 | 0.000 | 0.000 |
| -2.443 | -2.443 | -2.741 | 0.000 | 0.000 | 0.000 |
| 1.156 | 2.085 | 2.088 | -1124.253 | 0.000 | 0.000 |
| 2.085 | 1.156 | 2.088 | 0.000 | -1124.253 | 0.000 |
| 2.085 | 2.088 | 1.156 | 0.000 | 0.000 | -1124.253 |
| 603.904 | 227.552 | 270.566 | -0.000 | -0.000 | 0.000 |
| 227.552 | 603.904 | 270.566 | -0.000 | -0.000 | -0.000 |
| 270.566 | 270.566 | 717.575 | -0.000 | -0.000 | 0.000 |
| 0.000 | 0.000 | 0.000 | 207.465 | 0.000 | -0.000 |
| 0.000 | 0.000 | 0.000 | -0.000 | 207.465 | -0.000 |
| -0.000 | -0.000 | 0.000 | -0.000 | -0.000 | 186.243 |
| 603.904 | 227.552 | 270.566 | -0.000 | -0.000 | 0.000 |
| 227.552 | 603.904 | 270.566 | 0.000 | 0.000 | -0.000 |
| 270.566 | 270.566 | 717.575 | 0.000 | -0.000 | 0.000 |
| -0.000 | -0.000 | -0.000 | 207.465 | 0.000 | 0.000 |
| -0.000 | -0.000 | -0.000 | 0.000 | 207.465 | -0.000 |
| 0.000 | 0.000 | -0.000 | 0.000 | 0.000 | 186.243 |
| 603.905 | 227.552 | 270.566 | 0.000 | -0.000 | -0.000 |
| 227.552 | 603.905 | 270.566 | -0.000 | -0.000 | -0.000 |
| 270.566 | 270.566 | 717.575 | -0.000 | -0.000 | 0.000 |
| 0.000 | 0.000 | 0.000 | 207.465 | -0.000 | 0.000 |
| 0.000 | 0.000 | 0.000 | 0.000 | 207.465 | -0.000 |
| -0.000 | -0.000 | 0.000 | -0.000 | -0.000 | 186.243 |
| 603.904 | 227.552 | 270.566 | 0.000 | 0.000 | -0.000 |
| 227.552 | 603.904 | 270.566 | 0.000 | 0.000 | 0.000 |
| 270.566 | 270.566 | 717.576 | 0.000 | 0.000 | 0.000 |
| -0.000 | -0.000 | -0.000 | 207.465 | 0.000 | 0.000 |
| -0.000 | -0.000 | -0.000 | 0.000 | 207.465 | -0.000 |
| 0.000 | 0.000 | -0.000 | 0.000 | 0.000 | 186.243 |
| 603.912 | 227.552 | 270.569 | 0.000 | -0.000 | 0.000 |
| 227.552 | 603.912 | 270.569 | -0.000 | 0.000 | -0.000 |
| 270.567 | 270.567 | 717.571 | -0.000 | -0.000 | -0.000 |
| 0.001 | 0.002 | 0.002 | 207.465 | 0.000 | 0.000 |
| 0.002 | 0.001 | 0.002 | 0.000 | 207.465 | 0.000 |
| -0.000 | -0.000 | 0.001 | -0.000 | -0.000 | 186.243 |
| 603.897 | 227.551 | 270.563 | 0.000 | 0.000 | -0.000 |
| 227.551 | 603.897 | 270.563 | 0.000 | 0.000 | -0.000 |
| 270.565 | 270.565 | 717.580 | 0.000 | 0.000 | -0.000 |
| -0.001 | -0.002 | -0.002 | 207.465 | 0.000 | 0.000 |
| -0.002 | -0.001 | -0.002 | 0.000 | 207.465 | -0.000 |
| 0.000 | 0.000 | -0.001 | 0.000 | 0.000 | 186.243 |
| -159.992 | 26.716 | 50.757 | -0.000 | 0.000 | -0.000 |
| 26.716 | -159.992 | 50.757 | -0.000 | 0.000 | 0.000 |
| 50.757 | 50.757 | 277.052 | -0.000 | 0.000 | 0.000 |
| 0.000 | 0.000 | 0.000 | 59.485 | 0.000 | -0.000 |
| 0.000 | 0.000 | 0.000 | -0.000 | 59.485 | -0.000 |
| 0.000 | 0.000 | 0.000 | -0.000 | 0.000 | 33.167 |
| -159.992 | 26.716 | 50.757 | 0.000 | -0.000 | -0.000 |
| 26.716 | -159.992 | 50.757 | 0.000 | -0.000 | 0.000 |
| 50.757 | 50.757 | 277.052 | 0.000 | -0.000 | 0.000 |
| -0.000 | -0.000 | -0.000 | 59.485 | -0.000 | -0.000 |
| -0.000 | -0.000 | -0.000 | 0.000 | 59.485 | -0.000 |
| -0.000 | -0.000 | -0.000 | 0.000 | 0.000 | 33.167 |
| -159.992 | 26.715 | 50.757 | -0.000 | 0.000 | 0.000 |
| 26.715 | -159.992 | 50.757 | -0.000 | 0.000 | 0.000 |
| 50.757 | 50.757 | 277.052 | 0.000 | 0.000 | 0.000 |
| 0.000 | 0.000 | 0.000 | 59.485 | 0.000 | -0.000 |
| 0.000 | 0.000 | 0.000 | -0.000 | 59.485 | 0.000 |
| 0.000 | 0.000 | 0.000 | -0.000 | 0.000 | 33.167 |
| -159.991 | 26.716 | 50.757 | 0.000 | -0.000 | -0.000 |
| 26.716 | -159.991 | 50.757 | 0.000 | -0.000 | -0.000 |
| 50.757 | 50.757 | 277.051 | 0.000 | -0.000 | -0.000 |
| -0.000 | -0.000 | -0.000 | 59.485 | -0.000 | -0.000 |
| -0.000 | -0.000 | -0.000 | 0.000 | 59.485 | -0.000 |
| -0.000 | -0.000 | -0.000 | 0.000 | -0.000 | 33.167 |
| -159.997 | 26.715 | 50.756 | -0.000 | 0.000 | -0.000 |
| 26.715 | -159.997 | 50.756 | -0.000 | 0.000 | 0.000 |
| 50.756 | 50.756 | 277.057 | -0.000 | 0.000 | 0.000 |
| 0.001 | 0.000 | 0.001 | 59.485 | 0.000 | 0.000 |
| 0.000 | 0.001 | 0.001 | -0.000 | 59.485 | 0.000 |
| 0.000 | 0.000 | 0.001 | -0.000 | 0.000 | 33.167 |
| -159.986 | 26.716 | 50.758 | 0.000 | -0.000 | -0.000 |
| 26.716 | -159.986 | 50.758 | 0.000 | -0.000 | 0.000 |
| 50.757 | 50.757 | 277.047 | 0.000 | -0.000 | 0.000 |
| -0.001 | -0.000 | -0.001 | 59.485 | -0.000 | 0.000 |
| -0.000 | -0.001 | -0.001 | 0.000 | 59.485 | 0.000 |
| -0.000 | -0.000 | -0.001 | 0.000 | -0.000 | 33.167 |
| -56.728 | 37.562 | 64.013 | -0.000 | -0.000 | 0.000 |
| 37.562 | -56.728 | 64.013 | -0.000 | -0.000 | 0.000 |
| 62.755 | 62.755 | 314.859 | -0.000 | -0.000 | 0.000 |
| 0.000 | 0.000 | 0.000 | 56.718 | -0.000 | 0.000 |
| 0.000 | 0.000 | 0.000 | -0.000 | 56.718 | 0.000 |
| 0.000 | 0.000 | 0.000 | -0.000 | -0.000 | 33.189 |
| -56.728 | 37.562 | 64.013 | 0.000 | 0.000 | -0.000 |
| 37.562 | -56.728 | 64.013 | 0.000 | 0.000 | -0.000 |
| 62.755 | 62.755 | 314.859 | 0.000 | 0.000 | -0.000 |
| -0.000 | -0.000 | -0.000 | 56.718 | 0.000 | -0.000 |
| -0.000 | -0.000 | -0.000 | 0.000 | 56.718 | -0.000 |
| -0.000 | -0.000 | -0.000 | 0.000 | 0.000 | 33.189 |
| -56.729 | 37.562 | 64.013 | -0.000 | -0.000 | 0.000 |
| 37.562 | -56.729 | 64.013 | -0.000 | -0.000 | 0.000 |
| 62.755 | 62.755 | 314.859 | -0.000 | -0.000 | 0.000 |
| 0.000 | 0.000 | 0.000 | 56.718 | -0.000 | 0.000 |
| 0.000 | 0.000 | 0.000 | -0.000 | 56.718 | 0.000 |
| 0.000 | 0.000 | 0.000 | -0.000 | -0.000 | 33.189 |
| -56.728 | 37.562 | 64.013 | 0.000 | 0.000 | -0.000 |
| 37.562 | -56.728 | 64.013 | 0.000 | 0.000 | -0.000 |
| 62.755 | 62.755 | 314.860 | 0.000 | 0.000 | -0.000 |
| -0.000 | -0.000 | -0.000 | 56.718 | 0.000 | -0.000 |
| -0.000 | -0.000 | -0.000 | 0.000 | 56.718 | -0.000 |
| -0.000 | -0.000 | -0.000 | 0.000 | 0.000 | 33.189 |
| -56.733 | 37.562 | 64.013 | -0.000 | -0.000 | 0.000 |
| 37.562 | -56.733 | 64.013 | -0.000 | -0.000 | 0.000 |
| 62.755 | 62.755 | 314.855 | -0.000 | -0.000 | 0.000 |
| 0.001 | 0.000 | 0.001 | 56.718 | -0.000 | 0.000 |
| 0.000 | 0.001 | 0.001 | -0.000 | 56.718 | 0.000 |
| 0.000 | 0.000 | 0.001 | -0.000 | -0.000 | 33.189 |
| -56.723 | 37.562 | 64.013 | 0.000 | 0.000 | -0.000 |
| 37.562 | -56.723 | 64.013 | 0.000 | 0.000 | -0.000 |
| 62.755 | 62.755 | 314.864 | 0.000 | 0.000 | -0.000 |
| -0.001 | -0.000 | -0.001 | 56.718 | 0.000 | -0.000 |
| -0.000 | -0.001 | -0.001 | 0.000 | 56.718 | -0.000 |
| -0.000 | -0.000 | -0.001 | 0.000 | 0.000 | 33.189 |
| -16.360 | 18.573 | 36.969 | -0.000 | -0.000 | -0.000 |
| 18.573 | -16.360 | 36.969 | -0.000 | -0.000 | -0.000 |
| 36.969 | 36.969 | 73.588 | -0.000 | -0.000 | -0.000 |
| 0.000 | 0.000 | 0.000 | 36.969 | 0.000 | -0.000 |
| 0.000 | 0.000 | 0.000 | 0.000 | 36.969 | -0.000 |
| 0.000 | 0.000 | 0.000 | -0.000 | -0.000 | 18.573 |
| -16.360 | 18.573 | 36.969 | 0.000 | 0.000 | 0.000 |
| 18.573 | -16.360 | 36.969 | 0.000 | 0.000 | -0.000 |
| 36.969 | 36.969 | 73.588 | -0.000 | -0.000 | 0.000 |
| -0.000 | -0.000 | -0.000 | 36.969 | 0.000 | 0.000 |
| -0.000 | -0.000 | -0.000 | 0.000 | 36.969 | 0.000 |
| -0.000 | -0.000 | -0.000 | 0.000 | 0.000 | 18.573 |
| -16.360 | 18.573 | 36.969 | -0.000 | -0.000 | -0.000 |
| 18.573 | -16.360 | 36.969 | -0.000 | -0.000 | -0.000 |
| 36.969 | 36.969 | 73.588 | -0.000 | -0.000 | -0.000 |
| 0.000 | 0.000 | 0.000 | 36.969 | -0.000 | 0.000 |
| 0.000 | 0.000 | 0.000 | -0.000 | 36.969 | -0.000 |
| 0.000 | 0.000 | 0.000 | -0.000 | -0.000 | 18.573 |
| -16.360 | 18.573 | 36.969 | 0.000 | 0.000 | 0.000 |
| 18.573 | -16.360 | 36.969 | 0.000 | 0.000 | -0.000 |
| 36.969 | 36.969 | 73.588 | 0.000 | 0.000 | 0.000 |
| -0.000 | -0.000 | -0.000 | 36.969 | 0.000 | 0.000 |
| -0.000 | -0.000 | -0.000 | 0.000 | 36.969 | 0.000 |
| -0.000 | -0.000 | -0.000 | 0.000 | 0.000 | 18.573 |
| -16.360 | 18.573 | 36.969 | -0.000 | -0.000 | 0.000 |
| 18.573 | -16.360 | 36.969 | -0.000 | -0.000 | -0.000 |
| 36.970 | 36.970 | 73.588 | -0.000 | -0.000 | 0.000 |
| 0.000 | 0.000 | 0.000 | 36.969 | 0.000 | -0.000 |
| 0.000 | 0.000 | 0.000 | -0.000 | 36.969 | -0.000 |
| 0.000 | 0.000 | 0.000 | -0.000 | -0.000 | 18.573 |
| -16.360 | 18.573 | 36.969 | 0.000 | 0.000 | 0.000 |
| 18.573 | -16.360 | 36.969 | 0.000 | 0.000 | 0.000 |
| 36.969 | 36.969 | 73.588 | 0.000 | 0.000 | 0.000 |
| -0.000 | -0.000 | -0.000 | 36.969 | 0.000 | 0.000 |
| -0.000 | -0.000 | -0.000 | 0.000 | 36.969 | 0.000 |
| -0.000 | -0.000 | -0.000 | 0.000 | 0.000 | 18.573 |
| -26.120 | 23.445 | 37.677 | -0.000 | 0.000 | -0.000 |
| 23.445 | -26.120 | 37.677 | 0.000 | -0.000 | 0.000 |
| 39.036 | 39.036 | 63.852 | -0.000 | -0.000 | -0.000 |
| 0.000 | 0.000 | 0.000 | 37.113 | -0.000 | -0.000 |
| 0.000 | 0.000 | 0.000 | -0.000 | 37.113 | -0.000 |
| 0.000 | 0.000 | 0.000 | 0.000 | 0.000 | 20.163 |
| -26.120 | 23.445 | 37.677 | -0.000 | 0.000 | 0.000 |
| 23.445 | -26.120 | 37.677 | 0.000 | -0.000 | -0.000 |
| 39.036 | 39.036 | 63.852 | -0.000 | -0.000 | 0.000 |
| -0.000 | -0.000 | -0.000 | 37.113 | -0.000 | 0.000 |
| -0.000 | -0.000 | -0.000 | -0.000 | 37.113 | 0.000 |
| -0.000 | -0.000 | -0.000 | -0.000 | 0.000 | 20.163 |
| -26.120 | 23.445 | 37.677 | -0.000 | -0.000 | -0.000 |
| 23.445 | -26.120 | 37.677 | 0.000 | -0.000 | -0.000 |
| 39.036 | 39.036 | 63.852 | -0.000 | -0.000 | -0.000 |
| 0.000 | 0.000 | 0.000 | 37.113 | -0.000 | -0.000 |
| 0.000 | 0.000 | 0.000 | -0.000 | 37.113 | 0.000 |
| 0.000 | 0.000 | 0.000 | -0.000 | -0.000 | 20.163 |
| -26.120 | 23.445 | 37.677 | 0.000 | -0.000 | 0.000 |
| 23.445 | -26.120 | 37.677 | -0.000 | 0.000 | 0.000 |
| 39.036 | 39.036 | 63.852 | -0.000 | -0.000 | 0.000 |
| -0.000 | -0.000 | -0.000 | 37.113 | 0.000 | 0.000 |
| -0.000 | -0.000 | -0.000 | 0.000 | 37.113 | 0.000 |
| -0.000 | -0.000 | -0.000 | 0.000 | -0.000 | 20.163 |
| -26.121 | 23.445 | 37.677 | -0.000 | -0.000 | -0.000 |
| 23.445 | -26.121 | 37.677 | -0.000 | -0.000 | -0.000 |
| 39.036 | 39.036 | 63.852 | 0.000 | 0.000 | -0.000 |
| 0.000 | 0.000 | 0.000 | 37.113 | 0.000 | -0.000 |
| 0.000 | 0.000 | 0.000 | -0.000 | 37.113 | -0.000 |
| 0.000 | 0.000 | 0.000 | -0.000 | 0.000 | 20.163 |
| -26.120 | 23.445 | 37.677 | -0.000 | 0.000 | 0.000 |
| 23.445 | -26.120 | 37.677 | 0.000 | -0.000 | 0.000 |
| 39.036 | 39.036 | 63.852 | 0.000 | 0.000 | 0.000 |
| -0.000 | -0.000 | -0.000 | 37.113 | 0.000 | 0.000 |
| -0.000 | -0.000 | -0.000 | 0.000 | 37.113 | 0.000 |
| -0.000 | -0.000 | -0.000 | -0.000 | 0.000 | 20.163 |
| 110.106 | 26.803 | 32.005 | -0.000 | -0.000 | 0.000 |
| 26.803 | 110.106 | 32.005 | -0.000 | -0.000 | 0.000 |
| 32.005 | 32.005 | 38.217 | 0.000 | 0.000 | 0.000 |
| 0.000 | -0.000 | 0.000 | 32.005 | 0.000 | 0.000 |
| -0.000 | 0.000 | 0.000 | -0.000 | 32.005 | 0.000 |
| -0.000 | -0.000 | 0.000 | -0.000 | -0.000 | 26.803 |
| 110.106 | 26.803 | 32.005 | 0.000 | 0.000 | -0.000 |
| 26.803 | 110.106 | 32.005 | 0.000 | 0.000 | 0.000 |
| 32.005 | 32.005 | 38.217 | -0.000 | -0.000 | -0.000 |
| -0.000 | 0.000 | -0.000 | 32.005 | 0.000 | -0.000 |
| 0.000 | -0.000 | -0.000 | 0.000 | 32.005 | -0.000 |
| 0.000 | 0.000 | -0.000 | 0.000 | 0.000 | 26.803 |
| 110.106 | 26.803 | 32.005 | -0.000 | 0.000 | 0.000 |
| 26.803 | 110.106 | 32.005 | -0.000 | 0.000 | 0.000 |
| 32.005 | 32.005 | 38.217 | -0.000 | -0.000 | 0.000 |
| 0.000 | 0.000 | 0.000 | 32.005 | 0.000 | 0.000 |
| 0.000 | 0.000 | 0.000 | 0.000 | 32.005 | 0.000 |
| 0.000 | 0.000 | 0.000 | -0.000 | -0.000 | 26.803 |
| 110.106 | 26.803 | 32.005 | 0.000 | 0.000 | -0.000 |
| 26.803 | 110.106 | 32.005 | 0.000 | 0.000 | -0.000 |
| 32.005 | 32.005 | 38.217 | -0.000 | -0.000 | -0.000 |
| -0.000 | -0.000 | -0.000 | 32.005 | 0.000 | -0.000 |
| -0.000 | -0.000 | -0.000 | 0.000 | 32.005 | -0.000 |
| -0.000 | -0.000 | -0.000 | 0.000 | -0.000 | 26.803 |
| 110.109 | 26.803 | 32.005 | -0.000 | -0.000 | 0.000 |
| 26.803 | 110.109 | 32.005 | -0.000 | -0.000 | 0.000 |
| 32.005 | 32.005 | 38.218 | -0.000 | -0.000 | 0.000 |
| 0.000 | 0.000 | 0.000 | 32.005 | -0.000 | 0.000 |
| 0.000 | 0.000 | 0.000 | -0.000 | 32.005 | 0.000 |
| 0.000 | 0.000 | 0.000 | -0.000 | -0.000 | 26.803 |
| 110.103 | 26.803 | 32.005 | 0.000 | 0.000 | -0.000 |
| 26.803 | 110.103 | 32.005 | 0.000 | 0.000 | -0.000 |
| 32.005 | 32.005 | 38.217 | 0.000 | 0.000 | -0.000 |
| -0.000 | -0.000 | -0.000 | 32.005 | 0.000 | -0.000 |
| -0.000 | -0.000 | -0.000 | 0.000 | 32.005 | -0.000 |
| -0.000 | -0.000 | -0.000 | 0.000 | 0.000 | 26.803 |
| -47.332 | -6.181 | -10.278 | 0.000 | 0.000 | -0.000 |
| -6.181 | -47.332 | -10.278 | 0.000 | 0.000 | -0.000 |
| -10.936 | -10.936 | -20.284 | 0.000 | 0.000 | 0.000 |
| 0.000 | 0.000 | -0.000 | -13.902 | 0.000 | -0.000 |
| 0.000 | 0.000 | -0.000 | 0.000 | -13.902 | -0.000 |
| 0.000 | 0.000 | -0.000 | 0.000 | 0.000 | -7.809 |
| -47.332 | -6.181 | -10.278 | -0.000 | -0.000 | -0.000 |
| -6.181 | -47.332 | -10.278 | -0.000 | -0.000 | 0.000 |
| -10.936 | -10.936 | -20.284 | -0.000 | -0.000 | 0.000 |
| -0.000 | -0.000 | 0.000 | -13.902 | -0.000 | 0.000 |
| -0.000 | -0.000 | 0.000 | -0.000 | -13.902 | 0.000 |
| -0.000 | -0.000 | 0.000 | -0.000 | -0.000 | -7.809 |
| -47.331 | -6.181 | -10.278 | -0.000 | -0.000 | 0.000 |
| -6.181 | -47.331 | -10.278 | 0.000 | -0.000 | 0.000 |
| -10.936 | -10.936 | -20.284 | 0.000 | 0.000 | -0.000 |
| -0.000 | -0.000 | -0.000 | -13.902 | 0.000 | -0.000 |
| -0.000 | -0.000 | -0.000 | 0.000 | -13.902 | -0.000 |
| -0.000 | 0.000 | -0.000 | 0.000 | -0.000 | -7.809 |
| -47.332 | -6.181 | -10.278 | -0.000 | -0.000 | -0.000 |
| -6.181 | -47.332 | -10.278 | -0.000 | -0.000 | 0.000 |
| -10.936 | -10.936 | -20.284 | -0.000 | -0.000 | -0.000 |
| 0.000 | 0.000 | 0.000 | -13.902 | -0.000 | 0.000 |
| 0.000 | 0.000 | 0.000 | -0.000 | -13.902 | -0.000 |
| 0.000 | -0.000 | 0.000 | -0.000 | 0.000 | -7.809 |
| -47.329 | -6.181 | -10.278 | 0.000 | 0.000 | -0.000 |
| -6.181 | -47.329 | -10.278 | 0.000 | 0.000 | -0.000 |
| -10.935 | -10.935 | -20.284 | 0.000 | 0.000 | -0.000 |
| -0.000 | -0.000 | -0.000 | -13.902 | 0.000 | -0.000 |
| -0.000 | -0.000 | -0.000 | 0.000 | -13.902 | 0.000 |
| -0.000 | 0.000 | -0.000 | 0.000 | 0.000 | -7.809 |
| -47.334 | -6.181 | -10.278 | -0.000 | -0.000 | -0.000 |
| -6.181 | -47.334 | -10.278 | -0.000 | -0.000 | -0.000 |
| -10.936 | -10.936 | -20.285 | -0.000 | -0.000 | 0.000 |
| 0.000 | 0.000 | 0.000 | -13.902 | -0.000 | -0.000 |
| 0.000 | 0.000 | 0.000 | -0.000 | -13.902 | 0.000 |
| 0.000 | -0.000 | 0.000 | 0.000 | -0.000 | -7.809 |
| 307.595 | 216.935 | 216.935 | -0.000 | 0.000 | 0.000 |
| 216.935 | 307.595 | 216.935 | 0.000 | -0.000 | 0.000 |
| 216.935 | 216.935 | 307.595 | 0.000 | 0.000 | -0.000 |
| 0.000 | 0.000 | 0.000 | 34.922 | 0.000 | 0.000 |
| 0.000 | 0.000 | 0.000 | 0.000 | 34.922 | 0.000 |
| 0.000 | 0.000 | 0.000 | 0.000 | 0.000 | 34.922 |
| 307.595 | 216.935 | 216.935 | -0.000 | -0.000 | -0.000 |
| 216.935 | 307.595 | 216.935 | -0.000 | -0.000 | -0.000 |
| 216.935 | 216.935 | 307.595 | -0.000 | -0.000 | -0.000 |
| -0.000 | -0.000 | -0.000 | 34.922 | -0.000 | -0.000 |
| -0.000 | -0.000 | -0.000 | -0.000 | 34.922 | -0.000 |
| -0.000 | -0.000 | -0.000 | -0.000 | -0.000 | 34.922 |
| 307.596 | 216.935 | 216.935 | 0.000 | 0.000 | 0.000 |
| 216.935 | 307.596 | 216.935 | 0.000 | 0.000 | -0.000 |
| 216.935 | 216.935 | 307.596 | 0.000 | 0.000 | 0.000 |
| 0.000 | 0.000 | 0.000 | 34.922 | 0.000 | 0.000 |
| 0.000 | 0.000 | 0.000 | 0.000 | 34.922 | 0.000 |
| 0.000 | 0.000 | 0.000 | 0.000 | 0.000 | 34.922 |
| 307.594 | 216.935 | 216.935 | -0.000 | -0.000 | -0.000 |
| 216.935 | 307.594 | 216.935 | -0.000 | -0.000 | 0.000 |
| 216.935 | 216.935 | 307.594 | 0.000 | -0.000 | -0.000 |
| -0.000 | -0.000 | -0.000 | 34.922 | -0.000 | -0.000 |
| -0.000 | -0.000 | -0.000 | -0.000 | 34.922 | -0.000 |
| -0.000 | -0.000 | -0.000 | -0.000 | -0.000 | 34.922 |
| 307.604 | 216.937 | 216.937 | 0.000 | -0.000 | -0.000 |
| 216.937 | 307.604 | 216.937 | -0.000 | 0.000 | 0.000 |
| 216.937 | 216.937 | 307.604 | -0.000 | -0.000 | 0.000 |
| 0.002 | 0.002 | 0.002 | 34.922 | -0.000 | 0.000 |
| 0.002 | 0.002 | 0.002 | -0.000 | 34.922 | 0.000 |
| 0.002 | 0.002 | 0.002 | 0.000 | 0.000 | 34.922 |
| 307.586 | 216.933 | 216.933 | 0.000 | -0.000 | -0.000 |
| 216.933 | 307.586 | 216.933 | -0.000 | 0.000 | -0.000 |
| 216.933 | 216.933 | 307.586 | -0.000 | -0.000 | -0.000 |
| -0.002 | -0.002 | -0.002 | 34.922 | -0.000 | 0.000 |
| -0.002 | -0.002 | -0.002 | -0.000 | 34.922 | -0.000 |
| -0.002 | -0.002 | -0.002 | -0.000 | -0.000 | 34.922 |
| 409.855 | 94.193 | 94.193 | -0.000 | -0.000 | 0.000 |
| 94.193 | 409.855 | 94.193 | -0.000 | -0.000 | -0.000 |
| 94.193 | 94.193 | 409.855 | -0.000 | -0.000 | -0.000 |
| -0.000 | -0.000 | -0.000 | 90.991 | -0.000 | 0.000 |
| -0.000 | -0.000 | -0.000 | -0.000 | 90.991 | -0.000 |
| -0.000 | -0.000 | -0.000 | -0.000 | -0.000 | 90.991 |
| 409.855 | 94.193 | 94.193 | 0.000 | 0.000 | -0.000 |
| 94.193 | 409.855 | 94.193 | 0.000 | 0.000 | 0.000 |
| 94.193 | 94.193 | 409.855 | 0.000 | 0.000 | -0.000 |
| 0.000 | 0.000 | 0.000 | 90.991 | 0.000 | -0.000 |
| 0.000 | 0.000 | 0.000 | 0.000 | 90.991 | -0.000 |
| 0.000 | 0.000 | 0.000 | 0.000 | 0.000 | 90.991 |
| 409.854 | 94.193 | 94.193 | -0.000 | -0.000 | -0.000 |
| 94.193 | 409.854 | 94.193 | -0.000 | -0.000 | 0.000 |
| 94.193 | 94.193 | 409.854 | -0.000 | -0.000 | -0.000 |
| -0.000 | -0.000 | -0.000 | 90.991 | -0.000 | 0.000 |
| -0.000 | -0.000 | -0.000 | -0.000 | 90.991 | 0.000 |
| -0.000 | -0.000 | -0.000 | -0.000 | -0.000 | 90.991 |
| 409.855 | 94.193 | 94.193 | 0.000 | 0.000 | 0.000 |
| 94.193 | 409.855 | 94.193 | 0.000 | 0.000 | 0.000 |
| 94.193 | 94.193 | 409.855 | 0.000 | 0.000 | -0.000 |
| 0.000 | 0.000 | 0.000 | 90.991 | 0.000 | -0.000 |
| 0.000 | 0.000 | 0.000 | 0.000 | 90.991 | 0.000 |
| 0.000 | 0.000 | 0.000 | 0.000 | 0.000 | 90.991 |
| 409.849 | 94.192 | 94.192 | -0.000 | -0.000 | -0.000 |
| 94.192 | 409.849 | 94.192 | -0.000 | -0.000 | 0.000 |
| 94.192 | 94.192 | 409.849 | -0.000 | -0.000 | 0.000 |
| -0.000 | -0.001 | -0.001 | 89.187 | -0.000 | -0.000 |
| -0.001 | -0.000 | -0.001 | -0.000 | 89.187 | 0.000 |
| -0.001 | -0.001 | -0.000 | -0.000 | -0.000 | 89.187 |
| 409.860 | 94.193 | 94.193 | 0.000 | 0.000 | -0.000 |
| 94.193 | 409.860 | 94.193 | 0.000 | 0.000 | -0.000 |
| 94.193 | 94.193 | 409.860 | 0.000 | 0.000 | -0.000 |
| 0.000 | 0.001 | 0.001 | 89.187 | 0.000 | -0.000 |
| 0.001 | 0.000 | 0.001 | 0.000 | 89.187 | -0.000 |
| 0.001 | 0.001 | 0.000 | 0.000 | 0.000 | 89.187 |
| 124.130 | 53.044 | 53.044 | 0.000 | 0.000 | -0.000 |
| 53.044 | 124.130 | 53.044 | 0.000 | 0.000 | -0.000 |
| 53.044 | 53.044 | 124.130 | 0.000 | 0.000 | 0.000 |
| 0.000 | 0.000 | 0.000 | 47.152 | -0.000 | -0.000 |
| 0.000 | 0.000 | 0.000 | -0.000 | 47.152 | -0.000 |
| 0.000 | 0.000 | -0.000 | -0.000 | -0.000 | 47.152 |
| 124.130 | 53.044 | 53.044 | 0.000 | 0.000 | 0.000 |
| 53.044 | 124.130 | 53.044 | 0.000 | 0.000 | 0.000 |
| 53.044 | 53.044 | 124.130 | -0.000 | -0.000 | -0.000 |
| -0.000 | -0.000 | -0.000 | 47.152 | 0.000 | -0.000 |
| -0.000 | -0.000 | -0.000 | 0.000 | 47.152 | 0.000 |
| -0.000 | -0.000 | 0.000 | 0.000 | 0.000 | 47.152 |
| 124.130 | 53.044 | 53.044 | -0.000 | -0.000 | -0.000 |
| 53.044 | 124.130 | 53.044 | -0.000 | -0.000 | 0.000 |
| 53.044 | 53.044 | 124.130 | 0.000 | -0.000 | -0.000 |
| 0.000 | 0.000 | 0.000 | 47.152 | -0.000 | -0.000 |
| 0.000 | 0.000 | 0.000 | -0.000 | 47.152 | 0.000 |
| 0.000 | 0.000 | 0.000 | -0.000 | 0.000 | 47.152 |
| 124.130 | 53.044 | 53.044 | 0.000 | 0.000 | 0.000 |
| 53.044 | 124.130 | 53.044 | 0.000 | 0.000 | -0.000 |
| 53.044 | 53.044 | 124.130 | 0.000 | -0.000 | -0.000 |
| -0.000 | -0.000 | -0.000 | 47.152 | 0.000 | 0.000 |
| -0.000 | -0.000 | -0.000 | 0.000 | 47.152 | 0.000 |
| -0.000 | -0.000 | -0.000 | 0.000 | 0.000 | 47.152 |
| 124.132 | 53.045 | 53.045 | 0.000 | -0.000 | -0.000 |
| 53.045 | 124.132 | 53.045 | -0.000 | 0.000 | -0.000 |
| 53.045 | 53.045 | 124.132 | -0.000 | -0.000 | -0.000 |
| -0.001 | 0.003 | 0.003 | 7.019 | -0.000 | 0.000 |
| 0.003 | -0.001 | 0.003 | -0.000 | 7.019 | -0.000 |
| 0.003 | 0.003 | -0.001 | -0.000 | -0.000 | 7.019 |
| 124.128 | 53.043 | 53.043 | 0.000 | 0.000 | 0.000 |
| 53.043 | 124.128 | 53.043 | 0.000 | 0.000 | 0.000 |
| 53.043 | 53.043 | 124.128 | 0.000 | 0.000 | 0.000 |
| 0.001 | -0.003 | -0.003 | 7.065 | 0.000 | -0.000 |
| -0.003 | 0.001 | -0.003 | 0.000 | 7.065 | 0.000 |
| -0.003 | -0.003 | 0.001 | 0.000 | 0.000 | 7.065 |
| 51.218 | 54.355 | 54.355 | 0.000 | 0.000 | 0.000 |
| 54.355 | 51.218 | 54.355 | 0.000 | 0.000 | 0.000 |
| 54.355 | 54.355 | 51.218 | 0.000 | 0.000 | 0.000 |
| 0.000 | -0.000 | 0.000 | -3.168 | 0.000 | 0.000 |
| -0.000 | 0.000 | 0.000 | 0.000 | -3.168 | 0.000 |
| -0.000 | 0.000 | 0.000 | 0.000 | 0.000 | -3.168 |
| 51.218 | 54.355 | 54.355 | -0.000 | -0.000 | -0.000 |
| 54.355 | 51.218 | 54.355 | -0.000 | -0.000 | -0.000 |
| 54.355 | 54.355 | 51.218 | -0.000 | -0.000 | -0.000 |
| -0.000 | -0.000 | -0.000 | -3.168 | -0.000 | -0.000 |
| -0.000 | -0.000 | -0.000 | -0.000 | -3.168 | -0.000 |
| -0.000 | -0.000 | -0.000 | -0.000 | -0.000 | -3.168 |
| 51.218 | 54.355 | 54.355 | 0.000 | 0.000 | 0.000 |
| 54.355 | 51.218 | 54.355 | 0.000 | 0.000 | 0.000 |
| 54.355 | 54.355 | 51.218 | 0.000 | 0.000 | 0.000 |
| -0.000 | -0.000 | -0.000 | -3.168 | 0.000 | -0.000 |
| -0.000 | -0.000 | -0.000 | 0.000 | -3.168 | -0.000 |
| -0.000 | -0.000 | -0.000 | 0.000 | 0.000 | -3.168 |
| 51.218 | 54.355 | 54.355 | -0.000 | -0.000 | -0.000 |
| 54.355 | 51.218 | 54.355 | -0.000 | -0.000 | -0.000 |
| 54.355 | 54.355 | 51.218 | -0.000 | -0.000 | -0.000 |
| 0.000 | 0.000 | 0.000 | -3.168 | -0.000 | -0.000 |
| 0.000 | 0.000 | 0.000 | -0.000 | -3.168 | -0.000 |
| 0.000 | 0.000 | 0.000 | -0.000 | -0.000 | -3.168 |
| 51.218 | 54.355 | 54.355 | -0.000 | 0.000 | 0.000 |
| 54.355 | 51.218 | 54.355 | 0.000 | -0.000 | 0.000 |
| 54.355 | 54.355 | 51.218 | 0.000 | 0.000 | -0.000 |
| -0.000 | -0.000 | -0.000 | -3.168 | 0.000 | 0.000 |
| -0.000 | -0.000 | -0.000 | 0.000 | -3.168 | 0.000 |
| -0.000 | -0.000 | -0.000 | 0.000 | 0.000 | -3.168 |
| 51.218 | 54.355 | 54.355 | -0.000 | -0.000 | 0.000 |
| 54.355 | 51.218 | 54.355 | -0.000 | -0.000 | 0.000 |
| 54.355 | 54.355 | 51.218 | 0.000 | 0.000 | 0.000 |
| 0.000 | 0.000 | 0.000 | -3.168 | -0.000 | -0.000 |
| 0.000 | 0.000 | 0.000 | -0.000 | -3.168 | -0.000 |
| 0.000 | 0.000 | 0.000 | -0.000 | -0.000 | -3.168 |
| 27.800 | 27.443 | 27.443 | 0.000 | 0.000 | -0.000 |
| 27.443 | 27.800 | 27.443 | 0.000 | 0.000 | -0.000 |
| 27.443 | 27.443 | 27.800 | 0.000 | 0.000 | -0.000 |
| -0.000 | -0.000 | -0.000 | 0.373 | 0.000 | -0.000 |
| -0.000 | -0.000 | -0.000 | 0.000 | 0.373 | -0.000 |
| -0.000 | -0.000 | -0.000 | 0.000 | 0.000 | 0.373 |
| 27.800 | 27.443 | 27.443 | -0.000 | -0.000 | 0.000 |
| 27.443 | 27.800 | 27.443 | -0.000 | -0.000 | 0.000 |
| 27.443 | 27.443 | 27.800 | -0.000 | -0.000 | 0.000 |
| 0.000 | 0.000 | 0.000 | 0.373 | -0.000 | 0.000 |
| 0.000 | 0.000 | 0.000 | -0.000 | 0.373 | 0.000 |
| 0.000 | 0.000 | 0.000 | -0.000 | -0.000 | 0.373 |
| 27.800 | 27.443 | 27.443 | 0.000 | 0.000 | -0.000 |
| 27.443 | 27.800 | 27.443 | 0.000 | 0.000 | -0.000 |
| 27.443 | 27.443 | 27.800 | 0.000 | 0.000 | -0.000 |
| -0.000 | -0.000 | -0.000 | 0.373 | 0.000 | -0.000 |
| -0.000 | -0.000 | -0.000 | 0.000 | 0.373 | -0.000 |
| -0.000 | -0.000 | -0.000 | 0.000 | 0.000 | 0.373 |
| 27.800 | 27.443 | 27.443 | -0.000 | -0.000 | 0.000 |
| 27.443 | 27.800 | 27.443 | -0.000 | -0.000 | 0.000 |
| 27.443 | 27.443 | 27.800 | -0.000 | -0.000 | 0.000 |
| 0.000 | 0.000 | 0.000 | 0.373 | -0.000 | 0.000 |
| 0.000 | 0.000 | 0.000 | -0.000 | 0.373 | 0.000 |
| 0.000 | 0.000 | 0.000 | -0.000 | -0.000 | 0.373 |
| 27.800 | 27.443 | 27.443 | 0.000 | 0.000 | -0.000 |
| 27.443 | 27.800 | 27.443 | 0.000 | 0.000 | -0.000 |
| 27.443 | 27.443 | 27.800 | 0.000 | -0.000 | -0.000 |
| -0.000 | -0.000 | -0.000 | 0.373 | 0.000 | -0.000 |
| -0.000 | -0.000 | -0.000 | 0.000 | 0.373 | -0.000 |
| -0.000 | -0.000 | -0.000 | 0.000 | 0.000 | 0.373 |
| 27.800 | 27.442 | 27.442 | -0.000 | -0.000 | 0.000 |
| 27.442 | 27.800 | 27.442 | -0.000 | 0.000 | 0.000 |
| 27.442 | 27.442 | 27.800 | -0.000 | -0.000 | 0.000 |
| 0.000 | 0.000 | 0.000 | 0.373 | -0.000 | 0.000 |
| 0.000 | 0.000 | 0.000 | -0.000 | 0.373 | 0.000 |
| 0.000 | 0.000 | 0.000 | -0.000 | -0.000 | 0.373 |
| 15.791 | 15.985 | 15.985 | 0.000 | 0.000 | 0.000 |
| 15.985 | 15.791 | 15.985 | 0.000 | 0.000 | -0.000 |
| 15.985 | 15.985 | 15.791 | 0.000 | 0.000 | 0.000 |
| -0.000 | -0.000 | -0.000 | -0.194 | -0.000 | 0.000 |
| -0.000 | -0.000 | -0.000 | -0.000 | -0.194 | 0.000 |
| -0.000 | 0.000 | -0.000 | -0.000 | -0.000 | -0.194 |
| 15.791 | 15.985 | 15.985 | -0.000 | 0.000 | -0.000 |
| 15.985 | 15.791 | 15.985 | 0.000 | -0.000 | -0.000 |
| 15.985 | 15.985 | 15.791 | 0.000 | 0.000 | -0.000 |
| 0.000 | 0.000 | -0.000 | -0.194 | 0.000 | -0.000 |
| -0.000 | 0.000 | -0.000 | 0.000 | -0.194 | -0.000 |
| 0.000 | -0.000 | 0.000 | 0.000 | 0.000 | -0.194 |
| 15.791 | 15.985 | 15.985 | -0.000 | 0.000 | 0.000 |
| 15.985 | 15.791 | 15.985 | 0.000 | -0.000 | -0.000 |
| 15.985 | 15.985 | 15.791 | -0.000 | -0.000 | 0.000 |
| -0.000 | -0.000 | -0.000 | -0.194 | -0.000 | 0.000 |
| -0.000 | -0.000 | -0.000 | -0.000 | -0.194 | 0.000 |
| -0.000 | -0.000 | -0.000 | -0.000 | -0.000 | -0.194 |
| 15.791 | 15.985 | 15.985 | 0.000 | -0.000 | -0.000 |
| 15.985 | 15.791 | 15.985 | -0.000 | 0.000 | -0.000 |
| 15.985 | 15.985 | 15.791 | 0.000 | 0.000 | -0.000 |
| 0.000 | 0.000 | 0.000 | -0.194 | 0.000 | 0.000 |
| 0.000 | 0.000 | 0.000 | 0.000 | -0.194 | -0.000 |
| 0.000 | 0.000 | 0.000 | 0.000 | 0.000 | -0.194 |
| 15.791 | 15.985 | 15.985 | -0.000 | -0.000 | 0.000 |
| 15.985 | 15.791 | 15.985 | -0.000 | -0.000 | 0.000 |
| 15.985 | 15.985 | 15.791 | 0.000 | 0.000 | 0.000 |
| -0.000 | -0.000 | -0.000 | -0.194 | -0.000 | 0.000 |
| -0.000 | -0.000 | -0.000 | -0.000 | -0.194 | 0.000 |
| -0.000 | -0.000 | -0.000 | -0.000 | -0.000 | -0.194 |
| 15.791 | 15.985 | 15.985 | -0.000 | 0.000 | -0.000 |
| 15.985 | 15.791 | 15.985 | 0.000 | -0.000 | -0.000 |
| 15.985 | 15.985 | 15.791 | 0.000 | 0.000 | -0.000 |
| 0.000 | 0.000 | 0.000 | -0.194 | 0.000 | -0.000 |
| 0.000 | 0.000 | 0.000 | 0.000 | -0.194 | -0.000 |
| 0.000 | 0.000 | 0.000 | 0.000 | 0.000 | -0.194 |
| 15.144 | 15.154 | 15.154 | -0.000 | 0.000 | -0.000 |
| 15.154 | 15.144 | 15.154 | -0.000 | 0.000 | -0.000 |
| 15.154 | 15.154 | 15.144 | -0.000 | 0.000 | -0.000 |
| -0.000 | -0.000 | 0.000 | -0.010 | 0.000 | 0.000 |
| -0.000 | -0.000 | 0.000 | -0.000 | -0.010 | -0.000 |
| -0.000 | -0.000 | 0.000 | -0.000 | -0.000 | -0.010 |
| 15.144 | 15.154 | 15.154 | 0.000 | -0.000 | -0.000 |
| 15.154 | 15.144 | 15.154 | 0.000 | -0.000 | 0.000 |
| 15.154 | 15.154 | 15.144 | 0.000 | -0.000 | 0.000 |
| 0.000 | 0.000 | -0.000 | -0.010 | -0.000 | 0.000 |
| -0.000 | 0.000 | -0.000 | 0.000 | -0.010 | 0.000 |
| 0.000 | 0.000 | -0.000 | 0.000 | -0.000 | -0.010 |
| 15.144 | 15.154 | 15.154 | -0.000 | -0.000 | 0.000 |
| 15.154 | 15.144 | 15.154 | -0.000 | -0.000 | 0.000 |
| 15.154 | 15.154 | 15.144 | 0.000 | 0.000 | -0.000 |
| -0.000 | -0.000 | -0.000 | -0.010 | -0.000 | -0.000 |
| -0.000 | -0.000 | -0.000 | -0.000 | -0.010 | -0.000 |
| -0.000 | -0.000 | -0.000 | -0.000 | -0.000 | -0.010 |
| 15.144 | 15.154 | 15.154 | 0.000 | 0.000 | -0.000 |
| 15.154 | 15.144 | 15.154 | 0.000 | -0.000 | -0.000 |
| 15.154 | 15.154 | 15.144 | 0.000 | -0.000 | 0.000 |
| 0.000 | 0.000 | 0.000 | -0.010 | -0.000 | -0.000 |
| 0.000 | 0.000 | 0.000 | 0.000 | -0.010 | -0.000 |
| 0.000 | 0.000 | 0.000 | 0.000 | -0.000 | -0.010 |
| 15.144 | 15.154 | 15.154 | -0.000 | 0.000 | 0.000 |
| 15.154 | 15.144 | 15.154 | -0.000 | 0.000 | -0.000 |
| 15.154 | 15.154 | 15.144 | -0.000 | 0.000 | -0.000 |
| -0.000 | -0.000 | -0.000 | -0.010 | -0.000 | -0.000 |
| -0.000 | -0.000 | -0.000 | -0.000 | -0.010 | 0.000 |
| -0.000 | -0.000 | -0.000 | -0.000 | 0.000 | -0.010 |
| 15.144 | 15.153 | 15.153 | 0.000 | 0.000 | 0.000 |
| 15.153 | 15.144 | 15.153 | 0.000 | 0.000 | 0.000 |
| 15.153 | 15.153 | 15.144 | -0.000 | -0.000 | 0.000 |
| 0.000 | 0.000 | 0.000 | -0.010 | 0.000 | 0.000 |
| 0.000 | 0.000 | 0.000 | 0.000 | -0.010 | -0.000 |
| 0.000 | 0.000 | 0.000 | 0.000 | -0.000 | -0.010 |
| -5.482 | -4.887 | -4.887 | -0.000 | -0.000 | 0.000 |
| -4.887 | -5.482 | -4.887 | -0.000 | -0.000 | 0.000 |
| -4.887 | -4.887 | -5.482 | -0.000 | -0.000 | 0.000 |
| -195.504 | -355.085 | -355.089 | -207841.766 | -0.001 | -0.001 |
| -355.085 | -195.504 | -355.089 | -0.001 | -207841.765 | -0.001 |
| -355.085 | -355.089 | -195.504 | -0.001 | -0.001 | -207841.778 |
| -5.482 | -4.887 | -4.887 | 0.000 | 0.000 | -0.000 |
| -4.887 | -5.482 | -4.887 | 0.000 | 0.000 | 0.000 |
| -4.887 | -4.887 | -5.482 | 0.000 | 0.000 | -0.000 |
| 195.504 | 355.085 | 355.089 | -207841.780 | 0.001 | 0.001 |
| 355.085 | 195.504 | 355.089 | 0.001 | -207841.780 | 0.001 |
| 355.085 | 355.089 | 195.504 | 0.001 | 0.001 | -207841.739 |
| -5.482 | -4.887 | -4.887 | -0.000 | -0.000 | 0.000 |
| -4.887 | -5.482 | -4.887 | -0.000 | -0.000 | -0.000 |
| -4.887 | -4.887 | -5.482 | -0.000 | -0.000 | 0.000 |
| -10.223 | -18.957 | -18.960 | -15381.605 | -0.000 | -0.000 |
| -18.957 | -10.223 | -18.960 | -0.000 | -15381.605 | -0.000 |
| -18.957 | -18.960 | -10.223 | -0.000 | -0.000 | -15381.605 |
| -5.482 | -4.887 | -4.887 | 0.000 | 0.000 | -0.000 |
| -4.887 | -5.482 | -4.887 | 0.000 | 0.000 | -0.000 |
| -4.887 | -4.887 | -5.482 | 0.000 | 0.000 | -0.000 |
| 10.223 | 18.957 | 18.960 | -15381.604 | 0.000 | 0.000 |
| 18.957 | 10.223 | 18.960 | 0.000 | -15381.604 | 0.000 |
| 18.957 | 18.960 | 10.223 | 0.000 | 0.000 | -15381.604 |
| -5.748 | -5.153 | -5.153 | -0.000 | -0.000 | 0.000 |
| -5.153 | -5.748 | -5.153 | -0.000 | -0.000 | 0.000 |
| -5.153 | -5.153 | -5.748 | -0.000 | -0.000 | 0.000 |
| -0.910 | -1.689 | -1.692 | -1457.354 | -0.000 | -0.000 |
| -1.689 | -0.910 | -1.692 | -0.000 | -1457.354 | -0.000 |
| -1.689 | -1.692 | -0.910 | -0.000 | -0.000 | -1457.354 |
| -5.482 | -4.887 | -4.887 | 0.000 | 0.000 | -0.000 |
| -4.887 | -5.482 | -4.887 | 0.000 | 0.000 | -0.000 |
| -4.887 | -4.887 | -5.482 | 0.000 | 0.000 | -0.000 |
| 0.910 | 1.689 | 1.692 | -1457.354 | 0.000 | 0.000 |
| 1.689 | 0.910 | 1.692 | 0.000 | -1457.354 | 0.000 |
| 1.689 | 1.692 | 0.910 | 0.000 | 0.000 | -1457.354 |
| 128.003 | 55.303 | 55.303 | -0.000 | -0.000 | -0.000 |
| 55.303 | 128.003 | 55.303 | -0.000 | 0.000 | 0.000 |
| 55.303 | 55.303 | 128.003 | -0.000 | -0.000 | -0.000 |
| 0.000 | 0.000 | 0.000 | 7.778 | 0.000 | -0.000 |
| 0.000 | 0.000 | 0.000 | -0.000 | 7.778 | -0.000 |
| 0.000 | 0.000 | 0.000 | -0.000 | -0.000 | 7.778 |
| 128.003 | 55.303 | 55.303 | 0.000 | -0.000 | 0.000 |
| 55.303 | 128.003 | 55.303 | 0.000 | 0.000 | 0.000 |
| 55.303 | 55.303 | 128.003 | 0.000 | -0.000 | 0.000 |
| -0.000 | -0.000 | -0.000 | 7.778 | -0.000 | -0.000 |
| -0.000 | -0.000 | -0.000 | 0.000 | 7.778 | 0.000 |
| -0.000 | -0.000 | -0.000 | 0.000 | 0.000 | 7.778 |
| 128.004 | 55.303 | 55.303 | -0.000 | 0.000 | 0.000 |
| 55.303 | 128.004 | 55.303 | -0.000 | -0.000 | 0.000 |
| 55.303 | 55.303 | 128.004 | 0.000 | 0.000 | -0.000 |
| 0.000 | -0.000 | -0.000 | 7.778 | 0.000 | 0.000 |
| -0.000 | 0.000 | -0.000 | -0.000 | 7.778 | 0.000 |
| -0.000 | -0.000 | 0.000 | -0.000 | -0.000 | 7.778 |
| 128.003 | 55.303 | 55.303 | 0.000 | -0.000 | 0.000 |
| 55.303 | 128.003 | 55.303 | 0.000 | -0.000 | -0.000 |
| 55.303 | 55.303 | 128.003 | 0.000 | 0.000 | -0.000 |
| -0.000 | 0.000 | 0.000 | 7.778 | -0.000 | -0.000 |
| 0.000 | -0.000 | 0.000 | 0.000 | 7.778 | 0.000 |
| 0.000 | 0.000 | -0.000 | 0.000 | 0.000 | 7.778 |
| 128.005 | 55.303 | 55.303 | -0.000 | 0.000 | -0.000 |
| 55.303 | 128.005 | 55.303 | -0.000 | 0.000 | 0.000 |
| 55.303 | 55.303 | 128.005 | -0.000 | -0.000 | 0.000 |
| 0.000 | -0.000 | -0.000 | 7.778 | 0.000 | 0.000 |
| -0.000 | 0.000 | -0.000 | -0.000 | 7.778 | -0.000 |
| -0.000 | -0.000 | 0.000 | -0.000 | -0.000 | 7.778 |
| 128.002 | 55.302 | 55.302 | 0.000 | 0.000 | -0.000 |
| 55.302 | 128.002 | 55.302 | 0.000 | -0.000 | -0.000 |
| 55.302 | 55.302 | 128.002 | 0.000 | -0.000 | -0.000 |
| -0.000 | 0.000 | 0.000 | 7.778 | 0.000 | -0.000 |
| 0.000 | -0.000 | 0.000 | 0.000 | 7.778 | -0.000 |
| 0.000 | 0.000 | -0.000 | 0.000 | 0.000 | 7.778 |
| 65.749 | 22.134 | 22.134 | -0.000 | 0.000 | -0.000 |
| 22.134 | 65.749 | 22.134 | -0.000 | 0.000 | -0.000 |
| 22.134 | 22.134 | 65.749 | -0.000 | 0.000 | -0.000 |
| 0.000 | -0.000 | 0.000 | 5.910 | -0.000 | -0.000 |
| -0.000 | 0.000 | 0.000 | -0.000 | 5.910 | -0.000 |
| -0.000 | -0.000 | 0.000 | -0.000 | -0.000 | 5.910 |
| 65.749 | 22.134 | 22.134 | 0.000 | -0.000 | 0.000 |
| 22.134 | 65.749 | 22.134 | 0.000 | -0.000 | -0.000 |
| 22.134 | 22.134 | 65.749 | 0.000 | 0.000 | 0.000 |
| -0.000 | 0.000 | -0.000 | 5.910 | 0.000 | -0.000 |
| 0.000 | -0.000 | -0.000 | 0.000 | 5.910 | 0.000 |
| 0.000 | 0.000 | -0.000 | 0.000 | 0.000 | 5.910 |
| 65.749 | 22.134 | 22.134 | -0.000 | -0.000 | -0.000 |
| 22.134 | 65.749 | 22.134 | -0.000 | 0.000 | 0.000 |
| 22.134 | 22.134 | 65.749 | -0.000 | -0.000 | -0.000 |
| 0.000 | 0.000 | -0.000 | 5.910 | -0.000 | -0.000 |
| 0.000 | 0.000 | -0.000 | -0.000 | 5.910 | -0.000 |
| 0.000 | -0.000 | 0.000 | -0.000 | -0.000 | 5.910 |
| 65.749 | 22.134 | 22.134 | 0.000 | -0.000 | 0.000 |
| 22.134 | 65.749 | 22.134 | 0.000 | 0.000 | 0.000 |
| 22.134 | 22.134 | 65.749 | 0.000 | 0.000 | 0.000 |
| -0.000 | -0.000 | 0.000 | 5.910 | 0.000 | -0.000 |
| -0.000 | -0.000 | 0.000 | -0.000 | 5.910 | 0.000 |
| -0.000 | 0.000 | -0.000 | 0.000 | 0.000 | 5.910 |
| 65.750 | 22.134 | 22.134 | -0.000 | -0.000 | 0.000 |
| 22.134 | 65.750 | 22.134 | -0.000 | 0.000 | -0.000 |
| 22.134 | 22.134 | 65.750 | 0.000 | -0.000 | -0.000 |
| 0.000 | 0.000 | -0.000 | 5.910 | -0.000 | 0.000 |
| 0.000 | 0.000 | -0.000 | -0.000 | 5.910 | 0.000 |
| 0.000 | -0.000 | 0.000 | -0.000 | 0.000 | 5.910 |
| 65.747 | 22.133 | 22.133 | 0.000 | 0.000 | -0.000 |
| 22.133 | 65.747 | 22.133 | 0.000 | -0.000 | 0.000 |
| 22.133 | 22.133 | 65.747 | 0.000 | 0.000 | -0.000 |
| -0.000 | -0.000 | 0.000 | 5.910 | 0.000 | -0.000 |
| -0.000 | -0.000 | 0.000 | 0.000 | 5.910 | 0.000 |
| -0.000 | 0.000 | -0.000 | 0.000 | 0.000 | 5.910 |
| -67.383 | -16.685 | -16.685 | -0.000 | 0.000 | 0.000 |
| -16.685 | -67.383 | -16.685 | 0.000 | 0.000 | 0.000 |
| -16.685 | -16.685 | -67.383 | -0.000 | 0.000 | 0.000 |
| 204117488.083 | 206790935.396 | 207258624.137 | -8976971.158 | -1128539.268 | -199152.332 |
| 209320948.032 | 204718614.783 | 208431035.235 | -368444.054 | -8911561.841 | -1063755.112 |
| 205732036.075 | 206461492.204 | 203971677.825 | -624184.833 | -343517.667 | -8987626.875 |
| -210125761.970 | -209893500.655 | -209415731.060 | -4569910.759 | -2100561.144 | -2728552.951 |
| -209345451.792 | -210282367.339 | -209579994.696 | -2817819.299 | -4296362.366 | -2331582.835 |
| -209879096.075 | -209374328.793 | -210423635.340 | -2371091.572 | -2782949.822 | -4345463.807 |
| -197454531.054 | -207573787.714 | -206535798.474 | -11419026.471 | -1794830.565 | -2704225.515 |
| -205698388.976 | -196727675.241 | -207565875.414 | -2927123.407 | -11385071.591 | -1894472.588 |
| -207293993.351 | -206490686.791 | -197861992.488 | -1811456.780 | -3078486.221 | -11060897.283 |
| 20353694.770 | 21236419.598 | 20782860.773 | 147434.327 | 337980.188 | 330084.982 |
| 20768292.887 | 20361283.427 | 21224233.824 | 323365.337 | 147804.066 | 346632.602 |
| 21229988.698 | 20763818.023 | 20325593.109 | 338693.969 | 343094.714 | 154261.095 |
| 19937637.022 | 20574821.734 | 20482631.759 | -953560.159 | -18696.838 | -43583.921 |
| 20401167.649 | 19814567.576 | 20585602.249 | -21664.760 | -926264.270 | -52958.648 |
| 20584591.649 | 20342633.525 | 19959866.596 | 5903.371 | -50312.721 | -903784.888 |
| -21018746.471 | -20869797.327 | -20659819.770 | -401210.453 | -235970.737 | -281905.268 |
| -20751316.082 | -21077658.484 | -20978383.173 | -279844.250 | -398358.902 | -250537.369 |
| -20958604.770 | -20731955.855 | -21011847.125 | -238129.315 | -260172.234 | -387984.408 |
| -19124359.692 | -20238361.597 | -20240078.678 | -1144523.816 | -108378.695 | -212376.202 |
| -20275424.384 | -19126036.871 | -20562676.484 | -200655.918 | -1193005.331 | -82458.539 |
| -20559613.190 | -20384940.555 | -19187740.868 | -115528.865 | -225064.570 | -1177009.558 |
| 2022343.167 | 2114005.133 | 2077150.557 | 19480.858 | 32985.278 | 41244.333 |
| 2085515.046 | 2018081.222 | 2120799.859 | 38413.138 | 15785.032 | 29122.444 |
| 2108679.414 | 2073722.628 | 2015843.708 | 29143.929 | 42135.727 | 19381.237 |
| 1985984.940 | 2050577.842 | 2037210.349 | -92928.038 | 4794.443 | -6135.559 |
| 2029687.340 | 1974786.549 | 2029093.358 | -3941.727 | -95495.468 | -38.308 |
| 2013814.419 | 2035760.338 | 1953759.029 | 3790.796 | -6046.244 | -93593.712 |
| -2096739.034 | -2083285.855 | -2077715.680 | -40377.650 | -26416.327 | -33504.459 |
| -2081566.323 | -2108919.602 | -2084379.900 | -28828.950 | -39529.393 | -22353.148 |
| -2079183.255 | -2072184.428 | -2104428.273 | -27984.928 | -31760.873 | -43181.434 |
| -1904315.363 | -1980239.380 | -2007166.554 | -123559.363 | -10824.007 | -22930.543 |
| -2030170.990 | -1888915.344 | -2022184.353 | -22822.051 | -122918.202 | -6788.318 |
| -1994651.276 | -2007946.343 | -1876964.028 | -8806.836 | -25517.180 | -124478.563 |
| 34.303 | 23.898 | 23.898 | -0.000 | -0.000 | -0.000 |
| 23.898 | 34.303 | 23.898 | -0.000 | -0.000 | -0.000 |
| 23.898 | 23.898 | 34.303 | -0.000 | -0.000 | -0.000 |
| 0.000 | 0.000 | 0.000 | -3.586 | -0.000 | -0.000 |
| 0.000 | 0.000 | 0.000 | -0.000 | -3.586 | -0.000 |
| 0.000 | 0.000 | 0.000 | -0.000 | -0.000 | -3.586 |
| 34.303 | 23.898 | 23.898 | 0.000 | 0.000 | 0.000 |
| 23.898 | 34.303 | 23.898 | 0.000 | 0.000 | 0.000 |
| 23.898 | 23.898 | 34.303 | 0.000 | 0.000 | 0.000 |
| -0.000 | -0.000 | -0.000 | -3.586 | 0.000 | 0.000 |
| -0.000 | -0.000 | -0.000 | 0.000 | -3.586 | 0.000 |
| -0.000 | -0.000 | -0.000 | 0.000 | 0.000 | -3.586 |
| 34.303 | 23.898 | 23.898 | -0.000 | -0.000 | -0.000 |
| 23.898 | 34.303 | 23.898 | -0.000 | -0.000 | -0.000 |
| 23.898 | 23.898 | 34.303 | -0.000 | -0.000 | -0.000 |
| 0.000 | 0.000 | 0.000 | -3.586 | -0.000 | -0.000 |
| 0.000 | 0.000 | 0.000 | -0.000 | -3.586 | -0.000 |
| 0.000 | 0.000 | 0.000 | -0.000 | -0.000 | -3.586 |
| 34.303 | 23.898 | 23.898 | 0.000 | 0.000 | 0.000 |
| 23.898 | 34.303 | 23.898 | 0.000 | 0.000 | 0.000 |
| 23.898 | 23.898 | 34.303 | 0.000 | 0.000 | 0.000 |
| -0.000 | -0.000 | -0.000 | -3.586 | 0.000 | 0.000 |
| -0.000 | -0.000 | -0.000 | 0.000 | -3.586 | 0.000 |
| -0.000 | -0.000 | -0.000 | 0.000 | 0.000 | -3.586 |
| 34.304 | 23.898 | 23.898 | -0.000 | -0.000 | -0.000 |
| 23.898 | 34.304 | 23.898 | -0.000 | -0.000 | -0.000 |
| 23.898 | 23.898 | 34.304 | -0.000 | -0.000 | -0.000 |
| 0.000 | 0.000 | 0.000 | -3.586 | 0.000 | -0.000 |
| 0.000 | 0.000 | 0.000 | -0.000 | -3.586 | -0.000 |
| 0.000 | 0.000 | 0.000 | 0.000 | -0.000 | -3.586 |
| 34.302 | 23.898 | 23.898 | 0.000 | 0.000 | -0.000 |
| 23.898 | 34.302 | 23.898 | -0.000 | 0.000 | 0.000 |
| 23.898 | 23.898 | 34.302 | 0.000 | -0.000 | 0.000 |
| -0.000 | -0.000 | -0.000 | -3.586 | -0.000 | 0.000 |
| -0.000 | -0.000 | -0.000 | 0.000 | -3.586 | 0.000 |
| -0.000 | -0.000 | -0.000 | -0.000 | 0.000 | -3.586 |
| -2.064 | 26.169 | 26.169 | -0.000 | 0.000 | -0.000 |
| 26.169 | -2.064 | 26.169 | -0.000 | 0.000 | -0.000 |
| 26.169 | 26.169 | -2.064 | -0.000 | 0.000 | -0.000 |
| 0.000 | 0.000 | 0.000 | -24.449 | 0.000 | -0.000 |
| 0.000 | 0.000 | 0.000 | -0.000 | -24.449 | 0.000 |
| 0.000 | 0.000 | 0.000 | -0.000 | 0.000 | -24.449 |
| -2.064 | 26.169 | 26.169 | 0.000 | -0.000 | -0.000 |
| 26.169 | -2.064 | 26.169 | 0.000 | -0.000 | 0.000 |
| 26.169 | 26.169 | -2.064 | 0.000 | -0.000 | -0.000 |
| -0.000 | -0.000 | -0.000 | -24.449 | -0.000 | -0.000 |
| -0.000 | -0.000 | -0.000 | 0.000 | -24.449 | -0.000 |
| -0.000 | -0.000 | -0.000 | 0.000 | -0.000 | -24.449 |
| -2.064 | 26.169 | 26.169 | -0.000 | 0.000 | -0.000 |
| 26.169 | -2.064 | 26.169 | -0.000 | 0.000 | -0.000 |
| 26.169 | 26.169 | -2.064 | -0.000 | 0.000 | 0.000 |
| 0.000 | 0.000 | 0.000 | -24.449 | 0.000 | 0.000 |
| 0.000 | 0.000 | 0.000 | -0.000 | -24.449 | 0.000 |
| 0.000 | 0.000 | 0.000 | -0.000 | 0.000 | -24.449 |
| -2.064 | 26.170 | 26.170 | 0.000 | -0.000 | 0.000 |
| 26.170 | -2.064 | 26.170 | 0.000 | -0.000 | 0.000 |
| 26.170 | 26.170 | -2.064 | 0.000 | -0.000 | 0.000 |
| -0.000 | -0.000 | -0.000 | -24.449 | -0.000 | -0.000 |
| -0.000 | -0.000 | -0.000 | 0.000 | -24.449 | -0.000 |
| -0.000 | -0.000 | -0.000 | 0.000 | -0.000 | -24.449 |
| -2.061 | 26.169 | 26.169 | -0.000 | 0.000 | -0.000 |
| 26.169 | -2.061 | 26.169 | -0.000 | 0.000 | -0.000 |
| 26.169 | 26.169 | -2.061 | -0.000 | 0.000 | -0.000 |
| 0.000 | 0.001 | 0.001 | -24.449 | 0.000 | -0.000 |
| 0.001 | 0.000 | 0.001 | -0.000 | -24.449 | 0.000 |
| 0.001 | 0.001 | 0.000 | -0.000 | 0.000 | -24.449 |
| -2.067 | 26.170 | 26.170 | 0.000 | -0.000 | -0.000 |
| 26.170 | -2.067 | 26.170 | 0.000 | -0.000 | -0.000 |
| 26.170 | 26.170 | -2.067 | 0.000 | -0.000 | 0.000 |
| -0.000 | -0.001 | -0.001 | -24.449 | -0.000 | -0.000 |
| -0.001 | -0.000 | -0.001 | 0.000 | -24.449 | -0.000 |
| -0.001 | -0.001 | -0.000 | 0.000 | -0.000 | -24.449 |
| 9.948 | 3.200 | 3.200 | 0.000 | 0.000 | -0.000 |
| 3.200 | 9.948 | 3.200 | 0.000 | 0.000 | 0.000 |
| 3.200 | 3.200 | 9.948 | 0.000 | -0.000 | -0.000 |
| 0.000 | 0.000 | -0.000 | 0.123 | -0.000 | -0.000 |
| -0.000 | 0.000 | 0.000 | -0.000 | 0.123 | -0.000 |
| -0.000 | 0.000 | 0.000 | -0.000 | 0.000 | 0.123 |
| 9.948 | 3.200 | 3.200 | -0.000 | -0.000 | 0.000 |
| 3.200 | 9.948 | 3.200 | 0.000 | 0.000 | 0.000 |
| 3.200 | 3.200 | 9.948 | 0.000 | 0.000 | 0.000 |
| -0.000 | -0.000 | -0.000 | 0.123 | -0.000 | 0.000 |
| -0.000 | -0.000 | -0.000 | 0.000 | 0.123 | 0.000 |
| 0.000 | -0.000 | -0.000 | 0.000 | -0.000 | 0.123 |
| 9.948 | 3.200 | 3.200 | 0.000 | 0.000 | -0.000 |
| 3.200 | 9.948 | 3.200 | -0.000 | 0.000 | -0.000 |
| 3.200 | 3.200 | 9.948 | 0.000 | -0.000 | -0.000 |
| -0.000 | -0.000 | -0.000 | 1.866 | -0.000 | -0.000 |
| -0.000 | 0.000 | -0.000 | -0.000 | 1.866 | -0.000 |
| -0.000 | -0.000 | -0.000 | -0.000 | 0.000 | 1.866 |
| 9.948 | 3.200 | 3.200 | -0.000 | 0.000 | 0.000 |
| 3.200 | 9.948 | 3.200 | -0.000 | -0.000 | -0.000 |
| 3.200 | 3.200 | 9.948 | -0.000 | 0.000 | -0.000 |
| 0.000 | 0.000 | 0.000 | 1.866 | 0.000 | 0.000 |
| 0.000 | -0.000 | 0.000 | -0.000 | 1.866 | -0.000 |
| 0.000 | 0.000 | 0.000 | 0.000 | 0.000 | 1.866 |
| 9.947 | 3.200 | 3.200 | 0.000 | 0.000 | 0.000 |
| 3.200 | 9.947 | 3.200 | 0.000 | -0.000 | 0.000 |
| 3.200 | 3.200 | 9.947 | 0.000 | -0.000 | -0.000 |
| -0.000 | -0.000 | -0.000 | 1.866 | -0.000 | -0.000 |
| -0.000 | -0.000 | -0.000 | -0.000 | 1.866 | 0.000 |
| -0.000 | -0.000 | -0.000 | -0.000 | -0.000 | 1.866 |
| 9.948 | 3.200 | 3.200 | -0.000 | -0.000 | 0.000 |
| 3.200 | 9.948 | 3.200 | 0.000 | -0.000 | 0.000 |
| 3.200 | 3.200 | 9.948 | 0.000 | 0.000 | 0.000 |
| 0.000 | 0.000 | 0.000 | 1.866 | 0.000 | -0.000 |
| 0.000 | 0.000 | 0.000 | -0.000 | 1.866 | -0.000 |
| 0.000 | 0.000 | 0.000 | -0.000 | 0.000 | 1.866 |
| 37.981 | 5.851 | 5.851 | 0.000 | 0.000 | 0.000 |
| 5.851 | 37.981 | 5.851 | 0.000 | 0.000 | 0.000 |
| 5.851 | 5.851 | 37.981 | 0.000 | 0.000 | 0.000 |
| 0.000 | 0.000 | 0.000 | 5.199 | 0.000 | 0.000 |
| 0.000 | 0.000 | 0.000 | 0.000 | 5.199 | 0.000 |
| 0.000 | 0.000 | 0.000 | 0.000 | -0.000 | 5.199 |
| 37.981 | 5.851 | 5.851 | -0.000 | -0.000 | -0.000 |
| 5.851 | 37.981 | 5.851 | -0.000 | -0.000 | -0.000 |
| 5.851 | 5.851 | 37.981 | -0.000 | 0.000 | -0.000 |
| -0.000 | -0.000 | -0.000 | 5.199 | 0.000 | -0.000 |
| -0.000 | -0.000 | -0.000 | -0.000 | 5.199 | -0.000 |
| -0.000 | -0.000 | -0.000 | -0.000 | 0.000 | 5.199 |
| 37.981 | 5.851 | 5.851 | 0.000 | 0.000 | 0.000 |
| 5.851 | 37.981 | 5.851 | 0.000 | 0.000 | 0.000 |
| 5.851 | 5.851 | 37.981 | 0.000 | 0.000 | 0.000 |
| 0.000 | 0.000 | 0.000 | 5.344 | -0.000 | 0.000 |
| 0.000 | 0.000 | 0.000 | 0.000 | 5.344 | -0.000 |
| 0.000 | 0.000 | 0.000 | -0.000 | -0.000 | 5.344 |
| 37.981 | 5.851 | 5.851 | -0.000 | -0.000 | -0.000 |
| 5.851 | 37.981 | 5.851 | -0.000 | -0.000 | -0.000 |
| 5.851 | 5.851 | 37.981 | 0.000 | -0.000 | -0.000 |
| -0.000 | -0.000 | -0.000 | 5.344 | -0.000 | -0.000 |
| -0.000 | -0.000 | -0.000 | -0.000 | 5.344 | 0.000 |
| -0.000 | -0.000 | -0.000 | 0.000 | 0.000 | 5.344 |
| 37.982 | 5.851 | 5.851 | 0.000 | 0.000 | 0.000 |
| 5.851 | 37.982 | 5.851 | 0.000 | 0.000 | 0.000 |
| 5.851 | 5.851 | 37.982 | -0.000 | -0.000 | 0.000 |
| 0.000 | 0.000 | 0.000 | 5.108 | -0.000 | 0.000 |
| 0.000 | 0.000 | 0.000 | 0.000 | 5.108 | 0.000 |
| 0.000 | 0.000 | 0.000 | 0.000 | -0.000 | 5.108 |
| 37.981 | 5.851 | 5.851 | -0.000 | -0.000 | -0.000 |
| 5.851 | 37.981 | 5.851 | -0.000 | -0.000 | -0.000 |
| 5.851 | 5.851 | 37.981 | -0.000 | -0.000 | -0.000 |
| -0.000 | -0.000 | -0.000 | 5.108 | 0.000 | -0.000 |
| -0.000 | -0.000 | -0.000 | -0.000 | 5.108 | -0.000 |
| -0.000 | -0.000 | -0.000 | 0.000 | 0.000 | 5.108 |
| 30.011 | 4.311 | 4.311 | 0.000 | 0.000 | 0.000 |
| 4.311 | 30.011 | 4.311 | 0.000 | 0.000 | 0.000 |
| 4.311 | 4.311 | 30.011 | 0.000 | 0.000 | 0.000 |
| -0.000 | -0.000 | 0.000 | 4.311 | 0.000 | 0.000 |
| -0.000 | -0.000 | 0.000 | 0.000 | 4.311 | 0.000 |
| -0.000 | 0.000 | 0.000 | 0.000 | 0.000 | 4.311 |
| 30.011 | 4.311 | 4.311 | -0.000 | -0.000 | -0.000 |
| 4.311 | 30.011 | 4.311 | -0.000 | -0.000 | 0.000 |
| 4.311 | 4.311 | 30.011 | -0.000 | 0.000 | -0.000 |
| 0.000 | 0.000 | -0.000 | 4.311 | -0.000 | -0.000 |
| 0.000 | 0.000 | -0.000 | -0.000 | 4.311 | -0.000 |
| -0.000 | -0.000 | -0.000 | -0.000 | -0.000 | 4.311 |
| 30.011 | 4.311 | 4.311 | 0.000 | 0.000 | 0.000 |
| 4.311 | 30.011 | 4.311 | 0.000 | 0.000 | 0.000 |
| 4.311 | 4.311 | 30.011 | 0.000 | 0.000 | 0.000 |
| 0.000 | 0.000 | 0.000 | 4.311 | 0.000 | 0.000 |
| 0.000 | 0.000 | 0.000 | 0.000 | 4.311 | 0.000 |
| 0.000 | 0.000 | 0.000 | 0.000 | 0.000 | 4.311 |
| 30.011 | 4.311 | 4.311 | -0.000 | -0.000 | -0.000 |
| 4.311 | 30.011 | 4.311 | -0.000 | -0.000 | -0.000 |
| 4.311 | 4.311 | 30.011 | -0.000 | -0.000 | -0.000 |
| -0.000 | -0.000 | -0.000 | 4.311 | -0.000 | -0.000 |
| -0.000 | -0.000 | -0.000 | -0.000 | 4.311 | -0.000 |
| -0.000 | -0.000 | -0.000 | -0.000 | -0.000 | 4.311 |
| 30.011 | 4.311 | 4.311 | 0.000 | 0.000 | 0.000 |
| 4.311 | 30.011 | 4.311 | 0.000 | 0.000 | 0.000 |
| 4.311 | 4.311 | 30.011 | 0.000 | 0.000 | 0.000 |
| 0.000 | 0.000 | 0.000 | 4.230 | 0.000 | 0.000 |
| 0.000 | 0.000 | 0.000 | 0.000 | 4.230 | 0.000 |
| 0.000 | 0.000 | 0.000 | 0.000 | 0.000 | 4.230 |
| 30.010 | 4.311 | 4.311 | -0.000 | -0.000 | -0.000 |
| 4.311 | 30.010 | 4.311 | -0.000 | -0.000 | -0.000 |
| 4.311 | 4.311 | 30.010 | -0.000 | -0.000 | -0.000 |
| -0.000 | -0.000 | -0.000 | 4.230 | -0.000 | -0.000 |
| -0.000 | -0.000 | -0.000 | -0.000 | 4.230 | -0.000 |
| -0.000 | -0.000 | -0.000 | -0.000 | -0.000 | 4.230 |
| 15.534 | 15.674 | 15.674 | 0.000 | 0.000 | -0.000 |
| 15.674 | 15.534 | 15.674 | 0.000 | 0.000 | -0.000 |
| 15.674 | 15.674 | 15.534 | 0.000 | 0.000 | -0.000 |
| -0.000 | -0.000 | -0.000 | -1.301 | 0.000 | 0.000 |
| -0.000 | -0.000 | -0.000 | 0.000 | -1.301 | -0.000 |
| -0.000 | -0.000 | -0.000 | 0.000 | 0.000 | -1.301 |
| 15.534 | 15.674 | 15.674 | -0.000 | -0.000 | 0.000 |
| 15.674 | 15.534 | 15.674 | -0.000 | -0.000 | -0.000 |
| 15.674 | 15.674 | 15.534 | -0.000 | -0.000 | -0.000 |
| 0.000 | 0.000 | 0.000 | -1.301 | -0.000 | -0.000 |
| 0.000 | 0.000 | 0.000 | -0.000 | -1.301 | -0.000 |
| 0.000 | 0.000 | 0.000 | -0.000 | -0.000 | -1.301 |
| 15.534 | 15.674 | 15.674 | 0.000 | 0.000 | -0.000 |
| 15.674 | 15.534 | 15.674 | 0.000 | 0.000 | 0.000 |
| 15.674 | 15.674 | 15.534 | 0.000 | 0.000 | -0.000 |
| -0.000 | -0.000 | -0.000 | -1.301 | 0.000 | 0.000 |
| -0.000 | -0.000 | -0.000 | 0.000 | -1.301 | 0.000 |
| -0.000 | -0.000 | -0.000 | 0.000 | 0.000 | -1.301 |
| 15.534 | 15.674 | 15.674 | -0.000 | -0.000 | 0.000 |
| 15.674 | 15.534 | 15.674 | -0.000 | -0.000 | 0.000 |
| 15.674 | 15.674 | 15.534 | -0.000 | -0.000 | 0.000 |
| 0.000 | 0.000 | 0.000 | -1.301 | -0.000 | 0.000 |
| 0.000 | 0.000 | 0.000 | -0.000 | -1.301 | 0.000 |
| 0.000 | 0.000 | 0.000 | -0.000 | -0.000 | -1.301 |
| 15.534 | 15.674 | 15.674 | 0.000 | 0.000 | 0.000 |
| 15.674 | 15.534 | 15.674 | 0.000 | 0.000 | -0.000 |
| 15.674 | 15.674 | 15.534 | 0.000 | 0.000 | -0.000 |
| -0.000 | -0.000 | -0.000 | -1.301 | 0.000 | 0.000 |
| -0.000 | -0.000 | -0.000 | 0.000 | -1.301 | 0.000 |
| -0.000 | -0.000 | -0.000 | 0.000 | 0.000 | -1.301 |
| 15.534 | 15.674 | 15.674 | -0.000 | -0.000 | -0.000 |
| 15.674 | 15.534 | 15.674 | -0.000 | -0.000 | -0.000 |
| 15.674 | 15.674 | 15.534 | -0.000 | -0.000 | 0.000 |
| 0.000 | 0.000 | 0.000 | -1.301 | -0.000 | -0.000 |
| 0.000 | 0.000 | 0.000 | -0.000 | -1.301 | -0.000 |
| 0.000 | 0.000 | 0.000 | -0.000 | -0.000 | -1.301 |
| 15.045 | 15.045 | 15.045 | -0.000 | -0.000 | 0.000 |
| 15.045 | 15.045 | 15.045 | -0.000 | -0.000 | 0.000 |
| 15.045 | 15.045 | 15.045 | 0.000 | 0.000 | 0.000 |
| -0.000 | -0.000 | -0.000 | -1.089 | -0.000 | 0.000 |
| -0.000 | -0.000 | -0.000 | -0.000 | -1.089 | 0.000 |
| -0.000 | -0.000 | -0.000 | -0.000 | -0.000 | -1.089 |
| 15.045 | 15.045 | 15.045 | 0.000 | 0.000 | -0.000 |
| 15.045 | 15.045 | 15.045 | 0.000 | 0.000 | -0.000 |
| 15.045 | 15.045 | 15.045 | 0.000 | 0.000 | -0.000 |
| 0.000 | 0.000 | 0.000 | -1.089 | 0.000 | -0.000 |
| 0.000 | 0.000 | 0.000 | 0.000 | -1.089 | -0.000 |
| 0.000 | 0.000 | 0.000 | 0.000 | -0.000 | -1.089 |
| 15.045 | 15.045 | 15.045 | -0.000 | -0.000 | -0.000 |
| 15.045 | 15.045 | 15.045 | -0.000 | -0.000 | 0.000 |
| 15.045 | 15.045 | 15.045 | -0.000 | -0.000 | 0.000 |
| -0.000 | -0.000 | -0.000 | -1.089 | -0.000 | 0.000 |
| -0.000 | -0.000 | -0.000 | -0.000 | -1.089 | -0.000 |
| -0.000 | -0.000 | -0.000 | -0.000 | -0.000 | -1.089 |
| 15.045 | 15.045 | 15.045 | 0.000 | 0.000 | -0.000 |
| 15.045 | 15.045 | 15.045 | 0.000 | 0.000 | -0.000 |
| 15.045 | 15.045 | 15.045 | -0.000 | -0.000 | -0.000 |
| 0.000 | 0.000 | 0.000 | -1.089 | 0.000 | -0.000 |
| 0.000 | 0.000 | 0.000 | 0.000 | -1.089 | -0.000 |
| 0.000 | 0.000 | 0.000 | 0.000 | 0.000 | -1.089 |
| 15.045 | 15.045 | 15.045 | -0.000 | -0.000 | 0.000 |
| 15.045 | 15.045 | 15.045 | -0.000 | -0.000 | 0.000 |
| 15.045 | 15.045 | 15.045 | 0.000 | 0.000 | 0.000 |
| -0.000 | -0.000 | -0.000 | -1.089 | -0.000 | -0.000 |
| -0.000 | -0.000 | -0.000 | -0.000 | -1.089 | 0.000 |
| -0.000 | -0.000 | -0.000 | -0.000 | -0.000 | -1.089 |
| 15.045 | 15.045 | 15.045 | 0.000 | 0.000 | -0.000 |
| 15.045 | 15.045 | 15.045 | 0.000 | 0.000 | -0.000 |
| 15.045 | 15.045 | 15.045 | -0.000 | -0.000 | -0.000 |
| 0.000 | 0.000 | 0.000 | -1.089 | 0.000 | -0.000 |
| 0.000 | 0.000 | 0.000 | 0.000 | -1.089 | -0.000 |
| 0.000 | 0.000 | 0.000 | 0.000 | 0.000 | -1.089 |
| 44.744 | 31.995 | 31.995 | -0.000 | -0.000 | -0.000 |
| 31.995 | 44.744 | 31.995 | -0.000 | -0.000 | -0.000 |
| 31.995 | 31.995 | 44.744 | -0.000 | -0.000 | -0.000 |
| -0.000 | 0.000 | 0.000 | 30.886 | -0.000 | 0.000 |
| 0.000 | -0.000 | 0.000 | -0.000 | 30.886 | -0.000 |
| 0.000 | 0.000 | 0.000 | -0.000 | -0.000 | 30.886 |
| 44.748 | 31.995 | 31.995 | 0.000 | 0.000 | 0.000 |
| 31.995 | 44.748 | 31.995 | 0.000 | 0.000 | 0.000 |
| 31.995 | 31.995 | 44.748 | 0.000 | 0.000 | 0.000 |
| 0.000 | -0.000 | -0.000 | 30.886 | 0.000 | -0.000 |
| -0.000 | -0.000 | -0.000 | 0.000 | 30.886 | 0.000 |
| -0.000 | -0.000 | 0.000 | 0.000 | 0.000 | 30.886 |
| 44.727 | 31.995 | 31.995 | -0.000 | -0.000 | -0.000 |
| 31.995 | 44.727 | 31.995 | -0.000 | -0.000 | -0.000 |
| 31.995 | 31.995 | 44.727 | -0.000 | -0.000 | -0.000 |
| -0.000 | 0.000 | 0.000 | 30.886 | -0.000 | 0.000 |
| 0.000 | -0.000 | 0.000 | -0.000 | 30.886 | -0.000 |
| 0.000 | 0.000 | -0.000 | 0.000 | -0.000 | 30.886 |
| 44.766 | 31.995 | 31.995 | 0.000 | 0.000 | 0.000 |
| 31.995 | 44.766 | 31.995 | 0.000 | 0.000 | 0.000 |
| 31.995 | 31.995 | 44.766 | 0.000 | -0.000 | 0.000 |
| 0.000 | -0.000 | -0.000 | 30.886 | 0.000 | -0.000 |
| -0.000 | 0.000 | -0.000 | 0.000 | 30.886 | 0.000 |
| -0.000 | -0.000 | 0.000 | 0.000 | 0.000 | 30.886 |
| 44.548 | 31.996 | 31.996 | -0.000 | -0.000 | 0.000 |
| 31.996 | 44.548 | 31.996 | -0.000 | -0.000 | -0.000 |
| 31.996 | 31.996 | 44.548 | -0.000 | -0.000 | -0.000 |
| -0.000 | 0.001 | 0.001 | 30.886 | -0.000 | 0.000 |
| 0.001 | -0.000 | 0.001 | -0.000 | 30.886 | -0.000 |
| 0.001 | 0.001 | -0.000 | -0.000 | -0.000 | 30.886 |
| 44.945 | 31.994 | 31.994 | 0.000 | 0.000 | 0.000 |
| 31.994 | 44.945 | 31.994 | 0.000 | 0.000 | 0.000 |
| 31.994 | 31.994 | 44.945 | 0.000 | 0.000 | 0.000 |
| 0.000 | -0.001 | -0.001 | 30.886 | 0.000 | -0.000 |
| -0.001 | 0.000 | -0.001 | 0.000 | 30.886 | 0.000 |
| -0.001 | -0.001 | 0.000 | 0.000 | 0.000 | 30.886 |
| 35.534 | 17.832 | 17.832 | -0.000 | -0.000 | 0.000 |
| 17.832 | 35.534 | 17.832 | -0.000 | -0.000 | -0.000 |
| 17.832 | 17.832 | 35.534 | -0.000 | -0.000 | 0.000 |
| 0.000 | 0.000 | 0.000 | 17.745 | -0.000 | 0.000 |
| 0.000 | 0.000 | 0.000 | -0.000 | 17.745 | -0.000 |
| 0.000 | 0.000 | -0.000 | -0.000 | -0.000 | 17.745 |
| 35.534 | 17.832 | 17.832 | 0.000 | 0.000 | -0.000 |
| 17.832 | 35.534 | 17.832 | 0.000 | 0.000 | -0.000 |
| 17.832 | 17.832 | 35.534 | 0.000 | 0.000 | -0.000 |
| -0.000 | -0.000 | -0.000 | 17.745 | 0.000 | -0.000 |
| -0.000 | -0.000 | -0.000 | 0.000 | 17.745 | 0.000 |
| -0.000 | -0.000 | 0.000 | 0.000 | 0.000 | 17.745 |
| 35.534 | 17.832 | 17.832 | -0.000 | -0.000 | 0.000 |
| 17.832 | 35.534 | 17.832 | -0.000 | -0.000 | 0.000 |
| 17.832 | 17.832 | 35.534 | -0.000 | -0.000 | -0.000 |
| -0.000 | 0.000 | 0.000 | 17.745 | -0.000 | -0.000 |
| 0.000 | -0.000 | 0.000 | -0.000 | 17.745 | -0.000 |
| 0.000 | 0.000 | -0.000 | -0.000 | -0.000 | 17.745 |
| 35.533 | 17.832 | 17.832 | 0.000 | 0.000 | 0.000 |
| 17.832 | 35.533 | 17.832 | 0.000 | 0.000 | 0.000 |
| 17.832 | 17.832 | 35.533 | 0.000 | 0.000 | 0.000 |
| 0.000 | -0.000 | -0.000 | 17.745 | 0.000 | -0.000 |
| -0.000 | 0.000 | -0.000 | 0.000 | 17.745 | 0.000 |
| -0.000 | -0.000 | 0.000 | 0.000 | 0.000 | 17.745 |
| 35.535 | 17.832 | 17.832 | -0.000 | -0.000 | -0.000 |
| 17.832 | 35.535 | 17.832 | -0.000 | -0.000 | -0.000 |
| 17.832 | 17.832 | 35.535 | -0.000 | -0.000 | -0.000 |
| -0.000 | 0.001 | 0.001 | 17.745 | -0.000 | 0.000 |
| 0.001 | -0.000 | 0.001 | -0.000 | 17.745 | -0.000 |
| 0.001 | 0.001 | -0.000 | -0.000 | -0.000 | 17.745 |
| 35.532 | 17.831 | 17.831 | 0.000 | 0.000 | -0.000 |
| 17.831 | 35.532 | 17.831 | 0.000 | 0.000 | 0.000 |
| 17.831 | 17.831 | 35.532 | 0.000 | 0.000 | 0.000 |
| 0.000 | -0.001 | -0.001 | 17.745 | 0.000 | 0.000 |
| -0.001 | 0.000 | -0.001 | 0.000 | 17.745 | 0.000 |
| -0.001 | -0.001 | 0.000 | 0.000 | 0.000 | 17.745 |
| 32.458 | 16.229 | 16.229 | -0.000 | 0.000 | 0.000 |
| 16.229 | 32.458 | 16.229 | 0.000 | -0.000 | -0.000 |
| 16.229 | 16.229 | 32.458 | -0.000 | -0.000 | -0.000 |
| -0.000 | 0.000 | 0.000 | 16.229 | 0.000 | -0.000 |
| 0.000 | -0.000 | 0.000 | 0.000 | 16.229 | -0.000 |
| 0.000 | 0.000 | 0.000 | 0.000 | -0.000 | 16.229 |
| 32.458 | 16.229 | 16.229 | 0.000 | -0.000 | -0.000 |
| 16.229 | 32.458 | 16.229 | 0.000 | 0.000 | 0.000 |
| 16.229 | 16.229 | 32.458 | 0.000 | 0.000 | 0.000 |
| 0.000 | -0.000 | -0.000 | 16.229 | -0.000 | 0.000 |
| -0.000 | 0.000 | -0.000 | 0.000 | 16.229 | 0.000 |
| -0.000 | -0.000 | -0.000 | 0.000 | 0.000 | 16.229 |
| 32.458 | 16.229 | 16.229 | -0.000 | 0.000 | -0.000 |
| 16.229 | 32.458 | 16.229 | 0.000 | -0.000 | -0.000 |
| 16.229 | 16.229 | 32.458 | -0.000 | -0.000 | -0.000 |
| -0.000 | 0.000 | 0.000 | 16.229 | -0.000 | -0.000 |
| 0.000 | -0.000 | 0.000 | -0.000 | 16.229 | -0.000 |
| 0.000 | 0.000 | -0.000 | -0.000 | -0.000 | 16.229 |
| 32.458 | 16.229 | 16.229 | 0.000 | 0.000 | 0.000 |
| 16.229 | 32.458 | 16.229 | 0.000 | 0.000 | -0.000 |
| 16.229 | 16.229 | 32.458 | -0.000 | -0.000 | 0.000 |
| 0.000 | -0.000 | -0.000 | 16.229 | -0.000 | 0.000 |
| -0.000 | 0.000 | -0.000 | -0.000 | 16.229 | 0.000 |
| -0.000 | -0.000 | 0.000 | 0.000 | 0.000 | 16.229 |
| 32.459 | 16.230 | 16.230 | -0.000 | -0.000 | 0.000 |
| 16.230 | 32.459 | 16.230 | -0.000 | -0.000 | -0.000 |
| 16.230 | 16.230 | 32.459 | 0.000 | 0.000 | 0.000 |
| -0.000 | 0.001 | 0.001 | 16.229 | -0.000 | -0.000 |
| 0.001 | -0.000 | 0.001 | -0.000 | 16.229 | -0.000 |
| 0.001 | 0.001 | -0.000 | 0.000 | -0.000 | 16.229 |
| 32.457 | 16.229 | 16.229 | 0.000 | -0.000 | 0.000 |
| 16.229 | 32.457 | 16.229 | -0.000 | 0.000 | 0.000 |
| 16.229 | 16.229 | 32.457 | 0.000 | 0.000 | 0.000 |
| 0.000 | -0.001 | -0.001 | 16.229 | -0.000 | 0.000 |
| -0.001 | 0.000 | -0.001 | 0.000 | 16.229 | 0.000 |
| -0.001 | -0.001 | 0.000 | 0.000 | 0.000 | 16.229 |
| 1.335 | 2.356 | 2.356 | 0.000 | 0.000 | 0.000 |
| 2.356 | 1.335 | 2.356 | 0.000 | 0.000 | 0.000 |
| 2.356 | 2.356 | 1.335 | -0.000 | -0.000 | 0.000 |
| 0.000 | 0.000 | 0.000 | 0.104 | 0.000 | -0.000 |
| 0.000 | 0.000 | 0.000 | 0.000 | 0.104 | 0.000 |
| 0.000 | 0.000 | 0.000 | 0.000 | -0.000 | 0.104 |
| 1.335 | 2.356 | 2.356 | -0.000 | -0.000 | -0.000 |
| 2.356 | 1.335 | 2.356 | -0.000 | -0.000 | 0.000 |
| 2.356 | 2.356 | 1.335 | 0.000 | 0.000 | -0.000 |
| -0.000 | -0.000 | -0.000 | 0.104 | -0.000 | -0.000 |
| -0.000 | -0.000 | -0.000 | -0.000 | 0.104 | -0.000 |
| -0.000 | -0.000 | -0.000 | -0.000 | -0.000 | 0.104 |
| 1.335 | 2.356 | 2.356 | 0.000 | 0.000 | 0.000 |
| 2.356 | 1.335 | 2.356 | 0.000 | 0.000 | 0.000 |
| 2.356 | 2.356 | 1.335 | 0.000 | 0.000 | 0.000 |
| 0.000 | 0.000 | 0.000 | 0.104 | 0.000 | 0.000 |
| 0.000 | 0.000 | 0.000 | 0.000 | 0.104 | 0.000 |
| 0.000 | 0.000 | 0.000 | 0.000 | 0.000 | 0.104 |
| 1.335 | 2.356 | 2.356 | -0.000 | -0.000 | -0.000 |
| 2.356 | 1.335 | 2.356 | -0.000 | -0.000 | -0.000 |
| 2.356 | 2.356 | 1.335 | -0.000 | -0.000 | -0.000 |
| -0.000 | -0.000 | -0.000 | 0.104 | -0.000 | -0.000 |
| -0.000 | -0.000 | -0.000 | -0.000 | 0.104 | -0.000 |
| -0.000 | -0.000 | -0.000 | -0.000 | -0.000 | 0.104 |
| 1.335 | 2.356 | 2.356 | -0.000 | 0.000 | 0.000 |
| 2.356 | 1.335 | 2.356 | 0.000 | 0.000 | -0.000 |
| 2.356 | 2.356 | 1.335 | -0.000 | -0.000 | -0.000 |
| -0.000 | 0.000 | 0.000 | 0.104 | 0.000 | 0.000 |
| 0.000 | -0.000 | 0.000 | 0.000 | 0.104 | 0.000 |
| 0.000 | 0.000 | -0.000 | 0.000 | 0.000 | 0.104 |
| 1.334 | 2.356 | 2.356 | -0.000 | -0.000 | -0.000 |
| 2.356 | 1.334 | 2.356 | -0.000 | -0.000 | -0.000 |
| 2.356 | 2.356 | 1.334 | -0.000 | -0.000 | -0.000 |
| 0.000 | -0.000 | -0.000 | 0.104 | -0.000 | 0.000 |
| -0.000 | 0.000 | -0.000 | -0.000 | 0.104 | -0.000 |
| -0.000 | -0.000 | 0.000 | -0.000 | -0.000 | 0.104 |
| 38.108 | 19.226 | 19.226 | -0.000 | -0.000 | 0.000 |
| 19.226 | 38.108 | 19.226 | -0.000 | -0.000 | -0.000 |
| 19.226 | 19.226 | 38.108 | -0.000 | -0.000 | -0.000 |
| 0.000 | 0.000 | 0.000 | 18.997 | 0.000 | -0.000 |
| 0.000 | 0.000 | 0.000 | 0.000 | 18.997 | 0.000 |
| 0.000 | 0.000 | 0.000 | 0.000 | 0.000 | 18.997 |
| 38.108 | 19.226 | 19.226 | 0.000 | 0.000 | -0.000 |
| 19.226 | 38.108 | 19.226 | 0.000 | 0.000 | 0.000 |
| 19.226 | 19.226 | 38.108 | 0.000 | 0.000 | 0.000 |
| -0.000 | -0.000 | -0.000 | 18.997 | -0.000 | 0.000 |
| -0.000 | -0.000 | -0.000 | -0.000 | 18.997 | 0.000 |
| -0.000 | -0.000 | -0.000 | -0.000 | 0.000 | 18.997 |
| 38.108 | 19.226 | 19.226 | -0.000 | -0.000 | 0.000 |
| 19.226 | 38.108 | 19.226 | -0.000 | -0.000 | 0.000 |
| 19.226 | 19.226 | 38.108 | 0.000 | 0.000 | -0.000 |
| -0.000 | 0.000 | 0.000 | 18.997 | 0.000 | -0.000 |
| 0.000 | -0.000 | 0.000 | 0.000 | 18.997 | 0.000 |
| 0.000 | 0.000 | -0.000 | -0.000 | 0.000 | 18.997 |
| 38.108 | 19.226 | 19.226 | 0.000 | 0.000 | -0.000 |
| 19.226 | 38.108 | 19.226 | 0.000 | 0.000 | -0.000 |
| 19.226 | 19.226 | 38.108 | -0.000 | -0.000 | 0.000 |
| 0.000 | -0.000 | -0.000 | 18.997 | 0.000 | 0.000 |
| -0.000 | 0.000 | -0.000 | 0.000 | 18.997 | 0.000 |
| -0.000 | -0.000 | 0.000 | -0.000 | -0.000 | 18.997 |
| 38.108 | 19.226 | 19.226 | -0.000 | -0.000 | -0.000 |
| 19.226 | 38.108 | 19.226 | -0.000 | -0.000 | 0.000 |
| 19.226 | 19.226 | 38.108 | 0.000 | 0.000 | -0.000 |
| -0.000 | 0.000 | 0.000 | 18.997 | 0.000 | -0.000 |
| 0.000 | -0.000 | 0.000 | 0.000 | 18.997 | -0.000 |
| 0.000 | 0.000 | -0.000 | 0.000 | -0.000 | 18.997 |
| 38.108 | 19.225 | 19.225 | 0.000 | -0.000 | 0.000 |
| 19.225 | 38.108 | 19.225 | 0.000 | 0.000 | -0.000 |
| 19.225 | 19.225 | 38.108 | -0.000 | -0.000 | -0.000 |
| 0.000 | -0.000 | -0.000 | 18.997 | -0.000 | 0.000 |
| -0.000 | 0.000 | -0.000 | -0.000 | 18.997 | 0.000 |
| -0.000 | -0.000 | 0.000 | -0.000 | 0.000 | 18.997 |
| 36.853 | 18.427 | 18.427 | -0.000 | -0.000 | -0.000 |
| 18.427 | 36.853 | 18.427 | -0.000 | -0.000 | -0.000 |
| 18.427 | 18.427 | 36.853 | -0.000 | -0.000 | -0.000 |
| -0.000 | 0.000 | 0.000 | 18.427 | -0.000 | -0.000 |
| 0.000 | -0.000 | 0.000 | -0.000 | 18.427 | -0.000 |
| 0.000 | 0.000 | -0.000 | -0.000 | -0.000 | 18.427 |
| 36.853 | 18.427 | 18.427 | 0.000 | 0.000 | 0.000 |
| 18.427 | 36.853 | 18.427 | -0.000 | 0.000 | 0.000 |
| 18.427 | 18.427 | 36.853 | 0.000 | 0.000 | 0.000 |
| 0.000 | -0.000 | -0.000 | 18.427 | -0.000 | 0.000 |
| -0.000 | 0.000 | -0.000 | -0.000 | 18.427 | 0.000 |
| -0.000 | -0.000 | 0.000 | -0.000 | 0.000 | 18.427 |
| 36.853 | 18.427 | 18.427 | -0.000 | -0.000 | -0.000 |
| 18.427 | 36.853 | 18.427 | -0.000 | -0.000 | -0.000 |
| 18.427 | 18.427 | 36.853 | -0.000 | -0.000 | -0.000 |
| -0.000 | 0.000 | 0.000 | 18.427 | -0.000 | -0.000 |
| 0.000 | -0.000 | 0.000 | -0.000 | 18.427 | -0.000 |
| 0.000 | 0.000 | -0.000 | -0.000 | -0.000 | 18.427 |
| 36.853 | 18.427 | 18.427 | 0.000 | 0.000 | 0.000 |
| 18.427 | 36.853 | 18.427 | 0.000 | 0.000 | 0.000 |
| 18.427 | 18.427 | 36.853 | 0.000 | 0.000 | 0.000 |
| 0.000 | -0.000 | -0.000 | 18.427 | 0.000 | 0.000 |
| -0.000 | 0.000 | -0.000 | -0.000 | 18.427 | 0.000 |
| -0.000 | -0.000 | 0.000 | 0.000 | 0.000 | 18.427 |
| 36.853 | 18.427 | 18.427 | -0.000 | -0.000 | -0.000 |
| 18.427 | 36.853 | 18.427 | -0.000 | -0.000 | -0.000 |
| 18.427 | 18.427 | 36.853 | -0.000 | -0.000 | -0.000 |
| -0.000 | 0.000 | 0.000 | 18.427 | -0.000 | -0.000 |
| 0.000 | -0.000 | 0.000 | -0.000 | 18.427 | -0.000 |
| 0.000 | 0.000 | -0.000 | -0.000 | -0.000 | 18.427 |
| 36.853 | 18.426 | 18.426 | 0.000 | 0.000 | 0.000 |
| 18.426 | 36.853 | 18.426 | 0.000 | 0.000 | 0.000 |
| 18.426 | 18.426 | 36.853 | -0.000 | -0.000 | 0.000 |
| 0.000 | -0.000 | -0.000 | 18.427 | 0.000 | 0.000 |
| -0.000 | 0.000 | -0.000 | 0.000 | 18.427 | 0.000 |
| -0.000 | -0.000 | 0.000 | 0.000 | 0.000 | 18.427 |
| -20.650 | -10.325 | -10.325 | 0.000 | -0.000 | -0.000 |
| -10.325 | -20.650 | -10.325 | -0.000 | 0.000 | 0.000 |
| -10.325 | -10.325 | -20.650 | 0.000 | 0.000 | -0.000 |
| -0.000 | -0.000 | 0.000 | -10.325 | 0.000 | -0.000 |
| -0.000 | -0.000 | 0.000 | 0.000 | -10.325 | -0.000 |
| -0.000 | -0.000 | 0.000 | -0.000 | 0.000 | -10.325 |
| -20.650 | -10.325 | -10.325 | -0.000 | -0.000 | -0.000 |
| -10.325 | -20.650 | -10.325 | -0.000 | -0.000 | 0.000 |
| -10.325 | -10.325 | -20.650 | -0.000 | -0.000 | -0.000 |
| 0.000 | 0.000 | -0.000 | -10.325 | 0.000 | 0.000 |
| 0.000 | 0.000 | -0.000 | 0.000 | -10.325 | 0.000 |
| 0.000 | 0.000 | -0.000 | 0.000 | 0.000 | -10.325 |
| -20.650 | -10.325 | -10.325 | 0.000 | 0.000 | 0.000 |
| -10.325 | -20.650 | -10.325 | 0.000 | 0.000 | -0.000 |
| -10.325 | -10.325 | -20.650 | 0.000 | 0.000 | 0.000 |
| 0.000 | 0.000 | 0.000 | -10.325 | 0.000 | 0.000 |
| 0.000 | 0.000 | 0.000 | -0.000 | -10.325 | -0.000 |
| 0.000 | 0.000 | 0.000 | -0.000 | -0.000 | -10.325 |
| -20.650 | -10.325 | -10.325 | 0.000 | 0.000 | 0.000 |
| -10.325 | -20.650 | -10.325 | 0.000 | -0.000 | 0.000 |
| -10.325 | -10.325 | -20.650 | 0.000 | -0.000 | 0.000 |
| -0.000 | -0.000 | -0.000 | -10.325 | -0.000 | 0.000 |
| -0.000 | -0.000 | -0.000 | -0.000 | -10.325 | 0.000 |
| -0.000 | -0.000 | -0.000 | 0.000 | 0.000 | -10.325 |
| -20.650 | -10.325 | -10.325 | -0.000 | -0.000 | -0.000 |
| -10.325 | -20.650 | -10.325 | -0.000 | 0.000 | 0.000 |
| -10.325 | -10.325 | -20.650 | 0.000 | 0.000 | -0.000 |
| 0.000 | 0.000 | 0.000 | -10.325 | 0.000 | 0.000 |
| 0.000 | 0.000 | 0.000 | 0.000 | -10.325 | -0.000 |
| 0.000 | 0.000 | 0.000 | -0.000 | -0.000 | -10.325 |
| -20.650 | -10.325 | -10.325 | -0.000 | -0.000 | -0.000 |
| -10.325 | -20.650 | -10.325 | -0.000 | -0.000 | -0.000 |
| -10.325 | -10.325 | -20.650 | -0.000 | -0.000 | -0.000 |
| -0.000 | -0.000 | -0.000 | -10.325 | -0.000 | 0.000 |
| -0.000 | -0.000 | -0.000 | 0.000 | -10.325 | 0.000 |
| -0.000 | -0.000 | -0.000 | 0.000 | -0.000 | -10.325 |
| 0.708 | 2.513 | 2.513 | -0.000 | -0.000 | -0.000 |
| 2.513 | 0.708 | 2.513 | -0.000 | -0.000 | 0.000 |
| 2.513 | 2.513 | 0.708 | 0.000 | 0.000 | 0.000 |
| 0.000 | 0.000 | 0.000 | -0.366 | -0.000 | 0.000 |
| 0.000 | 0.000 | 0.000 | -0.000 | -0.366 | 0.000 |
| 0.000 | 0.000 | 0.000 | -0.000 | -0.000 | -0.366 |
| 0.708 | 2.513 | 2.513 | 0.000 | 0.000 | 0.000 |
| 2.513 | 0.708 | 2.513 | 0.000 | 0.000 | -0.000 |
| 2.513 | 2.513 | 0.708 | 0.000 | 0.000 | -0.000 |
| -0.000 | -0.000 | -0.000 | -0.366 | 0.000 | -0.000 |
| -0.000 | -0.000 | -0.000 | 0.000 | -0.366 | 0.000 |
| -0.000 | -0.000 | -0.000 | 0.000 | 0.000 | -0.366 |
| 0.708 | 2.513 | 2.513 | -0.000 | -0.000 | 0.000 |
| 2.513 | 0.708 | 2.513 | -0.000 | -0.000 | 0.000 |
| 2.513 | 2.513 | 0.708 | 0.000 | 0.000 | 0.000 |
| 0.000 | 0.000 | 0.000 | -0.366 | -0.000 | 0.000 |
| 0.000 | 0.000 | 0.000 | -0.000 | -0.366 | 0.000 |
| 0.000 | 0.000 | 0.000 | -0.000 | -0.000 | -0.366 |
| 0.708 | 2.513 | 2.513 | 0.000 | 0.000 | 0.000 |
| 2.513 | 0.708 | 2.513 | 0.000 | 0.000 | -0.000 |
| 2.513 | 2.513 | 0.708 | 0.000 | 0.000 | 0.000 |
| -0.000 | -0.000 | -0.000 | -0.366 | 0.000 | -0.000 |
| -0.000 | -0.000 | -0.000 | 0.000 | -0.366 | -0.000 |
| -0.000 | -0.000 | -0.000 | 0.000 | 0.000 | -0.366 |
| 0.708 | 2.513 | 2.513 | -0.000 | -0.000 | 0.000 |
| 2.513 | 0.708 | 2.513 | -0.000 | -0.000 | 0.000 |
| 2.513 | 2.513 | 0.708 | -0.000 | -0.000 | -0.000 |
| -0.000 | 0.000 | 0.000 | -0.366 | -0.000 | -0.000 |
| 0.000 | -0.000 | 0.000 | -0.000 | -0.366 | 0.000 |
| 0.000 | 0.000 | -0.000 | -0.000 | -0.000 | -0.366 |
| 0.708 | 2.513 | 2.513 | 0.000 | 0.000 | -0.000 |
| 2.513 | 0.708 | 2.513 | 0.000 | 0.000 | -0.000 |
| 2.513 | 2.513 | 0.708 | 0.000 | 0.000 | 0.000 |
| 0.000 | -0.000 | -0.000 | -0.366 | 0.000 | -0.000 |
| -0.000 | 0.000 | -0.000 | 0.000 | -0.366 | 0.000 |
| -0.000 | -0.000 | 0.000 | 0.000 | 0.000 | -0.366 |
| 13.648 | 7.632 | 7.632 | 0.000 | 0.000 | 0.000 |
| 7.632 | 13.648 | 7.632 | 0.000 | 0.000 | 0.000 |
| 7.632 | 7.632 | 13.648 | 0.000 | 0.000 | -0.000 |
| 0.000 | -0.050 | -0.050 | 6.604 | 0.000 | -0.000 |
| -0.050 | 0.000 | -0.050 | 0.000 | 6.604 | 0.000 |
| -0.050 | -0.050 | 0.000 | 0.000 | 0.000 | 6.604 |
| 13.846 | 7.731 | 7.731 | -0.000 | -0.000 | 0.000 |
| 7.731 | 13.846 | 7.731 | -0.000 | -0.000 | -0.000 |
| 7.731 | 7.731 | 13.846 | -0.000 | -0.000 | -0.000 |
| -0.000 | 0.050 | 0.050 | 6.604 | -0.000 | -0.000 |
| 0.050 | -0.000 | 0.050 | -0.000 | 6.604 | -0.000 |
| 0.050 | 0.050 | -0.000 | -0.000 | -0.000 | 6.604 |
| 13.648 | 7.632 | 7.632 | 0.000 | 0.000 | -0.000 |
| 7.632 | 13.648 | 7.632 | 0.000 | 0.000 | 0.000 |
| 7.632 | 7.632 | 13.648 | 0.000 | 0.000 | 0.000 |
| -0.000 | -0.050 | -0.050 | 6.604 | 0.000 | 0.000 |
| -0.050 | -0.000 | -0.050 | 0.000 | 6.604 | 0.000 |
| -0.050 | -0.050 | -0.000 | 0.000 | 0.000 | 6.604 |
| 13.846 | 7.731 | 7.731 | -0.000 | -0.000 | 0.000 |
| 7.731 | 13.846 | 7.731 | -0.000 | -0.000 | 0.000 |
| 7.731 | 7.731 | 13.846 | -0.000 | -0.000 | 0.000 |
| 0.000 | 0.050 | 0.050 | 6.604 | -0.000 | -0.000 |
| 0.050 | 0.000 | 0.050 | -0.000 | 6.604 | -0.000 |
| 0.050 | 0.050 | 0.000 | -0.000 | -0.000 | 6.604 |
| 13.648 | 7.632 | 7.632 | 0.000 | 0.000 | 0.000 |
| 7.632 | 13.648 | 7.632 | 0.000 | 0.000 | 0.000 |
| 7.632 | 7.632 | 13.648 | 0.000 | 0.000 | 0.000 |
| -0.000 | -0.049 | -0.049 | 6.604 | 0.000 | -0.000 |
| -0.049 | -0.000 | -0.049 | 0.000 | 6.604 | 0.000 |
| -0.049 | -0.049 | -0.000 | 0.000 | 0.000 | 6.604 |
| 13.846 | 7.731 | 7.731 | -0.000 | -0.000 | -0.000 |
| 7.731 | 13.846 | 7.731 | -0.000 | -0.000 | 0.000 |
| 7.731 | 7.731 | 13.846 | -0.000 | -0.000 | -0.000 |
| 0.000 | 0.049 | 0.049 | 6.604 | -0.000 | -0.000 |
| 0.049 | 0.000 | 0.049 | -0.000 | 6.604 | -0.000 |
| 0.049 | 0.049 | 0.000 | -0.000 | -0.000 | 6.604 |
| 12.945 | 7.187 | 7.187 | 0.000 | 0.000 | 0.000 |
| 7.187 | 12.945 | 7.187 | 0.000 | 0.000 | 0.000 |
| 7.187 | 7.187 | 12.945 | -0.000 | 0.000 | -0.000 |
| 0.000 | 0.000 | 0.000 | 6.234 | 0.000 | 0.000 |
| 0.000 | 0.000 | 0.000 | 0.000 | 6.234 | 0.000 |
| 0.000 | 0.000 | 0.000 | 0.000 | -0.000 | 6.234 |
| 12.945 | 7.187 | 7.187 | -0.000 | -0.000 | 0.000 |
| 7.187 | 12.945 | 7.187 | -0.000 | -0.000 | 0.000 |
| 7.187 | 7.187 | 12.945 | -0.000 | -0.000 | -0.000 |
| -0.000 | -0.000 | -0.000 | 6.234 | -0.000 | -0.000 |
| -0.000 | -0.000 | -0.000 | -0.000 | 6.234 | -0.000 |
| -0.000 | -0.000 | -0.000 | -0.000 | -0.000 | 6.234 |
| 12.945 | 7.187 | 7.187 | 0.000 | 0.000 | 0.000 |
| 7.187 | 12.945 | 7.187 | 0.000 | 0.000 | -0.000 |
| 7.187 | 7.187 | 12.945 | 0.000 | 0.000 | 0.000 |
| -0.000 | 0.000 | 0.000 | 6.234 | 0.000 | 0.000 |
| 0.000 | -0.000 | 0.000 | 0.000 | 6.234 | 0.000 |
| 0.000 | 0.000 | -0.000 | 0.000 | 0.000 | 6.234 |
| 12.945 | 7.187 | 7.187 | -0.000 | -0.000 | -0.000 |
| 7.187 | 12.945 | 7.187 | -0.000 | -0.000 | 0.000 |
| 7.187 | 7.187 | 12.945 | -0.000 | -0.000 | -0.000 |
| 0.000 | -0.000 | -0.000 | 6.234 | -0.000 | -0.000 |
| -0.000 | 0.000 | -0.000 | -0.000 | 6.234 | -0.000 |
| -0.000 | -0.000 | 0.000 | 0.000 | -0.000 | 6.234 |
| 12.945 | 7.187 | 7.187 | 0.000 | 0.000 | 0.000 |
| 7.187 | 12.945 | 7.187 | -0.000 | 0.000 | 0.000 |
| 7.187 | 7.187 | 12.945 | 0.000 | 0.000 | 0.000 |
| -0.000 | 0.000 | 0.000 | 6.234 | 0.000 | 0.000 |
| 0.000 | -0.000 | 0.000 | 0.000 | 6.234 | -0.000 |
| 0.000 | 0.000 | -0.000 | 0.000 | 0.000 | 6.234 |
| 12.945 | 7.187 | 7.187 | -0.000 | -0.000 | -0.000 |
| 7.187 | 12.945 | 7.187 | -0.000 | -0.000 | -0.000 |
| 7.187 | 7.187 | 12.945 | 0.000 | 0.000 | -0.000 |
| 0.000 | -0.000 | -0.000 | 6.234 | -0.000 | -0.000 |
| -0.000 | 0.000 | -0.000 | -0.000 | 6.234 | -0.000 |
| -0.000 | -0.000 | 0.000 | -0.000 | -0.000 | 6.234 |
| 4.022 | 2.016 | 2.016 | -0.000 | -0.000 | -0.000 |
| 2.016 | 4.022 | 2.016 | -0.000 | 0.000 | -0.000 |
| 2.016 | 2.016 | 4.022 | -0.000 | -0.000 | -0.000 |
| -0.000 | 0.000 | 0.000 | 2.010 | 0.000 | -0.000 |
| 0.000 | -0.000 | 0.000 | 0.000 | 2.010 | -0.000 |
| 0.000 | 0.000 | -0.000 | 0.000 | -0.000 | 2.010 |
| 4.022 | 2.016 | 2.016 | 0.000 | 0.000 | -0.000 |
| 2.016 | 4.022 | 2.016 | 0.000 | 0.000 | -0.000 |
| 2.016 | 2.016 | 4.022 | 0.000 | 0.000 | 0.000 |
| 0.000 | -0.000 | -0.000 | 2.010 | -0.000 | 0.000 |
| -0.000 | 0.000 | -0.000 | -0.000 | 2.010 | 0.000 |
| -0.000 | -0.000 | 0.000 | -0.000 | 0.000 | 2.010 |
| 4.022 | 2.016 | 2.016 | -0.000 | 0.000 | 0.000 |
| 2.016 | 4.022 | 2.016 | 0.000 | -0.000 | 0.000 |
| 2.016 | 2.016 | 4.022 | 0.000 | 0.000 | -0.000 |
| -0.000 | 0.000 | 0.000 | 2.010 | -0.000 | -0.000 |
| 0.000 | -0.000 | 0.000 | -0.000 | 2.010 | -0.000 |
| 0.000 | 0.000 | -0.000 | -0.000 | -0.000 | 2.010 |
| 4.022 | 2.016 | 2.016 | 0.000 | -0.000 | 0.000 |
| 2.016 | 4.022 | 2.016 | -0.000 | 0.000 | 0.000 |
| 2.016 | 2.016 | 4.022 | 0.000 | 0.000 | 0.000 |
| 0.000 | -0.000 | -0.000 | 2.010 | 0.000 | 0.000 |
| -0.000 | 0.000 | -0.000 | 0.000 | 2.010 | 0.000 |
| -0.000 | -0.000 | 0.000 | -0.000 | 0.000 | 2.010 |
| 4.022 | 2.016 | 2.016 | 0.000 | -0.000 | -0.000 |
| 2.016 | 4.022 | 2.016 | -0.000 | 0.000 | -0.000 |
| 2.016 | 2.016 | 4.022 | -0.000 | -0.000 | 0.000 |
| -0.000 | 0.000 | 0.000 | 2.010 | -0.000 | -0.000 |
| 0.000 | -0.000 | 0.000 | -0.000 | 2.010 | -0.000 |
| 0.000 | 0.000 | -0.000 | 0.000 | -0.000 | 2.010 |
| 4.022 | 2.016 | 2.016 | 0.000 | 0.000 | 0.000 |
| 2.016 | 4.022 | 2.016 | 0.000 | 0.000 | 0.000 |
| 2.016 | 2.016 | 4.022 | 0.000 | 0.000 | 0.000 |
| 0.000 | -0.000 | -0.000 | 2.010 | 0.000 | 0.000 |
| -0.000 | 0.000 | -0.000 | 0.000 | 2.010 | 0.000 |
| -0.000 | -0.000 | 0.000 | -0.000 | -0.000 | 2.010 |
| 3.878 | 1.939 | 1.939 | -0.000 | -0.000 | 0.000 |
| 1.939 | 3.878 | 1.939 | -0.000 | -0.000 | 0.000 |
| 1.939 | 1.939 | 3.878 | 0.000 | 0.000 | 0.000 |
| -0.000 | 0.000 | 0.000 | 1.939 | -0.000 | 0.000 |
| 0.000 | -0.000 | 0.000 | 0.000 | 1.939 | 0.000 |
| 0.000 | 0.000 | -0.000 | 0.000 | 0.000 | 1.939 |
| 3.878 | 1.939 | 1.939 | 0.000 | 0.000 | 0.000 |
| 1.939 | 3.878 | 1.939 | 0.000 | 0.000 | 0.000 |
| 1.939 | 1.939 | 3.878 | 0.000 | 0.000 | -0.000 |
| 0.000 | -0.000 | -0.000 | 1.939 | 0.000 | 0.000 |
| -0.000 | 0.000 | -0.000 | -0.000 | 1.939 | 0.000 |
| -0.000 | -0.000 | 0.000 | -0.000 | 0.000 | 1.939 |
| 3.878 | 1.939 | 1.939 | 0.000 | 0.000 | -0.000 |
| 1.939 | 3.878 | 1.939 | 0.000 | 0.000 | 0.000 |
| 1.939 | 1.939 | 3.878 | -0.000 | -0.000 | -0.000 |
| -0.000 | 0.000 | 0.000 | 1.939 | -0.000 | 0.000 |
| 0.000 | -0.000 | 0.000 | -0.000 | 1.939 | 0.000 |
| 0.000 | 0.000 | -0.000 | 0.000 | 0.000 | 1.939 |
| 3.878 | 1.939 | 1.939 | 0.000 | 0.000 | 0.000 |
| 1.939 | 3.878 | 1.939 | 0.000 | 0.000 | 0.000 |
| 1.939 | 1.939 | 3.878 | 0.000 | 0.000 | 0.000 |
| 0.000 | -0.000 | -0.000 | 1.939 | -0.000 | -0.000 |
| -0.000 | 0.000 | -0.000 | -0.000 | 1.939 | -0.000 |
| -0.000 | -0.000 | 0.000 | -0.000 | -0.000 | 1.939 |
| 3.878 | 1.939 | 1.939 | -0.000 | -0.000 | 0.000 |
| 1.939 | 3.878 | 1.939 | -0.000 | -0.000 | 0.000 |
| 1.939 | 1.939 | 3.878 | 0.000 | 0.000 | 0.000 |
| -0.000 | 0.000 | 0.000 | 1.939 | 0.000 | 0.000 |
| 0.000 | -0.000 | 0.000 | 0.000 | 1.939 | 0.000 |
| 0.000 | 0.000 | -0.000 | 0.000 | 0.000 | 1.939 |
| 3.878 | 1.939 | 1.939 | 0.000 | -0.000 | -0.000 |
| 1.939 | 3.878 | 1.939 | 0.000 | -0.000 | -0.000 |
| 1.939 | 1.939 | 3.878 | -0.000 | -0.000 | -0.000 |
| 0.000 | -0.000 | -0.000 | 1.939 | -0.000 | -0.000 |
| -0.000 | 0.000 | -0.000 | -0.000 | 1.939 | -0.000 |
| -0.000 | -0.000 | 0.000 | -0.000 | -0.000 | 1.939 |
| -1.302 | -0.782 | -0.782 | -0.000 | -0.000 | -0.000 |
| -0.782 | -1.302 | -0.782 | -0.000 | -0.000 | -0.000 |
| -0.782 | -0.782 | -1.302 | -0.000 | -0.000 | -0.000 |
| -0.000 | -0.000 | -0.000 | -0.607 | -0.000 | -0.000 |
| -0.000 | 0.000 | -0.000 | -0.000 | -0.607 | -0.000 |
| -0.000 | -0.000 | 0.000 | -0.000 | -0.000 | -0.607 |
| -1.302 | -0.782 | -0.782 | 0.000 | 0.000 | -0.000 |
| -0.782 | -1.302 | -0.782 | 0.000 | 0.000 | -0.000 |
| -0.782 | -0.782 | -1.302 | 0.000 | 0.000 | 0.000 |
| 0.000 | 0.000 | 0.000 | -0.607 | 0.000 | -0.000 |
| 0.000 | -0.000 | 0.000 | 0.000 | -0.607 | 0.000 |
| 0.000 | 0.000 | -0.000 | 0.000 | 0.000 | -0.607 |
| -1.302 | -0.782 | -0.782 | -0.000 | -0.000 | -0.000 |
| -0.782 | -1.302 | -0.782 | -0.000 | -0.000 | -0.000 |
| -0.782 | -0.782 | -1.302 | -0.000 | -0.000 | -0.000 |
| 0.000 | -0.000 | -0.000 | -0.607 | -0.000 | 0.000 |
| -0.000 | 0.000 | -0.000 | 0.000 | -0.607 | -0.000 |
| -0.000 | -0.000 | 0.000 | -0.000 | -0.000 | -0.607 |
| -1.302 | -0.782 | -0.782 | 0.000 | 0.000 | 0.000 |
| -0.782 | -1.302 | -0.782 | -0.000 | 0.000 | 0.000 |
| -0.782 | -0.782 | -1.302 | 0.000 | 0.000 | 0.000 |
| -0.000 | 0.000 | 0.000 | -0.607 | 0.000 | -0.000 |
| 0.000 | -0.000 | 0.000 | -0.000 | -0.607 | 0.000 |
| 0.000 | 0.000 | -0.000 | -0.000 | 0.000 | -0.607 |
| -1.302 | -0.782 | -0.782 | -0.000 | -0.000 | -0.000 |
| -0.782 | -1.302 | -0.782 | -0.000 | -0.000 | -0.000 |
| -0.782 | -0.782 | -1.302 | 0.000 | 0.000 | -0.000 |
| 0.000 | -0.000 | -0.000 | -0.607 | -0.000 | 0.000 |
| -0.000 | 0.000 | -0.000 | -0.000 | -0.607 | -0.000 |
| -0.000 | -0.000 | 0.000 | -0.000 | -0.000 | -0.607 |
| -1.302 | -0.782 | -0.782 | 0.000 | 0.000 | -0.000 |
| -0.782 | -1.302 | -0.782 | 0.000 | 0.000 | -0.000 |
| -0.782 | -0.782 | -1.302 | -0.000 | -0.000 | 0.000 |
| -0.000 | 0.000 | 0.000 | -0.607 | 0.000 | 0.000 |
| 0.000 | -0.000 | 0.000 | 0.000 | -0.607 | 0.000 |
| 0.000 | 0.000 | -0.000 | 0.000 | 0.000 | -0.607 |
| 15.568 | 5.408 | 5.408 | -0.000 | -0.000 | 0.000 |
| 5.408 | 15.568 | 5.408 | -0.000 | -0.000 | 0.000 |
| 5.408 | 5.408 | 15.568 | -0.000 | -0.000 | 0.000 |
| 0.000 | 0.000 | 0.000 | 2.009 | -0.000 | 0.000 |
| 0.000 | 0.000 | 0.000 | 0.000 | 2.009 | -0.000 |
| 0.000 | 0.000 | 0.000 | 0.000 | -0.000 | 2.009 |
| 15.568 | 5.408 | 5.408 | 0.000 | 0.000 | -0.000 |
| 5.408 | 15.568 | 5.408 | 0.000 | 0.000 | 0.000 |
| 5.408 | 5.408 | 15.568 | -0.000 | 0.000 | -0.000 |
| -0.000 | -0.000 | -0.000 | 2.009 | 0.000 | -0.000 |
| -0.000 | -0.000 | -0.000 | -0.000 | 2.009 | -0.000 |
| -0.000 | -0.000 | -0.000 | -0.000 | 0.000 | 2.009 |
| 15.568 | 5.408 | 5.408 | -0.000 | -0.000 | 0.000 |
| 5.408 | 15.568 | 5.408 | 0.000 | -0.000 | 0.000 |
| 5.408 | 5.408 | 15.568 | 0.000 | -0.000 | 0.000 |
| 0.000 | 0.000 | 0.000 | 1.859 | 0.000 | 0.000 |
| 0.000 | 0.000 | 0.000 | -0.000 | 1.859 | 0.000 |
| 0.000 | 0.000 | 0.000 | 0.000 | 0.000 | 1.859 |
| 15.568 | 5.408 | 5.408 | -0.000 | -0.000 | -0.000 |
| 5.408 | 15.568 | 5.408 | -0.000 | -0.000 | 0.000 |
| 5.408 | 5.408 | 15.568 | 0.000 | 0.000 | 0.000 |
| -0.000 | -0.000 | -0.000 | 1.859 | -0.000 | -0.000 |
| -0.000 | -0.000 | -0.000 | -0.000 | 1.859 | -0.000 |
| -0.000 | -0.000 | -0.000 | -0.000 | -0.000 | 1.859 |
| 15.569 | 5.408 | 5.408 | -0.000 | -0.000 | 0.000 |
| 5.408 | 15.569 | 5.408 | -0.000 | -0.000 | 0.000 |
| 5.408 | 5.408 | 15.569 | -0.000 | -0.000 | 0.000 |
| 0.000 | 0.000 | 0.000 | 2.533 | 0.000 | 0.000 |
| 0.000 | 0.000 | 0.000 | 0.000 | 2.533 | 0.000 |
| 0.000 | 0.000 | 0.000 | -0.000 | -0.000 | 2.533 |
| 15.568 | 5.408 | 5.408 | 0.000 | 0.000 | 0.000 |
| 5.408 | 15.568 | 5.408 | -0.000 | -0.000 | -0.000 |
| 5.408 | 5.408 | 15.568 | -0.000 | 0.000 | 0.000 |
| -0.000 | -0.000 | -0.000 | 2.533 | -0.000 | -0.000 |
| -0.000 | -0.000 | -0.000 | -0.000 | 2.533 | 0.000 |
| -0.000 | -0.000 | -0.000 | -0.000 | 0.000 | 2.533 |
| 10.745 | 3.648 | 3.648 | 0.000 | -0.000 | 0.000 |
| 3.648 | 10.745 | 3.648 | 0.000 | -0.000 | 0.000 |
| 3.648 | 3.648 | 10.745 | 0.000 | -0.000 | 0.000 |
| 0.000 | 0.000 | 0.000 | 1.076 | -0.000 | 0.000 |
| 0.000 | 0.000 | -0.000 | 0.000 | 1.076 | 0.000 |
| 0.000 | 0.000 | 0.000 | 0.000 | -0.000 | 1.076 |
| 10.745 | 3.648 | 3.648 | -0.000 | 0.000 | -0.000 |
| 3.648 | 10.745 | 3.648 | -0.000 | 0.000 | -0.000 |
| 3.648 | 3.648 | 10.745 | -0.000 | 0.000 | -0.000 |
| -0.000 | -0.000 | -0.000 | 1.076 | 0.000 | -0.000 |
| -0.000 | -0.000 | -0.000 | -0.000 | 1.295 | 0.000 |
| -0.000 | -0.000 | -0.000 | -0.000 | 0.000 | 1.076 |
| 10.745 | 3.648 | 3.648 | 0.000 | -0.000 | 0.000 |
| 3.648 | 10.745 | 3.648 | 0.000 | -0.000 | 0.000 |
| 3.648 | 3.648 | 10.745 | 0.000 | -0.000 | 0.000 |
| 0.000 | 0.000 | 0.000 | 1.076 | -0.000 | 0.000 |
| 0.000 | 0.000 | 0.000 | 0.000 | 1.076 | 0.000 |
| 0.000 | 0.000 | 0.000 | 0.000 | -0.000 | 1.076 |
| 10.745 | 3.648 | 3.648 | -0.000 | 0.000 | -0.000 |
| 3.648 | 10.745 | 3.648 | -0.000 | 0.000 | -0.000 |
| 3.648 | 3.648 | 10.745 | -0.000 | 0.000 | -0.000 |
| -0.000 | -0.000 | -0.000 | 1.076 | 0.000 | -0.000 |
| -0.000 | -0.000 | -0.000 | -0.000 | 1.076 | -0.000 |
| -0.000 | -0.000 | -0.000 | -0.000 | 0.000 | 1.076 |
| 10.745 | 3.648 | 3.648 | 0.000 | -0.000 | 0.000 |
| 3.648 | 10.745 | 3.648 | 0.000 | -0.000 | -0.000 |
| 3.648 | 3.648 | 10.745 | -0.000 | -0.000 | -0.000 |
| 0.000 | 0.000 | 0.000 | 0.944 | -0.000 | 0.000 |
| 0.000 | 0.000 | 0.000 | 0.000 | 0.944 | 0.000 |
| 0.000 | 0.000 | 0.000 | 0.000 | -0.000 | 1.076 |
| 10.745 | 3.648 | 3.648 | -0.000 | 0.000 | 0.000 |
| 3.648 | 10.745 | 3.648 | -0.000 | 0.000 | 0.000 |
| 3.648 | 3.648 | 10.745 | -0.000 | 0.000 | -0.000 |
| -0.000 | -0.000 | -0.000 | 0.944 | 0.000 | -0.000 |
| -0.000 | -0.000 | -0.000 | -0.000 | 0.944 | -0.000 |
| -0.000 | -0.000 | -0.000 | -0.000 | 0.000 | 1.076 |
| 5.197 | 1.191 | 1.191 | -0.000 | 0.000 | -0.000 |
| 1.191 | 5.197 | 1.191 | -0.000 | 0.000 | -0.000 |
| 1.191 | 1.191 | 5.197 | -0.000 | -0.000 | 0.000 |
| 0.000 | 0.000 | 0.000 | 0.807 | 0.000 | 0.000 |
| 0.000 | 0.000 | 0.000 | 0.000 | 0.807 | -0.000 |
| 0.000 | 0.000 | 0.000 | -0.000 | -0.000 | 0.807 |
| 5.013 | 1.283 | 1.283 | 0.000 | -0.000 | -0.000 |
| 1.283 | 5.013 | 1.283 | 0.000 | 0.000 | -0.000 |
| 1.283 | 1.283 | 5.013 | 0.000 | 0.000 | -0.000 |
| -0.000 | -0.000 | -0.000 | 0.807 | -0.000 | -0.000 |
| -0.000 | -0.000 | -0.000 | -0.000 | 0.807 | 0.000 |
| -0.000 | -0.000 | -0.000 | 0.000 | 0.000 | 0.807 |
| 5.197 | 1.191 | 1.191 | -0.000 | 0.000 | 0.000 |
| 1.191 | 5.197 | 1.191 | 0.000 | -0.000 | 0.000 |
| 1.191 | 1.191 | 5.197 | -0.000 | -0.000 | 0.000 |
| 0.000 | 0.000 | 0.000 | 0.991 | -0.000 | 0.000 |
| 0.000 | 0.000 | 0.000 | -0.000 | 0.991 | 0.000 |
| 0.000 | 0.000 | 0.000 | -0.000 | -0.000 | 0.991 |
| 5.013 | 1.283 | 1.283 | 0.000 | 0.000 | -0.000 |
| 1.283 | 5.013 | 1.283 | 0.000 | 0.000 | 0.000 |
| 1.283 | 1.283 | 5.013 | 0.000 | 0.000 | -0.000 |
| -0.000 | -0.000 | -0.000 | 0.991 | -0.000 | -0.000 |
| -0.000 | -0.000 | -0.000 | 0.000 | 0.991 | 0.000 |
| -0.000 | -0.000 | -0.000 | 0.000 | 0.000 | 0.991 |
| 5.197 | 1.191 | 1.191 | -0.000 | 0.000 | -0.000 |
| 1.191 | 5.197 | 1.191 | -0.000 | -0.000 | -0.000 |
| 1.191 | 1.191 | 5.197 | 0.000 | 0.000 | 0.000 |
| 0.000 | 0.000 | 0.000 | 0.991 | 0.000 | 0.000 |
| 0.000 | 0.000 | 0.000 | 0.000 | 0.991 | 0.000 |
| 0.000 | 0.000 | 0.000 | -0.000 | -0.000 | 0.991 |
| 5.197 | 1.191 | 1.191 | -0.000 | -0.000 | -0.000 |
| 1.191 | 5.197 | 1.191 | -0.000 | 0.000 | 0.000 |
| 1.191 | 1.191 | 5.197 | 0.000 | 0.000 | -0.000 |
| -0.000 | -0.000 | -0.000 | 0.991 | -0.000 | -0.000 |
| -0.000 | -0.000 | -0.000 | -0.000 | 0.991 | -0.000 |
| -0.000 | -0.000 | -0.000 | 0.000 | 0.000 | 0.991 |
| 6.010 | 1.986 | 1.986 | -0.000 | -0.000 | -0.000 |
| 1.986 | 6.010 | 1.986 | -0.000 | -0.000 | -0.000 |
| 1.986 | 1.986 | 6.010 | -0.000 | -0.000 | -0.000 |
| -0.000 | -0.000 | -0.000 | 1.813 | -0.000 | 0.000 |
| -0.000 | -0.000 | -0.000 | 0.000 | 1.813 | -0.000 |
| -0.000 | -0.000 | -0.000 | -0.000 | -0.000 | 1.813 |
| 6.010 | 1.986 | 1.986 | 0.000 | 0.000 | -0.000 |
| 1.986 | 6.010 | 1.986 | 0.000 | 0.000 | 0.000 |
| 1.986 | 1.986 | 6.010 | 0.000 | 0.000 | 0.000 |
| 0.000 | 0.000 | 0.000 | 1.813 | 0.000 | 0.000 |
| 0.000 | 0.000 | 0.000 | -0.000 | 1.813 | 0.000 |
| 0.000 | 0.000 | 0.000 | 0.000 | 0.000 | 1.813 |
| 6.125 | 1.928 | 1.928 | -0.000 | 0.000 | 0.000 |
| 1.928 | 6.125 | 1.928 | -0.000 | -0.000 | -0.000 |
| 1.928 | 1.928 | 6.125 | -0.000 | -0.000 | 0.000 |
| -0.000 | -0.000 | -0.000 | 1.813 | -0.000 | 0.000 |
| -0.000 | -0.000 | -0.000 | -0.000 | 1.813 | -0.000 |
| -0.000 | -0.000 | -0.000 | -0.000 | -0.000 | 1.813 |
| 6.010 | 1.986 | 1.986 | 0.000 | 0.000 | 0.000 |
| 1.986 | 6.010 | 1.986 | 0.000 | 0.000 | -0.000 |
| 1.986 | 1.986 | 6.010 | 0.000 | 0.000 | 0.000 |
| 0.000 | 0.000 | 0.000 | 1.813 | 0.000 | 0.000 |
| 0.000 | 0.000 | 0.000 | 0.000 | 1.813 | 0.000 |
| 0.000 | 0.000 | 0.000 | 0.000 | 0.000 | 1.813 |
| 6.010 | 1.986 | 1.986 | -0.000 | -0.000 | 0.000 |
| 1.986 | 6.010 | 1.986 | -0.000 | -0.000 | 0.000 |
| 1.986 | 1.986 | 6.010 | -0.000 | -0.000 | -0.000 |
| -0.000 | -0.000 | -0.000 | 1.722 | 0.000 | -0.000 |
| -0.000 | -0.000 | -0.000 | -0.000 | 1.722 | -0.000 |
| -0.000 | -0.000 | -0.000 | -0.000 | -0.000 | 1.722 |
| 6.010 | 1.986 | 1.986 | 0.000 | 0.000 | 0.000 |
| 1.990 | 6.002 | 1.990 | 0.000 | 0.000 | 0.000 |
| 1.990 | 1.990 | 6.002 | 0.000 | 0.000 | 0.000 |
| 0.000 | 0.000 | 0.000 | 1.722 | 0.000 | 0.000 |
| 0.000 | 0.000 | 0.000 | -0.000 | 1.722 | 0.000 |
| 0.000 | 0.000 | 0.000 | -0.000 | 0.000 | 1.722 |
| 6.121 | 2.058 | 2.058 | 0.000 | 0.000 | 0.000 |
| 2.058 | 6.121 | 2.058 | 0.000 | 0.000 | -0.000 |
| 2.058 | 2.058 | 6.121 | 0.000 | 0.000 | 0.000 |
| 0.000 | 0.000 | 0.000 | 2.005 | 0.000 | -0.000 |
| 0.000 | -0.000 | 0.000 | 0.000 | 2.005 | -0.000 |
| 0.000 | 0.000 | -0.000 | 0.000 | 0.000 | 2.005 |
| 6.121 | 2.058 | 2.058 | -0.000 | -0.000 | -0.000 |
| 2.058 | 6.121 | 2.058 | 0.000 | -0.000 | -0.000 |
| 2.058 | 2.058 | 6.121 | -0.000 | -0.000 | -0.000 |
| 0.000 | -0.000 | -0.000 | 2.005 | -0.000 | -0.000 |
| -0.000 | 0.000 | -0.000 | -0.000 | 2.005 | -0.000 |
| -0.000 | -0.000 | 0.000 | -0.000 | -0.000 | 2.005 |
| 6.266 | 1.985 | 1.985 | 0.000 | 0.000 | -0.000 |
| 1.985 | 6.266 | 1.985 | 0.000 | 0.000 | 0.000 |
| 1.985 | 1.985 | 6.266 | 0.000 | 0.000 | -0.000 |
| -0.000 | 0.000 | 0.000 | 1.860 | 0.000 | -0.000 |
| 0.000 | -0.000 | 0.000 | 0.000 | 1.860 | -0.000 |
| 0.000 | 0.000 | -0.000 | 0.000 | -0.000 | 1.860 |
| 6.121 | 2.058 | 2.058 | -0.000 | 0.000 | -0.000 |
| 2.058 | 6.121 | 2.058 | -0.000 | -0.000 | -0.000 |
| 2.058 | 2.058 | 6.121 | -0.000 | -0.000 | -0.000 |
| 0.000 | -0.000 | -0.000 | 1.860 | -0.000 | 0.000 |
| -0.000 | 0.000 | -0.000 | -0.000 | 1.860 | 0.000 |
| -0.000 | -0.000 | 0.000 | -0.000 | 0.000 | 1.860 |
| 6.121 | 2.058 | 2.058 | -0.000 | -0.000 | 0.000 |
| 2.058 | 6.121 | 2.058 | 0.000 | -0.000 | -0.000 |
| 2.058 | 2.058 | 6.121 | 0.000 | 0.000 | -0.000 |
| -0.000 | 0.000 | 0.000 | 1.748 | -0.000 | -0.000 |
| 0.000 | -0.000 | 0.000 | -0.000 | 1.748 | -0.000 |
| 0.000 | 0.000 | -0.000 | 0.000 | 0.000 | 1.748 |
| 6.121 | 2.058 | 2.058 | -0.000 | -0.000 | 0.000 |
| 2.058 | 6.121 | 2.058 | -0.000 | -0.000 | -0.000 |
| 2.058 | 2.058 | 6.121 | -0.000 | 0.000 | -0.000 |
| 0.000 | -0.000 | -0.000 | 1.748 | -0.000 | -0.000 |
| -0.000 | 0.000 | -0.000 | -0.000 | 1.748 | 0.000 |
| -0.000 | -0.000 | 0.000 | -0.000 | -0.000 | 1.748 |
| 6.574 | 2.268 | 2.268 | 0.000 | -0.000 | 0.000 |
| 2.268 | 6.574 | 2.268 | 0.000 | 0.000 | -0.000 |
| 2.268 | 2.268 | 6.574 | 0.000 | -0.000 | -0.000 |
| -0.000 | -0.000 | -0.000 | 2.021 | 0.000 | 0.000 |
| -0.000 | -0.000 | -0.000 | -0.000 | 2.021 | -0.000 |
| -0.000 | -0.000 | -0.000 | 0.000 | 0.000 | 2.021 |
| 6.574 | 2.268 | 2.268 | -0.000 | 0.000 | 0.000 |
| 2.268 | 6.574 | 2.268 | -0.000 | -0.000 | 0.000 |
| 2.268 | 2.268 | 6.574 | 0.000 | 0.000 | 0.000 |
| 0.000 | 0.000 | 0.000 | 2.021 | 0.000 | -0.000 |
| 0.000 | 0.000 | 0.000 | -0.000 | 2.021 | 0.000 |
| 0.000 | 0.000 | 0.000 | -0.000 | 0.000 | 2.021 |
| 6.574 | 2.268 | 2.268 | -0.000 | -0.000 | 0.000 |
| 2.268 | 6.574 | 2.268 | -0.000 | -0.000 | 0.000 |
| 2.268 | 2.268 | 6.574 | -0.000 | -0.000 | -0.000 |
| -0.000 | -0.000 | -0.000 | 2.228 | -0.000 | 0.000 |
| -0.000 | -0.000 | -0.000 | -0.000 | 2.228 | -0.000 |
| -0.000 | -0.000 | -0.000 | 0.000 | -0.000 | 2.228 |
| 6.574 | 2.268 | 2.268 | -0.000 | -0.000 | 0.000 |
| 2.268 | 6.574 | 2.268 | 0.000 | 0.000 | 0.000 |
| 2.268 | 2.268 | 6.574 | 0.000 | 0.000 | 0.000 |
| 0.000 | 0.000 | 0.000 | 2.228 | 0.000 | 0.000 |
| 0.000 | 0.000 | 0.000 | 0.000 | 2.228 | 0.000 |
| 0.000 | 0.000 | 0.000 | 0.000 | 0.000 | 2.228 |
| 6.574 | 2.268 | 2.268 | 0.000 | -0.000 | -0.000 |
| 2.268 | 6.574 | 2.268 | 0.000 | -0.000 | 0.000 |
| 2.268 | 2.268 | 6.574 | 0.000 | -0.000 | 0.000 |
| -0.000 | -0.000 | -0.000 | 1.914 | -0.000 | 0.000 |
| -0.000 | -0.000 | -0.000 | 0.000 | 1.914 | -0.000 |
| -0.000 | -0.000 | -0.000 | -0.000 | -0.000 | 1.914 |
| 6.574 | 2.268 | 2.268 | 0.000 | 0.000 | 0.000 |
| 2.268 | 6.574 | 2.268 | 0.000 | 0.000 | -0.000 |
| 2.268 | 2.268 | 6.574 | -0.000 | -0.000 | -0.000 |
| 0.000 | 0.000 | 0.000 | 1.914 | 0.000 | -0.000 |
| 0.000 | 0.000 | 0.000 | 0.000 | 1.914 | 0.000 |
| 0.000 | 0.000 | 0.000 | -0.000 | -0.000 | 1.914 |
| 6.960 | 2.662 | 2.662 | -0.000 | -0.000 | -0.000 |
| 2.662 | 6.960 | 2.662 | -0.000 | -0.000 | -0.000 |
| 2.662 | 2.662 | 6.960 | -0.000 | -0.000 | -0.000 |
| -0.000 | -0.000 | -0.000 | 2.662 | 0.000 | 0.000 |
| -0.000 | -0.000 | -0.000 | -0.000 | 2.662 | 0.000 |
| -0.000 | -0.000 | -0.000 | -0.000 | -0.000 | 2.662 |
| 6.873 | 2.706 | 2.706 | -0.000 | -0.000 | -0.000 |
| 2.706 | 6.873 | 2.706 | 0.000 | -0.000 | 0.000 |
| 2.662 | 2.662 | 6.960 | 0.000 | 0.000 | -0.000 |
| 0.000 | 0.000 | 0.000 | 2.662 | -0.000 | -0.000 |
| 0.000 | 0.000 | 0.000 | 0.000 | 2.662 | -0.000 |
| 0.000 | 0.000 | 0.000 | 0.000 | 0.000 | 2.662 |
| 6.823 | 2.731 | 2.731 | -0.000 | -0.000 | -0.000 |
| 2.731 | 6.823 | 2.731 | -0.000 | 0.000 | -0.000 |
| 2.731 | 2.731 | 6.823 | -0.000 | -0.000 | 0.000 |
| -0.000 | -0.000 | -0.000 | 2.662 | 0.000 | 0.000 |
| -0.000 | -0.000 | -0.000 | -0.000 | 2.662 | 0.000 |
| -0.000 | -0.000 | -0.000 | -0.000 | 0.000 | 2.662 |
| 6.873 | 2.706 | 2.706 | -0.000 | -0.000 | 0.000 |
| 2.706 | 6.873 | 2.706 | -0.000 | 0.000 | 0.000 |
| 2.706 | 2.706 | 6.873 | 0.000 | 0.000 | -0.000 |
| 0.000 | 0.000 | 0.000 | 2.662 | -0.000 | -0.000 |
| 0.000 | 0.000 | 0.000 | 0.000 | 2.662 | 0.000 |
| 0.000 | 0.000 | 0.000 | 0.000 | 0.000 | 2.662 |
| 6.764 | 2.760 | 2.760 | -0.000 | -0.000 | -0.000 |
| 2.760 | 6.764 | 2.760 | -0.000 | -0.000 | 0.000 |
| 2.760 | 2.760 | 6.764 | -0.000 | -0.000 | -0.000 |
| -0.000 | -0.000 | -0.000 | 2.559 | -0.000 | -0.000 |
| -0.000 | -0.000 | -0.000 | -0.000 | 2.559 | -0.000 |
| -0.000 | -0.000 | -0.000 | -0.000 | -0.000 | 2.559 |
| 6.764 | 2.761 | 2.761 | 0.000 | 0.000 | 0.000 |
| 2.761 | 6.764 | 2.761 | 0.000 | 0.000 | 0.000 |
| 2.761 | 2.761 | 6.764 | 0.000 | 0.000 | -0.000 |
| 0.000 | 0.000 | 0.000 | 2.559 | -0.000 | -0.000 |
| 0.000 | 0.000 | 0.000 | 0.000 | 2.559 | 0.000 |
| 0.000 | 0.000 | 0.000 | 0.000 | 0.000 | 2.559 |
| 7.576 | 2.904 | 2.904 | 0.000 | -0.000 | -0.000 |
| 2.904 | 7.576 | 2.904 | -0.000 | -0.000 | -0.000 |
| 2.904 | 2.904 | 7.576 | 0.000 | -0.000 | -0.000 |
| -0.000 | -0.000 | -0.000 | 2.804 | -0.000 | -0.000 |
| -0.000 | -0.000 | -0.000 | 0.000 | 2.804 | -0.000 |
| -0.000 | -0.000 | -0.000 | -0.000 | -0.000 | 2.804 |
| 7.576 | 2.904 | 2.904 | 0.000 | 0.000 | 0.000 |
| 2.904 | 7.576 | 2.904 | 0.000 | 0.000 | 0.000 |
| 2.904 | 2.904 | 7.576 | -0.000 | 0.000 | 0.000 |
| 0.000 | 0.000 | 0.000 | 2.804 | 0.000 | -0.000 |
| 0.000 | 0.000 | 0.000 | -0.000 | 2.804 | 0.000 |
| 0.000 | 0.000 | 0.000 | 0.000 | -0.000 | 2.804 |
| 7.576 | 2.904 | 2.904 | -0.000 | -0.000 | 0.000 |
| 2.904 | 7.576 | 2.904 | 0.000 | -0.000 | -0.000 |
| 2.904 | 2.904 | 7.576 | -0.000 | -0.000 | -0.000 |
| -0.000 | -0.000 | -0.000 | 2.804 | -0.000 | -0.000 |
| -0.000 | -0.000 | -0.000 | 0.000 | 2.804 | 0.000 |
| -0.000 | -0.000 | -0.000 | -0.000 | -0.000 | 2.804 |
| 7.459 | 2.963 | 2.963 | -0.000 | 0.000 | 0.000 |
| 2.963 | 7.459 | 2.963 | -0.000 | 0.000 | 0.000 |
| 2.963 | 2.963 | 7.459 | 0.000 | 0.000 | 0.000 |
| 0.000 | 0.000 | 0.000 | 2.804 | 0.000 | -0.000 |
| 0.000 | 0.000 | 0.000 | -0.000 | 2.804 | 0.000 |
| 0.000 | 0.000 | 0.000 | -0.000 | 0.000 | 2.804 |
| 7.335 | 3.025 | 3.025 | 0.000 | -0.000 | -0.000 |
| 3.025 | 7.335 | 3.025 | 0.000 | -0.000 | 0.000 |
| 3.025 | 3.025 | 7.335 | 0.000 | -0.000 | -0.000 |
| -0.000 | -0.000 | -0.000 | 2.794 | -0.000 | 0.000 |
| -0.000 | -0.000 | -0.000 | -0.000 | 2.794 | -0.000 |
| -0.000 | -0.000 | -0.000 | 0.000 | -0.000 | 2.794 |
| 7.340 | 3.023 | 3.023 | -0.000 | 0.000 | -0.000 |
| 3.023 | 7.340 | 3.023 | -0.000 | 0.000 | 0.000 |
| 3.023 | 3.023 | 7.340 | 0.000 | 0.000 | 0.000 |
| 0.000 | 0.000 | 0.000 | 2.794 | 0.000 | -0.000 |
| 0.000 | 0.000 | 0.000 | -0.000 | 2.794 | -0.000 |
| 0.000 | 0.000 | 0.000 | -0.000 | 0.000 | 2.794 |
| 9.830 | 3.788 | 3.788 | 0.000 | 0.000 | 0.000 |
| 3.788 | 9.830 | 3.788 | 0.000 | 0.000 | -0.000 |
| 3.788 | 3.788 | 9.830 | -0.000 | -0.000 | -0.000 |
| -0.000 | -0.000 | -0.000 | 3.659 | 0.000 | -0.000 |
| -0.000 | -0.000 | -0.000 | 0.000 | 3.659 | -0.000 |
| -0.000 | -0.000 | -0.000 | 0.000 | 0.000 | 3.659 |
| 9.552 | 3.927 | 3.927 | -0.000 | -0.000 | 0.000 |
| 3.927 | 9.552 | 3.927 | 0.000 | -0.000 | 0.000 |
| 3.927 | 3.927 | 9.552 | -0.000 | -0.000 | 0.000 |
| 0.000 | 0.000 | 0.000 | 3.659 | -0.000 | 0.000 |
| 0.000 | 0.000 | 0.000 | -0.000 | 3.659 | 0.000 |
| 0.000 | 0.000 | 0.000 | -0.000 | -0.000 | 3.659 |
| 9.830 | 3.788 | 3.788 | 0.000 | 0.000 | -0.000 |
| 3.788 | 9.830 | 3.788 | 0.000 | 0.000 | -0.000 |
| 3.788 | 3.788 | 9.830 | 0.000 | 0.000 | -0.000 |
| -0.000 | -0.000 | -0.000 | 3.659 | 0.000 | -0.000 |
| -0.000 | -0.000 | -0.000 | 0.000 | 3.659 | -0.000 |
| -0.000 | -0.000 | -0.000 | 0.000 | 0.000 | 3.659 |
| 9.830 | 3.788 | 3.788 | -0.000 | -0.000 | 0.000 |
| 3.788 | 9.830 | 3.788 | -0.000 | -0.000 | 0.000 |
| 3.788 | 3.788 | 9.830 | -0.000 | -0.000 | -0.000 |
| 0.000 | 0.000 | 0.000 | 3.659 | -0.000 | 0.000 |
| 0.000 | 0.000 | 0.000 | -0.000 | 3.659 | 0.000 |
| 0.000 | 0.000 | 0.000 | -0.000 | -0.000 | 3.659 |
| 9.406 | 4.000 | 4.000 | 0.000 | 0.000 | -0.000 |
| 4.000 | 9.406 | 4.000 | 0.000 | 0.000 | -0.000 |
| 4.000 | 4.000 | 9.406 | 0.000 | -0.000 | -0.000 |
| -0.000 | -0.000 | -0.000 | 3.659 | 0.000 | -0.000 |
| -0.000 | -0.000 | -0.000 | 0.000 | 3.659 | -0.000 |
| -0.000 | -0.000 | -0.000 | 0.000 | 0.000 | 3.659 |
| 9.406 | 4.000 | 4.000 | 0.000 | -0.000 | -0.000 |
| 4.000 | 9.406 | 4.000 | -0.000 | -0.000 | 0.000 |
| 4.000 | 4.000 | 9.406 | -0.000 | -0.000 | 0.000 |
| 0.000 | 0.000 | 0.000 | 3.659 | -0.000 | 0.000 |
| 0.000 | 0.000 | 0.000 | -0.000 | 3.659 | 0.000 |
| 0.000 | 0.000 | 0.000 | 0.000 | -0.000 | 3.659 |
| 6.054 | 1.940 | 1.940 | 0.000 | 0.000 | 0.000 |
| 1.940 | 6.054 | 1.940 | 0.000 | 0.000 | 0.000 |
| 1.940 | 1.940 | 6.054 | 0.000 | 0.000 | 0.000 |
| -0.000 | -0.000 | -0.000 | 1.590 | 0.000 | -0.000 |
| -0.000 | 0.000 | -0.000 | 0.000 | 1.590 | 0.000 |
| -0.000 | -0.000 | -0.000 | 0.000 | -0.000 | 1.590 |
| 6.752 | 1.590 | 1.590 | -0.000 | -0.000 | -0.000 |
| 1.590 | 6.752 | 1.590 | -0.000 | -0.000 | -0.000 |
| 1.590 | 1.590 | 6.752 | -0.000 | -0.000 | -0.000 |
| 0.000 | 0.000 | 0.000 | 1.590 | -0.000 | -0.000 |
| 0.000 | -0.000 | 0.000 | -0.000 | 1.590 | -0.000 |
| 0.000 | 0.000 | 0.000 | -0.000 | -0.000 | 1.590 |
| 5.079 | 2.427 | 2.427 | 0.000 | 0.000 | -0.000 |
| 2.427 | 5.079 | 2.427 | -0.000 | 0.000 | 0.000 |
| 2.427 | 2.427 | 5.079 | 0.000 | -0.000 | 0.000 |
| -0.000 | 0.000 | -0.000 | 0.284 | 0.000 | -0.000 |
| 0.000 | -0.000 | -0.000 | 0.000 | 0.284 | 0.000 |
| 0.000 | -0.000 | -0.000 | -0.000 | -0.000 | 0.284 |
| 3.989 | 2.972 | 2.972 | -0.000 | -0.000 | -0.000 |
| 2.972 | 3.989 | 2.972 | -0.000 | -0.000 | -0.000 |
| 2.828 | 2.828 | 4.276 | -0.000 | 0.000 | -0.000 |
| 0.000 | -0.000 | 0.000 | 0.284 | -0.000 | 0.000 |
| -0.000 | 0.000 | 0.000 | -0.000 | 0.284 | -0.000 |
| -0.000 | 0.000 | 0.000 | -0.000 | 0.000 | 0.284 |
| 3.574 | 3.179 | 3.179 | -0.000 | 0.000 | 0.000 |
| 3.179 | 3.574 | 3.179 | 0.000 | -0.000 | 0.000 |
| 3.179 | 3.179 | 3.574 | 0.000 | 0.000 | -0.000 |
| -0.000 | -0.000 | -0.000 | 0.034 | -0.000 | 0.000 |
| -0.000 | -0.000 | -0.000 | -0.000 | 0.034 | 0.000 |
| -0.000 | -0.000 | -0.000 | -0.000 | 0.000 | 0.034 |
| 3.574 | 3.179 | 3.179 | -0.000 | 0.000 | -0.000 |
| 3.179 | 3.574 | 3.179 | -0.000 | -0.000 | 0.000 |
| 3.179 | 3.179 | 3.574 | -0.000 | -0.000 | -0.000 |
| 0.000 | 0.000 | 0.000 | 0.034 | -0.000 | -0.000 |
| 0.000 | 0.000 | 0.000 | -0.000 | 0.034 | 0.000 |
| 0.000 | 0.000 | 0.000 | -0.000 | -0.000 | 0.034 |
| 6.186 | 1.992 | 1.992 | 0.000 | -0.000 | -0.000 |
| 1.992 | 6.186 | 1.992 | -0.000 | -0.000 | -0.000 |
| 1.992 | 1.992 | 6.186 | -0.000 | -0.000 | -0.000 |
| -0.000 | -0.000 | -0.000 | 0.899 | -0.000 | -0.000 |
| -0.000 | -0.000 | -0.000 | -0.000 | 0.899 | -0.000 |
| -0.000 | -0.000 | -0.000 | -0.000 | -0.000 | 0.899 |
| 6.186 | 1.992 | 1.992 | 0.000 | 0.000 | -0.000 |
| 1.626 | 6.918 | 1.626 | 0.000 | -0.000 | 0.000 |
| 1.626 | 1.626 | 6.918 | 0.000 | 0.000 | -0.000 |
| 0.000 | 0.000 | 0.000 | 0.899 | 0.000 | 0.000 |
| 0.000 | 0.000 | 0.000 | 0.000 | 0.899 | 0.000 |
| 0.000 | 0.000 | 0.000 | 0.000 | 0.000 | 0.899 |
| 4.568 | 2.800 | 2.800 | -0.000 | -0.000 | -0.000 |
| 2.800 | 4.568 | 2.800 | -0.000 | -0.000 | -0.000 |
| 2.800 | 2.800 | 4.568 | 0.000 | -0.000 | -0.000 |
| -0.000 | 0.000 | -0.000 | 0.157 | -0.000 | 0.000 |
| 0.000 | -0.000 | -0.000 | -0.000 | 0.157 | 0.000 |
| 0.000 | -0.000 | -0.000 | -0.000 | -0.000 | 0.157 |
| 3.981 | 3.094 | 3.094 | -0.000 | -0.000 | -0.000 |
| 3.094 | 3.981 | 3.094 | -0.000 | 0.000 | -0.000 |
| 3.046 | 3.046 | 4.078 | -0.000 | 0.000 | -0.000 |
| 0.000 | -0.000 | 0.000 | 0.157 | 0.000 | 0.000 |
| -0.000 | 0.000 | 0.000 | 0.000 | 0.157 | 0.000 |
| -0.000 | 0.000 | 0.000 | 0.000 | 0.000 | 0.157 |
| 3.720 | 3.225 | 3.225 | -0.000 | -0.000 | -0.000 |
| 3.244 | 3.681 | 3.244 | -0.000 | -0.000 | 0.000 |
| 3.244 | 3.244 | 3.681 | 0.000 | -0.000 | -0.000 |
| -0.000 | -0.000 | -0.000 | 0.024 | -0.000 | 0.000 |
| -0.000 | -0.000 | -0.000 | 0.000 | 0.024 | -0.000 |
| -0.000 | -0.000 | -0.000 | 0.000 | 0.000 | 0.024 |
| 3.691 | 3.239 | 3.239 | -0.000 | 0.000 | -0.000 |
| 3.239 | 3.691 | 3.239 | -0.000 | -0.000 | 0.000 |
| 3.239 | 3.239 | 3.691 | 0.000 | -0.000 | -0.000 |
| 0.000 | 0.000 | 0.000 | 0.024 | -0.000 | 0.000 |
| 0.000 | 0.000 | 0.000 | -0.000 | 0.024 | 0.000 |
| 0.000 | 0.000 | 0.000 | -0.000 | 0.000 | 0.024 |
| 14.182 | 3.319 | 3.319 | -0.000 | -0.000 | -0.000 |
| 3.319 | 14.182 | 3.319 | -0.000 | 0.000 | 0.000 |
| 3.319 | 3.319 | 14.182 | -0.000 | -0.000 | 0.000 |
| 0.000 | -0.000 | -0.000 | 0.277 | 0.000 | -0.000 |
| -0.000 | 0.000 | -0.000 | -0.000 | 0.277 | -0.000 |
| -0.000 | -0.000 | 0.000 | 0.000 | -0.000 | 0.277 |
| 11.114 | 4.853 | 4.853 | 0.000 | 0.000 | 0.000 |
| 4.853 | 11.114 | 4.853 | -0.000 | 0.000 | -0.000 |
| 4.853 | 4.853 | 11.114 | -0.000 | 0.000 | 0.000 |
| -0.000 | 0.000 | 0.000 | 0.277 | -0.000 | 0.000 |
| 0.000 | -0.000 | 0.000 | 0.000 | 0.277 | 0.000 |
| 0.000 | 0.000 | -0.000 | -0.000 | 0.000 | 0.277 |
| 8.611 | 6.105 | 6.105 | 0.000 | -0.000 | -0.000 |
| 6.105 | 8.611 | 6.105 | -0.000 | 0.000 | 0.000 |
| 6.105 | 6.105 | 8.611 | 0.000 | -0.000 | 0.000 |
| 0.000 | -0.000 | -0.000 | 0.277 | -0.000 | -0.000 |
| -0.000 | 0.000 | -0.000 | -0.000 | 0.277 | -0.000 |
| -0.000 | -0.000 | 0.000 | -0.000 | -0.000 | 0.277 |
| 8.148 | 6.336 | 6.336 | 0.000 | 0.000 | -0.000 |
| 6.336 | 8.148 | 6.336 | -0.000 | 0.000 | 0.000 |
| 6.336 | 6.336 | 8.148 | -0.000 | -0.000 | 0.000 |
| -0.000 | 0.000 | 0.000 | 0.277 | 0.000 | 0.000 |
| 0.000 | -0.000 | 0.000 | 0.000 | 0.277 | 0.000 |
| 0.000 | 0.000 | -0.000 | -0.000 | 0.000 | 0.277 |
| 7.647 | 6.591 | 6.591 | -0.000 | 0.000 | -0.000 |
| 6.591 | 7.647 | 6.591 | -0.000 | -0.000 | 0.000 |
| 6.591 | 6.591 | 7.647 | 0.000 | -0.000 | -0.000 |
| 0.000 | -0.000 | -0.000 | 0.044 | 0.000 | 0.000 |
| -0.000 | 0.000 | -0.000 | 0.000 | 0.044 | 0.000 |
| -0.000 | -0.000 | 0.000 | 0.000 | -0.000 | 0.044 |
| 7.640 | 6.585 | 6.585 | 0.000 | 0.000 | -0.000 |
| 6.585 | 7.640 | 6.585 | -0.000 | 0.000 | -0.000 |
| 6.585 | 6.585 | 7.640 | -0.000 | 0.000 | 0.000 |
| -0.000 | 0.000 | 0.000 | 0.044 | 0.000 | -0.000 |
| 0.000 | -0.000 | 0.000 | -0.000 | 0.044 | -0.000 |
| 0.000 | 0.000 | -0.000 | -0.000 | -0.000 | 0.044 |
| 0.631 | 3.504 | 3.504 | 0.000 | -0.000 | 0.000 |
| 3.504 | 0.631 | 3.504 | 0.000 | -0.000 | 0.000 |
| 3.504 | 3.504 | 0.631 | -0.000 | -0.000 | 0.000 |
| 0.000 | 0.000 | 0.000 | 1.488 | -0.000 | 0.000 |
| 0.000 | 0.000 | 0.000 | 0.000 | 1.488 | 0.000 |
| 0.000 | 0.000 | 0.000 | 0.000 | -0.000 | 1.488 |
| 0.631 | 3.504 | 3.504 | -0.000 | 0.000 | -0.000 |
| 3.504 | 0.631 | 3.504 | 0.000 | 0.000 | -0.000 |
| 3.504 | 3.504 | 0.631 | -0.000 | 0.000 | 0.000 |
| -0.000 | -0.000 | -0.000 | 1.488 | 0.000 | -0.000 |
| -0.000 | -0.000 | -0.000 | 0.000 | 1.488 | -0.000 |
| -0.000 | -0.000 | -0.000 | -0.000 | -0.000 | 1.488 |
| 0.631 | 3.504 | 3.504 | 0.000 | -0.000 | 0.000 |
| 3.504 | 0.631 | 3.504 | 0.000 | 0.000 | 0.000 |
| 3.504 | 3.504 | 0.631 | -0.000 | -0.000 | 0.000 |
| 0.000 | 0.000 | 0.000 | 1.488 | -0.000 | 0.000 |
| 0.000 | 0.000 | 0.000 | -0.000 | 1.488 | -0.000 |
| 0.000 | 0.000 | 0.000 | 0.000 | -0.000 | 1.488 |
| 0.631 | 3.504 | 3.504 | 0.000 | -0.000 | -0.000 |
| 3.504 | 0.631 | 3.504 | -0.000 | 0.000 | -0.000 |
| 3.504 | 3.504 | 0.631 | -0.000 | 0.000 | -0.000 |
| -0.000 | -0.000 | -0.000 | 1.488 | -0.000 | -0.000 |
| -0.000 | -0.000 | -0.000 | -0.000 | 1.488 | -0.000 |
| -0.000 | -0.000 | -0.000 | -0.000 | 0.000 | 1.488 |
| 0.631 | 3.505 | 3.505 | 0.000 | -0.000 | 0.000 |
| 3.505 | 0.631 | 3.505 | 0.000 | 0.000 | 0.000 |
| 3.505 | 3.505 | 0.631 | -0.000 | -0.000 | 0.000 |
| 0.000 | 0.000 | 0.000 | 1.488 | -0.000 | 0.000 |
| 0.000 | 0.000 | 0.000 | 0.000 | 1.488 | 0.000 |
| 0.000 | 0.000 | 0.000 | -0.000 | -0.000 | 1.488 |
| 0.631 | 3.504 | 3.504 | -0.000 | 0.000 | 0.000 |
| 3.504 | 0.631 | 3.504 | 0.000 | -0.000 | -0.000 |
| 3.504 | 3.504 | 0.631 | -0.000 | -0.000 | -0.000 |
| -0.000 | -0.000 | -0.000 | 1.488 | 0.000 | -0.000 |
| -0.000 | -0.000 | -0.000 | 0.000 | 1.488 | -0.000 |
| -0.000 | -0.000 | -0.000 | 0.000 | 0.000 | 1.488 |
| 0.556 | 3.354 | 3.354 | -0.000 | -0.000 | -0.000 |
| 3.354 | 0.556 | 3.354 | 0.000 | -0.000 | -0.000 |
| 3.354 | 3.354 | 0.556 | -0.000 | -0.000 | -0.000 |
| 0.000 | 0.000 | 0.000 | 1.355 | 0.000 | -0.000 |
| 0.000 | 0.000 | 0.000 | -0.000 | 1.355 | -0.000 |
| 0.000 | 0.000 | 0.000 | -0.000 | -0.000 | 1.355 |
| 0.556 | 3.354 | 3.354 | 0.000 | 0.000 | 0.000 |
| 3.354 | 0.556 | 3.354 | -0.000 | 0.000 | 0.000 |
| 3.354 | 3.354 | 0.556 | -0.000 | -0.000 | -0.000 |
| -0.000 | -0.000 | -0.000 | 1.355 | -0.000 | 0.000 |
| -0.000 | -0.000 | -0.000 | 0.000 | 1.355 | 0.000 |
| -0.000 | -0.000 | -0.000 | 0.000 | -0.000 | 1.355 |
| 0.556 | 3.354 | 3.354 | -0.000 | -0.000 | 0.000 |
| 3.354 | 0.556 | 3.354 | 0.000 | -0.000 | 0.000 |
| 3.354 | 3.354 | 0.556 | 0.000 | 0.000 | -0.000 |
| -0.000 | -0.000 | -0.000 | 1.355 | -0.000 | -0.000 |
| -0.000 | -0.000 | -0.000 | -0.000 | 1.355 | -0.000 |
| -0.000 | -0.000 | -0.000 | -0.000 | -0.000 | 1.355 |
| 0.556 | 3.354 | 3.354 | 0.000 | 0.000 | 0.000 |
| 3.354 | 0.556 | 3.354 | 0.000 | 0.000 | 0.000 |
| 3.354 | 3.354 | 0.556 | -0.000 | -0.000 | 0.000 |
| 0.000 | 0.000 | 0.000 | 1.355 | -0.000 | 0.000 |
| 0.000 | 0.000 | 0.000 | -0.000 | 1.355 | 0.000 |
| 0.000 | 0.000 | 0.000 | -0.000 | 0.000 | 1.355 |
| 0.556 | 3.354 | 3.354 | -0.000 | -0.000 | -0.000 |
| 3.354 | 0.556 | 3.354 | -0.000 | -0.000 | 0.000 |
| 3.354 | 3.354 | 0.556 | 0.000 | 0.000 | -0.000 |
| -0.000 | -0.000 | -0.000 | 1.355 | 0.000 | -0.000 |
| -0.000 | -0.000 | -0.000 | 0.000 | 1.355 | -0.000 |
| -0.000 | -0.000 | -0.000 | -0.000 | 0.000 | 1.355 |
| 0.556 | 3.354 | 3.354 | 0.000 | 0.000 | 0.000 |
| 3.354 | 0.556 | 3.354 | 0.000 | 0.000 | 0.000 |
| 3.354 | 3.354 | 0.556 | -0.000 | -0.000 | -0.000 |
| 0.000 | 0.000 | 0.000 | 1.355 | -0.000 | 0.000 |
| 0.000 | 0.000 | 0.000 | -0.000 | 1.355 | -0.000 |
| 0.000 | 0.000 | 0.000 | 0.000 | 0.000 | 1.355 |
| 3.891 | 6.252 | 6.252 | 0.000 | 0.000 | 0.000 |
| 6.252 | 3.891 | 6.252 | 0.000 | 0.000 | 0.000 |
| 6.252 | 6.252 | 3.891 | 0.000 | 0.000 | 0.000 |
| 0.000 | 0.000 | 0.000 | 5.540 | 0.000 | -0.000 |
| 0.000 | 0.000 | 0.000 | 0.000 | 5.540 | 0.000 |
| 0.000 | 0.000 | 0.000 | 0.000 | 0.000 | 5.540 |
| 3.891 | 6.252 | 6.252 | -0.000 | -0.000 | -0.000 |
| 6.252 | 3.891 | 6.252 | -0.000 | -0.000 | -0.000 |
| 6.252 | 6.252 | 3.891 | -0.000 | -0.000 | 0.000 |
| -0.000 | -0.000 | -0.000 | 5.540 | -0.000 | 0.000 |
| -0.000 | -0.000 | -0.000 | -0.000 | 5.540 | -0.000 |
| -0.000 | -0.000 | -0.000 | -0.000 | -0.000 | 5.540 |
| 3.891 | 6.252 | 6.252 | 0.000 | 0.000 | 0.000 |
| 6.252 | 3.891 | 6.252 | 0.000 | 0.000 | 0.000 |
| 6.252 | 6.252 | 3.891 | 0.000 | 0.000 | 0.000 |
| -0.000 | -0.000 | -0.000 | 5.540 | 0.000 | 0.000 |
| -0.000 | -0.000 | -0.000 | 0.000 | 5.540 | 0.000 |
| -0.000 | -0.000 | -0.000 | 0.000 | 0.000 | 5.540 |
| 3.891 | 6.252 | 6.252 | -0.000 | -0.000 | 0.000 |
| 6.252 | 3.891 | 6.252 | -0.000 | -0.000 | -0.000 |
| 6.252 | 6.252 | 3.891 | -0.000 | -0.000 | -0.000 |
| 0.000 | 0.000 | 0.000 | 5.540 | -0.000 | 0.000 |
| 0.000 | 0.000 | 0.000 | -0.000 | 5.540 | -0.000 |
| 0.000 | 0.000 | 0.000 | -0.000 | -0.000 | 5.540 |
| 3.891 | 6.252 | 6.252 | 0.000 | 0.000 | 0.000 |
| 6.252 | 3.891 | 6.252 | 0.000 | 0.000 | 0.000 |
| 6.252 | 6.252 | 3.891 | 0.000 | 0.000 | 0.000 |
| -0.000 | -0.000 | -0.000 | 5.540 | 0.000 | -0.000 |
| -0.000 | -0.000 | -0.000 | 0.000 | 5.540 | 0.000 |
| -0.000 | -0.000 | -0.000 | 0.000 | 0.000 | 5.540 |
| 3.891 | 6.252 | 6.252 | -0.000 | -0.000 | -0.000 |
| 6.252 | 3.891 | 6.252 | -0.000 | -0.000 | -0.000 |
| 6.252 | 6.252 | 3.891 | -0.000 | -0.000 | -0.000 |
| 0.000 | 0.000 | 0.000 | 5.540 | -0.000 | -0.000 |
| 0.000 | 0.000 | 0.000 | -0.000 | 5.540 | 0.000 |
| 0.000 | 0.000 | 0.000 | -0.000 | -0.000 | 5.540 |
| 3.286 | 2.388 | 2.388 | -0.000 | -0.000 | -0.000 |
| 2.388 | 3.286 | 2.388 | -0.000 | -0.000 | -0.000 |
| 2.388 | 2.388 | 3.286 | -0.000 | -0.000 | -0.000 |
| 0.000 | 0.000 | 0.000 | 2.388 | -0.000 | -0.000 |
| 0.000 | 0.000 | 0.000 | -0.000 | 2.388 | -0.000 |
| 0.000 | 0.000 | 0.000 | -0.000 | -0.000 | 2.388 |
| 3.286 | 2.388 | 2.388 | 0.000 | 0.000 | 0.000 |
| 2.388 | 3.286 | 2.388 | 0.000 | 0.000 | 0.000 |
| 2.388 | 2.388 | 3.286 | 0.000 | 0.000 | 0.000 |
| -0.000 | -0.000 | -0.000 | 2.388 | 0.000 | 0.000 |
| -0.000 | -0.000 | -0.000 | 0.000 | 2.388 | 0.000 |
| -0.000 | -0.000 | -0.000 | 0.000 | 0.000 | 2.388 |
| 3.286 | 2.388 | 2.388 | -0.000 | -0.000 | -0.000 |
| 2.388 | 3.286 | 2.388 | -0.000 | -0.000 | -0.000 |
| 2.388 | 2.388 | 3.286 | -0.000 | -0.000 | 0.000 |
| 0.000 | 0.000 | 0.000 | 2.388 | -0.000 | 0.000 |
| 0.000 | 0.000 | 0.000 | -0.000 | 2.388 | 0.000 |
| 0.000 | 0.000 | 0.000 | -0.000 | -0.000 | 2.388 |
| 3.286 | 2.388 | 2.388 | 0.000 | 0.000 | 0.000 |
| 2.388 | 3.286 | 2.388 | 0.000 | 0.000 | 0.000 |
| 2.388 | 2.388 | 3.286 | 0.000 | 0.000 | -0.000 |
| -0.000 | -0.000 | -0.000 | 2.388 | -0.000 | 0.000 |
| -0.000 | -0.000 | -0.000 | 0.000 | 2.388 | 0.000 |
| -0.000 | -0.000 | -0.000 | 0.000 | 0.000 | 2.388 |
| 3.286 | 2.388 | 2.388 | -0.000 | -0.000 | -0.000 |
| 2.388 | 3.286 | 2.388 | -0.000 | 0.000 | 0.000 |
| 2.388 | 2.388 | 3.286 | 0.000 | 0.000 | 0.000 |
| 0.000 | 0.000 | 0.000 | 2.388 | -0.000 | 0.000 |
| 0.000 | 0.000 | 0.000 | -0.000 | 2.388 | 0.000 |
| 0.000 | 0.000 | 0.000 | -0.000 | 0.000 | 2.388 |
| 3.286 | 2.388 | 2.388 | 0.000 | -0.000 | -0.000 |
| 2.388 | 3.286 | 2.388 | -0.000 | -0.000 | -0.000 |
| 2.388 | 2.388 | 3.286 | -0.000 | -0.000 | -0.000 |
| -0.000 | -0.000 | -0.000 | 2.388 | 0.000 | -0.000 |
| -0.000 | -0.000 | -0.000 | 0.000 | 2.388 | 0.000 |
| -0.000 | -0.000 | -0.000 | 0.000 | 0.000 | 2.388 |
| -9.438 | -0.135 | -0.135 | 0.000 | 0.000 | -0.000 |
| -0.135 | -9.438 | -0.135 | 0.000 | 0.000 | -0.000 |
| -0.135 | -0.135 | -9.438 | 0.000 | 0.000 | 0.000 |
| 0.000 | 0.000 | 0.000 | 0.944 | -0.000 | -0.000 |
| 0.000 | 0.000 | 0.000 | 0.000 | 0.944 | 0.000 |
| 0.000 | 0.000 | 0.000 | 0.000 | 0.000 | 0.944 |
| -9.438 | -0.135 | -0.135 | -0.000 | -0.000 | -0.000 |
| -0.135 | -9.438 | -0.135 | -0.000 | -0.000 | -0.000 |
| -0.135 | -0.135 | -9.438 | 0.000 | 0.000 | -0.000 |
| -0.000 | -0.000 | -0.000 | 0.944 | -0.000 | -0.000 |
| -0.000 | -0.000 | -0.000 | -0.000 | 0.944 | 0.000 |
| -0.000 | -0.000 | -0.000 | -0.000 | -0.000 | 0.944 |
| -9.438 | -0.135 | -0.135 | 0.000 | 0.000 | -0.000 |
| -0.135 | -9.438 | -0.135 | 0.000 | 0.000 | -0.000 |
| -0.135 | -0.135 | -9.438 | 0.000 | 0.000 | -0.000 |
| 0.000 | 0.000 | 0.000 | 0.944 | 0.000 | -0.000 |
| 0.000 | 0.000 | 0.000 | 0.000 | 0.944 | -0.000 |
| 0.000 | 0.000 | 0.000 | 0.000 | 0.000 | 0.944 |
| -9.438 | -0.135 | -0.135 | -0.000 | -0.000 | -0.000 |
| -0.135 | -9.438 | -0.135 | -0.000 | -0.000 | 0.000 |
| -0.135 | -0.135 | -9.438 | -0.000 | -0.000 | -0.000 |
| -0.000 | -0.000 | -0.000 | 0.944 | -0.000 | -0.000 |
| -0.000 | -0.000 | -0.000 | -0.000 | 0.944 | -0.000 |
| -0.000 | -0.000 | -0.000 | -0.000 | -0.000 | 0.944 |
| -9.438 | -0.135 | -0.135 | 0.000 | 0.000 | -0.000 |
| -0.135 | -9.438 | -0.135 | 0.000 | 0.000 | 0.000 |
| -0.135 | -0.135 | -9.438 | 0.000 | 0.000 | 0.000 |
| 0.000 | 0.000 | 0.000 | 0.944 | 0.000 | 0.000 |
| 0.000 | 0.000 | 0.000 | 0.000 | 0.944 | 0.000 |
| 0.000 | 0.000 | 0.000 | 0.000 | 0.000 | 0.944 |
| -9.439 | -0.135 | -0.135 | -0.000 | -0.000 | -0.000 |
| -0.135 | -9.439 | -0.135 | -0.000 | -0.000 | -0.000 |
| -0.135 | -0.135 | -9.439 | -0.000 | -0.000 | -0.000 |
| -0.000 | -0.000 | -0.000 | 0.944 | 0.000 | -0.000 |
| -0.000 | -0.000 | -0.000 | -0.000 | 0.944 | -0.000 |
| -0.000 | -0.000 | -0.000 | -0.000 | -0.000 | 0.944 |
| 5.866 | -0.139 | -0.139 | -0.000 | -0.000 | 0.000 |
| -0.139 | 5.866 | -0.139 | -0.000 | 0.000 | 0.000 |
| -0.139 | -0.139 | 5.866 | -0.000 | 0.000 | -0.000 |
| 0.000 | 0.000 | -0.000 | -0.139 | 0.000 | 0.000 |
| 0.000 | 0.000 | -0.000 | -0.000 | -0.139 | -0.000 |
| 0.000 | -0.000 | 0.000 | -0.000 | -0.000 | -0.139 |
| 5.866 | -0.139 | -0.139 | 0.000 | -0.000 | 0.000 |
| -0.139 | 5.866 | -0.139 | -0.000 | 0.000 | 0.000 |
| -0.139 | -0.139 | 5.866 | 0.000 | -0.000 | -0.000 |
| -0.000 | -0.000 | 0.000 | -0.139 | 0.000 | 0.000 |
| -0.000 | -0.000 | 0.000 | 0.000 | -0.139 | 0.000 |
| -0.000 | 0.000 | -0.000 | 0.000 | 0.000 | -0.139 |
| 5.866 | -0.139 | -0.139 | 0.000 | 0.000 | 0.000 |
| -0.139 | 5.866 | -0.139 | 0.000 | 0.000 | 0.000 |
| -0.139 | -0.139 | 5.866 | -0.000 | 0.000 | -0.000 |
| 0.000 | 0.000 | 0.000 | -0.139 | 0.000 | 0.000 |
| 0.000 | 0.000 | 0.000 | 0.000 | -0.139 | 0.000 |
| 0.000 | 0.000 | 0.000 | -0.000 | 0.000 | -0.139 |
| 5.866 | -0.139 | -0.139 | 0.000 | -0.000 | 0.000 |
| -0.139 | 5.866 | -0.139 | -0.000 | 0.000 | 0.000 |
| -0.139 | -0.139 | 5.866 | 0.000 | -0.000 | -0.000 |
| -0.000 | -0.000 | -0.000 | -0.139 | -0.000 | 0.000 |
| -0.000 | -0.000 | -0.000 | 0.000 | -0.139 | -0.000 |
| -0.000 | -0.000 | -0.000 | -0.000 | 0.000 | -0.139 |
| 5.865 | -0.139 | -0.139 | -0.000 | 0.000 | 0.000 |
| -0.139 | 5.865 | -0.139 | 0.000 | 0.000 | -0.000 |
| -0.139 | -0.139 | 5.865 | 0.000 | -0.000 | -0.000 |
| 0.000 | 0.000 | 0.000 | -0.139 | -0.000 | -0.000 |
| 0.000 | 0.000 | 0.000 | -0.000 | -0.139 | 0.000 |
| 0.000 | 0.000 | 0.000 | 0.000 | 0.000 | -0.139 |
| 5.866 | -0.139 | -0.139 | 0.000 | -0.000 | 0.000 |
| -0.139 | 5.866 | -0.139 | -0.000 | -0.000 | -0.000 |
| -0.139 | -0.139 | 5.866 | -0.000 | -0.000 | 0.000 |
| -0.000 | -0.000 | -0.000 | -0.139 | -0.000 | -0.000 |
| -0.000 | -0.000 | -0.000 | 0.000 | -0.139 | -0.000 |
| -0.000 | -0.000 | -0.000 | 0.000 | -0.000 | -0.139 |
| -0.514 | -0.621 | -0.621 | 0.000 | 0.000 | 0.000 |
| -0.621 | -0.514 | -0.621 | 0.000 | 0.000 | -0.000 |
| -0.621 | -0.621 | -0.514 | 0.000 | 0.000 | 0.000 |
| -0.000 | -0.000 | -0.000 | -0.514 | 0.000 | 0.000 |
| -0.000 | -0.000 | -0.000 | 0.000 | -0.514 | 0.000 |
| -0.000 | -0.000 | -0.000 | 0.000 | 0.000 | -0.514 |
| -0.514 | -0.621 | -0.621 | -0.000 | -0.000 | -0.000 |
| -0.621 | -0.514 | -0.621 | -0.000 | -0.000 | -0.000 |
| -0.621 | -0.621 | -0.514 | -0.000 | -0.000 | -0.000 |
| 0.000 | 0.000 | 0.000 | -0.514 | -0.000 | 0.000 |
| 0.000 | 0.000 | 0.000 | -0.000 | -0.514 | -0.000 |
| 0.000 | 0.000 | 0.000 | -0.000 | -0.000 | -0.514 |
| -0.514 | -0.621 | -0.621 | 0.000 | 0.000 | -0.000 |
| -0.621 | -0.514 | -0.621 | 0.000 | 0.000 | -0.000 |
| -0.621 | -0.621 | -0.514 | 0.000 | 0.000 | 0.000 |
| -0.000 | -0.000 | -0.000 | -0.514 | 0.000 | 0.000 |
| -0.000 | -0.000 | -0.000 | 0.000 | -0.514 | 0.000 |
| -0.000 | -0.000 | -0.000 | 0.000 | 0.000 | -0.514 |
| -0.514 | -0.621 | -0.621 | -0.000 | 0.000 | -0.000 |
| -0.621 | -0.514 | -0.621 | -0.000 | 0.000 | -0.000 |
| -0.621 | -0.621 | -0.514 | -0.000 | -0.000 | -0.000 |
| 0.000 | 0.000 | 0.000 | -0.514 | -0.000 | -0.000 |
| 0.000 | 0.000 | 0.000 | -0.000 | -0.514 | -0.000 |
| 0.000 | 0.000 | 0.000 | -0.000 | -0.000 | -0.514 |
| -0.514 | -0.621 | -0.621 | 0.000 | 0.000 | -0.000 |
| -0.621 | -0.514 | -0.621 | 0.000 | 0.000 | -0.000 |
| -0.621 | -0.621 | -0.514 | -0.000 | -0.000 | -0.000 |
| -0.000 | -0.000 | -0.000 | -0.514 | 0.000 | -0.000 |
| -0.000 | -0.000 | -0.000 | 0.000 | -0.514 | 0.000 |
| -0.000 | -0.000 | -0.000 | 0.000 | 0.000 | -0.514 |
| -0.514 | -0.621 | -0.621 | 0.000 | -0.000 | -0.000 |
| -0.621 | -0.514 | -0.621 | -0.000 | 0.000 | -0.000 |
| -0.621 | -0.621 | -0.514 | -0.000 | -0.000 | -0.000 |
| 0.000 | 0.000 | 0.000 | -0.514 | -0.000 | -0.000 |
| 0.000 | 0.000 | 0.000 | -0.000 | -0.514 | -0.000 |
| 0.000 | 0.000 | 0.000 | -0.000 | -0.000 | -0.514 |
| 10.648 | 7.185 | 9.597 | -0.000 | -0.000 | -0.000 |
| 5.884 | 11.949 | 9.598 | -0.000 | -0.000 | -0.000 |
| 9.604 | 9.604 | 9.700 | -0.000 | -0.000 | -0.000 |
| 0.000 | 0.000 | 0.000 | 6.759 | -0.000 | -0.000 |
| 0.000 | 0.000 | 0.000 | -0.000 | 6.759 | -0.000 |
| 0.000 | 0.000 | 0.000 | 0.000 | -0.000 | 1.731 |
| 11.949 | 5.883 | 9.597 | 0.000 | 0.000 | 0.000 |
| 7.185 | 10.648 | 9.597 | 0.000 | 0.000 | 0.000 |
| 9.604 | 9.604 | 9.700 | -0.000 | -0.000 | 0.000 |
| -0.000 | -0.000 | -0.000 | 6.759 | 0.000 | 0.000 |
| -0.000 | -0.000 | -0.000 | 0.000 | 6.759 | 0.000 |
| -0.000 | -0.000 | -0.000 | -0.000 | 0.000 | 1.731 |
| 10.649 | 7.186 | 9.598 | -0.000 | -0.000 | 0.000 |
| 5.884 | 11.952 | 9.599 | -0.000 | -0.000 | -0.000 |
| 9.605 | 9.605 | 9.701 | -0.000 | -0.000 | 0.000 |
| 0.001 | 0.001 | 0.001 | 6.759 | -0.000 | -0.000 |
| 0.001 | 0.001 | 0.001 | -0.000 | 6.759 | -0.000 |
| 0.000 | 0.000 | 0.000 | -0.000 | -0.000 | 0.951 |
| 11.947 | 5.883 | 9.596 | 0.000 | 0.000 | 0.000 |
| 5.883 | 11.947 | 9.596 | 0.000 | 0.000 | 0.000 |
| 9.603 | 9.603 | 9.699 | -0.000 | 0.000 | 0.000 |
| -0.001 | -0.001 | -0.001 | 6.759 | 0.000 | -0.000 |
| -0.001 | -0.001 | -0.001 | 0.000 | 6.759 | 0.000 |
| -0.000 | -0.000 | -0.000 | 0.000 | 0.000 | 0.951 |
| 9.877 | 7.975 | 9.606 | -0.000 | -0.000 | -0.000 |
| 8.724 | 9.127 | 9.606 | 0.000 | -0.000 | 0.000 |
| 9.612 | 9.612 | 9.708 | -0.000 | -0.000 | 0.000 |
| 0.004 | 0.012 | 0.008 | 6.759 | -0.000 | 0.000 |
| 0.012 | 0.004 | 0.008 | -0.000 | 6.759 | 0.000 |
| 0.000 | 0.001 | 0.001 | -0.000 | -0.000 | 0.951 |
| 9.392 | 8.423 | 9.589 | 0.000 | 0.000 | -0.000 |
| 8.422 | 9.393 | 9.589 | -0.000 | 0.000 | 0.000 |
| 9.596 | 9.596 | 9.692 | 0.000 | 0.000 | 0.000 |
| -0.004 | -0.012 | -0.008 | 6.759 | 0.000 | -0.000 |
| -0.012 | -0.004 | -0.008 | 0.000 | 6.759 | 0.000 |
| -0.000 | -0.001 | -0.001 | 0.000 | -0.000 | 0.951 |
| 17.020 | 6.624 | 5.267 | 0.000 | -0.000 | 0.000 |
| 6.624 | 17.020 | 5.267 | -0.000 | -0.000 | 0.000 |
| 5.267 | 5.267 | 18.377 | -0.000 | -0.000 | 0.000 |
| -0.013 | -0.018 | -0.062 | 4.223 | -0.000 | 0.000 |
| -0.018 | -0.009 | -0.054 | 0.000 | 4.223 | 0.000 |
| -0.029 | -0.067 | -0.019 | -0.000 | -0.000 | 5.414 |
| 17.442 | 6.532 | 5.334 | -0.000 | 0.000 | -0.000 |
| 6.532 | 17.442 | 5.334 | 0.000 | 0.000 | 0.000 |
| 5.334 | 5.334 | 18.641 | -0.000 | 0.000 | -0.000 |
| 0.013 | 0.018 | 0.062 | 4.223 | 0.000 | -0.000 |
| 0.018 | 0.009 | 0.054 | -0.000 | 4.223 | -0.000 |
| 0.029 | 0.067 | 0.019 | 0.000 | 0.000 | 5.414 |
| 17.020 | 6.624 | 5.267 | -0.000 | -0.000 | 0.000 |
| 6.752 | 16.892 | 5.267 | 0.000 | -0.000 | 0.000 |
| 5.267 | 5.267 | 18.377 | -0.000 | -0.000 | 0.000 |
| -0.012 | -0.019 | -0.062 | 4.223 | -0.000 | 0.000 |
| -0.018 | -0.009 | -0.054 | 0.000 | 4.223 | 0.000 |
| -0.026 | -0.067 | -0.013 | -0.000 | -0.000 | 5.237 |
| 17.263 | 6.711 | 5.334 | -0.000 | 0.000 | -0.000 |
| 6.711 | 17.263 | 5.334 | -0.000 | 0.000 | -0.000 |
| 5.334 | 5.334 | 18.641 | -0.000 | -0.000 | -0.000 |
| 0.012 | 0.019 | 0.062 | 4.223 | 0.000 | -0.000 |
| 0.018 | 0.009 | 0.054 | -0.000 | 4.223 | -0.000 |
| 0.026 | 0.067 | 0.013 | 0.000 | 0.000 | 5.237 |
| 16.797 | 6.847 | 5.267 | -0.000 | 0.000 | 0.000 |
| 6.752 | 16.892 | 5.267 | -0.000 | -0.000 | 0.000 |
| 5.268 | 5.268 | 18.377 | -0.000 | -0.000 | 0.000 |
| -0.013 | -0.018 | -0.062 | 4.223 | -0.000 | 0.000 |
| -0.018 | -0.009 | -0.054 | -0.000 | 4.223 | 0.000 |
| -0.021 | -0.065 | -0.001 | -0.000 | -0.000 | 4.850 |
| 17.132 | 6.843 | 5.334 | -0.000 | 0.000 | -0.000 |
| 6.843 | 17.132 | 5.334 | -0.000 | 0.000 | -0.000 |
| 5.333 | 5.333 | 18.641 | 0.000 | 0.000 | -0.000 |
| 0.013 | 0.018 | 0.062 | 4.223 | 0.000 | -0.000 |
| 0.018 | 0.009 | 0.054 | 0.000 | 4.223 | -0.000 |
| 0.021 | 0.065 | 0.001 | 0.000 | 0.000 | 4.850 |
| 5.540 | 1.930 | 2.206 | -0.000 | -0.000 | -0.000 |
| 1.930 | 5.540 | 2.206 | -0.000 | -0.000 | 0.000 |
| 2.156 | 2.156 | 8.283 | -0.000 | 0.000 | -0.000 |
| 0.000 | 0.000 | 0.000 | 2.056 | 0.000 | -0.000 |
| 0.000 | 0.000 | 0.000 | 0.000 | 2.056 | 0.000 |
| 0.000 | 0.000 | 0.000 | -0.000 | 0.000 | 1.805 |
| 5.540 | 1.930 | 2.206 | 0.000 | 0.000 | 0.000 |
| 1.892 | 5.578 | 2.206 | 0.000 | 0.000 | 0.000 |
| 2.156 | 2.156 | 8.283 | 0.000 | 0.000 | 0.000 |
| -0.000 | -0.000 | -0.000 | 2.056 | -0.000 | -0.000 |
| -0.000 | -0.000 | -0.000 | 0.000 | 2.056 | 0.000 |
| -0.000 | -0.000 | -0.000 | 0.000 | 0.000 | 1.805 |
| 5.540 | 1.930 | 2.206 | -0.000 | -0.000 | -0.000 |
| 1.930 | 5.540 | 2.206 | -0.000 | 0.000 | -0.000 |
| 2.156 | 2.156 | 8.283 | 0.000 | 0.000 | -0.000 |
| 0.000 | 0.000 | 0.000 | 2.056 | -0.000 | -0.000 |
| 0.000 | 0.000 | 0.000 | 0.000 | 2.056 | 0.000 |
| 0.000 | 0.000 | 0.000 | -0.000 | -0.000 | 1.843 |
| 5.578 | 1.892 | 2.206 | 0.000 | 0.000 | 0.000 |
| 1.892 | 5.578 | 2.206 | -0.000 | 0.000 | -0.000 |
| 2.156 | 2.156 | 8.283 | 0.000 | -0.000 | 0.000 |
| -0.000 | -0.000 | -0.000 | 2.056 | -0.000 | 0.000 |
| -0.000 | -0.000 | -0.000 | -0.000 | 2.056 | -0.000 |
| -0.000 | -0.000 | -0.000 | -0.000 | 0.000 | 1.843 |
| 5.456 | 2.015 | 2.206 | -0.000 | -0.000 | -0.000 |
| 1.892 | 5.578 | 2.206 | 0.000 | -0.000 | -0.000 |
| 2.156 | 2.156 | 8.284 | -0.000 | 0.000 | 0.000 |
| 0.000 | 0.000 | 0.000 | 2.056 | -0.000 | -0.000 |
| 0.000 | 0.000 | 0.000 | -0.000 | 2.056 | 0.000 |
| 0.000 | 0.000 | 0.000 | -0.000 | 0.000 | 1.720 |
| 5.540 | 1.930 | 2.206 | 0.000 | 0.000 | -0.000 |
| 1.930 | 5.540 | 2.206 | 0.000 | 0.000 | 0.000 |
| 2.156 | 2.156 | 8.283 | -0.000 | 0.000 | -0.000 |
| -0.000 | -0.000 | -0.000 | 2.056 | 0.000 | -0.000 |
| -0.000 | -0.000 | -0.000 | 0.000 | 2.056 | 0.000 |
| -0.000 | -0.000 | -0.000 | -0.000 | 0.000 | 1.720 |
| 4.888 | 1.631 | 1.364 | 0.000 | 0.000 | -0.000 |
| 1.646 | 4.873 | 1.364 | -0.000 | 0.000 | 0.000 |
| 1.361 | 1.361 | 5.428 | -0.000 | 0.000 | 0.000 |
| 0.000 | 0.000 | 0.000 | 1.356 | 0.000 | 0.000 |
| 0.000 | 0.000 | 0.000 | -0.000 | 1.356 | 0.000 |
| 0.000 | 0.000 | 0.000 | -0.000 | 0.000 | 1.614 |
| 4.873 | 1.646 | 1.364 | 0.000 | -0.000 | -0.000 |
| 1.631 | 4.888 | 1.364 | 0.000 | -0.000 | -0.000 |
| 1.361 | 1.361 | 5.428 | 0.000 | -0.000 | -0.000 |
| -0.000 | -0.000 | -0.000 | 1.356 | -0.000 | -0.000 |
| -0.000 | -0.000 | -0.000 | 0.000 | 1.356 | -0.000 |
| -0.000 | -0.000 | -0.000 | 0.000 | -0.000 | 1.614 |
| 4.888 | 1.631 | 1.364 | 0.000 | 0.000 | -0.000 |
| 1.631 | 4.888 | 1.364 | -0.000 | 0.000 | 0.000 |
| 1.361 | 1.361 | 5.428 | -0.000 | 0.000 | 0.000 |
| 0.000 | 0.000 | 0.000 | 1.356 | 0.000 | 0.000 |
| 0.000 | 0.000 | 0.000 | -0.000 | 1.356 | -0.000 |
| 0.000 | 0.000 | 0.000 | -0.000 | 0.000 | 1.629 |
| 4.873 | 1.646 | 1.364 | 0.000 | -0.000 | 0.000 |
| 1.631 | 4.888 | 1.364 | 0.000 | -0.000 | -0.000 |
| 1.361 | 1.361 | 5.428 | 0.000 | -0.000 | -0.000 |
| -0.000 | -0.000 | -0.000 | 1.356 | -0.000 | -0.000 |
| -0.000 | -0.000 | -0.000 | 0.000 | 1.356 | -0.000 |
| -0.000 | -0.000 | -0.000 | 0.000 | -0.000 | 1.629 |
| 4.860 | 1.660 | 1.364 | 0.000 | -0.000 | 0.000 |
| 1.631 | 4.888 | 1.364 | 0.000 | 0.000 | 0.000 |
| 1.361 | 1.361 | 5.428 | -0.000 | 0.000 | -0.000 |
| 0.000 | 0.000 | 0.000 | 1.356 | 0.000 | 0.000 |
| 0.000 | 0.000 | 0.000 | 0.000 | 1.356 | -0.000 |
| 0.000 | 0.000 | 0.000 | -0.000 | -0.000 | 1.614 |
| 4.860 | 1.660 | 1.364 | 0.000 | -0.000 | -0.000 |
| 1.631 | 4.888 | 1.364 | -0.000 | -0.000 | 0.000 |
| 1.361 | 1.361 | 5.427 | -0.000 | -0.000 | -0.000 |
| -0.000 | -0.000 | -0.000 | 1.356 | -0.000 | -0.000 |
| -0.000 | -0.000 | -0.000 | -0.000 | 1.356 | -0.000 |
| -0.000 | -0.000 | -0.000 | 0.000 | -0.000 | 1.614 |
| 4.835 | 1.629 | 1.293 | 0.000 | 0.000 | -0.000 |
| 1.616 | 4.848 | 1.293 | 0.000 | 0.000 | -0.000 |
| 1.293 | 1.293 | 5.171 | 0.000 | -0.000 | 0.000 |
| 0.000 | 0.000 | 0.000 | 1.293 | -0.000 | 0.000 |
| 0.000 | 0.000 | 0.000 | 0.000 | 1.293 | 0.000 |
| 0.000 | 0.000 | 0.000 | 0.000 | 0.000 | 1.616 |
| 4.835 | 1.629 | 1.293 | -0.000 | 0.000 | -0.000 |
| 1.616 | 4.848 | 1.293 | -0.000 | 0.000 | 0.000 |
| 1.293 | 1.293 | 5.171 | -0.000 | -0.000 | -0.000 |
| -0.000 | -0.000 | -0.000 | 1.293 | -0.000 | -0.000 |
| -0.000 | -0.000 | -0.000 | -0.000 | 1.293 | 0.000 |
| -0.000 | -0.000 | -0.000 | -0.000 | 0.000 | 1.616 |
| 4.848 | 1.616 | 1.293 | 0.000 | -0.000 | -0.000 |
| 1.616 | 4.848 | 1.293 | 0.000 | -0.000 | -0.000 |
| 1.293 | 1.293 | 5.171 | 0.000 | -0.000 | -0.000 |
| 0.000 | 0.000 | 0.000 | 1.293 | -0.000 | -0.000 |
| 0.000 | 0.000 | 0.000 | 0.000 | 1.293 | 0.000 |
| 0.000 | 0.000 | 0.000 | 0.000 | 0.000 | 1.616 |
| 4.848 | 1.616 | 1.293 | -0.000 | 0.000 | -0.000 |
| 1.616 | 4.848 | 1.293 | -0.000 | 0.000 | 0.000 |
| 1.293 | 1.293 | 5.171 | -0.000 | 0.000 | 0.000 |
| -0.000 | -0.000 | -0.000 | 1.293 | 0.000 | -0.000 |
| -0.000 | -0.000 | -0.000 | -0.000 | 1.293 | -0.000 |
| -0.000 | -0.000 | -0.000 | -0.000 | 0.000 | 1.616 |
| 4.848 | 1.616 | 1.293 | 0.000 | -0.000 | 0.000 |
| 1.616 | 4.848 | 1.293 | -0.000 | -0.000 | -0.000 |
| 1.293 | 1.293 | 5.172 | 0.000 | -0.000 | 0.000 |
| 0.000 | 0.000 | 0.000 | 1.293 | -0.000 | -0.000 |
| 0.000 | 0.000 | 0.000 | 0.000 | 1.293 | -0.000 |
| 0.000 | 0.000 | 0.000 | 0.000 | -0.000 | 1.590 |
| 4.848 | 1.616 | 1.293 | -0.000 | 0.000 | 0.000 |
| 1.616 | 4.848 | 1.293 | 0.000 | 0.000 | 0.000 |
| 1.293 | 1.293 | 5.171 | -0.000 | 0.000 | -0.000 |
| -0.000 | -0.000 | -0.000 | 1.293 | 0.000 | 0.000 |
| -0.000 | -0.000 | -0.000 | -0.000 | 1.293 | -0.000 |
| -0.000 | -0.000 | -0.000 | -0.000 | -0.000 | 1.590 |
| 4.832 | 1.628 | 1.292 | -0.000 | 0.000 | 0.000 |
| 1.628 | 4.832 | 1.292 | 0.000 | 0.000 | 0.000 |
| 1.292 | 1.292 | 5.169 | 0.000 | -0.000 | 0.000 |
| 0.000 | 0.000 | 0.000 | 1.292 | 0.000 | 0.000 |
| 0.000 | 0.000 | 0.000 | -0.000 | 1.292 | 0.000 |
| 0.000 | 0.000 | 0.000 | -0.000 | -0.000 | 1.602 |
| 4.845 | 1.615 | 1.292 | 0.000 | -0.000 | 0.000 |
| 1.628 | 4.832 | 1.292 | 0.000 | -0.000 | -0.000 |
| 1.292 | 1.292 | 5.169 | 0.000 | 0.000 | -0.000 |
| -0.000 | -0.000 | -0.000 | 1.292 | -0.000 | -0.000 |
| -0.000 | -0.000 | -0.000 | 0.000 | 1.292 | 0.000 |
| -0.000 | -0.000 | -0.000 | 0.000 | -0.000 | 1.602 |
| 4.845 | 1.615 | 1.292 | -0.000 | -0.000 | 0.000 |
| 1.615 | 4.845 | 1.292 | 0.000 | 0.000 | 0.000 |
| 1.292 | 1.292 | 5.169 | -0.000 | 0.000 | 0.000 |
| 0.000 | 0.000 | 0.000 | 1.292 | 0.000 | 0.000 |
| 0.000 | 0.000 | 0.000 | -0.000 | 1.292 | -0.000 |
| 0.000 | 0.000 | 0.000 | -0.000 | 0.000 | 1.615 |
| 4.845 | 1.615 | 1.292 | 0.000 | 0.000 | -0.000 |
| 1.615 | 4.845 | 1.292 | -0.000 | 0.000 | -0.000 |
| 1.292 | 1.292 | 5.169 | 0.000 | 0.000 | -0.000 |
| -0.000 | -0.000 | -0.000 | 1.292 | 0.000 | -0.000 |
| -0.000 | -0.000 | -0.000 | 0.000 | 1.292 | -0.000 |
| -0.000 | -0.000 | -0.000 | 0.000 | 0.000 | 1.615 |
| 4.845 | 1.615 | 1.292 | -0.000 | 0.000 | 0.000 |
| 1.628 | 4.832 | 1.292 | -0.000 | 0.000 | 0.000 |
| 1.292 | 1.292 | 5.169 | -0.000 | 0.000 | 0.000 |
| 0.000 | 0.000 | 0.000 | 1.292 | 0.000 | 0.000 |
| 0.000 | 0.000 | 0.000 | 0.000 | 1.292 | -0.000 |
| 0.000 | 0.000 | 0.000 | -0.000 | -0.000 | 1.602 |
| 4.845 | 1.615 | 1.292 | 0.000 | 0.000 | -0.000 |
| 1.641 | 4.819 | 1.292 | -0.000 | -0.000 | -0.000 |
| 1.292 | 1.292 | 5.169 | 0.000 | -0.000 | -0.000 |
| -0.000 | -0.000 | -0.000 | 1.292 | -0.000 | -0.000 |
| -0.000 | -0.000 | -0.000 | -0.000 | 1.292 | -0.000 |
| -0.000 | -0.000 | -0.000 | 0.000 | -0.000 | 1.602 |
| -1.650 | -0.666 | -0.551 | -0.000 | 0.000 | -0.000 |
| -0.664 | -1.651 | -0.551 | -0.000 | -0.000 | -0.000 |
| -0.551 | -0.551 | -1.765 | 0.000 | -0.000 | -0.000 |
| 0.000 | -0.000 | 0.000 | -0.376 | -0.000 | 0.000 |
| 0.000 | -0.000 | 0.000 | 0.000 | -0.376 | 0.000 |
| 0.000 | -0.000 | 0.000 | 0.000 | -0.000 | -0.492 |
| -1.650 | -0.666 | -0.551 | 0.000 | 0.000 | -0.000 |
| -0.664 | -1.651 | -0.551 | 0.000 | 0.000 | 0.000 |
| -0.551 | -0.551 | -1.765 | 0.000 | -0.000 | 0.000 |
| -0.000 | -0.000 | 0.000 | -0.376 | -0.000 | 0.000 |
| -0.000 | -0.000 | -0.000 | -0.000 | -0.376 | 0.000 |
| -0.000 | 0.000 | -0.000 | -0.000 | 0.000 | -0.492 |
| -1.651 | -0.664 | -0.551 | 0.000 | -0.000 | 0.000 |
| -0.664 | -1.651 | -0.551 | -0.000 | -0.000 | 0.000 |
| -0.551 | -0.551 | -1.765 | -0.000 | 0.000 | 0.000 |
| -0.000 | -0.000 | -0.000 | -0.376 | -0.000 | -0.000 |
| -0.000 | -0.000 | -0.000 | -0.000 | -0.376 | -0.000 |
| -0.000 | -0.000 | -0.000 | -0.000 | -0.000 | -0.492 |
| -1.651 | -0.664 | -0.551 | 0.000 | 0.000 | -0.000 |
| -0.664 | -1.651 | -0.551 | 0.000 | 0.000 | 0.000 |
| -0.551 | -0.551 | -1.765 | -0.000 | 0.000 | 0.000 |
| 0.000 | 0.000 | 0.000 | -0.376 | 0.000 | 0.000 |
| 0.000 | 0.000 | 0.000 | 0.000 | -0.376 | 0.000 |
| 0.000 | 0.000 | 0.000 | 0.000 | -0.000 | -0.492 |
| -1.650 | -0.666 | -0.551 | -0.000 | -0.000 | -0.000 |
| -0.664 | -1.652 | -0.551 | -0.000 | -0.000 | -0.000 |
| -0.551 | -0.551 | -1.765 | -0.000 | -0.000 | 0.000 |
| -0.000 | -0.000 | -0.000 | -0.376 | -0.000 | -0.000 |
| -0.000 | -0.000 | -0.000 | -0.000 | -0.376 | -0.000 |
| -0.000 | -0.000 | -0.000 | 0.000 | 0.000 | -0.492 |
| -1.650 | -0.666 | -0.551 | 0.000 | 0.000 | 0.000 |
| -0.662 | -1.653 | -0.551 | -0.000 | -0.000 | 0.000 |
| -0.551 | -0.551 | -1.765 | 0.000 | 0.000 | -0.000 |
| 0.000 | 0.000 | 0.000 | -0.376 | 0.000 | 0.000 |
| 0.000 | 0.000 | 0.000 | 0.000 | -0.376 | 0.000 |
| 0.000 | 0.000 | 0.000 | -0.000 | 0.000 | -0.492 |
| 15.118 | 7.043 | 11.312 | 0.000 | -0.000 | -0.000 |
| 11.088 | 11.073 | 11.312 | -0.000 | -0.000 | -0.000 |
| 11.313 | 11.313 | 11.210 | 0.000 | -0.000 | -0.000 |
| 0.000 | 0.000 | 0.000 | 8.308 | -0.000 | -0.000 |
| 0.000 | 0.000 | 0.000 | -0.000 | 8.308 | -0.000 |
| 0.000 | 0.000 | 0.000 | 0.000 | -0.000 | 4.037 |
| 15.118 | 7.043 | 11.312 | -0.000 | 0.000 | -0.000 |
| 7.043 | 15.118 | 11.312 | -0.000 | 0.000 | 0.000 |
| 11.313 | 11.313 | 11.210 | -0.000 | 0.000 | 0.000 |
| -0.000 | -0.000 | -0.000 | 8.308 | 0.000 | 0.000 |
| -0.000 | -0.000 | -0.000 | 0.000 | 8.308 | 0.000 |
| -0.000 | -0.000 | -0.000 | -0.000 | 0.000 | 4.037 |
| 15.118 | 7.043 | 11.312 | -0.000 | -0.000 | 0.000 |
| 11.088 | 11.073 | 11.312 | 0.000 | -0.000 | -0.000 |
| 11.313 | 11.313 | 11.210 | 0.000 | 0.000 | 0.000 |
| -0.000 | -0.000 | -0.000 | 8.308 | -0.000 | -0.000 |
| -0.000 | -0.000 | -0.000 | 0.000 | 8.308 | -0.000 |
| -0.000 | -0.000 | -0.000 | 0.000 | -0.000 | 4.037 |
| 15.118 | 7.043 | 11.312 | -0.000 | 0.000 | 0.000 |
| 7.043 | 15.118 | 11.312 | 0.000 | 0.000 | -0.000 |
| 11.313 | 11.313 | 11.210 | 0.000 | 0.000 | 0.000 |
| 0.000 | 0.000 | 0.000 | 8.308 | 0.000 | 0.000 |
| 0.000 | 0.000 | 0.000 | -0.000 | 8.308 | 0.000 |
| 0.000 | 0.000 | 0.000 | -0.000 | 0.000 | 4.037 |
| 11.073 | 11.087 | 11.312 | -0.000 | -0.000 | 0.000 |
| 11.087 | 11.073 | 11.312 | -0.000 | -0.000 | -0.000 |
| 11.313 | 11.313 | 11.210 | -0.000 | -0.000 | -0.000 |
| -0.000 | -0.000 | -0.000 | 8.308 | -0.000 | -0.000 |
| -0.000 | -0.000 | -0.000 | 0.000 | 8.308 | 0.000 |
| 0.000 | -0.000 | -0.000 | 0.000 | -0.000 | -0.007 |
| 11.073 | 11.088 | 11.312 | -0.000 | 0.000 | -0.000 |
| 11.088 | 11.073 | 11.312 | -0.000 | 0.000 | 0.000 |
| 11.313 | 11.313 | 11.210 | 0.000 | 0.000 | 0.000 |
| 0.000 | 0.000 | 0.000 | 8.308 | 0.000 | -0.000 |
| 0.000 | 0.000 | 0.000 | -0.000 | 8.308 | -0.000 |
| -0.000 | 0.000 | 0.000 | 0.000 | 0.000 | -0.007 |
| 17.194 | 6.450 | 5.267 | 0.000 | 0.000 | -0.000 |
| 6.798 | 16.846 | 5.267 | 0.000 | -0.000 | -0.000 |
| 5.267 | 5.267 | 18.377 | 0.000 | -0.000 | -0.000 |
| -0.014 | -0.017 | -0.062 | 4.223 | -0.000 | -0.000 |
| -0.020 | -0.007 | -0.054 | 0.000 | 4.223 | -0.000 |
| -0.023 | -0.067 | -0.008 | 0.000 | 0.000 | 5.061 |
| 17.085 | 6.890 | 5.334 | 0.000 | 0.000 | 0.000 |
| 6.532 | 17.442 | 5.334 | -0.000 | 0.000 | 0.000 |
| 5.334 | 5.334 | 18.641 | -0.000 | 0.000 | 0.000 |
| 0.014 | 0.017 | 0.062 | 4.223 | 0.000 | 0.000 |
| 0.020 | 0.007 | 0.054 | -0.000 | 4.223 | 0.000 |
| 0.023 | 0.067 | 0.008 | -0.000 | -0.000 | 5.061 |
| 17.194 | 6.450 | 5.267 | 0.000 | -0.000 | -0.000 |
| 6.450 | 17.194 | 5.267 | 0.000 | 0.000 | -0.000 |
| 5.267 | 5.267 | 18.377 | 0.000 | 0.000 | -0.000 |
| -0.014 | -0.017 | -0.062 | 4.223 | 0.000 | -0.000 |
| -0.020 | -0.007 | -0.054 | 0.000 | 4.223 | -0.000 |
| -0.029 | -0.067 | -0.019 | 0.000 | -0.000 | 5.414 |
| 17.442 | 6.532 | 5.334 | -0.000 | -0.000 | 0.000 |
| 6.890 | 17.085 | 5.334 | -0.000 | 0.000 | 0.000 |
| 5.334 | 5.334 | 18.641 | -0.000 | 0.000 | 0.000 |
| 0.014 | 0.017 | 0.062 | 4.223 | 0.000 | 0.000 |
| 0.020 | 0.007 | 0.054 | -0.000 | 4.223 | 0.000 |
| 0.029 | 0.067 | 0.019 | -0.000 | 0.000 | 5.414 |
| 16.601 | 7.044 | 5.267 | 0.000 | -0.000 | -0.000 |
| 6.964 | 16.681 | 5.267 | 0.000 | -0.000 | -0.000 |
| 5.268 | 5.268 | 18.377 | 0.000 | -0.000 | -0.000 |
| -0.012 | -0.019 | -0.062 | 4.223 | 0.000 | -0.000 |
| -0.016 | -0.011 | -0.054 | 0.000 | 4.223 | 0.000 |
| -0.021 | -0.066 | -0.002 | 0.000 | 0.000 | 4.894 |
| 16.837 | 7.137 | 5.334 | -0.000 | 0.000 | 0.000 |
| 7.058 | 16.916 | 5.334 | -0.000 | 0.000 | 0.000 |
| 5.333 | 5.333 | 18.641 | -0.000 | -0.000 | 0.000 |
| 0.012 | 0.019 | 0.062 | 4.223 | -0.000 | 0.000 |
| 0.016 | 0.011 | 0.054 | -0.000 | 4.223 | 0.000 |
| 0.021 | 0.066 | 0.002 | -0.000 | 0.000 | 4.894 |
| 6.324 | 2.150 | 1.727 | -0.000 | 0.000 | -0.000 |
| 2.150 | 6.324 | 1.727 | -0.000 | 0.000 | -0.000 |
| 1.727 | 1.727 | 6.748 | -0.000 | 0.000 | -0.000 |
| 0.000 | 0.000 | 0.000 | 1.663 | 0.000 | -0.000 |
| 0.000 | 0.000 | 0.000 | 0.000 | 1.663 | -0.000 |
| 0.000 | 0.000 | 0.000 | 0.000 | 0.000 | 2.087 |
| 6.278 | 2.196 | 1.727 | -0.000 | -0.000 | 0.000 |
| 2.196 | 6.278 | 1.727 | -0.000 | -0.000 | 0.000 |
| 1.727 | 1.727 | 6.748 | 0.000 | 0.000 | -0.000 |
| -0.000 | -0.000 | -0.000 | 1.663 | -0.000 | 0.000 |
| -0.000 | -0.000 | -0.000 | 0.000 | 1.663 | 0.000 |
| -0.000 | -0.000 | -0.000 | -0.000 | -0.000 | 2.087 |
| 6.324 | 2.150 | 1.727 | -0.000 | 0.000 | -0.000 |
| 2.150 | 6.324 | 1.727 | -0.000 | 0.000 | -0.000 |
| 1.727 | 1.727 | 6.748 | 0.000 | 0.000 | -0.000 |
| 0.000 | 0.000 | 0.000 | 1.663 | -0.000 | -0.000 |
| 0.000 | 0.000 | 0.000 | 0.000 | 1.663 | -0.000 |
| 0.000 | 0.000 | 0.000 | -0.000 | 0.000 | 2.087 |
| 6.324 | 2.150 | 1.727 | 0.000 | -0.000 | 0.000 |
| 2.150 | 6.324 | 1.727 | 0.000 | -0.000 | 0.000 |
| 1.727 | 1.727 | 6.748 | -0.000 | -0.000 | -0.000 |
| -0.000 | -0.000 | -0.000 | 1.663 | -0.000 | -0.000 |
| -0.000 | -0.000 | -0.000 | -0.000 | 1.663 | -0.000 |
| -0.000 | -0.000 | -0.000 | -0.000 | -0.000 | 2.087 |
| 6.214 | 2.261 | 1.727 | -0.000 | 0.000 | -0.000 |
| 2.150 | 6.324 | 1.727 | 0.000 | 0.000 | -0.000 |
| 1.727 | 1.727 | 6.748 | -0.000 | 0.000 | -0.000 |
| 0.000 | 0.000 | 0.000 | 1.663 | -0.000 | -0.000 |
| 0.000 | 0.000 | 0.000 | -0.000 | 1.663 | -0.000 |
| 0.000 | 0.000 | 0.000 | -0.000 | 0.000 | 2.005 |
| 6.324 | 2.150 | 1.727 | 0.000 | -0.000 | 0.000 |
| 2.232 | 6.242 | 1.727 | 0.000 | -0.000 | -0.000 |
| 1.727 | 1.727 | 6.748 | -0.000 | -0.000 | -0.000 |
| -0.000 | -0.000 | -0.000 | 1.663 | -0.000 | -0.000 |
| -0.000 | -0.000 | -0.000 | 0.000 | 1.663 | -0.000 |
| -0.000 | -0.000 | -0.000 | 0.000 | -0.000 | 2.005 |
| 4.989 | 1.706 | 1.354 | -0.000 | -0.000 | 0.000 |
| 1.706 | 4.989 | 1.354 | -0.000 | -0.000 | 0.000 |
| 1.354 | 1.354 | 5.397 | -0.000 | -0.000 | 0.000 |
| 0.000 | 0.000 | 0.000 | 1.347 | -0.000 | 0.000 |
| 0.000 | 0.000 | 0.000 | -0.000 | 1.347 | -0.000 |
| 0.000 | 0.000 | 0.000 | -0.000 | 0.000 | 1.641 |
| 4.989 | 1.706 | 1.354 | 0.000 | 0.000 | 0.000 |
| 1.706 | 4.989 | 1.354 | 0.000 | 0.000 | -0.000 |
| 1.354 | 1.354 | 5.397 | 0.000 | 0.000 | -0.000 |
| -0.000 | -0.000 | -0.000 | 1.347 | 0.000 | -0.000 |
| -0.000 | -0.000 | -0.000 | 0.000 | 1.347 | -0.000 |
| -0.000 | -0.000 | -0.000 | 0.000 | 0.000 | 1.641 |
| 4.989 | 1.706 | 1.354 | 0.000 | -0.000 | 0.000 |
| 1.677 | 5.018 | 1.354 | -0.000 | 0.000 | 0.000 |
| 1.354 | 1.354 | 5.397 | -0.000 | -0.000 | 0.000 |
| 0.000 | 0.000 | 0.000 | 1.347 | -0.000 | 0.000 |
| 0.000 | 0.000 | 0.000 | -0.000 | 1.347 | -0.000 |
| 0.000 | 0.000 | 0.000 | -0.000 | 0.000 | 1.617 |
| 4.989 | 1.706 | 1.354 | 0.000 | 0.000 | -0.000 |
| 1.677 | 5.018 | 1.354 | 0.000 | 0.000 | -0.000 |
| 1.354 | 1.354 | 5.397 | 0.000 | -0.000 | -0.000 |
| -0.000 | -0.000 | -0.000 | 1.347 | -0.000 | -0.000 |
| -0.000 | -0.000 | -0.000 | 0.000 | 1.347 | -0.000 |
| -0.000 | -0.000 | -0.000 | 0.000 | 0.000 | 1.617 |
| 4.965 | 1.730 | 1.354 | 0.000 | -0.000 | 0.000 |
| 1.677 | 5.018 | 1.354 | 0.000 | -0.000 | 0.000 |
| 1.354 | 1.354 | 5.397 | -0.000 | 0.000 | 0.000 |
| 0.000 | 0.000 | 0.000 | 1.347 | 0.000 | 0.000 |
| 0.000 | 0.000 | 0.000 | -0.000 | 1.347 | -0.000 |
| 0.000 | 0.000 | 0.000 | -0.000 | -0.000 | 1.581 |
| 4.989 | 1.706 | 1.354 | 0.000 | 0.000 | -0.000 |
| 1.677 | 5.018 | 1.354 | 0.000 | -0.000 | -0.000 |
| 1.354 | 1.354 | 5.397 | 0.000 | -0.000 | -0.000 |
| -0.000 | -0.000 | -0.000 | 1.347 | 0.000 | -0.000 |
| -0.000 | -0.000 | -0.000 | 0.000 | 1.347 | -0.000 |
| -0.000 | -0.000 | -0.000 | 0.000 | 0.000 | 1.581 |
| 4.863 | 1.621 | 1.290 | -0.000 | 0.000 | -0.000 |
| 1.621 | 4.863 | 1.290 | 0.000 | -0.000 | 0.000 |
| 1.291 | 1.291 | 5.163 | -0.000 | -0.000 | 0.000 |
| 0.000 | 0.000 | 0.000 | 1.291 | -0.000 | 0.000 |
| 0.000 | 0.000 | 0.000 | -0.000 | 1.291 | -0.000 |
| 0.000 | 0.000 | 0.000 | -0.000 | 0.000 | 1.621 |
| 4.863 | 1.621 | 1.290 | 0.000 | -0.000 | 0.000 |
| 1.621 | 4.863 | 1.290 | 0.000 | 0.000 | -0.000 |
| 1.291 | 1.291 | 5.163 | -0.000 | -0.000 | -0.000 |
| -0.000 | -0.000 | -0.000 | 1.291 | -0.000 | -0.000 |
| -0.000 | -0.000 | -0.000 | 0.000 | 1.291 | -0.000 |
| -0.000 | -0.000 | -0.000 | 0.000 | 0.000 | 1.621 |
| 4.863 | 1.621 | 1.290 | -0.000 | 0.000 | 0.000 |
| 1.648 | 4.836 | 1.290 | -0.000 | -0.000 | 0.000 |
| 1.291 | 1.291 | 5.163 | -0.000 | 0.000 | 0.000 |
| 0.000 | 0.000 | 0.000 | 1.291 | 0.000 | 0.000 |
| 0.000 | 0.000 | 0.000 | -0.000 | 1.291 | 0.000 |
| 0.000 | 0.000 | 0.000 | -0.000 | 0.000 | 1.621 |
| 4.863 | 1.621 | 1.290 | 0.000 | 0.000 | -0.000 |
| 1.670 | 4.814 | 1.290 | 0.000 | -0.000 | -0.000 |
| 1.291 | 1.291 | 5.163 | -0.000 | 0.000 | -0.000 |
| -0.000 | -0.000 | -0.000 | 1.291 | 0.000 | -0.000 |
| -0.000 | -0.000 | -0.000 | 0.000 | 1.291 | -0.000 |
| -0.000 | -0.000 | -0.000 | 0.000 | 0.000 | 1.594 |
| 4.836 | 1.648 | 1.290 | -0.000 | 0.000 | 0.000 |
| 1.648 | 4.836 | 1.290 | -0.000 | 0.000 | 0.000 |
| 1.291 | 1.291 | 5.163 | -0.000 | 0.000 | 0.000 |
| 0.000 | 0.000 | 0.000 | 1.291 | 0.000 | 0.000 |
| 0.000 | 0.000 | 0.000 | -0.000 | 1.291 | 0.000 |
| 0.000 | 0.000 | 0.000 | -0.000 | 0.000 | 1.572 |
| 4.836 | 1.648 | 1.290 | 0.000 | -0.000 | -0.000 |
| 1.670 | 4.814 | 1.290 | 0.000 | 0.000 | -0.000 |
| 1.291 | 1.291 | 5.163 | 0.000 | 0.000 | -0.000 |
| -0.000 | -0.000 | -0.000 | 1.291 | -0.000 | -0.000 |
| -0.000 | -0.000 | -0.000 | 0.000 | 1.291 | 0.000 |
| -0.000 | -0.000 | -0.000 | 0.000 | 0.000 | 1.572 |
| 4.847 | 1.616 | 1.293 | 0.000 | -0.000 | -0.000 |
| 1.616 | 4.847 | 1.293 | -0.000 | -0.000 | -0.000 |
| 1.293 | 1.293 | 5.170 | -0.000 | -0.000 | 0.000 |
| 0.000 | 0.000 | 0.000 | 1.293 | 0.000 | 0.000 |
| 0.000 | 0.000 | 0.000 | -0.000 | 1.293 | -0.000 |
| 0.000 | 0.000 | 0.000 | -0.000 | -0.000 | 1.589 |
| 4.820 | 1.642 | 1.293 | 0.000 | 0.000 | -0.000 |
| 1.642 | 4.820 | 1.293 | 0.000 | 0.000 | -0.000 |
| 1.293 | 1.293 | 5.170 | 0.000 | 0.000 | 0.000 |
| -0.000 | -0.000 | -0.000 | 1.293 | -0.000 | -0.000 |
| -0.000 | -0.000 | -0.000 | 0.000 | 1.293 | -0.000 |
| -0.000 | -0.000 | -0.000 | 0.000 | 0.000 | 1.589 |
| 4.847 | 1.616 | 1.293 | -0.000 | -0.000 | -0.000 |
| 1.642 | 4.820 | 1.293 | -0.000 | -0.000 | 0.000 |
| 1.293 | 1.293 | 5.170 | -0.000 | -0.000 | 0.000 |
| 0.000 | 0.000 | 0.000 | 1.293 | 0.000 | 0.000 |
| 0.000 | 0.000 | 0.000 | -0.000 | 1.293 | -0.000 |
| 0.000 | 0.000 | 0.000 | -0.000 | -0.000 | 1.616 |
| 4.820 | 1.642 | 1.293 | 0.000 | 0.000 | -0.000 |
| 1.616 | 4.847 | 1.293 | 0.000 | 0.000 | 0.000 |
| 1.293 | 1.293 | 5.170 | 0.000 | 0.000 | 0.000 |
| -0.000 | -0.000 | -0.000 | 1.293 | -0.000 | -0.000 |
| -0.000 | -0.000 | -0.000 | 0.000 | 1.293 | 0.000 |
| -0.000 | -0.000 | -0.000 | 0.000 | 0.000 | 1.616 |
| 4.820 | 1.642 | 1.293 | -0.000 | -0.000 | 0.000 |
| 1.643 | 4.820 | 1.293 | -0.000 | -0.000 | 0.000 |
| 1.293 | 1.293 | 5.171 | -0.000 | -0.000 | -0.000 |
| 0.000 | 0.000 | 0.000 | 1.293 | -0.000 | -0.000 |
| 0.000 | 0.000 | 0.000 | -0.000 | 1.293 | 0.000 |
| 0.000 | 0.000 | 0.000 | -0.000 | -0.000 | 1.567 |
| 4.798 | 1.665 | 1.293 | 0.000 | 0.000 | -0.000 |
| 1.642 | 4.820 | 1.293 | 0.000 | -0.000 | -0.000 |
| 1.293 | 1.293 | 5.170 | 0.000 | 0.000 | -0.000 |
| -0.000 | -0.000 | -0.000 | 1.293 | 0.000 | -0.000 |
| -0.000 | -0.000 | -0.000 | 0.000 | 1.293 | 0.000 |
| -0.000 | -0.000 | -0.000 | 0.000 | 0.000 | 1.567 |
| 4.810 | 1.639 | 1.293 | -0.000 | -0.000 | 0.000 |
| 1.639 | 4.810 | 1.293 | 0.000 | 0.000 | -0.000 |
| 1.293 | 1.293 | 5.170 | 0.000 | 0.000 | -0.000 |
| 0.000 | 0.000 | 0.000 | 1.293 | 0.000 | -0.000 |
| 0.000 | 0.000 | 0.000 | 0.000 | 1.293 | -0.000 |
| 0.000 | 0.000 | 0.000 | 0.000 | -0.000 | 1.612 |
| 4.837 | 1.612 | 1.293 | -0.000 | -0.000 | -0.000 |
| 1.612 | 4.837 | 1.293 | -0.000 | -0.000 | 0.000 |
| 1.293 | 1.293 | 5.170 | -0.000 | -0.000 | 0.000 |
| -0.000 | -0.000 | -0.000 | 1.293 | -0.000 | 0.000 |
| -0.000 | -0.000 | -0.000 | -0.000 | 1.293 | -0.000 |
| -0.000 | -0.000 | -0.000 | -0.000 | -0.000 | 1.612 |
| 4.837 | 1.612 | 1.293 | 0.000 | 0.000 | 0.000 |
| 1.612 | 4.837 | 1.293 | 0.000 | 0.000 | -0.000 |
| 1.293 | 1.293 | 5.170 | 0.000 | -0.000 | -0.000 |
| 0.000 | 0.000 | 0.000 | 1.293 | -0.000 | -0.000 |
| 0.000 | 0.000 | 0.000 | 0.000 | 1.293 | 0.000 |
| 0.000 | 0.000 | 0.000 | -0.000 | 0.000 | 1.612 |
| 4.810 | 1.639 | 1.293 | -0.000 | -0.000 | -0.000 |
| 1.639 | 4.810 | 1.293 | -0.000 | 0.000 | 0.000 |
| 1.293 | 1.293 | 5.170 | 0.000 | -0.000 | 0.000 |
| -0.000 | -0.000 | -0.000 | 1.293 | -0.000 | 0.000 |
| -0.000 | -0.000 | -0.000 | -0.000 | 1.293 | 0.000 |
| -0.000 | -0.000 | -0.000 | -0.000 | -0.000 | 1.563 |
| 4.837 | 1.612 | 1.293 | -0.000 | 0.000 | -0.000 |
| 1.639 | 4.810 | 1.293 | -0.000 | 0.000 | -0.000 |
| 1.293 | 1.293 | 5.171 | 0.000 | 0.000 | -0.000 |
| 0.000 | 0.000 | 0.000 | 1.293 | -0.000 | -0.000 |
| 0.000 | 0.000 | 0.000 | 0.000 | 1.293 | 0.000 |
| -0.000 | -0.001 | 0.000 | 0.000 | 0.000 | 1.586 |
| 4.813 | 1.639 | 1.293 | -0.000 | -0.000 | -0.000 |
| 1.640 | 4.813 | 1.293 | 0.000 | -0.000 | 0.000 |
| 1.293 | 1.293 | 5.170 | 0.000 | -0.000 | 0.000 |
| -0.000 | -0.000 | -0.000 | 1.293 | 0.000 | 0.000 |
| -0.000 | -0.000 | -0.000 | 0.000 | 1.293 | 0.000 |
| 0.000 | 0.001 | -0.000 | 0.000 | 0.000 | 1.586 |
| -1.650 | -0.666 | -0.551 | 0.000 | 0.000 | 0.000 |
| -0.663 | -1.653 | -0.551 | -0.000 | 0.000 | -0.000 |
| -0.551 | -0.551 | -1.765 | -0.000 | -0.000 | -0.000 |
| 0.000 | -0.000 | -0.000 | -0.376 | 0.000 | -0.000 |
| -0.000 | 0.000 | -0.000 | -0.000 | -0.376 | -0.000 |
| 0.000 | -0.000 | 0.000 | -0.000 | 0.000 | -0.492 |
| -1.650 | -0.666 | -0.551 | 0.000 | -0.000 | 0.000 |
| -0.663 | -1.653 | -0.551 | 0.000 | 0.000 | 0.000 |
| -0.551 | -0.551 | -1.765 | 0.000 | 0.000 | 0.000 |
| -0.000 | 0.000 | 0.000 | -0.376 | -0.000 | 0.000 |
| 0.000 | -0.000 | 0.000 | 0.000 | -0.376 | 0.000 |
| 0.000 | 0.000 | -0.000 | 0.000 | 0.000 | -0.492 |
| -1.653 | -0.663 | -0.551 | -0.000 | 0.000 | -0.000 |
| -0.663 | -1.653 | -0.551 | -0.000 | 0.000 | -0.000 |
| -0.551 | -0.551 | -1.765 | -0.000 | 0.000 | -0.000 |
| -0.000 | -0.000 | -0.000 | -0.376 | 0.000 | 0.000 |
| -0.000 | -0.000 | -0.000 | -0.000 | -0.376 | 0.000 |
| -0.000 | -0.000 | -0.000 | -0.000 | 0.000 | -0.495 |
| -1.650 | -0.666 | -0.551 | 0.000 | 0.000 | 0.000 |
| -0.666 | -1.650 | -0.551 | 0.000 | 0.000 | -0.000 |
| -0.551 | -0.551 | -1.765 | 0.000 | -0.000 | 0.000 |
| 0.000 | 0.000 | 0.000 | -0.376 | -0.000 | 0.000 |
| 0.000 | 0.000 | 0.000 | 0.000 | -0.376 | -0.000 |
| 0.000 | 0.000 | 0.000 | 0.000 | -0.000 | -0.495 |
| -1.650 | -0.666 | -0.551 | -0.000 | -0.000 | 0.000 |
| -0.666 | -1.650 | -0.551 | -0.000 | -0.000 | 0.000 |
| -0.551 | -0.551 | -1.765 | -0.000 | 0.000 | -0.000 |
| -0.000 | -0.000 | -0.000 | -0.376 | 0.000 | -0.000 |
| -0.000 | -0.000 | -0.000 | -0.000 | -0.376 | 0.000 |
| -0.000 | -0.000 | -0.000 | -0.000 | 0.000 | -0.492 |
| -1.653 | -0.663 | -0.551 | 0.000 | -0.000 | 0.000 |
| -0.663 | -1.653 | -0.551 | 0.000 | 0.000 | 0.000 |
| -0.551 | -0.551 | -1.765 | 0.000 | -0.000 | 0.000 |
| 0.000 | 0.000 | 0.000 | -0.376 | -0.000 | 0.000 |
| 0.000 | 0.000 | 0.000 | 0.000 | -0.376 | -0.000 |
| 0.000 | 0.000 | 0.000 | 0.000 | -0.000 | -0.492 |
| 1.365 | 1.530 | 1.530 | 0.000 | 0.000 | 0.000 |
| 1.530 | 1.365 | 1.530 | 0.000 | 0.000 | 0.000 |
| 1.530 | 1.530 | 1.365 | 0.000 | 0.000 | 0.000 |
| -0.002 | -0.002 | -0.002 | 0.223 | -0.000 | -0.000 |
| -0.002 | -0.002 | -0.002 | -0.000 | 0.223 | -0.000 |
| -0.002 | -0.002 | -0.002 | -0.000 | -0.000 | 0.223 |
| 1.386 | 1.551 | 1.551 | -0.000 | -0.000 | -0.000 |
| 1.551 | 1.386 | 1.551 | -0.000 | -0.000 | -0.000 |
| 1.551 | 1.551 | 1.386 | -0.000 | -0.000 | -0.000 |
| 0.002 | 0.002 | 0.002 | 0.223 | 0.000 | 0.000 |
| 0.002 | 0.002 | 0.002 | 0.000 | 0.223 | 0.000 |
| 0.002 | 0.002 | 0.002 | 0.000 | 0.000 | 0.223 |
| 1.365 | 1.530 | 1.530 | 0.000 | 0.000 | 0.000 |
| 1.530 | 1.365 | 1.530 | 0.000 | 0.000 | 0.000 |
| 1.530 | 1.530 | 1.365 | 0.000 | 0.000 | 0.000 |
| -0.002 | -0.002 | -0.002 | 0.223 | -0.000 | -0.000 |
| -0.002 | -0.002 | -0.002 | -0.000 | 0.223 | -0.000 |
| -0.002 | -0.002 | -0.002 | -0.000 | -0.000 | 0.223 |
| 1.386 | 1.551 | 1.551 | -0.000 | -0.000 | -0.000 |
| 1.551 | 1.386 | 1.551 | -0.000 | -0.000 | -0.000 |
| 1.551 | 1.551 | 1.386 | -0.000 | -0.000 | -0.000 |
| 0.002 | 0.002 | 0.002 | 0.223 | 0.000 | 0.000 |
| 0.002 | 0.002 | 0.002 | 0.000 | 0.223 | 0.000 |
| 0.002 | 0.002 | 0.002 | 0.000 | 0.000 | 0.223 |
| 1.365 | 1.530 | 1.530 | -0.000 | 0.000 | 0.000 |
| 1.530 | 1.365 | 1.530 | 0.000 | -0.000 | 0.000 |
| 1.530 | 1.530 | 1.365 | 0.000 | 0.000 | -0.000 |
| -0.000 | -0.000 | -0.000 | -0.070 | -0.000 | -0.000 |
| -0.000 | -0.000 | -0.000 | -0.000 | -0.070 | -0.000 |
| -0.000 | -0.000 | -0.000 | -0.000 | -0.000 | -0.070 |
| 1.386 | 1.551 | 1.551 | -0.000 | -0.000 | -0.000 |
| 1.551 | 1.386 | 1.551 | -0.000 | -0.000 | -0.000 |
| 1.551 | 1.551 | 1.386 | -0.000 | -0.000 | -0.000 |
| 0.000 | 0.000 | 0.000 | -0.070 | 0.000 | 0.000 |
| 0.000 | 0.000 | 0.000 | 0.000 | -0.070 | 0.000 |
| 0.000 | 0.000 | 0.000 | 0.000 | 0.000 | -0.070 |
| 0.435 | 0.438 | 0.438 | 0.000 | 0.000 | 0.000 |
| 0.438 | 0.435 | 0.438 | 0.000 | 0.000 | 0.000 |
| 0.438 | 0.438 | 0.435 | 0.000 | 0.000 | 0.000 |
| 0.000 | 0.000 | 0.000 | 0.435 | 0.000 | 0.000 |
| 0.000 | 0.000 | 0.000 | 0.000 | 0.435 | 0.000 |
| 0.000 | 0.000 | 0.000 | 0.000 | 0.000 | 0.329 |
| 0.435 | 0.438 | 0.438 | -0.000 | -0.000 | -0.000 |
| 0.438 | 0.435 | 0.438 | -0.000 | -0.000 | -0.000 |
| 0.438 | 0.438 | 0.435 | -0.000 | -0.000 | -0.000 |
| -0.000 | -0.000 | -0.000 | 0.329 | 0.000 | -0.000 |
| -0.000 | -0.000 | -0.000 | 0.000 | 0.329 | -0.000 |
| -0.000 | -0.000 | -0.000 | 0.000 | -0.000 | 0.435 |
| 0.435 | 0.438 | 0.438 | 0.000 | 0.000 | 0.000 |
| 0.438 | 0.435 | 0.438 | 0.000 | 0.000 | 0.000 |
| 0.438 | 0.438 | 0.435 | 0.000 | 0.000 | 0.000 |
| 0.000 | 0.000 | 0.000 | 0.329 | 0.000 | 0.000 |
| 0.000 | 0.000 | 0.000 | 0.000 | 0.329 | 0.000 |
| 0.000 | 0.000 | 0.000 | 0.000 | 0.000 | 0.329 |
| 0.435 | 0.438 | 0.438 | -0.000 | -0.000 | -0.000 |
| 0.438 | 0.435 | 0.438 | -0.000 | -0.000 | -0.000 |
| 0.438 | 0.438 | 0.435 | -0.000 | -0.000 | -0.000 |
| -0.000 | -0.000 | -0.000 | 0.329 | 0.000 | -0.000 |
| -0.000 | -0.000 | -0.000 | 0.000 | 0.329 | -0.000 |
| -0.000 | -0.000 | -0.000 | 0.000 | -0.000 | 0.329 |
| 0.435 | 0.438 | 0.438 | 0.000 | 0.000 | 0.000 |
| 0.438 | 0.435 | 0.438 | 0.000 | 0.000 | 0.000 |
| 0.438 | 0.438 | 0.435 | 0.000 | 0.000 | 0.000 |
| 0.000 | -0.000 | -0.000 | 0.106 | -0.000 | 0.000 |
| -0.000 | 0.000 | -0.000 | -0.000 | 0.106 | 0.000 |
| -0.000 | -0.000 | 0.000 | -0.000 | 0.000 | 0.106 |
| 0.435 | 0.438 | 0.438 | -0.000 | -0.000 | -0.000 |
| 0.438 | 0.435 | 0.438 | -0.000 | -0.000 | -0.000 |
| 0.438 | 0.438 | 0.435 | -0.000 | -0.000 | -0.000 |
| -0.000 | 0.000 | 0.000 | 0.106 | 0.000 | -0.000 |
| 0.000 | -0.000 | 0.000 | 0.000 | 0.106 | -0.000 |
| 0.000 | -0.000 | -0.000 | 0.000 | -0.000 | 0.141 |
| 0.396 | 0.396 | 0.396 | 0.000 | 0.000 | 0.000 |
| 0.396 | 0.396 | 0.396 | 0.000 | 0.000 | 0.000 |
| 0.396 | 0.396 | 0.396 | 0.000 | 0.000 | 0.000 |
| 0.000 | 0.000 | 0.000 | 0.396 | 0.000 | 0.000 |
| 0.000 | 0.000 | 0.000 | 0.000 | 0.396 | 0.000 |
| 0.000 | 0.000 | 0.000 | 0.000 | 0.000 | 0.396 |
| 0.396 | 0.396 | 0.396 | -0.000 | -0.000 | -0.000 |
| 0.396 | 0.396 | 0.396 | -0.000 | -0.000 | -0.000 |
| 0.396 | 0.396 | 0.396 | -0.000 | -0.000 | -0.000 |
| -0.000 | -0.000 | -0.000 | 0.396 | -0.000 | -0.000 |
| -0.000 | -0.000 | -0.000 | -0.000 | 0.396 | -0.000 |
| -0.000 | -0.000 | -0.000 | -0.000 | -0.000 | 0.396 |
| 0.396 | 0.396 | 0.396 | 0.000 | 0.000 | 0.000 |
| 0.396 | 0.396 | 0.396 | 0.000 | 0.000 | 0.000 |
| 0.396 | 0.396 | 0.396 | 0.000 | 0.000 | 0.000 |
| 0.000 | 0.000 | 0.000 | 0.308 | 0.000 | 0.000 |
| 0.000 | 0.000 | 0.000 | 0.000 | 0.308 | 0.000 |
| 0.000 | 0.000 | 0.000 | 0.000 | 0.000 | 0.308 |
| 0.396 | 0.396 | 0.396 | -0.000 | -0.000 | -0.000 |
| 0.396 | 0.396 | 0.396 | -0.000 | -0.000 | -0.000 |
| 0.396 | 0.396 | 0.396 | -0.000 | -0.000 | -0.000 |
| -0.000 | -0.000 | -0.000 | 0.308 | -0.000 | -0.000 |
| -0.000 | -0.000 | -0.000 | -0.000 | 0.308 | -0.000 |
| -0.000 | -0.000 | -0.000 | -0.000 | -0.000 | 0.308 |
| 0.396 | 0.396 | 0.396 | 0.000 | 0.000 | 0.000 |
| 0.396 | 0.396 | 0.396 | 0.000 | 0.000 | 0.000 |
| 0.396 | 0.396 | 0.396 | 0.000 | 0.000 | 0.000 |
| 0.000 | 0.000 | 0.000 | 0.146 | 0.000 | 0.000 |
| 0.000 | 0.000 | 0.000 | 0.000 | 0.146 | 0.000 |
| 0.000 | 0.000 | 0.000 | 0.000 | 0.000 | 0.146 |
| 0.396 | 0.396 | 0.396 | -0.000 | -0.000 | -0.000 |
| 0.396 | 0.396 | 0.396 | -0.000 | -0.000 | -0.000 |
| 0.396 | 0.396 | 0.396 | -0.000 | -0.000 | -0.000 |
| -0.000 | -0.000 | -0.000 | 0.146 | -0.000 | -0.000 |
| -0.000 | -0.000 | -0.000 | -0.000 | 0.146 | -0.000 |
| -0.000 | -0.000 | -0.000 | -0.000 | -0.000 | 0.146 |
| -0.128 | -0.155 | -0.155 | 0.000 | 0.000 | 0.000 |
| -0.155 | -0.128 | -0.155 | 0.000 | 0.000 | 0.000 |
| -0.155 | -0.155 | -0.128 | 0.000 | 0.000 | 0.000 |
| 0.000 | 0.000 | 0.000 | -0.128 | -0.000 | 0.000 |
| 0.000 | 0.000 | 0.000 | -0.000 | -0.128 | 0.000 |
| 0.000 | 0.000 | 0.000 | -0.000 | 0.000 | -0.128 |
| -0.128 | -0.155 | -0.155 | -0.000 | -0.000 | -0.000 |
| -0.155 | -0.128 | -0.155 | -0.000 | -0.000 | -0.000 |
| -0.155 | -0.155 | -0.128 | -0.000 | -0.000 | -0.000 |
| -0.000 | -0.000 | -0.000 | -0.141 | -0.000 | -0.000 |
| -0.000 | -0.000 | -0.000 | -0.000 | -0.141 | -0.000 |
| -0.000 | -0.000 | -0.000 | -0.000 | -0.000 | -0.141 |
| -0.128 | -0.155 | -0.155 | 0.000 | 0.000 | 0.000 |
| -0.155 | -0.128 | -0.155 | 0.000 | 0.000 | 0.000 |
| -0.155 | -0.155 | -0.128 | 0.000 | 0.000 | 0.000 |
| -0.000 | -0.000 | -0.000 | -0.141 | 0.000 | 0.000 |
| -0.000 | -0.000 | -0.000 | 0.000 | -0.141 | 0.000 |
| -0.000 | -0.000 | -0.000 | 0.000 | 0.000 | -0.141 |
| -0.128 | -0.155 | -0.155 | 0.000 | -0.000 | -0.000 |
| -0.155 | -0.128 | -0.155 | -0.000 | 0.000 | -0.000 |
| -0.155 | -0.155 | -0.128 | -0.000 | -0.000 | 0.000 |
| 0.000 | 0.000 | 0.000 | -0.141 | -0.000 | -0.000 |
| 0.000 | 0.000 | 0.000 | -0.000 | -0.141 | -0.000 |
| 0.000 | 0.000 | 0.000 | -0.000 | -0.000 | -0.141 |
| -0.128 | -0.155 | -0.155 | 0.000 | 0.000 | 0.000 |
| -0.155 | -0.128 | -0.155 | 0.000 | 0.000 | 0.000 |
| -0.155 | -0.155 | -0.128 | 0.000 | 0.000 | 0.000 |
| -0.000 | -0.000 | -0.000 | -0.128 | 0.000 | 0.000 |
| -0.000 | -0.000 | -0.000 | 0.000 | -0.128 | 0.000 |
| -0.000 | -0.000 | -0.000 | 0.000 | 0.000 | -0.128 |
| -0.128 | -0.155 | -0.155 | -0.000 | -0.000 | -0.000 |
| -0.155 | -0.128 | -0.155 | -0.000 | -0.000 | -0.000 |
| -0.155 | -0.155 | -0.128 | -0.000 | -0.000 | -0.000 |
| 0.000 | 0.000 | 0.000 | -0.128 | -0.000 | -0.000 |
| 0.000 | 0.000 | 0.000 | -0.000 | -0.128 | -0.000 |
| 0.000 | 0.000 | 0.000 | -0.000 | -0.000 | -0.128 |
| -19.511 | -25.347 | -8.755 | -0.000 | 0.000 | -0.000 |
| -25.347 | -19.511 | -8.755 | -0.000 | 0.000 | -0.000 |
| -8.755 | -8.755 | 10.316 | -0.000 | 0.000 | -0.000 |
| 0.000 | 0.000 | 0.000 | -8.755 | -0.000 | 0.000 |
| 0.000 | 0.000 | 0.000 | 0.000 | -8.755 | 0.000 |
| 0.000 | 0.000 | 0.000 | 0.000 | -0.000 | -25.667 |
| -19.191 | -25.667 | -8.755 | -0.000 | -0.000 | 0.000 |
| -25.347 | -19.511 | -8.755 | -0.000 | 0.000 | -0.000 |
| -8.755 | -8.755 | 10.316 | -0.000 | -0.000 | -0.000 |
| -0.000 | -0.000 | -0.000 | -8.755 | 0.000 | 0.000 |
| -0.000 | -0.000 | -0.000 | 0.000 | -8.755 | 0.000 |
| -0.000 | -0.000 | -0.000 | -0.000 | 0.000 | -25.667 |
| -20.164 | -24.694 | -8.755 | 0.000 | 0.000 | -0.000 |
| -24.694 | -20.164 | -8.755 | 0.000 | 0.000 | 0.000 |
| -8.755 | -8.755 | 10.316 | 0.000 | 0.000 | -0.000 |
| 0.000 | 0.000 | 0.000 | -8.755 | -0.000 | 0.000 |
| 0.000 | 0.000 | 0.000 | 0.000 | -8.755 | -0.000 |
| 0.000 | 0.000 | 0.000 | 0.000 | 0.000 | -25.667 |
| -19.191 | -25.667 | -8.755 | -0.000 | 0.000 | 0.000 |
| -25.667 | -19.191 | -8.755 | -0.000 | -0.000 | -0.000 |
| -8.755 | -8.755 | 10.316 | -0.000 | -0.000 | 0.000 |
| -0.000 | -0.000 | -0.000 | -8.755 | -0.000 | -0.000 |
| -0.000 | -0.000 | -0.000 | -0.000 | -8.755 | -0.000 |
| -0.000 | -0.000 | -0.000 | -0.000 | 0.000 | -25.667 |
| -19.190 | -25.667 | -8.755 | 0.000 | 0.000 | -0.000 |
| -25.667 | -19.190 | -8.755 | 0.000 | 0.000 | -0.000 |
| -8.755 | -8.755 | 10.316 | 0.000 | 0.000 | 0.000 |
| 0.000 | 0.000 | 0.000 | -8.755 | 0.000 | 0.000 |
| 0.000 | 0.000 | 0.000 | 0.000 | -8.755 | -0.000 |
| 0.000 | 0.000 | 0.000 | -0.000 | 0.000 | -25.667 |
| -19.191 | -25.668 | -8.755 | -0.000 | -0.000 | 0.000 |
| -25.668 | -19.191 | -8.755 | -0.000 | -0.000 | 0.000 |
| -8.755 | -8.755 | 10.316 | -0.000 | -0.000 | 0.000 |
| -0.000 | -0.000 | -0.000 | -8.755 | 0.000 | 0.000 |
| -0.000 | -0.000 | -0.000 | 0.000 | -8.755 | -0.000 |
| -0.000 | -0.000 | -0.000 | -0.000 | 0.000 | -25.667 |
| -20.370 | -27.870 | -6.737 | 0.000 | -0.000 | -0.000 |
| -27.870 | -20.370 | -6.737 | -0.000 | -0.000 | 0.000 |
| -7.441 | -7.441 | 4.810 | 0.000 | 0.000 | 0.000 |
| 0.000 | 0.000 | 0.000 | -7.962 | 0.000 | 0.000 |
| 0.000 | 0.000 | 0.000 | -0.000 | -8.283 | -0.000 |
| 0.000 | 0.000 | 0.000 | -0.000 | -0.000 | -27.687 |
| -20.370 | -27.870 | -6.737 | -0.000 | -0.000 | 0.000 |
| -27.549 | -20.691 | -6.737 | -0.000 | -0.000 | 0.000 |
| -7.441 | -7.441 | 4.810 | 0.000 | 0.000 | -0.000 |
| -0.000 | -0.000 | -0.000 | -7.962 | 0.000 | 0.000 |
| -0.000 | -0.000 | -0.000 | 0.000 | -8.283 | -0.000 |
| -0.000 | -0.000 | -0.000 | -0.000 | 0.000 | -27.687 |
| -20.691 | -27.549 | -6.737 | 0.000 | -0.000 | 0.000 |
| -27.549 | -20.691 | -6.737 | 0.000 | 0.000 | -0.000 |
| -7.441 | -7.441 | 4.810 | -0.000 | -0.000 | 0.000 |
| 0.000 | 0.000 | 0.000 | -8.283 | 0.000 | -0.000 |
| 0.000 | 0.000 | 0.000 | 0.000 | -8.283 | 0.000 |
| 0.000 | 0.000 | 0.000 | -0.000 | -0.000 | -27.687 |
| -20.370 | -27.870 | -6.737 | -0.000 | 0.000 | 0.000 |
| -27.870 | -20.370 | -6.737 | 0.000 | -0.000 | -0.000 |
| -7.441 | -7.441 | 4.810 | 0.000 | 0.000 | 0.000 |
| -0.000 | -0.000 | -0.000 | -8.283 | 0.000 | -0.000 |
| -0.000 | -0.000 | -0.000 | -0.000 | -8.283 | 0.000 |
| -0.000 | -0.000 | -0.000 | -0.000 | 0.000 | -27.687 |
| 916040.317 | 818514.266 | 263300.149 | -6259.682 | -905.445 | 3305.261 |
| 816218.125 | 914285.250 | 263403.029 | -934.691 | -1723.015 | -5734.274 |
| -7.441 | -7.441 | 4.810 | 0.000 | -0.000 | 0.000 |
| 0.000 | 0.000 | 0.000 | -8.501 | -0.000 | -0.000 |
| 0.000 | 0.000 | 0.000 | 0.000 | -8.501 | -0.000 |
| 0.000 | 0.000 | 0.000 | 0.000 | 0.000 | -27.687 |
| -939750.024 | -799599.380 | -247749.943 | -2410.449 | 1916.960 | 34.493 |
| -801798.837 | -913332.617 | -254192.305 | 3415.173 | 4199.756 | 85.412 |
| -7.441 | -7.441 | 4.810 | -0.000 | 0.000 | -0.000 |
| -0.000 | -0.000 | -0.000 | -8.501 | 0.000 | -0.000 |
| -0.000 | -0.000 | -0.000 | -0.000 | -8.501 | 0.000 |
| -0.000 | -0.000 | -0.000 | -0.000 | -0.000 | -27.687 |
| 1.040 | 0.469 | 0.353 | 0.000 | -0.000 | -0.000 |
| 0.469 | 1.040 | 0.353 | -0.000 | -0.000 | 0.000 |
| 0.361 | 0.361 | 8.420 | -0.000 | -0.000 | -0.000 |
| 0.000 | 0.000 | 0.000 | -0.646 | -0.000 | 0.000 |
| 0.000 | 0.000 | 0.000 | 0.000 | -0.646 | 0.000 |
| 0.000 | 0.000 | 0.000 | 0.000 | -0.000 | -0.469 |
| 0.962 | 0.546 | 0.353 | -0.000 | -0.000 | -0.000 |
| 0.546 | 0.962 | 0.353 | 0.000 | -0.000 | -0.000 |
| 0.361 | 0.361 | 8.420 | 0.000 | 0.000 | -0.000 |
| -0.000 | -0.000 | -0.000 | -0.646 | 0.000 | -0.000 |
| -0.000 | -0.000 | -0.000 | -0.000 | -0.569 | 0.000 |
| -0.000 | -0.000 | -0.000 | -0.000 | -0.000 | -0.469 |
| 0.745 | 0.763 | 0.353 | 0.000 | -0.000 | -0.000 |
| 0.763 | 0.745 | 0.353 | 0.000 | -0.000 | 0.000 |
| 0.361 | 0.361 | 8.420 | 0.000 | -0.000 | -0.000 |
| 0.000 | -0.000 | -0.000 | -0.569 | -0.000 | -0.000 |
| -0.000 | 0.000 | -0.000 | -0.000 | -0.569 | 0.000 |
| 0.000 | 0.000 | 0.000 | 0.000 | 0.000 | -0.469 |
| 0.962 | 0.546 | 0.353 | -0.000 | 0.000 | -0.000 |
| 0.546 | 0.962 | 0.353 | -0.000 | -0.000 | -0.000 |
| 0.361 | 0.361 | 8.420 | -0.000 | -0.000 | -0.000 |
| -0.000 | 0.000 | 0.000 | -0.569 | 0.000 | 0.000 |
| 0.000 | -0.000 | 0.000 | 0.000 | -0.569 | -0.000 |
| -0.000 | -0.000 | -0.000 | -0.000 | -0.000 | -0.469 |
| 1.040 | 0.469 | 0.353 | 0.000 | -0.000 | 0.000 |
| 0.469 | 1.040 | 0.353 | 0.000 | -0.000 | 0.000 |
| 0.361 | 0.361 | 8.420 | 0.000 | -0.000 | 0.000 |
| 0.000 | -0.000 | -0.000 | -0.569 | -0.000 | 0.000 |
| -0.000 | 0.000 | -0.000 | 0.000 | -0.569 | 0.000 |
| 0.000 | -0.000 | 0.000 | 0.000 | -0.000 | -0.469 |
| 1.040 | 0.469 | 0.353 | -0.000 | 0.000 | -0.000 |
| 0.469 | 1.040 | 0.353 | -0.000 | 0.000 | 0.000 |
| 0.361 | 0.361 | 8.420 | -0.000 | 0.000 | -0.000 |
| -0.000 | 0.000 | 0.000 | -0.569 | 0.000 | -0.000 |
| 0.000 | -0.000 | 0.000 | -0.000 | -0.569 | -0.000 |
| -0.000 | 0.000 | -0.000 | -0.000 | 0.000 | -0.469 |
| 16.052 | 0.791 | 4.789 | 0.000 | -0.000 | -0.000 |
| 0.791 | 16.052 | 4.789 | 0.000 | 0.000 | -0.000 |
| 4.792 | 4.792 | 16.495 | -0.000 | -0.000 | -0.000 |
| -0.000 | -0.000 | -0.000 | 4.345 | -0.000 | 0.000 |
| -0.000 | -0.000 | -0.000 | -0.000 | 4.345 | -0.000 |
| 0.000 | -0.000 | -0.000 | -0.000 | -0.000 | 0.000 |
| 16.052 | 0.791 | 4.789 | 0.000 | 0.000 | 0.000 |
| 0.791 | 16.052 | 4.789 | -0.000 | -0.000 | 0.000 |
| 4.792 | 4.792 | 16.495 | 0.000 | -0.000 | 0.000 |
| 0.000 | 0.000 | 0.000 | 4.345 | 0.000 | 0.000 |
| 0.000 | 0.000 | 0.000 | 0.000 | 4.345 | 0.000 |
| -0.000 | 0.000 | 0.000 | 0.000 | -0.000 | 0.000 |
| 16.052 | 0.791 | 4.789 | -0.000 | -0.000 | -0.000 |
| 0.791 | 16.052 | 4.789 | -0.000 | -0.000 | -0.000 |
| 4.792 | 4.792 | 16.495 | 0.000 | 0.000 | -0.000 |
| -0.000 | -0.000 | -0.000 | 4.345 | 0.000 | -0.000 |
| -0.000 | -0.000 | -0.000 | 0.000 | 4.345 | -0.000 |
| -0.000 | -0.000 | -0.000 | -0.000 | -0.000 | 0.000 |
| 16.052 | 0.791 | 4.789 | 0.000 | -0.000 | 0.000 |
| 0.791 | 16.052 | 4.789 | 0.000 | 0.000 | 0.000 |
| 4.792 | 4.792 | 16.495 | -0.000 | -0.000 | 0.000 |
| 0.000 | 0.000 | 0.000 | 4.345 | -0.000 | -0.000 |
| 0.000 | 0.000 | 0.000 | -0.000 | 4.345 | -0.000 |
| 0.000 | 0.000 | 0.000 | -0.000 | -0.000 | 0.000 |
| 16.052 | 0.791 | 4.789 | -0.000 | -0.000 | -0.000 |
| 0.791 | 16.052 | 4.789 | -0.000 | -0.000 | -0.000 |
| 4.792 | 4.792 | 16.495 | -0.000 | -0.000 | -0.000 |
| -0.000 | -0.000 | -0.000 | 4.345 | 0.000 | -0.000 |
| -0.000 | -0.000 | -0.000 | -0.000 | 4.345 | -0.000 |
| -0.000 | -0.000 | -0.000 | 0.000 | 0.000 | 0.000 |
| 16.053 | 0.790 | 4.789 | -0.000 | 0.000 | 0.000 |
| 0.790 | 16.053 | 4.789 | 0.000 | 0.000 | 0.000 |
| 4.792 | 4.792 | 16.495 | -0.000 | -0.000 | 0.000 |
| 0.000 | 0.000 | 0.000 | 4.345 | -0.000 | -0.000 |
| 0.000 | 0.000 | 0.000 | 0.000 | 4.345 | 0.000 |
| 0.000 | 0.000 | 0.000 | -0.000 | 0.000 | 0.000 |
| 16.058 | 0.786 | 4.785 | 0.000 | 0.000 | 0.000 |
| 0.786 | 16.058 | 4.785 | 0.000 | 0.000 | 0.000 |
| 4.785 | 4.785 | 16.385 | -0.000 | 0.000 | 0.000 |
| -0.000 | -0.000 | -0.000 | 4.339 | 0.000 | -0.000 |
| -0.000 | -0.000 | -0.000 | -0.000 | 4.339 | 0.000 |
| -0.000 | -0.000 | -0.000 | 0.000 | 0.000 | 0.000 |
| 16.058 | 0.786 | 4.785 | -0.000 | -0.000 | -0.000 |
| 0.786 | 16.058 | 4.785 | 0.000 | -0.000 | -0.000 |
| 4.785 | 4.785 | 16.385 | 0.000 | -0.000 | -0.000 |
| 0.000 | 0.000 | 0.000 | 4.339 | -0.000 | -0.000 |
| 0.000 | 0.000 | 0.000 | 0.000 | 4.339 | -0.000 |
| 0.000 | 0.000 | 0.000 | -0.000 | 0.000 | 0.000 |
| 16.058 | 0.786 | 4.785 | 0.000 | 0.000 | 0.000 |
| 0.786 | 16.058 | 4.785 | 0.000 | 0.000 | 0.000 |
| 4.785 | 4.785 | 16.385 | 0.000 | -0.000 | -0.000 |
| -0.000 | -0.000 | -0.000 | 4.339 | 0.000 | 0.000 |
| -0.000 | -0.000 | -0.000 | -0.000 | 4.339 | 0.000 |
| -0.000 | -0.000 | -0.000 | 0.000 | 0.000 | 0.000 |
| 16.058 | 0.786 | 4.785 | -0.000 | -0.000 | -0.000 |
| 0.786 | 16.058 | 4.785 | -0.000 | -0.000 | -0.000 |
| 4.785 | 4.785 | 16.385 | 0.000 | -0.000 | -0.000 |
| 0.000 | 0.000 | 0.000 | 4.339 | -0.000 | 0.000 |
| 0.000 | 0.000 | 0.000 | 0.000 | 4.339 | -0.000 |
| 0.000 | 0.000 | 0.000 | -0.000 | -0.000 | 0.000 |
| 16.058 | 0.786 | 4.785 | 0.000 | 0.000 | -0.000 |
| 0.786 | 16.058 | 4.785 | 0.000 | 0.000 | 0.000 |
| 4.785 | 4.785 | 16.384 | 0.000 | -0.000 | 0.000 |
| -0.000 | -0.000 | -0.000 | 4.339 | 0.000 | -0.000 |
| -0.000 | -0.000 | -0.000 | 0.000 | 4.339 | 0.000 |
| -0.000 | -0.000 | -0.000 | 0.000 | -0.000 | 0.000 |
| 16.058 | 0.786 | 4.786 | -0.000 | -0.000 | -0.000 |
| 0.786 | 16.058 | 4.786 | -0.000 | -0.000 | -0.000 |
| 4.785 | 4.785 | 16.385 | 0.000 | -0.000 | -0.000 |
| 0.000 | 0.000 | 0.000 | 4.339 | -0.000 | 0.000 |
| 0.000 | 0.000 | 0.000 | -0.000 | 4.339 | 0.000 |
| 0.000 | 0.000 | 0.000 | -0.000 | -0.000 | 0.000 |
| 4.300 | -0.001 | 3.095 | 0.000 | -0.000 | -0.000 |
| -0.001 | 4.300 | 3.095 | 0.000 | -0.000 | 0.000 |
| 3.131 | 3.131 | 4.902 | -0.000 | -0.000 | -0.000 |
| 0.000 | -0.000 | -0.000 | 3.169 | -0.000 | -0.000 |
| -0.000 | 0.000 | -0.000 | -0.000 | 3.169 | -0.000 |
| 0.000 | -0.000 | -0.000 | -0.000 | 0.000 | 0.001 |
| 4.300 | -0.001 | 3.095 | 0.000 | 0.000 | 0.000 |
| -0.001 | 4.300 | 3.095 | -0.000 | 0.000 | 0.000 |
| 3.131 | 3.131 | 4.902 | 0.000 | 0.000 | 0.000 |
| -0.000 | 0.000 | 0.000 | 3.169 | 0.000 | -0.000 |
| 0.000 | -0.000 | 0.000 | -0.000 | 3.169 | 0.000 |
| -0.000 | 0.000 | 0.000 | 0.000 | 0.000 | 0.001 |
| 1.925 | 2.373 | 3.095 | 0.000 | -0.000 | -0.000 |
| 2.373 | 1.925 | 3.095 | 0.000 | -0.000 | -0.000 |
| 3.131 | 3.131 | 4.902 | 0.000 | -0.000 | -0.000 |
| -0.000 | 0.000 | -0.000 | 0.278 | -0.000 | 0.000 |
| 0.000 | -0.000 | -0.000 | -0.000 | 0.278 | -0.000 |
| 0.000 | -0.000 | -0.000 | -0.000 | -0.000 | 0.001 |
| 1.925 | 2.373 | 3.095 | -0.000 | 0.000 | 0.000 |
| 2.373 | 1.925 | 3.095 | -0.000 | 0.000 | 0.000 |
| 3.131 | 3.131 | 4.902 | -0.000 | 0.000 | 0.000 |
| 0.000 | -0.000 | 0.000 | 0.278 | -0.000 | 0.000 |
| -0.000 | 0.000 | 0.000 | -0.000 | 0.278 | 0.000 |
| -0.000 | 0.000 | 0.000 | -0.000 | 0.000 | 0.001 |
| 1.860 | 2.438 | 3.095 | 0.000 | -0.000 | 0.000 |
| 2.438 | 1.860 | 3.095 | -0.000 | -0.000 | -0.000 |
| 3.131 | 3.131 | 4.901 | 0.000 | -0.000 | -0.000 |
| -0.000 | 0.000 | -0.000 | -0.381 | -0.000 | -0.000 |
| 0.000 | -0.000 | -0.000 | 0.000 | -0.381 | -0.000 |
| -0.000 | -0.000 | -0.000 | -0.000 | 0.000 | 0.001 |
| 1.860 | 2.439 | 3.095 | -0.000 | 0.000 | 0.000 |
| 2.439 | 1.860 | 3.095 | -0.000 | 0.000 | 0.000 |
| 3.131 | 3.131 | 4.902 | -0.000 | 0.000 | 0.000 |
| 0.000 | -0.000 | 0.000 | -0.381 | -0.000 | 0.000 |
| -0.000 | 0.000 | 0.000 | -0.000 | -0.381 | 0.000 |
| 0.000 | 0.000 | 0.000 | -0.000 | 0.000 | 0.001 |
| -5.554 | 0.000 | -3.094 | 0.000 | -0.000 | 0.000 |
| 0.000 | -5.554 | -3.094 | -0.000 | 0.000 | 0.000 |
| -3.094 | -3.094 | -1.806 | -0.000 | 0.000 | 0.000 |
| 0.000 | -0.000 | -0.000 | -3.094 | -0.000 | 0.000 |
| -0.000 | 0.000 | -0.000 | -0.000 | -3.094 | 0.000 |
| 0.000 | 0.000 | 0.000 | 0.000 | 0.000 | 0.000 |
| -5.554 | 0.000 | -3.094 | 0.000 | -0.000 | -0.000 |
| 0.000 | -5.554 | -3.094 | -0.000 | 0.000 | 0.000 |
| -3.094 | -3.094 | -1.806 | 0.000 | 0.000 | -0.000 |
| -0.000 | 0.000 | 0.000 | -3.094 | -0.000 | -0.000 |
| 0.000 | -0.000 | 0.000 | 0.000 | -3.094 | -0.000 |
| -0.000 | -0.000 | -0.000 | -0.000 | 0.000 | -0.000 |
| -5.554 | 0.000 | -3.094 | -0.000 | -0.000 | 0.000 |
| 0.000 | -5.554 | -3.094 | -0.000 | 0.000 | 0.000 |
| -3.094 | -3.094 | -1.806 | -0.000 | -0.000 | -0.000 |
| 0.000 | -0.000 | -0.000 | -3.094 | -0.000 | 0.000 |
| -0.000 | 0.000 | -0.000 | 0.000 | -3.094 | 0.000 |
| 0.000 | 0.000 | 0.000 | -0.000 | 0.000 | 0.000 |
| -5.554 | 0.000 | -3.094 | 0.000 | 0.000 | -0.000 |
| 0.000 | -5.554 | -3.094 | 0.000 | 0.000 | -0.000 |
| -3.094 | -3.094 | -1.806 | -0.000 | -0.000 | -0.000 |
| -0.000 | 0.000 | 0.000 | -3.094 | 0.000 | 0.000 |
| 0.000 | -0.000 | 0.000 | -0.000 | -3.094 | -0.000 |
| -0.000 | -0.000 | -0.000 | 0.000 | 0.000 | -0.000 |
| -5.554 | 0.000 | -3.094 | -0.000 | 0.000 | 0.000 |
| 0.000 | -5.554 | -3.094 | 0.000 | -0.000 | 0.000 |
| -3.094 | -3.094 | -1.806 | 0.000 | -0.000 | 0.000 |
| 0.000 | -0.000 | -0.000 | -3.094 | 0.000 | -0.000 |
| -0.000 | 0.000 | -0.000 | 0.000 | -3.094 | 0.000 |
| 0.000 | 0.000 | 0.000 | 0.000 | 0.000 | -0.000 |
| -5.554 | 0.000 | -3.094 | -0.000 | -0.000 | -0.000 |
| 0.000 | -5.554 | -3.094 | -0.000 | -0.000 | -0.000 |
| -3.094 | -3.094 | -1.806 | 0.000 | 0.000 | -0.000 |
| -0.000 | 0.000 | 0.000 | -3.094 | -0.000 | -0.000 |
| 0.000 | -0.000 | 0.000 | -0.000 | -3.094 | -0.000 |
| -0.000 | -0.000 | -0.000 | -0.000 | 0.000 | -0.000 |
| 3.553 | 1.609 | 2.843 | -0.000 | 0.000 | 0.000 |
| 1.609 | 3.553 | 2.843 | 0.000 | -0.000 | -0.000 |
| 2.840 | 2.840 | 3.277 | -0.000 | 0.000 | -0.000 |
| 0.000 | -0.000 | -0.000 | 1.224 | 0.000 | -0.000 |
| 0.000 | -0.000 | -0.000 | -0.000 | 1.224 | 0.000 |
| -0.000 | 0.000 | -0.000 | 0.000 | -0.000 | -0.005 |
| 3.553 | 1.609 | 2.843 | 0.000 | -0.000 | 0.000 |
| 1.609 | 3.553 | 2.843 | 0.000 | 0.000 | -0.000 |
| 2.840 | 2.840 | 3.277 | -0.000 | -0.000 | -0.000 |
| -0.000 | 0.000 | 0.000 | 1.224 | 0.000 | -0.000 |
| -0.000 | 0.000 | 0.000 | 0.000 | 1.224 | 0.000 |
| 0.000 | -0.000 | 0.000 | -0.000 | -0.000 | -0.005 |
| 3.083 | 2.080 | 2.843 | 0.000 | -0.000 | 0.000 |
| 2.080 | 3.083 | 2.843 | 0.000 | -0.000 | -0.000 |
| 2.840 | 2.840 | 3.277 | 0.000 | -0.000 | -0.000 |
| -0.000 | 0.000 | -0.000 | 0.651 | -0.000 | 0.000 |
| 0.000 | -0.000 | -0.000 | 0.000 | 0.651 | -0.000 |
| -0.000 | -0.000 | -0.000 | 0.000 | -0.000 | -0.005 |
| 3.083 | 2.080 | 2.843 | 0.000 | -0.000 | 0.000 |
| 1.609 | 3.553 | 2.843 | -0.000 | -0.000 | 0.000 |
| 2.840 | 2.840 | 3.277 | 0.000 | -0.000 | -0.000 |
| 0.000 | -0.000 | 0.000 | 0.651 | -0.000 | 0.000 |
| -0.000 | 0.000 | 0.000 | 0.000 | 0.651 | -0.000 |
| 0.000 | 0.000 | 0.000 | -0.000 | 0.000 | -0.005 |
| 2.904 | 2.258 | 2.843 | -0.000 | -0.000 | -0.000 |
| 2.258 | 2.904 | 2.843 | -0.000 | -0.000 | 0.000 |
| 2.840 | 2.840 | 3.277 | -0.000 | -0.000 | -0.000 |
| -0.000 | -0.000 | -0.000 | 0.348 | 0.000 | -0.000 |
| -0.000 | -0.000 | -0.000 | -0.000 | 0.348 | 0.000 |
| 0.000 | -0.000 | -0.000 | 0.000 | -0.000 | -0.005 |
| 2.904 | 2.258 | 2.843 | 0.000 | 0.000 | -0.000 |
| 2.258 | 2.904 | 2.843 | 0.000 | 0.000 | 0.000 |
| 2.840 | 2.840 | 3.277 | 0.000 | -0.000 | -0.000 |
| 0.000 | 0.000 | 0.000 | 0.348 | -0.000 | -0.000 |
| 0.000 | 0.000 | 0.000 | -0.000 | 0.348 | 0.000 |
| -0.000 | 0.000 | 0.000 | -0.000 | 0.000 | -0.005 |
| 5.884 | -0.004 | 2.994 | -0.000 | 0.000 | -0.000 |
| -0.004 | 5.884 | 2.994 | -0.000 | 0.000 | -0.000 |
| 2.991 | 2.991 | 2.905 | -0.000 | 0.000 | -0.000 |
| -0.000 | -0.000 | -0.000 | 2.997 | 0.000 | -0.000 |
| -0.000 | 0.000 | -0.000 | -0.000 | 2.997 | -0.000 |
| -0.000 | 0.000 | -0.000 | -0.000 | -0.000 | 0.004 |
| 5.884 | -0.004 | 2.994 | 0.000 | 0.000 | -0.000 |
| -0.004 | 5.884 | 2.994 | 0.000 | -0.000 | 0.000 |
| 2.991 | 2.991 | 2.905 | 0.000 | 0.000 | -0.000 |
| 0.000 | 0.000 | 0.000 | 2.997 | -0.000 | 0.000 |
| 0.000 | -0.000 | 0.000 | 0.000 | 2.997 | -0.000 |
| 0.000 | -0.000 | 0.000 | 0.000 | -0.000 | 0.004 |
| 3.649 | 2.231 | 2.994 | -0.000 | 0.000 | 0.000 |
| 2.231 | 3.649 | 2.994 | 0.000 | -0.000 | -0.000 |
| 2.991 | 2.991 | 2.905 | -0.000 | 0.000 | -0.000 |
| -0.000 | 0.000 | -0.000 | 0.737 | -0.000 | -0.000 |
| 0.000 | -0.000 | -0.000 | -0.000 | 0.737 | -0.000 |
| -0.000 | -0.000 | -0.000 | 0.000 | 0.000 | 0.004 |
| 4.111 | 1.769 | 2.994 | -0.000 | 0.000 | 0.000 |
| 1.769 | 4.111 | 2.994 | 0.000 | 0.000 | 0.000 |
| 2.991 | 2.991 | 2.905 | 0.000 | 0.000 | 0.000 |
| 0.000 | -0.000 | 0.000 | 0.737 | 0.000 | 0.000 |
| -0.000 | 0.000 | 0.000 | 0.000 | 0.737 | 0.000 |
| 0.000 | 0.000 | 0.000 | -0.000 | -0.000 | 0.004 |
| 3.497 | 2.383 | 2.994 | -0.000 | 0.000 | -0.000 |
| 2.383 | 3.497 | 2.994 | -0.000 | -0.000 | -0.000 |
| 2.991 | 2.991 | 2.905 | 0.000 | -0.000 | -0.000 |
| -0.000 | 0.000 | 0.000 | 0.567 | 0.000 | -0.000 |
| 0.000 | -0.000 | 0.000 | -0.000 | 0.567 | -0.000 |
| -0.000 | -0.000 | -0.000 | -0.000 | 0.000 | 0.004 |
| 3.497 | 2.383 | 2.994 | -0.000 | 0.000 | -0.000 |
| 2.383 | 3.497 | 2.994 | 0.000 | 0.000 | 0.000 |
| 2.991 | 2.991 | 2.905 | 0.000 | 0.000 | 0.000 |
| 0.000 | -0.000 | -0.000 | 0.567 | 0.000 | -0.000 |
| -0.000 | 0.000 | -0.000 | 0.000 | 0.567 | 0.000 |
| 0.000 | 0.000 | 0.000 | 0.000 | 0.000 | 0.004 |
| -0.949 | -0.033 | -0.192 | -0.000 | 0.000 | -0.000 |
| -0.023 | -0.959 | -0.192 | -0.000 | 0.000 | 0.000 |
| -0.107 | -0.107 | 7.758 | 0.000 | 0.000 | -0.000 |
| 0.000 | -0.000 | 0.000 | 0.033 | 0.000 | -0.000 |
| 0.000 | -0.000 | 0.000 | 0.000 | 0.033 | 0.000 |
| 0.000 | 0.000 | 0.000 | 0.000 | 0.000 | 0.033 |
| -0.949 | -0.033 | -0.192 | 0.000 | -0.000 | 0.000 |
| -0.033 | -0.949 | -0.192 | -0.000 | 0.000 | -0.000 |
| -0.107 | -0.107 | 7.758 | 0.000 | -0.000 | 0.000 |
| -0.000 | 0.000 | -0.000 | 0.044 | -0.000 | 0.000 |
| -0.000 | 0.000 | -0.000 | -0.000 | 0.033 | 0.000 |
| -0.000 | -0.000 | -0.000 | -0.000 | 0.000 | 0.033 |
| -0.949 | -0.033 | -0.192 | -0.000 | 0.000 | -0.000 |
| -0.023 | -0.959 | -0.192 | -0.000 | 0.000 | 0.000 |
| -0.107 | -0.107 | 7.758 | -0.000 | 0.000 | -0.000 |
| 0.000 | -0.000 | -0.000 | 0.044 | 0.000 | -0.000 |
| -0.000 | 0.000 | -0.000 | 0.000 | 0.044 | 0.000 |
| 0.000 | 0.000 | 0.000 | 0.000 | 0.000 | 0.033 |
| -0.949 | -0.033 | -0.192 | 0.000 | -0.000 | -0.000 |
| -0.023 | -0.959 | -0.192 | -0.000 | -0.000 | 0.000 |
| -0.107 | -0.107 | 7.758 | 0.000 | -0.000 | -0.000 |
| -0.000 | 0.000 | 0.000 | 0.044 | -0.000 | 0.000 |
| 0.000 | -0.000 | 0.000 | -0.000 | 0.044 | 0.000 |
| -0.000 | -0.000 | -0.000 | -0.000 | 0.000 | 0.033 |
| -0.949 | -0.033 | -0.192 | -0.000 | 0.000 | -0.000 |
| -0.033 | -0.949 | -0.192 | 0.000 | 0.000 | -0.000 |
| -0.107 | -0.107 | 7.758 | -0.000 | 0.000 | 0.000 |
| 0.000 | -0.000 | -0.000 | 0.044 | 0.000 | 0.000 |
| -0.000 | 0.000 | -0.000 | 0.000 | 0.044 | -0.000 |
| -0.000 | 0.000 | 0.000 | 0.000 | 0.000 | 0.033 |
| -0.949 | -0.033 | -0.192 | 0.000 | -0.000 | -0.000 |
| -0.033 | -0.949 | -0.192 | 0.000 | 0.000 | 0.000 |
| -0.107 | -0.107 | 7.758 | -0.000 | -0.000 | 0.000 |
| -0.000 | 0.000 | 0.000 | 0.044 | -0.000 | 0.000 |
| 0.000 | -0.000 | 0.000 | -0.000 | 0.044 | 0.000 |
| 0.000 | -0.000 | -0.000 | -0.000 | -0.000 | 0.033 |
| 13.200 | 13.244 | 2.459 | -0.000 | -0.000 | -0.000 |
| 13.244 | 13.200 | 2.459 | -0.000 | -0.000 | 0.000 |
| 2.375 | 2.375 | 0.665 | 0.000 | 0.000 | 0.000 |
| 0.000 | 0.000 | 0.000 | -0.537 | -0.000 | -0.000 |
| 0.000 | 0.000 | 0.000 | -0.000 | -0.537 | 0.000 |
| -0.000 | -0.000 | 0.000 | -0.000 | -0.000 | 10.416 |
| 13.200 | 13.244 | 2.459 | 0.000 | 0.000 | 0.000 |
| 13.244 | 13.200 | 2.459 | 0.000 | 0.000 | -0.000 |
| 2.375 | 2.375 | 0.665 | 0.000 | 0.000 | -0.000 |
| -0.000 | -0.000 | -0.000 | -0.537 | 0.000 | -0.000 |
| -0.000 | -0.000 | -0.000 | 0.000 | -0.537 | 0.000 |
| 0.000 | 0.000 | -0.000 | 0.000 | 0.000 | 10.416 |
| 13.200 | 13.244 | 2.459 | 0.000 | -0.000 | -0.000 |
| 13.244 | 13.200 | 2.459 | -0.000 | 0.000 | 0.000 |
| 2.375 | 2.375 | 0.665 | 0.000 | 0.000 | 0.000 |
| -0.000 | -0.000 | -0.000 | -0.537 | 0.000 | 0.000 |
| -0.000 | -0.000 | -0.000 | 0.000 | -0.537 | 0.000 |
| -0.000 | -0.000 | -0.000 | -0.000 | -0.000 | 10.416 |
| 13.200 | 13.244 | 2.459 | 0.000 | 0.000 | 0.000 |
| 13.244 | 13.200 | 2.459 | 0.000 | 0.000 | -0.000 |
| 2.375 | 2.375 | 0.665 | -0.000 | -0.000 | -0.000 |
| 0.000 | 0.000 | 0.000 | -0.537 | 0.000 | -0.000 |
| 0.000 | 0.000 | 0.000 | 0.000 | -0.537 | -0.000 |
| 0.000 | 0.000 | 0.000 | 0.000 | 0.000 | 10.416 |
| 13.200 | 13.243 | 2.459 | -0.000 | -0.000 | 0.000 |
| 13.243 | 13.200 | 2.459 | -0.000 | -0.000 | -0.000 |
| 2.375 | 2.375 | 0.664 | -0.000 | -0.000 | 0.000 |
| -0.000 | -0.000 | -0.000 | -0.537 | -0.000 | -0.000 |
| -0.000 | -0.000 | -0.000 | -0.000 | -0.537 | -0.000 |
| -0.000 | -0.000 | -0.000 | -0.000 | -0.000 | 10.416 |
| 13.200 | 13.244 | 2.459 | 0.000 | 0.000 | -0.000 |
| 13.244 | 13.200 | 2.459 | 0.000 | 0.000 | -0.000 |
| 2.375 | 2.375 | 0.665 | 0.000 | 0.000 | -0.000 |
| 0.000 | 0.000 | 0.000 | -0.537 | -0.000 | 0.000 |
| 0.000 | 0.000 | 0.000 | -0.000 | -0.537 | -0.000 |
| 0.000 | 0.000 | 0.000 | 0.000 | 0.000 | 10.416 |
| 10.486 | 3.198 | 6.038 | 0.000 | 0.000 | 0.000 |
| 3.198 | 10.486 | 6.038 | 0.000 | 0.000 | 0.000 |
| 6.363 | 6.363 | 12.476 | 0.000 | 0.000 | 0.000 |
| 0.000 | 0.000 | 0.000 | 5.355 | 0.000 | 0.000 |
| 0.000 | 0.000 | 0.000 | 0.000 | 5.355 | 0.000 |
| 0.000 | 0.000 | 0.000 | 0.000 | 0.000 | 1.866 |
| 10.486 | 3.198 | 6.038 | 0.000 | -0.000 | -0.000 |
| 3.198 | 10.486 | 6.038 | -0.000 | -0.000 | -0.000 |
| 6.363 | 6.363 | 12.476 | 0.000 | -0.000 | 0.000 |
| -0.000 | -0.000 | -0.000 | 5.355 | -0.000 | -0.000 |
| -0.000 | -0.000 | -0.000 | -0.000 | 5.355 | -0.000 |
| -0.000 | -0.000 | -0.000 | -0.000 | -0.000 | 1.866 |
| 10.486 | 3.198 | 6.038 | -0.000 | 0.000 | -0.000 |
| 3.198 | 10.486 | 6.038 | 0.000 | 0.000 | 0.000 |
| 6.363 | 6.363 | 12.476 | 0.000 | 0.000 | 0.000 |
| 0.000 | 0.000 | 0.000 | 5.355 | -0.000 | 0.000 |
| 0.000 | 0.000 | 0.000 | 0.000 | 5.355 | 0.000 |
| 0.000 | 0.000 | 0.000 | 0.000 | -0.000 | 1.866 |
| 10.486 | 3.198 | 6.038 | -0.000 | -0.000 | -0.000 |
| 3.198 | 10.486 | 6.038 | -0.000 | 0.000 | -0.000 |
| 6.363 | 6.363 | 12.476 | 0.000 | -0.000 | -0.000 |
| -0.000 | -0.000 | -0.000 | 5.355 | -0.000 | 0.000 |
| -0.000 | -0.000 | -0.000 | -0.000 | 5.355 | 0.000 |
| -0.000 | -0.000 | -0.000 | -0.000 | -0.000 | 1.866 |
| 10.485 | 3.198 | 6.038 | -0.000 | 0.000 | 0.000 |
| 3.198 | 10.485 | 6.038 | 0.000 | 0.000 | 0.000 |
| 6.363 | 6.363 | 12.476 | -0.000 | -0.000 | -0.000 |
| 0.000 | 0.000 | 0.000 | 5.355 | -0.000 | -0.000 |
| 0.000 | 0.000 | 0.000 | -0.000 | 5.355 | 0.000 |
| 0.000 | 0.000 | 0.000 | 0.000 | 0.000 | 1.866 |
| 10.486 | 3.198 | 6.038 | 0.000 | -0.000 | -0.000 |
| 3.198 | 10.486 | 6.038 | -0.000 | 0.000 | 0.000 |
| 6.363 | 6.363 | 12.476 | -0.000 | -0.000 | -0.000 |
| -0.000 | -0.000 | -0.000 | 5.355 | -0.000 | 0.000 |
| -0.000 | -0.000 | -0.000 | -0.000 | 5.355 | -0.000 |
| -0.000 | -0.000 | -0.000 | -0.000 | 0.000 | 1.866 |
| 6.235 | 0.951 | 1.898 | -0.000 | -0.000 | -0.000 |
| 0.951 | 6.235 | 1.898 | -0.000 | -0.000 | -0.000 |
| 1.919 | 1.919 | 3.873 | -0.000 | -0.000 | -0.000 |
| 0.000 | 0.000 | 0.000 | 1.902 | -0.000 | -0.000 |
| 0.000 | 0.000 | 0.000 | -0.000 | 1.902 | -0.000 |
| 0.000 | 0.000 | 0.000 | -0.000 | -0.000 | 0.914 |
| 6.235 | 0.951 | 1.898 | 0.000 | 0.000 | 0.000 |
| 0.951 | 6.235 | 1.898 | 0.000 | 0.000 | 0.000 |
| 1.919 | 1.919 | 3.873 | 0.000 | 0.000 | 0.000 |
| -0.000 | -0.000 | -0.000 | 1.902 | 0.000 | 0.000 |
| -0.000 | -0.000 | -0.000 | 0.000 | 1.902 | 0.000 |
| -0.000 | -0.000 | -0.000 | 0.000 | 0.000 | 0.914 |
| 6.235 | 0.951 | 1.898 | -0.000 | -0.000 | -0.000 |
| 0.951 | 6.235 | 1.898 | -0.000 | -0.000 | -0.000 |
| 1.919 | 1.919 | 3.873 | -0.000 | -0.000 | -0.000 |
| 0.000 | 0.000 | 0.000 | 1.902 | -0.000 | -0.000 |
| 0.000 | 0.000 | 0.000 | -0.000 | 1.902 | -0.000 |
| 0.000 | 0.000 | 0.000 | -0.000 | -0.000 | 0.914 |
| 6.235 | 0.951 | 1.898 | 0.000 | 0.000 | 0.000 |
| 0.951 | 6.235 | 1.898 | 0.000 | 0.000 | 0.000 |
| 1.919 | 1.919 | 3.873 | 0.000 | 0.000 | 0.000 |
| -0.000 | -0.000 | -0.000 | 1.902 | 0.000 | 0.000 |
| -0.000 | -0.000 | -0.000 | 0.000 | 1.902 | 0.000 |
| -0.000 | -0.000 | -0.000 | 0.000 | 0.000 | 0.914 |
| 6.235 | 0.951 | 1.898 | -0.000 | -0.000 | -0.000 |
| 0.951 | 6.235 | 1.898 | -0.000 | -0.000 | -0.000 |
| 1.919 | 1.919 | 3.873 | -0.000 | -0.000 | -0.000 |
| 0.000 | 0.000 | 0.000 | 1.902 | -0.000 | -0.000 |
| 0.000 | 0.000 | 0.000 | -0.000 | 1.902 | -0.000 |
| 0.000 | 0.000 | 0.000 | -0.000 | -0.000 | 0.914 |
| 6.234 | 0.951 | 1.897 | 0.000 | 0.000 | 0.000 |
| 0.951 | 6.234 | 1.897 | 0.000 | 0.000 | 0.000 |
| 1.919 | 1.919 | 3.873 | 0.000 | 0.000 | 0.000 |
| -0.000 | -0.000 | -0.000 | 1.902 | 0.000 | 0.000 |
| -0.000 | -0.000 | -0.000 | 0.000 | 1.902 | 0.000 |
| -0.000 | -0.000 | -0.000 | 0.000 | 0.000 | 0.914 |
| 1.196 | -1.470 | -6.219 | 0.000 | 0.000 | 0.000 |
| -1.470 | 1.196 | -6.219 | 0.000 | 0.000 | 0.000 |
| -6.219 | -6.219 | -26.305 | 0.000 | 0.000 | -0.000 |
| -0.000 | -0.000 | -0.000 | -6.219 | 0.000 | 0.000 |
| -0.000 | -0.000 | -0.000 | 0.000 | -6.219 | 0.000 |
| -0.000 | -0.000 | -0.000 | 0.000 | 0.000 | -1.470 |
| 1.196 | -1.470 | -6.219 | -0.000 | -0.000 | -0.000 |
| -1.470 | 1.196 | -6.219 | -0.000 | -0.000 | -0.000 |
| -6.219 | -6.219 | -26.305 | -0.000 | -0.000 | 0.000 |
| 0.000 | 0.000 | 0.000 | -6.219 | -0.000 | -0.000 |
| 0.000 | 0.000 | 0.000 | -0.000 | -6.219 | -0.000 |
| 0.000 | 0.000 | 0.000 | -0.000 | -0.000 | -1.470 |
| 1.196 | -1.470 | -6.219 | 0.000 | 0.000 | -0.000 |
| -1.470 | 1.196 | -6.219 | 0.000 | 0.000 | -0.000 |
| -6.219 | -6.219 | -26.305 | 0.000 | 0.000 | 0.000 |
| -0.000 | -0.000 | -0.000 | -6.219 | 0.000 | 0.000 |
| -0.000 | -0.000 | -0.000 | 0.000 | -6.219 | 0.000 |
| -0.000 | -0.000 | -0.000 | 0.000 | 0.000 | -1.470 |
| 1.196 | -1.470 | -6.219 | 0.000 | -0.000 | -0.000 |
| -1.470 | 1.196 | -6.219 | -0.000 | 0.000 | -0.000 |
| -6.219 | -6.219 | -26.305 | -0.000 | -0.000 | -0.000 |
| 0.000 | 0.000 | 0.000 | -6.219 | 0.000 | -0.000 |
| 0.000 | 0.000 | 0.000 | 0.000 | -6.219 | -0.000 |
| 0.000 | 0.000 | 0.000 | 0.000 | 0.000 | -1.470 |
| 1.196 | -1.470 | -6.219 | -0.000 | -0.000 | 0.000 |
| -1.470 | 1.196 | -6.219 | -0.000 | -0.000 | 0.000 |
| -6.219 | -6.219 | -26.305 | 0.000 | 0.000 | 0.000 |
| -0.000 | -0.000 | -0.000 | -6.219 | 0.000 | 0.000 |
| -0.000 | -0.000 | -0.000 | 0.000 | -6.219 | 0.000 |
| -0.000 | -0.000 | -0.000 | -0.000 | 0.000 | -1.470 |
| 1.196 | -1.470 | -6.219 | 0.000 | 0.000 | -0.000 |
| -1.470 | 1.196 | -6.219 | 0.000 | 0.000 | -0.000 |
| -6.219 | -6.219 | -26.304 | -0.000 | -0.000 | -0.000 |
| 0.000 | 0.000 | 0.000 | -6.219 | -0.000 | -0.000 |
| 0.000 | 0.000 | 0.000 | -0.000 | -6.219 | -0.000 |
| 0.000 | 0.000 | 0.000 | -0.000 | -0.000 | -1.470 |
| 0.205 | -0.313 | -0.580 | -0.000 | -0.000 | 0.000 |
| -0.313 | 0.205 | -0.580 | -0.000 | -0.000 | 0.000 |
| -0.594 | -0.594 | -1.062 | 0.000 | 0.000 | 0.000 |
| 0.000 | 0.000 | 0.000 | -0.431 | 0.000 | 0.000 |
| 0.000 | 0.000 | 0.000 | 0.000 | -0.431 | 0.000 |
| 0.000 | 0.000 | 0.000 | 0.000 | 0.000 | -0.136 |
| 0.205 | -0.313 | -0.580 | -0.000 | 0.000 | -0.000 |
| -0.313 | 0.205 | -0.580 | -0.000 | 0.000 | 0.000 |
| -0.594 | -0.594 | -1.062 | -0.000 | -0.000 | -0.000 |
| -0.000 | -0.000 | -0.000 | -0.431 | -0.000 | 0.000 |
| -0.000 | -0.000 | -0.000 | -0.000 | -0.431 | -0.000 |
| -0.000 | -0.000 | -0.000 | -0.000 | -0.000 | -0.136 |
| 0.205 | -0.313 | -0.580 | -0.000 | -0.000 | 0.000 |
| -0.313 | 0.205 | -0.580 | -0.000 | -0.000 | -0.000 |
| -0.594 | -0.594 | -1.062 | 0.000 | 0.000 | 0.000 |
| 0.000 | 0.000 | 0.000 | -0.431 | 0.000 | 0.000 |
| 0.000 | 0.000 | 0.000 | 0.000 | -0.431 | 0.000 |
| 0.000 | 0.000 | 0.000 | 0.000 | 0.000 | -0.136 |
| 0.205 | -0.313 | -0.580 | 0.000 | 0.000 | -0.000 |
| -0.313 | 0.205 | -0.580 | 0.000 | 0.000 | 0.000 |
| -0.594 | -0.594 | -1.062 | 0.000 | 0.000 | -0.000 |
| -0.000 | -0.000 | -0.000 | -0.431 | -0.000 | 0.000 |
| -0.000 | -0.000 | -0.000 | -0.000 | -0.431 | -0.000 |
| -0.000 | -0.000 | -0.000 | -0.000 | -0.000 | -0.136 |
| 0.205 | -0.313 | -0.580 | 0.000 | 0.000 | 0.000 |
| -0.313 | 0.205 | -0.580 | 0.000 | 0.000 | 0.000 |
| -0.594 | -0.594 | -1.062 | 0.000 | 0.000 | 0.000 |
| 0.000 | 0.000 | 0.000 | -0.431 | 0.000 | -0.000 |
| 0.000 | 0.000 | 0.000 | 0.000 | -0.431 | 0.000 |
| 0.000 | 0.000 | 0.000 | 0.000 | 0.000 | -0.136 |
| 0.205 | -0.313 | -0.580 | -0.000 | 0.000 | -0.000 |
| -0.313 | 0.205 | -0.580 | 0.000 | 0.000 | 0.000 |
| -0.594 | -0.594 | -1.062 | 0.000 | 0.000 | -0.000 |
| -0.000 | -0.000 | -0.000 | -0.431 | -0.000 | -0.000 |
| -0.000 | -0.000 | -0.000 | -0.000 | -0.431 | -0.000 |
| -0.000 | -0.000 | -0.000 | -0.000 | -0.000 | -0.136 |
| 0.012 | 0.269 | 0.050 | -0.032 | 0.000 | 0.000 |
| 0.269 | 0.012 | 0.050 | 0.032 | 0.000 | -0.000 |
| 0.133 | 0.133 | -0.496 | 0.000 | 0.000 | 0.000 |
| -0.032 | 0.032 | 0.000 | -0.182 | 0.000 | -0.000 |
| 0.000 | 0.000 | 0.000 | 0.000 | -0.182 | -0.032 |
| 0.000 | 0.000 | 0.000 | 0.000 | -0.032 | -0.129 |
| 0.012 | 0.269 | 0.050 | -0.032 | -0.000 | 0.000 |
| 0.269 | 0.012 | 0.050 | 0.032 | -0.000 | 0.000 |
| 0.133 | 0.133 | -0.496 | -0.000 | -0.000 | -0.000 |
| -0.032 | 0.032 | -0.000 | -0.182 | 0.000 | 0.000 |
| -0.000 | -0.000 | -0.000 | -0.000 | -0.182 | -0.032 |
| -0.000 | -0.000 | -0.000 | 0.000 | -0.032 | -0.129 |
| 0.012 | 0.269 | 0.050 | -0.032 | -0.000 | -0.000 |
| 0.269 | 0.012 | 0.050 | 0.032 | 0.000 | 0.000 |
| 0.133 | 0.133 | -0.496 | 0.000 | 0.000 | 0.000 |
| -0.032 | 0.032 | -0.000 | -0.182 | -0.000 | -0.000 |
| 0.000 | 0.000 | -0.000 | 0.000 | -0.182 | -0.032 |
| 0.000 | 0.000 | 0.000 | -0.000 | -0.032 | -0.129 |
| 0.012 | 0.269 | 0.050 | -0.032 | -0.000 | 0.000 |
| 0.269 | 0.012 | 0.050 | 0.032 | -0.000 | 0.000 |
| 0.133 | 0.133 | -0.496 | -0.000 | -0.000 | -0.000 |
| -0.032 | 0.032 | 0.000 | -0.182 | 0.000 | -0.000 |
| -0.000 | -0.000 | 0.000 | -0.000 | -0.182 | -0.032 |
| -0.000 | -0.000 | -0.000 | 0.000 | -0.032 | -0.129 |
| 0.012 | 0.269 | 0.050 | -0.032 | 0.000 | -0.000 |
| 0.269 | 0.012 | 0.050 | 0.032 | 0.000 | 0.000 |
| 0.133 | 0.133 | -0.496 | 0.000 | 0.000 | 0.000 |
| -0.032 | 0.032 | -0.000 | -0.182 | 0.000 | 0.000 |
| 0.000 | 0.000 | -0.000 | 0.000 | -0.182 | -0.032 |
| 0.000 | 0.000 | 0.000 | -0.000 | -0.032 | -0.129 |
| 0.012 | 0.269 | 0.050 | -0.032 | 0.000 | -0.000 |
| 0.269 | 0.012 | 0.050 | 0.032 | -0.000 | -0.000 |
| 0.133 | 0.133 | -0.496 | -0.000 | -0.000 | -0.000 |
| -0.032 | 0.032 | 0.000 | -0.182 | -0.000 | 0.000 |
| -0.000 | -0.000 | 0.000 | -0.000 | -0.182 | -0.032 |
| -0.000 | -0.000 | -0.000 | 0.000 | -0.032 | -0.129 |
| 0.572 | 0.275 | 0.346 | -0.189 | 0.000 | -0.000 |
| 0.275 | 0.572 | 0.346 | 0.189 | 0.000 | -0.000 |
| 0.367 | 0.367 | 0.299 | 0.000 | 0.000 | -0.000 |
| -0.074 | 0.305 | 0.094 | 0.242 | 0.000 | -0.000 |
| 0.116 | 0.116 | 0.094 | -0.000 | 0.242 | -0.189 |
| 0.116 | 0.116 | 0.094 | -0.000 | -0.189 | 0.148 |
| 0.027 | -0.174 | -0.060 | -0.128 | -0.000 | 0.000 |
| -0.174 | 0.027 | -0.060 | 0.128 | -0.000 | 0.000 |
| 0.000 | 0.000 | 0.000 | 0.000 | -0.000 | 0.000 |
| -0.305 | 0.074 | -0.094 | 0.242 | -0.000 | 0.000 |
| -0.116 | -0.116 | -0.094 | 0.000 | 0.242 | -0.189 |
| -0.116 | -0.116 | -0.094 | 0.000 | -0.189 | 0.148 |
| 0.540 | 0.180 | 0.294 | -0.230 | 0.000 | -0.000 |
| 0.180 | 0.540 | 0.294 | 0.230 | 0.000 | -0.000 |
| 0.294 | 0.294 | 0.240 | 0.000 | 0.000 | -0.000 |
| 0.009 | 0.106 | 0.047 | 0.062 | 0.000 | -0.000 |
| 0.057 | 0.057 | 0.047 | 0.000 | 0.062 | -0.049 |
| 0.053 | 0.053 | 0.043 | 0.000 | -0.059 | 0.046 |
| 0.005 | -0.030 | -0.010 | -0.022 | -0.000 | 0.000 |
| -0.030 | 0.005 | -0.010 | 0.022 | -0.000 | 0.000 |
| -0.001 | -0.001 | -0.001 | 0.000 | -0.000 | 0.000 |
| -0.106 | -0.009 | -0.047 | 0.062 | -0.000 | 0.000 |
| -0.057 | -0.057 | -0.047 | -0.000 | 0.062 | -0.049 |
| -0.053 | -0.053 | -0.043 | -0.000 | -0.059 | 0.046 |
| 0.540 | 0.180 | 0.294 | -0.230 | 0.000 | -0.000 |
| 0.180 | 0.540 | 0.294 | 0.230 | 0.000 | -0.000 |
| 0.294 | 0.294 | 0.240 | 0.000 | 0.000 | -0.000 |
| 0.003 | 0.012 | 0.006 | 0.006 | 0.000 | -0.000 |
| 0.008 | 0.008 | 0.006 | 0.000 | 0.006 | -0.005 |
| 0.008 | 0.008 | 0.006 | 0.000 | -0.006 | 0.004 |
| 0.001 | -0.002 | -0.000 | -0.002 | -0.000 | 0.000 |
| -0.002 | 0.001 | -0.000 | 0.002 | -0.000 | 0.000 |
| -0.001 | -0.001 | -0.001 | 0.000 | -0.000 | 0.000 |
| -0.012 | -0.003 | -0.006 | 0.006 | -0.000 | 0.000 |
| -0.008 | -0.008 | -0.006 | -0.000 | 0.006 | -0.005 |
| -0.008 | -0.008 | -0.006 | -0.000 | -0.006 | 0.004 |
| 0.058 | -0.573 | -0.548 | -0.635 | -0.000 | 0.000 |
| -0.573 | 0.058 | -0.548 | 0.635 | -0.000 | 0.000 |
| -0.127 | -0.127 | -0.247 | -0.000 | 0.000 | -0.000 |
| -0.708 | 0.399 | -0.325 | 1.142 | -0.000 | 0.000 |
| -0.154 | -0.154 | -0.325 | -0.000 | 1.142 | -0.553 |
| -0.154 | -0.154 | -0.325 | -0.000 | -0.553 | 0.276 |
| 1.941 | 0.639 | 2.705 | -1.323 | 0.000 | 0.000 |
| 0.639 | 1.941 | 2.705 | 1.323 | -0.000 | 0.000 |
| 2.706 | 2.706 | 5.708 | 0.000 | -0.000 | 0.000 |
| -0.399 | 0.708 | 0.325 | 1.142 | 0.000 | -0.000 |
| 0.154 | 0.154 | 0.325 | 0.000 | 1.142 | -0.553 |
| 0.154 | 0.154 | 0.325 | 0.000 | -0.553 | 0.276 |
| 0.158 | -0.464 | -0.329 | -0.625 | -0.000 | 0.000 |
| -0.464 | 0.158 | -0.329 | 0.625 | -0.000 | 0.000 |
| -0.013 | -0.013 | -0.008 | -0.000 | -0.000 | -0.000 |
| -0.569 | 0.538 | -0.032 | 1.142 | -0.000 | 0.000 |
| -0.015 | -0.015 | -0.032 | -0.000 | 1.142 | -0.553 |
| -0.015 | -0.015 | -0.032 | -0.000 | -0.553 | 0.276 |
| 1.941 | 0.639 | 2.705 | -1.323 | 0.000 | -0.000 |
| 0.639 | 1.941 | 2.705 | 1.323 | -0.000 | 0.000 |
| 2.706 | 2.706 | 5.708 | 0.000 | 0.000 | 0.000 |
| -0.538 | 0.569 | 0.032 | 1.142 | 0.000 | -0.000 |
| 0.015 | 0.015 | 0.032 | 0.000 | 1.142 | -0.553 |
| 0.015 | 0.015 | 0.032 | 0.000 | -0.553 | 0.276 |
| 0.167 | -0.453 | -0.307 | -0.624 | -0.000 | 0.000 |
| -0.453 | 0.167 | -0.307 | 0.624 | -0.000 | 0.000 |
| -0.002 | -0.002 | 0.016 | -0.000 | -0.000 | 0.000 |
| -0.023 | 0.020 | -0.003 | 0.052 | -0.000 | 0.000 |
| -0.001 | -0.001 | -0.003 | 0.000 | 0.024 | -0.008 |
| -0.001 | -0.001 | -0.003 | -0.000 | -0.553 | 0.276 |
| 1.941 | 0.639 | 2.705 | -1.323 | 0.000 | -0.000 |
| 0.639 | 1.941 | 2.705 | 1.323 | 0.000 | 0.000 |
| 2.707 | 2.707 | 5.709 | 0.000 | -0.000 | 0.000 |
| -0.011 | 0.013 | 0.003 | 0.032 | 0.000 | -0.000 |
| 0.001 | 0.001 | 0.003 | -0.000 | 0.024 | -0.008 |
| 0.001 | 0.001 | 0.003 | 0.000 | -0.553 | 0.276 |
| -0.216 | -0.089 | -0.114 | 0.090 | 0.000 | 0.000 |
| -0.089 | -0.216 | -0.114 | -0.090 | 0.000 | 0.000 |
| -0.118 | -0.118 | -0.063 | -0.000 | -0.000 | 0.000 |
| 0.090 | -0.090 | 0.000 | -0.096 | -0.000 | -0.000 |
| 0.000 | 0.000 | 0.000 | 0.000 | -0.096 | 0.090 |
| 0.000 | 0.000 | 0.000 | 0.000 | 0.090 | -0.063 |
| -0.216 | -0.089 | -0.114 | 0.090 | 0.000 | -0.000 |
| -0.089 | -0.216 | -0.114 | -0.090 | -0.000 | 0.000 |
| -0.118 | -0.118 | -0.063 | -0.000 | -0.000 | 0.000 |
| 0.090 | -0.090 | -0.000 | -0.096 | 0.000 | -0.000 |
| -0.000 | -0.000 | 0.000 | -0.000 | -0.096 | 0.090 |
| -0.000 | -0.000 | -0.000 | -0.000 | 0.090 | -0.063 |
| -0.216 | -0.089 | -0.114 | 0.090 | -0.000 | 0.000 |
| -0.089 | -0.216 | -0.114 | -0.090 | 0.000 | 0.000 |
| -0.118 | -0.118 | -0.063 | 0.000 | -0.000 | -0.000 |
| 0.090 | -0.090 | -0.000 | -0.096 | -0.000 | 0.000 |
| -0.000 | -0.000 | -0.000 | 0.000 | -0.096 | 0.090 |
| -0.000 | -0.000 | -0.000 | 0.000 | 0.090 | -0.063 |
| -0.216 | -0.089 | -0.114 | 0.090 | 0.000 | -0.000 |
| -0.089 | -0.216 | -0.114 | -0.090 | -0.000 | -0.000 |
| -0.118 | -0.118 | -0.063 | -0.000 | 0.000 | 0.000 |
| 0.090 | -0.090 | 0.000 | -0.096 | 0.000 | -0.000 |
| 0.000 | 0.000 | 0.000 | -0.000 | -0.096 | 0.090 |
| 0.000 | 0.000 | 0.000 | -0.000 | 0.090 | -0.063 |
| -0.216 | -0.089 | -0.114 | 0.090 | 0.000 | 0.000 |
| -0.089 | -0.216 | -0.114 | -0.090 | -0.000 | 0.000 |
| -0.118 | -0.118 | -0.063 | -0.000 | 0.000 | -0.000 |
| 0.090 | -0.090 | -0.000 | -0.096 | 0.000 | 0.000 |
| -0.000 | -0.000 | -0.000 | 0.000 | -0.096 | 0.090 |
| -0.000 | -0.000 | -0.000 | 0.000 | 0.090 | -0.063 |
| -0.216 | -0.089 | -0.114 | 0.090 | -0.000 | -0.000 |
| -0.089 | -0.216 | -0.114 | -0.090 | 0.000 | -0.000 |
| -0.118 | -0.118 | -0.063 | 0.000 | -0.000 | 0.000 |
| 0.090 | -0.090 | 0.000 | -0.096 | -0.000 | -0.000 |
| 0.000 | 0.000 | 0.000 | -0.000 | -0.096 | 0.090 |
| 0.000 | 0.000 | 0.000 | -0.000 | 0.090 | -0.063 |
| 26.780 | 1.498 | 1.498 | 0.000 | 0.000 | 0.000 |
| 1.498 | 26.780 | 1.498 | 0.000 | 0.000 | -0.000 |
| 1.498 | 1.498 | 26.780 | 0.000 | 0.000 | 0.000 |
| 0.000 | 0.000 | 0.000 | -1.774 | 0.000 | 0.000 |
| 0.000 | 0.000 | 0.000 | 0.000 | -1.774 | -0.000 |
| 0.000 | 0.000 | 0.000 | 0.000 | 0.000 | -1.774 |
| 26.780 | 1.498 | 1.498 | -0.000 | -0.000 | 0.000 |
| 1.498 | 26.780 | 1.498 | -0.000 | -0.000 | -0.000 |
| 1.498 | 1.498 | 26.780 | -0.000 | -0.000 | 0.000 |
| -0.000 | -0.000 | -0.000 | -1.774 | -0.000 | -0.000 |
| -0.000 | -0.000 | -0.000 | -0.000 | -1.774 | 0.000 |
| -0.000 | -0.000 | -0.000 | -0.000 | -0.000 | -1.774 |
| 26.780 | 1.498 | 1.498 | 0.000 | 0.000 | -0.000 |
| 1.498 | 26.780 | 1.498 | 0.000 | 0.000 | -0.000 |
| 1.498 | 1.498 | 26.780 | 0.000 | 0.000 | -0.000 |
| 0.000 | -0.000 | -0.000 | -1.774 | 0.000 | 0.000 |
| -0.000 | 0.000 | -0.000 | 0.000 | -1.774 | 0.000 |
| -0.000 | -0.000 | 0.000 | 0.000 | 0.000 | -1.774 |
| 26.780 | 1.498 | 1.498 | -0.000 | -0.000 | 0.000 |
| 1.498 | 26.780 | 1.498 | -0.000 | -0.000 | 0.000 |
| 1.498 | 1.498 | 26.780 | -0.000 | -0.000 | -0.000 |
| -0.000 | 0.000 | 0.000 | -1.774 | -0.000 | -0.000 |
| 0.000 | -0.000 | 0.000 | -0.000 | -1.774 | -0.000 |
| 0.000 | 0.000 | -0.000 | -0.000 | -0.000 | -1.774 |
| 26.780 | 1.498 | 1.498 | 0.000 | 0.000 | -0.000 |
| 1.498 | 26.780 | 1.498 | 0.000 | 0.000 | -0.000 |
| 1.498 | 1.498 | 26.780 | 0.000 | -0.000 | -0.000 |
| 0.000 | -0.000 | -0.000 | -1.774 | -0.000 | 0.000 |
| -0.000 | 0.000 | -0.000 | -0.000 | -1.774 | -0.000 |
| -0.000 | -0.000 | 0.000 | 0.000 | 0.000 | -1.774 |
| 26.780 | 1.498 | 1.498 | -0.000 | -0.000 | -0.000 |
| 1.498 | 26.780 | 1.498 | -0.000 | -0.000 | -0.000 |
| 1.498 | 1.498 | 26.780 | -0.000 | -0.000 | 0.000 |
| -0.000 | 0.000 | 0.000 | -1.774 | -0.000 | -0.000 |
| 0.000 | -0.000 | 0.000 | 0.000 | -1.774 | 0.000 |
| 0.000 | 0.000 | -0.000 | -0.000 | -0.000 | -1.774 |
| 33.481 | 12.766 | 12.766 | 0.000 | 0.000 | 0.000 |
| 12.766 | 33.481 | 12.766 | 0.000 | 0.000 | 0.000 |
| 12.766 | 12.766 | 33.481 | 0.000 | 0.000 | 0.000 |
| -0.000 | -0.000 | -0.000 | 12.766 | 0.000 | 0.000 |
| -0.000 | -0.000 | -0.000 | 0.000 | 12.766 | 0.000 |
| -0.000 | -0.000 | -0.000 | 0.000 | 0.000 | 12.766 |
| 33.481 | 12.766 | 12.766 | -0.000 | -0.000 | -0.000 |
| 12.766 | 33.481 | 12.766 | -0.000 | -0.000 | -0.000 |
| 12.766 | 12.766 | 33.481 | -0.000 | -0.000 | -0.000 |
| 0.000 | 0.000 | 0.000 | 12.766 | -0.000 | -0.000 |
| 0.000 | 0.000 | 0.000 | -0.000 | 12.766 | -0.000 |
| 0.000 | 0.000 | 0.000 | -0.000 | -0.000 | 12.766 |
| 33.481 | 12.766 | 12.766 | 0.000 | 0.000 | 0.000 |
| 12.766 | 33.481 | 12.766 | 0.000 | 0.000 | 0.000 |
| 12.766 | 12.766 | 33.481 | -0.000 | 0.000 | 0.000 |
| -0.000 | -0.000 | -0.000 | 12.766 | 0.000 | 0.000 |
| -0.000 | -0.000 | -0.000 | 0.000 | 12.766 | 0.000 |
| -0.000 | -0.000 | -0.000 | -0.000 | 0.000 | 12.766 |
| 33.481 | 12.766 | 12.766 | -0.000 | -0.000 | -0.000 |
| 12.766 | 33.481 | 12.766 | -0.000 | -0.000 | -0.000 |
| 12.766 | 12.766 | 33.481 | -0.000 | -0.000 | -0.000 |
| 0.000 | 0.000 | 0.000 | 12.766 | -0.000 | -0.000 |
| 0.000 | 0.000 | 0.000 | -0.000 | 12.766 | -0.000 |
| 0.000 | 0.000 | 0.000 | -0.000 | -0.000 | 12.766 |
| 33.481 | 12.766 | 12.766 | 0.000 | 0.000 | 0.000 |
| 12.766 | 33.481 | 12.766 | 0.000 | 0.000 | 0.000 |
| 12.766 | 12.766 | 33.481 | 0.000 | 0.000 | 0.000 |
| -0.000 | -0.000 | -0.000 | 12.766 | 0.000 | 0.000 |
| -0.000 | -0.000 | -0.000 | -0.000 | 12.766 | 0.000 |
| -0.000 | -0.000 | -0.000 | 0.000 | 0.000 | 12.766 |
| 33.481 | 12.766 | 12.766 | -0.000 | -0.000 | -0.000 |
| 12.766 | 33.481 | 12.766 | 0.000 | -0.000 | -0.000 |
| 12.766 | 12.766 | 33.481 | -0.000 | -0.000 | -0.000 |
| 0.000 | 0.000 | 0.000 | 12.766 | 0.000 | -0.000 |
| 0.000 | 0.000 | 0.000 | 0.000 | 12.766 | -0.000 |
| 0.000 | 0.000 | 0.000 | 0.000 | -0.000 | 12.766 |
| 9.841 | 0.190 | 0.190 | -0.000 | -0.000 | -0.000 |
| 0.190 | 9.841 | 0.190 | -0.000 | 0.000 | -0.000 |
| 0.190 | 0.190 | 9.841 | 0.000 | 0.000 | 0.000 |
| 0.000 | 0.000 | 0.000 | -0.190 | -0.000 | 0.000 |
| 0.000 | 0.000 | 0.000 | -0.000 | -0.190 | 0.000 |
| 0.000 | 0.000 | 0.000 | 0.000 | -0.000 | -0.190 |
| 9.981 | 0.190 | 0.190 | -0.000 | 0.000 | 0.000 |
| 0.190 | 9.981 | 0.190 | -0.000 | 0.000 | 0.000 |
| 0.190 | 0.190 | 9.981 | -0.000 | -0.000 | 0.000 |
| -0.000 | -0.000 | -0.000 | -0.190 | 0.000 | 0.000 |
| -0.000 | -0.000 | -0.000 | 0.000 | -0.190 | -0.000 |
| -0.000 | -0.000 | -0.000 | -0.000 | 0.000 | -0.190 |
| 9.841 | 0.190 | 0.190 | -0.000 | 0.000 | -0.000 |
| 0.190 | 9.841 | 0.190 | 0.000 | 0.000 | -0.000 |
| 0.190 | 0.190 | 9.841 | -0.000 | -0.000 | 0.000 |
| 0.000 | 0.000 | -0.000 | -0.190 | -0.000 | -0.000 |
| 0.000 | 0.000 | -0.000 | -0.000 | -0.190 | -0.000 |
| 0.000 | -0.000 | 0.000 | 0.000 | -0.000 | -0.190 |
| 9.981 | 0.190 | 0.190 | -0.000 | 0.000 | 0.000 |
| 0.190 | 9.981 | 0.190 | -0.000 | 0.000 | 0.000 |
| 0.190 | 0.190 | 9.981 | -0.000 | 0.000 | 0.000 |
| -0.000 | -0.000 | 0.000 | -0.190 | 0.000 | 0.000 |
| -0.000 | -0.000 | 0.000 | 0.000 | -0.190 | 0.000 |
| -0.000 | 0.000 | -0.000 | -0.000 | 0.000 | -0.190 |
| 9.841 | 0.190 | 0.190 | -0.000 | -0.000 | -0.000 |
| 0.190 | 9.841 | 0.190 | -0.000 | 0.000 | -0.000 |
| 0.190 | 0.190 | 9.841 | 0.000 | 0.000 | 0.000 |
| 0.000 | 0.000 | -0.000 | -0.190 | -0.000 | -0.000 |
| 0.000 | 0.000 | -0.000 | -0.000 | -0.190 | 0.000 |
| 0.000 | -0.000 | 0.000 | 0.000 | -0.000 | -0.190 |
| 9.981 | 0.190 | 0.190 | -0.000 | 0.000 | 0.000 |
| 0.190 | 9.981 | 0.190 | -0.000 | 0.000 | 0.000 |
| 0.190 | 0.190 | 9.981 | 0.000 | 0.000 | 0.000 |
| -0.000 | -0.000 | 0.000 | -0.190 | 0.000 | 0.000 |
| -0.000 | -0.000 | 0.000 | 0.000 | -0.190 | 0.000 |
| -0.000 | 0.000 | -0.000 | -0.000 | 0.000 | -0.190 |
| 2.742 | 0.000 | 0.000 | -0.000 | -0.000 | -0.000 |
| 0.000 | 2.742 | 0.000 | -0.000 | 0.000 | -0.000 |
| 0.000 | 0.000 | 2.742 | 0.000 | 0.000 | -0.000 |
| 0.000 | -0.000 | 0.000 | -0.000 | 0.000 | 0.000 |
| -0.000 | 0.000 | 0.000 | 0.000 | -0.000 | -0.000 |
| -0.000 | 0.000 | 0.000 | 0.000 | -0.000 | -0.000 |
| 2.742 | 0.000 | 0.000 | 0.000 | -0.000 | -0.000 |
| 0.000 | 2.742 | 0.000 | 0.000 | -0.000 | -0.000 |
| 0.000 | 0.000 | 2.742 | -0.000 | -0.000 | -0.000 |
| -0.000 | -0.000 | -0.000 | -0.000 | -0.000 | -0.000 |
| -0.000 | -0.000 | -0.000 | -0.000 | -0.000 | 0.000 |
| -0.000 | -0.000 | -0.000 | -0.000 | 0.000 | -0.000 |
| 2.742 | 0.000 | 0.000 | 0.000 | 0.000 | 0.000 |
| 0.000 | 2.742 | 0.000 | -0.000 | -0.000 | -0.000 |
| 0.000 | 0.000 | 2.742 | -0.000 | -0.000 | -0.000 |
| 0.000 | -0.000 | -0.000 | 0.000 | 0.000 | 0.000 |
| -0.000 | 0.000 | -0.000 | 0.000 | 0.000 | 0.000 |
| -0.000 | -0.000 | 0.000 | 0.000 | -0.000 | 0.000 |
| 2.742 | 0.000 | 0.000 | 0.000 | -0.000 | -0.000 |
| 0.000 | 2.742 | 0.000 | 0.000 | -0.000 | -0.000 |
| 0.000 | 0.000 | 2.742 | 0.000 | 0.000 | -0.000 |
| -0.000 | 0.000 | 0.000 | 0.000 | -0.000 | -0.000 |
| 0.000 | -0.000 | 0.000 | -0.000 | 0.000 | 0.000 |
| 0.000 | 0.000 | -0.000 | -0.000 | 0.000 | 0.000 |
| 2.742 | 0.000 | 0.000 | 0.000 | 0.000 | 0.000 |
| 0.000 | 2.742 | 0.000 | -0.000 | -0.000 | 0.000 |
| 0.000 | 0.000 | 2.742 | 0.000 | 0.000 | -0.000 |
| 0.000 | -0.000 | -0.000 | 0.000 | 0.000 | 0.000 |
| -0.000 | 0.000 | -0.000 | 0.000 | 0.000 | -0.000 |
| -0.000 | -0.000 | 0.000 | 0.000 | -0.000 | 0.000 |
| 2.742 | 0.000 | 0.000 | 0.000 | -0.000 | -0.000 |
| 0.000 | 2.742 | 0.000 | -0.000 | -0.000 | 0.000 |
| 0.000 | 0.000 | 2.742 | 0.000 | 0.000 | -0.000 |
| -0.000 | -0.000 | 0.000 | 0.000 | -0.000 | -0.000 |
| -0.000 | -0.000 | 0.000 | -0.000 | 0.000 | -0.000 |
| -0.000 | 0.000 | -0.000 | -0.000 | 0.000 | 0.000 |
| -0.952 | -0.031 | -0.031 | 0.000 | -0.000 | 0.000 |
| -0.031 | -0.952 | -0.031 | -0.000 | -0.000 | 0.000 |
| -0.031 | -0.031 | -0.952 | -0.000 | 0.000 | -0.000 |
| 0.000 | -0.000 | 0.000 | 0.031 | 0.000 | -0.000 |
| 0.000 | 0.000 | 0.000 | 0.000 | 0.031 | -0.000 |
| -0.000 | 0.000 | 0.000 | 0.000 | -0.000 | 0.031 |
| -0.952 | -0.031 | -0.031 | 0.000 | -0.000 | -0.000 |
| -0.031 | -0.952 | -0.031 | 0.000 | -0.000 | -0.000 |
| -0.031 | -0.031 | -0.952 | 0.000 | -0.000 | -0.000 |
| -0.000 | 0.000 | -0.000 | 0.031 | -0.000 | -0.000 |
| 0.000 | -0.000 | -0.000 | -0.000 | 0.031 | -0.000 |
| 0.000 | -0.000 | -0.000 | -0.000 | 0.000 | 0.031 |
| -0.952 | -0.031 | -0.031 | 0.000 | -0.000 | 0.000 |
| -0.031 | -0.952 | -0.031 | -0.000 | -0.000 | 0.000 |
| -0.031 | -0.031 | -0.952 | -0.000 | -0.000 | -0.000 |
| 0.000 | -0.000 | 0.000 | 0.031 | 0.000 | 0.000 |
| -0.000 | 0.000 | 0.000 | -0.000 | 0.031 | -0.000 |
| -0.000 | 0.000 | 0.000 | 0.000 | -0.000 | 0.031 |
| -0.952 | -0.031 | -0.031 | 0.000 | 0.000 | 0.000 |
| -0.031 | -0.952 | -0.031 | 0.000 | -0.000 | -0.000 |
| -0.031 | -0.031 | -0.952 | 0.000 | -0.000 | -0.000 |
| -0.000 | 0.000 | -0.000 | 0.031 | -0.000 | -0.000 |
| 0.000 | -0.000 | -0.000 | 0.000 | 0.031 | -0.000 |
| 0.000 | -0.000 | -0.000 | -0.000 | -0.000 | 0.031 |
| -0.952 | -0.031 | -0.031 | 0.000 | 0.000 | 0.000 |
| -0.031 | -0.952 | -0.031 | -0.000 | -0.000 | 0.000 |
| -0.031 | -0.031 | -0.952 | -0.000 | 0.000 | -0.000 |
| 0.000 | -0.000 | 0.000 | 0.031 | -0.000 | 0.000 |
| -0.000 | 0.000 | 0.000 | -0.000 | 0.031 | -0.000 |
| -0.000 | 0.000 | 0.000 | 0.000 | 0.000 | 0.031 |
| -0.952 | -0.031 | -0.031 | 0.000 | -0.000 | 0.000 |
| -0.031 | -0.952 | -0.031 | 0.000 | -0.000 | -0.000 |
| -0.031 | -0.031 | -0.952 | 0.000 | 0.000 | -0.000 |
| -0.000 | 0.000 | -0.000 | 0.031 | 0.000 | -0.000 |
| 0.000 | -0.000 | -0.000 | 0.000 | 0.031 | -0.000 |
| 0.000 | -0.000 | -0.000 | -0.000 | 0.000 | 0.031 |
| 6.089 | 2.088 | 2.655 | 0.302 | -0.000 | 0.000 |
| 2.088 | 6.089 | 2.655 | -0.302 | 0.000 | 0.000 |
| 2.576 | 2.576 | 9.737 | -0.000 | -0.000 | 0.000 |
| 0.302 | -0.302 | 0.000 | 2.409 | -0.000 | 0.000 |
| -0.000 | 0.000 | 0.000 | 0.000 | 2.409 | 0.302 |
| -0.000 | 0.000 | 0.000 | 0.000 | 0.302 | 2.000 |
| 6.089 | 2.088 | 2.655 | 0.302 | 0.000 | -0.000 |
| 2.088 | 6.089 | 2.655 | -0.302 | -0.000 | -0.000 |
| 2.576 | 2.576 | 9.737 | 0.000 | -0.000 | -0.000 |
| 0.302 | -0.302 | -0.000 | 2.409 | 0.000 | -0.000 |
| 0.000 | -0.000 | -0.000 | -0.000 | 2.409 | 0.302 |
| 0.000 | -0.000 | -0.000 | -0.000 | 0.302 | 2.000 |
| 6.018 | 2.160 | 2.655 | 0.302 | -0.000 | 0.000 |
| 2.160 | 6.018 | 2.655 | -0.302 | -0.000 | 0.000 |
| 2.576 | 2.576 | 9.737 | 0.000 | -0.000 | 0.000 |
| 0.302 | -0.302 | 0.000 | 2.409 | -0.000 | 0.000 |
| 0.000 | 0.000 | 0.000 | 0.000 | 2.409 | 0.302 |
| 0.000 | 0.000 | 0.000 | 0.000 | 0.302 | 1.875 |
| 6.089 | 2.088 | 2.655 | 0.302 | -0.000 | -0.000 |
| 2.160 | 6.018 | 2.655 | -0.302 | -0.000 | -0.000 |
| 2.576 | 2.576 | 9.737 | -0.000 | 0.000 | -0.000 |
| 0.302 | -0.302 | -0.000 | 2.409 | 0.000 | -0.000 |
| -0.000 | -0.000 | -0.000 | -0.000 | 2.409 | 0.302 |
| -0.000 | -0.000 | -0.000 | -0.000 | 0.302 | 1.875 |
| 6.018 | 2.160 | 2.655 | 0.302 | -0.000 | 0.000 |
| 2.214 | 5.963 | 2.655 | -0.302 | -0.000 | 0.000 |
| 2.576 | 2.576 | 9.737 | 0.000 | -0.000 | 0.000 |
| 0.302 | -0.302 | 0.000 | 2.409 | -0.000 | 0.000 |
| 0.000 | 0.000 | 0.000 | 0.000 | 2.409 | 0.302 |
| 0.000 | 0.000 | 0.000 | 0.000 | 0.302 | 1.929 |
| 6.089 | 2.088 | 2.655 | 0.302 | 0.000 | -0.000 |
| 2.159 | 6.018 | 2.655 | -0.302 | 0.000 | -0.000 |
| 2.576 | 2.576 | 9.736 | -0.000 | 0.000 | -0.000 |
| 0.302 | -0.302 | -0.000 | 2.409 | 0.000 | -0.000 |
| -0.000 | -0.000 | -0.000 | -0.000 | 2.409 | 0.302 |
| -0.000 | -0.000 | -0.000 | -0.000 | 0.302 | 1.929 |
| 4.813 | 1.648 | 1.290 | 0.152 | -0.000 | -0.000 |
| 1.648 | 4.813 | 1.290 | -0.152 | -0.000 | -0.000 |
| 1.290 | 1.290 | 5.162 | 0.000 | -0.000 | -0.000 |
| 0.152 | -0.152 | -0.001 | 1.291 | -0.000 | -0.000 |
| -0.000 | -0.000 | -0.001 | 0.000 | 1.291 | 0.152 |
| -0.000 | -0.000 | -0.001 | 0.000 | 0.152 | 1.582 |
| 4.829 | 1.633 | 1.291 | 0.152 | 0.000 | 0.000 |
| 1.649 | 4.813 | 1.292 | -0.152 | 0.000 | 0.000 |
| 1.291 | 1.291 | 5.164 | -0.000 | 0.000 | 0.000 |
| 0.152 | -0.152 | 0.001 | 1.291 | 0.000 | 0.000 |
| 0.000 | 0.000 | 0.001 | -0.000 | 1.291 | 0.152 |
| 0.000 | 0.000 | 0.001 | -0.000 | 0.152 | 1.582 |
| 4.828 | 1.633 | 1.291 | 0.152 | -0.000 | -0.000 |
| 1.633 | 4.828 | 1.291 | -0.152 | -0.000 | -0.000 |
| 1.291 | 1.291 | 5.163 | 0.000 | -0.000 | -0.000 |
| 0.152 | -0.152 | -0.000 | 1.291 | -0.000 | -0.000 |
| 0.000 | 0.000 | 0.000 | 0.000 | 1.291 | 0.152 |
| 0.000 | 0.000 | 0.000 | 0.000 | 0.152 | 1.615 |
| 4.813 | 1.649 | 1.291 | 0.152 | 0.000 | 0.000 |
| 1.633 | 4.828 | 1.291 | -0.152 | 0.000 | 0.000 |
| 1.291 | 1.291 | 5.163 | -0.000 | 0.000 | 0.000 |
| 0.152 | -0.152 | 0.000 | 1.291 | 0.000 | 0.000 |
| -0.000 | -0.000 | -0.000 | -0.000 | 1.291 | 0.152 |
| -0.000 | -0.000 | -0.000 | -0.000 | 0.152 | 1.615 |
| 4.813 | 1.649 | 1.291 | 0.152 | -0.000 | -0.000 |
| 1.633 | 4.829 | 1.291 | -0.152 | -0.000 | -0.000 |
| 1.291 | 1.291 | 5.163 | 0.000 | -0.000 | -0.000 |
| 0.152 | -0.152 | 0.000 | 1.291 | -0.000 | -0.000 |
| 0.000 | 0.000 | 0.000 | 0.000 | 1.291 | 0.152 |
| 0.000 | 0.000 | 0.000 | 0.000 | 0.152 | 1.615 |
| 4.846 | 1.615 | 1.291 | 0.152 | 0.000 | 0.000 |
| 1.633 | 4.828 | 1.291 | -0.152 | 0.000 | 0.000 |
| 1.291 | 1.291 | 5.163 | -0.000 | -0.000 | 0.000 |
| 0.152 | -0.152 | -0.000 | 1.291 | 0.000 | 0.000 |
| -0.000 | -0.000 | -0.000 | -0.000 | 1.291 | 0.152 |
| -0.000 | -0.000 | -0.000 | -0.000 | 0.152 | 1.615 |
| 4.838 | 1.613 | 1.290 | 0.152 | -0.000 | 0.000 |
| 1.630 | 4.821 | 1.290 | -0.152 | 0.000 | -0.000 |
| 1.290 | 1.290 | 5.160 | 0.000 | -0.000 | -0.000 |
| 0.152 | -0.152 | 0.000 | 1.290 | -0.000 | 0.000 |
| 0.000 | 0.000 | 0.000 | 0.000 | 1.290 | 0.152 |
| 0.000 | 0.000 | 0.000 | 0.000 | 0.152 | 1.595 |
| 4.821 | 1.630 | 1.290 | 0.152 | 0.000 | -0.000 |
| 1.630 | 4.821 | 1.290 | -0.152 | -0.000 | -0.000 |
| 1.290 | 1.290 | 5.160 | 0.000 | 0.000 | -0.000 |
| 0.152 | -0.152 | -0.000 | 1.290 | -0.000 | -0.000 |
| -0.000 | -0.000 | -0.000 | -0.000 | 1.290 | 0.152 |
| -0.000 | -0.000 | -0.000 | -0.000 | 0.152 | 1.595 |
| 4.838 | 1.613 | 1.290 | 0.152 | 0.000 | 0.000 |
| 1.630 | 4.821 | 1.290 | -0.152 | -0.000 | 0.000 |
| 1.290 | 1.290 | 5.160 | -0.000 | -0.000 | -0.000 |
| 0.152 | -0.152 | 0.000 | 1.290 | 0.000 | 0.000 |
| 0.000 | 0.000 | 0.000 | 0.000 | 1.290 | 0.152 |
| 0.000 | 0.000 | 0.000 | 0.000 | 0.152 | 1.580 |
| 4.821 | 1.630 | 1.290 | 0.152 | 0.000 | -0.000 |
| 1.613 | 4.838 | 1.290 | -0.152 | -0.000 | -0.000 |
| 1.290 | 1.290 | 5.160 | 0.000 | -0.000 | -0.000 |
| 0.152 | -0.152 | -0.000 | 1.290 | 0.000 | -0.000 |
| -0.000 | -0.000 | -0.000 | -0.000 | 1.290 | 0.152 |
| -0.000 | -0.000 | -0.000 | -0.000 | 0.152 | 1.580 |
| 4.821 | 1.630 | 1.290 | 0.152 | 0.000 | 0.000 |
| 1.630 | 4.821 | 1.290 | -0.152 | -0.000 | 0.000 |
| 1.290 | 1.290 | 5.160 | -0.000 | -0.000 | -0.000 |
| 0.152 | -0.152 | 0.000 | 1.290 | -0.000 | 0.000 |
| 0.000 | 0.000 | 0.000 | 0.000 | 1.290 | 0.152 |
| 0.000 | 0.000 | 0.000 | 0.000 | 0.152 | 1.595 |
| 4.805 | 1.646 | 1.290 | 0.152 | 0.000 | -0.000 |
| 1.612 | 4.838 | 1.290 | -0.152 | 0.000 | -0.000 |
| 1.290 | 1.290 | 5.160 | 0.000 | -0.000 | -0.000 |
| 0.152 | -0.152 | -0.000 | 1.290 | 0.000 | -0.000 |
| -0.000 | -0.000 | -0.000 | -0.000 | 1.290 | 0.152 |
| -0.000 | -0.000 | -0.000 | -0.000 | 0.152 | 1.595 |
| 12.249 | 1.310 | 4.913 | -0.000 | -0.000 | 0.000 |
| 1.204 | 11.011 | 2.734 | 0.000 | 0.000 | 0.000 |
| 4.998 | 2.925 | 3.682 | -0.000 | 0.000 | 0.000 |
| 0.000 | 0.000 | 0.000 | 2.375 | 0.000 | -0.000 |
| 0.000 | 0.000 | -0.000 | -0.000 | 4.554 | 0.000 |
| 0.000 | -0.000 | -0.000 | -0.000 | -0.000 | 0.569 |
| 12.249 | 1.310 | 4.913 | 0.000 | -0.000 | 0.000 |
| 1.204 | 11.011 | 2.734 | 0.000 | -0.000 | -0.000 |
| 4.998 | 2.925 | 3.682 | 0.000 | -0.000 | 0.000 |
| -0.000 | 0.000 | -0.000 | 2.375 | -0.000 | -0.000 |
| -0.000 | -0.000 | 0.000 | 0.000 | 4.554 | -0.000 |
| -0.000 | 0.000 | 0.000 | 0.000 | -0.000 | 0.569 |
| 12.249 | 1.310 | 4.913 | -0.000 | -0.000 | -0.000 |
| 1.204 | 11.011 | 2.734 | -0.000 | 0.000 | 0.000 |
| 4.998 | 2.925 | 3.682 | -0.000 | 0.000 | -0.000 |
| -0.000 | -0.000 | -0.000 | 2.375 | 0.000 | -0.000 |
| 0.000 | -0.000 | 0.000 | -0.000 | 4.554 | -0.000 |
| -0.000 | -0.000 | -0.000 | 0.000 | 0.000 | 0.569 |
| 12.249 | 1.310 | 4.913 | 0.000 | -0.000 | -0.000 |
| 1.204 | 11.011 | 2.734 | 0.000 | -0.000 | -0.000 |
| 4.998 | 2.925 | 3.682 | 0.000 | -0.000 | -0.000 |
| 0.000 | 0.000 | 0.000 | 2.375 | -0.000 | -0.000 |
| -0.000 | 0.000 | -0.000 | 0.000 | 4.554 | -0.000 |
| 0.000 | 0.000 | 0.000 | 0.000 | -0.000 | 0.569 |
| 12.249 | 1.310 | 4.913 | -0.000 | -0.000 | 0.000 |
| 1.204 | 11.011 | 2.734 | -0.000 | 0.000 | 0.000 |
| 4.998 | 2.925 | 3.682 | -0.000 | -0.000 | 0.000 |
| -0.000 | -0.000 | -0.000 | 2.375 | 0.000 | -0.000 |
| 0.000 | -0.000 | 0.000 | -0.000 | 4.554 | 0.000 |
| -0.000 | -0.000 | -0.000 | -0.000 | 0.000 | 0.569 |
| 12.249 | 1.310 | 4.913 | 0.000 | -0.000 | -0.000 |
| 1.441 | 10.786 | 2.632 | 0.000 | -0.000 | -0.000 |
| 5.314 | 2.982 | 3.794 | -0.000 | -0.000 | 0.000 |
| 0.000 | 0.000 | 0.000 | 2.375 | -0.000 | -0.000 |
| -0.000 | 0.000 | -0.000 | 0.000 | 4.554 | -0.000 |
| 0.000 | 0.000 | 0.000 | 0.000 | -0.000 | 0.569 |
| 9.157 | 2.274 | 2.937 | 0.000 | -0.000 | 0.000 |
| 2.242 | 10.189 | 1.900 | 0.000 | 0.000 | 0.000 |
| 2.955 | 1.949 | 3.375 | 0.000 | -0.000 | 0.000 |
| -0.000 | 0.000 | 0.000 | 1.858 | 0.000 | 0.000 |
| -0.000 | 0.000 | -0.000 | 0.000 | 2.895 | -0.000 |
| -0.000 | -0.000 | -0.000 | 0.000 | 0.000 | 2.133 |
| 8.456 | 1.176 | 2.340 | -0.000 | -0.000 | -0.000 |
| 1.144 | 8.469 | 0.964 | 0.000 | -0.000 | -0.000 |
| 2.357 | 1.013 | 2.866 | 0.000 | -0.000 | -0.000 |
| 0.000 | 0.000 | 0.000 | 1.858 | -0.000 | 0.000 |
| 0.000 | -0.000 | 0.000 | -0.000 | 2.895 | -0.000 |
| 0.000 | 0.000 | 0.000 | -0.000 | -0.000 | 2.133 |
| 9.157 | 2.274 | 2.937 | 0.000 | 0.000 | 0.000 |
| 2.242 | 10.189 | 1.900 | 0.000 | 0.000 | -0.000 |
| 2.955 | 1.949 | 3.375 | -0.000 | -0.000 | 0.000 |
| -0.000 | 0.000 | 0.000 | 1.858 | -0.000 | 0.000 |
| 0.000 | 0.000 | 0.000 | -0.000 | 2.895 | -0.000 |
| -0.000 | -0.000 | -0.000 | 0.000 | 0.000 | 1.432 |
| 8.456 | 1.176 | 2.340 | -0.000 | -0.000 | -0.000 |
| 1.144 | 8.469 | 0.964 | -0.000 | -0.000 | -0.000 |
| 2.357 | 1.013 | 2.866 | -0.000 | 0.000 | -0.000 |
| 0.000 | -0.000 | -0.000 | 1.858 | 0.000 | -0.000 |
| -0.000 | -0.000 | -0.000 | -0.000 | 2.895 | -0.000 |
| 0.000 | 0.000 | 0.000 | -0.000 | -0.000 | 1.432 |
| 9.157 | 2.274 | 2.937 | 0.000 | 0.000 | 0.000 |
| 2.242 | 10.189 | 1.900 | 0.000 | 0.000 | -0.000 |
| 2.955 | 1.949 | 3.375 | 0.000 | -0.000 | 0.000 |
| -0.000 | -0.000 | -0.000 | 0.230 | -0.000 | 0.000 |
| 0.000 | -0.000 | 0.000 | 0.000 | 2.895 | 0.000 |
| -0.000 | -0.000 | -0.000 | 0.000 | -0.000 | 2.133 |
| 8.614 | 1.425 | 2.475 | -0.000 | 0.000 | -0.000 |
| 1.398 | 8.867 | 1.180 | 0.000 | -0.000 | -0.000 |
| 2.490 | 1.222 | 2.979 | -0.000 | 0.000 | -0.000 |
| 0.000 | 0.000 | 0.000 | 0.230 | -0.000 | -0.000 |
| -0.000 | 0.000 | -0.000 | -0.000 | 2.895 | 0.000 |
| 0.000 | 0.000 | 0.000 | -0.000 | 0.000 | 2.133 |
| 4.953 | 1.658 | 1.633 | 0.571 | 0.000 | 0.000 |
| 1.658 | 4.953 | 1.633 | -0.571 | 0.000 | 0.000 |
| 1.615 | 1.615 | 6.359 | -0.000 | 0.000 | 0.000 |
| 0.571 | -0.571 | 0.000 | 1.586 | -0.000 | 0.000 |
| 0.000 | 0.000 | 0.000 | 0.000 | 1.586 | 0.571 |
| 0.000 | 0.000 | 0.000 | 0.000 | 0.571 | 1.647 |
| 4.953 | 1.658 | 1.633 | 0.571 | -0.000 | -0.000 |
| 1.658 | 4.953 | 1.633 | -0.571 | -0.000 | 0.000 |
| 1.615 | 1.615 | 6.359 | 0.000 | 0.000 | -0.000 |
| 0.571 | -0.571 | -0.000 | 1.586 | 0.000 | -0.000 |
| -0.000 | -0.000 | -0.000 | -0.000 | 1.586 | 0.571 |
| -0.000 | -0.000 | -0.000 | -0.000 | 0.571 | 1.647 |
| 4.953 | 1.658 | 1.633 | 0.571 | 0.000 | 0.000 |
| 1.658 | 4.953 | 1.633 | -0.571 | -0.000 | 0.000 |
| 1.615 | 1.615 | 6.359 | -0.000 | -0.000 | 0.000 |
| 0.571 | -0.571 | 0.000 | 1.586 | 0.000 | -0.000 |
| 0.000 | 0.000 | 0.000 | 0.000 | 1.586 | 0.571 |
| 0.000 | 0.000 | 0.000 | 0.000 | 0.571 | 1.647 |
| 4.953 | 1.658 | 1.633 | 0.571 | 0.000 | -0.000 |
| 1.658 | 4.953 | 1.633 | -0.571 | -0.000 | -0.000 |
| 1.615 | 1.615 | 6.359 | 0.000 | -0.000 | -0.000 |
| 0.571 | -0.571 | -0.000 | 1.586 | -0.000 | -0.000 |
| -0.000 | -0.000 | -0.000 | -0.000 | 1.586 | 0.571 |
| -0.000 | -0.000 | -0.000 | -0.000 | 0.571 | 1.647 |
| 4.953 | 1.658 | 1.633 | 0.571 | 0.000 | -0.000 |
| 1.658 | 4.953 | 1.633 | -0.571 | 0.000 | -0.000 |
| 1.615 | 1.615 | 6.359 | -0.000 | -0.000 | -0.000 |
| 0.571 | -0.571 | 0.000 | 1.586 | 0.000 | -0.000 |
| 0.000 | 0.000 | 0.000 | 0.000 | 1.586 | 0.571 |
| 0.000 | 0.000 | 0.000 | 0.000 | 0.571 | 1.647 |
| 4.953 | 1.658 | 1.633 | 0.571 | -0.000 | -0.000 |
| 1.658 | 4.953 | 1.633 | -0.571 | 0.000 | 0.000 |
| 1.615 | 1.615 | 6.359 | -0.000 | 0.000 | -0.000 |
| 0.571 | -0.571 | -0.000 | 1.586 | 0.000 | -0.000 |
| -0.000 | -0.000 | -0.000 | -0.000 | 1.586 | 0.571 |
| -0.000 | -0.000 | -0.000 | -0.000 | 0.571 | 1.647 |
| 1.226 | 0.413 | 1.115 | 0.675 | -0.000 | -0.000 |
| 0.413 | 1.226 | 1.115 | -0.675 | 0.000 | 0.000 |
| 1.114 | 1.114 | 1.503 | 0.000 | 0.000 | 0.000 |
| 0.675 | -0.675 | 0.000 | 1.107 | 0.000 | -0.000 |
| 0.000 | 0.000 | 0.000 | 0.000 | 1.107 | 0.675 |
| 0.000 | 0.000 | 0.000 | 0.000 | 0.675 | 0.407 |
| 1.226 | 0.413 | 1.115 | 0.675 | -0.000 | 0.000 |
| 0.413 | 1.226 | 1.115 | -0.675 | 0.000 | 0.000 |
| 1.114 | 1.114 | 1.503 | -0.000 | 0.000 | -0.000 |
| 0.675 | -0.675 | -0.000 | 1.107 | -0.000 | 0.000 |
| -0.000 | -0.000 | -0.000 | -0.000 | 1.107 | 0.675 |
| -0.000 | -0.000 | -0.000 | -0.000 | 0.675 | 0.407 |
| 1.226 | 0.413 | 1.115 | 0.675 | 0.000 | 0.000 |
| 0.413 | 1.226 | 1.115 | -0.675 | 0.000 | 0.000 |
| 1.114 | 1.114 | 1.503 | 0.000 | 0.000 | 0.000 |
| 0.675 | -0.675 | 0.000 | 1.107 | 0.000 | 0.000 |
| 0.000 | 0.000 | 0.000 | 0.000 | 1.107 | 0.675 |
| 0.000 | 0.000 | 0.000 | 0.000 | 0.675 | 0.407 |
| 1.226 | 0.413 | 1.115 | 0.675 | 0.000 | 0.000 |
| 0.413 | 1.226 | 1.115 | -0.675 | -0.000 | -0.000 |
| 1.114 | 1.114 | 1.503 | -0.000 | 0.000 | -0.000 |
| 0.675 | -0.675 | -0.000 | 1.107 | -0.000 | -0.000 |
| -0.000 | -0.000 | -0.000 | -0.000 | 1.107 | 0.675 |
| -0.000 | -0.000 | -0.000 | -0.000 | 0.675 | 0.407 |
| 1.226 | 0.413 | 1.115 | 0.675 | 0.000 | 0.000 |
| 0.413 | 1.226 | 1.115 | -0.675 | 0.000 | -0.000 |
| 1.114 | 1.114 | 1.503 | 0.000 | -0.000 | 0.000 |
| 0.675 | -0.675 | 0.000 | 1.107 | 0.000 | 0.000 |
| 0.000 | 0.000 | 0.000 | 0.000 | 1.107 | 0.675 |
| 0.000 | 0.000 | 0.000 | 0.000 | 0.675 | 0.407 |
| 1.226 | 0.413 | 1.115 | 0.675 | 0.000 | 0.000 |
| 0.413 | 1.226 | 1.115 | -0.675 | 0.000 | -0.000 |
| 1.114 | 1.114 | 1.503 | -0.000 | -0.000 | 0.000 |
| 0.675 | -0.675 | -0.000 | 1.107 | 0.000 | -0.000 |
| -0.000 | -0.000 | -0.000 | -0.000 | 1.107 | 0.675 |
| -0.000 | -0.000 | -0.000 | -0.000 | 0.675 | 0.407 |
| 7.286 | 1.196 | 5.697 | -0.000 | -0.000 | 0.000 |
| 1.123 | 2.899 | 2.235 | -0.000 | 0.000 | 0.000 |
| 5.586 | 2.198 | 9.305 | -0.000 | 0.000 | -0.000 |
| 0.000 | -0.000 | -0.000 | 1.535 | 0.000 | 0.000 |
| -0.000 | 0.000 | -0.000 | -0.000 | 4.997 | 0.000 |
| 0.000 | 0.000 | 0.000 | -0.000 | 0.000 | 0.571 |
| 7.286 | 1.196 | 5.697 | 0.000 | -0.000 | 0.000 |
| 1.123 | 2.899 | 2.235 | 0.000 | -0.000 | 0.000 |
| 5.586 | 2.198 | 9.305 | 0.000 | -0.000 | 0.000 |
| -0.000 | 0.000 | 0.000 | 1.535 | -0.000 | -0.000 |
| 0.000 | -0.000 | 0.000 | 0.000 | 4.997 | -0.000 |
| -0.000 | -0.000 | -0.000 | 0.000 | -0.000 | 0.571 |
| 7.286 | 1.196 | 5.697 | -0.000 | 0.000 | -0.000 |
| 1.123 | 2.899 | 2.235 | -0.000 | 0.000 | 0.000 |
| 5.586 | 2.198 | 9.305 | -0.000 | 0.000 | 0.000 |
| -0.000 | -0.000 | -0.000 | 1.535 | 0.000 | 0.000 |
| -0.000 | 0.000 | -0.000 | -0.000 | 4.997 | 0.000 |
| 0.000 | 0.000 | 0.000 | -0.000 | 0.000 | 0.571 |
| 7.286 | 1.196 | 5.697 | 0.000 | -0.000 | -0.000 |
| 1.123 | 2.899 | 2.235 | 0.000 | -0.000 | 0.000 |
| 5.586 | 2.198 | 9.305 | 0.000 | -0.000 | -0.000 |
| 0.000 | 0.000 | 0.000 | 1.535 | -0.000 | -0.000 |
| 0.000 | -0.000 | 0.000 | 0.000 | 4.997 | -0.000 |
| -0.000 | -0.000 | -0.000 | 0.000 | -0.000 | 0.571 |
| 7.286 | 1.196 | 5.697 | -0.000 | 0.000 | 0.000 |
| 1.123 | 2.899 | 2.235 | -0.000 | 0.000 | -0.000 |
| 5.586 | 2.198 | 9.305 | -0.000 | 0.000 | -0.000 |
| -0.000 | -0.000 | -0.000 | 1.535 | -0.000 | 0.000 |
| -0.000 | 0.000 | -0.000 | -0.000 | 4.997 | -0.000 |
| 0.000 | 0.000 | 0.000 | -0.000 | 0.000 | 0.571 |
| 7.286 | 1.196 | 5.697 | 0.000 | -0.000 | -0.000 |
| 1.123 | 2.899 | 2.235 | 0.000 | -0.000 | 0.000 |
| 5.586 | 2.198 | 9.305 | 0.000 | -0.000 | 0.000 |
| 0.000 | 0.000 | 0.000 | 1.535 | -0.000 | -0.000 |
| 0.000 | -0.000 | 0.000 | 0.000 | 4.997 | 0.000 |
| -0.000 | -0.000 | -0.000 | 0.000 | -0.000 | 0.571 |
| 6.189 | 1.870 | 1.870 | -0.000 | 0.000 | 0.000 |
| 1.870 | 6.189 | 1.870 | 0.000 | -0.000 | 0.000 |
| 1.870 | 1.870 | 6.189 | 0.000 | -0.000 | -0.000 |
| -0.000 | -0.000 | -0.000 | 1.798 | -0.000 | 0.000 |
| -0.000 | -0.000 | -0.000 | -0.000 | 1.798 | 0.000 |
| -0.000 | -0.000 | -0.000 | -0.000 | 0.000 | 1.798 |
| 6.189 | 1.870 | 1.870 | -0.000 | 0.000 | -0.000 |
| 1.870 | 6.189 | 1.870 | -0.000 | 0.000 | -0.000 |
| 1.870 | 1.870 | 6.189 | -0.000 | 0.000 | 0.000 |
| 0.000 | 0.000 | 0.000 | 1.798 | -0.000 | 0.000 |
| 0.000 | -0.000 | 0.000 | -0.000 | 1.798 | 0.000 |
| 0.000 | 0.000 | 0.000 | -0.000 | 0.000 | 1.798 |
| 6.189 | 1.870 | 1.870 | 0.000 | -0.000 | 0.000 |
| 1.870 | 6.189 | 1.870 | 0.000 | 0.000 | 0.000 |
| 1.870 | 1.870 | 6.189 | 0.000 | 0.000 | 0.000 |
| -0.000 | -0.000 | -0.000 | 1.798 | -0.000 | 0.000 |
| -0.000 | -0.000 | -0.000 | -0.000 | 1.798 | 0.000 |
| -0.000 | -0.000 | -0.000 | -0.000 | -0.000 | 1.798 |
| 6.189 | 1.870 | 1.870 | 0.000 | 0.000 | -0.000 |
| 1.870 | 6.189 | 1.870 | -0.000 | 0.000 | -0.000 |
| 1.870 | 1.870 | 6.189 | -0.000 | -0.000 | 0.000 |
| 0.000 | 0.000 | 0.000 | 1.798 | -0.000 | -0.000 |
| 0.000 | 0.000 | 0.000 | -0.000 | 1.798 | -0.000 |
| 0.000 | 0.000 | 0.000 | -0.000 | 0.000 | 1.798 |
| 6.189 | 1.870 | 1.870 | 0.000 | -0.000 | -0.000 |
| 1.870 | 6.189 | 1.870 | 0.000 | -0.000 | 0.000 |
| 1.870 | 1.870 | 6.189 | 0.000 | -0.000 | 0.000 |
| -0.000 | -0.000 | -0.000 | 1.798 | -0.000 | 0.000 |
| -0.000 | -0.000 | -0.000 | 0.000 | 1.798 | 0.000 |
| -0.000 | -0.000 | -0.000 | 0.000 | 0.000 | 1.798 |
| 6.189 | 1.870 | 1.870 | 0.000 | -0.000 | -0.000 |
| 1.870 | 6.189 | 1.870 | -0.000 | 0.000 | -0.000 |
| 1.870 | 1.870 | 6.189 | -0.000 | -0.000 | 0.000 |
| 0.000 | 0.000 | 0.000 | 1.798 | 0.000 | 0.000 |
| 0.000 | 0.000 | 0.000 | -0.000 | 1.798 | 0.000 |
| 0.000 | 0.000 | 0.000 | -0.000 | 0.000 | 1.798 |
| 5.657 | 1.794 | 1.794 | 0.000 | 0.000 | 0.000 |
| 1.794 | 5.657 | 1.794 | 0.000 | 0.000 | 0.000 |
| 1.794 | 1.794 | 5.657 | 0.000 | 0.000 | 0.000 |
| -0.000 | -0.000 | -0.000 | 1.794 | -0.000 | 0.000 |
| -0.000 | -0.000 | -0.000 | -0.000 | 1.794 | 0.000 |
| -0.000 | -0.000 | -0.000 | -0.000 | 0.000 | 1.794 |
| 5.657 | 1.794 | 1.794 | 0.000 | -0.000 | -0.000 |
| 1.794 | 5.657 | 1.794 | -0.000 | 0.000 | -0.000 |
| 1.794 | 1.794 | 5.657 | -0.000 | -0.000 | 0.000 |
| 0.000 | 0.000 | 0.000 | 1.794 | -0.000 | -0.000 |
| 0.000 | 0.000 | 0.000 | -0.000 | 1.794 | -0.000 |
| 0.000 | 0.000 | 0.000 | -0.000 | -0.000 | 1.794 |
| 5.657 | 1.794 | 1.794 | 0.000 | 0.000 | 0.000 |
| 1.794 | 5.657 | 1.794 | 0.000 | 0.000 | 0.000 |
| 1.794 | 1.794 | 5.657 | 0.000 | 0.000 | 0.000 |
| -0.000 | -0.000 | -0.000 | 1.794 | -0.000 | 0.000 |
| -0.000 | -0.000 | -0.000 | -0.000 | 1.794 | 0.000 |
| -0.000 | -0.000 | -0.000 | -0.000 | 0.000 | 1.794 |
| 5.657 | 1.794 | 1.794 | -0.000 | -0.000 | -0.000 |
| 1.794 | 5.657 | 1.794 | -0.000 | -0.000 | -0.000 |
| 1.794 | 1.794 | 5.657 | -0.000 | -0.000 | -0.000 |
| 0.000 | 0.000 | 0.000 | 1.794 | -0.000 | -0.000 |
| 0.000 | 0.000 | 0.000 | -0.000 | 1.794 | -0.000 |
| 0.000 | 0.000 | 0.000 | -0.000 | -0.000 | 1.794 |
| 5.657 | 1.794 | 1.794 | 0.000 | 0.000 | 0.000 |
| 1.794 | 5.657 | 1.794 | 0.000 | 0.000 | 0.000 |
| 1.794 | 1.794 | 5.657 | 0.000 | 0.000 | 0.000 |
| -0.000 | -0.000 | -0.000 | 1.794 | -0.000 | 0.000 |
| -0.000 | -0.000 | -0.000 | -0.000 | 1.794 | 0.000 |
| -0.000 | -0.000 | -0.000 | -0.000 | 0.000 | 1.794 |
| 5.657 | 1.794 | 1.794 | -0.000 | -0.000 | -0.000 |
| 1.794 | 5.657 | 1.794 | -0.000 | -0.000 | -0.000 |
| 1.794 | 1.794 | 5.657 | -0.000 | -0.000 | -0.000 |
| 0.000 | 0.000 | 0.000 | 1.794 | 0.000 | -0.000 |
| 0.000 | 0.000 | 0.000 | 0.000 | 1.794 | -0.000 |
| 0.000 | 0.000 | 0.000 | 0.000 | -0.000 | 1.794 |
| 1.719 | 3.316 | 3.316 | 0.000 | 0.000 | -0.000 |
| 3.316 | 1.719 | 3.316 | 0.000 | 0.000 | -0.000 |
| 3.316 | 3.316 | 1.719 | 0.000 | 0.000 | 0.000 |
| 0.000 | 0.000 | 0.000 | 0.190 | -0.000 | 0.000 |
| 0.000 | 0.000 | 0.000 | 0.000 | 0.190 | -0.000 |
| 0.000 | 0.000 | 0.000 | 0.000 | 0.000 | 0.190 |
| 1.719 | 3.316 | 3.316 | -0.000 | -0.000 | 0.000 |
| 3.316 | 1.719 | 3.316 | -0.000 | -0.000 | -0.000 |
| 3.316 | 3.316 | 1.719 | -0.000 | -0.000 | 0.000 |
| -0.000 | -0.000 | -0.000 | 0.190 | -0.000 | -0.000 |
| -0.000 | -0.000 | -0.000 | 0.000 | 0.190 | 0.000 |
| -0.000 | -0.000 | -0.000 | -0.000 | -0.000 | 0.190 |
| 1.719 | 3.316 | 3.316 | 0.000 | 0.000 | 0.000 |
| 3.316 | 1.719 | 3.316 | -0.000 | 0.000 | -0.000 |
| 3.316 | 3.316 | 1.719 | 0.000 | 0.000 | 0.000 |
| 0.000 | 0.000 | 0.000 | 0.190 | 0.000 | 0.000 |
| -0.000 | 0.000 | 0.000 | 0.000 | 0.190 | -0.000 |
| 0.000 | -0.000 | 0.000 | 0.000 | 0.000 | 0.190 |
| 1.719 | 3.316 | 3.316 | -0.000 | -0.000 | -0.000 |
| 3.316 | 1.719 | 3.316 | 0.000 | -0.000 | -0.000 |
| 3.316 | 3.316 | 1.719 | -0.000 | -0.000 | -0.000 |
| -0.000 | -0.000 | 0.000 | 0.190 | -0.000 | -0.000 |
| -0.000 | -0.000 | -0.000 | -0.000 | 0.190 | 0.000 |
| -0.000 | -0.000 | -0.000 | -0.000 | -0.000 | 0.190 |
| 1.719 | 3.316 | 3.316 | 0.000 | 0.000 | -0.000 |
| 3.316 | 1.719 | 3.316 | 0.000 | 0.000 | 0.000 |
| 3.316 | 3.316 | 1.719 | 0.000 | 0.000 | 0.000 |
| -0.000 | -0.000 | -0.000 | 0.190 | 0.000 | 0.000 |
| -0.000 | -0.000 | -0.000 | 0.000 | 0.190 | 0.000 |
| -0.000 | -0.000 | -0.000 | 0.000 | 0.000 | 0.190 |
| 1.719 | 3.316 | 3.316 | -0.000 | -0.000 | 0.000 |
| 3.316 | 1.719 | 3.316 | -0.000 | -0.000 | -0.000 |
| 3.316 | 3.316 | 1.719 | -0.000 | -0.000 | 0.000 |
| 0.000 | 0.000 | 0.000 | 0.190 | -0.000 | -0.000 |
| 0.000 | 0.000 | 0.000 | 0.000 | 0.190 | -0.000 |
| 0.000 | 0.000 | 0.000 | -0.000 | -0.000 | 0.190 |
| 3.986 | 1.634 | 1.634 | -0.000 | 0.000 | -0.000 |
| 1.634 | 3.986 | 1.634 | -0.000 | 0.000 | -0.000 |
| 1.634 | 1.634 | 3.986 | -0.000 | 0.000 | 0.000 |
| 0.000 | 0.000 | 0.000 | 1.602 | 0.000 | -0.000 |
| 0.000 | 0.000 | -0.000 | -0.000 | 1.602 | -0.000 |
| 0.000 | 0.000 | -0.000 | -0.000 | 0.000 | 1.602 |
| 3.986 | 1.634 | 1.634 | 0.000 | 0.000 | 0.000 |
| 1.634 | 3.986 | 1.634 | 0.000 | -0.000 | -0.000 |
| 1.634 | 1.634 | 3.986 | 0.000 | -0.000 | 0.000 |
| -0.000 | -0.000 | -0.000 | 1.602 | -0.000 | 0.000 |
| -0.000 | -0.000 | 0.000 | 0.000 | 1.602 | 0.000 |
| -0.000 | -0.000 | 0.000 | 0.000 | -0.000 | 1.602 |
| 3.986 | 1.634 | 1.634 | -0.000 | 0.000 | -0.000 |
| 1.634 | 3.986 | 1.634 | -0.000 | 0.000 | -0.000 |
| 1.634 | 1.634 | 3.986 | -0.000 | 0.000 | -0.000 |
| -0.000 | 0.000 | 0.000 | 1.602 | 0.000 | -0.000 |
| 0.000 | -0.000 | 0.000 | -0.000 | 1.602 | -0.000 |
| 0.000 | 0.000 | -0.000 | -0.000 | 0.000 | 1.602 |
| 3.986 | 1.634 | 1.634 | 0.000 | -0.000 | 0.000 |
| 1.634 | 3.986 | 1.634 | 0.000 | 0.000 | 0.000 |
| 1.634 | 1.634 | 3.986 | 0.000 | -0.000 | -0.000 |
| 0.000 | -0.000 | -0.000 | 1.602 | -0.000 | 0.000 |
| -0.000 | 0.000 | -0.000 | 0.000 | 1.602 | 0.000 |
| -0.000 | -0.000 | 0.000 | 0.000 | -0.000 | 1.602 |
| 3.986 | 1.634 | 1.634 | -0.000 | 0.000 | -0.000 |
| 1.634 | 3.986 | 1.634 | -0.000 | -0.000 | -0.000 |
| 1.634 | 1.634 | 3.986 | -0.000 | 0.000 | 0.000 |
| -0.000 | 0.000 | 0.000 | 1.602 | 0.000 | -0.000 |
| 0.000 | -0.000 | 0.000 | -0.000 | 1.602 | -0.000 |
| 0.000 | 0.000 | -0.000 | -0.000 | 0.000 | 1.602 |
| 3.986 | 1.634 | 1.634 | 0.000 | -0.000 | 0.000 |
| 1.634 | 3.986 | 1.634 | 0.000 | -0.000 | -0.000 |
| 1.634 | 1.634 | 3.986 | 0.000 | -0.000 | -0.000 |
| 0.000 | -0.000 | -0.000 | 1.602 | -0.000 | 0.000 |
| -0.000 | 0.000 | -0.000 | 0.000 | 1.602 | 0.000 |
| -0.000 | -0.000 | 0.000 | 0.000 | -0.000 | 1.602 |
| 1.271 | 0.834 | 0.834 | 0.000 | -0.000 | -0.000 |
| 0.834 | 1.271 | 0.834 | 0.000 | -0.000 | 0.000 |
| 0.834 | 0.834 | 1.271 | 0.000 | -0.000 | 0.000 |
| 0.000 | 0.000 | 0.000 | 0.895 | -0.000 | -0.000 |
| 0.000 | 0.000 | 0.000 | -0.000 | 0.895 | -0.000 |
| 0.000 | 0.000 | 0.000 | 0.000 | -0.000 | 0.895 |
| 1.271 | 0.834 | 0.834 | -0.000 | 0.000 | -0.000 |
| 0.834 | 1.271 | 0.834 | -0.000 | -0.000 | 0.000 |
| 0.834 | 0.834 | 1.271 | -0.000 | 0.000 | 0.000 |
| -0.000 | -0.000 | -0.000 | 0.895 | -0.000 | 0.000 |
| -0.000 | -0.000 | -0.000 | -0.000 | 0.895 | 0.000 |
| -0.000 | -0.000 | -0.000 | 0.000 | -0.000 | 0.895 |
| 1.271 | 0.834 | 0.834 | 0.000 | -0.000 | -0.000 |
| 0.834 | 1.271 | 0.834 | 0.000 | 0.000 | -0.000 |
| 0.834 | 0.834 | 1.271 | 0.000 | 0.000 | -0.000 |
| 0.000 | 0.000 | 0.000 | 0.895 | -0.000 | -0.000 |
| 0.000 | 0.000 | 0.000 | 0.000 | 0.895 | -0.000 |
| 0.000 | 0.000 | 0.000 | 0.000 | 0.000 | 0.895 |
| 1.271 | 0.834 | 0.834 | -0.000 | -0.000 | 0.000 |
| 0.834 | 1.271 | 0.834 | -0.000 | 0.000 | 0.000 |
| 0.834 | 0.834 | 1.271 | 0.000 | -0.000 | 0.000 |
| -0.000 | -0.000 | -0.000 | 0.895 | 0.000 | 0.000 |
| -0.000 | -0.000 | -0.000 | 0.000 | 0.895 | 0.000 |
| -0.000 | -0.000 | -0.000 | -0.000 | -0.000 | 0.895 |
| 1.271 | 0.834 | 0.834 | 0.000 | -0.000 | 0.000 |
| 0.834 | 1.271 | 0.834 | -0.000 | -0.000 | -0.000 |
| 0.834 | 0.834 | 1.271 | -0.000 | -0.000 | -0.000 |
| 0.000 | 0.000 | 0.000 | 0.895 | -0.000 | -0.000 |
| 0.000 | 0.000 | 0.000 | 0.000 | 0.895 | -0.000 |
| 0.000 | 0.000 | 0.000 | 0.000 | 0.000 | 0.895 |
| 1.271 | 0.834 | 0.834 | 0.000 | 0.000 | -0.000 |
| 0.834 | 1.271 | 0.834 | 0.000 | 0.000 | -0.000 |
| 0.834 | 0.834 | 1.271 | -0.000 | -0.000 | 0.000 |
| -0.000 | -0.000 | -0.000 | 0.895 | 0.000 | 0.000 |
| -0.000 | -0.000 | -0.000 | -0.000 | 0.895 | 0.000 |
| -0.000 | -0.000 | -0.000 | -0.000 | -0.000 | 0.895 |
| 8.248 | 5.530 | 4.685 | -0.000 | -0.000 | -0.000 |
| 5.641 | 10.922 | 4.085 | -0.000 | 0.000 | -0.000 |
| 4.986 | 4.274 | 1.317 | -0.000 | 0.000 | -0.000 |
| -0.000 | -0.000 | -0.000 | 2.982 | 0.000 | 0.000 |
| -0.000 | -0.000 | 0.000 | -0.000 | 3.582 | 0.000 |
| -0.000 | -0.000 | -0.000 | 0.000 | 0.000 | 4.048 |
| 8.248 | 5.530 | 4.685 | 0.000 | -0.000 | 0.000 |
| 5.641 | 10.922 | 4.085 | 0.000 | -0.000 | -0.000 |
| 4.986 | 4.274 | 1.317 | 0.000 | -0.000 | 0.000 |
| 0.000 | 0.000 | -0.000 | 2.982 | -0.000 | -0.000 |
| 0.000 | 0.000 | -0.000 | 0.000 | 3.582 | -0.000 |
| 0.000 | 0.000 | 0.000 | -0.000 | -0.000 | 4.048 |
| 8.248 | 5.530 | 4.685 | 0.000 | -0.000 | -0.000 |
| 5.641 | 10.922 | 4.085 | -0.000 | 0.000 | -0.000 |
| 4.986 | 4.274 | 1.317 | -0.000 | 0.000 | 0.000 |
| -0.000 | -0.000 | -0.000 | 2.982 | 0.000 | -0.000 |
| 0.000 | -0.000 | 0.000 | -0.000 | 3.582 | 0.000 |
| -0.000 | -0.000 | -0.000 | 0.000 | 0.000 | 4.048 |
| 8.248 | 5.530 | 4.685 | 0.000 | -0.000 | 0.000 |
| 5.641 | 10.922 | 4.085 | 0.000 | -0.000 | 0.000 |
| 4.986 | 4.274 | 1.317 | 0.000 | -0.000 | 0.000 |
| 0.000 | 0.000 | 0.000 | 2.982 | 0.000 | 0.000 |
| -0.000 | 0.000 | -0.000 | -0.000 | 3.582 | -0.000 |
| 0.000 | 0.000 | 0.000 | 0.000 | 0.000 | 4.048 |
| 24.313 | 3.311 | -3.518 | 0.000 | 0.000 | 0.000 |
| 21.659 | 8.668 | -4.135 | -0.000 | 0.000 | 0.000 |
| 4.986 | 4.274 | 1.317 | -0.000 | 0.000 | 0.000 |
| -0.000 | -0.000 | -0.000 | 2.982 | 0.000 | 0.000 |
| 0.000 | -0.000 | 0.000 | -0.000 | 3.582 | 0.000 |
| -0.000 | -0.000 | -0.000 | -0.000 | -0.000 | 4.048 |
| 8.248 | 5.530 | 4.685 | 0.000 | 0.000 | 0.000 |
| 5.642 | 10.922 | 4.085 | 0.000 | -0.000 | 0.000 |
| 4.986 | 4.274 | 1.317 | 0.000 | -0.000 | 0.000 |
| 0.000 | 0.000 | 0.000 | 2.982 | -0.000 | 0.000 |
| -0.000 | 0.000 | -0.000 | 0.000 | 3.582 | 0.000 |
| 0.000 | 0.000 | 0.000 | 0.000 | 0.000 | 4.048 |
| -37.352 | -12.451 | 9.961 | 1.136 | 0.000 | 0.000 |
| -12.451 | -37.352 | 9.961 | -1.136 | 0.000 | -0.000 |
| 9.961 | 9.961 | 28.944 | 0.000 | 0.000 | 0.000 |
| 1.136 | -1.136 | -0.000 | 9.961 | 0.000 | 0.000 |
| -0.000 | -0.000 | -0.000 | -0.000 | 9.961 | 1.136 |
| 0.000 | 0.000 | -0.000 | -0.000 | 1.136 | -12.451 |
| -37.352 | -12.451 | 9.961 | 1.136 | -0.000 | -0.000 |
| -12.451 | -37.352 | 9.961 | -1.136 | -0.000 | -0.000 |
| 9.961 | 9.961 | 28.944 | 0.000 | 0.000 | -0.000 |
| 1.136 | -1.136 | 0.000 | 9.961 | -0.000 | -0.000 |
| 0.000 | 0.000 | 0.000 | 0.000 | 9.961 | 1.136 |
| -0.000 | -0.000 | 0.000 | 0.000 | 1.136 | -12.451 |
| -37.352 | -12.451 | 9.961 | 1.136 | 0.000 | 0.000 |
| -12.451 | -37.352 | 9.961 | -1.136 | 0.000 | -0.000 |
| 9.961 | 9.961 | 28.944 | -0.000 | -0.000 | 0.000 |
| 1.136 | -1.136 | -0.000 | 9.961 | -0.000 | 0.000 |
| -0.000 | -0.000 | -0.000 | -0.000 | 9.961 | 1.136 |
| 0.000 | 0.000 | -0.000 | -0.000 | 1.136 | -12.451 |
| -37.352 | -12.451 | 9.961 | 1.136 | -0.000 | -0.000 |
| -12.451 | -37.352 | 9.961 | -1.136 | -0.000 | -0.000 |
| 9.961 | 9.961 | 28.944 | -0.000 | -0.000 | -0.000 |
| 1.136 | -1.136 | 0.000 | 9.961 | -0.000 | -0.000 |
| 0.000 | 0.000 | 0.000 | 0.000 | 9.961 | 1.136 |
| -0.000 | -0.000 | 0.000 | 0.000 | 1.136 | -12.451 |
| -37.351 | -12.451 | 9.961 | 1.136 | 0.000 | 0.000 |
| -12.450 | -37.351 | 9.961 | -1.136 | 0.000 | 0.000 |
| 9.960 | 9.960 | 28.944 | 0.000 | 0.000 | 0.000 |
| 1.136 | -1.136 | -0.000 | 9.961 | -0.000 | 0.000 |
| -0.000 | -0.000 | -0.000 | -0.000 | 9.961 | 1.136 |
| 0.000 | 0.000 | -0.000 | -0.000 | 1.136 | -12.451 |
| -37.353 | -12.451 | 9.961 | 1.136 | -0.000 | -0.000 |
| -12.451 | -37.353 | 9.961 | -1.136 | -0.000 | -0.000 |
| 9.961 | 9.961 | 28.945 | 0.000 | 0.000 | -0.000 |
| 1.136 | -1.136 | 0.000 | 9.961 | -0.000 | -0.000 |
| 0.000 | 0.000 | 0.000 | 0.000 | 9.961 | 1.136 |
| -0.000 | -0.000 | 0.000 | 0.000 | 1.136 | -12.451 |
| 11.713 | 4.359 | 9.988 | -0.000 | -0.000 | 0.000 |
| 4.359 | 11.713 | 9.988 | 0.000 | -0.000 | 0.000 |
| 9.996 | 9.996 | 27.726 | -0.000 | -0.000 | 0.000 |
| -0.000 | -0.000 | -0.000 | 9.999 | -0.000 | 0.000 |
| -0.000 | -0.000 | -0.000 | -0.000 | 9.999 | 0.000 |
| -0.000 | -0.000 | -0.000 | -0.000 | -0.000 | 3.677 |
| 11.713 | 4.359 | 9.988 | 0.000 | 0.000 | -0.000 |
| 4.359 | 11.713 | 9.988 | 0.000 | 0.000 | -0.000 |
| 9.996 | 9.996 | 27.726 | 0.000 | 0.000 | -0.000 |
| 0.000 | 0.000 | 0.000 | 9.999 | 0.000 | -0.000 |
| 0.000 | 0.000 | 0.000 | 0.000 | 9.999 | 0.000 |
| 0.000 | 0.000 | 0.000 | 0.000 | 0.000 | 3.677 |
| 11.713 | 4.359 | 9.988 | -0.000 | -0.000 | 0.000 |
| 4.359 | 11.713 | 9.988 | -0.000 | -0.000 | 0.000 |
| 9.996 | 9.996 | 27.726 | -0.000 | -0.000 | 0.000 |
| -0.000 | -0.000 | -0.000 | 9.999 | -0.000 | 0.000 |
| -0.000 | -0.000 | -0.000 | -0.000 | 9.999 | 0.000 |
| -0.000 | -0.000 | -0.000 | -0.000 | -0.000 | 3.582 |
| 11.618 | 4.454 | 9.988 | 0.000 | 0.000 | -0.000 |
| 4.454 | 11.618 | 9.988 | 0.000 | 0.000 | -0.000 |
| 9.996 | 9.996 | 27.726 | 0.000 | 0.000 | -0.000 |
| 0.000 | 0.000 | 0.000 | 9.999 | 0.000 | -0.000 |
| 0.000 | 0.000 | 0.000 | 0.000 | 9.999 | -0.000 |
| 0.000 | 0.000 | 0.000 | 0.000 | 0.000 | 3.582 |
| 11.713 | 4.359 | 9.988 | -0.000 | -0.000 | 0.000 |
| 4.359 | 11.713 | 9.988 | -0.000 | -0.000 | 0.000 |
| 9.996 | 9.996 | 27.726 | -0.000 | 0.000 | 0.000 |
| -0.000 | -0.000 | -0.000 | 9.999 | -0.000 | 0.000 |
| -0.000 | -0.000 | -0.000 | 0.000 | 9.999 | -0.000 |
| -0.000 | -0.000 | -0.000 | -0.000 | -0.000 | 3.677 |
| 11.713 | 4.359 | 9.989 | 0.000 | 0.000 | -0.000 |
| 4.359 | 11.713 | 9.989 | 0.000 | 0.000 | -0.000 |
| 9.996 | 9.996 | 27.726 | 0.000 | 0.000 | -0.000 |
| 0.000 | 0.000 | 0.000 | 9.999 | 0.000 | -0.000 |
| 0.000 | 0.000 | 0.000 | -0.000 | 9.999 | -0.000 |
| 0.000 | 0.000 | 0.000 | 0.000 | 0.000 | 3.677 |
| 14.665 | 6.904 | 11.345 | -1.921 | 0.000 | -0.000 |
| 6.904 | 14.665 | 11.345 | 1.921 | 0.000 | -0.000 |
| 11.348 | 11.348 | 11.530 | -0.000 | 0.000 | 0.000 |
| -1.921 | 1.921 | 0.000 | 8.328 | -0.000 | 0.000 |
| 0.000 | -0.000 | 0.000 | 0.000 | 8.328 | -1.921 |
| 0.000 | 0.000 | 0.000 | 0.000 | -1.921 | 3.880 |
| 12.049 | 9.521 | 11.345 | -1.921 | -0.000 | 0.000 |
| 9.521 | 12.049 | 11.345 | 1.921 | 0.000 | 0.000 |
| 11.348 | 11.348 | 11.530 | 0.000 | -0.000 | -0.000 |
| -1.921 | 1.921 | -0.000 | 8.328 | 0.000 | 0.000 |
| -0.000 | 0.000 | -0.000 | -0.000 | 8.328 | -1.921 |
| -0.000 | -0.000 | -0.000 | -0.000 | -1.921 | 3.880 |
| 12.049 | 9.521 | 11.345 | -1.921 | -0.000 | -0.000 |
| 6.904 | 14.665 | 11.345 | 1.921 | -0.000 | -0.000 |
| 11.348 | 11.348 | 11.530 | 0.000 | -0.000 | 0.000 |
| -1.921 | 1.921 | -0.000 | 8.328 | 0.000 | -0.000 |
| -0.000 | -0.000 | -0.000 | 0.000 | 8.328 | -1.921 |
| -0.000 | -0.000 | -0.000 | 0.000 | -1.921 | 3.880 |
| 14.665 | 6.904 | 11.345 | -1.921 | 0.000 | -0.000 |
| 6.904 | 14.665 | 11.345 | 1.921 | 0.000 | -0.000 |
| 11.348 | 11.348 | 11.530 | 0.000 | 0.000 | -0.000 |
| -1.921 | 1.921 | 0.000 | 8.328 | -0.000 | -0.000 |
| 0.000 | 0.000 | 0.000 | -0.000 | 8.328 | -1.921 |
| 0.000 | 0.000 | 0.000 | -0.000 | -1.921 | 3.880 |
| 12.048 | 9.520 | 11.344 | -1.921 | -0.000 | -0.000 |
| 9.520 | 12.048 | 11.344 | 1.921 | -0.000 | -0.000 |
| 11.348 | 11.348 | 11.530 | -0.000 | -0.000 | 0.000 |
| -1.921 | 1.921 | -0.000 | 8.328 | 0.000 | -0.000 |
| -0.000 | -0.000 | -0.000 | 0.000 | 8.328 | -1.921 |
| 0.000 | -0.000 | -0.000 | 0.000 | -1.921 | 1.264 |
| 11.183 | 10.386 | 11.345 | -1.921 | -0.000 | 0.000 |
| 9.521 | 12.049 | 11.345 | 1.921 | -0.000 | 0.000 |
| 11.348 | 11.348 | 11.531 | -0.000 | 0.000 | 0.000 |
| -1.921 | 1.921 | 0.000 | 8.328 | -0.000 | 0.000 |
| 0.000 | 0.000 | 0.000 | -0.000 | 8.328 | -1.921 |
| -0.000 | 0.000 | 0.000 | -0.000 | -1.921 | 1.264 |
Phonon band structures and crystal properties estimated from quasi-harmonic approximation (QHA) calculations are displayed for select crystals. The calculations were performed using phonopy and LAMMPS. For the phonon calculations, 3x3 supercells of the potential-specific relaxed crystals were used. The QHA calculations were based on 11 strain states ranging from -0.05 to 0.05.
The calculation method used is available as the iprPy phonon calculation method.
Notes and Disclaimers:
Version Information:



























































































































































































































































































































































































































































































































































































































































Static free surface formation energies are displayed for select crystals. The values displayed here are obtained by taking a perfect periodic bulk crystal, slicing along a crystallographic plane, and using force minimization to statically relax the surfaces. The free surface formation energy is computed by comparing the energy of the defect system to the bulk system and dividing by the total surface area created by the cut.
The calculation method used is available as the iprPy surface_energy_static calculation method.
Notes and Disclaimers:
Version Information:
| Surface | γfs (mJ/m2) |
|---|---|
| (111) | 115.91 |
| (332) | 128.41 |
| (322) | 129.85 |
| (221) | 133.84 |
| (100) | 133.84 |
| (211) | 136.60 |
| (331) | 138.18 |
| (311) | 141.24 |
| (110) | 141.96 |
| (321) | 143.09 |
| (310) | 148.14 |
| (320) | 148.49 |
| (210) | 149.64 |
| Surface | γfs (mJ/m2) |
|---|---|
| (211) 2 | 2606.21 |
| (210) | 2618.30 |
| (100) | 2627.27 |
| (332) 2 | 2688.68 |
| (321) 2 | 2691.46 |
| (311) | 2699.41 |
| (221) | 2703.55 |
| (322) | 2725.67 |
| (321) 1 | 2729.19 |
| (320) | 2730.63 |
| (111) | 2731.00 |
| (331) | 2736.16 |
| (310) | 2754.37 |
| (332) 1 | 2766.18 |
| (211) 1 | 2784.64 |
| (110) | 2852.54 |
| Surface | γfs (mJ/m2) |
|---|---|
| (110) | 2823.67 |
| (320) | 3055.47 |
| (321) | 3114.88 |
| (331) | 3120.37 |
| (100) | 3135.20 |
| (210) | 3140.96 |
| (211) | 3149.61 |
| (310) | 3185.77 |
| (221) | 3206.99 |
| (311) | 3236.20 |
| (322) | 3252.37 |
| (332) | 3262.69 |
| (111) | 3305.39 |
| Surface | γfs (mJ/m2) |
|---|---|
| (100) | 113.64 |
| (320) | 119.33 |
| (321) | 123.07 |
| (331) | 123.25 |
| (210) | 123.77 |
| (211) | 125.33 |
| (310) | 126.50 |
| (221) | 127.92 |
| (311) | 129.73 |
| (332) | 130.90 |
| (111) | 132.93 |
| Surface | γfs (mJ/m2) |
|---|---|
| (0001) | 115.91 |
| (1012) 2 | 126.72 |
| (2021) 1 | 126.96 |
| (1011) 1 | 128.74 |
| (2021) 2 | 137.11 |
| (1120) | 141.96 |
| (2131) 1 | 142.56 |
| (1010) | 143.43 |
| (2132) 2 | 144.28 |
| (2132) 1 | 144.28 |
| (2241) | 144.50 |
| (1012) 1 | 144.82 |
| (1121) | 146.18 |
| (2112) | 147.06 |
| (2130) | 147.15 |
| (1011) 2 | 148.55 |
| (2131) 2 | 150.27 |
| Surface | γfs (mJ/m2) |
|---|---|
| (0001) | 115.89 |
| (1010) 1 | 122.92 |
| (1011) 2 | 126.70 |
| (2021) 1 | 128.72 |
| (2130) 1 | 139.38 |
| (1012) 1 | 140.54 |
| (1012) 2 | 140.54 |
| (2112) | 141.22 |
| (1120) | 141.94 |
| (2132) 1 | 143.75 |
| (2132) 2 | 143.75 |
| (2131) 1 | 144.26 |
| (2131) 2 | 144.26 |
| (2241) | 146.15 |
| (1121) | 147.03 |
| (2021) 2 | 148.52 |
| (2130) 2 | 154.87 |
| (1011) 1 | 162.90 |
| (1010) 2 | 163.90 |
| Surface | γfs (mJ/m2) |
|---|---|
| (111) 2 | 14.49 |
| (331) 2 | 17.27 |
| (110) | 17.74 |
| (321) | 20.12 |
| (211) | 20.49 |
| (320) | 20.88 |
| (332) | 21.40 |
| (210) | 22.44 |
| (311) 2 | 22.70 |
| (311) 1 | 22.70 |
| (310) | 23.80 |
| (322) | 24.34 |
| (100) | 25.09 |
| (221) | 25.09 |
| (331) 1 | 28.78 |
| (111) 1 | 43.46 |
| Surface | γfs (mJ/m2) |
|---|---|
| (211) 1 | -32023.40 |
| (211) 2 | -26704.91 |
| (111) | -13422.58 |
| (201) | -10283.49 |
| (100) | 1833.77 |
| (101) 1 | 2217.88 |
| (110) | 2222.60 |
| (112) | 2305.91 |
| (001) | 2444.37 |
| (101) 2 | 2749.40 |
| Surface | γfs (mJ/m2) |
|---|---|
| (100) | 33.55 |
| (310) | 42.44 |
| (210) | 45.01 |
| (320) | 46.52 |
| (110) | 47.44 |
| (311) | 50.58 |
| (321) | 53.80 |
| (331) | 53.88 |
| (211) | 54.78 |
| (221) | 55.91 |
| (322) | 56.96 |
| (332) | 57.22 |
| (111) | 58.11 |
| Surface | γfs (mJ/m2) |
|---|---|
| (310) | 904.48 |
| (111) | 1008.98 |
| (332) | 1160.46 |
| (322) | 1175.43 |
| (221) | 1232.13 |
| (211) | 1262.06 |
| (331) | 1294.04 |
| (100) | 1310.52 |
| (311) | 1359.71 |
| (321) | 1362.85 |
| (110) | 1395.08 |
| (320) | 1472.53 |
| (210) | 1500.07 |
| Surface | γfs (mJ/m2) |
|---|---|
| (210) | -27.88 |
| (320) | -27.67 |
| (310) | -27.61 |
| (321) | -26.69 |
| (110) | -26.47 |
| (311) | -26.35 |
| (331) | -25.79 |
| (211) | -25.50 |
| (221) | -25.00 |
| (100) | -24.98 |
| (322) | -24.26 |
| (332) | -24.00 |
| (111) | -21.69 |
| Surface | γfs (mJ/m2) |
|---|---|
| (111) | 12.25 |
| (332) | 13.57 |
| (322) | 13.73 |
| (221) | 14.15 |
| (100) | 14.16 |
| (211) | 14.45 |
| (331) | 14.61 |
| (311) | 14.94 |
| (110) | 15.02 |
| (321) | 15.14 |
| (310) | 15.67 |
| (320) | 15.71 |
| (210) | 15.84 |
| Surface | γfs (mJ/m2) |
|---|---|
| (332) 2 | -5776.43 |
| (332) 1 | -5555.27 |
| (331) | -5196.98 |
| (322) | -5041.33 |
| (321) 1 | -4476.79 |
| (320) | -4433.60 |
| (311) | -4288.27 |
| (321) 2 | -4004.60 |
| (310) | -3942.99 |
| (210) | -2433.98 |
| (211) 1 | -2382.11 |
| (211) 2 | -2364.12 |
| (110) | -1241.90 |
| (100) | 886.48 |
| (111) | 932.66 |
| Surface | γfs (mJ/m2) |
|---|---|
| (100) | 0.90 |
| (310) | 1.14 |
| (210) | 1.21 |
| (320) | 1.25 |
| (110) | 1.27 |
| (311) | 1.35 |
| (321) 2 | 1.44 |
| (321) 1 | 1.44 |
| (331) | 1.44 |
| (211) 1 | 1.47 |
| (211) 2 | 1.47 |
| (221) | 1.50 |
| (322) | 1.53 |
| (332) 1 | 1.53 |
| (332) 2 | 1.53 |
| (111) | 1.56 |
| Surface | γfs (mJ/m2) |
|---|---|
| (110) | 7.55 |
| (321) | 8.56 |
| (331) | 8.58 |
| (211) | 8.72 |
| (320) | 8.89 |
| (221) | 8.90 |
| (322) | 9.07 |
| (332) | 9.11 |
| (111) | 9.26 |
| (210) | 9.56 |
| (311) | 9.67 |
| (310) | 10.14 |
| (100) | 10.70 |
| Surface | γfs (mJ/m2) |
|---|---|
| (1121) | -1114.12 |
| (2130) | -1103.81 |
| (2131) 1 | -1095.28 |
| (2132) 1 | -1070.17 |
| (2021) 2 | -1027.54 |
| (2021) 1 | -975.78 |
| (1120) | -967.68 |
| (2241) | -799.85 |
| (2112) | -743.66 |
| (2132) 2 | -713.71 |
| (1012) 1 | -542.19 |
| (1012) 2 | -329.12 |
| (2131) 2 | 50.64 |
| (1010) | 368.47 |
| (1011) 2 | 371.83 |
| (0001) | 562.51 |
| (1011) 1 | 577.19 |
| Surface | γfs (mJ/m2) |
|---|---|
| (2021) 2 | -12538.52 |
| (1012) 1 | -11130.85 |
| (1120) | -6914.83 |
| (2241) | -6852.36 |
| (1121) | -6781.45 |
| (2131) 1 | -6779.73 |
| (2131) 2 | -6602.28 |
| (2132) 1 | -6597.58 |
| (2132) 2 | -6518.21 |
| (2112) | -6385.03 |
| (1011) 2 | -5640.22 |
| (0001) | 512.52 |
| (2021) 1 | 590.05 |
| (1011) 1 | 623.65 |
| (1012) 2 | 657.73 |
| (1010) | 755.58 |
| Surface | γfs (mJ/m2) |
|---|---|
| (2131) 2 | 842.48 |
| (1121) | 919.79 |
| (2132) 2 | 1000.07 |
| (2241) | 1068.53 |
| (0001) | 1087.29 |
| (2132) 1 | 1143.20 |
| (2131) 1 | 1177.15 |
| (1010) 1 | 1211.98 |
| (2021) 1 | 1237.40 |
| (2112) | 1333.58 |
| (1012) 2 | 1339.09 |
| (1012) 1 | 1380.53 |
| (2130) 1 | 1423.55 |
| (1120) | 1468.75 |
| (2021) 2 | 1570.57 |
| (2130) 2 | 1728.67 |
| (1011) 1 | 1732.63 |
| (1010) 2 | 1904.08 |
| Surface | γfs (mJ/m2) |
|---|---|
| (111) 2 | 131.20 |
| (331) 2 | 156.37 |
| (110) | 160.65 |
| (321) | 184.15 |
| (211) | 188.55 |
| (320) | 191.10 |
| (332) | 198.41 |
| (210) | 206.53 |
| (311) 1 | 209.99 |
| (311) 2 | 210.02 |
| (310) | 220.24 |
| (322) | 227.51 |
| (221) | 234.47 |
| (100) | 234.66 |
| (331) 1 | 270.61 |
| (111) 1 | 418.68 |
| Surface | γfs (mJ/m2) |
|---|---|
| (111) 1 | -7.80 |
| (331) 1 | -5.18 |
| (100) | -4.52 |
| (221) | -4.52 |
| (322) | -4.38 |
| (310) | -4.29 |
| (311) 1 | -4.09 |
| (311) 2 | -4.09 |
| (210) | -4.05 |
| (332) | -3.86 |
| (320) | -3.77 |
| (211) | -3.69 |
| (321) | -3.63 |
| (110) | -3.20 |
| (331) 2 | -3.12 |
| (111) 2 | -2.62 |
| Surface | γfs (mJ/m2) |
|---|---|
| (111) 2 | 1.55 |
| (331) 2 | 1.85 |
| (110) | 1.90 |
| (321) | 2.16 |
| (211) | 2.20 |
| (320) | 2.24 |
| (332) | 2.29 |
| (210) | 2.41 |
| (311) 1 | 2.43 |
| (311) 2 | 2.43 |
| (310) | 2.55 |
| (322) | 2.61 |
| (221) | 2.69 |
| (100) | 2.69 |
| (331) 1 | 3.09 |
| (111) 1 | 4.66 |
| Surface | γfs (mJ/m2) |
|---|---|
| (100) | 872.07 |
| (110) | 924.53 |
| (101) 1 | 946.65 |
| (211) 2 | 994.93 |
| (112) | 1041.54 |
| (201) | 1073.54 |
| (111) | 1081.79 |
| (211) 1 | 1126.28 |
| (001) | 1359.76 |
| (101) 2 | 1407.59 |
| Surface | γfs (mJ/m2) |
|---|---|
| (101) 2 | -45.59 |
| (211) 2 | -33.61 |
| (211) 1 | -33.61 |
| (111) | -33.15 |
| (001) | -30.77 |
| (112) | -28.91 |
| (201) | -28.56 |
| (110) | -28.15 |
| (101) 1 | -27.35 |
| (100) | -19.90 |
| Surface | γfs (mJ/m2) |
|---|---|
| (100) | 3.69 |
| (101) 1 | 5.08 |
| (110) | 5.22 |
| (201) | 5.30 |
| (112) | 5.37 |
| (001) | 5.72 |
| (111) | 6.16 |
| (211) 1 | 6.24 |
| (211) 2 | 6.24 |
| (101) 2 | 8.48 |
| Surface | γfs (mJ/m2) |
|---|---|
| (110) | 832.39 |
| (101) | 853.53 |
| (001) | 923.56 |
| (211) | 959.93 |
| (201) | 978.37 |
| (111) | 1049.20 |
| (100) | 1091.29 |
| (112) | 1094.03 |
| Surface | γfs (mJ/m2) |
|---|---|
| (112) | -10407.51 |
| (211) | -6063.45 |
| (111) | -3447.42 |
| (101) | 929.38 |
| (201) | 1027.96 |
| (100) | 1074.35 |
| (001) | 1116.87 |
| (110) | 1144.23 |
| Surface | γfs (mJ/m2) |
|---|---|
| (100) | 445.01 |
| (310) | 597.69 |
| (111) | 640.18 |
| (311) | 643.91 |
| (210) | 656.53 |
| (332) | 685.95 |
| (322) | 690.07 |
| (320) | 696.49 |
| (211) | 700.70 |
| (221) | 701.72 |
| (331) | 717.27 |
| (321) | 731.23 |
| (110) | 735.45 |
| Surface | γfs (mJ/m2) |
|---|---|
| (332) | -51101.62 |
| (322) | -44066.33 |
| (221) | -33502.16 |
| (310) | -32060.69 |
| (211) | -27045.77 |
| (331) | -7798.63 |
| (311) | -7431.70 |
| (111) | -4223.21 |
| (321) | -4019.46 |
| (210) | -2054.82 |
| (320) | -844.34 |
| (100) | 230.03 |
| (110) | 545.03 |
| Surface | γfs (mJ/m2) |
|---|---|
| (332) | -46895.17 |
| (331) | -43361.33 |
| (322) | -40673.09 |
| (321) | -37248.53 |
| (311) | -32974.54 |
| (310) | -31785.94 |
| (221) | -30832.85 |
| (211) | -24509.65 |
| (210) | -21886.97 |
| (111) | -17658.80 |
| (100) | 82.99 |
| (110) | 160.58 |
| Surface | γfs (mJ/m2) |
|---|---|
| (111) | -10.51 |
| (332) | -10.36 |
| (322) | -10.31 |
| (221) | -10.13 |
| (331) | -9.76 |
| (321) | -9.75 |
| (311) | -9.17 |
| (110) | -8.60 |
| (320) | -8.44 |
| (210) | -8.17 |
| (310) | -7.71 |
| (100) | -6.10 |
| Surface | γfs (mJ/m2) |
|---|---|
| (100) | 3.57 |
| (310) | 4.52 |
| (210) | 4.79 |
| (320) | 4.95 |
| (110) | 5.05 |
| (311) | 5.39 |
| (321) | 5.73 |
| (331) | 5.74 |
| (211) | 5.84 |
| (221) | 5.96 |
| (322) | 6.07 |
| (332) | 6.10 |
| (111) | 6.19 |
| Surface | γfs (mJ/m2) |
|---|---|
| (210) | -13.73 |
| (320) | -13.62 |
| (310) | -13.59 |
| (321) | -13.13 |
| (110) | -13.02 |
| (311) | -12.96 |
| (331) | -12.68 |
| (211) | -12.53 |
| (221) | -12.28 |
| (100) | -12.28 |
| (322) | -11.91 |
| (332) | -11.78 |
| (111) | -10.63 |
| Surface | γfs (mJ/m2) |
|---|---|
| (332) 1 | -40.38 |
| (322) | -40.07 |
| (332) 2 | -39.82 |
| (320) | -39.35 |
| (211) 1 | -39.26 |
| (221) | -39.08 |
| (111) | -38.98 |
| (331) | -38.70 |
| (311) | -38.48 |
| (321) 2 | -38.07 |
| (310) | -37.48 |
| (321) 1 | -37.43 |
| (211) 2 | -35.77 |
| (210) | -35.63 |
| (100) | -33.76 |
| (110) | -32.05 |
| Surface | γfs (mJ/m2) |
|---|---|
| (332) 1 | -39.96 |
| (322) | -39.62 |
| (320) | -38.85 |
| (211) 1 | -38.74 |
| (111) | -38.58 |
| (221) | -38.44 |
| (331) | -38.25 |
| (311) | -38.01 |
| (321) 2 | -37.62 |
| (332) 2 | -37.49 |
| (310) | -37.02 |
| (321) 1 | -36.96 |
| (211) 2 | -35.37 |
| (210) | -35.25 |
| (100) | -33.59 |
| (110) | -31.69 |
| Surface | γfs (mJ/m2) |
|---|---|
| (110) | -15.28 |
| (321) 1 | -13.37 |
| (331) | -13.17 |
| (332) 2 | -13.14 |
| (322) | -12.99 |
| (310) | -12.98 |
| (211) 2 | -12.98 |
| (111) | -12.96 |
| (311) | -12.95 |
| (332) 1 | -12.91 |
| (221) | -12.85 |
| (320) | -12.59 |
| (211) 1 | -12.49 |
| (321) 2 | -12.42 |
| (210) | -12.21 |
| (100) | -11.36 |
| Surface | γfs (mJ/m2) |
|---|---|
| (111) | -2.02 |
| (322) | -1.98 |
| (332) 1 | -1.97 |
| (332) 2 | -1.97 |
| (211) 2 | -1.94 |
| (221) | -1.91 |
| (211) 1 | -1.84 |
| (321) 1 | -1.84 |
| (331) | -1.82 |
| (321) 2 | -1.81 |
| (311) | -1.70 |
| (110) | -1.59 |
| (320) | -1.48 |
| (210) | -1.36 |
| (310) | -1.36 |
| (100) | -1.02 |
| Surface | γfs (mJ/m2) |
|---|---|
| (111) | -21.14 |
| (332) | -20.88 |
| (322) | -20.70 |
| (221) | -20.30 |
| (211) | -19.67 |
| (331) | -19.52 |
| (311) | -19.38 |
| (321) | -19.31 |
| (210) | -17.97 |
| (320) | -17.82 |
| (310) | -17.79 |
| (110) | -17.03 |
| (100) | -16.09 |
| Surface | γfs (mJ/m2) |
|---|---|
| (2131) 2 | -13.78 |
| (1011) 2 | -13.63 |
| (2130) | -13.50 |
| (2112) | -13.49 |
| (1121) | -13.41 |
| (1012) 1 | -13.28 |
| (2241) | -13.26 |
| (2132) 2 | -13.23 |
| (2132) 1 | -13.23 |
| (1010) | -13.16 |
| (2131) 1 | -13.08 |
| (1120) | -13.02 |
| (2021) 2 | -12.58 |
| (1011) 1 | -11.81 |
| (2021) 1 | -11.65 |
| (1012) 2 | -11.62 |
| (0001) | -10.63 |
| Surface | γfs (mJ/m2) |
|---|---|
| (2131) 2 | -13.80 |
| (1011) 2 | -13.64 |
| (2130) | -13.51 |
| (2112) | -13.50 |
| (1121) | -13.42 |
| (1012) 1 | -13.30 |
| (2241) | -13.27 |
| (2132) 1 | -13.25 |
| (2132) 2 | -13.25 |
| (1010) | -13.17 |
| (2131) 1 | -13.09 |
| (1120) | -13.04 |
| (2021) 2 | -12.60 |
| (1011) 1 | -11.82 |
| (2021) 1 | -11.67 |
| (1012) 2 | -11.64 |
| (0001) | -10.64 |
| Surface | γfs (mJ/m2) |
|---|---|
| (1010) 2 | -13.90 |
| (1011) 1 | -13.81 |
| (2130) 2 | -13.13 |
| (2021) 2 | -12.59 |
| (1121) | -12.47 |
| (2241) | -12.39 |
| (2131) 1 | -12.23 |
| (2131) 2 | -12.23 |
| (2132) 1 | -12.19 |
| (2132) 2 | -12.19 |
| (1120) | -12.04 |
| (2112) | -11.97 |
| (1012) 1 | -11.92 |
| (1012) 2 | -11.92 |
| (2130) 1 | -11.82 |
| (2021) 1 | -10.91 |
| (1011) 2 | -10.74 |
| (1010) 1 | -10.42 |
| (0001) | -9.83 |
| Surface | γfs (mJ/m2) |
|---|---|
| (1010) 2 | -15.08 |
| (1011) 1 | -15.01 |
| (2130) 2 | -14.26 |
| (2021) 2 | -13.71 |
| (1121) | -13.54 |
| (2241) | -13.46 |
| (2132) 2 | -13.30 |
| (2132) 1 | -13.30 |
| (2131) 1 | -13.29 |
| (2131) 2 | -13.29 |
| (1120) | -13.08 |
| (2112) | -13.06 |
| (1012) 1 | -12.96 |
| (1012) 2 | -12.96 |
| (2130) 1 | -12.84 |
| (2021) 1 | -11.89 |
| (1011) 2 | -11.69 |
| (1010) 1 | -11.32 |
| (0001) | -10.63 |
| Surface | γfs (mJ/m2) |
|---|---|
| (111) 1 | -3.89 |
| (331) 1 | -2.58 |
| (100) | -2.25 |
| (221) | -2.25 |
| (322) | -2.18 |
| (310) | -2.13 |
| (311) 2 | -2.03 |
| (311) 1 | -2.03 |
| (210) | -2.01 |
| (332) | -1.92 |
| (320) | -1.87 |
| (211) | -1.83 |
| (321) | -1.80 |
| (110) | -1.59 |
| (331) 2 | -1.55 |
| (111) 2 | -1.30 |
| Surface | γfs (mJ/m2) |
|---|---|
| (111) 1 | -3.99 |
| (331) 1 | -2.64 |
| (221) | -2.30 |
| (100) | -2.30 |
| (322) | -2.23 |
| (310) | -2.18 |
| (311) 1 | -2.08 |
| (311) 2 | -2.08 |
| (210) | -2.06 |
| (332) | -1.96 |
| (320) | -1.92 |
| (211) | -1.88 |
| (321) | -1.85 |
| (110) | -1.63 |
| (331) 2 | -1.58 |
| (111) 2 | -1.33 |
| Surface | γfs (mJ/m2) |
|---|---|
| (211) 1 | -14.41 |
| (101) 2 | -13.52 |
| (001) | -13.20 |
| (112) | -12.40 |
| (201) | -12.25 |
| (110) | -12.05 |
| (101) 1 | -11.73 |
| (111) | -11.48 |
| (211) 2 | -9.96 |
| (100) | -8.52 |
| Surface | γfs (mJ/m2) |
|---|---|
| (101) 2 | -18.90 |
| (211) 2 | -14.58 |
| (111) | -11.41 |
| (211) 1 | -10.93 |
| (201) | -10.79 |
| (001) | -8.21 |
| (110) | -8.04 |
| (112) | -7.73 |
| (101) 1 | -7.32 |
| (100) | -5.73 |
| Surface | γfs (mJ/m2) |
|---|---|
| (101) 2 | -16.51 |
| (211) 1 | -12.94 |
| (211) 2 | -12.00 |
| (111) | -10.83 |
| (201) | -10.53 |
| (110) | -8.24 |
| (001) | -8.15 |
| (101) 1 | -7.34 |
| (112) | -7.20 |
| (100) | -5.84 |
| Surface | γfs (mJ/m2) |
|---|---|
| (001) | -13.82 |
| (111) | -13.25 |
| (112) | -12.70 |
| (100) | -12.64 |
| (211) | -12.45 |
| (201) | -11.93 |
| (110) | -11.69 |
| (101) | -10.35 |
| Surface | γfs (mJ/m2) |
|---|---|
| (0001) 1 | -4.99 |
| (1011) 1 | -2.60 |
| (2131) 1 | -2.02 |
| (2021) 1 | -2.00 |
| (1012) 1 | -1.97 |
| (2132) 1 | -1.83 |
| (1010) | -1.79 |
| (1121) 1 | -1.79 |
| (2021) 2 | -1.78 |
| (2112) 1 | -1.73 |
| (2130) | -1.70 |
| (2241) 1 | -1.68 |
| (2132) 2 | -1.66 |
| (1012) 2 | -1.58 |
| (1120) | -1.55 |
| (2241) 2 | -1.55 |
| (1121) 2 | -1.54 |
| (2131) 2 | -1.52 |
| (2112) 2 | -1.48 |
| (1011) 2 | -1.30 |
| (0001) 2 | 0.00 |
| Surface | γfs (mJ/m2) |
|---|---|
| (0001) 1 | -4.98 |
| (1011) 1 | -2.60 |
| (2131) 1 | -2.02 |
| (2021) 1 | -2.00 |
| (1012) 1 | -1.97 |
| (2132) 1 | -1.83 |
| (1010) | -1.79 |
| (1121) 1 | -1.79 |
| (2021) 2 | -1.78 |
| (2112) 1 | -1.73 |
| (2130) | -1.69 |
| (2132) 2 | -1.66 |
| (1012) 2 | -1.58 |
| (1120) | -1.55 |
| (1121) 2 | -1.53 |
| (2131) 2 | -1.52 |
| (2112) 2 | -1.48 |
| (1011) 2 | -1.30 |
| (0001) 2 | 0.00 |
| Surface | γfs (mJ/m2) |
|---|---|
| (322) | -107.17 |
| (211) | -97.53 |
| (221) | -93.76 |
| (321) | -88.65 |
| (332) | -86.47 |
| (311) | -85.82 |
| (331) | -83.37 |
| (111) | -70.29 |
| (320) | -58.76 |
| (210) | -58.40 |
| (310) | -56.56 |
| (100) | -47.08 |
| Surface | γfs (mJ/m2) |
|---|---|
| (111) | -5.32 |
| (332) | -5.24 |
| (322) | -5.21 |
| (221) | -5.12 |
| (211) | -5.01 |
| (331) | -4.93 |
| (321) | -4.92 |
| (311) | -4.63 |
| (110) | -4.34 |
| (320) | -4.26 |
| (210) | -4.12 |
| (310) | -3.88 |
| (100) | -3.07 |
Static point defect formation energies, Ef, and elastic dipole tensors, pij, are displayed for select crystals. Relaxed defect configurations are obtained by taking a 12x12x12 supercell of a perfect periodic bulk crystal, inserting the point defect, and using force minimization to statically relax the atomic positions while keeping the system dimensions constant. Ef is computed by comparing the energy of the defect system to the same number of atoms in a perfect bulk crystal. pij is estimated as the difference in the system's global pressure with and without the defect multiplied by the system's volume.
Simple structural comparisons of the unrelaxed and relaxed defect configurations are used to help determine if the defect structure has relaxed to a different configuration. Relaxed structures that are identified as no longer consistent with the ideal defect definition are excluded from the table below. The only exception to this is if the lowest energy interstitial configuration does not coincide with a known ideal defect, its energies and pressure tensor are included under the listing "relaxed interstitial". The full list of calculation results including the transformed structures and the structural comparison values is included in the csv file available from the "Download raw data" link.
The calculation method used is available as the iprPy point_defect_static calculation method.
Notes and Disclaimers:
| Point Defect | Ef (eV) | p11 (eV) | p22 (eV) | p33 (eV) | p12 (eV) | p13 (eV) | p23 (eV) |
|---|---|---|---|---|---|---|---|
| 100 dumbbell | -42.857 | -38.739 | -38.739 | -35.308 | -0.000 | -0.000 | -0.000 |
| 111 dumbbell | -26.023 | -6.507 | -6.507 | -6.507 | -0.294 | -0.294 | -0.294 |
| octahedral interstitial | -22.598 | -7.025 | -7.025 | -7.025 | -0.000 | -0.000 | -0.000 |
| 110 dumbbell | -16.864 | -18.023 | -8.845 | -8.845 | -0.000 | -0.000 | 2.153 |
| tetrahedral interstitial | -15.239 | -3.217 | -3.217 | -3.217 | 0.000 | -0.000 | -0.000 |
| crowdion interstitial | -10.307 | -5.105 | -5.105 | -7.913 | -0.449 | -0.000 | -0.000 |
| vacancy | 0.505 | -0.007 | -0.007 | -0.007 | -0.000 | -0.000 | -0.000 |
| 1nn divacancy | 0.926 | -0.013 | -0.013 | -0.013 | -0.000 | -0.000 | 0.001 |
| 2nn divacancy | 1.010 | -0.013 | -0.013 | -0.013 | -0.000 | -0.000 | -0.000 |
| Point Defect | Ef (eV) | p11 (eV) | p22 (eV) | p33 (eV) | p12 (eV) | p13 (eV) | p23 (eV) |
|---|---|---|---|---|---|---|---|
| vacancy | 2.609 | -6.063 | -6.063 | -6.063 | -0.000 | -0.000 | -0.000 |
| 2nn divacancy | 5.126 | -11.862 | -11.862 | -13.124 | -0.000 | -0.000 | -0.000 |
| 1nn divacancy | 5.234 | -10.855 | -10.855 | -10.855 | 0.533 | 0.533 | 0.533 |
| 111 dumbbell | 6.448 | 33.604 | 33.604 | 33.604 | 8.385 | 8.385 | 8.385 |
| 110 dumbbell | 6.684 | 35.366 | 34.158 | 34.158 | 0.000 | 0.000 | 8.823 |
| tetrahedral interstitial | 7.185 | 37.557 | 33.676 | 37.557 | 0.000 | -0.000 | -0.000 |
| 100 dumbbell | 7.420 | 31.523 | 31.523 | 41.609 | 0.000 | 0.000 | -0.000 |
| Point Defect | Ef (eV) | p11 (eV) | p22 (eV) | p33 (eV) | p12 (eV) | p13 (eV) | p23 (eV) |
|---|---|---|---|---|---|---|---|
| relaxed interstitial | -42.791 | -21.049 | -12.259 | -12.259 | -0.001 | -0.001 | -3.943 |
| octahedral interstitial | -21.751 | -12.899 | -9.858 | -9.858 | 0.000 | 0.000 | -0.000 |
| 111 dumbbell | -16.858 | -2.305 | -2.305 | -2.305 | -0.900 | -0.900 | -0.900 |
| tetrahedral interstitial | -14.766 | -1.319 | -8.265 | -1.319 | -0.000 | -0.000 | -0.000 |
| crowdion interstitial | -10.401 | -3.415 | -3.415 | -3.415 | -1.148 | -1.148 | -1.148 |
| vacancy | 0.479 | -0.000 | -0.000 | -0.000 | 0.000 | 0.000 | 0.000 |
| 1nn divacancy | 0.877 | -0.194 | -0.194 | -0.194 | -0.194 | -0.194 | -0.194 |
| 2nn divacancy | 0.905 | -0.000 | -0.000 | 0.777 | 0.000 | 0.000 | 0.000 |
| Point Defect | Ef (eV) | p11 (eV) | p22 (eV) | p33 (eV) | p12 (eV) | p13 (eV) | p23 (eV) |
|---|---|---|---|---|---|---|---|
| relaxed interstitial | -49.607 | -1.683 | -9.378 | 1.381 | 1.235 | 1.962 | 0.832 |
| 0001 dumbbell | -9.023 | -7.932 | -7.932 | -12.505 | 0.000 | -0.000 | -0.000 |
| vacancy | 0.505 | -0.000 | -0.000 | -0.000 | 0.000 | 0.000 | 0.000 |
| Point Defect | Ef (eV) | p11 (eV) | p22 (eV) | p33 (eV) | p12 (eV) | p13 (eV) | p23 (eV) |
|---|---|---|---|---|---|---|---|
| bond centered interstitial | -10.335 | -3.296 | -3.296 | -3.296 | -0.225 | -0.225 | -0.225 |
| 100 dumbbell | -8.500 | -2.839 | -2.839 | -1.584 | 0.000 | 0.000 | 0.000 |
| tetragonal interstitial | -0.530 | 1.419 | 1.419 | 1.419 | 0.000 | 0.000 | 0.000 |
| hexagonal interstitial | -0.365 | 1.142 | 1.142 | 1.142 | -0.519 | -0.519 | -0.519 |
| vacancy | 0.168 | 0.000 | 0.000 | 0.000 | -0.000 | -0.000 | -0.000 |
| 1nn divacancy | 0.253 | 0.000 | 0.000 | 0.000 | -0.000 | -0.000 | -0.000 |
| Point Defect | Ef (eV) | p11 (eV) | p22 (eV) | p33 (eV) | p12 (eV) | p13 (eV) | p23 (eV) |
|---|---|---|---|---|---|---|---|
| 111 dumbbell | 0.140 | -8.752 | -8.752 | -8.752 | 4.842 | 4.842 | 4.842 |
| 110 dumbbell | 0.278 | -14.009 | -8.354 | -8.354 | -0.000 | -0.000 | 2.171 |
| 100 dumbbell | 0.482 | -5.202 | -5.202 | -11.154 | -0.000 | 0.000 | 0.000 |
| octahedral interstitial | 0.497 | -2.538 | -2.538 | -2.538 | -0.000 | -0.000 | 0.000 |
| tetrahedral interstitial | 0.620 | -8.501 | -8.501 | -8.501 | -0.000 | -0.000 | -0.000 |
| vacancy | 2.747 | 2.727 | 2.727 | 2.727 | -0.000 | -0.000 | -0.000 |
| 1nn divacancy | 4.990 | 5.526 | 3.969 | 3.969 | -0.000 | -0.000 | -0.379 |
| 2nn divacancy | 5.608 | 5.525 | 5.525 | 3.851 | 0.000 | 0.000 | -0.000 |
| Point Defect | Ef (eV) | p11 (eV) | p22 (eV) | p33 (eV) | p12 (eV) | p13 (eV) | p23 (eV) |
|---|---|---|---|---|---|---|---|
| 100 dumbbell | -10.906 | -19.933 | -19.933 | -12.474 | -0.000 | -0.000 | 0.000 |
| 110 dumbbell | -8.986 | -20.935 | -13.405 | -13.405 | -0.000 | -0.000 | 3.630 |
| tetrahedral interstitial | -7.416 | -10.359 | -10.359 | -10.359 | 0.000 | 0.000 | 0.000 |
| crowdion interstitial | -6.198 | -2.254 | -2.254 | -8.543 | 4.857 | 0.000 | 0.000 |
| octahedral interstitial | -4.961 | 0.726 | 0.726 | 0.726 | -0.000 | 0.000 | -0.000 |
| 2nn divacancy | -0.206 | 0.030 | 0.030 | 0.029 | -0.000 | 0.000 | -0.000 |
| 1nn divacancy | -0.189 | 0.026 | 0.027 | 0.027 | -0.000 | 0.000 | -0.000 |
| vacancy | -0.103 | 0.015 | 0.015 | 0.015 | 0.000 | 0.000 | -0.000 |
| Point Defect | Ef (eV) | p11 (eV) | p22 (eV) | p33 (eV) | p12 (eV) | p13 (eV) | p23 (eV) |
|---|---|---|---|---|---|---|---|
| 111 dumbbell | -4.865 | -7.643 | -7.643 | -7.643 | 2.296 | 2.296 | 2.296 |
| crowdion interstitial | -3.943 | 10.616 | 10.616 | 24.633 | -4.770 | 0.000 | 0.000 |
| octahedral interstitial | -1.669 | -11.930 | -11.930 | -11.930 | -0.000 | 0.000 | 0.000 |
| vacancy | 0.096 | -0.006 | -0.006 | -0.006 | 0.000 | -0.000 | 0.000 |
| 1nn divacancy | 0.176 | -0.011 | -0.012 | -0.012 | -0.000 | 0.000 | 0.000 |
| 2nn divacancy | 0.193 | -0.013 | -0.013 | -0.012 | 0.000 | -0.000 | -0.000 |
| 100 dumbbell | 0.811 | -0.794 | -0.794 | 10.212 | -0.000 | -0.000 | -0.000 |
| Point Defect | Ef (eV) | p11 (eV) | p22 (eV) | p33 (eV) | p12 (eV) | p13 (eV) | p23 (eV) |
|---|---|---|---|---|---|---|---|
| crowdion interstitial | -4.787 | 21.461 | 21.461 | 21.461 | -7.630 | -7.630 | -7.630 |
| tetrahedral interstitial | -2.648 | -55.995 | -56.462 | -55.995 | 0.000 | 0.000 | 0.000 |
| vacancy | 0.065 | -0.002 | -0.002 | -0.002 | 0.000 | -0.000 | -0.000 |
| 1nn divacancy | 0.113 | -0.004 | -0.004 | -0.004 | -0.000 | -0.000 | -0.000 |
| 2nn divacancy | 0.129 | -0.004 | -0.004 | -0.004 | -0.000 | -0.000 | -0.000 |
| 100 dumbbell | 1.316 | -5.258 | -5.258 | 2.078 | 0.000 | 0.000 | 0.000 |
| Point Defect | Ef (eV) | p11 (eV) | p22 (eV) | p33 (eV) | p12 (eV) | p13 (eV) | p23 (eV) |
|---|---|---|---|---|---|---|---|
| 0001 dumbbell | 1.810 | -10.898 | -10.898 | 1.449 | -0.000 | 0.000 | 0.000 |
| vacancy | 2.664 | 2.737 | 2.737 | -1.519 | -0.000 | -0.000 | -0.000 |
| Point Defect | Ef (eV) | p11 (eV) | p22 (eV) | p33 (eV) | p12 (eV) | p13 (eV) | p23 (eV) |
|---|---|---|---|---|---|---|---|
| relaxed interstitial | -45.014 | -1356.359 | -1356.587 | -1354.390 | 1.010 | -1.170 | -1.712 |
| tetragonal interstitial | -0.885 | 0.000 | 0.000 | 0.000 | 0.000 | -0.000 | -0.000 |
| vacancy | 1.183 | -0.000 | -0.000 | -0.000 | -0.000 | -0.000 | -0.000 |
| 1nn divacancy | 1.774 | 0.000 | 0.000 | 0.000 | -0.000 | 0.000 | 0.000 |
| Point Defect | Ef (eV) | p11 (eV) | p22 (eV) | p33 (eV) | p12 (eV) | p13 (eV) | p23 (eV) |
|---|---|---|---|---|---|---|---|
| 1nn divacancy | -0.050 | 0.000 | 0.000 | 0.000 | -0.000 | -0.000 | -0.000 |
| vacancy | -0.033 | 0.000 | 0.000 | 0.000 | -0.000 | -0.000 | -0.000 |
| hexagonal interstitial | 0.215 | -3.336 | -3.336 | -3.336 | 1.196 | 1.196 | 1.196 |
| tetragonal interstitial | 0.692 | 0.558 | 0.558 | 0.558 | -0.000 | -0.000 | -0.000 |
| Point Defect | Ef (eV) | p11 (eV) | p22 (eV) | p33 (eV) | p12 (eV) | p13 (eV) | p23 (eV) |
|---|---|---|---|---|---|---|---|
| bond centered interstitial | -5.141 | -0.000 | -0.000 | -0.000 | -0.000 | -0.000 | -0.000 |
| 100 dumbbell | -2.758 | 9.972 | 9.972 | 8.459 | -0.000 | -0.000 | -0.000 |
| tetragonal interstitial | -0.032 | 0.001 | 0.001 | 0.001 | 0.000 | 0.000 | 0.000 |
| vacancy | 0.033 | -0.000 | -0.000 | -0.000 | -0.000 | -0.000 | -0.000 |
| 1nn divacancy | 0.049 | -0.000 | -0.000 | -0.000 | 0.000 | 0.000 | 0.000 |
| hexagonal interstitial | 0.275 | 8.602 | 8.602 | 8.602 | -3.910 | -3.910 | -3.910 |
| Point Defect | Ef (eV) | p11 (eV) | p22 (eV) | p33 (eV) | p12 (eV) | p13 (eV) | p23 (eV) |
|---|---|---|---|---|---|---|---|
| 2nn divacancy | -0.108 | 0.000 | 0.000 | 0.000 | 0.000 | 0.000 | 0.000 |
| 1nn divacancy | -0.099 | 0.000 | 0.000 | 0.000 | 0.000 | 0.000 | 0.000 |
| 110 dumbbell | -0.099 | 7.799 | 6.973 | 6.973 | 0.000 | 0.000 | 0.921 |
| vacancy | -0.054 | 0.000 | 0.000 | 0.000 | 0.000 | 0.000 | 0.000 |
| 100 dumbbell | 0.288 | 3.546 | 3.546 | 1.932 | -0.000 | 0.000 | 0.000 |
| octahedral interstitial | 0.303 | 2.851 | 2.851 | 2.851 | -0.000 | -0.000 | -0.000 |
| 111 dumbbell | 0.444 | 2.647 | 2.647 | 2.647 | 0.093 | 0.093 | 0.093 |
| Point Defect | Ef (eV) | p11 (eV) | p22 (eV) | p33 (eV) | p12 (eV) | p13 (eV) | p23 (eV) |
|---|---|---|---|---|---|---|---|
| 1nn divacancy | -0.147 | 0.005 | 0.005 | 0.005 | 0.005 | 0.005 | 0.005 |
| 2nn divacancy | -0.139 | -0.000 | -0.000 | -0.018 | -0.000 | 0.000 | 0.000 |
| vacancy | -0.077 | -0.000 | -0.000 | -0.000 | -0.000 | 0.000 | 0.000 |
| 111 dumbbell | -0.054 | 0.811 | 0.811 | 0.811 | 0.862 | 0.862 | 0.862 |
| crowdion interstitial | -0.019 | 1.587 | 1.587 | 1.587 | 0.889 | 0.889 | 0.889 |
| octahedral interstitial | 0.088 | 1.041 | 0.241 | 0.241 | -0.000 | 0.000 | -0.000 |
| 100 dumbbell | 0.088 | -0.489 | -0.489 | 0.678 | -0.000 | -0.000 | -0.000 |
| 110 dumbbell | 0.265 | 1.787 | 1.968 | 1.968 | -0.000 | -0.000 | 0.735 |
| Point Defect | Ef (eV) | p11 (eV) | p22 (eV) | p33 (eV) | p12 (eV) | p13 (eV) | p23 (eV) |
|---|---|---|---|---|---|---|---|
| vacancy | -0.049 | -0.031 | -0.031 | -0.031 | 0.000 | 0.000 | -0.000 |
| 0001 dumbbell | 0.492 | 2.311 | 2.311 | 4.874 | 0.000 | 0.000 | -0.000 |
| Point Defect | Ef (eV) | p11 (eV) | p22 (eV) | p33 (eV) | p12 (eV) | p13 (eV) | p23 (eV) |
|---|---|---|---|---|---|---|---|
| vacancy | -0.054 | 0.000 | 0.000 | -0.000 | 0.000 | -0.000 | -0.000 |
| 0001 dumbbell | 0.403 | 2.343 | 2.343 | 4.806 | 0.000 | 0.000 | 0.000 |
| Point Defect | Ef (eV) | p11 (eV) | p22 (eV) | p33 (eV) | p12 (eV) | p13 (eV) | p23 (eV) |
|---|---|---|---|---|---|---|---|
| 100 dumbbell | -0.117 | 0.546 | 0.546 | 0.475 | 0.000 | 0.000 | 0.000 |
| bond centered interstitial | -0.062 | 0.509 | 0.509 | 0.509 | 0.098 | 0.098 | 0.098 |
| 1nn divacancy | -0.026 | -0.005 | -0.005 | -0.005 | 0.001 | 0.001 | 0.001 |
| vacancy | -0.017 | -0.003 | -0.003 | -0.003 | 0.000 | 0.000 | 0.000 |
| hexagonal interstitial | 0.017 | 0.372 | 0.372 | 0.372 | -0.163 | -0.163 | -0.163 |
| tetragonal interstitial | 0.112 | -0.035 | -0.035 | -0.035 | 0.000 | 0.000 | 0.000 |
| Point Defect | Ef (eV) | p11 (eV) | p22 (eV) | p33 (eV) | p12 (eV) | p13 (eV) | p23 (eV) |
|---|---|---|---|---|---|---|---|
| 100 dumbbell | -0.120 | 0.523 | 0.523 | 0.453 | 0.000 | 0.000 | 0.000 |
| bond centered interstitial | -0.065 | 0.495 | 0.495 | 0.495 | 0.100 | 0.100 | 0.100 |
| 1nn divacancy | -0.027 | 0.000 | 0.000 | 0.000 | 0.000 | 0.000 | 0.000 |
| vacancy | -0.018 | 0.000 | 0.000 | 0.000 | 0.000 | 0.000 | 0.000 |
| hexagonal interstitial | 0.016 | 0.364 | 0.364 | 0.364 | -0.160 | -0.160 | -0.160 |
| tetragonal interstitial | 0.112 | -0.037 | -0.037 | -0.037 | 0.000 | 0.000 | 0.000 |
Plots of the atomic structure of dislocation cores are shown here. The dislocations were constructed using dislocation monopole configurations in which a straight dislocation is created in the center of the system using anisotropic elasticity and the elastic constants computed above. A cylindrical region centered around the dislocation is allowed to relax while the remaining atoms are held fixed. The relaxation consists of 1 million NVT steps at 10 K followed by an energy/force minimization. The final plots show the atomic configuration near the center of the monopole system, and display differential displacement arrows and Nye tensor color maps that are both taken with respect to the Burgers vector direction.
These plots show a wide range of final structures, some corresponding to expected dislocation structures and others not. While the characterizations are dislocation-type dependent, some general classification guidelines are listed here.
The calculation method used is available as the iprPy dislocation_monopole calculation method.
Links are provided above the images allowing for users to download the final defect configuration and a corresponding defect-free configuration if they wish to further analyze the structures or use them for subsequent simulations.
Notes and Disclaimers:
Version Information:
Plots of lattice and elastic constants are shown as a function of temperature. The 0K points were taken from the Crystal Structure Predictions and the Elastic Constants Predictions sections above for the unique crystal structures relaxed with the "dynamic" method. Starting from the 0 K relaxed crystal unit cells, supercell systems are created by replicating all three dimensions by the same multiplier to achieve at least 4000 atoms. The systems are then relaxed at 50 K and zero pressure using 1 million NPT steps. Lattice constants are estimated by averaging the measured box dimensions. Temperatures are iteratively increased by 50 K, with each subsequent relaxation calculation starting from the final atomic configuration at the previous temperature and relaxing for another 1 million steps.
The elastic constants are calculated using the deformation–fluctuation hybrid method. Starting from the final atomic configurations of the dynamic relaxations, the system is allowed to evolve at constant volume with a Langevin thermostat. The Born matrix is computed during this run by evaluating how the atomic forces would vary due to applied linear strain fields. The elastic constants can then be estimated using the averaged Born matrix values and the averaged stresses on the system.
The calculation methods used are available as the iprPy relax_dynamic and elastic_constants_dynamic calculation methods.
Clicking on the image of a plot will open an interactive version of it in a new tab. The underlying data for the plots can be downloaded by clicking on the links above each plot.
Notes and Disclaimers:
Version Information:
Plots of radial distribution functions at different temperatures and the temperature-dependent diffusion and viscosity are shown here for elemental liquids. Melt phases are constructed by starting with a 10x10x10 fcc super cell and relaxing with 50,000 NPT steps at zero pressure and a high melting temperature (3000 K for most potentials and elements). Following the melt, liquid structures are relaxed by running NPT for 10,000 steps over which the temperature is dropped by 50 K, then 50,000 NPT at the target temperature to estimate the equilibrium volume, followed by 20,000 NVT steps at the averaged equilibrium volume and target temperature. Structures from the NVT run are sampled to compute the radial distribution function of the liquid at the corresponding temperature.
The final relaxed configurations at each temperature explored are used as the initial configurations for the diffusion and viscosity calculations. For diffusion, the system is integrated for 100 runs of 2,000 NVT steps during which both the mean squared displacement (MSD) and the velocity auto correlation function (VACF) are computed. From these simulations, three estimates of diffusion are computed: one from the MSD of the full 200,000 step run, one in which the MSD is reset for each short run and then averaged, and one from the VACF computed for each short run and averaged. For viscosity, the Green-Kubo method is used which is evaluated during a 1 million step NVT run.
The calculation methods used are available as the iprPy relax_liquid_redo, diffusion_liquid, and viscosity_green_kubo calculation methods.
Clicking on the image of a plot will open an interactive version of it in a new tab. The underlying data for the plots can be downloaded by clicking on the links above each plot.
Notes and Disclaimers:
Version Information:
Plots of internal energy, Gibbs free energy, entropy, heat capacity and volume are shown here as a function of temperature for various crystal structures and liquid phases. The included crystal structures correspond to those in the Solid Structures vs. Temperature section, and the liquid phases to those in the Liquid Properties section. Internal energy and volume are taken from the associated structure relaxations mentioned in those previous sections. Constant pressure heat capacity is estimated using 3-point numerical derivatives of enthalpy versus temperature. Note that since all simulations done here are at 0 pressure, internal energy and enthalpy are equivalent.
The Gibbs energies of the phases are estimated using thermodynamic integration between the interatomic potential in question and a simpler model with known Gibbs free energy values. For solids, the reference model is an Einstein solid, while for liquids it is the Uhlenbeck-Ford potential. Besides a short run at the start of the solid calculations to estimate Einstein model spring constants, the two calculations proceed similarly. Starting with the final relaxation configurations, the systems are stabilized for 25,000 steps. Then, over the next 50,000 steps the potential is swapped out for the reference potential. The system is then stabilized for another 25,000 steps with the reference model before a reverse swap of 50,000 steps is performed. The simulation ends with one final 25,000 step stabilization period. From the simulation, the irreversible work of transformation is estimated and used to compute the absolute Gibbs free energy of the target phase and potential relative to the reference potential. Entropy is estimated as the difference in enthalpy and Gibbs free energy and divided by temperature.
The calculation methods used are available as the iprPy relax_dynamic, relax_liquid_redo, free_energy, and free_energy_liquid calculation methods.
Clicking on the image of a plot will open an interactive version of it in a new tab. The underlying data for the plots can be downloaded by clicking on the links above each plot.
Notes and Disclaimers:
Version Information:






