Plots of the potential energy vs interatomic spacing, r, are shown below for all diatom sets associated with the interatomic potential. This calculation provides insights into the functional form of the potential's two-body interactions. A system consisting of only two atoms is created, and the potential energy is evaluated for the atoms separated by 0.02 Å <= r <= 6.0> Å in intervals of 0.02 Å. Two plots are shown: one for the "standard" interaction distance range, and one for small values of r. The small r plot is useful for determining whether the potential is suitable for radiation studies.
The calculation method used is available as the iprPy diatom_scan calculation method.
Clicking on the image of a plot will open an interactive version of it in a new tab. The underlying data for the plots can be downloaded by clicking on the links above each plot.
Notes and Disclaimers:
Version Information:
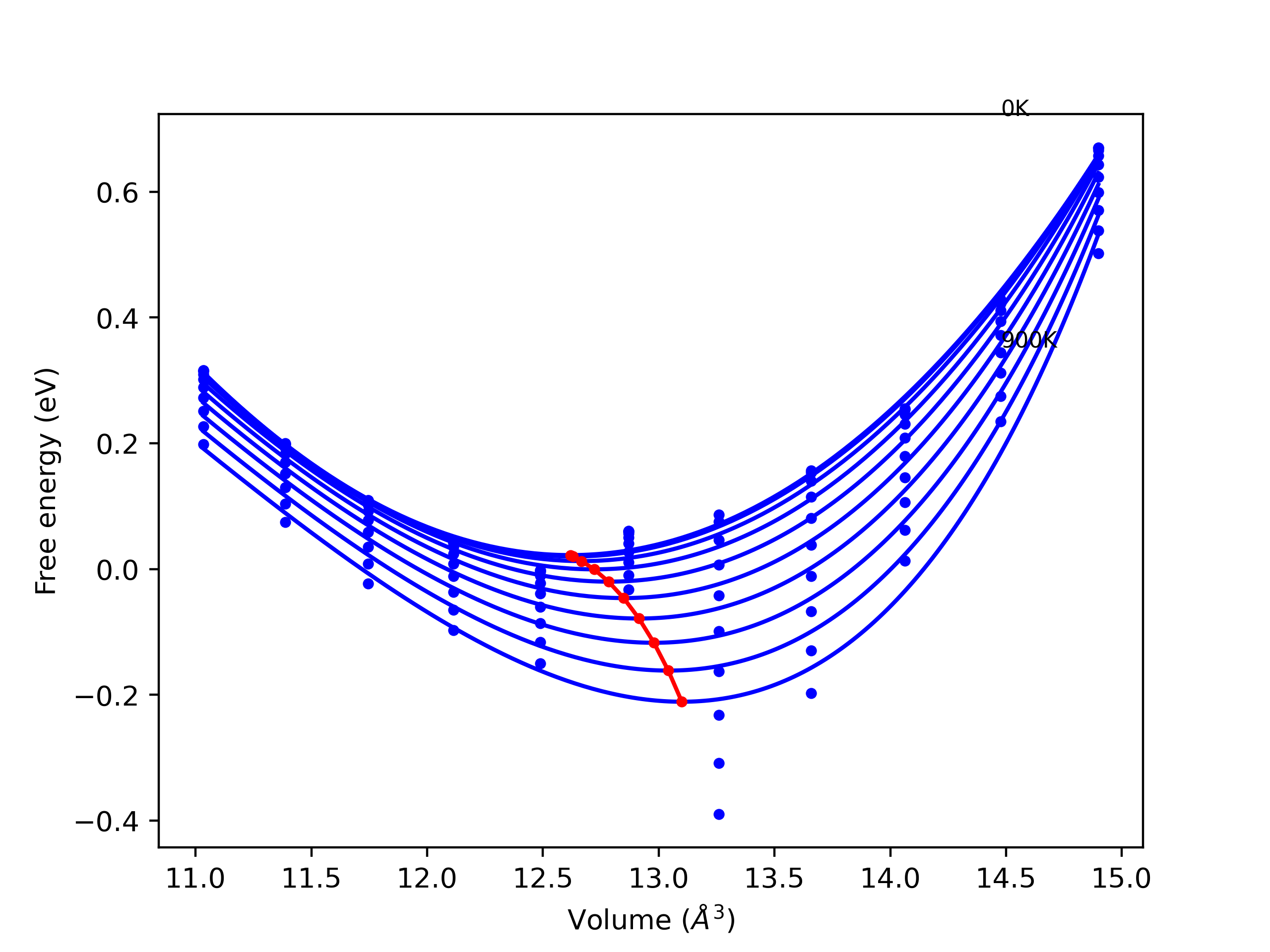
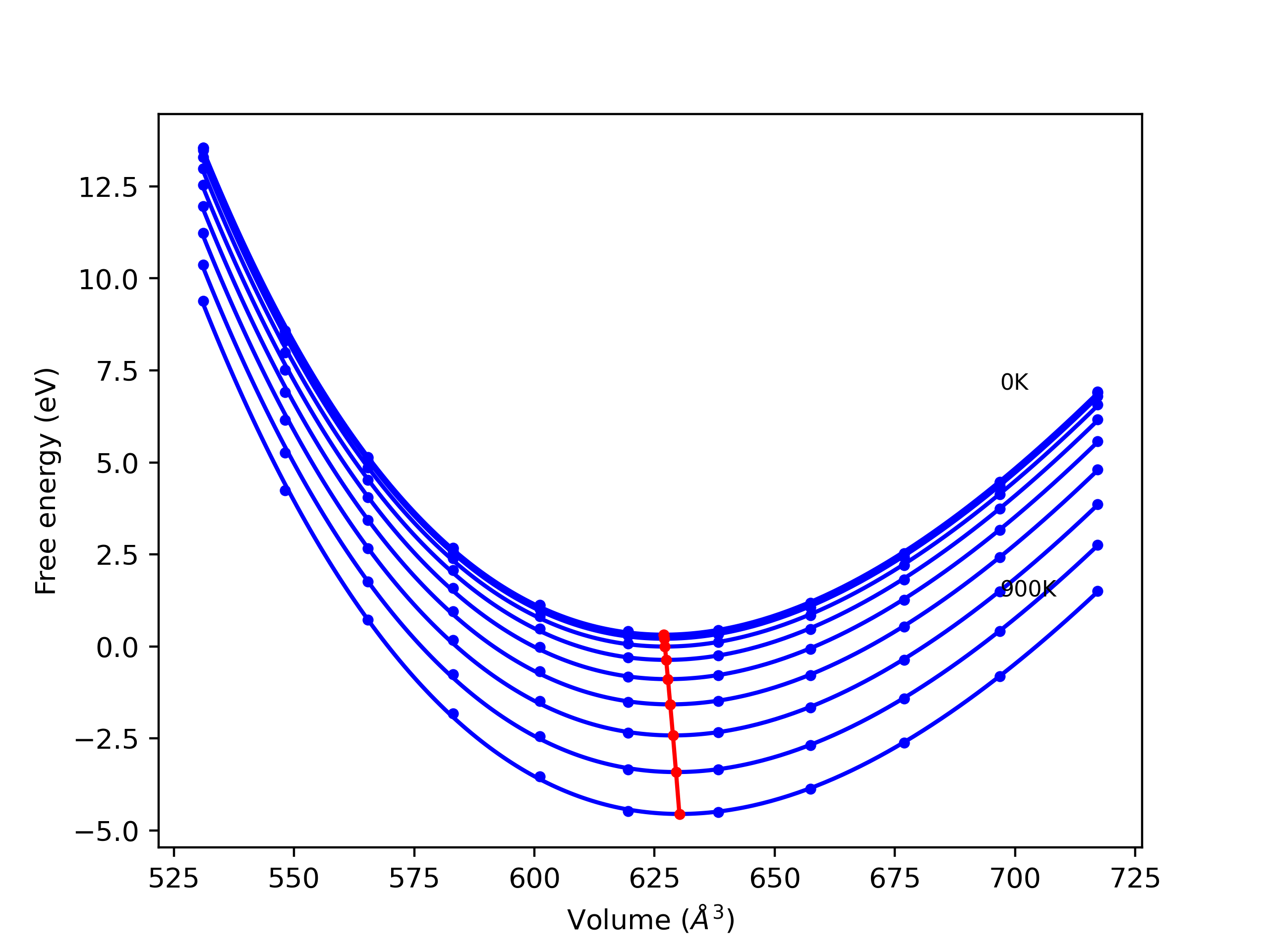
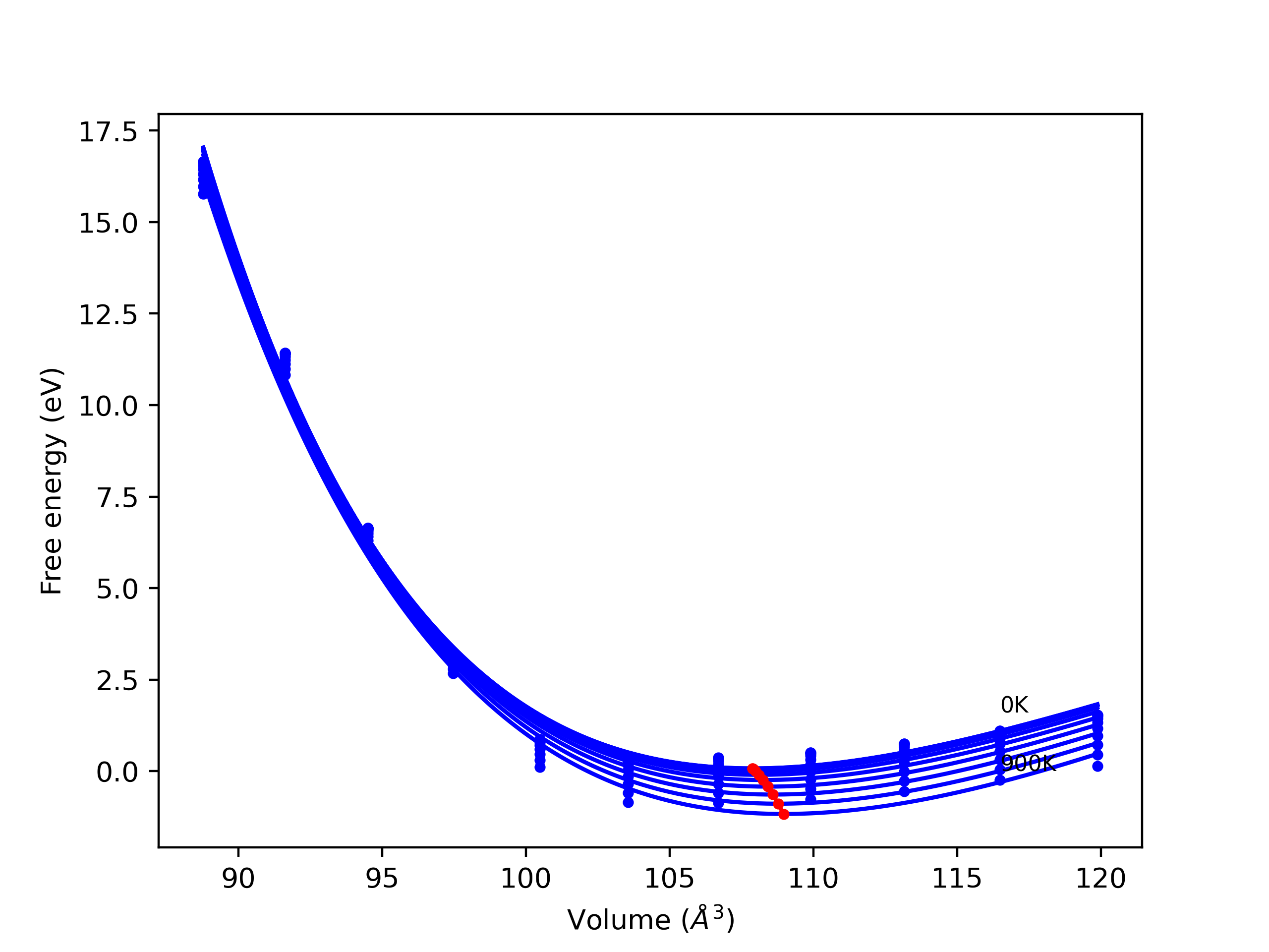
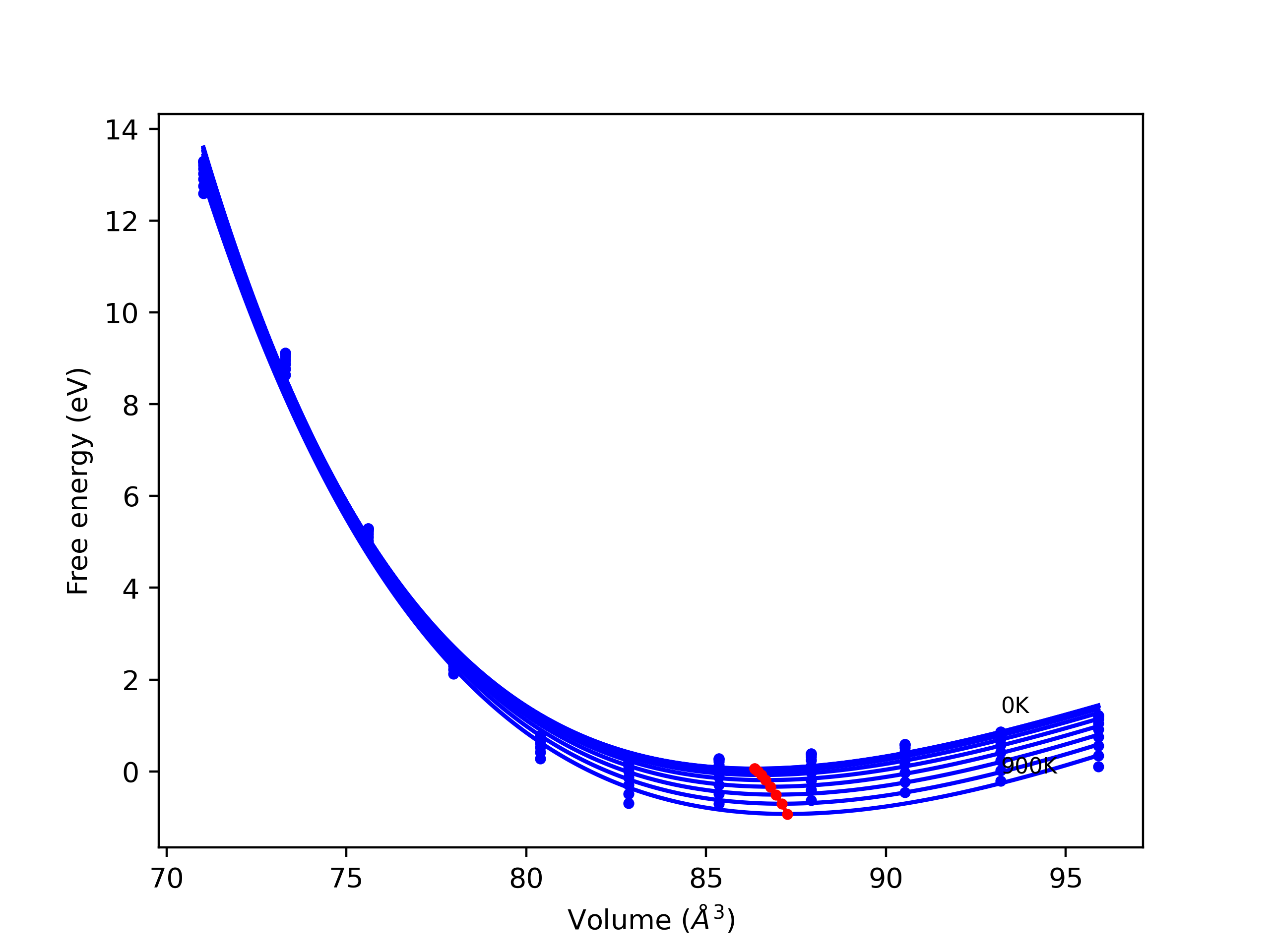
Plots of potential energy vs interatomic spacing, r, are shown below for a number of crystal structures. The structures are generated based on the ideal atomic positions and b/a and c/a lattice parameter ratios for a given crystal prototype. The size of the system is then uniformly scaled, and the energy calculated without relaxing the system. To obtain these plots, values of r are evaluated every 0.02 Å up to 6 Å.
The calculation method used is available as the iprPy E_vs_r_scan calculation method.
Clicking on the image of a plot will open an interactive version of it in a new tab. The underlying data for the plots can be downloaded by clicking on the links above each plot.
Notes and Disclaimers:
Version Information:
Computed lattice constants and cohesive/potential energies are displayed for a variety of crystal structures. The values displayed here are obtained using the following process.
The calculation methods used are implemented into iprPy as the following calculation styles
Notes and Disclaimers:
Version Information:
Download raw data (including filtered results)
Reference structure matches:
A1--Cu--fcc = oqmd-1214512
A15--beta-W = oqmd-1214957
A2--W--bcc = oqmd-1215135
A3'--alpha-La--double-hcp = oqmd-1215403
A3--Mg--hcp = oqmd-1215313
A4--C--dc = mp-66, oqmd-675640
A5--beta-Sn = oqmd-1215581
A6--In--bct = mp-1181996, oqmd-1215670
A7--alpha-As = oqmd-594528
Ah--alpha-Po--sc = mp-998866, oqmd-636457, oqmd-1214601
| prototype | method | Ecoh (eV/atom) | Epot (eV/atom) | a0 (Å) | b0 (Å) | c0 (Å) | α (degrees) | β (degrees) | γ (degrees) |
|---|---|---|---|---|---|---|---|---|---|
| mp-568806 | dynamic | -7.374 | -7.374 | 2.5552 | 2.5552 | 3.6597 | 90.0 | 90.0 | 120.0 |
| mp-568286 | dynamic | -7.374 | -7.374 | 2.5552 | 4.4257 | 7.0361 | 90.0 | 90.0 | 90.0 |
| oqmd-683819 | dynamic | -7.374 | -7.374 | 2.5552 | 4.4257 | 6.6661 | 90.0 | 90.0 | 90.0 |
| oqmd-589492 | dynamic | -7.374 | -7.374 | 2.5552 | 2.5552 | 53.495 | 90.0 | 90.0 | 120.0 |
| oqmd-610551 | dynamic | -7.374 | -7.374 | 2.5552 | 2.5552 | 3.5052 | 90.0 | 90.0 | 120.0 |
| mp-1018088 | dynamic | -7.374 | -7.374 | 4.1726 | 4.1726 | 4.1726 | 90.0 | 90.0 | 90.0 |
| mp-569304 | dynamic | -7.374 | -7.374 | 2.5552 | 2.5552 | 33.1909 | 90.0 | 90.0 | 120.0 |
| oqmd-590101 | static | -7.374 | -7.374 | 2.5552 | 2.5552 | 6.796 | 90.0 | 90.0 | 120.0 |
| oqmd-589493 | static | -7.374 | -7.374 | 2.5552 | 2.5552 | 28.9534 | 90.0 | 90.0 | 120.0 |
| oqmd-683820 | dynamic | -7.374 | -7.374 | 2.5552 | 4.4257 | 6.8163 | 90.0 | 90.0 | 90.0 |
| mp-990424 | dynamic | -7.374 | -7.374 | 2.5552 | 2.5552 | 24.1597 | 90.0 | 90.0 | 120.0 |
| mp-568363 | static | -7.374 | -7.374 | 2.5552 | 4.4257 | 8.1499 | 90.0 | 90.0 | 90.0 |
| oqmd-590101 | dynamic | -7.374 | -7.374 | 2.5552 | 2.5552 | 6.8105 | 90.0 | 90.0 | 120.0 |
| mp-568806 | static | -7.374 | -7.374 | 2.5552 | 2.5552 | 3.4233 | 90.0 | 90.0 | 120.0 |
| mp-990424 | static | -7.374 | -7.374 | 2.5552 | 2.5552 | 24.132 | 90.0 | 90.0 | 120.0 |
| A7--alpha-As | static | -7.374 | -7.374 | 2.5552 | 2.5552 | 6.4503 | 90.0 | 90.0 | 120.0 |
| mp-568286 | static | -7.374 | -7.374 | 2.5552 | 4.4257 | 7.0351 | 90.0 | 90.0 | 90.0 |
| mp-569416 | static | -7.374 | -7.374 | 2.5552 | 2.5552 | 54.687 | 90.0 | 90.0 | 120.0 |
| mp-1040425 | dynamic | -7.374 | -7.374 | 2.5552 | 2.5552 | 20.0006 | 90.0 | 90.0 | 120.0 |
| oqmd-683819 | static | -7.374 | -7.374 | 2.5552 | 4.4257 | 6.6524 | 90.0 | 90.0 | 90.0 |
| mp-568363 | dynamic | -7.374 | -7.374 | 2.5552 | 4.4257 | 8.15 | 90.0 | 90.0 | 90.0 |
| oqmd-1214690 | static | -7.374 | -7.374 | 2.5552 | 4.4257 | 6.6767 | 90.0 | 90.0 | 90.0 |
| mp-937760 | dynamic | -7.374 | -7.374 | 2.5552 | 4.4257 | 7.1733 | 90.0 | 90.0 | 90.0 |
| oqmd-683820 | static | -7.374 | -7.374 | 2.5552 | 4.4257 | 6.7733 | 90.0 | 90.0 | 90.0 |
| oqmd-610551 | static | -7.374 | -7.374 | 2.5552 | 2.5552 | 3.5012 | 90.0 | 90.0 | 120.0 |
| oqmd-1215937 | static | -7.374 | -7.374 | 2.5552 | 2.5552 | 7.3725 | 90.0 | 90.0 | 120.0 |
| mp-1040425 | static | -7.374 | -7.374 | 2.5552 | 2.5552 | 19.9983 | 90.0 | 90.0 | 120.0 |
| oqmd-1215937 | dynamic | -7.374 | -7.374 | 2.5552 | 2.5552 | 7.5567 | 90.0 | 90.0 | 120.0 |
| mp-990448 | static | -7.374 | -7.374 | 2.5552 | 2.5552 | 8.5238 | 90.0 | 90.0 | 120.0 |
| mp-997182 | dynamic | -7.374 | -7.374 | 2.5552 | 2.5552 | 12.0459 | 90.0 | 90.0 | 120.0 |
| mp-48 | dynamic | -7.374 | -7.374 | 2.5552 | 2.5552 | 7.8031 | 90.0 | 90.0 | 120.0 |
| mp-632329 | static | -7.374 | -7.374 | 4.4257 | 2.5552 | 3.7375 | 90.0 | 94.2 | 90.0 |
| mp-632329 | dynamic | -7.374 | -7.374 | 4.4257 | 2.5552 | 3.8536 | 90.0 | 94.1 | 90.0 |
| mp-169 | static | -7.374 | -7.374 | 4.4257 | 2.5552 | 3.7634 | 90.0 | 111.5 | 90.0 |
| mp-169 | dynamic | -7.374 | -7.374 | 4.4257 | 2.5552 | 3.8053 | 90.0 | 112.2 | 90.0 |
| A7--alpha-As | dynamic | -7.374 | -7.374 | 2.5552 | 2.5552 | 10.6331 | 90.0 | 90.0 | 120.0 |
| mp-606949 | dynamic | -7.374 | -7.374 | 2.5552 | 2.5552 | 29.4919 | 90.0 | 90.0 | 120.0 |
| oqmd-589493 | dynamic | -7.374 | -7.374 | 2.5552 | 2.5552 | 28.956 | 90.0 | 90.0 | 120.0 |
| mp-569416 | dynamic | -7.374 | -7.374 | 2.5552 | 2.5552 | 54.7152 | 90.0 | 90.0 | 120.0 |
| mp-606949 | static | -7.374 | -7.374 | 2.5552 | 2.5552 | 29.4916 | 90.0 | 90.0 | 120.0 |
| mp-569517 | dynamic | -7.3732 | -7.3732 | 2.5213 | 2.5213 | 30.88 | 90.0 | 90.0 | 120.0 |
| oqmd-599490 | dynamic | -7.3732 | -7.3732 | 2.5213 | 2.5213 | 8.2347 | 90.0 | 90.0 | 120.0 |
| mp-616440 | dynamic | -7.3732 | -7.3732 | 2.5213 | 2.5213 | 16.4694 | 90.0 | 90.0 | 120.0 |
| A4--C--dc | dynamic | -7.3732 | -7.3732 | 3.5657 | 3.5657 | 3.5657 | 90.0 | 90.0 | 90.0 |
| oqmd-599489 | dynamic | -7.3732 | -7.3732 | 2.5213 | 2.5213 | 4.1173 | 90.0 | 90.0 | 120.0 |
| oqmd-599494 | dynamic | -7.3732 | -7.3732 | 2.5213 | 2.5213 | 43.232 | 90.0 | 90.0 | 120.0 |
| oqmd-599491 | dynamic | -7.3732 | -7.3732 | 2.5213 | 2.5213 | 12.352 | 90.0 | 90.0 | 120.0 |
| oqmd-599489 | box | -7.3731 | -7.3731 | 2.521 | 2.521 | 4.1186 | 90.0 | 90.0 | 120.0 |
| mp-47 | box | -7.3731 | -7.3731 | 2.5209 | 2.5209 | 4.1189 | 90.0 | 90.0 | 120.0 |
| oqmd-599492 | box | -7.3725 | -7.3725 | 2.5212 | 2.5212 | 16.473 | 90.0 | 90.0 | 120.0 |
| mp-616440 | box | -7.3723 | -7.3723 | 2.5213 | 2.5213 | 16.4725 | 90.0 | 90.0 | 120.0 |
| oqmd-599491 | box | -7.3723 | -7.3723 | 2.5212 | 2.5212 | 12.355 | 90.0 | 90.0 | 120.0 |
| mp-569567 | box | -7.3722 | -7.3722 | 2.5213 | 2.5213 | 43.2403 | 90.0 | 90.0 | 120.0 |
| mp-611448 | box | -7.3721 | -7.3721 | 2.5213 | 2.5213 | 12.3548 | 90.0 | 90.0 | 120.0 |
| oqmd-599493 | box | -7.3721 | -7.3721 | 2.5213 | 2.5213 | 30.8866 | 90.0 | 90.0 | 120.0 |
| mp-569517 | box | -7.372 | -7.372 | 2.5212 | 2.5212 | 30.8882 | 90.0 | 90.0 | 120.0 |
| mp-611426 | box | -7.372 | -7.372 | 2.5212 | 2.5212 | 8.2375 | 90.0 | 90.0 | 120.0 |
| oqmd-599490 | box | -7.3718 | -7.3718 | 2.5213 | 2.5213 | 8.2369 | 90.0 | 90.0 | 120.0 |
| mp-1008374 | dynamic | -7.2974 | -7.2974 | 2.5166 | 7.9591 | 2.5595 | 90.0 | 90.0 | 90.0 |
| mp-1096869 | static | -7.2912 | -7.2912 | 26.5532 | 15.3349 | 2.1501 | 90.0 | 93.3 | 90.0 |
| mp-1008374 | box | -7.2086 | -7.2086 | 2.4957 | 8.0838 | 2.5551 | 90.0 | 90.0 | 90.0 |
| mp-1078845 | dynamic | -7.1049 | -7.1049 | 4.2071 | 8.8067 | 2.541 | 90.0 | 90.0 | 90.0 |
| mp-1078845 | box | -7.0938 | -7.0938 | 4.2247 | 8.8129 | 2.5351 | 90.0 | 90.0 | 90.0 |
| oqmd-637443 | dynamic | -7.0923 | -7.0923 | 5.2703 | 5.2703 | 5.2703 | 90.0 | 90.0 | 90.0 |
| oqmd-637443 | box | -7.092 | -7.092 | 5.2697 | 5.2697 | 5.2697 | 90.0 | 90.0 | 90.0 |
| mp-1188817 | box | -7.0912 | -7.0912 | 5.2688 | 5.2688 | 5.2688 | 90.0 | 90.0 | 90.0 |
| oqmd-610557 | static | -7.05 | -7.05 | 4.8975 | 5.2856 | 4.4734 | 90.0 | 90.0 | 90.0 |
| oqmd-610557 | box | -7.0127 | -7.0127 | 4.8769 | 5.3068 | 4.5181 | 90.0 | 90.0 | 90.0 |
| oqmd-610556 | box | -7.0119 | -7.0119 | 4.8742 | 5.3151 | 4.5182 | 90.0 | 90.0 | 90.0 |
| mp-568410 | box | -7.0093 | -7.0093 | 4.872 | 5.3205 | 4.5197 | 90.0 | 90.0 | 90.0 |
| mp-683919 | dynamic | -6.9743 | -6.9743 | 10.252 | 17.5767 | 18.2474 | 90.0 | 90.0 | 90.0 |
| oqmd-689315 | dynamic | -6.9743 | -6.9743 | 10.1614 | 17.5151 | 18.2474 | 90.0 | 90.0 | 90.0 |
| oqmd-689315 | static | -6.9743 | -6.9743 | 10.5056 | 17.6625 | 18.2473 | 90.0 | 90.0 | 90.0 |
| mp-683919 | static | -6.9743 | -6.9743 | 10.5318 | 17.6842 | 18.2465 | 90.0 | 90.0 | 90.0 |
| mp-683919 | box | -6.9554 | -6.9554 | 10.522 | 18.0501 | 18.618 | 90.0 | 90.0 | 90.0 |
| oqmd-689315 | box | -6.9272 | -6.9272 | 10.4666 | 18.0792 | 18.6433 | 90.0 | 90.0 | 90.0 |
| mp-1008395 | dynamic | -6.9272 | -6.9272 | 4.3887 | 4.3887 | 2.5425 | 90.0 | 90.0 | 90.0 |
| oqmd-595714 | dynamic | -6.9212 | -6.9212 | 9.1682 | 9.2176 | 14.6607 | 90.0 | 90.0 | 90.0 |
| mp-630227 | dynamic | -6.9212 | -6.9212 | 9.1682 | 9.2176 | 15.7115 | 90.0 | 90.0 | 90.0 |
| mp-630227 | static | -6.9212 | -6.9212 | 9.1682 | 9.2176 | 16.2419 | 90.0 | 90.0 | 90.0 |
| oqmd-595714 | static | -6.9212 | -6.9212 | 9.1681 | 9.2175 | 15.1581 | 90.0 | 90.0 | 90.0 |
| oqmd-684627 | dynamic | -6.9211 | -6.9211 | 9.1931 | 9.1931 | 15.2911 | 90.0 | 90.0 | 90.0 |
| oqmd-684627 | static | -6.9211 | -6.9211 | 9.1932 | 9.1932 | 15.8137 | 90.0 | 90.0 | 90.0 |
| mp-1190171 | dynamic | -6.9196 | -6.9196 | 9.0939 | 2.5588 | 4.1705 | 90.0 | 90.0 | 90.0 |
| mp-680372 | dynamic | -6.9195 | -6.9195 | 9.223 | 9.223 | 25.4137 | 90.0 | 90.0 | 120.0 |
| oqmd-614417 | dynamic | -6.9195 | -6.9195 | 9.223 | 9.223 | 24.3039 | 90.0 | 90.0 | 120.0 |
| oqmd-614417 | static | -6.9195 | -6.9195 | 9.223 | 9.223 | 25.3052 | 90.0 | 90.0 | 120.0 |
| mp-680372 | static | -6.9194 | -6.9194 | 9.2243 | 9.2243 | 26.5341 | 90.0 | 90.0 | 120.0 |
| mp-1147718 | dynamic | -6.9188 | -6.9188 | 10.3358 | 14.8465 | 9.205 | 90.0 | 90.0 | 90.0 |
| mp-1147718 | static | -6.9188 | -6.9188 | 10.603 | 15.2468 | 9.205 | 90.0 | 90.0 | 90.0 |
| oqmd-603085 | dynamic | -6.917 | -6.917 | 14.0309 | 14.0309 | 14.0309 | 90.0 | 90.0 | 90.0 |
| mp-667273 | dynamic | -6.917 | -6.917 | 14.4831 | 14.4831 | 14.4831 | 90.0 | 90.0 | 90.0 |
| mp-1196583 | dynamic | -6.917 | -6.917 | 14.4868 | 14.4868 | 14.4868 | 90.0 | 90.0 | 90.0 |
| mp-1196583 | static | -6.917 | -6.917 | 14.8518 | 14.8518 | 14.8518 | 90.0 | 90.0 | 90.0 |
| oqmd-677227 | static | -6.917 | -6.917 | 14.6217 | 14.6217 | 14.6217 | 90.0 | 90.0 | 90.0 |
| oqmd-603085 | static | -6.917 | -6.917 | 14.4223 | 14.4223 | 14.4223 | 90.0 | 90.0 | 90.0 |
| mp-667273 | static | -6.917 | -6.917 | 14.9155 | 14.9155 | 14.9155 | 90.0 | 90.0 | 90.0 |
| mp-1080826 | dynamic | -6.9168 | -6.9168 | 9.1938 | 2.5591 | 4.1702 | 90.0 | 97.9 | 90.0 |
| mp-1008395 | box | -6.9127 | -6.9127 | 4.3977 | 4.3977 | 2.536 | 90.0 | 90.0 | 90.0 |
| mp-1196583 | box | -6.9105 | -6.9105 | 14.8547 | 14.8547 | 14.8547 | 90.0 | 90.0 | 90.0 |
| oqmd-603085 | box | -6.9105 | -6.9105 | 14.4249 | 14.4249 | 14.4249 | 90.0 | 90.0 | 90.0 |
| mp-667273 | box | -6.9091 | -6.9091 | 14.9192 | 14.9192 | 14.9192 | 90.0 | 90.0 | 90.0 |
| mp-1080826 | box | -6.905 | -6.905 | 9.196 | 2.5528 | 4.1737 | 90.0 | 97.0 | 90.0 |
| oqmd-637352 | box | -6.905 | -6.905 | 9.1956 | 2.553 | 4.1729 | 90.0 | 97.0 | 90.0 |
| mp-568028 | dynamic | -6.9035 | -6.9035 | 8.179 | 14.088 | 9.518 | 90.0 | 90.0 | 90.0 |
| mp-1190171 | box | -6.9035 | -6.9035 | 9.1055 | 2.5529 | 4.1734 | 90.0 | 90.0 | 90.0 |
| oqmd-637130 | box | -6.9033 | -6.9033 | 9.1047 | 2.5531 | 4.1728 | 90.0 | 90.0 | 90.0 |
| oqmd-677227 | box | -6.8968 | -6.8968 | 14.6344 | 14.6344 | 14.6344 | 90.0 | 90.0 | 90.0 |
| mp-1147718 | box | -6.8941 | -6.8941 | 10.5892 | 15.2127 | 9.5104 | 90.0 | 90.0 | 90.0 |
| oqmd-595714 | box | -6.8901 | -6.8901 | 9.372 | 9.4499 | 15.0535 | 90.0 | 90.0 | 90.0 |
| mp-630227 | box | -6.8883 | -6.8883 | 9.3635 | 9.4386 | 16.1649 | 90.0 | 90.0 | 90.0 |
| mp-624889 | dynamic | -6.8724 | -6.8724 | 4.8573 | 5.2796 | 5.486 | 90.0 | 90.0 | 90.0 |
| mp-579909 | static | -6.8724 | -6.8724 | 4.8573 | 5.2796 | 7.1026 | 90.0 | 90.0 | 90.0 |
| mp-624889 | static | -6.8724 | -6.8724 | 4.8573 | 5.2796 | 5.8484 | 90.0 | 90.0 | 90.0 |
| oqmd-610552 | static | -6.8724 | -6.8724 | 4.8573 | 5.2796 | 6.6687 | 90.0 | 90.0 | 90.0 |
| oqmd-614417 | box | -6.8689 | -6.8689 | 9.454 | 9.454 | 25.0137 | 90.0 | 90.0 | 120.0 |
| mp-680372 | box | -6.8634 | -6.8634 | 9.467 | 9.467 | 26.2203 | 90.0 | 90.0 | 120.0 |
| mp-624889 | box | -6.8538 | -6.8538 | 4.8843 | 5.2963 | 5.8256 | 90.0 | 90.0 | 90.0 |
| oqmd-684627 | box | -6.8499 | -6.8499 | 9.4231 | 9.4231 | 15.7916 | 90.0 | 90.0 | 90.0 |
| oqmd-684315 | dynamic | -6.8469 | -6.8469 | 8.5723 | 14.449 | 9.321 | 90.0 | 90.0 | 90.0 |
| mp-1205283 | static | -6.7951 | -6.7951 | 10.6342 | 13.2348 | 8.9405 | 90.0 | 90.0 | 90.0 |
| mp-1205283 | dynamic | -6.7557 | -6.7557 | 9.8395 | 14.2762 | 9.7155 | 90.0 | 90.0 | 90.0 |
| oqmd-610552 | box | -6.7468 | -6.7468 | 4.797 | 5.641 | 6.5673 | 90.0 | 90.0 | 90.0 |
| mp-579909 | box | -6.7408 | -6.7408 | 4.7898 | 5.6536 | 6.9983 | 90.0 | 90.0 | 90.0 |
| mp-568028 | box | -6.7299 | -6.7299 | 8.6544 | 14.5674 | 9.8756 | 90.0 | 90.0 | 90.0 |
| mp-1245190 | dynamic | -6.6522 | -6.6522 | 9.6978 | 10.3266 | 10.8538 | 90.3 | 93.4 | 90.9 |
| mp-1244964 | dynamic | -6.606 | -6.606 | 9.7214 | 10.0709 | 10.6897 | 92.5 | 91.2 | 91.2 |
| mp-24 | dynamic | -6.6009 | -6.6009 | 4.4285 | 4.4285 | 4.4285 | 90.0 | 90.0 | 90.0 |
| mp-24 | box | -6.5805 | -6.5805 | 4.4545 | 4.4545 | 4.4545 | 90.0 | 90.0 | 90.0 |
| mp-1244913 | dynamic | -6.5376 | -6.5376 | 9.4915 | 10.0657 | 10.7814 | 91.9 | 95.7 | 90.9 |
| mp-1245190 | static | -6.4193 | -6.4193 | 10.186 | 10.5477 | 10.6002 | 90.5 | 93.7 | 90.4 |
| oqmd-684315 | static | -6.3786 | -6.3786 | 10.4354 | 15.9967 | 8.9737 | 90.0 | 90.0 | 90.0 |
| mp-1205283 | box | -6.3093 | -6.3093 | 10.397 | 13.6279 | 9.4179 | 90.0 | 90.0 | 90.0 |
| mp-1244964 | static | -6.2151 | -6.2151 | 10.1991 | 10.2361 | 11.1674 | 83.1 | 89.2 | 89.2 |
| mp-1244913 | static | -5.9998 | -5.9998 | 10.4522 | 10.6403 | 10.8518 | 90.2 | 93.8 | 97.0 |
| mp-1095633 | dynamic | -5.9168 | -5.9168 | 7.5627 | 7.5627 | 4.9903 | 90.0 | 90.0 | 90.0 |
| mp-1197903 | dynamic | -5.8384 | -5.8384 | 7.7016 | 9.3699 | 22.6635 | 100.2 | 95.3 | 105.5 |
| mp-1196857 | dynamic | -5.8336 | -5.8336 | 9.227 | 18.9768 | 5.9927 | 90.0 | 90.0 | 90.0 |
| mp-1182684 | dynamic | -5.7911 | -5.7911 | 9.4163 | 11.1877 | 14.3019 | 90.0 | 90.0 | 90.0 |
| mp-1182684 | static | -5.7832 | -5.7832 | 12.6024 | 12.7948 | 18.8763 | 90.0 | 90.0 | 90.0 |
| mp-570002 | dynamic | -5.7478 | -5.7478 | 5.0353 | 5.0353 | 5.0353 | 90.0 | 90.0 | 90.0 |
| oqmd-585286 | box | -5.735 | -5.735 | 5.0384 | 5.0384 | 5.0384 | 90.0 | 90.0 | 90.0 |
| mp-570002 | box | -5.7349 | -5.7349 | 5.0384 | 5.0384 | 5.0384 | 90.0 | 90.0 | 90.0 |
| mp-1245190 | box | -5.6957 | -5.6957 | 10.7818 | 11.2704 | 11.377 | 89.3 | 90.0 | 87.9 |
| oqmd-684315 | box | -5.5849 | -5.5849 | 10.8261 | 15.7607 | 9.3418 | 90.0 | 90.0 | 90.0 |
| mp-1197903 | static | -5.5297 | -5.5297 | 7.8478 | 11.0805 | 22.9303 | 96.1 | 96.1 | 108.1 |
| mp-1244964 | box | -5.4866 | -5.4866 | 10.8765 | 11.0772 | 11.7676 | 90.3 | 94.9 | 92.8 |
| mp-1244913 | box | -5.1576 | -5.1576 | 11.3978 | 11.4977 | 11.8953 | 90.3 | 96.1 | 92.5 |
| mp-1182684 | box | -4.8073 | -4.8073 | 12.1466 | 13.3438 | 15.9037 | 90.0 | 90.0 | 90.0 |
| mp-1095534 | box | -4.7272 | -4.7272 | 10.7629 | 10.7629 | 2.4937 | 90.0 | 90.0 | 90.0 |
| A7--alpha-As | box | -4.4148 | -4.4148 | 2.8624 | 2.8624 | 6.2728 | 90.0 | 90.0 | 120.0 |
| mp-1205417 | box | -4.2021 | -4.2021 | 13.391 | 13.391 | 7.7822 | 90.0 | 90.0 | 90.0 |
| A5--beta-Sn | dynamic | -4.0808 | -4.0808 | 3.4249 | 3.4249 | 1.8066 | 90.0 | 90.0 | 90.0 |
| Ah--alpha-Po--sc | dynamic | -4.0773 | -4.0773 | 1.7825 | 1.7825 | 1.7825 | 90.0 | 90.0 | 90.0 |
| A3'--alpha-La--double-hcp | dynamic | -4.0726 | -4.0726 | 2.4887 | 2.4887 | 4.2894 | 90.0 | 90.0 | 120.0 |
| mp-1097832 | static | -3.9997 | -3.9997 | 2.3903 | 2.3903 | 9.8799 | 90.0 | 90.0 | 90.0 |
| mp-1056957 | static | -3.9997 | -3.9997 | 2.3903 | 2.3903 | 6.5533 | 90.0 | 90.0 | 90.0 |
| A6--In--bct | static | -3.9997 | -3.9997 | 1.6902 | 1.6902 | 6.5525 | 90.0 | 90.0 | 90.0 |
| oqmd-1216026 | static | -3.9997 | -3.9997 | 2.3903 | 2.3903 | 9.1654 | 90.0 | 93.2 | 90.0 |
| A6--In--bct | static | -3.9997 | -3.9997 | 1.6902 | 1.6902 | 6.3803 | 90.0 | 90.0 | 90.0 |
| A6--In--bct | static | -3.9997 | -3.9997 | 1.6902 | 1.6902 | 3.5744 | 90.0 | 90.0 | 90.0 |
| mp-1192619 | box | -3.9408 | -3.9408 | 10.1563 | 10.1563 | 10.1563 | 90.0 | 90.0 | 90.0 |
| oqmd-1214779 | box | -3.9005 | -3.9005 | 9.7404 | 9.7404 | 9.7404 | 90.0 | 90.0 | 90.0 |
| A2--W--bcc | dynamic | -3.4099 | -3.4099 | 2.16 | 2.16 | 2.16 | 90.0 | 90.0 | 90.0 |
| A15--beta-W | dynamic | -3.1912 | -3.1912 | 3.4674 | 3.4674 | 3.4674 | 90.0 | 90.0 | 90.0 |
| A1--Cu--fcc | box | -2.8904 | -2.8904 | 2.739 | 2.739 | 2.739 | 90.0 | 90.0 | 90.0 |
| A3'--alpha-La--double-hcp | box | -2.8903 | -2.8903 | 1.9367 | 1.9367 | 6.3261 | 90.0 | 90.0 | 120.0 |
| A3--Mg--hcp | box | -2.8903 | -2.8903 | 1.9366 | 1.9366 | 3.1633 | 90.0 | 90.0 | 120.0 |
| A3--Mg--hcp | dynamic | -2.8738 | -2.8738 | 1.857 | 1.857 | 4.3093 | 90.0 | 90.0 | 120.0 |
| oqmd-1214868 | static | -2.8021 | -2.8021 | 7.5623 | 7.5623 | 7.5623 | 90.0 | 90.0 | 90.0 |
| A1--Cu--fcc | dynamic | 0.0 | 0.0 | 3.0645 | 3.0645 | 3.0645 | 90.0 | 90.0 | 90.0 |
Download raw data (including filtered results)
Reference structure matches:
| prototype | method | Ecoh (eV/atom) | Epot (eV/atom) | a0 (Å) | b0 (Å) | c0 (Å) | α (degrees) | β (degrees) | γ (degrees) |
|---|---|---|---|---|---|---|---|---|---|
| mp-1019097 | dynamic | -6.4122 | -6.4122 | 3.1572 | 3.1572 | 6.8704 | 90.0 | 90.0 | 90.0 |
| mp-1019097 | box | -6.3735 | -6.3735 | 3.1181 | 3.1181 | 7.0693 | 90.0 | 90.0 | 90.0 |
| mp-1102811 | dynamic | -5.7046 | -5.7046 | 4.7161 | 4.7161 | 4.7161 | 90.0 | 90.0 | 90.0 |
| mp-1102811 | box | -5.5877 | -5.5877 | 4.8035 | 4.8035 | 4.8035 | 90.0 | 90.0 | 90.0 |
| C1--CaF2--fluorite | dynamic | -5.0107 | -5.0107 | 4.7291 | 4.7291 | 4.7291 | 90.0 | 90.0 | 90.0 |
Download raw data (including filtered results)
Reference structure matches:
| prototype | method | Ecoh (eV/atom) | Epot (eV/atom) | a0 (Å) | b0 (Å) | c0 (Å) | α (degrees) | β (degrees) | γ (degrees) |
|---|---|---|---|---|---|---|---|---|---|
| D0_3--BiF3 | static | -3.8192 | -3.8192 | 4.948 | 4.948 | 4.948 | 90.0 | 90.0 | 90.0 |
| L1_2--AuCu3 | dynamic | -3.6116 | -3.6116 | 3.0888 | 3.0888 | 3.0888 | 90.0 | 90.0 | 90.0 |
| A15--Cr3Si | box | -3.3796 | -3.3796 | 4.0574 | 4.0574 | 4.0574 | 90.0 | 90.0 | 90.0 |
| mp-972848 | dynamic | -3.3542 | -3.3542 | 2.6739 | 2.6739 | 14.1591 | 90.0 | 90.0 | 90.0 |
Download raw data (including filtered results)
Reference structure matches:
| prototype | method | Ecoh (eV/atom) | Epot (eV/atom) | a0 (Å) | b0 (Å) | c0 (Å) | α (degrees) | β (degrees) | γ (degrees) |
|---|---|---|---|---|---|---|---|---|---|
| mp-1219306 | dynamic | -5.3146 | -5.3146 | 8.6054 | 8.6054 | 8.3723 | 90.0 | 90.0 | 120.0 |
| mp-1219306 | box | -4.7047 | -4.7047 | 8.9932 | 8.9932 | 9.3005 | 90.0 | 90.0 | 120.0 |
Download raw data (including filtered results)
Reference structure matches:
| prototype | method | Ecoh (eV/atom) | Epot (eV/atom) | a0 (Å) | b0 (Å) | c0 (Å) | α (degrees) | β (degrees) | γ (degrees) |
|---|---|---|---|---|---|---|---|---|---|
| mp-1179504 | dynamic | -4.7982 | -4.7982 | 5.1021 | 12.0788 | 12.1659 | 70.3 | 86.9 | 85.9 |
| mp-1179504 | static | -4.7535 | -4.7535 | 5.2814 | 11.8785 | 12.0092 | 71.0 | 86.3 | 85.5 |
| mp-1202928 | dynamic | -4.7335 | -4.7335 | 4.9574 | 11.816 | 12.7159 | 114.8 | 90.4 | 99.7 |
| mp-1202928 | static | -4.7334 | -4.7334 | 4.9546 | 11.8109 | 12.7044 | 114.7 | 90.5 | 99.7 |
| mp-1179504 | box | -4.4321 | -4.4321 | 5.5223 | 11.8972 | 12.3884 | 69.3 | 86.4 | 86.3 |
Download raw data (including filtered results)
Reference structure matches:
B1--NaCl--rock-salt = mp-1002206
B3--ZnS--cubic-zinc-blende = mp-8062
| prototype | method | Ecoh (eV/atom) | Epot (eV/atom) | a0 (Å) | b0 (Å) | c0 (Å) | α (degrees) | β (degrees) | γ (degrees) |
|---|---|---|---|---|---|---|---|---|---|
| mp-1200168 | dynamic | -6.3392 | -6.3392 | 3.0825 | 3.0825 | 218.9667 | 90.0 | 90.0 | 120.0 |
| mp-11714 | dynamic | -6.3392 | -6.3392 | 3.0825 | 3.0825 | 10.0674 | 90.0 | 90.0 | 120.0 |
| mp-1199063 | dynamic | -6.3392 | -6.3392 | 3.0825 | 3.0825 | 211.4162 | 90.0 | 90.0 | 120.0 |
| mp-7631 | dynamic | -6.3392 | -6.3392 | 3.0825 | 3.0825 | 15.1012 | 90.0 | 90.0 | 120.0 |
| mp-568696 | dynamic | -6.3392 | -6.3392 | 3.0825 | 3.0825 | 35.236 | 90.0 | 90.0 | 120.0 |
| mp-568619 | dynamic | -6.3392 | -6.3392 | 3.0825 | 3.0825 | 12.5843 | 90.0 | 90.0 | 120.0 |
| mp-571286 | dynamic | -6.3392 | -6.3392 | 3.0825 | 3.0825 | 90.6069 | 90.0 | 90.0 | 120.0 |
| mp-11713 | dynamic | -6.3392 | -6.3392 | 3.0825 | 3.0825 | 37.7529 | 90.0 | 90.0 | 120.0 |
| B3--ZnS--cubic-zinc-blende | dynamic | -6.3392 | -6.3392 | 4.3593 | 4.3593 | 4.3593 | 90.0 | 90.0 | 90.0 |
| mp-582034 | dynamic | -6.3392 | -6.3392 | 3.0825 | 3.0825 | 52.854 | 90.0 | 90.0 | 120.0 |
| mp-570641 | dynamic | -6.3392 | -6.3392 | 3.0825 | 3.0825 | 60.4046 | 90.0 | 90.0 | 120.0 |
| mp-567505 | dynamic | -6.3392 | -6.3392 | 3.0825 | 3.0825 | 20.1349 | 90.0 | 90.0 | 120.0 |
| mp-568656 | dynamic | -6.3392 | -6.3392 | 3.0825 | 3.0825 | 25.1686 | 90.0 | 90.0 | 120.0 |
| mp-570985 | dynamic | -6.3392 | -6.3392 | 3.0825 | 3.0825 | 67.9552 | 90.0 | 90.0 | 120.0 |
| mp-567551 | dynamic | -6.3392 | -6.3392 | 3.0825 | 3.0825 | 40.2697 | 90.0 | 90.0 | 120.0 |
| mp-7140 | dynamic | -6.3392 | -6.3392 | 3.0825 | 3.0825 | 5.0337 | 90.0 | 90.0 | 120.0 |
| mp-624397 | dynamic | -6.3392 | -6.3392 | 3.0825 | 3.0825 | 83.0564 | 90.0 | 90.0 | 120.0 |
| mp-1197730 | dynamic | -6.3392 | -6.3392 | 3.0825 | 3.0825 | 128.3598 | 90.0 | 90.0 | 120.0 |
| mp-1204356 | dynamic | -6.3392 | -6.3392 | 3.0825 | 3.0825 | 143.461 | 90.0 | 90.0 | 120.0 |
| mp-568735 | dynamic | -6.3392 | -6.3392 | 3.0825 | 3.0825 | 45.3035 | 90.0 | 90.0 | 120.0 |
| mp-570791 | dynamic | -6.3392 | -6.3392 | 3.0825 | 3.0825 | 47.8203 | 90.0 | 90.0 | 120.0 |
| mp-570804 | dynamic | -6.3392 | -6.3392 | 3.0825 | 3.0825 | 98.1575 | 90.0 | 90.0 | 120.0 |
| mp-1200848 | dynamic | -6.3392 | -6.3392 | 3.0825 | 3.0825 | 188.7644 | 90.0 | 90.0 | 120.0 |
| mp-568619 | box | -6.3391 | -6.3391 | 3.0833 | 3.0833 | 12.5783 | 90.0 | 90.0 | 120.0 |
| mp-567505 | box | -6.3391 | -6.3391 | 3.083 | 3.083 | 20.1293 | 90.0 | 90.0 | 120.0 |
| mp-582034 | box | -6.3391 | -6.3391 | 3.083 | 3.083 | 52.8374 | 90.0 | 90.0 | 120.0 |
| mp-9947 | box | -6.3391 | -6.3391 | 3.083 | 3.083 | 52.8364 | 90.0 | 90.0 | 120.0 |
| mp-568696 | box | -6.3391 | -6.3391 | 3.083 | 3.083 | 35.2244 | 90.0 | 90.0 | 120.0 |
| mp-7631 | box | -6.3391 | -6.3391 | 3.0831 | 3.0831 | 15.0954 | 90.0 | 90.0 | 120.0 |
| mp-1204356 | box | -6.3391 | -6.3391 | 3.0831 | 3.0831 | 143.4103 | 90.0 | 90.0 | 120.0 |
| mp-571286 | box | -6.3391 | -6.3391 | 3.0831 | 3.0831 | 90.5737 | 90.0 | 90.0 | 120.0 |
| mp-1200692 | box | -6.3391 | -6.3391 | 3.0831 | 3.0831 | 128.3093 | 90.0 | 90.0 | 120.0 |
| mp-7140 | box | -6.3391 | -6.3391 | 3.0839 | 3.0839 | 5.0291 | 90.0 | 90.0 | 120.0 |
| mp-570985 | box | -6.3391 | -6.3391 | 3.0832 | 3.0832 | 67.9275 | 90.0 | 90.0 | 120.0 |
| mp-567551 | box | -6.3391 | -6.3391 | 3.0831 | 3.0831 | 40.2537 | 90.0 | 90.0 | 120.0 |
| mp-568656 | box | -6.3391 | -6.3391 | 3.0832 | 3.0832 | 25.1575 | 90.0 | 90.0 | 120.0 |
| mp-11713 | box | -6.3391 | -6.3391 | 3.0832 | 3.0832 | 37.7356 | 90.0 | 90.0 | 120.0 |
| mp-570791 | box | -6.3391 | -6.3391 | 3.0832 | 3.0832 | 47.7984 | 90.0 | 90.0 | 120.0 |
| mp-571298 | box | -6.3391 | -6.3391 | 3.0832 | 3.0832 | 98.1144 | 90.0 | 90.0 | 120.0 |
| mp-568735 | box | -6.3391 | -6.3391 | 3.0833 | 3.0833 | 45.2813 | 90.0 | 90.0 | 120.0 |
| mp-11714 | box | -6.339 | -6.339 | 3.0834 | 3.0834 | 10.062 | 90.0 | 90.0 | 120.0 |
| mp-1197730 | box | -6.339 | -6.339 | 3.0833 | 3.0833 | 128.2942 | 90.0 | 90.0 | 120.0 |
| mp-570804 | box | -6.339 | -6.339 | 3.0839 | 3.0839 | 98.0672 | 90.0 | 90.0 | 120.0 |
| mp-570641 | box | -6.339 | -6.339 | 3.0841 | 3.0841 | 60.3424 | 90.0 | 90.0 | 120.0 |
| mp-1200168 | box | -6.339 | -6.339 | 3.0843 | 3.0843 | 218.7124 | 90.0 | 90.0 | 120.0 |
| mp-624397 | box | -6.3389 | -6.3389 | 3.0844 | 3.0844 | 82.9548 | 90.0 | 90.0 | 120.0 |
| mp-570690 | box | -6.3389 | -6.3389 | 3.0845 | 3.0845 | 67.8676 | 90.0 | 90.0 | 120.0 |
| mp-1199063 | box | -6.3388 | -6.3388 | 3.0844 | 3.0844 | 211.1641 | 90.0 | 90.0 | 120.0 |
| mp-1200848 | box | -6.3387 | -6.3387 | 3.0844 | 3.0844 | 188.536 | 90.0 | 90.0 | 120.0 |
| B1--NaCl--rock-salt | dynamic | -4.4066 | -4.4066 | 4.3023 | 4.3023 | 4.3023 | 90.0 | 90.0 | 90.0 |
| L1_0--AuCu | static | -4.2523 | -4.2523 | 3.0032 | 3.0032 | 2.7585 | 90.0 | 90.0 | 90.0 |
| B2--CsCl | box | -2.9494 | -2.9494 | 2.6894 | 2.6894 | 2.6894 | 90.0 | 90.0 | 90.0 |
Download raw data (including filtered results)
Reference structure matches:
| prototype | method | Ecoh (eV/atom) | Epot (eV/atom) | a0 (Å) | b0 (Å) | c0 (Å) | α (degrees) | β (degrees) | γ (degrees) |
|---|---|---|---|---|---|---|---|---|---|
| C1--CaF2--fluorite | static | -3.4116 | -3.4116 | 5.274 | 5.274 | 5.274 | 90.0 | 90.0 | 90.0 |
Download raw data (including filtered results)
Reference structure matches:
| prototype | method | Ecoh (eV/atom) | Epot (eV/atom) | a0 (Å) | b0 (Å) | c0 (Å) | α (degrees) | β (degrees) | γ (degrees) |
|---|---|---|---|---|---|---|---|---|---|
| D0_3--BiF3 | dynamic | -3.1013 | -3.1013 | 6.0115 | 6.0115 | 6.0115 | 90.0 | 90.0 | 90.0 |
| L1_2--AuCu3 | dynamic | -2.999 | -2.999 | 3.7782 | 3.7782 | 3.7782 | 90.0 | 90.0 | 90.0 |
| A15--Cr3Si | box | -2.6208 | -2.6208 | 4.6223 | 4.6223 | 4.6223 | 90.0 | 90.0 | 90.0 |
Download raw data (including filtered results)
Reference structure matches:
A1--Cu--fcc = mp-27, oqmd-9287, oqmd-1214570
A15--beta-W = oqmd-1215015, oqmd-1236371, oqmd-1280410
A2--W--bcc = mp-1014212, oqmd-1215193
A3'--alpha-La--double-hcp = oqmd-1215461
A3--Mg--hcp = mp-10649, oqmd-9288, oqmd-1215371
A4--C--dc = mp-149, oqmd-5714, oqmd-12378, oqmd-1215550
A5--beta-Sn = mp-92, oqmd-18979, oqmd-1215639
A6--In--bct = mp-1056579, oqmd-691768, oqmd-1215728
A7--alpha-As = oqmd-1215817
Ah--alpha-Po--sc = oqmd-1215906
| prototype | method | Ecoh (eV/atom) | Epot (eV/atom) | a0 (Å) | b0 (Å) | c0 (Å) | α (degrees) | β (degrees) | γ (degrees) |
|---|---|---|---|---|---|---|---|---|---|
| oqmd-5764 | dynamic | -4.6243 | -4.6243 | 3.8392 | 3.8392 | 6.2693 | 90.0 | 90.0 | 120.0 |
| A4--C--dc | dynamic | -4.6243 | -4.6243 | 5.4294 | 5.4294 | 5.4294 | 90.0 | 90.0 | 90.0 |
| oqmd-5764 | box | -4.6242 | -4.6242 | 3.8359 | 3.8359 | 6.28 | 90.0 | 90.0 | 120.0 |
| oqmd-22507 | box | -4.6242 | -4.6242 | 3.8411 | 6.638 | 6.277 | 90.0 | 90.0 | 90.0 |
| mp-165 | box | -4.6242 | -4.6242 | 3.8356 | 3.8356 | 6.2809 | 90.0 | 90.0 | 120.0 |
| oqmd-717362 | dynamic | -4.5765 | -4.5765 | 14.6238 | 14.6238 | 14.6238 | 90.0 | 90.0 | 90.0 |
| oqmd-717362 | box | -4.5759 | -4.5759 | 14.619 | 14.619 | 14.619 | 90.0 | 90.0 | 90.0 |
| mp-1203790 | dynamic | -4.5733 | -4.5733 | 10.3273 | 10.3273 | 16.9319 | 90.0 | 90.0 | 120.0 |
| mp-1203790 | box | -4.5725 | -4.5725 | 10.3247 | 10.3247 | 16.9205 | 90.0 | 90.0 | 120.0 |
| mp-971662 | dynamic | -4.5621 | -4.5621 | 10.1513 | 10.1513 | 10.1513 | 90.0 | 90.0 | 90.0 |
| oqmd-717360 | box | -4.5613 | -4.5613 | 10.1463 | 10.1463 | 10.1463 | 90.0 | 90.0 | 90.0 |
| mp-971662 | box | -4.5611 | -4.5611 | 10.1458 | 10.1458 | 10.1458 | 90.0 | 90.0 | 90.0 |
| mp-1196961 | dynamic | -4.5473 | -4.5473 | 10.1532 | 10.1532 | 10.2664 | 90.0 | 90.0 | 120.0 |
| mp-1196961 | box | -4.547 | -4.547 | 10.1452 | 10.1452 | 10.2786 | 90.0 | 90.0 | 120.0 |
| mp-1204627 | dynamic | -4.508 | -4.508 | 16.6247 | 12.814 | 9.9852 | 90.0 | 90.0 | 90.0 |
| mp-1204627 | box | -4.5068 | -4.5068 | 16.6825 | 12.7931 | 9.9636 | 90.0 | 90.0 | 90.0 |
| mp-1079297 | dynamic | -4.4632 | -4.4632 | 13.8367 | 3.8616 | 6.3508 | 90.0 | 96.5 | 90.0 |
| mp-1079297 | box | -4.46 | -4.46 | 13.8235 | 3.852 | 6.3798 | 90.0 | 96.4 | 90.0 |
| oqmd-22408 | box | -4.46 | -4.46 | 13.829 | 3.8524 | 6.3794 | 90.0 | 96.4 | 90.0 |
| mp-1199894 | dynamic | -4.4508 | -4.4508 | 25.4266 | 15.0015 | 9.9705 | 90.0 | 94.1 | 90.0 |
| oqmd-22407 | dynamic | -4.4453 | -4.4453 | 6.5814 | 6.5814 | 3.9382 | 90.0 | 90.0 | 90.0 |
| mp-1201492 | dynamic | -4.4437 | -4.4437 | 17.5559 | 17.5559 | 17.5559 | 90.0 | 90.0 | 90.0 |
| mp-1199894 | box | -4.4437 | -4.4437 | 25.4044 | 15.0908 | 9.9056 | 90.0 | 94.2 | 90.0 |
| mp-1201492 | box | -4.4414 | -4.4414 | 17.5709 | 17.5709 | 17.5709 | 90.0 | 90.0 | 90.0 |
| mp-999200 | box | -4.4411 | -4.4411 | 6.6266 | 6.6266 | 3.9009 | 90.0 | 90.0 | 90.0 |
| oqmd-22407 | box | -4.4405 | -4.4405 | 6.6301 | 6.6301 | 3.8981 | 90.0 | 90.0 | 90.0 |
| mp-1200830 | dynamic | -4.4372 | -4.4372 | 12.4366 | 12.4366 | 12.4366 | 90.0 | 90.0 | 90.0 |
| mp-1200830 | box | -4.4347 | -4.4347 | 12.4449 | 12.4449 | 12.4449 | 90.0 | 90.0 | 90.0 |
| mp-1202745 | dynamic | -4.4134 | -4.4134 | 10.0061 | 10.0061 | 15.9789 | 90.0 | 90.0 | 120.0 |
| mp-1202745 | box | -4.4122 | -4.4122 | 9.9906 | 9.9906 | 16.0035 | 90.0 | 90.0 | 120.0 |
| mp-971661 | dynamic | -4.3994 | -4.3994 | 10.1011 | 10.1011 | 10.1011 | 90.0 | 90.0 | 90.0 |
| mp-1095269 | dynamic | -4.3989 | -4.3989 | 3.8458 | 10.9316 | 12.5247 | 90.0 | 90.0 | 90.0 |
| mp-971661 | box | -4.398 | -4.398 | 10.0993 | 10.0993 | 10.0993 | 90.0 | 90.0 | 90.0 |
| mp-1095269 | box | -4.3966 | -4.3966 | 3.8361 | 10.892 | 12.6143 | 90.0 | 90.0 | 90.0 |
| mp-1204046 | dynamic | -4.3858 | -4.3858 | 10.1146 | 10.1146 | 24.3115 | 90.0 | 90.0 | 90.0 |
| mp-168 | dynamic | -4.3739 | -4.3739 | 6.6564 | 6.6564 | 6.6564 | 90.0 | 90.0 | 90.0 |
| mp-1204046 | box | -4.3726 | -4.3726 | 10.1247 | 10.1247 | 24.2226 | 90.0 | 90.0 | 90.0 |
| oqmd-3484 | box | -4.3662 | -4.3662 | 6.6354 | 6.6354 | 6.6354 | 90.0 | 90.0 | 90.0 |
| mp-168 | box | -4.3655 | -4.3655 | 6.6346 | 6.6346 | 6.6346 | 90.0 | 90.0 | 90.0 |
| mp-571520 | dynamic | -4.2619 | -4.2619 | 9.6572 | 9.6572 | 5.4471 | 90.0 | 90.0 | 120.0 |
| mp-571520 | box | -4.25 | -4.25 | 9.5681 | 9.5681 | 5.5421 | 90.0 | 90.0 | 120.0 |
| oqmd-717361 | dynamic | -4.2478 | -4.2478 | 7.607 | 7.607 | 7.607 | 90.0 | 90.0 | 90.0 |
| oqmd-1214748 | dynamic | -4.2472 | -4.2472 | 4.7439 | 7.5823 | 3.881 | 90.0 | 90.0 | 90.0 |
| oqmd-18985 | box | -4.2472 | -4.2472 | 9.5606 | 9.5606 | 5.5181 | 90.0 | 90.0 | 120.0 |
| oqmd-1214748 | box | -4.2383 | -4.2383 | 4.7334 | 7.4377 | 3.8994 | 90.0 | 90.0 | 90.0 |
| A2--W--bcc | dynamic | -4.1821 | -4.1821 | 3.0651 | 3.0651 | 3.0651 | 90.0 | 90.0 | 90.0 |
| oqmd-10215 | dynamic | -4.1811 | -4.1811 | 14.6808 | 14.6808 | 14.6808 | 90.0 | 90.0 | 90.0 |
| mp-1244971 | dynamic | -4.1752 | -4.1752 | 11.6143 | 12.8764 | 13.486 | 98.0 | 97.3 | 99.6 |
| mp-1244971 | static | -4.1752 | -4.1752 | 11.6143 | 12.8766 | 13.4859 | 98.0 | 97.3 | 99.6 |
| mp-1245041 | dynamic | -4.1737 | -4.1737 | 12.7894 | 12.9629 | 13.0532 | 71.9 | 73.2 | 76.5 |
| mp-1245041 | static | -4.1737 | -4.1737 | 12.7894 | 12.963 | 13.0533 | 71.9 | 73.2 | 76.5 |
| A5--beta-Sn | dynamic | -4.173 | -4.173 | 4.8982 | 4.8982 | 2.5728 | 90.0 | 90.0 | 90.0 |
| mp-1245242 | dynamic | -4.1711 | -4.1711 | 12.4651 | 12.7157 | 12.7647 | 79.5 | 80.2 | 82.7 |
| mp-1245242 | static | -4.1696 | -4.1696 | 12.4836 | 12.6574 | 12.7726 | 79.5 | 80.4 | 82.7 |
| oqmd-7479 | box | -4.1645 | -4.1645 | 4.8885 | 4.9629 | 2.5868 | 90.0 | 90.0 | 90.0 |
| mp-1072544 | static | -4.1573 | -4.1573 | 6.7648 | 6.7648 | 6.7648 | 90.0 | 90.0 | 90.0 |
| oqmd-717361 | box | -4.1563 | -4.1563 | 7.6112 | 7.6112 | 7.6112 | 90.0 | 90.0 | 90.0 |
| mp-1244933 | dynamic | -4.1506 | -4.1506 | 12.3616 | 12.538 | 12.6956 | 79.4 | 73.6 | 76.7 |
| mp-1244933 | static | -4.1459 | -4.1459 | 12.3764 | 12.523 | 12.6677 | 79.6 | 73.6 | 76.8 |
| mp-1245041 | box | -4.1228 | -4.1228 | 12.8118 | 12.8732 | 13.0016 | 71.7 | 73.5 | 75.8 |
| mp-1244971 | box | -4.1214 | -4.1214 | 11.7805 | 12.7375 | 13.4809 | 97.6 | 97.4 | 99.5 |
| mp-1244990 | dynamic | -4.1192 | -4.1192 | 12.2422 | 12.2793 | 12.8465 | 101.8 | 102.6 | 98.5 |
| mp-1244990 | static | -4.1178 | -4.1178 | 12.2208 | 12.2681 | 12.8374 | 102.4 | 101.8 | 98.6 |
| mp-1245242 | box | -4.1142 | -4.1142 | 12.4854 | 12.6621 | 12.7512 | 79.4 | 81.0 | 82.8 |
| oqmd-18984 | static | -4.0975 | -4.0975 | 2.6716 | 2.6716 | 2.6355 | 90.0 | 90.0 | 120.0 |
| A6--In--bct | dynamic | -4.097 | -4.097 | 3.3655 | 3.3655 | 2.7472 | 90.0 | 90.0 | 90.0 |
| oqmd-691764 | dynamic | -4.0945 | -4.0945 | 2.7497 | 2.7497 | 7.1277 | 90.0 | 90.0 | 120.0 |
| mp-1120747 | dynamic | -4.0873 | -4.0873 | 5.3246 | 5.3246 | 4.3306 | 90.0 | 90.0 | 120.0 |
| mp-1079649 | dynamic | -4.0864 | -4.0864 | 7.0186 | 5.2135 | 6.9209 | 90.0 | 90.0 | 90.0 |
| mp-1244933 | box | -4.0814 | -4.0814 | 12.3752 | 12.6471 | 12.6478 | 79.0 | 77.5 | 73.1 |
| mp-1120747 | box | -4.0814 | -4.0814 | 5.3275 | 5.3275 | 4.3544 | 90.0 | 90.0 | 120.0 |
| Ah--alpha-Po--sc | static | -4.0799 | -4.0799 | 2.5539 | 2.5539 | 2.5539 | 90.0 | 90.0 | 90.0 |
| A7--alpha-As | box | -4.0798 | -4.0798 | 3.6121 | 3.6121 | 8.8458 | 90.0 | 90.0 | 120.0 |
| mp-1001113 | box | -4.0753 | -4.0753 | 2.7169 | 10.1065 | 4.6739 | 90.0 | 90.0 | 90.0 |
| oqmd-10215 | box | -4.0735 | -4.0735 | 14.6047 | 14.6047 | 14.6047 | 90.0 | 90.0 | 90.0 |
| oqmd-1214837 | dynamic | -4.0707 | -4.0707 | 10.1796 | 10.1796 | 10.1796 | 90.0 | 90.0 | 90.0 |
| oqmd-78174 | static | -4.0665 | -4.0665 | 7.6148 | 5.1327 | 6.6016 | 90.0 | 90.0 | 90.0 |
| mp-644693 | dynamic | -4.0639 | -4.0639 | 3.9796 | 5.3974 | 8.7409 | 79.6 | 81.6 | 75.7 |
| mp-1268191 | static | -4.0623 | -4.0623 | 6.9173 | 6.9173 | 2.5963 | 90.0 | 90.0 | 120.0 |
| A3'--alpha-La--double-hcp | box | -4.0617 | -4.0617 | 3.607 | 3.607 | 6.0492 | 90.0 | 90.0 | 120.0 |
| oqmd-1214837 | static | -4.0597 | -4.0597 | 10.2222 | 10.2222 | 10.2222 | 90.0 | 90.0 | 90.0 |
| mp-16220 | box | -4.0568 | -4.0568 | 14.5729 | 14.5729 | 14.5729 | 90.0 | 90.0 | 90.0 |
| oqmd-78174 | dynamic | -4.0541 | -4.0541 | 8.2217 | 5.4574 | 5.462 | 90.0 | 90.0 | 90.0 |
| mp-1244990 | box | -4.0506 | -4.0506 | 12.2735 | 12.3225 | 12.8103 | 102.2 | 103.0 | 99.0 |
| mp-676011 | static | -4.0402 | -4.0402 | 4.4004 | 5.9355 | 7.9331 | 111.0 | 91.3 | 111.2 |
| mp-109 | static | -4.0369 | -4.0369 | 4.8949 | 5.3593 | 9.7559 | 90.0 | 90.0 | 90.0 |
| mp-1268191 | box | -4.0327 | -4.0327 | 6.8996 | 6.8996 | 2.5917 | 90.0 | 90.0 | 120.0 |
| mp-1120447 | static | -4.0188 | -4.0188 | 5.0956 | 5.518 | 6.9983 | 69.4 | 70.1 | 85.0 |
| A1--Cu--fcc | dynamic | -4.0165 | -4.0165 | 3.9438 | 3.9438 | 3.9438 | 90.0 | 90.0 | 90.0 |
| mp-676011 | dynamic | -4.0117 | -4.0117 | 4.561 | 5.6645 | 7.8579 | 70.7 | 89.4 | 68.2 |
| A3'--alpha-La--double-hcp | dynamic | -4.0021 | -4.0021 | 2.7822 | 2.7822 | 9.1573 | 90.0 | 90.0 | 120.0 |
| mp-1094057 | dynamic | -3.9977 | -3.9977 | 2.7803 | 2.7803 | 20.6378 | 90.0 | 90.0 | 120.0 |
| mp-1094057 | box | -3.9975 | -3.9975 | 2.7802 | 2.7802 | 20.6367 | 90.0 | 90.0 | 120.0 |
| A3--Mg--hcp | dynamic | -3.9889 | -3.9889 | 2.7766 | 2.7766 | 4.6003 | 90.0 | 90.0 | 120.0 |
| A15--beta-W | dynamic | -3.9707 | -3.9707 | 4.9377 | 4.9377 | 4.9377 | 90.0 | 90.0 | 90.0 |
| oqmd-1214926 | box | -3.9629 | -3.9629 | 6.7548 | 6.7548 | 6.7548 | 90.0 | 90.0 | 90.0 |
| mp-1120447 | box | -3.9319 | -3.9319 | 4.7663 | 5.8506 | 7.0502 | 105.4 | 106.1 | 97.2 |
| mp-644693 | box | -3.8806 | -3.8806 | 4.048 | 5.5757 | 8.9995 | 106.4 | 90.7 | 109.7 |
| oqmd-15748 | box | -3.8545 | -3.8545 | 9.0305 | 5.2765 | 5.29 | 90.0 | 90.0 | 90.0 |
| oqmd-78174 | box | -3.8502 | -3.8502 | 9.1358 | 5.2551 | 5.2793 | 90.0 | 90.0 | 90.0 |
| mp-1079649 | box | -3.8419 | -3.8419 | 9.3833 | 5.1485 | 5.2431 | 90.0 | 90.0 | 90.0 |
| A3--Mg--hcp | box | -3.7111 | -3.7111 | 2.977 | 2.977 | 3.9384 | 90.0 | 90.0 | 120.0 |
| oqmd-1215995 | dynamic | -3.6841 | -3.6841 | 4.0321 | 4.0321 | 7.4616 | 90.0 | 90.0 | 120.0 |
| oqmd-1215995 | static | -3.6841 | -3.6841 | 4.0321 | 4.0321 | 7.4613 | 90.0 | 90.0 | 120.0 |
Static elastic constants are displayed for the unique structures identified in Crystal Structure Predictions above. The values displayed here are obtained by measuring the change in virial stresses due to applying small strains to the relaxed crystals. The initial structure and the strained states are all relaxed using force minimization.
The calculation method used is available as the iprPy elastic_constants_static calculation method.
Notes and Disclaimers:
Version Information:
| 1680.048 | 2020.716 | 2020.716 | 0.000 | 0.000 | -0.000 |
| 2020.716 | 1680.048 | 2020.716 | 0.000 | 0.000 | -0.000 |
| 2020.716 | 2020.716 | 1680.048 | -0.000 | -0.000 | -0.000 |
| -0.000 | 0.000 | 0.000 | 111.867 | 0.000 | 0.000 |
| 0.000 | -0.000 | 0.000 | 0.000 | 111.867 | -0.000 |
| 0.000 | 0.000 | -0.000 | -0.000 | -0.000 | 111.867 |
| 1680.048 | 2020.716 | 2020.716 | -0.000 | -0.000 | 0.000 |
| 2020.716 | 1680.048 | 2020.716 | -0.000 | -0.000 | 0.000 |
| 2020.716 | 2020.716 | 1680.048 | 0.000 | 0.000 | -0.000 |
| 0.000 | -0.000 | -0.000 | 111.867 | -0.000 | -0.000 |
| -0.000 | 0.000 | -0.000 | -0.000 | 111.867 | 0.000 |
| -0.000 | -0.000 | 0.000 | 0.000 | 0.000 | 111.867 |
| 1680.048 | 2020.716 | 2020.716 | 0.000 | 0.000 | -0.000 |
| 2020.716 | 1680.048 | 2020.716 | 0.000 | 0.000 | 0.000 |
| 2020.716 | 2020.716 | 1680.048 | 0.000 | 0.000 | 0.000 |
| -0.000 | 0.000 | 0.000 | 111.867 | 0.000 | -0.000 |
| 0.000 | -0.000 | 0.000 | 0.000 | 111.867 | 0.000 |
| 0.000 | 0.000 | -0.000 | 0.000 | 0.000 | 111.867 |
| 1680.048 | 2020.716 | 2020.716 | -0.000 | -0.000 | -0.000 |
| 2020.716 | 1680.048 | 2020.716 | -0.000 | -0.000 | -0.000 |
| 2020.716 | 2020.716 | 1680.048 | -0.000 | -0.000 | -0.000 |
| 0.000 | -0.000 | -0.000 | 111.867 | -0.000 | 0.000 |
| -0.000 | 0.000 | -0.000 | -0.000 | 111.867 | -0.000 |
| -0.000 | -0.000 | 0.000 | -0.000 | -0.000 | 111.867 |
| 1680.051 | 2020.715 | 2020.715 | 0.000 | 0.000 | 0.000 |
| 2020.715 | 1680.051 | 2020.715 | 0.000 | 0.000 | 0.000 |
| 2020.715 | 2020.715 | 1680.051 | 0.000 | 0.000 | 0.000 |
| -0.002 | 0.004 | 0.004 | 111.867 | 0.000 | 0.000 |
| 0.004 | -0.002 | 0.004 | 0.000 | 111.867 | -0.000 |
| 0.004 | 0.004 | -0.002 | 0.000 | 0.000 | 111.867 |
| 1680.046 | 2020.718 | 2020.718 | -0.000 | -0.000 | -0.000 |
| 2020.718 | 1680.046 | 2020.718 | -0.000 | -0.000 | 0.000 |
| 2020.718 | 2020.718 | 1680.046 | -0.000 | -0.000 | -0.000 |
| 0.002 | -0.004 | -0.004 | 111.867 | -0.000 | -0.000 |
| -0.004 | 0.002 | -0.004 | -0.000 | 111.867 | 0.000 |
| -0.004 | -0.004 | 0.002 | -0.000 | -0.000 | 111.867 |
| 4195.334 | 3023.334 | 3023.334 | 0.000 | 0.000 | -0.000 |
| 3023.334 | 4195.334 | 3023.334 | -0.000 | -0.000 | 0.000 |
| 3023.334 | 3023.334 | 4195.334 | 0.000 | 0.000 | 0.000 |
| -0.000 | 0.000 | 0.000 | 998.184 | 0.000 | -0.000 |
| 0.000 | -0.000 | 0.000 | -0.000 | 998.184 | -0.000 |
| 0.000 | 0.000 | -0.000 | 0.000 | 0.000 | 998.184 |
| 4195.332 | 3023.335 | 3023.335 | 0.000 | 0.000 | -0.000 |
| 3023.335 | 4195.332 | 3023.335 | 0.000 | 0.000 | -0.000 |
| 3023.335 | 3023.335 | 4195.332 | 0.000 | 0.000 | 0.000 |
| 0.000 | -0.000 | -0.000 | 998.184 | -0.000 | -0.000 |
| -0.000 | 0.000 | -0.000 | 0.000 | 998.184 | -0.000 |
| -0.000 | -0.000 | 0.000 | -0.000 | -0.000 | 998.184 |
| 4195.343 | 3023.330 | 3023.330 | 0.000 | 0.000 | 0.000 |
| 3023.330 | 4195.343 | 3023.330 | -0.000 | -0.000 | 0.000 |
| 3023.330 | 3023.330 | 4195.343 | 0.000 | -0.000 | 0.000 |
| -0.000 | 0.000 | 0.000 | 998.184 | 0.000 | 0.000 |
| 0.000 | -0.000 | 0.000 | -0.000 | 998.184 | 0.000 |
| 0.000 | 0.000 | -0.000 | -0.000 | 0.000 | 998.184 |
| 4195.929 | 3023.036 | 3023.036 | 0.000 | 0.000 | 0.000 |
| 3023.036 | 4195.929 | 3023.036 | 0.000 | 0.000 | -0.000 |
| 3023.036 | 3023.036 | 4195.929 | -0.000 | 0.000 | 0.000 |
| 0.000 | -0.000 | -0.000 | 998.184 | 0.000 | -0.000 |
| -0.000 | 0.000 | -0.000 | 0.000 | 998.184 | -0.000 |
| -0.000 | -0.000 | 0.000 | -0.000 | -0.000 | 998.184 |
| 4195.431 | 3023.291 | 3023.291 | 0.000 | 0.000 | 0.000 |
| 3023.291 | 4195.431 | 3023.291 | 0.000 | 0.000 | 0.000 |
| 3023.291 | 3023.291 | 4195.431 | -0.000 | 0.000 | 0.000 |
| -0.003 | 0.002 | 0.003 | 998.184 | 0.000 | 0.000 |
| 0.002 | -0.003 | 0.003 | 0.000 | 998.184 | 0.000 |
| 0.002 | 0.003 | -0.003 | 0.000 | 0.000 | 998.184 |
| 4195.234 | 3023.377 | 3023.377 | 0.000 | 0.000 | -0.000 |
| 3023.377 | 4195.234 | 3023.377 | -0.000 | 0.000 | -0.000 |
| 3023.377 | 3023.377 | 4195.234 | -0.000 | -0.000 | -0.000 |
| 0.003 | -0.002 | -0.003 | 998.184 | 0.000 | 0.000 |
| -0.002 | 0.003 | -0.003 | -0.000 | 998.184 | 0.000 |
| -0.002 | -0.003 | 0.003 | -0.000 | -0.000 | 998.184 |
| 1075.617 | 871.079 | 871.079 | 0.000 | 0.000 | -0.000 |
| 871.079 | 1075.617 | 871.079 | 0.000 | 0.000 | -0.000 |
| 871.079 | 871.079 | 1075.617 | 0.000 | 0.000 | -0.000 |
| 0.000 | 0.000 | 0.000 | 601.992 | 0.000 | -0.000 |
| 0.000 | 0.000 | 0.000 | 0.000 | 601.992 | -0.000 |
| 0.000 | 0.000 | 0.000 | 0.000 | 0.000 | 601.992 |
| 1075.617 | 871.079 | 871.079 | -0.000 | -0.000 | 0.000 |
| 871.079 | 1075.617 | 871.079 | -0.000 | -0.000 | 0.000 |
| 871.079 | 871.079 | 1075.617 | -0.000 | -0.000 | 0.000 |
| -0.000 | -0.000 | -0.000 | 601.992 | -0.000 | 0.000 |
| -0.000 | -0.000 | -0.000 | -0.000 | 601.992 | 0.000 |
| -0.000 | -0.000 | -0.000 | -0.000 | -0.000 | 601.992 |
| 1075.617 | 871.079 | 871.079 | 0.000 | 0.000 | -0.000 |
| 871.079 | 1075.617 | 871.079 | 0.000 | 0.000 | -0.000 |
| 871.079 | 871.079 | 1075.617 | 0.000 | 0.000 | -0.000 |
| 0.000 | 0.000 | 0.000 | 601.992 | 0.000 | -0.000 |
| 0.000 | 0.000 | 0.000 | 0.000 | 601.992 | -0.000 |
| 0.000 | 0.000 | 0.000 | 0.000 | 0.000 | 601.992 |
| 1075.618 | 871.080 | 871.080 | -0.000 | -0.000 | 0.000 |
| 871.080 | 1075.618 | 871.080 | -0.000 | -0.000 | 0.000 |
| 871.080 | 871.080 | 1075.618 | -0.000 | -0.000 | 0.000 |
| -0.000 | -0.000 | -0.000 | 601.992 | -0.000 | 0.000 |
| -0.000 | -0.000 | -0.000 | -0.000 | 601.992 | 0.000 |
| -0.000 | -0.000 | -0.000 | -0.000 | -0.000 | 601.992 |
| 1075.613 | 871.077 | 871.077 | 0.000 | 0.000 | -0.000 |
| 871.077 | 1075.613 | 871.077 | 0.000 | 0.000 | -0.000 |
| 871.077 | 871.077 | 1075.613 | 0.000 | 0.000 | -0.000 |
| 0.001 | 0.000 | 0.001 | 601.992 | 0.000 | -0.000 |
| 0.000 | 0.001 | 0.001 | 0.000 | 601.992 | -0.000 |
| 0.000 | 0.001 | 0.001 | 0.000 | 0.000 | 601.992 |
| 1075.621 | 871.082 | 871.082 | -0.000 | -0.000 | 0.000 |
| 871.082 | 1075.621 | 871.082 | -0.000 | -0.000 | 0.000 |
| 871.082 | 871.082 | 1075.621 | -0.000 | -0.000 | 0.000 |
| -0.001 | -0.000 | -0.001 | 601.992 | -0.000 | 0.000 |
| -0.000 | -0.001 | -0.001 | -0.000 | 601.992 | 0.000 |
| -0.000 | -0.001 | -0.001 | -0.000 | -0.000 | 601.992 |
| 563.916 | 128.300 | 249.922 | 0.000 | 0.000 | -0.000 |
| 128.300 | 563.916 | 249.922 | 0.000 | 0.000 | -0.000 |
| 249.923 | 249.923 | 7061.665 | 0.000 | 0.000 | 0.000 |
| 0.000 | 0.000 | -0.000 | 306.353 | 0.000 | -0.000 |
| 0.000 | 0.000 | -0.000 | 0.000 | 306.353 | 0.000 |
| 0.000 | 0.000 | 0.000 | 0.000 | 0.000 | 217.808 |
| 563.916 | 128.300 | 249.922 | -0.000 | -0.000 | 0.000 |
| 128.300 | 563.916 | 249.922 | -0.000 | -0.000 | 0.000 |
| 249.922 | 249.922 | 7061.665 | -0.000 | -0.000 | 0.000 |
| -0.000 | -0.000 | 0.000 | 306.353 | -0.000 | 0.000 |
| -0.000 | -0.000 | 0.000 | -0.000 | 306.353 | 0.000 |
| -0.000 | -0.000 | -0.000 | -0.000 | -0.000 | 217.808 |
| 514.977 | 177.239 | 249.922 | 0.000 | 0.000 | -0.000 |
| 177.239 | 514.977 | 249.922 | 0.000 | 0.000 | -0.000 |
| 249.923 | 249.923 | 7061.664 | 0.000 | 0.000 | -0.000 |
| 0.000 | 0.000 | -0.000 | 306.353 | 0.000 | 0.000 |
| 0.000 | 0.000 | -0.000 | 0.000 | 306.353 | 0.000 |
| -0.000 | 0.000 | 0.000 | 0.000 | 0.000 | 168.869 |
| 514.977 | 177.239 | 249.922 | -0.000 | -0.000 | 0.000 |
| 128.300 | 563.916 | 249.922 | -0.000 | -0.000 | 0.000 |
| 249.922 | 249.922 | 7061.666 | -0.000 | -0.000 | 0.000 |
| -0.000 | -0.000 | 0.000 | 306.353 | -0.000 | 0.000 |
| -0.000 | -0.000 | 0.000 | -0.000 | 306.353 | 0.000 |
| 0.000 | -0.000 | -0.000 | -0.000 | -0.000 | 168.869 |
| 514.974 | 177.244 | 249.923 | 0.000 | 0.000 | -0.000 |
| 128.300 | 563.917 | 249.923 | 0.000 | 0.000 | -0.000 |
| 249.929 | 249.929 | 7061.656 | 0.000 | 0.000 | -0.000 |
| 0.000 | 0.000 | -0.003 | 306.353 | 0.000 | 0.000 |
| 0.000 | 0.000 | -0.003 | 0.000 | 306.353 | -0.000 |
| 0.000 | 0.000 | 0.000 | 0.000 | 0.000 | 217.808 |
| 514.976 | 177.239 | 249.921 | -0.000 | -0.000 | 0.000 |
| 177.238 | 514.976 | 249.921 | -0.000 | -0.000 | 0.000 |
| 249.916 | 249.916 | 7061.674 | -0.000 | -0.000 | -0.000 |
| -0.000 | -0.000 | 0.003 | 306.353 | -0.000 | 0.000 |
| -0.000 | -0.000 | 0.003 | -0.000 | 306.353 | 0.000 |
| -0.000 | -0.000 | -0.000 | -0.000 | -0.000 | 217.808 |
| 1737.643 | 741.534 | 0.000 | 0.000 | 0.000 | -0.000 |
| 741.534 | 1737.643 | 0.000 | 0.000 | 0.000 | -0.000 |
| -0.000 | 0.000 | 0.000 | 0.000 | 0.000 | 0.000 |
| -0.000 | -0.000 | 0.000 | 0.000 | 0.000 | -0.000 |
| 0.000 | 0.000 | 0.000 | 0.000 | 0.000 | -0.000 |
| -0.000 | 0.000 | 0.000 | 0.000 | 0.000 | 498.055 |
| 1737.643 | 741.534 | -0.000 | -0.000 | -0.000 | 0.000 |
| 741.534 | 1737.643 | -0.000 | -0.000 | -0.000 | 0.000 |
| 0.000 | -0.000 | -0.000 | -0.000 | -0.000 | -0.000 |
| 0.000 | -0.000 | -0.000 | -0.000 | -0.000 | -0.000 |
| -0.000 | -0.000 | -0.000 | -0.000 | -0.000 | -0.000 |
| 0.000 | -0.000 | -0.000 | -0.000 | -0.000 | 498.055 |
| 1737.643 | 741.533 | 0.000 | 0.000 | 0.000 | -0.000 |
| 741.533 | 1737.643 | 0.000 | 0.000 | 0.000 | -0.000 |
| -0.000 | 0.000 | 0.000 | 0.000 | 0.000 | 0.000 |
| -0.000 | 0.000 | 0.000 | 0.000 | 0.000 | 0.000 |
| 0.000 | 0.000 | 0.000 | 0.000 | 0.000 | 0.000 |
| -0.000 | 0.000 | 0.000 | 0.000 | 0.000 | 498.055 |
| 1737.643 | 741.535 | -0.000 | -0.000 | -0.000 | -0.000 |
| 741.535 | 1737.643 | -0.000 | -0.000 | -0.000 | -0.000 |
| 0.000 | -0.000 | -0.000 | -0.000 | -0.000 | -0.000 |
| 0.000 | 0.000 | -0.000 | -0.000 | -0.000 | -0.000 |
| -0.000 | 0.000 | -0.000 | -0.000 | -0.000 | -0.000 |
| 0.000 | -0.000 | -0.000 | -0.000 | -0.000 | 498.055 |
| 1737.646 | 741.523 | 0.000 | 0.000 | 0.000 | -0.000 |
| 741.529 | 1737.641 | 0.000 | 0.000 | 0.000 | -0.000 |
| -0.000 | 0.000 | 0.000 | 0.000 | 0.000 | 0.000 |
| -0.000 | 0.000 | 0.000 | 0.000 | 0.000 | 0.000 |
| 0.000 | 0.000 | 0.000 | 0.000 | 0.000 | 0.000 |
| -0.001 | 0.005 | 0.000 | 0.000 | 0.000 | 498.055 |
| 1737.640 | 741.545 | -0.000 | -0.000 | -0.000 | 0.000 |
| 741.539 | 1737.646 | -0.000 | -0.000 | -0.000 | -0.000 |
| 0.000 | -0.000 | -0.000 | -0.000 | -0.000 | -0.000 |
| 0.000 | -0.000 | -0.000 | -0.000 | -0.000 | 0.000 |
| -0.000 | -0.000 | -0.000 | -0.000 | -0.000 | -0.000 |
| 0.001 | -0.005 | -0.000 | -0.000 | -0.000 | 498.055 |
| 1940.264 | 1951.978 | 1831.378 | -0.000 | -0.000 | 0.000 |
| 1951.978 | 1940.264 | 1831.378 | -0.000 | -0.000 | -0.000 |
| 1831.378 | 1831.378 | 2054.670 | -0.000 | -0.000 | -0.000 |
| -0.000 | 0.000 | 0.000 | -133.874 | -0.000 | -0.000 |
| -0.000 | -0.000 | 0.000 | -0.000 | -133.874 | -0.000 |
| 10264877452.667 | 10729655847.201 | 4893780349.217 | 57594900.331 | 2182591.072 | -308892465.515 |
| -11429104138.324 | -10053603573.938 | -6322999263.949 | 105562590.262 | -66379056.947 | 5760482.176 |
| 1951.978 | 1940.264 | 1831.378 | 0.000 | 0.000 | 0.000 |
| 1831.378 | 1831.378 | 2054.670 | 0.000 | 0.000 | -0.000 |
| 0.000 | 0.000 | -0.000 | -133.874 | 0.000 | 0.000 |
| -0.000 | 0.000 | -0.000 | 0.000 | -133.874 | 0.000 |
| -10090102691.683 | -10142778651.105 | -3758268558.060 | -17206647.022 | 22036992.496 | 317395635.360 |
| 1575150500.339 | 905764798.304 | 180821213.342 | -2696324.961 | 1009976.410 | -27379315.692 |
| 1158235999.601 | 1068407853.155 | 651656439.100 | -7266776.056 | -5929844.308 | -29216220.677 |
| 1831.377 | 1831.377 | 2054.670 | 0.000 | 0.000 | 0.000 |
| 0.000 | 0.000 | 0.000 | -133.874 | -0.000 | -0.000 |
| 0.000 | 0.000 | 0.000 | -0.000 | -133.874 | 0.000 |
| 1035014574.489 | 1050880324.313 | 515325042.458 | 210805.030 | -1386417.628 | -29037353.077 |
| -1172188767.788 | -1044531694.370 | -610693685.477 | -16578570.549 | -8808743.321 | 9529351.701 |
| -1606982490.027 | -914401934.539 | -212826019.230 | 1817783.026 | -3943594.996 | 4674567.541 |
| 1831.378 | 1831.378 | 2054.670 | 0.000 | -0.000 | 0.000 |
| -0.000 | -0.000 | -0.000 | -133.874 | 0.000 | 0.000 |
| -0.000 | -0.000 | -0.000 | 0.000 | -133.874 | 0.000 |
| -1061531823.533 | -1100460232.100 | -671047290.174 | -2964696.182 | -8385190.305 | -30703200.500 |
| 153347202.668 | 89765794.498 | 20480574.752 | 30336.606 | -200976.055 | 2244809.470 |
| 115568875.154 | 102697680.077 | 62797104.314 | -764566.811 | -17285.192 | -297477.713 |
| 1831.376 | 1831.376 | 2054.673 | -0.000 | -0.000 | -0.000 |
| 0.011 | -0.009 | 0.005 | -133.874 | -0.000 | -0.000 |
| -0.009 | 0.011 | 0.005 | -0.000 | -133.874 | -0.000 |
| 109020979.863 | 103968050.149 | 54483949.202 | -50491.595 | -789090.769 | -2869178.137 |
| -117587882.160 | -106124803.450 | -66599296.648 | -193644.691 | -126588.593 | 1370951.243 |
| -149448999.949 | -92487882.638 | -16277460.485 | 172954.681 | 250352.456 | 935275.436 |
| 1831.379 | 1831.379 | 2054.667 | 0.000 | 0.000 | 0.000 |
| -0.011 | 0.009 | -0.005 | -133.874 | 0.000 | 0.000 |
| 0.009 | -0.011 | -0.005 | 0.000 | -133.874 | 0.000 |
| -108630003.462 | -108585699.367 | -58283364.158 | -388766.245 | -474963.236 | -1383351.580 |
| 1088.319 | 125.012 | 125.012 | -0.000 | 0.000 | -0.000 |
| 125.012 | 1088.319 | 125.012 | -0.000 | -0.000 | -0.000 |
| 125.012 | 125.012 | 1088.319 | -0.000 | -0.000 | -0.000 |
| 0.000 | 0.000 | 0.000 | 641.275 | -0.000 | -0.000 |
| 0.000 | 0.000 | 0.000 | -0.000 | 641.275 | -0.000 |
| 0.000 | 0.000 | 0.000 | -0.000 | -0.000 | 641.275 |
| 1088.319 | 125.012 | 125.012 | 0.000 | 0.000 | 0.000 |
| 125.012 | 1088.319 | 125.012 | -0.000 | 0.000 | -0.000 |
| 125.012 | 125.012 | 1088.319 | -0.000 | -0.000 | 0.000 |
| -0.000 | -0.000 | -0.000 | 641.275 | 0.000 | 0.000 |
| -0.000 | -0.000 | -0.000 | 0.000 | 641.275 | 0.000 |
| -0.000 | -0.000 | -0.000 | 0.000 | 0.000 | 641.275 |
| 1088.319 | 125.013 | 125.013 | -0.000 | -0.000 | -0.000 |
| 125.013 | 1088.319 | 125.013 | -0.000 | -0.000 | -0.000 |
| 125.013 | 125.013 | 1088.319 | -0.000 | -0.000 | -0.000 |
| 0.000 | 0.000 | 0.000 | 673.506 | -0.000 | -0.000 |
| 0.000 | 0.000 | 0.000 | -0.000 | 673.506 | -0.000 |
| 0.000 | 0.000 | 0.000 | -0.000 | -0.000 | 673.506 |
| 1088.319 | 125.012 | 125.012 | 0.000 | 0.000 | 0.000 |
| 125.012 | 1088.319 | 125.012 | 0.000 | 0.000 | 0.000 |
| 125.012 | 125.012 | 1088.319 | 0.000 | 0.000 | 0.000 |
| -0.000 | -0.000 | -0.000 | 673.506 | 0.000 | 0.000 |
| -0.000 | -0.000 | -0.000 | 0.000 | 673.506 | 0.000 |
| -0.000 | -0.000 | -0.000 | 0.000 | 0.000 | 673.506 |
| 1088.321 | 125.013 | 125.013 | -0.000 | -0.000 | -0.000 |
| 125.013 | 1088.321 | 125.013 | -0.000 | -0.000 | -0.000 |
| 125.013 | 125.013 | 1088.321 | -0.000 | -0.000 | -0.000 |
| 0.001 | 0.000 | 0.001 | 673.506 | -0.000 | -0.000 |
| 0.000 | 0.001 | 0.001 | -0.000 | 673.506 | -0.000 |
| 0.000 | 0.001 | 0.001 | -0.000 | -0.000 | 673.506 |
| 1088.318 | 125.011 | 125.011 | 0.000 | 0.000 | 0.000 |
| 125.011 | 1088.318 | 125.011 | 0.000 | -0.000 | 0.000 |
| 125.011 | 125.011 | 1088.318 | 0.000 | 0.000 | -0.000 |
| -0.001 | -0.000 | -0.001 | 673.506 | 0.000 | 0.000 |
| -0.000 | -0.001 | -0.001 | 0.000 | 673.506 | 0.000 |
| -0.000 | -0.001 | -0.001 | 0.000 | 0.000 | 673.506 |
| 805.469 | 131.392 | 85.307 | -0.000 | -0.000 | -0.000 |
| 131.392 | 805.469 | 85.307 | 0.000 | -0.000 | -0.000 |
| 85.307 | 85.307 | 950.579 | 0.000 | -0.000 | -0.000 |
| -0.000 | -0.000 | -0.000 | 150.070 | -0.000 | -0.000 |
| -0.000 | -0.000 | -0.000 | 0.000 | 150.070 | -0.000 |
| 0.000 | -0.000 | -0.000 | -0.000 | -0.000 | 137.226 |
| 805.469 | 131.392 | 85.307 | 0.000 | 0.000 | 0.000 |
| 131.392 | 805.469 | 85.307 | 0.000 | 0.000 | 0.000 |
| 85.307 | 85.307 | 950.579 | -0.000 | 0.000 | 0.000 |
| 0.000 | 0.000 | 0.000 | 150.070 | 0.000 | 0.000 |
| 0.000 | 0.000 | 0.000 | 0.000 | 150.070 | 0.000 |
| -0.000 | 0.000 | 0.000 | 0.000 | 0.000 | 137.226 |
| 805.469 | 131.392 | 85.307 | -0.000 | -0.000 | -0.000 |
| 131.392 | 805.469 | 85.307 | 0.000 | -0.000 | -0.000 |
| 85.307 | 85.307 | 950.580 | -0.000 | -0.000 | -0.000 |
| 0.000 | -0.000 | -0.000 | 150.070 | 0.000 | -0.000 |
| -0.000 | 0.000 | -0.000 | 0.000 | 150.070 | -0.000 |
| -0.000 | -0.000 | -0.000 | -0.000 | -0.000 | 137.226 |
| 805.469 | 131.392 | 85.307 | 0.000 | 0.000 | 0.000 |
| 131.392 | 805.469 | 85.307 | 0.000 | 0.000 | 0.000 |
| 85.307 | 85.307 | 950.579 | 0.000 | 0.000 | 0.000 |
| -0.000 | 0.000 | 0.000 | 150.070 | 0.000 | 0.000 |
| 0.000 | -0.000 | 0.000 | -0.000 | 150.070 | 0.000 |
| 0.000 | 0.000 | 0.000 | -0.000 | -0.000 | 137.226 |
| 805.471 | 131.393 | 85.307 | 0.000 | -0.000 | -0.000 |
| 131.393 | 805.471 | 85.307 | 0.000 | -0.000 | -0.000 |
| 85.307 | 85.307 | 950.585 | -0.000 | -0.000 | -0.000 |
| 0.000 | -0.000 | -0.000 | 150.070 | -0.000 | -0.000 |
| -0.000 | 0.000 | -0.000 | -0.000 | 150.070 | -0.000 |
| -0.000 | -0.000 | -0.000 | -0.000 | 0.000 | 137.226 |
| 805.467 | 131.391 | 85.307 | -0.000 | 0.000 | 0.000 |
| 131.391 | 805.467 | 85.307 | -0.000 | 0.000 | 0.000 |
| 85.307 | 85.307 | 950.574 | 0.000 | 0.000 | 0.000 |
| -0.000 | 0.000 | 0.000 | 150.070 | 0.000 | 0.000 |
| 0.000 | -0.000 | 0.000 | 0.000 | 150.070 | 0.000 |
| 0.000 | 0.000 | 0.000 | 0.000 | 0.000 | 137.226 |
| 829.297 | 0.000 | 0.000 | 0.000 | 0.000 | -0.000 |
| 0.000 | 829.297 | 0.000 | 0.000 | 0.000 | -0.000 |
| 0.000 | 0.000 | 0.000 | 0.000 | 0.000 | -0.000 |
| 0.000 | -0.000 | 0.000 | 0.000 | 0.000 | 0.000 |
| -0.000 | 0.000 | 0.000 | 0.000 | 0.000 | -0.000 |
| 0.000 | 0.000 | 0.000 | 0.000 | 0.000 | 185.830 |
| 829.297 | -0.000 | -0.000 | -0.000 | -0.000 | 0.000 |
| -0.000 | 829.297 | -0.000 | -0.000 | -0.000 | -0.000 |
| -0.000 | -0.000 | -0.000 | -0.000 | -0.000 | 0.000 |
| 0.000 | 0.000 | -0.000 | -0.000 | -0.000 | 0.000 |
| 0.000 | 0.000 | -0.000 | -0.000 | -0.000 | 0.000 |
| -0.000 | -0.000 | -0.000 | -0.000 | -0.000 | 185.830 |
| 829.298 | -0.000 | 0.000 | 0.000 | 0.000 | -0.000 |
| -0.000 | 829.298 | 0.000 | 0.000 | 0.000 | 0.000 |
| 0.000 | 0.000 | 0.000 | 0.000 | 0.000 | -0.000 |
| -0.000 | -0.000 | 0.000 | 0.000 | 0.000 | -0.000 |
| -0.000 | -0.000 | 0.000 | 0.000 | 0.000 | -0.000 |
| -0.000 | -0.000 | 0.000 | 0.000 | 0.000 | 185.830 |
| 829.297 | 0.000 | -0.000 | -0.000 | -0.000 | 0.000 |
| 0.000 | 829.297 | -0.000 | -0.000 | -0.000 | -0.000 |
| -0.000 | -0.000 | -0.000 | -0.000 | -0.000 | 0.000 |
| 0.000 | 0.000 | -0.000 | -0.000 | -0.000 | 0.000 |
| 0.000 | 0.000 | -0.000 | -0.000 | -0.000 | 0.000 |
| 0.000 | 0.000 | -0.000 | -0.000 | -0.000 | 185.830 |
| 829.301 | -0.000 | 0.000 | 0.000 | 0.000 | -0.000 |
| -0.000 | 829.301 | 0.000 | 0.000 | 0.000 | 0.000 |
| 0.000 | 0.000 | 0.000 | 0.000 | 0.000 | -0.000 |
| -0.000 | -0.000 | 0.000 | 0.000 | 0.000 | -0.000 |
| -0.000 | -0.000 | 0.000 | 0.000 | 0.000 | -0.000 |
| -0.000 | -0.000 | 0.000 | 0.000 | 0.000 | 185.830 |
| 829.293 | 0.000 | -0.000 | -0.000 | -0.000 | 0.000 |
| 0.000 | 829.293 | -0.000 | -0.000 | -0.000 | 0.000 |
| -0.000 | -0.000 | -0.000 | -0.000 | -0.000 | 0.000 |
| 0.000 | 0.000 | -0.000 | -0.000 | -0.000 | 0.000 |
| 0.000 | 0.000 | -0.000 | -0.000 | -0.000 | 0.000 |
| 0.000 | 0.000 | -0.000 | -0.000 | -0.000 | 185.830 |
| 811.477 | 0.000 | 0.000 | 0.000 | 0.000 | -0.000 |
| 0.000 | 811.477 | 0.000 | 0.000 | 0.000 | -0.000 |
| 0.000 | -0.000 | 0.000 | 0.000 | 0.000 | -0.000 |
| 0.000 | -0.000 | 0.000 | 0.000 | 0.000 | -0.000 |
| 0.000 | -0.000 | 0.000 | 0.000 | 0.000 | -0.000 |
| 0.000 | 0.000 | 0.000 | 0.000 | 0.000 | 181.837 |
| 1448.475 | 0.000 | 0.000 | 0.000 | 0.000 | -0.000 |
| 0.000 | 1448.475 | 0.000 | 0.000 | 0.000 | -0.000 |
| 0.000 | -0.000 | 0.000 | 0.000 | 0.000 | -0.000 |
| 0.000 | 0.000 | 0.000 | 0.000 | 0.000 | -0.000 |
| 0.000 | 0.000 | 0.000 | 0.000 | 0.000 | -0.000 |
| 0.000 | 0.000 | 0.000 | 0.000 | 0.000 | 324.577 |
| 811.477 | -0.000 | -0.000 | -0.000 | -0.000 | -0.000 |
| -0.000 | 811.477 | -0.000 | -0.000 | -0.000 | -0.000 |
| -0.000 | 0.000 | -0.000 | -0.000 | -0.000 | 0.000 |
| -0.000 | -0.000 | -0.000 | -0.000 | -0.000 | 0.000 |
| -0.000 | -0.000 | -0.000 | -0.000 | -0.000 | 0.000 |
| -0.000 | -0.000 | -0.000 | -0.000 | -0.000 | 181.837 |
| 1448.474 | -0.000 | -0.000 | -0.000 | -0.000 | -0.000 |
| -0.000 | 1448.474 | -0.000 | -0.000 | -0.000 | -0.000 |
| -0.000 | 0.000 | -0.000 | -0.000 | -0.000 | 0.000 |
| -0.000 | -0.000 | -0.000 | -0.000 | -0.000 | 0.000 |
| -0.000 | -0.000 | -0.000 | -0.000 | -0.000 | 0.000 |
| -0.000 | -0.000 | -0.000 | -0.000 | -0.000 | 324.577 |
| 811.477 | 0.000 | 0.000 | 0.000 | 0.000 | -0.000 |
| 0.000 | 811.477 | 0.000 | 0.000 | 0.000 | 0.000 |
| 0.000 | -0.000 | 0.000 | 0.000 | 0.000 | -0.000 |
| 0.000 | 0.000 | 0.000 | 0.000 | 0.000 | -0.000 |
| 0.000 | 0.000 | 0.000 | 0.000 | 0.000 | -0.000 |
| -0.000 | -0.000 | 0.000 | 0.000 | 0.000 | 181.837 |
| 811.477 | -0.000 | -0.000 | -0.000 | -0.000 | -0.000 |
| -0.000 | 811.477 | -0.000 | -0.000 | -0.000 | -0.000 |
| -0.000 | 0.000 | -0.000 | -0.000 | -0.000 | 0.000 |
| -0.000 | -0.000 | -0.000 | -0.000 | -0.000 | 0.000 |
| -0.000 | -0.000 | -0.000 | -0.000 | -0.000 | -0.000 |
| -0.000 | 0.000 | -0.000 | -0.000 | -0.000 | 181.837 |
| 811.481 | 0.000 | 0.000 | 0.000 | 0.000 | -0.000 |
| 0.000 | 811.481 | 0.000 | 0.000 | 0.000 | 0.000 |
| 0.000 | -0.000 | 0.000 | 0.000 | 0.000 | -0.000 |
| 0.000 | 0.000 | 0.000 | 0.000 | 0.000 | -0.000 |
| 0.000 | 0.000 | 0.000 | 0.000 | 0.000 | -0.000 |
| -0.000 | -0.000 | 0.000 | 0.000 | 0.000 | 181.837 |
| 1448.482 | 0.000 | 0.000 | 0.000 | 0.000 | -0.000 |
| 0.000 | 1448.482 | 0.000 | 0.000 | 0.000 | 0.000 |
| 1737.066 | 1737.066 | 7769.056 | 0.000 | -0.000 | 0.000 |
| 0.000 | 0.000 | 0.000 | 0.000 | 0.000 | -0.000 |
| 0.000 | 0.000 | 0.000 | 0.000 | 0.000 | -0.000 |
| -0.000 | -0.000 | 0.000 | 0.000 | 0.000 | 324.577 |
| 811.473 | 0.000 | -0.000 | -0.000 | -0.000 | 0.000 |
| -0.000 | 811.473 | -0.000 | -0.000 | -0.000 | 0.000 |
| -0.000 | 0.000 | -0.000 | -0.000 | -0.000 | 0.000 |
| -0.000 | -0.000 | -0.000 | -0.000 | -0.000 | 0.000 |
| -0.000 | -0.000 | -0.000 | -0.000 | -0.000 | 0.000 |
| 0.000 | 0.000 | -0.000 | -0.000 | -0.000 | 181.837 |
| 1448.467 | 0.000 | -0.000 | -0.000 | -0.000 | 0.000 |
| -0.000 | 1448.467 | -0.000 | -0.000 | -0.000 | 0.000 |
| -0.000 | 0.000 | -0.000 | -0.000 | -0.000 | 0.000 |
| -0.000 | -0.000 | -0.000 | -0.000 | -0.000 | 0.000 |
| -0.000 | 0.000 | -0.000 | -0.000 | -0.000 | 0.000 |
| 0.000 | 0.000 | -0.000 | -0.000 | -0.000 | 324.577 |
| 921.987 | -8.134 | -0.000 | 0.000 | -0.000 | -0.000 |
| -8.134 | 921.987 | -0.000 | -0.000 | -0.000 | 0.000 |
| -0.000 | -0.000 | -0.000 | -0.000 | -0.000 | -0.000 |
| -0.000 | -0.000 | -0.000 | -0.000 | -0.000 | -0.000 |
| -0.000 | -0.000 | -0.000 | -0.000 | -0.000 | -0.000 |
| 0.000 | 0.000 | -0.000 | -0.000 | 0.000 | 465.061 |
| 921.527 | -7.675 | 0.000 | 0.000 | -0.000 | 0.000 |
| -7.675 | 921.527 | 0.000 | 0.000 | -0.000 | 0.000 |
| 0.000 | 0.000 | 0.000 | 0.000 | 0.000 | 0.000 |
| 0.000 | 0.000 | 0.000 | 0.000 | 0.000 | 0.000 |
| 0.000 | 0.000 | 0.000 | 0.000 | 0.000 | 0.000 |
| -0.000 | -0.000 | 0.000 | 0.000 | 0.000 | 465.061 |
| 921.987 | -8.134 | -0.000 | 0.000 | -0.000 | -0.000 |
| -7.675 | 921.528 | -0.000 | -0.000 | 0.000 | -0.000 |
| -0.000 | -0.000 | -0.000 | -0.000 | -0.000 | -0.000 |
| -0.000 | -0.000 | -0.000 | -0.000 | -0.000 | -0.000 |
| -0.000 | -0.000 | -0.000 | -0.000 | -0.000 | -0.000 |
| 0.000 | 0.000 | -0.000 | -0.000 | 0.000 | 465.061 |
| 921.527 | -7.675 | 0.000 | 0.000 | -0.000 | 0.000 |
| -8.134 | 921.987 | 0.000 | -0.000 | 0.000 | 0.000 |
| 0.000 | 0.000 | 0.000 | -0.000 | 0.000 | 0.000 |
| 0.000 | 0.000 | 0.000 | 0.000 | 0.000 | 0.000 |
| 0.000 | 0.000 | 0.000 | 0.000 | 0.000 | 0.000 |
| -0.000 | -0.000 | 0.000 | 0.000 | 0.000 | 465.061 |
| 1045.799 | -9.227 | 0.000 | -0.000 | -0.000 | 0.000 |
| -8.706 | 1045.278 | 0.000 | -0.000 | -0.000 | -0.000 |
| -0.000 | 0.000 | -0.000 | 0.000 | -0.000 | 0.000 |
| -0.000 | 0.000 | 0.000 | 0.000 | 0.000 | 0.000 |
| -0.000 | -0.000 | -0.000 | 0.000 | -0.000 | 0.000 |
| -0.000 | -0.000 | -0.000 | 0.000 | -0.000 | 527.513 |
| 1045.278 | -8.706 | -0.000 | 0.000 | -0.000 | -0.000 |
| -8.706 | 1045.278 | -0.000 | -0.000 | 0.000 | -0.000 |
| 0.000 | -0.000 | 0.000 | -0.000 | 0.000 | -0.000 |
| 0.000 | -0.000 | 0.000 | -0.000 | 0.000 | -0.000 |
| 0.000 | 0.000 | 0.000 | -0.000 | -0.000 | -0.000 |
| 0.000 | 0.000 | 0.000 | -0.000 | -0.000 | 527.513 |
| 1045.799 | -9.227 | -0.000 | -0.000 | -0.000 | 0.000 |
| -8.706 | 1045.278 | 0.000 | -0.000 | -0.000 | 0.000 |
| -0.000 | 0.000 | -0.000 | 0.000 | -0.000 | 0.000 |
| -0.000 | 0.000 | -0.000 | 0.000 | 0.000 | 0.000 |
| -0.000 | 0.000 | -0.000 | 0.000 | -0.000 | 0.000 |
| 0.000 | 0.000 | 0.000 | -0.000 | -0.000 | 527.513 |
| 1045.277 | -8.706 | -0.000 | 0.000 | -0.000 | -0.000 |
| -9.227 | 1045.798 | -0.000 | 0.000 | 0.000 | -0.000 |
| 0.000 | -0.000 | 0.000 | -0.000 | 0.000 | -0.000 |
| 0.000 | -0.000 | -0.000 | -0.000 | 0.000 | -0.000 |
| 0.000 | 0.000 | -0.000 | -0.000 | -0.000 | 0.000 |
| -0.000 | -0.000 | 0.000 | 0.000 | -0.000 | 527.513 |
| 1045.281 | -8.705 | 0.000 | 0.000 | 0.000 | 0.000 |
| -8.705 | 1045.281 | 0.000 | 0.000 | -0.000 | -0.000 |
| -0.000 | 0.000 | -0.000 | 0.000 | -0.000 | 0.000 |
| -0.000 | 0.000 | -0.000 | -0.000 | -0.000 | 0.000 |
| -0.000 | -0.000 | -0.000 | 0.000 | -0.000 | 0.000 |
| 0.000 | 0.001 | 0.000 | 0.000 | 0.000 | 526.992 |
| 1045.274 | -8.706 | -0.000 | 0.000 | 0.000 | 0.000 |
| -8.706 | 1045.274 | -0.000 | 0.000 | 0.000 | -0.000 |
| 0.000 | -0.000 | -0.000 | -0.000 | 0.000 | -0.000 |
| 0.000 | -0.000 | 0.000 | -0.000 | 0.000 | -0.000 |
| 0.000 | -0.000 | 0.000 | -0.000 | 0.000 | -0.000 |
| -0.000 | -0.001 | -0.000 | -0.000 | 0.000 | 526.992 |
| 592.417 | -222.138 | 16.277 | 2.447 | -0.000 | -0.000 |
| -277.997 | 648.395 | 47.391 | -9.670 | -0.000 | 0.000 |
| -78.692 | -78.692 | 16744.863 | 0.000 | 0.000 | 0.000 |
| 2.444 | -2.450 | -1.245 | -15.379 | -0.000 | -0.000 |
| -0.003 | -0.002 | -1.245 | -0.000 | -15.379 | 2.448 |
| -0.003 | -0.002 | -1.246 | 0.000 | 2.447 | 407.278 |
| 594.614 | -225.034 | -166.805 | 2.776 | 0.000 | 0.000 |
| -277.996 | 648.394 | 47.393 | -9.670 | 0.000 | 0.000 |
| -78.691 | -78.692 | 16744.866 | 0.000 | 0.000 | -0.000 |
| 2.451 | -2.446 | 1.245 | -15.379 | 0.000 | 0.000 |
| 0.003 | 0.002 | 1.245 | 0.000 | -15.379 | 2.448 |
| 0.003 | 0.002 | 1.246 | -0.000 | 2.447 | 407.278 |
| 594.640 | -225.066 | -167.994 | 2.780 | -0.000 | -0.000 |
| -225.066 | 594.640 | -167.994 | -2.780 | -0.000 | -0.000 |
| -109.618 | -109.618 | 579.519 | 0.000 | -0.000 | 0.000 |
| 2.447 | -2.447 | -0.120 | -15.379 | -0.000 | -0.000 |
| -0.000 | -0.000 | -0.120 | 0.000 | -15.379 | 2.447 |
| -0.000 | 0.000 | -0.000 | -0.000 | 9.670 | 463.196 |
| 594.634 | -225.060 | -167.778 | 2.779 | 0.000 | 0.000 |
| -225.060 | 594.634 | -167.778 | -2.779 | 0.000 | 0.000 |
| -109.653 | -109.653 | 561.437 | -0.000 | -0.000 | 0.000 |
| 2.448 | -2.447 | 0.120 | -15.379 | 0.000 | 0.000 |
| 0.000 | 0.000 | 0.120 | -0.000 | -15.379 | 2.447 |
| 0.000 | -0.000 | 0.000 | 0.000 | 9.670 | 463.196 |
| 592.433 | -222.154 | 15.523 | 2.449 | 0.000 | -0.000 |
| -222.140 | 592.423 | 16.461 | -2.447 | 0.000 | -0.000 |
| -109.636 | -109.636 | 570.503 | 0.000 | 0.000 | 0.000 |
| 2.447 | -2.447 | 0.038 | -15.379 | -0.000 | -0.000 |
| 0.000 | -0.000 | -0.008 | -0.000 | -14.446 | 9.670 |
| 0.000 | 0.001 | -0.000 | -0.000 | 9.670 | 463.196 |
| 592.414 | -222.138 | 16.436 | 2.447 | 0.000 | 0.000 |
| -222.078 | 592.368 | 20.168 | -2.440 | 0.000 | 0.000 |
| -109.635 | -109.635 | 570.499 | 0.000 | 0.000 | -0.000 |
| 2.447 | -2.447 | -0.038 | -15.379 | 0.000 | 0.000 |
| -0.000 | 0.000 | 0.008 | 0.000 | -14.446 | 9.670 |
| -0.000 | -0.001 | 0.000 | 0.000 | 9.670 | 463.196 |
| 986.993 | 0.000 | -0.000 | -0.000 | -0.000 | -0.000 |
| -0.000 | 986.993 | -0.000 | -0.000 | -0.000 | -0.000 |
| -0.000 | 0.000 | 986.993 | -0.000 | -0.000 | -0.000 |
| -0.000 | 0.000 | 0.000 | 131.176 | -0.000 | -0.000 |
| 0.000 | 0.000 | 0.000 | -0.000 | 131.176 | 0.000 |
| 0.000 | 0.000 | 0.000 | -0.000 | -0.000 | 131.176 |
| 986.993 | -0.000 | 0.000 | 0.000 | 0.000 | 0.000 |
| 0.000 | 986.993 | 0.000 | 0.000 | 0.000 | 0.000 |
| 0.000 | -0.000 | 986.993 | 0.000 | 0.000 | 0.000 |
| 0.000 | -0.000 | -0.000 | 131.176 | 0.000 | 0.000 |
| -0.000 | -0.000 | -0.000 | 0.000 | 131.176 | -0.000 |
| -0.000 | -0.000 | -0.000 | 0.000 | 0.000 | 131.176 |
| 986.993 | 0.000 | -0.000 | -0.000 | -0.000 | -0.000 |
| -0.000 | 986.993 | 0.000 | -0.000 | -0.000 | -0.000 |
| -0.000 | 0.000 | 986.993 | -0.000 | -0.000 | -0.000 |
| 0.000 | 0.000 | -0.000 | 131.176 | -0.000 | -0.000 |
| 0.000 | 0.000 | -0.000 | -0.000 | 131.176 | -0.000 |
| 0.000 | -0.000 | -0.000 | -0.000 | -0.000 | 131.176 |
| 986.992 | -0.000 | 0.000 | 0.000 | 0.000 | 0.000 |
| 0.000 | 986.992 | 0.000 | 0.000 | 0.000 | 0.000 |
| 0.000 | -0.000 | 986.992 | 0.000 | 0.000 | 0.000 |
| -0.000 | -0.000 | 0.000 | 131.176 | 0.000 | 0.000 |
| -0.000 | -0.000 | 0.000 | 0.000 | 131.176 | 0.000 |
| -0.000 | 0.000 | 0.000 | 0.000 | 0.000 | 131.176 |
| 986.998 | 0.000 | -0.000 | -0.000 | -0.000 | -0.000 |
| -0.000 | 986.998 | -0.000 | -0.000 | -0.000 | -0.000 |
| -0.000 | 0.000 | 986.998 | -0.000 | -0.000 | -0.000 |
| 0.000 | -0.000 | -0.000 | 131.176 | -0.000 | -0.000 |
| -0.000 | 0.000 | -0.000 | -0.000 | 131.176 | -0.000 |
| -0.000 | -0.000 | 0.000 | -0.000 | -0.000 | 131.176 |
| 986.987 | -0.000 | 0.000 | 0.000 | 0.000 | 0.000 |
| 0.000 | 986.987 | 0.000 | 0.000 | 0.000 | -0.000 |
| 0.000 | -0.000 | 986.987 | 0.000 | 0.000 | -0.000 |
| -0.000 | 0.000 | 0.000 | 131.176 | 0.000 | 0.000 |
| 0.000 | -0.000 | 0.000 | 0.000 | 131.176 | -0.000 |
| 0.000 | 0.000 | -0.000 | 0.000 | 0.000 | 131.176 |
| 509.461 | 68.466 | -30.371 | -0.000 | -0.000 | -0.000 |
| 89.161 | 1170.886 | 48.530 | -0.000 | 0.000 | -0.000 |
| -29.530 | 30.356 | 1372.853 | -0.000 | 0.000 | 0.000 |
| -0.240 | -0.012 | 0.288 | 657.716 | 0.000 | -0.000 |
| -0.247 | -0.012 | 0.296 | -0.000 | 218.844 | 0.000 |
| 0.000 | 0.000 | -0.000 | -0.000 | 0.000 | 295.045 |
| 509.816 | 68.663 | -30.954 | 0.000 | -0.000 | -0.000 |
| 69.036 | 1195.702 | 50.022 | 0.000 | -0.000 | -0.000 |
| -29.044 | 30.382 | 1372.270 | 0.000 | -0.000 | 0.000 |
| 0.240 | 0.012 | -0.288 | 657.716 | 0.000 | -0.000 |
| 0.247 | 0.012 | -0.296 | 0.000 | 218.844 | -0.000 |
| -0.000 | -0.000 | 0.000 | 0.000 | -0.000 | 295.045 |
| 512.662 | 62.126 | -28.512 | 0.000 | 0.000 | 0.000 |
| 69.036 | 1195.703 | 50.022 | 0.000 | 0.000 | -0.000 |
| -29.311 | 30.368 | 1372.591 | -0.000 | 0.000 | -0.000 |
| -0.024 | -0.001 | 0.029 | 657.717 | -0.000 | -0.000 |
| -0.025 | -0.001 | 0.030 | -0.000 | 218.844 | -0.000 |
| 0.000 | 0.000 | -0.000 | -0.000 | 0.000 | 295.045 |
| 528.724 | 48.764 | -35.349 | 0.000 | -0.000 | 0.000 |
| 88.855 | 1170.947 | 48.830 | -0.000 | -0.000 | -0.000 |
| -33.797 | 31.301 | 1376.951 | 0.000 | -0.000 | 0.000 |
| 0.024 | 0.001 | -0.029 | 657.717 | -0.000 | 0.000 |
| 0.025 | 0.001 | -0.030 | -0.000 | 218.844 | 0.000 |
| -0.000 | 0.000 | 0.000 | 0.000 | -0.000 | 295.045 |
| 509.637 | 68.564 | -30.660 | -0.000 | 0.000 | -0.000 |
| 88.835 | 1170.940 | 48.863 | -0.000 | -0.000 | 0.000 |
| -29.112 | 30.139 | 1372.567 | 0.000 | 0.000 | -0.000 |
| 0.000 | 0.000 | 0.001 | 669.645 | 0.000 | 0.000 |
| -0.003 | 0.000 | 0.003 | -0.000 | 218.844 | 0.000 |
| -0.001 | -0.003 | 0.003 | -0.000 | -0.000 | 65.086 |
| 509.642 | 68.558 | -30.664 | 0.000 | -0.000 | 0.000 |
| 89.506 | 1171.188 | 47.863 | 0.000 | -0.000 | 0.000 |
| -29.109 | 30.139 | 1372.552 | 0.000 | -0.000 | -0.000 |
| -0.000 | -0.000 | -0.001 | 669.645 | -0.000 | -0.000 |
| 0.003 | -0.000 | -0.003 | 0.000 | 218.844 | -0.000 |
| 0.001 | 0.003 | -0.003 | 0.000 | -0.000 | 65.086 |
| 903.360 | 131.366 | 42.657 | -0.000 | 0.000 | 0.000 |
| 131.366 | 903.360 | 42.657 | 0.000 | 0.000 | 0.000 |
| 32.417 | 32.417 | 1314.654 | -0.000 | -0.000 | 0.000 |
| 0.000 | 0.000 | 0.000 | 499.514 | 0.000 | -0.000 |
| 0.000 | 0.000 | 0.000 | 0.000 | 499.514 | -0.000 |
| -0.000 | -0.000 | 0.000 | 0.000 | 0.000 | 138.222 |
| 903.360 | 131.366 | 42.657 | 0.000 | -0.000 | -0.000 |
| 131.366 | 903.360 | 42.657 | -0.000 | -0.000 | -0.000 |
| 32.417 | 32.417 | 1314.654 | 0.000 | 0.000 | -0.000 |
| -0.000 | -0.000 | -0.000 | 499.514 | -0.000 | -0.000 |
| -0.000 | -0.000 | -0.000 | -0.000 | 499.514 | -0.000 |
| 0.000 | 0.000 | -0.000 | 0.000 | -0.000 | 138.222 |
| 903.360 | 131.366 | 42.657 | 0.000 | 0.000 | 0.000 |
| 131.366 | 903.360 | 42.657 | -0.000 | -0.000 | 0.000 |
| 25.363 | 25.363 | 1334.224 | 0.000 | 0.000 | -0.000 |
| 0.000 | -0.000 | 0.000 | 475.507 | 0.000 | 0.000 |
| -0.000 | 0.000 | 0.000 | 0.000 | 475.507 | 0.000 |
| -0.000 | -0.000 | -0.000 | 0.000 | 0.000 | 138.222 |
| 986.466 | 57.055 | 30.456 | -0.000 | -0.000 | 0.000 |
| 57.055 | 986.466 | 30.456 | -0.000 | -0.000 | 0.000 |
| 32.417 | 32.417 | 1314.653 | 0.000 | -0.000 | 0.000 |
| -0.000 | 0.000 | -0.000 | 475.507 | -0.000 | -0.000 |
| 0.000 | -0.000 | -0.000 | 0.000 | 475.507 | -0.000 |
| 0.000 | 0.000 | 0.000 | -0.000 | -0.000 | 138.222 |
| 903.360 | 131.369 | 42.658 | -0.000 | -0.000 | 0.000 |
| 131.369 | 903.360 | 42.658 | -0.000 | -0.000 | 0.000 |
| 32.416 | 32.416 | 1314.662 | 0.000 | 0.000 | 0.000 |
| 0.000 | -0.000 | 0.001 | 499.514 | 0.000 | 0.000 |
| -0.000 | 0.000 | 0.001 | 0.000 | 499.514 | 0.000 |
| -0.000 | -0.000 | 0.000 | 0.000 | 0.000 | 138.222 |
| 901.844 | 136.587 | 37.513 | -0.000 | -0.000 | -0.000 |
| 136.587 | 901.844 | 37.513 | 0.000 | -0.000 | -0.000 |
| 32.417 | 32.417 | 1314.650 | 0.000 | 0.000 | -0.000 |
| -0.000 | 0.000 | -0.001 | 499.514 | -0.000 | 0.000 |
| 0.000 | -0.000 | -0.001 | -0.000 | 499.514 | -0.000 |
| 0.000 | 0.000 | -0.000 | -0.000 | -0.000 | 138.222 |
| 585.858 | 223.247 | 0.000 | 0.000 | 0.000 | -0.000 |
| 223.247 | 585.858 | 0.000 | 0.000 | 0.000 | 0.000 |
| 0.000 | 0.000 | 0.000 | 0.000 | 0.000 | 0.000 |
| 0.000 | 0.000 | 0.000 | 0.000 | 0.000 | 0.000 |
| 0.000 | 0.000 | 0.000 | 0.000 | 0.000 | 0.000 |
| 0.000 | 0.000 | 0.000 | 0.000 | 0.000 | 404.552 |
| 585.858 | 223.247 | -0.000 | -0.000 | -0.000 | -0.000 |
| 223.247 | 585.858 | -0.000 | -0.000 | -0.000 | 0.000 |
| -0.000 | -0.000 | -0.000 | -0.000 | -0.000 | -0.000 |
| -0.000 | -0.000 | -0.000 | -0.000 | -0.000 | -0.000 |
| -0.000 | -0.000 | -0.000 | -0.000 | -0.000 | -0.000 |
| -0.000 | -0.000 | -0.000 | -0.000 | -0.000 | 404.552 |
| 585.858 | 223.247 | 0.000 | 0.000 | 0.000 | -0.000 |
| 223.247 | 585.858 | 0.000 | 0.000 | 0.000 | 0.000 |
| 0.000 | 0.000 | 0.000 | 0.000 | 0.000 | 0.000 |
| 0.000 | 0.000 | 0.000 | 0.000 | 0.000 | 0.000 |
| 0.000 | 0.000 | 0.000 | 0.000 | 0.000 | 0.000 |
| 0.000 | 0.000 | 0.000 | 0.000 | 0.000 | 404.552 |
| 585.858 | 223.247 | -0.000 | -0.000 | -0.000 | -0.000 |
| 223.247 | 585.858 | -0.000 | -0.000 | -0.000 | -0.000 |
| -0.000 | -0.000 | -0.000 | -0.000 | -0.000 | -0.000 |
| -0.000 | -0.000 | -0.000 | -0.000 | -0.000 | -0.000 |
| -0.000 | -0.000 | -0.000 | -0.000 | -0.000 | -0.000 |
| -0.000 | -0.000 | -0.000 | -0.000 | -0.000 | 404.552 |
| 585.859 | 223.248 | 0.000 | 0.000 | 0.000 | 0.000 |
| 223.248 | 585.859 | 0.000 | 0.000 | 0.000 | 0.000 |
| 0.000 | 0.000 | 0.000 | 0.000 | 0.000 | 0.000 |
| 0.000 | 0.000 | 0.000 | 0.000 | 0.000 | 0.000 |
| 0.000 | 0.000 | 0.000 | 0.000 | 0.000 | 0.000 |
| 0.000 | 0.001 | 0.000 | 0.000 | 0.000 | 404.552 |
| 585.856 | 223.246 | -0.000 | -0.000 | -0.000 | -0.000 |
| 223.246 | 585.856 | -0.000 | -0.000 | -0.000 | -0.000 |
| -0.000 | -0.000 | -0.000 | -0.000 | -0.000 | -0.000 |
| -0.000 | -0.000 | -0.000 | -0.000 | -0.000 | -0.000 |
| -0.000 | -0.000 | -0.000 | -0.000 | -0.000 | -0.000 |
| -0.000 | -0.001 | -0.000 | -0.000 | -0.000 | 404.552 |
| 1153.935 | 29.154 | 6.955 | 0.000 | 0.000 | 0.000 |
| 29.154 | 1113.826 | 57.466 | 0.000 | 0.000 | 0.000 |
| 6.955 | 57.466 | 1308.538 | 0.000 | 0.000 | -0.000 |
| 2.078 | -0.526 | -1.364 | 520.641 | 0.000 | -0.000 |
| 1.923 | -0.487 | -1.263 | 0.000 | 503.545 | 0.000 |
| 3.808 | -1.209 | -1.814 | 0.000 | 0.000 | 230.122 |
| 1074.140 | 77.175 | 27.860 | -0.000 | -0.000 | -0.000 |
| 76.520 | 1059.508 | 71.941 | -0.000 | -0.000 | 0.000 |
| 6.955 | 57.466 | 1308.538 | -0.000 | 0.000 | 0.000 |
| -2.078 | 0.526 | 1.364 | 520.641 | -0.000 | -0.000 |
| -1.923 | 0.487 | 1.263 | -0.000 | 503.545 | -0.000 |
| -3.808 | 1.209 | 1.814 | -0.000 | -0.000 | 230.122 |
| 1153.935 | 29.154 | 6.955 | 0.000 | 0.000 | -0.000 |
| 79.449 | 1058.456 | 70.353 | 0.000 | 0.000 | -0.000 |
| 19.540 | 70.091 | 1280.328 | 0.000 | 0.000 | -0.000 |
| 0.000 | -0.000 | 0.000 | 555.893 | 0.000 | -0.000 |
| 0.192 | -0.049 | -0.126 | -0.000 | 503.569 | 0.000 |
| -0.000 | 0.000 | 0.000 | 0.000 | 0.000 | 377.152 |
| 1075.995 | 76.758 | 26.582 | -0.000 | -0.000 | -0.000 |
| 29.154 | 1113.825 | 57.466 | -0.000 | -0.000 | -0.000 |
| 21.749 | 67.024 | 1280.807 | 0.000 | -0.000 | 0.000 |
| -0.000 | 0.000 | -0.000 | 555.893 | -0.000 | 0.000 |
| -0.192 | 0.049 | 0.126 | -0.000 | 503.569 | -0.000 |
| 0.000 | -0.000 | -0.000 | -0.000 | -0.000 | 377.152 |
| 1068.831 | 85.891 | 16.637 | 0.000 | 0.000 | 0.000 |
| 83.325 | 1057.516 | 70.124 | 0.000 | 0.000 | 0.000 |
| 18.935 | 70.358 | 1280.434 | 0.000 | 0.000 | 0.000 |
| 0.024 | -0.016 | 0.006 | 520.234 | 0.000 | 0.000 |
| 0.027 | -0.013 | -0.005 | 0.000 | 502.874 | -0.000 |
| -0.000 | 0.000 | 0.000 | 0.000 | 0.000 | 377.152 |
| 1068.776 | 85.908 | 16.655 | -0.000 | -0.000 | -0.000 |
| 83.281 | 1057.532 | 70.130 | -0.000 | -0.000 | 0.000 |
| 6.955 | 57.465 | 1308.533 | 0.000 | 0.000 | 0.000 |
| -0.024 | 0.016 | -0.006 | 520.234 | -0.000 | -0.000 |
| -0.027 | 0.013 | 0.005 | -0.000 | 502.874 | -0.000 |
| 0.000 | -0.000 | -0.000 | -0.000 | -0.000 | 377.152 |
| 1278.439 | 94.534 | -98.056 | 0.000 | 0.000 | 0.000 |
| 318.040 | 1055.306 | -45.413 | 0.000 | 0.000 | 0.000 |
| 263.866 | 68.923 | 1165.196 | 0.000 | 0.000 | -0.000 |
| 214.610 | 37.450 | -180.333 | 501.976 | -0.000 | -0.000 |
| -0.000 | -0.000 | -0.000 | -0.000 | 512.427 | 0.000 |
| -0.000 | -0.000 | -0.000 | 0.000 | 0.000 | 376.282 |
| 1128.560 | 27.083 | 10.119 | 0.000 | 0.000 | -0.000 |
| 23.683 | 1104.485 | 61.885 | 0.000 | 0.000 | -0.000 |
| 2.803 | 57.970 | 1313.247 | 0.000 | -0.000 | -0.000 |
| -214.610 | -37.450 | 180.333 | 501.976 | -0.000 | 0.000 |
| 0.000 | 0.000 | 0.000 | -0.000 | 512.427 | 0.000 |
| 0.000 | 0.000 | 0.000 | -0.000 | -0.000 | 376.282 |
| 1128.560 | 27.083 | 10.119 | -0.000 | 0.000 | 0.000 |
| 95.827 | 1048.773 | 59.786 | -0.000 | -0.000 | -0.000 |
| 2.803 | 57.970 | 1313.247 | -0.000 | -0.000 | -0.000 |
| 0.000 | -0.000 | 0.000 | 551.742 | 0.000 | 0.000 |
| 17.399 | 3.036 | -14.620 | -0.000 | 495.504 | 0.000 |
| 36.473 | -4.785 | -16.164 | -0.000 | -0.000 | 239.298 |
| 1035.272 | 71.768 | 44.313 | 0.000 | 0.000 | -0.000 |
| 52.483 | 1049.187 | 85.569 | 0.000 | -0.000 | 0.000 |
| 2.442 | 67.499 | 1291.117 | 0.000 | -0.000 | 0.000 |
| -0.000 | 0.000 | -0.000 | 551.742 | -0.000 | -0.000 |
| -17.399 | -3.036 | 14.620 | -0.000 | 495.504 | 0.000 |
| -36.473 | 4.785 | 16.164 | -0.000 | -0.000 | 239.298 |
| 1054.668 | 79.693 | 16.650 | -0.000 | -0.000 | -0.000 |
| 72.186 | 1051.446 | 73.829 | -0.000 | 0.000 | -0.000 |
| 17.121 | 67.984 | 1283.646 | -0.000 | 0.000 | 0.000 |
| 1.580 | 0.276 | -1.328 | 515.102 | 0.000 | 0.000 |
| -0.000 | 0.000 | 0.000 | -0.000 | 512.427 | 0.000 |
| 2.141 | 0.374 | -1.799 | -0.000 | 0.000 | 307.796 |
| 1049.015 | 80.340 | 18.932 | 0.000 | -0.000 | 0.000 |
| 67.866 | 1051.593 | 76.680 | 0.000 | 0.000 | -0.000 |
| 10.868 | 70.932 | 1285.780 | -0.000 | -0.000 | -0.000 |
| -1.580 | -0.276 | 1.328 | 515.102 | -0.000 | -0.000 |
| 0.000 | -0.000 | -0.000 | 0.000 | 512.427 | -0.000 |
| -2.141 | -0.374 | 1.799 | 0.000 | 0.000 | 307.796 |
| 1063.669 | -492.013 | 521.780 | 0.000 | 578.210 | -0.000 |
| 101.438 | 550.705 | 528.119 | 0.000 | 637.411 | 0.000 |
| 180.262 | -470.126 | 1470.256 | -0.000 | 727.933 | 0.000 |
| -0.000 | -0.000 | -0.000 | 541.070 | -0.000 | -61.025 |
| 94.514 | -606.961 | 495.840 | 0.000 | 1025.913 | 0.000 |
| 65.826 | -553.433 | 448.333 | -29.552 | 685.849 | 380.935 |
| 986.845 | 13.648 | 95.611 | 0.000 | 77.732 | 0.000 |
| 19.808 | 1152.625 | 63.315 | 0.000 | -84.359 | -0.000 |
| 47.895 | 637.393 | 574.067 | 0.000 | -644.706 | -0.000 |
| 0.000 | 0.000 | 0.000 | 541.070 | 0.000 | -61.025 |
| -114.384 | 493.029 | -370.498 | -0.000 | -187.753 | 0.000 |
| -65.826 | 553.433 | -448.333 | -29.552 | -685.849 | 380.935 |
| 949.042 | -20.838 | 161.335 | 0.000 | 125.454 | -0.000 |
| 19.808 | 1152.626 | 63.315 | 0.000 | -84.359 | 0.000 |
| 124.882 | 29.390 | 1059.221 | -0.000 | 109.741 | 0.000 |
| 0.000 | 0.000 | 0.000 | 541.070 | -0.000 | -61.025 |
| 31.622 | -95.383 | 86.018 | 0.000 | 379.590 | 0.000 |
| 12.601 | -53.030 | 40.876 | -31.058 | 51.893 | 381.918 |
| 934.141 | 95.594 | 67.963 | -0.000 | -18.711 | -0.000 |
| 19.808 | 1152.625 | 63.315 | 0.000 | -84.359 | 0.000 |
| 105.640 | 141.361 | 977.883 | 0.000 | -30.254 | 0.000 |
| -0.000 | -0.000 | -0.000 | 541.070 | 0.000 | -61.025 |
| 22.601 | 6.390 | -3.373 | 0.000 | 272.088 | 0.000 |
| -12.601 | 53.030 | -40.876 | -31.058 | -51.893 | 381.918 |
| 936.204 | 33.254 | 123.294 | -0.000 | 59.183 | 0.000 |
| 36.227 | 1095.475 | 87.751 | 0.000 | -36.697 | -0.000 |
| 113.213 | 84.992 | 1022.179 | 0.000 | 39.784 | 0.000 |
| 0.611 | -5.132 | 4.158 | 504.319 | 6.360 | -26.862 |
| 25.434 | -48.369 | 44.625 | -0.000 | 337.537 | -0.000 |
| 1.112 | -4.944 | 3.740 | -30.818 | 4.993 | 381.538 |
| 924.694 | 47.117 | 110.893 | 0.000 | 53.396 | 0.000 |
| 41.043 | 1102.997 | 76.788 | -0.000 | -55.091 | -0.000 |
| 111.962 | 92.867 | 1011.513 | -0.000 | 35.560 | -0.000 |
| -0.611 | 5.132 | -4.158 | 504.319 | -6.360 | -26.862 |
| 24.175 | -38.167 | 35.893 | -0.000 | 327.175 | -0.000 |
| -1.112 | 4.944 | -3.740 | -30.818 | -4.993 | 381.538 |
| 917.600 | 43.198 | 124.129 | -0.000 | 63.255 | 0.000 |
| 19.205 | 1146.167 | 62.523 | -0.000 | -75.495 | 0.000 |
| 113.418 | 89.853 | 1031.541 | -0.000 | 29.238 | 0.000 |
| 0.000 | -0.000 | -0.000 | 535.536 | 0.000 | -66.332 |
| 39.407 | -75.495 | 60.411 | -0.000 | 408.785 | 0.000 |
| -0.000 | -0.000 | -0.000 | -66.332 | 0.000 | 424.507 |
| 941.492 | 26.510 | 127.335 | 0.000 | 72.959 | -0.000 |
| 19.205 | 1146.167 | 62.523 | 0.000 | -75.495 | -0.000 |
| 96.372 | 62.523 | 1090.375 | 0.000 | 60.411 | -0.000 |
| -0.000 | 0.000 | 0.000 | 535.536 | -0.000 | -66.332 |
| 39.407 | -75.495 | 60.411 | 0.000 | 408.785 | -0.000 |
| -0.000 | 0.000 | 0.000 | -66.332 | -0.000 | 424.507 |
| 924.972 | 38.215 | 122.907 | -0.000 | 67.874 | 0.000 |
| 39.733 | 1094.707 | 82.569 | 0.000 | -39.576 | -0.000 |
| 117.069 | 85.779 | 1031.431 | 0.000 | 34.902 | 0.000 |
| -0.375 | 0.527 | -0.125 | 501.666 | -0.717 | -34.143 |
| 25.671 | -36.852 | 37.437 | -0.000 | 329.319 | 0.000 |
| -0.806 | 0.682 | -0.027 | -32.355 | -0.732 | 385.373 |
| 987.252 | 8.711 | 104.769 | 0.000 | 96.230 | -0.000 |
| 19.205 | 1146.167 | 62.523 | 0.000 | -75.495 | -0.000 |
| 119.050 | 82.593 | 1028.005 | 0.000 | 42.990 | -0.000 |
| 0.375 | -0.527 | 0.125 | 501.666 | 0.717 | -34.143 |
| 26.351 | -37.813 | 37.669 | 0.000 | 330.634 | -0.000 |
| 0.806 | -0.682 | 0.027 | -32.355 | 0.732 | 385.373 |
| 925.710 | 37.721 | 122.801 | -0.000 | 68.311 | 0.000 |
| 42.595 | 1093.478 | 83.804 | 0.000 | -39.208 | -0.000 |
| 117.458 | 85.380 | 1031.377 | -0.000 | 35.463 | 0.000 |
| -0.037 | 0.053 | -0.012 | 501.670 | -0.072 | -34.146 |
| 22.352 | -38.441 | 41.732 | -0.000 | 328.123 | 0.000 |
| -0.040 | 0.055 | -0.013 | -32.694 | -0.075 | 386.242 |
| 925.873 | 37.608 | 122.774 | -0.000 | 68.410 | -0.000 |
| 40.545 | 1093.895 | 82.591 | 0.000 | -38.825 | -0.000 |
| 118.572 | 83.205 | 1027.802 | 0.000 | 42.259 | 0.000 |
| 0.037 | -0.053 | 0.012 | 501.670 | 0.072 | -34.146 |
| 21.806 | -38.155 | 41.894 | 0.000 | 328.495 | -0.000 |
| 0.040 | -0.055 | 0.013 | -32.694 | 0.075 | 386.242 |
| 492.474 | 77.854 | -15.057 | 0.000 | -0.000 | 0.000 |
| 77.854 | 492.474 | -15.057 | 0.000 | 0.000 | 0.000 |
| -14.742 | -14.742 | 180.057 | -0.000 | 0.000 | -0.000 |
| 45.747 | 45.747 | -37.598 | 37.347 | -0.000 | 0.000 |
| 45.747 | 45.747 | -37.598 | -0.000 | 37.347 | 0.000 |
| 0.000 | 0.000 | 0.000 | -0.000 | -0.000 | 102.767 |
| 334.629 | -71.764 | 55.830 | 0.000 | 0.000 | 0.000 |
| -71.764 | 334.629 | 55.830 | 0.000 | 0.000 | -0.000 |
| -119.012 | -119.012 | 197.834 | 0.000 | -0.000 | -0.000 |
| -45.747 | -45.747 | 37.598 | 37.347 | -0.000 | -0.000 |
| -45.747 | -45.747 | 37.598 | 0.000 | 37.347 | -0.000 |
| -0.000 | -0.000 | -0.000 | 0.000 | 0.000 | 102.767 |
| 399.173 | -15.946 | 5.641 | -0.000 | 0.000 | -0.000 |
| -15.946 | 399.173 | 5.641 | -0.000 | 0.000 | -0.000 |
| -14.742 | -14.742 | 180.057 | -0.000 | -0.000 | -0.000 |
| 2.069 | 2.069 | -1.700 | 59.683 | 0.000 | -0.000 |
| 2.069 | 2.069 | -1.700 | -0.000 | 59.683 | 0.000 |
| -243437643.140 | -243867672.679 | -8228928.463 | -361100.270 | 604515.436 | -21410801.805 |
| 374.474 | -40.688 | 10.627 | 0.000 | 0.000 | -0.000 |
| -40.688 | 374.474 | 10.627 | 0.000 | 0.000 | -0.000 |
| -14.742 | -14.742 | 180.057 | 0.000 | 0.000 | 0.000 |
| -2.069 | -2.069 | 1.700 | 59.683 | 0.000 | 0.000 |
| -2.069 | -2.069 | 1.700 | 0.000 | 59.683 | 0.000 |
| 245105569.892 | 244960216.670 | 7446576.274 | 96724.101 | 1457.634 | -20773179.125 |
| 385.854 | -29.262 | 8.099 | 0.000 | 0.000 | 0.000 |
| -29.262 | 385.854 | 8.099 | -0.000 | -0.000 | 0.000 |
| -12.478 | -12.478 | 172.562 | -0.000 | 0.000 | -0.000 |
| -25884322.977 | -25962185.661 | -1278795.265 | -113100.574 | -7993.021 | -82084.925 |
| -25925794.069 | -25810945.504 | -1336517.067 | -20916.171 | -138329.852 | 95562.278 |
| -24861912.157 | -24848265.694 | -838896.461 | 33677.701 | -32942.321 | -1692482.408 |
| 387.237 | -27.118 | 9.952 | 0.000 | -0.000 | -0.000 |
| -27.118 | 387.237 | 9.952 | 0.000 | 0.000 | -0.000 |
| -13.389 | -13.389 | 173.348 | 0.000 | 0.000 | 0.000 |
| 25901179.259 | 25937211.290 | 1302321.946 | -157680.604 | 19998.090 | 56080.661 |
| 25979016.489 | 25807153.697 | 1329594.737 | -3575.282 | -160673.625 | -70843.064 |
| 24827255.204 | 24775130.140 | 777417.566 | -40272.230 | -4829.213 | -1804580.202 |
| 379.451 | 144.593 | 0.000 | 0.000 | 0.000 | -0.000 |
| 144.593 | 379.451 | 0.000 | 0.000 | 0.000 | 0.000 |
| 0.000 | 0.000 | 0.000 | 0.000 | 0.000 | 0.000 |
| 0.000 | 0.000 | 0.000 | 0.000 | 0.000 | 0.000 |
| 0.000 | 0.000 | 0.000 | 0.000 | 0.000 | -0.000 |
| 0.000 | 0.000 | 0.000 | 0.000 | 0.000 | 262.022 |
| 379.451 | 144.593 | -0.000 | -0.000 | -0.000 | 0.000 |
| 144.593 | 379.451 | -0.000 | -0.000 | -0.000 | -0.000 |
| -0.000 | -0.000 | -0.000 | -0.000 | -0.000 | -0.000 |
| -0.000 | -0.000 | -0.000 | -0.000 | -0.000 | -0.000 |
| -0.000 | -0.000 | -0.000 | -0.000 | -0.000 | 0.000 |
| -0.000 | -0.000 | -0.000 | -0.000 | -0.000 | 262.022 |
| 379.451 | 144.593 | 0.000 | 0.000 | 0.000 | -0.000 |
| 144.593 | 379.451 | 0.000 | 0.000 | 0.000 | 0.000 |
| 0.000 | 0.000 | 0.000 | 0.000 | 0.000 | 0.000 |
| 0.000 | 0.000 | 0.000 | 0.000 | 0.000 | 0.000 |
| 0.000 | 0.000 | 0.000 | 0.000 | 0.000 | -0.000 |
| 0.000 | 0.000 | 0.000 | 0.000 | 0.000 | 262.022 |
| 379.450 | 144.593 | -0.000 | -0.000 | -0.000 | -0.000 |
| 144.593 | 379.450 | -0.000 | -0.000 | -0.000 | -0.000 |
| -0.000 | -0.000 | -0.000 | -0.000 | -0.000 | -0.000 |
| -0.000 | -0.000 | -0.000 | -0.000 | -0.000 | -0.000 |
| -0.000 | -0.000 | -0.000 | -0.000 | -0.000 | 0.000 |
| -0.000 | -0.000 | -0.000 | -0.000 | -0.000 | 262.022 |
| 379.451 | 144.594 | 0.000 | 0.000 | 0.000 | -0.000 |
| 144.594 | 379.451 | 0.000 | 0.000 | 0.000 | 0.000 |
| 0.000 | 0.000 | 0.000 | 0.000 | 0.000 | 0.000 |
| 0.000 | 0.000 | 0.000 | 0.000 | 0.000 | 0.000 |
| 0.000 | 0.000 | 0.000 | 0.000 | 0.000 | 0.000 |
| 0.000 | 0.001 | 0.000 | 0.000 | 0.000 | 262.022 |
| 379.450 | 144.593 | -0.000 | -0.000 | -0.000 | -0.000 |
| 144.593 | 379.450 | -0.000 | -0.000 | -0.000 | 0.000 |
| -0.000 | -0.000 | -0.000 | -0.000 | -0.000 | -0.000 |
| -0.000 | -0.000 | -0.000 | -0.000 | -0.000 | -0.000 |
| -0.000 | -0.000 | -0.000 | -0.000 | -0.000 | -0.000 |
| -0.000 | -0.001 | -0.000 | -0.000 | -0.000 | 262.022 |
| 436.430 | 57.178 | 54.721 | 0.000 | -0.000 | -0.000 |
| 57.178 | 436.970 | 54.726 | -0.000 | -0.000 | -0.000 |
| 45.522 | 46.344 | 202.779 | -0.000 | -0.000 | -0.000 |
| 0.000 | 0.000 | -0.003 | 94.945 | -0.000 | -0.000 |
| -0.001 | -0.000 | -0.001 | 0.000 | 134.867 | -0.000 |
| -0.000 | -0.000 | -0.000 | 0.000 | -0.000 | 190.395 |
| 245.407 | 79.082 | 76.998 | 0.000 | 0.000 | 0.000 |
| 76.923 | 151.079 | 66.903 | 0.000 | -0.000 | 0.000 |
| 54.721 | 54.726 | 493.038 | 0.000 | -0.000 | 0.000 |
| -0.000 | -0.000 | 0.003 | 94.945 | -0.000 | 0.000 |
| 0.001 | 0.000 | 0.001 | 0.000 | 134.867 | 0.000 |
| -0.000 | 0.000 | 0.000 | 0.000 | 0.000 | 190.395 |
| 245.416 | 79.080 | 76.996 | -0.000 | -0.000 | -0.000 |
| 78.880 | 246.809 | 77.737 | -0.000 | -0.000 | -0.000 |
| 74.423 | 75.267 | 315.310 | -0.000 | -0.000 | -0.000 |
| -0.000 | -0.000 | -0.000 | 137.283 | 0.000 | -0.000 |
| -0.000 | -0.000 | -0.000 | -0.000 | 134.867 | -0.000 |
| -0.000 | -0.000 | -0.000 | -0.000 | -0.000 | 109.378 |
| 436.430 | 57.178 | 54.721 | 0.000 | 0.000 | 0.000 |
| 57.178 | 436.970 | 54.726 | 0.000 | -0.000 | -0.000 |
| 74.423 | 75.267 | 315.312 | 0.000 | 0.000 | 0.000 |
| 0.000 | 0.000 | 0.000 | 137.283 | 0.000 | 0.000 |
| 0.000 | 0.000 | 0.000 | 0.000 | 134.867 | 0.000 |
| 0.000 | 0.000 | 0.000 | 0.000 | 0.000 | 109.378 |
| 245.551 | 79.065 | 76.981 | -0.000 | 0.000 | -0.000 |
| 76.926 | 151.056 | 66.902 | -0.000 | 0.000 | -0.000 |
| 23.434 | 24.006 | 189.819 | -0.000 | -0.000 | 0.000 |
| 0.000 | -0.000 | -0.000 | 94.945 | -0.000 | -0.000 |
| -0.000 | 0.000 | -0.000 | -0.000 | 134.867 | -0.000 |
| -0.000 | -0.000 | 0.000 | -0.000 | -0.000 | 54.309 |
| 27.864 | -48.159 | -16.779 | 0.000 | -0.000 | -0.000 |
| 76.922 | 151.099 | 66.899 | 0.000 | -0.000 | 0.000 |
| 65.139 | 65.408 | 236.852 | 0.000 | -0.000 | 0.000 |
| -0.000 | 0.000 | 0.000 | 94.945 | -0.000 | 0.000 |
| 0.000 | -0.000 | 0.000 | -0.000 | 134.867 | 0.000 |
| 0.000 | 0.000 | -0.000 | 0.000 | 0.000 | 54.309 |
| 393.061 | 54.611 | 41.377 | 0.000 | -0.000 | 0.000 |
| 82.117 | 539.031 | -373.435 | 0.000 | -0.000 | 0.000 |
| -408.024 | 55.306 | -314.224 | 0.000 | -0.000 | 0.000 |
| -457.968 | 4.693 | -608.673 | 123.394 | -0.000 | 0.000 |
| -0.000 | -0.000 | 0.000 | 0.000 | 197.830 | 0.000 |
| 19.887 | 206.017 | -418.132 | 0.000 | -0.000 | 133.868 |
| 313.302 | -142.949 | 461.770 | -0.000 | 0.000 | -0.000 |
| 597.188 | 342.028 | 860.110 | -0.000 | 0.000 | -0.000 |
| 31.017 | -154.765 | 805.524 | -0.000 | 0.000 | -0.000 |
| 457.968 | -4.693 | 608.673 | 123.394 | 0.000 | -0.000 |
| 0.000 | 0.000 | -0.000 | -0.000 | 197.830 | -0.000 |
| -19.887 | -206.017 | 418.132 | -0.000 | 0.000 | 133.868 |
| 393.061 | 54.611 | 41.377 | 0.000 | -0.000 | 0.000 |
| -85.217 | -124.258 | -114.985 | 0.000 | -0.000 | 0.000 |
| 53.031 | 72.529 | 343.291 | 0.000 | -0.000 | 0.000 |
| -67.273 | -66.901 | -91.356 | 71.340 | -0.000 | 0.000 |
| -46.538 | 0.282 | -61.432 | 0.000 | 120.851 | 0.000 |
| -46.485 | 0.294 | -61.388 | 0.000 | -0.000 | 84.138 |
| 331.961 | 41.773 | 86.594 | -0.000 | 0.000 | -0.000 |
| 114.304 | 238.239 | 105.568 | -0.000 | 0.000 | -0.000 |
| 97.351 | 61.412 | 318.150 | -0.000 | 0.000 | -0.000 |
| 67.273 | 66.901 | 91.356 | 71.340 | 0.000 | -0.000 |
| 46.538 | -0.282 | 61.432 | -0.000 | 120.851 | -0.000 |
| 46.485 | -0.294 | 61.388 | -0.000 | 0.000 | 84.138 |
| 15.948 | -64.674 | -30.225 | 0.000 | -0.000 | 0.000 |
| 35.376 | 55.966 | 8.405 | 0.000 | -0.000 | 0.000 |
| 31.055 | 35.361 | 179.035 | 0.000 | -0.000 | 0.000 |
| -6.469 | -10.814 | -8.946 | 64.108 | -0.000 | 0.000 |
| -6.316 | -3.006 | -9.181 | 0.000 | 79.732 | 0.000 |
| -5.836 | -2.503 | -8.817 | 0.000 | -0.000 | 49.047 |
| 154.485 | 79.157 | 54.558 | -0.000 | 0.000 | -0.000 |
| -29.190 | 50.655 | -9.647 | -0.000 | 0.000 | -0.000 |
| 36.984 | 37.700 | 184.972 | -0.000 | 0.000 | -0.000 |
| 6.284 | 3.029 | 9.249 | 81.844 | 0.000 | -0.000 |
| 6.316 | 3.006 | 9.181 | -0.000 | 79.732 | -0.000 |
| 5.836 | 2.503 | 8.817 | -0.000 | 0.000 | 49.047 |
| 683.637 | 0.000 | 0.000 | 0.000 | 0.000 | 0.000 |
| 0.000 | 0.000 | 0.000 | 0.000 | 0.000 | 0.000 |
| 0.000 | 0.000 | 0.000 | 0.000 | 0.000 | 0.000 |
| 0.000 | 0.000 | 0.000 | 0.000 | 0.000 | 0.000 |
| 0.000 | 0.000 | 0.000 | 0.000 | 0.000 | 0.000 |
| 0.000 | 0.000 | 0.000 | 0.000 | 0.000 | 0.000 |
| 683.637 | -0.000 | -0.000 | -0.000 | -0.000 | -0.000 |
| -0.000 | -0.000 | -0.000 | -0.000 | -0.000 | -0.000 |
| -0.000 | -0.000 | -0.000 | -0.000 | -0.000 | -0.000 |
| -0.000 | -0.000 | -0.000 | -0.000 | -0.000 | -0.000 |
| -0.000 | -0.000 | -0.000 | -0.000 | -0.000 | -0.000 |
| -0.000 | -0.000 | -0.000 | -0.000 | -0.000 | -0.000 |
| 683.637 | 0.000 | 0.000 | 0.000 | 0.000 | 0.000 |
| 0.000 | 0.000 | 0.000 | 0.000 | 0.000 | 0.000 |
| 0.000 | 0.000 | 0.000 | 0.000 | 0.000 | 0.000 |
| 0.000 | 0.000 | 0.000 | 0.000 | 0.000 | 0.000 |
| 0.000 | 0.000 | 0.000 | 0.000 | 0.000 | 0.000 |
| 0.000 | 0.000 | 0.000 | 0.000 | 0.000 | 0.000 |
| 683.637 | -0.000 | -0.000 | -0.000 | -0.000 | -0.000 |
| -0.000 | -0.000 | -0.000 | -0.000 | -0.000 | -0.000 |
| -0.000 | -0.000 | -0.000 | -0.000 | -0.000 | -0.000 |
| -0.000 | -0.000 | -0.000 | -0.000 | -0.000 | -0.000 |
| -0.000 | -0.000 | -0.000 | -0.000 | -0.000 | -0.000 |
| -0.000 | -0.000 | -0.000 | -0.000 | -0.000 | -0.000 |
| 683.640 | 0.000 | 0.000 | 0.000 | 0.000 | 0.000 |
| 0.000 | 0.000 | 0.000 | 0.000 | 0.000 | 0.000 |
| 0.000 | 0.000 | 0.000 | 0.000 | 0.000 | 0.000 |
| 0.000 | 0.000 | 0.000 | 0.000 | 0.000 | 0.000 |
| 0.000 | 0.000 | 0.000 | 0.000 | 0.000 | 0.000 |
| 0.000 | 0.000 | 0.000 | 0.000 | 0.000 | 0.000 |
| 683.634 | -0.000 | -0.000 | -0.000 | -0.000 | -0.000 |
| -0.000 | -0.000 | -0.000 | -0.000 | -0.000 | -0.000 |
| -0.000 | -0.000 | -0.000 | -0.000 | -0.000 | -0.000 |
| -0.000 | -0.000 | -0.000 | -0.000 | -0.000 | -0.000 |
| -0.000 | -0.000 | -0.000 | -0.000 | -0.000 | -0.000 |
| -0.000 | -0.000 | -0.000 | -0.000 | -0.000 | -0.000 |
| 683.637 | 0.000 | 0.000 | 0.000 | 0.000 | 0.000 |
| 0.000 | 0.000 | 0.000 | 0.000 | 0.000 | 0.000 |
| 0.000 | 0.000 | 0.000 | 0.000 | 0.000 | 0.000 |
| 0.000 | 0.000 | 0.000 | 0.000 | 0.000 | 0.000 |
| 0.000 | 0.000 | 0.000 | 0.000 | 0.000 | 0.000 |
| 0.000 | 0.000 | 0.000 | 0.000 | 0.000 | 0.000 |
| 683.637 | -0.000 | -0.000 | -0.000 | -0.000 | -0.000 |
| -0.000 | -0.000 | -0.000 | -0.000 | -0.000 | -0.000 |
| -0.000 | -0.000 | -0.000 | -0.000 | -0.000 | -0.000 |
| -0.000 | -0.000 | -0.000 | -0.000 | -0.000 | -0.000 |
| -0.000 | -0.000 | -0.000 | -0.000 | -0.000 | -0.000 |
| -0.000 | -0.000 | -0.000 | -0.000 | -0.000 | -0.000 |
| 683.637 | 0.000 | 0.000 | 0.000 | 0.000 | 0.000 |
| 0.000 | 0.000 | 0.000 | 0.000 | 0.000 | 0.000 |
| 0.000 | 0.000 | 0.000 | 0.000 | 0.000 | 0.000 |
| 0.000 | 0.000 | 0.000 | 0.000 | 0.000 | 0.000 |
| 0.000 | 0.000 | 0.000 | 0.000 | 0.000 | 0.000 |
| 0.000 | 0.000 | 0.000 | 0.000 | 0.000 | 0.000 |
| 683.637 | -0.000 | -0.000 | -0.000 | -0.000 | -0.000 |
| -0.000 | -0.000 | -0.000 | -0.000 | -0.000 | -0.000 |
| -0.000 | -0.000 | -0.000 | -0.000 | -0.000 | -0.000 |
| -0.000 | -0.000 | -0.000 | -0.000 | -0.000 | -0.000 |
| -0.000 | -0.000 | -0.000 | -0.000 | -0.000 | -0.000 |
| -0.000 | -0.000 | -0.000 | -0.000 | -0.000 | -0.000 |
| 683.640 | 0.000 | 0.000 | 0.000 | 0.000 | 0.000 |
| 0.000 | 0.000 | 0.000 | 0.000 | 0.000 | 0.000 |
| 0.000 | 0.000 | 0.000 | 0.000 | 0.000 | 0.000 |
| 0.000 | 0.000 | 0.000 | 0.000 | 0.000 | 0.000 |
| 0.000 | 0.000 | 0.000 | 0.000 | 0.000 | 0.000 |
| 0.000 | 0.000 | 0.000 | 0.000 | 0.000 | 0.000 |
| 683.634 | -0.000 | -0.000 | -0.000 | -0.000 | -0.000 |
| -0.000 | -0.000 | -0.000 | -0.000 | -0.000 | -0.000 |
| -0.000 | -0.000 | -0.000 | -0.000 | -0.000 | -0.000 |
| -0.000 | -0.000 | -0.000 | -0.000 | -0.000 | -0.000 |
| -0.000 | -0.000 | -0.000 | -0.000 | -0.000 | -0.000 |
| -0.000 | -0.000 | -0.000 | -0.000 | -0.000 | -0.000 |
| -8874.848 | -39997.346 | 35561.543 | -20050.493 | -7815.748 | -16261.547 |
| 15489.569 | -23952.226 | 54746.530 | -13420.971 | -11552.219 | -7042.656 |
| -24205.641 | -52628.877 | 44692.846 | -13145.970 | -2226.180 | -27168.737 |
| -20936.186 | -53142.831 | 50883.710 | -16581.116 | -10148.008 | -26541.429 |
| -7281.442 | -38880.268 | 31003.971 | -21268.512 | -8298.157 | -15739.805 |
| -3365.362 | -34856.560 | 31478.210 | -22018.796 | -9072.157 | -13030.916 |
| 13756.546 | 41659.515 | -34251.417 | 22472.861 | 8724.478 | 18666.619 |
| 8372.842 | 37282.910 | -43413.788 | 17888.350 | 4999.395 | 23252.146 |
| 13629.843 | 45042.443 | -39655.939 | 15566.553 | 5684.598 | 21395.264 |
| 11436.264 | 42329.340 | -33351.384 | 20141.350 | 7061.889 | 18548.983 |
| 7321.611 | 40099.040 | -32759.405 | 19715.966 | 6587.471 | 16188.078 |
| 6052.777 | 37353.888 | -33433.244 | 21253.545 | 8773.466 | 14656.500 |
| -526.534 | -3569.067 | 3220.956 | -2172.254 | -875.406 | -1392.660 |
| -974.814 | -4472.880 | 3982.784 | -1302.746 | -360.924 | -1824.861 |
| -332.935 | -3330.267 | 3317.769 | -2268.410 | -983.229 | -1378.416 |
| -723.271 | -3843.732 | 3351.382 | -2080.959 | -844.458 | -1573.497 |
| -898.811 | -4879.604 | 4459.610 | -1565.537 | -47.245 | -1905.472 |
| -1556.133 | -5266.966 | 3968.477 | -516.063 | -377.941 | -2674.111 |
| 1394.941 | 4659.973 | -4265.012 | 1528.443 | -9.424 | 1890.817 |
| 691.681 | 4099.008 | -3316.202 | 2119.997 | 914.445 | 1568.298 |
| 796.002 | 3973.012 | -3309.275 | 1937.115 | 871.799 | 1531.286 |
| 1927.651 | 5275.616 | -3800.910 | 1087.585 | 397.369 | 2705.888 |
| 1051.060 | 4479.164 | -4514.659 | 1035.594 | 185.207 | 2002.480 |
| -533.117 | 3531.782 | -5044.705 | 1096.657 | 954.334 | 734.758 |
| -67.864 | -378.460 | 319.223 | -206.846 | -76.857 | -145.790 |
| -104.555 | -400.048 | 313.937 | -207.086 | -76.940 | -174.890 |
| -125.522 | -375.448 | 438.156 | -218.240 | -74.998 | -155.761 |
| -110.510 | -455.614 | 356.486 | -150.165 | -37.438 | -190.475 |
| -19.783 | -348.811 | 327.993 | -206.957 | -89.095 | -124.733 |
| -81.321 | -378.076 | 326.094 | -205.335 | -78.086 | -163.054 |
| 97.077 | 404.866 | -346.303 | 204.859 | 73.466 | 171.072 |
| 194.753 | 473.269 | -371.874 | 186.949 | 50.004 | 218.756 |
| 76.674 | 368.914 | -343.672 | 213.273 | 95.003 | 154.154 |
| 92.652 | 362.433 | -389.893 | 210.848 | 77.648 | 146.002 |
| 179.776 | 497.301 | -330.767 | 199.713 | 38.905 | 224.303 |
| 100.991 | 391.849 | -333.791 | 213.412 | 83.784 | 166.991 |
| 815.456 | 78.958 | 78.958 | 0.000 | 0.000 | -0.000 |
| 78.958 | 815.456 | 78.958 | 0.000 | 0.000 | -0.000 |
| 78.958 | 78.958 | 815.456 | 0.000 | 0.000 | -0.000 |
| -0.000 | -0.000 | -0.000 | 372.179 | 0.000 | -0.000 |
| -0.000 | -0.000 | -0.000 | 0.000 | 372.179 | -0.000 |
| -0.000 | -0.000 | -0.000 | 0.000 | 0.000 | 372.179 |
| 760.594 | 105.238 | 105.238 | -0.000 | -0.000 | -0.000 |
| 105.239 | 760.594 | 105.238 | -0.000 | -0.000 | -0.000 |
| 105.239 | 105.238 | 760.594 | -0.000 | -0.000 | -0.000 |
| 0.000 | 0.000 | 0.000 | 372.179 | -0.000 | 0.000 |
| 0.000 | 0.000 | 0.000 | -0.000 | 372.179 | 0.000 |
| 0.000 | 0.000 | 0.000 | -0.000 | -0.000 | 372.179 |
| 760.452 | 105.269 | 105.269 | 0.000 | 0.000 | 0.000 |
| 78.958 | 815.457 | 78.958 | 0.000 | 0.000 | -0.000 |
| 78.958 | 78.958 | 815.457 | 0.000 | 0.000 | -0.000 |
| 0.000 | -0.000 | 0.000 | 372.179 | 0.000 | -0.000 |
| -0.000 | 0.000 | 0.000 | 0.000 | 372.179 | -0.000 |
| -0.000 | 0.000 | 0.000 | 0.000 | 0.000 | 372.179 |
| 760.481 | 105.262 | 105.262 | -0.000 | -0.000 | -0.000 |
| 105.262 | 760.481 | 105.262 | -0.000 | -0.000 | -0.000 |
| 105.262 | 105.262 | 760.481 | -0.000 | -0.000 | -0.000 |
| -0.000 | 0.000 | -0.000 | 372.179 | -0.000 | 0.000 |
| 0.000 | -0.000 | -0.000 | -0.000 | 372.179 | 0.000 |
| 0.000 | -0.000 | -0.000 | -0.000 | -0.000 | 372.179 |
| 760.487 | 105.257 | 105.257 | 0.000 | 0.000 | 0.000 |
| 106.920 | 754.617 | 106.920 | 0.000 | 0.000 | 0.000 |
| 106.920 | 106.920 | 754.617 | 0.000 | 0.000 | 0.000 |
| -0.000 | -0.000 | -0.000 | 310.230 | 0.000 | -0.000 |
| -0.000 | -0.000 | -0.000 | -0.000 | 310.230 | -0.000 |
| -0.000 | -0.000 | -0.000 | -0.000 | -0.000 | 310.230 |
| 754.622 | 106.919 | 106.919 | -0.000 | -0.000 | -0.000 |
| 106.919 | 754.622 | 106.919 | -0.000 | -0.000 | 0.000 |
| 106.919 | 106.919 | 754.622 | -0.000 | -0.000 | -0.000 |
| 0.000 | 0.000 | 0.000 | 310.230 | -0.000 | -0.000 |
| 0.000 | 0.000 | 0.000 | 0.000 | 310.230 | -0.000 |
| 0.000 | 0.000 | 0.000 | -0.000 | 0.000 | 310.230 |
| 1007.275 | -1.260 | 107.015 | -0.000 | 0.000 | 0.000 |
| 28.670 | 1093.811 | 92.647 | 0.000 | -0.000 | -0.000 |
| 135.878 | 98.371 | 987.806 | 0.000 | -0.000 | -0.000 |
| 0.000 | 0.000 | 0.000 | 551.580 | -0.000 | 0.000 |
| 0.000 | 0.000 | 0.000 | -0.000 | 420.351 | 0.000 |
| 0.097 | -0.210 | 0.419 | -0.000 | -0.000 | 378.968 |
| 936.474 | 32.099 | 137.081 | 0.000 | 0.000 | 0.000 |
| 29.176 | 1093.643 | 91.683 | 0.000 | 0.000 | 0.000 |
| 138.929 | 91.049 | 995.538 | -0.000 | 0.000 | 0.000 |
| -0.000 | -0.000 | -0.000 | 551.580 | 0.000 | -0.000 |
| -0.000 | -0.000 | -0.000 | -0.000 | 420.351 | -0.000 |
| -0.097 | 0.210 | -0.419 | 0.000 | 0.000 | 378.968 |
| 924.932 | 27.846 | 137.398 | 0.000 | 0.000 | -0.000 |
| 28.889 | 1093.745 | 92.214 | -0.000 | -0.000 | -0.000 |
| 107.015 | 82.778 | 1051.877 | 0.000 | 0.000 | 0.000 |
| 0.000 | 0.000 | 0.000 | 551.580 | -0.000 | 0.000 |
| 0.008 | -0.018 | 0.035 | 0.000 | 345.370 | -0.000 |
| -0.000 | 0.000 | 0.000 | 0.000 | -0.000 | 408.330 |
| 1007.274 | -1.260 | 107.015 | 0.000 | -0.000 | -0.000 |
| 25.052 | 1096.788 | 94.524 | 0.000 | 0.000 | 0.000 |
| 131.714 | 94.781 | 1000.441 | 0.000 | 0.000 | 0.000 |
| -0.000 | -0.000 | -0.000 | 551.580 | 0.000 | -0.000 |
| -0.008 | 0.018 | -0.035 | 0.000 | 345.370 | 0.000 |
| -0.010 | 0.021 | -0.042 | 0.000 | 0.000 | 378.977 |
| 923.751 | 31.089 | 135.400 | -0.000 | -0.000 | -0.000 |
| 25.041 | 1096.809 | 94.560 | -0.000 | -0.000 | -0.000 |
| 131.726 | 94.760 | 1000.488 | 0.000 | -0.000 | -0.000 |
| -0.001 | -0.001 | 0.005 | 507.980 | -0.000 | -0.000 |
| -0.001 | -0.001 | 0.004 | -0.000 | 343.921 | -0.000 |
| 0.001 | -0.002 | 0.005 | -0.000 | -0.000 | 378.977 |
| 923.750 | 31.090 | 135.390 | -0.000 | 0.000 | 0.000 |
| 28.919 | 1093.728 | 92.162 | -0.000 | 0.000 | 0.000 |
| 136.799 | 97.751 | 987.918 | 0.000 | 0.000 | 0.000 |
| 0.001 | 0.001 | -0.005 | 507.980 | 0.000 | 0.000 |
| -0.001 | 0.002 | -0.004 | -0.000 | 345.370 | 0.000 |
| -0.001 | 0.002 | -0.005 | -0.000 | 0.000 | 378.977 |
| 1111.718 | -156.174 | -23.888 | 0.000 | -0.000 | 0.000 |
| -1.422 | 1154.038 | 84.576 | -0.000 | -0.000 | 0.000 |
| 597.615 | -300.149 | 1075.980 | 0.000 | 0.000 | -0.000 |
| -0.000 | 0.000 | 0.000 | 554.992 | 0.000 | 0.000 |
| -0.000 | 0.000 | 0.000 | -0.000 | 420.606 | 0.000 |
| 207.976 | -208.489 | -173.479 | 0.000 | 0.000 | 354.117 |
| 1004.544 | 1.864 | 104.847 | -0.000 | 0.000 | -0.000 |
| -1.422 | 1154.038 | 84.576 | -0.000 | -0.000 | -0.000 |
| 104.432 | 87.447 | 1052.344 | -0.000 | -0.000 | -0.000 |
| 0.000 | -0.000 | -0.000 | 554.992 | -0.000 | 0.000 |
| -0.000 | -0.000 | -0.000 | -0.000 | 420.606 | -0.000 |
| -207.976 | 208.489 | 173.479 | -0.000 | -0.000 | 354.117 |
| 949.681 | 4.070 | 129.324 | 0.000 | -0.000 | 0.000 |
| 54.170 | 1063.112 | 87.289 | 0.000 | -0.000 | 0.000 |
| 145.548 | 87.361 | 983.059 | 0.000 | 0.000 | 0.000 |
| 0.000 | 0.000 | 0.000 | 554.992 | -0.000 | -0.000 |
| 26.558 | -30.205 | -7.126 | 0.000 | 343.066 | 0.000 |
| 16.038 | -16.078 | -13.378 | 0.000 | 0.000 | 366.123 |
| 893.163 | 64.904 | 134.976 | -0.000 | 0.000 | -0.000 |
| -1.422 | 1154.038 | 84.576 | -0.000 | 0.000 | -0.000 |
| 100.315 | 129.917 | 1007.538 | -0.000 | -0.000 | -0.000 |
| -0.000 | -0.000 | -0.000 | 554.992 | -0.000 | -0.000 |
| -26.558 | 30.205 | 7.126 | -0.000 | 343.066 | -0.000 |
| -16.038 | 16.078 | 13.378 | -0.000 | -0.000 | 366.123 |
| 925.881 | 31.133 | 132.266 | 0.000 | 0.000 | 0.000 |
| 32.020 | 1096.999 | 92.492 | 0.000 | -0.000 | 0.000 |
| 129.548 | 97.847 | 1001.134 | 0.000 | -0.000 | 0.000 |
| 1.127 | -1.129 | -0.939 | 510.774 | -0.000 | -0.000 |
| 1.013 | -1.016 | -0.845 | 0.000 | 345.945 | 0.000 |
| 2.125 | -2.396 | -0.662 | 0.000 | 0.000 | 375.959 |
| 919.591 | 37.226 | 131.765 | -0.000 | -0.000 | -0.000 |
| 27.711 | 1101.970 | 96.092 | -0.000 | 0.000 | -0.000 |
| 127.668 | 100.420 | 1002.108 | -0.000 | -0.000 | -0.000 |
| -1.127 | 1.129 | 0.939 | 510.774 | -0.000 | -0.000 |
| -1.013 | 1.016 | 0.845 | -0.000 | 345.945 | 0.000 |
| -2.125 | 2.396 | 0.662 | -0.000 | 0.000 | 375.959 |
| 1905569.624 | 1293554.557 | 1129790.662 | -175709.192 | 64893.231 | 326563.529 |
| 1498731.050 | 1377717.825 | 901532.295 | -79295.796 | 80655.084 | 439454.657 |
| 1535708.886 | 1289537.739 | 882904.213 | -88173.973 | 92628.647 | 461448.723 |
| 1339990.146 | 1194615.962 | 718412.049 | -133987.016 | 69705.863 | 354773.823 |
| 1287435.071 | 1571792.019 | 808099.502 | -49024.892 | 145215.633 | 461061.733 |
| 1575975.591 | 1923826.781 | 1194182.344 | -38907.201 | 106870.029 | 472937.601 |
| -1510009.777 | -1218413.298 | -815233.856 | 158643.296 | 20551.623 | -358318.302 |
| -1474507.355 | -1230721.803 | -657315.963 | 139959.332 | -21144.963 | -356463.901 |
| -1566324.965 | -1774653.148 | -1104402.397 | 25861.289 | -167367.789 | -473793.647 |
| -1549263.204 | -1235963.272 | -852848.151 | 20494.977 | -76791.651 | -397699.454 |
| -2483230.019 | -2707194.298 | -2138081.968 | 114970.004 | -78925.376 | -394968.003 |
| -1435368.446 | -1821719.399 | -985793.403 | 97566.334 | -148686.077 | -486746.972 |
| 143212.084 | 120518.392 | 96659.975 | -10863.483 | -2050.989 | 35261.307 |
| 172405.708 | 146758.919 | 97341.211 | -12394.321 | -1587.079 | 24183.627 |
| 177904.018 | 125623.241 | 88015.127 | -5352.268 | -1642.060 | 34200.880 |
| 198823.687 | 169974.618 | 137031.590 | -14162.085 | -9118.154 | 34828.300 |
| 111875.907 | 139588.858 | 75651.373 | 247.743 | 23361.895 | 47756.404 |
| 184687.906 | 157799.597 | 116922.008 | -15123.824 | 5252.547 | 33886.038 |
| -150790.254 | -135846.483 | -107378.089 | 13254.831 | 3590.155 | -46728.691 |
| -173666.874 | -124959.780 | -120934.750 | 17031.207 | -2658.501 | -37202.799 |
| -130186.634 | -106790.959 | -78681.132 | 11363.313 | -884.362 | -36908.978 |
| -152709.498 | -132873.848 | -136698.259 | 30284.553 | 11156.146 | -29988.099 |
| -143965.582 | -127938.220 | -81919.864 | 10653.177 | -5750.261 | -36997.785 |
| -155310.396 | -132322.506 | -127493.338 | 26063.483 | 9216.939 | -27884.267 |
| 14742.190 | 12535.969 | 6249.606 | -1659.957 | -300.415 | 3326.220 |
| 12631.988 | 9706.460 | 5890.682 | -1437.937 | 29.881 | 3154.969 |
| 12689.632 | 16158.875 | 8856.468 | -674.596 | 827.934 | 5037.590 |
| 18826.416 | 13486.331 | 10329.975 | -1344.633 | 694.874 | 3218.458 |
| 16689.202 | 13982.241 | 9017.371 | -1999.199 | 139.083 | 2400.086 |
| 15370.121 | 13326.367 | 9799.130 | -1869.276 | -392.255 | 2904.173 |
| -16220.591 | -13001.971 | -12636.182 | 1591.676 | -22.402 | -3547.770 |
| -15219.381 | -11324.884 | -8143.893 | 842.064 | -1197.053 | -4663.350 |
| -15366.748 | -13262.429 | -13790.339 | 2890.193 | 1161.384 | -3032.245 |
| -11882.909 | -8674.515 | -4380.508 | 1161.677 | 146.447 | -3738.259 |
| -12576.118 | -9931.866 | -6230.946 | 837.873 | 240.859 | -3430.300 |
| -22342.738 | -20050.238 | -17627.856 | 2949.097 | -898.409 | -2992.901 |
| 227.985 | 65.888 | 65.888 | -0.000 | 0.000 | 0.000 |
| 65.888 | 227.985 | 65.888 | -0.000 | 0.000 | 0.000 |
| 65.888 | 65.888 | 227.984 | 0.000 | -0.000 | 0.000 |
| 0.000 | 0.000 | 0.000 | 102.853 | -0.000 | 0.000 |
| 0.000 | 0.000 | 0.000 | -0.000 | 102.853 | 0.000 |
| 0.000 | 0.000 | 0.000 | -0.000 | 0.000 | 102.853 |
| 424.457 | 49.408 | 49.408 | -0.000 | 0.000 | 0.000 |
| 49.408 | 424.457 | 49.408 | -0.000 | -0.000 | -0.000 |
| 49.408 | 49.408 | 424.457 | -0.000 | 0.000 | 0.000 |
| -0.000 | -0.000 | -0.000 | 102.853 | 0.000 | -0.000 |
| -0.000 | -0.000 | -0.000 | 0.000 | 102.853 | -0.000 |
| -0.000 | -0.000 | -0.000 | -0.000 | 0.000 | 102.853 |
| 227.983 | 65.888 | 65.888 | -0.000 | -0.000 | 0.000 |
| 65.888 | 227.983 | 65.888 | -0.000 | -0.000 | 0.000 |
| 65.888 | 65.888 | 227.983 | -0.000 | -0.000 | 0.000 |
| 0.000 | -0.000 | 0.000 | 187.524 | 0.000 | 0.000 |
| -0.000 | 0.000 | 0.000 | -0.000 | 187.524 | 0.000 |
| -0.000 | 0.000 | 0.000 | 0.000 | 0.000 | 187.524 |
| 227.985 | 65.888 | 65.888 | 0.000 | -0.000 | -0.000 |
| 65.888 | 227.985 | 65.888 | 0.000 | -0.000 | -0.000 |
| 65.888 | 65.888 | 227.985 | 0.000 | -0.000 | -0.000 |
| -0.000 | -0.000 | -0.000 | 187.524 | 0.000 | 0.000 |
| 0.000 | -0.000 | -0.000 | 0.000 | 187.524 | 0.000 |
| 0.000 | -0.000 | -0.000 | -0.000 | 0.000 | 187.524 |
| 31.444 | -40.704 | -40.704 | -0.000 | -0.000 | 0.000 |
| -40.704 | 31.444 | -40.704 | -0.000 | 0.000 | 0.000 |
| -40.704 | -40.704 | 31.444 | -0.000 | -0.000 | 0.000 |
| 0.000 | -0.000 | -0.000 | 63.275 | -0.000 | 0.000 |
| -0.000 | 0.000 | -0.000 | -0.000 | 63.275 | 0.000 |
| -0.000 | -0.000 | 0.000 | -0.000 | -0.000 | 63.275 |
| 130.048 | 56.714 | 56.714 | 0.000 | 0.000 | -0.000 |
| 56.714 | 130.048 | 56.714 | 0.000 | 0.000 | -0.000 |
| 56.714 | 56.714 | 130.048 | 0.000 | 0.000 | -0.000 |
| -0.000 | 0.000 | 0.000 | 63.275 | -0.000 | -0.000 |
| 0.000 | -0.000 | 0.000 | 0.000 | 63.275 | -0.000 |
| 0.000 | 0.000 | -0.000 | 0.000 | 0.000 | 63.275 |
| 281.574 | 187.121 | 187.121 | 0.000 | -0.000 | -0.000 |
| 187.121 | 281.574 | 187.122 | 0.000 | -0.000 | -0.000 |
| 187.122 | 187.121 | 281.574 | 0.000 | -0.000 | -0.000 |
| 166.051 | 166.051 | 166.051 | 47.545 | -0.000 | -0.000 |
| 166.051 | 166.051 | 166.051 | 0.000 | 47.545 | -0.000 |
| 166.051 | 166.051 | 166.051 | 0.000 | -0.000 | 47.545 |
| 271.009 | 5.682 | 5.682 | -0.000 | -0.000 | 0.000 |
| -99.864 | -5.483 | -99.864 | -0.000 | 0.000 | 0.000 |
| 5.682 | 5.682 | 271.009 | -0.000 | 0.000 | 0.000 |
| -117.771 | -117.771 | -117.771 | 65.889 | -0.000 | -0.000 |
| -166.051 | -166.051 | -166.051 | -0.000 | 47.545 | 0.000 |
| -166.051 | -166.051 | -166.051 | -0.000 | 0.000 | 47.545 |
| 152.303 | 57.997 | 57.997 | 0.000 | -0.000 | -0.000 |
| 57.997 | 152.303 | 57.997 | 0.000 | -0.000 | -0.000 |
| 57.997 | 57.997 | 152.303 | 0.000 | -0.000 | -0.000 |
| 14.355 | 14.355 | 14.355 | 47.147 | 0.000 | -0.000 |
| 14.355 | 14.355 | 14.355 | 0.000 | 47.147 | -0.000 |
| 14.355 | 14.355 | 14.355 | 0.000 | -0.000 | 47.147 |
| 107.763 | 13.059 | 13.059 | -0.000 | -0.000 | 0.000 |
| 29.255 | 123.155 | 29.255 | -0.000 | -0.000 | 0.000 |
| 13.059 | 13.059 | 107.763 | -0.000 | 0.000 | 0.000 |
| -14.355 | -14.355 | -14.355 | 47.147 | -0.000 | 0.000 |
| -14.355 | -14.355 | -14.355 | -0.000 | 47.147 | 0.000 |
| -14.355 | -14.355 | -14.355 | -0.000 | 0.000 | 47.147 |
| 68.255 | -18.431 | -18.431 | 0.000 | -0.000 | -0.000 |
| -18.431 | 68.255 | -18.431 | 0.000 | -0.000 | -0.000 |
| -18.431 | -18.431 | 68.255 | 0.000 | -0.000 | -0.000 |
| 1.428 | 1.428 | 1.428 | 47.988 | -0.000 | -0.000 |
| 1.428 | 1.428 | 1.428 | 0.000 | 47.988 | -0.000 |
| 1.428 | 1.428 | 1.428 | 0.000 | -0.000 | 47.988 |
| 62.886 | -23.682 | -23.682 | -0.000 | 0.000 | 0.000 |
| -23.682 | 62.886 | -23.682 | -0.000 | 0.000 | 0.000 |
| -23.682 | -23.682 | 62.886 | -0.000 | 0.000 | 0.000 |
| -3.165 | -3.165 | -3.165 | 31.575 | 0.000 | 0.000 |
| -1.428 | -1.428 | -1.428 | -0.000 | 47.988 | 0.000 |
| -1.428 | -1.428 | -1.428 | -0.000 | 0.000 | 47.988 |
| 393.697 | 45.827 | 45.827 | -0.000 | -0.000 | -0.000 |
| 45.827 | 393.697 | 45.827 | 0.000 | -0.000 | -0.000 |
| 45.827 | 45.827 | 393.697 | 0.000 | -0.000 | -0.000 |
| 803.050 | 803.050 | 803.050 | 56.389 | -0.000 | -0.000 |
| 803.050 | 803.050 | 803.050 | 0.000 | 56.389 | -0.000 |
| 803.050 | 803.050 | 803.050 | 0.000 | -0.000 | 56.389 |
| -640.045 | -752.389 | -752.389 | -0.000 | 0.000 | 0.000 |
| -752.389 | -640.045 | -752.389 | 0.000 | 0.000 | 0.000 |
| -752.389 | -752.389 | -640.045 | 0.000 | -0.000 | 0.000 |
| -803.050 | -803.050 | -803.050 | 56.389 | 0.000 | 0.000 |
| -803.050 | -803.050 | -803.050 | -0.000 | 56.389 | 0.000 |
| -803.050 | -803.050 | -803.050 | -0.000 | -0.000 | 56.389 |
| 393.697 | 45.827 | 45.827 | 0.000 | -0.000 | -0.000 |
| 45.827 | 393.697 | 45.827 | 0.000 | -0.000 | -0.000 |
| 45.827 | 45.827 | 393.697 | 0.000 | -0.000 | -0.000 |
| 80.274 | 80.274 | 80.274 | 56.432 | 0.000 | -0.000 |
| 80.274 | 80.274 | 80.274 | -0.000 | 56.432 | -0.000 |
| 80.274 | 80.274 | 80.274 | -0.000 | -0.000 | 56.432 |
| 323.644 | 34.867 | 34.867 | 0.000 | -0.000 | 0.000 |
| 34.867 | 323.644 | 34.867 | 0.000 | 0.000 | 0.000 |
| 34.867 | 34.867 | 323.644 | -0.000 | 0.000 | 0.000 |
| -80.274 | -80.274 | -80.274 | 56.432 | 0.000 | 0.000 |
| -80.274 | -80.274 | -80.274 | -0.000 | 56.432 | 0.000 |
| -80.274 | -80.274 | -80.274 | 0.000 | 0.000 | 56.432 |
| 4.423 | -39.198 | -39.198 | 0.000 | -0.000 | -0.000 |
| -39.198 | 4.423 | -39.198 | 0.000 | -0.000 | -0.000 |
| -39.198 | -39.198 | 4.423 | 0.000 | -0.000 | -0.000 |
| 12.491 | 12.491 | 12.491 | 24.137 | -0.000 | -0.000 |
| 12.491 | 12.491 | 12.491 | 0.000 | 24.137 | -0.000 |
| 12.491 | 12.491 | 12.491 | 0.000 | -0.000 | 24.137 |
| 42.405 | 20.793 | 20.793 | -0.000 | 0.000 | 0.000 |
| 20.793 | 42.405 | 20.793 | 0.000 | 0.000 | 0.000 |
| 20.793 | 20.793 | 42.405 | -0.000 | 0.000 | 0.000 |
| -12.491 | -12.491 | -12.491 | 24.137 | 0.000 | 0.000 |
| -12.491 | -12.491 | -12.491 | 0.000 | 24.137 | 0.000 |
| -12.491 | -12.491 | -12.491 | 0.000 | 0.000 | 24.137 |
| 9.464 | 20.559 | 0.736 | 0.000 | -0.000 | -0.000 |
| 35.859 | 184.516 | 6.714 | 0.000 | -0.000 | -0.000 |
| -1.358 | -13.553 | 6.410 | 0.000 | 0.000 | -0.000 |
| 0.000 | -0.001 | 0.001 | 15.054 | -0.000 | -0.000 |
| 0.000 | -0.001 | 0.001 | -0.000 | 28.559 | -0.000 |
| -0.000 | -0.003 | 0.001 | 0.000 | -0.000 | 3.521 |
| 78.230 | 46.804 | 48.528 | 0.000 | -0.000 | -0.000 |
| 35.858 | 184.519 | 6.712 | -0.000 | 0.000 | 0.000 |
| 48.528 | 30.350 | 190.318 | -0.000 | -0.000 | 0.000 |
| -0.000 | 0.001 | -0.001 | 15.054 | 0.000 | 0.000 |
| -0.000 | 0.001 | -0.001 | -0.000 | 28.559 | 0.000 |
| 0.000 | 0.003 | -0.001 | -0.000 | 0.000 | 3.521 |
| 78.230 | 46.804 | 48.528 | 0.000 | 0.000 | 0.000 |
| 35.859 | 184.516 | 6.713 | 0.000 | 0.000 | -0.000 |
| -2.881 | -5.956 | 2.002 | 0.000 | -0.000 | -0.000 |
| 0.000 | 0.000 | 0.000 | 117.256 | 0.000 | -0.000 |
| -0.000 | 0.000 | 0.000 | 0.000 | 72.900 | -0.000 |
| 0.000 | -0.000 | 0.000 | -0.000 | -0.000 | 35.122 |
| 9.465 | 20.560 | 0.736 | -0.000 | 0.000 | 0.000 |
| 46.804 | 286.463 | 30.350 | 0.000 | -0.000 | 0.000 |
| 48.528 | 30.350 | 190.318 | -0.000 | -0.000 | -0.000 |
| -0.000 | -0.000 | -0.000 | 117.256 | -0.000 | -0.000 |
| -0.000 | 0.000 | -0.000 | 0.000 | 5.632 | 0.000 |
| -0.000 | 0.000 | -0.000 | 0.000 | 0.000 | 35.122 |
| 3.996 | 14.102 | -7.197 | -0.000 | -0.000 | -0.000 |
| 0.348 | 9.582 | 2.306 | 0.000 | -0.000 | -0.000 |
| 1.099 | 2.851 | 0.180 | -0.000 | -0.000 | -0.000 |
| -0.000 | -0.000 | -0.000 | 1.947 | -0.000 | -0.000 |
| -0.000 | -0.000 | -0.000 | -0.000 | 5.632 | -0.000 |
| -0.000 | -0.000 | -0.000 | -0.000 | -0.000 | 7.340 |
| 2.527 | 8.663 | -4.654 | -0.000 | 0.000 | 0.000 |
| -3.189 | 7.222 | 10.260 | 0.000 | 0.000 | 0.000 |
| -1.352 | -13.546 | 6.438 | -0.000 | 0.000 | 0.000 |
| 0.000 | 0.000 | 0.000 | 1.947 | -0.000 | 0.000 |
| 0.000 | 0.000 | 0.000 | 0.000 | 5.632 | 0.000 |
| 0.000 | 0.000 | 0.000 | -0.000 | 0.000 | 7.340 |
| 328.594 | 73.869 | 70.426 | -0.000 | 0.000 | -0.000 |
| 78.663 | 146.048 | 46.469 | -0.000 | 0.000 | -0.000 |
| 70.426 | 37.742 | 529.830 | -0.000 | -0.000 | 0.000 |
| -0.000 | 0.000 | -0.000 | 148.330 | 0.000 | -0.000 |
| -0.000 | 0.000 | -0.000 | -0.000 | 159.373 | -0.000 |
| -0.000 | 0.000 | -0.000 | -0.000 | 0.000 | 87.838 |
| 214.668 | 89.290 | 77.095 | 0.000 | 0.000 | 0.000 |
| 73.869 | 402.021 | 37.742 | 0.000 | -0.000 | 0.000 |
| 76.524 | 55.384 | 397.857 | 0.000 | 0.000 | 0.000 |
| 0.000 | -0.000 | 0.000 | 148.330 | 0.000 | 0.000 |
| 0.000 | -0.000 | 0.000 | 0.000 | 159.373 | 0.000 |
| 0.000 | -0.000 | -0.000 | 0.000 | -0.000 | 156.281 |
| 36.783 | 4.312 | -7.840 | -0.000 | 0.000 | -0.000 |
| 63.281 | 92.978 | 39.185 | -0.000 | 0.000 | -0.000 |
| 12.637 | 1.167 | 208.367 | -0.000 | 0.000 | -0.000 |
| 0.000 | -0.000 | -0.000 | 148.330 | -0.000 | -0.000 |
| -0.000 | 0.000 | 0.000 | -0.000 | 159.373 | -0.000 |
| -0.000 | -0.000 | 0.000 | -0.000 | 0.000 | 87.838 |
| 37.068 | 4.386 | -7.735 | 0.000 | 0.000 | 0.000 |
| 4.816 | 35.422 | -13.586 | 0.000 | -0.000 | 0.000 |
| 42.771 | 41.011 | 244.660 | 0.000 | 0.000 | 0.000 |
| -0.000 | 0.000 | 0.000 | 148.330 | -0.000 | 0.000 |
| 0.000 | -0.000 | -0.000 | 0.000 | 159.373 | 0.000 |
| 0.000 | 0.000 | -0.000 | 0.000 | 0.000 | 87.838 |
| 372.443 | 187.535 | 221.803 | 0.001 | -0.001 | 1.064 |
| 347.279 | 335.621 | 174.531 | 0.001 | -0.001 | 1.115 |
| 400.584 | 192.924 | 379.551 | 0.001 | -0.001 | 1.133 |
| 19.335 | 7.906 | 49.378 | 208.086 | 0.000 | -0.619 |
| 98.878 | 46.115 | 69.473 | 0.001 | 152.160 | -1.229 |
| 19.602 | 8.015 | 50.060 | 0.000 | 0.000 | 150.700 |
| 116.187 | 7.768 | 11.001 | -0.001 | -0.000 | 1.240 |
| -289.765 | -3.970 | -125.632 | -0.001 | 0.001 | -1.185 |
| 64.554 | 25.730 | 390.278 | -0.000 | -0.000 | 0.608 |
| -19.335 | -7.906 | -49.378 | 208.086 | -0.000 | 0.619 |
| -1302.062 | -425.801 | -476.495 | -0.007 | 42.582 | -1.438 |
| -99.015 | -46.180 | -69.531 | -0.001 | -0.000 | 107.271 |
| 238.891 | 58.195 | 85.348 | 0.000 | 0.000 | -0.112 |
| 69.292 | 322.565 | 44.168 | 0.000 | 0.000 | -0.109 |
| 99.850 | 46.840 | 404.522 | 0.000 | 0.000 | -0.135 |
| 11.340 | 5.316 | 7.090 | 153.338 | 0.000 | -0.132 |
| 24.600 | 12.872 | 12.143 | 0.000 | 105.409 | 0.083 |
| 71.610 | 35.655 | 25.644 | 0.000 | -0.000 | 31.117 |
| 50.532 | -28.517 | 27.978 | -0.000 | 0.000 | -0.113 |
| -17.004 | 186.516 | 11.552 | -0.000 | 0.000 | -0.086 |
| -65.174 | -47.904 | 226.754 | -0.000 | 0.001 | -0.221 |
| -26.960 | -14.112 | -13.199 | 96.716 | 0.000 | -0.092 |
| -10.610 | -4.968 | -6.812 | -0.000 | 148.356 | 0.125 |
| -38.546 | -19.076 | -16.015 | -0.000 | 0.000 | 35.835 |
| 80.034 | -21.168 | 33.555 | 0.000 | -0.000 | 0.010 |
| -7.506 | 201.032 | 18.138 | 0.000 | -0.000 | 0.016 |
| 29.951 | 18.083 | 229.118 | 0.000 | -0.000 | 0.015 |
| 7.448 | 3.274 | 2.738 | 78.358 | -0.000 | 0.019 |
| 7.938 | 3.655 | 2.875 | 0.000 | 68.021 | 0.013 |
| 8.898 | 3.141 | 3.396 | 0.000 | -0.000 | 39.259 |
| 57.379 | -11.027 | 21.995 | -0.000 | 0.000 | -0.010 |
| -20.690 | 196.715 | 12.633 | -0.000 | 0.000 | -0.016 |
| 31.295 | 22.834 | 208.573 | -0.000 | 0.000 | -0.009 |
| -8.898 | -3.249 | -3.371 | 74.852 | 0.000 | -0.015 |
| -8.976 | -2.753 | -3.495 | -0.000 | 55.387 | -0.015 |
| -8.097 | -3.432 | -3.036 | -0.000 | 0.000 | 40.812 |
| -536672.128 | -671048.159 | -668100.536 | -119310.481 | -176773.100 | -170660.369 |
| -647870.035 | -645408.535 | -836748.758 | -120097.041 | -158398.165 | -76329.968 |
| -427751.000 | -274799.887 | -506697.764 | -123994.526 | -156145.921 | -153617.123 |
| -551680.590 | -589526.184 | -592548.931 | -185233.142 | -130554.616 | -154095.014 |
| -619040.666 | -601405.965 | -795533.660 | -101880.707 | -158500.202 | -113442.983 |
| -444032.617 | -317739.439 | -535045.090 | -136889.203 | -167368.526 | -149647.336 |
| 616911.936 | 628387.722 | 723100.951 | 122757.352 | 158196.034 | 144176.596 |
| 563058.996 | 678775.574 | 714609.270 | 123459.476 | 148364.131 | 150233.274 |
| 535424.391 | 580205.708 | 632805.849 | 174611.519 | 144063.587 | 163784.438 |
| 536233.975 | 681676.468 | 944326.945 | 102564.286 | 191251.221 | 94129.349 |
| 501689.296 | 624676.282 | 681955.888 | 149507.982 | 146927.563 | 187539.696 |
| 498315.316 | 685501.648 | 703700.749 | 120803.990 | 152091.095 | 155892.555 |
| -52721.027 | -67491.454 | -64994.707 | -11413.457 | -15620.712 | -17020.534 |
| -54451.564 | -60687.685 | -66706.791 | -18947.503 | -14950.052 | -16999.929 |
| -51989.957 | -68474.457 | -70557.420 | -12690.576 | -15989.854 | -15296.004 |
| -43649.254 | -30830.010 | -52639.611 | -12084.970 | -15830.379 | -14905.859 |
| -65617.115 | -61627.239 | -80793.091 | -10360.600 | -17041.039 | -7143.102 |
| -45132.443 | -50282.244 | -48904.159 | -15050.331 | -11648.850 | -15507.707 |
| 48685.255 | 53496.343 | 55932.815 | 15124.027 | 10588.272 | 16481.888 |
| 17799.608 | 8379.841 | 15534.085 | -4926.562 | 10950.781 | 5866.790 |
| 24543.830 | 20366.807 | 29011.079 | 1533.809 | 19384.411 | 7336.961 |
| 56155.643 | 68646.165 | 89197.055 | 10394.565 | 19864.861 | 8200.960 |
| 21350.033 | 12583.654 | 22552.855 | -2478.322 | 14159.969 | 3438.477 |
| 64103.498 | 60108.362 | 79436.456 | 11138.663 | 15856.580 | 9573.336 |
| -5226.287 | -5867.149 | -5871.171 | -1770.286 | -1353.414 | -1702.490 |
| -7.490 | 53.274 | -0.368 | 0.469 | -0.814 | 0.035 |
| -4218.041 | -2810.544 | -5145.479 | -1110.771 | -1665.090 | -1543.872 |
| -4829.746 | -6215.654 | -6606.904 | -1396.917 | -1375.779 | -1892.376 |
| -5333.917 | -5688.147 | -5811.763 | -1772.329 | -1490.907 | -1598.569 |
| -6289.155 | -6155.654 | -7701.117 | -1307.902 | -1587.238 | -1461.955 |
| 5339.482 | 6203.089 | 6499.545 | 1446.683 | 1581.860 | 1623.921 |
| 4980.052 | 6956.358 | 7268.567 | 1188.825 | 1586.874 | 1529.121 |
| 4033.377 | 1869.131 | 4015.540 | 1383.323 | 2250.206 | 1497.710 |
| 6175.650 | 6342.120 | 7512.755 | 1338.924 | 1470.795 | 1445.759 |
| 5433.690 | 5832.643 | 5821.301 | 1914.670 | 1452.040 | 1638.981 |
| 5241.898 | 5505.418 | 5673.542 | 1677.266 | 1121.867 | 1654.755 |
| -4902.783 | 1151.293 | -6450.471 | 2158.705 | 2521.956 | -4362.801 |
| -4926.471 | 1198.622 | -6471.734 | 2095.937 | 2491.232 | -4293.619 |
| -4661.163 | 1015.903 | -5900.432 | 1967.050 | 2342.088 | -4088.063 |
| -5076.232 | 1116.885 | -6344.814 | 2230.754 | 2528.296 | -4398.961 |
| -4919.524 | 1152.950 | -6502.512 | 2138.934 | 2551.561 | -4323.552 |
| -4908.810 | 1146.009 | -6485.152 | 2127.029 | 2494.024 | -4270.094 |
| 4968.384 | -1079.725 | 6480.782 | -2098.923 | -2516.329 | 4344.687 |
| 1748.199 | 190.388 | 1943.621 | -735.010 | -840.404 | 1587.146 |
| 4931.808 | -1151.191 | 6591.984 | -2131.966 | -2526.113 | 4342.164 |
| 5138.401 | -1181.919 | 6653.876 | -2096.941 | -2614.325 | 4430.560 |
| 4988.260 | -1119.943 | 6445.950 | -2169.111 | -2483.395 | 4355.228 |
| 4857.425 | -1116.041 | 6395.928 | -2086.104 | -2467.031 | 4300.000 |
| -394.177 | 109.417 | -653.505 | 216.370 | 259.999 | -451.954 |
| -488.617 | 199.284 | -651.954 | 207.892 | 254.643 | -431.219 |
| -487.401 | 109.481 | -567.096 | 205.662 | 235.803 | -429.715 |
| -490.803 | 107.235 | -652.007 | 248.580 | 247.096 | -433.853 |
| -496.716 | 114.272 | -663.003 | 211.332 | 300.104 | -437.225 |
| -484.411 | 119.515 | -642.972 | 212.420 | 241.488 | -392.586 |
| 297.634 | -76.671 | 320.545 | -98.518 | -114.843 | 195.269 |
| 486.776 | -21.915 | 644.378 | -210.474 | -249.599 | 435.891 |
| 487.663 | -115.470 | 721.446 | -215.443 | -260.534 | 427.789 |
| 478.785 | -123.989 | 609.073 | -115.050 | -248.623 | 398.465 |
| 485.678 | -112.118 | 635.434 | -213.726 | -200.116 | 428.199 |
| 493.627 | -111.770 | 654.904 | -213.842 | -254.492 | 484.717 |
| 100.955 | 72.776 | -25.071 | -16.854 | -4.366 | 38.993 |
| -47.710 | 87.847 | -57.606 | 19.457 | 25.712 | -40.819 |
| -45.149 | 9.857 | 14.444 | 13.857 | 10.692 | -40.993 |
| -35.351 | 6.872 | -51.242 | 49.392 | 14.540 | -29.373 |
| -29.394 | 9.583 | -49.403 | 9.491 | 62.986 | -24.962 |
| -35.883 | -0.571 | -35.683 | 11.057 | 11.412 | 13.164 |
| 118.501 | 28.153 | 24.824 | -24.879 | -13.451 | 39.446 |
| 40.766 | 96.082 | 23.722 | -13.224 | -15.048 | 38.692 |
| 55.041 | -12.306 | 147.047 | -29.649 | -40.305 | 46.217 |
| 15.808 | -14.887 | 23.337 | 28.329 | -11.199 | 12.208 |
| 44.509 | -11.085 | 49.300 | -21.372 | 22.232 | 37.693 |
| 45.415 | 3.247 | 58.173 | -24.860 | -27.880 | 87.926 |
| 463.611 | 78.838 | 74.907 | 2.048 | -4.857 | -26.865 |
| 88.433 | 439.027 | 76.128 | 12.004 | 19.886 | -22.432 |
| 71.481 | 72.625 | 481.961 | -6.493 | -5.416 | 4.694 |
| 12.818 | 3.798 | 4.921 | 182.269 | 1.117 | -15.245 |
| 89.401 | 21.136 | 102.736 | -27.820 | 317.252 | -21.280 |
| -51.715 | -21.622 | -10.800 | 1.857 | -7.029 | 217.872 |
| 463.714 | 78.846 | 74.975 | 2.035 | -4.782 | -26.883 |
| 46.424 | 359.004 | 59.654 | 11.953 | -18.487 | -11.351 |
| 167.688 | 77.427 | 641.417 | -28.912 | 102.736 | -15.415 |
| 12.815 | 3.798 | 4.915 | 182.270 | 1.114 | -15.244 |
| 89.401 | 21.136 | 102.736 | -27.820 | 317.252 | -21.280 |
| -51.715 | -21.622 | -10.800 | 1.857 | -7.029 | 217.872 |
| 447.617 | 82.575 | 75.454 | -6.088 | -2.280 | -39.531 |
| 69.204 | 210.996 | 75.008 | 4.168 | 8.699 | -28.749 |
| 65.272 | 72.315 | 471.670 | -5.046 | -12.396 | 5.992 |
| -17.483 | -4.058 | -17.316 | 150.841 | -21.589 | -11.202 |
| -57.665 | 7.432 | -54.386 | -3.791 | 152.661 | 1.614 |
| -58.317 | -22.134 | -9.972 | -13.225 | -15.402 | 159.705 |
| 463.593 | 78.837 | 74.893 | 2.051 | -4.870 | -26.861 |
| 71.312 | 271.603 | 69.686 | 2.558 | 7.133 | -25.547 |
| 71.937 | 72.648 | 482.716 | -6.599 | -4.904 | 4.599 |
| -17.449 | -4.056 | -17.277 | 150.810 | -21.555 | -11.223 |
| 89.401 | 21.136 | 102.736 | -27.820 | 317.252 | -21.280 |
| -51.715 | -21.622 | -10.800 | 1.857 | -7.029 | 217.872 |
| 463.575 | 78.836 | 74.880 | 2.053 | -4.885 | -26.858 |
| 72.715 | 246.203 | 79.675 | 2.660 | 9.299 | -27.637 |
| 65.736 | 72.521 | 374.295 | -12.583 | 15.632 | -3.387 |
| 16.713 | -1.658 | 8.202 | 127.980 | 8.822 | -8.830 |
| -1.878 | 9.170 | 4.537 | -3.143 | 69.982 | -4.920 |
| -22.299 | -21.618 | 19.068 | -10.613 | 14.197 | 130.940 |
| 292.568 | 74.414 | 58.685 | 0.848 | 5.873 | -33.644 |
| 67.841 | 225.041 | 74.989 | 4.984 | 8.461 | -27.483 |
| 54.924 | 73.843 | 263.058 | -5.219 | 19.924 | -10.395 |
| -15.998 | 2.551 | -28.912 | 210.460 | -27.820 | 3.106 |
| -8.577 | 11.254 | 2.985 | -3.571 | 154.098 | -3.741 |
| -35.745 | -24.202 | -6.400 | -9.329 | -4.175 | 111.756 |
| -190110.837 | 19508.927 | -106593.054 | -75339.735 | 201934.520 | -66744.420 |
| -188572.391 | 19491.090 | -105849.090 | -74805.772 | 200277.120 | -66216.506 |
| -188156.438 | 19378.890 | -105545.832 | -74675.512 | 199851.159 | -66087.393 |
| -188613.538 | 19385.286 | -105885.584 | -74764.434 | 200314.253 | -66240.238 |
| -188316.123 | 19370.789 | -105761.611 | -74709.686 | 200065.140 | -66138.503 |
| -189762.609 | 19471.364 | -106379.493 | -75194.089 | 201433.366 | -66530.312 |
| 188763.586 | -19380.607 | 105884.952 | 74815.199 | -200301.437 | 66233.415 |
| 189014.792 | -19318.336 | 106061.959 | 74935.630 | -200693.621 | 66356.233 |
| 190891.422 | -19520.608 | 107006.334 | 75533.615 | -202553.608 | 66944.148 |
| 188225.958 | -19375.906 | 105695.967 | 74734.023 | -199920.743 | 66097.380 |
| 189398.754 | -19445.632 | 106206.318 | 75071.269 | -201031.090 | 66474.862 |
| 188490.989 | -19381.616 | 105823.002 | 74764.579 | -200192.047 | 66250.890 |
| -18678.602 | 1949.683 | -10564.543 | -7467.591 | 20005.461 | -6609.075 |
| -18895.625 | 2042.063 | -10593.758 | -7499.139 | 20073.910 | -6633.457 |
| -18976.421 | 1961.934 | -10509.494 | -7530.341 | 20136.815 | -6660.580 |
| -18932.868 | 1936.038 | -10628.467 | -7456.573 | 20107.182 | -6655.937 |
| -18843.686 | 1935.447 | -10595.920 | -7470.217 | 20062.970 | -6619.449 |
| -18861.181 | 1942.843 | -10586.836 | -7488.921 | 20026.264 | -6563.304 |
| 19077.477 | -1931.131 | 10625.323 | 7505.758 | -20089.000 | 6647.327 |
| 18974.523 | -1846.064 | 10646.315 | 7511.183 | -20132.730 | 6658.800 |
| 18903.454 | -1926.763 | 10734.873 | 7483.063 | -20079.371 | 6634.738 |
| 18820.330 | -1944.588 | 10560.100 | 7515.834 | -19984.421 | 6599.553 |
| 18813.386 | -1938.933 | 10550.383 | 7470.885 | -19934.073 | 6605.857 |
| 18897.507 | -1938.148 | 10604.198 | 7485.290 | -20070.768 | 6693.922 |
| -1724.238 | 205.736 | -1044.791 | -741.406 | 1998.241 | -654.903 |
| -1872.298 | 293.642 | -1043.663 | -750.493 | 1998.836 | -657.631 |
| -1856.222 | 207.619 | -916.406 | -750.759 | 1966.408 | -654.111 |
| -1873.571 | 185.118 | -1062.711 | -695.967 | 1996.737 | -668.897 |
| -1872.490 | 190.259 | -1068.873 | -738.322 | 2039.189 | -660.069 |
| -1885.897 | 197.484 | -1057.915 | -755.837 | 1998.451 | -602.584 |
| 2034.727 | -181.432 | 1066.697 | 750.771 | -1994.811 | 665.404 |
| 1898.894 | -94.231 | 1073.305 | 745.515 | -2006.253 | 666.580 |
| 1891.904 | -178.997 | 1190.063 | 738.097 | -2015.893 | 662.665 |
| 1887.837 | -201.933 | 1050.117 | 796.568 | -1998.736 | 652.334 |
| 1880.065 | -196.281 | 1039.983 | 751.439 | -1947.569 | 658.347 |
| 1878.737 | -189.901 | 1056.225 | 737.947 | -2000.194 | 719.601 |
| 361.288 | 69.473 | 78.254 | -6.150 | 18.572 | 16.701 |
| 77.010 | 472.707 | 71.436 | 18.037 | -3.551 | 11.365 |
| 48.632 | 64.660 | 213.828 | 11.449 | 8.271 | -13.799 |
| 8.584 | 15.578 | 1.843 | 167.689 | 1.713 | 18.925 |
| -0.314 | -0.303 | 20.924 | 2.720 | 144.314 | -10.733 |
| 16.445 | 6.272 | -0.272 | 13.860 | -6.540 | 146.585 |
| 583.096 | 77.011 | 75.802 | -4.366 | 8.019 | 52.505 |
| 30.498 | 382.349 | 74.285 | 16.091 | 7.489 | -7.665 |
| 68.333 | 72.895 | 389.261 | 6.754 | 21.187 | -4.802 |
| -4.930 | 14.087 | 21.367 | 115.968 | -3.658 | 9.013 |
| -0.252 | -0.298 | 20.925 | 2.716 | 144.364 | -10.702 |
| 16.426 | 6.270 | -0.271 | 13.862 | -6.539 | 146.567 |
| 223.696 | 49.883 | 48.186 | -0.726 | 20.194 | 14.358 |
| 57.271 | 202.292 | 65.729 | 23.040 | 0.035 | 5.947 |
| 50.741 | 65.095 | 217.519 | 12.849 | 7.154 | -13.369 |
| -22.706 | 13.105 | 16.238 | 143.988 | 1.691 | 5.602 |
| 13.833 | -2.650 | 13.278 | -3.645 | 104.362 | -9.360 |
| 29.377 | 6.301 | -7.752 | 3.962 | -11.423 | 105.215 |
| 361.479 | 69.487 | 78.256 | -6.156 | 18.551 | 16.760 |
| 54.042 | 263.173 | 53.085 | 10.954 | 0.645 | 9.261 |
| 68.793 | 65.579 | 230.997 | 17.391 | 6.773 | -1.139 |
| -4.913 | 14.091 | 21.414 | 115.954 | -3.675 | 9.012 |
| 12.983 | -2.800 | 12.712 | -3.839 | 104.340 | -9.628 |
| 16.871 | 7.573 | 0.939 | 11.066 | -9.127 | 115.233 |
| 109.396 | 253.421 | 510.335 | 94.721 | 28.857 | -64.829 |
| 390.161 | -37.803 | 309.499 | -8.108 | -48.602 | 112.810 |
| 436.827 | 287.353 | 570.326 | 63.288 | -74.454 | -141.489 |
| 541.831 | 295.033 | 482.915 | 252.149 | -135.829 | -192.119 |
| 416.365 | 309.242 | 405.814 | 87.026 | 8.470 | -166.933 |
| 419.256 | 316.720 | 429.296 | 89.719 | -78.195 | -108.585 |
| -452.501 | -297.216 | -485.341 | -61.696 | 131.477 | 96.034 |
| -316.448 | -177.511 | -322.587 | 9.552 | 88.439 | 120.321 |
| -442.450 | -245.836 | -521.102 | -39.804 | 69.768 | 93.772 |
| -477.850 | -378.107 | -430.818 | -45.061 | 111.194 | 211.279 |
| -268.347 | -245.436 | -378.308 | -208.848 | 501.711 | 184.195 |
| -459.576 | -356.403 | -508.163 | -96.587 | 56.457 | 157.242 |
| 137.811 | 31.285 | 28.650 | -3.343 | 5.193 | -28.983 |
| 49.062 | 169.110 | 33.478 | -21.088 | 4.004 | -20.962 |
| 47.869 | -36.426 | 188.477 | -52.252 | 41.330 | -12.798 |
| 55.617 | 107.580 | 43.702 | -56.131 | 16.060 | -49.426 |
| 73.310 | 35.713 | 61.610 | 0.974 | 46.689 | -9.434 |
| 24.157 | 51.236 | 30.616 | 27.324 | 3.971 | 30.905 |
| -32.779 | -72.839 | 2.330 | 27.057 | 117.458 | 54.808 |
| -20.942 | 84.822 | -21.216 | -60.734 | -4.348 | 17.417 |
| 7.475 | 1.281 | 247.428 | 3.854 | 76.715 | 13.282 |
| -39.714 | -25.195 | -33.188 | 5.811 | 9.869 | 22.909 |
| -46.130 | -51.708 | -63.590 | -35.050 | 152.374 | 12.385 |
| -39.506 | -48.827 | -77.606 | 7.652 | 34.042 | 64.736 |
| 97.977 | -2.458 | 6.355 | 4.983 | 17.073 | -11.891 |
| 12.510 | 92.187 | 21.317 | -4.028 | -7.101 | -12.066 |
| -10.800 | 8.538 | 95.019 | -8.164 | -4.442 | -7.002 |
| 2.165 | -0.403 | -3.445 | 46.925 | -8.954 | 2.461 |
| 26.421 | 0.963 | 22.750 | 0.955 | 71.856 | 5.196 |
| -6.819 | -15.542 | -6.448 | 1.315 | 6.114 | 51.548 |
| 133.812 | 22.232 | 17.235 | 14.411 | 20.054 | -17.322 |
| -2.864 | 77.797 | 15.155 | -1.585 | -1.580 | -8.650 |
| -8.637 | 5.442 | 53.074 | 0.948 | 14.869 | 4.121 |
| 4.448 | -2.690 | 11.530 | 59.546 | -1.205 | 8.441 |
| 9.891 | -0.353 | 1.436 | -6.036 | 59.297 | 7.387 |
| -22.601 | -13.594 | -10.762 | 0.978 | 6.511 | 44.441 |
| 966.740 | 110.818 | 110.818 | -0.000 | -0.000 | -0.000 |
| 110.818 | 966.740 | 110.818 | -0.000 | 0.000 | -0.000 |
| 110.818 | 110.818 | 966.740 | -0.000 | 0.000 | -0.000 |
| 0.001 | 0.001 | 0.001 | 389.303 | -0.000 | -0.000 |
| 0.001 | 0.001 | 0.001 | -0.000 | 389.303 | -0.000 |
| 0.001 | 0.001 | 0.001 | -0.000 | 0.000 | 389.303 |
| 1046.406 | 120.850 | 120.850 | 0.000 | -0.000 | 0.000 |
| 120.850 | 1046.406 | 120.850 | 0.000 | -0.000 | 0.000 |
| 120.850 | 120.850 | 1046.406 | 0.000 | -0.000 | 0.000 |
| -0.001 | -0.001 | -0.001 | 389.303 | -0.000 | 0.000 |
| -0.001 | -0.001 | -0.001 | 0.000 | 389.303 | -0.000 |
| -0.001 | -0.001 | -0.001 | 0.000 | -0.000 | 389.303 |
| 973.820 | 94.940 | 94.940 | -0.000 | -0.000 | -0.000 |
| 94.940 | 973.820 | 94.940 | -0.000 | 0.000 | -0.000 |
| 94.940 | 94.940 | 973.820 | -0.000 | 0.000 | -0.000 |
| 0.000 | 0.000 | 0.000 | 389.303 | 0.000 | -0.000 |
| 0.000 | 0.000 | 0.000 | 0.000 | 389.303 | 0.000 |
| 0.000 | 0.000 | 0.000 | -0.000 | 0.000 | 389.303 |
| 973.820 | 94.940 | 94.940 | 0.000 | 0.000 | 0.000 |
| 120.850 | 1046.406 | 120.850 | 0.000 | -0.000 | 0.000 |
| 120.850 | 120.850 | 1046.406 | 0.000 | -0.000 | -0.000 |
| -0.000 | -0.000 | -0.000 | 389.303 | 0.000 | -0.000 |
| -0.000 | -0.000 | -0.000 | 0.000 | 389.303 | 0.000 |
| -0.000 | -0.000 | -0.000 | 0.000 | 0.000 | 389.303 |
| 966.738 | 110.818 | 110.817 | 0.000 | 0.000 | -0.000 |
| 110.817 | 966.738 | 110.818 | -0.000 | 0.000 | 0.000 |
| 110.818 | 110.817 | 966.738 | -0.000 | 0.000 | 0.000 |
| 0.000 | -0.000 | 0.000 | 377.435 | 0.000 | -0.000 |
| 0.000 | 0.000 | 0.000 | 0.000 | 379.396 | 0.000 |
| -0.000 | 0.000 | 0.000 | -0.000 | -0.000 | 377.435 |
| 966.738 | 110.816 | 110.817 | 0.000 | 0.000 | 0.000 |
| 110.816 | 966.737 | 110.816 | 0.000 | 0.000 | 0.000 |
| 110.816 | 110.817 | 966.738 | 0.000 | 0.000 | 0.000 |
| -0.000 | 0.000 | -0.000 | 377.435 | -0.000 | -0.000 |
| -0.000 | -0.000 | -0.000 | 0.000 | 379.396 | 0.000 |
| 0.000 | -0.000 | -0.000 | -0.000 | 0.000 | 377.435 |
| 939.718 | 75.341 | 75.341 | 0.000 | 0.000 | 0.000 |
| 75.341 | 939.718 | 75.341 | 0.000 | 0.000 | 0.000 |
| 75.341 | 75.341 | 939.718 | 0.000 | 0.000 | 0.000 |
| 0.000 | 0.000 | 0.000 | 378.910 | 0.000 | 0.000 |
| 0.000 | 0.000 | 0.000 | 0.000 | 378.910 | 0.000 |
| 0.000 | 0.000 | 0.000 | 0.000 | -0.000 | 378.910 |
| 1005.614 | 103.070 | 103.070 | 0.000 | -0.000 | -0.000 |
| 103.070 | 1005.614 | 103.070 | 0.000 | -0.000 | 0.000 |
| 103.070 | 103.070 | 1005.614 | 0.000 | -0.000 | -0.000 |
| -0.000 | -0.000 | -0.000 | 378.910 | 0.000 | -0.000 |
| -0.000 | -0.000 | -0.000 | 0.000 | 378.910 | -0.000 |
| -0.000 | -0.000 | -0.000 | 0.000 | -0.000 | 378.910 |
| 939.718 | 75.341 | 75.341 | 0.000 | 0.000 | 0.000 |
| 75.341 | 939.718 | 75.341 | -0.000 | 0.000 | 0.000 |
| 75.341 | 75.341 | 939.718 | -0.000 | 0.000 | 0.000 |
| 0.000 | -0.000 | 0.000 | 378.910 | 0.000 | 0.000 |
| 0.000 | 0.000 | 0.000 | 0.000 | 378.910 | 0.000 |
| -0.000 | 0.000 | 0.000 | -0.000 | -0.000 | 378.910 |
| 939.718 | 75.341 | 75.342 | -0.000 | -0.000 | -0.000 |
| 75.342 | 939.718 | 75.341 | -0.000 | -0.000 | -0.000 |
| 75.341 | 75.342 | 939.718 | -0.000 | -0.000 | -0.000 |
| -0.000 | 0.000 | -0.000 | 378.910 | -0.000 | -0.000 |
| -0.000 | -0.000 | -0.000 | -0.000 | 378.910 | -0.000 |
| 0.000 | -0.000 | -0.000 | -0.000 | 0.000 | 378.910 |
| 939.718 | 75.341 | 75.341 | -0.000 | 0.000 | 0.000 |
| 75.341 | 939.718 | 75.341 | 0.000 | 0.000 | 0.000 |
| 75.341 | 75.341 | 939.718 | 0.000 | 0.000 | 0.000 |
| 0.000 | -0.000 | 0.000 | 378.910 | 0.000 | 0.000 |
| 0.000 | 0.000 | 0.000 | 0.000 | 368.456 | 0.000 |
| -0.000 | 0.000 | 0.000 | -0.000 | -0.000 | 378.910 |
| 939.719 | 75.341 | 75.342 | 0.000 | -0.000 | -0.000 |
| 75.342 | 939.719 | 75.341 | -0.000 | -0.000 | -0.000 |
| 75.341 | 75.342 | 939.719 | -0.000 | -0.000 | -0.000 |
| -0.000 | 0.000 | -0.000 | 378.910 | -0.000 | -0.000 |
| -0.000 | -0.000 | -0.000 | 0.000 | 368.456 | 0.000 |
| 0.000 | -0.000 | -0.000 | -0.000 | -0.000 | 378.910 |
| 1239.304 | 77.873 | 21.733 | 0.000 | 0.000 | -0.000 |
| 82.134 | 1238.792 | 18.010 | -0.000 | 0.000 | -0.000 |
| 18.600 | 18.600 | 1299.870 | -0.000 | -0.000 | 0.000 |
| -0.013 | -0.013 | 0.026 | 535.291 | -0.000 | -0.000 |
| -0.013 | -0.013 | 0.026 | -0.000 | 535.291 | -0.000 |
| -0.016 | -0.016 | 0.033 | 0.000 | -0.000 | 578.329 |
| 1239.324 | 77.908 | 21.679 | 0.000 | 0.000 | 0.000 |
| 77.908 | 1239.324 | 21.678 | 0.000 | 0.000 | -0.000 |
| -2.694 | -2.694 | 1342.152 | -0.000 | -0.000 | 0.000 |
| 0.013 | 0.013 | -0.026 | 535.291 | 0.000 | 0.000 |
| 0.013 | 0.013 | -0.026 | 0.000 | 535.291 | 0.000 |
| 0.016 | 0.016 | -0.033 | 0.000 | 0.000 | 578.329 |
| 1239.318 | 77.887 | 21.705 | 0.000 | 0.000 | -0.000 |
| 61.619 | 1280.793 | -3.322 | -0.000 | 0.000 | -0.000 |
| 18.611 | 18.611 | 1299.847 | -0.000 | -0.000 | -0.000 |
| -0.001 | -0.001 | 0.003 | 535.291 | -0.000 | -0.000 |
| -0.000 | 0.000 | 0.000 | 0.000 | 546.061 | -0.000 |
| 0.000 | 0.000 | 0.000 | -0.000 | 0.000 | 609.587 |
| 1239.315 | 77.892 | 21.703 | 0.000 | 0.000 | 0.000 |
| 61.619 | 1280.792 | -3.322 | 0.000 | -0.000 | 0.000 |
| 18.617 | 18.617 | 1299.835 | -0.000 | -0.000 | 0.000 |
| 0.001 | 0.001 | -0.003 | 535.291 | 0.000 | 0.000 |
| 0.000 | -0.000 | -0.000 | -0.000 | 546.061 | 0.000 |
| -0.000 | -0.000 | -0.000 | 0.000 | -0.000 | 609.587 |
| 1280.797 | 61.620 | -3.322 | -0.000 | 0.000 | -0.000 |
| 77.892 | 1239.315 | 21.707 | 0.000 | 0.000 | -0.000 |
| 18.613 | 18.613 | 1299.847 | -0.000 | 0.000 | -0.000 |
| 0.000 | -0.000 | 0.001 | 535.291 | -0.000 | -0.000 |
| -0.000 | 0.000 | 0.000 | 0.000 | 546.061 | -0.000 |
| 0.000 | 0.001 | 0.000 | -0.000 | -0.000 | 609.587 |
| 1238.801 | 82.152 | 17.980 | -0.000 | -0.000 | 0.000 |
| 82.146 | 1238.804 | 17.983 | 0.000 | 0.000 | 0.000 |
| 18.612 | 18.612 | 1299.840 | -0.000 | -0.000 | 0.000 |
| -0.000 | 0.000 | -0.001 | 535.291 | 0.000 | -0.000 |
| 0.000 | -0.000 | -0.000 | -0.000 | 546.061 | -0.000 |
| -0.000 | -0.001 | -0.000 | 0.000 | -0.000 | 609.587 |
| 654.271 | -6.671 | 169.599 | -0.000 | -0.000 | -0.000 |
| -62.820 | 670.636 | 18.703 | 0.000 | -0.000 | -0.000 |
| 344.574 | 42.976 | 718.985 | 0.000 | -0.000 | -0.000 |
| -0.000 | -0.000 | -0.000 | 294.198 | -0.000 | -0.000 |
| -0.052 | -0.012 | -0.003 | -0.000 | 283.225 | -0.000 |
| -0.000 | 0.000 | -0.000 | -0.000 | -0.000 | 532.769 |
| 687.890 | -0.996 | 172.080 | -0.000 | 0.000 | 0.000 |
| 141.189 | 610.664 | 55.392 | 0.000 | 0.000 | 0.000 |
| 71.329 | 9.746 | 688.388 | -0.000 | 0.000 | 0.000 |
| 0.734 | 0.172 | 0.041 | 235.860 | -0.000 | 0.004 |
| 0.052 | 0.012 | 0.003 | -0.000 | 283.225 | 0.000 |
| -0.000 | -0.000 | 0.000 | -0.000 | 0.000 | 532.769 |
| 336.473 | -60.274 | 146.130 | -0.000 | 0.000 | -0.000 |
| 126.882 | 500.322 | 66.955 | 0.000 | 0.000 | -0.000 |
| 85.194 | 77.162 | 638.164 | 0.000 | -0.000 | -0.000 |
| -0.073 | -0.017 | -0.004 | 235.860 | 0.000 | -0.000 |
| -0.005 | -0.001 | -0.000 | 0.000 | 283.230 | -0.000 |
| 0.003 | 0.000 | 0.000 | -0.000 | 0.000 | 176.766 |
| 1005.410 | 52.559 | 195.528 | -0.000 | 0.000 | 0.000 |
| -58.279 | 671.794 | 18.945 | 0.000 | -0.000 | 0.000 |
| 139.225 | 31.662 | 463.281 | 0.000 | 0.000 | 0.000 |
| 0.073 | 0.017 | 0.004 | 235.860 | -0.000 | 0.000 |
| 0.005 | 0.001 | 0.000 | 0.000 | 283.230 | 0.000 |
| -0.003 | -0.000 | -0.000 | -0.000 | -0.000 | 176.766 |
| 534.923 | 142.654 | 137.684 | -0.000 | 0.000 | -0.000 |
| 141.524 | 610.764 | 55.407 | -0.000 | 0.000 | -0.000 |
| 137.840 | 48.314 | 450.032 | 0.000 | 0.000 | -0.000 |
| -0.000 | 0.000 | 0.000 | 294.198 | -0.000 | -0.000 |
| 0.001 | 0.000 | 0.000 | 0.000 | 283.220 | -0.000 |
| -0.003 | -0.000 | -0.000 | 0.000 | 0.000 | 241.167 |
| 502.046 | 85.274 | 131.123 | -0.000 | 0.000 | 0.000 |
| 101.272 | 389.660 | 9.173 | -0.000 | 0.000 | -0.000 |
| 132.976 | 12.509 | 434.502 | 0.000 | 0.000 | -0.001 |
| 0.000 | -0.000 | -0.000 | 294.198 | 0.000 | 0.000 |
| -0.001 | -0.000 | -0.000 | 0.000 | 283.220 | 0.000 |
| 0.003 | 0.000 | 0.000 | -0.000 | 0.000 | 241.167 |
| 303.597 | 1556.480 | 252.997 | -1.708 | 0.055 | -0.000 |
| 528.510 | 3946.302 | -702.384 | -1.372 | 0.045 | 0.001 |
| 48.463 | 17.920 | 544.028 | -0.000 | 0.000 | -0.000 |
| 0.000 | 0.000 | 0.000 | 251.636 | 0.000 | -0.000 |
| 0.000 | -0.000 | 0.000 | -0.000 | 214.484 | -0.000 |
| -815.500 | 167.695 | 181.891 | -1.924 | 0.061 | 585.205 |
| -1096.767 | -131.829 | 1.720 | 1.538 | -0.049 | -0.000 |
| -523.754 | -3395.216 | -480.145 | 1.422 | -0.046 | -0.000 |
| 48.463 | 17.920 | 544.028 | 0.000 | -0.000 | -0.000 |
| -0.000 | -0.000 | -0.000 | 251.636 | 0.000 | 0.000 |
| -0.000 | -0.000 | -0.000 | 0.000 | 214.484 | 0.000 |
| -289.119 | -3754.569 | 641.734 | 1.374 | -0.045 | 206.546 |
| 291.527 | 75.859 | 78.965 | -0.217 | 0.007 | -0.000 |
| 27.794 | 362.831 | -30.336 | -0.109 | 0.003 | -0.000 |
| 48.463 | 17.920 | 544.028 | -0.000 | -0.000 | -0.000 |
| 0.000 | 0.000 | 0.000 | 251.636 | -0.000 | -0.000 |
| 0.000 | 0.000 | 0.000 | 0.000 | 214.484 | 0.000 |
| 3.459 | 4.811 | 4.161 | -0.079 | 0.003 | 120.084 |
| 329.690 | 44.873 | 50.504 | 0.235 | -0.007 | 0.000 |
| 90.898 | 527.453 | 10.580 | -0.000 | 0.000 | 0.000 |
| 48.463 | 17.920 | 544.028 | 0.000 | -0.000 | -0.000 |
| -0.000 | -0.000 | -0.000 | 251.636 | 0.000 | -0.000 |
| -0.000 | -0.000 | -0.000 | -0.000 | 214.484 | 0.000 |
| -3.459 | -4.811 | -4.161 | 0.079 | -0.003 | 120.083 |
| 259.037 | 74.998 | 58.334 | -0.012 | 0.000 | -0.000 |
| 11.373 | 272.601 | -21.744 | -0.007 | 0.000 | 0.000 |
| 36.930 | 23.901 | 306.111 | -0.013 | 0.000 | -0.000 |
| -12.063 | 21.528 | -1.485 | 113.482 | 0.000 | -0.000 |
| 7.548 | 27.201 | -1.718 | -0.015 | 62.717 | 0.000 |
| 4.314 | 33.746 | -6.626 | -0.013 | 0.000 | 38.267 |
| 113.623 | -85.809 | 3.722 | 0.012 | -0.000 | -0.000 |
| -54.676 | 120.109 | -36.337 | 0.015 | -0.001 | 0.000 |
| 48.637 | -21.820 | 326.131 | 0.012 | -0.000 | -0.000 |
| -1.312 | -16.080 | -2.671 | 118.754 | -0.000 | -0.000 |
| 0.357 | -31.092 | 6.247 | 0.014 | 56.313 | 0.000 |
| -5.254 | -40.293 | 5.747 | 0.013 | -0.000 | 37.499 |
| 923.398 | -8.147 | 0.000 | 0.000 | 0.000 | 0.000 |
| -8.147 | 923.398 | 0.000 | 0.000 | 0.000 | 0.000 |
| 0.000 | -0.000 | 0.000 | 0.000 | 0.000 | 0.000 |
| 0.000 | -0.000 | 0.000 | 0.000 | 0.000 | -0.000 |
| 0.000 | -0.000 | 0.000 | 0.000 | 0.000 | 0.000 |
| 0.000 | 0.000 | 0.000 | 0.000 | 0.000 | 465.312 |
| 922.937 | -7.687 | -0.000 | -0.000 | -0.000 | -0.000 |
| -8.147 | 923.397 | -0.000 | -0.000 | -0.000 | -0.000 |
| -0.000 | 0.000 | -0.000 | -0.000 | -0.000 | -0.000 |
| -0.000 | 0.000 | -0.000 | -0.000 | -0.000 | -0.000 |
| -0.000 | 0.000 | -0.000 | -0.000 | -0.000 | -0.000 |
| -0.000 | -0.000 | -0.000 | -0.000 | -0.000 | 465.312 |
| 922.938 | -7.687 | 0.000 | 0.000 | 0.000 | 0.000 |
| -8.147 | 923.398 | 0.000 | 0.000 | 0.000 | 0.000 |
| 0.000 | -0.000 | 0.000 | 0.000 | 0.000 | 0.000 |
| 0.000 | -0.000 | 0.000 | 0.000 | 0.000 | -0.000 |
| 0.000 | -0.000 | 0.000 | 0.000 | 0.000 | 0.000 |
| 0.000 | 0.000 | 0.000 | 0.000 | 0.000 | 465.312 |
| 922.937 | -7.687 | -0.000 | -0.000 | -0.000 | -0.000 |
| -8.147 | 923.397 | -0.000 | -0.000 | -0.000 | -0.000 |
| -0.000 | 0.000 | -0.000 | -0.000 | -0.000 | -0.000 |
| -0.000 | 0.000 | -0.000 | -0.000 | -0.000 | 0.000 |
| -0.000 | 0.000 | -0.000 | -0.000 | -0.000 | -0.000 |
| -0.000 | -0.000 | -0.000 | -0.000 | -0.000 | 465.312 |
| 922.941 | -7.687 | 0.000 | 0.000 | 0.000 | 0.000 |
| -7.687 | 922.941 | 0.000 | 0.000 | 0.000 | 0.000 |
| 0.000 | -0.000 | 0.000 | 0.000 | 0.000 | 0.000 |
| 0.000 | -0.000 | 0.000 | 0.000 | 0.000 | -0.000 |
| 0.000 | -0.000 | 0.000 | 0.000 | 0.000 | 0.000 |
| 0.000 | 0.001 | 0.000 | 0.000 | 0.000 | 465.312 |
| 922.934 | -7.687 | -0.000 | -0.000 | -0.000 | 0.000 |
| -7.687 | 922.934 | -0.000 | -0.000 | -0.000 | 0.000 |
| -0.000 | 0.000 | -0.000 | -0.000 | -0.000 | -0.000 |
| -0.000 | 0.000 | -0.000 | -0.000 | -0.000 | 0.000 |
| -0.000 | 0.000 | -0.000 | -0.000 | -0.000 | -0.000 |
| -0.000 | -0.001 | -0.000 | -0.000 | -0.000 | 465.312 |
| 922.965 | -7.705 | 0.000 | 0.000 | 0.000 | 0.000 |
| -7.669 | 922.929 | 0.000 | 0.000 | 0.000 | 0.000 |
| -0.000 | -0.000 | 0.000 | 0.000 | 0.000 | -0.000 |
| 0.000 | -0.000 | 0.000 | 0.000 | 0.000 | -0.000 |
| 0.000 | 0.000 | 0.000 | 0.000 | 0.000 | 0.000 |
| -0.000 | -0.000 | 0.000 | 0.000 | 0.000 | 465.777 |
| 922.929 | -7.669 | -0.000 | -0.000 | -0.000 | -0.000 |
| -7.705 | 922.965 | -0.000 | -0.000 | -0.000 | -0.000 |
| -0.000 | -0.000 | -0.000 | -0.000 | -0.000 | -0.000 |
| -0.000 | 0.000 | -0.000 | -0.000 | -0.000 | 0.000 |
| -0.000 | 0.000 | -0.000 | -0.000 | -0.000 | -0.000 |
| 0.000 | 0.000 | -0.000 | -0.000 | -0.000 | 465.777 |
| 923.408 | -8.147 | 0.000 | 0.000 | 0.000 | 0.000 |
| -7.685 | 922.946 | 0.000 | 0.000 | 0.000 | 0.000 |
| -0.000 | -0.000 | 0.000 | 0.000 | 0.000 | -0.000 |
| -0.000 | -0.000 | 0.000 | 0.000 | 0.000 | 0.000 |
| 0.000 | -0.000 | 0.000 | 0.000 | 0.000 | 0.000 |
| 0.000 | 0.000 | 0.000 | 0.000 | 0.000 | 465.777 |
| 922.945 | -7.685 | -0.000 | -0.000 | -0.000 | -0.000 |
| -7.689 | 922.949 | -0.000 | -0.000 | -0.000 | -0.000 |
| -0.000 | -0.000 | -0.000 | -0.000 | -0.000 | -0.000 |
| 0.000 | 0.000 | -0.000 | -0.000 | -0.000 | -0.000 |
| 0.000 | -0.000 | -0.000 | -0.000 | -0.000 | -0.000 |
| -0.000 | -0.000 | -0.000 | -0.000 | -0.000 | 465.777 |
| 922.951 | -7.687 | 0.000 | 0.000 | 0.000 | 0.000 |
| -7.686 | 922.950 | 0.000 | 0.000 | 0.000 | 0.000 |
| -0.000 | -0.000 | 0.000 | 0.000 | 0.000 | -0.000 |
| -0.000 | -0.000 | 0.000 | 0.000 | 0.000 | 0.000 |
| 0.000 | -0.000 | 0.000 | 0.000 | 0.000 | 0.000 |
| 0.000 | 0.000 | 0.000 | 0.000 | 0.000 | 465.317 |
| 922.944 | -7.687 | -0.000 | -0.000 | -0.000 | -0.000 |
| -7.687 | 922.944 | -0.000 | -0.000 | -0.000 | -0.000 |
| -0.000 | -0.000 | -0.000 | -0.000 | -0.000 | -0.000 |
| 0.000 | 0.000 | -0.000 | -0.000 | -0.000 | -0.000 |
| -0.000 | 0.000 | -0.000 | -0.000 | -0.000 | -0.000 |
| -0.000 | -0.000 | -0.000 | -0.000 | -0.000 | 465.317 |
| 906.468 | -4.870 | 0.000 | 0.000 | 0.000 | 0.000 |
| -8.025 | 909.623 | 0.000 | 0.000 | 0.000 | 0.000 |
| 0.000 | 0.000 | 0.000 | 0.000 | 0.000 | 0.000 |
| -0.000 | -0.000 | 0.000 | 0.000 | 0.000 | -0.000 |
| -0.000 | 0.000 | 0.000 | 0.000 | 0.000 | -0.000 |
| -2.702 | 2.702 | 0.000 | 0.000 | 0.000 | 458.371 |
| 909.624 | -8.025 | -0.000 | -0.000 | -0.000 | -0.000 |
| -4.870 | 906.468 | -0.000 | -0.000 | -0.000 | -0.000 |
| 0.000 | 0.000 | -0.000 | -0.000 | -0.000 | 0.000 |
| 0.000 | 0.000 | -0.000 | -0.000 | -0.000 | -0.000 |
| 0.000 | 0.000 | -0.000 | -0.000 | -0.000 | 0.000 |
| 2.702 | -2.702 | -0.000 | -0.000 | -0.000 | 458.371 |
| 909.624 | -8.025 | 0.000 | 0.000 | 0.000 | -0.000 |
| -8.025 | 909.624 | 0.000 | 0.000 | 0.000 | 0.000 |
| 0.000 | 0.000 | 0.000 | 0.000 | 0.000 | 0.000 |
| -0.000 | -0.000 | 0.000 | 0.000 | 0.000 | 0.000 |
| -0.000 | 0.000 | 0.000 | 0.000 | 0.000 | 0.000 |
| 0.000 | 0.000 | 0.000 | 0.000 | 0.000 | 458.824 |
| 909.440 | -7.842 | -0.000 | -0.000 | -0.000 | -0.000 |
| -7.302 | 908.900 | -0.000 | -0.000 | -0.000 | 0.000 |
| 0.000 | 0.000 | -0.000 | -0.000 | -0.000 | 0.000 |
| 0.000 | 0.000 | -0.000 | -0.000 | -0.000 | -0.000 |
| 0.000 | 0.000 | -0.000 | -0.000 | -0.000 | 0.000 |
| -0.000 | -0.000 | -0.000 | -0.000 | -0.000 | 458.824 |
| 909.627 | -8.025 | 0.000 | 0.000 | 0.000 | -0.000 |
| -7.599 | 909.200 | 0.000 | 0.000 | 0.000 | -0.000 |
| 0.000 | 0.000 | 0.000 | 0.000 | 0.000 | 0.000 |
| -0.000 | -0.000 | 0.000 | 0.000 | 0.000 | 0.000 |
| -0.000 | -0.000 | 0.000 | 0.000 | 0.000 | -0.000 |
| -0.027 | 0.028 | 0.000 | 0.000 | 0.000 | 458.371 |
| 909.194 | -7.599 | -0.000 | -0.000 | -0.000 | 0.000 |
| -7.545 | 909.140 | -0.000 | -0.000 | -0.000 | 0.000 |
| 0.000 | 0.000 | -0.000 | -0.000 | -0.000 | 0.000 |
| 0.000 | 0.000 | -0.000 | -0.000 | -0.000 | -0.000 |
| 0.000 | -0.000 | -0.000 | -0.000 | -0.000 | 0.000 |
| 0.027 | -0.028 | -0.000 | -0.000 | -0.000 | 458.371 |
| 971.203 | 145.512 | 19.611 | -0.000 | -0.000 | -0.000 |
| 174.687 | 301.599 | 39.426 | 0.000 | -0.000 | -0.000 |
| 32.604 | 19.723 | 1071.487 | -0.000 | 0.000 | -0.000 |
| -0.837 | 0.967 | -0.469 | 104.994 | -0.000 | -0.000 |
| -0.000 | -0.000 | 0.000 | -0.000 | 520.813 | -0.000 |
| -0.000 | -0.000 | 0.000 | -0.000 | -0.000 | 275.063 |
| 1032.166 | 96.650 | 17.429 | -0.000 | 0.000 | 0.000 |
| 103.212 | 399.176 | 11.110 | -0.000 | 0.000 | -0.000 |
| 32.604 | 19.723 | 1071.488 | -0.000 | 0.000 | 0.000 |
| 0.837 | -0.967 | 0.469 | 104.994 | -0.000 | -0.000 |
| 0.000 | 0.000 | -0.000 | 0.000 | 520.813 | -0.000 |
| -0.000 | 0.000 | -0.000 | 0.000 | -0.000 | 275.063 |
| 958.641 | 173.121 | 6.096 | -0.000 | 0.000 | -0.000 |
| 179.570 | 299.987 | 35.962 | 0.000 | 0.000 | -0.000 |
| 32.604 | 19.723 | 1071.488 | -0.000 | -0.000 | -0.000 |
| 0.000 | -0.000 | -0.000 | 175.268 | 0.000 | -0.000 |
| 0.000 | 0.000 | 0.000 | 0.000 | 520.813 | -0.000 |
| -0.053 | 0.064 | -0.033 | -0.000 | 0.000 | 241.758 |
| 1032.165 | 96.650 | 17.429 | -0.000 | 0.000 | -0.000 |
| 175.328 | 300.854 | 39.782 | 0.000 | -0.000 | 0.000 |
| 32.604 | 19.723 | 1071.487 | -0.000 | -0.000 | -0.000 |
| -0.000 | 0.000 | 0.000 | 175.268 | -0.000 | -0.000 |
| -0.000 | -0.000 | -0.000 | -0.000 | 520.813 | -0.000 |
| 0.053 | -0.064 | 0.033 | 0.000 | 0.000 | 241.758 |
| 958.695 | 173.003 | 5.557 | 0.000 | 0.000 | -0.000 |
| 179.620 | 299.928 | 35.992 | -0.000 | -0.000 | -0.000 |
| 20.329 | 45.762 | 1022.971 | 0.000 | -0.000 | -0.000 |
| -0.008 | 0.010 | -0.005 | 104.990 | -0.000 | -0.000 |
| -0.005 | 0.005 | -0.002 | -0.000 | 498.078 | -0.000 |
| -0.004 | 0.004 | -0.002 | -0.000 | -0.000 | 244.635 |
| 958.697 | 172.992 | 5.563 | -0.000 | -0.000 | 0.000 |
| 175.269 | 300.923 | 39.750 | 0.000 | 0.000 | 0.000 |
| 20.362 | 45.814 | 1022.823 | 0.000 | -0.000 | 0.000 |
| 0.008 | -0.010 | 0.005 | 104.990 | -0.000 | -0.000 |
| 0.005 | -0.005 | 0.002 | 0.000 | 498.078 | 0.000 |
| 0.004 | -0.004 | 0.002 | 0.000 | 0.000 | 244.635 |
| 625.054 | -5.206 | 0.000 | 0.000 | 0.000 | -0.000 |
| -5.206 | 625.054 | 0.000 | 0.000 | 0.000 | -0.000 |
| 0.000 | -0.000 | 0.000 | 0.000 | 0.000 | -0.000 |
| 0.000 | -0.000 | 0.000 | 0.000 | 0.000 | -0.000 |
| 0.000 | -0.000 | 0.000 | 0.000 | 0.000 | -0.000 |
| 0.000 | 0.000 | 0.000 | 0.000 | 0.000 | 315.442 |
| 625.054 | -5.206 | -0.000 | -0.000 | -0.000 | 0.000 |
| -5.206 | 625.054 | -0.000 | -0.000 | -0.000 | 0.000 |
| -0.000 | 0.000 | -0.000 | -0.000 | -0.000 | 0.000 |
| -0.000 | 0.000 | -0.000 | -0.000 | -0.000 | 0.000 |
| -0.000 | 0.000 | -0.000 | -0.000 | -0.000 | 0.000 |
| -0.000 | -0.000 | -0.000 | -0.000 | -0.000 | 315.442 |
| 625.366 | -5.517 | 0.000 | 0.000 | 0.000 | -0.000 |
| -5.517 | 625.366 | 0.000 | 0.000 | 0.000 | -0.000 |
| 0.000 | -0.000 | 0.000 | 0.000 | 0.000 | -0.000 |
| 0.000 | -0.000 | 0.000 | 0.000 | 0.000 | -0.000 |
| 0.000 | -0.000 | 0.000 | 0.000 | 0.000 | -0.000 |
| 0.000 | 0.000 | 0.000 | 0.000 | 0.000 | 315.442 |
| 625.366 | -5.517 | -0.000 | -0.000 | -0.000 | 0.000 |
| -5.517 | 625.366 | -0.000 | -0.000 | -0.000 | 0.000 |
| -0.000 | 0.000 | -0.000 | -0.000 | -0.000 | 0.000 |
| -0.000 | 0.000 | -0.000 | -0.000 | -0.000 | 0.000 |
| -0.000 | 0.000 | -0.000 | -0.000 | -0.000 | 0.000 |
| -0.000 | -0.000 | -0.000 | -0.000 | -0.000 | 315.442 |
| 625.368 | -5.517 | 0.000 | 0.000 | 0.000 | -0.000 |
| -5.517 | 625.368 | 0.000 | 0.000 | 0.000 | -0.000 |
| 0.000 | 0.000 | 0.000 | 0.000 | 0.000 | -0.000 |
| 0.000 | -0.000 | 0.000 | 0.000 | 0.000 | -0.000 |
| 0.000 | -0.000 | 0.000 | 0.000 | 0.000 | -0.000 |
| 0.000 | 0.000 | 0.000 | 0.000 | 0.000 | 315.442 |
| 625.052 | -5.206 | -0.000 | -0.000 | -0.000 | 0.000 |
| -5.206 | 625.052 | -0.000 | -0.000 | -0.000 | 0.000 |
| 0.000 | 0.000 | -0.000 | -0.000 | -0.000 | 0.000 |
| -0.000 | 0.000 | -0.000 | -0.000 | -0.000 | 0.000 |
| -0.000 | 0.000 | -0.000 | -0.000 | -0.000 | 0.000 |
| -0.000 | -0.000 | -0.000 | -0.000 | -0.000 | 315.442 |
| 776.374 | -6.466 | 0.000 | -0.000 | -0.000 | -0.000 |
| -6.466 | 776.374 | 0.000 | -0.000 | -0.000 | -0.000 |
| 0.000 | 0.000 | 0.000 | -0.000 | 0.000 | 0.000 |
| 0.000 | 0.000 | 0.000 | 0.000 | 0.000 | 0.000 |
| 0.000 | 0.000 | 0.000 | 0.000 | 0.000 | 0.000 |
| 0.000 | 0.000 | -0.000 | -0.000 | -0.000 | 391.807 |
| 776.761 | -6.853 | 0.000 | -0.000 | -0.000 | 0.000 |
| -6.466 | 776.374 | -0.000 | 0.000 | -0.000 | 0.000 |
| -0.000 | -0.000 | 0.000 | -0.000 | 0.000 | -0.000 |
| -0.000 | -0.000 | 0.000 | -0.000 | 0.000 | -0.000 |
| -0.000 | -0.000 | 0.000 | 0.000 | -0.000 | 0.000 |
| -0.000 | -0.000 | 0.000 | -0.000 | -0.000 | 391.807 |
| 776.374 | -6.466 | 0.000 | -0.000 | 0.000 | -0.000 |
| -6.853 | 776.761 | -0.000 | 0.000 | 0.000 | 0.000 |
| 0.000 | 0.000 | 0.000 | 0.000 | 0.000 | 0.000 |
| 0.000 | 0.000 | 0.000 | -0.000 | 0.000 | 0.000 |
| 0.000 | 0.000 | -0.000 | -0.000 | 0.000 | -0.000 |
| 0.000 | 0.000 | -0.000 | -0.000 | -0.000 | 391.807 |
| 776.761 | -6.853 | 0.000 | -0.000 | 0.000 | -0.000 |
| -6.853 | 776.761 | -0.000 | 0.000 | -0.000 | -0.000 |
| -0.000 | -0.000 | -0.000 | 0.000 | -0.000 | -0.000 |
| -0.000 | -0.000 | 0.000 | 0.000 | -0.000 | -0.000 |
| -0.000 | -0.000 | -0.000 | -0.000 | -0.000 | -0.000 |
| -0.000 | -0.000 | 0.000 | 0.000 | -0.000 | 391.807 |
| 776.764 | -6.853 | -0.000 | -0.000 | 0.000 | 0.000 |
| -6.466 | 776.377 | 0.000 | -0.000 | -0.000 | 0.000 |
| 0.000 | 0.000 | -0.000 | -0.000 | 0.000 | 0.000 |
| 0.000 | 0.000 | -0.000 | -0.000 | 0.000 | 0.000 |
| 0.000 | 0.000 | 0.000 | 0.000 | 0.000 | -0.000 |
| 0.000 | 0.001 | 0.000 | 0.000 | 0.000 | 391.420 |
| 776.371 | -6.466 | -0.000 | -0.000 | -0.000 | -0.000 |
| -6.853 | 776.758 | 0.000 | 0.000 | -0.000 | 0.000 |
| -0.000 | -0.000 | 0.000 | -0.000 | -0.000 | -0.000 |
| -0.000 | -0.000 | 0.000 | 0.000 | -0.000 | -0.000 |
| -0.000 | -0.000 | 0.000 | 0.000 | -0.000 | 0.000 |
| -0.000 | -0.001 | -0.000 | -0.000 | 0.000 | 391.420 |
| 1238.991 | 76.414 | 22.226 | 14.933 | -0.000 | -0.000 |
| 61.083 | 1279.789 | -3.173 | -18.078 | -0.000 | -0.000 |
| 16.775 | 16.775 | 1303.388 | -0.000 | -0.000 | -0.000 |
| 18.078 | -18.078 | 0.000 | 545.625 | -0.000 | -0.000 |
| 0.000 | 0.000 | 0.000 | -0.000 | 545.625 | 18.078 |
| 0.000 | 0.000 | 0.000 | -0.000 | 18.078 | 609.353 |
| 1245.045 | 75.893 | 16.708 | 14.758 | 0.000 | 0.000 |
| 61.083 | 1279.789 | -3.173 | -18.078 | 0.000 | 0.000 |
| 20.287 | 20.287 | 1296.381 | 0.000 | 0.000 | 0.000 |
| 16.630 | -13.444 | -3.178 | 534.881 | 0.000 | 0.000 |
| -0.000 | -0.000 | -0.000 | 0.000 | 545.625 | 18.078 |
| -0.000 | -0.000 | -0.000 | 0.000 | 18.078 | 609.353 |
| 1279.790 | 61.083 | -3.173 | 18.078 | -0.000 | -0.000 |
| 61.083 | 1279.790 | -3.173 | -18.078 | -0.000 | -0.000 |
| -2.939 | -2.939 | 1342.710 | -0.000 | -0.000 | -0.000 |
| 14.882 | -15.200 | 0.317 | 534.893 | -0.000 | -0.000 |
| -0.000 | 0.000 | 0.000 | 0.000 | 545.625 | 18.078 |
| 0.000 | 0.000 | 0.000 | 0.000 | 18.078 | 609.353 |
| 1242.523 | 80.500 | 14.628 | 15.516 | 0.000 | 0.000 |
| 61.083 | 1279.789 | -3.173 | -18.078 | 0.000 | 0.000 |
| 18.600 | 18.600 | 1299.746 | 0.000 | 0.000 | 0.000 |
| 18.078 | -18.078 | -0.000 | 545.625 | -0.000 | 0.000 |
| 0.000 | -0.000 | -0.000 | -0.000 | 545.625 | 18.078 |
| -0.000 | -0.000 | -0.000 | -0.000 | 18.078 | 609.353 |
| 1244.153 | 73.827 | 19.662 | 14.837 | -0.000 | -0.000 |
| 73.829 | 1244.148 | 19.665 | -14.836 | -0.000 | -0.000 |
| 18.435 | 18.435 | 1300.082 | -0.000 | -0.000 | -0.000 |
| 18.079 | -18.079 | 0.000 | 545.625 | -0.000 | -0.000 |
| -0.000 | 0.000 | 0.000 | 0.000 | 545.625 | 18.078 |
| 0.000 | 0.001 | 0.000 | 0.000 | 18.078 | 609.353 |
| 1242.372 | 80.332 | 14.943 | 15.505 | -0.000 | 0.000 |
| 73.880 | 1244.124 | 19.630 | -14.831 | -0.000 | 0.000 |
| 18.484 | 18.484 | 1299.974 | 0.000 | 0.000 | 0.000 |
| 18.078 | -18.078 | -0.000 | 545.625 | 0.000 | 0.000 |
| 0.000 | -0.000 | -0.000 | -0.000 | 545.625 | 18.078 |
| -0.000 | -0.001 | -0.000 | -0.000 | 18.078 | 609.353 |
| 1280.172 | 61.062 | -2.890 | 18.088 | 0.000 | -0.000 |
| 61.062 | 1280.172 | -2.890 | -18.088 | 0.000 | -0.000 |
| 23.570 | 23.570 | 1291.205 | -0.000 | 0.000 | -0.000 |
| 20.741 | -6.432 | -14.309 | 529.688 | -0.000 | -0.000 |
| 7.155 | 7.155 | -14.309 | 0.000 | 529.688 | 13.586 |
| 0.000 | 0.000 | -0.000 | 0.000 | 18.088 | 609.555 |
| 1280.172 | 61.061 | -2.889 | 18.088 | -0.000 | 0.000 |
| 61.061 | 1280.172 | -2.889 | -18.088 | -0.000 | 0.000 |
| 18.633 | 18.633 | 1301.079 | -0.000 | -0.000 | 0.000 |
| 18.088 | -18.088 | 0.000 | 545.604 | 0.000 | 0.000 |
| -7.155 | -7.155 | 14.309 | -0.000 | 529.688 | 13.586 |
| -0.000 | -0.000 | 0.000 | -0.000 | 18.088 | 609.555 |
| 1280.173 | 61.062 | -2.889 | 18.088 | 0.000 | -0.000 |
| 74.358 | 1244.873 | 19.114 | -14.830 | 0.000 | -0.000 |
| 19.083 | 19.083 | 1300.179 | 0.000 | 0.000 | -0.000 |
| 18.088 | -18.088 | 0.000 | 545.604 | 0.000 | -0.000 |
| 0.487 | 0.487 | -0.974 | 0.000 | 534.766 | 15.022 |
| 0.000 | 0.000 | 0.000 | 0.000 | 18.088 | 609.555 |
| 1280.172 | 61.061 | -2.890 | 18.088 | -0.000 | -0.000 |
| 73.273 | 1243.983 | 21.088 | -14.843 | -0.000 | 0.000 |
| 18.167 | 18.167 | 1302.010 | -0.000 | -0.000 | 0.000 |
| 18.088 | -18.088 | -0.000 | 545.604 | -0.000 | 0.000 |
| -0.487 | -0.487 | 0.974 | -0.000 | 534.766 | 15.022 |
| -0.000 | -0.000 | -0.000 | -0.000 | 18.088 | 609.555 |
| 1280.176 | 61.062 | -2.889 | 18.088 | 0.000 | 0.000 |
| 61.062 | 1280.176 | -2.889 | -18.088 | 0.000 | -0.000 |
| 18.648 | 18.648 | 1301.053 | 0.000 | 0.000 | -0.000 |
| 15.097 | -15.001 | -0.096 | 534.858 | -0.000 | -0.000 |
| -0.000 | 0.000 | 0.000 | 0.000 | 545.604 | 18.088 |
| 0.000 | 0.001 | 0.000 | 0.000 | 18.088 | 609.555 |
| 1280.168 | 61.061 | -2.890 | 18.088 | -0.000 | 0.000 |
| 73.725 | 1244.476 | 20.138 | -14.846 | -0.000 | 0.000 |
| 18.549 | 18.549 | 1301.241 | 0.000 | -0.000 | 0.000 |
| 18.088 | -18.088 | -0.000 | 545.604 | -0.000 | 0.000 |
| 0.000 | -0.000 | -0.000 | -0.000 | 545.604 | 18.088 |
| -0.000 | -0.001 | -0.000 | -0.000 | 18.088 | 609.555 |
| 719.919 | -414.521 | 1032.939 | 8.804 | 0.000 | -0.000 |
| -63.016 | 1119.593 | 281.754 | -11.789 | -0.000 | 0.000 |
| -462.308 | -462.308 | 2262.953 | -0.000 | 0.000 | 0.000 |
| -292.186 | -313.019 | 605.192 | 533.214 | -0.000 | 0.000 |
| -498.531 | -498.531 | 997.055 | -0.000 | 525.192 | 8.796 |
| 0.000 | 0.000 | 0.000 | 0.000 | 12.920 | 609.555 |
| 1390.855 | 207.877 | -260.375 | 11.810 | -0.000 | 0.000 |
| 582.563 | 1716.679 | -960.891 | -8.788 | -0.000 | 0.000 |
| 146.374 | 146.374 | 1045.609 | 0.000 | -0.000 | 0.000 |
| 507.327 | 489.735 | -997.055 | 525.192 | 0.000 | 0.000 |
| 498.531 | 498.531 | -997.055 | 0.000 | 525.192 | 8.796 |
| 0.000 | -0.000 | -0.000 | -0.000 | 12.920 | 609.555 |
| 1239.578 | 59.094 | 39.671 | 11.671 | -0.000 | 0.000 |
| 45.728 | 1213.146 | 79.470 | -10.503 | -0.000 | 0.000 |
| -5.039 | -5.039 | 1348.421 | 0.000 | 0.000 | -0.000 |
| -2.015 | -25.573 | 27.587 | 539.956 | 0.000 | -0.000 |
| -0.000 | 0.000 | 0.000 | 0.000 | 545.604 | 12.920 |
| 0.000 | 0.000 | 0.000 | 0.000 | 12.920 | 609.555 |
| 1270.130 | 86.208 | -17.993 | 11.862 | 0.000 | 0.000 |
| 61.061 | 1280.172 | -2.890 | -12.920 | -0.000 | 0.000 |
| 26.745 | 26.745 | 1284.855 | 0.000 | -0.000 | -0.000 |
| 40.484 | 19.616 | -60.099 | 533.300 | -0.000 | -0.000 |
| 0.000 | -0.000 | -0.000 | -0.000 | 545.604 | 12.920 |
| -0.000 | -0.000 | -0.000 | -0.000 | 12.920 | 609.555 |
| 1243.412 | 74.530 | 20.406 | 11.029 | -0.000 | -0.000 |
| 72.381 | 1235.080 | 30.888 | -10.178 | 0.000 | 0.000 |
| 20.822 | 20.822 | 1296.705 | -0.000 | -0.000 | -0.000 |
| 8.898 | -13.301 | 4.403 | 536.590 | 0.000 | -0.000 |
| -0.000 | 0.000 | 0.000 | 0.000 | 545.604 | 12.920 |
| 0.000 | 0.001 | 0.000 | 0.000 | 12.920 | 609.555 |
| 1249.299 | 78.575 | 10.466 | 11.135 | -0.000 | 0.000 |
| 80.046 | 1239.481 | 18.813 | -10.019 | -0.000 | 0.000 |
| 25.479 | 25.479 | 1287.382 | 0.000 | 0.000 | -0.000 |
| 13.300 | -8.898 | -4.403 | 536.591 | -0.000 | 0.000 |
| 0.000 | -0.000 | -0.000 | -0.000 | 545.604 | 12.920 |
| -0.000 | -0.001 | -0.000 | -0.000 | 12.920 | 609.555 |
| 1279.472 | 60.761 | -2.896 | 12.905 | 0.000 | -0.000 |
| 660.620 | 1779.876 | -1105.040 | -8.068 | -0.000 | -0.000 |
| 187.334 | 187.334 | 962.502 | 0.000 | 0.000 | -0.000 |
| 179.068 | 156.095 | -335.804 | 538.340 | -0.000 | -0.000 |
| 0.000 | 0.000 | 0.000 | -0.000 | 545.361 | 12.905 |
| 0.000 | 0.000 | 0.000 | 0.000 | 12.905 | 609.355 |
| 633.822 | -485.767 | 1191.318 | 8.085 | -0.000 | 0.000 |
| -93.721 | 1074.950 | 356.789 | -11.447 | -0.000 | 0.000 |
| -529.990 | -529.990 | 2399.669 | -0.000 | 0.000 | 0.000 |
| -565.104 | -581.256 | 1148.319 | 521.450 | 0.000 | 0.000 |
| -0.000 | -0.000 | -0.000 | 0.000 | 545.361 | 12.905 |
| -0.000 | -0.000 | -0.000 | -0.000 | 12.905 | 609.355 |
| 1263.088 | 144.370 | -70.237 | 8.042 | -0.000 | -0.000 |
| 60.761 | 1279.472 | -2.896 | -12.905 | 0.000 | -0.000 |
| -3.046 | -3.046 | 1343.981 | 0.000 | -0.000 | -0.000 |
| 73.913 | 59.299 | -133.445 | 517.644 | 0.000 | -0.000 |
| 57.120 | 57.120 | -114.435 | 0.000 | 521.532 | 8.093 |
| 0.000 | 0.000 | 0.000 | 0.000 | 12.905 | 609.355 |
| 1279.471 | 60.761 | -2.897 | 12.905 | -0.000 | 0.000 |
| 60.761 | 1279.471 | -2.897 | -12.905 | -0.000 | 0.000 |
| -12.593 | -12.593 | 1363.108 | -0.000 | 0.000 | 0.000 |
| 12.905 | -12.905 | -0.000 | 545.361 | 0.000 | 0.000 |
| -57.120 | -57.120 | 114.435 | -0.000 | 521.532 | 8.093 |
| -0.000 | -0.000 | -0.000 | -0.000 | 12.905 | 609.355 |
| 1233.411 | 82.104 | 21.868 | 9.627 | 0.000 | -0.000 |
| 60.762 | 1279.476 | -2.896 | -12.905 | -0.000 | -0.000 |
| 16.165 | 16.165 | 1305.498 | 0.000 | 0.000 | -0.000 |
| 13.056 | -11.037 | -2.023 | 541.110 | 0.000 | -0.000 |
| 3.588 | 3.589 | -7.190 | 0.000 | 530.424 | 9.888 |
| 0.000 | 0.001 | 0.000 | 0.000 | 12.905 | 609.355 |
| 1229.133 | 73.436 | 34.827 | 9.840 | 0.000 | 0.000 |
| 81.617 | 1244.770 | 10.969 | -11.771 | -0.000 | 0.000 |
| 23.789 | 23.789 | 1290.215 | -0.000 | -0.000 | 0.000 |
| 11.037 | -13.056 | 2.022 | 541.112 | 0.000 | 0.000 |
| -3.588 | -3.589 | 7.190 | -0.000 | 530.424 | 9.888 |
| -0.000 | -0.001 | -0.000 | -0.000 | 12.905 | 609.355 |
| 500.520 | 143.936 | 143.936 | -0.000 | -0.000 | 0.000 |
| 143.936 | 500.520 | 143.936 | -0.000 | -0.000 | 0.000 |
| 143.936 | 143.936 | 500.520 | 0.000 | -0.000 | 0.000 |
| -0.000 | -0.000 | -0.000 | 162.087 | -0.000 | -0.000 |
| -0.000 | -0.000 | -0.000 | -0.000 | 162.087 | -0.000 |
| 0.000 | -0.000 | -0.000 | -0.000 | -0.000 | 162.087 |
| 500.520 | 143.936 | 143.936 | 0.000 | 0.000 | -0.000 |
| 143.936 | 500.520 | 143.936 | 0.000 | -0.000 | -0.000 |
| 143.936 | 143.936 | 500.520 | 0.000 | 0.000 | -0.000 |
| 0.000 | -0.000 | 0.000 | 162.087 | 0.000 | -0.000 |
| -0.000 | 0.000 | 0.000 | 0.000 | 162.087 | -0.000 |
| -0.000 | 0.000 | 0.000 | 0.000 | 0.000 | 162.087 |
| 500.462 | 144.051 | 144.051 | -0.000 | -0.000 | 0.000 |
| 144.052 | 500.459 | 144.052 | -0.000 | -0.000 | 0.000 |
| 144.051 | 144.051 | 500.462 | 0.000 | -0.000 | 0.000 |
| 0.000 | -0.000 | -0.000 | 162.087 | 0.000 | -0.000 |
| -0.000 | 0.000 | -0.000 | -0.000 | 162.087 | 0.000 |
| -0.000 | -0.000 | 0.000 | -0.000 | -0.000 | 162.087 |
| 500.520 | 143.935 | 143.935 | 0.000 | 0.000 | -0.000 |
| 143.935 | 500.520 | 143.935 | 0.000 | 0.000 | -0.000 |
| 143.935 | 143.935 | 500.520 | -0.000 | 0.000 | -0.000 |
| -0.000 | 0.000 | 0.000 | 162.087 | 0.000 | -0.000 |
| 0.000 | -0.000 | 0.000 | 0.000 | 162.087 | -0.000 |
| 0.000 | 0.000 | -0.000 | 0.000 | 0.000 | 162.087 |
| 500.455 | 144.055 | 144.055 | -0.000 | -0.000 | 0.000 |
| 144.055 | 500.455 | 144.055 | -0.000 | -0.000 | 0.000 |
| 144.055 | 144.055 | 500.455 | -0.000 | -0.000 | 0.000 |
| -0.000 | -0.000 | -0.000 | 92.220 | -0.000 | 0.000 |
| -0.000 | -0.000 | -0.000 | -0.000 | 92.220 | 0.000 |
| -0.000 | -0.000 | -0.000 | -0.000 | -0.000 | 92.220 |
| 500.463 | 144.049 | 144.049 | 0.000 | 0.000 | -0.000 |
| 144.049 | 500.463 | 144.049 | 0.000 | 0.000 | -0.000 |
| 144.049 | 144.049 | 500.463 | 0.000 | 0.000 | -0.000 |
| 0.000 | 0.000 | 0.000 | 92.220 | 0.000 | -0.000 |
| 0.000 | 0.000 | 0.000 | 0.000 | 92.220 | -0.000 |
| 0.000 | 0.000 | 0.000 | 0.000 | 0.000 | 92.220 |
| 498.640 | 142.736 | 142.736 | -0.000 | 0.000 | -0.000 |
| 142.736 | 498.640 | 142.736 | -0.000 | 0.000 | -0.000 |
| 142.736 | 142.736 | 498.640 | -0.000 | -0.000 | -0.000 |
| 0.000 | -0.000 | -0.000 | 161.676 | -0.000 | -0.000 |
| 0.919 | 0.919 | 0.919 | -0.000 | 110.930 | -0.000 |
| 0.000 | -0.000 | 0.000 | 0.000 | 0.000 | 161.676 |
| 639.117 | 71.575 | 71.575 | 0.000 | 0.000 | 0.000 |
| 71.575 | 639.117 | 71.575 | 0.000 | 0.000 | 0.000 |
| 71.575 | 71.575 | 639.117 | 0.000 | 0.000 | 0.000 |
| -0.919 | -0.919 | -0.919 | 110.930 | 0.000 | -0.000 |
| -0.919 | -0.919 | -0.919 | 0.000 | 110.930 | 0.000 |
| -0.000 | 0.000 | -0.000 | 0.000 | 0.000 | 161.676 |
| 498.065 | 142.134 | 142.134 | -0.000 | -0.000 | -0.000 |
| 142.134 | 498.065 | 142.134 | -0.000 | -0.000 | -0.000 |
| 142.134 | 142.134 | 498.065 | -0.000 | 0.000 | -0.000 |
| 0.100 | 0.100 | 0.100 | 106.602 | 0.000 | -0.000 |
| 0.100 | 0.100 | 0.100 | 0.000 | 106.602 | 0.000 |
| 0.100 | 0.100 | 0.100 | 0.000 | 0.000 | 106.602 |
| 498.347 | 141.579 | 141.579 | 0.000 | -0.000 | 0.000 |
| 141.579 | 498.347 | 141.579 | 0.000 | 0.000 | 0.000 |
| 141.579 | 141.579 | 498.347 | 0.000 | -0.000 | 0.000 |
| -0.100 | -0.100 | -0.100 | 106.602 | 0.000 | -0.000 |
| -0.100 | -0.100 | -0.100 | 0.000 | 106.602 | 0.000 |
| -0.100 | -0.100 | -0.100 | 0.000 | 0.000 | 106.602 |
| 498.014 | 141.974 | 141.974 | 0.000 | 0.000 | -0.000 |
| 141.974 | 498.014 | 141.974 | -0.000 | -0.000 | -0.000 |
| 141.974 | 141.974 | 498.014 | 0.000 | -0.000 | -0.000 |
| 0.010 | 0.010 | 0.010 | 106.545 | 0.000 | -0.000 |
| 0.010 | 0.010 | 0.010 | 0.000 | 106.545 | 0.000 |
| 0.007 | 0.007 | 0.007 | -0.000 | -0.000 | 92.451 |
| 498.052 | 141.911 | 141.911 | 0.000 | 0.000 | 0.000 |
| 141.911 | 498.052 | 141.911 | -0.000 | 0.000 | 0.000 |
| 141.911 | 141.911 | 498.052 | 0.000 | -0.000 | 0.000 |
| -0.010 | -0.010 | -0.010 | 106.545 | 0.000 | -0.000 |
| -0.010 | -0.010 | -0.010 | 0.000 | 106.545 | 0.000 |
| -0.007 | -0.007 | -0.007 | -0.000 | -0.000 | 92.451 |
| 195.513 | 1235.244 | 300.043 | -0.000 | -0.000 | 0.000 |
| -232.012 | 1425.096 | 279.566 | 0.000 | -0.000 | 0.000 |
| -249.359 | 1114.367 | 474.183 | 0.000 | -0.000 | -0.000 |
| -148.572 | 1169.546 | 1670.848 | 30.115 | -0.000 | -0.000 |
| -318.905 | 1168.053 | 250.038 | -0.000 | 165.089 | 0.000 |
| -318.454 | 1166.403 | 249.685 | 0.000 | -0.000 | 212.697 |
| 591.284 | 38.774 | 47.669 | -0.000 | 0.000 | -0.000 |
| 462.567 | -953.534 | -1333.943 | 0.000 | 0.000 | -0.000 |
| 391.561 | -1230.162 | -50.871 | -0.000 | 0.000 | 0.000 |
| 148.572 | -1169.546 | -1670.848 | 30.115 | 0.000 | 0.000 |
| 318.905 | -1168.053 | -250.038 | -0.000 | 165.089 | 0.000 |
| 318.454 | -1166.403 | -249.685 | -0.000 | 0.000 | 212.697 |
| 516.958 | 182.134 | 88.746 | 0.000 | -0.000 | 0.000 |
| 57.449 | 314.424 | 13.183 | 0.000 | -0.000 | -0.000 |
| 49.374 | -3.787 | 421.909 | -0.000 | 0.000 | 0.000 |
| -11.617 | 114.818 | 168.896 | 30.129 | -0.000 | -0.000 |
| -42.583 | 143.744 | 107.046 | -0.000 | 123.421 | -0.000 |
| 0.000 | 0.000 | 0.000 | 0.000 | -0.000 | 230.181 |
| 582.987 | -72.049 | -92.543 | -0.000 | 0.000 | 0.000 |
| 118.017 | 140.255 | 2.944 | -0.000 | 0.000 | -0.000 |
| 16.595 | -133.946 | -167.066 | -0.000 | 0.000 | -0.000 |
| 11.617 | -114.818 | -168.896 | 30.129 | 0.000 | -0.000 |
| 42.583 | -143.744 | -107.046 | 0.000 | 123.421 | -0.000 |
| -0.000 | -0.000 | -0.000 | 0.000 | 0.000 | 230.181 |
| 539.619 | 78.231 | 32.371 | 0.000 | -0.000 | -0.000 |
| 80.912 | 265.179 | 16.708 | 0.000 | -0.000 | 0.000 |
| 0.216 | -5.272 | 16.710 | 0.000 | -0.000 | -0.000 |
| 0.061 | 12.576 | 29.254 | 1.128 | -0.000 | -0.000 |
| 1.810 | 5.466 | 26.945 | 0.000 | 5.636 | -0.000 |
| -1.494 | 11.881 | 16.462 | -0.000 | -0.000 | 220.531 |
| 540.578 | 61.655 | 2.139 | -0.000 | 0.000 | 0.000 |
| 88.210 | 241.608 | -13.198 | 0.000 | 0.000 | -0.000 |
| 3.194 | -28.667 | -16.702 | 0.000 | 0.000 | -0.000 |
| -0.061 | -12.576 | -29.254 | 1.128 | 0.000 | -0.000 |
| -1.810 | -5.466 | -26.945 | 0.000 | 5.636 | -0.000 |
| 1.494 | -11.881 | -16.462 | 0.000 | 0.000 | 220.531 |
| 628.605 | 88.400 | 33.498 | 0.000 | -0.000 | -0.000 |
| 52.801 | 385.149 | 19.347 | 0.000 | 0.000 | -0.000 |
| -18.614 | 29.152 | -11.340 | 0.000 | 0.000 | -0.000 |
| -0.000 | -0.000 | 0.000 | 96.135 | -0.000 | -0.000 |
| -3.299 | 3.708 | -9.686 | 0.000 | 169.033 | -0.000 |
| -0.000 | 0.000 | 0.000 | 0.000 | -0.000 | 231.327 |
| 631.254 | 94.772 | 31.666 | -0.000 | -0.000 | 0.000 |
| 52.801 | 385.149 | 19.347 | -0.000 | 0.000 | 0.000 |
| 29.115 | 59.609 | 118.958 | -0.000 | -0.000 | 0.000 |
| 0.000 | -0.000 | -0.000 | 96.135 | -0.000 | 0.000 |
| 3.299 | -3.708 | 9.686 | 0.000 | 169.033 | 0.000 |
| 0.000 | -0.000 | -0.000 | -0.000 | 0.000 | 231.327 |
| 630.936 | 86.063 | 37.776 | 0.000 | -0.000 | -0.000 |
| 92.191 | 261.002 | -1.983 | 0.000 | 0.000 | -0.000 |
| -14.899 | 28.189 | 5.784 | 0.000 | -0.000 | -0.000 |
| 0.000 | -0.000 | -0.000 | 96.135 | 0.000 | -0.000 |
| 0.000 | 0.000 | 0.000 | 0.000 | 264.840 | -0.000 |
| 0.000 | 0.000 | 0.000 | 0.000 | 0.000 | 231.327 |
| 631.425 | 85.569 | 38.698 | -0.000 | -0.000 | 0.000 |
| 52.801 | 385.149 | 19.347 | -0.000 | -0.000 | 0.000 |
| 24.271 | 65.335 | 101.183 | 0.000 | 0.000 | 0.000 |
| -0.000 | 0.000 | 0.000 | 96.135 | 0.000 | 0.000 |
| -0.000 | -0.000 | -0.000 | -0.000 | 264.840 | 0.000 |
| -0.000 | -0.000 | -0.000 | -0.000 | -0.000 | 231.327 |
| 628.290 | 99.024 | 19.342 | 0.000 | -0.000 | -0.000 |
| 92.475 | 260.959 | -0.197 | 0.000 | -0.000 | -0.000 |
| -0.041 | 0.025 | -0.223 | 0.000 | 0.000 | -0.000 |
| -0.142 | 0.198 | -0.560 | 0.001 | 0.000 | 0.000 |
| -0.031 | 0.009 | -0.184 | 0.000 | 0.000 | -0.000 |
| -0.016 | 0.018 | -0.047 | 0.000 | 0.000 | 222.108 |
| 631.216 | 85.780 | 38.286 | 0.000 | 0.000 | 0.000 |
| 92.502 | 262.896 | 28.024 | 0.000 | -0.000 | 0.000 |
| 0.032 | -0.010 | 0.225 | -0.000 | 0.000 | 0.000 |
| 0.142 | -0.198 | 0.560 | 0.001 | -0.000 | 0.000 |
| 0.031 | -0.009 | 0.184 | -0.000 | 0.000 | 0.000 |
| 0.016 | -0.018 | 0.047 | 0.000 | 0.000 | 222.108 |
| 695.378 | -6.135 | 0.000 | 0.000 | 0.000 | -0.000 |
| -6.135 | 695.378 | -0.000 | -0.000 | 0.000 | -0.000 |
| 0.000 | 0.000 | -0.000 | -0.000 | 0.000 | -0.000 |
| -0.000 | 0.000 | -0.000 | -0.000 | 0.000 | -0.000 |
| -0.000 | 0.000 | -0.000 | -0.000 | -0.000 | -0.000 |
| 0.000 | 0.000 | 0.000 | 0.000 | 0.000 | 350.410 |
| 695.377 | -6.135 | -0.000 | 0.000 | 0.000 | 0.000 |
| -5.789 | 695.031 | -0.000 | 0.000 | 0.000 | 0.000 |
| 0.000 | 0.000 | -0.000 | 0.000 | -0.000 | 0.000 |
| 0.000 | 0.000 | -0.000 | -0.000 | -0.000 | 0.000 |
| 0.000 | 0.000 | 0.000 | 0.000 | -0.000 | 0.000 |
| -0.000 | -0.000 | -0.000 | -0.000 | -0.000 | 350.410 |
| 695.033 | -5.788 | 0.000 | 0.000 | 0.000 | -0.000 |
| -5.788 | 695.034 | 0.000 | 0.000 | 0.000 | -0.000 |
| 0.000 | 0.000 | -0.000 | 0.000 | 0.000 | -0.000 |
| -0.000 | -0.000 | -0.000 | 0.000 | 0.000 | -0.000 |
| -0.000 | 0.000 | -0.000 | 0.000 | 0.000 | -0.000 |
| 0.000 | 0.000 | 0.000 | -0.000 | -0.000 | 350.410 |
| 695.029 | -5.789 | -0.000 | 0.000 | -0.000 | 0.000 |
| -5.789 | 695.029 | -0.000 | -0.000 | -0.000 | 0.000 |
| 0.000 | 0.000 | -0.000 | -0.000 | -0.000 | 0.000 |
| 0.000 | 0.000 | 0.000 | 0.000 | 0.000 | 0.000 |
| 0.000 | 0.000 | 0.000 | -0.000 | -0.000 | 0.000 |
| -0.000 | -0.000 | -0.000 | 0.000 | -0.000 | 350.410 |
| 1243.769 | 75.087 | 18.898 | -0.000 | -0.000 | -0.000 |
| 61.233 | 1279.932 | -3.304 | 0.000 | 0.000 | 0.000 |
| -2.890 | -2.890 | 1342.104 | 0.000 | 0.000 | 0.000 |
| 0.000 | 0.000 | 0.000 | 545.747 | -0.000 | 0.000 |
| 0.000 | 0.000 | 0.000 | -0.000 | 545.747 | 0.000 |
| 0.000 | 0.000 | 0.000 | 0.000 | 0.000 | 609.350 |
| 1237.165 | 81.673 | 18.916 | -0.000 | 0.000 | 0.000 |
| 74.062 | 1242.966 | 20.718 | 0.000 | 0.000 | 0.000 |
| -2.890 | -2.890 | 1342.104 | 0.000 | -0.000 | 0.000 |
| -0.000 | -0.000 | -0.000 | 545.747 | 0.000 | 0.000 |
| -0.000 | -0.000 | -0.000 | 0.000 | 545.747 | 0.000 |
| -0.000 | -0.000 | -0.000 | -0.000 | -0.000 | 609.350 |
| 1243.411 | 74.623 | 19.717 | 0.000 | 0.000 | -0.000 |
| 74.624 | 1243.409 | 19.718 | 0.000 | 0.000 | 0.000 |
| 18.476 | 18.476 | 1299.574 | 0.000 | 0.000 | -0.000 |
| 0.000 | 0.000 | 0.000 | 545.747 | -0.000 | -0.000 |
| 0.000 | 0.000 | 0.000 | 0.000 | 545.747 | -0.000 |
| 0.000 | 0.000 | 0.000 | 0.000 | 0.000 | 609.350 |
| 1279.931 | 61.232 | -3.304 | -0.000 | -0.000 | 0.000 |
| 61.232 | 1279.931 | -3.304 | -0.000 | -0.000 | -0.000 |
| -2.890 | -2.890 | 1342.103 | -0.000 | -0.000 | -0.000 |
| -0.000 | -0.000 | -0.000 | 545.747 | -0.000 | -0.000 |
| -0.000 | -0.000 | -0.000 | -0.000 | 545.747 | -0.000 |
| -0.000 | -0.000 | -0.000 | -0.000 | -0.000 | 609.350 |
| 1243.397 | 74.571 | 19.787 | 0.000 | 0.000 | -0.000 |
| 74.559 | 1243.428 | 19.767 | 0.000 | 0.000 | 0.000 |
| 18.436 | 18.436 | 1299.658 | 0.000 | 0.000 | 0.000 |
| 0.000 | -0.000 | 0.000 | 545.747 | -0.000 | 0.000 |
| 0.004 | 0.005 | -0.009 | -0.000 | 535.010 | -0.000 |
| 0.000 | 0.001 | 0.000 | 0.000 | 0.000 | 609.350 |
| 1279.928 | 61.231 | -3.305 | -0.000 | -0.000 | 0.000 |
| 84.134 | 1240.835 | 12.809 | 0.000 | 0.000 | 0.000 |
| 18.458 | 18.458 | 1299.606 | -0.000 | -0.000 | -0.000 |
| -0.000 | 0.000 | -0.000 | 545.747 | 0.000 | 0.000 |
| -0.004 | -0.005 | 0.009 | 0.000 | 535.010 | 0.000 |
| -0.000 | -0.001 | -0.000 | -0.000 | -0.000 | 609.350 |
| 1279.923 | 61.125 | -3.148 | -0.000 | 0.000 | 0.000 |
| 61.125 | 1279.923 | -3.148 | 0.000 | 0.000 | -0.000 |
| 133.508 | 133.508 | 1070.742 | -0.000 | -0.000 | -0.000 |
| 0.000 | 0.000 | 0.000 | 545.658 | -0.000 | -0.000 |
| 91.860 | 91.860 | -183.227 | -0.000 | 535.564 | -0.000 |
| 112.312 | 112.312 | -224.020 | 0.000 | 0.000 | 583.530 |
| 1279.923 | 61.125 | -3.148 | -0.000 | -0.000 | 0.000 |
| 61.125 | 1279.923 | -3.148 | -0.000 | -0.000 | 0.000 |
| -90.906 | -90.906 | 1518.364 | -0.000 | -0.000 | 0.000 |
| -0.000 | -0.000 | -0.000 | 545.658 | 0.000 | 0.000 |
| -91.860 | -91.860 | 183.227 | 0.000 | 535.564 | 0.000 |
| -112.312 | -112.312 | 224.020 | -0.000 | -0.000 | 583.530 |
| 1252.956 | 85.895 | -0.957 | -0.000 | -0.000 | -0.000 |
| 61.125 | 1279.923 | -3.148 | 0.000 | 0.000 | -0.000 |
| 31.278 | 31.278 | 1274.653 | -0.000 | -0.000 | -0.000 |
| 11.135 | 11.135 | -22.209 | 533.411 | 0.000 | -0.000 |
| 0.000 | 0.000 | 0.000 | 0.000 | 545.658 | 0.000 |
| 0.000 | 0.000 | 0.000 | 0.000 | 0.000 | 609.399 |
| 1231.742 | 63.375 | 42.659 | -0.000 | -0.000 | 0.000 |
| 63.375 | 1231.744 | 42.657 | -0.000 | -0.000 | 0.000 |
| 10.409 | 10.409 | 1316.277 | 0.000 | 0.000 | 0.000 |
| -11.135 | -11.135 | 22.209 | 533.411 | -0.000 | 0.000 |
| -0.000 | -0.000 | -0.000 | 0.000 | 545.658 | 0.000 |
| -0.000 | -0.000 | -0.000 | -0.000 | -0.000 | 609.399 |
| 1244.974 | 78.854 | 14.029 | -0.000 | -0.000 | -0.000 |
| 61.125 | 1279.927 | -3.148 | -0.000 | 0.000 | -0.000 |
| 19.556 | 19.556 | 1298.038 | 0.000 | 0.000 | -0.000 |
| 0.000 | -0.000 | 0.000 | 545.658 | -0.000 | -0.000 |
| 0.976 | 0.977 | -1.947 | -0.000 | 534.929 | -0.000 |
| 1.063 | 1.063 | -2.120 | -0.000 | -0.000 | 584.915 |
| 1236.997 | 78.267 | 22.563 | -0.000 | -0.000 | 0.000 |
| 72.530 | 1243.798 | 21.501 | -0.000 | -0.000 | 0.000 |
| 17.611 | 17.611 | 1301.909 | -0.000 | -0.000 | 0.000 |
| -0.000 | 0.000 | -0.000 | 545.658 | 0.000 | 0.000 |
| -0.976 | -0.977 | 1.947 | 0.000 | 534.929 | 0.000 |
| -1.063 | -1.063 | 2.120 | 0.000 | 0.000 | 584.915 |
| 1190.741 | 16.207 | 131.397 | -0.000 | 0.000 | 0.000 |
| 20.447 | 1187.405 | 130.492 | 0.000 | 0.000 | 0.000 |
| -2.889 | -2.889 | 1344.123 | 0.000 | 0.000 | 0.000 |
| 0.000 | -0.000 | 0.000 | 545.604 | -0.000 | -0.000 |
| -0.000 | -0.000 | 0.000 | -0.000 | 545.604 | -0.000 |
| 0.000 | 0.000 | 0.000 | -0.000 | 0.000 | 609.555 |
| 1298.708 | 134.103 | -94.466 | 0.000 | -0.000 | -0.000 |
| 129.155 | 1303.548 | -94.359 | 0.000 | 0.000 | -0.000 |
| 74.797 | 74.797 | 1188.751 | -0.000 | -0.000 | -0.000 |
| -0.000 | -0.000 | -0.000 | 545.604 | 0.000 | -0.000 |
| 0.000 | 0.000 | -0.000 | 0.000 | 545.604 | -0.000 |
| -0.000 | -0.000 | -0.000 | 0.000 | -0.000 | 609.555 |
| 1240.482 | 67.087 | 30.776 | 0.000 | 0.000 | 0.000 |
| 67.087 | 1240.482 | 30.776 | 0.000 | 0.000 | 0.000 |
| -2.889 | -2.889 | 1344.124 | 0.000 | 0.000 | -0.000 |
| -5.620 | -5.620 | 11.240 | 534.861 | -0.000 | 0.000 |
| -0.000 | 0.000 | 0.000 | -0.000 | 545.604 | -0.000 |
| 0.000 | 0.000 | 0.000 | -0.000 | 0.000 | 609.555 |
| 1250.664 | 81.461 | 6.219 | 0.000 | 0.000 | -0.000 |
| 79.121 | 1251.288 | 7.935 | -0.000 | -0.000 | -0.000 |
| 24.218 | 24.218 | 1289.908 | 0.000 | -0.000 | -0.000 |
| 5.620 | 5.620 | -11.240 | 534.861 | 0.000 | -0.000 |
| 0.000 | -0.000 | -0.000 | 0.000 | 545.604 | 0.000 |
| -0.000 | -0.000 | -0.000 | 0.000 | -0.000 | 609.555 |
| 1244.218 | 75.930 | 18.201 | 0.000 | 0.000 | 0.000 |
| 75.930 | 1244.218 | 18.201 | -0.000 | 0.000 | 0.000 |
| 18.035 | 18.035 | 1302.279 | 0.000 | 0.000 | 0.000 |
| -0.562 | -0.562 | 1.124 | 534.861 | -0.000 | 0.000 |
| -0.000 | 0.000 | 0.000 | -0.000 | 545.604 | 0.000 |
| -0.597 | -0.597 | 1.195 | 0.000 | 0.000 | 585.940 |
| 1246.371 | 73.619 | 18.350 | -0.000 | -0.000 | -0.000 |
| 61.061 | 1280.168 | -2.890 | 0.000 | 0.000 | 0.000 |
| -2.890 | -2.890 | 1344.118 | 0.000 | -0.000 | 0.000 |
| 0.562 | 0.562 | -1.124 | 534.861 | 0.000 | -0.000 |
| 0.000 | -0.000 | -0.000 | 0.000 | 545.604 | 0.000 |
| 0.597 | 0.597 | -1.195 | -0.000 | -0.000 | 585.940 |
| 1242.080 | 67.596 | 28.238 | 0.000 | -0.000 | -0.000 |
| 61.025 | 1279.916 | -3.002 | -0.000 | -0.000 | -0.000 |
| 8.127 | 8.127 | 1321.446 | -0.000 | 0.000 | -0.000 |
| -13.056 | -13.056 | 26.092 | 532.078 | -0.000 | -0.000 |
| -13.056 | -13.056 | 26.092 | -0.000 | 532.078 | -0.000 |
| -13.047 | -13.047 | 26.073 | -0.000 | -0.000 | 581.535 |
| 1251.531 | 88.542 | -2.133 | 0.000 | -0.000 | 0.000 |
| 82.756 | 1257.683 | -2.499 | 0.000 | -0.000 | 0.000 |
| 21.016 | 21.016 | 1295.688 | -0.000 | 0.000 | 0.000 |
| 13.056 | 13.056 | -26.092 | 532.078 | 0.000 | 0.000 |
| 13.056 | 13.056 | -26.092 | 0.000 | 532.078 | -0.000 |
| 13.047 | 13.047 | -26.073 | 0.000 | 0.000 | 581.535 |
| 1242.421 | 72.552 | 22.947 | 0.000 | 0.000 | -0.000 |
| 61.025 | 1279.917 | -3.002 | -0.000 | -0.000 | -0.000 |
| 18.873 | 18.873 | 1299.971 | 0.000 | 0.000 | -0.000 |
| -1.190 | -1.190 | 2.379 | 533.269 | 0.000 | -0.000 |
| -0.000 | 0.000 | 0.000 | 0.000 | 545.576 | 0.000 |
| 0.000 | 0.000 | 0.000 | -0.000 | -0.000 | 609.446 |
| 1279.916 | 61.025 | -3.002 | 0.000 | 0.000 | 0.000 |
| 61.025 | 1279.916 | -3.002 | 0.000 | -0.000 | 0.000 |
| 20.882 | 20.882 | 1295.955 | -0.000 | -0.000 | 0.000 |
| 1.190 | 1.190 | -2.379 | 533.269 | -0.000 | 0.000 |
| 0.000 | -0.000 | -0.000 | -0.000 | 545.576 | 0.000 |
| -0.000 | -0.000 | -0.000 | -0.000 | -0.000 | 609.446 |
| 1244.480 | 76.334 | 17.114 | 0.000 | 0.000 | -0.000 |
| 72.887 | 1245.477 | 19.562 | -0.000 | -0.000 | -0.000 |
| 18.427 | 18.427 | 1300.866 | -0.000 | -0.000 | -0.000 |
| -0.103 | -0.104 | 0.207 | 534.865 | -0.000 | -0.000 |
| -0.104 | -0.104 | 0.208 | 0.000 | 534.805 | 0.000 |
| 0.000 | 0.001 | 0.000 | 0.000 | -0.000 | 609.446 |
| 1245.661 | 73.111 | 19.145 | -0.000 | -0.000 | -0.000 |
| 73.112 | 1245.660 | 19.146 | -0.000 | -0.000 | 0.000 |
| 18.617 | 18.617 | 1300.477 | 0.000 | -0.000 | 0.000 |
| 0.103 | 0.104 | -0.207 | 534.865 | 0.000 | 0.000 |
| 0.104 | 0.104 | -0.208 | -0.000 | 534.805 | -0.000 |
| -0.000 | -0.001 | -0.000 | -0.000 | -0.000 | 609.446 |
| 810.362 | 127.656 | 25.114 | 0.000 | -0.000 | 0.000 |
| 119.259 | 339.040 | 35.955 | 0.000 | -0.000 | 0.000 |
| -0.001 | -0.003 | -0.005 | 0.000 | -0.000 | 0.000 |
| -0.000 | -0.000 | -0.000 | 123.988 | -0.000 | 0.000 |
| -0.003 | -0.003 | 0.000 | 0.000 | 211.679 | 0.000 |
| -0.003 | -0.004 | 0.001 | 0.000 | -0.000 | 275.197 |
| 866.159 | 68.099 | 57.114 | -0.000 | 0.000 | -0.000 |
| 119.263 | 339.048 | 35.966 | -0.000 | 0.000 | -0.000 |
| 30.609 | 85.092 | 128.006 | -0.000 | 0.000 | -0.000 |
| -0.000 | 0.000 | 0.000 | 123.988 | 0.000 | -0.000 |
| 0.003 | 0.003 | -0.000 | -0.000 | 211.679 | -0.000 |
| 0.003 | 0.004 | -0.001 | -0.000 | 0.000 | 275.197 |
| 814.057 | 110.677 | 49.317 | 0.000 | -0.000 | 0.000 |
| 119.262 | 339.041 | 35.960 | 0.000 | -0.000 | 0.000 |
| -18.677 | 36.197 | 9.908 | 0.000 | -0.000 | 0.000 |
| 0.018 | -0.005 | -0.008 | 0.000 | -0.000 | 0.000 |
| 0.000 | 0.000 | 0.000 | 0.000 | 341.572 | 0.000 |
| -0.000 | -0.000 | 0.000 | 0.000 | -0.000 | 275.197 |
| 814.057 | 110.678 | 49.317 | -0.000 | 0.000 | -0.000 |
| 129.204 | 342.032 | 50.333 | -0.000 | 0.000 | -0.000 |
| 57.114 | 24.953 | 589.035 | -0.000 | 0.000 | -0.000 |
| -0.018 | 0.005 | 0.008 | 0.000 | 0.000 | 0.000 |
| -0.000 | -0.000 | -0.000 | -0.000 | 341.572 | -0.000 |
| 0.000 | 0.000 | -0.000 | -0.000 | 0.000 | 275.197 |
| 810.366 | 127.658 | 25.117 | 0.000 | -0.000 | 0.000 |
| 129.217 | 342.001 | 50.339 | 0.000 | -0.000 | 0.000 |
| -0.041 | 0.083 | -0.013 | 0.000 | -0.000 | 0.000 |
| 0.008 | -0.002 | -0.003 | 0.000 | -0.000 | 0.000 |
| 0.000 | 0.000 | -0.000 | 0.000 | 24.803 | 0.000 |
| 0.000 | 0.000 | -0.000 | 0.000 | -0.000 | 269.722 |
| 814.110 | 110.632 | 49.325 | -0.000 | 0.000 | -0.000 |
| 119.249 | 339.073 | 35.955 | -0.000 | 0.000 | -0.000 |
| -0.006 | -0.009 | -0.019 | -0.000 | 0.000 | -0.000 |
| -0.008 | 0.002 | 0.003 | 0.000 | 0.000 | -0.000 |
| -0.000 | -0.000 | 0.000 | -0.000 | 24.803 | -0.000 |
| -0.000 | -0.000 | 0.000 | -0.000 | 0.000 | 269.722 |
| 812.484 | 63.879 | 53.574 | 0.000 | -0.000 | 0.000 |
| 63.879 | 465.957 | 23.407 | 0.000 | -0.000 | -0.000 |
| 53.574 | 23.407 | 552.534 | 0.000 | -0.000 | 0.000 |
| 0.000 | 0.000 | 0.000 | 116.305 | -0.000 | -0.000 |
| -126.150 | 509.966 | -108.774 | 0.000 | 198.545 | 0.000 |
| -0.000 | 0.000 | 0.000 | 0.000 | -0.000 | 279.862 |
| 816.848 | -305.628 | 183.261 | 0.000 | -0.000 | 0.000 |
| 229.320 | -167.181 | 148.467 | -0.000 | 0.000 | -0.000 |
| 53.574 | 23.407 | 552.534 | -0.000 | 0.000 | -0.000 |
| -0.000 | 0.000 | -0.000 | 116.305 | -0.000 | 0.000 |
| 126.150 | -509.966 | 108.774 | 0.000 | 198.545 | -0.000 |
| 0.000 | -0.000 | -0.000 | -0.000 | 0.000 | 279.862 |
| 748.542 | 149.611 | 32.202 | 0.000 | -0.000 | -0.000 |
| 111.188 | 372.569 | 31.338 | 0.000 | -0.000 | -0.000 |
| -36.582 | 99.814 | 35.280 | 0.000 | -0.000 | 0.000 |
| 0.000 | -0.000 | -0.000 | 116.305 | -0.000 | -0.000 |
| -9.149 | 57.068 | -18.856 | 0.000 | 204.719 | -0.000 |
| -8.804 | 54.919 | -18.145 | 0.000 | -0.000 | 264.806 |
| 812.484 | 63.879 | 53.574 | -0.000 | 0.000 | -0.000 |
| 121.399 | 266.780 | 2.900 | -0.000 | 0.000 | -0.000 |
| 9.112 | -47.864 | 2.480 | 0.000 | 0.000 | -0.000 |
| -0.000 | 0.000 | 0.000 | 116.305 | 0.000 | 0.000 |
| 9.149 | -57.068 | 18.856 | -0.000 | 204.719 | 0.000 |
| 8.804 | -54.919 | 18.145 | -0.000 | -0.000 | 264.806 |
| 757.818 | 116.817 | -0.291 | 0.000 | -0.000 | -0.000 |
| 110.967 | 320.596 | -0.282 | -0.000 | -0.000 | 0.000 |
| -0.992 | 4.978 | -0.293 | 0.000 | -0.000 | 0.000 |
| -0.886 | 5.529 | -1.827 | 67.352 | -0.000 | 0.000 |
| 1.091 | 3.763 | -1.450 | 0.000 | 0.118 | -0.000 |
| -1.896 | 5.891 | -0.666 | 0.000 | -0.000 | 253.045 |
| 760.863 | 115.514 | 23.518 | -0.000 | -0.000 | 0.000 |
| 122.048 | 315.899 | 48.804 | 0.000 | 0.000 | 0.000 |
| 0.951 | -4.898 | 0.322 | -0.000 | 0.000 | -0.000 |
| 0.886 | -5.529 | 1.827 | 67.352 | -0.000 | 0.000 |
| -1.091 | -3.763 | 1.450 | 0.000 | 0.118 | 0.000 |
| 1.896 | -5.891 | 0.666 | -0.000 | -0.000 | 253.045 |
| 813.108 | 906.169 | -615.573 | 0.000 | -0.000 | -0.000 |
| 171.651 | 1092.858 | -573.216 | 0.000 | -0.000 | -0.000 |
| -123.702 | 1069.729 | -554.475 | 0.000 | 0.000 | -0.000 |
| 0.000 | 0.000 | 0.000 | 113.870 | 0.000 | -0.000 |
| 0.000 | 0.000 | 0.000 | 0.000 | 312.672 | -0.000 |
| 0.000 | 0.000 | 0.000 | -0.000 | 0.000 | 275.422 |
| 843.503 | -865.547 | 796.117 | -0.000 | -0.000 | -0.000 |
| 200.611 | -649.421 | 803.710 | -0.000 | 0.000 | 0.000 |
| 107.542 | -909.128 | 1049.406 | -0.000 | 0.000 | 0.000 |
| -0.000 | -0.000 | -0.000 | 113.870 | -0.000 | 0.000 |
| -0.000 | -0.000 | -0.000 | -0.000 | 312.672 | 0.000 |
| -0.000 | -0.000 | 0.000 | -0.000 | -0.000 | 275.422 |
| 733.611 | 206.198 | -35.410 | 0.000 | 0.000 | -0.000 |
| 54.693 | 456.901 | 23.099 | 0.000 | 0.000 | 0.000 |
| 45.809 | 21.517 | 545.812 | 0.000 | 0.000 | -0.000 |
| 0.000 | -0.000 | -0.000 | 113.870 | 0.000 | -0.000 |
| -15.279 | 88.559 | -119.128 | 0.000 | 17.901 | -0.000 |
| 7.993 | 81.338 | -66.789 | 0.000 | 0.000 | 264.763 |
| 742.507 | 32.127 | 94.444 | -0.000 | 0.000 | 0.000 |
| 110.517 | 221.371 | 107.308 | -0.000 | 0.000 | 0.000 |
| 45.809 | 21.517 | 545.812 | -0.000 | -0.000 | 0.000 |
| -0.000 | 0.000 | 0.000 | 113.870 | -0.000 | -0.000 |
| -9.088 | -92.486 | 75.944 | -0.000 | 222.670 | -0.000 |
| -7.993 | -81.338 | 66.789 | -0.000 | -0.000 | 264.763 |
| 740.347 | 111.061 | -10.731 | 0.000 | 0.000 | 0.000 |
| 97.954 | 320.866 | -10.731 | 0.000 | 0.000 | 0.000 |
| -5.626 | 7.465 | -10.724 | 0.000 | 0.000 | -0.000 |
| -1.485 | 7.328 | -14.617 | 2.756 | 0.000 | -0.000 |
| -1.144 | 9.048 | -10.731 | 0.000 | -0.005 | -0.000 |
| -1.195 | 9.671 | -10.137 | 0.000 | -0.000 | 248.911 |
| 747.426 | 86.635 | 49.904 | -0.000 | -0.000 | 0.000 |
| 100.245 | 302.752 | 10.730 | -0.000 | 0.000 | 0.000 |
| -3.349 | -10.629 | 10.801 | -0.000 | 0.000 | -0.000 |
| 1.485 | -7.328 | 14.617 | 2.756 | 0.000 | -0.000 |
| 1.144 | -9.048 | 10.731 | -0.000 | -0.005 | -0.000 |
| 1.195 | -9.671 | 10.137 | -0.000 | 0.000 | 248.911 |
| 515.733 | 61.051 | 63.085 | 0.000 | -0.000 | 0.000 |
| 61.051 | 512.087 | 62.854 | 0.000 | 0.000 | 0.000 |
| 90.845 | 85.027 | 294.680 | 0.000 | 0.000 | -0.000 |
| 0.096 | -0.062 | 0.011 | 126.591 | 0.000 | 0.000 |
| 0.046 | 0.000 | 0.004 | 0.000 | 91.643 | 0.000 |
| 0.083 | -0.054 | 0.009 | 0.000 | -0.000 | 173.641 |
| 515.733 | 61.051 | 63.085 | -0.000 | 0.000 | 0.000 |
| 61.051 | 512.087 | 62.854 | -0.000 | 0.000 | -0.000 |
| 87.865 | 85.094 | 168.872 | -0.000 | 0.000 | -0.000 |
| -0.096 | 0.062 | -0.011 | 126.591 | -0.000 | -0.000 |
| -0.046 | -0.000 | -0.004 | -0.000 | 91.643 | -0.000 |
| -0.083 | 0.054 | -0.009 | -0.000 | -0.000 | 173.641 |
| 515.733 | 61.051 | 63.085 | 0.000 | -0.000 | -0.000 |
| 61.051 | 512.087 | 62.854 | 0.000 | 0.000 | 0.000 |
| 63.085 | 62.854 | 453.764 | 0.000 | 0.000 | 0.000 |
| 0.000 | 0.000 | 0.000 | 214.822 | 0.000 | 0.000 |
| 0.002 | 0.002 | 0.001 | 0.000 | 110.661 | 0.000 |
| 0.003 | 0.002 | 0.000 | 0.000 | 0.000 | 115.544 |
| 351.866 | 85.109 | 89.933 | -0.000 | 0.000 | -0.000 |
| 61.051 | 512.087 | 62.854 | -0.000 | -0.000 | -0.000 |
| 63.085 | 62.854 | 453.764 | -0.000 | 0.000 | -0.000 |
| -0.000 | -0.000 | -0.000 | 214.822 | -0.000 | -0.000 |
| -0.002 | -0.002 | -0.001 | -0.000 | 110.661 | -0.000 |
| -0.003 | -0.002 | -0.000 | -0.000 | -0.000 | 115.544 |
| 257.173 | 78.898 | 84.952 | 0.000 | 0.000 | 0.000 |
| 20.858 | 194.975 | -2.475 | 0.000 | 0.000 | 0.000 |
| 15.081 | 14.643 | 60.210 | 0.000 | 0.000 | 0.000 |
| 0.001 | -0.001 | -0.000 | 126.588 | -0.000 | 0.000 |
| 0.001 | -0.001 | 0.000 | 0.000 | 143.200 | 0.000 |
| 0.000 | 0.000 | 0.000 | 0.000 | -0.000 | 242.482 |
| 256.923 | 78.875 | 84.932 | -0.000 | -0.000 | -0.000 |
| 57.444 | 221.828 | 62.959 | -0.000 | -0.000 | -0.000 |
| -21.072 | -23.948 | 29.462 | -0.000 | -0.000 | -0.000 |
| -0.001 | 0.001 | 0.000 | 126.588 | 0.000 | -0.000 |
| -0.001 | 0.001 | -0.000 | -0.000 | 143.200 | -0.000 |
| -0.000 | -0.000 | -0.000 | -0.000 | 0.000 | 242.482 |
| -1105.586 | -2010.568 | -518.013 | 0.000 | 0.000 | -0.000 |
| 41.911 | 454.617 | 56.785 | 0.000 | 0.000 | -0.000 |
| -229.424 | -431.416 | 326.925 | 0.000 | 0.000 | -0.000 |
| -284.785 | -472.786 | 31.524 | 136.932 | 0.000 | -0.000 |
| -0.000 | -0.000 | 0.000 | 0.000 | 194.389 | -0.000 |
| -284.590 | -472.463 | 31.502 | 0.000 | 0.000 | 176.656 |
| 1331.390 | 1997.042 | 628.248 | -0.000 | -0.000 | 0.000 |
| 695.075 | 1597.290 | 342.025 | 0.000 | -0.000 | -0.000 |
| 340.255 | 515.742 | 272.440 | 0.000 | -0.000 | 0.000 |
| 284.785 | 472.786 | -31.524 | 136.932 | -0.000 | -0.000 |
| 0.000 | 0.000 | -0.000 | 0.000 | 194.389 | -0.000 |
| 284.590 | 472.463 | -31.502 | -0.000 | -0.000 | 176.655 |
| 6.367 | -191.873 | -87.648 | 0.000 | 0.000 | -0.000 |
| -31.800 | 59.157 | 39.797 | 0.000 | 0.000 | -0.000 |
| -23.726 | -128.684 | 35.062 | -0.000 | 0.000 | -0.000 |
| 0.000 | 0.000 | 0.000 | 189.157 | 0.000 | -0.000 |
| -63.476 | -132.331 | -25.992 | 0.000 | 84.939 | 0.000 |
| -64.548 | -133.028 | -24.545 | 0.000 | 0.000 | 122.247 |
| 301.783 | 186.927 | 108.618 | -0.000 | -0.000 | -0.000 |
| 41.911 | 454.617 | 56.785 | -0.000 | 0.000 | -0.000 |
| 120.424 | 173.031 | 236.665 | -0.000 | -0.000 | 0.000 |
| -0.000 | -0.000 | -0.000 | 189.157 | -0.000 | -0.000 |
| 63.476 | 132.331 | 25.992 | -0.000 | 84.939 | 0.000 |
| 64.548 | 133.028 | 24.545 | -0.000 | -0.000 | 122.247 |
| 303.646 | 44.939 | 84.447 | 0.000 | 0.000 | -0.000 |
| -4.825 | 148.488 | -4.132 | 0.000 | 0.000 | -0.000 |
| -5.824 | -10.221 | 47.759 | 0.000 | 0.000 | -0.000 |
| -10.317 | -15.391 | -5.709 | 64.406 | 0.000 | 0.000 |
| -4.831 | -8.020 | 0.535 | 0.000 | 115.830 | -0.000 |
| -6.399 | -12.749 | -1.896 | 0.000 | 0.000 | 122.410 |
| 182.780 | 30.583 | 18.715 | -0.000 | -0.000 | 0.000 |
| 41.573 | 214.865 | 62.847 | -0.000 | -0.000 | 0.000 |
| 27.579 | 35.774 | 66.394 | -0.000 | -0.000 | 0.000 |
| 10.317 | 15.391 | 5.709 | 64.406 | -0.000 | 0.000 |
| 4.831 | 8.020 | -0.535 | -0.000 | 115.830 | -0.000 |
| 6.399 | 12.749 | 1.896 | -0.000 | -0.000 | 122.410 |
| 1175.201 | -9.788 | 0.000 | 0.000 | 0.000 | 0.000 |
| -9.788 | 1175.201 | 0.000 | 0.000 | 0.000 | 0.000 |
| -0.000 | -0.000 | 0.000 | 0.000 | 0.000 | -0.000 |
| -0.000 | -0.000 | 0.000 | 0.000 | 0.000 | -0.000 |
| -0.000 | -0.000 | 0.000 | 0.000 | 0.000 | -0.000 |
| 0.000 | 0.000 | 0.000 | 0.000 | 0.000 | 592.494 |
| 1128.898 | -9.402 | 0.000 | 0.000 | -0.000 | -0.000 |
| -9.402 | 1128.898 | 0.000 | 0.000 | -0.000 | -0.000 |
| -0.000 | -0.000 | 0.000 | -0.000 | -0.000 | -0.000 |
| -0.000 | -0.000 | 0.000 | 0.000 | -0.000 | -0.000 |
| -0.000 | -0.000 | 0.000 | 0.000 | -0.000 | -0.000 |
| 0.000 | 0.000 | 0.000 | 0.000 | -0.000 | 569.150 |
| 1175.201 | -9.788 | -0.000 | -0.000 | -0.000 | 0.000 |
| -9.788 | 1175.201 | -0.000 | -0.000 | -0.000 | -0.000 |
| 0.000 | 0.000 | -0.000 | -0.000 | -0.000 | 0.000 |
| 0.000 | 0.000 | -0.000 | -0.000 | -0.000 | 0.000 |
| 0.000 | 0.000 | -0.000 | -0.000 | -0.000 | 0.000 |
| -0.000 | -0.000 | -0.000 | -0.000 | -0.000 | 592.494 |
| 1128.898 | -9.402 | -0.000 | -0.000 | 0.000 | 0.000 |
| -9.402 | 1128.898 | -0.000 | -0.000 | 0.000 | 0.000 |
| 0.000 | 0.000 | -0.000 | 0.000 | 0.000 | 0.000 |
| 0.000 | 0.000 | -0.000 | -0.000 | 0.000 | 0.000 |
| 0.000 | 0.000 | -0.000 | -0.000 | 0.000 | 0.000 |
| -0.000 | -0.000 | -0.000 | 0.000 | 0.000 | 569.150 |
| 1175.201 | -9.788 | 0.000 | 0.000 | 0.000 | 0.000 |
| -9.788 | 1175.201 | 0.000 | 0.000 | 0.000 | -0.000 |
| -0.000 | -0.000 | 0.000 | 0.000 | 0.000 | -0.000 |
| -0.000 | -0.000 | 0.000 | 0.000 | 0.000 | -0.000 |
| -0.000 | -0.000 | 0.000 | 0.000 | 0.000 | -0.000 |
| 0.000 | 0.000 | 0.000 | 0.000 | 0.000 | 592.494 |
| 1128.899 | -9.402 | 0.000 | 0.000 | -0.000 | -0.000 |
| -9.402 | 1128.899 | 0.000 | 0.000 | -0.000 | -0.000 |
| -0.000 | -0.000 | 0.000 | 0.000 | -0.000 | -0.000 |
| -0.000 | -0.000 | 0.000 | -0.000 | -0.000 | -0.000 |
| -0.000 | -0.000 | 0.000 | 0.000 | -0.000 | -0.000 |
| 0.000 | 0.000 | 0.000 | 0.000 | 0.000 | 569.150 |
| 1175.200 | -9.788 | -0.000 | -0.000 | -0.000 | 0.000 |
| -9.788 | 1175.200 | -0.000 | -0.000 | -0.000 | 0.000 |
| 0.000 | 0.000 | -0.000 | -0.000 | -0.000 | 0.000 |
| 0.000 | 0.000 | -0.000 | -0.000 | -0.000 | 0.000 |
| 0.000 | 0.000 | -0.000 | -0.000 | -0.000 | 0.000 |
| -0.000 | -0.000 | -0.000 | -0.000 | -0.000 | 592.494 |
| 1128.898 | -9.402 | 0.000 | -0.000 | 0.000 | 0.000 |
| -9.402 | 1128.898 | -0.000 | -0.000 | 0.000 | 0.000 |
| 0.000 | 0.000 | -0.000 | 0.000 | 0.000 | 0.000 |
| 0.000 | 0.000 | -0.000 | -0.000 | 0.000 | 0.000 |
| 0.000 | 0.000 | -0.000 | 0.000 | 0.000 | 0.000 |
| -0.000 | -0.000 | -0.000 | 0.000 | 0.000 | 569.150 |
| 1175.205 | -9.787 | 0.000 | 0.000 | 0.000 | 0.000 |
| -9.787 | 1175.205 | 0.000 | 0.000 | 0.000 | -0.000 |
| -0.000 | -0.000 | 0.000 | 0.000 | 0.000 | -0.000 |
| -0.000 | -0.000 | 0.000 | 0.000 | 0.000 | -0.000 |
| -0.000 | -0.000 | 0.000 | 0.000 | 0.000 | -0.000 |
| 0.000 | 0.001 | 0.000 | 0.000 | 0.000 | 592.494 |
| 1128.902 | -9.402 | 0.000 | 0.000 | -0.000 | -0.000 |
| -9.402 | 1128.902 | 0.000 | -0.000 | -0.000 | -0.000 |
| -0.000 | -0.000 | 0.000 | 0.000 | -0.000 | -0.000 |
| -0.000 | -0.000 | 0.000 | -0.000 | -0.000 | -0.000 |
| -0.000 | -0.000 | 0.000 | 0.000 | 0.000 | -0.000 |
| 0.000 | 0.001 | 0.000 | 0.000 | 0.000 | 569.150 |
| 1175.197 | -9.788 | -0.000 | -0.000 | -0.000 | 0.000 |
| -9.788 | 1175.197 | -0.000 | -0.000 | -0.000 | 0.000 |
| 0.000 | 0.000 | -0.000 | -0.000 | -0.000 | 0.000 |
| 0.000 | 0.000 | -0.000 | -0.000 | -0.000 | 0.000 |
| 0.000 | 0.000 | -0.000 | -0.000 | -0.000 | 0.000 |
| -0.000 | -0.001 | -0.000 | -0.000 | -0.000 | 592.494 |
| 1128.894 | -9.403 | 0.000 | -0.000 | 0.000 | 0.000 |
| -9.403 | 1128.894 | -0.000 | -0.000 | 0.000 | 0.000 |
| 0.000 | 0.000 | -0.000 | -0.000 | 0.000 | 0.000 |
| 0.000 | 0.000 | -0.000 | -0.000 | 0.000 | 0.000 |
| 0.000 | 0.000 | -0.000 | -0.000 | 0.000 | 0.000 |
| -0.000 | -0.001 | -0.000 | 0.000 | -0.000 | 569.150 |
| 449.396 | 52.311 | 52.311 | -0.000 | -0.000 | -0.000 |
| 52.311 | 449.396 | 52.311 | -0.000 | -0.000 | 0.000 |
| 52.311 | 52.311 | 449.396 | 0.000 | 0.000 | 0.000 |
| 0.000 | 0.000 | 0.000 | 108.896 | 0.000 | 0.000 |
| 0.000 | 0.000 | 0.000 | 0.000 | 108.896 | -0.000 |
| 0.000 | 0.000 | 0.000 | 0.000 | 0.000 | 108.896 |
| 138.066 | 60.085 | 60.085 | -0.000 | -0.000 | 0.000 |
| 60.085 | 138.065 | 60.085 | -0.000 | -0.000 | 0.000 |
| 60.085 | 60.085 | 138.065 | 0.000 | 0.000 | -0.000 |
| -0.000 | -0.000 | -0.000 | 108.896 | 0.000 | 0.000 |
| -0.000 | -0.000 | -0.000 | -0.000 | 108.896 | 0.000 |
| -0.000 | -0.000 | -0.000 | -0.000 | -0.000 | 108.896 |
| 91.832 | 24.461 | 24.461 | 0.000 | -0.000 | 0.000 |
| 24.461 | 91.832 | 24.461 | 0.000 | 0.000 | 0.000 |
| 24.461 | 24.461 | 91.832 | 0.000 | 0.000 | -0.000 |
| 0.000 | 0.000 | 0.000 | 198.543 | -0.000 | 0.000 |
| -0.000 | 0.000 | 0.000 | 0.000 | 198.543 | 0.000 |
| -0.000 | 0.000 | 0.000 | 0.000 | -0.000 | 198.543 |
| 138.027 | 60.081 | 60.081 | -0.000 | 0.000 | 0.000 |
| 60.081 | 138.027 | 60.081 | -0.000 | 0.000 | 0.000 |
| 60.081 | 60.081 | 138.027 | -0.000 | -0.000 | 0.000 |
| -0.000 | -0.000 | -0.000 | 198.543 | 0.000 | -0.000 |
| 0.000 | -0.000 | -0.000 | -0.000 | 198.543 | -0.000 |
| 0.000 | -0.000 | -0.000 | 0.000 | 0.000 | 198.543 |
| 449.398 | 52.311 | 52.311 | -0.000 | -0.000 | -0.000 |
| 52.311 | 449.398 | 52.311 | 0.000 | -0.000 | -0.000 |
| 52.311 | 52.311 | 449.398 | 0.000 | -0.000 | -0.000 |
| 0.000 | -0.000 | -0.000 | 108.896 | -0.000 | -0.000 |
| -0.000 | 0.000 | -0.000 | 0.000 | 108.896 | -0.000 |
| -0.000 | -0.000 | 0.000 | 0.000 | 0.000 | 108.896 |
| 137.989 | 60.074 | 60.074 | -0.000 | -0.000 | 0.000 |
| 60.074 | 137.989 | 60.074 | -0.000 | -0.000 | 0.000 |
| 60.074 | 60.074 | 137.989 | -0.000 | -0.000 | 0.000 |
| -0.000 | 0.000 | 0.000 | 108.896 | 0.000 | -0.000 |
| 0.000 | -0.000 | 0.000 | -0.000 | 108.896 | -0.000 |
| 0.000 | 0.000 | -0.000 | -0.000 | -0.000 | 108.896 |
| 416.648 | 48.499 | 48.499 | 0.000 | -0.000 | -0.000 |
| 48.499 | 416.648 | 48.499 | 0.000 | 0.000 | -0.000 |
| 48.499 | 48.499 | 416.648 | 0.000 | -0.000 | -0.000 |
| -0.000 | 0.000 | -0.000 | 184.075 | -0.000 | -0.000 |
| -0.000 | 0.000 | -0.000 | -0.000 | 184.075 | -0.000 |
| 0.000 | 0.000 | -0.000 | -0.000 | 0.000 | 184.075 |
| 273.607 | 36.796 | 36.796 | 0.000 | -0.000 | 0.000 |
| 36.796 | 273.607 | 36.796 | 0.000 | -0.000 | 0.000 |
| 36.796 | 36.796 | 273.607 | 0.000 | 0.000 | 0.000 |
| -0.000 | -0.000 | -0.000 | 184.075 | 0.000 | 0.000 |
| 0.000 | -0.000 | -0.000 | 0.000 | 184.075 | 0.000 |
| 0.000 | -0.000 | -0.000 | -0.000 | -0.000 | 184.075 |
| 165.158 | 47.143 | 47.143 | 0.000 | -0.000 | -0.000 |
| 47.143 | 165.158 | 47.143 | -0.000 | -0.000 | -0.000 |
| 47.143 | 47.143 | 165.158 | 0.000 | 0.000 | -0.000 |
| 3.780 | 3.780 | 3.780 | 93.913 | -0.000 | -0.000 |
| 3.780 | 3.780 | 3.780 | 0.000 | 93.913 | -0.000 |
| 3.780 | 3.780 | 3.780 | -0.000 | -0.000 | 93.913 |
| 416.648 | 48.499 | 48.499 | -0.000 | -0.000 | 0.000 |
| 46.108 | 214.998 | 46.108 | 0.000 | 0.000 | 0.000 |
| 48.499 | 48.499 | 416.648 | -0.000 | -0.000 | 0.000 |
| -3.780 | -3.780 | -3.780 | 93.913 | -0.000 | 0.000 |
| -3.780 | -3.780 | -3.780 | 0.000 | 93.913 | 0.000 |
| -3.780 | -3.780 | -3.780 | 0.000 | -0.000 | 93.913 |
| 35.787 | -34.004 | -34.004 | -0.000 | 0.000 | -0.000 |
| -34.081 | 35.649 | -34.080 | 0.000 | -0.000 | -0.000 |
| -34.004 | -34.004 | 35.787 | -0.000 | -0.000 | -0.000 |
| 0.670 | 0.670 | 0.670 | 51.539 | -0.000 | -0.000 |
| 0.670 | 0.670 | 0.670 | -0.000 | 51.539 | -0.000 |
| 0.670 | 0.670 | 0.670 | -0.000 | 0.000 | 51.539 |
| 19.850 | -48.034 | -48.034 | -0.000 | 0.000 | 0.000 |
| -48.034 | 19.850 | -48.034 | 0.000 | 0.000 | 0.000 |
| -48.034 | -48.034 | 19.850 | 0.000 | 0.000 | 0.000 |
| -0.670 | -0.670 | -0.670 | 51.539 | 0.000 | 0.000 |
| -0.670 | -0.670 | -0.670 | 0.000 | 51.539 | 0.000 |
| -0.670 | -0.670 | -0.670 | 0.000 | 0.000 | 51.539 |
| 416.295 | 48.458 | 48.458 | 0.000 | 0.000 | -0.000 |
| 48.458 | 416.295 | 48.458 | -0.000 | 0.000 | -0.000 |
| 48.458 | 48.458 | 416.295 | 0.000 | 0.000 | -0.000 |
| -0.000 | 0.000 | 0.000 | 183.918 | 0.000 | -0.000 |
| -0.000 | 0.000 | 0.000 | -0.000 | 183.918 | -0.000 |
| -0.000 | 0.000 | -0.000 | 0.000 | 0.000 | 183.918 |
| -357.375 | -573.680 | -573.680 | 0.000 | -0.000 | 0.000 |
| -573.680 | -357.375 | -573.680 | 0.000 | -0.000 | 0.000 |
| -573.680 | -573.680 | -357.375 | -0.000 | -0.000 | 0.000 |
| -0.000 | -0.000 | -0.000 | 183.918 | -0.000 | 0.000 |
| 0.000 | -0.000 | -0.000 | -0.000 | 183.918 | 0.000 |
| -0.000 | -0.000 | -0.000 | -0.000 | -0.000 | 183.918 |
| 364.312 | 86.556 | 86.556 | -0.000 | 0.000 | -0.000 |
| 86.556 | 364.312 | 86.556 | 0.000 | 0.000 | -0.000 |
| 86.556 | 86.556 | 364.312 | 0.000 | 0.000 | -0.000 |
| 0.000 | 0.000 | 0.000 | 183.918 | 0.000 | -0.000 |
| -0.000 | 0.000 | 0.000 | 0.000 | 183.918 | -0.000 |
| 0.000 | 0.000 | 0.000 | 0.000 | 0.000 | 183.918 |
| 172.586 | -21.749 | -21.749 | 0.000 | -0.000 | 0.000 |
| -21.749 | 172.586 | -21.749 | 0.000 | -0.000 | -0.000 |
| -21.749 | -21.749 | 172.586 | 0.000 | -0.000 | 0.000 |
| -0.000 | -0.000 | -0.000 | 183.918 | -0.000 | 0.000 |
| 0.000 | -0.000 | -0.000 | -0.000 | 183.918 | 0.000 |
| -0.000 | -0.000 | -0.000 | 0.000 | -0.000 | 183.918 |
| 41.754 | -21.621 | -21.621 | 0.000 | 0.000 | -0.000 |
| -21.621 | 41.754 | -21.621 | 0.000 | 0.000 | -0.000 |
| -21.621 | -21.621 | 41.754 | 0.000 | 0.000 | -0.000 |
| 0.000 | 0.000 | 0.000 | 183.918 | 0.000 | -0.000 |
| 0.000 | 0.000 | 0.000 | 0.000 | 183.918 | -0.000 |
| 0.000 | 0.000 | 0.000 | -0.000 | 0.000 | 183.918 |
| 25.261 | -32.940 | -32.940 | -0.000 | -0.000 | 0.000 |
| -32.906 | 25.089 | -32.906 | -0.000 | -0.000 | 0.000 |
| -32.940 | -32.940 | 25.261 | -0.000 | -0.000 | 0.000 |
| -0.000 | -0.000 | -0.000 | 183.918 | -0.000 | 0.000 |
| -0.000 | -0.000 | -0.000 | 0.000 | 183.918 | 0.000 |
| -0.000 | -0.000 | -0.000 | -0.000 | -0.000 | 183.918 |
| 286.580 | 54.268 | 85.851 | -15.967 | -0.000 | 0.000 |
| 54.876 | 560.839 | 71.815 | 3.487 | -0.000 | -0.000 |
| 104.226 | 104.225 | 305.698 | -0.000 | -0.000 | 0.000 |
| -3.487 | 3.487 | 0.000 | 233.238 | -0.000 | -0.000 |
| 0.000 | -0.000 | 0.000 | -0.000 | 233.238 | -3.487 |
| 0.001 | 0.001 | 0.001 | -0.000 | -8.370 | 177.213 |
| 560.839 | 54.876 | 71.815 | -3.487 | 0.000 | -0.000 |
| 54.876 | 560.839 | 71.815 | 3.487 | 0.000 | -0.000 |
| 109.114 | 109.114 | 186.410 | 0.000 | -0.000 | -0.000 |
| -8.590 | 8.589 | -0.001 | 165.920 | 0.000 | 0.000 |
| -0.000 | 0.000 | -0.000 | 0.000 | 233.238 | -3.487 |
| -0.001 | -0.001 | -0.001 | 0.000 | -8.370 | 177.213 |
| 560.839 | 54.876 | 71.815 | -3.487 | -0.000 | 0.000 |
| 54.876 | 560.839 | 71.815 | 3.487 | -0.000 | 0.000 |
| 84.804 | 84.804 | 122.361 | -0.000 | -0.000 | 0.000 |
| -16.836 | 16.837 | -0.000 | 105.182 | -0.000 | -0.000 |
| 0.000 | 0.000 | 0.000 | 0.000 | 233.238 | -3.487 |
| 0.000 | 0.000 | 0.000 | -0.000 | -8.370 | 177.213 |
| 560.839 | 54.876 | 71.815 | -3.487 | 0.000 | -0.000 |
| 73.920 | 402.538 | 105.810 | 9.201 | -0.000 | -0.000 |
| 109.116 | 109.116 | 186.410 | 0.000 | -0.000 | -0.000 |
| -3.487 | 3.487 | -0.000 | 233.238 | -0.000 | -0.000 |
| -0.000 | -0.000 | -0.000 | 0.000 | 233.238 | -3.487 |
| -0.000 | -0.000 | -0.000 | 0.000 | -8.370 | 177.213 |
| 272.966 | 39.565 | 66.019 | -14.917 | 0.000 | -0.000 |
| 67.696 | 325.883 | 104.110 | 13.426 | 0.000 | -0.000 |
| 109.114 | 109.114 | 186.539 | -0.000 | -0.000 | -0.000 |
| -3.487 | 3.487 | 0.000 | 233.238 | -0.000 | 0.000 |
| -0.000 | 0.000 | 0.000 | -0.000 | 165.919 | -8.589 |
| -0.000 | -0.000 | 0.000 | -0.000 | -14.416 | 121.980 |
| 402.546 | 73.919 | 105.808 | -9.201 | 0.000 | -0.000 |
| 54.876 | 560.837 | 71.815 | 3.487 | 0.000 | -0.000 |
| -14.540 | -14.540 | 16.769 | 0.000 | 0.000 | -0.000 |
| -8.590 | 8.590 | -0.000 | 165.919 | 0.000 | -0.000 |
| 0.000 | -0.000 | -0.000 | 0.000 | 165.919 | -8.589 |
| 0.000 | 0.000 | -0.000 | 0.000 | -14.416 | 121.980 |
| 6947.731 | 6964.051 | 24758.844 | -26.369 | -0.000 | -0.000 |
| 6963.505 | 6947.212 | 24763.914 | 26.371 | -0.000 | -0.000 |
| 7015.468 | 7015.467 | 24479.286 | 0.000 | -0.000 | -0.000 |
| -3.242 | 3.242 | -0.000 | 204.569 | -0.000 | 0.000 |
| -0.000 | 0.000 | -0.000 | 0.000 | 204.569 | -3.242 |
| 6751.480 | 6751.481 | 30778.543 | -0.000 | -20.963 | 44.465 |
| 458.374 | 59.046 | -4788.919 | -6.027 | 0.000 | 0.000 |
| -6917.627 | -6933.159 | -24523.760 | 26.336 | 0.000 | 0.000 |
| -6862.844 | -6862.843 | -24797.414 | -0.000 | 0.000 | 0.000 |
| -3.242 | 3.242 | 0.000 | 204.569 | 0.000 | -0.000 |
| 0.000 | -0.000 | 0.000 | -0.000 | 204.569 | -3.242 |
| -6751.480 | -6751.481 | -30778.543 | -0.000 | -20.963 | 44.465 |
| 634.334 | 512.964 | 1518.801 | -17.805 | -0.000 | 0.000 |
| 33.559 | 433.482 | 562.356 | 6.003 | -0.000 | -0.000 |
| 60.215 | 60.215 | 382.824 | 0.000 | -0.000 | -0.000 |
| -8.342 | 3.711 | 486.774 | 171.977 | -0.000 | -0.000 |
| 676.747 | 676.747 | 3081.538 | -0.000 | 18.775 | -20.986 |
| 692.312 | 692.312 | 2458.717 | 0.000 | -26.298 | -7.383 |
| -335.348 | -457.078 | -1289.923 | -17.790 | 0.000 | -0.000 |
| 31.984 | 499.669 | 66.566 | 3.242 | 0.000 | -0.000 |
| 60.215 | 60.215 | 382.824 | -0.000 | 0.000 | -0.000 |
| -3.711 | 8.341 | -486.713 | 171.981 | 0.000 | 0.000 |
| -676.747 | -676.747 | -3081.538 | -0.000 | 18.775 | -20.986 |
| -692.312 | -692.312 | -2458.717 | -0.000 | -26.298 | -7.383 |
| 499.671 | 31.985 | 66.567 | -3.242 | -0.000 | 0.000 |
| 73.827 | 164.089 | 290.731 | 21.302 | -0.000 | -0.000 |
| 123.294 | 123.294 | 243.754 | 0.000 | -0.000 | -0.000 |
| 25.822 | 57.825 | 124.702 | 55.901 | -0.000 | 0.000 |
| 57.658 | 57.658 | 212.144 | -0.000 | 7.819 | -22.844 |
| 60.941 | 60.941 | 365.876 | 0.000 | -12.243 | 91.682 |
| 165.353 | -11.802 | -12.246 | -15.455 | 0.000 | -0.000 |
| -11.841 | 166.176 | -11.815 | 15.420 | 0.000 | -0.000 |
| 26.937 | 26.937 | -323.802 | -0.000 | 0.000 | 0.000 |
| -57.810 | -25.796 | -124.831 | 55.844 | 0.000 | -0.000 |
| -57.658 | -57.658 | -212.144 | 0.000 | 7.819 | -22.844 |
| -60.941 | -60.941 | -365.876 | -0.000 | -12.243 | 91.682 |
| 424.220 | 63.785 | 46.711 | 0.000 | -0.000 | -0.000 |
| 89.961 | 262.059 | 57.574 | 0.000 | -0.000 | -0.000 |
| 46.711 | 42.620 | 542.277 | 0.000 | -0.000 | -0.000 |
| -0.000 | -0.000 | -0.000 | 210.181 | -0.000 | -0.000 |
| -0.000 | -0.000 | -0.000 | 0.000 | 212.007 | -0.000 |
| -0.000 | -0.000 | -0.000 | 0.000 | -0.000 | 184.746 |
| 133.905 | 84.912 | 63.241 | -0.000 | 0.000 | 0.000 |
| 63.785 | 438.793 | 42.620 | -0.000 | -0.000 | -0.000 |
| 64.885 | 56.171 | 265.271 | -0.000 | 0.000 | 0.000 |
| 0.000 | 0.000 | 0.000 | 210.181 | 0.000 | 0.000 |
| 0.000 | 0.000 | 0.000 | -0.000 | 212.007 | -0.000 |
| 0.000 | 0.000 | 0.000 | 0.000 | 0.000 | 184.746 |
| 252.562 | 88.673 | 66.680 | -0.000 | -0.000 | -0.000 |
| 63.785 | 438.793 | 42.620 | 0.000 | -0.000 | -0.000 |
| 46.487 | 43.443 | 204.602 | 0.000 | -0.000 | -0.000 |
| 0.000 | -0.000 | 0.000 | 210.181 | -0.000 | -0.000 |
| 0.000 | -0.000 | -0.000 | 0.000 | 147.333 | -0.000 |
| 0.000 | -0.000 | 0.000 | 0.000 | -0.000 | 64.653 |
| 252.541 | 88.676 | 66.682 | -0.000 | 0.000 | -0.000 |
| 89.959 | 262.056 | 57.576 | 0.000 | 0.000 | 0.000 |
| 64.887 | 56.169 | 265.249 | -0.000 | 0.000 | -0.000 |
| -0.000 | 0.000 | -0.000 | 210.181 | 0.000 | 0.000 |
| -0.000 | 0.000 | 0.000 | -0.000 | 147.333 | -0.000 |
| -0.000 | 0.000 | -0.000 | -0.000 | 0.000 | 64.653 |
| 100.977 | 61.132 | 48.512 | 0.000 | -0.000 | -0.000 |
| -30.613 | 58.917 | -7.026 | 0.000 | -0.000 | -0.000 |
| 46.491 | 43.446 | 204.577 | 0.000 | -0.000 | -0.000 |
| 0.000 | -0.000 | -0.000 | 141.828 | -0.000 | -0.000 |
| -0.000 | 0.000 | -0.000 | 0.000 | 103.167 | -0.000 |
| -0.000 | -0.000 | 0.000 | 0.000 | -0.000 | 100.702 |
| 133.903 | 84.907 | 63.238 | -0.000 | 0.000 | -0.000 |
| 58.629 | 124.635 | 43.562 | -0.000 | 0.000 | 0.000 |
| 67.080 | 57.125 | 387.499 | -0.000 | 0.000 | -0.000 |
| -0.000 | 0.000 | 0.000 | 141.828 | 0.000 | 0.000 |
| 0.000 | -0.000 | 0.000 | -0.000 | 103.167 | -0.000 |
| 0.000 | 0.000 | -0.000 | -0.000 | 0.000 | 100.702 |
| 194.614 | 21.636 | -282.603 | 0.000 | 0.000 | -0.000 |
| 110.491 | 222.105 | -146.680 | 0.000 | -0.000 | -0.000 |
| 74.132 | 4.789 | 375.648 | 0.000 | 0.000 | -0.000 |
| 22.080 | -35.650 | -58.240 | 164.629 | 0.000 | -0.000 |
| 22.074 | -35.640 | -58.224 | 0.000 | 167.847 | 0.000 |
| 22.123 | -35.720 | -58.354 | 0.000 | 0.000 | 133.952 |
| 301.139 | 105.413 | 106.576 | 0.000 | -0.000 | 0.000 |
| 46.697 | 376.004 | 100.875 | -0.000 | -0.000 | 0.000 |
| 28.534 | 76.061 | 500.901 | -0.000 | -0.000 | 0.000 |
| -22.080 | 35.650 | 58.240 | 164.629 | -0.000 | 0.000 |
| -22.074 | 35.640 | 58.224 | -0.000 | 167.847 | 0.000 |
| -22.123 | 35.720 | 58.354 | -0.000 | -0.000 | 133.952 |
| 273.814 | 70.536 | 43.016 | 0.000 | 0.000 | -0.000 |
| 78.453 | 296.408 | 34.371 | 0.000 | 0.000 | -0.000 |
| 63.499 | 41.233 | 362.923 | 0.000 | 0.000 | -0.000 |
| 4.826 | -3.225 | -24.636 | 104.556 | -0.000 | -0.000 |
| -0.000 | 0.000 | 0.000 | 0.000 | 197.531 | -0.000 |
| 6.900 | -4.273 | -29.351 | 0.000 | 0.000 | 48.215 |
| 272.673 | 82.238 | 62.955 | -0.000 | -0.000 | 0.000 |
| 16.526 | 82.988 | 55.052 | 0.000 | 0.000 | -0.000 |
| 19.718 | 25.374 | 212.128 | -0.000 | -0.000 | 0.000 |
| -4.826 | 3.225 | 24.636 | 104.556 | 0.000 | 0.000 |
| 0.000 | -0.000 | -0.000 | -0.000 | 197.531 | 0.000 |
| -6.900 | 4.273 | 29.351 | -0.000 | -0.000 | 48.215 |
| 928.996 | -8.196 | 0.000 | 0.000 | 0.000 | 0.000 |
| -8.196 | 928.996 | 0.000 | 0.000 | 0.000 | 0.000 |
| 0.000 | -0.000 | 0.000 | 0.000 | 0.000 | 0.000 |
| 0.000 | -0.000 | 0.000 | 0.000 | 0.000 | 0.000 |
| 0.000 | -0.000 | 0.000 | 0.000 | 0.000 | 0.000 |
| 0.000 | 0.000 | 0.000 | 0.000 | 0.000 | 468.133 |
| 928.987 | -8.196 | 0.000 | 0.000 | 0.000 | -0.000 |
| -7.733 | 928.524 | 0.000 | 0.000 | 0.000 | 0.000 |
| -0.000 | -0.000 | 0.000 | 0.000 | 0.000 | 0.000 |
| -0.000 | -0.000 | 0.000 | 0.000 | 0.000 | 0.000 |
| -0.000 | -0.000 | 0.000 | 0.000 | 0.000 | 0.000 |
| 0.000 | 0.000 | 0.000 | 0.000 | 0.000 | 468.129 |
| 928.533 | -7.733 | -0.000 | -0.000 | -0.000 | -0.000 |
| -8.196 | 928.996 | -0.000 | -0.000 | -0.000 | -0.000 |
| -0.000 | 0.000 | -0.000 | -0.000 | -0.000 | -0.000 |
| -0.000 | 0.000 | -0.000 | -0.000 | -0.000 | -0.000 |
| -0.000 | 0.000 | -0.000 | -0.000 | -0.000 | -0.000 |
| -0.000 | -0.000 | -0.000 | -0.000 | -0.000 | 468.133 |
| 928.524 | -7.733 | -0.000 | -0.000 | -0.000 | -0.000 |
| -8.196 | 928.987 | -0.000 | -0.000 | -0.000 | -0.000 |
| 0.000 | 0.000 | -0.000 | -0.000 | -0.000 | -0.000 |
| 0.000 | 0.000 | -0.000 | -0.000 | -0.000 | -0.000 |
| 0.000 | 0.000 | -0.000 | -0.000 | -0.000 | -0.000 |
| -0.000 | -0.000 | -0.000 | -0.000 | -0.000 | 468.129 |
| 928.534 | -7.733 | 0.000 | 0.000 | 0.000 | 0.000 |
| -8.196 | 928.997 | 0.000 | 0.000 | 0.000 | 0.000 |
| 0.000 | -0.000 | 0.000 | 0.000 | 0.000 | 0.000 |
| 0.000 | -0.000 | 0.000 | 0.000 | 0.000 | 0.000 |
| 0.000 | -0.000 | 0.000 | 0.000 | 0.000 | 0.000 |
| 0.000 | 0.000 | 0.000 | 0.000 | 0.000 | 468.133 |
| 928.524 | -7.733 | 0.000 | 0.000 | 0.000 | -0.000 |
| -8.196 | 928.987 | 0.000 | 0.000 | 0.000 | 0.000 |
| -0.000 | -0.000 | 0.000 | 0.000 | 0.000 | 0.000 |
| -0.000 | -0.000 | 0.000 | 0.000 | 0.000 | 0.000 |
| -0.000 | -0.000 | 0.000 | 0.000 | 0.000 | 0.000 |
| 0.000 | 0.000 | 0.000 | 0.000 | 0.000 | 468.129 |
| 928.533 | -7.733 | -0.000 | -0.000 | -0.000 | 0.000 |
| -8.196 | 928.996 | -0.000 | -0.000 | -0.000 | -0.000 |
| -0.000 | 0.000 | -0.000 | -0.000 | -0.000 | -0.000 |
| -0.000 | 0.000 | -0.000 | -0.000 | -0.000 | -0.000 |
| -0.000 | 0.000 | -0.000 | -0.000 | -0.000 | -0.000 |
| -0.000 | -0.000 | -0.000 | -0.000 | -0.000 | 468.133 |
| 928.524 | -7.733 | -0.000 | -0.000 | -0.000 | 0.000 |
| -8.196 | 928.986 | -0.000 | -0.000 | -0.000 | -0.000 |
| 0.000 | 0.000 | -0.000 | -0.000 | -0.000 | -0.000 |
| 0.000 | 0.000 | -0.000 | -0.000 | -0.000 | -0.000 |
| 0.000 | 0.000 | -0.000 | -0.000 | -0.000 | -0.000 |
| -0.000 | -0.000 | -0.000 | -0.000 | -0.000 | 468.129 |
| 928.537 | -7.733 | 0.000 | 0.000 | 0.000 | -0.000 |
| -7.733 | 928.537 | 0.000 | 0.000 | 0.000 | -0.000 |
| 0.000 | -0.000 | 0.000 | 0.000 | 0.000 | 0.000 |
| 0.000 | -0.000 | 0.000 | 0.000 | 0.000 | 0.000 |
| 0.000 | -0.000 | 0.000 | 0.000 | 0.000 | 0.000 |
| 0.000 | 0.001 | 0.000 | 0.000 | 0.000 | 468.133 |
| 928.527 | -7.733 | 0.000 | 0.000 | 0.000 | 0.000 |
| -7.733 | 928.527 | 0.000 | 0.000 | 0.000 | 0.000 |
| -0.000 | -0.000 | 0.000 | 0.000 | 0.000 | 0.000 |
| -0.000 | -0.000 | 0.000 | 0.000 | 0.000 | 0.000 |
| 0.000 | -0.000 | 0.000 | 0.000 | 0.000 | 0.000 |
| 0.000 | 0.001 | 0.000 | 0.000 | 0.000 | 468.129 |
| 928.530 | -7.734 | -0.000 | -0.000 | -0.000 | -0.000 |
| -7.734 | 928.530 | -0.000 | -0.000 | -0.000 | -0.000 |
| -0.000 | 0.000 | -0.000 | -0.000 | -0.000 | -0.000 |
| -0.000 | 0.000 | -0.000 | -0.000 | -0.000 | -0.000 |
| -0.000 | 0.000 | -0.000 | -0.000 | -0.000 | -0.000 |
| -0.000 | -0.001 | -0.000 | -0.000 | -0.000 | 468.133 |
| 928.521 | -7.734 | -0.000 | -0.000 | -0.000 | -0.000 |
| -7.734 | 928.521 | -0.000 | -0.000 | -0.000 | -0.000 |
| 0.000 | 0.000 | -0.000 | -0.000 | -0.000 | -0.000 |
| 0.000 | 0.000 | -0.000 | -0.000 | -0.000 | -0.000 |
| -0.000 | 0.000 | -0.000 | -0.000 | -0.000 | -0.000 |
| -0.000 | -0.001 | -0.000 | -0.000 | -0.000 | 468.129 |
| 1110.338 | -9.796 | 0.000 | 0.000 | 0.000 | 0.000 |
| -9.796 | 1110.338 | 0.000 | 0.000 | 0.000 | -0.000 |
| 0.000 | 0.000 | 0.000 | 0.000 | 0.000 | 0.000 |
| 0.000 | 0.000 | 0.000 | 0.000 | 0.000 | 0.000 |
| 0.000 | 0.000 | 0.000 | 0.000 | 0.000 | 0.000 |
| -0.000 | -0.000 | 0.000 | 0.000 | 0.000 | 559.514 |
| 1109.785 | -9.243 | -0.000 | -0.000 | -0.000 | -0.000 |
| -9.243 | 1109.785 | -0.000 | -0.000 | -0.000 | -0.000 |
| -0.000 | -0.000 | -0.000 | -0.000 | -0.000 | -0.000 |
| -0.000 | -0.000 | -0.000 | -0.000 | -0.000 | -0.000 |
| -0.000 | -0.000 | -0.000 | -0.000 | -0.000 | -0.000 |
| 0.000 | 0.000 | -0.000 | -0.000 | -0.000 | 559.514 |
| 1109.785 | -9.243 | 0.000 | 0.000 | 0.000 | -0.000 |
| -9.796 | 1110.339 | 0.000 | 0.000 | 0.000 | 0.000 |
| 0.000 | 0.000 | 0.000 | 0.000 | 0.000 | 0.000 |
| 0.000 | 0.000 | 0.000 | 0.000 | 0.000 | 0.000 |
| 0.000 | 0.000 | 0.000 | 0.000 | 0.000 | 0.000 |
| 0.000 | 0.000 | 0.000 | 0.000 | 0.000 | 559.514 |
| 1109.785 | -9.243 | -0.000 | -0.000 | -0.000 | 0.000 |
| -9.796 | 1110.338 | -0.000 | -0.000 | -0.000 | -0.000 |
| -0.000 | -0.000 | -0.000 | -0.000 | -0.000 | -0.000 |
| -0.000 | -0.000 | -0.000 | -0.000 | -0.000 | -0.000 |
| -0.000 | -0.000 | -0.000 | -0.000 | -0.000 | -0.000 |
| -0.000 | -0.000 | -0.000 | -0.000 | -0.000 | 559.514 |
| 1109.789 | -9.243 | 0.000 | 0.000 | 0.000 | -0.000 |
| -9.243 | 1109.789 | 0.000 | 0.000 | 0.000 | -0.000 |
| 0.000 | 0.000 | 0.000 | 0.000 | 0.000 | 0.000 |
| 0.000 | 0.000 | 0.000 | 0.000 | 0.000 | 0.000 |
| 0.000 | 0.000 | 0.000 | 0.000 | 0.000 | 0.000 |
| 0.000 | 0.001 | 0.000 | 0.000 | 0.000 | 559.514 |
| 1109.781 | -9.243 | -0.000 | -0.000 | -0.000 | -0.000 |
| -9.243 | 1109.781 | -0.000 | -0.000 | -0.000 | 0.000 |
| -0.000 | -0.000 | -0.000 | -0.000 | -0.000 | -0.000 |
| -0.000 | -0.000 | -0.000 | -0.000 | -0.000 | -0.000 |
| -0.000 | -0.000 | -0.000 | -0.000 | -0.000 | -0.000 |
| -0.000 | -0.001 | -0.000 | -0.000 | -0.000 | 559.514 |
| 205959.238 | 703272.230 | 1645950.884 | 544108.293 | 749459.735 | 832736.547 |
| 579071.677 | 870020.501 | 1731890.131 | 393475.958 | 732887.101 | 1066615.407 |
| 903989.791 | 1329617.340 | 2258132.829 | 503053.335 | 720421.614 | 1231991.155 |
| 1008575.759 | 1258650.894 | 2254582.644 | 352747.976 | 735132.252 | 1072021.045 |
| 546527.523 | 1032686.658 | 2051269.736 | 336344.657 | 608897.495 | 1020716.716 |
| 256611.054 | 997822.598 | 1622496.706 | 366567.161 | 709904.719 | 1006461.640 |
| -466896.909 | -741069.569 | -1800116.244 | -300668.376 | -870441.956 | -1117996.667 |
| -652743.019 | -923280.932 | -2044192.017 | -386736.054 | -596092.318 | -842314.239 |
| -742727.277 | -1260604.015 | -1869071.975 | -444632.646 | -670250.898 | -983885.955 |
| -529107.874 | -1487420.812 | -1665750.187 | -559945.757 | -768318.307 | -1087927.760 |
| -313416.503 | -551562.393 | -1606595.829 | -334485.505 | -737883.935 | -1186321.008 |
| -516117.811 | -914201.277 | -1685600.529 | -360745.889 | -680586.998 | -961275.814 |
| 50106.356 | 125224.241 | 167697.195 | 42799.137 | 71437.448 | 101040.348 |
| 48118.774 | 90626.461 | 164613.643 | 35978.539 | 68026.798 | 110740.271 |
| 100161.068 | 123316.410 | 220666.405 | 23376.133 | 85255.879 | 75486.388 |
| 46284.210 | 87825.170 | 168017.546 | 33082.811 | 70082.490 | 92272.460 |
| 49170.059 | 92472.273 | 169855.455 | 38996.373 | 68512.838 | 100564.163 |
| 47282.103 | 71833.313 | 203897.941 | 44009.589 | 67107.487 | 122252.085 |
| -50830.579 | -95511.377 | -154699.213 | -38653.513 | -74307.130 | -91209.442 |
| -49646.270 | -99601.615 | -213129.821 | -27425.757 | -57834.000 | -98750.986 |
| -36358.293 | -80833.880 | -170778.981 | -41396.265 | -78073.720 | -126358.936 |
| -89491.085 | -96392.311 | -239014.653 | -32580.951 | -66530.706 | -117485.029 |
| -57315.526 | -88141.671 | -161102.795 | -50373.224 | -68329.576 | -81991.015 |
| -53042.709 | -104537.242 | -169559.725 | -37421.066 | -73042.187 | -87327.983 |
| 1141.645 | 6132.573 | 13590.117 | 4017.762 | 7242.447 | 9948.483 |
| 5567.337 | 11634.186 | 20459.121 | 6041.865 | 7667.454 | 8578.272 |
| 4557.495 | 7168.274 | 15933.225 | 3920.869 | 7176.837 | 10563.906 |
| 5288.175 | 9780.983 | 15823.481 | 4313.642 | 8130.965 | 9023.624 |
| 1523.029 | 7202.858 | 18017.809 | 4888.698 | 6063.418 | 11911.277 |
| 10267.481 | 15093.977 | 20323.907 | 5088.515 | 8489.577 | 8834.100 |
| -5131.854 | -7683.847 | -16057.213 | -2928.846 | -8032.644 | -9688.678 |
| -7559.830 | -11284.915 | -18803.033 | -2727.958 | -7983.382 | -10070.786 |
| -4527.599 | -7856.599 | -17706.311 | -3025.989 | -7738.048 | -10856.941 |
| -3709.471 | -8668.871 | -18237.877 | -4367.599 | -6804.044 | -11687.398 |
| -5742.271 | -9363.313 | -19328.345 | -3618.836 | -6723.365 | -10237.393 |
| -4480.047 | -9196.560 | -16728.030 | -3501.381 | -6866.284 | -9712.109 |
| 614.480 | 234.154 | 0.000 | 0.000 | 0.000 | -0.000 |
| 234.154 | 614.480 | 0.000 | 0.000 | 0.000 | -0.000 |
| 0.000 | 0.000 | 0.000 | 0.000 | 0.000 | -0.000 |
| 0.000 | 0.000 | 0.000 | 0.000 | 0.000 | -0.000 |
| 0.000 | 0.000 | 0.000 | 0.000 | 0.000 | -0.000 |
| 0.000 | 0.000 | 0.000 | 0.000 | 0.000 | 424.317 |
| 614.480 | 234.154 | -0.000 | -0.000 | -0.000 | 0.000 |
| 234.154 | 614.480 | -0.000 | -0.000 | -0.000 | 0.000 |
| -0.000 | -0.000 | -0.000 | -0.000 | -0.000 | 0.000 |
| -0.000 | -0.000 | -0.000 | -0.000 | -0.000 | 0.000 |
| -0.000 | -0.000 | -0.000 | -0.000 | -0.000 | 0.000 |
| -0.000 | -0.000 | -0.000 | -0.000 | -0.000 | 424.317 |
| 614.480 | 234.154 | 0.000 | 0.000 | 0.000 | -0.000 |
| 234.154 | 614.480 | 0.000 | 0.000 | 0.000 | -0.000 |
| 0.000 | 0.000 | 0.000 | 0.000 | 0.000 | -0.000 |
| 0.000 | 0.000 | 0.000 | 0.000 | 0.000 | -0.000 |
| 0.000 | 0.000 | 0.000 | 0.000 | 0.000 | -0.000 |
| 0.000 | 0.000 | 0.000 | 0.000 | 0.000 | 424.317 |
| 614.480 | 234.154 | -0.000 | -0.000 | -0.000 | -0.000 |
| 234.154 | 614.480 | -0.000 | -0.000 | -0.000 | -0.000 |
| -0.000 | -0.000 | -0.000 | -0.000 | -0.000 | 0.000 |
| -0.000 | -0.000 | -0.000 | -0.000 | -0.000 | 0.000 |
| -0.000 | -0.000 | -0.000 | -0.000 | -0.000 | 0.000 |
| -0.000 | -0.000 | -0.000 | -0.000 | -0.000 | 424.317 |
| 614.482 | 234.155 | 0.000 | 0.000 | 0.000 | -0.000 |
| 234.155 | 614.482 | 0.000 | 0.000 | 0.000 | -0.000 |
| 0.000 | 0.000 | 0.000 | 0.000 | 0.000 | -0.000 |
| 0.000 | 0.000 | 0.000 | 0.000 | 0.000 | -0.000 |
| 0.000 | 0.000 | 0.000 | 0.000 | 0.000 | -0.000 |
| 0.000 | 0.001 | 0.000 | 0.000 | 0.000 | 424.317 |
| 614.479 | 234.152 | -0.000 | -0.000 | -0.000 | 0.000 |
| 234.152 | 614.479 | -0.000 | -0.000 | -0.000 | 0.000 |
| -0.000 | -0.000 | -0.000 | -0.000 | -0.000 | 0.000 |
| -0.000 | -0.000 | -0.000 | -0.000 | -0.000 | 0.000 |
| -0.000 | -0.000 | -0.000 | -0.000 | -0.000 | 0.000 |
| -0.000 | -0.001 | -0.000 | -0.000 | -0.000 | 424.317 |
| 639.373 | 71.639 | 71.639 | 0.000 | 0.000 | 0.000 |
| 71.639 | 639.373 | 71.639 | 0.000 | -0.000 | -0.000 |
| 71.639 | 71.639 | 639.373 | 0.000 | 0.000 | -0.000 |
| -0.000 | -0.000 | 0.000 | 161.700 | 0.000 | -0.000 |
| -0.000 | -0.000 | 0.000 | 0.000 | 161.700 | 0.000 |
| -0.000 | -0.000 | 0.000 | -0.000 | -0.000 | 161.700 |
| 539.671 | 117.888 | 117.888 | -0.000 | -0.000 | -0.000 |
| 117.888 | 539.671 | 117.888 | -0.000 | -0.000 | -0.000 |
| 117.888 | 117.888 | 539.671 | 0.000 | 0.000 | -0.000 |
| 0.000 | 0.000 | -0.000 | 161.700 | -0.000 | 0.000 |
| 0.000 | 0.000 | -0.000 | -0.000 | 161.700 | -0.000 |
| 0.000 | 0.000 | -0.000 | -0.000 | -0.000 | 161.700 |
| 498.836 | 142.238 | 142.238 | -0.000 | -0.000 | 0.000 |
| 142.238 | 498.836 | 142.238 | -0.000 | -0.000 | 0.000 |
| 142.238 | 142.238 | 498.836 | -0.000 | -0.000 | 0.000 |
| 0.121 | 0.121 | 0.121 | 92.348 | 0.000 | 0.000 |
| 0.121 | 0.121 | 0.121 | 0.000 | 92.348 | -0.000 |
| 0.121 | 0.121 | 0.121 | -0.000 | -0.000 | 92.348 |
| 639.373 | 71.639 | 71.639 | 0.000 | -0.000 | 0.000 |
| 71.639 | 639.373 | 71.639 | -0.000 | -0.000 | 0.000 |
| 71.639 | 71.639 | 639.373 | -0.000 | -0.000 | 0.000 |
| -0.121 | -0.121 | -0.121 | 92.348 | -0.000 | -0.000 |
| -0.121 | -0.121 | -0.121 | -0.000 | 92.348 | -0.000 |
| -0.121 | -0.121 | -0.121 | -0.000 | -0.000 | 92.348 |
| 498.130 | 142.202 | 142.202 | 0.000 | 0.000 | 0.000 |
| 142.202 | 498.130 | 142.202 | 0.000 | 0.000 | 0.000 |
| 142.202 | 142.202 | 498.130 | 0.000 | 0.000 | 0.000 |
| 0.024 | 0.024 | 0.024 | 106.545 | 0.000 | -0.000 |
| 0.024 | 0.024 | 0.024 | 0.000 | 106.545 | 0.000 |
| 0.024 | 0.024 | 0.024 | 0.000 | 0.000 | 106.545 |
| 639.371 | 71.639 | 71.639 | -0.000 | -0.000 | 0.000 |
| 71.639 | 639.371 | 71.639 | -0.000 | -0.000 | -0.000 |
| 71.639 | 71.639 | 639.371 | -0.000 | -0.000 | -0.000 |
| -0.024 | -0.024 | -0.024 | 106.545 | -0.000 | -0.000 |
| -0.024 | -0.024 | -0.024 | -0.000 | 106.545 | 0.000 |
| -0.024 | -0.024 | -0.024 | 0.000 | -0.000 | 106.545 |
| 831.488 | -7.336 | 0.000 | 0.000 | 0.000 | -0.000 |
| -6.922 | 831.074 | 0.000 | 0.000 | 0.000 | 0.000 |
| -0.000 | 0.000 | 0.000 | 0.000 | 0.000 | -0.000 |
| -0.000 | -0.000 | 0.000 | 0.000 | 0.000 | -0.000 |
| -0.000 | -0.000 | 0.000 | 0.000 | 0.000 | -0.000 |
| -0.000 | 0.000 | 0.000 | 0.000 | 0.000 | 418.998 |
| 831.488 | -7.336 | -0.000 | -0.000 | -0.000 | -0.000 |
| -6.922 | 831.074 | -0.000 | -0.000 | -0.000 | -0.000 |
| 0.000 | -0.000 | -0.000 | -0.000 | -0.000 | 0.000 |
| 0.000 | 0.000 | -0.000 | -0.000 | -0.000 | 0.000 |
| 0.000 | 0.000 | -0.000 | -0.000 | -0.000 | 0.000 |
| 0.000 | -0.000 | -0.000 | -0.000 | -0.000 | 418.998 |
| 831.074 | -6.922 | 0.000 | 0.000 | 0.000 | 0.000 |
| -7.336 | 831.488 | 0.000 | 0.000 | 0.000 | 0.000 |
| -0.000 | 0.000 | 0.000 | 0.000 | 0.000 | -0.000 |
| -0.000 | -0.000 | 0.000 | 0.000 | 0.000 | -0.000 |
| -0.000 | -0.000 | 0.000 | 0.000 | 0.000 | -0.000 |
| 0.000 | 0.000 | 0.000 | 0.000 | 0.000 | 419.412 |
| 831.488 | -7.336 | -0.000 | -0.000 | -0.000 | -0.000 |
| -7.336 | 831.488 | -0.000 | -0.000 | -0.000 | -0.000 |
| 0.000 | -0.000 | -0.000 | -0.000 | -0.000 | 0.000 |
| 0.000 | 0.000 | -0.000 | -0.000 | -0.000 | 0.000 |
| 0.000 | 0.000 | -0.000 | -0.000 | -0.000 | 0.000 |
| -0.000 | -0.000 | -0.000 | -0.000 | -0.000 | 419.412 |
| 831.491 | -7.336 | 0.000 | 0.000 | 0.000 | 0.000 |
| -6.921 | 831.077 | 0.000 | 0.000 | 0.000 | 0.000 |
| -0.000 | 0.000 | 0.000 | 0.000 | 0.000 | -0.000 |
| -0.000 | -0.000 | 0.000 | 0.000 | 0.000 | -0.000 |
| -0.000 | -0.000 | 0.000 | 0.000 | 0.000 | -0.000 |
| 0.000 | 0.001 | 0.000 | 0.000 | 0.000 | 418.998 |
| 831.071 | -6.922 | -0.000 | -0.000 | -0.000 | -0.000 |
| -7.336 | 831.485 | -0.000 | -0.000 | -0.000 | -0.000 |
| 0.000 | -0.000 | -0.000 | -0.000 | -0.000 | 0.000 |
| 0.000 | 0.000 | -0.000 | -0.000 | -0.000 | 0.000 |
| 0.000 | 0.000 | -0.000 | -0.000 | -0.000 | 0.000 |
| -0.000 | -0.001 | -0.000 | -0.000 | -0.000 | 418.998 |
| 768.139 | -6.777 | 0.000 | 0.000 | -0.000 | -0.000 |
| -6.777 | 768.139 | 0.000 | 0.000 | 0.000 | -0.000 |
| -0.000 | -0.000 | 0.000 | -0.000 | 0.000 | 0.000 |
| -0.000 | -0.000 | -0.000 | 0.000 | 0.000 | -0.000 |
| -0.000 | 0.000 | 0.000 | 0.000 | 0.000 | 0.000 |
| 0.001 | 0.001 | 0.000 | 0.000 | 0.000 | 387.075 |
| 768.139 | -6.777 | 0.000 | -0.000 | -0.000 | 0.000 |
| -1.588 | 762.949 | -0.000 | -0.000 | -0.000 | 0.000 |
| 0.000 | 0.000 | 0.000 | 0.000 | 0.000 | -0.000 |
| 0.000 | 0.000 | 0.000 | 0.000 | -0.000 | -0.000 |
| 0.000 | -0.000 | -0.000 | -0.000 | 0.000 | -0.000 |
| -0.001 | -0.001 | -0.000 | -0.000 | -0.000 | 387.075 |
| 768.139 | -6.777 | 0.000 | -0.000 | 0.000 | -0.000 |
| -2.766 | 764.129 | 0.000 | 0.000 | 0.000 | -0.000 |
| 0.000 | 0.000 | 0.000 | 0.000 | -0.000 | 0.000 |
| 0.000 | 0.000 | -0.000 | 0.000 | 0.000 | -0.000 |
| -0.000 | 0.000 | -0.000 | 0.000 | 0.000 | 0.000 |
| 0.000 | 0.000 | 0.000 | 0.000 | 0.000 | 383.447 |
| 767.756 | -6.395 | -0.000 | -0.000 | -0.000 | -0.000 |
| -6.394 | 767.756 | -0.000 | -0.000 | -0.000 | -0.000 |
| 0.000 | 0.000 | 0.000 | 0.000 | -0.000 | -0.000 |
| -0.000 | 0.000 | -0.000 | 0.000 | -0.000 | 0.000 |
| 0.000 | -0.000 | 0.000 | 0.000 | 0.000 | -0.000 |
| -0.000 | -0.000 | -0.000 | -0.000 | -0.000 | 383.447 |
| 767.617 | -6.252 | 0.000 | 0.000 | 0.000 | 0.000 |
| -6.252 | 767.617 | 0.000 | -0.000 | 0.000 | 0.000 |
| 0.000 | 0.000 | 0.000 | 0.000 | 0.000 | 0.000 |
| 0.000 | -0.000 | -0.000 | 0.000 | 0.000 | -0.000 |
| -0.000 | -0.000 | 0.000 | 0.000 | 0.000 | 0.000 |
| 0.000 | 0.001 | 0.000 | 0.000 | 0.000 | 386.933 |
| 767.611 | -6.252 | -0.000 | 0.000 | -0.000 | -0.000 |
| -6.253 | 767.611 | -0.000 | -0.000 | -0.000 | -0.000 |
| 0.000 | 0.000 | 0.000 | -0.000 | -0.000 | -0.000 |
| -0.000 | 0.000 | -0.000 | 0.000 | -0.000 | 0.000 |
| 0.000 | 0.000 | 0.000 | -0.000 | 0.000 | -0.000 |
| -0.000 | -0.001 | -0.000 | -0.000 | 0.000 | 386.933 |
| 767.687 | -6.394 | 0.000 | 0.000 | 0.000 | -0.000 |
| -6.776 | 768.069 | 0.000 | 0.000 | 0.000 | -0.000 |
| -0.000 | -0.000 | 0.000 | 0.000 | 0.000 | -0.000 |
| -0.000 | -0.000 | 0.000 | 0.000 | 0.000 | -0.000 |
| -0.000 | -0.000 | 0.000 | 0.000 | 0.000 | 0.000 |
| -0.000 | 0.000 | 0.000 | 0.000 | 0.000 | 387.040 |
| 768.069 | -6.777 | -0.000 | -0.000 | -0.000 | -0.000 |
| -6.777 | 768.069 | -0.000 | -0.000 | -0.000 | 0.000 |
| 0.000 | 0.000 | -0.000 | -0.000 | -0.000 | 0.000 |
| 0.000 | 0.000 | -0.000 | -0.000 | -0.000 | 0.000 |
| 0.000 | 0.000 | -0.000 | -0.000 | -0.000 | -0.000 |
| 0.000 | -0.000 | -0.000 | -0.000 | -0.000 | 387.040 |
| 767.687 | -6.394 | 0.000 | 0.000 | 0.000 | 0.000 |
| -6.394 | 767.687 | 0.000 | 0.000 | 0.000 | 0.000 |
| -0.000 | -0.000 | 0.000 | 0.000 | 0.000 | -0.000 |
| -0.000 | -0.000 | 0.000 | 0.000 | 0.000 | -0.000 |
| -0.000 | -0.000 | 0.000 | 0.000 | 0.000 | 0.000 |
| 0.000 | 0.000 | 0.000 | 0.000 | 0.000 | 387.040 |
| 767.686 | -6.394 | -0.000 | -0.000 | -0.000 | -0.000 |
| -6.394 | 767.686 | -0.000 | -0.000 | -0.000 | -0.000 |
| 0.000 | 0.000 | -0.000 | -0.000 | -0.000 | 0.000 |
| 0.000 | 0.000 | -0.000 | -0.000 | -0.000 | 0.000 |
| 0.000 | 0.000 | -0.000 | -0.000 | -0.000 | 0.000 |
| -0.000 | -0.000 | -0.000 | -0.000 | -0.000 | 387.040 |
| 767.689 | -6.394 | 0.000 | 0.000 | 0.000 | 0.000 |
| -6.394 | 767.689 | 0.000 | 0.000 | 0.000 | 0.000 |
| -0.000 | -0.000 | 0.000 | 0.000 | 0.000 | -0.000 |
| -0.000 | -0.000 | 0.000 | 0.000 | 0.000 | 0.000 |
| -0.000 | -0.000 | 0.000 | 0.000 | 0.000 | -0.000 |
| 0.000 | 0.001 | 0.000 | 0.000 | 0.000 | 387.040 |
| 767.684 | -6.394 | -0.000 | -0.000 | -0.000 | -0.000 |
| -6.394 | 767.684 | -0.000 | -0.000 | -0.000 | -0.000 |
| 0.000 | 0.000 | -0.000 | -0.000 | -0.000 | 0.000 |
| 0.000 | 0.000 | -0.000 | -0.000 | -0.000 | 0.000 |
| 0.000 | 0.000 | -0.000 | -0.000 | -0.000 | -0.000 |
| -0.000 | -0.001 | -0.000 | -0.000 | -0.000 | 387.040 |
| 157.763 | -105.744 | 314.119 | -0.000 | -0.000 | -0.000 |
| -254.402 | 309.031 | 309.984 | -0.000 | 0.000 | 0.000 |
| -733.739 | -26.744 | 791.225 | -0.000 | -0.000 | -0.000 |
| -326.606 | -176.433 | 236.865 | 197.034 | -0.000 | 0.000 |
| -1911.595 | -446.081 | 657.212 | -0.000 | 94.632 | -0.000 |
| -326.596 | -176.428 | 236.858 | -0.000 | 0.000 | 228.967 |
| 541.871 | 64.145 | 66.283 | 0.000 | 0.000 | 0.000 |
| 399.130 | 661.983 | -163.958 | 0.000 | 0.000 | 0.000 |
| 66.283 | 66.040 | 476.761 | 0.000 | 0.000 | -0.000 |
| 326.605 | 176.433 | -236.865 | 197.034 | -0.000 | 0.000 |
| 1911.595 | 446.081 | -657.212 | 0.000 | 94.632 | 0.000 |
| 326.596 | 176.428 | -236.858 | 0.000 | 0.000 | 228.967 |
| 447.062 | 53.594 | 101.811 | -0.000 | 0.000 | -0.000 |
| 64.145 | 538.041 | 66.040 | -0.000 | -0.000 | 0.000 |
| 66.283 | 66.040 | 476.761 | -0.000 | -0.000 | 0.000 |
| -92.702 | -8.789 | 46.371 | 159.821 | 0.000 | 0.000 |
| -33.176 | -17.922 | 24.061 | -0.000 | 205.141 | 0.000 |
| -33.138 | -17.901 | 24.032 | -0.000 | -0.000 | 228.589 |
| 513.193 | 85.276 | 37.937 | 0.000 | -0.000 | -0.000 |
| 64.145 | 538.040 | 66.040 | 0.000 | 0.000 | 0.000 |
| 187.119 | 85.197 | 291.091 | 0.000 | 0.000 | 0.000 |
| 92.702 | 8.789 | -46.371 | 159.821 | 0.000 | 0.000 |
| 33.176 | 17.922 | -24.061 | 0.000 | 205.141 | 0.000 |
| 33.138 | 17.901 | -24.032 | 0.000 | 0.000 | 228.589 |
| 180.745 | 17.640 | 3.261 | -0.000 | -0.000 | -0.000 |
| 29.511 | 220.466 | 59.044 | -0.000 | -0.000 | 0.000 |
| 66.283 | 66.040 | 476.763 | -0.000 | 0.000 | 0.000 |
| -18.511 | 0.108 | 8.318 | 101.138 | -0.000 | -0.000 |
| -15.887 | -4.162 | 7.885 | -0.000 | 102.687 | 0.000 |
| -16.938 | -3.426 | 8.164 | -0.000 | 0.000 | 125.892 |
| 435.210 | 84.492 | 79.926 | 0.000 | 0.000 | 0.000 |
| 98.028 | 277.129 | 72.512 | 0.000 | 0.000 | 0.000 |
| 66.282 | 66.039 | 476.760 | -0.000 | 0.000 | -0.000 |
| 18.511 | -0.108 | -8.318 | 101.138 | 0.000 | -0.000 |
| 15.887 | 4.162 | -7.885 | 0.000 | 102.687 | -0.000 |
| 16.938 | 3.426 | -8.164 | 0.000 | -0.000 | 125.892 |
| 1814.269 | 369.000 | 807.679 | -0.000 | -0.000 | -0.000 |
| 8381.450 | 3559.122 | 4026.178 | 0.000 | -0.000 | -0.000 |
| 3557.226 | 1113.600 | 860.987 | -0.000 | -0.000 | -0.000 |
| -0.000 | -0.000 | -0.000 | 202.003 | -0.000 | -0.000 |
| 3511.376 | 1054.234 | 593.739 | -0.000 | 129.068 | -0.000 |
| -0.000 | 0.000 | -0.000 | 0.000 | -0.000 | 236.523 |
| -3222.422 | -1018.905 | -518.347 | 0.000 | 0.000 | 0.000 |
| 47.279 | 484.089 | 59.836 | 0.000 | 0.000 | 0.000 |
| -8350.715 | -3788.351 | -5277.744 | -0.000 | 0.000 | 0.000 |
| 0.000 | 0.000 | 0.000 | 202.003 | -0.000 | 0.000 |
| -3511.376 | -1054.234 | -593.739 | 0.000 | 129.068 | 0.000 |
| 0.000 | -0.000 | 0.000 | 0.000 | 0.000 | 236.523 |
| 542.707 | 81.682 | 141.572 | -0.000 | -0.000 | -0.000 |
| 47.279 | 484.089 | 59.836 | -0.000 | -0.000 | -0.000 |
| 221.177 | 98.553 | 413.244 | -0.000 | -0.000 | -0.000 |
| 0.000 | 0.000 | 0.000 | 202.003 | -0.000 | -0.000 |
| -0.000 | 0.000 | 0.000 | -0.000 | 207.257 | -0.000 |
| -0.000 | 0.000 | 0.000 | 0.000 | -0.000 | 236.523 |
| -496.380 | -213.686 | -168.799 | -0.000 | 0.000 | 0.000 |
| 47.279 | 484.089 | 59.836 | 0.000 | 0.000 | 0.000 |
| -313.038 | -47.769 | 191.730 | -0.000 | 0.000 | 0.000 |
| -0.000 | -0.000 | -0.000 | 202.003 | 0.000 | 0.000 |
| 0.000 | -0.000 | -0.000 | 0.000 | 207.257 | 0.000 |
| 0.000 | -0.000 | -0.000 | -0.000 | 0.000 | 236.523 |
| 322.111 | 65.305 | 90.075 | -0.000 | -0.000 | -0.000 |
| 47.279 | 484.090 | 59.837 | 0.000 | -0.000 | -0.000 |
| 103.127 | 62.609 | 147.477 | -0.000 | -0.000 | -0.000 |
| 57.301 | 21.309 | 19.665 | 65.718 | -0.000 | -0.000 |
| 43.795 | 13.326 | 6.586 | -0.000 | 111.134 | -0.000 |
| 60.302 | 22.280 | 18.795 | -0.000 | -0.000 | 112.746 |
| 125.365 | 8.842 | 42.384 | 0.000 | 0.000 | 0.000 |
| -31.792 | 166.420 | 37.397 | -0.000 | 0.000 | 0.000 |
| 57.238 | 63.218 | 307.873 | 0.000 | 0.000 | 0.000 |
| -57.301 | -21.309 | -19.665 | 65.718 | 0.000 | 0.000 |
| -43.795 | -13.326 | -6.586 | -0.000 | 111.134 | 0.000 |
| -60.302 | -22.280 | -18.795 | 0.000 | 0.000 | 112.746 |
| 297.883 | -872.154 | 1900.667 | -0.000 | -0.000 | 0.000 |
| -872.154 | 297.883 | 1900.667 | -0.000 | -0.000 | 0.000 |
| -928.946 | -928.946 | 3182.562 | -0.000 | -0.000 | 0.000 |
| -947.677 | -947.677 | 1882.827 | 535.248 | -0.000 | 0.000 |
| -947.519 | -947.519 | 1882.514 | -0.000 | 535.249 | 0.000 |
| -947.624 | -947.624 | 1882.722 | -0.000 | -0.000 | 585.017 |
| 2193.041 | 1023.004 | -1864.598 | 0.000 | 0.000 | -0.000 |
| 1023.004 | 2193.041 | -1864.598 | 0.000 | 0.000 | -0.000 |
| 966.136 | 966.136 | -582.553 | 0.000 | 0.000 | -0.000 |
| 947.677 | 947.677 | -1882.827 | 535.248 | 0.000 | -0.000 |
| 947.519 | 947.519 | -1882.514 | 0.000 | 535.249 | -0.000 |
| 947.624 | 947.624 | -1882.722 | -0.000 | -0.000 | 585.017 |
| 1150.059 | -19.735 | 207.339 | -0.000 | -0.000 | 0.000 |
| -19.731 | 1150.065 | 207.329 | -0.000 | 0.000 | 0.000 |
| -2.705 | -2.705 | 1342.322 | 0.000 | 0.000 | 0.000 |
| -94.766 | -94.766 | 188.279 | 535.248 | -0.000 | 0.000 |
| -94.810 | -94.810 | 188.367 | -0.000 | 535.243 | 0.000 |
| -95.347 | -95.347 | 189.434 | -0.000 | -0.000 | 584.866 |
| 1333.539 | 176.851 | -170.216 | 0.000 | 0.000 | -0.000 |
| 61.583 | 1280.765 | -3.286 | 0.000 | 0.000 | -0.000 |
| 113.461 | 113.461 | 1111.526 | -0.000 | -0.000 | -0.000 |
| 94.766 | 94.766 | -188.279 | 535.248 | 0.000 | -0.000 |
| 94.810 | 94.810 | -188.367 | 0.000 | 535.243 | -0.000 |
| 95.347 | 95.347 | -189.434 | 0.000 | 0.000 | 584.866 |
| 1231.892 | 66.348 | 40.536 | -0.000 | 0.000 | 0.000 |
| 66.342 | 1231.953 | 40.481 | -0.000 | -0.000 | 0.000 |
| 9.132 | 9.132 | 1318.809 | -0.000 | -0.000 | 0.000 |
| -9.468 | -9.469 | 18.812 | 535.257 | -0.000 | 0.000 |
| -0.000 | 0.000 | 0.000 | 0.000 | 546.031 | 0.000 |
| -11.272 | -11.272 | 22.396 | -0.000 | -0.000 | 580.360 |
| 1247.979 | 91.177 | -0.118 | 0.000 | 0.000 | -0.000 |
| 61.583 | 1280.762 | -3.286 | 0.000 | 0.000 | -0.000 |
| 28.092 | 28.092 | 1281.130 | 0.000 | 0.000 | -0.000 |
| 9.468 | 9.469 | -18.812 | 535.257 | 0.000 | -0.000 |
| 0.000 | -0.000 | -0.000 | -0.000 | 546.031 | 0.000 |
| 11.272 | 11.272 | -22.396 | 0.000 | 0.000 | 580.360 |
| 1251.325 | 94.224 | -7.204 | -0.000 | -0.000 | -0.000 |
| 94.223 | 1251.326 | -7.204 | -0.000 | -0.000 | -0.000 |
| 31.041 | 31.042 | 1276.261 | 0.000 | -0.000 | -0.000 |
| 0.000 | 0.000 | 0.000 | 545.604 | -0.000 | -0.000 |
| 0.000 | 0.000 | 0.000 | -0.000 | 545.604 | -0.000 |
| 0.000 | 0.000 | 0.000 | -0.000 | -0.000 | 609.555 |
| 1228.957 | 62.392 | 46.996 | 0.000 | 0.000 | 0.000 |
| 62.392 | 1228.956 | 46.996 | 0.000 | 0.000 | 0.000 |
| 6.155 | 6.155 | 1326.035 | -0.000 | 0.000 | 0.000 |
| -0.000 | -0.000 | -0.000 | 545.604 | 0.000 | 0.000 |
| -0.000 | -0.000 | -0.000 | 0.000 | 545.604 | 0.000 |
| -0.000 | -0.000 | -0.000 | 0.000 | 0.000 | 609.555 |
| 1239.576 | 82.659 | 16.110 | -0.000 | -0.000 | -0.000 |
| 82.659 | 1239.576 | 16.110 | -0.000 | -0.000 | -0.000 |
| 19.839 | 19.839 | 1298.667 | -0.000 | -0.000 | -0.000 |
| 1.244 | 1.244 | -2.489 | 534.861 | -0.000 | -0.000 |
| 0.000 | 0.000 | 0.000 | -0.000 | 545.604 | 0.000 |
| 1.582 | 1.582 | -3.163 | -0.000 | -0.000 | 578.508 |
| 1237.087 | 80.170 | 21.087 | 0.000 | 0.000 | 0.000 |
| 75.499 | 1237.899 | 24.946 | 0.000 | 0.000 | 0.000 |
| 17.354 | 17.354 | 1303.636 | 0.000 | 0.000 | 0.000 |
| -1.244 | -1.244 | 2.489 | 534.861 | 0.000 | 0.000 |
| -0.000 | -0.000 | -0.000 | 0.000 | 545.604 | 0.000 |
| -1.582 | -1.582 | 3.163 | 0.000 | 0.000 | 578.508 |
| 1238.458 | 81.540 | 18.350 | -0.000 | -0.000 | -0.000 |
| 81.540 | 1238.459 | 18.350 | -0.000 | -0.000 | -0.000 |
| -2.889 | -2.889 | 1344.128 | -0.000 | -0.000 | -0.000 |
| 0.000 | -0.000 | 0.000 | 545.604 | -0.000 | -0.000 |
| 0.124 | 0.125 | -0.249 | -0.000 | 534.861 | -0.000 |
| 0.124 | 0.125 | -0.249 | -0.000 | -0.000 | 578.459 |
| 1238.701 | 76.989 | 22.650 | 0.000 | 0.000 | 0.000 |
| 81.289 | 1238.206 | 18.845 | 0.000 | 0.000 | 0.000 |
| -2.890 | -2.890 | 1344.118 | -0.000 | 0.000 | 0.000 |
| -0.000 | 0.000 | -0.000 | 545.604 | 0.000 | 0.000 |
| -0.124 | -0.125 | 0.249 | 0.000 | 534.861 | 0.000 |
| -0.124 | -0.125 | 0.249 | 0.000 | 0.000 | 578.459 |
| 1243.225 | 74.480 | 19.834 | -0.000 | -0.000 | 0.000 |
| 84.043 | 1240.698 | 12.829 | 0.000 | 0.000 | 0.000 |
| 18.384 | 18.384 | 1299.632 | 0.000 | 0.000 | 0.000 |
| -0.000 | -0.000 | 0.000 | 545.697 | -0.000 | 0.000 |
| -0.000 | -0.000 | -0.000 | -0.000 | 545.697 | 0.000 |
| -0.000 | -0.000 | 0.000 | -0.000 | -0.000 | 609.306 |
| 1279.781 | 61.170 | -3.309 | -0.000 | 0.000 | -0.000 |
| 84.077 | 1240.730 | 12.764 | 0.000 | -0.000 | -0.000 |
| 18.412 | 18.412 | 1299.575 | 0.000 | 0.000 | -0.000 |
| 0.000 | 0.000 | -0.000 | 545.697 | 0.000 | -0.000 |
| 0.000 | 0.000 | 0.000 | 0.000 | 545.697 | -0.000 |
| 0.000 | 0.000 | -0.000 | 0.000 | 0.000 | 609.306 |
| 1279.781 | 61.170 | -3.309 | 0.000 | -0.000 | 0.000 |
| 74.495 | 1243.237 | 19.807 | 0.000 | 0.000 | 0.000 |
| 18.397 | 18.397 | 1299.607 | 0.000 | 0.000 | 0.000 |
| 0.000 | -0.000 | 0.000 | 545.697 | 0.000 | 0.000 |
| -0.000 | 0.000 | 0.000 | -0.000 | 545.697 | 0.000 |
| 0.000 | 0.000 | 0.000 | -0.000 | -0.000 | 609.306 |
| 1279.781 | 61.170 | -3.309 | -0.000 | -0.000 | -0.000 |
| 61.170 | 1279.781 | -3.309 | 0.000 | 0.000 | -0.000 |
| 18.402 | 18.402 | 1299.594 | 0.000 | 0.000 | -0.000 |
| -0.000 | 0.000 | -0.000 | 545.697 | -0.000 | -0.000 |
| 0.000 | -0.000 | -0.000 | 0.000 | 545.697 | -0.000 |
| -0.000 | -0.000 | -0.000 | 0.000 | 0.000 | 609.306 |
| 1280.172 | 61.061 | -2.889 | 0.000 | -0.000 | -0.000 |
| 61.061 | 1280.172 | -2.890 | 0.000 | 0.000 | -0.000 |
| 32.898 | 32.898 | 1272.547 | 0.000 | 0.000 | 0.000 |
| 14.300 | 14.300 | -28.601 | 534.861 | -0.000 | 0.000 |
| -0.000 | -0.000 | -0.000 | -0.000 | 545.604 | -0.000 |
| -0.000 | -0.000 | -0.000 | 0.000 | 0.000 | 609.555 |
| 1223.543 | 67.602 | 47.199 | -0.000 | -0.000 | -0.000 |
| 61.062 | 1280.172 | -2.889 | -0.000 | -0.000 | -0.000 |
| -2.889 | -2.889 | 1344.123 | -0.000 | -0.000 | 0.000 |
| -14.300 | -14.300 | 28.601 | 534.861 | 0.000 | -0.000 |
| 0.000 | 0.000 | 0.000 | 0.000 | 545.604 | 0.000 |
| 0.000 | 0.000 | 0.000 | -0.000 | -0.000 | 609.555 |
| 1242.725 | 85.547 | 10.073 | -0.000 | -0.000 | 0.000 |
| 75.963 | 1244.924 | 17.457 | 0.000 | 0.000 | 0.000 |
| -2.889 | -2.889 | 1344.124 | 0.000 | -0.000 | -0.000 |
| 0.000 | -0.000 | 0.000 | 545.604 | 0.000 | 0.000 |
| -0.000 | 0.000 | 0.000 | -0.000 | 545.604 | -0.000 |
| 1.613 | 1.613 | -3.226 | 0.000 | 0.000 | 583.662 |
| 1242.338 | 72.673 | 23.332 | -0.000 | -0.000 | -0.000 |
| 72.673 | 1242.339 | 23.332 | -0.000 | -0.000 | -0.000 |
| 17.168 | 17.168 | 1304.008 | -0.000 | -0.000 | -0.000 |
| -0.000 | 0.000 | -0.000 | 545.604 | 0.000 | 0.000 |
| 0.000 | -0.000 | -0.000 | 0.000 | 545.604 | -0.000 |
| -1.613 | -1.613 | 3.226 | -0.000 | -0.000 | 583.662 |
| 1243.762 | 74.469 | 20.118 | 0.000 | 0.000 | 0.000 |
| 74.471 | 1243.755 | 20.122 | 0.000 | 0.000 | 0.000 |
| 18.742 | 18.742 | 1300.865 | 0.000 | 0.000 | 0.000 |
| 0.143 | 0.143 | -0.286 | 534.861 | -0.000 | 0.000 |
| 0.143 | 0.143 | -0.286 | -0.000 | 534.861 | 0.000 |
| 0.000 | 0.001 | 0.000 | 0.000 | 0.000 | 609.555 |
| 1240.951 | 83.689 | 13.699 | -0.000 | -0.000 | -0.000 |
| 74.159 | 1243.440 | 20.741 | -0.000 | -0.000 | -0.000 |
| 18.456 | 18.456 | 1301.427 | -0.000 | -0.000 | -0.000 |
| -0.143 | -0.143 | 0.286 | 534.861 | 0.000 | -0.000 |
| -0.143 | -0.143 | 0.286 | 0.000 | 534.861 | -0.000 |
| -0.000 | -0.001 | -0.000 | -0.000 | 0.000 | 609.555 |
| 2548.617 | 1387.572 | -2587.230 | 0.000 | 0.000 | 0.000 |
| 946.161 | 2115.322 | -1716.214 | 0.000 | 0.000 | -0.000 |
| 1041.444 | 1041.444 | -737.438 | 0.000 | 0.000 | -0.000 |
| 871.144 | 871.144 | -1734.953 | 536.625 | -0.000 | 0.000 |
| -0.000 | -0.000 | 0.000 | -0.000 | 545.751 | -0.000 |
| 1308.848 | 1308.848 | -2606.668 | 0.000 | 0.000 | 580.574 |
| -68.941 | -1230.192 | 2626.036 | -0.000 | -0.000 | 0.000 |
| 61.237 | 1280.034 | -3.245 | -0.000 | -0.000 | -0.000 |
| -1004.434 | -1004.434 | 3337.089 | -0.000 | -0.000 | -0.000 |
| -871.144 | -871.144 | 1734.953 | 536.625 | 0.000 | 0.000 |
| 0.000 | 0.000 | -0.000 | 0.000 | 545.751 | -0.000 |
| -1308.848 | -1308.848 | 2606.668 | -0.000 | -0.000 | 580.574 |
| 1369.872 | 209.695 | -240.536 | 0.000 | 0.000 | -0.000 |
| 184.108 | 1339.809 | -185.121 | -0.000 | 0.000 | -0.000 |
| 120.768 | 120.768 | 1096.162 | 0.000 | 0.000 | -0.000 |
| 102.299 | 102.299 | -203.736 | 535.007 | -0.000 | 0.000 |
| -0.000 | 0.000 | 0.000 | 0.000 | 545.751 | -0.000 |
| 87.124 | 87.124 | -173.514 | 0.000 | 0.000 | 584.543 |
| 1156.713 | -11.762 | 192.249 | 0.000 | 0.000 | -0.000 |
| -52.411 | 1109.794 | 279.447 | -0.000 | -0.000 | 0.000 |
| -110.322 | -110.322 | 1556.393 | -0.000 | -0.000 | 0.000 |
| -102.299 | -102.299 | 203.736 | 535.007 | 0.000 | 0.000 |
| 0.000 | -0.000 | -0.000 | -0.000 | 545.751 | -0.000 |
| -87.124 | -87.124 | 173.514 | -0.000 | -0.000 | 584.543 |
| 1255.701 | 84.807 | -2.480 | 0.000 | 0.000 | 0.000 |
| 84.807 | 1255.700 | -2.480 | 0.000 | 0.000 | 0.000 |
| 30.735 | 30.735 | 1275.473 | 0.000 | 0.000 | -0.000 |
| 10.229 | 10.228 | -20.370 | 535.008 | 0.000 | 0.000 |
| 12.228 | 12.228 | -24.353 | 0.000 | 532.901 | -0.000 |
| 10.753 | 10.753 | -21.415 | 0.000 | 0.000 | 583.903 |
| 1233.548 | 65.070 | 39.224 | -0.000 | -0.000 | 0.000 |
| 68.135 | 1234.289 | 35.435 | -0.000 | -0.000 | -0.000 |
| -2.875 | -2.875 | 1342.400 | -0.000 | -0.000 | -0.000 |
| -10.229 | -10.228 | 20.370 | 535.008 | -0.000 | 0.000 |
| -12.228 | -12.228 | 24.353 | -0.000 | 532.901 | 0.000 |
| -10.753 | -10.753 | 21.415 | -0.000 | -0.000 | 583.903 |
| 1280.172 | 61.061 | -2.889 | -0.000 | 0.000 | 0.000 |
| 61.061 | 1280.172 | -2.889 | -0.000 | 0.000 | -0.000 |
| 23.899 | 23.899 | 1290.547 | -0.000 | 0.000 | -0.000 |
| -0.000 | -0.000 | 0.000 | 545.604 | 0.000 | -0.000 |
| 5.301 | 5.301 | -10.601 | -0.000 | 534.861 | -0.000 |
| 5.698 | 5.698 | -11.397 | -0.000 | 0.000 | 585.403 |
| 1280.172 | 61.062 | -2.890 | 0.000 | -0.000 | -0.000 |
| 67.735 | 1240.152 | 30.457 | 0.000 | 0.000 | -0.000 |
| -2.889 | -2.889 | 1344.123 | -0.000 | -0.000 | -0.000 |
| 0.000 | 0.000 | -0.000 | 545.604 | 0.000 | -0.000 |
| -5.301 | -5.301 | 10.601 | 0.000 | 534.861 | 0.000 |
| -5.698 | -5.698 | 11.397 | 0.000 | 0.000 | 585.403 |
| 1245.612 | 74.019 | 18.713 | 0.000 | 0.000 | -0.000 |
| 74.019 | 1245.612 | 18.714 | 0.000 | 0.000 | -0.000 |
| 19.125 | 19.125 | 1300.095 | -0.000 | 0.000 | -0.000 |
| 0.530 | 0.530 | -1.060 | 534.861 | -0.000 | -0.000 |
| -0.000 | 0.000 | 0.000 | 0.000 | 545.604 | -0.000 |
| 0.000 | 0.000 | 0.000 | -0.000 | 0.000 | 609.555 |
| 1280.172 | 61.061 | -2.890 | -0.000 | -0.000 | 0.000 |
| 61.061 | 1280.172 | -2.890 | -0.000 | -0.000 | -0.000 |
| -2.890 | -2.890 | 1344.123 | 0.000 | 0.000 | -0.000 |
| -0.530 | -0.530 | 1.060 | 534.861 | 0.000 | -0.000 |
| 0.000 | -0.000 | -0.000 | -0.000 | 545.604 | -0.000 |
| -0.000 | -0.000 | -0.000 | 0.000 | -0.000 | 609.555 |
| 1245.180 | 73.490 | 19.678 | -0.000 | -0.000 | -0.000 |
| 73.496 | 1245.166 | 19.687 | -0.000 | -0.000 | 0.000 |
| 18.652 | 18.652 | 1301.045 | -0.000 | 0.000 | 0.000 |
| 0.000 | -0.000 | 0.000 | 545.604 | -0.000 | -0.000 |
| -0.000 | 0.000 | 0.000 | -0.000 | 545.604 | -0.000 |
| 0.000 | 0.001 | 0.000 | -0.000 | 0.000 | 609.555 |
| 1280.168 | 61.061 | -2.890 | 0.000 | 0.000 | 0.000 |
| 78.360 | 1243.626 | 16.355 | 0.000 | 0.000 | -0.000 |
| 18.544 | 18.544 | 1301.251 | 0.000 | -0.000 | -0.000 |
| -0.000 | 0.000 | -0.000 | 545.604 | 0.000 | -0.000 |
| 0.000 | -0.000 | -0.000 | 0.000 | 545.604 | -0.000 |
| -0.000 | -0.001 | -0.000 | 0.000 | -0.000 | 609.555 |
| 791.243 | -376.325 | 919.488 | -0.000 | -0.000 | -0.000 |
| -376.440 | 791.114 | 919.731 | -0.000 | -0.000 | -0.000 |
| -366.542 | -366.542 | 2066.973 | 0.000 | 0.000 | 0.000 |
| -454.073 | -454.073 | 904.426 | 533.309 | -0.000 | 0.000 |
| -454.073 | -454.073 | 904.426 | -0.000 | 533.309 | 0.000 |
| 0.000 | 0.000 | 0.000 | 0.000 | 0.000 | 609.441 |
| 1280.148 | 61.266 | -3.213 | 0.000 | 0.000 | 0.000 |
| 531.948 | 1698.801 | -888.906 | 0.000 | 0.000 | -0.000 |
| 404.236 | 404.236 | 531.730 | 0.000 | -0.000 | -0.000 |
| 454.073 | 454.073 | -904.426 | 533.309 | 0.000 | -0.000 |
| 454.073 | 454.073 | -904.426 | 0.000 | 533.309 | 0.000 |
| -0.000 | -0.000 | -0.000 | -0.000 | -0.000 | 609.441 |
| 1280.148 | 61.266 | -3.213 | -0.000 | -0.000 | -0.000 |
| 32.742 | 1207.932 | 97.114 | 0.000 | -0.000 | -0.000 |
| -31.404 | -31.404 | 1399.443 | 0.000 | 0.000 | -0.000 |
| -38.596 | -38.596 | 76.875 | 535.212 | -0.000 | 0.000 |
| -44.988 | -44.988 | 89.608 | 0.000 | 533.424 | -0.000 |
| 0.000 | 0.000 | 0.000 | -0.000 | -0.000 | 609.441 |
| 1280.147 | 61.265 | -3.213 | 0.000 | 0.000 | 0.000 |
| 114.684 | 1280.834 | -57.096 | 0.000 | 0.000 | -0.000 |
| 61.880 | 61.880 | 1213.639 | 0.000 | 0.000 | -0.000 |
| 38.596 | 38.596 | -76.875 | 535.212 | 0.000 | 0.000 |
| 44.988 | 44.988 | -89.608 | -0.000 | 533.424 | -0.000 |
| -0.000 | -0.000 | -0.000 | 0.000 | 0.000 | 609.441 |
| 1241.839 | 69.204 | 27.037 | -0.000 | -0.000 | 0.000 |
| 69.204 | 1241.839 | 27.037 | 0.000 | 0.000 | -0.000 |
| 14.715 | 14.715 | 1307.586 | -0.000 | -0.000 | 0.000 |
| -3.992 | -3.993 | 7.953 | 534.814 | -0.000 | -0.000 |
| -3.917 | -3.916 | 7.802 | -0.000 | 535.055 | -0.000 |
| 0.000 | 0.001 | 0.000 | -0.000 | -0.000 | 609.441 |
| 1280.144 | 61.265 | -3.213 | -0.000 | -0.000 | 0.000 |
| 77.698 | 1249.270 | 11.168 | -0.000 | -0.000 | -0.000 |
| 22.410 | 22.410 | 1292.250 | 0.000 | -0.000 | -0.000 |
| 3.992 | 3.993 | -7.953 | 534.814 | 0.000 | 0.000 |
| 3.917 | 3.916 | -7.802 | 0.000 | 535.055 | -0.000 |
| -0.000 | -0.001 | -0.000 | -0.000 | 0.000 | 609.441 |
| 1241.219 | 70.091 | 26.383 | 14.556 | 0.000 | -0.000 |
| 75.961 | 1241.773 | 19.983 | -15.330 | -0.000 | 0.000 |
| 15.797 | 15.797 | 1305.203 | 0.000 | 0.000 | -0.000 |
| 18.081 | -18.081 | 0.000 | 545.678 | -0.000 | -0.000 |
| -0.000 | 0.000 | 0.000 | 0.000 | 545.678 | 18.081 |
| 0.000 | 0.000 | 0.000 | 0.000 | 18.081 | 609.360 |
| 1225.792 | 85.535 | 26.366 | 12.825 | -0.000 | 0.000 |
| 85.534 | 1225.795 | 26.365 | -12.825 | -0.000 | 0.000 |
| 20.144 | 20.144 | 1296.539 | -0.000 | -0.000 | 0.000 |
| 16.265 | -7.824 | -8.412 | 524.357 | -0.000 | 0.000 |
| 0.000 | -0.000 | -0.000 | -0.000 | 545.678 | 18.081 |
| -0.000 | -0.000 | -0.000 | -0.000 | 18.081 | 609.360 |
| 1242.621 | 79.139 | 15.974 | 15.408 | 0.000 | -0.000 |
| 76.144 | 1241.220 | 20.355 | -14.785 | -0.000 | -0.000 |
| 18.419 | 18.419 | 1299.983 | -0.000 | 0.000 | -0.000 |
| 18.082 | -18.081 | 0.000 | 545.678 | -0.000 | -0.000 |
| -0.000 | 0.000 | 0.000 | 0.000 | 545.678 | 18.081 |
| -0.279 | -0.278 | 0.556 | -0.000 | 14.080 | 581.286 |
| 1279.864 | 61.148 | -3.220 | 18.081 | 0.000 | 0.000 |
| 74.310 | 1244.033 | 19.370 | -14.799 | -0.000 | 0.000 |
| 18.648 | 18.648 | 1299.517 | -0.000 | -0.000 | -0.000 |
| 18.081 | -18.081 | -0.000 | 545.678 | 0.000 | 0.000 |
| 0.000 | -0.000 | -0.000 | -0.000 | 545.678 | 18.081 |
| 0.279 | 0.278 | -0.556 | 0.000 | 14.080 | 581.286 |
| 292.598 | -56.004 | -56.004 | -0.000 | -0.000 | -0.000 |
| -56.004 | 292.598 | -56.004 | 0.000 | -0.000 | -0.000 |
| -56.004 | -56.004 | 292.598 | -0.000 | -0.000 | -0.000 |
| -114.047 | -114.047 | -114.047 | 174.665 | 0.000 | -0.000 |
| -114.047 | -114.047 | -114.047 | -0.000 | 174.665 | -0.000 |
| -114.047 | -114.047 | -114.047 | 0.000 | -0.000 | 174.665 |
| 713.785 | 458.723 | 458.723 | -0.000 | -0.000 | -0.000 |
| 458.723 | 713.785 | 458.723 | 0.000 | -0.000 | 0.000 |
| 458.723 | 458.723 | 713.785 | -0.000 | -0.000 | -0.000 |
| 114.047 | 114.047 | 114.047 | 174.665 | 0.000 | -0.000 |
| 114.048 | 114.047 | 114.047 | 0.000 | 174.665 | -0.000 |
| 114.047 | 114.047 | 114.047 | -0.000 | 0.000 | 174.665 |
| 378.989 | 46.197 | 46.197 | 0.000 | 0.000 | -0.000 |
| 46.197 | 378.989 | 46.197 | 0.000 | 0.000 | -0.000 |
| 46.197 | 46.197 | 378.989 | 0.000 | 0.000 | -0.000 |
| -50.167 | -50.167 | -50.167 | 110.123 | 0.000 | 0.000 |
| -50.167 | -50.167 | -50.167 | 0.000 | 110.123 | 0.000 |
| -50.167 | -50.167 | -50.167 | 0.000 | 0.000 | 110.123 |
| 417.384 | 71.613 | 71.613 | -0.000 | 0.000 | 0.000 |
| 71.613 | 417.384 | 71.613 | -0.000 | -0.000 | -0.000 |
| 71.613 | 71.613 | 417.384 | -0.000 | 0.000 | 0.000 |
| 50.167 | 50.167 | 50.167 | 110.123 | -0.000 | 0.000 |
| 50.167 | 50.167 | 50.167 | -0.000 | 110.123 | 0.000 |
| 50.167 | 50.167 | 50.167 | -0.000 | -0.000 | 110.123 |
| 11.645 | -68.238 | -68.238 | -0.000 | -0.000 | -0.000 |
| -69.363 | 7.094 | -69.363 | -0.000 | -0.000 | -0.000 |
| -69.363 | -69.363 | 7.094 | -0.000 | -0.000 | -0.000 |
| -9.585 | -9.586 | -9.586 | 58.061 | -0.000 | -0.000 |
| -9.586 | -9.585 | -9.586 | 0.000 | 58.061 | -0.000 |
| -9.586 | -9.586 | -9.585 | 0.000 | 0.000 | 58.061 |
| 287.832 | 73.286 | 73.286 | -0.000 | -0.000 | 0.000 |
| 73.286 | 287.832 | 73.286 | -0.000 | 0.000 | 0.000 |
| 73.286 | 73.286 | 287.832 | -0.000 | -0.000 | -0.000 |
| 9.585 | 9.586 | 9.586 | 58.061 | -0.000 | -0.000 |
| 9.586 | 9.585 | 9.586 | -0.000 | 58.061 | 0.000 |
| 9.586 | 9.586 | 9.585 | -0.000 | -0.000 | 58.061 |
| 5172.806 | 5056.958 | 5056.958 | 0.000 | -0.000 | 0.000 |
| 5056.958 | 5172.806 | 5056.958 | 0.000 | 0.000 | -0.000 |
| 5056.958 | 5056.958 | 5172.806 | 0.000 | -0.000 | -0.000 |
| 708.983 | 708.983 | 708.983 | 156.636 | -0.000 | -0.000 |
| 708.983 | 708.983 | 708.983 | -0.000 | 156.636 | 0.000 |
| 708.983 | 708.983 | 708.983 | 0.000 | -0.000 | 156.636 |
| -4924.588 | -5040.915 | -5040.915 | 0.000 | 0.000 | 0.000 |
| -5040.915 | -4924.588 | -5040.915 | -0.000 | 0.000 | -0.000 |
| -5040.915 | -5040.915 | -4924.588 | 0.000 | -0.000 | -0.000 |
| -708.983 | -708.983 | -708.983 | 156.636 | 0.000 | 0.000 |
| -708.983 | -708.983 | -708.983 | 0.000 | 156.636 | -0.000 |
| -708.983 | -708.983 | -708.983 | -0.000 | -0.000 | 156.636 |
| 493.999 | 332.795 | 332.795 | 0.000 | -0.000 | -0.000 |
| 332.795 | 493.999 | 332.795 | -0.000 | -0.000 | 0.000 |
| 332.795 | 332.795 | 493.999 | -0.000 | -0.000 | -0.000 |
| 567.936 | 567.936 | 567.936 | 46.417 | -0.000 | 0.000 |
| 504.714 | 504.714 | 504.714 | -0.000 | 58.248 | 0.000 |
| 731.999 | 731.999 | 731.999 | -0.000 | -0.000 | 38.259 |
| -159.797 | -296.007 | -296.007 | -0.000 | 0.000 | -0.000 |
| -296.007 | -159.797 | -296.007 | -0.000 | -0.000 | 0.000 |
| -296.007 | -296.007 | -159.797 | 0.000 | 0.000 | 0.000 |
| -567.936 | -567.936 | -567.936 | 46.417 | 0.000 | -0.000 |
| -504.714 | -504.714 | -504.714 | -0.000 | 58.248 | 0.000 |
| -731.999 | -731.999 | -731.999 | 0.000 | 0.000 | 38.259 |
| 165.536 | 61.764 | 61.764 | -0.000 | -0.000 | 0.000 |
| 61.764 | 165.536 | 61.764 | -0.000 | -0.000 | 0.000 |
| 61.764 | 61.764 | 165.536 | 0.000 | -0.000 | 0.000 |
| 28.582 | 28.582 | 28.582 | 77.241 | -0.000 | -0.000 |
| 28.582 | 28.582 | 28.582 | 0.000 | 77.241 | 0.000 |
| 28.582 | 28.582 | 28.582 | -0.000 | -0.000 | 77.241 |
| 20.259 | -69.042 | -69.042 | -0.000 | 0.000 | -0.000 |
| -69.042 | 20.259 | -69.042 | 0.000 | 0.000 | -0.000 |
| -69.042 | -69.042 | 20.259 | 0.000 | 0.000 | -0.000 |
| -28.582 | -28.582 | -28.582 | 77.241 | 0.000 | -0.000 |
| -28.582 | -28.582 | -28.582 | 0.000 | 77.241 | 0.000 |
| -28.582 | -28.582 | -28.582 | -0.000 | 0.000 | 77.241 |
| 1056.957 | -8.803 | 0.000 | 0.000 | 0.000 | 0.000 |
| -9.330 | 1057.484 | 0.000 | 0.000 | 0.000 | -0.000 |
| -0.000 | -0.000 | 0.000 | 0.000 | 0.000 | 0.000 |
| 0.000 | -0.000 | 0.000 | 0.000 | 0.000 | 0.000 |
| 0.000 | -0.000 | 0.000 | 0.000 | 0.000 | 0.000 |
| 0.000 | 0.000 | 0.000 | 0.000 | 0.000 | 532.880 |
| 1057.483 | -9.330 | -0.000 | -0.000 | -0.000 | -0.000 |
| -8.803 | 1056.957 | -0.000 | -0.000 | -0.000 | -0.000 |
| 0.000 | 0.000 | -0.000 | -0.000 | -0.000 | -0.000 |
| 0.000 | 0.000 | -0.000 | -0.000 | -0.000 | -0.000 |
| -0.000 | 0.000 | -0.000 | -0.000 | -0.000 | -0.000 |
| -0.000 | -0.000 | -0.000 | -0.000 | -0.000 | 532.880 |
| 1057.484 | -9.330 | 0.000 | 0.000 | 0.000 | 0.000 |
| -8.803 | 1056.957 | 0.000 | 0.000 | 0.000 | 0.000 |
| -0.000 | -0.000 | 0.000 | 0.000 | 0.000 | 0.000 |
| 0.000 | -0.000 | 0.000 | 0.000 | 0.000 | 0.000 |
| 0.000 | -0.000 | 0.000 | 0.000 | 0.000 | 0.000 |
| 0.000 | 0.000 | 0.000 | 0.000 | 0.000 | 532.880 |
| 1057.483 | -9.330 | -0.000 | -0.000 | -0.000 | -0.000 |
| -8.803 | 1056.956 | -0.000 | -0.000 | -0.000 | -0.000 |
| 0.000 | 0.000 | -0.000 | -0.000 | -0.000 | -0.000 |
| 0.000 | 0.000 | -0.000 | -0.000 | -0.000 | -0.000 |
| -0.000 | 0.000 | -0.000 | -0.000 | -0.000 | -0.000 |
| -0.000 | -0.000 | -0.000 | -0.000 | -0.000 | 532.880 |
| 1056.960 | -8.803 | 0.000 | 0.000 | 0.000 | 0.000 |
| -8.803 | 1056.960 | 0.000 | 0.000 | 0.000 | 0.000 |
| -0.000 | -0.000 | 0.000 | 0.000 | 0.000 | 0.000 |
| 0.000 | -0.000 | 0.000 | 0.000 | 0.000 | 0.000 |
| 0.000 | -0.000 | 0.000 | 0.000 | 0.000 | 0.000 |
| 0.000 | 0.001 | 0.000 | 0.000 | 0.000 | 532.880 |
| 1056.953 | -8.803 | -0.000 | -0.000 | -0.000 | -0.000 |
| -8.803 | 1056.953 | -0.000 | -0.000 | -0.000 | 0.000 |
| 0.000 | 0.000 | -0.000 | -0.000 | -0.000 | -0.000 |
| -0.000 | 0.000 | -0.000 | -0.000 | -0.000 | -0.000 |
| -0.000 | 0.000 | -0.000 | -0.000 | -0.000 | -0.000 |
| -0.000 | -0.001 | -0.000 | -0.000 | -0.000 | 532.880 |
| 1058.172 | -8.813 | 0.000 | 0.000 | 0.000 | 0.000 |
| -8.813 | 1058.172 | 0.000 | 0.000 | 0.000 | 0.000 |
| -0.000 | -0.000 | 0.000 | 0.000 | 0.000 | 0.000 |
| -0.000 | -0.000 | 0.000 | 0.000 | 0.000 | 0.000 |
| -0.000 | 0.000 | 0.000 | 0.000 | 0.000 | 0.000 |
| -0.000 | 0.000 | 0.000 | 0.000 | 0.000 | 534.020 |
| 1058.172 | -8.813 | -0.000 | -0.000 | -0.000 | -0.000 |
| -8.813 | 1058.172 | -0.000 | -0.000 | -0.000 | -0.000 |
| 0.000 | 0.000 | -0.000 | -0.000 | -0.000 | -0.000 |
| 0.000 | -0.000 | -0.000 | -0.000 | -0.000 | -0.000 |
| 0.000 | -0.000 | -0.000 | -0.000 | -0.000 | -0.000 |
| 0.000 | -0.000 | -0.000 | -0.000 | -0.000 | 534.020 |
| 1058.700 | -9.341 | 0.000 | 0.000 | 0.000 | 0.000 |
| -8.813 | 1058.172 | 0.000 | 0.000 | 0.000 | 0.000 |
| -0.000 | -0.000 | 0.000 | 0.000 | 0.000 | 0.000 |
| -0.000 | 0.000 | 0.000 | 0.000 | 0.000 | 0.000 |
| -0.000 | 0.000 | 0.000 | 0.000 | 0.000 | 0.000 |
| 0.000 | 0.000 | 0.000 | 0.000 | 0.000 | 534.020 |
| 1058.699 | -9.341 | -0.000 | -0.000 | -0.000 | -0.000 |
| -8.813 | 1058.172 | -0.000 | -0.000 | -0.000 | -0.000 |
| 0.000 | 0.000 | -0.000 | -0.000 | -0.000 | -0.000 |
| 0.000 | 0.000 | -0.000 | -0.000 | -0.000 | -0.000 |
| 0.000 | -0.000 | -0.000 | -0.000 | -0.000 | -0.000 |
| -0.000 | -0.000 | -0.000 | -0.000 | -0.000 | 534.020 |
| 1058.176 | -8.813 | 0.000 | 0.000 | 0.000 | 0.000 |
| -8.813 | 1058.176 | 0.000 | 0.000 | 0.000 | 0.000 |
| -0.000 | -0.000 | 0.000 | 0.000 | 0.000 | 0.000 |
| -0.000 | -0.000 | 0.000 | 0.000 | 0.000 | 0.000 |
| -0.000 | 0.000 | 0.000 | 0.000 | 0.000 | 0.000 |
| 0.000 | 0.001 | 0.000 | 0.000 | 0.000 | 533.493 |
| 1058.696 | -9.341 | -0.000 | -0.000 | -0.000 | -0.000 |
| -8.814 | 1058.168 | -0.000 | -0.000 | -0.000 | -0.000 |
| 0.000 | 0.000 | -0.000 | -0.000 | -0.000 | -0.000 |
| 0.000 | -0.000 | -0.000 | -0.000 | -0.000 | -0.000 |
| 0.000 | -0.000 | -0.000 | -0.000 | -0.000 | -0.000 |
| -0.000 | -0.001 | -0.000 | -0.000 | -0.000 | 533.493 |
| 2246.641 | 1912.376 | 8105.185 | -0.000 | -0.000 | 0.000 |
| 1758.390 | 2112.549 | 8100.999 | 0.000 | -0.000 | 0.000 |
| 1672.528 | 1825.352 | 8101.206 | 0.000 | -0.000 | -0.000 |
| 1670.998 | 1842.343 | 8100.999 | 31.750 | -0.000 | -0.000 |
| 0.000 | 0.000 | -0.000 | 0.000 | 249.745 | -0.000 |
| 1670.922 | 1843.978 | 8105.024 | 0.000 | -0.000 | 235.332 |
| -1062.112 | -1213.672 | -1583.532 | 0.000 | 0.000 | 0.000 |
| -1555.649 | -1040.576 | -1638.147 | -0.000 | -0.000 | -0.000 |
| -1175.093 | -2428.976 | -7249.145 | 0.000 | -0.000 | -0.000 |
| -1670.998 | -1842.343 | -8100.999 | 31.750 | 0.000 | 0.000 |
| -1164.744 | -2413.068 | -7193.907 | -0.000 | 105.173 | 0.000 |
| -1670.922 | -1843.978 | -8105.024 | 0.000 | -0.000 | 235.332 |
| 742.840 | 252.641 | 810.085 | -0.000 | -0.000 | -0.000 |
| 254.537 | 454.081 | 810.086 | -0.000 | -0.000 | 0.000 |
| 168.774 | 166.879 | 810.100 | 0.000 | -0.000 | -0.000 |
| 168.841 | 181.429 | 811.765 | 32.091 | -0.000 | -0.000 |
| 166.907 | 132.688 | 168.793 | 0.000 | 180.882 | 0.000 |
| 167.074 | 184.291 | 810.106 | -0.000 | 0.000 | 234.176 |
| 408.679 | -115.902 | -810.096 | 0.000 | 0.000 | -0.000 |
| 1.647 | 15.693 | -640.821 | -0.000 | -0.000 | 0.000 |
| -129.733 | -249.517 | -765.782 | 0.000 | 0.000 | 0.000 |
| -168.841 | -181.429 | -811.765 | 32.091 | -0.000 | -0.000 |
| -166.907 | -132.688 | -168.793 | 0.000 | 180.882 | -0.000 |
| -167.074 | -184.291 | -810.106 | -0.000 | 0.000 | 234.176 |
| 589.725 | 86.436 | 62.425 | -0.000 | 0.000 | 0.000 |
| 100.559 | 283.808 | 59.400 | -0.000 | -0.000 | -0.000 |
| 18.431 | 1.037 | 81.192 | 0.000 | -0.000 | 0.000 |
| 26.983 | 9.073 | 109.873 | 32.726 | -0.000 | -0.000 |
| 16.321 | 18.199 | 78.292 | -0.000 | -0.559 | 0.000 |
| 17.161 | 18.947 | 79.812 | -0.000 | -0.000 | 234.431 |
| 559.047 | 49.948 | -81.006 | 0.000 | 0.000 | -0.000 |
| 70.744 | 251.385 | -81.018 | -0.000 | -0.000 | 0.000 |
| -15.004 | -35.827 | -80.980 | 0.000 | -0.000 | 0.000 |
| -26.983 | -9.073 | -109.873 | 32.726 | 0.000 | -0.000 |
| -16.321 | -18.199 | -78.292 | -0.000 | -0.559 | -0.000 |
| -17.161 | -18.947 | -79.812 | 0.000 | 0.000 | 234.431 |
| 712.539 | 56.021 | 46.984 | -0.000 | 0.000 | -0.000 |
| 103.246 | 286.100 | 38.199 | -0.000 | -0.000 | -0.000 |
| 46.984 | 20.527 | 484.566 | -0.000 | 0.000 | 0.000 |
| -6.118 | 10.076 | -6.078 | 42.806 | 0.000 | -0.000 |
| -0.000 | -0.000 | 0.000 | -0.000 | 280.992 | 0.000 |
| -2.474 | 4.075 | -2.458 | -0.000 | -0.000 | 235.597 |
| 712.539 | 56.021 | 46.984 | 0.000 | 0.000 | -0.000 |
| 109.345 | 276.571 | 44.597 | 0.000 | -0.000 | 0.000 |
| 33.019 | 57.148 | 111.237 | -0.000 | 0.000 | 0.000 |
| 6.118 | -10.076 | 6.078 | 42.806 | -0.000 | 0.000 |
| -0.000 | -0.000 | -0.000 | 0.000 | 280.992 | 0.000 |
| 2.474 | -4.075 | 2.458 | 0.000 | 0.000 | 235.597 |
| 669.367 | 91.496 | 40.327 | -0.000 | 0.000 | -0.000 |
| 56.021 | 408.639 | 20.527 | -0.000 | 0.000 | 0.000 |
| -0.328 | 0.478 | -0.811 | -0.000 | 0.000 | -0.000 |
| 0.000 | -0.000 | -0.000 | 101.998 | 0.000 | 0.000 |
| -0.503 | 0.829 | -0.500 | -0.000 | 179.472 | 0.000 |
| 0.000 | 0.000 | 0.000 | -0.000 | -0.000 | 245.436 |
| 712.539 | 56.021 | 46.984 | 0.000 | 0.000 | 0.000 |
| 56.021 | 408.639 | 20.527 | 0.000 | -0.000 | 0.000 |
| 0.328 | -0.478 | 0.814 | 0.000 | -0.000 | -0.000 |
| -0.000 | 0.000 | 0.000 | 101.998 | -0.000 | -0.000 |
| 0.503 | -0.829 | 0.500 | -0.000 | 179.472 | -0.000 |
| -0.000 | -0.000 | -0.000 | 0.000 | -0.000 | 245.436 |
| 665.397 | 98.206 | -0.081 | -0.000 | 0.000 | 0.000 |
| 98.137 | 276.853 | -0.075 | -0.000 | 0.000 | -0.000 |
| -0.033 | 0.051 | -0.109 | -0.000 | 0.000 | -0.000 |
| -0.015 | 0.041 | -0.068 | 38.845 | -0.000 | -0.000 |
| 0.156 | -0.362 | 0.047 | -0.000 | 0.001 | -0.000 |
| -0.029 | 0.054 | -0.047 | -0.000 | 0.000 | 235.437 |
| 666.716 | 104.919 | 20.721 | 0.000 | -0.000 | 0.000 |
| 98.193 | 276.782 | 0.080 | 0.000 | -0.000 | -0.000 |
| 0.033 | -0.051 | 0.109 | 0.000 | -0.000 | -0.000 |
| 0.015 | -0.041 | 0.068 | 38.845 | -0.000 | 0.000 |
| -0.156 | 0.362 | -0.047 | 0.000 | 0.001 | -0.000 |
| 0.029 | -0.054 | 0.047 | 0.000 | -0.000 | 235.437 |
| 1074.110 | 153.189 | -307.019 | 0.000 | 0.000 | -0.000 |
| 282.742 | 352.281 | -206.045 | 0.000 | 0.000 | -0.000 |
| 171.809 | 41.206 | 814.701 | 0.000 | 0.000 | -0.000 |
| 0.000 | 0.000 | 0.000 | 174.758 | 0.000 | 0.000 |
| 0.000 | 0.000 | 0.000 | 0.000 | 523.260 | -0.000 |
| 113.429 | -26.640 | -311.670 | 0.000 | 0.000 | 240.317 |
| 859.479 | 129.789 | 237.712 | -0.000 | -0.000 | 0.000 |
| 70.404 | 320.103 | 349.702 | -0.000 | -0.000 | 0.000 |
| 31.163 | 21.085 | 1076.514 | -0.000 | -0.000 | 0.000 |
| -0.000 | -0.000 | -0.000 | 174.758 | -0.000 | 0.000 |
| -0.000 | -0.000 | -0.000 | -0.000 | 523.260 | 0.000 |
| -113.429 | 26.640 | 311.670 | -0.000 | -0.000 | 240.317 |
| 1037.241 | 96.635 | 16.938 | 0.000 | 0.000 | -0.000 |
| 191.642 | 295.515 | 7.986 | 0.000 | 0.000 | -0.000 |
| 31.164 | 21.085 | 1076.515 | 0.000 | 0.000 | -0.000 |
| 0.000 | -0.000 | -0.000 | 174.758 | 0.000 | -0.000 |
| 11.826 | -3.093 | -30.604 | 0.000 | 480.075 | -0.000 |
| 0.000 | 0.000 | 0.000 | 0.000 | 0.000 | 273.611 |
| 975.649 | 135.714 | 41.695 | -0.000 | -0.000 | 0.000 |
| 101.444 | 403.455 | 11.670 | -0.000 | -0.000 | 0.000 |
| 8.039 | 49.921 | 1058.888 | -0.000 | -0.000 | 0.000 |
| -0.000 | 0.000 | 0.000 | 174.758 | -0.000 | 0.000 |
| -11.826 | 3.093 | 30.604 | -0.000 | 480.075 | 0.000 |
| -0.000 | -0.000 | -0.000 | -0.000 | -0.000 | 273.611 |
| 965.904 | 174.209 | 1.819 | 0.000 | 0.000 | -0.000 |
| 178.904 | 299.004 | 37.142 | 0.000 | 0.000 | -0.000 |
| 19.675 | 47.935 | 1024.761 | 0.000 | 0.000 | -0.000 |
| 1.176 | -0.321 | -3.105 | 104.304 | 0.000 | -0.000 |
| 0.000 | 0.000 | 0.001 | 0.000 | 523.260 | -0.000 |
| 1.704 | 0.055 | -2.814 | 0.000 | 0.000 | 243.637 |
| 963.536 | 174.836 | 7.852 | -0.000 | -0.000 | 0.000 |
| 178.221 | 299.584 | 40.563 | -0.000 | -0.000 | 0.000 |
| 31.163 | 21.085 | 1076.510 | -0.000 | -0.000 | 0.000 |
| -1.176 | 0.321 | 3.105 | 104.304 | -0.000 | 0.000 |
| -0.000 | -0.000 | -0.001 | -0.000 | 523.260 | 0.000 |
| -1.704 | -0.055 | 2.814 | -0.000 | -0.000 | 243.637 |
| 967.415 | 175.025 | 4.587 | 0.000 | 0.000 | -0.000 |
| 176.796 | 299.442 | 41.305 | 0.000 | 0.000 | -0.000 |
| 30.651 | 21.583 | 1078.401 | -0.000 | 0.000 | -0.000 |
| -0.000 | -0.000 | -0.000 | 174.562 | 0.000 | -0.000 |
| 0.684 | -0.168 | 0.147 | -0.000 | 481.761 | -0.000 |
| -0.000 | -0.000 | -0.000 | -0.000 | -0.000 | 273.075 |
| 979.667 | 146.120 | 18.955 | -0.000 | -0.000 | 0.000 |
| 178.938 | 299.083 | 38.844 | 0.000 | -0.000 | 0.000 |
| 31.781 | 41.390 | 1038.592 | -0.000 | -0.000 | 0.000 |
| 0.000 | 0.000 | 0.000 | 174.562 | 0.000 | 0.000 |
| -0.684 | 0.168 | -0.147 | 0.000 | 481.761 | 0.000 |
| 0.000 | 0.000 | 0.000 | 0.000 | -0.000 | 273.075 |
| 966.962 | 175.156 | 5.152 | 0.000 | 0.000 | -0.000 |
| 100.812 | 405.028 | 11.876 | -0.000 | 0.000 | -0.000 |
| 30.651 | 21.583 | 1078.401 | -0.000 | 0.000 | -0.000 |
| -0.070 | -0.030 | 0.111 | 104.279 | 0.000 | -0.000 |
| 0.085 | 0.001 | -0.040 | 0.000 | 501.349 | -0.000 |
| 0.033 | -0.011 | 0.015 | 0.000 | 0.000 | 240.327 |
| 979.548 | 146.770 | 18.675 | -0.000 | -0.000 | 0.000 |
| 179.384 | 299.021 | 38.841 | -0.000 | -0.000 | 0.000 |
| 32.389 | 40.993 | 1039.105 | -0.000 | 0.000 | 0.000 |
| 0.070 | 0.030 | -0.111 | 104.279 | -0.000 | 0.000 |
| -0.085 | -0.001 | 0.040 | 0.000 | 501.349 | 0.000 |
| -0.033 | 0.011 | -0.015 | -0.000 | -0.000 | 240.327 |
| 966.931 | 175.097 | 4.582 | -0.000 | -0.000 | -0.000 |
| 179.356 | 298.966 | 38.010 | -0.000 | 0.000 | -0.000 |
| 17.983 | 49.107 | 1029.543 | -0.000 | 0.000 | -0.000 |
| 0.016 | -0.000 | -0.008 | 104.463 | 0.000 | -0.000 |
| 0.008 | 0.000 | -0.003 | 0.000 | 501.348 | -0.000 |
| 0.003 | -0.001 | 0.002 | 0.000 | 0.000 | 240.327 |
| 966.914 | 175.099 | 4.582 | -0.000 | -0.000 | 0.000 |
| 179.422 | 299.024 | 38.838 | -0.000 | -0.000 | 0.000 |
| 19.036 | 47.694 | 1029.541 | 0.000 | -0.000 | 0.000 |
| -0.016 | 0.000 | 0.008 | 104.463 | -0.000 | 0.000 |
| -0.008 | -0.000 | 0.003 | -0.000 | 501.348 | 0.000 |
| -0.003 | 0.001 | -0.002 | -0.000 | -0.000 | 240.327 |
| 979.375 | 174.506 | 20.277 | 0.000 | 0.000 | -0.000 |
| 96.143 | 412.874 | 24.684 | 0.000 | 0.000 | -0.000 |
| 36.860 | 44.496 | 1102.233 | 0.000 | 0.000 | 0.000 |
| 0.000 | -0.000 | 0.000 | 166.255 | 0.000 | 0.000 |
| 0.000 | -0.000 | 0.000 | 0.000 | 527.979 | 0.000 |
| -0.212 | 0.161 | 0.086 | 0.000 | 0.000 | 243.153 |
| 1050.580 | 96.144 | 30.355 | -0.000 | -0.000 | -0.000 |
| 170.225 | 302.397 | 61.310 | -0.000 | -0.000 | -0.000 |
| 37.398 | 44.186 | 1102.147 | -0.000 | -0.000 | -0.000 |
| -0.000 | 0.000 | -0.000 | 166.255 | -0.000 | -0.000 |
| -0.000 | 0.000 | -0.000 | -0.000 | 527.979 | -0.000 |
| 0.212 | -0.161 | -0.086 | -0.000 | -0.000 | 243.153 |
| 993.398 | 142.707 | 38.494 | 0.000 | 0.000 | 0.000 |
| 96.144 | 412.874 | 24.684 | 0.000 | 0.000 | 0.000 |
| 37.101 | 44.346 | 1102.214 | 0.000 | 0.000 | 0.000 |
| -0.084 | 0.014 | 0.073 | 94.198 | 0.000 | 0.000 |
| -0.050 | 0.008 | 0.044 | 0.000 | 504.540 | 0.000 |
| 0.000 | 0.000 | 0.000 | 0.000 | 0.000 | 274.832 |
| 1050.580 | 96.143 | 30.355 | -0.000 | -0.000 | -0.000 |
| 169.545 | 302.726 | 61.682 | -0.000 | -0.000 | -0.000 |
| 37.157 | 44.324 | 1102.187 | -0.000 | -0.000 | -0.000 |
| 0.084 | -0.014 | -0.073 | 94.198 | -0.000 | -0.000 |
| 0.050 | -0.008 | -0.044 | -0.000 | 504.540 | -0.000 |
| -0.000 | -0.000 | -0.000 | -0.000 | -0.000 | 274.832 |
| 979.677 | 174.354 | 20.097 | 0.000 | 0.000 | -0.000 |
| 169.411 | 302.844 | 61.702 | 0.000 | 0.000 | 0.000 |
| 20.558 | 56.907 | 1091.927 | 0.000 | 0.000 | 0.000 |
| -0.006 | 0.001 | 0.005 | 93.774 | 0.000 | 0.000 |
| 0.000 | 0.000 | 0.001 | 0.000 | 527.979 | -0.000 |
| -0.004 | 0.001 | 0.003 | 0.000 | 0.000 | 246.294 |
| 979.674 | 174.353 | 20.093 | -0.000 | -0.000 | -0.000 |
| 96.143 | 412.872 | 24.684 | -0.000 | -0.000 | -0.000 |
| 20.561 | 56.900 | 1091.924 | -0.000 | -0.000 | 0.000 |
| 0.006 | -0.001 | -0.005 | 93.774 | -0.000 | -0.000 |
| -0.000 | -0.000 | -0.001 | -0.000 | 527.979 | -0.000 |
| 0.004 | -0.001 | -0.003 | -0.000 | -0.000 | 246.294 |
| 2793.419 | 2383.948 | -213.638 | -7.248 | -0.000 | -0.000 |
| 56.683 | 579.311 | 74.180 | 3.602 | -0.000 | 0.000 |
| 14272.378 | 14272.379 | 12791.053 | -0.000 | 0.000 | -0.000 |
| 10035.866 | 10075.751 | 1503.222 | 67.202 | -0.000 | 0.000 |
| -0.000 | -0.000 | -0.000 | 0.000 | 240.921 | -3.602 |
| 10051.986 | 10051.986 | 1502.348 | -0.000 | -19.936 | 61.072 |
| -12795.863 | -12893.037 | -4786.911 | -22.774 | 0.000 | -0.000 |
| -2276.580 | -1868.598 | 409.737 | 7.296 | -0.000 | -0.000 |
| 74.180 | 74.180 | 467.382 | 0.000 | -0.000 | -0.000 |
| -3.602 | 3.602 | -0.000 | 240.921 | -0.000 | -0.000 |
| 0.000 | 0.000 | 0.000 | 0.000 | 240.921 | -3.602 |
| -10051.986 | -10051.986 | -1502.348 | 0.000 | -19.936 | 61.072 |
| 493.085 | 95.783 | 94.776 | -7.640 | -0.000 | 0.000 |
| 56.684 | 579.313 | 74.180 | 3.602 | 0.000 | 0.000 |
| 74.180 | 74.180 | 467.383 | -0.000 | 0.000 | -0.000 |
| 57.281 | 88.056 | 9.568 | 113.781 | 0.000 | 0.000 |
| 0.000 | 0.000 | 0.000 | 0.000 | 240.921 | -3.602 |
| -0.000 | 0.000 | 0.000 | -0.000 | -3.602 | 261.314 |
| 160.444 | -41.705 | 53.148 | -18.155 | -0.000 | -0.000 |
| -3.486 | 216.690 | 102.559 | 15.815 | 0.000 | -0.000 |
| 8.049 | 8.049 | -4.846 | 0.000 | -0.000 | 0.000 |
| -122.139 | -84.474 | -41.281 | 87.865 | 0.000 | -0.000 |
| -0.000 | -0.000 | -0.000 | -0.000 | 240.921 | -3.602 |
| 0.000 | -0.000 | -0.000 | 0.000 | -3.602 | 261.314 |
| 1869.641 | 1511.577 | 4093.361 | -8.402 | -0.000 | 0.000 |
| 34.186 | 517.494 | 68.756 | 3.352 | -0.000 | 0.000 |
| 5184.686 | 5184.685 | 6546.312 | 0.000 | 0.000 | 0.000 |
| 5080.984 | 5109.946 | 6415.825 | 84.200 | -0.000 | 0.000 |
| 1472.277 | 1472.277 | 4006.884 | -0.000 | 152.674 | -8.410 |
| 1472.303 | 1472.304 | 4006.957 | -0.000 | -8.411 | 178.928 |
| -6247.959 | -6367.266 | -11628.687 | -21.632 | -0.000 | -0.000 |
| 34.186 | 517.495 | 68.756 | 3.352 | 0.000 | -0.000 |
| 62.570 | 62.571 | 397.852 | 0.000 | -0.000 | -0.000 |
| -3.352 | 3.352 | 0.000 | 212.089 | 0.000 | -0.000 |
| -1472.277 | -1472.277 | -4006.884 | -0.000 | 152.674 | -8.411 |
| -1472.303 | -1472.304 | -4006.957 | -0.000 | -8.411 | 178.928 |
| 753.870 | 529.636 | 740.677 | -14.423 | 0.000 | 0.000 |
| 34.186 | 517.495 | 68.756 | 3.352 | -0.000 | 0.000 |
| 236.458 | 236.459 | 681.264 | -0.000 | 0.000 | 0.000 |
| 138.868 | 155.693 | 400.833 | 152.653 | 0.000 | 0.000 |
| 147.278 | 147.278 | 400.826 | -0.000 | 152.654 | -8.412 |
| 147.253 | 147.253 | 400.758 | -0.000 | -8.411 | 178.918 |
| -263.634 | -486.900 | -540.584 | -14.482 | 0.000 | -0.000 |
| -486.924 | -263.667 | -540.598 | 14.482 | 0.000 | -0.000 |
| 62.570 | 62.570 | 397.852 | -0.000 | 0.000 | -0.000 |
| -155.706 | -138.880 | -400.867 | 152.647 | 0.000 | -0.000 |
| -147.278 | -147.278 | -400.826 | 0.000 | 152.654 | -8.412 |
| -147.253 | -147.253 | -400.758 | 0.000 | -8.411 | 178.918 |
| 517.496 | 34.186 | 68.757 | -3.352 | -0.000 | 0.000 |
| 34.186 | 517.496 | 68.757 | 3.352 | 0.000 | 0.000 |
| 107.996 | 107.996 | 303.774 | 0.000 | -0.000 | 0.000 |
| 30.661 | 57.330 | 59.761 | 97.113 | 0.000 | -0.000 |
| 70.264 | 70.264 | 223.507 | -0.000 | 72.999 | -11.349 |
| 42.827 | 42.827 | 59.593 | -0.000 | -13.191 | 125.694 |
| 153.024 | -30.605 | -6.139 | -18.201 | 0.000 | -0.000 |
| -30.605 | 153.029 | -6.141 | 18.200 | -0.000 | -0.000 |
| -39.689 | -39.689 | -182.729 | -0.000 | -0.000 | -0.000 |
| -23.684 | -6.581 | -41.184 | 151.021 | -0.000 | -0.000 |
| -70.264 | -70.264 | -223.507 | 0.000 | 72.999 | -11.349 |
| -42.827 | -42.827 | -59.593 | 0.000 | -13.191 | 125.694 |
| 1003.821 | 1.799 | 104.776 | -0.000 | 0.000 | 0.000 |
| -1.643 | 1153.806 | 84.676 | 0.000 | -0.000 | -0.000 |
| 104.155 | 87.497 | 1052.150 | -0.000 | 0.000 | 0.000 |
| -0.000 | -0.000 | -0.000 | 554.833 | 0.000 | -0.000 |
| 48.899 | 27.545 | -12.625 | 0.000 | 306.768 | 0.000 |
| 54.352 | 30.617 | -14.033 | -0.000 | 0.000 | 363.315 |
| 1003.821 | 1.799 | 104.776 | -0.000 | -0.000 | -0.000 |
| -38.410 | 1062.507 | 100.955 | 0.000 | -0.000 | -0.000 |
| 104.155 | 87.497 | 1052.150 | 0.000 | 0.000 | -0.000 |
| 0.000 | 0.000 | 0.000 | 554.833 | -0.000 | -0.000 |
| -48.899 | -27.545 | 12.625 | 0.000 | 306.768 | 0.000 |
| -54.352 | -30.617 | 14.033 | -0.000 | 0.000 | 363.315 |
| 928.581 | 38.186 | 129.876 | 0.000 | 0.000 | 0.000 |
| 39.582 | 1102.587 | 94.947 | 0.000 | 0.000 | 0.000 |
| 104.155 | 87.497 | 1052.150 | -0.000 | 0.000 | 0.000 |
| 3.645 | 2.053 | -0.941 | 509.653 | 0.000 | -0.000 |
| 6.867 | 4.189 | -1.205 | 0.000 | 344.346 | 0.000 |
| -0.000 | 0.000 | 0.000 | -0.000 | -0.000 | 406.540 |
| 926.642 | 34.269 | 137.317 | -0.000 | -0.000 | 0.000 |
| -1.643 | 1153.805 | 84.676 | 0.000 | -0.000 | 0.000 |
| 124.862 | 97.274 | 1001.539 | 0.000 | -0.000 | -0.000 |
| -3.645 | -2.053 | 0.941 | 509.653 | 0.000 | -0.000 |
| -6.867 | -4.189 | 1.205 | -0.000 | 344.346 | -0.000 |
| 0.000 | -0.000 | -0.000 | -0.000 | 0.000 | 406.540 |
| 923.194 | 34.142 | 131.407 | -0.000 | 0.000 | 0.000 |
| 31.402 | 1098.999 | 95.928 | -0.000 | 0.000 | -0.000 |
| 128.530 | 99.377 | 1001.476 | -0.000 | -0.000 | -0.000 |
| 0.356 | 0.200 | -0.091 | 510.781 | 0.000 | 0.000 |
| 0.522 | 0.327 | -0.104 | -0.000 | 344.520 | -0.000 |
| 0.564 | 0.361 | -0.104 | -0.000 | -0.000 | 376.095 |
| 933.415 | 35.548 | 135.146 | -0.000 | -0.000 | 0.000 |
| 28.245 | 1099.499 | 93.764 | -0.000 | -0.000 | -0.000 |
| 127.775 | 98.952 | 1001.692 | 0.000 | -0.000 | -0.000 |
| -0.356 | -0.200 | 0.091 | 510.781 | -0.000 | 0.000 |
| -0.522 | -0.327 | 0.104 | -0.000 | 344.520 | -0.000 |
| -0.564 | -0.361 | 0.104 | -0.000 | -0.000 | 376.095 |
| 981.556 | -422.062 | 488.475 | 0.000 | 765.917 | 0.000 |
| 56.615 | 689.505 | 477.767 | 0.000 | 504.836 | 0.000 |
| 149.844 | -329.415 | 1391.061 | 0.000 | 611.411 | -0.000 |
| 37.227 | -454.386 | 371.938 | 502.151 | 705.732 | -25.046 |
| 65.321 | -506.686 | 418.364 | 0.000 | 1050.281 | -0.000 |
| 12.973 | -407.712 | 395.134 | -30.717 | 553.983 | 381.631 |
| 907.418 | 487.670 | -256.538 | -0.000 | -647.150 | -0.000 |
| -1.814 | 1559.849 | -292.686 | -0.000 | -757.829 | 0.000 |
| 91.604 | 69.920 | 1071.904 | -0.000 | 54.077 | -0.000 |
| -37.227 | 454.386 | -371.938 | 502.151 | -705.732 | -25.046 |
| -8.757 | 403.594 | -327.663 | -0.000 | -362.008 | -0.000 |
| -12.973 | 407.712 | -395.134 | -30.717 | -553.983 | 381.631 |
| 928.861 | 1.581 | 155.467 | 0.000 | 109.435 | -0.000 |
| 38.369 | 1059.263 | 118.675 | 0.000 | 22.513 | 0.000 |
| 91.604 | 69.920 | 1071.904 | 0.000 | 54.077 | 0.000 |
| 0.000 | 0.000 | 0.000 | 540.984 | -0.000 | -61.082 |
| 26.278 | -85.904 | 81.265 | 0.000 | 389.649 | 0.000 |
| 3.709 | -45.275 | 37.060 | -30.510 | 70.320 | 382.105 |
| 926.072 | 83.402 | 73.594 | -0.000 | 0.995 | -0.000 |
| 35.313 | 1142.577 | 43.173 | -0.000 | -119.874 | -0.000 |
| 91.604 | 69.920 | 1071.904 | -0.000 | 54.077 | -0.000 |
| -0.000 | -0.000 | -0.000 | 540.984 | 0.000 | -61.082 |
| 20.919 | -1.873 | 4.213 | -0.000 | 273.710 | -0.000 |
| -3.709 | 45.275 | -37.060 | -30.510 | -70.320 | 382.105 |
| 926.875 | 39.652 | 116.708 | 0.000 | 59.770 | -0.000 |
| 35.520 | 1096.807 | 87.507 | 0.000 | -36.575 | 0.000 |
| 112.903 | 83.663 | 1020.237 | 0.000 | 46.864 | 0.000 |
| 0.342 | -3.991 | 3.520 | 503.597 | 5.642 | -25.380 |
| 24.755 | -47.214 | 44.318 | 0.000 | 337.598 | 0.000 |
| 0.335 | -3.884 | 3.476 | -30.854 | 5.378 | 381.688 |
| 936.042 | 44.415 | 113.135 | -0.000 | 43.475 | -0.000 |
| 44.338 | 1101.232 | 78.699 | -0.000 | -54.804 | -0.000 |
| 112.639 | 92.202 | 1011.733 | -0.000 | 35.244 | -0.000 |
| -0.342 | 3.991 | -3.520 | 503.597 | -5.642 | -25.380 |
| 25.077 | -39.137 | 36.192 | -0.000 | 326.801 | -0.000 |
| -0.335 | 3.884 | -3.476 | -30.854 | -5.378 | 381.688 |
| 908.710 | 142.537 | 34.386 | 0.000 | 0.000 | 0.000 |
| 142.537 | 908.710 | 34.386 | 0.000 | 0.000 | 0.000 |
| 34.385 | 34.385 | 1306.256 | -0.000 | -0.000 | 0.000 |
| -0.000 | -0.000 | 0.000 | 479.750 | 0.000 | 0.000 |
| -0.000 | -0.000 | 0.000 | 0.000 | 479.750 | 0.000 |
| -0.000 | -0.000 | 0.000 | -0.000 | -0.000 | 136.325 |
| 998.241 | 59.220 | 26.648 | 0.000 | 0.000 | -0.000 |
| 59.220 | 998.241 | 26.648 | 0.000 | 0.000 | -0.000 |
| 34.386 | 34.386 | 1306.256 | -0.000 | -0.000 | -0.000 |
| 0.000 | 0.000 | -0.000 | 479.750 | 0.000 | 0.000 |
| 0.000 | 0.000 | -0.000 | 0.000 | 479.750 | -0.000 |
| 0.000 | 0.000 | -0.000 | -0.000 | -0.000 | 136.325 |
| 910.505 | 136.272 | 39.950 | 0.000 | -0.000 | 0.000 |
| 136.272 | 910.505 | 39.950 | -0.000 | 0.000 | 0.000 |
| 26.648 | 26.648 | 1325.522 | -0.000 | -0.000 | 0.000 |
| 0.000 | -0.000 | 0.000 | 502.792 | -0.000 | 0.000 |
| -0.000 | 0.000 | 0.000 | -0.000 | 502.792 | 0.000 |
| -0.000 | -0.000 | 0.000 | -0.000 | -0.000 | 136.325 |
| 908.710 | 142.537 | 34.385 | -0.000 | 0.000 | -0.000 |
| 142.537 | 908.710 | 34.385 | 0.000 | -0.000 | -0.000 |
| 26.648 | 26.648 | 1325.522 | -0.000 | -0.000 | -0.000 |
| -0.000 | 0.000 | -0.000 | 502.792 | 0.000 | -0.000 |
| 0.000 | -0.000 | -0.000 | 0.000 | 502.792 | -0.000 |
| 0.000 | 0.000 | -0.000 | -0.000 | -0.000 | 136.325 |
| 910.504 | 136.275 | 39.951 | -0.000 | -0.000 | 0.000 |
| 136.275 | 910.504 | 39.951 | -0.000 | 0.000 | 0.000 |
| 34.386 | 34.386 | 1306.260 | -0.000 | -0.000 | 0.000 |
| 0.000 | -0.000 | 0.001 | 502.792 | -0.000 | 0.000 |
| -0.000 | 0.000 | 0.001 | -0.000 | 502.792 | 0.000 |
| -0.000 | -0.000 | 0.000 | -0.000 | 0.000 | 136.325 |
| 910.496 | 136.277 | 39.951 | 0.000 | -0.000 | -0.000 |
| 136.277 | 910.496 | 39.951 | -0.000 | 0.000 | -0.000 |
| 34.385 | 34.385 | 1306.252 | 0.000 | 0.000 | -0.000 |
| -0.000 | 0.000 | -0.001 | 502.792 | 0.000 | -0.000 |
| 0.000 | -0.000 | -0.001 | -0.000 | 502.792 | -0.000 |
| 0.000 | 0.000 | -0.000 | 0.000 | 0.000 | 136.325 |
| 815.039 | 78.831 | 78.831 | 0.000 | 0.000 | 0.000 |
| 78.831 | 815.039 | 78.831 | -0.000 | 0.000 | 0.000 |
| 78.831 | 78.831 | 815.039 | -0.000 | 0.000 | 0.000 |
| -0.272 | -0.272 | -0.272 | 344.272 | -0.000 | 0.000 |
| -0.000 | 0.000 | 0.000 | 0.000 | 372.065 | 0.000 |
| 0.000 | 0.000 | 0.000 | 0.000 | 0.000 | 372.065 |
| 815.039 | 78.831 | 78.831 | 0.000 | 0.000 | -0.000 |
| 78.831 | 815.039 | 78.831 | -0.000 | -0.000 | -0.000 |
| 78.831 | 78.831 | 815.039 | -0.000 | 0.000 | -0.000 |
| 0.272 | 0.272 | 0.272 | 344.272 | -0.000 | -0.000 |
| 0.000 | -0.000 | -0.000 | 0.000 | 372.065 | -0.000 |
| 0.000 | -0.000 | -0.000 | 0.000 | -0.000 | 372.065 |
| 815.039 | 78.831 | 78.831 | -0.000 | 0.000 | 0.000 |
| 78.831 | 815.039 | 78.831 | -0.000 | 0.000 | 0.000 |
| 78.831 | 78.831 | 815.039 | -0.000 | 0.000 | 0.000 |
| 0.000 | -0.000 | 0.000 | 372.065 | 0.000 | 0.000 |
| -0.000 | 0.000 | 0.000 | -0.000 | 372.065 | 0.000 |
| -0.000 | 0.000 | 0.000 | -0.000 | 0.000 | 372.065 |
| 815.039 | 78.831 | 78.831 | 0.000 | 0.000 | -0.000 |
| 78.831 | 815.039 | 78.831 | -0.000 | -0.000 | -0.000 |
| 78.831 | 78.831 | 815.039 | -0.000 | -0.000 | -0.000 |
| -0.000 | 0.000 | -0.000 | 372.065 | -0.000 | -0.000 |
| 0.000 | -0.000 | -0.000 | -0.000 | 372.065 | -0.000 |
| 0.000 | -0.000 | -0.000 | 0.000 | -0.000 | 372.065 |
| 760.114 | 105.102 | 105.102 | -0.000 | 0.000 | 0.000 |
| 105.102 | 760.114 | 105.102 | -0.000 | 0.000 | 0.000 |
| 105.102 | 105.102 | 760.114 | -0.000 | 0.000 | 0.000 |
| -0.003 | -0.003 | -0.003 | 344.364 | 0.000 | 0.000 |
| -0.003 | -0.003 | -0.003 | 0.000 | 344.364 | 0.000 |
| -0.003 | -0.003 | -0.003 | 0.000 | 0.000 | 344.364 |
| 754.286 | 106.757 | 106.757 | 0.000 | -0.000 | -0.000 |
| 106.757 | 754.286 | 106.757 | 0.000 | -0.000 | -0.000 |
| 106.757 | 106.757 | 754.286 | 0.000 | -0.000 | -0.000 |
| 0.003 | 0.003 | 0.003 | 344.364 | -0.000 | -0.000 |
| 0.003 | 0.003 | 0.003 | 0.000 | 344.364 | -0.000 |
| 0.003 | 0.003 | 0.003 | 0.000 | -0.000 | 344.364 |
| 814.246 | 78.588 | 78.588 | -0.000 | -0.000 | -0.000 |
| 78.588 | 814.246 | 78.588 | -0.000 | -0.000 | -0.000 |
| 78.588 | 78.588 | 814.246 | -0.000 | -0.000 | 0.000 |
| -0.000 | -0.000 | -0.000 | 371.849 | -0.000 | -0.000 |
| -0.000 | -0.000 | -0.000 | -0.000 | 371.849 | -0.000 |
| -0.000 | -0.000 | -0.000 | -0.000 | -0.000 | 371.849 |
| 814.246 | 78.589 | 78.589 | 0.000 | 0.000 | -0.000 |
| 78.588 | 814.246 | 78.589 | 0.000 | 0.000 | -0.000 |
| 78.588 | 78.589 | 814.246 | 0.000 | 0.000 | -0.000 |
| 0.000 | 0.000 | 0.000 | 371.849 | 0.000 | -0.000 |
| 0.000 | 0.000 | 0.000 | 0.000 | 371.849 | -0.000 |
| 0.000 | 0.000 | 0.000 | 0.000 | 0.000 | 371.849 |
| 759.803 | 104.922 | 104.922 | -0.000 | -0.000 | 0.000 |
| 104.922 | 759.803 | 104.922 | -0.000 | -0.000 | -0.000 |
| 104.922 | 104.922 | 759.803 | -0.000 | -0.000 | -0.000 |
| 0.794 | 0.794 | 0.794 | 323.868 | -0.000 | 0.000 |
| 0.794 | 0.794 | 0.794 | -0.000 | 323.868 | 0.000 |
| 0.794 | 0.794 | 0.794 | -0.000 | -0.000 | 323.868 |
| 759.073 | 104.679 | 104.679 | 0.000 | 0.000 | 0.000 |
| 104.679 | 759.073 | 104.679 | 0.000 | 0.000 | 0.000 |
| 106.093 | 106.093 | 753.182 | 0.000 | 0.000 | -0.000 |
| -0.794 | -0.794 | -0.794 | 323.868 | -0.000 | 0.000 |
| -0.794 | -0.794 | -0.794 | 0.000 | 323.868 | 0.000 |
| -0.794 | -0.794 | -0.794 | 0.000 | 0.000 | 323.868 |
| 759.493 | 104.806 | 104.806 | -0.000 | -0.000 | 0.000 |
| 104.806 | 759.493 | 104.806 | -0.000 | 0.000 | -0.000 |
| 104.806 | 104.806 | 759.493 | -0.000 | -0.000 | 0.000 |
| 0.014 | 0.014 | 0.014 | 311.048 | -0.000 | 0.000 |
| 0.014 | 0.014 | 0.014 | -0.000 | 311.048 | 0.000 |
| 0.014 | 0.014 | 0.014 | -0.000 | -0.000 | 311.048 |
| 753.582 | 106.402 | 106.402 | 0.000 | 0.000 | -0.000 |
| 106.402 | 753.582 | 106.402 | 0.000 | 0.000 | -0.000 |
| 106.402 | 106.402 | 753.582 | 0.000 | -0.000 | -0.000 |
| -0.014 | -0.014 | -0.014 | 311.048 | 0.000 | 0.000 |
| -0.014 | -0.014 | -0.014 | 0.000 | 311.048 | 0.000 |
| -0.014 | -0.014 | -0.014 | 0.000 | 0.000 | 311.048 |
| 451.594 | 155.477 | 155.477 | 0.000 | -0.000 | 0.000 |
| 155.477 | 451.594 | 155.477 | -0.000 | -0.000 | 0.000 |
| 155.477 | 155.477 | 451.594 | -0.000 | 0.000 | -0.000 |
| 0.000 | -0.000 | -0.000 | 305.188 | -0.000 | 0.000 |
| -0.000 | 0.000 | -0.000 | -0.000 | 305.188 | 0.000 |
| -0.000 | -0.000 | 0.000 | -0.000 | -0.000 | 305.188 |
| 451.594 | 155.478 | 155.478 | 0.000 | 0.000 | -0.000 |
| 155.478 | 451.594 | 155.478 | 0.000 | 0.000 | -0.000 |
| 155.478 | 155.478 | 451.594 | 0.000 | -0.000 | -0.000 |
| -0.000 | 0.000 | 0.000 | 305.188 | 0.000 | -0.000 |
| 0.000 | -0.000 | 0.000 | 0.000 | 305.188 | 0.000 |
| 0.000 | 0.000 | -0.000 | 0.000 | 0.000 | 305.188 |
| 451.595 | 155.477 | 155.477 | -0.000 | -0.000 | -0.000 |
| 155.477 | 451.595 | 155.477 | -0.000 | 0.000 | 0.000 |
| 155.477 | 155.477 | 451.595 | -0.000 | 0.000 | 0.000 |
| 0.000 | -0.000 | 0.000 | 305.188 | 0.000 | 0.000 |
| -0.000 | 0.000 | 0.000 | -0.000 | 305.188 | -0.000 |
| -0.000 | 0.000 | 0.000 | -0.000 | -0.000 | 305.188 |
| 512.891 | 124.829 | 124.829 | 0.000 | 0.000 | 0.000 |
| 124.829 | 512.891 | 124.829 | 0.000 | -0.000 | 0.000 |
| 124.829 | 124.829 | 512.891 | 0.000 | 0.000 | 0.000 |
| -0.000 | 0.000 | -0.000 | 305.188 | 0.000 | -0.000 |
| 0.000 | -0.000 | -0.000 | 0.000 | 305.188 | -0.000 |
| 0.000 | -0.000 | -0.000 | 0.000 | -0.000 | 305.188 |
| 451.595 | 155.478 | 155.478 | -0.000 | -0.000 | 0.000 |
| 155.478 | 451.595 | 155.478 | -0.000 | -0.000 | -0.000 |
| 155.478 | 155.478 | 451.595 | -0.000 | -0.000 | -0.000 |
| 0.000 | -0.000 | 0.000 | 305.188 | -0.000 | 0.000 |
| -0.000 | 0.000 | 0.000 | 0.000 | 305.188 | -0.000 |
| -0.000 | 0.000 | 0.000 | -0.000 | 0.000 | 305.188 |
| 451.817 | 155.365 | 155.365 | 0.000 | 0.000 | 0.000 |
| 155.365 | 451.817 | 155.365 | 0.000 | -0.000 | 0.000 |
| 155.365 | 155.365 | 451.817 | 0.000 | 0.000 | -0.000 |
| -0.000 | 0.000 | -0.000 | 305.188 | 0.000 | 0.000 |
| 0.000 | -0.000 | -0.000 | 0.000 | 305.188 | 0.000 |
| 0.000 | -0.000 | -0.000 | 0.000 | 0.000 | 305.188 |
| 251.506 | 35.784 | 35.784 | -0.000 | -0.000 | 0.000 |
| 35.784 | 251.506 | 35.784 | -0.000 | -0.000 | 0.000 |
| 38.917 | 38.917 | 342.236 | -0.000 | -0.000 | 0.000 |
| 0.000 | 0.000 | -0.000 | 182.380 | -0.000 | -0.000 |
| -0.000 | 0.000 | -0.000 | -0.000 | 182.380 | -0.000 |
| -0.000 | -0.000 | -0.000 | 0.000 | -0.000 | 182.380 |
| 370.013 | 66.699 | 66.699 | 0.000 | 0.000 | -0.000 |
| 66.699 | 370.013 | 66.699 | 0.000 | 0.000 | -0.000 |
| 66.699 | 66.699 | 370.013 | 0.000 | 0.000 | -0.000 |
| -0.000 | -0.000 | 0.000 | 182.380 | -0.000 | 0.000 |
| -0.000 | -0.000 | 0.000 | -0.000 | 182.380 | 0.000 |
| 0.000 | -0.000 | -0.000 | 0.000 | -0.000 | 182.380 |
| 412.812 | 48.052 | 48.052 | 0.000 | 0.000 | 0.000 |
| 48.052 | 412.812 | 48.052 | 0.000 | 0.000 | -0.000 |
| 48.052 | 48.052 | 412.812 | -0.000 | 0.000 | -0.000 |
| -1.407 | -1.407 | -1.407 | 151.251 | -0.000 | 0.000 |
| -1.407 | -1.407 | -1.407 | -0.000 | 151.251 | 0.000 |
| -1.407 | -1.407 | -1.407 | -0.000 | -0.000 | 151.251 |
| 356.000 | 54.364 | 54.364 | 0.000 | 0.000 | -0.000 |
| 54.364 | 356.000 | 54.364 | 0.000 | -0.000 | -0.000 |
| 54.364 | 54.364 | 356.000 | 0.000 | 0.000 | -0.000 |
| 1.407 | 1.407 | 1.407 | 151.251 | 0.000 | -0.000 |
| 1.407 | 1.407 | 1.407 | 0.000 | 151.251 | -0.000 |
| 1.407 | 1.407 | 1.407 | 0.000 | 0.000 | 151.251 |
| 26.584 | -37.460 | -37.460 | -0.000 | -0.000 | 0.000 |
| -6.580 | 53.450 | -6.580 | -0.000 | 0.000 | 0.000 |
| 54.402 | 54.402 | 151.884 | -0.000 | 0.000 | 0.000 |
| -0.222 | -0.222 | -0.222 | 73.643 | 0.000 | 0.000 |
| -0.269 | -0.269 | -0.269 | -0.000 | 18.613 | 0.000 |
| -0.269 | -0.269 | -0.269 | -0.000 | -0.000 | 18.623 |
| 96.896 | 35.433 | 35.433 | 0.000 | 0.000 | -0.000 |
| 35.433 | 96.896 | 35.433 | 0.000 | 0.000 | -0.000 |
| 35.433 | 35.433 | 96.896 | 0.000 | 0.000 | -0.000 |
| 0.269 | 0.269 | 0.269 | 18.623 | 0.000 | -0.000 |
| 0.269 | 0.269 | 0.269 | 0.000 | 18.623 | -0.000 |
| 0.269 | 0.269 | 0.269 | 0.000 | -0.000 | 18.623 |
| 322.463 | 70.390 | 70.390 | -0.000 | -0.000 | 0.000 |
| 70.390 | 322.463 | 70.390 | 0.000 | -0.000 | 0.000 |
| 70.390 | 70.390 | 322.463 | -0.000 | -0.000 | 0.000 |
| 0.000 | -0.000 | -0.000 | 181.908 | -0.000 | 0.000 |
| 0.000 | -0.000 | -0.000 | 0.000 | 181.908 | 0.000 |
| 8.588 | 8.588 | 8.588 | 0.000 | -0.000 | 157.491 |
| 357.876 | 43.099 | 43.099 | -0.000 | -0.000 | -0.000 |
| 43.099 | 357.876 | 43.099 | -0.000 | -0.000 | -0.000 |
| 43.099 | 43.099 | 357.876 | -0.000 | 0.000 | -0.000 |
| -0.000 | 0.000 | 0.000 | 181.908 | 0.000 | -0.000 |
| -0.000 | 0.000 | 0.000 | 0.000 | 181.908 | -0.000 |
| -8.588 | -8.588 | -8.588 | -0.000 | 0.000 | 157.491 |
| 111.576 | 45.887 | 45.887 | 0.000 | -0.000 | 0.000 |
| 45.887 | 111.576 | 45.887 | -0.000 | -0.000 | 0.000 |
| 45.887 | 45.887 | 111.576 | 0.000 | 0.000 | 0.000 |
| 2.624 | 2.623 | 2.623 | 99.303 | 0.000 | 0.000 |
| 2.623 | 2.624 | 2.623 | 0.000 | 99.303 | 0.000 |
| 2.623 | 2.623 | 2.624 | -0.000 | -0.000 | 99.303 |
| 203.461 | 50.584 | 50.584 | 0.000 | -0.000 | -0.000 |
| 50.584 | 203.461 | 50.584 | 0.000 | 0.000 | -0.000 |
| 50.584 | 50.584 | 203.461 | -0.000 | 0.000 | -0.000 |
| -2.624 | -2.623 | -2.624 | 99.303 | 0.000 | -0.000 |
| -2.623 | -2.624 | -2.624 | -0.000 | 99.303 | -0.000 |
| -2.623 | -2.623 | -2.624 | 0.000 | 0.000 | 99.303 |
| 229.357 | 63.604 | 63.605 | 0.000 | -0.000 | 0.000 |
| 24.921 | 85.750 | 24.921 | 0.000 | -0.000 | 0.000 |
| 63.604 | 63.605 | 229.357 | 0.000 | -0.000 | 0.000 |
| 0.376 | 0.376 | 0.376 | 62.287 | -0.000 | -0.000 |
| 0.376 | 0.376 | 0.376 | -0.000 | 62.287 | 0.000 |
| 0.376 | 0.376 | 0.376 | -0.000 | -0.000 | 62.287 |
| 33.207 | -37.059 | -37.059 | -0.000 | -0.000 | -0.000 |
| -37.059 | 33.207 | -37.059 | -0.000 | 0.000 | -0.000 |
| -37.059 | -37.059 | 33.207 | -0.000 | 0.000 | -0.000 |
| -0.376 | -0.376 | -0.376 | 62.287 | -0.000 | -0.000 |
| -0.376 | -0.376 | -0.376 | -0.000 | 62.287 | -0.000 |
| -0.376 | -0.376 | -0.376 | -0.000 | 0.000 | 62.287 |
| 1113.838 | -9.277 | 0.000 | 0.000 | 0.000 | -0.000 |
| -9.277 | 1113.838 | 0.000 | 0.000 | 0.000 | 0.000 |
| 0.000 | -0.000 | 0.000 | 0.000 | 0.000 | -0.000 |
| 0.000 | -0.000 | 0.000 | 0.000 | 0.000 | -0.000 |
| 0.000 | -0.000 | 0.000 | 0.000 | 0.000 | -0.000 |
| 0.000 | 0.000 | 0.000 | 0.000 | 0.000 | 561.557 |
| 1113.838 | -9.277 | -0.000 | -0.000 | -0.000 | 0.000 |
| -9.832 | 1114.393 | -0.000 | -0.000 | -0.000 | -0.000 |
| -0.000 | 0.000 | -0.000 | -0.000 | -0.000 | 0.000 |
| -0.000 | 0.000 | -0.000 | -0.000 | -0.000 | 0.000 |
| -0.000 | 0.000 | -0.000 | -0.000 | -0.000 | 0.000 |
| -0.000 | -0.000 | -0.000 | -0.000 | -0.000 | 561.557 |
| 1113.838 | -9.277 | 0.000 | 0.000 | 0.000 | -0.000 |
| -9.277 | 1113.838 | 0.000 | 0.000 | 0.000 | 0.000 |
| 0.000 | -0.000 | 0.000 | 0.000 | 0.000 | -0.000 |
| 0.000 | -0.000 | 0.000 | 0.000 | 0.000 | -0.000 |
| 0.000 | -0.000 | 0.000 | 0.000 | 0.000 | -0.000 |
| 0.000 | 0.000 | 0.000 | 0.000 | 0.000 | 561.557 |
| 1113.837 | -9.277 | -0.000 | -0.000 | -0.000 | 0.000 |
| -9.277 | 1113.837 | -0.000 | -0.000 | -0.000 | 0.000 |
| -0.000 | 0.000 | -0.000 | -0.000 | -0.000 | 0.000 |
| -0.000 | 0.000 | -0.000 | -0.000 | -0.000 | 0.000 |
| -0.000 | 0.000 | -0.000 | -0.000 | -0.000 | 0.000 |
| -0.000 | -0.000 | -0.000 | -0.000 | -0.000 | 561.557 |
| 1113.841 | -9.276 | 0.000 | 0.000 | 0.000 | 0.000 |
| -9.276 | 1113.842 | 0.000 | 0.000 | 0.000 | -0.000 |
| 0.000 | -0.000 | 0.000 | 0.000 | 0.000 | -0.000 |
| 0.000 | -0.000 | 0.000 | 0.000 | 0.000 | -0.000 |
| 0.000 | -0.000 | 0.000 | 0.000 | 0.000 | -0.000 |
| 0.000 | 0.001 | 0.000 | 0.000 | 0.000 | 561.557 |
| 1113.834 | -9.277 | -0.000 | -0.000 | -0.000 | 0.000 |
| -9.277 | 1113.834 | -0.000 | -0.000 | -0.000 | -0.000 |
| -0.000 | 0.000 | -0.000 | -0.000 | -0.000 | 0.000 |
| -0.000 | 0.000 | -0.000 | -0.000 | -0.000 | 0.000 |
| -0.000 | 0.000 | -0.000 | -0.000 | -0.000 | 0.000 |
| -0.000 | -0.001 | -0.000 | -0.000 | -0.000 | 561.557 |
| 1112.113 | -9.812 | 0.000 | 0.000 | 0.000 | -0.000 |
| -9.812 | 1112.113 | 0.000 | 0.000 | 0.000 | 0.000 |
| 0.000 | -0.000 | 0.000 | 0.000 | 0.000 | 0.000 |
| 0.000 | -0.000 | 0.000 | 0.000 | 0.000 | 0.000 |
| 0.000 | -0.000 | 0.000 | 0.000 | 0.000 | -0.000 |
| 0.000 | 0.000 | 0.000 | 0.000 | 0.000 | 560.408 |
| 1111.559 | -9.258 | -0.000 | -0.000 | -0.000 | -0.000 |
| -9.812 | 1112.113 | -0.000 | -0.000 | -0.000 | -0.000 |
| -0.000 | 0.000 | -0.000 | -0.000 | -0.000 | -0.000 |
| -0.000 | 0.000 | -0.000 | -0.000 | -0.000 | -0.000 |
| -0.000 | 0.000 | -0.000 | -0.000 | -0.000 | 0.000 |
| -0.000 | -0.000 | -0.000 | -0.000 | -0.000 | 560.408 |
| 1111.560 | -9.258 | 0.000 | 0.000 | 0.000 | -0.000 |
| -9.812 | 1112.114 | 0.000 | 0.000 | 0.000 | -0.000 |
| 0.000 | -0.000 | 0.000 | 0.000 | 0.000 | 0.000 |
| 0.000 | -0.000 | 0.000 | 0.000 | 0.000 | 0.000 |
| 0.000 | -0.000 | 0.000 | 0.000 | 0.000 | -0.000 |
| 0.000 | 0.000 | 0.000 | 0.000 | 0.000 | 560.408 |
| 1111.559 | -9.258 | -0.000 | -0.000 | -0.000 | -0.000 |
| -9.812 | 1112.113 | -0.000 | -0.000 | -0.000 | 0.000 |
| -0.000 | 0.000 | -0.000 | -0.000 | -0.000 | -0.000 |
| -0.000 | 0.000 | -0.000 | -0.000 | -0.000 | -0.000 |
| -0.000 | 0.000 | -0.000 | -0.000 | -0.000 | 0.000 |
| -0.000 | -0.000 | -0.000 | -0.000 | -0.000 | 560.408 |
| 1111.563 | -9.257 | 0.000 | 0.000 | 0.000 | 0.000 |
| -9.258 | 1111.563 | 0.000 | 0.000 | 0.000 | -0.000 |
| 0.000 | -0.000 | 0.000 | 0.000 | 0.000 | 0.000 |
| 0.000 | -0.000 | 0.000 | 0.000 | 0.000 | 0.000 |
| 0.000 | -0.000 | 0.000 | 0.000 | 0.000 | 0.000 |
| 0.000 | 0.001 | 0.000 | 0.000 | 0.000 | 560.408 |
| 1111.555 | -9.258 | -0.000 | -0.000 | -0.000 | 0.000 |
| -9.258 | 1111.555 | -0.000 | -0.000 | -0.000 | -0.000 |
| -0.000 | 0.000 | -0.000 | -0.000 | -0.000 | -0.000 |
| -0.000 | 0.000 | -0.000 | -0.000 | -0.000 | 0.000 |
| -0.000 | 0.000 | -0.000 | -0.000 | -0.000 | 0.000 |
| -0.000 | -0.001 | -0.000 | -0.000 | -0.000 | 560.408 |
| 1087.607 | -9.595 | 0.000 | 0.000 | 0.000 | 0.000 |
| -9.595 | 1087.607 | 0.000 | 0.000 | 0.000 | -0.000 |
| 0.000 | 0.000 | 0.000 | 0.000 | 0.000 | 0.000 |
| 0.000 | 0.000 | 0.000 | 0.000 | 0.000 | -0.000 |
| 0.000 | 0.000 | 0.000 | 0.000 | 0.000 | 0.000 |
| 0.000 | 0.000 | 0.000 | 0.000 | 0.000 | 548.059 |
| 1087.065 | -9.054 | -0.000 | -0.000 | -0.000 | 0.000 |
| -9.054 | 1087.065 | -0.000 | -0.000 | -0.000 | 0.000 |
| -0.000 | -0.000 | -0.000 | -0.000 | -0.000 | -0.000 |
| -0.000 | -0.000 | -0.000 | -0.000 | -0.000 | 0.000 |
| -0.000 | -0.000 | -0.000 | -0.000 | -0.000 | 0.000 |
| -0.000 | -0.000 | -0.000 | -0.000 | -0.000 | 548.059 |
| 1087.066 | -9.054 | 0.000 | 0.000 | 0.000 | -0.000 |
| -9.596 | 1087.607 | 0.000 | 0.000 | 0.000 | -0.000 |
| 0.000 | 0.000 | 0.000 | 0.000 | 0.000 | 0.000 |
| 0.000 | 0.000 | 0.000 | 0.000 | 0.000 | -0.000 |
| 0.000 | 0.000 | 0.000 | 0.000 | 0.000 | -0.000 |
| 0.000 | 0.000 | 0.000 | 0.000 | 0.000 | 548.059 |
| 1087.065 | -9.054 | -0.000 | -0.000 | -0.000 | 0.000 |
| -9.596 | 1087.607 | -0.000 | -0.000 | -0.000 | -0.000 |
| -0.000 | -0.000 | -0.000 | -0.000 | -0.000 | -0.000 |
| -0.000 | -0.000 | -0.000 | -0.000 | -0.000 | 0.000 |
| -0.000 | -0.000 | -0.000 | -0.000 | -0.000 | -0.000 |
| -0.000 | -0.000 | -0.000 | -0.000 | -0.000 | 548.059 |
| 1087.069 | -9.053 | 0.000 | 0.000 | 0.000 | -0.000 |
| -9.053 | 1087.069 | 0.000 | 0.000 | 0.000 | 0.000 |
| 0.000 | 0.000 | 0.000 | 0.000 | 0.000 | 0.000 |
| 0.000 | 0.000 | 0.000 | 0.000 | 0.000 | -0.000 |
| 0.000 | 0.000 | 0.000 | 0.000 | 0.000 | 0.000 |
| 0.000 | 0.001 | 0.000 | 0.000 | 0.000 | 548.059 |
| 1087.061 | -9.054 | -0.000 | -0.000 | -0.000 | -0.000 |
| -9.054 | 1087.061 | -0.000 | -0.000 | -0.000 | -0.000 |
| -0.000 | -0.000 | -0.000 | -0.000 | -0.000 | -0.000 |
| -0.000 | -0.000 | -0.000 | -0.000 | -0.000 | 0.000 |
| -0.000 | -0.000 | -0.000 | -0.000 | -0.000 | -0.000 |
| -0.000 | -0.001 | -0.000 | -0.000 | -0.000 | 548.059 |
| 1093.952 | -9.111 | 0.000 | 0.000 | 0.000 | -0.000 |
| -9.657 | 1094.498 | 0.000 | 0.000 | 0.000 | -0.000 |
| 0.000 | -0.000 | 0.000 | 0.000 | 0.000 | -0.000 |
| 0.000 | -0.000 | 0.000 | 0.000 | 0.000 | -0.000 |
| 0.000 | -0.000 | 0.000 | 0.000 | 0.000 | -0.000 |
| -0.000 | -0.000 | 0.000 | 0.000 | 0.000 | 552.078 |
| 1094.499 | -9.656 | -0.000 | -0.000 | -0.000 | 0.000 |
| -9.110 | 1093.953 | -0.000 | -0.000 | -0.000 | 0.000 |
| -0.000 | 0.000 | -0.000 | -0.000 | -0.000 | 0.000 |
| -0.000 | 0.000 | -0.000 | -0.000 | -0.000 | 0.000 |
| -0.000 | 0.000 | -0.000 | -0.000 | -0.000 | 0.000 |
| 0.000 | 0.000 | -0.000 | -0.000 | -0.000 | 552.078 |
| 1093.954 | -9.111 | 0.000 | 0.000 | 0.000 | -0.000 |
| -9.656 | 1094.499 | 0.000 | 0.000 | 0.000 | -0.000 |
| 0.000 | -0.000 | 0.000 | 0.000 | 0.000 | -0.000 |
| 0.000 | -0.000 | 0.000 | 0.000 | 0.000 | -0.000 |
| 0.000 | -0.000 | 0.000 | 0.000 | 0.000 | -0.000 |
| 0.000 | 0.000 | 0.000 | 0.000 | 0.000 | 552.078 |
| 1093.953 | -9.111 | -0.000 | -0.000 | -0.000 | 0.000 |
| -9.656 | 1094.498 | -0.000 | -0.000 | -0.000 | -0.000 |
| -0.000 | 0.000 | -0.000 | -0.000 | -0.000 | 0.000 |
| -0.000 | 0.000 | -0.000 | -0.000 | -0.000 | 0.000 |
| -0.000 | 0.000 | -0.000 | -0.000 | -0.000 | 0.000 |
| -0.000 | -0.000 | -0.000 | -0.000 | -0.000 | 552.078 |
| 1093.957 | -9.111 | 0.000 | 0.000 | 0.000 | -0.000 |
| -9.111 | 1093.957 | 0.000 | 0.000 | 0.000 | -0.000 |
| 0.000 | -0.000 | 0.000 | 0.000 | 0.000 | -0.000 |
| 0.000 | -0.000 | 0.000 | 0.000 | 0.000 | -0.000 |
| 0.000 | -0.000 | 0.000 | 0.000 | 0.000 | -0.000 |
| 0.000 | 0.001 | 0.000 | 0.000 | 0.000 | 551.532 |
| 1093.950 | -9.111 | -0.000 | -0.000 | -0.000 | 0.000 |
| -9.112 | 1093.950 | -0.000 | -0.000 | -0.000 | 0.000 |
| -0.000 | 0.000 | -0.000 | -0.000 | -0.000 | 0.000 |
| -0.000 | 0.000 | -0.000 | -0.000 | -0.000 | 0.000 |
| -0.000 | 0.000 | -0.000 | -0.000 | -0.000 | 0.000 |
| -0.000 | -0.001 | -0.000 | -0.000 | -0.000 | 551.532 |
| 606.295 | -21.203 | 177.475 | 0.000 | 0.000 | 0.000 |
| 387.293 | 821.680 | 21.000 | -0.000 | 0.000 | 0.000 |
| 319.354 | 21.000 | 628.711 | 0.000 | 0.000 | 0.000 |
| -0.000 | -0.000 | 0.000 | 261.697 | 0.000 | 0.000 |
| -0.000 | -0.000 | -0.000 | 0.000 | 455.700 | 0.000 |
| -0.000 | -0.000 | 0.000 | 0.000 | 0.000 | 541.488 |
| 2642.415 | 387.293 | 319.354 | -0.000 | -0.000 | -0.000 |
| 387.293 | 821.680 | 21.000 | -0.000 | -0.000 | -0.000 |
| 78.110 | -14.156 | 600.853 | 0.000 | -0.000 | -0.000 |
| 0.000 | 0.000 | 0.000 | 261.697 | -0.000 | -0.000 |
| 0.000 | 0.000 | 0.000 | -0.000 | 455.700 | 0.000 |
| 0.000 | 0.000 | 0.000 | 0.000 | -0.000 | 541.488 |
| 416.296 | -59.320 | 164.235 | -0.000 | 0.000 | 0.000 |
| -63.806 | 687.651 | -1.836 | -0.000 | 0.000 | 0.000 |
| 76.815 | -14.352 | 600.707 | 0.000 | 0.000 | 0.000 |
| -0.000 | -0.000 | 0.000 | 261.697 | 0.000 | 0.000 |
| -0.000 | 0.000 | 0.000 | 0.000 | 455.700 | -0.000 |
| -0.004 | -0.001 | -0.000 | -0.000 | 0.000 | 291.111 |
| 628.323 | -16.782 | 179.009 | -0.000 | -0.000 | -0.000 |
| 128.693 | 631.213 | 30.536 | -0.000 | -0.000 | 0.000 |
| 181.153 | 20.579 | 366.804 | 0.000 | -0.000 | 0.000 |
| 0.000 | 0.000 | -0.000 | 261.697 | 0.000 | -0.000 |
| 0.000 | -0.000 | -0.000 | 0.000 | 455.700 | -0.000 |
| 0.004 | 0.001 | 0.000 | 0.000 | 0.000 | 291.111 |
| 339.801 | 84.338 | 144.240 | 0.000 | 0.000 | -0.000 |
| 96.645 | 537.520 | 41.388 | -0.000 | -0.000 | -0.000 |
| 188.860 | 32.205 | 356.740 | -0.000 | -0.000 | -0.000 |
| -0.007 | -0.002 | -0.000 | 206.355 | -0.000 | 0.000 |
| 0.000 | 0.000 | 0.000 | 0.000 | 259.089 | 0.000 |
| -0.003 | -0.000 | -0.000 | 0.000 | 0.000 | 223.633 |
| 449.181 | 106.904 | 148.633 | 0.000 | -0.000 | 0.000 |
| 82.666 | 406.389 | 10.918 | 0.000 | -0.000 | -0.000 |
| 319.354 | 21.000 | 628.709 | -0.000 | -0.000 | -0.000 |
| 0.007 | 0.002 | 0.000 | 206.355 | -0.000 | -0.000 |
| -0.000 | -0.000 | -0.000 | -0.000 | 259.089 | -0.000 |
| 0.003 | 0.000 | 0.000 | -0.000 | -0.000 | 223.633 |
| -123.282 | -232.108 | -271.603 | 7.579 | 1.218 | 2.143 |
| 97.295 | 444.332 | -30.274 | -0.196 | 0.517 | 0.546 |
| -112.060 | -554.941 | -359.383 | 14.390 | -0.733 | 1.483 |
| -28.026 | -616.212 | -265.219 | -23.531 | -1.165 | 1.516 |
| 94.495 | -22.597 | -113.775 | 1.150 | 40.566 | 2.135 |
| 64.699 | -36.722 | -65.102 | 0.178 | 0.812 | 67.579 |
| 11.615 | 57.031 | 172.642 | -1.164 | -1.516 | -2.148 |
| 3.121 | 529.704 | 61.937 | 0.194 | -0.533 | -0.583 |
| -62.899 | 807.574 | 309.996 | -20.239 | 1.915 | -0.567 |
| -87.493 | 142.513 | 328.158 | -165.628 | -1.938 | -4.086 |
| -44.330 | 29.150 | 44.868 | 0.191 | 114.089 | -0.538 |
| -44.606 | 28.624 | 45.090 | 0.191 | -0.508 | 89.087 |
| 259.606 | 56.541 | 65.156 | -0.009 | 0.032 | 0.003 |
| 25.128 | 255.767 | -19.598 | 0.216 | 0.111 | 0.188 |
| 4.329 | -355.181 | 51.106 | 0.170 | -0.042 | -0.005 |
| 5.148 | -21.220 | -18.550 | -2.890 | 0.072 | 0.175 |
| 2.719 | -6.496 | -3.205 | -0.009 | 133.090 | 0.003 |
| 6.846 | -4.274 | -7.011 | 0.038 | 0.088 | 61.931 |
| -9.520 | 14.541 | 26.461 | -0.465 | -0.089 | -0.199 |
| 37.400 | 391.436 | 19.926 | -0.020 | -0.098 | -0.117 |
| 48.652 | 5.696 | 131.735 | -0.147 | -0.107 | -0.145 |
| 0.574 | 36.076 | 20.361 | -1.293 | 0.007 | -0.103 |
| -6.818 | 1.615 | 11.036 | -0.144 | 50.680 | -0.152 |
| -5.196 | 2.272 | 5.104 | 0.021 | -0.060 | 80.985 |
| -2.135 | -0.040 | -8.498 | 0.090 | -0.003 | 0.015 |
| 3.627 | 228.337 | 0.700 | 0.077 | 0.003 | 0.015 |
| 7.040 | 3.854 | 88.626 | 0.089 | 0.001 | 0.015 |
| 0.011 | -5.548 | -1.843 | 15.303 | -0.004 | 0.011 |
| -0.237 | -4.809 | -1.847 | 0.093 | 15.025 | 0.008 |
| -0.032 | -8.120 | -2.086 | 0.095 | -0.000 | 5.817 |
| 5.825 | 11.424 | 6.116 | -0.084 | -0.002 | -0.015 |
| -1.632 | 67.455 | 1.238 | -0.092 | 0.002 | -0.010 |
| 8.994 | 10.971 | 95.208 | -0.088 | -0.003 | -0.011 |
| 0.072 | 4.238 | 1.871 | 13.620 | 0.004 | -0.008 |
| 0.038 | 5.418 | 2.031 | -0.102 | 18.367 | -0.016 |
| 0.098 | 15.142 | 2.632 | -0.081 | 0.001 | 0.205 |
| 352.163 | 85.891 | 88.428 | 0.000 | 0.000 | 0.000 |
| 85.891 | 352.163 | 88.428 | -0.000 | 0.000 | -0.000 |
| 63.427 | 63.427 | 456.997 | -0.000 | 0.000 | 0.000 |
| -0.000 | 0.000 | 0.000 | 219.231 | 0.000 | 0.000 |
| 0.000 | -0.000 | -0.000 | 0.000 | 219.231 | -0.000 |
| 0.000 | -0.000 | -0.000 | -0.000 | 0.000 | 244.274 |
| 517.760 | 61.464 | 63.428 | -0.000 | -0.000 | 0.000 |
| 61.464 | 517.760 | 63.428 | 0.000 | -0.000 | 0.000 |
| 88.503 | 88.503 | 297.737 | 0.000 | 0.000 | -0.000 |
| 0.000 | -0.000 | 0.000 | 219.231 | -0.000 | 0.000 |
| -0.000 | 0.000 | 0.000 | -0.000 | 219.231 | 0.000 |
| 0.000 | 0.000 | 0.000 | -0.000 | -0.000 | 244.274 |
| 352.148 | 85.893 | 88.426 | 0.000 | 0.000 | -0.000 |
| 85.893 | 352.148 | 88.426 | 0.000 | 0.000 | 0.000 |
| 59.057 | 59.057 | 104.702 | -0.000 | 0.000 | 0.000 |
| 0.000 | 0.000 | 0.000 | 83.673 | -0.000 | 0.000 |
| 0.000 | 0.000 | 0.000 | 0.000 | 83.673 | 0.000 |
| 0.000 | 0.000 | 0.000 | 0.000 | 0.000 | 244.274 |
| 263.665 | 78.086 | 83.002 | 0.000 | 0.000 | -0.000 |
| 78.086 | 263.665 | 83.002 | -0.000 | 0.000 | -0.000 |
| 14.353 | 14.353 | 60.526 | -0.000 | -0.000 | -0.000 |
| -0.000 | -0.000 | -0.000 | 83.673 | 0.000 | -0.000 |
| -0.000 | -0.000 | -0.000 | 0.000 | 83.673 | 0.000 |
| -0.000 | -0.000 | -0.000 | 0.000 | 0.000 | 244.274 |
| 210.103 | 42.983 | 44.292 | 0.000 | 0.000 | 0.000 |
| 42.983 | 210.103 | 44.292 | -0.000 | 0.000 | 0.000 |
| -27.839 | -27.839 | 15.058 | 0.000 | 0.000 | 0.000 |
| 0.000 | -0.000 | -0.000 | 100.558 | -0.000 | 0.000 |
| -0.000 | 0.000 | -0.000 | 0.000 | 100.558 | -0.000 |
| -0.000 | 0.000 | 0.000 | -0.000 | 0.000 | 175.618 |
| 263.682 | 78.084 | 83.000 | -0.000 | -0.000 | -0.000 |
| 78.084 | 263.682 | 83.000 | 0.000 | -0.000 | -0.000 |
| -30.990 | -30.990 | 21.435 | -0.000 | -0.000 | -0.000 |
| -0.000 | 0.000 | 0.000 | 100.558 | -0.000 | 0.000 |
| 0.000 | -0.000 | 0.000 | -0.000 | 100.558 | -0.000 |
| 0.000 | -0.000 | -0.000 | 0.000 | -0.000 | 175.618 |
| 184.554 | -2.340 | -143.085 | -0.000 | -0.000 | 0.000 |
| -2.340 | 184.554 | -143.085 | 0.000 | -0.000 | 0.000 |
| 24.995 | 24.995 | -32.059 | -0.000 | 0.000 | 0.000 |
| -46.497 | -46.497 | -212.505 | 78.282 | -0.000 | 0.000 |
| -46.497 | -46.497 | -212.505 | 0.000 | 78.282 | 0.000 |
| 4.188 | 4.188 | -112.024 | -0.000 | -0.000 | 196.851 |
| 402.633 | 44.104 | 177.355 | 0.000 | 0.000 | -0.000 |
| 44.104 | 402.633 | 177.355 | -0.000 | -0.000 | -0.000 |
| 57.100 | 57.100 | 455.444 | 0.000 | 0.000 | -0.000 |
| 46.497 | 46.497 | 212.505 | 78.282 | -0.000 | -0.000 |
| 46.497 | 46.497 | 212.505 | -0.000 | 78.282 | -0.000 |
| -4.188 | -4.188 | 112.024 | -0.000 | 0.000 | 196.851 |
| 204.923 | 41.178 | 54.767 | 0.000 | 0.000 | 0.000 |
| 41.177 | 204.923 | 54.767 | 0.000 | -0.000 | 0.000 |
| 52.698 | 52.698 | 400.903 | 0.000 | -0.000 | 0.000 |
| 0.608 | 0.608 | -16.252 | 151.205 | -0.000 | 0.000 |
| 0.608 | 0.608 | -16.252 | 0.000 | 151.205 | 0.000 |
| 0.562 | 0.562 | -15.026 | 0.000 | -0.000 | 187.363 |
| 253.592 | 51.894 | 97.181 | -0.000 | 0.000 | -0.000 |
| 39.406 | 207.426 | 76.074 | 0.000 | 0.000 | -0.000 |
| 52.698 | 52.698 | 400.902 | -0.000 | 0.000 | -0.000 |
| -0.608 | -0.608 | 16.252 | 151.205 | 0.000 | -0.000 |
| -0.608 | -0.608 | 16.252 | 0.000 | 151.205 | -0.000 |
| -0.562 | -0.562 | 15.026 | -0.000 | 0.000 | 187.363 |
| 191.829 | 31.536 | 55.873 | 0.000 | -0.000 | 0.000 |
| 31.536 | 191.829 | 55.873 | 0.000 | 0.000 | 0.000 |
| 74.357 | 74.357 | 144.868 | 0.000 | -0.000 | 0.000 |
| -0.416 | -0.416 | -2.016 | 87.012 | -0.000 | 0.000 |
| -0.416 | -0.416 | -2.016 | 0.000 | 87.012 | 0.000 |
| -0.390 | -0.390 | -2.379 | 0.000 | -0.000 | 123.249 |
| 196.574 | 33.773 | 61.197 | -0.000 | 0.000 | -0.000 |
| 33.777 | 196.585 | 61.203 | 0.000 | 0.000 | -0.000 |
| 48.521 | 48.521 | 91.175 | 0.000 | 0.000 | -0.000 |
| 0.416 | 0.416 | 2.016 | 87.012 | -0.000 | -0.000 |
| 0.416 | 0.416 | 2.016 | -0.000 | 87.012 | -0.000 |
| 0.390 | 0.390 | 2.379 | -0.000 | 0.000 | 123.249 |
| 429.505 | 64.580 | 47.293 | 0.000 | 0.000 | 0.000 |
| 91.082 | 265.304 | 58.293 | 0.000 | -0.000 | 0.000 |
| 47.293 | 43.151 | 549.034 | 0.000 | -0.000 | 0.000 |
| -0.000 | 0.000 | -0.000 | 212.800 | -0.000 | 0.000 |
| -0.000 | -0.000 | -0.000 | -0.000 | 214.649 | 0.000 |
| -0.000 | -0.000 | -0.000 | -0.000 | -0.000 | 187.048 |
| 135.572 | 85.970 | 64.030 | -0.000 | 0.000 | -0.000 |
| 91.078 | 265.337 | 58.293 | -0.000 | 0.000 | -0.000 |
| 65.694 | 56.871 | 268.580 | -0.000 | 0.000 | -0.000 |
| -0.000 | 0.000 | -0.000 | 212.800 | 0.000 | -0.000 |
| 0.000 | 0.000 | 0.000 | -0.000 | 214.649 | -0.000 |
| 0.000 | 0.000 | 0.000 | 0.000 | 0.000 | 187.048 |
| 255.711 | 89.777 | 67.510 | 0.000 | -0.000 | 0.000 |
| 64.580 | 444.260 | 43.151 | -0.000 | -0.000 | -0.000 |
| 67.915 | 57.837 | 392.332 | 0.000 | -0.000 | 0.000 |
| 0.000 | -0.000 | 0.000 | 212.800 | -0.000 | 0.000 |
| 0.000 | -0.000 | -0.000 | 0.000 | 104.453 | -0.000 |
| 0.000 | -0.000 | -0.000 | 0.000 | -0.000 | 65.458 |
| 255.686 | 89.781 | 67.513 | -0.000 | 0.000 | 0.000 |
| 91.080 | 265.323 | 58.293 | -0.000 | -0.000 | 0.000 |
| 65.695 | 56.869 | 268.582 | -0.000 | 0.000 | -0.000 |
| -0.000 | -0.000 | -0.000 | 212.800 | 0.000 | -0.000 |
| -0.000 | 0.000 | 0.000 | -0.000 | 104.453 | -0.000 |
| -0.000 | 0.000 | 0.000 | -0.000 | -0.000 | 65.458 |
| 135.573 | 85.969 | 64.029 | 0.000 | 0.000 | 0.000 |
| 59.387 | 125.979 | 44.120 | 0.000 | -0.000 | 0.000 |
| 65.698 | 56.870 | 268.574 | 0.000 | -0.000 | 0.000 |
| 0.000 | -0.000 | -0.000 | 143.595 | -0.000 | -0.000 |
| -0.000 | 0.000 | -0.000 | 0.000 | 104.453 | 0.000 |
| -0.000 | 0.000 | 0.000 | 0.000 | -0.000 | 187.048 |
| 102.207 | 61.881 | 49.107 | -0.000 | 0.000 | -0.000 |
| 91.080 | 265.318 | 58.293 | -0.000 | 0.000 | -0.000 |
| 67.915 | 57.837 | 392.327 | -0.000 | -0.000 | -0.000 |
| -0.000 | 0.000 | 0.000 | 143.595 | 0.000 | -0.000 |
| 0.000 | -0.000 | 0.000 | -0.000 | 104.453 | -0.000 |
| 0.000 | -0.000 | -0.000 | -0.000 | 0.000 | 187.048 |
| 113.295 | 284.319 | 1269.435 | 0.000 | 0.000 | 0.000 |
| -133.596 | 548.522 | 1261.522 | 0.000 | 0.000 | -0.000 |
| -153.393 | 257.052 | 1657.757 | 0.000 | 0.000 | 0.000 |
| -4165.914 | 8608.201 | 9050.328 | -180.994 | 0.000 | 0.000 |
| -313.541 | 496.220 | 2028.906 | -0.000 | 134.903 | 0.000 |
| -1175.536 | 4728.956 | 4472.266 | -0.000 | 0.000 | -162.499 |
| 390.844 | 59.854 | 39.921 | -0.000 | 0.000 | 0.000 |
| 59.855 | 407.185 | 35.100 | -0.000 | 0.000 | -0.000 |
| 254.876 | -170.706 | -784.814 | -0.000 | -0.000 | 0.000 |
| 4165.914 | -8608.201 | -9050.328 | -180.994 | 0.000 | 0.000 |
| 313.541 | -496.220 | -2028.906 | -0.000 | 134.903 | 0.000 |
| 1175.536 | -4728.956 | -4472.266 | 0.000 | 0.000 | -162.499 |
| 296.508 | 91.995 | 171.010 | 0.000 | -0.000 | -0.000 |
| 50.018 | 356.077 | 163.082 | 0.000 | 0.000 | -0.000 |
| 30.228 | 64.620 | 559.236 | 0.000 | -0.000 | -0.000 |
| -20.451 | 21.429 | 122.355 | 161.600 | -0.000 | -0.000 |
| -20.451 | 21.428 | 122.352 | 0.000 | 164.947 | 0.000 |
| -20.463 | 21.440 | 122.421 | 0.000 | 0.000 | 130.093 |
| 276.259 | 20.518 | -156.651 | -0.000 | 0.000 | 0.000 |
| 91.139 | 312.442 | -82.314 | -0.000 | -0.000 | 0.000 |
| 142.461 | -145.036 | -174.356 | -0.000 | -0.000 | -0.000 |
| 20.451 | -21.429 | -122.355 | 161.600 | -0.000 | 0.000 |
| 20.451 | -21.428 | -122.352 | -0.000 | 164.947 | 0.000 |
| 20.463 | -21.440 | -122.421 | -0.000 | -0.000 | 130.093 |
| 390.845 | 59.855 | 39.921 | 0.000 | 0.000 | -0.000 |
| 54.468 | 127.144 | 65.101 | 0.000 | -0.000 | -0.000 |
| -3.416 | 28.683 | 145.445 | 0.000 | -0.000 | -0.000 |
| -75.202 | 202.504 | 167.612 | 0.489 | -0.000 | -0.000 |
| -0.000 | 0.000 | 0.000 | 0.000 | 198.004 | -0.000 |
| -6.990 | 13.376 | 26.616 | 0.000 | 0.000 | 31.277 |
| 98.744 | 48.821 | 17.523 | -0.000 | -0.000 | 0.000 |
| 68.387 | 74.270 | 7.978 | 0.000 | 0.000 | 0.000 |
| 56.022 | 42.381 | 400.648 | -0.000 | 0.000 | 0.000 |
| 70.336 | -202.880 | -169.312 | 3.189 | 0.000 | -0.000 |
| 0.000 | -0.000 | -0.000 | -0.000 | 198.004 | -0.000 |
| 6.990 | -13.376 | -26.616 | -0.000 | 0.000 | 31.277 |
| 374.760 | 180.171 | 180.171 | -0.000 | -0.000 | -0.000 |
| 180.171 | 374.760 | 180.171 | -0.000 | -0.000 | -0.000 |
| 180.171 | 180.171 | 374.760 | -0.000 | -0.000 | -0.000 |
| -0.019 | -0.019 | -0.019 | 163.868 | -0.000 | -0.000 |
| -0.019 | -0.019 | -0.019 | -0.000 | 163.868 | -0.000 |
| -0.019 | -0.019 | -0.019 | -0.000 | -0.000 | 163.868 |
| 374.772 | 180.183 | 180.183 | 0.000 | 0.000 | 0.000 |
| 180.183 | 374.772 | 180.183 | 0.000 | 0.000 | 0.000 |
| 180.183 | 180.183 | 374.772 | 0.000 | 0.000 | 0.000 |
| 0.019 | 0.019 | 0.019 | 163.868 | 0.000 | 0.000 |
| 0.019 | 0.019 | 0.019 | 0.000 | 163.868 | 0.000 |
| 0.019 | 0.019 | 0.019 | 0.000 | 0.000 | 163.868 |
| 374.763 | 180.174 | 180.174 | -0.000 | -0.000 | -0.000 |
| 180.174 | 374.763 | 180.174 | -0.000 | -0.000 | -0.000 |
| 180.174 | 180.174 | 374.763 | -0.000 | -0.000 | -0.000 |
| -0.002 | -0.002 | -0.002 | 286.308 | -0.000 | 0.000 |
| -0.002 | -0.002 | -0.002 | -0.000 | 286.308 | -0.000 |
| -0.002 | -0.002 | -0.002 | -0.000 | -0.000 | 286.308 |
| 374.774 | 180.185 | 180.185 | 0.000 | 0.000 | 0.000 |
| 180.185 | 374.774 | 180.185 | 0.000 | 0.000 | 0.000 |
| 180.185 | 180.185 | 374.774 | 0.000 | 0.000 | 0.000 |
| 0.002 | 0.002 | 0.002 | 286.308 | 0.000 | 0.000 |
| 0.002 | 0.002 | 0.002 | -0.000 | 286.308 | 0.000 |
| 0.002 | 0.002 | 0.002 | 0.000 | 0.000 | 286.308 |
| 374.766 | 180.177 | 180.177 | -0.000 | -0.000 | -0.000 |
| 180.177 | 374.766 | 180.177 | -0.000 | -0.000 | -0.000 |
| 180.177 | 180.177 | 374.766 | -0.000 | -0.000 | -0.000 |
| -0.000 | -0.000 | -0.000 | 163.862 | -0.000 | -0.000 |
| -0.000 | -0.000 | -0.000 | -0.000 | 163.862 | 0.000 |
| -0.000 | -0.000 | -0.000 | -0.000 | -0.000 | 163.862 |
| 374.766 | 180.177 | 180.177 | 0.000 | 0.000 | 0.000 |
| 180.177 | 374.766 | 180.177 | 0.000 | 0.000 | 0.000 |
| 180.177 | 180.177 | 374.766 | 0.000 | 0.000 | 0.000 |
| 0.000 | 0.000 | 0.000 | 163.862 | 0.000 | -0.000 |
| 0.000 | 0.000 | 0.000 | 0.000 | 163.862 | -0.000 |
| 0.000 | 0.000 | 0.000 | 0.000 | 0.000 | 163.862 |
| 394.199 | -12.966 | 53.197 | -0.000 | -0.000 | -0.000 |
| -12.966 | 394.199 | 53.197 | 0.000 | 0.000 | -0.000 |
| 66.459 | 66.459 | 640.233 | -0.000 | -0.000 | -0.000 |
| -0.134 | -0.133 | 0.610 | 64.381 | -0.000 | -0.000 |
| -0.134 | -0.133 | 0.610 | -0.000 | 64.381 | -0.000 |
| -0.020 | -0.020 | 0.005 | -0.000 | 0.000 | 37.981 |
| 394.168 | -12.968 | 53.146 | 0.000 | -0.000 | 0.000 |
| -12.968 | 394.168 | 53.146 | -0.000 | -0.000 | 0.000 |
| 96.095 | 96.095 | 490.097 | 0.000 | -0.000 | 0.000 |
| 0.134 | 0.133 | -0.610 | 64.381 | -0.000 | 0.000 |
| 0.134 | 0.133 | -0.610 | -0.000 | 64.381 | 0.000 |
| 0.020 | 0.020 | -0.005 | 0.000 | 0.000 | 37.981 |
| 366.306 | 2.347 | 84.943 | -0.000 | -0.000 | -0.000 |
| 2.347 | 366.306 | 84.943 | -0.000 | -0.000 | -0.000 |
| 66.442 | 66.442 | 640.163 | -0.000 | -0.000 | -0.000 |
| -0.001 | -0.001 | 0.004 | 170.741 | 0.000 | -0.000 |
| -0.001 | -0.001 | 0.004 | -0.000 | 170.741 | -0.000 |
| -0.000 | -0.000 | 0.002 | -0.000 | -0.000 | 37.981 |
| 394.184 | -12.967 | 53.181 | -0.000 | -0.000 | 0.000 |
| -12.967 | 394.184 | 53.181 | 0.000 | -0.000 | 0.000 |
| 96.116 | 96.116 | 490.119 | 0.000 | 0.000 | 0.000 |
| 0.001 | 0.001 | -0.004 | 170.741 | -0.000 | 0.000 |
| 0.001 | 0.001 | -0.004 | 0.000 | 170.741 | 0.000 |
| 0.000 | 0.000 | -0.002 | 0.000 | 0.000 | 37.981 |
| 394.187 | -12.967 | 53.181 | -0.000 | -0.000 | -0.000 |
| -12.967 | 394.187 | 53.181 | -0.000 | 0.000 | -0.000 |
| 96.124 | 96.124 | 490.092 | -0.000 | -0.000 | -0.000 |
| -0.000 | -0.000 | 0.000 | 170.741 | -0.000 | -0.000 |
| -0.000 | -0.000 | 0.000 | -0.000 | 170.741 | -0.000 |
| -0.000 | -0.000 | 0.000 | -0.000 | 0.000 | 37.981 |
| 373.262 | -5.536 | 87.285 | -0.000 | 0.000 | 0.000 |
| -5.536 | 373.262 | 87.285 | -0.000 | 0.000 | 0.000 |
| 96.111 | 96.111 | 490.148 | 0.000 | 0.000 | 0.000 |
| 0.000 | 0.000 | -0.000 | 170.741 | 0.000 | 0.000 |
| 0.000 | 0.000 | -0.000 | 0.000 | 170.741 | 0.000 |
| 0.000 | 0.000 | -0.000 | -0.000 | -0.000 | 37.981 |
| 384.133 | -9.769 | 106.355 | -0.000 | 0.000 | 0.000 |
| -9.769 | 384.133 | 106.355 | -0.000 | 0.000 | 0.000 |
| 67.785 | 67.785 | 672.286 | -0.000 | 0.000 | 0.000 |
| -0.583 | -0.254 | 2.058 | 41.762 | -0.000 | 0.000 |
| -0.263 | -0.583 | 2.076 | -0.000 | 41.763 | 0.000 |
| -0.005 | -0.005 | 0.120 | -0.000 | 0.000 | 42.567 |
| 384.185 | -9.678 | 106.121 | 0.000 | -0.000 | 0.000 |
| -9.678 | 384.185 | 106.121 | 0.000 | -0.000 | -0.000 |
| 67.815 | 67.815 | 672.254 | 0.000 | -0.000 | -0.000 |
| 0.584 | 0.256 | -2.068 | 41.763 | -0.000 | -0.000 |
| 0.261 | 0.584 | -2.077 | -0.000 | 41.763 | -0.000 |
| 0.005 | 0.005 | -0.120 | 0.000 | -0.000 | 42.567 |
| 406.089 | -16.607 | 67.803 | -0.000 | 0.000 | 0.000 |
| -16.607 | 406.089 | 67.803 | -0.000 | 0.000 | 0.000 |
| 101.614 | 101.614 | 499.648 | -0.000 | 0.000 | -0.000 |
| 0.003 | 0.000 | -0.016 | 66.761 | -0.000 | -0.000 |
| 0.000 | 0.003 | -0.016 | -0.000 | 66.761 | 0.000 |
| -0.000 | -0.000 | 0.012 | -0.000 | 0.000 | 42.567 |
| 406.088 | -16.610 | 67.799 | 0.000 | -0.000 | -0.000 |
| -16.610 | 406.088 | 67.799 | 0.000 | -0.000 | -0.000 |
| 67.804 | 67.804 | 672.294 | 0.000 | -0.000 | -0.000 |
| -0.003 | -0.000 | 0.016 | 66.761 | 0.000 | -0.000 |
| -0.000 | -0.003 | 0.016 | 0.000 | 66.761 | -0.000 |
| 0.000 | 0.000 | -0.012 | 0.000 | -0.000 | 42.567 |
| 384.155 | -9.732 | 106.247 | -0.000 | 0.000 | 0.000 |
| -9.732 | 384.155 | 106.247 | -0.000 | 0.000 | 0.000 |
| 101.623 | 101.623 | 499.601 | -0.000 | 0.000 | -0.000 |
| 0.000 | 0.000 | -0.003 | 66.760 | -0.000 | 0.000 |
| 0.000 | 0.000 | -0.003 | -0.000 | 66.760 | 0.000 |
| -0.000 | -0.000 | 0.001 | -0.000 | 0.000 | 42.567 |
| 377.281 | -1.044 | 101.611 | 0.000 | -0.000 | -0.000 |
| -1.044 | 377.281 | 101.611 | 0.000 | -0.000 | -0.000 |
| 101.615 | 101.615 | 499.634 | 0.000 | -0.000 | 0.000 |
| -0.000 | -0.000 | 0.003 | 66.760 | 0.000 | -0.000 |
| -0.000 | -0.000 | 0.003 | 0.000 | 66.760 | -0.000 |
| 0.000 | 0.000 | -0.001 | 0.000 | -0.000 | 42.567 |
| 662.270 | 17.432 | 17.435 | 0.000 | -0.000 | 0.000 |
| 17.435 | 662.271 | 17.432 | -0.000 | 0.000 | 0.000 |
| 17.432 | 17.435 | 662.270 | 0.000 | 0.000 | 0.000 |
| -0.003 | -0.003 | -0.003 | 201.550 | 0.000 | -0.000 |
| -0.003 | -0.003 | -0.003 | -0.000 | 201.550 | 0.000 |
| -0.003 | -0.003 | -0.003 | -0.000 | 0.000 | 201.550 |
| 662.295 | 17.466 | 17.449 | -0.000 | -0.000 | 0.000 |
| 17.449 | 662.295 | 17.466 | 0.000 | 0.000 | 0.000 |
| 17.466 | 17.449 | 662.295 | -0.000 | 0.000 | -0.000 |
| 0.003 | 0.003 | 0.003 | 201.550 | -0.000 | -0.000 |
| 0.003 | 0.003 | 0.003 | 0.000 | 201.550 | -0.000 |
| 0.003 | 0.003 | 0.003 | 0.000 | -0.000 | 201.550 |
| 660.740 | 19.501 | 19.501 | 0.000 | -0.000 | -0.000 |
| 19.501 | 660.740 | 19.501 | 0.000 | 0.000 | 0.000 |
| 19.501 | 19.501 | 660.740 | -0.000 | 0.000 | -0.000 |
| 0.001 | 0.001 | 0.001 | 126.588 | -0.000 | -0.000 |
| 0.000 | 0.000 | 0.000 | -0.000 | 131.904 | 0.000 |
| 0.001 | 0.001 | 0.001 | -0.000 | -0.000 | 126.588 |
| 685.725 | 38.745 | 38.745 | -0.000 | -0.000 | 0.000 |
| 38.745 | 685.725 | 38.745 | 0.000 | 0.000 | -0.000 |
| 38.745 | 38.745 | 685.725 | 0.000 | -0.000 | -0.000 |
| -0.001 | -0.001 | -0.001 | 126.588 | 0.000 | -0.000 |
| -0.000 | -0.000 | -0.000 | -0.000 | 131.904 | -0.000 |
| -0.001 | -0.001 | -0.001 | 0.000 | 0.000 | 126.588 |
| 685.726 | 38.743 | 38.743 | 0.000 | -0.000 | -0.000 |
| 38.743 | 685.726 | 38.743 | 0.000 | 0.000 | 0.000 |
| 38.743 | 38.743 | 685.726 | -0.000 | 0.000 | 0.000 |
| 0.000 | 0.000 | 0.000 | 126.588 | -0.000 | -0.000 |
| 0.000 | 0.000 | 0.000 | -0.000 | 126.588 | -0.000 |
| 0.000 | 0.000 | 0.000 | -0.000 | -0.000 | 126.588 |
| 660.740 | 19.504 | 19.504 | 0.000 | -0.000 | 0.000 |
| 19.504 | 660.740 | 19.504 | 0.000 | 0.000 | 0.000 |
| 19.504 | 19.504 | 660.740 | -0.000 | 0.000 | -0.000 |
| -0.000 | -0.000 | -0.000 | 126.588 | 0.000 | -0.000 |
| -0.000 | -0.000 | -0.000 | -0.000 | 126.588 | 0.000 |
| -0.000 | -0.000 | -0.000 | 0.000 | -0.000 | 126.588 |
| 570.754 | 17.285 | 17.281 | 0.000 | -0.000 | 0.000 |
| 17.281 | 570.754 | 17.285 | 0.000 | 0.000 | -0.000 |
| 17.285 | 17.281 | 570.754 | 0.000 | 0.000 | -0.000 |
| 0.037 | 0.034 | 0.041 | 122.726 | 0.000 | 0.000 |
| 0.041 | 0.037 | 0.034 | -0.000 | 122.726 | 0.000 |
| 0.034 | 0.041 | 0.037 | 0.000 | 0.000 | 122.726 |
| 548.899 | -4.523 | -4.525 | 0.000 | -0.000 | -0.000 |
| -4.525 | 548.899 | -4.523 | 0.000 | -0.000 | -0.000 |
| 17.296 | 17.292 | 570.768 | 0.000 | -0.000 | 0.000 |
| -0.037 | -0.034 | -0.041 | 122.726 | -0.000 | -0.000 |
| -0.041 | -0.037 | -0.034 | -0.000 | 122.726 | -0.000 |
| -0.034 | -0.041 | -0.037 | -0.000 | -0.000 | 122.726 |
| 570.755 | 17.287 | 17.288 | 0.000 | 0.000 | -0.000 |
| 17.288 | 570.755 | 17.287 | -0.000 | -0.000 | -0.000 |
| 17.287 | 17.288 | 570.755 | 0.000 | 0.000 | -0.000 |
| -0.001 | -0.001 | -0.001 | 186.188 | 0.000 | 0.000 |
| -0.001 | -0.001 | -0.001 | 0.000 | 186.188 | -0.000 |
| -0.001 | -0.001 | -0.001 | 0.000 | 0.000 | 186.188 |
| 548.924 | -4.505 | -4.505 | -0.000 | -0.000 | 0.000 |
| -4.505 | 548.924 | -4.505 | 0.000 | 0.000 | -0.000 |
| -4.505 | -4.505 | 548.924 | 0.000 | 0.000 | -0.000 |
| 0.001 | 0.001 | 0.001 | 186.188 | -0.000 | 0.000 |
| 0.001 | 0.001 | 0.001 | -0.000 | 186.188 | 0.000 |
| 0.001 | 0.001 | 0.001 | -0.000 | -0.000 | 186.188 |
| 548.929 | -4.504 | -4.504 | -0.000 | 0.000 | 0.000 |
| -4.504 | 548.929 | -4.504 | 0.000 | 0.000 | 0.000 |
| -4.504 | -4.504 | 548.929 | -0.000 | 0.000 | 0.000 |
| 0.000 | 0.000 | 0.000 | 122.733 | 0.000 | 0.000 |
| 0.000 | 0.000 | 0.000 | -0.000 | 122.732 | -0.000 |
| 0.000 | 0.000 | 0.000 | -0.000 | 0.000 | 122.733 |
| 570.753 | 17.288 | 17.288 | -0.000 | 0.000 | 0.000 |
| 17.288 | 570.753 | 17.288 | 0.000 | -0.000 | 0.000 |
| 17.288 | 17.288 | 570.753 | -0.000 | -0.000 | 0.000 |
| -0.000 | -0.000 | -0.000 | 122.733 | -0.000 | -0.000 |
| -0.000 | -0.000 | -0.000 | -0.000 | 122.732 | 0.000 |
| -0.000 | -0.000 | -0.000 | 0.000 | -0.000 | 122.733 |
| -1235435582.737 | 601179879.927 | 432951231.132 | -49677797.394 | 75228049.707 | -3483274.617 |
| 562238399.996 | -1127925736.104 | 693256793.202 | 16185681.873 | -42816982.338 | 46163863.897 |
| 523619827.069 | 454057306.643 | -1161104280.539 | -13518854.486 | -22230084.424 | -32638954.015 |
| -200103375.432 | -268300037.181 | -232428404.703 | 171266935.203 | 18078031.169 | 11480515.848 |
| -118793258.729 | -91065727.854 | -218855527.608 | -17981999.759 | 222062111.129 | -54201065.582 |
| -155071092.775 | -132773255.951 | -926185.738 | -68869705.713 | -16171005.648 | 204454780.464 |
| -1467413749.770 | 1321055463.113 | 1194290442.622 | 110202005.811 | 21519817.564 | -59801855.339 |
| 1258805947.868 | -1383989078.875 | 1180978611.610 | -39214361.011 | 138635826.866 | -3522392.820 |
| 1298864486.278 | 1215086938.310 | -1428394164.913 | -5364976.921 | -3505145.054 | 161575305.123 |
| 115244789.744 | 337985838.609 | 159687008.906 | 170211335.017 | -22367606.840 | -66029169.899 |
| 186646406.596 | 117800186.512 | 282498487.927 | -27016082.522 | 203545151.960 | -14417310.618 |
| 311833772.720 | 272243441.490 | 93586355.376 | -31528977.699 | -17677340.106 | 197052965.321 |
| -146895018.996 | 64742827.466 | 41591487.570 | -2754524.654 | -3142967.131 | -1098336.399 |
| 49049570.565 | -134310566.013 | 69904502.011 | -3247954.975 | 1193845.600 | -5495479.200 |
| 70127512.601 | 34651702.416 | -139622562.197 | 4724300.239 | -7002655.430 | -4742126.537 |
| -0.001 | 0.000 | 0.001 | 244.693 | 0.000 | 0.000 |
| 0.000 | -0.001 | 0.001 | 0.000 | 244.693 | 0.000 |
| 0.000 | 0.001 | -0.001 | 0.000 | 0.000 | 244.693 |
| -147855182.731 | 129024952.246 | 123504025.877 | 2895990.944 | -1646302.036 | 2377685.614 |
| 125410055.572 | -147456084.355 | 113489443.295 | 2576674.468 | 2959699.955 | -775250.447 |
| 126755444.165 | 130870036.215 | -139093899.033 | -424696.210 | 4650266.950 | 5391546.827 |
| 0.001 | -0.001 | -0.001 | 244.693 | -0.000 | -0.000 |
| -0.001 | 0.001 | -0.001 | -0.000 | 244.693 | -0.000 |
| -0.001 | -0.001 | 0.001 | -0.000 | -0.000 | 244.693 |
| -12882269.010 | 6179215.737 | 4876031.266 | 684250.021 | -1055880.086 | -226670.904 |
| 4674569.330 | -14105672.361 | 6651091.970 | -66798.923 | 651835.017 | -422074.800 |
| 7719511.484 | 6066735.444 | -12444330.959 | 162737.420 | -552878.290 | 632008.406 |
| -2729680.822 | -2618066.179 | 679855.597 | 68987.273 | -433012.652 | -170260.369 |
| -977902.727 | -3969433.378 | 1124472.570 | -342201.175 | -743627.918 | 394476.818 |
| -1222376.565 | 621916.002 | -2495826.557 | -788334.500 | -292618.347 | 386017.330 |
| -14208218.715 | 12924473.529 | 11645257.852 | -54264.284 | 64800.354 | 304575.717 |
| 12093347.275 | -13037801.437 | 12638912.801 | 394346.492 | 302914.347 | 141124.418 |
| 12744052.773 | 12528082.870 | -14203969.001 | 197818.400 | -71102.610 | 66764.835 |
| 2654284.189 | 1865062.781 | -1573579.111 | 346332.822 | 740648.954 | 298450.907 |
| 1644430.840 | 3300891.429 | -703448.933 | -110900.356 | -415524.470 | -414290.798 |
| 2143924.764 | -2223965.364 | 2256234.620 | 631089.191 | -113628.666 | 337797.908 |
| 4868.592 | 6407.854 | 6407.854 | 0.000 | 0.000 | 0.000 |
| 6407.854 | 4868.592 | 6407.854 | 0.000 | 0.000 | -0.000 |
| 6407.854 | 6407.854 | 4868.592 | 0.000 | 0.000 | 0.000 |
| 0.037 | 0.053 | 0.053 | 499.502 | 0.000 | -0.000 |
| 0.053 | 0.037 | 0.053 | 0.000 | 499.502 | 0.000 |
| 0.053 | 0.053 | 0.037 | 0.000 | 0.000 | 499.502 |
| 4868.528 | 6407.790 | 6407.790 | -0.000 | -0.000 | -0.000 |
| 6407.790 | 4868.528 | 6407.790 | -0.000 | -0.000 | -0.000 |
| 6407.790 | 6407.790 | 4868.528 | -0.000 | -0.000 | -0.000 |
| -0.037 | -0.053 | -0.053 | 499.502 | -0.000 | -0.000 |
| -0.053 | -0.037 | -0.053 | -0.000 | 499.502 | -0.000 |
| -0.053 | -0.053 | -0.037 | -0.000 | -0.000 | 499.502 |
| 4868.550 | 6407.820 | 6407.820 | 0.000 | 0.000 | 0.000 |
| 6407.820 | 4868.550 | 6407.820 | 0.000 | 0.000 | 0.000 |
| 6407.820 | 6407.820 | 4868.550 | 0.000 | 0.000 | 0.000 |
| 0.002 | 0.004 | 0.004 | 499.496 | 0.000 | 0.000 |
| 0.004 | 0.002 | 0.004 | 0.000 | 499.496 | 0.000 |
| 0.004 | 0.004 | 0.002 | 0.000 | 0.000 | 499.496 |
| 4868.541 | 6407.809 | 6407.809 | -0.000 | -0.000 | -0.000 |
| 6407.809 | 4868.541 | 6407.809 | -0.000 | -0.000 | -0.000 |
| 6407.809 | 6407.809 | 4868.541 | -0.000 | -0.000 | -0.000 |
| -0.002 | -0.004 | -0.004 | 499.496 | -0.000 | -0.000 |
| -0.004 | -0.002 | -0.004 | -0.000 | 499.496 | -0.000 |
| -0.004 | -0.004 | -0.002 | -0.000 | -0.000 | 499.496 |
| 4868.549 | 6407.827 | 6407.827 | 0.000 | 0.000 | 0.000 |
| 6407.827 | 4868.549 | 6407.827 | 0.000 | 0.000 | 0.000 |
| 6407.827 | 6407.827 | 4868.549 | 0.000 | 0.000 | 0.000 |
| -0.004 | -0.005 | -0.003 | 499.418 | 0.000 | 0.000 |
| -0.005 | -0.004 | -0.003 | 0.000 | 499.418 | 0.000 |
| -0.005 | -0.003 | -0.004 | 0.000 | 0.000 | 499.418 |
| 4868.548 | 6407.803 | 6407.803 | -0.000 | -0.000 | -0.000 |
| 6407.803 | 4868.548 | 6407.803 | -0.000 | -0.000 | -0.000 |
| 6407.803 | 6407.803 | 4868.548 | -0.000 | -0.000 | -0.000 |
| 0.004 | 0.005 | 0.003 | 499.418 | -0.000 | -0.000 |
| 0.005 | 0.004 | 0.003 | -0.000 | 499.418 | -0.000 |
| 0.005 | 0.003 | 0.004 | -0.000 | -0.000 | 499.418 |
| 430.668 | 145.230 | 145.230 | -0.000 | -0.000 | -0.000 |
| 145.230 | 430.668 | 145.230 | 0.000 | -0.000 | 0.000 |
| 145.230 | 145.230 | 430.668 | -0.000 | -0.000 | -0.000 |
| -0.003 | -0.001 | -0.001 | 174.808 | -0.000 | -0.000 |
| -0.001 | -0.003 | -0.001 | -0.000 | 174.808 | -0.000 |
| -0.001 | -0.001 | -0.003 | -0.000 | -0.000 | 174.808 |
| 430.674 | 145.233 | 145.233 | 0.000 | 0.000 | 0.000 |
| 145.233 | 430.674 | 145.233 | 0.000 | 0.000 | 0.000 |
| 145.233 | 145.233 | 430.674 | 0.000 | 0.000 | 0.000 |
| 0.003 | 0.001 | 0.001 | 174.808 | 0.000 | 0.000 |
| 0.001 | 0.003 | 0.001 | 0.000 | 174.808 | 0.000 |
| 0.001 | 0.001 | 0.003 | 0.000 | 0.000 | 174.808 |
| 430.665 | 145.224 | 145.224 | -0.000 | -0.000 | -0.000 |
| 145.224 | 430.665 | 145.224 | -0.000 | -0.000 | -0.000 |
| 145.224 | 145.224 | 430.665 | -0.000 | -0.000 | -0.000 |
| -0.000 | -0.000 | -0.000 | 174.812 | -0.000 | -0.000 |
| -0.000 | -0.000 | -0.000 | -0.000 | 174.812 | -0.000 |
| -0.000 | -0.000 | -0.000 | -0.000 | -0.000 | 174.812 |
| 430.666 | 145.225 | 145.225 | 0.000 | 0.000 | 0.000 |
| 145.225 | 430.666 | 145.225 | 0.000 | 0.000 | 0.000 |
| 145.225 | 145.225 | 430.666 | -0.000 | -0.000 | 0.000 |
| 0.000 | 0.000 | 0.000 | 174.812 | 0.000 | 0.000 |
| 0.000 | 0.000 | 0.000 | 0.000 | 174.812 | 0.000 |
| 0.000 | 0.000 | 0.000 | 0.000 | 0.000 | 174.812 |
| 430.666 | 145.225 | 145.225 | -0.000 | -0.000 | -0.000 |
| 145.225 | 430.666 | 145.225 | -0.000 | -0.000 | -0.000 |
| 145.225 | 145.225 | 430.666 | -0.000 | -0.000 | -0.000 |
| -0.000 | 0.000 | 0.000 | 174.812 | -0.000 | -0.000 |
| 0.000 | -0.000 | 0.000 | 0.000 | 174.812 | -0.000 |
| 0.000 | 0.000 | -0.000 | -0.000 | -0.000 | 174.812 |
| 430.664 | 145.224 | 145.224 | 0.000 | 0.000 | 0.000 |
| 145.224 | 430.664 | 145.224 | 0.000 | 0.000 | 0.000 |
| 145.224 | 145.224 | 430.664 | 0.000 | 0.000 | 0.000 |
| 0.000 | -0.000 | -0.000 | 174.812 | 0.000 | 0.000 |
| -0.000 | 0.000 | -0.000 | 0.000 | 174.812 | 0.000 |
| -0.000 | -0.000 | 0.000 | 0.000 | 0.000 | 174.812 |
| 1219.373 | 863.450 | 0.000 | 0.000 | 0.000 | -0.000 |
| 863.450 | 1219.373 | 0.000 | 0.000 | 0.000 | 0.000 |
| 0.000 | 0.000 | 0.000 | 0.000 | 0.000 | 0.000 |
| 0.000 | 0.000 | 0.000 | 0.000 | 0.000 | 0.000 |
| 0.000 | 0.000 | 0.000 | 0.000 | 0.000 | -0.000 |
| 0.000 | 0.000 | 0.000 | 0.000 | 0.000 | 692.466 |
| 1219.373 | 863.450 | -0.000 | -0.000 | -0.000 | -0.000 |
| 863.450 | 1219.373 | -0.000 | -0.000 | -0.000 | 0.000 |
| -0.000 | -0.000 | -0.000 | -0.000 | -0.000 | -0.000 |
| -0.000 | -0.000 | -0.000 | -0.000 | -0.000 | -0.000 |
| -0.000 | -0.000 | -0.000 | -0.000 | -0.000 | 0.000 |
| -0.000 | -0.000 | -0.000 | -0.000 | -0.000 | 692.466 |
| 1219.373 | 863.450 | 0.000 | 0.000 | 0.000 | -0.000 |
| 863.450 | 1219.373 | 0.000 | 0.000 | 0.000 | 0.000 |
| 0.000 | 0.000 | 0.000 | 0.000 | 0.000 | 0.000 |
| 0.000 | 0.000 | 0.000 | 0.000 | 0.000 | 0.000 |
| 0.000 | 0.000 | 0.000 | 0.000 | 0.000 | -0.000 |
| 0.000 | 0.000 | 0.000 | 0.000 | 0.000 | 692.466 |
| 1219.373 | 863.450 | -0.000 | -0.000 | -0.000 | 0.000 |
| 863.450 | 1219.373 | -0.000 | -0.000 | -0.000 | 0.000 |
| -0.000 | -0.000 | -0.000 | -0.000 | -0.000 | -0.000 |
| -0.000 | -0.000 | -0.000 | -0.000 | -0.000 | -0.000 |
| -0.000 | -0.000 | -0.000 | -0.000 | -0.000 | 0.000 |
| -0.000 | -0.000 | -0.000 | -0.000 | -0.000 | 692.466 |
| 1219.375 | 863.451 | 0.000 | 0.000 | 0.000 | 0.000 |
| 863.451 | 1219.375 | 0.000 | 0.000 | 0.000 | -0.000 |
| 0.000 | 0.000 | 0.000 | 0.000 | 0.000 | 0.000 |
| 0.000 | 0.000 | 0.000 | 0.000 | 0.000 | 0.000 |
| 0.000 | 0.000 | 0.000 | 0.000 | 0.000 | -0.000 |
| 0.004 | 0.005 | 0.000 | 0.000 | 0.000 | 692.466 |
| 1219.372 | 863.448 | -0.000 | -0.000 | -0.000 | 0.000 |
| 863.448 | 1219.372 | -0.000 | -0.000 | -0.000 | 0.000 |
| -0.000 | -0.000 | -0.000 | -0.000 | -0.000 | -0.000 |
| -0.000 | -0.000 | -0.000 | -0.000 | -0.000 | 0.000 |
| -0.000 | -0.000 | -0.000 | -0.000 | -0.000 | 0.000 |
| -0.004 | -0.005 | -0.000 | -0.000 | -0.000 | 692.466 |
| -1026.015 | -37.847 | -625.008 | 613.640 | 714.210 | -908.096 |
| -1757.250 | 1500.005 | -417.683 | -426.394 | 884.652 | -898.695 |
| -1796.771 | 1351.367 | -359.273 | -391.955 | 913.275 | -888.867 |
| -1088.101 | 90.731 | -396.046 | 492.928 | 585.633 | -821.948 |
| -3520.735 | 1626.161 | -1342.697 | -694.040 | 2159.191 | -2076.930 |
| -1874.700 | 1297.511 | -523.475 | -381.443 | 894.768 | -841.815 |
| 2065.942 | -1170.100 | 549.710 | 349.095 | -851.218 | 916.565 |
| 2203.205 | -971.248 | -1152.481 | 322.060 | -9.998 | 2628.384 |
| 3359.985 | -1647.123 | 1318.955 | 669.971 | -2160.460 | 2049.710 |
| 1049.686 | 251.220 | 777.506 | -817.203 | -1055.212 | 954.125 |
| 439.615 | -1716.003 | 534.962 | -129.380 | -794.629 | 1206.737 |
| 3483.660 | -1614.112 | 1350.977 | 672.641 | -2195.532 | 2080.141 |
| 31.132 | 35.007 | -48.227 | 60.694 | 76.334 | -94.336 |
| -126.407 | 335.952 | 10.993 | -88.313 | 100.890 | -102.914 |
| -79.731 | -48.654 | -42.766 | 139.414 | 126.045 | -83.742 |
| -91.789 | 136.067 | -7.538 | -52.573 | 113.366 | -85.431 |
| -123.185 | -3.435 | -3.221 | 18.275 | 59.953 | -16.380 |
| -90.138 | -0.361 | -41.366 | 51.224 | 64.535 | -27.501 |
| 473.336 | 128.470 | 167.468 | -26.878 | -16.884 | 58.475 |
| 281.276 | 62.455 | 125.663 | -5.707 | -104.583 | 102.932 |
| 250.052 | -74.436 | 182.132 | 21.275 | -81.647 | 112.508 |
| 333.597 | 1.696 | 90.152 | 40.529 | -54.088 | 53.468 |
| 212.326 | -132.767 | 76.552 | 44.195 | -26.750 | 90.507 |
| 87.041 | 19.773 | 49.430 | -59.366 | -51.029 | 94.953 |
| 107.173 | 45.507 | 22.950 | 1.768 | 1.984 | -8.731 |
| 39.064 | 146.689 | 40.357 | -14.169 | 12.916 | -16.347 |
| 13.511 | 51.053 | 79.171 | 3.728 | 17.653 | -7.293 |
| -29.423 | 6.815 | -19.838 | 54.335 | 9.697 | -11.955 |
| -8.461 | 14.092 | 17.158 | -4.181 | 68.142 | -16.145 |
| -7.963 | 13.926 | 2.669 | -9.786 | -12.994 | 36.317 |
| 137.618 | 31.319 | 43.051 | -4.357 | -18.518 | 9.403 |
| 52.364 | 138.562 | 51.086 | -18.068 | -7.097 | 2.093 |
| 54.691 | 40.381 | 120.360 | -10.875 | 11.184 | 17.323 |
| 8.546 | -0.426 | 4.365 | 37.062 | -12.747 | 7.327 |
| 33.118 | -12.870 | 28.228 | 4.347 | 50.713 | 5.666 |
| 41.279 | -10.781 | -1.452 | 5.745 | -27.652 | 73.788 |
| 2105.000 | 794.821 | 794.821 | -0.000 | -0.000 | 0.000 |
| 794.821 | 2105.000 | 794.821 | 0.000 | 0.000 | -0.000 |
| 794.821 | 794.821 | 2105.000 | -0.000 | -0.000 | 0.000 |
| -0.000 | -0.000 | -0.000 | 818.540 | -0.000 | 0.000 |
| -0.000 | -0.000 | -0.000 | -0.000 | 818.540 | -0.000 |
| -0.000 | -0.000 | -0.000 | -0.000 | -0.000 | 818.540 |
| 2105.000 | 794.821 | 794.821 | 0.000 | 0.000 | -0.000 |
| 794.821 | 2105.000 | 794.821 | 0.000 | 0.000 | 0.000 |
| 794.821 | 794.821 | 2105.000 | 0.000 | 0.000 | -0.000 |
| 0.000 | 0.000 | 0.000 | 818.540 | 0.000 | -0.000 |
| 0.000 | 0.000 | 0.000 | 0.000 | 818.540 | -0.000 |
| 0.000 | 0.000 | 0.000 | 0.000 | 0.000 | 818.540 |
| 2105.001 | 794.822 | 794.822 | -0.000 | -0.000 | -0.000 |
| 794.822 | 2105.001 | 794.822 | -0.000 | -0.000 | 0.000 |
| 794.822 | 794.822 | 2105.001 | -0.000 | -0.000 | -0.000 |
| 0.000 | -0.000 | -0.000 | 818.540 | -0.000 | -0.000 |
| -0.000 | 0.000 | -0.000 | -0.000 | 818.540 | -0.000 |
| -0.000 | -0.000 | 0.000 | 0.000 | 0.000 | 818.540 |
| 2104.999 | 794.821 | 794.821 | 0.000 | 0.000 | 0.000 |
| 794.821 | 2104.999 | 794.821 | 0.000 | 0.000 | -0.000 |
| 794.821 | 794.821 | 2104.999 | -0.000 | -0.000 | 0.000 |
| -0.000 | 0.000 | 0.000 | 818.540 | 0.000 | 0.000 |
| 0.000 | -0.000 | 0.000 | 0.000 | 818.540 | 0.000 |
| 0.000 | 0.000 | -0.000 | -0.000 | -0.000 | 818.540 |
| 2105.006 | 794.825 | 794.825 | -0.000 | -0.000 | 0.000 |
| 794.825 | 2105.006 | 794.825 | -0.000 | -0.000 | -0.000 |
| 794.825 | 794.825 | 2105.006 | -0.000 | -0.000 | 0.000 |
| 0.000 | -0.001 | -0.000 | 818.540 | -0.000 | -0.000 |
| -0.001 | 0.000 | -0.000 | -0.000 | 818.540 | -0.000 |
| -0.001 | -0.000 | 0.000 | -0.000 | -0.000 | 818.540 |
| 2104.994 | 794.818 | 794.818 | 0.000 | 0.000 | -0.000 |
| 794.818 | 2104.994 | 794.818 | 0.000 | 0.000 | 0.000 |
| 794.818 | 794.818 | 2104.994 | 0.000 | 0.000 | -0.000 |
| -0.000 | 0.001 | 0.000 | 818.540 | 0.000 | 0.000 |
| 0.001 | -0.000 | 0.000 | 0.000 | 818.540 | 0.000 |
| 0.001 | 0.000 | -0.000 | 0.000 | 0.000 | 818.540 |
| 1115.461 | 655.965 | 655.965 | -0.000 | 0.000 | -0.000 |
| 655.965 | 1115.461 | 655.965 | -0.000 | -0.000 | 0.000 |
| 655.965 | 655.965 | 1115.461 | -0.000 | -0.000 | 0.000 |
| -0.005 | -0.005 | -0.005 | -338.498 | -0.000 | 0.000 |
| -0.005 | -0.005 | -0.005 | -0.000 | -338.498 | -0.000 |
| -0.005 | -0.005 | -0.005 | -0.000 | -0.000 | -338.498 |
| 1115.496 | 656.000 | 656.000 | 0.000 | 0.000 | 0.000 |
| 656.000 | 1115.496 | 656.000 | 0.000 | 0.000 | -0.000 |
| 656.000 | 656.000 | 1115.496 | 0.000 | 0.000 | 0.000 |
| 0.005 | 0.005 | 0.005 | -338.498 | 0.000 | 0.000 |
| 0.005 | 0.005 | 0.005 | 0.000 | -338.498 | -0.000 |
| 0.005 | 0.005 | 0.005 | 0.000 | 0.000 | -338.498 |
| 1115.475 | 655.981 | 655.981 | -0.000 | -0.000 | 0.000 |
| 655.981 | 1115.475 | 655.981 | -0.000 | -0.000 | 0.000 |
| 655.981 | 655.981 | 1115.475 | -0.000 | -0.000 | 0.000 |
| -0.001 | -0.001 | -0.001 | -338.508 | -0.000 | -0.000 |
| -0.001 | -0.001 | -0.001 | -0.000 | -338.508 | 0.000 |
| -0.001 | -0.001 | -0.001 | -0.000 | -0.000 | -338.508 |
| 1115.482 | 655.988 | 655.988 | 0.000 | 0.000 | -0.000 |
| 655.988 | 1115.482 | 655.988 | 0.000 | 0.000 | -0.000 |
| 655.988 | 655.988 | 1115.482 | 0.000 | 0.000 | -0.000 |
| 0.001 | 0.001 | 0.001 | -338.508 | 0.000 | -0.000 |
| 0.001 | 0.001 | 0.001 | 0.000 | -338.508 | -0.000 |
| 0.001 | 0.001 | 0.001 | 0.000 | 0.000 | -338.508 |
| 1115.476 | 655.980 | 655.980 | -0.000 | -0.000 | -0.000 |
| 655.980 | 1115.476 | 655.980 | -0.000 | -0.000 | 0.000 |
| 655.980 | 655.980 | 1115.476 | -0.000 | -0.000 | 0.000 |
| 0.002 | 0.003 | 0.002 | -338.511 | -0.000 | 0.000 |
| 0.003 | 0.002 | 0.002 | -0.000 | -338.511 | 0.000 |
| 0.003 | 0.002 | 0.002 | -0.000 | -0.000 | -338.511 |
| 1115.474 | 655.980 | 655.980 | 0.000 | 0.000 | 0.000 |
| 655.980 | 1115.474 | 655.980 | 0.000 | 0.000 | 0.000 |
| 655.980 | 655.980 | 1115.474 | 0.000 | 0.000 | -0.000 |
| -0.002 | -0.003 | -0.002 | -338.511 | 0.000 | 0.000 |
| -0.003 | -0.002 | -0.002 | 0.000 | -338.511 | -0.000 |
| -0.003 | -0.002 | -0.002 | 0.000 | 0.000 | -338.511 |
| 383.780 | 144.414 | 144.414 | -0.000 | -0.000 | -0.000 |
| 144.414 | 383.780 | 144.414 | -0.000 | -0.000 | -0.000 |
| 144.414 | 144.414 | 383.780 | -0.000 | -0.000 | -0.000 |
| -0.025 | -0.025 | -0.025 | 239.741 | -0.000 | -0.000 |
| -0.025 | -0.025 | -0.025 | -0.000 | 239.741 | -0.000 |
| -0.025 | -0.025 | -0.025 | -0.000 | -0.000 | 239.741 |
| 383.780 | 144.414 | 144.414 | 0.000 | 0.000 | 0.000 |
| 144.414 | 383.780 | 144.414 | 0.000 | 0.000 | 0.000 |
| 144.414 | 144.414 | 383.780 | 0.000 | 0.000 | 0.000 |
| 0.025 | 0.025 | 0.025 | 239.741 | 0.000 | 0.000 |
| 0.025 | 0.025 | 0.025 | 0.000 | 239.741 | 0.000 |
| 0.025 | 0.025 | 0.025 | 0.000 | 0.000 | 239.741 |
| 383.775 | 144.409 | 144.409 | -0.000 | -0.000 | -0.000 |
| 144.409 | 383.775 | 144.409 | -0.000 | -0.000 | -0.000 |
| 144.409 | 144.409 | 383.775 | -0.000 | -0.000 | -0.000 |
| -0.002 | -0.002 | -0.002 | 239.745 | -0.000 | -0.000 |
| -0.002 | -0.002 | -0.002 | -0.000 | 239.745 | -0.000 |
| -0.002 | -0.002 | -0.002 | -0.000 | -0.000 | 239.745 |
| 383.789 | 144.423 | 144.423 | 0.000 | 0.000 | 0.000 |
| 144.423 | 383.789 | 144.423 | 0.000 | 0.000 | 0.000 |
| 144.423 | 144.423 | 383.789 | 0.000 | 0.000 | 0.000 |
| 0.002 | 0.002 | 0.002 | 239.745 | 0.000 | 0.000 |
| 0.002 | 0.002 | 0.002 | 0.000 | 239.745 | 0.000 |
| 0.002 | 0.002 | 0.002 | 0.000 | 0.000 | 239.745 |
| 383.780 | 144.414 | 144.414 | -0.000 | -0.000 | -0.000 |
| 144.414 | 383.780 | 144.414 | -0.000 | -0.000 | -0.000 |
| 144.414 | 144.414 | 383.780 | -0.000 | -0.000 | -0.000 |
| -0.000 | -0.001 | -0.000 | 239.747 | -0.000 | -0.000 |
| -0.001 | -0.000 | -0.000 | -0.000 | 239.747 | -0.000 |
| -0.001 | -0.000 | -0.000 | -0.000 | -0.000 | 239.747 |
| 383.780 | 144.414 | 144.414 | 0.000 | 0.000 | 0.000 |
| 144.414 | 383.780 | 144.414 | 0.000 | 0.000 | 0.000 |
| 144.414 | 144.414 | 383.780 | 0.000 | 0.000 | 0.000 |
| 0.000 | 0.001 | 0.000 | 239.747 | 0.000 | 0.000 |
| 0.001 | 0.000 | 0.000 | 0.000 | 239.747 | 0.000 |
| 0.001 | 0.000 | 0.000 | 0.000 | 0.000 | 239.747 |
| 568.850 | 82.724 | 21.034 | 17.449 | -0.000 | 0.000 |
| 82.754 | 568.856 | 21.070 | -17.447 | 0.000 | 0.000 |
| 64.463 | 64.463 | 543.901 | -0.000 | -0.000 | -0.000 |
| 17.445 | -17.446 | 0.009 | 181.378 | -0.000 | -0.000 |
| 0.003 | -0.000 | -0.003 | 0.001 | 159.706 | 11.322 |
| 0.025 | 0.012 | 0.037 | 0.001 | 17.448 | 243.059 |
| 497.319 | 109.035 | 66.135 | 11.065 | 0.000 | 0.000 |
| 82.696 | 568.802 | 21.007 | -17.445 | 0.000 | -0.000 |
| 64.357 | 64.357 | 543.893 | 0.000 | 0.000 | 0.000 |
| 17.443 | -17.459 | -0.006 | 181.377 | 0.000 | 0.000 |
| -0.003 | 0.000 | 0.003 | -0.001 | 159.706 | 11.322 |
| -0.025 | -0.012 | -0.037 | -0.001 | 17.448 | 243.059 |
| 493.998 | 121.362 | 57.246 | 12.328 | 0.000 | 0.000 |
| 82.722 | 568.843 | 21.035 | -17.448 | 0.000 | -0.000 |
| 64.379 | 64.379 | 543.870 | -0.000 | 0.000 | -0.000 |
| 11.325 | -11.316 | 0.001 | 159.704 | -0.000 | -0.000 |
| 0.003 | 0.002 | 0.003 | 0.000 | 159.705 | 11.320 |
| 0.002 | 0.003 | 0.001 | 0.000 | 10.940 | 193.191 |
| 568.846 | 82.727 | 21.034 | 17.448 | -0.000 | 0.000 |
| 109.067 | 497.363 | 66.173 | -11.065 | 0.000 | 0.000 |
| 64.369 | 64.369 | 543.868 | -0.000 | 0.000 | -0.000 |
| 17.447 | -17.450 | -0.005 | 181.372 | -0.000 | 0.000 |
| -0.003 | -0.002 | -0.003 | -0.000 | 159.705 | 11.320 |
| -0.002 | -0.003 | -0.001 | -0.000 | 10.940 | 193.191 |
| 497.375 | 109.066 | 66.168 | 11.066 | -0.000 | -0.000 |
| 109.070 | 497.364 | 66.175 | -11.065 | 0.000 | -0.000 |
| 64.371 | 64.371 | 543.866 | 0.000 | -0.000 | -0.000 |
| 11.320 | -11.320 | 0.001 | 159.705 | 0.000 | -0.000 |
| 0.000 | 0.000 | 0.000 | 0.000 | 159.704 | 11.320 |
| -0.000 | 0.000 | 0.000 | -0.000 | 10.940 | 193.191 |
| 497.364 | 109.068 | 66.173 | 11.065 | -0.000 | 0.000 |
| 109.067 | 497.367 | 66.171 | -11.065 | -0.000 | -0.000 |
| 64.369 | 64.369 | 543.867 | 0.000 | 0.000 | 0.000 |
| 11.319 | -11.320 | -0.000 | 159.705 | -0.000 | -0.000 |
| -0.000 | -0.000 | -0.000 | -0.000 | 159.704 | 11.320 |
| 0.000 | -0.000 | -0.000 | 0.000 | 10.940 | 193.191 |
| 568.594 | 82.388 | 21.264 | 17.425 | 0.000 | -0.000 |
| 335.795 | 722.302 | -388.179 | -10.710 | -0.000 | 0.000 |
| 348.983 | 348.983 | -28.272 | 0.000 | 0.000 | -0.000 |
| 288.847 | 270.587 | -562.523 | 151.651 | 0.000 | 0.000 |
| -0.004 | -0.007 | -0.001 | -0.001 | 180.996 | 17.423 |
| -0.015 | -0.020 | -0.010 | -0.002 | 17.429 | 243.103 |
| 568.582 | 82.398 | 21.221 | 17.426 | -0.000 | 0.000 |
| -159.068 | 202.245 | 632.441 | -9.270 | -0.000 | 0.000 |
| -207.369 | -207.369 | 1090.620 | 0.000 | 0.000 | 0.000 |
| -270.588 | -288.850 | 562.558 | 151.650 | -0.000 | 0.000 |
| 0.004 | 0.007 | 0.001 | 0.001 | 180.996 | 17.423 |
| 0.015 | 0.020 | 0.010 | 0.002 | 17.429 | 243.103 |
| 568.587 | 82.389 | 21.240 | 17.426 | 0.000 | -0.000 |
| 82.390 | 568.588 | 21.242 | -17.426 | 0.000 | -0.000 |
| 91.322 | 91.322 | 489.868 | -0.000 | 0.000 | -0.000 |
| 17.425 | -17.427 | 0.003 | 180.999 | 0.000 | 0.000 |
| 0.001 | 0.000 | 0.001 | -0.000 | 180.999 | 17.426 |
| -0.001 | -0.001 | -0.000 | 0.000 | 17.426 | 243.099 |
| 466.035 | 87.586 | 119.139 | 10.392 | -0.000 | 0.000 |
| 82.392 | 568.590 | 21.242 | -17.426 | -0.000 | 0.000 |
| 20.849 | 20.849 | 631.608 | -0.000 | -0.000 | 0.000 |
| 17.426 | -17.427 | -0.002 | 180.999 | -0.000 | 0.000 |
| -0.001 | -0.000 | -0.001 | 0.000 | 180.999 | 17.426 |
| 0.001 | 0.001 | 0.000 | -0.000 | 17.426 | 243.099 |
| 568.589 | 82.391 | 21.241 | 17.426 | 0.000 | -0.000 |
| 82.390 | 568.590 | 21.241 | -17.426 | 0.000 | -0.000 |
| 66.472 | 66.472 | 539.852 | 0.000 | -0.000 | -0.000 |
| 13.333 | -9.167 | -4.190 | 159.140 | 0.000 | -0.000 |
| 2.083 | 2.083 | -4.190 | 0.000 | 159.140 | 11.250 |
| 0.000 | 0.000 | 0.000 | -0.000 | 17.426 | 243.099 |
| 568.586 | 82.390 | 21.241 | 17.426 | -0.000 | -0.000 |
| 106.407 | 495.129 | 70.957 | -11.063 | -0.000 | 0.000 |
| 62.286 | 62.286 | 548.266 | -0.000 | -0.000 | 0.000 |
| 9.166 | -13.333 | 4.190 | 159.140 | -0.000 | 0.000 |
| -2.083 | -2.083 | 4.190 | -0.000 | 159.140 | 11.250 |
| -0.000 | -0.000 | -0.000 | 0.000 | 17.426 | 243.099 |
| 494.400 | 108.760 | 69.454 | -0.000 | -0.000 | 0.000 |
| 108.764 | 494.397 | 69.450 | 0.000 | 0.000 | 0.000 |
| 62.980 | 62.980 | 546.648 | -0.000 | -0.000 | 0.000 |
| 0.001 | 0.001 | -0.000 | 181.372 | -0.000 | 0.000 |
| 0.000 | 0.000 | -0.000 | -0.000 | 181.372 | 0.000 |
| 0.000 | 0.000 | 0.000 | -0.000 | -0.000 | 243.061 |
| 486.866 | 124.162 | 61.582 | 0.000 | 0.000 | -0.000 |
| 111.807 | 497.026 | 63.770 | 0.000 | 0.000 | -0.000 |
| 65.765 | 65.765 | 541.077 | 0.000 | -0.000 | -0.000 |
| -0.002 | -0.001 | 0.000 | 181.372 | -0.000 | -0.000 |
| -0.000 | -0.000 | 0.000 | -0.000 | 181.372 | 0.000 |
| -0.000 | -0.000 | -0.000 | -0.000 | 0.000 | 243.061 |
| 490.771 | 128.092 | 53.746 | 0.000 | -0.000 | -0.000 |
| 122.627 | 485.334 | 64.649 | -0.000 | -0.000 | 0.000 |
| 64.184 | 64.184 | 544.241 | -0.000 | -0.000 | 0.000 |
| 0.000 | 0.000 | 0.000 | 181.372 | 0.000 | 0.000 |
| 0.000 | 0.000 | -0.000 | -0.000 | 181.372 | -0.000 |
| -0.139 | -0.139 | 0.279 | -0.000 | 0.000 | 181.351 |
| 495.842 | 110.432 | 66.331 | -0.000 | -0.000 | -0.000 |
| 122.908 | 485.604 | 64.094 | 0.000 | 0.000 | -0.000 |
| 64.508 | 64.508 | 543.587 | 0.000 | 0.000 | -0.000 |
| -0.000 | -0.000 | -0.000 | 181.372 | 0.000 | -0.000 |
| -0.000 | -0.000 | 0.000 | 0.000 | 181.372 | -0.000 |
| 0.139 | 0.139 | -0.279 | 0.000 | 0.000 | 181.351 |
| 568.552 | 82.369 | 21.214 | -0.000 | -0.000 | -0.000 |
| 81.006 | 444.300 | 147.617 | -0.000 | -0.000 | -0.000 |
| 46.277 | 46.277 | 580.331 | -0.000 | -0.000 | 0.000 |
| -38.530 | -38.518 | 77.445 | 150.264 | -0.000 | -0.000 |
| -38.513 | -38.497 | 77.424 | -0.000 | 150.265 | 0.000 |
| -37.723 | -37.694 | 75.853 | -0.000 | -0.000 | 176.684 |
| 506.694 | 160.136 | 5.324 | 0.000 | 0.000 | 0.000 |
| 138.246 | 522.899 | 11.136 | 0.000 | -0.000 | -0.000 |
| 106.961 | 106.961 | 458.510 | 0.000 | 0.000 | 0.000 |
| 38.530 | 38.518 | -77.445 | 150.264 | 0.000 | -0.000 |
| 38.513 | 38.497 | -77.424 | 0.000 | 150.265 | 0.000 |
| 37.723 | 37.694 | -75.853 | 0.000 | 0.000 | 176.684 |
| 568.576 | 82.375 | 21.246 | -0.000 | -0.000 | -0.000 |
| 116.009 | 491.224 | 65.210 | -0.000 | -0.000 | 0.000 |
| 61.653 | 61.653 | 549.550 | -0.000 | -0.000 | -0.000 |
| -2.805 | -2.807 | 5.636 | 158.615 | -0.000 | 0.000 |
| -0.002 | -0.002 | -0.002 | -0.000 | 180.986 | 0.000 |
| -2.959 | -2.958 | 5.949 | -0.000 | -0.000 | 191.017 |
| 497.424 | 113.049 | 61.969 | 0.000 | 0.000 | 0.000 |
| 113.053 | 497.418 | 61.976 | 0.000 | 0.000 | 0.000 |
| 67.438 | 67.438 | 537.918 | 0.000 | 0.000 | 0.000 |
| 2.704 | 2.700 | -5.427 | 159.355 | 0.000 | -0.000 |
| 0.002 | 0.002 | 0.002 | 0.000 | 180.986 | 0.000 |
| 2.959 | 2.958 | -5.949 | 0.000 | 0.000 | 191.017 |
| 495.385 | 109.445 | 67.642 | 0.000 | 0.000 | 0.000 |
| 126.965 | 490.787 | 54.643 | -0.000 | -0.000 | 0.000 |
| 64.092 | 64.092 | 544.643 | -0.000 | -0.000 | -0.000 |
| -0.000 | -0.000 | -0.000 | 180.985 | 0.000 | -0.000 |
| -0.271 | -0.271 | 0.545 | -0.000 | 159.348 | 0.000 |
| 0.000 | 0.000 | -0.000 | -0.000 | -0.000 | 243.100 |
| 495.883 | 110.040 | 66.540 | 0.000 | 0.000 | 0.000 |
| 122.323 | 485.745 | 64.382 | -0.000 | 0.000 | 0.000 |
| 64.630 | 64.630 | 543.560 | 0.000 | 0.000 | 0.000 |
| 0.000 | 0.000 | 0.000 | 180.985 | 0.000 | 0.000 |
| 0.271 | 0.271 | -0.545 | 0.000 | 159.348 | -0.000 |
| -0.000 | -0.000 | 0.000 | 0.000 | 0.000 | 243.100 |
| 568.850 | 82.724 | 21.034 | 5.132 | -0.000 | 0.000 |
| 109.917 | 496.185 | 66.505 | -3.241 | 0.000 | 0.000 |
| 64.379 | 64.379 | 543.849 | -0.000 | -0.000 | 0.000 |
| 3.354 | -3.321 | 0.037 | 159.703 | -0.000 | 0.000 |
| 0.021 | 0.016 | 0.026 | 0.001 | 159.707 | 3.331 |
| 0.003 | 0.001 | 0.004 | 0.000 | 5.131 | 243.058 |
| 568.840 | 82.720 | 21.031 | 5.131 | 0.000 | 0.000 |
| 109.921 | 496.213 | 66.472 | -3.241 | 0.000 | -0.000 |
| 64.360 | 64.360 | 543.888 | 0.000 | -0.000 | -0.000 |
| 3.305 | -3.338 | -0.036 | 159.702 | 0.000 | 0.000 |
| -0.021 | -0.016 | -0.026 | -0.001 | 159.707 | 3.331 |
| -0.003 | -0.001 | -0.004 | -0.000 | 5.131 | 243.058 |
| 568.851 | 82.725 | 21.040 | 5.132 | -0.000 | -0.000 |
| 82.728 | 568.848 | 21.037 | -5.132 | 0.000 | -0.000 |
| 64.372 | 64.372 | 543.864 | -0.000 | -0.000 | -0.000 |
| 5.135 | -5.130 | 0.004 | 181.372 | -0.000 | 0.000 |
| 0.001 | 0.001 | 0.001 | 0.000 | 181.373 | 5.132 |
| 0.005 | 0.005 | 0.005 | 0.000 | 5.132 | 243.061 |
| 568.841 | 82.720 | 21.031 | 5.132 | -0.000 | -0.000 |
| 125.990 | 491.880 | 54.730 | -3.730 | 0.000 | -0.000 |
| 21.035 | 21.035 | 630.537 | 0.000 | 0.000 | 0.000 |
| 5.129 | -5.134 | -0.004 | 181.373 | 0.000 | -0.000 |
| -0.001 | -0.001 | -0.001 | -0.000 | 181.373 | 5.132 |
| -0.005 | -0.005 | -0.005 | -0.000 | 5.132 | 243.061 |
| 568.849 | 82.725 | 21.036 | 5.132 | -0.000 | 0.000 |
| 109.923 | 496.197 | 66.488 | -3.241 | -0.000 | 0.000 |
| 64.372 | 64.372 | 543.865 | -0.000 | -0.000 | -0.000 |
| 3.330 | -3.329 | 0.001 | 159.704 | 0.000 | 0.000 |
| 0.000 | 0.001 | -0.000 | 0.000 | 159.704 | 3.329 |
| -0.000 | 0.000 | 0.001 | 0.000 | 3.184 | 181.813 |
| 491.882 | 125.990 | 54.733 | 3.730 | 0.000 | -0.000 |
| 82.724 | 568.844 | 21.035 | -5.132 | -0.000 | 0.000 |
| 64.374 | 64.374 | 543.858 | 0.000 | 0.000 | -0.000 |
| 3.329 | -3.330 | -0.001 | 159.704 | -0.000 | -0.000 |
| -0.000 | -0.001 | 0.000 | -0.000 | 159.704 | 3.329 |
| 0.000 | -0.000 | -0.001 | -0.000 | 3.184 | 181.813 |
| 568.555 | 82.364 | 21.248 | 5.123 | -0.000 | 0.000 |
| 82.364 | 568.558 | 21.248 | -5.123 | 0.000 | 0.000 |
| 20.831 | 20.831 | 631.647 | -0.000 | -0.000 | 0.000 |
| 388.952 | 385.611 | -779.093 | 139.384 | -0.000 | -0.000 |
| 53.676 | 53.664 | -107.998 | -0.004 | 174.640 | 4.572 |
| -0.001 | -0.000 | -0.002 | -0.001 | 5.125 | 243.096 |
| 568.556 | 82.374 | 21.240 | 5.125 | 0.000 | 0.000 |
| -254.675 | 49.392 | 882.465 | -1.672 | 0.000 | 0.000 |
| -20.028 | -20.027 | 713.887 | 0.000 | -0.000 | -0.000 |
| -48.930 | -58.128 | 107.708 | 174.657 | 0.000 | 0.000 |
| -53.676 | -53.664 | 107.998 | 0.004 | 174.640 | 4.572 |
| 0.001 | -0.000 | 0.002 | 0.001 | 5.125 | 243.096 |
| 568.558 | 82.368 | 21.246 | 5.125 | -0.000 | 0.000 |
| 110.593 | 535.741 | 25.857 | -2.602 | 0.000 | -0.000 |
| 46.255 | 46.255 | 580.497 | 0.000 | -0.000 | 0.000 |
| 5.124 | -5.125 | 0.000 | 180.978 | 0.000 | 0.000 |
| 0.001 | 0.001 | 0.001 | -0.000 | 180.978 | 5.125 |
| 32.261 | 32.256 | -64.898 | 0.002 | 2.355 | 212.967 |
| 568.558 | 82.368 | 21.247 | 5.125 | 0.000 | -0.000 |
| 92.724 | 404.274 | 176.074 | -1.817 | 0.000 | 0.000 |
| 27.242 | 27.242 | 618.747 | -0.000 | 0.000 | -0.000 |
| -36.646 | -40.052 | 77.149 | 139.791 | 0.000 | 0.000 |
| -0.001 | -0.001 | -0.001 | 0.000 | 180.978 | 5.125 |
| -7.365 | -7.370 | 14.826 | 0.002 | 4.297 | 124.575 |
| 489.592 | 115.052 | 67.800 | 3.010 | -0.000 | 0.000 |
| 115.051 | 489.594 | 67.799 | -3.010 | -0.000 | 0.000 |
| 70.485 | 70.485 | 531.759 | 0.000 | -0.000 | -0.000 |
| 5.125 | -5.125 | -0.000 | 180.979 | -0.000 | 0.000 |
| 0.000 | 0.000 | -0.000 | -0.000 | 180.979 | 5.125 |
| 0.000 | 0.000 | 0.000 | -0.000 | 5.125 | 243.095 |
| 486.139 | 109.882 | 76.469 | 3.043 | 0.000 | -0.000 |
| 131.680 | 489.383 | 51.281 | -3.949 | 0.000 | 0.000 |
| 59.795 | 59.795 | 553.260 | 0.000 | 0.000 | 0.000 |
| 2.066 | -5.253 | 3.206 | 163.342 | -0.000 | -0.000 |
| -0.000 | -0.000 | 0.000 | 0.000 | 180.979 | 5.125 |
| -0.000 | -0.000 | -0.000 | 0.000 | 5.125 | 243.095 |
| 495.166 | 118.959 | 58.459 | -4.341 | 0.000 | 0.000 |
| 118.946 | 495.161 | 58.438 | 4.340 | -0.000 | 0.000 |
| 21.013 | 21.012 | 630.530 | 0.000 | -0.000 | -0.000 |
| -6.245 | 6.215 | 0.016 | 181.373 | -0.000 | 0.000 |
| -0.007 | -0.021 | 0.006 | -0.001 | 181.374 | -6.232 |
| -0.005 | -0.012 | 0.002 | -0.001 | -6.232 | 243.066 |
| 568.856 | 82.743 | 21.021 | -6.232 | 0.000 | -0.000 |
| 118.952 | 495.180 | 58.484 | 4.341 | -0.000 | 0.000 |
| 21.051 | 21.051 | 630.497 | -0.000 | 0.000 | -0.000 |
| -6.209 | 6.259 | -0.005 | 181.373 | 0.000 | -0.000 |
| 0.007 | 0.021 | -0.006 | 0.001 | 181.374 | -6.232 |
| 0.005 | 0.012 | -0.002 | 0.001 | -6.232 | 243.066 |
| 495.189 | 118.954 | 58.464 | -4.342 | -0.000 | 0.000 |
| 118.955 | 495.188 | 58.463 | 4.341 | -0.000 | -0.000 |
| 64.368 | 64.368 | 543.863 | 0.000 | 0.000 | 0.000 |
| -6.233 | 6.230 | 0.001 | 181.372 | -0.000 | 0.000 |
| -0.001 | -0.002 | 0.001 | -0.000 | 181.372 | -6.231 |
| -0.002 | -0.006 | 0.005 | 0.000 | -4.714 | 190.165 |
| 568.847 | 82.726 | 21.033 | -6.232 | 0.000 | -0.000 |
| 82.727 | 568.849 | 21.035 | 6.231 | -0.000 | -0.000 |
| 21.038 | 21.038 | 630.534 | -0.000 | 0.000 | -0.000 |
| -6.229 | 6.234 | -0.001 | 181.372 | -0.000 | -0.000 |
| 0.001 | 0.002 | -0.001 | 0.000 | 181.372 | -6.231 |
| 0.002 | 0.006 | -0.005 | -0.000 | -4.714 | 190.165 |
| 568.849 | 82.725 | 21.036 | -6.232 | -0.000 | 0.000 |
| 108.556 | 498.069 | 65.984 | 3.961 | -0.000 | 0.000 |
| 64.374 | 64.374 | 543.863 | 0.000 | -0.000 | 0.000 |
| -6.232 | 6.231 | -0.000 | 181.372 | -0.000 | 0.000 |
| -0.000 | 0.000 | -0.000 | 0.000 | 159.704 | -4.043 |
| 0.000 | -0.001 | 0.001 | -0.000 | -4.715 | 190.167 |
| 498.070 | 108.554 | 65.982 | -3.961 | -0.000 | -0.000 |
| 108.577 | 498.006 | 66.022 | 3.959 | 0.000 | -0.000 |
| 64.369 | 64.369 | 543.867 | -0.000 | 0.000 | -0.000 |
| -6.231 | 6.232 | 0.000 | 181.372 | 0.000 | -0.000 |
| 0.000 | -0.000 | 0.000 | -0.000 | 159.704 | -4.043 |
| -0.000 | 0.001 | -0.001 | 0.000 | -4.715 | 190.167 |
| 1684.963 | 1409.706 | -2452.726 | -1.251 | 0.000 | 0.000 |
| 1409.857 | 1685.098 | -2453.018 | 1.250 | 0.000 | 0.000 |
| 20.629 | 20.629 | 632.877 | -0.000 | 0.000 | -0.000 |
| 808.587 | 815.028 | -1643.521 | 150.936 | 0.000 | 0.000 |
| 811.789 | 811.773 | -1643.466 | -0.004 | 150.944 | -3.224 |
| 276.935 | 276.925 | -560.751 | -0.001 | -4.808 | 157.391 |
| -854.939 | -1130.727 | 2689.560 | -1.263 | -0.000 | -0.000 |
| -719.230 | -313.745 | 1725.361 | 3.237 | -0.000 | -0.000 |
| 20.620 | 20.620 | 632.869 | 0.000 | 0.000 | 0.000 |
| -102.304 | -90.765 | 195.483 | 176.157 | 0.000 | -0.000 |
| -276.980 | -277.001 | 560.879 | -0.008 | 166.630 | -4.819 |
| -276.935 | -276.925 | 560.751 | 0.001 | -4.808 | 157.390 |
| 499.553 | 181.940 | -10.138 | -4.894 | 0.000 | 0.000 |
| 174.223 | 577.188 | -80.906 | 3.166 | 0.000 | 0.000 |
| 239.996 | 239.996 | 188.780 | 0.000 | 0.000 | 0.000 |
| 23.162 | 32.768 | -56.624 | 166.537 | 0.000 | 0.000 |
| 10.106 | 10.106 | -20.467 | -0.000 | 175.984 | -5.753 |
| 27.371 | 27.372 | -55.424 | 0.001 | -4.826 | 158.081 |
| 523.259 | 90.981 | 57.957 | -5.643 | -0.000 | -0.000 |
| 90.976 | 523.245 | 57.976 | 5.643 | 0.000 | -0.000 |
| 2.975 | 2.976 | 668.609 | -0.000 | 0.000 | -0.000 |
| -127.985 | -125.449 | 256.526 | 131.482 | -0.000 | -0.000 |
| -10.106 | -10.106 | 20.466 | 0.000 | 175.984 | -5.753 |
| -27.371 | -27.372 | 55.424 | -0.001 | -4.826 | 158.081 |
| 568.874 | 82.764 | 21.034 | 3.007 | 0.000 | 0.000 |
| 108.177 | 498.063 | 66.427 | -1.914 | 0.000 | 0.000 |
| 64.118 | 64.118 | 544.345 | 0.000 | 0.000 | 0.000 |
| 1.725 | -2.191 | 0.465 | 159.705 | -0.000 | 0.000 |
| -0.003 | 0.017 | -0.024 | 0.000 | 181.376 | 3.009 |
| -0.010 | 0.009 | -0.029 | 0.000 | 3.009 | 243.067 |
| 568.792 | 82.668 | 21.022 | 3.010 | -0.000 | -0.000 |
| 108.664 | 498.497 | 65.447 | -1.913 | -0.000 | -0.000 |
| 20.996 | 20.996 | 630.529 | -0.000 | -0.000 | -0.000 |
| 2.176 | -1.707 | -0.460 | 159.703 | 0.000 | -0.000 |
| 0.003 | -0.017 | 0.024 | -0.000 | 181.376 | 3.009 |
| 0.010 | -0.009 | 0.029 | -0.000 | 3.009 | 243.067 |
| 495.498 | 118.288 | 58.829 | 2.087 | -0.000 | -0.000 |
| 108.384 | 498.252 | 65.976 | -1.914 | 0.000 | 0.000 |
| 64.346 | 64.346 | 543.912 | 0.000 | 0.000 | -0.000 |
| 1.927 | -1.977 | 0.044 | 159.704 | -0.000 | -0.000 |
| 0.000 | 0.002 | -0.002 | -0.000 | 181.372 | 3.008 |
| 0.001 | 0.003 | -0.000 | -0.000 | 3.008 | 243.060 |
| 568.843 | 82.720 | 21.035 | 3.008 | -0.000 | -0.000 |
| 118.329 | 495.546 | 58.730 | -2.088 | -0.000 | -0.000 |
| 21.035 | 21.035 | 630.537 | 0.000 | -0.000 | -0.000 |
| 1.977 | -1.926 | -0.044 | 159.704 | 0.000 | -0.000 |
| -0.000 | -0.002 | 0.002 | 0.000 | 181.372 | 3.008 |
| -0.001 | -0.003 | 0.000 | 0.000 | 3.008 | 243.060 |
| 498.271 | 108.405 | 65.933 | 1.914 | 0.000 | -0.000 |
| 82.725 | 568.849 | 21.036 | -3.008 | 0.000 | 0.000 |
| 64.394 | 64.394 | 543.823 | 0.000 | 0.000 | -0.000 |
| 1.949 | -1.954 | 0.004 | 159.704 | 0.000 | 0.000 |
| 0.000 | 0.001 | 0.000 | 0.000 | 181.372 | 3.008 |
| 0.000 | 0.001 | -0.000 | 0.000 | 3.008 | 243.061 |
| 498.274 | 108.409 | 65.922 | 1.914 | 0.000 | -0.000 |
| 108.408 | 498.276 | 65.921 | -1.914 | -0.000 | -0.000 |
| 64.377 | 64.377 | 543.850 | 0.000 | -0.000 | -0.000 |
| 1.954 | -1.949 | -0.004 | 159.704 | -0.000 | -0.000 |
| -0.000 | -0.001 | -0.000 | -0.000 | 181.372 | 3.008 |
| -0.000 | -0.001 | 0.000 | -0.000 | 3.008 | 243.061 |
| 568.310 | 82.019 | 21.479 | 3.000 | -0.000 | -0.000 |
| -2244.966 | -1909.121 | 4882.857 | -1.287 | -0.000 | -0.000 |
| 20.641 | 20.641 | 632.836 | -0.000 | 0.000 | -0.000 |
| -1139.693 | -1144.010 | 2310.771 | 163.302 | -0.000 | -0.000 |
| -2374.285 | -2374.284 | 4804.880 | -0.000 | 145.274 | 1.284 |
| -1141.859 | -1141.855 | 2310.779 | 0.000 | 2.158 | 199.376 |
| 2837.611 | 2502.633 | -4724.060 | 1.279 | 0.000 | 0.000 |
| 1668.024 | 2054.049 | -3086.691 | -1.876 | 0.000 | 0.000 |
| 20.637 | 20.637 | 632.833 | 0.000 | 0.000 | 0.000 |
| 1144.013 | 1139.690 | -2310.772 | 163.301 | 0.000 | 0.000 |
| 2374.285 | 2374.284 | -4804.880 | 0.000 | 145.275 | 1.284 |
| 1141.859 | 1141.855 | -2310.779 | -0.000 | 2.158 | 199.376 |
| 386.281 | -9.706 | 298.475 | 2.124 | -0.000 | -0.000 |
| -9.706 | 386.281 | 298.475 | -2.124 | -0.000 | -0.000 |
| -50.537 | -50.537 | 776.873 | -0.000 | -0.000 | -0.000 |
| 3.001 | -3.000 | 0.000 | 180.579 | -0.000 | -0.000 |
| -114.689 | -114.689 | 232.097 | -0.000 | 163.226 | 2.156 |
| -155.704 | -155.703 | 315.099 | -0.000 | 1.879 | 193.072 |
| 618.875 | 217.392 | -166.665 | 2.194 | 0.000 | 0.000 |
| 217.272 | 618.820 | -166.488 | -2.195 | 0.000 | 0.000 |
| 218.403 | 218.403 | 232.614 | 0.000 | 0.000 | 0.000 |
| 3.000 | -3.001 | -0.000 | 180.579 | 0.000 | 0.000 |
| 114.689 | 114.689 | -232.097 | 0.000 | 163.226 | 2.156 |
| 155.704 | 155.703 | -315.099 | 0.000 | 1.879 | 193.072 |
| 484.687 | 98.111 | 89.810 | 2.008 | -0.000 | -0.000 |
| 94.059 | 468.387 | 110.402 | -1.726 | -0.000 | -0.000 |
| 20.638 | 20.638 | 632.837 | -0.000 | 0.000 | -0.000 |
| -10.981 | -15.070 | 26.359 | 160.934 | -0.000 | -0.000 |
| 0.000 | 0.000 | -0.000 | 0.000 | 180.579 | 3.000 |
| -19.468 | -19.468 | 39.398 | -0.000 | 1.592 | 181.273 |
| 495.093 | 135.513 | 41.431 | 1.558 | 0.000 | 0.000 |
| 135.512 | 495.094 | 41.430 | -1.558 | 0.000 | 0.000 |
| 20.638 | 20.638 | 632.832 | 0.000 | -0.000 | 0.000 |
| 15.069 | 10.981 | -26.359 | 160.934 | 0.000 | 0.000 |
| -0.000 | -0.000 | 0.000 | -0.000 | 180.579 | 3.000 |
| 19.468 | 19.468 | -39.398 | 0.000 | 1.592 | 181.273 |
| 470.748 | 44.523 | 157.583 | 4.448 | -0.000 | 0.000 |
| -170.941 | 141.562 | 704.233 | -1.763 | -0.000 | 0.000 |
| -15.540 | -15.540 | 704.385 | 0.000 | 0.000 | 0.000 |
| 5.126 | -5.126 | -0.004 | 181.128 | 0.000 | 0.000 |
| 0.005 | 0.004 | 0.005 | 0.001 | 181.128 | 5.127 |
| -0.002 | -0.002 | -0.002 | 0.000 | 5.128 | 243.086 |
| 743.213 | 432.893 | -505.680 | 1.724 | 0.000 | -0.000 |
| 432.932 | 743.225 | -505.742 | -1.721 | 0.000 | -0.000 |
| 20.915 | 20.915 | 631.244 | -0.000 | -0.000 | -0.000 |
| 303.584 | 300.099 | -605.902 | 140.372 | 0.000 | -0.000 |
| -0.005 | -0.004 | -0.005 | -0.001 | 181.128 | 5.127 |
| 0.002 | 0.002 | 0.002 | -0.000 | 5.128 | 243.086 |
| 431.059 | 96.785 | 144.958 | 2.185 | -0.000 | 0.000 |
| 99.444 | 504.038 | 69.043 | -3.977 | 0.000 | 0.000 |
| 52.969 | 52.969 | 566.887 | -0.000 | -0.000 | 0.000 |
| -27.164 | -30.902 | 58.277 | 141.927 | -0.000 | 0.000 |
| -29.032 | -29.033 | 58.278 | 0.000 | 141.927 | 1.869 |
| -7.824 | -7.824 | 15.709 | 0.000 | 4.236 | 208.285 |
| 533.094 | 113.045 | 26.227 | 4.311 | 0.000 | -0.000 |
| 113.045 | 533.094 | 26.227 | -4.312 | -0.000 | -0.000 |
| 20.911 | 20.911 | 631.234 | -0.000 | -0.000 | 0.000 |
| 30.898 | 27.160 | -58.271 | 141.932 | 0.000 | -0.000 |
| 29.032 | 29.033 | -58.278 | -0.000 | 141.927 | 1.869 |
| 7.824 | 7.824 | -15.709 | -0.000 | 4.236 | 208.285 |
| 495.054 | 114.290 | 63.160 | 3.499 | -0.000 | 0.000 |
| 82.506 | 568.677 | 21.169 | -5.128 | 0.000 | -0.000 |
| 63.834 | 63.834 | 545.079 | -0.000 | -0.000 | 0.000 |
| 1.424 | -4.914 | 3.502 | 157.569 | -0.000 | 0.000 |
| -1.548 | -1.548 | 3.107 | -0.000 | 160.102 | 3.380 |
| -1.760 | -1.759 | 3.532 | -0.000 | 3.152 | 192.109 |
| 568.674 | 82.505 | 21.169 | 5.128 | -0.000 | 0.000 |
| 110.698 | 497.544 | 64.262 | -3.203 | 0.000 | -0.000 |
| 66.958 | 66.958 | 538.804 | 0.000 | 0.000 | -0.000 |
| 4.914 | -1.424 | -3.502 | 157.569 | 0.000 | -0.000 |
| 1.548 | 1.548 | -3.107 | -0.000 | 160.102 | 3.380 |
| 1.760 | 1.759 | -3.532 | 0.000 | 3.152 | 192.109 |
| 496.769 | 108.390 | 67.414 | 2.213 | -0.000 | -0.000 |
| 108.392 | 496.782 | 67.425 | -2.213 | -0.000 | 0.000 |
| 63.736 | 63.736 | 545.052 | 0.000 | 0.000 | 0.000 |
| 3.470 | -3.508 | -0.029 | 181.372 | -0.000 | 0.000 |
| -0.012 | -0.012 | -0.013 | 0.000 | 181.372 | 3.487 |
| -0.670 | -0.654 | 1.314 | -0.002 | 2.188 | 193.196 |
| 568.860 | 82.721 | 21.057 | 3.489 | 0.000 | -0.000 |
| 109.762 | 497.993 | 64.941 | -2.212 | 0.000 | 0.000 |
| 21.050 | 21.050 | 630.556 | 0.000 | -0.000 | -0.000 |
| 3.515 | -3.464 | 0.034 | 181.373 | -0.000 | -0.000 |
| 0.012 | 0.012 | 0.013 | -0.000 | 181.372 | 3.487 |
| 0.670 | 0.654 | -1.314 | 0.002 | 2.188 | 193.196 |
| 568.847 | 82.724 | 21.035 | 3.490 | 0.000 | -0.000 |
| 82.722 | 568.845 | 21.033 | -3.490 | 0.000 | -0.000 |
| 64.313 | 64.313 | 543.992 | -0.000 | 0.000 | -0.000 |
| 2.203 | -2.327 | 0.125 | 159.705 | -0.000 | -0.000 |
| -0.061 | -0.061 | 0.125 | -0.000 | 159.704 | 2.264 |
| -0.000 | 0.000 | -0.000 | 0.000 | 3.490 | 243.061 |
| 568.849 | 82.727 | 21.037 | 3.490 | -0.000 | -0.000 |
| 82.724 | 568.848 | 21.034 | -3.490 | -0.000 | -0.000 |
| 64.429 | 64.429 | 543.738 | -0.000 | 0.000 | 0.000 |
| 2.326 | -2.201 | -0.124 | 159.705 | 0.000 | 0.000 |
| 0.061 | 0.061 | -0.125 | 0.000 | 159.704 | 2.264 |
| 0.000 | -0.000 | 0.000 | -0.000 | 3.490 | 243.061 |
| 497.360 | 109.063 | 66.186 | 2.213 | -0.000 | -0.000 |
| 82.725 | 568.849 | 21.035 | -3.490 | 0.000 | -0.000 |
| 21.035 | 21.035 | 630.539 | -0.000 | 0.000 | -0.000 |
| 2.258 | -2.270 | 0.012 | 159.704 | -0.000 | -0.000 |
| -0.006 | -0.006 | 0.012 | -0.000 | 159.704 | 2.264 |
| 0.000 | 0.000 | -0.000 | 0.000 | 3.490 | 243.061 |
| 497.382 | 109.070 | 66.153 | 2.213 | 0.000 | 0.000 |
| 109.080 | 497.355 | 66.170 | -2.213 | 0.000 | -0.000 |
| 21.036 | 21.036 | 630.534 | 0.000 | 0.000 | -0.000 |
| 2.270 | -2.258 | -0.012 | 159.704 | -0.000 | -0.000 |
| 0.006 | 0.006 | -0.012 | 0.000 | 159.704 | 2.264 |
| -0.000 | -0.000 | 0.000 | -0.000 | 3.490 | 243.061 |
| 2609.287 | 2283.461 | -4273.948 | 1.384 | -0.000 | 0.000 |
| 2284.379 | 2610.145 | -4275.753 | -1.382 | -0.000 | 0.000 |
| 2242.389 | 2242.390 | -3866.066 | 0.000 | -0.000 | 0.000 |
| 90.919 | 84.217 | -177.380 | 178.128 | 0.000 | -0.000 |
| 0.002 | 0.003 | 0.002 | 0.000 | 180.529 | 3.480 |
| 0.004 | 0.003 | 0.004 | -0.000 | 3.480 | 243.131 |
| -1699.874 | -2026.277 | 4452.381 | 1.389 | 0.000 | -0.000 |
| -2026.272 | -1699.880 | 4452.385 | -1.392 | 0.000 | -0.000 |
| 20.605 | 20.605 | 632.893 | 0.000 | -0.000 | 0.000 |
| -2153.819 | -2156.589 | 4364.120 | 143.458 | 0.000 | -0.000 |
| -0.002 | -0.003 | -0.002 | -0.000 | 180.529 | 3.480 |
| -0.004 | -0.003 | -0.004 | 0.000 | 3.480 | 243.131 |
| 667.903 | 344.299 | -345.038 | 1.355 | -0.000 | 0.000 |
| 106.707 | 543.191 | 21.775 | -3.431 | -0.000 | 0.000 |
| 58.933 | 58.933 | 555.269 | 0.000 | -0.000 | 0.000 |
| 216.561 | 213.780 | -435.706 | 143.518 | -0.000 | 0.000 |
| 9.367 | 9.367 | -18.982 | -0.002 | 176.143 | 3.231 |
| 0.000 | -0.000 | 0.000 | -0.000 | 3.479 | 243.132 |
| 243.121 | -86.705 | 521.416 | 1.436 | 0.000 | -0.000 |
| 81.961 | 568.225 | 21.486 | -3.480 | -0.000 | 0.000 |
| -124.482 | -124.482 | 926.679 | -0.000 | 0.000 | -0.000 |
| 3.479 | -3.480 | -0.000 | 180.529 | -0.000 | -0.000 |
| -9.351 | -9.349 | 18.946 | 0.001 | 176.146 | 3.232 |
| -0.000 | 0.000 | -0.000 | 0.000 | 3.479 | 243.132 |
| 488.040 | 135.835 | 48.130 | 1.728 | -0.000 | 0.000 |
| 118.605 | 524.889 | 28.266 | -2.987 | 0.000 | -0.000 |
| 88.073 | 88.073 | 496.274 | 0.000 | -0.000 | 0.000 |
| 8.515 | 2.739 | -11.395 | 170.048 | -0.000 | 0.000 |
| 17.884 | 17.885 | -36.217 | -0.000 | 155.137 | 2.046 |
| 17.843 | 17.843 | -36.130 | -0.000 | 1.747 | 176.826 |
| 494.546 | 110.702 | 66.987 | 2.638 | 0.000 | -0.000 |
| 110.700 | 494.543 | 66.991 | -2.638 | 0.000 | -0.000 |
| 20.605 | 20.605 | 632.886 | 0.000 | -0.000 | 0.000 |
| -17.327 | -20.603 | 38.403 | 147.908 | 0.000 | -0.000 |
| -17.884 | -17.885 | 36.217 | 0.000 | 155.137 | 2.046 |
| -17.843 | -17.843 | 36.130 | 0.000 | 1.747 | 176.826 |
| 568.811 | 82.681 | 21.054 | 4.592 | -0.000 | -0.000 |
| 82.698 | 568.848 | 21.055 | -4.592 | 0.000 | -0.000 |
| 64.365 | 64.365 | 543.895 | -0.000 | 0.000 | 0.000 |
| 4.575 | -4.620 | 0.031 | 181.373 | 0.000 | -0.000 |
| -0.018 | -0.033 | -0.003 | 0.001 | 181.377 | 4.592 |
| -0.012 | -0.015 | 0.024 | -0.001 | 2.899 | 194.594 |
| 496.351 | 116.862 | 59.431 | 3.156 | -0.000 | -0.000 |
| 82.769 | 568.895 | 21.026 | -4.592 | 0.000 | 0.000 |
| 21.015 | 21.015 | 630.448 | -0.000 | 0.000 | 0.000 |
| 4.605 | -4.567 | -0.033 | 181.373 | 0.000 | 0.000 |
| 0.018 | 0.033 | 0.003 | -0.001 | 181.377 | 4.592 |
| 0.012 | 0.015 | -0.024 | 0.001 | 2.899 | 194.594 |
| 568.844 | 82.722 | 21.036 | 4.592 | -0.000 | 0.000 |
| 82.725 | 568.847 | 21.042 | -4.592 | -0.000 | -0.000 |
| 64.366 | 64.366 | 543.867 | 0.000 | 0.000 | -0.000 |
| 2.976 | -2.983 | -0.001 | 159.704 | -0.000 | -0.000 |
| -0.001 | -0.004 | 0.004 | 0.000 | 159.704 | 2.979 |
| -0.002 | -0.003 | -0.000 | 0.000 | 4.592 | 243.061 |
| 568.847 | 82.728 | 21.031 | 4.592 | -0.000 | 0.000 |
| 108.064 | 498.751 | 65.797 | -2.926 | -0.000 | 0.000 |
| 21.041 | 21.041 | 630.534 | -0.000 | -0.000 | 0.000 |
| 4.595 | -4.589 | -0.002 | 181.372 | -0.000 | 0.000 |
| 0.001 | 0.004 | -0.004 | -0.000 | 159.704 | 2.979 |
| 0.002 | 0.003 | 0.000 | -0.000 | 4.592 | 243.061 |
| 498.755 | 108.060 | 65.794 | 2.926 | 0.000 | 0.000 |
| 108.062 | 498.746 | 65.799 | -2.926 | 0.000 | -0.000 |
| 64.323 | 64.323 | 543.963 | 0.000 | -0.000 | -0.000 |
| 2.979 | -2.979 | 0.000 | 159.704 | -0.000 | -0.000 |
| -0.001 | -0.000 | -0.000 | -0.000 | 159.702 | 2.979 |
| -0.000 | 0.000 | -0.001 | -0.000 | 2.777 | 181.814 |
| 498.748 | 108.061 | 65.797 | 2.926 | -0.000 | 0.000 |
| 108.066 | 498.733 | 65.806 | -2.925 | -0.000 | 0.000 |
| 64.369 | 64.369 | 543.867 | 0.000 | -0.000 | 0.000 |
| 2.979 | -2.978 | -0.000 | 159.704 | -0.000 | 0.000 |
| 0.001 | 0.000 | 0.000 | 0.000 | 159.702 | 2.979 |
| 0.000 | -0.000 | 0.001 | 0.000 | 2.777 | 181.814 |
| 568.687 | 82.517 | 21.159 | 4.587 | -0.000 | 0.000 |
| 82.522 | 568.690 | 21.159 | -4.587 | 0.000 | 0.000 |
| 20.925 | 20.925 | 631.196 | -0.000 | 0.000 | 0.000 |
| -788.014 | -794.332 | 1587.800 | 161.915 | -0.000 | -0.000 |
| -1194.319 | -1194.323 | 2396.857 | 0.001 | 152.255 | 2.439 |
| -1194.254 | -1194.259 | 2396.739 | 0.001 | 2.441 | 181.564 |
| 568.693 | 82.519 | 21.170 | 4.590 | 0.000 | -0.000 |
| 900.882 | 1291.754 | -1525.559 | -3.154 | 0.000 | 0.000 |
| 1267.637 | 1267.637 | -1870.761 | 0.000 | 0.000 | 0.000 |
| 1196.858 | 1191.975 | -2397.044 | 152.252 | 0.000 | 0.000 |
| 1194.319 | 1194.323 | -2396.857 | -0.001 | 152.255 | 2.439 |
| 1194.254 | 1194.259 | -2396.739 | -0.001 | 2.441 | 181.564 |
| 364.370 | -2.010 | 311.003 | 2.496 | -0.000 | -0.000 |
| 30.917 | 420.425 | 221.715 | -3.134 | -0.000 | -0.000 |
| -18.453 | -18.453 | 710.216 | -0.000 | 0.000 | -0.000 |
| -89.536 | -95.387 | 185.558 | 158.781 | -0.000 | 0.000 |
| -119.111 | -119.112 | 239.042 | 0.000 | 152.334 | 2.445 |
| -79.189 | -79.191 | 158.924 | 0.000 | 3.157 | 195.334 |
| 568.686 | 82.516 | 21.162 | 4.588 | -0.000 | -0.000 |
| 236.971 | 598.125 | -163.362 | -2.405 | 0.000 | 0.000 |
| 156.743 | 156.743 | 358.616 | 0.000 | 0.000 | -0.000 |
| 82.439 | 76.130 | -159.116 | 161.872 | 0.000 | -0.000 |
| 119.111 | 119.112 | -239.042 | -0.000 | 152.334 | 2.445 |
| 79.189 | 79.191 | -158.924 | -0.000 | 3.157 | 195.334 |
| 568.689 | 82.519 | 21.163 | 4.588 | -0.000 | 0.000 |
| 99.315 | 485.421 | 87.862 | -2.841 | -0.000 | -0.000 |
| 54.536 | 54.536 | 563.737 | -0.000 | -0.000 | -0.000 |
| -7.673 | -13.110 | 20.854 | 156.009 | -0.000 | -0.000 |
| -10.391 | -10.391 | 20.854 | 0.000 | 156.010 | 2.719 |
| -10.191 | -10.191 | 20.452 | 0.000 | 2.755 | 190.585 |
| 568.686 | 82.517 | 21.162 | 4.588 | 0.000 | -0.000 |
| 120.264 | 502.153 | 50.049 | -2.767 | 0.000 | 0.000 |
| 75.766 | 75.766 | 521.126 | 0.000 | 0.000 | 0.000 |
| 13.110 | 7.673 | -20.854 | 156.009 | 0.000 | 0.000 |
| 10.391 | 10.391 | -20.854 | -0.000 | 156.010 | 2.719 |
| 10.191 | 10.191 | -20.452 | -0.000 | 2.755 | 190.585 |
| 568.887 | 82.779 | 21.052 | -0.000 | 0.000 | 0.000 |
| 82.765 | 568.867 | 21.067 | 0.000 | -0.000 | 0.000 |
| 21.046 | 21.046 | 630.516 | -0.000 | 0.000 | 0.000 |
| 5.035 | 5.036 | -10.053 | 159.706 | -0.000 | -0.000 |
| -0.000 | 0.012 | -0.012 | -0.000 | 181.377 | -0.000 |
| 4.325 | 4.395 | -8.665 | -0.000 | 0.000 | 193.476 |
| 568.850 | 82.724 | 21.034 | -0.000 | -0.000 | -0.000 |
| 82.687 | 568.825 | 21.021 | -0.000 | -0.000 | -0.000 |
| 20.968 | 20.968 | 630.506 | 0.000 | 0.000 | -0.000 |
| -5.035 | -5.036 | 10.053 | 159.706 | 0.000 | 0.000 |
| 0.000 | -0.012 | 0.012 | 0.000 | 181.377 | -0.000 |
| -4.325 | -4.395 | 8.665 | -0.000 | -0.000 | 193.476 |
| 568.851 | 82.729 | 21.035 | -0.000 | 0.000 | 0.000 |
| 107.810 | 500.314 | 64.488 | -0.000 | 0.000 | -0.000 |
| 21.035 | 21.035 | 630.538 | -0.000 | 0.000 | 0.000 |
| 0.503 | 0.502 | -1.005 | 159.705 | -0.000 | -0.000 |
| 0.000 | 0.000 | -0.000 | -0.000 | 181.372 | -0.000 |
| -0.001 | 0.000 | -0.002 | 0.000 | 0.000 | 243.061 |
| 499.333 | 106.757 | 66.517 | -0.000 | 0.000 | 0.000 |
| 106.756 | 499.333 | 66.516 | -0.000 | -0.000 | 0.000 |
| 21.035 | 21.035 | 630.537 | 0.000 | -0.000 | -0.000 |
| -0.503 | -0.502 | 1.005 | 159.705 | 0.000 | 0.000 |
| -0.000 | -0.000 | 0.000 | 0.000 | 181.372 | -0.000 |
| 0.001 | -0.000 | 0.002 | -0.000 | -0.000 | 243.061 |
| 499.871 | 107.336 | 65.402 | 0.000 | -0.000 | -0.000 |
| 113.758 | 498.042 | 60.809 | 0.000 | 0.000 | -0.000 |
| 64.374 | 64.374 | 543.863 | 0.000 | 0.000 | -0.000 |
| 0.050 | 0.050 | -0.101 | 159.704 | 0.000 | 0.000 |
| 0.000 | 0.001 | 0.000 | -0.000 | 181.372 | 0.000 |
| 0.052 | 0.052 | -0.104 | -0.000 | -0.000 | 195.681 |
| 499.771 | 107.230 | 65.604 | -0.000 | 0.000 | 0.000 |
| 113.663 | 497.937 | 61.005 | -0.000 | -0.000 | -0.000 |
| 64.319 | 64.319 | 543.967 | 0.000 | 0.000 | 0.000 |
| -0.050 | -0.050 | 0.101 | 159.704 | 0.000 | 0.000 |
| -0.000 | -0.001 | -0.000 | 0.000 | 181.372 | -0.000 |
| -0.052 | -0.052 | 0.104 | 0.000 | 0.000 | 195.681 |
| 966.412 | 614.381 | -911.019 | -0.000 | 0.000 | -0.000 |
| 82.565 | 568.723 | 21.154 | 0.000 | -0.000 | -0.000 |
| 387.733 | 387.733 | -104.617 | -0.000 | 0.000 | -0.000 |
| 0.013 | 0.006 | 0.006 | 181.181 | -0.000 | -0.000 |
| 492.665 | 492.672 | -988.144 | -0.000 | 149.542 | 0.000 |
| 492.555 | 492.549 | -987.882 | 0.000 | -0.000 | 176.572 |
| -16.997 | -371.264 | 1063.623 | 0.000 | -0.000 | 0.000 |
| -371.301 | -17.029 | 1063.663 | 0.000 | 0.000 | -0.000 |
| -255.613 | -255.613 | 1185.775 | 0.000 | -0.000 | 0.000 |
| -0.013 | -0.006 | -0.006 | 181.181 | -0.000 | 0.000 |
| -492.665 | -492.672 | 988.144 | 0.000 | 149.542 | 0.000 |
| -492.555 | -492.549 | 987.882 | -0.000 | -0.000 | 176.572 |
| 568.714 | 82.554 | 21.141 | -0.000 | -0.000 | 0.000 |
| 82.555 | 568.715 | 21.142 | -0.000 | -0.000 | 0.000 |
| 117.028 | 117.028 | 438.361 | -0.000 | 0.000 | -0.000 |
| -0.001 | -0.001 | -0.001 | 181.181 | 0.000 | -0.000 |
| 0.001 | 0.000 | 0.001 | -0.000 | 181.181 | 0.000 |
| -0.001 | -0.001 | -0.001 | -0.000 | 0.000 | 243.080 |
| 568.713 | 82.552 | 21.140 | -0.000 | -0.000 | 0.000 |
| 69.658 | 436.857 | 166.298 | -0.000 | -0.000 | 0.000 |
| 36.272 | 36.272 | 600.339 | 0.000 | -0.000 | 0.000 |
| 0.001 | 0.001 | 0.001 | 181.181 | 0.000 | 0.000 |
| -0.001 | -0.000 | -0.001 | -0.000 | 181.181 | 0.000 |
| 0.001 | 0.001 | 0.001 | 0.000 | 0.000 | 243.080 |
| 494.654 | 119.879 | 58.084 | 0.000 | 0.000 | 0.000 |
| 108.788 | 497.790 | 66.102 | -0.000 | -0.000 | -0.000 |
| 64.436 | 64.436 | 543.955 | -0.000 | -0.000 | -0.000 |
| -0.005 | 0.011 | 0.035 | 159.701 | -0.000 | -0.000 |
| -0.021 | -0.007 | 0.028 | -0.000 | 159.714 | -0.000 |
| -0.004 | 0.008 | 0.051 | -0.000 | -0.000 | 193.606 |
| 494.698 | 119.917 | 57.922 | 0.000 | 0.000 | 0.000 |
| 108.770 | 497.783 | 66.017 | 0.000 | 0.000 | 0.000 |
| 21.046 | 21.046 | 630.516 | 0.000 | 0.000 | 0.000 |
| 0.005 | -0.011 | -0.035 | 159.701 | 0.000 | 0.000 |
| 0.021 | 0.007 | -0.028 | 0.000 | 159.714 | 0.000 |
| 0.004 | -0.008 | -0.051 | 0.000 | -0.000 | 193.606 |
| 568.846 | 82.722 | 21.038 | -0.000 | -0.000 | -0.000 |
| 108.769 | 497.775 | 66.067 | -0.000 | -0.000 | -0.000 |
| 64.368 | 64.368 | 543.872 | -0.000 | 0.000 | -0.000 |
| 0.001 | -0.001 | 0.005 | 159.705 | -0.000 | 0.000 |
| -0.002 | -0.004 | 0.006 | 0.000 | 159.704 | -0.000 |
| 0.006 | -0.004 | 0.010 | 0.000 | -0.000 | 189.476 |
| 568.849 | 82.728 | 21.034 | 0.000 | 0.000 | 0.000 |
| 108.770 | 497.775 | 66.058 | -0.000 | -0.000 | 0.000 |
| 64.373 | 64.373 | 543.860 | 0.000 | -0.000 | 0.000 |
| -0.001 | 0.001 | -0.005 | 159.705 | 0.000 | 0.000 |
| 0.002 | 0.004 | -0.006 | -0.000 | 159.704 | -0.000 |
| -0.006 | 0.004 | -0.010 | -0.000 | 0.000 | 189.476 |
| 568.688 | 82.527 | 21.150 | 0.000 | 0.000 | 0.000 |
| 82.535 | 568.699 | 21.165 | -0.000 | -0.000 | 0.000 |
| 20.915 | 20.915 | 631.178 | 0.000 | -0.000 | 0.000 |
| 0.013 | 0.013 | -0.006 | 181.135 | 0.000 | 0.000 |
| -0.006 | 0.005 | -0.017 | -0.000 | 181.133 | -0.000 |
| 0.002 | 0.013 | -0.009 | 0.000 | -0.000 | 243.084 |
| 568.664 | 82.486 | 21.175 | 0.000 | 0.000 | -0.000 |
| 82.493 | 568.670 | 21.174 | -0.000 | 0.000 | -0.000 |
| 324.919 | 324.919 | 21.098 | 0.000 | 0.000 | -0.000 |
| -0.012 | -0.013 | 0.007 | 181.135 | 0.000 | -0.000 |
| 0.006 | -0.005 | 0.017 | 0.000 | 181.133 | -0.000 |
| -0.002 | -0.013 | 0.009 | -0.000 | -0.000 | 243.084 |
| 474.232 | 93.091 | 105.329 | 0.000 | -0.000 | 0.000 |
| 86.003 | 472.865 | 113.819 | 0.000 | 0.000 | 0.000 |
| 20.915 | 20.915 | 631.210 | 0.000 | -0.000 | -0.000 |
| -24.457 | -24.456 | 49.086 | 156.725 | -0.000 | 0.000 |
| 0.000 | 0.001 | -0.001 | -0.000 | 181.135 | -0.000 |
| -24.365 | -24.365 | 48.902 | 0.000 | 0.000 | 190.679 |
| 513.810 | 137.404 | 21.147 | -0.000 | 0.000 | -0.000 |
| 132.162 | 519.049 | 21.151 | -0.000 | 0.000 | 0.000 |
| 88.095 | 88.095 | 496.379 | -0.000 | 0.000 | -0.000 |
| 24.457 | 24.456 | -49.086 | 156.725 | 0.000 | -0.000 |
| -0.000 | -0.001 | 0.001 | 0.000 | 181.135 | -0.000 |
| 24.365 | 24.365 | -48.902 | -0.000 | 0.000 | 190.679 |
| 496.327 | 113.763 | 62.340 | -34.829 | -0.000 | -0.000 |
| 113.772 | 496.338 | 62.297 | 34.810 | -0.000 | 0.000 |
| 64.275 | 64.275 | 543.836 | 0.000 | -0.000 | -0.000 |
| -34.013 | 33.891 | -0.055 | 159.696 | -0.000 | -0.000 |
| -0.065 | -0.065 | -0.024 | -0.000 | 159.691 | -33.949 |
| -0.049 | -0.049 | -0.049 | -0.000 | -52.348 | 243.069 |
| 496.492 | 113.930 | 62.391 | -34.806 | 0.000 | 0.000 |
| 109.139 | 497.502 | 66.172 | 33.204 | 0.000 | 0.000 |
| 21.101 | 21.101 | 630.626 | 0.000 | 0.000 | 0.000 |
| -33.870 | 34.051 | 0.084 | 159.702 | 0.000 | 0.000 |
| 0.065 | 0.065 | 0.024 | -0.000 | 159.691 | -33.949 |
| 0.049 | 0.049 | 0.049 | 0.000 | -52.348 | 243.069 |
| 497.399 | 109.044 | 66.144 | -33.206 | -0.000 | -0.000 |
| 113.838 | 496.398 | 62.345 | 34.815 | 0.000 | -0.000 |
| 64.363 | 64.363 | 543.859 | 0.000 | -0.000 | -0.000 |
| -52.353 | 52.336 | -0.009 | 181.371 | -0.000 | -0.000 |
| -0.007 | -0.007 | -0.003 | -0.000 | 159.704 | -33.959 |
| -0.007 | -0.010 | -0.002 | -0.001 | -32.837 | 193.233 |
| 568.855 | 82.732 | 21.042 | -52.345 | 0.000 | 0.000 |
| 113.854 | 496.413 | 62.359 | 34.816 | 0.000 | 0.000 |
| 64.380 | 64.380 | 543.869 | -0.000 | 0.000 | 0.000 |
| -33.951 | 33.968 | 0.005 | 159.705 | 0.000 | 0.000 |
| 0.007 | 0.007 | 0.003 | 0.000 | 159.704 | -33.959 |
| 0.007 | 0.010 | 0.002 | 0.001 | -32.837 | 193.233 |
| 568.848 | 82.724 | 21.035 | -52.345 | -0.000 | -0.000 |
| 82.724 | 568.848 | 21.035 | 52.345 | 0.000 | -0.000 |
| 64.359 | 64.359 | 543.888 | 0.000 | -0.000 | -0.000 |
| -33.960 | 33.958 | -0.001 | 159.704 | 0.000 | -0.000 |
| -0.000 | -0.000 | -0.001 | -0.000 | 181.372 | -52.345 |
| -0.001 | -0.001 | -0.000 | -0.000 | -32.837 | 193.234 |
| 496.405 | 113.848 | 62.355 | -34.815 | 0.000 | 0.000 |
| 113.847 | 496.408 | 62.352 | 34.815 | 0.000 | 0.000 |
| 64.374 | 64.374 | 543.859 | -0.000 | 0.000 | 0.000 |
| -33.958 | 33.960 | 0.000 | 159.704 | -0.000 | 0.000 |
| 0.000 | 0.000 | 0.001 | 0.000 | 181.372 | -52.345 |
| 0.001 | 0.001 | 0.000 | 0.000 | -32.837 | 193.234 |
| 568.753 | 82.602 | 21.123 | 52.321 | -0.000 | -0.000 |
| 85.288 | 475.730 | 111.676 | -33.582 | 0.000 | 0.000 |
| 41.890 | 41.890 | 589.018 | -0.000 | 0.000 | 0.000 |
| 11.273 | -56.562 | 45.438 | 159.535 | 0.000 | -0.000 |
| 0.005 | -0.007 | 0.017 | 0.004 | 181.236 | 52.320 |
| 0.010 | 0.005 | 0.015 | 0.000 | 52.321 | 243.079 |
| 568.750 | 82.599 | 21.099 | 52.321 | 0.000 | 0.000 |
| 82.603 | 568.744 | 21.087 | -52.321 | -0.000 | -0.000 |
| 87.011 | 87.011 | 498.568 | -0.000 | -0.000 | -0.000 |
| 52.325 | -52.325 | -0.029 | 181.233 | 0.000 | 0.000 |
| -0.005 | 0.007 | -0.017 | -0.004 | 181.236 | 52.320 |
| -0.010 | -0.005 | -0.015 | -0.000 | 52.321 | 243.079 |
| 494.032 | 111.529 | 67.007 | 34.708 | 0.000 | -0.000 |
| 112.098 | 490.947 | 69.528 | -33.801 | -0.000 | 0.000 |
| 62.106 | 62.106 | 548.494 | -0.000 | 0.000 | -0.000 |
| 31.692 | -36.212 | 4.536 | 159.579 | -0.000 | 0.000 |
| 0.001 | -0.000 | 0.003 | 0.000 | 181.234 | 52.320 |
| 0.001 | -0.000 | 0.001 | -0.000 | 52.320 | 243.076 |
| 568.750 | 82.600 | 21.108 | 52.320 | 0.000 | 0.000 |
| 115.847 | 498.741 | 57.950 | -34.888 | -0.000 | -0.000 |
| 66.626 | 66.626 | 539.424 | 0.000 | -0.000 | -0.000 |
| 36.211 | -31.692 | -4.537 | 159.579 | 0.000 | -0.000 |
| -0.001 | 0.000 | -0.003 | -0.000 | 181.234 | 52.320 |
| -0.001 | 0.000 | -0.001 | 0.000 | 52.320 | 243.076 |
| 496.153 | 113.481 | 62.921 | 34.785 | 0.000 | 0.000 |
| 108.613 | 497.186 | 66.765 | -33.216 | 0.000 | -0.000 |
| 64.143 | 64.143 | 544.406 | 0.000 | 0.000 | 0.000 |
| 33.727 | -34.180 | 0.454 | 159.580 | 0.000 | 0.000 |
| 0.000 | 0.000 | 0.000 | 0.000 | 181.234 | 52.321 |
| -0.204 | -0.205 | 0.410 | 0.000 | 35.648 | 192.268 |
| 568.752 | 82.601 | 21.112 | 52.320 | 0.000 | 0.000 |
| 109.101 | 497.603 | 65.853 | -33.202 | -0.000 | -0.000 |
| 64.591 | 64.591 | 543.504 | -0.000 | -0.000 | -0.000 |
| 34.179 | -33.727 | -0.454 | 159.580 | -0.000 | -0.000 |
| -0.000 | -0.000 | -0.000 | -0.000 | 181.234 | 52.321 |
| 0.204 | 0.205 | -0.410 | -0.000 | 35.648 | 192.268 |
| 401.149 | 34.468 | 237.024 | 0.001 | 0.000 | 0.000 |
| 34.156 | 404.167 | 234.289 | 0.002 | 0.000 | -0.000 |
| 21.046 | 21.046 | 630.516 | -0.000 | 0.000 | -0.000 |
| -86.074 | -86.072 | 172.227 | 159.705 | -0.000 | 0.000 |
| -86.088 | -86.117 | 172.204 | 0.000 | 159.704 | 0.000 |
| 0.005 | 0.031 | -0.021 | 0.000 | -0.000 | 243.067 |
| 568.782 | 82.669 | 21.008 | -0.001 | 0.000 | 0.000 |
| 82.712 | 568.838 | 21.058 | 0.000 | 0.000 | 0.000 |
| 150.469 | 150.469 | 371.668 | -0.000 | 0.000 | -0.000 |
| 86.101 | 86.110 | -172.210 | 159.710 | 0.000 | -0.000 |
| 86.088 | 86.117 | -172.204 | -0.000 | 159.704 | -0.000 |
| -0.005 | -0.031 | 0.022 | -0.000 | -0.000 | 243.067 |
| 484.486 | 112.853 | 75.263 | 0.000 | -0.000 | 0.000 |
| 99.936 | 489.167 | 83.510 | -0.000 | -0.000 | 0.000 |
| 55.760 | 55.760 | 561.087 | -0.000 | -0.000 | 0.000 |
| 0.004 | 0.004 | 0.001 | 181.372 | 0.000 | 0.000 |
| 0.000 | 0.002 | -0.002 | 0.000 | 181.372 | 0.000 |
| -9.102 | -9.103 | 18.212 | -0.000 | 0.000 | 193.402 |
| 503.388 | 129.032 | 40.179 | -0.000 | 0.000 | -0.000 |
| 82.722 | 568.846 | 21.038 | -0.000 | 0.000 | -0.000 |
| 21.035 | 21.035 | 630.537 | 0.000 | 0.000 | -0.000 |
| -0.004 | -0.004 | -0.001 | 181.372 | -0.000 | 0.000 |
| -0.000 | -0.002 | 0.002 | -0.000 | 181.372 | 0.000 |
| 9.102 | 9.103 | -18.212 | 0.000 | 0.000 | 193.402 |
| 496.544 | 108.146 | 67.918 | 0.000 | -0.000 | 0.000 |
| 120.510 | 493.111 | 58.988 | 0.000 | -0.000 | 0.000 |
| 63.508 | 63.508 | 545.592 | -0.000 | -0.000 | 0.000 |
| 0.001 | 0.000 | 0.000 | 181.372 | -0.000 | 0.000 |
| 0.000 | 0.000 | -0.000 | -0.000 | 181.372 | -0.000 |
| 0.000 | 0.001 | -0.000 | 0.000 | -0.000 | 243.061 |
| 498.179 | 109.997 | 64.429 | 0.000 | 0.000 | -0.000 |
| 109.994 | 498.187 | 64.424 | -0.000 | 0.000 | -0.000 |
| 65.229 | 65.229 | 542.145 | 0.000 | 0.000 | -0.000 |
| -0.001 | -0.000 | -0.000 | 181.372 | 0.000 | -0.000 |
| 0.861 | 0.861 | -1.722 | -0.000 | 159.705 | -0.000 |
| -0.000 | -0.001 | 0.000 | -0.000 | -0.000 | 243.061 |
| 568.679 | 82.502 | 21.183 | 0.002 | 0.000 | -0.000 |
| 82.500 | 568.667 | 21.180 | 0.000 | 0.000 | -0.000 |
| 20.906 | 20.906 | 631.255 | 0.000 | 0.000 | -0.000 |
| 0.007 | 0.005 | 0.009 | 181.120 | 0.000 | -0.000 |
| -38.504 | -38.456 | 77.234 | -0.022 | 157.907 | 0.015 |
| -31.729 | -31.741 | 63.699 | 0.005 | 0.003 | 191.069 |
| 522.346 | 167.617 | -17.780 | 0.002 | 0.000 | -0.000 |
| 82.488 | 568.661 | 21.165 | 0.001 | -0.000 | 0.000 |
| 102.375 | 102.376 | 467.664 | -0.000 | -0.000 | 0.000 |
| 0.001 | -0.002 | -0.009 | 181.118 | -0.000 | 0.000 |
| 38.504 | 38.456 | -77.234 | 0.022 | 157.907 | 0.015 |
| 31.729 | 31.741 | -63.699 | -0.005 | 0.003 | 191.069 |
| 568.666 | 82.495 | 21.175 | -0.000 | 0.000 | -0.000 |
| 105.084 | 493.388 | 74.064 | -0.000 | -0.000 | 0.000 |
| 20.906 | 20.906 | 631.260 | 0.000 | 0.000 | -0.000 |
| -3.643 | -3.643 | 7.318 | 158.905 | -0.000 | -0.000 |
| -3.645 | -3.645 | 7.317 | -0.000 | 158.905 | 0.000 |
| -0.000 | -0.000 | -0.000 | 0.000 | 0.000 | 243.086 |
| 568.666 | 82.496 | 21.174 | -0.000 | -0.000 | 0.000 |
| 112.810 | 500.104 | 59.567 | 0.000 | -0.000 | -0.000 |
| 68.193 | 68.193 | 536.331 | -0.000 | -0.000 | -0.000 |
| -0.000 | 0.000 | -0.001 | 181.117 | -0.000 | 0.000 |
| 3.645 | 3.645 | -7.317 | 0.000 | 158.905 | 0.000 |
| 0.000 | 0.000 | 0.000 | -0.000 | 0.000 | 243.086 |
| 493.630 | 120.638 | 58.208 | 0.000 | 0.000 | -0.000 |
| 120.639 | 493.628 | 58.210 | -0.000 | -0.000 | -0.000 |
| 63.997 | 63.997 | 544.753 | 0.000 | 0.000 | 0.000 |
| -0.355 | -0.355 | 0.713 | 159.469 | 0.000 | 0.000 |
| -0.355 | -0.355 | 0.713 | 0.000 | 159.469 | -0.000 |
| 0.000 | 0.000 | 0.000 | 0.000 | 0.000 | 243.085 |
| 497.651 | 109.092 | 65.758 | 0.000 | -0.000 | -0.000 |
| 121.344 | 494.348 | 56.775 | 0.000 | -0.000 | -0.000 |
| 64.715 | 64.715 | 543.307 | -0.000 | -0.000 | -0.000 |
| 0.353 | 0.353 | -0.709 | 159.476 | -0.000 | 0.000 |
| 0.355 | 0.355 | -0.713 | -0.000 | 159.469 | -0.000 |
| -0.000 | -0.000 | -0.000 | -0.000 | 0.000 | 243.085 |
| 568.882 | 82.778 | 21.033 | 0.001 | -0.000 | 0.000 |
| 82.718 | 568.844 | 20.981 | 0.000 | -0.000 | 0.000 |
| 21.027 | 21.028 | 630.508 | 0.000 | -0.000 | 0.000 |
| 0.035 | 0.030 | -0.003 | 181.374 | -0.000 | 0.000 |
| -0.005 | 0.012 | -0.023 | -0.002 | 181.378 | -0.002 |
| 0.010 | 0.020 | 0.000 | -0.001 | -0.001 | 243.061 |
| 568.786 | 82.655 | 21.018 | -0.002 | -0.000 | -0.000 |
| 115.372 | 497.042 | 60.180 | -0.000 | 0.000 | -0.000 |
| 21.012 | 21.012 | 630.564 | -0.000 | 0.000 | -0.000 |
| -0.028 | -0.027 | 0.014 | 181.375 | 0.000 | -0.000 |
| 0.006 | -0.012 | 0.023 | 0.002 | 181.378 | -0.002 |
| -0.010 | -0.020 | -0.000 | 0.001 | -0.001 | 243.061 |
| 499.242 | 107.706 | 65.662 | 0.000 | 0.000 | -0.000 |
| 82.726 | 568.849 | 21.033 | -0.000 | -0.000 | 0.000 |
| 64.372 | 64.372 | 543.859 | 0.000 | 0.000 | -0.000 |
| 0.003 | 0.004 | -0.000 | 159.704 | -0.000 | 0.000 |
| -0.000 | 0.002 | -0.006 | 0.000 | 159.704 | -0.000 |
| -0.002 | -0.000 | -0.003 | -0.000 | -0.000 | 243.061 |
| 568.848 | 82.724 | 21.039 | -0.000 | 0.000 | -0.000 |
| 107.699 | 499.236 | 65.664 | -0.000 | -0.000 | 0.000 |
| 64.377 | 64.377 | 543.857 | -0.000 | -0.000 | 0.000 |
| -0.001 | -0.003 | 0.002 | 181.372 | 0.000 | -0.000 |
| 0.000 | -0.002 | 0.006 | -0.000 | 159.704 | -0.000 |
| 0.002 | 0.000 | 0.003 | 0.000 | -0.000 | 243.061 |
| 499.246 | 107.703 | 65.659 | -0.000 | -0.000 | -0.000 |
| 107.706 | 499.238 | 65.665 | -0.000 | 0.000 | -0.000 |
| 64.372 | 64.372 | 543.865 | 0.000 | -0.000 | 0.000 |
| 0.000 | 0.000 | 0.000 | 181.372 | -0.000 | 0.000 |
| -0.000 | 0.000 | -0.000 | 0.000 | 159.704 | 0.000 |
| 0.000 | 0.000 | -0.000 | -0.000 | -0.000 | 243.061 |
| 499.239 | 107.704 | 65.662 | -0.000 | -0.000 | 0.000 |
| 118.513 | 487.748 | 66.344 | -0.000 | 0.000 | -0.000 |
| 64.369 | 64.369 | 543.866 | -0.000 | -0.000 | 0.000 |
| -0.000 | -0.000 | 0.000 | 181.372 | 0.000 | -0.000 |
| 0.000 | -0.000 | 0.000 | -0.000 | 159.704 | 0.000 |
| -0.000 | -0.000 | 0.000 | 0.000 | 0.000 | 243.061 |
| 1420.847 | 1094.098 | -1848.816 | 0.004 | 0.000 | 0.000 |
| 82.521 | 568.688 | 21.171 | 0.001 | 0.000 | 0.000 |
| 1040.744 | 1040.744 | -1415.288 | 0.000 | 0.000 | 0.000 |
| 477.273 | 477.282 | -957.727 | 162.509 | 0.000 | -0.000 |
| 0.003 | 0.000 | 0.006 | -0.002 | 181.147 | -0.003 |
| 0.009 | 0.002 | 0.015 | -0.001 | -0.000 | 243.086 |
| -500.787 | -830.105 | 2009.878 | -0.001 | -0.000 | -0.000 |
| -830.098 | -500.790 | 2009.892 | 0.004 | -0.000 | -0.000 |
| 20.919 | 20.919 | 631.169 | -0.000 | -0.000 | 0.000 |
| -961.624 | -961.628 | 1929.690 | 143.816 | -0.000 | -0.000 |
| -0.003 | -0.000 | -0.006 | 0.002 | 181.146 | -0.003 |
| -0.009 | -0.002 | -0.015 | 0.001 | -0.000 | 243.086 |
| 547.615 | 225.743 | -101.393 | 0.000 | 0.000 | 0.000 |
| 155.944 | 551.171 | -34.928 | 0.001 | 0.000 | 0.000 |
| 20.922 | 20.922 | 631.182 | 0.000 | 0.000 | -0.000 |
| 94.744 | 94.742 | -190.120 | 144.364 | 0.000 | 0.000 |
| 0.000 | -0.000 | 0.001 | -0.000 | 181.148 | 0.000 |
| 0.000 | -0.000 | 0.000 | -0.000 | -0.000 | 243.084 |
| 450.754 | 61.881 | 160.202 | 0.000 | -0.000 | -0.000 |
| 33.330 | 376.768 | 263.082 | 0.000 | -0.000 | -0.000 |
| 4.734 | 4.734 | 663.667 | -0.000 | -0.000 | 0.000 |
| -94.734 | -94.733 | 190.104 | 144.367 | -0.000 | -0.000 |
| -0.000 | 0.000 | -0.001 | 0.000 | 181.148 | 0.000 |
| -0.000 | 0.000 | -0.000 | 0.000 | -0.000 | 243.084 |
| 500.464 | 115.277 | 56.753 | 0.000 | 0.000 | 0.000 |
| 115.278 | 500.462 | 56.754 | -0.000 | 0.000 | 0.000 |
| 71.710 | 71.710 | 529.266 | 0.000 | 0.000 | 0.000 |
| 0.000 | 0.000 | 0.000 | 181.148 | 0.000 | -0.000 |
| 5.436 | 5.436 | -10.909 | 0.000 | 159.937 | 0.000 |
| 6.263 | 6.263 | -12.568 | 0.000 | 0.000 | 191.592 |
| 490.216 | 102.475 | 79.877 | 0.000 | -0.000 | -0.000 |
| 107.740 | 492.259 | 72.545 | -0.000 | -0.000 | -0.000 |
| 58.976 | 58.976 | 554.817 | -0.000 | -0.000 | -0.000 |
| -0.000 | -0.000 | -0.000 | 181.148 | -0.000 | 0.000 |
| -5.436 | -5.436 | 10.909 | -0.000 | 159.937 | 0.000 |
| -6.263 | -6.263 | 12.568 | -0.000 | -0.000 | 191.592 |
| 496.658 | 109.629 | 66.386 | -0.000 | 0.000 | -0.000 |
| 109.648 | 496.665 | 66.416 | -0.000 | -0.000 | 0.000 |
| 21.046 | 21.046 | 630.516 | -0.000 | 0.000 | 0.000 |
| 0.028 | 0.004 | 0.005 | 159.705 | 0.000 | -0.000 |
| 0.007 | -0.007 | 0.000 | -0.000 | 159.713 | -0.000 |
| 0.030 | 0.041 | -0.005 | -0.000 | 0.000 | 192.441 |
| 496.615 | 109.585 | 66.366 | 0.000 | -0.000 | 0.000 |
| 109.578 | 496.607 | 66.332 | 0.000 | -0.000 | 0.000 |
| 64.375 | 64.375 | 543.857 | 0.000 | -0.000 | 0.000 |
| -0.028 | -0.003 | -0.006 | 159.705 | 0.000 | 0.000 |
| -0.007 | 0.007 | -0.000 | 0.000 | 159.713 | 0.000 |
| -0.030 | -0.041 | 0.005 | 0.000 | -0.000 | 192.441 |
| 568.851 | 82.729 | 21.035 | 0.000 | 0.000 | 0.000 |
| 82.725 | 568.845 | 21.036 | -0.000 | -0.000 | 0.000 |
| 64.374 | 64.374 | 543.860 | -0.000 | -0.000 | -0.000 |
| 0.001 | 0.001 | -0.004 | 159.704 | 0.000 | -0.000 |
| -0.002 | -0.000 | -0.005 | -0.000 | 159.704 | -0.000 |
| 0.001 | -0.000 | -0.001 | -0.000 | -0.000 | 192.444 |
| 568.841 | 82.720 | 21.031 | 0.000 | 0.000 | -0.000 |
| 109.601 | 496.631 | 66.365 | 0.000 | -0.000 | 0.000 |
| 21.035 | 21.035 | 630.537 | -0.000 | -0.000 | -0.000 |
| -0.001 | -0.001 | 0.004 | 159.704 | 0.000 | -0.000 |
| 0.002 | 0.000 | 0.005 | 0.000 | 159.704 | 0.000 |
| -0.001 | 0.000 | 0.001 | 0.000 | -0.000 | 192.444 |
| 568.849 | 82.725 | 21.036 | 0.000 | -0.000 | 0.000 |
| 121.261 | 486.291 | 65.056 | -0.000 | -0.000 | -0.000 |
| 64.323 | 64.323 | 543.963 | -0.000 | 0.000 | -0.000 |
| 0.000 | -0.000 | 0.000 | 159.704 | 0.000 | -0.000 |
| 0.000 | 0.001 | 0.000 | -0.000 | 159.704 | 0.000 |
| -0.000 | 0.000 | -0.000 | -0.000 | -0.000 | 192.446 |
| 496.629 | 109.606 | 66.371 | -0.000 | -0.000 | 0.000 |
| 124.186 | 492.623 | 55.796 | -0.000 | 0.000 | -0.000 |
| 64.368 | 64.368 | 543.866 | 0.000 | -0.000 | 0.000 |
| -0.000 | 0.000 | -0.000 | 159.704 | -0.000 | 0.000 |
| -0.000 | -0.001 | -0.000 | 0.000 | 159.704 | 0.000 |
| 0.000 | -0.000 | 0.000 | 0.000 | -0.000 | 192.446 |
| 988.193 | 627.255 | -947.387 | -0.003 | 0.001 | -0.000 |
| 448.006 | 829.919 | -608.384 | 0.003 | 0.000 | -0.000 |
| 393.133 | 393.132 | -116.407 | -0.001 | 0.000 | -0.000 |
| -0.007 | -0.008 | -0.005 | 181.079 | -0.000 | 0.000 |
| 509.448 | 509.446 | -1023.373 | -0.003 | 152.484 | -0.001 |
| 509.430 | 509.428 | -1023.311 | -0.003 | 0.001 | 180.656 |
| 568.648 | 82.470 | 21.200 | -0.001 | 0.000 | 0.000 |
| -391.746 | -30.063 | 1098.814 | 0.000 | -0.001 | 0.000 |
| 20.896 | 20.896 | 631.385 | -0.000 | 0.000 | 0.000 |
| -509.292 | -509.292 | 1023.052 | 152.493 | -0.001 | 0.000 |
| -509.448 | -509.446 | 1023.373 | 0.003 | 152.482 | -0.001 |
| -406.786 | -406.783 | 817.152 | 0.008 | 0.001 | 192.047 |
| 568.639 | 82.460 | 21.196 | 0.000 | -0.000 | -0.000 |
| 148.242 | 531.386 | -7.459 | -0.000 | 0.000 | -0.000 |
| 122.021 | 122.021 | 428.216 | -0.000 | 0.000 | -0.000 |
| 50.543 | 50.543 | -101.528 | 152.708 | 0.000 | -0.000 |
| -0.001 | -0.001 | -0.001 | 0.000 | 181.078 | -0.000 |
| 50.303 | 50.302 | -101.047 | -0.000 | -0.000 | 181.437 |
| 454.568 | 80.160 | 138.076 | -0.001 | -0.000 | 0.000 |
| 70.214 | 454.787 | 147.846 | 0.000 | -0.000 | 0.000 |
| 20.887 | 20.887 | 631.375 | 0.000 | 0.000 | 0.000 |
| -50.542 | -50.542 | 101.528 | 152.709 | -0.000 | 0.000 |
| 0.001 | 0.001 | 0.001 | -0.000 | 181.078 | -0.000 |
| -50.303 | -50.302 | 101.047 | 0.000 | -0.000 | 181.437 |
| 568.640 | 82.460 | 21.196 | -0.000 | -0.000 | -0.000 |
| 121.371 | 499.049 | 52.010 | -0.000 | 0.000 | -0.000 |
| 69.034 | 69.034 | 534.657 | -0.000 | 0.000 | -0.000 |
| 4.137 | 4.137 | -8.311 | 157.855 | 0.000 | -0.000 |
| 3.824 | 3.824 | -7.682 | 0.000 | 159.523 | 0.000 |
| 4.243 | 4.243 | -8.523 | -0.000 | 0.000 | 191.087 |
| 491.281 | 105.538 | 75.712 | -0.000 | -0.000 | 0.000 |
| 105.542 | 491.267 | 75.722 | 0.000 | -0.000 | 0.000 |
| 61.551 | 61.551 | 549.686 | 0.000 | -0.000 | 0.000 |
| -3.742 | -3.742 | 7.517 | 159.943 | -0.000 | 0.000 |
| -3.824 | -3.824 | 7.682 | -0.000 | 159.523 | 0.000 |
| -4.625 | -4.626 | 9.292 | 0.000 | -0.000 | 189.317 |
| 489.508 | 116.586 | 66.568 | -13.873 | -0.000 | 0.000 |
| 106.989 | 499.519 | 66.081 | 13.950 | -0.000 | 0.000 |
| 64.070 | 64.070 | 544.467 | 0.000 | -0.000 | 0.000 |
| -14.419 | 13.901 | 0.610 | 159.711 | 0.000 | 0.000 |
| 0.000 | -0.024 | 0.024 | -0.002 | 181.377 | -21.812 |
| 0.022 | 0.008 | 0.035 | -0.001 | -21.809 | 243.060 |
| 500.123 | 107.589 | 64.900 | -13.952 | 0.000 | -0.000 |
| 107.560 | 500.079 | 64.913 | 13.949 | 0.000 | -0.000 |
| 20.990 | 20.990 | 630.406 | -0.000 | -0.000 | -0.000 |
| -21.837 | 21.812 | -0.073 | 181.377 | 0.000 | -0.000 |
| -0.000 | 0.024 | -0.024 | 0.002 | 181.377 | -21.812 |
| -0.022 | -0.008 | -0.035 | 0.001 | -21.809 | 243.060 |
| 568.846 | 82.722 | 21.038 | -21.811 | -0.000 | 0.000 |
| 107.255 | 499.796 | 65.563 | 13.950 | -0.000 | 0.000 |
| 64.341 | 64.341 | 543.926 | -0.000 | -0.000 | 0.000 |
| -14.177 | 14.122 | 0.058 | 159.704 | -0.000 | 0.000 |
| 0.000 | -0.002 | 0.002 | -0.000 | 181.372 | -21.810 |
| 0.000 | -0.002 | 0.002 | -0.000 | -21.810 | 243.061 |
| 499.850 | 107.310 | 65.442 | -13.950 | -0.000 | 0.000 |
| 82.726 | 568.850 | 21.031 | 21.810 | 0.000 | -0.000 |
| 64.398 | 64.398 | 543.811 | 0.000 | 0.000 | -0.000 |
| -14.122 | 14.177 | -0.059 | 159.704 | 0.000 | -0.000 |
| -0.000 | 0.002 | -0.002 | 0.000 | 181.372 | -21.810 |
| -0.000 | 0.002 | -0.002 | 0.000 | -21.810 | 243.061 |
| 499.819 | 107.281 | 65.509 | -13.950 | -0.000 | -0.000 |
| 107.260 | 499.878 | 65.471 | 13.956 | -0.000 | 0.000 |
| 21.035 | 21.035 | 630.539 | 0.000 | 0.000 | -0.000 |
| -14.153 | 14.147 | 0.006 | 159.704 | 0.000 | 0.000 |
| 0.000 | -0.000 | 0.000 | -0.000 | 181.372 | -21.810 |
| 0.000 | 0.000 | 0.000 | -0.000 | -21.810 | 243.061 |
| 499.823 | 107.285 | 65.496 | -13.950 | 0.000 | -0.000 |
| 113.712 | 497.993 | 60.899 | 14.762 | -0.000 | 0.000 |
| 21.035 | 21.035 | 630.532 | 0.000 | -0.000 | -0.000 |
| -14.147 | 14.153 | -0.006 | 159.704 | 0.000 | 0.000 |
| -0.000 | 0.000 | -0.000 | 0.000 | 181.372 | -21.810 |
| -0.000 | -0.000 | -0.000 | 0.000 | -21.810 | 243.061 |
| 568.387 | 82.113 | 21.431 | -21.761 | 0.000 | -0.000 |
| 82.111 | 568.379 | 21.429 | 21.761 | 0.000 | 0.000 |
| 1037.042 | 1037.045 | -1421.586 | 0.000 | 0.000 | -0.000 |
| 961.330 | 991.365 | -1973.287 | 161.581 | -0.000 | -0.000 |
| 1663.251 | 1663.239 | -3361.509 | -0.002 | 148.703 | -10.484 |
| 1663.374 | 1663.380 | -3361.776 | 0.002 | -10.479 | 176.059 |
| -1191.066 | -1543.425 | 3442.019 | -10.503 | 0.000 | 0.000 |
| -1543.444 | -1191.081 | 3442.012 | 10.501 | 0.000 | 0.000 |
| -915.873 | -915.875 | 2525.374 | -0.000 | -0.000 | 0.000 |
| -991.429 | -961.394 | 1973.335 | 161.580 | 0.000 | 0.000 |
| -1663.251 | -1663.239 | 3361.510 | 0.002 | 148.703 | -10.484 |
| -1663.374 | -1663.380 | 3361.776 | -0.002 | -10.478 | 176.059 |
| 605.120 | 218.698 | -153.753 | -14.371 | -0.000 | -0.000 |
| 285.544 | 636.233 | -252.742 | 10.357 | -0.000 | -0.000 |
| 186.332 | 186.332 | 297.780 | 0.000 | -0.000 | -0.000 |
| 82.620 | 112.665 | -197.342 | 161.579 | -0.000 | -0.000 |
| 166.064 | 166.063 | -335.621 | -0.000 | 148.752 | -10.496 |
| 120.399 | 120.400 | -243.336 | -0.000 | -13.666 | 195.526 |
| 568.368 | 82.097 | 21.428 | -21.759 | 0.000 | 0.000 |
| 10.890 | 404.275 | 259.201 | 14.958 | 0.000 | 0.000 |
| -83.287 | -83.288 | 842.706 | -0.000 | 0.000 | 0.000 |
| -112.734 | -82.700 | 197.492 | 161.565 | 0.000 | 0.000 |
| -166.064 | -166.063 | 335.621 | 0.000 | 148.752 | -10.496 |
| -120.399 | -120.400 | 243.336 | 0.000 | -13.666 | 195.526 |
| 496.945 | 126.733 | 48.497 | -11.999 | -0.000 | -0.000 |
| 126.729 | 496.952 | 48.494 | 12.000 | -0.000 | -0.000 |
| 20.683 | 20.683 | 632.575 | 0.000 | 0.000 | -0.000 |
| -3.314 | 25.183 | -22.098 | 159.386 | -0.000 | -0.000 |
| 15.043 | 15.044 | -30.404 | -0.000 | 151.756 | -11.556 |
| 0.000 | 0.000 | 0.000 | -0.000 | -21.759 | 243.135 |
| 475.368 | 96.811 | 100.535 | -12.701 | 0.000 | 0.000 |
| 97.218 | 484.741 | 90.652 | 13.952 | -0.000 | 0.000 |
| 61.747 | 61.747 | 549.579 | -0.000 | 0.000 | 0.000 |
| -24.948 | 4.434 | 20.729 | 160.640 | 0.000 | 0.000 |
| -15.043 | -15.044 | 30.404 | 0.000 | 151.756 | -11.556 |
| -0.000 | -0.000 | -0.000 | 0.000 | -21.759 | 243.135 |
| 61.637 | -277.986 | 899.431 | 6.762 | -0.000 | -0.000 |
| 63.725 | 452.225 | 157.489 | -9.012 | 0.000 | -0.000 |
| -0.646 | -0.645 | 676.096 | 0.000 | 0.000 | 0.000 |
| 9.658 | -9.671 | 0.009 | 180.491 | 0.000 | 0.000 |
| 0.000 | -0.006 | 0.006 | -0.002 | 180.487 | 9.664 |
| -1041.124 | -1041.107 | 2109.629 | 0.004 | 2.955 | 149.872 |
| 1231.278 | 840.242 | -1418.514 | 5.115 | 0.000 | -0.000 |
| 1184.813 | 1482.609 | -2022.248 | -2.879 | 0.000 | 0.000 |
| 798.969 | 798.969 | -944.098 | 0.000 | -0.000 | -0.000 |
| 1044.250 | 1038.346 | -2110.027 | 137.674 | 0.000 | -0.000 |
| 0.000 | 0.006 | -0.006 | 0.002 | 180.487 | 9.664 |
| 1041.124 | 1041.107 | -2109.629 | -0.004 | 2.955 | 149.872 |
| 486.657 | 114.851 | 70.829 | 8.329 | -0.000 | 0.000 |
| 81.936 | 568.237 | 21.524 | -9.665 | 0.000 | 0.000 |
| 20.591 | 20.591 | 633.074 | 0.000 | 0.000 | 0.000 |
| -98.952 | -105.127 | 206.765 | 138.533 | -0.000 | -0.000 |
| -102.039 | -102.038 | 206.766 | 0.001 | 138.532 | 3.088 |
| -6.112 | -6.117 | 12.388 | -0.001 | 9.035 | 194.482 |
| 534.526 | 243.423 | -107.934 | 2.643 | 0.000 | -0.000 |
| 81.937 | 568.238 | 21.524 | -9.665 | 0.000 | 0.000 |
| 135.554 | 135.554 | 400.125 | 0.000 | -0.000 | -0.000 |
| 105.127 | 98.952 | -206.766 | 138.532 | 0.000 | -0.000 |
| 102.039 | 102.038 | -206.766 | -0.001 | 138.532 | 3.088 |
| 6.112 | 6.117 | -12.388 | 0.001 | 9.035 | 194.482 |
| 568.239 | 81.937 | 21.524 | 9.665 | -0.000 | 0.000 |
| 103.935 | 487.154 | 81.389 | -5.957 | -0.000 | 0.000 |
| 57.347 | 57.347 | 558.600 | 0.000 | 0.000 | 0.000 |
| 9.665 | -9.665 | -0.000 | 180.489 | -0.000 | 0.000 |
| -0.000 | 0.000 | -0.000 | -0.000 | 180.489 | 9.665 |
| 0.000 | 0.000 | 0.000 | 0.000 | 9.665 | 243.151 |
| 568.236 | 81.936 | 21.524 | 9.665 | 0.000 | 0.000 |
| 117.133 | 492.133 | 62.969 | -5.572 | -0.000 | 0.000 |
| 71.686 | 71.686 | 529.539 | -0.000 | -0.000 | -0.000 |
| 11.879 | 0.582 | -12.624 | 154.872 | 0.000 | -0.000 |
| 0.000 | -0.000 | 0.000 | 0.000 | 180.489 | 9.665 |
| -0.000 | -0.000 | -0.000 | -0.000 | 9.665 | 243.151 |
| 493.662 | 122.846 | 56.116 | 9.807 | -0.000 | -0.000 |
| 82.735 | 568.870 | 20.993 | -13.777 | -0.000 | 0.000 |
| 21.110 | 21.110 | 630.542 | 0.000 | -0.000 | 0.000 |
| 13.814 | -13.741 | -0.000 | 181.374 | -0.000 | 0.000 |
| 0.240 | 0.228 | -0.431 | 0.002 | 159.697 | 8.935 |
| -0.038 | 0.166 | -0.067 | -0.026 | 11.280 | 187.393 |
| 486.312 | 120.536 | 65.787 | 8.821 | 0.000 | -0.000 |
| 122.451 | 493.138 | 57.008 | -9.789 | 0.000 | -0.000 |
| 21.004 | 21.004 | 630.554 | -0.000 | 0.000 | -0.000 |
| 13.730 | -13.811 | -0.008 | 181.372 | 0.000 | -0.000 |
| -0.240 | -0.228 | 0.431 | -0.002 | 159.697 | 8.935 |
| 0.038 | -0.166 | 0.067 | 0.026 | 11.280 | 187.393 |
| 568.849 | 82.728 | 21.034 | 13.775 | -0.000 | 0.000 |
| 109.349 | 497.040 | 66.224 | -8.725 | -0.000 | 0.000 |
| 64.386 | 64.386 | 543.832 | 0.000 | -0.000 | 0.000 |
| 13.776 | -13.773 | -0.003 | 181.372 | -0.000 | 0.000 |
| -0.000 | 0.002 | -0.003 | -0.000 | 181.372 | 13.775 |
| -0.001 | 0.001 | -0.003 | -0.000 | 13.775 | 243.061 |
| 568.844 | 82.720 | 21.037 | 13.775 | -0.000 | -0.000 |
| 120.754 | 486.474 | 65.378 | -8.829 | 0.000 | 0.000 |
| 64.355 | 64.355 | 543.899 | -0.000 | 0.000 | -0.000 |
| 13.775 | -13.776 | 0.004 | 181.372 | -0.000 | -0.000 |
| 0.000 | -0.002 | 0.003 | 0.000 | 181.372 | 13.775 |
| 0.001 | -0.001 | 0.003 | 0.000 | 13.775 | 243.061 |
| 493.395 | 122.645 | 56.569 | 9.807 | 0.000 | -0.000 |
| 122.646 | 493.392 | 56.570 | -9.807 | -0.000 | -0.000 |
| 64.375 | 64.375 | 543.858 | 0.000 | 0.000 | 0.000 |
| 8.939 | -8.934 | -0.004 | 159.704 | -0.000 | 0.000 |
| 0.002 | 0.002 | -0.005 | 0.000 | 159.704 | 8.937 |
| 0.001 | 0.002 | -0.002 | -0.000 | 11.275 | 187.390 |
| 493.389 | 122.640 | 56.576 | 9.807 | -0.000 | 0.000 |
| 109.319 | 497.018 | 66.269 | -8.725 | 0.000 | -0.000 |
| 64.367 | 64.367 | 543.871 | -0.000 | 0.000 | -0.000 |
| 8.934 | -8.939 | 0.004 | 159.704 | 0.000 | -0.000 |
| -0.002 | -0.002 | 0.005 | -0.000 | 159.704 | 8.937 |
| -0.001 | -0.002 | 0.002 | 0.000 | 11.275 | 187.390 |
| 811.870 | 418.016 | -560.647 | -10.636 | -0.000 | -0.000 |
| 575.556 | 946.503 | -854.356 | 9.106 | -0.000 | 0.000 |
| 372.462 | 372.464 | -75.325 | -0.000 | -0.000 | 0.000 |
| 298.928 | 320.076 | -622.234 | 166.752 | 0.000 | -0.000 |
| 1013.203 | 1013.197 | -2036.977 | -0.001 | 135.114 | -3.517 |
| 527.505 | 527.515 | -1060.506 | -0.001 | -8.466 | 194.196 |
| -576.214 | -865.304 | 2124.666 | -3.643 | 0.000 | -0.000 |
| -417.790 | -29.014 | 1124.782 | 8.491 | 0.000 | -0.000 |
| -922.268 | -922.268 | 2527.604 | 0.000 | 0.000 | 0.000 |
| -535.770 | -518.847 | 1060.096 | 157.289 | 0.000 | 0.000 |
| -1013.203 | -1013.197 | 2036.977 | 0.001 | 135.114 | -3.517 |
| -527.505 | -527.515 | 1060.506 | 0.001 | -8.466 | 194.196 |
| 522.183 | 244.323 | -94.867 | -3.066 | -0.000 | 0.000 |
| 82.411 | 568.604 | 21.229 | 13.759 | 0.000 | -0.000 |
| 173.771 | 173.771 | 324.120 | 0.000 | -0.000 | 0.000 |
| 94.958 | 102.514 | -198.504 | 136.285 | -0.000 | -0.000 |
| 32.269 | 32.270 | -64.875 | -0.000 | 166.155 | -10.442 |
| 31.782 | 31.781 | -63.892 | 0.000 | -10.491 | 195.605 |
| 568.602 | 82.410 | 21.228 | -13.758 | 0.000 | 0.000 |
| 72.750 | 443.845 | 156.348 | 9.049 | 0.000 | 0.000 |
| 10.502 | 10.502 | 652.360 | 0.000 | 0.000 | 0.000 |
| -102.515 | -94.958 | 198.503 | 136.286 | 0.000 | 0.000 |
| -32.269 | -32.270 | 64.875 | 0.000 | 166.155 | -10.442 |
| -31.782 | -31.781 | 63.892 | -0.000 | -10.491 | 195.605 |
| 500.365 | 123.108 | 48.914 | -9.773 | -0.000 | -0.000 |
| 123.109 | 500.363 | 48.915 | 9.773 | -0.000 | -0.000 |
| 69.216 | 69.216 | 534.323 | 0.000 | 0.000 | 0.000 |
| -4.543 | 13.659 | -9.163 | 160.145 | 0.000 | -0.000 |
| 4.558 | 4.558 | -9.163 | -0.000 | 160.145 | -9.101 |
| 5.526 | 5.526 | -11.110 | -0.000 | -8.173 | 188.680 |
| 488.169 | 104.916 | 79.457 | -8.475 | 0.000 | -0.000 |
| 115.815 | 489.307 | 67.357 | 9.520 | 0.000 | 0.000 |
| 62.125 | 62.125 | 548.575 | 0.000 | 0.000 | 0.000 |
| -13.698 | 2.397 | 11.360 | 155.421 | 0.000 | 0.000 |
| -4.558 | -4.558 | 9.163 | 0.000 | 160.145 | -9.101 |
| -5.526 | -5.526 | 11.110 | 0.000 | -8.173 | 188.680 |
| 568.884 | 82.741 | 21.084 | 6.713 | -0.000 | -0.000 |
| 109.492 | 500.285 | 62.903 | -4.275 | -0.000 | -0.000 |
| 65.854 | 65.854 | 541.121 | 0.000 | 0.000 | 0.000 |
| 5.792 | -2.924 | -2.800 | 159.702 | -0.000 | 0.000 |
| 1.416 | 1.431 | -2.847 | -0.000 | 159.714 | 4.355 |
| 0.017 | 0.009 | 0.025 | 0.001 | 6.712 | 243.055 |
| 568.846 | 82.722 | 21.033 | 6.712 | 0.000 | -0.000 |
| 115.094 | 494.961 | 62.510 | -4.591 | 0.000 | 0.000 |
| 62.944 | 62.944 | 546.719 | -0.000 | -0.000 | 0.000 |
| 2.907 | -5.795 | 2.796 | 159.703 | -0.000 | 0.000 |
| -1.416 | -1.431 | 2.847 | 0.000 | 159.714 | 4.355 |
| -0.017 | -0.009 | -0.025 | -0.001 | 6.712 | 243.055 |
| 568.846 | 82.723 | 21.038 | 6.711 | -0.000 | -0.000 |
| 82.727 | 568.847 | 21.037 | -6.711 | -0.000 | 0.000 |
| 64.511 | 64.511 | 543.584 | 0.000 | 0.000 | -0.000 |
| 6.713 | -6.710 | 0.004 | 181.373 | 0.000 | 0.000 |
| 0.000 | 0.000 | -0.000 | 0.000 | 181.372 | 6.711 |
| 0.002 | 0.001 | 0.004 | 0.000 | 6.711 | 243.062 |
| 568.841 | 82.720 | 21.031 | 6.711 | 0.000 | 0.000 |
| 116.283 | 496.353 | 59.969 | -4.607 | -0.000 | 0.000 |
| 64.231 | 64.231 | 544.145 | -0.000 | -0.000 | 0.000 |
| 6.708 | -6.713 | -0.004 | 181.373 | -0.000 | 0.000 |
| -0.000 | -0.000 | 0.000 | -0.000 | 181.372 | 6.711 |
| -0.002 | -0.001 | -0.004 | -0.000 | 6.711 | 243.062 |
| 568.849 | 82.725 | 21.036 | 6.711 | -0.000 | -0.000 |
| 107.982 | 498.893 | 65.735 | -4.278 | 0.000 | -0.000 |
| 64.383 | 64.383 | 543.842 | 0.000 | 0.000 | -0.000 |
| 4.368 | -4.340 | -0.028 | 159.704 | 0.000 | -0.000 |
| 0.014 | 0.014 | -0.028 | -0.000 | 159.704 | 4.354 |
| 0.000 | 0.000 | 0.000 | 0.000 | 6.711 | 243.061 |
| 498.866 | 107.949 | 65.789 | 4.278 | -0.000 | -0.000 |
| 82.724 | 568.845 | 21.035 | -6.711 | 0.000 | 0.000 |
| 64.360 | 64.360 | 543.886 | -0.000 | -0.000 | 0.000 |
| 4.339 | -4.368 | 0.028 | 159.704 | -0.000 | 0.000 |
| -0.014 | -0.014 | 0.028 | 0.000 | 159.704 | 4.354 |
| -0.000 | -0.000 | -0.000 | -0.000 | 6.711 | 243.061 |
| 568.414 | 82.159 | 21.382 | 6.699 | -0.000 | 0.000 |
| -216.376 | 179.691 | 715.043 | -4.771 | 0.000 | -0.000 |
| 20.706 | 20.706 | 632.334 | -0.000 | 0.000 | 0.000 |
| -826.848 | -830.606 | 1672.956 | 136.318 | 0.000 | -0.000 |
| -828.699 | -828.704 | 1672.932 | -0.001 | 136.319 | 1.880 |
| -0.002 | 0.000 | -0.005 | -0.000 | 6.695 | 243.126 |
| 568.423 | 82.167 | 21.390 | 6.698 | -0.000 | -0.000 |
| 422.172 | 820.951 | -576.697 | -4.844 | 0.000 | -0.000 |
| 20.733 | 20.733 | 632.379 | 0.000 | 0.000 | -0.000 |
| 830.575 | 826.844 | -1672.952 | 136.316 | -0.000 | 0.000 |
| 828.699 | 828.704 | -1672.932 | 0.001 | 136.319 | 1.880 |
| 0.002 | -0.000 | 0.005 | 0.000 | 6.695 | 243.126 |
| 389.321 | 55.389 | 229.182 | 2.801 | -0.000 | -0.000 |
| 82.161 | 568.414 | 21.382 | -6.696 | -0.000 | 0.000 |
| 20.717 | 20.717 | 632.350 | -0.000 | -0.000 | -0.000 |
| 6.695 | -6.699 | -0.001 | 180.743 | -0.000 | 0.000 |
| -79.381 | -79.381 | 160.253 | -0.000 | 138.188 | 2.075 |
| -0.001 | -0.001 | -0.001 | 0.000 | 6.696 | 243.126 |
| 510.076 | 220.146 | -59.004 | 1.675 | -0.000 | -0.000 |
| 220.147 | 510.077 | -59.001 | -1.676 | -0.000 | 0.000 |
| 147.994 | 147.994 | 375.416 | 0.000 | -0.000 | -0.000 |
| 6.698 | -6.695 | 0.001 | 180.743 | 0.000 | -0.000 |
| 79.381 | 79.381 | -160.253 | 0.000 | 138.188 | 2.075 |
| 0.001 | 0.001 | 0.001 | -0.000 | 6.696 | 243.126 |
| 492.576 | 103.506 | 76.395 | 4.211 | 0.000 | 0.000 |
| 103.503 | 492.585 | 76.389 | -4.211 | -0.000 | 0.000 |
| 60.372 | 60.372 | 552.305 | -0.000 | 0.000 | -0.000 |
| -0.353 | -8.559 | 8.994 | 156.858 | -0.000 | -0.000 |
| -3.946 | -3.946 | 7.965 | -0.000 | 159.327 | 4.371 |
| -3.559 | -3.560 | 7.185 | 0.000 | 4.591 | 194.019 |
| 501.987 | 116.276 | 54.003 | 4.518 | -0.000 | -0.000 |
| 112.524 | 500.029 | 59.766 | -4.171 | 0.000 | 0.000 |
| 69.495 | 69.495 | 533.883 | 0.000 | -0.000 | 0.000 |
| 6.697 | -6.697 | 0.000 | 180.743 | 0.000 | -0.000 |
| 3.946 | 3.946 | -7.965 | 0.000 | 159.327 | 4.371 |
| 3.559 | 3.560 | -7.185 | -0.000 | 4.591 | 194.019 |
| 497.911 | 108.733 | 66.008 | 6.160 | 0.000 | 0.000 |
| 108.725 | 497.866 | 66.010 | -6.158 | 0.000 | -0.000 |
| 64.400 | 64.400 | 543.791 | -0.000 | 0.000 | -0.000 |
| 9.736 | -9.654 | -0.005 | 181.375 | -0.000 | 0.000 |
| -0.004 | 0.019 | -0.026 | -0.001 | 181.377 | 9.694 |
| 0.018 | 0.030 | 0.007 | -0.000 | 9.693 | 243.060 |
| 568.770 | 82.641 | 21.007 | 9.693 | -0.000 | -0.000 |
| 82.718 | 568.844 | 21.061 | -9.694 | -0.000 | -0.000 |
| 21.014 | 21.014 | 630.587 | -0.000 | -0.000 | 0.000 |
| 9.656 | -9.730 | 0.012 | 181.375 | 0.000 | 0.000 |
| 0.004 | -0.019 | 0.026 | 0.001 | 181.377 | 9.694 |
| -0.018 | -0.030 | -0.007 | 0.000 | 9.693 | 243.060 |
| 568.850 | 82.728 | 21.035 | 9.693 | 0.000 | -0.000 |
| 108.715 | 497.860 | 66.034 | -6.158 | 0.000 | -0.000 |
| 64.376 | 64.376 | 543.875 | -0.000 | 0.000 | -0.000 |
| 9.696 | -9.691 | -0.003 | 181.373 | -0.000 | -0.000 |
| 0.002 | 0.002 | -0.006 | 0.000 | 159.704 | 6.289 |
| 0.004 | 0.003 | -0.005 | 0.000 | 6.093 | 193.686 |
| 568.842 | 82.716 | 21.036 | 9.694 | -0.000 | -0.000 |
| 82.723 | 568.846 | 21.039 | -9.694 | -0.000 | 0.000 |
| 21.035 | 21.035 | 630.537 | -0.000 | -0.000 | -0.000 |
| 9.692 | -9.695 | 0.003 | 181.372 | 0.000 | -0.000 |
| -0.002 | -0.002 | 0.006 | -0.000 | 159.704 | 6.289 |
| -0.004 | -0.003 | 0.005 | -0.000 | 6.093 | 193.686 |
| 494.829 | 119.672 | 58.108 | 6.781 | -0.000 | -0.000 |
| 82.725 | 568.849 | 21.036 | -9.694 | 0.000 | -0.000 |
| 64.373 | 64.373 | 543.861 | -0.000 | -0.000 | -0.000 |
| 6.289 | -6.289 | -0.001 | 159.704 | 0.000 | 0.000 |
| 0.000 | 0.001 | 0.000 | -0.000 | 181.372 | 9.694 |
| 0.000 | 0.000 | -0.000 | 0.000 | 6.093 | 193.687 |
| 494.827 | 119.670 | 58.108 | 6.781 | -0.000 | -0.000 |
| 82.724 | 568.845 | 21.035 | -9.693 | -0.000 | 0.000 |
| 64.369 | 64.369 | 543.868 | 0.000 | -0.000 | 0.000 |
| 6.289 | -6.290 | 0.001 | 159.707 | -0.000 | 0.000 |
| -0.000 | -0.001 | -0.000 | 0.000 | 181.372 | 9.694 |
| -0.000 | -0.000 | 0.000 | -0.000 | 6.093 | 193.687 |
| 633.638 | 257.343 | -219.653 | 5.677 | 0.000 | -0.000 |
| 82.479 | 568.653 | 21.191 | -9.684 | 0.000 | -0.000 |
| 217.508 | 217.509 | 236.484 | 0.001 | 0.000 | -0.000 |
| 9.693 | -9.677 | 0.005 | 181.094 | -0.000 | -0.000 |
| 0.006 | 0.007 | 0.005 | -0.000 | 181.095 | 9.685 |
| 0.004 | 0.004 | 0.004 | 0.000 | 9.685 | 243.088 |
| 568.642 | 82.465 | 21.183 | 9.685 | -0.000 | -0.000 |
| 82.468 | 568.645 | 21.183 | -9.684 | 0.000 | 0.000 |
| -62.462 | -62.463 | 798.730 | -0.001 | -0.000 | 0.000 |
| 9.677 | -9.693 | -0.005 | 181.095 | -0.000 | 0.000 |
| -0.006 | -0.007 | -0.005 | 0.000 | 181.095 | 9.685 |
| -0.005 | -0.004 | -0.005 | -0.000 | 9.685 | 243.088 |
| 502.972 | 126.211 | 43.225 | 5.694 | 0.000 | -0.000 |
| 126.215 | 502.965 | 43.227 | -5.693 | 0.000 | -0.000 |
| 85.546 | 85.546 | 501.492 | 0.000 | 0.000 | -0.000 |
| 18.496 | 5.856 | -24.452 | 159.669 | 0.000 | -0.000 |
| 0.000 | 0.001 | 0.000 | -0.000 | 181.094 | 9.684 |
| 0.001 | 0.001 | 0.000 | -0.000 | 9.684 | 243.088 |
| 568.652 | 82.475 | 21.188 | 9.684 | 0.000 | 0.000 |
| 82.474 | 568.651 | 21.187 | -9.684 | 0.000 | 0.000 |
| 57.479 | 57.479 | 557.858 | -0.000 | -0.000 | 0.000 |
| -8.807 | -20.189 | 29.115 | 155.661 | -0.000 | 0.000 |
| -0.000 | -0.001 | -0.000 | 0.000 | 181.094 | 9.684 |
| -0.001 | -0.001 | -0.000 | 0.000 | 9.684 | 243.088 |
| 497.718 | 110.136 | 64.642 | 6.088 | 0.000 | -0.000 |
| 115.222 | 498.386 | 58.864 | -6.548 | -0.000 | -0.000 |
| 66.359 | 66.359 | 540.027 | 0.000 | 0.000 | -0.000 |
| 7.398 | -4.793 | -2.617 | 158.238 | 0.000 | -0.000 |
| 1.202 | 1.202 | -2.414 | -0.000 | 159.918 | 6.359 |
| 1.332 | 1.332 | -2.675 | 0.000 | 6.016 | 192.794 |
| 493.285 | 108.914 | 70.317 | 6.068 | 0.000 | 0.000 |
| 113.007 | 495.751 | 63.730 | -6.524 | 0.000 | 0.000 |
| 63.944 | 63.944 | 544.874 | -0.000 | 0.000 | 0.000 |
| 5.157 | -7.561 | 2.414 | 159.919 | -0.000 | 0.000 |
| -1.202 | -1.202 | 2.414 | 0.000 | 159.918 | 6.359 |
| -1.332 | -1.332 | 2.675 | -0.000 | 6.016 | 192.794 |
| 568.797 | 82.666 | 21.039 | -0.000 | -0.000 | 0.000 |
| 108.247 | 498.435 | 65.861 | 0.000 | -0.000 | 0.000 |
| 20.981 | 20.981 | 630.532 | 0.000 | -0.000 | 0.000 |
| -0.025 | -0.035 | 0.016 | 181.372 | -0.000 | 0.000 |
| -0.008 | -0.012 | -0.010 | 0.001 | 159.698 | -0.000 |
| -0.024 | -0.035 | -0.013 | -0.001 | 0.000 | 243.069 |
| 498.488 | 108.277 | 65.922 | -0.000 | 0.000 | 0.000 |
| 82.727 | 568.829 | 21.017 | -0.000 | 0.000 | -0.000 |
| 21.074 | 21.074 | 630.572 | -0.000 | 0.000 | -0.000 |
| 0.031 | 0.037 | -0.015 | 181.373 | 0.000 | 0.000 |
| 0.008 | 0.012 | 0.010 | -0.001 | 159.698 | -0.000 |
| 0.024 | 0.035 | 0.013 | 0.001 | 0.000 | 243.069 |
| 498.461 | 108.272 | 65.874 | 0.000 | -0.000 | -0.000 |
| 117.704 | 495.829 | 59.071 | 0.000 | -0.000 | -0.000 |
| 64.367 | 64.367 | 543.862 | 0.000 | -0.000 | -0.000 |
| -0.002 | -0.001 | -0.004 | 159.704 | -0.000 | 0.000 |
| 0.000 | 0.000 | 0.000 | -0.000 | 181.372 | 0.000 |
| 0.001 | 0.007 | -0.015 | -0.001 | 0.000 | 191.018 |
| 498.461 | 108.269 | 65.879 | -0.000 | 0.000 | 0.000 |
| 82.729 | 568.852 | 21.037 | 0.000 | 0.000 | -0.000 |
| 21.032 | 21.032 | 630.532 | -0.000 | 0.000 | -0.000 |
| 0.002 | 0.001 | 0.004 | 159.704 | 0.000 | 0.000 |
| -0.000 | -0.000 | -0.000 | 0.000 | 181.372 | 0.000 |
| -0.001 | -0.007 | 0.015 | 0.001 | 0.000 | 191.018 |
| 498.461 | 108.270 | 65.875 | -0.000 | -0.000 | 0.000 |
| 108.271 | 498.459 | 65.877 | 0.000 | -0.000 | 0.000 |
| 64.369 | 64.369 | 543.870 | 0.000 | -0.000 | 0.000 |
| -0.000 | -0.000 | -0.000 | 181.372 | -0.000 | 0.000 |
| -0.000 | 0.000 | -0.000 | 0.000 | 159.704 | 0.000 |
| 0.000 | 0.000 | -0.001 | 0.000 | -0.000 | 191.020 |
| 495.830 | 117.702 | 59.074 | -0.000 | 0.000 | 0.000 |
| 108.270 | 498.460 | 65.876 | -0.000 | 0.000 | 0.000 |
| 64.374 | 64.374 | 543.859 | -0.000 | 0.000 | -0.000 |
| 0.000 | 0.000 | 0.000 | 159.704 | 0.000 | -0.000 |
| 0.000 | -0.000 | 0.000 | -0.000 | 159.704 | -0.000 |
| -0.000 | -0.000 | 0.001 | -0.000 | -0.000 | 191.020 |
| 1372.448 | 1073.737 | -1781.250 | -0.004 | -0.000 | 0.001 |
| 1073.736 | 1372.453 | -1781.248 | -0.004 | -0.000 | 0.001 |
| 1038.247 | 1038.250 | -1411.746 | -0.003 | -0.000 | 0.001 |
| 69.434 | 69.431 | -139.455 | 177.579 | -0.000 | 0.000 |
| 937.849 | 937.855 | -1883.420 | -0.004 | 137.405 | -0.000 |
| -0.001 | -0.002 | -0.000 | 0.000 | -0.000 | 243.089 |
| 568.657 | 82.481 | 21.185 | -0.000 | -0.000 | 0.000 |
| -802.085 | -501.882 | 1984.330 | 0.002 | 0.000 | -0.001 |
| -835.749 | -835.751 | 2351.666 | 0.003 | 0.000 | -0.001 |
| -69.434 | -69.431 | 139.462 | 177.580 | 0.000 | -0.000 |
| -937.849 | -937.855 | 1883.420 | 0.004 | 137.405 | -0.002 |
| 0.001 | 0.002 | 0.000 | -0.000 | -0.000 | 243.089 |
| 524.728 | 227.752 | -80.578 | -0.000 | -0.000 | 0.000 |
| 180.475 | 444.649 | 47.289 | -0.000 | 0.000 | 0.000 |
| 185.160 | 185.160 | 301.449 | -0.000 | -0.000 | 0.000 |
| 92.926 | 92.926 | -186.616 | 137.805 | -0.000 | 0.000 |
| 8.179 | 8.179 | -16.427 | 0.000 | 177.006 | 0.000 |
| 92.173 | 92.173 | -185.103 | -0.000 | 0.000 | 151.322 |
| 568.655 | 82.478 | 21.187 | -0.000 | -0.000 | -0.000 |
| 93.949 | 516.398 | 62.143 | 0.000 | -0.000 | -0.000 |
| 14.735 | 14.735 | 643.700 | 0.000 | 0.000 | -0.000 |
| -8.176 | -8.175 | 16.420 | 177.007 | -0.000 | -0.000 |
| -8.179 | -8.179 | 16.427 | -0.000 | 177.006 | 0.000 |
| -92.173 | -92.173 | 185.103 | 0.000 | 0.000 | 151.322 |
| 492.160 | 117.792 | 62.538 | -0.000 | -0.000 | 0.000 |
| 117.793 | 492.158 | 62.540 | -0.000 | -0.000 | 0.000 |
| 73.827 | 73.827 | 525.032 | -0.000 | -0.000 | 0.000 |
| 6.311 | 6.311 | -12.674 | 151.696 | -0.000 | 0.000 |
| 0.000 | 0.000 | -0.000 | 0.000 | 181.097 | -0.000 |
| 0.000 | 0.000 | 0.000 | 0.000 | -0.000 | 243.089 |
| 484.205 | 105.661 | 82.704 | 0.000 | 0.000 | -0.000 |
| 114.325 | 494.218 | 63.950 | 0.000 | 0.000 | -0.000 |
| 56.872 | 56.872 | 559.078 | 0.000 | 0.000 | -0.000 |
| -6.311 | -6.311 | 12.674 | 151.696 | 0.000 | -0.000 |
| -0.000 | -0.000 | 0.000 | -0.000 | 181.097 | -0.000 |
| -0.000 | -0.000 | -0.000 | -0.000 | -0.000 | 243.089 |
| 568.627 | 82.443 | 21.205 | -6.703 | -0.000 | -0.000 |
| 616.178 | 948.567 | -896.857 | 5.606 | -0.000 | -0.000 |
| 20.874 | 20.874 | 631.426 | -0.000 | -0.000 | -0.000 |
| 163.892 | 176.521 | -342.086 | 177.449 | 0.000 | -0.000 |
| 1862.185 | 1862.176 | -3741.786 | -0.005 | 145.848 | -2.878 |
| -0.002 | -0.001 | -0.003 | 0.000 | -6.704 | 243.092 |
| -1372.770 | -1753.876 | 3816.601 | -2.895 | 0.001 | -0.000 |
| -68.912 | 354.410 | 388.564 | 6.292 | 0.000 | 0.000 |
| -2067.387 | -2067.384 | 4827.411 | -0.000 | 0.001 | 0.001 |
| -1865.055 | -1859.316 | 3741.798 | 145.853 | 0.001 | 0.000 |
| -1862.185 | -1862.176 | 3741.787 | 0.005 | 145.850 | -2.877 |
| 0.002 | 0.001 | 0.002 | -0.000 | -6.704 | 243.092 |
| 568.630 | 82.445 | 21.207 | -6.704 | 0.000 | 0.000 |
| 187.104 | 523.918 | -39.033 | 5.810 | -0.000 | -0.000 |
| 20.878 | 20.878 | 631.431 | -0.000 | -0.000 | -0.000 |
| 43.011 | 54.161 | -97.638 | 170.672 | -0.000 | -0.000 |
| 17.851 | 17.851 | -35.876 | -0.000 | 177.290 | -6.294 |
| 215.071 | 215.071 | -432.145 | -0.000 | -2.205 | 153.322 |
| 568.631 | 82.446 | 21.207 | -6.704 | 0.000 | 0.000 |
| 93.761 | 422.159 | 157.006 | 5.410 | 0.000 | 0.000 |
| -117.783 | -117.782 | 910.046 | -0.000 | 0.000 | 0.000 |
| -54.155 | -43.004 | 97.625 | 170.672 | 0.000 | -0.000 |
| -17.851 | -17.851 | 35.876 | 0.000 | 177.290 | -6.294 |
| -215.071 | -215.071 | 432.145 | -0.000 | -2.205 | 153.322 |
| 519.485 | 121.887 | 30.956 | -5.576 | -0.000 | -0.000 |
| 121.887 | 519.486 | 30.956 | 5.576 | -0.000 | -0.000 |
| 87.436 | 87.436 | 497.697 | 0.000 | -0.000 | -0.000 |
| 3.447 | 13.179 | -16.705 | 164.153 | -0.000 | -0.000 |
| 14.807 | 14.808 | -29.754 | -0.000 | 153.128 | -3.668 |
| 0.000 | 0.000 | 0.000 | -0.000 | -6.704 | 243.092 |
| 467.355 | 125.947 | 79.250 | -4.548 | -0.000 | 0.000 |
| 83.416 | 481.702 | 107.564 | 3.687 | 0.000 | -0.000 |
| 67.791 | 67.791 | 537.167 | -0.000 | 0.000 | 0.000 |
| -11.564 | -0.811 | 12.434 | 168.849 | 0.000 | 0.000 |
| -14.807 | -14.808 | 29.754 | 0.000 | 153.128 | -3.667 |
| -0.000 | -0.000 | -0.000 | 0.000 | -6.704 | 243.092 |
| 568.848 | 82.722 | 21.033 | 12.463 | -0.000 | -0.000 |
| 82.772 | 568.884 | 21.080 | -12.464 | -0.000 | 0.000 |
| 62.320 | 62.320 | 547.962 | -0.000 | -0.000 | -0.000 |
| 12.482 | -12.431 | 0.014 | 181.373 | -0.000 | -0.000 |
| 0.029 | 0.038 | 0.020 | -0.001 | 181.371 | 12.461 |
| 0.045 | 0.046 | 0.044 | -0.000 | 12.464 | 243.069 |
| 568.852 | 82.725 | 21.034 | 12.463 | 0.000 | 0.000 |
| 82.709 | 568.837 | 21.048 | -12.463 | -0.000 | 0.000 |
| 21.048 | 21.047 | 630.516 | 0.000 | 0.000 | 0.000 |
| 12.450 | -12.485 | -0.009 | 181.374 | 0.000 | -0.000 |
| -0.029 | -0.038 | -0.020 | 0.001 | 181.371 | 12.461 |
| -0.045 | -0.046 | -0.044 | 0.000 | 12.464 | 243.069 |
| 568.845 | 82.722 | 21.032 | 12.463 | -0.000 | -0.000 |
| 115.164 | 496.863 | 60.586 | -8.505 | -0.000 | -0.000 |
| 64.167 | 64.167 | 544.276 | -0.000 | -0.000 | -0.000 |
| 12.463 | -12.463 | 0.000 | 181.372 | 0.000 | -0.000 |
| -0.201 | -0.200 | 0.415 | -0.000 | 159.705 | 8.085 |
| -0.209 | -0.212 | 0.433 | 0.000 | 7.891 | 195.091 |
| 497.302 | 115.534 | 59.767 | 8.513 | 0.000 | 0.000 |
| 82.722 | 568.843 | 21.035 | -12.463 | 0.000 | 0.000 |
| 21.035 | 21.035 | 630.537 | 0.000 | 0.000 | 0.000 |
| 12.463 | -12.463 | 0.000 | 181.372 | 0.000 | 0.000 |
| 0.201 | 0.200 | -0.415 | 0.000 | 159.705 | 8.085 |
| 0.209 | 0.212 | -0.433 | -0.000 | 7.891 | 195.091 |
| 499.220 | 107.684 | 65.705 | 7.955 | -0.000 | -0.000 |
| 107.684 | 499.221 | 65.705 | -7.955 | -0.000 | -0.000 |
| 64.350 | 64.350 | 543.908 | -0.000 | -0.000 | -0.000 |
| 8.065 | -8.106 | 0.041 | 159.704 | -0.000 | -0.000 |
| 0.000 | 0.000 | 0.000 | 0.000 | 181.372 | 12.463 |
| -0.021 | -0.021 | 0.043 | 0.000 | 7.891 | 195.093 |
| 499.259 | 107.726 | 65.621 | 7.955 | 0.000 | 0.000 |
| 107.731 | 499.244 | 65.630 | -7.954 | 0.000 | 0.000 |
| 64.440 | 64.440 | 543.725 | 0.000 | 0.000 | 0.000 |
| 8.106 | -8.065 | -0.041 | 159.704 | 0.000 | 0.000 |
| -0.000 | -0.000 | -0.000 | -0.000 | 181.372 | 12.463 |
| 0.021 | 0.021 | -0.043 | -0.000 | 7.891 | 195.093 |
| 555.197 | 95.194 | 22.006 | -12.486 | 0.000 | -0.000 |
| 82.530 | 568.696 | 21.171 | 12.452 | -0.000 | 0.000 |
| 20.925 | 20.925 | 631.200 | 0.000 | -0.000 | 0.000 |
| 102.909 | 108.114 | -211.721 | 132.356 | 0.000 | -0.000 |
| 0.006 | 0.010 | 0.001 | 0.001 | 181.139 | -12.454 |
| 104.834 | 104.830 | -210.366 | -0.002 | -2.669 | 140.449 |
| 532.836 | 91.074 | 48.504 | -11.545 | -0.000 | -0.000 |
| 82.500 | 568.672 | 21.152 | 12.454 | -0.000 | -0.000 |
| 20.907 | 20.907 | 631.196 | -0.000 | -0.000 | -0.000 |
| -108.113 | -102.906 | 211.736 | 132.355 | -0.000 | 0.000 |
| -0.006 | -0.011 | -0.001 | -0.001 | 181.139 | -12.454 |
| -104.834 | -104.830 | 210.366 | 0.002 | -2.669 | 140.450 |
| 508.653 | 116.086 | 47.718 | -9.018 | -0.000 | 0.000 |
| 120.780 | 485.315 | 66.426 | 6.654 | 0.000 | -0.000 |
| 20.919 | 20.919 | 631.200 | 0.000 | -0.000 | -0.000 |
| -12.452 | 12.454 | -0.000 | 181.140 | 0.000 | 0.000 |
| 0.000 | 0.001 | 0.000 | 0.000 | 181.140 | -12.453 |
| 6.521 | 6.520 | -13.085 | -0.000 | -6.366 | 179.242 |
| 568.683 | 82.516 | 21.161 | -12.453 | 0.000 | -0.000 |
| 82.516 | 568.684 | 21.163 | 12.453 | 0.000 | 0.000 |
| 63.792 | 63.792 | 545.153 | -0.000 | -0.000 | -0.000 |
| -12.941 | -1.727 | 14.716 | 147.232 | -0.000 | 0.000 |
| -0.000 | -0.001 | -0.000 | -0.000 | 181.140 | -12.453 |
| -6.521 | -6.520 | 13.085 | 0.000 | -6.366 | 179.242 |
| 499.428 | 107.954 | 65.135 | -7.939 | 0.000 | -0.000 |
| 107.949 | 499.443 | 65.126 | 7.939 | 0.000 | -0.000 |
| 64.941 | 64.941 | 542.852 | -0.000 | 0.000 | -0.000 |
| -12.453 | 12.453 | -0.000 | 181.140 | 0.000 | -0.000 |
| 0.463 | 0.464 | -0.930 | -0.000 | 159.565 | -8.097 |
| 0.000 | 0.000 | 0.000 | -0.000 | -12.453 | 243.084 |
| 496.635 | 114.648 | 61.216 | -8.482 | -0.000 | 0.000 |
| 106.963 | 498.525 | 67.032 | 7.943 | -0.000 | 0.000 |
| 63.857 | 63.857 | 545.022 | 0.000 | -0.000 | 0.000 |
| -8.512 | 7.566 | 0.949 | 159.276 | -0.000 | 0.000 |
| -0.463 | -0.464 | 0.930 | 0.000 | 159.565 | -8.097 |
| -0.000 | -0.000 | -0.000 | 0.000 | -12.453 | 243.084 |
| 568.899 | 82.749 | 21.107 | 7.932 | 0.000 | -0.000 |
| 82.711 | 568.838 | 21.058 | -7.931 | -0.000 | 0.000 |
| 21.085 | 21.086 | 630.619 | -0.000 | 0.000 | -0.000 |
| 7.964 | -7.930 | 0.065 | 181.371 | -0.000 | -0.000 |
| -0.026 | -0.012 | 0.038 | -0.000 | 159.714 | 5.147 |
| 0.024 | 0.012 | 0.037 | 0.000 | 7.931 | 243.059 |
| 568.850 | 82.724 | 21.033 | 7.931 | -0.000 | -0.000 |
| 119.258 | 495.034 | 58.276 | -5.547 | 0.000 | 0.000 |
| 64.386 | 64.386 | 543.835 | -0.000 | 0.000 | -0.000 |
| 7.897 | -7.934 | -0.066 | 181.369 | 0.000 | 0.000 |
| 0.026 | 0.012 | -0.038 | 0.000 | 159.714 | 5.147 |
| -0.024 | -0.012 | -0.037 | -0.000 | 7.931 | 243.059 |
| 568.846 | 82.722 | 21.038 | 7.931 | 0.000 | -0.000 |
| 108.628 | 497.968 | 66.012 | -5.040 | 0.000 | -0.000 |
| 21.035 | 21.035 | 630.538 | -0.000 | -0.000 | 0.000 |
| 7.931 | -7.930 | 0.004 | 181.372 | -0.000 | 0.000 |
| -0.000 | 0.000 | 0.000 | 0.000 | 181.372 | 7.931 |
| 0.002 | 0.001 | 0.004 | 0.000 | 7.931 | 243.062 |
| 495.016 | 119.306 | 58.283 | 5.536 | -0.000 | 0.000 |
| 119.306 | 495.008 | 58.281 | -5.536 | -0.000 | 0.000 |
| 64.367 | 64.367 | 543.852 | 0.000 | 0.000 | -0.000 |
| 5.144 | -5.145 | -0.006 | 159.704 | 0.000 | -0.000 |
| 0.000 | -0.000 | -0.000 | -0.000 | 181.372 | 7.931 |
| -0.002 | -0.001 | -0.004 | -0.000 | 7.931 | 243.062 |
| 497.964 | 108.633 | 66.013 | 5.040 | 0.000 | -0.000 |
| 108.634 | 497.962 | 66.014 | -5.040 | -0.000 | -0.000 |
| 21.036 | 21.036 | 630.539 | 0.000 | -0.000 | 0.000 |
| 7.931 | -7.931 | 0.000 | 181.372 | -0.000 | 0.000 |
| -0.000 | 0.000 | 0.001 | -0.000 | 159.704 | 5.145 |
| -0.000 | 0.000 | 0.001 | -0.000 | 4.988 | 193.799 |
| 497.964 | 108.632 | 66.010 | 5.040 | 0.000 | 0.000 |
| 108.631 | 497.965 | 66.008 | -5.040 | 0.000 | -0.000 |
| 64.374 | 64.374 | 543.858 | 0.000 | 0.000 | -0.000 |
| 5.145 | -5.145 | -0.001 | 159.705 | -0.000 | -0.000 |
| 0.000 | -0.000 | -0.001 | 0.000 | 159.704 | 5.145 |
| 0.000 | -0.000 | -0.001 | 0.000 | 4.988 | 193.799 |
| 568.288 | 81.995 | 21.500 | 7.907 | 0.000 | -0.000 |
| 582.354 | 902.786 | -823.765 | -2.951 | -0.000 | -0.000 |
| 20.629 | 20.629 | 632.949 | 0.000 | -0.000 | -0.000 |
| 274.500 | 264.512 | -545.734 | 157.746 | 0.000 | -0.000 |
| 0.003 | 0.010 | -0.004 | -0.001 | 180.537 | 7.908 |
| 0.004 | 0.010 | -0.003 | -0.001 | 7.908 | 243.150 |
| 568.271 | 81.976 | 21.501 | 7.910 | -0.000 | 0.000 |
| -133.398 | 244.917 | 566.971 | -5.162 | 0.000 | -0.000 |
| 20.593 | 20.593 | 632.951 | -0.000 | 0.000 | 0.000 |
| -447.116 | -453.149 | 911.490 | 142.396 | 0.000 | 0.000 |
| -0.003 | -0.010 | 0.004 | 0.001 | 180.537 | 7.908 |
| -0.004 | -0.010 | 0.003 | 0.001 | 7.908 | 243.150 |
| 568.278 | 81.982 | 21.499 | 7.909 | 0.000 | -0.000 |
| 81.982 | 568.278 | 21.499 | -7.909 | 0.000 | -0.000 |
| 113.558 | 113.558 | 444.754 | 0.000 | -0.000 | -0.000 |
| 45.917 | 39.370 | -86.352 | 144.403 | -0.000 | 0.000 |
| 0.001 | 0.001 | 0.000 | -0.000 | 180.537 | 7.909 |
| 0.000 | 0.001 | -0.000 | -0.000 | 7.909 | 243.148 |
| 433.180 | 80.713 | 159.563 | 3.907 | 0.000 | 0.000 |
| 81.980 | 568.277 | 21.501 | -7.909 | -0.000 | 0.000 |
| 20.616 | 20.616 | 632.951 | -0.000 | 0.000 | 0.000 |
| -21.363 | -31.449 | 53.469 | 158.195 | 0.000 | 0.000 |
| -0.001 | -0.001 | -0.000 | 0.000 | 180.537 | 7.909 |
| -0.000 | -0.001 | 0.000 | 0.000 | 7.909 | 243.148 |
| 568.279 | 81.981 | 21.500 | 7.909 | -0.000 | -0.000 |
| 81.981 | 568.279 | 21.500 | -7.909 | 0.000 | -0.000 |
| 66.891 | 66.891 | 539.249 | -0.000 | -0.000 | -0.000 |
| 7.676 | -2.319 | -5.423 | 157.842 | -0.000 | -0.000 |
| 2.678 | 2.678 | -5.423 | 0.000 | 157.843 | 4.998 |
| 2.058 | 2.058 | -4.168 | -0.000 | 5.605 | 192.704 |
| 568.275 | 81.980 | 21.499 | 7.909 | -0.000 | 0.000 |
| 113.180 | 493.448 | 65.671 | -5.360 | 0.000 | 0.000 |
| 62.424 | 62.424 | 548.290 | -0.000 | 0.000 | 0.000 |
| 7.909 | -7.909 | 0.000 | 180.537 | -0.000 | 0.000 |
| -2.678 | -2.678 | 5.423 | -0.000 | 157.843 | 4.998 |
| -2.058 | -2.058 | 4.168 | 0.000 | 5.605 | 192.704 |
| 487.111 | 121.038 | 64.458 | -0.000 | -0.000 | 0.000 |
| 120.998 | 487.106 | 64.429 | 0.000 | 0.000 | 0.000 |
| 21.046 | 21.046 | 630.516 | -0.000 | -0.000 | 0.000 |
| -0.029 | -0.040 | 0.142 | 159.701 | -0.000 | 0.000 |
| -0.000 | 0.024 | -0.024 | -0.000 | 181.377 | 0.000 |
| 0.025 | 0.037 | 0.012 | 0.000 | 0.000 | 243.059 |
| 568.850 | 82.724 | 21.034 | -0.000 | -0.000 | 0.000 |
| 82.712 | 568.838 | 21.058 | 0.000 | 0.000 | -0.000 |
| 64.437 | 64.437 | 543.733 | 0.000 | -0.000 | -0.000 |
| 0.029 | 0.040 | -0.142 | 159.701 | -0.000 | -0.000 |
| 0.000 | -0.024 | 0.024 | 0.000 | 181.377 | 0.000 |
| -0.025 | -0.037 | -0.012 | -0.000 | -0.000 | 243.059 |
| 487.464 | 116.484 | 68.667 | 0.000 | 0.000 | 0.000 |
| 116.482 | 487.455 | 68.663 | -0.000 | -0.000 | -0.000 |
| 21.035 | 21.035 | 630.538 | -0.000 | -0.000 | 0.000 |
| -0.004 | -0.008 | 0.013 | 159.704 | -0.000 | 0.000 |
| -0.000 | 0.000 | -0.000 | -0.000 | 181.372 | -0.000 |
| -0.001 | 0.001 | -0.003 | -0.000 | -0.000 | 243.061 |
| 487.467 | 116.499 | 68.641 | 0.000 | 0.000 | 0.000 |
| 116.498 | 487.473 | 68.644 | -0.000 | -0.000 | -0.000 |
| 21.035 | 21.035 | 630.537 | -0.000 | -0.000 | -0.000 |
| 0.004 | 0.008 | -0.013 | 159.704 | 0.000 | -0.000 |
| 0.000 | -0.000 | 0.000 | 0.000 | 181.372 | -0.000 |
| 0.001 | -0.001 | 0.003 | 0.000 | -0.000 | 243.061 |
| 487.152 | 121.084 | 64.373 | -0.000 | -0.000 | 0.000 |
| 116.492 | 487.461 | 68.656 | 0.000 | -0.000 | 0.000 |
| 64.373 | 64.373 | 543.863 | 0.000 | 0.000 | -0.000 |
| -0.001 | -0.001 | 0.001 | 159.704 | 0.000 | 0.000 |
| -0.001 | -0.001 | 0.001 | 0.000 | 159.704 | 0.000 |
| 0.000 | 0.000 | -0.000 | 0.000 | 0.000 | 243.061 |
| 487.153 | 121.084 | 64.370 | -0.000 | -0.000 | -0.000 |
| 116.489 | 487.467 | 68.649 | -0.000 | -0.000 | -0.000 |
| 64.374 | 64.374 | 543.857 | -0.000 | -0.000 | -0.000 |
| 0.001 | 0.001 | -0.001 | 159.704 | -0.000 | 0.000 |
| 0.001 | 0.001 | -0.001 | -0.000 | 159.704 | -0.000 |
| -0.000 | -0.000 | 0.000 | -0.000 | -0.000 | 243.061 |
| -1179.268 | -1561.552 | 3445.773 | -0.000 | -0.000 | 0.000 |
| -1561.551 | -1179.294 | 3445.798 | -0.000 | -0.000 | 0.000 |
| -1609.646 | -1609.646 | 3924.892 | -0.000 | -0.000 | 0.000 |
| -1674.750 | -1674.738 | 3382.087 | 159.187 | -0.000 | 0.000 |
| 0.025 | 0.037 | 0.012 | -0.000 | 180.737 | 0.000 |
| 0.049 | 0.049 | 0.049 | -0.000 | -0.000 | 243.133 |
| 568.387 | 82.146 | 21.396 | 0.000 | 0.000 | 0.000 |
| 1794.337 | 2161.128 | -3315.551 | -0.000 | 0.000 | 0.000 |
| 20.703 | 20.703 | 632.379 | 0.000 | 0.000 | 0.000 |
| 1674.751 | 1674.739 | -3382.088 | 159.187 | 0.000 | 0.000 |
| -0.025 | -0.037 | -0.012 | 0.000 | 180.737 | 0.000 |
| -0.049 | -0.049 | -0.049 | 0.000 | 0.000 | 243.133 |
| 326.352 | -55.483 | 404.790 | -0.000 | -0.000 | 0.000 |
| -47.184 | 319.548 | 403.278 | -0.000 | -0.000 | 0.000 |
| -103.057 | -103.057 | 882.376 | 0.000 | 0.000 | 0.000 |
| -167.483 | -167.484 | 338.227 | 159.195 | -0.000 | 0.000 |
| 0.005 | 0.005 | 0.005 | -0.000 | 180.726 | -0.000 |
| 0.005 | 0.005 | 0.005 | -0.000 | -0.000 | 243.133 |
| 568.415 | 82.147 | 21.396 | 0.000 | 0.000 | 0.000 |
| 281.221 | 662.839 | -274.950 | 0.000 | 0.000 | 0.000 |
| 231.878 | 231.878 | 206.001 | 0.000 | 0.000 | -0.000 |
| 167.483 | 167.484 | -338.227 | 159.195 | 0.000 | -0.000 |
| -0.005 | -0.005 | -0.005 | 0.000 | 180.726 | 0.000 |
| -0.005 | -0.005 | -0.005 | 0.000 | 0.000 | 243.133 |
| 472.709 | 96.595 | 103.454 | -0.000 | -0.000 | 0.000 |
| 96.597 | 472.695 | 103.466 | -0.000 | -0.000 | 0.000 |
| 47.618 | 47.618 | 578.097 | -0.000 | -0.000 | 0.000 |
| -16.781 | -16.781 | 33.888 | 159.152 | -0.000 | -0.000 |
| -16.781 | -16.781 | 33.888 | -0.000 | 159.152 | 0.000 |
| -16.741 | -16.741 | 33.807 | -0.000 | -0.000 | 183.388 |
| 568.416 | 82.152 | 21.398 | 0.000 | 0.000 | -0.000 |
| 137.020 | 503.804 | 31.235 | 0.000 | 0.000 | -0.000 |
| 81.095 | 81.095 | 510.491 | 0.000 | 0.000 | -0.000 |
| 16.781 | 16.781 | -33.888 | 159.152 | 0.000 | -0.000 |
| 16.781 | 16.781 | -33.888 | 0.000 | 159.152 | -0.000 |
| 16.741 | 16.741 | -33.807 | 0.000 | -0.000 | 183.388 |
| 498.461 | 108.281 | 65.889 | 0.000 | -0.000 | -0.000 |
| 82.712 | 568.838 | 21.058 | 0.000 | 0.000 | 0.000 |
| 21.046 | 21.046 | 630.516 | 0.000 | -0.000 | 0.000 |
| -0.000 | 0.000 | -0.000 | 181.367 | -0.000 | 0.000 |
| 0.025 | 0.012 | 0.037 | -0.000 | 181.369 | -0.000 |
| 0.000 | 0.000 | -0.000 | -0.000 | 0.000 | 243.048 |
| 498.419 | 108.239 | 65.850 | -0.000 | -0.000 | -0.000 |
| 108.285 | 498.459 | 65.887 | 0.000 | 0.000 | 0.000 |
| 21.046 | 21.046 | 630.516 | -0.000 | -0.000 | -0.000 |
| 0.000 | -0.000 | 0.000 | 181.367 | 0.000 | -0.000 |
| -0.025 | -0.012 | -0.037 | 0.000 | 181.369 | -0.000 |
| 0.000 | -0.000 | 0.000 | 0.000 | 0.000 | 243.048 |
| 495.831 | 117.721 | 59.065 | 0.000 | -0.000 | 0.000 |
| 108.271 | 498.465 | 65.875 | 0.000 | 0.000 | 0.000 |
| 64.368 | 64.368 | 543.870 | 0.000 | 0.000 | 0.000 |
| 0.002 | 0.002 | 0.004 | 159.705 | -0.000 | -0.000 |
| 0.000 | 0.000 | -0.000 | -0.000 | 181.372 | 0.000 |
| 0.001 | 0.002 | -0.001 | -0.000 | -0.000 | 194.305 |
| 484.910 | 123.329 | 64.373 | 0.000 | 0.000 | -0.000 |
| 108.270 | 498.462 | 65.872 | 0.000 | 0.000 | 0.000 |
| 64.373 | 64.373 | 543.860 | 0.000 | 0.000 | -0.000 |
| -0.002 | -0.002 | -0.004 | 159.705 | 0.000 | 0.000 |
| 0.000 | -0.000 | 0.000 | 0.000 | 181.372 | 0.000 |
| -0.001 | -0.002 | 0.001 | 0.000 | 0.000 | 194.305 |
| 498.462 | 108.271 | 65.877 | -0.000 | -0.000 | 0.000 |
| 108.272 | 498.459 | 65.878 | -0.000 | -0.000 | 0.000 |
| 64.373 | 64.373 | 543.862 | 0.000 | -0.000 | -0.000 |
| -0.000 | -0.000 | -0.000 | 181.372 | -0.000 | 0.000 |
| 0.000 | 0.000 | 0.000 | -0.000 | 159.704 | -0.000 |
| -0.000 | 0.000 | 0.000 | -0.000 | -0.000 | 194.304 |
| 498.460 | 108.270 | 65.876 | 0.000 | 0.000 | -0.000 |
| 108.269 | 498.462 | 65.874 | -0.000 | -0.000 | -0.000 |
| 64.369 | 64.369 | 543.867 | -0.000 | -0.000 | 0.000 |
| 0.000 | 0.000 | 0.000 | 181.372 | 0.000 | -0.000 |
| -0.000 | -0.000 | -0.000 | 0.000 | 159.704 | -0.000 |
| 0.000 | -0.000 | -0.000 | 0.000 | 0.000 | 194.304 |
| 568.632 | 82.459 | 21.169 | 0.000 | 0.000 | -0.000 |
| 82.468 | 568.656 | 21.185 | 0.000 | -0.000 | -0.000 |
| 20.878 | 20.878 | 631.277 | -0.000 | -0.000 | -0.000 |
| -4.706 | -4.709 | 9.401 | 157.280 | -0.000 | -0.000 |
| -4.715 | -4.695 | 9.407 | 0.000 | 157.284 | 0.000 |
| -5.110 | -5.046 | 10.111 | 0.000 | -0.001 | 192.620 |
| 568.709 | 82.545 | 21.202 | 0.000 | 0.000 | 0.000 |
| 117.139 | 501.754 | 53.643 | 0.000 | 0.000 | -0.000 |
| 68.629 | 68.629 | 535.473 | 0.000 | 0.000 | 0.000 |
| 4.273 | 4.261 | -8.538 | 159.464 | 0.000 | 0.000 |
| 4.715 | 4.695 | -9.407 | -0.000 | 157.284 | 0.000 |
| 5.110 | 5.046 | -10.111 | -0.000 | -0.001 | 192.620 |
| 568.658 | 82.484 | 21.177 | 0.000 | 0.000 | -0.000 |
| 122.578 | 484.419 | 65.490 | 0.000 | 0.000 | -0.000 |
| 63.948 | 63.948 | 544.863 | -0.000 | -0.000 | -0.000 |
| -0.001 | -0.001 | 0.000 | 181.109 | -0.000 | -0.000 |
| -0.428 | -0.427 | 0.856 | -0.000 | 159.443 | -0.000 |
| -0.318 | -0.312 | 0.626 | -0.000 | -0.000 | 191.341 |
| 498.802 | 108.362 | 65.342 | 0.000 | 0.000 | -0.000 |
| 108.361 | 498.800 | 65.344 | -0.000 | -0.000 | 0.000 |
| 64.801 | 64.801 | 543.153 | 0.000 | 0.000 | 0.000 |
| 0.001 | 0.001 | -0.000 | 181.109 | 0.000 | 0.000 |
| 0.428 | 0.427 | -0.856 | 0.000 | 159.443 | -0.000 |
| 0.318 | 0.312 | -0.626 | 0.000 | 0.000 | 191.341 |
| 498.374 | 107.854 | 66.279 | 0.000 | 0.000 | 0.000 |
| 107.854 | 498.374 | 66.278 | -0.000 | -0.000 | 0.000 |
| 64.320 | 64.320 | 544.113 | -0.000 | 0.000 | -0.000 |
| -0.000 | -0.000 | -0.000 | 181.109 | 0.000 | -0.000 |
| -0.043 | -0.043 | 0.086 | 0.000 | 159.467 | -0.000 |
| -0.030 | -0.031 | 0.062 | -0.000 | -0.000 | 191.139 |
| 498.455 | 107.944 | 66.105 | 0.000 | 0.000 | -0.000 |
| 107.943 | 498.457 | 66.103 | -0.000 | -0.000 | 0.000 |
| 64.401 | 64.401 | 543.947 | 0.000 | 0.000 | 0.000 |
| 0.000 | 0.000 | 0.000 | 181.109 | -0.000 | 0.000 |
| 0.043 | 0.043 | -0.086 | -0.000 | 159.467 | -0.000 |
| 0.050 | 0.049 | -0.099 | 0.000 | 0.000 | 180.947 |
| 568.672 | 82.490 | 21.206 | 12.450 | -0.000 | -0.000 |
| 271.603 | 632.314 | -232.636 | -6.469 | -0.000 | -0.000 |
| 236.332 | 236.332 | 198.719 | 0.000 | 0.000 | -0.000 |
| 12.469 | -12.427 | 0.023 | 181.085 | 0.000 | -0.000 |
| 0.012 | 0.010 | 0.013 | -0.002 | 181.086 | 12.454 |
| 0.021 | 0.021 | 0.021 | -0.002 | 12.448 | 243.088 |
| 411.073 | 11.929 | 250.207 | 8.763 | 0.000 | -0.000 |
| -40.455 | 320.360 | 393.968 | -6.473 | -0.000 | -0.000 |
| -75.623 | -75.623 | 825.140 | -0.000 | -0.000 | -0.000 |
| -149.560 | -162.506 | 313.359 | 151.464 | -0.000 | -0.000 |
| -0.012 | -0.010 | -0.013 | 0.002 | 181.086 | 12.454 |
| -0.021 | -0.021 | -0.021 | 0.002 | 12.448 | 243.088 |
| 516.207 | 117.507 | 38.675 | 8.735 | 0.000 | -0.000 |
| 130.773 | 492.383 | 49.279 | -6.511 | 0.000 | 0.000 |
| 94.346 | 94.346 | 483.828 | 0.000 | 0.000 | 0.000 |
| 22.034 | 9.045 | -31.210 | 151.581 | -0.000 | -0.000 |
| 9.636 | 9.635 | -19.352 | 0.000 | 162.701 | 8.739 |
| 0.001 | 0.002 | 0.001 | -0.000 | 12.451 | 243.089 |
| 496.166 | 98.284 | 78.099 | 8.691 | -0.000 | 0.000 |
| 99.640 | 462.267 | 110.778 | -6.560 | 0.000 | -0.000 |
| 64.897 | 64.897 | 542.967 | -0.000 | 0.000 | 0.000 |
| 12.449 | -12.454 | -0.002 | 181.086 | 0.000 | 0.000 |
| -9.636 | -9.635 | 19.352 | -0.000 | 162.701 | 8.739 |
| -0.001 | -0.002 | -0.001 | 0.000 | 12.451 | 243.089 |
| 496.205 | 110.061 | 66.239 | 7.681 | -0.000 | 0.000 |
| 110.061 | 496.205 | 66.239 | -7.681 | 0.000 | 0.000 |
| 65.463 | 65.463 | 541.837 | 0.000 | -0.000 | 0.000 |
| 12.451 | -12.451 | 0.000 | 181.086 | 0.000 | -0.000 |
| 1.305 | 1.305 | -2.622 | 0.000 | 156.301 | 7.447 |
| 1.055 | 1.055 | -2.118 | 0.000 | 8.389 | 195.648 |
| 498.445 | 109.197 | 64.852 | 8.272 | -0.000 | -0.000 |
| 109.201 | 498.432 | 64.861 | -8.271 | -0.000 | 0.000 |
| 65.515 | 65.515 | 541.728 | -0.000 | 0.000 | 0.000 |
| 6.142 | -8.753 | 2.622 | 156.301 | 0.000 | -0.000 |
| -1.305 | -1.305 | 2.622 | -0.000 | 156.301 | 7.447 |
| -1.055 | -1.055 | 2.118 | -0.000 | 8.389 | 195.648 |
| 780.312 | 310.975 | 310.975 | -0.000 | 0.000 | -0.000 |
| 310.975 | 780.312 | 310.975 | 0.000 | 0.000 | -0.000 |
| 310.975 | 310.975 | 780.312 | 0.000 | 0.000 | -0.000 |
| -0.007 | -0.001 | -0.001 | 12.309 | 0.000 | 0.000 |
| -0.001 | -0.007 | -0.001 | -0.000 | 12.309 | -0.000 |
| -0.001 | -0.001 | -0.007 | -0.000 | -0.000 | 12.309 |
| 780.303 | 310.966 | 310.965 | -0.000 | -0.000 | 0.000 |
| 310.966 | 780.303 | 310.965 | -0.000 | -0.000 | 0.000 |
| 310.966 | 310.966 | 780.303 | -0.000 | -0.000 | -0.000 |
| 0.007 | 0.001 | 0.001 | 12.309 | -0.000 | 0.000 |
| 0.001 | 0.007 | 0.001 | -0.000 | 12.309 | -0.000 |
| 0.001 | 0.001 | 0.007 | -0.000 | -0.000 | 12.309 |
| 780.302 | 310.966 | 310.966 | 0.000 | 0.000 | -0.000 |
| 310.966 | 780.302 | 310.966 | 0.000 | 0.000 | -0.000 |
| 310.966 | 310.966 | 780.302 | 0.000 | 0.000 | 0.000 |
| 0.001 | 0.001 | 0.001 | 12.309 | 0.000 | -0.000 |
| 0.001 | 0.001 | 0.001 | 0.000 | 12.309 | 0.000 |
| 0.001 | 0.001 | 0.001 | 0.000 | 0.000 | 12.309 |
| 780.308 | 310.972 | 310.972 | -0.000 | -0.000 | 0.000 |
| 310.972 | 780.308 | 310.972 | 0.000 | -0.000 | 0.000 |
| 310.972 | 310.972 | 780.308 | -0.000 | -0.000 | 0.000 |
| -0.001 | -0.001 | -0.001 | 12.309 | 0.000 | 0.000 |
| -0.001 | -0.001 | -0.001 | 0.000 | 12.309 | 0.000 |
| -0.001 | -0.001 | -0.001 | 0.000 | -0.000 | 12.309 |
| 780.305 | 310.967 | 310.967 | -0.000 | 0.000 | -0.000 |
| 310.967 | 780.305 | 310.967 | -0.000 | -0.000 | 0.000 |
| 310.967 | 310.967 | 780.305 | -0.000 | 0.000 | -0.000 |
| 0.001 | 0.001 | 0.001 | 12.309 | -0.000 | 0.000 |
| 0.001 | 0.001 | 0.001 | -0.000 | 12.309 | -0.000 |
| 0.001 | 0.001 | 0.001 | -0.000 | -0.000 | 12.309 |
| 780.301 | 310.967 | 310.967 | 0.000 | 0.000 | 0.000 |
| 310.967 | 780.301 | 310.967 | 0.000 | 0.000 | 0.000 |
| 310.967 | 310.967 | 780.301 | 0.000 | 0.000 | 0.000 |
| -0.001 | -0.001 | -0.001 | 12.309 | 0.000 | -0.000 |
| -0.001 | -0.001 | -0.001 | 0.000 | 12.309 | -0.000 |
| -0.001 | -0.001 | -0.001 | -0.000 | -0.000 | 12.309 |
| 1162.922 | 809.394 | 809.394 | -0.000 | -0.000 | 0.000 |
| 809.394 | 1162.922 | 809.394 | -0.000 | -0.000 | 0.000 |
| 809.394 | 809.394 | 1162.922 | 0.000 | -0.000 | 0.000 |
| 0.000 | 0.000 | 0.000 | -27.158 | 0.000 | 0.000 |
| 0.000 | 0.001 | 0.000 | -0.000 | -27.158 | 0.000 |
| 0.000 | 0.000 | 0.001 | 0.000 | 0.000 | -27.158 |
| 1162.914 | 809.397 | 809.397 | 0.000 | 0.000 | -0.000 |
| 809.397 | 1162.914 | 809.397 | -0.000 | -0.000 | -0.000 |
| 809.397 | 809.397 | 1162.914 | 0.000 | 0.000 | -0.000 |
| -0.001 | -0.000 | -0.000 | -27.158 | -0.000 | 0.000 |
| -0.000 | -0.001 | -0.000 | -0.000 | -27.158 | -0.000 |
| -0.000 | -0.000 | -0.001 | -0.000 | -0.000 | -27.158 |
| 1162.919 | 809.396 | 809.396 | -0.000 | -0.000 | 0.000 |
| 809.396 | 1162.919 | 809.396 | 0.000 | 0.000 | 0.000 |
| 809.396 | 809.396 | 1162.919 | 0.000 | 0.000 | -0.000 |
| 0.001 | -0.000 | -0.000 | -27.159 | 0.000 | -0.000 |
| -0.000 | 0.001 | -0.000 | -0.000 | -27.159 | 0.000 |
| -0.000 | -0.000 | 0.001 | -0.000 | -0.000 | -27.159 |
| 1162.918 | 809.395 | 809.395 | -0.000 | -0.000 | -0.000 |
| 809.395 | 1162.918 | 809.395 | 0.000 | 0.000 | -0.000 |
| 809.395 | 809.395 | 1162.918 | 0.000 | 0.000 | -0.000 |
| -0.001 | 0.000 | 0.000 | -27.159 | -0.000 | -0.000 |
| 0.000 | -0.001 | 0.000 | 0.000 | -27.159 | -0.000 |
| 0.000 | 0.000 | -0.001 | 0.000 | 0.000 | -27.159 |
| 1162.920 | 809.398 | 809.398 | -0.000 | -0.000 | 0.000 |
| 809.398 | 1162.920 | 809.398 | 0.000 | 0.000 | 0.000 |
| 809.398 | 809.398 | 1162.920 | 0.000 | -0.000 | -0.000 |
| 0.006 | -0.003 | -0.003 | -27.159 | -0.000 | 0.000 |
| -0.003 | 0.006 | -0.003 | 0.000 | -27.159 | 0.000 |
| -0.003 | -0.003 | 0.006 | 0.000 | 0.000 | -27.159 |
| 1162.918 | 809.393 | 809.393 | -0.000 | -0.000 | -0.000 |
| 809.393 | 1162.918 | 809.393 | -0.000 | -0.000 | -0.000 |
| 809.393 | 809.393 | 1162.918 | -0.000 | -0.000 | 0.000 |
| -0.006 | 0.003 | 0.003 | -27.159 | -0.000 | 0.000 |
| 0.003 | -0.006 | 0.003 | 0.000 | -27.159 | -0.000 |
| 0.003 | 0.003 | -0.006 | -0.000 | -0.000 | -27.159 |
| 600.723 | 143.085 | 143.085 | 0.000 | -0.000 | 0.000 |
| 143.085 | 600.723 | 143.085 | 0.000 | 0.000 | 0.000 |
| 143.085 | 143.085 | 600.723 | 0.000 | 0.000 | 0.000 |
| -0.000 | -0.000 | 0.000 | 77.102 | 0.000 | -0.000 |
| -0.000 | -0.000 | 0.000 | 0.000 | 77.102 | 0.000 |
| -0.000 | -0.000 | -0.000 | 0.000 | 0.000 | 77.102 |
| 600.724 | 143.085 | 143.085 | -0.000 | 0.000 | -0.000 |
| 143.085 | 600.724 | 143.085 | -0.000 | -0.000 | 0.000 |
| 143.085 | 143.085 | 600.724 | 0.000 | 0.000 | -0.000 |
| 0.000 | -0.000 | 0.000 | 77.102 | 0.000 | -0.000 |
| -0.000 | 0.000 | 0.000 | -0.000 | 77.102 | 0.000 |
| 0.000 | 0.000 | 0.000 | -0.000 | 0.000 | 77.102 |
| 600.721 | 143.085 | 143.085 | 0.000 | 0.000 | 0.000 |
| 143.085 | 600.721 | 143.085 | 0.000 | 0.000 | 0.000 |
| 143.085 | 143.085 | 600.721 | 0.000 | 0.000 | 0.000 |
| 0.000 | 0.000 | -0.000 | 77.102 | 0.000 | -0.000 |
| 0.000 | 0.000 | -0.000 | 0.000 | 77.102 | -0.000 |
| 0.000 | -0.000 | 0.000 | -0.000 | -0.000 | 77.102 |
| 600.726 | 143.085 | 143.085 | 0.000 | 0.000 | 0.000 |
| 143.085 | 600.726 | 143.085 | 0.000 | 0.000 | -0.000 |
| 143.085 | 143.085 | 600.726 | -0.000 | -0.000 | 0.000 |
| -0.000 | -0.000 | 0.000 | 77.102 | -0.000 | 0.000 |
| -0.000 | -0.000 | 0.000 | -0.000 | 77.102 | -0.000 |
| -0.000 | 0.000 | -0.000 | -0.000 | -0.000 | 77.102 |
| 600.701 | 143.086 | 143.086 | 0.000 | 0.000 | 0.000 |
| 143.086 | 600.701 | 143.086 | 0.000 | 0.000 | 0.000 |
| 143.086 | 143.086 | 600.701 | 0.000 | 0.000 | 0.000 |
| -0.001 | -0.000 | -0.000 | 63.383 | 0.000 | 0.000 |
| -0.000 | -0.001 | -0.000 | 0.000 | 63.383 | -0.000 |
| -0.000 | -0.000 | -0.001 | 0.000 | -0.000 | 63.383 |
| 600.746 | 143.085 | 143.085 | -0.000 | -0.000 | -0.000 |
| 143.085 | 600.746 | 143.085 | -0.000 | 0.000 | -0.000 |
| 143.085 | 143.085 | 600.746 | -0.000 | -0.000 | -0.000 |
| 0.001 | 0.000 | 0.000 | 63.383 | 0.000 | 0.000 |
| 0.000 | 0.001 | 0.000 | -0.000 | 63.383 | 0.000 |
| 0.000 | 0.000 | 0.001 | -0.000 | 0.000 | 63.383 |
| 183.210 | 93.100 | 93.100 | -0.000 | 0.000 | -0.000 |
| 93.100 | 183.210 | 93.100 | 0.000 | 0.000 | -0.000 |
| 93.100 | 93.100 | 183.210 | -0.000 | -0.000 | -0.000 |
| -0.000 | -0.000 | -0.000 | 88.460 | 0.000 | -0.000 |
| -0.000 | -0.000 | -0.000 | -0.000 | 88.460 | -0.000 |
| -0.000 | -0.000 | -0.000 | -0.000 | -0.000 | 88.460 |
| 183.210 | 93.100 | 93.100 | -0.000 | 0.000 | 0.000 |
| 93.100 | 183.210 | 93.100 | -0.000 | -0.000 | -0.000 |
| 93.100 | 93.100 | 183.210 | -0.000 | -0.000 | -0.000 |
| 0.000 | 0.000 | 0.000 | 88.460 | -0.000 | 0.000 |
| 0.000 | 0.000 | 0.000 | 0.000 | 88.460 | 0.000 |
| 0.000 | 0.000 | 0.000 | 0.000 | 0.000 | 88.460 |
| 183.210 | 93.100 | 93.100 | 0.000 | 0.000 | -0.000 |
| 93.100 | 183.210 | 93.100 | -0.000 | -0.000 | -0.000 |
| 93.100 | 93.100 | 183.210 | 0.000 | 0.000 | -0.000 |
| -0.000 | 0.000 | 0.000 | 88.460 | -0.000 | -0.000 |
| 0.000 | -0.000 | 0.000 | -0.000 | 88.460 | 0.000 |
| 0.000 | 0.000 | -0.000 | 0.000 | 0.000 | 88.460 |
| 183.210 | 93.100 | 93.100 | -0.000 | 0.000 | 0.000 |
| 93.100 | 183.210 | 93.100 | -0.000 | -0.000 | -0.000 |
| 93.100 | 93.100 | 183.210 | -0.000 | -0.000 | 0.000 |
| 0.000 | -0.000 | -0.000 | 88.460 | 0.000 | 0.000 |
| -0.000 | 0.000 | -0.000 | 0.000 | 88.460 | -0.000 |
| -0.000 | -0.000 | 0.000 | -0.000 | -0.000 | 88.460 |
| 183.210 | 93.101 | 93.101 | 0.000 | 0.000 | -0.000 |
| 93.101 | 183.210 | 93.101 | 0.000 | 0.000 | 0.000 |
| 93.101 | 93.101 | 183.210 | 0.000 | 0.000 | 0.000 |
| -0.000 | 0.000 | 0.000 | 88.460 | -0.000 | 0.000 |
| 0.000 | -0.000 | 0.000 | 0.000 | 88.460 | -0.000 |
| 0.000 | 0.000 | -0.000 | -0.000 | -0.000 | 88.460 |
| 183.209 | 93.100 | 93.100 | 0.000 | 0.000 | 0.000 |
| 93.100 | 183.209 | 93.100 | 0.000 | 0.000 | -0.000 |
| 93.100 | 93.100 | 183.209 | -0.000 | -0.000 | 0.000 |
| 0.000 | -0.000 | -0.000 | 88.460 | 0.000 | -0.000 |
| -0.000 | 0.000 | -0.000 | -0.000 | 88.460 | 0.000 |
| -0.000 | -0.000 | 0.000 | 0.000 | -0.000 | 88.460 |
| 743.659 | 641.664 | 641.664 | -0.000 | -0.000 | 0.000 |
| 641.664 | 743.659 | 641.664 | -0.000 | -0.000 | -0.000 |
| 641.664 | 641.664 | 743.659 | 0.000 | 0.000 | 0.000 |
| -0.000 | -0.000 | -0.000 | 150.262 | 0.000 | -0.000 |
| -0.000 | -0.000 | 0.000 | 0.000 | 150.262 | 0.000 |
| -0.000 | -0.000 | -0.000 | -0.000 | -0.000 | 150.262 |
| 743.659 | 641.664 | 641.664 | -0.000 | -0.000 | 0.000 |
| 641.664 | 743.659 | 641.664 | -0.000 | -0.000 | -0.000 |
| 641.664 | 641.664 | 743.659 | -0.000 | -0.000 | 0.000 |
| 0.000 | 0.000 | 0.000 | 150.262 | -0.000 | 0.000 |
| 0.000 | 0.000 | -0.000 | -0.000 | 150.262 | -0.000 |
| 0.000 | 0.000 | 0.000 | 0.000 | 0.000 | 150.262 |
| 743.658 | 641.663 | 641.663 | -0.000 | -0.000 | 0.000 |
| 641.663 | 743.658 | 641.663 | -0.000 | -0.000 | 0.000 |
| 641.663 | 641.663 | 743.658 | -0.000 | -0.000 | 0.000 |
| -0.000 | -0.000 | -0.000 | 150.262 | 0.000 | 0.000 |
| -0.000 | -0.000 | -0.000 | 0.000 | 150.262 | -0.000 |
| -0.000 | -0.000 | -0.000 | -0.000 | 0.000 | 150.262 |
| 743.660 | 641.665 | 641.665 | -0.000 | -0.000 | 0.000 |
| 641.665 | 743.660 | 641.665 | -0.000 | -0.000 | -0.000 |
| 641.665 | 641.665 | 743.660 | -0.000 | -0.000 | 0.000 |
| 0.000 | 0.000 | 0.000 | 150.262 | -0.000 | -0.000 |
| 0.000 | 0.000 | 0.000 | -0.000 | 150.262 | 0.000 |
| 0.000 | 0.000 | 0.000 | -0.000 | -0.000 | 150.262 |
| 743.648 | 641.656 | 641.656 | -0.000 | -0.000 | -0.000 |
| 641.656 | 743.648 | 641.656 | -0.000 | -0.000 | -0.000 |
| 641.656 | 641.656 | 743.648 | -0.000 | -0.000 | -0.000 |
| -0.003 | -0.001 | -0.000 | 150.262 | -0.000 | -0.000 |
| -0.001 | -0.003 | -0.000 | -0.000 | 150.262 | 0.000 |
| -0.001 | -0.000 | -0.003 | 0.000 | 0.000 | 150.262 |
| 743.669 | 641.671 | 641.671 | -0.000 | -0.000 | 0.000 |
| 641.671 | 743.669 | 641.671 | -0.000 | -0.000 | 0.000 |
| 641.671 | 641.671 | 743.669 | -0.000 | -0.000 | 0.000 |
| 0.003 | 0.001 | 0.000 | 150.262 | 0.000 | 0.000 |
| 0.001 | 0.003 | 0.000 | 0.000 | 150.262 | -0.000 |
| 0.001 | 0.000 | 0.003 | -0.000 | -0.000 | 150.262 |
| 1939.102 | 708.076 | 708.076 | 0.000 | 0.000 | 0.000 |
| 708.076 | 1939.102 | 708.076 | 0.000 | 0.000 | -0.000 |
| 708.076 | 708.076 | 1939.102 | 0.000 | 0.000 | -0.000 |
| -0.000 | -0.000 | 0.000 | 508.630 | 0.000 | 0.000 |
| -0.000 | -0.000 | -0.000 | 0.000 | 508.630 | 0.000 |
| -0.000 | -0.000 | -0.000 | 0.000 | 0.000 | 508.630 |
| 1925.962 | 714.646 | 714.646 | -0.000 | -0.000 | -0.000 |
| 714.646 | 1925.962 | 714.646 | -0.000 | -0.000 | -0.000 |
| 708.076 | 708.076 | 1939.102 | -0.000 | -0.000 | -0.000 |
| 0.000 | 0.000 | 0.000 | 508.630 | -0.000 | 0.000 |
| 0.000 | 0.000 | 0.000 | -0.000 | 508.630 | 0.000 |
| 0.000 | 0.000 | -0.000 | -0.000 | -0.000 | 508.630 |
| 1939.101 | 708.076 | 708.076 | 0.000 | 0.000 | 0.000 |
| 708.076 | 1939.101 | 708.076 | 0.000 | 0.000 | 0.000 |
| 708.076 | 708.076 | 1939.101 | 0.000 | 0.000 | 0.000 |
| -0.000 | -0.000 | -0.000 | 518.226 | 0.000 | 0.000 |
| -0.000 | -0.000 | -0.000 | 0.000 | 518.226 | 0.000 |
| -0.000 | -0.000 | -0.000 | 0.000 | 0.000 | 518.226 |
| 1925.963 | 714.646 | 714.646 | -0.000 | -0.000 | -0.000 |
| 714.646 | 1925.963 | 714.646 | -0.000 | -0.000 | -0.000 |
| 714.646 | 714.646 | 1925.963 | -0.000 | -0.000 | -0.000 |
| 0.000 | 0.000 | 0.000 | 518.226 | -0.000 | -0.000 |
| 0.000 | 0.000 | 0.000 | -0.000 | 518.226 | 0.000 |
| 0.000 | 0.000 | 0.000 | -0.000 | -0.000 | 518.226 |
| 1925.953 | 714.644 | 714.644 | 0.000 | 0.000 | 0.000 |
| 714.644 | 1925.953 | 714.644 | 0.000 | 0.000 | -0.000 |
| 714.644 | 714.644 | 1925.953 | 0.000 | 0.000 | 0.000 |
| -0.002 | -0.002 | -0.002 | 518.226 | 0.000 | -0.000 |
| -0.002 | -0.002 | -0.002 | 0.000 | 518.226 | 0.000 |
| -0.002 | -0.002 | -0.002 | 0.000 | 0.000 | 518.226 |
| 1925.971 | 714.648 | 714.648 | -0.000 | -0.000 | -0.000 |
| 714.648 | 1925.971 | 714.648 | -0.000 | -0.000 | -0.000 |
| 714.648 | 714.648 | 1925.971 | -0.000 | -0.000 | -0.000 |
| 0.002 | 0.002 | 0.002 | 518.226 | -0.000 | -0.000 |
| 0.002 | 0.002 | 0.002 | -0.000 | 518.226 | -0.000 |
| 0.002 | 0.002 | 0.002 | -0.000 | -0.000 | 518.226 |
| 195.947 | 140.150 | 140.150 | 0.000 | 0.000 | 0.000 |
| 140.150 | 195.947 | 140.150 | 0.000 | 0.000 | 0.000 |
| 140.150 | 140.150 | 195.947 | 0.000 | 0.000 | 0.000 |
| 0.000 | 0.000 | 0.000 | 154.830 | 0.000 | -0.000 |
| 0.000 | 0.000 | 0.000 | 0.000 | 154.830 | 0.000 |
| 0.000 | 0.000 | 0.000 | 0.000 | 0.000 | 154.830 |
| 195.947 | 140.150 | 140.150 | -0.000 | -0.000 | 0.000 |
| 140.150 | 195.947 | 140.150 | -0.000 | -0.000 | -0.000 |
| 140.150 | 140.150 | 195.947 | -0.000 | -0.000 | -0.000 |
| -0.000 | -0.000 | -0.000 | 154.830 | -0.000 | -0.000 |
| -0.000 | -0.000 | -0.000 | -0.000 | 154.830 | -0.000 |
| -0.000 | -0.000 | 0.000 | 0.000 | 0.000 | 154.830 |
| 195.947 | 140.150 | 140.150 | -0.000 | -0.000 | 0.000 |
| 140.150 | 195.947 | 140.150 | -0.000 | -0.000 | 0.000 |
| 140.150 | 140.150 | 195.947 | 0.000 | 0.000 | -0.000 |
| 0.000 | 0.000 | 0.000 | 154.830 | 0.000 | 0.000 |
| 0.000 | 0.000 | 0.000 | 0.000 | 154.830 | -0.000 |
| 0.000 | 0.000 | 0.000 | -0.000 | -0.000 | 154.830 |
| 195.947 | 140.150 | 140.150 | -0.000 | -0.000 | 0.000 |
| 140.150 | 195.947 | 140.150 | -0.000 | -0.000 | 0.000 |
| 140.150 | 140.150 | 195.947 | -0.000 | -0.000 | -0.000 |
| -0.000 | -0.000 | -0.000 | 154.830 | -0.000 | -0.000 |
| -0.000 | -0.000 | -0.000 | 0.000 | 154.830 | -0.000 |
| -0.000 | -0.000 | -0.000 | -0.000 | -0.000 | 154.830 |
| 195.948 | 140.150 | 140.150 | 0.000 | 0.000 | 0.000 |
| 140.150 | 195.948 | 140.150 | 0.000 | 0.000 | 0.000 |
| 140.150 | 140.150 | 195.948 | -0.000 | -0.000 | 0.000 |
| 0.000 | 0.000 | 0.000 | 154.830 | -0.000 | 0.000 |
| 0.000 | 0.000 | 0.000 | 0.000 | 154.830 | 0.000 |
| 0.000 | 0.000 | 0.000 | 0.000 | 0.000 | 154.830 |
| 195.947 | 140.150 | 140.150 | 0.000 | -0.000 | -0.000 |
| 140.150 | 195.947 | 140.150 | -0.000 | -0.000 | 0.000 |
| 140.150 | 140.150 | 195.947 | 0.000 | 0.000 | -0.000 |
| -0.000 | -0.000 | -0.000 | 154.830 | -0.000 | -0.000 |
| -0.000 | -0.000 | -0.000 | 0.000 | 154.830 | 0.000 |
| -0.000 | -0.000 | -0.000 | 0.000 | 0.000 | 154.830 |
| 849.516 | 585.242 | 581.991 | -0.000 | 0.000 | -0.000 |
| 585.242 | 849.516 | 581.991 | -0.000 | -0.000 | 0.000 |
| 581.991 | 581.991 | 942.181 | 0.000 | 0.000 | 0.000 |
| -0.000 | -0.000 | 0.000 | 55.134 | 0.000 | -0.000 |
| -0.000 | -0.000 | 0.000 | -0.000 | 55.134 | -0.000 |
| 0.000 | 0.000 | -0.000 | -0.000 | -0.000 | 112.285 |
| 829.664 | 605.094 | 581.991 | 0.000 | 0.000 | -0.000 |
| 585.242 | 849.516 | 581.991 | 0.000 | 0.000 | -0.000 |
| 581.991 | 581.991 | 942.182 | -0.000 | -0.000 | -0.000 |
| 0.000 | -0.000 | -0.000 | 55.134 | -0.000 | -0.000 |
| 0.000 | 0.000 | -0.000 | 0.000 | 55.134 | -0.000 |
| 0.000 | -0.000 | 0.000 | 0.000 | 0.000 | 112.285 |
| 849.515 | 585.241 | 581.990 | -0.000 | -0.000 | 0.000 |
| 585.242 | 849.515 | 581.990 | -0.000 | -0.000 | 0.000 |
| 581.990 | 581.990 | 942.180 | -0.000 | 0.000 | 0.000 |
| -0.000 | -0.000 | 0.000 | 55.134 | -0.000 | 0.000 |
| -0.000 | -0.000 | 0.000 | -0.000 | 55.134 | 0.000 |
| -0.000 | 0.000 | -0.000 | -0.000 | -0.000 | 132.137 |
| 849.517 | 585.243 | 581.992 | 0.000 | 0.000 | -0.000 |
| 585.243 | 849.517 | 581.992 | 0.000 | 0.000 | 0.000 |
| 581.991 | 581.991 | 942.183 | 0.000 | 0.000 | -0.000 |
| 0.000 | 0.000 | -0.000 | 55.134 | 0.000 | -0.000 |
| 0.000 | 0.000 | -0.000 | 0.000 | 55.134 | -0.000 |
| 0.000 | -0.000 | 0.000 | -0.000 | -0.000 | 132.137 |
| 829.655 | 605.084 | 581.982 | -0.000 | -0.000 | 0.000 |
| 605.087 | 829.653 | 581.982 | -0.000 | -0.000 | 0.000 |
| 581.983 | 581.983 | 942.168 | -0.000 | -0.000 | 0.000 |
| -0.001 | -0.001 | 0.001 | 55.134 | -0.000 | 0.000 |
| -0.001 | -0.001 | 0.001 | 0.000 | 55.134 | 0.000 |
| -0.002 | 0.000 | -0.002 | -0.000 | -0.000 | 132.137 |
| 849.526 | 585.252 | 582.000 | 0.000 | -0.000 | -0.000 |
| 605.102 | 829.676 | 582.000 | 0.000 | 0.000 | -0.000 |
| 581.998 | 581.998 | 942.195 | 0.000 | 0.000 | -0.000 |
| 0.001 | 0.001 | -0.001 | 55.134 | -0.000 | -0.000 |
| 0.001 | 0.001 | -0.001 | -0.000 | 55.134 | -0.000 |
| 0.002 | -0.000 | 0.002 | 0.000 | 0.000 | 132.137 |
| 122.924 | 112.851 | 150.695 | -0.000 | 0.000 | -0.000 |
| 112.851 | 122.924 | 150.695 | -0.000 | 0.000 | 0.000 |
| 150.695 | 150.695 | 907.308 | 0.000 | 0.000 | 0.000 |
| -0.000 | 0.000 | -0.000 | 104.442 | 0.000 | -0.000 |
| -0.000 | 0.000 | -0.000 | -0.000 | 104.442 | -0.000 |
| -0.000 | 0.000 | -0.000 | 0.000 | 0.000 | 55.750 |
| 122.924 | 112.851 | 150.695 | 0.000 | 0.000 | 0.000 |
| 112.851 | 122.924 | 150.695 | 0.000 | 0.000 | 0.000 |
| 150.695 | 150.695 | 907.309 | 0.000 | 0.000 | 0.000 |
| 0.000 | -0.000 | 0.000 | 104.442 | 0.000 | -0.000 |
| 0.000 | -0.000 | 0.000 | 0.000 | 104.442 | 0.000 |
| 0.000 | -0.000 | 0.000 | -0.000 | 0.000 | 55.750 |
| 122.925 | 112.851 | 150.695 | -0.000 | -0.000 | 0.000 |
| 62.138 | 173.637 | 150.695 | 0.000 | 0.000 | 0.000 |
| 150.695 | 150.695 | 907.308 | 0.000 | 0.000 | -0.000 |
| 0.000 | 0.000 | -0.000 | 104.442 | -0.000 | -0.000 |
| 0.000 | 0.000 | -0.000 | -0.000 | 104.442 | 0.000 |
| 0.000 | -0.000 | 0.000 | 0.000 | 0.000 | 55.750 |
| 173.637 | 62.138 | 150.695 | 0.000 | 0.000 | -0.000 |
| 62.138 | 173.637 | 150.695 | -0.000 | -0.000 | -0.000 |
| 150.694 | 150.694 | 907.310 | 0.000 | 0.000 | 0.000 |
| -0.000 | -0.000 | 0.000 | 104.442 | 0.000 | -0.000 |
| -0.000 | -0.000 | 0.000 | 0.000 | 104.442 | 0.000 |
| -0.000 | 0.000 | -0.000 | -0.000 | 0.000 | 55.750 |
| 122.925 | 112.851 | 150.695 | -0.000 | 0.000 | -0.000 |
| 112.851 | 122.925 | 150.695 | -0.000 | -0.000 | 0.000 |
| 150.697 | 150.697 | 907.298 | -0.000 | 0.000 | 0.000 |
| 0.000 | 0.000 | -0.000 | 104.442 | -0.000 | 0.000 |
| 0.000 | 0.000 | -0.000 | -0.000 | 104.442 | -0.000 |
| -0.000 | -0.000 | -0.000 | -0.000 | -0.000 | 5.037 |
| 173.637 | 62.138 | 150.694 | -0.000 | -0.000 | -0.000 |
| 112.851 | 122.924 | 150.694 | 0.000 | 0.000 | -0.000 |
| 150.692 | 150.692 | 907.319 | 0.000 | -0.000 | 0.000 |
| -0.000 | -0.000 | 0.000 | 104.442 | 0.000 | -0.000 |
| -0.000 | -0.000 | 0.000 | 0.000 | 104.442 | 0.000 |
| 0.000 | 0.000 | 0.000 | 0.000 | 0.000 | 5.037 |
| 844.361 | 574.890 | 583.131 | 0.000 | 0.000 | -0.000 |
| 574.890 | 844.361 | 583.131 | 0.000 | 0.000 | -0.000 |
| 583.131 | 583.131 | 1011.062 | 0.000 | 0.000 | 0.000 |
| 0.000 | -0.000 | 0.000 | 29.385 | 0.000 | -0.000 |
| -0.000 | -0.000 | 0.000 | 0.000 | 29.385 | -0.000 |
| -0.000 | -0.000 | -0.000 | 0.000 | 0.000 | 143.476 |
| 853.102 | 566.150 | 583.132 | -0.000 | -0.000 | 0.000 |
| 566.150 | 853.102 | 583.132 | -0.000 | -0.000 | 0.000 |
| 583.132 | 583.132 | 1011.062 | -0.000 | -0.000 | 0.000 |
| 0.000 | 0.000 | -0.000 | 29.385 | -0.000 | 0.000 |
| -0.000 | 0.000 | -0.000 | -0.000 | 29.385 | 0.000 |
| 0.000 | 0.000 | 0.000 | -0.000 | -0.000 | 143.476 |
| 844.360 | 574.889 | 583.131 | 0.000 | 0.000 | -0.000 |
| 574.890 | 844.360 | 583.131 | 0.000 | 0.000 | -0.000 |
| 583.131 | 583.131 | 1011.061 | -0.000 | 0.000 | -0.000 |
| -0.000 | -0.000 | 0.000 | 29.385 | 0.000 | -0.000 |
| -0.000 | -0.000 | 0.000 | 0.000 | 29.385 | -0.000 |
| -0.000 | 0.000 | -0.000 | 0.000 | 0.000 | 134.735 |
| 853.103 | 566.150 | 583.132 | -0.000 | -0.000 | 0.000 |
| 574.891 | 844.362 | 583.132 | -0.000 | -0.000 | 0.000 |
| 583.132 | 583.132 | 1011.063 | -0.000 | -0.000 | 0.000 |
| 0.000 | 0.000 | -0.000 | 29.385 | -0.000 | -0.000 |
| 0.000 | 0.000 | -0.000 | -0.000 | 29.385 | 0.000 |
| 0.000 | -0.000 | 0.000 | -0.000 | -0.000 | 134.735 |
| 853.092 | 566.140 | 583.123 | 0.000 | 0.000 | 0.000 |
| 574.882 | 844.350 | 583.123 | 0.000 | 0.000 | -0.000 |
| 583.125 | 583.125 | 1011.048 | 0.000 | 0.000 | -0.000 |
| -0.000 | -0.002 | 0.001 | 29.385 | 0.000 | -0.000 |
| -0.002 | -0.000 | 0.001 | 0.000 | 29.385 | -0.000 |
| -0.002 | 0.001 | -0.002 | 0.000 | 0.000 | 134.735 |
| 822.002 | 597.275 | 583.131 | -0.000 | -0.000 | 0.000 |
| 566.157 | 853.114 | 583.140 | -0.000 | -0.000 | 0.000 |
| 583.138 | 583.138 | 1011.076 | -0.000 | -0.000 | 0.000 |
| 0.000 | 0.002 | -0.001 | 29.385 | -0.000 | 0.000 |
| 0.002 | 0.000 | -0.001 | -0.000 | 29.385 | 0.000 |
| 0.002 | -0.001 | 0.002 | -0.000 | -0.000 | 134.735 |
| -284.470 | 303.625 | 561.930 | -0.000 | -0.000 | 0.000 |
| 303.625 | -284.470 | 561.930 | 0.000 | -0.000 | 0.000 |
| 561.930 | 561.930 | 343.189 | 0.000 | 0.000 | -0.000 |
| -0.000 | 0.000 | -0.000 | 126.601 | -0.000 | 0.000 |
| -0.000 | 0.000 | 0.000 | -0.000 | 126.601 | 0.000 |
| -0.000 | -0.000 | 0.000 | 0.000 | 0.000 | -294.047 |
| -284.470 | 303.625 | 561.929 | -0.000 | -0.000 | -0.000 |
| 303.625 | -284.470 | 561.929 | 0.000 | 0.000 | -0.000 |
| 561.930 | 561.929 | 343.189 | -0.000 | 0.000 | -0.000 |
| -0.000 | -0.000 | -0.000 | 126.601 | -0.000 | -0.000 |
| 0.000 | -0.000 | -0.000 | -0.000 | 126.601 | -0.000 |
| 0.000 | 0.000 | -0.000 | -0.000 | -0.000 | -294.047 |
| -284.470 | 303.625 | 561.930 | -0.000 | -0.000 | 0.000 |
| 303.625 | -284.470 | 561.930 | -0.000 | -0.000 | 0.000 |
| 561.930 | 561.930 | 343.189 | 0.000 | 0.000 | 0.000 |
| 0.000 | -0.000 | 0.000 | 126.601 | 0.000 | 0.000 |
| -0.000 | 0.000 | 0.000 | -0.000 | 126.601 | 0.000 |
| -0.000 | -0.000 | 0.000 | -0.000 | -0.000 | -294.047 |
| -219.330 | 238.485 | 561.929 | 0.000 | 0.000 | -0.000 |
| 238.485 | -219.330 | 561.929 | 0.000 | 0.000 | -0.000 |
| 561.929 | 561.929 | 343.189 | 0.000 | 0.000 | -0.000 |
| -0.000 | 0.000 | -0.000 | 126.601 | 0.000 | -0.000 |
| 0.000 | -0.000 | -0.000 | 0.000 | 126.601 | -0.000 |
| 0.000 | 0.000 | -0.000 | 0.000 | 0.000 | -294.047 |
| -284.476 | 303.631 | 561.935 | -0.000 | -0.000 | 0.000 |
| 303.629 | -284.474 | 561.935 | 0.000 | -0.000 | 0.000 |
| 561.931 | 561.931 | 343.190 | 0.000 | 0.000 | 0.000 |
| 0.000 | -0.000 | 0.000 | 126.601 | 0.000 | -0.000 |
| -0.000 | 0.000 | 0.000 | 0.000 | 126.601 | -0.000 |
| -0.000 | -0.005 | 0.001 | -0.000 | -0.000 | -294.047 |
| -284.464 | 303.619 | 561.924 | 0.000 | 0.000 | -0.000 |
| 303.628 | -284.473 | 561.924 | -0.000 | -0.000 | -0.000 |
| 561.928 | 561.928 | 343.188 | -0.000 | 0.000 | -0.000 |
| -0.000 | 0.000 | -0.000 | 126.601 | -0.000 | -0.000 |
| 0.000 | -0.000 | -0.000 | -0.000 | 126.601 | -0.000 |
| 0.000 | 0.005 | -0.001 | 0.000 | 0.000 | -294.047 |
| 169.143 | 64.074 | 64.074 | -0.000 | -0.000 | -0.000 |
| 64.074 | 169.143 | 64.074 | -0.000 | -0.000 | -0.000 |
| 64.074 | 64.074 | 169.143 | -0.000 | -0.000 | -0.000 |
| 0.000 | 0.000 | 0.000 | 71.649 | -0.000 | -0.000 |
| 0.000 | 0.000 | 0.000 | -0.000 | 71.649 | -0.000 |
| -0.000 | 0.000 | 0.000 | -0.000 | -0.000 | 71.649 |
| 169.143 | 64.074 | 64.074 | 0.000 | 0.000 | 0.000 |
| 64.074 | 169.143 | 64.074 | 0.000 | 0.000 | 0.000 |
| 64.074 | 64.074 | 169.143 | 0.000 | 0.000 | 0.000 |
| -0.000 | -0.000 | -0.000 | 71.649 | 0.000 | 0.000 |
| -0.000 | -0.000 | -0.000 | 0.000 | 71.649 | 0.000 |
| -0.000 | -0.000 | -0.000 | 0.000 | 0.000 | 71.649 |
| 169.143 | 64.074 | 64.074 | -0.000 | -0.000 | -0.000 |
| 64.074 | 169.143 | 64.074 | -0.000 | -0.000 | -0.000 |
| 64.074 | 64.074 | 169.143 | -0.000 | -0.000 | -0.000 |
| 0.000 | -0.000 | 0.000 | 71.649 | -0.000 | -0.000 |
| -0.000 | 0.000 | 0.000 | -0.000 | 71.649 | -0.000 |
| -0.000 | 0.000 | 0.000 | -0.000 | -0.000 | 71.649 |
| 169.143 | 64.074 | 64.074 | 0.000 | 0.000 | 0.000 |
| 64.074 | 169.143 | 64.074 | 0.000 | 0.000 | 0.000 |
| 64.074 | 64.074 | 169.143 | 0.000 | 0.000 | 0.000 |
| -0.000 | 0.000 | -0.000 | 71.649 | 0.000 | 0.000 |
| 0.000 | -0.000 | -0.000 | 0.000 | 71.649 | 0.000 |
| 0.000 | -0.000 | -0.000 | 0.000 | 0.000 | 71.649 |
| 169.143 | 64.075 | 64.075 | -0.000 | -0.000 | -0.000 |
| 64.075 | 169.143 | 64.075 | -0.000 | -0.000 | -0.000 |
| 64.075 | 64.075 | 169.143 | -0.000 | -0.000 | -0.000 |
| 0.000 | -0.000 | 0.000 | 71.649 | -0.000 | -0.000 |
| -0.000 | 0.000 | 0.000 | -0.000 | 71.649 | -0.000 |
| -0.000 | 0.000 | 0.000 | -0.000 | -0.000 | 71.649 |
| 169.142 | 64.074 | 64.074 | 0.000 | 0.000 | 0.000 |
| 64.074 | 169.142 | 64.074 | 0.000 | 0.000 | 0.000 |
| 64.074 | 64.074 | 169.142 | 0.000 | 0.000 | 0.000 |
| -0.000 | 0.000 | -0.000 | 71.649 | 0.000 | 0.000 |
| 0.000 | -0.000 | -0.000 | 0.000 | 71.649 | 0.000 |
| 0.000 | -0.000 | -0.000 | 0.000 | 0.000 | 71.649 |
| 239.648 | 117.968 | 32.184 | 0.000 | 0.000 | -0.000 |
| 117.968 | 239.648 | 32.184 | 0.000 | 0.000 | -0.000 |
| 32.184 | 32.184 | 378.630 | 0.000 | 0.000 | -0.000 |
| -0.000 | -0.000 | -0.000 | 23.546 | -0.000 | -0.000 |
| -0.000 | 0.000 | -0.000 | -0.000 | 23.546 | -0.000 |
| -0.000 | -0.000 | 0.000 | 0.000 | -0.000 | 16.019 |
| 239.648 | 117.968 | 32.184 | -0.000 | 0.000 | 0.000 |
| 117.968 | 239.648 | 32.184 | -0.000 | -0.000 | 0.000 |
| 32.184 | 32.184 | 378.630 | -0.000 | 0.000 | -0.000 |
| 0.000 | -0.000 | 0.000 | 23.546 | 0.000 | -0.000 |
| -0.000 | -0.000 | 0.000 | -0.000 | 23.546 | -0.000 |
| 0.000 | 0.000 | -0.000 | -0.000 | 0.000 | 16.019 |
| 239.648 | 117.968 | 32.184 | 0.000 | -0.000 | 0.000 |
| 117.968 | 239.648 | 32.184 | 0.000 | -0.000 | -0.000 |
| 32.184 | 32.184 | 378.631 | 0.000 | 0.000 | -0.000 |
| -0.000 | -0.000 | -0.000 | 23.546 | -0.000 | -0.000 |
| -0.000 | -0.000 | -0.000 | -0.000 | 23.546 | -0.000 |
| -0.000 | -0.000 | -0.000 | 0.000 | 0.000 | 16.019 |
| 239.648 | 117.968 | 32.184 | -0.000 | -0.000 | 0.000 |
| 117.968 | 239.648 | 32.184 | -0.000 | 0.000 | -0.000 |
| 32.184 | 32.184 | 378.630 | -0.000 | -0.000 | 0.000 |
| 0.000 | 0.000 | 0.000 | 23.546 | 0.000 | -0.000 |
| 0.000 | 0.000 | 0.000 | 0.000 | 23.546 | 0.000 |
| 0.000 | 0.000 | 0.000 | -0.000 | 0.000 | 16.019 |
| 239.648 | 117.969 | 32.184 | 0.000 | 0.000 | 0.000 |
| 117.969 | 239.648 | 32.184 | 0.000 | -0.000 | 0.000 |
| 32.184 | 32.184 | 378.632 | -0.000 | -0.000 | -0.000 |
| -0.000 | -0.000 | -0.000 | 23.546 | -0.000 | -0.000 |
| -0.000 | -0.000 | -0.000 | -0.000 | 23.546 | -0.000 |
| -0.000 | -0.000 | -0.000 | 0.000 | -0.000 | 16.019 |
| 239.648 | 117.967 | 32.184 | -0.000 | -0.000 | -0.000 |
| 117.967 | 239.648 | 32.184 | -0.000 | -0.000 | -0.000 |
| 32.184 | 32.184 | 378.628 | -0.000 | -0.000 | -0.000 |
| 0.000 | 0.000 | 0.000 | 23.546 | 0.000 | 0.000 |
| 0.000 | 0.000 | 0.000 | 0.000 | 23.546 | 0.000 |
| 0.000 | 0.000 | 0.000 | -0.000 | -0.000 | 16.019 |
| 175.742 | 138.019 | 103.332 | 0.000 | -0.000 | -0.000 |
| 138.019 | 175.742 | 103.332 | 0.000 | -0.000 | -0.000 |
| 103.332 | 103.332 | 346.993 | -0.000 | -0.000 | 0.000 |
| 0.000 | -0.000 | -0.000 | 96.447 | -0.000 | -0.000 |
| 0.000 | -0.000 | -0.000 | 0.000 | 96.447 | -0.000 |
| 0.000 | -0.000 | -0.000 | -0.000 | -0.000 | 152.260 |
| 175.742 | 138.019 | 103.332 | 0.000 | 0.000 | 0.000 |
| 138.019 | 175.742 | 103.332 | 0.000 | 0.000 | 0.000 |
| 103.332 | 103.332 | 346.993 | -0.000 | -0.000 | -0.000 |
| -0.000 | 0.000 | 0.000 | 96.447 | 0.000 | 0.000 |
| -0.000 | 0.000 | 0.000 | 0.000 | 96.447 | 0.000 |
| -0.000 | -0.000 | 0.000 | 0.000 | 0.000 | 152.260 |
| 175.742 | 138.019 | 103.332 | -0.000 | -0.000 | -0.000 |
| 138.019 | 175.742 | 103.332 | -0.000 | -0.000 | -0.000 |
| 103.332 | 103.332 | 346.993 | -0.000 | -0.000 | -0.000 |
| 0.000 | 0.000 | 0.000 | 96.447 | -0.000 | -0.000 |
| 0.000 | 0.000 | 0.000 | -0.000 | 96.447 | -0.000 |
| 0.000 | 0.000 | 0.000 | -0.000 | -0.000 | 152.260 |
| 175.742 | 138.019 | 103.332 | 0.000 | 0.000 | 0.000 |
| 138.019 | 175.742 | 103.332 | 0.000 | 0.000 | 0.000 |
| 103.332 | 103.332 | 346.993 | -0.000 | 0.000 | 0.000 |
| -0.000 | -0.000 | -0.000 | 96.447 | 0.000 | 0.000 |
| -0.000 | -0.000 | -0.000 | 0.000 | 96.447 | 0.000 |
| -0.000 | -0.000 | -0.000 | 0.000 | 0.000 | 152.260 |
| 175.743 | 138.019 | 103.332 | -0.000 | -0.000 | -0.000 |
| 138.019 | 175.743 | 103.332 | 0.000 | 0.000 | -0.000 |
| 103.332 | 103.332 | 346.995 | -0.000 | -0.000 | -0.000 |
| 0.000 | 0.000 | 0.000 | 96.447 | -0.000 | -0.000 |
| 0.000 | 0.000 | 0.000 | -0.000 | 96.447 | -0.000 |
| 0.000 | 0.000 | 0.000 | -0.000 | -0.000 | 152.260 |
| 175.742 | 138.018 | 103.331 | 0.000 | 0.000 | 0.000 |
| 138.018 | 175.742 | 103.331 | 0.000 | 0.000 | 0.000 |
| 103.331 | 103.331 | 346.992 | 0.000 | 0.000 | 0.000 |
| -0.000 | -0.000 | -0.000 | 96.447 | 0.000 | 0.000 |
| -0.000 | -0.000 | -0.000 | 0.000 | 96.447 | 0.000 |
| -0.000 | -0.000 | -0.000 | 0.000 | 0.000 | 152.260 |
| 190.310 | 60.497 | 120.950 | -85.542 | -0.000 | 0.000 |
| 60.497 | 190.310 | 120.950 | 85.542 | 0.000 | 0.000 |
| 120.947 | 120.947 | 129.706 | 0.000 | 0.000 | 0.000 |
| -85.542 | 85.541 | -0.000 | 125.354 | -0.000 | 0.000 |
| 0.000 | 0.000 | 0.000 | -0.000 | 125.354 | -85.542 |
| 0.000 | 0.000 | 0.000 | -0.000 | -85.542 | 64.907 |
| 190.310 | 60.496 | 120.950 | -85.542 | -0.000 | -0.000 |
| 60.497 | 190.311 | 120.950 | 85.542 | 0.000 | 0.000 |
| 120.948 | 120.948 | 129.706 | 0.000 | 0.000 | 0.000 |
| -85.542 | 85.542 | -0.000 | 125.354 | 0.000 | -0.000 |
| -0.000 | -0.000 | -0.000 | 0.000 | 125.354 | -85.542 |
| -0.000 | -0.000 | -0.000 | 0.000 | -85.542 | 64.907 |
| 190.310 | 60.496 | 120.950 | -85.542 | -0.000 | 0.000 |
| 60.496 | 190.311 | 120.950 | 85.542 | -0.000 | -0.000 |
| 120.948 | 120.948 | 129.706 | 0.000 | 0.000 | -0.000 |
| -85.542 | 85.542 | 0.000 | 125.354 | 0.000 | -0.000 |
| 0.000 | 0.000 | 0.000 | -0.000 | 125.354 | -85.542 |
| -0.000 | -0.000 | 0.000 | -0.000 | -85.542 | 64.907 |
| 190.310 | 60.496 | 120.950 | -85.542 | 0.000 | -0.000 |
| 60.497 | 190.310 | 120.950 | 85.542 | 0.000 | 0.000 |
| 120.948 | 120.948 | 129.706 | 0.000 | 0.000 | -0.000 |
| -85.542 | 85.542 | -0.000 | 125.354 | 0.000 | -0.000 |
| -0.000 | -0.000 | -0.000 | 0.000 | 125.354 | -85.542 |
| 0.000 | 0.000 | -0.000 | 0.000 | -85.542 | 64.907 |
| 190.311 | 60.497 | 120.950 | -85.542 | -0.000 | -0.000 |
| 60.497 | 190.311 | 120.950 | 85.542 | -0.000 | 0.000 |
| 120.948 | 120.948 | 129.706 | 0.000 | -0.000 | 0.000 |
| -85.542 | 85.542 | 0.000 | 125.355 | 0.000 | 0.000 |
| 0.000 | 0.000 | 0.000 | -0.000 | 125.354 | -85.542 |
| 0.000 | -0.000 | 0.000 | -0.000 | -85.542 | 64.907 |
| 190.310 | 60.496 | 120.949 | -85.541 | 0.000 | -0.000 |
| 60.496 | 190.310 | 120.949 | 85.541 | 0.000 | -0.000 |
| 120.947 | 120.947 | 129.706 | 0.000 | -0.000 | -0.000 |
| -85.542 | 85.542 | -0.000 | 125.354 | 0.000 | -0.000 |
| -0.000 | -0.000 | -0.000 | 0.000 | 125.354 | -85.542 |
| -0.000 | 0.000 | -0.000 | 0.000 | -85.542 | 64.907 |
| 371.731 | -0.000 | -0.000 | -0.000 | -0.000 | -0.000 |
| -0.000 | 371.731 | -0.000 | -0.000 | -0.000 | -0.000 |
| -0.000 | -0.000 | 371.731 | -0.000 | -0.000 | -0.000 |
| -0.000 | -0.000 | -0.000 | 4.404 | -0.000 | -0.000 |
| -0.000 | -0.000 | -0.000 | -0.000 | 4.404 | -0.000 |
| -0.000 | -0.000 | -0.000 | -0.000 | -0.000 | 4.404 |
| 371.731 | 0.000 | 0.000 | 0.000 | 0.000 | 0.000 |
| 0.000 | 371.731 | 0.000 | 0.000 | 0.000 | 0.000 |
| 0.000 | 0.000 | 371.731 | -0.000 | -0.000 | 0.000 |
| 0.000 | 0.000 | 0.000 | 4.404 | 0.000 | 0.000 |
| 0.000 | 0.000 | 0.000 | 0.000 | 4.404 | 0.000 |
| 0.000 | 0.000 | 0.000 | 0.000 | 0.000 | 4.404 |
| 371.732 | -0.000 | -0.000 | -0.000 | -0.000 | -0.000 |
| -0.000 | 371.732 | -0.000 | -0.000 | -0.000 | -0.000 |
| -0.000 | -0.000 | 371.732 | -0.000 | 0.000 | -0.000 |
| -0.000 | -0.000 | -0.000 | 4.404 | -0.000 | -0.000 |
| -0.000 | -0.000 | -0.000 | -0.000 | 4.404 | -0.000 |
| -0.000 | -0.000 | -0.000 | -0.000 | -0.000 | 4.404 |
| 371.731 | 0.000 | 0.000 | 0.000 | 0.000 | 0.000 |
| 0.000 | 371.731 | 0.000 | 0.000 | 0.000 | 0.000 |
| 0.000 | 0.000 | 371.731 | 0.000 | 0.000 | 0.000 |
| 0.000 | 0.000 | 0.000 | 4.404 | 0.000 | 0.000 |
| -0.000 | 0.000 | 0.000 | 0.000 | 4.404 | 0.000 |
| -0.000 | 0.000 | 0.000 | 0.000 | 0.000 | 4.404 |
| 371.733 | -0.000 | -0.000 | -0.000 | -0.000 | -0.000 |
| -0.000 | 371.733 | -0.000 | -0.000 | -0.000 | -0.000 |
| -0.000 | -0.000 | 371.733 | -0.000 | -0.000 | -0.000 |
| -0.000 | 0.000 | -0.000 | 4.404 | -0.000 | -0.000 |
| 0.000 | -0.000 | -0.000 | -0.000 | 4.404 | -0.000 |
| 0.000 | -0.000 | -0.000 | -0.000 | -0.000 | 4.404 |
| 371.729 | 0.000 | 0.000 | 0.000 | 0.000 | 0.000 |
| 0.000 | 371.729 | 0.000 | 0.000 | 0.000 | 0.000 |
| 0.000 | 0.000 | 371.729 | 0.000 | 0.000 | 0.000 |
| 0.000 | -0.000 | 0.000 | 4.404 | 0.000 | 0.000 |
| -0.000 | 0.000 | 0.000 | 0.000 | 4.404 | 0.000 |
| -0.000 | 0.000 | 0.000 | 0.000 | 0.000 | 4.404 |
| 130.951 | 81.037 | 118.825 | -0.000 | -0.000 | 0.000 |
| 60.664 | 626.724 | 212.348 | -0.000 | -0.000 | -0.000 |
| 109.214 | 243.013 | 211.330 | -0.000 | 0.000 | -0.000 |
| -0.169 | 0.471 | -1.336 | 20.555 | 0.000 | 0.000 |
| -0.449 | 1.248 | -3.539 | -0.000 | 131.792 | 0.000 |
| -0.483 | 3.144 | -5.989 | -0.000 | 0.000 | 1.721 |
| 131.259 | 80.989 | 120.276 | 0.000 | 0.000 | 0.000 |
| 63.007 | 619.904 | 231.193 | 0.000 | 0.000 | 0.000 |
| 154.068 | 292.859 | 353.644 | 0.000 | -0.000 | 0.000 |
| 0.169 | -0.471 | 1.336 | 20.555 | -0.000 | -0.000 |
| 0.449 | -1.248 | 3.539 | 0.000 | 131.792 | -0.000 |
| 0.483 | -3.144 | 5.988 | 0.000 | -0.000 | 1.721 |
| 130.725 | 82.900 | 115.547 | -0.000 | 0.000 | -0.000 |
| 62.581 | 621.401 | 227.453 | 0.000 | 0.000 | -0.000 |
| 111.479 | 224.187 | 244.356 | -0.000 | -0.000 | 0.000 |
| -0.022 | 0.087 | -0.204 | 20.330 | 0.000 | 0.000 |
| 0.000 | -0.000 | 0.000 | -0.000 | 131.792 | 0.000 |
| -0.049 | 0.320 | -0.609 | -0.000 | 0.000 | 1.174 |
| 130.802 | 82.628 | 116.226 | 0.000 | -0.000 | 0.000 |
| 60.541 | 626.192 | 212.436 | 0.000 | 0.000 | -0.000 |
| 154.068 | 292.859 | 353.644 | 0.000 | 0.000 | -0.000 |
| 0.022 | -0.087 | 0.204 | 20.330 | -0.000 | -0.000 |
| -0.000 | 0.000 | -0.000 | 0.000 | 131.792 | -0.000 |
| 0.049 | -0.320 | 0.609 | 0.000 | -0.000 | 1.174 |
| 130.761 | 82.780 | 115.857 | -0.000 | 0.000 | -0.000 |
| 62.621 | 621.287 | 227.770 | -0.000 | 0.000 | 0.000 |
| 109.613 | 241.690 | 214.733 | -0.000 | 0.000 | 0.000 |
| -0.006 | 0.002 | -0.030 | 20.330 | 0.000 | 0.000 |
| 0.000 | -0.000 | 0.000 | -0.000 | 131.792 | 0.000 |
| -0.004 | 0.032 | -0.060 | -0.000 | 0.000 | 1.169 |
| 131.139 | 81.066 | 119.640 | 0.000 | 0.000 | -0.000 |
| 62.617 | 621.241 | 227.814 | 0.000 | -0.000 | 0.000 |
| 109.592 | 241.616 | 214.728 | 0.000 | -0.000 | 0.000 |
| 0.006 | -0.002 | 0.030 | 20.330 | -0.000 | -0.000 |
| -0.000 | 0.000 | -0.000 | 0.000 | 131.792 | -0.000 |
| 0.004 | -0.032 | 0.060 | 0.000 | -0.000 | 1.169 |
| 76.652 | 68.928 | 68.928 | 0.000 | -0.000 | -0.000 |
| 68.928 | 76.652 | 68.928 | -0.000 | -0.000 | -0.000 |
| 68.928 | 68.928 | 76.652 | 0.000 | 0.000 | -0.000 |
| 0.000 | 0.000 | 0.000 | 17.679 | 0.000 | -0.000 |
| 0.000 | 0.000 | 0.000 | 0.000 | 17.679 | -0.000 |
| 0.000 | 0.000 | 0.000 | 0.000 | 0.000 | 17.679 |
| 76.652 | 68.928 | 68.928 | -0.000 | -0.000 | 0.000 |
| 68.928 | 76.652 | 68.928 | -0.000 | -0.000 | -0.000 |
| 68.928 | 68.928 | 76.652 | -0.000 | -0.000 | -0.000 |
| -0.000 | -0.000 | -0.000 | 17.679 | -0.000 | 0.000 |
| -0.000 | -0.000 | -0.000 | -0.000 | 17.679 | 0.000 |
| -0.000 | -0.000 | -0.000 | -0.000 | -0.000 | 17.679 |
| 76.652 | 68.928 | 68.928 | -0.000 | 0.000 | -0.000 |
| 68.928 | 76.652 | 68.928 | 0.000 | 0.000 | -0.000 |
| 68.928 | 68.928 | 76.652 | 0.000 | 0.000 | -0.000 |
| 0.000 | -0.000 | -0.000 | 17.679 | -0.000 | 0.000 |
| -0.000 | 0.000 | -0.000 | 0.000 | 17.679 | 0.000 |
| -0.000 | -0.000 | 0.000 | 0.000 | 0.000 | 17.679 |
| 76.652 | 68.928 | 68.928 | -0.000 | 0.000 | 0.000 |
| 68.928 | 76.652 | 68.928 | -0.000 | 0.000 | -0.000 |
| 68.928 | 68.928 | 76.652 | -0.000 | -0.000 | 0.000 |
| -0.000 | 0.000 | 0.000 | 17.679 | -0.000 | 0.000 |
| 0.000 | -0.000 | 0.000 | -0.000 | 17.679 | 0.000 |
| 0.000 | 0.000 | -0.000 | -0.000 | 0.000 | 17.679 |
| 76.653 | 68.928 | 68.928 | 0.000 | -0.000 | 0.000 |
| 68.928 | 76.653 | 68.928 | 0.000 | -0.000 | -0.000 |
| 68.928 | 68.928 | 76.653 | 0.000 | 0.000 | -0.000 |
| 0.000 | -0.000 | -0.000 | 17.679 | 0.000 | 0.000 |
| -0.000 | 0.000 | -0.000 | 0.000 | 17.679 | -0.000 |
| -0.000 | -0.000 | 0.000 | -0.000 | 0.000 | 17.679 |
| 76.652 | 68.928 | 68.928 | -0.000 | 0.000 | 0.000 |
| 68.928 | 76.652 | 68.928 | -0.000 | -0.000 | 0.000 |
| 68.928 | 68.928 | 76.652 | -0.000 | -0.000 | 0.000 |
| -0.000 | 0.000 | 0.000 | 17.679 | -0.000 | 0.000 |
| 0.000 | -0.000 | 0.000 | -0.000 | 17.679 | 0.000 |
| 0.000 | 0.000 | -0.000 | -0.000 | -0.000 | 17.679 |
| 140.909 | 41.523 | 61.801 | 0.000 | 5.093 | -0.000 |
| 45.856 | 164.361 | 55.082 | 0.000 | 1.199 | -0.000 |
| 43.884 | 45.208 | 193.214 | 0.000 | 23.165 | -0.000 |
| 0.211 | -3.451 | 2.073 | 52.388 | 1.423 | -1.806 |
| 1.215 | -4.956 | 7.433 | -0.000 | 36.550 | 0.000 |
| 0.284 | -4.360 | 1.007 | -1.650 | 1.359 | 38.260 |
| 140.446 | 48.903 | 61.477 | -0.000 | 2.949 | 0.000 |
| 45.382 | 173.333 | 52.809 | -0.000 | -3.579 | 0.000 |
| 59.351 | 59.035 | 163.618 | -0.000 | 8.417 | 0.000 |
| -0.211 | 3.451 | -2.073 | 52.388 | -1.423 | -1.806 |
| 1.151 | 2.941 | 6.523 | -0.000 | 34.784 | 0.000 |
| -0.284 | 4.360 | -1.007 | -1.650 | -1.359 | 38.260 |
| 195.245 | 19.283 | 45.986 | 0.000 | 13.580 | -0.000 |
| 21.514 | 211.206 | 44.521 | 0.000 | -21.244 | -0.000 |
| 60.425 | 55.649 | 164.519 | 0.000 | 9.332 | -0.000 |
| 0.000 | 0.000 | 0.000 | 84.567 | -0.000 | -18.251 |
| 0.840 | -1.588 | 7.475 | 0.000 | 35.803 | 0.000 |
| 0.021 | -0.349 | 0.210 | -1.672 | 0.144 | 39.115 |
| 195.245 | 19.283 | 45.986 | -0.000 | 13.580 | 0.000 |
| 45.723 | 169.830 | 54.828 | -0.000 | -2.123 | 0.000 |
| 43.884 | 45.208 | 193.214 | 0.000 | 23.165 | 0.000 |
| -0.000 | -0.000 | -0.000 | 84.567 | 0.000 | -18.251 |
| 0.996 | -0.620 | 7.535 | -0.000 | 35.625 | 0.000 |
| -0.021 | 0.349 | -0.210 | -1.672 | -0.144 | 39.115 |
| 139.920 | 45.728 | 61.936 | 0.000 | 4.780 | -0.000 |
| 45.494 | 168.827 | 54.273 | 0.000 | -0.510 | -0.000 |
| 61.512 | 54.474 | 161.460 | 0.000 | 7.423 | 0.000 |
| 0.003 | -0.039 | 0.015 | 52.198 | 0.014 | -1.895 |
| 1.015 | -1.068 | 7.548 | 0.000 | 35.742 | -0.000 |
| 0.002 | -0.035 | 0.021 | -1.675 | 0.014 | 39.118 |
| 140.044 | 45.441 | 62.056 | -0.000 | 4.809 | 0.000 |
| 45.766 | 169.461 | 55.036 | -0.000 | -1.969 | 0.000 |
| 61.192 | 54.635 | 161.512 | -0.000 | 7.521 | 0.000 |
| -0.003 | 0.039 | -0.015 | 52.198 | -0.014 | -1.895 |
| 1.337 | -0.643 | 8.653 | -0.000 | 35.987 | 0.000 |
| -0.002 | 0.035 | -0.021 | -1.675 | -0.014 | 39.118 |
| 142.247 | 45.708 | 62.511 | -0.000 | 3.926 | 0.000 |
| 46.363 | 170.033 | 56.479 | -0.000 | -1.838 | -0.000 |
| 44.533 | 45.260 | 195.126 | -0.000 | 23.948 | -0.000 |
| -0.000 | 0.000 | 0.000 | 84.206 | 0.000 | -18.312 |
| 1.307 | -0.616 | 8.714 | -0.000 | 35.348 | -0.000 |
| -0.000 | 0.000 | 0.000 | -18.312 | 0.000 | 54.682 |
| 142.159 | 45.767 | 62.510 | 0.000 | 3.905 | -0.000 |
| 46.048 | 169.511 | 55.659 | 0.000 | -0.370 | -0.000 |
| 44.533 | 45.260 | 195.125 | 0.000 | 23.948 | 0.000 |
| 0.000 | -0.000 | -0.000 | 84.206 | -0.000 | -18.312 |
| 1.237 | -0.554 | 8.719 | 0.000 | 35.330 | 0.000 |
| 0.000 | -0.000 | -0.000 | -18.312 | -0.000 | 54.682 |
| 141.344 | 45.787 | 63.389 | -0.000 | 4.823 | -0.000 |
| 21.721 | 212.291 | 45.260 | -0.000 | -21.406 | 0.000 |
| 62.563 | 56.042 | 162.187 | -0.000 | 6.115 | -0.000 |
| 0.005 | -0.003 | 0.000 | 51.955 | 0.001 | -1.691 |
| 0.802 | -1.099 | 7.425 | -0.000 | 35.034 | -0.000 |
| -0.000 | 0.000 | 0.000 | -18.312 | 0.000 | 54.682 |
| 148.209 | 48.053 | 62.984 | 0.000 | 5.246 | -0.000 |
| 46.470 | 169.388 | 54.983 | 0.000 | -1.274 | 0.000 |
| 61.066 | 56.649 | 164.851 | 0.000 | 9.427 | 0.000 |
| -0.005 | 0.003 | -0.000 | 51.955 | -0.001 | -1.691 |
| 1.269 | -0.582 | 8.717 | 0.000 | 35.338 | -0.000 |
| 0.000 | -0.000 | -0.000 | -18.312 | -0.000 | 54.682 |
| 141.340 | 45.789 | 63.389 | -0.000 | 4.823 | 0.000 |
| 46.086 | 169.483 | 55.659 | -0.000 | -0.363 | 0.000 |
| 62.560 | 56.046 | 162.186 | -0.000 | 6.113 | -0.000 |
| 0.000 | -0.000 | 0.000 | 51.963 | 0.000 | -1.734 |
| 0.862 | -1.179 | 7.426 | -0.000 | 35.032 | -0.000 |
| 0.000 | -0.000 | 0.000 | -1.691 | 0.000 | 38.031 |
| 141.339 | 45.789 | 63.388 | 0.000 | 4.822 | -0.000 |
| 46.330 | 170.060 | 56.481 | 0.000 | -1.844 | 0.000 |
| 61.068 | 56.646 | 164.852 | 0.000 | 9.428 | 0.000 |
| -0.000 | 0.000 | -0.000 | 51.963 | -0.000 | -1.734 |
| 1.272 | -0.585 | 8.717 | 0.000 | 35.339 | -0.000 |
| -0.000 | 0.000 | -0.000 | -1.691 | -0.000 | 38.031 |
| 171.681 | 96.614 | 86.763 | 0.000 | 0.000 | 0.000 |
| 81.989 | 355.791 | 75.386 | 0.000 | 0.000 | 0.000 |
| 132.857 | 75.386 | 169.940 | -0.000 | -0.000 | 0.000 |
| -0.000 | 0.000 | -0.000 | 69.572 | 0.000 | 0.000 |
| 0.006 | 0.000 | 0.000 | -0.000 | 66.464 | -0.000 |
| -0.002 | -0.000 | -0.000 | 0.000 | 0.000 | 63.719 |
| 296.710 | 82.094 | 103.325 | -0.000 | -0.000 | -0.000 |
| 111.722 | 349.283 | 83.080 | -0.000 | -0.000 | -0.000 |
| 68.711 | 83.080 | 158.403 | -0.000 | -0.000 | -0.000 |
| 0.000 | -0.000 | -0.000 | 69.572 | -0.000 | 0.000 |
| -0.006 | -0.000 | -0.000 | -0.000 | 66.464 | -0.000 |
| 0.002 | 0.000 | 0.000 | -0.000 | 0.000 | 63.719 |
| 124.263 | 111.722 | 68.704 | 0.000 | 0.000 | -0.000 |
| 83.031 | 350.995 | 79.717 | 0.000 | 0.000 | 0.000 |
| 97.032 | 75.915 | 166.406 | 0.000 | 0.000 | 0.000 |
| -0.000 | -0.000 | 0.000 | 67.217 | 0.000 | 0.000 |
| 0.000 | 0.000 | 0.000 | 0.000 | 135.170 | 0.000 |
| -0.000 | -0.000 | 0.000 | -0.000 | -0.000 | 71.917 |
| 296.764 | 82.094 | 103.329 | 0.000 | 0.000 | -0.000 |
| 81.989 | 355.791 | 75.386 | -0.000 | -0.000 | -0.000 |
| 97.031 | 75.915 | 166.406 | -0.000 | -0.000 | 0.000 |
| 0.000 | 0.000 | -0.000 | 67.217 | 0.000 | -0.000 |
| -0.000 | -0.000 | -0.000 | 0.000 | 135.170 | -0.000 |
| 0.000 | 0.000 | -0.000 | -0.000 | -0.000 | 71.917 |
| 123.520 | 111.723 | 68.642 | 0.000 | -0.000 | 0.000 |
| 83.032 | 350.996 | 79.718 | 0.000 | 0.000 | 0.000 |
| 77.763 | 82.530 | 159.129 | 0.000 | 0.000 | 0.000 |
| 0.000 | -0.000 | 0.000 | 66.067 | 0.000 | 0.000 |
| -0.000 | -0.000 | -0.000 | -0.000 | 66.464 | 0.000 |
| -0.000 | -0.000 | 0.000 | 0.000 | 0.000 | 63.719 |
| 125.182 | 111.719 | 68.782 | -0.000 | 0.000 | -0.000 |
| 81.989 | 355.789 | 75.386 | -0.000 | 0.000 | 0.000 |
| 97.030 | 75.915 | 166.406 | -0.000 | -0.000 | -0.000 |
| -0.000 | 0.000 | -0.000 | 66.067 | -0.000 | -0.000 |
| 0.000 | 0.000 | 0.000 | -0.000 | 66.464 | -0.000 |
| 0.000 | 0.000 | -0.000 | -0.000 | -0.000 | 63.719 |
| 47.584 | 77.384 | 61.775 | -0.000 | -0.000 | 0.000 |
| 86.360 | 319.815 | 59.356 | -0.000 | -0.000 | 0.000 |
| 83.007 | 63.713 | 287.720 | -0.000 | -0.000 | 0.000 |
| -3.070 | -0.092 | -0.174 | 56.085 | -0.000 | 0.000 |
| 0.000 | 0.000 | -0.000 | -0.000 | 76.982 | 0.000 |
| 0.000 | 0.000 | -0.000 | -0.000 | -0.000 | 75.479 |
| 46.132 | 75.940 | 61.439 | -0.000 | 0.000 | 0.000 |
| 86.360 | 319.815 | 59.356 | 0.000 | 0.000 | -0.000 |
| 83.007 | 63.713 | 287.719 | 0.000 | 0.000 | -0.000 |
| 3.070 | 0.092 | 0.174 | 56.085 | 0.000 | 0.000 |
| -0.000 | -0.000 | 0.000 | 0.000 | 76.982 | -0.000 |
| -0.000 | -0.000 | -0.000 | 0.000 | 0.000 | 75.479 |
| 145.526 | 87.370 | 79.661 | -0.000 | -0.000 | -0.000 |
| 86.360 | 319.815 | 59.356 | -0.000 | 0.000 | 0.000 |
| 83.008 | 63.713 | 287.720 | -0.000 | -0.000 | 0.000 |
| 0.000 | 0.000 | 0.000 | 57.390 | -0.000 | -0.000 |
| 0.095 | 0.084 | 0.064 | 0.000 | 73.292 | 0.000 |
| 0.000 | 0.000 | 0.000 | -0.000 | -0.000 | 75.479 |
| 145.526 | 87.370 | 79.661 | 0.000 | 0.000 | 0.000 |
| 75.470 | 316.090 | 58.816 | 0.000 | 0.000 | -0.000 |
| 83.007 | 63.713 | 287.719 | 0.000 | 0.000 | -0.000 |
| -0.000 | -0.000 | -0.000 | 57.390 | 0.000 | -0.000 |
| -0.095 | -0.084 | -0.064 | -0.000 | 73.292 | -0.000 |
| -0.000 | -0.000 | -0.000 | 0.000 | 0.000 | 75.479 |
| 46.957 | 76.611 | 61.262 | 0.000 | -0.000 | 0.000 |
| 75.591 | 316.176 | 58.890 | -0.000 | 0.000 | 0.000 |
| 63.587 | 62.612 | 283.475 | 0.000 | -0.000 | 0.000 |
| -0.016 | -0.000 | -0.001 | 56.723 | -0.000 | 0.000 |
| 0.000 | 0.000 | 0.000 | -0.000 | 76.982 | 0.000 |
| -0.031 | -0.001 | -0.002 | 0.000 | -0.000 | 72.648 |
| 50.162 | 76.703 | 62.624 | -0.000 | 0.000 | -0.000 |
| 72.980 | 316.462 | 58.141 | -0.000 | 0.000 | -0.000 |
| 63.530 | 62.606 | 283.446 | -0.000 | 0.000 | -0.000 |
| 0.016 | 0.000 | 0.001 | 56.723 | 0.000 | -0.000 |
| -0.000 | -0.000 | -0.000 | -0.000 | 76.982 | -0.000 |
| 0.031 | 0.001 | 0.002 | -0.000 | 0.000 | 72.648 |
| 360.960 | 95.904 | 0.633 | 0.007 | -0.000 | 0.000 |
| -180265810.537 | 202563160.443 | -788939334.811 | 366911.866 | -427611.541 | 1200450.840 |
| 2.592 | 281.625 | 335.646 | 0.003 | 0.000 | 0.000 |
| -302404607.524 | 374548917.702 | -808862890.819 | -89259531.887 | -45.583 | 877.071 |
| -145243644.685 | 149871491.954 | -800052522.802 | 1355607.223 | 504045.638 | -232917.456 |
| -0.011 | 0.063 | 0.082 | 0.005 | -0.000 | 14.085 |
| 165056566.130 | -174660879.688 | 794422867.857 | -5974483.341 | 184186.068 | -2926383.812 |
| 176318502.505 | -198524475.134 | 782079768.272 | -7353350.579 | 170455.068 | 336574.564 |
| 163795654.069 | -171248977.854 | 798653680.479 | -6037059.367 | -62514.469 | -4350672.604 |
| 302025386.057 | -361433149.442 | 840043607.613 | -86258331.749 | -0.130 | 0.037 |
| 145842895.631 | -147931214.090 | 802757362.895 | 167169.686 | -87456.085 | 1705639.220 |
| 0.011 | -0.063 | -0.082 | -0.005 | 0.000 | 14.085 |
| -19390920.744 | 21517460.006 | -79677152.990 | 44977.957 | -29058.620 | 197634.968 |
| -19620109.790 | 21849007.620 | -79883108.403 | -299984.977 | -19516.884 | 254680.939 |
| -1.539 | 291.748 | 334.555 | 0.003 | -0.000 | 0.000 |
| -30202661.137 | 36143664.933 | -84004530.942 | -8625680.979 | -0.003 | -0.008 |
| -16323741.667 | 17090807.381 | -80191141.429 | 629523.320 | 5758.689 | 399337.135 |
| -16415892.413 | 17129743.303 | -79941802.104 | 423812.534 | 3268.803 | 345372.614 |
| 19509814.923 | -21732678.913 | 79867924.290 | -89637.995 | 27362.365 | -242430.331 |
| 19608852.914 | -21846428.993 | 79716657.951 | 125298.920 | 21946.309 | -284768.822 |
| 19441988.425 | -21686099.869 | 79586661.423 | 131547.747 | 38127.554 | -278022.664 |
| 30153944.542 | -34846353.179 | 86965009.269 | -8349288.972 | 0.027 | 0.003 |
| 16321678.574 | -17152001.197 | 79853655.629 | -664059.567 | -810.824 | -426041.881 |
| 16415892.660 | -17129743.041 | 79941803.264 | -423812.813 | -3268.946 | -345335.873 |
| -1961670.136 | 2184920.222 | -7988316.203 | -29998.260 | -1951.732 | 25468.232 |
| -1961979.394 | 2184995.725 | -7988284.999 | -29999.452 | -1951.621 | 25468.169 |
| -1962010.208 | 2184920.611 | -7988154.591 | -29999.752 | -1951.766 | 25468.501 |
| -3020275.380 | 3614409.230 | -8400373.885 | -862466.726 | -6060.681 | -6550.337 |
| -1631101.229 | 1704959.370 | -8017141.518 | 45483.180 | 1271.781 | 39811.186 |
| -1641589.128 | 1712974.459 | -7994179.679 | 42381.126 | 326.813 | 34553.792 |
| 1962358.836 | -2184860.189 | 7988311.224 | 29998.525 | 1951.661 | -25467.940 |
| 102.127 | 65.111 | 299.514 | -0.000 | 0.000 | 0.000 |
| 1962018.766 | -2184859.800 | 7988472.835 | 29997.029 | 1951.628 | -25467.672 |
| 3015397.966 | -3484643.670 | 8696503.833 | -834830.008 | 0.000 | -0.000 |
| 1631101.175 | -1704959.383 | 8017141.343 | -45483.178 | -1231.182 | -39811.318 |
| 1641500.903 | -1712604.491 | 8000635.723 | -40766.167 | -368.757 | -33343.612 |
| 850.635 | 578.346 | 582.611 | 14.857 | -0.000 | 0.000 |
| 578.346 | 850.635 | 582.611 | -14.857 | -0.000 | 0.000 |
| 582.255 | 582.255 | 964.755 | -0.000 | -0.000 | 0.000 |
| 14.856 | -14.857 | 0.000 | 46.148 | -0.000 | 0.000 |
| -0.017 | -0.017 | -0.022 | -0.000 | 38.731 | 3.056 |
| -0.000 | 0.000 | -0.000 | 0.000 | 14.857 | 136.145 |
| 831.620 | 596.884 | 582.296 | 3.056 | 0.000 | -0.000 |
| 579.728 | 847.575 | 581.506 | -13.461 | 0.000 | -0.000 |
| 582.613 | 582.613 | 965.227 | 0.000 | 0.000 | -0.000 |
| 14.857 | -14.856 | -0.000 | 46.148 | 0.000 | 0.000 |
| 0.017 | 0.017 | 0.022 | 0.000 | 38.731 | 3.056 |
| 0.000 | -0.000 | 0.000 | -0.000 | 14.857 | 136.145 |
| 850.626 | 578.337 | 582.603 | 14.856 | -0.000 | -0.000 |
| 579.534 | 847.783 | 581.519 | -13.588 | -0.000 | -0.000 |
| 582.605 | 582.605 | 965.212 | -0.000 | -0.000 | 0.000 |
| 14.855 | -14.857 | 0.001 | 46.147 | -0.000 | 0.000 |
| -0.004 | -0.002 | -0.001 | -0.002 | 38.731 | 3.056 |
| -0.004 | -0.001 | -0.004 | -0.000 | 3.056 | 117.368 |
| 847.768 | 579.583 | 581.533 | 13.567 | 0.000 | -0.000 |
| 578.355 | 850.648 | 582.621 | -14.857 | 0.000 | 0.000 |
| 582.281 | 582.281 | 964.795 | 0.000 | 0.000 | -0.000 |
| 14.858 | -14.856 | -0.001 | 46.148 | 0.000 | -0.000 |
| 0.004 | 0.002 | 0.001 | 0.002 | 38.731 | 3.056 |
| 0.004 | 0.001 | 0.004 | 0.000 | 3.056 | 117.368 |
| 200.168 | 30.068 | 34.776 | -0.000 | -0.000 | 0.000 |
| 29.950 | 210.220 | 36.981 | -0.000 | -0.000 | -0.000 |
| 35.504 | 37.826 | 169.324 | 0.000 | -0.000 | 0.000 |
| 21.235 | -18.831 | 1.939 | 29.431 | -0.000 | -0.000 |
| 0.000 | -0.000 | 0.000 | -0.000 | 72.694 | 0.000 |
| 18.760 | -16.636 | 1.714 | -0.000 | -0.000 | 34.429 |
| 136.243 | 71.167 | 37.570 | -0.000 | 0.000 | 0.000 |
| 29.950 | 210.220 | 36.981 | 0.000 | 0.000 | -0.000 |
| 20.933 | 79.356 | 119.471 | -0.000 | 0.000 | 0.000 |
| -22.320 | 17.932 | 5.268 | 25.087 | 0.000 | -0.000 |
| -0.000 | 0.000 | -0.000 | 0.000 | 72.694 | 0.000 |
| -18.760 | 16.636 | -1.714 | 0.000 | 0.000 | 34.429 |
| 200.168 | 30.068 | 34.776 | -0.000 | -0.000 | 0.000 |
| 29.950 | 210.220 | 36.981 | -0.000 | -0.000 | 0.000 |
| 35.504 | 37.826 | 169.325 | -0.000 | -0.000 | 0.000 |
| 2.078 | -1.843 | 0.190 | 30.003 | -0.000 | 0.000 |
| 1.884 | -1.671 | 0.172 | -0.000 | 44.967 | 0.000 |
| 1.714 | -1.520 | 0.157 | -0.000 | -0.000 | 36.716 |
| 156.660 | 53.979 | 38.927 | 0.000 | 0.000 | -0.000 |
| 51.327 | 174.124 | 59.905 | -0.000 | 0.000 | 0.000 |
| 33.979 | 64.049 | 119.889 | -0.000 | 0.000 | -0.000 |
| -2.078 | 1.843 | -0.190 | 30.003 | 0.000 | 0.000 |
| -1.884 | 1.671 | -0.172 | 0.000 | 44.967 | -0.000 |
| -1.714 | 1.520 | -0.157 | 0.000 | 0.000 | 36.716 |
| 158.027 | 53.853 | 35.972 | 0.000 | -0.000 | -0.000 |
| 53.519 | 172.705 | 62.212 | -0.000 | -0.000 | -0.000 |
| 36.069 | 62.057 | 119.731 | 0.000 | -0.000 | -0.000 |
| 0.210 | -0.156 | -0.030 | 23.610 | -0.000 | -0.000 |
| 0.200 | -0.149 | -0.044 | 0.000 | 42.546 | -0.000 |
| 0.171 | -0.152 | 0.016 | -0.000 | -0.000 | 36.751 |
| 157.611 | 54.230 | 35.926 | -0.000 | 0.000 | 0.000 |
| 53.142 | 172.718 | 60.199 | -0.000 | 0.000 | -0.000 |
| 35.691 | 62.431 | 119.744 | -0.000 | 0.000 | 0.000 |
| -0.210 | 0.156 | 0.030 | 23.610 | 0.000 | 0.000 |
| -0.200 | 0.149 | 0.044 | -0.000 | 42.546 | -0.000 |
| -0.171 | 0.152 | -0.016 | 0.000 | 0.000 | 36.751 |
| 159.060 | 51.148 | 40.493 | 0.000 | 0.000 | -0.000 |
| 52.676 | 175.020 | 60.223 | 0.000 | 0.000 | 0.000 |
| 35.218 | 36.920 | 171.451 | 0.000 | 0.000 | -0.000 |
| -0.000 | 0.000 | -0.000 | 55.649 | 0.000 | -0.000 |
| 0.151 | 0.233 | 0.205 | 0.000 | 42.184 | -0.000 |
| 0.115 | 0.163 | -0.039 | 0.000 | 0.000 | 37.325 |
| 157.842 | 52.892 | 36.988 | -0.000 | -0.000 | 0.000 |
| 29.694 | 210.811 | 36.920 | 0.000 | -0.000 | 0.000 |
| 36.316 | 61.222 | 119.279 | -0.000 | -0.000 | 0.000 |
| 0.000 | -0.000 | 0.000 | 55.649 | -0.000 | -0.000 |
| -0.151 | -0.233 | -0.205 | -0.000 | 42.184 | -0.000 |
| -0.115 | -0.163 | 0.039 | -0.000 | -0.000 | 37.325 |
| 159.025 | 50.952 | 40.521 | 0.000 | 0.000 | -0.000 |
| 52.183 | 175.100 | 62.285 | 0.000 | 0.000 | -0.000 |
| 40.634 | 61.348 | 121.114 | 0.000 | 0.000 | -0.000 |
| 0.014 | 0.020 | -0.005 | 29.937 | 0.000 | 0.000 |
| 0.000 | 0.000 | -0.000 | -0.000 | 71.882 | -0.000 |
| 0.000 | 0.000 | -0.000 | -0.000 | 0.000 | 61.419 |
| 200.130 | 29.694 | 35.218 | 0.000 | -0.000 | 0.000 |
| 52.163 | 175.053 | 62.301 | -0.000 | -0.000 | 0.000 |
| 35.218 | 36.920 | 171.451 | 0.000 | -0.000 | -0.000 |
| -0.037 | -0.021 | 0.008 | 23.754 | -0.000 | -0.000 |
| -0.000 | -0.000 | 0.000 | 0.000 | 71.882 | 0.000 |
| -0.000 | -0.000 | 0.000 | 0.000 | -0.000 | 61.419 |
| 157.954 | 53.097 | 37.054 | 0.000 | 0.000 | -0.000 |
| 52.174 | 175.079 | 62.292 | 0.000 | 0.000 | -0.000 |
| 40.625 | 61.342 | 121.098 | 0.000 | 0.000 | -0.000 |
| 0.004 | 0.002 | -0.001 | 23.754 | -0.000 | 0.000 |
| 0.001 | 0.002 | 0.002 | 0.000 | 42.180 | -0.000 |
| 0.001 | 0.002 | -0.000 | 0.000 | 0.000 | 37.327 |
| 157.952 | 53.092 | 37.052 | -0.000 | -0.000 | 0.000 |
| 52.172 | 175.074 | 62.293 | -0.000 | -0.000 | 0.000 |
| 40.622 | 61.338 | 121.098 | -0.000 | -0.000 | -0.000 |
| -0.004 | -0.002 | 0.001 | 23.754 | -0.000 | -0.000 |
| -0.001 | -0.002 | -0.002 | -0.000 | 42.180 | -0.000 |
| -0.001 | -0.002 | 0.000 | -0.000 | -0.000 | 37.327 |
| 129.154 | 42.951 | 45.804 | -1.148 | 36.140 | -8.634 |
| 38.715 | 115.888 | 70.055 | 2.455 | 10.754 | -6.059 |
| 47.751 | 73.658 | 130.876 | -10.623 | -11.621 | 4.465 |
| -4.884 | -2.990 | -10.869 | 22.640 | 11.977 | 2.484 |
| 23.412 | 6.491 | -11.585 | 12.024 | 36.979 | -6.964 |
| 1.555 | -4.908 | 0.703 | 7.038 | 5.023 | 3.285 |
| 129.176 | 43.129 | 45.855 | -1.067 | 36.044 | -8.854 |
| 41.745 | 119.735 | 69.153 | 2.543 | 11.258 | -9.899 |
| 47.774 | 73.837 | 130.898 | -10.593 | -11.704 | 4.209 |
| -4.850 | -2.855 | -10.866 | 22.679 | 11.911 | 2.213 |
| 23.476 | 6.683 | -11.596 | 12.058 | 36.908 | -7.256 |
| 1.537 | -4.741 | 0.907 | 6.851 | 5.033 | 3.047 |
| 129.100 | 43.045 | 45.684 | -1.393 | 36.202 | -8.692 |
| 38.754 | 115.915 | 70.237 | 2.671 | 10.696 | -6.144 |
| 47.741 | 73.931 | 130.870 | -10.751 | -11.652 | 4.311 |
| -4.955 | -2.980 | -10.741 | 22.646 | 11.861 | 2.501 |
| 23.366 | 6.193 | -11.657 | 11.883 | 36.926 | -6.981 |
| 1.426 | -4.991 | 1.016 | 6.969 | 4.897 | 3.194 |
| 129.102 | 43.064 | 45.688 | -1.388 | 36.193 | -8.715 |
| 38.753 | 115.931 | 70.240 | 2.676 | 10.691 | -6.169 |
| 47.749 | 73.957 | 130.870 | -10.749 | -11.665 | 4.287 |
| -4.952 | -2.957 | -10.739 | 22.650 | 11.853 | 2.477 |
| 23.369 | 6.214 | -11.655 | 11.888 | 36.917 | -7.006 |
| 1.429 | -4.969 | 1.018 | 6.973 | 4.888 | 3.170 |
| 230.905 | 80.156 | 53.621 | 0.000 | 0.000 | 0.000 |
| 80.156 | 230.905 | 53.621 | 0.000 | 0.000 | 0.000 |
| 51.070 | 51.070 | 226.128 | 0.000 | 0.000 | 0.000 |
| -0.025 | -0.025 | -0.112 | 20.485 | 0.000 | 0.000 |
| -0.025 | -0.025 | -0.112 | -0.000 | 20.485 | 0.000 |
| -0.000 | -0.000 | 0.000 | -0.000 | 0.000 | 75.375 |
| 225.018 | 82.629 | 46.021 | -0.000 | -0.000 | -0.000 |
| 80.156 | 230.905 | 53.621 | 0.000 | -0.000 | -0.000 |
| 54.776 | 54.776 | 242.627 | -0.000 | -0.000 | -0.000 |
| 0.025 | 0.025 | 0.112 | 20.485 | 0.000 | -0.000 |
| 0.025 | 0.025 | 0.112 | -0.000 | 20.485 | -0.000 |
| -0.000 | -0.000 | -0.000 | -0.000 | -0.000 | 75.375 |
| 225.030 | 82.609 | 46.003 | -0.000 | 0.000 | 0.000 |
| 82.609 | 225.030 | 46.003 | 0.000 | 0.000 | 0.000 |
| 54.776 | 54.776 | 242.627 | 0.000 | 0.000 | 0.000 |
| -0.003 | -0.003 | -0.011 | 20.484 | 0.000 | 0.000 |
| -0.000 | 0.000 | 0.000 | 0.000 | 57.969 | 0.000 |
| -0.000 | 0.000 | 0.000 | -0.000 | 0.000 | 75.375 |
| 230.905 | 80.156 | 53.621 | -0.000 | -0.000 | -0.000 |
| 88.325 | 221.396 | 50.637 | -0.000 | -0.000 | -0.000 |
| 54.776 | 54.776 | 242.627 | -0.000 | -0.000 | -0.000 |
| 0.003 | 0.003 | 0.011 | 20.484 | 0.000 | -0.000 |
| 0.000 | -0.000 | -0.000 | -0.000 | 57.969 | -0.000 |
| 0.000 | -0.000 | -0.000 | -0.000 | -0.000 | 75.375 |
| 225.030 | 82.611 | 46.004 | 0.000 | 0.000 | 0.000 |
| 82.611 | 225.030 | 46.004 | -0.000 | 0.000 | 0.000 |
| 51.075 | 51.075 | 226.150 | -0.000 | -0.000 | 0.000 |
| -0.000 | -0.000 | -0.001 | 20.484 | 0.000 | 0.000 |
| -0.000 | -0.000 | -0.001 | 0.000 | 20.484 | 0.000 |
| -0.000 | 0.000 | 0.000 | -0.000 | 0.000 | 75.375 |
| 225.027 | 82.611 | 46.004 | 0.000 | -0.000 | -0.000 |
| 88.324 | 221.394 | 50.635 | 0.000 | -0.000 | -0.000 |
| 51.075 | 51.075 | 226.150 | 0.000 | 0.000 | -0.000 |
| 0.000 | 0.000 | 0.001 | 20.484 | 0.000 | -0.000 |
| 0.000 | 0.000 | 0.001 | 0.000 | 20.484 | -0.000 |
| 0.000 | -0.000 | -0.000 | -0.000 | -0.000 | 75.375 |
| -48.517 | 429.005 | -247.624 | -0.000 | 0.000 | 0.000 |
| 39.877 | 181.100 | 35.975 | -0.000 | 0.000 | 0.000 |
| -100.622 | 420.691 | -44.113 | -0.000 | 0.000 | 0.000 |
| -155.868 | 362.793 | -184.192 | 39.039 | 0.000 | 0.000 |
| -126.946 | 243.633 | -159.242 | -0.000 | 47.959 | -0.000 |
| 0.000 | -0.000 | 0.000 | 0.000 | 0.000 | 77.562 |
| 265.153 | -193.020 | 206.366 | 0.000 | -0.000 | 0.000 |
| 207.578 | -218.009 | 241.405 | 0.000 | -0.000 | 0.000 |
| 211.300 | -304.556 | 323.700 | 0.000 | -0.000 | -0.000 |
| 155.868 | -362.793 | 184.192 | 39.039 | -0.000 | 0.000 |
| 126.946 | -243.633 | 159.242 | 0.000 | 47.959 | 0.000 |
| -0.000 | 0.000 | -0.000 | 0.000 | -0.000 | 77.562 |
| 126.838 | 86.637 | 36.384 | -0.000 | 0.000 | 0.000 |
| 38.669 | 174.264 | 42.524 | 0.000 | 0.000 | -0.000 |
| 38.840 | 90.244 | 126.679 | -0.000 | 0.000 | -0.000 |
| -14.598 | 33.977 | -17.250 | 41.166 | 0.000 | 0.000 |
| -12.651 | 24.290 | -15.867 | -0.000 | 48.057 | -0.000 |
| -14.602 | 33.987 | -17.255 | -0.000 | 0.000 | 40.913 |
| 153.636 | 18.201 | 72.994 | 0.000 | -0.000 | -0.000 |
| 62.951 | 122.814 | 68.177 | 0.000 | -0.000 | 0.000 |
| 69.099 | 24.506 | 157.627 | -0.000 | -0.000 | 0.000 |
| 14.598 | -33.977 | 17.250 | 41.166 | -0.000 | -0.000 |
| 12.651 | -24.290 | 15.867 | 0.000 | 48.057 | -0.000 |
| 14.602 | -33.987 | 17.255 | 0.000 | -0.000 | 40.913 |
| 141.536 | 51.325 | 47.352 | -0.000 | 0.000 | -0.000 |
| 48.047 | 154.276 | 50.005 | -0.000 | 0.000 | -0.000 |
| 48.140 | 54.329 | 148.852 | -0.000 | 0.000 | -0.000 |
| -1.032 | 2.402 | -1.220 | 50.368 | 0.000 | 0.000 |
| -1.076 | 2.505 | -1.272 | -0.000 | 50.593 | 0.000 |
| -1.205 | 2.404 | -1.496 | 0.000 | 0.000 | 49.043 |
| 145.047 | 46.095 | 49.794 | -0.000 | -0.000 | -0.000 |
| 50.744 | 147.834 | 53.310 | -0.000 | -0.000 | 0.000 |
| 50.424 | 49.074 | 153.228 | -0.000 | 0.000 | -0.000 |
| 1.032 | -2.402 | 1.220 | 50.368 | -0.000 | 0.000 |
| 1.076 | -2.505 | 1.272 | 0.000 | 50.593 | 0.000 |
| 1.205 | -2.404 | 1.496 | 0.000 | -0.000 | 49.043 |
| -538.740 | 1008.118 | 76.948 | 0.000 | 258.395 | -0.000 |
| 189.242 | 2960.404 | -118.980 | -0.000 | 345.051 | 0.000 |
| -542.432 | 1191.439 | 145.686 | 0.000 | 282.092 | -0.000 |
| -90.595 | 1711.058 | -265.126 | 30.195 | 43.217 | 29.226 |
| -628.602 | 1056.124 | 15.515 | 0.000 | 299.427 | -0.000 |
| -600.931 | 1116.198 | 14.290 | 10.982 | 279.328 | -119.946 |
| 1218.845 | 607.251 | 179.715 | 0.000 | 142.762 | -0.000 |
| -156.082 | -1435.438 | 422.134 | 0.000 | -79.166 | -0.000 |
| -0.069 | -1190.015 | 156.888 | 0.000 | -69.377 | -0.000 |
| 90.595 | -1711.057 | 265.126 | 30.195 | -43.217 | 29.227 |
| 578.565 | -1185.203 | -13.192 | -0.000 | -261.177 | 0.000 |
| 600.931 | -1116.198 | -14.290 | 10.982 | -279.328 | -119.946 |
| 98.139 | 176.612 | 29.196 | -0.000 | 1.519 | -0.000 |
| 8.869 | 247.257 | 60.944 | 0.000 | 28.347 | 0.000 |
| 85.058 | 228.889 | 100.722 | -0.000 | 9.007 | 0.000 |
| -16.929 | 149.298 | -26.427 | 30.619 | 1.090 | 18.105 |
| 1.018 | 265.276 | -11.124 | -0.000 | 67.310 | 0.000 |
| -42.270 | 78.515 | 1.005 | 8.784 | 19.648 | -56.454 |
| 133.435 | -174.415 | 58.426 | -0.000 | -39.977 | 0.000 |
| 87.403 | -3.846 | 87.561 | -0.000 | -3.141 | 0.000 |
| 120.605 | -41.524 | 130.870 | -0.000 | -26.331 | 0.000 |
| 16.929 | -149.298 | 26.427 | 30.619 | -1.090 | 18.105 |
| 26.387 | -138.607 | 28.359 | -0.000 | 37.983 | 0.000 |
| 42.270 | -78.515 | -1.005 | 8.784 | -19.648 | -56.454 |
| 133.375 | 67.391 | 55.568 | -0.000 | 5.789 | -0.000 |
| 40.629 | 160.087 | 49.796 | -0.000 | -8.525 | 0.000 |
| 50.213 | 70.306 | 141.031 | -0.000 | 1.552 | -0.000 |
| -4.466 | 8.294 | 0.106 | 38.219 | 2.076 | 9.111 |
| -2.016 | 11.695 | -0.584 | -0.000 | 42.816 | 0.000 |
| -2.832 | 11.442 | -2.293 | 4.167 | -0.060 | 38.034 |
| 137.546 | 47.355 | 58.047 | 0.000 | 4.784 | -0.000 |
| 62.237 | 114.556 | 62.108 | -0.000 | -5.509 | -0.000 |
| 61.127 | 53.831 | 142.511 | -0.000 | -1.125 | 0.000 |
| 4.466 | -8.294 | -0.106 | 38.219 | -2.076 | 9.111 |
| -0.855 | -22.365 | 4.601 | 0.000 | 38.794 | 0.000 |
| 2.832 | -11.442 | 2.293 | 4.167 | 0.060 | 38.034 |
| 135.676 | 146.712 | 80.714 | -0.000 | 20.896 | 0.000 |
| 103.503 | 363.296 | 46.096 | -0.000 | -3.706 | -0.000 |
| 38.463 | 122.379 | 182.511 | -0.000 | 11.095 | -0.000 |
| 0.000 | 0.000 | 0.000 | 72.426 | -0.000 | -2.666 |
| 1.112 | -3.706 | 0.263 | 0.000 | 73.672 | -0.000 |
| 0.000 | 0.000 | 0.000 | -2.666 | -0.000 | 127.311 |
| 195.537 | 103.235 | 43.104 | -0.000 | 6.439 | 0.000 |
| 54.450 | 56.875 | 16.915 | 0.000 | -5.344 | -0.000 |
| 55.254 | -73.027 | 122.763 | 0.000 | -12.049 | 0.000 |
| -0.000 | -0.000 | -0.000 | 72.426 | 0.000 | -2.666 |
| 8.036 | -67.648 | -19.139 | 0.000 | 48.437 | 0.000 |
| 0.000 | -0.000 | -0.000 | -2.666 | 0.000 | 127.311 |
| 195.537 | 103.235 | 43.104 | -0.000 | 6.439 | -0.000 |
| 103.503 | 363.296 | 46.096 | -0.000 | -3.706 | -0.000 |
| 46.562 | 61.844 | 150.958 | -0.000 | -1.237 | 0.000 |
| 0.000 | 0.000 | 0.000 | 72.426 | -0.000 | -2.666 |
| 1.112 | -3.706 | 0.263 | -0.000 | 73.672 | -0.000 |
| -0.590 | 7.155 | 2.041 | 1.267 | 0.871 | 62.748 |
| 161.230 | 40.460 | 42.879 | 0.000 | 5.230 | 0.000 |
| 60.225 | 166.510 | 42.741 | 0.000 | -2.534 | 0.000 |
| 56.754 | 42.145 | 140.811 | 0.000 | 0.091 | 0.000 |
| -0.000 | -0.000 | -0.000 | 72.426 | 0.000 | -2.666 |
| 2.306 | -3.560 | -0.541 | 0.000 | 60.960 | 0.000 |
| 0.590 | -7.155 | -2.041 | 1.267 | -0.871 | 62.748 |
| 154.647 | 40.928 | 45.944 | 0.000 | 6.353 | -0.000 |
| 69.300 | 161.118 | 53.966 | -0.000 | -1.357 | -0.000 |
| 46.456 | 40.363 | 151.898 | -0.000 | 2.260 | 0.000 |
| -0.294 | 1.716 | 0.594 | 41.940 | -0.049 | 4.004 |
| 1.112 | -3.706 | 0.263 | 0.000 | 73.672 | -0.000 |
| -0.173 | 0.946 | 0.335 | 0.801 | -0.046 | 57.518 |
| 140.210 | 63.249 | 50.590 | 0.000 | 4.468 | 0.000 |
| 58.427 | 177.038 | 45.055 | 0.000 | -1.665 | 0.000 |
| 43.085 | 46.096 | 170.501 | 0.000 | 0.263 | 0.000 |
| 0.294 | -1.716 | -0.594 | 41.940 | 0.049 | 4.004 |
| 3.040 | -0.502 | -1.304 | 0.000 | 44.261 | -0.000 |
| 0.173 | -0.946 | -0.335 | 0.801 | 0.046 | 57.518 |
| 163.413 | 41.529 | 41.529 | 0.000 | 0.000 | -0.000 |
| 41.529 | 163.413 | 41.529 | -0.000 | -0.000 | -0.000 |
| 41.529 | 41.529 | 163.413 | -0.000 | -0.000 | -0.000 |
| -1.186 | -1.186 | -1.186 | 41.346 | -0.000 | 0.000 |
| -1.186 | -1.186 | -1.186 | -0.000 | 41.346 | 0.000 |
| -1.186 | -1.186 | -1.186 | 0.000 | -0.000 | 41.346 |
| 163.413 | 41.529 | 41.529 | 0.000 | -0.000 | 0.000 |
| 41.529 | 163.413 | 41.529 | 0.000 | 0.000 | 0.000 |
| 41.529 | 41.529 | 163.413 | -0.000 | 0.000 | 0.000 |
| 1.186 | 1.186 | 1.186 | 41.346 | 0.000 | -0.000 |
| 1.186 | 1.186 | 1.186 | -0.000 | 41.346 | -0.000 |
| 1.186 | 1.186 | 1.186 | 0.000 | 0.000 | 41.346 |
| 163.413 | 41.529 | 41.529 | 0.000 | -0.000 | -0.000 |
| 41.529 | 163.413 | 41.529 | -0.000 | -0.000 | -0.000 |
| 41.529 | 41.529 | 163.413 | -0.000 | -0.000 | -0.000 |
| 0.000 | 0.000 | 0.000 | 67.757 | -0.000 | -0.000 |
| 0.000 | 0.000 | 0.000 | -0.000 | 67.757 | -0.000 |
| 0.000 | 0.000 | 0.000 | 0.000 | -0.000 | 67.757 |
| 132.050 | 56.125 | 56.125 | -0.000 | 0.000 | -0.000 |
| 56.125 | 132.050 | 56.125 | -0.000 | -0.000 | -0.000 |
| 56.125 | 56.125 | 132.050 | 0.000 | 0.000 | -0.000 |
| -0.000 | -0.000 | -0.000 | 67.757 | 0.000 | 0.000 |
| -0.000 | -0.000 | -0.000 | 0.000 | 67.757 | 0.000 |
| -0.000 | -0.000 | -0.000 | 0.000 | -0.000 | 67.757 |
| 131.869 | 56.030 | 56.030 | -0.000 | -0.000 | 0.000 |
| 56.030 | 131.869 | 56.030 | -0.000 | -0.000 | 0.000 |
| 56.030 | 56.030 | 131.869 | -0.000 | -0.000 | 0.000 |
| -0.012 | -0.012 | -0.012 | 41.701 | -0.000 | 0.000 |
| -0.012 | -0.012 | -0.012 | -0.000 | 41.701 | 0.000 |
| -0.012 | -0.012 | -0.012 | -0.000 | -0.000 | 41.701 |
| 131.903 | 56.047 | 56.047 | -0.000 | 0.000 | -0.000 |
| 56.047 | 131.903 | 56.047 | 0.000 | 0.000 | -0.000 |
| 56.047 | 56.047 | 131.903 | 0.000 | 0.000 | -0.000 |
| 0.012 | 0.012 | 0.012 | 41.701 | 0.000 | -0.000 |
| 0.012 | 0.012 | 0.012 | -0.000 | 41.701 | -0.000 |
| 0.012 | 0.012 | 0.012 | -0.000 | 0.000 | 41.701 |
| 129.733 | 83.406 | 83.406 | 0.000 | 0.000 | -0.000 |
| 83.406 | 129.733 | 83.406 | 0.000 | 0.000 | -0.000 |
| 83.406 | 83.406 | 129.733 | 0.000 | 0.000 | 0.000 |
| -23.376 | -23.376 | -23.376 | 36.590 | -0.000 | -0.000 |
| -12.062 | -12.062 | -12.062 | -0.000 | 33.983 | 0.000 |
| -12.062 | -12.062 | -12.062 | 0.000 | 0.000 | 33.983 |
| 162.262 | 40.953 | 40.953 | 0.000 | 0.000 | 0.000 |
| 40.953 | 162.262 | 40.953 | -0.000 | 0.000 | 0.000 |
| 40.953 | 40.953 | 162.262 | -0.000 | 0.000 | 0.000 |
| 23.327 | 23.327 | 23.327 | 35.166 | 0.000 | 0.000 |
| 12.062 | 12.062 | 12.062 | 0.000 | 33.983 | -0.000 |
| 12.062 | 12.062 | 12.062 | 0.000 | -0.000 | 33.983 |
| 162.263 | 40.953 | 40.953 | 0.000 | -0.000 | -0.000 |
| 40.953 | 162.263 | 40.953 | 0.000 | 0.000 | -0.000 |
| 40.953 | 40.953 | 162.263 | 0.000 | -0.000 | -0.000 |
| 0.000 | 0.000 | 0.000 | 67.385 | -0.000 | -0.000 |
| 0.000 | 0.000 | 0.000 | 0.000 | 67.385 | -0.000 |
| 0.000 | 0.000 | 0.000 | 0.000 | -0.000 | 67.385 |
| 127.559 | 55.117 | 55.117 | -0.000 | 0.000 | 0.000 |
| 55.117 | 127.559 | 55.117 | -0.000 | 0.000 | 0.000 |
| 55.117 | 55.117 | 127.559 | -0.000 | 0.000 | 0.000 |
| -0.000 | -0.000 | -0.000 | 67.385 | 0.000 | 0.000 |
| -0.000 | -0.000 | -0.000 | -0.000 | 67.385 | 0.000 |
| -0.000 | -0.000 | -0.000 | 0.000 | 0.000 | 67.385 |
| 123.568 | 57.343 | 57.343 | 0.000 | 0.000 | 0.000 |
| 57.343 | 123.568 | 57.343 | 0.000 | 0.000 | 0.000 |
| 57.343 | 57.343 | 123.568 | 0.000 | 0.000 | 0.000 |
| 0.120 | 0.120 | 0.120 | 41.623 | 0.000 | -0.000 |
| 0.120 | 0.120 | 0.120 | 0.000 | 41.623 | -0.000 |
| 0.000 | 0.000 | 0.000 | -0.000 | -0.000 | 67.385 |
| 130.899 | 55.206 | 55.206 | -0.000 | 0.000 | 0.000 |
| 55.206 | 130.899 | 55.206 | -0.000 | -0.000 | 0.000 |
| 55.206 | 55.206 | 130.899 | -0.000 | 0.000 | 0.000 |
| -0.120 | -0.120 | -0.120 | 41.623 | 0.000 | 0.000 |
| -0.120 | -0.120 | -0.120 | -0.000 | 41.623 | 0.000 |
| -0.120 | -0.120 | -0.120 | -0.000 | 0.000 | 41.623 |
| -330.321 | -269.487 | -269.487 | 0.000 | -0.000 | -0.000 |
| -269.487 | -330.321 | -269.487 | 0.000 | -0.000 | 0.000 |
| -269.487 | -269.487 | -330.321 | 0.000 | -0.000 | -0.000 |
| -245.490 | -245.490 | -245.490 | -54.542 | -0.000 | -0.000 |
| -245.490 | -245.490 | -245.490 | 0.000 | -54.542 | -0.000 |
| -245.490 | -245.490 | -245.490 | 0.000 | 0.000 | -54.542 |
| 256.957 | 65.906 | 65.906 | 0.000 | 0.000 | -0.000 |
| 65.906 | 256.957 | 65.906 | 0.000 | 0.000 | -0.000 |
| 65.906 | 65.906 | 256.957 | 0.000 | 0.000 | 0.000 |
| 245.490 | 245.490 | 245.490 | -54.542 | 0.000 | 0.000 |
| 245.490 | 245.490 | 245.490 | -0.000 | -54.542 | 0.000 |
| 245.490 | 245.490 | 245.490 | -0.000 | 0.000 | -54.542 |
| 118.859 | 18.631 | 18.631 | 0.000 | -0.000 | -0.000 |
| 18.631 | 118.859 | 18.631 | 0.000 | -0.000 | -0.000 |
| 18.631 | 18.631 | 118.859 | -0.000 | -0.000 | -0.000 |
| 0.000 | -0.000 | 0.000 | 93.548 | -0.000 | -0.000 |
| -0.000 | 0.000 | 0.000 | -0.000 | 93.548 | 0.000 |
| -0.000 | 0.000 | 0.000 | -0.000 | -0.000 | 93.548 |
| 256.957 | 65.906 | 65.906 | 0.000 | 0.000 | 0.000 |
| 65.906 | 256.957 | 65.906 | 0.000 | 0.000 | 0.000 |
| 65.906 | 65.906 | 256.957 | -0.000 | 0.000 | 0.000 |
| -0.000 | 0.000 | -0.000 | 93.548 | 0.000 | -0.000 |
| 0.000 | -0.000 | -0.000 | 0.000 | 93.548 | 0.000 |
| 0.000 | -0.000 | -0.000 | 0.000 | 0.000 | 93.548 |
| 170.961 | 39.653 | 39.654 | 0.000 | -0.000 | -0.000 |
| 39.654 | 170.961 | 39.653 | 0.000 | -0.000 | -0.000 |
| 39.653 | 39.654 | 170.961 | -0.000 | -0.000 | -0.000 |
| 0.194 | 0.194 | 0.194 | 45.235 | -0.000 | -0.000 |
| 1.316 | 1.316 | 1.316 | 0.000 | 46.003 | -0.000 |
| 0.194 | 0.194 | 0.194 | -0.000 | -0.000 | 45.235 |
| 171.606 | 40.602 | 40.602 | -0.000 | 0.000 | 0.000 |
| 40.602 | 171.606 | 40.602 | 0.000 | 0.000 | 0.000 |
| 40.602 | 40.602 | 171.606 | -0.000 | 0.000 | 0.000 |
| -0.194 | -0.194 | -0.194 | 45.235 | 0.000 | 0.000 |
| -1.316 | -1.316 | -1.316 | 0.000 | 46.003 | 0.000 |
| -0.194 | -0.194 | -0.194 | 0.000 | 0.000 | 45.235 |
| -3.857 | -896.113 | -2119.164 | 3.296 | 579.381 | -598.893 |
| -2827.649 | -3136.722 | -3737.745 | 9.263 | 246.059 | -249.461 |
| -302.564 | -381.749 | -326.837 | 1.811 | 48.362 | -49.037 |
| -2158.192 | -2505.675 | -2929.367 | 63.054 | 208.907 | -211.811 |
| -3946.945 | -4586.474 | -5402.863 | 10.938 | 439.945 | -406.947 |
| -597.452 | -1378.904 | -2523.609 | 4.676 | 544.189 | -527.304 |
| 1938.632 | 2140.429 | 2527.294 | -6.891 | -190.289 | 193.067 |
| 753.105 | 1041.798 | 1100.337 | -3.355 | -94.623 | 96.051 |
| -828.565 | 87.557 | 1600.246 | 0.099 | -668.422 | 693.399 |
| 365.641 | 442.083 | 536.052 | 75.093 | -46.216 | 46.793 |
| 132.455 | 955.654 | 2184.847 | -3.323 | -548.889 | 601.908 |
| 700.937 | 854.487 | 1046.958 | -3.340 | -94.299 | 163.979 |
| 90.251 | -1.179 | -8.909 | 0.118 | 3.801 | -3.870 |
| 34.893 | 105.594 | 18.246 | 0.082 | 4.638 | -4.760 |
| 44.050 | 36.548 | 99.623 | 0.063 | 5.120 | -5.272 |
| -5.973 | -13.801 | -25.268 | 34.204 | 5.452 | -5.625 |
| -1.318 | -9.551 | -21.846 | 0.033 | 39.235 | -6.020 |
| -28.648 | -32.787 | -37.798 | 0.092 | 2.475 | 49.533 |
| 197.569 | 108.947 | 115.029 | -0.135 | -3.046 | 3.081 |
| 72.290 | 183.008 | 79.837 | -0.159 | -1.995 | 2.020 |
| 104.007 | 109.234 | 209.415 | -0.109 | -3.017 | 3.058 |
| 57.712 | 63.871 | 71.281 | 42.669 | -3.666 | 3.726 |
| 39.405 | 45.803 | 53.974 | -0.109 | 37.125 | 4.073 |
| 42.959 | 47.928 | 53.816 | -0.113 | -2.923 | 51.275 |
| 165.073 | 39.123 | 38.796 | 4.425 | -0.000 | -0.000 |
| 165.543 | 249.132 | 28.469 | 1.616 | -0.000 | -0.000 |
| 39.049 | 39.049 | 162.648 | -0.000 | -0.000 | -0.000 |
| 84.006 | 79.821 | -160.895 | 25.252 | -0.000 | -0.000 |
| -0.000 | 0.000 | -0.000 | -0.000 | 65.292 | 4.425 |
| 0.000 | 0.000 | -0.000 | -0.000 | 4.425 | 62.975 |
| 39.803 | -17.695 | 214.742 | 2.099 | 0.000 | 0.000 |
| -17.695 | 39.802 | 214.742 | -2.099 | 0.000 | 0.000 |
| 39.049 | 39.049 | 162.648 | 0.000 | 0.000 | 0.000 |
| -114.850 | -111.573 | 20.090 | 35.539 | 0.000 | 0.000 |
| 0.000 | 0.000 | 0.000 | 0.000 | 65.292 | 4.425 |
| -0.000 | -0.000 | 0.000 | 0.000 | 4.425 | 62.975 |
| 133.748 | 68.358 | 38.298 | 2.367 | -0.000 | -0.000 |
| 39.123 | 165.073 | 38.796 | -4.425 | -0.000 | -0.000 |
| 39.049 | 39.049 | 162.648 | 0.000 | -0.000 | -0.000 |
| 4.425 | -4.425 | 0.000 | 65.292 | -0.000 | -0.000 |
| 0.000 | 0.000 | 0.000 | 0.000 | 65.292 | 4.425 |
| 7.321 | 7.321 | -14.380 | -0.000 | 2.340 | 32.302 |
| 120.012 | 44.818 | 56.859 | -1.011 | 0.000 | 0.000 |
| 53.837 | 119.497 | 66.566 | -2.376 | 0.000 | 0.000 |
| 47.219 | 47.219 | 137.385 | -0.000 | 0.000 | 0.000 |
| 4.425 | -4.425 | -0.000 | 65.292 | 0.000 | 0.000 |
| -0.000 | -0.000 | -0.000 | -0.000 | 65.292 | 4.425 |
| -7.321 | -7.321 | 14.380 | 0.000 | 2.340 | 32.302 |
| 131.921 | 59.012 | 50.414 | 1.845 | -0.000 | -0.000 |
| 39.123 | 165.074 | 38.797 | -4.425 | -0.000 | -0.000 |
| 39.049 | 39.049 | 162.649 | -0.000 | -0.000 | -0.000 |
| 4.425 | -4.425 | 0.000 | 65.292 | -0.000 | -0.000 |
| 0.000 | 0.000 | 0.000 | 0.000 | 65.292 | 4.425 |
| 0.555 | 0.556 | -1.091 | -0.000 | 2.843 | 39.701 |
| 134.310 | 55.794 | 50.637 | 2.813 | 0.000 | 0.000 |
| 56.376 | 130.523 | 51.887 | -1.021 | 0.000 | 0.000 |
| 49.943 | 49.943 | 123.912 | 0.000 | 0.000 | -0.000 |
| 4.425 | -4.425 | -0.000 | 65.292 | 0.000 | 0.000 |
| -0.000 | -0.000 | -0.000 | -0.000 | 65.292 | 4.425 |
| -0.555 | -0.556 | 1.091 | 0.000 | 2.843 | 39.701 |
| 135.267 | 55.358 | 49.385 | -2.818 | 0.000 | -0.000 |
| 55.358 | 135.267 | 49.385 | 2.818 | 0.000 | 0.000 |
| 38.632 | 38.632 | 161.902 | -0.000 | 0.000 | 0.000 |
| -2.598 | 2.913 | 0.462 | 36.955 | 0.000 | -0.000 |
| 0.158 | 0.158 | 0.462 | -0.000 | 36.955 | -2.755 |
| 0.000 | 0.000 | -0.000 | -0.000 | -4.426 | 62.834 |
| 164.191 | 38.523 | 38.632 | -4.426 | -0.000 | -0.000 |
| 38.523 | 164.191 | 38.632 | 4.426 | -0.000 | 0.000 |
| 47.091 | 47.091 | 119.182 | 0.000 | -0.000 | 0.000 |
| -2.913 | 2.598 | -0.462 | 36.955 | -0.000 | 0.000 |
| -0.158 | -0.158 | -0.462 | 0.000 | 36.955 | -2.755 |
| -0.000 | -0.000 | 0.000 | 0.000 | -4.426 | 62.834 |
| 164.191 | 38.523 | 38.632 | -4.426 | 0.000 | 0.000 |
| 55.302 | 134.990 | 49.035 | 2.810 | 0.000 | -0.000 |
| 50.495 | 50.495 | 131.903 | -0.000 | 0.000 | -0.000 |
| -1.720 | 1.885 | 0.034 | 22.871 | 0.000 | -0.000 |
| 0.016 | 0.016 | 0.046 | 0.000 | 37.156 | -2.767 |
| 0.015 | 0.015 | 0.044 | 0.000 | -2.828 | 40.103 |
| 164.191 | 38.523 | 38.632 | -4.426 | -0.000 | -0.000 |
| 38.523 | 164.191 | 38.632 | 4.426 | -0.000 | -0.000 |
| 50.385 | 50.385 | 131.993 | -0.000 | -0.000 | 0.000 |
| -2.783 | 2.752 | -0.046 | 37.156 | -0.000 | 0.000 |
| -0.016 | -0.016 | -0.046 | -0.000 | 37.156 | -2.767 |
| -0.015 | -0.015 | -0.044 | -0.000 | -2.828 | 40.103 |
| 134.942 | 55.309 | 49.007 | -2.808 | 0.000 | -0.000 |
| 38.523 | 164.191 | 38.632 | 4.427 | 0.000 | 0.000 |
| 50.443 | 50.443 | 131.950 | 0.000 | 0.000 | 0.000 |
| -2.766 | 2.769 | 0.005 | 37.160 | 0.000 | 0.000 |
| 0.000 | 0.000 | 0.000 | -0.000 | 64.999 | -4.426 |
| 0.000 | 0.000 | 0.000 | -0.000 | -4.426 | 62.834 |
| 131.524 | 56.313 | 50.304 | -1.172 | -0.000 | 0.000 |
| 55.309 | 134.932 | 49.001 | 2.808 | -0.000 | 0.000 |
| 50.433 | 50.433 | 131.955 | -0.000 | -0.000 | 0.000 |
| -0.722 | 0.710 | 0.002 | 33.962 | 0.000 | -0.000 |
| -0.000 | -0.000 | -0.000 | 0.000 | 64.999 | -4.426 |
| -0.000 | -0.000 | -0.000 | 0.000 | -4.426 | 62.834 |
| 149.721 | 70.489 | 85.739 | 0.000 | -0.000 | 0.000 |
| 36.215 | 183.556 | 37.715 | -0.000 | -0.000 | 0.000 |
| 76.241 | 76.241 | 196.066 | -0.000 | -0.000 | 0.000 |
| 12.039 | 12.039 | 27.471 | 39.125 | -0.000 | -0.000 |
| 12.039 | 12.039 | 27.471 | -0.000 | 39.125 | 0.000 |
| 32.965 | 32.965 | 39.033 | -0.000 | -0.000 | 52.858 |
| 129.237 | 20.214 | 11.586 | 0.000 | 0.000 | -0.000 |
| 20.214 | 129.237 | 11.586 | 0.000 | 0.000 | -0.000 |
| 22.875 | 22.875 | 120.681 | 0.000 | 0.000 | -0.000 |
| -12.039 | -12.039 | -27.471 | 39.125 | -0.000 | -0.000 |
| -12.039 | -12.039 | -27.471 | -0.000 | 39.125 | -0.000 |
| -32.965 | -32.965 | -39.033 | -0.000 | 0.000 | 52.858 |
| 183.556 | 36.215 | 37.715 | -0.000 | -0.000 | 0.000 |
| 53.410 | 151.004 | 54.905 | -0.000 | -0.000 | 0.000 |
| 53.782 | 53.782 | 153.104 | 0.000 | -0.000 | 0.000 |
| 0.000 | 0.000 | 0.000 | 75.107 | -0.000 | 0.000 |
| 0.915 | 0.915 | 2.088 | -0.000 | 47.763 | 0.000 |
| 0.000 | 0.000 | 0.000 | -0.000 | -0.000 | 73.671 |
| 183.556 | 36.215 | 37.715 | 0.000 | 0.000 | -0.000 |
| 52.575 | 147.250 | 51.706 | 0.000 | 0.000 | -0.000 |
| 52.753 | 52.753 | 147.449 | 0.000 | 0.000 | -0.000 |
| -0.000 | -0.000 | -0.000 | 75.107 | 0.000 | -0.000 |
| -0.915 | -0.915 | -2.088 | 0.000 | 47.763 | -0.000 |
| -0.000 | -0.000 | -0.000 | 0.000 | 0.000 | 73.671 |
| 153.515 | 51.005 | 51.595 | -0.000 | -0.000 | 0.000 |
| 36.215 | 183.557 | 37.715 | -0.000 | -0.000 | 0.000 |
| 51.339 | 51.339 | 154.738 | 0.000 | 0.000 | 0.000 |
| 0.079 | 0.078 | 0.179 | 51.650 | 0.000 | 0.000 |
| 0.385 | 0.385 | 0.503 | -0.000 | 49.939 | 0.000 |
| 0.000 | 0.000 | 0.000 | -0.000 | -0.000 | 73.671 |
| 153.084 | 50.980 | 51.359 | -0.000 | 0.000 | -0.000 |
| 50.980 | 153.084 | 51.359 | 0.000 | 0.000 | -0.000 |
| 50.729 | 50.729 | 153.302 | 0.000 | 0.000 | 0.000 |
| -0.079 | -0.078 | -0.179 | 51.650 | -0.000 | -0.000 |
| -0.385 | -0.385 | -0.503 | 0.000 | 49.939 | -0.000 |
| -0.000 | -0.000 | -0.000 | 0.000 | 0.000 | 73.671 |
| 182.945 | 35.962 | 37.432 | 0.000 | 0.000 | -0.000 |
| 50.488 | 151.215 | 50.854 | 0.000 | 0.000 | 0.000 |
| 50.975 | 50.975 | 153.441 | 0.000 | 0.000 | -0.000 |
| -0.000 | -0.000 | 0.000 | 74.933 | 0.000 | 0.000 |
| 0.000 | 0.000 | -0.000 | 0.000 | 74.933 | 0.000 |
| 0.000 | -0.000 | 0.000 | 0.000 | 0.000 | 73.492 |
| 182.945 | 35.962 | 37.432 | -0.000 | -0.000 | -0.000 |
| 50.646 | 152.730 | 50.987 | -0.000 | -0.000 | -0.000 |
| 37.432 | 37.432 | 182.245 | -0.000 | -0.000 | 0.000 |
| 0.000 | -0.000 | 0.000 | 74.933 | -0.000 | -0.000 |
| 0.000 | 0.000 | -0.000 | -0.000 | 74.933 | 0.000 |
| -0.000 | -0.000 | -0.000 | -0.000 | -0.000 | 73.492 |
| 152.936 | 50.621 | 51.087 | 0.000 | 0.000 | 0.000 |
| 50.621 | 152.936 | 51.087 | 0.000 | 0.000 | 0.000 |
| 50.948 | 50.948 | 154.052 | 0.000 | 0.000 | 0.000 |
| 0.005 | 0.005 | 0.015 | 51.676 | -0.000 | -0.000 |
| 0.000 | 0.000 | 0.000 | 0.000 | 74.933 | 0.000 |
| 0.000 | 0.000 | 0.000 | 0.000 | 0.000 | 73.492 |
| 152.899 | 50.625 | 51.068 | -0.000 | -0.000 | -0.000 |
| 50.625 | 152.899 | 51.068 | -0.000 | -0.000 | -0.000 |
| 50.927 | 50.927 | 154.045 | -0.000 | -0.000 | -0.000 |
| -0.005 | -0.005 | -0.015 | 51.676 | -0.000 | -0.000 |
| -0.000 | -0.000 | -0.000 | 0.000 | 74.933 | -0.000 |
| -0.000 | -0.000 | -0.000 | -0.000 | -0.000 | 73.492 |
| 152.919 | 50.623 | 51.079 | 0.000 | 0.000 | -0.000 |
| 50.623 | 152.919 | 51.079 | 0.000 | 0.000 | 0.000 |
| 50.939 | 50.939 | 154.049 | 0.000 | 0.000 | 0.000 |
| 0.004 | 0.004 | -0.001 | 49.748 | 0.000 | 0.000 |
| 0.000 | 0.000 | 0.000 | 0.000 | 74.933 | 0.000 |
| 0.000 | 0.000 | 0.000 | 0.000 | 0.000 | 73.492 |
| 151.056 | 50.163 | 50.759 | 0.000 | 0.000 | -0.000 |
| 50.627 | 152.906 | 51.080 | -0.000 | -0.000 | -0.000 |
| 50.936 | 50.936 | 154.048 | 0.000 | -0.000 | -0.000 |
| -0.004 | -0.004 | 0.001 | 49.748 | -0.000 | -0.000 |
| -0.000 | -0.000 | -0.000 | -0.000 | 74.933 | 0.000 |
| -0.000 | -0.000 | -0.000 | -0.000 | -0.000 | 73.492 |
| 149.809 | 26.447 | 31.655 | 0.000 | -0.000 | -0.000 |
| 26.447 | 149.809 | 31.655 | 0.000 | 0.000 | -0.000 |
| 11.190 | 11.190 | 149.466 | 0.000 | -0.000 | -0.000 |
| -31.178 | -31.178 | -10.515 | 60.262 | -0.000 | -0.000 |
| -31.178 | -31.178 | -10.515 | 0.000 | 60.262 | -0.000 |
| -0.000 | -0.000 | 0.000 | 0.000 | 0.000 | 91.575 |
| 194.649 | 80.263 | 48.965 | -0.000 | -0.000 | 0.000 |
| 80.263 | 194.649 | 48.965 | -0.000 | -0.000 | 0.000 |
| 50.885 | 50.885 | 169.329 | -0.000 | -0.000 | 0.000 |
| 31.178 | 31.178 | 10.515 | 60.262 | 0.000 | -0.000 |
| 31.178 | 31.178 | 10.515 | -0.000 | 60.262 | 0.000 |
| 0.000 | 0.000 | -0.000 | -0.000 | -0.000 | 91.575 |
| 148.448 | 61.465 | 48.028 | -0.000 | -0.000 | -0.000 |
| 61.465 | 148.448 | 48.028 | 0.000 | -0.000 | 0.000 |
| 50.885 | 50.885 | 169.329 | 0.000 | 0.000 | -0.000 |
| -1.432 | -1.432 | -0.678 | 37.711 | -0.000 | -0.000 |
| -0.000 | 0.000 | 0.000 | 0.000 | 75.895 | -0.000 |
| -1.369 | -1.369 | -0.666 | -0.000 | -0.000 | 31.956 |
| 153.307 | 66.235 | 50.024 | 0.000 | -0.000 | 0.000 |
| 66.235 | 153.307 | 50.024 | 0.000 | 0.000 | 0.000 |
| 34.120 | 34.120 | 150.870 | -0.000 | 0.000 | 0.000 |
| 1.432 | 1.432 | 0.678 | 37.711 | 0.000 | 0.000 |
| 0.000 | -0.000 | -0.000 | -0.000 | 75.895 | 0.000 |
| 1.369 | 1.369 | 0.666 | 0.000 | 0.000 | 31.956 |
| 147.866 | 62.793 | 48.455 | -0.000 | -0.000 | 0.000 |
| 62.793 | 147.866 | 48.455 | -0.000 | -0.000 | -0.000 |
| 45.284 | 45.284 | 134.426 | -0.000 | 0.000 | -0.000 |
| -0.654 | -0.654 | -0.231 | 36.421 | 0.000 | -0.000 |
| -0.654 | -0.654 | -0.231 | -0.000 | 36.421 | -0.000 |
| -1.265 | -1.265 | -0.426 | -0.000 | 0.000 | 28.878 |
| 151.078 | 64.076 | 49.119 | -0.000 | 0.000 | 0.000 |
| 64.076 | 151.078 | 49.119 | 0.000 | 0.000 | 0.000 |
| 32.288 | 32.288 | 152.141 | -0.000 | -0.000 | 0.000 |
| 0.654 | 0.654 | 0.231 | 36.421 | -0.000 | 0.000 |
| 0.654 | 0.654 | 0.231 | -0.000 | 36.421 | 0.000 |
| 1.265 | 1.265 | 0.426 | -0.000 | -0.000 | 28.878 |
| -232.967 | -285.494 | -3.635 | -1.672 | -8.520 | 0.048 |
| -285.514 | -232.996 | -3.638 | -1.672 | -8.521 | 0.048 |
| 50.757 | 50.757 | 169.561 | -0.000 | -0.000 | -0.000 |
| 0.000 | 0.000 | -0.000 | 75.724 | 0.000 | -0.000 |
| -0.000 | 0.000 | -0.000 | -0.000 | 75.724 | 0.000 |
| -182.446 | -182.446 | 114.287 | -0.761 | -3.879 | 22.015 |
| 480.236 | 503.920 | 54.665 | 2.753 | 14.033 | -0.079 |
| 70.477 | 240.785 | 51.221 | 0.000 | 0.000 | 0.000 |
| 50.757 | 50.757 | 169.561 | -0.000 | 0.000 | 0.000 |
| -0.000 | -0.000 | 0.000 | 75.724 | 0.000 | 0.000 |
| -0.000 | -0.000 | 0.000 | 0.000 | 75.724 | -0.000 |
| 182.348 | 182.348 | -114.296 | 0.760 | 3.876 | 22.002 |
| 147.968 | 33.682 | 37.318 | -0.080 | -0.405 | 0.002 |
| 43.057 | 127.298 | 58.645 | -0.099 | -0.503 | 0.003 |
| 50.757 | 50.757 | 169.561 | -0.000 | -0.000 | -0.000 |
| 0.000 | -0.000 | 0.000 | 75.724 | 0.000 | -0.000 |
| -0.000 | 0.000 | 0.000 | -0.000 | 75.724 | -0.000 |
| -17.126 | -17.126 | 10.522 | -0.072 | -0.366 | 26.512 |
| 240.785 | 70.477 | 51.221 | 0.000 | -0.000 | 0.000 |
| 70.477 | 240.785 | 51.221 | 0.000 | -0.000 | -0.000 |
| 50.757 | 50.757 | 169.561 | 0.000 | 0.000 | 0.000 |
| -0.000 | 0.000 | -0.000 | 75.724 | -0.000 | -0.000 |
| 0.000 | -0.000 | -0.000 | 0.000 | 75.724 | -0.000 |
| 18.277 | 18.277 | 1.681 | 0.099 | 0.503 | 36.085 |
| 170.929 | 49.807 | 40.085 | -0.007 | -0.036 | 0.000 |
| 49.807 | 170.929 | 40.085 | -0.007 | -0.036 | 0.000 |
| 43.247 | 43.247 | 134.412 | 0.016 | 0.084 | -0.000 |
| -1.592 | -1.592 | 0.762 | 37.191 | -0.036 | 0.000 |
| -1.520 | -1.520 | 0.736 | -0.007 | 34.519 | 0.000 |
| -2.483 | -2.483 | 1.013 | -0.008 | -0.040 | 25.482 |
| 152.136 | 65.416 | 48.814 | 0.010 | 0.049 | -0.000 |
| 65.416 | 152.136 | 48.814 | 0.010 | 0.049 | -0.000 |
| 51.022 | 51.022 | 136.931 | 0.009 | 0.048 | -0.000 |
| 3.592 | 3.592 | -0.092 | 35.783 | 0.034 | -0.000 |
| 1.521 | 1.521 | -0.736 | 0.007 | 34.595 | -0.000 |
| 2.483 | 2.483 | -1.013 | 0.008 | 0.040 | 25.482 |
| 171.155 | 37.362 | 43.114 | 0.000 | 0.000 | 0.000 |
| 53.787 | 148.536 | 47.255 | 0.000 | -0.000 | 0.000 |
| 51.848 | 50.956 | 143.941 | 0.000 | 0.000 | 0.000 |
| -2.810 | 2.390 | -2.123 | 42.748 | 0.000 | 0.000 |
| -2.509 | 2.381 | -1.471 | 0.000 | 46.010 | 0.000 |
| -0.000 | 0.000 | 0.000 | 0.000 | 0.000 | 68.417 |
| 138.792 | 53.931 | 55.670 | -0.000 | -0.000 | 0.000 |
| 58.167 | 144.682 | 49.803 | -0.000 | -0.000 | -0.000 |
| 57.276 | 45.399 | 145.366 | -0.000 | -0.000 | -0.000 |
| 2.810 | -2.390 | 2.123 | 42.748 | -0.000 | -0.000 |
| 2.509 | -2.381 | 1.471 | -0.000 | 46.010 | -0.000 |
| 0.000 | -0.000 | -0.000 | -0.000 | 0.000 | 68.417 |
| 171.155 | 37.362 | 43.114 | -0.000 | -0.000 | 0.000 |
| 55.596 | 147.106 | 48.297 | 0.000 | -0.000 | 0.000 |
| 43.114 | 36.647 | 173.177 | 0.000 | -0.000 | 0.000 |
| -0.247 | 0.270 | -0.218 | 40.765 | 0.000 | 0.000 |
| -0.250 | 0.237 | -0.146 | 0.000 | 46.156 | 0.000 |
| -0.251 | 0.238 | -0.147 | 0.000 | 0.000 | 47.470 |
| 171.155 | 37.362 | 43.114 | -0.000 | 0.000 | -0.000 |
| 37.362 | 179.226 | 36.647 | -0.000 | 0.000 | -0.000 |
| 43.114 | 36.647 | 173.176 | -0.000 | -0.000 | -0.000 |
| 0.247 | -0.270 | 0.218 | 40.765 | -0.000 | -0.000 |
| 0.250 | -0.237 | 0.146 | -0.000 | 46.156 | -0.000 |
| 0.251 | -0.238 | 0.147 | -0.000 | -0.000 | 47.470 |
| 136.210 | 56.320 | 54.294 | 0.000 | -0.000 | 0.000 |
| 55.791 | 146.937 | 48.410 | 0.000 | 0.000 | 0.000 |
| 54.172 | 48.633 | 145.483 | 0.000 | 0.000 | 0.000 |
| -0.032 | 0.022 | -0.015 | 44.377 | -0.000 | 0.000 |
| 0.000 | 0.000 | 0.000 | 0.000 | 74.354 | 0.000 |
| -0.030 | 0.020 | -0.014 | 0.000 | -0.000 | 45.596 |
| 136.258 | 56.274 | 54.322 | -0.000 | 0.000 | -0.000 |
| 55.833 | 146.898 | 48.435 | -0.000 | 0.000 | -0.000 |
| 54.219 | 48.588 | 145.510 | -0.000 | -0.000 | -0.000 |
| 0.032 | -0.022 | 0.015 | 44.377 | 0.000 | -0.000 |
| -0.000 | -0.000 | -0.000 | -0.000 | 74.354 | -0.000 |
| 0.030 | -0.020 | 0.014 | -0.000 | -0.000 | 45.596 |
| 171.227 | 37.390 | 43.218 | 0.000 | 0.000 | 0.000 |
| 37.140 | 179.030 | 36.923 | -0.000 | -0.000 | -0.000 |
| 42.871 | 36.826 | 173.054 | 0.000 | 0.000 | 0.000 |
| 373.789 | -57.251 | -27.499 | 13.421 | 0.000 | 0.000 |
| -0.000 | 0.000 | 0.000 | 0.000 | 74.148 | 0.000 |
| 374.192 | -57.312 | -27.528 | 0.000 | 0.000 | 24.418 |
| 171.227 | 37.390 | 43.218 | 0.000 | -0.000 | -0.000 |
| 37.140 | 179.030 | 36.923 | 0.000 | 0.000 | -0.000 |
| -158.583 | -136.748 | -283.235 | -0.000 | -0.000 | 0.000 |
| -373.789 | 57.251 | 27.499 | 13.421 | -0.000 | -0.000 |
| 0.000 | -0.000 | -0.000 | 0.000 | 74.148 | 0.000 |
| -374.192 | 57.312 | 27.528 | -0.000 | -0.000 | 24.418 |
| 171.227 | 37.390 | 43.218 | -0.000 | 0.000 | 0.000 |
| 93.205 | 123.160 | 53.841 | 0.000 | -0.000 | 0.000 |
| 42.871 | 36.826 | 173.054 | 0.000 | 0.000 | 0.000 |
| 0.000 | 0.000 | 0.000 | 72.058 | -0.000 | -0.000 |
| 31.059 | -4.757 | -2.285 | 0.000 | 24.878 | 0.000 |
| 32.341 | -4.953 | -2.379 | 0.000 | 0.000 | 30.386 |
| 94.308 | 69.446 | 61.875 | -0.000 | 0.000 | -0.000 |
| 40.370 | 119.706 | 62.866 | -0.000 | -0.000 | -0.000 |
| 30.025 | 68.749 | 114.498 | -0.000 | 0.000 | 0.000 |
| -0.000 | -0.000 | -0.000 | 72.058 | -0.000 | -0.000 |
| -31.059 | 4.757 | 2.285 | 0.000 | 24.878 | -0.000 |
| -32.341 | 4.953 | 2.379 | -0.000 | 0.000 | 30.386 |
| 137.627 | 56.521 | 54.655 | 0.000 | -0.000 | -0.000 |
| 57.175 | 146.362 | 48.622 | -0.000 | -0.000 | 0.000 |
| 56.189 | 48.448 | 143.664 | 0.000 | 0.000 | 0.000 |
| 1.667 | -0.255 | -0.123 | 45.912 | 0.000 | 0.000 |
| 1.813 | -0.278 | -0.133 | 0.000 | 45.387 | 0.000 |
| 1.838 | -0.282 | -0.135 | -0.000 | 0.000 | 46.793 |
| 134.786 | 56.693 | 54.696 | -0.000 | 0.000 | -0.000 |
| 54.642 | 139.677 | 42.814 | -0.000 | 0.000 | -0.000 |
| 52.993 | 50.010 | 143.043 | -0.000 | -0.000 | -0.000 |
| -1.667 | 0.255 | 0.123 | 45.912 | 0.000 | -0.000 |
| -1.813 | 0.278 | 0.133 | -0.000 | 45.387 | 0.000 |
| -1.838 | 0.282 | 0.135 | -0.000 | -0.000 | 46.793 |
| -158.649 | -74.996 | 569.125 | 115.864 | -137.245 | 247.439 |
| 58.442 | 324.280 | 568.610 | 176.811 | -167.022 | 82.204 |
| -319.534 | 150.609 | 322.909 | 115.603 | -411.964 | 308.711 |
| 6.378 | 98.545 | 495.773 | 252.584 | -163.553 | 73.035 |
| -236.215 | -110.737 | 532.357 | 123.968 | -109.814 | 249.175 |
| -222.910 | -98.376 | 540.786 | 119.360 | -137.075 | 269.394 |
| 213.038 | -36.504 | -412.451 | -175.986 | 136.292 | -102.402 |
| 60.075 | 128.075 | -431.205 | -195.324 | 149.775 | -68.617 |
| 80.684 | -32.135 | -262.494 | -191.662 | 154.333 | -82.239 |
| 7.201 | -99.041 | -503.846 | -118.096 | 152.732 | -77.196 |
| -5.104 | -107.622 | -504.409 | -190.799 | 233.904 | -67.835 |
| -4.989 | -92.068 | -508.667 | -187.990 | 155.858 | -11.326 |
| 143.127 | 70.938 | 87.027 | 2.297 | -11.145 | -14.088 |
| 67.294 | 145.087 | 63.971 | -5.195 | -6.811 | 0.776 |
| 74.088 | 60.492 | 153.767 | -2.744 | -3.934 | -5.216 |
| -4.950 | -2.756 | 2.402 | 42.621 | -4.860 | -0.222 |
| -4.059 | -3.142 | 5.572 | 0.734 | 36.329 | 1.768 |
| -7.006 | 1.381 | 1.363 | -1.101 | -6.401 | 51.199 |
| 160.578 | 79.008 | 83.995 | 0.181 | -6.451 | -21.722 |
| 66.698 | 131.539 | 50.857 | -9.852 | -3.004 | -5.230 |
| 87.080 | 68.589 | 159.330 | -3.965 | -4.321 | -10.401 |
| 3.954 | -2.620 | -6.414 | 36.682 | -0.951 | -5.548 |
| -0.242 | -5.798 | -4.628 | -1.808 | 41.115 | -2.451 |
| -4.040 | -2.116 | -13.240 | -2.440 | -3.946 | 33.141 |
| 102.887 | -112.584 | -35.361 | 39.486 | 200.344 | -55.007 |
| -56.254 | 10.014 | -34.703 | 58.155 | 196.836 | -61.590 |
| 265.324 | -412.720 | 307.296 | 249.980 | 59.930 | -174.407 |
| -15.129 | -14.836 | -5.550 | 95.558 | 3.054 | -0.615 |
| -111.067 | -178.421 | -108.144 | 52.331 | 269.453 | -69.897 |
| 209.086 | -452.722 | 204.151 | 252.827 | 65.168 | -150.104 |
| -123.395 | 497.624 | -172.414 | -248.323 | -49.273 | 173.123 |
| -196.892 | 544.750 | -181.437 | -251.107 | -47.588 | 172.907 |
| 172.298 | 244.184 | 276.256 | -54.488 | -208.747 | 64.532 |
| -205.001 | 450.959 | -206.188 | -224.880 | -56.431 | 172.431 |
| -219.017 | 456.760 | -213.197 | -245.274 | -35.386 | 170.779 |
| 105.615 | 176.019 | 93.427 | -44.418 | -184.956 | 130.004 |
| 168.223 | 20.858 | 65.299 | 15.238 | 12.678 | -7.828 |
| 44.777 | 170.188 | 51.761 | 14.463 | 23.042 | -5.405 |
| 76.833 | 23.530 | 106.522 | 28.136 | 20.462 | -26.694 |
| 8.381 | -62.833 | 9.110 | 37.064 | 16.517 | -22.103 |
| 9.996 | -36.663 | 4.914 | 25.984 | 47.040 | -18.052 |
| 12.343 | -37.484 | 13.571 | 24.305 | 10.467 | 24.302 |
| 127.396 | 121.587 | 57.228 | -16.722 | -4.171 | 23.120 |
| 63.138 | 140.913 | 63.869 | -31.985 | -13.723 | 21.003 |
| 93.710 | 78.483 | 239.332 | -5.550 | -31.068 | 3.038 |
| -15.282 | 37.759 | -18.188 | 19.284 | -2.633 | 17.330 |
| -2.898 | 55.072 | 1.243 | -24.670 | 7.421 | 19.010 |
| 5.784 | 18.231 | 7.883 | -1.256 | -12.842 | 74.949 |
| 160.317 | 65.404 | 70.272 | -2.753 | 6.574 | 3.701 |
| 71.741 | 142.754 | 71.758 | 6.104 | 3.522 | -3.506 |
| 71.575 | 65.588 | 125.449 | -1.426 | -5.956 | -1.594 |
| -2.082 | -6.552 | 1.598 | 42.430 | 1.241 | 1.591 |
| 0.107 | 0.995 | -5.574 | 2.655 | 43.021 | -4.390 |
| -2.945 | -6.543 | -4.448 | 4.800 | 6.029 | 45.151 |
| 162.890 | 72.304 | 61.096 | -2.552 | 8.594 | 6.649 |
| 54.706 | 129.698 | 57.802 | 5.974 | 4.231 | -1.933 |
| 63.406 | 64.595 | 123.296 | -4.075 | -4.528 | 0.031 |
| -6.130 | 0.185 | -3.583 | 36.789 | -0.248 | 3.119 |
| -3.982 | 5.707 | -11.237 | 1.514 | 51.713 | -2.312 |
| -4.168 | 2.821 | -3.410 | 2.567 | 4.485 | 50.804 |
| -388.902 | 891.650 | 22.316 | 709.401 | 515.687 | -643.755 |
| -807.425 | 138.362 | -481.333 | 625.409 | 778.122 | -521.627 |
| -100.275 | 932.038 | -272.235 | 228.116 | 283.792 | -317.310 |
| -616.990 | 624.626 | -524.349 | 521.314 | 650.316 | -395.673 |
| -875.121 | 56.718 | -534.994 | 628.449 | 774.764 | -521.765 |
| -207.253 | 917.336 | -301.377 | 393.580 | 485.660 | -308.572 |
| 972.402 | 26.592 | 601.667 | -618.550 | -765.146 | 519.848 |
| 496.658 | -813.684 | 351.525 | -169.586 | -632.814 | 207.061 |
| 755.414 | -613.251 | 521.789 | -281.706 | -206.189 | 163.215 |
| 197.605 | -850.729 | 370.834 | -216.919 | -282.210 | 319.021 |
| 883.918 | -37.058 | 560.707 | -623.725 | -772.983 | 519.151 |
| 440.928 | -904.315 | 294.075 | -177.286 | -629.740 | 230.896 |
| 155.953 | 127.284 | 9.183 | 36.410 | 73.578 | -27.505 |
| -3.331 | 274.607 | 4.504 | 52.935 | 69.760 | -33.505 |
| -3.459 | 119.737 | 56.859 | 34.217 | 47.818 | -34.363 |
| -51.072 | 101.975 | 0.341 | 98.331 | 54.420 | -62.236 |
| -10.720 | 93.426 | -31.157 | 15.232 | 38.748 | -27.356 |
| -15.854 | 80.680 | -41.264 | 27.710 | 31.226 | -6.363 |
| 173.660 | -4.412 | 95.654 | -37.637 | -25.069 | 19.098 |
| 93.231 | 39.413 | 48.502 | -49.695 | -38.023 | 50.054 |
| 95.597 | -25.256 | 117.521 | -67.123 | -51.647 | 56.900 |
| 22.239 | -87.563 | 36.831 | -13.029 | -32.002 | 37.289 |
| 89.395 | 2.801 | 64.456 | -58.319 | -66.906 | 48.438 |
| 61.362 | -55.116 | 50.303 | -43.681 | -58.810 | 112.561 |
| 146.300 | 78.107 | 67.086 | 1.620 | 8.984 | 3.162 |
| 53.775 | 138.768 | 53.093 | 9.116 | 10.746 | -0.945 |
| 63.667 | 72.596 | 121.790 | 3.524 | 1.761 | -8.837 |
| -6.980 | 9.249 | -5.441 | 35.862 | 6.732 | 0.295 |
| -8.156 | 13.356 | -9.602 | 6.304 | 45.430 | -7.228 |
| -2.265 | 7.449 | -6.078 | 2.981 | 9.191 | 33.149 |
| 147.193 | 57.457 | 64.373 | -8.084 | -3.144 | 11.905 |
| 57.902 | 122.518 | 56.685 | 0.327 | -0.742 | 4.087 |
| 67.533 | 65.913 | 133.861 | -3.038 | -6.192 | 0.804 |
| 1.009 | -6.721 | 1.539 | 29.432 | -4.653 | 3.247 |
| 2.455 | -3.016 | -8.078 | -3.188 | 47.671 | 2.806 |
| 7.845 | -2.563 | 2.654 | -3.044 | -4.002 | 48.558 |
| 614.681 | 55.416 | 252.228 | -249.934 | 87.981 | 83.906 |
| 428.949 | 268.233 | 250.097 | -231.757 | 45.279 | 39.680 |
| 716.494 | -386.288 | 245.564 | -59.113 | -119.174 | 153.263 |
| 398.793 | -226.705 | 189.268 | -303.776 | -32.942 | 144.014 |
| 307.753 | -253.147 | 21.949 | -226.987 | 10.659 | 34.718 |
| 335.710 | -57.412 | 164.510 | -255.002 | 78.977 | 164.725 |
| -43.459 | 340.065 | -269.466 | 222.967 | 20.133 | -17.232 |
| -345.342 | 395.189 | -138.097 | 371.954 | 32.223 | -151.663 |
| -342.844 | 270.293 | -29.307 | 362.519 | 27.723 | -144.434 |
| -405.300 | 216.877 | -190.626 | 421.794 | 36.933 | -152.296 |
| -261.067 | 258.268 | 8.176 | 213.387 | 67.558 | -31.215 |
| 7.399 | -45.796 | -0.470 | -6.256 | 38.508 | 121.541 |
| 296.186 | 75.176 | 101.356 | -26.967 | 41.216 | 20.719 |
| 125.416 | 282.020 | 99.861 | -9.347 | 2.578 | -19.568 |
| 96.625 | 33.927 | 185.181 | -31.134 | -8.492 | 15.552 |
| 37.851 | -26.732 | 17.033 | 28.284 | -2.271 | 10.600 |
| 46.815 | -6.602 | 27.510 | -28.775 | 93.600 | 14.340 |
| 31.448 | -72.119 | 40.353 | -37.746 | -19.309 | 53.762 |
| 138.394 | 97.777 | 40.017 | 24.480 | 9.414 | 4.689 |
| 28.906 | 216.512 | 42.772 | 42.823 | -0.469 | -21.496 |
| 21.359 | 105.158 | 91.565 | 22.530 | -6.259 | -11.991 |
| 7.450 | 1.341 | -14.225 | 121.556 | -5.551 | -5.658 |
| -23.019 | -0.861 | -6.260 | 23.930 | 85.472 | -0.178 |
| -36.283 | -26.398 | -16.652 | 23.137 | 25.385 | 86.895 |
| 169.450 | 79.372 | 86.802 | 0.297 | 13.654 | 4.434 |
| 87.668 | 189.010 | 75.995 | 10.435 | -1.094 | -19.193 |
| 85.367 | 73.677 | 174.098 | -3.225 | 2.791 | -3.625 |
| 5.784 | -1.618 | 0.442 | 46.393 | -2.987 | -2.433 |
| -3.643 | -3.767 | -0.132 | -3.963 | 40.659 | -0.366 |
| 3.048 | -18.711 | 1.253 | -6.919 | 12.562 | 59.529 |
| 150.669 | 78.322 | 72.246 | 4.772 | 9.418 | -2.039 |
| 74.264 | 178.972 | 71.865 | 15.370 | -0.132 | -17.418 |
| 73.763 | 76.421 | 163.284 | 6.779 | -1.690 | -4.421 |
| -1.010 | -3.842 | -16.196 | 85.186 | -0.747 | -4.132 |
| 0.085 | -1.816 | -2.552 | 0.127 | 49.637 | -0.342 |
| -0.223 | -10.124 | -1.016 | -1.849 | 16.575 | 64.703 |
| 947.440 | 1170.117 | 1355.538 | -662.792 | -731.909 | 568.593 |
| 504.520 | -58.236 | 1649.719 | -1142.244 | -1715.664 | -4138.625 |
| 803.967 | 1158.291 | 1512.506 | -672.711 | -720.161 | 594.774 |
| 86.424 | 68.256 | 1768.531 | -1180.010 | -1661.739 | -3798.536 |
| 783.230 | 460.090 | 482.665 | -157.541 | -222.756 | 338.795 |
| 59.284 | 148.890 | 1766.178 | -1784.903 | -1599.902 | -2621.005 |
| -90.187 | -98.521 | -1720.577 | 1497.353 | 1508.574 | 2471.334 |
| -95.067 | 100.078 | -1769.346 | 1298.682 | 1848.846 | 2420.758 |
| -724.274 | -420.264 | -367.144 | 156.507 | 247.713 | -344.995 |
| -376.337 | 172.680 | -1394.245 | 895.084 | 1595.985 | 3189.038 |
| -778.148 | -448.118 | -478.338 | 154.279 | 266.827 | -325.959 |
| -789.015 | -460.561 | -477.104 | 160.769 | 236.026 | -301.204 |
| 181.557 | 62.013 | 185.411 | -113.522 | -185.901 | -348.221 |
| -6.671 | 15.647 | 102.203 | -79.030 | -138.624 | -268.391 |
| 82.172 | 84.185 | 412.716 | -179.385 | -179.092 | -295.153 |
| 22.892 | 46.825 | 150.157 | -127.466 | -135.570 | -191.318 |
| 70.941 | 103.956 | 127.858 | -61.654 | -9.978 | 56.894 |
| 74.769 | 117.371 | 137.088 | -69.743 | -88.291 | 126.701 |
| 127.421 | -39.230 | -77.674 | 68.411 | 56.935 | -79.500 |
| 57.049 | 126.867 | -114.224 | 120.043 | 172.860 | 373.208 |
| 47.657 | 79.002 | -3.636 | 141.479 | 154.432 | 255.655 |
| -10.515 | -48.937 | -35.032 | 123.598 | 6.480 | -7.961 |
| -4.617 | -33.571 | -147.525 | 163.135 | 174.846 | 204.699 |
| -87.294 | -53.791 | -47.938 | 21.729 | 16.955 | -0.835 |
| 105.371 | 71.760 | 71.662 | -14.871 | -25.251 | -37.876 |
| 59.160 | 130.421 | 70.664 | -20.268 | -16.622 | -33.137 |
| 55.140 | 57.824 | 131.708 | -16.918 | -17.670 | -35.268 |
| 1.158 | 9.614 | 12.371 | 13.881 | -3.265 | -9.349 |
| 6.567 | 3.786 | 7.704 | -1.557 | 38.653 | 2.024 |
| 4.076 | -2.064 | 17.934 | -15.066 | -29.092 | -8.084 |
| 97.794 | 52.222 | 32.744 | 17.331 | 9.080 | 17.843 |
| 49.773 | 112.831 | 32.566 | 4.190 | 14.616 | 24.930 |
| 44.876 | 49.212 | 106.597 | 3.154 | 12.033 | 33.168 |
| -2.157 | -2.556 | -19.954 | 41.704 | 18.673 | 37.960 |
| -6.590 | -2.682 | -2.165 | 2.897 | 38.276 | -4.431 |
| -7.607 | -1.120 | -15.417 | 8.155 | 7.227 | 47.298 |
| -282.005 | 55.115 | -295.173 | -10.801 | 340.044 | -161.558 |
| 89.739 | 255.969 | 67.828 | -6.218 | -3.411 | -11.975 |
| -594.159 | -9.707 | -301.336 | 131.914 | 599.625 | -69.099 |
| -928.844 | 133.025 | -743.310 | 231.743 | 671.829 | 24.845 |
| -4.009 | -2.808 | -2.645 | 3.606 | 96.544 | -2.302 |
| -433.323 | 13.323 | -348.377 | -7.183 | 334.281 | -116.060 |
| 700.927 | 109.444 | 526.369 | -136.845 | -631.048 | 61.483 |
| 471.227 | 135.362 | 381.478 | 8.559 | -333.174 | 150.047 |
| 689.783 | 143.174 | 651.461 | -140.268 | -653.485 | 72.593 |
| -3.637 | 7.286 | -20.340 | 80.770 | 3.606 | -3.144 |
| -4.009 | -2.808 | -2.645 | 3.606 | 96.544 | -2.302 |
| 438.720 | -9.203 | 335.971 | 20.596 | -363.845 | 179.739 |
| 304.437 | 91.162 | 81.200 | -3.785 | -18.470 | -28.957 |
| -24.970 | 121.220 | 40.604 | -0.989 | 53.482 | -9.845 |
| 81.198 | 64.427 | 279.642 | -20.340 | -2.645 | 3.139 |
| -52.439 | -13.374 | -42.997 | 39.274 | 55.636 | -5.471 |
| -28.532 | 6.898 | -5.970 | -4.859 | 78.565 | -9.225 |
| -43.645 | -1.189 | -35.212 | 2.216 | 16.741 | 39.595 |
| 195.502 | 61.125 | 105.345 | -11.112 | -56.464 | -9.182 |
| 89.793 | 140.356 | 95.564 | -16.579 | -43.264 | 8.641 |
| 99.856 | 60.862 | 184.937 | -5.306 | -49.597 | 6.909 |
| 61.342 | -4.128 | 30.307 | 12.915 | -50.446 | 2.863 |
| 49.409 | 4.927 | 15.873 | -6.226 | -7.486 | 6.814 |
| 91.520 | -14.388 | 74.441 | -20.664 | -68.354 | 31.534 |
| 120.233 | 50.505 | 46.815 | 0.542 | 2.106 | -9.225 |
| 44.128 | 121.386 | 48.512 | -5.738 | 2.981 | -4.201 |
| 46.917 | 53.069 | 121.950 | -0.451 | 2.903 | -1.732 |
| -2.305 | -2.875 | -7.080 | 44.544 | 4.997 | 1.116 |
| 0.355 | 3.273 | 11.733 | -1.539 | 67.239 | 0.266 |
| -11.324 | -5.412 | -0.322 | 1.323 | -5.440 | 48.795 |
| 164.395 | 67.786 | 68.419 | -1.022 | -12.070 | -11.229 |
| 72.844 | 140.932 | 69.618 | -6.928 | -3.052 | -6.494 |
| 71.656 | 65.811 | 146.702 | -4.408 | -3.625 | -1.982 |
| 9.722 | 3.992 | 2.113 | 33.221 | -6.409 | 0.250 |
| 3.473 | 0.412 | 4.562 | -1.026 | 38.467 | -1.051 |
| -0.036 | -1.537 | 4.044 | -1.092 | -12.704 | 38.358 |
| 298.140 | 81.257 | 82.311 | -4.045 | -15.741 | -20.627 |
| 80.850 | 248.559 | 67.468 | -7.586 | -1.898 | -5.212 |
| 270.470 | 171.295 | 29.295 | -58.131 | -10.797 | -45.936 |
| 268.978 | 212.591 | 297.037 | -109.715 | -220.416 | 108.781 |
| 119.857 | 175.074 | 185.863 | -235.489 | -139.132 | 102.733 |
| 227.033 | -13.392 | 122.239 | -195.284 | -140.220 | 216.257 |
| 86.319 | 6.256 | -80.564 | 109.548 | 24.524 | -10.561 |
| 80.850 | 248.559 | 67.468 | -7.586 | -1.898 | -5.212 |
| -68.661 | -118.285 | -42.060 | 226.256 | 213.770 | -106.833 |
| -118.327 | -173.435 | -178.272 | 295.497 | 200.457 | -106.820 |
| -3.453 | -1.711 | -7.314 | 3.580 | 97.056 | -2.429 |
| -237.971 | 10.484 | -123.965 | 193.546 | 127.942 | -158.427 |
| 298.140 | 81.257 | 82.311 | -4.045 | -15.741 | -20.627 |
| 68.062 | 182.223 | 69.276 | -35.454 | -18.172 | 11.817 |
| 71.986 | 60.842 | 175.033 | -19.695 | -22.115 | 13.509 |
| 10.547 | 19.505 | 7.386 | 35.998 | -18.584 | 8.658 |
| 30.477 | 4.453 | 6.640 | -17.883 | 18.935 | -1.932 |
| -0.657 | 13.900 | 8.411 | -23.187 | -28.897 | 63.464 |
| 129.064 | 79.607 | 81.915 | 17.095 | 16.445 | -14.892 |
| 24.788 | 144.378 | 47.856 | 8.735 | 15.014 | -21.008 |
| 48.879 | 43.818 | 173.545 | 6.809 | 24.907 | -9.365 |
| -12.536 | -18.695 | -24.632 | 75.418 | 21.636 | -12.692 |
| -6.719 | -14.038 | 5.484 | 24.111 | 71.216 | -11.251 |
| -27.781 | -0.142 | -10.753 | 17.097 | 4.746 | 18.375 |
| 148.745 | 68.384 | 69.153 | 0.534 | -3.349 | -6.490 |
| 55.913 | 126.338 | 59.720 | -9.912 | -1.788 | -2.674 |
| 59.817 | 62.594 | 143.342 | -4.382 | -3.079 | -2.570 |
| 1.413 | 0.786 | -2.038 | 36.719 | -0.571 | -1.165 |
| 2.998 | -0.226 | 0.744 | -3.400 | 39.251 | -0.776 |
| -1.653 | -0.273 | 1.904 | -3.790 | -9.566 | 41.618 |
| 120.585 | 54.207 | 51.566 | -0.519 | -3.553 | -9.900 |
| 54.822 | 124.051 | 60.542 | -6.757 | -0.535 | -4.354 |
| 67.044 | 70.183 | 152.464 | -4.576 | 0.060 | -3.729 |
| -2.044 | 0.493 | -5.006 | 38.966 | 1.166 | -3.473 |
| -0.310 | -1.099 | -1.087 | -0.476 | 42.068 | -2.800 |
| -5.224 | -2.132 | -4.224 | 0.037 | -6.772 | 39.386 |
| 278.320 | 98.916 | -0.000 | -0.000 | -0.000 | -0.000 |
| 90.878 | 247.029 | -0.000 | -0.000 | -0.000 | 0.000 |
| -0.268 | -0.268 | 318.942 | -0.000 | 0.000 | -0.000 |
| 0.000 | -0.000 | -0.000 | 3.726 | -0.000 | 0.000 |
| -0.000 | -0.000 | -0.000 | -0.000 | 3.726 | -0.000 |
| 0.000 | -0.000 | -0.000 | -0.000 | 0.000 | 89.702 |
| 239.600 | 106.036 | -0.000 | 0.000 | 0.000 | 0.000 |
| 91.087 | 247.152 | 0.000 | 0.000 | 0.000 | 0.000 |
| -0.268 | -0.268 | 318.942 | 0.000 | 0.000 | 0.000 |
| -0.000 | 0.000 | 0.000 | 3.726 | 0.000 | 0.000 |
| -0.000 | 0.000 | 0.000 | 0.000 | 3.726 | -0.000 |
| 0.204 | 0.204 | -0.000 | 0.000 | 0.000 | 69.686 |
| 247.085 | 90.972 | 0.000 | 0.000 | 0.000 | -0.000 |
| 90.972 | 247.085 | -0.000 | -0.000 | -0.000 | -0.000 |
| -0.268 | -0.268 | 318.942 | -0.000 | 0.000 | 0.000 |
| 0.000 | -0.000 | -0.000 | 3.726 | 0.000 | -0.000 |
| -0.000 | -0.000 | -0.000 | -0.000 | 3.726 | 0.000 |
| -0.013 | -0.013 | 0.000 | -0.000 | -0.000 | 66.731 |
| 239.691 | 104.576 | -0.000 | 0.000 | 0.000 | 0.000 |
| 90.993 | 247.097 | 0.000 | 0.000 | -0.000 | 0.000 |
| -0.268 | -0.268 | 318.942 | -0.000 | -0.000 | 0.000 |
| 0.000 | 0.000 | 0.000 | 3.726 | -0.000 | 0.000 |
| -0.000 | 0.000 | 0.000 | 0.000 | 3.726 | -0.000 |
| -0.000 | -0.000 | 0.000 | 0.000 | -0.000 | 89.702 |
| 247.091 | 90.982 | 0.000 | 0.000 | 0.000 | -0.000 |
| 104.566 | 239.681 | 0.000 | -0.000 | -0.000 | -0.000 |
| -0.268 | -0.268 | 318.944 | 0.000 | 0.000 | -0.000 |
| 0.000 | -0.000 | -0.000 | 3.726 | 0.000 | -0.000 |
| -0.000 | 0.000 | -0.000 | 0.000 | 3.726 | 0.000 |
| 0.000 | 0.000 | -0.000 | -0.000 | -0.000 | 89.702 |
| 239.680 | 104.566 | 0.000 | 0.000 | 0.000 | 0.000 |
| 105.937 | 239.504 | 0.000 | -0.000 | -0.000 | 0.000 |
| -0.268 | -0.268 | 318.940 | 0.000 | 0.000 | -0.000 |
| -0.000 | 0.000 | 0.000 | 3.726 | -0.000 | 0.000 |
| 0.000 | -0.000 | 0.000 | -0.000 | 3.726 | 0.000 |
| 0.002 | 0.002 | -0.000 | 0.000 | 0.000 | 69.684 |
| 118.463 | 62.860 | 62.860 | 0.000 | -0.000 | 0.000 |
| 62.860 | 118.463 | 62.860 | -0.000 | -0.000 | 0.000 |
| 62.860 | 62.860 | 118.463 | 0.000 | -0.000 | 0.000 |
| 0.000 | 0.000 | 0.000 | 80.453 | 0.000 | 0.000 |
| 0.000 | 0.000 | 0.000 | 0.000 | 80.453 | 0.000 |
| 0.000 | 0.000 | 0.000 | 0.000 | 0.000 | 80.453 |
| 117.686 | 62.420 | 62.420 | -0.000 | 0.000 | 0.000 |
| 62.420 | 117.686 | 62.420 | -0.000 | 0.000 | 0.000 |
| 62.420 | 62.420 | 117.686 | 0.000 | 0.000 | -0.000 |
| -0.000 | -0.000 | -0.000 | 80.453 | 0.000 | -0.000 |
| -0.000 | -0.000 | -0.000 | 0.000 | 80.453 | -0.000 |
| -0.000 | -0.000 | -0.000 | 0.000 | -0.000 | 80.453 |
| 118.152 | 62.669 | 62.669 | 0.000 | -0.000 | 0.000 |
| 62.669 | 118.152 | 62.669 | 0.000 | 0.000 | 0.000 |
| 62.669 | 62.669 | 118.152 | 0.000 | 0.000 | 0.000 |
| 0.000 | 0.000 | 0.000 | 80.453 | 0.000 | 0.000 |
| 0.000 | 0.000 | 0.000 | 0.000 | 80.453 | 0.000 |
| 0.000 | 0.000 | 0.000 | 0.000 | 0.000 | 80.453 |
| 128.834 | 63.798 | 63.798 | 0.000 | -0.000 | -0.000 |
| 63.798 | 128.834 | 63.798 | -0.000 | 0.000 | -0.000 |
| 63.798 | 63.798 | 128.834 | -0.000 | -0.000 | 0.000 |
| -0.000 | -0.000 | -0.000 | 80.453 | 0.000 | -0.000 |
| -0.000 | -0.000 | -0.000 | 0.000 | 80.453 | -0.000 |
| -0.000 | -0.000 | -0.000 | 0.000 | -0.000 | 80.453 |
| 116.622 | 61.393 | 61.393 | 0.000 | -0.000 | 0.000 |
| 61.393 | 116.622 | 61.393 | -0.000 | 0.000 | 0.000 |
| 61.393 | 61.393 | 116.622 | -0.000 | 0.000 | 0.000 |
| 0.000 | 0.000 | 0.000 | 80.453 | 0.000 | 0.000 |
| 0.000 | 0.000 | 0.000 | 0.000 | 80.453 | -0.000 |
| 0.000 | 0.000 | 0.000 | 0.000 | 0.000 | 80.453 |
| 118.109 | 62.645 | 62.645 | -0.000 | -0.000 | -0.000 |
| 62.645 | 118.109 | 62.645 | -0.000 | -0.000 | -0.000 |
| 62.645 | 62.645 | 118.109 | -0.000 | -0.000 | -0.000 |
| -0.000 | -0.000 | -0.000 | 80.453 | -0.000 | -0.000 |
| -0.000 | -0.000 | -0.000 | 0.000 | 80.453 | -0.000 |
| -0.000 | -0.000 | -0.000 | 0.000 | -0.000 | 80.453 |
| 187.713 | 56.570 | 53.015 | 0.000 | 0.000 | -0.000 |
| 44.789 | 227.807 | 25.073 | -0.000 | -0.000 | -0.000 |
| 51.618 | 51.618 | 193.984 | 0.000 | 0.000 | 0.000 |
| -0.000 | 0.000 | 0.000 | 72.326 | 0.000 | -0.000 |
| 0.321 | 0.321 | -0.633 | -0.000 | 59.062 | 0.000 |
| -0.000 | 0.000 | 0.000 | 0.000 | 0.000 | 91.509 |
| 227.807 | 44.789 | 25.073 | -0.000 | -0.000 | -0.000 |
| 55.818 | 187.152 | 54.310 | -0.000 | -0.000 | -0.000 |
| 25.429 | 25.429 | 245.674 | -0.000 | -0.000 | 0.000 |
| 0.000 | -0.000 | -0.000 | 72.326 | -0.000 | 0.000 |
| -0.321 | -0.321 | 0.633 | 0.000 | 59.062 | 0.000 |
| 0.000 | -0.000 | -0.000 | -0.000 | -0.000 | 91.509 |
| 187.224 | 59.225 | 50.877 | 0.000 | 0.000 | 0.000 |
| 44.789 | 227.808 | 25.073 | 0.000 | 0.000 | 0.000 |
| 25.429 | 25.429 | 245.674 | -0.000 | -0.000 | -0.000 |
| 0.000 | 0.000 | -0.000 | 72.326 | -0.000 | -0.000 |
| 0.032 | 0.032 | -0.063 | 0.000 | 59.062 | 0.000 |
| 0.038 | 0.038 | -0.074 | 0.000 | 0.000 | 63.999 |
| 227.807 | 44.789 | 25.073 | -0.000 | -0.000 | 0.000 |
| 59.161 | 187.159 | 51.004 | -0.000 | -0.000 | 0.000 |
| 51.265 | 51.265 | 194.682 | -0.000 | -0.000 | -0.000 |
| -0.000 | -0.000 | -0.000 | 72.326 | 0.000 | 0.000 |
| -0.032 | -0.032 | 0.063 | -0.000 | 59.062 | 0.000 |
| -0.038 | -0.038 | 0.074 | -0.000 | -0.000 | 63.999 |
| 187.195 | 59.197 | 50.934 | 0.000 | 0.000 | 0.000 |
| 56.198 | 187.434 | 53.658 | -0.000 | 0.000 | 0.000 |
| 51.281 | 51.281 | 194.651 | 0.000 | 0.000 | 0.000 |
| 0.003 | 0.003 | -0.006 | 59.062 | -0.000 | -0.000 |
| 0.003 | 0.003 | -0.006 | 0.000 | 59.062 | 0.000 |
| 0.004 | 0.004 | -0.007 | 0.000 | 0.000 | 63.999 |
| 187.429 | 56.189 | 53.670 | 0.000 | -0.000 | 0.000 |
| 59.189 | 187.189 | 50.946 | -0.000 | -0.000 | 0.000 |
| 51.292 | 51.292 | 194.626 | -0.000 | -0.000 | -0.000 |
| -0.003 | -0.003 | 0.006 | 59.062 | -0.000 | 0.000 |
| -0.003 | -0.003 | 0.006 | -0.000 | 59.062 | -0.000 |
| -0.004 | -0.004 | 0.007 | 0.000 | 0.000 | 63.999 |
| 194.240 | 64.317 | 64.317 | 0.000 | 0.000 | -0.000 |
| 64.317 | 194.240 | 64.317 | 0.000 | 0.000 | 0.000 |
| 64.317 | 64.317 | 194.240 | 0.000 | 0.000 | 0.000 |
| -0.000 | 0.000 | 0.000 | 91.726 | -0.000 | -0.000 |
| 0.000 | 0.000 | 0.000 | 0.000 | 91.726 | -0.000 |
| 0.000 | 0.000 | 0.000 | 0.000 | 0.000 | 91.726 |
| 108.184 | 16.204 | 16.204 | -0.000 | -0.000 | 0.000 |
| 16.204 | 108.184 | 16.204 | 0.000 | 0.000 | 0.000 |
| 16.204 | 16.204 | 108.184 | 0.000 | -0.000 | 0.000 |
| 0.000 | -0.000 | -0.000 | 91.726 | -0.000 | -0.000 |
| -0.000 | -0.000 | -0.000 | 0.000 | 91.726 | -0.000 |
| -0.000 | -0.000 | -0.000 | -0.000 | -0.000 | 91.726 |
| 165.071 | 74.238 | 74.238 | 0.000 | 0.000 | -0.000 |
| 74.238 | 165.071 | 74.238 | 0.000 | 0.000 | -0.000 |
| 74.238 | 74.238 | 165.071 | 0.000 | 0.000 | -0.000 |
| 0.000 | 0.000 | 0.000 | 91.726 | 0.000 | 0.000 |
| -0.000 | 0.000 | 0.000 | 0.000 | 91.726 | -0.000 |
| 0.000 | 0.000 | 0.000 | 0.000 | 0.000 | 91.726 |
| 154.814 | 63.435 | 63.435 | -0.000 | -0.000 | 0.000 |
| 63.435 | 154.814 | 63.435 | -0.000 | -0.000 | 0.000 |
| 63.435 | 63.435 | 154.814 | 0.000 | -0.000 | 0.000 |
| -0.000 | -0.000 | -0.000 | 91.726 | -0.000 | 0.000 |
| 0.000 | -0.000 | -0.000 | -0.000 | 91.726 | 0.000 |
| -0.000 | -0.000 | -0.000 | -0.000 | -0.000 | 91.726 |
| 160.412 | 69.340 | 69.340 | -0.000 | -0.000 | -0.000 |
| 69.340 | 160.412 | 69.340 | 0.000 | 0.000 | 0.000 |
| 69.340 | 69.340 | 160.412 | -0.000 | -0.000 | -0.000 |
| 0.489 | 0.489 | 0.489 | 41.934 | 0.000 | 0.000 |
| 0.489 | 0.489 | 0.489 | 0.000 | 41.934 | 0.000 |
| 0.489 | 0.489 | 0.489 | 0.000 | 0.000 | 41.934 |
| 159.388 | 68.259 | 68.259 | -0.000 | -0.000 | 0.000 |
| 68.259 | 159.388 | 68.259 | 0.000 | 0.000 | 0.000 |
| 68.259 | 68.259 | 159.388 | -0.000 | -0.000 | 0.000 |
| -0.489 | -0.489 | -0.489 | 41.934 | -0.000 | -0.000 |
| -0.489 | -0.489 | -0.489 | 0.000 | 41.934 | 0.000 |
| -0.489 | -0.489 | -0.489 | 0.000 | -0.000 | 41.934 |
| 188.555 | 60.740 | 60.740 | -0.000 | 0.000 | -0.000 |
| 60.740 | 188.555 | 60.740 | -0.000 | 0.000 | -0.000 |
| 60.740 | 60.740 | 188.555 | -0.000 | 0.000 | 0.000 |
| 0.000 | -0.000 | 0.000 | 42.082 | 0.000 | -0.000 |
| 0.000 | 0.000 | 0.000 | 0.000 | 42.082 | 0.000 |
| -0.000 | 0.000 | -0.000 | 0.000 | 0.000 | 42.082 |
| 188.555 | 60.740 | 60.740 | 0.000 | 0.000 | 0.000 |
| 60.740 | 188.555 | 60.740 | 0.000 | -0.000 | -0.000 |
| 60.740 | 60.740 | 188.555 | 0.000 | -0.000 | 0.000 |
| -0.000 | 0.000 | -0.000 | 42.082 | -0.000 | -0.000 |
| -0.000 | 0.000 | 0.000 | -0.000 | 42.082 | -0.000 |
| 0.000 | -0.000 | -0.000 | -0.000 | -0.000 | 42.082 |
| 156.082 | 64.696 | 64.696 | 0.000 | 0.000 | 0.000 |
| 64.696 | 156.082 | 64.696 | 0.000 | 0.000 | -0.000 |
| 64.696 | 64.696 | 156.082 | 0.000 | 0.000 | 0.000 |
| 0.000 | -0.000 | -0.000 | 41.825 | 0.000 | 0.000 |
| -0.000 | 0.000 | -0.000 | 0.000 | 41.825 | 0.000 |
| -0.000 | -0.000 | 0.000 | -0.000 | 0.000 | 41.825 |
| 156.082 | 64.696 | 64.696 | -0.000 | -0.000 | -0.000 |
| 64.696 | 156.082 | 64.696 | -0.000 | -0.000 | -0.000 |
| 64.696 | 64.696 | 156.082 | -0.000 | -0.000 | -0.000 |
| -0.000 | 0.000 | 0.000 | 41.825 | 0.000 | -0.000 |
| 0.000 | -0.000 | 0.000 | -0.000 | 41.825 | -0.000 |
| 0.000 | 0.000 | -0.000 | -0.000 | -0.000 | 41.825 |
| 156.081 | 64.697 | 64.697 | -0.000 | 0.000 | 0.000 |
| 64.697 | 156.081 | 64.697 | 0.000 | 0.000 | -0.000 |
| 64.697 | 64.697 | 156.081 | 0.000 | 0.000 | -0.000 |
| 0.000 | -0.000 | -0.000 | 41.825 | 0.000 | -0.000 |
| -0.000 | 0.000 | -0.000 | 0.000 | 42.082 | 0.000 |
| -0.000 | -0.000 | 0.000 | 0.000 | -0.000 | 41.825 |
| 156.100 | 64.193 | 64.193 | -0.000 | -0.000 | -0.000 |
| 64.193 | 156.100 | 64.193 | -0.000 | -0.000 | -0.000 |
| 64.193 | 64.193 | 156.100 | -0.000 | -0.000 | 0.000 |
| -0.000 | 0.000 | 0.000 | 41.825 | -0.000 | -0.000 |
| 0.000 | -0.000 | 0.000 | -0.000 | 42.082 | -0.000 |
| 0.000 | 0.000 | -0.000 | -0.000 | 0.000 | 41.825 |
| 225.969 | 59.598 | 42.629 | 21.269 | 15.333 | -0.000 |
| 59.598 | 225.969 | 42.629 | -21.269 | -15.333 | -0.000 |
| 76.173 | 76.173 | 155.009 | -0.000 | 0.000 | 0.000 |
| -0.375 | 25.685 | 57.515 | 0.710 | 0.000 | 13.118 |
| 15.333 | -15.333 | -0.000 | -0.000 | 68.517 | 21.269 |
| 12.549 | 12.549 | 57.035 | 12.880 | -12.744 | 2.072 |
| 225.969 | 59.598 | 42.629 | 21.269 | 15.333 | -0.000 |
| 42.959 | 170.697 | -270.243 | -15.318 | 0.233 | 0.000 |
| 63.126 | 63.126 | -25.458 | -0.000 | -0.000 | -0.000 |
| -25.685 | 0.375 | -57.515 | 0.710 | -0.000 | 13.118 |
| -25.773 | 0.463 | -57.515 | 0.000 | 0.710 | -13.030 |
| -0.000 | 0.000 | 0.000 | -15.333 | 21.269 | 83.186 |
| 164.513 | 80.470 | 68.779 | 4.897 | -2.646 | 0.000 |
| 59.598 | 225.969 | 42.629 | -21.269 | -15.333 | 0.000 |
| 61.407 | 61.407 | 135.504 | 0.000 | 0.000 | 0.000 |
| 3.902 | -2.571 | 3.024 | 32.868 | 0.000 | -0.376 |
| 15.333 | -15.333 | 0.000 | 0.000 | 68.517 | 21.269 |
| 0.000 | 0.000 | 0.000 | -15.333 | 21.269 | 83.186 |
| 159.726 | 80.551 | 53.200 | 2.987 | 0.169 | 0.000 |
| 80.551 | 159.726 | 53.200 | -2.987 | -0.169 | 0.000 |
| 47.164 | 47.164 | 69.781 | 0.000 | 0.000 | 0.000 |
| 0.975 | -4.764 | -20.273 | 33.168 | 0.000 | 5.939 |
| 15.333 | -15.333 | -0.000 | -0.000 | 68.517 | 21.269 |
| -0.000 | -0.000 | -0.000 | -15.333 | 21.269 | 83.186 |
| 163.224 | 79.480 | 55.271 | 4.574 | -1.626 | 0.000 |
| 79.479 | 163.228 | 55.270 | -4.575 | 1.625 | 0.000 |
| 63.253 | 63.253 | 122.161 | 0.000 | -0.000 | 0.000 |
| 21.269 | -21.269 | 0.000 | 68.517 | -0.000 | -15.333 |
| 1.542 | -1.419 | 0.280 | -0.000 | 35.502 | 4.569 |
| 0.063 | 0.063 | 0.289 | -1.050 | 4.050 | 42.122 |
| 162.340 | 78.971 | 51.961 | 4.773 | -2.833 | -0.000 |
| 78.961 | 162.372 | 51.955 | -4.782 | 2.825 | -0.000 |
| 49.396 | 49.396 | 75.809 | -0.000 | 0.000 | 0.000 |
| 3.301 | -3.585 | -1.381 | 33.923 | 0.000 | 3.238 |
| -3.380 | 3.095 | -1.381 | -0.000 | 33.924 | 3.444 |
| -0.063 | -0.063 | -0.289 | -1.050 | 4.049 | 42.121 |
| 140.052 | 62.985 | 92.334 | 0.879 | -2.818 | 0.000 |
| 62.985 | 140.052 | 92.334 | -0.879 | 2.818 | 0.000 |
| 46.350 | 46.350 | 480.081 | 0.000 | 0.000 | 0.000 |
| 20.494 | -20.494 | 0.000 | 67.204 | 0.000 | -15.848 |
| -16.649 | -10.655 | 53.366 | -0.000 | 26.548 | 0.294 |
| -11.064 | -11.064 | 117.320 | 1.506 | 0.467 | 39.362 |
| 202.039 | 80.308 | 29.699 | 14.156 | 2.668 | -0.000 |
| 54.062 | 219.645 | 46.350 | -20.494 | -15.848 | -0.000 |
| 51.632 | 51.632 | 232.857 | 0.000 | -0.000 | -0.000 |
| 13.946 | 13.358 | -53.366 | 26.548 | -0.000 | 2.997 |
| 15.848 | -15.848 | -0.000 | 0.000 | 67.203 | 20.494 |
| 11.064 | 11.064 | -117.320 | 1.506 | 0.467 | 39.362 |
| 162.379 | 72.464 | 57.431 | 3.048 | 0.730 | -0.000 |
| 69.354 | 158.493 | 41.213 | -3.145 | -1.103 | 0.000 |
| 46.350 | 46.350 | 480.081 | -0.000 | -0.000 | 0.000 |
| 20.494 | -20.494 | -0.000 | 67.203 | -0.000 | -15.848 |
| -2.661 | -0.076 | -0.892 | -0.000 | 32.581 | 3.322 |
| -0.961 | -0.961 | 10.191 | -0.774 | 3.098 | 45.067 |
| 165.363 | 74.003 | 37.169 | 3.381 | 1.019 | 0.000 |
| 74.543 | 164.678 | 45.688 | -3.451 | -0.338 | 0.000 |
| 46.350 | 46.350 | 480.082 | -0.000 | -0.000 | -0.000 |
| 4.691 | -1.953 | 0.892 | 32.581 | 0.000 | 1.292 |
| 15.848 | -15.848 | 0.000 | -0.000 | 67.203 | 20.494 |
| -0.000 | -0.000 | -0.000 | -15.848 | 20.494 | 82.791 |
| 163.343 | 73.476 | 55.585 | 3.614 | 0.006 | -0.000 |
| 73.061 | 164.039 | 48.206 | -3.293 | -0.942 | -0.000 |
| 46.350 | 46.350 | 480.080 | 0.000 | 0.000 | 0.000 |
| 3.792 | -3.954 | 6.546 | 30.850 | 0.000 | -0.052 |
| 1.201 | -1.781 | -0.864 | -0.000 | 30.183 | 4.158 |
| -0.132 | -0.132 | -0.130 | 0.546 | 4.163 | 45.064 |
| 163.700 | 73.627 | 53.419 | 3.570 | 0.161 | 0.000 |
| 73.490 | 162.796 | 45.523 | -4.613 | 1.406 | -0.000 |
| 41.361 | 41.361 | 273.014 | 0.000 | 0.000 | -0.000 |
| 3.949 | -3.787 | -6.546 | 30.840 | -0.000 | -0.047 |
| -2.637 | 2.964 | 0.763 | -0.000 | 32.261 | 3.201 |
| 0.095 | 0.095 | -1.010 | -0.901 | 3.246 | 45.387 |
| -42150592.523 | -26800737.360 | -5101207.352 | -343864.652 | -1703163.920 | 2439251.357 |
| -42057858.627 | -26710365.742 | -4942054.866 | -333634.441 | -1532223.187 | 2421273.466 |
| -41938817.960 | -26283631.567 | -4618675.032 | -305024.128 | -1327624.171 | 2314803.825 |
| -41932158.436 | -25942282.349 | -4595699.047 | -284722.800 | -1308747.367 | 2297808.309 |
| -42114363.511 | -26655690.354 | -4978669.623 | -336622.524 | -1581930.072 | 2398896.220 |
| -42094000.634 | -27044675.621 | -4924131.482 | -201163.717 | -1468571.588 | 2302384.712 |
| 41828723.881 | 25828362.963 | 4725982.419 | 228729.775 | 1368167.697 | -2358015.156 |
| 42064929.266 | 26062810.917 | 4591939.675 | 241443.990 | 1388488.330 | -2231067.947 |
| 42079423.956 | 26651629.560 | 4939213.819 | 271916.013 | 1584425.825 | -2413933.964 |
| 42719004.298 | 26506584.319 | 4851100.557 | 237436.876 | 978858.094 | -2419563.226 |
| 42706817.217 | 26731615.865 | 4786324.042 | 184380.613 | 803042.471 | -2276349.228 |
| 41938437.414 | 26759689.525 | 4712085.718 | 405395.612 | 1371542.829 | -2371696.766 |
| -4199237.930 | -2666148.288 | -483791.623 | -37798.735 | -148016.609 | 241606.472 |
| -4265178.362 | -2623510.416 | -479136.851 | -21167.533 | -91907.435 | 245805.809 |
| -4271227.193 | -2736200.342 | -489381.065 | -433.510 | -87191.802 | 231040.569 |
| -4259130.641 | -2634160.551 | -474755.795 | -22788.656 | -88071.397 | 248221.427 |
| -4198226.475 | -2658063.463 | -478380.634 | -34608.537 | -140981.291 | 240677.191 |
| -4204268.300 | -2721495.716 | -496674.455 | -10108.702 | -147885.450 | 227506.604 |
| 4264064.256 | 2654882.856 | 476474.535 | 25529.194 | 89267.682 | -244358.161 |
| 4175774.833 | 2587355.417 | 464695.193 | 24350.778 | 132572.819 | -236975.231 |
| 4203704.904 | 2680879.055 | 490914.106 | 26238.510 | 147192.162 | -228888.513 |
| 4204812.068 | 2666423.681 | 488457.275 | 33242.925 | 146954.586 | -231272.739 |
| 4269907.841 | 2620858.511 | 482540.586 | 18387.279 | 96269.742 | -243841.032 |
| 4190863.063 | 2588339.240 | 458693.352 | 29756.760 | 132329.765 | -232007.688 |
| -427211.870 | -276400.549 | -47003.613 | -2893.848 | -8171.443 | 21203.343 |
| -426121.900 | -268524.514 | -47794.756 | -3166.931 | -9077.323 | 24204.265 |
| -419125.892 | -257942.735 | -46184.080 | -2912.612 | -13735.020 | 23151.492 |
| -418943.969 | -258312.104 | -46114.026 | -2902.457 | -13597.679 | 23223.955 |
| -420731.241 | -269105.743 | -49188.442 | -2403.912 | -14705.066 | 23057.819 |
| -421665.253 | -264957.012 | -50891.733 | -3127.065 | -16916.965 | 24121.604 |
| 427269.675 | 265031.101 | 48589.882 | 2315.544 | 9678.511 | -24092.745 |
| 427102.850 | 262005.203 | 47996.581 | 1800.587 | 9650.880 | -24456.841 |
| 426185.798 | 267983.584 | 47647.637 | 2836.526 | 8816.159 | -24278.408 |
| 418599.388 | 265596.934 | 46200.419 | 3236.331 | 13086.662 | -23565.277 |
| 427002.349 | 264279.037 | 48573.296 | 2265.794 | 9823.170 | -24287.371 |
| 419138.916 | 264805.505 | 46477.044 | 3576.101 | 13123.537 | -23908.832 |
| 230.738 | 117.407 | 32.673 | -0.000 | -0.000 | 0.000 |
| 118.371 | 248.290 | 31.717 | -0.000 | -0.000 | 0.000 |
| 33.162 | 31.242 | 378.728 | -0.000 | -0.000 | 0.000 |
| 0.000 | -0.000 | -0.000 | 22.906 | -0.000 | 0.000 |
| 0.000 | -0.000 | -0.000 | -0.000 | 24.110 | -0.000 |
| 0.000 | -0.000 | -0.000 | -0.000 | -0.000 | 16.470 |
| 230.737 | 117.407 | 32.673 | 0.000 | 0.000 | -0.000 |
| 118.371 | 248.290 | 31.717 | 0.000 | 0.000 | -0.000 |
| 33.162 | 31.242 | 378.728 | 0.000 | 0.000 | -0.000 |
| -0.000 | 0.000 | 0.000 | 22.906 | 0.000 | 0.000 |
| -0.000 | 0.000 | 0.000 | -0.000 | 24.110 | -0.000 |
| -0.000 | 0.000 | 0.000 | 0.000 | 0.000 | 16.470 |
| 230.737 | 117.407 | 32.673 | -0.000 | -0.000 | 0.000 |
| 118.371 | 248.290 | 31.717 | -0.000 | -0.000 | 0.000 |
| 33.162 | 31.242 | 378.728 | -0.000 | -0.000 | 0.000 |
| 0.000 | -0.000 | -0.000 | 22.906 | -0.000 | 0.000 |
| 0.000 | -0.000 | -0.000 | -0.000 | 24.110 | 0.000 |
| 0.000 | -0.000 | -0.000 | -0.000 | -0.000 | 16.470 |
| 230.737 | 117.407 | 32.673 | 0.000 | 0.000 | -0.000 |
| 118.371 | 248.290 | 31.717 | 0.000 | 0.000 | -0.000 |
| 33.162 | 31.242 | 378.728 | 0.000 | 0.000 | -0.000 |
| -0.000 | 0.000 | 0.000 | 22.906 | 0.000 | -0.000 |
| -0.000 | 0.000 | 0.000 | 0.000 | 24.110 | -0.000 |
| -0.000 | 0.000 | 0.000 | 0.000 | 0.000 | 16.470 |
| 230.737 | 117.407 | 32.673 | -0.000 | -0.000 | 0.000 |
| 118.372 | 248.290 | 31.717 | -0.000 | -0.000 | 0.000 |
| 33.162 | 31.242 | 378.730 | -0.000 | -0.000 | 0.000 |
| -0.000 | -0.000 | -0.000 | 22.906 | -0.000 | -0.000 |
| -0.000 | -0.000 | -0.000 | 0.000 | 24.110 | -0.000 |
| -0.000 | -0.000 | -0.000 | -0.000 | -0.000 | 16.470 |
| 230.738 | 117.406 | 32.673 | 0.000 | 0.000 | -0.000 |
| 118.370 | 248.290 | 31.716 | 0.000 | 0.000 | -0.000 |
| 33.162 | 31.242 | 378.726 | 0.000 | 0.000 | -0.000 |
| 0.000 | 0.000 | 0.000 | 22.906 | 0.000 | -0.000 |
| 0.000 | 0.000 | 0.000 | -0.000 | 24.110 | 0.000 |
| 0.000 | 0.000 | 0.000 | 0.000 | 0.000 | 16.470 |
| 152.313 | 52.326 | 52.326 | 0.000 | -0.000 | -0.000 |
| 52.326 | 152.313 | 52.326 | 0.000 | 0.000 | -0.000 |
| 52.326 | 52.326 | 152.313 | -0.000 | 0.000 | 0.000 |
| -0.000 | 0.000 | 0.000 | 75.118 | 0.000 | 0.000 |
| -0.000 | 0.000 | 0.000 | 0.000 | 75.118 | -0.000 |
| -0.000 | 0.000 | 0.000 | 0.000 | 0.000 | 75.118 |
| 152.313 | 52.326 | 52.326 | 0.000 | -0.000 | -0.000 |
| 52.326 | 152.313 | 52.326 | 0.000 | 0.000 | 0.000 |
| 52.326 | 52.326 | 152.313 | 0.000 | -0.000 | 0.000 |
| 0.000 | -0.000 | -0.000 | 75.118 | 0.000 | 0.000 |
| 0.000 | -0.000 | -0.000 | 0.000 | 75.118 | -0.000 |
| -0.000 | -0.000 | -0.000 | 0.000 | -0.000 | 75.118 |
| 121.336 | 69.292 | 69.292 | 0.000 | 0.000 | 0.000 |
| 69.292 | 121.336 | 69.292 | 0.000 | 0.000 | 0.000 |
| 69.292 | 69.292 | 121.336 | -0.000 | 0.000 | 0.000 |
| 1.687 | 1.687 | 1.687 | 32.493 | 0.000 | 0.000 |
| 1.687 | 1.687 | 1.687 | 0.000 | 32.493 | 0.000 |
| 1.687 | 1.687 | 1.687 | 0.000 | 0.000 | 32.493 |
| 118.138 | 65.732 | 65.732 | -0.000 | -0.000 | -0.000 |
| 65.732 | 118.138 | 65.732 | -0.000 | -0.000 | -0.000 |
| 65.732 | 65.732 | 118.138 | -0.000 | -0.000 | -0.000 |
| -1.687 | -1.687 | -1.687 | 32.493 | -0.000 | -0.000 |
| -1.687 | -1.687 | -1.687 | -0.000 | 32.493 | -0.000 |
| -1.687 | -1.687 | -1.687 | -0.000 | -0.000 | 32.493 |
| 125.620 | 64.970 | 64.970 | 0.000 | 0.000 | 0.000 |
| 64.970 | 125.620 | 64.970 | 0.000 | 0.000 | 0.000 |
| 64.970 | 64.970 | 125.620 | 0.000 | 0.000 | 0.000 |
| 0.139 | 0.139 | 0.139 | 39.873 | 0.000 | 0.000 |
| 0.139 | 0.139 | 0.139 | 0.000 | 39.873 | 0.000 |
| 0.139 | 0.139 | 0.139 | -0.000 | 0.000 | 39.873 |
| 125.312 | 64.697 | 64.697 | -0.000 | -0.000 | -0.000 |
| 64.697 | 125.312 | 64.697 | 0.000 | -0.000 | -0.000 |
| 64.697 | 64.697 | 125.312 | -0.000 | -0.000 | -0.000 |
| -0.139 | -0.139 | -0.139 | 39.873 | -0.000 | -0.000 |
| -0.139 | -0.139 | -0.139 | 0.000 | 39.873 | 0.000 |
| -0.139 | -0.139 | -0.139 | -0.000 | -0.000 | 39.873 |
| 152.160 | 52.234 | 52.234 | -0.000 | -0.000 | -0.000 |
| 52.234 | 152.160 | 52.234 | -0.000 | -0.000 | -0.000 |
| 52.234 | 52.234 | 152.160 | -0.000 | 0.000 | 0.000 |
| 0.000 | 0.000 | 0.000 | 75.060 | -0.000 | -0.000 |
| 0.000 | -0.000 | 0.000 | -0.000 | 75.060 | -0.000 |
| 0.000 | -0.000 | 0.000 | -0.000 | 0.000 | 75.060 |
| 152.160 | 52.234 | 52.234 | -0.000 | -0.000 | 0.000 |
| 52.234 | 152.160 | 52.234 | 0.000 | 0.000 | 0.000 |
| 52.234 | 52.234 | 152.160 | 0.000 | -0.000 | 0.000 |
| -0.000 | 0.000 | -0.000 | 75.060 | 0.000 | 0.000 |
| -0.000 | -0.000 | -0.000 | 0.000 | 75.060 | 0.000 |
| -0.000 | -0.000 | 0.000 | -0.000 | 0.000 | 75.060 |
| 127.415 | 68.434 | 68.434 | 0.000 | 0.000 | -0.000 |
| 68.434 | 127.415 | 68.434 | 0.000 | 0.000 | -0.000 |
| 68.434 | 68.434 | 127.415 | 0.000 | 0.000 | -0.000 |
| 0.000 | 0.000 | 0.000 | 75.060 | 0.000 | -0.000 |
| 0.000 | 0.000 | 0.000 | -0.000 | 75.060 | -0.000 |
| 0.000 | 0.000 | 0.000 | 0.000 | 0.000 | 75.060 |
| 120.975 | 62.987 | 62.987 | -0.000 | -0.000 | 0.000 |
| 62.987 | 120.975 | 62.987 | -0.000 | -0.000 | 0.000 |
| 62.987 | 62.987 | 120.975 | -0.000 | -0.000 | 0.000 |
| -0.000 | -0.000 | -0.000 | 75.060 | -0.000 | 0.000 |
| -0.000 | -0.000 | -0.000 | 0.000 | 75.060 | 0.000 |
| -0.000 | -0.000 | -0.000 | 0.000 | 0.000 | 75.060 |
| 125.890 | 64.821 | 64.821 | 0.000 | 0.000 | -0.000 |
| 64.821 | 125.890 | 64.821 | 0.000 | 0.000 | -0.000 |
| 64.821 | 64.821 | 125.890 | 0.000 | 0.000 | -0.000 |
| 0.321 | 0.321 | 0.321 | 38.973 | 0.000 | -0.000 |
| 0.321 | 0.321 | 0.321 | 0.000 | 38.973 | -0.000 |
| 0.321 | 0.321 | 0.321 | 0.000 | 0.000 | 38.973 |
| 125.215 | 64.433 | 64.433 | -0.000 | -0.000 | 0.000 |
| 64.433 | 125.215 | 64.433 | -0.000 | -0.000 | 0.000 |
| 64.433 | 64.433 | 125.215 | -0.000 | -0.000 | 0.000 |
| -0.321 | -0.321 | -0.321 | 38.973 | -0.000 | 0.000 |
| -0.321 | -0.321 | -0.321 | -0.000 | 38.973 | 0.000 |
| -0.321 | -0.321 | -0.321 | -0.000 | -0.000 | 38.973 |
| 159.817 | 53.989 | 53.989 | 0.000 | 0.000 | -0.000 |
| 53.989 | 159.817 | 53.989 | -0.000 | -0.000 | -0.000 |
| 53.989 | 53.989 | 159.817 | -0.000 | -0.000 | -0.000 |
| 2.021 | 2.021 | 2.021 | 51.570 | 0.000 | -0.000 |
| 2.021 | 2.021 | 2.021 | -0.000 | 51.570 | -0.000 |
| 2.021 | 2.021 | 2.021 | -0.000 | -0.000 | 51.570 |
| 150.470 | 48.138 | 48.138 | 0.000 | 0.000 | -0.000 |
| 48.138 | 150.470 | 48.138 | -0.000 | 0.000 | 0.000 |
| 48.138 | 48.138 | 150.470 | 0.000 | 0.000 | 0.000 |
| -2.021 | -2.021 | -2.021 | 51.570 | 0.000 | 0.000 |
| -2.021 | -2.021 | -2.021 | 0.000 | 51.570 | 0.000 |
| -2.021 | -2.021 | -2.021 | 0.000 | 0.000 | 51.570 |
| 156.217 | 51.115 | 51.115 | 0.000 | 0.000 | -0.000 |
| 51.115 | 156.217 | 51.115 | 0.000 | -0.000 | -0.000 |
| 51.115 | 51.115 | 156.217 | -0.000 | -0.000 | -0.000 |
| 0.000 | 0.000 | 0.000 | 78.662 | -0.000 | -0.000 |
| 0.000 | 0.000 | 0.000 | 0.000 | 78.662 | -0.000 |
| 0.000 | 0.000 | 0.000 | 0.000 | -0.000 | 78.662 |
| 153.973 | 49.473 | 49.473 | -0.000 | 0.000 | 0.000 |
| 49.473 | 153.973 | 49.473 | -0.000 | 0.000 | 0.000 |
| 49.473 | 49.473 | 153.973 | 0.000 | 0.000 | 0.000 |
| -0.000 | -0.000 | -0.000 | 78.662 | -0.000 | 0.000 |
| -0.000 | -0.000 | -0.000 | -0.000 | 78.662 | 0.000 |
| -0.000 | -0.000 | -0.000 | 0.000 | -0.000 | 78.662 |
| 154.293 | 49.901 | 49.901 | -0.000 | -0.000 | -0.000 |
| 49.901 | 154.293 | 49.901 | 0.000 | 0.000 | -0.000 |
| 49.901 | 49.901 | 154.293 | -0.000 | -0.000 | -0.000 |
| 0.000 | 0.000 | 0.000 | 78.662 | -0.000 | -0.000 |
| 0.000 | 0.000 | 0.000 | -0.000 | 78.662 | -0.000 |
| 0.000 | 0.000 | 0.000 | -0.000 | 0.000 | 78.662 |
| 154.226 | 49.883 | 49.883 | -0.000 | -0.000 | 0.000 |
| 49.883 | 154.226 | 49.883 | -0.000 | -0.000 | 0.000 |
| 49.883 | 49.883 | 154.226 | 0.000 | 0.000 | 0.000 |
| -0.000 | -0.000 | -0.000 | 78.662 | 0.000 | 0.000 |
| -0.000 | -0.000 | -0.000 | 0.000 | 78.662 | 0.000 |
| -0.000 | -0.000 | -0.000 | 0.000 | 0.000 | 78.662 |
| 154.927 | 50.520 | 50.520 | -0.000 | -0.000 | 0.000 |
| 50.520 | 154.927 | 50.520 | -0.000 | -0.000 | -0.000 |
| 50.520 | 50.520 | 154.927 | -0.000 | -0.000 | -0.000 |
| -0.002 | -0.002 | -0.002 | 50.989 | -0.000 | 0.000 |
| -0.002 | -0.002 | -0.002 | -0.000 | 50.989 | -0.000 |
| -0.002 | -0.002 | -0.002 | -0.000 | -0.000 | 50.989 |
| 154.920 | 50.530 | 50.530 | 0.000 | 0.000 | 0.000 |
| 50.530 | 154.920 | 50.530 | -0.000 | 0.000 | -0.000 |
| 50.530 | 50.530 | 154.920 | 0.000 | 0.000 | 0.000 |
| 0.002 | 0.002 | 0.002 | 50.989 | 0.000 | -0.000 |
| 0.002 | 0.002 | 0.002 | -0.000 | 50.989 | 0.000 |
| 0.002 | 0.002 | 0.002 | 0.000 | 0.000 | 50.989 |
| 153.598 | 49.341 | 49.341 | -0.000 | -0.000 | -0.000 |
| 49.341 | 153.598 | 49.341 | -0.000 | -0.000 | 0.000 |
| 40.318 | 40.318 | 178.415 | -0.000 | 0.000 | -0.000 |
| -0.000 | -0.000 | -0.000 | 50.990 | -0.000 | -0.000 |
| -0.000 | -0.000 | -0.000 | -0.000 | 50.990 | -0.000 |
| -0.000 | -0.000 | -0.000 | -0.000 | -0.000 | 50.990 |
| 178.415 | 40.318 | 40.318 | 0.000 | 0.000 | -0.000 |
| 40.318 | 178.415 | 40.318 | -0.000 | 0.000 | 0.000 |
| 40.318 | 40.318 | 178.415 | 0.000 | -0.000 | 0.000 |
| 0.000 | 0.000 | 0.000 | 50.990 | 0.000 | -0.000 |
| 0.000 | 0.000 | 0.000 | 0.000 | 50.990 | 0.000 |
| 0.000 | 0.000 | 0.000 | 0.000 | 0.000 | 50.990 |
| 153.598 | 49.342 | 49.342 | -0.000 | 0.000 | -0.000 |
| 49.342 | 153.598 | 49.342 | -0.000 | -0.000 | -0.000 |
| 49.342 | 49.342 | 153.598 | -0.000 | -0.000 | -0.000 |
| 0.000 | -0.000 | -0.000 | 50.990 | -0.000 | -0.000 |
| -0.000 | 0.000 | -0.000 | -0.000 | 50.990 | -0.000 |
| -0.000 | -0.000 | 0.000 | -0.000 | -0.000 | 50.990 |
| 153.595 | 49.342 | 49.342 | 0.000 | 0.000 | 0.000 |
| 49.342 | 153.595 | 49.342 | -0.000 | 0.000 | -0.000 |
| 49.342 | 49.342 | 153.595 | 0.000 | -0.000 | 0.000 |
| -0.000 | 0.000 | 0.000 | 50.990 | 0.000 | -0.000 |
| 0.000 | -0.000 | 0.000 | -0.000 | 50.990 | 0.000 |
| 0.000 | 0.000 | -0.000 | 0.000 | 0.000 | 50.990 |
| 129.889 | 63.719 | 55.856 | 0.000 | 0.000 | 0.000 |
| 63.719 | 129.889 | 55.856 | 0.000 | 0.000 | 0.000 |
| 32.711 | 32.711 | 225.143 | 0.000 | 0.000 | 0.000 |
| 0.000 | 0.000 | -0.000 | 48.867 | 0.000 | 0.000 |
| 0.000 | 0.000 | -0.000 | 0.000 | 48.867 | 0.000 |
| -0.000 | -0.000 | -0.000 | 0.000 | 0.000 | 6.618 |
| 209.092 | 13.150 | 34.754 | 0.000 | -0.000 | -0.000 |
| 13.150 | 209.092 | 34.754 | 0.000 | 0.000 | -0.000 |
| 53.813 | 53.813 | 194.039 | -0.000 | -0.000 | -0.000 |
| -0.000 | -0.000 | 0.000 | 48.867 | -0.000 | -0.000 |
| -0.000 | -0.000 | 0.000 | -0.000 | 48.867 | -0.000 |
| 0.000 | 0.000 | 0.000 | -0.000 | -0.000 | 6.618 |
| 129.885 | 63.721 | 55.858 | 0.000 | 0.000 | 0.000 |
| 63.721 | 129.885 | 55.858 | 0.000 | 0.000 | 0.000 |
| 53.813 | 53.813 | 194.040 | -0.000 | -0.000 | 0.000 |
| 0.000 | 0.000 | -0.000 | 48.867 | 0.000 | -0.000 |
| 0.000 | 0.000 | -0.000 | -0.000 | 48.867 | 0.000 |
| -0.000 | -0.000 | -0.000 | 0.000 | 0.000 | 6.618 |
| 129.893 | 63.717 | 55.854 | 0.000 | 0.000 | -0.000 |
| 63.717 | 129.893 | 55.854 | 0.000 | 0.000 | 0.000 |
| 53.813 | 53.813 | 194.038 | -0.000 | -0.000 | 0.000 |
| -0.000 | -0.000 | 0.000 | 48.867 | 0.000 | -0.000 |
| -0.000 | -0.000 | 0.000 | -0.000 | 48.867 | -0.000 |
| 0.000 | 0.000 | 0.000 | -0.000 | -0.000 | 6.618 |
| 117.460 | 61.967 | 61.967 | 0.000 | 0.000 | -0.000 |
| 61.967 | 117.460 | 61.967 | 0.000 | -0.000 | -0.000 |
| 61.967 | 61.967 | 117.460 | 0.000 | 0.000 | -0.000 |
| 0.059 | 0.059 | 0.059 | 34.096 | 0.000 | 0.000 |
| 0.059 | 0.059 | 0.059 | 0.000 | 34.096 | -0.000 |
| 0.059 | 0.059 | 0.059 | 0.000 | 0.000 | 34.096 |
| 128.049 | 63.105 | 63.105 | -0.000 | -0.000 | -0.000 |
| 63.105 | 128.049 | 63.105 | -0.000 | -0.000 | -0.000 |
| 63.105 | 63.105 | 128.049 | -0.000 | -0.000 | -0.000 |
| -0.059 | -0.059 | -0.059 | 34.096 | 0.000 | 0.000 |
| -0.059 | -0.059 | -0.059 | -0.000 | 34.096 | 0.000 |
| -0.059 | -0.059 | -0.059 | -0.000 | -0.000 | 34.096 |
| 117.380 | 61.912 | 61.912 | 0.000 | 0.000 | -0.000 |
| 61.912 | 117.380 | 61.912 | -0.000 | 0.000 | -0.000 |
| 61.912 | 61.912 | 117.380 | 0.000 | 0.000 | 0.000 |
| 0.006 | 0.006 | 0.006 | 34.096 | -0.000 | -0.000 |
| 0.006 | 0.006 | 0.006 | 0.000 | 34.096 | 0.000 |
| 0.006 | 0.006 | 0.006 | -0.000 | 0.000 | 34.096 |
| 115.361 | 61.451 | 61.451 | -0.000 | -0.000 | -0.000 |
| 61.451 | 115.361 | 61.451 | -0.000 | -0.000 | -0.000 |
| 61.451 | 61.451 | 115.361 | -0.000 | -0.000 | -0.000 |
| -0.006 | -0.006 | -0.006 | 34.096 | -0.000 | -0.000 |
| -0.006 | -0.006 | -0.006 | -0.000 | 34.096 | -0.000 |
| -0.006 | -0.006 | -0.006 | -0.000 | -0.000 | 34.096 |
| 111.853 | 56.465 | 56.465 | 0.000 | 0.000 | 0.000 |
| 56.465 | 111.853 | 56.465 | 0.000 | 0.000 | 0.000 |
| 56.465 | 56.465 | 111.853 | 0.000 | 0.000 | 0.000 |
| 0.000 | 0.000 | 0.000 | 76.724 | 0.000 | -0.000 |
| 0.000 | 0.000 | 0.000 | 0.000 | 76.724 | 0.000 |
| 0.000 | 0.000 | 0.000 | 0.000 | 0.000 | 76.724 |
| 122.280 | 58.049 | 58.049 | 0.000 | -0.000 | 0.000 |
| 58.049 | 122.280 | 58.049 | -0.000 | 0.000 | 0.000 |
| 58.049 | 58.049 | 122.280 | -0.000 | -0.000 | 0.000 |
| -0.000 | -0.000 | -0.000 | 76.724 | -0.000 | -0.000 |
| -0.000 | -0.000 | -0.000 | -0.000 | 76.724 | 0.000 |
| -0.000 | -0.000 | -0.000 | -0.000 | -0.000 | 76.724 |
| 110.751 | 54.402 | 54.402 | 0.000 | 0.000 | 0.000 |
| 54.402 | 110.751 | 54.402 | 0.000 | 0.000 | 0.000 |
| 54.402 | 54.402 | 110.751 | 0.000 | 0.000 | 0.000 |
| -0.000 | -0.000 | -0.000 | 30.322 | 0.000 | 0.000 |
| -0.000 | -0.000 | -0.000 | 0.000 | 30.322 | 0.000 |
| -0.000 | -0.000 | -0.000 | 0.000 | 0.000 | 30.322 |
| 110.749 | 54.402 | 54.402 | -0.000 | -0.000 | -0.000 |
| 54.402 | 110.749 | 54.402 | -0.000 | -0.000 | -0.000 |
| 54.402 | 54.402 | 110.749 | -0.000 | -0.000 | -0.000 |
| 0.000 | 0.000 | 0.000 | 30.322 | -0.000 | -0.000 |
| 0.000 | 0.000 | 0.000 | -0.000 | 30.322 | -0.000 |
| 0.000 | 0.000 | 0.000 | -0.000 | -0.000 | 30.322 |
| 598.039 | 115.865 | 59.032 | -0.000 | 0.000 | -0.000 |
| 115.424 | 198.177 | 95.895 | -0.000 | 0.000 | 0.000 |
| 305.055 | 212.226 | 260.191 | -0.000 | -0.000 | -0.000 |
| -0.000 | -0.000 | -0.000 | 227.438 | -0.000 | -0.000 |
| -0.000 | -0.000 | 0.000 | -0.000 | 268.346 | -0.000 |
| -0.035 | -0.014 | -0.012 | 0.000 | -0.000 | 40.199 |
| 598.116 | 115.893 | 59.058 | 0.000 | 0.000 | -0.000 |
| 115.503 | 198.206 | 95.922 | 0.000 | -0.000 | -0.000 |
| 65.565 | 109.765 | 179.604 | 0.000 | 0.000 | -0.000 |
| 0.000 | 0.000 | -0.000 | 227.438 | -0.000 | -0.000 |
| 0.000 | 0.000 | -0.000 | 0.000 | 268.346 | -0.000 |
| 0.035 | 0.014 | 0.012 | 0.000 | 0.000 | 40.199 |
| 598.091 | 115.885 | 59.049 | -0.000 | 0.000 | 0.000 |
| 104.410 | 256.149 | 90.952 | -0.000 | -0.000 | 0.000 |
| 65.459 | 109.721 | 179.568 | -0.000 | -0.000 | 0.000 |
| -0.004 | -0.002 | -0.001 | 68.154 | -0.000 | 0.000 |
| -0.003 | -0.001 | -0.001 | 0.000 | 156.961 | -0.000 |
| -0.003 | -0.001 | -0.001 | 0.000 | -0.000 | 40.199 |
| 611.667 | 152.654 | 63.006 | 0.000 | 0.000 | -0.000 |
| 458.260 | 429.023 | 209.596 | 0.000 | -0.000 | -0.000 |
| 61.261 | 98.539 | 178.341 | -0.000 | -0.000 | -0.000 |
| 0.004 | 0.002 | 0.001 | 68.154 | 0.000 | 0.000 |
| 0.003 | 0.001 | 0.001 | 0.000 | 156.961 | -0.000 |
| 0.003 | 0.001 | 0.001 | 0.000 | 0.000 | 40.199 |
| 598.257 | 115.956 | 59.105 | -0.000 | -0.000 | 0.000 |
| 115.530 | 198.223 | 95.932 | -0.000 | 0.000 | -0.000 |
| 61.279 | 98.548 | 178.347 | 0.000 | 0.000 | 0.000 |
| -0.001 | -0.000 | -0.000 | 67.812 | 0.000 | 0.000 |
| 0.001 | 0.000 | 0.000 | -0.000 | 156.961 | -0.000 |
| 0.001 | 0.001 | 0.000 | -0.000 | -0.000 | 40.199 |
| 598.075 | 115.875 | 59.044 | -0.000 | 0.000 | -0.000 |
| 115.397 | 198.160 | 95.886 | -0.000 | -0.000 | 0.000 |
| 61.240 | 98.530 | 178.334 | 0.000 | -0.000 | -0.000 |
| 0.001 | 0.000 | 0.000 | 67.812 | 0.000 | -0.000 |
| -0.001 | -0.000 | -0.000 | 0.000 | 156.961 | 0.000 |
| -0.001 | -0.001 | -0.000 | -0.000 | -0.000 | 40.199 |
| 297.661 | 13.335 | 13.335 | -0.000 | -0.000 | -0.000 |
| 13.335 | 297.661 | 13.335 | -0.000 | -0.000 | -0.000 |
| 13.335 | 13.335 | 297.661 | -0.000 | -0.000 | -0.000 |
| -0.000 | -0.000 | -0.000 | 27.181 | -0.000 | -0.000 |
| -0.000 | -0.000 | -0.000 | -0.000 | 27.181 | -0.000 |
| -0.000 | -0.000 | -0.000 | -0.000 | -0.000 | 27.181 |
| 297.661 | 13.335 | 13.335 | 0.000 | 0.000 | 0.000 |
| 13.335 | 297.661 | 13.335 | 0.000 | 0.000 | 0.000 |
| 13.335 | 13.335 | 297.661 | 0.000 | 0.000 | 0.000 |
| -0.000 | 0.000 | 0.000 | 27.181 | 0.000 | 0.000 |
| 0.000 | -0.000 | 0.000 | 0.000 | 27.181 | 0.000 |
| 0.000 | 0.000 | 0.000 | 0.000 | 0.000 | 27.181 |
| 227.227 | 34.075 | 34.075 | -0.000 | -0.000 | -0.000 |
| 34.075 | 227.227 | 34.075 | -0.000 | -0.000 | -0.000 |
| 34.075 | 34.075 | 227.227 | -0.000 | -0.000 | -0.000 |
| 0.000 | 0.000 | -0.000 | 27.181 | -0.000 | -0.000 |
| 0.000 | 0.000 | -0.000 | -0.000 | 27.181 | -0.000 |
| 0.000 | -0.000 | 0.000 | -0.000 | -0.000 | 27.181 |
| 227.918 | 34.423 | 34.423 | 0.000 | 0.000 | 0.000 |
| 34.423 | 227.918 | 34.423 | 0.000 | 0.000 | 0.000 |
| 34.423 | 34.423 | 227.918 | 0.000 | 0.000 | 0.000 |
| -0.000 | -0.000 | 0.000 | 27.181 | 0.000 | 0.000 |
| -0.000 | -0.000 | 0.000 | 0.000 | 27.181 | 0.000 |
| -0.000 | 0.000 | -0.000 | 0.000 | 0.000 | 27.181 |
| 211.163 | 34.504 | 34.504 | -0.000 | -0.000 | -0.000 |
| 34.504 | 211.163 | 34.504 | -0.000 | -0.000 | -0.000 |
| 34.504 | 34.504 | 211.163 | -0.000 | -0.000 | -0.000 |
| 0.000 | 0.000 | -0.000 | 27.181 | -0.000 | -0.000 |
| 0.000 | 0.000 | -0.000 | -0.000 | 27.181 | 0.000 |
| 0.000 | -0.000 | 0.000 | -0.000 | -0.000 | 27.181 |
| 211.250 | 34.564 | 34.564 | 0.000 | 0.000 | 0.000 |
| 34.564 | 211.250 | 34.564 | 0.000 | 0.000 | 0.000 |
| 34.564 | 34.564 | 211.250 | 0.000 | 0.000 | 0.000 |
| -0.000 | -0.000 | 0.000 | 27.181 | 0.000 | 0.000 |
| -0.000 | -0.000 | 0.000 | 0.000 | 27.181 | 0.000 |
| -0.000 | 0.000 | -0.000 | 0.000 | 0.000 | 27.181 |
| 481.540 | 302.407 | 302.407 | -0.000 | 0.000 | 0.000 |
| 302.407 | 481.540 | 302.407 | 0.000 | 0.000 | 0.000 |
| 302.407 | 302.407 | 481.540 | -0.000 | 0.000 | 0.000 |
| 0.406 | 0.407 | 0.406 | -182.669 | -0.001 | 0.001 |
| 0.406 | 0.406 | 0.406 | 0.001 | -182.670 | 0.001 |
| 0.406 | 0.407 | 0.406 | 0.001 | -0.001 | -182.669 |
| 406.554 | 310.510 | 310.510 | 0.001 | -0.000 | 0.000 |
| 310.510 | 406.554 | 310.510 | 0.001 | -0.000 | 0.000 |
| 310.510 | 310.510 | 406.554 | 0.001 | -0.000 | 0.000 |
| -0.406 | -0.407 | -0.406 | -182.671 | 0.001 | -0.001 |
| -0.406 | -0.406 | -0.406 | -0.001 | -182.669 | -0.001 |
| -0.406 | -0.407 | -0.406 | -0.001 | 0.001 | -182.671 |
| 406.805 | 312.043 | 312.043 | 0.000 | -0.000 | 0.000 |
| 312.043 | 406.805 | 312.043 | 0.000 | -0.000 | 0.000 |
| 312.043 | 312.043 | 406.805 | 0.000 | -0.000 | 0.000 |
| 0.028 | 0.031 | 0.031 | -182.629 | -0.000 | 0.000 |
| 0.031 | 0.028 | 0.031 | 0.000 | -182.629 | 0.000 |
| 0.031 | 0.031 | 0.028 | 0.000 | -0.000 | -182.629 |
| 406.592 | 311.830 | 311.830 | -0.000 | 0.000 | -0.000 |
| 311.830 | 406.592 | 311.830 | -0.000 | 0.000 | -0.000 |
| 311.830 | 311.830 | 406.592 | -0.000 | 0.000 | -0.000 |
| -0.028 | -0.031 | -0.031 | -182.629 | 0.000 | -0.000 |
| -0.031 | -0.028 | -0.031 | -0.000 | -182.629 | -0.000 |
| -0.031 | -0.031 | -0.028 | -0.000 | 0.000 | -182.629 |
| 406.713 | 311.949 | 311.949 | 0.000 | -0.000 | 0.000 |
| 311.949 | 406.713 | 311.949 | 0.000 | -0.000 | 0.000 |
| 311.949 | 311.949 | 406.713 | 0.000 | -0.000 | 0.000 |
| -0.069 | -0.048 | -0.048 | -182.629 | -0.000 | 0.000 |
| -0.048 | -0.069 | -0.048 | 0.000 | -182.629 | 0.000 |
| -0.048 | -0.048 | -0.069 | 0.000 | -0.000 | -182.629 |
| 406.684 | 311.924 | 311.924 | -0.000 | 0.000 | -0.000 |
| 311.924 | 406.684 | 311.924 | -0.000 | 0.000 | -0.000 |
| 311.924 | 311.924 | 406.684 | -0.000 | 0.000 | -0.000 |
| 0.069 | 0.048 | 0.048 | -182.629 | 0.000 | -0.000 |
| 0.048 | 0.069 | 0.048 | -0.000 | -182.629 | -0.000 |
| 0.048 | 0.048 | 0.069 | -0.000 | 0.000 | -182.629 |
| 754.430 | 596.512 | 178.922 | -0.000 | -0.000 | -0.000 |
| 592.403 | 819.523 | 173.187 | -0.000 | -0.000 | 0.000 |
| 162.037 | 160.009 | 376.689 | -0.000 | -0.000 | -0.000 |
| -1.245 | 0.263 | -0.087 | 40.136 | -0.000 | -0.000 |
| -2.991 | 0.632 | -0.209 | 0.003 | 26.741 | 0.000 |
| -5.366 | 1.134 | -0.374 | 0.004 | -0.000 | 40.700 |
| 760.132 | 595.308 | 179.320 | 0.000 | 0.000 | 0.000 |
| 598.110 | 818.318 | 173.586 | 0.000 | 0.000 | 0.000 |
| 167.781 | 158.796 | 377.090 | 0.000 | 0.000 | 0.000 |
| 1.245 | -0.263 | 0.087 | 40.126 | 0.000 | 0.000 |
| 2.991 | -0.632 | 0.209 | -0.003 | 26.741 | 0.000 |
| 5.366 | -1.134 | 0.374 | -0.004 | 0.000 | 40.700 |
| 756.976 | 595.974 | 179.100 | -0.000 | -0.000 | -0.000 |
| 595.065 | 818.961 | 173.373 | -0.000 | -0.000 | -0.000 |
| 164.343 | 159.522 | 376.850 | -0.000 | -0.000 | -0.000 |
| -0.125 | 0.026 | -0.009 | 40.133 | -0.000 | 0.000 |
| -0.299 | 0.063 | -0.021 | 0.000 | 26.740 | -0.000 |
| -0.537 | 0.113 | -0.037 | 0.000 | -0.000 | 40.673 |
| 757.545 | 595.854 | 179.140 | 0.000 | 0.000 | 0.000 |
| 595.635 | 818.841 | 173.413 | 0.000 | 0.000 | 0.000 |
| 164.914 | 159.402 | 376.890 | 0.000 | 0.000 | -0.000 |
| 0.125 | -0.026 | 0.009 | 40.132 | 0.000 | -0.000 |
| 0.299 | -0.063 | 0.021 | -0.000 | 26.740 | -0.000 |
| 0.537 | -0.113 | 0.037 | -0.000 | 0.000 | 40.673 |
| 757.238 | 595.917 | 179.117 | -0.000 | -0.000 | -0.000 |
| 595.324 | 818.908 | 173.390 | -0.000 | -0.000 | -0.000 |
| 164.597 | 159.468 | 376.869 | -0.000 | -0.000 | -0.000 |
| -0.018 | 0.004 | -0.001 | 29.509 | -0.000 | -0.000 |
| -0.030 | 0.006 | -0.002 | 0.000 | 26.740 | 0.000 |
| -0.058 | 0.011 | -0.004 | 0.000 | -0.000 | 40.673 |
| 757.283 | 595.911 | 179.123 | 0.000 | 0.000 | -0.000 |
| 595.378 | 818.893 | 173.396 | 0.000 | 0.000 | 0.000 |
| 164.654 | 159.457 | 376.870 | 0.000 | 0.000 | 0.000 |
| 0.018 | -0.004 | 0.001 | 29.509 | 0.000 | -0.000 |
| 0.030 | -0.006 | 0.002 | -0.000 | 26.740 | 0.000 |
| 0.058 | -0.011 | 0.004 | -0.000 | 0.000 | 40.673 |
| 336.569 | 122.054 | -0.000 | -0.000 | -0.000 | -0.000 |
| 122.054 | 336.569 | -0.000 | 0.000 | 0.000 | -0.000 |
| -0.000 | 0.000 | 326.977 | 0.000 | 0.000 | -0.000 |
| -0.000 | -0.000 | -0.000 | 4.322 | 0.000 | -0.000 |
| -0.000 | -0.000 | -0.000 | -0.000 | 4.322 | -0.000 |
| 0.000 | 0.000 | -0.000 | 0.000 | 0.000 | 107.257 |
| 336.569 | 122.054 | 0.000 | 0.000 | 0.000 | 0.000 |
| 122.054 | 336.569 | 0.000 | -0.000 | -0.000 | 0.000 |
| 0.000 | -0.000 | 326.977 | 0.000 | 0.000 | 0.000 |
| 0.000 | -0.000 | 0.000 | 4.322 | 0.000 | -0.000 |
| 0.000 | -0.000 | 0.000 | -0.000 | 4.322 | -0.000 |
| 0.000 | -0.000 | 0.000 | -0.000 | -0.000 | 107.257 |
| 336.569 | 122.054 | -0.000 | -0.000 | 0.000 | -0.000 |
| 122.054 | 336.569 | -0.000 | -0.000 | 0.000 | -0.000 |
| -0.000 | 0.000 | 326.977 | -0.000 | -0.000 | 0.000 |
| 0.000 | -0.000 | -0.000 | 4.322 | 0.000 | 0.000 |
| -0.000 | 0.000 | -0.000 | -0.000 | 4.322 | -0.000 |
| -0.000 | 0.000 | -0.000 | -0.000 | -0.000 | 107.257 |
| 336.568 | 122.054 | 0.000 | 0.000 | 0.000 | 0.000 |
| 122.054 | 336.568 | 0.000 | 0.000 | 0.000 | 0.000 |
| -0.000 | 0.000 | 326.977 | 0.000 | 0.000 | 0.000 |
| -0.000 | 0.000 | 0.000 | 4.322 | -0.000 | -0.000 |
| 0.000 | -0.000 | 0.000 | 0.000 | 4.322 | 0.000 |
| 0.000 | -0.000 | 0.000 | -0.000 | -0.000 | 107.257 |
| 336.570 | 122.055 | -0.000 | -0.000 | 0.000 | -0.000 |
| 122.055 | 336.570 | -0.000 | 0.000 | 0.000 | -0.000 |
| -0.000 | 0.000 | 326.979 | 0.000 | 0.000 | 0.000 |
| 0.000 | -0.000 | -0.000 | 4.322 | -0.000 | 0.000 |
| -0.000 | 0.000 | -0.000 | -0.000 | 4.322 | -0.000 |
| -0.000 | 0.000 | -0.000 | -0.000 | 0.000 | 107.257 |
| 336.567 | 122.054 | 0.000 | 0.000 | 0.000 | 0.000 |
| 122.054 | 336.567 | 0.000 | 0.000 | -0.000 | 0.000 |
| 0.000 | -0.000 | 326.975 | 0.000 | 0.000 | -0.000 |
| -0.000 | 0.000 | 0.000 | 4.322 | 0.000 | 0.000 |
| 0.000 | -0.000 | 0.000 | 0.000 | 4.322 | -0.000 |
| 0.000 | -0.000 | 0.000 | 0.000 | 0.000 | 107.257 |
| 227.469 | 59.983 | 43.431 | 21.436 | -15.619 | -0.000 |
| 93.153 | 143.627 | -127.160 | 3.184 | -5.158 | -0.000 |
| 57.387 | 57.387 | -103.792 | 0.000 | 0.000 | -0.000 |
| 0.084 | 7.253 | -191.648 | 19.116 | 0.000 | -5.496 |
| 1.730 | 4.936 | -218.162 | 0.000 | 29.437 | 3.062 |
| 2.880 | 2.880 | -211.895 | -1.132 | 6.495 | 46.226 |
| 136.909 | 85.791 | 248.870 | -3.049 | 5.044 | 0.000 |
| 59.983 | 227.469 | 43.431 | -21.436 | 15.619 | 0.000 |
| 46.535 | 46.535 | 195.001 | -0.000 | -0.000 | 0.000 |
| 21.436 | -21.436 | -0.000 | 69.105 | -0.000 | 15.619 |
| -1.581 | -4.251 | 212.350 | -0.000 | 39.389 | 6.140 |
| -0.000 | -0.000 | -0.000 | 15.619 | 21.436 | 83.743 |
| 164.252 | 81.702 | 42.802 | 3.565 | -0.537 | 0.000 |
| 59.983 | 227.469 | 43.431 | -21.436 | 15.619 | -0.000 |
| 64.702 | 64.702 | 100.789 | 0.000 | 0.000 | -0.000 |
| 21.436 | -21.436 | 0.000 | 69.105 | 0.000 | 15.619 |
| -0.584 | 1.098 | -13.413 | -0.000 | 34.119 | 3.925 |
| 0.263 | 0.263 | -13.745 | 0.475 | 3.491 | 41.100 |
| 163.651 | 81.204 | 70.212 | 3.543 | -0.519 | -0.000 |
| 59.983 | 227.469 | 43.431 | -21.436 | 15.619 | 0.000 |
| 53.669 | 53.669 | 104.172 | -0.000 | -0.000 | 0.000 |
| 21.436 | -21.436 | -0.000 | 69.105 | -0.000 | 15.619 |
| 2.671 | -3.312 | 22.040 | -0.000 | 34.222 | 3.604 |
| -0.000 | -0.000 | -0.000 | 15.619 | 21.436 | 83.743 |
| 165.387 | 81.003 | 54.870 | 3.951 | -0.863 | 0.000 |
| 80.148 | 164.339 | 52.028 | -4.708 | -2.402 | -0.000 |
| 64.084 | 64.084 | 118.877 | 0.000 | 0.000 | -0.000 |
| 4.642 | -4.593 | -1.288 | 35.503 | -0.000 | 1.426 |
| 3.342 | -3.276 | -2.257 | 0.000 | 33.898 | 3.425 |
| 0.025 | 0.025 | -1.331 | 0.958 | 4.063 | 42.459 |
| 165.301 | 80.963 | 57.556 | 3.941 | -0.855 | -0.000 |
| 80.962 | 165.301 | 57.556 | -3.941 | 0.855 | -0.000 |
| 46.535 | 46.535 | 195.001 | -0.000 | -0.000 | 0.000 |
| 4.266 | -4.271 | 2.691 | 31.598 | 0.000 | 0.191 |
| -1.453 | 1.404 | 1.288 | 0.000 | 35.509 | 4.621 |
| -0.029 | -0.029 | 1.831 | -0.989 | 4.409 | 42.193 |
| 130.184 | 64.782 | 56.525 | 0.000 | 0.000 | 0.000 |
| 64.782 | 130.184 | 56.525 | 0.000 | 0.000 | 0.000 |
| 33.430 | 33.430 | 224.453 | -0.000 | -0.000 | -0.000 |
| -0.000 | -0.000 | 0.000 | 51.709 | -0.000 | 0.000 |
| -0.000 | -0.000 | 0.000 | 0.000 | 51.709 | 0.000 |
| -0.000 | -0.000 | 0.000 | 0.000 | 0.000 | 24.010 |
| 214.972 | 13.267 | 33.430 | -0.000 | -0.000 | -0.000 |
| 13.267 | 214.972 | 33.430 | -0.000 | -0.000 | -0.000 |
| 33.430 | 33.430 | 224.453 | -0.000 | -0.000 | 0.000 |
| 0.000 | 0.000 | -0.000 | 51.709 | -0.000 | -0.000 |
| 0.000 | 0.000 | -0.000 | 0.000 | 51.709 | -0.000 |
| 0.000 | 0.000 | -0.000 | -0.000 | -0.000 | 24.010 |
| 130.183 | 64.782 | 56.525 | 0.000 | 0.000 | 0.000 |
| 64.782 | 130.183 | 56.525 | 0.000 | -0.000 | 0.000 |
| 33.430 | 33.430 | 224.453 | 0.000 | 0.000 | 0.000 |
| -0.000 | -0.000 | 0.000 | 51.709 | 0.000 | -0.000 |
| -0.000 | -0.000 | 0.000 | 0.000 | 51.709 | 0.000 |
| -0.000 | -0.000 | 0.000 | 0.000 | 0.000 | 5.596 |
| 130.184 | 64.782 | 56.524 | -0.000 | -0.000 | -0.000 |
| 64.782 | 130.184 | 56.524 | -0.000 | -0.000 | -0.000 |
| 33.430 | 33.430 | 224.453 | -0.000 | -0.000 | -0.000 |
| 0.000 | 0.000 | -0.000 | 51.709 | -0.000 | 0.000 |
| 0.000 | 0.000 | -0.000 | -0.000 | 51.709 | -0.000 |
| 0.000 | 0.000 | -0.000 | -0.000 | -0.000 | 5.596 |
| 130.180 | 64.784 | 56.527 | 0.000 | 0.000 | 0.000 |
| 64.784 | 130.180 | 56.527 | 0.000 | 0.000 | 0.000 |
| 56.525 | 56.525 | 192.393 | -0.000 | -0.000 | 0.000 |
| 0.000 | 0.000 | -0.000 | 51.709 | 0.000 | -0.000 |
| 0.000 | 0.000 | -0.000 | 0.000 | 51.709 | 0.000 |
| -0.000 | -0.000 | -0.000 | 0.000 | 0.000 | 5.596 |
| 130.188 | 64.780 | 56.523 | -0.000 | -0.000 | -0.000 |
| 64.780 | 130.188 | 56.523 | -0.000 | -0.000 | -0.000 |
| 56.525 | 56.525 | 192.391 | -0.000 | 0.000 | -0.000 |
| -0.000 | -0.000 | 0.000 | 51.709 | -0.000 | -0.000 |
| -0.000 | -0.000 | 0.000 | -0.000 | 51.709 | -0.000 |
| 0.000 | 0.000 | 0.000 | -0.000 | -0.000 | 5.596 |
| 209.167 | 13.152 | 34.738 | -0.000 | -0.000 | -0.000 |
| 13.152 | 209.167 | 34.738 | 0.000 | 0.000 | -0.000 |
| 78.423 | 78.423 | 157.827 | 0.000 | 0.000 | -0.000 |
| 25.181 | 25.181 | -37.087 | 50.036 | -0.000 | 0.000 |
| 25.181 | 25.181 | -37.087 | -0.000 | 50.036 | -0.000 |
| 24.579 | 24.579 | -36.201 | -0.000 | -0.000 | 6.605 |
| 209.167 | 13.152 | 34.738 | -0.000 | -0.000 | 0.000 |
| 13.152 | 209.167 | 34.738 | -0.000 | 0.000 | 0.000 |
| 29.265 | 29.265 | 230.228 | 0.000 | 0.000 | 0.000 |
| -25.181 | -25.181 | 37.087 | 50.036 | -0.000 | 0.000 |
| -25.181 | -25.181 | 37.087 | 0.000 | 50.036 | 0.000 |
| -24.579 | -24.579 | 36.201 | 0.000 | 0.000 | 6.605 |
| 134.689 | 52.343 | 60.724 | 0.000 | -0.000 | -0.000 |
| 52.343 | 134.689 | 60.724 | 0.000 | 0.000 | -0.000 |
| 56.301 | 56.301 | 190.407 | -0.000 | -0.000 | -0.000 |
| 2.695 | 2.695 | -3.969 | 48.946 | -0.000 | 0.000 |
| 2.695 | 2.695 | -3.969 | -0.000 | 48.946 | -0.000 |
| -0.000 | -0.000 | 0.000 | 0.000 | 0.000 | 25.350 |
| 127.440 | 61.278 | 59.482 | 0.000 | 0.000 | 0.000 |
| 61.278 | 127.440 | 59.482 | 0.000 | 0.000 | 0.000 |
| 51.386 | 51.386 | 197.647 | 0.000 | 0.000 | -0.000 |
| -2.695 | -2.695 | 3.969 | 48.946 | 0.000 | -0.000 |
| -2.695 | -2.695 | 3.969 | 0.000 | 48.946 | 0.000 |
| 0.000 | 0.000 | -0.000 | -0.000 | -0.000 | 25.350 |
| 130.140 | 63.984 | 55.502 | -0.000 | -0.000 | -0.000 |
| 63.984 | 130.140 | 55.502 | -0.000 | -0.000 | -0.000 |
| 54.089 | 54.089 | 193.666 | -0.000 | -0.000 | -0.000 |
| 0.270 | 0.270 | -0.398 | 48.902 | 0.000 | -0.000 |
| 0.270 | 0.270 | -0.398 | 0.000 | 48.902 | -0.000 |
| 0.246 | 0.246 | -0.362 | -0.000 | -0.000 | 6.605 |
| 129.656 | 63.485 | 56.224 | 0.000 | 0.000 | -0.000 |
| 63.485 | 129.656 | 56.224 | -0.000 | 0.000 | 0.000 |
| 53.598 | 53.598 | 194.389 | 0.000 | 0.000 | 0.000 |
| -0.270 | -0.270 | 0.398 | 48.902 | 0.000 | 0.000 |
| -0.270 | -0.270 | 0.398 | 0.000 | 48.902 | 0.000 |
| -0.246 | -0.246 | 0.362 | 0.000 | 0.000 | 6.605 |
| 708.452 | -351.676 | -263.379 | -0.000 | 253.205 | 0.000 |
| 21.511 | 211.415 | 44.634 | -0.000 | -21.291 | 0.000 |
| 43.836 | 45.404 | 193.196 | -0.000 | 23.162 | 0.000 |
| -0.000 | 0.000 | 0.000 | 84.719 | 0.000 | -18.288 |
| 549.040 | -359.642 | -312.110 | 0.000 | 344.180 | 0.000 |
| 541.376 | -358.289 | -313.831 | 3.598 | 310.815 | 34.276 |
| -396.838 | 407.244 | 375.015 | -0.000 | -303.991 | -0.000 |
| -525.746 | 568.315 | 381.533 | -0.000 | -250.298 | -0.000 |
| -502.961 | 450.814 | 486.190 | 0.000 | -239.469 | -0.000 |
| 0.000 | -0.000 | -0.000 | 84.719 | -0.000 | -18.288 |
| -534.283 | 356.791 | 316.384 | 0.000 | -276.834 | -0.000 |
| -541.376 | 358.289 | 313.831 | 3.598 | -310.815 | 34.276 |
| 197.627 | 7.366 | 29.530 | -0.000 | 29.491 | 0.000 |
| 100.617 | 128.701 | 27.560 | -0.000 | 30.464 | 0.000 |
| 113.636 | 24.097 | 130.617 | -0.000 | 36.294 | 0.000 |
| 50.073 | -33.139 | -29.027 | 44.943 | 28.748 | 2.013 |
| 5.690 | -21.227 | 23.162 | -0.000 | 70.461 | 0.000 |
| 57.321 | -34.919 | -36.782 | -1.296 | 21.537 | 38.043 |
| 82.808 | 80.713 | 99.517 | -0.000 | -16.816 | -0.000 |
| -12.252 | 204.527 | 90.365 | 0.000 | -23.479 | -0.000 |
| 10.201 | 93.984 | 189.304 | -0.000 | -24.641 | -0.000 |
| -50.073 | 33.139 | 29.027 | 44.943 | -28.748 | 2.013 |
| 5.690 | -21.227 | 23.162 | 0.000 | 70.461 | -0.000 |
| -57.321 | 34.919 | 36.782 | -1.296 | -21.537 | 38.043 |
| 146.087 | 42.643 | 57.946 | 0.000 | 7.049 | 0.000 |
| 51.103 | 165.289 | 50.474 | -0.000 | 0.613 | 0.000 |
| 66.820 | 51.149 | 157.985 | 0.000 | 9.807 | -0.000 |
| 5.700 | -3.564 | -3.588 | 52.168 | 2.219 | -1.541 |
| 6.736 | -4.904 | 3.878 | 0.000 | 38.059 | -0.000 |
| 6.438 | -3.712 | -4.343 | -1.531 | 1.879 | 37.972 |
| 134.277 | 49.096 | 65.906 | -0.000 | 2.638 | 0.000 |
| 40.579 | 172.361 | 57.233 | 0.000 | -3.124 | -0.000 |
| 55.504 | 58.237 | 165.119 | 0.000 | 5.322 | -0.000 |
| -5.700 | 3.564 | 3.588 | 52.168 | -2.219 | -1.541 |
| -3.142 | 2.210 | 11.425 | -0.000 | 33.640 | -0.000 |
| -6.438 | 3.712 | 4.343 | -1.531 | -1.879 | 37.972 |
| 225.344 | -183.639 | 252.188 | -0.000 | -0.000 | -0.000 |
| 97.404 | -55.926 | 252.253 | 0.000 | 0.000 | -0.000 |
| 72.843 | -189.080 | 409.932 | 0.000 | 0.000 | -0.000 |
| 38.326 | -243.005 | 201.181 | 58.963 | -0.000 | -0.000 |
| -0.000 | -0.000 | 0.000 | -0.000 | 72.244 | -0.000 |
| -0.000 | -0.000 | 0.000 | 0.000 | 0.000 | 91.215 |
| 148.690 | 302.371 | -150.171 | -0.000 | -0.000 | 0.000 |
| 36.888 | 424.821 | -160.990 | -0.000 | -0.000 | 0.000 |
| 12.801 | 294.487 | -6.560 | -0.000 | -0.000 | 0.000 |
| -38.326 | 243.005 | -201.181 | 58.963 | -0.000 | 0.000 |
| 0.000 | 0.000 | -0.000 | 0.000 | 72.244 | -0.000 |
| 0.000 | 0.000 | -0.000 | -0.000 | -0.000 | 91.215 |
| 190.850 | 35.065 | 71.126 | -0.000 | -0.000 | -0.000 |
| 62.910 | 162.778 | 71.192 | 0.000 | 0.000 | -0.000 |
| 54.961 | 27.182 | 214.737 | -0.000 | -0.000 | -0.000 |
| 3.830 | -24.303 | 20.123 | 58.960 | 0.000 | -0.000 |
| 3.832 | -24.301 | 20.120 | -0.000 | 59.086 | -0.000 |
| 3.837 | -24.304 | 20.118 | 0.000 | 0.000 | 63.969 |
| 183.184 | 83.666 | 30.891 | -0.000 | -0.000 | 0.000 |
| 55.244 | 211.379 | 30.956 | -0.000 | -0.000 | 0.000 |
| 47.298 | 75.787 | 174.495 | -0.000 | -0.000 | 0.000 |
| -3.830 | 24.303 | -20.123 | 58.960 | -0.000 | 0.000 |
| -3.832 | 24.301 | -20.120 | 0.000 | 59.086 | 0.000 |
| -3.837 | 24.304 | -20.118 | 0.000 | 0.000 | 63.969 |
| 187.401 | 56.936 | 53.021 | 0.000 | 0.000 | -0.000 |
| 59.461 | 184.648 | 53.087 | -0.000 | -0.000 | -0.000 |
| 51.513 | 49.054 | 196.630 | 0.000 | 0.000 | -0.000 |
| 0.384 | -2.431 | 2.013 | 58.958 | -0.000 | -0.000 |
| 0.383 | -2.430 | 2.012 | 0.000 | 59.086 | -0.000 |
| 0.207 | -2.612 | 2.366 | 0.000 | 0.000 | 63.984 |
| 186.634 | 61.796 | 48.996 | -0.000 | -0.000 | 0.000 |
| 58.693 | 189.509 | 49.061 | -0.000 | -0.000 | 0.000 |
| 50.744 | 53.912 | 192.608 | 0.000 | -0.000 | 0.000 |
| -0.384 | 2.431 | -2.013 | 58.958 | 0.000 | 0.000 |
| -0.383 | 2.430 | -2.012 | -0.000 | 59.086 | 0.000 |
| -0.207 | 2.612 | -2.366 | -0.000 | -0.000 | 63.984 |
| 199.962 | 108.090 | 108.090 | 0.000 | 0.000 | -0.000 |
| 108.090 | 199.962 | 108.090 | 0.000 | -0.000 | -0.000 |
| 108.090 | 108.090 | 199.962 | 0.000 | -0.000 | -0.000 |
| 39.419 | 39.419 | 39.419 | 42.266 | -0.000 | -0.000 |
| 39.419 | 39.419 | 39.419 | 0.000 | 42.266 | 0.000 |
| 39.419 | 39.419 | 39.419 | 0.000 | 0.000 | 42.266 |
| 194.027 | 64.183 | 64.183 | 0.000 | 0.000 | 0.000 |
| 64.183 | 194.027 | 64.183 | 0.000 | 0.000 | 0.000 |
| 64.183 | 64.183 | 194.027 | 0.000 | 0.000 | 0.000 |
| -39.419 | -39.419 | -39.419 | 42.266 | -0.000 | 0.000 |
| -39.419 | -39.419 | -39.419 | 0.000 | 42.266 | 0.000 |
| -39.419 | -39.419 | -39.419 | -0.000 | 0.000 | 42.266 |
| 194.027 | 64.183 | 64.183 | 0.000 | -0.000 | -0.000 |
| 64.183 | 194.027 | 64.183 | -0.000 | -0.000 | -0.000 |
| 64.183 | 64.183 | 194.027 | -0.000 | -0.000 | -0.000 |
| 3.679 | 3.679 | 3.679 | 41.830 | -0.000 | 0.000 |
| 3.679 | 3.679 | 3.679 | -0.000 | 41.830 | 0.000 |
| 3.679 | 3.679 | 3.679 | 0.000 | 0.000 | 41.830 |
| 155.818 | 65.014 | 65.014 | -0.000 | 0.000 | 0.000 |
| 65.014 | 155.818 | 65.014 | 0.000 | 0.000 | 0.000 |
| 65.014 | 65.014 | 155.818 | 0.000 | -0.000 | 0.000 |
| -3.679 | -3.679 | -3.679 | 41.830 | -0.000 | 0.000 |
| -3.679 | -3.679 | -3.679 | -0.000 | 41.830 | -0.000 |
| -3.679 | -3.679 | -3.679 | -0.000 | -0.000 | 41.830 |
| 160.139 | 69.032 | 69.032 | 0.000 | 0.000 | 0.000 |
| 69.032 | 160.139 | 69.032 | 0.000 | 0.000 | -0.000 |
| 69.032 | 69.032 | 160.139 | 0.000 | 0.000 | 0.000 |
| 0.329 | 0.328 | 0.328 | 41.662 | -0.000 | 0.000 |
| 0.367 | 0.367 | 0.367 | -0.000 | 41.941 | -0.000 |
| 0.328 | 0.328 | 0.329 | -0.000 | -0.000 | 41.662 |
| 159.374 | 68.220 | 68.220 | -0.000 | 0.000 | 0.000 |
| 68.220 | 159.374 | 68.220 | -0.000 | 0.000 | 0.000 |
| 68.220 | 68.220 | 159.374 | 0.000 | 0.000 | 0.000 |
| -0.329 | -0.328 | -0.328 | 41.662 | -0.000 | -0.000 |
| -0.367 | -0.367 | -0.367 | -0.000 | 41.941 | 0.000 |
| -0.328 | -0.328 | -0.329 | 0.000 | 0.000 | 41.662 |
| 187.181 | 59.187 | 50.967 | 0.000 | 0.000 | 0.000 |
| 44.797 | 227.822 | 25.072 | 0.000 | 0.000 | -0.000 |
| 51.279 | 51.279 | 194.658 | 0.000 | 0.000 | 0.000 |
| -0.019 | -0.019 | 0.037 | 59.068 | -0.000 | 0.000 |
| -0.019 | -0.019 | 0.037 | -0.000 | 59.068 | 0.000 |
| -0.022 | -0.022 | 0.044 | 0.000 | 0.000 | 63.997 |
| 227.822 | 44.797 | 25.072 | 0.000 | 0.000 | 0.000 |
| 44.797 | 227.822 | 25.072 | 0.000 | -0.000 | 0.000 |
| 51.317 | 51.317 | 194.584 | -0.000 | -0.000 | -0.000 |
| 0.019 | 0.019 | -0.037 | 59.068 | 0.000 | 0.000 |
| 0.019 | 0.019 | -0.037 | 0.000 | 59.068 | 0.000 |
| 0.022 | 0.022 | -0.044 | 0.000 | 0.000 | 63.997 |
| 187.439 | 56.204 | 53.655 | 0.000 | 0.000 | -0.000 |
| 56.205 | 187.439 | 53.655 | -0.000 | -0.000 | 0.000 |
| 51.294 | 51.294 | 194.629 | 0.000 | 0.000 | 0.000 |
| -0.002 | -0.002 | 0.004 | 59.068 | -0.000 | 0.000 |
| 0.000 | 0.000 | 0.000 | -0.000 | 72.338 | -0.000 |
| 0.000 | 0.000 | 0.000 | 0.000 | 0.000 | 91.513 |
| 187.442 | 56.209 | 53.647 | 0.000 | 0.000 | 0.000 |
| 59.207 | 187.202 | 50.926 | 0.000 | 0.000 | -0.000 |
| 51.300 | 51.300 | 194.617 | 0.000 | 0.000 | 0.000 |
| 0.002 | 0.002 | -0.004 | 59.068 | 0.000 | -0.000 |
| -0.000 | -0.000 | -0.000 | 0.000 | 72.338 | -0.000 |
| -0.000 | -0.000 | -0.000 | -0.000 | -0.000 | 91.513 |
| 187.440 | 56.207 | 53.651 | -0.000 | 0.000 | 0.000 |
| 59.206 | 187.199 | 50.931 | 0.000 | 0.000 | 0.000 |
| 51.299 | 51.299 | 194.620 | 0.000 | 0.000 | 0.000 |
| -0.000 | -0.000 | 0.000 | 59.068 | 0.000 | 0.000 |
| -0.000 | -0.000 | 0.000 | -0.000 | 59.068 | -0.000 |
| -0.000 | -0.000 | 0.000 | 0.000 | 0.000 | 63.997 |
| 187.440 | 56.207 | 53.650 | -0.000 | -0.000 | 0.000 |
| 59.205 | 187.201 | 50.929 | 0.000 | -0.000 | -0.000 |
| 51.297 | 51.297 | 194.622 | -0.000 | -0.000 | -0.000 |
| 0.000 | 0.000 | -0.000 | 59.068 | -0.000 | -0.000 |
| 0.000 | 0.000 | -0.000 | 0.000 | 59.068 | -0.000 |
| 0.000 | 0.000 | -0.000 | 0.000 | 0.000 | 63.997 |
| 316.344 | 110.621 | 57.539 | 0.000 | 0.000 | -0.000 |
| 110.621 | 316.344 | 57.539 | 0.000 | -0.000 | -0.000 |
| 57.539 | 57.539 | 303.175 | -0.000 | -0.000 | -0.000 |
| -0.000 | -0.000 | 0.000 | 57.071 | -0.000 | -0.000 |
| -0.000 | 0.000 | -0.000 | -0.000 | 23.454 | -0.000 |
| -0.000 | 0.000 | 0.000 | 0.000 | 0.000 | 102.862 |
| 316.344 | 110.621 | 57.539 | -0.000 | 0.000 | 0.000 |
| 114.930 | 312.036 | 57.539 | -0.000 | 0.000 | 0.000 |
| 57.539 | 57.539 | 303.175 | -0.000 | -0.000 | -0.000 |
| 0.000 | -0.000 | -0.000 | 57.071 | 0.000 | -0.000 |
| 0.000 | -0.000 | 0.000 | 0.000 | 23.454 | 0.000 |
| 0.000 | -0.000 | -0.000 | -0.000 | 0.000 | 102.862 |
| 316.345 | 110.621 | 57.539 | 0.000 | 0.000 | -0.000 |
| 110.621 | 316.345 | 57.539 | 0.000 | 0.000 | 0.000 |
| 57.539 | 57.539 | 303.175 | 0.000 | 0.000 | -0.000 |
| -0.000 | -0.000 | 0.000 | 57.071 | -0.000 | -0.000 |
| -0.000 | 0.000 | -0.000 | -0.000 | 23.454 | -0.000 |
| -0.000 | 0.000 | -0.000 | 0.000 | 0.000 | 98.553 |
| 316.344 | 110.621 | 57.539 | 0.000 | 0.000 | 0.000 |
| 110.621 | 316.344 | 57.539 | 0.000 | 0.000 | 0.000 |
| 57.539 | 57.539 | 303.175 | -0.000 | -0.000 | 0.000 |
| 0.000 | 0.000 | -0.000 | 57.071 | -0.000 | -0.000 |
| 0.000 | -0.000 | 0.000 | 0.000 | 23.454 | 0.000 |
| 0.000 | -0.000 | 0.000 | -0.000 | -0.000 | 98.553 |
| 312.037 | 114.930 | 57.539 | -0.000 | -0.000 | 0.000 |
| 114.930 | 312.037 | 57.539 | 0.000 | 0.000 | 0.000 |
| 57.539 | 57.539 | 303.176 | -0.000 | -0.000 | -0.000 |
| 0.000 | -0.000 | 0.000 | 57.071 | -0.000 | -0.000 |
| -0.000 | 0.000 | -0.000 | -0.000 | 23.454 | -0.000 |
| -0.000 | 0.000 | -0.000 | 0.000 | -0.000 | 98.553 |
| 312.034 | 114.930 | 57.539 | 0.000 | 0.000 | 0.000 |
| 114.929 | 312.034 | 57.539 | 0.000 | 0.000 | -0.000 |
| 57.538 | 57.538 | 303.174 | -0.000 | -0.000 | 0.000 |
| -0.000 | 0.000 | -0.000 | 57.071 | 0.000 | -0.000 |
| 0.000 | -0.000 | 0.000 | 0.000 | 23.454 | 0.000 |
| 0.000 | -0.000 | 0.000 | -0.000 | -0.000 | 98.553 |
| 179.270 | 40.720 | 40.720 | -0.000 | 0.000 | -0.000 |
| 40.720 | 179.270 | 40.720 | -0.000 | 0.000 | -0.000 |
| 40.720 | 40.720 | 179.270 | -0.000 | -0.000 | -0.000 |
| 0.000 | -0.000 | 0.000 | 78.648 | 0.000 | 0.000 |
| 0.000 | -0.000 | -0.000 | -0.000 | 78.648 | -0.000 |
| 0.000 | -0.000 | -0.000 | -0.000 | 0.000 | 78.648 |
| 179.270 | 40.720 | 40.720 | -0.000 | -0.000 | 0.000 |
| 40.720 | 179.270 | 40.720 | 0.000 | -0.000 | -0.000 |
| 40.720 | 40.720 | 179.270 | 0.000 | -0.000 | 0.000 |
| -0.000 | 0.000 | 0.000 | 78.648 | -0.000 | -0.000 |
| -0.000 | 0.000 | -0.000 | 0.000 | 78.648 | 0.000 |
| -0.000 | 0.000 | -0.000 | 0.000 | -0.000 | 78.648 |
| 179.270 | 40.720 | 40.720 | -0.000 | -0.000 | 0.000 |
| 40.720 | 179.270 | 40.720 | 0.000 | 0.000 | 0.000 |
| 40.720 | 40.720 | 179.270 | -0.000 | -0.000 | -0.000 |
| 0.196 | 0.196 | 0.196 | 51.012 | 0.000 | 0.000 |
| 0.196 | 0.196 | 0.196 | -0.000 | 51.012 | -0.000 |
| 0.196 | 0.196 | 0.196 | -0.000 | 0.000 | 51.012 |
| 153.692 | 50.118 | 50.118 | 0.000 | 0.000 | 0.000 |
| 50.118 | 153.692 | 50.118 | 0.000 | 0.000 | 0.000 |
| 50.118 | 50.118 | 153.692 | 0.000 | -0.000 | 0.000 |
| -0.196 | -0.196 | -0.196 | 51.012 | 0.000 | 0.000 |
| -0.196 | -0.196 | -0.196 | 0.000 | 51.012 | 0.000 |
| -0.196 | -0.196 | -0.196 | 0.000 | -0.000 | 51.012 |
| 179.271 | 40.720 | 40.720 | 0.000 | 0.000 | 0.000 |
| 40.720 | 179.271 | 40.720 | 0.000 | 0.000 | -0.000 |
| 40.720 | 40.720 | 179.271 | -0.000 | 0.000 | -0.000 |
| 0.020 | 0.020 | 0.020 | 51.039 | 0.000 | 0.000 |
| 0.020 | 0.020 | 0.020 | 0.000 | 51.039 | -0.000 |
| 0.020 | 0.020 | 0.020 | -0.000 | -0.000 | 51.039 |
| 154.190 | 49.856 | 49.856 | 0.000 | 0.000 | 0.000 |
| 49.858 | 154.187 | 49.858 | 0.000 | 0.000 | 0.000 |
| 49.856 | 49.856 | 154.190 | 0.000 | -0.000 | 0.000 |
| -0.020 | -0.020 | -0.020 | 51.039 | -0.000 | 0.000 |
| -0.020 | -0.020 | -0.020 | 0.000 | 51.039 | 0.000 |
| -0.020 | -0.020 | -0.020 | 0.000 | 0.000 | 51.039 |
| 174.362 | 40.151 | 40.151 | -0.000 | -0.000 | -0.000 |
| 40.151 | 174.362 | 40.151 | -0.000 | 0.000 | -0.000 |
| 40.151 | 40.151 | 174.362 | 0.000 | 0.000 | -0.000 |
| 0.330 | 0.330 | 0.330 | 43.392 | -0.000 | 0.000 |
| 0.330 | 0.330 | 0.330 | 0.000 | 43.392 | 0.000 |
| 0.330 | 0.330 | 0.330 | 0.000 | -0.000 | 43.392 |
| 174.362 | 40.151 | 40.151 | 0.000 | -0.000 | 0.000 |
| 40.151 | 174.362 | 40.151 | 0.000 | -0.000 | 0.000 |
| 40.151 | 40.151 | 174.362 | 0.000 | -0.000 | 0.000 |
| -0.330 | -0.330 | -0.330 | 43.392 | 0.000 | -0.000 |
| -0.330 | -0.330 | -0.330 | -0.000 | 43.392 | -0.000 |
| -0.330 | -0.330 | -0.330 | -0.000 | 0.000 | 43.392 |
| 133.667 | 55.640 | 55.640 | 0.000 | 0.000 | 0.000 |
| 55.640 | 133.667 | 55.640 | 0.000 | 0.000 | -0.000 |
| 55.640 | 55.640 | 133.667 | 0.000 | 0.000 | 0.000 |
| 0.052 | 0.052 | 0.052 | 40.222 | -0.000 | 0.000 |
| 0.052 | 0.052 | 0.052 | 0.000 | 40.222 | 0.000 |
| 0.045 | 0.045 | 0.045 | 0.000 | 0.000 | 41.272 |
| 140.539 | 55.344 | 55.344 | -0.000 | 0.000 | -0.000 |
| 55.344 | 140.539 | 55.344 | -0.000 | 0.000 | -0.000 |
| 55.344 | 55.344 | 140.539 | -0.000 | 0.000 | -0.000 |
| -0.045 | -0.045 | -0.045 | 41.272 | -0.000 | -0.000 |
| -0.052 | -0.052 | -0.052 | -0.000 | 40.222 | -0.000 |
| -0.052 | -0.052 | -0.052 | -0.000 | 0.000 | 40.222 |
| 129.448 | 52.275 | 52.275 | 0.000 | -0.000 | 0.000 |
| 52.713 | 129.617 | 52.713 | 0.000 | -0.000 | 0.000 |
| 52.275 | 52.275 | 129.448 | 0.000 | -0.000 | 0.000 |
| 0.010 | 0.010 | 0.010 | 39.765 | 0.000 | 0.000 |
| 0.008 | 0.008 | 0.008 | 0.000 | 39.845 | 0.000 |
| 0.010 | 0.010 | 0.010 | 0.000 | 0.000 | 39.765 |
| 140.575 | 55.374 | 55.374 | -0.000 | 0.000 | -0.000 |
| 55.374 | 140.575 | 55.374 | -0.000 | 0.000 | -0.000 |
| 55.374 | 55.374 | 140.575 | -0.000 | 0.000 | -0.000 |
| -0.010 | -0.010 | -0.010 | 39.765 | 0.000 | -0.000 |
| -0.008 | -0.008 | -0.008 | -0.000 | 39.845 | -0.000 |
| -0.010 | -0.010 | -0.010 | -0.000 | 0.000 | 39.765 |
| 129.324 | 52.879 | 52.879 | 0.001 | -0.001 | 0.001 |
| 52.879 | 129.324 | 52.879 | 0.001 | -0.001 | 0.001 |
| 52.879 | 52.879 | 129.324 | 0.001 | -0.001 | 0.001 |
| 0.033 | 0.033 | 0.033 | 41.238 | 0.001 | -0.001 |
| 0.038 | 0.038 | 0.038 | -0.001 | 40.203 | -0.001 |
| 0.038 | 0.038 | 0.038 | -0.001 | 0.001 | 40.200 |
| 129.174 | 52.769 | 52.769 | -0.001 | 0.001 | -0.001 |
| 52.769 | 129.174 | 52.769 | -0.001 | 0.001 | -0.001 |
| 52.769 | 52.769 | 129.174 | -0.001 | 0.001 | -0.001 |
| -0.038 | -0.038 | -0.038 | 40.203 | -0.001 | 0.001 |
| -0.015 | -0.015 | -0.015 | 0.002 | 43.645 | 0.001 |
| -0.038 | -0.038 | -0.038 | 0.001 | -0.001 | 40.203 |
| 128.967 | 51.833 | 51.833 | -0.001 | 0.000 | -0.000 |
| 51.833 | 128.967 | 51.833 | -0.001 | 0.000 | -0.000 |
| 51.833 | 51.833 | 128.967 | -0.001 | 0.000 | -0.000 |
| 0.007 | 0.007 | 0.007 | 39.726 | 0.000 | -0.000 |
| 0.002 | 0.002 | 0.002 | -0.000 | 43.646 | -0.000 |
| 0.007 | 0.007 | 0.007 | -0.000 | 0.000 | 39.718 |
| 128.953 | 51.819 | 51.819 | 0.001 | -0.000 | 0.000 |
| 51.819 | 128.953 | 51.819 | 0.001 | -0.000 | 0.000 |
| 51.819 | 51.819 | 128.953 | 0.001 | -0.000 | 0.000 |
| -0.007 | -0.007 | -0.007 | 39.718 | -0.000 | 0.000 |
| -0.002 | -0.002 | -0.002 | 0.000 | 43.646 | 0.000 |
| -0.007 | -0.007 | -0.007 | 0.000 | -0.000 | 39.718 |
| 128.956 | 51.712 | 51.712 | -0.000 | 0.000 | -0.000 |
| 51.712 | 128.956 | 51.712 | -0.000 | 0.000 | -0.000 |
| 51.712 | 51.712 | 128.956 | -0.000 | 0.000 | -0.000 |
| 0.001 | 0.001 | 0.001 | 39.754 | 0.000 | -0.000 |
| 0.000 | 0.000 | 0.000 | -0.000 | 39.926 | -0.000 |
| 0.001 | 0.001 | 0.001 | -0.000 | 0.000 | 39.754 |
| 128.955 | 51.710 | 51.710 | 0.000 | -0.000 | 0.000 |
| 51.710 | 128.955 | 51.710 | 0.000 | -0.000 | 0.000 |
| 51.710 | 51.710 | 128.955 | 0.000 | -0.000 | 0.000 |
| -0.001 | -0.001 | -0.001 | 39.754 | -0.000 | 0.000 |
| -0.000 | -0.000 | -0.000 | 0.000 | 39.926 | 0.000 |
| -0.001 | -0.001 | -0.001 | 0.000 | -0.000 | 39.754 |
| 187.395 | 35.229 | 35.229 | 0.000 | -0.000 | 0.000 |
| 35.229 | 187.395 | 35.229 | 0.000 | 0.000 | -0.000 |
| 35.229 | 35.229 | 187.395 | 0.000 | 0.000 | -0.000 |
| -5.887 | -5.887 | -5.887 | 39.161 | -0.000 | -0.000 |
| -5.887 | -5.887 | -5.887 | 0.000 | 39.161 | -0.000 |
| -5.887 | -5.887 | -5.887 | 0.000 | -0.000 | 39.161 |
| 148.602 | 61.445 | 61.445 | -0.000 | 0.000 | 0.000 |
| 61.445 | 148.602 | 61.445 | 0.000 | 0.000 | 0.000 |
| 61.445 | 61.445 | 148.602 | 0.000 | 0.000 | 0.000 |
| 5.887 | 5.887 | 5.887 | 39.161 | 0.000 | 0.000 |
| 5.887 | 5.887 | 5.887 | 0.000 | 39.161 | 0.000 |
| 5.887 | 5.887 | 5.887 | 0.000 | 0.000 | 39.161 |
| 154.125 | 50.564 | 50.564 | -0.000 | -0.000 | -0.000 |
| 50.564 | 154.125 | 50.564 | 0.000 | -0.000 | -0.000 |
| 50.564 | 50.564 | 154.125 | 0.000 | -0.000 | -0.000 |
| 0.000 | 0.000 | 0.000 | 72.812 | 0.000 | 0.000 |
| 0.000 | 0.000 | 0.000 | -0.000 | 72.812 | -0.000 |
| 0.000 | 0.000 | 0.000 | 0.000 | -0.000 | 72.812 |
| 152.715 | 52.169 | 52.169 | -0.000 | 0.000 | 0.000 |
| 52.169 | 152.715 | 52.169 | -0.000 | 0.000 | 0.000 |
| 52.169 | 52.169 | 152.715 | -0.000 | 0.000 | 0.000 |
| -0.000 | -0.000 | -0.000 | 72.812 | -0.000 | 0.000 |
| -0.000 | -0.000 | -0.000 | -0.000 | 72.812 | 0.000 |
| -0.000 | -0.000 | -0.000 | 0.000 | 0.000 | 72.812 |
| 155.103 | 50.614 | 50.614 | 0.000 | 0.000 | -0.000 |
| 50.614 | 155.103 | 50.614 | 0.000 | -0.000 | -0.000 |
| 50.614 | 50.614 | 155.103 | 0.000 | 0.000 | -0.000 |
| 0.000 | 0.000 | 0.000 | 72.812 | 0.000 | -0.000 |
| 0.000 | 0.000 | 0.000 | 0.000 | 72.812 | -0.000 |
| 0.000 | 0.000 | 0.000 | -0.000 | 0.000 | 72.812 |
| 187.395 | 35.229 | 35.229 | 0.000 | -0.000 | 0.000 |
| 35.229 | 187.395 | 35.229 | -0.000 | -0.000 | 0.000 |
| 35.229 | 35.229 | 187.395 | 0.000 | -0.000 | -0.000 |
| -0.000 | -0.000 | -0.000 | 72.812 | -0.000 | -0.000 |
| -0.000 | -0.000 | -0.000 | 0.000 | 72.812 | -0.000 |
| -0.000 | -0.000 | -0.000 | 0.000 | -0.000 | 72.812 |
| 154.791 | 50.295 | 50.295 | 0.000 | 0.000 | 0.000 |
| 50.295 | 154.791 | 50.295 | 0.000 | 0.000 | 0.000 |
| 50.295 | 50.295 | 154.791 | 0.000 | 0.000 | 0.000 |
| 0.004 | 0.004 | 0.004 | 51.193 | 0.000 | 0.000 |
| 0.004 | 0.004 | 0.004 | 0.000 | 51.193 | 0.000 |
| 0.004 | 0.004 | 0.004 | 0.000 | 0.000 | 51.193 |
| 154.746 | 50.303 | 50.303 | -0.000 | -0.000 | -0.000 |
| 50.303 | 154.746 | 50.303 | -0.000 | -0.000 | -0.000 |
| 50.303 | 50.303 | 154.746 | -0.000 | -0.000 | -0.000 |
| -0.004 | -0.004 | -0.004 | 51.193 | -0.000 | -0.000 |
| -0.004 | -0.004 | -0.004 | -0.000 | 51.193 | -0.000 |
| -0.004 | -0.004 | -0.004 | -0.000 | -0.000 | 51.193 |
| 154.779 | 50.295 | 50.295 | 0.000 | 0.000 | 0.000 |
| 50.295 | 154.779 | 50.295 | 0.000 | 0.000 | 0.000 |
| 50.295 | 50.295 | 154.779 | 0.000 | 0.000 | 0.000 |
| 0.000 | 0.000 | 0.000 | 51.201 | 0.000 | 0.000 |
| 0.000 | 0.000 | 0.000 | 0.000 | 51.201 | 0.000 |
| 0.000 | 0.000 | 0.000 | 0.000 | 0.000 | 51.201 |
| 154.773 | 50.296 | 50.296 | -0.000 | -0.000 | -0.000 |
| 50.296 | 154.773 | 50.296 | -0.000 | -0.000 | -0.000 |
| 50.296 | 50.296 | 154.773 | -0.000 | -0.000 | -0.000 |
| -0.000 | -0.000 | -0.000 | 51.201 | -0.000 | -0.000 |
| -0.000 | -0.000 | -0.000 | -0.000 | 51.201 | -0.000 |
| -0.000 | -0.000 | -0.000 | -0.000 | -0.000 | 51.201 |
| 154.776 | 50.296 | 50.296 | 0.000 | 0.000 | 0.000 |
| 50.296 | 154.776 | 50.296 | 0.000 | 0.000 | 0.000 |
| 50.296 | 50.296 | 154.776 | 0.000 | 0.000 | 0.000 |
| 0.000 | -0.000 | 0.000 | 51.201 | 0.000 | 0.000 |
| -0.000 | 0.000 | 0.000 | 0.000 | 51.201 | 0.000 |
| -0.000 | 0.000 | 0.000 | 0.000 | 0.000 | 51.201 |
| 149.996 | 50.469 | 50.469 | -0.000 | -0.000 | -0.000 |
| 50.469 | 149.996 | 50.469 | -0.000 | -0.000 | -0.000 |
| 49.969 | 49.969 | 151.829 | -0.000 | -0.000 | -0.000 |
| -0.000 | 0.000 | -0.000 | 51.201 | -0.000 | -0.000 |
| 0.000 | -0.000 | -0.000 | -0.000 | 51.201 | -0.000 |
| 0.000 | -0.000 | -0.000 | -0.000 | -0.000 | 51.201 |
| 217.503 | 98.900 | 28.822 | -0.000 | -0.000 | 0.000 |
| 100.875 | 243.969 | 26.718 | -0.000 | -0.000 | 0.000 |
| 29.992 | 25.913 | 354.255 | -0.000 | -0.000 | 0.000 |
| 0.000 | -0.000 | 0.000 | 24.012 | 0.000 | 0.000 |
| 0.000 | -0.000 | 0.000 | -0.000 | 26.164 | -0.000 |
| 0.000 | -0.000 | 0.000 | -0.000 | -0.000 | 18.433 |
| 217.503 | 98.900 | 28.822 | 0.000 | 0.000 | -0.000 |
| 100.875 | 243.969 | 26.718 | 0.000 | 0.000 | -0.000 |
| 29.992 | 25.913 | 354.255 | 0.000 | 0.000 | 0.000 |
| -0.000 | 0.000 | -0.000 | 24.012 | 0.000 | -0.000 |
| -0.000 | 0.000 | -0.000 | 0.000 | 26.164 | 0.000 |
| -0.000 | 0.000 | -0.000 | 0.000 | 0.000 | 18.433 |
| 217.503 | 98.900 | 28.822 | -0.000 | -0.000 | 0.000 |
| 100.875 | 243.969 | 26.718 | -0.000 | -0.000 | 0.000 |
| 29.992 | 25.913 | 354.256 | -0.000 | -0.000 | 0.000 |
| -0.000 | -0.000 | -0.000 | 24.012 | -0.000 | 0.000 |
| -0.000 | -0.000 | -0.000 | -0.000 | 26.164 | -0.000 |
| 0.000 | -0.000 | -0.000 | -0.000 | -0.000 | 18.433 |
| 217.503 | 98.900 | 28.822 | 0.000 | 0.000 | -0.000 |
| 100.875 | 243.969 | 26.718 | 0.000 | 0.000 | -0.000 |
| 29.992 | 25.913 | 354.255 | 0.000 | 0.000 | -0.000 |
| 0.000 | 0.000 | 0.000 | 24.012 | 0.000 | -0.000 |
| 0.000 | 0.000 | 0.000 | 0.000 | 26.164 | 0.000 |
| -0.000 | 0.000 | 0.000 | 0.000 | 0.000 | 18.433 |
| 217.503 | 98.900 | 28.822 | -0.000 | -0.000 | 0.000 |
| 100.876 | 243.970 | 26.718 | -0.000 | -0.000 | 0.000 |
| 29.992 | 25.913 | 354.257 | -0.000 | -0.000 | -0.000 |
| -0.000 | -0.000 | -0.000 | 24.012 | -0.000 | 0.000 |
| -0.000 | -0.000 | -0.000 | -0.000 | 26.164 | 0.000 |
| -0.000 | -0.000 | -0.000 | -0.000 | -0.000 | 18.433 |
| 217.503 | 98.899 | 28.822 | 0.000 | 0.000 | 0.000 |
| 100.874 | 243.969 | 26.718 | 0.000 | 0.000 | 0.000 |
| 29.992 | 25.913 | 354.253 | 0.000 | 0.000 | -0.000 |
| 0.000 | 0.000 | 0.000 | 24.012 | 0.000 | -0.000 |
| 0.000 | 0.000 | 0.000 | 0.000 | 26.164 | -0.000 |
| 0.000 | 0.000 | 0.000 | 0.000 | 0.000 | 18.433 |
| 635.743 | 325.128 | 315.376 | 0.000 | 0.000 | 0.000 |
| 325.128 | 443.336 | 173.164 | 0.000 | 0.000 | 0.000 |
| 213.316 | 100.953 | 581.309 | 0.000 | 0.000 | 0.000 |
| -0.001 | -0.000 | -0.000 | 102.400 | 0.000 | -0.000 |
| -0.000 | 0.000 | 0.000 | 0.000 | 252.430 | 0.000 |
| -0.002 | -0.001 | -0.002 | 0.000 | 0.000 | 211.286 |
| 513.770 | 242.818 | 213.351 | -0.000 | -0.000 | 0.000 |
| 241.754 | 386.064 | 102.594 | 0.000 | -0.000 | 0.000 |
| 315.376 | 173.164 | 669.842 | -0.000 | -0.000 | 0.000 |
| 0.001 | 0.000 | 0.000 | 102.400 | -0.000 | 0.000 |
| 0.000 | -0.000 | 0.000 | -0.000 | 252.430 | -0.000 |
| 0.002 | 0.001 | 0.002 | -0.000 | -0.000 | 211.286 |
| 635.743 | 325.128 | 315.376 | 0.000 | 0.000 | 0.000 |
| 241.752 | 386.063 | 102.593 | -0.000 | 0.000 | -0.000 |
| 214.621 | 105.992 | 586.393 | -0.000 | 0.000 | -0.000 |
| -0.000 | -0.000 | -0.000 | 102.304 | 0.000 | -0.000 |
| -0.000 | -0.000 | -0.000 | 0.000 | 238.356 | -0.000 |
| -0.000 | -0.000 | -0.000 | 0.000 | 0.000 | 263.284 |
| 635.743 | 325.128 | 315.376 | -0.000 | -0.000 | -0.000 |
| 241.752 | 386.063 | 102.592 | 0.000 | -0.000 | 0.000 |
| 315.376 | 173.164 | 669.842 | -0.000 | -0.000 | 0.000 |
| 0.000 | 0.000 | 0.000 | 102.304 | -0.000 | 0.000 |
| 0.000 | 0.000 | 0.000 | 0.000 | 238.356 | -0.000 |
| 0.000 | 0.000 | 0.000 | -0.000 | -0.000 | 263.284 |
| 513.774 | 242.821 | 213.355 | 0.000 | 0.000 | 0.000 |
| 242.751 | 384.014 | 100.892 | -0.000 | 0.000 | -0.000 |
| 213.320 | 100.957 | 581.312 | 0.000 | 0.000 | -0.000 |
| 0.000 | -0.000 | -0.000 | 102.400 | -0.000 | -0.000 |
| 0.000 | -0.000 | -0.000 | -0.000 | 238.356 | -0.000 |
| -0.000 | -0.000 | -0.000 | 0.000 | 0.000 | 263.284 |
| 513.767 | 242.758 | 213.328 | 0.000 | -0.000 | -0.000 |
| 241.750 | 386.060 | 102.590 | 0.000 | -0.000 | 0.000 |
| 214.651 | 106.011 | 586.418 | 0.000 | -0.000 | 0.000 |
| 0.000 | 0.000 | 0.000 | 128.512 | -0.000 | -0.000 |
| -0.000 | 0.000 | 0.000 | -0.000 | 238.356 | 0.000 |
| 0.000 | 0.000 | 0.000 | -0.000 | -0.000 | 263.284 |
| 861.622 | 625.821 | 205.293 | 0.002 | 0.000 | 0.000 |
| 613.636 | 808.441 | 185.069 | 0.002 | 0.000 | 0.000 |
| 179.367 | 170.129 | 388.301 | 0.002 | 0.000 | 0.000 |
| -4.450 | 1.058 | -0.197 | 29.766 | 0.000 | 0.000 |
| -6.678 | 1.588 | -0.296 | 0.002 | 28.554 | 0.000 |
| -11.587 | 2.756 | -0.513 | 0.003 | 0.000 | 51.480 |
| 874.947 | 622.652 | 205.883 | -0.002 | -0.000 | -0.000 |
| 626.986 | 805.266 | 185.660 | -0.002 | -0.000 | -0.000 |
| 193.208 | 166.838 | 388.914 | -0.002 | -0.000 | -0.000 |
| 4.450 | -1.058 | 0.197 | 29.763 | -0.000 | -0.000 |
| 6.678 | -1.588 | 0.296 | -0.002 | 28.554 | -0.000 |
| 11.587 | -2.756 | 0.513 | -0.003 | -0.000 | 51.480 |
| 867.569 | 624.406 | 205.556 | 0.000 | 0.000 | 0.000 |
| 619.858 | 806.961 | 185.344 | 0.000 | 0.000 | 0.000 |
| 184.571 | 168.892 | 388.532 | 0.000 | 0.000 | 0.000 |
| -0.445 | 0.106 | -0.020 | 29.779 | 0.000 | 0.000 |
| -0.672 | 0.160 | -0.030 | 0.000 | 28.512 | 0.000 |
| -1.159 | 0.276 | -0.051 | 0.000 | -0.000 | 51.349 |
| 868.899 | 624.090 | 205.616 | -0.000 | -0.000 | -0.000 |
| 621.190 | 806.644 | 185.403 | -0.000 | -0.000 | -0.000 |
| 185.904 | 168.575 | 388.590 | -0.000 | -0.000 | -0.000 |
| 0.445 | -0.106 | 0.020 | 29.779 | 0.000 | -0.000 |
| 0.672 | -0.160 | 0.030 | -0.000 | 28.512 | -0.000 |
| 1.159 | -0.276 | 0.051 | -0.000 | -0.000 | 51.349 |
| 868.175 | 624.260 | 205.582 | 0.000 | 0.000 | 0.000 |
| 620.461 | 806.819 | 185.370 | 0.000 | 0.000 | 0.000 |
| 185.159 | 168.752 | 388.559 | 0.000 | 0.000 | 0.000 |
| -0.044 | 0.010 | -0.002 | 29.779 | 0.000 | 0.000 |
| -0.067 | 0.016 | -0.003 | 0.000 | 28.511 | 0.000 |
| -0.119 | 0.027 | -0.006 | 0.000 | 0.000 | 51.348 |
| 868.288 | 624.237 | 205.590 | -0.000 | -0.000 | -0.000 |
| 620.591 | 806.785 | 185.378 | -0.000 | -0.000 | -0.000 |
| 185.293 | 168.721 | 388.562 | -0.000 | -0.000 | -0.000 |
| 0.044 | -0.010 | 0.002 | 29.779 | -0.000 | -0.000 |
| 0.067 | -0.016 | 0.003 | -0.000 | 28.511 | -0.000 |
| 0.119 | -0.027 | 0.006 | -0.000 | -0.000 | 51.348 |
Phonon band structures and crystal properties estimated from quasi-harmonic approximation (QHA) calculations are displayed for select crystals. The calculations were performed using phonopy and LAMMPS. For the phonon calculations, 3x3 supercells of the potential-specific relaxed crystals were used. The QHA calculations were based on 11 strain states ranging from -0.05 to 0.05.
The calculation method used is available as the iprPy phonon calculation method.
Notes and Disclaimers:
Version Information:


















































































































































































































Static free surface formation energies are displayed for select crystals. The values displayed here are obtained by taking a perfect periodic bulk crystal, slicing along a crystallographic plane, and using force minimization to statically relax the surfaces. The free surface formation energy is computed by comparing the energy of the defect system to the bulk system and dividing by the total surface area created by the cut.
The calculation method used is available as the iprPy surface_energy_static calculation method.
Notes and Disclaimers:
Version Information:
| Surface | γfs (mJ/m2) |
|---|---|
| (322) | -455485.86 |
| (100) | -102848.65 |
| (111) | -98253.23 |
| Surface | γfs (mJ/m2) |
|---|---|
| (322) | -361009.52 |
| (211) | -183395.81 |
| (210) | -179260.70 |
| (111) | -130832.66 |
| (100) | -73074.60 |
| (320) | -64787.82 |
| (310) | -6895.64 |
| (110) | 1002.83 |
| Surface | γfs (mJ/m2) |
|---|---|
| (111) 2 | 2061.08 |
| (331) 2 | 2721.07 |
| (110) | 2959.42 |
| (321) | 3633.01 |
| (211) | 3881.76 |
| (320) | 3883.22 |
| (311) 2 | 4328.21 |
| (210) | 4397.64 |
| (332) | 4401.63 |
| (311) 1 | 4679.48 |
| (310) | 4951.65 |
| (322) | 5441.15 |
| (100) | 5589.64 |
| (221) | 5699.01 |
| (331) 1 | 7035.28 |
| (111) 1 | 12913.14 |
| Surface | γfs (mJ/m2) |
|---|---|
| (111) | -85314.25 |
| (211) 2 | -58489.21 |
| (112) | -58171.54 |
| (211) 1 | -42470.16 |
| (201) | -28591.60 |
| (001) | -11308.71 |
| (101) 2 | -6425.13 |
| (101) 1 | -103.82 |
| (100) | 947.77 |
| (110) | 1713.92 |
| Surface | γfs (mJ/m2) |
|---|---|
| (331) | -265183.62 |
| (311) | -217151.24 |
| (111) | -114748.54 |
| (321) | -44350.72 |
| (221) | -18688.68 |
| (211) | -4549.80 |
| (210) | 352.22 |
| (310) | 368.39 |
| (320) | 512.98 |
| (100) | 523.40 |
| (110) | 677.36 |
| Surface | γfs (mJ/m2) |
|---|---|
| (321) | -2178.45 |
| (221) | -1822.18 |
| (311) | -1679.14 |
| (211) | -375.65 |
| (111) | 436.15 |
| (332) | 437.25 |
| (322) | 472.43 |
| (320) | 503.00 |
| (331) | 503.76 |
| (310) | 545.19 |
| (110) | 551.72 |
| (210) | 552.27 |
| (100) | 575.50 |
| Surface | γfs (mJ/m2) |
|---|---|
| (110) | 739.26 |
| (331) | 805.98 |
| (321) | 812.69 |
| (221) | 822.82 |
| (211) | 823.31 |
| (332) | 827.82 |
| (322) | 841.91 |
| (111) | 851.65 |
| (320) | 957.50 |
| (311) | 1014.74 |
| (210) | 1088.46 |
| (310) | 1227.91 |
| (100) | 1492.54 |
| Surface | γfs (mJ/m2) |
|---|---|
| (111) 2 | 988.43 |
| (331) 2 | 1173.52 |
| (110) | 1204.01 |
| (321) | 1425.35 |
| (320) | 1478.17 |
| (211) | 1483.14 |
| (332) | 1611.94 |
| (210) | 1622.72 |
| (311) 1 | 1675.07 |
| (311) 2 | 1683.18 |
| (310) | 1756.85 |
| (322) | 1887.02 |
| (100) | 1937.16 |
| (221) | 1949.98 |
| (331) 1 | 2291.94 |
| (111) 1 | 3802.23 |
| Surface | γfs (mJ/m2) |
|---|---|
| (100) | 635.22 |
| (112) | 787.03 |
| (101) 1 | 790.61 |
| (201) | 816.34 |
| (211) 1 | 938.47 |
| (110) | 1015.30 |
| (111) | 1047.44 |
| (001) | 1171.40 |
| (211) 2 | 1193.68 |
| (101) 2 | 2242.49 |
Static point defect formation energies, Ef, and elastic dipole tensors, pij, are displayed for select crystals. Relaxed defect configurations are obtained by taking a 12x12x12 supercell of a perfect periodic bulk crystal, inserting the point defect, and using force minimization to statically relax the atomic positions while keeping the system dimensions constant. Ef is computed by comparing the energy of the defect system to the same number of atoms in a perfect bulk crystal. pij is estimated as the difference in the system's global pressure with and without the defect multiplied by the system's volume.
Simple structural comparisons of the unrelaxed and relaxed defect configurations are used to help determine if the defect structure has relaxed to a different configuration. Relaxed structures that are identified as no longer consistent with the ideal defect definition are excluded from the table below. The only exception to this is if the lowest energy interstitial configuration does not coincide with a known ideal defect, its energies and pressure tensor are included under the listing "relaxed interstitial". The full list of calculation results including the transformed structures and the structural comparison values is included in the csv file available from the "Download raw data" link.
The calculation method used is available as the iprPy point_defect_static calculation method.
Notes and Disclaimers:
| Point Defect | Ef (eV) | p11 (eV) | p22 (eV) | p33 (eV) | p12 (eV) | p13 (eV) | p23 (eV) |
|---|---|---|---|---|---|---|---|
| relaxed interstitial | -6596.703 | 16019.265 | 16507.387 | 15873.985 | 51.462 | 706.422 | -28.006 |
| vacancy | -0.427 | 4.754 | 4.754 | 4.754 | -0.000 | -0.000 | -0.000 |
| 2nn divacancy | -0.016 | 9.861 | 9.861 | 6.031 | 0.000 | -0.000 | -0.000 |
| Point Defect | Ef (eV) | p11 (eV) | p22 (eV) | p33 (eV) | p12 (eV) | p13 (eV) | p23 (eV) |
|---|---|---|---|---|---|---|---|
| vacancy | 2.591 | 4.433 | 4.433 | 4.433 | -0.000 | -0.000 | -0.000 |
| 1nn divacancy | 3.898 | 6.472 | 6.472 | 6.472 | -0.525 | -0.525 | -0.525 |
| 100 dumbbell | 9.602 | 17.258 | 17.258 | 57.785 | -0.000 | 0.000 | 0.000 |
| bond centered interstitial | 14.939 | 43.704 | 43.704 | 43.704 | 21.659 | 21.659 | 21.659 |
| tetragonal interstitial | 23.852 | 81.596 | 81.596 | 81.596 | -0.000 | -0.000 | -0.000 |
| Point Defect | Ef (eV) | p11 (eV) | p22 (eV) | p33 (eV) | p12 (eV) | p13 (eV) | p23 (eV) |
|---|---|---|---|---|---|---|---|
| relaxed interstitial | -321.042 | -118.741 | -90.691 | 322.713 | 560.146 | 321.490 | 107.563 |
| 2nn divacancy | -0.339 | -32.989 | -32.989 | -33.035 | -0.000 | 0.000 | 0.000 |
| vacancy | -0.177 | -16.172 | -16.172 | -16.172 | 0.000 | 0.000 | 0.000 |
| 1nn divacancy | -0.089 | -28.182 | -29.984 | -29.984 | -0.000 | 0.000 | 0.169 |
| crowdion interstitial | 1.646 | 11.348 | 11.348 | 55.197 | -16.498 | -3.319 | -3.319 |
| octahedral interstitial | 3.247 | 28.755 | 28.755 | 28.755 | 0.000 | 0.000 | 0.000 |
| Point Defect | Ef (eV) | p11 (eV) | p22 (eV) | p33 (eV) | p12 (eV) | p13 (eV) | p23 (eV) |
|---|---|---|---|---|---|---|---|
| vacancy | 0.594 | -3.758 | -3.758 | -3.758 | -0.000 | -0.000 | -0.000 |
| 1nn divacancy | 1.055 | -6.445 | -6.445 | -6.445 | -0.153 | -0.153 | -0.153 |
| 2nn divacancy | 1.708 | -5.207 | -5.207 | -6.880 | -0.000 | 0.000 | 0.000 |
| 100 dumbbell | 4.874 | 61.690 | 61.690 | 35.551 | -0.000 | 0.000 | -0.000 |
| octahedral interstitial | 5.115 | 48.521 | 56.580 | 56.580 | -0.000 | -0.000 | -0.000 |
| crowdion interstitial | 5.328 | 63.564 | 63.564 | 63.564 | 10.364 | 10.364 | 10.364 |
| 110 dumbbell | 5.486 | 59.966 | 60.167 | 60.167 | -0.000 | -0.000 | -8.899 |
| 111 dumbbell | 5.703 | 59.506 | 59.506 | 59.506 | 12.480 | 12.480 | 12.480 |
| tetrahedral interstitial | 6.497 | 62.645 | 47.672 | 62.645 | -0.000 | -0.000 | -0.000 |
| Point Defect | Ef (eV) | p11 (eV) | p22 (eV) | p33 (eV) | p12 (eV) | p13 (eV) | p23 (eV) |
|---|---|---|---|---|---|---|---|
| relaxed interstitial | 3.136 | 14.094 | 14.094 | 14.094 | 2.692 | 2.692 | 2.692 |
| vacancy | 3.141 | -1.412 | -1.412 | -1.412 | 0.000 | 0.000 | -0.000 |
| 1nn divacancy | 4.712 | -2.219 | -2.219 | -2.219 | -0.228 | -0.228 | -0.228 |
Plots of the atomic structure of dislocation cores are shown here. The dislocations were constructed using dislocation monopole configurations in which a straight dislocation is created in the center of the system using anisotropic elasticity and the elastic constants computed above. A cylindrical region centered around the dislocation is allowed to relax while the remaining atoms are held fixed. The relaxation consists of 1 million NVT steps at 10 K followed by an energy/force minimization. The final plots show the atomic configuration near the center of the monopole system, and display differential displacement arrows and Nye tensor color maps that are both taken with respect to the Burgers vector direction.
These plots show a wide range of final structures, some corresponding to expected dislocation structures and others not. While the characterizations are dislocation-type dependent, some general classification guidelines are listed here.
The calculation method used is available as the iprPy dislocation_monopole calculation method.
Links are provided above the images allowing for users to download the final defect configuration and a corresponding defect-free configuration if they wish to further analyze the structures or use them for subsequent simulations.
Notes and Disclaimers:
Version Information:
Plots of lattice and elastic constants are shown as a function of temperature. The 0K points were taken from the Crystal Structure Predictions and the Elastic Constants Predictions sections above for the unique crystal structures relaxed with the "dynamic" method. Starting from the 0 K relaxed crystal unit cells, supercell systems are created by replicating all three dimensions by the same multiplier to achieve at least 4000 atoms. The systems are then relaxed at 50 K and zero pressure using 1 million NPT steps. Lattice constants are estimated by averaging the measured box dimensions. Temperatures are iteratively increased by 50 K, with each subsequent relaxation calculation starting from the final atomic configuration at the previous temperature and relaxing for another 1 million steps.
The elastic constants are calculated using the deformation–fluctuation hybrid method. Starting from the final atomic configurations of the dynamic relaxations, the system is allowed to evolve at constant volume with a Langevin thermostat. The Born matrix is computed during this run by evaluating how the atomic forces would vary due to applied linear strain fields. The elastic constants can then be estimated using the averaged Born matrix values and the averaged stresses on the system.
The calculation methods used are available as the iprPy relax_dynamic and elastic_constants_dynamic calculation methods.
Clicking on the image of a plot will open an interactive version of it in a new tab. The underlying data for the plots can be downloaded by clicking on the links above each plot.
Notes and Disclaimers:
Version Information:
Plots of radial distribution functions at different temperatures and the temperature-dependent diffusion and viscosity are shown here for elemental liquids. Melt phases are constructed by starting with a 10x10x10 fcc super cell and relaxing with 50,000 NPT steps at zero pressure and a high melting temperature (3000 K for most potentials and elements). Following the melt, liquid structures are relaxed by running NPT for 10,000 steps over which the temperature is dropped by 50 K, then 50,000 NPT at the target temperature to estimate the equilibrium volume, followed by 20,000 NVT steps at the averaged equilibrium volume and target temperature. Structures from the NVT run are sampled to compute the radial distribution function of the liquid at the corresponding temperature.
The final relaxed configurations at each temperature explored are used as the initial configurations for the diffusion and viscosity calculations. For diffusion, the system is integrated for 100 runs of 2,000 NVT steps during which both the mean squared displacement (MSD) and the velocity auto correlation function (VACF) are computed. From these simulations, three estimates of diffusion are computed: one from the MSD of the full 200,000 step run, one in which the MSD is reset for each short run and then averaged, and one from the VACF computed for each short run and averaged. For viscosity, the Green-Kubo method is used which is evaluated during a 1 million step NVT run.
The calculation methods used are available as the iprPy relax_liquid_redo, diffusion_liquid, and viscosity_green_kubo calculation methods.
Clicking on the image of a plot will open an interactive version of it in a new tab. The underlying data for the plots can be downloaded by clicking on the links above each plot.
Notes and Disclaimers:
Version Information:
Plots of internal energy, Gibbs free energy, entropy, heat capacity and volume are shown here as a function of temperature for various crystal structures and liquid phases. The included crystal structures correspond to those in the Solid Structures vs. Temperature section, and the liquid phases to those in the Liquid Properties section. Internal energy and volume are taken from the associated structure relaxations mentioned in those previous sections. Constant pressure heat capacity is estimated using 3-point numerical derivatives of enthalpy versus temperature. Note that since all simulations done here are at 0 pressure, internal energy and enthalpy are equivalent.
The Gibbs energies of the phases are estimated using thermodynamic integration between the interatomic potential in question and a simpler model with known Gibbs free energy values. For solids, the reference model is an Einstein solid, while for liquids it is the Uhlenbeck-Ford potential. Besides a short run at the start of the solid calculations to estimate Einstein model spring constants, the two calculations proceed similarly. Starting with the final relaxation configurations, the systems are stabilized for 25,000 steps. Then, over the next 50,000 steps the potential is swapped out for the reference potential. The system is then stabilized for another 25,000 steps with the reference model before a reverse swap of 50,000 steps is performed. The simulation ends with one final 25,000 step stabilization period. From the simulation, the irreversible work of transformation is estimated and used to compute the absolute Gibbs free energy of the target phase and potential relative to the reference potential. Entropy is estimated as the difference in enthalpy and Gibbs free energy and divided by temperature.
The calculation methods used are available as the iprPy relax_dynamic, relax_liquid_redo, free_energy, and free_energy_liquid calculation methods.
Clicking on the image of a plot will open an interactive version of it in a new tab. The underlying data for the plots can be downloaded by clicking on the links above each plot.
Notes and Disclaimers:
Version Information:






