Plots of the potential energy vs interatomic spacing, r, are shown below for all diatom sets associated with the interatomic potential. This calculation provides insights into the functional form of the potential's two-body interactions. A system consisting of only two atoms is created, and the potential energy is evaluated for the atoms separated by 0.02 Å <= r <= 6.0> Å in intervals of 0.02 Å. Two plots are shown: one for the "standard" interaction distance range, and one for small values of r. The small r plot is useful for determining whether the potential is suitable for radiation studies.
The calculation method used is available as the iprPy diatom_scan calculation method.
Clicking on the image of a plot will open an interactive version of it in a new tab. The underlying data for the plots can be downloaded by clicking on the links above each plot.
Notes and Disclaimers:
Version Information:
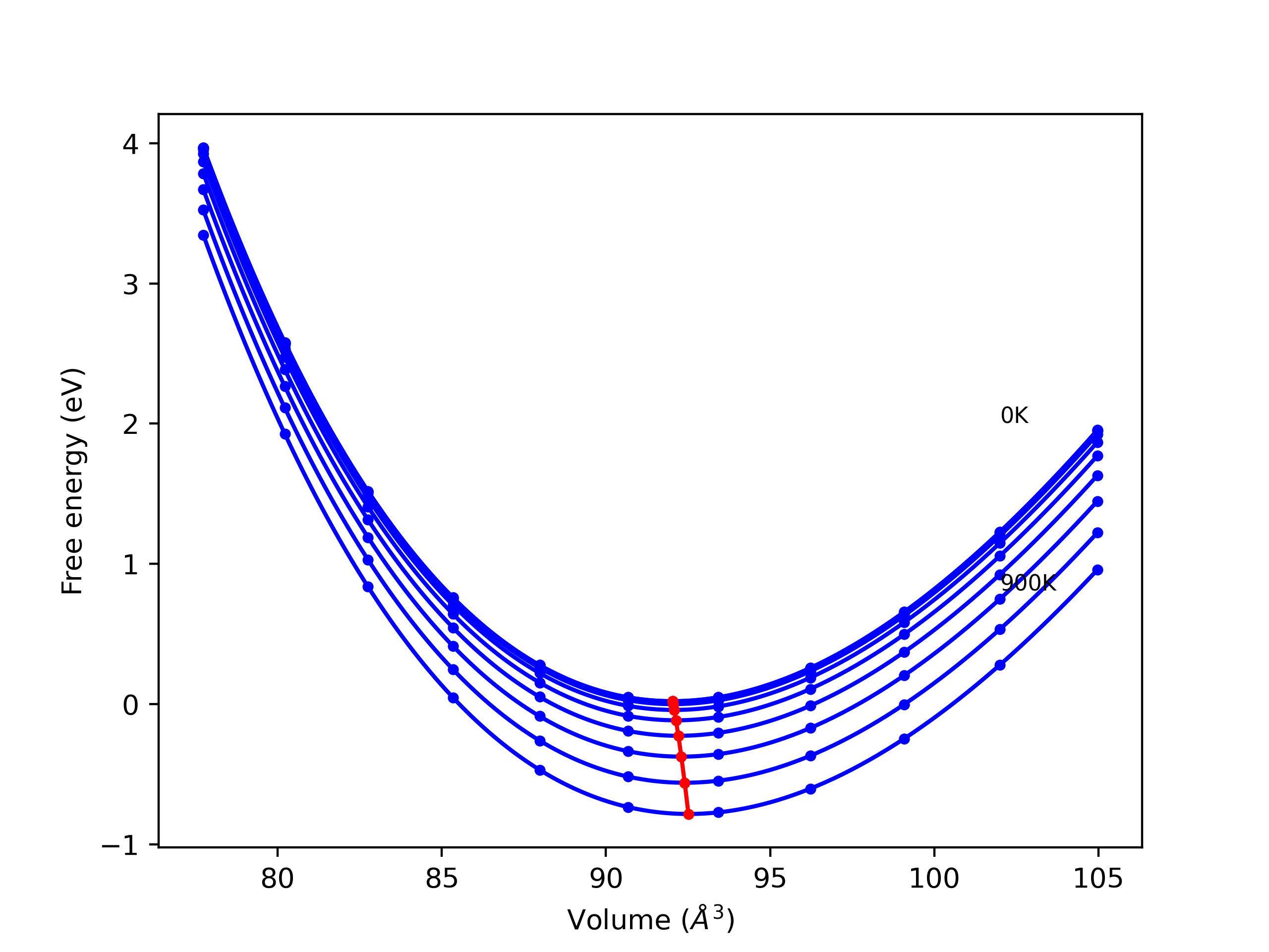
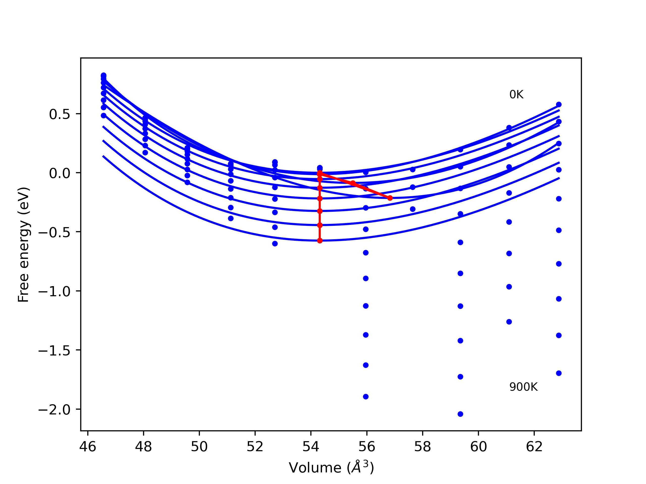
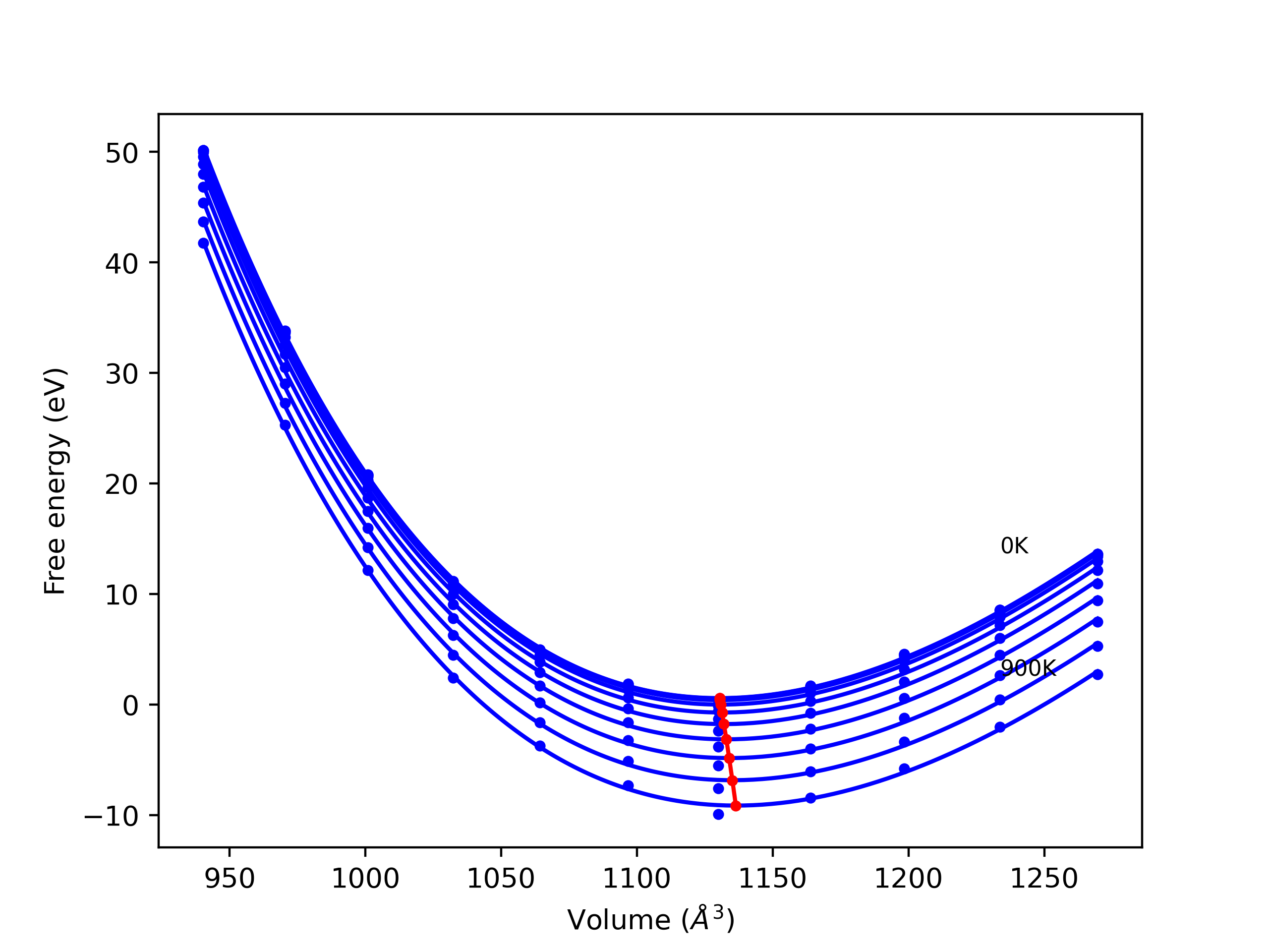
Plots of potential energy vs interatomic spacing, r, are shown below for a number of crystal structures. The structures are generated based on the ideal atomic positions and b/a and c/a lattice parameter ratios for a given crystal prototype. The size of the system is then uniformly scaled, and the energy calculated without relaxing the system. To obtain these plots, values of r are evaluated every 0.02 Å up to 6 Å.
The calculation method used is available as the iprPy E_vs_r_scan calculation method.
Clicking on the image of a plot will open an interactive version of it in a new tab. The underlying data for the plots can be downloaded by clicking on the links above each plot.
Notes and Disclaimers:
Version Information:
Computed lattice constants and cohesive/potential energies are displayed for a variety of crystal structures. The values displayed here are obtained using the following process.
The calculation methods used are implemented into iprPy as the following calculation styles
Notes and Disclaimers:
Version Information:
Download raw data (including filtered results)
Reference structure matches:
A1--Cu--fcc = oqmd-1214512
A15--beta-W = oqmd-1214957
A2--W--bcc = oqmd-1215135
A3'--alpha-La--double-hcp = oqmd-1215403
A3--Mg--hcp = oqmd-1215313
A4--C--dc = mp-66, oqmd-675640
A5--beta-Sn = oqmd-1215581
A6--In--bct = mp-1181996, oqmd-1215670
A7--alpha-As = oqmd-594528
Ah--alpha-Po--sc = mp-998866, oqmd-636457, oqmd-1214601
| prototype | method | Ecoh (eV/atom) | Epot (eV/atom) | a0 (Å) | b0 (Å) | c0 (Å) | α (degrees) | β (degrees) | γ (degrees) |
|---|---|---|---|---|---|---|---|---|---|
| mp-568806 | dynamic | -7.374 | -7.374 | 2.5552 | 2.5552 | 3.6597 | 90.0 | 90.0 | 120.0 |
| oqmd-589492 | dynamic | -7.374 | -7.374 | 2.5552 | 2.5552 | 53.495 | 90.0 | 90.0 | 120.0 |
| oqmd-683819 | dynamic | -7.374 | -7.374 | 2.5552 | 4.4257 | 6.6661 | 90.0 | 90.0 | 90.0 |
| mp-568286 | dynamic | -7.374 | -7.374 | 2.5552 | 4.4257 | 7.0361 | 90.0 | 90.0 | 90.0 |
| mp-568363 | dynamic | -7.374 | -7.374 | 2.5552 | 4.4257 | 8.1499 | 90.0 | 90.0 | 90.0 |
| mp-568806 | static | -7.374 | -7.374 | 2.5552 | 2.5552 | 3.6531 | 90.0 | 90.0 | 120.0 |
| mp-569304 | dynamic | -7.374 | -7.374 | 2.5552 | 2.5552 | 33.1909 | 90.0 | 90.0 | 120.0 |
| mp-990424 | static | -7.374 | -7.374 | 2.5552 | 2.5552 | 24.132 | 90.0 | 90.0 | 120.0 |
| oqmd-683820 | dynamic | -7.374 | -7.374 | 2.5552 | 4.4257 | 6.8163 | 90.0 | 90.0 | 90.0 |
| A7--alpha-As | dynamic | -7.374 | -7.374 | 2.5552 | 2.5552 | 7.283 | 90.0 | 90.0 | 120.0 |
| mp-937760 | dynamic | -7.374 | -7.374 | 2.5552 | 4.4257 | 7.1733 | 90.0 | 90.0 | 90.0 |
| A7--alpha-As | static | -7.374 | -7.374 | 2.5552 | 2.5552 | 6.4502 | 90.0 | 90.0 | 120.0 |
| mp-990424 | dynamic | -7.374 | -7.374 | 2.5552 | 2.5552 | 24.1595 | 90.0 | 90.0 | 120.0 |
| mp-990448 | static | -7.374 | -7.374 | 2.5552 | 2.5552 | 8.5238 | 90.0 | 90.0 | 120.0 |
| oqmd-683820 | static | -7.374 | -7.374 | 2.5552 | 4.4257 | 6.769 | 90.0 | 90.0 | 90.0 |
| oqmd-590101 | static | -7.374 | -7.374 | 2.5552 | 2.5552 | 6.796 | 90.0 | 90.0 | 120.0 |
| oqmd-610551 | static | -7.374 | -7.374 | 2.5552 | 2.5552 | 3.501 | 90.0 | 90.0 | 120.0 |
| mp-569416 | static | -7.374 | -7.374 | 2.5552 | 2.5552 | 54.6869 | 90.0 | 90.0 | 120.0 |
| mp-1040425 | static | -7.374 | -7.374 | 2.5552 | 2.5552 | 19.9983 | 90.0 | 90.0 | 120.0 |
| mp-1040425 | dynamic | -7.374 | -7.374 | 2.5552 | 2.5552 | 19.9988 | 90.0 | 90.0 | 120.0 |
| oqmd-637444 | dynamic | -7.374 | -7.374 | 4.1726 | 4.1726 | 4.1726 | 90.0 | 90.0 | 90.0 |
| oqmd-683819 | static | -7.374 | -7.374 | 2.5552 | 4.4257 | 6.6505 | 90.0 | 90.0 | 90.0 |
| A7--alpha-As | dynamic | -7.374 | -7.374 | 2.5552 | 2.5552 | 10.2131 | 90.0 | 90.0 | 120.0 |
| oqmd-590101 | dynamic | -7.374 | -7.374 | 2.5552 | 2.5552 | 6.7965 | 90.0 | 90.0 | 120.0 |
| oqmd-1214690 | dynamic | -7.374 | -7.374 | 2.5552 | 4.4257 | 6.6767 | 90.0 | 90.0 | 90.0 |
| mp-169 | static | -7.374 | -7.374 | 4.4257 | 2.5552 | 3.7634 | 90.0 | 111.5 | 90.0 |
| oqmd-589491 | dynamic | -7.374 | -7.374 | 2.5552 | 2.5552 | 33.3583 | 90.0 | 90.0 | 120.0 |
| mp-48 | dynamic | -7.374 | -7.374 | 2.5552 | 2.5552 | 7.8031 | 90.0 | 90.0 | 120.0 |
| mp-997182 | dynamic | -7.374 | -7.374 | 2.5552 | 2.5552 | 12.0459 | 90.0 | 90.0 | 120.0 |
| oqmd-1215937 | dynamic | -7.374 | -7.374 | 2.5552 | 2.5552 | 7.3725 | 90.0 | 90.0 | 120.0 |
| mp-632329 | static | -7.374 | -7.374 | 4.4257 | 2.5552 | 3.7376 | 90.0 | 94.2 | 90.0 |
| mp-632329 | dynamic | -7.374 | -7.374 | 4.4257 | 2.5552 | 3.8703 | 90.0 | 94.1 | 90.0 |
| mp-169 | dynamic | -7.374 | -7.374 | 4.4257 | 2.5552 | 3.8482 | 90.0 | 111.9 | 90.0 |
| oqmd-589493 | static | -7.374 | -7.374 | 2.5552 | 2.5552 | 28.9535 | 90.0 | 90.0 | 120.0 |
| oqmd-589493 | dynamic | -7.374 | -7.374 | 2.5552 | 2.5552 | 28.956 | 90.0 | 90.0 | 120.0 |
| mp-606949 | dynamic | -7.374 | -7.374 | 2.5552 | 2.5552 | 29.4919 | 90.0 | 90.0 | 120.0 |
| mp-569416 | dynamic | -7.374 | -7.374 | 2.5552 | 2.5552 | 54.7152 | 90.0 | 90.0 | 120.0 |
| mp-568286 | static | -7.374 | -7.374 | 2.5552 | 4.4257 | 7.0348 | 90.0 | 90.0 | 90.0 |
| oqmd-599491 | dynamic | -7.3732 | -7.3732 | 2.5213 | 2.5213 | 12.352 | 90.0 | 90.0 | 120.0 |
| A4--C--dc | dynamic | -7.3732 | -7.3732 | 3.5657 | 3.5657 | 3.5657 | 90.0 | 90.0 | 90.0 |
| mp-611426 | dynamic | -7.3732 | -7.3732 | 2.5213 | 2.5213 | 8.2347 | 90.0 | 90.0 | 120.0 |
| oqmd-599492 | dynamic | -7.3732 | -7.3732 | 2.5213 | 2.5213 | 16.4694 | 90.0 | 90.0 | 120.0 |
| oqmd-599494 | dynamic | -7.3732 | -7.3732 | 2.5213 | 2.5213 | 43.232 | 90.0 | 90.0 | 120.0 |
| mp-47 | dynamic | -7.3732 | -7.3732 | 2.5213 | 2.5213 | 4.1173 | 90.0 | 90.0 | 120.0 |
| mp-569517 | dynamic | -7.3732 | -7.3732 | 2.5213 | 2.5213 | 30.88 | 90.0 | 90.0 | 120.0 |
| oqmd-599489 | box | -7.3731 | -7.3731 | 2.521 | 2.521 | 4.1186 | 90.0 | 90.0 | 120.0 |
| mp-47 | box | -7.3731 | -7.3731 | 2.5209 | 2.5209 | 4.1189 | 90.0 | 90.0 | 120.0 |
| oqmd-599492 | box | -7.3725 | -7.3725 | 2.5212 | 2.5212 | 16.473 | 90.0 | 90.0 | 120.0 |
| mp-616440 | box | -7.3723 | -7.3723 | 2.5213 | 2.5213 | 16.4725 | 90.0 | 90.0 | 120.0 |
| oqmd-599491 | box | -7.3723 | -7.3723 | 2.5212 | 2.5212 | 12.355 | 90.0 | 90.0 | 120.0 |
| mp-569567 | box | -7.3722 | -7.3722 | 2.5213 | 2.5213 | 43.2403 | 90.0 | 90.0 | 120.0 |
| mp-611448 | box | -7.3721 | -7.3721 | 2.5213 | 2.5213 | 12.3548 | 90.0 | 90.0 | 120.0 |
| oqmd-599493 | box | -7.3721 | -7.3721 | 2.5213 | 2.5213 | 30.8866 | 90.0 | 90.0 | 120.0 |
| mp-569517 | box | -7.372 | -7.372 | 2.5212 | 2.5212 | 30.8882 | 90.0 | 90.0 | 120.0 |
| mp-611426 | box | -7.372 | -7.372 | 2.5212 | 2.5212 | 8.2375 | 90.0 | 90.0 | 120.0 |
| oqmd-599490 | box | -7.3718 | -7.3718 | 2.5213 | 2.5213 | 8.2369 | 90.0 | 90.0 | 120.0 |
| mp-1008374 | dynamic | -7.2974 | -7.2974 | 2.5166 | 7.9591 | 2.5595 | 90.0 | 90.0 | 90.0 |
| mp-1096869 | static | -7.2911 | -7.2911 | 26.553 | 15.335 | 2.1501 | 90.0 | 93.3 | 90.0 |
| mp-1008374 | box | -7.2086 | -7.2086 | 2.4957 | 8.0838 | 2.5551 | 90.0 | 90.0 | 90.0 |
| mp-1078845 | dynamic | -7.1049 | -7.1049 | 4.2071 | 8.8067 | 2.541 | 90.0 | 90.0 | 90.0 |
| mp-1078845 | box | -7.0938 | -7.0938 | 4.2247 | 8.8129 | 2.5351 | 90.0 | 90.0 | 90.0 |
| oqmd-637443 | dynamic | -7.0923 | -7.0923 | 5.2703 | 5.2703 | 5.2703 | 90.0 | 90.0 | 90.0 |
| oqmd-637443 | box | -7.092 | -7.092 | 5.2697 | 5.2697 | 5.2697 | 90.0 | 90.0 | 90.0 |
| mp-1188817 | box | -7.0912 | -7.0912 | 5.2688 | 5.2688 | 5.2688 | 90.0 | 90.0 | 90.0 |
| oqmd-610556 | static | -7.05 | -7.05 | 4.8975 | 5.2856 | 4.4734 | 90.0 | 90.0 | 90.0 |
| oqmd-610557 | box | -7.0127 | -7.0127 | 4.8769 | 5.3068 | 4.5181 | 90.0 | 90.0 | 90.0 |
| oqmd-610556 | box | -7.0119 | -7.0119 | 4.8742 | 5.3151 | 4.5182 | 90.0 | 90.0 | 90.0 |
| mp-568410 | box | -7.0093 | -7.0093 | 4.872 | 5.3205 | 4.5197 | 90.0 | 90.0 | 90.0 |
| mp-683919 | dynamic | -6.9743 | -6.9743 | 10.252 | 17.5767 | 18.2474 | 90.0 | 90.0 | 90.0 |
| oqmd-689315 | dynamic | -6.9743 | -6.9743 | 9.9935 | 17.3043 | 18.2474 | 90.0 | 90.0 | 90.0 |
| mp-683919 | static | -6.9743 | -6.9743 | 10.5317 | 17.6833 | 18.2471 | 90.0 | 90.0 | 90.0 |
| oqmd-689315 | static | -6.9743 | -6.9743 | 10.5057 | 17.6636 | 18.2451 | 90.0 | 90.0 | 90.0 |
| mp-683919 | box | -6.9554 | -6.9554 | 10.522 | 18.0501 | 18.618 | 90.0 | 90.0 | 90.0 |
| oqmd-689315 | box | -6.9272 | -6.9272 | 10.4666 | 18.0792 | 18.6433 | 90.0 | 90.0 | 90.0 |
| oqmd-637353 | dynamic | -6.9272 | -6.9272 | 4.3887 | 4.3887 | 2.5425 | 90.0 | 90.0 | 90.0 |
| oqmd-595714 | dynamic | -6.9212 | -6.9212 | 9.1682 | 9.2176 | 14.442 | 90.0 | 90.0 | 90.0 |
| oqmd-595714 | static | -6.9212 | -6.9212 | 9.1682 | 9.2176 | 15.1582 | 90.0 | 90.0 | 90.0 |
| mp-630227 | dynamic | -6.9212 | -6.9212 | 9.1682 | 9.2176 | 15.7115 | 90.0 | 90.0 | 90.0 |
| mp-630227 | static | -6.9212 | -6.9212 | 9.1682 | 9.2176 | 16.2419 | 90.0 | 90.0 | 90.0 |
| oqmd-684627 | dynamic | -6.9211 | -6.9211 | 9.1931 | 9.1931 | 15.0422 | 90.0 | 90.0 | 90.0 |
| oqmd-684627 | static | -6.9211 | -6.9211 | 9.1931 | 9.1931 | 15.8137 | 90.0 | 90.0 | 90.0 |
| oqmd-637130 | dynamic | -6.9196 | -6.9196 | 9.0939 | 2.5588 | 4.1705 | 90.0 | 90.0 | 90.0 |
| mp-680372 | dynamic | -6.9195 | -6.9195 | 9.223 | 9.223 | 25.4137 | 90.0 | 90.0 | 120.0 |
| oqmd-614417 | dynamic | -6.9195 | -6.9195 | 9.223 | 9.223 | 23.92 | 90.0 | 90.0 | 120.0 |
| oqmd-614417 | static | -6.9195 | -6.9195 | 9.223 | 9.223 | 25.3052 | 90.0 | 90.0 | 120.0 |
| mp-680372 | static | -6.9194 | -6.9194 | 9.2246 | 9.2246 | 26.5338 | 90.0 | 90.0 | 120.0 |
| mp-1147718 | dynamic | -6.9188 | -6.9188 | 10.3358 | 14.8465 | 9.205 | 90.0 | 90.0 | 90.0 |
| oqmd-684315 | dynamic | -6.9188 | -6.9188 | 9.9097 | 14.8827 | 9.205 | 90.0 | 90.0 | 90.0 |
| mp-1147718 | static | -6.9188 | -6.9188 | 10.603 | 15.2468 | 9.2051 | 90.0 | 90.0 | 90.0 |
| oqmd-677227 | dynamic | -6.917 | -6.917 | 14.0552 | 14.0552 | 14.0552 | 90.0 | 90.0 | 90.0 |
| oqmd-603085 | static | -6.917 | -6.917 | 14.4223 | 14.4223 | 14.4223 | 90.0 | 90.0 | 90.0 |
| oqmd-603085 | dynamic | -6.917 | -6.917 | 13.8463 | 13.8463 | 13.8463 | 90.0 | 90.0 | 90.0 |
| oqmd-677227 | static | -6.917 | -6.917 | 14.6217 | 14.6217 | 14.6217 | 90.0 | 90.0 | 90.0 |
| mp-667273 | dynamic | -6.917 | -6.917 | 14.4831 | 14.4831 | 14.4831 | 90.0 | 90.0 | 90.0 |
| mp-1196583 | dynamic | -6.917 | -6.917 | 14.4868 | 14.4868 | 14.4868 | 90.0 | 90.0 | 90.0 |
| mp-1196583 | static | -6.917 | -6.917 | 14.8518 | 14.8518 | 14.8518 | 90.0 | 90.0 | 90.0 |
| mp-667273 | static | -6.917 | -6.917 | 14.9155 | 14.9155 | 14.9155 | 90.0 | 90.0 | 90.0 |
| oqmd-637352 | dynamic | -6.9168 | -6.9168 | 9.1938 | 2.5591 | 4.1702 | 90.0 | 97.9 | 90.0 |
| oqmd-637353 | box | -6.9136 | -6.9136 | 4.3974 | 4.3974 | 2.5362 | 90.0 | 90.0 | 90.0 |
| mp-1008395 | box | -6.9127 | -6.9127 | 4.3977 | 4.3977 | 2.536 | 90.0 | 90.0 | 90.0 |
| mp-1196583 | box | -6.9105 | -6.9105 | 14.8547 | 14.8547 | 14.8547 | 90.0 | 90.0 | 90.0 |
| oqmd-603085 | box | -6.9105 | -6.9105 | 14.4249 | 14.4249 | 14.4249 | 90.0 | 90.0 | 90.0 |
| mp-667273 | box | -6.9091 | -6.9091 | 14.9192 | 14.9192 | 14.9192 | 90.0 | 90.0 | 90.0 |
| mp-1080826 | box | -6.905 | -6.905 | 9.196 | 2.5528 | 4.1737 | 90.0 | 97.0 | 90.0 |
| oqmd-637352 | box | -6.905 | -6.905 | 9.1956 | 2.553 | 4.1729 | 90.0 | 97.0 | 90.0 |
| mp-568028 | dynamic | -6.9035 | -6.9035 | 8.179 | 14.088 | 9.518 | 90.0 | 90.0 | 90.0 |
| mp-1190171 | box | -6.9035 | -6.9035 | 9.1055 | 2.5529 | 4.1734 | 90.0 | 90.0 | 90.0 |
| oqmd-637130 | box | -6.9033 | -6.9033 | 9.1047 | 2.5531 | 4.1728 | 90.0 | 90.0 | 90.0 |
| oqmd-677227 | box | -6.8968 | -6.8968 | 14.6344 | 14.6344 | 14.6344 | 90.0 | 90.0 | 90.0 |
| mp-1147718 | box | -6.8941 | -6.8941 | 10.5892 | 15.2127 | 9.5104 | 90.0 | 90.0 | 90.0 |
| oqmd-595714 | box | -6.8901 | -6.8901 | 9.372 | 9.4499 | 15.0535 | 90.0 | 90.0 | 90.0 |
| mp-630227 | box | -6.8883 | -6.8883 | 9.3635 | 9.4386 | 16.1649 | 90.0 | 90.0 | 90.0 |
| mp-624889 | dynamic | -6.8724 | -6.8724 | 4.8573 | 5.2796 | 5.486 | 90.0 | 90.0 | 90.0 |
| mp-579909 | static | -6.8724 | -6.8724 | 4.8573 | 5.2796 | 7.1026 | 90.0 | 90.0 | 90.0 |
| oqmd-610552 | static | -6.8724 | -6.8724 | 4.8573 | 5.2796 | 6.6687 | 90.0 | 90.0 | 90.0 |
| mp-624889 | static | -6.8724 | -6.8724 | 4.8573 | 5.2796 | 5.8484 | 90.0 | 90.0 | 90.0 |
| oqmd-614417 | box | -6.8689 | -6.8689 | 9.454 | 9.454 | 25.0137 | 90.0 | 90.0 | 120.0 |
| mp-680372 | box | -6.8634 | -6.8634 | 9.467 | 9.467 | 26.2203 | 90.0 | 90.0 | 120.0 |
| mp-624889 | box | -6.8538 | -6.8538 | 4.8843 | 5.2963 | 5.8256 | 90.0 | 90.0 | 90.0 |
| oqmd-684627 | box | -6.8499 | -6.8499 | 9.4231 | 9.4231 | 15.7916 | 90.0 | 90.0 | 90.0 |
| mp-1205283 | static | -6.7951 | -6.7951 | 10.6345 | 13.2349 | 8.9404 | 90.0 | 90.0 | 90.0 |
| mp-1205283 | dynamic | -6.7557 | -6.7557 | 9.8395 | 14.2762 | 9.7155 | 90.0 | 90.0 | 90.0 |
| oqmd-610552 | box | -6.7468 | -6.7468 | 4.797 | 5.641 | 6.5673 | 90.0 | 90.0 | 90.0 |
| mp-579909 | box | -6.7408 | -6.7408 | 4.7898 | 5.6536 | 6.9983 | 90.0 | 90.0 | 90.0 |
| mp-568028 | box | -6.7299 | -6.7299 | 8.6544 | 14.5674 | 9.8756 | 90.0 | 90.0 | 90.0 |
| mp-1245190 | dynamic | -6.6522 | -6.6522 | 9.6978 | 10.3266 | 10.8538 | 90.3 | 93.4 | 90.9 |
| mp-1244964 | dynamic | -6.606 | -6.606 | 9.7214 | 10.0709 | 10.6897 | 92.5 | 91.2 | 91.2 |
| mp-24 | dynamic | -6.6009 | -6.6009 | 4.4285 | 4.4285 | 4.4285 | 90.0 | 90.0 | 90.0 |
| mp-24 | box | -6.5805 | -6.5805 | 4.4545 | 4.4545 | 4.4545 | 90.0 | 90.0 | 90.0 |
| mp-1244913 | dynamic | -6.5376 | -6.5376 | 9.4915 | 10.0657 | 10.7814 | 91.9 | 95.7 | 90.9 |
| mp-1245190 | static | -6.419 | -6.419 | 10.1864 | 10.5489 | 10.5993 | 90.5 | 93.7 | 90.4 |
| oqmd-684315 | static | -6.3786 | -6.3786 | 10.4355 | 15.9967 | 8.9736 | 90.0 | 90.0 | 90.0 |
| mp-1205283 | box | -6.3093 | -6.3093 | 10.397 | 13.6279 | 9.4179 | 90.0 | 90.0 | 90.0 |
| mp-1244964 | static | -6.2149 | -6.2149 | 10.1996 | 10.2365 | 11.1687 | 83.1 | 89.2 | 89.2 |
| mp-1244913 | static | -5.9988 | -5.9988 | 10.4566 | 10.6396 | 10.8518 | 90.2 | 93.8 | 97.0 |
| mp-1095633 | dynamic | -5.9168 | -5.9168 | 7.5627 | 7.5627 | 4.9903 | 90.0 | 90.0 | 90.0 |
| mp-1197903 | dynamic | -5.8384 | -5.8384 | 7.7016 | 9.3699 | 22.6635 | 100.2 | 95.3 | 105.5 |
| mp-1196857 | dynamic | -5.8336 | -5.8336 | 9.227 | 18.9768 | 5.9927 | 90.0 | 90.0 | 90.0 |
| mp-1182684 | dynamic | -5.7911 | -5.7911 | 9.4163 | 11.1877 | 14.3019 | 90.0 | 90.0 | 90.0 |
| mp-1182684 | static | -5.7838 | -5.7838 | 12.5993 | 12.7867 | 18.8986 | 90.0 | 90.0 | 90.0 |
| mp-570002 | dynamic | -5.7478 | -5.7478 | 5.0353 | 5.0353 | 5.0353 | 90.0 | 90.0 | 90.0 |
| oqmd-585286 | box | -5.735 | -5.735 | 5.0384 | 5.0384 | 5.0384 | 90.0 | 90.0 | 90.0 |
| mp-570002 | box | -5.7349 | -5.7349 | 5.0384 | 5.0384 | 5.0384 | 90.0 | 90.0 | 90.0 |
| mp-1245190 | box | -5.6957 | -5.6957 | 10.7818 | 11.2704 | 11.377 | 89.3 | 90.0 | 87.9 |
| oqmd-684315 | box | -5.5849 | -5.5849 | 10.8261 | 15.7607 | 9.3418 | 90.0 | 90.0 | 90.0 |
| mp-1197903 | static | -5.5297 | -5.5297 | 7.8477 | 11.0815 | 22.9288 | 96.1 | 96.1 | 108.1 |
| mp-1244964 | box | -5.4866 | -5.4866 | 10.8765 | 11.0772 | 11.7676 | 90.3 | 94.9 | 92.8 |
| mp-1244913 | box | -5.1576 | -5.1576 | 11.3978 | 11.4977 | 11.8953 | 90.3 | 96.1 | 92.5 |
| mp-1182684 | box | -4.8073 | -4.8073 | 12.1466 | 13.3438 | 15.9037 | 90.0 | 90.0 | 90.0 |
| mp-1095534 | box | -4.7272 | -4.7272 | 10.7629 | 10.7629 | 2.4937 | 90.0 | 90.0 | 90.0 |
| A7--alpha-As | box | -4.4148 | -4.4148 | 2.8624 | 2.8624 | 6.2728 | 90.0 | 90.0 | 120.0 |
| mp-1205417 | box | -4.2021 | -4.2021 | 13.391 | 13.391 | 7.7822 | 90.0 | 90.0 | 90.0 |
| A5--beta-Sn | dynamic | -4.0808 | -4.0808 | 3.4249 | 3.4249 | 1.8066 | 90.0 | 90.0 | 90.0 |
| Ah--alpha-Po--sc | dynamic | -4.0773 | -4.0773 | 1.7825 | 1.7825 | 1.7825 | 90.0 | 90.0 | 90.0 |
| A3'--alpha-La--double-hcp | dynamic | -4.0726 | -4.0726 | 2.4887 | 2.4887 | 4.2894 | 90.0 | 90.0 | 120.0 |
| A6--In--bct | static | -3.9997 | -3.9997 | 1.6902 | 1.6902 | 6.5525 | 90.0 | 90.0 | 90.0 |
| mp-1097832 | static | -3.9997 | -3.9997 | 2.3903 | 2.3903 | 9.8799 | 90.0 | 90.0 | 90.0 |
| mp-1056957 | static | -3.9997 | -3.9997 | 2.3903 | 2.3903 | 6.5533 | 90.0 | 90.0 | 90.0 |
| oqmd-1216026 | static | -3.9997 | -3.9997 | 2.3903 | 2.3903 | 9.1654 | 90.0 | 93.2 | 90.0 |
| A6--In--bct | static | -3.9997 | -3.9997 | 1.6902 | 1.6902 | 6.3803 | 90.0 | 90.0 | 90.0 |
| A6--In--bct | static | -3.9997 | -3.9997 | 1.6902 | 1.6902 | 3.5744 | 90.0 | 90.0 | 90.0 |
| mp-1192619 | box | -3.9408 | -3.9408 | 10.1563 | 10.1563 | 10.1563 | 90.0 | 90.0 | 90.0 |
| oqmd-1214779 | box | -3.9005 | -3.9005 | 9.7404 | 9.7404 | 9.7404 | 90.0 | 90.0 | 90.0 |
| A2--W--bcc | dynamic | -3.4099 | -3.4099 | 2.16 | 2.16 | 2.16 | 90.0 | 90.0 | 90.0 |
| A15--beta-W | dynamic | -3.1912 | -3.1912 | 3.4674 | 3.4674 | 3.4674 | 90.0 | 90.0 | 90.0 |
| A1--Cu--fcc | box | -2.8904 | -2.8904 | 2.739 | 2.739 | 2.739 | 90.0 | 90.0 | 90.0 |
| A3'--alpha-La--double-hcp | box | -2.8903 | -2.8903 | 1.9367 | 1.9367 | 6.3261 | 90.0 | 90.0 | 120.0 |
| A3--Mg--hcp | box | -2.8903 | -2.8903 | 1.9366 | 1.9366 | 3.1633 | 90.0 | 90.0 | 120.0 |
| A3--Mg--hcp | dynamic | -2.8738 | -2.8738 | 1.857 | 1.857 | 4.3092 | 90.0 | 90.0 | 120.0 |
| oqmd-1214868 | static | -2.8021 | -2.8021 | 7.5623 | 7.5623 | 7.5623 | 90.0 | 90.0 | 90.0 |
| oqmd-1214868 | dynamic | -2.8021 | -2.8021 | 6.7924 | 6.7924 | 6.7924 | 90.0 | 90.0 | 90.0 |
| A1--Cu--fcc | dynamic | 0.0 | 0.0 | 3.0645 | 3.0645 | 3.0645 | 90.0 | 90.0 | 90.0 |
Download raw data (including filtered results)
Reference structure matches:
| prototype | method | Ecoh (eV/atom) | Epot (eV/atom) | a0 (Å) | b0 (Å) | c0 (Å) | α (degrees) | β (degrees) | γ (degrees) |
|---|---|---|---|---|---|---|---|---|---|
| mp-1019097 | dynamic | -6.4122 | -6.4122 | 3.1572 | 3.1572 | 6.8704 | 90.0 | 90.0 | 90.0 |
| mp-1019097 | box | -6.3735 | -6.3735 | 3.1181 | 3.1181 | 7.0693 | 90.0 | 90.0 | 90.0 |
| mp-1102811 | dynamic | -5.7046 | -5.7046 | 4.7161 | 4.7161 | 4.7161 | 90.0 | 90.0 | 90.0 |
| mp-1102811 | box | -5.5877 | -5.5877 | 4.8035 | 4.8035 | 4.8035 | 90.0 | 90.0 | 90.0 |
| C1--CaF2--fluorite | dynamic | -5.0107 | -5.0107 | 4.7291 | 4.7291 | 4.7291 | 90.0 | 90.0 | 90.0 |
Download raw data (including filtered results)
Reference structure matches:
| prototype | method | Ecoh (eV/atom) | Epot (eV/atom) | a0 (Å) | b0 (Å) | c0 (Å) | α (degrees) | β (degrees) | γ (degrees) |
|---|---|---|---|---|---|---|---|---|---|
| D0_3--BiF3 | static | -3.8192 | -3.8192 | 4.948 | 4.948 | 4.948 | 90.0 | 90.0 | 90.0 |
| L1_2--AuCu3 | dynamic | -3.6116 | -3.6116 | 3.0888 | 3.0888 | 3.0888 | 90.0 | 90.0 | 90.0 |
| A15--Cr3Si | box | -3.3796 | -3.3796 | 4.0574 | 4.0574 | 4.0574 | 90.0 | 90.0 | 90.0 |
| mp-972848 | dynamic | -3.3542 | -3.3542 | 2.6739 | 2.6739 | 14.1591 | 90.0 | 90.0 | 90.0 |
Download raw data (including filtered results)
Reference structure matches:
| prototype | method | Ecoh (eV/atom) | Epot (eV/atom) | a0 (Å) | b0 (Å) | c0 (Å) | α (degrees) | β (degrees) | γ (degrees) |
|---|---|---|---|---|---|---|---|---|---|
| mp-1219306 | dynamic | -5.3146 | -5.3146 | 8.6054 | 8.6054 | 8.3723 | 90.0 | 90.0 | 120.0 |
| mp-1219306 | static | -5.3146 | -5.3146 | 8.6041 | 8.6041 | 8.375 | 90.0 | 90.0 | 120.0 |
| mp-1219306 | box | -4.7047 | -4.7047 | 8.9932 | 8.9932 | 9.3005 | 90.0 | 90.0 | 120.0 |
Download raw data (including filtered results)
Reference structure matches:
| prototype | method | Ecoh (eV/atom) | Epot (eV/atom) | a0 (Å) | b0 (Å) | c0 (Å) | α (degrees) | β (degrees) | γ (degrees) |
|---|---|---|---|---|---|---|---|---|---|
| mp-1179504 | dynamic | -4.7982 | -4.7982 | 5.1021 | 12.0788 | 12.1659 | 70.3 | 86.9 | 85.9 |
| mp-1179504 | static | -4.7535 | -4.7535 | 5.2815 | 11.8786 | 12.0084 | 71.0 | 86.3 | 85.5 |
| mp-1202928 | dynamic | -4.7335 | -4.7335 | 4.9574 | 11.816 | 12.7159 | 114.8 | 90.4 | 99.7 |
| mp-1202928 | static | -4.7333 | -4.7333 | 4.9545 | 11.8107 | 12.7037 | 114.7 | 90.5 | 99.7 |
| mp-1179504 | box | -4.4321 | -4.4321 | 5.5223 | 11.8972 | 12.3884 | 69.3 | 86.4 | 86.3 |
Download raw data (including filtered results)
Reference structure matches:
B1--NaCl--rock-salt = mp-1002206
B3--ZnS--cubic-zinc-blende = mp-8062
| prototype | method | Ecoh (eV/atom) | Epot (eV/atom) | a0 (Å) | b0 (Å) | c0 (Å) | α (degrees) | β (degrees) | γ (degrees) |
|---|---|---|---|---|---|---|---|---|---|
| mp-1199063 | dynamic | -6.3392 | -6.3392 | 3.0825 | 3.0825 | 211.4162 | 90.0 | 90.0 | 120.0 |
| mp-568619 | dynamic | -6.3392 | -6.3392 | 3.0825 | 3.0825 | 12.5843 | 90.0 | 90.0 | 120.0 |
| mp-570641 | dynamic | -6.3392 | -6.3392 | 3.0825 | 3.0825 | 60.4046 | 90.0 | 90.0 | 120.0 |
| mp-570804 | dynamic | -6.3392 | -6.3392 | 3.0825 | 3.0825 | 98.1575 | 90.0 | 90.0 | 120.0 |
| mp-570690 | dynamic | -6.3392 | -6.3392 | 3.0825 | 3.0825 | 67.9552 | 90.0 | 90.0 | 120.0 |
| mp-11714 | dynamic | -6.3392 | -6.3392 | 3.0825 | 3.0825 | 10.0674 | 90.0 | 90.0 | 120.0 |
| B4--ZnS--wurtzite | dynamic | -6.3392 | -6.3392 | 3.0825 | 3.0825 | 5.0337 | 90.0 | 90.0 | 120.0 |
| mp-567505 | dynamic | -6.3392 | -6.3392 | 3.0825 | 3.0825 | 20.1349 | 90.0 | 90.0 | 120.0 |
| mp-1200168 | dynamic | -6.3392 | -6.3392 | 3.0825 | 3.0825 | 218.9667 | 90.0 | 90.0 | 120.0 |
| mp-1197730 | dynamic | -6.3392 | -6.3392 | 3.0825 | 3.0825 | 128.3598 | 90.0 | 90.0 | 120.0 |
| mp-568656 | dynamic | -6.3392 | -6.3392 | 3.0825 | 3.0825 | 25.1686 | 90.0 | 90.0 | 120.0 |
| mp-1204356 | dynamic | -6.3392 | -6.3392 | 3.0825 | 3.0825 | 143.461 | 90.0 | 90.0 | 120.0 |
| mp-568696 | dynamic | -6.3392 | -6.3392 | 3.0825 | 3.0825 | 35.236 | 90.0 | 90.0 | 120.0 |
| mp-11713 | dynamic | -6.3392 | -6.3392 | 3.0825 | 3.0825 | 37.7529 | 90.0 | 90.0 | 120.0 |
| mp-9947 | dynamic | -6.3392 | -6.3392 | 3.0825 | 3.0825 | 52.854 | 90.0 | 90.0 | 120.0 |
| mp-1200848 | dynamic | -6.3392 | -6.3392 | 3.0825 | 3.0825 | 188.7644 | 90.0 | 90.0 | 120.0 |
| mp-570791 | dynamic | -6.3392 | -6.3392 | 3.0825 | 3.0825 | 47.8203 | 90.0 | 90.0 | 120.0 |
| mp-7631 | dynamic | -6.3392 | -6.3392 | 3.0825 | 3.0825 | 15.1012 | 90.0 | 90.0 | 120.0 |
| mp-568735 | dynamic | -6.3392 | -6.3392 | 3.0825 | 3.0825 | 45.3035 | 90.0 | 90.0 | 120.0 |
| mp-624397 | dynamic | -6.3392 | -6.3392 | 3.0825 | 3.0825 | 83.0564 | 90.0 | 90.0 | 120.0 |
| mp-571286 | dynamic | -6.3392 | -6.3392 | 3.0825 | 3.0825 | 90.6069 | 90.0 | 90.0 | 120.0 |
| mp-567551 | dynamic | -6.3392 | -6.3392 | 3.0825 | 3.0825 | 40.2697 | 90.0 | 90.0 | 120.0 |
| B3--ZnS--cubic-zinc-blende | dynamic | -6.3392 | -6.3392 | 4.3593 | 4.3593 | 4.3593 | 90.0 | 90.0 | 90.0 |
| B4--ZnS--wurtzite | box | -6.3392 | -6.3392 | 3.0822 | 3.0822 | 5.0349 | 90.0 | 90.0 | 120.0 |
| mp-568619 | box | -6.3391 | -6.3391 | 3.0833 | 3.0833 | 12.5783 | 90.0 | 90.0 | 120.0 |
| mp-567505 | box | -6.3391 | -6.3391 | 3.083 | 3.083 | 20.1293 | 90.0 | 90.0 | 120.0 |
| mp-582034 | box | -6.3391 | -6.3391 | 3.083 | 3.083 | 52.8374 | 90.0 | 90.0 | 120.0 |
| mp-9947 | box | -6.3391 | -6.3391 | 3.083 | 3.083 | 52.8364 | 90.0 | 90.0 | 120.0 |
| mp-568696 | box | -6.3391 | -6.3391 | 3.083 | 3.083 | 35.2244 | 90.0 | 90.0 | 120.0 |
| mp-7631 | box | -6.3391 | -6.3391 | 3.0831 | 3.0831 | 15.0954 | 90.0 | 90.0 | 120.0 |
| mp-1204356 | box | -6.3391 | -6.3391 | 3.0831 | 3.0831 | 143.4103 | 90.0 | 90.0 | 120.0 |
| mp-571286 | box | -6.3391 | -6.3391 | 3.0831 | 3.0831 | 90.5737 | 90.0 | 90.0 | 120.0 |
| mp-1200692 | box | -6.3391 | -6.3391 | 3.0831 | 3.0831 | 128.3093 | 90.0 | 90.0 | 120.0 |
| mp-7140 | box | -6.3391 | -6.3391 | 3.0839 | 3.0839 | 5.0291 | 90.0 | 90.0 | 120.0 |
| mp-570985 | box | -6.3391 | -6.3391 | 3.0832 | 3.0832 | 67.9275 | 90.0 | 90.0 | 120.0 |
| mp-567551 | box | -6.3391 | -6.3391 | 3.0831 | 3.0831 | 40.2537 | 90.0 | 90.0 | 120.0 |
| mp-568656 | box | -6.3391 | -6.3391 | 3.0832 | 3.0832 | 25.1575 | 90.0 | 90.0 | 120.0 |
| mp-11713 | box | -6.3391 | -6.3391 | 3.0832 | 3.0832 | 37.7356 | 90.0 | 90.0 | 120.0 |
| mp-570791 | box | -6.3391 | -6.3391 | 3.0832 | 3.0832 | 47.7984 | 90.0 | 90.0 | 120.0 |
| mp-571298 | box | -6.3391 | -6.3391 | 3.0832 | 3.0832 | 98.1144 | 90.0 | 90.0 | 120.0 |
| mp-568735 | box | -6.3391 | -6.3391 | 3.0833 | 3.0833 | 45.2813 | 90.0 | 90.0 | 120.0 |
| mp-11714 | box | -6.339 | -6.339 | 3.0834 | 3.0834 | 10.062 | 90.0 | 90.0 | 120.0 |
| mp-1197730 | box | -6.339 | -6.339 | 3.0833 | 3.0833 | 128.2942 | 90.0 | 90.0 | 120.0 |
| mp-570804 | box | -6.339 | -6.339 | 3.0839 | 3.0839 | 98.0672 | 90.0 | 90.0 | 120.0 |
| mp-570641 | box | -6.339 | -6.339 | 3.0841 | 3.0841 | 60.3424 | 90.0 | 90.0 | 120.0 |
| mp-1200168 | box | -6.339 | -6.339 | 3.0843 | 3.0843 | 218.7124 | 90.0 | 90.0 | 120.0 |
| mp-624397 | box | -6.3389 | -6.3389 | 3.0844 | 3.0844 | 82.9548 | 90.0 | 90.0 | 120.0 |
| mp-570690 | box | -6.3389 | -6.3389 | 3.0845 | 3.0845 | 67.8676 | 90.0 | 90.0 | 120.0 |
| mp-1199063 | box | -6.3388 | -6.3388 | 3.0844 | 3.0844 | 211.1641 | 90.0 | 90.0 | 120.0 |
| mp-1200848 | box | -6.3387 | -6.3387 | 3.0844 | 3.0844 | 188.536 | 90.0 | 90.0 | 120.0 |
| B1--NaCl--rock-salt | dynamic | -4.4066 | -4.4066 | 4.3023 | 4.3023 | 4.3023 | 90.0 | 90.0 | 90.0 |
| L1_0--AuCu | static | -4.2523 | -4.2523 | 3.0032 | 3.0032 | 2.7585 | 90.0 | 90.0 | 90.0 |
| B2--CsCl | box | -2.9494 | -2.9494 | 2.6894 | 2.6894 | 2.6894 | 90.0 | 90.0 | 90.0 |
Download raw data (including filtered results)
Reference structure matches:
| prototype | method | Ecoh (eV/atom) | Epot (eV/atom) | a0 (Å) | b0 (Å) | c0 (Å) | α (degrees) | β (degrees) | γ (degrees) |
|---|---|---|---|---|---|---|---|---|---|
| C1--CaF2--fluorite | static | -3.4116 | -3.4116 | 5.274 | 5.274 | 5.274 | 90.0 | 90.0 | 90.0 |
Download raw data (including filtered results)
Reference structure matches:
| prototype | method | Ecoh (eV/atom) | Epot (eV/atom) | a0 (Å) | b0 (Å) | c0 (Å) | α (degrees) | β (degrees) | γ (degrees) |
|---|---|---|---|---|---|---|---|---|---|
| D0_3--BiF3 | dynamic | -3.1013 | -3.1013 | 6.0115 | 6.0115 | 6.0115 | 90.0 | 90.0 | 90.0 |
| L1_2--AuCu3 | dynamic | -2.999 | -2.999 | 3.7782 | 3.7782 | 3.7782 | 90.0 | 90.0 | 90.0 |
| A15--Cr3Si | box | -2.6208 | -2.6208 | 4.6223 | 4.6223 | 4.6223 | 90.0 | 90.0 | 90.0 |
Download raw data (including filtered results)
Reference structure matches:
A1--Cu--fcc = mp-27, oqmd-9287, oqmd-1214570
A15--beta-W = oqmd-1215015, oqmd-1236371, oqmd-1280410
A2--W--bcc = mp-1014212, oqmd-1215193
A3'--alpha-La--double-hcp = oqmd-1215461
A3--Mg--hcp = mp-10649, oqmd-9288, oqmd-1215371
A4--C--dc = mp-149, oqmd-5714, oqmd-12378, oqmd-1215550
A5--beta-Sn = mp-92, oqmd-18979, oqmd-1215639
A6--In--bct = mp-1056579, oqmd-691768, oqmd-1215728
A7--alpha-As = oqmd-1215817
Ah--alpha-Po--sc = oqmd-1215906
| prototype | method | Ecoh (eV/atom) | Epot (eV/atom) | a0 (Å) | b0 (Å) | c0 (Å) | α (degrees) | β (degrees) | γ (degrees) |
|---|---|---|---|---|---|---|---|---|---|
| oqmd-5764 | dynamic | -4.6243 | -4.6243 | 3.8392 | 3.8392 | 6.2693 | 90.0 | 90.0 | 120.0 |
| A4--C--dc | dynamic | -4.6243 | -4.6243 | 5.4294 | 5.4294 | 5.4294 | 90.0 | 90.0 | 90.0 |
| oqmd-5764 | box | -4.6242 | -4.6242 | 3.8359 | 3.8359 | 6.28 | 90.0 | 90.0 | 120.0 |
| oqmd-22507 | box | -4.6242 | -4.6242 | 3.8411 | 6.638 | 6.277 | 90.0 | 90.0 | 90.0 |
| mp-165 | box | -4.6242 | -4.6242 | 3.8356 | 3.8356 | 6.2809 | 90.0 | 90.0 | 120.0 |
| oqmd-717362 | dynamic | -4.5765 | -4.5765 | 14.6238 | 14.6238 | 14.6238 | 90.0 | 90.0 | 90.0 |
| oqmd-717362 | box | -4.5759 | -4.5759 | 14.619 | 14.619 | 14.619 | 90.0 | 90.0 | 90.0 |
| mp-1203790 | dynamic | -4.5733 | -4.5733 | 10.3273 | 10.3273 | 16.9319 | 90.0 | 90.0 | 120.0 |
| mp-1203790 | box | -4.5725 | -4.5725 | 10.3247 | 10.3247 | 16.9205 | 90.0 | 90.0 | 120.0 |
| mp-971662 | dynamic | -4.5621 | -4.5621 | 10.1513 | 10.1513 | 10.1513 | 90.0 | 90.0 | 90.0 |
| oqmd-717360 | box | -4.5613 | -4.5613 | 10.1463 | 10.1463 | 10.1463 | 90.0 | 90.0 | 90.0 |
| mp-971662 | box | -4.5611 | -4.5611 | 10.1458 | 10.1458 | 10.1458 | 90.0 | 90.0 | 90.0 |
| mp-1196961 | dynamic | -4.5473 | -4.5473 | 10.1532 | 10.1532 | 10.2664 | 90.0 | 90.0 | 120.0 |
| mp-1196961 | box | -4.547 | -4.547 | 10.1452 | 10.1452 | 10.2786 | 90.0 | 90.0 | 120.0 |
| mp-1204627 | dynamic | -4.508 | -4.508 | 16.6247 | 12.814 | 9.9852 | 90.0 | 90.0 | 90.0 |
| mp-1204627 | static | -4.508 | -4.508 | 16.6249 | 12.8139 | 9.9852 | 90.0 | 90.0 | 90.0 |
| mp-1204627 | box | -4.5068 | -4.5068 | 16.6825 | 12.7931 | 9.9636 | 90.0 | 90.0 | 90.0 |
| oqmd-22408 | dynamic | -4.4632 | -4.4632 | 13.8367 | 3.8616 | 6.3508 | 90.0 | 96.5 | 90.0 |
| mp-1079297 | box | -4.46 | -4.46 | 13.8235 | 3.852 | 6.3798 | 90.0 | 96.4 | 90.0 |
| oqmd-22408 | box | -4.46 | -4.46 | 13.829 | 3.8524 | 6.3794 | 90.0 | 96.4 | 90.0 |
| mp-1199894 | dynamic | -4.4508 | -4.4508 | 25.4266 | 15.0015 | 9.9705 | 90.0 | 94.1 | 90.0 |
| mp-999200 | dynamic | -4.4453 | -4.4453 | 6.5814 | 6.5814 | 3.9382 | 90.0 | 90.0 | 90.0 |
| mp-1201492 | dynamic | -4.4437 | -4.4437 | 17.5559 | 17.5559 | 17.5559 | 90.0 | 90.0 | 90.0 |
| mp-1199894 | box | -4.4437 | -4.4437 | 25.4044 | 15.0908 | 9.9056 | 90.0 | 94.2 | 90.0 |
| mp-1201492 | box | -4.4414 | -4.4414 | 17.5709 | 17.5709 | 17.5709 | 90.0 | 90.0 | 90.0 |
| mp-999200 | box | -4.4411 | -4.4411 | 6.6266 | 6.6266 | 3.9009 | 90.0 | 90.0 | 90.0 |
| oqmd-22407 | box | -4.4405 | -4.4405 | 6.6301 | 6.6301 | 3.8981 | 90.0 | 90.0 | 90.0 |
| mp-1200830 | dynamic | -4.4372 | -4.4372 | 12.4366 | 12.4366 | 12.4366 | 90.0 | 90.0 | 90.0 |
| mp-1200830 | box | -4.4347 | -4.4347 | 12.4449 | 12.4449 | 12.4449 | 90.0 | 90.0 | 90.0 |
| mp-1202745 | dynamic | -4.4134 | -4.4134 | 10.0061 | 10.0061 | 15.9789 | 90.0 | 90.0 | 120.0 |
| mp-1202745 | box | -4.4122 | -4.4122 | 9.9906 | 9.9906 | 16.0035 | 90.0 | 90.0 | 120.0 |
| mp-971661 | dynamic | -4.3994 | -4.3994 | 10.1011 | 10.1011 | 10.1011 | 90.0 | 90.0 | 90.0 |
| mp-1095269 | dynamic | -4.3989 | -4.3989 | 3.8458 | 10.9316 | 12.5247 | 90.0 | 90.0 | 90.0 |
| mp-971661 | box | -4.398 | -4.398 | 10.0993 | 10.0993 | 10.0993 | 90.0 | 90.0 | 90.0 |
| mp-1095269 | box | -4.3966 | -4.3966 | 3.8361 | 10.892 | 12.6143 | 90.0 | 90.0 | 90.0 |
| mp-1204046 | dynamic | -4.3858 | -4.3858 | 10.1146 | 10.1146 | 24.3115 | 90.0 | 90.0 | 90.0 |
| oqmd-3484 | dynamic | -4.3739 | -4.3739 | 6.6564 | 6.6564 | 6.6564 | 90.0 | 90.0 | 90.0 |
| mp-1204046 | box | -4.3726 | -4.3726 | 10.1247 | 10.1247 | 24.2226 | 90.0 | 90.0 | 90.0 |
| oqmd-3484 | box | -4.3662 | -4.3662 | 6.6354 | 6.6354 | 6.6354 | 90.0 | 90.0 | 90.0 |
| mp-168 | box | -4.3655 | -4.3655 | 6.6346 | 6.6346 | 6.6346 | 90.0 | 90.0 | 90.0 |
| oqmd-18985 | dynamic | -4.2619 | -4.2619 | 9.6572 | 9.6572 | 5.4471 | 90.0 | 90.0 | 120.0 |
| oqmd-18985 | static | -4.2619 | -4.2619 | 9.6572 | 9.6572 | 5.447 | 90.0 | 90.0 | 120.0 |
| mp-571520 | box | -4.25 | -4.25 | 9.5681 | 9.5681 | 5.5421 | 90.0 | 90.0 | 120.0 |
| oqmd-717361 | dynamic | -4.2478 | -4.2478 | 7.607 | 7.607 | 7.607 | 90.0 | 90.0 | 90.0 |
| oqmd-1214748 | dynamic | -4.2472 | -4.2472 | 4.7439 | 7.5823 | 3.881 | 90.0 | 90.0 | 90.0 |
| oqmd-18985 | box | -4.2472 | -4.2472 | 9.5606 | 9.5606 | 5.5181 | 90.0 | 90.0 | 120.0 |
| oqmd-1214748 | box | -4.2383 | -4.2383 | 4.7334 | 7.4377 | 3.8994 | 90.0 | 90.0 | 90.0 |
| A2--W--bcc | dynamic | -4.1821 | -4.1821 | 3.0651 | 3.0651 | 3.0651 | 90.0 | 90.0 | 90.0 |
| oqmd-10215 | dynamic | -4.1811 | -4.1811 | 14.6808 | 14.6808 | 14.6808 | 90.0 | 90.0 | 90.0 |
| mp-1244971 | dynamic | -4.1752 | -4.1752 | 11.6143 | 12.8764 | 13.486 | 98.0 | 97.3 | 99.6 |
| mp-1244971 | static | -4.1752 | -4.1752 | 11.6145 | 12.8768 | 13.4855 | 98.0 | 97.3 | 99.6 |
| mp-1245041 | dynamic | -4.1737 | -4.1737 | 12.7894 | 12.9629 | 13.0532 | 71.9 | 73.2 | 76.5 |
| mp-1245041 | static | -4.1737 | -4.1737 | 12.7894 | 12.9631 | 13.0533 | 71.9 | 73.2 | 76.5 |
| A5--beta-Sn | dynamic | -4.173 | -4.173 | 4.8982 | 4.8982 | 2.5728 | 90.0 | 90.0 | 90.0 |
| mp-1245242 | dynamic | -4.1711 | -4.1711 | 12.4651 | 12.7157 | 12.7647 | 79.5 | 80.2 | 82.7 |
| mp-1245242 | static | -4.1696 | -4.1696 | 12.4836 | 12.6574 | 12.7726 | 79.5 | 80.4 | 82.7 |
| oqmd-7479 | box | -4.1645 | -4.1645 | 4.8885 | 4.9629 | 2.5868 | 90.0 | 90.0 | 90.0 |
| mp-1072544 | static | -4.1573 | -4.1573 | 6.7648 | 6.7648 | 6.7648 | 90.0 | 90.0 | 90.0 |
| oqmd-717361 | box | -4.1563 | -4.1563 | 7.6112 | 7.6112 | 7.6112 | 90.0 | 90.0 | 90.0 |
| mp-1244933 | dynamic | -4.1506 | -4.1506 | 12.3616 | 12.538 | 12.6956 | 79.4 | 73.6 | 76.7 |
| mp-1244933 | static | -4.1459 | -4.1459 | 12.3763 | 12.523 | 12.6677 | 79.6 | 73.6 | 76.8 |
| mp-1245041 | box | -4.1228 | -4.1228 | 12.8118 | 12.8732 | 13.0016 | 71.7 | 73.5 | 75.8 |
| mp-1244971 | box | -4.1214 | -4.1214 | 11.7805 | 12.7375 | 13.4809 | 97.6 | 97.4 | 99.5 |
| mp-1244990 | dynamic | -4.1192 | -4.1192 | 12.2422 | 12.2793 | 12.8465 | 101.8 | 102.6 | 98.5 |
| mp-1244990 | static | -4.1178 | -4.1178 | 12.2205 | 12.2681 | 12.8373 | 102.4 | 101.9 | 98.6 |
| mp-1245242 | box | -4.1142 | -4.1142 | 12.4854 | 12.6621 | 12.7512 | 79.4 | 81.0 | 82.8 |
| mp-34 | static | -4.0975 | -4.0975 | 2.6716 | 2.6716 | 2.6355 | 90.0 | 90.0 | 120.0 |
| A6--In--bct | dynamic | -4.097 | -4.097 | 3.3655 | 3.3655 | 2.7472 | 90.0 | 90.0 | 90.0 |
| oqmd-691764 | dynamic | -4.0945 | -4.0945 | 2.7497 | 2.7497 | 7.1277 | 90.0 | 90.0 | 120.0 |
| mp-1120747 | dynamic | -4.0873 | -4.0873 | 5.3246 | 5.3246 | 4.3306 | 90.0 | 90.0 | 120.0 |
| mp-1079649 | dynamic | -4.0864 | -4.0864 | 7.0186 | 5.2135 | 6.9209 | 90.0 | 90.0 | 90.0 |
| mp-1244933 | box | -4.0814 | -4.0814 | 12.3752 | 12.6471 | 12.6478 | 79.0 | 77.5 | 73.1 |
| mp-1120747 | box | -4.0814 | -4.0814 | 5.3275 | 5.3275 | 4.3544 | 90.0 | 90.0 | 120.0 |
| Ah--alpha-Po--sc | static | -4.0799 | -4.0799 | 2.5539 | 2.5539 | 2.5539 | 90.0 | 90.0 | 90.0 |
| A7--alpha-As | box | -4.0798 | -4.0798 | 3.6121 | 3.6121 | 8.8458 | 90.0 | 90.0 | 120.0 |
| mp-1001113 | box | -4.0753 | -4.0753 | 2.7169 | 10.1065 | 4.6739 | 90.0 | 90.0 | 90.0 |
| oqmd-10215 | box | -4.0735 | -4.0735 | 14.6047 | 14.6047 | 14.6047 | 90.0 | 90.0 | 90.0 |
| oqmd-1214837 | dynamic | -4.0707 | -4.0707 | 10.1796 | 10.1796 | 10.1796 | 90.0 | 90.0 | 90.0 |
| oqmd-78174 | static | -4.0665 | -4.0665 | 7.6148 | 5.1327 | 6.6016 | 90.0 | 90.0 | 90.0 |
| mp-644693 | dynamic | -4.0639 | -4.0639 | 3.9796 | 5.3974 | 8.7409 | 79.6 | 81.6 | 75.7 |
| mp-1268191 | static | -4.0623 | -4.0623 | 6.9173 | 6.9173 | 2.5963 | 90.0 | 90.0 | 120.0 |
| A3'--alpha-La--double-hcp | box | -4.0617 | -4.0617 | 3.607 | 3.607 | 6.0492 | 90.0 | 90.0 | 120.0 |
| oqmd-1214837 | static | -4.0605 | -4.0605 | 10.2224 | 10.2224 | 10.2224 | 90.0 | 90.0 | 90.0 |
| mp-16220 | box | -4.0568 | -4.0568 | 14.5729 | 14.5729 | 14.5729 | 90.0 | 90.0 | 90.0 |
| mp-1244990 | box | -4.0506 | -4.0506 | 12.2735 | 12.3225 | 12.8103 | 102.2 | 103.0 | 99.0 |
| mp-676011 | static | -4.0402 | -4.0402 | 4.4004 | 5.9355 | 7.9331 | 111.0 | 91.3 | 111.2 |
| mp-109 | static | -4.0369 | -4.0369 | 4.8949 | 5.3593 | 9.7559 | 90.0 | 90.0 | 90.0 |
| mp-1268191 | box | -4.0327 | -4.0327 | 6.8996 | 6.8996 | 2.5917 | 90.0 | 90.0 | 120.0 |
| mp-1120447 | static | -4.0188 | -4.0188 | 5.0956 | 5.518 | 6.9983 | 69.4 | 70.1 | 85.0 |
| A1--Cu--fcc | dynamic | -4.0165 | -4.0165 | 3.9438 | 3.9438 | 3.9438 | 90.0 | 90.0 | 90.0 |
| mp-676011 | dynamic | -4.0117 | -4.0117 | 4.561 | 5.6645 | 7.8579 | 70.7 | 89.4 | 68.2 |
| A3'--alpha-La--double-hcp | dynamic | -4.0021 | -4.0021 | 2.7822 | 2.7822 | 9.1573 | 90.0 | 90.0 | 120.0 |
| mp-1094057 | dynamic | -3.9977 | -3.9977 | 2.7803 | 2.7803 | 20.6378 | 90.0 | 90.0 | 120.0 |
| mp-1094057 | box | -3.9975 | -3.9975 | 2.7802 | 2.7802 | 20.6367 | 90.0 | 90.0 | 120.0 |
| A3--Mg--hcp | dynamic | -3.9889 | -3.9889 | 2.7766 | 2.7766 | 4.6003 | 90.0 | 90.0 | 120.0 |
| A15--beta-W | dynamic | -3.9707 | -3.9707 | 4.9377 | 4.9377 | 4.9377 | 90.0 | 90.0 | 90.0 |
| oqmd-1214926 | box | -3.9629 | -3.9629 | 6.7548 | 6.7548 | 6.7548 | 90.0 | 90.0 | 90.0 |
| mp-1120447 | box | -3.9319 | -3.9319 | 4.7663 | 5.8506 | 7.0502 | 105.4 | 106.1 | 97.2 |
| mp-644693 | box | -3.8806 | -3.8806 | 4.048 | 5.5757 | 8.9995 | 106.4 | 90.7 | 109.7 |
| oqmd-15748 | box | -3.8545 | -3.8545 | 9.0305 | 5.2765 | 5.29 | 90.0 | 90.0 | 90.0 |
| oqmd-78174 | box | -3.8502 | -3.8502 | 9.1358 | 5.2551 | 5.2793 | 90.0 | 90.0 | 90.0 |
| mp-1079649 | box | -3.8419 | -3.8419 | 9.3833 | 5.1485 | 5.2431 | 90.0 | 90.0 | 90.0 |
| A3--Mg--hcp | box | -3.7111 | -3.7111 | 2.977 | 2.977 | 3.9384 | 90.0 | 90.0 | 120.0 |
| oqmd-1215995 | dynamic | -3.6841 | -3.6841 | 4.0321 | 4.0321 | 7.4613 | 90.0 | 90.0 | 120.0 |
Static elastic constants are displayed for the unique structures identified in Crystal Structure Predictions above. The values displayed here are obtained by measuring the change in virial stresses due to applying small strains to the relaxed crystals. The initial structure and the strained states are all relaxed using force minimization.
The calculation method used is available as the iprPy elastic_constants_static calculation method.
Notes and Disclaimers:
Version Information:
| 1680.048 | 2020.716 | 2020.716 | -0.000 | -0.000 | 0.000 |
| 2020.716 | 1680.048 | 2020.716 | -0.000 | -0.000 | 0.000 |
| 2020.716 | 2020.716 | 1680.048 | -0.000 | -0.000 | -0.000 |
| 0.000 | -0.000 | -0.000 | 111.867 | -0.000 | 0.000 |
| 0.000 | -0.000 | -0.000 | -0.000 | 111.867 | -0.000 |
| 0.000 | -0.000 | -0.000 | -0.000 | -0.000 | 111.867 |
| 1680.048 | 2020.716 | 2020.716 | 0.000 | 0.000 | -0.000 |
| 2020.716 | 1680.048 | 2020.716 | 0.000 | 0.000 | 0.000 |
| 2020.716 | 2020.716 | 1680.048 | 0.000 | 0.000 | 0.000 |
| -0.000 | 0.000 | 0.000 | 111.867 | 0.000 | -0.000 |
| -0.000 | 0.000 | 0.000 | 0.000 | 111.867 | 0.000 |
| -0.000 | 0.000 | 0.000 | 0.000 | 0.000 | 111.867 |
| 1680.048 | 2020.716 | 2020.716 | -0.000 | -0.000 | 0.000 |
| 2020.716 | 1680.048 | 2020.716 | -0.000 | -0.000 | 0.000 |
| 2020.716 | 2020.716 | 1680.048 | -0.000 | -0.000 | -0.000 |
| -0.000 | 0.000 | 0.000 | 111.867 | -0.000 | -0.000 |
| 0.000 | -0.000 | 0.000 | -0.000 | 111.867 | 0.000 |
| 0.000 | 0.000 | -0.000 | -0.000 | -0.000 | 111.867 |
| 1680.048 | 2020.716 | 2020.716 | 0.000 | 0.000 | -0.000 |
| 2020.716 | 1680.048 | 2020.716 | 0.000 | 0.000 | -0.000 |
| 2020.716 | 2020.716 | 1680.048 | 0.000 | 0.000 | -0.000 |
| 0.000 | -0.000 | -0.000 | 111.867 | 0.000 | -0.000 |
| -0.000 | 0.000 | -0.000 | 0.000 | 111.867 | -0.000 |
| -0.000 | -0.000 | 0.000 | 0.000 | 0.000 | 111.867 |
| 1680.051 | 2020.715 | 2020.715 | -0.000 | -0.000 | 0.000 |
| 2020.715 | 1680.051 | 2020.715 | -0.000 | -0.000 | 0.000 |
| 2020.715 | 2020.715 | 1680.051 | 0.000 | -0.000 | -0.000 |
| -0.002 | 0.004 | 0.004 | 111.867 | -0.000 | 0.000 |
| 0.004 | -0.002 | 0.004 | -0.000 | 111.867 | 0.000 |
| 0.004 | 0.004 | -0.002 | -0.000 | -0.000 | 111.867 |
| 1680.046 | 2020.718 | 2020.718 | 0.000 | 0.000 | -0.000 |
| 2020.718 | 1680.046 | 2020.718 | 0.000 | 0.000 | 0.000 |
| 2020.718 | 2020.718 | 1680.046 | 0.000 | 0.000 | 0.000 |
| 0.002 | -0.004 | -0.004 | 111.867 | 0.000 | 0.000 |
| -0.004 | 0.002 | -0.004 | 0.000 | 111.867 | -0.000 |
| -0.004 | -0.004 | 0.002 | 0.000 | 0.000 | 111.867 |
| 4195.334 | 3023.334 | 3023.334 | 0.000 | 0.000 | -0.000 |
| 3023.334 | 4195.334 | 3023.334 | 0.000 | -0.000 | -0.000 |
| 3023.334 | 3023.334 | 4195.334 | 0.000 | -0.000 | 0.000 |
| 0.000 | 0.000 | 0.000 | 998.184 | 0.000 | -0.000 |
| 0.000 | 0.000 | 0.000 | 0.000 | 998.184 | -0.000 |
| 0.000 | 0.000 | 0.000 | 0.000 | 0.000 | 998.184 |
| 4195.332 | 3023.335 | 3023.335 | -0.000 | 0.000 | 0.000 |
| 3023.335 | 4195.332 | 3023.335 | -0.000 | 0.000 | 0.000 |
| 3023.335 | 3023.335 | 4195.332 | -0.000 | 0.000 | 0.000 |
| -0.000 | -0.000 | -0.000 | 998.184 | -0.000 | 0.000 |
| -0.000 | -0.000 | -0.000 | -0.000 | 998.184 | 0.000 |
| -0.000 | -0.000 | -0.000 | -0.000 | -0.000 | 998.184 |
| 4195.300 | 3023.351 | 3023.351 | 0.000 | -0.000 | 0.000 |
| 3023.351 | 4195.300 | 3023.351 | 0.000 | 0.000 | -0.000 |
| 3023.351 | 3023.351 | 4195.300 | 0.000 | -0.000 | -0.000 |
| -0.000 | 0.000 | 0.000 | 998.184 | 0.000 | -0.000 |
| 0.000 | -0.000 | 0.000 | 0.000 | 998.184 | -0.000 |
| 0.000 | 0.000 | -0.000 | 0.000 | 0.000 | 998.184 |
| 4195.323 | 3023.339 | 3023.339 | -0.000 | 0.000 | 0.000 |
| 3023.339 | 4195.323 | 3023.339 | -0.000 | 0.000 | 0.000 |
| 3023.339 | 3023.339 | 4195.323 | -0.000 | 0.000 | 0.000 |
| 0.000 | -0.000 | -0.000 | 998.184 | 0.000 | 0.000 |
| -0.000 | 0.000 | -0.000 | -0.000 | 998.184 | 0.000 |
| -0.000 | -0.000 | 0.000 | -0.000 | -0.000 | 998.184 |
| 4195.431 | 3023.291 | 3023.291 | 0.000 | -0.000 | -0.000 |
| 3023.291 | 4195.431 | 3023.291 | 0.000 | 0.000 | -0.000 |
| 3023.291 | 3023.291 | 4195.431 | 0.000 | 0.000 | 0.000 |
| -0.003 | 0.002 | 0.003 | 998.184 | 0.000 | 0.000 |
| 0.002 | -0.003 | 0.003 | 0.000 | 998.184 | -0.000 |
| 0.002 | 0.003 | -0.003 | 0.000 | 0.000 | 998.184 |
| 4195.234 | 3023.377 | 3023.377 | -0.000 | 0.000 | 0.000 |
| 3023.377 | 4195.234 | 3023.377 | -0.000 | -0.000 | 0.000 |
| 3023.377 | 3023.377 | 4195.234 | -0.000 | -0.000 | 0.000 |
| 0.003 | -0.002 | -0.003 | 998.184 | 0.000 | -0.000 |
| -0.002 | 0.003 | -0.003 | -0.000 | 998.184 | 0.000 |
| -0.002 | -0.003 | 0.003 | -0.000 | 0.000 | 998.184 |
| 1075.617 | 871.079 | 871.079 | 0.000 | 0.000 | -0.000 |
| 871.079 | 1075.617 | 871.079 | 0.000 | 0.000 | 0.000 |
| 871.079 | 871.079 | 1075.617 | 0.000 | 0.000 | -0.000 |
| -0.000 | -0.000 | 0.000 | 601.992 | 0.000 | -0.000 |
| -0.000 | -0.000 | 0.000 | 0.000 | 601.992 | -0.000 |
| -0.000 | 0.000 | 0.000 | 0.000 | 0.000 | 601.992 |
| 1075.617 | 871.079 | 871.079 | -0.000 | -0.000 | 0.000 |
| 871.079 | 1075.617 | 871.079 | -0.000 | -0.000 | 0.000 |
| 871.079 | 871.079 | 1075.617 | -0.000 | -0.000 | -0.000 |
| -0.000 | -0.000 | -0.000 | 601.992 | -0.000 | 0.000 |
| -0.000 | 0.000 | -0.000 | -0.000 | 601.992 | 0.000 |
| -0.000 | 0.000 | -0.000 | -0.000 | -0.000 | 601.992 |
| 1075.617 | 871.079 | 871.079 | 0.000 | 0.000 | -0.000 |
| 871.079 | 1075.617 | 871.079 | 0.000 | 0.000 | -0.000 |
| 871.079 | 871.079 | 1075.617 | 0.000 | 0.000 | 0.000 |
| 0.000 | 0.000 | 0.000 | 601.992 | 0.000 | -0.000 |
| 0.000 | 0.000 | 0.000 | 0.000 | 601.992 | -0.000 |
| 0.000 | 0.000 | 0.000 | 0.000 | 0.000 | 601.992 |
| 1075.618 | 871.080 | 871.080 | -0.000 | -0.000 | -0.000 |
| 871.080 | 1075.618 | 871.080 | -0.000 | -0.000 | -0.000 |
| 871.080 | 871.080 | 1075.617 | -0.000 | -0.000 | 0.000 |
| -0.000 | -0.000 | -0.000 | 601.992 | -0.000 | 0.000 |
| -0.000 | -0.000 | -0.000 | -0.000 | 601.992 | 0.000 |
| -0.000 | -0.000 | -0.000 | -0.000 | -0.000 | 601.992 |
| 1075.613 | 871.077 | 871.077 | 0.000 | 0.000 | -0.000 |
| 871.077 | 1075.613 | 871.077 | 0.000 | 0.000 | 0.000 |
| 871.077 | 871.077 | 1075.613 | 0.000 | 0.000 | -0.000 |
| 0.001 | 0.000 | 0.001 | 601.992 | 0.000 | -0.000 |
| 0.000 | 0.001 | 0.001 | 0.000 | 601.992 | -0.000 |
| 0.000 | 0.001 | 0.001 | 0.000 | 0.000 | 601.992 |
| 1075.621 | 871.082 | 871.082 | -0.000 | -0.000 | -0.000 |
| 871.082 | 1075.621 | 871.082 | -0.000 | -0.000 | 0.000 |
| 871.082 | 871.082 | 1075.621 | -0.000 | -0.000 | 0.000 |
| -0.001 | -0.000 | -0.001 | 601.992 | -0.000 | 0.000 |
| -0.000 | -0.001 | -0.001 | -0.000 | 601.992 | -0.000 |
| -0.000 | -0.001 | -0.001 | -0.000 | -0.000 | 601.992 |
| 563.912 | 128.297 | 249.919 | 0.000 | 0.000 | -0.000 |
| 128.298 | 563.912 | 249.919 | -0.000 | -0.000 | -0.000 |
| 249.919 | 249.919 | 7061.615 | -0.000 | -0.000 | -0.000 |
| 0.000 | -0.000 | -0.000 | 306.350 | -0.000 | -0.000 |
| 0.000 | 0.000 | -0.000 | -0.000 | 306.350 | -0.000 |
| 0.000 | -0.000 | -0.000 | -0.000 | -0.000 | 217.807 |
| 563.912 | 128.298 | 249.919 | 0.000 | -0.000 | 0.000 |
| 177.236 | 514.974 | 249.919 | 0.000 | 0.000 | 0.000 |
| 249.919 | 249.919 | 7061.616 | 0.000 | -0.000 | 0.000 |
| -0.000 | 0.000 | 0.000 | 306.350 | 0.000 | 0.000 |
| -0.000 | -0.000 | 0.000 | 0.000 | 306.350 | 0.000 |
| -0.000 | 0.000 | 0.000 | 0.000 | 0.000 | 217.808 |
| 514.974 | 177.236 | 249.919 | -0.000 | -0.000 | -0.000 |
| 128.298 | 563.912 | 249.919 | -0.000 | -0.000 | -0.000 |
| 249.919 | 249.919 | 7061.614 | -0.000 | -0.000 | -0.000 |
| 0.000 | 0.000 | -0.000 | 306.350 | 0.000 | -0.000 |
| 0.000 | 0.000 | -0.000 | -0.000 | 306.350 | -0.000 |
| -0.000 | -0.000 | -0.000 | -0.000 | -0.000 | 168.869 |
| 514.974 | 177.236 | 249.919 | 0.000 | 0.000 | 0.000 |
| 177.236 | 514.974 | 249.919 | 0.000 | 0.000 | 0.000 |
| 249.918 | 249.918 | 7061.616 | 0.000 | 0.000 | 0.000 |
| -0.000 | -0.000 | 0.000 | 306.350 | 0.000 | 0.000 |
| -0.000 | -0.000 | 0.000 | 0.000 | 306.350 | 0.000 |
| 0.000 | -0.000 | 0.000 | 0.000 | 0.000 | 168.869 |
| 514.971 | 177.240 | 249.920 | -0.000 | -0.000 | -0.000 |
| 177.237 | 514.974 | 249.920 | -0.000 | -0.000 | -0.000 |
| 249.926 | 249.926 | 7061.606 | -0.000 | -0.000 | -0.000 |
| 0.000 | 0.000 | -0.003 | 306.350 | -0.000 | -0.000 |
| 0.000 | 0.000 | -0.003 | -0.000 | 306.350 | -0.000 |
| -0.000 | 0.000 | 0.000 | -0.000 | -0.000 | 168.869 |
| 514.973 | 177.236 | 249.918 | 0.000 | 0.000 | 0.000 |
| 177.239 | 514.969 | 249.918 | 0.000 | 0.000 | 0.000 |
| 249.912 | 249.912 | 7061.624 | 0.000 | 0.000 | 0.000 |
| -0.000 | -0.000 | 0.003 | 306.350 | 0.000 | 0.000 |
| -0.000 | -0.000 | 0.003 | 0.000 | 306.350 | 0.000 |
| 0.000 | -0.000 | -0.000 | 0.000 | 0.000 | 168.869 |
| 1737.651 | 741.537 | 0.000 | 0.000 | 0.000 | 0.000 |
| 741.537 | 1737.651 | 0.000 | 0.000 | 0.000 | 0.000 |
| -0.000 | 0.000 | 0.000 | 0.000 | 0.000 | 0.000 |
| -0.000 | 0.000 | 0.000 | 0.000 | 0.000 | 0.000 |
| -0.000 | 0.000 | 0.000 | 0.000 | 0.000 | 0.000 |
| -0.000 | 0.000 | 0.000 | 0.000 | 0.000 | 498.057 |
| 1737.651 | 741.537 | -0.000 | -0.000 | -0.000 | -0.000 |
| 741.537 | 1737.651 | -0.000 | -0.000 | -0.000 | -0.000 |
| 0.000 | -0.000 | -0.000 | -0.000 | -0.000 | -0.000 |
| 0.000 | -0.000 | -0.000 | -0.000 | -0.000 | -0.000 |
| 0.000 | -0.000 | -0.000 | -0.000 | -0.000 | -0.000 |
| 0.000 | -0.000 | -0.000 | -0.000 | -0.000 | 498.056 |
| 1737.651 | 741.536 | 0.000 | 0.000 | 0.000 | 0.000 |
| 741.537 | 1737.650 | 0.000 | 0.000 | 0.000 | -0.000 |
| -0.000 | 0.000 | 0.000 | 0.000 | 0.000 | 0.000 |
| -0.000 | 0.000 | 0.000 | 0.000 | 0.000 | 0.000 |
| -0.000 | 0.000 | 0.000 | 0.000 | 0.000 | 0.000 |
| -0.000 | 0.000 | 0.000 | 0.000 | 0.000 | 498.057 |
| 1737.650 | 741.538 | -0.000 | -0.000 | -0.000 | -0.000 |
| 741.538 | 1737.651 | -0.000 | -0.000 | -0.000 | -0.000 |
| 0.000 | -0.000 | -0.000 | -0.000 | -0.000 | -0.000 |
| 0.000 | -0.000 | -0.000 | -0.000 | -0.000 | -0.000 |
| 0.000 | -0.000 | -0.000 | -0.000 | -0.000 | -0.000 |
| 0.000 | -0.001 | -0.000 | -0.000 | -0.000 | 498.057 |
| 1737.654 | 741.526 | 0.000 | 0.000 | 0.000 | -0.000 |
| 741.532 | 1737.648 | 0.000 | 0.000 | 0.000 | 0.000 |
| -0.000 | 0.000 | 0.000 | 0.000 | 0.000 | 0.000 |
| -0.000 | 0.000 | 0.000 | 0.000 | 0.000 | 0.000 |
| -0.000 | 0.000 | 0.000 | 0.000 | 0.000 | 0.000 |
| -0.001 | 0.005 | 0.000 | 0.000 | 0.000 | 498.057 |
| 1737.647 | 741.548 | -0.000 | -0.000 | -0.000 | -0.000 |
| 741.543 | 1737.653 | -0.000 | -0.000 | -0.000 | -0.000 |
| 0.000 | -0.000 | -0.000 | -0.000 | -0.000 | -0.000 |
| 0.000 | -0.000 | -0.000 | -0.000 | -0.000 | -0.000 |
| 0.000 | -0.000 | -0.000 | -0.000 | -0.000 | -0.000 |
| 0.001 | -0.005 | -0.000 | -0.000 | -0.000 | 498.057 |
| 14889483430.476 | 8928493225.879 | 3776511972.127 | 25989622.739 | -33574744.577 | -92831844.057 |
| 1951.978 | 1940.264 | 1831.378 | 0.000 | -0.000 | 0.000 |
| 1831.378 | 1831.378 | 2054.670 | 0.000 | -0.000 | 0.000 |
| -0.000 | 0.000 | -0.000 | -133.873 | -0.000 | 0.000 |
| -0.000 | 0.000 | -0.000 | 0.000 | -133.874 | 0.000 |
| 10701507470.515 | 11044661962.010 | 6186318821.924 | -44235876.050 | 72920827.972 | -688585984.247 |
| -11919139493.080 | -11284918772.773 | -6793174915.220 | 30801070.124 | 13533284.378 | 419984790.718 |
| 1951.978 | 1940.264 | 1831.378 | -0.000 | 0.000 | -0.000 |
| 1831.378 | 1831.378 | 2054.670 | -0.000 | 0.001 | -0.000 |
| -0.000 | -0.000 | 0.000 | -133.874 | 0.000 | -0.000 |
| 0.000 | -0.000 | 0.000 | -0.000 | -133.873 | -0.000 |
| -11660178323.158 | -10777273993.251 | -5054349746.402 | -54674268.381 | 57066070.428 | 58056643.537 |
| 1555172085.048 | 1010469828.225 | 256486490.949 | -2841323.222 | -1672929.318 | 67211980.731 |
| 1173060148.964 | 1090212710.344 | 686262360.789 | 2912381.134 | 830837.102 | -33001287.637 |
| 1831.377 | 1831.377 | 2054.670 | -0.000 | -0.000 | 0.000 |
| 0.000 | 0.000 | 0.000 | -133.874 | -0.000 | 0.000 |
| 0.000 | 0.000 | 0.000 | 0.000 | -133.874 | 0.000 |
| 1032602355.360 | 1104253489.890 | 632167060.780 | -403779.207 | -1812234.844 | -55094691.687 |
| 1940.263 | 1951.978 | 1831.378 | -0.000 | 0.000 | -0.000 |
| 1951.978 | 1940.264 | 1831.378 | -0.000 | 0.000 | -0.000 |
| 1831.378 | 1831.378 | 2054.670 | -0.000 | 0.000 | -0.000 |
| -0.000 | -0.000 | -0.000 | -133.874 | 0.000 | -0.000 |
| -0.000 | -0.000 | -0.000 | -0.000 | -133.874 | -0.000 |
| -1106912094.577 | -1071578258.086 | -595770371.511 | -11610458.773 | -10431342.877 | -22832219.148 |
| 155264371.131 | 98786425.483 | 12278654.124 | 100712.965 | -96272.544 | 6300924.742 |
| 116809268.719 | 108694430.209 | 71327858.092 | 263382.246 | 775132.778 | -5496840.214 |
| 1831.376 | 1831.376 | 2054.673 | 0.000 | -0.000 | 0.000 |
| 0.011 | -0.009 | 0.005 | -133.874 | -0.000 | 0.000 |
| -0.009 | 0.011 | 0.005 | 0.000 | -133.874 | -0.000 |
| 104150493.918 | 100064381.701 | 52043045.326 | 191316.697 | -700430.688 | -5757384.362 |
| -115232812.643 | -112632981.185 | -58654180.703 | 347342.364 | -780315.701 | 3636909.658 |
| -156456215.085 | -102062006.690 | -18791496.695 | -475452.277 | -385138.235 | -3293403.855 |
| 1831.379 | 1831.379 | 2054.667 | -0.000 | 0.000 | -0.000 |
| -0.011 | 0.009 | -0.005 | -133.874 | 0.000 | -0.000 |
| 0.009 | -0.011 | -0.005 | -0.000 | -133.874 | -0.000 |
| -112601921.639 | -103816465.221 | -51116100.405 | 553988.583 | 826480.947 | -2099056.906 |
| 1088.319 | 125.012 | 125.012 | 0.000 | -0.000 | -0.000 |
| 125.013 | 1088.319 | 125.012 | 0.000 | -0.000 | -0.000 |
| 125.013 | 125.012 | 1088.319 | -0.000 | -0.000 | -0.000 |
| -0.000 | -0.001 | -0.000 | 641.275 | 0.000 | -0.000 |
| -0.000 | -0.001 | -0.000 | 0.000 | 641.275 | -0.000 |
| -0.000 | -0.000 | -0.000 | 0.000 | 0.000 | 641.275 |
| 1088.319 | 125.013 | 125.012 | -0.000 | 0.000 | 0.000 |
| 125.012 | 1088.320 | 125.012 | -0.000 | 0.000 | 0.000 |
| 125.012 | 125.013 | 1088.319 | -0.000 | 0.000 | 0.000 |
| -0.000 | 0.000 | 0.000 | 641.275 | -0.000 | 0.000 |
| -0.000 | 0.001 | 0.000 | -0.000 | 641.275 | 0.000 |
| -0.000 | 0.000 | 0.000 | -0.000 | 0.000 | 641.275 |
| 1088.319 | 125.012 | 125.013 | 0.000 | -0.000 | -0.000 |
| 125.013 | 1088.319 | 125.013 | 0.000 | -0.000 | -0.000 |
| 125.013 | 125.012 | 1088.319 | 0.000 | -0.000 | -0.000 |
| 0.000 | -0.000 | 0.000 | 641.275 | 0.000 | -0.000 |
| -0.000 | 0.000 | 0.000 | 0.000 | 641.275 | -0.000 |
| -0.000 | 0.000 | 0.000 | 0.000 | 0.000 | 641.275 |
| 1088.319 | 125.012 | 125.012 | -0.000 | 0.000 | 0.000 |
| 125.012 | 1088.319 | 125.012 | 0.000 | 0.000 | 0.000 |
| 125.012 | 125.012 | 1088.319 | -0.000 | 0.000 | 0.000 |
| -0.000 | 0.000 | -0.000 | 641.275 | -0.000 | 0.000 |
| 0.000 | 0.000 | -0.000 | -0.000 | 641.275 | 0.000 |
| 0.000 | -0.000 | -0.000 | -0.000 | -0.000 | 641.275 |
| 1088.321 | 125.013 | 125.013 | -0.000 | -0.000 | -0.000 |
| 125.013 | 1088.321 | 125.013 | -0.000 | -0.000 | -0.000 |
| 125.013 | 125.013 | 1088.321 | 0.000 | 0.000 | -0.000 |
| 0.000 | -0.000 | 0.001 | 641.275 | 0.000 | -0.000 |
| -0.000 | 0.000 | 0.001 | 0.000 | 641.275 | -0.000 |
| -0.000 | 0.001 | 0.000 | -0.000 | -0.000 | 641.275 |
| 1088.318 | 125.011 | 125.011 | -0.000 | 0.000 | 0.000 |
| 125.011 | 1088.318 | 125.011 | -0.000 | 0.000 | 0.000 |
| 125.011 | 125.011 | 1088.318 | -0.000 | 0.000 | 0.000 |
| -0.000 | 0.000 | -0.001 | 641.275 | -0.000 | 0.000 |
| 0.000 | -0.000 | -0.001 | -0.000 | 641.275 | 0.000 |
| 0.000 | -0.001 | -0.000 | -0.000 | -0.000 | 641.275 |
| 805.469 | 131.392 | 85.307 | 0.000 | 0.000 | 0.000 |
| 131.392 | 805.469 | 85.307 | 0.000 | 0.000 | 0.000 |
| 85.307 | 85.307 | 950.579 | 0.000 | -0.000 | 0.000 |
| -0.000 | -0.000 | -0.000 | 150.070 | 0.000 | 0.000 |
| -0.000 | -0.000 | -0.000 | 0.000 | 150.070 | 0.000 |
| -0.000 | -0.000 | -0.000 | 0.000 | 0.000 | 137.226 |
| 805.469 | 131.392 | 85.307 | -0.000 | -0.000 | -0.000 |
| 131.392 | 805.469 | 85.307 | -0.000 | -0.000 | -0.000 |
| 85.307 | 85.307 | 950.579 | -0.000 | -0.000 | 0.000 |
| 0.000 | 0.000 | 0.000 | 150.069 | -0.000 | 0.000 |
| 0.000 | 0.000 | 0.000 | -0.000 | 150.070 | -0.000 |
| 0.000 | 0.000 | 0.000 | -0.000 | -0.000 | 137.226 |
| 805.469 | 131.392 | 85.307 | 0.000 | 0.000 | 0.000 |
| 131.392 | 805.469 | 85.307 | 0.000 | 0.000 | 0.000 |
| 85.307 | 85.307 | 950.580 | 0.000 | 0.000 | 0.000 |
| 0.000 | -0.000 | -0.000 | 150.070 | 0.000 | 0.000 |
| -0.000 | -0.000 | -0.000 | 0.000 | 150.070 | -0.000 |
| -0.000 | -0.000 | -0.000 | -0.000 | -0.000 | 137.226 |
| 805.469 | 131.392 | 85.307 | -0.000 | 0.000 | 0.000 |
| 131.392 | 805.469 | 85.307 | -0.000 | 0.000 | -0.000 |
| 85.307 | 85.307 | 950.579 | -0.000 | -0.000 | 0.000 |
| -0.000 | 0.000 | 0.000 | 150.070 | -0.000 | 0.000 |
| 0.000 | 0.000 | 0.000 | -0.000 | 150.070 | -0.000 |
| 0.000 | 0.000 | 0.000 | -0.000 | -0.000 | 137.226 |
| 805.471 | 131.393 | 85.307 | 0.000 | -0.000 | 0.000 |
| 131.393 | 805.471 | 85.307 | 0.000 | 0.000 | 0.000 |
| 85.307 | 85.307 | 950.585 | 0.000 | 0.000 | 0.000 |
| 0.000 | -0.000 | -0.000 | 150.070 | 0.000 | 0.000 |
| -0.000 | 0.000 | -0.000 | 0.000 | 150.070 | 0.000 |
| -0.000 | -0.000 | -0.000 | 0.000 | -0.000 | 137.226 |
| 805.467 | 131.391 | 85.307 | -0.000 | 0.000 | 0.000 |
| 131.391 | 805.467 | 85.307 | -0.000 | 0.000 | 0.000 |
| 85.307 | 85.307 | 950.574 | -0.000 | 0.000 | -0.000 |
| -0.000 | 0.000 | 0.000 | 150.070 | 0.000 | 0.000 |
| 0.000 | -0.000 | 0.000 | -0.000 | 150.070 | -0.000 |
| 0.000 | 0.000 | 0.000 | -0.000 | 0.000 | 137.226 |
| 811.477 | -0.000 | 0.000 | 0.000 | 0.000 | -0.000 |
| -0.000 | 811.477 | 0.000 | 0.000 | 0.000 | -0.000 |
| 0.000 | 0.000 | 0.000 | 0.000 | 0.000 | -0.000 |
| -0.000 | -0.000 | 0.000 | 0.000 | 0.000 | -0.000 |
| -0.000 | 0.000 | 0.000 | 0.000 | 0.000 | -0.000 |
| 0.000 | 0.000 | 0.000 | 0.000 | 0.000 | 181.837 |
| 811.477 | -0.000 | -0.000 | -0.000 | -0.000 | 0.000 |
| 0.000 | 811.477 | -0.000 | -0.000 | -0.000 | 0.000 |
| -0.000 | -0.000 | -0.000 | -0.000 | -0.000 | 0.000 |
| 0.000 | 0.000 | -0.000 | -0.000 | -0.000 | 0.000 |
| 0.000 | -0.000 | -0.000 | -0.000 | -0.000 | 0.000 |
| 0.000 | -0.000 | -0.000 | -0.000 | -0.000 | 181.837 |
| 811.477 | 0.000 | 0.000 | 0.000 | 0.000 | -0.000 |
| -0.000 | 811.477 | 0.000 | 0.000 | 0.000 | 0.000 |
| 0.000 | 0.000 | 0.000 | 0.000 | 0.000 | -0.000 |
| -0.000 | -0.000 | 0.000 | 0.000 | 0.000 | 0.000 |
| -0.000 | -0.000 | 0.000 | 0.000 | 0.000 | -0.000 |
| -0.000 | -0.000 | 0.000 | 0.000 | 0.000 | 181.837 |
| 811.477 | 0.000 | -0.000 | -0.000 | -0.000 | 0.000 |
| 0.000 | 811.477 | -0.000 | -0.000 | -0.000 | 0.000 |
| -0.000 | -0.000 | -0.000 | -0.000 | -0.000 | 0.000 |
| 0.000 | 0.000 | -0.000 | -0.000 | -0.000 | 0.000 |
| 0.000 | 0.000 | -0.000 | -0.000 | -0.000 | 0.000 |
| 0.000 | 0.000 | -0.000 | -0.000 | -0.000 | 181.837 |
| 811.481 | -0.000 | 0.000 | 0.000 | 0.000 | -0.000 |
| -0.000 | 811.481 | 0.000 | 0.000 | 0.000 | -0.000 |
| 0.000 | 0.000 | 0.000 | 0.000 | 0.000 | -0.000 |
| -0.000 | -0.000 | 0.000 | 0.000 | 0.000 | -0.000 |
| -0.000 | 0.000 | 0.000 | 0.000 | 0.000 | -0.000 |
| -0.000 | -0.000 | 0.000 | 0.000 | 0.000 | 181.837 |
| 811.473 | 0.000 | -0.000 | -0.000 | -0.000 | 0.000 |
| 0.000 | 811.473 | -0.000 | -0.000 | -0.000 | 0.000 |
| -0.000 | -0.000 | -0.000 | -0.000 | -0.000 | 0.000 |
| 0.000 | -0.000 | -0.000 | -0.000 | -0.000 | 0.000 |
| 0.000 | 0.000 | -0.000 | -0.000 | -0.000 | 0.000 |
| 0.000 | 0.000 | -0.000 | -0.000 | -0.000 | 181.837 |
| 1448.474 | -0.000 | 0.000 | 0.000 | 0.000 | 0.000 |
| -0.000 | 1448.474 | 0.000 | 0.000 | 0.000 | 0.000 |
| -0.000 | -0.000 | 0.000 | 0.000 | 0.000 | 0.000 |
| -0.000 | -0.000 | 0.000 | 0.000 | 0.000 | 0.000 |
| -0.000 | -0.000 | 0.000 | 0.000 | 0.000 | 0.000 |
| -0.000 | -0.000 | 0.000 | 0.000 | 0.000 | 324.577 |
| 829.297 | -0.000 | 0.000 | 0.000 | 0.000 | 0.000 |
| -0.000 | 829.297 | 0.000 | 0.000 | 0.000 | 0.000 |
| -0.000 | -0.000 | 0.000 | 0.000 | 0.000 | 0.000 |
| -0.000 | -0.000 | 0.000 | 0.000 | 0.000 | 0.000 |
| -0.000 | -0.000 | 0.000 | 0.000 | 0.000 | 0.000 |
| -0.000 | -0.000 | 0.000 | 0.000 | 0.000 | 185.830 |
| 1448.475 | 0.000 | -0.000 | -0.000 | -0.000 | -0.000 |
| 0.000 | 1448.474 | -0.000 | -0.000 | -0.000 | -0.000 |
| 0.000 | 0.000 | -0.000 | -0.000 | -0.000 | -0.000 |
| 0.000 | 0.000 | -0.000 | -0.000 | -0.000 | -0.000 |
| 0.000 | 0.000 | -0.000 | -0.000 | -0.000 | -0.000 |
| 0.000 | 0.000 | -0.000 | -0.000 | -0.000 | 324.577 |
| 829.297 | 0.000 | -0.000 | -0.000 | -0.000 | -0.000 |
| 0.000 | 829.297 | -0.000 | -0.000 | -0.000 | -0.000 |
| 0.000 | 0.000 | -0.000 | -0.000 | -0.000 | -0.000 |
| 0.000 | 0.000 | -0.000 | -0.000 | -0.000 | -0.000 |
| 0.000 | 0.000 | -0.000 | -0.000 | -0.000 | -0.000 |
| 0.000 | 0.000 | -0.000 | -0.000 | -0.000 | 185.830 |
| 1448.475 | -0.000 | 0.000 | 0.000 | 0.000 | 0.000 |
| -0.000 | 1448.475 | 0.000 | 0.000 | 0.000 | 0.000 |
| -0.000 | -0.000 | 0.000 | 0.000 | 0.000 | 0.000 |
| -0.000 | -0.000 | 0.000 | 0.000 | 0.000 | 0.000 |
| -0.000 | -0.000 | 0.000 | 0.000 | 0.000 | 0.000 |
| -0.000 | -0.000 | 0.000 | 0.000 | 0.000 | 324.577 |
| 829.298 | -0.000 | 0.000 | 0.000 | 0.000 | 0.000 |
| -0.000 | 829.298 | 0.000 | 0.000 | 0.000 | 0.000 |
| -0.000 | -0.000 | 0.000 | 0.000 | 0.000 | 0.000 |
| -0.000 | -0.000 | 0.000 | 0.000 | 0.000 | 0.000 |
| -0.000 | -0.000 | 0.000 | 0.000 | 0.000 | 0.000 |
| -0.000 | -0.000 | 0.000 | 0.000 | 0.000 | 185.830 |
| 1448.474 | 0.000 | -0.000 | -0.000 | -0.000 | -0.000 |
| 0.000 | 1448.474 | -0.000 | -0.000 | -0.000 | -0.000 |
| 0.000 | 0.000 | -0.000 | -0.000 | -0.000 | -0.000 |
| 0.000 | 0.000 | -0.000 | -0.000 | -0.000 | -0.000 |
| 0.000 | 0.000 | -0.000 | -0.000 | -0.000 | -0.000 |
| 0.000 | 0.000 | -0.000 | -0.000 | -0.000 | 324.577 |
| 829.297 | 0.000 | -0.000 | -0.000 | -0.000 | -0.000 |
| 0.000 | 829.297 | -0.000 | -0.000 | -0.000 | -0.000 |
| 0.000 | 0.000 | -0.000 | -0.000 | -0.000 | -0.000 |
| 0.000 | 0.000 | -0.000 | -0.000 | -0.000 | -0.000 |
| 0.000 | 0.000 | -0.000 | -0.000 | -0.000 | -0.000 |
| 0.000 | 0.000 | -0.000 | -0.000 | -0.000 | 185.830 |
| 1448.482 | -0.000 | 0.000 | 0.000 | 0.000 | 0.000 |
| -0.000 | 1448.482 | 0.000 | 0.000 | 0.000 | 0.000 |
| 1737.055 | 1737.055 | 7769.007 | 0.000 | 0.000 | 0.000 |
| -0.000 | -0.000 | 0.000 | 0.000 | 0.000 | 0.000 |
| -0.000 | -0.000 | 0.000 | 0.000 | 0.000 | 0.000 |
| -0.000 | -0.000 | 0.000 | 0.000 | 0.000 | 324.577 |
| 829.301 | -0.000 | 0.000 | 0.000 | 0.000 | 0.000 |
| -0.000 | 829.301 | 0.000 | 0.000 | 0.000 | 0.000 |
| -0.000 | -0.000 | 0.000 | 0.000 | 0.000 | 0.000 |
| -0.000 | -0.000 | 0.000 | 0.000 | 0.000 | 0.000 |
| -0.000 | -0.000 | 0.000 | 0.000 | 0.000 | 0.000 |
| -0.000 | -0.000 | 0.000 | 0.000 | 0.000 | 185.830 |
| 1448.467 | 0.000 | -0.000 | -0.000 | -0.000 | -0.000 |
| 0.000 | 1448.467 | -0.000 | -0.000 | -0.000 | -0.000 |
| 0.000 | 0.000 | -0.000 | -0.000 | -0.000 | -0.000 |
| 0.000 | 0.000 | -0.000 | -0.000 | -0.000 | -0.000 |
| 0.000 | 0.000 | -0.000 | -0.000 | -0.000 | -0.000 |
| 0.000 | 0.000 | -0.000 | -0.000 | -0.000 | 324.577 |
| 829.293 | 0.000 | -0.000 | -0.000 | -0.000 | -0.000 |
| 0.000 | 829.293 | -0.000 | -0.000 | -0.000 | -0.000 |
| 0.000 | 0.000 | -0.000 | -0.000 | -0.000 | -0.000 |
| 0.000 | 0.000 | -0.000 | -0.000 | -0.000 | -0.000 |
| 0.000 | 0.000 | -0.000 | -0.000 | -0.000 | -0.000 |
| 0.000 | 0.000 | -0.000 | -0.000 | -0.000 | 185.830 |
| 1088.812 | -9.606 | -0.000 | -0.000 | -0.000 | 0.000 |
| -9.606 | 1088.812 | -0.000 | 0.000 | -0.000 | 0.000 |
| 0.000 | 0.000 | -0.000 | 0.000 | -0.000 | 0.000 |
| -0.000 | 0.000 | -0.000 | -0.000 | -0.000 | -0.000 |
| -0.000 | -0.000 | -0.000 | 0.000 | -0.000 | -0.000 |
| -0.000 | 0.000 | -0.000 | -0.000 | -0.000 | 549.209 |
| 1088.270 | -9.064 | -0.000 | -0.000 | 0.000 | 0.001 |
| -9.064 | 1088.270 | 0.000 | -0.000 | 0.000 | -0.000 |
| 0.000 | 0.000 | 0.000 | -0.000 | 0.000 | 0.000 |
| 0.000 | -0.000 | -0.000 | -0.000 | 0.000 | 0.000 |
| 0.000 | 0.000 | 0.000 | -0.000 | 0.000 | 0.000 |
| 0.000 | 0.000 | 0.000 | 0.000 | -0.000 | 549.209 |
| 1088.812 | -9.606 | 0.000 | -0.000 | -0.000 | 0.000 |
| -9.064 | 1088.270 | -0.000 | 0.000 | -0.000 | 0.000 |
| 0.000 | 0.000 | 0.000 | 0.000 | 0.000 | 0.000 |
| -0.000 | -0.000 | 0.000 | 0.000 | -0.000 | -0.000 |
| -0.000 | -0.000 | 0.000 | -0.000 | -0.000 | 0.000 |
| 0.000 | 0.000 | -0.000 | -0.000 | -0.000 | 549.209 |
| 1088.269 | -9.064 | -0.000 | -0.000 | 0.000 | 0.000 |
| -9.606 | 1088.812 | 0.000 | 0.000 | 0.000 | -0.000 |
| 0.000 | 0.000 | 0.000 | 0.000 | 0.000 | 0.000 |
| 0.000 | 0.000 | -0.000 | 0.000 | 0.000 | 0.000 |
| 0.000 | 0.000 | 0.000 | 0.000 | 0.000 | 0.000 |
| -0.000 | -0.000 | 0.000 | 0.000 | -0.000 | 549.209 |
| 1088.273 | -9.063 | -0.000 | 0.000 | -0.000 | -0.000 |
| -9.063 | 1088.273 | 0.000 | 0.000 | -0.000 | -0.000 |
| 0.000 | 0.000 | 0.000 | 0.000 | -0.000 | 0.000 |
| -0.000 | 0.000 | 0.000 | 0.000 | -0.000 | -0.000 |
| 0.000 | -0.000 | 0.000 | 0.000 | -0.000 | -0.000 |
| 0.000 | 0.001 | 0.000 | 0.000 | 0.000 | 548.667 |
| 1088.266 | -9.064 | -0.000 | 0.000 | 0.000 | 0.000 |
| -9.064 | 1088.266 | -0.000 | 0.000 | 0.000 | -0.000 |
| 0.000 | 0.000 | 0.000 | 0.000 | -0.000 | 0.000 |
| 0.000 | 0.000 | -0.000 | -0.000 | 0.000 | 0.000 |
| 0.000 | 0.000 | 0.000 | -0.000 | 0.000 | 0.000 |
| -0.000 | -0.001 | -0.000 | -0.000 | 0.000 | 548.667 |
| 592.418 | -222.139 | 16.276 | 2.447 | -0.000 | 0.000 |
| -277.996 | 648.394 | 47.394 | -9.670 | -0.000 | 0.000 |
| -78.691 | -78.692 | 16744.864 | 0.000 | -0.000 | 0.000 |
| 2.446 | -2.451 | -1.270 | -15.379 | -0.000 | 0.000 |
| -0.002 | -0.003 | -1.270 | 0.000 | -15.379 | 2.448 |
| -0.002 | -0.003 | -1.271 | 0.000 | 2.447 | 407.278 |
| 594.612 | -225.032 | -166.784 | 2.776 | 0.000 | -0.000 |
| -277.997 | 648.395 | 47.390 | -9.670 | 0.000 | -0.000 |
| -78.692 | -78.691 | 16744.862 | -0.000 | 0.000 | -0.000 |
| 2.450 | -2.445 | 1.270 | -15.379 | 0.000 | -0.000 |
| 0.002 | 0.003 | 1.270 | -0.000 | -15.379 | 2.448 |
| 0.002 | 0.003 | 1.271 | -0.000 | 2.447 | 407.278 |
| 594.640 | -225.066 | -167.996 | 2.780 | -0.000 | 0.000 |
| -225.066 | 594.640 | -167.996 | -2.780 | -0.000 | 0.000 |
| -109.618 | -109.618 | 579.519 | 0.000 | -0.000 | 0.000 |
| 2.447 | -2.447 | -0.122 | -15.379 | -0.000 | 0.000 |
| -0.000 | -0.000 | -0.122 | 0.000 | -15.379 | 2.447 |
| 0.000 | 0.000 | 0.000 | -0.000 | 9.670 | 463.196 |
| 594.634 | -225.060 | -167.776 | 2.779 | 0.000 | -0.000 |
| -225.063 | 594.637 | -167.764 | -2.779 | 0.000 | -0.000 |
| -109.653 | -109.653 | 561.437 | -0.000 | 0.000 | -0.000 |
| 2.447 | -2.447 | 0.122 | -15.379 | 0.000 | -0.000 |
| 0.000 | 0.000 | 0.122 | -0.000 | -15.379 | 2.447 |
| -0.000 | -0.000 | -0.000 | 0.000 | 9.670 | 463.196 |
| 592.433 | -222.154 | 15.523 | 2.449 | -0.000 | 0.000 |
| -222.140 | 592.423 | 16.461 | -2.447 | -0.000 | 0.000 |
| -109.636 | -109.636 | 570.503 | 0.000 | -0.000 | 0.000 |
| 2.447 | -2.447 | 0.038 | -15.379 | -0.000 | 0.000 |
| 0.000 | -0.000 | -0.008 | 0.000 | -14.446 | 9.670 |
| 0.000 | 0.001 | -0.000 | -0.000 | 9.670 | 463.196 |
| 592.414 | -222.138 | 16.436 | 2.447 | 0.000 | -0.000 |
| -222.123 | 592.402 | 17.377 | -2.446 | 0.000 | -0.000 |
| -109.635 | -109.635 | 570.499 | -0.000 | 0.000 | -0.000 |
| 2.447 | -2.447 | -0.038 | -15.379 | 0.000 | -0.000 |
| -0.000 | 0.000 | 0.008 | -0.000 | -14.446 | 9.670 |
| -0.000 | -0.001 | 0.000 | 0.000 | 9.670 | 463.196 |
| 986.993 | 0.000 | -0.000 | -0.000 | -0.000 | -0.000 |
| 0.000 | 986.993 | -0.000 | -0.000 | -0.000 | -0.000 |
| 0.000 | 0.000 | 986.993 | -0.000 | -0.000 | -0.000 |
| 0.000 | 0.000 | -0.000 | 131.176 | -0.000 | -0.000 |
| -0.000 | 0.000 | -0.000 | -0.000 | 131.176 | -0.000 |
| -0.000 | 0.000 | -0.000 | -0.000 | -0.000 | 131.176 |
| 986.993 | -0.000 | 0.000 | 0.000 | 0.000 | 0.000 |
| -0.000 | 986.992 | 0.000 | 0.000 | 0.000 | 0.000 |
| -0.000 | -0.000 | 986.992 | 0.000 | 0.000 | 0.000 |
| -0.000 | -0.000 | -0.000 | 131.176 | 0.000 | 0.000 |
| 0.000 | -0.000 | 0.000 | 0.000 | 131.176 | 0.000 |
| 0.000 | 0.000 | 0.000 | 0.000 | 0.000 | 131.176 |
| 986.993 | 0.000 | -0.000 | -0.000 | -0.000 | -0.000 |
| 0.000 | 986.993 | -0.000 | -0.000 | -0.000 | -0.000 |
| 0.000 | 0.000 | 986.993 | -0.000 | -0.000 | -0.000 |
| 0.000 | 0.000 | -0.000 | 131.176 | -0.000 | -0.000 |
| -0.000 | 0.000 | -0.000 | -0.000 | 131.176 | -0.000 |
| -0.000 | -0.000 | -0.000 | -0.000 | -0.000 | 131.176 |
| 986.992 | -0.000 | 0.000 | 0.000 | 0.000 | 0.000 |
| -0.000 | 986.992 | 0.000 | 0.000 | 0.000 | 0.000 |
| -0.000 | -0.000 | 986.992 | -0.000 | 0.000 | 0.000 |
| -0.000 | 0.000 | 0.000 | 131.176 | 0.000 | 0.000 |
| 0.000 | -0.000 | 0.000 | 0.000 | 131.176 | 0.000 |
| 0.000 | 0.000 | 0.000 | 0.000 | 0.000 | 131.176 |
| 986.998 | 0.000 | -0.000 | -0.000 | -0.000 | -0.000 |
| 0.000 | 986.998 | -0.000 | -0.000 | -0.000 | -0.000 |
| 0.000 | 0.000 | 986.998 | 0.000 | -0.000 | -0.000 |
| 0.000 | -0.000 | -0.000 | 131.176 | -0.000 | -0.000 |
| -0.000 | 0.000 | -0.000 | -0.000 | 131.176 | -0.000 |
| -0.000 | -0.000 | -0.000 | -0.000 | -0.000 | 131.176 |
| 986.987 | -0.000 | 0.000 | 0.000 | 0.000 | 0.000 |
| -0.000 | 986.987 | 0.000 | 0.000 | 0.000 | -0.000 |
| -0.000 | -0.000 | 986.987 | 0.000 | 0.000 | 0.000 |
| -0.000 | 0.000 | 0.000 | 131.176 | 0.000 | 0.000 |
| 0.000 | -0.000 | 0.000 | 0.000 | 131.176 | 0.000 |
| 0.000 | 0.000 | 0.000 | 0.000 | 0.000 | 131.176 |
| 509.461 | 68.466 | -30.371 | -0.000 | 0.000 | -0.000 |
| 89.161 | 1170.886 | 48.530 | -0.000 | 0.000 | -0.000 |
| -29.529 | 30.356 | 1372.853 | 0.000 | 0.000 | -0.000 |
| -0.240 | -0.012 | 0.289 | 657.716 | 0.000 | -0.000 |
| -0.247 | -0.013 | 0.296 | -0.000 | 218.844 | -0.000 |
| 0.000 | 0.000 | -0.001 | -0.000 | -0.000 | 295.045 |
| 509.816 | 68.663 | -30.954 | 0.000 | -0.000 | 0.000 |
| 89.015 | 1171.036 | 48.568 | 0.000 | -0.000 | 0.000 |
| -33.797 | 31.301 | 1376.951 | -0.000 | -0.000 | 0.000 |
| 0.240 | 0.012 | -0.289 | 657.717 | -0.000 | 0.000 |
| 0.247 | 0.013 | -0.296 | 0.000 | 218.844 | 0.000 |
| -0.000 | -0.000 | 0.001 | 0.001 | 0.000 | 295.045 |
| 512.662 | 62.126 | -28.512 | -0.000 | 0.000 | -0.000 |
| 69.036 | 1195.703 | 50.022 | -0.000 | -0.000 | -0.000 |
| -29.311 | 30.368 | 1372.591 | -0.000 | -0.000 | -0.000 |
| -0.024 | -0.001 | 0.029 | 657.717 | 0.000 | -0.000 |
| -0.025 | -0.001 | 0.030 | -0.000 | 218.844 | -0.000 |
| 0.000 | -0.000 | -0.000 | -0.000 | -0.000 | 295.045 |
| 528.724 | 48.763 | -35.349 | 0.000 | 0.000 | 0.000 |
| 88.855 | 1170.947 | 48.830 | 0.000 | -0.000 | 0.000 |
| -33.797 | 31.301 | 1376.951 | -0.000 | -0.000 | 0.000 |
| 0.024 | 0.001 | -0.029 | 657.717 | -0.000 | 0.000 |
| 0.025 | 0.001 | -0.030 | 0.000 | 218.844 | 0.000 |
| -0.000 | 0.000 | 0.000 | 0.000 | 0.000 | 295.045 |
| 509.637 | 68.564 | -30.660 | 0.000 | 0.000 | -0.000 |
| 88.835 | 1170.940 | 48.863 | -0.000 | 0.000 | -0.000 |
| -29.112 | 30.139 | 1372.567 | 0.000 | 0.000 | -0.000 |
| 0.000 | 0.000 | 0.001 | 669.645 | 0.000 | -0.000 |
| -0.003 | 0.000 | 0.003 | -0.000 | 218.844 | -0.000 |
| -0.001 | -0.003 | 0.003 | -0.000 | 0.000 | 65.086 |
| 509.639 | 68.565 | -30.666 | 0.000 | -0.000 | 0.000 |
| 89.506 | 1171.188 | 47.863 | 0.000 | -0.000 | 0.000 |
| -29.109 | 30.139 | 1372.552 | 0.000 | -0.000 | 0.000 |
| -0.000 | -0.000 | -0.001 | 669.645 | -0.000 | 0.000 |
| 0.003 | -0.000 | -0.003 | 0.000 | 218.844 | 0.000 |
| 0.001 | 0.003 | -0.003 | 0.000 | -0.000 | 65.086 |
| 185.259 | -1.543 | 0.000 | 0.000 | 0.000 | 0.000 |
| -1.635 | 185.351 | 0.000 | 0.000 | 0.000 | 0.000 |
| 0.000 | 0.000 | 0.000 | 0.000 | 0.000 | 0.000 |
| -0.000 | 0.000 | 0.000 | 0.000 | 0.000 | 0.000 |
| -0.000 | 0.000 | 0.000 | 0.000 | 0.000 | 0.000 |
| 0.000 | 0.000 | 0.000 | 0.000 | 0.000 | 93.401 |
| 185.351 | -1.635 | -0.000 | -0.000 | -0.000 | -0.000 |
| -1.543 | 185.259 | -0.000 | -0.000 | -0.000 | -0.000 |
| -0.000 | -0.000 | -0.000 | -0.000 | -0.000 | -0.000 |
| 0.000 | -0.000 | -0.000 | -0.000 | -0.000 | -0.000 |
| 0.000 | -0.000 | -0.000 | -0.000 | -0.000 | -0.000 |
| -0.000 | -0.000 | -0.000 | -0.000 | -0.000 | 93.401 |
| 185.351 | -1.635 | 0.000 | 0.000 | 0.000 | 0.000 |
| -1.543 | 185.259 | 0.000 | 0.000 | 0.000 | 0.000 |
| 0.000 | 0.000 | 0.000 | 0.000 | 0.000 | 0.000 |
| -0.000 | 0.000 | 0.000 | 0.000 | 0.000 | 0.000 |
| -0.000 | 0.000 | 0.000 | 0.000 | 0.000 | 0.000 |
| 0.000 | 0.000 | 0.000 | 0.000 | 0.000 | 93.401 |
| 185.351 | -1.635 | -0.000 | -0.000 | -0.000 | -0.000 |
| -1.543 | 185.259 | -0.000 | -0.000 | -0.000 | -0.000 |
| -0.000 | -0.000 | -0.000 | -0.000 | -0.000 | -0.000 |
| 0.000 | -0.000 | -0.000 | -0.000 | -0.000 | -0.000 |
| 0.000 | -0.000 | -0.000 | -0.000 | -0.000 | -0.000 |
| -0.000 | -0.000 | -0.000 | -0.000 | -0.000 | 93.401 |
| 185.260 | -1.543 | 0.000 | 0.000 | 0.000 | 0.000 |
| -1.543 | 185.260 | 0.000 | 0.000 | 0.000 | 0.000 |
| 0.000 | 0.000 | 0.000 | 0.000 | 0.000 | 0.000 |
| -0.000 | 0.000 | 0.000 | 0.000 | 0.000 | 0.000 |
| -0.000 | 0.000 | 0.000 | 0.000 | 0.000 | 0.000 |
| 0.000 | 0.000 | 0.000 | 0.000 | 0.000 | 93.493 |
| 185.258 | -1.543 | -0.000 | -0.000 | -0.000 | -0.000 |
| -1.543 | 185.258 | -0.000 | -0.000 | -0.000 | -0.000 |
| -0.000 | -0.000 | -0.000 | -0.000 | -0.000 | -0.000 |
| 0.000 | -0.000 | -0.000 | -0.000 | -0.000 | -0.000 |
| 0.000 | -0.000 | -0.000 | -0.000 | -0.000 | -0.000 |
| -0.000 | -0.000 | -0.000 | -0.000 | -0.000 | 93.493 |
| 585.858 | 223.247 | 0.000 | 0.000 | 0.000 | 0.000 |
| 223.247 | 585.858 | 0.000 | 0.000 | 0.000 | 0.000 |
| -0.000 | 0.000 | 0.000 | 0.000 | 0.000 | 0.000 |
| -0.000 | 0.000 | 0.000 | 0.000 | 0.000 | 0.000 |
| 0.000 | 0.000 | 0.000 | 0.000 | 0.000 | 0.000 |
| 0.000 | 0.000 | 0.000 | 0.000 | 0.000 | 404.552 |
| 585.858 | 223.247 | -0.000 | -0.000 | -0.000 | -0.000 |
| 223.247 | 585.858 | -0.000 | -0.000 | -0.000 | -0.000 |
| 0.000 | -0.000 | -0.000 | -0.000 | -0.000 | -0.000 |
| 0.000 | -0.000 | -0.000 | -0.000 | -0.000 | -0.000 |
| -0.000 | -0.000 | -0.000 | -0.000 | -0.000 | -0.000 |
| 0.000 | -0.000 | -0.000 | -0.000 | -0.000 | 404.552 |
| 585.858 | 223.247 | 0.000 | 0.000 | 0.000 | 0.000 |
| 223.247 | 585.858 | 0.000 | 0.000 | 0.000 | 0.000 |
| -0.000 | 0.000 | 0.000 | 0.000 | 0.000 | 0.000 |
| -0.000 | 0.000 | 0.000 | 0.000 | 0.000 | 0.000 |
| 0.000 | 0.000 | 0.000 | 0.000 | 0.000 | 0.000 |
| 0.000 | 0.000 | 0.000 | 0.000 | 0.000 | 404.552 |
| 585.858 | 223.247 | -0.000 | -0.000 | -0.000 | 0.000 |
| 223.247 | 585.858 | -0.000 | -0.000 | -0.000 | 0.000 |
| 0.000 | -0.000 | -0.000 | -0.000 | -0.000 | -0.000 |
| 0.000 | -0.000 | -0.000 | -0.000 | -0.000 | -0.000 |
| -0.000 | -0.000 | -0.000 | -0.000 | -0.000 | -0.000 |
| -0.000 | -0.000 | -0.000 | -0.000 | -0.000 | 404.552 |
| 585.859 | 223.248 | 0.000 | 0.000 | 0.000 | 0.000 |
| 223.248 | 585.859 | 0.000 | 0.000 | 0.000 | 0.000 |
| -0.000 | 0.000 | 0.000 | 0.000 | 0.000 | 0.000 |
| -0.000 | 0.000 | 0.000 | 0.000 | 0.000 | 0.000 |
| 0.000 | 0.000 | 0.000 | 0.000 | 0.000 | 0.000 |
| 0.000 | 0.001 | 0.000 | 0.000 | 0.000 | 404.552 |
| 585.856 | 223.246 | -0.000 | -0.000 | -0.000 | -0.000 |
| 223.246 | 585.856 | -0.000 | -0.000 | -0.000 | -0.000 |
| 0.000 | -0.000 | -0.000 | -0.000 | -0.000 | -0.000 |
| 0.000 | -0.000 | -0.000 | -0.000 | -0.000 | -0.000 |
| 0.000 | -0.000 | -0.000 | -0.000 | -0.000 | -0.000 |
| -0.000 | -0.001 | -0.000 | -0.000 | -0.000 | 404.552 |
| 1301.692 | 75.234 | -98.923 | 0.001 | 0.000 | 0.000 |
| 318.040 | 1055.306 | -45.413 | 0.000 | 0.000 | 0.000 |
| 263.866 | 68.923 | 1165.197 | -0.001 | 0.000 | 0.000 |
| 214.610 | 37.449 | -180.333 | 501.976 | 0.000 | 0.000 |
| 252.939 | -4.145 | -119.302 | -0.001 | 498.602 | 0.000 |
| -0.000 | -0.000 | 0.000 | -0.000 | 0.000 | 376.282 |
| 1128.560 | 27.084 | 10.119 | 0.001 | -0.000 | -0.000 |
| 23.683 | 1104.485 | 61.885 | -0.000 | -0.000 | -0.000 |
| 2.803 | 57.970 | 1313.247 | 0.000 | 0.000 | -0.000 |
| -214.610 | -37.450 | 180.333 | 501.977 | 0.000 | -0.000 |
| -252.939 | 4.145 | 119.302 | 0.000 | 498.602 | -0.000 |
| 0.000 | 0.000 | -0.000 | 0.000 | -0.000 | 376.282 |
| 1128.560 | 27.083 | 10.119 | -0.000 | 0.000 | 0.000 |
| 95.827 | 1048.773 | 59.786 | -0.000 | 0.000 | 0.000 |
| 2.803 | 57.970 | 1313.247 | -0.000 | 0.000 | 0.000 |
| 0.000 | 0.000 | 0.000 | 551.742 | 0.000 | 0.000 |
| 17.399 | 3.036 | -14.620 | -0.000 | 495.504 | 0.000 |
| 36.473 | -4.785 | -16.164 | -0.000 | 0.000 | 239.298 |
| 1035.272 | 71.768 | 44.313 | 0.000 | -0.000 | -0.000 |
| 48.758 | 1050.781 | 86.777 | 0.000 | 0.000 | -0.000 |
| 2.442 | 67.499 | 1291.117 | -0.000 | -0.000 | -0.000 |
| -0.000 | 0.000 | -0.000 | 551.742 | -0.000 | -0.000 |
| -17.399 | -3.036 | 14.620 | 0.000 | 495.504 | -0.000 |
| -36.473 | 4.785 | 16.164 | 0.000 | -0.000 | 239.298 |
| 1054.668 | 79.693 | 16.650 | -0.000 | -0.000 | 0.000 |
| 72.186 | 1051.446 | 73.829 | 0.000 | 0.000 | 0.000 |
| 17.121 | 67.984 | 1283.646 | -0.000 | 0.000 | 0.000 |
| 1.580 | 0.276 | -1.328 | 515.102 | 0.000 | 0.000 |
| -0.000 | 0.000 | 0.000 | 0.000 | 512.427 | 0.000 |
| 2.141 | 0.374 | -1.799 | -0.000 | 0.000 | 307.796 |
| 1049.015 | 80.340 | 18.932 | 0.000 | -0.000 | -0.000 |
| 67.866 | 1051.593 | 76.680 | 0.000 | 0.000 | -0.000 |
| 10.868 | 70.932 | 1285.780 | -0.000 | -0.000 | -0.000 |
| -1.580 | -0.276 | 1.328 | 515.102 | -0.000 | -0.000 |
| 0.000 | -0.000 | -0.000 | -0.000 | 512.427 | -0.000 |
| -2.141 | -0.374 | 1.799 | 0.000 | -0.000 | 307.796 |
| 1063.669 | -492.013 | 521.780 | -0.000 | 578.210 | -0.000 |
| 101.438 | 550.705 | 528.119 | -0.000 | 637.411 | 0.000 |
| 180.262 | -470.127 | 1470.256 | 0.000 | 727.933 | -0.000 |
| -0.000 | -0.000 | -0.000 | 541.070 | 0.000 | -61.025 |
| 94.514 | -606.961 | 495.841 | -0.000 | 1025.914 | -0.000 |
| 65.826 | -553.433 | 448.333 | -29.552 | 685.849 | 380.935 |
| 986.846 | 13.648 | 95.611 | -0.000 | 77.731 | 0.000 |
| 19.808 | 1152.625 | 63.315 | -0.000 | -84.360 | 0.000 |
| 47.895 | 637.393 | 574.067 | -0.000 | -644.707 | 0.000 |
| 0.000 | 0.000 | 0.000 | 541.070 | -0.001 | -61.025 |
| -114.384 | 493.029 | -370.498 | -0.000 | -187.753 | 0.000 |
| -65.826 | 553.433 | -448.333 | -29.552 | -685.849 | 380.936 |
| 940.567 | -10.504 | 154.590 | -0.000 | 107.891 | 0.000 |
| 19.808 | 1152.626 | 63.315 | 0.000 | -84.359 | -0.000 |
| 124.882 | 29.390 | 1059.221 | -0.000 | 109.741 | -0.000 |
| 0.000 | 0.000 | 0.000 | 541.070 | -0.000 | -61.025 |
| 31.622 | -95.383 | 86.018 | -0.000 | 379.590 | -0.000 |
| 12.601 | -53.030 | 40.876 | -31.058 | 51.893 | 381.918 |
| 934.141 | 95.594 | 67.963 | -0.000 | -18.711 | 0.000 |
| 19.808 | 1152.625 | 63.315 | -0.000 | -84.359 | 0.000 |
| 105.640 | 141.361 | 977.883 | -0.000 | -30.254 | 0.000 |
| 0.000 | -0.000 | -0.000 | 541.070 | 0.000 | -61.025 |
| 22.601 | 6.390 | -3.373 | 0.000 | 272.088 | 0.000 |
| -12.601 | 53.030 | -40.876 | -31.058 | -51.893 | 381.918 |
| 936.204 | 33.254 | 123.294 | -0.000 | 59.183 | -0.000 |
| 36.227 | 1095.475 | 87.751 | 0.000 | -36.697 | -0.000 |
| 113.213 | 84.992 | 1022.179 | -0.000 | 39.784 | -0.000 |
| 0.611 | -5.132 | 4.158 | 504.319 | 6.360 | -26.862 |
| 25.434 | -48.369 | 44.625 | -0.000 | 337.537 | -0.000 |
| 1.112 | -4.944 | 3.740 | -30.818 | 4.993 | 381.538 |
| 924.694 | 47.117 | 110.893 | -0.000 | 53.396 | 0.000 |
| 41.043 | 1102.997 | 76.788 | -0.000 | -55.091 | -0.000 |
| 111.979 | 92.888 | 1011.465 | 0.000 | 35.536 | 0.000 |
| -0.611 | 5.132 | -4.158 | 504.319 | -6.360 | -26.862 |
| 24.175 | -38.167 | 35.893 | -0.000 | 327.175 | 0.000 |
| -1.112 | 4.944 | -3.740 | -30.818 | -4.993 | 381.538 |
| 492.474 | 77.854 | -15.057 | 0.000 | -0.000 | -0.000 |
| 77.854 | 492.474 | -15.057 | 0.000 | -0.000 | 0.000 |
| -14.742 | -14.742 | 180.057 | 0.000 | -0.000 | 0.000 |
| 45.747 | 45.747 | -37.598 | 37.346 | 0.000 | 0.000 |
| 45.747 | 45.747 | -37.598 | 0.000 | 37.346 | 0.000 |
| 0.000 | 0.000 | 0.000 | 0.000 | -0.000 | 102.767 |
| 334.629 | -71.764 | 55.830 | -0.000 | -0.000 | -0.000 |
| -71.764 | 334.629 | 55.830 | -0.000 | 0.000 | -0.000 |
| -14.742 | -14.742 | 180.057 | 0.000 | 0.000 | 0.000 |
| -45.747 | -45.747 | 37.598 | 37.346 | 0.000 | -0.000 |
| -45.747 | -45.747 | 37.598 | -0.000 | 37.346 | -0.000 |
| -0.000 | -0.000 | -0.000 | 0.000 | 0.000 | 102.767 |
| 399.173 | -15.946 | 5.641 | 0.000 | -0.000 | 0.000 |
| -15.946 | 399.173 | 5.641 | 0.000 | -0.000 | 0.000 |
| -14.742 | -14.742 | 180.057 | 0.000 | -0.000 | 0.000 |
| 2.069 | 2.069 | -1.700 | 59.683 | -0.000 | 0.000 |
| 2.069 | 2.069 | -1.700 | -0.000 | 59.683 | 0.000 |
| -246192561.710 | -246633909.402 | -7186802.490 | 140365.099 | -137258.203 | -20273483.079 |
| 374.474 | -40.688 | 10.627 | -0.000 | 0.000 | -0.000 |
| -40.688 | 374.474 | 10.627 | 0.000 | -0.000 | 0.000 |
| -14.742 | -14.742 | 180.057 | -0.000 | 0.000 | 0.000 |
| -2.069 | -2.069 | 1.700 | 59.683 | 0.000 | -0.000 |
| -2.069 | -2.069 | 1.700 | 0.000 | 59.683 | -0.000 |
| 243965608.288 | 243950820.391 | 7033229.198 | -219845.978 | 620382.029 | -22216641.546 |
| 389.340 | -24.980 | 9.131 | 0.000 | 0.000 | -0.000 |
| -24.980 | 389.340 | 9.131 | 0.000 | 0.000 | 0.000 |
| -13.038 | -13.038 | 172.979 | 0.000 | -0.000 | 0.000 |
| -25610580.993 | -25772709.751 | -1497102.993 | -186822.178 | 25051.880 | -28731.631 |
| -25782259.833 | -25640775.189 | -1463941.251 | 30982.396 | -260664.264 | 14902.052 |
| -24682584.836 | -24755818.387 | -750480.575 | -4283.655 | -29683.219 | -1871827.891 |
| 383.820 | -31.313 | 8.563 | -0.000 | 0.000 | -0.000 |
| -31.313 | 383.820 | 8.563 | 0.000 | -0.000 | -0.000 |
| -13.389 | -13.389 | 173.348 | -0.000 | -0.000 | -0.000 |
| 25644267.554 | 25833708.153 | 1486306.714 | -132241.347 | -16081.108 | 23297.953 |
| 25803229.758 | 25661872.706 | 1440754.186 | 2790.637 | -198124.702 | 11138.279 |
| 24599368.769 | 24611088.223 | 756145.598 | -45876.466 | 3782.174 | -1942754.156 |
| 379.451 | 144.593 | 0.000 | 0.000 | 0.000 | -0.000 |
| 144.593 | 379.451 | 0.000 | 0.000 | 0.000 | 0.000 |
| 0.000 | 0.000 | 0.000 | 0.000 | 0.000 | 0.000 |
| 0.000 | -0.000 | 0.000 | 0.000 | 0.000 | 0.000 |
| 0.000 | 0.000 | 0.000 | 0.000 | 0.000 | 0.000 |
| 0.000 | 0.000 | 0.000 | 0.000 | 0.000 | 262.022 |
| 379.451 | 144.593 | -0.000 | -0.000 | -0.000 | -0.000 |
| 144.593 | 379.451 | -0.000 | -0.000 | -0.000 | -0.000 |
| -0.000 | -0.000 | -0.000 | -0.000 | -0.000 | -0.000 |
| -0.000 | -0.000 | -0.000 | -0.000 | -0.000 | -0.000 |
| -0.000 | -0.000 | -0.000 | -0.000 | -0.000 | -0.000 |
| -0.000 | -0.000 | -0.000 | -0.000 | -0.000 | 262.022 |
| 379.451 | 144.593 | 0.000 | 0.000 | 0.000 | 0.000 |
| 144.593 | 379.451 | 0.000 | 0.000 | 0.000 | 0.000 |
| 0.000 | 0.000 | 0.000 | 0.000 | 0.000 | 0.000 |
| 0.000 | -0.000 | 0.000 | 0.000 | 0.000 | 0.000 |
| 0.000 | 0.000 | 0.000 | 0.000 | 0.000 | 0.000 |
| 0.000 | 0.000 | 0.000 | 0.000 | 0.000 | 262.022 |
| 379.450 | 144.593 | -0.000 | -0.000 | -0.000 | -0.000 |
| 144.593 | 379.450 | -0.000 | -0.000 | -0.000 | -0.000 |
| -0.000 | -0.000 | -0.000 | -0.000 | -0.000 | -0.000 |
| -0.000 | 0.000 | -0.000 | -0.000 | -0.000 | -0.000 |
| -0.000 | -0.000 | -0.000 | -0.000 | -0.000 | -0.000 |
| -0.000 | -0.000 | -0.000 | -0.000 | -0.000 | 262.022 |
| 379.451 | 144.594 | 0.000 | 0.000 | 0.000 | 0.000 |
| 144.594 | 379.451 | 0.000 | 0.000 | 0.000 | 0.000 |
| 0.000 | 0.000 | 0.000 | 0.000 | 0.000 | 0.000 |
| 0.000 | 0.000 | 0.000 | 0.000 | 0.000 | 0.000 |
| 0.000 | 0.000 | 0.000 | 0.000 | 0.000 | 0.000 |
| 0.000 | 0.001 | 0.000 | 0.000 | 0.000 | 262.022 |
| 379.450 | 144.593 | -0.000 | -0.000 | -0.000 | -0.000 |
| 144.593 | 379.450 | -0.000 | -0.000 | -0.000 | -0.000 |
| -0.000 | -0.000 | -0.000 | -0.000 | -0.000 | -0.000 |
| -0.000 | -0.000 | -0.000 | -0.000 | -0.000 | -0.000 |
| -0.000 | -0.000 | -0.000 | -0.000 | -0.000 | -0.000 |
| -0.000 | -0.001 | -0.000 | -0.000 | -0.000 | 262.022 |
| 446.891 | 58.549 | 56.033 | 0.000 | -0.000 | -0.000 |
| 58.549 | 447.444 | 56.037 | 0.000 | 0.000 | -0.000 |
| 46.607 | 47.447 | 207.644 | 0.000 | 0.000 | -0.000 |
| -0.001 | -0.003 | 0.003 | 140.574 | -0.000 | -0.000 |
| 0.000 | -0.000 | 0.000 | 0.000 | 217.373 | -0.000 |
| -0.000 | 0.000 | -0.000 | 0.000 | 0.000 | 194.959 |
| 96.839 | 46.123 | 33.908 | 0.000 | -0.000 | 0.000 |
| 80.773 | 252.722 | 79.598 | 0.000 | -0.000 | 0.000 |
| 76.208 | 77.075 | 322.862 | -0.000 | -0.000 | -0.000 |
| 0.001 | 0.003 | -0.003 | 140.574 | -0.000 | 0.000 |
| -0.000 | 0.000 | -0.000 | -0.000 | 217.372 | 0.000 |
| -0.000 | -0.000 | -0.000 | -0.000 | -0.000 | 194.959 |
| 156.148 | 78.341 | 67.579 | 0.000 | 0.000 | -0.000 |
| 58.549 | 447.444 | 56.037 | -0.000 | 0.000 | -0.000 |
| 76.207 | 77.071 | 322.870 | 0.000 | 0.000 | 0.000 |
| 0.000 | 0.000 | 0.000 | 218.216 | 0.000 | -0.000 |
| -0.000 | -0.000 | 0.000 | 0.000 | 138.100 | -0.000 |
| -0.000 | -0.000 | 0.000 | 0.000 | 0.000 | 111.999 |
| 96.805 | 46.117 | 33.913 | -0.000 | -0.000 | 0.000 |
| 58.549 | 447.444 | 56.037 | -0.000 | -0.000 | 0.000 |
| 56.033 | 56.037 | 504.856 | 0.000 | -0.000 | 0.000 |
| -0.000 | -0.000 | -0.000 | 218.216 | 0.000 | 0.000 |
| 0.000 | 0.000 | -0.000 | -0.000 | 138.100 | 0.000 |
| 0.000 | 0.000 | -0.000 | -0.000 | -0.000 | 111.999 |
| 251.437 | 80.960 | 78.826 | 0.000 | 0.000 | -0.000 |
| 45.385 | 97.837 | 34.312 | 0.000 | 0.000 | -0.000 |
| 46.612 | 47.454 | 207.626 | 0.000 | 0.000 | -0.000 |
| 0.000 | -0.000 | -0.000 | 82.168 | 0.000 | -0.000 |
| -0.000 | 0.000 | -0.000 | 0.000 | 138.100 | -0.000 |
| -0.000 | -0.000 | 0.000 | 0.000 | 0.000 | 111.999 |
| 251.297 | 80.976 | 78.841 | -0.000 | -0.000 | 0.000 |
| 80.770 | 252.730 | 79.600 | -0.000 | -0.000 | 0.000 |
| 23.989 | 24.575 | 194.374 | -0.000 | -0.000 | 0.000 |
| -0.000 | 0.000 | 0.000 | 82.168 | -0.000 | 0.000 |
| 0.000 | -0.000 | 0.000 | -0.000 | 138.100 | 0.000 |
| 0.000 | 0.000 | -0.000 | -0.000 | -0.000 | 111.999 |
| 393.061 | 54.611 | 41.378 | -0.000 | 0.000 | 0.000 |
| 82.117 | 539.031 | -373.435 | -0.000 | 0.000 | 0.000 |
| -408.024 | 55.306 | -314.223 | -0.000 | 0.000 | -0.000 |
| -457.968 | 4.693 | -608.673 | 123.393 | 0.000 | -0.000 |
| 0.000 | 0.000 | -0.000 | 0.000 | 197.831 | 0.000 |
| 19.887 | 206.018 | -418.132 | 0.000 | 0.000 | 133.868 |
| 313.302 | -142.950 | 461.770 | -0.000 | -0.000 | -0.000 |
| 597.188 | 342.028 | 860.110 | 0.000 | -0.000 | -0.000 |
| 31.017 | -154.765 | 805.524 | 0.000 | -0.000 | 0.000 |
| 457.968 | -4.693 | 608.673 | 123.394 | 0.000 | 0.000 |
| -0.000 | -0.000 | 0.000 | 0.000 | 197.830 | -0.000 |
| -19.887 | -206.017 | 418.132 | 0.000 | -0.000 | 133.868 |
| 393.061 | 54.611 | 41.377 | -0.000 | 0.000 | -0.000 |
| -85.217 | -124.258 | -114.985 | -0.000 | 0.000 | 0.000 |
| 53.031 | 72.529 | 343.291 | -0.000 | 0.000 | 0.000 |
| -67.273 | -66.901 | -91.356 | 71.340 | 0.000 | 0.000 |
| -46.538 | 0.282 | -61.432 | 0.000 | 120.851 | 0.000 |
| -46.485 | 0.294 | -61.388 | -0.000 | 0.000 | 84.138 |
| 331.961 | 41.773 | 86.594 | 0.000 | -0.000 | -0.000 |
| 114.304 | 238.239 | 105.568 | 0.000 | -0.000 | -0.000 |
| 97.351 | 61.412 | 318.150 | 0.000 | -0.000 | 0.000 |
| 67.273 | 66.901 | 91.356 | 71.340 | -0.000 | -0.000 |
| 46.538 | -0.282 | 61.432 | 0.000 | 120.851 | -0.000 |
| 46.485 | -0.294 | 61.388 | -0.000 | -0.000 | 84.138 |
| 15.948 | -64.674 | -30.225 | -0.000 | 0.000 | 0.000 |
| 35.376 | 55.966 | 8.405 | -0.000 | 0.000 | 0.000 |
| 0.344 | -5.065 | 152.720 | -0.000 | 0.000 | 0.000 |
| -6.284 | -3.029 | -9.249 | 81.845 | 0.000 | 0.000 |
| -6.316 | -3.006 | -9.181 | -0.000 | 79.732 | 0.000 |
| -5.836 | -2.503 | -8.817 | -0.000 | 0.000 | 49.047 |
| 154.485 | 79.157 | 54.558 | 0.000 | -0.000 | 0.000 |
| -29.190 | 50.655 | -9.647 | 0.000 | -0.000 | -0.000 |
| 36.984 | 37.700 | 184.972 | 0.000 | -0.000 | -0.000 |
| 6.284 | 3.029 | 9.249 | 81.845 | -0.000 | -0.000 |
| 6.316 | 3.006 | 9.181 | -0.000 | 79.732 | -0.000 |
| 5.836 | 2.503 | 8.817 | 0.000 | -0.000 | 49.047 |
| 683.637 | 0.000 | 0.000 | 0.000 | 0.000 | 0.000 |
| 0.000 | 0.000 | 0.000 | 0.000 | 0.000 | 0.000 |
| 0.000 | 0.000 | 0.000 | 0.000 | 0.000 | 0.000 |
| 0.000 | 0.000 | 0.000 | 0.000 | 0.000 | 0.000 |
| -0.000 | 0.000 | 0.000 | 0.000 | 0.000 | 0.000 |
| -0.000 | 0.000 | 0.000 | 0.000 | 0.000 | 0.000 |
| 683.637 | 0.000 | 0.000 | 0.000 | 0.000 | 0.000 |
| -0.000 | 0.000 | 0.000 | 0.000 | 0.000 | 0.000 |
| -0.000 | 0.000 | 0.000 | 0.000 | 0.000 | 0.000 |
| 0.000 | 0.000 | 0.000 | 0.000 | 0.000 | 0.000 |
| 0.000 | 0.000 | 0.000 | 0.000 | 0.000 | 0.000 |
| -0.000 | 0.000 | 0.000 | 0.000 | 0.000 | 0.000 |
| 683.637 | -0.000 | -0.000 | -0.000 | -0.000 | -0.000 |
| -0.000 | -0.000 | -0.000 | -0.000 | -0.000 | -0.000 |
| -0.000 | -0.000 | -0.000 | -0.000 | -0.000 | -0.000 |
| -0.000 | -0.000 | -0.000 | -0.000 | -0.000 | -0.000 |
| -0.000 | -0.000 | -0.000 | -0.000 | -0.000 | -0.000 |
| -0.000 | -0.000 | -0.000 | -0.000 | -0.000 | -0.000 |
| 683.637 | -0.000 | -0.000 | -0.000 | -0.000 | -0.000 |
| -0.000 | -0.000 | -0.000 | -0.000 | -0.000 | -0.000 |
| -0.000 | -0.000 | -0.000 | -0.000 | -0.000 | -0.000 |
| -0.000 | -0.000 | -0.000 | -0.000 | -0.000 | -0.000 |
| 0.000 | -0.000 | -0.000 | -0.000 | -0.000 | -0.000 |
| -0.000 | -0.000 | -0.000 | -0.000 | -0.000 | -0.000 |
| 683.637 | 0.000 | 0.000 | 0.000 | 0.000 | 0.000 |
| 0.000 | 0.000 | 0.000 | 0.000 | 0.000 | 0.000 |
| -0.000 | 0.000 | 0.000 | 0.000 | 0.000 | 0.000 |
| 0.000 | 0.000 | 0.000 | 0.000 | 0.000 | 0.000 |
| -0.000 | 0.000 | 0.000 | 0.000 | 0.000 | 0.000 |
| -0.000 | 0.000 | 0.000 | 0.000 | 0.000 | 0.000 |
| 683.637 | 0.000 | 0.000 | 0.000 | 0.000 | 0.000 |
| -0.000 | 0.000 | 0.000 | 0.000 | 0.000 | 0.000 |
| -0.000 | 0.000 | 0.000 | 0.000 | 0.000 | 0.000 |
| 0.000 | 0.000 | 0.000 | 0.000 | 0.000 | 0.000 |
| -0.000 | 0.000 | 0.000 | 0.000 | 0.000 | 0.000 |
| 0.000 | 0.000 | 0.000 | 0.000 | 0.000 | 0.000 |
| 683.637 | -0.000 | -0.000 | -0.000 | -0.000 | -0.000 |
| -0.000 | -0.000 | -0.000 | -0.000 | -0.000 | -0.000 |
| 0.000 | -0.000 | -0.000 | -0.000 | -0.000 | -0.000 |
| -0.000 | -0.000 | -0.000 | -0.000 | -0.000 | -0.000 |
| 0.000 | -0.000 | -0.000 | -0.000 | -0.000 | -0.000 |
| 0.000 | -0.000 | -0.000 | -0.000 | -0.000 | -0.000 |
| 683.637 | -0.000 | -0.000 | -0.000 | -0.000 | -0.000 |
| 0.000 | -0.000 | -0.000 | -0.000 | -0.000 | -0.000 |
| 0.000 | -0.000 | -0.000 | -0.000 | -0.000 | -0.000 |
| -0.000 | -0.000 | -0.000 | -0.000 | -0.000 | -0.000 |
| -0.000 | -0.000 | -0.000 | -0.000 | -0.000 | -0.000 |
| 0.000 | -0.000 | -0.000 | -0.000 | -0.000 | -0.000 |
| 683.640 | 0.000 | 0.000 | 0.000 | 0.000 | 0.000 |
| 0.000 | 0.000 | 0.000 | 0.000 | 0.000 | 0.000 |
| 0.000 | 0.000 | 0.000 | 0.000 | 0.000 | 0.000 |
| 0.000 | 0.000 | 0.000 | 0.000 | 0.000 | 0.000 |
| -0.000 | 0.000 | 0.000 | 0.000 | 0.000 | 0.000 |
| 0.000 | 0.000 | 0.000 | 0.000 | 0.000 | 0.000 |
| 683.640 | 0.000 | 0.000 | 0.000 | 0.000 | 0.000 |
| 0.000 | 0.000 | 0.000 | 0.000 | 0.000 | 0.000 |
| 0.000 | 0.000 | 0.000 | 0.000 | 0.000 | 0.000 |
| 0.000 | 0.000 | 0.000 | 0.000 | 0.000 | 0.000 |
| -0.000 | 0.000 | 0.000 | 0.000 | 0.000 | 0.000 |
| 0.000 | 0.000 | 0.000 | 0.000 | 0.000 | 0.000 |
| 683.634 | -0.000 | -0.000 | -0.000 | -0.000 | -0.000 |
| -0.000 | -0.000 | -0.000 | -0.000 | -0.000 | -0.000 |
| -0.000 | -0.000 | -0.000 | -0.000 | -0.000 | -0.000 |
| -0.000 | -0.000 | -0.000 | -0.000 | -0.000 | -0.000 |
| -0.000 | -0.000 | -0.000 | -0.000 | -0.000 | -0.000 |
| 0.000 | -0.000 | -0.000 | -0.000 | -0.000 | -0.000 |
| 683.634 | -0.000 | -0.000 | -0.000 | -0.000 | -0.000 |
| -0.000 | -0.000 | -0.000 | -0.000 | -0.000 | -0.000 |
| 0.000 | -0.000 | -0.000 | -0.000 | -0.000 | -0.000 |
| -0.000 | -0.000 | -0.000 | -0.000 | -0.000 | -0.000 |
| -0.000 | -0.000 | -0.000 | -0.000 | -0.000 | -0.000 |
| 0.000 | -0.000 | -0.000 | -0.000 | -0.000 | -0.000 |
| 1004.544 | 1.864 | 104.847 | 0.000 | -0.000 | 0.000 |
| 219.451 | 1010.750 | 127.747 | 0.000 | -0.000 | -0.000 |
| 450.028 | -44.410 | 1102.736 | 0.000 | -0.000 | 0.000 |
| -0.000 | -0.000 | -0.000 | 554.992 | -0.000 | -0.000 |
| -0.000 | 0.000 | -0.000 | -0.000 | 420.606 | 0.000 |
| -0.000 | -0.000 | 0.000 | 0.000 | -0.000 | 406.582 |
| 737.996 | 125.133 | 100.251 | 0.000 | 0.000 | 0.000 |
| -172.471 | 1186.757 | 65.691 | 0.000 | -0.000 | 0.000 |
| 104.432 | 87.447 | 1052.344 | -0.000 | 0.000 | -0.000 |
| -0.000 | -0.000 | 0.000 | 554.992 | 0.000 | -0.000 |
| 0.000 | -0.000 | 0.000 | -0.000 | 420.606 | 0.000 |
| 0.000 | 0.000 | 0.000 | -0.000 | 0.000 | 406.582 |
| 1004.544 | 1.864 | 104.847 | 0.000 | 0.000 | 0.000 |
| 42.565 | 1095.287 | 98.791 | 0.000 | -0.000 | -0.000 |
| 158.614 | 87.291 | 1003.140 | -0.000 | -0.000 | 0.000 |
| 26.101 | -7.160 | 0.891 | 507.957 | 0.000 | -0.000 |
| -0.000 | 0.000 | 0.000 | 0.000 | 420.606 | 0.000 |
| 18.430 | -8.388 | 2.939 | -0.000 | 0.000 | 375.767 |
| 913.573 | 45.371 | 131.243 | 0.000 | 0.000 | 0.000 |
| 8.514 | 1108.145 | 93.852 | -0.000 | 0.000 | 0.000 |
| 110.820 | 106.824 | 999.733 | -0.000 | 0.000 | 0.000 |
| -26.101 | 7.160 | -0.891 | 507.957 | -0.000 | -0.000 |
| -0.000 | -0.000 | -0.000 | -0.000 | 420.606 | -0.000 |
| -18.430 | 8.388 | -2.939 | -0.000 | 0.000 | 375.767 |
| 926.435 | 30.653 | 134.284 | 0.000 | -0.000 | 0.000 |
| 31.827 | 1098.966 | 93.641 | 0.000 | 0.000 | 0.000 |
| 137.384 | 94.444 | 998.320 | 0.000 | -0.000 | 0.000 |
| 4.643 | -2.160 | 1.628 | 509.471 | -0.000 | -0.000 |
| 2.731 | -1.057 | 0.570 | -0.000 | 344.384 | 0.000 |
| 2.271 | -0.698 | 0.130 | 0.000 | 0.000 | 376.074 |
| 921.009 | 32.188 | 134.560 | 0.000 | 0.000 | -0.000 |
| 26.488 | 1101.234 | 93.433 | 0.000 | 0.000 | -0.000 |
| 129.266 | 103.830 | 987.813 | -0.000 | 0.000 | -0.000 |
| -4.643 | 2.160 | -1.628 | 509.471 | -0.000 | -0.000 |
| -2.731 | 1.057 | -0.570 | -0.000 | 344.384 | -0.000 |
| -2.271 | 0.698 | -0.130 | -0.000 | 0.000 | 376.074 |
| 1028119.569 | 1281447.779 | 135567.527 | 442300.258 | -73314.627 | 620653.315 |
| 995605.416 | 1518951.917 | 398104.469 | 392966.684 | -120857.976 | 558988.768 |
| 729245.775 | 1045935.022 | 223064.405 | 446252.311 | 74747.480 | 708512.817 |
| 785701.261 | 1289526.347 | 130953.306 | 584864.412 | -121604.631 | 679324.937 |
| 920280.128 | 1390881.147 | 278126.499 | 492133.661 | -244126.642 | 780031.730 |
| 914003.099 | 977667.962 | 150637.785 | 462520.138 | -34764.481 | 846888.131 |
| -311076.749 | -856713.490 | 340916.318 | -514847.897 | 200004.720 | -726479.923 |
| -306978.913 | -572871.296 | 251786.053 | -240884.609 | -20930.296 | -892591.355 |
| -1037524.585 | -1398168.036 | -639553.906 | -514239.066 | 2595.078 | -728465.933 |
| -692730.597 | -877977.322 | 1432.340 | -455407.860 | 11664.606 | -816604.198 |
| -572187.656 | -1067112.753 | 78185.083 | -550463.815 | 85186.163 | -687963.014 |
| -642704.674 | -1038297.735 | -11956.143 | -474957.314 | 171297.622 | -676050.808 |
| 40163.954 | 79560.614 | -20936.187 | 52110.445 | -25491.981 | 67845.611 |
| 87614.976 | 125444.226 | 43724.599 | 49510.834 | -445.621 | 72411.075 |
| 99032.104 | 148950.058 | 43079.010 | 35831.694 | -17590.106 | 62956.407 |
| 108080.704 | 150741.149 | 51593.117 | 48111.143 | -18288.234 | 72753.751 |
| 76981.606 | 116338.480 | 7794.446 | 57042.672 | -22518.095 | 70784.957 |
| 49743.329 | 107826.362 | -16295.051 | 60148.567 | -10724.075 | 67829.513 |
| -64038.324 | -96679.342 | -8716.158 | -42686.561 | -3688.137 | -70550.415 |
| -95560.967 | -99047.160 | -16159.135 | -49499.669 | 7323.248 | -87421.300 |
| -57298.245 | -95068.389 | -10614.924 | -52116.223 | 2614.510 | -79327.267 |
| -65810.234 | -97444.371 | -15208.668 | -51483.881 | 2905.743 | -80596.812 |
| -64203.693 | -156280.279 | -5588.489 | -34353.684 | -2612.711 | -77016.555 |
| -62727.724 | -102919.502 | -13382.975 | -46107.730 | -13598.591 | -64689.691 |
| 8343.387 | 10739.192 | 1403.202 | 4310.677 | 452.322 | 7969.746 |
| 5702.629 | 8746.476 | -6.767 | 5237.890 | -1252.009 | 8170.679 |
| 6419.269 | 9618.875 | 1236.133 | 5123.289 | -332.955 | 7960.847 |
| 3056.688 | 7063.561 | -4403.511 | 5293.639 | -1490.161 | 7916.620 |
| 3060.351 | 7181.355 | -3647.263 | 5137.764 | -2733.616 | 8225.945 |
| 5769.377 | 11040.272 | 616.393 | 5112.555 | -2147.335 | 6939.079 |
| -10276.109 | -15597.194 | -3900.587 | -7021.473 | 519.991 | -7072.376 |
| -8378.266 | -10325.157 | -1072.773 | -4203.789 | 236.301 | -7069.537 |
| -8925.385 | -10013.218 | -750.064 | -4707.873 | 58.933 | -8361.230 |
| -6372.385 | -10091.896 | 248.630 | -5245.418 | 583.507 | -6641.668 |
| -7894.146 | -10746.085 | -1172.865 | -4710.289 | 1397.271 | -7223.336 |
| -6321.793 | -9467.984 | -1356.257 | -4789.737 | 232.746 | -8824.510 |
| 440.343 | 51.257 | 51.257 | 0.000 | -0.001 | -0.000 |
| 51.257 | 440.343 | 51.257 | -0.000 | -0.001 | -0.000 |
| 51.256 | 51.257 | 440.342 | 0.000 | -0.001 | -0.000 |
| 0.031 | 0.031 | 0.031 | 65.643 | -0.000 | 0.000 |
| 0.030 | 0.031 | 0.031 | -0.000 | 65.643 | 0.000 |
| 0.031 | 0.031 | 0.031 | 0.000 | -0.000 | 65.643 |
| 440.343 | 51.257 | 51.257 | 0.000 | 0.000 | 0.000 |
| 51.258 | 440.343 | 51.257 | 0.000 | 0.002 | -0.000 |
| 51.258 | 51.257 | 440.343 | -0.000 | 0.001 | 0.000 |
| -0.030 | -0.031 | -0.030 | 65.643 | -0.000 | -0.000 |
| -0.031 | -0.031 | -0.031 | -0.000 | 65.644 | -0.000 |
| -0.031 | -0.031 | -0.031 | 0.000 | 0.000 | 65.643 |
| 135.297 | 58.879 | 58.879 | 0.000 | -0.000 | 0.000 |
| 58.879 | 135.297 | 58.879 | -0.000 | -0.000 | 0.000 |
| 58.879 | 58.879 | 135.297 | -0.000 | -0.000 | 0.000 |
| -0.000 | 0.000 | 0.000 | 194.543 | -0.000 | -0.000 |
| -0.000 | 0.000 | 0.000 | -0.000 | 194.543 | -0.000 |
| -0.000 | 0.000 | -0.000 | -0.000 | -0.000 | 194.543 |
| 236.516 | 68.351 | 68.351 | 0.000 | 0.000 | -0.000 |
| 68.351 | 236.516 | 68.351 | 0.000 | 0.000 | 0.000 |
| 68.351 | 68.351 | 236.516 | 0.000 | 0.000 | 0.000 |
| 0.000 | -0.000 | 0.000 | 194.543 | 0.000 | -0.000 |
| -0.000 | -0.000 | 0.000 | -0.000 | 194.543 | 0.000 |
| 0.000 | -0.000 | 0.000 | -0.000 | 0.000 | 194.543 |
| 135.256 | 58.876 | 58.876 | -0.000 | -0.000 | 0.000 |
| 58.876 | 135.256 | 58.876 | -0.000 | 0.000 | 0.000 |
| 58.876 | 58.876 | 135.256 | -0.000 | -0.000 | 0.000 |
| 0.000 | 0.000 | 0.000 | 65.643 | -0.000 | 0.000 |
| 0.000 | 0.000 | 0.000 | -0.000 | 194.543 | -0.000 |
| 0.000 | 0.000 | 0.000 | -0.000 | -0.000 | 65.643 |
| 236.528 | 68.352 | 68.352 | 0.000 | 0.000 | 0.000 |
| 68.352 | 236.528 | 68.352 | -0.000 | 0.000 | 0.000 |
| 68.352 | 68.352 | 236.528 | 0.000 | 0.000 | 0.000 |
| -0.000 | -0.000 | -0.000 | 65.643 | 0.000 | -0.000 |
| -0.000 | -0.000 | -0.000 | 0.000 | 194.543 | -0.000 |
| -0.000 | -0.000 | -0.000 | 0.000 | 0.000 | 65.643 |
| 393.923 | 45.854 | 45.854 | -0.000 | 0.001 | 0.000 |
| 45.854 | 393.923 | 45.854 | -0.000 | 0.001 | 0.000 |
| 45.854 | 45.854 | 393.923 | -0.000 | 0.002 | 0.000 |
| 0.001 | -0.000 | -0.000 | 174.034 | 0.002 | 0.000 |
| 0.000 | 0.000 | -0.000 | -0.000 | 174.036 | 0.000 |
| 0.000 | -0.000 | -0.000 | -0.000 | 0.001 | 174.035 |
| 332.481 | 62.393 | 62.393 | -0.000 | -0.002 | -0.000 |
| 62.392 | 332.481 | 62.393 | -0.000 | -0.002 | -0.000 |
| 62.393 | 62.393 | 332.481 | -0.000 | -0.002 | 0.000 |
| -0.000 | 0.000 | 0.000 | 174.034 | -0.002 | -0.000 |
| -0.001 | -0.000 | 0.000 | -0.000 | 174.033 | -0.000 |
| -0.000 | -0.000 | 0.000 | -0.000 | -0.002 | 174.034 |
| 113.945 | 47.799 | 47.799 | -0.000 | 0.000 | 0.000 |
| 47.799 | 113.945 | 47.799 | -0.000 | 0.000 | 0.000 |
| 47.799 | 47.799 | 113.945 | -0.000 | 0.000 | 0.000 |
| 0.000 | 0.000 | 0.000 | 174.034 | 0.000 | 0.000 |
| 0.000 | 0.000 | 0.000 | -0.000 | 174.035 | 0.000 |
| 0.000 | 0.000 | -0.000 | -0.000 | 0.000 | 174.034 |
| 94.377 | 34.003 | 34.003 | 0.000 | -0.000 | 0.000 |
| 34.003 | 94.378 | 34.003 | 0.000 | -0.000 | -0.000 |
| 34.003 | 34.003 | 94.378 | 0.000 | -0.000 | -0.000 |
| -0.000 | 0.000 | -0.000 | 174.035 | -0.000 | -0.000 |
| -0.000 | -0.000 | 0.000 | -0.000 | 174.034 | -0.000 |
| -0.000 | -0.000 | 0.000 | -0.000 | -0.000 | 174.034 |
| 28.894 | -38.739 | -38.739 | -0.000 | 0.000 | 0.000 |
| -38.739 | 28.894 | -38.739 | -0.000 | 0.000 | 0.000 |
| -38.739 | -38.739 | 28.894 | 0.000 | 0.000 | 0.000 |
| -0.561 | -0.561 | -0.561 | 48.120 | 0.000 | 0.000 |
| -0.561 | -0.561 | -0.561 | 0.000 | 48.120 | 0.000 |
| -0.561 | -0.561 | -0.561 | 0.000 | 0.000 | 48.120 |
| 30.537 | -36.516 | -36.516 | 0.000 | -0.000 | -0.000 |
| -36.516 | 30.537 | -36.516 | -0.000 | -0.000 | 0.000 |
| -36.516 | -36.516 | 30.537 | 0.000 | -0.000 | 0.000 |
| 0.561 | 0.561 | 0.561 | 48.120 | -0.000 | -0.000 |
| 0.561 | 0.561 | 0.561 | 0.000 | 48.120 | -0.000 |
| 0.561 | 0.561 | 0.561 | 0.000 | -0.000 | 48.120 |
| 393.697 | 45.827 | 45.828 | -0.000 | 0.000 | -0.000 |
| 45.827 | 393.697 | 45.828 | -0.000 | 0.001 | -0.000 |
| 45.827 | 45.827 | 393.697 | -0.000 | 0.001 | -0.000 |
| 803.051 | 803.050 | 803.050 | 56.389 | 0.001 | 0.000 |
| 803.050 | 803.050 | 803.050 | 0.000 | 56.390 | -0.000 |
| 803.050 | 803.050 | 803.050 | -0.000 | 0.000 | 56.389 |
| -640.045 | -752.389 | -752.389 | 0.000 | -0.001 | 0.000 |
| -752.389 | -640.045 | -752.389 | -0.000 | -0.000 | 0.000 |
| -752.388 | -752.389 | -640.045 | 0.000 | -0.001 | 0.000 |
| -803.050 | -803.050 | -803.050 | 56.389 | -0.001 | -0.000 |
| -803.051 | -803.050 | -803.050 | 0.000 | 56.389 | 0.000 |
| -803.050 | -803.050 | -803.050 | -0.000 | -0.000 | 56.389 |
| 393.697 | 45.827 | 45.827 | 0.000 | 0.000 | -0.000 |
| 45.827 | 393.697 | 45.827 | -0.000 | 0.000 | -0.000 |
| 45.827 | 45.827 | 393.697 | 0.000 | 0.000 | -0.000 |
| 80.274 | 80.274 | 80.274 | 56.432 | 0.000 | -0.000 |
| 80.274 | 80.274 | 80.274 | 0.000 | 56.432 | -0.000 |
| 80.274 | 80.274 | 80.274 | -0.000 | 0.000 | 56.432 |
| 323.644 | 34.867 | 34.867 | 0.000 | -0.000 | 0.000 |
| 34.867 | 323.644 | 34.867 | 0.000 | -0.000 | 0.000 |
| 34.867 | 34.867 | 323.644 | -0.000 | -0.000 | 0.000 |
| -80.274 | -80.274 | -80.274 | 56.432 | -0.000 | 0.000 |
| -80.274 | -80.274 | -80.274 | 0.000 | 56.432 | 0.000 |
| -80.274 | -80.274 | -80.274 | 0.000 | -0.000 | 56.432 |
| 4.423 | -39.198 | -39.198 | -0.000 | 0.000 | -0.000 |
| -39.198 | 4.423 | -39.198 | 0.000 | 0.000 | -0.000 |
| -39.198 | -39.198 | 4.423 | -0.000 | 0.000 | -0.000 |
| 12.491 | 12.491 | 12.491 | 24.137 | 0.000 | -0.000 |
| 12.491 | 12.491 | 12.491 | 0.000 | 24.137 | -0.000 |
| 12.491 | 12.491 | 12.491 | -0.000 | 0.000 | 24.137 |
| 42.405 | 20.793 | 20.793 | 0.000 | -0.000 | 0.000 |
| 20.793 | 42.405 | 20.793 | -0.000 | -0.000 | 0.000 |
| 20.793 | 20.793 | 42.405 | 0.000 | -0.000 | 0.000 |
| -28.787 | -28.787 | -28.787 | 1.739 | -0.000 | 0.000 |
| -12.491 | -12.491 | -12.491 | -0.000 | 24.137 | 0.000 |
| -12.491 | -12.491 | -12.491 | 0.000 | -0.000 | 24.137 |
| 228.022 | 35.740 | 39.442 | 4.439 | 12.365 | 10.375 |
| 38.547 | 100.304 | 39.781 | 22.423 | 6.277 | -11.703 |
| 7.672 | 9.570 | 130.276 | 13.387 | 6.428 | 0.092 |
| -2.041 | -3.545 | 9.986 | 10.556 | -5.814 | -1.289 |
| 2.585 | 0.405 | 7.455 | -5.079 | 23.294 | 5.355 |
| -10.993 | -11.053 | 0.947 | 2.631 | 27.802 | 71.317 |
| 15.053 | 7.912 | 8.068 | -2.080 | 4.822 | -7.743 |
| 38.547 | 100.304 | 39.781 | 22.423 | 6.277 | -11.703 |
| 37.986 | 36.931 | 272.488 | 15.992 | 9.741 | -0.788 |
| -1.119 | -3.353 | 13.626 | 20.692 | -5.397 | -2.024 |
| -7.438 | 7.303 | 9.741 | -5.761 | 100.734 | 9.851 |
| -10.993 | -11.053 | 0.948 | 2.631 | 27.802 | 71.317 |
| 31.382 | 1.501 | 6.501 | -3.342 | 9.183 | -5.442 |
| 24.542 | 44.771 | 34.168 | 9.113 | 3.311 | -8.281 |
| 8.267 | 9.501 | 129.994 | 13.686 | 6.565 | -0.647 |
| -1.676 | -3.183 | 14.119 | 20.398 | -5.554 | -1.164 |
| -0.600 | 2.394 | 6.550 | -5.577 | 35.659 | 4.341 |
| -11.963 | -5.608 | 0.764 | -1.903 | 13.340 | 18.292 |
| 31.491 | 1.483 | 6.392 | -3.276 | 9.209 | -5.598 |
| 24.634 | 44.725 | 34.067 | 9.142 | 3.341 | -8.426 |
| 6.850 | 8.561 | 56.015 | 4.995 | 1.165 | -2.267 |
| 4.458 | 9.673 | 15.992 | 71.548 | -5.761 | 3.657 |
| -7.438 | 7.303 | 9.741 | -5.761 | 100.734 | 9.851 |
| -10.993 | -11.053 | 0.948 | 2.631 | 27.802 | 71.317 |
| 18.836 | 6.806 | 10.805 | -2.716 | 4.781 | -6.187 |
| 5.650 | 22.666 | 16.751 | 0.708 | 0.604 | -4.287 |
| 3.231 | 6.180 | 23.647 | -0.383 | -1.942 | -1.903 |
| -1.386 | -3.648 | 9.498 | 10.862 | -5.667 | -2.061 |
| 1.037 | -0.643 | 3.439 | -4.904 | 12.619 | 1.259 |
| -11.921 | -5.621 | 0.726 | -1.879 | 13.354 | 18.231 |
| 14.356 | 8.044 | 8.585 | -2.427 | 4.686 | -6.980 |
| 5.627 | 22.594 | 16.712 | 0.692 | 0.602 | -4.296 |
| 4.195 | 7.489 | 28.382 | 1.326 | -1.329 | -0.107 |
| -2.259 | -3.883 | 11.925 | 13.897 | -4.784 | -1.254 |
| 3.250 | 0.311 | 6.933 | -4.708 | 23.400 | 4.481 |
| -8.985 | -3.991 | 0.437 | -3.301 | 6.520 | 8.615 |
| 575.671 | 159.263 | 64.746 | -0.000 | 0.000 | 0.000 |
| 74.685 | 431.807 | 74.963 | -0.001 | -0.000 | 0.000 |
| 64.746 | 65.110 | 603.625 | -0.000 | 0.000 | 0.000 |
| 0.070 | 0.031 | -0.005 | 168.973 | -0.000 | -0.000 |
| 0.587 | 0.429 | -0.012 | -0.000 | 86.629 | -0.000 |
| 0.000 | 0.000 | 0.000 | -0.000 | -0.000 | 283.904 |
| 442.867 | 85.056 | 74.645 | 0.001 | 0.001 | -0.000 |
| 74.671 | 431.813 | 74.962 | 0.001 | 0.000 | -0.000 |
| 86.648 | 82.179 | 330.030 | 0.001 | 0.000 | 0.000 |
| -0.070 | -0.031 | 0.005 | 168.974 | 0.000 | 0.000 |
| -0.587 | -0.430 | 0.012 | 0.000 | 86.630 | 0.000 |
| -0.000 | -0.000 | -0.000 | 0.000 | 0.000 | 283.904 |
| 441.086 | 84.059 | 74.778 | -0.000 | 0.000 | 0.000 |
| 73.908 | 430.864 | 75.052 | -0.000 | 0.000 | 0.000 |
| 58.155 | 62.954 | 366.891 | -0.000 | -0.000 | 0.000 |
| 0.000 | 0.000 | 0.000 | 253.086 | -0.000 | 0.000 |
| 0.007 | 0.003 | -0.000 | -0.000 | 164.277 | 0.000 |
| -0.000 | 0.000 | 0.000 | -0.000 | -0.000 | 283.904 |
| 443.323 | 85.309 | 74.611 | 0.000 | -0.000 | -0.000 |
| 99.896 | 147.636 | 78.633 | 0.000 | 0.000 | -0.000 |
| 113.553 | 107.728 | 456.417 | 0.000 | 0.000 | -0.000 |
| -0.000 | -0.000 | -0.000 | 253.087 | -0.000 | -0.000 |
| -0.007 | -0.003 | 0.000 | 0.000 | 164.277 | -0.000 |
| 0.000 | -0.000 | -0.000 | 0.000 | 0.000 | 283.904 |
| 27.351 | -35.978 | -12.381 | -0.000 | 0.000 | 0.000 |
| 74.217 | 431.244 | 75.017 | -0.000 | -0.000 | 0.000 |
| 58.176 | 62.974 | 366.889 | -0.000 | -0.000 | 0.000 |
| 0.001 | -0.000 | -0.000 | 168.973 | -0.000 | -0.000 |
| -0.001 | -0.001 | -0.000 | -0.000 | 103.696 | 0.000 |
| 0.000 | 0.000 | 0.000 | -0.000 | -0.000 | 193.242 |
| 246.380 | 111.066 | 104.727 | 0.000 | 0.000 | 0.000 |
| -35.557 | 29.929 | 1.109 | 0.000 | 0.000 | 0.000 |
| 36.382 | 34.911 | 300.980 | 0.000 | 0.000 | -0.000 |
| -0.001 | 0.000 | 0.000 | 168.973 | 0.000 | 0.000 |
| 0.001 | 0.001 | 0.000 | 0.000 | 103.696 | 0.000 |
| -0.000 | -0.000 | -0.000 | 0.000 | 0.000 | 193.242 |
| -182.411 | -1536.613 | 998.481 | -0.014 | 0.025 | -4.171 |
| -296.632 | -1398.313 | 997.319 | -0.047 | 0.022 | -3.775 |
| -34.088 | -109.041 | 200.326 | -0.125 | 0.039 | -1.097 |
| -80.594 | -77.018 | 43.307 | 144.767 | 0.031 | -1.491 |
| -21.382 | -18.275 | 4.328 | 0.045 | 182.886 | -1.409 |
| -80.543 | -76.968 | 43.274 | -0.063 | 0.031 | 89.665 |
| 309.818 | 71.700 | 79.506 | -0.045 | -0.013 | 1.405 |
| 354.593 | 1757.008 | -938.468 | 0.170 | -0.040 | 2.199 |
| 110.682 | 55.623 | 219.636 | -0.042 | -0.012 | 1.330 |
| 206.373 | 334.133 | -114.546 | 43.111 | -0.034 | 0.951 |
| 0.000 | -0.000 | -0.000 | 0.000 | 212.332 | 0.000 |
| 21.385 | 18.278 | -4.329 | -0.045 | -0.013 | 138.624 |
| 274.542 | 53.496 | 87.134 | 0.005 | 0.001 | -0.166 |
| -3.142 | 158.479 | 34.815 | -0.009 | 0.003 | -0.104 |
| -13.434 | -76.866 | 200.602 | 0.008 | -0.000 | -0.073 |
| -11.356 | -138.810 | 92.017 | 46.762 | 0.002 | -0.375 |
| -32.504 | -137.195 | 74.319 | -0.009 | -24.068 | -0.258 |
| -41.650 | -141.167 | 68.285 | -0.017 | 0.004 | -21.589 |
| 119.563 | 33.918 | 38.126 | 0.007 | -0.003 | 0.093 |
| 48.967 | 269.858 | 26.407 | 0.010 | -0.003 | 0.097 |
| 82.712 | 54.203 | 237.481 | 0.008 | -0.003 | 0.097 |
| 17.692 | 28.513 | -9.834 | 67.463 | -0.003 | 0.098 |
| 40.391 | 134.182 | -65.562 | 0.019 | -19.200 | 0.197 |
| 25.156 | 48.300 | -16.302 | -0.005 | 0.000 | -7.410 |
| 71.946 | -33.794 | 37.740 | -0.000 | 0.000 | -0.020 |
| -14.215 | 186.293 | 26.318 | -0.001 | 0.000 | -0.020 |
| 11.160 | 13.268 | 234.297 | 0.001 | 0.000 | -0.026 |
| 2.410 | -8.885 | 10.329 | 70.142 | 0.000 | -0.033 |
| -2.148 | -7.069 | 3.522 | -0.000 | 57.750 | -0.018 |
| -0.085 | -7.861 | 6.404 | -0.001 | 0.000 | 36.567 |
| 64.804 | 3.405 | 19.939 | 0.000 | -0.000 | 0.021 |
| -8.459 | 207.383 | 6.303 | 0.001 | -0.000 | 0.015 |
| 16.431 | 24.735 | 218.180 | 0.001 | -0.000 | 0.022 |
| 1.866 | 4.634 | -1.952 | 80.451 | -0.000 | 0.013 |
| 1.342 | 7.214 | -4.358 | -0.000 | 54.609 | 0.021 |
| 0.084 | 7.859 | -6.402 | 0.001 | -0.000 | 36.615 |
| 53.237 | -7.309 | -0.502 | 0.023 | -0.216 | -0.534 |
| -7.517 | 53.568 | -0.466 | 0.220 | -0.160 | -0.091 |
| -0.380 | 0.472 | 64.143 | 0.075 | -0.643 | -0.984 |
| -382511.582 | -182042.393 | -250491.712 | 25481.184 | 45368.148 | 75706.057 |
| -384311.536 | -106511.554 | -221195.308 | -855.421 | 103526.609 | 73405.374 |
| -0.316 | 0.123 | -0.149 | -0.104 | -0.101 | 27.314 |
| 327471.306 | 351398.469 | 530787.325 | 96533.590 | -22586.105 | -111189.043 |
| 393334.430 | 395797.794 | 623380.508 | 152634.721 | -101600.153 | -137555.536 |
| 296814.527 | 375635.508 | 416284.272 | 3198.490 | -43740.439 | -91003.687 |
| -0.048 | 0.141 | -0.159 | 33.631 | -0.153 | -0.104 |
| -0.155 | -0.104 | -0.421 | -0.154 | 33.561 | -0.098 |
| 302437.915 | 389426.533 | 455111.034 | 13731.099 | -55750.524 | -90713.853 |
| 53.234 | -7.310 | -0.506 | 0.023 | -0.216 | -0.534 |
| -7.518 | 53.565 | -0.470 | 0.220 | -0.160 | -0.091 |
| -0.396 | 0.454 | 64.085 | 0.082 | -0.646 | -0.983 |
| -32475.891 | -37595.562 | -48757.632 | -6974.008 | 3090.233 | 10126.935 |
| -32154.834 | -36474.737 | -45745.945 | -6515.371 | 2785.813 | 10259.948 |
| -0.316 | 0.123 | -0.149 | -0.104 | -0.101 | 27.314 |
| 31458.399 | 37229.122 | 48488.456 | 8086.463 | -2573.219 | -10122.407 |
| 31765.407 | 35258.532 | 43032.354 | 2302.595 | -2511.931 | -8890.458 |
| 38047.084 | 9955.113 | 21808.414 | 130.181 | -10947.874 | -7488.449 |
| -0.048 | 0.141 | -0.158 | 33.630 | -0.153 | -0.104 |
| -0.155 | -0.104 | -0.422 | -0.154 | 33.561 | -0.098 |
| 31753.290 | 27896.664 | 34190.214 | 863.746 | -557.009 | -8662.106 |
| 53.209 | -7.323 | -0.550 | 0.022 | -0.212 | -0.533 |
| -7.532 | 53.540 | -0.514 | 0.225 | -0.162 | -0.091 |
| -0.566 | 0.299 | 63.544 | 0.092 | -0.640 | -0.987 |
| -0.048 | 0.142 | -0.157 | 33.630 | -0.151 | -0.104 |
| -3184.600 | -3720.481 | -5408.817 | -894.328 | 465.183 | 1106.521 |
| -0.315 | 0.123 | -0.147 | -0.104 | -0.101 | 27.314 |
| 3217.488 | 2652.803 | 3311.469 | 125.011 | 39.891 | -771.757 |
| 3752.489 | 905.629 | 2127.437 | 33.870 | -1151.740 | -660.448 |
| 3205.770 | 3728.995 | 4421.473 | 350.022 | -461.495 | -973.474 |
| -0.047 | 0.145 | -0.150 | 33.622 | -0.149 | -0.105 |
| -0.151 | -0.105 | -0.415 | -0.151 | 33.553 | -0.099 |
| 3230.144 | 3685.418 | 4444.958 | 376.697 | -464.550 | -985.703 |
| 553.732 | -2670.344 | 8399.554 | 4915.413 | -261.469 | 1164.157 |
| -66.755 | -1421.231 | 10860.990 | 4091.769 | 1397.746 | 7735.979 |
| -697.325 | -1623.436 | 9977.054 | 4569.798 | 1149.439 | 6902.062 |
| 1170.001 | -4406.752 | 13803.003 | 4926.929 | 1524.497 | 7311.767 |
| -1923.606 | -6259.656 | 10840.001 | 5077.490 | 1984.109 | 2317.687 |
| 1530.565 | -678.265 | 13806.636 | 6327.918 | -160.940 | 8350.669 |
| -3705.209 | -592.666 | -7412.393 | -5614.004 | 3471.594 | -2880.601 |
| -2404.693 | 4286.656 | -13446.178 | -4169.791 | -1020.315 | -11309.854 |
| -257.951 | 2379.153 | -12490.465 | -7303.413 | -1881.905 | -3466.985 |
| -2670.785 | 4393.988 | -12557.835 | -5062.137 | -780.208 | -296.575 |
| 284.983 | 4861.304 | -10725.094 | -4939.575 | -1361.243 | -2848.027 |
| 161.449 | 3599.227 | -13856.751 | -6156.665 | -1580.019 | -5796.327 |
| 156.686 | -363.667 | 1362.417 | 629.367 | 214.425 | 399.311 |
| 69.143 | -321.868 | 1378.721 | 484.426 | 91.860 | 969.183 |
| -513.020 | -243.810 | 514.035 | 429.383 | 259.296 | -424.219 |
| 128.331 | -468.527 | 1129.522 | 519.469 | 11.299 | 461.617 |
| -97.206 | -174.159 | 339.362 | 407.688 | 213.838 | -689.664 |
| -71.063 | -453.458 | 1094.702 | 549.498 | 133.104 | 248.726 |
| 237.835 | 381.126 | -928.993 | -502.654 | -81.099 | -271.265 |
| -68.572 | 457.643 | -339.323 | -378.967 | 5.081 | 660.987 |
| 102.694 | 158.709 | -310.269 | -456.110 | 30.564 | -175.888 |
| 56.632 | 400.845 | -816.453 | -389.862 | -113.785 | -216.110 |
| 199.031 | 465.482 | -1303.795 | -559.829 | -143.042 | -466.677 |
| 127.878 | 380.941 | -759.546 | -510.436 | -45.885 | 364.079 |
| 148.771 | 46.175 | 97.917 | 53.370 | 42.774 | -61.954 |
| 58.545 | 179.633 | 131.947 | 63.754 | -10.084 | -6.259 |
| 41.861 | 2.330 | 367.656 | 47.317 | -32.703 | 63.133 |
| 29.078 | -34.840 | 126.627 | 85.777 | -1.847 | 91.565 |
| -13.636 | -34.908 | 68.678 | 33.750 | 62.017 | 52.769 |
| -14.135 | -21.253 | 40.205 | 44.121 | -10.626 | 111.373 |
| 151.299 | 71.198 | -106.177 | -43.328 | -56.422 | -84.492 |
| 66.228 | 162.785 | -68.311 | -38.493 | -9.780 | -106.466 |
| 60.149 | 73.491 | 144.569 | -69.943 | -53.540 | -54.672 |
| 9.183 | 20.258 | -135.626 | -2.517 | -23.801 | -34.373 |
| 0.811 | 60.773 | -154.263 | -53.515 | 16.226 | -67.277 |
| -36.370 | -0.121 | -134.063 | -50.556 | -8.460 | -0.815 |
| -217968.525 | 454644.806 | 203901.427 | -117815.714 | -252275.867 | -192246.400 |
| -218036.959 | 454736.739 | 203899.206 | -117814.454 | -252277.536 | -192242.833 |
| -218038.399 | 454639.591 | 203982.136 | -117818.537 | -252291.872 | -192249.644 |
| -218050.098 | 454632.564 | 203892.519 | -117772.838 | -252276.673 | -192259.914 |
| -218050.913 | 454637.951 | 203885.609 | -117810.250 | -252226.103 | -192259.818 |
| -218041.078 | 454650.114 | 203902.290 | -117815.811 | -252283.331 | -192202.829 |
| 218118.225 | -454635.659 | -203899.657 | 117805.352 | 252278.043 | 192259.324 |
| 218049.792 | -454543.730 | -203901.878 | 117806.613 | 252276.376 | 192262.892 |
| 218048.349 | -454640.869 | -203818.949 | 117802.527 | 252262.036 | 192256.078 |
| 218036.651 | -454647.897 | -203908.566 | 117848.227 | 252277.236 | 192245.809 |
| 218035.835 | -454642.510 | -203915.475 | 117810.814 | 252327.806 | 192245.905 |
| 218045.672 | -454630.352 | -203898.794 | 117805.256 | 252270.580 | 192302.895 |
| -21729.498 | 45468.625 | 20390.935 | -11786.243 | -25226.615 | -19218.835 |
| -21797.937 | 45560.573 | 20388.711 | -11784.987 | -25228.287 | -19215.273 |
| -21799.363 | 45463.385 | 20471.648 | -11789.058 | -25242.614 | -19222.069 |
| -21811.063 | 45456.362 | 20382.030 | -11743.360 | -25227.415 | -19232.341 |
| -21811.878 | 45461.747 | 20375.121 | -11780.773 | -25176.845 | -19232.244 |
| -21802.052 | 45473.938 | 20391.797 | -11786.341 | -25234.080 | -19175.265 |
| 21879.197 | -45459.478 | -20389.164 | 11775.881 | 25228.791 | 19231.758 |
| 21810.770 | -45367.564 | -20391.383 | 11777.146 | 25227.127 | 19235.332 |
| 21809.312 | -45464.662 | -20308.460 | 11773.048 | 25212.778 | 19228.504 |
| 21797.616 | -45471.695 | -20398.077 | 11818.749 | 25227.979 | 19218.236 |
| 21796.800 | -45466.306 | -20404.987 | 11781.336 | 25278.548 | 19218.331 |
| 21806.646 | -45454.176 | -20388.300 | 11775.785 | 25221.329 | 19275.331 |
| -2105.687 | 4551.260 | 2039.842 | -1183.369 | -2521.754 | -1916.173 |
| -2174.182 | 4643.356 | 2037.592 | -1182.155 | -2523.465 | -1912.668 |
| -2175.461 | 4545.770 | 2120.599 | -1186.112 | -2537.689 | -1919.313 |
| -2187.178 | 4538.793 | 2030.972 | -1140.427 | -2522.502 | -1929.602 |
| -2187.986 | 4544.160 | 2024.066 | -1177.834 | -2471.927 | -1929.499 |
| -2178.258 | 4556.618 | 2040.697 | -1183.479 | -2529.231 | -1872.621 |
| 2255.385 | -4542.114 | -2038.072 | 1173.007 | 2523.931 | 1929.095 |
| 2187.010 | -4450.350 | -2040.265 | 1174.316 | 2522.305 | 1932.722 |
| 2185.410 | -4547.048 | -1957.411 | 1170.102 | 2507.853 | 1925.748 |
| 2173.730 | -4554.126 | -2047.019 | 1215.816 | 2523.066 | 1915.497 |
| 2172.908 | -4548.719 | -2053.932 | 1178.398 | 2573.631 | 1915.585 |
| 2182.850 | -4536.857 | -2037.200 | 1172.925 | 2516.480 | 1972.684 |
| -1773.030 | 623.324 | 1269.045 | 424.144 | 473.927 | -311.572 |
| -2281.378 | 405.844 | 260.984 | -379.124 | 10.548 | -1296.890 |
| 1296.394 | 1807.035 | 1585.780 | -86.201 | 820.447 | -1748.474 |
| -2657.120 | 112.727 | 1276.038 | 656.326 | -163.318 | -224.729 |
| 1215.647 | 1729.545 | 1153.072 | -74.452 | 1001.284 | -1737.640 |
| -357.126 | 869.857 | 1550.600 | 430.661 | 124.511 | -1073.089 |
| -1090.634 | -1634.362 | -959.361 | 150.835 | -771.868 | 1780.849 |
| 838.934 | -558.351 | -1802.978 | -899.257 | 327.193 | 1406.932 |
| 1916.514 | -705.264 | -876.994 | -393.565 | -539.593 | 550.493 |
| 660.451 | -760.522 | -1546.186 | -412.506 | -107.470 | 1042.109 |
| -545.980 | -1492.052 | -1160.772 | 119.753 | -194.352 | 2600.444 |
| -336.359 | -216.829 | -714.963 | 83.248 | -298.738 | 899.198 |
| 266.484 | 76.698 | 129.056 | 41.843 | 19.401 | 40.484 |
| -69.001 | 517.018 | 208.028 | 40.664 | 62.754 | -68.833 |
| -61.504 | 153.287 | 385.024 | 89.701 | 7.672 | -179.390 |
| -163.593 | 97.487 | 124.571 | 184.367 | 66.779 | -62.038 |
| 88.799 | 168.930 | 140.315 | 10.153 | 269.843 | -164.630 |
| 209.114 | 161.479 | 75.893 | -9.048 | 63.050 | 32.459 |
| 274.960 | -0.504 | -108.264 | -20.288 | -0.998 | 131.785 |
| -28.969 | -25.650 | -50.275 | 17.572 | -26.782 | 252.796 |
| 248.932 | -1.982 | 295.669 | -41.372 | -43.352 | 46.861 |
| 246.449 | -19.463 | -110.261 | 103.244 | -30.422 | 17.333 |
| -137.069 | -172.224 | -91.044 | 23.283 | 115.546 | 176.131 |
| 446.956 | 12.860 | -90.231 | -23.522 | 20.394 | 103.455 |
| 223.058 | 53.084 | 42.797 | 15.897 | -4.866 | 8.538 |
| 81.517 | 190.009 | 87.665 | 5.959 | 1.809 | -24.921 |
| 14.794 | 72.342 | 258.677 | 12.353 | 7.851 | 0.307 |
| 14.045 | 13.870 | 21.407 | 108.299 | -4.268 | 2.636 |
| 12.880 | 12.204 | 26.410 | 0.559 | 77.303 | -18.639 |
| 9.314 | 12.222 | 15.039 | 16.699 | 3.220 | 77.148 |
| 374.443 | 76.564 | 46.211 | 4.268 | 6.636 | 29.114 |
| 44.705 | 148.031 | 62.098 | -6.892 | 1.357 | 14.363 |
| 33.103 | 62.028 | 282.403 | -6.845 | 14.229 | -2.921 |
| 49.178 | 8.620 | -8.433 | 72.043 | -5.432 | 4.809 |
| 17.073 | -8.504 | -13.962 | -25.215 | 28.550 | 22.131 |
| 15.017 | -0.876 | -15.596 | 11.876 | -1.210 | 122.134 |
| -3297.748 | -3084.630 | -5099.918 | 3649.955 | 4179.115 | -3483.245 |
| -3564.637 | -2843.128 | -5083.650 | 3647.018 | 4189.503 | -3486.393 |
| -3551.768 | -3057.972 | -4799.860 | 3617.267 | 4143.549 | -3463.609 |
| -37.826 | -42.219 | -67.834 | 173.861 | 46.655 | -47.355 |
| -58.695 | -33.857 | -78.672 | 46.642 | 179.957 | -45.452 |
| -3588.740 | -3104.183 | -5108.334 | 3639.153 | 4177.893 | -3361.426 |
| 313.377 | 47.542 | 56.556 | -34.384 | -42.273 | 31.167 |
| 46.280 | 289.023 | 72.666 | -37.192 | -31.725 | 27.894 |
| 59.765 | 74.632 | 357.365 | -67.576 | -78.394 | 51.231 |
| 3573.309 | 3090.033 | 5088.774 | -3510.621 | -4174.817 | 3467.127 |
| 3552.617 | 3098.528 | 5078.149 | -3637.942 | -4041.761 | 3469.191 |
| 3631.313 | 3158.453 | 5201.760 | -3727.444 | -4262.469 | 3665.521 |
| -48.712 | -266.436 | -460.361 | 334.976 | 380.939 | -321.111 |
| -315.604 | -24.935 | -444.095 | 332.041 | 391.329 | -324.260 |
| -302.724 | -239.770 | -160.291 | 302.280 | 345.363 | -301.468 |
| -397.706 | -354.407 | -581.760 | 540.994 | 467.366 | -397.685 |
| -58.682 | -33.847 | -78.655 | 46.630 | 179.943 | -45.441 |
| -339.706 | -285.990 | -468.778 | 324.175 | 379.718 | -199.293 |
| 313.368 | 47.536 | 56.545 | -34.376 | -42.263 | 31.159 |
| 406.384 | 601.314 | 586.891 | -404.603 | -452.687 | 378.423 |
| 59.748 | 74.617 | 357.341 | -67.558 | -78.374 | 51.216 |
| 324.273 | 271.838 | 449.215 | -195.640 | -376.640 | 304.992 |
| 303.578 | 280.330 | 438.587 | -322.960 | -243.580 | 307.054 |
| 382.279 | 340.259 | 562.205 | -412.466 | -464.294 | 503.388 |
| 276.272 | 15.445 | 3.697 | 3.403 | 1.034 | -4.830 |
| 9.355 | 256.938 | 19.939 | 0.487 | 11.447 | -7.997 |
| 22.338 | 42.184 | 303.895 | -29.381 | -34.640 | 14.888 |
| -37.749 | -42.155 | -67.727 | 173.777 | 46.566 | -47.288 |
| 221258.437 | -231870.197 | 51509.059 | 472392.781 | 846.316 | -421183.925 |
| -14.736 | -4.115 | -4.732 | -7.390 | -0.177 | 116.983 |
| 313.303 | 47.488 | 56.466 | -34.317 | -42.195 | 31.108 |
| 81.425 | 319.442 | 122.857 | -73.048 | -72.805 | 62.160 |
| -220914.258 | 231755.497 | -51149.089 | -472150.365 | -1228.434 | 421306.722 |
| -0.717 | -10.054 | -14.862 | 135.951 | 3.279 | -11.299 |
| -21.441 | -1.585 | -25.528 | 8.654 | 136.377 | -9.264 |
| 22.194 | 27.892 | 47.968 | -45.062 | -43.354 | 152.909 |
| -5701.421 | -5611.823 | -4359.625 | -3046.926 | -1469.990 | -4589.773 |
| -2980.749 | 719.730 | -2553.364 | -2366.569 | -2316.264 | -3431.815 |
| -3346.368 | -4703.120 | -4598.058 | -2476.676 | -1385.413 | -2958.102 |
| -5126.851 | -3508.086 | -5322.609 | 2213.731 | 1393.212 | -3604.297 |
| -5114.350 | -3500.043 | -5296.581 | 1987.090 | 1613.910 | -3626.842 |
| -2788.018 | -2669.743 | -4839.522 | -2402.244 | -1459.109 | -2965.653 |
| 7569.314 | 3245.383 | 8883.509 | 2354.534 | 3465.301 | 3847.772 |
| 6911.671 | 6758.505 | 4391.353 | -1290.753 | -1400.124 | 5359.288 |
| 3169.897 | -585.009 | 2248.337 | 1997.231 | 2081.781 | 3506.946 |
| 2499.105 | 1515.930 | 5731.487 | 1591.639 | -749.847 | 4214.220 |
| 2459.408 | 1556.317 | 5662.949 | 1415.859 | -629.491 | 4099.435 |
| 15.969 | 4595.470 | 1374.497 | 3608.343 | -801.177 | 3390.757 |
| -195.076 | -576.358 | -320.058 | -326.035 | -76.174 | -388.119 |
| -372.285 | -111.957 | -550.513 | -156.161 | -57.438 | -455.356 |
| -146.739 | -150.478 | -487.400 | -216.196 | 36.955 | -446.342 |
| -105.518 | -213.027 | -456.802 | -368.611 | -125.951 | -379.906 |
| 61.313 | -26.079 | 63.146 | 102.716 | 398.724 | -75.448 |
| -372.758 | -499.956 | -40.318 | -220.611 | -226.360 | -121.807 |
| 104.123 | 364.980 | 343.308 | 397.489 | 55.364 | 267.548 |
| 196.201 | 314.001 | 495.443 | -21.135 | -187.189 | 415.338 |
| 740.102 | 635.191 | 789.601 | -63.005 | -101.746 | 597.325 |
| 454.824 | 421.468 | 243.451 | 60.288 | -107.724 | 323.077 |
| 416.137 | 492.739 | 284.554 | 388.416 | 278.205 | 348.473 |
| -144.062 | -253.306 | 563.875 | 676.956 | 497.312 | 137.275 |
| 191.163 | -38.138 | 20.927 | -53.001 | -9.032 | -39.608 |
| 4.625 | 147.604 | 12.688 | -63.478 | 5.814 | -34.566 |
| 44.159 | 19.880 | 163.247 | -69.068 | -2.796 | -38.216 |
| -61.454 | -57.580 | -66.768 | 137.050 | -2.073 | -49.748 |
| -9.892 | -8.010 | -40.237 | -36.984 | 80.557 | -41.641 |
| -23.874 | -6.716 | -16.934 | -32.817 | -22.531 | 55.557 |
| 342.250 | 78.391 | 134.887 | 21.261 | 10.112 | 50.851 |
| 6.019 | 118.849 | 108.921 | 50.918 | 49.240 | -6.281 |
| 118.873 | 132.438 | 316.386 | 1.507 | 27.767 | 53.141 |
| 48.488 | 17.040 | 7.040 | 79.240 | 0.652 | 47.777 |
| 62.073 | 57.774 | 80.326 | 14.595 | 133.318 | 42.745 |
| -24.342 | 27.123 | 46.979 | 48.882 | 9.038 | 94.828 |
| 1288229.805 | -1369886.106 | 875149.595 | 8158.814 | -939584.924 | 1053986.744 |
| 1192634.650 | -1333411.576 | 810127.875 | 23321.727 | -826030.853 | 1016848.385 |
| 1371320.234 | -1402692.059 | 933164.511 | -6178.393 | -1043965.867 | 1083927.058 |
| 1371349.789 | -1403050.693 | 933062.054 | -6283.286 | -1043925.171 | 1084046.129 |
| 1372291.935 | -1401608.834 | 934537.224 | -6019.918 | -1042897.131 | 1084266.841 |
| 1375890.120 | -1404713.772 | 936332.274 | -7032.225 | -1049592.659 | 1085658.530 |
| -1371114.713 | 1402979.781 | -932702.473 | 6358.675 | 1044280.092 | -1084290.584 |
| 24.745 | 417.633 | 83.543 | 84.515 | -14.732 | -22.327 |
| -1118890.131 | 1304865.945 | -752040.111 | -38165.363 | 724768.933 | -984492.603 |
| -1371425.707 | 1402811.332 | -933222.300 | 6281.135 | 1043858.523 | -1084052.339 |
| -1256609.019 | 1358799.882 | -853738.077 | -12944.614 | 901789.639 | -1043181.522 |
| -1371199.697 | 1402614.217 | -933080.170 | 6132.435 | 1043647.231 | -1083820.538 |
| 125702.735 | -135831.201 | 85338.344 | 1303.754 | -90130.059 | 104235.166 |
| 136870.533 | -140113.166 | 92972.599 | -668.232 | -104476.482 | 108256.784 |
| 39883.715 | -84684.545 | 28515.639 | 15014.719 | -7153.678 | 51838.096 |
| 117642.781 | -132833.462 | 80010.809 | 2563.732 | -80912.824 | 101086.140 |
| 129909.995 | -137655.257 | 88307.809 | 446.503 | -95215.279 | 106002.490 |
| 137045.787 | -140349.058 | 93258.789 | -650.790 | -104311.889 | 108457.649 |
| -127112.425 | 137098.528 | -85996.748 | -754.341 | 91456.679 | -105192.131 |
| -137037.123 | 140420.895 | -92927.575 | 737.800 | 104352.053 | -108478.522 |
| -125144.101 | 135713.656 | -84935.347 | -1367.225 | 89596.980 | -104120.784 |
| -137069.885 | 140264.571 | -93271.288 | 668.890 | 104297.694 | -108375.663 |
| -101431.542 | 125637.300 | -64591.143 | -4719.208 | 65838.331 | -92160.768 |
| -136680.486 | 140144.822 | -93057.920 | 563.616 | 103686.757 | -108204.787 |
| 12045.430 | -13322.350 | 8099.982 | 235.439 | -8255.359 | 10146.482 |
| 13714.440 | -13943.812 | 9349.321 | -64.182 | -10436.537 | 10832.205 |
| 13706.701 | -14008.631 | 9429.792 | -61.625 | -10427.913 | 10836.132 |
| 13041.465 | -13786.728 | 8869.582 | 99.452 | -9608.168 | 10625.686 |
| 13731.062 | -14025.563 | 9341.268 | -65.905 | -10379.808 | 10846.764 |
| 13695.762 | -14036.557 | 9327.076 | -59.435 | -10433.152 | 10883.629 |
| 308.661 | 39.352 | 29.295 | 1.603 | 7.427 | -26.173 |
| -13559.987 | 14068.079 | -9209.759 | 41.697 | 10239.895 | -10796.881 |
| -66.834 | -2.731 | 369.120 | -18.151 | 44.121 | -39.007 |
| 2.550 | 89.144 | 38.773 | 197.300 | -8.888 | -3.924 |
| -18.818 | -44.796 | 196.967 | -4.815 | 213.488 | 1.182 |
| -13730.429 | 14018.487 | -9337.358 | 63.664 | 10443.298 | -10795.909 |
| 939.718 | 75.342 | 75.341 | -0.000 | 0.000 | -0.000 |
| 75.342 | 939.718 | 75.341 | 0.000 | -0.000 | -0.000 |
| 75.342 | 75.342 | 939.718 | 0.000 | 0.000 | 0.000 |
| 0.000 | -0.000 | 0.000 | 378.910 | 0.000 | -0.000 |
| 0.000 | -0.000 | -0.000 | 0.000 | 378.910 | 0.000 |
| 0.000 | 0.000 | 0.000 | -0.000 | 0.000 | 378.910 |
| 1005.614 | 103.070 | 103.070 | 0.000 | -0.000 | -0.000 |
| 75.341 | 939.718 | 75.341 | 0.000 | -0.000 | -0.000 |
| 103.070 | 103.070 | 1005.614 | -0.000 | -0.000 | 0.000 |
| -0.000 | -0.000 | -0.000 | 378.910 | -0.000 | -0.000 |
| -0.000 | -0.000 | -0.000 | -0.000 | 378.910 | -0.000 |
| -0.000 | -0.000 | -0.000 | 0.000 | -0.000 | 378.910 |
| 939.718 | 75.341 | 75.341 | 0.000 | -0.000 | -0.000 |
| 75.341 | 939.718 | 75.341 | -0.000 | 0.000 | -0.000 |
| 75.341 | 75.341 | 939.718 | -0.000 | 0.000 | 0.000 |
| 0.000 | -0.000 | 0.000 | 378.910 | 0.000 | -0.000 |
| 0.000 | 0.000 | 0.000 | -0.000 | 378.910 | 0.000 |
| -0.000 | 0.000 | 0.000 | 0.000 | 0.000 | 378.910 |
| 939.718 | 75.341 | 75.342 | 0.000 | -0.000 | 0.000 |
| 75.341 | 939.718 | 75.341 | -0.000 | -0.000 | 0.000 |
| 75.341 | 75.342 | 939.718 | -0.000 | -0.000 | 0.000 |
| -0.000 | -0.000 | -0.000 | 378.910 | -0.000 | -0.000 |
| -0.000 | -0.000 | -0.000 | 0.000 | 378.910 | -0.000 |
| 0.000 | -0.000 | -0.000 | 0.000 | -0.000 | 378.910 |
| 939.718 | 75.341 | 75.341 | -0.000 | 0.000 | 0.000 |
| 75.341 | 939.718 | 75.341 | 0.000 | -0.000 | 0.000 |
| 75.342 | 75.341 | 939.718 | -0.000 | 0.000 | -0.000 |
| 0.000 | -0.000 | 0.000 | 378.910 | 0.000 | -0.000 |
| 0.000 | 0.000 | 0.000 | -0.000 | 368.456 | 0.000 |
| -0.000 | 0.000 | 0.000 | 0.000 | 0.000 | 378.910 |
| 939.719 | 75.341 | 75.342 | 0.000 | -0.000 | -0.000 |
| 75.342 | 939.719 | 75.341 | -0.000 | 0.000 | -0.000 |
| 75.341 | 75.342 | 939.719 | 0.000 | -0.000 | -0.000 |
| -0.000 | 0.000 | -0.000 | 378.910 | -0.000 | 0.000 |
| -0.000 | -0.000 | -0.000 | -0.000 | 368.456 | 0.000 |
| 0.000 | -0.000 | -0.000 | -0.000 | -0.000 | 378.910 |
| 150.692 | -1019.315 | 2191.909 | -0.000 | -0.000 | 0.000 |
| -1012.593 | 144.065 | 2191.813 | 0.000 | -0.000 | 0.000 |
| -1076.125 | -1076.124 | 3473.669 | 0.001 | -0.000 | 0.000 |
| -1094.737 | -1094.737 | 2173.825 | 535.277 | 0.000 | 0.000 |
| 0.000 | -0.000 | -0.001 | -0.000 | 546.061 | 0.000 |
| -1094.740 | -1094.740 | 2173.829 | 0.000 | 0.000 | 578.329 |
| 2341.057 | 1171.084 | -2157.543 | -0.000 | 0.000 | -0.000 |
| 1170.472 | 2340.469 | -2156.352 | 0.000 | 0.000 | -0.000 |
| 1113.349 | 1113.348 | -873.980 | -0.000 | 0.000 | -0.000 |
| 1094.737 | 1094.737 | -2173.825 | 535.277 | 0.000 | -0.000 |
| -0.000 | 0.000 | 0.001 | 0.000 | 546.061 | -0.000 |
| 1094.740 | 1094.740 | -2173.829 | 0.000 | -0.000 | 578.329 |
| 1129.332 | -27.326 | 235.367 | -0.000 | 0.000 | 0.000 |
| -34.371 | 1135.449 | 236.287 | -0.000 | 0.000 | -0.000 |
| -90.915 | -90.915 | 1517.333 | -0.000 | 0.000 | -0.000 |
| -109.472 | -109.472 | 217.380 | 535.277 | -0.000 | 0.000 |
| -0.000 | 0.000 | -0.000 | 0.000 | 546.061 | 0.000 |
| -109.999 | -109.999 | 218.425 | -0.000 | -0.000 | 584.887 |
| 1355.374 | 185.643 | -200.508 | 0.000 | 0.000 | 0.000 |
| 185.643 | 1355.375 | -200.508 | -0.000 | -0.000 | 0.000 |
| 128.116 | 128.116 | 1082.402 | 0.000 | -0.000 | -0.000 |
| 109.472 | 109.472 | -217.380 | 535.277 | -0.000 | -0.000 |
| 0.000 | -0.000 | -0.000 | -0.000 | 546.061 | -0.000 |
| 109.999 | 109.999 | -218.425 | 0.000 | -0.000 | 584.887 |
| 1230.689 | 64.766 | 43.304 | -0.000 | -0.000 | 0.000 |
| 71.200 | 1227.874 | 39.711 | 0.000 | -0.000 | 0.000 |
| 7.666 | 7.666 | 1321.586 | -0.000 | -0.000 | 0.000 |
| 0.000 | -0.000 | 0.000 | 546.061 | 0.000 | 0.000 |
| -10.940 | -10.940 | 21.724 | 0.000 | 535.284 | 0.000 |
| -10.946 | -10.946 | 21.736 | -0.000 | 0.000 | 578.331 |
| 1249.753 | 93.089 | -3.754 | 0.000 | 0.000 | -0.000 |
| 61.619 | 1280.789 | -3.322 | -0.000 | 0.000 | 0.000 |
| 29.558 | 29.558 | 1278.104 | -0.000 | 0.000 | 0.000 |
| -0.000 | 0.000 | -0.000 | 546.061 | 0.000 | -0.000 |
| 10.940 | 10.940 | -21.724 | -0.000 | 535.284 | -0.000 |
| 10.946 | 10.946 | -21.736 | 0.000 | 0.000 | 578.331 |
| 654.240 | -6.678 | 169.597 | -0.000 | 0.000 | 0.000 |
| -62.853 | 670.628 | 18.701 | -0.000 | 0.000 | 0.000 |
| 90.664 | 77.865 | 638.740 | -0.000 | 0.000 | 0.001 |
| 0.000 | -0.000 | 0.000 | 294.198 | 0.000 | 0.000 |
| -0.111 | -0.025 | -0.007 | -0.000 | 283.225 | 0.000 |
| -0.000 | -0.000 | -0.000 | -0.000 | 0.000 | 532.769 |
| 654.265 | -6.667 | 169.597 | 0.000 | 0.000 | -0.000 |
| 141.220 | 610.673 | 55.393 | 0.000 | -0.000 | -0.000 |
| 90.808 | 77.894 | 638.763 | 0.000 | -0.000 | -0.000 |
| -0.000 | 0.000 | 0.000 | 294.198 | 0.000 | -0.000 |
| 0.111 | 0.025 | 0.007 | 0.000 | 283.225 | -0.000 |
| 0.000 | -0.000 | -0.000 | 0.000 | 0.000 | 532.769 |
| 336.470 | -60.274 | 146.130 | -0.000 | -0.000 | 0.000 |
| -62.773 | 670.648 | 18.706 | -0.000 | 0.000 | 0.000 |
| 85.190 | 77.161 | 638.164 | -0.000 | -0.000 | 0.000 |
| -0.000 | -0.000 | 0.000 | 294.198 | 0.000 | 0.000 |
| -0.011 | -0.002 | -0.001 | -0.000 | 283.225 | 0.000 |
| -0.000 | 0.000 | 0.000 | -0.000 | 0.000 | 532.769 |
| 1005.413 | 52.560 | 195.528 | 0.000 | -0.000 | -0.000 |
| 141.259 | 610.613 | 55.411 | 0.000 | -0.000 | -0.000 |
| 79.003 | 66.059 | 540.206 | 0.000 | -0.000 | -0.000 |
| -0.000 | -0.000 | -0.000 | 294.198 | -0.000 | -0.000 |
| 0.011 | 0.002 | 0.001 | -0.000 | 283.225 | -0.000 |
| 0.000 | 0.000 | -0.000 | 0.000 | -0.000 | 532.769 |
| 465.450 | 100.082 | 125.275 | -0.000 | 0.000 | 0.000 |
| 216.141 | 447.627 | 48.527 | -0.000 | -0.000 | -0.000 |
| 134.226 | 12.987 | 431.173 | -0.000 | 0.000 | 0.000 |
| 0.028 | 0.005 | 0.002 | 217.192 | 0.000 | -0.000 |
| -0.014 | -0.002 | -0.001 | -0.000 | 221.937 | -0.000 |
| -0.003 | -0.000 | -0.000 | -0.000 | 0.000 | 241.193 |
| 502.046 | 85.274 | 131.123 | 0.000 | 0.000 | -0.000 |
| 185.042 | 440.021 | 40.875 | 0.000 | -0.000 | -0.000 |
| 137.098 | 13.605 | 482.972 | 0.000 | 0.000 | -0.000 |
| -0.028 | -0.005 | -0.002 | 217.192 | -0.000 | 0.000 |
| 0.014 | 0.002 | 0.001 | 0.000 | 221.937 | 0.000 |
| 0.003 | 0.000 | 0.000 | 0.000 | -0.000 | 241.193 |
| -39.843 | 34.158 | 72.125 | 0.043 | -0.011 | -0.019 |
| -486.670 | 467.600 | 36.699 | 0.073 | -0.020 | -0.032 |
| -487.731 | -17.960 | 551.601 | 0.080 | -0.022 | -0.036 |
| -209.068 | -8.567 | 64.270 | 218.012 | -0.058 | -0.014 |
| -210.851 | -8.687 | 64.396 | 0.215 | 175.841 | -0.014 |
| -493.808 | -34.487 | 22.857 | 0.071 | -0.019 | 119.367 |
| 274.157 | 54.536 | 41.873 | -0.085 | 0.023 | 0.038 |
| 319.925 | 368.423 | -151.701 | -0.086 | 0.024 | 0.016 |
| 272.198 | 30.730 | 411.247 | -0.226 | 0.061 | 0.014 |
| -0.000 | -0.000 | -0.000 | 251.636 | -0.000 | 0.000 |
| 250.993 | 1.585 | -158.402 | -0.087 | 128.446 | 0.015 |
| 493.877 | 34.492 | -22.860 | -0.071 | 0.019 | 119.416 |
| 315.588 | 59.210 | 57.987 | 0.004 | -0.001 | -0.002 |
| 90.896 | 527.454 | 10.580 | 0.000 | -0.000 | -0.000 |
| 25.232 | -8.435 | 362.843 | 0.015 | -0.004 | -0.001 |
| -26.189 | 0.134 | 19.309 | 160.525 | -0.002 | -0.002 |
| -26.498 | -0.023 | 18.085 | 0.004 | 117.556 | -0.002 |
| -26.655 | -1.845 | 21.549 | 0.014 | -0.004 | 64.575 |
| 395.068 | 64.843 | 55.139 | -0.003 | 0.001 | 0.002 |
| 47.854 | 270.514 | -50.558 | -0.015 | 0.004 | 0.002 |
| 91.807 | 8.893 | 351.947 | -0.001 | 0.000 | 0.002 |
| 25.105 | 2.001 | -25.132 | 141.227 | 0.003 | 0.001 |
| 33.217 | 2.251 | -22.745 | -0.014 | 106.070 | 0.002 |
| 25.862 | 0.895 | -9.437 | -0.032 | 0.009 | 115.567 |
| 172.764 | 11.390 | 33.963 | 0.003 | -0.001 | -0.000 |
| 7.286 | 248.435 | -21.439 | -0.001 | 0.000 | -0.000 |
| 25.484 | -12.475 | 319.073 | 0.003 | -0.001 | -0.000 |
| -1.226 | -0.079 | 2.407 | 121.027 | -0.000 | -0.000 |
| -2.711 | -0.649 | 2.398 | 0.000 | 65.617 | -0.000 |
| 1.546 | 0.242 | 2.424 | -0.001 | 0.000 | 47.021 |
| 178.205 | 15.737 | 26.088 | 0.001 | -0.000 | 0.000 |
| 4.259 | 249.208 | -26.405 | 0.001 | -0.000 | 0.000 |
| 35.037 | -5.178 | 308.339 | -0.001 | 0.000 | 0.000 |
| 9.826 | 0.758 | -2.521 | 120.124 | 0.000 | 0.001 |
| 2.706 | 0.648 | -2.398 | -0.000 | 65.617 | 0.000 |
| 2.925 | 0.090 | -2.431 | 0.001 | -0.000 | 57.357 |
| 922.947 | -7.687 | 0.000 | 0.000 | 0.000 | 0.000 |
| -8.147 | 923.408 | 0.000 | 0.000 | 0.000 | 0.000 |
| 0.000 | 0.000 | 0.000 | 0.000 | 0.000 | -0.000 |
| 0.000 | 0.000 | 0.000 | 0.000 | 0.000 | -0.000 |
| 0.000 | 0.000 | 0.000 | 0.000 | 0.000 | -0.000 |
| 0.000 | 0.000 | 0.000 | 0.000 | 0.000 | 465.317 |
| 923.407 | -8.148 | -0.000 | -0.000 | -0.000 | -0.000 |
| -7.687 | 922.947 | -0.000 | -0.000 | -0.000 | 0.000 |
| -0.000 | -0.000 | -0.000 | -0.000 | -0.000 | 0.000 |
| -0.000 | -0.000 | -0.000 | -0.000 | -0.000 | 0.000 |
| -0.000 | -0.000 | -0.000 | -0.000 | -0.000 | 0.000 |
| -0.000 | -0.000 | -0.000 | -0.000 | -0.000 | 465.317 |
| 923.408 | -8.147 | 0.000 | 0.000 | 0.000 | -0.000 |
| -7.687 | 922.948 | 0.000 | 0.000 | 0.000 | -0.000 |
| 0.000 | 0.000 | 0.000 | 0.000 | 0.000 | -0.000 |
| 0.000 | 0.000 | 0.000 | 0.000 | 0.000 | -0.000 |
| 0.000 | 0.000 | 0.000 | 0.000 | 0.000 | -0.000 |
| 0.000 | 0.000 | 0.000 | 0.000 | 0.000 | 465.317 |
| 923.407 | -8.147 | -0.000 | -0.000 | -0.000 | -0.000 |
| -7.687 | 922.947 | -0.000 | -0.000 | -0.000 | -0.000 |
| -0.000 | -0.000 | -0.000 | -0.000 | -0.000 | 0.000 |
| -0.000 | -0.000 | -0.000 | -0.000 | -0.000 | 0.000 |
| -0.000 | -0.000 | -0.000 | -0.000 | -0.000 | 0.000 |
| -0.000 | -0.000 | -0.000 | -0.000 | -0.000 | 465.317 |
| 922.950 | -7.687 | 0.000 | 0.000 | 0.000 | -0.000 |
| -7.687 | 922.950 | 0.000 | 0.000 | 0.000 | 0.000 |
| 0.000 | 0.000 | 0.000 | 0.000 | 0.000 | -0.000 |
| 0.000 | 0.000 | 0.000 | 0.000 | 0.000 | -0.000 |
| 0.000 | 0.000 | 0.000 | 0.000 | 0.000 | -0.000 |
| 0.000 | 0.001 | 0.000 | 0.000 | 0.000 | 465.777 |
| 922.944 | -7.687 | -0.000 | -0.000 | -0.000 | -0.000 |
| -7.687 | 922.944 | -0.000 | -0.000 | -0.000 | -0.000 |
| -0.000 | -0.000 | -0.000 | -0.000 | -0.000 | 0.000 |
| -0.000 | -0.000 | -0.000 | -0.000 | -0.000 | 0.000 |
| -0.000 | -0.000 | -0.000 | -0.000 | -0.000 | 0.000 |
| -0.000 | -0.001 | -0.000 | -0.000 | -0.000 | 465.777 |
| 909.632 | -8.025 | 0.000 | 0.000 | 0.000 | -0.000 |
| -8.025 | 909.633 | 0.000 | 0.000 | 0.000 | 0.000 |
| -0.000 | -0.000 | 0.000 | 0.000 | 0.000 | -0.000 |
| -0.000 | -0.000 | 0.000 | 0.000 | 0.000 | -0.000 |
| 0.000 | -0.000 | 0.000 | 0.000 | 0.000 | -0.000 |
| 0.000 | 0.000 | 0.000 | 0.000 | 0.000 | 458.376 |
| 909.179 | -7.572 | -0.000 | -0.000 | -0.000 | 0.000 |
| -8.026 | 909.632 | -0.000 | -0.000 | -0.000 | -0.000 |
| 0.000 | 0.000 | -0.000 | -0.000 | -0.000 | 0.000 |
| 0.000 | 0.000 | -0.000 | -0.000 | -0.000 | 0.000 |
| -0.000 | 0.000 | -0.000 | -0.000 | -0.000 | 0.000 |
| -0.000 | -0.000 | -0.000 | -0.000 | -0.000 | 458.376 |
| 909.180 | -7.572 | 0.000 | 0.000 | 0.000 | 0.000 |
| -8.025 | 909.633 | 0.000 | 0.000 | 0.000 | -0.000 |
| -0.000 | -0.000 | 0.000 | 0.000 | 0.000 | -0.000 |
| -0.000 | -0.000 | 0.000 | 0.000 | 0.000 | 0.000 |
| 0.000 | -0.000 | 0.000 | 0.000 | 0.000 | -0.000 |
| 0.000 | 0.000 | 0.000 | 0.000 | 0.000 | 458.376 |
| 909.179 | -7.572 | -0.000 | -0.000 | -0.000 | 0.000 |
| -8.026 | 909.632 | -0.000 | -0.000 | -0.000 | 0.000 |
| 0.000 | 0.000 | -0.000 | -0.000 | -0.000 | 0.000 |
| 0.000 | 0.000 | -0.000 | -0.000 | -0.000 | 0.000 |
| -0.000 | 0.000 | -0.000 | -0.000 | -0.000 | 0.000 |
| -0.000 | -0.000 | -0.000 | -0.000 | -0.000 | 458.376 |
| 909.182 | -7.572 | 0.000 | 0.000 | 0.000 | 0.000 |
| -7.572 | 909.183 | 0.000 | 0.000 | 0.000 | -0.000 |
| -0.000 | -0.000 | 0.000 | 0.000 | 0.000 | -0.000 |
| -0.000 | -0.000 | 0.000 | 0.000 | 0.000 | -0.000 |
| 0.000 | -0.000 | 0.000 | 0.000 | 0.000 | -0.000 |
| 0.000 | 0.001 | 0.000 | 0.000 | 0.000 | 458.376 |
| 909.176 | -7.573 | -0.000 | -0.000 | -0.000 | -0.000 |
| -7.573 | 909.176 | -0.000 | -0.000 | -0.000 | -0.000 |
| 0.000 | 0.000 | -0.000 | -0.000 | -0.000 | 0.000 |
| 0.000 | 0.000 | -0.000 | -0.000 | -0.000 | 0.000 |
| -0.000 | 0.000 | -0.000 | -0.000 | -0.000 | 0.000 |
| -0.000 | -0.001 | -0.000 | -0.000 | -0.000 | 458.376 |
| 909.179 | -7.572 | 0.000 | 0.000 | 0.000 | 0.000 |
| -8.025 | 909.633 | 0.000 | 0.000 | 0.000 | 0.000 |
| -0.000 | 0.000 | 0.000 | 0.000 | 0.000 | 0.000 |
| 0.000 | 0.000 | 0.000 | 0.000 | 0.000 | 0.000 |
| 0.000 | 0.000 | 0.000 | 0.000 | 0.000 | 0.000 |
| 0.000 | 0.000 | 0.000 | 0.000 | 0.000 | 458.376 |
| 909.632 | -8.025 | -0.000 | -0.000 | -0.000 | -0.000 |
| -7.572 | 909.179 | -0.000 | -0.000 | -0.000 | -0.000 |
| 0.000 | -0.000 | -0.000 | -0.000 | -0.000 | -0.000 |
| -0.000 | -0.000 | -0.000 | -0.000 | -0.000 | -0.000 |
| -0.000 | -0.000 | -0.000 | -0.000 | -0.000 | -0.000 |
| -0.000 | -0.000 | -0.000 | -0.000 | -0.000 | 458.376 |
| 909.633 | -8.025 | 0.000 | 0.000 | 0.000 | 0.000 |
| -7.572 | 909.180 | 0.000 | 0.000 | 0.000 | 0.000 |
| -0.000 | 0.000 | 0.000 | 0.000 | 0.000 | 0.000 |
| 0.000 | 0.000 | 0.000 | 0.000 | 0.000 | 0.000 |
| 0.000 | 0.000 | 0.000 | 0.000 | 0.000 | 0.000 |
| 0.000 | 0.000 | 0.000 | 0.000 | 0.000 | 458.376 |
| 909.632 | -8.025 | -0.000 | -0.000 | -0.000 | -0.000 |
| -7.572 | 909.179 | -0.000 | -0.000 | -0.000 | -0.000 |
| 0.000 | -0.000 | -0.000 | -0.000 | -0.000 | -0.000 |
| 0.000 | -0.000 | -0.000 | -0.000 | -0.000 | -0.000 |
| -0.000 | -0.000 | -0.000 | -0.000 | -0.000 | -0.000 |
| -0.000 | -0.000 | -0.000 | -0.000 | -0.000 | 458.376 |
| 909.183 | -7.572 | 0.000 | 0.000 | 0.000 | 0.000 |
| -7.572 | 909.182 | 0.000 | 0.000 | 0.000 | 0.000 |
| -0.000 | 0.000 | 0.000 | 0.000 | 0.000 | 0.000 |
| 0.000 | 0.000 | 0.000 | 0.000 | 0.000 | 0.000 |
| 0.000 | 0.000 | 0.000 | 0.000 | 0.000 | 0.000 |
| 0.000 | 0.001 | 0.000 | 0.000 | 0.000 | 458.829 |
| 909.176 | -7.573 | -0.000 | -0.000 | -0.000 | -0.000 |
| -7.573 | 909.176 | -0.000 | -0.000 | -0.000 | -0.000 |
| 0.000 | -0.000 | -0.000 | -0.000 | -0.000 | -0.000 |
| -0.000 | -0.000 | -0.000 | -0.000 | -0.000 | -0.000 |
| -0.000 | -0.000 | -0.000 | -0.000 | -0.000 | -0.000 |
| -0.000 | -0.001 | -0.000 | -0.000 | -0.000 | 458.829 |
| 1032.166 | 96.650 | 17.429 | 0.000 | 0.000 | 0.000 |
| 103.212 | 399.176 | 11.110 | 0.000 | 0.000 | 0.000 |
| 37.904 | 37.644 | 1032.571 | 0.000 | 0.000 | 0.000 |
| -0.000 | -0.000 | -0.000 | 175.268 | 0.000 | 0.000 |
| 4.136 | 1.643 | -4.684 | 0.000 | 499.111 | 0.000 |
| 0.000 | 0.000 | -0.000 | 0.000 | 0.000 | 275.063 |
| 957.064 | 171.513 | 8.393 | -0.000 | -0.000 | -0.000 |
| 166.094 | 304.177 | 44.145 | -0.000 | -0.000 | 0.000 |
| 32.604 | 19.723 | 1071.488 | -0.000 | -0.000 | 0.000 |
| 0.000 | -0.000 | 0.000 | 175.268 | -0.000 | -0.000 |
| -4.136 | -1.643 | 4.684 | -0.000 | 499.110 | -0.000 |
| -0.000 | -0.000 | 0.000 | -0.000 | -0.000 | 275.063 |
| 958.860 | 173.146 | 5.277 | 0.000 | 0.000 | 0.000 |
| 179.789 | 300.068 | 35.712 | 0.000 | 0.000 | 0.000 |
| 32.604 | 19.723 | 1071.488 | 0.000 | 0.000 | 0.000 |
| 0.821 | 0.326 | -0.930 | 105.050 | 0.000 | 0.000 |
| 0.433 | 0.172 | -0.490 | 0.000 | 498.089 | 0.000 |
| 0.000 | 0.000 | 0.000 | 0.000 | 0.000 | 275.063 |
| 1032.165 | 96.650 | 17.429 | -0.000 | -0.000 | -0.000 |
| 174.430 | 301.092 | 40.263 | -0.000 | -0.000 | 0.000 |
| 21.141 | 44.453 | 1023.102 | -0.000 | -0.000 | -0.000 |
| -0.821 | -0.326 | 0.930 | 105.050 | -0.000 | -0.000 |
| -0.433 | -0.172 | 0.490 | -0.000 | 498.089 | -0.000 |
| -0.000 | -0.000 | -0.000 | -0.000 | -0.000 | 275.063 |
| 958.717 | 173.012 | 5.532 | 0.000 | 0.000 | 0.000 |
| 175.360 | 300.897 | 39.700 | 0.000 | 0.000 | 0.000 |
| 21.322 | 44.622 | 1022.783 | 0.000 | 0.000 | 0.000 |
| 0.046 | 0.019 | -0.053 | 104.733 | 0.000 | 0.000 |
| 0.017 | 0.023 | -0.038 | 0.000 | 478.423 | 0.000 |
| 0.036 | 0.014 | -0.041 | 0.000 | 0.000 | 244.635 |
| 958.707 | 172.949 | 5.595 | -0.000 | -0.000 | -0.000 |
| 179.696 | 299.935 | 36.821 | -0.000 | -0.000 | -0.000 |
| 20.365 | 45.875 | 1022.695 | -0.000 | -0.000 | -0.000 |
| -0.046 | -0.019 | 0.053 | 104.733 | -0.000 | -0.000 |
| -0.017 | -0.023 | 0.038 | -0.000 | 478.423 | -0.000 |
| -0.036 | -0.014 | 0.041 | -0.000 | -0.000 | 244.635 |
| 967.319 | -8.056 | 0.000 | 0.000 | 0.000 | 0.000 |
| -8.538 | 967.801 | 0.000 | 0.000 | 0.000 | 0.000 |
| 0.000 | 0.000 | 0.000 | 0.000 | 0.000 | 0.000 |
| 0.000 | 0.000 | 0.000 | 0.000 | 0.000 | 0.000 |
| 0.000 | 0.000 | 0.000 | 0.000 | 0.000 | 0.000 |
| 0.000 | 0.000 | 0.000 | 0.000 | 0.000 | 487.687 |
| 967.801 | -8.539 | -0.000 | -0.000 | -0.000 | -0.000 |
| -8.057 | 967.318 | -0.000 | -0.000 | -0.000 | -0.000 |
| -0.000 | -0.000 | -0.000 | -0.000 | -0.000 | -0.000 |
| -0.000 | -0.000 | -0.000 | -0.000 | -0.000 | -0.000 |
| -0.000 | -0.000 | -0.000 | -0.000 | -0.000 | -0.000 |
| -0.000 | -0.000 | -0.000 | -0.000 | -0.000 | 487.687 |
| 967.801 | -8.539 | 0.000 | 0.000 | 0.000 | 0.000 |
| -8.056 | 967.319 | 0.000 | 0.000 | 0.000 | 0.000 |
| 0.000 | 0.000 | 0.000 | 0.000 | 0.000 | 0.000 |
| 0.000 | 0.000 | 0.000 | 0.000 | 0.000 | 0.000 |
| 0.000 | 0.000 | 0.000 | 0.000 | 0.000 | 0.000 |
| 0.000 | 0.000 | 0.000 | 0.000 | 0.000 | 487.688 |
| 967.800 | -8.539 | -0.000 | -0.000 | -0.000 | -0.000 |
| -8.056 | 967.318 | -0.000 | -0.000 | -0.000 | 0.000 |
| -0.000 | -0.000 | -0.000 | -0.000 | -0.000 | -0.000 |
| -0.000 | -0.000 | -0.000 | -0.000 | -0.000 | -0.000 |
| -0.000 | -0.000 | -0.000 | -0.000 | -0.000 | -0.000 |
| -0.000 | -0.000 | -0.000 | -0.000 | -0.000 | 487.688 |
| 967.322 | -8.056 | 0.000 | 0.000 | 0.000 | 0.000 |
| -8.056 | 967.322 | 0.000 | 0.000 | 0.000 | 0.000 |
| 0.000 | 0.000 | 0.000 | 0.000 | 0.000 | 0.000 |
| 0.000 | 0.000 | 0.000 | 0.000 | 0.000 | 0.000 |
| 0.000 | 0.000 | 0.000 | 0.000 | 0.000 | 0.000 |
| 0.000 | 0.001 | 0.000 | 0.000 | 0.000 | 487.688 |
| 967.315 | -8.057 | -0.000 | -0.000 | -0.000 | -0.000 |
| -8.057 | 967.315 | -0.000 | -0.000 | -0.000 | -0.000 |
| -0.000 | -0.000 | -0.000 | -0.000 | -0.000 | -0.000 |
| -0.000 | -0.000 | -0.000 | -0.000 | -0.000 | -0.000 |
| -0.000 | -0.000 | -0.000 | -0.000 | -0.000 | -0.000 |
| -0.000 | -0.001 | -0.000 | -0.000 | -0.000 | 487.688 |
| 1245.914 | 82.603 | 9.151 | 14.367 | -0.000 | -0.000 |
| 82.535 | 1250.261 | 4.883 | -15.658 | -0.000 | -0.000 |
| -2.939 | -2.939 | 1342.711 | 0.000 | -0.000 | 0.000 |
| 21.271 | -7.477 | -13.756 | 532.538 | -0.000 | -0.000 |
| 6.896 | 6.897 | -13.756 | 0.000 | 532.538 | 14.374 |
| -0.000 | -0.000 | 0.001 | 0.000 | 18.078 | 609.353 |
| 1235.720 | 68.198 | 33.681 | 14.649 | 0.000 | -0.000 |
| 68.197 | 1235.720 | 33.682 | -14.649 | 0.000 | -0.001 |
| -2.939 | -2.938 | 1342.709 | -0.000 | 0.000 | -0.000 |
| 18.078 | -18.078 | -0.001 | 545.625 | 0.000 | 0.000 |
| -6.896 | -6.897 | 13.756 | -0.000 | 532.538 | 14.374 |
| 0.000 | 0.000 | -0.001 | -0.000 | 18.079 | 609.353 |
| 1279.790 | 61.083 | -3.173 | 18.078 | -0.000 | -0.000 |
| 74.496 | 1244.643 | 18.503 | -14.825 | -0.000 | -0.000 |
| 19.006 | 19.006 | 1298.938 | 0.000 | -0.000 | 0.000 |
| 15.605 | -14.474 | -1.128 | 534.888 | -0.000 | 0.000 |
| 0.568 | 0.568 | -1.133 | 0.000 | 534.846 | 15.027 |
| 0.000 | 0.000 | 0.000 | 0.000 | 18.078 | 609.353 |
| 1279.789 | 61.083 | -3.173 | 18.078 | 0.000 | 0.000 |
| 61.083 | 1279.789 | -3.173 | -18.078 | 0.000 | 0.000 |
| 17.896 | 17.896 | 1301.150 | -0.000 | 0.000 | 0.000 |
| 14.459 | -15.595 | 1.133 | 534.846 | 0.000 | 0.000 |
| -0.568 | -0.568 | 1.133 | -0.000 | 534.846 | 15.027 |
| 0.000 | -0.000 | -0.000 | -0.000 | 18.078 | 609.353 |
| 1242.428 | 80.369 | 14.858 | 15.508 | -0.000 | -0.000 |
| 61.083 | 1279.793 | -3.173 | -18.079 | -0.000 | -0.000 |
| 18.463 | 18.463 | 1300.024 | 0.000 | -0.000 | -0.000 |
| 18.079 | -18.079 | 0.000 | 545.625 | -0.000 | -0.000 |
| -0.000 | 0.000 | 0.000 | 0.000 | 545.625 | 18.078 |
| 0.000 | 0.001 | 0.000 | 0.000 | 18.078 | 609.353 |
| 1279.785 | 61.082 | -3.173 | 18.078 | -0.000 | -0.000 |
| 80.261 | 1242.289 | 15.096 | -15.501 | 0.000 | 0.000 |
| 18.382 | 18.382 | 1300.177 | -0.000 | 0.000 | -0.000 |
| 14.984 | -15.097 | 0.113 | 534.893 | 0.000 | 0.000 |
| 0.000 | -0.000 | -0.000 | -0.000 | 545.625 | 18.078 |
| -0.000 | -0.001 | -0.000 | -0.000 | 18.078 | 609.353 |
| 1280.172 | 61.061 | -2.890 | 18.088 | 0.000 | 0.000 |
| 61.061 | 1280.172 | -2.890 | -18.088 | 0.000 | 0.000 |
| -2.889 | -2.890 | 1344.123 | -0.000 | 0.000 | 0.000 |
| -21.672 | -51.692 | 73.363 | 534.721 | 0.000 | 0.000 |
| 0.000 | 0.000 | 0.000 | -0.000 | 545.604 | 18.088 |
| -37.143 | -37.143 | 74.286 | 0.000 | 14.971 | 586.311 |
| 1280.172 | 61.061 | -2.889 | 18.088 | -0.000 | -0.000 |
| 61.061 | 1280.172 | -2.889 | -18.088 | -0.000 | -0.000 |
| -2.889 | -2.889 | 1344.123 | 0.000 | -0.000 | -0.000 |
| 18.088 | -18.088 | -0.000 | 545.604 | -0.000 | -0.000 |
| -0.000 | -0.000 | -0.000 | -0.000 | 545.604 | 18.088 |
| 37.143 | 37.143 | -74.286 | -0.000 | 14.971 | 586.310 |
| 1241.178 | 69.800 | 27.367 | 14.888 | 0.000 | 0.000 |
| 69.800 | 1241.178 | 27.367 | -14.888 | -0.000 | 0.000 |
| 14.988 | 14.988 | 1308.368 | 0.000 | 0.000 | 0.000 |
| 18.088 | -18.088 | 0.000 | 545.604 | 0.000 | 0.000 |
| -3.619 | -3.619 | 7.238 | 0.000 | 534.867 | 15.051 |
| -3.972 | -3.972 | 7.943 | 0.000 | 14.755 | 584.700 |
| 1280.172 | 61.061 | -2.890 | 18.088 | -0.000 | -0.000 |
| 77.900 | 1247.898 | 12.546 | -14.795 | -0.000 | -0.000 |
| 22.228 | 22.228 | 1293.887 | -0.000 | -0.000 | -0.000 |
| 18.088 | -18.088 | -0.000 | 545.604 | -0.000 | -0.000 |
| 3.619 | 3.619 | -7.238 | -0.000 | 534.867 | 15.051 |
| 3.972 | 3.972 | -7.943 | -0.000 | 14.755 | 584.700 |
| 1244.210 | 73.370 | 20.768 | 14.852 | 0.000 | 0.000 |
| 61.062 | 1280.176 | -2.889 | -18.088 | 0.000 | 0.000 |
| 18.237 | 18.237 | 1301.875 | -0.000 | 0.000 | 0.000 |
| 14.687 | -15.412 | 0.725 | 534.860 | 0.000 | 0.000 |
| -0.000 | 0.000 | 0.000 | 0.000 | 545.604 | 18.088 |
| -0.216 | -0.216 | 0.432 | 0.000 | 16.277 | 582.192 |
| 1244.856 | 74.184 | 19.299 | 14.841 | -0.000 | -0.000 |
| 74.202 | 1244.808 | 19.330 | -14.836 | -0.000 | -0.000 |
| 18.960 | 18.960 | 1300.419 | -0.000 | -0.000 | -0.000 |
| 15.411 | -14.687 | -0.724 | 534.861 | -0.000 | -0.000 |
| 0.000 | -0.000 | -0.000 | -0.000 | 545.604 | 18.088 |
| 0.216 | 0.216 | -0.432 | -0.000 | 16.277 | 582.192 |
| 1279.471 | 60.762 | -2.894 | 12.905 | 0.000 | -0.000 |
| 660.620 | 1779.876 | -1105.055 | -8.068 | 0.000 | -0.000 |
| 187.334 | 187.335 | 962.497 | 0.000 | 0.000 | -0.000 |
| -44.508 | -71.275 | 115.923 | 547.732 | -0.000 | -0.000 |
| -0.000 | 0.000 | -0.026 | 0.000 | 545.361 | 12.904 |
| -0.001 | 0.000 | -0.026 | 0.001 | 12.905 | 609.355 |
| 633.822 | -485.767 | 1191.342 | 8.084 | -0.000 | 0.000 |
| -93.721 | 1074.950 | 356.790 | -11.447 | 0.000 | 0.000 |
| -529.989 | -529.990 | 2399.679 | 0.000 | -0.001 | 0.000 |
| -565.104 | -581.256 | 1148.347 | 521.449 | -0.000 | 0.000 |
| -0.000 | -0.000 | 0.028 | -0.001 | 545.360 | 12.905 |
| 0.001 | -0.000 | 0.027 | -0.000 | 12.904 | 609.355 |
| 1263.088 | 144.370 | -70.236 | 8.042 | 0.000 | -0.000 |
| 60.761 | 1279.472 | -2.893 | -12.905 | 0.000 | -0.000 |
| -3.046 | -3.046 | 1343.980 | 0.000 | 0.000 | -0.000 |
| 73.914 | 59.300 | -133.447 | 517.644 | -0.000 | -0.000 |
| 57.120 | 57.120 | -114.434 | 0.000 | 521.532 | 8.093 |
| 0.000 | 0.000 | -0.002 | 0.000 | 12.905 | 609.355 |
| 1279.471 | 60.761 | -2.898 | 12.905 | 0.000 | 0.000 |
| 60.761 | 1279.471 | -2.897 | -12.905 | -0.000 | 0.000 |
| -12.593 | -12.593 | 1363.111 | -0.000 | -0.000 | 0.000 |
| 12.905 | -12.905 | 0.002 | 545.361 | -0.000 | 0.000 |
| -57.120 | -57.120 | 114.434 | -0.000 | 521.532 | 8.093 |
| -0.000 | -0.000 | 0.002 | -0.000 | 12.905 | 609.355 |
| 1233.411 | 82.104 | 21.868 | 9.627 | 0.000 | -0.000 |
| 60.762 | 1279.476 | -2.896 | -12.905 | -0.000 | -0.000 |
| 16.165 | 16.165 | 1305.498 | 0.000 | -0.000 | -0.000 |
| 12.905 | -12.905 | 0.001 | 545.361 | 0.000 | -0.000 |
| 3.588 | 3.589 | -7.190 | 0.000 | 530.424 | 9.888 |
| 0.000 | 0.001 | -0.000 | 0.000 | 12.905 | 609.355 |
| 1229.133 | 73.436 | 34.827 | 9.840 | -0.000 | 0.000 |
| 81.617 | 1244.770 | 10.969 | -11.771 | 0.000 | 0.000 |
| 23.789 | 23.789 | 1290.215 | 0.000 | 0.000 | 0.000 |
| 11.037 | -13.056 | 2.022 | 541.112 | -0.000 | 0.000 |
| -3.588 | -3.589 | 7.190 | -0.000 | 530.424 | 9.888 |
| -0.000 | -0.001 | 0.000 | -0.000 | 12.905 | 609.355 |
| 498.640 | 142.736 | 142.736 | 0.000 | -0.000 | -0.000 |
| 142.736 | 498.640 | 142.736 | -0.000 | 0.000 | -0.000 |
| 142.736 | 142.736 | 498.639 | 0.000 | 0.000 | -0.000 |
| -0.000 | -0.000 | -0.000 | 161.676 | 0.000 | -0.000 |
| 0.000 | -0.000 | -0.000 | 0.000 | 161.676 | -0.000 |
| -0.000 | -0.000 | -0.000 | 0.000 | 0.000 | 161.676 |
| 639.117 | 71.575 | 71.575 | -0.000 | 0.000 | 0.000 |
| 71.575 | 639.117 | 71.575 | 0.000 | -0.000 | 0.000 |
| 71.575 | 71.575 | 639.117 | -0.000 | 0.000 | 0.000 |
| 0.000 | 0.000 | 0.000 | 161.676 | 0.000 | 0.000 |
| -0.000 | 0.000 | 0.000 | -0.000 | 161.676 | 0.000 |
| 0.000 | 0.000 | 0.000 | -0.000 | -0.000 | 161.676 |
| 498.065 | 142.134 | 142.134 | 0.000 | 0.000 | -0.000 |
| 142.134 | 498.065 | 142.134 | 0.000 | 0.000 | -0.000 |
| 142.134 | 142.134 | 498.065 | -0.000 | 0.000 | -0.000 |
| 0.100 | 0.100 | 0.100 | 106.602 | 0.000 | -0.000 |
| 0.100 | 0.100 | 0.100 | 0.000 | 106.602 | -0.000 |
| 0.100 | 0.100 | 0.100 | 0.000 | 0.000 | 106.602 |
| 497.892 | 142.002 | 142.002 | -0.000 | -0.000 | 0.000 |
| 142.002 | 497.892 | 142.002 | -0.000 | -0.000 | 0.000 |
| 141.997 | 141.997 | 497.902 | 0.000 | 0.000 | 0.000 |
| -0.100 | -0.100 | -0.100 | 106.602 | -0.000 | 0.000 |
| -0.100 | -0.100 | -0.100 | -0.000 | 106.602 | 0.000 |
| -0.100 | -0.100 | -0.100 | 0.000 | -0.000 | 106.602 |
| 498.014 | 141.974 | 141.974 | -0.000 | 0.000 | -0.000 |
| 141.974 | 498.014 | 141.974 | 0.000 | 0.000 | -0.000 |
| 141.974 | 141.974 | 498.014 | 0.000 | -0.000 | -0.000 |
| 0.010 | 0.010 | 0.010 | 106.545 | 0.000 | -0.000 |
| 0.010 | 0.010 | 0.010 | 0.000 | 106.545 | -0.000 |
| 0.010 | 0.010 | 0.010 | 0.000 | 0.000 | 106.545 |
| 498.052 | 141.911 | 141.911 | -0.000 | 0.000 | 0.000 |
| 141.911 | 498.052 | 141.911 | -0.000 | -0.000 | 0.000 |
| 141.911 | 141.911 | 498.052 | -0.000 | -0.000 | 0.000 |
| -0.010 | -0.010 | -0.010 | 106.545 | -0.000 | 0.000 |
| -0.010 | -0.010 | -0.010 | -0.000 | 106.545 | 0.000 |
| -0.010 | -0.010 | -0.010 | -0.000 | -0.000 | 106.545 |
| 195.513 | 1235.244 | 300.043 | 0.000 | -0.000 | -0.000 |
| -232.012 | 1425.096 | 279.566 | -0.000 | 0.000 | 0.000 |
| -249.359 | 1114.367 | 474.183 | -0.000 | -0.000 | 0.000 |
| -318.827 | 1167.766 | 249.977 | 60.639 | -0.000 | 0.000 |
| -377.332 | 1212.660 | 1316.619 | -0.000 | 126.839 | 0.000 |
| -318.454 | 1166.403 | 249.685 | -0.000 | -0.000 | 212.697 |
| 831.337 | -1093.344 | -198.420 | 0.000 | 0.000 | -0.000 |
| 462.567 | -953.534 | -1333.943 | 0.000 | 0.000 | 0.000 |
| 49.374 | -3.787 | 421.909 | -0.000 | -0.000 | -0.000 |
| 318.827 | -1167.767 | -249.977 | 60.639 | 0.000 | -0.000 |
| 377.332 | -1212.660 | -1316.619 | 0.000 | 126.839 | 0.000 |
| 318.454 | -1166.403 | -249.685 | 0.000 | 0.000 | 212.697 |
| 516.958 | 182.134 | 88.746 | -0.000 | -0.000 | 0.000 |
| 57.449 | 314.424 | 13.183 | 0.000 | -0.000 | 0.000 |
| 49.374 | -3.787 | 421.909 | -0.000 | -0.000 | 0.000 |
| -11.617 | 114.818 | 168.896 | 30.129 | 0.000 | 0.000 |
| -42.583 | 143.744 | 107.046 | 0.000 | 123.421 | -0.000 |
| -30.083 | 110.186 | 23.587 | -0.000 | -0.000 | 213.664 |
| 582.987 | -72.049 | -92.543 | -0.000 | 0.000 | 0.000 |
| 118.017 | 140.255 | 2.944 | -0.000 | 0.000 | -0.000 |
| 16.595 | -133.946 | -167.066 | 0.000 | -0.000 | -0.000 |
| 37.797 | -120.637 | -136.911 | 36.226 | 0.000 | -0.000 |
| 42.583 | -143.744 | -107.046 | -0.000 | 123.421 | 0.000 |
| 30.083 | -110.186 | -23.587 | 0.000 | 0.000 | 213.664 |
| 539.619 | 78.231 | 32.371 | -0.000 | -0.000 | -0.000 |
| 80.912 | 265.179 | 16.708 | -0.000 | 0.000 | 0.000 |
| 0.217 | -5.274 | 16.709 | -0.000 | 0.000 | 0.000 |
| 0.061 | 12.576 | 29.254 | 1.128 | 0.000 | 0.000 |
| 1.810 | 5.466 | 26.945 | -0.000 | 5.636 | 0.000 |
| -1.494 | 11.881 | 16.462 | 0.000 | -0.000 | 220.531 |
| 540.578 | 61.655 | 2.139 | -0.000 | 0.000 | 0.000 |
| 88.210 | 241.608 | -13.198 | 0.000 | -0.000 | 0.000 |
| 3.201 | -28.679 | -16.702 | 0.000 | 0.000 | -0.000 |
| -0.061 | -12.576 | -29.254 | 1.128 | 0.000 | -0.000 |
| -1.810 | -5.466 | -26.945 | 0.000 | 5.636 | -0.000 |
| 1.494 | -11.881 | -16.462 | -0.000 | -0.000 | 220.531 |
| 1243.771 | 75.088 | 18.901 | -0.000 | -0.000 | 0.000 |
| 61.233 | 1279.932 | -3.307 | 0.000 | 0.000 | 0.001 |
| -2.890 | -2.890 | 1342.104 | 0.000 | -0.000 | 0.000 |
| 0.000 | 0.001 | -0.000 | 545.747 | -0.000 | 0.000 |
| 0.000 | 0.000 | -0.000 | 0.000 | 545.747 | 0.000 |
| -0.001 | 0.000 | -0.000 | 0.000 | 0.000 | 609.350 |
| 1237.166 | 81.672 | 18.916 | 0.000 | 0.000 | -0.000 |
| 74.061 | 1242.965 | 20.718 | -0.000 | -0.000 | -0.000 |
| -2.890 | -2.890 | 1342.103 | 0.000 | 0.000 | -0.000 |
| -0.000 | -0.001 | 0.000 | 545.747 | -0.000 | -0.000 |
| -0.000 | -0.000 | -0.000 | 0.000 | 545.747 | -0.000 |
| -0.000 | -0.000 | 0.000 | -0.000 | -0.000 | 609.350 |
| 1243.411 | 74.623 | 19.717 | -0.000 | -0.000 | 0.000 |
| 74.624 | 1243.409 | 19.718 | 0.000 | -0.000 | 0.000 |
| 18.476 | 18.476 | 1299.574 | 0.000 | -0.000 | 0.000 |
| 0.000 | 0.000 | 0.000 | 545.747 | -0.000 | 0.000 |
| 0.000 | 0.000 | 0.000 | 0.000 | 545.747 | 0.000 |
| -0.000 | 0.000 | 0.000 | -0.000 | -0.000 | 609.350 |
| 1279.932 | 61.232 | -3.304 | 0.000 | 0.000 | -0.000 |
| 61.232 | 1279.931 | -3.304 | 0.000 | -0.000 | -0.000 |
| -2.890 | -2.890 | 1342.103 | -0.000 | 0.000 | -0.000 |
| -0.000 | -0.000 | -0.000 | 545.747 | -0.000 | -0.000 |
| -0.000 | -0.000 | -0.000 | -0.000 | 545.747 | -0.000 |
| 0.000 | -0.000 | -0.000 | -0.000 | 0.000 | 609.350 |
| 1243.397 | 74.571 | 19.787 | 0.000 | -0.000 | 0.000 |
| 74.559 | 1243.428 | 19.767 | 0.000 | -0.000 | 0.000 |
| 18.436 | 18.436 | 1299.658 | -0.000 | 0.000 | 0.000 |
| 0.000 | -0.000 | 0.000 | 545.747 | -0.000 | 0.000 |
| 0.004 | 0.005 | -0.009 | -0.000 | 535.010 | 0.000 |
| 0.000 | 0.001 | 0.000 | 0.000 | 0.000 | 609.350 |
| 1279.928 | 61.231 | -3.305 | -0.000 | -0.000 | -0.000 |
| 82.142 | 1237.586 | 18.026 | -0.000 | 0.000 | -0.000 |
| 18.458 | 18.458 | 1299.606 | 0.000 | -0.000 | -0.000 |
| -0.000 | 0.000 | -0.000 | 545.747 | 0.000 | -0.000 |
| -0.004 | -0.005 | 0.009 | -0.000 | 535.010 | -0.000 |
| -0.000 | -0.001 | -0.000 | -0.000 | -0.000 | 609.350 |
| 1280.172 | 61.062 | -2.890 | -0.000 | 0.000 | -0.000 |
| 74.880 | 1244.073 | 19.391 | -0.000 | 0.000 | 0.001 |
| -2.890 | -2.890 | 1344.123 | -0.000 | -0.000 | 0.001 |
| 0.497 | 0.498 | -0.996 | 534.860 | -0.000 | 0.001 |
| 0.498 | 0.498 | -0.996 | -0.000 | 534.860 | 0.000 |
| -0.117 | -0.116 | 0.233 | -0.000 | 0.000 | 578.013 |
| 1240.560 | 83.264 | 14.520 | 0.000 | -0.000 | -0.000 |
| 73.735 | 1243.176 | 21.434 | -0.000 | -0.000 | -0.000 |
| 18.101 | 18.101 | 1302.142 | -0.000 | 0.000 | 0.000 |
| -0.497 | -0.498 | 0.995 | 534.860 | -0.000 | -0.000 |
| -0.498 | -0.497 | 0.996 | 0.000 | 534.859 | -0.000 |
| 0.117 | 0.117 | -0.233 | 0.000 | -0.000 | 578.012 |
| 1243.669 | 74.363 | 20.312 | 0.000 | 0.000 | 0.000 |
| 74.363 | 1243.669 | 20.312 | 0.000 | 0.000 | 0.000 |
| 18.648 | 18.648 | 1301.049 | -0.000 | 0.000 | 0.000 |
| 0.000 | -0.000 | 0.000 | 545.604 | 0.000 | 0.000 |
| 0.050 | 0.050 | -0.100 | -0.000 | 534.861 | -0.000 |
| 0.056 | 0.056 | -0.112 | -0.000 | 0.000 | 583.634 |
| 1280.172 | 61.061 | -2.889 | 0.000 | -0.000 | -0.000 |
| 74.250 | 1243.574 | 20.520 | -0.000 | -0.000 | -0.000 |
| -2.889 | -2.889 | 1344.123 | -0.000 | -0.000 | 0.000 |
| -0.000 | 0.000 | -0.000 | 545.604 | -0.000 | -0.000 |
| -0.050 | -0.050 | 0.100 | 0.000 | 534.861 | 0.000 |
| -0.056 | -0.056 | 0.112 | 0.000 | -0.000 | 583.634 |
| 1241.125 | 83.864 | 13.360 | 0.000 | 0.000 | 0.000 |
| 61.062 | 1280.176 | -2.889 | 0.000 | 0.000 | 0.000 |
| 18.603 | 18.603 | 1301.142 | -0.000 | 0.000 | -0.000 |
| 0.000 | -0.000 | 0.000 | 545.604 | 0.000 | 0.000 |
| 0.005 | 0.005 | -0.010 | -0.000 | 534.861 | -0.000 |
| 0.006 | 0.006 | -0.012 | -0.000 | 0.000 | 577.971 |
| 1243.616 | 74.300 | 20.425 | 0.000 | -0.000 | -0.000 |
| 83.851 | 1241.107 | 13.382 | 0.000 | -0.000 | -0.000 |
| 18.592 | 18.592 | 1301.155 | -0.000 | -0.000 | -0.000 |
| -0.000 | 0.000 | -0.000 | 545.604 | -0.000 | -0.000 |
| -0.005 | -0.005 | 0.010 | 0.000 | 534.861 | 0.000 |
| -0.006 | -0.006 | 0.012 | 0.000 | -0.000 | 577.971 |
| 1279.923 | 61.125 | -3.149 | -0.000 | -0.000 | 0.000 |
| 61.125 | 1279.923 | -3.149 | 0.000 | -0.001 | 0.000 |
| 133.508 | 133.508 | 1070.739 | -0.001 | -0.000 | 0.000 |
| 0.000 | 0.000 | -0.001 | 545.659 | -0.000 | 0.000 |
| 91.860 | 91.860 | -183.224 | -0.000 | 535.564 | 0.000 |
| 112.312 | 112.312 | -224.022 | -0.001 | -0.000 | 583.530 |
| 1279.923 | 61.124 | -3.149 | 0.000 | 0.000 | -0.000 |
| 61.125 | 1279.923 | -3.149 | 0.001 | 0.000 | -0.000 |
| -90.906 | -90.906 | 1518.364 | 0.000 | 0.000 | -0.000 |
| -0.000 | -0.000 | 0.001 | 545.659 | 0.000 | -0.000 |
| -91.860 | -91.860 | 183.224 | 0.000 | 535.564 | -0.000 |
| -112.312 | -112.312 | 224.022 | 0.001 | 0.001 | 583.530 |
| 1279.923 | 61.125 | -3.148 | 0.000 | 0.000 | 0.000 |
| 61.125 | 1279.924 | -3.148 | -0.000 | -0.000 | 0.000 |
| 31.278 | 31.278 | 1274.653 | -0.000 | -0.000 | -0.000 |
| 11.135 | 11.135 | -22.210 | 533.411 | -0.000 | 0.000 |
| 0.000 | 0.000 | -0.000 | -0.000 | 545.658 | 0.000 |
| 0.000 | 0.000 | -0.000 | -0.000 | -0.000 | 609.399 |
| 1231.742 | 63.375 | 42.659 | -0.000 | 0.000 | -0.000 |
| 63.375 | 1231.744 | 42.657 | 0.000 | 0.000 | -0.000 |
| 10.409 | 10.409 | 1316.277 | 0.000 | 0.000 | 0.000 |
| -11.135 | -11.135 | 22.210 | 533.411 | 0.000 | -0.000 |
| -0.000 | -0.000 | 0.000 | 0.000 | 545.659 | -0.000 |
| -0.000 | -0.000 | 0.000 | 0.000 | 0.000 | 609.399 |
| 1244.974 | 78.854 | 14.029 | -0.000 | -0.000 | 0.000 |
| 61.125 | 1279.927 | -3.148 | -0.000 | -0.000 | 0.000 |
| 19.556 | 19.556 | 1298.038 | 0.000 | -0.000 | 0.000 |
| 0.000 | -0.000 | 0.000 | 545.658 | -0.000 | 0.000 |
| 0.976 | 0.977 | -1.947 | -0.000 | 534.929 | 0.000 |
| 0.000 | 0.001 | 0.000 | -0.000 | -0.000 | 609.399 |
| 1236.997 | 78.267 | 22.563 | 0.000 | 0.000 | -0.000 |
| 72.530 | 1243.798 | 21.501 | 0.000 | 0.000 | -0.000 |
| 17.611 | 17.611 | 1301.909 | 0.000 | 0.000 | 0.000 |
| -0.000 | 0.000 | -0.000 | 545.658 | 0.000 | -0.000 |
| -0.976 | -0.977 | 1.947 | 0.000 | 534.929 | -0.000 |
| -0.000 | -0.001 | -0.000 | 0.000 | 0.000 | 609.399 |
| 1242.080 | 67.596 | 28.239 | 0.000 | 0.000 | -0.000 |
| 61.025 | 1279.916 | -3.001 | 0.000 | 0.000 | 0.000 |
| 8.127 | 8.127 | 1321.446 | 0.000 | 0.000 | 0.000 |
| -13.056 | -13.056 | 26.093 | 532.078 | 0.000 | -0.000 |
| -7.601 | -7.601 | 15.190 | 0.000 | 537.725 | -0.000 |
| -13.047 | -13.047 | 26.073 | 0.000 | 0.000 | 581.535 |
| 1251.530 | 88.542 | -2.134 | -0.000 | -0.000 | 0.000 |
| 82.755 | 1257.683 | -2.500 | 0.000 | -0.000 | 0.000 |
| 21.016 | 21.016 | 1295.688 | -0.000 | -0.000 | 0.000 |
| 13.056 | 13.056 | -26.094 | 532.078 | 0.000 | 0.000 |
| 7.601 | 7.601 | -15.190 | -0.000 | 537.725 | 0.000 |
| 13.047 | 13.047 | -26.073 | -0.000 | -0.000 | 581.535 |
| 1242.421 | 72.552 | 22.947 | 0.000 | 0.000 | 0.000 |
| 61.025 | 1279.917 | -3.002 | 0.000 | -0.000 | 0.000 |
| 18.873 | 18.873 | 1299.971 | 0.000 | 0.000 | -0.000 |
| -0.912 | -0.912 | 1.823 | 536.153 | -0.000 | 0.000 |
| -0.000 | 0.000 | 0.000 | 0.000 | 545.576 | -0.000 |
| 0.000 | 0.000 | 0.000 | 0.000 | 0.000 | 609.446 |
| 1279.916 | 61.025 | -3.002 | -0.000 | -0.000 | 0.000 |
| 61.025 | 1279.916 | -3.002 | -0.000 | -0.000 | -0.000 |
| 20.882 | 20.882 | 1295.955 | -0.000 | -0.000 | 0.000 |
| 0.912 | 0.912 | -1.823 | 536.153 | -0.000 | 0.000 |
| 0.000 | -0.000 | -0.000 | -0.000 | 545.576 | 0.000 |
| -0.000 | -0.000 | -0.000 | -0.000 | -0.000 | 609.446 |
| 1244.480 | 76.334 | 17.114 | 0.000 | 0.000 | -0.000 |
| 72.887 | 1245.477 | 19.562 | 0.000 | 0.000 | -0.000 |
| 18.427 | 18.427 | 1300.866 | 0.000 | 0.000 | -0.000 |
| -0.103 | -0.104 | 0.207 | 534.865 | -0.000 | -0.000 |
| -0.104 | -0.104 | 0.208 | -0.000 | 534.805 | -0.000 |
| 0.000 | 0.001 | 0.000 | 0.000 | 0.000 | 609.446 |
| 1245.661 | 73.111 | 19.145 | -0.000 | -0.000 | -0.000 |
| 73.112 | 1245.660 | 19.146 | -0.000 | -0.000 | 0.000 |
| 18.617 | 18.617 | 1300.477 | -0.000 | 0.000 | -0.000 |
| 0.103 | 0.104 | -0.207 | 534.865 | -0.000 | 0.000 |
| 0.104 | 0.104 | -0.208 | 0.000 | 534.805 | 0.000 |
| -0.000 | -0.001 | -0.000 | -0.000 | -0.000 | 609.446 |
| 813.108 | 906.169 | -615.573 | -0.000 | -0.000 | -0.000 |
| -6.269 | 1302.506 | -745.053 | 0.000 | -0.000 | -0.000 |
| -123.702 | 1069.728 | -554.475 | 0.000 | -0.000 | 0.000 |
| 0.000 | 0.000 | 0.000 | 113.870 | -0.000 | -0.000 |
| 0.000 | 0.000 | 0.000 | -0.000 | 312.672 | -0.000 |
| 0.000 | -0.000 | 0.000 | -0.000 | -0.000 | 275.422 |
| 843.503 | -865.547 | 796.117 | 0.000 | 0.000 | 0.000 |
| 200.612 | -649.421 | 803.710 | 0.000 | 0.000 | 0.000 |
| 107.542 | -909.128 | 1049.406 | -0.000 | 0.000 | 0.000 |
| -0.000 | -0.000 | -0.000 | 113.870 | 0.000 | 0.000 |
| -0.000 | 0.000 | -0.000 | -0.000 | 312.672 | 0.000 |
| -0.000 | 0.000 | -0.000 | -0.000 | 0.000 | 275.422 |
| 730.079 | 192.434 | -107.304 | 0.000 | 0.000 | -0.000 |
| 54.693 | 456.901 | 23.099 | 0.000 | -0.000 | -0.000 |
| 45.809 | 21.517 | 545.812 | 0.000 | -0.000 | -0.000 |
| 0.000 | -0.000 | -0.000 | 113.870 | -0.000 | -0.000 |
| 9.088 | 92.486 | -75.944 | 0.000 | 222.670 | -0.000 |
| 7.993 | 81.338 | -66.789 | 0.000 | -0.000 | 264.763 |
| 742.506 | 32.127 | 94.444 | 0.000 | 0.000 | 0.000 |
| 54.693 | 456.901 | 23.099 | -0.000 | -0.000 | 0.000 |
| 45.809 | 21.517 | 545.812 | -0.000 | 0.000 | 0.000 |
| -0.000 | 0.000 | -0.000 | 113.870 | 0.000 | 0.000 |
| -9.088 | -92.486 | 75.944 | -0.000 | 222.670 | 0.000 |
| -7.993 | -81.338 | 66.789 | -0.000 | 0.000 | 264.763 |
| 740.347 | 111.061 | -10.731 | 0.000 | -0.000 | -0.000 |
| 98.884 | 322.754 | 27.672 | 0.000 | -0.000 | -0.000 |
| -5.626 | 7.465 | -10.724 | -0.000 | -0.000 | 0.000 |
| -1.485 | 7.328 | -14.617 | 2.756 | -0.000 | -0.000 |
| -1.144 | 9.048 | -10.731 | 0.000 | -0.005 | -0.000 |
| -1.076 | 9.068 | -10.158 | 0.000 | -0.000 | 248.860 |
| 747.426 | 86.635 | 49.904 | -0.000 | 0.000 | 0.000 |
| 107.211 | 307.153 | 54.581 | -0.000 | 0.000 | 0.000 |
| -3.349 | -10.629 | 10.801 | -0.000 | 0.000 | -0.000 |
| 1.486 | -7.329 | 14.616 | 2.757 | 0.000 | 0.000 |
| 1.144 | -9.048 | 10.731 | -0.000 | -0.005 | 0.000 |
| 1.076 | -9.068 | 10.158 | -0.000 | 0.000 | 248.860 |
| 260.721 | 79.996 | 86.118 | 0.000 | -0.000 | -0.000 |
| 61.902 | 519.225 | 63.730 | 0.000 | 0.000 | -0.000 |
| 92.021 | 86.277 | 298.767 | 0.000 | 0.000 | 0.000 |
| 0.008 | -0.005 | -0.006 | 75.437 | 0.000 | 0.000 |
| 0.006 | 0.000 | -0.003 | 0.000 | 145.197 | 0.000 |
| 0.008 | -0.004 | -0.006 | 0.000 | 0.000 | 117.154 |
| 260.715 | 79.987 | 86.143 | -0.000 | 0.000 | -0.000 |
| 61.902 | 519.225 | 63.730 | -0.000 | 0.000 | -0.000 |
| 63.711 | 54.885 | 105.146 | 0.000 | 0.000 | -0.000 |
| -0.008 | 0.005 | 0.006 | 75.437 | 0.000 | -0.000 |
| -0.006 | -0.000 | 0.003 | 0.000 | 145.197 | 0.000 |
| -0.008 | 0.004 | 0.006 | -0.000 | -0.000 | 117.154 |
| 260.722 | 79.993 | 86.130 | -0.000 | 0.000 | -0.000 |
| 61.902 | 519.225 | 63.730 | 0.000 | 0.000 | 0.000 |
| 15.263 | 14.809 | 61.459 | 0.000 | 0.000 | -0.000 |
| 0.001 | 0.001 | -0.001 | 90.428 | -0.000 | 0.000 |
| 0.001 | 0.000 | -0.000 | 0.000 | 145.197 | 0.000 |
| 0.000 | 0.000 | 0.000 | 0.000 | 0.000 | 245.862 |
| 260.719 | 79.991 | 86.132 | -0.000 | 0.000 | 0.000 |
| 87.072 | 352.927 | 86.315 | -0.000 | 0.000 | -0.000 |
| 89.110 | 86.321 | 171.203 | -0.000 | -0.000 | 0.000 |
| -0.001 | -0.001 | 0.001 | 90.428 | -0.000 | 0.000 |
| -0.001 | -0.000 | 0.000 | -0.000 | 145.197 | 0.000 |
| -0.000 | -0.000 | -0.000 | -0.000 | -0.000 | 245.862 |
| 261.066 | 79.953 | 86.086 | 0.000 | 0.000 | -0.000 |
| 58.246 | 225.329 | 63.826 | 0.000 | 0.000 | 0.000 |
| 89.112 | 86.324 | 171.185 | 0.000 | 0.000 | -0.000 |
| 0.000 | -0.000 | -0.000 | 128.352 | -0.000 | -0.000 |
| 0.000 | 0.000 | 0.000 | 0.000 | 223.573 | 0.000 |
| 0.000 | 0.000 | 0.000 | 0.000 | -0.000 | 245.862 |
| 222.914 | 58.042 | 70.056 | -0.000 | -0.000 | -0.000 |
| 87.071 | 352.935 | 86.313 | 0.000 | 0.000 | -0.000 |
| 63.737 | 54.897 | 105.092 | -0.000 | 0.000 | -0.000 |
| -0.000 | 0.000 | 0.000 | 128.352 | -0.000 | 0.000 |
| -0.000 | -0.000 | -0.000 | -0.000 | 223.573 | 0.000 |
| -0.000 | -0.000 | -0.000 | -0.000 | 0.000 | 245.862 |
| 453.514 | -61.179 | -510.272 | -0.000 | -0.000 | -0.000 |
| 86.042 | 305.951 | -507.928 | 0.000 | 0.000 | 0.000 |
| 100.543 | -47.950 | -219.904 | 0.000 | -0.000 | 0.000 |
| -1282.471 | -479.806 | -852.292 | 73.749 | 0.000 | 0.000 |
| 41.038 | -105.614 | -570.604 | 0.000 | 171.948 | 0.000 |
| -2152.170 | -852.732 | -1308.477 | 0.000 | 0.000 | 88.151 |
| 925.169 | 250.779 | 638.956 | -0.000 | -0.000 | 0.000 |
| 1295.021 | 721.361 | 909.556 | -0.000 | -0.000 | -0.000 |
| 18.560 | 163.189 | 920.383 | 0.000 | 0.000 | -0.000 |
| 1282.471 | 479.806 | 852.292 | 73.749 | -0.000 | -0.000 |
| -41.038 | 105.614 | 570.604 | -0.000 | 171.948 | -0.000 |
| 2152.170 | 852.732 | 1308.477 | 0.000 | -0.000 | 88.151 |
| 411.222 | 33.756 | 1.537 | 0.000 | 0.000 | 0.000 |
| -31.749 | 292.396 | 9.915 | 0.000 | 0.000 | 0.000 |
| -177.224 | -44.513 | -60.781 | 0.000 | 0.000 | 0.000 |
| 4.191 | -10.787 | -58.280 | 163.311 | 0.000 | 0.000 |
| 4.184 | -10.768 | -58.176 | 0.000 | 171.510 | 0.000 |
| 4.174 | -10.743 | -58.040 | 0.000 | 0.000 | 200.061 |
| 410.362 | 55.322 | 119.586 | 0.000 | -0.000 | -0.000 |
| 40.885 | 421.142 | 121.379 | 0.000 | -0.000 | 0.000 |
| 51.671 | 51.599 | 395.632 | 0.000 | -0.000 | -0.000 |
| -4.191 | 10.787 | 58.280 | 163.311 | -0.000 | 0.000 |
| -4.184 | 10.768 | 58.176 | 0.000 | 171.510 | -0.000 |
| -4.174 | 10.743 | 58.040 | -0.000 | -0.000 | 200.061 |
| 288.856 | 50.040 | 65.923 | 0.000 | -0.000 | 0.000 |
| -1.386 | 163.946 | 25.352 | 0.000 | 0.000 | 0.000 |
| 51.671 | 51.600 | 395.633 | 0.000 | 0.000 | 0.000 |
| 0.863 | -2.220 | -11.993 | 135.972 | 0.000 | 0.000 |
| -24.962 | -10.952 | -16.611 | -0.000 | 65.191 | 0.000 |
| -11.736 | -3.314 | -7.247 | 0.000 | 0.000 | 129.577 |
| 252.330 | 48.661 | 85.549 | -0.000 | 0.000 | -0.000 |
| 42.132 | 201.425 | 55.081 | -0.000 | 0.000 | -0.000 |
| 45.730 | 28.790 | 73.553 | -0.000 | -0.000 | -0.000 |
| -0.863 | 2.220 | 11.993 | 135.972 | -0.000 | -0.000 |
| 24.962 | 10.952 | 16.611 | -0.000 | 65.191 | -0.000 |
| 11.736 | 3.314 | 7.247 | -0.000 | 0.000 | 129.577 |
| 1174.757 | -9.784 | 0.000 | 0.000 | 0.000 | 0.000 |
| -9.784 | 1174.757 | 0.000 | 0.000 | 0.000 | 0.000 |
| -0.000 | -0.000 | 0.000 | 0.000 | 0.000 | 0.000 |
| -0.000 | 0.000 | 0.000 | 0.000 | 0.000 | 0.000 |
| -0.000 | -0.000 | 0.000 | 0.000 | 0.000 | 0.000 |
| 0.000 | 0.000 | 0.000 | 0.000 | 0.000 | 592.270 |
| 1174.757 | -9.784 | -0.000 | -0.000 | -0.000 | -0.000 |
| -9.784 | 1174.757 | -0.000 | -0.000 | -0.000 | -0.000 |
| 0.000 | 0.000 | -0.000 | -0.000 | -0.000 | -0.000 |
| 0.000 | 0.000 | -0.000 | -0.000 | -0.000 | -0.000 |
| 0.000 | 0.000 | -0.000 | -0.000 | -0.000 | -0.000 |
| -0.000 | -0.000 | -0.000 | -0.000 | -0.000 | 592.270 |
| 1174.757 | -9.784 | 0.000 | 0.000 | 0.000 | 0.000 |
| -9.784 | 1174.757 | 0.000 | 0.000 | 0.000 | 0.000 |
| -0.000 | -0.000 | 0.000 | 0.000 | 0.000 | 0.000 |
| -0.000 | -0.000 | 0.000 | 0.000 | 0.000 | 0.000 |
| -0.000 | -0.000 | 0.000 | 0.000 | 0.000 | 0.000 |
| 0.000 | 0.000 | 0.000 | 0.000 | 0.000 | 592.270 |
| 1174.756 | -9.784 | -0.000 | -0.000 | -0.000 | -0.000 |
| -9.784 | 1174.756 | -0.000 | -0.000 | -0.000 | -0.000 |
| 0.000 | 0.000 | -0.000 | -0.000 | -0.000 | -0.000 |
| 0.000 | 0.000 | -0.000 | -0.000 | -0.000 | -0.000 |
| 0.000 | 0.000 | -0.000 | -0.000 | -0.000 | -0.000 |
| -0.000 | -0.000 | -0.000 | -0.000 | -0.000 | 592.270 |
| 1174.761 | -9.784 | 0.000 | 0.000 | 0.000 | 0.000 |
| -9.784 | 1174.761 | 0.000 | 0.000 | 0.000 | 0.000 |
| -0.000 | -0.000 | 0.000 | 0.000 | 0.000 | 0.000 |
| -0.000 | -0.000 | 0.000 | 0.000 | 0.000 | 0.000 |
| -0.000 | -0.000 | 0.000 | 0.000 | 0.000 | 0.000 |
| 0.000 | 0.001 | 0.000 | 0.000 | 0.000 | 592.270 |
| 1174.753 | -9.785 | -0.000 | -0.000 | -0.000 | -0.000 |
| -9.784 | 1174.753 | -0.000 | -0.000 | -0.000 | -0.000 |
| 0.000 | 0.000 | -0.000 | -0.000 | -0.000 | -0.000 |
| 0.000 | 0.000 | -0.000 | -0.000 | -0.000 | -0.000 |
| 0.000 | 0.000 | -0.000 | -0.000 | -0.000 | -0.000 |
| -0.000 | -0.001 | -0.000 | -0.000 | -0.000 | 592.270 |
| 466.486 | 54.300 | 54.300 | -0.000 | 0.000 | -0.000 |
| 54.300 | 466.486 | 54.300 | 0.000 | 0.000 | -0.000 |
| 54.300 | 54.300 | 466.486 | 0.000 | 0.000 | -0.000 |
| -0.002 | -0.002 | -0.002 | 113.037 | -0.000 | -0.000 |
| -0.002 | -0.002 | -0.002 | 0.000 | 113.038 | -0.000 |
| -0.002 | -0.002 | -0.002 | -0.000 | -0.000 | 113.037 |
| 143.323 | 62.374 | 62.374 | 0.000 | -0.000 | 0.000 |
| 62.375 | 143.323 | 62.374 | -0.000 | -0.000 | 0.000 |
| 62.374 | 62.374 | 143.323 | -0.000 | -0.000 | 0.000 |
| 0.002 | 0.002 | 0.002 | 113.037 | -0.000 | 0.000 |
| 0.002 | 0.002 | 0.002 | 0.000 | 113.038 | 0.000 |
| 0.002 | 0.002 | 0.002 | 0.000 | -0.000 | 113.037 |
| 143.314 | 62.370 | 62.370 | -0.000 | 0.000 | -0.000 |
| 72.412 | 250.557 | 72.412 | -0.000 | 0.000 | -0.000 |
| 62.370 | 62.370 | 143.314 | -0.000 | -0.000 | -0.000 |
| 0.000 | 0.000 | 0.000 | 206.093 | 0.000 | -0.000 |
| 0.000 | 0.000 | 0.000 | -0.000 | 206.093 | -0.000 |
| 0.000 | 0.000 | 0.000 | 0.000 | 0.000 | 206.093 |
| 143.277 | 62.366 | 62.366 | 0.000 | -0.000 | 0.000 |
| 62.366 | 143.277 | 62.366 | 0.000 | -0.000 | 0.000 |
| 62.366 | 62.366 | 143.277 | 0.000 | 0.000 | 0.000 |
| -0.000 | -0.000 | -0.000 | 206.093 | -0.000 | 0.000 |
| -0.000 | -0.000 | -0.000 | -0.000 | 206.093 | 0.000 |
| -0.000 | -0.000 | -0.000 | 0.000 | -0.000 | 206.093 |
| 466.487 | 54.300 | 54.300 | 0.000 | 0.000 | -0.000 |
| 54.300 | 466.487 | 54.300 | -0.000 | 0.000 | -0.000 |
| 54.300 | 54.300 | 466.487 | -0.000 | -0.000 | -0.000 |
| 0.000 | -0.000 | -0.000 | 113.037 | -0.000 | -0.000 |
| -0.000 | 0.000 | -0.000 | -0.000 | 113.037 | -0.000 |
| -0.000 | -0.000 | 0.000 | -0.000 | 0.000 | 113.037 |
| 93.698 | 25.428 | 25.428 | 0.000 | -0.000 | 0.000 |
| -53.619 | 22.823 | -53.619 | 0.000 | -0.000 | 0.000 |
| 25.428 | 25.428 | 93.698 | 0.000 | -0.000 | 0.000 |
| -0.000 | 0.000 | 0.000 | 113.037 | -0.000 | 0.000 |
| 0.000 | -0.000 | 0.000 | 0.000 | 113.037 | 0.000 |
| 0.000 | 0.000 | -0.000 | 0.000 | 0.000 | 113.037 |
| 181.698 | 24.068 | 24.066 | 0.000 | -0.000 | -0.000 |
| 24.066 | 181.701 | 24.066 | 0.000 | -0.000 | -0.000 |
| 24.066 | 24.067 | 181.698 | 0.000 | -0.000 | 0.000 |
| -0.451 | -0.450 | -0.450 | 94.908 | -0.000 | -0.000 |
| -0.451 | -0.450 | -0.450 | 0.000 | 94.908 | -0.000 |
| -0.451 | -0.450 | -0.450 | 0.000 | -0.000 | 94.908 |
| 242.573 | 52.750 | 52.751 | -0.000 | 0.000 | 0.000 |
| 52.751 | 242.573 | 52.751 | -0.000 | 0.000 | 0.000 |
| 52.751 | 52.750 | 242.573 | -0.000 | 0.000 | -0.000 |
| 0.451 | 0.450 | 0.450 | 94.908 | 0.000 | -0.000 |
| 0.451 | 0.450 | 0.450 | -0.000 | 94.908 | 0.000 |
| 0.451 | 0.450 | 0.450 | -0.000 | 0.000 | 94.908 |
| 195.347 | 43.169 | 43.169 | 0.000 | -0.000 | -0.000 |
| 43.169 | 195.347 | 43.169 | 0.000 | -0.000 | 0.000 |
| 43.169 | 43.169 | 195.347 | 0.000 | -0.000 | 0.000 |
| 5.089 | 5.090 | 5.090 | 125.642 | -0.000 | -0.000 |
| 5.089 | 5.090 | 5.090 | 0.000 | 125.642 | 0.000 |
| 5.089 | 5.090 | 5.090 | 0.000 | -0.000 | 125.642 |
| 239.564 | 52.386 | 52.386 | 0.000 | 0.000 | -0.000 |
| 52.386 | 239.564 | 52.386 | 0.000 | 0.000 | -0.000 |
| 52.386 | 52.386 | 239.564 | -0.000 | 0.000 | 0.000 |
| -5.090 | -5.090 | -5.090 | 125.642 | 0.000 | 0.000 |
| -5.089 | -5.090 | -5.090 | 0.000 | 125.642 | -0.000 |
| -5.089 | -5.090 | -5.090 | -0.000 | 0.000 | 125.642 |
| 18.794 | -37.860 | -37.860 | 0.000 | 0.000 | -0.000 |
| -37.860 | 18.794 | -37.860 | 0.000 | -0.000 | 0.000 |
| -28.873 | -28.873 | 12.634 | 0.000 | -0.000 | 0.000 |
| 0.046 | 0.046 | 0.046 | 75.849 | -0.000 | 0.000 |
| 0.627 | 0.627 | 0.627 | 0.000 | 112.075 | 0.000 |
| 0.046 | 0.046 | 0.046 | 0.000 | -0.000 | 75.849 |
| 162.285 | 53.949 | 53.949 | -0.000 | 0.000 | -0.000 |
| 53.949 | 162.285 | 53.949 | -0.000 | 0.000 | -0.000 |
| 53.949 | 53.949 | 162.285 | -0.000 | 0.000 | 0.000 |
| -0.046 | -0.046 | -0.046 | 75.849 | 0.000 | 0.000 |
| -0.627 | -0.627 | -0.627 | -0.000 | 112.075 | 0.000 |
| -0.046 | -0.046 | -0.046 | -0.000 | 0.000 | 75.849 |
| 416.295 | 48.458 | 48.458 | 0.000 | 0.000 | 0.000 |
| 48.458 | 416.295 | 48.458 | -0.000 | -0.000 | 0.000 |
| 48.458 | 48.458 | 416.295 | 0.000 | -0.000 | 0.000 |
| 0.000 | 0.000 | -0.000 | 183.918 | 0.000 | 0.000 |
| 0.000 | 0.000 | -0.000 | 0.000 | 183.918 | 0.000 |
| -0.000 | 0.000 | -0.000 | 0.000 | -0.000 | 183.919 |
| -357.375 | -573.680 | -573.680 | 0.000 | 0.000 | -0.000 |
| -573.680 | -357.375 | -573.680 | -0.000 | 0.000 | -0.000 |
| -573.680 | -573.680 | -357.375 | -0.000 | 0.000 | -0.000 |
| -0.000 | -0.000 | 0.000 | 183.918 | -0.000 | -0.000 |
| -0.000 | -0.000 | 0.000 | 0.000 | 183.918 | -0.000 |
| -0.000 | -0.000 | -0.000 | -0.000 | 0.000 | 183.918 |
| 364.312 | 86.556 | 86.556 | -0.000 | -0.000 | 0.000 |
| 86.556 | 364.312 | 86.556 | -0.000 | -0.000 | 0.000 |
| 86.556 | 86.556 | 364.312 | 0.000 | 0.000 | 0.000 |
| 0.000 | 0.000 | 0.000 | 183.918 | 0.000 | 0.000 |
| 0.000 | 0.000 | 0.000 | -0.000 | 183.918 | 0.000 |
| -0.000 | 0.000 | 0.000 | -0.000 | -0.000 | 183.918 |
| 172.586 | -21.749 | -21.749 | 0.000 | 0.000 | -0.000 |
| -21.749 | 172.586 | -21.749 | -0.000 | 0.000 | -0.000 |
| -21.749 | -21.749 | 172.586 | -0.000 | -0.000 | -0.000 |
| -0.000 | -0.000 | -0.000 | 183.918 | 0.000 | -0.000 |
| 0.000 | -0.000 | -0.000 | -0.000 | 183.918 | -0.000 |
| -0.000 | -0.000 | -0.000 | -0.000 | -0.000 | 183.918 |
| 41.754 | -21.621 | -21.621 | -0.000 | 0.000 | 0.000 |
| -21.621 | 41.754 | -21.621 | 0.000 | 0.000 | 0.000 |
| -21.608 | -21.608 | 41.585 | 0.000 | -0.000 | 0.000 |
| 0.000 | 0.000 | 0.000 | 183.918 | -0.000 | 0.000 |
| 4.990 | 4.990 | 4.990 | 0.000 | 111.715 | 0.000 |
| 0.000 | 0.000 | 0.000 | 0.000 | 0.000 | 183.918 |
| 25.261 | -32.940 | -32.940 | -0.000 | -0.000 | -0.000 |
| 14.779 | 61.871 | 14.779 | 0.000 | -0.000 | -0.000 |
| 14.779 | 14.779 | 61.871 | -0.000 | 0.000 | -0.000 |
| -0.000 | -0.000 | -0.000 | 183.918 | 0.000 | -0.000 |
| -4.990 | -4.990 | -4.990 | 0.000 | 111.715 | -0.000 |
| -0.000 | -0.000 | -0.000 | -0.000 | 0.000 | 183.918 |
| 6947.730 | 6964.052 | 24758.845 | -26.369 | -0.000 | 0.000 |
| 6963.503 | 6947.213 | 24763.915 | 26.371 | -0.000 | 0.000 |
| 7015.466 | 7015.469 | 24479.286 | -0.000 | -0.000 | 0.000 |
| -3.242 | 3.242 | -0.000 | 204.569 | -0.000 | -0.000 |
| -0.000 | 0.000 | 0.000 | 0.000 | 204.569 | -3.242 |
| 6751.483 | 6751.482 | 30778.468 | 0.000 | -20.963 | 44.464 |
| 458.375 | 59.045 | -4788.920 | -6.027 | 0.000 | -0.000 |
| 31.984 | 499.669 | 66.566 | 3.242 | 0.000 | 0.000 |
| -6862.842 | -6862.845 | -24797.415 | 0.000 | 0.000 | -0.000 |
| -3.242 | 3.242 | -0.000 | 204.569 | 0.000 | -0.000 |
| -0.000 | -0.000 | -0.000 | -0.000 | 204.570 | -3.242 |
| -6751.483 | -6751.482 | -30778.468 | -0.000 | -20.963 | 44.464 |
| 634.334 | 512.964 | 1518.801 | -17.805 | -0.000 | -0.000 |
| 33.559 | 433.482 | 562.356 | 6.003 | -0.000 | 0.000 |
| 60.215 | 60.215 | 382.824 | -0.000 | -0.000 | 0.000 |
| -8.342 | 3.711 | 486.774 | 171.977 | -0.000 | 0.000 |
| 676.747 | 676.747 | 3081.538 | 0.000 | 18.775 | -20.986 |
| 692.312 | 692.312 | 2458.717 | -0.000 | -26.298 | -7.383 |
| 436.640 | 38.294 | -413.860 | -6.067 | 0.000 | -0.000 |
| 31.984 | 499.669 | 66.566 | 3.242 | -0.000 | -0.000 |
| 60.215 | 60.215 | 382.824 | -0.000 | 0.000 | -0.000 |
| -3.711 | 8.341 | -486.713 | 171.981 | 0.000 | -0.000 |
| -676.747 | -676.747 | -3081.538 | -0.000 | 18.775 | -20.986 |
| -692.312 | -692.312 | -2458.717 | 0.000 | -26.298 | -7.383 |
| 499.671 | 31.985 | 66.567 | -3.242 | -0.000 | 0.000 |
| 73.827 | 164.089 | 290.731 | 21.302 | -0.000 | 0.000 |
| 123.294 | 123.294 | 243.754 | -0.000 | -0.000 | 0.000 |
| 25.822 | 57.825 | 124.702 | 55.901 | -0.000 | -0.000 |
| 57.658 | 57.658 | 212.144 | -0.000 | 7.819 | -22.844 |
| 64.310 | 64.310 | 410.115 | -0.000 | -5.180 | 112.841 |
| 165.353 | -11.802 | -12.246 | -15.455 | 0.000 | -0.000 |
| -11.841 | 166.176 | -11.815 | 15.420 | -0.000 | 0.000 |
| 26.937 | 26.937 | -323.802 | 0.000 | -0.000 | -0.000 |
| -57.810 | -25.796 | -124.831 | 55.844 | 0.000 | 0.000 |
| -57.658 | -57.658 | -212.144 | 0.000 | 7.820 | -22.844 |
| -64.310 | -64.310 | -410.115 | 0.000 | -5.180 | 112.841 |
| 433.987 | 65.254 | 47.786 | -0.000 | 0.000 | -0.000 |
| 65.254 | 448.896 | 43.602 | -0.000 | 0.000 | -0.000 |
| 47.786 | 43.602 | 554.763 | -0.000 | -0.000 | 0.000 |
| 0.000 | 0.000 | 0.000 | 215.020 | -0.000 | -0.000 |
| -0.000 | -0.000 | 0.000 | -0.000 | 216.889 | -0.000 |
| 0.000 | 0.000 | -0.000 | 0.000 | 0.000 | 189.000 |
| 433.987 | 65.254 | 47.786 | 0.000 | -0.000 | 0.000 |
| 92.112 | 267.904 | 58.844 | 0.000 | 0.000 | 0.000 |
| 68.582 | 58.405 | 397.033 | 0.000 | 0.000 | 0.000 |
| 0.000 | 0.000 | -0.000 | 215.021 | 0.000 | 0.000 |
| -0.000 | 0.000 | -0.000 | 0.000 | 216.889 | 0.000 |
| -0.000 | -0.000 | -0.000 | 0.000 | -0.000 | 189.000 |
| 433.987 | 65.254 | 47.786 | -0.000 | 0.000 | -0.000 |
| 85.850 | 163.256 | 55.647 | -0.000 | -0.000 | 0.000 |
| 66.379 | 57.459 | 271.389 | -0.000 | 0.000 | -0.000 |
| 0.000 | 0.000 | 0.000 | 215.020 | -0.000 | -0.000 |
| 0.000 | 0.000 | 0.000 | -0.000 | 216.889 | -0.000 |
| 0.000 | 0.000 | 0.000 | 0.000 | -0.000 | 189.000 |
| 433.987 | 65.254 | 47.786 | 0.000 | -0.000 | 0.000 |
| 92.039 | 268.071 | 58.896 | 0.000 | 0.000 | 0.000 |
| 66.384 | 57.465 | 271.384 | 0.000 | 0.000 | 0.000 |
| -0.000 | 0.000 | -0.000 | 215.020 | 0.000 | 0.000 |
| 0.000 | -0.000 | -0.000 | 0.000 | 216.889 | 0.000 |
| -0.000 | -0.000 | -0.000 | -0.000 | 0.000 | 189.000 |
| 103.039 | 62.553 | 49.641 | -0.000 | -0.000 | -0.000 |
| 24.534 | 94.363 | 17.794 | -0.000 | -0.000 | -0.000 |
| 26.661 | 23.914 | 184.802 | -0.000 | -0.000 | -0.000 |
| 0.000 | -0.000 | 0.000 | 215.020 | -0.000 | -0.000 |
| -0.001 | -0.000 | 0.000 | -0.000 | 150.725 | -0.000 |
| -0.000 | -0.000 | -0.000 | -0.000 | -0.000 | 66.141 |
| 68.273 | 23.588 | 17.152 | 0.000 | 0.000 | 0.000 |
| 85.844 | 163.169 | 55.646 | 0.000 | 0.000 | 0.000 |
| 66.380 | 57.461 | 271.400 | 0.000 | 0.000 | 0.000 |
| -0.000 | 0.000 | -0.000 | 215.020 | 0.000 | 0.000 |
| 0.001 | 0.000 | -0.000 | 0.000 | 150.725 | 0.000 |
| 0.000 | 0.000 | 0.000 | 0.000 | 0.000 | 66.141 |
| 390.248 | 59.691 | 40.061 | 0.000 | -0.000 | -0.000 |
| 452.468 | -29.283 | -1831.607 | 0.000 | 0.000 | 0.000 |
| 270.394 | -313.451 | -139.171 | -0.000 | -0.000 | -0.000 |
| 380.751 | -280.095 | -1876.633 | 125.173 | -0.000 | 0.000 |
| 219.105 | -353.769 | -577.938 | 0.000 | 168.066 | -0.000 |
| 219.110 | -353.777 | -577.950 | 0.000 | -0.000 | 134.297 |
| 105.628 | 423.025 | 625.607 | -0.000 | 0.000 | 0.000 |
| -150.420 | 696.181 | 619.651 | -0.000 | 0.000 | 0.000 |
| -327.159 | 323.631 | 2224.844 | 0.000 | 0.000 | 0.000 |
| -380.751 | 280.095 | 1876.633 | 125.173 | -0.000 | 0.000 |
| -219.105 | 353.769 | 577.938 | 0.000 | 168.067 | 0.000 |
| -219.110 | 353.777 | 577.950 | -0.000 | 0.000 | 134.297 |
| 194.614 | 21.636 | -282.603 | 0.000 | -0.000 | -0.000 |
| 129.728 | 59.211 | -394.821 | 0.000 | -0.000 | -0.000 |
| 127.649 | -4.883 | -84.821 | -0.000 | -0.000 | -0.000 |
| 22.080 | -35.650 | -58.240 | 164.629 | -0.000 | -0.000 |
| 22.074 | -35.640 | -58.224 | 0.000 | 167.847 | -0.000 |
| 22.123 | -35.720 | -58.354 | -0.000 | -0.000 | 133.952 |
| 301.139 | 105.413 | 106.576 | -0.000 | 0.000 | 0.000 |
| 46.697 | 376.004 | 100.875 | -0.000 | 0.000 | -0.000 |
| 28.534 | 76.061 | 500.901 | 0.000 | 0.000 | 0.000 |
| -22.083 | 35.656 | 58.250 | 164.623 | 0.000 | -0.000 |
| -22.074 | 35.640 | 58.224 | -0.000 | 167.847 | 0.000 |
| -22.123 | 35.720 | 58.354 | -0.000 | 0.000 | 133.952 |
| 273.814 | 70.536 | 43.016 | 0.000 | -0.000 | 0.000 |
| 78.453 | 296.408 | 34.371 | -0.000 | -0.000 | 0.000 |
| 63.499 | 41.233 | 362.923 | 0.000 | -0.000 | 0.000 |
| 4.826 | -3.225 | -24.636 | 104.556 | -0.000 | 0.000 |
| -0.000 | 0.000 | 0.000 | 0.000 | 197.531 | -0.000 |
| 6.900 | -4.273 | -29.351 | 0.000 | -0.000 | 48.215 |
| 272.673 | 82.238 | 62.955 | -0.000 | 0.000 | 0.000 |
| 16.526 | 82.988 | 55.052 | -0.000 | 0.000 | 0.000 |
| 19.718 | 25.374 | 212.128 | -0.000 | 0.000 | 0.000 |
| -4.826 | 3.225 | 24.636 | 104.556 | 0.000 | 0.000 |
| 0.000 | -0.000 | -0.000 | -0.000 | 197.531 | 0.000 |
| -6.900 | 4.273 | 29.351 | -0.000 | 0.000 | 48.215 |
| 928.996 | -8.196 | 0.000 | 0.000 | 0.000 | 0.000 |
| -8.196 | 928.996 | 0.000 | 0.000 | 0.000 | -0.000 |
| 0.000 | 0.000 | 0.000 | 0.000 | 0.000 | 0.000 |
| 0.000 | 0.000 | 0.000 | 0.000 | 0.000 | 0.000 |
| -0.000 | 0.000 | 0.000 | 0.000 | 0.000 | 0.000 |
| -0.000 | 0.000 | 0.000 | 0.000 | 0.000 | 468.133 |
| 928.533 | -7.734 | -0.000 | -0.000 | -0.000 | 0.000 |
| -8.196 | 928.996 | -0.000 | -0.000 | -0.000 | -0.000 |
| -0.000 | -0.000 | -0.000 | -0.000 | -0.000 | -0.000 |
| -0.000 | -0.000 | -0.000 | -0.000 | -0.000 | -0.000 |
| -0.000 | -0.000 | -0.000 | -0.000 | -0.000 | -0.000 |
| 0.000 | -0.000 | -0.000 | -0.000 | -0.000 | 468.133 |
| 928.534 | -7.733 | 0.000 | 0.000 | 0.000 | 0.000 |
| -8.196 | 928.997 | 0.000 | 0.000 | 0.000 | -0.000 |
| 0.000 | 0.000 | 0.000 | 0.000 | 0.000 | 0.000 |
| 0.000 | 0.000 | 0.000 | 0.000 | 0.000 | 0.000 |
| 0.000 | 0.000 | 0.000 | 0.000 | 0.000 | 0.000 |
| 0.000 | 0.000 | 0.000 | 0.000 | 0.000 | 468.133 |
| 928.533 | -7.733 | -0.000 | -0.000 | -0.000 | -0.000 |
| -8.196 | 928.996 | -0.000 | -0.000 | -0.000 | -0.000 |
| -0.000 | -0.000 | -0.000 | -0.000 | -0.000 | -0.000 |
| -0.000 | -0.000 | -0.000 | -0.000 | -0.000 | -0.000 |
| 0.000 | -0.000 | -0.000 | -0.000 | -0.000 | 0.000 |
| -0.000 | -0.000 | -0.000 | -0.000 | -0.000 | 468.133 |
| 928.537 | -7.733 | 0.000 | 0.000 | 0.000 | 0.000 |
| -7.733 | 928.537 | 0.000 | 0.000 | 0.000 | 0.000 |
| 0.000 | 0.000 | 0.000 | 0.000 | 0.000 | 0.000 |
| 0.000 | 0.000 | 0.000 | 0.000 | 0.000 | 0.000 |
| -0.000 | 0.000 | 0.000 | 0.000 | 0.000 | 0.000 |
| 0.000 | 0.001 | 0.000 | 0.000 | 0.000 | 468.133 |
| 928.530 | -7.734 | -0.000 | -0.000 | -0.000 | 0.000 |
| -7.734 | 928.530 | -0.000 | -0.000 | -0.000 | 0.000 |
| -0.000 | -0.000 | -0.000 | -0.000 | -0.000 | -0.000 |
| -0.000 | -0.000 | -0.000 | -0.000 | -0.000 | -0.000 |
| 0.000 | -0.000 | -0.000 | -0.000 | -0.000 | -0.000 |
| -0.000 | -0.001 | -0.000 | -0.000 | -0.000 | 468.133 |
| 494.308 | -4.361 | 0.000 | 0.000 | 0.000 | -0.000 |
| -4.361 | 494.308 | 0.000 | 0.000 | 0.000 | -0.000 |
| 0.000 | 0.000 | 0.000 | 0.000 | 0.000 | 0.000 |
| 0.000 | -0.000 | 0.000 | 0.000 | 0.000 | -0.000 |
| 0.000 | -0.000 | 0.000 | 0.000 | 0.000 | 0.000 |
| 0.000 | -0.000 | 0.000 | 0.000 | 0.000 | 249.335 |
| 494.062 | -4.115 | -0.000 | -0.000 | -0.000 | 0.000 |
| -4.115 | 494.062 | -0.000 | -0.000 | -0.000 | -0.000 |
| 0.000 | 0.000 | -0.000 | -0.000 | -0.000 | 0.000 |
| -0.000 | 0.000 | -0.000 | -0.000 | -0.000 | 0.000 |
| -0.000 | 0.000 | -0.000 | -0.000 | -0.000 | 0.000 |
| -0.000 | 0.000 | -0.000 | -0.000 | -0.000 | 249.335 |
| 494.308 | -4.361 | 0.000 | 0.000 | 0.000 | -0.000 |
| -4.115 | 494.062 | 0.000 | 0.000 | 0.000 | -0.000 |
| 0.000 | 0.000 | 0.000 | 0.000 | 0.000 | 0.000 |
| 0.000 | -0.000 | 0.000 | 0.000 | 0.000 | -0.000 |
| -0.000 | 0.000 | 0.000 | 0.000 | 0.000 | -0.000 |
| 0.000 | 0.000 | 0.000 | 0.000 | 0.000 | 249.335 |
| 494.062 | -4.115 | -0.000 | -0.000 | -0.000 | 0.000 |
| -4.361 | 494.308 | -0.000 | -0.000 | -0.000 | 0.000 |
| 0.000 | 0.000 | -0.000 | -0.000 | -0.000 | 0.000 |
| -0.000 | 0.000 | -0.000 | -0.000 | -0.000 | 0.000 |
| -0.000 | 0.000 | -0.000 | -0.000 | -0.000 | 0.000 |
| -0.000 | -0.000 | -0.000 | -0.000 | -0.000 | 249.335 |
| 494.064 | -4.115 | 0.000 | 0.000 | 0.000 | -0.000 |
| -4.361 | 494.310 | 0.000 | 0.000 | 0.000 | -0.000 |
| 0.000 | 0.000 | 0.000 | 0.000 | 0.000 | 0.000 |
| 0.000 | -0.000 | 0.000 | 0.000 | 0.000 | -0.000 |
| 0.000 | -0.000 | 0.000 | 0.000 | 0.000 | -0.000 |
| 0.000 | 0.000 | 0.000 | 0.000 | 0.000 | 249.088 |
| 494.060 | -4.115 | -0.000 | -0.000 | -0.000 | -0.000 |
| -4.115 | 494.060 | -0.000 | -0.000 | -0.000 | 0.000 |
| 0.000 | 0.000 | -0.000 | -0.000 | -0.000 | 0.000 |
| -0.000 | 0.000 | -0.000 | -0.000 | -0.000 | 0.000 |
| -0.000 | 0.000 | -0.000 | -0.000 | -0.000 | 0.000 |
| -0.000 | -0.000 | -0.000 | -0.000 | -0.000 | 249.088 |
| 1110.338 | -9.796 | 0.000 | 0.000 | 0.000 | 0.000 |
| -9.243 | 1109.785 | 0.000 | 0.000 | 0.000 | 0.000 |
| 0.000 | 0.000 | 0.000 | 0.000 | 0.000 | 0.000 |
| 0.000 | 0.000 | 0.000 | 0.000 | 0.000 | 0.000 |
| 0.000 | 0.000 | 0.000 | 0.000 | 0.000 | 0.000 |
| 0.000 | 0.000 | 0.000 | 0.000 | 0.000 | 559.514 |
| 1109.785 | -9.243 | -0.000 | -0.000 | -0.000 | 0.000 |
| -9.796 | 1110.338 | -0.000 | -0.000 | -0.000 | -0.000 |
| -0.000 | -0.000 | -0.000 | -0.000 | -0.000 | -0.000 |
| -0.000 | -0.000 | -0.000 | -0.000 | -0.000 | 0.000 |
| -0.000 | -0.000 | -0.000 | -0.000 | -0.000 | -0.000 |
| -0.000 | -0.000 | -0.000 | -0.000 | -0.000 | 559.514 |
| 1109.785 | -9.243 | 0.000 | 0.000 | 0.000 | -0.000 |
| -9.796 | 1110.339 | 0.000 | 0.000 | 0.000 | -0.000 |
| 0.000 | 0.000 | 0.000 | 0.000 | 0.000 | 0.000 |
| 0.000 | 0.000 | 0.000 | 0.000 | 0.000 | -0.000 |
| 0.000 | 0.000 | 0.000 | 0.000 | 0.000 | 0.000 |
| 0.000 | 0.000 | 0.000 | 0.000 | 0.000 | 559.514 |
| 1109.785 | -9.243 | -0.000 | -0.000 | -0.000 | 0.000 |
| -9.796 | 1110.338 | -0.000 | -0.000 | -0.000 | -0.000 |
| -0.000 | -0.000 | -0.000 | -0.000 | -0.000 | -0.000 |
| -0.000 | -0.000 | -0.000 | -0.000 | -0.000 | 0.000 |
| -0.000 | -0.000 | -0.000 | -0.000 | -0.000 | -0.000 |
| -0.000 | -0.000 | -0.000 | -0.000 | -0.000 | 559.514 |
| 1109.789 | -9.243 | 0.000 | 0.000 | 0.000 | 0.000 |
| -9.243 | 1109.789 | 0.000 | 0.000 | 0.000 | -0.000 |
| 0.000 | 0.000 | 0.000 | 0.000 | 0.000 | 0.000 |
| 0.000 | 0.000 | 0.000 | 0.000 | 0.000 | 0.000 |
| 0.000 | 0.000 | 0.000 | 0.000 | 0.000 | 0.000 |
| 0.000 | 0.001 | 0.000 | 0.000 | 0.000 | 559.514 |
| 1109.781 | -9.243 | -0.000 | -0.000 | -0.000 | 0.000 |
| -9.243 | 1109.781 | -0.000 | -0.000 | -0.000 | -0.000 |
| -0.000 | -0.000 | -0.000 | -0.000 | -0.000 | -0.000 |
| -0.000 | -0.000 | -0.000 | -0.000 | -0.000 | 0.000 |
| -0.000 | -0.000 | -0.000 | -0.000 | -0.000 | -0.000 |
| -0.000 | -0.001 | -0.000 | -0.000 | -0.000 | 559.514 |
| 398425.840 | 284466.768 | -653557.147 | -82259.976 | 406063.580 | 310413.389 |
| 884338.642 | 576060.507 | 739812.804 | -542092.400 | 405926.750 | 446061.679 |
| 867234.084 | 946329.809 | -366219.662 | -235026.700 | 375665.215 | 496212.764 |
| 964903.784 | 691856.068 | -279646.134 | -132737.300 | 212381.218 | 416892.280 |
| 105434.409 | -102609.386 | -894022.197 | -18797.382 | 260788.373 | 438169.386 |
| 1046012.710 | 745014.794 | -187193.362 | -320841.893 | 249073.998 | 334100.248 |
| -732120.097 | -445142.224 | 355715.741 | 91151.881 | -404675.565 | -336778.916 |
| -705596.771 | -443669.207 | 430769.903 | 265188.856 | -290994.184 | -393767.911 |
| -819782.841 | -522704.304 | 396380.586 | 139858.613 | -400925.296 | -390591.148 |
| -798480.687 | -500065.000 | 394038.845 | 116789.222 | -414269.371 | -376132.984 |
| -747716.951 | -431367.196 | 401926.739 | 77934.686 | -415259.805 | -351152.205 |
| -650186.795 | -448763.333 | 371224.510 | -12583.857 | -551467.378 | -356345.274 |
| 58010.901 | 23122.131 | -50164.671 | -35594.138 | 30840.639 | 43321.573 |
| 96635.104 | 73007.158 | -11666.011 | -21501.919 | 32228.889 | 49473.014 |
| 69588.381 | 38667.666 | -31045.170 | -36241.734 | 27598.663 | 38000.641 |
| 88320.841 | 57835.334 | -14109.736 | -13657.856 | 42063.329 | 36277.606 |
| 77001.817 | 49164.591 | 23380.693 | -45220.696 | 31934.644 | 45238.511 |
| 50256.278 | 1648.341 | -46164.369 | -28349.389 | 33527.769 | 37537.772 |
| -100493.090 | -66014.090 | 7090.405 | 31858.085 | -32056.160 | -43906.125 |
| -104191.628 | -76572.540 | 6393.073 | 3041.642 | -44301.910 | -37303.044 |
| -5730.046 | 31615.657 | 134185.344 | 26693.431 | -40605.035 | -23651.021 |
| -24791.642 | -12158.107 | 96722.858 | 25260.373 | -28214.133 | -40818.099 |
| -70182.991 | -41485.517 | 31744.699 | 10414.194 | -40858.062 | -34084.882 |
| -54781.582 | -22865.540 | 39485.565 | 22723.292 | -40112.091 | -39341.205 |
| 7322.321 | 4336.662 | -3011.829 | -3141.649 | 3738.162 | 4979.629 |
| 3075.357 | 1426.061 | -7590.033 | -726.306 | 2367.129 | 4113.167 |
| 6828.685 | 2422.538 | -2410.313 | -3225.090 | 3362.302 | 4467.961 |
| 7218.079 | 5670.617 | -1811.942 | -1016.950 | 3355.388 | 4712.275 |
| 7156.808 | 5569.740 | -2327.330 | -1440.112 | 3870.916 | 4450.651 |
| 11939.001 | 9840.694 | 1582.603 | -1666.772 | 4664.747 | 4059.175 |
| -638.834 | 1017.028 | 8819.104 | 1115.625 | -3866.787 | -4272.805 |
| -6518.986 | -4103.460 | 3592.301 | 1380.562 | -3827.857 | -4719.674 |
| -14566.649 | -12839.129 | -4438.658 | 2328.503 | -4760.224 | -2722.371 |
| -10361.658 | -6951.269 | 1097.992 | 2612.451 | -1763.095 | -2956.151 |
| -8420.750 | -9520.655 | 3860.618 | 1953.265 | -3588.905 | -4696.023 |
| -4436.393 | -2107.646 | 6914.609 | 3187.980 | -7264.018 | -4709.193 |
| 614.480 | 234.154 | 0.000 | 0.000 | 0.000 | -0.000 |
| 234.154 | 614.480 | 0.000 | 0.000 | 0.000 | -0.000 |
| -0.000 | -0.000 | 0.000 | 0.000 | 0.000 | -0.000 |
| -0.000 | -0.000 | 0.000 | 0.000 | 0.000 | -0.000 |
| -0.000 | -0.000 | 0.000 | 0.000 | 0.000 | -0.000 |
| -0.000 | -0.000 | 0.000 | 0.000 | 0.000 | 424.317 |
| 614.480 | 234.154 | -0.000 | -0.000 | -0.000 | 0.000 |
| 234.154 | 614.480 | -0.000 | -0.000 | -0.000 | 0.000 |
| 0.000 | 0.000 | -0.000 | -0.000 | -0.000 | 0.000 |
| 0.000 | 0.000 | -0.000 | -0.000 | -0.000 | 0.000 |
| 0.000 | 0.000 | -0.000 | -0.000 | -0.000 | 0.000 |
| -0.000 | 0.000 | -0.000 | -0.000 | -0.000 | 424.317 |
| 614.480 | 234.154 | 0.000 | 0.000 | 0.000 | -0.000 |
| 234.154 | 614.480 | 0.000 | 0.000 | 0.000 | -0.000 |
| -0.000 | -0.000 | 0.000 | 0.000 | 0.000 | -0.000 |
| -0.000 | -0.000 | 0.000 | 0.000 | 0.000 | -0.000 |
| -0.000 | -0.000 | 0.000 | 0.000 | 0.000 | -0.000 |
| 0.000 | 0.000 | 0.000 | 0.000 | 0.000 | 424.317 |
| 614.480 | 234.154 | -0.000 | -0.000 | -0.000 | 0.000 |
| 234.154 | 614.480 | -0.000 | -0.000 | -0.000 | 0.000 |
| -0.000 | 0.000 | -0.000 | -0.000 | -0.000 | 0.000 |
| 0.000 | 0.000 | -0.000 | -0.000 | -0.000 | 0.000 |
| 0.000 | 0.000 | -0.000 | -0.000 | -0.000 | 0.000 |
| -0.000 | -0.000 | -0.000 | -0.000 | -0.000 | 424.317 |
| 614.482 | 234.155 | 0.000 | 0.000 | 0.000 | -0.000 |
| 234.155 | 614.482 | 0.000 | 0.000 | 0.000 | -0.000 |
| 0.000 | -0.000 | 0.000 | 0.000 | 0.000 | -0.000 |
| -0.000 | -0.000 | 0.000 | 0.000 | 0.000 | -0.000 |
| 0.000 | -0.000 | 0.000 | 0.000 | 0.000 | -0.000 |
| 0.000 | 0.001 | 0.000 | 0.000 | 0.000 | 424.317 |
| 614.479 | 234.152 | -0.000 | -0.000 | -0.000 | 0.000 |
| 234.152 | 614.479 | -0.000 | -0.000 | -0.000 | 0.000 |
| 0.000 | 0.000 | -0.000 | -0.000 | -0.000 | 0.000 |
| 0.000 | 0.000 | -0.000 | -0.000 | -0.000 | 0.000 |
| 0.000 | 0.000 | -0.000 | -0.000 | -0.000 | 0.000 |
| -0.000 | -0.001 | -0.000 | -0.000 | -0.000 | 424.317 |
| 639.374 | 71.639 | 71.639 | -0.000 | -0.000 | -0.000 |
| 71.639 | 639.374 | 71.639 | -0.000 | -0.000 | -0.000 |
| 71.639 | 71.639 | 639.373 | -0.000 | -0.000 | -0.000 |
| 1.924 | 1.924 | 1.924 | 118.472 | -0.000 | 0.000 |
| 1.924 | 1.924 | 1.924 | -0.000 | 118.472 | 0.000 |
| 1.924 | 1.924 | 1.924 | -0.000 | -0.000 | 118.472 |
| 496.467 | 140.533 | 140.533 | 0.000 | 0.000 | 0.000 |
| 140.533 | 496.467 | 140.533 | 0.000 | 0.000 | 0.000 |
| 140.533 | 140.533 | 496.467 | 0.000 | 0.000 | 0.000 |
| -1.924 | -1.924 | -1.924 | 118.472 | 0.000 | 0.000 |
| -1.924 | -1.924 | -1.924 | 0.000 | 118.472 | 0.000 |
| -1.924 | -1.924 | -1.924 | 0.000 | 0.000 | 118.472 |
| 498.286 | 142.346 | 142.346 | -0.000 | -0.000 | -0.000 |
| 142.346 | 498.286 | 142.346 | -0.000 | -0.000 | -0.000 |
| 142.346 | 142.346 | 498.286 | -0.000 | -0.000 | -0.000 |
| 0.123 | 0.123 | 0.123 | 92.347 | -0.000 | 0.000 |
| 0.123 | 0.123 | 0.123 | -0.000 | 92.347 | -0.000 |
| 0.123 | 0.123 | 0.123 | -0.000 | -0.000 | 92.347 |
| 497.952 | 142.018 | 142.018 | 0.000 | 0.000 | 0.000 |
| 142.018 | 497.952 | 142.018 | 0.000 | 0.000 | 0.000 |
| 142.018 | 142.018 | 497.952 | 0.000 | 0.000 | 0.000 |
| -0.123 | -0.123 | -0.123 | 92.347 | 0.000 | 0.000 |
| -0.123 | -0.123 | -0.123 | 0.000 | 92.347 | 0.000 |
| -0.123 | -0.123 | -0.123 | 0.000 | 0.000 | 92.347 |
| 498.273 | 142.067 | 142.067 | -0.000 | -0.000 | -0.000 |
| 142.067 | 498.273 | 142.067 | -0.000 | -0.000 | -0.000 |
| 142.067 | 142.067 | 498.273 | -0.000 | -0.000 | -0.000 |
| 0.016 | 0.016 | 0.016 | 92.438 | -0.000 | -0.000 |
| 0.016 | 0.016 | 0.016 | -0.000 | 92.438 | 0.000 |
| 0.016 | 0.016 | 0.016 | -0.000 | -0.000 | 92.438 |
| 498.232 | 141.984 | 141.984 | 0.000 | 0.000 | 0.000 |
| 141.984 | 498.232 | 141.984 | 0.000 | 0.000 | 0.000 |
| 141.984 | 141.984 | 498.232 | 0.000 | 0.000 | 0.000 |
| -0.016 | -0.016 | -0.016 | 92.438 | 0.000 | 0.000 |
| -0.016 | -0.016 | -0.016 | 0.000 | 92.438 | 0.000 |
| -0.016 | -0.016 | -0.016 | 0.000 | 0.000 | 92.438 |
| 1090.772 | -9.623 | 0.000 | 0.000 | 0.000 | -0.000 |
| -9.624 | 1090.772 | 0.000 | 0.000 | 0.000 | 0.000 |
| 0.000 | 0.000 | 0.000 | 0.000 | 0.000 | 0.000 |
| -0.000 | -0.000 | 0.000 | 0.000 | 0.000 | 0.000 |
| 0.000 | -0.000 | 0.000 | 0.000 | 0.000 | -0.000 |
| 0.000 | -0.000 | 0.000 | 0.000 | 0.000 | 550.198 |
| 1090.229 | -9.080 | -0.000 | -0.000 | -0.000 | 0.000 |
| -9.080 | 1090.229 | -0.000 | -0.000 | -0.000 | 0.000 |
| 0.000 | 0.000 | -0.000 | -0.000 | -0.000 | 0.000 |
| 0.000 | 0.000 | -0.000 | -0.000 | -0.000 | -0.000 |
| -0.000 | 0.000 | -0.000 | -0.000 | -0.000 | -0.000 |
| 0.000 | 0.000 | -0.000 | -0.000 | -0.000 | 550.198 |
| 1090.772 | -9.624 | 0.000 | 0.000 | 0.000 | -0.000 |
| -9.080 | 1090.229 | 0.000 | 0.000 | 0.000 | 0.000 |
| 0.000 | 0.000 | 0.000 | 0.000 | 0.000 | 0.000 |
| -0.000 | -0.000 | 0.000 | 0.000 | 0.000 | -0.000 |
| 0.000 | -0.000 | 0.000 | 0.000 | 0.000 | -0.000 |
| 0.000 | 0.000 | 0.000 | 0.000 | 0.000 | 550.198 |
| 1090.228 | -9.080 | -0.000 | -0.000 | -0.000 | -0.000 |
| -9.624 | 1090.772 | -0.000 | -0.000 | -0.000 | -0.000 |
| 0.000 | 0.000 | -0.000 | -0.000 | -0.000 | 0.000 |
| 0.000 | 0.000 | -0.000 | -0.000 | -0.000 | -0.000 |
| -0.000 | 0.000 | -0.000 | -0.000 | -0.000 | 0.000 |
| -0.000 | -0.000 | -0.000 | -0.000 | -0.000 | 550.198 |
| 1090.232 | -9.080 | 0.000 | 0.000 | 0.000 | -0.000 |
| -9.623 | 1090.776 | 0.000 | 0.000 | 0.000 | 0.000 |
| 0.000 | 0.000 | 0.000 | 0.000 | 0.000 | 0.000 |
| -0.000 | 0.000 | 0.000 | 0.000 | 0.000 | -0.000 |
| 0.000 | -0.000 | 0.000 | 0.000 | 0.000 | -0.000 |
| 0.000 | 0.001 | 0.000 | 0.000 | 0.000 | 549.654 |
| 1090.225 | -9.080 | -0.000 | -0.000 | -0.000 | -0.000 |
| -9.081 | 1090.225 | -0.000 | -0.000 | -0.000 | -0.000 |
| 0.000 | 0.000 | -0.000 | -0.000 | -0.000 | 0.000 |
| 0.000 | 0.000 | -0.000 | -0.000 | -0.000 | 0.000 |
| -0.000 | 0.000 | -0.000 | -0.000 | -0.000 | 0.000 |
| -0.000 | -0.001 | -0.000 | -0.000 | -0.000 | 549.654 |
| 174.935 | 38.873 | 138.400 | 0.000 | 0.000 | -0.000 |
| -80.891 | 235.732 | 144.797 | 0.000 | 0.000 | 0.000 |
| 20.209 | 81.789 | 425.641 | 0.000 | 0.000 | -0.000 |
| -61.177 | 4.616 | 15.240 | 187.135 | 0.000 | 0.000 |
| -128.285 | -35.904 | 42.910 | 0.000 | 140.331 | -0.000 |
| -59.694 | 4.504 | 14.870 | 0.000 | 0.000 | 221.756 |
| 533.709 | 71.419 | 65.308 | -0.000 | -0.000 | -0.000 |
| 65.116 | 546.190 | 67.040 | -0.000 | -0.000 | 0.000 |
| 155.380 | 73.990 | 376.955 | -0.000 | -0.000 | -0.000 |
| 61.177 | -4.616 | -15.240 | 187.134 | -0.000 | 0.000 |
| 128.285 | 35.904 | -42.910 | -0.000 | 140.331 | 0.000 |
| 59.693 | -4.504 | -14.870 | -0.000 | -0.000 | 221.756 |
| 214.883 | 51.803 | 77.768 | 0.000 | 0.000 | -0.000 |
| 80.006 | 340.643 | 99.211 | 0.000 | 0.000 | 0.000 |
| 67.287 | 67.040 | 483.983 | 0.000 | 0.000 | 0.000 |
| -15.941 | -5.092 | 5.483 | 95.992 | 0.000 | 0.000 |
| -12.452 | 0.940 | 3.102 | 0.000 | 157.325 | -0.000 |
| -11.324 | 0.854 | 2.821 | 0.000 | 0.000 | 188.682 |
| 288.192 | 90.169 | 83.930 | -0.000 | -0.000 | 0.000 |
| 65.117 | 546.190 | 67.040 | -0.000 | -0.000 | 0.000 |
| 88.484 | 70.296 | 121.898 | -0.000 | -0.000 | -0.000 |
| 15.941 | 5.092 | -5.483 | 95.992 | -0.000 | 0.000 |
| 12.452 | -0.940 | -3.102 | -0.000 | 157.325 | 0.000 |
| 11.324 | -0.854 | -2.821 | -0.000 | -0.000 | 188.682 |
| 200.983 | 20.525 | -3.090 | 0.000 | 0.000 | -0.000 |
| 43.411 | 222.869 | 44.554 | 0.000 | 0.000 | -0.000 |
| 64.884 | 56.543 | 109.529 | 0.000 | 0.000 | -0.000 |
| -3.420 | -1.575 | -1.089 | 16.276 | 0.000 | -0.000 |
| -1.550 | -0.513 | 0.537 | 0.000 | 118.038 | -0.000 |
| -1.681 | -0.495 | 0.568 | 0.000 | 0.000 | 138.969 |
| 550.077 | 65.116 | 67.286 | -0.000 | -0.000 | 0.000 |
| 82.862 | 285.248 | 84.969 | -0.000 | -0.000 | -0.000 |
| 95.505 | 91.355 | 181.591 | -0.000 | -0.000 | 0.000 |
| 3.420 | 1.575 | 1.089 | 16.276 | -0.000 | 0.000 |
| 1.550 | 0.513 | -0.537 | -0.000 | 118.038 | 0.000 |
| 1.188 | -0.090 | -0.296 | -0.000 | -0.000 | 185.240 |
| 1814.269 | 369.000 | 807.679 | 0.000 | 0.000 | -0.000 |
| 8381.450 | 3559.122 | 4026.178 | 0.000 | 0.000 | -0.000 |
| 3557.227 | 1113.600 | 860.987 | 0.000 | 0.000 | 0.000 |
| 0.000 | -0.000 | 0.000 | 202.003 | 0.000 | 0.000 |
| 3511.376 | 1054.234 | 593.739 | 0.000 | 129.068 | -0.000 |
| 0.000 | 0.000 | 0.000 | 0.000 | 0.000 | 236.523 |
| -3222.422 | -1018.905 | -518.347 | -0.000 | -0.000 | -0.000 |
| 47.279 | 484.089 | 59.836 | -0.000 | -0.000 | 0.000 |
| -8350.715 | -3788.351 | -5277.744 | -0.000 | -0.000 | 0.000 |
| -0.000 | -0.000 | -0.000 | 202.003 | -0.000 | 0.000 |
| -3511.377 | -1054.234 | -593.739 | -0.000 | 129.068 | 0.000 |
| -0.000 | -0.000 | -0.000 | -0.000 | -0.000 | 236.523 |
| 542.707 | 81.682 | 141.572 | 0.000 | 0.000 | -0.000 |
| 47.279 | 484.089 | 59.836 | 0.000 | 0.000 | 0.000 |
| 221.177 | 98.553 | 413.244 | 0.000 | 0.000 | 0.000 |
| 0.000 | 0.000 | 0.000 | 202.003 | 0.000 | -0.000 |
| 0.000 | 0.000 | 0.000 | 0.000 | 207.257 | -0.000 |
| 0.000 | 0.000 | 0.000 | -0.000 | 0.000 | 236.523 |
| -496.380 | -213.686 | -168.799 | -0.000 | -0.000 | 0.000 |
| 47.279 | 484.089 | 59.836 | -0.000 | -0.000 | 0.000 |
| -313.038 | -47.769 | 191.730 | -0.000 | -0.000 | -0.000 |
| -0.000 | -0.000 | -0.000 | 202.003 | -0.000 | 0.000 |
| -0.000 | -0.000 | -0.000 | -0.000 | 207.256 | 0.000 |
| -0.000 | -0.000 | -0.000 | -0.000 | -0.000 | 236.523 |
| 322.111 | 65.305 | 90.075 | 0.000 | 0.000 | -0.000 |
| 47.279 | 484.090 | 59.837 | 0.000 | 0.000 | 0.000 |
| 103.127 | 62.609 | 147.477 | 0.000 | 0.000 | -0.000 |
| 57.301 | 21.309 | 19.665 | 65.718 | 0.000 | -0.000 |
| 43.795 | 13.326 | 6.586 | 0.000 | 111.134 | 0.000 |
| 60.302 | 22.280 | 18.795 | 0.000 | 0.000 | 112.746 |
| 125.365 | 8.842 | 42.384 | -0.000 | -0.000 | -0.000 |
| -31.792 | 166.420 | 37.397 | -0.000 | -0.000 | -0.000 |
| 57.238 | 63.218 | 307.873 | -0.000 | -0.000 | -0.000 |
| -57.301 | -21.309 | -19.665 | 65.718 | -0.000 | -0.000 |
| -43.795 | -13.326 | -6.586 | -0.000 | 111.134 | -0.000 |
| -60.302 | -22.280 | -18.795 | -0.000 | -0.000 | 112.746 |
| 1238.777 | 82.089 | 18.055 | -0.000 | 0.000 | -0.000 |
| 61.583 | 1280.766 | -3.285 | 0.000 | 0.000 | -0.000 |
| 18.607 | 18.607 | 1299.980 | 0.000 | 0.000 | -0.000 |
| -0.000 | -0.000 | -0.000 | 546.031 | 0.000 | -0.000 |
| -0.000 | -0.000 | -0.000 | 0.000 | 546.031 | 0.000 |
| -0.000 | -0.000 | -0.000 | 0.000 | 0.000 | 609.591 |
| 1238.796 | 82.109 | 18.016 | -0.000 | -0.000 | -0.000 |
| 77.854 | 1239.303 | 21.740 | 0.000 | -0.000 | 0.000 |
| 18.626 | 18.626 | 1299.942 | -0.000 | -0.000 | 0.000 |
| 0.000 | 0.000 | 0.000 | 546.031 | -0.000 | 0.000 |
| 0.000 | 0.000 | 0.000 | -0.000 | 546.031 | -0.000 |
| 0.000 | 0.000 | 0.000 | -0.000 | -0.000 | 609.591 |
| 1238.791 | 82.096 | 18.035 | -0.000 | 0.000 | 0.000 |
| 61.583 | 1280.766 | -3.286 | 0.000 | 0.000 | 0.000 |
| -2.705 | -2.705 | 1342.323 | -0.000 | 0.000 | -0.000 |
| 0.000 | -0.000 | 0.000 | 546.031 | 0.000 | -0.000 |
| -0.001 | -0.001 | 0.002 | -0.000 | 535.263 | 0.000 |
| 0.000 | 0.000 | 0.000 | -0.000 | 0.000 | 609.591 |
| 1238.787 | 82.100 | 18.034 | 0.000 | -0.000 | 0.000 |
| 82.100 | 1238.787 | 18.034 | -0.000 | -0.000 | 0.000 |
| 18.618 | 18.618 | 1299.959 | 0.000 | -0.000 | 0.000 |
| -0.000 | 0.000 | -0.000 | 546.031 | -0.000 | 0.000 |
| 0.001 | 0.001 | -0.002 | 0.000 | 535.263 | 0.000 |
| -0.000 | -0.000 | -0.000 | -0.000 | -0.000 | 609.591 |
| 1238.792 | 82.099 | 18.035 | -0.000 | 0.000 | -0.000 |
| 77.842 | 1239.297 | 21.762 | -0.000 | 0.000 | 0.000 |
| 18.618 | 18.618 | 1299.964 | 0.000 | 0.000 | -0.000 |
| 0.000 | -0.000 | 0.000 | 535.263 | 0.000 | -0.000 |
| -0.000 | 0.000 | 0.000 | -0.000 | 546.031 | -0.000 |
| -0.000 | 0.000 | 0.001 | 0.000 | 0.000 | 578.344 |
| 1238.784 | 82.098 | 18.035 | -0.000 | -0.000 | 0.000 |
| 82.098 | 1238.785 | 18.034 | -0.000 | -0.000 | -0.000 |
| 18.616 | 18.616 | 1299.958 | -0.000 | -0.000 | 0.000 |
| -0.000 | 0.000 | -0.000 | 535.263 | -0.000 | 0.000 |
| 0.000 | -0.000 | -0.000 | -0.000 | 546.031 | 0.000 |
| 0.000 | -0.000 | -0.001 | -0.000 | -0.000 | 578.344 |
| 1243.225 | 74.480 | 19.833 | -0.000 | 0.000 | 0.001 |
| 84.043 | 1240.698 | 12.829 | -0.000 | 0.000 | 0.001 |
| 18.382 | 18.383 | 1299.632 | 0.000 | 0.000 | 0.001 |
| -0.001 | -0.000 | 0.000 | 545.697 | 0.000 | 0.001 |
| 0.000 | -0.000 | 0.000 | 0.000 | 545.697 | 0.001 |
| -0.000 | -0.000 | 0.000 | 0.000 | 0.000 | 609.306 |
| 1237.481 | 82.083 | 17.983 | -0.000 | -0.000 | -0.001 |
| 84.077 | 1240.731 | 12.763 | 0.000 | -0.000 | -0.001 |
| 18.415 | 18.412 | 1299.575 | -0.000 | 0.000 | -0.001 |
| 0.001 | 0.000 | -0.001 | 545.697 | -0.000 | -0.001 |
| -0.000 | 0.000 | -0.000 | -0.000 | 545.697 | -0.001 |
| 0.000 | 0.000 | -0.000 | -0.000 | -0.000 | 609.305 |
| 1279.781 | 61.170 | -3.309 | 0.000 | 0.000 | 0.000 |
| 74.495 | 1243.237 | 19.807 | -0.000 | 0.000 | 0.000 |
| -2.923 | -2.923 | 1342.058 | 0.000 | 0.000 | 0.000 |
| -0.000 | -0.000 | 0.000 | 545.697 | 0.000 | 0.000 |
| -0.000 | 0.000 | 0.000 | 0.000 | 545.697 | 0.000 |
| 0.000 | 0.000 | 0.000 | -0.000 | -0.000 | 609.306 |
| 1279.781 | 61.170 | -3.309 | 0.000 | 0.000 | -0.000 |
| 61.170 | 1279.781 | -3.309 | 0.000 | 0.000 | -0.000 |
| 18.403 | 18.402 | 1299.594 | -0.000 | -0.000 | -0.000 |
| -0.000 | 0.000 | -0.000 | 545.697 | 0.000 | -0.000 |
| 0.000 | -0.000 | -0.000 | -0.000 | 545.697 | -0.000 |
| -0.000 | -0.000 | -0.000 | 0.000 | 0.000 | 609.306 |
| 1243.241 | 74.497 | 19.805 | -0.000 | 0.000 | 0.000 |
| 61.170 | 1279.785 | -3.309 | 0.000 | -0.000 | 0.000 |
| 18.399 | 18.399 | 1299.607 | 0.000 | 0.000 | 0.000 |
| 0.000 | -0.000 | 0.001 | 534.965 | 0.000 | 0.000 |
| -0.000 | 0.000 | 0.001 | -0.000 | 534.965 | 0.000 |
| -0.000 | 0.000 | 0.001 | -0.000 | -0.000 | 583.355 |
| 1279.777 | 61.169 | -3.309 | 0.000 | -0.000 | -0.000 |
| 82.069 | 1237.462 | 18.012 | -0.000 | -0.000 | -0.000 |
| 18.399 | 18.399 | 1299.596 | 0.000 | 0.000 | -0.000 |
| -0.000 | 0.000 | -0.001 | 534.965 | 0.000 | -0.000 |
| 0.000 | -0.000 | -0.001 | 0.000 | 534.965 | -0.000 |
| 0.000 | -0.000 | -0.001 | 0.000 | -0.000 | 583.355 |
| 2548.617 | 1387.572 | -2587.230 | 0.000 | 0.000 | 0.001 |
| 946.161 | 2115.322 | -1716.214 | -0.000 | 0.000 | -0.000 |
| -2.875 | -2.875 | 1342.405 | 0.000 | 0.000 | 0.001 |
| 871.144 | 871.144 | -1734.953 | 536.625 | 0.000 | 0.000 |
| -0.000 | 0.000 | -0.000 | 0.000 | 545.751 | 0.001 |
| 1308.848 | 1308.848 | -2606.667 | 0.000 | 0.000 | 580.574 |
| 1280.035 | 61.238 | -3.244 | 0.000 | 0.000 | 0.000 |
| 61.238 | 1280.034 | -3.244 | -0.000 | -0.000 | -0.001 |
| -1004.434 | -1004.434 | 3337.089 | -0.000 | -0.000 | -0.000 |
| -871.144 | -871.144 | 1734.953 | 536.625 | -0.000 | 0.000 |
| 0.000 | -0.000 | 0.000 | -0.000 | 545.751 | 0.000 |
| -1308.848 | -1308.848 | 2606.667 | -0.000 | -0.000 | 580.574 |
| 1369.872 | 209.695 | -240.536 | 0.000 | 0.000 | 0.000 |
| 184.108 | 1339.809 | -185.121 | 0.000 | 0.000 | 0.000 |
| 120.768 | 120.768 | 1096.162 | 0.000 | 0.000 | 0.000 |
| 102.299 | 102.299 | -203.737 | 535.007 | 0.000 | 0.000 |
| -0.000 | 0.000 | -0.000 | 0.000 | 545.751 | 0.000 |
| 87.124 | 87.124 | -173.514 | 0.000 | 0.000 | 584.543 |
| 1156.713 | -11.762 | 192.249 | -0.000 | -0.000 | -0.000 |
| -52.411 | 1109.794 | 279.447 | -0.000 | -0.000 | -0.000 |
| -110.322 | -110.322 | 1556.393 | -0.000 | -0.000 | 0.000 |
| -102.299 | -102.299 | 203.737 | 535.007 | -0.000 | -0.000 |
| -0.000 | -0.000 | -0.000 | -0.000 | 545.751 | -0.000 |
| -87.124 | -87.124 | 173.514 | -0.000 | -0.000 | 584.542 |
| 1255.701 | 84.807 | -2.480 | 0.000 | 0.000 | 0.000 |
| 84.807 | 1255.700 | -2.480 | 0.000 | 0.000 | 0.000 |
| 30.735 | 30.735 | 1275.473 | -0.000 | 0.000 | 0.000 |
| 10.229 | 10.228 | -20.370 | 535.008 | 0.000 | 0.000 |
| 12.228 | 12.228 | -24.353 | 0.000 | 532.901 | -0.000 |
| 10.753 | 10.753 | -21.415 | 0.000 | 0.000 | 583.903 |
| 1233.548 | 65.070 | 39.224 | -0.000 | -0.000 | -0.000 |
| 68.135 | 1234.289 | 35.435 | -0.000 | -0.000 | -0.000 |
| -2.875 | -2.875 | 1342.400 | -0.000 | -0.000 | -0.000 |
| -10.229 | -10.228 | 20.370 | 535.008 | -0.000 | -0.000 |
| -12.228 | -12.228 | 24.353 | -0.000 | 532.901 | -0.000 |
| -10.753 | -10.753 | 21.415 | 0.000 | -0.000 | 583.903 |
| 791.242 | -376.325 | 919.487 | -0.000 | -0.000 | 0.000 |
| -376.440 | 791.114 | 919.730 | -0.000 | -0.000 | -0.000 |
| -366.542 | -366.543 | 2066.972 | -0.000 | -0.000 | 0.000 |
| -454.073 | -454.073 | 904.425 | 533.309 | -0.000 | 0.000 |
| -454.073 | -454.073 | 904.425 | 0.000 | 533.309 | 0.000 |
| -0.000 | -0.001 | -0.001 | -0.000 | -0.000 | 609.441 |
| 1280.147 | 61.266 | -3.212 | -0.000 | 0.000 | -0.000 |
| 531.948 | 1698.801 | -888.905 | 0.000 | 0.000 | -0.001 |
| 404.236 | 404.237 | 531.730 | 0.000 | 0.000 | -0.000 |
| 454.073 | 454.073 | -904.425 | 533.309 | 0.000 | 0.000 |
| 454.072 | 454.073 | -904.425 | -0.000 | 533.309 | -0.000 |
| 0.000 | 0.001 | 0.001 | 0.000 | 0.000 | 609.442 |
| 1280.148 | 61.266 | -3.213 | 0.000 | -0.000 | 0.000 |
| 32.742 | 1207.932 | 97.113 | 0.000 | -0.000 | 0.000 |
| -31.404 | -31.404 | 1399.442 | -0.000 | -0.000 | 0.000 |
| -38.596 | -38.596 | 76.875 | 535.212 | -0.000 | 0.000 |
| -44.988 | -44.988 | 89.607 | 0.000 | 533.424 | 0.000 |
| 0.000 | -0.000 | -0.000 | -0.000 | -0.000 | 609.441 |
| 1280.147 | 61.266 | -3.213 | -0.000 | 0.000 | -0.000 |
| 114.667 | 1280.832 | -57.078 | 0.000 | 0.000 | 0.000 |
| 61.880 | 61.880 | 1213.639 | 0.000 | 0.000 | -0.000 |
| 38.596 | 38.596 | -76.875 | 535.212 | 0.000 | -0.000 |
| 44.988 | 44.988 | -89.607 | 0.000 | 533.424 | -0.000 |
| -0.000 | -0.000 | 0.000 | -0.000 | 0.000 | 609.441 |
| 1241.839 | 69.204 | 27.037 | -0.000 | -0.000 | 0.000 |
| 69.204 | 1241.839 | 27.037 | -0.000 | -0.000 | 0.000 |
| 14.715 | 14.715 | 1307.586 | 0.000 | -0.000 | 0.000 |
| -3.992 | -3.993 | 7.953 | 534.814 | -0.000 | 0.000 |
| -3.917 | -3.916 | 7.802 | -0.000 | 535.055 | 0.000 |
| 0.000 | 0.001 | 0.000 | 0.000 | -0.000 | 609.441 |
| 1249.276 | 77.695 | 11.166 | -0.000 | 0.000 | -0.000 |
| 77.698 | 1249.270 | 11.168 | -0.000 | 0.000 | -0.000 |
| 22.410 | 22.410 | 1292.250 | 0.000 | 0.000 | -0.000 |
| 3.992 | 3.993 | -7.953 | 534.814 | 0.000 | -0.000 |
| 3.917 | 3.916 | -7.802 | 0.000 | 535.055 | -0.000 |
| -0.000 | -0.001 | -0.000 | 0.000 | 0.000 | 609.441 |
| 1280.172 | 61.061 | -2.890 | 0.000 | -0.000 | -0.001 |
| 61.061 | 1280.173 | -2.890 | 0.000 | 0.000 | -0.002 |
| 21.004 | 21.004 | 1296.336 | -0.000 | 0.000 | -0.001 |
| -0.000 | -0.000 | -0.000 | 545.604 | 0.000 | -0.002 |
| 0.000 | 0.000 | 0.001 | 0.000 | 545.604 | 0.001 |
| 2.553 | 2.553 | -5.104 | 0.000 | -0.000 | 585.971 |
| 1280.172 | 61.062 | -2.889 | -0.000 | -0.000 | 0.002 |
| 61.061 | 1280.172 | -2.889 | -0.000 | -0.000 | 0.003 |
| 16.192 | 16.192 | 1305.960 | 0.000 | 0.000 | 0.004 |
| 0.000 | 0.000 | -0.000 | 545.604 | 0.000 | 0.001 |
| -0.000 | -0.000 | -0.000 | -0.000 | 545.604 | -0.000 |
| -2.553 | -2.553 | 5.104 | -0.000 | 0.000 | 585.976 |
| 1246.069 | 73.274 | 19.002 | 0.000 | 0.000 | 0.000 |
| 73.274 | 1246.069 | 19.002 | 0.000 | -0.000 | 0.000 |
| -2.889 | -2.889 | 1344.124 | 0.000 | -0.000 | 0.000 |
| 0.000 | -0.000 | 0.000 | 545.604 | 0.000 | -0.000 |
| 0.000 | 0.000 | 0.000 | -0.000 | 545.604 | -0.000 |
| 0.256 | 0.256 | -0.511 | 0.000 | -0.000 | 585.938 |
| 1245.609 | 72.758 | 19.977 | -0.000 | -0.000 | -0.000 |
| 72.758 | 1245.609 | 19.977 | -0.000 | -0.000 | -0.000 |
| 18.360 | 18.361 | 1301.623 | 0.000 | 0.000 | 0.000 |
| -0.000 | 0.000 | -0.000 | 545.604 | -0.000 | 0.000 |
| -0.000 | 0.000 | -0.000 | -0.000 | 545.604 | 0.000 |
| -0.256 | -0.256 | 0.511 | -0.000 | 0.000 | 585.939 |
| 1245.875 | 73.038 | 19.435 | -0.000 | -0.000 | -0.000 |
| 73.028 | 1245.907 | 19.414 | 0.000 | -0.000 | -0.000 |
| 18.623 | 18.623 | 1301.103 | 0.000 | 0.000 | -0.000 |
| 0.000 | -0.000 | 0.000 | 545.604 | -0.000 | -0.000 |
| -0.000 | 0.000 | 0.000 | 0.000 | 545.604 | -0.000 |
| 0.000 | 0.001 | 0.000 | 0.000 | -0.000 | 609.555 |
| 1280.168 | 61.061 | -2.890 | -0.000 | 0.000 | 0.000 |
| 72.992 | 1245.803 | 19.544 | -0.000 | -0.000 | -0.000 |
| 18.574 | 18.574 | 1301.192 | -0.000 | -0.000 | 0.000 |
| -0.000 | 0.000 | -0.000 | 545.604 | -0.000 | 0.000 |
| 0.000 | -0.000 | -0.000 | -0.000 | 545.604 | 0.000 |
| -0.000 | -0.001 | -0.000 | -0.000 | 0.000 | 609.555 |
| 1152.132 | 39.469 | 145.678 | 10.976 | -0.000 | 0.000 |
| 39.470 | 1152.131 | 145.678 | -10.976 | -0.000 | -0.000 |
| -2.693 | -2.693 | 1342.056 | 0.000 | 0.000 | 0.001 |
| 1.863 | -30.253 | 28.291 | 538.530 | 0.000 | 0.000 |
| 0.000 | -0.001 | -0.000 | -0.000 | 545.678 | 18.081 |
| -50.224 | -50.225 | 100.100 | 0.000 | 10.897 | 555.745 |
| 1265.439 | 88.787 | -16.383 | 16.184 | 0.000 | -0.000 |
| 88.776 | 1265.443 | -16.376 | -16.185 | 0.000 | 0.000 |
| 95.560 | 95.561 | 1146.228 | -0.000 | 0.000 | -0.000 |
| 61.201 | 39.434 | -100.285 | 520.259 | -0.000 | -0.000 |
| -0.000 | 0.000 | 0.000 | 0.000 | 545.678 | 18.081 |
| 50.224 | 50.225 | -100.100 | -0.000 | 10.897 | 555.743 |
| 1241.768 | 75.962 | 19.986 | 15.329 | -0.000 | -0.000 |
| 75.961 | 1241.773 | 19.983 | -15.330 | -0.000 | 0.000 |
| 15.797 | 15.797 | 1305.203 | 0.000 | 0.000 | 0.000 |
| 18.081 | -18.081 | 0.000 | 545.678 | -0.000 | 0.000 |
| -4.221 | -4.221 | 8.412 | 0.000 | 524.356 | 12.044 |
| 0.000 | 0.000 | -0.000 | 0.000 | 18.081 | 609.360 |
| 1225.792 | 85.535 | 26.366 | 12.825 | 0.000 | 0.000 |
| 85.534 | 1225.795 | 26.364 | -12.825 | -0.000 | -0.000 |
| 20.144 | 20.144 | 1296.539 | 0.000 | -0.000 | 0.000 |
| 16.265 | -7.824 | -8.412 | 524.357 | 0.000 | 0.000 |
| 4.221 | 4.221 | -8.412 | -0.000 | 524.356 | 12.044 |
| -0.000 | -0.000 | 0.000 | -0.000 | 18.081 | 609.360 |
| 1242.621 | 79.139 | 15.975 | 15.408 | -0.000 | 0.000 |
| 76.144 | 1241.220 | 20.355 | -14.785 | -0.000 | 0.000 |
| 18.419 | 18.419 | 1299.983 | 0.000 | -0.000 | -0.000 |
| 18.082 | -18.081 | 0.000 | 545.678 | 0.000 | 0.000 |
| -0.000 | 0.000 | 0.000 | 0.000 | 545.678 | 18.081 |
| -0.279 | -0.278 | 0.556 | 0.000 | 14.080 | 581.286 |
| 1279.864 | 61.148 | -3.220 | 18.081 | 0.000 | -0.000 |
| 74.310 | 1244.033 | 19.370 | -14.799 | -0.000 | 0.000 |
| 18.648 | 18.648 | 1299.517 | 0.000 | 0.000 | -0.000 |
| 18.081 | -18.081 | -0.000 | 545.678 | 0.000 | -0.000 |
| 0.000 | -0.000 | -0.000 | -0.000 | 545.678 | 18.081 |
| 0.279 | 0.279 | -0.556 | -0.000 | 14.080 | 581.286 |
| 422.808 | 81.005 | 81.005 | -0.000 | -0.000 | -0.000 |
| 81.005 | 422.808 | 81.005 | 0.000 | -0.000 | -0.000 |
| 81.004 | 81.005 | 422.809 | 0.000 | -0.000 | 0.000 |
| 17.648 | 17.648 | 17.648 | 170.853 | -0.000 | 0.000 |
| 17.648 | 17.648 | 17.648 | 0.000 | 170.853 | -0.000 |
| 17.648 | 17.648 | 17.648 | -0.000 | -0.000 | 170.853 |
| 486.128 | 56.587 | 56.587 | 0.000 | 0.000 | -0.000 |
| 56.587 | 486.128 | 56.587 | -0.000 | 0.000 | 0.000 |
| 56.587 | 56.587 | 486.128 | 0.000 | 0.000 | 0.000 |
| -17.648 | -17.648 | -17.648 | 170.853 | 0.000 | 0.000 |
| -17.647 | -17.648 | -17.648 | -0.000 | 170.853 | -0.000 |
| -17.648 | -17.648 | -17.648 | 0.000 | 0.000 | 170.853 |
| 393.298 | 66.613 | 66.613 | 0.000 | -0.000 | -0.000 |
| 66.613 | 393.298 | 66.613 | 0.000 | -0.000 | -0.000 |
| 66.613 | 66.613 | 393.298 | 0.000 | -0.000 | -0.000 |
| 9.832 | 9.832 | 9.832 | 70.056 | -0.000 | 0.000 |
| 9.832 | 9.832 | 9.832 | 0.000 | 70.056 | -0.000 |
| 9.832 | 9.832 | 9.832 | 0.000 | -0.000 | 70.056 |
| 165.327 | 51.108 | 51.108 | -0.000 | 0.000 | 0.000 |
| 51.108 | 165.327 | 51.108 | -0.000 | 0.000 | 0.000 |
| 51.108 | 51.108 | 165.327 | -0.000 | 0.000 | -0.000 |
| -9.832 | -9.832 | -9.832 | 70.056 | 0.000 | -0.000 |
| -9.832 | -9.832 | -9.832 | -0.000 | 70.056 | -0.000 |
| -9.832 | -9.832 | -9.832 | -0.000 | 0.000 | 70.056 |
| 274.677 | 74.823 | 74.823 | 0.000 | -0.000 | -0.000 |
| 74.823 | 274.677 | 74.823 | 0.000 | -0.000 | -0.000 |
| 74.823 | 74.823 | 274.677 | 0.000 | 0.000 | 0.000 |
| 0.907 | 0.907 | 0.907 | 73.090 | -0.000 | -0.000 |
| 0.907 | 0.907 | 0.907 | 0.000 | 73.090 | 0.000 |
| 0.907 | 0.907 | 0.907 | 0.000 | -0.000 | 73.092 |
| 19.395 | -56.251 | -56.251 | -0.000 | 0.000 | -0.000 |
| -56.251 | 19.395 | -56.251 | -0.000 | 0.000 | 0.000 |
| -56.251 | -56.251 | 19.395 | 0.000 | 0.000 | 0.000 |
| -0.907 | -0.907 | -0.907 | 73.090 | 0.000 | 0.000 |
| -0.907 | -0.907 | -0.907 | 0.000 | 73.090 | 0.000 |
| -0.907 | -0.907 | -0.907 | 0.000 | 0.000 | 73.092 |
| 5172.806 | 5056.958 | 5056.958 | -0.000 | 0.000 | 0.000 |
| 5056.958 | 5172.806 | 5056.958 | -0.000 | 0.000 | 0.000 |
| 5056.957 | 5056.958 | 5172.806 | 0.000 | 0.000 | -0.000 |
| 708.983 | 708.983 | 708.983 | 156.636 | 0.000 | -0.000 |
| 708.983 | 708.983 | 708.983 | 0.000 | 156.636 | 0.000 |
| 708.983 | 708.983 | 708.983 | 0.000 | 0.000 | 156.636 |
| -4924.588 | -5040.915 | -5040.915 | 0.000 | -0.000 | -0.000 |
| -5040.915 | -4924.588 | -5040.915 | 0.000 | -0.000 | -0.000 |
| -5040.915 | -5040.915 | -4924.588 | 0.000 | -0.000 | 0.000 |
| -708.983 | -708.983 | -708.983 | 156.636 | -0.000 | 0.000 |
| -708.983 | -708.983 | -708.983 | 0.000 | 156.636 | 0.000 |
| -708.983 | -708.983 | -708.983 | 0.000 | -0.000 | 156.636 |
| 493.999 | 332.795 | 332.795 | -0.000 | 0.000 | -0.000 |
| 332.795 | 493.999 | 332.795 | -0.000 | 0.000 | 0.000 |
| 332.795 | 332.795 | 493.999 | -0.000 | 0.000 | 0.000 |
| 504.714 | 504.714 | 504.714 | 58.248 | 0.000 | -0.000 |
| 567.936 | 567.936 | 567.936 | -0.000 | 46.417 | 0.000 |
| 731.999 | 732.000 | 731.999 | -0.000 | 0.000 | 38.259 |
| -159.797 | -296.007 | -296.007 | -0.000 | -0.000 | 0.000 |
| -296.007 | -159.797 | -296.007 | -0.000 | -0.000 | 0.000 |
| -296.007 | -296.007 | -159.797 | 0.000 | -0.000 | 0.000 |
| -567.936 | -567.936 | -567.936 | 46.417 | -0.000 | 0.000 |
| -567.936 | -567.936 | -567.936 | -0.000 | 46.417 | 0.000 |
| -731.999 | -731.999 | -731.999 | 0.000 | -0.000 | 38.259 |
| 210.268 | 82.626 | 82.626 | 0.000 | 0.000 | -0.000 |
| 61.764 | 165.536 | 61.764 | -0.000 | 0.000 | -0.000 |
| 61.764 | 61.764 | 165.536 | 0.000 | 0.000 | -0.000 |
| 28.582 | 28.582 | 28.582 | 77.241 | 0.000 | 0.000 |
| 28.582 | 28.582 | 28.582 | -0.000 | 77.241 | -0.000 |
| 28.582 | 28.582 | 28.582 | 0.000 | 0.000 | 77.241 |
| 20.259 | -69.042 | -69.042 | 0.000 | -0.000 | 0.000 |
| -69.042 | 20.259 | -69.042 | 0.000 | -0.000 | -0.000 |
| -69.042 | -69.042 | 20.259 | 0.000 | -0.000 | -0.000 |
| -28.582 | -28.582 | -28.582 | 77.241 | 0.000 | 0.000 |
| -28.582 | -28.582 | -28.582 | -0.000 | 77.241 | -0.000 |
| -28.582 | -28.582 | -28.582 | 0.000 | -0.000 | 77.241 |
| 2246.742 | 1912.266 | 8105.367 | 0.000 | -0.000 | -0.000 |
| 1758.391 | 2112.549 | 8100.999 | -0.000 | -0.000 | 0.000 |
| 1672.516 | 1825.256 | 8100.872 | 0.000 | -0.000 | 0.000 |
| 1164.171 | 2412.889 | 7194.448 | 27.413 | -0.000 | 0.000 |
| 1164.706 | 2413.037 | 7193.868 | 0.000 | 105.174 | 0.000 |
| 1670.898 | 1842.867 | 8101.779 | 0.000 | -0.000 | 234.171 |
| -1062.113 | -1213.672 | -1583.532 | -0.000 | 0.000 | -0.000 |
| -1555.650 | -1040.576 | -1638.148 | -0.000 | 0.000 | -0.000 |
| -1175.093 | -2428.976 | -7249.145 | -0.000 | -0.000 | -0.000 |
| -1164.171 | -2412.889 | -7194.448 | 27.413 | 0.000 | 0.000 |
| -1164.706 | -2413.037 | -7193.868 | -0.000 | 105.175 | 0.000 |
| -1670.898 | -1842.867 | -8101.779 | 0.000 | 0.000 | 234.171 |
| 742.840 | 252.641 | 810.085 | 0.000 | -0.000 | -0.000 |
| 254.537 | 454.081 | 810.086 | 0.000 | 0.000 | 0.000 |
| 168.774 | 166.879 | 810.100 | -0.000 | -0.000 | -0.000 |
| 168.841 | 181.429 | 811.765 | 32.091 | -0.000 | 0.000 |
| 119.439 | 246.529 | 733.981 | 0.000 | 102.090 | 0.000 |
| 167.074 | 184.291 | 810.106 | 0.000 | 0.000 | 234.176 |
| 421.998 | -44.472 | -91.800 | 0.000 | 0.000 | -0.000 |
| 1.647 | 15.693 | -640.821 | -0.000 | -0.000 | -0.000 |
| -129.733 | -249.517 | -765.782 | -0.000 | 0.000 | -0.000 |
| -168.841 | -181.429 | -811.765 | 32.091 | 0.000 | 0.000 |
| -119.439 | -246.529 | -733.981 | -0.000 | 102.090 | 0.000 |
| -167.074 | -184.291 | -810.106 | 0.000 | -0.000 | 234.176 |
| 592.458 | 86.809 | 81.012 | 0.000 | -0.000 | 0.000 |
| 100.424 | 283.958 | 59.314 | -0.000 | 0.000 | 0.000 |
| 18.400 | 1.037 | 81.031 | -0.000 | 0.000 | 0.000 |
| 19.095 | 17.531 | 92.736 | 3.936 | -0.000 | 0.000 |
| 16.321 | 18.199 | 78.292 | 0.000 | -0.559 | 0.000 |
| 17.161 | 18.947 | 79.812 | 0.000 | -0.000 | 234.431 |
| 559.047 | 49.948 | -81.006 | -0.000 | 0.000 | -0.000 |
| 70.747 | 251.384 | -81.010 | -0.000 | 0.000 | 0.000 |
| -15.004 | -35.827 | -80.980 | -0.000 | 0.000 | -0.000 |
| -26.983 | -9.073 | -109.873 | 32.726 | 0.000 | 0.000 |
| -16.321 | -18.199 | -78.292 | -0.000 | -0.559 | -0.000 |
| -17.161 | -18.947 | -79.812 | -0.000 | 0.000 | 234.431 |
| 1074.110 | 153.189 | -307.019 | -0.000 | 0.000 | 0.000 |
| 282.742 | 352.281 | -206.045 | -0.000 | 0.000 | 0.000 |
| 171.810 | 41.206 | 814.702 | -0.000 | -0.000 | 0.000 |
| 0.000 | 0.000 | 0.003 | 174.757 | 0.000 | 0.000 |
| 0.000 | 0.000 | 0.003 | -0.000 | 523.260 | 0.000 |
| 113.429 | -26.640 | -311.669 | -0.000 | 0.000 | 240.317 |
| 1037.240 | 96.635 | 16.939 | 0.000 | -0.000 | -0.000 |
| 3.803 | 345.506 | 251.606 | -0.001 | 0.000 | -0.000 |
| 31.163 | 21.085 | 1076.513 | 0.000 | 0.000 | -0.000 |
| -0.000 | -0.000 | -0.003 | 174.757 | 0.000 | -0.000 |
| -0.000 | -0.000 | -0.003 | 0.000 | 523.260 | -0.000 |
| -113.429 | 26.640 | 311.669 | -0.000 | 0.000 | 240.317 |
| 1037.241 | 96.635 | 16.938 | -0.000 | 0.000 | 0.000 |
| 191.642 | 295.515 | 7.986 | 0.000 | 0.000 | 0.000 |
| 31.164 | 21.085 | 1076.515 | -0.000 | 0.000 | 0.000 |
| 11.257 | -3.242 | -35.186 | 107.971 | -0.000 | 0.000 |
| 11.826 | -3.093 | -30.604 | 0.000 | 480.075 | 0.000 |
| 0.000 | 0.000 | 0.000 | 0.000 | -0.000 | 273.611 |
| 975.649 | 135.714 | 41.695 | 0.000 | 0.000 | -0.000 |
| 101.444 | 403.455 | 11.669 | 0.000 | 0.000 | -0.000 |
| 8.039 | 49.921 | 1058.888 | -0.000 | 0.000 | -0.000 |
| -11.257 | 3.242 | 35.186 | 107.971 | -0.000 | -0.000 |
| -11.826 | 3.093 | 30.604 | -0.000 | 480.075 | -0.000 |
| -0.000 | -0.000 | -0.000 | -0.000 | 0.000 | 273.611 |
| 965.904 | 174.209 | 1.819 | 0.000 | -0.000 | 0.000 |
| 178.904 | 299.004 | 37.142 | -0.000 | 0.000 | 0.000 |
| 19.675 | 47.935 | 1024.761 | -0.000 | 0.000 | 0.000 |
| 1.176 | -0.321 | -3.105 | 104.304 | 0.000 | 0.000 |
| 0.000 | 0.000 | 0.001 | 0.000 | 523.260 | 0.000 |
| 1.704 | 0.055 | -2.814 | 0.000 | 0.000 | 243.637 |
| 963.536 | 174.836 | 7.852 | 0.000 | -0.000 | -0.000 |
| 178.221 | 299.584 | 40.563 | 0.000 | -0.000 | -0.000 |
| 31.163 | 21.085 | 1076.510 | -0.000 | -0.000 | -0.000 |
| -1.176 | 0.321 | 3.105 | 104.304 | -0.000 | -0.000 |
| -0.000 | -0.000 | -0.001 | -0.000 | 523.260 | -0.000 |
| -1.704 | -0.055 | 2.814 | 0.000 | 0.000 | 243.637 |
| 979.384 | 147.598 | 18.324 | -0.000 | 0.000 | -0.000 |
| 176.796 | 299.442 | 41.305 | -0.000 | 0.000 | 0.000 |
| 30.651 | 21.583 | 1078.401 | -0.000 | 0.000 | 0.000 |
| -0.000 | -0.000 | -0.000 | 174.562 | 0.000 | -0.000 |
| 0.685 | -0.168 | 0.147 | -0.000 | 481.761 | 0.000 |
| 0.000 | 0.000 | 0.000 | -0.000 | -0.000 | 273.075 |
| 979.667 | 146.120 | 18.954 | -0.000 | -0.000 | -0.000 |
| 178.938 | 299.083 | 38.844 | -0.000 | -0.000 | -0.000 |
| 31.781 | 41.390 | 1038.592 | -0.000 | -0.000 | -0.000 |
| 0.000 | -0.000 | 0.000 | 174.562 | -0.000 | 0.000 |
| -0.685 | 0.168 | -0.147 | 0.000 | 481.761 | -0.000 |
| -0.000 | -0.000 | -0.000 | 0.000 | 0.000 | 273.075 |
| 966.962 | 175.099 | 4.583 | -0.000 | 0.000 | -0.000 |
| 100.812 | 405.028 | 11.876 | -0.000 | -0.000 | 0.000 |
| 30.651 | 21.583 | 1078.401 | -0.000 | 0.000 | 0.000 |
| -0.070 | -0.030 | 0.111 | 104.279 | 0.000 | 0.000 |
| 0.085 | 0.001 | -0.040 | 0.000 | 501.349 | 0.000 |
| 0.070 | 0.001 | -0.033 | 0.000 | -0.000 | 243.180 |
| 979.548 | 146.770 | 18.675 | 0.000 | -0.000 | 0.000 |
| 179.384 | 299.021 | 38.841 | 0.000 | -0.000 | -0.000 |
| 32.389 | 40.993 | 1039.105 | 0.000 | -0.000 | -0.000 |
| 0.070 | 0.030 | -0.111 | 104.279 | -0.000 | -0.000 |
| -0.085 | -0.001 | 0.040 | 0.000 | 501.349 | 0.000 |
| -0.070 | -0.001 | 0.033 | 0.000 | -0.000 | 243.180 |
| 979.537 | 146.850 | 18.641 | 0.000 | 0.000 | -0.000 |
| 179.356 | 298.966 | 38.010 | 0.000 | 0.000 | -0.000 |
| 17.983 | 49.107 | 1029.543 | -0.000 | 0.000 | 0.000 |
| 0.016 | -0.000 | -0.008 | 104.463 | 0.000 | 0.000 |
| 0.008 | 0.000 | -0.003 | -0.000 | 501.348 | -0.000 |
| 0.003 | -0.001 | 0.002 | -0.000 | 0.000 | 240.327 |
| 966.915 | 175.096 | 4.583 | 0.000 | -0.000 | -0.000 |
| 179.422 | 299.024 | 38.838 | -0.000 | -0.000 | -0.000 |
| 17.997 | 49.176 | 1029.390 | -0.000 | -0.000 | -0.000 |
| -0.016 | 0.000 | 0.008 | 104.463 | -0.000 | -0.000 |
| -0.008 | -0.000 | 0.003 | -0.000 | 501.348 | -0.000 |
| -0.003 | 0.001 | -0.002 | 0.000 | -0.000 | 240.327 |
| 588.611 | 57.595 | 75.371 | -3.660 | 0.000 | 0.001 |
| 57.593 | 588.612 | 75.371 | 3.660 | 0.000 | 0.000 |
| 75.371 | 75.372 | 474.883 | 0.000 | 0.000 | 0.001 |
| -3.660 | 3.661 | -0.000 | 244.788 | -0.000 | 0.001 |
| 258.977 | 258.978 | -605.447 | 0.000 | 204.088 | -6.742 |
| -0.000 | 0.001 | -0.000 | 0.000 | -3.660 | 265.508 |
| 588.612 | 57.594 | 75.371 | -3.660 | 0.000 | 0.000 |
| -195.070 | 238.675 | 709.124 | 6.794 | 0.000 | -0.000 |
| -156.436 | -156.438 | 978.073 | 0.000 | -0.000 | -0.001 |
| -3.660 | 3.659 | -0.000 | 244.788 | 0.000 | -0.000 |
| -258.977 | -258.978 | 605.447 | -0.000 | 204.087 | -6.743 |
| -0.000 | -0.001 | 0.000 | -0.000 | -3.660 | 265.509 |
| 588.611 | 57.593 | 75.371 | -3.660 | 0.000 | 0.000 |
| 57.593 | 588.611 | 75.371 | 3.660 | -0.000 | 0.000 |
| 75.371 | 75.371 | 474.884 | 0.000 | 0.000 | 0.000 |
| -3.660 | 3.660 | -0.000 | 244.788 | 0.000 | 0.000 |
| -0.000 | 0.000 | 0.000 | 0.000 | 244.788 | -3.660 |
| 30.689 | 30.689 | -71.747 | 0.000 | -7.315 | 208.779 |
| 588.611 | 57.593 | 75.371 | -3.660 | -0.000 | -0.000 |
| 14.833 | 307.030 | 239.050 | 13.153 | -0.000 | -0.000 |
| 63.649 | 63.649 | 439.808 | -0.000 | 0.000 | -0.000 |
| -3.660 | 3.660 | -0.000 | 244.788 | 0.000 | -0.000 |
| 0.000 | -0.000 | -0.000 | 0.000 | 244.788 | -3.660 |
| -30.689 | -30.689 | 71.747 | -0.000 | -7.315 | 208.779 |
| 345.193 | 77.000 | 94.968 | -14.239 | 0.000 | 0.000 |
| 57.594 | 588.613 | 75.371 | 3.660 | 0.000 | 0.000 |
| 75.371 | 75.371 | 474.886 | 0.000 | -0.000 | 0.000 |
| -4.508 | 13.383 | -10.375 | 175.045 | -0.000 | 0.000 |
| 0.000 | 0.000 | 0.000 | 0.000 | 244.788 | -3.660 |
| 5.841 | 5.841 | -14.567 | -0.000 | -15.547 | 132.624 |
| 588.609 | 57.593 | 75.371 | -3.660 | -0.000 | -0.000 |
| 71.978 | 423.938 | 121.017 | 9.429 | -0.000 | -0.000 |
| 79.112 | 79.112 | 136.319 | 0.000 | -0.000 | -0.000 |
| -13.383 | 4.508 | 10.374 | 175.049 | 0.000 | -0.000 |
| -0.000 | -0.000 | -0.000 | -0.000 | 244.788 | -3.660 |
| -5.841 | -5.841 | 14.567 | 0.000 | -15.547 | 132.624 |
| 1869.641 | 1511.577 | 4093.361 | -8.402 | 0.000 | -0.000 |
| 34.186 | 517.494 | 68.756 | 3.352 | 0.000 | -0.000 |
| 5184.686 | 5184.685 | 6546.311 | 0.000 | 0.000 | -0.000 |
| 5080.984 | 5109.945 | 6415.825 | 84.200 | 0.000 | -0.000 |
| 1472.276 | 1472.277 | 4006.884 | -0.000 | 152.674 | -8.411 |
| 1472.304 | 1472.304 | 4006.957 | -0.000 | -8.411 | 178.928 |
| -6247.959 | -6367.266 | -11628.687 | -21.632 | -0.000 | 0.000 |
| 34.186 | 517.495 | 68.756 | 3.352 | -0.000 | 0.000 |
| 62.570 | 62.571 | 397.852 | 0.000 | -0.000 | 0.000 |
| -3.352 | 3.352 | 0.000 | 212.089 | 0.000 | 0.000 |
| -1472.277 | -1472.277 | -4006.884 | 0.000 | 152.674 | -8.410 |
| -1472.303 | -1472.304 | -4006.957 | 0.000 | -8.411 | 178.928 |
| 753.870 | 529.635 | 740.677 | -14.423 | 0.000 | -0.000 |
| 34.186 | 517.495 | 68.756 | 3.352 | 0.000 | -0.000 |
| 236.458 | 236.459 | 681.264 | -0.000 | 0.000 | -0.000 |
| 138.868 | 155.693 | 400.833 | 152.653 | 0.000 | -0.000 |
| 147.278 | 147.278 | 400.826 | -0.000 | 152.654 | -8.412 |
| 147.253 | 147.253 | 400.758 | -0.000 | -8.411 | 178.918 |
| -263.634 | -486.900 | -540.584 | -14.482 | 0.000 | 0.000 |
| -486.924 | -263.667 | -540.598 | 14.482 | -0.000 | 0.000 |
| 62.570 | 62.570 | 397.852 | -0.000 | -0.000 | 0.000 |
| -155.706 | -138.880 | -400.867 | 152.647 | -0.000 | 0.000 |
| -147.278 | -147.278 | -400.826 | 0.000 | 152.654 | -8.412 |
| -147.253 | -147.253 | -400.758 | 0.000 | -8.411 | 178.918 |
| 517.496 | 34.186 | 68.757 | -3.352 | 0.000 | -0.000 |
| 34.186 | 517.496 | 68.757 | 3.352 | -0.000 | -0.000 |
| 107.996 | 107.996 | 303.774 | -0.000 | 0.000 | -0.000 |
| 30.661 | 57.330 | 59.761 | 97.113 | -0.000 | -0.000 |
| 70.264 | 70.264 | 223.507 | -0.000 | 72.999 | -11.349 |
| 42.827 | 42.827 | 59.593 | -0.000 | -13.191 | 125.694 |
| 153.024 | -30.605 | -6.139 | -18.201 | -0.000 | 0.000 |
| -30.605 | 153.029 | -6.141 | 18.200 | 0.000 | 0.000 |
| -39.689 | -39.689 | -182.729 | -0.000 | -0.000 | 0.000 |
| -23.684 | -6.581 | -41.184 | 151.021 | 0.000 | 0.000 |
| -70.264 | -70.264 | -223.507 | 0.000 | 72.999 | -11.349 |
| -42.827 | -42.827 | -59.593 | 0.000 | -13.191 | 125.694 |
| 1003.821 | 1.799 | 104.776 | 0.000 | -0.000 | -0.000 |
| 354.065 | 1046.042 | 113.627 | -0.000 | 0.001 | -0.000 |
| 439.356 | 19.850 | 1031.638 | 0.000 | -0.000 | -0.000 |
| 227.548 | -53.610 | -82.175 | 503.839 | 0.000 | -0.000 |
| 181.962 | -167.663 | 35.383 | 0.000 | 270.768 | -0.000 |
| 184.253 | -169.774 | 35.828 | 0.000 | -0.001 | 354.683 |
| 1003.821 | 1.799 | 104.776 | -0.000 | 0.001 | 0.000 |
| -144.649 | 1236.193 | 68.710 | -0.000 | 0.001 | 0.000 |
| 104.155 | 87.497 | 1052.149 | -0.000 | -0.000 | 0.000 |
| -227.548 | 53.610 | 82.175 | 503.839 | -0.000 | 0.000 |
| -181.962 | 167.663 | -35.383 | -0.000 | 270.768 | 0.000 |
| -184.253 | 169.774 | -35.828 | 0.000 | 0.000 | 354.683 |
| 945.527 | 27.781 | 124.515 | 0.000 | 0.000 | -0.000 |
| 55.272 | 1087.169 | 86.352 | 0.000 | -0.000 | -0.000 |
| 104.155 | 87.497 | 1052.150 | 0.000 | 0.000 | -0.000 |
| 13.289 | -12.245 | 2.584 | 496.540 | 0.000 | -0.000 |
| 11.228 | -10.346 | 2.183 | 0.000 | 328.058 | -0.000 |
| 21.991 | -4.252 | -8.694 | 0.000 | 0.000 | 373.032 |
| 895.406 | 40.661 | 129.562 | -0.000 | -0.000 | 0.000 |
| 6.722 | 1107.282 | 99.499 | -0.000 | 0.000 | 0.000 |
| 119.619 | 111.810 | 992.103 | -0.000 | 0.000 | 0.000 |
| -13.289 | 12.245 | -2.584 | 496.540 | -0.000 | 0.000 |
| -11.228 | 10.346 | -2.183 | 0.000 | 328.058 | 0.000 |
| -21.991 | 4.252 | 8.694 | -0.000 | -0.000 | 373.032 |
| 936.108 | 34.165 | 134.881 | 0.000 | -0.000 | -0.000 |
| 34.160 | 1097.442 | 96.020 | 0.000 | 0.000 | -0.000 |
| 129.794 | 98.457 | 1000.590 | 0.000 | -0.000 | -0.000 |
| 3.718 | -0.924 | -0.311 | 509.800 | 0.000 | -0.000 |
| 1.548 | -0.721 | -0.270 | 0.000 | 344.300 | -0.000 |
| 1.069 | -0.985 | 0.208 | 0.000 | -0.000 | 376.455 |
| 931.952 | 37.327 | 135.027 | -0.000 | 0.000 | 0.000 |
| 27.158 | 1100.567 | 93.976 | -0.000 | 0.000 | 0.000 |
| 126.780 | 99.946 | 1002.102 | -0.000 | -0.000 | 0.000 |
| -3.718 | 0.924 | 0.311 | 509.800 | -0.000 | 0.000 |
| -1.548 | 0.721 | 0.270 | 0.000 | 344.300 | 0.000 |
| -1.069 | 0.985 | -0.208 | -0.000 | -0.000 | 376.455 |
| 981.557 | -422.062 | 488.475 | 0.000 | 765.918 | 0.000 |
| 56.615 | 689.505 | 477.766 | 0.000 | 504.837 | 0.000 |
| 149.845 | -329.415 | 1391.061 | 0.000 | 611.411 | 0.000 |
| 37.227 | -454.386 | 371.938 | 502.151 | 705.732 | -25.046 |
| 65.321 | -506.686 | 418.364 | 0.000 | 1050.282 | -0.000 |
| 37.235 | -454.485 | 372.020 | -30.372 | 705.887 | 381.954 |
| 907.418 | 487.670 | -256.538 | -0.000 | -647.150 | 0.000 |
| -1.815 | 1559.849 | -292.686 | -0.000 | -757.829 | 0.000 |
| 91.604 | 69.920 | 1071.904 | -0.000 | 54.077 | 0.000 |
| -37.227 | 454.386 | -371.938 | 502.151 | -705.732 | -25.046 |
| -8.757 | 403.594 | -327.663 | -0.000 | -362.008 | 0.000 |
| -37.235 | 454.485 | -372.020 | -30.372 | -705.887 | 381.953 |
| 928.861 | 1.581 | 155.467 | 0.000 | 109.435 | 0.000 |
| 38.369 | 1059.263 | 118.675 | 0.000 | 22.513 | -0.000 |
| 91.604 | 69.920 | 1071.904 | 0.000 | 54.077 | -0.000 |
| 0.000 | 0.000 | 0.000 | 540.984 | -0.000 | -61.082 |
| 26.278 | -85.904 | 81.265 | 0.000 | 389.649 | -0.000 |
| 3.709 | -45.275 | 37.060 | -30.510 | 70.320 | 382.105 |
| 926.072 | 83.402 | 73.594 | -0.000 | 0.995 | -0.000 |
| 35.313 | 1142.577 | 43.173 | -0.000 | -119.874 | 0.000 |
| 91.604 | 69.920 | 1071.904 | -0.000 | 54.077 | 0.000 |
| -0.000 | -0.000 | -0.000 | 540.984 | 0.000 | -61.082 |
| 20.918 | -1.873 | 4.213 | -0.000 | 273.710 | 0.000 |
| -3.709 | 45.275 | -37.060 | -30.510 | -70.320 | 382.105 |
| 926.875 | 39.652 | 116.708 | 0.000 | 59.770 | -0.000 |
| 35.520 | 1096.807 | 87.507 | 0.000 | -36.575 | 0.000 |
| 112.903 | 83.663 | 1020.237 | 0.000 | 46.864 | -0.000 |
| 0.342 | -3.991 | 3.520 | 503.597 | 5.642 | -25.380 |
| 24.755 | -47.214 | 44.318 | 0.000 | 337.598 | -0.000 |
| 0.335 | -3.884 | 3.476 | -30.854 | 5.378 | 381.688 |
| 936.042 | 44.415 | 113.135 | -0.000 | 43.475 | 0.000 |
| 44.338 | 1101.232 | 78.699 | -0.000 | -54.804 | -0.000 |
| 111.144 | 92.720 | 1011.712 | -0.000 | 34.706 | 0.000 |
| -0.342 | 3.991 | -3.520 | 503.597 | -5.642 | -25.380 |
| 25.077 | -39.137 | 36.192 | -0.000 | 326.801 | 0.000 |
| -0.335 | 3.884 | -3.476 | -30.854 | -5.378 | 381.688 |
| 998.241 | 59.220 | 26.648 | -0.000 | -0.000 | -0.000 |
| 59.220 | 998.241 | 26.648 | -0.000 | -0.000 | -0.000 |
| 34.385 | 34.385 | 1306.256 | -0.001 | -0.000 | -0.000 |
| -0.000 | -0.000 | -0.000 | 479.750 | 0.000 | 0.000 |
| -0.000 | -0.000 | -0.000 | -0.000 | 479.750 | -0.000 |
| 0.000 | 0.000 | -0.000 | -0.000 | -0.000 | 136.325 |
| 998.241 | 59.220 | 26.648 | 0.001 | 0.000 | 0.000 |
| 59.220 | 998.241 | 26.649 | 0.001 | 0.000 | 0.000 |
| 34.386 | 34.386 | 1306.256 | 0.001 | 0.000 | 0.000 |
| 0.000 | 0.000 | 0.000 | 479.751 | 0.000 | -0.000 |
| 0.000 | 0.000 | 0.000 | 0.000 | 479.751 | 0.000 |
| -0.000 | -0.000 | 0.000 | 0.000 | 0.000 | 136.325 |
| 910.505 | 136.272 | 39.950 | -0.000 | -0.000 | -0.000 |
| 136.272 | 910.505 | 39.950 | -0.000 | -0.000 | -0.000 |
| 26.648 | 26.648 | 1325.522 | -0.000 | 0.000 | -0.000 |
| 0.000 | -0.000 | 0.000 | 502.792 | 0.000 | -0.000 |
| -0.000 | 0.000 | 0.000 | 0.000 | 502.792 | -0.000 |
| -0.000 | -0.000 | -0.000 | 0.000 | 0.000 | 136.325 |
| 998.241 | 59.220 | 26.648 | 0.000 | 0.000 | 0.000 |
| 59.220 | 998.241 | 26.648 | 0.000 | 0.000 | 0.000 |
| 26.648 | 26.648 | 1325.522 | 0.000 | 0.000 | 0.000 |
| -0.000 | 0.000 | -0.000 | 502.792 | 0.000 | 0.000 |
| 0.000 | -0.000 | -0.000 | 0.000 | 502.792 | 0.000 |
| 0.000 | 0.000 | 0.000 | 0.000 | 0.000 | 136.325 |
| 910.504 | 136.275 | 39.951 | -0.000 | 0.000 | -0.000 |
| 136.275 | 910.504 | 39.951 | 0.000 | 0.000 | -0.000 |
| 34.386 | 34.386 | 1306.260 | -0.000 | -0.000 | 0.000 |
| 0.000 | -0.000 | 0.001 | 502.792 | -0.000 | -0.000 |
| -0.000 | 0.000 | 0.001 | -0.000 | 502.792 | -0.000 |
| -0.000 | -0.000 | 0.000 | -0.000 | -0.000 | 136.325 |
| 910.496 | 136.277 | 39.951 | 0.000 | 0.000 | 0.000 |
| 136.277 | 910.496 | 39.951 | 0.000 | 0.000 | 0.000 |
| 34.385 | 34.385 | 1306.252 | -0.000 | 0.000 | 0.000 |
| -0.000 | 0.000 | -0.001 | 502.792 | 0.000 | 0.000 |
| 0.000 | -0.000 | -0.001 | 0.000 | 502.792 | 0.000 |
| 0.000 | 0.000 | -0.000 | 0.000 | 0.000 | 136.325 |
| 901.890 | 136.581 | 37.506 | 0.000 | -0.000 | -0.000 |
| 136.581 | 901.890 | 37.506 | 0.000 | -0.000 | -0.000 |
| 25.368 | 25.368 | 1334.217 | 0.000 | -0.000 | 0.000 |
| 0.000 | -0.000 | 0.000 | 475.518 | 0.000 | 0.000 |
| -0.000 | 0.000 | 0.000 | 0.000 | 475.517 | 0.000 |
| -0.000 | 0.000 | 0.000 | 0.000 | -0.000 | 261.872 |
| 903.380 | 131.379 | 42.654 | -0.000 | 0.000 | 0.000 |
| 131.378 | 903.380 | 42.654 | -0.000 | 0.000 | -0.000 |
| 25.368 | 25.368 | 1334.216 | -0.000 | -0.000 | -0.000 |
| -0.000 | 0.000 | -0.000 | 475.517 | -0.000 | 0.000 |
| 0.000 | -0.000 | -0.000 | -0.000 | 475.517 | -0.000 |
| -0.000 | -0.000 | -0.000 | -0.000 | 0.000 | 261.872 |
| 986.498 | 57.061 | 30.451 | 0.000 | -0.000 | -0.000 |
| 57.061 | 986.498 | 30.451 | 0.000 | -0.000 | -0.000 |
| 32.423 | 32.423 | 1314.647 | -0.000 | -0.000 | 0.000 |
| 0.000 | -0.000 | 0.000 | 475.517 | 0.000 | 0.000 |
| -0.000 | 0.000 | 0.000 | 0.000 | 475.517 | -0.000 |
| -0.000 | -0.000 | 0.000 | 0.000 | 0.000 | 138.218 |
| 986.497 | 57.061 | 30.451 | -0.000 | 0.000 | 0.000 |
| 57.061 | 986.497 | 30.451 | 0.000 | 0.000 | 0.000 |
| 25.368 | 25.368 | 1334.216 | -0.000 | -0.000 | -0.000 |
| -0.000 | 0.000 | -0.000 | 475.517 | -0.000 | 0.000 |
| 0.000 | -0.000 | -0.000 | -0.000 | 475.517 | -0.000 |
| 0.000 | 0.000 | -0.000 | -0.000 | -0.000 | 138.218 |
| 901.892 | 136.581 | 37.507 | 0.000 | 0.000 | -0.000 |
| 136.581 | 901.892 | 37.507 | 0.000 | 0.000 | 0.000 |
| 32.424 | 32.424 | 1314.650 | 0.000 | 0.000 | 0.000 |
| 0.000 | -0.000 | 0.000 | 475.517 | 0.000 | 0.000 |
| -0.000 | 0.000 | 0.000 | 0.000 | 475.517 | 0.000 |
| -0.000 | -0.000 | 0.000 | 0.000 | 0.000 | 138.218 |
| 903.380 | 131.376 | 42.653 | -0.000 | -0.000 | -0.000 |
| 131.376 | 903.380 | 42.653 | -0.000 | -0.000 | -0.000 |
| 32.429 | 32.429 | 1314.627 | -0.000 | -0.000 | 0.000 |
| -0.000 | 0.000 | -0.000 | 475.517 | -0.000 | 0.000 |
| 0.000 | -0.000 | -0.000 | -0.000 | 475.517 | 0.000 |
| 0.000 | 0.000 | -0.000 | -0.000 | -0.000 | 138.218 |
| 815.039 | 78.830 | 78.830 | -0.000 | 0.000 | 0.000 |
| 78.831 | 815.039 | 78.830 | -0.000 | -0.000 | 0.000 |
| 78.831 | 78.830 | 815.039 | -0.000 | 0.000 | 0.000 |
| -0.000 | -0.000 | -0.000 | 372.065 | 0.000 | 0.000 |
| -0.000 | -0.000 | -0.000 | -0.000 | 372.065 | 0.000 |
| -0.000 | -0.000 | -0.000 | -0.000 | -0.000 | 372.065 |
| 815.039 | 78.831 | 78.831 | 0.000 | -0.000 | -0.000 |
| 78.831 | 815.039 | 78.831 | 0.000 | 0.000 | -0.000 |
| 78.831 | 78.831 | 815.039 | 0.000 | -0.000 | -0.000 |
| 0.000 | 0.000 | 0.000 | 372.065 | 0.000 | -0.000 |
| 0.000 | 0.000 | 0.000 | 0.000 | 372.065 | -0.000 |
| 0.000 | 0.000 | 0.000 | 0.000 | 0.000 | 372.065 |
| 815.039 | 78.831 | 78.831 | -0.000 | -0.000 | 0.000 |
| 78.831 | 815.039 | 78.831 | -0.000 | 0.000 | 0.000 |
| 78.831 | 78.831 | 815.039 | -0.000 | 0.000 | 0.000 |
| 0.000 | -0.000 | 0.000 | 372.065 | -0.000 | 0.000 |
| -0.000 | 0.000 | 0.000 | -0.000 | 372.065 | 0.000 |
| -0.000 | 0.000 | 0.000 | -0.000 | 0.000 | 372.065 |
| 815.039 | 78.831 | 78.831 | 0.000 | 0.000 | -0.000 |
| 78.831 | 815.039 | 78.831 | 0.000 | -0.000 | -0.000 |
| 78.831 | 78.831 | 815.039 | 0.000 | -0.000 | -0.000 |
| -0.000 | 0.000 | -0.000 | 372.065 | -0.000 | -0.000 |
| 0.000 | -0.000 | -0.000 | 0.000 | 372.065 | -0.000 |
| 0.000 | -0.000 | -0.000 | 0.000 | -0.000 | 372.065 |
| 760.114 | 105.102 | 105.102 | -0.000 | 0.000 | 0.000 |
| 105.102 | 760.114 | 105.102 | -0.000 | 0.000 | 0.000 |
| 105.102 | 105.102 | 760.114 | -0.000 | -0.000 | 0.000 |
| -0.003 | -0.003 | -0.003 | 344.364 | 0.000 | 0.000 |
| -0.003 | -0.003 | -0.003 | -0.000 | 344.364 | -0.000 |
| -0.003 | -0.003 | -0.003 | -0.000 | 0.000 | 344.364 |
| 754.286 | 106.757 | 106.757 | 0.000 | -0.000 | -0.000 |
| 106.757 | 754.286 | 106.757 | 0.000 | -0.000 | -0.000 |
| 106.757 | 106.757 | 754.286 | 0.000 | -0.000 | -0.000 |
| 0.003 | 0.003 | 0.003 | 344.364 | 0.000 | -0.000 |
| 0.003 | 0.003 | 0.003 | 0.000 | 344.364 | -0.000 |
| 0.003 | 0.003 | 0.003 | 0.000 | -0.000 | 344.364 |
| 451.594 | 155.477 | 155.477 | 0.000 | 0.000 | 0.000 |
| 155.477 | 451.594 | 155.478 | -0.000 | -0.000 | 0.000 |
| 155.477 | 155.477 | 451.594 | 0.000 | 0.000 | 0.000 |
| 0.000 | -0.000 | 0.000 | 305.188 | -0.000 | 0.000 |
| -0.000 | -0.000 | 0.000 | 0.000 | 305.188 | -0.000 |
| -0.000 | -0.000 | 0.000 | 0.000 | -0.000 | 305.188 |
| 451.594 | 155.478 | 155.478 | -0.000 | -0.000 | -0.000 |
| 155.478 | 451.594 | 155.478 | 0.000 | 0.000 | -0.000 |
| 155.478 | 155.478 | 451.594 | -0.000 | -0.000 | -0.000 |
| -0.000 | 0.000 | -0.000 | 305.188 | -0.000 | -0.000 |
| 0.000 | -0.000 | -0.000 | 0.000 | 305.188 | -0.000 |
| 0.000 | 0.000 | 0.000 | -0.000 | 0.000 | 305.188 |
| 451.595 | 155.477 | 155.477 | 0.000 | -0.000 | 0.000 |
| 155.477 | 451.595 | 155.477 | -0.000 | -0.000 | 0.000 |
| 155.477 | 155.477 | 451.595 | -0.000 | 0.000 | 0.000 |
| 0.000 | -0.000 | 0.000 | 305.188 | -0.000 | -0.000 |
| -0.000 | 0.000 | 0.000 | -0.000 | 305.188 | -0.000 |
| -0.000 | 0.000 | 0.000 | 0.000 | 0.000 | 305.188 |
| 512.891 | 124.829 | 124.829 | 0.000 | 0.000 | -0.000 |
| 124.829 | 512.891 | 124.829 | 0.000 | 0.000 | -0.000 |
| 124.829 | 124.829 | 512.891 | -0.000 | 0.000 | -0.000 |
| -0.000 | 0.000 | -0.000 | 305.188 | -0.000 | -0.000 |
| 0.000 | -0.000 | -0.000 | -0.000 | 305.188 | -0.000 |
| 0.000 | -0.000 | -0.000 | -0.000 | -0.000 | 305.188 |
| 451.595 | 155.478 | 155.478 | 0.000 | -0.000 | 0.000 |
| 155.478 | 451.595 | 155.478 | -0.000 | -0.000 | 0.000 |
| 155.478 | 155.478 | 451.595 | -0.000 | -0.000 | 0.000 |
| 0.000 | -0.000 | 0.000 | 305.188 | 0.000 | -0.000 |
| 0.000 | 0.000 | 0.000 | -0.000 | 322.254 | 0.000 |
| -0.000 | 0.000 | 0.000 | -0.000 | -0.000 | 305.188 |
| 451.817 | 155.365 | 155.365 | 0.000 | 0.000 | -0.000 |
| 155.365 | 451.817 | 155.365 | 0.000 | 0.000 | -0.000 |
| 155.365 | 155.365 | 451.817 | 0.000 | -0.000 | 0.000 |
| -0.000 | -0.000 | -0.000 | 322.254 | -0.000 | -0.000 |
| -0.000 | -0.000 | -0.000 | 0.000 | 322.254 | -0.000 |
| -0.000 | -0.000 | -0.000 | -0.000 | 0.000 | 322.254 |
| 464.770 | 54.100 | 54.101 | -0.000 | 0.000 | -0.000 |
| 54.100 | 464.769 | 54.101 | -0.000 | 0.000 | 0.000 |
| 54.100 | 54.100 | 464.770 | -0.000 | 0.000 | 0.000 |
| -0.000 | -0.000 | -0.000 | 56.768 | 0.000 | -0.000 |
| -0.001 | -0.001 | -0.000 | -0.000 | 56.768 | -0.000 |
| -0.001 | -0.000 | -0.000 | -0.000 | 0.000 | 56.768 |
| 464.770 | 54.101 | 54.101 | -0.000 | -0.000 | 0.000 |
| 54.100 | 464.770 | 54.100 | 0.000 | -0.001 | 0.000 |
| 54.101 | 54.101 | 464.769 | 0.000 | -0.000 | -0.000 |
| 0.000 | 0.000 | 0.000 | 56.768 | -0.000 | 0.000 |
| 0.001 | 0.001 | 0.000 | -0.000 | 56.768 | 0.000 |
| 0.000 | 0.000 | 0.000 | 0.000 | -0.000 | 56.768 |
| 142.784 | 62.140 | 62.140 | 0.000 | 0.000 | -0.000 |
| 62.140 | 142.784 | 62.140 | 0.000 | 0.000 | -0.000 |
| 62.140 | 62.140 | 142.784 | 0.000 | 0.000 | 0.000 |
| -0.000 | -0.000 | -0.000 | 112.621 | 0.000 | -0.000 |
| -0.000 | -0.000 | -0.000 | 0.000 | 112.622 | 0.000 |
| -0.000 | -0.000 | 0.000 | 0.000 | 0.000 | 112.621 |
| 249.638 | 72.145 | 72.145 | 0.000 | -0.000 | 0.000 |
| 72.145 | 249.638 | 72.145 | -0.000 | -0.000 | 0.000 |
| 72.145 | 72.145 | 249.638 | -0.000 | -0.000 | 0.000 |
| 0.000 | 0.000 | 0.000 | 112.622 | -0.000 | -0.000 |
| 0.000 | 0.000 | 0.000 | 0.000 | 112.621 | 0.000 |
| 0.000 | 0.000 | -0.000 | -0.000 | -0.000 | 112.621 |
| 23.738 | -53.330 | -53.330 | -0.000 | 0.000 | -0.000 |
| -53.330 | 23.738 | -53.330 | 0.000 | 0.000 | 0.000 |
| -53.330 | -53.330 | 23.738 | -0.000 | 0.000 | -0.000 |
| 0.000 | -0.000 | -0.000 | 112.621 | 0.000 | 0.000 |
| -0.000 | 0.000 | -0.000 | -0.000 | 112.621 | -0.000 |
| -0.000 | -0.000 | 0.000 | 0.000 | 0.000 | 112.621 |
| 249.649 | 72.144 | 72.144 | 0.000 | -0.000 | -0.000 |
| 72.144 | 249.649 | 72.144 | 0.000 | -0.000 | -0.000 |
| 72.144 | 72.144 | 249.649 | -0.000 | -0.000 | -0.000 |
| -0.000 | 0.000 | 0.000 | 112.621 | -0.000 | 0.000 |
| 0.000 | -0.000 | 0.000 | -0.000 | 112.621 | 0.000 |
| 0.000 | 0.000 | -0.000 | 0.000 | -0.000 | 112.621 |
| 338.780 | 60.107 | 60.107 | -0.000 | -0.001 | -0.000 |
| 60.107 | 338.780 | 60.107 | 0.000 | -0.001 | 0.000 |
| 60.107 | 60.107 | 338.780 | -0.000 | -0.000 | 0.000 |
| 5.392 | 5.391 | 5.392 | 139.344 | -0.000 | 0.000 |
| 5.392 | 5.391 | 5.391 | -0.000 | 139.345 | -0.000 |
| 5.392 | 5.391 | 5.392 | -0.000 | -0.000 | 139.345 |
| -245.930 | 6.830 | 6.830 | 0.000 | 0.000 | 0.000 |
| 6.830 | -245.929 | 6.830 | 0.000 | 0.000 | 0.000 |
| 6.830 | 6.830 | -245.930 | 0.000 | 0.000 | 0.000 |
| -5.392 | -5.391 | -5.392 | 139.345 | 0.000 | 0.000 |
| -5.392 | -5.391 | -5.391 | 0.000 | 139.345 | 0.000 |
| -5.392 | -5.391 | -5.392 | 0.000 | -0.000 | 139.345 |
| 328.048 | 55.790 | 55.790 | -0.000 | 0.000 | 0.000 |
| 55.790 | 328.048 | 55.790 | -0.000 | -0.000 | -0.000 |
| 55.790 | 55.790 | 328.048 | 0.000 | -0.000 | -0.000 |
| 4.972 | 4.972 | 4.972 | -87.563 | -0.000 | -0.000 |
| 4.972 | 4.972 | 4.972 | -0.000 | -87.563 | -0.000 |
| 4.972 | 4.972 | 4.972 | -0.000 | -0.000 | -87.563 |
| -142.022 | -10.286 | -10.286 | -0.000 | 0.000 | 0.000 |
| -10.286 | -142.022 | -10.286 | 0.000 | 0.000 | -0.000 |
| -10.286 | -10.286 | -142.022 | 0.000 | 0.000 | 0.000 |
| -4.972 | -4.972 | -4.972 | -87.563 | 0.000 | -0.000 |
| -4.972 | -4.972 | -4.972 | -0.000 | -87.563 | 0.000 |
| -4.972 | -4.972 | -4.972 | 0.000 | 0.000 | -87.563 |
| 14.788 | -51.082 | -51.082 | -0.000 | -0.000 | -0.000 |
| -51.082 | 14.788 | -51.082 | -0.000 | -0.000 | 0.000 |
| -51.082 | -51.082 | 14.788 | -0.000 | -0.000 | -0.000 |
| 0.000 | 0.000 | 0.000 | 182.380 | -0.000 | -0.000 |
| 0.000 | 0.000 | 0.000 | -0.000 | 182.380 | -0.000 |
| 0.000 | 0.000 | 0.000 | -0.000 | -0.000 | 182.380 |
| 118.915 | 55.476 | 55.476 | 0.000 | 0.000 | 0.000 |
| 55.476 | 118.915 | 55.476 | 0.000 | 0.000 | 0.000 |
| 55.476 | 55.476 | 118.915 | 0.000 | 0.000 | 0.000 |
| -0.000 | -0.000 | -0.000 | 182.380 | 0.000 | 0.000 |
| -0.000 | -0.000 | -0.000 | -0.000 | 182.380 | 0.000 |
| -0.000 | -0.000 | -0.000 | 0.000 | 0.000 | 182.380 |
| 603.963 | 307.579 | 307.579 | -0.000 | -0.000 | 0.000 |
| 307.579 | 603.963 | 307.579 | -0.000 | -0.000 | 0.000 |
| 307.579 | 307.579 | 603.963 | -0.000 | -0.000 | -0.000 |
| 490.966 | 490.966 | 490.966 | 108.126 | -0.000 | -0.000 |
| 490.966 | 490.966 | 490.966 | 0.000 | 108.126 | 0.000 |
| 490.966 | 490.966 | 490.966 | -0.000 | -0.000 | 108.127 |
| 94.898 | -201.444 | -201.444 | 0.000 | 0.000 | -0.000 |
| -201.444 | 94.897 | -201.444 | 0.000 | 0.000 | 0.000 |
| -201.444 | -201.444 | 94.898 | 0.000 | 0.001 | 0.000 |
| -490.966 | -490.966 | -490.966 | 108.127 | 0.000 | -0.000 |
| -490.966 | -490.966 | -490.966 | 0.001 | 108.127 | 0.000 |
| -490.966 | -490.966 | -490.966 | 0.000 | 0.000 | 108.126 |
| 253.139 | 123.431 | 123.431 | -0.000 | -0.000 | -0.000 |
| 123.431 | 253.139 | 123.431 | -0.000 | -0.000 | 0.000 |
| 123.431 | 123.431 | 253.139 | -0.000 | -0.000 | -0.000 |
| 25.550 | 25.550 | 25.550 | 148.051 | -0.000 | 0.000 |
| 25.550 | 25.550 | 25.550 | -0.000 | 148.051 | -0.000 |
| 25.550 | 25.550 | 25.550 | -0.000 | -0.000 | 148.051 |
| 323.240 | 27.508 | 27.508 | 0.000 | -0.000 | -0.000 |
| 27.508 | 323.240 | 27.508 | 0.000 | 0.000 | 0.000 |
| 27.508 | 27.508 | 323.240 | 0.000 | 0.000 | 0.000 |
| -25.550 | -25.550 | -25.550 | 148.051 | 0.000 | 0.000 |
| -25.550 | -25.550 | -25.550 | -0.000 | 148.051 | 0.000 |
| -25.550 | -25.550 | -25.550 | 0.000 | 0.000 | 148.051 |
| 80.949 | 27.643 | 27.643 | -0.000 | -0.000 | -0.000 |
| 27.643 | 80.949 | 27.643 | -0.000 | -0.000 | 0.000 |
| 27.643 | 27.643 | 80.949 | -0.000 | -0.000 | 0.000 |
| 6.104 | 6.104 | 6.104 | 89.211 | -0.000 | 0.000 |
| 8.398 | 8.398 | 8.398 | -0.000 | 56.485 | -0.000 |
| 6.104 | 6.104 | 6.104 | -0.000 | -0.000 | 89.211 |
| -5.778 | -51.817 | -51.817 | 0.000 | 0.000 | 0.000 |
| -35.863 | 16.049 | -35.863 | 0.000 | 0.000 | -0.000 |
| -35.863 | -35.863 | 16.049 | 0.000 | 0.000 | 0.000 |
| -11.719 | -11.719 | -11.719 | 38.894 | 0.000 | -0.000 |
| -8.398 | -8.398 | -8.398 | -0.000 | 56.485 | -0.000 |
| -8.398 | -8.398 | -8.398 | 0.000 | 0.000 | 56.485 |
| 268.541 | 80.821 | 81.090 | 0.000 | 0.000 | -0.000 |
| 81.721 | 262.503 | 77.545 | 0.000 | 0.000 | -0.000 |
| 68.589 | 67.245 | 246.424 | 0.000 | 0.000 | -0.000 |
| 0.000 | 0.000 | -0.000 | 219.278 | 0.000 | -0.000 |
| 0.006 | -0.005 | 0.002 | 0.000 | 147.506 | -0.000 |
| 0.000 | -0.000 | 0.000 | 0.000 | -0.000 | 197.711 |
| 456.088 | 59.104 | 56.949 | -0.000 | 0.000 | -0.000 |
| 59.104 | 453.434 | 56.927 | -0.000 | 0.000 | -0.000 |
| 56.949 | 56.927 | 512.990 | -0.000 | -0.000 | 0.000 |
| -0.000 | 0.000 | 0.000 | 219.277 | -0.000 | -0.000 |
| -0.006 | 0.005 | -0.002 | -0.000 | 147.506 | 0.000 |
| -0.000 | -0.000 | 0.000 | -0.000 | 0.000 | 197.711 |
| 456.088 | 59.104 | 56.949 | 0.000 | 0.000 | -0.000 |
| 59.104 | 453.434 | 56.927 | 0.000 | 0.000 | 0.000 |
| 79.949 | 75.798 | 328.072 | 0.000 | 0.000 | -0.000 |
| 0.001 | -0.001 | 0.000 | 135.625 | 0.000 | -0.000 |
| 0.001 | -0.001 | 0.001 | 0.000 | 88.100 | -0.000 |
| -0.000 | 0.000 | 0.000 | 0.000 | 0.000 | 197.711 |
| 456.088 | 59.103 | 56.949 | -0.000 | 0.000 | 0.000 |
| 59.103 | 453.434 | 56.927 | -0.000 | -0.000 | 0.000 |
| 79.948 | 75.800 | 328.071 | -0.000 | -0.000 | 0.000 |
| -0.001 | 0.001 | -0.000 | 135.625 | -0.000 | 0.000 |
| -0.001 | 0.001 | -0.001 | -0.000 | 88.100 | 0.000 |
| -0.000 | -0.000 | -0.000 | -0.000 | -0.000 | 197.711 |
| 54.829 | -9.188 | -4.680 | 0.000 | 0.000 | -0.000 |
| 48.899 | 100.759 | 34.477 | 0.000 | 0.000 | -0.000 |
| 68.581 | 67.255 | 246.397 | 0.000 | 0.000 | -0.000 |
| 0.000 | -0.000 | 0.000 | 135.625 | -0.000 | -0.000 |
| -0.000 | 0.000 | -0.000 | 0.000 | 147.506 | -0.000 |
| 0.000 | 0.000 | 0.000 | 0.000 | 0.000 | 13.548 |
| 26.804 | -51.367 | -20.258 | -0.000 | -0.000 | 0.000 |
| 76.389 | 160.002 | 68.104 | -0.000 | -0.000 | 0.000 |
| 68.569 | 67.246 | 246.378 | -0.000 | -0.000 | 0.000 |
| -0.000 | 0.000 | -0.000 | 135.625 | -0.000 | 0.000 |
| 0.000 | -0.000 | 0.000 | -0.000 | 147.506 | 0.000 |
| -0.000 | -0.000 | -0.000 | -0.000 | -0.000 | 13.548 |
| 305.847 | 48.594 | 66.066 | 0.000 | 0.000 | -0.000 |
| 48.594 | 679.801 | 15.494 | 0.001 | 0.000 | -0.001 |
| 144.607 | -2165.387 | 958.864 | -3.811 | 0.412 | 2.991 |
| 0.000 | 0.000 | -0.000 | 165.423 | 0.000 | -0.000 |
| -84.334 | 417.475 | 16.831 | -0.314 | 132.594 | -1.584 |
| 151.708 | -1883.340 | 548.206 | -6.188 | -0.155 | -400.060 |
| 339.825 | -354.073 | 51.629 | 0.314 | -0.902 | 1.584 |
| 28.183 | 231.341 | -271.639 | 2.255 | -1.633 | 1.173 |
| -16.883 | 5772.027 | -151.718 | 2.753 | -1.472 | -1.772 |
| 94.614 | -468.376 | -18.883 | 137.935 | -1.011 | 1.776 |
| 121.760 | -47.614 | -45.104 | 0.410 | 96.948 | 2.318 |
| 171.030 | -62.650 | -78.577 | 0.597 | -2.292 | 28.520 |
| -3.460 | -649.685 | -28.980 | -0.202 | 0.092 | 0.009 |
| -53.710 | 211.522 | 5.577 | -0.258 | 0.163 | -0.021 |
| 7.856 | -275.132 | 218.517 | -0.286 | 0.144 | 0.222 |
| -1.643 | -37.023 | 11.368 | 32.008 | 0.084 | -0.022 |
| -24.467 | -505.338 | -10.152 | 0.003 | 55.726 | 0.189 |
| -3.637 | -29.126 | 24.603 | -0.206 | 0.126 | 71.612 |
| -98.980 | 70.800 | -52.378 | 0.196 | -0.027 | -0.111 |
| -96.447 | 180.503 | -39.324 | 0.291 | -0.140 | -0.078 |
| 88.228 | 18.945 | 190.804 | 0.053 | -0.211 | 0.293 |
| 18.222 | 1.412 | -8.821 | 65.640 | -0.250 | 0.310 |
| -0.366 | 16.740 | -8.267 | 0.104 | 77.887 | -0.037 |
| 8.051 | 414.768 | -16.257 | 0.229 | -0.138 | -18.182 |
| 94.927 | 6.940 | 44.722 | -0.009 | 0.010 | -0.011 |
| -9.471 | 126.945 | -7.267 | -0.020 | 0.014 | 0.002 |
| -0.168 | -3.399 | 85.461 | -0.024 | 0.020 | -0.007 |
| 0.582 | -6.755 | 3.476 | 9.124 | 0.014 | -0.001 |
| 0.278 | -31.766 | 2.735 | -0.026 | -0.346 | 0.010 |
| -1.376 | -88.448 | 0.352 | -0.026 | 0.019 | -2.284 |
| 7.650 | 19.815 | -6.798 | 0.021 | -0.014 | -0.007 |
| -3.845 | 144.986 | -3.329 | 0.020 | -0.007 | 0.001 |
| 2.146 | 16.835 | 82.932 | 0.022 | -0.016 | 0.001 |
| -1.939 | 29.292 | -3.857 | -5.603 | -0.016 | -0.003 |
| -1.042 | 11.840 | -3.467 | 0.023 | 6.179 | 0.003 |
| -1.305 | 19.179 | -3.589 | 0.026 | -0.013 | -2.838 |
| 526.326 | 62.481 | 64.477 | 0.000 | 0.000 | 0.000 |
| 79.379 | 268.025 | 84.370 | -0.000 | 0.000 | 0.000 |
| 64.477 | 64.477 | 464.558 | -0.000 | -0.000 | 0.000 |
| 0.000 | 0.000 | -0.000 | 222.858 | 0.000 | -0.000 |
| -0.000 | 0.000 | -0.000 | -0.000 | 222.858 | 0.000 |
| 0.000 | -0.000 | -0.000 | -0.000 | -0.000 | 248.315 |
| 526.326 | 62.481 | 64.477 | -0.000 | 0.000 | -0.000 |
| 62.481 | 526.326 | 64.477 | -0.000 | 0.000 | -0.000 |
| 89.974 | 89.974 | 302.634 | 0.000 | 0.000 | 0.000 |
| -0.000 | 0.000 | 0.000 | 222.858 | 0.000 | 0.000 |
| 0.000 | 0.000 | 0.000 | 0.000 | 222.858 | -0.000 |
| 0.000 | 0.000 | 0.000 | 0.000 | 0.000 | 248.315 |
| 357.973 | 87.314 | 89.888 | -0.000 | 0.000 | 0.000 |
| 87.314 | 357.973 | 89.888 | -0.000 | 0.000 | 0.000 |
| 89.970 | 89.970 | 302.649 | 0.000 | -0.000 | 0.000 |
| -0.000 | -0.000 | -0.001 | 102.222 | 0.000 | 0.000 |
| -0.000 | -0.000 | -0.001 | -0.000 | 102.222 | 0.000 |
| 0.000 | 0.000 | -0.000 | -0.000 | 0.000 | 248.316 |
| 268.029 | 79.378 | 84.376 | 0.000 | 0.000 | -0.000 |
| 79.378 | 268.029 | 84.376 | -0.000 | 0.000 | -0.000 |
| 88.686 | 88.686 | 172.873 | 0.000 | -0.000 | -0.000 |
| 0.000 | 0.000 | 0.001 | 102.222 | -0.000 | 0.000 |
| 0.000 | 0.000 | 0.001 | 0.000 | 102.222 | -0.000 |
| -0.000 | -0.000 | 0.000 | -0.000 | -0.000 | 248.316 |
| 526.328 | 62.481 | 64.477 | -0.000 | -0.000 | -0.000 |
| 62.481 | 526.328 | 64.477 | 0.000 | 0.000 | 0.000 |
| 60.019 | 60.019 | 107.267 | -0.000 | 0.000 | -0.000 |
| 0.000 | -0.000 | -0.000 | 137.736 | 0.000 | 0.000 |
| -0.000 | 0.000 | -0.000 | 0.000 | 137.736 | 0.000 |
| -0.000 | 0.000 | 0.000 | 0.000 | 0.000 | 178.524 |
| 201.052 | 29.012 | 6.701 | -0.000 | -0.000 | -0.000 |
| 29.012 | 201.052 | 6.701 | -0.000 | -0.000 | -0.000 |
| 14.587 | 14.587 | 61.539 | -0.000 | 0.000 | -0.000 |
| -0.000 | 0.000 | 0.000 | 137.736 | 0.000 | -0.000 |
| 0.000 | -0.000 | 0.000 | -0.000 | 137.736 | -0.000 |
| 0.000 | -0.000 | -0.000 | -0.000 | -0.000 | 178.524 |
| 184.554 | -2.340 | -143.085 | -0.000 | 0.000 | 0.000 |
| -2.340 | 184.554 | -143.085 | -0.000 | -0.000 | -0.000 |
| 25.005 | 25.005 | -32.188 | 0.000 | -0.000 | 0.000 |
| -46.497 | -46.497 | -212.505 | 78.282 | -0.000 | 0.000 |
| -46.497 | -46.497 | -212.505 | -0.000 | 78.282 | 0.000 |
| 4.188 | 4.188 | -112.024 | -0.000 | 0.000 | 196.851 |
| 402.633 | 44.104 | 177.355 | -0.000 | -0.000 | 0.000 |
| 44.104 | 402.633 | 177.355 | 0.000 | -0.000 | 0.000 |
| 57.100 | 57.101 | 455.444 | -0.000 | -0.000 | 0.000 |
| 46.497 | 46.497 | 212.505 | 78.282 | -0.000 | 0.000 |
| 46.497 | 46.497 | 212.505 | 0.000 | 78.282 | -0.000 |
| -4.188 | -4.188 | 112.025 | -0.000 | -0.000 | 196.851 |
| 204.923 | 41.177 | 54.767 | 0.000 | 0.000 | 0.000 |
| 41.178 | 204.923 | 54.767 | -0.000 | 0.000 | 0.000 |
| 52.698 | 52.698 | 400.903 | -0.000 | -0.000 | 0.000 |
| 0.608 | 0.608 | -16.252 | 151.205 | -0.000 | 0.000 |
| 0.608 | 0.608 | -16.252 | -0.000 | 151.205 | 0.000 |
| -4.365 | -4.364 | -21.672 | 0.000 | -0.000 | 125.061 |
| 253.592 | 51.894 | 97.181 | -0.000 | 0.000 | -0.000 |
| 51.894 | 253.592 | 97.181 | 0.000 | -0.000 | -0.000 |
| 52.698 | 52.698 | 400.902 | -0.000 | -0.000 | -0.000 |
| -0.608 | -0.608 | 16.252 | 151.205 | -0.000 | 0.000 |
| -0.608 | -0.608 | 16.252 | 0.000 | 151.205 | -0.000 |
| -0.562 | -0.562 | 15.026 | 0.000 | 0.000 | 187.363 |
| 191.829 | 31.536 | 55.873 | -0.000 | -0.000 | -0.000 |
| 31.536 | 191.829 | 55.873 | -0.000 | -0.000 | 0.000 |
| -31.685 | -31.685 | 22.458 | 0.000 | 0.000 | -0.000 |
| -0.416 | -0.416 | -2.016 | 87.012 | -0.000 | 0.000 |
| -0.416 | -0.416 | -2.016 | -0.000 | 87.012 | 0.000 |
| -0.390 | -0.390 | -2.379 | -0.000 | -0.000 | 123.249 |
| 196.574 | 33.773 | 61.197 | -0.000 | -0.000 | 0.000 |
| 33.777 | 196.585 | 61.203 | 0.000 | 0.000 | -0.000 |
| 48.521 | 48.521 | 91.175 | 0.000 | -0.000 | -0.000 |
| 0.416 | 0.416 | 2.016 | 87.012 | -0.000 | -0.000 |
| 0.416 | 0.416 | 2.016 | 0.000 | 87.012 | 0.000 |
| 0.390 | 0.390 | 2.379 | -0.000 | 0.000 | 123.249 |
| 442.045 | 66.466 | 48.673 | 0.000 | -0.000 | 0.000 |
| 93.739 | 273.068 | 59.994 | -0.000 | -0.000 | -0.000 |
| 48.673 | 44.411 | 565.063 | -0.000 | -0.000 | 0.000 |
| -0.000 | 0.000 | -0.000 | 219.012 | -0.000 | -0.000 |
| -0.000 | 0.000 | -0.000 | -0.000 | 220.916 | 0.000 |
| -0.000 | -0.000 | -0.000 | 0.000 | 0.000 | 192.509 |
| 263.174 | 92.398 | 69.482 | 0.000 | 0.000 | 0.000 |
| 93.739 | 273.064 | 59.996 | 0.000 | -0.000 | -0.000 |
| 67.613 | 58.527 | 276.425 | -0.000 | 0.000 | 0.000 |
| 0.000 | -0.000 | 0.000 | 219.012 | 0.000 | 0.000 |
| 0.000 | -0.000 | 0.000 | 0.000 | 220.916 | -0.000 |
| -0.000 | -0.000 | 0.000 | -0.000 | -0.000 | 192.509 |
| 263.169 | 92.399 | 69.482 | -0.000 | 0.000 | -0.000 |
| 66.465 | 457.230 | 44.411 | -0.000 | -0.000 | -0.000 |
| 69.898 | 59.525 | 403.786 | -0.000 | -0.000 | 0.000 |
| -0.000 | 0.000 | 0.000 | 219.013 | -0.000 | -0.000 |
| 0.000 | 0.000 | 0.000 | 0.000 | 220.916 | -0.000 |
| -0.000 | 0.000 | -0.000 | -0.000 | -0.000 | 67.369 |
| 263.152 | 92.402 | 69.484 | 0.000 | 0.000 | -0.000 |
| 93.739 | 273.067 | 59.995 | 0.000 | 0.000 | 0.000 |
| 67.613 | 58.528 | 276.395 | 0.000 | 0.000 | 0.000 |
| 0.000 | -0.000 | -0.000 | 219.013 | 0.000 | 0.000 |
| -0.000 | -0.000 | -0.000 | 0.000 | 220.916 | 0.000 |
| -0.000 | -0.000 | 0.000 | 0.000 | 0.000 | 67.369 |
| 139.531 | 88.479 | 65.898 | -0.000 | -0.000 | 0.000 |
| 25.040 | 95.569 | 18.153 | -0.000 | -0.000 | -0.000 |
| 67.616 | 58.530 | 276.415 | -0.000 | -0.000 | -0.000 |
| 0.000 | -0.000 | -0.000 | 103.164 | -0.000 | -0.000 |
| -0.000 | 0.000 | -0.000 | 0.000 | 107.502 | -0.000 |
| -0.000 | -0.000 | 0.000 | -0.000 | 0.000 | 104.933 |
| 139.529 | 88.474 | 65.895 | 0.000 | 0.000 | -0.000 |
| 61.093 | 129.872 | 45.392 | 0.000 | 0.000 | 0.000 |
| 69.898 | 59.525 | 403.781 | 0.000 | -0.000 | -0.000 |
| -0.000 | 0.000 | 0.000 | 103.164 | 0.000 | 0.000 |
| 0.000 | -0.000 | 0.000 | 0.000 | 107.502 | 0.000 |
| 0.000 | 0.000 | -0.000 | 0.000 | 0.000 | 104.933 |
| 113.295 | 284.319 | 1269.435 | 0.000 | -0.000 | 0.000 |
| -133.595 | 548.522 | 1261.522 | -0.000 | -0.000 | -0.000 |
| -153.393 | 257.052 | 1657.757 | 0.000 | -0.000 | -0.000 |
| -947.516 | 1854.257 | 3333.880 | 33.205 | 0.000 | -0.000 |
| -313.541 | 496.220 | 2028.906 | 0.000 | 134.903 | -0.000 |
| -1175.535 | 4728.956 | 4472.266 | 0.000 | -0.000 | -162.499 |
| 390.844 | 59.854 | 39.921 | -0.000 | 0.000 | -0.000 |
| 59.854 | 407.184 | 35.100 | -0.000 | 0.000 | -0.000 |
| 254.876 | -170.706 | -784.814 | -0.000 | 0.000 | 0.000 |
| 947.516 | -1854.257 | -3333.880 | 33.205 | 0.000 | -0.000 |
| 313.541 | -496.220 | -2028.906 | -0.000 | 134.903 | 0.000 |
| 1175.535 | -4728.956 | -4472.266 | 0.000 | -0.000 | -162.499 |
| 296.508 | 91.995 | 171.010 | -0.000 | -0.000 | 0.000 |
| 50.018 | 356.077 | 163.082 | 0.000 | 0.000 | 0.000 |
| 30.228 | 64.620 | 559.236 | 0.000 | -0.000 | 0.000 |
| -20.451 | 21.429 | 122.355 | 161.600 | -0.000 | -0.000 |
| -20.451 | 21.428 | 122.352 | 0.000 | 164.947 | -0.000 |
| -20.463 | 21.440 | 122.421 | 0.000 | -0.000 | 130.093 |
| 276.259 | 20.518 | -156.651 | 0.000 | 0.000 | 0.000 |
| 91.139 | 312.442 | -82.314 | -0.000 | 0.000 | -0.000 |
| 142.461 | -145.036 | -174.356 | -0.000 | 0.000 | 0.000 |
| 20.451 | -21.429 | -122.355 | 161.600 | 0.000 | 0.000 |
| 20.450 | -21.428 | -122.349 | -0.000 | 164.948 | 0.000 |
| 20.463 | -21.440 | -122.421 | -0.000 | 0.000 | 130.093 |
| 390.845 | 59.855 | 39.921 | 0.000 | 0.000 | -0.000 |
| 54.456 | 127.037 | 65.102 | -0.000 | -0.000 | 0.000 |
| -3.416 | 28.683 | 145.445 | 0.000 | -0.000 | 0.000 |
| -75.202 | 202.504 | 167.612 | 0.489 | -0.000 | -0.000 |
| -0.000 | 0.000 | 0.000 | 0.000 | 198.004 | 0.000 |
| -6.990 | 13.376 | 26.616 | -0.000 | -0.000 | 31.277 |
| 98.744 | 48.821 | 17.523 | -0.000 | 0.000 | 0.000 |
| 68.387 | 74.270 | 7.978 | -0.000 | 0.000 | -0.000 |
| 56.022 | 42.381 | 400.648 | 0.000 | 0.000 | -0.000 |
| 75.202 | -202.504 | -167.612 | 0.489 | -0.000 | 0.000 |
| 0.000 | -0.000 | -0.000 | -0.000 | 198.004 | 0.000 |
| 6.990 | -13.376 | -26.616 | -0.000 | 0.000 | 31.277 |
| 374.760 | 180.171 | 180.171 | -0.000 | 0.000 | 0.000 |
| 180.171 | 374.760 | 180.171 | -0.000 | 0.000 | 0.000 |
| 180.171 | 180.171 | 374.760 | 0.000 | 0.000 | 0.000 |
| -0.018 | -0.019 | -0.019 | 163.868 | -0.000 | -0.000 |
| -0.018 | -0.019 | -0.019 | -0.000 | 163.868 | -0.000 |
| -0.018 | -0.019 | -0.019 | -0.000 | 0.000 | 163.868 |
| 374.771 | 180.183 | 180.183 | 0.000 | -0.000 | 0.000 |
| 180.183 | 374.772 | 180.183 | 0.000 | -0.000 | 0.000 |
| 180.183 | 180.183 | 374.771 | -0.000 | -0.000 | 0.000 |
| 0.018 | 0.019 | 0.019 | 163.868 | 0.000 | 0.000 |
| 0.018 | 0.019 | 0.019 | 0.000 | 163.868 | 0.000 |
| 0.018 | 0.019 | 0.019 | 0.000 | -0.000 | 163.868 |
| 374.763 | 180.174 | 180.174 | -0.000 | 0.000 | -0.000 |
| 180.174 | 374.763 | 180.174 | -0.000 | 0.000 | -0.000 |
| 180.174 | 180.174 | 374.763 | -0.000 | 0.000 | -0.000 |
| -0.002 | -0.002 | -0.002 | 163.862 | -0.000 | -0.000 |
| -0.002 | -0.002 | -0.002 | -0.000 | 163.862 | -0.000 |
| -0.002 | -0.002 | -0.002 | 0.000 | 0.000 | 163.862 |
| 374.774 | 180.185 | 180.185 | 0.000 | -0.000 | 0.000 |
| 180.185 | 374.774 | 180.185 | 0.000 | -0.000 | 0.000 |
| 180.185 | 180.185 | 374.774 | 0.000 | -0.000 | 0.000 |
| 0.002 | 0.002 | 0.002 | 163.862 | 0.000 | 0.000 |
| 0.002 | 0.002 | 0.002 | 0.000 | 163.862 | 0.000 |
| 0.002 | 0.002 | 0.002 | 0.000 | -0.000 | 163.862 |
| 374.766 | 180.177 | 180.177 | -0.000 | 0.000 | -0.000 |
| 180.177 | 374.766 | 180.177 | -0.000 | 0.000 | 0.000 |
| 180.177 | 180.177 | 374.766 | 0.000 | 0.000 | -0.000 |
| -0.000 | -0.000 | -0.000 | 163.862 | 0.000 | -0.000 |
| -0.000 | -0.000 | -0.000 | -0.000 | 163.863 | -0.000 |
| -0.000 | -0.000 | -0.000 | -0.000 | 0.000 | 163.862 |
| 374.766 | 180.177 | 180.177 | 0.000 | -0.000 | 0.000 |
| 180.177 | 374.766 | 180.177 | 0.000 | -0.000 | 0.000 |
| 180.177 | 180.177 | 374.766 | -0.000 | -0.000 | 0.000 |
| 0.000 | 0.000 | 0.000 | 163.862 | -0.000 | 0.000 |
| 0.000 | 0.000 | 0.000 | 0.000 | 163.862 | 0.000 |
| 0.000 | 0.000 | 0.000 | 0.000 | -0.000 | 163.862 |
| 394.199 | -12.966 | 53.197 | -0.000 | -0.000 | -0.000 |
| -12.966 | 394.199 | 53.197 | 0.000 | -0.000 | -0.000 |
| 96.125 | 96.125 | 490.137 | 0.000 | -0.000 | 0.000 |
| -0.011 | -0.011 | 0.048 | 170.742 | -0.000 | -0.000 |
| -0.010 | -0.011 | 0.048 | 0.000 | 170.742 | 0.000 |
| -0.021 | -0.021 | 0.010 | -0.000 | -0.000 | 37.981 |
| 394.168 | -12.968 | 53.146 | -0.000 | -0.000 | -0.000 |
| -12.968 | 394.168 | 53.145 | 0.000 | -0.000 | 0.000 |
| 96.095 | 96.095 | 490.097 | -0.000 | 0.000 | -0.000 |
| 0.011 | 0.010 | -0.048 | 170.742 | 0.000 | 0.000 |
| 0.010 | 0.010 | -0.048 | 0.000 | 170.742 | -0.000 |
| 0.021 | 0.021 | -0.010 | 0.000 | 0.000 | 37.981 |
| 366.306 | 2.347 | 84.943 | 0.000 | 0.000 | 0.000 |
| 2.347 | 366.306 | 84.943 | 0.000 | -0.000 | 0.000 |
| 96.111 | 96.111 | 490.159 | 0.000 | -0.000 | 0.000 |
| -0.001 | -0.001 | 0.004 | 170.741 | -0.000 | -0.000 |
| -0.001 | -0.001 | 0.004 | 0.000 | 170.741 | 0.000 |
| -0.000 | -0.000 | 0.002 | 0.000 | -0.000 | 37.981 |
| 394.184 | -12.967 | 53.181 | -0.000 | 0.000 | 0.000 |
| -12.967 | 394.184 | 53.181 | 0.000 | -0.000 | 0.000 |
| 96.116 | 96.116 | 490.119 | -0.000 | 0.000 | -0.000 |
| 0.001 | 0.001 | -0.004 | 170.741 | 0.000 | 0.000 |
| 0.001 | 0.001 | -0.004 | -0.000 | 170.741 | -0.000 |
| 0.000 | 0.000 | -0.002 | -0.000 | 0.000 | 37.981 |
| 373.223 | -5.521 | 87.352 | -0.000 | -0.000 | 0.000 |
| -5.521 | 373.223 | 87.352 | -0.000 | -0.000 | -0.000 |
| 96.124 | 96.124 | 490.092 | 0.000 | -0.000 | -0.000 |
| 0.000 | -0.000 | -0.001 | 83.920 | 0.000 | 0.000 |
| -0.000 | 0.000 | -0.001 | 0.000 | 83.920 | -0.000 |
| -0.000 | -0.000 | 0.000 | 0.000 | -0.000 | 37.981 |
| 373.228 | -5.524 | 87.339 | -0.000 | 0.000 | 0.000 |
| -5.524 | 373.228 | 87.339 | 0.000 | 0.000 | 0.000 |
| 96.111 | 96.111 | 490.148 | 0.000 | 0.000 | 0.000 |
| -0.000 | 0.000 | 0.001 | 83.920 | -0.000 | 0.000 |
| 0.000 | -0.000 | 0.001 | -0.000 | 83.920 | 0.000 |
| 0.000 | 0.000 | -0.000 | -0.000 | 0.000 | 37.981 |
| 387.410 | -4.876 | 85.386 | -0.000 | -0.000 | -0.000 |
| -4.876 | 387.411 | 85.386 | -0.000 | -0.000 | 0.000 |
| 105.330 | 105.330 | 480.424 | -0.000 | -0.000 | 0.000 |
| -0.018 | -0.019 | -0.026 | 202.367 | -0.000 | 0.000 |
| -0.019 | -0.018 | -0.026 | -0.000 | 202.367 | -0.000 |
| -0.018 | -0.018 | -0.010 | -0.000 | -0.000 | 42.567 |
| 381.049 | -14.090 | 125.397 | 0.000 | 0.000 | -0.000 |
| -14.090 | 381.049 | 125.397 | 0.000 | -0.000 | -0.000 |
| 97.896 | 97.896 | 518.809 | 0.000 | 0.000 | -0.000 |
| 0.018 | 0.019 | 0.026 | 202.367 | 0.000 | -0.000 |
| 0.019 | 0.018 | 0.026 | 0.000 | 202.367 | 0.000 |
| 0.018 | 0.018 | 0.010 | 0.000 | 0.000 | 42.567 |
| 377.681 | -1.694 | 102.222 | -0.000 | -0.000 | 0.000 |
| -1.694 | 377.681 | 102.222 | -0.000 | -0.000 | 0.000 |
| 101.987 | 101.987 | 497.712 | -0.000 | 0.000 | -0.000 |
| -0.004 | -0.004 | -0.002 | 202.367 | -0.000 | 0.000 |
| -0.004 | -0.004 | -0.002 | -0.000 | 202.367 | -0.000 |
| -0.004 | -0.004 | -0.002 | -0.000 | -0.000 | 42.567 |
| 406.092 | -16.607 | 67.804 | 0.000 | 0.000 | 0.000 |
| -16.607 | 406.092 | 67.804 | 0.000 | 0.000 | -0.000 |
| 101.241 | 101.241 | 501.559 | 0.000 | 0.000 | 0.000 |
| 0.004 | 0.003 | 0.002 | 202.367 | 0.000 | -0.000 |
| 0.004 | 0.004 | 0.002 | 0.000 | 202.367 | -0.000 |
| 0.004 | 0.004 | 0.002 | 0.000 | 0.000 | 42.567 |
| 384.187 | -9.685 | 106.048 | -0.000 | -0.000 | -0.000 |
| -9.685 | 384.187 | 106.048 | -0.000 | 0.000 | 0.000 |
| 101.255 | 101.255 | 501.474 | -0.000 | -0.000 | -0.000 |
| 0.083 | 0.082 | -0.424 | 162.314 | -0.000 | 0.000 |
| 0.082 | 0.083 | -0.424 | -0.000 | 162.314 | 0.000 |
| -0.000 | -0.000 | -0.000 | -0.000 | -0.000 | 42.567 |
| 377.307 | -2.152 | 104.375 | 0.000 | 0.000 | -0.000 |
| -2.152 | 377.307 | 104.375 | 0.000 | 0.000 | -0.000 |
| 101.570 | 101.570 | 499.865 | 0.000 | 0.000 | 0.000 |
| -0.083 | -0.082 | 0.424 | 162.314 | 0.000 | -0.000 |
| -0.082 | -0.083 | 0.424 | 0.000 | 162.314 | -0.000 |
| 0.000 | 0.000 | 0.000 | 0.000 | 0.000 | 42.567 |
| 685.759 | 38.772 | 38.767 | 0.000 | -0.000 | -0.000 |
| 38.767 | 685.759 | 38.773 | -0.000 | -0.000 | 0.000 |
| 38.774 | 38.765 | 685.759 | 0.000 | -0.000 | -0.001 |
| 0.012 | 0.018 | 0.015 | 201.549 | -0.000 | 0.000 |
| 0.014 | 0.010 | 0.017 | 0.000 | 201.548 | -0.000 |
| 0.017 | 0.013 | 0.010 | -0.000 | -0.000 | 201.548 |
| 662.244 | 17.404 | 17.408 | 0.000 | 0.000 | 0.000 |
| 17.407 | 662.244 | 17.404 | -0.000 | 0.000 | 0.000 |
| 19.468 | 19.453 | 660.695 | -0.000 | 0.000 | -0.000 |
| -0.012 | -0.018 | -0.015 | 201.549 | 0.000 | 0.000 |
| -0.014 | -0.010 | -0.017 | -0.000 | 201.549 | -0.000 |
| -0.017 | -0.014 | -0.010 | -0.000 | 0.000 | 201.549 |
| 662.285 | 17.448 | 17.448 | -0.000 | -0.000 | -0.000 |
| 17.448 | 662.285 | 17.448 | -0.000 | -0.000 | -0.000 |
| 17.448 | 17.448 | 662.285 | 0.000 | -0.000 | -0.000 |
| 0.000 | 0.001 | 0.001 | 201.545 | -0.000 | -0.000 |
| 0.001 | 0.000 | 0.001 | 0.000 | 201.545 | -0.000 |
| 0.001 | 0.001 | 0.000 | 0.000 | -0.000 | 201.545 |
| 660.735 | 19.497 | 19.497 | -0.000 | 0.000 | -0.000 |
| 19.497 | 660.735 | 19.497 | -0.000 | 0.000 | -0.000 |
| 19.497 | 19.497 | 660.735 | -0.000 | 0.000 | -0.000 |
| -0.000 | -0.001 | -0.001 | 201.545 | 0.000 | 0.000 |
| -0.001 | -0.000 | -0.001 | 0.000 | 201.545 | 0.000 |
| -0.001 | -0.001 | -0.000 | -0.000 | 0.000 | 201.545 |
| 660.742 | 19.502 | 19.502 | 0.000 | -0.000 | 0.000 |
| 19.502 | 660.742 | 19.502 | 0.000 | -0.000 | 0.000 |
| 19.502 | 19.502 | 660.742 | 0.000 | -0.000 | 0.000 |
| 0.000 | 0.000 | 0.000 | 131.905 | -0.000 | -0.000 |
| 0.001 | 0.001 | 0.001 | 0.000 | 126.588 | 0.000 |
| 0.000 | 0.000 | 0.000 | -0.000 | -0.000 | 131.905 |
| 660.739 | 19.504 | 19.504 | -0.000 | 0.000 | -0.000 |
| 19.504 | 660.739 | 19.504 | -0.000 | 0.000 | -0.000 |
| 19.504 | 19.504 | 660.739 | -0.000 | 0.000 | -0.000 |
| -0.000 | -0.000 | -0.000 | 131.905 | 0.000 | 0.000 |
| -0.001 | -0.001 | -0.001 | -0.000 | 126.588 | -0.000 |
| -0.000 | -0.000 | -0.000 | 0.000 | 0.000 | 131.905 |
| 548.954 | -4.475 | -4.476 | 0.000 | -0.000 | -0.000 |
| -4.477 | 548.954 | -4.475 | 0.000 | -0.000 | 0.000 |
| -4.475 | -4.477 | 548.954 | 0.000 | -0.000 | -0.000 |
| 0.033 | 0.036 | 0.037 | 126.841 | -0.000 | -0.000 |
| 0.036 | 0.033 | 0.036 | 0.000 | 126.841 | 0.000 |
| 0.036 | 0.036 | 0.033 | 0.000 | -0.000 | 126.841 |
| 548.899 | -4.524 | -4.525 | 0.000 | 0.000 | -0.000 |
| -4.525 | 548.898 | -4.524 | -0.000 | 0.000 | 0.000 |
| -4.524 | -4.525 | 548.899 | -0.000 | -0.000 | 0.000 |
| -0.033 | -0.036 | -0.036 | 126.841 | 0.000 | 0.000 |
| -0.036 | -0.033 | -0.036 | -0.000 | 126.841 | 0.000 |
| -0.036 | -0.036 | -0.033 | -0.000 | 0.000 | 126.841 |
| 548.902 | -4.463 | -4.462 | 0.000 | -0.000 | -0.000 |
| -4.462 | 548.902 | -4.463 | 0.000 | -0.000 | -0.000 |
| -4.463 | -4.462 | 548.902 | -0.000 | -0.000 | -0.000 |
| -0.001 | -0.001 | -0.001 | 186.188 | -0.000 | 0.000 |
| -0.001 | -0.001 | -0.001 | 0.000 | 186.188 | -0.000 |
| -0.001 | -0.001 | -0.001 | 0.000 | -0.000 | 186.188 |
| 570.755 | 17.289 | 17.289 | -0.000 | 0.000 | -0.000 |
| 17.289 | 570.755 | 17.289 | 0.000 | 0.000 | -0.000 |
| 17.289 | 17.289 | 570.755 | -0.000 | 0.000 | -0.000 |
| 0.001 | 0.001 | 0.001 | 186.188 | 0.000 | 0.000 |
| 0.001 | 0.001 | 0.001 | -0.000 | 186.188 | -0.000 |
| 0.001 | 0.001 | 0.001 | -0.000 | 0.000 | 186.188 |
| 548.929 | -4.504 | -4.504 | 0.000 | -0.000 | -0.000 |
| -4.504 | 548.929 | -4.504 | 0.000 | -0.000 | -0.000 |
| -4.504 | -4.504 | 548.929 | 0.000 | -0.000 | 0.000 |
| 0.000 | 0.000 | 0.000 | 122.733 | -0.000 | 0.000 |
| 0.000 | 0.000 | 0.000 | 0.000 | 122.733 | 0.000 |
| 0.000 | 0.000 | 0.000 | 0.000 | -0.000 | 122.733 |
| 570.753 | 17.288 | 17.288 | -0.000 | -0.000 | -0.000 |
| 17.288 | 570.753 | 17.288 | -0.000 | 0.000 | 0.000 |
| 17.288 | 17.288 | 570.753 | -0.000 | 0.000 | -0.000 |
| -0.000 | -0.000 | -0.000 | 122.733 | 0.000 | 0.000 |
| -0.000 | -0.000 | -0.000 | 0.000 | 122.733 | 0.000 |
| -0.000 | -0.000 | -0.000 | 0.000 | 0.000 | 122.733 |
| -947594033.800 | 735562658.101 | 1119420716.328 | 84892745.172 | 51686916.043 | 57883734.157 |
| 965177033.492 | -1042063287.405 | 705236049.504 | 71533443.148 | 87427595.996 | 56490670.079 |
| 757210366.717 | 996310721.475 | -1029328995.621 | -17663990.921 | -24417133.356 | 74697034.253 |
| -131992292.405 | -16808797.127 | -127866635.733 | 12088264.124 | -26998058.826 | -20401601.607 |
| -119964779.931 | -86078392.014 | -60433037.646 | -20000703.456 | 41651348.828 | -26946362.684 |
| 37133810.149 | -195890354.028 | -110138908.479 | 7325236.846 | -48033808.348 | 26042590.583 |
| -1440127656.015 | 1334397875.874 | 1365838915.633 | -16212268.982 | -18479277.102 | -15029185.968 |
| 1289581962.134 | -1458370972.177 | 1332308077.622 | -20678622.278 | -41851574.095 | -51177240.851 |
| 1305591313.281 | 1302643074.088 | -1427058000.758 | -26217691.158 | -31804562.341 | -75603366.932 |
| 78395538.599 | 97540931.354 | 282949100.182 | 52327727.115 | 30609358.002 | 6917524.215 |
| 216539539.503 | 153833425.842 | 94778936.148 | 65524257.882 | 64079666.508 | 205607.504 |
| 22904260.639 | 272304452.691 | 106221812.483 | 27959575.232 | 4837742.632 | 65550128.486 |
| -107053818.634 | 54280111.832 | 105491890.977 | 2287530.594 | 6082025.947 | -1709037.671 |
| 98009053.335 | -97799300.377 | 58569705.597 | 2071050.873 | -125051.925 | 1504800.997 |
| 58950322.792 | 96403410.314 | -104847185.016 | 2540157.696 | -610713.403 | 5835713.142 |
| -0.001 | 0.000 | 0.001 | 244.693 | 0.000 | 0.000 |
| 0.000 | -0.001 | 0.001 | 0.000 | 244.693 | 0.000 |
| 0.000 | 0.001 | -0.001 | 0.000 | 0.000 | 244.693 |
| -158624601.471 | 132625183.460 | 125733620.686 | 1695381.838 | -1359523.760 | 1256492.032 |
| 134845782.916 | -157332376.214 | 132433943.430 | 3358865.352 | -3763692.376 | 479804.447 |
| 135142468.124 | 120628336.530 | -161156387.619 | 272432.027 | 3667422.049 | -2688931.301 |
| 0.001 | -0.001 | -0.001 | 244.693 | -0.000 | -0.000 |
| -0.001 | 0.001 | -0.001 | -0.000 | 244.693 | -0.000 |
| -0.001 | -0.001 | 0.001 | -0.000 | -0.000 | 244.693 |
| -9638172.030 | 5305949.551 | 10331451.560 | -399264.122 | -145955.665 | 601265.070 |
| 10405432.881 | -8395100.270 | 6246386.414 | 971740.438 | -626840.656 | -42944.968 |
| 5804505.332 | 9834707.580 | -9261645.276 | -179085.573 | 745780.043 | -113699.093 |
| -724164.326 | -1025624.944 | -1239666.768 | -153193.899 | 219180.665 | 897548.207 |
| 215663.757 | -1145081.260 | 1120062.303 | -621625.977 | -989167.164 | -280065.801 |
| -1473990.745 | -249720.399 | -406001.051 | -117015.524 | 708879.991 | -89300.748 |
| -15395876.255 | 13056973.662 | 11780945.674 | -507574.895 | -227767.294 | -172591.674 |
| 12235096.469 | -15746743.169 | 13097413.964 | 392726.581 | -1065287.386 | -74044.445 |
| 13744907.830 | 13211456.871 | -16291139.465 | -23251.299 | 20210.080 | -923032.534 |
| 1167980.279 | 1096772.667 | -258611.331 | 80927.684 | -407368.328 | -213630.617 |
| 98148.798 | 348903.569 | -343168.778 | 227400.662 | 733370.003 | 81415.729 |
| 1220694.298 | 153549.469 | 548812.171 | -398129.809 | -252757.546 | 18889.752 |
| 4868.592 | 6407.854 | 6407.854 | -0.000 | -0.000 | -0.000 |
| 6407.854 | 4868.592 | 6407.854 | -0.000 | -0.000 | -0.000 |
| 6407.854 | 6407.854 | 4868.592 | 0.000 | 0.000 | -0.000 |
| 0.037 | 0.053 | 0.053 | 499.501 | -0.000 | -0.000 |
| 0.053 | 0.037 | 0.053 | -0.000 | 499.501 | -0.000 |
| 0.053 | 0.053 | 0.037 | 0.000 | -0.000 | 499.501 |
| 4868.528 | 6407.790 | 6407.790 | 0.000 | 0.000 | 0.000 |
| 6407.790 | 4868.528 | 6407.790 | 0.000 | 0.000 | 0.000 |
| 6407.790 | 6407.790 | 4868.528 | 0.000 | 0.000 | 0.000 |
| -0.037 | -0.053 | -0.053 | 499.502 | 0.000 | 0.000 |
| -0.053 | -0.037 | -0.053 | 0.000 | 499.502 | 0.000 |
| -0.053 | -0.053 | -0.037 | -0.000 | -0.000 | 499.501 |
| 4868.550 | 6407.820 | 6407.820 | -0.000 | -0.000 | -0.000 |
| 6407.820 | 4868.550 | 6407.820 | -0.000 | -0.000 | 0.000 |
| 6407.820 | 6407.820 | 4868.550 | 0.000 | -0.000 | -0.000 |
| 0.002 | 0.004 | 0.004 | 499.496 | -0.000 | 0.000 |
| 0.004 | 0.002 | 0.004 | -0.000 | 499.496 | -0.000 |
| 0.004 | 0.004 | 0.002 | 0.000 | 0.000 | 499.496 |
| 4868.541 | 6407.809 | 6407.809 | -0.000 | 0.000 | 0.000 |
| 6407.809 | 4868.541 | 6407.809 | -0.000 | 0.000 | 0.000 |
| 6407.809 | 6407.809 | 4868.541 | 0.000 | 0.000 | 0.000 |
| -0.002 | -0.004 | -0.004 | 499.496 | -0.000 | 0.000 |
| -0.004 | -0.002 | -0.004 | -0.000 | 499.496 | -0.000 |
| -0.004 | -0.004 | -0.002 | -0.000 | -0.000 | 499.496 |
| 4868.549 | 6407.827 | 6407.827 | -0.000 | -0.000 | 0.000 |
| 6407.827 | 4868.549 | 6407.827 | 0.000 | 0.000 | -0.000 |
| 6407.827 | 6407.827 | 4868.549 | -0.000 | -0.000 | 0.000 |
| -0.004 | -0.005 | -0.003 | 499.418 | 0.000 | -0.000 |
| -0.005 | -0.004 | -0.003 | -0.000 | 499.418 | -0.000 |
| -0.005 | -0.003 | -0.004 | -0.000 | -0.000 | 499.418 |
| 4868.548 | 6407.803 | 6407.803 | 0.000 | 0.000 | 0.000 |
| 6407.803 | 4868.548 | 6407.803 | 0.000 | 0.000 | 0.000 |
| 6407.803 | 6407.803 | 4868.548 | 0.000 | -0.000 | 0.000 |
| 0.004 | 0.005 | 0.003 | 499.418 | 0.000 | 0.000 |
| 0.005 | 0.004 | 0.003 | 0.000 | 499.418 | 0.000 |
| 0.005 | 0.003 | 0.004 | -0.000 | -0.000 | 499.418 |
| 430.668 | 145.230 | 145.230 | 0.000 | -0.000 | 0.000 |
| 145.230 | 430.668 | 145.230 | 0.000 | 0.000 | 0.000 |
| 145.230 | 145.230 | 430.668 | 0.000 | -0.000 | 0.000 |
| -0.003 | -0.001 | -0.001 | 174.808 | 0.000 | 0.000 |
| -0.001 | -0.003 | -0.001 | 0.000 | 174.808 | 0.000 |
| -0.001 | -0.001 | -0.003 | 0.000 | -0.000 | 174.808 |
| 430.674 | 145.233 | 145.233 | -0.000 | 0.000 | -0.000 |
| 145.233 | 430.674 | 145.233 | -0.000 | 0.000 | -0.000 |
| 145.233 | 145.233 | 430.674 | -0.000 | 0.000 | -0.000 |
| 0.003 | 0.001 | 0.001 | 174.808 | 0.000 | 0.000 |
| 0.001 | 0.003 | 0.001 | -0.000 | 174.808 | -0.000 |
| 0.001 | 0.001 | 0.003 | -0.000 | 0.000 | 174.808 |
| 430.665 | 145.224 | 145.224 | 0.000 | -0.000 | 0.000 |
| 145.224 | 430.665 | 145.224 | -0.000 | -0.000 | 0.000 |
| 145.224 | 145.224 | 430.665 | 0.000 | -0.000 | 0.000 |
| -0.000 | -0.000 | -0.000 | 174.812 | -0.000 | -0.000 |
| -0.000 | -0.000 | -0.000 | 0.000 | 174.812 | 0.000 |
| -0.000 | -0.000 | -0.000 | 0.000 | -0.000 | 174.812 |
| 430.666 | 145.225 | 145.225 | -0.000 | 0.000 | 0.000 |
| 145.225 | 430.666 | 145.225 | -0.000 | -0.000 | -0.000 |
| 145.225 | 145.225 | 430.666 | -0.000 | 0.000 | 0.000 |
| 0.000 | 0.000 | 0.000 | 174.812 | 0.000 | -0.000 |
| 0.000 | 0.000 | 0.000 | -0.000 | 174.812 | -0.000 |
| 0.000 | 0.000 | 0.000 | 0.000 | 0.000 | 174.812 |
| 430.666 | 145.225 | 145.225 | 0.000 | -0.000 | 0.000 |
| 145.225 | 430.666 | 145.225 | 0.000 | 0.000 | 0.000 |
| 145.225 | 145.225 | 430.666 | 0.000 | -0.000 | 0.000 |
| -0.000 | 0.000 | 0.000 | 174.812 | -0.000 | -0.000 |
| 0.000 | -0.000 | 0.000 | 0.000 | 174.812 | 0.000 |
| 0.000 | 0.000 | -0.000 | 0.000 | -0.000 | 174.812 |
| 430.664 | 145.224 | 145.224 | -0.000 | 0.000 | -0.000 |
| 145.224 | 430.664 | 145.224 | -0.000 | -0.000 | -0.000 |
| 145.224 | 145.224 | 430.664 | -0.000 | 0.000 | -0.000 |
| 0.000 | -0.000 | -0.000 | 174.812 | 0.000 | -0.000 |
| -0.000 | 0.000 | -0.000 | -0.000 | 174.812 | -0.000 |
| -0.000 | -0.000 | 0.000 | -0.000 | 0.000 | 174.812 |
| 1219.372 | 863.450 | 0.000 | 0.000 | 0.000 | 0.000 |
| 863.450 | 1219.373 | 0.000 | 0.000 | 0.000 | -0.000 |
| -0.000 | 0.000 | 0.000 | 0.000 | 0.000 | 0.000 |
| -0.000 | 0.000 | 0.000 | 0.000 | 0.000 | -0.000 |
| -0.000 | -0.000 | 0.000 | 0.000 | 0.000 | -0.000 |
| 0.000 | 0.000 | 0.000 | 0.000 | 0.000 | 692.466 |
| 1219.372 | 863.450 | -0.000 | -0.000 | -0.000 | 0.000 |
| 863.450 | 1219.372 | -0.000 | -0.000 | -0.000 | 0.000 |
| 0.000 | -0.000 | -0.000 | -0.000 | -0.000 | -0.000 |
| 0.000 | -0.000 | -0.000 | -0.000 | -0.000 | 0.000 |
| 0.000 | 0.000 | -0.000 | -0.000 | -0.000 | 0.000 |
| -0.000 | -0.000 | -0.000 | -0.000 | -0.000 | 692.466 |
| 1219.373 | 863.450 | 0.000 | 0.000 | 0.000 | -0.000 |
| 863.450 | 1219.373 | 0.000 | 0.000 | 0.000 | -0.000 |
| -0.000 | 0.000 | 0.000 | 0.000 | 0.000 | 0.000 |
| -0.000 | 0.000 | 0.000 | 0.000 | 0.000 | -0.000 |
| -0.000 | 0.000 | 0.000 | 0.000 | 0.000 | -0.000 |
| 0.000 | 0.000 | 0.000 | 0.000 | 0.000 | 692.466 |
| 1219.373 | 863.450 | -0.000 | -0.000 | -0.000 | 0.000 |
| 863.450 | 1219.373 | -0.000 | -0.000 | -0.000 | 0.000 |
| 0.000 | -0.000 | -0.000 | -0.000 | -0.000 | -0.000 |
| 0.000 | -0.000 | -0.000 | -0.000 | -0.000 | -0.000 |
| 0.000 | -0.000 | -0.000 | -0.000 | -0.000 | 0.000 |
| -0.000 | -0.000 | -0.000 | -0.000 | -0.000 | 692.466 |
| 1219.375 | 863.451 | 0.000 | 0.000 | 0.000 | -0.000 |
| 863.451 | 1219.375 | 0.000 | 0.000 | 0.000 | 0.000 |
| -0.000 | 0.000 | 0.000 | 0.000 | 0.000 | 0.000 |
| -0.000 | 0.000 | 0.000 | 0.000 | 0.000 | -0.000 |
| -0.000 | 0.000 | 0.000 | 0.000 | 0.000 | -0.000 |
| 0.004 | 0.005 | 0.000 | 0.000 | 0.000 | 692.466 |
| 1219.372 | 863.448 | -0.000 | -0.000 | -0.000 | 0.000 |
| 863.448 | 1219.372 | -0.000 | -0.000 | -0.000 | 0.000 |
| 0.000 | -0.000 | -0.000 | -0.000 | -0.000 | -0.000 |
| 0.000 | -0.000 | -0.000 | -0.000 | -0.000 | 0.000 |
| 0.000 | 0.000 | -0.000 | -0.000 | -0.000 | 0.000 |
| -0.004 | -0.005 | -0.000 | -0.000 | -0.000 | 692.466 |
| -1843.853 | -1781.126 | -1993.542 | 436.564 | 992.278 | 1305.996 |
| -5.296 | -2073.280 | -1347.185 | 798.027 | 142.824 | 1133.843 |
| -820.441 | -1129.665 | -1332.496 | 334.578 | 820.873 | 691.735 |
| -1307.124 | -1502.292 | -1613.765 | 1195.626 | 548.963 | 952.340 |
| 941.519 | -1256.617 | -1041.444 | 650.307 | 601.279 | 1503.775 |
| 665.791 | -3185.027 | -877.808 | 1653.885 | -912.195 | 2297.897 |
| 2028.187 | 1870.279 | 2024.131 | -480.516 | -1024.597 | -1422.710 |
| 1985.874 | 1983.235 | 2053.114 | -464.780 | -1015.975 | -1378.098 |
| 315.664 | 2302.562 | 1339.541 | -1150.979 | -481.925 | -867.372 |
| 17.969 | 2790.099 | 1602.254 | -1405.278 | -692.819 | -1164.385 |
| 1935.744 | 1815.246 | 2022.877 | -478.781 | -981.386 | -1336.085 |
| 252.962 | 2241.247 | 1180.245 | -1145.456 | -490.703 | -803.625 |
| -24.928 | -118.327 | -152.548 | 22.018 | 82.507 | 97.569 |
| -135.066 | 11.870 | -145.054 | 18.489 | 92.973 | 118.038 |
| -167.207 | -132.462 | -72.477 | 42.314 | 105.719 | 106.027 |
| -12.928 | -271.584 | -153.070 | 206.174 | 55.390 | 98.967 |
| -156.772 | -179.300 | -156.014 | 122.503 | 47.983 | 109.235 |
| -228.682 | -175.514 | -230.842 | 58.258 | 111.936 | 164.084 |
| 137.730 | 224.949 | 166.677 | -122.969 | -62.319 | -140.252 |
| 133.157 | 367.584 | 118.133 | -124.072 | -5.416 | -21.523 |
| 49.213 | 299.454 | 247.234 | -153.576 | -52.368 | -93.885 |
| 111.062 | 302.605 | 83.407 | -54.496 | -22.901 | -93.292 |
| 64.009 | 296.842 | 48.821 | -91.099 | 38.816 | -133.228 |
| -161.786 | 123.470 | 20.038 | -58.880 | 67.607 | -127.818 |
| 136.141 | 50.823 | 33.353 | 1.960 | 6.040 | 9.868 |
| 40.862 | 122.504 | 30.544 | -5.429 | 12.203 | 3.731 |
| 30.895 | 25.886 | 72.762 | 8.690 | 17.692 | 14.642 |
| -4.882 | -20.269 | -16.596 | 52.084 | -2.472 | 24.955 |
| 0.307 | -16.170 | 6.696 | 4.131 | 61.024 | 5.471 |
| 0.183 | -13.091 | -28.210 | 5.940 | -6.726 | 75.674 |
| 127.867 | 65.802 | 43.519 | -12.608 | -11.419 | -9.324 |
| 56.811 | 166.993 | 56.154 | -22.667 | 1.314 | -14.397 |
| 40.462 | 59.846 | 108.076 | -9.450 | 8.167 | -7.042 |
| 7.137 | 21.029 | 12.964 | 35.001 | -9.958 | -12.671 |
| 24.917 | 14.962 | 38.197 | -2.681 | 56.224 | -15.257 |
| 4.582 | 12.021 | 3.047 | -5.104 | -11.140 | 41.229 |
| 2105.000 | 794.821 | 794.821 | 0.000 | -0.000 | -0.000 |
| 794.821 | 2105.000 | 794.821 | -0.000 | 0.000 | 0.000 |
| 794.821 | 794.821 | 2105.000 | -0.000 | -0.000 | 0.000 |
| -0.001 | -0.000 | -0.000 | 818.540 | 0.000 | 0.000 |
| -0.000 | -0.001 | -0.000 | 0.000 | 818.540 | -0.000 |
| -0.000 | -0.000 | -0.000 | -0.000 | -0.000 | 818.540 |
| 2105.000 | 794.821 | 794.821 | 0.000 | 0.000 | 0.000 |
| 794.821 | 2105.000 | 794.821 | 0.000 | 0.000 | -0.000 |
| 794.821 | 794.821 | 2105.000 | 0.000 | 0.000 | -0.000 |
| 0.001 | 0.000 | 0.000 | 818.540 | -0.000 | -0.000 |
| 0.000 | 0.000 | 0.000 | 0.000 | 818.540 | -0.000 |
| 0.000 | 0.000 | 0.000 | -0.000 | 0.000 | 818.540 |
| 2105.001 | 794.822 | 794.822 | 0.000 | -0.000 | -0.000 |
| 794.822 | 2105.001 | 794.822 | -0.000 | 0.000 | -0.000 |
| 794.822 | 794.822 | 2105.001 | 0.000 | 0.000 | 0.000 |
| -0.000 | -0.000 | -0.000 | 818.540 | -0.000 | 0.000 |
| -0.000 | -0.000 | -0.000 | -0.000 | 818.540 | -0.000 |
| -0.000 | -0.000 | 0.000 | -0.000 | -0.000 | 818.540 |
| 2104.999 | 794.821 | 794.821 | -0.000 | 0.000 | -0.000 |
| 794.821 | 2104.999 | 794.821 | -0.000 | 0.000 | -0.000 |
| 794.821 | 794.821 | 2104.999 | 0.000 | -0.000 | 0.000 |
| 0.000 | 0.000 | 0.000 | 818.540 | 0.000 | 0.000 |
| 0.000 | 0.000 | 0.000 | 0.000 | 818.540 | 0.000 |
| 0.000 | 0.000 | -0.000 | 0.000 | 0.000 | 818.540 |
| 2105.006 | 794.825 | 794.825 | -0.000 | -0.000 | -0.000 |
| 794.825 | 2105.006 | 794.825 | -0.000 | -0.000 | 0.000 |
| 794.825 | 794.825 | 2105.006 | 0.000 | 0.000 | 0.000 |
| 0.000 | -0.001 | -0.000 | 818.540 | -0.000 | 0.000 |
| -0.001 | 0.000 | -0.000 | 0.000 | 818.540 | -0.000 |
| -0.001 | -0.000 | 0.000 | -0.000 | -0.000 | 818.540 |
| 2104.994 | 794.818 | 794.818 | 0.000 | 0.000 | 0.000 |
| 794.818 | 2104.994 | 794.818 | 0.000 | 0.000 | -0.000 |
| 794.818 | 794.818 | 2104.994 | -0.000 | -0.000 | -0.000 |
| -0.000 | 0.001 | 0.000 | 818.540 | 0.000 | 0.000 |
| 0.001 | -0.000 | 0.000 | 0.000 | 818.540 | 0.000 |
| 0.001 | 0.000 | -0.000 | 0.000 | 0.000 | 818.540 |
| 1115.461 | 655.965 | 655.965 | -0.000 | -0.000 | 0.000 |
| 655.965 | 1115.461 | 655.965 | -0.000 | -0.000 | 0.000 |
| 655.965 | 655.965 | 1115.461 | -0.000 | -0.000 | 0.000 |
| -0.005 | -0.005 | -0.005 | -338.498 | -0.000 | 0.000 |
| -0.005 | -0.005 | -0.005 | -0.000 | -338.498 | 0.000 |
| -0.005 | -0.005 | -0.005 | -0.000 | 0.000 | -338.498 |
| 1115.496 | 656.000 | 656.000 | 0.000 | -0.000 | -0.000 |
| 656.000 | 1115.496 | 656.000 | 0.000 | 0.000 | -0.000 |
| 656.000 | 656.000 | 1115.496 | 0.000 | -0.000 | -0.000 |
| 0.005 | 0.005 | 0.005 | -338.498 | 0.000 | -0.000 |
| 0.005 | 0.005 | 0.005 | 0.000 | -338.498 | -0.000 |
| 0.005 | 0.005 | 0.005 | 0.000 | 0.000 | -338.498 |
| 1115.475 | 655.981 | 655.981 | -0.000 | -0.000 | 0.000 |
| 655.981 | 1115.475 | 655.981 | -0.000 | -0.000 | 0.000 |
| 655.981 | 655.981 | 1115.475 | -0.000 | -0.000 | 0.000 |
| -0.001 | -0.001 | -0.001 | -338.508 | -0.000 | 0.000 |
| -0.001 | -0.001 | -0.001 | -0.000 | -338.508 | 0.000 |
| -0.001 | -0.001 | -0.001 | -0.000 | -0.000 | -338.508 |
| 1115.482 | 655.988 | 655.988 | 0.000 | 0.000 | -0.000 |
| 655.988 | 1115.482 | 655.988 | 0.000 | 0.000 | -0.000 |
| 655.988 | 655.988 | 1115.482 | 0.000 | -0.000 | -0.000 |
| 0.001 | 0.001 | 0.001 | -338.508 | -0.000 | -0.000 |
| 0.001 | 0.001 | 0.001 | 0.000 | -338.508 | -0.000 |
| 0.001 | 0.001 | 0.001 | 0.000 | 0.000 | -338.508 |
| 1115.476 | 655.980 | 655.980 | -0.000 | -0.000 | 0.000 |
| 655.980 | 1115.476 | 655.980 | -0.000 | -0.000 | 0.000 |
| 655.980 | 655.980 | 1115.476 | -0.000 | -0.000 | 0.000 |
| 0.002 | 0.003 | 0.002 | -338.511 | -0.000 | 0.000 |
| 0.003 | 0.002 | 0.002 | -0.000 | -338.511 | 0.000 |
| 0.003 | 0.002 | 0.002 | -0.000 | -0.000 | -338.511 |
| 1115.474 | 655.980 | 655.980 | 0.000 | -0.000 | -0.000 |
| 655.980 | 1115.474 | 655.980 | 0.000 | 0.000 | -0.000 |
| 655.980 | 655.980 | 1115.474 | 0.000 | -0.000 | -0.000 |
| -0.002 | -0.003 | -0.002 | -338.511 | 0.000 | -0.000 |
| -0.003 | -0.002 | -0.002 | 0.000 | -338.511 | -0.000 |
| -0.003 | -0.002 | -0.002 | 0.000 | 0.000 | -338.511 |
| 383.780 | 144.414 | 144.414 | -0.000 | -0.000 | 0.000 |
| 144.414 | 383.780 | 144.414 | -0.000 | -0.000 | 0.000 |
| 144.414 | 144.414 | 383.780 | -0.000 | -0.000 | 0.000 |
| -0.024 | -0.025 | -0.025 | 239.741 | -0.000 | -0.000 |
| -0.025 | -0.025 | -0.025 | -0.000 | 239.741 | 0.000 |
| -0.025 | -0.025 | -0.024 | 0.000 | 0.000 | 239.741 |
| 383.779 | 144.414 | 144.414 | -0.000 | 0.000 | -0.000 |
| 144.414 | 383.780 | 144.414 | 0.000 | 0.000 | -0.000 |
| 144.413 | 144.414 | 383.780 | -0.000 | -0.000 | -0.000 |
| 0.025 | 0.025 | 0.025 | 239.741 | 0.000 | -0.000 |
| 0.025 | 0.025 | 0.025 | 0.000 | 239.741 | -0.000 |
| 0.025 | 0.025 | 0.025 | -0.000 | -0.000 | 239.741 |
| 383.775 | 144.409 | 144.409 | 0.000 | 0.000 | 0.000 |
| 144.409 | 383.775 | 144.409 | 0.000 | -0.000 | 0.000 |
| 144.409 | 144.409 | 383.775 | 0.000 | 0.000 | 0.000 |
| -0.002 | -0.003 | -0.002 | 239.745 | 0.000 | 0.000 |
| -0.002 | -0.002 | -0.002 | 0.000 | 239.745 | 0.000 |
| -0.002 | -0.003 | -0.002 | 0.000 | 0.000 | 239.745 |
| 383.789 | 144.423 | 144.423 | 0.000 | -0.000 | -0.000 |
| 144.423 | 383.789 | 144.423 | 0.000 | 0.000 | 0.000 |
| 144.423 | 144.423 | 383.789 | 0.000 | 0.000 | -0.000 |
| 0.002 | 0.003 | 0.002 | 239.745 | -0.000 | -0.000 |
| 0.002 | 0.002 | 0.002 | -0.000 | 239.745 | -0.000 |
| 0.002 | 0.003 | 0.002 | -0.000 | -0.000 | 239.745 |
| 383.780 | 144.414 | 144.414 | -0.000 | 0.000 | 0.000 |
| 144.414 | 383.780 | 144.414 | 0.000 | 0.000 | 0.000 |
| 144.414 | 144.414 | 383.780 | -0.000 | -0.000 | 0.000 |
| -0.000 | -0.001 | -0.000 | 239.747 | -0.000 | 0.000 |
| -0.001 | -0.000 | -0.000 | 0.000 | 239.747 | 0.000 |
| -0.001 | -0.000 | -0.000 | 0.000 | 0.000 | 239.747 |
| 383.780 | 144.414 | 144.414 | 0.000 | 0.000 | -0.000 |
| 144.414 | 383.780 | 144.414 | 0.000 | 0.000 | -0.000 |
| 144.414 | 144.414 | 383.780 | -0.000 | -0.000 | 0.000 |
| 0.000 | 0.001 | 0.000 | 239.747 | 0.000 | -0.000 |
| 0.001 | 0.000 | 0.000 | 0.000 | 239.747 | -0.000 |
| 0.001 | 0.000 | 0.000 | -0.000 | -0.000 | 239.747 |
| 568.898 | 82.748 | 21.111 | 17.450 | 0.000 | -0.000 |
| 243.049 | 634.825 | -205.201 | -11.290 | -0.001 | 0.000 |
| 198.673 | 198.673 | 275.256 | -0.000 | 0.000 | -0.000 |
| 145.664 | 123.054 | -268.571 | 159.692 | 0.000 | -0.001 |
| 0.000 | -0.024 | 0.032 | 0.002 | 181.377 | 17.450 |
| 0.025 | 0.012 | 0.041 | 0.001 | 17.448 | 243.059 |
| 568.801 | 82.698 | 20.963 | 17.447 | -0.000 | -0.000 |
| -26.586 | 365.428 | 333.669 | -11.310 | -0.001 | -0.000 |
| -69.953 | -69.953 | 812.512 | 0.000 | 0.000 | 0.000 |
| 17.403 | -17.466 | -0.073 | 181.371 | -0.000 | 0.000 |
| -0.000 | 0.024 | -0.033 | -0.002 | 181.376 | 17.449 |
| -0.025 | -0.012 | -0.042 | -0.001 | 17.448 | 243.058 |
| 568.851 | 82.729 | 21.042 | 17.448 | 0.000 | 0.000 |
| 123.690 | 510.458 | 38.467 | -10.965 | -0.000 | 0.000 |
| 77.808 | 77.808 | 517.013 | -0.000 | 0.000 | 0.000 |
| 17.453 | -17.445 | 0.006 | 181.372 | 0.000 | 0.000 |
| 0.002 | 0.001 | 0.005 | 0.000 | 181.371 | 17.448 |
| 0.002 | 0.001 | 0.005 | 0.000 | 17.448 | 243.062 |
| 568.845 | 82.721 | 21.033 | 17.448 | 0.000 | -0.000 |
| 94.904 | 484.554 | 93.135 | -11.153 | -0.000 | -0.000 |
| 50.941 | 50.941 | 570.725 | -0.000 | 0.000 | -0.000 |
| -2.115 | -24.754 | 26.854 | 159.703 | -0.000 | -0.000 |
| -0.002 | -0.001 | -0.005 | -0.000 | 181.371 | 17.448 |
| -0.002 | -0.001 | -0.005 | -0.000 | 17.448 | 243.062 |
| 498.650 | 110.513 | 63.447 | 11.054 | 0.000 | 0.000 |
| 110.514 | 498.648 | 63.448 | -11.054 | 0.000 | 0.000 |
| 21.036 | 21.036 | 630.541 | -0.000 | -0.000 | 0.000 |
| 12.662 | -9.976 | -2.686 | 159.701 | 0.000 | 0.000 |
| 0.000 | 0.000 | 0.000 | 0.000 | 181.371 | 17.448 |
| 0.793 | 0.792 | -1.584 | 0.001 | 13.836 | 188.388 |
| 492.498 | 120.068 | 60.038 | 12.254 | -0.000 | 0.000 |
| 120.071 | 492.492 | 60.042 | -12.253 | -0.000 | -0.000 |
| 21.035 | 21.035 | 630.534 | 0.000 | -0.000 | -0.000 |
| 9.977 | -12.663 | 2.685 | 159.704 | -0.000 | 0.000 |
| -0.000 | -0.000 | -0.000 | -0.000 | 181.371 | 17.448 |
| -0.793 | -0.792 | 1.584 | -0.001 | 13.836 | 188.388 |
| 568.583 | 82.382 | 21.238 | 17.429 | 0.000 | 0.000 |
| -277.783 | 98.587 | 856.033 | -11.487 | 0.000 | 0.000 |
| -311.251 | -311.251 | 1299.424 | -0.000 | -0.000 | 0.000 |
| -362.896 | -386.453 | 753.550 | 161.015 | 0.000 | -0.000 |
| -612.860 | -612.857 | 1232.546 | -0.003 | 148.501 | 8.239 |
| -374.912 | -374.906 | 753.997 | -0.007 | 11.778 | 193.316 |
| 1081.806 | 737.151 | -1153.264 | 8.180 | -0.000 | 0.000 |
| 737.150 | 1081.789 | -1153.266 | -8.193 | -0.000 | 0.000 |
| 689.773 | 689.773 | -713.725 | 0.000 | -0.000 | 0.000 |
| 620.901 | 604.403 | -1232.122 | 148.512 | -0.000 | 0.000 |
| 612.860 | 612.857 | -1232.545 | 0.003 | 148.501 | 8.239 |
| 374.912 | 374.906 | -753.998 | 0.007 | 11.778 | 193.316 |
| 458.837 | 74.249 | 139.787 | 11.628 | -0.000 | -0.000 |
| 82.388 | 568.587 | 21.241 | -17.426 | -0.000 | 0.000 |
| 25.415 | 25.415 | 622.426 | -0.000 | 0.000 | -0.000 |
| -26.040 | -49.507 | 75.972 | 160.854 | 0.000 | -0.000 |
| -37.774 | -37.774 | 75.969 | 0.000 | 160.855 | 11.734 |
| -59.477 | -59.476 | 119.611 | -0.000 | 8.515 | 174.848 |
| 568.589 | 82.393 | 21.240 | 17.426 | -0.000 | 0.000 |
| 148.099 | 536.949 | -13.016 | -11.945 | 0.000 | 0.000 |
| 108.181 | 108.181 | 455.973 | -0.000 | -0.000 | 0.000 |
| 68.623 | 51.815 | -121.107 | 149.069 | 0.000 | -0.000 |
| 37.774 | 37.774 | -75.970 | -0.000 | 160.855 | 11.734 |
| 59.477 | 59.476 | -119.611 | 0.000 | 8.515 | 174.848 |
| 490.731 | 103.890 | 77.914 | 10.784 | 0.000 | 0.000 |
| 110.528 | 492.059 | 69.903 | -11.646 | -0.000 | -0.000 |
| 61.334 | 61.334 | 550.185 | 0.000 | -0.000 | -0.000 |
| 6.445 | -15.236 | 8.840 | 157.691 | 0.000 | -0.000 |
| -4.396 | -4.396 | 8.841 | -0.000 | 157.691 | 10.840 |
| -3.565 | -3.565 | 7.170 | 0.000 | 12.011 | 183.531 |
| 499.274 | 113.820 | 59.334 | 10.850 | 0.000 | -0.000 |
| 113.819 | 499.277 | 59.333 | -10.850 | -0.000 | 0.000 |
| 69.320 | 69.320 | 534.120 | 0.000 | -0.000 | -0.000 |
| 15.386 | -7.320 | -8.111 | 159.505 | -0.000 | 0.000 |
| 4.396 | 4.396 | -8.841 | 0.000 | 157.691 | 10.840 |
| 3.565 | 3.565 | -7.170 | -0.000 | 12.011 | 183.531 |
| 495.317 | 109.808 | 67.528 | 0.000 | 0.000 | -0.000 |
| 122.349 | 485.058 | 65.273 | 0.001 | 0.000 | -0.000 |
| 21.046 | 21.046 | 630.513 | 0.001 | 0.000 | -0.000 |
| -0.454 | -0.439 | 0.892 | 159.702 | 0.000 | -0.000 |
| 0.000 | 0.024 | -0.025 | 0.001 | 181.377 | -0.000 |
| 0.025 | 0.037 | 0.012 | 0.001 | 0.000 | 243.059 |
| 491.429 | 128.781 | 52.434 | -0.001 | 0.000 | 0.000 |
| 82.712 | 568.838 | 21.059 | -0.001 | 0.000 | 0.000 |
| 64.795 | 64.795 | 543.018 | -0.001 | 0.000 | 0.000 |
| 0.454 | 0.439 | -0.892 | 159.701 | 0.000 | 0.000 |
| -0.000 | -0.024 | 0.025 | -0.001 | 181.377 | 0.000 |
| -0.025 | -0.037 | -0.012 | -0.001 | -0.000 | 243.059 |
| 568.851 | 82.729 | 21.035 | 0.000 | 0.000 | -0.000 |
| 110.236 | 495.674 | 66.705 | 0.000 | 0.000 | -0.000 |
| 64.324 | 64.324 | 543.960 | 0.000 | 0.000 | -0.000 |
| 0.002 | 0.003 | -0.002 | 181.372 | 0.000 | -0.000 |
| -0.002 | -0.001 | -0.004 | 0.000 | 181.372 | -0.000 |
| 0.002 | 0.004 | 0.001 | 0.000 | 0.000 | 243.060 |
| 568.845 | 82.722 | 21.037 | -0.000 | -0.000 | -0.000 |
| 122.809 | 485.520 | 64.282 | -0.000 | 0.000 | 0.000 |
| 64.416 | 64.416 | 543.774 | -0.000 | -0.000 | 0.000 |
| -0.002 | -0.003 | 0.002 | 181.372 | -0.000 | 0.000 |
| 0.002 | 0.001 | 0.004 | -0.000 | 181.372 | 0.000 |
| -0.002 | -0.004 | -0.001 | -0.000 | -0.000 | 243.060 |
| 490.923 | 128.245 | 53.441 | 0.000 | 0.000 | -0.000 |
| 128.246 | 490.920 | 53.443 | 0.000 | -0.000 | -0.000 |
| 64.369 | 64.369 | 543.871 | 0.000 | -0.000 | -0.000 |
| -0.004 | -0.005 | 0.009 | 159.704 | 0.000 | -0.000 |
| 0.000 | 0.000 | 0.000 | 0.000 | 181.372 | -0.000 |
| -0.005 | -0.005 | 0.010 | 0.000 | 0.000 | 191.507 |
| 485.472 | 122.771 | 64.362 | -0.000 | -0.000 | 0.000 |
| 128.254 | 490.927 | 53.423 | -0.000 | -0.000 | 0.000 |
| 64.423 | 64.423 | 543.757 | -0.000 | -0.000 | 0.000 |
| 0.004 | 0.005 | -0.009 | 159.704 | -0.000 | 0.000 |
| -0.000 | -0.000 | -0.000 | -0.000 | 181.372 | 0.000 |
| 0.005 | 0.005 | -0.010 | -0.000 | -0.000 | 191.507 |
| 568.552 | 82.369 | 21.213 | 0.000 | -0.001 | -0.000 |
| 81.006 | 444.300 | 147.616 | 0.000 | -0.001 | 0.000 |
| 46.277 | 46.277 | 580.328 | 0.001 | -0.001 | -0.000 |
| -38.530 | -38.518 | 77.444 | 150.264 | -0.000 | -0.000 |
| -38.513 | -38.497 | 77.424 | 0.001 | 150.265 | 0.000 |
| -37.723 | -37.694 | 75.854 | 0.000 | -0.000 | 176.684 |
| 506.694 | 160.136 | 5.324 | -0.001 | -0.000 | 0.000 |
| 138.246 | 522.898 | 11.137 | -0.001 | 0.000 | -0.000 |
| 106.961 | 106.961 | 458.510 | -0.001 | 0.001 | 0.000 |
| 38.530 | 38.518 | -77.445 | 150.263 | 0.000 | -0.000 |
| 38.513 | 38.497 | -77.423 | -0.001 | 150.265 | 0.000 |
| 37.723 | 37.694 | -75.854 | -0.000 | 0.000 | 176.684 |
| 568.576 | 82.375 | 21.246 | 0.000 | -0.000 | 0.000 |
| 116.010 | 491.224 | 65.210 | 0.000 | -0.000 | -0.000 |
| 61.653 | 61.653 | 549.550 | 0.000 | -0.000 | 0.000 |
| -2.805 | -2.807 | 5.636 | 158.615 | -0.000 | 0.000 |
| -0.002 | -0.002 | -0.003 | 0.000 | 180.985 | 0.000 |
| -2.959 | -2.958 | 5.949 | 0.000 | -0.000 | 191.017 |
| 497.424 | 113.049 | 61.969 | -0.000 | 0.000 | -0.000 |
| 113.053 | 497.418 | 61.976 | -0.000 | 0.000 | 0.000 |
| 67.438 | 67.438 | 537.918 | -0.000 | 0.000 | -0.000 |
| 2.805 | 2.807 | -5.636 | 158.615 | 0.000 | -0.000 |
| 0.002 | 0.002 | 0.003 | -0.000 | 180.986 | 0.000 |
| 2.959 | 2.958 | -5.949 | -0.000 | 0.000 | 191.017 |
| 568.579 | 82.379 | 21.248 | 0.000 | 0.000 | 0.000 |
| 126.965 | 490.787 | 54.643 | 0.000 | -0.000 | -0.000 |
| 64.092 | 64.092 | 544.643 | -0.000 | -0.000 | -0.000 |
| -0.000 | -0.000 | -0.000 | 180.985 | -0.000 | 0.000 |
| -0.271 | -0.271 | 0.545 | 0.000 | 159.348 | -0.000 |
| 0.000 | 0.000 | -0.000 | 0.000 | -0.000 | 243.100 |
| 495.883 | 110.040 | 66.540 | -0.000 | 0.000 | -0.000 |
| 122.323 | 485.745 | 64.382 | -0.000 | 0.000 | -0.000 |
| 64.630 | 64.630 | 543.560 | 0.000 | -0.000 | -0.000 |
| 0.000 | 0.000 | 0.000 | 180.985 | 0.000 | -0.000 |
| 0.271 | 0.271 | -0.545 | -0.000 | 159.348 | 0.000 |
| -0.000 | -0.000 | 0.000 | -0.000 | 0.000 | 243.100 |
| 1028.456 | 556.866 | -918.793 | 5.679 | 0.000 | -0.000 |
| -2365.542 | -2005.927 | 5072.635 | -2.041 | 0.001 | 0.000 |
| 20.843 | 20.843 | 631.651 | -0.000 | -0.000 | -0.000 |
| -2486.414 | -2490.469 | 5005.621 | 143.702 | 0.000 | 0.000 |
| -861.246 | -861.253 | 1732.252 | 0.004 | 167.195 | 3.981 |
| 0.008 | 0.006 | 0.016 | -0.001 | 5.123 | 243.096 |
| 3876.823 | 3622.525 | -6866.955 | 0.729 | -0.000 | -0.000 |
| -399.730 | 73.957 | 1003.880 | -5.716 | 0.000 | 0.000 |
| 3587.450 | 3587.450 | -6542.995 | -0.000 | -0.000 | -0.000 |
| 866.026 | 858.394 | -1734.136 | 165.512 | -0.000 | 0.000 |
| 861.246 | 861.253 | -1732.246 | -0.004 | 167.195 | 3.981 |
| -0.007 | -0.006 | -0.012 | 0.001 | 5.123 | 243.096 |
| 238.273 | -127.973 | 564.995 | 2.206 | -0.000 | 0.000 |
| -196.583 | 62.449 | 810.869 | -0.822 | -0.000 | 0.000 |
| -226.781 | -226.781 | 1129.738 | -0.000 | -0.000 | 0.000 |
| -346.016 | -347.505 | 697.548 | 128.274 | 0.000 | 0.000 |
| -346.775 | -346.774 | 697.577 | 0.000 | 128.272 | 0.745 |
| -248.505 | -248.503 | 499.879 | -0.000 | 2.032 | 179.528 |
| 749.329 | 497.589 | -578.206 | 0.684 | -0.000 | -0.000 |
| 209.910 | 566.867 | -105.311 | -4.126 | -0.000 | -0.000 |
| 20.833 | 20.833 | 631.635 | -0.000 | -0.000 | 0.000 |
| -40.839 | -52.205 | 93.608 | 187.706 | 0.000 | 0.000 |
| 346.775 | 346.774 | -697.577 | -0.000 | 128.272 | 0.745 |
| 248.505 | 248.503 | -499.879 | 0.000 | 2.032 | 179.528 |
| 478.671 | 91.221 | 102.751 | 3.136 | 0.000 | 0.000 |
| 128.319 | 460.164 | 84.052 | -3.463 | -0.000 | 0.000 |
| 83.040 | 83.040 | 506.500 | -0.000 | -0.000 | 0.000 |
| -30.068 | -32.425 | 62.856 | 133.487 | 0.000 | 0.000 |
| 0.000 | 0.000 | 0.000 | 0.000 | 180.979 | 5.125 |
| -23.280 | -23.279 | 46.827 | -0.000 | 2.228 | 183.751 |
| 492.315 | 132.562 | 47.448 | 2.029 | -0.000 | -0.000 |
| 132.581 | 492.288 | 47.456 | -2.028 | -0.000 | -0.000 |
| 83.851 | 83.851 | 504.870 | -0.000 | -0.000 | -0.000 |
| 22.240 | 16.852 | -39.317 | 151.730 | 0.000 | 0.000 |
| -0.000 | -0.000 | -0.000 | -0.000 | 180.979 | 5.125 |
| 23.280 | 23.279 | -46.827 | 0.000 | 2.228 | 183.751 |
| 568.812 | 82.690 | 21.002 | -6.232 | 0.000 | 0.000 |
| 82.735 | 568.857 | 21.036 | 6.231 | 0.000 | 0.000 |
| 64.832 | 64.832 | 542.935 | -0.000 | -0.000 | 0.000 |
| -3.599 | 4.474 | -0.978 | 159.697 | -0.000 | 0.000 |
| -0.003 | -0.002 | -0.017 | -0.000 | 181.371 | -6.231 |
| 0.488 | 0.471 | -1.002 | -0.000 | -3.920 | 193.901 |
| 494.690 | 118.518 | 59.422 | -4.326 | 0.000 | -0.000 |
| 118.518 | 494.697 | 59.440 | 4.325 | -0.000 | -0.000 |
| 21.081 | 21.081 | 630.549 | 0.000 | -0.000 | -0.000 |
| -6.204 | 6.250 | 0.026 | 181.373 | 0.000 | -0.000 |
| 0.002 | 0.002 | 0.017 | 0.000 | 181.371 | -6.231 |
| -0.488 | -0.471 | 1.001 | 0.000 | -3.920 | 193.900 |
| 568.847 | 82.726 | 21.032 | -6.232 | -0.000 | 0.000 |
| 82.722 | 568.844 | 21.034 | 6.232 | -0.000 | 0.000 |
| 21.035 | 21.035 | 630.534 | -0.000 | 0.000 | 0.000 |
| -6.233 | 6.229 | -0.003 | 181.372 | 0.000 | 0.000 |
| -0.000 | -0.000 | -0.001 | -0.000 | 181.372 | -6.231 |
| -0.001 | -0.001 | -0.001 | -0.000 | -6.232 | 243.062 |
| 568.846 | 82.724 | 21.035 | -6.231 | -0.000 | -0.000 |
| 82.726 | 568.847 | 21.039 | 6.232 | -0.000 | -0.000 |
| 64.328 | 64.328 | 543.962 | 0.000 | 0.000 | -0.000 |
| -6.230 | 6.234 | 0.002 | 181.372 | 0.000 | -0.000 |
| 0.000 | 0.000 | 0.001 | 0.000 | 181.372 | -6.232 |
| 0.001 | 0.001 | 0.001 | 0.000 | -6.232 | 243.062 |
| 498.075 | 108.560 | 65.973 | -3.961 | 0.000 | 0.000 |
| 108.559 | 498.079 | 65.971 | 3.961 | -0.000 | 0.000 |
| 64.377 | 64.377 | 543.852 | -0.000 | -0.000 | 0.000 |
| -6.231 | 6.232 | -0.000 | 181.372 | -0.000 | 0.000 |
| 0.004 | 0.005 | -0.010 | 0.000 | 159.704 | -4.043 |
| 0.000 | -0.000 | -0.000 | -0.000 | -6.232 | 243.061 |
| 568.845 | 82.724 | 21.036 | -6.232 | -0.000 | -0.000 |
| 82.724 | 568.845 | 21.035 | 6.232 | 0.000 | -0.000 |
| 64.365 | 64.365 | 543.877 | 0.000 | 0.000 | -0.000 |
| -6.232 | 6.231 | 0.000 | 181.372 | -0.000 | -0.000 |
| -0.004 | -0.005 | 0.010 | -0.000 | 159.704 | -4.043 |
| -0.000 | 0.000 | 0.000 | 0.000 | -6.232 | 243.061 |
| 568.877 | 82.760 | 21.036 | 3.008 | 0.000 | 0.001 |
| 82.741 | 568.850 | 21.048 | -3.008 | 0.001 | 0.001 |
| 64.313 | 64.314 | 543.947 | -0.000 | 0.000 | -0.000 |
| 3.039 | -2.983 | -0.003 | 181.369 | 0.000 | 0.000 |
| 0.003 | 0.010 | 0.102 | 0.000 | 159.704 | 1.951 |
| -0.021 | -0.011 | 0.083 | 0.000 | 1.896 | 194.114 |
| 495.513 | 118.348 | 58.688 | 2.092 | -0.000 | -0.000 |
| 118.300 | 495.532 | 58.720 | -2.089 | -0.001 | -0.000 |
| 20.992 | 20.992 | 630.523 | -0.000 | -0.000 | -0.000 |
| 1.974 | -1.925 | -0.086 | 159.706 | -0.000 | 0.001 |
| -0.003 | -0.010 | -0.102 | -0.000 | 159.703 | 1.951 |
| 0.019 | 0.011 | -0.083 | -0.000 | 1.895 | 194.116 |
| 498.271 | 108.403 | 65.935 | 1.914 | 0.000 | 0.000 |
| 108.405 | 498.269 | 65.937 | -1.914 | 0.000 | -0.000 |
| 21.035 | 21.035 | 630.536 | 0.000 | 0.000 | -0.000 |
| 3.011 | -3.005 | -0.001 | 181.372 | 0.000 | 0.000 |
| -0.003 | -0.001 | 0.006 | -0.000 | 159.704 | 1.952 |
| -0.004 | -0.003 | 0.006 | 0.000 | 1.895 | 194.113 |
| 495.524 | 118.310 | 58.770 | 2.088 | -0.000 | -0.000 |
| 82.721 | 568.843 | 21.035 | -3.008 | -0.000 | -0.000 |
| 64.374 | 64.374 | 543.861 | -0.000 | -0.000 | -0.000 |
| 3.005 | -3.012 | 0.001 | 181.372 | -0.000 | 0.000 |
| 0.003 | 0.001 | -0.006 | 0.000 | 159.704 | 1.952 |
| 0.004 | 0.003 | -0.006 | -0.000 | 1.895 | 194.113 |
| 498.272 | 108.407 | 65.928 | 1.914 | 0.000 | 0.000 |
| 108.408 | 498.271 | 65.930 | -1.914 | 0.000 | 0.000 |
| 64.322 | 64.322 | 543.963 | -0.000 | 0.000 | 0.000 |
| 1.952 | -1.952 | 0.001 | 159.707 | 0.000 | 0.000 |
| -0.000 | -0.000 | 0.001 | 0.000 | 159.703 | 1.952 |
| -0.000 | 0.000 | 0.001 | 0.000 | 1.895 | 194.113 |
| 498.272 | 108.407 | 65.926 | 1.914 | -0.000 | 0.000 |
| 118.307 | 495.522 | 58.776 | -2.088 | -0.000 | -0.000 |
| 64.369 | 64.369 | 543.866 | 0.000 | -0.000 | 0.000 |
| 3.008 | -3.009 | 0.000 | 181.372 | -0.000 | 0.000 |
| 0.000 | 0.000 | -0.001 | -0.000 | 159.703 | 1.952 |
| 0.000 | -0.000 | -0.001 | -0.000 | 1.895 | 194.113 |
| 5033.234 | 4702.677 | -9171.982 | 1.229 | -0.001 | 0.001 |
| 4702.670 | 5033.236 | -9171.974 | -1.227 | -0.001 | 0.001 |
| 4647.244 | 4647.248 | -8730.253 | 0.001 | -0.001 | 0.000 |
| 1900.932 | 1896.439 | -3842.537 | 165.078 | -0.000 | 0.000 |
| 3458.721 | 3458.715 | -6999.678 | 0.001 | 153.553 | 1.687 |
| 2442.283 | 2442.284 | -4942.681 | -0.000 | 2.022 | 185.479 |
| -1954.416 | -2325.327 | 5010.120 | 2.023 | 0.001 | -0.000 |
| -1790.939 | -1388.899 | 3897.184 | -2.244 | 0.000 | 0.000 |
| 20.639 | 20.639 | 632.830 | 0.000 | -0.000 | 0.000 |
| -1891.349 | -1895.843 | 3832.243 | 165.120 | 0.000 | -0.000 |
| -3458.721 | -3458.715 | 6999.655 | -0.001 | 153.554 | 1.686 |
| -2442.283 | -2442.284 | 4942.694 | -0.000 | 2.023 | 185.478 |
| 696.225 | 292.330 | -320.777 | 2.269 | -0.000 | 0.000 |
| 462.796 | 840.266 | -639.009 | -1.652 | -0.000 | 0.000 |
| 254.770 | 254.770 | 159.007 | 0.000 | -0.000 | 0.000 |
| 192.343 | 187.852 | -384.718 | 165.062 | -0.000 | 0.000 |
| 456.925 | 456.925 | -924.702 | 0.000 | 144.230 | 1.232 |
| 190.119 | 190.119 | -384.763 | 0.000 | 2.245 | 200.988 |
| 314.309 | -86.078 | 448.591 | 2.225 | 0.000 | 0.000 |
| -86.699 | 313.461 | 450.079 | -2.222 | -0.000 | -0.000 |
| -127.304 | -127.304 | 932.244 | -0.000 | 0.000 | -0.000 |
| -455.693 | -458.157 | 924.703 | 144.230 | 0.000 | -0.000 |
| -456.925 | -456.925 | 924.703 | -0.000 | 144.231 | 1.231 |
| -190.119 | -190.119 | 384.764 | -0.000 | 2.245 | 200.988 |
| 501.113 | 167.170 | 3.309 | 1.266 | -0.000 | 0.000 |
| 167.171 | 501.112 | 3.309 | -1.266 | -0.000 | 0.000 |
| 85.851 | 85.851 | 500.862 | 0.000 | -0.000 | 0.000 |
| 27.035 | 23.037 | -50.667 | 160.001 | -0.000 | 0.000 |
| 43.225 | 43.225 | -87.477 | 0.000 | 146.193 | 1.327 |
| 41.618 | 41.618 | -84.224 | 0.000 | 1.389 | 172.382 |
| 477.862 | 88.805 | 106.128 | 2.083 | 0.000 | -0.000 |
| 75.372 | 465.527 | 132.203 | -1.842 | 0.000 | -0.000 |
| 50.977 | 50.977 | 571.437 | -0.000 | 0.000 | -0.000 |
| -41.898 | -44.552 | 87.477 | 146.193 | 0.000 | -0.000 |
| -43.225 | -43.225 | 87.477 | -0.000 | 146.193 | 1.327 |
| -41.618 | -41.618 | 84.225 | -0.000 | 1.389 | 172.382 |
| 568.839 | 82.718 | 21.030 | 5.133 | 0.002 | 0.000 |
| 118.726 | 495.311 | 58.606 | -3.572 | 0.000 | -0.001 |
| 64.372 | 64.372 | 543.819 | 0.001 | 0.002 | -0.000 |
| 3.350 | -3.326 | -0.010 | 159.698 | -0.000 | -0.003 |
| 0.013 | 0.022 | 0.011 | 0.001 | 181.371 | 5.136 |
| 0.004 | -0.007 | -0.014 | -0.000 | 5.131 | 243.058 |
| 568.861 | 82.730 | 21.068 | 5.131 | -0.000 | -0.000 |
| 118.709 | 495.297 | 58.581 | -3.571 | 0.001 | -0.001 |
| 64.369 | 64.370 | 543.910 | -0.002 | -0.002 | -0.000 |
| 3.310 | -3.340 | 0.053 | 159.697 | 0.002 | -0.001 |
| -0.013 | -0.022 | -0.013 | -0.001 | 181.371 | 5.129 |
| -0.003 | 0.007 | 0.015 | 0.000 | 5.132 | 243.064 |
| 498.140 | 108.507 | 65.957 | 3.263 | -0.000 | 0.000 |
| 108.504 | 498.139 | 65.968 | -3.263 | 0.000 | -0.000 |
| 64.365 | 64.365 | 543.872 | 0.000 | -0.000 | 0.000 |
| 3.332 | -3.327 | 0.007 | 159.704 | -0.000 | 0.000 |
| 0.002 | 0.001 | 0.001 | 0.000 | 159.705 | 3.329 |
| -0.000 | 0.001 | -0.004 | 0.000 | 3.231 | 193.978 |
| 568.844 | 82.721 | 21.034 | 5.132 | 0.000 | -0.000 |
| 108.502 | 498.139 | 65.959 | -3.263 | -0.000 | -0.000 |
| 21.035 | 21.035 | 630.531 | -0.000 | -0.000 | -0.000 |
| 3.326 | -3.331 | -0.001 | 159.704 | 0.000 | -0.000 |
| -0.002 | -0.001 | -0.001 | -0.000 | 159.705 | 3.329 |
| -0.000 | -0.001 | 0.004 | -0.000 | 3.230 | 193.977 |
| 568.849 | 82.725 | 21.036 | 5.132 | 0.000 | -0.000 |
| 108.506 | 498.138 | 65.965 | -3.263 | -0.000 | 0.000 |
| 64.371 | 64.371 | 543.865 | 0.000 | 0.000 | 0.000 |
| 3.330 | -3.330 | -0.000 | 159.705 | 0.000 | 0.000 |
| -0.000 | 0.000 | -0.000 | -0.000 | 159.704 | 3.329 |
| -0.000 | 0.000 | 0.000 | 0.000 | 3.231 | 193.978 |
| 495.295 | 118.734 | 58.577 | 3.570 | 0.000 | 0.000 |
| 82.724 | 568.845 | 21.035 | -5.132 | 0.000 | -0.000 |
| 64.369 | 64.369 | 543.867 | -0.000 | 0.000 | 0.000 |
| 3.329 | -3.329 | 0.001 | 159.705 | -0.000 | -0.000 |
| 0.000 | -0.000 | 0.000 | 0.000 | 159.704 | 3.329 |
| 0.000 | -0.000 | -0.000 | -0.000 | 3.231 | 193.978 |
| 141.490 | -170.977 | 704.301 | 1.764 | 0.000 | 0.000 |
| -170.940 | 141.560 | 704.231 | -1.763 | 0.000 | -0.000 |
| -15.539 | -15.539 | 704.373 | -0.000 | -0.000 | 0.000 |
| 5.126 | -5.126 | -0.014 | 181.128 | 0.000 | 0.000 |
| 0.006 | 0.005 | -0.010 | 0.001 | 181.128 | 5.127 |
| -0.001 | -0.001 | -0.014 | 0.000 | 5.128 | 243.085 |
| 743.214 | 432.895 | -505.687 | 1.724 | 0.000 | -0.000 |
| 432.933 | 743.225 | -505.737 | -1.722 | -0.000 | 0.000 |
| 20.915 | 20.915 | 631.242 | -0.000 | 0.000 | -0.000 |
| 303.585 | 300.102 | -605.905 | 140.372 | 0.000 | 0.000 |
| -0.006 | -0.005 | 0.008 | -0.001 | 181.128 | 5.127 |
| 0.001 | 0.001 | 0.020 | 0.000 | 5.128 | 243.085 |
| 431.059 | 96.784 | 144.957 | 2.185 | 0.000 | 0.000 |
| 96.785 | 431.042 | 144.971 | -2.185 | -0.000 | -0.000 |
| 52.969 | 52.969 | 566.887 | 0.000 | -0.000 | 0.000 |
| -27.164 | -30.902 | 58.276 | 141.927 | 0.000 | 0.000 |
| -29.032 | -29.033 | 58.278 | 0.000 | 141.927 | 1.869 |
| -7.824 | -7.824 | 15.710 | 0.000 | 4.236 | 208.285 |
| 533.094 | 113.045 | 26.227 | 4.311 | -0.000 | -0.000 |
| 113.045 | 533.094 | 26.227 | -4.312 | 0.000 | -0.000 |
| 20.911 | 20.911 | 631.234 | 0.000 | 0.000 | -0.000 |
| 30.898 | 27.160 | -58.270 | 141.932 | 0.000 | -0.000 |
| 29.032 | 29.033 | -58.278 | -0.000 | 141.927 | 1.869 |
| 7.824 | 7.824 | -15.710 | -0.000 | 4.236 | 208.285 |
| 495.054 | 114.290 | 63.160 | 3.499 | -0.000 | 0.000 |
| 82.506 | 568.677 | 21.169 | -5.128 | 0.000 | 0.000 |
| 63.834 | 63.834 | 545.079 | 0.000 | -0.000 | 0.000 |
| 1.424 | -4.914 | 3.502 | 157.569 | -0.000 | -0.000 |
| -1.745 | -1.745 | 3.503 | -0.000 | 157.570 | 3.169 |
| -1.760 | -1.759 | 3.532 | -0.000 | 3.152 | 192.109 |
| 568.674 | 82.505 | 21.169 | 5.128 | 0.000 | -0.000 |
| 110.698 | 497.544 | 64.262 | -3.203 | -0.000 | -0.000 |
| 66.958 | 66.958 | 538.804 | 0.000 | 0.000 | -0.000 |
| 4.914 | -1.424 | -3.502 | 157.569 | 0.000 | 0.000 |
| 1.745 | 1.745 | -3.503 | 0.000 | 157.570 | 3.169 |
| 1.760 | 1.759 | -3.532 | 0.000 | 3.152 | 192.109 |
| 2609.287 | 2283.460 | -4273.959 | 1.384 | 0.000 | -0.000 |
| 2284.380 | 2610.147 | -4275.773 | -1.383 | 0.000 | -0.000 |
| 2242.390 | 2242.390 | -3866.089 | 0.000 | 0.001 | -0.000 |
| 80.510 | 73.997 | -156.583 | 176.405 | -0.000 | -0.000 |
| 0.000 | 0.001 | 0.007 | 0.000 | 180.529 | 3.480 |
| 0.003 | 0.002 | 0.012 | 0.000 | 3.479 | 243.131 |
| -1699.877 | -2026.276 | 4452.382 | 1.390 | -0.000 | 0.000 |
| -2026.272 | -1699.881 | 4452.393 | -1.391 | -0.001 | 0.000 |
| 20.609 | 20.609 | 632.867 | 0.000 | 0.001 | 0.000 |
| -2153.822 | -2156.591 | 4364.128 | 143.458 | 0.000 | 0.000 |
| -0.000 | -0.000 | -0.012 | -0.000 | 180.529 | 3.480 |
| -0.003 | -0.002 | -0.012 | 0.000 | 3.479 | 243.131 |
| 543.183 | 106.691 | 21.797 | 3.430 | -0.000 | 0.000 |
| 106.706 | 543.191 | 21.776 | -3.431 | -0.000 | -0.000 |
| 58.934 | 58.934 | 555.267 | -0.000 | -0.000 | -0.000 |
| 12.586 | 6.118 | -18.954 | 176.146 | -0.000 | 0.000 |
| 215.171 | 215.171 | -435.706 | 0.000 | 143.518 | 1.391 |
| -0.000 | -0.000 | 0.001 | 0.000 | 3.479 | 243.132 |
| 243.121 | -86.705 | 521.418 | 1.436 | 0.000 | 0.000 |
| 81.961 | 568.226 | 21.485 | -3.480 | 0.000 | 0.000 |
| -124.481 | -124.481 | 926.678 | -0.000 | 0.000 | 0.000 |
| 3.479 | -3.480 | -0.001 | 180.529 | 0.000 | -0.000 |
| -215.171 | -215.171 | 435.706 | -0.000 | 143.518 | 1.391 |
| 0.000 | 0.000 | -0.001 | -0.000 | 3.480 | 243.132 |
| 488.040 | 135.835 | 48.130 | 1.728 | 0.000 | -0.000 |
| 118.605 | 524.889 | 28.266 | -2.987 | -0.000 | -0.000 |
| 20.606 | 20.606 | 632.891 | 0.000 | -0.000 | -0.000 |
| 8.515 | 2.739 | -11.396 | 170.048 | 0.000 | -0.000 |
| 5.630 | 5.630 | -11.401 | -0.000 | 170.044 | 2.888 |
| 17.843 | 17.843 | -36.131 | -0.000 | 1.747 | 176.826 |
| 494.545 | 110.702 | 66.988 | 2.638 | 0.000 | 0.000 |
| 110.700 | 494.543 | 66.991 | -2.638 | -0.000 | 0.000 |
| 20.605 | 20.605 | 632.886 | 0.000 | 0.000 | 0.000 |
| -17.327 | -20.603 | 38.403 | 147.908 | -0.000 | 0.000 |
| -5.630 | -5.630 | 11.401 | 0.000 | 170.044 | 2.888 |
| -17.843 | -17.843 | 36.131 | 0.000 | 1.747 | 176.826 |
| 498.806 | 108.094 | 65.781 | 2.925 | -0.000 | 0.001 |
| 82.721 | 568.847 | 20.994 | -4.592 | -0.000 | 0.001 |
| 21.046 | 21.046 | 630.518 | 0.000 | -0.000 | 0.001 |
| 4.650 | -4.540 | 0.024 | 181.371 | -0.000 | 0.001 |
| -0.005 | 0.020 | -0.022 | 0.000 | 181.376 | 4.591 |
| 0.014 | 0.103 | -0.020 | 0.001 | 3.353 | 191.617 |
| 498.693 | 108.009 | 65.795 | 2.927 | -0.000 | -0.001 |
| 82.713 | 568.837 | 21.051 | -4.592 | -0.000 | -0.001 |
| 20.981 | 20.981 | 630.527 | 0.000 | 0.000 | -0.001 |
| 4.528 | -4.646 | -0.026 | 181.372 | -0.000 | -0.001 |
| 0.006 | -0.020 | 0.022 | -0.000 | 181.376 | 4.590 |
| -0.015 | -0.103 | 0.019 | -0.001 | 3.353 | 191.616 |
| 568.851 | 82.729 | 21.035 | 4.592 | -0.000 | 0.000 |
| 108.067 | 498.753 | 65.796 | -2.926 | -0.000 | 0.000 |
| 64.381 | 64.381 | 543.865 | -0.000 | -0.000 | 0.000 |
| 2.982 | -2.975 | -0.004 | 159.704 | -0.000 | 0.000 |
| 0.006 | 0.007 | -0.004 | -0.000 | 159.703 | 2.979 |
| -0.002 | -0.000 | -0.003 | 0.000 | 4.592 | 243.062 |
| 498.744 | 108.059 | 65.801 | 2.926 | 0.000 | -0.000 |
| 82.722 | 568.843 | 21.035 | -4.592 | 0.000 | -0.000 |
| 64.366 | 64.366 | 543.873 | -0.000 | 0.000 | -0.000 |
| 2.976 | -2.982 | 0.004 | 159.704 | 0.000 | -0.000 |
| -0.006 | -0.007 | 0.004 | 0.000 | 159.703 | 2.979 |
| 0.002 | 0.000 | 0.002 | -0.000 | 4.592 | 243.061 |
| 498.749 | 108.063 | 65.798 | 2.926 | -0.000 | 0.000 |
| 119.850 | 486.090 | 66.669 | -2.893 | 0.000 | 0.000 |
| 64.324 | 64.324 | 543.963 | 0.000 | -0.000 | 0.000 |
| 4.592 | -4.591 | 0.000 | 181.372 | 0.000 | 0.000 |
| 0.000 | 0.000 | -0.000 | -0.000 | 159.703 | 2.979 |
| 0.000 | 0.000 | -0.000 | 0.000 | 4.592 | 243.061 |
| 498.748 | 108.060 | 65.796 | 2.926 | 0.000 | -0.000 |
| 116.816 | 496.296 | 59.492 | -3.160 | 0.000 | -0.000 |
| 64.418 | 64.418 | 543.766 | -0.000 | -0.000 | -0.000 |
| 2.978 | -2.980 | 0.000 | 159.705 | 0.000 | -0.000 |
| -0.000 | -0.000 | 0.000 | 0.000 | 159.703 | 2.979 |
| -0.000 | -0.000 | 0.000 | -0.000 | 4.592 | 243.061 |
| 568.685 | 82.516 | 21.164 | 4.586 | 0.000 | -0.000 |
| 82.522 | 568.691 | 21.164 | -4.588 | 0.000 | -0.000 |
| 20.925 | 20.925 | 631.185 | -0.000 | 0.001 | -0.000 |
| -788.009 | -794.327 | 1587.791 | 161.916 | -0.000 | -0.000 |
| -1194.314 | -1194.318 | 2396.853 | 0.001 | 152.256 | 2.441 |
| -1194.251 | -1194.255 | 2396.750 | 0.002 | 2.440 | 181.563 |
| 568.695 | 82.521 | 21.173 | 4.590 | 0.000 | 0.000 |
| 900.879 | 1291.748 | -1525.562 | -3.154 | 0.000 | 0.000 |
| 1267.633 | 1267.633 | -1870.759 | 0.000 | 0.000 | 0.000 |
| 1196.854 | 1191.971 | -2397.041 | 152.252 | -0.000 | -0.000 |
| 1194.314 | 1194.318 | -2396.854 | -0.001 | 152.256 | 2.441 |
| 1194.251 | 1194.255 | -2396.747 | -0.001 | 2.441 | 181.563 |
| 364.370 | -2.009 | 311.003 | 2.496 | -0.000 | -0.000 |
| 30.917 | 420.425 | 221.713 | -3.134 | 0.000 | -0.000 |
| -18.453 | -18.453 | 710.215 | -0.000 | -0.000 | 0.000 |
| -76.114 | -82.424 | 159.081 | 161.876 | -0.000 | -0.000 |
| -119.111 | -119.111 | 239.042 | 0.000 | 152.334 | 2.445 |
| -79.188 | -79.190 | 158.922 | 0.000 | 3.157 | 195.334 |
| 568.686 | 82.517 | 21.162 | 4.588 | 0.000 | 0.000 |
| 236.971 | 598.125 | -163.362 | -2.405 | 0.000 | 0.000 |
| 156.743 | 156.743 | 358.619 | -0.000 | -0.000 | 0.000 |
| 82.439 | 76.130 | -159.118 | 161.872 | 0.000 | 0.000 |
| 119.113 | 119.114 | -239.047 | -0.000 | 152.333 | 2.445 |
| 79.188 | 79.190 | -158.921 | -0.000 | 3.157 | 195.334 |
| 485.423 | 99.315 | 87.861 | 2.841 | -0.000 | -0.000 |
| 99.315 | 485.421 | 87.862 | -2.841 | 0.000 | -0.000 |
| 54.536 | 54.536 | 563.737 | -0.000 | 0.000 | -0.000 |
| 4.588 | -4.588 | -0.000 | 181.141 | -0.000 | -0.000 |
| -10.391 | -10.391 | 20.854 | 0.000 | 156.010 | 2.719 |
| -10.191 | -10.191 | 20.452 | 0.000 | 2.755 | 190.585 |
| 568.686 | 82.517 | 21.163 | 4.588 | 0.000 | 0.000 |
| 120.264 | 502.153 | 50.049 | -2.767 | -0.000 | 0.000 |
| 75.766 | 75.766 | 521.126 | -0.000 | 0.000 | 0.000 |
| 13.109 | 7.672 | -20.852 | 156.012 | -0.000 | 0.000 |
| 10.391 | 10.391 | -20.854 | -0.000 | 156.010 | 2.719 |
| 10.191 | 10.191 | -20.452 | -0.000 | 2.755 | 190.585 |
| 568.899 | 82.749 | 21.106 | -0.000 | 0.000 | -0.000 |
| 82.712 | 568.838 | 21.057 | 0.000 | 0.000 | -0.000 |
| 21.014 | 21.014 | 630.589 | -0.000 | 0.000 | -0.000 |
| -0.017 | 0.009 | 0.046 | 159.695 | 0.000 | 0.000 |
| -0.050 | -0.048 | 0.024 | -0.000 | 159.706 | 0.000 |
| -0.002 | 0.001 | 0.076 | -0.000 | 0.000 | 195.686 |
| 568.801 | 82.699 | 20.961 | 0.000 | -0.000 | -0.000 |
| 127.107 | 487.653 | 57.758 | -0.000 | -0.000 | 0.000 |
| 64.386 | 64.386 | 543.835 | 0.000 | -0.000 | -0.000 |
| 0.018 | -0.009 | -0.046 | 159.695 | -0.000 | 0.000 |
| 0.050 | 0.048 | -0.024 | 0.000 | 159.706 | -0.000 |
| 0.002 | -0.001 | -0.076 | 0.000 | -0.000 | 195.686 |
| 499.818 | 107.279 | 65.506 | -0.000 | 0.000 | -0.000 |
| 82.722 | 568.843 | 21.035 | 0.000 | -0.000 | 0.000 |
| 64.367 | 64.367 | 543.873 | -0.000 | -0.000 | 0.000 |
| -0.002 | -0.002 | 0.004 | 181.371 | 0.000 | -0.000 |
| 0.000 | 0.000 | 0.000 | 0.000 | 181.372 | -0.000 |
| -0.000 | 0.000 | 0.008 | -0.000 | -0.000 | 195.681 |
| 499.826 | 107.285 | 65.500 | 0.000 | -0.000 | 0.000 |
| 107.285 | 499.821 | 65.497 | 0.000 | 0.000 | 0.000 |
| 21.035 | 21.035 | 630.537 | -0.000 | -0.000 | 0.000 |
| 0.002 | 0.002 | -0.004 | 181.372 | -0.000 | -0.000 |
| -0.000 | -0.000 | -0.000 | -0.000 | 181.372 | 0.000 |
| 0.000 | -0.000 | -0.008 | 0.000 | 0.000 | 195.681 |
| 499.822 | 107.284 | 65.504 | -0.000 | 0.000 | -0.000 |
| 82.725 | 568.849 | 21.036 | -0.000 | 0.000 | -0.000 |
| 64.373 | 64.373 | 543.862 | -0.000 | 0.000 | 0.000 |
| 0.000 | -0.000 | 0.001 | 159.704 | 0.000 | -0.000 |
| -0.000 | -0.000 | 0.001 | -0.000 | 159.705 | -0.000 |
| 0.001 | -0.001 | 0.001 | -0.000 | 0.000 | 193.613 |
| 497.989 | 113.710 | 60.906 | 0.000 | -0.000 | 0.000 |
| 113.732 | 497.928 | 60.946 | 0.000 | 0.000 | -0.000 |
| 64.369 | 64.369 | 543.867 | 0.000 | -0.000 | 0.000 |
| -0.000 | 0.000 | -0.001 | 159.704 | -0.000 | 0.000 |
| 0.000 | 0.000 | -0.001 | 0.000 | 159.705 | 0.000 |
| -0.001 | 0.001 | -0.001 | 0.000 | -0.000 | 193.613 |
| 568.772 | 82.606 | 21.178 | -0.000 | -0.000 | 0.000 |
| 107.015 | 499.788 | 65.789 | -0.000 | 0.000 | 0.000 |
| 64.369 | 64.369 | 544.065 | -0.000 | -0.000 | 0.000 |
| 0.022 | 0.014 | 0.070 | 159.528 | 0.001 | 0.000 |
| 0.014 | 0.018 | 0.082 | -0.000 | 159.532 | 0.000 |
| 0.026 | -0.010 | 0.096 | -0.000 | -0.000 | 193.722 |
| 499.772 | 106.996 | 65.620 | 0.000 | -0.000 | -0.000 |
| 82.494 | 568.660 | 21.087 | 0.000 | -0.000 | -0.000 |
| 64.347 | 64.347 | 543.888 | 0.000 | -0.000 | -0.000 |
| -0.022 | -0.014 | -0.072 | 159.528 | -0.000 | -0.000 |
| -0.014 | -0.017 | -0.082 | 0.000 | 159.532 | -0.000 |
| -0.026 | 0.010 | -0.096 | 0.000 | -0.000 | 193.722 |
| 499.790 | 107.015 | 65.742 | -0.000 | 0.000 | 0.000 |
| 82.556 | 568.718 | 21.144 | -0.000 | 0.000 | 0.000 |
| 64.362 | 64.362 | 544.001 | -0.000 | 0.000 | 0.000 |
| 0.000 | 0.000 | 0.008 | 159.532 | -0.000 | 0.000 |
| 0.000 | 0.000 | 0.007 | -0.000 | 159.532 | 0.000 |
| 0.002 | 0.002 | 0.002 | -0.000 | 0.000 | 243.080 |
| 499.788 | 107.008 | 65.725 | -0.000 | 0.000 | -0.000 |
| 82.547 | 568.708 | 21.136 | 0.000 | 0.000 | -0.000 |
| 64.364 | 64.364 | 543.980 | 0.000 | -0.000 | -0.000 |
| -0.000 | -0.000 | -0.008 | 159.532 | 0.000 | -0.000 |
| -0.000 | -0.000 | -0.007 | 0.000 | 159.531 | -0.000 |
| -0.002 | -0.002 | -0.002 | 0.000 | -0.000 | 243.080 |
| 499.789 | 107.014 | 65.734 | -0.000 | -0.000 | 0.000 |
| 107.014 | 499.787 | 65.735 | -0.000 | 0.000 | 0.000 |
| 64.366 | 64.366 | 543.985 | -0.000 | 0.000 | 0.000 |
| 0.001 | 0.001 | 0.001 | 181.181 | 0.000 | 0.000 |
| 0.000 | 0.001 | 0.000 | -0.000 | 181.181 | 0.000 |
| 0.000 | 0.000 | 0.000 | -0.000 | 0.000 | 243.080 |
| 489.723 | 116.543 | 66.266 | -0.000 | -0.000 | -0.000 |
| 113.549 | 497.969 | 60.999 | 0.000 | 0.000 | -0.000 |
| 64.412 | 64.412 | 543.886 | 0.000 | 0.000 | -0.000 |
| -0.001 | -0.001 | -0.001 | 181.181 | 0.000 | -0.000 |
| -0.000 | -0.001 | -0.000 | 0.000 | 181.181 | -0.000 |
| -0.000 | -0.000 | -0.000 | 0.000 | -0.000 | 243.080 |
| 480.271 | 116.984 | 75.254 | 0.001 | -0.000 | -0.000 |
| 116.977 | 480.265 | 75.274 | 0.000 | -0.000 | 0.000 |
| 20.964 | 20.964 | 630.484 | 0.000 | -0.000 | 0.000 |
| -5.782 | -5.774 | 11.519 | 159.699 | -0.000 | -0.000 |
| -0.027 | -0.026 | -0.029 | 0.000 | 181.377 | -0.000 |
| -0.024 | -0.032 | -0.015 | 0.000 | -0.000 | 243.058 |
| 568.857 | 82.726 | 21.044 | 0.000 | 0.000 | 0.000 |
| 115.024 | 503.395 | 54.348 | 0.000 | 0.000 | -0.000 |
| 21.062 | 21.062 | 630.552 | -0.000 | 0.000 | 0.000 |
| 5.782 | 5.774 | -11.520 | 159.699 | 0.000 | -0.000 |
| 0.027 | 0.026 | 0.029 | -0.000 | 181.378 | -0.000 |
| 0.024 | 0.032 | 0.015 | -0.000 | 0.000 | 243.058 |
| 568.842 | 82.720 | 21.032 | -0.000 | -0.000 | 0.000 |
| 108.152 | 497.225 | 67.228 | 0.000 | -0.000 | 0.000 |
| 63.797 | 63.797 | 545.012 | 0.000 | -0.000 | -0.000 |
| -0.577 | -0.579 | 1.152 | 159.704 | -0.000 | -0.000 |
| -0.578 | -0.577 | 1.150 | 0.000 | 159.704 | -0.000 |
| -0.002 | -0.001 | -0.003 | -0.000 | -0.000 | 243.062 |
| 568.854 | 82.731 | 21.042 | -0.000 | 0.000 | -0.000 |
| 82.726 | 568.850 | 21.038 | -0.000 | 0.000 | 0.000 |
| 64.954 | 64.954 | 542.720 | 0.000 | 0.000 | 0.000 |
| 0.577 | 0.579 | -1.152 | 159.704 | 0.000 | -0.000 |
| 0.578 | 0.577 | -1.150 | -0.000 | 159.704 | -0.000 |
| 0.002 | 0.001 | 0.003 | 0.000 | 0.000 | 243.062 |
| 497.722 | 108.706 | 66.179 | 0.000 | -0.000 | 0.000 |
| 108.707 | 497.720 | 66.181 | -0.000 | -0.000 | 0.000 |
| 64.313 | 64.313 | 543.981 | 0.000 | -0.000 | 0.000 |
| -0.057 | -0.058 | 0.115 | 159.704 | -0.000 | -0.000 |
| -0.000 | 0.000 | -0.000 | -0.000 | 181.371 | 0.000 |
| -0.000 | -0.000 | -0.000 | 0.000 | -0.000 | 243.061 |
| 497.832 | 108.829 | 65.945 | -0.000 | 0.000 | -0.000 |
| 108.852 | 497.767 | 65.986 | -0.000 | 0.000 | -0.000 |
| 64.478 | 64.477 | 543.652 | 0.000 | 0.000 | 0.000 |
| 0.057 | 0.058 | -0.115 | 159.704 | 0.000 | -0.000 |
| 0.000 | -0.000 | 0.000 | 0.000 | 181.371 | 0.000 |
| 0.000 | 0.000 | 0.000 | -0.000 | 0.000 | 243.061 |
| 568.684 | 82.523 | 21.147 | -0.000 | 0.000 | -0.000 |
| 82.527 | 568.693 | 21.160 | 0.000 | 0.000 | -0.000 |
| 20.914 | 20.914 | 631.179 | 0.000 | 0.000 | -0.000 |
| 0.007 | 0.008 | -0.009 | 181.135 | 0.000 | -0.000 |
| -0.010 | -0.000 | -0.019 | 0.000 | 181.133 | 0.000 |
| 0.001 | 0.010 | -0.010 | 0.000 | 0.000 | 243.084 |
| 568.669 | 82.492 | 21.178 | 0.000 | -0.000 | 0.000 |
| 82.501 | 568.678 | 21.177 | 0.000 | -0.000 | 0.000 |
| 324.923 | 324.923 | 21.095 | -0.000 | -0.000 | 0.000 |
| -0.008 | -0.008 | 0.009 | 181.135 | -0.000 | 0.000 |
| 0.009 | 0.000 | 0.019 | -0.000 | 181.133 | 0.000 |
| -0.000 | -0.010 | 0.010 | -0.000 | -0.000 | 243.084 |
| 474.232 | 93.091 | 105.329 | -0.000 | 0.000 | -0.000 |
| 86.002 | 472.864 | 113.819 | -0.000 | 0.000 | 0.000 |
| 20.915 | 20.915 | 631.209 | -0.000 | 0.000 | 0.000 |
| -24.457 | -24.457 | 49.086 | 156.725 | 0.000 | 0.000 |
| -0.000 | 0.001 | -0.001 | 0.000 | 181.135 | 0.000 |
| -24.365 | -24.366 | 48.903 | -0.000 | 0.000 | 190.679 |
| 513.811 | 137.405 | 21.148 | 0.000 | -0.000 | -0.000 |
| 132.162 | 519.050 | 21.152 | -0.000 | -0.000 | 0.000 |
| 20.917 | 20.917 | 631.215 | 0.000 | -0.000 | 0.000 |
| 24.457 | 24.457 | -49.086 | 156.725 | -0.000 | 0.000 |
| 0.000 | -0.001 | 0.001 | -0.000 | 181.135 | 0.000 |
| 24.365 | 24.365 | -48.901 | 0.000 | 0.000 | 190.681 |
| 495.604 | 106.144 | 70.784 | 0.000 | 0.000 | 0.000 |
| 106.140 | 495.619 | 70.774 | 0.000 | 0.000 | -0.000 |
| 62.213 | 62.213 | 548.327 | 0.000 | -0.000 | 0.000 |
| -2.175 | -2.175 | 4.365 | 159.427 | -0.000 | -0.000 |
| -2.175 | -2.175 | 4.365 | 0.000 | 159.427 | 0.000 |
| -2.297 | -2.297 | 4.610 | -0.000 | 0.000 | 193.684 |
| 568.678 | 82.511 | 21.165 | -0.000 | -0.000 | 0.000 |
| 110.785 | 499.746 | 61.968 | -0.000 | -0.000 | -0.000 |
| 66.555 | 66.555 | 539.608 | 0.000 | -0.000 | -0.000 |
| 2.175 | 2.175 | -4.365 | 159.427 | -0.000 | -0.000 |
| 2.175 | 2.175 | -4.365 | -0.000 | 159.427 | 0.000 |
| 2.297 | 2.297 | -4.610 | 0.000 | -0.000 | 193.684 |
| 568.850 | 82.724 | 21.033 | -52.346 | 0.000 | 0.000 |
| 82.754 | 568.856 | 21.070 | 52.341 | -0.000 | -0.000 |
| 64.202 | 64.202 | 544.203 | 0.000 | -0.000 | -0.000 |
| -34.101 | 33.837 | 0.337 | 159.712 | -0.000 | -0.000 |
| -0.158 | -0.143 | 0.300 | 0.003 | 159.713 | -33.967 |
| -0.106 | -0.137 | 0.280 | -0.010 | -35.638 | 192.180 |
| 568.850 | 82.724 | 21.034 | -52.346 | 0.000 | -0.000 |
| 109.189 | 497.538 | 65.821 | 33.202 | 0.000 | -0.000 |
| 64.498 | 64.498 | 543.510 | -0.000 | 0.000 | 0.000 |
| -52.330 | 52.366 | 0.008 | 181.376 | 0.000 | -0.000 |
| 0.158 | 0.143 | -0.300 | -0.003 | 159.714 | -33.967 |
| 0.106 | 0.137 | -0.280 | 0.010 | -35.638 | 192.180 |
| 568.851 | 82.729 | 21.035 | -52.345 | -0.000 | 0.000 |
| 113.833 | 496.390 | 62.390 | 34.815 | -0.000 | -0.000 |
| 64.353 | 64.353 | 543.902 | 0.000 | -0.000 | -0.000 |
| -33.973 | 33.947 | 0.031 | 159.705 | 0.000 | 0.000 |
| -0.016 | -0.015 | 0.030 | 0.000 | 159.705 | -33.960 |
| 0.000 | 0.000 | -0.000 | -0.000 | -52.345 | 243.061 |
| 568.845 | 82.722 | 21.032 | -52.345 | 0.000 | 0.000 |
| 113.860 | 496.423 | 62.322 | 34.817 | -0.000 | 0.000 |
| 64.380 | 64.380 | 543.826 | -0.000 | 0.000 | -0.000 |
| -52.345 | 52.346 | 0.002 | 181.372 | 0.000 | -0.000 |
| 0.016 | 0.015 | -0.030 | -0.000 | 159.705 | -33.960 |
| -0.000 | -0.000 | 0.000 | 0.000 | -52.345 | 243.061 |
| 496.405 | 113.847 | 62.358 | -34.815 | -0.000 | 0.000 |
| 109.053 | 497.406 | 66.150 | 33.206 | -0.000 | -0.000 |
| 64.372 | 64.372 | 543.866 | 0.000 | -0.000 | 0.000 |
| -33.962 | 33.959 | 0.003 | 159.706 | -0.000 | -0.000 |
| -0.002 | -0.001 | 0.003 | -0.000 | 159.704 | -33.959 |
| -0.001 | -0.002 | 0.002 | -0.000 | -35.653 | 192.195 |
| 568.845 | 82.724 | 21.035 | -52.345 | 0.000 | 0.000 |
| 113.847 | 496.409 | 62.349 | 34.816 | 0.000 | -0.000 |
| 64.371 | 64.371 | 543.863 | -0.000 | 0.000 | 0.000 |
| -52.345 | 52.345 | 0.000 | 181.372 | 0.000 | -0.000 |
| 0.002 | 0.001 | -0.003 | 0.000 | 159.704 | -33.959 |
| 0.001 | 0.002 | -0.002 | 0.000 | -35.653 | 192.195 |
| 568.771 | 82.620 | 21.130 | 52.321 | 0.000 | 0.000 |
| 108.959 | 497.474 | 66.163 | -33.202 | 0.000 | -0.000 |
| 20.962 | 20.962 | 630.924 | -0.000 | 0.000 | -0.000 |
| 34.055 | -33.851 | -0.145 | 159.580 | 0.000 | 0.001 |
| 0.009 | 0.019 | -0.000 | -0.002 | 181.232 | 52.318 |
| -0.000 | -0.005 | 0.005 | 0.001 | 52.324 | 243.078 |
| 568.741 | 82.586 | 21.106 | 52.316 | -0.000 | 0.000 |
| 82.591 | 568.751 | 21.121 | -52.317 | -0.000 | 0.000 |
| 64.310 | 64.310 | 544.121 | 0.000 | -0.000 | -0.000 |
| 33.860 | -34.056 | 0.153 | 159.580 | -0.000 | 0.000 |
| -0.009 | -0.019 | -0.000 | 0.002 | 181.231 | 52.317 |
| 0.000 | 0.005 | -0.005 | -0.001 | 52.324 | 243.079 |
| 497.394 | 108.870 | 66.298 | 33.206 | 0.000 | -0.000 |
| 108.869 | 497.397 | 66.296 | -33.207 | 0.000 | 0.000 |
| 64.370 | 64.370 | 543.947 | -0.000 | 0.000 | -0.000 |
| 33.961 | -33.945 | -0.018 | 159.580 | 0.000 | 0.000 |
| 0.000 | 0.001 | -0.000 | -0.000 | 181.235 | 52.321 |
| 0.008 | 0.008 | -0.017 | 0.000 | 32.833 | 193.308 |
| 568.754 | 82.602 | 21.114 | 52.320 | -0.000 | 0.000 |
| 113.693 | 496.378 | 62.483 | -34.792 | -0.000 | 0.000 |
| 64.358 | 64.358 | 543.975 | 0.000 | -0.000 | -0.000 |
| 33.944 | -33.963 | 0.014 | 159.580 | -0.000 | -0.000 |
| -0.000 | -0.001 | 0.000 | 0.000 | 181.235 | 52.321 |
| -0.008 | -0.008 | 0.017 | -0.000 | 32.833 | 193.308 |
| 496.396 | 113.696 | 62.462 | 34.796 | 0.000 | -0.000 |
| 108.862 | 497.386 | 66.314 | -33.206 | -0.000 | 0.000 |
| 64.370 | 64.370 | 543.951 | -0.000 | 0.000 | -0.000 |
| 33.954 | -33.953 | -0.002 | 159.580 | 0.000 | -0.000 |
| 0.000 | 0.000 | -0.000 | 0.000 | 181.234 | 52.321 |
| 0.000 | 0.000 | -0.000 | 0.000 | 52.321 | 243.076 |
| 496.384 | 113.697 | 62.470 | 34.793 | -0.000 | -0.000 |
| 82.601 | 568.752 | 21.112 | -52.320 | -0.000 | 0.000 |
| 64.415 | 64.415 | 543.858 | 0.000 | -0.000 | 0.000 |
| 33.952 | -33.954 | 0.002 | 159.580 | -0.000 | 0.000 |
| -0.000 | -0.000 | 0.000 | -0.000 | 181.234 | 52.321 |
| -0.000 | -0.000 | 0.000 | -0.000 | 52.321 | 243.076 |
| 568.657 | 82.483 | 21.169 | -0.004 | 0.000 | -0.000 |
| 82.484 | 568.658 | 21.170 | 0.003 | -0.000 | -0.000 |
| 198.374 | 198.374 | 274.968 | 0.000 | 0.000 | -0.000 |
| 118.789 | 118.792 | -238.521 | 150.385 | 0.000 | -0.000 |
| -0.008 | -0.009 | -0.006 | 0.000 | 181.118 | -0.000 |
| 0.001 | 0.002 | 0.000 | -0.000 | -0.000 | 243.087 |
| 568.670 | 82.502 | 21.169 | 0.002 | -0.000 | 0.000 |
| 82.490 | 568.664 | 21.166 | -0.000 | 0.000 | 0.000 |
| -36.833 | -36.833 | 747.160 | -0.000 | -0.000 | -0.000 |
| 0.004 | 0.011 | 0.003 | 181.118 | 0.000 | 0.000 |
| 0.008 | 0.009 | 0.006 | -0.000 | 181.118 | 0.001 |
| -0.001 | -0.002 | -0.000 | 0.000 | -0.000 | 243.088 |
| 568.666 | 82.495 | 21.174 | -0.000 | 0.000 | -0.000 |
| 124.884 | 492.635 | 54.942 | 0.000 | -0.000 | -0.000 |
| 80.340 | 80.340 | 511.948 | 0.000 | 0.000 | -0.000 |
| 0.001 | 0.001 | 0.000 | 181.117 | -0.000 | -0.000 |
| -0.000 | -0.001 | 0.000 | -0.000 | 181.117 | 0.000 |
| -0.001 | -0.001 | -0.001 | 0.000 | -0.000 | 243.085 |
| 568.665 | 82.495 | 21.173 | 0.000 | 0.000 | 0.000 |
| 102.728 | 476.138 | 93.743 | -0.000 | -0.000 | 0.000 |
| 64.118 | 64.118 | 544.506 | -0.000 | -0.000 | 0.000 |
| -0.000 | -0.000 | -0.000 | 181.117 | 0.000 | 0.000 |
| 0.000 | 0.001 | -0.000 | 0.000 | 181.117 | 0.000 |
| 0.001 | 0.001 | 0.001 | -0.000 | -0.000 | 243.085 |
| 497.860 | 109.708 | 64.934 | 0.000 | 0.000 | 0.000 |
| 118.504 | 496.236 | 57.735 | -0.000 | 0.000 | -0.000 |
| 65.330 | 65.330 | 542.077 | 0.000 | -0.000 | -0.000 |
| 0.847 | 0.847 | -1.700 | 159.210 | 0.000 | -0.000 |
| 0.847 | 0.847 | -1.700 | 0.000 | 159.210 | 0.000 |
| 0.621 | 0.620 | -1.247 | -0.000 | -0.000 | 190.993 |
| 494.391 | 116.979 | 61.114 | 0.000 | -0.000 | 0.000 |
| 117.001 | 494.327 | 61.155 | -0.000 | -0.000 | 0.000 |
| 63.508 | 63.508 | 545.732 | -0.000 | -0.000 | 0.000 |
| -0.847 | -0.847 | 1.700 | 159.210 | -0.000 | 0.000 |
| -0.847 | -0.847 | 1.700 | -0.000 | 159.210 | 0.000 |
| -0.621 | -0.620 | 1.247 | 0.000 | -0.000 | 190.993 |
| 568.888 | 82.769 | 21.042 | -0.001 | 0.000 | 0.000 |
| 82.712 | 568.852 | 20.990 | -0.000 | 0.000 | -0.000 |
| 21.098 | 21.098 | 630.538 | -0.000 | 0.000 | -0.000 |
| -2.104 | -2.096 | 4.261 | 159.701 | 0.000 | 0.000 |
| -2.096 | -2.102 | 4.250 | -0.000 | 159.696 | 0.000 |
| -1.856 | -1.598 | 3.401 | -0.000 | -0.000 | 192.531 |
| 501.289 | 109.945 | 61.369 | 0.000 | -0.000 | -0.000 |
| 82.743 | 568.866 | 21.071 | 0.000 | -0.000 | -0.000 |
| 66.478 | 66.477 | 539.620 | 0.000 | -0.000 | -0.000 |
| 2.111 | 2.101 | -4.259 | 159.700 | -0.000 | -0.000 |
| 2.097 | 2.102 | -4.250 | 0.000 | 159.696 | -0.000 |
| 1.856 | 1.598 | -3.401 | 0.000 | -0.000 | 192.531 |
| 499.034 | 107.479 | 66.090 | -0.000 | 0.000 | 0.000 |
| 107.480 | 499.032 | 66.089 | 0.000 | -0.000 | 0.000 |
| 64.163 | 64.163 | 544.294 | -0.000 | 0.000 | 0.000 |
| -0.212 | -0.212 | 0.426 | 159.703 | 0.000 | 0.000 |
| -0.001 | 0.001 | -0.003 | -0.000 | 181.371 | 0.000 |
| -0.185 | -0.171 | 0.353 | 0.000 | -0.001 | 192.565 |
| 497.307 | 115.538 | 59.761 | -0.002 | -0.000 | -0.000 |
| 82.723 | 568.846 | 21.039 | 0.000 | 0.000 | -0.000 |
| 21.037 | 21.037 | 630.540 | 0.000 | 0.000 | 0.000 |
| 0.212 | 0.211 | -0.426 | 159.704 | -0.000 | -0.000 |
| 0.001 | -0.001 | 0.003 | 0.000 | 181.371 | -0.000 |
| 0.184 | 0.171 | -0.353 | -0.000 | -0.001 | 192.565 |
| 499.219 | 107.682 | 65.707 | -0.000 | 0.000 | 0.000 |
| 107.683 | 499.218 | 65.708 | 0.000 | 0.000 | 0.000 |
| 64.352 | 64.352 | 543.904 | -0.000 | -0.000 | 0.000 |
| -0.021 | -0.021 | 0.042 | 159.704 | 0.000 | 0.000 |
| -0.021 | -0.021 | 0.043 | -0.000 | 159.704 | 0.000 |
| -0.018 | -0.017 | 0.034 | -0.000 | -0.000 | 192.565 |
| 499.259 | 107.726 | 65.620 | 0.000 | -0.000 | -0.000 |
| 107.731 | 499.245 | 65.630 | 0.000 | -0.000 | -0.000 |
| 64.391 | 64.391 | 543.825 | 0.000 | -0.000 | -0.000 |
| 0.021 | 0.021 | -0.042 | 159.704 | -0.000 | -0.000 |
| 0.021 | 0.021 | -0.043 | 0.000 | 159.704 | -0.000 |
| 0.018 | 0.017 | -0.034 | 0.000 | -0.000 | 192.565 |
| 1420.848 | 1094.099 | -1848.825 | 0.004 | 0.000 | -0.000 |
| 82.520 | 568.685 | 21.172 | 0.001 | 0.000 | -0.000 |
| 1040.746 | 1040.746 | -1415.296 | 0.000 | 0.000 | 0.000 |
| 0.001 | 0.004 | 0.017 | 181.148 | -0.000 | -0.000 |
| 0.000 | -0.004 | 0.004 | -0.003 | 181.146 | -0.004 |
| 0.008 | 0.002 | 0.015 | -0.001 | -0.000 | 243.086 |
| 23.213 | -368.607 | 1021.117 | 0.001 | -0.000 | 0.000 |
| -830.098 | -500.793 | 2009.903 | 0.005 | 0.000 | 0.000 |
| 20.923 | 20.923 | 631.171 | 0.000 | -0.000 | 0.000 |
| -961.622 | -961.625 | 1929.702 | 143.817 | 0.000 | -0.000 |
| -0.000 | 0.004 | -0.004 | 0.003 | 181.146 | -0.004 |
| -0.009 | -0.002 | -0.015 | 0.001 | -0.000 | 243.086 |
| 547.611 | 225.775 | -101.420 | -0.000 | -0.000 | 0.000 |
| 155.979 | 551.165 | -34.958 | 0.000 | 0.000 | -0.000 |
| 20.922 | 20.922 | 631.181 | 0.000 | 0.000 | -0.000 |
| 94.744 | 94.743 | -190.121 | 144.364 | 0.000 | -0.000 |
| -0.000 | -0.000 | 0.000 | -0.000 | 181.148 | 0.000 |
| 0.000 | -0.000 | 0.001 | -0.000 | -0.000 | 243.084 |
| 450.754 | 61.881 | 160.202 | 0.000 | 0.000 | 0.000 |
| 33.330 | 376.768 | 263.083 | 0.000 | -0.000 | -0.000 |
| -2.992 | -2.992 | 679.168 | -0.000 | -0.000 | -0.000 |
| 0.001 | 0.001 | -0.000 | 181.148 | -0.000 | 0.000 |
| 0.000 | 0.000 | -0.000 | 0.000 | 181.148 | 0.000 |
| -0.000 | 0.000 | -0.001 | 0.000 | -0.000 | 243.084 |
| 500.464 | 115.277 | 56.753 | -0.000 | 0.000 | 0.000 |
| 115.279 | 500.462 | 56.754 | -0.000 | 0.000 | -0.000 |
| 71.710 | 71.710 | 529.266 | -0.000 | 0.000 | -0.000 |
| 0.000 | 0.000 | 0.000 | 181.148 | 0.000 | -0.000 |
| 5.436 | 5.436 | -10.909 | 0.000 | 159.937 | 0.000 |
| 6.263 | 6.263 | -12.569 | 0.000 | 0.000 | 191.592 |
| 490.216 | 102.475 | 79.877 | 0.000 | -0.000 | -0.000 |
| 102.475 | 490.217 | 79.876 | 0.000 | 0.000 | -0.000 |
| 58.976 | 58.976 | 554.817 | -0.000 | 0.000 | 0.000 |
| -0.000 | -0.000 | -0.000 | 181.148 | -0.000 | 0.000 |
| -5.436 | -5.436 | 10.909 | -0.000 | 159.937 | 0.000 |
| -6.263 | -6.263 | 12.569 | -0.000 | 0.000 | 191.592 |
| 481.411 | 92.659 | 98.609 | 0.001 | 0.000 | 0.000 |
| 106.478 | 470.005 | 96.266 | 0.002 | 0.000 | 0.000 |
| 48.309 | 48.309 | 575.989 | 0.000 | 0.000 | 0.000 |
| 0.025 | 0.037 | 0.013 | 181.370 | 0.000 | 0.000 |
| 0.025 | 0.037 | 0.012 | 0.000 | 181.368 | 0.000 |
| -16.958 | -16.946 | 33.877 | 0.000 | 0.000 | 193.142 |
| 568.847 | 82.721 | 21.034 | 0.000 | -0.000 | -0.001 |
| 82.704 | 568.806 | 21.022 | -0.000 | -0.000 | -0.000 |
| 80.427 | 80.426 | 511.739 | -0.000 | -0.000 | -0.000 |
| -0.025 | -0.037 | -0.013 | 181.370 | -0.000 | -0.000 |
| -0.025 | -0.037 | -0.012 | -0.000 | 181.368 | -0.000 |
| 16.958 | 16.946 | -33.877 | -0.000 | 0.000 | 193.141 |
| 484.525 | 120.974 | 67.118 | 0.000 | 0.000 | 0.000 |
| 107.870 | 495.111 | 69.633 | 0.000 | 0.000 | 0.000 |
| 62.759 | 62.759 | 547.088 | 0.000 | 0.000 | 0.000 |
| -1.604 | -1.602 | 3.215 | 159.703 | 0.000 | 0.000 |
| 0.002 | 0.003 | 0.001 | -0.000 | 181.372 | 0.000 |
| -1.713 | -1.712 | 3.436 | 0.000 | -0.000 | 192.456 |
| 494.492 | 125.757 | 52.347 | -0.000 | -0.000 | -0.000 |
| 125.767 | 494.493 | 52.348 | 0.000 | -0.000 | -0.000 |
| 65.971 | 65.971 | 540.642 | -0.000 | -0.000 | -0.000 |
| 1.605 | 1.602 | -3.214 | 159.703 | -0.000 | -0.000 |
| -0.002 | -0.003 | -0.001 | 0.000 | 181.372 | 0.000 |
| 1.713 | 1.712 | -3.436 | -0.000 | -0.000 | 192.456 |
| 492.527 | 123.993 | 56.089 | 0.000 | 0.000 | 0.000 |
| 82.724 | 568.848 | 21.037 | 0.000 | 0.000 | 0.000 |
| 64.163 | 64.163 | 544.285 | 0.000 | 0.000 | 0.000 |
| -0.160 | -0.161 | 0.322 | 159.703 | 0.000 | 0.000 |
| -0.161 | -0.160 | 0.322 | -0.000 | 159.703 | 0.000 |
| 0.000 | 0.000 | 0.000 | -0.000 | 0.000 | 243.061 |
| 492.875 | 124.319 | 55.410 | -0.000 | -0.000 | -0.000 |
| 109.783 | 496.768 | 66.054 | -0.000 | -0.000 | -0.000 |
| 64.581 | 64.581 | 543.445 | -0.000 | -0.000 | -0.000 |
| 0.160 | 0.161 | -0.322 | 159.703 | -0.000 | -0.000 |
| 0.161 | 0.160 | -0.322 | 0.000 | 159.703 | -0.000 |
| -0.000 | -0.000 | -0.000 | 0.000 | 0.000 | 243.061 |
| 988.188 | 627.252 | -947.376 | -0.002 | 0.000 | 0.000 |
| 448.005 | 829.920 | -608.378 | 0.005 | 0.000 | 0.000 |
| 393.382 | 393.384 | -116.907 | 0.000 | 0.000 | 0.000 |
| -0.007 | -0.009 | -0.003 | 181.079 | 0.000 | 0.000 |
| 509.444 | 509.445 | -1023.363 | -0.001 | 152.483 | -0.001 |
| 406.791 | 406.788 | -817.144 | -0.006 | 0.003 | 192.046 |
| -30.063 | -391.746 | 1098.808 | 0.004 | -0.000 | -0.000 |
| -391.744 | -30.061 | 1098.805 | -0.002 | -0.000 | -0.000 |
| 20.897 | 20.897 | 631.382 | -0.000 | -0.000 | 0.000 |
| -509.290 | -509.291 | 1023.041 | 152.492 | -0.000 | -0.000 |
| -509.444 | -509.445 | 1023.363 | 0.001 | 152.483 | -0.001 |
| -406.791 | -406.789 | 817.144 | 0.006 | 0.002 | 192.046 |
| 568.639 | 82.460 | 21.197 | 0.000 | 0.000 | 0.000 |
| 148.242 | 531.386 | -7.458 | -0.000 | 0.000 | 0.000 |
| 122.021 | 122.021 | 428.217 | 0.000 | 0.000 | 0.000 |
| 50.543 | 50.543 | -101.527 | 152.709 | 0.000 | 0.000 |
| 50.542 | 50.542 | -101.528 | -0.000 | 152.709 | -0.000 |
| 50.317 | 50.317 | -101.074 | 0.000 | -0.000 | 181.420 |
| 454.569 | 80.161 | 138.075 | -0.001 | -0.000 | -0.000 |
| 70.215 | 454.787 | 147.846 | 0.000 | -0.000 | -0.000 |
| 25.089 | 25.089 | 622.931 | -0.000 | -0.000 | -0.000 |
| -50.542 | -50.541 | 101.527 | 152.709 | -0.000 | -0.000 |
| -50.542 | -50.542 | 101.527 | 0.000 | 152.709 | -0.000 |
| -50.317 | -50.317 | 101.074 | -0.000 | -0.000 | 181.420 |
| 490.622 | 124.045 | 57.789 | 0.000 | 0.000 | 0.000 |
| 121.371 | 499.049 | 52.010 | -0.000 | 0.000 | 0.000 |
| 69.100 | 69.100 | 534.526 | 0.000 | 0.000 | 0.000 |
| 4.137 | 4.137 | -8.311 | 157.855 | 0.000 | 0.000 |
| 3.824 | 3.824 | -7.682 | 0.000 | 159.523 | 0.000 |
| 4.625 | 4.626 | -9.292 | 0.000 | -0.000 | 189.317 |
| 491.281 | 105.538 | 75.712 | -0.000 | -0.000 | -0.000 |
| 105.542 | 491.267 | 75.722 | 0.000 | -0.000 | -0.000 |
| 61.551 | 61.551 | 549.686 | -0.000 | -0.000 | -0.000 |
| -3.742 | -3.742 | 7.517 | 159.943 | -0.000 | -0.000 |
| -4.137 | -4.137 | 8.311 | 0.000 | 157.855 | 0.000 |
| -4.625 | -4.626 | 9.292 | -0.000 | -0.000 | 189.317 |
| 531.547 | 139.840 | 0.983 | -13.880 | -0.000 | -0.000 |
| 149.943 | 521.758 | 0.757 | 13.663 | -0.000 | -0.000 |
| 95.616 | 95.615 | 481.156 | 0.000 | -0.000 | -0.000 |
| -21.853 | 21.755 | -0.030 | 181.371 | 0.000 | -0.000 |
| -0.025 | -0.013 | -0.037 | 0.001 | 181.370 | -21.809 |
| -0.049 | -0.050 | -0.048 | 0.000 | -21.812 | 243.069 |
| 459.419 | 85.158 | 128.104 | -14.096 | -0.000 | 0.000 |
| 75.303 | 469.341 | 128.090 | 14.075 | 0.000 | 0.000 |
| 21.046 | 21.046 | 630.515 | 0.000 | -0.000 | 0.001 |
| -21.755 | 21.878 | 0.042 | 181.373 | -0.000 | 0.000 |
| 0.025 | 0.013 | 0.037 | -0.001 | 181.370 | -21.810 |
| 0.049 | 0.050 | 0.048 | -0.000 | -21.812 | 243.069 |
| 502.868 | 110.561 | 59.166 | -13.930 | -0.000 | -0.000 |
| 116.552 | 501.318 | 54.724 | 14.850 | 0.000 | -0.000 |
| 67.489 | 67.489 | 537.607 | 0.000 | -0.000 | -0.000 |
| -11.025 | 17.273 | -6.272 | 159.704 | -0.000 | -0.000 |
| -0.001 | -0.000 | -0.001 | 0.000 | 181.372 | -21.810 |
| -0.005 | -0.005 | -0.005 | -0.000 | -21.810 | 243.061 |
| 568.850 | 82.729 | 21.035 | -21.810 | -0.000 | 0.000 |
| 104.027 | 496.780 | 71.816 | 13.968 | -0.000 | 0.000 |
| 61.248 | 61.248 | 550.134 | 0.000 | 0.000 | 0.000 |
| -17.273 | 11.028 | 6.272 | 159.705 | 0.000 | 0.000 |
| 0.001 | 0.000 | 0.001 | -0.000 | 181.372 | -21.810 |
| 0.005 | 0.005 | 0.005 | 0.000 | -21.810 | 243.061 |
| 500.126 | 107.611 | 64.871 | -13.948 | -0.000 | -0.000 |
| 107.590 | 500.185 | 64.833 | 13.954 | -0.000 | -0.000 |
| 64.672 | 64.672 | 543.262 | 0.000 | 0.000 | -0.000 |
| -13.838 | 14.462 | -0.627 | 159.706 | 0.000 | -0.000 |
| -0.000 | -0.000 | -0.001 | -0.000 | 181.372 | -21.810 |
| -0.000 | -0.000 | -0.000 | -0.000 | -21.810 | 243.061 |
| 497.655 | 113.422 | 61.530 | -14.754 | 0.000 | 0.000 |
| 106.977 | 499.458 | 66.173 | 13.945 | -0.000 | 0.000 |
| 64.106 | 64.106 | 544.394 | -0.000 | 0.000 | 0.000 |
| -14.462 | 13.837 | 0.627 | 159.705 | 0.000 | 0.000 |
| 0.000 | 0.000 | 0.001 | 0.000 | 181.372 | -21.810 |
| 0.000 | 0.000 | 0.000 | 0.000 | -21.810 | 243.061 |
| 568.389 | 82.114 | 21.431 | -21.761 | -0.000 | 0.001 |
| 82.114 | 568.380 | 21.433 | 21.761 | 0.000 | 0.000 |
| 1037.040 | 1037.040 | -1421.577 | -0.000 | 0.000 | 0.000 |
| 961.160 | 991.189 | -1972.929 | 161.583 | -0.000 | 0.000 |
| 1663.248 | 1663.233 | -3361.493 | -0.002 | 148.704 | -10.483 |
| 1663.374 | 1663.378 | -3361.760 | 0.002 | -10.479 | 176.061 |
| -473.904 | -867.962 | 2034.747 | -15.015 | 0.000 | -0.001 |
| -1543.445 | -1191.077 | 3441.995 | 10.502 | 0.000 | -0.000 |
| -915.872 | -915.871 | 2525.363 | -0.000 | 0.000 | -0.000 |
| -1218.129 | -1190.787 | 2434.277 | 157.725 | 0.000 | -0.000 |
| -1663.248 | -1663.233 | 3361.493 | 0.002 | 148.704 | -10.485 |
| -1663.374 | -1663.378 | 3361.759 | -0.002 | -10.479 | 176.060 |
| 636.222 | 285.509 | -252.690 | -10.359 | -0.000 | 0.000 |
| 285.544 | 636.232 | -252.741 | 10.357 | -0.000 | 0.000 |
| 20.683 | 20.683 | 632.572 | -0.000 | -0.000 | 0.000 |
| 82.619 | 112.664 | -197.340 | 161.579 | -0.000 | 0.000 |
| 166.064 | 166.062 | -335.619 | -0.000 | 148.752 | -10.496 |
| 120.399 | 120.399 | -243.336 | -0.000 | -13.666 | 195.526 |
| 568.367 | 82.097 | 21.428 | -21.759 | 0.000 | -0.000 |
| 10.890 | 404.276 | 259.200 | 14.957 | 0.000 | -0.000 |
| -83.287 | -83.287 | 842.704 | -0.000 | 0.000 | -0.000 |
| -112.734 | -82.700 | 197.492 | 161.565 | -0.000 | -0.000 |
| -166.064 | -166.062 | 335.620 | 0.000 | 148.752 | -10.496 |
| -120.399 | -120.399 | 243.335 | 0.000 | -13.666 | 195.526 |
| 496.922 | 126.748 | 48.506 | -11.996 | -0.000 | 0.000 |
| 126.729 | 496.952 | 48.494 | 12.000 | -0.000 | 0.000 |
| 20.683 | 20.683 | 632.575 | 0.000 | -0.000 | 0.000 |
| -3.314 | 25.183 | -22.098 | 159.386 | -0.000 | 0.000 |
| 15.043 | 15.044 | -30.403 | -0.000 | 151.756 | -11.556 |
| 0.000 | 0.000 | 0.000 | -0.000 | -21.759 | 243.135 |
| 568.365 | 82.097 | 21.426 | -21.759 | -0.000 | -0.000 |
| 97.218 | 484.741 | 90.652 | 13.952 | 0.000 | -0.000 |
| 61.748 | 61.748 | 549.575 | -0.000 | 0.000 | -0.000 |
| -24.948 | 4.434 | 20.729 | 160.640 | 0.000 | -0.000 |
| -15.043 | -15.044 | 30.403 | 0.000 | 151.756 | -11.556 |
| -0.000 | -0.000 | -0.000 | 0.000 | -21.759 | 243.135 |
| 1796.328 | 1472.194 | -2631.237 | 3.832 | -0.000 | -0.000 |
| 81.960 | 568.254 | 21.537 | -9.662 | 0.000 | 0.000 |
| 20.607 | 20.608 | 633.079 | -0.000 | -0.000 | 0.000 |
| 499.733 | 484.912 | -997.559 | 166.073 | 0.000 | 0.000 |
| 608.602 | 608.637 | -1233.240 | -0.031 | 162.163 | 6.805 |
| 1339.781 | 1339.776 | -2714.824 | 0.002 | 3.860 | 162.478 |
| -882.001 | -1207.769 | 2797.487 | 3.883 | -0.000 | -0.000 |
| -1207.364 | -881.547 | 2796.633 | -3.890 | 0.000 | -0.000 |
| -1256.861 | -1256.861 | 3221.583 | -0.000 | 0.000 | -0.000 |
| -485.792 | -500.561 | 999.307 | 166.067 | -0.000 | 0.000 |
| -608.602 | -608.637 | 1233.240 | 0.031 | 162.163 | 6.804 |
| -1339.781 | -1339.776 | 2714.824 | -0.002 | 3.860 | 162.478 |
| 584.841 | 265.338 | -181.110 | 3.664 | 0.000 | -0.000 |
| 265.294 | 584.837 | -181.062 | -3.666 | -0.000 | 0.000 |
| 208.887 | 208.887 | 251.533 | 0.000 | 0.000 | -0.000 |
| 136.964 | 129.164 | -269.626 | 143.715 | 0.000 | 0.000 |
| 61.255 | 61.258 | -124.123 | 0.001 | 162.056 | 6.774 |
| 49.359 | 49.361 | -100.015 | -0.001 | 7.399 | 190.373 |
| 331.614 | -3.115 | 347.430 | 4.212 | -0.000 | 0.000 |
| -3.115 | 331.614 | 347.430 | -4.212 | 0.000 | 0.000 |
| -43.241 | -43.241 | 762.419 | -0.000 | -0.000 | -0.000 |
| -129.176 | -136.975 | 269.648 | 143.712 | 0.000 | 0.000 |
| -61.255 | -61.258 | 124.123 | -0.001 | 162.056 | 6.774 |
| -49.359 | -49.361 | 100.014 | 0.001 | 7.399 | 190.373 |
| 503.551 | 127.701 | 40.698 | 7.234 | 0.000 | 0.000 |
| 121.450 | 495.575 | 55.111 | -5.629 | 0.000 | -0.000 |
| 74.541 | 74.541 | 523.758 | -0.000 | 0.000 | -0.000 |
| 15.275 | 4.522 | -20.057 | 153.134 | 0.000 | 0.000 |
| 6.735 | 6.735 | -13.647 | -0.000 | 161.116 | 6.628 |
| 9.489 | 9.489 | -19.227 | 0.000 | 5.554 | 186.011 |
| 484.761 | 117.864 | 69.697 | 6.820 | -0.000 | -0.000 |
| 81.936 | 568.236 | 21.523 | -9.665 | -0.000 | -0.000 |
| 54.722 | 54.722 | 563.915 | 0.000 | 0.000 | -0.000 |
| -4.522 | -15.274 | 20.056 | 153.135 | -0.000 | 0.000 |
| -6.735 | -6.735 | 13.647 | 0.000 | 161.116 | 6.628 |
| -9.489 | -9.489 | 19.227 | -0.000 | 5.554 | 186.011 |
| 630.765 | 239.414 | -197.660 | 8.914 | 0.000 | -0.000 |
| 239.434 | 630.818 | -197.612 | -8.913 | 0.000 | 0.000 |
| 194.820 | 194.820 | 282.965 | 0.000 | 0.000 | 0.000 |
| 139.367 | 121.468 | -260.985 | 159.698 | 0.000 | -0.000 |
| -0.000 | 0.024 | -0.020 | -0.001 | 181.376 | 13.776 |
| -0.000 | 0.024 | -0.019 | -0.001 | 13.776 | 243.069 |
| 356.655 | -9.396 | 325.466 | 8.941 | -0.000 | 0.000 |
| 82.717 | 568.868 | 21.095 | -13.777 | -0.000 | 0.000 |
| -66.078 | -66.079 | 804.765 | -0.000 | -0.000 | -0.000 |
| -121.497 | -139.336 | 260.982 | 159.695 | -0.000 | 0.000 |
| 0.000 | -0.024 | 0.019 | 0.001 | 181.376 | 13.776 |
| 0.000 | -0.024 | 0.019 | 0.001 | 13.776 | 243.069 |
| 509.700 | 123.579 | 39.318 | 8.644 | 0.000 | -0.000 |
| 123.580 | 509.698 | 39.320 | -8.644 | 0.000 | -0.000 |
| 77.407 | 77.407 | 517.789 | 0.000 | 0.000 | 0.000 |
| 21.980 | 4.108 | -26.096 | 159.704 | 0.000 | -0.000 |
| 13.046 | 13.043 | -26.097 | 0.000 | 159.704 | 8.937 |
| 9.118 | 9.141 | -18.262 | -0.002 | 10.385 | 186.173 |
| 479.009 | 109.438 | 84.172 | 9.376 | -0.000 | 0.000 |
| 82.727 | 568.848 | 21.046 | -13.775 | -0.000 | 0.000 |
| 51.325 | 51.325 | 569.957 | -0.000 | -0.000 | -0.000 |
| -4.107 | -21.982 | 26.096 | 159.704 | -0.000 | 0.000 |
| -13.046 | -13.043 | 26.097 | -0.000 | 159.704 | 8.937 |
| -9.118 | -9.141 | 18.262 | 0.002 | 10.385 | 186.173 |
| 498.262 | 110.730 | 63.615 | 8.717 | 0.000 | -0.000 |
| 82.724 | 568.848 | 21.036 | -13.775 | 0.000 | -0.000 |
| 65.676 | 65.676 | 541.256 | 0.000 | 0.000 | 0.000 |
| 10.241 | -7.632 | -2.610 | 159.701 | 0.000 | -0.000 |
| 1.304 | 1.304 | -2.610 | 0.000 | 159.704 | 8.937 |
| 0.676 | 0.677 | -1.354 | -0.000 | 11.260 | 187.371 |
| 495.776 | 107.918 | 68.911 | 8.733 | -0.000 | 0.000 |
| 107.918 | 495.775 | 68.912 | -8.733 | -0.000 | 0.000 |
| 63.067 | 63.067 | 546.473 | -0.000 | -0.000 | -0.000 |
| 7.632 | -10.241 | 2.610 | 159.704 | -0.000 | 0.000 |
| -1.304 | -1.304 | 2.610 | -0.000 | 159.704 | 8.937 |
| -0.676 | -0.677 | 1.354 | 0.000 | 11.260 | 187.371 |
| 130.367 | -284.588 | 830.650 | -11.582 | -0.000 | -0.000 |
| 82.410 | 568.607 | 21.228 | 13.759 | -0.000 | -0.000 |
| -1355.795 | -1355.796 | 3399.216 | -0.000 | 0.000 | -0.000 |
| -396.558 | -373.319 | 773.868 | 171.447 | -0.000 | -0.000 |
| -0.003 | -0.004 | -0.002 | -0.000 | 181.023 | -13.758 |
| 0.003 | 0.002 | 0.003 | -0.000 | -13.758 | 243.096 |
| 1900.619 | 1566.760 | -2809.823 | -5.937 | 0.000 | 0.000 |
| 1566.754 | 1900.617 | -2809.824 | 5.945 | 0.000 | 0.000 |
| 1521.983 | 1521.983 | -2386.404 | 0.000 | -0.000 | 0.000 |
| 1433.736 | 1445.657 | -2894.413 | 146.065 | -0.000 | 0.000 |
| 0.003 | 0.005 | 0.002 | 0.000 | 181.023 | -13.758 |
| -0.003 | -0.002 | -0.003 | -0.000 | -13.758 | 243.096 |
| 568.604 | 82.412 | 21.229 | -13.758 | -0.000 | -0.000 |
| 63.152 | 471.198 | 138.501 | 11.169 | -0.000 | -0.000 |
| -56.237 | -56.237 | 786.535 | -0.000 | -0.000 | -0.000 |
| -149.428 | -137.451 | 288.379 | 146.191 | -0.000 | -0.000 |
| -143.440 | -143.440 | 288.378 | -0.000 | 146.191 | -5.988 |
| -143.055 | -143.055 | 287.604 | 0.000 | -6.009 | 167.602 |
| 591.976 | 213.741 | -134.282 | -8.241 | -0.000 | 0.000 |
| 138.591 | 560.377 | -26.977 | 11.990 | 0.000 | 0.000 |
| 20.858 | 20.858 | 631.539 | 0.000 | 0.000 | 0.000 |
| 27.860 | 51.003 | -79.273 | 171.220 | -0.000 | 0.000 |
| 143.440 | 143.440 | -288.378 | 0.000 | 146.191 | -5.988 |
| 143.055 | 143.055 | -287.604 | -0.000 | -6.009 | 167.602 |
| 478.363 | 101.509 | 92.742 | -8.147 | 0.000 | -0.000 |
| 82.411 | 568.605 | 21.228 | 13.759 | -0.000 | -0.000 |
| 62.232 | 62.232 | 548.362 | -0.000 | 0.000 | -0.000 |
| -19.162 | -4.420 | 23.705 | 152.391 | -0.000 | -0.000 |
| -11.791 | -11.791 | 23.705 | -0.000 | 152.390 | -7.371 |
| -11.214 | -11.213 | 22.544 | 0.000 | -7.684 | 183.920 |
| 568.601 | 82.410 | 21.228 | -13.758 | 0.000 | 0.000 |
| 130.712 | 496.176 | 45.478 | 9.145 | 0.000 | 0.000 |
| 78.528 | 78.528 | 515.598 | 0.000 | -0.000 | 0.000 |
| 0.378 | 17.980 | -18.454 | 158.798 | -0.000 | 0.000 |
| 11.791 | 11.791 | -23.705 | 0.000 | 152.390 | -7.371 |
| 11.214 | 11.213 | -22.544 | -0.000 | -7.684 | 183.920 |
| 568.409 | 82.154 | 21.378 | 6.699 | -0.000 | -0.000 |
| -216.381 | 179.685 | 715.044 | -4.771 | -0.000 | -0.000 |
| 20.700 | 20.700 | 632.323 | 0.000 | -0.000 | -0.000 |
| -826.842 | -830.605 | 1672.933 | 136.319 | 0.000 | -0.000 |
| -828.706 | -828.709 | 1672.935 | -0.000 | 136.319 | 1.878 |
| -0.006 | -0.003 | -0.007 | -0.000 | 6.695 | 243.125 |
| 568.433 | 82.177 | 21.396 | 6.697 | 0.000 | 0.000 |
| 422.180 | 820.960 | -576.692 | -4.842 | -0.000 | 0.000 |
| 20.744 | 20.744 | 632.392 | -0.000 | 0.000 | 0.000 |
| 830.589 | 826.854 | -1672.949 | 136.316 | 0.000 | 0.000 |
| 828.706 | 828.709 | -1672.935 | 0.000 | 136.319 | 1.878 |
| 0.006 | 0.003 | 0.008 | 0.000 | 6.695 | 243.126 |
| 457.734 | 62.809 | 152.638 | 4.264 | -0.000 | -0.000 |
| 82.160 | 568.413 | 21.381 | -6.697 | -0.000 | -0.000 |
| 20.716 | 20.716 | 632.349 | 0.000 | -0.000 | -0.000 |
| 6.694 | -6.699 | -0.001 | 180.743 | -0.000 | -0.000 |
| -79.381 | -79.381 | 160.253 | 0.000 | 138.188 | 2.075 |
| -0.001 | -0.001 | -0.001 | -0.000 | 6.696 | 243.126 |
| 510.076 | 220.147 | -59.003 | 1.675 | 0.000 | 0.000 |
| 220.150 | 510.078 | -59.002 | -1.675 | 0.000 | 0.000 |
| 147.995 | 147.995 | 375.416 | 0.000 | 0.000 | 0.000 |
| 6.699 | -6.695 | 0.001 | 180.743 | 0.000 | 0.000 |
| 79.381 | 79.381 | -160.253 | -0.000 | 138.188 | 2.075 |
| 0.001 | 0.001 | 0.001 | 0.000 | 6.696 | 243.126 |
| 492.576 | 103.506 | 76.395 | 4.211 | 0.000 | -0.000 |
| 109.109 | 493.413 | 69.894 | -4.473 | -0.000 | -0.000 |
| 60.227 | 60.227 | 552.597 | -0.000 | -0.000 | -0.000 |
| -0.353 | -8.559 | 8.994 | 156.858 | -0.000 | -0.000 |
| -3.946 | -3.946 | 7.965 | -0.000 | 159.327 | 4.371 |
| -3.559 | -3.560 | 7.185 | 0.000 | 4.591 | 194.019 |
| 501.988 | 116.276 | 54.003 | 4.518 | -0.000 | 0.000 |
| 112.524 | 500.029 | 59.766 | -4.171 | -0.000 | 0.000 |
| 69.495 | 69.495 | 533.883 | 0.000 | 0.000 | 0.000 |
| 6.697 | -6.697 | 0.000 | 180.743 | 0.000 | 0.000 |
| 3.946 | 3.946 | -7.965 | 0.000 | 159.327 | 4.371 |
| 3.559 | 3.560 | -7.185 | -0.000 | 4.591 | 194.019 |
| 568.849 | 82.721 | 21.035 | -9.693 | 0.000 | -0.000 |
| 108.671 | 497.806 | 66.017 | 6.159 | -0.000 | 0.000 |
| 20.986 | 20.986 | 630.555 | 0.000 | 0.000 | -0.000 |
| -9.711 | 9.660 | -0.002 | 181.369 | 0.000 | 0.000 |
| 0.000 | -0.024 | 0.025 | -0.001 | 181.374 | -9.694 |
| -0.024 | -0.036 | -0.011 | -0.000 | -9.693 | 243.059 |
| 568.848 | 82.722 | 21.035 | -9.694 | -0.000 | 0.000 |
| 119.668 | 494.860 | 58.090 | 6.776 | 0.000 | -0.000 |
| 64.368 | 64.369 | 543.870 | -0.000 | -0.000 | 0.000 |
| -9.675 | 9.727 | 0.002 | 181.370 | 0.000 | 0.000 |
| -0.001 | 0.025 | -0.025 | 0.001 | 181.374 | -9.694 |
| 0.024 | 0.037 | 0.012 | 0.000 | -9.693 | 243.059 |
| 497.850 | 108.707 | 66.045 | -6.157 | -0.000 | -0.000 |
| 82.720 | 568.842 | 21.036 | 9.693 | 0.000 | 0.000 |
| 64.377 | 64.377 | 543.873 | 0.000 | -0.000 | -0.000 |
| -6.288 | 6.289 | 0.003 | 159.701 | -0.000 | -0.000 |
| -0.001 | -0.001 | -0.000 | -0.000 | 181.370 | -9.693 |
| -0.001 | -0.017 | 0.016 | -0.001 | -7.431 | 189.662 |
| 497.854 | 108.710 | 66.044 | -6.158 | 0.000 | 0.000 |
| 82.725 | 568.849 | 21.034 | 9.693 | 0.000 | 0.000 |
| 64.382 | 64.382 | 543.863 | -0.000 | 0.000 | 0.000 |
| -6.289 | 6.288 | -0.003 | 159.701 | 0.000 | 0.000 |
| 0.001 | 0.001 | 0.000 | 0.000 | 181.370 | -9.693 |
| 0.001 | 0.017 | -0.016 | 0.001 | -7.431 | 189.662 |
| 568.847 | 82.722 | 21.037 | -9.693 | -0.000 | -0.000 |
| 108.711 | 497.851 | 66.046 | 6.157 | 0.000 | -0.000 |
| 64.372 | 64.372 | 543.867 | 0.000 | 0.000 | -0.000 |
| -6.289 | 6.288 | -0.000 | 159.702 | 0.000 | 0.000 |
| -0.001 | -0.000 | -0.000 | 0.000 | 159.702 | -6.289 |
| -0.001 | -0.000 | 0.000 | 0.000 | -6.093 | 193.689 |
| 494.828 | 119.667 | 58.110 | -6.781 | 0.000 | 0.000 |
| 82.722 | 568.844 | 21.037 | 9.693 | -0.000 | 0.000 |
| 64.370 | 64.370 | 543.870 | -0.000 | -0.000 | 0.000 |
| -6.289 | 6.289 | 0.000 | 159.702 | 0.000 | 0.000 |
| 0.001 | 0.000 | 0.000 | -0.000 | 159.702 | -6.289 |
| 0.001 | 0.000 | -0.000 | -0.000 | -6.093 | 193.689 |
| 568.662 | 82.486 | 21.190 | 9.684 | -0.000 | -0.000 |
| 82.482 | 568.657 | 21.189 | -9.682 | 0.000 | 0.000 |
| 77.368 | 77.368 | 517.921 | 0.000 | 0.000 | 0.000 |
| 9.691 | -9.679 | 0.002 | 181.095 | 0.000 | -0.000 |
| 0.000 | 0.004 | -0.004 | -0.001 | 181.094 | 9.685 |
| -0.002 | 0.001 | -0.005 | 0.000 | 9.683 | 243.088 |
| 568.642 | 82.463 | 21.188 | 9.687 | -0.000 | 0.000 |
| 82.465 | 568.642 | 21.185 | -9.684 | -0.000 | -0.000 |
| 49.105 | 49.105 | 574.667 | 0.000 | -0.000 | 0.000 |
| 9.679 | -9.688 | 0.005 | 181.095 | -0.000 | 0.000 |
| -0.000 | -0.004 | 0.004 | 0.001 | 181.094 | 9.685 |
| 0.002 | -0.000 | 0.005 | -0.000 | 9.683 | 243.088 |
| 479.462 | 115.576 | 77.511 | 5.224 | -0.000 | -0.000 |
| 115.576 | 479.460 | 77.510 | -5.224 | -0.000 | 0.000 |
| 63.497 | 63.497 | 545.775 | 0.000 | 0.000 | 0.000 |
| 4.816 | -3.827 | -0.993 | 146.942 | 0.000 | 0.000 |
| 0.000 | 0.001 | -0.000 | 0.000 | 181.094 | 9.685 |
| 0.000 | 0.001 | -0.000 | 0.000 | 9.684 | 243.088 |
| 497.829 | 114.125 | 60.520 | 6.637 | -0.000 | -0.000 |
| 114.641 | 478.950 | 78.961 | -5.240 | -0.000 | -0.000 |
| 73.875 | 73.875 | 524.929 | -0.000 | 0.000 | -0.000 |
| 3.827 | -4.816 | 0.993 | 146.942 | -0.000 | 0.000 |
| -0.000 | -0.001 | 0.000 | -0.000 | 181.094 | 9.685 |
| -0.000 | -0.001 | 0.000 | -0.000 | 9.684 | 243.088 |
| 497.593 | 108.445 | 66.466 | 6.146 | 0.000 | 0.000 |
| 108.445 | 497.591 | 66.467 | -6.145 | -0.000 | -0.000 |
| 64.511 | 64.511 | 543.738 | 0.000 | -0.000 | 0.000 |
| 6.316 | -6.253 | -0.063 | 159.442 | -0.000 | 0.000 |
| 0.032 | 0.032 | -0.064 | 0.000 | 159.215 | 6.249 |
| 0.000 | 0.000 | 0.000 | 0.000 | 9.684 | 243.088 |
| 497.530 | 108.377 | 66.593 | 6.146 | -0.000 | -0.000 |
| 117.803 | 495.318 | 59.350 | -6.681 | -0.000 | -0.000 |
| 64.498 | 64.498 | 543.761 | -0.000 | -0.000 | -0.000 |
| 6.259 | -6.322 | 0.063 | 159.480 | -0.000 | -0.000 |
| -0.032 | -0.032 | 0.064 | -0.000 | 159.215 | 6.249 |
| -0.000 | -0.000 | -0.000 | -0.000 | 9.684 | 243.088 |
| 568.813 | 82.657 | 21.024 | -0.000 | 0.000 | 0.000 |
| 108.206 | 498.405 | 65.948 | 0.002 | 0.000 | -0.000 |
| 64.320 | 64.319 | 543.951 | -0.000 | 0.000 | 0.000 |
| -0.114 | -0.091 | 0.020 | 159.700 | 0.000 | -0.000 |
| -0.107 | -0.102 | 0.037 | 0.001 | 159.707 | 0.000 |
| -0.038 | -0.043 | -0.033 | -0.000 | 0.000 | 243.069 |
| 568.878 | 82.778 | 21.039 | 0.000 | -0.000 | -0.000 |
| 82.746 | 568.850 | 21.049 | 0.001 | -0.000 | -0.000 |
| 64.455 | 64.455 | 543.754 | 0.000 | -0.000 | -0.000 |
| 0.114 | 0.091 | -0.019 | 159.704 | -0.000 | 0.000 |
| 0.107 | 0.102 | -0.037 | -0.001 | 159.707 | 0.000 |
| 0.038 | 0.044 | 0.033 | 0.000 | -0.000 | 243.069 |
| 568.842 | 82.720 | 21.033 | -0.000 | 0.000 | -0.000 |
| 108.264 | 498.455 | 65.882 | 0.000 | 0.000 | -0.000 |
| 21.033 | 21.033 | 630.534 | -0.000 | 0.000 | 0.000 |
| -0.007 | -0.009 | 0.006 | 159.705 | 0.000 | -0.000 |
| -0.000 | -0.000 | -0.000 | -0.000 | 181.372 | -0.000 |
| -0.010 | -0.011 | 0.007 | 0.000 | -0.000 | 194.305 |
| 498.469 | 108.279 | 65.871 | -0.000 | -0.000 | 0.000 |
| 108.280 | 498.468 | 65.868 | 0.000 | 0.000 | 0.000 |
| 21.033 | 21.033 | 630.535 | 0.000 | -0.000 | -0.000 |
| 0.007 | 0.009 | -0.007 | 159.705 | -0.000 | -0.000 |
| 0.000 | 0.000 | 0.000 | 0.000 | 181.372 | -0.000 |
| 0.010 | 0.011 | -0.007 | -0.000 | -0.000 | 194.305 |
| 568.848 | 82.724 | 21.035 | -0.000 | 0.000 | 0.000 |
| 82.724 | 568.848 | 21.035 | -0.000 | 0.000 | -0.000 |
| 21.035 | 21.035 | 630.539 | -0.000 | 0.000 | 0.000 |
| -0.001 | -0.001 | 0.001 | 159.704 | 0.000 | 0.000 |
| -0.001 | -0.001 | 0.001 | -0.000 | 159.704 | 0.000 |
| -0.001 | -0.001 | 0.001 | 0.000 | 0.000 | 194.304 |
| 498.459 | 108.271 | 65.876 | -0.000 | -0.000 | -0.000 |
| 82.724 | 568.845 | 21.035 | -0.000 | -0.000 | 0.000 |
| 64.370 | 64.370 | 543.866 | 0.000 | -0.000 | -0.000 |
| 0.001 | 0.001 | -0.001 | 159.704 | 0.000 | 0.000 |
| 0.001 | 0.001 | -0.001 | 0.000 | 159.704 | -0.000 |
| 0.001 | 0.001 | -0.001 | -0.000 | 0.000 | 194.304 |
| 1372.452 | 1073.742 | -1781.260 | -0.006 | -0.000 | -0.000 |
| 1073.741 | 1372.459 | -1781.257 | -0.006 | -0.000 | -0.000 |
| 1038.251 | 1038.254 | -1411.756 | -0.005 | -0.000 | -0.000 |
| 69.435 | 69.432 | -139.458 | 177.579 | 0.000 | -0.000 |
| 937.853 | 937.860 | -1883.429 | -0.006 | 137.405 | -0.002 |
| -0.001 | -0.002 | -0.001 | 0.000 | -0.000 | 243.089 |
| 568.657 | 82.481 | 21.184 | -0.000 | -0.000 | -0.000 |
| -802.089 | -501.886 | 1984.339 | 0.004 | 0.000 | 0.000 |
| -835.755 | -835.757 | 2351.675 | 0.005 | 0.000 | 0.000 |
| -69.438 | -69.434 | 139.465 | 177.581 | -0.000 | -0.000 |
| -937.853 | -937.860 | 1883.429 | 0.006 | 137.405 | -0.001 |
| 0.001 | 0.002 | 0.001 | -0.000 | -0.000 | 243.089 |
| 524.728 | 227.753 | -80.579 | -0.001 | -0.000 | -0.000 |
| 192.784 | 459.398 | 20.118 | -0.001 | -0.000 | -0.000 |
| 185.160 | 185.160 | 301.448 | -0.000 | -0.000 | -0.000 |
| 92.926 | 92.926 | -186.617 | 137.805 | -0.000 | -0.000 |
| 8.179 | 8.179 | -16.427 | 0.000 | 177.006 | 0.000 |
| 92.173 | 92.173 | -185.104 | -0.001 | 0.000 | 151.322 |
| 568.655 | 82.478 | 21.187 | -0.000 | -0.000 | -0.000 |
| 93.949 | 516.398 | 62.143 | 0.000 | 0.000 | 0.000 |
| 14.734 | 14.734 | 643.701 | 0.001 | 0.000 | 0.000 |
| -92.938 | -92.938 | 186.641 | 137.800 | 0.000 | 0.000 |
| -8.179 | -8.179 | 16.427 | -0.000 | 177.006 | 0.000 |
| -92.173 | -92.173 | 185.104 | 0.001 | 0.000 | 151.322 |
| 492.151 | 117.796 | 62.543 | -0.000 | -0.000 | -0.000 |
| 117.793 | 492.158 | 62.539 | -0.000 | -0.000 | 0.000 |
| 73.827 | 73.827 | 525.032 | -0.000 | -0.000 | -0.000 |
| 6.311 | 6.311 | -12.674 | 151.696 | -0.000 | -0.000 |
| 0.000 | 0.000 | -0.000 | 0.000 | 181.097 | -0.000 |
| 0.000 | 0.000 | 0.000 | 0.000 | -0.000 | 243.089 |
| 484.205 | 105.661 | 82.704 | 0.000 | 0.000 | 0.000 |
| 114.325 | 494.218 | 63.950 | 0.000 | 0.000 | 0.000 |
| 56.872 | 56.872 | 559.078 | 0.000 | 0.000 | 0.000 |
| -5.475 | -5.475 | 10.995 | 156.017 | 0.000 | -0.000 |
| -0.000 | -0.000 | 0.000 | -0.000 | 181.097 | -0.000 |
| -0.000 | -0.000 | -0.000 | -0.000 | -0.000 | 243.089 |
| 497.152 | 109.132 | 66.328 | -4.255 | 0.000 | -0.000 |
| 82.759 | 568.862 | 21.072 | 6.710 | 0.000 | 0.001 |
| 21.083 | 21.082 | 630.618 | 0.000 | 0.000 | -0.000 |
| -6.691 | 6.743 | 0.014 | 181.374 | 0.000 | 0.000 |
| 0.028 | 0.037 | 0.019 | -0.000 | 181.370 | -6.712 |
| 0.064 | -0.071 | 0.072 | -0.005 | -5.049 | 189.757 |
| 497.254 | 109.244 | 66.108 | -4.253 | -0.000 | 0.000 |
| 109.230 | 497.257 | 66.082 | 4.254 | -0.000 | -0.000 |
| 21.045 | 21.046 | 630.516 | -0.000 | -0.000 | 0.000 |
| -6.728 | 6.685 | -0.010 | 181.373 | -0.000 | 0.000 |
| -0.028 | -0.037 | -0.019 | 0.000 | 181.370 | -6.711 |
| -0.064 | 0.071 | -0.072 | 0.005 | -5.049 | 189.756 |
| 494.676 | 119.016 | 58.921 | -4.650 | 0.000 | -0.000 |
| 82.724 | 568.844 | 21.036 | 6.711 | 0.000 | 0.000 |
| 64.368 | 64.368 | 543.871 | 0.000 | 0.000 | -0.000 |
| -4.353 | 4.352 | 0.013 | 159.704 | 0.000 | 0.000 |
| -0.000 | -0.000 | -0.000 | 0.000 | 181.372 | -6.711 |
| -0.003 | -0.001 | 0.011 | 0.000 | -4.205 | 193.031 |
| 568.846 | 82.727 | 21.034 | -6.711 | -0.000 | -0.000 |
| 82.722 | 568.848 | 21.030 | 6.711 | -0.000 | 0.000 |
| 21.035 | 21.035 | 630.537 | -0.000 | -0.000 | 0.000 |
| -4.354 | 4.356 | -0.012 | 159.704 | -0.000 | -0.000 |
| -0.000 | 0.000 | 0.000 | -0.000 | 181.372 | -6.711 |
| 0.003 | 0.001 | -0.011 | -0.000 | -4.205 | 193.031 |
| 487.142 | 122.378 | 63.089 | -4.424 | 0.000 | 0.000 |
| 119.394 | 487.507 | 65.708 | 4.281 | 0.000 | 0.000 |
| 64.323 | 64.323 | 543.964 | 0.000 | 0.000 | -0.000 |
| -4.354 | 4.353 | 0.001 | 159.705 | 0.000 | 0.000 |
| -0.001 | -0.000 | 0.001 | 0.000 | 159.704 | -4.354 |
| 0.000 | 0.000 | 0.000 | -0.000 | -6.711 | 243.061 |
| 494.670 | 119.018 | 58.917 | -4.650 | -0.000 | 0.000 |
| 109.187 | 497.209 | 66.209 | 4.254 | -0.000 | -0.000 |
| 64.369 | 64.369 | 543.866 | -0.000 | -0.000 | 0.000 |
| -4.354 | 4.354 | -0.001 | 159.705 | -0.000 | 0.000 |
| 0.001 | 0.000 | -0.001 | -0.000 | 159.704 | -4.354 |
| -0.000 | -0.000 | -0.000 | 0.000 | -6.711 | 243.061 |
| 568.629 | 82.445 | 21.206 | -6.703 | 0.000 | -0.000 |
| 82.444 | 568.629 | 21.203 | 6.704 | 0.000 | 0.000 |
| 20.875 | 20.875 | 631.428 | -0.000 | -0.000 | 0.000 |
| 1818.284 | 1824.423 | -3659.811 | 147.800 | -0.000 | 0.001 |
| 1862.170 | 1862.155 | -3741.747 | -0.008 | 145.853 | -2.879 |
| 475.667 | 475.674 | -955.906 | -0.000 | -5.605 | 165.982 |
| -1718.065 | -2024.333 | 4435.132 | -2.193 | -0.001 | -0.001 |
| -68.909 | 354.413 | 388.557 | 6.291 | -0.000 | -0.000 |
| -2067.362 | -2067.362 | 4827.357 | 0.003 | -0.001 | -0.001 |
| -1864.945 | -1859.201 | 3741.572 | 145.862 | -0.001 | -0.001 |
| -1862.170 | -1862.156 | 3741.747 | 0.008 | 145.851 | -2.881 |
| -475.667 | -475.674 | 955.906 | 0.000 | -5.605 | 165.981 |
| 654.549 | 352.382 | -336.305 | -2.093 | 0.000 | 0.000 |
| 187.103 | 523.917 | -39.032 | 5.810 | 0.000 | 0.000 |
| 20.878 | 20.878 | 631.431 | -0.000 | 0.000 | 0.000 |
| 43.004 | 54.155 | -97.626 | 170.673 | 0.000 | 0.000 |
| 181.185 | 181.185 | -364.071 | 0.002 | 147.972 | -3.107 |
| 47.422 | 47.422 | -95.300 | -0.000 | -5.598 | 166.189 |
| 568.631 | 82.446 | 21.207 | -6.704 | -0.000 | -0.000 |
| 93.762 | 422.160 | 157.004 | 5.409 | -0.000 | -0.000 |
| -117.780 | -117.780 | 910.040 | 0.000 | -0.000 | -0.000 |
| -54.154 | -43.003 | 97.623 | 170.672 | -0.000 | -0.000 |
| -181.185 | -181.185 | 364.071 | -0.002 | 147.972 | -3.107 |
| -47.422 | -47.422 | 95.300 | 0.000 | -5.598 | 166.189 |
| 519.485 | 121.887 | 30.957 | -5.576 | -0.000 | 0.000 |
| 121.887 | 519.486 | 30.957 | 5.576 | 0.000 | 0.000 |
| 87.436 | 87.436 | 497.697 | -0.000 | 0.000 | 0.000 |
| 11.140 | 18.475 | -29.754 | 153.128 | 0.000 | 0.000 |
| 14.807 | 14.808 | -29.754 | -0.000 | 153.128 | -3.668 |
| 0.000 | 0.000 | 0.000 | -0.000 | -6.704 | 243.092 |
| 481.708 | 83.417 | 107.557 | -3.687 | -0.000 | -0.000 |
| 83.416 | 481.702 | 107.564 | 3.687 | -0.000 | -0.000 |
| 67.791 | 67.791 | 537.166 | 0.000 | -0.000 | -0.000 |
| -11.564 | -0.811 | 12.433 | 168.849 | -0.000 | -0.000 |
| -14.807 | -14.808 | 29.754 | 0.000 | 153.128 | -3.668 |
| -0.000 | -0.000 | -0.000 | 0.000 | -6.704 | 243.092 |
| 521.218 | 245.033 | -94.292 | -2.442 | -0.000 | -0.000 |
| 95.051 | 555.194 | 22.106 | 12.494 | -0.000 | -0.000 |
| 210.148 | 210.148 | 251.434 | 0.000 | -0.000 | -0.000 |
| -12.461 | 12.445 | -0.008 | 181.139 | -0.000 | -0.000 |
| 2.963 | 2.958 | -5.969 | -0.008 | 179.564 | -12.146 |
| 104.753 | 104.755 | -210.231 | 0.003 | -2.674 | 140.479 |
| 321.379 | 33.549 | 318.471 | -2.999 | 0.000 | -0.000 |
| 82.522 | 568.688 | 21.162 | 12.453 | 0.000 | -0.000 |
| 13.215 | 13.215 | 646.674 | -0.000 | 0.000 | 0.000 |
| -12.448 | 12.459 | -0.002 | 181.140 | 0.000 | 0.000 |
| -2.963 | -2.957 | 5.968 | 0.008 | 179.564 | -12.147 |
| -104.753 | -104.754 | 210.230 | -0.003 | -2.674 | 140.479 |
| 568.684 | 82.516 | 21.162 | -12.453 | -0.000 | -0.000 |
| 120.773 | 485.319 | 66.426 | 6.655 | -0.000 | -0.000 |
| 20.918 | 20.918 | 631.201 | 0.000 | -0.000 | -0.000 |
| 1.721 | 12.936 | -14.710 | 147.236 | -0.000 | 0.000 |
| -0.001 | -0.001 | -0.000 | -0.000 | 181.140 | -12.453 |
| 3.361 | 3.360 | -6.746 | -0.001 | -9.279 | 198.774 |
| 497.717 | 109.613 | 65.187 | -8.783 | 0.000 | -0.000 |
| 109.614 | 497.717 | 65.186 | 8.784 | 0.000 | -0.000 |
| 20.918 | 20.918 | 631.198 | 0.000 | -0.000 | -0.000 |
| -12.650 | 5.621 | 7.056 | 164.711 | 0.000 | 0.000 |
| 0.001 | 0.001 | 0.000 | 0.000 | 181.140 | -12.453 |
| -3.361 | -3.360 | 6.746 | 0.001 | -9.279 | 198.774 |
| 568.686 | 82.517 | 21.163 | -12.453 | -0.000 | -0.000 |
| 107.954 | 499.426 | 65.137 | 7.938 | -0.000 | 0.000 |
| 64.940 | 64.940 | 542.853 | 0.000 | -0.000 | -0.000 |
| -12.453 | 12.453 | -0.000 | 181.140 | -0.000 | -0.000 |
| 0.472 | 0.473 | -0.949 | 0.000 | 159.276 | -8.039 |
| 0.491 | 0.491 | -0.985 | 0.000 | -7.868 | 194.993 |
| 498.526 | 106.963 | 67.032 | -7.943 | 0.000 | -0.000 |
| 106.983 | 498.466 | 67.071 | 7.939 | 0.000 | 0.000 |
| 20.918 | 20.918 | 631.197 | -0.000 | 0.000 | 0.000 |
| -8.511 | 7.566 | 0.949 | 159.276 | 0.000 | -0.000 |
| -0.472 | -0.473 | 0.949 | -0.000 | 159.276 | -8.039 |
| -0.491 | -0.491 | 0.985 | -0.000 | -7.868 | 194.993 |
| 5084.566 | 4691.591 | -9103.528 | 5.149 | -0.000 | 0.000 |
| 4691.599 | 5084.572 | -9103.524 | -5.149 | -0.000 | 0.000 |
| 4653.907 | 4653.908 | -8635.198 | -0.000 | -0.000 | 0.000 |
| 4594.216 | 4583.917 | -9178.120 | 159.706 | -0.000 | 0.000 |
| 4589.538 | 4589.554 | -9179.082 | -0.000 | 159.713 | 5.147 |
| 0.006 | 0.010 | 0.003 | -0.001 | 7.932 | 243.051 |
| 568.850 | 82.723 | 21.038 | 7.931 | 0.000 | 0.000 |
| -4480.405 | -4087.539 | 9240.468 | -5.143 | -0.000 | -0.000 |
| -4523.769 | -4523.769 | 9719.953 | 0.000 | 0.000 | -0.000 |
| -4583.951 | -4594.224 | 9178.093 | 159.709 | 0.000 | -0.000 |
| -4589.538 | -4589.554 | 9179.082 | 0.000 | 159.713 | 5.146 |
| -0.006 | -0.010 | -0.003 | 0.001 | 7.932 | 243.050 |
| 950.730 | 577.494 | -855.605 | 5.139 | -0.000 | -0.000 |
| 579.420 | 946.616 | -853.420 | -5.145 | -0.000 | 0.000 |
| 523.307 | 523.307 | -374.005 | 0.000 | -0.000 | 0.000 |
| 464.102 | 453.811 | -917.901 | 159.703 | -0.000 | 0.000 |
| 458.956 | 458.955 | -917.903 | 0.000 | 159.704 | 5.145 |
| 459.024 | 459.027 | -918.043 | -0.000 | 5.145 | 196.421 |
| 568.841 | 82.720 | 21.031 | 7.931 | 0.000 | -0.000 |
| -351.369 | 41.466 | 982.501 | -5.145 | 0.000 | -0.000 |
| -394.580 | -394.580 | 1461.766 | 0.000 | -0.000 | -0.000 |
| -453.812 | -464.102 | 917.902 | 159.703 | -0.000 | -0.000 |
| -458.956 | -458.955 | 917.903 | -0.000 | 159.704 | 5.145 |
| -459.024 | -459.027 | 918.043 | 0.000 | 5.145 | 196.421 |
| 545.658 | 156.063 | -29.111 | 5.048 | 0.000 | 0.000 |
| 156.060 | 545.659 | -29.109 | -5.048 | 0.000 | 0.000 |
| 110.262 | 110.262 | 452.088 | -0.000 | 0.000 | 0.000 |
| 51.040 | 40.749 | -91.789 | 159.704 | -0.000 | 0.000 |
| 0.000 | 0.000 | -0.000 | 0.000 | 181.372 | 7.931 |
| 46.696 | 46.697 | -93.393 | 0.000 | 5.097 | 195.614 |
| 446.343 | 73.310 | 152.951 | 5.211 | -0.000 | -0.000 |
| 82.724 | 568.845 | 21.035 | -7.931 | 0.000 | -0.000 |
| 21.035 | 21.035 | 630.534 | -0.000 | -0.000 | -0.000 |
| -40.750 | -51.040 | 91.789 | 159.704 | -0.000 | -0.000 |
| -45.898 | -45.898 | 91.795 | -0.000 | 159.702 | 5.145 |
| -46.696 | -46.697 | 93.393 | -0.000 | 5.097 | 195.614 |
| 568.289 | 81.995 | 21.498 | 7.907 | 0.000 | 0.000 |
| 582.354 | 902.787 | -823.769 | -2.952 | 0.000 | 0.000 |
| 20.625 | 20.626 | 632.949 | -0.000 | -0.000 | 0.000 |
| 274.504 | 264.514 | -545.737 | 157.746 | 0.000 | 0.000 |
| 0.002 | 0.009 | -0.005 | -0.002 | 180.537 | 7.910 |
| 0.003 | 0.010 | -0.003 | -0.001 | 7.908 | 243.149 |
| 568.270 | 81.976 | 21.500 | 7.912 | 0.000 | -0.000 |
| -133.406 | 244.917 | 566.951 | -5.164 | -0.000 | -0.000 |
| 20.592 | 20.592 | 632.951 | -0.000 | -0.000 | 0.000 |
| -447.120 | -453.149 | 911.496 | 142.396 | 0.000 | -0.000 |
| -0.002 | -0.009 | 0.005 | 0.002 | 180.537 | 7.909 |
| -0.003 | -0.010 | 0.003 | 0.001 | 7.908 | 243.149 |
| 568.278 | 81.982 | 21.499 | 7.909 | 0.000 | 0.000 |
| 81.982 | 568.278 | 21.499 | -7.909 | -0.000 | -0.000 |
| 113.558 | 113.558 | 444.753 | -0.000 | 0.000 | 0.000 |
| 45.917 | 39.371 | -86.352 | 144.403 | 0.000 | 0.000 |
| 42.643 | 42.643 | -86.350 | 0.000 | 144.403 | 3.274 |
| 0.001 | 0.001 | -0.000 | -0.000 | 7.909 | 243.148 |
| 433.180 | 80.713 | 159.563 | 3.907 | 0.000 | -0.000 |
| 81.980 | 568.276 | 21.501 | -7.909 | 0.000 | -0.000 |
| 29.508 | 29.508 | 614.942 | -0.000 | -0.000 | 0.000 |
| -21.363 | -31.449 | 53.469 | 158.195 | -0.000 | -0.000 |
| -42.643 | -42.643 | 86.350 | -0.000 | 144.403 | 3.274 |
| -0.001 | -0.001 | 0.000 | 0.000 | 7.909 | 243.148 |
| 499.055 | 110.689 | 62.521 | 4.981 | -0.000 | 0.000 |
| 110.688 | 499.059 | 62.518 | -4.981 | -0.000 | 0.000 |
| 66.892 | 66.892 | 539.249 | 0.000 | -0.000 | 0.000 |
| 7.676 | -2.319 | -5.424 | 157.842 | 0.000 | -0.000 |
| 2.678 | 2.678 | -5.423 | 0.000 | 157.843 | 4.998 |
| 2.058 | 2.058 | -4.168 | -0.000 | 5.605 | 192.704 |
| 494.286 | 105.106 | 72.998 | 5.005 | 0.000 | -0.000 |
| 113.180 | 493.448 | 65.671 | -5.360 | 0.000 | -0.000 |
| 62.424 | 62.424 | 548.290 | 0.000 | 0.000 | -0.000 |
| 7.909 | -7.909 | -0.000 | 180.537 | -0.000 | -0.000 |
| -2.678 | -2.678 | 5.423 | -0.000 | 157.843 | 4.998 |
| -2.058 | -2.058 | 4.168 | 0.000 | 5.605 | 192.704 |
| 568.850 | 82.724 | 21.033 | 0.000 | -0.000 | 0.000 |
| 82.689 | 568.826 | 21.024 | -0.000 | -0.000 | 0.000 |
| 21.046 | 21.046 | 630.516 | 0.000 | -0.000 | 0.000 |
| 792.465 | 792.464 | -1584.890 | 159.711 | -0.000 | 0.000 |
| 0.000 | -0.000 | -0.000 | 0.000 | 181.377 | 0.000 |
| 792.611 | 792.623 | -1585.306 | 0.000 | -0.000 | 190.667 |
| 568.807 | 82.705 | 21.021 | -0.000 | 0.000 | -0.000 |
| -671.530 | -305.409 | 1649.617 | -0.000 | 0.000 | -0.000 |
| -728.230 | -728.229 | 2129.063 | 0.000 | 0.000 | -0.000 |
| -792.464 | -792.463 | 1584.887 | 159.711 | 0.000 | -0.000 |
| -0.000 | -0.000 | 0.000 | -0.000 | 181.377 | -0.000 |
| -792.611 | -792.623 | 1585.306 | -0.000 | 0.000 | 190.666 |
| 566.413 | 200.346 | -94.151 | 0.000 | -0.000 | 0.000 |
| 82.731 | 568.852 | 21.039 | 0.000 | -0.000 | 0.000 |
| 143.636 | 143.636 | 385.336 | 0.000 | -0.000 | -0.000 |
| 79.265 | 79.266 | -158.519 | 159.704 | -0.000 | 0.000 |
| 0.000 | -0.000 | -0.000 | 0.000 | 181.372 | 0.000 |
| 80.822 | 80.824 | -161.650 | 0.000 | -0.000 | 189.629 |
| 413.537 | 33.562 | 225.500 | -0.000 | -0.000 | -0.000 |
| 33.578 | 413.570 | 225.466 | -0.000 | 0.000 | -0.000 |
| 21.035 | 21.035 | 630.537 | -0.000 | 0.000 | -0.000 |
| -79.265 | -79.266 | 158.519 | 159.704 | 0.000 | -0.000 |
| -0.000 | 0.000 | 0.000 | -0.000 | 181.372 | -0.000 |
| -80.822 | -80.824 | 161.650 | -0.000 | 0.000 | 189.629 |
| 495.081 | 129.010 | 48.519 | 0.000 | 0.000 | 0.000 |
| 128.961 | 495.164 | 48.483 | 0.000 | -0.000 | 0.000 |
| 72.281 | 72.281 | 528.046 | 0.000 | -0.000 | -0.000 |
| 0.000 | 0.000 | 0.000 | 181.372 | 0.000 | 0.000 |
| 0.000 | 0.000 | 0.000 | 0.000 | 181.372 | 0.000 |
| 9.011 | 9.011 | -18.022 | 0.000 | -0.000 | 183.490 |
| 480.511 | 107.292 | 84.802 | -0.000 | 0.000 | -0.000 |
| 113.156 | 479.229 | 80.221 | -0.000 | 0.000 | 0.000 |
| 56.444 | 56.444 | 559.718 | -0.000 | 0.000 | 0.000 |
| -0.000 | -0.000 | -0.000 | 181.372 | 0.000 | -0.000 |
| -0.000 | -0.000 | -0.000 | -0.000 | 181.372 | -0.000 |
| -9.011 | -9.011 | 18.022 | -0.000 | -0.000 | 183.490 |
| -1186.950 | -1553.755 | 3445.656 | -0.000 | 0.000 | -0.000 |
| -1561.551 | -1179.293 | 3445.798 | 0.000 | 0.000 | -0.000 |
| -1609.646 | -1609.646 | 3924.892 | -0.000 | -0.000 | 0.000 |
| -1674.751 | -1674.739 | 3382.087 | 159.187 | -0.000 | 0.000 |
| 0.025 | 0.037 | 0.012 | -0.000 | 180.737 | 0.000 |
| 0.049 | 0.049 | 0.049 | 0.000 | 0.000 | 243.133 |
| 568.387 | 82.146 | 21.396 | -0.000 | 0.000 | 0.000 |
| 1794.342 | 2161.130 | -3315.550 | -0.000 | -0.000 | 0.000 |
| 20.702 | 20.702 | 632.379 | 0.000 | -0.000 | -0.000 |
| 1674.751 | 1674.739 | -3382.089 | 159.187 | 0.000 | -0.000 |
| -0.025 | -0.037 | -0.012 | 0.000 | 180.737 | -0.000 |
| -0.049 | -0.049 | -0.049 | -0.000 | -0.000 | 243.133 |
| 326.352 | -55.483 | 404.790 | -0.000 | -0.000 | -0.000 |
| -47.184 | 319.548 | 403.278 | 0.000 | -0.000 | -0.000 |
| -103.057 | -103.057 | 882.376 | -0.000 | -0.000 | 0.000 |
| -167.483 | -167.484 | 338.227 | 159.195 | -0.000 | -0.000 |
| 0.005 | 0.005 | 0.005 | 0.000 | 180.727 | 0.000 |
| 0.005 | 0.005 | 0.005 | -0.000 | -0.000 | 243.133 |
| 568.415 | 82.147 | 21.396 | 0.000 | 0.000 | 0.000 |
| 281.221 | 662.839 | -274.950 | 0.000 | 0.000 | 0.000 |
| 231.878 | 231.878 | 206.001 | -0.000 | 0.000 | -0.000 |
| 167.483 | 167.484 | -338.227 | 159.195 | 0.000 | -0.000 |
| -0.005 | -0.005 | -0.005 | -0.000 | 180.727 | -0.000 |
| -0.005 | -0.005 | -0.005 | -0.000 | 0.000 | 243.133 |
| 472.709 | 96.595 | 103.454 | -0.000 | -0.000 | 0.000 |
| 103.544 | 470.320 | 98.850 | 0.000 | -0.000 | 0.000 |
| 47.618 | 47.618 | 578.097 | 0.000 | 0.000 | 0.000 |
| -16.781 | -16.781 | 33.888 | 159.152 | 0.000 | -0.000 |
| -16.781 | -16.781 | 33.888 | -0.000 | 159.152 | 0.000 |
| -16.741 | -16.741 | 33.807 | 0.000 | -0.000 | 183.388 |
| 568.416 | 82.152 | 21.398 | -0.000 | 0.000 | -0.000 |
| 137.020 | 503.804 | 31.235 | 0.000 | 0.000 | -0.000 |
| 81.095 | 81.095 | 510.491 | 0.000 | 0.000 | -0.000 |
| 16.781 | 16.781 | -33.888 | 159.152 | 0.000 | 0.000 |
| 16.781 | 16.781 | -33.888 | -0.000 | 159.152 | -0.000 |
| 16.741 | 16.741 | -33.807 | -0.000 | 0.000 | 183.388 |
| 498.389 | 108.202 | 65.957 | 0.000 | 0.000 | 0.000 |
| 108.254 | 498.440 | 66.010 | 0.000 | -0.000 | 0.000 |
| 64.331 | 64.332 | 543.943 | 0.000 | 0.000 | 0.000 |
| -0.006 | -0.020 | 0.135 | 159.710 | -0.000 | 0.000 |
| -0.027 | -0.029 | 0.129 | 0.000 | 159.706 | -0.000 |
| 0.024 | 0.012 | 0.037 | 0.000 | -0.000 | 243.059 |
| 498.488 | 108.304 | 65.766 | -0.000 | 0.000 | 0.000 |
| 108.288 | 498.485 | 65.762 | -0.000 | 0.000 | 0.000 |
| 21.046 | 21.046 | 630.516 | -0.000 | -0.000 | 0.000 |
| -0.024 | -0.037 | -0.012 | 181.372 | -0.000 | 0.000 |
| 0.027 | 0.029 | -0.129 | -0.000 | 159.706 | 0.000 |
| -0.024 | -0.012 | -0.037 | -0.000 | 0.000 | 243.059 |
| 498.463 | 108.271 | 65.883 | 0.000 | -0.000 | -0.000 |
| 82.726 | 568.845 | 21.036 | 0.000 | -0.000 | -0.000 |
| 21.035 | 21.035 | 630.538 | 0.000 | -0.000 | 0.000 |
| 0.000 | 0.000 | 0.003 | 181.372 | 0.000 | 0.000 |
| -0.000 | 0.000 | -0.000 | 0.000 | 181.372 | -0.000 |
| -0.006 | -0.004 | 0.008 | 0.000 | 0.000 | 194.304 |
| 498.463 | 108.274 | 65.868 | -0.000 | 0.000 | -0.000 |
| 82.722 | 568.848 | 21.030 | -0.000 | -0.000 | -0.000 |
| 64.377 | 64.377 | 543.853 | -0.000 | 0.000 | -0.000 |
| -0.000 | -0.000 | -0.003 | 181.372 | -0.000 | 0.000 |
| 0.000 | -0.000 | 0.000 | -0.000 | 181.372 | 0.000 |
| 0.006 | 0.004 | -0.008 | 0.000 | 0.000 | 194.304 |
| 495.833 | 117.718 | 59.057 | 0.000 | 0.000 | -0.000 |
| 108.272 | 498.459 | 65.879 | 0.000 | -0.000 | 0.000 |
| 64.361 | 64.361 | 543.890 | 0.000 | -0.000 | 0.000 |
| 0.000 | 0.001 | 0.000 | 181.372 | -0.000 | 0.000 |
| -0.001 | -0.000 | 0.001 | 0.000 | 159.704 | -0.000 |
| -0.001 | -0.000 | 0.001 | 0.000 | 0.000 | 194.304 |
| 495.825 | 117.720 | 59.059 | -0.000 | 0.000 | -0.000 |
| 108.269 | 498.463 | 65.873 | -0.000 | 0.000 | 0.000 |
| 64.374 | 64.374 | 543.858 | -0.000 | 0.000 | -0.000 |
| -0.000 | 0.000 | -0.001 | 159.704 | 0.000 | -0.000 |
| 0.001 | 0.000 | -0.001 | -0.000 | 159.704 | 0.000 |
| 0.001 | 0.000 | -0.001 | -0.000 | 0.000 | 194.304 |
| 568.648 | 82.452 | 21.209 | -0.000 | 0.000 | 0.000 |
| 105.250 | 492.817 | 74.527 | -0.000 | -0.000 | 0.000 |
| 62.548 | 62.548 | 547.711 | -0.000 | 0.000 | 0.001 |
| -0.011 | -0.007 | 0.030 | 181.109 | 0.000 | 0.001 |
| -0.008 | -0.028 | 0.014 | -0.000 | 181.106 | 0.001 |
| -3.602 | -3.579 | 7.226 | -0.000 | 0.000 | 191.896 |
| 568.646 | 82.498 | 21.140 | 0.000 | 0.000 | -0.000 |
| 82.490 | 568.654 | 21.141 | -0.000 | -0.000 | -0.000 |
| 68.808 | 68.807 | 535.038 | 0.000 | -0.000 | -0.000 |
| 0.011 | 0.007 | -0.032 | 181.109 | -0.000 | -0.000 |
| 0.008 | 0.028 | -0.014 | 0.000 | 181.106 | -0.001 |
| 3.602 | 3.579 | -7.226 | 0.000 | -0.000 | 191.895 |
| 568.658 | 82.485 | 21.179 | -0.000 | 0.000 | -0.000 |
| 107.563 | 498.077 | 66.866 | -0.000 | 0.000 | 0.000 |
| 64.033 | 64.033 | 544.677 | -0.000 | 0.000 | 0.000 |
| -0.326 | -0.326 | 0.651 | 159.441 | 0.000 | 0.000 |
| 0.001 | -0.001 | 0.003 | -0.000 | 181.108 | 0.000 |
| 0.000 | -0.002 | 0.002 | -0.000 | -0.000 | 243.087 |
| 568.662 | 82.490 | 21.179 | 0.000 | 0.000 | -0.000 |
| 82.488 | 568.661 | 21.176 | 0.000 | -0.000 | -0.000 |
| 64.696 | 64.696 | 543.356 | 0.000 | -0.000 | -0.000 |
| 0.326 | 0.326 | -0.651 | 159.441 | 0.000 | -0.000 |
| -0.001 | 0.001 | -0.003 | 0.000 | 181.108 | -0.000 |
| -0.000 | 0.002 | -0.002 | 0.000 | -0.000 | 243.087 |
| 495.776 | 117.424 | 59.280 | -0.000 | 0.000 | 0.000 |
| 82.488 | 568.663 | 21.180 | -0.000 | -0.000 | 0.000 |
| 64.330 | 64.330 | 544.093 | -0.000 | 0.000 | 0.000 |
| 0.000 | 0.000 | 0.001 | 181.109 | 0.000 | 0.000 |
| 0.000 | -0.000 | 0.000 | -0.000 | 181.109 | 0.000 |
| -0.034 | -0.034 | 0.069 | -0.000 | 0.000 | 194.442 |
| 498.445 | 107.933 | 66.125 | 0.000 | 0.000 | -0.000 |
| 120.229 | 485.093 | 67.184 | 0.000 | -0.000 | -0.000 |
| 64.441 | 64.441 | 543.865 | 0.000 | -0.000 | -0.000 |
| -0.000 | -0.000 | -0.001 | 181.109 | -0.000 | 0.000 |
| -0.000 | 0.000 | -0.000 | 0.000 | 181.109 | -0.000 |
| 0.034 | 0.034 | -0.069 | 0.000 | -0.000 | 194.442 |
| 486.958 | 117.738 | 67.978 | 7.898 | 0.000 | 0.000 |
| 117.753 | 486.944 | 68.007 | -7.887 | 0.000 | 0.000 |
| 63.649 | 63.649 | 545.528 | -0.000 | 0.000 | 0.000 |
| 7.324 | -8.831 | 1.594 | 159.700 | 0.000 | 0.000 |
| 0.009 | 0.029 | -0.008 | -0.000 | 181.379 | 12.467 |
| 0.025 | 0.037 | 0.017 | -0.001 | 12.463 | 243.059 |
| 497.897 | 116.000 | 58.671 | 8.532 | -0.000 | -0.000 |
| 108.506 | 499.959 | 64.039 | -7.951 | -0.000 | -0.000 |
| 20.954 | 20.954 | 630.479 | 0.000 | -0.000 | 0.000 |
| 8.853 | -7.332 | -1.585 | 159.702 | -0.000 | -0.000 |
| -0.009 | -0.029 | 0.008 | 0.000 | 181.379 | 12.467 |
| -0.025 | -0.037 | -0.017 | 0.001 | 12.463 | 243.059 |
| 568.850 | 82.729 | 21.035 | 12.463 | 0.000 | 0.000 |
| 107.624 | 499.173 | 65.821 | -7.956 | 0.000 | 0.000 |
| 64.293 | 64.293 | 544.020 | -0.000 | -0.000 | 0.000 |
| 8.010 | -8.164 | 0.161 | 159.705 | -0.000 | 0.000 |
| 0.000 | -0.000 | -0.000 | -0.000 | 181.372 | 12.463 |
| -0.064 | -0.059 | 0.131 | 0.000 | 8.917 | 192.565 |
| 499.309 | 107.783 | 65.499 | 7.955 | 0.000 | -0.000 |
| 107.781 | 499.311 | 65.501 | -7.955 | 0.000 | -0.000 |
| 64.450 | 64.450 | 543.707 | 0.000 | 0.000 | -0.000 |
| 8.161 | -8.008 | -0.160 | 159.704 | -0.000 | -0.000 |
| -0.000 | 0.000 | 0.000 | 0.000 | 181.372 | 12.463 |
| 0.064 | 0.059 | -0.131 | -0.000 | 8.917 | 192.565 |
| 499.232 | 107.697 | 65.680 | 7.955 | 0.000 | 0.000 |
| 82.725 | 568.849 | 21.036 | -12.463 | 0.000 | -0.000 |
| 64.366 | 64.366 | 543.879 | 0.000 | -0.000 | 0.000 |
| 8.078 | -8.093 | 0.016 | 159.704 | 0.000 | 0.000 |
| 0.000 | 0.001 | 0.000 | 0.000 | 181.372 | 12.463 |
| -0.008 | -0.008 | 0.017 | 0.000 | 7.891 | 195.093 |
| 497.082 | 115.355 | 60.166 | 8.509 | 0.000 | -0.000 |
| 115.353 | 497.091 | 60.161 | -8.509 | 0.000 | -0.000 |
| 64.376 | 64.376 | 543.851 | -0.000 | 0.000 | -0.000 |
| 8.093 | -8.078 | -0.016 | 159.705 | -0.000 | -0.000 |
| -0.000 | -0.001 | -0.000 | -0.000 | 181.372 | 12.463 |
| 0.008 | 0.008 | -0.017 | -0.000 | 7.891 | 195.093 |
| 568.677 | 82.495 | 21.212 | 12.450 | 0.000 | -0.000 |
| 271.603 | 632.317 | -232.631 | -6.470 | -0.000 | 0.000 |
| 236.334 | 236.334 | 198.725 | -0.000 | -0.000 | -0.000 |
| 12.475 | -12.423 | 0.031 | 181.085 | -0.000 | -0.000 |
| 0.014 | 0.013 | 0.014 | -0.002 | 181.085 | 12.454 |
| 0.022 | 0.023 | 0.023 | -0.003 | 12.448 | 243.087 |
| 411.068 | 11.927 | 250.206 | 8.763 | 0.000 | 0.000 |
| -40.458 | 320.357 | 393.966 | -6.473 | 0.000 | 0.000 |
| -75.621 | -75.621 | 825.136 | -0.000 | -0.000 | 0.000 |
| -149.568 | -162.506 | 313.345 | 151.464 | -0.000 | 0.000 |
| -0.014 | -0.013 | -0.013 | 0.002 | 181.085 | 12.454 |
| -0.022 | -0.023 | -0.023 | 0.003 | 12.448 | 243.088 |
| 516.206 | 117.508 | 38.675 | 8.735 | 0.000 | -0.000 |
| 130.773 | 492.383 | 49.279 | -6.511 | 0.000 | -0.000 |
| 94.346 | 94.346 | 483.829 | -0.000 | 0.000 | -0.000 |
| 22.034 | 9.044 | -31.209 | 151.581 | 0.000 | -0.000 |
| 9.636 | 9.635 | -19.352 | -0.000 | 162.701 | 8.740 |
| 0.002 | 0.002 | 0.001 | -0.000 | 12.451 | 243.090 |
| 496.166 | 98.284 | 78.098 | 8.691 | 0.000 | 0.000 |
| 99.640 | 462.267 | 110.777 | -6.560 | 0.000 | 0.000 |
| 64.896 | 64.896 | 542.965 | -0.000 | -0.000 | 0.000 |
| 12.449 | -12.454 | -0.002 | 181.086 | 0.000 | 0.000 |
| -9.636 | -9.635 | 19.352 | 0.000 | 162.701 | 8.740 |
| -0.002 | -0.002 | -0.001 | 0.000 | 12.451 | 243.090 |
| 496.205 | 110.061 | 66.239 | 7.681 | -0.000 | 0.000 |
| 110.061 | 496.205 | 66.239 | -7.681 | -0.000 | -0.000 |
| 65.463 | 65.463 | 541.837 | 0.000 | -0.000 | -0.000 |
| 12.451 | -12.451 | 0.000 | 181.086 | 0.000 | -0.000 |
| 1.305 | 1.305 | -2.621 | 0.000 | 156.301 | 7.447 |
| 1.055 | 1.055 | -2.118 | -0.000 | 8.389 | 195.648 |
| 498.433 | 109.201 | 64.860 | 8.271 | -0.000 | -0.000 |
| 82.468 | 568.647 | 21.193 | -12.451 | 0.000 | 0.000 |
| 65.515 | 65.515 | 541.728 | 0.000 | 0.000 | 0.000 |
| 6.142 | -8.753 | 2.621 | 156.301 | -0.000 | 0.000 |
| -1.305 | -1.305 | 2.621 | -0.000 | 156.301 | 7.447 |
| -1.055 | -1.055 | 2.118 | 0.000 | 8.389 | 195.648 |
| 780.312 | 310.975 | 310.975 | 0.000 | -0.000 | 0.000 |
| 310.975 | 780.312 | 310.975 | -0.000 | -0.000 | 0.000 |
| 310.975 | 310.975 | 780.312 | -0.000 | -0.000 | -0.000 |
| 0.008 | 0.008 | 0.008 | 21.250 | -0.000 | -0.000 |
| 0.008 | 0.008 | 0.008 | -0.000 | 21.250 | -0.000 |
| 0.008 | 0.008 | 0.008 | 0.000 | -0.000 | 21.250 |
| 780.303 | 310.966 | 310.966 | -0.000 | 0.000 | -0.000 |
| 310.966 | 780.304 | 310.966 | -0.000 | -0.000 | 0.000 |
| 310.966 | 310.966 | 780.303 | -0.000 | 0.000 | -0.000 |
| -0.008 | -0.008 | -0.008 | 21.250 | 0.000 | 0.000 |
| -0.008 | -0.008 | -0.008 | 0.000 | 21.250 | 0.000 |
| -0.008 | -0.008 | -0.008 | -0.000 | 0.000 | 21.250 |
| 780.302 | 310.966 | 310.966 | -0.000 | -0.000 | 0.000 |
| 310.966 | 780.302 | 310.966 | -0.000 | -0.000 | -0.000 |
| 310.966 | 310.966 | 780.302 | 0.000 | -0.000 | 0.000 |
| -0.001 | -0.001 | -0.001 | 21.246 | -0.000 | -0.000 |
| -0.001 | -0.001 | -0.001 | -0.000 | 21.246 | -0.000 |
| -0.001 | -0.001 | -0.001 | 0.000 | -0.000 | 21.246 |
| 780.308 | 310.972 | 310.972 | -0.000 | -0.000 | -0.000 |
| 310.972 | 780.308 | 310.972 | -0.000 | -0.000 | 0.000 |
| 310.972 | 310.972 | 780.308 | 0.000 | 0.000 | 0.000 |
| 0.001 | 0.001 | 0.001 | 21.247 | 0.000 | -0.000 |
| 0.001 | 0.001 | 0.001 | 0.000 | 21.247 | 0.000 |
| 0.001 | 0.001 | 0.001 | -0.000 | 0.000 | 21.246 |
| 780.305 | 310.967 | 310.967 | 0.000 | 0.000 | 0.000 |
| 310.967 | 780.305 | 310.967 | 0.000 | 0.000 | -0.000 |
| 310.967 | 310.967 | 780.305 | 0.000 | -0.000 | 0.000 |
| 0.001 | 0.001 | 0.001 | 21.245 | -0.000 | -0.000 |
| 0.001 | 0.001 | 0.001 | -0.000 | 21.245 | -0.000 |
| 0.001 | 0.001 | 0.001 | 0.000 | -0.000 | 21.245 |
| 780.301 | 310.967 | 310.967 | -0.000 | -0.000 | -0.000 |
| 310.967 | 780.301 | 310.967 | -0.000 | 0.000 | 0.000 |
| 310.967 | 310.967 | 780.301 | 0.000 | 0.000 | -0.000 |
| -0.001 | -0.001 | -0.001 | 21.245 | 0.000 | 0.000 |
| -0.001 | -0.001 | -0.001 | 0.000 | 21.245 | 0.000 |
| -0.001 | -0.001 | -0.001 | 0.000 | 0.000 | 21.245 |
| 1162.922 | 809.394 | 809.394 | 0.000 | 0.000 | 0.000 |
| 809.394 | 1162.922 | 809.394 | -0.000 | 0.000 | 0.000 |
| 809.394 | 809.394 | 1162.922 | -0.000 | 0.000 | 0.000 |
| 0.001 | 0.000 | 0.000 | -27.158 | 0.000 | 0.000 |
| 0.000 | 0.000 | 0.000 | -0.000 | -27.158 | 0.000 |
| 0.000 | 0.000 | 0.001 | -0.000 | 0.000 | -27.158 |
| 1162.914 | 809.397 | 809.397 | 0.000 | -0.000 | -0.000 |
| 809.397 | 1162.914 | 809.397 | 0.000 | -0.000 | -0.000 |
| 809.397 | 809.397 | 1162.914 | 0.000 | -0.000 | -0.000 |
| -0.001 | -0.000 | -0.000 | -27.158 | -0.000 | -0.000 |
| -0.000 | -0.001 | -0.000 | -0.000 | -27.158 | -0.000 |
| -0.000 | -0.000 | -0.001 | 0.000 | -0.000 | -27.158 |
| 1162.919 | 809.396 | 809.396 | -0.000 | 0.000 | 0.000 |
| 809.396 | 1162.919 | 809.396 | -0.000 | 0.000 | 0.000 |
| 809.396 | 809.396 | 1162.919 | -0.000 | 0.000 | 0.000 |
| 0.001 | -0.000 | -0.000 | -27.159 | 0.000 | 0.000 |
| -0.000 | 0.001 | -0.000 | -0.000 | -27.159 | 0.000 |
| -0.000 | -0.000 | 0.001 | -0.000 | 0.000 | -27.159 |
| 1162.918 | 809.395 | 809.395 | 0.000 | -0.000 | -0.000 |
| 809.395 | 1162.918 | 809.395 | 0.000 | -0.000 | -0.000 |
| 809.395 | 809.395 | 1162.918 | 0.000 | -0.000 | -0.000 |
| -0.001 | 0.000 | 0.000 | -27.159 | -0.000 | -0.000 |
| 0.000 | -0.001 | 0.000 | -0.000 | -27.159 | -0.000 |
| 0.000 | 0.000 | -0.001 | -0.000 | -0.000 | -27.159 |
| 1162.920 | 809.398 | 809.398 | -0.000 | 0.000 | 0.000 |
| 809.398 | 1162.920 | 809.398 | -0.000 | 0.000 | 0.000 |
| 809.398 | 809.398 | 1162.920 | -0.000 | 0.000 | 0.000 |
| 0.006 | -0.003 | -0.003 | -27.159 | 0.000 | -0.000 |
| -0.003 | 0.006 | -0.003 | -0.000 | -27.159 | 0.000 |
| -0.003 | -0.003 | 0.006 | -0.000 | 0.000 | -27.159 |
| 1162.918 | 809.393 | 809.393 | 0.000 | -0.000 | 0.000 |
| 809.393 | 1162.918 | 809.393 | 0.000 | -0.000 | -0.000 |
| 809.393 | 809.393 | 1162.918 | 0.000 | 0.000 | -0.000 |
| -0.006 | 0.003 | 0.003 | -27.159 | -0.000 | -0.000 |
| 0.003 | -0.006 | 0.003 | 0.000 | -27.159 | -0.000 |
| 0.003 | 0.003 | -0.006 | 0.000 | -0.000 | -27.159 |
| 600.723 | 143.085 | 143.085 | -0.000 | 0.000 | -0.000 |
| 143.085 | 600.723 | 143.085 | -0.000 | -0.000 | -0.000 |
| 143.085 | 143.085 | 600.723 | -0.000 | -0.000 | -0.000 |
| 0.000 | -0.000 | -0.000 | 63.383 | -0.000 | -0.000 |
| 0.000 | -0.000 | -0.000 | -0.000 | 63.383 | -0.000 |
| 0.000 | -0.000 | -0.000 | -0.000 | -0.000 | 63.383 |
| 600.724 | 143.085 | 143.086 | 0.000 | 0.000 | 0.000 |
| 143.085 | 600.724 | 143.086 | 0.000 | 0.000 | 0.000 |
| 143.085 | 143.085 | 600.724 | 0.000 | 0.000 | 0.000 |
| -0.000 | 0.000 | 0.000 | 63.383 | 0.000 | 0.000 |
| -0.000 | -0.000 | 0.000 | 0.000 | 63.383 | -0.000 |
| -0.000 | 0.000 | 0.000 | 0.000 | 0.000 | 63.383 |
| 600.721 | 143.085 | 143.085 | -0.000 | -0.000 | -0.000 |
| 143.085 | 600.721 | 143.085 | -0.000 | -0.000 | -0.000 |
| 143.085 | 143.085 | 600.721 | -0.000 | -0.000 | -0.000 |
| 0.000 | 0.000 | -0.000 | 77.102 | 0.000 | -0.000 |
| 0.000 | 0.000 | -0.000 | -0.000 | 77.102 | -0.000 |
| 0.000 | -0.000 | 0.000 | -0.000 | -0.000 | 77.102 |
| 600.726 | 143.085 | 143.085 | 0.000 | 0.000 | 0.000 |
| 143.085 | 600.726 | 143.085 | 0.000 | 0.000 | 0.000 |
| 143.085 | 143.085 | 600.726 | 0.000 | 0.000 | 0.000 |
| -0.000 | -0.000 | 0.000 | 77.102 | 0.000 | 0.000 |
| -0.000 | -0.000 | 0.000 | 0.000 | 77.102 | -0.000 |
| -0.000 | 0.000 | -0.000 | 0.000 | 0.000 | 77.102 |
| 600.701 | 143.086 | 143.086 | -0.000 | -0.000 | -0.000 |
| 143.086 | 600.701 | 143.086 | -0.000 | -0.000 | -0.000 |
| 143.086 | 143.086 | 600.701 | -0.000 | -0.000 | -0.000 |
| 0.000 | 0.000 | -0.000 | 77.102 | -0.000 | -0.000 |
| 0.000 | 0.000 | -0.000 | -0.000 | 77.102 | -0.000 |
| 0.000 | -0.000 | 0.000 | -0.000 | -0.000 | 77.102 |
| 600.746 | 143.085 | 143.085 | 0.000 | 0.000 | 0.000 |
| 143.085 | 600.746 | 143.085 | 0.000 | 0.000 | 0.000 |
| 143.085 | 143.085 | 600.746 | 0.000 | 0.000 | 0.000 |
| -0.000 | -0.000 | 0.000 | 77.102 | 0.000 | 0.000 |
| -0.000 | -0.000 | 0.000 | 0.000 | 77.102 | 0.000 |
| -0.000 | 0.000 | -0.000 | 0.000 | 0.000 | 77.102 |
| 183.210 | 93.100 | 93.100 | 0.000 | 0.000 | -0.000 |
| 93.100 | 183.210 | 93.100 | 0.000 | 0.000 | -0.000 |
| 93.100 | 93.100 | 183.210 | -0.000 | 0.000 | -0.000 |
| -0.000 | -0.000 | 0.000 | 88.460 | 0.000 | -0.000 |
| -0.000 | 0.000 | 0.000 | 0.000 | 88.460 | -0.000 |
| -0.000 | 0.000 | -0.000 | 0.000 | 0.000 | 88.460 |
| 183.210 | 93.100 | 93.100 | -0.000 | -0.000 | 0.000 |
| 93.100 | 183.210 | 93.100 | -0.000 | 0.000 | 0.000 |
| 93.100 | 93.100 | 183.210 | -0.000 | -0.000 | 0.000 |
| 0.000 | 0.000 | 0.000 | 88.460 | -0.000 | 0.000 |
| 0.000 | -0.000 | 0.000 | 0.000 | 88.460 | 0.000 |
| 0.000 | -0.000 | 0.000 | -0.000 | -0.000 | 88.460 |
| 183.210 | 93.100 | 93.100 | 0.000 | 0.000 | -0.000 |
| 93.100 | 183.210 | 93.100 | 0.000 | -0.000 | -0.000 |
| 93.100 | 93.100 | 183.210 | 0.000 | 0.000 | -0.000 |
| -0.000 | 0.000 | 0.000 | 88.460 | -0.000 | -0.000 |
| 0.000 | -0.000 | 0.000 | 0.000 | 88.460 | -0.000 |
| 0.000 | 0.000 | -0.000 | 0.000 | 0.000 | 88.460 |
| 183.210 | 93.100 | 93.100 | -0.000 | -0.000 | 0.000 |
| 93.100 | 183.210 | 93.100 | -0.000 | -0.000 | 0.000 |
| 93.100 | 93.100 | 183.210 | -0.000 | -0.000 | 0.000 |
| 0.000 | -0.000 | -0.000 | 88.460 | -0.000 | 0.000 |
| -0.000 | 0.000 | -0.000 | -0.000 | 88.460 | 0.000 |
| -0.000 | -0.000 | 0.000 | -0.000 | -0.000 | 88.460 |
| 183.210 | 93.101 | 93.101 | 0.000 | 0.000 | -0.000 |
| 93.101 | 183.210 | 93.101 | 0.000 | 0.000 | -0.000 |
| 93.101 | 93.101 | 183.210 | 0.000 | 0.000 | -0.000 |
| -0.000 | 0.000 | 0.000 | 88.460 | 0.000 | -0.000 |
| 0.000 | -0.000 | 0.000 | 0.000 | 88.460 | -0.000 |
| 0.000 | 0.000 | -0.000 | 0.000 | 0.000 | 88.460 |
| 183.209 | 93.100 | 93.100 | -0.000 | -0.000 | 0.000 |
| 93.100 | 183.209 | 93.100 | -0.000 | -0.000 | 0.000 |
| 93.100 | 93.100 | 183.209 | -0.000 | -0.000 | 0.000 |
| 0.000 | -0.000 | -0.000 | 88.460 | -0.000 | 0.000 |
| -0.000 | 0.000 | -0.000 | -0.000 | 88.460 | 0.000 |
| -0.000 | -0.000 | 0.000 | -0.000 | -0.000 | 88.460 |
| 743.659 | 641.664 | 641.664 | 0.000 | -0.000 | -0.000 |
| 641.664 | 743.659 | 641.664 | 0.000 | -0.000 | -0.000 |
| 641.664 | 641.664 | 743.659 | 0.000 | -0.000 | -0.000 |
| -0.000 | -0.000 | 0.000 | 150.262 | -0.000 | -0.000 |
| -0.000 | -0.000 | 0.000 | 0.000 | 150.262 | 0.000 |
| -0.000 | 0.000 | -0.000 | 0.000 | -0.000 | 150.262 |
| 743.659 | 641.664 | 641.664 | -0.000 | 0.000 | 0.000 |
| 641.664 | 743.659 | 641.664 | 0.000 | 0.000 | 0.000 |
| 641.664 | 641.664 | 743.659 | 0.000 | 0.000 | -0.000 |
| 0.000 | 0.000 | 0.000 | 150.262 | 0.000 | -0.000 |
| 0.000 | 0.000 | 0.000 | 0.000 | 150.262 | -0.000 |
| 0.000 | -0.000 | 0.000 | 0.000 | 0.000 | 150.262 |
| 743.658 | 641.663 | 641.663 | -0.000 | -0.000 | -0.000 |
| 641.663 | 743.658 | 641.663 | 0.000 | -0.000 | 0.000 |
| 641.663 | 641.663 | 743.658 | 0.000 | 0.000 | -0.000 |
| -0.000 | -0.000 | -0.000 | 150.262 | -0.000 | -0.000 |
| -0.000 | -0.000 | -0.000 | 0.000 | 150.262 | -0.000 |
| -0.000 | -0.000 | -0.000 | -0.000 | -0.000 | 150.262 |
| 743.660 | 641.665 | 641.665 | 0.000 | 0.000 | -0.000 |
| 641.665 | 743.660 | 641.665 | -0.000 | 0.000 | -0.000 |
| 641.665 | 641.665 | 743.660 | -0.000 | -0.000 | -0.000 |
| 0.000 | 0.000 | 0.000 | 150.262 | -0.000 | 0.000 |
| 0.000 | 0.000 | 0.000 | -0.000 | 150.262 | 0.000 |
| 0.000 | 0.000 | 0.000 | 0.000 | 0.000 | 150.262 |
| 743.648 | 641.656 | 641.656 | -0.000 | -0.000 | 0.000 |
| 641.656 | 743.648 | 641.656 | -0.000 | -0.000 | -0.000 |
| 641.656 | 641.656 | 743.648 | -0.000 | -0.000 | 0.000 |
| -0.003 | -0.001 | -0.000 | 150.262 | -0.000 | -0.000 |
| -0.001 | -0.003 | -0.000 | 0.000 | 150.262 | 0.000 |
| -0.001 | -0.000 | -0.003 | -0.000 | -0.000 | 150.262 |
| 743.669 | 641.671 | 641.671 | 0.000 | 0.000 | 0.000 |
| 641.671 | 743.669 | 641.671 | 0.000 | 0.000 | 0.000 |
| 641.671 | 641.671 | 743.669 | 0.000 | 0.000 | -0.000 |
| 0.003 | 0.001 | 0.000 | 150.262 | 0.000 | 0.000 |
| 0.001 | 0.003 | 0.000 | -0.000 | 150.262 | -0.000 |
| 0.001 | 0.000 | 0.003 | 0.000 | 0.000 | 150.262 |
| 1939.102 | 708.076 | 708.076 | 0.000 | 0.000 | -0.000 |
| 708.076 | 1939.102 | 708.076 | 0.000 | 0.000 | -0.000 |
| 708.076 | 708.076 | 1939.102 | 0.000 | 0.000 | 0.000 |
| 0.000 | -0.000 | 0.000 | 508.630 | 0.000 | 0.000 |
| -0.000 | -0.000 | -0.000 | -0.000 | 508.630 | 0.000 |
| -0.000 | -0.000 | 0.000 | 0.000 | 0.000 | 508.630 |
| 1925.962 | 714.646 | 714.646 | -0.000 | -0.000 | 0.000 |
| 714.646 | 1925.962 | 714.646 | -0.000 | -0.000 | -0.000 |
| 714.646 | 714.646 | 1925.962 | -0.000 | -0.000 | -0.000 |
| -0.000 | 0.000 | -0.000 | 508.630 | -0.000 | 0.000 |
| 0.000 | -0.000 | -0.000 | -0.000 | 508.630 | -0.000 |
| 0.000 | 0.000 | -0.000 | -0.000 | -0.000 | 508.630 |
| 1925.961 | 714.646 | 714.646 | 0.000 | 0.000 | -0.000 |
| 714.646 | 1925.961 | 714.646 | -0.000 | 0.000 | -0.000 |
| 714.646 | 714.646 | 1925.961 | 0.000 | 0.000 | 0.000 |
| -0.000 | -0.000 | -0.000 | 518.226 | 0.000 | 0.000 |
| -0.000 | -0.000 | -0.000 | 0.000 | 518.226 | 0.000 |
| -0.000 | -0.000 | -0.000 | 0.000 | 0.000 | 518.226 |
| 1925.963 | 714.646 | 714.646 | -0.000 | -0.000 | -0.000 |
| 714.646 | 1925.963 | 714.646 | -0.000 | -0.000 | -0.000 |
| 714.646 | 714.646 | 1925.963 | -0.000 | -0.000 | -0.000 |
| 0.000 | 0.000 | 0.000 | 518.226 | -0.000 | 0.000 |
| 0.000 | 0.000 | 0.000 | -0.000 | 518.226 | -0.000 |
| 0.000 | 0.000 | 0.000 | -0.000 | -0.000 | 518.226 |
| 1925.953 | 714.644 | 714.644 | 0.000 | 0.000 | 0.000 |
| 714.644 | 1925.953 | 714.644 | 0.000 | 0.000 | 0.000 |
| 714.644 | 714.644 | 1925.953 | 0.000 | 0.000 | -0.000 |
| -0.001 | -0.003 | -0.003 | 508.630 | 0.000 | 0.000 |
| -0.003 | -0.001 | -0.003 | 0.000 | 508.630 | 0.000 |
| -0.003 | -0.003 | -0.001 | 0.000 | 0.000 | 508.630 |
| 1925.970 | 714.648 | 714.648 | -0.000 | -0.000 | 0.000 |
| 714.648 | 1925.970 | 714.648 | -0.000 | -0.000 | -0.000 |
| 714.648 | 714.648 | 1925.970 | -0.000 | -0.000 | -0.000 |
| 0.001 | 0.003 | 0.003 | 508.630 | -0.000 | -0.000 |
| 0.003 | 0.001 | 0.003 | -0.000 | 508.630 | 0.000 |
| 0.003 | 0.003 | 0.001 | -0.000 | -0.000 | 508.630 |
| 195.947 | 140.150 | 140.150 | 0.000 | 0.000 | -0.000 |
| 140.150 | 195.947 | 140.150 | 0.000 | 0.000 | 0.000 |
| 140.150 | 140.150 | 195.947 | 0.000 | 0.000 | 0.000 |
| 0.000 | 0.000 | -0.000 | 154.831 | 0.000 | 0.000 |
| 0.000 | 0.000 | -0.000 | 0.000 | 154.830 | -0.000 |
| 0.000 | 0.000 | -0.000 | 0.000 | 0.000 | 154.830 |
| 195.947 | 140.150 | 140.150 | -0.000 | -0.000 | -0.000 |
| 140.150 | 195.947 | 140.150 | -0.000 | -0.000 | -0.000 |
| 140.150 | 140.150 | 195.948 | -0.000 | -0.000 | -0.000 |
| -0.000 | -0.000 | 0.000 | 154.830 | -0.000 | -0.000 |
| -0.000 | 0.000 | 0.000 | -0.000 | 154.830 | 0.000 |
| -0.000 | -0.000 | 0.000 | -0.000 | -0.000 | 154.830 |
| 195.947 | 140.150 | 140.150 | 0.000 | 0.000 | -0.000 |
| 140.150 | 195.947 | 140.150 | 0.000 | 0.000 | 0.000 |
| 140.150 | 140.150 | 195.947 | 0.000 | -0.000 | -0.000 |
| 0.000 | 0.000 | 0.000 | 154.830 | 0.000 | 0.000 |
| 0.000 | 0.000 | 0.000 | 0.000 | 154.830 | -0.000 |
| 0.000 | 0.000 | 0.000 | 0.000 | 0.000 | 154.830 |
| 195.947 | 140.150 | 140.150 | -0.000 | -0.000 | -0.000 |
| 140.150 | 195.947 | 140.150 | -0.000 | -0.000 | -0.000 |
| 140.150 | 140.150 | 195.947 | -0.000 | -0.000 | -0.000 |
| -0.000 | -0.000 | -0.000 | 154.830 | -0.000 | 0.000 |
| -0.000 | -0.000 | -0.000 | -0.000 | 154.830 | -0.000 |
| -0.000 | -0.000 | -0.000 | -0.000 | -0.000 | 154.830 |
| 195.948 | 140.150 | 140.150 | 0.000 | 0.000 | -0.000 |
| 140.150 | 195.948 | 140.150 | 0.000 | 0.000 | 0.000 |
| 140.150 | 140.150 | 195.948 | 0.000 | 0.000 | 0.000 |
| 0.000 | 0.000 | 0.000 | 154.830 | 0.000 | 0.000 |
| 0.000 | 0.000 | 0.000 | 0.000 | 154.830 | -0.000 |
| 0.000 | 0.000 | 0.000 | 0.000 | 0.000 | 154.830 |
| 195.947 | 140.150 | 140.150 | -0.000 | -0.000 | 0.000 |
| 140.150 | 195.947 | 140.150 | -0.000 | -0.000 | 0.000 |
| 140.150 | 140.150 | 195.947 | -0.000 | -0.000 | 0.000 |
| -0.000 | -0.000 | -0.000 | 154.830 | -0.000 | -0.000 |
| -0.000 | -0.000 | -0.000 | -0.000 | 154.830 | -0.000 |
| -0.000 | -0.000 | -0.000 | -0.000 | -0.000 | 154.830 |
| 849.516 | 585.242 | 581.991 | 0.000 | 0.000 | -0.000 |
| 605.094 | 829.664 | 581.990 | -0.000 | -0.000 | -0.000 |
| 581.991 | 581.991 | 942.181 | 0.000 | -0.000 | 0.000 |
| -0.000 | -0.000 | -0.000 | 55.134 | -0.000 | -0.000 |
| -0.000 | -0.000 | -0.000 | -0.000 | 55.134 | -0.000 |
| -0.000 | 0.000 | -0.000 | -0.000 | -0.000 | 112.285 |
| 829.665 | 605.094 | 581.991 | 0.000 | 0.000 | 0.000 |
| 605.094 | 829.665 | 581.991 | 0.000 | 0.000 | 0.000 |
| 581.991 | 581.991 | 942.182 | -0.000 | 0.000 | 0.000 |
| 0.000 | 0.000 | 0.000 | 55.134 | 0.000 | 0.000 |
| 0.000 | 0.000 | 0.000 | 0.000 | 55.134 | 0.000 |
| 0.000 | -0.000 | 0.000 | 0.000 | 0.000 | 112.285 |
| 829.664 | 605.093 | 581.990 | -0.000 | -0.000 | -0.000 |
| 585.242 | 849.515 | 581.990 | -0.000 | 0.000 | 0.000 |
| 581.990 | 581.990 | 942.180 | -0.000 | -0.000 | 0.000 |
| -0.000 | -0.000 | 0.000 | 55.134 | -0.000 | -0.000 |
| -0.000 | -0.000 | 0.000 | -0.000 | 55.134 | -0.000 |
| -0.000 | 0.000 | -0.000 | -0.000 | -0.000 | 132.137 |
| 849.517 | 585.243 | 581.992 | -0.000 | -0.000 | 0.000 |
| 585.243 | 849.518 | 581.992 | 0.000 | -0.000 | -0.000 |
| 581.991 | 581.991 | 942.183 | 0.000 | -0.000 | -0.000 |
| 0.000 | 0.000 | -0.000 | 55.134 | 0.000 | 0.000 |
| 0.000 | 0.000 | -0.000 | 0.000 | 55.134 | 0.000 |
| 0.000 | -0.000 | 0.000 | 0.000 | -0.000 | 132.137 |
| 829.656 | 605.084 | 581.982 | -0.000 | -0.000 | -0.000 |
| 605.087 | 829.653 | 581.982 | -0.000 | -0.000 | -0.000 |
| 581.983 | 581.983 | 942.168 | 0.000 | -0.000 | -0.000 |
| -0.001 | -0.002 | 0.001 | 55.134 | -0.000 | -0.000 |
| -0.001 | -0.001 | 0.001 | -0.000 | 55.134 | -0.000 |
| -0.002 | 0.000 | -0.002 | 0.000 | 0.000 | 132.137 |
| 829.673 | 605.105 | 582.000 | 0.000 | 0.000 | 0.000 |
| 605.102 | 829.676 | 582.000 | 0.000 | 0.000 | 0.000 |
| 581.998 | 581.998 | 942.195 | 0.000 | 0.000 | 0.000 |
| 0.001 | 0.002 | -0.001 | 55.134 | 0.000 | 0.000 |
| 0.001 | 0.001 | -0.001 | -0.000 | 55.134 | 0.000 |
| 0.002 | -0.000 | 0.002 | 0.000 | -0.000 | 132.137 |
| 122.924 | 112.851 | 150.695 | 0.000 | 0.000 | -0.000 |
| 112.851 | 122.924 | 150.695 | -0.000 | 0.000 | -0.000 |
| 150.695 | 150.695 | 907.309 | 0.000 | -0.000 | -0.000 |
| 0.000 | -0.000 | 0.000 | 104.442 | 0.000 | -0.000 |
| -0.000 | -0.000 | -0.000 | 0.000 | 104.442 | -0.000 |
| -0.000 | -0.000 | 0.000 | 0.000 | 0.000 | 55.749 |
| 122.925 | 112.851 | 150.695 | -0.000 | -0.000 | 0.000 |
| 112.851 | 122.924 | 150.694 | -0.000 | -0.000 | 0.000 |
| 150.695 | 150.695 | 907.309 | -0.000 | -0.000 | 0.000 |
| 0.000 | -0.000 | 0.000 | 104.441 | -0.000 | 0.000 |
| -0.000 | 0.000 | 0.000 | -0.000 | 104.441 | 0.000 |
| 0.000 | 0.000 | -0.000 | -0.000 | -0.000 | 55.750 |
| 122.925 | 112.851 | 150.695 | 0.000 | 0.000 | -0.000 |
| 62.138 | 173.637 | 150.695 | 0.000 | 0.000 | -0.000 |
| 150.695 | 150.695 | 907.308 | -0.000 | 0.000 | -0.000 |
| -0.000 | 0.000 | -0.000 | 104.442 | 0.000 | -0.000 |
| -0.000 | 0.000 | -0.000 | 0.000 | 104.442 | -0.000 |
| -0.000 | -0.000 | 0.000 | 0.000 | 0.000 | 55.750 |
| 173.637 | 62.138 | 150.695 | -0.000 | -0.000 | 0.000 |
| 62.138 | 173.637 | 150.695 | -0.000 | -0.000 | 0.000 |
| 150.694 | 150.694 | 907.310 | -0.000 | -0.000 | 0.000 |
| 0.000 | -0.000 | 0.000 | 104.442 | -0.000 | 0.000 |
| -0.000 | -0.000 | 0.000 | -0.000 | 104.442 | 0.000 |
| -0.000 | 0.000 | -0.000 | -0.000 | -0.000 | 55.750 |
| 122.925 | 112.851 | 150.695 | 0.000 | 0.000 | -0.000 |
| 112.851 | 122.925 | 150.695 | -0.000 | 0.000 | -0.000 |
| 150.697 | 150.697 | 907.298 | 0.000 | 0.000 | -0.000 |
| 0.000 | 0.000 | -0.000 | 104.442 | 0.000 | -0.000 |
| 0.000 | 0.000 | -0.000 | 0.000 | 104.442 | -0.000 |
| -0.000 | -0.000 | -0.000 | 0.000 | 0.000 | 5.037 |
| 173.637 | 62.138 | 150.694 | -0.000 | -0.000 | 0.000 |
| 112.851 | 122.924 | 150.694 | -0.000 | -0.000 | 0.000 |
| 150.692 | 150.692 | 907.319 | -0.000 | -0.000 | 0.000 |
| -0.000 | -0.000 | 0.000 | 104.442 | -0.000 | 0.000 |
| -0.000 | -0.000 | 0.000 | -0.000 | 104.442 | 0.000 |
| 0.000 | 0.000 | 0.000 | -0.000 | -0.000 | 5.037 |
| 844.361 | 574.890 | 583.131 | 0.000 | 0.000 | -0.000 |
| 566.149 | 853.102 | 583.131 | 0.000 | 0.000 | 0.000 |
| 583.131 | 583.131 | 1011.062 | 0.000 | 0.000 | -0.000 |
| -0.000 | -0.000 | 0.000 | 29.385 | 0.000 | 0.000 |
| -0.000 | 0.000 | 0.000 | 0.000 | 29.385 | 0.000 |
| -0.000 | 0.000 | 0.000 | 0.000 | 0.000 | 143.476 |
| 844.361 | 574.890 | 583.132 | -0.000 | -0.000 | -0.000 |
| 574.891 | 844.361 | 583.132 | -0.000 | -0.000 | -0.000 |
| 583.132 | 583.132 | 1011.062 | -0.000 | -0.000 | -0.000 |
| 0.000 | 0.000 | -0.000 | 29.385 | -0.000 | -0.000 |
| 0.000 | -0.000 | -0.000 | -0.000 | 29.385 | -0.000 |
| 0.000 | -0.000 | 0.000 | -0.000 | -0.000 | 143.476 |
| 844.360 | 574.889 | 583.131 | 0.000 | 0.000 | 0.000 |
| 574.890 | 844.360 | 583.131 | 0.000 | 0.000 | -0.000 |
| 583.131 | 583.131 | 1011.061 | 0.000 | 0.000 | 0.000 |
| -0.000 | -0.000 | 0.000 | 29.385 | 0.000 | -0.000 |
| -0.000 | -0.000 | 0.000 | 0.000 | 29.385 | -0.000 |
| -0.000 | 0.000 | -0.000 | 0.000 | 0.000 | 143.476 |
| 853.103 | 566.150 | 583.132 | -0.000 | -0.000 | -0.000 |
| 574.891 | 844.362 | 583.132 | -0.000 | -0.000 | -0.000 |
| 583.132 | 583.132 | 1011.063 | -0.000 | -0.000 | -0.000 |
| 0.000 | 0.000 | -0.000 | 29.385 | -0.000 | 0.000 |
| 0.000 | 0.000 | -0.000 | -0.000 | 29.385 | -0.000 |
| 0.000 | -0.000 | 0.000 | -0.000 | -0.000 | 143.476 |
| 844.353 | 574.880 | 583.123 | 0.000 | 0.000 | -0.000 |
| 574.882 | 844.350 | 583.123 | 0.000 | 0.000 | -0.000 |
| 583.125 | 583.125 | 1011.048 | 0.000 | 0.000 | 0.000 |
| -0.000 | -0.002 | 0.001 | 29.385 | 0.000 | 0.000 |
| -0.002 | -0.000 | 0.001 | 0.000 | 29.385 | 0.000 |
| -0.002 | 0.001 | -0.002 | 0.000 | 0.000 | 134.735 |
| 833.539 | 585.734 | 583.138 | -0.000 | -0.000 | -0.000 |
| 585.729 | 833.543 | 583.138 | -0.000 | -0.000 | 0.000 |
| 583.138 | 583.138 | 1011.076 | -0.000 | -0.000 | -0.000 |
| 0.000 | 0.002 | -0.001 | 29.385 | -0.000 | 0.000 |
| 0.002 | 0.000 | -0.001 | -0.000 | 29.385 | -0.000 |
| 0.002 | -0.001 | 0.002 | -0.000 | -0.000 | 134.735 |
| -284.470 | 303.625 | 561.930 | 0.000 | 0.000 | 0.000 |
| 303.625 | -284.470 | 561.930 | 0.000 | 0.000 | -0.000 |
| 561.929 | 561.930 | 343.189 | -0.000 | 0.000 | 0.000 |
| -0.000 | -0.000 | -0.000 | 126.600 | 0.000 | -0.000 |
| -0.000 | -0.000 | -0.000 | -0.000 | 126.600 | -0.000 |
| -0.000 | -0.000 | 0.000 | 0.000 | 0.000 | -294.047 |
| -284.470 | 303.625 | 561.929 | -0.000 | -0.000 | 0.000 |
| 303.625 | -284.470 | 561.929 | -0.000 | -0.000 | 0.000 |
| 561.930 | 561.930 | 343.189 | -0.000 | 0.000 | 0.000 |
| 0.000 | 0.000 | -0.000 | 126.600 | 0.000 | 0.000 |
| 0.000 | 0.000 | -0.000 | -0.000 | 126.600 | -0.000 |
| 0.000 | 0.000 | -0.000 | -0.000 | -0.000 | -294.047 |
| -284.470 | 303.625 | 561.930 | 0.000 | 0.000 | -0.000 |
| 303.625 | -284.470 | 561.930 | 0.000 | 0.000 | -0.000 |
| 561.930 | 561.930 | 343.189 | -0.000 | 0.000 | 0.000 |
| 0.000 | -0.000 | 0.000 | 126.601 | 0.000 | 0.000 |
| -0.000 | 0.000 | 0.000 | 0.000 | 126.601 | 0.000 |
| -0.000 | -0.000 | 0.000 | 0.000 | 0.000 | -294.047 |
| -219.330 | 238.485 | 561.929 | 0.000 | 0.000 | -0.000 |
| 238.485 | -219.330 | 561.929 | 0.000 | 0.000 | 0.000 |
| 561.929 | 561.929 | 343.189 | 0.000 | 0.000 | -0.000 |
| 0.000 | 0.000 | -0.000 | 126.601 | -0.000 | -0.000 |
| 0.000 | -0.000 | -0.000 | -0.000 | 126.601 | -0.000 |
| 0.000 | 0.000 | -0.000 | -0.000 | -0.000 | -294.047 |
| -284.476 | 303.631 | 561.935 | 0.000 | 0.000 | -0.000 |
| 303.629 | -284.474 | 561.935 | 0.000 | 0.000 | 0.000 |
| 561.931 | 561.931 | 343.190 | 0.000 | 0.000 | 0.000 |
| 0.000 | -0.000 | 0.000 | 126.601 | 0.000 | -0.000 |
| -0.000 | 0.000 | 0.000 | 0.000 | 126.601 | -0.000 |
| -0.000 | -0.005 | 0.001 | 0.000 | 0.000 | -294.047 |
| -284.464 | 303.619 | 561.924 | -0.000 | -0.000 | 0.000 |
| 303.628 | -284.473 | 561.924 | -0.000 | -0.000 | 0.000 |
| 561.928 | 561.928 | 343.188 | -0.000 | -0.000 | 0.000 |
| -0.000 | 0.000 | -0.000 | 126.601 | -0.000 | 0.000 |
| 0.000 | -0.000 | -0.000 | -0.000 | 126.601 | 0.000 |
| 0.000 | 0.005 | -0.001 | -0.000 | -0.000 | -294.047 |
| 169.143 | 64.074 | 64.074 | 0.000 | 0.000 | 0.000 |
| 64.074 | 169.143 | 64.074 | 0.000 | 0.000 | 0.000 |
| 64.074 | 64.074 | 169.143 | -0.000 | -0.000 | 0.000 |
| 0.000 | -0.000 | 0.000 | 71.649 | -0.000 | -0.000 |
| -0.000 | -0.000 | 0.000 | -0.000 | 71.649 | 0.000 |
| 0.000 | -0.000 | 0.000 | 0.000 | 0.000 | 71.649 |
| 169.143 | 64.074 | 64.074 | -0.000 | -0.000 | -0.000 |
| 64.074 | 169.143 | 64.074 | -0.000 | -0.000 | -0.000 |
| 64.074 | 64.074 | 169.143 | -0.000 | -0.000 | 0.000 |
| 0.000 | 0.000 | -0.000 | 71.649 | 0.000 | -0.000 |
| -0.000 | 0.000 | -0.000 | 0.000 | 71.649 | -0.000 |
| 0.000 | 0.000 | 0.000 | -0.000 | 0.000 | 71.649 |
| 169.143 | 64.074 | 64.074 | 0.000 | 0.000 | -0.000 |
| 64.074 | 169.143 | 64.074 | 0.000 | 0.000 | -0.000 |
| 64.074 | 64.074 | 169.143 | -0.000 | -0.000 | 0.000 |
| 0.000 | -0.000 | 0.000 | 71.649 | -0.000 | -0.000 |
| -0.000 | -0.000 | 0.000 | -0.000 | 71.649 | 0.000 |
| -0.000 | -0.000 | 0.000 | 0.000 | 0.000 | 71.649 |
| 169.143 | 64.074 | 64.074 | -0.000 | -0.000 | 0.000 |
| 64.074 | 169.143 | 64.074 | -0.000 | -0.000 | -0.000 |
| 64.074 | 64.074 | 169.143 | -0.000 | -0.000 | -0.000 |
| 0.000 | -0.000 | -0.000 | 71.649 | 0.000 | -0.000 |
| 0.000 | -0.000 | -0.000 | 0.000 | 71.649 | -0.000 |
| 0.000 | 0.000 | 0.000 | -0.000 | -0.000 | 71.649 |
| 169.143 | 64.075 | 64.075 | 0.000 | 0.000 | -0.000 |
| 64.075 | 169.143 | 64.075 | 0.000 | 0.000 | -0.000 |
| 64.075 | 64.075 | 169.143 | -0.000 | -0.000 | 0.000 |
| 0.000 | -0.000 | 0.000 | 71.649 | -0.000 | 0.000 |
| -0.000 | 0.000 | 0.000 | -0.000 | 71.649 | 0.000 |
| -0.000 | 0.000 | 0.000 | 0.000 | 0.000 | 71.649 |
| 169.142 | 64.074 | 64.074 | -0.000 | -0.000 | 0.000 |
| 64.074 | 169.142 | 64.074 | -0.000 | -0.000 | 0.000 |
| 64.074 | 64.074 | 169.142 | 0.000 | -0.000 | -0.000 |
| -0.000 | 0.000 | -0.000 | 71.649 | 0.000 | -0.000 |
| 0.000 | -0.000 | -0.000 | 0.000 | 71.649 | 0.000 |
| 0.000 | -0.000 | -0.000 | -0.000 | -0.000 | 71.649 |
| 239.648 | 117.968 | 32.184 | -0.000 | -0.000 | 0.000 |
| 117.968 | 239.648 | 32.184 | 0.000 | -0.000 | 0.000 |
| 32.184 | 32.184 | 378.630 | 0.000 | -0.000 | 0.000 |
| 0.000 | -0.000 | 0.000 | 23.546 | -0.000 | 0.000 |
| -0.000 | -0.000 | 0.000 | 0.000 | 23.546 | 0.000 |
| 0.000 | -0.000 | 0.000 | -0.000 | -0.000 | 16.019 |
| 239.648 | 117.968 | 32.184 | -0.000 | 0.000 | -0.000 |
| 117.968 | 239.648 | 32.184 | 0.000 | 0.000 | -0.000 |
| 32.184 | 32.184 | 378.630 | -0.000 | 0.000 | -0.000 |
| -0.000 | 0.000 | -0.000 | 23.546 | 0.000 | -0.000 |
| -0.000 | 0.000 | -0.000 | -0.000 | 23.546 | -0.000 |
| -0.000 | 0.000 | -0.000 | 0.000 | 0.000 | 16.019 |
| 239.648 | 117.968 | 32.184 | -0.000 | -0.000 | 0.000 |
| 117.968 | 239.648 | 32.184 | -0.000 | -0.000 | 0.000 |
| 32.184 | 32.184 | 378.631 | -0.000 | -0.000 | 0.000 |
| 0.000 | -0.000 | -0.000 | 23.546 | -0.000 | 0.000 |
| 0.000 | -0.000 | -0.000 | 0.000 | 23.546 | 0.000 |
| -0.000 | -0.000 | 0.000 | -0.000 | -0.000 | 16.019 |
| 239.648 | 117.968 | 32.184 | 0.000 | 0.000 | -0.000 |
| 117.968 | 239.648 | 32.184 | -0.000 | 0.000 | -0.000 |
| 32.184 | 32.184 | 378.630 | -0.000 | 0.000 | -0.000 |
| -0.000 | 0.000 | 0.000 | 23.546 | 0.000 | -0.000 |
| -0.000 | 0.000 | 0.000 | -0.000 | 23.546 | -0.000 |
| 0.000 | 0.000 | 0.000 | 0.000 | 0.000 | 16.019 |
| 239.648 | 117.969 | 32.184 | -0.000 | -0.000 | 0.000 |
| 117.969 | 239.648 | 32.184 | 0.000 | -0.000 | 0.000 |
| 32.184 | 32.184 | 378.632 | -0.000 | -0.000 | 0.000 |
| -0.000 | -0.000 | -0.000 | 23.546 | -0.000 | 0.000 |
| -0.000 | -0.000 | -0.000 | -0.000 | 23.546 | 0.000 |
| -0.000 | -0.000 | -0.000 | -0.000 | -0.000 | 16.019 |
| 239.648 | 117.967 | 32.184 | -0.000 | -0.000 | -0.000 |
| 117.967 | 239.648 | 32.184 | 0.000 | 0.000 | -0.000 |
| 32.184 | 32.184 | 378.628 | 0.000 | 0.000 | -0.000 |
| 0.000 | 0.000 | 0.000 | 23.546 | 0.000 | -0.000 |
| 0.000 | 0.000 | 0.000 | 0.000 | 23.546 | -0.000 |
| 0.000 | 0.000 | 0.000 | 0.000 | 0.000 | 16.019 |
| 175.742 | 138.019 | 103.331 | -0.000 | -0.000 | 0.000 |
| 138.019 | 175.742 | 103.331 | -0.000 | -0.000 | 0.000 |
| 103.332 | 103.332 | 346.993 | -0.000 | -0.000 | 0.000 |
| -0.000 | -0.000 | -0.000 | 96.447 | -0.000 | 0.000 |
| -0.000 | -0.000 | -0.000 | -0.000 | 96.447 | 0.000 |
| 0.000 | -0.000 | -0.000 | -0.000 | -0.000 | 152.260 |
| 175.742 | 138.019 | 103.332 | 0.000 | 0.000 | 0.000 |
| 138.019 | 175.742 | 103.332 | 0.000 | 0.000 | 0.000 |
| 103.332 | 103.332 | 346.993 | 0.000 | 0.000 | 0.000 |
| 0.000 | -0.000 | 0.000 | 96.447 | 0.000 | -0.000 |
| -0.000 | 0.000 | 0.000 | 0.000 | 96.447 | -0.000 |
| -0.000 | 0.000 | 0.000 | 0.000 | 0.000 | 152.260 |
| 175.742 | 138.019 | 103.332 | -0.000 | -0.000 | 0.000 |
| 138.019 | 175.742 | 103.332 | -0.000 | -0.000 | 0.000 |
| 103.332 | 103.332 | 346.993 | -0.000 | -0.000 | 0.000 |
| 0.000 | 0.000 | -0.000 | 96.447 | -0.000 | 0.000 |
| 0.000 | 0.000 | -0.000 | -0.000 | 96.447 | 0.000 |
| 0.000 | 0.000 | 0.000 | -0.000 | -0.000 | 152.260 |
| 175.742 | 138.019 | 103.332 | 0.000 | 0.000 | 0.000 |
| 138.019 | 175.742 | 103.332 | 0.000 | 0.000 | 0.000 |
| 103.332 | 103.332 | 346.993 | 0.000 | 0.000 | -0.000 |
| -0.000 | -0.000 | -0.000 | 96.447 | 0.000 | -0.000 |
| -0.000 | -0.000 | 0.000 | 0.000 | 96.447 | -0.000 |
| -0.000 | -0.000 | -0.000 | 0.000 | 0.000 | 152.260 |
| 175.743 | 138.019 | 103.332 | -0.000 | -0.000 | -0.000 |
| 138.019 | 175.743 | 103.332 | -0.000 | -0.000 | 0.000 |
| 103.332 | 103.332 | 346.995 | -0.000 | -0.000 | 0.000 |
| 0.000 | 0.000 | 0.000 | 96.447 | -0.000 | -0.000 |
| 0.000 | 0.000 | 0.000 | -0.000 | 96.447 | 0.000 |
| 0.000 | 0.000 | 0.000 | -0.000 | -0.000 | 152.260 |
| 175.742 | 138.018 | 103.331 | 0.000 | 0.000 | -0.000 |
| 138.018 | 175.742 | 103.331 | 0.000 | 0.000 | 0.000 |
| 103.331 | 103.331 | 346.992 | 0.000 | 0.000 | 0.000 |
| -0.000 | -0.000 | -0.000 | 96.447 | 0.000 | -0.000 |
| -0.000 | -0.000 | -0.000 | 0.000 | 96.447 | -0.000 |
| -0.000 | -0.000 | -0.000 | 0.000 | 0.000 | 152.260 |
| 190.310 | 60.495 | 120.950 | -85.542 | -0.000 | -0.001 |
| 60.497 | 190.310 | 120.950 | 85.541 | 0.000 | -0.000 |
| 120.947 | 120.947 | 129.706 | -0.000 | 0.000 | -0.000 |
| -85.542 | 85.541 | 0.000 | 125.354 | 0.000 | -0.000 |
| 0.000 | -0.001 | 0.000 | -0.000 | 125.354 | -85.543 |
| 0.000 | -0.001 | 0.000 | -0.000 | -85.542 | 64.906 |
| 190.311 | 60.498 | 120.949 | -85.542 | -0.000 | 0.001 |
| 60.496 | 190.311 | 120.949 | 85.542 | -0.000 | 0.001 |
| 120.947 | 120.949 | 129.706 | 0.000 | -0.000 | 0.001 |
| -85.541 | 85.542 | -0.000 | 125.355 | -0.000 | 0.000 |
| -0.000 | 0.001 | -0.000 | 0.000 | 125.354 | -85.541 |
| -0.000 | 0.001 | -0.000 | 0.000 | -85.542 | 64.908 |
| 190.310 | 60.497 | 120.950 | -85.542 | 0.000 | -0.000 |
| 60.496 | 190.311 | 120.950 | 85.542 | 0.000 | 0.000 |
| 120.948 | 120.948 | 129.706 | -0.000 | 0.000 | -0.000 |
| -85.542 | 85.542 | 0.000 | 125.354 | 0.000 | -0.000 |
| 0.000 | -0.000 | 0.000 | -0.000 | 125.354 | -85.542 |
| -0.000 | -0.000 | 0.000 | -0.000 | -85.542 | 64.907 |
| 190.310 | 60.497 | 120.950 | -85.542 | 0.000 | 0.000 |
| 60.497 | 190.310 | 120.950 | 85.542 | -0.000 | 0.000 |
| 120.948 | 120.948 | 129.706 | 0.000 | -0.000 | 0.000 |
| -85.542 | 85.542 | -0.000 | 125.354 | -0.000 | 0.000 |
| -0.000 | 0.000 | -0.000 | 0.000 | 125.354 | -85.542 |
| 0.000 | 0.000 | -0.000 | 0.000 | -85.542 | 64.907 |
| 190.311 | 60.497 | 120.950 | -85.542 | 0.000 | -0.000 |
| 60.497 | 190.311 | 120.950 | 85.542 | 0.000 | 0.000 |
| 120.948 | 120.948 | 129.706 | -0.000 | 0.000 | -0.000 |
| -85.542 | 85.542 | 0.000 | 125.355 | 0.000 | -0.000 |
| 0.000 | 0.000 | 0.000 | -0.000 | 125.354 | -85.542 |
| 0.000 | -0.000 | 0.000 | -0.000 | -85.542 | 64.907 |
| 190.310 | 60.496 | 120.949 | -85.541 | -0.000 | 0.000 |
| 60.496 | 190.310 | 120.949 | 85.541 | -0.000 | -0.000 |
| 120.947 | 120.947 | 129.706 | 0.000 | -0.000 | 0.000 |
| -85.542 | 85.542 | -0.000 | 125.354 | -0.000 | 0.000 |
| -0.000 | -0.000 | -0.000 | 0.000 | 125.354 | -85.542 |
| -0.000 | 0.000 | -0.000 | 0.000 | -85.542 | 64.907 |
| 371.731 | -0.000 | -0.000 | -0.000 | -0.000 | 0.000 |
| -0.000 | 371.731 | -0.000 | -0.000 | -0.000 | -0.000 |
| -0.000 | -0.000 | 371.731 | -0.000 | -0.000 | -0.000 |
| -0.000 | -0.000 | -0.000 | 4.404 | -0.000 | -0.000 |
| -0.000 | -0.000 | -0.000 | -0.000 | 4.404 | 0.000 |
| 0.000 | -0.000 | -0.000 | -0.000 | -0.000 | 4.404 |
| 371.731 | 0.000 | 0.000 | 0.000 | 0.000 | -0.000 |
| 0.000 | 371.731 | 0.000 | 0.000 | 0.000 | -0.000 |
| -0.000 | 0.000 | 371.731 | -0.000 | -0.000 | 0.000 |
| 0.000 | 0.000 | 0.000 | 4.404 | 0.000 | 0.000 |
| 0.000 | 0.000 | 0.000 | 0.000 | 4.404 | 0.000 |
| 0.000 | 0.000 | 0.000 | 0.000 | 0.000 | 4.404 |
| 371.732 | -0.000 | -0.000 | -0.000 | -0.000 | -0.000 |
| -0.000 | 371.732 | -0.000 | -0.000 | -0.000 | 0.000 |
| 0.000 | -0.000 | 371.732 | 0.000 | 0.000 | -0.000 |
| -0.000 | -0.000 | -0.000 | 4.404 | 0.000 | -0.000 |
| -0.000 | -0.000 | -0.000 | 0.000 | 4.404 | 0.000 |
| -0.000 | -0.000 | -0.000 | -0.000 | -0.000 | 4.404 |
| 371.731 | 0.000 | -0.000 | 0.000 | -0.000 | -0.000 |
| 0.000 | 371.731 | -0.000 | -0.000 | 0.000 | -0.000 |
| 0.000 | 0.000 | 371.731 | -0.000 | -0.000 | 0.000 |
| 0.000 | -0.000 | 0.000 | 4.404 | -0.000 | -0.000 |
| 0.000 | 0.000 | 0.000 | 0.000 | 4.404 | 0.000 |
| 0.000 | 0.000 | 0.000 | 0.000 | 0.000 | 4.404 |
| 371.733 | -0.000 | -0.000 | -0.000 | -0.000 | -0.000 |
| -0.000 | 371.733 | -0.000 | -0.000 | -0.000 | 0.000 |
| -0.000 | -0.000 | 371.733 | 0.000 | 0.000 | -0.000 |
| 0.000 | 0.000 | -0.000 | 4.404 | 0.000 | 0.000 |
| 0.000 | -0.000 | -0.000 | 0.000 | 4.404 | 0.000 |
| 0.000 | -0.000 | -0.000 | -0.000 | -0.000 | 4.404 |
| 371.729 | 0.000 | -0.000 | 0.000 | 0.000 | 0.000 |
| 0.000 | 371.729 | 0.000 | 0.000 | 0.000 | -0.000 |
| 0.000 | 0.000 | 371.729 | -0.000 | -0.000 | 0.000 |
| 0.000 | -0.000 | 0.000 | 4.404 | -0.000 | 0.000 |
| 0.000 | 0.000 | 0.000 | -0.000 | 4.404 | 0.000 |
| -0.000 | 0.000 | -0.000 | 0.000 | 0.000 | 4.404 |
| 130.951 | 81.037 | 118.825 | -0.000 | -0.000 | -0.000 |
| 62.231 | 622.625 | 224.391 | -0.000 | -0.000 | -0.000 |
| 109.214 | 243.013 | 211.330 | -0.000 | -0.000 | -0.000 |
| -0.169 | 0.471 | -1.336 | 20.555 | -0.000 | -0.000 |
| 0.000 | 0.000 | 0.000 | 0.000 | 131.792 | -0.000 |
| -0.483 | 3.144 | -5.989 | 0.000 | -0.000 | 1.721 |
| 131.259 | 80.989 | 120.276 | 0.000 | 0.000 | 0.000 |
| 88.255 | 674.639 | 278.999 | -0.000 | 0.000 | 0.000 |
| 154.068 | 292.859 | 353.645 | -0.000 | 0.000 | 0.000 |
| 0.169 | -0.471 | 1.336 | 20.555 | 0.000 | 0.000 |
| -0.000 | -0.000 | -0.000 | -0.000 | 131.792 | 0.000 |
| 0.483 | -3.144 | 5.989 | 0.000 | 0.000 | 1.721 |
| 130.725 | 82.900 | 115.547 | 0.000 | -0.000 | -0.000 |
| 62.581 | 621.401 | 227.453 | 0.000 | -0.000 | -0.000 |
| 111.479 | 224.187 | 244.356 | 0.000 | -0.000 | -0.000 |
| -0.022 | 0.088 | -0.204 | 20.330 | -0.000 | -0.000 |
| 0.000 | -0.000 | 0.000 | 0.000 | 131.792 | -0.000 |
| -0.049 | 0.320 | -0.609 | 0.000 | -0.000 | 1.174 |
| 130.802 | 82.628 | 116.226 | -0.000 | 0.000 | 0.000 |
| 88.255 | 674.639 | 278.999 | -0.000 | 0.000 | 0.000 |
| 154.068 | 292.859 | 353.644 | -0.000 | 0.000 | 0.000 |
| 0.022 | -0.087 | 0.204 | 20.330 | 0.000 | 0.000 |
| -0.000 | 0.000 | -0.000 | -0.000 | 131.792 | 0.000 |
| 0.049 | -0.320 | 0.609 | -0.000 | 0.000 | 1.174 |
| 130.761 | 82.780 | 115.857 | 0.000 | -0.000 | -0.000 |
| 62.621 | 621.287 | 227.770 | -0.000 | -0.000 | -0.000 |
| 109.613 | 241.690 | 214.733 | 0.000 | -0.000 | -0.000 |
| -0.006 | 0.002 | -0.030 | 20.330 | -0.000 | -0.000 |
| 0.000 | -0.000 | 0.000 | -0.000 | 131.792 | -0.000 |
| -0.004 | 0.032 | -0.060 | 0.000 | -0.000 | 1.169 |
| 130.765 | 82.748 | 115.916 | 0.000 | 0.000 | 0.000 |
| 62.617 | 621.241 | 227.814 | -0.000 | 0.000 | 0.000 |
| 109.592 | 241.615 | 214.729 | -0.000 | 0.000 | 0.000 |
| 0.006 | -0.002 | 0.030 | 20.330 | 0.000 | 0.000 |
| -0.000 | 0.000 | -0.000 | -0.000 | 131.792 | 0.000 |
| 0.004 | -0.032 | 0.060 | -0.000 | 0.000 | 1.169 |
| 76.652 | 68.928 | 68.928 | -0.000 | -0.000 | -0.000 |
| 68.928 | 76.652 | 68.928 | -0.000 | -0.000 | -0.000 |
| 68.928 | 68.928 | 76.652 | 0.000 | -0.000 | -0.000 |
| 0.000 | 0.000 | -0.000 | 17.679 | -0.000 | -0.000 |
| -0.000 | 0.000 | -0.000 | -0.000 | 17.679 | -0.000 |
| 0.000 | 0.000 | 0.000 | -0.000 | -0.000 | 17.679 |
| 76.652 | 68.928 | 68.928 | 0.000 | 0.000 | 0.000 |
| 68.928 | 76.652 | 68.928 | 0.000 | 0.000 | 0.000 |
| 68.928 | 68.928 | 76.652 | 0.000 | 0.000 | 0.000 |
| -0.000 | 0.000 | 0.000 | 17.679 | 0.000 | -0.000 |
| -0.000 | -0.000 | 0.000 | 0.000 | 17.679 | 0.000 |
| 0.000 | 0.000 | 0.000 | 0.000 | 0.000 | 17.679 |
| 76.652 | 68.928 | 68.928 | -0.000 | -0.000 | -0.000 |
| 68.928 | 76.652 | 68.928 | -0.000 | -0.000 | -0.000 |
| 68.928 | 68.928 | 76.652 | 0.000 | 0.000 | -0.000 |
| 0.000 | -0.000 | -0.000 | 17.679 | -0.000 | -0.000 |
| -0.000 | 0.000 | -0.000 | -0.000 | 17.679 | -0.000 |
| -0.000 | -0.000 | 0.000 | -0.000 | -0.000 | 17.679 |
| 76.652 | 68.928 | 68.928 | 0.000 | 0.000 | 0.000 |
| 68.928 | 76.652 | 68.928 | 0.000 | 0.000 | -0.000 |
| 68.928 | 68.928 | 76.652 | 0.000 | 0.000 | 0.000 |
| -0.000 | 0.000 | 0.000 | 17.679 | 0.000 | -0.000 |
| 0.000 | -0.000 | 0.000 | 0.000 | 17.679 | 0.000 |
| 0.000 | 0.000 | -0.000 | 0.000 | 0.000 | 17.679 |
| 76.653 | 68.928 | 68.928 | -0.000 | -0.000 | -0.000 |
| 68.928 | 76.653 | 68.928 | -0.000 | -0.000 | -0.000 |
| 68.928 | 68.928 | 76.653 | -0.000 | -0.000 | -0.000 |
| 0.000 | -0.000 | -0.000 | 17.679 | -0.000 | -0.000 |
| -0.000 | 0.000 | -0.000 | -0.000 | 17.679 | -0.000 |
| -0.000 | -0.000 | 0.000 | -0.000 | -0.000 | 17.679 |
| 76.652 | 68.928 | 68.928 | -0.000 | 0.000 | 0.000 |
| 68.928 | 76.652 | 68.928 | 0.000 | 0.000 | -0.000 |
| 68.928 | 68.928 | 76.652 | 0.000 | 0.000 | 0.000 |
| -0.000 | 0.000 | 0.000 | 17.679 | 0.000 | 0.000 |
| 0.000 | -0.000 | 0.000 | 0.000 | 17.679 | 0.000 |
| 0.000 | 0.000 | -0.000 | 0.000 | 0.000 | 17.679 |
| 195.245 | 19.283 | 45.986 | -0.000 | 13.580 | 0.000 |
| 21.514 | 211.206 | 44.521 | -0.000 | -21.244 | 0.000 |
| 85.109 | 52.076 | 161.788 | -0.000 | 11.776 | 0.000 |
| 23.088 | -2.349 | 1.112 | 52.089 | 4.669 | -2.023 |
| 5.705 | -21.196 | 23.165 | -0.000 | 70.440 | 0.000 |
| 23.073 | -0.762 | 2.016 | -1.990 | 5.099 | 38.705 |
| 117.318 | 47.704 | 61.743 | 0.000 | 0.263 | 0.000 |
| 21.514 | 211.206 | 44.521 | 0.000 | -21.244 | 0.000 |
| 43.113 | 55.159 | 157.211 | 0.000 | -2.054 | 0.000 |
| -23.088 | 2.349 | -1.112 | 52.089 | -4.669 | -2.023 |
| -11.201 | 6.869 | 2.373 | 0.000 | 23.678 | -0.000 |
| -23.073 | 0.762 | -2.016 | -1.990 | -5.099 | 38.705 |
| 148.564 | 47.095 | 61.634 | -0.000 | 5.670 | -0.000 |
| 46.592 | 169.305 | 55.251 | -0.000 | -1.683 | -0.000 |
| 43.884 | 45.208 | 193.214 | -0.000 | 23.165 | 0.000 |
| -0.000 | 0.000 | 0.000 | 84.567 | -0.000 | -18.251 |
| 2.690 | -1.017 | 7.330 | -0.000 | 36.072 | -0.000 |
| 0.838 | -0.192 | 0.206 | -1.573 | 0.296 | 39.026 |
| 138.599 | 45.041 | 61.131 | 0.000 | 3.344 | -0.000 |
| 45.055 | 169.342 | 54.913 | 0.000 | -2.133 | -0.000 |
| 59.436 | 56.178 | 164.208 | 0.000 | 8.927 | 0.000 |
| -0.000 | -0.000 | -0.000 | 84.567 | -0.000 | -18.251 |
| 5.705 | -21.196 | 23.165 | 0.000 | 70.439 | -0.000 |
| -0.838 | 0.192 | -0.206 | -1.573 | -0.296 | 39.026 |
| 141.102 | 45.225 | 61.332 | -0.000 | 4.037 | -0.000 |
| 45.527 | 168.774 | 54.113 | 0.000 | -1.394 | 0.000 |
| 61.971 | 55.278 | 161.899 | -0.000 | 6.213 | -0.000 |
| 0.280 | -0.017 | 0.013 | 52.188 | 0.055 | -1.668 |
| 1.136 | -1.397 | 7.508 | -0.000 | 35.749 | -0.000 |
| 0.223 | -0.019 | -0.000 | -1.699 | 0.045 | 37.460 |
| 139.818 | 45.405 | 62.047 | 0.000 | 4.771 | -0.000 |
| 45.695 | 169.420 | 55.042 | 0.000 | -1.973 | 0.000 |
| 61.642 | 55.293 | 161.875 | 0.000 | 6.136 | 0.000 |
| -0.280 | 0.017 | -0.013 | 52.188 | -0.055 | -1.668 |
| 0.768 | -1.363 | 7.476 | 0.000 | 35.659 | -0.000 |
| -0.223 | 0.019 | 0.000 | -1.699 | -0.045 | 37.460 |
| 47.584 | 77.384 | 61.775 | -0.000 | -0.000 | 0.000 |
| 86.360 | 319.815 | 59.356 | 0.000 | 0.000 | 0.000 |
| 83.007 | 63.713 | 287.719 | 0.000 | 0.000 | -0.000 |
| -3.070 | -0.092 | -0.174 | 56.085 | 0.000 | 0.000 |
| 0.000 | 0.000 | 0.000 | 0.000 | 76.982 | 0.000 |
| 0.000 | 0.000 | 0.000 | 0.000 | -0.000 | 75.479 |
| 46.132 | 75.940 | 61.439 | -0.000 | -0.000 | -0.000 |
| 74.797 | 315.656 | 58.112 | -0.000 | 0.000 | -0.000 |
| 83.007 | 63.713 | 287.719 | -0.000 | -0.000 | 0.000 |
| 3.070 | 0.092 | 0.174 | 56.085 | 0.000 | -0.000 |
| -0.000 | -0.000 | -0.000 | -0.000 | 76.982 | 0.000 |
| -0.000 | -0.000 | -0.000 | -0.000 | -0.000 | 75.479 |
| 145.526 | 87.370 | 79.661 | -0.000 | 0.000 | -0.000 |
| 86.360 | 319.815 | 59.356 | 0.000 | -0.000 | 0.000 |
| 83.008 | 63.713 | 287.720 | 0.000 | 0.000 | 0.000 |
| 0.000 | 0.000 | 0.000 | 57.390 | -0.000 | 0.000 |
| 0.095 | 0.084 | 0.064 | 0.000 | 73.292 | -0.000 |
| 0.068 | 0.102 | 0.082 | -0.000 | -0.000 | 71.351 |
| 145.526 | 87.370 | 79.661 | 0.000 | -0.000 | -0.000 |
| 75.470 | 316.090 | 58.816 | 0.000 | -0.000 | 0.000 |
| 83.007 | 63.713 | 287.719 | 0.000 | 0.000 | -0.000 |
| -0.000 | -0.000 | -0.000 | 57.390 | -0.000 | -0.000 |
| -0.000 | -0.000 | -0.000 | -0.000 | 76.982 | 0.000 |
| -0.068 | -0.102 | -0.082 | 0.000 | -0.000 | 71.351 |
| 46.957 | 76.611 | 61.262 | 0.000 | 0.000 | 0.000 |
| 75.591 | 316.176 | 58.890 | -0.000 | 0.000 | -0.000 |
| 63.587 | 62.612 | 283.475 | 0.000 | 0.000 | 0.000 |
| -0.016 | -0.000 | -0.001 | 56.723 | 0.000 | 0.000 |
| 0.000 | 0.000 | 0.000 | 0.000 | 76.982 | -0.000 |
| -0.031 | -0.001 | -0.002 | 0.000 | 0.000 | 72.648 |
| 50.162 | 76.703 | 62.624 | -0.000 | -0.000 | -0.000 |
| 72.980 | 316.462 | 58.141 | -0.000 | -0.000 | 0.000 |
| 63.530 | 62.606 | 283.446 | -0.000 | 0.000 | -0.000 |
| 0.016 | 0.000 | 0.001 | 56.723 | -0.000 | 0.000 |
| -0.000 | -0.000 | -0.000 | -0.000 | 76.982 | 0.000 |
| 0.031 | 0.001 | 0.002 | -0.000 | -0.000 | 72.648 |
| -153622825.556 | 165014181.675 | -844731118.845 | 5036469.461 | 93968.019 | -2082070.122 |
| -163813630.595 | 187647638.912 | -827561946.165 | 4332523.443 | -23791.599 | 229697.778 |
| -154455484.568 | 168965431.878 | -842198266.606 | 7809086.126 | 63795.377 | -895967.855 |
| 0.000 | -0.000 | -0.000 | 134.012 | -0.000 | 0.000 |
| 0.000 | -0.000 | -0.000 | -0.000 | 3.892 | -0.000 |
| -152107709.761 | 168534912.631 | -839484418.923 | 7750326.331 | -39840.661 | -4635873.118 |
| 155593391.117 | -175867832.639 | 833166314.035 | -6929491.911 | 299314.976 | 131307.315 |
| 96.699 | 74.832 | 289.905 | -0.093 | 0.000 | -0.000 |
| 156014823.600 | -167976389.131 | 839074358.837 | -4753983.258 | 63250.948 | 293094.162 |
| -0.000 | -0.000 | 0.000 | 134.012 | 0.000 | 0.000 |
| -0.000 | -0.000 | 0.000 | 0.000 | 3.892 | -0.000 |
| 151392437.598 | -168393733.908 | 837106079.056 | -3270814.562 | -167739.021 | -36626.845 |
| -17172549.803 | 19202944.136 | -82341997.191 | 894503.629 | -56143.354 | -9109.228 |
| -17519910.451 | 20151993.894 | -81941938.093 | 259267.326 | -15898.681 | 54760.533 |
| -17105423.126 | 19522739.411 | -82035472.062 | 585077.119 | -4102.807 | -14713.514 |
| -30242081.932 | 37444936.260 | -80895175.862 | -8924170.926 | 1687.878 | 1369.792 |
| -15725466.467 | 16901787.137 | -83903256.945 | 701113.502 | 30655.405 | -17095.727 |
| -15771796.414 | 17147799.433 | -83814700.597 | 565538.496 | -9286.205 | -14117.853 |
| 17362642.817 | -19806516.671 | 82076142.975 | -805985.255 | 63998.792 | -125889.949 |
| 17436922.215 | -20130998.687 | 81737404.874 | -566615.895 | 27109.279 | -58299.075 |
| 17301300.168 | -19666183.179 | 82396033.794 | -854320.474 | 38507.186 | -45011.993 |
| 30241519.135 | -37450523.313 | 80889983.478 | -8924931.018 | 63936.076 | -70598.622 |
| 0.000 | -0.003 | -0.006 | -0.005 | 3.431 | -0.000 |
| 15768023.843 | -17169307.766 | 83872039.872 | -513220.274 | 11660.659 | 12961.633 |
| -1748506.861 | 2013595.195 | -8200173.849 | 33673.127 | -2890.067 | 4989.268 |
| -1751566.310 | 2017367.813 | -8197672.818 | 34941.423 | -2638.962 | 4368.998 |
| -1748383.939 | 2009511.236 | -8202022.064 | 34542.517 | -2717.647 | 4677.095 |
| -3024198.586 | 3743940.007 | -8089683.146 | -892318.138 | 5972.366 | 6320.683 |
| -1572418.247 | 1726896.043 | -8367385.661 | 48772.579 | 272.402 | -6407.669 |
| -0.000 | 0.000 | 0.000 | 0.001 | -0.000 | 14.844 |
| 1753329.917 | -2015825.056 | 8193840.379 | -26312.481 | 1474.238 | -5500.542 |
| 1751066.594 | -2011210.311 | 8200770.048 | -33895.596 | 3240.154 | -3412.148 |
| 1752990.228 | -2015760.242 | 8194020.104 | -26207.676 | 1457.906 | -5526.665 |
| 3020257.783 | -3614340.414 | 8400439.935 | -862473.388 | -0.001 | 0.001 |
| 1571849.108 | -1725148.886 | 8370432.302 | -49815.192 | 844.313 | 3779.818 |
| 1576794.578 | -1713778.515 | 8384456.863 | -64125.367 | 967.495 | -2381.204 |
| -3.990 | -101.096 | 481.790 | -0.000 | 0.000 | -0.000 |
| 29.950 | 210.219 | 36.980 | -0.000 | 0.000 | -0.000 |
| -126.655 | -92.414 | 570.804 | -0.000 | 0.000 | -0.000 |
| -167.338 | -153.805 | 448.437 | 34.160 | 0.000 | -0.000 |
| -120.700 | -171.153 | 488.229 | -0.000 | 43.373 | -0.000 |
| -120.684 | -171.151 | 488.222 | -0.000 | 0.000 | 36.112 |
| 329.890 | 207.244 | -415.539 | -0.000 | -0.000 | 0.000 |
| 217.740 | 330.066 | -387.475 | 0.000 | -0.000 | 0.000 |
| 157.678 | 233.255 | -367.443 | 0.000 | -0.000 | 0.000 |
| 167.338 | 153.805 | -448.437 | 34.161 | -0.000 | 0.000 |
| 120.700 | 171.153 | -488.229 | 0.000 | 43.373 | 0.000 |
| 120.684 | 171.151 | -488.222 | 0.000 | -0.000 | 36.112 |
| 146.351 | 35.488 | 81.736 | -0.000 | 0.000 | -0.000 |
| 41.076 | 155.916 | 108.214 | -0.000 | 0.000 | -0.000 |
| 35.504 | 37.826 | 169.324 | 0.000 | 0.000 | -0.000 |
| -17.505 | -16.089 | 46.909 | 33.149 | 0.000 | -0.000 |
| -17.111 | -15.727 | 45.855 | 0.000 | 46.403 | -0.000 |
| -16.621 | -15.277 | 44.541 | -0.000 | 0.000 | 36.412 |
| 173.715 | 72.684 | -12.941 | 0.000 | -0.000 | 0.000 |
| 68.828 | 191.470 | 14.162 | -0.000 | -0.000 | 0.000 |
| 57.064 | 77.255 | 77.049 | 0.000 | -0.000 | 0.000 |
| 17.505 | 16.089 | -46.909 | 33.149 | -0.000 | 0.000 |
| 17.111 | 15.727 | -45.855 | -0.000 | 46.403 | 0.000 |
| 16.621 | 15.277 | -44.541 | 0.000 | -0.000 | 36.412 |
| 155.349 | 51.252 | 42.580 | -0.000 | 0.000 | -0.000 |
| 51.330 | 171.412 | 66.990 | 0.000 | 0.000 | -0.000 |
| 38.134 | 60.942 | 125.869 | -0.000 | 0.000 | -0.000 |
| -1.980 | -1.820 | 5.306 | 30.136 | 0.000 | -0.000 |
| -1.800 | -1.654 | 4.824 | -0.000 | 45.038 | -0.000 |
| -1.640 | -1.507 | 4.394 | 0.000 | 0.000 | 36.740 |
| 159.117 | 55.730 | 30.966 | 0.000 | -0.000 | 0.000 |
| 55.259 | 174.482 | 57.268 | -0.000 | -0.000 | 0.000 |
| 37.195 | 63.991 | 114.928 | 0.000 | -0.000 | 0.000 |
| 1.980 | 1.820 | -5.306 | 30.137 | -0.000 | 0.000 |
| 1.800 | 1.654 | -4.824 | 0.000 | 45.038 | -0.000 |
| 1.640 | 1.507 | -4.394 | 0.000 | -0.000 | 36.740 |
| 131.301 | 45.360 | 44.274 | -1.717 | 38.745 | -9.988 |
| 40.875 | 116.296 | 69.427 | 2.869 | 11.308 | -7.028 |
| 47.901 | 72.407 | 131.298 | -12.297 | -11.950 | 6.627 |
| -4.946 | -2.320 | -10.856 | 22.357 | 11.866 | 3.812 |
| 27.101 | 10.139 | -15.882 | 10.020 | 40.820 | -3.725 |
| 0.213 | -7.285 | 4.463 | 9.636 | 3.954 | 7.121 |
| 129.879 | 45.347 | 44.628 | -1.050 | 36.268 | -11.213 |
| 43.056 | 124.722 | 68.238 | 2.497 | 12.440 | -9.639 |
| 48.577 | 73.769 | 131.564 | -12.126 | -13.048 | 3.475 |
| -4.784 | -3.886 | -8.588 | 23.491 | 11.924 | 3.654 |
| 25.506 | 6.881 | -12.940 | 10.446 | 38.151 | -12.675 |
| -0.493 | -8.224 | 3.612 | 8.538 | 4.121 | 4.946 |
| 129.154 | 42.951 | 45.804 | -1.148 | 36.140 | -8.634 |
| 38.715 | 115.888 | 70.055 | 2.455 | 10.754 | -6.059 |
| 47.751 | 73.658 | 130.876 | -10.623 | -11.621 | 4.465 |
| -4.884 | -2.990 | -10.869 | 22.640 | 11.977 | 2.484 |
| 23.412 | 6.491 | -11.585 | 12.024 | 36.979 | -6.964 |
| 1.555 | -4.908 | 0.703 | 7.038 | 5.023 | 3.285 |
| 129.176 | 43.129 | 45.855 | -1.067 | 36.044 | -8.854 |
| 41.745 | 119.735 | 69.153 | 2.543 | 11.258 | -9.899 |
| 47.774 | 73.837 | 130.898 | -10.593 | -11.704 | 4.209 |
| -4.850 | -2.855 | -10.866 | 22.679 | 11.911 | 2.213 |
| 23.476 | 6.683 | -11.596 | 12.058 | 36.908 | -7.256 |
| 1.537 | -4.741 | 0.907 | 6.851 | 5.033 | 3.047 |
| 129.100 | 43.045 | 45.684 | -1.393 | 36.202 | -8.692 |
| 38.754 | 115.915 | 70.237 | 2.671 | 10.696 | -6.144 |
| 47.741 | 73.931 | 130.870 | -10.751 | -11.652 | 4.311 |
| -4.955 | -2.980 | -10.741 | 22.646 | 11.861 | 2.501 |
| 23.366 | 6.193 | -11.657 | 11.883 | 36.926 | -6.981 |
| 1.426 | -4.991 | 1.016 | 6.969 | 4.897 | 3.194 |
| 129.102 | 43.064 | 45.688 | -1.388 | 36.193 | -8.715 |
| 38.491 | 116.548 | 67.911 | 2.534 | 11.007 | -6.692 |
| 47.749 | 73.957 | 130.870 | -10.749 | -11.665 | 4.287 |
| -4.952 | -2.957 | -10.739 | 22.650 | 11.853 | 2.477 |
| 23.369 | 6.214 | -11.655 | 11.888 | 36.917 | -7.006 |
| 1.429 | -4.969 | 1.018 | 6.973 | 4.888 | 3.170 |
| 230.905 | 80.156 | 53.621 | 0.000 | 0.000 | -0.000 |
| 80.156 | 230.905 | 53.621 | 0.000 | 0.000 | 0.000 |
| 51.070 | 51.070 | 226.128 | 0.000 | 0.000 | 0.000 |
| -0.025 | -0.025 | -0.112 | 20.485 | 0.000 | 0.000 |
| -0.025 | -0.025 | -0.112 | -0.000 | 20.485 | 0.000 |
| -0.000 | -0.000 | 0.000 | 0.000 | 0.000 | 75.375 |
| 225.018 | 82.629 | 46.021 | -0.000 | -0.000 | -0.000 |
| 80.156 | 230.905 | 53.621 | -0.000 | -0.000 | -0.000 |
| 54.776 | 54.776 | 242.627 | -0.000 | -0.000 | 0.000 |
| 0.025 | 0.025 | 0.112 | 20.485 | -0.000 | -0.000 |
| 0.025 | 0.025 | 0.112 | -0.000 | 20.485 | -0.000 |
| 0.000 | 0.000 | -0.000 | -0.000 | -0.000 | 75.375 |
| 225.030 | 82.609 | 46.003 | 0.000 | 0.000 | 0.000 |
| 82.609 | 225.030 | 46.003 | 0.000 | 0.000 | -0.000 |
| 54.776 | 54.776 | 242.627 | 0.000 | 0.000 | -0.000 |
| -0.003 | -0.003 | -0.011 | 20.484 | 0.000 | 0.000 |
| -0.000 | -0.000 | 0.000 | 0.000 | 57.969 | 0.000 |
| -0.000 | 0.000 | 0.000 | 0.000 | 0.000 | 75.375 |
| 230.905 | 80.156 | 53.621 | -0.000 | -0.000 | -0.000 |
| 88.325 | 221.396 | 50.637 | 0.000 | -0.000 | -0.000 |
| 54.776 | 54.776 | 242.627 | -0.000 | -0.000 | 0.000 |
| 0.003 | 0.003 | 0.011 | 20.484 | -0.000 | -0.000 |
| 0.000 | 0.000 | -0.000 | 0.000 | 57.969 | 0.000 |
| 0.000 | -0.000 | -0.000 | -0.000 | -0.000 | 75.375 |
| 220.670 | 88.730 | 49.919 | -0.000 | 0.000 | 0.000 |
| 82.611 | 225.030 | 46.004 | -0.000 | 0.000 | -0.000 |
| 51.075 | 51.075 | 226.150 | -0.000 | 0.000 | -0.000 |
| -0.000 | -0.000 | -0.001 | 20.484 | 0.000 | 0.000 |
| -0.000 | -0.000 | -0.001 | -0.000 | 20.484 | 0.000 |
| -0.000 | 0.000 | 0.000 | 0.000 | 0.000 | 75.375 |
| 225.028 | 82.611 | 46.004 | 0.000 | -0.000 | -0.000 |
| 88.324 | 221.394 | 50.635 | 0.000 | -0.000 | 0.000 |
| 51.075 | 51.075 | 226.150 | 0.000 | -0.000 | 0.000 |
| 0.000 | 0.000 | 0.001 | 20.484 | -0.000 | -0.000 |
| 0.000 | 0.000 | 0.001 | -0.000 | 20.484 | -0.000 |
| 0.000 | -0.000 | -0.000 | -0.000 | -0.000 | 75.375 |
| -48.517 | 429.005 | -247.624 | 0.000 | -0.000 | 0.000 |
| 39.877 | 181.100 | 35.975 | 0.000 | -0.000 | -0.000 |
| -100.622 | 420.691 | -44.113 | 0.000 | -0.000 | -0.000 |
| -155.868 | 362.793 | -184.192 | 39.039 | -0.000 | -0.000 |
| -126.946 | 243.633 | -159.242 | 0.000 | 47.959 | -0.000 |
| -0.000 | -0.000 | 0.000 | 0.000 | -0.000 | 77.562 |
| 265.153 | -193.020 | 206.366 | -0.000 | 0.000 | -0.000 |
| 207.578 | -218.009 | 241.405 | -0.000 | 0.000 | 0.000 |
| 211.300 | -304.556 | 323.700 | -0.000 | 0.000 | 0.000 |
| 155.868 | -362.793 | 184.192 | 39.039 | 0.000 | -0.000 |
| 126.946 | -243.633 | 159.242 | -0.000 | 47.959 | 0.000 |
| 0.000 | 0.000 | 0.000 | -0.000 | 0.000 | 77.562 |
| 126.838 | 86.637 | 36.384 | 0.000 | -0.000 | -0.000 |
| 38.669 | 174.264 | 42.524 | 0.000 | -0.000 | -0.000 |
| 38.840 | 90.244 | 126.679 | 0.000 | -0.000 | -0.000 |
| -14.598 | 33.977 | -17.250 | 41.166 | -0.000 | 0.000 |
| -12.651 | 24.290 | -15.867 | 0.000 | 48.057 | -0.000 |
| -14.602 | 33.987 | -17.255 | 0.000 | -0.000 | 40.913 |
| 153.636 | 18.201 | 72.994 | -0.000 | 0.000 | 0.000 |
| 62.951 | 122.814 | 68.177 | -0.000 | 0.000 | 0.000 |
| 69.099 | 24.506 | 157.627 | -0.000 | 0.000 | 0.000 |
| 14.598 | -33.977 | 17.250 | 41.166 | 0.000 | -0.000 |
| 14.603 | -33.989 | 17.256 | -0.000 | 40.957 | -0.000 |
| 14.602 | -33.987 | 17.255 | -0.000 | 0.000 | 40.913 |
| 141.536 | 51.325 | 47.352 | 0.000 | -0.000 | -0.000 |
| 48.047 | 154.276 | 50.005 | 0.000 | -0.000 | -0.000 |
| 48.140 | 54.328 | 148.852 | 0.000 | -0.000 | -0.000 |
| -1.032 | 2.402 | -1.220 | 50.368 | -0.000 | -0.000 |
| -1.076 | 2.505 | -1.272 | 0.000 | 50.593 | -0.000 |
| -1.205 | 2.404 | -1.496 | 0.000 | -0.000 | 49.043 |
| 145.047 | 46.095 | 49.794 | -0.000 | 0.000 | 0.000 |
| 50.744 | 147.834 | 53.310 | -0.000 | 0.000 | 0.000 |
| 50.424 | 49.074 | 153.228 | -0.000 | 0.000 | -0.000 |
| 1.032 | -2.402 | 1.220 | 50.368 | 0.000 | -0.000 |
| 1.076 | -2.505 | 1.272 | -0.000 | 50.593 | 0.000 |
| 1.205 | -2.404 | 1.496 | -0.000 | 0.000 | 49.043 |
| -538.740 | 1008.118 | 76.948 | 0.000 | 258.395 | -0.000 |
| 189.242 | 2960.404 | -118.980 | 0.000 | 345.051 | 0.000 |
| -542.431 | 1191.439 | 145.686 | 0.000 | 282.092 | -0.000 |
| -90.595 | 1711.056 | -265.126 | 30.195 | 43.217 | 29.226 |
| 3.215 | 2.440 | 0.332 | 0.000 | 73.069 | -0.000 |
| -600.930 | 1116.199 | 14.290 | 10.982 | 279.328 | -119.946 |
| 666.012 | -1230.443 | 48.330 | -0.000 | -301.775 | 0.000 |
| -156.086 | -1435.442 | 422.133 | -0.000 | -79.167 | 0.000 |
| 664.841 | -1051.170 | 117.086 | -0.000 | -279.106 | 0.000 |
| 90.595 | -1711.057 | 265.126 | 30.195 | -43.217 | 29.227 |
| 578.564 | -1185.204 | -13.192 | -0.000 | -261.177 | 0.000 |
| 600.930 | -1116.199 | -14.290 | 10.982 | -279.328 | -119.946 |
| 98.139 | 176.612 | 29.196 | 0.000 | 1.519 | -0.000 |
| 8.869 | 247.257 | 60.944 | 0.000 | 28.347 | -0.000 |
| 52.060 | 177.874 | 157.768 | 0.000 | 7.599 | -0.000 |
| -16.929 | 149.298 | -26.427 | 30.619 | 1.090 | 18.105 |
| 1.018 | 265.276 | -11.124 | 0.000 | 67.310 | -0.000 |
| -42.270 | 78.515 | 1.005 | 8.784 | 19.648 | -56.454 |
| 133.435 | -174.415 | 58.426 | -0.000 | -39.977 | 0.000 |
| 87.403 | -3.846 | 87.561 | -0.000 | -3.141 | 0.000 |
| 41.795 | -165.466 | 164.586 | -0.000 | -11.827 | 0.000 |
| 16.929 | -149.298 | 26.427 | 30.619 | -1.090 | 18.105 |
| 26.387 | -138.607 | 28.359 | -0.000 | 37.983 | 0.000 |
| 42.270 | -78.515 | -1.005 | 8.784 | -19.648 | -56.454 |
| 133.375 | 67.391 | 55.568 | 0.000 | 5.789 | -0.000 |
| 40.629 | 160.087 | 49.796 | 0.000 | -8.525 | -0.000 |
| 50.213 | 70.306 | 141.031 | 0.000 | 1.552 | -0.000 |
| -4.466 | 8.294 | 0.106 | 38.219 | 2.076 | 9.111 |
| -2.016 | 11.695 | -0.584 | 0.000 | 42.816 | -0.000 |
| -2.832 | 11.442 | -2.293 | 4.167 | -0.060 | 38.034 |
| 137.546 | 47.355 | 58.047 | -0.000 | 4.784 | 0.000 |
| 62.237 | 114.556 | 62.108 | -0.000 | -5.509 | 0.000 |
| 61.127 | 53.831 | 142.511 | -0.000 | -1.125 | 0.000 |
| 4.466 | -8.294 | -0.106 | 38.219 | -2.076 | 9.111 |
| 4.460 | -16.790 | 3.698 | 0.000 | 37.813 | 0.000 |
| 2.832 | -11.441 | 2.293 | 4.167 | 0.060 | 38.034 |
| 131.894 | 56.061 | 56.062 | 0.000 | 0.000 | -0.000 |
| 56.062 | 131.894 | 56.062 | 0.000 | -0.000 | -0.000 |
| 56.062 | 56.061 | 131.894 | -0.000 | 0.000 | -0.000 |
| 0.020 | 0.019 | 0.019 | 41.698 | 0.000 | -0.000 |
| 0.019 | 0.019 | 0.019 | -0.000 | 41.698 | -0.000 |
| 0.019 | 0.019 | 0.019 | -0.000 | -0.000 | 41.698 |
| 131.872 | 56.018 | 56.018 | 0.000 | -0.000 | 0.000 |
| 56.018 | 131.872 | 56.018 | 0.000 | -0.000 | 0.000 |
| 56.018 | 56.018 | 131.872 | -0.000 | -0.000 | 0.000 |
| -0.019 | -0.019 | -0.019 | 41.698 | 0.000 | 0.000 |
| -0.019 | -0.019 | -0.019 | 0.000 | 41.698 | 0.000 |
| -0.019 | -0.019 | -0.019 | -0.000 | -0.000 | 41.698 |
| 131.887 | 56.041 | 56.041 | 0.000 | 0.000 | -0.000 |
| 56.041 | 131.887 | 56.041 | 0.000 | 0.000 | -0.000 |
| 56.041 | 56.041 | 131.887 | -0.000 | -0.000 | -0.000 |
| -0.005 | -0.005 | -0.005 | 38.181 | -0.000 | -0.000 |
| -0.005 | -0.005 | -0.005 | -0.000 | 38.181 | -0.000 |
| -0.005 | -0.005 | -0.005 | 0.000 | 0.000 | 38.181 |
| 131.885 | 56.036 | 56.036 | 0.000 | -0.000 | -0.000 |
| 56.036 | 131.885 | 56.036 | 0.000 | -0.000 | 0.000 |
| 56.036 | 56.036 | 131.885 | 0.000 | 0.000 | 0.000 |
| 0.005 | 0.005 | 0.005 | 38.181 | -0.000 | 0.000 |
| 0.005 | 0.005 | 0.005 | -0.000 | 38.181 | 0.000 |
| 0.005 | 0.005 | 0.005 | 0.000 | 0.000 | 38.181 |
| 127.440 | 57.208 | 57.208 | -0.000 | 0.000 | -0.000 |
| 57.208 | 127.440 | 57.208 | -0.000 | 0.000 | -0.000 |
| 57.208 | 57.208 | 127.440 | 0.000 | 0.000 | -0.000 |
| 0.000 | 0.000 | 0.000 | 67.757 | -0.000 | -0.000 |
| 0.000 | 0.000 | 0.000 | 0.000 | 67.757 | 0.000 |
| 0.000 | 0.000 | 0.000 | 0.000 | -0.000 | 67.757 |
| 131.886 | 56.038 | 56.038 | -0.000 | -0.000 | 0.000 |
| 56.038 | 131.886 | 56.038 | 0.000 | -0.000 | 0.000 |
| 56.038 | 56.038 | 131.886 | -0.000 | -0.000 | 0.000 |
| -0.000 | -0.000 | -0.000 | 67.757 | 0.000 | 0.000 |
| -0.000 | -0.000 | -0.000 | 0.000 | 67.757 | 0.000 |
| -0.000 | -0.000 | -0.000 | -0.000 | 0.000 | 67.757 |
| 129.733 | 83.406 | 83.406 | 0.000 | 0.000 | 0.000 |
| 83.406 | 129.733 | 83.406 | 0.000 | 0.000 | 0.000 |
| 83.406 | 83.406 | 129.733 | -0.000 | -0.000 | 0.000 |
| -12.062 | -12.062 | -12.063 | 33.983 | -0.000 | -0.000 |
| -23.327 | -23.327 | -23.327 | -0.000 | 35.166 | -0.000 |
| 0.000 | 0.000 | -0.000 | 0.000 | -0.000 | 67.385 |
| 162.262 | 40.953 | 40.953 | 0.000 | -0.000 | -0.000 |
| 40.953 | 162.262 | 40.953 | 0.000 | 0.000 | -0.000 |
| 40.953 | 40.953 | 162.263 | 0.000 | -0.000 | -0.000 |
| 23.327 | 23.327 | 23.327 | 35.166 | -0.000 | 0.000 |
| 12.062 | 12.062 | 12.063 | 0.000 | 33.983 | 0.000 |
| -0.000 | -0.000 | 0.000 | 0.000 | -0.000 | 67.386 |
| 162.263 | 40.953 | 40.953 | -0.000 | -0.000 | 0.000 |
| 40.953 | 162.263 | 40.953 | 0.000 | 0.000 | 0.000 |
| 40.953 | 40.953 | 162.263 | 0.000 | -0.000 | 0.000 |
| 0.000 | 0.000 | 0.000 | 67.385 | -0.000 | -0.000 |
| 0.000 | -0.000 | 0.000 | -0.000 | 67.385 | 0.000 |
| 0.000 | 0.000 | -0.000 | -0.000 | -0.000 | 67.385 |
| 127.559 | 55.117 | 55.117 | -0.000 | 0.000 | 0.000 |
| 55.117 | 127.559 | 55.117 | 0.000 | -0.000 | -0.000 |
| 55.117 | 55.117 | 127.559 | 0.000 | 0.000 | -0.000 |
| -0.000 | -0.000 | -0.000 | 67.385 | -0.000 | -0.000 |
| -0.000 | 0.000 | -0.000 | 0.000 | 67.385 | -0.000 |
| -0.000 | -0.000 | 0.000 | -0.000 | 0.000 | 67.385 |
| 123.568 | 57.343 | 57.343 | -0.000 | -0.000 | 0.000 |
| 57.343 | 123.568 | 57.343 | -0.000 | -0.000 | 0.000 |
| 57.343 | 57.343 | 123.568 | 0.000 | -0.000 | -0.000 |
| 0.120 | 0.120 | 0.120 | 41.623 | -0.000 | 0.000 |
| 0.120 | 0.120 | 0.120 | 0.000 | 41.623 | -0.000 |
| 0.120 | 0.120 | 0.120 | -0.000 | -0.000 | 41.623 |
| 130.899 | 55.206 | 55.206 | 0.000 | -0.000 | 0.000 |
| 55.206 | 130.899 | 55.206 | 0.000 | 0.000 | 0.000 |
| 55.206 | 55.206 | 130.899 | 0.000 | 0.000 | 0.000 |
| -0.120 | -0.120 | -0.120 | 41.623 | 0.000 | -0.000 |
| -0.120 | -0.120 | -0.120 | 0.000 | 41.623 | -0.000 |
| -0.000 | -0.000 | -0.000 | -0.000 | 0.000 | 67.385 |
| 256.957 | 65.906 | 65.906 | -0.000 | -0.000 | -0.000 |
| 65.906 | 256.957 | 65.906 | -0.000 | -0.000 | 0.000 |
| 65.905 | 65.906 | 256.957 | -0.000 | -0.000 | 0.000 |
| -18.304 | -18.304 | -18.304 | 61.395 | -0.000 | 0.000 |
| -18.304 | -18.304 | -18.304 | -0.000 | 61.395 | -0.000 |
| -18.304 | -18.304 | -18.304 | 0.000 | -0.000 | 61.395 |
| 188.647 | 58.535 | 58.535 | 0.000 | 0.000 | -0.000 |
| 58.535 | 188.647 | 58.535 | 0.000 | 0.000 | 0.000 |
| 58.536 | 58.535 | 188.647 | 0.000 | 0.000 | -0.000 |
| 18.304 | 18.304 | 18.304 | 61.395 | 0.000 | 0.000 |
| 18.304 | 18.304 | 18.304 | 0.000 | 61.395 | -0.000 |
| 18.304 | 18.304 | 18.304 | 0.000 | 0.000 | 61.395 |
| 256.957 | 65.906 | 65.906 | -0.000 | -0.000 | -0.000 |
| 65.906 | 256.957 | 65.906 | -0.000 | 0.000 | -0.000 |
| 65.906 | 65.906 | 256.957 | -0.000 | 0.000 | -0.000 |
| -2.645 | -2.645 | -2.645 | 46.892 | -0.000 | -0.000 |
| -2.645 | -2.645 | -2.645 | -0.000 | 46.892 | 0.000 |
| -2.645 | -2.645 | -2.645 | -0.000 | -0.000 | 46.892 |
| 173.678 | 42.135 | 42.135 | 0.000 | 0.000 | 0.000 |
| 42.135 | 173.678 | 42.135 | 0.000 | 0.000 | -0.000 |
| 42.135 | 42.135 | 173.678 | 0.000 | -0.000 | -0.000 |
| 2.645 | 2.645 | 2.645 | 46.892 | 0.000 | -0.000 |
| 2.645 | 2.645 | 2.645 | 0.000 | 46.892 | 0.000 |
| 2.645 | 2.645 | 2.645 | 0.000 | 0.000 | 46.892 |
| 171.730 | 40.132 | 40.133 | -0.000 | -0.000 | -0.000 |
| 37.752 | 150.029 | 37.752 | 0.000 | -0.000 | -0.000 |
| 40.132 | 40.133 | 171.730 | -0.000 | -0.000 | 0.000 |
| -0.180 | -0.180 | -0.180 | 61.942 | -0.000 | 0.000 |
| -0.180 | -0.180 | -0.180 | -0.000 | 61.942 | -0.000 |
| -0.180 | -0.180 | -0.180 | -0.000 | -0.000 | 61.942 |
| 145.731 | 53.299 | 53.299 | 0.000 | 0.000 | -0.000 |
| 53.299 | 145.731 | 53.299 | 0.000 | 0.000 | -0.000 |
| 53.299 | 53.299 | 145.731 | 0.000 | 0.000 | 0.000 |
| 0.180 | 0.180 | 0.180 | 61.942 | 0.000 | 0.000 |
| 0.180 | 0.180 | 0.180 | 0.000 | 61.942 | 0.000 |
| 0.180 | 0.180 | 0.180 | 0.000 | 0.000 | 61.942 |
| -292.175 | -390.313 | -378.586 | 0.584 | -5.261 | 0.448 |
| -482.839 | -401.412 | -485.084 | 0.525 | -4.061 | 0.204 |
| 18.810 | -4.937 | 108.656 | 0.577 | -8.760 | 1.460 |
| -270.431 | -286.870 | -274.143 | 39.308 | -5.881 | 0.641 |
| -5.551 | -29.258 | -11.436 | 0.576 | 33.142 | 1.458 |
| -498.567 | -512.712 | -501.463 | 0.579 | -4.981 | 42.592 |
| 535.695 | 447.120 | 438.971 | -0.464 | 3.531 | -0.171 |
| 572.178 | 676.326 | 574.509 | -0.530 | 4.173 | -0.227 |
| 489.239 | 503.838 | 576.421 | -0.579 | 5.158 | -0.428 |
| 441.384 | 456.512 | 444.582 | 39.944 | 5.352 | -0.459 |
| 5.551 | 29.258 | 11.436 | -0.576 | 50.633 | -1.458 |
| 300.101 | 308.943 | 301.887 | -0.409 | 3.065 | 52.485 |
| 150.316 | 33.146 | 33.579 | 0.025 | -0.191 | 0.010 |
| 44.231 | 113.626 | 43.737 | 0.058 | -0.746 | 0.110 |
| 44.230 | 42.185 | 115.189 | 0.058 | -0.746 | 0.110 |
| -9.699 | -11.741 | -10.191 | 32.885 | -0.745 | 0.108 |
| -32.714 | -33.740 | -32.925 | 0.045 | 49.525 | 0.021 |
| -9.614 | -11.642 | -10.103 | 0.058 | -0.740 | 33.274 |
| 124.124 | 28.274 | 26.535 | -0.056 | 0.853 | -0.142 |
| 25.959 | 126.433 | 26.533 | -0.056 | 0.854 | -0.142 |
| 25.962 | 28.275 | 124.703 | -0.056 | 0.853 | -0.142 |
| 9.612 | 11.640 | 10.102 | 33.114 | 0.739 | -0.108 |
| 4.448 | 4.560 | 4.469 | -0.008 | 74.080 | 0.003 |
| 38.613 | 39.641 | 38.818 | -0.047 | 0.357 | 49.623 |
| 124.496 | 9.151 | 9.295 | 0.003 | -0.066 | 0.013 |
| 32.870 | 120.460 | 32.852 | 0.004 | -0.049 | 0.006 |
| 45.836 | 45.711 | 137.621 | 0.003 | -0.047 | 0.006 |
| -0.928 | -1.144 | -0.980 | 26.188 | -0.078 | 0.011 |
| -8.236 | -8.349 | -8.254 | 0.006 | 45.087 | 0.000 |
| -0.933 | -1.149 | -0.985 | 0.006 | -0.079 | 25.999 |
| 160.408 | 71.516 | 71.404 | -0.007 | 0.045 | -0.001 |
| 84.176 | 163.350 | 84.192 | -0.007 | 0.046 | -0.001 |
| 72.227 | 72.347 | 165.734 | -0.006 | 0.041 | -0.000 |
| 7.940 | 8.054 | 7.959 | 45.366 | 0.039 | -0.001 |
| 7.783 | 7.932 | 7.811 | -0.006 | 38.104 | -0.003 |
| 9.456 | 9.596 | 9.480 | -0.006 | 0.049 | 42.278 |
| 165.073 | 39.123 | 38.796 | 4.425 | 0.000 | 0.000 |
| 165.543 | 249.132 | 28.469 | 1.616 | -0.000 | -0.000 |
| 39.049 | 39.050 | 162.648 | -0.000 | -0.000 | -0.000 |
| 84.006 | 79.822 | -160.895 | 25.252 | -0.000 | -0.000 |
| 0.000 | 0.000 | -0.000 | -0.000 | 65.292 | 4.425 |
| 0.000 | 0.000 | -0.000 | -0.000 | 4.425 | 62.975 |
| 39.803 | -17.695 | 214.742 | 2.099 | 0.000 | 0.000 |
| -17.695 | 39.802 | 214.742 | -2.098 | 0.000 | 0.000 |
| 39.049 | 39.049 | 162.649 | 0.000 | 0.000 | 0.000 |
| -114.850 | -111.573 | 20.090 | 35.539 | 0.000 | 0.000 |
| -0.000 | -0.000 | 0.000 | 0.000 | 65.292 | 4.425 |
| -0.000 | -0.000 | 0.000 | 0.000 | 4.425 | 62.975 |
| 133.748 | 68.358 | 38.298 | 2.367 | -0.000 | 0.000 |
| 39.123 | 165.073 | 38.796 | -4.425 | -0.000 | 0.000 |
| 39.049 | 39.049 | 162.648 | -0.000 | -0.000 | -0.000 |
| 4.425 | -4.425 | -0.000 | 65.292 | -0.000 | 0.000 |
| 0.000 | 0.000 | -0.000 | -0.000 | 65.292 | 4.425 |
| 7.321 | 7.321 | -14.380 | -0.000 | 2.340 | 32.302 |
| 120.012 | 44.818 | 56.859 | -1.011 | 0.000 | -0.000 |
| 53.837 | 119.497 | 66.566 | -2.376 | 0.000 | 0.000 |
| 39.049 | 39.049 | 162.648 | 0.000 | 0.000 | 0.000 |
| 4.425 | -4.425 | 0.000 | 65.292 | 0.000 | 0.000 |
| -0.000 | 0.000 | 0.000 | 0.000 | 65.292 | 4.425 |
| -7.321 | -7.321 | 14.380 | 0.000 | 2.340 | 32.302 |
| 131.921 | 59.012 | 50.414 | 1.845 | -0.000 | 0.000 |
| 39.123 | 165.074 | 38.797 | -4.425 | -0.000 | 0.000 |
| 39.049 | 39.049 | 162.649 | -0.000 | -0.000 | -0.000 |
| 4.425 | -4.425 | 0.000 | 65.292 | -0.000 | 0.000 |
| 0.000 | 0.000 | 0.000 | 0.000 | 65.292 | 4.425 |
| 0.555 | 0.556 | -1.091 | -0.000 | 2.843 | 39.701 |
| 134.310 | 55.794 | 50.637 | 2.813 | 0.000 | -0.000 |
| 56.376 | 130.523 | 51.887 | -1.021 | 0.000 | 0.000 |
| 49.943 | 49.943 | 123.912 | 0.000 | 0.000 | 0.000 |
| 4.425 | -4.425 | -0.000 | 65.292 | 0.000 | -0.000 |
| -0.000 | -0.000 | -0.000 | -0.000 | 65.292 | 4.425 |
| -0.555 | -0.556 | 1.091 | 0.000 | 2.843 | 39.701 |
| 149.721 | 70.489 | 85.739 | -0.000 | 0.000 | -0.000 |
| 36.215 | 183.556 | 37.715 | 0.000 | 0.000 | -0.000 |
| 76.241 | 76.241 | 196.066 | 0.000 | 0.000 | 0.000 |
| 12.039 | 12.039 | 27.472 | 39.125 | 0.000 | 0.000 |
| 12.039 | 12.039 | 27.471 | 0.000 | 39.125 | -0.000 |
| 32.965 | 32.965 | 39.033 | 0.000 | 0.000 | 52.858 |
| 129.237 | 20.214 | 11.586 | -0.000 | -0.000 | 0.000 |
| 20.214 | 129.237 | 11.586 | -0.000 | -0.000 | 0.000 |
| 22.875 | 22.875 | 120.681 | 0.000 | -0.000 | 0.000 |
| -12.039 | -12.039 | -27.472 | 39.125 | -0.000 | -0.000 |
| -12.039 | -12.039 | -27.471 | -0.000 | 39.125 | 0.000 |
| -32.965 | -32.965 | -39.033 | -0.000 | -0.000 | 52.858 |
| 183.556 | 36.215 | 37.715 | -0.000 | 0.000 | -0.000 |
| 53.410 | 151.004 | 54.905 | 0.000 | 0.000 | -0.000 |
| 53.782 | 53.782 | 153.104 | -0.000 | -0.000 | -0.000 |
| 0.000 | 0.000 | 0.000 | 75.107 | 0.000 | -0.000 |
| 0.915 | 0.915 | 2.088 | 0.000 | 47.763 | -0.000 |
| 0.000 | 0.000 | -0.000 | -0.000 | 0.000 | 73.671 |
| 183.556 | 36.215 | 37.715 | 0.000 | -0.000 | 0.000 |
| 52.575 | 147.250 | 51.706 | 0.000 | -0.000 | 0.000 |
| 52.753 | 52.753 | 147.449 | 0.000 | 0.000 | 0.000 |
| -0.000 | -0.000 | -0.000 | 75.107 | 0.000 | 0.000 |
| -0.915 | -0.915 | -2.088 | -0.000 | 47.763 | 0.000 |
| -0.000 | -0.000 | 0.000 | -0.000 | -0.000 | 73.671 |
| 153.515 | 51.005 | 51.595 | 0.000 | 0.000 | -0.000 |
| 36.215 | 183.557 | 37.715 | -0.000 | 0.000 | -0.000 |
| 51.339 | 51.339 | 154.738 | 0.000 | 0.000 | -0.000 |
| 0.079 | 0.078 | 0.179 | 51.650 | 0.000 | -0.000 |
| 0.385 | 0.385 | 0.503 | 0.000 | 49.939 | -0.000 |
| 0.000 | 0.000 | 0.000 | -0.000 | 0.000 | 73.671 |
| 153.084 | 50.980 | 51.359 | -0.000 | -0.000 | 0.000 |
| 50.005 | 150.116 | 50.627 | -0.000 | -0.000 | 0.000 |
| 50.729 | 50.729 | 153.302 | 0.000 | 0.000 | 0.000 |
| -0.079 | -0.078 | -0.179 | 51.650 | -0.000 | 0.000 |
| -0.385 | -0.385 | -0.503 | 0.000 | 49.939 | 0.000 |
| -0.000 | -0.000 | -0.000 | -0.000 | -0.000 | 73.671 |
| 182.945 | 35.962 | 37.433 | -0.000 | -0.000 | -0.000 |
| 35.961 | 182.945 | 37.432 | -0.000 | -0.000 | -0.000 |
| 51.061 | 51.060 | 152.309 | 0.000 | 0.001 | 0.000 |
| -0.000 | -0.000 | -0.000 | 74.933 | 0.000 | 0.000 |
| -0.000 | -0.000 | 0.000 | -0.000 | 74.933 | -0.000 |
| 0.324 | 0.324 | -1.132 | -0.000 | -0.000 | 51.360 |
| 152.850 | 50.172 | 52.094 | 0.000 | 0.000 | 0.000 |
| 50.174 | 152.850 | 52.094 | 0.000 | 0.000 | -0.000 |
| 50.760 | 50.759 | 154.882 | 0.000 | 0.000 | 0.000 |
| 0.000 | -0.000 | -0.000 | 74.933 | -0.000 | -0.000 |
| 0.000 | 0.000 | -0.000 | 0.000 | 74.933 | 0.000 |
| -0.323 | -0.324 | 1.131 | 0.000 | -0.000 | 51.361 |
| 152.919 | 50.671 | 50.977 | -0.000 | -0.000 | -0.000 |
| 50.671 | 152.919 | 50.977 | -0.000 | -0.000 | 0.000 |
| 37.432 | 37.432 | 182.245 | 0.000 | 0.000 | -0.000 |
| -0.000 | 0.000 | 0.000 | 74.933 | 0.000 | -0.000 |
| -0.000 | -0.000 | 0.000 | -0.000 | 74.933 | -0.000 |
| 0.000 | -0.000 | -0.000 | -0.000 | -0.000 | 73.492 |
| 182.945 | 35.962 | 37.432 | 0.000 | 0.000 | -0.000 |
| 50.007 | 149.928 | 50.773 | -0.000 | -0.000 | -0.000 |
| 50.917 | 50.917 | 154.137 | -0.000 | -0.000 | 0.000 |
| 0.000 | -0.000 | 0.000 | 74.933 | -0.000 | -0.000 |
| 0.000 | 0.000 | -0.000 | 0.000 | 74.933 | 0.000 |
| 0.000 | -0.000 | 0.000 | 0.000 | 0.000 | 73.492 |
| 152.918 | 50.628 | 51.068 | -0.000 | 0.000 | -0.000 |
| 50.628 | 152.917 | 51.068 | -0.000 | -0.000 | 0.000 |
| 50.883 | 50.883 | 153.310 | 0.000 | 0.000 | -0.000 |
| 0.000 | 0.000 | 0.000 | 74.933 | 0.000 | 0.000 |
| 0.000 | 0.000 | 0.000 | -0.000 | 74.933 | 0.000 |
| 0.000 | 0.000 | 0.000 | -0.000 | -0.000 | 73.492 |
| 182.945 | 35.962 | 37.432 | 0.000 | 0.000 | 0.000 |
| 50.168 | 151.059 | 50.769 | -0.000 | -0.000 | 0.000 |
| 50.941 | 50.941 | 154.046 | 0.000 | -0.000 | 0.000 |
| -0.000 | -0.000 | -0.000 | 74.933 | -0.000 | -0.000 |
| -0.000 | -0.000 | -0.000 | 0.000 | 74.933 | -0.000 |
| -0.000 | -0.000 | -0.000 | 0.000 | 0.000 | 73.492 |
| 183.681 | 64.275 | 37.511 | -0.000 | 0.000 | 0.000 |
| 64.275 | 183.681 | 37.511 | -0.000 | -0.000 | -0.000 |
| 50.885 | 50.885 | 169.330 | -0.000 | 0.000 | -0.000 |
| 23.694 | 23.693 | -20.604 | 37.740 | 0.000 | -0.000 |
| 23.693 | 23.694 | -20.605 | -0.000 | 37.740 | -0.000 |
| 0.000 | -0.000 | 0.000 | 0.000 | 0.000 | 91.575 |
| 240.154 | 70.686 | 50.885 | -0.000 | 0.000 | 0.000 |
| 70.686 | 240.154 | 50.885 | -0.000 | -0.000 | -0.000 |
| 28.588 | 28.588 | 161.862 | 0.000 | -0.000 | 0.000 |
| -23.694 | -23.694 | 20.604 | 37.740 | -0.000 | -0.000 |
| -23.694 | -23.694 | 20.605 | 0.000 | 37.740 | 0.000 |
| -0.000 | 0.000 | -0.000 | -0.000 | -0.000 | 91.575 |
| 174.191 | 53.000 | 39.777 | 0.000 | 0.000 | -0.000 |
| 53.000 | 174.191 | 39.777 | -0.000 | 0.000 | -0.000 |
| 50.885 | 50.885 | 169.330 | 0.000 | -0.000 | -0.000 |
| 1.692 | 1.692 | -2.169 | 37.748 | 0.000 | -0.000 |
| 1.692 | 1.692 | -2.169 | -0.000 | 37.747 | -0.000 |
| 1.452 | 1.452 | -0.226 | 0.000 | 0.000 | 47.015 |
| 145.138 | 64.555 | 47.989 | 0.000 | -0.000 | 0.000 |
| 64.555 | 145.138 | 47.989 | 0.000 | -0.000 | 0.000 |
| 46.886 | 46.886 | 139.937 | 0.000 | -0.000 | 0.000 |
| -1.692 | -1.692 | 2.169 | 37.748 | -0.000 | 0.000 |
| -1.692 | -1.692 | 2.169 | 0.000 | 37.747 | 0.000 |
| -1.452 | -1.452 | 0.226 | -0.000 | -0.000 | 47.015 |
| 151.096 | 64.095 | 48.819 | -0.000 | 0.000 | -0.000 |
| 64.095 | 151.096 | 48.819 | 0.000 | -0.000 | -0.000 |
| 32.091 | 32.091 | 151.999 | 0.000 | 0.000 | -0.000 |
| 0.169 | 0.169 | -0.217 | 37.758 | 0.000 | -0.000 |
| 0.169 | 0.169 | -0.217 | -0.000 | 37.758 | -0.000 |
| 0.172 | 0.172 | -0.226 | -0.000 | 0.000 | 31.997 |
| 150.659 | 63.605 | 49.233 | 0.000 | 0.000 | 0.000 |
| 63.605 | 150.659 | 49.233 | 0.000 | -0.000 | 0.000 |
| 48.802 | 48.802 | 138.136 | 0.000 | -0.000 | 0.000 |
| -0.169 | -0.169 | 0.217 | 37.758 | -0.000 | 0.000 |
| -0.169 | -0.169 | 0.217 | 0.000 | 37.758 | 0.000 |
| -0.172 | -0.172 | 0.226 | 0.000 | -0.000 | 31.997 |
| 240.785 | 70.477 | 51.221 | -0.000 | -0.000 | -0.000 |
| -119.843 | -31.068 | 164.522 | 2.635 | 1.389 | -0.487 |
| 50.757 | 50.757 | 169.561 | -0.000 | 0.000 | 0.000 |
| -0.000 | -0.000 | 0.000 | 75.724 | 0.000 | -0.000 |
| 0.000 | -0.000 | -0.000 | 0.000 | 75.724 | -0.000 |
| 0.000 | -0.000 | 0.000 | -0.000 | 0.000 | 91.998 |
| 320.152 | 186.000 | -75.955 | -0.457 | -0.241 | 0.076 |
| 186.000 | 320.152 | -75.955 | -0.457 | -0.241 | 0.076 |
| 50.757 | 50.757 | 169.561 | 0.000 | -0.000 | 0.000 |
| -0.000 | -0.000 | -0.000 | 75.724 | -0.000 | 0.000 |
| -0.000 | 0.000 | -0.000 | 0.000 | 75.724 | 0.000 |
| 376.309 | 376.309 | 23.814 | -6.910 | -3.642 | -36.015 |
| 148.800 | 34.996 | 37.728 | 0.243 | 0.128 | -0.046 |
| 34.996 | 148.800 | 37.728 | 0.243 | 0.128 | -0.046 |
| 10.086 | 10.086 | 150.135 | 0.382 | 0.201 | -0.072 |
| 0.000 | -0.000 | 0.000 | 75.724 | -0.000 | -0.000 |
| 0.000 | 0.000 | 0.000 | -0.000 | 75.724 | -0.000 |
| -0.000 | -0.000 | 0.000 | -0.000 | -0.000 | 91.998 |
| 165.040 | 89.787 | 41.899 | -0.321 | -0.169 | 0.060 |
| 89.777 | 164.974 | 41.887 | -0.321 | -0.169 | 0.060 |
| 50.757 | 50.757 | 169.561 | 0.000 | 0.000 | 0.000 |
| 26.525 | 26.525 | 1.679 | 43.473 | -0.257 | 0.091 |
| 15.922 | 15.922 | -10.509 | -0.207 | 30.159 | 0.038 |
| 0.000 | 0.000 | -0.000 | 0.000 | -0.000 | 91.998 |
| 143.956 | 64.500 | 46.524 | -0.039 | -0.021 | 0.007 |
| 64.500 | 143.956 | 46.524 | -0.039 | -0.021 | 0.007 |
| 43.312 | 43.312 | 134.405 | -0.050 | -0.026 | 0.009 |
| -2.144 | -2.144 | 1.167 | 32.639 | 0.011 | -0.003 |
| -3.171 | -3.172 | 0.708 | 0.021 | 31.834 | -0.007 |
| -1.549 | -1.549 | 0.833 | 0.022 | 0.011 | 32.105 |
| 152.012 | 65.290 | 48.767 | -0.029 | -0.015 | 0.005 |
| 65.290 | 152.012 | 48.767 | -0.029 | -0.015 | 0.005 |
| 50.756 | 50.756 | 169.560 | -0.000 | -0.000 | -0.000 |
| 1.518 | 1.518 | -0.792 | 37.181 | -0.011 | 0.004 |
| 1.517 | 1.517 | -0.792 | -0.021 | 37.207 | 0.004 |
| 1.549 | 1.549 | -0.833 | -0.022 | -0.011 | 32.113 |
| 132.866 | 56.497 | 54.525 | -0.000 | 0.000 | 0.000 |
| 55.839 | 146.919 | 48.413 | -0.000 | 0.000 | -0.000 |
| 54.650 | 47.668 | 143.279 | 0.000 | -0.000 | 0.000 |
| 0.023 | 0.007 | -0.012 | 46.790 | 0.000 | -0.000 |
| 0.025 | 0.008 | -0.013 | -0.000 | 46.152 | -0.000 |
| 0.025 | 0.008 | -0.013 | -0.000 | -0.000 | 47.465 |
| 136.172 | 56.310 | 54.332 | 0.000 | 0.000 | 0.000 |
| 55.793 | 146.902 | 48.437 | 0.000 | 0.000 | -0.000 |
| 54.180 | 48.613 | 145.486 | 0.000 | -0.000 | -0.000 |
| -0.023 | -0.007 | 0.012 | 46.790 | -0.000 | -0.000 |
| -0.025 | -0.008 | 0.013 | 0.000 | 46.152 | -0.000 |
| -0.025 | -0.008 | 0.013 | 0.000 | 0.000 | 47.465 |
| 136.235 | 56.299 | 54.307 | -0.000 | 0.000 | 0.000 |
| 56.638 | 144.539 | 46.981 | -0.000 | -0.000 | -0.000 |
| 54.197 | 48.611 | 145.497 | -0.000 | -0.000 | 0.000 |
| -0.020 | -0.003 | 0.008 | 40.764 | -0.000 | -0.000 |
| 0.003 | 0.001 | -0.001 | -0.000 | 46.158 | 0.000 |
| 0.000 | 0.000 | 0.000 | -0.000 | -0.000 | 68.417 |
| 136.225 | 56.300 | 54.311 | 0.000 | 0.000 | -0.000 |
| 37.362 | 179.226 | 36.647 | 0.000 | 0.000 | -0.000 |
| 54.656 | 46.420 | 142.417 | 0.000 | 0.000 | 0.000 |
| 0.020 | 0.003 | -0.008 | 40.764 | 0.000 | -0.000 |
| -0.003 | -0.001 | 0.001 | 0.000 | 46.158 | -0.000 |
| -0.000 | -0.000 | -0.000 | 0.000 | 0.000 | 68.417 |
| 136.230 | 56.300 | 54.309 | 0.000 | -0.000 | -0.000 |
| 55.813 | 146.917 | 48.423 | -0.000 | -0.000 | -0.000 |
| 54.610 | 47.663 | 143.232 | -0.000 | 0.000 | -0.000 |
| 0.000 | 0.000 | -0.000 | 46.796 | 0.000 | 0.000 |
| 0.000 | 0.000 | -0.000 | -0.000 | 46.158 | 0.000 |
| 0.000 | 0.000 | 0.000 | -0.000 | 0.000 | 45.596 |
| 130.144 | 56.043 | 55.193 | 0.000 | -0.000 | -0.000 |
| 56.627 | 144.543 | 46.979 | 0.000 | 0.000 | 0.000 |
| 54.195 | 48.610 | 145.497 | 0.000 | 0.000 | -0.000 |
| -0.000 | -0.000 | 0.000 | 46.796 | -0.000 | -0.000 |
| -0.000 | -0.000 | 0.000 | 0.000 | 46.158 | 0.000 |
| -0.000 | -0.000 | -0.000 | 0.000 | -0.000 | 45.596 |
| 171.227 | 37.390 | 43.218 | -0.000 | -0.000 | -0.000 |
| 37.140 | 179.030 | 36.923 | -0.000 | 0.000 | 0.000 |
| 42.871 | 36.826 | 173.054 | -0.000 | -0.000 | 0.000 |
| 373.789 | -57.250 | -27.499 | 13.421 | 0.000 | 0.000 |
| 0.000 | -0.000 | 0.000 | -0.000 | 74.148 | 0.000 |
| 374.192 | -57.312 | -27.528 | -0.000 | -0.000 | 24.418 |
| 171.227 | 37.390 | 43.218 | 0.000 | 0.000 | -0.000 |
| 37.140 | 179.030 | 36.923 | 0.000 | -0.000 | 0.000 |
| 115.553 | -293.954 | -233.603 | 0.000 | -0.000 | -0.000 |
| -373.789 | 57.250 | 27.499 | 13.421 | 0.000 | 0.000 |
| 0.000 | 0.000 | -0.000 | 0.000 | 74.148 | 0.000 |
| -374.192 | 57.312 | 27.528 | 0.000 | -0.000 | 24.418 |
| 171.227 | 37.390 | 43.218 | -0.000 | 0.000 | -0.000 |
| 93.205 | 123.160 | 53.841 | -0.000 | -0.000 | 0.000 |
| 42.871 | 36.826 | 173.054 | -0.000 | -0.000 | 0.000 |
| 0.000 | -0.000 | 0.000 | 72.058 | -0.000 | 0.000 |
| 31.059 | -4.757 | -2.285 | -0.000 | 24.878 | -0.000 |
| 32.341 | -4.953 | -2.379 | -0.000 | 0.000 | 30.386 |
| 94.308 | 69.446 | 61.875 | 0.000 | -0.000 | -0.000 |
| 40.370 | 119.706 | 62.866 | 0.000 | 0.000 | -0.000 |
| 30.025 | 68.749 | 114.498 | 0.000 | -0.000 | -0.000 |
| -0.000 | -0.000 | -0.000 | 72.058 | -0.000 | 0.000 |
| -31.059 | 4.757 | 2.285 | 0.000 | 24.878 | -0.000 |
| -32.342 | 4.954 | 2.379 | 0.000 | -0.000 | 30.386 |
| 137.627 | 56.521 | 54.655 | -0.000 | -0.000 | 0.000 |
| 57.175 | 146.362 | 48.622 | -0.000 | 0.000 | 0.000 |
| 56.189 | 48.448 | 143.664 | -0.000 | 0.000 | 0.000 |
| 1.667 | -0.255 | -0.123 | 45.912 | -0.000 | 0.000 |
| 1.813 | -0.278 | -0.133 | -0.000 | 45.387 | 0.000 |
| 1.838 | -0.282 | -0.135 | -0.000 | 0.000 | 46.793 |
| 134.786 | 56.693 | 54.696 | 0.000 | -0.000 | 0.000 |
| 54.556 | 145.471 | 49.389 | 0.000 | -0.000 | -0.000 |
| 52.993 | 50.010 | 143.043 | 0.000 | 0.000 | 0.000 |
| -1.667 | 0.255 | 0.123 | 45.912 | 0.000 | -0.000 |
| -1.813 | 0.278 | 0.133 | 0.000 | 45.387 | 0.000 |
| -1.838 | 0.282 | 0.135 | 0.000 | 0.000 | 46.793 |
| 427.304 | 125.952 | 127.479 | 10.102 | -68.013 | -29.128 |
| 436.189 | 647.364 | 494.599 | 178.046 | -304.405 | -53.196 |
| 412.798 | 509.424 | 644.592 | 207.233 | -286.821 | -54.128 |
| 1.987 | -4.604 | -5.116 | 125.386 | -15.711 | -16.668 |
| 349.586 | 428.281 | 436.755 | 193.701 | -234.421 | -40.565 |
| 352.121 | 441.861 | 428.511 | 195.613 | -297.610 | 15.187 |
| -162.673 | -348.126 | -368.233 | -185.025 | 269.684 | 22.640 |
| -279.074 | -236.564 | -370.571 | -217.598 | 289.852 | 44.973 |
| -301.042 | -376.189 | -217.430 | -189.002 | 306.346 | 43.773 |
| -27.932 | -626.299 | -417.128 | -65.461 | 40.918 | 109.111 |
| -117.502 | -334.284 | -222.391 | -206.079 | 201.512 | 16.744 |
| -363.968 | -445.636 | -437.935 | -200.118 | 296.741 | 113.892 |
| 165.886 | 103.439 | 93.658 | 3.717 | -17.237 | -10.917 |
| 51.893 | 164.734 | 63.927 | -5.392 | 0.576 | -4.564 |
| 117.429 | 115.934 | 328.004 | -5.116 | -24.607 | -14.879 |
| 43.434 | 32.062 | 52.287 | 72.697 | -29.285 | -7.067 |
| -0.573 | 20.030 | 11.366 | 14.430 | 25.701 | -9.857 |
| 16.895 | 38.844 | 28.981 | 13.255 | -27.813 | 44.246 |
| 176.706 | 47.221 | 62.402 | -25.647 | -1.745 | -1.346 |
| 59.179 | 102.377 | 8.383 | -19.610 | 2.692 | 10.564 |
| 87.849 | 46.491 | 115.272 | -2.217 | 23.116 | -19.291 |
| -26.700 | -52.155 | -33.889 | 47.794 | 25.115 | -0.243 |
| -33.406 | -16.841 | -24.607 | -15.711 | 128.719 | 1.839 |
| 3.789 | -53.598 | -30.596 | -5.490 | -2.995 | 36.059 |
| 192.748 | 96.249 | 82.809 | 2.563 | -23.692 | -16.131 |
| 84.538 | 160.019 | 67.356 | -13.087 | -6.287 | 0.776 |
| 69.411 | 63.413 | 146.507 | 1.044 | -5.146 | -4.360 |
| 1.092 | -3.634 | 3.948 | 40.469 | -5.988 | -3.752 |
| -12.129 | -6.166 | -0.125 | -3.107 | 41.404 | 2.318 |
| 0.172 | 4.636 | -2.282 | -1.158 | -8.908 | 40.703 |
| 161.675 | 82.749 | 73.489 | -3.041 | -13.964 | -10.398 |
| 80.561 | 148.701 | 62.833 | -12.282 | -7.860 | 0.257 |
| 71.127 | 58.188 | 143.988 | -0.699 | 0.526 | -3.246 |
| -5.256 | -9.984 | -3.686 | 42.476 | -0.956 | -4.024 |
| -7.909 | -14.004 | -5.904 | -4.463 | 48.532 | -0.188 |
| -0.831 | -10.939 | -7.398 | -4.534 | -3.058 | 44.485 |
| 122.281 | -194.062 | 178.214 | -9.471 | -35.365 | 215.460 |
| 107.119 | 318.661 | 111.305 | -16.320 | -8.129 | -30.686 |
| 110.145 | 112.375 | 362.621 | -1.920 | 2.044 | -18.123 |
| -76.931 | -261.791 | 92.109 | 43.130 | -17.874 | 246.930 |
| -90.921 | -269.607 | 99.533 | -20.508 | 55.919 | 257.579 |
| -88.740 | -263.295 | 100.930 | -19.294 | -17.733 | 319.452 |
| 373.649 | 120.627 | 114.546 | 13.907 | -11.992 | -78.022 |
| 140.383 | 485.026 | -47.238 | 8.279 | 8.532 | -248.785 |
| 6.158 | 424.521 | 234.980 | 4.172 | -37.270 | -266.329 |
| 91.615 | 262.814 | -111.813 | 77.797 | 12.620 | -254.255 |
| 77.541 | 255.095 | -104.325 | 15.145 | 85.911 | -243.795 |
| -278.781 | 203.383 | -200.489 | -66.729 | -5.978 | -158.084 |
| 219.401 | 44.599 | 93.467 | 6.985 | -20.882 | -11.615 |
| 58.319 | 135.578 | 34.857 | -1.269 | -1.153 | 15.865 |
| 73.458 | 31.216 | 161.215 | -0.527 | 0.145 | 3.186 |
| -0.959 | -25.267 | 0.826 | 63.746 | -5.336 | 20.331 |
| 13.623 | -31.135 | 4.602 | -4.030 | 41.980 | 20.812 |
| -0.208 | -10.907 | 10.667 | -0.579 | -1.842 | 72.576 |
| 208.215 | 82.288 | 69.744 | 9.222 | -19.515 | -48.750 |
| 54.745 | 228.250 | 37.898 | -7.053 | -5.189 | -12.620 |
| 78.689 | 100.934 | 143.651 | -1.232 | -0.062 | -36.744 |
| -6.051 | 24.544 | 4.263 | 20.111 | 1.792 | -8.431 |
| -7.425 | 26.162 | 5.335 | 0.983 | 28.295 | -11.064 |
| -3.175 | 23.294 | -17.215 | -1.274 | -2.350 | 50.578 |
| 161.994 | 77.035 | 88.232 | 1.990 | -8.701 | -19.090 |
| 70.407 | 142.127 | 61.083 | -6.545 | -4.245 | 1.176 |
| 84.065 | 61.977 | 160.369 | -4.318 | 1.191 | -4.858 |
| 0.288 | -4.042 | -1.959 | 35.724 | -0.897 | -0.065 |
| 4.226 | -2.700 | 0.085 | -2.456 | 55.021 | 0.986 |
| -10.975 | -2.967 | -7.616 | -3.240 | -2.755 | 41.845 |
| 158.436 | 82.256 | 87.350 | 1.603 | -8.859 | -22.308 |
| 78.354 | 159.688 | 69.202 | -6.632 | -5.600 | -1.837 |
| 81.877 | 68.575 | 171.935 | -2.953 | 0.144 | -14.146 |
| -3.701 | -0.874 | -5.428 | 36.016 | -3.010 | -3.229 |
| -3.649 | -1.685 | -1.073 | -1.265 | 40.117 | -1.617 |
| -5.911 | 4.012 | -2.814 | -2.166 | -5.282 | 49.117 |
| 292.689 | 90.445 | 89.330 | -14.754 | 4.789 | 13.904 |
| -496.889 | -32.546 | -412.818 | 64.073 | 200.768 | 102.284 |
| -488.141 | -152.218 | -290.051 | 49.002 | 184.759 | 100.866 |
| -564.688 | -219.730 | -482.485 | 123.464 | 201.135 | 106.111 |
| -554.286 | -215.303 | -488.653 | 57.267 | 269.638 | 97.434 |
| -3.460 | 8.984 | -2.136 | -0.105 | 4.623 | 102.702 |
| 155.042 | 249.628 | 186.451 | 1.807 | 80.705 | -186.877 |
| 121.430 | 248.132 | 188.064 | 5.578 | 87.046 | -203.812 |
| 407.209 | 133.977 | 581.705 | 186.719 | -223.373 | -232.036 |
| -15.130 | -14.834 | -5.551 | 95.557 | 3.054 | -0.613 |
| 551.383 | 218.209 | 460.229 | -51.160 | -124.045 | -106.896 |
| 629.298 | 304.312 | 379.123 | 198.058 | 15.967 | -278.347 |
| 89.073 | 68.727 | 17.786 | -14.019 | 27.833 | 28.459 |
| 1.866 | 165.536 | 15.020 | 15.013 | 23.078 | 10.595 |
| 9.408 | 43.041 | 139.261 | 0.404 | 6.684 | 9.726 |
| -29.203 | -10.363 | -40.861 | 2.146 | 20.323 | 22.493 |
| -25.169 | 1.159 | -40.248 | -15.783 | 36.517 | 19.814 |
| -60.510 | -21.177 | -48.870 | 9.104 | 25.750 | 76.994 |
| 257.162 | 76.716 | 104.172 | -12.008 | -6.595 | -7.759 |
| 108.103 | 131.651 | 90.060 | 31.739 | 4.361 | -33.524 |
| 113.893 | 84.605 | 142.318 | 20.491 | -4.837 | -30.912 |
| 67.355 | 41.789 | 35.305 | 41.637 | 3.871 | -24.287 |
| 48.356 | -10.176 | 26.878 | -7.730 | 37.938 | -42.135 |
| 50.628 | 22.313 | 46.550 | -1.755 | -13.881 | 56.098 |
| 179.454 | 57.153 | 59.430 | -4.109 | 3.478 | 7.577 |
| 58.765 | 131.636 | 58.730 | 4.343 | 4.419 | 1.588 |
| 65.694 | 69.650 | 130.875 | 0.352 | -0.455 | -1.661 |
| -8.693 | -2.593 | -4.549 | 39.239 | 2.913 | 5.221 |
| -11.828 | -2.114 | -12.101 | 1.036 | 38.052 | -0.994 |
| -3.495 | -5.247 | -5.804 | 2.078 | 2.415 | 44.481 |
| 166.632 | 70.441 | 65.288 | -0.028 | 9.376 | 3.189 |
| 74.020 | 142.243 | 73.398 | 5.262 | 3.376 | -4.613 |
| 71.384 | 71.359 | 138.258 | 2.264 | -2.888 | -4.928 |
| 1.019 | 4.994 | 5.019 | 32.944 | -1.810 | 3.374 |
| 6.394 | 5.490 | 1.611 | 1.001 | 42.461 | -5.950 |
| 0.821 | 1.639 | 0.071 | 6.074 | 5.246 | 48.358 |
| -0.136 | -774.494 | -235.441 | 259.624 | 230.605 | -371.892 |
| 173.898 | -628.160 | -200.549 | 75.478 | 112.637 | -211.171 |
| 404.610 | 136.392 | 393.697 | -147.242 | -206.596 | 330.477 |
| -449.197 | -406.293 | -303.146 | 75.819 | 471.010 | -33.934 |
| 152.759 | -750.287 | -244.412 | 65.649 | 154.785 | -211.060 |
| 318.086 | 85.296 | 256.351 | -149.173 | -177.128 | 381.558 |
| -140.010 | -54.141 | -190.376 | 155.482 | 163.769 | -349.589 |
| -241.219 | 62.903 | -202.306 | 165.099 | 184.529 | -357.058 |
| 533.223 | 543.701 | 418.608 | -67.232 | -476.582 | 74.804 |
| -319.581 | -85.571 | -263.329 | 179.039 | 185.215 | -342.773 |
| -126.866 | 759.875 | 248.164 | -61.131 | -56.593 | 208.213 |
| -147.114 | 756.136 | 245.530 | -57.618 | -99.630 | 256.559 |
| 178.921 | 36.720 | 76.912 | -8.253 | -20.866 | 22.545 |
| 93.819 | 133.314 | 80.167 | 0.701 | -12.389 | 19.551 |
| 97.534 | 37.736 | 142.217 | -10.720 | -30.353 | 16.987 |
| 27.244 | 17.133 | 24.715 | 18.137 | -12.717 | 33.813 |
| -4.745 | 12.806 | -9.824 | -10.333 | 46.735 | 28.229 |
| 31.145 | -4.290 | 18.960 | -12.043 | -13.931 | 66.070 |
| 155.086 | 64.226 | 62.869 | 12.829 | -6.408 | -22.822 |
| 45.638 | 185.064 | 48.240 | 23.775 | 14.851 | -32.618 |
| 91.142 | 80.701 | 235.698 | -6.130 | -31.849 | 4.874 |
| -33.056 | 4.565 | -24.924 | 40.818 | 21.443 | -30.536 |
| -46.984 | 24.807 | -30.580 | 12.911 | 57.464 | -21.609 |
| -21.634 | 71.753 | 22.513 | 0.323 | -3.603 | 63.649 |
| 175.230 | 54.058 | 58.738 | -2.695 | 0.966 | 6.194 |
| 63.013 | 132.341 | 56.108 | 5.804 | 4.850 | 0.920 |
| 58.066 | 57.009 | 116.313 | -0.796 | -2.193 | -3.176 |
| -2.016 | -4.149 | 1.772 | 40.228 | 1.899 | 2.325 |
| -3.487 | 0.712 | -7.674 | 3.354 | 40.419 | -3.680 |
| -1.535 | -3.372 | -5.472 | 3.420 | 6.547 | 40.954 |
| 143.851 | 66.929 | 63.533 | -5.471 | 0.830 | 9.915 |
| 64.252 | 141.043 | 63.811 | 3.944 | 1.706 | 5.010 |
| 63.499 | 63.423 | 121.453 | -2.944 | -4.640 | -0.215 |
| -5.414 | 5.773 | -3.338 | 43.480 | 4.728 | 0.386 |
| -0.555 | 11.317 | -2.562 | 0.879 | 37.801 | -1.096 |
| 6.270 | 7.473 | 3.012 | -2.209 | 0.328 | 41.013 |
| -878.948 | 667.106 | -657.049 | -123.924 | -824.751 | 786.418 |
| -209.211 | 176.597 | -746.312 | 412.849 | 107.720 | 447.638 |
| -752.711 | 629.999 | -708.637 | 172.786 | -124.251 | 1251.859 |
| -677.243 | 972.975 | -453.611 | -324.139 | -444.171 | 327.660 |
| -816.761 | 569.736 | -820.951 | 172.770 | -105.701 | 1260.378 |
| -1197.609 | 1535.971 | -555.526 | -188.963 | -1330.273 | 682.282 |
| 947.183 | -495.826 | 893.754 | -186.983 | 125.238 | -1263.278 |
| -363.176 | 638.169 | 948.682 | -331.774 | 256.419 | -633.254 |
| 932.152 | -998.208 | 877.857 | 288.019 | 941.320 | -518.170 |
| 808.554 | -583.820 | 824.241 | -156.157 | 125.931 | -1255.258 |
| -465.451 | 494.453 | 848.470 | -341.193 | 265.638 | -624.348 |
| 1206.985 | -375.539 | 1272.283 | 167.725 | 1522.987 | -1047.066 |
| 47.033 | 98.638 | -2.343 | -28.145 | -56.051 | 65.700 |
| 69.104 | 181.919 | -2.841 | 129.174 | -5.262 | 70.305 |
| 189.097 | 248.704 | 151.335 | -2.903 | 53.581 | 80.113 |
| 39.397 | 44.063 | 15.034 | 50.981 | -37.869 | 34.318 |
| -109.094 | 143.686 | -14.792 | 2.465 | -31.250 | 44.062 |
| 101.678 | 178.051 | -27.421 | -11.238 | 59.989 | 133.701 |
| 193.079 | 52.690 | 108.429 | -123.144 | 21.375 | -63.581 |
| 207.738 | 17.418 | 114.905 | 44.574 | 124.354 | -62.478 |
| 193.696 | -77.383 | 212.938 | 36.714 | 116.994 | -62.173 |
| 95.177 | -136.440 | -2.746 | 45.489 | 29.686 | -38.957 |
| -37.576 | -27.302 | -20.132 | -14.968 | 65.795 | -41.580 |
| 94.987 | -54.207 | 115.615 | 59.512 | 76.802 | -17.820 |
| 156.297 | 88.709 | 57.897 | -4.531 | 11.634 | -7.250 |
| 66.483 | 143.995 | 56.942 | 1.489 | 0.086 | 1.292 |
| 67.956 | 69.432 | 144.771 | 0.740 | 6.962 | 3.469 |
| 3.958 | 0.003 | 1.513 | 34.636 | -5.479 | 4.439 |
| -5.311 | 16.596 | -4.404 | -2.536 | 21.870 | 3.233 |
| -15.588 | -1.688 | -11.173 | -3.477 | 1.663 | 39.979 |
| 165.685 | 71.562 | 69.495 | -2.410 | 18.931 | -9.907 |
| 74.304 | 117.668 | 74.499 | 11.497 | 15.350 | -8.803 |
| 77.119 | 59.767 | 155.812 | -0.732 | 6.980 | -9.531 |
| -1.177 | -4.837 | 4.484 | 32.317 | -3.437 | -2.667 |
| 14.721 | -8.559 | 2.726 | -0.385 | 41.443 | -9.170 |
| -9.033 | -12.647 | -0.020 | 1.924 | 18.323 | 34.123 |
| 458.813 | -337.703 | 118.444 | -402.866 | -36.840 | -337.391 |
| 376.311 | -213.116 | 109.343 | -389.603 | -43.186 | -340.986 |
| -17.117 | -216.816 | -149.777 | -166.990 | -54.406 | -108.492 |
| -96.144 | -309.651 | -423.669 | -64.072 | -66.487 | -112.082 |
| -90.094 | -309.433 | -398.697 | -155.910 | 23.912 | -101.229 |
| 313.884 | -393.649 | 57.876 | -399.648 | -27.827 | -287.872 |
| -56.356 | 147.228 | -92.363 | 158.466 | 40.523 | -10.540 |
| 116.502 | 366.168 | 112.455 | 33.095 | -4.497 | -46.261 |
| -263.426 | 441.477 | 99.468 | 399.472 | 34.762 | 342.232 |
| -322.716 | 385.002 | -59.576 | 456.603 | 42.215 | 339.555 |
| -149.701 | 93.377 | -163.349 | 155.397 | 58.010 | -4.200 |
| -329.360 | 389.900 | -59.617 | 401.140 | 53.021 | 393.188 |
| 261.447 | 51.994 | 45.694 | -11.571 | 32.191 | 3.141 |
| 50.753 | 136.352 | 70.385 | -62.295 | -28.473 | -13.412 |
| 68.529 | 92.362 | 154.582 | -41.402 | 2.968 | -25.628 |
| -5.825 | -34.487 | -55.973 | 74.269 | -7.918 | -14.802 |
| 0.079 | -34.461 | -31.502 | -16.910 | 82.074 | -4.112 |
| -40.250 | -26.997 | -10.442 | -40.853 | 7.609 | 29.611 |
| 267.980 | 112.807 | 127.392 | 20.618 | 42.880 | 24.503 |
| 127.946 | 188.387 | 91.090 | 42.889 | -2.044 | -5.849 |
| 116.713 | 89.486 | 151.795 | 28.668 | 1.175 | 13.130 |
| -28.925 | -5.355 | -14.965 | 103.516 | 21.377 | 9.932 |
| 40.733 | 2.491 | 12.674 | 33.909 | 38.349 | 19.190 |
| -39.041 | 37.313 | -6.152 | 39.792 | 15.981 | 84.218 |
| 151.181 | 74.115 | 71.135 | -2.711 | 7.282 | -3.637 |
| 75.083 | 169.200 | 72.958 | 9.292 | -2.313 | -18.515 |
| 82.571 | 75.170 | 169.849 | -4.830 | 2.285 | -6.707 |
| -1.802 | -3.454 | 1.415 | 24.815 | -7.652 | -5.157 |
| 5.808 | -4.349 | 2.357 | -6.593 | 48.377 | -2.153 |
| 3.462 | -15.186 | 3.028 | -6.162 | 17.099 | 64.125 |
| 152.148 | 75.536 | 71.668 | 4.515 | 10.063 | -0.552 |
| 77.711 | 176.731 | 72.217 | 15.860 | 1.655 | -15.359 |
| 76.345 | 79.443 | 157.784 | 1.525 | -2.164 | -1.618 |
| -0.640 | -1.518 | 3.946 | 56.498 | 1.096 | -2.879 |
| -8.454 | -2.994 | -5.699 | 2.006 | 56.224 | 3.228 |
| -8.973 | -18.791 | -5.047 | 1.196 | 13.731 | 54.175 |
| 24.658 | 37.665 | 497.936 | -19.763 | 176.233 | -715.996 |
| -34.148 | 229.764 | 162.134 | 93.498 | 488.139 | -720.988 |
| -67.082 | 36.423 | 602.907 | -35.099 | 178.045 | -692.736 |
| -10.515 | -48.937 | -35.033 | 123.598 | 6.480 | -7.961 |
| -139.418 | -51.893 | 421.399 | -10.359 | 213.651 | -686.110 |
| -95.255 | 35.183 | 123.341 | 94.706 | 460.497 | -636.295 |
| -69.412 | -22.832 | -31.145 | 502.052 | -200.316 | 616.226 |
| 147.107 | 154.502 | -99.585 | -95.181 | -473.877 | 705.827 |
| -59.620 | -18.257 | -36.136 | 512.682 | -182.596 | 617.349 |
| -153.449 | -103.143 | -103.989 | 503.430 | -215.832 | 617.093 |
| -4.128 | -7.716 | -1.067 | 6.480 | 90.860 | -8.889 |
| 6.843 | 10.638 | 7.218 | -9.407 | -33.566 | 108.351 |
| 149.493 | 69.770 | 105.743 | -3.867 | 11.204 | -91.185 |
| 48.934 | 198.910 | 44.912 | 6.354 | 51.013 | -72.770 |
| 38.941 | 46.147 | 202.112 | 9.769 | 48.857 | -64.678 |
| -20.094 | -24.105 | 16.906 | 52.486 | 22.307 | -63.938 |
| -20.263 | -23.355 | 26.576 | 6.898 | 51.463 | -63.546 |
| -14.754 | 1.497 | 7.761 | 11.213 | 34.351 | -3.657 |
| 147.495 | 133.374 | 119.518 | -0.212 | -40.686 | 49.452 |
| 69.459 | 206.816 | 27.641 | -17.982 | -40.631 | 62.677 |
| 90.974 | 100.466 | 154.021 | -30.929 | -25.877 | 63.467 |
| 11.461 | -4.718 | -56.450 | 52.962 | -16.221 | 72.564 |
| -4.128 | -7.716 | -1.067 | 6.480 | 90.860 | -8.889 |
| -8.739 | 19.400 | -18.881 | -45.429 | -5.010 | 73.904 |
| 143.413 | 67.772 | 64.496 | 1.833 | -3.360 | -24.900 |
| 65.047 | 145.067 | 67.757 | -12.587 | 2.616 | -9.729 |
| 68.250 | 68.712 | 145.555 | -4.473 | 0.325 | -7.379 |
| 3.091 | -1.086 | -2.190 | 71.660 | 4.429 | -5.205 |
| -2.332 | -4.015 | 2.623 | 0.833 | 40.375 | -9.525 |
| -2.069 | -7.692 | 2.753 | -4.180 | -9.212 | 18.951 |
| 124.860 | 68.295 | 59.629 | -2.153 | -7.969 | -4.874 |
| 72.631 | 153.354 | 68.767 | -14.813 | -1.553 | 5.375 |
| 61.514 | 63.866 | 134.934 | -4.470 | -0.366 | 7.519 |
| 1.666 | 2.439 | 0.938 | 29.340 | -1.467 | 4.173 |
| 1.354 | 0.626 | 0.099 | 1.640 | 39.688 | 2.595 |
| -1.785 | -1.290 | -0.582 | -3.383 | -9.746 | 40.873 |
| -16.765 | -600.885 | 339.973 | 34.544 | 185.206 | 411.125 |
| 305.256 | 590.258 | 1004.397 | -486.047 | -272.584 | 261.434 |
| -71.249 | -619.310 | 382.807 | 34.715 | 177.097 | 425.425 |
| -159.270 | 168.654 | 383.829 | -556.405 | -242.433 | 1062.116 |
| 101.666 | -32.051 | 935.482 | -576.423 | -268.306 | 648.772 |
| -13.715 | -603.208 | 474.187 | -1.249 | -293.019 | 559.610 |
| -60.201 | -329.961 | -887.545 | 465.739 | 255.140 | -278.055 |
| 82.833 | 318.872 | 101.239 | -70.561 | -12.700 | 10.491 |
| 124.847 | 716.630 | -303.693 | -30.719 | 268.003 | -517.537 |
| 13.508 | 562.645 | -483.652 | 41.413 | 280.962 | -534.567 |
| 1.955 | 602.772 | -464.500 | -12.699 | 317.363 | -526.075 |
| 24.587 | 607.731 | -452.940 | -29.520 | 255.976 | -483.494 |
| 65.205 | 34.744 | 90.148 | -23.667 | -20.980 | 87.982 |
| 62.599 | 54.508 | 108.440 | -25.895 | -35.589 | 52.477 |
| 76.082 | 93.728 | 291.681 | -27.316 | -8.864 | 9.850 |
| 18.340 | -21.743 | 43.984 | 6.614 | -40.980 | 44.111 |
| 3.004 | -62.091 | 30.525 | 6.853 | 28.432 | 45.346 |
| -1.828 | 1.854 | 89.259 | -49.398 | -31.974 | 73.267 |
| 108.568 | 113.025 | 17.380 | -2.671 | -9.036 | -59.008 |
| 97.905 | 184.049 | 37.752 | 22.268 | 0.692 | -68.038 |
| 99.252 | 159.795 | 97.171 | -13.723 | 19.043 | -49.324 |
| -13.917 | 22.265 | -21.796 | 35.347 | 23.370 | -53.571 |
| -16.715 | 31.971 | -16.558 | 2.600 | 58.862 | -49.169 |
| -3.780 | 50.467 | -33.584 | 4.128 | -19.853 | -18.744 |
| 116.018 | 52.505 | 61.110 | 0.611 | -9.102 | -7.705 |
| 61.510 | 130.425 | 62.522 | -12.733 | -2.159 | -1.509 |
| 62.627 | 62.943 | 139.761 | -7.224 | -2.240 | 3.750 |
| -0.046 | -0.253 | 4.895 | 27.756 | -2.084 | 5.065 |
| -3.975 | -3.894 | 3.922 | 2.027 | 35.525 | 2.330 |
| -2.721 | -10.641 | 5.248 | -4.168 | -13.391 | 40.760 |
| 114.384 | 62.698 | 53.969 | 3.783 | -7.878 | -16.630 |
| 65.567 | 140.543 | 59.183 | -9.314 | -0.485 | -6.032 |
| 59.184 | 56.712 | 129.582 | 2.746 | 5.632 | -5.746 |
| -0.469 | -1.263 | -20.332 | 49.996 | 8.187 | -3.664 |
| -2.737 | 6.633 | -1.364 | 1.368 | 39.036 | -5.074 |
| -0.075 | 2.848 | -1.931 | 1.955 | -9.674 | 16.958 |
| 734.640 | -771.380 | 275.658 | -421.317 | 284.523 | 225.743 |
| 699.662 | -701.222 | 312.357 | -429.966 | 287.687 | 237.693 |
| 767.215 | -12.997 | 524.577 | -252.115 | 630.305 | -259.819 |
| 578.349 | -419.232 | 565.632 | -259.576 | 73.782 | 256.958 |
| -4.008 | -2.808 | -2.646 | 3.606 | 96.543 | -2.302 |
| -15.543 | -12.029 | 3.581 | -3.746 | -18.442 | 102.536 |
| -611.561 | 832.244 | -199.280 | 420.617 | -288.287 | -239.657 |
| -649.920 | 901.073 | -164.373 | 412.467 | -284.669 | -227.530 |
| -628.273 | 863.850 | -102.758 | 423.410 | -302.738 | -234.520 |
| -672.086 | 796.528 | -238.957 | 443.567 | -285.856 | -230.632 |
| -520.177 | 544.491 | 176.474 | 156.056 | -681.606 | -125.746 |
| -675.611 | 802.683 | -238.513 | 423.959 | -288.246 | -222.954 |
| 206.930 | 26.096 | 131.540 | -34.493 | 16.079 | 7.398 |
| 124.798 | 112.206 | 79.661 | -43.147 | 35.883 | 12.091 |
| 76.338 | 25.819 | 160.453 | -39.666 | 33.373 | 34.192 |
| 26.991 | 12.555 | -62.118 | 15.714 | 7.626 | -16.783 |
| 30.660 | -36.666 | 6.501 | -23.897 | 53.545 | -16.403 |
| 9.394 | -46.624 | -14.416 | -15.595 | 14.394 | 39.761 |
| 153.459 | 46.172 | 112.259 | 38.214 | -14.502 | 1.190 |
| 34.702 | 174.002 | 111.179 | 28.629 | -4.948 | 16.137 |
| 10.833 | 112.853 | 101.793 | 19.343 | -22.786 | -38.720 |
| -27.965 | 45.966 | 1.862 | 45.757 | -28.334 | 10.896 |
| -30.771 | 28.952 | 33.121 | 9.250 | -13.797 | 5.037 |
| -71.185 | 30.377 | -66.780 | 27.802 | -19.244 | 16.101 |
| 139.370 | 60.992 | 74.726 | -5.473 | -1.111 | -10.985 |
| 64.440 | 120.572 | 56.891 | -9.664 | 3.751 | -3.115 |
| 61.702 | 56.339 | 131.133 | -5.233 | 2.092 | -1.543 |
| 9.651 | -2.475 | 6.888 | 28.532 | 2.056 | -0.776 |
| 1.699 | -5.743 | -3.658 | -2.441 | 36.119 | 1.992 |
| 0.194 | -6.415 | -1.677 | -2.008 | -2.044 | 34.590 |
| 117.979 | 61.458 | 48.785 | 2.726 | -8.283 | -13.452 |
| 47.656 | 122.952 | 53.816 | -3.487 | -4.332 | -7.958 |
| 54.458 | 61.220 | 127.223 | 0.854 | -6.249 | -1.644 |
| -1.164 | 6.655 | -2.775 | 35.091 | -4.163 | -4.553 |
| 0.030 | 2.968 | 1.217 | -0.962 | 32.604 | -1.209 |
| -9.252 | -0.798 | -3.307 | 1.996 | -6.072 | 32.995 |
| 413.734 | -129.437 | 190.471 | -66.526 | -239.036 | 145.256 |
| 264.647 | 6.853 | 192.277 | -70.515 | -224.800 | 156.414 |
| 172.998 | 417.166 | -33.456 | 134.710 | -170.110 | -125.014 |
| -233.721 | -100.695 | 100.846 | 166.931 | -40.696 | 8.026 |
| 205.875 | -185.444 | 153.463 | -66.657 | -167.632 | 160.533 |
| -8.612 | -5.380 | 4.336 | -2.887 | -18.911 | 92.938 |
| 353.595 | 161.840 | -40.986 | -138.125 | 35.367 | -15.315 |
| 299.201 | 218.056 | -26.288 | -149.239 | 38.026 | -10.326 |
| -151.208 | 243.285 | 18.548 | 57.998 | 246.665 | -164.765 |
| 239.289 | 96.209 | -98.939 | -120.414 | 35.006 | -11.004 |
| 234.774 | 96.369 | -98.329 | -148.423 | 61.285 | -7.960 |
| -213.635 | 184.803 | -143.965 | 65.549 | 219.262 | -99.541 |
| 116.796 | 51.992 | 83.172 | -8.520 | -33.375 | -1.454 |
| 100.935 | 145.571 | 88.654 | 7.788 | -24.767 | -5.547 |
| 73.469 | 39.257 | 194.132 | -14.632 | -7.668 | 11.225 |
| 20.682 | -14.565 | 6.276 | 51.304 | -24.495 | 15.775 |
| -24.907 | -10.947 | 10.811 | 10.428 | 20.889 | 2.163 |
| 10.074 | -24.429 | 8.116 | -6.811 | -35.300 | 75.656 |
| 103.348 | 59.435 | 37.868 | -18.715 | 22.997 | -9.726 |
| 37.965 | 207.961 | 37.305 | 2.473 | 31.488 | -21.421 |
| 93.267 | 60.340 | 103.078 | -24.171 | 39.011 | -6.111 |
| 11.469 | -8.797 | -28.859 | 42.959 | 29.558 | -11.609 |
| -17.234 | 23.703 | 1.950 | 5.566 | 85.326 | -17.025 |
| -30.999 | 14.147 | -18.891 | 6.257 | 10.938 | 46.762 |
| 123.729 | 58.699 | 51.091 | 0.002 | -5.821 | -9.224 |
| 56.709 | 130.577 | 62.110 | -7.259 | -3.122 | -3.104 |
| 57.895 | 61.172 | 146.274 | -4.816 | -3.897 | -0.138 |
| 0.116 | -0.252 | -0.077 | 32.606 | -4.995 | 0.175 |
| -0.274 | -1.254 | -3.301 | -0.299 | 32.267 | 0.988 |
| -6.104 | -1.915 | 0.785 | -0.680 | -10.562 | 35.730 |
| 134.181 | 63.947 | 60.448 | -1.666 | -1.486 | -12.873 |
| 63.240 | 124.708 | 59.956 | -9.675 | 0.855 | -6.256 |
| 51.634 | 54.857 | 135.859 | -6.269 | 0.763 | 0.849 |
| 1.741 | -0.745 | -11.046 | 32.580 | -2.320 | -1.746 |
| -1.666 | 0.552 | -9.345 | 1.263 | 50.176 | 0.622 |
| -13.908 | -1.945 | -7.877 | 0.872 | -8.180 | 57.984 |
| 278.320 | 98.916 | 0.000 | -0.000 | -0.000 | -0.000 |
| 90.878 | 247.029 | 0.000 | 0.000 | -0.000 | -0.000 |
| -0.268 | -0.268 | 318.942 | 0.000 | -0.000 | -0.000 |
| 0.000 | -0.000 | 0.000 | 3.726 | -0.001 | -0.000 |
| 0.000 | 0.000 | -0.000 | 0.002 | 3.728 | -0.000 |
| 0.000 | -0.000 | 0.000 | -0.000 | -0.000 | 89.702 |
| 239.600 | 106.036 | -0.000 | -0.000 | -0.000 | 0.000 |
| 91.087 | 247.152 | -0.000 | -0.000 | -0.000 | 0.000 |
| -0.268 | -0.268 | 318.942 | 0.000 | -0.000 | -0.000 |
| 0.000 | -0.000 | -0.000 | 3.725 | 0.000 | -0.000 |
| -0.000 | 0.000 | 0.000 | 0.002 | 3.726 | 0.000 |
| 0.204 | 0.204 | -0.000 | -0.000 | -0.000 | 69.686 |
| 247.085 | 90.972 | 0.000 | 0.000 | -0.000 | -0.000 |
| 90.972 | 247.085 | 0.000 | 0.000 | -0.000 | -0.000 |
| -0.268 | -0.268 | 318.942 | -0.000 | -0.000 | -0.000 |
| 0.000 | -0.000 | 0.000 | 3.725 | -0.000 | -0.000 |
| 0.000 | -0.000 | -0.000 | 0.000 | 3.726 | -0.000 |
| -0.013 | -0.013 | 0.000 | 0.000 | -0.000 | 66.731 |
| 239.691 | 104.576 | -0.000 | -0.000 | 0.000 | 0.000 |
| 90.993 | 247.097 | -0.000 | -0.000 | 0.000 | 0.000 |
| -0.268 | -0.268 | 318.942 | 0.000 | 0.000 | 0.000 |
| -0.000 | 0.000 | -0.000 | 3.725 | -0.000 | 0.000 |
| -0.000 | 0.000 | 0.000 | 0.000 | 3.726 | 0.000 |
| 0.013 | 0.013 | -0.000 | 0.000 | 0.000 | 66.731 |
| 247.091 | 90.982 | 0.000 | -0.000 | 0.000 | -0.000 |
| 104.566 | 239.681 | 0.000 | 0.000 | -0.000 | -0.000 |
| -0.268 | -0.268 | 318.944 | 0.000 | -0.000 | -0.000 |
| 0.000 | -0.000 | -0.000 | 3.726 | -0.000 | -0.000 |
| -0.000 | 0.000 | -0.000 | -0.000 | 3.726 | -0.000 |
| 0.000 | 0.000 | 0.000 | -0.000 | -0.000 | 89.702 |
| 239.680 | 104.566 | -0.000 | 0.000 | -0.000 | 0.000 |
| 106.035 | 239.497 | -0.000 | 0.000 | 0.000 | 0.000 |
| -0.268 | -0.268 | 318.940 | 0.000 | 0.000 | 0.000 |
| -0.000 | 0.000 | 0.000 | 3.726 | -0.000 | 0.000 |
| 0.000 | -0.000 | 0.000 | -0.000 | 3.726 | 0.000 |
| 0.002 | 0.002 | -0.000 | -0.000 | 0.000 | 69.684 |
| 118.463 | 62.860 | 62.860 | 0.000 | -0.000 | 0.000 |
| 62.860 | 118.463 | 62.860 | 0.000 | -0.000 | -0.000 |
| 62.860 | 62.860 | 118.464 | 0.000 | -0.000 | 0.000 |
| -0.000 | -0.000 | 0.000 | 80.453 | -0.000 | -0.000 |
| -0.000 | -0.000 | 0.000 | -0.000 | 80.453 | -0.000 |
| -0.000 | -0.000 | 0.000 | -0.000 | -0.000 | 80.453 |
| 117.686 | 62.420 | 62.420 | -0.000 | -0.000 | 0.000 |
| 62.420 | 117.686 | 62.420 | -0.000 | 0.000 | -0.000 |
| 62.420 | 62.420 | 117.686 | -0.000 | 0.000 | 0.000 |
| 0.000 | 0.000 | -0.000 | 80.453 | 0.000 | -0.000 |
| 0.000 | -0.000 | -0.000 | -0.000 | 80.453 | -0.000 |
| 0.000 | 0.000 | -0.000 | -0.000 | -0.000 | 80.453 |
| 118.152 | 62.669 | 62.669 | 0.000 | -0.000 | -0.000 |
| 62.669 | 118.152 | 62.669 | 0.000 | 0.000 | -0.000 |
| 62.669 | 62.669 | 118.152 | 0.000 | -0.000 | -0.000 |
| 0.000 | -0.000 | 0.000 | 80.453 | -0.000 | 0.000 |
| -0.000 | 0.000 | 0.000 | 0.000 | 80.453 | 0.000 |
| -0.000 | 0.000 | -0.000 | 0.000 | -0.000 | 80.453 |
| 128.834 | 63.798 | 63.798 | 0.000 | 0.000 | -0.000 |
| 63.798 | 128.834 | 63.798 | 0.000 | 0.000 | 0.000 |
| 63.798 | 63.798 | 128.834 | -0.000 | 0.000 | -0.000 |
| -0.000 | 0.000 | -0.000 | 80.453 | 0.000 | -0.000 |
| 0.000 | -0.000 | -0.000 | -0.000 | 80.453 | 0.000 |
| -0.000 | -0.000 | -0.000 | 0.000 | -0.000 | 80.453 |
| 116.622 | 61.393 | 61.393 | -0.000 | -0.000 | 0.000 |
| 61.393 | 116.622 | 61.393 | 0.000 | -0.000 | -0.000 |
| 61.393 | 61.393 | 116.622 | -0.000 | -0.000 | -0.000 |
| 0.000 | 0.000 | 0.000 | 80.453 | -0.000 | -0.000 |
| 0.000 | 0.000 | 0.000 | -0.000 | 80.453 | 0.000 |
| 0.000 | 0.000 | 0.000 | 0.000 | -0.000 | 80.453 |
| 116.616 | 61.385 | 61.385 | 0.000 | 0.000 | -0.000 |
| 62.645 | 118.109 | 62.645 | -0.000 | 0.000 | -0.000 |
| 61.385 | 61.385 | 116.616 | -0.000 | -0.000 | -0.000 |
| -0.000 | -0.000 | -0.000 | 80.453 | 0.000 | -0.000 |
| -0.000 | -0.000 | -0.000 | 0.000 | 80.453 | -0.000 |
| -0.000 | -0.000 | -0.000 | 0.000 | 0.000 | 80.453 |
| 187.417 | 56.173 | 53.699 | -0.000 | -0.000 | 0.000 |
| 44.789 | 227.807 | 25.073 | -0.000 | -0.000 | 0.000 |
| 51.280 | 51.280 | 194.652 | -0.000 | -0.000 | -0.000 |
| 0.000 | -0.000 | 0.000 | 72.326 | 0.000 | 0.000 |
| -0.017 | -0.017 | 0.034 | 0.000 | 59.062 | -0.000 |
| -0.020 | -0.020 | 0.039 | -0.000 | -0.000 | 63.999 |
| 227.808 | 44.789 | 25.072 | 0.000 | 0.000 | -0.000 |
| 56.213 | 187.447 | 53.628 | 0.000 | 0.000 | -0.000 |
| 51.314 | 51.314 | 194.584 | 0.000 | 0.000 | 0.000 |
| -0.000 | 0.000 | -0.000 | 72.326 | 0.000 | -0.000 |
| 0.017 | 0.017 | -0.034 | -0.000 | 59.062 | 0.000 |
| 0.020 | 0.020 | -0.039 | 0.000 | 0.000 | 63.999 |
| 187.190 | 59.191 | 50.944 | 0.000 | -0.000 | 0.000 |
| 44.789 | 227.808 | 25.073 | -0.000 | -0.000 | 0.000 |
| 25.429 | 25.429 | 245.674 | -0.000 | -0.000 | -0.000 |
| 0.000 | 0.000 | 0.000 | 72.326 | -0.000 | 0.000 |
| -0.002 | -0.002 | 0.003 | -0.000 | 59.062 | -0.000 |
| -0.002 | -0.002 | 0.004 | -0.000 | -0.000 | 63.999 |
| 227.807 | 44.789 | 25.073 | 0.000 | 0.000 | -0.000 |
| 56.196 | 187.432 | 53.661 | 0.000 | 0.000 | -0.000 |
| 51.298 | 51.298 | 194.615 | 0.000 | 0.000 | 0.000 |
| -0.000 | 0.000 | -0.000 | 72.326 | 0.000 | -0.000 |
| 0.002 | 0.002 | -0.003 | -0.000 | 59.062 | 0.000 |
| 0.002 | 0.002 | -0.004 | 0.000 | 0.000 | 63.999 |
| 187.192 | 59.193 | 50.941 | -0.000 | -0.000 | -0.000 |
| 56.194 | 187.431 | 53.665 | -0.000 | -0.000 | -0.000 |
| 51.277 | 51.277 | 194.658 | -0.000 | -0.000 | 0.000 |
| -0.000 | -0.000 | 0.000 | 59.062 | -0.000 | 0.000 |
| -0.000 | -0.000 | 0.000 | -0.000 | 59.062 | -0.000 |
| 0.000 | 0.000 | 0.000 | 0.000 | 0.000 | 91.509 |
| 187.432 | 56.193 | 53.663 | 0.000 | 0.000 | -0.000 |
| 59.193 | 187.192 | 50.939 | 0.000 | 0.000 | -0.000 |
| 51.316 | 51.316 | 194.579 | 0.000 | -0.000 | 0.000 |
| 0.000 | 0.000 | -0.000 | 59.062 | 0.000 | -0.000 |
| 0.000 | 0.000 | -0.000 | 0.000 | 59.062 | 0.000 |
| -0.000 | -0.000 | -0.000 | -0.000 | -0.000 | 91.509 |
| 194.240 | 64.317 | 64.317 | -0.000 | 0.000 | -0.000 |
| 64.317 | 194.240 | 64.317 | -0.000 | -0.000 | -0.000 |
| 64.317 | 64.317 | 194.240 | -0.000 | 0.000 | -0.000 |
| 0.000 | 0.000 | -0.000 | 91.726 | -0.000 | -0.000 |
| 0.000 | 0.000 | -0.000 | -0.000 | 91.726 | -0.000 |
| 0.000 | 0.000 | 0.000 | -0.000 | -0.000 | 91.726 |
| 108.184 | 16.204 | 16.204 | -0.000 | 0.000 | 0.000 |
| 16.204 | 108.184 | 16.204 | 0.000 | -0.000 | 0.000 |
| 16.204 | 16.204 | 108.184 | 0.000 | 0.000 | 0.000 |
| -0.000 | -0.000 | 0.000 | 91.726 | -0.000 | 0.000 |
| -0.000 | -0.000 | 0.000 | 0.000 | 91.726 | 0.000 |
| -0.000 | -0.000 | 0.000 | -0.000 | 0.000 | 91.726 |
| 165.071 | 74.238 | 74.238 | -0.000 | -0.000 | -0.000 |
| 74.238 | 165.071 | 74.238 | -0.000 | 0.000 | -0.000 |
| 74.238 | 74.238 | 165.071 | -0.000 | -0.000 | -0.000 |
| 0.000 | 0.000 | 0.000 | 91.726 | -0.000 | -0.000 |
| 0.000 | 0.000 | 0.000 | -0.000 | 91.726 | -0.000 |
| 0.000 | 0.000 | -0.000 | -0.000 | -0.000 | 91.726 |
| 154.814 | 63.435 | 63.435 | 0.000 | -0.000 | 0.000 |
| 63.435 | 154.814 | 63.435 | 0.000 | 0.000 | 0.000 |
| 63.434 | 63.435 | 154.814 | 0.000 | 0.000 | 0.000 |
| -0.000 | -0.000 | -0.000 | 91.726 | 0.000 | 0.000 |
| -0.000 | -0.000 | -0.000 | 0.000 | 91.726 | 0.000 |
| -0.000 | -0.000 | -0.000 | 0.000 | 0.000 | 91.726 |
| 160.412 | 69.340 | 69.340 | -0.000 | -0.000 | -0.000 |
| 69.340 | 160.412 | 69.340 | -0.000 | 0.000 | -0.000 |
| 69.340 | 69.340 | 160.412 | -0.000 | 0.000 | -0.000 |
| 0.489 | 0.489 | 0.489 | 41.934 | -0.000 | -0.000 |
| 0.489 | 0.489 | 0.489 | -0.000 | 41.934 | -0.000 |
| 0.489 | 0.489 | 0.489 | -0.000 | 0.000 | 41.934 |
| 159.388 | 68.259 | 68.259 | 0.000 | 0.000 | 0.000 |
| 68.259 | 159.388 | 68.259 | -0.000 | -0.000 | 0.000 |
| 68.259 | 68.259 | 159.388 | 0.000 | 0.000 | -0.000 |
| -0.489 | -0.489 | -0.489 | 41.934 | -0.000 | 0.000 |
| -0.489 | -0.489 | -0.489 | 0.000 | 41.934 | 0.000 |
| -0.489 | -0.489 | -0.489 | 0.000 | 0.000 | 41.934 |
| 120.347 | 110.545 | 122.162 | -11.558 | -11.896 | -0.000 |
| 59.597 | 225.969 | 42.629 | -21.269 | -15.334 | -0.000 |
| 76.173 | 76.173 | 155.009 | -0.000 | 0.000 | -0.000 |
| -0.375 | 25.685 | 57.515 | 0.709 | 0.000 | 13.117 |
| 15.333 | -15.333 | 0.000 | -0.001 | 68.517 | 21.269 |
| 12.549 | 12.549 | 57.035 | 12.880 | -12.744 | 2.072 |
| 225.969 | 59.598 | 42.629 | 21.269 | 15.333 | 0.000 |
| 42.960 | 170.697 | -270.244 | -15.318 | 0.232 | 0.000 |
| 63.126 | 63.126 | -25.458 | 0.001 | 0.000 | 0.000 |
| -25.685 | 0.375 | -57.515 | 0.710 | -0.000 | 13.118 |
| -25.773 | 0.463 | -57.515 | -0.000 | 0.710 | -13.030 |
| -0.000 | 0.000 | 0.000 | -15.333 | 21.269 | 83.186 |
| 164.513 | 80.470 | 68.779 | 4.897 | -2.646 | -0.000 |
| 59.598 | 225.969 | 42.629 | -21.269 | -15.333 | -0.000 |
| 61.407 | 61.407 | 135.504 | -0.000 | 0.000 | -0.000 |
| 3.902 | -2.571 | 3.024 | 32.868 | 0.000 | -0.376 |
| 15.333 | -15.333 | 0.000 | -0.000 | 68.517 | 21.269 |
| -0.000 | 0.000 | 0.000 | -15.333 | 21.269 | 83.186 |
| 159.726 | 80.551 | 53.200 | 2.987 | 0.169 | 0.000 |
| 80.551 | 159.726 | 53.200 | -2.987 | -0.169 | 0.000 |
| 47.164 | 47.164 | 69.781 | 0.000 | -0.000 | 0.000 |
| 0.975 | -4.764 | -20.273 | 33.168 | -0.000 | 5.939 |
| 15.333 | -15.333 | -0.000 | 0.000 | 68.517 | 21.269 |
| -0.000 | -0.000 | -0.000 | -15.333 | 21.269 | 83.186 |
| 163.224 | 79.480 | 55.271 | 4.574 | -1.626 | 0.000 |
| 78.647 | 162.104 | 49.944 | -4.236 | -0.282 | 0.000 |
| 63.253 | 63.253 | 122.161 | -0.000 | 0.000 | -0.000 |
| 21.269 | -21.269 | 0.000 | 68.517 | -0.000 | -15.333 |
| 1.542 | -1.419 | 0.280 | -0.000 | 35.502 | 4.569 |
| 0.063 | 0.063 | 0.289 | -1.050 | 4.050 | 42.122 |
| 162.340 | 78.971 | 51.961 | 4.773 | -2.833 | -0.000 |
| 78.961 | 162.372 | 51.955 | -4.782 | 2.825 | -0.000 |
| 63.887 | 63.887 | 117.989 | 0.000 | -0.000 | 0.000 |
| 4.503 | -4.627 | -0.280 | 35.494 | -0.000 | -1.477 |
| -3.380 | 3.095 | -1.381 | -0.000 | 33.924 | 3.444 |
| -0.063 | -0.063 | -0.289 | -1.050 | 4.049 | 42.121 |
| -47349060.461 | -38627441.693 | -6337684.319 | 127738.422 | -1762781.773 | 4689386.108 |
| -47417558.324 | -38844587.273 | -6357110.742 | 143198.083 | -1782466.795 | 4696836.586 |
| -47238178.199 | -38270872.273 | -6414099.828 | 68293.202 | -1741666.950 | 4258156.562 |
| -47543391.800 | -39021096.586 | -6786831.090 | -215235.146 | -2004300.591 | 4827063.899 |
| -47337146.514 | -38592892.039 | -6402603.198 | 115461.279 | -1766747.640 | 4574837.814 |
| -47279747.195 | -38587084.547 | -6400836.957 | 37707.936 | -1736734.593 | 4403725.694 |
| 47070321.539 | 37709089.178 | 6362284.295 | -63300.195 | 1767554.352 | -4184717.506 |
| 47519649.276 | 39071387.934 | 6725360.404 | 195833.345 | 1987357.649 | -4885825.817 |
| 47312579.597 | 38505947.768 | 6399336.562 | -92255.201 | 1756337.423 | -4525381.061 |
| 47335438.597 | 38573583.523 | 6373654.841 | 11781.567 | 1801052.904 | -4691419.333 |
| 47636368.324 | 39010611.002 | 6685349.461 | 190215.982 | 2020805.475 | -4871902.974 |
| 47324834.964 | 38375713.539 | 6533581.323 | 107085.504 | 1863900.495 | -4590191.414 |
| -4724148.949 | -3833982.984 | -632087.322 | 4230.049 | -175158.625 | 457664.072 |
| -4740195.447 | -3876086.208 | -636647.136 | 14658.707 | -178941.270 | 474044.963 |
| -4760535.522 | -3906243.668 | -652039.428 | -12091.531 | -195464.449 | 493982.046 |
| -4736655.261 | -3867274.283 | -633941.591 | 12140.161 | -176581.255 | 469078.977 |
| -4755661.856 | -3905894.769 | -653004.006 | -9315.770 | -191832.732 | 490752.454 |
| -4743429.447 | -3842327.701 | -683154.063 | -25658.268 | -200901.027 | 454748.317 |
| 4757430.710 | 3861366.539 | 650777.194 | 16062.237 | 197395.135 | -477013.536 |
| 4729770.000 | 3841005.646 | 637193.777 | 936.423 | 179513.283 | -460523.288 |
| 4711889.011 | 3782023.971 | 654194.345 | -10241.196 | 179493.078 | -414415.029 |
| 4726820.100 | 3844237.657 | 640989.611 | -5614.448 | 174158.212 | -435885.236 |
| 4719231.991 | 3801556.184 | 638784.824 | -8886.462 | 172088.519 | -417144.050 |
| 4738795.873 | 3857127.709 | 659410.123 | 12933.181 | 189616.388 | -465087.588 |
| -475095.132 | -388641.780 | -67295.491 | -2160.739 | -19868.175 | 48182.277 |
| -471647.079 | -377525.348 | -65531.755 | 674.884 | -17930.010 | 40465.996 |
| -476781.004 | -384770.400 | -63457.865 | -2178.557 | -20276.199 | 47866.269 |
| -474052.846 | -387700.946 | -63620.507 | 1399.010 | -17830.289 | 47358.978 |
| -477172.008 | -385233.054 | -64339.679 | -1841.281 | -19790.764 | 47533.014 |
| -473207.448 | -385467.724 | -63251.957 | 1048.056 | -17499.385 | 46506.659 |
| 473753.439 | 385812.053 | 63999.153 | -1199.022 | 17599.347 | -44827.842 |
| 477035.823 | 385199.712 | 64479.840 | 1822.284 | 20447.077 | -47822.024 |
| 473491.597 | 386729.640 | 63806.657 | -724.953 | 17409.455 | -44742.114 |
| 476765.582 | 384922.429 | 63248.127 | 2200.212 | 20147.792 | -47826.426 |
| 473330.216 | 383597.464 | 64553.764 | 704.014 | 18439.783 | -45987.691 |
| 472611.190 | 384307.391 | 63264.476 | -640.696 | 17305.112 | -45627.777 |
| 230.737 | 117.407 | 32.673 | -0.000 | -0.000 | 0.000 |
| 118.371 | 248.290 | 31.717 | -0.000 | -0.000 | -0.000 |
| 33.162 | 31.242 | 378.728 | -0.000 | -0.000 | 0.000 |
| -0.000 | -0.000 | 0.000 | 22.906 | -0.000 | 0.000 |
| -0.000 | -0.000 | 0.000 | -0.000 | 24.110 | 0.000 |
| -0.000 | -0.000 | 0.000 | -0.000 | -0.000 | 16.470 |
| 230.737 | 117.407 | 32.673 | 0.000 | 0.000 | -0.000 |
| 118.371 | 248.290 | 31.717 | 0.000 | 0.000 | -0.000 |
| 33.162 | 31.242 | 378.728 | 0.000 | 0.000 | -0.000 |
| 0.000 | 0.000 | -0.000 | 22.906 | 0.000 | -0.000 |
| 0.000 | 0.000 | -0.000 | 0.000 | 24.110 | -0.000 |
| 0.000 | 0.000 | -0.000 | 0.000 | 0.000 | 16.470 |
| 230.737 | 117.407 | 32.673 | 0.000 | -0.000 | 0.000 |
| 118.371 | 248.290 | 31.717 | -0.000 | -0.000 | 0.000 |
| 33.162 | 31.242 | 378.728 | -0.000 | -0.000 | 0.000 |
| -0.000 | -0.000 | -0.000 | 22.906 | -0.000 | 0.000 |
| -0.000 | -0.000 | -0.000 | -0.000 | 24.110 | 0.000 |
| -0.000 | -0.000 | 0.000 | -0.000 | -0.000 | 16.470 |
| 230.737 | 117.407 | 32.673 | 0.000 | 0.000 | -0.000 |
| 118.371 | 248.290 | 31.717 | -0.000 | 0.000 | -0.000 |
| 33.162 | 31.242 | 378.728 | 0.000 | 0.000 | -0.000 |
| 0.000 | 0.000 | 0.000 | 22.906 | 0.000 | -0.000 |
| 0.000 | 0.000 | 0.000 | 0.000 | 24.110 | 0.000 |
| 0.000 | 0.000 | -0.000 | 0.000 | 0.000 | 16.470 |
| 230.737 | 117.407 | 32.673 | -0.000 | -0.000 | 0.000 |
| 118.372 | 248.290 | 31.717 | -0.000 | -0.000 | 0.000 |
| 33.162 | 31.242 | 378.730 | -0.000 | -0.000 | 0.000 |
| -0.000 | -0.000 | -0.000 | 22.906 | -0.000 | 0.000 |
| -0.000 | -0.000 | -0.000 | -0.000 | 24.110 | -0.000 |
| -0.000 | -0.000 | -0.000 | -0.000 | -0.000 | 16.470 |
| 230.738 | 117.406 | 32.673 | 0.000 | 0.000 | -0.000 |
| 118.370 | 248.290 | 31.716 | 0.000 | 0.000 | 0.000 |
| 33.162 | 31.242 | 378.726 | 0.000 | 0.000 | 0.000 |
| 0.000 | 0.000 | 0.000 | 22.906 | 0.000 | 0.000 |
| 0.000 | 0.000 | 0.000 | 0.000 | 24.110 | -0.000 |
| 0.000 | 0.000 | 0.000 | 0.000 | 0.000 | 16.470 |
| 152.313 | 52.326 | 52.326 | -0.000 | -0.000 | -0.000 |
| 52.326 | 152.313 | 52.326 | -0.000 | 0.000 | -0.000 |
| 52.327 | 52.326 | 152.313 | -0.000 | 0.000 | 0.000 |
| 0.000 | 0.000 | 0.000 | 75.118 | -0.000 | -0.000 |
| 0.000 | 0.000 | 0.000 | -0.000 | 75.118 | -0.000 |
| 0.000 | 0.000 | 0.000 | -0.000 | -0.000 | 75.118 |
| 152.312 | 52.326 | 52.326 | 0.000 | 0.000 | -0.000 |
| 52.326 | 152.313 | 52.326 | 0.000 | -0.000 | 0.000 |
| 52.326 | 52.326 | 152.313 | 0.000 | 0.000 | 0.000 |
| -0.000 | -0.000 | -0.000 | 75.118 | 0.000 | 0.000 |
| -0.000 | -0.000 | -0.000 | -0.000 | 75.118 | 0.000 |
| -0.000 | -0.000 | -0.000 | 0.000 | 0.000 | 75.118 |
| 121.336 | 69.292 | 69.292 | -0.000 | -0.000 | -0.000 |
| 69.292 | 121.336 | 69.292 | 0.000 | 0.000 | -0.000 |
| 69.292 | 69.292 | 121.336 | -0.000 | 0.000 | -0.000 |
| 1.687 | 1.687 | 1.687 | 32.493 | 0.000 | -0.000 |
| 1.687 | 1.687 | 1.687 | 0.000 | 32.493 | -0.000 |
| 1.687 | 1.687 | 1.687 | -0.000 | 0.000 | 32.493 |
| 118.138 | 65.732 | 65.732 | -0.000 | 0.000 | 0.000 |
| 65.732 | 118.138 | 65.732 | -0.000 | 0.000 | -0.000 |
| 65.732 | 65.732 | 118.138 | -0.000 | 0.000 | -0.000 |
| -1.687 | -1.687 | -1.687 | 32.493 | 0.000 | -0.000 |
| -1.687 | -1.687 | -1.687 | 0.000 | 32.493 | 0.000 |
| -1.687 | -1.687 | -1.687 | 0.000 | 0.000 | 32.493 |
| 125.620 | 64.970 | 64.970 | -0.000 | 0.000 | -0.000 |
| 64.970 | 125.620 | 64.970 | -0.000 | -0.000 | -0.000 |
| 64.970 | 64.970 | 125.620 | 0.000 | 0.000 | -0.000 |
| 0.139 | 0.139 | 0.139 | 39.873 | -0.000 | -0.000 |
| 0.139 | 0.139 | 0.139 | -0.000 | 39.873 | -0.000 |
| 0.139 | 0.139 | 0.139 | 0.000 | -0.000 | 39.873 |
| 125.312 | 64.697 | 64.697 | 0.000 | 0.000 | -0.000 |
| 64.697 | 125.312 | 64.697 | -0.000 | 0.000 | 0.000 |
| 64.697 | 64.697 | 125.312 | -0.000 | 0.000 | 0.000 |
| -0.139 | -0.139 | -0.139 | 39.873 | 0.000 | 0.000 |
| -0.139 | -0.139 | -0.139 | 0.000 | 39.873 | 0.000 |
| -0.139 | -0.139 | -0.139 | 0.000 | 0.000 | 39.873 |
| 159.817 | 53.989 | 53.989 | -0.000 | -0.000 | -0.000 |
| 53.989 | 159.817 | 53.989 | -0.000 | -0.000 | 0.000 |
| 53.989 | 53.989 | 159.816 | -0.000 | -0.000 | 0.000 |
| 2.021 | 2.021 | 2.021 | 51.570 | -0.000 | 0.000 |
| 2.021 | 2.021 | 2.021 | 0.000 | 51.570 | 0.000 |
| 2.021 | 2.021 | 2.021 | -0.000 | -0.000 | 51.570 |
| 150.470 | 48.138 | 48.138 | 0.000 | 0.000 | -0.000 |
| 48.138 | 150.470 | 48.138 | 0.000 | 0.000 | -0.000 |
| 48.138 | 48.138 | 150.471 | 0.000 | 0.000 | -0.000 |
| -2.021 | -2.021 | -2.021 | 51.570 | 0.000 | -0.000 |
| -2.021 | -2.021 | -2.021 | -0.000 | 51.570 | -0.000 |
| -2.021 | -2.021 | -2.021 | 0.000 | 0.000 | 51.570 |
| 156.217 | 51.115 | 51.115 | -0.000 | -0.000 | -0.000 |
| 51.115 | 156.217 | 51.115 | -0.000 | -0.000 | 0.000 |
| 51.115 | 51.115 | 156.217 | -0.000 | -0.000 | 0.000 |
| 0.540 | 0.540 | 0.540 | 49.240 | -0.000 | 0.000 |
| 0.540 | 0.540 | 0.540 | -0.000 | 49.240 | -0.000 |
| 0.540 | 0.540 | 0.540 | 0.000 | -0.000 | 49.240 |
| 153.973 | 49.473 | 49.473 | 0.000 | 0.000 | -0.000 |
| 49.473 | 153.973 | 49.473 | -0.000 | 0.000 | -0.000 |
| 49.473 | 49.473 | 153.973 | -0.000 | 0.000 | -0.000 |
| -0.540 | -0.540 | -0.540 | 49.240 | 0.000 | -0.000 |
| -0.540 | -0.540 | -0.540 | 0.000 | 49.240 | -0.000 |
| -0.000 | -0.000 | -0.000 | -0.000 | 0.000 | 78.662 |
| 154.293 | 49.901 | 49.901 | -0.000 | -0.000 | -0.000 |
| 49.901 | 154.293 | 49.901 | -0.000 | -0.000 | -0.000 |
| 49.901 | 49.901 | 154.293 | -0.000 | -0.000 | 0.000 |
| 0.000 | 0.000 | 0.000 | 78.662 | -0.000 | 0.000 |
| 0.000 | 0.000 | 0.000 | 0.000 | 78.662 | 0.000 |
| 0.000 | 0.000 | 0.000 | 0.000 | -0.000 | 78.662 |
| 154.226 | 49.883 | 49.883 | 0.000 | 0.000 | -0.000 |
| 49.883 | 154.226 | 49.883 | -0.000 | 0.000 | -0.000 |
| 49.883 | 49.883 | 154.226 | 0.000 | 0.000 | -0.000 |
| -0.000 | -0.000 | -0.000 | 78.662 | 0.000 | -0.000 |
| -0.000 | -0.000 | -0.000 | 0.000 | 78.662 | -0.000 |
| -0.000 | -0.000 | -0.000 | -0.000 | 0.000 | 78.662 |
| 130.184 | 64.782 | 56.525 | -0.000 | 0.000 | -0.000 |
| 64.782 | 130.184 | 56.525 | -0.000 | 0.000 | -0.000 |
| 33.430 | 33.430 | 224.453 | -0.000 | -0.000 | -0.000 |
| 0.000 | 0.000 | -0.000 | 51.709 | -0.000 | -0.000 |
| 0.000 | 0.000 | -0.000 | -0.000 | 51.709 | -0.000 |
| 0.000 | 0.000 | -0.000 | -0.000 | -0.000 | 5.596 |
| 214.972 | 13.266 | 33.430 | 0.000 | 0.000 | 0.000 |
| 13.266 | 214.972 | 33.430 | 0.000 | 0.000 | 0.000 |
| 33.430 | 33.430 | 224.453 | 0.000 | 0.000 | 0.000 |
| -0.000 | -0.000 | 0.000 | 51.710 | 0.000 | 0.000 |
| -0.000 | -0.000 | 0.000 | 0.000 | 51.710 | 0.000 |
| -0.000 | -0.000 | 0.000 | 0.000 | 0.000 | 5.596 |
| 130.183 | 64.782 | 56.525 | -0.000 | 0.000 | -0.000 |
| 64.782 | 130.183 | 56.525 | 0.000 | -0.000 | -0.000 |
| 33.430 | 33.430 | 224.453 | -0.000 | -0.000 | -0.000 |
| 0.000 | 0.000 | -0.000 | 51.709 | -0.000 | 0.000 |
| 0.000 | 0.000 | -0.000 | -0.000 | 51.709 | -0.000 |
| 0.000 | 0.000 | -0.000 | -0.000 | -0.000 | 5.596 |
| 130.184 | 64.782 | 56.524 | 0.000 | 0.000 | 0.000 |
| 64.782 | 130.184 | 56.524 | 0.000 | -0.000 | 0.000 |
| 33.430 | 33.430 | 224.453 | 0.000 | 0.000 | 0.000 |
| -0.000 | -0.000 | 0.000 | 51.709 | 0.000 | 0.000 |
| -0.000 | -0.000 | 0.000 | 0.000 | 51.709 | 0.000 |
| -0.000 | -0.000 | 0.000 | 0.000 | 0.000 | 5.596 |
| 130.180 | 64.784 | 56.527 | 0.000 | -0.000 | -0.000 |
| 64.784 | 130.180 | 56.527 | -0.000 | 0.000 | -0.000 |
| 56.525 | 56.525 | 192.393 | -0.000 | -0.000 | -0.000 |
| 0.000 | 0.000 | -0.000 | 51.709 | -0.000 | -0.000 |
| 0.000 | 0.000 | -0.000 | -0.000 | 51.709 | -0.000 |
| -0.000 | -0.000 | -0.000 | -0.000 | -0.000 | 5.596 |
| 130.188 | 64.780 | 56.523 | 0.000 | -0.000 | 0.000 |
| 64.780 | 130.188 | 56.523 | 0.000 | 0.000 | 0.000 |
| 56.525 | 56.525 | 192.391 | 0.000 | -0.000 | 0.000 |
| -0.000 | -0.000 | 0.000 | 51.709 | 0.000 | 0.000 |
| -0.000 | -0.000 | 0.000 | 0.000 | 51.709 | 0.000 |
| 0.000 | 0.000 | 0.000 | 0.000 | 0.000 | 5.596 |
| 134.134 | 47.280 | 64.843 | 0.000 | 0.000 | -0.000 |
| 47.280 | 134.134 | 64.843 | 0.000 | 0.000 | -0.000 |
| 53.813 | 53.813 | 194.039 | 0.000 | 0.000 | -0.000 |
| 0.000 | 0.000 | -0.000 | 48.867 | -0.000 | 0.000 |
| 0.000 | 0.000 | -0.000 | 0.000 | 48.867 | -0.000 |
| -0.000 | 0.000 | 0.000 | 0.000 | 0.000 | 6.618 |
| 129.889 | 63.719 | 55.856 | -0.000 | -0.000 | 0.000 |
| 63.719 | 129.889 | 55.856 | -0.000 | -0.000 | 0.000 |
| 53.813 | 53.813 | 194.039 | -0.000 | -0.000 | 0.000 |
| -0.000 | -0.000 | 0.000 | 48.867 | -0.000 | 0.000 |
| -0.000 | -0.000 | 0.000 | -0.000 | 48.867 | 0.000 |
| -0.000 | -0.000 | 0.000 | -0.000 | -0.000 | 6.618 |
| 129.889 | 63.719 | 55.856 | 0.000 | 0.000 | 0.000 |
| 63.719 | 129.889 | 55.856 | 0.000 | 0.000 | 0.000 |
| 32.711 | 32.711 | 225.143 | -0.000 | -0.000 | -0.000 |
| 0.000 | 0.000 | -0.000 | 48.867 | -0.000 | -0.000 |
| 0.000 | 0.000 | -0.000 | 0.000 | 48.867 | -0.000 |
| -0.000 | -0.000 | -0.000 | 0.000 | 0.000 | 6.618 |
| 209.092 | 13.150 | 34.754 | 0.000 | 0.000 | -0.000 |
| 13.150 | 209.092 | 34.754 | 0.000 | 0.000 | 0.000 |
| 53.813 | 53.813 | 194.039 | 0.000 | 0.000 | 0.000 |
| -0.000 | -0.000 | 0.000 | 48.867 | -0.000 | 0.000 |
| -0.000 | -0.000 | 0.000 | -0.000 | 48.867 | 0.000 |
| 0.000 | 0.000 | 0.000 | -0.000 | -0.000 | 6.618 |
| 129.885 | 63.721 | 55.858 | 0.000 | 0.000 | 0.000 |
| 63.721 | 129.885 | 55.858 | 0.000 | 0.000 | -0.000 |
| 53.813 | 53.813 | 194.040 | -0.000 | -0.000 | -0.000 |
| 0.000 | 0.000 | -0.000 | 48.867 | 0.000 | -0.000 |
| 0.000 | 0.000 | -0.000 | 0.000 | 48.867 | -0.000 |
| -0.000 | -0.000 | -0.000 | 0.000 | 0.000 | 6.618 |
| 129.893 | 63.717 | 55.854 | -0.000 | -0.000 | 0.000 |
| 63.717 | 129.893 | 55.854 | -0.000 | -0.000 | 0.000 |
| 53.813 | 53.813 | 194.038 | -0.000 | 0.000 | 0.000 |
| -0.000 | -0.000 | 0.000 | 48.867 | -0.000 | -0.000 |
| -0.000 | -0.000 | 0.000 | -0.000 | 48.867 | 0.000 |
| 0.000 | 0.000 | 0.000 | -0.000 | -0.000 | 6.618 |
| 118.222 | 62.498 | 62.498 | -0.000 | -0.000 | 0.000 |
| 62.498 | 118.222 | 62.498 | -0.000 | 0.000 | 0.000 |
| 62.498 | 62.498 | 118.222 | 0.000 | -0.000 | -0.000 |
| 0.591 | 0.591 | 0.591 | 34.049 | -0.000 | -0.000 |
| 0.591 | 0.591 | 0.591 | 0.000 | 34.048 | 0.000 |
| 0.591 | 0.591 | 0.591 | 0.000 | 0.000 | 34.048 |
| 128.049 | 63.105 | 63.105 | 0.000 | 0.000 | -0.000 |
| 63.105 | 128.049 | 63.105 | -0.000 | 0.000 | -0.000 |
| 63.105 | 63.105 | 128.049 | -0.000 | -0.000 | -0.000 |
| -0.590 | -0.591 | -0.591 | 34.048 | 0.000 | -0.000 |
| -0.591 | -0.591 | -0.591 | -0.000 | 34.048 | -0.000 |
| -0.591 | -0.591 | -0.591 | 0.000 | 0.000 | 34.048 |
| 117.460 | 61.967 | 61.967 | 0.000 | -0.000 | 0.000 |
| 61.967 | 117.460 | 61.967 | 0.000 | 0.000 | 0.000 |
| 61.967 | 61.967 | 117.460 | 0.000 | -0.000 | 0.000 |
| 0.059 | 0.059 | 0.059 | 34.096 | -0.000 | 0.000 |
| 0.059 | 0.059 | 0.059 | 0.000 | 34.096 | 0.000 |
| 0.059 | 0.059 | 0.059 | 0.000 | 0.000 | 34.096 |
| 128.049 | 63.105 | 63.105 | 0.000 | 0.000 | -0.000 |
| 63.105 | 128.049 | 63.105 | 0.000 | 0.000 | -0.000 |
| 63.105 | 63.105 | 128.049 | 0.000 | 0.000 | 0.000 |
| -0.059 | -0.059 | -0.059 | 34.096 | 0.000 | 0.000 |
| -0.059 | -0.059 | -0.059 | -0.000 | 34.096 | -0.000 |
| -0.059 | -0.059 | -0.059 | 0.000 | 0.000 | 34.096 |
| 117.380 | 61.912 | 61.912 | 0.000 | -0.000 | -0.000 |
| 61.912 | 117.380 | 61.912 | 0.000 | -0.000 | 0.000 |
| 61.912 | 61.912 | 117.380 | 0.000 | 0.000 | 0.000 |
| 0.006 | 0.006 | 0.006 | 34.096 | -0.000 | 0.000 |
| 0.006 | 0.006 | 0.006 | 0.000 | 34.096 | 0.000 |
| 0.006 | 0.006 | 0.006 | 0.000 | -0.000 | 34.096 |
| 116.155 | 59.947 | 59.947 | -0.000 | -0.000 | -0.000 |
| 59.947 | 116.155 | 59.947 | -0.000 | 0.000 | -0.000 |
| 59.947 | 59.947 | 116.155 | -0.000 | 0.000 | -0.000 |
| -0.006 | -0.006 | -0.006 | 34.096 | 0.000 | 0.000 |
| -0.006 | -0.006 | -0.006 | -0.000 | 34.096 | -0.000 |
| -0.006 | -0.006 | -0.006 | 0.000 | 0.000 | 34.096 |
| 111.376 | 56.416 | 56.416 | 0.000 | -0.000 | -0.000 |
| 56.416 | 111.376 | 56.416 | 0.000 | -0.000 | -0.000 |
| 56.416 | 56.416 | 111.376 | -0.000 | 0.000 | -0.000 |
| 0.000 | 0.000 | -0.000 | 76.724 | -0.000 | -0.000 |
| 0.000 | -0.000 | 0.000 | 0.000 | 76.724 | -0.000 |
| 0.000 | 0.000 | -0.000 | -0.000 | -0.000 | 76.724 |
| 110.769 | 55.482 | 55.481 | -0.000 | -0.000 | 0.000 |
| 55.481 | 110.769 | 55.481 | -0.000 | 0.000 | 0.000 |
| 55.482 | 55.482 | 110.770 | -0.000 | 0.000 | 0.000 |
| -0.001 | 0.000 | -0.000 | 76.724 | -0.000 | 0.000 |
| -0.000 | 0.000 | 0.000 | -0.000 | 76.724 | -0.000 |
| -0.000 | -0.000 | 0.000 | -0.000 | -0.000 | 76.724 |
| 122.280 | 58.049 | 58.049 | 0.000 | -0.000 | -0.000 |
| 58.049 | 122.280 | 58.049 | 0.000 | -0.000 | -0.000 |
| 58.049 | 58.049 | 122.280 | -0.000 | -0.000 | -0.000 |
| 0.001 | 0.001 | 0.001 | 34.272 | -0.000 | -0.000 |
| 0.001 | 0.001 | 0.001 | 0.000 | 34.272 | -0.000 |
| 0.001 | 0.001 | 0.001 | 0.000 | -0.000 | 34.272 |
| 110.804 | 54.448 | 54.448 | 0.000 | 0.000 | 0.000 |
| 54.448 | 110.804 | 54.448 | 0.000 | 0.000 | 0.000 |
| 54.448 | 54.448 | 110.804 | 0.000 | 0.000 | 0.000 |
| -0.001 | -0.001 | -0.001 | 34.272 | -0.000 | 0.000 |
| -0.001 | -0.001 | -0.001 | 0.000 | 34.272 | -0.000 |
| -0.001 | -0.001 | -0.001 | -0.000 | 0.000 | 34.272 |
| 111.878 | 56.486 | 56.486 | 0.000 | 0.000 | -0.000 |
| 56.486 | 111.878 | 56.486 | 0.000 | -0.000 | -0.000 |
| 56.486 | 56.486 | 111.878 | -0.000 | -0.000 | -0.000 |
| 0.000 | 0.000 | 0.000 | 34.273 | 0.000 | -0.000 |
| 0.000 | 0.000 | 0.000 | 0.000 | 34.273 | -0.000 |
| 0.000 | 0.000 | 0.000 | 0.000 | -0.000 | 34.273 |
| 111.886 | 56.487 | 56.487 | -0.000 | 0.000 | 0.000 |
| 56.487 | 111.886 | 56.487 | -0.000 | -0.000 | -0.000 |
| 56.487 | 56.487 | 111.886 | 0.000 | 0.000 | 0.000 |
| -0.000 | -0.000 | -0.000 | 34.273 | -0.000 | 0.000 |
| -0.000 | -0.000 | -0.000 | -0.000 | 34.273 | 0.000 |
| -0.000 | -0.000 | -0.000 | 0.000 | 0.000 | 34.273 |
| 598.039 | 115.865 | 59.032 | -0.000 | 0.000 | -0.000 |
| 115.424 | 198.177 | 95.895 | 0.000 | 0.000 | -0.000 |
| 61.219 | 98.524 | 178.327 | -0.000 | 0.000 | -0.000 |
| -0.000 | -0.000 | -0.000 | 227.438 | 0.000 | -0.000 |
| -0.000 | 0.000 | -0.000 | 0.000 | 268.346 | -0.000 |
| -0.035 | -0.014 | -0.012 | -0.000 | 0.000 | 40.199 |
| 598.116 | 115.893 | 59.058 | 0.000 | -0.000 | 0.000 |
| 115.503 | 198.206 | 95.922 | -0.000 | -0.000 | 0.000 |
| 65.565 | 109.765 | 179.604 | -0.000 | -0.000 | 0.000 |
| 0.000 | 0.000 | 0.000 | 227.438 | -0.000 | 0.000 |
| 0.000 | 0.000 | 0.000 | -0.000 | 268.346 | 0.000 |
| 0.035 | 0.014 | 0.012 | 0.000 | -0.000 | 40.199 |
| 597.514 | 115.637 | 58.855 | -0.000 | 0.000 | -0.000 |
| 104.410 | 256.149 | 90.952 | -0.000 | 0.000 | -0.000 |
| 65.459 | 109.721 | 179.568 | 0.000 | -0.000 | -0.000 |
| -0.004 | -0.002 | -0.001 | 68.154 | 0.000 | -0.000 |
| -0.003 | -0.001 | -0.001 | -0.000 | 156.961 | -0.000 |
| -0.003 | -0.001 | -0.001 | -0.000 | 0.000 | 40.199 |
| 611.667 | 152.654 | 63.006 | -0.000 | -0.000 | 0.000 |
| 458.260 | 429.023 | 209.596 | -0.000 | -0.000 | 0.000 |
| 61.261 | 98.539 | 178.341 | 0.000 | -0.000 | 0.000 |
| 0.004 | 0.002 | 0.001 | 68.154 | -0.000 | 0.000 |
| 0.003 | 0.001 | 0.001 | 0.000 | 156.961 | 0.000 |
| 0.003 | 0.001 | 0.001 | 0.000 | -0.000 | 40.199 |
| 598.257 | 115.956 | 59.105 | -0.000 | 0.000 | -0.000 |
| 115.530 | 198.223 | 95.932 | -0.000 | 0.000 | -0.000 |
| 61.279 | 98.548 | 178.347 | -0.000 | 0.000 | -0.000 |
| -0.001 | -0.000 | -0.000 | 67.812 | 0.000 | -0.000 |
| 0.001 | 0.000 | 0.000 | -0.000 | 156.961 | -0.000 |
| 0.001 | 0.001 | 0.000 | -0.000 | 0.000 | 40.199 |
| 597.896 | 115.801 | 58.984 | 0.000 | -0.000 | 0.000 |
| 115.397 | 198.160 | 95.886 | -0.000 | -0.000 | 0.000 |
| 61.240 | 98.530 | 178.334 | 0.000 | -0.000 | 0.000 |
| 0.001 | 0.000 | 0.000 | 67.812 | -0.000 | 0.000 |
| -0.001 | -0.000 | -0.000 | 0.000 | 156.961 | 0.000 |
| -0.001 | -0.001 | -0.000 | 0.000 | -0.000 | 40.199 |
| 481.540 | 302.407 | 302.407 | 0.000 | -0.000 | -0.000 |
| 302.407 | 481.540 | 302.407 | 0.000 | -0.000 | -0.000 |
| 302.407 | 302.407 | 481.540 | 0.000 | -0.000 | -0.000 |
| 1.016 | 1.017 | 1.017 | -182.817 | 0.000 | 0.001 |
| 1.016 | 1.016 | 1.016 | 0.002 | -182.818 | 0.001 |
| 1.017 | 1.017 | 1.016 | 0.002 | 0.000 | -182.818 |
| 406.554 | 310.510 | 310.510 | 0.001 | 0.000 | 0.001 |
| 310.510 | 406.554 | 310.510 | 0.001 | 0.000 | 0.001 |
| 310.510 | 310.510 | 406.554 | 0.001 | 0.000 | 0.001 |
| -1.016 | -1.016 | -1.016 | -182.820 | -0.000 | -0.001 |
| -1.017 | -1.016 | -1.017 | -0.002 | -182.819 | -0.001 |
| -1.016 | -1.016 | -1.016 | -0.002 | -0.000 | -182.819 |
| 406.805 | 312.043 | 312.043 | 0.000 | 0.000 | 0.000 |
| 312.043 | 406.805 | 312.043 | 0.000 | 0.000 | 0.000 |
| 312.043 | 312.043 | 406.805 | 0.000 | 0.000 | 0.000 |
| 0.091 | 0.093 | 0.093 | -182.631 | 0.000 | 0.000 |
| 0.093 | 0.091 | 0.093 | 0.000 | -182.631 | 0.000 |
| 0.093 | 0.093 | 0.091 | 0.000 | 0.000 | -182.631 |
| 406.592 | 311.830 | 311.830 | -0.000 | -0.000 | -0.000 |
| 311.830 | 406.592 | 311.830 | -0.000 | -0.000 | -0.000 |
| 311.830 | 311.830 | 406.592 | -0.000 | -0.000 | -0.000 |
| -0.091 | -0.093 | -0.093 | -182.631 | -0.000 | -0.000 |
| -0.093 | -0.091 | -0.093 | -0.000 | -182.631 | -0.000 |
| -0.093 | -0.093 | -0.091 | -0.000 | -0.000 | -182.631 |
| 406.713 | 311.949 | 311.949 | 0.000 | 0.000 | 0.000 |
| 311.949 | 406.713 | 311.949 | 0.000 | 0.000 | 0.000 |
| 311.949 | 311.949 | 406.713 | 0.000 | 0.000 | 0.000 |
| -0.070 | -0.048 | -0.048 | -182.629 | 0.000 | 0.000 |
| -0.048 | -0.070 | -0.048 | 0.000 | -182.629 | 0.000 |
| -0.048 | -0.048 | -0.070 | 0.000 | 0.000 | -182.629 |
| 406.684 | 311.924 | 311.924 | -0.000 | -0.000 | -0.000 |
| 311.924 | 406.684 | 311.924 | -0.000 | -0.000 | -0.000 |
| 311.924 | 311.924 | 406.684 | -0.000 | -0.000 | -0.000 |
| 0.070 | 0.048 | 0.048 | -182.629 | -0.000 | -0.000 |
| 0.048 | 0.070 | 0.048 | -0.000 | -182.629 | -0.000 |
| 0.048 | 0.048 | 0.070 | -0.000 | -0.000 | -182.629 |
| 754.438 | 596.511 | 178.923 | 0.000 | -0.000 | 0.000 |
| 592.419 | 819.520 | 173.188 | 0.000 | -0.000 | 0.000 |
| 162.030 | 160.011 | 376.689 | 0.000 | -0.000 | 0.000 |
| -1.241 | 0.262 | -0.087 | 40.132 | -0.000 | -0.000 |
| -2.981 | 0.630 | -0.208 | 0.001 | 26.741 | 0.000 |
| -5.351 | 1.130 | -0.373 | 0.001 | -0.000 | 40.699 |
| 760.121 | 595.310 | 179.320 | -0.000 | 0.000 | -0.000 |
| 598.106 | 818.319 | 173.585 | -0.000 | 0.000 | 0.000 |
| 167.753 | 158.802 | 377.088 | -0.000 | 0.000 | -0.000 |
| 1.241 | -0.262 | 0.087 | 40.130 | 0.000 | 0.000 |
| 2.981 | -0.630 | 0.208 | -0.001 | 26.741 | 0.000 |
| 5.351 | -1.130 | 0.373 | -0.001 | 0.000 | 40.699 |
| 756.977 | 595.974 | 179.100 | 0.000 | -0.000 | -0.000 |
| 595.066 | 818.961 | 173.373 | 0.000 | -0.000 | 0.000 |
| 164.344 | 159.522 | 376.850 | 0.000 | -0.000 | 0.000 |
| -0.124 | 0.026 | -0.009 | 40.133 | -0.000 | -0.000 |
| -0.298 | 0.063 | -0.021 | 0.000 | 26.740 | -0.000 |
| -0.536 | 0.113 | -0.037 | 0.000 | -0.000 | 40.673 |
| 757.544 | 595.855 | 179.140 | -0.000 | 0.000 | -0.000 |
| 595.634 | 818.841 | 173.413 | -0.000 | 0.000 | 0.000 |
| 164.912 | 159.402 | 376.890 | -0.000 | 0.000 | -0.000 |
| 0.124 | -0.026 | 0.009 | 40.132 | 0.000 | 0.000 |
| 0.298 | -0.063 | 0.021 | -0.000 | 26.740 | -0.000 |
| 0.536 | -0.113 | 0.037 | -0.000 | 0.000 | 40.673 |
| 757.238 | 595.917 | 179.117 | 0.000 | -0.000 | -0.000 |
| 595.324 | 818.908 | 173.390 | 0.000 | -0.000 | 0.000 |
| 164.597 | 159.468 | 376.869 | 0.000 | -0.000 | -0.000 |
| -0.018 | 0.004 | -0.001 | 29.509 | -0.000 | -0.000 |
| -0.030 | 0.006 | -0.002 | 0.000 | 26.740 | -0.000 |
| -0.058 | 0.011 | -0.004 | 0.000 | -0.000 | 40.673 |
| 757.283 | 595.911 | 179.123 | -0.000 | 0.000 | 0.000 |
| 595.377 | 818.893 | 173.396 | -0.000 | 0.000 | -0.000 |
| 164.654 | 159.457 | 376.870 | -0.000 | 0.000 | 0.000 |
| 0.018 | -0.004 | 0.001 | 29.509 | 0.000 | 0.000 |
| 0.030 | -0.006 | 0.002 | -0.000 | 26.740 | 0.000 |
| 0.058 | -0.011 | 0.004 | -0.000 | 0.000 | 40.673 |
| 227.469 | 59.983 | 43.430 | 21.436 | -15.619 | 0.000 |
| -369.085 | -260.111 | -849.519 | -12.049 | -6.609 | -0.000 |
| -386.429 | -386.429 | -891.123 | 0.000 | 0.000 | 0.001 |
| 21.436 | -21.436 | -0.000 | 69.105 | 0.000 | 15.619 |
| -495.735 | -477.909 | -1082.151 | 0.000 | 13.810 | -0.829 |
| 0.000 | -0.000 | -0.000 | 15.619 | 21.436 | 83.743 |
| 227.469 | 59.983 | 43.431 | 21.436 | -15.619 | 0.000 |
| 576.307 | 645.595 | 1134.527 | 1.592 | 9.067 | -0.001 |
| 46.535 | 46.535 | 195.001 | -0.000 | -0.000 | -0.001 |
| 447.599 | 422.244 | 898.949 | 54.610 | -0.000 | -6.175 |
| 598.147 | 551.058 | 109.832 | -0.000 | -23.615 | -24.972 |
| -0.000 | -0.001 | 0.000 | 15.619 | 21.436 | 83.743 |
| 110.637 | 59.068 | 55.483 | -2.954 | 4.964 | -0.000 |
| 59.069 | 110.645 | 55.482 | 2.953 | -4.962 | 0.000 |
| 3.072 | 3.072 | -46.745 | 0.000 | 0.000 | -0.000 |
| -43.237 | -28.317 | -6.839 | 11.374 | -0.000 | -8.766 |
| -15.619 | 15.619 | 0.000 | 0.000 | 69.105 | 21.436 |
| -34.970 | -34.970 | -6.684 | -8.215 | -6.807 | 16.628 |
| 159.970 | 131.128 | 71.654 | -7.736 | 8.999 | 0.000 |
| 59.983 | 227.469 | 43.431 | -21.436 | 15.619 | 0.000 |
| 100.028 | 100.028 | 196.543 | -0.000 | 0.000 | -0.000 |
| 28.317 | 43.237 | 6.839 | 11.374 | 0.000 | -8.766 |
| 44.543 | 27.011 | 6.839 | 0.000 | 11.374 | -7.460 |
| 34.970 | 34.970 | 6.684 | -8.216 | -6.808 | 16.627 |
| 162.064 | 79.144 | 56.013 | 3.643 | -0.603 | 0.000 |
| 75.914 | 159.591 | 48.009 | -5.243 | -5.093 | -0.000 |
| 61.918 | 61.918 | 115.841 | 0.000 | -0.000 | 0.000 |
| 2.318 | -6.530 | -0.403 | 35.116 | -0.000 | 1.262 |
| -5.723 | -3.496 | -9.584 | -0.000 | 31.839 | 4.823 |
| -2.172 | -2.172 | -0.415 | 0.817 | 3.897 | 42.064 |
| 167.573 | 83.024 | 56.802 | 4.452 | 0.998 | 0.000 |
| 83.022 | 167.836 | 56.554 | -4.041 | 0.939 | 0.000 |
| 54.943 | 54.943 | 90.722 | -0.000 | -0.000 | 0.000 |
| 9.421 | -0.197 | 9.585 | 31.812 | 0.000 | 1.100 |
| 0.845 | 3.368 | 0.403 | 0.000 | 35.115 | 4.423 |
| 3.092 | 3.092 | 3.123 | -3.020 | 4.645 | 41.672 |
| 173.286 | 65.524 | 0.542 | 7.162 | 4.296 | 0.000 |
| 65.524 | 173.286 | 0.542 | -7.162 | -4.296 | 0.001 |
| 46.350 | 46.350 | 480.081 | 0.000 | 0.000 | 0.000 |
| 20.494 | -20.494 | 0.000 | 67.204 | -0.000 | -15.848 |
| 15.848 | -15.848 | 0.000 | 0.000 | 67.204 | 20.494 |
| 0.000 | -0.000 | -0.000 | -15.848 | 20.493 | 82.791 |
| 178.148 | 73.024 | 95.622 | 6.555 | 3.768 | -0.000 |
| 54.062 | 219.645 | 46.350 | -20.494 | -15.848 | -0.001 |
| 46.350 | 46.350 | 480.081 | -0.000 | 0.000 | -0.000 |
| 20.494 | -20.494 | 0.000 | 67.204 | -0.000 | -15.848 |
| 8.383 | -2.320 | 42.218 | -0.000 | 42.868 | 8.381 |
| -0.000 | 0.000 | 0.000 | -15.848 | 20.494 | 82.791 |
| 163.153 | 73.174 | 51.363 | 3.451 | 0.262 | 0.000 |
| 54.062 | 219.645 | 46.350 | -20.494 | -15.848 | 0.000 |
| 46.350 | 46.350 | 480.081 | -0.000 | -0.000 | 0.000 |
| 3.663 | -4.485 | -5.723 | 34.215 | -0.000 | -1.619 |
| 15.848 | -15.848 | 0.000 | 0.000 | 67.203 | 20.494 |
| 0.000 | -0.000 | -0.000 | -15.848 | 20.494 | 82.791 |
| 219.645 | 54.062 | 46.350 | 20.494 | 15.848 | 0.000 |
| 73.649 | 164.386 | 53.216 | -3.237 | -0.894 | -0.000 |
| 53.939 | 53.939 | 308.838 | 0.000 | -0.000 | -0.000 |
| 20.494 | -20.494 | -0.000 | 67.203 | -0.000 | -15.848 |
| 15.848 | -15.848 | 0.000 | 0.000 | 67.204 | 20.494 |
| 0.430 | 0.430 | 5.984 | -0.971 | 3.325 | 45.560 |
| 164.194 | 73.077 | 46.599 | 3.325 | 0.970 | -0.000 |
| 73.500 | 163.526 | 54.146 | -3.574 | -0.133 | -0.000 |
| 53.518 | 53.518 | 305.602 | -0.000 | 0.000 | 0.000 |
| 3.956 | -4.038 | -0.575 | 34.061 | 0.000 | -1.552 |
| 1.511 | -1.593 | -0.575 | -0.000 | 34.060 | 3.997 |
| -0.017 | -0.017 | 0.704 | 0.523 | 4.145 | 45.063 |
| 162.528 | 73.405 | 45.787 | 4.679 | -1.567 | -0.000 |
| 73.588 | 163.562 | 54.817 | -3.619 | -0.052 | 0.000 |
| 46.691 | 46.691 | 333.204 | 0.000 | -0.000 | -0.000 |
| 3.208 | -3.199 | -1.500 | 32.268 | 0.000 | 2.774 |
| 15.848 | -15.848 | 0.000 | -0.000 | 67.203 | 20.494 |
| 0.067 | 0.067 | 1.497 | 0.303 | 4.020 | 45.020 |
| 209.167 | 13.152 | 34.738 | -0.000 | -0.000 | 0.000 |
| 13.152 | 209.167 | 34.738 | -0.000 | -0.000 | -0.000 |
| 78.423 | 78.423 | 157.827 | -0.000 | -0.000 | -0.000 |
| 25.181 | 25.181 | -37.087 | 50.036 | -0.000 | 0.000 |
| 25.181 | 25.181 | -37.087 | -0.000 | 50.036 | -0.000 |
| 24.579 | 24.579 | -36.201 | -0.000 | -0.000 | 6.605 |
| 209.167 | 13.152 | 34.738 | 0.000 | 0.000 | 0.000 |
| 13.152 | 209.167 | 34.738 | 0.000 | 0.000 | -0.000 |
| 29.265 | 29.265 | 230.228 | 0.000 | 0.000 | 0.000 |
| -25.181 | -25.181 | 37.087 | 50.036 | 0.000 | 0.000 |
| -25.181 | -25.181 | 37.087 | 0.000 | 50.036 | 0.000 |
| -24.579 | -24.579 | 36.201 | 0.000 | 0.000 | 6.605 |
| 134.689 | 52.343 | 60.724 | -0.000 | 0.000 | -0.000 |
| 52.343 | 134.689 | 60.724 | -0.000 | -0.000 | -0.000 |
| 56.301 | 56.301 | 190.407 | -0.000 | -0.000 | 0.000 |
| 2.695 | 2.695 | -3.969 | 48.946 | -0.000 | 0.000 |
| 2.695 | 2.695 | -3.969 | -0.000 | 48.946 | -0.000 |
| 2.458 | 2.458 | -3.620 | -0.000 | -0.000 | 6.605 |
| 127.440 | 61.278 | 59.482 | 0.000 | 0.000 | 0.000 |
| 61.278 | 127.440 | 59.482 | 0.000 | 0.000 | 0.000 |
| 51.386 | 51.386 | 197.647 | 0.000 | 0.000 | -0.000 |
| -2.695 | -2.695 | 3.969 | 48.947 | 0.000 | -0.000 |
| -2.695 | -2.695 | 3.969 | 0.000 | 48.947 | 0.000 |
| -2.458 | -2.458 | 3.620 | 0.000 | 0.000 | 6.605 |
| 130.140 | 63.984 | 55.502 | -0.000 | -0.000 | 0.000 |
| 63.984 | 130.140 | 55.502 | -0.000 | -0.000 | 0.000 |
| 54.089 | 54.089 | 193.666 | -0.000 | -0.000 | -0.000 |
| 0.270 | 0.270 | -0.398 | 48.902 | -0.000 | -0.000 |
| 0.270 | 0.270 | -0.398 | -0.000 | 48.902 | 0.000 |
| 0.246 | 0.246 | -0.362 | -0.000 | -0.000 | 6.605 |
| 129.656 | 63.485 | 56.224 | 0.000 | 0.000 | -0.000 |
| 63.485 | 129.656 | 56.224 | 0.000 | 0.000 | -0.000 |
| 53.598 | 53.598 | 194.389 | 0.000 | 0.000 | 0.000 |
| -0.270 | -0.270 | 0.398 | 48.902 | 0.000 | -0.000 |
| -0.270 | -0.270 | 0.398 | 0.000 | 48.902 | -0.000 |
| -0.246 | -0.246 | 0.362 | 0.000 | 0.000 | 6.605 |
| 708.452 | -351.676 | -263.379 | 0.000 | 253.205 | 0.000 |
| 21.511 | 211.415 | 44.633 | 0.000 | -21.291 | -0.000 |
| 43.836 | 45.404 | 193.196 | 0.000 | 23.162 | -0.000 |
| 0.000 | 0.000 | -0.000 | 84.719 | -0.000 | -18.288 |
| 549.040 | -359.642 | -312.110 | -0.000 | 344.180 | 0.000 |
| 541.376 | -358.289 | -313.831 | 3.598 | 310.815 | 34.276 |
| -396.839 | 407.244 | 375.015 | 0.000 | -303.991 | -0.000 |
| -525.746 | 568.315 | 381.533 | 0.000 | -250.298 | -0.000 |
| -502.961 | 450.814 | 486.190 | -0.000 | -239.469 | 0.000 |
| -0.000 | -0.000 | 0.000 | 84.719 | 0.000 | -18.288 |
| 5.690 | -21.227 | 23.162 | 0.000 | 70.461 | 0.000 |
| -541.376 | 358.289 | 313.831 | 3.598 | -310.815 | 34.276 |
| 197.627 | 7.366 | 29.530 | -0.000 | 29.491 | 0.000 |
| 100.617 | 128.701 | 27.560 | 0.000 | 30.464 | 0.000 |
| 113.636 | 24.097 | 130.617 | -0.000 | 36.294 | 0.000 |
| 50.073 | -33.139 | -29.027 | 44.943 | 28.748 | 2.013 |
| 5.690 | -21.227 | 23.162 | -0.000 | 70.461 | 0.000 |
| 57.321 | -34.919 | -36.782 | -1.296 | 21.537 | 38.043 |
| 82.808 | 80.713 | 99.517 | -0.000 | -16.816 | -0.000 |
| -12.533 | 206.037 | 89.641 | -0.000 | -24.592 | -0.000 |
| 10.201 | 93.984 | 189.304 | 0.000 | -24.641 | -0.000 |
| -50.073 | 33.139 | 29.027 | 44.943 | -28.748 | 2.013 |
| 5.690 | -21.227 | 23.162 | 0.000 | 70.461 | 0.000 |
| -57.321 | 34.919 | 36.782 | -1.296 | -21.537 | 38.043 |
| 146.087 | 42.643 | 57.946 | 0.000 | 7.049 | -0.000 |
| 51.103 | 165.289 | 50.474 | -0.000 | 0.613 | 0.000 |
| 66.820 | 51.149 | 157.985 | -0.000 | 9.807 | -0.000 |
| 5.700 | -3.564 | -3.588 | 52.168 | 2.219 | -1.541 |
| 6.203 | -4.689 | 4.544 | -0.000 | 37.984 | 0.000 |
| 6.438 | -3.712 | -4.343 | -1.531 | 1.879 | 37.972 |
| 134.046 | 50.026 | 64.960 | -0.000 | 2.541 | -0.000 |
| 40.579 | 172.361 | 57.233 | 0.000 | -3.124 | -0.000 |
| 55.504 | 58.237 | 165.119 | 0.000 | 5.322 | -0.000 |
| -5.700 | 3.564 | 3.588 | 52.168 | -2.219 | -1.541 |
| -3.142 | 2.210 | 11.425 | -0.000 | 33.640 | -0.000 |
| -6.438 | 3.712 | 4.343 | -1.531 | -1.879 | 37.972 |
| 148.214 | 48.049 | 62.983 | -0.000 | 5.247 | 0.000 |
| 46.085 | 169.483 | 55.659 | -0.000 | -0.363 | 0.000 |
| 44.533 | 45.260 | 195.126 | 0.000 | 23.948 | 0.000 |
| -0.000 | 0.000 | -0.000 | 52.422 | 0.000 | -2.003 |
| 5.777 | -21.406 | 23.948 | -0.000 | 70.383 | 0.000 |
| -0.000 | -0.000 | -0.000 | -1.283 | -0.000 | 38.043 |
| 148.214 | 48.049 | 62.983 | -0.000 | 5.247 | -0.000 |
| 21.721 | 212.291 | 45.260 | 0.000 | -21.406 | -0.000 |
| 44.533 | 45.260 | 195.125 | 0.000 | 23.948 | -0.000 |
| 0.000 | -0.000 | 0.000 | 52.422 | -0.000 | -2.004 |
| 1.272 | -0.585 | 8.717 | 0.000 | 35.339 | -0.000 |
| 0.000 | 0.000 | 0.000 | -1.283 | 0.000 | 38.043 |
| 141.340 | 45.789 | 63.388 | -0.000 | 4.823 | 0.000 |
| 21.721 | 212.291 | 45.260 | -0.000 | -21.406 | 0.000 |
| 61.069 | 56.646 | 164.851 | -0.000 | 9.427 | 0.000 |
| 0.000 | -0.000 | -0.000 | 52.422 | 0.000 | -2.004 |
| 1.272 | -0.585 | 8.716 | -0.000 | 35.339 | 0.000 |
| -0.000 | -0.000 | -0.000 | -1.691 | -0.000 | 38.031 |
| 141.340 | 45.789 | 63.388 | -0.000 | 4.823 | -0.000 |
| 46.331 | 170.060 | 56.481 | 0.000 | -1.844 | -0.000 |
| 62.353 | 54.997 | 161.728 | -0.000 | 7.453 | -0.000 |
| -0.000 | 0.000 | 0.000 | 52.422 | -0.000 | -2.004 |
| 0.924 | -0.939 | 7.525 | 0.000 | 35.063 | -0.000 |
| 0.000 | 0.000 | 0.000 | -1.691 | 0.000 | 38.031 |
| 141.236 | 46.671 | 62.817 | 0.000 | 4.859 | 0.000 |
| 45.919 | 169.407 | 55.505 | 0.000 | -1.286 | 0.000 |
| 61.070 | 56.647 | 164.850 | -0.000 | 9.427 | 0.000 |
| 0.000 | -0.000 | 0.000 | 51.969 | 0.000 | -1.944 |
| 0.924 | -0.939 | 7.525 | 0.000 | 35.063 | 0.000 |
| -0.000 | -0.000 | 0.000 | -1.742 | -0.000 | 38.964 |
| 141.203 | 46.204 | 63.286 | 0.000 | 4.809 | -0.000 |
| 46.331 | 170.060 | 56.481 | 0.000 | -1.844 | -0.000 |
| 61.989 | 55.294 | 161.790 | 0.000 | 7.539 | -0.000 |
| -0.000 | 0.000 | -0.000 | 51.969 | -0.000 | -1.944 |
| 1.272 | -0.584 | 8.716 | -0.000 | 35.338 | -0.000 |
| 0.000 | 0.000 | -0.000 | -1.742 | 0.000 | 38.964 |
| 187.258 | 56.371 | 53.718 | -0.000 | -0.000 | 0.000 |
| 56.084 | 187.319 | 53.817 | -0.000 | 0.000 | 0.000 |
| 25.181 | 25.534 | 246.010 | -0.000 | -0.000 | 0.000 |
| 0.003 | -0.000 | -0.003 | 58.958 | 0.000 | 0.000 |
| 0.000 | 0.000 | -0.000 | 0.000 | 72.244 | 0.000 |
| 0.000 | 0.000 | -0.000 | 0.000 | 0.000 | 91.215 |
| 187.252 | 56.372 | 53.724 | -0.000 | 0.000 | -0.000 |
| 56.077 | 187.321 | 53.823 | -0.000 | 0.000 | -0.000 |
| 51.108 | 51.500 | 194.622 | -0.000 | 0.000 | -0.000 |
| -0.003 | 0.000 | 0.003 | 58.958 | 0.000 | -0.000 |
| -0.000 | -0.000 | 0.000 | -0.000 | 72.244 | -0.000 |
| -0.000 | -0.000 | 0.000 | -0.000 | -0.000 | 91.215 |
| 187.018 | 59.366 | 51.008 | -0.000 | 0.000 | 0.000 |
| 44.466 | 228.194 | 25.126 | 0.000 | -0.000 | 0.000 |
| 51.112 | 51.500 | 194.619 | 0.000 | 0.000 | 0.000 |
| 0.000 | -0.000 | -0.000 | 58.958 | -0.000 | 0.000 |
| 0.000 | -0.000 | -0.000 | -0.000 | 59.086 | 0.000 |
| 0.000 | -0.000 | -0.000 | -0.000 | 0.000 | 63.967 |
| 227.532 | 44.755 | 25.061 | -0.000 | -0.000 | -0.000 |
| 59.077 | 187.079 | 51.074 | -0.000 | 0.000 | -0.000 |
| 51.111 | 51.499 | 194.620 | -0.000 | 0.000 | -0.000 |
| -0.000 | 0.000 | 0.000 | 58.958 | 0.000 | -0.000 |
| -0.000 | 0.000 | 0.000 | 0.000 | 59.086 | -0.000 |
| -0.000 | 0.000 | 0.000 | 0.000 | -0.000 | 63.967 |
| 187.018 | 59.366 | 51.009 | -0.000 | -0.000 | 0.000 |
| 59.077 | 187.078 | 51.075 | -0.000 | 0.000 | 0.000 |
| 51.113 | 51.501 | 194.618 | 0.000 | 0.000 | 0.000 |
| 0.000 | -0.000 | -0.000 | 58.958 | 0.000 | 0.000 |
| -0.000 | 0.000 | 0.000 | -0.000 | 59.086 | 0.000 |
| -0.000 | 0.000 | 0.000 | 0.000 | 0.000 | 63.967 |
| 187.017 | 59.366 | 51.008 | -0.000 | -0.000 | -0.000 |
| 59.076 | 187.079 | 51.073 | 0.000 | 0.000 | -0.000 |
| 51.110 | 51.498 | 194.621 | -0.000 | 0.000 | -0.000 |
| -0.000 | 0.000 | -0.000 | 58.958 | 0.000 | -0.000 |
| 0.000 | -0.000 | -0.000 | 0.000 | 59.086 | -0.000 |
| 0.000 | -0.000 | -0.000 | -0.000 | -0.000 | 63.967 |
| 199.970 | 108.097 | 108.097 | 0.000 | -0.000 | -0.000 |
| 108.097 | 199.970 | 108.097 | 0.000 | -0.000 | -0.000 |
| 108.097 | 108.097 | 199.970 | -0.000 | -0.000 | -0.000 |
| -0.000 | 0.000 | 0.000 | 91.648 | -0.000 | 0.000 |
| 0.000 | 0.000 | 0.000 | -0.000 | 91.648 | -0.000 |
| 0.000 | 0.000 | 0.000 | -0.000 | -0.000 | 91.648 |
| 121.083 | 29.093 | 29.093 | 0.000 | 0.000 | 0.000 |
| 29.093 | 121.083 | 29.093 | -0.000 | 0.000 | 0.000 |
| 29.093 | 29.093 | 121.083 | 0.000 | 0.000 | 0.000 |
| -0.000 | -0.000 | -0.000 | 91.648 | 0.000 | 0.000 |
| -0.000 | -0.000 | -0.000 | -0.000 | 91.648 | 0.000 |
| -0.000 | -0.000 | -0.000 | 0.000 | 0.000 | 91.648 |
| 163.682 | 72.878 | 72.878 | 0.000 | -0.000 | -0.000 |
| 72.878 | 163.682 | 72.878 | 0.000 | -0.000 | -0.000 |
| 72.878 | 72.878 | 163.682 | 0.000 | -0.000 | -0.000 |
| 3.680 | 3.680 | 3.680 | 41.830 | -0.000 | -0.000 |
| 3.680 | 3.680 | 3.680 | 0.000 | 41.830 | -0.000 |
| 3.680 | 3.680 | 3.680 | 0.000 | 0.000 | 41.830 |
| 194.027 | 64.183 | 64.183 | 0.000 | 0.000 | -0.000 |
| 64.183 | 194.027 | 64.183 | -0.000 | -0.000 | -0.000 |
| 64.183 | 64.183 | 194.027 | -0.000 | 0.000 | 0.000 |
| -3.680 | -3.680 | -3.680 | 41.830 | 0.000 | 0.000 |
| -3.680 | -3.680 | -3.680 | -0.000 | 41.830 | 0.000 |
| -3.680 | -3.680 | -3.680 | -0.000 | 0.000 | 41.830 |
| 160.139 | 69.032 | 69.033 | -0.000 | -0.000 | -0.000 |
| 69.033 | 160.139 | 69.032 | -0.000 | -0.000 | -0.000 |
| 69.032 | 69.033 | 160.139 | 0.000 | 0.000 | -0.000 |
| 0.367 | 0.367 | 0.367 | 41.941 | -0.000 | 0.000 |
| 0.367 | 0.367 | 0.367 | 0.000 | 41.941 | -0.000 |
| 0.367 | 0.367 | 0.367 | -0.000 | -0.000 | 41.941 |
| 159.374 | 68.220 | 68.220 | -0.000 | 0.000 | 0.000 |
| 68.220 | 159.374 | 68.220 | 0.000 | 0.000 | 0.000 |
| 68.220 | 68.220 | 159.374 | -0.000 | 0.000 | 0.000 |
| -0.367 | -0.367 | -0.367 | 41.941 | 0.000 | 0.000 |
| -0.367 | -0.367 | -0.367 | 0.000 | 41.941 | 0.000 |
| -0.367 | -0.367 | -0.367 | -0.000 | 0.000 | 41.941 |
| 336.568 | 122.054 | 0.000 | 0.000 | 0.000 | 0.000 |
| 122.054 | 336.569 | 0.000 | 0.000 | 0.000 | -0.000 |
| -0.000 | 0.000 | 326.977 | -0.000 | -0.000 | 0.000 |
| -0.000 | 0.000 | 0.000 | 4.322 | 0.000 | 0.000 |
| -0.000 | 0.000 | 0.000 | 0.000 | 4.322 | 0.000 |
| 0.000 | 0.000 | 0.000 | 0.000 | 0.000 | 107.257 |
| 336.569 | 122.054 | -0.000 | -0.000 | -0.000 | -0.000 |
| 122.054 | 336.569 | -0.000 | -0.000 | -0.000 | -0.000 |
| 0.000 | 0.000 | 326.977 | -0.000 | -0.000 | -0.000 |
| 0.000 | -0.000 | -0.000 | 4.322 | -0.000 | -0.000 |
| 0.000 | -0.000 | -0.000 | -0.000 | 4.322 | -0.000 |
| 0.000 | -0.000 | -0.000 | -0.000 | -0.000 | 107.257 |
| 336.569 | 122.054 | 0.000 | 0.000 | 0.000 | 0.000 |
| 122.054 | 336.569 | 0.000 | 0.000 | 0.000 | 0.000 |
| -0.000 | 0.000 | 326.977 | 0.000 | -0.000 | 0.000 |
| -0.000 | -0.000 | -0.000 | 4.322 | -0.000 | 0.000 |
| -0.000 | 0.000 | -0.000 | 0.000 | 4.322 | 0.000 |
| -0.000 | 0.000 | 0.000 | 0.000 | 0.000 | 107.257 |
| 336.568 | 122.054 | -0.000 | -0.000 | -0.000 | -0.000 |
| 122.054 | 336.568 | -0.000 | -0.000 | -0.000 | -0.000 |
| 0.000 | -0.000 | 326.977 | -0.000 | -0.000 | -0.000 |
| 0.000 | -0.000 | 0.000 | 4.322 | 0.000 | -0.000 |
| -0.000 | -0.000 | 0.000 | -0.000 | 4.322 | -0.000 |
| 0.000 | -0.000 | -0.000 | -0.000 | -0.000 | 107.257 |
| 336.570 | 122.055 | 0.000 | 0.000 | 0.000 | 0.000 |
| 122.055 | 336.570 | 0.000 | 0.000 | 0.000 | 0.000 |
| -0.000 | 0.000 | 326.979 | 0.000 | 0.000 | 0.000 |
| 0.000 | -0.000 | -0.000 | 4.322 | -0.000 | 0.000 |
| -0.000 | 0.000 | -0.000 | 0.000 | 4.322 | 0.000 |
| -0.000 | 0.000 | 0.000 | 0.000 | 0.000 | 107.257 |
| 336.567 | 122.054 | -0.000 | -0.000 | -0.000 | -0.000 |
| 122.054 | 336.567 | -0.000 | -0.000 | -0.000 | -0.000 |
| 0.000 | -0.000 | 326.975 | -0.000 | -0.000 | -0.000 |
| -0.000 | 0.000 | 0.000 | 4.322 | 0.000 | -0.000 |
| 0.000 | -0.000 | 0.000 | -0.000 | 4.322 | -0.000 |
| 0.000 | -0.000 | -0.000 | -0.000 | -0.000 | 107.257 |
| 227.822 | 44.797 | 25.072 | -0.000 | -0.000 | 0.000 |
| 44.797 | 227.822 | 25.072 | 0.000 | -0.000 | 0.000 |
| 25.440 | 25.440 | 245.636 | -0.000 | -0.000 | 0.000 |
| -0.019 | -0.019 | 0.037 | 59.068 | -0.000 | 0.000 |
| -0.019 | -0.019 | 0.037 | -0.000 | 59.068 | 0.000 |
| -0.022 | -0.022 | 0.044 | -0.000 | -0.000 | 63.997 |
| 227.822 | 44.798 | 25.071 | 0.000 | 0.000 | -0.000 |
| 44.797 | 227.822 | 25.071 | 0.000 | 0.000 | -0.000 |
| 51.317 | 51.317 | 194.584 | 0.000 | 0.000 | -0.000 |
| 0.019 | 0.019 | -0.037 | 59.068 | 0.000 | -0.000 |
| 0.019 | 0.019 | -0.037 | 0.000 | 59.068 | 0.000 |
| 0.022 | 0.022 | -0.044 | 0.000 | -0.000 | 63.997 |
| 187.439 | 56.204 | 53.655 | 0.000 | 0.000 | 0.000 |
| 56.205 | 187.439 | 53.654 | -0.000 | -0.000 | 0.000 |
| 51.294 | 51.294 | 194.629 | 0.000 | 0.000 | 0.000 |
| -0.002 | -0.002 | 0.004 | 59.068 | 0.000 | 0.000 |
| 0.000 | 0.000 | -0.000 | -0.000 | 72.338 | 0.000 |
| 0.000 | -0.000 | -0.000 | -0.000 | -0.000 | 91.513 |
| 187.442 | 56.209 | 53.647 | 0.000 | 0.000 | -0.000 |
| 56.209 | 187.442 | 53.647 | -0.000 | 0.000 | -0.000 |
| 51.300 | 51.300 | 194.617 | -0.000 | -0.000 | 0.000 |
| 0.002 | 0.002 | -0.004 | 59.068 | 0.000 | -0.000 |
| -0.000 | -0.000 | 0.000 | 0.000 | 72.338 | -0.000 |
| -0.000 | 0.000 | 0.000 | 0.000 | 0.000 | 91.513 |
| 187.440 | 56.207 | 53.651 | -0.000 | -0.000 | 0.000 |
| 59.206 | 187.199 | 50.931 | -0.000 | -0.000 | 0.000 |
| 51.299 | 51.299 | 194.620 | -0.000 | -0.000 | 0.000 |
| -0.000 | -0.000 | 0.000 | 59.068 | -0.000 | 0.000 |
| -0.000 | -0.000 | 0.000 | -0.000 | 59.068 | 0.000 |
| -0.000 | -0.000 | 0.000 | 0.000 | -0.000 | 63.997 |
| 187.440 | 56.207 | 53.650 | -0.000 | -0.000 | -0.000 |
| 59.205 | 187.201 | 50.929 | -0.000 | 0.000 | -0.000 |
| 51.297 | 51.297 | 194.622 | -0.000 | 0.000 | 0.000 |
| -0.000 | -0.000 | 0.000 | 72.338 | 0.000 | -0.000 |
| 0.000 | 0.000 | -0.000 | 0.000 | 59.068 | -0.000 |
| 0.000 | 0.000 | -0.000 | -0.000 | -0.000 | 63.997 |
| 316.345 | 110.621 | 57.539 | -0.000 | -0.000 | 0.000 |
| 114.930 | 312.036 | 57.539 | -0.000 | 0.000 | -0.000 |
| 57.539 | 57.539 | 303.175 | 0.000 | 0.000 | 0.000 |
| 0.000 | -0.000 | -0.000 | 57.071 | 0.000 | 0.000 |
| 0.000 | -0.000 | 0.000 | -0.000 | 57.071 | -0.000 |
| 0.000 | -0.000 | -0.000 | -0.000 | 0.000 | 98.553 |
| 312.036 | 114.930 | 57.539 | 0.000 | -0.000 | 0.000 |
| 114.930 | 312.036 | 57.539 | 0.000 | -0.000 | -0.000 |
| 57.539 | 57.539 | 303.175 | -0.000 | -0.000 | -0.000 |
| -0.000 | 0.000 | -0.000 | 57.071 | -0.000 | -0.000 |
| -0.000 | 0.000 | -0.000 | 0.000 | 57.070 | -0.000 |
| -0.000 | 0.000 | -0.000 | -0.000 | -0.000 | 98.553 |
| 316.345 | 110.621 | 57.539 | 0.000 | 0.000 | 0.000 |
| 114.930 | 312.036 | 57.539 | -0.000 | -0.000 | 0.000 |
| 57.539 | 57.539 | 303.175 | 0.000 | -0.000 | -0.000 |
| 0.000 | -0.000 | 0.000 | 57.071 | 0.000 | 0.000 |
| -0.000 | -0.000 | 0.000 | 0.000 | 57.071 | 0.000 |
| 0.000 | 0.000 | -0.000 | -0.000 | -0.000 | 98.553 |
| 316.344 | 110.621 | 57.539 | 0.000 | 0.000 | 0.000 |
| 114.930 | 312.036 | 57.539 | 0.000 | 0.000 | 0.000 |
| 57.539 | 57.539 | 303.175 | 0.000 | 0.000 | -0.000 |
| -0.000 | 0.000 | -0.000 | 57.071 | -0.000 | -0.000 |
| -0.000 | 0.000 | -0.000 | -0.000 | 57.071 | -0.000 |
| -0.000 | -0.000 | 0.000 | 0.000 | 0.000 | 98.553 |
| 312.037 | 114.930 | 57.539 | 0.000 | 0.000 | 0.000 |
| 114.930 | 312.037 | 57.539 | 0.000 | -0.000 | 0.000 |
| 57.539 | 57.539 | 303.176 | 0.000 | 0.000 | 0.000 |
| 0.000 | -0.000 | -0.000 | 23.454 | -0.000 | 0.000 |
| -0.000 | 0.000 | -0.000 | 0.000 | 23.454 | 0.000 |
| -0.000 | 0.000 | -0.000 | 0.000 | -0.000 | 98.553 |
| 316.343 | 110.621 | 57.539 | -0.000 | -0.000 | 0.000 |
| 110.620 | 316.343 | 57.539 | -0.000 | -0.000 | -0.000 |
| 57.539 | 57.539 | 303.174 | 0.000 | -0.000 | 0.000 |
| -0.000 | 0.000 | 0.000 | 23.454 | 0.000 | -0.000 |
| 0.000 | -0.000 | 0.000 | -0.000 | 23.454 | -0.000 |
| 0.000 | -0.000 | 0.000 | 0.000 | -0.000 | 98.553 |
| 179.270 | 40.720 | 40.720 | -0.000 | -0.000 | -0.000 |
| 40.720 | 179.270 | 40.720 | -0.000 | -0.000 | -0.000 |
| 40.720 | 40.720 | 179.270 | -0.000 | 0.000 | -0.000 |
| 0.000 | -0.000 | -0.000 | 78.648 | 0.000 | 0.000 |
| 0.000 | -0.000 | -0.000 | -0.000 | 78.648 | -0.000 |
| 0.000 | 0.000 | -0.000 | -0.000 | -0.000 | 78.648 |
| 179.270 | 40.719 | 40.720 | 0.000 | -0.000 | 0.000 |
| 40.720 | 179.270 | 40.720 | 0.000 | 0.000 | 0.000 |
| 40.720 | 40.720 | 179.271 | 0.000 | 0.000 | 0.000 |
| -0.000 | 0.000 | 0.000 | 78.648 | 0.000 | -0.000 |
| -0.000 | 0.000 | 0.000 | 0.000 | 78.648 | 0.000 |
| -0.000 | -0.000 | 0.000 | 0.000 | 0.000 | 78.648 |
| 179.270 | 40.720 | 40.720 | -0.000 | 0.000 | -0.000 |
| 40.720 | 179.270 | 40.720 | -0.000 | -0.000 | -0.000 |
| 40.720 | 40.720 | 179.270 | 0.000 | -0.000 | -0.000 |
| 0.196 | 0.196 | 0.196 | 51.012 | 0.000 | -0.000 |
| 0.196 | 0.196 | 0.196 | -0.000 | 51.012 | -0.000 |
| 0.196 | 0.196 | 0.196 | -0.000 | -0.000 | 51.012 |
| 153.692 | 50.118 | 50.118 | 0.000 | 0.000 | 0.000 |
| 50.118 | 153.692 | 50.118 | 0.000 | -0.000 | -0.000 |
| 50.118 | 50.118 | 153.692 | 0.000 | 0.000 | 0.000 |
| -0.196 | -0.196 | -0.196 | 51.012 | 0.000 | 0.000 |
| -0.196 | -0.196 | -0.196 | 0.000 | 51.012 | 0.000 |
| -0.196 | -0.196 | -0.196 | 0.000 | 0.000 | 51.012 |
| 179.271 | 40.720 | 40.720 | -0.000 | -0.000 | -0.000 |
| 40.720 | 179.271 | 40.720 | -0.000 | 0.000 | -0.000 |
| 40.720 | 40.720 | 179.271 | 0.000 | 0.000 | -0.000 |
| 0.020 | 0.020 | 0.020 | 51.039 | -0.000 | -0.000 |
| 0.020 | 0.020 | 0.020 | -0.000 | 51.039 | -0.000 |
| 0.020 | 0.020 | 0.020 | -0.000 | -0.000 | 51.039 |
| 154.187 | 49.858 | 49.858 | 0.000 | -0.000 | -0.000 |
| 49.858 | 154.187 | 49.858 | 0.000 | -0.000 | -0.000 |
| 49.858 | 49.858 | 154.187 | 0.000 | 0.000 | 0.000 |
| -0.020 | -0.020 | -0.020 | 51.039 | -0.000 | 0.000 |
| -0.020 | -0.020 | -0.020 | 0.000 | 51.039 | 0.000 |
| -0.020 | -0.020 | -0.020 | 0.000 | 0.000 | 51.039 |
| 155.077 | 50.581 | 50.581 | 0.000 | 0.000 | -0.000 |
| 50.581 | 155.077 | 50.581 | 0.000 | 0.000 | -0.000 |
| 50.581 | 50.581 | 155.077 | 0.000 | -0.000 | -0.000 |
| -0.000 | -0.000 | -0.000 | 78.372 | -0.000 | -0.000 |
| -0.000 | 0.000 | 0.000 | 0.000 | 78.372 | 0.000 |
| -0.000 | -0.000 | -0.000 | 0.000 | -0.000 | 78.372 |
| 154.768 | 50.469 | 50.469 | -0.000 | -0.000 | 0.000 |
| 50.469 | 154.768 | 50.469 | -0.000 | -0.000 | 0.000 |
| 50.469 | 50.469 | 154.768 | 0.000 | 0.000 | 0.000 |
| 0.000 | 0.000 | 0.000 | 78.372 | -0.000 | 0.000 |
| 0.000 | -0.000 | -0.000 | -0.000 | 78.372 | -0.000 |
| 0.000 | 0.000 | 0.000 | 0.000 | 0.000 | 78.372 |
| 178.415 | 40.318 | 40.318 | 0.000 | -0.000 | -0.000 |
| 40.318 | 178.415 | 40.318 | 0.000 | 0.000 | -0.000 |
| 40.318 | 40.318 | 178.415 | 0.000 | 0.000 | 0.000 |
| 0.021 | 0.021 | 0.021 | 48.930 | 0.000 | -0.000 |
| 0.021 | 0.021 | 0.021 | 0.000 | 48.930 | -0.000 |
| 0.021 | 0.021 | 0.021 | 0.000 | 0.000 | 48.930 |
| 178.415 | 40.318 | 40.318 | -0.000 | -0.000 | -0.000 |
| 40.318 | 178.415 | 40.318 | -0.000 | 0.000 | -0.000 |
| 40.318 | 40.318 | 178.415 | -0.000 | 0.000 | 0.000 |
| -0.021 | -0.021 | -0.021 | 48.930 | -0.000 | 0.000 |
| -0.021 | -0.021 | -0.021 | -0.000 | 48.930 | 0.000 |
| -0.021 | -0.021 | -0.021 | -0.000 | -0.000 | 48.930 |
| 154.926 | 50.525 | 50.525 | 0.000 | -0.000 | -0.000 |
| 50.525 | 154.926 | 50.525 | 0.000 | 0.000 | -0.000 |
| 50.525 | 50.525 | 154.926 | 0.000 | 0.000 | -0.000 |
| 0.001 | 0.001 | 0.001 | 50.990 | -0.000 | -0.000 |
| 0.001 | 0.001 | 0.001 | 0.000 | 50.990 | -0.000 |
| 0.001 | 0.001 | 0.001 | 0.000 | 0.000 | 50.990 |
| 154.922 | 50.524 | 50.524 | -0.000 | -0.000 | -0.000 |
| 50.524 | 154.922 | 50.524 | -0.000 | -0.000 | 0.000 |
| 50.524 | 50.524 | 154.922 | -0.000 | -0.000 | -0.000 |
| -0.001 | -0.001 | -0.001 | 50.990 | 0.000 | 0.000 |
| -0.001 | -0.001 | -0.001 | -0.000 | 50.990 | -0.000 |
| -0.001 | -0.001 | -0.001 | -0.000 | -0.000 | 50.990 |
| 129.324 | 52.879 | 52.879 | 0.000 | -0.001 | -0.000 |
| 52.879 | 129.324 | 52.879 | 0.000 | -0.001 | -0.000 |
| 52.879 | 52.879 | 129.324 | 0.000 | -0.001 | -0.000 |
| 0.038 | 0.038 | 0.038 | 40.201 | 0.001 | 0.001 |
| 0.038 | 0.038 | 0.038 | -0.000 | 40.202 | 0.000 |
| 0.038 | 0.038 | 0.038 | -0.000 | 0.001 | 40.202 |
| 129.174 | 52.769 | 52.769 | -0.000 | 0.001 | 0.000 |
| 52.769 | 129.174 | 52.769 | -0.000 | 0.001 | 0.000 |
| 52.769 | 52.769 | 129.174 | -0.000 | 0.001 | 0.000 |
| -0.038 | -0.038 | -0.038 | 40.202 | -0.001 | -0.001 |
| -0.038 | -0.038 | -0.038 | 0.000 | 40.201 | -0.001 |
| -0.038 | -0.038 | -0.038 | 0.000 | -0.001 | 40.201 |
| 128.967 | 51.833 | 51.833 | -0.000 | 0.000 | 0.000 |
| 51.833 | 128.967 | 51.833 | -0.000 | 0.000 | 0.000 |
| 51.833 | 51.833 | 128.967 | -0.000 | 0.000 | 0.000 |
| 0.007 | 0.007 | 0.007 | 39.726 | 0.000 | 0.000 |
| 0.007 | 0.007 | 0.007 | -0.000 | 39.718 | 0.000 |
| 0.007 | 0.007 | 0.007 | -0.000 | 0.000 | 39.718 |
| 128.953 | 51.819 | 51.819 | 0.000 | -0.000 | -0.000 |
| 51.819 | 128.953 | 51.819 | 0.000 | -0.000 | -0.000 |
| 51.819 | 51.819 | 128.953 | 0.000 | -0.000 | -0.000 |
| -0.005 | -0.005 | -0.005 | 39.832 | -0.000 | -0.000 |
| -0.007 | -0.007 | -0.007 | 0.000 | 39.718 | -0.000 |
| -0.002 | -0.002 | -0.002 | 0.000 | -0.000 | 43.646 |
| 128.956 | 51.712 | 51.712 | -0.000 | 0.000 | 0.000 |
| 51.712 | 128.956 | 51.712 | -0.000 | 0.000 | 0.000 |
| 51.712 | 51.712 | 128.956 | -0.000 | 0.000 | 0.000 |
| 0.001 | 0.001 | 0.001 | 39.754 | 0.000 | 0.000 |
| 0.000 | 0.000 | 0.000 | -0.000 | 39.926 | 0.000 |
| 0.001 | 0.001 | 0.001 | -0.000 | 0.000 | 39.754 |
| 128.955 | 51.710 | 51.710 | 0.000 | -0.000 | -0.000 |
| 51.710 | 128.955 | 51.710 | 0.000 | -0.000 | -0.000 |
| 51.710 | 51.710 | 128.955 | 0.000 | -0.000 | -0.000 |
| -0.001 | -0.001 | -0.001 | 39.754 | -0.000 | -0.000 |
| -0.000 | -0.000 | -0.000 | 0.000 | 39.926 | -0.000 |
| -0.001 | -0.001 | -0.001 | 0.000 | -0.000 | 39.754 |
| 187.396 | 35.229 | 35.229 | 0.000 | -0.000 | -0.000 |
| 35.229 | 187.396 | 35.229 | 0.000 | 0.000 | 0.000 |
| 35.229 | 35.229 | 187.395 | 0.000 | 0.000 | 0.000 |
| -5.887 | -5.887 | -5.887 | 39.161 | -0.000 | -0.000 |
| -5.887 | -5.887 | -5.887 | 0.000 | 39.161 | 0.000 |
| -5.887 | -5.887 | -5.887 | -0.000 | -0.000 | 39.161 |
| 148.602 | 61.445 | 61.445 | -0.000 | -0.000 | -0.000 |
| 61.445 | 148.601 | 61.445 | -0.000 | -0.000 | -0.000 |
| 61.445 | 61.445 | 148.602 | 0.000 | 0.000 | 0.000 |
| 5.887 | 5.887 | 5.887 | 39.161 | 0.000 | -0.000 |
| 5.887 | 5.887 | 5.887 | -0.000 | 39.161 | 0.000 |
| 5.887 | 5.887 | 5.887 | -0.000 | 0.000 | 39.161 |
| 154.125 | 50.564 | 50.564 | 0.000 | -0.000 | 0.000 |
| 50.564 | 154.125 | 50.564 | 0.000 | -0.000 | 0.000 |
| 50.564 | 50.564 | 154.125 | 0.000 | 0.000 | 0.000 |
| -0.000 | -0.000 | 0.000 | 72.812 | -0.000 | 0.000 |
| 0.000 | -0.000 | 0.000 | 0.000 | 72.812 | -0.000 |
| -0.000 | -0.000 | 0.000 | 0.000 | -0.000 | 72.812 |
| 152.715 | 52.169 | 52.169 | -0.000 | 0.000 | 0.000 |
| 52.169 | 152.715 | 52.169 | -0.000 | 0.000 | -0.000 |
| 52.169 | 52.169 | 152.715 | -0.000 | 0.000 | 0.000 |
| -0.000 | 0.000 | -0.000 | 72.812 | 0.000 | -0.000 |
| -0.000 | 0.000 | -0.000 | -0.000 | 72.812 | -0.000 |
| -0.000 | 0.000 | -0.000 | 0.000 | 0.000 | 72.812 |
| 155.103 | 50.614 | 50.614 | 0.000 | -0.000 | 0.000 |
| 50.614 | 155.103 | 50.614 | 0.000 | -0.000 | 0.000 |
| 50.614 | 50.614 | 155.103 | 0.000 | -0.000 | 0.000 |
| 0.000 | 0.000 | 0.000 | 72.812 | -0.000 | 0.000 |
| 0.000 | 0.000 | 0.000 | 0.000 | 72.812 | 0.000 |
| 0.000 | 0.000 | 0.000 | 0.000 | -0.000 | 72.812 |
| 187.395 | 35.229 | 35.229 | -0.000 | 0.000 | -0.000 |
| 35.229 | 187.395 | 35.229 | -0.000 | -0.000 | -0.000 |
| 35.229 | 35.229 | 187.395 | -0.000 | -0.000 | 0.000 |
| -0.000 | -0.000 | -0.000 | 72.812 | -0.000 | -0.000 |
| -0.000 | -0.000 | -0.000 | -0.000 | 72.812 | 0.000 |
| -0.000 | -0.000 | -0.000 | -0.000 | 0.000 | 72.812 |
| 217.503 | 98.900 | 28.822 | -0.000 | 0.000 | 0.000 |
| 100.875 | 243.969 | 26.718 | -0.000 | 0.000 | 0.000 |
| 29.992 | 25.913 | 354.255 | -0.000 | 0.000 | 0.000 |
| -0.000 | 0.000 | -0.000 | 24.011 | 0.000 | 0.000 |
| 0.000 | 0.000 | -0.000 | -0.000 | 26.164 | -0.000 |
| 0.000 | 0.000 | -0.000 | -0.000 | 0.000 | 18.433 |
| 217.503 | 98.900 | 28.822 | 0.000 | -0.000 | -0.000 |
| 100.875 | 243.969 | 26.718 | 0.000 | -0.000 | -0.000 |
| 29.992 | 25.913 | 354.255 | 0.000 | -0.000 | -0.000 |
| 0.000 | 0.000 | 0.000 | 24.012 | -0.000 | 0.000 |
| 0.000 | -0.000 | 0.000 | 0.000 | 26.164 | -0.000 |
| -0.000 | -0.000 | 0.000 | 0.000 | -0.000 | 18.433 |
| 217.503 | 98.900 | 28.822 | -0.000 | 0.000 | 0.000 |
| 100.875 | 243.969 | 26.718 | -0.000 | 0.000 | 0.000 |
| 29.992 | 25.913 | 354.256 | -0.000 | 0.000 | -0.000 |
| -0.000 | -0.000 | -0.000 | 24.012 | 0.000 | -0.000 |
| 0.000 | -0.000 | -0.000 | -0.000 | 26.164 | -0.000 |
| 0.000 | -0.000 | -0.000 | -0.000 | 0.000 | 18.433 |
| 217.503 | 98.900 | 28.822 | -0.000 | -0.000 | -0.000 |
| 100.875 | 243.969 | 26.718 | -0.000 | -0.000 | 0.000 |
| 29.992 | 25.913 | 354.255 | 0.000 | -0.000 | 0.000 |
| 0.000 | -0.000 | 0.000 | 24.012 | -0.000 | -0.000 |
| -0.000 | 0.000 | 0.000 | 0.000 | 26.164 | 0.000 |
| 0.000 | 0.000 | 0.000 | 0.000 | -0.000 | 18.433 |
| 217.503 | 98.900 | 28.822 | -0.000 | 0.000 | -0.000 |
| 100.876 | 243.970 | 26.718 | -0.000 | 0.000 | -0.000 |
| 29.992 | 25.913 | 354.257 | -0.000 | 0.000 | -0.000 |
| -0.000 | -0.000 | -0.000 | 24.012 | 0.000 | 0.000 |
| -0.000 | -0.000 | -0.000 | -0.000 | 26.164 | 0.000 |
| -0.000 | -0.000 | -0.000 | -0.000 | 0.000 | 18.433 |
| 217.503 | 98.899 | 28.822 | 0.000 | -0.000 | -0.000 |
| 100.874 | 243.969 | 26.718 | 0.000 | -0.000 | -0.000 |
| 29.992 | 25.913 | 354.253 | 0.000 | -0.000 | -0.000 |
| 0.000 | 0.000 | 0.000 | 24.012 | -0.000 | 0.000 |
| 0.000 | 0.000 | 0.000 | 0.000 | 26.164 | -0.000 |
| 0.000 | 0.000 | 0.000 | 0.000 | -0.000 | 18.433 |
| 865.893 | 624.805 | 205.482 | -0.071 | -0.000 | -0.000 |
| 618.050 | 807.391 | 185.264 | -0.071 | 0.000 | -0.000 |
| 183.344 | 169.184 | 388.477 | -0.070 | -0.000 | -0.000 |
| -1.580 | 0.376 | -0.070 | 29.726 | 0.000 | 0.000 |
| -2.380 | 0.566 | -0.105 | -0.068 | 28.534 | -0.000 |
| -4.052 | 0.963 | -0.180 | -0.088 | 0.000 | 51.392 |
| 870.625 | 623.680 | 205.692 | 0.071 | -0.000 | 0.000 |
| 622.786 | 806.265 | 185.474 | 0.071 | 0.000 | 0.000 |
| 188.180 | 168.034 | 388.691 | 0.069 | 0.000 | 0.000 |
| 1.580 | -0.376 | 0.070 | 29.827 | 0.000 | 0.000 |
| 2.380 | -0.566 | 0.105 | 0.068 | 28.534 | 0.000 |
| 4.052 | -0.963 | 0.180 | 0.088 | -0.000 | 51.392 |
| 867.998 | 624.304 | 205.575 | -0.007 | -0.000 | -0.000 |
| 620.289 | 806.859 | 185.363 | -0.007 | 0.000 | -0.000 |
| 184.995 | 168.791 | 388.550 | -0.007 | -0.000 | 0.000 |
| -0.158 | 0.038 | -0.007 | 29.774 | 0.000 | -0.000 |
| -0.239 | 0.057 | -0.011 | -0.007 | 28.512 | -0.000 |
| -0.406 | 0.096 | -0.018 | -0.009 | -0.000 | 51.348 |
| 868.469 | 624.193 | 205.596 | 0.007 | -0.000 | -0.000 |
| 620.761 | 806.746 | 185.384 | 0.007 | -0.000 | 0.000 |
| 185.468 | 168.679 | 388.571 | 0.007 | -0.000 | 0.000 |
| 0.158 | -0.038 | 0.007 | 29.784 | -0.000 | 0.000 |
| 0.239 | -0.057 | 0.011 | 0.007 | 28.512 | 0.000 |
| 0.406 | -0.096 | 0.018 | 0.009 | -0.000 | 51.348 |
| 868.218 | 624.250 | 205.584 | -0.001 | -0.000 | -0.000 |
| 620.504 | 806.809 | 185.372 | -0.001 | 0.000 | -0.000 |
| 185.202 | 168.742 | 388.561 | -0.001 | 0.000 | -0.000 |
| -0.016 | 0.004 | -0.001 | 29.779 | 0.000 | 0.000 |
| -0.024 | 0.005 | -0.001 | -0.001 | 28.511 | -0.000 |
| -0.044 | 0.009 | -0.002 | -0.001 | 0.000 | 51.348 |
| 868.245 | 624.248 | 205.588 | 0.001 | -0.000 | 0.000 |
| 620.548 | 806.795 | 185.376 | 0.001 | -0.000 | -0.000 |
| 185.250 | 168.731 | 388.560 | 0.001 | 0.000 | 0.000 |
| 0.016 | -0.004 | 0.001 | 29.780 | -0.000 | 0.000 |
| 0.024 | -0.005 | 0.001 | 0.001 | 28.511 | 0.000 |
| 0.044 | -0.009 | 0.002 | 0.001 | -0.000 | 51.348 |
Phonon band structures and crystal properties estimated from quasi-harmonic approximation (QHA) calculations are displayed for select crystals. The calculations were performed using phonopy and LAMMPS. For the phonon calculations, 3x3 supercells of the potential-specific relaxed crystals were used. The QHA calculations were based on 11 strain states ranging from -0.05 to 0.05.
The calculation method used is available as the iprPy phonon calculation method.
Notes and Disclaimers:
Version Information:

























































































































































Static free surface formation energies are displayed for select crystals. The values displayed here are obtained by taking a perfect periodic bulk crystal, slicing along a crystallographic plane, and using force minimization to statically relax the surfaces. The free surface formation energy is computed by comparing the energy of the defect system to the bulk system and dividing by the total surface area created by the cut.
The calculation method used is available as the iprPy surface_energy_static calculation method.
Notes and Disclaimers:
Version Information:
| Surface | γfs (mJ/m2) |
|---|---|
| (322) | -357270.49 |
| (211) | -184444.48 |
| (100) | -73546.27 |
| (320) | -64787.82 |
| (310) | -6895.84 |
| (110) | 1002.83 |
| Surface | γfs (mJ/m2) |
|---|---|
| (211) 2 | -58489.21 |
| (112) | -50103.63 |
| (211) 1 | -42470.16 |
| (201) | -28591.60 |
| (001) | -11308.71 |
| (101) 2 | -6425.13 |
| (101) 1 | -103.82 |
| (100) | 947.77 |
| (110) | 1713.92 |
| Surface | γfs (mJ/m2) |
|---|---|
| (321) | -180241.55 |
| (111) | -114748.54 |
| (322) | -32571.58 |
| (221) | -18688.68 |
| (211) | -4549.80 |
| (210) | 352.22 |
| (310) | 368.39 |
| (320) | 512.98 |
| (100) | 523.40 |
| (110) | 677.36 |
| Surface | γfs (mJ/m2) |
|---|---|
| (321) | -2248.06 |
| (221) | -1836.70 |
| (311) | -1622.47 |
| (211) | -375.65 |
| (111) | 436.15 |
| (332) | 437.25 |
| (322) | 472.43 |
| (320) | 503.00 |
| (331) | 503.76 |
| (310) | 545.19 |
| (110) | 551.72 |
| (210) | 552.27 |
| (100) | 575.50 |
| Surface | γfs (mJ/m2) |
|---|---|
| (110) | 739.26 |
| (331) | 805.98 |
| (321) | 812.69 |
| (221) | 822.82 |
| (211) | 823.31 |
| (332) | 827.82 |
| (322) | 841.91 |
| (111) | 851.65 |
| (320) | 957.50 |
| (311) | 1014.74 |
| (210) | 1088.46 |
| (310) | 1227.91 |
| (100) | 1492.54 |
| Surface | γfs (mJ/m2) |
|---|---|
| (2021) 1 | -1087.94 |
| (1012) 1 | -891.05 |
| (1120) | -823.08 |
| (2021) 2 | -742.68 |
| (2132) 2 | -708.28 |
| (2130) | -663.23 |
| (2241) | -510.07 |
| (1121) | -410.06 |
| (2132) 1 | -403.20 |
| (2131) 2 | -377.79 |
| (2112) | -373.23 |
| (2131) 1 | -269.80 |
| (1011) 1 | -149.09 |
| (1011) 2 | 28.91 |
| (1010) | 189.94 |
| (0001) | 376.62 |
| (1012) 2 | 506.10 |
| Surface | γfs (mJ/m2) |
|---|---|
| (111) 2 | 988.43 |
| (331) 2 | 1173.52 |
| (110) | 1204.01 |
| (321) | 1425.35 |
| (320) | 1478.17 |
| (211) | 1483.14 |
| (332) | 1611.94 |
| (210) | 1622.72 |
| (311) 1 | 1675.07 |
| (311) 2 | 1683.18 |
| (310) | 1756.85 |
| (322) | 1887.02 |
| (100) | 1937.16 |
| (221) | 1949.98 |
| (331) 1 | 2291.94 |
| (111) 1 | 3802.23 |
| Surface | γfs (mJ/m2) |
|---|---|
| (100) | 635.22 |
| (112) | 787.03 |
| (101) 1 | 790.61 |
| (201) | 816.34 |
| (211) 1 | 938.47 |
| (110) | 1015.30 |
| (111) | 1047.44 |
| (001) | 1171.40 |
| (211) 2 | 1193.68 |
| (101) 2 | 2242.49 |
Stacking fault energy plots and maps are displayed for select crystals. The values are computed by
The calculation method used is available as the iprPy stacking_fault_map_2D calculation method.
Notes and Disclaimers:
Version Information:
| E_usf a/2 [-1 -1 1] | 429.86 |
| τ_ideal a/2 [-1 -1 1] | 49.79 |




| E_usf a/2 [0 -1 1] | 71.18 |
| τ_ideal a/2 [0 -1 1] | 6.89 |




| E_isf | 139.04 |
| E_usf a/2 [0 -1 1] | 139.96 |
| τ_ideal a/2 [0 -1 1] | 9.23 |




| E_usf a/2 [-1 1 -1] | 468.07 |
| τ_ideal a/2 [-1 1 -1] | 20.58 |




| E_usf a/2 [-1 -1 1] | 502.38 |
| τ_ideal a/2 [-1 -1 1] | 22.82 |




| E_usf a/2 [-1 -1 1] | 484.08 |
| τ_ideal a/2 [-1 -1 1] | 21.78 |




Static point defect formation energies, Ef, and elastic dipole tensors, pij, are displayed for select crystals. Relaxed defect configurations are obtained by taking a 12x12x12 supercell of a perfect periodic bulk crystal, inserting the point defect, and using force minimization to statically relax the atomic positions while keeping the system dimensions constant. Ef is computed by comparing the energy of the defect system to the same number of atoms in a perfect bulk crystal. pij is estimated as the difference in the system's global pressure with and without the defect multiplied by the system's volume.
Simple structural comparisons of the unrelaxed and relaxed defect configurations are used to help determine if the defect structure has relaxed to a different configuration. Relaxed structures that are identified as no longer consistent with the ideal defect definition are excluded from the table below. The only exception to this is if the lowest energy interstitial configuration does not coincide with a known ideal defect, its energies and pressure tensor are included under the listing "relaxed interstitial". The full list of calculation results including the transformed structures and the structural comparison values is included in the csv file available from the "Download raw data" link.
The calculation method used is available as the iprPy point_defect_static calculation method.
Notes and Disclaimers:
| Point Defect | Ef (eV) | p11 (eV) | p22 (eV) | p33 (eV) | p12 (eV) | p13 (eV) | p23 (eV) |
|---|---|---|---|---|---|---|---|
| relaxed interstitial | -6877.536 | 13266.443 | 14519.365 | 19112.845 | -1054.781 | -494.035 | 142.155 |
| vacancy | -0.427 | 4.754 | 4.754 | 4.754 | -0.000 | 0.000 | -0.000 |
| 2nn divacancy | -0.016 | 9.861 | 9.861 | 6.031 | -0.000 | 0.000 | -0.000 |
| Point Defect | Ef (eV) | p11 (eV) | p22 (eV) | p33 (eV) | p12 (eV) | p13 (eV) | p23 (eV) |
|---|---|---|---|---|---|---|---|
| relaxed interstitial | -320.513 | 40.360 | 110.160 | 229.702 | -188.010 | -64.268 | 10.357 |
| 2nn divacancy | -0.339 | -32.989 | -32.989 | -33.035 | 0.000 | 0.000 | -0.000 |
| vacancy | -0.177 | -16.172 | -16.172 | -16.172 | -0.000 | 0.000 | 0.000 |
| 1nn divacancy | -0.089 | -28.182 | -29.984 | -29.984 | 0.000 | -0.000 | 0.169 |
| octahedral interstitial | 3.247 | 28.755 | 28.755 | 28.755 | 0.000 | 0.000 | 0.000 |
| Point Defect | Ef (eV) | p11 (eV) | p22 (eV) | p33 (eV) | p12 (eV) | p13 (eV) | p23 (eV) |
|---|---|---|---|---|---|---|---|
| vacancy | 0.594 | -3.758 | -3.758 | -3.758 | -0.000 | 0.000 | 0.000 |
| 1nn divacancy | 1.055 | -6.445 | -6.445 | -6.445 | -0.153 | -0.153 | -0.153 |
| 2nn divacancy | 1.708 | -5.207 | -5.207 | -6.880 | 0.000 | 0.000 | 0.000 |
| 100 dumbbell | 4.874 | 61.690 | 61.690 | 35.551 | -0.000 | -0.000 | 0.000 |
| octahedral interstitial | 5.115 | 48.521 | 56.580 | 56.580 | -0.000 | 0.000 | 0.000 |
| crowdion interstitial | 5.328 | 63.564 | 63.564 | 63.564 | 10.364 | 10.364 | 10.364 |
| 110 dumbbell | 5.486 | 59.966 | 60.167 | 60.167 | -0.000 | 0.000 | -8.899 |
| 111 dumbbell | 5.703 | 59.506 | 59.506 | 59.506 | 12.480 | 12.480 | 12.480 |
| tetrahedral interstitial | 6.497 | 62.645 | 47.672 | 62.645 | -0.000 | 0.000 | 0.000 |
| Point Defect | Ef (eV) | p11 (eV) | p22 (eV) | p33 (eV) | p12 (eV) | p13 (eV) | p23 (eV) |
|---|---|---|---|---|---|---|---|
| relaxed interstitial | 3.136 | 14.094 | 14.094 | 14.094 | 2.692 | 2.692 | 2.692 |
| vacancy | 3.141 | -1.412 | -1.412 | -1.412 | -0.000 | 0.000 | -0.000 |
| 1nn divacancy | 4.712 | -2.219 | -2.219 | -2.219 | -0.228 | -0.228 | -0.228 |
Plots of the atomic structure of dislocation cores are shown here. The dislocations were constructed using dislocation monopole configurations in which a straight dislocation is created in the center of the system using anisotropic elasticity and the elastic constants computed above. A cylindrical region centered around the dislocation is allowed to relax while the remaining atoms are held fixed. The relaxation consists of 1 million NVT steps at 10 K followed by an energy/force minimization. The final plots show the atomic configuration near the center of the monopole system, and display differential displacement arrows and Nye tensor color maps that are both taken with respect to the Burgers vector direction.
These plots show a wide range of final structures, some corresponding to expected dislocation structures and others not. While the characterizations are dislocation-type dependent, some general classification guidelines are listed here.
The calculation method used is available as the iprPy dislocation_monopole calculation method.
Links are provided above the images allowing for users to download the final defect configuration and a corresponding defect-free configuration if they wish to further analyze the structures or use them for subsequent simulations.
Notes and Disclaimers:
Version Information:
Plots of lattice and elastic constants are shown as a function of temperature. The 0K points were taken from the Crystal Structure Predictions and the Elastic Constants Predictions sections above for the unique crystal structures relaxed with the "dynamic" method. Starting from the 0 K relaxed crystal unit cells, supercell systems are created by replicating all three dimensions by the same multiplier to achieve at least 4000 atoms. The systems are then relaxed at 50 K and zero pressure using 1 million NPT steps. Lattice constants are estimated by averaging the measured box dimensions. Temperatures are iteratively increased by 50 K, with each subsequent relaxation calculation starting from the final atomic configuration at the previous temperature and relaxing for another 1 million steps.
The elastic constants are calculated using the deformation–fluctuation hybrid method. Starting from the final atomic configurations of the dynamic relaxations, the system is allowed to evolve at constant volume with a Langevin thermostat. The Born matrix is computed during this run by evaluating how the atomic forces would vary due to applied linear strain fields. The elastic constants can then be estimated using the averaged Born matrix values and the averaged stresses on the system.
The calculation methods used are available as the iprPy relax_dynamic and elastic_constants_dynamic calculation methods.
Clicking on the image of a plot will open an interactive version of it in a new tab. The underlying data for the plots can be downloaded by clicking on the links above each plot.
Notes and Disclaimers:
Version Information:
Plots of radial distribution functions at different temperatures and the temperature-dependent diffusion and viscosity are shown here for elemental liquids. Melt phases are constructed by starting with a 10x10x10 fcc super cell and relaxing with 50,000 NPT steps at zero pressure and a high melting temperature (3000 K for most potentials and elements). Following the melt, liquid structures are relaxed by running NPT for 10,000 steps over which the temperature is dropped by 50 K, then 50,000 NPT at the target temperature to estimate the equilibrium volume, followed by 20,000 NVT steps at the averaged equilibrium volume and target temperature. Structures from the NVT run are sampled to compute the radial distribution function of the liquid at the corresponding temperature.
The final relaxed configurations at each temperature explored are used as the initial configurations for the diffusion and viscosity calculations. For diffusion, the system is integrated for 100 runs of 2,000 NVT steps during which both the mean squared displacement (MSD) and the velocity auto correlation function (VACF) are computed. From these simulations, three estimates of diffusion are computed: one from the MSD of the full 200,000 step run, one in which the MSD is reset for each short run and then averaged, and one from the VACF computed for each short run and averaged. For viscosity, the Green-Kubo method is used which is evaluated during a 1 million step NVT run.
The calculation methods used are available as the iprPy relax_liquid_redo, diffusion_liquid, and viscosity_green_kubo calculation methods.
Clicking on the image of a plot will open an interactive version of it in a new tab. The underlying data for the plots can be downloaded by clicking on the links above each plot.
Notes and Disclaimers:
Version Information:
Plots of internal energy, Gibbs free energy, entropy, heat capacity and volume are shown here as a function of temperature for various crystal structures and liquid phases. The included crystal structures correspond to those in the Solid Structures vs. Temperature section, and the liquid phases to those in the Liquid Properties section. Internal energy and volume are taken from the associated structure relaxations mentioned in those previous sections. Constant pressure heat capacity is estimated using 3-point numerical derivatives of enthalpy versus temperature. Note that since all simulations done here are at 0 pressure, internal energy and enthalpy are equivalent.
The Gibbs energies of the phases are estimated using thermodynamic integration between the interatomic potential in question and a simpler model with known Gibbs free energy values. For solids, the reference model is an Einstein solid, while for liquids it is the Uhlenbeck-Ford potential. Besides a short run at the start of the solid calculations to estimate Einstein model spring constants, the two calculations proceed similarly. Starting with the final relaxation configurations, the systems are stabilized for 25,000 steps. Then, over the next 50,000 steps the potential is swapped out for the reference potential. The system is then stabilized for another 25,000 steps with the reference model before a reverse swap of 50,000 steps is performed. The simulation ends with one final 25,000 step stabilization period. From the simulation, the irreversible work of transformation is estimated and used to compute the absolute Gibbs free energy of the target phase and potential relative to the reference potential. Entropy is estimated as the difference in enthalpy and Gibbs free energy and divided by temperature.
The calculation methods used are available as the iprPy relax_dynamic, relax_liquid_redo, free_energy, and free_energy_liquid calculation methods.
Clicking on the image of a plot will open an interactive version of it in a new tab. The underlying data for the plots can be downloaded by clicking on the links above each plot.
Notes and Disclaimers:
Version Information:






