Plots of the potential energy vs interatomic spacing, r, are shown below for all diatom sets associated with the interatomic potential. This calculation provides insights into the functional form of the potential's two-body interactions. A system consisting of only two atoms is created, and the potential energy is evaluated for the atoms separated by 0.02 Å <= r <= 6.0> Å in intervals of 0.02 Å. Two plots are shown: one for the "standard" interaction distance range, and one for small values of r. The small r plot is useful for determining whether the potential is suitable for radiation studies.
The calculation method used is available as the iprPy diatom_scan calculation method.
Clicking on the image of a plot will open an interactive version of it in a new tab. The underlying data for the plots can be downloaded by clicking on the links above each plot.
Notes and Disclaimers:
Version Information:
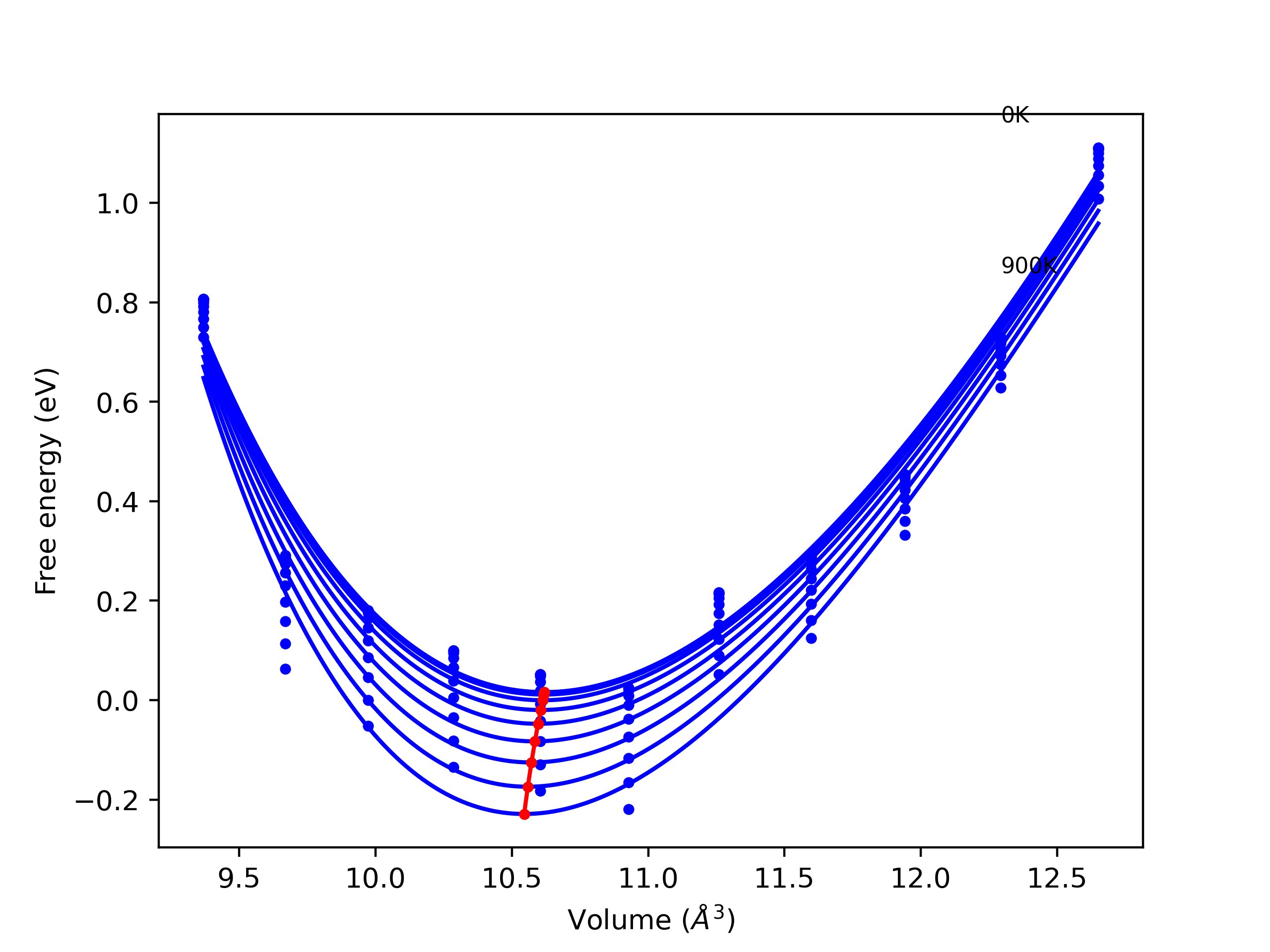
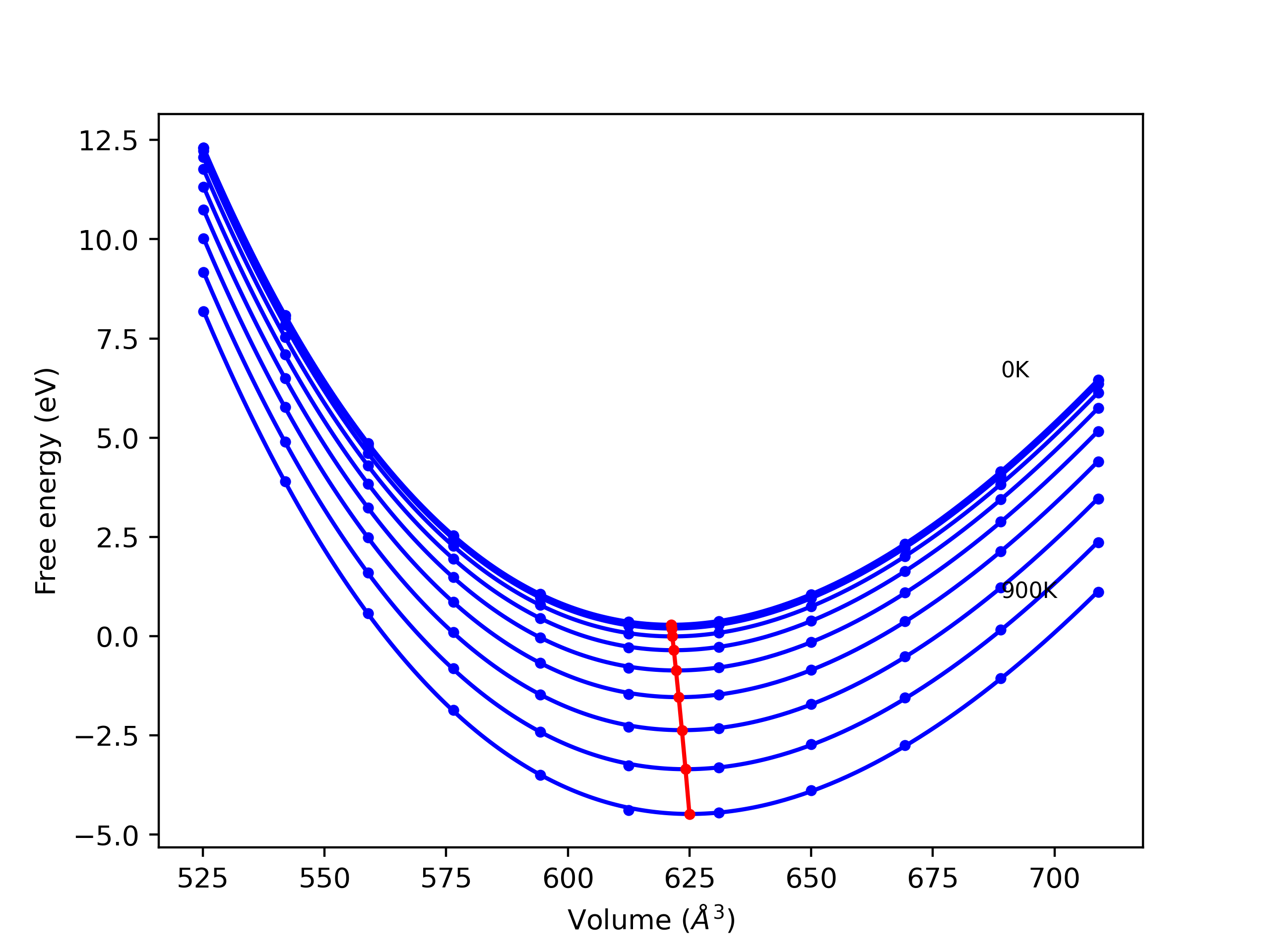
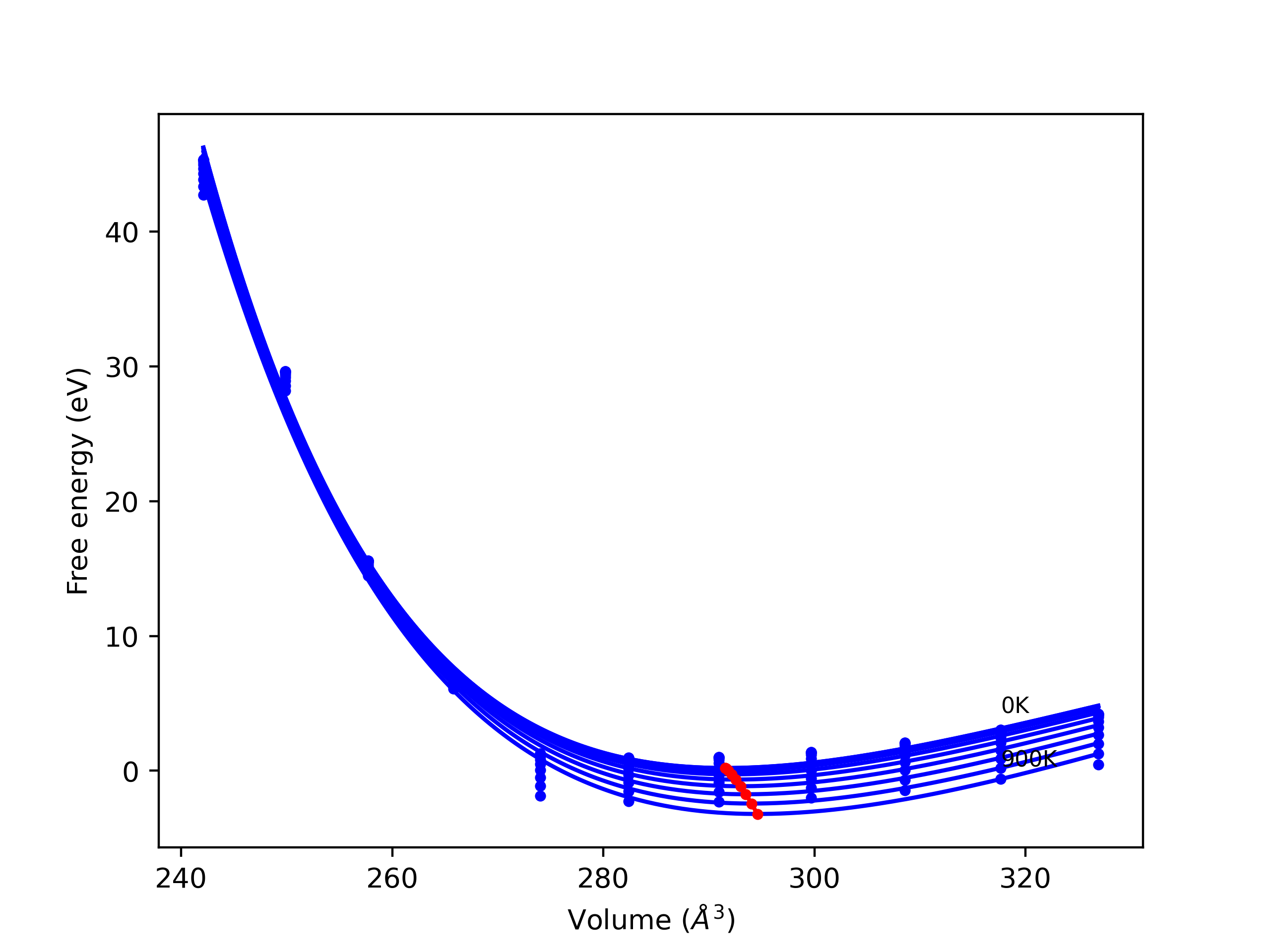
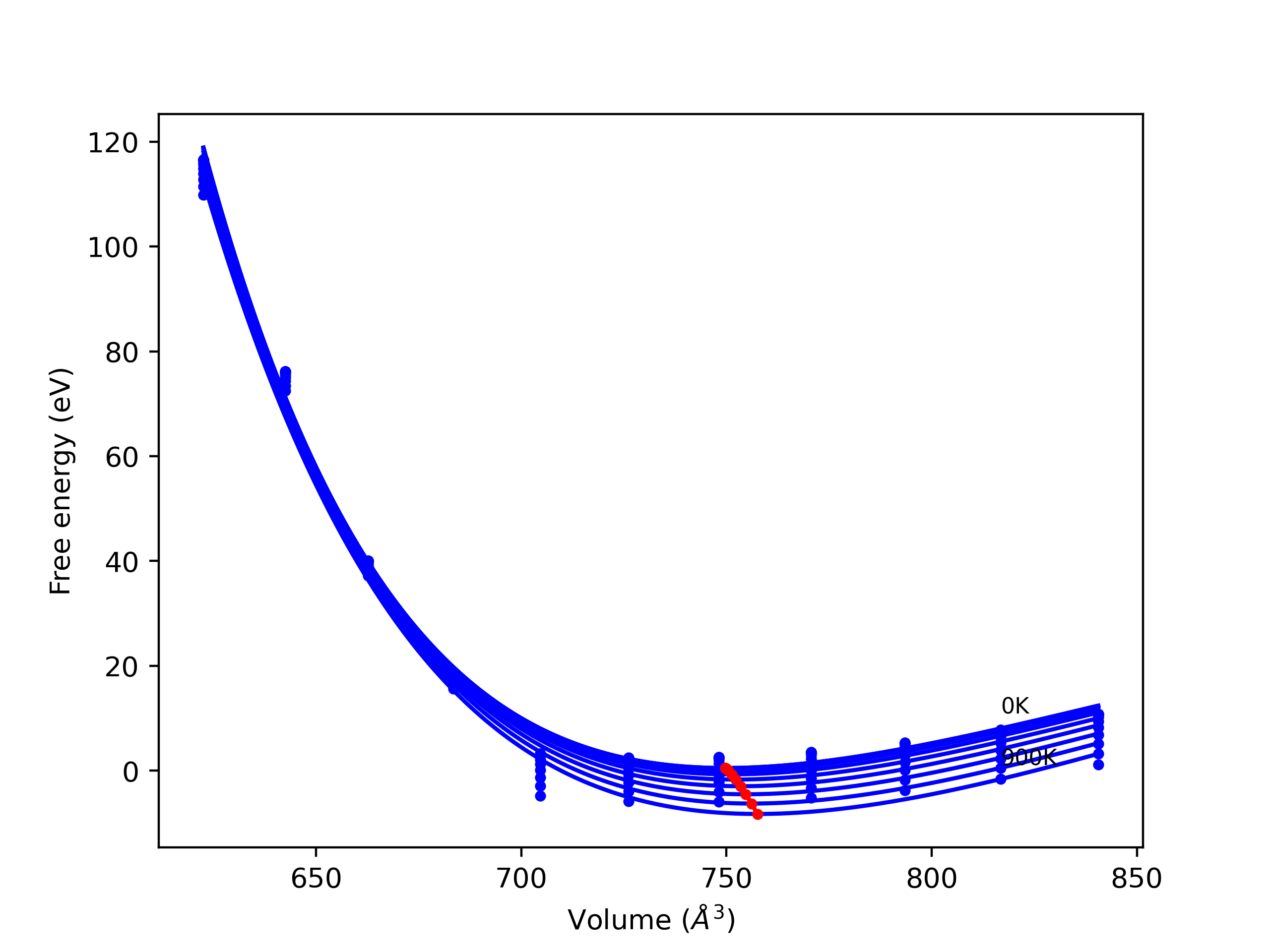
Plots of potential energy vs interatomic spacing, r, are shown below for a number of crystal structures. The structures are generated based on the ideal atomic positions and b/a and c/a lattice parameter ratios for a given crystal prototype. The size of the system is then uniformly scaled, and the energy calculated without relaxing the system. To obtain these plots, values of r are evaluated every 0.02 Å up to 6 Å.
The calculation method used is available as the iprPy E_vs_r_scan calculation method.
Clicking on the image of a plot will open an interactive version of it in a new tab. The underlying data for the plots can be downloaded by clicking on the links above each plot.
Notes and Disclaimers:
Version Information:
Computed lattice constants and cohesive/potential energies are displayed for a variety of crystal structures. The values displayed here are obtained using the following process.
The calculation methods used are implemented into iprPy as the following calculation styles
Notes and Disclaimers:
Version Information:
Download raw data (including filtered results)
Reference structure matches:
A1--Cu--fcc = oqmd-1214512
A15--beta-W = oqmd-1214957
A2--W--bcc = oqmd-1215135
A3'--alpha-La--double-hcp = oqmd-1215403
A3--Mg--hcp = oqmd-1215313
A4--C--dc = mp-66, oqmd-675640
A5--beta-Sn = oqmd-1215581
A6--In--bct = mp-1181996, oqmd-1215670
A7--alpha-As = oqmd-594528
Ah--alpha-Po--sc = mp-998866, oqmd-636457, oqmd-1214601
| prototype | method | Ecoh (eV/atom) | Epot (eV/atom) | a0 (Å) | b0 (Å) | c0 (Å) | α (degrees) | β (degrees) | γ (degrees) | 
|---|---|---|---|---|---|---|---|---|---|
| mp-569416 | static | -7.3955 | -7.3955 | 2.5297 | 2.5297 | 54.6903 | 90.0 | 90.0 | 120.0 | 
| oqmd-683820 | dynamic | -7.3955 | -7.3955 | 2.5297 | 4.3815 | 6.8163 | 90.0 | 90.0 | 90.0 | 
| oqmd-683819 | dynamic | -7.3955 | -7.3955 | 2.5297 | 4.3815 | 6.6661 | 90.0 | 90.0 | 90.0 | 
| oqmd-589492 | dynamic | -7.3955 | -7.3955 | 2.5297 | 2.5297 | 53.495 | 90.0 | 90.0 | 120.0 | 
| mp-169 | static | -7.3955 | -7.3955 | 4.3815 | 2.5297 | 3.7632 | 90.0 | 111.5 | 90.0 | 
| oqmd-590101 | dynamic | -7.3955 | -7.3955 | 2.5297 | 2.5297 | 6.7965 | 90.0 | 90.0 | 120.0 | 
| mp-632329 | dynamic | -7.3955 | -7.3955 | 4.3815 | 2.5297 | 3.9282 | 90.0 | 93.9 | 90.0 | 
| mp-169 | dynamic | -7.3955 | -7.3955 | 4.3815 | 2.5297 | 3.624 | 90.0 | 113.1 | 90.0 | 
| oqmd-1214690 | dynamic | -7.3955 | -7.3955 | 2.5297 | 4.3815 | 6.6767 | 90.0 | 90.0 | 90.0 | 
| mp-937760 | dynamic | -7.3955 | -7.3955 | 2.5297 | 4.3815 | 7.1733 | 90.0 | 90.0 | 90.0 | 
| mp-568286 | static | -7.3955 | -7.3955 | 2.5297 | 4.3815 | 7.0357 | 90.0 | 90.0 | 90.0 | 
| oqmd-683820 | static | -7.3955 | -7.3955 | 2.5297 | 4.3815 | 6.763 | 90.0 | 90.0 | 90.0 | 
| mp-632329 | static | -7.3955 | -7.3955 | 4.3815 | 2.5297 | 3.7377 | 90.0 | 94.2 | 90.0 | 
| mp-990424 | static | -7.3955 | -7.3955 | 2.5297 | 2.5297 | 24.1328 | 90.0 | 90.0 | 120.0 | 
| mp-569416 | dynamic | -7.3955 | -7.3955 | 2.5297 | 2.5297 | 54.7152 | 90.0 | 90.0 | 120.0 | 
| mp-568363 | dynamic | -7.3955 | -7.3955 | 2.5297 | 4.3815 | 8.1502 | 90.0 | 90.0 | 90.0 | 
| oqmd-589493 | dynamic | -7.3955 | -7.3955 | 2.5297 | 2.5297 | 28.956 | 90.0 | 90.0 | 120.0 | 
| mp-48 | static | -7.3955 | -7.3955 | 2.5297 | 2.5297 | 7.8031 | 90.0 | 90.0 | 120.0 | 
| mp-48 | dynamic | -7.3955 | -7.3955 | 2.5297 | 2.5297 | 7.8033 | 90.0 | 90.0 | 120.0 | 
| mp-997182 | static | -7.3955 | -7.3955 | 2.5297 | 2.5297 | 12.0458 | 90.0 | 90.0 | 120.0 | 
| oqmd-590101 | static | -7.3955 | -7.3955 | 2.5297 | 2.5297 | 6.7959 | 90.0 | 90.0 | 120.0 | 
| mp-997182 | dynamic | -7.3955 | -7.3955 | 2.5297 | 2.5297 | 12.0466 | 90.0 | 90.0 | 120.0 | 
| mp-990424 | dynamic | -7.3955 | -7.3955 | 2.5297 | 2.5297 | 24.549 | 90.0 | 90.0 | 120.0 | 
| mp-569304 | dynamic | -7.3955 | -7.3955 | 2.5297 | 2.5297 | 33.5765 | 90.0 | 90.0 | 120.0 | 
| oqmd-589493 | static | -7.3955 | -7.3955 | 2.5297 | 2.5297 | 28.9535 | 90.0 | 90.0 | 120.0 | 
| A7--alpha-As | dynamic | -7.3955 | -7.3955 | 2.5297 | 2.5297 | 10.2131 | 90.0 | 90.0 | 120.0 | 
| mp-568806 | static | -7.3955 | -7.3955 | 2.5297 | 2.5297 | 3.6525 | 90.0 | 90.0 | 120.0 | 
| oqmd-610551 | static | -7.3955 | -7.3955 | 2.5297 | 2.5297 | 3.5013 | 90.0 | 90.0 | 120.0 | 
| oqmd-1215937 | dynamic | -7.3955 | -7.3955 | 2.5297 | 2.5297 | 7.3725 | 90.0 | 90.0 | 120.0 | 
| mp-606949 | dynamic | -7.3955 | -7.3955 | 2.5297 | 2.5297 | 29.4919 | 90.0 | 90.0 | 120.0 | 
| mp-568363 | static | -7.3955 | -7.3955 | 2.5297 | 4.3815 | 8.1499 | 90.0 | 90.0 | 90.0 | 
| mp-1040425 | dynamic | -7.3955 | -7.3955 | 2.5297 | 2.5297 | 19.9984 | 90.0 | 90.0 | 120.0 | 
| mp-990448 | static | -7.3955 | -7.3955 | 2.5297 | 2.5297 | 8.5238 | 90.0 | 90.0 | 120.0 | 
| oqmd-637444 | dynamic | -7.3955 | -7.3955 | 4.1309 | 4.1309 | 4.1309 | 90.0 | 90.0 | 90.0 | 
| oqmd-589491 | dynamic | -7.3955 | -7.3955 | 2.5297 | 2.5297 | 33.3583 | 90.0 | 90.0 | 120.0 | 
| A7--alpha-As | dynamic | -7.3955 | -7.3955 | 2.5297 | 2.5297 | 7.1223 | 90.0 | 90.0 | 120.0 | 
| mp-606949 | static | -7.3955 | -7.3955 | 2.5297 | 2.5297 | 29.4915 | 90.0 | 90.0 | 120.0 | 
| oqmd-683819 | static | -7.3955 | -7.3955 | 2.5297 | 4.3815 | 6.6489 | 90.0 | 90.0 | 90.0 | 
| mp-569304 | static | -7.3955 | -7.3955 | 2.5297 | 2.5297 | 33.1908 | 90.0 | 90.0 | 120.0 | 
| oqmd-599491 | dynamic | -7.3705 | -7.3705 | 2.5213 | 2.5213 | 12.3517 | 90.0 | 90.0 | 120.0 | 
| oqmd-599492 | dynamic | -7.3705 | -7.3705 | 2.5213 | 2.5213 | 16.4689 | 90.0 | 90.0 | 120.0 | 
| mp-611426 | dynamic | -7.3705 | -7.3705 | 2.5213 | 2.5213 | 8.2345 | 90.0 | 90.0 | 120.0 | 
| mp-569517 | dynamic | -7.3705 | -7.3705 | 2.5213 | 2.5213 | 30.8792 | 90.0 | 90.0 | 120.0 | 
| mp-47 | dynamic | -7.3705 | -7.3705 | 2.5213 | 2.5213 | 4.1172 | 90.0 | 90.0 | 120.0 | 
| A4--C--dc | dynamic | -7.3705 | -7.3705 | 3.5656 | 3.5656 | 3.5656 | 90.0 | 90.0 | 90.0 | 
| oqmd-599494 | dynamic | -7.3705 | -7.3705 | 2.5213 | 2.5213 | 43.2309 | 90.0 | 90.0 | 120.0 | 
| oqmd-599489 | box | -7.3705 | -7.3705 | 2.5209 | 2.5209 | 4.1183 | 90.0 | 90.0 | 120.0 | 
| mp-47 | box | -7.3704 | -7.3704 | 2.5209 | 2.5209 | 4.1186 | 90.0 | 90.0 | 120.0 | 
| oqmd-599492 | box | -7.3698 | -7.3698 | 2.5211 | 2.5211 | 16.4722 | 90.0 | 90.0 | 120.0 | 
| mp-616440 | box | -7.3697 | -7.3697 | 2.5212 | 2.5212 | 16.4717 | 90.0 | 90.0 | 120.0 | 
| oqmd-599491 | box | -7.3696 | -7.3696 | 2.5212 | 2.5212 | 12.3544 | 90.0 | 90.0 | 120.0 | 
| mp-569567 | box | -7.3695 | -7.3695 | 2.5212 | 2.5212 | 43.2384 | 90.0 | 90.0 | 120.0 | 
| mp-611448 | box | -7.3695 | -7.3695 | 2.5212 | 2.5212 | 12.3542 | 90.0 | 90.0 | 120.0 | 
| oqmd-599493 | box | -7.3695 | -7.3695 | 2.5212 | 2.5212 | 30.8852 | 90.0 | 90.0 | 120.0 | 
| mp-569517 | box | -7.3694 | -7.3694 | 2.5212 | 2.5212 | 30.8866 | 90.0 | 90.0 | 120.0 | 
| mp-611426 | box | -7.3693 | -7.3693 | 2.5211 | 2.5211 | 8.237 | 90.0 | 90.0 | 120.0 | 
| oqmd-599490 | box | -7.3692 | -7.3692 | 2.5212 | 2.5212 | 8.2365 | 90.0 | 90.0 | 120.0 | 
| mp-1096869 | static | -7.2982 | -7.2982 | 26.3006 | 15.1938 | 2.1 | 90.0 | 93.7 | 90.0 | 
| mp-1008374 | dynamic | -7.2953 | -7.2953 | 2.5141 | 7.8961 | 2.5567 | 90.0 | 90.0 | 90.0 | 
| mp-1008374 | box | -7.2238 | -7.2238 | 2.4984 | 7.9954 | 2.5546 | 90.0 | 90.0 | 90.0 | 
| oqmd-637443 | dynamic | -7.1356 | -7.1356 | 5.253 | 5.253 | 5.253 | 90.0 | 90.0 | 90.0 | 
| mp-1078845 | dynamic | -7.1326 | -7.1326 | 4.216 | 8.7999 | 2.5397 | 90.0 | 90.0 | 90.0 | 
| oqmd-637443 | box | -7.1313 | -7.1313 | 5.2514 | 5.2514 | 5.2514 | 90.0 | 90.0 | 90.0 | 
| mp-1188817 | box | -7.1299 | -7.1299 | 5.2507 | 5.2507 | 5.2507 | 90.0 | 90.0 | 90.0 | 
| mp-1078845 | box | -7.1145 | -7.1145 | 4.2326 | 8.8159 | 2.5338 | 90.0 | 90.0 | 90.0 | 
| oqmd-610557 | dynamic | -7.0647 | -7.0647 | 4.8575 | 5.2433 | 4.488 | 90.0 | 90.0 | 90.0 | 
| oqmd-610557 | box | -7.0373 | -7.0373 | 4.8333 | 5.319 | 4.5065 | 90.0 | 90.0 | 90.0 | 
| oqmd-610556 | box | -7.0361 | -7.0361 | 4.8303 | 5.3267 | 4.507 | 90.0 | 90.0 | 90.0 | 
| mp-568410 | box | -7.0336 | -7.0336 | 4.8286 | 5.3321 | 4.5079 | 90.0 | 90.0 | 90.0 | 
| mp-1008395 | dynamic | -6.9948 | -6.9948 | 4.3954 | 4.3954 | 2.5354 | 90.0 | 90.0 | 90.0 | 
| oqmd-637353 | box | -6.9665 | -6.9665 | 4.4042 | 4.4042 | 2.5322 | 90.0 | 90.0 | 90.0 | 
| mp-1008395 | box | -6.9652 | -6.9652 | 4.4046 | 4.4046 | 2.5322 | 90.0 | 90.0 | 90.0 | 
| oqmd-637130 | dynamic | -6.9559 | -6.9559 | 9.1207 | 2.5545 | 4.177 | 90.0 | 90.0 | 90.0 | 
| oqmd-637352 | dynamic | -6.9538 | -6.9538 | 9.227 | 2.5546 | 4.1772 | 90.0 | 98.3 | 90.0 | 
| mp-1080826 | box | -6.9326 | -6.9326 | 9.2154 | 2.554 | 4.1755 | 90.0 | 97.1 | 90.0 | 
| oqmd-637352 | box | -6.9324 | -6.9324 | 9.215 | 2.5542 | 4.1747 | 90.0 | 97.1 | 90.0 | 
| mp-1190171 | box | -6.9285 | -6.9285 | 9.127 | 2.5546 | 4.1748 | 90.0 | 90.0 | 90.0 | 
| oqmd-637130 | box | -6.9282 | -6.9282 | 9.1263 | 2.5549 | 4.1741 | 90.0 | 90.0 | 90.0 | 
| mp-683919 | dynamic | -6.825 | -6.825 | 10.2338 | 17.5723 | 18.2798 | 90.0 | 90.0 | 90.0 | 
| oqmd-689315 | dynamic | -6.825 | -6.825 | 9.9934 | 17.3033 | 18.2798 | 90.0 | 90.0 | 90.0 | 
| mp-683919 | static | -6.825 | -6.825 | 10.4863 | 17.69 | 18.2794 | 90.0 | 90.0 | 90.0 | 
| oqmd-689315 | static | -6.825 | -6.825 | 10.4603 | 17.6716 | 18.2782 | 90.0 | 90.0 | 90.0 | 
| mp-683919 | box | -6.812 | -6.812 | 10.4768 | 18.0015 | 18.5709 | 90.0 | 90.0 | 90.0 | 
| mp-680372 | dynamic | -6.7971 | -6.7971 | 9.2615 | 9.2615 | 25.3508 | 90.0 | 90.0 | 120.0 | 
| oqmd-614417 | dynamic | -6.7971 | -6.7971 | 9.2615 | 9.2615 | 23.9126 | 90.0 | 90.0 | 120.0 | 
| oqmd-614417 | static | -6.7971 | -6.7971 | 9.2615 | 9.2615 | 25.1309 | 90.0 | 90.0 | 120.0 | 
| mp-680372 | static | -6.7971 | -6.7971 | 9.262 | 9.262 | 26.352 | 90.0 | 90.0 | 120.0 | 
| oqmd-689315 | box | -6.7831 | -6.7831 | 10.4402 | 18.0358 | 18.5637 | 90.0 | 90.0 | 90.0 | 
| oqmd-595714 | dynamic | -6.7775 | -6.7775 | 9.1869 | 9.2478 | 14.4378 | 90.0 | 90.0 | 90.0 | 
| mp-630227 | static | -6.7775 | -6.7775 | 9.1869 | 9.2478 | 16.1998 | 90.0 | 90.0 | 90.0 | 
| oqmd-595714 | static | -6.7775 | -6.7775 | 9.1869 | 9.2478 | 15.1188 | 90.0 | 90.0 | 90.0 | 
| mp-630227 | dynamic | -6.7775 | -6.7775 | 9.1869 | 9.2478 | 15.6927 | 90.0 | 90.0 | 90.0 | 
| oqmd-684627 | dynamic | -6.7774 | -6.7774 | 9.2175 | 9.2175 | 15.0374 | 90.0 | 90.0 | 90.0 | 
| oqmd-684627 | static | -6.7774 | -6.7774 | 9.2176 | 9.2176 | 15.7712 | 90.0 | 90.0 | 90.0 | 
| mp-568028 | dynamic | -6.7748 | -6.7748 | 8.1191 | 14.0618 | 9.5556 | 90.0 | 90.0 | 90.0 | 
| oqmd-614417 | box | -6.7663 | -6.7663 | 9.4429 | 9.4429 | 24.8376 | 90.0 | 90.0 | 120.0 | 
| mp-680372 | box | -6.7625 | -6.7625 | 9.456 | 9.456 | 26.0282 | 90.0 | 90.0 | 120.0 | 
| oqmd-595714 | box | -6.7582 | -6.7582 | 9.3418 | 9.4266 | 15.0211 | 90.0 | 90.0 | 90.0 | 
| mp-630227 | box | -6.7574 | -6.7574 | 9.3309 | 9.4202 | 16.1237 | 90.0 | 90.0 | 90.0 | 
| oqmd-684315 | dynamic | -6.7534 | -6.7534 | 9.8888 | 14.8659 | 9.2302 | 90.0 | 90.0 | 90.0 | 
| mp-1147718 | dynamic | -6.7534 | -6.7534 | 10.3253 | 14.8293 | 9.2302 | 90.0 | 90.0 | 90.0 | 
| mp-1147718 | static | -6.7534 | -6.7534 | 10.5804 | 15.2079 | 9.2302 | 90.0 | 90.0 | 90.0 | 
| mp-1147718 | box | -6.7381 | -6.7381 | 10.5692 | 15.1752 | 9.4823 | 90.0 | 90.0 | 90.0 | 
| mp-667273 | dynamic | -6.7302 | -6.7302 | 14.4663 | 14.4663 | 14.4663 | 90.0 | 90.0 | 90.0 | 
| mp-1196583 | dynamic | -6.7302 | -6.7302 | 14.4714 | 14.4714 | 14.4714 | 90.0 | 90.0 | 90.0 | 
| oqmd-677227 | dynamic | -6.7302 | -6.7302 | 14.0558 | 14.0558 | 14.0558 | 90.0 | 90.0 | 90.0 | 
| oqmd-603085 | static | -6.7302 | -6.7302 | 14.3929 | 14.3929 | 14.3929 | 90.0 | 90.0 | 90.0 | 
| oqmd-603085 | dynamic | -6.7302 | -6.7302 | 13.8467 | 13.8467 | 13.8467 | 90.0 | 90.0 | 90.0 | 
| oqmd-677227 | static | -6.7302 | -6.7302 | 14.5919 | 14.5919 | 14.5919 | 90.0 | 90.0 | 90.0 | 
| mp-1196583 | static | -6.7302 | -6.7302 | 14.8215 | 14.8215 | 14.8215 | 90.0 | 90.0 | 90.0 | 
| mp-667273 | static | -6.7302 | -6.7302 | 14.8851 | 14.8851 | 14.8851 | 90.0 | 90.0 | 90.0 | 
| mp-1196583 | box | -6.7291 | -6.7291 | 14.8224 | 14.8224 | 14.8224 | 90.0 | 90.0 | 90.0 | 
| oqmd-603085 | box | -6.7289 | -6.7289 | 14.3937 | 14.3937 | 14.3937 | 90.0 | 90.0 | 90.0 | 
| mp-667273 | box | -6.7285 | -6.7285 | 14.8864 | 14.8864 | 14.8864 | 90.0 | 90.0 | 90.0 | 
| oqmd-677227 | box | -6.718 | -6.718 | 14.601 | 14.601 | 14.601 | 90.0 | 90.0 | 90.0 | 
| oqmd-684627 | box | -6.7176 | -6.7176 | 9.4038 | 9.4038 | 15.7302 | 90.0 | 90.0 | 90.0 | 
| mp-624889 | dynamic | -6.668 | -6.668 | 4.8028 | 5.2645 | 5.5008 | 90.0 | 90.0 | 90.0 | 
| mp-579909 | static | -6.668 | -6.668 | 4.8028 | 5.2645 | 7.1786 | 90.0 | 90.0 | 90.0 | 
| mp-624889 | static | -6.668 | -6.668 | 4.8028 | 5.2645 | 5.911 | 90.0 | 90.0 | 90.0 | 
| mp-1205283 | dynamic | -6.6533 | -6.6533 | 10.2916 | 13.1545 | 9.0717 | 90.0 | 90.0 | 90.0 | 
| mp-1205283 | static | -6.6478 | -6.6478 | 8.7979 | 13.9578 | 9.5626 | 90.0 | 90.0 | 90.0 | 
| mp-624889 | box | -6.6236 | -6.6236 | 4.8437 | 5.3009 | 5.8921 | 90.0 | 90.0 | 90.0 | 
| mp-568028 | box | -6.6099 | -6.6099 | 8.6336 | 14.5651 | 9.8234 | 90.0 | 90.0 | 90.0 | 
| mp-24 | dynamic | -6.5985 | -6.5985 | 4.4371 | 4.4371 | 4.4371 | 90.0 | 90.0 | 90.0 | 
| mp-24 | box | -6.5755 | -6.5755 | 4.462 | 4.462 | 4.462 | 90.0 | 90.0 | 90.0 | 
| oqmd-610552 | box | -6.5291 | -6.5291 | 4.7554 | 5.6374 | 6.6519 | 90.0 | 90.0 | 90.0 | 
| mp-579909 | box | -6.5265 | -6.5265 | 4.7456 | 5.6503 | 7.0904 | 90.0 | 90.0 | 90.0 | 
| mp-1245190 | dynamic | -6.5215 | -6.5215 | 9.8153 | 10.0034 | 10.4569 | 88.3 | 86.4 | 89.6 | 
| mp-1244913 | dynamic | -6.434 | -6.434 | 9.8138 | 10.4256 | 10.4374 | 91.4 | 95.5 | 93.4 | 
| mp-1244964 | dynamic | -6.4201 | -6.4201 | 9.9755 | 10.2721 | 10.9035 | 87.9 | 88.5 | 90.0 | 
| mp-1245190 | static | -6.3133 | -6.3133 | 10.1374 | 10.5066 | 10.5347 | 91.1 | 90.8 | 94.3 | 
| mp-1205283 | box | -6.2064 | -6.2064 | 10.3795 | 13.5622 | 9.4325 | 90.0 | 90.0 | 90.0 | 
| oqmd-684315 | static | -6.1838 | -6.1838 | 10.2187 | 16.3471 | 9.1536 | 90.0 | 90.0 | 90.0 | 
| mp-1244964 | static | -6.1471 | -6.1471 | 10.0704 | 10.2829 | 11.1905 | 89.4 | 84.0 | 89.3 | 
| mp-570002 | dynamic | -6.1044 | -6.1044 | 5.0173 | 5.0173 | 5.0173 | 90.0 | 90.0 | 90.0 | 
| oqmd-585286 | box | -6.0376 | -6.0376 | 5.0293 | 5.0293 | 5.0293 | 90.0 | 90.0 | 90.0 | 
| mp-570002 | box | -6.0372 | -6.0372 | 5.0294 | 5.0294 | 5.0294 | 90.0 | 90.0 | 90.0 | 
| mp-1244913 | static | -5.8825 | -5.8825 | 10.4347 | 10.5989 | 10.8773 | 90.1 | 93.6 | 96.9 | 
| mp-1095633 | dynamic | -5.7627 | -5.7627 | 7.553 | 7.553 | 5.0511 | 90.0 | 90.0 | 90.0 | 
| mp-1095633 | static | -5.7537 | -5.7537 | 4.9193 | 4.9193 | 7.6011 | 90.0 | 90.0 | 90.0 | 
| mp-1182684 | dynamic | -5.5808 | -5.5808 | 9.4575 | 10.9325 | 14.7348 | 90.0 | 90.0 | 90.0 | 
| mp-1182684 | static | -5.5674 | -5.5674 | 12.4377 | 12.9237 | 18.6383 | 90.0 | 90.0 | 90.0 | 
| mp-1197903 | dynamic | -5.5611 | -5.5611 | 7.7599 | 9.3983 | 23.2888 | 97.6 | 97.6 | 105.9 | 
| mp-1245190 | box | -5.5324 | -5.5324 | 10.8109 | 11.2523 | 11.2741 | 89.7 | 89.9 | 87.6 | 
| mp-1196857 | dynamic | -5.5158 | -5.5158 | 9.2139 | 19.0227 | 5.9819 | 90.0 | 90.0 | 90.0 | 
| oqmd-684315 | box | -5.467 | -5.467 | 11.4585 | 15.8043 | 9.2668 | 90.0 | 90.0 | 90.0 | 
| mp-1244964 | box | -5.3365 | -5.3365 | 10.9557 | 11.0671 | 11.7983 | 90.1 | 95.0 | 93.1 | 
| mp-1197903 | static | -5.334 | -5.334 | 7.8446 | 11.226 | 22.946 | 96.1 | 96.3 | 107.8 | 
| mp-1244913 | box | -4.9773 | -4.9773 | 11.4526 | 11.5258 | 11.9582 | 90.0 | 96.2 | 92.4 | 
| mp-1095534 | box | -4.5206 | -4.5206 | 10.8258 | 10.8258 | 2.4929 | 90.0 | 90.0 | 90.0 | 
| A3'--alpha-La--double-hcp | dynamic | -4.4411 | -4.4411 | 2.5396 | 2.5396 | 4.1955 | 90.0 | 90.0 | 120.0 | 
| A5--beta-Sn | dynamic | -4.4359 | -4.4359 | 3.4613 | 3.4613 | 1.8243 | 90.0 | 90.0 | 90.0 | 
| A5--beta-Sn | box | -4.4271 | -4.4271 | 3.4085 | 3.4085 | 1.8816 | 90.0 | 90.0 | 90.0 | 
| Ah--alpha-Po--sc | dynamic | -4.4212 | -4.4212 | 1.802 | 1.802 | 1.802 | 90.0 | 90.0 | 90.0 | 
| mp-1095633 | box | -4.4124 | -4.4124 | 6.693 | 6.693 | 8.1095 | 90.0 | 90.0 | 90.0 | 
| A3'--alpha-La--double-hcp | box | -4.4115 | -4.4115 | 2.532 | 2.532 | 4.21 | 90.0 | 90.0 | 120.0 | 
| mp-1097832 | static | -4.1515 | -4.1515 | 2.4162 | 2.4162 | 9.8799 | 90.0 | 90.0 | 90.0 | 
| mp-1056957 | static | -4.1515 | -4.1515 | 2.4162 | 2.4162 | 6.5533 | 90.0 | 90.0 | 90.0 | 
| A6--In--bct | static | -4.1515 | -4.1515 | 1.7085 | 1.7085 | 6.5525 | 90.0 | 90.0 | 90.0 | 
| A6--In--bct | static | -4.1515 | -4.1515 | 1.7085 | 1.7085 | 3.4354 | 90.0 | 90.0 | 90.0 | 
| A6--In--bct | static | -4.1515 | -4.1515 | 1.7085 | 1.7085 | 6.3803 | 90.0 | 90.0 | 90.0 | 
| oqmd-1216026 | static | -4.1515 | -4.1515 | 2.4162 | 2.4162 | 9.1654 | 90.0 | 93.2 | 90.0 | 
| mp-1205417 | box | -3.9651 | -3.9651 | 13.4762 | 13.4762 | 7.8309 | 90.0 | 90.0 | 90.0 | 
| mp-1192619 | box | -3.7363 | -3.7363 | 10.2694 | 10.2694 | 10.2694 | 90.0 | 90.0 | 90.0 | 
| oqmd-1214779 | box | -3.708 | -3.708 | 9.8462 | 9.8462 | 9.8462 | 90.0 | 90.0 | 90.0 | 
| A2--W--bcc | static | -3.6246 | -3.6246 | 2.1521 | 2.1521 | 2.1521 | 90.0 | 90.0 | 90.0 | 
| oqmd-1215848 | static | -3.6168 | -3.6168 | 3.4043 | 3.4043 | 1.5493 | 90.0 | 90.0 | 120.0 | 
| A15--beta-W | static | -3.3836 | -3.3836 | 3.4062 | 3.4062 | 3.4062 | 90.0 | 90.0 | 90.0 | 
| A1--Cu--fcc | box | -2.9846 | -2.9846 | 2.7276 | 2.7276 | 2.7276 | 90.0 | 90.0 | 90.0 | 
| A3'--alpha-La--double-hcp | box | -2.9844 | -2.9844 | 1.9288 | 1.9288 | 6.2985 | 90.0 | 90.0 | 120.0 | 
| A3--Mg--hcp | box | -2.9843 | -2.9843 | 1.9289 | 1.9289 | 3.1489 | 90.0 | 90.0 | 120.0 | 
| oqmd-1214868 | dynamic | -2.7075 | -2.7075 | 6.7962 | 6.7962 | 6.7962 | 90.0 | 90.0 | 90.0 | 
| oqmd-1214868 | static | -2.7075 | -2.7075 | 7.5713 | 7.5713 | 7.5713 | 90.0 | 90.0 | 90.0 | 
| oqmd-1214868 | box | -2.6742 | -2.6742 | 7.6375 | 7.6375 | 7.6375 | 90.0 | 90.0 | 90.0 | 
| A1--Cu--fcc | dynamic | 0.0 | 0.0 | 3.0645 | 3.0645 | 3.0645 | 90.0 | 90.0 | 90.0 | 
Download raw data (including filtered results)
Reference structure matches:
| prototype | method | Ecoh (eV/atom) | Epot (eV/atom) | a0 (Å) | b0 (Å) | c0 (Å) | α (degrees) | β (degrees) | γ (degrees) | 
|---|---|---|---|---|---|---|---|---|---|
| mp-1019097 | dynamic | -6.4068 | -6.4068 | 3.1288 | 3.1288 | 6.6579 | 90.0 | 90.0 | 90.0 | 
| mp-1019097 | box | -6.2621 | -6.2621 | 3.1053 | 3.1053 | 6.9125 | 90.0 | 90.0 | 90.0 | 
| mp-1102811 | dynamic | -6.1376 | -6.1376 | 4.5796 | 4.5796 | 4.5796 | 90.0 | 90.0 | 90.0 | 
| C1--CaF2--fluorite | dynamic | -5.821 | -5.821 | 4.5881 | 4.5881 | 4.5881 | 90.0 | 90.0 | 90.0 | 
| mp-1102811 | box | -5.8033 | -5.8033 | 4.7065 | 4.7065 | 4.7065 | 90.0 | 90.0 | 90.0 | 
Download raw data (including filtered results)
Reference structure matches:
| prototype | method | Ecoh (eV/atom) | Epot (eV/atom) | a0 (Å) | b0 (Å) | c0 (Å) | α (degrees) | β (degrees) | γ (degrees) | 
|---|---|---|---|---|---|---|---|---|---|
| D0_3--BiF3 | static | -4.4452 | -4.4452 | 4.8084 | 4.8084 | 4.8084 | 90.0 | 90.0 | 90.0 | 
| A15--Cr3Si | box | -4.4376 | -4.4376 | 3.963 | 3.963 | 3.963 | 90.0 | 90.0 | 90.0 | 
| L1_2--AuCu3 | static | -3.8974 | -3.8974 | 3.0556 | 3.0556 | 3.0556 | 90.0 | 90.0 | 90.0 | 
| mp-972848 | static | -3.1629 | -3.1629 | 2.6228 | 2.6228 | 14.1591 | 90.0 | 90.0 | 90.0 | 
Download raw data (including filtered results)
Reference structure matches:
| prototype | method | Ecoh (eV/atom) | Epot (eV/atom) | a0 (Å) | b0 (Å) | c0 (Å) | α (degrees) | β (degrees) | γ (degrees) | 
|---|---|---|---|---|---|---|---|---|---|
| mp-1219306 | dynamic | -5.0012 | -5.0012 | 8.7075 | 8.7075 | 7.8691 | 90.0 | 90.0 | 120.0 | 
Download raw data (including filtered results)
Reference structure matches:
| prototype | method | Ecoh (eV/atom) | Epot (eV/atom) | a0 (Å) | b0 (Å) | c0 (Å) | α (degrees) | β (degrees) | γ (degrees) | 
|---|---|---|---|---|---|---|---|---|---|
| mp-1179504 | dynamic | -4.8393 | -4.8393 | 5.0851 | 11.8096 | 11.9035 | 70.9 | 85.1 | 87.2 | 
| mp-1202928 | dynamic | -4.8024 | -4.8024 | 4.8284 | 11.7211 | 12.53 | 65.0 | 87.9 | 79.1 | 
| mp-1202928 | static | -4.7911 | -4.7911 | 4.925 | 11.6091 | 12.446 | 65.6 | 88.4 | 79.6 | 
| mp-1179504 | static | -4.7846 | -4.7846 | 5.3182 | 11.5103 | 11.6566 | 72.3 | 85.6 | 86.3 | 
| mp-1179504 | box | -4.3155 | -4.3155 | 5.5683 | 11.7251 | 12.4834 | 69.6 | 86.4 | 86.2 | 
Download raw data (including filtered results)
Reference structure matches:
B1--NaCl--rock-salt = mp-1002206
B3--ZnS--cubic-zinc-blende = mp-8062
| prototype | method | Ecoh (eV/atom) | Epot (eV/atom) | a0 (Å) | b0 (Å) | c0 (Å) | α (degrees) | β (degrees) | γ (degrees) | 
|---|---|---|---|---|---|---|---|---|---|
| mp-571286 | dynamic | -6.1647 | -6.1647 | 3.0555 | 3.0555 | 89.8115 | 90.0 | 90.0 | 120.0 | 
| mp-1200168 | dynamic | -6.1647 | -6.1647 | 3.0555 | 3.0555 | 217.0446 | 90.0 | 90.0 | 120.0 | 
| mp-571298 | dynamic | -6.1647 | -6.1647 | 3.0555 | 3.0555 | 97.2958 | 90.0 | 90.0 | 120.0 | 
| mp-570690 | dynamic | -6.1647 | -6.1647 | 3.0555 | 3.0555 | 67.3587 | 90.0 | 90.0 | 120.0 | 
| mp-624397 | dynamic | -6.1647 | -6.1647 | 3.0555 | 3.0555 | 82.3272 | 90.0 | 90.0 | 120.0 | 
| mp-568735 | dynamic | -6.1647 | -6.1647 | 3.0555 | 3.0555 | 44.9058 | 90.0 | 90.0 | 120.0 | 
| mp-1204356 | dynamic | -6.1647 | -6.1647 | 3.0555 | 3.0555 | 142.2016 | 90.0 | 90.0 | 120.0 | 
| mp-567551 | dynamic | -6.1647 | -6.1647 | 3.0555 | 3.0555 | 39.9162 | 90.0 | 90.0 | 120.0 | 
| mp-568696 | dynamic | -6.1647 | -6.1647 | 3.0555 | 3.0555 | 34.9267 | 90.0 | 90.0 | 120.0 | 
| mp-9947 | dynamic | -6.1647 | -6.1647 | 3.0555 | 3.0555 | 52.3901 | 90.0 | 90.0 | 120.0 | 
| mp-570641 | dynamic | -6.1647 | -6.1647 | 3.0555 | 3.0555 | 59.8744 | 90.0 | 90.0 | 120.0 | 
| mp-567505 | dynamic | -6.1647 | -6.1647 | 3.0555 | 3.0555 | 19.9581 | 90.0 | 90.0 | 120.0 | 
| mp-7631 | dynamic | -6.1647 | -6.1647 | 3.0555 | 3.0555 | 14.9686 | 90.0 | 90.0 | 120.0 | 
| mp-568656 | dynamic | -6.1647 | -6.1647 | 3.0555 | 3.0555 | 24.9476 | 90.0 | 90.0 | 120.0 | 
| mp-7140 | dynamic | -6.1647 | -6.1647 | 3.0555 | 3.0555 | 4.9895 | 90.0 | 90.0 | 120.0 | 
| mp-570791 | dynamic | -6.1647 | -6.1647 | 3.0555 | 3.0555 | 47.4005 | 90.0 | 90.0 | 120.0 | 
| mp-1200692 | dynamic | -6.1647 | -6.1647 | 3.0555 | 3.0555 | 127.233 | 90.0 | 90.0 | 120.0 | 
| B3--ZnS--cubic-zinc-blende | dynamic | -6.1647 | -6.1647 | 4.3211 | 4.3211 | 4.3211 | 90.0 | 90.0 | 90.0 | 
| mp-11714 | dynamic | -6.1647 | -6.1647 | 3.0555 | 3.0555 | 9.9791 | 90.0 | 90.0 | 120.0 | 
| mp-568619 | dynamic | -6.1647 | -6.1647 | 3.0555 | 3.0555 | 12.4738 | 90.0 | 90.0 | 120.0 | 
| mp-11713 | dynamic | -6.1647 | -6.1647 | 3.0555 | 3.0555 | 37.4215 | 90.0 | 90.0 | 120.0 | 
| mp-1200848 | dynamic | -6.1647 | -6.1647 | 3.0555 | 3.0555 | 187.1074 | 90.0 | 90.0 | 120.0 | 
| mp-1199063 | dynamic | -6.1647 | -6.1647 | 3.0555 | 3.0555 | 209.5603 | 90.0 | 90.0 | 120.0 | 
| mp-568619 | box | -6.1646 | -6.1646 | 3.0561 | 3.0561 | 12.4684 | 90.0 | 90.0 | 120.0 | 
| mp-567505 | box | -6.1646 | -6.1646 | 3.0558 | 3.0558 | 19.953 | 90.0 | 90.0 | 120.0 | 
| mp-582034 | box | -6.1646 | -6.1646 | 3.0559 | 3.0559 | 52.375 | 90.0 | 90.0 | 120.0 | 
| mp-9947 | box | -6.1646 | -6.1646 | 3.0559 | 3.0559 | 52.3741 | 90.0 | 90.0 | 120.0 | 
| mp-568696 | box | -6.1646 | -6.1646 | 3.0559 | 3.0559 | 34.9162 | 90.0 | 90.0 | 120.0 | 
| mp-7631 | box | -6.1646 | -6.1646 | 3.056 | 3.056 | 14.9634 | 90.0 | 90.0 | 120.0 | 
| mp-1204356 | box | -6.1646 | -6.1646 | 3.056 | 3.056 | 142.1557 | 90.0 | 90.0 | 120.0 | 
| mp-571286 | box | -6.1646 | -6.1646 | 3.056 | 3.056 | 89.7814 | 90.0 | 90.0 | 120.0 | 
| mp-1200692 | box | -6.1646 | -6.1646 | 3.056 | 3.056 | 127.1873 | 90.0 | 90.0 | 120.0 | 
| mp-570985 | box | -6.1646 | -6.1646 | 3.056 | 3.056 | 67.3336 | 90.0 | 90.0 | 120.0 | 
| mp-567551 | box | -6.1646 | -6.1646 | 3.056 | 3.056 | 39.9017 | 90.0 | 90.0 | 120.0 | 
| mp-7140 | box | -6.1646 | -6.1646 | 3.0567 | 3.0567 | 4.9853 | 90.0 | 90.0 | 120.0 | 
| mp-568656 | box | -6.1646 | -6.1646 | 3.0561 | 3.0561 | 24.9376 | 90.0 | 90.0 | 120.0 | 
| mp-11713 | box | -6.1646 | -6.1646 | 3.0561 | 3.0561 | 37.4058 | 90.0 | 90.0 | 120.0 | 
| mp-570791 | box | -6.1646 | -6.1646 | 3.0561 | 3.0561 | 47.3807 | 90.0 | 90.0 | 120.0 | 
| mp-571298 | box | -6.1646 | -6.1646 | 3.0561 | 3.0561 | 97.2569 | 90.0 | 90.0 | 120.0 | 
| mp-568735 | box | -6.1646 | -6.1646 | 3.0561 | 3.0561 | 44.8857 | 90.0 | 90.0 | 120.0 | 
| mp-11714 | box | -6.1645 | -6.1645 | 3.0562 | 3.0562 | 9.9741 | 90.0 | 90.0 | 120.0 | 
| mp-1197730 | box | -6.1645 | -6.1645 | 3.0562 | 3.0562 | 127.1736 | 90.0 | 90.0 | 120.0 | 
| mp-570804 | box | -6.1645 | -6.1645 | 3.0568 | 3.0568 | 97.2141 | 90.0 | 90.0 | 120.0 | 
| mp-570641 | box | -6.1645 | -6.1645 | 3.0569 | 3.0569 | 59.818 | 90.0 | 90.0 | 120.0 | 
| mp-1200168 | box | -6.1645 | -6.1645 | 3.0571 | 3.0571 | 216.8144 | 90.0 | 90.0 | 120.0 | 
| mp-624397 | box | -6.1644 | -6.1644 | 3.0572 | 3.0572 | 82.2354 | 90.0 | 90.0 | 120.0 | 
| mp-570690 | box | -6.1644 | -6.1644 | 3.0573 | 3.0573 | 67.2795 | 90.0 | 90.0 | 120.0 | 
| mp-1199063 | box | -6.1643 | -6.1643 | 3.0572 | 3.0572 | 209.3324 | 90.0 | 90.0 | 120.0 | 
| mp-1200848 | box | -6.1642 | -6.1642 | 3.0572 | 3.0572 | 186.9011 | 90.0 | 90.0 | 120.0 | 
| B1--NaCl--rock-salt | dynamic | -4.6722 | -4.6722 | 4.239 | 4.239 | 4.239 | 90.0 | 90.0 | 90.0 | 
| B1--NaCl--rock-salt | box | -4.5965 | -4.5965 | 4.244 | 4.244 | 4.244 | 90.0 | 90.0 | 90.0 | 
| B2--CsCl | static | -3.6691 | -3.6691 | 2.6404 | 2.6404 | 2.6404 | 90.0 | 90.0 | 90.0 | 
Download raw data (including filtered results)
Reference structure matches:
| prototype | method | Ecoh (eV/atom) | Epot (eV/atom) | a0 (Å) | b0 (Å) | c0 (Å) | α (degrees) | β (degrees) | γ (degrees) | 
|---|---|---|---|---|---|---|---|---|---|
| C1--CaF2--fluorite | static | -4.0103 | -4.0103 | 5.219 | 5.219 | 5.219 | 90.0 | 90.0 | 90.0 | 
Download raw data (including filtered results)
Reference structure matches:
| prototype | method | Ecoh (eV/atom) | Epot (eV/atom) | a0 (Å) | b0 (Å) | c0 (Å) | α (degrees) | β (degrees) | γ (degrees) | 
|---|---|---|---|---|---|---|---|---|---|
| D0_3--BiF3 | dynamic | -3.14 | -3.14 | 5.9825 | 5.9825 | 5.9825 | 90.0 | 90.0 | 90.0 | 
| L1_2--AuCu3 | dynamic | -2.9518 | -2.9518 | 3.8143 | 3.8143 | 3.8143 | 90.0 | 90.0 | 90.0 | 
| A15--Cr3Si | static | -2.3467 | -2.3467 | 4.5646 | 4.5646 | 4.5646 | 90.0 | 90.0 | 90.0 | 
Download raw data (including filtered results)
Reference structure matches:
A1--Cu--fcc = mp-27, oqmd-9287, oqmd-1214570
A15--beta-W = oqmd-1215015, oqmd-1236371, oqmd-1280410
A2--W--bcc = mp-1014212, oqmd-1215193
A3'--alpha-La--double-hcp = oqmd-1215461
A3--Mg--hcp = mp-10649, oqmd-9288, oqmd-1215371
A4--C--dc = mp-149, oqmd-5714, oqmd-12378, oqmd-1215550
A5--beta-Sn = mp-92, oqmd-18979, oqmd-1215639
A6--In--bct = mp-1056579, oqmd-691768, oqmd-1215728
A7--alpha-As = oqmd-1215817
Ah--alpha-Po--sc = oqmd-1215906
| prototype | method | Ecoh (eV/atom) | Epot (eV/atom) | a0 (Å) | b0 (Å) | c0 (Å) | α (degrees) | β (degrees) | γ (degrees) | 
|---|---|---|---|---|---|---|---|---|---|
| A4--C--dc | dynamic | -4.6296 | -4.6296 | 5.432 | 5.432 | 5.432 | 90.0 | 90.0 | 90.0 | 
| mp-165 | dynamic | -4.6296 | -4.6296 | 3.841 | 3.841 | 6.2723 | 90.0 | 90.0 | 120.0 | 
| oqmd-5764 | box | -4.6295 | -4.6295 | 3.838 | 3.838 | 6.2821 | 90.0 | 90.0 | 120.0 | 
| oqmd-22507 | box | -4.6295 | -4.6295 | 3.8436 | 6.6409 | 6.2794 | 90.0 | 90.0 | 90.0 | 
| mp-165 | box | -4.6295 | -4.6295 | 3.8378 | 3.8378 | 6.283 | 90.0 | 90.0 | 120.0 | 
| oqmd-717362 | dynamic | -4.5907 | -4.5907 | 14.6214 | 14.6214 | 14.6214 | 90.0 | 90.0 | 90.0 | 
| oqmd-717362 | box | -4.5906 | -4.5906 | 14.6222 | 14.6222 | 14.6222 | 90.0 | 90.0 | 90.0 | 
| mp-1203790 | dynamic | -4.5877 | -4.5877 | 10.3317 | 10.3317 | 16.9075 | 90.0 | 90.0 | 120.0 | 
| mp-1203790 | box | -4.5876 | -4.5876 | 10.3312 | 10.3312 | 16.9098 | 90.0 | 90.0 | 120.0 | 
| mp-971662 | dynamic | -4.5721 | -4.5721 | 10.1514 | 10.1514 | 10.1514 | 90.0 | 90.0 | 90.0 | 
| oqmd-717360 | box | -4.572 | -4.572 | 10.15 | 10.15 | 10.15 | 90.0 | 90.0 | 90.0 | 
| mp-971662 | box | -4.572 | -4.572 | 10.1494 | 10.1494 | 10.1494 | 90.0 | 90.0 | 90.0 | 
| mp-1196961 | dynamic | -4.5574 | -4.5574 | 10.1199 | 10.1199 | 10.3374 | 90.0 | 90.0 | 120.0 | 
| mp-1196961 | box | -4.5573 | -4.5573 | 10.1258 | 10.1258 | 10.3289 | 90.0 | 90.0 | 120.0 | 
| mp-1204627 | dynamic | -4.5338 | -4.5338 | 16.7187 | 12.7666 | 9.9443 | 90.0 | 90.0 | 90.0 | 
| mp-1204627 | box | -4.5326 | -4.5326 | 16.7281 | 12.7774 | 9.9439 | 90.0 | 90.0 | 90.0 | 
| oqmd-22407 | dynamic | -4.4996 | -4.4996 | 6.6201 | 6.6201 | 3.8861 | 90.0 | 90.0 | 90.0 | 
| mp-1079297 | dynamic | -4.4982 | -4.4982 | 13.8171 | 3.8852 | 6.3242 | 90.0 | 96.8 | 90.0 | 
| mp-999200 | box | -4.4956 | -4.4956 | 6.6669 | 6.6669 | 3.8451 | 90.0 | 90.0 | 90.0 | 
| mp-1079297 | box | -4.4952 | -4.4952 | 13.8244 | 3.8634 | 6.3558 | 90.0 | 96.5 | 90.0 | 
| oqmd-22407 | box | -4.495 | -4.495 | 6.6703 | 6.6703 | 3.8422 | 90.0 | 90.0 | 90.0 | 
| oqmd-22408 | box | -4.4949 | -4.4949 | 13.8295 | 3.8641 | 6.3551 | 90.0 | 96.5 | 90.0 | 
| mp-1199894 | dynamic | -4.4888 | -4.4888 | 25.3844 | 15.0784 | 9.8838 | 90.0 | 93.9 | 90.0 | 
| mp-1200830 | dynamic | -4.4874 | -4.4874 | 12.4268 | 12.4268 | 12.4268 | 90.0 | 90.0 | 90.0 | 
| mp-1201492 | dynamic | -4.4872 | -4.4872 | 17.5455 | 17.5455 | 17.5455 | 90.0 | 90.0 | 90.0 | 
| mp-1199894 | box | -4.4857 | -4.4857 | 25.3913 | 15.1321 | 9.8656 | 90.0 | 94.2 | 90.0 | 
| mp-1201492 | box | -4.4853 | -4.4853 | 17.5588 | 17.5588 | 17.5588 | 90.0 | 90.0 | 90.0 | 
| mp-1200830 | box | -4.4849 | -4.4849 | 12.4339 | 12.4339 | 12.4339 | 90.0 | 90.0 | 90.0 | 
| mp-971661 | dynamic | -4.4651 | -4.4651 | 10.0825 | 10.0825 | 10.0825 | 90.0 | 90.0 | 90.0 | 
| mp-971661 | box | -4.4636 | -4.4636 | 10.0854 | 10.0854 | 10.0854 | 90.0 | 90.0 | 90.0 | 
| mp-1202745 | dynamic | -4.4579 | -4.4579 | 9.9437 | 9.9437 | 16.1015 | 90.0 | 90.0 | 120.0 | 
| mp-1202745 | box | -4.4566 | -4.4566 | 9.9519 | 9.9519 | 16.0916 | 90.0 | 90.0 | 120.0 | 
| mp-1095269 | dynamic | -4.4326 | -4.4326 | 3.9004 | 10.649 | 12.7025 | 90.0 | 90.0 | 90.0 | 
| mp-1095269 | box | -4.4285 | -4.4285 | 3.8654 | 10.7684 | 12.6701 | 90.0 | 90.0 | 90.0 | 
| mp-1204046 | dynamic | -4.4217 | -4.4217 | 10.0381 | 10.0381 | 24.4881 | 90.0 | 90.0 | 90.0 | 
| mp-1204046 | box | -4.4118 | -4.4118 | 10.0954 | 10.0954 | 24.3237 | 90.0 | 90.0 | 90.0 | 
| oqmd-3484 | dynamic | -4.3843 | -4.3843 | 6.6444 | 6.6444 | 6.6444 | 90.0 | 90.0 | 90.0 | 
| oqmd-3484 | box | -4.3836 | -4.3836 | 6.6379 | 6.6379 | 6.6379 | 90.0 | 90.0 | 90.0 | 
| mp-168 | box | -4.3834 | -4.3834 | 6.637 | 6.637 | 6.637 | 90.0 | 90.0 | 90.0 | 
| oqmd-1214748 | dynamic | -4.3131 | -4.3131 | 4.6891 | 7.5363 | 3.8694 | 90.0 | 90.0 | 90.0 | 
| Ah--alpha-Po--sc | dynamic | -4.311 | -4.311 | 2.5444 | 2.5444 | 2.5444 | 90.0 | 90.0 | 90.0 | 
| A7--alpha-As | box | -4.3109 | -4.3109 | 3.5983 | 3.5983 | 8.8139 | 90.0 | 90.0 | 120.0 | 
| mp-1120747 | dynamic | -4.3059 | -4.3059 | 5.7332 | 5.7332 | 3.5093 | 90.0 | 90.0 | 120.0 | 
| A5--beta-Sn | dynamic | -4.3017 | -4.3017 | 4.9036 | 4.9036 | 2.5678 | 90.0 | 90.0 | 90.0 | 
| oqmd-1214748 | box | -4.296 | -4.296 | 4.6999 | 7.3483 | 3.9134 | 90.0 | 90.0 | 90.0 | 
| oqmd-7479 | box | -4.2934 | -4.2934 | 4.8451 | 4.9562 | 2.5664 | 90.0 | 90.0 | 90.0 | 
| mp-1072544 | dynamic | -4.2824 | -4.2824 | 6.7417 | 6.7417 | 6.7417 | 90.0 | 90.0 | 90.0 | 
| oqmd-18985 | dynamic | -4.2668 | -4.2668 | 9.5871 | 9.5871 | 5.4851 | 90.0 | 90.0 | 120.0 | 
| mp-571520 | box | -4.2592 | -4.2592 | 9.5345 | 9.5345 | 5.5988 | 90.0 | 90.0 | 120.0 | 
| oqmd-18985 | box | -4.2591 | -4.2591 | 9.522 | 9.522 | 5.579 | 90.0 | 90.0 | 120.0 | 
| oqmd-717361 | dynamic | -4.2454 | -4.2454 | 7.6244 | 7.6244 | 7.6244 | 90.0 | 90.0 | 90.0 | 
| oqmd-10215 | dynamic | -4.2193 | -4.2193 | 14.6657 | 14.6657 | 14.6657 | 90.0 | 90.0 | 90.0 | 
| mp-16220 | static | -4.2192 | -4.2192 | 14.6659 | 14.6659 | 14.6659 | 90.0 | 90.0 | 90.0 | 
| mp-1245041 | dynamic | -4.2132 | -4.2132 | 12.8945 | 13.0091 | 13.0564 | 71.4 | 73.2 | 75.3 | 
| mp-1244933 | dynamic | -4.2059 | -4.2059 | 12.3167 | 12.6112 | 12.6782 | 78.7 | 73.3 | 76.8 | 
| mp-1244933 | static | -4.2024 | -4.2024 | 12.3357 | 12.5995 | 12.6611 | 78.8 | 73.2 | 76.8 | 
| mp-1245041 | static | -4.2005 | -4.2005 | 12.7578 | 13.0373 | 13.0728 | 71.9 | 75.7 | 73.4 | 
| A2--W--bcc | dynamic | -4.1969 | -4.1969 | 3.0844 | 3.0844 | 3.0844 | 90.0 | 90.0 | 90.0 | 
| mp-1244971 | dynamic | -4.1968 | -4.1968 | 11.6393 | 12.8678 | 13.5302 | 98.0 | 97.3 | 99.6 | 
| mp-109 | dynamic | -4.1962 | -4.1962 | 4.8779 | 5.2466 | 9.7589 | 90.0 | 90.0 | 90.0 | 
| oqmd-1214837 | dynamic | -4.1875 | -4.1875 | 10.2099 | 10.2099 | 10.2099 | 90.0 | 90.0 | 90.0 | 
| mp-1245242 | dynamic | -4.1875 | -4.1875 | 12.5522 | 12.7234 | 12.7604 | 79.9 | 80.4 | 82.4 | 
| oqmd-1214837 | static | -4.1848 | -4.1848 | 10.1945 | 10.1945 | 10.1945 | 90.0 | 90.0 | 90.0 | 
| oqmd-1214837 | box | -4.1799 | -4.1799 | 10.1882 | 10.1882 | 10.1882 | 90.0 | 90.0 | 90.0 | 
| mp-1245242 | static | -4.1778 | -4.1778 | 12.5896 | 12.6711 | 12.8013 | 79.0 | 80.3 | 82.9 | 
| mp-1244990 | dynamic | -4.1642 | -4.1642 | 12.2558 | 12.2938 | 12.7888 | 102.2 | 103.1 | 98.2 | 
| mp-34 | dynamic | -4.1589 | -4.1589 | 2.6971 | 2.6971 | 2.6147 | 90.0 | 90.0 | 120.0 | 
| mp-1244990 | static | -4.1555 | -4.1555 | 12.2451 | 12.3048 | 12.7925 | 101.8 | 103.0 | 98.2 | 
| oqmd-717361 | box | -4.149 | -4.149 | 7.6261 | 7.6261 | 7.6261 | 90.0 | 90.0 | 90.0 | 
| mp-1120447 | dynamic | -4.1381 | -4.1381 | 5.0794 | 5.5649 | 6.8122 | 71.2 | 70.4 | 83.8 | 
| mp-1244933 | box | -4.1307 | -4.1307 | 12.3631 | 12.6134 | 12.618 | 78.9 | 77.4 | 72.9 | 
| mp-1245041 | box | -4.1248 | -4.1248 | 12.7608 | 12.8588 | 12.9759 | 72.0 | 73.6 | 75.7 | 
| mp-1244971 | box | -4.1233 | -4.1233 | 11.7345 | 12.7267 | 13.4634 | 97.7 | 97.3 | 99.1 | 
| oqmd-10215 | box | -4.1131 | -4.1131 | 14.4439 | 14.4439 | 14.4439 | 90.0 | 90.0 | 90.0 | 
| mp-1245242 | box | -4.1091 | -4.1091 | 12.5049 | 12.6559 | 12.7277 | 79.2 | 80.5 | 82.9 | 
| mp-16220 | box | -4.0906 | -4.0906 | 14.4152 | 14.4152 | 14.4152 | 90.0 | 90.0 | 90.0 | 
| mp-1268191 | box | -4.0786 | -4.0786 | 7.0334 | 7.0334 | 2.5593 | 90.0 | 90.0 | 120.0 | 
| mp-1244990 | box | -4.0455 | -4.0455 | 12.2358 | 12.2912 | 12.7606 | 102.4 | 102.8 | 99.2 | 
| oqmd-691764 | dynamic | -4.0413 | -4.0413 | 2.7248 | 2.7248 | 7.0422 | 90.0 | 90.0 | 120.0 | 
| oqmd-78173 | box | -4.0404 | -4.0404 | 5.0697 | 5.4127 | 9.3151 | 90.0 | 90.0 | 90.0 | 
| mp-109 | box | -4.0086 | -4.0086 | 5.0875 | 5.51 | 8.8964 | 90.0 | 90.0 | 90.0 | 
| mp-1120747 | box | -4.007 | -4.007 | 5.3688 | 5.3688 | 4.4147 | 90.0 | 90.0 | 120.0 | 
| A7--alpha-As | box | -3.9895 | -3.9895 | 3.8231 | 3.8231 | 7.5289 | 90.0 | 90.0 | 120.0 | 
| mp-1079649 | dynamic | -3.9722 | -3.9722 | 9.8557 | 5.0648 | 5.0648 | 90.0 | 90.0 | 90.0 | 
| oqmd-15748 | static | -3.9721 | -3.9721 | 9.8535 | 5.0649 | 5.0649 | 90.0 | 90.0 | 90.0 | 
| mp-644693 | dynamic | -3.9423 | -3.9423 | 4.1488 | 5.6726 | 8.8468 | 80.2 | 84.4 | 69.0 | 
| mp-676011 | static | -3.9145 | -3.9145 | 5.0423 | 5.5219 | 7.3794 | 70.4 | 81.7 | 76.4 | 
| oqmd-1215995 | dynamic | -3.9114 | -3.9114 | 3.9908 | 3.9908 | 7.4613 | 90.0 | 90.0 | 120.0 | 
| mp-676011 | dynamic | -3.8692 | -3.8692 | 4.8735 | 5.3984 | 7.5195 | 69.7 | 76.7 | 70.9 | 
| A1--Cu--fcc | dynamic | -3.8677 | -3.8677 | 3.8975 | 3.8975 | 3.8975 | 90.0 | 90.0 | 90.0 | 
| A3'--alpha-La--double-hcp | dynamic | -3.8677 | -3.8677 | 2.7559 | 2.7559 | 9.0009 | 90.0 | 90.0 | 120.0 | 
| oqmd-1216087 | dynamic | -3.8677 | -3.8677 | 2.7559 | 2.7559 | 20.2519 | 90.0 | 90.0 | 120.0 | 
| A3--Mg--hcp | dynamic | -3.8677 | -3.8677 | 2.7559 | 2.7559 | 4.5004 | 90.0 | 90.0 | 120.0 | 
| A6--In--bct | box | -3.8676 | -3.8676 | 2.7686 | 2.7686 | 3.8622 | 90.0 | 90.0 | 90.0 | 
| oqmd-1216087 | box | -3.8674 | -3.8674 | 2.756 | 2.756 | 20.2508 | 90.0 | 90.0 | 120.0 | 
| oqmd-78174 | box | -3.859 | -3.859 | 8.7431 | 5.2278 | 5.2803 | 90.0 | 90.0 | 90.0 | 
| oqmd-15748 | box | -3.8519 | -3.8519 | 8.6627 | 5.2414 | 5.2867 | 90.0 | 90.0 | 90.0 | 
| mp-1079649 | box | -3.8466 | -3.8466 | 8.7821 | 5.2062 | 5.2861 | 90.0 | 90.0 | 90.0 | 
| A15--beta-W | dynamic | -3.8365 | -3.8365 | 4.8716 | 4.8716 | 4.8716 | 90.0 | 90.0 | 90.0 | 
| mp-644693 | box | -3.8002 | -3.8002 | 4.128 | 5.6295 | 8.9565 | 74.0 | 90.0 | 68.9 | 
| mp-1094057 | box | -3.7119 | -3.7119 | 2.8971 | 2.8971 | 18.3001 | 90.0 | 90.0 | 120.0 | 
| oqmd-1214926 | box | -3.5315 | -3.5315 | 6.6976 | 6.6976 | 6.6976 | 90.0 | 90.0 | 90.0 | 
Static elastic constants are displayed for the unique structures identified in Crystal Structure Predictions above. The values displayed here are obtained by measuring the change in virial stresses due to applying small strains to the relaxed crystals. The initial structure and the strained states are all relaxed using force minimization.
The calculation method used is available as the iprPy elastic_constants_static calculation method.
Notes and Disclaimers:
Version Information:
| 3589.770 | 5036.225 | 5036.225 | -0.000 | -0.000 | -0.000 | 
| 5036.225 | 3589.771 | 5036.225 | -0.000 | -0.000 | 0.000 | 
| 5036.225 | 5036.226 | 3589.770 | -0.000 | -0.000 | 0.000 | 
| 0.000 | 0.000 | 0.000 | -305.895 | -0.000 | 0.000 | 
| 0.000 | 0.001 | 0.000 | -0.000 | -305.895 | 0.000 | 
| 0.000 | 0.001 | -0.000 | -0.000 | -0.000 | -305.895 | 
| 3589.769 | 5036.225 | 5036.225 | 0.000 | 0.000 | 0.001 | 
| 5036.225 | 3589.769 | 5036.225 | 0.000 | 0.000 | 0.000 | 
| 5036.225 | 5036.225 | 3589.770 | 0.000 | 0.000 | -0.000 | 
| -0.000 | -0.000 | 0.000 | -305.895 | 0.000 | -0.000 | 
| -0.000 | -0.001 | 0.000 | 0.000 | -305.895 | -0.000 | 
| -0.000 | -0.000 | 0.000 | 0.000 | 0.000 | -305.895 | 
| 3589.770 | 5036.225 | 5036.225 | -0.000 | -0.000 | -0.000 | 
| 5036.225 | 3589.770 | 5036.225 | 0.000 | -0.000 | -0.000 | 
| 5036.225 | 5036.225 | 3589.770 | -0.000 | -0.000 | 0.000 | 
| 0.000 | 0.001 | 0.001 | -305.895 | -0.000 | 0.000 | 
| 0.001 | 0.000 | 0.001 | -0.000 | -305.895 | 0.000 | 
| 0.001 | 0.001 | 0.000 | -0.000 | -0.000 | -305.895 | 
| 3589.769 | 5036.225 | 5036.225 | 0.000 | 0.000 | -0.000 | 
| 5036.225 | 3589.769 | 5036.225 | -0.000 | -0.000 | -0.000 | 
| 5036.225 | 5036.225 | 3589.769 | -0.000 | 0.000 | 0.000 | 
| -0.000 | -0.001 | -0.001 | -305.895 | 0.000 | 0.000 | 
| -0.001 | -0.000 | -0.001 | -0.000 | -305.895 | -0.000 | 
| -0.001 | -0.001 | -0.000 | 0.000 | 0.000 | -305.895 | 
| 3589.777 | 5036.226 | 5036.226 | -0.000 | -0.000 | -0.000 | 
| 5036.226 | 3589.777 | 5036.226 | -0.000 | -0.000 | -0.000 | 
| 5036.226 | 5036.226 | 3589.777 | 0.000 | -0.000 | 0.000 | 
| 0.001 | 0.006 | 0.006 | -305.895 | 0.000 | 0.000 | 
| 0.006 | 0.001 | 0.006 | -0.000 | -305.895 | -0.000 | 
| 0.006 | 0.006 | 0.001 | -0.000 | -0.000 | -305.895 | 
| 3589.762 | 5036.224 | 5036.224 | 0.000 | -0.000 | -0.000 | 
| 5036.224 | 3589.762 | 5036.224 | 0.000 | 0.000 | -0.000 | 
| 5036.224 | 5036.224 | 3589.762 | 0.000 | 0.000 | -0.000 | 
| -0.001 | -0.006 | -0.006 | -305.895 | 0.000 | -0.000 | 
| -0.006 | -0.001 | -0.006 | 0.000 | -305.895 | 0.000 | 
| -0.006 | -0.006 | -0.001 | 0.000 | -0.000 | -305.895 | 
| 5441.975 | 4249.228 | 4249.228 | -0.000 | -0.000 | -0.000 | 
| 4249.228 | 5441.975 | 4249.229 | 0.000 | 0.000 | 0.000 | 
| 4249.228 | 4249.228 | 5441.975 | 0.000 | 0.000 | -0.000 | 
| 0.000 | -0.000 | -0.000 | 1734.906 | 0.000 | -0.000 | 
| 0.000 | 0.000 | -0.000 | 0.000 | 1734.906 | -0.000 | 
| 0.000 | -0.000 | -0.000 | 0.000 | 0.000 | 1734.906 | 
| 5441.973 | 4249.229 | 4249.228 | -0.000 | -0.000 | 0.000 | 
| 4249.228 | 5441.973 | 4249.228 | 0.000 | 0.000 | 0.000 | 
| 4249.228 | 4249.229 | 5441.973 | 0.000 | -0.000 | -0.000 | 
| -0.000 | 0.000 | 0.000 | 1734.906 | 0.000 | 0.000 | 
| -0.000 | -0.000 | 0.000 | -0.000 | 1734.906 | 0.000 | 
| 0.000 | 0.000 | 0.000 | 0.000 | -0.000 | 1734.906 | 
| 5441.982 | 4249.228 | 4249.228 | 0.000 | 0.000 | -0.000 | 
| 4249.228 | 5441.982 | 4249.228 | 0.000 | -0.000 | -0.000 | 
| 4249.228 | 4249.228 | 5441.982 | -0.000 | 0.000 | -0.000 | 
| 0.000 | 0.001 | 0.001 | 880.717 | -0.000 | -0.000 | 
| 0.001 | 0.000 | 0.001 | -0.000 | 880.717 | -0.000 | 
| 0.001 | 0.001 | 0.000 | -0.000 | 0.000 | 880.717 | 
| 5442.058 | 4249.183 | 4249.183 | -0.000 | 0.000 | 0.000 | 
| 4249.183 | 5442.058 | 4249.183 | -0.000 | -0.000 | 0.000 | 
| 4249.183 | 4249.183 | 5442.058 | 0.000 | -0.000 | 0.000 | 
| -0.000 | -0.001 | -0.001 | 880.717 | 0.000 | 0.000 | 
| -0.001 | -0.000 | -0.001 | -0.000 | 880.717 | -0.000 | 
| -0.001 | -0.001 | -0.000 | -0.000 | -0.000 | 880.717 | 
| 5442.056 | 4249.226 | 4249.226 | 0.000 | 0.000 | -0.000 | 
| 4249.226 | 5442.056 | 4249.226 | -0.000 | 0.000 | -0.000 | 
| 4249.226 | 4249.226 | 5442.056 | -0.000 | 0.000 | 0.000 | 
| 0.005 | 0.007 | 0.008 | 880.716 | 0.000 | 0.000 | 
| 0.007 | 0.005 | 0.008 | 0.000 | 880.716 | -0.000 | 
| 0.007 | 0.008 | 0.005 | 0.000 | 0.000 | 880.716 | 
| 5441.892 | 4249.231 | 4249.231 | -0.000 | -0.000 | 0.000 | 
| 4249.231 | 5441.892 | 4249.231 | 0.000 | -0.000 | 0.000 | 
| 4249.231 | 4249.231 | 5441.892 | -0.000 | -0.000 | -0.000 | 
| -0.005 | -0.007 | -0.008 | 880.716 | 0.000 | 0.000 | 
| -0.007 | -0.005 | -0.008 | 0.000 | 880.716 | 0.000 | 
| -0.007 | -0.008 | -0.005 | -0.000 | -0.000 | 880.716 | 
| 2174.209 | 1936.974 | 1936.974 | -0.000 | 0.000 | -0.000 | 
| 1936.974 | 2174.209 | 1936.974 | 0.000 | 0.000 | -0.000 | 
| 1936.974 | 1936.974 | 2174.208 | 0.000 | 0.000 | -0.000 | 
| -0.000 | 0.000 | -0.000 | 152.752 | -0.000 | -0.000 | 
| -0.000 | -0.000 | -0.000 | -0.000 | 152.752 | -0.000 | 
| -0.000 | -0.000 | -0.000 | -0.000 | -0.000 | 152.752 | 
| 2174.209 | 1936.974 | 1936.975 | -0.000 | -0.000 | 0.000 | 
| 1936.974 | 2174.209 | 1936.975 | 0.000 | -0.000 | -0.000 | 
| 1936.974 | 1936.974 | 2174.209 | 0.000 | -0.000 | 0.000 | 
| 0.000 | 0.000 | 0.000 | 152.752 | -0.000 | 0.000 | 
| 0.000 | 0.000 | 0.000 | 0.000 | 152.752 | 0.000 | 
| 0.000 | -0.000 | 0.000 | 0.000 | 0.000 | 152.752 | 
| 2174.208 | 1936.974 | 1936.974 | 0.000 | 0.000 | -0.000 | 
| 1936.974 | 2174.208 | 1936.974 | -0.000 | -0.000 | -0.000 | 
| 1936.974 | 1936.974 | 2174.208 | -0.000 | 0.000 | -0.000 | 
| 0.000 | 0.000 | 0.000 | 152.752 | 0.000 | -0.000 | 
| 0.000 | 0.000 | 0.000 | -0.000 | 152.752 | 0.000 | 
| 0.000 | 0.000 | 0.000 | -0.000 | 0.000 | 152.752 | 
| 2174.210 | 1936.975 | 1936.975 | -0.000 | -0.000 | 0.000 | 
| 1936.975 | 2174.210 | 1936.975 | -0.000 | -0.000 | -0.000 | 
| 1936.975 | 1936.975 | 2174.210 | -0.000 | -0.000 | 0.000 | 
| -0.000 | -0.000 | -0.000 | 152.752 | -0.000 | 0.000 | 
| -0.000 | -0.000 | -0.000 | 0.000 | 152.752 | 0.000 | 
| -0.000 | -0.000 | -0.000 | 0.000 | -0.000 | 152.752 | 
| 2174.200 | 1936.969 | 1936.969 | 0.000 | 0.000 | -0.000 | 
| 1936.969 | 2174.200 | 1936.969 | -0.000 | 0.000 | -0.000 | 
| 1936.969 | 1936.969 | 2174.200 | -0.000 | 0.000 | -0.000 | 
| 0.003 | 0.002 | 0.002 | 152.752 | 0.000 | -0.000 | 
| 0.002 | 0.003 | 0.002 | -0.000 | 152.752 | -0.000 | 
| 0.002 | 0.002 | 0.003 | -0.000 | 0.000 | 152.752 | 
| 2174.217 | 1936.980 | 1936.980 | -0.000 | -0.000 | 0.000 | 
| 1936.980 | 2174.217 | 1936.980 | 0.000 | 0.000 | 0.000 | 
| 1936.980 | 1936.980 | 2174.217 | -0.000 | -0.000 | 0.000 | 
| -0.003 | -0.002 | -0.002 | 152.752 | -0.000 | 0.000 | 
| -0.002 | -0.003 | -0.002 | 0.000 | 152.752 | -0.000 | 
| -0.002 | -0.002 | -0.003 | 0.000 | -0.000 | 152.752 | 
| 1811.211 | 544.844 | 1064.396 | -0.000 | 0.000 | -0.000 | 
| 969.313 | 1386.742 | 1064.396 | -0.000 | -0.000 | -0.000 | 
| 1072.571 | 1072.572 | 1366.609 | -0.000 | 0.000 | -0.000 | 
| -0.000 | 0.000 | -0.000 | 1141.161 | -0.000 | 0.000 | 
| 0.000 | -0.000 | -0.000 | -0.000 | 1141.162 | -0.000 | 
| -0.000 | 0.000 | -0.000 | -0.000 | -0.000 | 208.714 | 
| 1386.742 | 969.313 | 1064.397 | 0.000 | 0.000 | -0.000 | 
| 969.313 | 1386.742 | 1064.397 | 0.000 | -0.000 | 0.000 | 
| 1072.572 | 1072.572 | 1366.609 | -0.000 | -0.000 | 0.000 | 
| 0.000 | -0.000 | 0.000 | 1141.162 | 0.000 | -0.000 | 
| 0.000 | 0.000 | -0.000 | 0.000 | 1141.161 | 0.000 | 
| 0.000 | -0.000 | 0.000 | 0.000 | 0.000 | 208.715 | 
| 1386.716 | 969.338 | 1064.396 | -0.000 | -0.000 | -0.000 | 
| 969.307 | 1386.747 | 1064.396 | -0.000 | 0.000 | -0.000 | 
| 1072.572 | 1072.572 | 1366.609 | -0.000 | -0.000 | -0.000 | 
| 0.000 | -0.000 | 0.000 | 1141.161 | -0.000 | -0.000 | 
| -0.000 | 0.000 | 0.000 | -0.000 | 1141.161 | -0.000 | 
| -0.000 | -0.000 | -0.000 | -0.000 | -0.000 | 208.715 | 
| 1386.768 | 969.288 | 1064.397 | 0.000 | -0.000 | 0.000 | 
| 969.310 | 1386.745 | 1064.397 | 0.000 | 0.000 | -0.000 | 
| 1072.572 | 1072.572 | 1366.609 | 0.000 | -0.000 | 0.000 | 
| -0.000 | 0.000 | -0.000 | 1141.161 | 0.000 | -0.000 | 
| 0.000 | -0.000 | -0.000 | 0.000 | 1141.161 | 0.000 | 
| 0.000 | 0.000 | 0.000 | 0.000 | -0.000 | 208.715 | 
| 1386.767 | 969.283 | 1064.395 | -0.000 | 0.000 | 0.000 | 
| 969.340 | 1386.709 | 1064.395 | -0.000 | -0.000 | -0.000 | 
| 1072.570 | 1072.570 | 1366.606 | -0.000 | 0.000 | -0.000 | 
| -0.000 | 0.001 | 0.001 | 1141.161 | 0.000 | 0.000 | 
| -0.001 | 0.001 | 0.001 | -0.000 | 1141.161 | -0.000 | 
| -0.001 | -0.001 | -0.001 | -0.000 | -0.000 | 208.715 | 
| 1387.799 | 968.262 | 1064.398 | 0.000 | 0.000 | 0.000 | 
| 969.286 | 1386.775 | 1064.398 | 0.000 | -0.000 | -0.000 | 
| 1072.573 | 1072.573 | 1366.613 | 0.000 | -0.000 | 0.000 | 
| 0.000 | -0.001 | -0.001 | 1141.161 | -0.000 | -0.000 | 
| 0.001 | -0.001 | -0.001 | 0.000 | 1141.161 | 0.000 | 
| 0.001 | 0.001 | 0.001 | 0.000 | 0.000 | 208.715 | 
| 11237810448.089 | 6399238333.282 | -592922797.789 | 3703078.736 | 10799075.772 | 590779393.053 | 
| 4948.523 | 3948.660 | 4760.795 | 0.000 | -0.000 | -0.000 | 
| 4760.796 | 4760.796 | 4150.167 | -0.000 | -0.000 | -0.000 | 
| -0.000 | 0.000 | -0.001 | -723.065 | 0.001 | -0.000 | 
| -0.000 | -0.000 | -0.001 | 0.000 | -723.066 | 0.000 | 
| -0.000 | 0.000 | -0.001 | 0.000 | 0.000 | -499.931 | 
| 3948.660 | 4948.522 | 4760.797 | -0.000 | 0.000 | -0.000 | 
| -11377564858.493 | -6461348994.253 | 498204905.181 | 8414968.934 | 3980532.067 | -312515423.196 | 
| 4760.797 | 4760.796 | 4150.168 | -0.000 | -0.001 | 0.000 | 
| 0.000 | 0.000 | 0.001 | -723.066 | 0.001 | 0.000 | 
| 0.000 | 0.000 | 0.001 | -0.000 | -723.065 | 0.000 | 
| 0.000 | -0.000 | 0.001 | -0.000 | 0.001 | -499.931 | 
| 1163532319.714 | 640361665.490 | -53411593.164 | -1566666.945 | -644261.941 | 40590485.688 | 
| 918903502.587 | 900083623.963 | 535078698.524 | 6565996.964 | 19411363.778 | -23102894.978 | 
| 4760.796 | 4760.796 | 4150.169 | 0.000 | 0.000 | 0.000 | 
| 0.000 | 0.000 | 0.000 | -723.065 | -0.000 | -0.000 | 
| 0.000 | 0.000 | 0.000 | 0.000 | -723.065 | -0.000 | 
| 969733525.513 | 1183096640.632 | -65961007.775 | 654005.045 | 683889.956 | 166777794.540 | 
| -832298684.159 | -807264203.289 | -671559289.879 | -16623039.749 | -6578049.828 | 28070504.539 | 
| -1135457878.306 | -662125218.263 | 80484026.059 | -1239356.656 | 1348629.342 | -27185915.249 | 
| 4760.796 | 4760.796 | 4150.167 | 0.000 | 0.000 | 0.000 | 
| -0.000 | -0.000 | -0.001 | -723.065 | 0.000 | -0.000 | 
| -0.000 | -0.000 | -0.000 | 0.000 | -723.065 | 0.000 | 
| -1021136208.376 | -1326247489.155 | 14048699.451 | 1978407.643 | 1131793.799 | 122848521.905 | 
| 114674110.582 | 62949973.766 | -6843574.107 | -126975.902 | -5398.354 | 3454069.215 | 
| 90008230.639 | 86109389.931 | 61731906.726 | -1078609.232 | 571005.089 | -1899566.508 | 
| 4760.798 | 4760.798 | 4150.178 | -0.000 | -0.000 | -0.000 | 
| 0.002 | 0.003 | 0.005 | -723.065 | 0.000 | -0.000 | 
| 0.003 | 0.002 | 0.005 | 0.000 | -723.065 | -0.000 | 
| 81570872.421 | 110984295.301 | -2977754.438 | 45094.781 | 34608.296 | 20315939.322 | 
| -84544112.666 | -82063690.685 | -62701493.910 | 772.039 | -709694.425 | 1754978.799 | 
| -112462715.872 | -63618081.646 | 5952853.407 | -44508.250 | -204109.852 | -5329322.940 | 
| 4760.794 | 4760.794 | 4150.158 | -0.000 | -0.000 | 0.000 | 
| -0.002 | -0.003 | -0.005 | -723.065 | 0.000 | 0.000 | 
| -0.003 | -0.002 | -0.005 | 0.000 | -723.065 | 0.000 | 
| -76376087.560 | -111207674.348 | 4717877.030 | -62412.776 | -193255.099 | 22591419.207 | 
| 1074.083 | 101.725 | 101.725 | -0.000 | -0.000 | 0.000 | 
| 101.725 | 1074.084 | 101.725 | -0.000 | -0.000 | 0.001 | 
| 101.725 | 101.725 | 1074.083 | -0.000 | -0.000 | 0.000 | 
| 0.000 | 0.000 | -0.000 | 641.544 | -0.000 | 0.000 | 
| 0.000 | 0.001 | -0.000 | -0.000 | 641.544 | 0.000 | 
| 0.000 | 0.000 | -0.000 | -0.000 | -0.000 | 641.544 | 
| 1074.083 | 101.724 | 101.725 | 0.000 | 0.000 | -0.000 | 
| 101.724 | 1074.083 | 101.725 | 0.000 | 0.000 | -0.000 | 
| 101.724 | 101.724 | 1074.083 | 0.000 | 0.000 | -0.000 | 
| -0.000 | -0.001 | 0.000 | 641.544 | 0.000 | -0.000 | 
| -0.000 | -0.000 | 0.000 | 0.000 | 641.544 | -0.000 | 
| -0.000 | -0.000 | 0.000 | 0.000 | 0.000 | 641.544 | 
| 1074.083 | 101.725 | 101.725 | -0.000 | -0.000 | 0.000 | 
| 101.725 | 1074.083 | 101.725 | -0.000 | -0.000 | -0.000 | 
| 101.725 | 101.725 | 1074.083 | -0.000 | -0.000 | -0.000 | 
| 0.000 | -0.000 | 0.000 | 641.544 | -0.000 | 0.000 | 
| -0.000 | 0.000 | 0.000 | -0.000 | 641.544 | 0.000 | 
| -0.000 | 0.000 | 0.000 | -0.000 | -0.000 | 641.544 | 
| 1074.083 | 101.725 | 101.725 | 0.000 | 0.000 | -0.000 | 
| 101.725 | 1074.083 | 101.725 | 0.000 | 0.000 | -0.000 | 
| 101.725 | 101.725 | 1074.083 | 0.000 | 0.000 | 0.000 | 
| -0.000 | -0.000 | -0.000 | 641.544 | 0.000 | -0.000 | 
| 0.000 | -0.000 | -0.000 | 0.000 | 641.544 | -0.000 | 
| 0.000 | -0.000 | -0.000 | 0.000 | 0.000 | 641.544 | 
| 1074.084 | 101.726 | 101.726 | -0.000 | -0.000 | 0.000 | 
| 101.726 | 1074.084 | 101.726 | -0.000 | -0.000 | 0.000 | 
| 101.726 | 101.726 | 1074.084 | 0.000 | 0.000 | 0.000 | 
| 0.001 | -0.000 | 0.001 | 671.191 | -0.000 | 0.000 | 
| -0.000 | 0.001 | 0.001 | -0.000 | 671.191 | 0.000 | 
| -0.000 | 0.001 | 0.001 | 0.000 | 0.000 | 671.191 | 
| 1074.081 | 101.724 | 101.724 | 0.000 | 0.000 | -0.000 | 
| 101.724 | 1074.081 | 101.724 | 0.000 | 0.000 | -0.000 | 
| 101.724 | 101.724 | 1074.081 | 0.000 | 0.000 | -0.000 | 
| -0.001 | 0.000 | -0.001 | 671.191 | 0.000 | 0.000 | 
| 0.000 | -0.001 | -0.001 | 0.000 | 671.191 | -0.000 | 
| 0.000 | -0.001 | -0.001 | 0.000 | 0.000 | 671.191 | 
| 869.185 | 127.406 | 719.482 | -0.000 | 0.000 | 0.000 | 
| 127.406 | 869.185 | 719.482 | -0.000 | -0.000 | 0.000 | 
| 719.482 | 719.482 | -838.742 | -0.000 | -0.000 | 0.000 | 
| 0.000 | -0.000 | 0.000 | 150.734 | 0.000 | 0.000 | 
| 0.000 | -0.000 | 0.000 | -0.000 | 150.734 | 0.000 | 
| 0.000 | -0.000 | 0.000 | -0.000 | -0.001 | 160.392 | 
| 869.186 | 127.406 | 719.482 | 0.000 | -0.000 | -0.000 | 
| 127.406 | 869.186 | 719.482 | 0.000 | -0.000 | -0.000 | 
| 719.482 | 719.483 | -838.743 | 0.000 | 0.000 | -0.000 | 
| -0.000 | 0.000 | -0.000 | 150.735 | -0.000 | -0.000 | 
| -0.000 | 0.000 | -0.000 | 0.000 | 150.734 | -0.000 | 
| -0.000 | 0.000 | -0.000 | -0.000 | 0.001 | 160.392 | 
| 869.186 | 127.406 | 719.482 | -0.000 | -0.000 | 0.000 | 
| 127.406 | 869.186 | 719.482 | -0.000 | -0.000 | 0.000 | 
| 719.482 | 719.482 | -838.739 | -0.000 | -0.000 | 0.000 | 
| -0.000 | -0.000 | 0.000 | 150.734 | 0.000 | 0.000 | 
| -0.000 | -0.000 | 0.000 | -0.000 | 150.734 | 0.000 | 
| -0.000 | 0.000 | -0.000 | -0.000 | -0.000 | 160.392 | 
| 869.185 | 127.406 | 719.482 | 0.000 | 0.000 | -0.000 | 
| 127.406 | 869.185 | 719.482 | -0.000 | -0.000 | -0.000 | 
| 719.483 | 719.483 | -838.747 | 0.000 | 0.000 | -0.000 | 
| 0.000 | 0.000 | -0.000 | 150.734 | -0.000 | 0.000 | 
| 0.000 | 0.000 | -0.000 | 0.000 | 150.734 | -0.000 | 
| 0.000 | -0.000 | 0.000 | 0.000 | 0.000 | 160.392 | 
| 869.188 | 127.407 | 719.484 | -0.000 | 0.000 | -0.000 | 
| 127.407 | 869.188 | 719.484 | 0.000 | 0.000 | 0.000 | 
| 719.476 | 719.476 | -838.700 | -0.000 | -0.000 | -0.000 | 
| -0.000 | -0.000 | 0.001 | 150.734 | -0.000 | 0.000 | 
| -0.000 | -0.000 | 0.001 | -0.000 | 150.734 | 0.000 | 
| -0.000 | -0.000 | -0.001 | -0.000 | 0.000 | 160.392 | 
| 869.183 | 127.405 | 719.480 | -0.000 | -0.000 | -0.000 | 
| 127.405 | 869.183 | 719.480 | 0.000 | 0.000 | -0.000 | 
| 719.488 | 719.488 | -838.786 | 0.000 | 0.000 | -0.000 | 
| 0.000 | 0.000 | -0.001 | 150.734 | 0.000 | -0.000 | 
| 0.000 | 0.000 | -0.001 | 0.000 | 150.734 | -0.000 | 
| 0.000 | 0.000 | 0.001 | 0.000 | 0.000 | 160.392 | 
| 849.546 | 116.155 | 265.981 | 0.000 | 0.000 | 0.000 | 
| 116.155 | 849.546 | 265.981 | 0.000 | 0.000 | 0.000 | 
| 265.981 | 265.981 | 1471.281 | -0.000 | 0.000 | 0.000 | 
| 0.000 | -0.000 | -0.000 | 154.958 | 0.000 | 0.000 | 
| 0.000 | -0.000 | 0.000 | 0.000 | 154.959 | 0.000 | 
| 0.000 | -0.000 | -0.000 | 0.000 | 0.000 | 142.084 | 
| 849.546 | 116.155 | 265.981 | 0.000 | -0.000 | -0.000 | 
| 116.155 | 849.547 | 265.981 | 0.000 | -0.000 | -0.000 | 
| 265.981 | 265.981 | 1471.280 | 0.000 | -0.000 | -0.000 | 
| -0.000 | 0.000 | 0.000 | 154.959 | -0.000 | -0.000 | 
| 0.000 | 0.000 | 0.000 | -0.000 | 154.958 | -0.000 | 
| -0.000 | 0.000 | 0.000 | 0.000 | -0.000 | 142.084 | 
| 849.547 | 116.155 | 265.981 | -0.000 | 0.000 | 0.000 | 
| 116.155 | 849.547 | 265.981 | -0.000 | 0.000 | 0.000 | 
| 265.980 | 265.980 | 1471.282 | -0.000 | 0.000 | 0.000 | 
| 0.000 | -0.000 | -0.000 | 154.959 | 0.000 | 0.000 | 
| -0.000 | -0.000 | -0.000 | -0.000 | 154.959 | 0.000 | 
| -0.000 | -0.000 | -0.000 | 0.000 | 0.000 | 142.084 | 
| 849.546 | 116.155 | 265.981 | 0.000 | -0.000 | -0.000 | 
| 116.155 | 849.546 | 265.981 | 0.000 | -0.000 | -0.000 | 
| 265.982 | 265.982 | 1471.279 | 0.000 | -0.000 | -0.000 | 
| 0.000 | 0.000 | 0.000 | 154.959 | -0.000 | -0.000 | 
| 0.000 | 0.000 | 0.000 | 0.000 | 154.959 | -0.000 | 
| -0.000 | 0.000 | 0.000 | -0.000 | -0.000 | 142.084 | 
| 849.549 | 116.155 | 265.982 | 0.000 | 0.000 | 0.000 | 
| 116.155 | 849.549 | 265.982 | -0.000 | 0.000 | 0.000 | 
| 265.975 | 265.975 | 1471.296 | -0.000 | 0.000 | 0.000 | 
| -0.000 | -0.000 | -0.000 | 154.959 | 0.000 | 0.000 | 
| -0.000 | -0.000 | -0.000 | -0.000 | 154.959 | 0.000 | 
| -0.000 | -0.000 | -0.000 | -0.000 | 0.000 | 142.084 | 
| 849.544 | 116.154 | 265.980 | 0.000 | -0.000 | -0.000 | 
| 116.154 | 849.544 | 265.980 | -0.000 | -0.000 | -0.000 | 
| 265.987 | 265.987 | 1471.265 | 0.000 | -0.000 | -0.000 | 
| 0.000 | 0.000 | 0.000 | 154.959 | -0.000 | -0.000 | 
| 0.000 | 0.000 | 0.000 | -0.000 | 154.959 | -0.000 | 
| 0.000 | 0.000 | 0.000 | 0.000 | -0.000 | 142.084 | 
| 821.937 | -0.000 | 0.000 | 0.000 | 0.000 | -0.000 | 
| -0.000 | 821.937 | 0.000 | 0.000 | 0.000 | -0.000 | 
| -0.000 | -0.000 | 0.000 | 0.000 | 0.000 | -0.000 | 
| -0.000 | -0.000 | 0.000 | 0.000 | 0.000 | -0.000 | 
| -0.000 | -0.000 | 0.000 | 0.000 | 0.000 | 0.000 | 
| 0.000 | 0.000 | 0.000 | 0.000 | 0.000 | 168.045 | 
| 821.937 | 0.000 | -0.000 | -0.000 | -0.000 | -0.000 | 
| 0.000 | 821.937 | -0.000 | -0.000 | -0.000 | -0.000 | 
| 0.000 | 0.000 | -0.000 | -0.000 | -0.000 | 0.000 | 
| 0.000 | 0.000 | -0.000 | -0.000 | -0.000 | -0.000 | 
| 0.000 | 0.000 | -0.000 | -0.000 | -0.000 | -0.000 | 
| -0.000 | -0.000 | -0.000 | -0.000 | -0.000 | 168.045 | 
| 821.937 | -0.000 | 0.000 | 0.000 | 0.000 | -0.000 | 
| -0.000 | 821.937 | 0.000 | 0.000 | 0.000 | -0.000 | 
| -0.000 | -0.000 | 0.000 | 0.000 | 0.000 | -0.000 | 
| -0.000 | -0.000 | 0.000 | 0.000 | 0.000 | 0.000 | 
| -0.000 | -0.000 | 0.000 | 0.000 | 0.000 | -0.000 | 
| 0.000 | -0.000 | 0.000 | 0.000 | 0.000 | 168.045 | 
| 821.937 | 0.000 | -0.000 | -0.000 | -0.000 | 0.000 | 
| 0.000 | 821.937 | -0.000 | -0.000 | -0.000 | -0.000 | 
| 0.000 | 0.000 | -0.000 | -0.000 | -0.000 | 0.000 | 
| 0.000 | 0.000 | -0.000 | -0.000 | -0.000 | 0.000 | 
| 0.000 | 0.000 | -0.000 | -0.000 | -0.000 | 0.000 | 
| -0.000 | 0.000 | -0.000 | -0.000 | -0.000 | 168.045 | 
| 821.941 | -0.000 | 0.000 | 0.000 | 0.000 | -0.000 | 
| -0.000 | 821.941 | 0.000 | 0.000 | 0.000 | -0.000 | 
| -0.000 | -0.000 | 0.000 | 0.000 | 0.000 | -0.000 | 
| -0.000 | -0.000 | 0.000 | 0.000 | 0.000 | 0.000 | 
| -0.000 | -0.000 | 0.000 | 0.000 | 0.000 | 0.000 | 
| -0.000 | -0.000 | 0.000 | 0.000 | 0.000 | 168.045 | 
| 821.933 | 0.000 | -0.000 | -0.000 | -0.000 | 0.000 | 
| 0.000 | 821.933 | -0.000 | -0.000 | -0.000 | -0.000 | 
| 0.000 | 0.000 | -0.000 | -0.000 | -0.000 | 0.000 | 
| 0.000 | 0.000 | -0.000 | -0.000 | -0.000 | -0.000 | 
| 0.000 | 0.000 | -0.000 | -0.000 | -0.000 | 0.000 | 
| 0.000 | 0.000 | -0.000 | -0.000 | -0.000 | 168.045 | 
| 804.275 | 0.000 | 0.000 | 0.000 | 0.000 | 0.000 | 
| 0.000 | 804.275 | 0.000 | 0.000 | 0.000 | 0.000 | 
| 0.000 | 0.000 | 0.000 | 0.000 | 0.000 | 0.000 | 
| 0.000 | 0.000 | 0.000 | 0.000 | 0.000 | 0.000 | 
| 0.000 | 0.000 | 0.000 | 0.000 | 0.000 | 0.000 | 
| 0.000 | 0.000 | 0.000 | 0.000 | 0.000 | 164.434 | 
| 1493.731 | 0.000 | 0.000 | 0.000 | 0.000 | 0.000 | 
| 0.000 | 1493.731 | 0.000 | 0.000 | 0.000 | 0.000 | 
| 0.000 | 0.000 | 0.000 | 0.000 | 0.000 | 0.000 | 
| 0.000 | 0.000 | 0.000 | 0.000 | 0.000 | 0.000 | 
| 0.000 | 0.000 | 0.000 | 0.000 | 0.000 | 0.000 | 
| 0.000 | 0.000 | 0.000 | 0.000 | 0.000 | 305.393 | 
| 804.275 | -0.000 | -0.000 | -0.000 | -0.000 | -0.000 | 
| -0.000 | 804.275 | -0.000 | -0.000 | -0.000 | -0.000 | 
| -0.000 | -0.000 | -0.000 | -0.000 | -0.000 | -0.000 | 
| -0.000 | -0.000 | -0.000 | -0.000 | -0.000 | -0.000 | 
| -0.000 | -0.000 | -0.000 | -0.000 | -0.000 | -0.000 | 
| -0.000 | -0.000 | -0.000 | -0.000 | -0.000 | 164.434 | 
| 1493.730 | -0.000 | -0.000 | -0.000 | -0.000 | -0.000 | 
| -0.000 | 1493.730 | -0.000 | -0.000 | -0.000 | -0.000 | 
| -0.000 | -0.000 | -0.000 | -0.000 | -0.000 | -0.000 | 
| -0.000 | -0.000 | -0.000 | -0.000 | -0.000 | -0.000 | 
| -0.000 | -0.000 | -0.000 | -0.000 | -0.000 | -0.000 | 
| -0.000 | -0.000 | -0.000 | -0.000 | -0.000 | 305.393 | 
| 804.275 | 0.000 | 0.000 | 0.000 | 0.000 | 0.000 | 
| 0.000 | 804.275 | 0.000 | 0.000 | 0.000 | 0.000 | 
| 0.000 | 0.000 | 0.000 | 0.000 | 0.000 | 0.000 | 
| 0.000 | -0.000 | 0.000 | 0.000 | 0.000 | 0.000 | 
| -0.000 | 0.000 | 0.000 | 0.000 | 0.000 | 0.000 | 
| 0.000 | 0.000 | 0.000 | 0.000 | 0.000 | 164.434 | 
| 1493.731 | 0.000 | 0.000 | 0.000 | 0.000 | 0.000 | 
| 0.000 | 1493.731 | 0.000 | 0.000 | 0.000 | 0.000 | 
| 0.000 | 0.000 | 0.000 | 0.000 | 0.000 | 0.000 | 
| 0.000 | 0.000 | 0.000 | 0.000 | 0.000 | 0.000 | 
| 0.000 | 0.000 | 0.000 | 0.000 | 0.000 | 0.000 | 
| 0.000 | 0.000 | 0.000 | 0.000 | 0.000 | 305.393 | 
| 804.274 | -0.000 | -0.000 | -0.000 | -0.000 | -0.000 | 
| -0.000 | 804.274 | -0.000 | -0.000 | -0.000 | -0.000 | 
| -0.000 | -0.000 | -0.000 | -0.000 | -0.000 | -0.000 | 
| -0.000 | -0.000 | -0.000 | -0.000 | -0.000 | -0.000 | 
| -0.000 | -0.000 | -0.000 | -0.000 | -0.000 | -0.000 | 
| -0.000 | -0.000 | -0.000 | -0.000 | -0.000 | 164.434 | 
| 1493.730 | -0.000 | -0.000 | -0.000 | -0.000 | -0.000 | 
| -0.000 | 1493.730 | -0.000 | -0.000 | -0.000 | -0.000 | 
| -0.000 | -0.000 | -0.000 | -0.000 | -0.000 | -0.000 | 
| -0.000 | -0.000 | -0.000 | -0.000 | -0.000 | -0.000 | 
| -0.000 | -0.000 | -0.000 | -0.000 | -0.000 | -0.000 | 
| -0.000 | -0.000 | -0.000 | -0.000 | -0.000 | 305.393 | 
| 804.279 | 0.000 | 0.000 | 0.000 | 0.000 | 0.000 | 
| 0.000 | 804.279 | 0.000 | 0.000 | 0.000 | 0.000 | 
| 0.000 | 0.000 | 0.000 | 0.000 | 0.000 | 0.000 | 
| 0.000 | 0.000 | 0.000 | 0.000 | 0.000 | 0.000 | 
| 0.000 | 0.000 | 0.000 | 0.000 | 0.000 | 0.000 | 
| -0.000 | -0.000 | 0.000 | 0.000 | 0.000 | 164.434 | 
| 1493.738 | 0.000 | 0.000 | 0.000 | 0.000 | 0.000 | 
| 0.000 | 1493.738 | 0.000 | 0.000 | 0.000 | 0.000 | 
| 0.000 | 0.000 | 0.000 | 0.000 | 0.000 | 0.000 | 
| 0.000 | 0.000 | 0.000 | 0.000 | 0.000 | 0.000 | 
| 0.000 | 0.000 | 0.000 | 0.000 | 0.000 | 0.000 | 
| -0.000 | -0.000 | 0.000 | 0.000 | 0.000 | 305.393 | 
| 804.271 | -0.000 | -0.000 | -0.000 | -0.000 | -0.000 | 
| -0.000 | 804.271 | -0.000 | -0.000 | -0.000 | -0.000 | 
| -0.000 | -0.000 | -0.000 | -0.000 | -0.000 | -0.000 | 
| -0.000 | -0.000 | -0.000 | -0.000 | -0.000 | -0.000 | 
| -0.000 | -0.000 | -0.000 | -0.000 | -0.000 | -0.000 | 
| 0.000 | 0.000 | -0.000 | -0.000 | -0.000 | 164.434 | 
| 1493.723 | -0.000 | -0.000 | -0.000 | -0.000 | -0.000 | 
| -0.000 | 1493.723 | -0.000 | -0.000 | -0.000 | -0.000 | 
| -0.000 | -0.000 | -0.000 | -0.000 | -0.000 | -0.000 | 
| -0.000 | -0.000 | -0.000 | -0.000 | -0.000 | -0.000 | 
| -0.000 | -0.000 | -0.000 | -0.000 | -0.000 | -0.000 | 
| 0.000 | 0.000 | -0.000 | -0.000 | -0.000 | 305.393 | 
| 3396.201 | 19.643 | 19.643 | 0.000 | 0.000 | -0.000 | 
| 19.643 | 3396.201 | 19.643 | -0.000 | 0.000 | -0.000 | 
| 19.643 | 19.643 | 3396.201 | -0.000 | -0.000 | -0.000 | 
| 0.000 | 0.000 | 0.000 | 133.731 | 0.000 | -0.000 | 
| 0.000 | -0.000 | 0.000 | 0.000 | 133.731 | -0.000 | 
| 0.000 | 0.000 | -0.000 | 0.000 | 0.000 | 133.731 | 
| 3396.201 | 19.643 | 19.643 | -0.000 | -0.000 | 0.000 | 
| 19.643 | 3396.201 | 19.643 | 0.000 | -0.000 | -0.000 | 
| 19.643 | 19.643 | 3396.201 | 0.000 | -0.000 | -0.000 | 
| 0.000 | -0.000 | -0.000 | 133.731 | -0.000 | -0.000 | 
| -0.000 | 0.000 | -0.000 | 0.000 | 133.731 | 0.000 | 
| -0.000 | -0.000 | 0.000 | -0.000 | -0.000 | 133.731 | 
| 3396.201 | 19.642 | 19.642 | 0.000 | 0.000 | 0.000 | 
| 19.642 | 3396.201 | 19.642 | 0.000 | 0.000 | 0.000 | 
| 19.642 | 19.642 | 3396.201 | 0.000 | 0.000 | 0.000 | 
| -0.000 | 0.000 | -0.000 | 133.731 | 0.000 | 0.000 | 
| 0.000 | 0.000 | -0.000 | 0.000 | 133.731 | -0.000 | 
| 0.000 | -0.000 | -0.000 | -0.000 | 0.000 | 133.731 | 
| 3396.201 | 19.643 | 19.643 | -0.000 | -0.000 | -0.000 | 
| 19.643 | 3396.201 | 19.643 | -0.000 | -0.000 | -0.000 | 
| 19.643 | 19.643 | 3396.201 | 0.000 | -0.000 | -0.000 | 
| 0.000 | -0.000 | 0.000 | 133.731 | 0.000 | -0.000 | 
| -0.000 | 0.000 | 0.000 | 0.000 | 133.731 | -0.000 | 
| -0.000 | 0.000 | 0.000 | 0.000 | -0.000 | 133.731 | 
| 3396.203 | 19.638 | 19.638 | 0.000 | -0.000 | -0.000 | 
| 19.638 | 3396.203 | 19.638 | -0.000 | 0.000 | 0.000 | 
| 19.638 | 19.638 | 3396.203 | -0.000 | 0.000 | 0.000 | 
| -0.000 | 0.000 | -0.001 | 133.731 | 0.000 | 0.000 | 
| 0.000 | -0.000 | -0.001 | 0.000 | 133.731 | -0.000 | 
| 0.000 | -0.001 | -0.000 | -0.000 | 0.000 | 133.731 | 
| 3396.199 | 19.647 | 19.647 | 0.000 | -0.000 | -0.000 | 
| 19.647 | 3396.199 | 19.647 | -0.000 | -0.000 | -0.000 | 
| 19.647 | 19.647 | 3396.199 | -0.000 | -0.000 | 0.000 | 
| 0.000 | -0.000 | 0.001 | 133.731 | -0.000 | -0.000 | 
| -0.000 | 0.000 | 0.001 | -0.000 | 133.731 | 0.000 | 
| -0.000 | 0.001 | 0.000 | 0.000 | -0.000 | 133.731 | 
| 494.399 | 81.863 | -53.313 | 0.001 | 0.000 | -0.000 | 
| 99.587 | 1180.180 | -27.019 | -0.001 | 0.000 | -0.000 | 
| -52.854 | -40.424 | 1429.786 | -0.001 | 0.000 | -0.000 | 
| 0.000 | 0.000 | 0.001 | 854.287 | 0.000 | 0.000 | 
| 0.000 | 0.000 | -0.000 | -0.001 | 225.167 | 0.000 | 
| 0.000 | 0.000 | -0.000 | -0.001 | -0.000 | 290.180 | 
| 512.983 | 53.813 | -48.489 | 0.001 | 0.000 | -0.000 | 
| 102.469 | 1170.752 | -24.358 | -0.000 | -0.000 | 0.000 | 
| -52.898 | -42.676 | 1430.648 | 0.001 | 0.000 | 0.000 | 
| -0.000 | -0.000 | -0.001 | 854.287 | -0.000 | 0.000 | 
| -0.000 | -0.000 | 0.000 | 0.001 | 225.167 | -0.000 | 
| -0.000 | 0.000 | 0.000 | 0.001 | 0.000 | 290.180 | 
| 512.983 | 53.813 | -48.490 | -0.000 | -0.000 | -0.000 | 
| 69.647 | 1226.000 | -35.025 | -0.000 | -0.000 | 0.000 | 
| -53.852 | -39.773 | 1429.850 | -0.000 | 0.000 | 0.000 | 
| -0.001 | 0.104 | -0.039 | 777.958 | 0.000 | 0.000 | 
| -0.000 | 0.000 | -0.000 | -0.000 | 225.166 | -0.000 | 
| 0.000 | -0.000 | -0.000 | -0.000 | -0.000 | 290.180 | 
| 492.656 | 86.259 | -54.429 | 0.000 | -0.000 | -0.000 | 
| 101.269 | 1176.415 | -26.120 | -0.000 | -0.000 | -0.000 | 
| -53.798 | -39.990 | 1429.914 | 0.000 | -0.000 | 0.000 | 
| 0.001 | -0.104 | 0.039 | 777.958 | 0.000 | -0.000 | 
| 0.000 | -0.000 | 0.000 | 0.000 | 225.166 | 0.000 | 
| -0.000 | 0.000 | 0.000 | 0.000 | 0.000 | 290.180 | 
| 492.628 | 86.379 | -54.465 | -0.000 | 0.000 | -0.000 | 
| 102.198 | 1171.853 | -24.688 | 0.000 | 0.000 | 0.000 | 
| -53.826 | -39.872 | 1429.883 | -0.000 | 0.000 | -0.000 | 
| 0.000 | 0.010 | -0.003 | 777.957 | -0.000 | -0.000 | 
| -0.000 | 0.000 | -0.000 | -0.000 | 225.166 | -0.000 | 
| -0.006 | 0.016 | -0.005 | -0.000 | 0.000 | 100.776 | 
| 492.631 | 86.356 | -54.459 | 0.000 | -0.000 | -0.000 | 
| 102.205 | 1171.819 | -24.681 | 0.000 | -0.000 | 0.000 | 
| -47.853 | -50.223 | 1431.927 | 0.000 | 0.000 | 0.000 | 
| -0.000 | -0.010 | 0.003 | 777.957 | -0.000 | -0.000 | 
| 0.000 | -0.000 | 0.000 | 0.000 | 225.166 | 0.000 | 
| 0.006 | -0.016 | 0.005 | 0.000 | -0.000 | 100.776 | 
| 921.507 | 113.077 | -4.283 | -0.001 | -0.000 | -0.000 | 
| 113.077 | 921.508 | -4.283 | -0.001 | -0.000 | -0.000 | 
| -8.992 | -8.992 | 1340.835 | -0.000 | -0.000 | -0.000 | 
| 0.000 | 0.000 | -0.000 | 486.890 | 0.000 | -0.000 | 
| -0.000 | 0.000 | -0.000 | -0.000 | 486.888 | 0.000 | 
| 0.000 | 0.001 | -0.000 | -0.001 | -0.001 | 269.106 | 
| 921.507 | 113.076 | -4.282 | 0.001 | 0.001 | 0.000 | 
| 113.077 | 921.507 | -4.282 | 0.001 | 0.000 | 0.000 | 
| -8.992 | -8.993 | 1340.836 | 0.000 | 0.000 | 0.000 | 
| 0.000 | -0.000 | 0.000 | 486.890 | 0.000 | 0.000 | 
| -0.000 | -0.000 | 0.000 | 0.000 | 486.889 | 0.000 | 
| -0.000 | -0.001 | 0.000 | 0.001 | 0.001 | 269.106 | 
| 921.308 | 113.765 | -5.188 | 0.000 | -0.000 | -0.000 | 
| 113.765 | 921.308 | -5.188 | -0.000 | 0.000 | -0.000 | 
| -10.119 | -10.119 | 1345.014 | 0.000 | 0.000 | -0.000 | 
| 0.000 | 0.000 | -0.000 | 486.889 | -0.000 | -0.000 | 
| -0.000 | 0.000 | -0.000 | -0.000 | 486.889 | 0.000 | 
| -0.000 | -0.000 | -0.000 | -0.000 | -0.000 | 117.836 | 
| 921.507 | 113.076 | -4.283 | 0.000 | 0.000 | 0.000 | 
| 113.077 | 921.507 | -4.283 | -0.000 | 0.000 | 0.000 | 
| -8.992 | -8.992 | 1340.835 | 0.000 | 0.000 | 0.000 | 
| -0.000 | -0.000 | 0.000 | 486.889 | 0.000 | 0.000 | 
| 0.000 | -0.000 | 0.000 | 0.000 | 486.889 | 0.000 | 
| 0.000 | 0.000 | 0.000 | 0.000 | 0.000 | 117.836 | 
| 921.310 | 113.766 | -5.187 | -0.000 | -0.000 | -0.000 | 
| 113.766 | 921.310 | -5.187 | -0.000 | -0.000 | -0.000 | 
| -8.993 | -8.993 | 1340.843 | -0.000 | 0.000 | -0.000 | 
| 0.000 | -0.000 | 0.000 | 486.889 | -0.000 | 0.000 | 
| -0.000 | 0.000 | 0.000 | -0.000 | 486.889 | -0.000 | 
| -0.000 | -0.000 | 0.000 | -0.000 | -0.000 | 117.836 | 
| 921.306 | 113.763 | -5.188 | 0.000 | 0.000 | 0.000 | 
| 113.763 | 921.306 | -5.188 | 0.000 | 0.000 | 0.000 | 
| -8.992 | -8.992 | 1340.831 | 0.000 | 0.000 | 0.000 | 
| -0.000 | 0.000 | -0.000 | 486.889 | 0.000 | 0.000 | 
| 0.000 | -0.000 | -0.000 | 0.000 | 486.889 | -0.000 | 
| 0.000 | 0.000 | -0.000 | 0.000 | 0.000 | 117.836 | 
| 564.915 | 237.008 | 0.000 | 0.000 | 0.000 | -0.000 | 
| 237.008 | 564.915 | 0.000 | 0.000 | 0.000 | -0.000 | 
| -0.000 | -0.000 | 0.000 | 0.000 | 0.000 | -0.000 | 
| -0.000 | -0.000 | 0.000 | 0.000 | 0.000 | -0.000 | 
| -0.000 | -0.000 | 0.000 | 0.000 | 0.000 | -0.000 | 
| -0.000 | -0.000 | 0.000 | 0.000 | 0.000 | 400.962 | 
| 564.915 | 237.009 | -0.000 | -0.000 | -0.000 | 0.000 | 
| 237.009 | 564.915 | -0.000 | -0.000 | -0.000 | 0.000 | 
| 0.000 | 0.000 | -0.000 | -0.000 | -0.000 | 0.000 | 
| 0.000 | 0.000 | -0.000 | -0.000 | -0.000 | 0.000 | 
| 0.000 | 0.000 | -0.000 | -0.000 | -0.000 | 0.000 | 
| 0.000 | 0.000 | -0.000 | -0.000 | -0.000 | 400.962 | 
| 564.915 | 237.009 | 0.000 | 0.000 | 0.000 | -0.000 | 
| 237.009 | 564.915 | 0.000 | 0.000 | 0.000 | -0.000 | 
| -0.000 | -0.000 | 0.000 | 0.000 | 0.000 | -0.000 | 
| -0.000 | -0.000 | 0.000 | 0.000 | 0.000 | -0.000 | 
| -0.000 | -0.000 | 0.000 | 0.000 | 0.000 | -0.000 | 
| 0.000 | 0.000 | 0.000 | 0.000 | 0.000 | 400.962 | 
| 564.915 | 237.008 | -0.000 | -0.000 | -0.000 | 0.000 | 
| 237.008 | 564.915 | -0.000 | -0.000 | -0.000 | 0.000 | 
| 0.000 | 0.000 | -0.000 | -0.000 | -0.000 | 0.000 | 
| 0.000 | 0.000 | -0.000 | -0.000 | -0.000 | 0.000 | 
| 0.000 | 0.000 | -0.000 | -0.000 | -0.000 | 0.000 | 
| -0.000 | -0.000 | -0.000 | -0.000 | -0.000 | 400.962 | 
| 564.916 | 237.010 | 0.000 | 0.000 | 0.000 | -0.000 | 
| 237.010 | 564.916 | 0.000 | 0.000 | 0.000 | -0.000 | 
| -0.000 | -0.000 | 0.000 | 0.000 | 0.000 | -0.000 | 
| -0.000 | -0.000 | 0.000 | 0.000 | 0.000 | -0.000 | 
| -0.000 | -0.000 | 0.000 | 0.000 | 0.000 | -0.000 | 
| 0.000 | 0.001 | 0.000 | 0.000 | 0.000 | 400.962 | 
| 564.914 | 237.007 | -0.000 | -0.000 | -0.000 | 0.000 | 
| 237.007 | 564.914 | -0.000 | -0.000 | -0.000 | 0.000 | 
| 0.000 | 0.000 | -0.000 | -0.000 | -0.000 | 0.000 | 
| 0.000 | 0.000 | -0.000 | -0.000 | -0.000 | 0.000 | 
| 0.000 | 0.000 | -0.000 | -0.000 | -0.000 | 0.000 | 
| -0.000 | -0.001 | -0.000 | -0.000 | -0.000 | 400.962 | 
| 1116.430 | 18.789 | -14.581 | 0.000 | 0.000 | 0.000 | 
| -70.372 | 1045.697 | 57.002 | 0.001 | 0.000 | -0.000 | 
| -117.638 | 36.085 | 1291.266 | -0.000 | 0.000 | -0.000 | 
| 0.000 | -0.000 | 0.000 | 553.630 | -0.001 | -0.000 | 
| -113.442 | -4.665 | 20.298 | -0.002 | 490.211 | -0.000 | 
| -133.767 | 14.271 | 13.610 | 0.001 | 0.000 | 288.352 | 
| 1126.518 | 87.965 | -17.203 | -0.001 | 0.000 | 0.000 | 
| 16.646 | 1075.987 | 34.562 | -0.001 | -0.000 | 0.000 | 
| -21.856 | 29.431 | 1307.034 | 0.000 | -0.000 | 0.000 | 
| -0.000 | 0.000 | -0.000 | 553.631 | -0.001 | 0.000 | 
| 113.442 | 4.665 | -20.298 | -0.004 | 490.211 | 0.000 | 
| 133.767 | -14.271 | -13.610 | -0.001 | 0.000 | 288.352 | 
| 1037.813 | 67.532 | -1.132 | 0.000 | 0.000 | -0.000 | 
| 54.335 | 1028.912 | 43.006 | 0.000 | 0.000 | -0.000 | 
| -18.891 | 34.724 | 1290.440 | 0.000 | -0.000 | 0.000 | 
| -6.839 | -0.281 | 1.224 | 513.425 | -0.000 | 0.000 | 
| -14.112 | 1.470 | 1.455 | 0.000 | 501.437 | 0.000 | 
| -20.738 | 2.514 | 1.953 | -0.000 | -0.000 | 246.311 | 
| 1064.845 | 59.268 | -5.858 | -0.000 | -0.000 | 0.000 | 
| 73.166 | 1025.483 | 40.949 | -0.000 | -0.000 | 0.000 | 
| -21.855 | 29.431 | 1307.034 | 0.000 | 0.000 | 0.000 | 
| 6.839 | 0.281 | -1.224 | 513.425 | 0.000 | 0.000 | 
| 14.112 | -1.470 | -1.455 | 0.000 | 501.437 | 0.000 | 
| 20.738 | -2.514 | -1.953 | 0.000 | 0.000 | 246.311 | 
| 1052.366 | 62.688 | -3.670 | 0.000 | 0.000 | 0.000 | 
| 60.236 | 1029.763 | 41.762 | 0.000 | -0.000 | 0.000 | 
| -17.186 | 36.720 | 1291.388 | -0.000 | -0.000 | -0.000 | 
| -1.586 | 0.196 | 0.148 | 515.820 | 0.000 | 0.000 | 
| -1.306 | 0.150 | 0.143 | 0.000 | 500.113 | -0.000 | 
| -0.800 | -0.033 | 0.143 | 0.000 | -0.000 | 296.826 | 
| 1049.673 | 64.829 | -8.628 | -0.000 | 0.000 | 0.000 | 
| 62.050 | 1029.406 | 41.569 | -0.000 | 0.000 | -0.000 | 
| -13.779 | 34.382 | 1291.234 | -0.000 | -0.000 | 0.000 | 
| 1.586 | -0.196 | -0.148 | 515.820 | -0.000 | 0.000 | 
| 1.306 | -0.150 | -0.143 | 0.000 | 500.113 | 0.000 | 
| 0.800 | 0.033 | -0.143 | -0.000 | -0.000 | 296.826 | 
| 794.789 | -67.629 | 153.996 | -0.000 | 591.027 | -0.000 | 
| -122.997 | 965.428 | 129.271 | -0.000 | 464.056 | -0.000 | 
| -100.145 | 99.739 | 954.573 | -0.000 | 466.925 | -0.000 | 
| -0.000 | -0.000 | -0.000 | 534.956 | -0.000 | -57.089 | 
| -148.387 | -23.462 | -15.002 | -0.000 | 742.063 | -0.000 | 
| -157.656 | -92.670 | 65.149 | -18.282 | 530.591 | 375.884 | 
| 1110.792 | 117.533 | 23.460 | 0.000 | -470.606 | 0.000 | 
| 9.882 | 1113.339 | 40.306 | 0.000 | -84.130 | 0.000 | 
| 267.777 | 48.511 | 1047.969 | 0.000 | -402.958 | 0.000 | 
| 0.000 | 0.000 | 0.000 | 534.956 | 0.000 | -57.089 | 
| 234.183 | -101.551 | 99.181 | -0.000 | -149.160 | 0.000 | 
| 157.656 | 92.670 | -65.149 | -18.282 | -530.591 | 375.884 | 
| 935.941 | 16.813 | 95.546 | 0.000 | 111.255 | -0.000 | 
| 9.883 | 1113.339 | 40.305 | -0.000 | -84.131 | -0.000 | 
| 63.503 | 76.849 | 1000.784 | -0.000 | 72.933 | -0.000 | 
| 0.000 | 0.000 | 0.000 | 534.956 | -0.000 | -57.089 | 
| 40.713 | -77.455 | 42.337 | -0.000 | 407.386 | 0.000 | 
| -18.861 | 4.844 | -6.049 | -23.259 | 45.328 | 381.135 | 
| 993.166 | 0.874 | 75.971 | -0.000 | 77.737 | 0.000 | 
| 53.764 | 1050.508 | 65.409 | 0.000 | -103.604 | -0.000 | 
| 74.266 | 44.404 | 1056.348 | 0.000 | 42.337 | 0.000 | 
| -0.000 | -0.000 | -0.000 | 534.956 | 0.000 | -57.089 | 
| 48.597 | -41.257 | 22.478 | 0.000 | 270.808 | 0.000 | 
| 18.861 | -4.844 | 6.049 | -23.259 | -45.328 | 381.135 | 
| 947.508 | 32.794 | 80.833 | -0.000 | 67.300 | -0.000 | 
| 26.124 | 1059.262 | 64.636 | -0.000 | -46.747 | -0.000 | 
| 85.701 | 67.127 | 1009.986 | -0.000 | 30.433 | -0.000 | 
| -1.570 | 0.171 | -0.355 | 496.605 | 3.777 | -15.839 | 
| 34.838 | -52.348 | 32.579 | -0.000 | 318.978 | -0.000 | 
| -1.427 | -0.839 | 0.590 | -22.601 | 4.802 | 380.791 | 
| 955.486 | 26.340 | 87.629 | -0.000 | 51.766 | 0.000 | 
| 30.395 | 1056.760 | 65.313 | 0.000 | -53.878 | 0.000 | 
| 85.758 | 68.566 | 1009.559 | 0.000 | 28.554 | 0.000 | 
| 1.570 | -0.171 | 0.355 | 496.605 | -3.777 | -15.839 | 
| 36.760 | -51.331 | 32.837 | 0.000 | 310.227 | 0.000 | 
| 1.427 | 0.839 | -0.590 | -22.601 | -4.802 | 380.791 | 
| 385.309 | -16.407 | 4.840 | 0.000 | 0.000 | -0.000 | 
| -16.407 | 385.309 | 4.840 | 0.000 | 0.000 | 0.000 | 
| -13.465 | -13.466 | 178.756 | 0.000 | 0.000 | 0.000 | 
| -124.733 | -124.733 | 21.969 | 36.355 | 0.000 | -0.000 | 
| -124.733 | -124.733 | 21.969 | 0.000 | 36.355 | -0.000 | 
| -0.000 | -0.000 | 0.000 | 0.000 | 0.000 | 99.704 | 
| 385.309 | -16.406 | 4.840 | -0.000 | -0.000 | -0.000 | 
| -16.406 | 385.309 | 4.840 | -0.000 | -0.000 | -0.000 | 
| 78.267 | 78.267 | 124.614 | -0.000 | -0.000 | 0.000 | 
| 124.733 | 124.733 | -21.969 | 36.355 | 0.000 | -0.000 | 
| 124.733 | 124.733 | -21.969 | 0.000 | 36.355 | 0.000 | 
| 0.000 | 0.000 | -0.000 | -0.000 | -0.000 | 99.704 | 
| 385.309 | -16.406 | 4.840 | 0.000 | 0.000 | -0.000 | 
| -16.406 | 385.309 | 4.840 | 0.000 | 0.000 | -0.000 | 
| -13.465 | -13.465 | 178.756 | -0.000 | -0.000 | 0.000 | 
| -2.152 | -2.152 | 0.329 | 57.628 | 0.000 | -0.000 | 
| -2.152 | -2.152 | 0.329 | 0.000 | 57.628 | -0.000 | 
| -3.299 | -3.299 | 0.504 | 0.000 | 0.000 | 53.647 | 
| 382.846 | -15.338 | 6.381 | -0.000 | -0.000 | -0.000 | 
| -15.338 | 382.846 | 6.381 | -0.000 | -0.000 | -0.000 | 
| 1.424 | 1.424 | 167.770 | -0.000 | -0.000 | 0.000 | 
| 2.152 | 2.152 | -0.329 | 57.628 | -0.000 | 0.000 | 
| 2.152 | 2.152 | -0.329 | 0.000 | 57.628 | 0.000 | 
| 3.299 | 3.299 | -0.504 | -0.000 | -0.000 | 53.647 | 
| 385.311 | -16.406 | 4.840 | 0.000 | 0.000 | 0.000 | 
| -16.406 | 385.311 | 4.840 | 0.000 | 0.000 | -0.000 | 
| -11.601 | -11.601 | 169.124 | 0.000 | 0.000 | -0.000 | 
| -26952677.431 | -26674399.075 | -2695316.629 | -963341.142 | -53030.555 | 72645.636 | 
| -26665518.487 | -26861914.283 | -2681229.030 | 39952.033 | -1096631.987 | -105574.527 | 
| -25905834.840 | -25944732.200 | -2562921.934 | -16410.657 | 36777.721 | -2281680.477 | 
| 370.794 | -26.613 | 9.343 | -0.000 | -0.000 | -0.000 | 
| -26.613 | 370.794 | 9.343 | -0.000 | -0.000 | 0.000 | 
| -10.777 | -10.777 | 168.921 | -0.000 | -0.000 | -0.000 | 
| 26899770.987 | 26595597.792 | 2729254.066 | -1023014.763 | -34661.001 | -54693.424 | 
| 26627176.200 | 26849856.940 | 2726702.704 | 57362.664 | -1145730.317 | 63627.004 | 
| 25963942.790 | 25913317.634 | 2729089.628 | 55062.431 | -25087.694 | -2207333.555 | 
| 374509793.069 | 388099818.273 | -1767051417.059 | 6929621.942 | -3544296.916 | 1495993.265 | 
| 386966641.643 | 376317014.864 | -1765103065.854 | -2230998.544 | 22849122.209 | 1671437.999 | 
| -13.722 | -13.722 | 141.014 | 0.006 | 0.006 | -0.000 | 
| 375395849.955 | 409393832.334 | -1756333208.689 | -119004316.486 | 415258.253 | 184399.288 | 
| -0.107 | -0.106 | 0.006 | 0.027 | 32.100 | -0.000 | 
| -0.048 | -0.048 | 0.001 | 0.025 | 0.024 | 17.848 | 
| -389688402.447 | -373041930.841 | 1769426790.921 | 8298311.585 | -24596346.766 | -1588820.872 | 
| -377563059.453 | -387012972.030 | 1763080501.711 | -8696647.825 | 1300125.915 | -1425018.244 | 
| -13.721 | -13.721 | 141.018 | -0.006 | -0.006 | -0.000 | 
| -384705757.946 | -385826746.124 | 1759889323.221 | -62511217.838 | -9722365.738 | -5608106.236 | 
| -395853471.064 | -384794436.020 | 1746103389.494 | 2057.168 | -72426745.673 | 917246.542 | 
| 0.048 | 0.048 | -0.001 | -0.025 | -0.024 | 17.848 | 
| 37705299.392 | 38534343.014 | -176506971.852 | 809322.300 | -723937.411 | 63251.830 | 
| 38399799.363 | 37721266.829 | -176869909.150 | -1156696.116 | 1526401.572 | -60658.356 | 
| -13.714 | -13.714 | 141.030 | 0.001 | 0.001 | 0.000 | 
| 37320186.735 | 40797532.211 | -175547536.038 | -9738082.306 | 189317.141 | 53612.655 | 
| 44237463.389 | 43586190.840 | -161272988.085 | 217508.497 | -30289593.534 | -39006.215 | 
| -0.006 | -0.006 | 0.000 | 0.002 | 0.002 | 17.916 | 
| -38451235.742 | -37750836.389 | 176771039.024 | 967220.020 | -1486402.567 | 76916.901 | 
| -37668524.222 | -38865667.279 | 176585744.749 | -964722.469 | 476253.914 | -53103.997 | 
| -13.708 | -13.708 | 141.023 | -0.001 | -0.001 | -0.000 | 
| -37350585.984 | -37685987.834 | 178574740.256 | -4865511.648 | 609361.988 | 237223.726 | 
| -39686931.202 | -37483412.798 | 175967094.408 | 76783.908 | -6607420.754 | -101926.724 | 
| 0.006 | 0.006 | -0.000 | -0.002 | -0.002 | 17.916 | 
| 3768109.638 | 3845840.490 | -17681951.028 | 121312.810 | -112207.689 | 1545.657 | 
| 3853939.969 | 3760229.727 | -17700328.458 | -98279.558 | 70797.274 | 1364.079 | 
| -13.708 | -13.708 | 141.029 | 0.000 | 0.000 | -0.000 | 
| 4347317.429 | 4534123.469 | -16100910.133 | -2986590.786 | -10356.997 | 3160.216 | 
| 4349443.272 | 4096614.617 | -16700415.526 | -69804.800 | -1917756.375 | 7413.526 | 
| -0.009 | -0.010 | 0.001 | 0.000 | 0.000 | 17.916 | 
| -3829529.741 | -3767831.498 | 17732812.098 | 131752.666 | -120097.245 | 6421.178 | 
| -3761779.178 | -3854079.058 | 17696385.453 | -76341.158 | 140437.682 | -5881.055 | 
| -13.713 | -13.713 | 141.024 | -0.000 | -0.000 | -0.000 | 
| -3781951.074 | -3883925.898 | 17673266.428 | -843992.920 | 63982.238 | 27824.111 | 
| -4247937.534 | -3966532.883 | 16949338.360 | -127817.423 | -1472542.540 | -22645.811 | 
| 0.009 | 0.010 | -0.001 | -0.000 | -0.000 | 17.916 | 
| 365.886 | 153.507 | 0.000 | 0.000 | 0.000 | 0.000 | 
| 153.507 | 365.886 | 0.000 | 0.000 | 0.000 | 0.000 | 
| 0.000 | -0.000 | 0.000 | 0.000 | 0.000 | 0.000 | 
| -0.000 | -0.000 | 0.000 | 0.000 | 0.000 | 0.000 | 
| -0.000 | -0.000 | 0.000 | 0.000 | 0.000 | 0.000 | 
| -0.000 | -0.000 | 0.000 | 0.000 | 0.000 | 259.697 | 
| 365.886 | 153.507 | -0.000 | -0.000 | -0.000 | -0.000 | 
| 153.507 | 365.886 | -0.000 | -0.000 | -0.000 | -0.000 | 
| -0.000 | 0.000 | -0.000 | -0.000 | -0.000 | -0.000 | 
| -0.000 | 0.000 | -0.000 | -0.000 | -0.000 | -0.000 | 
| 0.000 | 0.000 | -0.000 | -0.000 | -0.000 | -0.000 | 
| 0.000 | -0.000 | -0.000 | -0.000 | -0.000 | 259.696 | 
| 365.886 | 153.507 | 0.000 | 0.000 | 0.000 | 0.000 | 
| 153.507 | 365.886 | 0.000 | 0.000 | 0.000 | 0.000 | 
| 0.000 | -0.000 | 0.000 | 0.000 | 0.000 | 0.000 | 
| -0.000 | 0.000 | 0.000 | 0.000 | 0.000 | 0.000 | 
| 0.000 | -0.000 | 0.000 | 0.000 | 0.000 | 0.000 | 
| 0.000 | 0.000 | 0.000 | 0.000 | 0.000 | 259.696 | 
| 365.886 | 153.506 | -0.000 | -0.000 | -0.000 | -0.000 | 
| 153.506 | 365.886 | -0.000 | -0.000 | -0.000 | -0.000 | 
| -0.000 | 0.000 | -0.000 | -0.000 | -0.000 | -0.000 | 
| 0.000 | -0.000 | -0.000 | -0.000 | -0.000 | -0.000 | 
| 0.000 | 0.000 | -0.000 | -0.000 | -0.000 | -0.000 | 
| -0.000 | -0.000 | -0.000 | -0.000 | -0.000 | 259.696 | 
| 365.887 | 153.507 | 0.000 | 0.000 | 0.000 | 0.000 | 
| 153.507 | 365.887 | 0.000 | 0.000 | 0.000 | 0.000 | 
| 0.000 | -0.000 | 0.000 | 0.000 | 0.000 | 0.000 | 
| 0.000 | 0.000 | 0.000 | 0.000 | 0.000 | 0.000 | 
| -0.000 | -0.000 | 0.000 | 0.000 | 0.000 | 0.000 | 
| 0.000 | 0.001 | 0.000 | 0.000 | 0.000 | 259.696 | 
| 365.885 | 153.506 | -0.000 | -0.000 | -0.000 | -0.000 | 
| 153.506 | 365.885 | -0.000 | -0.000 | -0.000 | -0.000 | 
| -0.000 | 0.000 | -0.000 | -0.000 | -0.000 | -0.000 | 
| -0.000 | 0.000 | -0.000 | -0.000 | -0.000 | -0.000 | 
| -0.000 | 0.000 | -0.000 | -0.000 | -0.000 | -0.000 | 
| -0.000 | -0.001 | -0.000 | -0.000 | -0.000 | 259.696 | 
| 439.800 | 44.085 | 35.590 | -0.000 | -0.000 | -0.000 | 
| 44.084 | 440.049 | 35.696 | -0.000 | -0.000 | -0.000 | 
| 35.590 | 35.697 | 500.502 | -0.000 | -0.000 | -0.000 | 
| -0.000 | 0.000 | -0.000 | 227.615 | 0.000 | -0.000 | 
| -0.003 | -0.001 | 0.003 | 0.001 | 89.366 | -0.000 | 
| -0.000 | 0.000 | -0.000 | -0.001 | -0.000 | 206.570 | 
| 142.789 | 73.918 | 62.933 | 0.000 | -0.000 | 0.000 | 
| 73.190 | 141.990 | 64.448 | 0.000 | 0.000 | 0.000 | 
| 60.084 | 62.013 | 230.559 | 0.000 | -0.000 | 0.000 | 
| -0.000 | -0.000 | 0.000 | 227.615 | 0.001 | 0.000 | 
| 0.003 | 0.001 | -0.004 | 0.001 | 89.366 | 0.000 | 
| 0.000 | -0.000 | 0.000 | 0.000 | 0.000 | 206.570 | 
| 439.800 | 44.084 | 35.590 | -0.000 | -0.000 | -0.000 | 
| 81.171 | 225.460 | 69.557 | -0.000 | 0.000 | -0.000 | 
| 35.590 | 35.697 | 500.502 | -0.000 | -0.000 | -0.000 | 
| 0.000 | 0.000 | 0.000 | 227.615 | -0.000 | -0.000 | 
| -0.000 | -0.000 | 0.000 | -0.000 | 89.366 | -0.000 | 
| -0.000 | 0.000 | 0.000 | -0.000 | -0.000 | 206.570 | 
| 439.800 | 44.084 | 35.590 | 0.000 | 0.000 | 0.000 | 
| 44.084 | 440.048 | 35.696 | 0.000 | 0.000 | 0.000 | 
| 47.880 | 49.048 | 209.415 | 0.000 | 0.000 | 0.000 | 
| -0.000 | -0.000 | -0.000 | 227.615 | 0.000 | 0.000 | 
| 0.000 | 0.000 | -0.000 | 0.000 | 89.366 | 0.000 | 
| 0.000 | -0.000 | 0.000 | 0.000 | -0.000 | 206.570 | 
| 27.855 | -42.114 | -13.318 | -0.000 | -0.000 | -0.000 | 
| 51.971 | 102.287 | 45.332 | -0.000 | -0.000 | -0.000 | 
| 30.057 | 30.384 | 197.180 | 0.000 | -0.000 | -0.000 | 
| 0.000 | -0.000 | 0.000 | 227.615 | 0.000 | -0.000 | 
| -0.000 | 0.000 | 0.000 | -0.000 | 226.807 | -0.000 | 
| -0.000 | 0.000 | 0.000 | -0.000 | -0.000 | 206.570 | 
| 103.542 | 52.906 | 45.091 | 0.000 | 0.000 | 0.000 | 
| 51.960 | 102.289 | 45.321 | 0.000 | 0.000 | 0.000 | 
| 47.878 | 49.046 | 209.407 | 0.000 | 0.000 | 0.000 | 
| -0.000 | 0.000 | -0.000 | 227.615 | -0.000 | 0.000 | 
| 0.000 | -0.000 | -0.000 | -0.000 | 226.807 | 0.000 | 
| 0.000 | -0.000 | -0.000 | 0.000 | -0.000 | 206.570 | 
| -671.199 | 119.631 | 881.244 | 0.000 | -0.000 | -0.000 | 
| -1135.104 | -111.892 | 1377.945 | -0.000 | -0.000 | -0.000 | 
| -162.724 | 65.455 | 621.429 | 0.000 | -0.000 | 0.000 | 
| -1175.049 | -133.123 | 1310.429 | 27.098 | 0.000 | -0.001 | 
| -204.485 | 26.742 | 252.472 | -0.000 | 166.733 | -0.000 | 
| -797.455 | 41.633 | 830.261 | -0.000 | -0.000 | 27.650 | 
| 925.830 | 36.162 | -780.507 | 0.000 | 0.000 | 0.000 | 
| 42.064 | 392.940 | 25.002 | 0.000 | 0.000 | 0.000 | 
| 857.669 | 12.649 | -648.227 | 0.000 | 0.000 | 0.000 | 
| 1175.049 | 133.123 | -1310.429 | 27.098 | 0.001 | 0.000 | 
| 204.485 | -26.742 | -252.472 | -0.000 | 166.733 | 0.000 | 
| 1174.473 | 133.046 | -1309.792 | 0.000 | 0.000 | -18.111 | 
| -159.428 | -166.471 | 113.216 | 0.000 | 0.000 | -0.000 | 
| 35.396 | 298.831 | 68.476 | 0.000 | -0.000 | -0.000 | 
| 17.574 | 43.068 | 392.005 | 0.000 | -0.000 | -0.000 | 
| -126.147 | -48.848 | 151.762 | 24.544 | -0.000 | -0.000 | 
| -22.945 | 3.001 | 28.330 | 0.000 | 161.712 | -0.000 | 
| -75.447 | 3.963 | 78.610 | 0.000 | -0.000 | 35.898 | 
| 392.932 | 42.064 | 25.015 | 0.000 | 0.000 | 0.000 | 
| 84.633 | 295.532 | 6.519 | -0.000 | 0.000 | 0.000 | 
| 144.302 | 54.998 | 28.014 | -0.000 | -0.000 | 0.000 | 
| 126.147 | 48.848 | -151.762 | 24.544 | 0.000 | 0.000 | 
| 22.945 | -3.001 | -28.330 | 0.000 | 161.712 | 0.000 | 
| 75.447 | -3.963 | -78.610 | 0.000 | 0.000 | 35.898 | 
| 392.934 | 42.065 | 25.015 | 0.000 | -0.000 | -0.000 | 
| -15.893 | 36.873 | 12.332 | 0.000 | 0.000 | -0.000 | 
| 48.527 | 54.859 | 263.173 | -0.000 | -0.000 | -0.000 | 
| -13.294 | -10.161 | 16.937 | 30.124 | -0.000 | -0.000 | 
| -11.469 | -7.893 | 15.107 | 0.000 | 46.333 | -0.000 | 
| -8.210 | -1.253 | 9.414 | 0.000 | -0.000 | 45.678 | 
| 31.791 | -38.681 | -33.174 | -0.000 | 0.000 | 0.000 | 
| 59.459 | 97.526 | 19.482 | -0.000 | 0.000 | 0.000 | 
| 27.681 | 22.278 | 155.717 | -0.000 | 0.000 | 0.000 | 
| 13.294 | 10.161 | -16.937 | 30.124 | 0.000 | 0.000 | 
| 11.469 | 7.893 | -15.107 | -0.000 | 46.333 | 0.000 | 
| 12.734 | 9.005 | -16.038 | -0.000 | 0.000 | 15.989 | 
| 609.883 | 0.000 | 0.000 | 0.000 | 0.000 | 0.000 | 
| -0.000 | 0.000 | 0.000 | 0.000 | 0.000 | 0.000 | 
| -0.000 | 0.000 | 0.000 | 0.000 | 0.000 | 0.000 | 
| -0.000 | 0.000 | 0.000 | 0.000 | 0.000 | 0.000 | 
| 0.000 | 0.000 | 0.000 | 0.000 | 0.000 | 0.000 | 
| -0.000 | 0.000 | 0.000 | 0.000 | 0.000 | 0.000 | 
| 609.883 | -0.000 | -0.000 | -0.000 | -0.000 | -0.000 | 
| 0.000 | -0.000 | -0.000 | -0.000 | -0.000 | -0.000 | 
| -0.000 | -0.000 | -0.000 | -0.000 | -0.000 | -0.000 | 
| 0.000 | -0.000 | -0.000 | -0.000 | -0.000 | -0.000 | 
| 0.000 | -0.000 | -0.000 | -0.000 | -0.000 | -0.000 | 
| 0.000 | -0.000 | -0.000 | -0.000 | -0.000 | -0.000 | 
| 609.883 | 0.000 | 0.000 | 0.000 | 0.000 | 0.000 | 
| -0.000 | 0.000 | 0.000 | 0.000 | 0.000 | 0.000 | 
| -0.000 | 0.000 | 0.000 | 0.000 | 0.000 | 0.000 | 
| -0.000 | 0.000 | 0.000 | 0.000 | 0.000 | 0.000 | 
| -0.000 | 0.000 | 0.000 | 0.000 | 0.000 | 0.000 | 
| -0.000 | 0.000 | 0.000 | 0.000 | 0.000 | 0.000 | 
| 609.882 | -0.000 | -0.000 | -0.000 | -0.000 | -0.000 | 
| 0.000 | -0.000 | -0.000 | -0.000 | -0.000 | -0.000 | 
| 0.000 | -0.000 | -0.000 | -0.000 | -0.000 | -0.000 | 
| 0.000 | -0.000 | -0.000 | -0.000 | -0.000 | -0.000 | 
| 0.000 | -0.000 | -0.000 | -0.000 | -0.000 | -0.000 | 
| 0.000 | -0.000 | -0.000 | -0.000 | -0.000 | -0.000 | 
| 609.885 | 0.000 | 0.000 | 0.000 | 0.000 | 0.000 | 
| -0.000 | 0.000 | 0.000 | 0.000 | 0.000 | 0.000 | 
| -0.000 | 0.000 | 0.000 | 0.000 | 0.000 | 0.000 | 
| -0.000 | 0.000 | 0.000 | 0.000 | 0.000 | 0.000 | 
| -0.000 | 0.000 | 0.000 | 0.000 | 0.000 | 0.000 | 
| -0.000 | 0.000 | 0.000 | 0.000 | 0.000 | 0.000 | 
| 609.880 | -0.000 | -0.000 | -0.000 | -0.000 | -0.000 | 
| 0.000 | -0.000 | -0.000 | -0.000 | -0.000 | -0.000 | 
| -0.000 | -0.000 | -0.000 | -0.000 | -0.000 | -0.000 | 
| 0.000 | -0.000 | -0.000 | -0.000 | -0.000 | -0.000 | 
| -0.000 | -0.000 | -0.000 | -0.000 | -0.000 | -0.000 | 
| 0.000 | -0.000 | -0.000 | -0.000 | -0.000 | -0.000 | 
| 609.883 | 0.000 | 0.000 | 0.000 | 0.000 | 0.000 | 
| 0.000 | 0.000 | 0.000 | 0.000 | 0.000 | 0.000 | 
| 0.000 | 0.000 | 0.000 | 0.000 | 0.000 | 0.000 | 
| 0.000 | 0.000 | 0.000 | 0.000 | 0.000 | 0.000 | 
| -0.000 | 0.000 | 0.000 | 0.000 | 0.000 | 0.000 | 
| -0.000 | 0.000 | 0.000 | 0.000 | 0.000 | 0.000 | 
| 609.883 | -0.000 | -0.000 | -0.000 | -0.000 | -0.000 | 
| -0.000 | -0.000 | -0.000 | -0.000 | -0.000 | -0.000 | 
| 0.000 | -0.000 | -0.000 | -0.000 | -0.000 | -0.000 | 
| -0.000 | -0.000 | -0.000 | -0.000 | -0.000 | -0.000 | 
| 0.000 | -0.000 | -0.000 | -0.000 | -0.000 | -0.000 | 
| 0.000 | -0.000 | -0.000 | -0.000 | -0.000 | -0.000 | 
| 609.883 | 0.000 | 0.000 | 0.000 | 0.000 | 0.000 | 
| 0.000 | 0.000 | 0.000 | 0.000 | 0.000 | 0.000 | 
| 0.000 | 0.000 | 0.000 | 0.000 | 0.000 | 0.000 | 
| 0.000 | 0.000 | 0.000 | 0.000 | 0.000 | 0.000 | 
| -0.000 | 0.000 | 0.000 | 0.000 | 0.000 | 0.000 | 
| -0.000 | 0.000 | 0.000 | 0.000 | 0.000 | 0.000 | 
| 609.882 | -0.000 | -0.000 | -0.000 | -0.000 | -0.000 | 
| -0.000 | -0.000 | -0.000 | -0.000 | -0.000 | -0.000 | 
| 0.000 | -0.000 | -0.000 | -0.000 | -0.000 | -0.000 | 
| -0.000 | -0.000 | -0.000 | -0.000 | -0.000 | -0.000 | 
| 0.000 | -0.000 | -0.000 | -0.000 | -0.000 | -0.000 | 
| 0.000 | -0.000 | -0.000 | -0.000 | -0.000 | -0.000 | 
| 609.885 | 0.000 | 0.000 | 0.000 | 0.000 | 0.000 | 
| 0.000 | 0.000 | 0.000 | 0.000 | 0.000 | 0.000 | 
| 0.000 | 0.000 | 0.000 | 0.000 | 0.000 | 0.000 | 
| 0.000 | 0.000 | 0.000 | 0.000 | 0.000 | 0.000 | 
| -0.000 | 0.000 | 0.000 | 0.000 | 0.000 | 0.000 | 
| -0.000 | 0.000 | 0.000 | 0.000 | 0.000 | 0.000 | 
| 609.880 | -0.000 | -0.000 | -0.000 | -0.000 | -0.000 | 
| -0.000 | -0.000 | -0.000 | -0.000 | -0.000 | -0.000 | 
| 0.000 | -0.000 | -0.000 | -0.000 | -0.000 | -0.000 | 
| -0.000 | -0.000 | -0.000 | -0.000 | -0.000 | -0.000 | 
| 0.000 | -0.000 | -0.000 | -0.000 | -0.000 | -0.000 | 
| 0.000 | -0.000 | -0.000 | -0.000 | -0.000 | -0.000 | 
| 321.244 | -436.708 | -436.709 | -0.000 | -0.000 | 0.000 | 
| -436.709 | 321.244 | -436.709 | -0.000 | -0.000 | 0.000 | 
| -436.709 | -436.708 | 321.244 | -0.000 | -0.000 | 0.000 | 
| -653.740 | -653.740 | -653.740 | 369.805 | -0.000 | 0.000 | 
| -653.740 | -653.740 | -653.740 | -0.000 | 369.804 | 0.000 | 
| -653.740 | -653.740 | -653.740 | -0.000 | -0.000 | 369.805 | 
| 1458.043 | 718.240 | 718.240 | 0.000 | 0.000 | -0.000 | 
| 718.241 | 1458.043 | 718.241 | 0.000 | 0.000 | -0.000 | 
| 718.241 | 718.240 | 1458.043 | 0.000 | 0.000 | -0.000 | 
| 653.740 | 653.740 | 653.740 | 369.805 | 0.000 | -0.000 | 
| 653.740 | 653.740 | 653.740 | 0.000 | 369.805 | -0.000 | 
| 653.740 | 653.740 | 653.740 | 0.000 | 0.000 | 369.804 | 
| 767.919 | 10.030 | 10.030 | -0.000 | -0.000 | 0.000 | 
| 10.030 | 767.919 | 10.030 | -0.000 | -0.000 | -0.000 | 
| 10.030 | 10.030 | 767.919 | -0.000 | -0.000 | 0.000 | 
| -66.312 | -66.312 | -66.312 | 367.760 | -0.000 | 0.000 | 
| -66.312 | -66.312 | -66.312 | -0.000 | 367.760 | 0.000 | 
| -66.312 | -66.312 | -66.312 | -0.000 | -0.000 | 367.760 | 
| 865.768 | 131.031 | 131.031 | 0.000 | 0.000 | -0.000 | 
| 131.031 | 865.768 | 131.031 | 0.000 | 0.000 | -0.000 | 
| 131.031 | 131.031 | 865.768 | 0.000 | 0.000 | 0.000 | 
| 66.312 | 66.312 | 66.312 | 367.760 | 0.000 | -0.000 | 
| 66.312 | 66.312 | 66.312 | 0.000 | 367.760 | -0.000 | 
| 66.312 | 66.312 | 66.312 | 0.000 | 0.000 | 367.760 | 
| 799.170 | 57.779 | 57.779 | -0.000 | -0.000 | 0.000 | 
| 57.779 | 799.171 | 57.779 | -0.000 | -0.000 | 0.000 | 
| 57.779 | 57.779 | 799.170 | -0.000 | -0.000 | 0.000 | 
| -7.232 | -7.232 | -7.232 | 319.044 | -0.000 | 0.000 | 
| -7.232 | -7.232 | -7.232 | -0.000 | 319.044 | 0.000 | 
| -6.536 | -6.536 | -6.536 | -0.000 | -0.000 | 317.527 | 
| 815.026 | 68.774 | 68.774 | 0.000 | 0.000 | -0.000 | 
| 68.774 | 815.026 | 68.774 | 0.000 | 0.000 | -0.000 | 
| 68.774 | 68.774 | 815.026 | 0.000 | 0.000 | -0.000 | 
| 7.232 | 7.232 | 7.232 | 319.044 | 0.000 | -0.000 | 
| 7.232 | 7.232 | 7.232 | 0.000 | 319.044 | -0.000 | 
| 6.536 | 6.536 | 6.536 | 0.000 | 0.000 | 317.527 | 
| 838.516 | 82.594 | 67.779 | 0.000 | 0.000 | 0.000 | 
| -82.112 | 1207.989 | -0.264 | -0.000 | 0.000 | -0.000 | 
| 18.106 | 138.573 | 935.399 | 0.000 | -0.000 | -0.000 | 
| -0.000 | -0.000 | 0.000 | 547.958 | 0.000 | -0.000 | 
| -108.026 | 7.963 | -52.329 | -0.000 | 342.155 | -0.000 | 
| -0.001 | 0.000 | -0.000 | 0.000 | 0.000 | 412.850 | 
| 1016.841 | -26.496 | 147.883 | -0.000 | 0.000 | -0.000 | 
| 125.425 | 1054.711 | 132.249 | 0.000 | 0.000 | 0.000 | 
| 194.897 | 30.023 | 1016.702 | 0.000 | -0.000 | -0.000 | 
| 0.000 | -0.000 | 0.000 | 547.958 | -0.000 | 0.000 | 
| 108.027 | -7.963 | 52.329 | -0.000 | 342.155 | -0.000 | 
| 0.001 | 0.000 | 0.000 | -0.000 | -0.000 | 412.850 | 
| 953.213 | 25.706 | 93.944 | -0.000 | -0.000 | -0.000 | 
| 10.076 | 1060.863 | 76.792 | 0.000 | 0.000 | -0.000 | 
| 90.885 | 88.042 | 993.861 | -0.000 | -0.000 | 0.000 | 
| -9.608 | 14.402 | -7.914 | 506.323 | 0.000 | 0.000 | 
| -8.852 | 13.269 | -7.291 | 0.000 | 327.516 | -0.000 | 
| -9.549 | 14.313 | -7.865 | -0.000 | 0.000 | 383.103 | 
| 968.742 | -2.234 | 112.526 | -0.000 | -0.000 | 0.000 | 
| 17.614 | 1058.999 | 82.056 | -0.000 | -0.000 | 0.000 | 
| 84.799 | 60.283 | 1042.924 | 0.000 | -0.000 | -0.000 | 
| 9.608 | -14.402 | 7.914 | 506.323 | -0.000 | 0.000 | 
| 8.852 | -13.269 | 7.291 | 0.000 | 327.516 | 0.000 | 
| 9.549 | -14.313 | 7.865 | 0.000 | 0.000 | 383.103 | 
| 1006.623 | -12.309 | 85.723 | -0.000 | 0.000 | 0.000 | 
| 19.845 | 1055.848 | 82.154 | 0.000 | 0.000 | 0.000 | 
| 100.769 | 81.304 | 988.605 | -0.000 | 0.000 | -0.000 | 
| -0.708 | 0.594 | -0.388 | 500.707 | -0.000 | 0.000 | 
| -0.874 | 1.310 | -0.720 | -0.000 | 328.663 | -0.000 | 
| -1.101 | 1.650 | -0.906 | -0.000 | -0.000 | 378.552 | 
| 950.518 | 16.661 | 107.973 | -0.000 | 0.000 | -0.000 | 
| 19.793 | 1056.237 | 80.649 | 0.000 | -0.000 | 0.000 | 
| 94.888 | 88.095 | 985.158 | 0.000 | 0.000 | -0.000 | 
| 0.708 | -0.594 | 0.388 | 500.707 | 0.000 | 0.000 | 
| 0.874 | -1.310 | 0.720 | 0.000 | 328.663 | 0.000 | 
| 1.101 | -1.650 | 0.906 | 0.000 | 0.000 | 378.552 | 
| -1146543.170 | -1005376.735 | -1055180.899 | 114838.982 | 71465.738 | -6175.536 | 
| -1399224.457 | -1268929.853 | -1352625.395 | 91045.191 | 18312.377 | 45327.413 | 
| -1135973.705 | -1063756.090 | -1007978.045 | 90155.073 | 68388.104 | -19579.723 | 
| -852104.724 | -747327.211 | -824838.246 | 110865.826 | 80547.592 | -38426.877 | 
| 911640.620 | 897043.586 | 1243987.602 | 263155.153 | 111052.583 | 14957.973 | 
| -1087054.851 | -1033130.583 | -1015445.536 | 55889.049 | 39913.424 | -9157.291 | 
| 1294766.924 | 1391055.759 | 1433598.313 | -63138.749 | 86619.940 | -87581.564 | 
| 945436.285 | 785661.653 | 949250.440 | -60699.270 | -1129.024 | 22961.554 | 
| 1095507.008 | 1002388.639 | 1033452.270 | -134325.363 | -22964.594 | -7361.445 | 
| -845608.277 | -970074.770 | -937731.513 | -131906.517 | -251201.516 | -28679.453 | 
| 960754.584 | 862023.725 | 878175.485 | -125143.545 | -98695.242 | 41114.767 | 
| -285442.636 | -376789.955 | -569848.269 | -149991.877 | -49652.328 | 42412.898 | 
| -101943.695 | -82093.000 | -86186.792 | 13021.502 | 10359.644 | -1541.901 | 
| -136180.416 | -127488.389 | -123500.563 | 9292.133 | 13240.428 | -4972.678 | 
| -110825.312 | -111778.956 | -104497.584 | 8511.574 | 13266.347 | -65.804 | 
| -166620.465 | -170460.532 | -160621.104 | 9305.244 | 11432.089 | 3810.279 | 
| -153744.451 | -134967.056 | -126408.798 | 10830.049 | 8742.515 | 9631.900 | 
| -217111.096 | -201602.725 | -203709.977 | 6572.684 | 1221.342 | 74.306 | 
| -76741.021 | -99260.987 | -69626.797 | -13134.908 | -7526.586 | 1518.754 | 
| 117953.291 | 102920.043 | 120105.737 | -6354.082 | -419.965 | 2818.306 | 
| 121961.844 | 116283.305 | 117212.324 | -11962.098 | -7408.745 | 4921.547 | 
| 126278.589 | 104470.746 | 137215.098 | -5763.237 | 3999.882 | 2602.255 | 
| 23187.249 | 30656.411 | 27028.521 | -22412.429 | -29334.317 | 11311.272 | 
| 96451.459 | 83957.296 | 94659.344 | -7143.028 | -2757.925 | 7398.761 | 
| -2792.981 | -4752.324 | -1230.097 | 2388.164 | 180.605 | 753.297 | 
| -7770.399 | -6367.002 | -7154.468 | 963.066 | 641.710 | -148.745 | 
| 1804.069 | 1577.957 | -819.821 | 2177.727 | 1447.570 | 1120.781 | 
| -2809.231 | -1656.705 | -5147.935 | 746.198 | 2192.053 | 489.952 | 
| -15420.632 | -8634.419 | -9671.229 | -2609.079 | 63.007 | 2029.705 | 
| -3527.259 | -3157.328 | -3222.137 | 1102.754 | 624.649 | -140.497 | 
| 12884.156 | 11869.090 | 10868.736 | -1189.705 | 388.667 | -252.526 | 
| 31237.502 | 31948.716 | 33831.625 | -475.065 | 232.740 | 223.913 | 
| 3400.521 | 2164.506 | 2471.436 | -1821.834 | -1074.653 | 311.409 | 
| 12630.428 | 10477.065 | 11359.241 | -720.138 | -658.102 | 230.175 | 
| 6767.918 | 5677.636 | 5892.143 | -1002.493 | -535.997 | 473.360 | 
| 1556.554 | 2035.487 | -187.291 | -1966.567 | -1666.149 | 1116.083 | 
| 437.856 | 32.111 | 32.111 | -0.000 | -0.001 | -0.000 | 
| 32.111 | 437.856 | 32.112 | 0.000 | -0.003 | -0.000 | 
| 32.111 | 32.111 | 437.856 | -0.000 | -0.001 | -0.000 | 
| -0.003 | -0.003 | -0.002 | 77.939 | -0.001 | -0.000 | 
| -0.003 | -0.003 | -0.002 | 0.000 | 77.937 | -0.000 | 
| -0.003 | -0.003 | -0.002 | -0.000 | -0.001 | 77.939 | 
| 171.429 | 65.617 | 65.617 | -0.000 | 0.001 | 0.000 | 
| 65.617 | 171.429 | 65.617 | 0.000 | 0.001 | 0.000 | 
| 65.618 | 65.617 | 171.429 | -0.000 | 0.001 | 0.000 | 
| 0.003 | 0.003 | 0.003 | 77.940 | 0.001 | -0.000 | 
| 0.003 | 0.003 | 0.002 | 0.000 | 77.941 | 0.000 | 
| 0.003 | 0.003 | 0.002 | -0.000 | 0.002 | 77.939 | 
| 437.856 | 32.111 | 32.111 | 0.000 | -0.000 | -0.000 | 
| 32.111 | 437.856 | 32.111 | -0.000 | -0.000 | -0.000 | 
| 32.111 | 32.111 | 437.856 | 0.000 | -0.000 | -0.000 | 
| 0.000 | 0.000 | 0.000 | 202.872 | -0.000 | -0.000 | 
| -0.000 | 0.000 | 0.000 | -0.000 | 202.872 | -0.000 | 
| -0.000 | 0.000 | 0.000 | 0.000 | -0.000 | 202.872 | 
| 124.821 | 56.944 | 56.944 | 0.000 | 0.000 | 0.000 | 
| 56.944 | 124.821 | 56.944 | 0.000 | 0.000 | 0.000 | 
| 56.944 | 56.944 | 124.821 | 0.000 | 0.000 | 0.000 | 
| -0.000 | -0.000 | -0.000 | 202.872 | 0.000 | 0.000 | 
| 0.000 | -0.000 | -0.000 | 0.000 | 202.873 | 0.000 | 
| 0.000 | -0.000 | -0.000 | 0.000 | 0.000 | 202.872 | 
| 19.768 | -45.663 | -45.663 | -0.000 | -0.000 | -0.000 | 
| -12.156 | 2.838 | -12.157 | -0.000 | -0.000 | -0.000 | 
| -36.954 | -36.954 | 30.577 | -0.000 | -0.000 | -0.000 | 
| 0.000 | -0.000 | -0.000 | 77.939 | -0.000 | 0.000 | 
| -0.000 | 0.000 | -0.000 | -0.000 | 77.939 | -0.000 | 
| -0.000 | -0.000 | 0.000 | 0.000 | -0.000 | 77.939 | 
| 85.250 | 22.649 | 22.649 | 0.000 | 0.000 | -0.000 | 
| 22.649 | 85.250 | 22.649 | 0.000 | 0.000 | -0.000 | 
| 22.649 | 22.649 | 85.250 | 0.000 | 0.000 | -0.000 | 
| -0.000 | 0.000 | 0.000 | 77.939 | 0.000 | 0.000 | 
| 0.000 | -0.000 | 0.000 | 0.000 | 77.939 | 0.000 | 
| 0.000 | 0.000 | -0.000 | -0.000 | 0.000 | 77.939 | 
| 7004.805 | 7041.442 | 7041.442 | -0.000 | -0.000 | -0.000 | 
| 7041.442 | 7004.804 | 7041.442 | -0.000 | -0.001 | -0.000 | 
| 7041.442 | 7041.442 | 7004.804 | -0.000 | -0.001 | -0.000 | 
| 8862.044 | 8862.044 | 8862.043 | -29.713 | -0.002 | -0.000 | 
| 8862.044 | 8862.044 | 8862.044 | -0.000 | -29.713 | -0.000 | 
| 8862.044 | 8862.044 | 8862.043 | -0.000 | -0.000 | -29.712 | 
| 394.071 | 28.900 | 28.900 | 0.000 | -0.001 | 0.000 | 
| 28.900 | 394.071 | 28.900 | 0.000 | 0.001 | 0.000 | 
| 28.900 | 28.900 | 394.071 | 0.001 | -0.000 | 0.000 | 
| -8862.044 | -8862.044 | -8862.043 | -29.713 | 0.002 | 0.000 | 
| -8862.044 | -8862.044 | -8862.044 | 0.000 | -29.713 | 0.000 | 
| -8862.044 | -8862.044 | -8862.044 | 0.000 | 0.000 | -29.712 | 
| 694.042 | 714.585 | 714.585 | -0.000 | -0.000 | -0.000 | 
| 714.585 | 694.041 | 714.585 | 0.000 | -0.000 | -0.000 | 
| 714.585 | 714.585 | 694.041 | -0.000 | -0.000 | -0.000 | 
| 106.442 | 106.442 | 106.442 | 142.104 | -0.000 | -0.000 | 
| 106.442 | 106.442 | 106.442 | -0.000 | 142.104 | -0.000 | 
| 106.442 | 106.442 | 106.442 | -0.000 | -0.000 | 142.104 | 
| -914.624 | -859.266 | -859.266 | 0.000 | 0.000 | 0.000 | 
| -859.266 | -914.624 | -859.266 | -0.000 | 0.000 | 0.000 | 
| -859.266 | -859.266 | -914.624 | 0.000 | 0.000 | 0.000 | 
| -106.442 | -106.442 | -106.442 | 142.104 | -0.000 | 0.000 | 
| -106.442 | -106.442 | -106.442 | -0.000 | 142.104 | 0.000 | 
| -0.000 | -0.000 | 0.000 | -0.000 | -0.000 | 182.586 | 
| 90.657 | 63.769 | 63.769 | 0.000 | -0.000 | -0.000 | 
| 63.769 | 90.657 | 63.769 | -0.000 | -0.000 | -0.000 | 
| 63.769 | 63.769 | 90.657 | -0.000 | -0.000 | -0.000 | 
| 38.118 | 38.117 | 38.118 | 57.125 | -0.000 | -0.000 | 
| 38.117 | 38.118 | 38.118 | -0.000 | 57.125 | -0.000 | 
| 38.117 | 38.118 | 38.118 | -0.000 | -0.000 | 57.125 | 
| -55.361 | -79.082 | -79.082 | -0.000 | 0.000 | 0.000 | 
| -79.082 | -55.361 | -79.082 | 0.000 | 0.000 | 0.000 | 
| -79.082 | -79.082 | -55.361 | 0.000 | 0.000 | 0.000 | 
| -38.118 | -38.117 | -38.118 | 57.125 | 0.000 | 0.000 | 
| -38.117 | -38.118 | -38.118 | -0.000 | 57.125 | 0.000 | 
| -38.117 | -38.118 | -38.118 | 0.000 | 0.000 | 57.125 | 
| 88.452 | -3.334 | 132.570 | 0.004 | -0.001 | 0.494 | 
| -138.233 | 199.011 | 165.957 | -0.008 | -0.001 | -1.767 | 
| -189.218 | -54.705 | 59.020 | -0.001 | -0.002 | -1.202 | 
| -4.476 | -9.714 | 9.694 | 223.505 | -0.000 | -0.281 | 
| 0.000 | 0.000 | -0.000 | 0.000 | 218.426 | -0.000 | 
| -18.862 | -21.696 | 14.706 | -0.001 | -0.001 | 112.724 | 
| 333.545 | 32.093 | 40.047 | 0.001 | 0.000 | 0.281 | 
| 25.235 | 459.551 | 0.807 | -0.000 | -0.000 | 0.000 | 
| 227.577 | 108.371 | 12.209 | -0.005 | 0.002 | 0.570 | 
| 86.357 | 109.528 | -73.785 | -11.819 | 0.000 | 0.511 | 
| 4.495 | 9.754 | -9.733 | 0.001 | 203.474 | 0.282 | 
| 215.032 | 22.721 | -92.994 | 0.003 | -0.001 | -40.741 | 
| 356.238 | 19.049 | 45.208 | 0.000 | -0.000 | -0.000 | 
| 32.053 | 293.544 | 29.955 | 0.000 | -0.000 | 0.004 | 
| 87.957 | 22.591 | 354.377 | 0.000 | -0.000 | 0.038 | 
| -2.419 | -2.328 | 1.269 | 162.904 | -0.000 | 0.054 | 
| -0.789 | -1.713 | 1.709 | -0.000 | 192.171 | -0.050 | 
| -0.515 | -1.117 | 1.114 | -0.000 | -0.000 | 159.519 | 
| 303.897 | 27.434 | 52.221 | 0.000 | 0.000 | 0.055 | 
| -10.138 | 197.454 | -3.047 | -0.000 | 0.000 | 0.073 | 
| 54.806 | 7.728 | 518.747 | 0.000 | 0.000 | 0.017 | 
| -0.000 | 0.000 | -0.000 | 253.051 | 0.000 | 0.000 | 
| 6.503 | 10.651 | -5.940 | -0.000 | 99.686 | 0.084 | 
| 5.142 | 5.045 | -4.147 | -0.000 | 0.000 | 61.900 | 
| 72.983 | -29.504 | 14.723 | 0.000 | -0.000 | -0.001 | 
| -11.276 | 198.660 | 22.498 | 0.000 | -0.000 | -0.004 | 
| 13.290 | 22.965 | 252.530 | 0.000 | -0.000 | -0.003 | 
| -0.914 | -0.416 | 0.463 | 89.979 | -0.000 | -0.007 | 
| -0.685 | -0.225 | 0.873 | 0.000 | 56.083 | -0.001 | 
| -0.973 | -0.023 | 0.879 | -0.000 | 0.000 | 41.894 | 
| 65.801 | -6.395 | 21.218 | -0.000 | 0.000 | 0.008 | 
| -23.229 | 202.106 | 16.104 | -0.000 | 0.000 | 0.009 | 
| 36.671 | 26.858 | 243.638 | -0.000 | 0.000 | 0.010 | 
| 0.945 | 0.289 | -0.952 | 73.664 | -0.000 | 0.005 | 
| 0.826 | 0.103 | -0.990 | -0.000 | 55.156 | 0.009 | 
| 1.023 | 0.312 | -0.535 | 0.000 | -0.000 | 48.005 | 
| 1450.030 | 121.252 | 208.809 | -0.000 | 0.000 | -0.000 | 
| -34.520 | 561.045 | 15.384 | -0.000 | 0.000 | -0.000 | 
| 208.809 | 33.714 | 571.153 | -0.000 | -0.000 | 0.000 | 
| -0.000 | -0.000 | -0.000 | 269.843 | 0.000 | -0.000 | 
| 0.000 | -0.000 | -0.000 | -0.000 | 377.665 | 0.000 | 
| 0.000 | 0.000 | 0.000 | -0.000 | 0.000 | 336.514 | 
| 1450.030 | 121.252 | 208.809 | 0.000 | -0.000 | -0.001 | 
| 46.862 | 347.006 | 64.405 | 0.000 | 0.000 | -0.002 | 
| 33.776 | 17.414 | 530.982 | 0.000 | 0.000 | -0.001 | 
| 0.000 | 0.000 | 0.000 | 269.843 | 0.000 | 0.000 | 
| -0.000 | 0.001 | 0.000 | -0.000 | 377.665 | -0.000 | 
| -0.000 | -0.000 | -0.000 | 0.000 | -0.000 | 336.514 | 
| 592.419 | 31.085 | 94.870 | -0.000 | 0.000 | -0.000 | 
| -34.462 | 561.058 | 15.391 | -0.000 | -0.000 | -0.000 | 
| 33.869 | 17.424 | 531.003 | -0.000 | -0.000 | -0.000 | 
| -0.003 | -0.000 | -0.000 | 166.619 | 0.000 | 0.000 | 
| -0.001 | 0.000 | -0.000 | -0.000 | 149.435 | -0.000 | 
| -0.000 | 0.000 | -0.000 | -0.000 | 0.000 | 247.295 | 
| 436.740 | 38.942 | 106.656 | 0.000 | -0.000 | -0.000 | 
| 51.381 | 438.206 | 53.942 | 0.000 | -0.000 | -0.000 | 
| 168.647 | 51.025 | 298.276 | -0.000 | 0.000 | -0.000 | 
| 0.003 | 0.000 | 0.000 | 166.619 | 0.000 | -0.000 | 
| 0.001 | -0.000 | 0.000 | -0.000 | 149.435 | 0.000 | 
| 0.000 | 0.000 | 0.000 | 0.000 | 0.000 | 247.295 | 
| 247.285 | 20.694 | 137.364 | -0.000 | 0.000 | -0.000 | 
| 51.467 | 438.459 | 53.905 | -0.000 | 0.000 | 0.000 | 
| 186.208 | 61.996 | 329.730 | -0.000 | -0.000 | -0.000 | 
| 0.004 | 0.000 | 0.001 | 229.684 | -0.000 | 0.000 | 
| -0.006 | -0.000 | -0.001 | -0.000 | 123.719 | -0.000 | 
| -0.026 | -0.002 | -0.004 | -0.000 | -0.000 | 183.155 | 
| 183.493 | 14.305 | 124.085 | 0.000 | -0.000 | 0.000 | 
| -31.954 | 326.553 | 49.644 | 0.000 | -0.000 | 0.000 | 
| 158.916 | 44.048 | 288.048 | 0.000 | 0.000 | 0.000 | 
| -0.004 | -0.000 | -0.001 | 229.684 | -0.000 | -0.000 | 
| 9.225 | 1.009 | 1.273 | -0.000 | 78.056 | -0.000 | 
| 0.026 | 0.002 | 0.004 | 0.000 | 0.000 | 183.155 | 
| -176909.063 | -190093.944 | -199966.053 | 1961.548 | -101665.816 | -25505.255 | 
| -176941.600 | -190061.707 | -199966.077 | 1961.498 | -101665.269 | -25505.458 | 
| -176940.438 | -190095.228 | -199943.737 | 1961.391 | -101664.683 | -25505.637 | 
| -176930.718 | -190079.341 | -199953.560 | 1973.703 | -101666.920 | -25504.954 | 
| -176929.256 | -190080.870 | -199953.147 | 1961.556 | -101653.801 | -25505.301 | 
| -176929.858 | -190080.248 | -199953.446 | 1961.663 | -101666.335 | -25494.420 | 
| 176950.062 | 190067.183 | 199940.727 | -1961.717 | 101666.352 | 25505.120 | 
| 176917.524 | 190099.420 | 199940.704 | -1961.768 | 101666.898 | 25504.917 | 
| 176918.685 | 190065.900 | 199963.044 | -1961.876 | 101667.485 | 25504.738 | 
| 176928.406 | 190081.786 | 199953.220 | -1949.563 | 101665.248 | 25505.421 | 
| 176929.870 | 190080.257 | 199953.633 | -1961.710 | 101678.368 | 25505.074 | 
| 176929.267 | 190080.879 | 199953.334 | -1961.602 | 101665.833 | 25515.954 | 
| -17672.457 | -19021.436 | -20008.002 | 196.079 | -10166.341 | -2550.586 | 
| -17705.152 | -18988.909 | -20008.218 | 196.116 | -10165.952 | -2550.703 | 
| -17704.308 | -19021.826 | -19986.291 | 196.192 | -10165.687 | -2550.696 | 
| -17694.108 | -19006.840 | -19995.506 | 208.237 | -10167.439 | -2550.287 | 
| -17692.655 | -19008.348 | -19995.106 | 196.084 | -10154.336 | -2550.627 | 
| -17693.253 | -19007.739 | -19995.395 | 196.194 | -10166.860 | -2539.752 | 
| 17713.457 | 18994.675 | 19982.676 | -196.248 | 10166.877 | 2550.451 | 
| 17680.914 | 19026.919 | 19982.650 | -196.302 | 10167.418 | 2550.250 | 
| 17682.073 | 18993.402 | 20004.989 | -196.414 | 10168.001 | 2550.072 | 
| 17691.994 | 19008.922 | 19995.405 | -184.202 | 10165.965 | 2550.646 | 
| 17693.267 | 19007.746 | 19995.582 | -196.241 | 10178.895 | 2550.405 | 
| 17692.661 | 19008.371 | 19995.283 | -196.133 | 10166.358 | 2561.285 | 
| -1748.886 | -1913.988 | -2012.341 | 19.568 | -1016.509 | -255.057 | 
| -1781.835 | -1880.972 | -2012.880 | 19.807 | -1016.384 | -255.051 | 
| -1781.318 | -1913.608 | -1990.708 | 19.771 | -1016.435 | -255.152 | 
| -1761.300 | -1904.551 | -2008.939 | 39.249 | -1017.560 | -252.835 | 
| -1769.187 | -1900.783 | -1999.403 | 19.522 | -1004.594 | -255.080 | 
| -1769.595 | -1900.477 | -1999.599 | 19.646 | -1016.921 | -244.281 | 
| 1789.810 | 1887.409 | 1986.870 | -19.704 | 1016.938 | 254.981 | 
| 1748.116 | 1924.680 | 1996.012 | -27.332 | 1017.495 | 252.819 | 
| 1749.092 | 1891.460 | 2018.269 | -27.460 | 1017.885 | 252.714 | 
| 1768.694 | 1901.006 | 2000.010 | -7.896 | 1016.389 | 255.018 | 
| 1769.619 | 1900.505 | 1999.758 | -19.700 | 1028.940 | 254.945 | 
| 1769.128 | 1900.897 | 1999.613 | -19.650 | 1016.529 | 265.752 | 
| 6775.354 | -13076.928 | 61469.659 | 19111.116 | -38637.162 | 70114.345 | 
| -16740.023 | -51770.748 | -72059.402 | 88625.509 | 28944.706 | 93183.847 | 
| -3462.291 | -50666.963 | -44068.587 | 83179.239 | 20903.133 | 77900.092 | 
| -4282.693 | -30793.155 | -16232.252 | 50248.966 | 3631.073 | 65154.110 | 
| 1723.755 | -22950.783 | 22141.685 | 33664.759 | -17066.476 | 61395.481 | 
| -688.376 | -45347.183 | -19915.686 | 66621.604 | 6375.413 | 76478.530 | 
| -5913.040 | 64260.728 | 8808.682 | -87286.297 | -2596.041 | -92044.089 | 
| 173.635 | 19930.675 | -5919.091 | -26489.167 | 6062.666 | -47637.553 | 
| -240.752 | 8821.967 | -2891.119 | -11699.059 | 4169.803 | -41644.240 | 
| -2406.366 | 54293.263 | 23641.057 | -74019.798 | -3262.332 | -85330.719 | 
| 35956.365 | 7587.931 | 148794.703 | -29451.500 | -68401.124 | 10014.313 | 
| -5747.715 | 65309.851 | 16856.153 | -84970.669 | -4563.373 | -91319.390 | 
| 496.273 | -585.627 | 3955.617 | 951.494 | -2614.037 | 3929.325 | 
| -1044.410 | -663.497 | -1741.224 | 1783.206 | 79.965 | 3291.681 | 
| 978.357 | -833.564 | 4214.681 | -391.481 | -1730.938 | 1237.168 | 
| 6554.621 | -708.232 | 34096.576 | -3171.324 | -17624.221 | 10738.591 | 
| -922.554 | -2661.565 | -2750.701 | 4535.722 | 817.589 | 6042.102 | 
| 600.519 | -1450.462 | 4641.781 | 1888.259 | -2758.627 | 5452.574 | 
| -1109.200 | 1020.444 | -9416.223 | 750.016 | 5005.077 | -2174.467 | 
| -537.734 | 6540.982 | 4450.151 | -8341.086 | -1231.326 | -8698.958 | 
| 521.674 | 4115.533 | 2752.507 | -5554.807 | -827.901 | -5697.712 | 
| 3896.594 | 2610.415 | 17832.018 | -3245.921 | -8488.101 | 747.668 | 
| 1436.434 | 1028.897 | 3014.725 | -1356.218 | -631.381 | -497.213 | 
| 994.069 | 3427.192 | 2996.114 | -3818.558 | -1141.617 | -2293.895 | 
| 245.070 | -461.563 | -147.293 | 678.204 | 17.447 | 728.372 | 
| 23.903 | -307.862 | -519.386 | 792.868 | 202.299 | 765.631 | 
| 54.789 | -156.256 | 531.644 | 303.375 | -186.910 | 595.143 | 
| 66.406 | -114.034 | 545.804 | 149.987 | -326.149 | 221.704 | 
| -493.662 | -78.289 | -1725.334 | 497.844 | 846.395 | 315.606 | 
| 224.157 | -419.126 | 751.959 | 292.616 | -300.778 | 320.605 | 
| -72.504 | 572.980 | -458.753 | -780.936 | 185.544 | -1050.772 | 
| -74.360 | 495.573 | -847.157 | 70.639 | 464.854 | -156.413 | 
| 21.454 | 637.059 | 674.980 | -826.547 | -155.598 | -806.555 | 
| -242.380 | 43.097 | -1401.466 | 156.107 | 727.107 | -546.352 | 
| 11.110 | 83.139 | -129.379 | -115.832 | 274.600 | -284.545 | 
| -20.743 | 351.394 | -5.532 | -596.276 | 47.090 | -710.522 | 
| 120.503 | 201.647 | 8.138 | 17.130 | 186.351 | 21.851 | 
| -778.405 | 985.498 | -85.387 | 759.904 | 898.425 | -132.766 | 
| -1213.392 | 878.844 | 621.727 | 1217.748 | 1001.059 | -107.008 | 
| -2625.707 | -1955.351 | -990.086 | 267.943 | 676.059 | -1449.583 | 
| -950.689 | 1179.067 | 148.735 | 877.514 | 938.456 | -223.203 | 
| -922.544 | 241.196 | 96.179 | 895.113 | 756.490 | -445.775 | 
| 1232.398 | -1884.829 | -265.361 | -1381.087 | -1603.284 | 558.429 | 
| 968.323 | -1372.232 | -264.191 | -1030.506 | -1023.199 | 212.257 | 
| 1179.188 | -1515.733 | -319.483 | -1166.499 | -1433.402 | 504.168 | 
| 1341.932 | -1370.729 | -221.445 | -1007.114 | -1316.804 | 751.903 | 
| 265.632 | -705.395 | 19.820 | -315.271 | -758.560 | 217.201 | 
| 1159.457 | -697.496 | 53.502 | -1029.446 | -1069.624 | 541.323 | 
| 15.581 | 131.846 | 19.784 | 107.715 | 139.567 | -13.122 | 
| -44.936 | 104.706 | -12.525 | 45.588 | 64.913 | -1.652 | 
| -39.938 | 50.146 | 179.603 | 38.246 | 75.201 | -72.506 | 
| -108.087 | -61.082 | -1.482 | 121.193 | 57.448 | -82.561 | 
| -63.527 | 69.355 | -4.093 | 59.628 | 152.094 | -32.190 | 
| 1.877 | 191.808 | 25.550 | 119.496 | 83.835 | 116.380 | 
| 153.451 | -188.030 | -85.055 | -66.480 | -129.348 | -5.011 | 
| 137.642 | -117.170 | -28.004 | -115.022 | -127.098 | 78.876 | 
| 51.442 | -103.667 | 69.425 | -48.322 | -76.401 | -14.696 | 
| 202.930 | 90.481 | 31.954 | 18.381 | 35.513 | 75.632 | 
| 106.820 | -168.815 | -36.337 | -133.411 | -95.062 | 55.906 | 
| -56.399 | -213.480 | -36.840 | -57.931 | -30.398 | -58.294 | 
| 96.060 | 11.095 | 7.094 | 8.256 | 16.386 | -0.335 | 
| -11.843 | 115.802 | -2.589 | 15.556 | 15.166 | 4.742 | 
| -0.020 | 14.781 | 94.692 | 8.754 | 7.371 | -4.897 | 
| -12.048 | 0.946 | -15.253 | 27.421 | 0.346 | -10.522 | 
| -11.828 | 14.711 | -3.614 | 15.979 | 71.297 | -6.829 | 
| -6.939 | 30.492 | 5.331 | 15.618 | 11.902 | 38.218 | 
| 99.610 | -19.881 | 3.771 | -15.195 | -8.994 | 11.409 | 
| 10.409 | 75.740 | -8.885 | -12.221 | -14.575 | 14.443 | 
| 25.402 | -22.608 | 85.561 | -21.277 | -25.323 | 6.232 | 
| 10.908 | -15.803 | -8.300 | 23.007 | -13.375 | -1.147 | 
| 3.755 | -11.802 | -10.462 | -14.543 | 28.604 | 0.170 | 
| 16.123 | -6.890 | -4.087 | -13.912 | -19.655 | 53.801 | 
| -1806.387 | -2892.887 | -3862.618 | -1674.427 | 782.971 | 1303.184 | 
| -3914.844 | -4135.880 | 3094.981 | -955.241 | 2437.583 | 1148.038 | 
| 33.756 | 50.482 | 1275.318 | 121.405 | 132.064 | -51.398 | 
| 385.961 | -3032.519 | 6013.347 | -782.625 | -45.882 | -293.240 | 
| -2813.376 | -4438.301 | -569.232 | -1522.873 | 1913.453 | 3330.495 | 
| -3320.858 | -4126.837 | 517.176 | -1357.750 | 2445.712 | 3429.224 | 
| 632.025 | 183.020 | 35.235 | 51.013 | -50.566 | -104.505 | 
| 2184.047 | 2909.962 | -2218.512 | 345.941 | -2115.402 | -1254.800 | 
| 1201.528 | -239.143 | -940.983 | -169.867 | -1373.171 | -70.315 | 
| 607.771 | -111.856 | -2127.453 | 216.937 | -927.316 | 992.111 | 
| -48.368 | -84.785 | 132.058 | 8.434 | 338.653 | 61.336 | 
| 2112.874 | 2994.333 | 3718.265 | 1567.751 | -843.182 | -1168.270 | 
| 118.090 | -363.947 | 83.097 | -142.532 | 245.045 | 347.693 | 
| -94.750 | 148.586 | 196.327 | -14.093 | 150.054 | 150.005 | 
| -239.911 | -371.661 | 803.249 | -93.908 | 230.813 | 259.500 | 
| -188.107 | 93.364 | -128.737 | 195.545 | -70.879 | -265.081 | 
| -184.010 | -193.335 | 353.418 | -16.776 | 419.380 | 128.505 | 
| -148.337 | -239.859 | 22.068 | -74.885 | 96.037 | 380.260 | 
| 446.961 | 259.870 | 53.084 | 62.190 | -21.160 | -41.530 | 
| 173.485 | 908.143 | 39.908 | 146.544 | -85.521 | -161.512 | 
| 39.814 | 59.669 | 1224.669 | 117.006 | 118.140 | -58.875 | 
| 220.523 | 311.248 | -174.395 | 175.544 | -219.263 | -134.236 | 
| 193.728 | 207.580 | -14.234 | 111.245 | 77.408 | -114.161 | 
| 409.832 | 622.780 | 22.804 | 182.933 | -237.986 | -253.854 | 
| 253.834 | 45.270 | 127.746 | -7.095 | 1.232 | -15.761 | 
| 41.603 | 359.189 | 66.463 | 4.083 | 8.544 | 34.004 | 
| 15.001 | -16.593 | 465.227 | 1.732 | 23.211 | 43.995 | 
| -22.541 | 1.484 | 15.413 | 156.375 | -0.788 | 4.072 | 
| -29.982 | -1.954 | -29.041 | -1.476 | 95.709 | -0.628 | 
| 16.950 | 38.330 | 10.561 | -0.739 | 3.837 | 207.227 | 
| 379.001 | 75.479 | -7.707 | -31.286 | -35.307 | -13.627 | 
| 98.383 | 436.043 | 17.689 | 8.032 | -29.857 | -6.349 | 
| 82.311 | 50.863 | 345.462 | 16.053 | -13.898 | 22.494 | 
| 0.020 | 45.726 | 31.835 | 195.933 | -1.994 | -14.132 | 
| -12.638 | -53.488 | 21.929 | 0.118 | 236.503 | 47.345 | 
| 50.425 | 51.018 | -32.951 | 0.601 | -19.923 | 163.233 | 
| 3622.124 | -2564.701 | -21935.134 | -5861.151 | 4339.787 | 832.475 | 
| 2792.297 | -2068.313 | -18277.824 | -4739.910 | 3663.754 | 608.839 | 
| 2239.116 | -1123.729 | -11453.754 | -3580.799 | 1946.918 | 747.812 | 
| 3978.289 | -2823.321 | -24567.961 | -6697.109 | 4781.830 | 1018.125 | 
| 2177.614 | -1188.701 | -11734.633 | -3500.010 | 2111.919 | 688.521 | 
| 7660.209 | -4330.289 | -42560.903 | -13398.502 | 7900.059 | 2672.207 | 
| -10787.638 | 15663.169 | 119119.662 | 40516.128 | -33786.593 | -5144.412 | 
| -2318.945 | 1400.289 | 12458.813 | 3728.440 | -2152.973 | -736.338 | 
| -2408.434 | 1341.168 | 13201.908 | 3880.320 | -2287.214 | -754.126 | 
| -11408.942 | 15358.574 | 118600.807 | 40452.400 | -33335.074 | -5084.368 | 
| -4574.157 | 3230.951 | 28295.583 | 7866.688 | -5470.439 | -1204.718 | 
| -9046.660 | 5580.300 | 52760.722 | 16470.756 | -10276.984 | -2958.869 | 
| 601.203 | -320.445 | -2783.237 | -741.596 | 567.916 | 110.038 | 
| 284.067 | 14.698 | -1360.842 | -452.722 | 221.909 | 104.616 | 
| 1159.067 | -1527.595 | -11761.841 | -4069.026 | 3330.160 | 505.725 | 
| 242.272 | -174.406 | -1431.594 | -317.840 | 272.819 | 49.777 | 
| 888.565 | -563.299 | -5260.539 | -1615.968 | 1088.939 | 289.753 | 
| 304.845 | -251.579 | -2081.896 | -537.902 | 426.228 | 131.300 | 
| -281.234 | 276.509 | 2548.862 | 762.641 | -456.923 | -132.645 | 
| -1149.019 | 1662.115 | 11937.422 | 4035.814 | -3345.764 | -506.598 | 
| -530.662 | 326.638 | 3139.814 | 892.922 | -561.024 | -166.732 | 
| -466.403 | 345.583 | 3033.622 | 885.693 | -609.133 | -124.531 | 
| -187.490 | 60.613 | 777.877 | 285.689 | -25.230 | -75.720 | 
| -431.594 | 261.638 | 2429.939 | 708.856 | -444.618 | -63.149 | 
| 260.937 | -146.767 | -1192.105 | -397.104 | 349.719 | 58.694 | 
| 118.130 | -46.939 | -1176.851 | -411.877 | 338.332 | 57.951 | 
| 111.105 | -140.694 | -1053.032 | -412.977 | 321.467 | 52.645 | 
| 116.259 | -169.405 | -1212.094 | -361.708 | 349.863 | 40.690 | 
| 115.016 | -149.166 | -1198.913 | -401.738 | 381.919 | 55.018 | 
| 85.734 | -70.303 | -620.292 | -178.214 | 137.642 | 83.629 | 
| 26.953 | 161.178 | 1184.300 | 406.874 | -310.149 | -45.267 | 
| -106.363 | 263.264 | 1204.887 | 397.464 | -334.327 | -44.580 | 
| -119.146 | 169.667 | 1324.190 | 390.460 | -343.248 | -50.259 | 
| -107.802 | 144.739 | 1180.096 | 450.184 | -331.396 | -60.428 | 
| -102.501 | 154.960 | 1178.681 | 408.635 | -291.820 | -49.811 | 
| -115.895 | 160.571 | 1184.416 | 396.012 | -332.464 | 9.795 | 
| 321.740 | 64.403 | 19.350 | 58.682 | -67.898 | 4.225 | 
| 391.277 | 70.507 | 415.768 | -289.632 | -369.251 | 210.922 | 
| 315.016 | 49.688 | 326.816 | -206.835 | -277.352 | 168.378 | 
| 789.833 | 140.621 | 589.765 | -506.422 | -612.848 | 428.239 | 
| 35.132 | -1.899 | 10.454 | 6.165 | 79.593 | -3.762 | 
| -23.718 | -22.967 | -22.271 | -13.829 | -4.654 | 178.266 | 
| -1248.641 | 416.433 | -619.897 | 1240.686 | 851.492 | -685.961 | 
| -446.750 | 106.508 | -246.198 | 206.755 | 354.202 | -129.397 | 
| -366.785 | 92.160 | -150.561 | 354.205 | 299.563 | -225.751 | 
| 55.661 | 450.355 | 218.567 | 356.355 | 122.395 | -234.553 | 
| -28.026 | -11.718 | -1.049 | -40.607 | 167.864 | -15.433 | 
| -228.308 | -36.110 | -120.935 | 84.940 | 223.622 | -25.399 | 
| 286.835 | 18.124 | 6.488 | -5.455 | 8.610 | -14.936 | 
| 39.221 | 105.343 | 49.999 | -28.144 | -22.649 | 5.196 | 
| 27.925 | 25.671 | 131.214 | -21.013 | -18.752 | 13.570 | 
| -4.268 | -36.700 | -24.203 | 47.297 | -6.827 | 7.629 | 
| 10.451 | -6.816 | -2.415 | -14.985 | 134.040 | -3.952 | 
| 1.963 | -5.387 | 16.832 | 4.735 | -8.814 | 31.323 | 
| 25.065 | -13.277 | -69.590 | 23.324 | 61.606 | -42.231 | 
| -5.837 | 82.111 | -13.436 | -55.360 | 11.703 | 5.572 | 
| -13.665 | 3.807 | 205.440 | 5.043 | 1.466 | 0.540 | 
| -55.836 | 25.785 | -25.014 | 127.209 | 31.592 | -28.810 | 
| -24.492 | 4.417 | -32.362 | 16.355 | 60.879 | -6.989 | 
| -70.971 | -53.954 | -69.895 | 65.629 | 109.365 | -142.453 | 
| 115.469 | 9.892 | -3.444 | 2.483 | 5.073 | -10.865 | 
| 10.557 | 78.230 | 24.824 | -2.694 | -4.359 | -6.874 | 
| -1.729 | 23.142 | 93.225 | 0.433 | 0.047 | -0.399 | 
| 2.792 | -0.500 | 4.864 | 51.347 | -8.406 | 6.703 | 
| 18.125 | 2.700 | 3.960 | -3.946 | 62.176 | 3.783 | 
| -13.058 | -6.663 | -0.964 | 1.098 | -0.176 | 48.178 | 
| 112.575 | 7.217 | -10.283 | 7.594 | 16.326 | -20.204 | 
| 3.127 | 128.641 | 20.702 | -4.805 | -4.876 | -3.903 | 
| -18.476 | 20.879 | 83.237 | 9.415 | 8.319 | -7.811 | 
| -4.395 | -0.918 | 1.370 | 58.534 | -3.265 | 1.860 | 
| 11.578 | 5.193 | 2.196 | -2.272 | 67.456 | 1.967 | 
| -16.606 | -12.272 | -4.990 | 2.381 | 4.328 | 60.748 | 
| 960.890 | 99.973 | 99.973 | 0.001 | 0.000 | 0.000 | 
| 99.973 | 960.890 | 99.973 | 0.000 | -0.000 | 0.000 | 
| 99.973 | 99.973 | 960.890 | 0.000 | 0.000 | 0.000 | 
| 0.000 | 0.000 | 0.000 | 483.531 | -0.000 | 0.000 | 
| 0.000 | 0.000 | 0.000 | 0.000 | 483.530 | -0.000 | 
| 0.000 | -0.000 | -0.000 | 0.000 | 0.000 | 483.530 | 
| 842.250 | 122.916 | 122.915 | -0.001 | -0.000 | 0.000 | 
| 122.915 | 842.251 | 122.915 | -0.001 | -0.000 | 0.000 | 
| 122.915 | 122.915 | 842.250 | -0.001 | 0.000 | -0.000 | 
| 0.000 | -0.000 | -0.000 | 483.529 | 0.000 | 0.000 | 
| -0.000 | -0.000 | -0.000 | -0.001 | 483.529 | 0.000 | 
| -0.000 | -0.000 | -0.000 | -0.000 | -0.000 | 483.530 | 
| 859.096 | 94.611 | 94.611 | 0.000 | -0.000 | 0.000 | 
| 94.611 | 859.096 | 94.611 | 0.000 | 0.000 | -0.000 | 
| 94.611 | 94.611 | 859.096 | 0.000 | -0.000 | 0.000 | 
| 0.000 | 0.000 | 0.000 | 343.998 | -0.000 | 0.000 | 
| 0.000 | 0.000 | 0.000 | -0.000 | 343.998 | -0.000 | 
| 0.000 | 0.000 | 0.000 | 0.000 | 0.000 | 343.998 | 
| 859.096 | 94.611 | 94.611 | -0.000 | -0.000 | -0.000 | 
| 94.611 | 859.096 | 94.611 | -0.000 | -0.000 | -0.000 | 
| 94.611 | 94.611 | 859.096 | -0.000 | -0.000 | 0.000 | 
| -0.000 | -0.000 | -0.000 | 343.998 | 0.000 | -0.000 | 
| -0.000 | -0.000 | -0.000 | -0.000 | 343.998 | -0.000 | 
| -0.000 | -0.000 | -0.000 | -0.000 | -0.000 | 343.998 | 
| 842.252 | 122.917 | 122.917 | -0.000 | 0.000 | -0.000 | 
| 122.917 | 842.252 | 122.917 | 0.000 | 0.000 | 0.000 | 
| 122.917 | 122.917 | 842.252 | 0.000 | -0.000 | -0.000 | 
| 0.000 | -0.000 | 0.000 | 363.050 | 0.000 | -0.000 | 
| 0.000 | 0.000 | 0.000 | 0.000 | 343.998 | -0.000 | 
| -0.000 | 0.000 | 0.000 | 0.000 | -0.000 | 363.050 | 
| 842.252 | 122.916 | 122.917 | -0.000 | -0.000 | -0.000 | 
| 122.917 | 842.252 | 122.916 | -0.000 | -0.000 | 0.000 | 
| 122.916 | 122.917 | 842.252 | -0.000 | 0.000 | 0.000 | 
| -0.000 | 0.000 | -0.000 | 363.050 | -0.000 | -0.000 | 
| -0.000 | -0.000 | -0.000 | -0.000 | 343.998 | -0.000 | 
| 0.000 | -0.000 | -0.000 | -0.000 | 0.000 | 363.050 | 
| 1259.604 | 40.567 | -22.019 | 0.000 | -0.001 | 0.000 | 
| 40.567 | 1259.604 | -22.019 | -0.000 | -0.000 | 0.000 | 
| -21.458 | -21.458 | 1319.129 | -0.000 | -0.000 | 0.000 | 
| -0.187 | -0.187 | 0.371 | 538.387 | -0.000 | 0.000 | 
| 0.000 | -0.000 | -0.000 | -0.000 | 548.262 | 0.000 | 
| -0.229 | -0.230 | 0.457 | 0.000 | 0.000 | 580.294 | 
| 1259.604 | 40.567 | -22.018 | 0.000 | -0.000 | -0.000 | 
| 40.567 | 1259.604 | -22.019 | 0.000 | 0.001 | -0.000 | 
| -1.645 | -1.645 | 1279.727 | 0.000 | 0.001 | -0.000 | 
| 0.187 | 0.187 | -0.371 | 538.387 | -0.001 | -0.000 | 
| -0.000 | 0.000 | 0.000 | 0.001 | 548.262 | -0.000 | 
| 0.229 | 0.230 | -0.457 | 0.000 | -0.000 | 580.293 | 
| 1259.605 | 40.567 | -22.018 | -0.000 | -0.000 | 0.000 | 
| 59.905 | 1220.491 | -2.354 | 0.000 | 0.000 | 0.000 | 
| -1.850 | -1.850 | 1280.137 | -0.000 | -0.000 | 0.000 | 
| 0.000 | -0.000 | -0.000 | 548.262 | 0.000 | 0.000 | 
| 0.000 | 0.000 | -0.000 | -0.000 | 548.262 | 0.000 | 
| 0.000 | 0.000 | -0.000 | -0.000 | -0.000 | 609.519 | 
| 1259.604 | 40.567 | -22.018 | 0.000 | -0.000 | -0.000 | 
| 56.635 | 1220.862 | 0.527 | 0.000 | 0.000 | -0.000 | 
| -21.458 | -21.458 | 1319.129 | -0.000 | 0.000 | -0.000 | 
| -0.000 | 0.000 | -0.000 | 548.262 | 0.000 | -0.000 | 
| 0.000 | -0.000 | 0.000 | 0.000 | 548.262 | -0.000 | 
| -0.000 | -0.000 | 0.000 | 0.000 | -0.000 | 609.519 | 
| 1220.509 | 59.923 | -2.387 | -0.000 | 0.000 | 0.000 | 
| 56.609 | 1220.849 | 0.570 | 0.000 | -0.000 | 0.000 | 
| -21.458 | -21.458 | 1319.134 | -0.000 | 0.000 | 0.000 | 
| -0.001 | -0.002 | 0.004 | 538.387 | -0.000 | 0.000 | 
| -0.002 | -0.001 | 0.004 | 0.000 | 538.387 | 0.000 | 
| -0.003 | -0.002 | 0.005 | 0.000 | 0.000 | 580.293 | 
| 1220.847 | 56.612 | 0.561 | -0.000 | 0.000 | -0.000 | 
| 56.612 | 1220.847 | 0.561 | 0.000 | 0.000 | -0.000 | 
| -1.830 | -1.830 | 1280.092 | -0.000 | 0.000 | -0.000 | 
| 0.001 | 0.002 | -0.004 | 538.387 | 0.000 | -0.000 | 
| 0.002 | 0.001 | -0.004 | 0.000 | 538.387 | -0.000 | 
| 0.003 | 0.002 | -0.005 | -0.000 | 0.000 | 580.293 | 
| -812.270 | -379.057 | 56.216 | 0.001 | 0.000 | -0.000 | 
| -346.446 | 506.997 | -37.666 | 0.000 | 0.000 | -0.000 | 
| -566.272 | 55.331 | 582.191 | 0.001 | 0.000 | -0.000 | 
| -751.906 | -103.368 | -71.323 | 311.222 | -0.000 | -0.000 | 
| -422.303 | 18.027 | -66.876 | 0.000 | 209.249 | -0.000 | 
| -0.000 | 0.001 | -0.000 | 0.000 | -0.000 | 826.783 | 
| 1249.244 | -33.528 | 229.700 | 0.000 | -0.000 | 0.000 | 
| 30.384 | 598.087 | 21.869 | -0.000 | -0.000 | 0.000 | 
| 473.515 | 11.078 | 756.754 | 0.000 | -0.000 | -0.000 | 
| 751.906 | 103.368 | 71.323 | 311.222 | -0.000 | 0.000 | 
| 422.303 | -18.027 | 66.876 | -0.000 | 209.249 | 0.000 | 
| 0.000 | -0.001 | 0.000 | -0.001 | -0.000 | 826.783 | 
| 736.402 | -105.707 | 181.649 | 0.000 | -0.000 | -0.000 | 
| -335.019 | 629.362 | -39.398 | 0.000 | -0.000 | -0.000 | 
| -9.272 | -51.005 | 706.893 | 0.000 | 0.000 | -0.000 | 
| -0.000 | 0.000 | 0.000 | 313.564 | 0.000 | 0.000 | 
| 89.064 | 34.553 | 0.585 | -0.000 | 285.515 | 0.000 | 
| -46.166 | -6.346 | -4.379 | 0.000 | 0.000 | 368.970 | 
| 560.233 | 77.558 | 103.532 | -0.000 | -0.000 | 0.000 | 
| 159.201 | 615.032 | 31.570 | -0.000 | 0.000 | 0.000 | 
| 151.888 | 100.129 | 568.988 | -0.000 | 0.000 | 0.000 | 
| 0.000 | -0.000 | -0.000 | 313.564 | -0.000 | 0.000 | 
| -89.064 | -34.553 | -0.585 | 0.000 | 285.515 | -0.000 | 
| 46.166 | 6.346 | 4.379 | -0.000 | -0.000 | 368.970 | 
| 442.588 | 100.716 | 83.085 | 0.000 | 0.000 | -0.000 | 
| 55.535 | 402.195 | 22.104 | -0.000 | -0.000 | 0.000 | 
| -153.182 | -6.168 | 479.495 | -0.000 | 0.000 | 0.000 | 
| -50.656 | -3.835 | -6.411 | 209.107 | 0.000 | -0.000 | 
| -45.760 | -4.977 | -5.130 | 0.000 | 219.385 | -0.000 | 
| -4.443 | -0.522 | -0.682 | 0.000 | 0.000 | 271.041 | 
| 394.270 | 107.334 | 130.492 | -0.000 | 0.000 | -0.000 | 
| 111.720 | 609.216 | 26.471 | -0.000 | -0.000 | 0.000 | 
| 242.104 | 106.004 | 571.845 | -0.000 | 0.000 | 0.000 | 
| 50.656 | 3.835 | 6.411 | 209.107 | -0.000 | 0.000 | 
| 45.760 | 4.977 | 5.130 | -0.000 | 219.385 | 0.000 | 
| 4.443 | 0.522 | 0.682 | -0.000 | -0.000 | 271.041 | 
| 1057.068 | 108.751 | 31.172 | -0.000 | -0.000 | 0.000 | 
| 70.945 | 502.975 | 4.461 | -0.001 | 0.006 | -0.209 | 
| 56.133 | 26.147 | 532.302 | -0.001 | 0.006 | -0.210 | 
| 0.000 | 0.000 | 0.000 | 266.336 | 0.000 | -0.000 | 
| 208.972 | 34.520 | 0.415 | -0.001 | 210.737 | -0.273 | 
| 14.808 | 24.557 | 7.178 | -0.001 | 0.006 | 173.889 | 
| 318.319 | 27.435 | 42.955 | 0.001 | -0.006 | 0.219 | 
| -148.265 | -439.834 | -66.261 | 0.002 | -0.004 | 0.364 | 
| -129.496 | -31.847 | 538.368 | 0.001 | -0.004 | 0.278 | 
| -209.388 | -34.589 | -0.416 | 254.448 | -0.004 | 0.274 | 
| -209.646 | -34.631 | -0.416 | 0.001 | 210.683 | 0.274 | 
| -221.476 | -499.856 | -150.598 | 0.003 | -0.008 | -135.502 | 
| 355.493 | 45.995 | 46.359 | -0.000 | 0.000 | -0.008 | 
| 50.192 | 335.940 | 7.900 | -0.000 | 0.000 | -0.020 | 
| 74.662 | 21.231 | 368.216 | -0.000 | 0.000 | -0.020 | 
| 8.750 | 19.388 | 5.865 | 116.193 | 0.001 | -0.012 | 
| 2.596 | 8.841 | 3.548 | -0.000 | 101.142 | -0.022 | 
| 1.146 | 3.258 | 0.994 | -0.000 | 0.001 | 152.424 | 
| 345.560 | 44.200 | 46.291 | 0.000 | -0.000 | 0.008 | 
| -51.690 | 490.839 | -4.504 | 0.000 | -0.000 | 0.017 | 
| 37.926 | -21.339 | 327.105 | 0.000 | -0.001 | 0.015 | 
| -0.000 | 0.000 | -0.000 | 266.336 | -0.000 | -0.000 | 
| -0.000 | -0.000 | -0.000 | -0.000 | 224.646 | -0.000 | 
| -1.144 | -3.259 | -0.995 | 0.000 | -0.001 | 152.459 | 
| 181.845 | 28.368 | 34.653 | -0.000 | 0.000 | -0.001 | 
| 11.137 | 243.920 | -16.268 | -0.000 | 0.000 | 0.000 | 
| 38.117 | -10.840 | 344.569 | -0.000 | 0.000 | -0.002 | 
| 3.279 | 2.451 | 0.526 | 145.920 | -0.000 | -0.001 | 
| 1.100 | 1.994 | 0.518 | -0.000 | 114.809 | -0.001 | 
| 2.713 | 6.855 | 2.262 | -0.000 | 0.000 | 43.563 | 
| 168.709 | 21.314 | 32.016 | 0.000 | 0.000 | 0.001 | 
| 15.990 | 195.676 | -21.177 | 0.000 | -0.000 | 0.000 | 
| 35.651 | -16.299 | 340.158 | 0.000 | 0.000 | 0.001 | 
| -3.497 | -2.474 | -0.522 | 145.921 | 0.000 | 0.001 | 
| -2.248 | -7.008 | -2.332 | 0.000 | 60.144 | 0.002 | 
| -2.438 | -5.892 | -1.717 | 0.000 | -0.000 | 47.746 | 
| 1041.063 | -164.543 | 0.000 | 0.000 | 0.000 | -0.000 | 
| -164.543 | 1041.063 | 0.000 | 0.000 | 0.000 | -0.000 | 
| -0.000 | 0.000 | 0.000 | 0.000 | 0.000 | -0.000 | 
| -0.000 | 0.000 | 0.000 | 0.000 | 0.000 | -0.000 | 
| -0.000 | 0.000 | 0.000 | 0.000 | 0.000 | -0.000 | 
| 0.000 | 0.000 | 0.000 | 0.000 | 0.000 | 602.803 | 
| 1041.063 | -164.544 | -0.000 | -0.000 | -0.000 | 0.000 | 
| -164.543 | 1041.062 | -0.000 | -0.000 | -0.000 | 0.000 | 
| 0.000 | -0.000 | -0.000 | -0.000 | -0.000 | 0.000 | 
| 0.000 | -0.000 | -0.000 | -0.000 | -0.000 | 0.000 | 
| 0.000 | -0.000 | -0.000 | -0.000 | -0.000 | 0.000 | 
| 0.000 | -0.000 | -0.000 | -0.000 | -0.000 | 602.803 | 
| 1041.063 | -164.543 | 0.000 | 0.000 | 0.000 | -0.000 | 
| -164.478 | 1040.998 | 0.000 | 0.000 | 0.000 | -0.000 | 
| -0.000 | 0.000 | 0.000 | 0.000 | 0.000 | -0.000 | 
| -0.000 | 0.000 | 0.000 | 0.000 | 0.000 | -0.000 | 
| -0.000 | 0.000 | 0.000 | 0.000 | 0.000 | -0.000 | 
| 0.000 | 0.000 | 0.000 | 0.000 | 0.000 | 602.803 | 
| 1041.063 | -164.544 | -0.000 | -0.000 | -0.000 | 0.000 | 
| -164.543 | 1041.062 | -0.000 | -0.000 | -0.000 | 0.000 | 
| 0.000 | -0.000 | -0.000 | -0.000 | -0.000 | 0.000 | 
| 0.000 | -0.000 | -0.000 | -0.000 | -0.000 | 0.000 | 
| 0.000 | -0.000 | -0.000 | -0.000 | -0.000 | 0.000 | 
| -0.000 | -0.000 | -0.000 | -0.000 | -0.000 | 602.803 | 
| 1041.062 | -164.539 | 0.000 | 0.000 | 0.000 | -0.000 | 
| -164.548 | 1041.071 | 0.000 | 0.000 | 0.000 | 0.000 | 
| -0.000 | 0.000 | 0.000 | 0.000 | 0.000 | -0.000 | 
| -0.000 | 0.000 | 0.000 | 0.000 | 0.000 | 0.000 | 
| -0.000 | 0.000 | 0.000 | 0.000 | 0.000 | -0.000 | 
| -0.000 | 0.001 | 0.000 | 0.000 | 0.000 | 641.697 | 
| 1041.063 | -164.548 | -0.000 | -0.000 | -0.000 | 0.000 | 
| -164.539 | 1041.054 | -0.000 | -0.000 | -0.000 | 0.000 | 
| 0.000 | -0.000 | -0.000 | -0.000 | -0.000 | 0.000 | 
| 0.000 | -0.000 | -0.000 | -0.000 | -0.000 | 0.000 | 
| 0.000 | -0.000 | -0.000 | -0.000 | -0.000 | 0.000 | 
| 0.000 | -0.001 | -0.000 | -0.000 | -0.000 | 641.697 | 
| 1025.533 | -162.088 | 0.000 | 0.000 | 0.000 | 0.000 | 
| -162.089 | 1025.533 | 0.000 | 0.000 | 0.000 | 0.000 | 
| -0.000 | 0.000 | 0.000 | 0.000 | 0.000 | -0.000 | 
| -0.000 | 0.000 | 0.000 | 0.000 | 0.000 | -0.000 | 
| -0.000 | 0.000 | 0.000 | 0.000 | 0.000 | 0.000 | 
| -0.000 | 0.000 | 0.000 | 0.000 | 0.000 | 593.811 | 
| 1025.533 | -162.090 | -0.000 | -0.000 | -0.000 | -0.001 | 
| -162.088 | 1025.532 | -0.000 | -0.000 | -0.000 | -0.000 | 
| 0.000 | -0.000 | -0.000 | -0.000 | -0.000 | 0.000 | 
| 0.000 | -0.000 | -0.000 | -0.000 | -0.000 | 0.000 | 
| 0.000 | -0.000 | -0.000 | -0.000 | -0.000 | -0.000 | 
| 0.000 | -0.000 | -0.000 | -0.000 | -0.000 | 593.811 | 
| 1025.533 | -162.088 | 0.000 | 0.000 | 0.000 | 0.000 | 
| -162.024 | 1025.469 | 0.000 | 0.000 | 0.000 | 0.000 | 
| -0.000 | 0.000 | 0.000 | 0.000 | 0.000 | -0.000 | 
| -0.000 | 0.000 | 0.000 | 0.000 | 0.000 | -0.000 | 
| -0.000 | 0.000 | 0.000 | 0.000 | 0.000 | 0.000 | 
| -0.000 | 0.000 | 0.000 | 0.000 | 0.000 | 593.811 | 
| 1025.533 | -162.089 | -0.000 | -0.000 | -0.000 | -0.000 | 
| -162.088 | 1025.532 | -0.000 | -0.000 | -0.000 | -0.000 | 
| 0.000 | -0.000 | -0.000 | -0.000 | -0.000 | 0.000 | 
| 0.000 | -0.000 | -0.000 | -0.000 | -0.000 | 0.000 | 
| 0.000 | -0.000 | -0.000 | -0.000 | -0.000 | -0.000 | 
| 0.000 | -0.000 | -0.000 | -0.000 | -0.000 | 593.811 | 
| 1025.532 | -162.085 | 0.000 | 0.000 | 0.000 | 0.000 | 
| -162.094 | 1025.541 | 0.000 | 0.000 | 0.000 | 0.000 | 
| -0.000 | 0.000 | 0.000 | 0.000 | 0.000 | -0.000 | 
| -0.000 | 0.000 | 0.000 | 0.000 | 0.000 | -0.000 | 
| -0.000 | 0.000 | 0.000 | 0.000 | 0.000 | 0.000 | 
| 0.000 | 0.001 | 0.000 | 0.000 | 0.000 | 593.811 | 
| 1025.533 | -162.093 | -0.000 | -0.000 | -0.000 | -0.000 | 
| -162.084 | 1025.525 | -0.000 | -0.000 | -0.000 | -0.000 | 
| 0.000 | -0.000 | -0.000 | -0.000 | -0.000 | 0.000 | 
| 0.000 | -0.000 | -0.000 | -0.000 | -0.000 | 0.000 | 
| 0.000 | -0.000 | -0.000 | -0.000 | -0.000 | -0.000 | 
| -0.000 | -0.001 | -0.000 | -0.000 | -0.000 | 593.811 | 
| 1089.484 | 94.593 | -89.535 | -0.000 | 0.000 | -0.000 | 
| 103.850 | 387.513 | -7.616 | -0.000 | 0.000 | -0.000 | 
| -71.071 | -5.394 | 1161.569 | -0.000 | 0.000 | -0.000 | 
| -0.582 | 0.574 | -0.149 | 98.877 | 0.000 | -0.000 | 
| -0.000 | 0.000 | -0.000 | 0.000 | 588.037 | -0.000 | 
| -0.507 | 0.499 | -0.126 | 0.000 | 0.000 | 241.901 | 
| 1089.484 | 94.593 | -89.535 | -0.000 | -0.000 | -0.000 | 
| 181.429 | 314.380 | -6.307 | -0.000 | -0.000 | 0.000 | 
| -79.293 | -6.631 | 1200.372 | -0.000 | -0.000 | 0.000 | 
| 0.582 | -0.574 | 0.149 | 98.877 | -0.000 | 0.000 | 
| 0.000 | -0.000 | 0.000 | -0.000 | 588.037 | 0.000 | 
| 0.507 | -0.499 | 0.126 | 0.000 | -0.000 | 241.901 | 
| 1089.484 | 94.593 | -89.535 | -0.000 | 0.000 | -0.000 | 
| 180.711 | 315.086 | -6.481 | -0.000 | 0.000 | -0.000 | 
| -79.293 | -6.631 | 1200.373 | 0.000 | 0.000 | -0.000 | 
| -0.078 | 0.076 | -0.019 | 99.811 | 0.000 | -0.000 | 
| 0.000 | 0.000 | 0.000 | -0.000 | 588.037 | -0.000 | 
| 0.000 | 0.000 | -0.000 | 0.000 | 0.000 | 283.626 | 
| 1011.757 | 164.030 | -78.296 | -0.000 | -0.000 | 0.000 | 
| 180.854 | 314.946 | -6.449 | -0.000 | -0.000 | 0.000 | 
| -71.728 | -4.740 | 1152.642 | 0.000 | -0.000 | 0.000 | 
| 0.078 | -0.076 | 0.019 | 99.811 | -0.000 | 0.000 | 
| -0.000 | -0.000 | -0.000 | -0.000 | 588.037 | 0.000 | 
| -0.000 | -0.000 | 0.000 | -0.000 | -0.000 | 283.626 | 
| 1006.241 | 171.222 | -82.033 | 0.000 | 0.000 | -0.000 | 
| 180.546 | 314.876 | -5.657 | -0.000 | 0.000 | -0.000 | 
| -71.921 | -4.560 | 1152.629 | -0.000 | 0.000 | -0.000 | 
| -0.008 | 0.008 | -0.002 | 99.811 | 0.000 | -0.000 | 
| 0.000 | 0.000 | 0.000 | 0.000 | 588.037 | -0.000 | 
| -0.005 | 0.005 | -0.001 | -0.000 | 0.000 | 241.902 | 
| 1006.250 | 171.246 | -82.266 | 0.000 | -0.000 | 0.000 | 
| 180.547 | 314.874 | -5.654 | -0.000 | -0.000 | 0.000 | 
| -71.786 | -4.684 | 1152.623 | 0.000 | -0.000 | 0.000 | 
| 0.008 | -0.008 | 0.002 | 99.811 | -0.000 | 0.000 | 
| -0.000 | -0.000 | -0.000 | -0.000 | 588.037 | 0.000 | 
| 0.005 | -0.005 | 0.001 | -0.000 | -0.000 | 241.902 | 
| 875.732 | -138.412 | -0.000 | 0.000 | 0.000 | 0.000 | 
| -138.414 | 875.732 | -0.000 | 0.000 | 0.000 | 0.000 | 
| -0.000 | 0.000 | -0.000 | 0.000 | 0.000 | 0.000 | 
| -0.000 | 0.000 | -0.000 | 0.000 | 0.000 | 0.000 | 
| 0.000 | 0.000 | -0.000 | 0.000 | 0.000 | 0.000 | 
| 0.000 | 0.000 | 0.000 | 0.000 | 0.000 | 539.789 | 
| 875.732 | -138.412 | 0.000 | -0.000 | -0.000 | -0.000 | 
| -138.411 | 875.731 | 0.000 | -0.000 | -0.000 | -0.000 | 
| 0.000 | -0.000 | 0.000 | -0.000 | -0.000 | -0.000 | 
| 0.000 | -0.000 | 0.000 | -0.000 | -0.000 | -0.000 | 
| -0.000 | -0.000 | -0.000 | -0.000 | -0.000 | -0.000 | 
| -0.000 | -0.000 | -0.000 | -0.000 | -0.000 | 539.789 | 
| 908.449 | -171.129 | -0.000 | 0.000 | 0.000 | 0.000 | 
| -138.426 | 875.746 | -0.000 | 0.000 | 0.000 | -0.000 | 
| -0.000 | 0.000 | 0.000 | 0.000 | 0.000 | 0.000 | 
| -0.000 | 0.000 | -0.000 | 0.000 | 0.000 | 0.000 | 
| 0.000 | 0.000 | 0.000 | 0.000 | 0.000 | 0.000 | 
| 0.000 | 0.000 | 0.000 | 0.000 | 0.000 | 539.789 | 
| 875.731 | -138.412 | -0.000 | -0.000 | -0.000 | -0.000 | 
| -138.413 | 875.732 | -0.000 | -0.000 | -0.000 | -0.000 | 
| 0.000 | -0.000 | 0.000 | -0.000 | -0.000 | -0.000 | 
| 0.000 | -0.000 | 0.000 | -0.000 | -0.000 | -0.000 | 
| 0.000 | -0.000 | 0.000 | -0.000 | -0.000 | -0.000 | 
| -0.000 | -0.000 | -0.000 | -0.000 | -0.000 | 539.789 | 
| 875.735 | -138.412 | 0.000 | 0.000 | 0.000 | 0.000 | 
| -138.413 | 875.736 | 0.000 | 0.000 | 0.000 | -0.000 | 
| -0.000 | 0.000 | -0.000 | 0.000 | 0.000 | 0.000 | 
| -0.000 | 0.000 | -0.000 | 0.000 | 0.000 | 0.000 | 
| 0.000 | 0.000 | 0.000 | 0.000 | 0.000 | 0.000 | 
| 0.000 | 0.001 | -0.000 | 0.000 | 0.000 | 507.072 | 
| 875.737 | -138.420 | 0.000 | -0.000 | -0.000 | -0.000 | 
| -138.416 | 875.732 | 0.000 | -0.000 | -0.000 | 0.000 | 
| 0.000 | -0.000 | -0.000 | -0.000 | -0.000 | -0.000 | 
| 0.000 | -0.000 | 0.000 | -0.000 | -0.000 | -0.000 | 
| -0.000 | -0.000 | 0.000 | -0.000 | -0.000 | -0.000 | 
| -0.000 | -0.001 | -0.000 | -0.000 | -0.000 | 507.072 | 
| 1258.756 | 40.104 | -21.861 | 17.437 | 0.000 | 0.001 | 
| 91.021 | 1247.880 | -61.815 | -12.896 | -0.000 | 0.001 | 
| 25.927 | 25.927 | 1224.622 | 0.000 | 0.000 | 0.000 | 
| 21.472 | -12.269 | -9.186 | 545.865 | 0.000 | 0.000 | 
| -0.000 | 0.000 | -0.000 | 0.000 | 547.862 | 17.437 | 
| 77.121 | 77.121 | -153.911 | 0.000 | 7.732 | 535.220 | 
| 1086.530 | 5.517 | 184.512 | 8.424 | 0.000 | 0.000 | 
| 26.942 | 1194.115 | 55.780 | -14.041 | -0.000 | -0.001 | 
| -21.650 | -21.651 | 1319.572 | -0.000 | -0.000 | -0.000 | 
| 17.437 | -17.436 | 0.000 | 547.862 | 0.000 | -0.000 | 
| 0.000 | 0.000 | 0.001 | -0.000 | 547.862 | 17.436 | 
| -77.121 | -77.121 | 153.911 | -0.000 | 7.732 | 535.220 | 
| 1216.265 | 60.201 | 0.488 | 13.338 | 0.000 | 0.000 | 
| 60.200 | 1216.266 | 0.487 | -13.338 | 0.000 | 0.000 | 
| 5.238 | 5.238 | 1265.909 | 0.000 | 0.000 | 0.000 | 
| 16.948 | -13.072 | -3.868 | 539.295 | 0.000 | -0.000 | 
| 4.057 | 4.057 | -8.097 | 0.000 | 529.840 | 12.331 | 
| 1.279 | 1.279 | -2.552 | 0.000 | 15.840 | 584.300 | 
| 1258.758 | 40.104 | -21.862 | 17.436 | -0.000 | -0.000 | 
| 59.256 | 1221.066 | -3.361 | -15.303 | -0.000 | 0.000 | 
| 1.793 | 1.793 | 1272.784 | -0.000 | -0.000 | -0.000 | 
| 17.436 | -17.436 | -0.000 | 547.862 | 0.000 | -0.000 | 
| -4.057 | -4.057 | 8.097 | -0.000 | 529.840 | 12.331 | 
| -1.279 | -1.279 | 2.552 | -0.000 | 15.840 | 584.300 | 
| 1223.636 | 59.550 | -6.214 | 15.172 | 0.000 | 0.000 | 
| 52.584 | 1225.738 | -1.361 | -14.457 | 0.000 | 0.000 | 
| -1.759 | -1.759 | 1279.876 | 0.000 | 0.000 | 0.000 | 
| 14.834 | -14.384 | -0.448 | 537.880 | 0.000 | 0.000 | 
| -0.000 | 0.000 | 0.000 | 0.000 | 547.862 | 17.436 | 
| 0.000 | 0.001 | 0.000 | 0.000 | 17.436 | 609.327 | 
| 1225.321 | 52.087 | -0.457 | 14.463 | -0.000 | -0.000 | 
| 52.087 | 1225.321 | -0.457 | -14.463 | -0.000 | -0.000 | 
| -2.203 | -2.203 | 1280.753 | -0.000 | -0.000 | -0.000 | 
| 14.384 | -14.833 | 0.448 | 537.880 | -0.000 | 0.000 | 
| 0.000 | -0.000 | -0.000 | -0.000 | 547.862 | 17.436 | 
| -0.000 | -0.001 | -0.000 | -0.000 | 17.436 | 609.327 | 
| 1248.973 | 76.442 | -47.890 | 10.545 | -0.000 | -0.004 | 
| 79.767 | 1250.850 | -53.094 | -10.166 | -0.000 | -0.003 | 
| -21.616 | -21.616 | 1320.758 | -0.000 | 0.000 | -0.001 | 
| 12.459 | -12.460 | 0.000 | 547.849 | 0.000 | -0.003 | 
| -0.001 | 0.000 | 0.000 | 0.000 | 547.850 | 12.459 | 
| -0.002 | 0.000 | -0.001 | -0.000 | 12.459 | 609.520 | 
| 1259.096 | 40.053 | -21.610 | 12.459 | 0.000 | 0.005 | 
| 28.089 | 1202.023 | 47.423 | -10.400 | 0.000 | 0.004 | 
| -26.016 | -26.015 | 1329.567 | 0.000 | 0.000 | 0.004 | 
| 12.459 | -12.459 | -0.000 | 547.850 | -0.000 | 0.004 | 
| 0.001 | -0.000 | -0.000 | 0.000 | 547.850 | 12.460 | 
| 0.003 | -0.000 | 0.001 | 0.000 | 12.459 | 609.521 | 
| 1259.095 | 40.054 | -21.617 | 12.459 | 0.000 | -0.000 | 
| 40.054 | 1259.095 | -21.617 | -12.459 | 0.000 | -0.000 | 
| -21.617 | -21.616 | 1320.765 | -0.000 | 0.000 | -0.000 | 
| 12.849 | -7.763 | -5.087 | 537.191 | -0.000 | -0.000 | 
| 2.543 | 2.543 | -5.087 | -0.000 | 537.191 | 10.306 | 
| 0.000 | 0.000 | 0.000 | -0.000 | 12.459 | 609.520 | 
| 1223.828 | 49.250 | 4.454 | 10.333 | 0.000 | 0.000 | 
| 49.746 | 1223.497 | 4.289 | -10.347 | 0.000 | 0.000 | 
| -4.374 | -4.374 | 1286.280 | 0.000 | 0.000 | 0.000 | 
| 12.459 | -12.459 | -0.000 | 547.850 | -0.000 | 0.000 | 
| -2.543 | -2.543 | 5.087 | 0.000 | 537.191 | 10.306 | 
| 0.000 | -0.000 | -0.000 | 0.000 | 12.459 | 609.520 | 
| 1221.867 | 56.708 | -1.039 | 10.330 | -0.000 | -0.000 | 
| 56.708 | 1221.867 | -1.040 | -10.330 | -0.000 | -0.000 | 
| -1.608 | -1.608 | 1280.752 | -0.000 | 0.000 | -0.000 | 
| 12.460 | -12.459 | 0.000 | 547.850 | 0.000 | -0.000 | 
| -0.000 | 0.000 | 0.000 | 0.000 | 547.850 | 12.459 | 
| 0.000 | 0.001 | 0.000 | 0.000 | 12.459 | 609.520 | 
| 1226.756 | 51.276 | -0.505 | 10.376 | -0.000 | 0.000 | 
| 51.281 | 1226.742 | -0.495 | -10.375 | -0.000 | 0.000 | 
| -21.617 | -21.617 | 1320.760 | 0.000 | 0.000 | 0.000 | 
| 10.223 | -10.695 | 0.472 | 537.951 | 0.000 | 0.000 | 
| 0.000 | -0.000 | -0.000 | -0.000 | 547.850 | 12.459 | 
| -0.000 | -0.001 | -0.000 | -0.000 | 12.459 | 609.520 | 
| 3119.543 | 1952.268 | -3800.070 | 9.987 | 0.000 | 0.000 | 
| 1402.928 | 2569.422 | -2699.181 | -10.699 | 0.000 | 0.000 | 
| 1892.735 | 1892.733 | -2513.350 | -0.000 | 0.000 | -0.000 | 
| 1905.068 | 1885.083 | -3795.125 | 535.460 | 0.000 | -0.000 | 
| 1347.452 | 1347.452 | -2698.457 | -0.000 | 538.952 | 10.697 | 
| 0.000 | 0.000 | -0.004 | -0.000 | 12.447 | 609.346 | 
| -468.445 | -1650.400 | 3400.041 | 10.255 | 0.000 | 0.000 | 
| -1293.441 | -127.074 | 2700.792 | -10.692 | -0.000 | -0.000 | 
| -1349.506 | -1349.507 | 3979.655 | 0.000 | -0.000 | -0.000 | 
| -1336.769 | -1358.163 | 2698.484 | 538.952 | -0.000 | 0.000 | 
| -1347.452 | -1347.452 | 2698.457 | 0.000 | 538.952 | 10.697 | 
| 0.001 | -0.000 | 0.004 | 0.000 | 12.447 | 609.345 | 
| 1356.878 | 189.961 | -270.472 | 10.722 | 0.000 | 0.000 | 
| 39.806 | 1258.497 | -21.610 | -12.447 | 0.000 | -0.000 | 
| 134.019 | 134.019 | 1008.694 | -0.000 | 0.000 | 0.000 | 
| 12.448 | -12.447 | -0.000 | 547.625 | -0.000 | -0.000 | 
| 0.000 | 0.000 | -0.000 | -0.000 | 547.625 | 12.447 | 
| -0.000 | 0.000 | -0.000 | -0.000 | 12.447 | 609.346 | 
| 1086.936 | -79.102 | 269.242 | 10.674 | -0.000 | -0.000 | 
| -133.581 | 1034.568 | 376.227 | -10.028 | 0.000 | 0.000 | 
| -154.158 | -154.158 | 1585.807 | 0.000 | -0.000 | -0.000 | 
| 12.447 | -12.447 | 0.000 | 547.625 | 0.000 | -0.000 | 
| 0.000 | -0.000 | 0.000 | 0.000 | 547.625 | 12.447 | 
| -0.000 | -0.000 | 0.000 | 0.000 | 12.447 | 609.346 | 
| 1238.933 | 73.430 | -35.684 | 9.902 | 0.000 | 0.000 | 
| 73.437 | 1238.929 | -35.687 | -9.901 | -0.000 | -0.000 | 
| 15.598 | 15.598 | 1245.851 | -0.000 | 0.000 | -0.000 | 
| 24.545 | 3.263 | -27.845 | 538.676 | 0.000 | 0.000 | 
| 18.201 | 18.201 | -36.450 | 0.000 | 535.942 | 10.089 | 
| 0.000 | 0.001 | 0.000 | 0.000 | 12.447 | 609.346 | 
| 1210.912 | 32.868 | 32.981 | 10.302 | 0.000 | -0.000 | 
| 34.918 | 1207.730 | 34.115 | -10.252 | 0.000 | -0.000 | 
| -15.736 | -15.736 | 1308.594 | 0.000 | 0.000 | -0.000 | 
| 12.447 | -12.447 | -0.000 | 547.625 | -0.000 | 0.000 | 
| -18.201 | -18.201 | 36.450 | -0.000 | 535.942 | 10.089 | 
| -0.000 | -0.001 | -0.000 | -0.000 | 12.447 | 609.346 | 
| 851.524 | -38.948 | -38.947 | 0.000 | 0.000 | -0.000 | 
| -38.948 | 851.524 | -38.947 | 0.000 | -0.000 | -0.000 | 
| -38.948 | -38.948 | 851.525 | 0.000 | -0.000 | -0.000 | 
| -0.000 | 0.000 | 0.001 | 421.635 | -0.000 | -0.000 | 
| -0.000 | 0.000 | 0.001 | 0.000 | 421.635 | -0.000 | 
| -0.000 | 0.000 | 0.002 | 0.000 | -0.000 | 421.635 | 
| 851.524 | -38.948 | -38.949 | -0.000 | -0.000 | 0.000 | 
| -38.947 | 851.524 | -38.949 | -0.000 | 0.000 | 0.000 | 
| -38.947 | -38.948 | 851.523 | -0.000 | -0.000 | 0.000 | 
| 0.000 | -0.000 | -0.001 | 421.635 | 0.000 | 0.000 | 
| 0.000 | -0.000 | -0.001 | -0.000 | 421.635 | 0.000 | 
| 0.000 | -0.000 | -0.002 | -0.000 | 0.000 | 421.635 | 
| 851.524 | -38.948 | -38.948 | 0.000 | -0.000 | -0.000 | 
| -38.948 | 851.524 | -38.948 | 0.000 | -0.000 | -0.000 | 
| -38.948 | -38.948 | 851.524 | 0.000 | 0.000 | -0.000 | 
| -0.000 | 0.000 | 0.000 | 421.636 | 0.000 | 0.000 | 
| 0.000 | -0.000 | 0.000 | 0.000 | 421.636 | -0.000 | 
| 0.000 | 0.000 | -0.000 | 0.000 | -0.000 | 421.636 | 
| 851.523 | -38.948 | -38.948 | -0.000 | 0.000 | 0.000 | 
| -38.948 | 851.523 | -38.948 | -0.000 | 0.000 | -0.000 | 
| -38.948 | -38.948 | 851.523 | -0.000 | 0.000 | 0.000 | 
| 0.000 | -0.000 | -0.000 | 421.636 | -0.000 | 0.000 | 
| -0.000 | 0.000 | -0.000 | -0.000 | 421.636 | 0.000 | 
| -0.000 | -0.000 | 0.000 | -0.000 | 0.000 | 421.636 | 
| 826.599 | -27.269 | -27.269 | 0.000 | -0.000 | -0.000 | 
| -27.269 | 826.599 | -27.269 | 0.000 | -0.000 | -0.000 | 
| -27.269 | -27.269 | 826.599 | 0.000 | 0.000 | -0.000 | 
| 0.011 | 0.012 | 0.012 | 158.468 | -0.000 | -0.000 | 
| 0.012 | 0.011 | 0.012 | 0.000 | 158.468 | -0.000 | 
| 0.012 | 0.012 | 0.011 | -0.000 | -0.000 | 158.468 | 
| 826.600 | -27.124 | -27.124 | -0.000 | -0.000 | 0.000 | 
| -27.124 | 826.600 | -27.124 | -0.000 | -0.000 | 0.000 | 
| -27.124 | -27.124 | 826.600 | -0.000 | -0.000 | 0.000 | 
| -0.011 | -0.012 | -0.012 | 158.468 | 0.000 | 0.000 | 
| -0.012 | -0.011 | -0.012 | -0.000 | 158.468 | 0.000 | 
| -0.012 | -0.012 | -0.011 | -0.000 | 0.000 | 158.468 | 
| 479.312 | 55.663 | 18.359 | -0.000 | 0.000 | -0.000 | 
| 50.323 | 298.932 | -2.933 | -0.000 | -0.000 | 0.000 | 
| 32.320 | -19.195 | 433.590 | -0.000 | -0.000 | -0.000 | 
| 17.316 | -26.819 | -35.179 | 50.936 | 0.000 | -0.000 | 
| 0.000 | -0.000 | 0.000 | -0.000 | 246.298 | 0.000 | 
| 8.444 | -13.077 | -17.153 | 0.000 | 0.000 | 209.475 | 
| 459.975 | 81.758 | 49.136 | -0.000 | 0.000 | 0.000 | 
| 89.169 | 246.718 | 27.987 | -0.000 | -0.000 | -0.000 | 
| 32.320 | -19.194 | 433.590 | -0.000 | -0.000 | 0.000 | 
| 0.000 | 0.000 | 0.000 | 84.603 | -0.000 | 0.000 | 
| -0.000 | 0.000 | -0.000 | 0.000 | 246.298 | 0.000 | 
| -8.444 | 13.077 | 17.153 | -0.000 | 0.000 | 209.475 | 
| 472.907 | 65.730 | 31.696 | -0.000 | 0.000 | 0.000 | 
| 50.323 | 298.933 | -2.933 | 0.000 | 0.000 | -0.000 | 
| 31.989 | -9.890 | 53.332 | -0.000 | 0.000 | -0.000 | 
| 0.000 | -0.000 | -0.000 | 84.603 | -0.000 | 0.000 | 
| 0.000 | -0.000 | 0.000 | -0.000 | 246.298 | -0.000 | 
| 0.000 | 0.000 | 0.000 | -0.000 | 0.000 | 218.926 | 
| 464.310 | 85.837 | 19.165 | 0.000 | -0.000 | 0.000 | 
| 97.921 | 232.857 | 5.976 | 0.000 | -0.000 | 0.000 | 
| -8.561 | -5.969 | 6.912 | 0.000 | 0.000 | 0.000 | 
| -0.000 | 0.000 | 0.000 | 84.603 | -0.000 | 0.000 | 
| -0.000 | 0.000 | -0.000 | -0.000 | 246.298 | 0.000 | 
| -0.000 | -0.000 | -0.000 | 0.000 | -0.000 | 218.926 | 
| 465.020 | 84.388 | 15.377 | 0.000 | -0.000 | -0.000 | 
| 99.194 | 230.889 | 3.434 | 0.000 | -0.000 | -0.000 | 
| -6.840 | -9.148 | 0.153 | 0.000 | 0.000 | -0.000 | 
| 0.150 | -0.292 | -0.541 | 38.166 | 0.000 | -0.000 | 
| -0.191 | 0.158 | -0.651 | 0.000 | 0.001 | -0.000 | 
| 0.067 | -0.103 | -0.135 | -0.000 | -0.000 | 211.478 | 
| 464.319 | 82.967 | 0.565 | -0.000 | -0.000 | 0.000 | 
| 98.950 | 231.262 | 3.895 | 0.000 | -0.000 | 0.000 | 
| -7.158 | -8.573 | 1.472 | -0.000 | 0.000 | 0.000 | 
| -0.064 | 0.260 | 0.722 | 0.001 | -0.000 | 0.000 | 
| 0.191 | -0.158 | 0.651 | 0.000 | 0.001 | 0.000 | 
| -0.067 | 0.103 | 0.135 | 0.000 | -0.000 | 211.478 | 
| 1258.876 | 40.245 | -21.981 | -0.000 | 0.000 | 0.000 | 
| 40.243 | 1258.876 | -21.980 | 0.000 | 0.000 | -0.001 | 
| -185.207 | -185.206 | 1645.031 | 0.000 | 0.000 | 0.000 | 
| -0.000 | 0.001 | -0.000 | 547.973 | 0.001 | 0.000 | 
| -0.000 | -0.000 | -0.000 | 0.000 | 547.973 | -0.001 | 
| -181.798 | -181.797 | 362.227 | -0.000 | -0.000 | 585.691 | 
| 1258.876 | 40.242 | -21.985 | 0.000 | 0.000 | -0.001 | 
| 236.717 | 1407.676 | -365.959 | -0.000 | -0.000 | -0.000 | 
| -21.610 | -21.610 | 1319.067 | -0.000 | -0.000 | 0.001 | 
| 0.000 | -0.001 | -0.000 | 547.973 | 0.000 | 0.000 | 
| 0.000 | 0.000 | 0.000 | 0.000 | 547.972 | 0.000 | 
| 181.798 | 181.798 | -362.226 | -0.000 | 0.000 | 585.691 | 
| 1206.353 | 40.754 | 29.835 | 0.000 | 0.000 | 0.000 | 
| 35.157 | 1207.973 | 33.796 | 0.000 | 0.000 | 0.000 | 
| -16.698 | -16.698 | 1309.284 | 0.000 | 0.000 | -0.000 | 
| -17.833 | -17.833 | 35.532 | 537.470 | 0.000 | -0.000 | 
| -17.834 | -17.834 | 35.534 | 0.000 | 537.470 | 0.000 | 
| -18.368 | -18.368 | 36.598 | 0.000 | 0.000 | 585.447 | 
| 1239.741 | 71.580 | -34.138 | -0.000 | -0.000 | -0.000 | 
| 40.243 | 1258.875 | -21.982 | -0.000 | 0.000 | 0.000 | 
| -21.611 | -21.611 | 1319.070 | 0.000 | 0.000 | -0.000 | 
| 17.833 | 17.833 | -35.532 | 537.470 | -0.000 | -0.000 | 
| 17.834 | 17.834 | -35.534 | -0.000 | 537.470 | 0.000 | 
| 18.368 | 18.368 | -36.598 | -0.000 | -0.000 | 585.447 | 
| 1223.289 | 51.193 | 2.566 | -0.000 | 0.000 | 0.000 | 
| 51.193 | 1223.289 | 2.566 | 0.000 | -0.000 | -0.000 | 
| -3.635 | -3.635 | 1283.258 | 0.000 | 0.000 | -0.000 | 
| -1.677 | -1.678 | 3.343 | 538.113 | 0.000 | 0.000 | 
| -0.000 | 0.000 | 0.000 | 0.000 | 547.972 | -0.000 | 
| -2.146 | -2.145 | 4.276 | -0.000 | 0.000 | 580.070 | 
| 1226.344 | 55.009 | -4.288 | -0.000 | 0.000 | -0.000 | 
| 61.060 | 1221.407 | -5.397 | -0.000 | -0.000 | 0.000 | 
| -0.284 | -0.284 | 1276.574 | -0.000 | -0.000 | -0.000 | 
| 1.677 | 1.678 | -3.343 | 538.113 | -0.000 | -0.000 | 
| 0.000 | -0.000 | -0.000 | 0.000 | 547.972 | 0.000 | 
| 2.146 | 2.145 | -4.276 | -0.000 | -0.000 | 580.070 | 
| 1258.871 | 40.138 | -21.843 | -0.000 | -0.000 | -0.000 | 
| 51.946 | 1218.754 | 6.404 | 0.001 | -0.000 | -0.000 | 
| -21.631 | -21.630 | 1319.690 | 0.001 | 0.000 | 0.000 | 
| -5.428 | -5.428 | 10.831 | 538.009 | 0.000 | -0.000 | 
| -0.000 | 0.001 | 0.003 | 0.001 | 547.894 | 0.001 | 
| 0.000 | 0.001 | 0.002 | 0.001 | -0.000 | 609.368 | 
| 1231.555 | 57.947 | -12.355 | -0.001 | -0.000 | 0.001 | 
| 40.136 | 1258.872 | -21.840 | -0.001 | -0.000 | 0.000 | 
| -21.631 | -21.631 | 1319.686 | 0.001 | 0.000 | -0.000 | 
| 5.428 | 5.428 | -10.831 | 538.008 | -0.000 | 0.000 | 
| 0.000 | -0.001 | -0.003 | -0.001 | 547.894 | -0.000 | 
| 0.000 | -0.001 | -0.003 | -0.001 | 0.000 | 609.367 | 
| 1225.836 | 51.347 | -0.066 | 0.000 | -0.000 | -0.000 | 
| 51.347 | 1225.836 | -0.066 | 0.000 | 0.000 | -0.000 | 
| -2.487 | -2.487 | 1281.484 | 0.000 | 0.000 | 0.000 | 
| -0.542 | -0.542 | 1.080 | 538.027 | 0.000 | -0.000 | 
| -0.000 | 0.000 | 0.000 | 0.000 | 547.894 | -0.000 | 
| 0.000 | 0.000 | 0.000 | 0.000 | 0.000 | 609.368 | 
| 1225.197 | 57.704 | -5.772 | 0.000 | 0.000 | -0.000 | 
| 52.527 | 1226.859 | -2.266 | -0.000 | 0.000 | 0.000 | 
| -21.630 | -21.631 | 1319.687 | -0.000 | -0.000 | -0.000 | 
| 0.542 | 0.542 | -1.080 | 538.027 | 0.000 | 0.000 | 
| 0.000 | -0.000 | -0.000 | -0.000 | 547.894 | 0.000 | 
| -0.000 | -0.000 | -0.000 | 0.000 | -0.000 | 609.368 | 
| 1224.562 | 57.159 | -4.591 | 0.000 | 0.000 | -0.000 | 
| 51.877 | 1226.299 | -1.053 | 0.000 | 0.000 | -0.000 | 
| -2.000 | -2.000 | 1280.516 | 0.000 | 0.000 | -0.000 | 
| -0.054 | -0.054 | 0.108 | 538.028 | 0.000 | -0.000 | 
| -0.054 | -0.054 | 0.108 | 0.000 | 538.028 | -0.000 | 
| -0.058 | -0.058 | 0.117 | 0.000 | -0.000 | 586.670 | 
| 1226.392 | 51.995 | -1.272 | -0.000 | 0.000 | 0.000 | 
| 40.136 | 1258.868 | -21.844 | -0.000 | 0.000 | 0.000 | 
| -1.892 | -1.892 | 1280.290 | -0.000 | -0.000 | 0.000 | 
| 0.054 | 0.054 | -0.108 | 538.028 | -0.000 | 0.000 | 
| 0.054 | 0.054 | -0.108 | -0.000 | 538.028 | 0.000 | 
| 0.058 | 0.058 | -0.117 | -0.000 | 0.000 | 586.670 | 
| 1258.870 | 40.037 | -21.710 | -0.001 | -0.001 | 0.000 | 
| 49.621 | 1206.279 | 21.263 | -0.000 | -0.001 | 0.000 | 
| -9.283 | -9.282 | 1295.558 | -0.000 | -0.001 | 0.000 | 
| -7.081 | -7.081 | 14.153 | 532.186 | -0.001 | 0.000 | 
| -4.472 | -4.472 | 8.944 | -0.001 | 537.948 | 0.000 | 
| -3.510 | -3.510 | 7.018 | -0.001 | -0.001 | 588.840 | 
| 1218.287 | 63.852 | -4.960 | 0.000 | 0.000 | -0.000 | 
| 63.852 | 1218.286 | -4.961 | 0.001 | 0.001 | -0.000 | 
| 13.380 | 13.380 | 1250.250 | 0.001 | 0.001 | -0.000 | 
| 7.081 | 7.081 | -14.154 | 532.186 | 0.001 | -0.000 | 
| 4.472 | 4.472 | -8.944 | 0.001 | 537.949 | -0.000 | 
| 3.510 | 3.510 | -7.018 | 0.001 | 0.001 | 588.840 | 
| 1225.835 | 51.119 | 0.227 | -0.000 | -0.000 | 0.000 | 
| 40.036 | 1258.871 | -21.713 | -0.000 | -0.000 | 0.000 | 
| -2.466 | -2.466 | 1281.929 | 0.000 | -0.000 | 0.000 | 
| 0.000 | 0.000 | 0.000 | 547.821 | -0.000 | 0.000 | 
| -0.439 | -0.439 | 0.877 | -0.000 | 538.134 | 0.000 | 
| 0.000 | 0.000 | 0.001 | -0.000 | -0.000 | 609.417 | 
| 1226.671 | 52.113 | -1.605 | 0.000 | 0.000 | -0.000 | 
| 40.036 | 1258.870 | -21.714 | 0.000 | 0.000 | -0.000 | 
| -21.649 | -21.649 | 1320.267 | 0.000 | 0.000 | -0.000 | 
| -0.000 | -0.000 | -0.000 | 547.821 | 0.000 | -0.000 | 
| 0.439 | 0.439 | -0.877 | 0.000 | 538.134 | -0.000 | 
| -0.000 | -0.000 | -0.001 | 0.000 | 0.000 | 609.417 | 
| 1258.874 | 40.037 | -21.713 | -0.000 | -0.000 | 0.000 | 
| 51.270 | 1227.053 | -1.138 | -0.000 | -0.000 | 0.000 | 
| -21.649 | -21.649 | 1320.273 | -0.000 | -0.000 | 0.000 | 
| 0.000 | -0.000 | 0.000 | 547.821 | -0.000 | 0.000 | 
| -0.045 | -0.044 | 0.090 | -0.000 | 537.950 | 0.000 | 
| -0.047 | -0.047 | 0.095 | 0.000 | -0.000 | 587.487 | 
| 1227.119 | 51.369 | -1.311 | 0.000 | 0.000 | -0.000 | 
| 51.365 | 1227.130 | -1.318 | 0.000 | 0.000 | -0.000 | 
| -1.869 | -1.869 | 1280.731 | 0.000 | 0.000 | -0.000 | 
| -0.000 | 0.000 | -0.000 | 547.821 | 0.000 | -0.000 | 
| 0.045 | 0.044 | -0.090 | 0.000 | 537.950 | -0.000 | 
| 0.047 | 0.047 | -0.095 | -0.000 | 0.000 | 587.487 | 
| 98.019 | 715.201 | -1225.621 | -0.000 | -0.000 | 0.000 | 
| -503.862 | 922.847 | -1406.298 | -0.000 | 0.000 | -0.000 | 
| 14.586 | 3.875 | 564.364 | -0.000 | -0.000 | -0.000 | 
| -598.628 | 637.345 | -1338.566 | 60.219 | 0.000 | 0.000 | 
| -601.707 | 640.623 | -1345.451 | -0.000 | 203.173 | 0.000 | 
| 0.000 | 0.000 | -0.000 | 0.000 | -0.000 | 258.619 | 
| 724.574 | 48.623 | 21.318 | 0.000 | -0.000 | -0.000 | 
| 566.690 | -344.733 | 2288.598 | 0.000 | -0.000 | 0.000 | 
| 14.586 | 3.876 | 564.364 | 0.000 | -0.000 | -0.000 | 
| 467.506 | -624.190 | 2383.146 | 46.101 | 0.000 | 0.000 | 
| 601.707 | -640.623 | 1345.451 | -0.000 | 203.173 | 0.000 | 
| -0.000 | -0.000 | 0.000 | -0.000 | -0.000 | 258.619 | 
| 629.434 | 181.395 | -190.648 | -0.000 | 0.000 | -0.000 | 
| 72.376 | 310.185 | -115.917 | 0.000 | -0.000 | -0.000 | 
| -47.008 | 34.145 | -264.096 | 0.000 | -0.000 | 0.000 | 
| -40.662 | 57.184 | -237.896 | 48.526 | 0.000 | -0.000 | 
| -55.968 | 75.421 | -292.658 | 0.000 | 70.038 | -0.000 | 
| -60.610 | 64.530 | -135.528 | -0.000 | 0.000 | 246.609 | 
| 724.574 | 48.624 | 21.318 | -0.000 | 0.000 | 0.000 | 
| 44.971 | 422.086 | 6.955 | 0.000 | 0.000 | -0.000 | 
| 61.289 | -42.913 | 413.734 | 0.000 | -0.000 | -0.000 | 
| 40.766 | -34.666 | 283.829 | 50.803 | 0.000 | -0.000 | 
| 55.968 | -75.421 | 292.658 | -0.000 | 70.038 | -0.000 | 
| 60.610 | -64.530 | 135.528 | 0.000 | -0.000 | 246.609 | 
| 673.764 | 114.306 | -26.418 | -0.000 | -0.000 | 0.000 | 
| 102.913 | 296.574 | -26.436 | -0.000 | -0.000 | 0.000 | 
| -19.905 | 11.668 | -24.057 | -0.000 | -0.000 | 0.000 | 
| -4.732 | 5.453 | -24.545 | -0.007 | 0.000 | -0.000 | 
| 8.203 | -20.943 | -17.271 | -0.000 | 6.965 | -0.000 | 
| -6.669 | 7.101 | -14.913 | -0.000 | -0.000 | 245.404 | 
| 685.148 | 90.312 | 20.959 | 0.000 | 0.000 | 0.000 | 
| 110.971 | 289.134 | 26.425 | 0.000 | -0.000 | -0.000 | 
| -2.705 | -6.803 | 26.443 | -0.000 | 0.000 | 0.000 | 
| 4.732 | -5.453 | 24.545 | -0.007 | -0.000 | 0.000 | 
| -8.203 | 20.943 | 17.271 | 0.000 | 6.965 | -0.000 | 
| 6.669 | -7.101 | 14.913 | -0.000 | 0.000 | 245.404 | 
| 521.378 | 39.980 | 39.544 | -0.000 | 0.000 | 0.000 | 
| 39.981 | 519.150 | 38.927 | -0.000 | 0.000 | -0.000 | 
| 85.076 | 78.498 | 256.600 | 0.000 | 0.000 | 0.000 | 
| 0.000 | 0.000 | -0.000 | 222.319 | 0.000 | -0.000 | 
| 0.000 | -0.000 | -0.000 | 0.000 | 228.049 | 0.000 | 
| -0.002 | 0.001 | -0.000 | 0.000 | 0.000 | 130.081 | 
| 323.153 | 76.330 | 81.279 | -0.000 | -0.000 | -0.000 | 
| 73.882 | 337.890 | 72.748 | -0.000 | -0.000 | -0.000 | 
| 85.092 | 78.502 | 256.544 | -0.000 | -0.000 | 0.000 | 
| -0.000 | -0.000 | 0.000 | 222.319 | -0.000 | -0.000 | 
| -0.000 | 0.000 | 0.000 | -0.000 | 228.049 | -0.000 | 
| 0.002 | -0.001 | -0.000 | -0.000 | -0.000 | 130.081 | 
| 521.377 | 39.980 | 39.544 | -0.000 | -0.000 | -0.000 | 
| 71.952 | 257.225 | 71.943 | 0.000 | -0.000 | 0.000 | 
| 39.544 | 38.927 | 465.539 | 0.000 | 0.000 | 0.000 | 
| -0.000 | 0.000 | -0.000 | 121.524 | 0.000 | 0.000 | 
| -0.000 | 0.000 | 0.000 | 0.000 | 96.835 | 0.000 | 
| -0.000 | 0.000 | 0.000 | 0.000 | 0.000 | 130.081 | 
| 521.377 | 39.980 | 39.544 | 0.000 | -0.000 | -0.000 | 
| 39.980 | 519.150 | 38.927 | -0.000 | -0.000 | 0.000 | 
| 71.941 | 61.537 | 110.877 | -0.000 | -0.000 | -0.000 | 
| 0.000 | -0.000 | 0.000 | 121.524 | 0.000 | -0.000 | 
| 0.000 | -0.000 | -0.000 | -0.000 | 96.835 | -0.000 | 
| 0.000 | -0.000 | -0.000 | -0.000 | -0.000 | 130.081 | 
| 197.832 | 28.709 | 9.440 | 0.000 | 0.000 | -0.000 | 
| 71.953 | 257.205 | 71.944 | 0.000 | 0.000 | 0.000 | 
| 71.929 | 61.529 | 110.989 | 0.000 | -0.000 | 0.000 | 
| 0.000 | -0.000 | -0.000 | 121.524 | 0.000 | -0.000 | 
| -0.000 | 0.000 | -0.000 | 0.000 | 110.176 | 0.000 | 
| -0.000 | -0.000 | 0.000 | 0.000 | 0.000 | 130.081 | 
| 323.146 | 76.335 | 81.276 | -0.000 | -0.000 | -0.000 | 
| 59.011 | 227.575 | 63.883 | -0.000 | 0.000 | -0.000 | 
| 85.084 | 78.500 | 256.570 | -0.000 | -0.000 | 0.000 | 
| -0.000 | 0.000 | 0.000 | 121.524 | -0.000 | 0.000 | 
| 0.000 | -0.000 | 0.000 | -0.000 | 110.176 | -0.000 | 
| 0.000 | 0.000 | -0.000 | -0.000 | -0.000 | 130.081 | 
| -862.410 | -318.598 | 2501.475 | 0.000 | -0.000 | 0.000 | 
| -1093.929 | -85.684 | 2499.262 | -0.000 | 0.000 | -0.000 | 
| -2134.601 | -1580.004 | 5914.484 | -0.000 | 0.000 | 0.000 | 
| -2220.361 | -1654.246 | 5924.837 | -11.867 | 0.000 | -0.000 | 
| 0.000 | -0.000 | 0.000 | -0.000 | 202.295 | -0.000 | 
| -1132.087 | -359.858 | 2425.759 | -0.000 | -0.000 | 140.934 | 
| 742.264 | -153.951 | -568.815 | -0.000 | -0.000 | -0.000 | 
| 2262.475 | 1742.843 | -5848.132 | 0.000 | 0.000 | -0.000 | 
| 400.424 | -143.320 | -288.247 | -0.000 | -0.000 | 0.000 | 
| 2220.361 | 1654.246 | -5924.837 | -11.867 | -0.000 | 0.000 | 
| -0.000 | 0.000 | -0.000 | 0.000 | 202.295 | 0.000 | 
| 1132.087 | 359.858 | -2425.759 | 0.000 | -0.000 | 140.935 | 
| -313.183 | -276.597 | 913.374 | -0.000 | 0.000 | -0.000 | 
| -1.106 | 408.312 | 115.672 | -0.000 | 0.000 | -0.000 | 
| 32.034 | 32.165 | 411.508 | -0.000 | 0.000 | 0.000 | 
| -35.295 | 19.030 | 62.542 | 153.543 | -0.000 | -0.000 | 
| -219.621 | -163.372 | 585.901 | -0.000 | 19.834 | -0.000 | 
| 0.000 | 0.000 | 0.000 | -0.000 | -0.000 | 235.571 | 
| 465.860 | 25.155 | 36.436 | 0.000 | 0.000 | 0.000 | 
| 69.418 | 373.316 | -10.721 | 0.000 | 0.000 | 0.000 | 
| 144.759 | 245.560 | -1166.182 | 0.000 | -0.000 | -0.000 | 
| 35.295 | -19.030 | -62.542 | 153.543 | 0.000 | 0.000 | 
| 219.621 | 163.372 | -585.901 | 0.000 | 19.834 | 0.000 | 
| -0.000 | -0.000 | 0.000 | 0.000 | -0.000 | 235.571 | 
| 164.789 | 27.638 | 113.803 | -0.000 | -0.000 | -0.000 | 
| 36.688 | 332.637 | 74.712 | -0.000 | 0.000 | -0.000 | 
| 0.692 | -4.358 | 135.548 | -0.000 | 0.000 | 0.000 | 
| -12.114 | -4.036 | 26.038 | 81.230 | 0.000 | -0.000 | 
| -12.074 | -3.972 | 25.928 | -0.000 | 100.206 | 0.000 | 
| -16.406 | -11.874 | 43.769 | -0.000 | 0.000 | 94.794 | 
| 190.303 | 51.886 | 26.905 | 0.000 | 0.000 | 0.000 | 
| 43.467 | 360.422 | 47.909 | -0.000 | 0.000 | 0.000 | 
| -6.227 | -5.683 | -108.498 | 0.000 | -0.000 | 0.000 | 
| 12.114 | 4.036 | -26.038 | 81.230 | 0.000 | -0.000 | 
| 12.074 | 3.972 | -25.928 | 0.000 | 100.206 | -0.000 | 
| 16.406 | 11.874 | -43.769 | 0.000 | -0.000 | 94.794 | 
| 1325.594 | -209.514 | 0.000 | 0.000 | 0.000 | 0.000 | 
| -209.514 | 1325.595 | 0.000 | 0.000 | 0.000 | 0.000 | 
| 0.000 | -0.000 | 0.000 | 0.000 | -0.000 | -0.000 | 
| -0.000 | -0.000 | 0.000 | 0.000 | -0.000 | 0.000 | 
| -0.000 | 0.000 | 0.000 | 0.000 | -0.000 | -0.000 | 
| 0.000 | 0.000 | 0.000 | 0.000 | -0.000 | 767.554 | 
| 1325.594 | -209.515 | -0.000 | 0.000 | -0.000 | 0.000 | 
| -209.514 | 1325.594 | -0.000 | -0.000 | -0.000 | 0.000 | 
| -0.000 | 0.000 | -0.000 | -0.000 | 0.000 | 0.000 | 
| 0.000 | -0.000 | -0.000 | -0.000 | 0.000 | -0.000 | 
| 0.000 | 0.000 | -0.000 | -0.000 | 0.000 | -0.000 | 
| -0.000 | -0.000 | -0.000 | 0.000 | 0.000 | 767.554 | 
| 1325.594 | -209.509 | 0.000 | 0.000 | 0.000 | 0.000 | 
| -209.521 | 1325.605 | 0.000 | 0.000 | 0.000 | -0.000 | 
| 0.000 | -0.000 | 0.000 | 0.000 | -0.000 | -0.000 | 
| -0.000 | -0.000 | 0.000 | 0.000 | -0.000 | 0.000 | 
| -0.000 | 0.000 | 0.000 | 0.000 | -0.000 | -0.000 | 
| 0.000 | 0.001 | 0.000 | -0.000 | -0.000 | 767.554 | 
| 1325.595 | -209.520 | -0.000 | -0.000 | -0.000 | -0.000 | 
| -209.508 | 1325.583 | -0.000 | -0.000 | -0.000 | 0.000 | 
| 0.000 | 0.000 | -0.000 | -0.000 | 0.000 | 0.000 | 
| 0.000 | -0.000 | -0.000 | -0.000 | 0.000 | -0.000 | 
| -0.000 | -0.000 | -0.000 | -0.000 | 0.000 | 0.000 | 
| -0.000 | -0.001 | -0.000 | -0.000 | 0.000 | 767.554 | 
| 1325.098 | -209.436 | 0.000 | 0.000 | 0.000 | -0.000 | 
| -209.436 | 1325.098 | 0.000 | 0.000 | 0.000 | -0.000 | 
| -0.000 | -0.000 | 0.000 | 0.000 | 0.000 | -0.000 | 
| -0.000 | -0.000 | 0.000 | 0.000 | 0.000 | -0.000 | 
| -0.000 | -0.000 | 0.000 | 0.000 | 0.000 | -0.000 | 
| 0.000 | 0.000 | 0.000 | 0.000 | 0.000 | 767.267 | 
| 1325.098 | -209.436 | -0.000 | -0.000 | -0.000 | 0.000 | 
| -209.436 | 1325.098 | -0.000 | -0.000 | -0.000 | 0.000 | 
| 0.000 | 0.000 | -0.000 | -0.000 | -0.000 | 0.000 | 
| 0.000 | 0.000 | -0.000 | -0.000 | -0.000 | 0.000 | 
| 0.000 | 0.000 | -0.000 | -0.000 | -0.000 | 0.000 | 
| -0.000 | -0.000 | -0.000 | -0.000 | -0.000 | 767.267 | 
| 1325.098 | -209.435 | 0.000 | 0.000 | 0.000 | -0.000 | 
| -209.437 | 1325.099 | 0.000 | 0.000 | 0.000 | -0.000 | 
| -0.000 | -0.000 | 0.000 | 0.000 | 0.000 | -0.000 | 
| -0.000 | -0.000 | 0.000 | 0.000 | 0.000 | -0.000 | 
| -0.000 | -0.000 | 0.000 | 0.000 | 0.000 | 0.000 | 
| 0.000 | 0.000 | 0.000 | 0.000 | 0.000 | 767.267 | 
| 1325.098 | -209.437 | -0.000 | -0.000 | -0.000 | 0.000 | 
| -209.435 | 1325.097 | -0.000 | -0.000 | -0.000 | -0.000 | 
| 0.000 | 0.000 | -0.000 | -0.000 | -0.000 | 0.000 | 
| 0.000 | 0.000 | -0.000 | -0.000 | -0.000 | 0.000 | 
| 0.000 | 0.000 | -0.000 | -0.000 | -0.000 | 0.000 | 
| -0.000 | -0.000 | -0.000 | -0.000 | -0.000 | 767.267 | 
| 1325.097 | -209.431 | 0.000 | 0.000 | 0.000 | -0.000 | 
| -209.442 | 1325.109 | 0.000 | 0.000 | 0.000 | -0.000 | 
| -0.000 | -0.000 | 0.000 | 0.000 | 0.000 | -0.000 | 
| -0.000 | -0.000 | 0.000 | 0.000 | 0.000 | -0.000 | 
| -0.000 | -0.000 | 0.000 | 0.000 | 0.000 | -0.000 | 
| 0.000 | 0.001 | 0.000 | 0.000 | 0.000 | 767.267 | 
| 1325.099 | -209.441 | -0.000 | -0.000 | -0.000 | -0.000 | 
| -209.430 | 1325.087 | -0.000 | -0.000 | -0.000 | 0.000 | 
| 0.000 | 0.000 | -0.000 | -0.000 | -0.000 | 0.000 | 
| 0.000 | 0.000 | -0.000 | -0.000 | -0.000 | 0.000 | 
| 0.000 | 0.000 | -0.000 | -0.000 | -0.000 | 0.000 | 
| -0.000 | -0.001 | -0.000 | -0.000 | -0.000 | 767.267 | 
| 463.847 | 34.017 | 34.017 | -0.000 | -0.000 | -0.000 | 
| 34.017 | 463.847 | 34.018 | -0.000 | -0.000 | -0.000 | 
| 34.017 | 34.017 | 463.847 | -0.000 | -0.000 | 0.000 | 
| 0.000 | 0.001 | 0.000 | 63.501 | 0.000 | -0.000 | 
| 0.000 | 0.001 | 0.000 | -0.000 | 63.502 | -0.000 | 
| 0.000 | 0.001 | 0.000 | -0.000 | 0.000 | 63.502 | 
| 32.376 | -39.160 | -39.160 | 0.000 | -0.000 | -0.000 | 
| -39.160 | 32.376 | -39.160 | 0.000 | -0.000 | 0.000 | 
| -39.160 | -39.160 | 32.376 | 0.000 | -0.000 | 0.000 | 
| -0.000 | -0.001 | -0.001 | 63.502 | -0.000 | -0.000 | 
| -0.000 | -0.001 | -0.000 | 0.000 | 63.501 | -0.000 | 
| -0.000 | -0.000 | -0.001 | 0.000 | -0.000 | 63.502 | 
| 32.414 | -39.175 | -39.175 | -0.000 | -0.000 | 0.000 | 
| -39.175 | 32.414 | -39.175 | -0.000 | 0.000 | -0.000 | 
| -39.175 | -39.175 | 32.414 | -0.000 | 0.000 | -0.000 | 
| -0.000 | -0.000 | 0.000 | 214.915 | 0.000 | -0.000 | 
| -0.000 | 0.000 | 0.000 | -0.000 | 214.915 | 0.000 | 
| -0.000 | 0.000 | 0.000 | -0.000 | -0.000 | 214.915 | 
| 463.847 | 34.017 | 34.017 | 0.000 | 0.000 | 0.000 | 
| 34.017 | 463.847 | 34.017 | 0.000 | 0.000 | -0.000 | 
| 34.017 | 34.017 | 463.847 | 0.000 | 0.000 | -0.000 | 
| 0.000 | 0.000 | -0.000 | 214.915 | -0.000 | 0.000 | 
| 0.000 | 0.000 | -0.000 | 0.000 | 214.915 | 0.000 | 
| 0.000 | -0.000 | -0.000 | 0.000 | 0.000 | 214.915 | 
| 132.293 | 60.339 | 60.339 | -0.000 | 0.000 | 0.000 | 
| 60.339 | 132.293 | 60.339 | -0.000 | -0.000 | 0.000 | 
| 60.339 | 60.339 | 132.293 | -0.000 | -0.000 | -0.000 | 
| 0.000 | -0.000 | -0.000 | 53.827 | 0.000 | 0.000 | 
| -0.000 | 0.000 | 0.000 | -0.000 | 214.915 | -0.000 | 
| -0.000 | -0.000 | 0.000 | -0.000 | 0.000 | 53.827 | 
| 90.246 | 24.000 | 24.000 | 0.000 | -0.000 | -0.000 | 
| 24.000 | 90.246 | 24.000 | 0.000 | -0.000 | 0.000 | 
| 24.000 | 24.000 | 90.246 | 0.000 | -0.000 | 0.000 | 
| -0.000 | 0.000 | 0.000 | 53.827 | -0.000 | -0.000 | 
| 0.000 | -0.000 | 0.000 | 0.000 | 82.566 | -0.000 | 
| 0.000 | 0.000 | -0.000 | 0.000 | -0.000 | 53.827 | 
| 334.160 | 44.077 | 44.078 | 0.000 | 0.000 | -0.000 | 
| 44.077 | 334.160 | 44.078 | -0.000 | 0.000 | -0.000 | 
| 44.077 | 44.077 | 334.161 | -0.000 | 0.000 | -0.000 | 
| 15.524 | 15.524 | 15.524 | -6.348 | 0.000 | -0.000 | 
| 15.524 | 15.524 | 15.524 | 0.000 | -6.347 | -0.000 | 
| 15.524 | 15.524 | 15.524 | 0.000 | 0.001 | -6.347 | 
| 416.881 | 30.572 | 30.573 | -0.000 | -0.000 | 0.000 | 
| 30.573 | 416.881 | 30.573 | -0.000 | -0.000 | 0.000 | 
| 30.573 | 30.573 | 416.880 | -0.000 | -0.001 | 0.000 | 
| -15.524 | -15.524 | -15.524 | -6.348 | -0.001 | 0.000 | 
| -15.524 | -15.524 | -15.524 | -0.000 | -6.348 | 0.000 | 
| -15.524 | -15.524 | -15.524 | -0.000 | -0.001 | -6.347 | 
| 35.186 | -28.156 | -28.156 | 0.000 | 0.000 | -0.000 | 
| 39.708 | 90.169 | 39.708 | 0.000 | 0.000 | -0.000 | 
| 39.708 | 39.708 | 90.170 | 0.000 | 0.000 | -0.000 | 
| 0.502 | 0.502 | 0.502 | 105.477 | 0.000 | -0.000 | 
| 0.502 | 0.502 | 0.502 | 0.000 | 105.477 | -0.000 | 
| 0.502 | 0.502 | 0.502 | 0.000 | 0.000 | 105.476 | 
| 416.881 | 30.573 | 30.573 | 0.000 | -0.000 | -0.000 | 
| 30.573 | 416.881 | 30.573 | -0.000 | -0.000 | 0.000 | 
| 30.573 | 30.573 | 416.881 | 0.000 | -0.000 | -0.000 | 
| -0.502 | -0.502 | -0.502 | 105.477 | -0.000 | 0.000 | 
| -0.502 | -0.502 | -0.502 | -0.000 | 105.476 | 0.000 | 
| -0.502 | -0.502 | -0.502 | 0.000 | -0.000 | 105.477 | 
| 119.201 | 54.376 | 54.376 | 0.000 | 0.000 | 0.000 | 
| 54.376 | 119.201 | 54.376 | 0.000 | 0.000 | -0.000 | 
| 54.376 | 54.376 | 119.201 | 0.000 | 0.000 | 0.000 | 
| 0.095 | 0.094 | 0.094 | 57.017 | 0.000 | 0.000 | 
| 0.094 | 0.095 | 0.094 | 0.000 | 57.017 | -0.000 | 
| 0.094 | 0.094 | 0.095 | 0.000 | 0.000 | 57.017 | 
| 3.081 | -13.351 | -13.350 | -0.000 | -0.000 | 0.000 | 
| -13.350 | 3.081 | -13.351 | -0.000 | -0.000 | -0.000 | 
| -36.540 | -36.540 | 12.031 | -0.000 | -0.000 | 0.000 | 
| -0.095 | -0.094 | -0.094 | 57.017 | -0.000 | 0.000 | 
| -0.094 | -0.095 | -0.094 | -0.000 | 57.017 | 0.000 | 
| -0.094 | -0.094 | -0.095 | -0.000 | -0.000 | 57.017 | 
| 2722.850 | 2542.947 | 2542.946 | -0.000 | -0.000 | -0.000 | 
| 2542.945 | 2722.852 | 2542.946 | -0.000 | 0.000 | 0.000 | 
| 2542.944 | 2542.947 | 2722.852 | -0.000 | -0.000 | 0.000 | 
| 2501.166 | 2501.166 | 2501.166 | 89.664 | 0.000 | 0.000 | 
| 2501.164 | 2501.166 | 2501.166 | -0.000 | 89.664 | 0.000 | 
| 2501.165 | 2501.166 | 2501.166 | -0.000 | 0.000 | 89.664 | 
| -3291.158 | -3429.509 | -3429.508 | 0.000 | 0.000 | -0.000 | 
| -3429.507 | -3291.160 | -3429.508 | 0.000 | 0.000 | -0.000 | 
| -3429.506 | -3429.509 | -3291.159 | 0.000 | 0.000 | -0.000 | 
| -2501.166 | -2501.166 | -2501.166 | 89.664 | -0.000 | -0.000 | 
| -2501.164 | -2501.167 | -2501.166 | 0.000 | 89.664 | -0.000 | 
| -2501.164 | -2501.166 | -2501.166 | 0.000 | -0.000 | 89.664 | 
| 426.861 | 88.946 | 88.946 | -0.000 | 0.000 | 0.000 | 
| 88.946 | 426.861 | 88.946 | -0.000 | 0.000 | 0.000 | 
| 88.945 | 88.946 | 426.861 | -0.000 | 0.000 | 0.000 | 
| 250.486 | 250.486 | 250.486 | 89.514 | 0.000 | 0.000 | 
| 250.486 | 250.486 | 250.486 | -0.000 | 89.514 | 0.000 | 
| 250.486 | 250.486 | 250.486 | -0.000 | 0.000 | 89.514 | 
| 416.742 | 30.563 | 30.563 | 0.000 | -0.000 | -0.000 | 
| 30.563 | 416.742 | 30.563 | -0.000 | -0.000 | 0.000 | 
| 30.563 | 30.563 | 416.742 | -0.000 | -0.000 | -0.000 | 
| -250.486 | -250.486 | -250.486 | 89.514 | -0.000 | -0.000 | 
| -250.486 | -250.486 | -250.486 | 0.000 | 89.514 | -0.000 | 
| -250.486 | -250.486 | -250.486 | 0.000 | 0.000 | 89.514 | 
| 126.702 | 70.682 | 70.682 | -0.000 | -0.000 | 0.000 | 
| 70.682 | 126.702 | 70.682 | -0.000 | -0.000 | -0.000 | 
| 70.682 | 70.682 | 126.702 | -0.000 | 0.000 | 0.000 | 
| 27.857 | 27.857 | 27.857 | 78.153 | 0.000 | 0.000 | 
| 27.857 | 27.857 | 27.857 | -0.000 | 78.153 | 0.000 | 
| 27.857 | 27.857 | 27.857 | -0.000 | -0.000 | 78.153 | 
| 351.136 | 30.688 | 30.688 | 0.000 | -0.000 | -0.000 | 
| 30.688 | 351.136 | 30.688 | 0.000 | -0.000 | -0.000 | 
| 30.688 | 30.688 | 351.136 | 0.000 | 0.000 | -0.000 | 
| -27.857 | -27.857 | -27.857 | 78.153 | -0.000 | -0.000 | 
| -27.857 | -27.857 | -27.857 | 0.000 | 78.153 | -0.000 | 
| -27.857 | -27.857 | -27.857 | 0.000 | 0.000 | 78.153 | 
| 1659.123 | 1216.864 | -780.620 | -9.916 | -0.000 | -0.000 | 
| 5818.134 | 6045.294 | -3639.825 | 17.997 | 0.000 | -0.000 | 
| 1261.815 | 1261.815 | -509.009 | -0.000 | 0.000 | -0.000 | 
| 1191.082 | 1210.921 | -846.498 | 191.681 | -0.000 | 0.000 | 
| -0.000 | 0.000 | 0.006 | -0.000 | 219.037 | -7.923 | 
| -0.000 | -0.000 | 0.006 | -0.000 | -7.923 | 249.462 | 
| -743.635 | -1185.671 | 912.825 | -9.924 | -0.000 | 0.000 | 
| -5766.285 | -5539.130 | 3821.485 | 17.997 | 0.000 | 0.000 | 
| -1140.843 | -1140.843 | 1184.528 | 0.000 | -0.000 | -0.000 | 
| -6129.420 | -6099.335 | 3075.417 | 93.550 | -0.000 | -0.000 | 
| 0.000 | -0.000 | -0.006 | 0.000 | 219.036 | -7.923 | 
| 0.000 | -0.000 | -0.006 | 0.000 | -7.923 | 249.462 | 
| 579.249 | 136.300 | -19.225 | -9.892 | -0.000 | 0.000 | 
| 11.953 | 510.878 | 50.585 | 7.923 | 0.000 | -0.000 | 
| 181.506 | 181.506 | 251.841 | -0.000 | 0.000 | 0.000 | 
| 110.541 | 130.392 | -84.908 | 191.598 | 0.000 | -0.000 | 
| -0.000 | 0.000 | 0.001 | -0.000 | 219.037 | -7.923 | 
| 338.629 | 338.629 | -206.370 | -0.000 | -15.751 | 157.462 | 
| 335.612 | -105.086 | 151.627 | -9.971 | 0.000 | 0.000 | 
| -593.097 | -363.531 | 365.881 | 14.706 | -0.000 | 0.000 | 
| -60.414 | -60.414 | 423.087 | 0.000 | -0.000 | -0.000 | 
| -130.399 | -110.548 | 84.913 | 191.596 | -0.000 | -0.000 | 
| 0.000 | -0.000 | -0.001 | 0.000 | 219.037 | -7.923 | 
| -338.629 | -338.629 | 206.370 | 0.000 | -15.751 | 157.462 | 
| 456.262 | 37.333 | 58.182 | -10.736 | 0.000 | -0.000 | 
| 37.333 | 456.264 | 58.182 | 10.736 | 0.000 | 0.000 | 
| 83.047 | 83.047 | 302.732 | -0.000 | -0.000 | 0.000 | 
| 20.379 | 53.488 | -22.370 | 126.014 | -0.000 | -0.000 | 
| 0.000 | 0.000 | 0.000 | 0.000 | 219.037 | -7.923 | 
| 15.366 | 15.366 | -10.830 | -0.000 | -10.477 | 213.150 | 
| 201.777 | -32.967 | 124.474 | -17.454 | -0.000 | 0.000 | 
| -32.953 | 201.900 | 124.436 | 17.450 | -0.000 | -0.000 | 
| 48.292 | 48.292 | 326.175 | 0.000 | -0.000 | 0.000 | 
| -74.381 | -39.382 | 36.867 | 96.953 | -0.000 | -0.000 | 
| -0.000 | -0.000 | -0.000 | -0.000 | 219.037 | -7.923 | 
| -15.366 | -15.366 | 10.830 | 0.000 | -10.477 | 213.150 | 
| 103.961 | 66.660 | 51.312 | 0.000 | 0.000 | -0.000 | 
| 85.231 | 166.105 | 51.313 | 0.000 | 0.000 | -0.000 | 
| 58.881 | 51.116 | 217.441 | 0.000 | -0.000 | -0.000 | 
| -0.000 | 0.000 | 0.000 | 231.628 | 0.000 | 0.000 | 
| 0.002 | 0.003 | -0.005 | 0.001 | 147.994 | -0.000 | 
| 0.001 | 0.002 | -0.004 | 0.000 | -0.000 | 115.981 | 
| 437.457 | 47.548 | 20.968 | -0.000 | 0.000 | -0.000 | 
| 85.231 | 166.104 | 51.319 | -0.000 | 0.000 | 0.000 | 
| 58.378 | 48.294 | 397.672 | -0.000 | -0.000 | 0.000 | 
| -0.000 | -0.000 | 0.000 | 231.627 | 0.000 | 0.000 | 
| -0.002 | -0.003 | 0.004 | -0.000 | 147.994 | 0.000 | 
| -0.001 | -0.002 | 0.004 | -0.000 | 0.000 | 115.981 | 
| 262.707 | 78.533 | 55.239 | 0.000 | -0.000 | 0.000 | 
| 47.548 | 452.881 | 16.726 | -0.000 | -0.000 | -0.000 | 
| 69.642 | 56.695 | 260.514 | 0.000 | 0.000 | -0.000 | 
| 0.000 | 0.000 | 0.000 | 231.627 | -0.000 | -0.000 | 
| 0.000 | 0.000 | -0.000 | 0.000 | 147.994 | -0.000 | 
| 0.000 | 0.000 | -0.000 | 0.000 | -0.000 | 115.981 | 
| 262.710 | 78.532 | 55.239 | -0.000 | 0.000 | 0.000 | 
| 85.233 | 166.088 | 51.317 | -0.000 | 0.000 | 0.000 | 
| 58.879 | 51.116 | 217.446 | -0.000 | -0.000 | -0.000 | 
| -0.000 | 0.000 | -0.000 | 231.627 | -0.000 | 0.000 | 
| -0.000 | -0.000 | 0.000 | -0.000 | 147.994 | 0.000 | 
| -0.000 | -0.000 | 0.000 | -0.000 | -0.000 | 115.981 | 
| 148.538 | 84.652 | 62.399 | 0.000 | -0.000 | 0.000 | 
| 67.218 | 131.801 | 45.200 | 0.000 | 0.000 | -0.000 | 
| 20.968 | 16.727 | 562.930 | 0.000 | -0.000 | 0.000 | 
| 0.000 | -0.000 | -0.000 | 84.793 | -0.000 | -0.000 | 
| -0.000 | 0.000 | 0.000 | 0.000 | 231.430 | -0.000 | 
| -0.000 | 0.000 | 0.000 | 0.000 | 0.000 | 115.981 | 
| 103.946 | 66.641 | 51.302 | -0.000 | -0.000 | 0.000 | 
| 78.463 | 281.420 | 45.581 | -0.000 | 0.000 | 0.000 | 
| 29.778 | 32.115 | 184.511 | -0.000 | -0.000 | 0.000 | 
| -0.000 | 0.000 | 0.000 | 84.793 | -0.000 | 0.000 | 
| 0.000 | -0.000 | -0.000 | -0.000 | 231.430 | 0.000 | 
| 0.000 | -0.000 | -0.000 | -0.000 | 0.000 | 115.981 | 
| -572.544 | 112.722 | 719.836 | -0.000 | 0.000 | -0.000 | 
| -1487.124 | 64.756 | 1257.279 | -0.001 | -0.000 | 0.000 | 
| -893.449 | 81.562 | 1164.376 | -0.000 | 0.000 | 0.000 | 
| -0.000 | 0.000 | -0.000 | 213.383 | -0.000 | 0.000 | 
| -0.000 | 0.000 | 0.000 | -0.000 | 212.879 | 0.000 | 
| -921.760 | 59.696 | 693.156 | -0.001 | -0.000 | 149.603 | 
| 1271.193 | -6.688 | -666.620 | 0.000 | 0.000 | -0.000 | 
| 3131.363 | 341.163 | -1642.504 | 0.000 | 0.000 | -0.000 | 
| 950.220 | -37.833 | -222.070 | 0.001 | 0.000 | -0.000 | 
| 3903.513 | 1299.456 | -2382.851 | -23.732 | 0.000 | -0.000 | 
| 0.000 | 0.000 | -0.000 | 0.001 | 212.879 | -0.000 | 
| 921.760 | -59.696 | -693.156 | 0.000 | 0.000 | 149.603 | 
| 255.862 | 59.133 | 96.581 | -0.000 | -0.000 | 0.000 | 
| -40.414 | 371.607 | 90.630 | -0.000 | -0.000 | 0.000 | 
| -234.978 | 19.941 | 324.589 | -0.000 | -0.000 | 0.000 | 
| -92.572 | 5.995 | 69.614 | 188.400 | -0.000 | 0.000 | 
| -155.695 | -19.573 | 123.048 | -0.000 | 139.546 | 0.000 | 
| -92.588 | 5.996 | 69.625 | -0.000 | -0.000 | 149.477 | 
| 300.725 | 111.700 | -105.386 | 0.000 | 0.000 | -0.000 | 
| 219.435 | 280.580 | -91.603 | 0.000 | 0.000 | -0.000 | 
| 198.758 | 53.045 | 250.043 | 0.000 | 0.000 | -0.000 | 
| 92.572 | -5.995 | -69.614 | 188.400 | 0.000 | -0.000 | 
| 155.695 | 19.573 | -123.048 | 0.000 | 139.546 | -0.000 | 
| 92.588 | -5.996 | -69.625 | 0.000 | -0.000 | 149.477 | 
| -0.740 | -19.170 | 39.227 | -0.000 | -0.000 | 0.000 | 
| 47.680 | 83.743 | 58.756 | -0.000 | -0.000 | 0.000 | 
| -16.171 | -4.199 | 178.093 | -0.000 | -0.000 | 0.000 | 
| -12.480 | 0.808 | 9.385 | 179.702 | -0.000 | 0.000 | 
| -36.545 | -23.989 | 27.128 | -0.000 | 39.849 | 0.000 | 
| -27.384 | -10.102 | 18.027 | -0.000 | -0.000 | 28.667 | 
| 118.098 | 72.153 | 38.703 | 0.000 | 0.000 | -0.000 | 
| 74.290 | 107.524 | 13.466 | 0.000 | 0.000 | -0.000 | 
| 89.058 | 52.492 | 163.952 | 0.000 | 0.000 | -0.000 | 
| 12.480 | -0.808 | -9.385 | 179.702 | 0.000 | -0.000 | 
| 36.545 | 23.989 | -27.128 | 0.000 | 39.849 | -0.000 | 
| 27.384 | 10.102 | -18.027 | 0.000 | 0.000 | 28.667 | 
| 1047.364 | -165.539 | 0.000 | 0.000 | 0.000 | 0.000 | 
| -165.539 | 1047.363 | 0.000 | 0.000 | 0.000 | 0.000 | 
| -0.001 | -0.000 | 0.000 | 0.000 | 0.000 | 0.000 | 
| -0.001 | -0.000 | 0.000 | 0.000 | 0.000 | 0.000 | 
| -0.000 | -0.000 | 0.000 | 0.000 | 0.000 | 0.000 | 
| -0.000 | -0.000 | 0.000 | 0.000 | 0.000 | 606.452 | 
| 1047.364 | -165.539 | -0.000 | -0.000 | -0.000 | -0.000 | 
| -165.539 | 1047.364 | -0.000 | -0.000 | -0.000 | -0.000 | 
| 0.001 | 0.000 | -0.000 | -0.000 | -0.000 | -0.000 | 
| 0.001 | 0.000 | -0.000 | -0.000 | -0.000 | -0.000 | 
| 0.000 | 0.000 | -0.000 | -0.000 | -0.000 | -0.000 | 
| 0.000 | 0.000 | -0.000 | -0.000 | -0.000 | 606.452 | 
| 1047.298 | -165.473 | 0.000 | 0.000 | 0.000 | 0.000 | 
| -165.539 | 1047.364 | 0.000 | 0.000 | 0.000 | 0.000 | 
| -0.000 | -0.000 | 0.000 | 0.000 | 0.000 | 0.000 | 
| -0.000 | -0.000 | 0.000 | 0.000 | 0.000 | 0.000 | 
| -0.000 | -0.000 | 0.000 | 0.000 | 0.000 | 0.000 | 
| 0.000 | 0.000 | 0.000 | 0.000 | 0.000 | 606.452 | 
| 1047.363 | -165.539 | -0.000 | -0.000 | -0.000 | -0.000 | 
| -165.540 | 1047.364 | -0.000 | -0.000 | -0.000 | -0.000 | 
| 0.000 | 0.000 | -0.000 | -0.000 | -0.000 | -0.000 | 
| 0.000 | 0.000 | -0.000 | -0.000 | -0.000 | -0.000 | 
| 0.000 | 0.000 | -0.000 | -0.000 | -0.000 | -0.000 | 
| -0.000 | -0.000 | -0.000 | -0.000 | -0.000 | 606.452 | 
| 1047.372 | -165.544 | 0.000 | 0.000 | 0.000 | 0.000 | 
| -165.535 | 1047.363 | 0.000 | 0.000 | 0.000 | 0.000 | 
| -0.000 | -0.000 | 0.000 | 0.000 | 0.000 | 0.000 | 
| -0.000 | -0.000 | 0.000 | 0.000 | 0.000 | 0.000 | 
| -0.000 | -0.000 | 0.000 | 0.000 | 0.000 | 0.000 | 
| 0.001 | 0.001 | 0.000 | 0.000 | 0.000 | 606.452 | 
| 1047.355 | -165.534 | -0.000 | -0.000 | -0.000 | -0.000 | 
| -165.544 | 1047.364 | -0.000 | -0.000 | -0.000 | -0.000 | 
| 0.000 | 0.000 | -0.000 | -0.000 | -0.000 | -0.000 | 
| 0.000 | 0.000 | -0.000 | -0.000 | -0.000 | -0.000 | 
| 0.000 | 0.000 | -0.000 | -0.000 | -0.000 | -0.000 | 
| -0.001 | -0.001 | -0.000 | -0.000 | -0.000 | 606.452 | 
| -668074.965 | -1099324.740 | -783243.042 | 396124.054 | -151967.630 | -44515.690 | 
| -204309.306 | -764646.915 | -449096.714 | 344938.122 | -65906.719 | 49329.705 | 
| -645135.752 | -1102272.663 | -813790.080 | 318855.507 | -227598.181 | -22056.427 | 
| -522176.656 | -1108076.937 | -785184.616 | 456817.636 | -150267.340 | -49884.714 | 
| -175.579 | -63.624 | -152.719 | 8.423 | 3872.035 | 19.452 | 
| 247862.060 | -371991.570 | -10991.731 | 170892.298 | -108469.212 | -17494.593 | 
| 8971.202 | 3494.933 | 3382.676 | -15.355 | -138.998 | -102.817 | 
| 3468.896 | 9322.349 | 3465.612 | -161.304 | -22.214 | -129.585 | 
| 509162.409 | 1023572.564 | 637038.312 | -401639.823 | 136906.647 | 28547.346 | 
| 37.433 | -100.046 | -120.231 | 3934.090 | 10.743 | -53.686 | 
| 558531.148 | 1085508.968 | 796624.119 | -446418.433 | 109045.550 | 24966.313 | 
| 625568.638 | 1201336.276 | 800423.261 | -359128.148 | 23205.817 | 3868.596 | 
| -9985.961 | -62835.820 | -39988.154 | 44642.979 | -18260.602 | -4963.171 | 
| -85028.614 | -130601.805 | -103025.150 | 34039.393 | -3127.554 | -1835.513 | 
| -50678.399 | -97440.416 | -62394.919 | 40058.832 | -13484.553 | -6208.307 | 
| -87771.760 | -123533.020 | -94005.457 | 46200.263 | -14515.652 | 3716.448 | 
| -176.033 | -65.096 | -154.052 | 7.881 | 3872.068 | 18.970 | 
| 164329.364 | 83270.224 | 143206.855 | 20569.121 | 24812.284 | -8029.097 | 
| 8969.186 | 3497.984 | 3383.904 | -15.839 | -137.806 | -103.084 | 
| 59153.448 | 104855.554 | 72350.716 | -30622.242 | 25224.759 | 704.303 | 
| 3410.030 | 3523.765 | 9111.567 | -170.511 | -116.464 | 13.527 | 
| 24240.365 | 86586.066 | 40600.230 | -32049.527 | 24979.196 | 7135.463 | 
| 16147.767 | 66070.619 | 11749.221 | -49757.173 | 17941.508 | 4053.062 | 
| 146329.150 | 210405.118 | 155667.536 | -38620.955 | 26253.974 | -7460.917 | 
| -4156.753 | -11023.563 | -5668.228 | 5029.079 | 1017.623 | -725.006 | 
| -1100.289 | -4093.725 | -3553.049 | 3423.623 | 362.311 | 2.539 | 
| -8745.324 | -14418.233 | -11214.596 | 2262.104 | -1486.864 | -574.643 | 
| -9001.639 | -14090.738 | -10646.107 | 3328.717 | -1246.268 | -1091.825 | 
| -1725.025 | -5979.061 | -2402.379 | 2846.286 | -1590.133 | -791.741 | 
| -149.442 | -189.671 | -27.086 | -47.184 | 12.850 | 3905.218 | 
| 8914.363 | 3508.969 | 3387.777 | -21.397 | -130.616 | -99.116 | 
| 3471.059 | 9274.903 | 3470.760 | -161.859 | -13.031 | -133.128 | 
| 3413.675 | 3539.387 | 9056.078 | -169.822 | -107.209 | 8.474 | 
| -30509.534 | -22009.427 | -29912.602 | -1884.224 | 2478.404 | 2913.576 | 
| 4903.792 | 10485.052 | 7305.073 | -3402.272 | 1889.326 | 57.484 | 
| 4730.433 | 10861.869 | 6800.728 | -3688.271 | 1800.875 | 541.961 | 
| 108.373 | -153.355 | -153.355 | 0.001 | -0.000 | -0.000 | 
| -153.356 | 108.376 | -153.354 | 0.001 | -0.000 | -0.000 | 
| -153.355 | -153.354 | 108.377 | 0.001 | -0.000 | -0.000 | 
| 30.314 | 30.316 | 30.317 | 27.275 | -0.000 | -0.000 | 
| 30.315 | 30.316 | 30.317 | 0.001 | 27.273 | -0.000 | 
| 30.314 | 30.316 | 30.317 | 0.001 | -0.000 | 27.273 | 
| -97.860 | 65.716 | 65.713 | -0.002 | 0.000 | 0.000 | 
| 65.718 | -97.861 | 65.712 | -0.002 | 0.000 | 0.000 | 
| 65.718 | 65.714 | -97.862 | -0.002 | 0.000 | 0.000 | 
| -30.314 | -30.316 | -30.318 | 27.272 | 0.000 | 0.000 | 
| -30.314 | -30.316 | -30.317 | -0.001 | 27.274 | 0.000 | 
| -30.314 | -30.316 | -30.317 | -0.001 | 0.000 | 27.274 | 
| 119.610 | -151.497 | -151.497 | 0.000 | -0.000 | -0.000 | 
| 13.372 | 13.339 | 13.372 | 0.000 | -0.000 | -0.000 | 
| -151.497 | -151.497 | 119.611 | 0.000 | -0.000 | -0.000 | 
| 2.604 | 2.604 | 2.604 | 16.511 | -0.000 | -0.000 | 
| 2.604 | 2.604 | 2.604 | 0.000 | 16.511 | -0.000 | 
| 2.604 | 2.604 | 2.604 | 0.000 | -0.000 | 16.511 | 
| -13.037 | -13.350 | -13.350 | -0.000 | 0.000 | 0.000 | 
| -13.350 | -13.037 | -13.350 | -0.000 | 0.000 | 0.000 | 
| -13.350 | -13.350 | -13.037 | -0.000 | 0.000 | 0.000 | 
| -2.604 | -2.604 | -2.604 | 16.511 | 0.000 | 0.000 | 
| -2.604 | -2.604 | -2.604 | -0.000 | 16.511 | 0.000 | 
| -2.604 | -2.604 | -2.604 | -0.000 | 0.000 | 16.511 | 
| 1.350 | 1.609 | 1.609 | 0.000 | -0.000 | -0.000 | 
| 1.609 | 1.350 | 1.609 | 0.000 | -0.000 | -0.000 | 
| 1.609 | 1.609 | 1.350 | 0.000 | -0.000 | -0.000 | 
| 1.322 | 1.321 | 1.321 | 0.367 | -0.000 | -0.000 | 
| 1.321 | 1.322 | 1.321 | 0.000 | 0.367 | -0.000 | 
| 1.321 | 1.321 | 1.322 | 0.000 | -0.000 | 0.367 | 
| -1.416 | -1.005 | -1.005 | -0.000 | 0.000 | 0.000 | 
| -1.005 | -1.416 | -1.005 | -0.000 | 0.000 | 0.000 | 
| -1.005 | -1.005 | -1.416 | -0.000 | 0.000 | 0.000 | 
| -1.322 | -1.321 | -1.321 | 0.367 | 0.000 | 0.000 | 
| -1.321 | -1.322 | -1.321 | -0.000 | 0.367 | 0.000 | 
| -1.321 | -1.321 | -1.322 | -0.000 | 0.000 | 0.367 | 
| 0.000 | 0.000 | -0.000 | -0.001 | -0.001 | 0.000 | 
| 0.000 | 0.000 | -0.000 | -0.001 | -0.001 | 0.000 | 
| 0.000 | 0.000 | 690.119 | -0.000 | -0.000 | 0.000 | 
| 0.000 | 0.000 | -0.000 | -0.001 | -0.001 | 0.000 | 
| 0.000 | 0.000 | -0.000 | -0.001 | -0.001 | 0.000 | 
| 0.000 | 0.000 | -0.000 | -0.001 | -0.001 | 0.000 | 
| -0.000 | -0.000 | 0.000 | 0.001 | 0.001 | -0.000 | 
| -0.000 | -0.000 | 0.000 | 0.001 | 0.001 | -0.000 | 
| -0.000 | -0.000 | 690.120 | 0.000 | -0.000 | -0.000 | 
| -0.000 | -0.000 | 0.000 | 0.001 | 0.001 | -0.000 | 
| 0.000 | -0.000 | -0.000 | 0.001 | 0.001 | -0.000 | 
| -0.000 | -0.000 | 0.000 | 0.001 | 0.001 | -0.000 | 
| 0.000 | 0.000 | -0.000 | -0.000 | -0.000 | 0.000 | 
| 0.000 | 0.000 | -0.000 | -0.000 | -0.000 | 0.000 | 
| 0.000 | 0.000 | 690.120 | -0.000 | -0.000 | 0.000 | 
| 0.000 | 0.000 | -0.000 | -0.000 | -0.000 | -0.000 | 
| -0.000 | 0.000 | -0.000 | -0.000 | -0.000 | 0.000 | 
| 0.000 | 0.000 | -0.000 | -0.000 | -0.000 | 0.000 | 
| -0.000 | -0.000 | 0.000 | 0.000 | 0.000 | -0.000 | 
| -0.000 | -0.000 | 0.000 | 0.000 | 0.000 | -0.000 | 
| -0.000 | -0.000 | 690.119 | 0.000 | 0.000 | -0.000 | 
| -0.000 | -0.000 | 0.000 | 0.000 | 0.000 | 0.000 | 
| -0.000 | -0.000 | 0.000 | 0.000 | 0.000 | -0.000 | 
| -0.000 | -0.000 | 0.000 | 0.000 | 0.000 | -0.000 | 
| 0.000 | 0.000 | -0.000 | -0.000 | -0.000 | 0.000 | 
| 0.000 | 0.000 | -0.000 | -0.000 | -0.000 | 0.000 | 
| 0.000 | 0.000 | 690.122 | -0.000 | -0.000 | 0.000 | 
| 0.000 | -0.000 | -0.000 | -0.000 | -0.000 | -0.000 | 
| -0.000 | 0.000 | -0.000 | -0.000 | -0.000 | 0.000 | 
| 0.000 | 0.000 | -0.000 | -0.000 | -0.000 | 0.000 | 
| -0.000 | -0.000 | 0.000 | 0.000 | 0.000 | -0.000 | 
| -0.000 | -0.000 | 0.000 | 0.000 | 0.000 | -0.000 | 
| -0.000 | -0.000 | 690.116 | 0.000 | -0.000 | -0.000 | 
| -0.000 | 0.000 | 0.000 | 0.000 | 0.000 | -0.000 | 
| -0.000 | -0.000 | 0.000 | 0.000 | 0.000 | -0.000 | 
| -0.000 | -0.000 | 0.000 | 0.000 | 0.000 | -0.000 | 
| 592.514 | 248.588 | 0.000 | 0.000 | 0.000 | -0.000 | 
| 248.588 | 592.514 | 0.000 | 0.000 | 0.000 | -0.000 | 
| 0.000 | -0.000 | 0.000 | 0.000 | 0.000 | -0.000 | 
| 0.000 | -0.000 | 0.000 | 0.000 | 0.000 | -0.000 | 
| 0.000 | -0.000 | 0.000 | 0.000 | 0.000 | -0.000 | 
| 0.000 | -0.000 | 0.000 | 0.000 | 0.000 | 420.551 | 
| 592.514 | 248.588 | -0.000 | -0.000 | -0.000 | 0.000 | 
| 248.588 | 592.514 | -0.000 | -0.000 | -0.000 | 0.000 | 
| -0.000 | 0.000 | -0.000 | -0.000 | -0.000 | 0.000 | 
| -0.000 | 0.000 | -0.000 | -0.000 | -0.000 | 0.000 | 
| -0.000 | 0.000 | -0.000 | -0.000 | -0.000 | 0.000 | 
| -0.000 | 0.000 | -0.000 | -0.000 | -0.000 | 420.551 | 
| 592.515 | 248.588 | 0.000 | 0.000 | 0.000 | 0.000 | 
| 248.588 | 592.515 | 0.000 | 0.000 | 0.000 | -0.000 | 
| 0.000 | -0.000 | 0.000 | 0.000 | 0.000 | -0.000 | 
| 0.000 | -0.000 | 0.000 | 0.000 | 0.000 | -0.000 | 
| 0.000 | -0.000 | 0.000 | 0.000 | 0.000 | -0.000 | 
| 0.000 | 0.000 | 0.000 | 0.000 | 0.000 | 420.551 | 
| 592.514 | 248.588 | -0.000 | -0.000 | -0.000 | 0.000 | 
| 248.588 | 592.514 | -0.000 | -0.000 | -0.000 | 0.000 | 
| -0.000 | 0.000 | -0.000 | -0.000 | -0.000 | 0.000 | 
| -0.000 | 0.000 | -0.000 | -0.000 | -0.000 | 0.000 | 
| -0.000 | 0.000 | -0.000 | -0.000 | -0.000 | 0.000 | 
| -0.000 | -0.000 | -0.000 | -0.000 | -0.000 | 420.551 | 
| 592.516 | 248.589 | 0.000 | 0.000 | 0.000 | -0.000 | 
| 248.589 | 592.516 | 0.000 | 0.000 | 0.000 | -0.000 | 
| 0.000 | -0.000 | 0.000 | 0.000 | 0.000 | -0.000 | 
| 0.000 | -0.000 | 0.000 | 0.000 | 0.000 | -0.000 | 
| 0.000 | -0.000 | 0.000 | 0.000 | 0.000 | -0.000 | 
| 0.000 | 0.001 | 0.000 | 0.000 | 0.000 | 420.551 | 
| 592.513 | 248.587 | -0.000 | -0.000 | -0.000 | 0.000 | 
| 248.587 | 592.513 | -0.000 | -0.000 | -0.000 | 0.000 | 
| -0.000 | 0.000 | -0.000 | -0.000 | -0.000 | 0.000 | 
| -0.000 | 0.000 | -0.000 | -0.000 | -0.000 | 0.000 | 
| -0.000 | 0.000 | -0.000 | -0.000 | -0.000 | 0.000 | 
| -0.000 | -0.001 | -0.000 | -0.000 | -0.000 | 420.551 | 
| 827.346 | -26.975 | -26.975 | 0.000 | -0.000 | -0.000 | 
| -26.976 | 827.346 | -26.975 | 0.000 | -0.000 | -0.000 | 
| -26.976 | -26.975 | 827.346 | -0.000 | 0.000 | -0.000 | 
| -0.000 | 0.000 | 0.000 | 421.789 | 0.000 | -0.000 | 
| -0.000 | 0.000 | 0.000 | -0.000 | 421.789 | -0.000 | 
| -0.000 | 0.000 | 0.000 | -0.000 | 0.000 | 421.789 | 
| 852.076 | -38.883 | -38.883 | 0.000 | 0.000 | 0.000 | 
| -38.883 | 852.076 | -38.883 | 0.000 | 0.000 | 0.000 | 
| -38.882 | -38.883 | 852.076 | -0.000 | 0.000 | 0.000 | 
| 0.000 | -0.000 | -0.000 | 421.789 | 0.000 | -0.000 | 
| 0.000 | -0.000 | -0.000 | -0.000 | 421.789 | -0.000 | 
| 0.000 | -0.000 | -0.000 | 0.000 | -0.000 | 421.789 | 
| 827.183 | -27.212 | -27.212 | -0.000 | -0.000 | -0.000 | 
| -27.212 | 827.183 | -27.212 | 0.000 | 0.000 | -0.000 | 
| -27.212 | -27.212 | 827.183 | -0.000 | -0.000 | -0.000 | 
| 0.018 | 0.018 | 0.018 | 158.481 | -0.000 | -0.000 | 
| 0.018 | 0.018 | 0.018 | -0.000 | 158.481 | -0.000 | 
| 0.018 | 0.018 | 0.018 | -0.000 | -0.000 | 158.481 | 
| 827.177 | -27.075 | -27.075 | -0.000 | 0.000 | -0.000 | 
| -27.075 | 827.177 | -27.075 | -0.000 | 0.000 | 0.000 | 
| -27.075 | -27.075 | 827.177 | -0.000 | 0.000 | 0.000 | 
| -0.018 | -0.018 | -0.018 | 158.481 | 0.000 | 0.000 | 
| -0.018 | -0.018 | -0.018 | -0.000 | 158.481 | 0.000 | 
| -0.018 | -0.018 | -0.018 | -0.000 | 0.000 | 158.481 | 
| 827.199 | -27.065 | -27.065 | -0.000 | -0.000 | -0.000 | 
| -27.065 | 827.199 | -27.065 | 0.000 | -0.000 | -0.000 | 
| -27.065 | -27.065 | 827.199 | 0.000 | -0.000 | -0.000 | 
| 0.001 | 0.002 | 0.002 | 158.479 | 0.000 | -0.000 | 
| 0.002 | 0.001 | 0.002 | -0.000 | 158.479 | 0.000 | 
| 0.002 | 0.002 | 0.001 | -0.000 | 0.000 | 158.479 | 
| 827.166 | -27.228 | -27.228 | 0.000 | 0.000 | 0.000 | 
| -27.228 | 827.166 | -27.228 | 0.000 | 0.000 | 0.000 | 
| -27.228 | -27.228 | 827.166 | -0.000 | 0.000 | 0.000 | 
| -0.001 | -0.002 | -0.002 | 158.479 | -0.000 | -0.000 | 
| -0.002 | -0.001 | -0.002 | -0.000 | 158.479 | 0.000 | 
| -0.002 | -0.002 | -0.001 | -0.000 | -0.000 | 158.479 | 
| 548.469 | 42.057 | 41.598 | -0.000 | 0.000 | -0.000 | 
| 11.860 | 482.379 | 72.014 | -0.000 | 0.001 | -0.000 | 
| 41.598 | 40.949 | 489.730 | -0.000 | 0.000 | 0.000 | 
| -0.000 | -0.000 | -0.000 | 233.870 | 0.000 | -0.000 | 
| 0.000 | -0.000 | -0.000 | -0.000 | 239.898 | 0.000 | 
| 0.000 | -0.000 | -0.000 | 0.000 | 0.000 | 269.842 | 
| 529.327 | 55.902 | 35.145 | 0.000 | -0.000 | 0.000 | 
| 128.686 | 452.993 | 19.043 | 0.000 | -0.001 | 0.000 | 
| 41.598 | 40.950 | 489.730 | 0.000 | -0.000 | 0.000 | 
| 0.000 | 0.000 | -0.000 | 233.871 | -0.000 | 0.000 | 
| -0.000 | 0.000 | 0.000 | 0.000 | 239.898 | -0.000 | 
| -0.000 | 0.000 | 0.000 | -0.000 | -0.000 | 269.843 | 
| 222.302 | 59.288 | 86.480 | -0.000 | 0.000 | -0.000 | 
| 58.417 | 263.403 | 85.436 | -0.000 | 0.000 | -0.000 | 
| 66.471 | 67.458 | 112.515 | -0.000 | 0.000 | -0.000 | 
| -7.877 | -0.621 | 3.754 | 167.462 | 0.000 | -0.000 | 
| -13.965 | -4.593 | 8.292 | 0.000 | 125.934 | -0.000 | 
| 0.000 | -0.000 | -0.000 | -0.000 | 0.000 | 269.842 | 
| 252.722 | 71.420 | 73.066 | 0.000 | -0.000 | 0.000 | 
| 42.058 | 546.126 | 40.950 | 0.000 | -0.000 | -0.000 | 
| 84.371 | 69.931 | 336.068 | 0.000 | -0.000 | 0.000 | 
| 7.877 | 0.621 | -3.754 | 167.462 | -0.000 | -0.000 | 
| 13.965 | 4.593 | -8.292 | 0.000 | 125.934 | 0.000 | 
| 0.000 | 0.000 | 0.000 | 0.000 | -0.000 | 269.842 | 
| 267.820 | 73.016 | 87.675 | -0.000 | 0.000 | -0.000 | 
| 18.907 | 207.160 | -4.367 | -0.000 | 0.000 | -0.000 | 
| 26.475 | 30.428 | 71.906 | -0.000 | 0.000 | -0.000 | 
| -2.580 | -1.264 | -0.067 | 26.267 | 0.000 | -0.000 | 
| -1.498 | -0.550 | 0.917 | -0.000 | 116.000 | -0.000 | 
| -1.591 | -0.589 | 0.976 | -0.000 | 0.000 | 136.963 | 
| 224.199 | 50.540 | 50.436 | 0.000 | -0.000 | 0.000 | 
| 28.337 | 211.524 | 0.786 | 0.000 | -0.000 | 0.000 | 
| 90.825 | 82.521 | 270.117 | 0.000 | -0.000 | -0.000 | 
| 2.580 | 1.264 | 0.067 | 26.267 | -0.000 | 0.000 | 
| 1.498 | 0.550 | -0.917 | 0.000 | 116.000 | 0.000 | 
| 1.591 | 0.589 | -0.976 | 0.000 | -0.000 | 136.963 | 
| 663.493 | -617.782 | 618.021 | -0.000 | 0.000 | 0.000 | 
| 270.676 | -228.639 | 619.847 | -0.000 | 0.000 | -0.000 | 
| 280.408 | -610.727 | 942.681 | -0.000 | 0.000 | -0.000 | 
| 2714.612 | 189.676 | -3268.141 | 54.274 | 0.000 | -0.000 | 
| 231.600 | -658.073 | 567.616 | -0.000 | 182.818 | 0.000 | 
| 231.526 | -657.863 | 567.435 | -0.000 | 0.000 | 219.266 | 
| 199.857 | 698.268 | -516.962 | 0.000 | -0.000 | -0.000 | 
| -192.429 | 1087.542 | -515.071 | -0.000 | -0.000 | -0.000 | 
| -182.609 | 705.067 | -192.422 | -0.000 | -0.000 | -0.000 | 
| -3225.433 | 1482.395 | 1247.796 | 1.179 | -0.000 | 0.000 | 
| -231.600 | 658.073 | -567.617 | 0.000 | 182.818 | 0.000 | 
| -231.526 | 657.863 | -567.435 | 0.000 | -0.000 | 219.266 | 
| 440.712 | -162.555 | 207.972 | 0.000 | 0.000 | -0.000 | 
| 199.314 | 258.897 | -506.618 | -0.000 | 0.000 | -0.000 | 
| 225.074 | -17.675 | -387.559 | -0.000 | 0.000 | 0.000 | 
| 23.334 | -66.301 | 57.187 | 173.500 | 0.000 | -0.000 | 
| 23.311 | -66.236 | 57.132 | -0.000 | 182.603 | -0.000 | 
| 23.320 | -66.261 | 57.153 | -0.000 | 0.000 | 219.046 | 
| 404.907 | 107.373 | -6.254 | 0.000 | -0.000 | 0.000 | 
| -83.995 | 533.953 | -77.398 | 0.000 | -0.000 | -0.000 | 
| 25.842 | 114.225 | 315.699 | 0.000 | -0.000 | 0.000 | 
| -23.334 | 66.301 | -57.187 | 173.500 | -0.000 | -0.000 | 
| -23.311 | 66.236 | -57.132 | -0.000 | 182.603 | 0.000 | 
| -23.320 | 66.261 | -57.153 | 0.000 | -0.000 | 219.046 | 
| 398.581 | 32.537 | 69.926 | -0.000 | 0.000 | -0.000 | 
| 46.213 | 178.401 | 12.072 | -0.000 | 0.000 | -0.000 | 
| -26.190 | -53.818 | -48.705 | -0.000 | 0.000 | 0.000 | 
| 0.000 | 0.000 | 0.000 | 211.225 | 0.000 | 0.000 | 
| 19.365 | -20.547 | 6.000 | -0.000 | 81.614 | 0.000 | 
| 15.977 | -26.247 | 16.491 | -0.000 | 0.000 | 141.628 | 
| 496.181 | 28.690 | 38.973 | 0.000 | -0.000 | 0.000 | 
| 38.297 | 246.067 | 58.069 | 0.000 | -0.000 | 0.000 | 
| -24.399 | -0.911 | 78.339 | 0.000 | -0.000 | 0.000 | 
| -0.000 | -0.000 | -0.000 | 211.225 | -0.000 | 0.000 | 
| -19.365 | 20.547 | -6.000 | 0.000 | 81.614 | 0.000 | 
| -15.977 | 26.247 | -16.491 | -0.000 | -0.000 | 141.628 | 
| 1220.330 | 59.712 | -2.015 | -0.000 | -0.000 | 0.001 | 
| 40.533 | 1259.583 | -21.986 | -0.000 | -0.000 | 0.001 | 
| -21.467 | -21.467 | 1319.271 | -0.000 | 0.000 | 0.000 | 
| -0.000 | -0.000 | 0.000 | 548.235 | -0.000 | 0.001 | 
| 0.000 | 0.000 | 0.000 | -0.000 | 548.235 | 0.000 | 
| 0.000 | -0.000 | 0.000 | -0.000 | -0.000 | 609.525 | 
| 1220.663 | 60.045 | -2.679 | 0.000 | 0.000 | -0.000 | 
| 56.779 | 1220.968 | 0.265 | 0.000 | -0.000 | -0.000 | 
| -21.467 | -21.467 | 1319.271 | 0.000 | -0.000 | 0.000 | 
| 0.000 | 0.000 | -0.000 | 548.235 | -0.000 | -0.000 | 
| -0.000 | -0.000 | -0.000 | -0.000 | 548.236 | -0.000 | 
| -0.000 | 0.000 | -0.000 | 0.000 | 0.000 | 609.525 | 
| 1220.822 | 56.541 | 0.648 | -0.000 | -0.000 | 0.000 | 
| 59.861 | 1220.480 | -2.314 | -0.000 | -0.000 | 0.000 | 
| -21.467 | -21.467 | 1319.271 | -0.000 | -0.000 | -0.000 | 
| 0.000 | 0.000 | 0.000 | 548.235 | -0.000 | 0.000 | 
| 0.000 | 0.000 | 0.000 | -0.000 | 548.235 | 0.000 | 
| 0.000 | 0.000 | 0.000 | -0.000 | 0.000 | 609.525 | 
| 1220.848 | 56.585 | 0.579 | 0.000 | 0.000 | -0.000 | 
| 59.895 | 1220.513 | -2.381 | 0.000 | -0.000 | -0.000 | 
| -1.813 | -1.813 | 1280.168 | 0.000 | 0.000 | -0.000 | 
| -0.000 | 0.000 | -0.000 | 548.235 | 0.000 | -0.000 | 
| -0.000 | -0.000 | -0.000 | 0.000 | 548.235 | -0.000 | 
| -0.000 | -0.000 | -0.000 | 0.000 | -0.000 | 609.525 | 
| 1259.586 | 40.534 | -21.985 | -0.000 | -0.000 | 0.000 | 
| 56.539 | 1220.892 | 0.585 | -0.000 | 0.000 | 0.000 | 
| -21.467 | -21.467 | 1319.276 | -0.000 | -0.000 | -0.000 | 
| -0.001 | -0.002 | 0.004 | 538.360 | -0.000 | 0.000 | 
| -0.002 | -0.001 | 0.004 | -0.000 | 538.360 | 0.000 | 
| -0.002 | -0.002 | 0.004 | -0.000 | -0.000 | 580.309 | 
| 1220.783 | 56.585 | 0.639 | 0.000 | 0.000 | 0.000 | 
| 56.565 | 1220.833 | 0.610 | -0.000 | 0.000 | -0.000 | 
| -1.828 | -1.828 | 1280.194 | 0.000 | 0.000 | -0.000 | 
| 0.001 | 0.002 | -0.004 | 538.360 | 0.000 | -0.000 | 
| 0.002 | 0.001 | -0.004 | 0.000 | 538.360 | -0.000 | 
| 0.002 | 0.002 | -0.004 | -0.000 | 0.000 | 580.309 | 
| 1220.482 | 55.910 | 1.140 | 0.000 | 0.000 | 0.000 | 
| 40.054 | 1259.094 | -21.616 | 0.000 | -0.000 | 0.000 | 
| -21.617 | -21.616 | 1320.765 | -0.001 | -0.000 | 0.000 | 
| -0.000 | 0.000 | -0.000 | 547.849 | -0.000 | 0.000 | 
| -0.000 | -0.000 | -0.000 | -0.001 | 547.849 | -0.000 | 
| -0.000 | -0.000 | -0.000 | -0.000 | 0.000 | 609.520 | 
| 1220.140 | 59.244 | -1.852 | 0.000 | 0.000 | -0.000 | 
| 59.244 | 1220.140 | -1.852 | 0.000 | 0.000 | -0.000 | 
| -21.616 | -21.616 | 1320.765 | 0.001 | 0.000 | -0.000 | 
| 0.000 | 0.000 | 0.000 | 547.850 | -0.000 | -0.000 | 
| 0.000 | 0.000 | 0.000 | 0.000 | 547.850 | -0.000 | 
| 0.000 | -0.000 | -0.000 | 0.000 | 0.000 | 609.520 | 
| 1259.095 | 40.054 | -21.616 | -0.000 | -0.000 | 0.000 | 
| 55.910 | 1220.483 | 1.140 | 0.000 | -0.000 | 0.000 | 
| -21.617 | -21.617 | 1320.766 | -0.000 | 0.000 | 0.000 | 
| 0.000 | -0.000 | 0.000 | 547.850 | -0.000 | 0.000 | 
| -0.000 | 0.000 | 0.000 | -0.000 | 547.850 | 0.000 | 
| -0.000 | 0.000 | 0.000 | -0.000 | -0.000 | 580.448 | 
| 1220.482 | 55.909 | 1.140 | 0.000 | -0.000 | -0.000 | 
| 40.054 | 1259.094 | -21.616 | 0.000 | 0.000 | -0.000 | 
| -21.617 | -21.617 | 1320.765 | -0.000 | 0.000 | -0.000 | 
| -0.000 | 0.000 | -0.000 | 547.850 | 0.000 | -0.000 | 
| 0.000 | -0.000 | -0.000 | 0.000 | 547.850 | -0.000 | 
| 0.000 | -0.000 | -0.000 | 0.000 | 0.000 | 580.448 | 
| 1220.141 | 59.246 | -1.851 | -0.000 | -0.000 | 0.000 | 
| 59.246 | 1220.141 | -1.851 | -0.000 | 0.000 | 0.000 | 
| -1.853 | -1.853 | 1281.242 | -0.000 | -0.000 | -0.000 | 
| 0.000 | -0.000 | 0.000 | 537.967 | 0.000 | 0.000 | 
| -0.000 | 0.000 | 0.000 | -0.000 | 537.967 | 0.000 | 
| -0.000 | 0.000 | 0.000 | -0.000 | -0.000 | 580.448 | 
| 1220.086 | 59.265 | -1.823 | 0.000 | -0.000 | -0.000 | 
| 40.054 | 1259.091 | -21.617 | 0.000 | -0.000 | -0.000 | 
| -1.852 | -1.852 | 1281.233 | 0.000 | 0.000 | -0.000 | 
| -0.000 | 0.000 | -0.000 | 537.967 | 0.000 | -0.000 | 
| 0.000 | -0.000 | -0.000 | 0.000 | 537.967 | -0.000 | 
| 0.000 | -0.000 | -0.000 | 0.000 | 0.000 | 580.448 | 
| 1258.747 | 40.192 | -21.982 | -0.000 | 0.000 | 0.001 | 
| 40.191 | 1258.749 | -21.982 | -0.000 | -0.000 | 0.001 | 
| -21.637 | -21.636 | 1319.029 | -0.000 | -0.000 | 0.000 | 
| -0.001 | -0.000 | 0.000 | 547.925 | -0.000 | 0.000 | 
| -34.149 | -34.149 | 68.058 | -0.000 | 537.829 | 0.000 | 
| 0.000 | -0.000 | 0.001 | -0.000 | 0.000 | 609.279 | 
| 1258.747 | 40.192 | -21.983 | 0.000 | 0.000 | -0.001 | 
| 40.193 | 1258.749 | -21.983 | 0.000 | 0.000 | -0.001 | 
| 31.370 | 31.370 | 1213.390 | 0.000 | 0.000 | -0.000 | 
| 0.001 | 0.000 | -0.001 | 547.926 | -0.000 | 0.000 | 
| 34.149 | 34.149 | -68.058 | 0.000 | 537.828 | -0.001 | 
| -0.000 | 0.000 | -0.001 | 0.000 | 0.000 | 609.277 | 
| 1216.367 | 55.992 | 4.506 | -0.000 | 0.000 | 0.000 | 
| 40.192 | 1258.749 | -21.983 | 0.000 | -0.000 | 0.000 | 
| -5.337 | -5.337 | 1286.544 | -0.000 | 0.000 | 0.000 | 
| -3.343 | -3.343 | 6.662 | 538.042 | 0.000 | 0.000 | 
| -3.340 | -3.340 | 6.656 | -0.000 | 538.070 | 0.000 | 
| 0.000 | 0.000 | 0.000 | -0.000 | -0.000 | 609.278 | 
| 1227.783 | 56.889 | -7.765 | 0.000 | 0.000 | -0.000 | 
| 40.192 | 1258.748 | -21.983 | -0.000 | 0.000 | -0.000 | 
| 1.350 | 1.350 | 1273.217 | 0.000 | 0.000 | -0.000 | 
| 3.343 | 3.343 | -6.662 | 538.042 | 0.000 | -0.000 | 
| 3.340 | 3.340 | -6.656 | 0.000 | 538.070 | -0.000 | 
| 0.000 | -0.000 | -0.000 | 0.000 | 0.000 | 609.278 | 
| 1224.423 | 52.633 | -0.172 | -0.000 | 0.000 | 0.000 | 
| 52.630 | 1224.430 | -0.176 | -0.000 | -0.000 | -0.000 | 
| -2.333 | -2.333 | 1280.562 | -0.000 | -0.000 | 0.000 | 
| -0.334 | -0.334 | 0.666 | 538.069 | -0.000 | 0.000 | 
| -0.000 | 0.000 | 0.000 | -0.000 | 547.926 | 0.000 | 
| -0.334 | -0.333 | 0.665 | -0.000 | -0.000 | 579.838 | 
| 1225.027 | 53.390 | -1.537 | 0.000 | -0.000 | -0.000 | 
| 53.390 | 1225.027 | -1.537 | -0.000 | 0.000 | -0.000 | 
| -1.666 | -1.666 | 1279.225 | 0.000 | 0.000 | -0.000 | 
| 0.334 | 0.334 | -0.666 | 538.069 | -0.000 | -0.000 | 
| 0.000 | -0.000 | -0.000 | 0.000 | 547.926 | -0.000 | 
| 0.334 | 0.333 | -0.665 | -0.000 | -0.000 | 579.838 | 
| 1118.546 | -33.241 | 191.245 | 0.000 | -0.000 | -0.002 | 
| -1.529 | 1166.567 | 111.781 | 0.000 | -0.000 | -0.001 | 
| -21.600 | -21.600 | 1319.319 | 0.000 | -0.000 | -0.002 | 
| -57.436 | -57.436 | 114.487 | 538.170 | -0.000 | -0.001 | 
| -99.120 | -99.120 | 197.572 | 0.000 | 531.004 | -0.001 | 
| -57.155 | -57.155 | 113.927 | 0.000 | -0.000 | 584.091 | 
| 1258.961 | 40.240 | -21.934 | -0.000 | 0.000 | 0.001 | 
| 112.649 | 1280.969 | -116.033 | -0.000 | 0.000 | 0.001 | 
| 93.977 | 93.978 | 1088.940 | -0.000 | 0.000 | 0.001 | 
| 57.436 | 57.436 | -114.487 | 538.170 | 0.000 | 0.001 | 
| 99.120 | 99.120 | -197.573 | -0.000 | 531.004 | 0.001 | 
| 57.155 | 57.155 | -113.927 | -0.000 | 0.000 | 584.092 | 
| 1217.795 | 46.404 | 12.952 | 0.000 | -0.000 | -0.000 | 
| 40.240 | 1258.962 | -21.932 | 0.000 | -0.000 | -0.000 | 
| -5.092 | -5.092 | 1286.413 | 0.000 | -0.000 | -0.000 | 
| -7.292 | -7.292 | 14.536 | 535.489 | -0.000 | -0.000 | 
| 0.000 | 0.000 | 0.000 | 0.000 | 547.976 | -0.000 | 
| -7.044 | -7.044 | 14.040 | 0.000 | 0.000 | 583.549 | 
| 1258.961 | 40.240 | -21.933 | -0.000 | 0.000 | 0.000 | 
| 61.318 | 1227.752 | -11.836 | -0.000 | -0.000 | 0.000 | 
| 5.363 | 5.363 | 1265.571 | -0.000 | 0.000 | 0.000 | 
| 7.292 | 7.292 | -14.536 | 535.489 | 0.000 | 0.000 | 
| -0.000 | -0.000 | -0.000 | -0.000 | 547.976 | 0.000 | 
| 7.044 | 7.044 | -14.040 | -0.000 | 0.000 | 583.549 | 
| 1225.833 | 51.464 | -0.098 | 0.000 | -0.000 | -0.000 | 
| 51.459 | 1225.847 | -0.107 | 0.000 | 0.000 | -0.000 | 
| -2.501 | -2.501 | 1281.252 | 0.000 | -0.000 | -0.000 | 
| -0.578 | -0.579 | 1.153 | 538.072 | -0.000 | -0.000 | 
| -0.579 | -0.578 | 1.153 | 0.000 | 538.072 | -0.000 | 
| -0.621 | -0.621 | 1.239 | 0.000 | 0.000 | 586.595 | 
| 1221.528 | 57.485 | -1.816 | -0.000 | -0.000 | 0.000 | 
| 52.722 | 1226.912 | -2.435 | -0.000 | 0.000 | 0.000 | 
| -1.369 | -1.369 | 1278.988 | -0.000 | -0.000 | 0.000 | 
| 0.578 | 0.579 | -1.153 | 538.072 | 0.000 | 0.000 | 
| 0.579 | 0.578 | -1.153 | -0.000 | 538.072 | 0.000 | 
| 0.621 | 0.621 | -1.239 | -0.000 | 0.000 | 586.595 | 
| 1197.355 | 20.506 | 59.285 | 0.000 | -0.001 | 0.001 | 
| 40.260 | 1259.058 | -21.907 | 0.001 | -0.001 | 0.001 | 
| -32.742 | -32.742 | 1341.706 | -0.000 | 0.000 | 0.001 | 
| -0.000 | -0.000 | 0.011 | 547.999 | -0.000 | 0.001 | 
| -0.001 | -0.000 | 0.006 | 0.001 | 547.998 | 0.000 | 
| 0.001 | -0.001 | 0.009 | 0.001 | 0.000 | 609.399 | 
| 1258.929 | 82.688 | -64.065 | 0.000 | 0.000 | -0.001 | 
| 40.261 | 1259.058 | -21.913 | 0.000 | 0.000 | -0.001 | 
| -21.584 | -21.584 | 1319.456 | 0.000 | -0.000 | -0.000 | 
| 0.000 | -0.000 | -0.011 | 547.997 | -0.000 | -0.001 | 
| 0.001 | 0.000 | -0.009 | -0.001 | 547.998 | -0.000 | 
| 0.001 | 0.000 | -0.008 | -0.000 | -0.000 | 609.398 | 
| 1224.304 | 48.392 | 4.628 | 0.000 | 0.000 | 0.000 | 
| 48.392 | 1224.304 | 4.628 | 0.000 | 0.000 | 0.000 | 
| -21.584 | -21.584 | 1319.459 | 0.000 | 0.000 | 0.000 | 
| 0.000 | -0.000 | 0.001 | 547.998 | -0.000 | 0.000 | 
| 0.000 | 0.000 | 0.001 | 0.000 | 547.998 | 0.000 | 
| 0.000 | 0.000 | 0.001 | 0.000 | -0.000 | 609.399 | 
| 1259.057 | 40.260 | -21.908 | -0.000 | -0.000 | -0.000 | 
| 40.260 | 1259.057 | -21.908 | -0.000 | 0.000 | -0.000 | 
| -21.584 | -21.584 | 1319.459 | 0.000 | 0.000 | -0.000 | 
| -0.000 | 0.000 | -0.001 | 547.998 | 0.000 | -0.000 | 
| -0.000 | 0.000 | -0.001 | -0.000 | 547.998 | -0.000 | 
| 0.000 | -0.000 | -0.001 | -0.000 | 0.000 | 609.399 | 
| 1226.953 | 51.290 | -0.897 | 0.000 | -0.000 | 0.000 | 
| 54.969 | 1225.667 | -3.282 | -0.000 | -0.000 | 0.000 | 
| -2.226 | -2.226 | 1280.873 | -0.000 | -0.000 | 0.000 | 
| -0.305 | -0.306 | 0.610 | 538.131 | -0.000 | 0.000 | 
| -0.000 | 0.000 | 0.000 | 0.000 | 547.998 | 0.000 | 
| -0.323 | -0.322 | 0.643 | -0.000 | -0.000 | 587.417 | 
| 1227.523 | 51.943 | -2.124 | 0.000 | -0.000 | -0.000 | 
| 40.260 | 1259.054 | -21.908 | 0.000 | 0.000 | -0.000 | 
| -1.615 | -1.615 | 1279.648 | 0.000 | -0.000 | -0.000 | 
| 0.305 | 0.306 | -0.610 | 538.131 | 0.000 | -0.000 | 
| 0.000 | -0.000 | -0.000 | -0.000 | 547.998 | -0.000 | 
| 0.323 | 0.322 | -0.643 | 0.000 | 0.000 | 587.417 | 
| 1259.095 | 40.053 | -21.616 | 0.000 | 0.000 | -0.004 | 
| 40.054 | 1259.093 | -21.615 | 0.000 | 0.000 | 0.001 | 
| -1.852 | -1.851 | 1281.238 | 0.000 | 0.000 | -0.000 | 
| -0.000 | -0.000 | 0.002 | 537.967 | -0.000 | 0.000 | 
| -0.000 | 0.000 | 0.002 | 0.000 | 537.967 | -0.000 | 
| -0.000 | 0.000 | 0.002 | -0.000 | 0.000 | 609.518 | 
| 1259.094 | 40.056 | -21.618 | -0.000 | -0.000 | -0.001 | 
| 40.054 | 1259.095 | -21.618 | -0.000 | -0.000 | 0.001 | 
| -21.616 | -21.617 | 1320.764 | 0.000 | -0.000 | 0.001 | 
| 0.000 | 0.000 | -0.002 | 537.967 | -0.000 | -0.000 | 
| 0.000 | -0.000 | -0.001 | 0.000 | 537.967 | 0.000 | 
| 0.000 | -0.000 | -0.002 | 0.000 | -0.000 | 609.520 | 
| 1226.071 | 54.996 | -3.534 | 0.000 | 0.000 | -0.000 | 
| 54.996 | 1226.071 | -3.534 | 0.000 | 0.000 | -0.000 | 
| -1.852 | -1.852 | 1281.237 | 0.000 | 0.000 | -0.000 | 
| 0.000 | -0.000 | 0.000 | 547.850 | 0.000 | -0.000 | 
| -0.000 | 0.000 | 0.000 | -0.000 | 547.850 | -0.000 | 
| 0.000 | 0.000 | 0.000 | 0.000 | 0.000 | 609.520 | 
| 1227.307 | 51.323 | -1.098 | -0.000 | -0.000 | 0.000 | 
| 54.996 | 1226.071 | -3.535 | -0.000 | -0.000 | -0.000 | 
| -1.852 | -1.852 | 1281.236 | -0.000 | -0.000 | -0.000 | 
| -0.000 | -0.000 | -0.000 | 547.850 | -0.000 | 0.000 | 
| 0.000 | -0.000 | -0.000 | -0.000 | 547.850 | 0.000 | 
| -0.000 | -0.000 | -0.000 | -0.000 | -0.000 | 609.520 | 
| 1227.312 | 51.323 | -1.098 | 0.000 | 0.000 | 0.000 | 
| 40.054 | 1259.098 | -21.616 | 0.000 | 0.000 | 0.000 | 
| -1.852 | -1.852 | 1281.240 | 0.000 | 0.000 | 0.000 | 
| 0.000 | -0.000 | 0.000 | 547.850 | 0.000 | -0.000 | 
| -0.000 | 0.000 | 0.000 | 0.000 | 547.850 | -0.000 | 
| 0.000 | 0.001 | 0.000 | 0.000 | 0.000 | 609.520 | 
| 1227.306 | 51.321 | -1.100 | -0.000 | -0.000 | 0.000 | 
| 56.122 | 1222.232 | -0.826 | -0.000 | -0.000 | 0.000 | 
| -1.852 | -1.852 | 1281.233 | -0.000 | -0.000 | 0.000 | 
| -0.000 | 0.000 | -0.000 | 547.850 | -0.000 | 0.000 | 
| 0.000 | -0.000 | -0.000 | -0.000 | 547.850 | 0.000 | 
| -0.000 | -0.001 | -0.000 | -0.000 | -0.000 | 609.520 | 
| 1203.522 | 39.316 | 34.096 | 13.874 | -0.000 | -0.000 | 
| 40.164 | 1258.823 | -21.897 | -17.439 | -0.000 | -0.001 | 
| -21.632 | -21.632 | 1319.406 | -0.000 | -0.000 | 0.000 | 
| 17.439 | -17.438 | 0.002 | 547.910 | 0.000 | -0.000 | 
| 0.000 | -0.000 | 0.001 | -0.000 | 547.911 | 17.439 | 
| 0.000 | 0.000 | 0.000 | 0.000 | 17.439 | 609.330 | 
| 1234.497 | 70.399 | -27.797 | 13.868 | -0.000 | 0.000 | 
| 40.164 | 1258.826 | -21.912 | -17.439 | 0.000 | -0.000 | 
| 4.757 | 4.758 | 1266.761 | 0.000 | 0.000 | 0.001 | 
| 25.196 | -5.089 | -20.056 | 539.807 | -0.000 | -0.000 | 
| -0.000 | 0.000 | -0.001 | 0.000 | 547.910 | 17.438 | 
| -0.000 | 0.000 | -0.001 | -0.000 | 17.439 | 609.331 | 
| 1220.073 | 52.455 | 4.483 | 14.098 | 0.000 | 0.000 | 
| 51.131 | 1222.709 | 3.174 | -14.255 | 0.000 | -0.000 | 
| -0.070 | -0.070 | 1276.396 | 0.000 | -0.000 | 0.000 | 
| 17.439 | -17.439 | 0.000 | 547.911 | 0.000 | -0.000 | 
| 0.000 | 0.000 | 0.000 | 0.000 | 547.911 | 17.439 | 
| -1.494 | -1.494 | 2.980 | -0.000 | 14.006 | 583.109 | 
| 1223.743 | 61.251 | -7.951 | 15.188 | 0.000 | 0.000 | 
| 55.515 | 1222.622 | -1.113 | -14.065 | -0.000 | -0.000 | 
| 0.899 | 0.899 | 1274.461 | 0.000 | -0.000 | -0.000 | 
| 15.490 | -12.487 | -2.996 | 535.734 | -0.000 | -0.000 | 
| 0.000 | -0.000 | -0.000 | 0.000 | 547.911 | 17.439 | 
| 1.494 | 1.494 | -2.980 | 0.000 | 14.006 | 583.109 | 
| 1225.473 | 52.279 | -0.723 | 14.463 | 0.000 | 0.000 | 
| 52.279 | 1225.473 | -0.723 | -14.463 | 0.000 | -0.000 | 
| -2.015 | -2.015 | 1280.278 | 0.000 | 0.000 | 0.000 | 
| 17.439 | -17.439 | 0.000 | 547.911 | 0.000 | 0.000 | 
| -0.000 | 0.000 | 0.000 | 0.000 | 547.911 | 17.439 | 
| -0.134 | -0.133 | 0.267 | 0.000 | 14.373 | 585.908 | 
| 1225.674 | 52.556 | -1.209 | 14.458 | 0.000 | -0.000 | 
| 52.549 | 1225.694 | -1.221 | -14.460 | 0.000 | 0.000 | 
| -1.885 | -1.885 | 1280.011 | 0.000 | 0.000 | -0.000 | 
| 14.751 | -14.507 | -0.244 | 537.998 | 0.000 | -0.000 | 
| 0.000 | -0.000 | -0.000 | -0.000 | 547.911 | 17.439 | 
| 0.134 | 0.133 | -0.267 | -0.000 | 14.373 | 585.908 | 
| 1221.008 | 53.516 | 3.006 | 14.874 | -0.000 | 0.003 | 
| 40.053 | 1259.096 | -21.618 | -17.443 | -0.000 | 0.004 | 
| -5.515 | -5.513 | 1288.560 | -0.000 | -0.000 | 0.001 | 
| 17.442 | -17.441 | -0.001 | 547.849 | -0.000 | 0.003 | 
| 0.000 | 0.000 | -0.001 | -0.000 | 547.850 | 17.444 | 
| -0.000 | 0.000 | -0.002 | -0.000 | 17.443 | 609.522 | 
| 1259.096 | 40.053 | -21.614 | 17.444 | 0.000 | -0.001 | 
| 56.742 | 1228.197 | -7.405 | -14.324 | -0.000 | -0.003 | 
| 2.191 | 2.190 | 1273.152 | 0.000 | -0.000 | -0.002 | 
| 18.230 | -10.556 | -7.674 | 537.063 | 0.000 | -0.003 | 
| -0.000 | -0.000 | 0.001 | 0.000 | 547.850 | 17.442 | 
| -0.000 | -0.000 | 0.002 | 0.000 | 17.443 | 609.520 | 
| 1259.095 | 40.054 | -21.617 | 17.443 | -0.000 | 0.000 | 
| 40.054 | 1259.095 | -21.617 | -17.443 | -0.000 | 0.000 | 
| -21.617 | -21.617 | 1320.765 | -0.000 | -0.000 | 0.000 | 
| 17.443 | -17.443 | -0.000 | 547.850 | -0.000 | 0.000 | 
| -0.000 | 0.000 | -0.000 | -0.000 | 547.850 | 17.443 | 
| 0.000 | 0.000 | -0.000 | -0.000 | 17.443 | 609.520 | 
| 1220.988 | 58.246 | -1.703 | 14.523 | 0.000 | -0.000 | 
| 59.216 | 1224.236 | -5.920 | -15.141 | 0.000 | -0.000 | 
| -1.502 | -1.502 | 1280.535 | 0.000 | 0.000 | -0.000 | 
| 17.443 | -17.443 | 0.000 | 547.850 | 0.000 | -0.000 | 
| 0.000 | -0.000 | -0.000 | 0.000 | 547.850 | 17.443 | 
| 0.000 | -0.000 | 0.000 | 0.000 | 17.443 | 609.520 | 
| 1225.954 | 52.153 | -0.571 | 14.477 | -0.000 | 0.000 | 
| 52.153 | 1225.954 | -0.571 | -14.477 | -0.000 | 0.000 | 
| -21.616 | -21.616 | 1320.770 | -0.000 | -0.000 | 0.000 | 
| 14.613 | -14.683 | 0.071 | 537.967 | -0.000 | 0.000 | 
| -0.000 | 0.000 | 0.000 | 0.000 | 547.850 | 17.443 | 
| -0.039 | -0.038 | 0.077 | 0.000 | 14.390 | 586.236 | 
| 1220.334 | 59.496 | -2.302 | 14.702 | 0.000 | -0.000 | 
| 59.006 | 1223.845 | -5.322 | -15.130 | 0.000 | -0.000 | 
| -1.817 | -1.817 | 1281.162 | 0.000 | 0.000 | -0.000 | 
| 14.683 | -14.613 | -0.071 | 537.967 | 0.000 | -0.000 | 
| 0.000 | -0.000 | -0.000 | -0.000 | 547.850 | 17.443 | 
| 0.039 | 0.038 | -0.077 | -0.000 | 14.390 | 586.236 | 
| 483.385 | 35.450 | 35.450 | 0.000 | -0.000 | 0.000 | 
| 35.450 | 483.385 | 35.450 | 0.000 | 0.000 | 0.000 | 
| 35.450 | 35.450 | 483.385 | 0.000 | -0.000 | 0.000 | 
| 10.596 | 10.596 | 10.596 | 193.789 | -0.000 | 0.000 | 
| 10.596 | 10.596 | 10.596 | -0.000 | 193.789 | 0.000 | 
| 10.596 | 10.596 | 10.596 | -0.000 | 0.000 | 193.790 | 
| 169.875 | 5.378 | 5.378 | 0.000 | 0.000 | -0.000 | 
| 5.378 | 169.876 | 5.378 | 0.000 | 0.000 | -0.000 | 
| -146.120 | -146.120 | -44.407 | 0.000 | 0.000 | -0.000 | 
| -10.596 | -10.596 | -10.596 | 193.789 | 0.000 | -0.000 | 
| -10.596 | -10.596 | -10.596 | -0.000 | 193.789 | -0.000 | 
| -10.596 | -10.596 | -10.596 | -0.000 | 0.000 | 193.789 | 
| 483.385 | 35.450 | 35.450 | 0.000 | 0.000 | 0.000 | 
| 35.450 | 483.385 | 35.450 | 0.000 | -0.000 | 0.000 | 
| 35.450 | 35.450 | 483.385 | 0.000 | -0.000 | 0.000 | 
| 1.239 | 1.239 | 1.239 | 188.683 | -0.000 | 0.000 | 
| 1.239 | 1.239 | 1.239 | 0.000 | 188.683 | 0.000 | 
| 1.239 | 1.239 | 1.239 | 0.000 | -0.000 | 188.683 | 
| 120.163 | 45.424 | 45.424 | -0.000 | 0.000 | -0.000 | 
| 45.424 | 120.163 | 45.424 | -0.000 | 0.000 | -0.000 | 
| 45.424 | 45.424 | 120.163 | 0.000 | 0.000 | -0.000 | 
| -1.239 | -1.239 | -1.239 | 188.683 | 0.000 | -0.000 | 
| -1.239 | -1.239 | -1.239 | -0.000 | 188.683 | -0.000 | 
| -1.239 | -1.239 | -1.239 | -0.000 | 0.000 | 188.683 | 
| 218.901 | 69.298 | 69.298 | -0.000 | -0.000 | 0.000 | 
| 69.298 | 218.901 | 69.298 | 0.000 | -0.000 | 0.000 | 
| 69.298 | 69.298 | 218.901 | -0.000 | -0.000 | 0.000 | 
| 0.000 | 0.000 | 0.000 | 223.967 | -0.000 | 0.000 | 
| -0.000 | 0.000 | 0.000 | 0.000 | 223.967 | 0.000 | 
| 0.000 | 0.000 | 0.000 | 0.000 | 0.000 | 223.967 | 
| 99.526 | 30.841 | 30.841 | -0.000 | 0.000 | -0.000 | 
| 30.841 | 99.526 | 30.841 | -0.000 | 0.000 | -0.000 | 
| 30.841 | 30.841 | 99.526 | -0.000 | 0.000 | -0.000 | 
| -0.000 | 0.000 | -0.000 | 223.967 | 0.000 | -0.000 | 
| 0.000 | -0.000 | -0.000 | -0.000 | 223.967 | -0.000 | 
| -0.000 | -0.000 | -0.000 | -0.000 | -0.000 | 223.967 | 
| 604.226 | 284.761 | 284.761 | -0.000 | -0.000 | -0.000 | 
| 284.760 | 604.227 | 284.762 | 0.000 | 0.000 | -0.000 | 
| 284.760 | 284.762 | 604.227 | -0.000 | 0.000 | 0.000 | 
| -0.001 | 0.000 | 0.001 | 199.392 | 0.000 | -0.000 | 
| -0.002 | -0.000 | 0.001 | 0.000 | 199.391 | -0.000 | 
| -0.002 | 0.000 | -0.001 | -0.000 | -0.000 | 199.391 | 
| -1529.109 | -1478.053 | -1478.053 | 0.000 | -0.000 | -0.000 | 
| -1478.053 | -1529.110 | -1478.054 | -0.000 | -0.000 | 0.000 | 
| -1478.052 | -1478.053 | -1529.110 | 0.000 | -0.000 | 0.000 | 
| 0.001 | -0.000 | -0.001 | 199.391 | -0.000 | 0.000 | 
| 0.001 | 0.000 | -0.001 | -0.000 | 199.391 | -0.000 | 
| 0.001 | -0.000 | 0.001 | 0.000 | 0.000 | 199.392 | 
| 430.343 | 31.560 | 31.560 | -0.000 | 0.000 | -0.000 | 
| 31.560 | 430.343 | 31.560 | -0.000 | -0.000 | -0.000 | 
| 31.560 | 31.560 | 430.343 | -0.000 | -0.000 | 0.000 | 
| 33.492 | 33.492 | 33.492 | 145.031 | 0.000 | 0.000 | 
| 33.492 | 33.492 | 33.492 | -0.000 | 145.031 | 0.000 | 
| 33.492 | 33.492 | 33.492 | 0.000 | 0.000 | 145.031 | 
| -106.442 | -78.946 | -78.946 | -0.000 | -0.000 | 0.000 | 
| -78.946 | -106.442 | -78.946 | -0.000 | 0.000 | -0.000 | 
| -78.946 | -78.946 | -106.442 | 0.000 | -0.000 | -0.000 | 
| -33.492 | -33.492 | -33.492 | 145.031 | -0.000 | -0.000 | 
| -33.492 | -33.492 | -33.492 | -0.000 | 145.031 | -0.000 | 
| -33.492 | -33.492 | -33.492 | 0.000 | -0.000 | 145.031 | 
| 146.681 | 67.848 | 67.848 | -0.000 | 0.000 | -0.000 | 
| 67.848 | 146.681 | 67.848 | 0.000 | 0.000 | 0.000 | 
| 67.848 | 67.848 | 146.681 | -0.000 | 0.000 | -0.000 | 
| 9.861 | 9.861 | 9.861 | 58.603 | 0.000 | -0.000 | 
| 7.307 | 7.307 | 7.307 | -0.000 | 80.790 | -0.000 | 
| 9.861 | 9.861 | 9.861 | -0.000 | -0.000 | 58.603 | 
| 155.552 | 55.746 | 55.746 | 0.000 | -0.000 | -0.000 | 
| 55.746 | 155.552 | 55.746 | 0.000 | 0.000 | 0.000 | 
| 55.746 | 55.746 | 155.552 | 0.000 | -0.000 | -0.000 | 
| -9.861 | -9.861 | -9.861 | 58.603 | 0.000 | 0.000 | 
| -7.307 | -7.307 | -7.307 | -0.000 | 80.790 | -0.000 | 
| -9.861 | -9.861 | -9.861 | 0.000 | -0.000 | 58.603 | 
| 398.397 | 113.590 | 146.335 | 0.000 | -0.000 | 0.000 | 
| 52.957 | 319.389 | -2.793 | 0.000 | -0.000 | -0.000 | 
| -102.108 | 60.736 | 327.926 | 0.000 | -0.000 | 0.000 | 
| -122.050 | 104.971 | 275.123 | 47.490 | -0.000 | -0.000 | 
| 0.000 | 0.000 | -0.000 | 0.000 | 262.527 | -0.000 | 
| -0.000 | -0.000 | -0.000 | 0.000 | -0.000 | 232.366 | 
| 631.166 | 20.272 | -92.753 | -0.000 | 0.000 | 0.000 | 
| 52.958 | 319.389 | -2.793 | -0.000 | 0.000 | 0.000 | 
| 33.741 | -19.505 | 461.321 | -0.000 | 0.000 | 0.000 | 
| 122.050 | -104.971 | -275.123 | 47.490 | 0.000 | 0.000 | 
| -0.000 | -0.000 | 0.000 | 0.000 | 262.527 | -0.000 | 
| 0.000 | -0.000 | 0.000 | -0.000 | 0.000 | 232.366 | 
| 557.646 | 38.105 | 35.600 | -0.000 | -0.000 | 0.000 | 
| 52.958 | 319.389 | -2.793 | 0.000 | -0.000 | -0.000 | 
| -13.424 | 13.900 | 47.010 | 0.000 | -0.000 | -0.000 | 
| -22.565 | 9.188 | 22.533 | 62.529 | -0.000 | -0.000 | 
| -40.284 | 16.403 | 40.229 | 0.000 | 117.113 | -0.000 | 
| -0.000 | 0.000 | 0.000 | 0.000 | -0.000 | 232.366 | 
| 557.646 | 38.105 | 35.600 | -0.000 | 0.000 | -0.000 | 
| 52.958 | 319.389 | -2.793 | -0.000 | 0.000 | 0.000 | 
| 5.567 | -20.597 | -32.974 | -0.000 | 0.000 | 0.000 | 
| 22.565 | -9.188 | -22.533 | 62.529 | 0.000 | 0.000 | 
| 40.284 | -16.403 | -40.229 | 0.000 | 117.113 | 0.000 | 
| -0.000 | -0.000 | -0.000 | 0.000 | 0.000 | 232.366 | 
| 496.746 | 90.406 | 18.568 | 0.000 | -0.000 | -0.000 | 
| 102.970 | 246.772 | 6.299 | 0.000 | -0.000 | -0.000 | 
| -2.859 | -15.937 | 3.275 | 0.000 | -0.000 | -0.000 | 
| -1.276 | 1.381 | 4.369 | 0.021 | -0.000 | -0.000 | 
| -1.982 | 1.790 | 4.703 | 0.000 | 14.863 | -0.000 | 
| -1.141 | 0.465 | 1.139 | 0.000 | -0.000 | 224.473 | 
| 505.621 | 71.272 | 33.157 | -0.000 | 0.000 | 0.000 | 
| 106.599 | 245.545 | 2.389 | -0.000 | 0.000 | -0.000 | 
| -0.859 | -17.490 | -3.281 | -0.000 | 0.000 | 0.000 | 
| 1.276 | -1.381 | -4.369 | 0.021 | 0.000 | 0.000 | 
| 1.982 | -1.790 | -4.703 | -0.000 | 14.863 | 0.000 | 
| 1.141 | -0.465 | -1.139 | -0.000 | 0.000 | 224.473 | 
| 2445.527 | -1260.339 | 140.290 | -0.000 | -0.001 | -0.000 | 
| 1618.600 | -1110.921 | 195.667 | 0.000 | 0.001 | -0.000 | 
| 1358.404 | -1434.372 | 1382.841 | -0.000 | -0.001 | -0.000 | 
| 1434.090 | -1433.171 | 224.436 | 114.035 | 0.000 | -0.000 | 
| 1438.660 | -1426.057 | 200.206 | -0.000 | 546.400 | -0.000 | 
| 1433.387 | -1432.349 | 224.064 | -0.001 | -0.000 | 234.396 | 
| 1093.941 | 94.183 | -90.675 | -0.000 | 0.001 | 0.000 | 
| -1252.586 | 1746.764 | -231.328 | 0.000 | -0.000 | 0.000 | 
| -81.892 | -4.723 | 1206.495 | 0.000 | -0.000 | 0.000 | 
| -1434.090 | 1433.171 | -224.435 | 114.036 | -0.001 | 0.000 | 
| -1438.660 | 1426.057 | -200.205 | 0.000 | 546.400 | 0.000 | 
| -1433.387 | 1432.349 | -224.064 | 0.001 | 0.000 | 234.396 | 
| 1093.941 | 94.183 | -90.674 | 0.000 | 0.000 | -0.000 | 
| 323.748 | 172.589 | 15.468 | -0.000 | 0.000 | -0.000 | 
| 56.211 | -129.666 | 1175.698 | -0.000 | 0.000 | -0.000 | 
| -0.000 | -0.000 | 0.000 | 181.847 | 0.000 | -0.000 | 
| -0.000 | 0.000 | 0.000 | 0.000 | 590.447 | -0.000 | 
| -0.000 | 0.000 | 0.000 | 0.000 | -0.000 | 281.842 | 
| 870.694 | 309.643 | -98.551 | 0.000 | -0.000 | 0.000 | 
| 36.233 | 458.312 | -26.116 | 0.000 | -0.000 | 0.000 | 
| -210.668 | 136.087 | 1133.489 | -0.000 | 0.000 | 0.000 | 
| -0.000 | 0.000 | 0.000 | 181.847 | -0.000 | 0.000 | 
| 0.000 | -0.000 | -0.000 | -0.000 | 590.447 | 0.000 | 
| 0.000 | -0.000 | -0.000 | -0.000 | -0.000 | 281.842 | 
| 1093.944 | 94.184 | -90.674 | -0.000 | -0.000 | -0.000 | 
| 193.936 | 300.731 | -1.465 | -0.000 | 0.000 | -0.000 | 
| -60.763 | -16.333 | 1161.231 | -0.000 | 0.000 | -0.000 | 
| 17.262 | -17.296 | 2.797 | 99.884 | 0.000 | -0.000 | 
| 20.613 | -20.640 | 3.314 | -0.000 | 521.155 | -0.000 | 
| 11.795 | -11.692 | 1.642 | 0.000 | -0.000 | 239.927 | 
| 997.494 | 186.557 | -85.910 | -0.000 | 0.000 | 0.000 | 
| 165.569 | 329.385 | -6.569 | -0.000 | -0.000 | 0.000 | 
| -89.264 | 12.168 | 1156.610 | 0.000 | -0.000 | 0.000 | 
| -17.262 | 17.296 | -2.797 | 99.884 | 0.000 | 0.000 | 
| -20.613 | 20.640 | -3.314 | 0.000 | 521.155 | 0.000 | 
| -11.795 | 11.692 | -1.642 | -0.000 | 0.000 | 239.927 | 
| 1019.417 | 164.906 | -80.553 | -0.000 | 0.000 | 0.000 | 
| 100.609 | 392.995 | -5.683 | 0.000 | 0.000 | -0.000 | 
| -82.837 | -4.028 | 1208.807 | -0.000 | 0.000 | 0.000 | 
| 0.000 | 0.000 | -0.000 | 181.539 | 0.000 | 0.000 | 
| 0.000 | -0.000 | -0.000 | -0.000 | 591.315 | -0.000 | 
| 0.000 | -0.000 | -0.000 | 0.000 | 0.000 | 281.173 | 
| 1095.522 | 94.037 | -91.064 | 0.000 | -0.000 | -0.000 | 
| 100.609 | 392.994 | -5.683 | 0.000 | -0.000 | 0.000 | 
| -74.468 | -2.800 | 1170.352 | 0.000 | -0.000 | -0.000 | 
| -0.000 | 0.000 | 0.000 | 181.539 | 0.000 | -0.000 | 
| -0.000 | 0.000 | 0.000 | 0.000 | 591.314 | 0.000 | 
| -0.000 | 0.000 | 0.000 | -0.000 | -0.000 | 281.173 | 
| 1019.507 | 164.809 | -80.502 | -0.000 | 0.000 | 0.000 | 
| 100.609 | 392.995 | -5.683 | -0.000 | 0.000 | -0.000 | 
| -74.529 | -2.724 | 1170.276 | -0.000 | 0.000 | -0.000 | 
| -0.009 | 0.010 | -0.007 | 113.198 | 0.000 | -0.000 | 
| 0.000 | 0.000 | 0.000 | -0.000 | 591.314 | -0.000 | 
| 0.000 | 0.000 | -0.000 | -0.000 | 0.000 | 281.173 | 
| 1013.844 | 172.580 | -84.252 | 0.000 | -0.000 | -0.000 | 
| 179.245 | 315.085 | -2.961 | 0.000 | -0.000 | -0.000 | 
| -74.518 | -2.738 | 1170.289 | 0.000 | -0.000 | -0.000 | 
| 0.009 | -0.010 | 0.007 | 113.198 | -0.000 | -0.000 | 
| -0.000 | -0.000 | -0.000 | 0.000 | 591.314 | -0.000 | 
| -0.000 | -0.000 | 0.000 | 0.000 | -0.000 | 281.173 | 
| 1013.680 | 172.738 | -84.237 | -0.000 | 0.000 | 0.000 | 
| 179.516 | 315.258 | -3.845 | -0.000 | 0.000 | 0.000 | 
| -76.201 | -1.113 | 1161.330 | -0.000 | 0.000 | 0.000 | 
| 0.000 | -0.000 | -0.000 | 181.539 | 0.000 | 0.000 | 
| 0.000 | 0.000 | 0.000 | -0.000 | 591.314 | -0.000 | 
| -0.001 | 0.001 | -0.001 | -0.000 | 0.000 | 237.503 | 
| 1013.821 | 172.600 | -84.256 | 0.000 | 0.000 | -0.000 | 
| 179.505 | 315.267 | -3.844 | 0.000 | -0.000 | 0.000 | 
| -76.008 | -1.304 | 1161.324 | 0.000 | -0.000 | 0.000 | 
| -0.000 | 0.000 | 0.000 | 181.539 | -0.000 | -0.000 | 
| -0.000 | -0.000 | -0.000 | 0.000 | 591.314 | 0.000 | 
| 0.001 | -0.001 | 0.001 | 0.000 | -0.000 | 237.503 | 
| 291.226 | -207.446 | 482.588 | -11.551 | -0.000 | -0.000 | 
| 46.320 | 487.429 | -21.468 | 14.152 | -0.000 | 0.000 | 
| 88.418 | 88.423 | 251.704 | 0.000 | -0.000 | -0.000 | 
| 334.954 | 367.293 | -920.838 | 172.656 | 0.000 | 0.000 | 
| 0.000 | 0.004 | -0.001 | -0.000 | 254.220 | -9.109 | 
| 351.143 | 351.147 | -920.863 | 0.000 | -16.169 | 185.050 | 
| 475.956 | 35.599 | 186.259 | -14.186 | 0.000 | -0.000 | 
| -628.915 | -359.066 | 1784.292 | 17.023 | -0.000 | 0.000 | 
| 312.812 | 312.807 | 3.025 | 0.000 | 0.000 | 0.000 | 
| 233.119 | 256.225 | -413.901 | 229.086 | 0.000 | -0.001 | 
| 0.000 | -0.004 | 0.001 | -0.000 | 254.220 | -9.107 | 
| -351.143 | -351.147 | 920.863 | -0.000 | -16.169 | 185.051 | 
| 511.375 | 12.622 | 110.266 | -11.548 | -0.000 | 0.000 | 
| 86.265 | 446.318 | -15.006 | 16.476 | -0.000 | -0.000 | 
| 86.783 | 86.783 | 332.593 | 0.000 | -0.000 | 0.000 | 
| -9.109 | 9.109 | -0.000 | 254.220 | -0.000 | 0.000 | 
| 1.188 | 1.189 | -11.750 | -0.000 | 203.380 | -14.252 | 
| -24.564 | -24.563 | 41.553 | 0.000 | -11.563 | 249.208 | 
| 350.692 | 1.976 | 204.860 | -16.818 | 0.000 | 0.000 | 
| 39.746 | 472.830 | 97.153 | 14.513 | -0.000 | -0.000 | 
| 79.826 | 79.825 | 374.395 | 0.000 | 0.000 | -0.000 | 
| -15.442 | 13.061 | 11.754 | 203.378 | 0.000 | -0.000 | 
| -1.188 | -1.189 | 11.750 | 0.000 | 203.380 | -14.251 | 
| 24.564 | 24.563 | -41.553 | -0.000 | -11.563 | 249.208 | 
| 290.438 | 52.956 | 56.803 | -17.216 | 0.000 | -0.000 | 
| 56.331 | 389.169 | 90.285 | 19.030 | -0.000 | 0.000 | 
| 79.998 | 79.998 | 364.057 | -0.000 | -0.000 | 0.000 | 
| -10.192 | 28.242 | -22.216 | 123.728 | -0.000 | -0.000 | 
| 9.131 | 9.131 | -21.491 | -0.000 | 92.185 | -16.504 | 
| 3.225 | 3.225 | -7.691 | -0.000 | -17.967 | 178.210 | 
| 306.149 | 41.604 | 117.944 | -18.832 | 0.000 | 0.000 | 
| 48.380 | 494.697 | 73.650 | 13.816 | 0.000 | -0.000 | 
| 7.732 | 7.732 | 52.441 | 0.000 | 0.000 | -0.000 | 
| -28.252 | 10.194 | 22.225 | 123.673 | -0.000 | 0.000 | 
| -9.131 | -9.131 | 21.491 | 0.000 | 92.185 | -16.504 | 
| -3.225 | -3.225 | 7.691 | 0.000 | -17.967 | 178.210 | 
| 21350.005 | 21271.560 | 52701.366 | -17.737 | 0.000 | -0.000 | 
| 6054.033 | 6276.724 | 25119.694 | 21.304 | 0.000 | 0.000 | 
| 14253.036 | 14253.036 | 45730.486 | 0.000 | 0.000 | -0.000 | 
| 21180.092 | 21215.437 | 52457.599 | 25.386 | -0.000 | 0.000 | 
| 6034.972 | 6034.972 | 25079.426 | -0.000 | 93.654 | -21.340 | 
| 6041.728 | 6041.729 | 25095.269 | -0.000 | -21.351 | 110.797 | 
| 528.873 | 13.492 | 52.169 | -8.212 | -0.000 | -0.000 | 
| 13.493 | 528.872 | 52.170 | 8.212 | -0.000 | -0.000 | 
| -21163.781 | -21163.781 | -52495.298 | -0.000 | -0.000 | -0.001 | 
| -14160.156 | -14109.659 | -45717.454 | 11.069 | -0.000 | -0.000 | 
| -6034.972 | -6034.973 | -25079.425 | 0.000 | 93.654 | -21.340 | 
| -6041.728 | -6041.729 | -25095.269 | -0.000 | -21.351 | 110.796 | 
| 852.191 | 622.529 | 2547.856 | -20.987 | 0.000 | 0.000 | 
| 13.493 | 528.874 | 52.171 | 8.212 | 0.000 | -0.000 | 
| 1525.039 | 1525.039 | 4553.826 | -0.000 | -0.000 | -0.000 | 
| 2101.930 | 2137.227 | 5242.744 | 25.571 | -0.000 | 0.000 | 
| 603.095 | 603.095 | 2506.091 | 0.000 | 93.744 | -21.330 | 
| 186.232 | 186.232 | 451.445 | 0.000 | -11.187 | 216.253 | 
| -1361.013 | -1400.316 | -4540.026 | -25.601 | 0.000 | -0.000 | 
| -2700.182 | -2451.756 | -5800.658 | 6.858 | -0.000 | -0.000 | 
| 47.373 | 47.373 | 406.012 | 0.000 | -0.000 | -0.000 | 
| -624.497 | -581.832 | -2506.387 | 93.729 | -0.000 | 0.000 | 
| -603.095 | -603.095 | -2506.091 | 0.000 | 93.744 | -21.331 | 
| -186.232 | -186.232 | -451.445 | 0.000 | -11.187 | 216.253 | 
| 467.984 | 43.739 | 124.071 | -11.483 | -0.000 | -0.000 | 
| 43.737 | 467.987 | 124.068 | 11.483 | 0.000 | 0.000 | 
| 118.238 | 118.238 | 385.530 | 0.000 | 0.000 | 0.000 | 
| 36.730 | 78.028 | 237.109 | 100.279 | -0.000 | -0.000 | 
| 208.532 | 208.532 | 497.586 | 0.000 | 41.644 | -15.773 | 
| 57.269 | 57.269 | 237.451 | -0.000 | -20.652 | 118.502 | 
| 528.872 | 13.493 | 52.171 | -8.212 | 0.000 | 0.000 | 
| -96.040 | -16.859 | -312.347 | 24.126 | -0.000 | 0.000 | 
| -286.927 | -286.927 | -578.857 | -0.000 | 0.000 | -0.000 | 
| -78.084 | -36.772 | -237.213 | 100.174 | -0.000 | -0.000 | 
| -208.532 | -208.532 | -497.586 | -0.000 | 41.644 | -15.773 | 
| -57.269 | -57.269 | -237.451 | 0.000 | -20.652 | 118.502 | 
| 542.761 | 1603.662 | 292.519 | 0.000 | 0.002 | -0.000 | 
| -1748.715 | 2346.760 | 168.713 | -0.000 | 0.001 | -0.000 | 
| 84.557 | 60.406 | 1042.863 | 0.000 | 0.000 | -0.000 | 
| -723.329 | 340.441 | 2226.543 | 496.520 | 0.001 | -0.000 | 
| -723.401 | 340.109 | 2226.661 | -0.000 | 327.324 | -0.000 | 
| 0.000 | -0.000 | 0.000 | -0.000 | -0.000 | 412.815 | 
| 2494.642 | -1615.468 | -166.239 | 0.000 | -0.001 | 0.000 | 
| 159.144 | 1151.236 | -1990.421 | 0.000 | -0.000 | 0.000 | 
| 220.920 | 184.818 | -1103.038 | 0.000 | -0.001 | 0.000 | 
| 723.329 | -340.441 | -2226.543 | 496.520 | -0.000 | 0.000 | 
| 723.401 | -340.109 | -2226.661 | 0.000 | 327.322 | 0.000 | 
| 0.000 | 0.000 | -0.000 | 0.000 | -0.001 | 412.815 | 
| 777.612 | 186.232 | 131.042 | 0.000 | 0.000 | -0.000 | 
| 15.654 | 1053.475 | 286.453 | 0.000 | 0.000 | -0.000 | 
| -52.742 | 246.886 | 1004.056 | -0.000 | 0.000 | -0.000 | 
| -155.202 | 163.154 | 27.057 | 484.437 | 0.000 | -0.000 | 
| -73.998 | 31.499 | 213.239 | -0.000 | 324.109 | -0.000 | 
| -155.457 | 163.323 | 27.061 | 0.000 | 0.000 | 365.568 | 
| 1017.224 | -10.909 | -127.192 | 0.000 | -0.000 | 0.000 | 
| 48.252 | 927.529 | 55.852 | 0.000 | -0.000 | 0.000 | 
| 256.138 | -80.643 | 952.108 | 0.000 | 0.000 | 0.000 | 
| 155.202 | -163.154 | -27.057 | 484.437 | -0.000 | 0.000 | 
| 73.998 | -31.499 | -213.239 | 0.000 | 324.109 | 0.000 | 
| 155.457 | -163.323 | -27.061 | -0.000 | -0.000 | 365.568 | 
| 933.974 | 26.801 | 116.702 | -0.000 | -0.000 | -0.000 | 
| 14.264 | 1054.090 | 112.895 | -0.000 | 0.000 | -0.000 | 
| 89.668 | 92.882 | 994.834 | -0.000 | 0.000 | -0.000 | 
| -13.221 | 9.765 | 0.607 | 494.655 | 0.000 | -0.000 | 
| -7.612 | 3.007 | 21.649 | 0.000 | 323.159 | -0.000 | 
| -11.165 | 17.631 | 2.410 | 0.000 | 0.000 | 381.520 | 
| 949.379 | 7.148 | 95.271 | 0.000 | -0.000 | 0.000 | 
| 30.827 | 1043.086 | 79.930 | 0.000 | -0.000 | 0.000 | 
| 103.431 | 86.316 | 954.705 | 0.000 | 0.000 | 0.000 | 
| 13.221 | -9.765 | -0.607 | 494.655 | -0.000 | 0.000 | 
| 7.612 | -3.007 | -21.649 | 0.000 | 323.159 | 0.000 | 
| 11.165 | -17.631 | -2.410 | -0.000 | 0.000 | 381.520 | 
| 1011.226 | -73.661 | -84.055 | 0.000 | 177.449 | 0.000 | 
| 9.623 | 1113.545 | 40.654 | -0.000 | -84.112 | 0.000 | 
| 74.062 | 44.615 | 1056.883 | 0.000 | 42.443 | 0.000 | 
| 68.101 | -106.472 | -166.021 | 487.974 | 114.265 | -6.722 | 
| 57.590 | -82.433 | -152.576 | 0.000 | 387.142 | 0.000 | 
| 21.755 | -30.500 | -186.951 | -23.318 | 70.400 | 381.266 | 
| 992.722 | 0.797 | 76.121 | -0.000 | 77.823 | -0.000 | 
| 9.623 | 1113.545 | 40.655 | -0.000 | -84.111 | 0.000 | 
| -14.745 | 168.254 | 1169.680 | -0.000 | 32.720 | -0.000 | 
| -68.101 | 106.473 | 166.021 | 487.973 | -114.265 | -6.722 | 
| -69.762 | 59.071 | 191.586 | -0.000 | 299.065 | -0.000 | 
| -21.755 | 30.500 | 186.951 | -23.318 | -70.400 | 381.266 | 
| 992.723 | 0.797 | 76.121 | -0.000 | 77.822 | -0.000 | 
| 40.466 | 1047.468 | 50.736 | 0.000 | -51.476 | 0.000 | 
| 91.037 | 62.089 | 987.192 | -0.000 | 44.237 | -0.000 | 
| 1.494 | -2.972 | -18.849 | 496.615 | 8.366 | -16.481 | 
| 44.491 | -59.003 | 16.988 | 0.000 | 321.843 | -0.000 | 
| 2.256 | -3.175 | -18.695 | -23.094 | 7.113 | 381.012 | 
| 992.722 | 0.797 | 76.121 | -0.000 | 77.822 | 0.000 | 
| 17.990 | 1066.641 | 82.617 | -0.000 | -48.363 | -0.000 | 
| 77.430 | 79.575 | 1023.035 | -0.000 | 25.538 | 0.000 | 
| -1.494 | 2.971 | 18.849 | 496.615 | -8.366 | -16.481 | 
| 26.498 | -36.575 | 41.118 | -0.000 | 303.511 | 0.000 | 
| -2.255 | 3.175 | 18.695 | -23.094 | -7.112 | 381.012 | 
| 949.134 | 31.121 | 80.044 | -0.000 | 63.863 | -0.000 | 
| 37.756 | 1053.524 | 65.224 | 0.000 | -58.958 | -0.000 | 
| 84.354 | 68.695 | 1006.990 | 0.000 | 34.379 | -0.000 | 
| 0.978 | -0.940 | -1.556 | 496.854 | -0.076 | -16.846 | 
| 35.949 | -52.201 | 30.810 | 0.000 | 315.614 | 0.000 | 
| 0.997 | -0.959 | -1.587 | -22.689 | -0.078 | 380.987 | 
| 949.555 | 31.465 | 84.164 | -0.000 | 62.022 | 0.000 | 
| 37.744 | 1054.002 | 68.973 | -0.000 | -60.945 | 0.000 | 
| 82.994 | 69.829 | 1011.171 | -0.000 | 32.519 | -0.000 | 
| -0.978 | 0.940 | 1.556 | 496.854 | 0.076 | -16.846 | 
| 34.481 | -50.601 | 34.237 | -0.000 | 314.364 | -0.000 | 
| -0.997 | 0.959 | 1.587 | -22.689 | 0.078 | 380.987 | 
| 931.506 | 119.972 | -6.571 | -0.001 | -0.000 | -0.000 | 
| 119.972 | 931.506 | -6.571 | -0.000 | 0.000 | 0.000 | 
| -6.571 | -6.571 | 1339.241 | -0.001 | -0.001 | -0.000 | 
| -0.000 | -0.000 | 0.000 | 490.890 | -0.001 | 0.000 | 
| -0.000 | -0.000 | 0.000 | -0.001 | 490.890 | 0.000 | 
| -0.000 | -0.000 | 0.000 | 0.001 | -0.001 | 116.158 | 
| 931.506 | 119.973 | -6.570 | -0.000 | 0.000 | 0.000 | 
| 119.973 | 931.506 | -6.570 | 0.001 | 0.000 | 0.000 | 
| -6.570 | -6.570 | 1339.243 | 0.001 | 0.001 | 0.000 | 
| 0.000 | 0.000 | -0.000 | 490.891 | 0.000 | -0.000 | 
| 0.000 | 0.000 | -0.000 | 0.000 | 490.891 | -0.000 | 
| 0.000 | 0.000 | -0.000 | -0.001 | 0.001 | 116.158 | 
| 931.506 | 119.972 | -6.570 | -0.000 | -0.000 | 0.000 | 
| 119.972 | 931.506 | -6.570 | -0.000 | 0.000 | 0.000 | 
| -7.978 | -7.978 | 1343.523 | -0.000 | -0.000 | -0.000 | 
| 0.000 | -0.000 | -0.000 | 519.627 | -0.000 | -0.000 | 
| -0.000 | 0.000 | -0.000 | -0.000 | 519.627 | 0.000 | 
| -0.000 | -0.000 | 0.000 | -0.000 | -0.000 | 267.726 | 
| 931.810 | 118.927 | -5.443 | 0.000 | 0.000 | 0.000 | 
| 118.927 | 931.810 | -5.443 | 0.000 | -0.000 | -0.000 | 
| -6.570 | -6.570 | 1339.242 | 0.000 | 0.000 | -0.000 | 
| -0.000 | 0.000 | 0.000 | 519.627 | 0.000 | 0.000 | 
| 0.000 | -0.000 | 0.000 | 0.000 | 519.627 | 0.000 | 
| 0.000 | 0.000 | -0.000 | 0.000 | 0.000 | 267.726 | 
| 931.812 | 118.928 | -5.442 | -0.000 | -0.000 | 0.000 | 
| 118.928 | 931.812 | -5.442 | 0.000 | -0.000 | -0.000 | 
| -6.571 | -6.571 | 1339.249 | -0.000 | -0.000 | 0.000 | 
| 0.000 | -0.000 | 0.000 | 490.891 | -0.000 | 0.000 | 
| -0.000 | 0.000 | 0.000 | -0.000 | 490.891 | -0.000 | 
| -0.000 | -0.000 | 0.000 | -0.000 | -0.000 | 116.158 | 
| 931.504 | 119.971 | -6.571 | 0.000 | 0.000 | 0.000 | 
| 119.971 | 931.504 | -6.571 | 0.000 | 0.000 | 0.000 | 
| -6.570 | -6.570 | 1339.238 | 0.000 | 0.000 | 0.000 | 
| -0.000 | 0.000 | -0.000 | 490.891 | 0.000 | -0.000 | 
| 0.000 | -0.000 | -0.000 | 0.000 | 490.891 | 0.000 | 
| 0.000 | 0.000 | -0.000 | 0.000 | 0.000 | 116.158 | 
| 921.532 | 113.089 | -4.283 | -0.001 | 0.000 | -0.000 | 
| 113.089 | 921.532 | -4.283 | -0.001 | 0.000 | -0.000 | 
| -8.986 | -8.986 | 1340.844 | -0.000 | -0.000 | -0.000 | 
| 0.000 | -0.000 | -0.001 | 486.898 | 0.000 | -0.000 | 
| -0.000 | 0.000 | -0.001 | -0.001 | 486.899 | -0.000 | 
| 0.000 | 0.000 | -0.001 | -0.000 | 0.000 | 269.104 | 
| 980.170 | 55.548 | -6.314 | 0.000 | 0.000 | 0.000 | 
| 55.548 | 980.170 | -6.314 | 0.000 | -0.000 | -0.000 | 
| -8.986 | -8.986 | 1340.845 | 0.001 | 0.001 | -0.000 | 
| -0.000 | -0.000 | 0.001 | 486.898 | -0.000 | -0.000 | 
| 0.000 | -0.000 | 0.001 | 0.001 | 486.898 | -0.000 | 
| -0.000 | -0.000 | 0.001 | 0.000 | -0.000 | 269.104 | 
| 980.170 | 55.549 | -6.315 | 0.000 | 0.000 | -0.000 | 
| 55.549 | 980.170 | -6.315 | -0.000 | 0.000 | -0.000 | 
| -8.986 | -8.986 | 1340.845 | -0.000 | -0.000 | -0.000 | 
| 0.000 | -0.000 | -0.000 | 486.898 | -0.000 | -0.000 | 
| -0.000 | 0.000 | -0.000 | -0.000 | 486.898 | -0.000 | 
| -0.000 | -0.000 | -0.000 | -0.000 | 0.000 | 117.832 | 
| 921.332 | 113.778 | -5.188 | 0.000 | -0.000 | 0.000 | 
| 113.778 | 921.332 | -5.188 | 0.000 | -0.000 | -0.000 | 
| -8.986 | -8.986 | 1340.844 | 0.000 | 0.000 | 0.000 | 
| -0.000 | 0.000 | 0.000 | 486.898 | 0.000 | 0.000 | 
| 0.000 | -0.000 | 0.000 | 0.000 | 486.898 | 0.000 | 
| 0.000 | 0.000 | 0.000 | 0.000 | -0.000 | 117.832 | 
| 921.534 | 113.090 | -4.282 | -0.000 | -0.000 | -0.000 | 
| 113.090 | 921.534 | -4.282 | -0.000 | 0.000 | -0.000 | 
| -8.987 | -8.987 | 1340.852 | -0.000 | 0.000 | -0.000 | 
| 0.000 | -0.000 | 0.000 | 486.898 | -0.000 | -0.000 | 
| -0.000 | 0.000 | 0.000 | -0.000 | 486.898 | -0.000 | 
| -0.000 | -0.000 | 0.000 | -0.000 | 0.000 | 117.832 | 
| 921.331 | 113.777 | -5.188 | 0.000 | 0.000 | 0.000 | 
| 113.777 | 921.331 | -5.188 | 0.000 | 0.000 | 0.000 | 
| -8.986 | -8.986 | 1340.840 | 0.000 | 0.000 | 0.000 | 
| -0.000 | 0.000 | -0.000 | 486.898 | -0.000 | -0.000 | 
| 0.000 | -0.000 | -0.000 | 0.000 | 486.898 | 0.000 | 
| 0.000 | 0.000 | -0.000 | 0.000 | -0.000 | 117.832 | 
| 855.727 | 41.488 | 41.488 | -0.000 | 0.000 | 0.000 | 
| 41.488 | 855.727 | 41.488 | 0.000 | 0.000 | 0.000 | 
| 63.158 | 63.158 | 808.482 | -0.000 | 0.000 | 0.000 | 
| 0.000 | 0.000 | -0.000 | 427.011 | 0.000 | 0.000 | 
| -0.000 | 0.000 | -0.000 | 0.000 | 427.011 | 0.000 | 
| -0.010 | -0.021 | -0.021 | -0.000 | 0.000 | 317.489 | 
| 855.727 | 41.488 | 41.488 | -0.000 | -0.000 | -0.000 | 
| 41.488 | 855.727 | 41.488 | -0.000 | -0.000 | -0.000 | 
| 41.488 | 41.488 | 855.727 | -0.000 | -0.000 | -0.000 | 
| 0.010 | 0.021 | 0.021 | 317.489 | -0.000 | -0.000 | 
| 0.000 | -0.000 | 0.000 | -0.000 | 427.011 | -0.000 | 
| 0.010 | 0.021 | 0.021 | 0.000 | -0.000 | 317.489 | 
| 810.653 | 62.771 | 62.771 | -0.000 | 0.000 | 0.000 | 
| 62.771 | 810.653 | 62.771 | -0.000 | -0.000 | 0.000 | 
| 62.980 | 62.980 | 807.263 | -0.000 | -0.000 | 0.000 | 
| -0.001 | -0.002 | -0.002 | 317.486 | 0.000 | 0.000 | 
| -0.001 | -0.002 | -0.002 | -0.000 | 317.486 | 0.000 | 
| -0.001 | -0.002 | -0.002 | -0.000 | 0.000 | 317.486 | 
| 807.262 | 62.955 | 62.955 | -0.000 | -0.000 | -0.000 | 
| 63.166 | 808.491 | 63.166 | 0.000 | -0.000 | -0.000 | 
| 63.166 | 63.166 | 808.491 | -0.000 | -0.000 | -0.000 | 
| 0.001 | 0.002 | 0.002 | 317.486 | -0.000 | -0.000 | 
| 0.001 | 0.002 | 0.002 | 0.000 | 317.486 | -0.000 | 
| 0.001 | 0.002 | 0.002 | 0.000 | -0.000 | 317.486 | 
| 810.633 | 62.783 | 62.783 | -0.000 | -0.000 | 0.000 | 
| 62.977 | 807.274 | 62.977 | -0.000 | 0.000 | 0.000 | 
| 62.977 | 62.977 | 807.274 | -0.000 | -0.000 | 0.000 | 
| 0.000 | -0.001 | -0.000 | 317.486 | 0.000 | 0.000 | 
| -0.000 | 0.000 | -0.000 | -0.000 | 317.486 | 0.000 | 
| -0.000 | -0.000 | 0.000 | -0.000 | 0.000 | 317.486 | 
| 807.261 | 62.980 | 62.980 | 0.000 | 0.000 | -0.000 | 
| 62.980 | 807.261 | 62.980 | 0.000 | 0.000 | -0.000 | 
| 62.980 | 62.980 | 807.261 | -0.000 | 0.000 | -0.000 | 
| -0.000 | 0.001 | 0.000 | 317.486 | -0.000 | -0.000 | 
| 0.000 | -0.000 | 0.000 | 0.000 | 317.486 | -0.000 | 
| 0.000 | 0.000 | -0.000 | -0.000 | -0.000 | 317.486 | 
| 605.886 | 65.871 | 65.871 | -0.000 | 0.000 | -0.000 | 
| 65.871 | 605.886 | 65.871 | -0.000 | 0.000 | -0.000 | 
| 65.871 | 65.871 | 605.886 | -0.000 | -0.000 | -0.000 | 
| -0.000 | 0.000 | -0.000 | 420.536 | -0.000 | -0.000 | 
| -0.000 | 0.000 | -0.000 | -0.000 | 420.536 | -0.000 | 
| -0.000 | 0.000 | -0.000 | -0.000 | -0.000 | 420.536 | 
| 572.515 | 82.557 | 82.557 | 0.000 | 0.000 | 0.000 | 
| 82.557 | 572.515 | 82.557 | -0.000 | 0.000 | 0.000 | 
| 82.557 | 82.557 | 572.515 | 0.000 | 0.000 | 0.000 | 
| 0.000 | -0.000 | 0.000 | 420.536 | -0.000 | 0.000 | 
| -0.000 | -0.000 | 0.000 | 0.000 | 420.536 | 0.000 | 
| 0.000 | 0.000 | 0.000 | 0.000 | 0.000 | 420.536 | 
| 605.886 | 65.871 | 65.871 | -0.000 | -0.000 | -0.000 | 
| 65.871 | 605.886 | 65.871 | -0.000 | -0.000 | -0.000 | 
| 65.871 | 65.871 | 605.886 | -0.000 | -0.000 | -0.000 | 
| 0.000 | 0.000 | 0.000 | 420.536 | -0.000 | 0.000 | 
| 0.000 | 0.000 | 0.000 | -0.000 | 420.536 | -0.000 | 
| 0.000 | 0.000 | -0.000 | -0.000 | -0.000 | 420.536 | 
| 572.515 | 82.557 | 82.557 | 0.000 | 0.000 | 0.000 | 
| 82.557 | 572.515 | 82.557 | 0.000 | 0.000 | -0.000 | 
| 82.557 | 82.557 | 572.515 | -0.000 | 0.000 | 0.000 | 
| 0.000 | -0.000 | -0.000 | 420.536 | 0.000 | 0.000 | 
| -0.000 | -0.000 | -0.000 | 0.000 | 420.536 | 0.000 | 
| 0.000 | -0.000 | -0.000 | 0.000 | 0.000 | 420.536 | 
| 605.887 | 65.872 | 65.872 | -0.000 | 0.000 | -0.000 | 
| 65.872 | 605.887 | 65.872 | -0.000 | -0.000 | -0.000 | 
| 65.872 | 65.872 | 605.887 | -0.000 | -0.000 | 0.000 | 
| 0.000 | 0.000 | 0.001 | 420.536 | -0.000 | -0.000 | 
| 0.000 | 0.000 | 0.001 | -0.000 | 420.536 | -0.000 | 
| 0.000 | 0.001 | 0.000 | -0.000 | -0.000 | 420.536 | 
| 572.513 | 82.557 | 82.557 | 0.000 | -0.000 | 0.000 | 
| 82.557 | 572.513 | 82.557 | 0.000 | 0.000 | 0.000 | 
| 82.557 | 82.557 | 572.513 | 0.000 | -0.000 | 0.000 | 
| -0.000 | -0.000 | -0.001 | 420.536 | 0.000 | 0.000 | 
| -0.000 | -0.000 | -0.001 | 0.000 | 420.536 | 0.000 | 
| -0.000 | -0.001 | -0.000 | -0.000 | -0.000 | 420.536 | 
| 462.129 | 33.892 | 33.891 | -0.000 | 0.000 | 0.000 | 
| 33.892 | 462.129 | 33.891 | -0.000 | 0.000 | -0.000 | 
| 33.891 | 33.892 | 462.128 | -0.000 | 0.001 | 0.000 | 
| -0.001 | -0.001 | -0.002 | 82.260 | 0.000 | -0.000 | 
| -0.001 | -0.001 | -0.001 | -0.000 | 82.260 | 0.000 | 
| -0.001 | -0.001 | -0.001 | -0.000 | 0.001 | 82.260 | 
| 462.128 | 33.891 | 33.891 | -0.000 | -0.001 | 0.000 | 
| 33.891 | 462.128 | 33.891 | 0.000 | -0.001 | -0.000 | 
| 33.891 | 33.891 | 462.129 | 0.000 | -0.001 | 0.000 | 
| 0.001 | 0.001 | 0.002 | 82.260 | 0.000 | -0.000 | 
| 0.001 | 0.001 | 0.001 | -0.001 | 82.260 | 0.000 | 
| 0.001 | 0.001 | 0.002 | 0.000 | -0.000 | 82.260 | 
| 131.738 | 60.101 | 60.101 | 0.000 | 0.000 | -0.000 | 
| -39.019 | 32.266 | -39.019 | -0.000 | 0.000 | 0.000 | 
| -48.277 | -48.277 | 20.780 | -0.000 | 0.000 | -0.000 | 
| 0.000 | -0.000 | 0.000 | 214.119 | 0.000 | 0.000 | 
| 0.000 | 0.000 | 0.000 | -0.000 | 214.119 | -0.000 | 
| 0.000 | -0.000 | -0.000 | 0.000 | 0.000 | 214.119 | 
| 462.128 | 33.891 | 33.891 | 0.000 | -0.000 | -0.000 | 
| 33.891 | 462.128 | 33.891 | 0.000 | -0.000 | -0.000 | 
| 33.891 | 33.891 | 462.128 | -0.000 | -0.000 | 0.000 | 
| -0.000 | -0.000 | -0.000 | 214.119 | -0.000 | 0.000 | 
| 0.000 | 0.000 | 0.000 | -0.000 | 82.260 | 0.000 | 
| 0.000 | 0.000 | 0.000 | -0.000 | -0.000 | 82.260 | 
| 131.889 | 60.104 | 60.104 | -0.000 | 0.000 | -0.000 | 
| 23.912 | 90.283 | 23.912 | -0.000 | 0.000 | 0.000 | 
| 60.104 | 60.104 | 131.889 | -0.000 | 0.000 | 0.000 | 
| 0.000 | -0.000 | -0.000 | 63.266 | 0.000 | -0.000 | 
| -0.000 | 0.000 | -0.000 | 0.000 | 63.266 | 0.000 | 
| -0.000 | -0.000 | 0.000 | -0.000 | 0.000 | 63.266 | 
| 31.851 | -38.905 | -38.905 | 0.000 | -0.000 | 0.000 | 
| -40.224 | 13.531 | -40.224 | -0.000 | -0.000 | 0.000 | 
| -48.283 | -48.283 | 20.689 | 0.000 | 0.000 | 0.000 | 
| -0.000 | 0.000 | 0.000 | 63.266 | 0.000 | -0.000 | 
| 0.000 | -0.000 | 0.000 | 0.000 | 63.266 | -0.000 | 
| 0.000 | 0.000 | -0.000 | -0.000 | -0.000 | 63.266 | 
| 277.499 | 45.255 | 45.256 | 0.000 | -0.000 | 0.000 | 
| 45.256 | 277.498 | 45.256 | 0.000 | -0.001 | -0.000 | 
| 45.256 | 45.255 | 277.498 | 0.000 | -0.001 | -0.000 | 
| 1.710 | 1.710 | 1.710 | 116.164 | -0.001 | 0.000 | 
| 1.710 | 1.710 | 1.710 | 0.000 | 116.164 | 0.000 | 
| 1.710 | 1.710 | 1.710 | 0.000 | -0.001 | 116.164 | 
| 274.057 | 41.835 | 41.834 | -0.000 | 0.001 | -0.000 | 
| 41.834 | 274.059 | 41.834 | -0.000 | 0.001 | -0.000 | 
| 41.834 | 41.835 | 274.058 | 0.000 | 0.001 | -0.000 | 
| -1.710 | -1.710 | -1.710 | 116.164 | 0.001 | 0.000 | 
| -1.710 | -1.710 | -1.710 | -0.000 | 116.165 | -0.000 | 
| -1.710 | -1.710 | -1.710 | -0.000 | 0.001 | 116.164 | 
| 352.279 | 37.959 | 37.959 | 0.000 | -0.000 | 0.000 | 
| 37.959 | 352.279 | 37.959 | 0.000 | -0.000 | 0.000 | 
| 37.959 | 37.959 | 352.279 | 0.000 | -0.000 | 0.000 | 
| 0.024 | 0.024 | 0.024 | 158.054 | -0.000 | -0.000 | 
| 0.024 | 0.024 | 0.024 | 0.000 | 158.054 | 0.000 | 
| 0.024 | 0.024 | 0.024 | 0.000 | -0.000 | 158.054 | 
| 43.324 | 45.454 | 45.454 | 0.000 | 0.000 | -0.000 | 
| 44.550 | 261.081 | 44.550 | -0.000 | 0.000 | -0.000 | 
| 44.550 | 44.550 | 261.081 | -0.000 | 0.000 | -0.000 | 
| -0.024 | -0.023 | -0.024 | 158.054 | 0.000 | -0.000 | 
| -0.024 | -0.024 | -0.024 | -0.000 | 158.054 | -0.000 | 
| -0.024 | -0.023 | -0.024 | -0.000 | 0.000 | 158.054 | 
| 15.320 | -44.521 | -44.521 | 0.000 | -0.000 | 0.000 | 
| -44.521 | 15.320 | -44.521 | 0.000 | -0.000 | 0.000 | 
| -44.521 | -44.521 | 15.320 | 0.000 | -0.000 | 0.000 | 
| 0.006 | 0.005 | 0.006 | 111.988 | -0.000 | 0.000 | 
| 0.005 | 0.006 | 0.006 | -0.000 | 111.988 | 0.000 | 
| 0.005 | 0.006 | 0.006 | 0.000 | -0.000 | 111.988 | 
| 132.424 | 54.811 | 54.811 | -0.000 | 0.000 | -0.000 | 
| -44.700 | 15.044 | -44.700 | -0.000 | 0.000 | -0.000 | 
| 54.811 | 54.811 | 132.421 | -0.000 | 0.000 | -0.000 | 
| -0.006 | -0.005 | -0.006 | 111.988 | 0.000 | 0.000 | 
| -0.005 | -0.006 | -0.006 | -0.000 | 111.988 | 0.000 | 
| -0.005 | -0.006 | -0.006 | -0.000 | 0.000 | 111.988 | 
| 267.146 | 131.758 | 131.758 | -0.000 | -0.000 | -0.000 | 
| 131.758 | 267.145 | 131.758 | 0.000 | 0.001 | -0.000 | 
| 131.758 | 131.758 | 267.146 | -0.000 | -0.000 | -0.000 | 
| -0.000 | -0.001 | 0.000 | 191.020 | -0.000 | -0.000 | 
| -0.000 | -0.001 | 0.000 | -0.000 | 191.020 | 0.000 | 
| 0.000 | -0.001 | -0.000 | 0.000 | -0.000 | 191.020 | 
| 412.275 | 30.236 | 30.235 | -0.000 | -0.000 | -0.000 | 
| 30.235 | 412.276 | 30.235 | 0.000 | 0.000 | -0.000 | 
| 30.235 | 30.235 | 412.275 | -0.000 | 0.001 | 0.000 | 
| 0.000 | 0.000 | 0.000 | 191.020 | 0.000 | 0.000 | 
| -0.000 | 0.001 | -0.000 | -0.000 | 191.021 | -0.000 | 
| -0.000 | 0.000 | 0.000 | -0.000 | 0.000 | 191.020 | 
| 412.275 | 30.235 | 30.235 | 0.000 | -0.000 | 0.000 | 
| 30.235 | 412.275 | 30.235 | 0.000 | 0.000 | -0.000 | 
| 30.235 | 30.235 | 412.275 | 0.000 | -0.000 | -0.000 | 
| 2.285 | 2.285 | 2.285 | 151.212 | -0.000 | -0.000 | 
| 2.285 | 2.285 | 2.285 | 0.000 | 151.212 | -0.000 | 
| 2.285 | 2.285 | 2.285 | -0.000 | -0.000 | 151.212 | 
| 332.911 | 37.418 | 37.418 | -0.000 | 0.000 | -0.000 | 
| 37.418 | 332.911 | 37.418 | -0.000 | 0.000 | -0.000 | 
| 37.418 | 37.418 | 332.911 | -0.000 | 0.000 | -0.000 | 
| -2.285 | -2.285 | -2.285 | 151.212 | 0.000 | 0.000 | 
| -2.285 | -2.285 | -2.285 | 0.000 | 151.212 | 0.000 | 
| -2.285 | -2.285 | -2.285 | 0.000 | 0.000 | 151.212 | 
| 17.317 | -38.812 | -38.812 | 0.000 | -0.000 | 0.000 | 
| -38.812 | 17.317 | -38.812 | 0.000 | -0.000 | -0.000 | 
| -10.210 | -10.210 | 4.844 | 0.000 | -0.000 | 0.000 | 
| 0.589 | 0.589 | 0.589 | 88.432 | -0.000 | 0.000 | 
| 0.589 | 0.589 | 0.589 | 0.000 | 88.432 | 0.000 | 
| 0.589 | 0.589 | 0.589 | -0.000 | -0.000 | 88.432 | 
| 85.725 | 28.142 | 28.142 | -0.000 | 0.000 | -0.000 | 
| 28.142 | 85.725 | 28.142 | -0.000 | 0.000 | 0.000 | 
| 28.142 | 28.142 | 85.725 | 0.000 | 0.000 | -0.000 | 
| -0.589 | -0.589 | -0.589 | 88.432 | 0.000 | -0.000 | 
| -0.589 | -0.589 | -0.589 | -0.000 | 88.432 | 0.000 | 
| -0.589 | -0.589 | -0.589 | -0.000 | 0.000 | 88.432 | 
| 144.598 | 72.967 | 69.569 | -0.000 | -0.000 | 0.000 | 
| 77.746 | 233.482 | 68.695 | -0.000 | -0.000 | 0.000 | 
| 36.574 | 36.081 | 510.110 | -0.000 | -0.000 | 0.000 | 
| 0.000 | 0.000 | -0.000 | 229.697 | -0.000 | -0.000 | 
| -0.000 | 0.000 | 0.002 | -0.000 | 119.174 | 0.000 | 
| -0.000 | -0.000 | -0.000 | 0.000 | -0.000 | 205.723 | 
| 453.759 | 40.118 | 36.574 | -0.000 | 0.000 | -0.000 | 
| 77.739 | 233.523 | 68.684 | 0.000 | 0.000 | -0.000 | 
| 36.574 | 36.081 | 510.110 | 0.000 | 0.000 | 0.000 | 
| -0.000 | 0.000 | 0.000 | 229.697 | 0.000 | 0.000 | 
| 0.000 | -0.000 | -0.002 | 0.000 | 119.174 | -0.000 | 
| -0.000 | 0.000 | 0.000 | -0.000 | 0.000 | 205.724 | 
| 144.592 | 72.967 | 69.562 | -0.000 | -0.000 | -0.000 | 
| 40.118 | 452.606 | 36.081 | -0.000 | -0.000 | 0.000 | 
| 36.574 | 36.081 | 510.110 | -0.000 | -0.000 | 0.000 | 
| 0.000 | -0.000 | 0.000 | 229.697 | -0.000 | -0.000 | 
| 0.000 | 0.000 | 0.000 | -0.000 | 233.449 | 0.000 | 
| -0.000 | -0.000 | -0.000 | -0.000 | -0.000 | 205.723 | 
| 218.503 | 80.043 | 75.202 | 0.000 | 0.000 | 0.000 | 
| 75.700 | 146.554 | 62.486 | 0.000 | 0.000 | 0.000 | 
| 66.703 | 57.728 | 234.976 | -0.000 | 0.000 | 0.000 | 
| -0.000 | 0.000 | -0.000 | 229.697 | 0.000 | -0.000 | 
| 0.000 | -0.000 | -0.000 | 0.000 | 233.449 | 0.000 | 
| -0.000 | -0.000 | -0.000 | 0.000 | 0.000 | 205.723 | 
| 13.477 | -49.179 | -19.253 | -0.000 | -0.000 | 0.000 | 
| -52.572 | 18.880 | -22.702 | 0.000 | -0.000 | -0.000 | 
| 52.108 | 46.680 | 213.438 | -0.000 | -0.000 | -0.000 | 
| 0.000 | -0.000 | -0.000 | 106.239 | -0.000 | 0.000 | 
| -0.000 | 0.000 | -0.000 | -0.000 | 119.174 | -0.000 | 
| -0.000 | -0.000 | 0.000 | -0.000 | -0.000 | 96.053 | 
| 144.598 | 72.966 | 69.560 | 0.000 | 0.000 | -0.000 | 
| 56.520 | 106.391 | 43.900 | 0.000 | 0.000 | 0.000 | 
| 31.566 | 30.041 | 200.993 | 0.000 | 0.000 | 0.000 | 
| -0.000 | 0.000 | 0.000 | 106.239 | 0.000 | 0.000 | 
| 0.000 | -0.000 | 0.000 | 0.000 | 119.174 | 0.000 | 
| 0.000 | 0.000 | -0.000 | 0.000 | 0.000 | 96.053 | 
| 282.997 | -921.138 | -485.735 | 19.462 | 0.720 | 4.896 | 
| 211.300 | -393.724 | -209.551 | 9.775 | -0.005 | 4.477 | 
| 199.840 | -552.440 | -89.504 | 20.150 | 0.382 | 3.051 | 
| 440.938 | -555.265 | -277.215 | -169.013 | 0.148 | 12.317 | 
| 187.414 | -401.899 | -161.256 | 18.767 | 15.808 | 7.259 | 
| 312.518 | -554.195 | -266.302 | 13.106 | 0.104 | 88.118 | 
| 157.029 | 44.676 | 102.181 | -2.582 | 1.550 | -3.928 | 
| 32.799 | 341.549 | 1.455 | -0.068 | 0.228 | -6.103 | 
| -291.166 | 963.177 | 488.395 | -34.997 | -1.432 | -5.341 | 
| -71.551 | 511.205 | 198.067 | 83.806 | -0.605 | -3.494 | 
| -371.883 | 1002.189 | 446.833 | -31.381 | -161.050 | -10.297 | 
| -152.253 | 468.228 | 179.956 | -20.878 | -0.714 | -18.061 | 
| 19.751 | -60.924 | 10.808 | 3.224 | -0.049 | 0.591 | 
| 54.459 | -71.132 | -27.102 | 3.399 | 0.105 | 0.571 | 
| 50.164 | -10.269 | 87.322 | 0.570 | -0.094 | 0.825 | 
| 28.966 | -41.315 | -19.988 | 35.754 | -0.106 | 0.134 | 
| 26.392 | -79.132 | -34.757 | 2.224 | -32.652 | 0.250 | 
| 41.975 | -117.594 | -51.205 | 3.644 | 0.204 | -64.294 | 
| -86.311 | 104.437 | -15.336 | -3.253 | -0.191 | -0.780 | 
| 21.554 | 72.955 | 33.962 | -4.153 | -0.298 | -0.504 | 
| 10.942 | 3.614 | 140.099 | -0.613 | 0.063 | -0.355 | 
| -33.239 | 46.644 | 23.317 | 11.719 | -0.010 | -0.955 | 
| 0.196 | -0.518 | 0.337 | -0.008 | 148.740 | -0.704 | 
| -51.597 | 106.620 | 49.456 | -3.031 | -0.201 | -81.278 | 
| 1.855 | -5.913 | -1.034 | 0.384 | -0.011 | 0.061 | 
| 6.246 | -10.918 | -2.336 | 0.225 | 0.009 | 0.060 | 
| 2.251 | -4.752 | 86.839 | 0.274 | -0.006 | 0.062 | 
| 1.980 | -6.340 | -2.127 | -1.342 | 0.011 | 0.060 | 
| 1.673 | -4.647 | -1.736 | 0.207 | -1.656 | 0.059 | 
| 1.921 | -5.232 | -2.194 | 0.199 | 0.003 | -5.815 | 
| -2.309 | 6.916 | -0.083 | -0.362 | 0.015 | -0.061 | 
| 6.001 | -2.651 | 3.910 | -0.330 | -0.004 | -0.058 | 
| -7.420 | 4.004 | 87.996 | -0.268 | -0.002 | -0.072 | 
| -2.069 | 6.503 | 2.306 | -2.376 | -0.013 | -0.060 | 
| -1.461 | 4.579 | 1.561 | -0.231 | -5.719 | -0.059 | 
| -1.567 | 5.132 | 1.678 | -0.289 | -0.007 | -5.422 | 
| 525.489 | 40.466 | 39.588 | 0.000 | -0.000 | -0.000 | 
| 40.467 | 525.489 | 39.588 | -0.001 | -0.000 | -0.000 | 
| 82.444 | 82.443 | 259.025 | 0.000 | -0.001 | -0.000 | 
| -0.002 | -0.002 | 0.001 | 132.117 | -0.001 | -0.000 | 
| -0.001 | -0.002 | 0.001 | 0.000 | 132.117 | -0.000 | 
| 0.000 | 0.000 | -0.000 | 0.000 | -0.000 | 259.240 | 
| 525.490 | 40.467 | 39.588 | -0.000 | 0.000 | 0.000 | 
| 40.466 | 525.489 | 39.588 | -0.000 | 0.000 | 0.000 | 
| 39.588 | 39.588 | 470.038 | -0.000 | 0.001 | 0.000 | 
| 0.002 | 0.002 | -0.001 | 132.117 | 0.001 | 0.000 | 
| 0.001 | 0.002 | -0.001 | 0.000 | 132.118 | 0.000 | 
| -0.000 | -0.000 | 0.000 | 0.000 | 0.000 | 259.241 | 
| 525.490 | 40.467 | 39.588 | 0.000 | -0.000 | -0.000 | 
| 40.467 | 525.490 | 39.588 | 0.000 | -0.000 | -0.000 | 
| -13.589 | -13.589 | 32.692 | 0.000 | -0.000 | -0.000 | 
| 0.000 | 0.000 | 0.000 | 227.324 | -0.000 | -0.000 | 
| 0.000 | 0.000 | 0.000 | -0.000 | 227.323 | -0.000 | 
| 0.000 | 0.000 | 0.000 | 0.000 | -0.000 | 259.241 | 
| 525.489 | 40.466 | 39.588 | -0.000 | 0.000 | 0.000 | 
| 40.466 | 525.489 | 39.588 | 0.000 | 0.000 | 0.000 | 
| 67.618 | 67.618 | 112.656 | -0.000 | 0.000 | 0.000 | 
| -0.000 | -0.000 | -0.000 | 227.323 | 0.000 | 0.000 | 
| -0.000 | -0.000 | -0.000 | 0.000 | 227.324 | 0.000 | 
| -0.000 | -0.000 | -0.000 | -0.000 | 0.000 | 259.241 | 
| 228.206 | 58.270 | 68.526 | -0.000 | -0.000 | -0.000 | 
| 58.270 | 228.206 | 68.526 | -0.000 | -0.000 | -0.000 | 
| 67.627 | 67.627 | 112.733 | 0.000 | -0.000 | -0.000 | 
| 0.000 | -0.000 | -0.000 | 132.117 | -0.000 | -0.000 | 
| -0.000 | 0.000 | -0.000 | 0.000 | 132.117 | -0.000 | 
| -0.000 | -0.000 | 0.000 | -0.000 | -0.000 | 131.585 | 
| 525.488 | 40.466 | 39.588 | -0.000 | 0.000 | 0.000 | 
| 40.466 | 525.488 | 39.588 | -0.000 | 0.000 | 0.000 | 
| 83.793 | 83.793 | 163.488 | 0.000 | 0.000 | 0.000 | 
| -0.000 | 0.000 | 0.000 | 132.117 | 0.000 | 0.000 | 
| 0.000 | -0.000 | 0.000 | -0.000 | 132.117 | 0.000 | 
| 0.000 | 0.000 | -0.000 | 0.000 | 0.000 | 131.585 | 
| 469.851 | 26.526 | 36.582 | 0.000 | 0.000 | 0.000 | 
| 26.526 | 469.851 | 36.582 | -0.000 | 0.000 | 0.000 | 
| 72.546 | 72.546 | 419.953 | 0.000 | 0.000 | 0.000 | 
| -6.022 | -6.022 | 62.606 | 178.345 | 0.000 | 0.000 | 
| -6.023 | -6.022 | 62.606 | -0.000 | 178.345 | 0.000 | 
| 17.730 | 17.730 | 134.649 | 0.000 | -0.000 | 174.754 | 
| 469.851 | 26.526 | 36.581 | 0.000 | -0.000 | -0.000 | 
| 26.526 | 469.851 | 36.581 | 0.000 | -0.000 | -0.000 | 
| 47.404 | 47.404 | 310.382 | 0.001 | -0.000 | -0.000 | 
| 6.022 | 6.023 | -62.606 | 178.345 | -0.000 | -0.000 | 
| 6.022 | 6.022 | -62.606 | 0.000 | 178.345 | -0.000 | 
| -17.730 | -17.730 | -134.649 | 0.000 | -0.000 | 174.753 | 
| 424.655 | 32.100 | 52.258 | -0.000 | 0.000 | 0.000 | 
| 32.100 | 424.655 | 52.258 | 0.000 | 0.000 | 0.000 | 
| 71.554 | 71.554 | 76.446 | -0.000 | -0.000 | 0.000 | 
| 10.051 | 10.051 | 13.464 | 82.112 | 0.000 | 0.000 | 
| 10.051 | 10.051 | 13.464 | -0.000 | 82.114 | 0.000 | 
| -0.618 | -0.618 | 6.428 | -0.000 | 0.000 | 216.293 | 
| 425.552 | 33.420 | 39.146 | 0.000 | -0.000 | -0.000 | 
| 33.420 | 425.552 | 39.146 | 0.000 | -0.000 | -0.000 | 
| 42.547 | 42.547 | 363.772 | 0.000 | -0.000 | -0.000 | 
| -10.051 | -10.051 | -13.464 | 82.114 | -0.000 | -0.000 | 
| -10.051 | -10.051 | -13.464 | 0.000 | 82.114 | -0.000 | 
| 0.618 | 0.618 | -6.428 | 0.000 | -0.000 | 216.293 | 
| 240.990 | 50.569 | 76.462 | 0.000 | 0.000 | 0.000 | 
| 50.569 | 240.990 | 76.462 | 0.000 | 0.000 | 0.000 | 
| -3.756 | -3.756 | 40.873 | -0.000 | 0.000 | 0.000 | 
| 0.399 | 0.399 | 1.954 | 92.846 | -0.000 | 0.000 | 
| 0.399 | 0.399 | 1.954 | -0.000 | 92.846 | 0.000 | 
| 0.429 | 0.429 | 2.141 | -0.000 | 0.000 | 128.966 | 
| 197.568 | 37.500 | 62.582 | -0.000 | -0.000 | -0.000 | 
| 37.500 | 197.568 | 62.582 | -0.000 | -0.000 | -0.000 | 
| 58.846 | 58.846 | 103.759 | 0.000 | -0.000 | -0.000 | 
| -0.399 | -0.399 | -1.954 | 92.846 | -0.000 | -0.000 | 
| -0.399 | -0.399 | -1.954 | 0.000 | 92.846 | -0.000 | 
| -0.429 | -0.429 | -2.141 | 0.000 | -0.000 | 128.966 | 
| 105.885 | 67.893 | 52.260 | 0.000 | -0.000 | -0.000 | 
| 86.805 | 169.174 | 52.262 | -0.000 | 0.000 | 0.000 | 
| 59.453 | 49.184 | 405.041 | 0.000 | 0.000 | -0.000 | 
| 0.000 | 0.001 | -0.001 | 150.625 | 0.000 | -0.000 | 
| 0.001 | 0.001 | -0.001 | 0.000 | 150.727 | -0.000 | 
| 0.002 | 0.002 | -0.002 | 0.000 | -0.000 | 71.405 | 
| 445.537 | 48.426 | 21.355 | 0.000 | -0.000 | 0.000 | 
| 68.497 | 133.895 | 46.075 | 0.000 | 0.000 | 0.000 | 
| 59.967 | 52.058 | 221.461 | 0.000 | -0.000 | -0.000 | 
| -0.001 | -0.001 | 0.001 | 150.626 | -0.000 | 0.000 | 
| -0.001 | -0.001 | 0.001 | 0.000 | 150.728 | 0.000 | 
| -0.001 | -0.002 | 0.002 | -0.000 | -0.000 | 71.405 | 
| 267.561 | 79.983 | 56.260 | 0.000 | 0.000 | -0.000 | 
| 48.426 | 461.247 | 17.035 | -0.000 | -0.000 | 0.000 | 
| 21.355 | 17.035 | 573.328 | -0.000 | -0.000 | -0.000 | 
| -0.000 | 0.000 | -0.000 | 235.906 | -0.000 | 0.000 | 
| 0.000 | 0.000 | 0.000 | 0.000 | 235.705 | -0.000 | 
| -0.000 | 0.000 | -0.000 | -0.000 | 0.000 | 198.607 | 
| 445.538 | 48.426 | 21.355 | 0.000 | 0.000 | -0.000 | 
| 48.426 | 461.247 | 17.035 | 0.000 | -0.000 | -0.000 | 
| 59.967 | 52.060 | 221.462 | 0.000 | -0.000 | -0.000 | 
| 0.000 | -0.000 | -0.000 | 235.906 | -0.000 | 0.000 | 
| -0.000 | -0.000 | -0.000 | 0.000 | 235.705 | 0.000 | 
| 0.000 | -0.000 | 0.000 | 0.000 | 0.000 | 198.607 | 
| 106.177 | 67.857 | 52.224 | 0.000 | 0.000 | 0.000 | 
| 68.513 | 133.893 | 46.079 | -0.000 | 0.000 | -0.000 | 
| 21.355 | 17.036 | 573.330 | -0.000 | -0.000 | 0.000 | 
| 0.000 | -0.000 | 0.000 | 235.906 | 0.000 | 0.000 | 
| -0.000 | 0.000 | 0.000 | -0.000 | 235.705 | -0.000 | 
| -0.000 | -0.000 | 0.000 | -0.000 | -0.000 | 118.123 | 
| 105.866 | 67.872 | 52.250 | 0.000 | -0.000 | -0.000 | 
| 79.912 | 286.618 | 46.423 | 0.000 | -0.000 | -0.000 | 
| 70.930 | 57.744 | 265.292 | -0.000 | 0.000 | 0.000 | 
| -0.000 | 0.000 | -0.000 | 235.906 | -0.000 | 0.000 | 
| 0.000 | -0.000 | -0.000 | 0.000 | 235.705 | -0.000 | 
| 0.000 | 0.000 | -0.000 | -0.000 | -0.000 | 118.123 | 
| -4133.801 | 13304.175 | 15774.903 | 0.000 | 0.000 | 0.000 | 
| -700.002 | 278.368 | 1480.645 | 0.000 | 0.000 | -0.000 | 
| 18.673 | 13.809 | 514.670 | 0.000 | 0.000 | -0.000 | 
| -3722.013 | 13320.634 | 15712.271 | -139.572 | 0.000 | 0.000 | 
| -3722.986 | 13324.264 | 15716.559 | 0.000 | -122.117 | 0.000 | 
| -753.754 | -85.998 | 1460.249 | 0.000 | 0.000 | 148.390 | 
| 645.983 | -238.805 | -2592.474 | 0.000 | -0.000 | -0.000 | 
| 470.530 | -46.752 | -2607.159 | -0.000 | -0.000 | -0.000 | 
| 782.705 | 108.450 | -990.685 | -0.000 | -0.000 | -0.000 | 
| 3722.013 | -13320.634 | -15712.271 | -139.573 | 0.000 | -0.000 | 
| 18437.267 | -15548.319 | -8341.907 | 0.000 | -289.967 | -0.000 | 
| 753.754 | 85.998 | -1460.249 | -0.000 | -0.000 | 148.390 | 
| 273.043 | 44.971 | 172.153 | -0.000 | 0.000 | 0.000 | 
| 24.474 | 292.278 | 288.494 | 0.000 | 0.000 | 0.000 | 
| -403.141 | 1379.972 | 1277.596 | 0.000 | 0.000 | 0.000 | 
| -217.795 | 1154.992 | 1540.010 | -208.233 | 0.000 | 0.000 | 
| -40.505 | 30.531 | 263.846 | 0.000 | 139.265 | 0.000 | 
| -377.976 | 1326.017 | 1556.065 | 0.000 | 0.000 | -128.755 | 
| 278.986 | 34.545 | -224.559 | -0.000 | -0.000 | 0.000 | 
| 119.996 | -1240.240 | -1112.312 | -0.000 | -0.000 | -0.000 | 
| 93.081 | -267.696 | -500.228 | -0.000 | -0.000 | 0.000 | 
| 217.797 | -1154.997 | -1540.015 | -208.233 | -0.000 | -0.000 | 
| 40.505 | -30.531 | -263.846 | 0.000 | 139.265 | -0.000 | 
| 377.976 | -1326.017 | -1556.065 | -0.000 | -0.000 | -128.755 | 
| 42.229 | 99.137 | 105.284 | 0.000 | 0.000 | 0.000 | 
| -2.725 | 77.250 | 94.971 | 0.000 | 0.000 | 0.000 | 
| -1.641 | 74.918 | 170.565 | 0.000 | 0.000 | 0.000 | 
| -18.250 | 64.106 | 90.620 | -4.782 | 0.000 | -0.000 | 
| -76.871 | 132.783 | 138.948 | 0.000 | -9.995 | -0.000 | 
| -51.253 | 127.820 | 150.439 | -0.000 | 0.000 | 5.255 | 
| 181.131 | 67.086 | 14.876 | -0.000 | -0.000 | -0.000 | 
| -49.198 | -122.104 | -183.810 | 0.000 | -0.000 | 0.000 | 
| 38.760 | -37.272 | -15.111 | -0.000 | -0.000 | -0.000 | 
| 76.848 | -134.962 | -141.834 | 18.932 | 0.000 | 0.000 | 
| 76.871 | -132.783 | -138.948 | -0.000 | -9.995 | -0.000 | 
| 51.253 | -127.820 | -150.439 | -0.000 | -0.000 | 5.255 | 
| 553.263 | 171.917 | 171.916 | -0.001 | -0.001 | -0.000 | 
| 171.916 | 553.263 | 171.916 | -0.001 | -0.001 | -0.000 | 
| 171.916 | 171.917 | 553.263 | -0.001 | -0.001 | 0.000 | 
| -0.000 | 0.000 | -0.000 | 266.665 | -0.001 | -0.000 | 
| 0.000 | 0.000 | -0.000 | -0.001 | 266.665 | -0.000 | 
| -0.000 | 0.000 | -0.000 | -0.001 | -0.000 | 266.665 | 
| 553.263 | 171.917 | 171.917 | 0.001 | 0.001 | 0.000 | 
| 171.917 | 553.263 | 171.917 | 0.001 | 0.001 | 0.000 | 
| 171.917 | 171.917 | 553.264 | 0.001 | 0.001 | 0.000 | 
| -0.000 | -0.000 | 0.000 | 266.666 | 0.001 | -0.000 | 
| -0.000 | -0.000 | 0.000 | 0.001 | 266.666 | 0.000 | 
| -0.000 | -0.000 | 0.000 | 0.001 | 0.000 | 266.665 | 
| 553.263 | 171.917 | 171.917 | -0.000 | -0.000 | -0.000 | 
| 171.917 | 553.263 | 171.917 | -0.000 | -0.000 | 0.000 | 
| 171.917 | 171.917 | 553.263 | -0.000 | -0.000 | -0.000 | 
| 0.000 | -0.000 | 0.000 | 373.138 | -0.000 | -0.000 | 
| 0.000 | 0.000 | 0.000 | -0.000 | 373.138 | -0.000 | 
| -0.000 | 0.000 | 0.000 | -0.000 | -0.000 | 373.138 | 
| 553.263 | 171.917 | 171.917 | 0.000 | 0.000 | 0.000 | 
| 171.917 | 553.263 | 171.917 | 0.000 | 0.000 | -0.000 | 
| 171.917 | 171.917 | 553.263 | 0.000 | 0.000 | 0.000 | 
| -0.000 | 0.000 | -0.000 | 373.138 | 0.000 | 0.000 | 
| 0.000 | -0.000 | -0.000 | 0.000 | 373.138 | 0.000 | 
| 0.000 | -0.000 | -0.000 | 0.000 | 0.000 | 373.138 | 
| 553.264 | 171.917 | 171.917 | -0.000 | -0.000 | -0.000 | 
| 171.917 | 553.264 | 171.917 | -0.000 | -0.000 | 0.000 | 
| 171.917 | 171.917 | 553.264 | -0.000 | -0.000 | -0.000 | 
| 0.000 | -0.000 | 0.000 | 266.665 | -0.000 | -0.000 | 
| -0.000 | 0.000 | 0.000 | -0.000 | 266.665 | -0.000 | 
| -0.000 | 0.000 | 0.000 | -0.000 | -0.000 | 266.665 | 
| 553.262 | 171.916 | 171.916 | 0.000 | 0.000 | 0.000 | 
| 171.916 | 553.262 | 171.916 | 0.000 | 0.000 | 0.000 | 
| 171.916 | 171.916 | 553.262 | 0.000 | 0.000 | 0.000 | 
| -0.000 | 0.000 | -0.000 | 266.665 | 0.000 | 0.000 | 
| 0.000 | -0.000 | -0.000 | 0.000 | 266.665 | 0.000 | 
| 0.000 | -0.000 | -0.000 | 0.000 | 0.000 | 266.665 | 
| 460.132 | -6.328 | 13.918 | 0.000 | 0.000 | -0.000 | 
| -6.328 | 460.131 | 13.917 | 0.000 | 0.000 | -0.000 | 
| 39.030 | 39.030 | 540.495 | 0.000 | -0.000 | -0.000 | 
| 0.000 | 0.000 | 0.000 | 81.092 | -0.000 | 0.000 | 
| 0.000 | 0.000 | 0.000 | -0.000 | 81.092 | -0.000 | 
| 0.000 | 0.000 | 0.000 | 0.000 | -0.000 | 27.610 | 
| 460.131 | -6.328 | 13.917 | 0.000 | 0.000 | 0.000 | 
| -6.328 | 460.131 | 13.917 | 0.000 | 0.000 | 0.000 | 
| 39.029 | 39.030 | 540.495 | 0.000 | -0.000 | 0.000 | 
| -0.000 | -0.000 | -0.000 | 81.092 | 0.000 | 0.000 | 
| -0.000 | -0.000 | -0.000 | -0.000 | 81.092 | 0.000 | 
| -0.000 | 0.000 | -0.000 | -0.000 | -0.000 | 27.611 | 
| 459.801 | -6.402 | 14.877 | 0.000 | -0.000 | -0.000 | 
| -6.402 | 459.801 | 14.877 | 0.000 | 0.000 | -0.000 | 
| 39.030 | 39.030 | 540.494 | 0.000 | 0.000 | -0.000 | 
| -0.000 | 0.000 | -0.000 | 81.093 | -0.000 | 0.000 | 
| 0.000 | 0.000 | -0.000 | -0.000 | 81.093 | -0.000 | 
| 0.000 | -0.000 | -0.000 | 0.000 | -0.000 | 27.610 | 
| 460.131 | -6.328 | 13.918 | 0.000 | 0.000 | 0.000 | 
| -6.328 | 460.131 | 13.918 | 0.000 | -0.000 | 0.000 | 
| 25.510 | 25.510 | 604.688 | -0.000 | -0.000 | 0.000 | 
| 0.000 | -0.000 | 0.000 | 81.093 | 0.000 | 0.000 | 
| -0.000 | -0.000 | 0.000 | -0.000 | 81.093 | 0.000 | 
| -0.000 | 0.000 | 0.000 | -0.000 | 0.000 | 27.610 | 
| 459.802 | -6.402 | 14.878 | -0.000 | 0.000 | -0.000 | 
| -6.402 | 459.802 | 14.878 | -0.000 | 0.000 | -0.000 | 
| 39.031 | 39.031 | 540.491 | 0.000 | 0.000 | -0.000 | 
| -0.000 | 0.001 | -0.002 | 81.093 | -0.000 | -0.000 | 
| 0.001 | -0.000 | -0.002 | 0.000 | 81.093 | -0.000 | 
| -0.000 | -0.000 | 0.000 | -0.000 | 0.000 | 27.610 | 
| 459.799 | -6.402 | 14.877 | -0.000 | -0.000 | 0.000 | 
| -6.402 | 459.799 | 14.877 | 0.000 | -0.000 | 0.000 | 
| 39.028 | 39.028 | 540.499 | 0.000 | 0.000 | 0.000 | 
| 0.000 | -0.001 | 0.002 | 81.093 | 0.000 | 0.000 | 
| -0.001 | 0.000 | 0.002 | 0.000 | 81.093 | 0.000 | 
| 0.000 | 0.000 | -0.000 | 0.000 | 0.000 | 27.610 | 
| 500.706 | -11.443 | 22.837 | -0.000 | 0.000 | 0.000 | 
| -11.443 | 500.707 | 22.837 | -0.000 | -0.000 | 0.000 | 
| 23.975 | 23.975 | 667.627 | -0.000 | 0.000 | 0.000 | 
| -0.000 | -0.000 | 0.002 | 41.541 | 0.000 | 0.000 | 
| -0.000 | 0.000 | 0.001 | -0.000 | 41.541 | 0.000 | 
| -0.000 | 0.000 | 0.000 | -0.000 | -0.000 | 32.779 | 
| 500.706 | -11.444 | 22.837 | 0.000 | 0.000 | -0.000 | 
| -11.443 | 500.706 | 22.837 | 0.000 | 0.000 | -0.000 | 
| 23.975 | 23.974 | 667.627 | 0.000 | 0.000 | -0.000 | 
| 0.000 | -0.000 | -0.001 | 41.541 | -0.000 | -0.000 | 
| 0.000 | -0.000 | -0.001 | 0.000 | 41.541 | -0.000 | 
| 0.000 | -0.000 | 0.000 | -0.000 | 0.000 | 32.779 | 
| 500.666 | -11.817 | 24.034 | -0.000 | -0.000 | 0.000 | 
| -11.817 | 500.666 | 24.034 | -0.000 | -0.000 | 0.000 | 
| 23.975 | 23.975 | 667.627 | -0.000 | 0.000 | 0.000 | 
| -0.000 | 0.000 | -0.000 | 41.542 | 0.000 | 0.000 | 
| 0.000 | -0.000 | -0.000 | -0.000 | 41.542 | 0.000 | 
| -0.000 | -0.000 | -0.000 | -0.000 | -0.000 | 32.779 | 
| 504.255 | -11.356 | 12.340 | 0.000 | 0.000 | -0.000 | 
| -11.356 | 504.255 | 12.340 | 0.000 | -0.000 | -0.000 | 
| 23.975 | 23.975 | 667.627 | 0.000 | -0.000 | -0.000 | 
| 0.000 | -0.000 | 0.000 | 41.542 | 0.000 | -0.000 | 
| -0.000 | 0.000 | 0.000 | 0.000 | 41.542 | -0.000 | 
| 0.000 | 0.000 | 0.000 | 0.000 | 0.000 | 32.779 | 
| 500.664 | -11.793 | 23.975 | -0.000 | -0.000 | 0.000 | 
| -11.793 | 500.664 | 23.975 | -0.000 | 0.000 | 0.000 | 
| 23.976 | 23.976 | 667.624 | 0.000 | -0.000 | 0.000 | 
| -0.000 | 0.001 | -0.002 | 41.542 | -0.000 | 0.000 | 
| 0.001 | -0.000 | -0.002 | -0.000 | 41.542 | 0.000 | 
| -0.000 | -0.000 | 0.000 | -0.000 | -0.000 | 32.779 | 
| 500.661 | -11.793 | 23.974 | 0.000 | 0.000 | -0.000 | 
| -11.793 | 500.661 | 23.974 | 0.000 | 0.000 | -0.000 | 
| 23.974 | 23.974 | 667.630 | 0.000 | 0.000 | -0.000 | 
| 0.000 | -0.001 | 0.002 | 41.542 | 0.000 | -0.000 | 
| -0.001 | 0.000 | 0.002 | 0.000 | 41.542 | -0.000 | 
| 0.000 | 0.000 | -0.000 | 0.000 | 0.000 | 32.779 | 
| 623.304 | -2.699 | -2.701 | -0.000 | 0.000 | -0.000 | 
| -2.701 | 623.304 | -2.701 | -0.000 | 0.000 | -0.000 | 
| -2.701 | -2.700 | 623.304 | -0.000 | 0.000 | 0.000 | 
| 0.768 | 0.769 | 0.768 | 192.623 | 0.000 | -0.000 | 
| 0.768 | 0.769 | 0.768 | -0.000 | 192.623 | -0.000 | 
| 0.768 | 0.769 | 0.768 | -0.000 | 0.000 | 192.623 | 
| 623.304 | -2.701 | -2.700 | 0.000 | -0.000 | -0.000 | 
| -2.701 | 623.303 | -2.701 | -0.000 | -0.000 | 0.000 | 
| -2.701 | -2.701 | 623.303 | -0.000 | -0.000 | 0.000 | 
| -0.768 | -0.769 | -0.768 | 192.623 | -0.000 | -0.000 | 
| -0.768 | -0.768 | -0.768 | -0.000 | 192.623 | -0.000 | 
| -0.768 | -0.768 | -0.768 | 0.000 | -0.000 | 192.623 | 
| 623.304 | -2.700 | -2.701 | 0.000 | 0.000 | 0.000 | 
| -2.701 | 623.304 | -2.701 | 0.000 | 0.000 | -0.000 | 
| -2.700 | -2.700 | 623.304 | 0.000 | 0.000 | -0.000 | 
| 0.000 | 0.000 | 0.000 | 241.493 | 0.000 | 0.000 | 
| 0.000 | -0.000 | 0.000 | 0.000 | 241.493 | 0.000 | 
| 0.000 | 0.000 | 0.000 | 0.000 | 0.000 | 241.493 | 
| 611.805 | -14.023 | -14.023 | 0.000 | -0.000 | 0.000 | 
| -14.023 | 611.805 | -14.023 | 0.000 | -0.000 | 0.000 | 
| -14.023 | -14.023 | 611.805 | -0.000 | -0.000 | 0.000 | 
| -0.000 | -0.000 | -0.000 | 241.493 | -0.000 | 0.000 | 
| -0.000 | 0.000 | -0.000 | -0.000 | 241.493 | -0.000 | 
| -0.000 | -0.000 | -0.000 | -0.000 | -0.000 | 241.493 | 
| 611.914 | -13.996 | -13.996 | -0.000 | 0.000 | 0.000 | 
| -13.996 | 611.914 | -13.996 | 0.000 | 0.000 | -0.000 | 
| -13.996 | -13.996 | 611.914 | -0.000 | 0.000 | 0.000 | 
| 0.008 | 0.007 | 0.008 | 193.987 | 0.000 | 0.000 | 
| 0.007 | 0.007 | 0.007 | 0.000 | 192.622 | -0.000 | 
| 0.007 | 0.007 | 0.007 | -0.000 | 0.000 | 192.622 | 
| 623.301 | -2.701 | -2.701 | -0.000 | -0.000 | 0.000 | 
| -2.701 | 623.301 | -2.701 | 0.000 | -0.000 | -0.000 | 
| -2.701 | -2.701 | 623.301 | 0.000 | -0.000 | 0.000 | 
| -0.008 | -0.007 | -0.008 | 193.987 | -0.000 | 0.000 | 
| -0.007 | -0.007 | -0.007 | 0.000 | 192.622 | -0.000 | 
| -0.007 | -0.007 | -0.007 | 0.000 | -0.000 | 192.622 | 
| -7919877098.909 | -3033747984.473 | -3544797255.777 | 44414864.663 | -56807847.345 | -60816712.947 | 
| -3356306394.566 | -7805307973.382 | -3044470084.874 | -105404123.383 | 44412581.354 | -20477919.307 | 
| -2967915238.829 | -3576195446.355 | -7939405876.058 | -54231849.699 | -169674537.277 | 22880206.044 | 
| -0.000 | 0.000 | 0.000 | 52.369 | 0.000 | 0.000 | 
| 0.000 | 0.000 | 0.000 | 0.000 | 52.369 | 0.000 | 
| 0.000 | 0.000 | 0.000 | 0.000 | -0.000 | 52.369 | 
| 3503730780.959 | 6163713781.171 | 5969131524.020 | -84645931.805 | 5387383.347 | 12161370.629 | 
| 5869361021.710 | 3480261957.872 | 6012502977.125 | 71665066.212 | -76841898.424 | -34180862.287 | 
| 6090020438.940 | 5967383652.777 | 3465014608.286 | -26563193.647 | 70614798.401 | -29619404.244 | 
| 0.000 | -0.000 | -0.000 | 52.369 | -0.000 | -0.000 | 
| -0.000 | 0.000 | -0.000 | 0.000 | 52.369 | -0.000 | 
| -0.000 | -0.000 | 0.000 | -0.000 | -0.000 | 52.369 | 
| -775315097.875 | -290998090.564 | -337939525.796 | 1829144.214 | -7478783.414 | -3974182.001 | 
| -328450930.632 | -796254984.367 | -313456136.411 | -8813363.192 | -9970168.440 | -16562694.325 | 
| -311113565.101 | -327331595.771 | -786784010.817 | -11295575.041 | -2808180.648 | -877689.739 | 
| -0.001 | 0.000 | 0.000 | 52.369 | 0.000 | -0.000 | 
| 0.000 | -0.001 | 0.000 | 0.000 | 52.369 | -0.000 | 
| 0.000 | 0.000 | -0.001 | -0.000 | 0.000 | 52.369 | 
| 349063226.576 | 594231962.630 | 613825127.396 | 5123351.283 | -10546400.349 | 3704263.054 | 
| 571247429.360 | 346455482.361 | 568747575.878 | 14418197.627 | 8234357.765 | -5709675.874 | 
| 567209679.384 | 572041647.774 | 348673416.980 | -3517525.786 | 8464786.875 | -1050539.463 | 
| 0.001 | -0.000 | -0.000 | 52.369 | -0.000 | -0.000 | 
| -0.000 | 0.001 | -0.000 | 0.000 | 52.369 | -0.000 | 
| -0.000 | -0.000 | 0.001 | 0.000 | -0.000 | 52.369 | 
| -80771519.546 | -32844787.956 | -35538558.002 | 416560.351 | -149048.610 | -418465.872 | 
| -35320672.429 | -77204001.599 | -29388151.540 | -867256.538 | 847724.754 | 455284.471 | 
| -30861753.653 | -34659861.188 | -78323682.068 | 503892.623 | -837055.167 | -145489.794 | 
| -0.009 | 0.002 | 0.004 | 52.369 | 0.000 | -0.000 | 
| 0.002 | -0.009 | 0.004 | 0.000 | 52.369 | 0.000 | 
| 0.002 | 0.004 | -0.009 | -0.000 | 0.000 | 52.369 | 
| 35503899.236 | 56897119.488 | 57259107.255 | 1402217.695 | 219340.777 | 494942.000 | 
| 59341591.759 | 35403075.318 | 59709998.838 | 998105.508 | 58117.132 | -462624.767 | 
| 57797288.332 | 58243599.619 | 36509282.084 | -398213.827 | 1072032.241 | 632028.415 | 
| 0.009 | -0.002 | -0.004 | 52.369 | -0.000 | 0.000 | 
| -0.002 | 0.009 | -0.004 | 0.000 | 52.369 | -0.000 | 
| -0.002 | -0.004 | 0.009 | 0.000 | -0.000 | 52.369 | 
| 2087.534 | 4327.688 | 4327.688 | -0.000 | -0.000 | -0.000 | 
| 4327.688 | 2087.534 | 4327.688 | -0.000 | -0.000 | -0.000 | 
| 4327.688 | 4327.688 | 2087.534 | -0.000 | -0.000 | -0.000 | 
| -0.000 | -0.000 | -0.000 | 584.587 | -0.000 | 0.000 | 
| -0.000 | -0.000 | -0.000 | -0.000 | 584.587 | -0.000 | 
| -0.000 | -0.000 | -0.000 | -0.000 | -0.000 | 584.587 | 
| 2087.535 | 4327.689 | 4327.689 | 0.000 | 0.000 | 0.000 | 
| 4327.689 | 2087.535 | 4327.689 | 0.000 | 0.000 | 0.000 | 
| 4327.689 | 4327.689 | 2087.535 | 0.000 | 0.000 | 0.000 | 
| 0.000 | 0.000 | 0.000 | 584.588 | 0.000 | 0.000 | 
| 0.000 | 0.000 | 0.000 | 0.000 | 584.587 | 0.000 | 
| 0.000 | 0.000 | 0.000 | 0.000 | 0.000 | 584.588 | 
| 2087.535 | 4327.688 | 4327.688 | -0.000 | -0.000 | -0.000 | 
| 4327.688 | 2087.535 | 4327.688 | -0.000 | -0.000 | -0.000 | 
| 4327.688 | 4327.688 | 2087.535 | -0.000 | -0.000 | -0.000 | 
| -0.000 | -0.000 | -0.000 | 584.587 | -0.000 | -0.000 | 
| -0.000 | -0.000 | -0.000 | -0.000 | 584.587 | 0.000 | 
| -0.000 | -0.000 | -0.000 | -0.000 | 0.000 | 584.587 | 
| 2087.534 | 4327.688 | 4327.688 | 0.000 | 0.000 | 0.000 | 
| 4327.688 | 2087.534 | 4327.688 | 0.000 | 0.000 | 0.000 | 
| 4327.688 | 4327.688 | 2087.534 | 0.000 | 0.000 | -0.000 | 
| 0.000 | 0.000 | 0.000 | 584.587 | 0.000 | -0.000 | 
| 0.000 | 0.000 | 0.000 | 0.000 | 584.587 | 0.000 | 
| 0.000 | 0.000 | 0.000 | 0.000 | 0.000 | 584.587 | 
| 2087.538 | 4327.687 | 4327.687 | -0.000 | 0.000 | -0.000 | 
| 4327.687 | 2087.538 | 4327.687 | -0.000 | -0.000 | 0.000 | 
| 4327.687 | 4327.687 | 2087.538 | -0.000 | 0.000 | -0.000 | 
| -0.002 | -0.003 | -0.001 | 584.578 | 0.000 | -0.000 | 
| -0.003 | -0.002 | -0.001 | -0.000 | 584.578 | -0.000 | 
| -0.003 | -0.001 | -0.002 | -0.000 | -0.000 | 584.578 | 
| 2087.531 | 4327.690 | 4327.690 | 0.000 | 0.000 | 0.000 | 
| 4327.690 | 2087.531 | 4327.690 | 0.000 | 0.000 | 0.000 | 
| 4327.690 | 4327.690 | 2087.531 | 0.000 | 0.000 | 0.000 | 
| 0.002 | 0.003 | 0.001 | 584.578 | -0.000 | 0.000 | 
| 0.003 | 0.002 | 0.001 | -0.000 | 584.578 | 0.000 | 
| 0.003 | 0.001 | 0.002 | 0.000 | 0.000 | 584.578 | 
| 1482.041 | 1143.887 | 0.000 | 0.000 | 0.000 | 0.000 | 
| 1143.888 | 1482.041 | 0.000 | 0.000 | 0.000 | 0.000 | 
| 0.000 | 0.000 | 0.000 | 0.000 | 0.000 | -0.000 | 
| 0.000 | 0.000 | 0.000 | 0.000 | 0.000 | -0.000 | 
| 0.000 | 0.000 | 0.000 | 0.000 | 0.000 | 0.000 | 
| 0.000 | 0.000 | 0.000 | 0.000 | 0.000 | 809.864 | 
| 1482.041 | 1143.887 | -0.000 | -0.000 | -0.000 | -0.000 | 
| 1143.887 | 1482.041 | -0.000 | -0.000 | -0.000 | -0.000 | 
| -0.000 | -0.000 | -0.000 | -0.000 | -0.000 | 0.000 | 
| -0.000 | -0.000 | -0.000 | -0.000 | -0.000 | 0.000 | 
| -0.000 | -0.000 | -0.000 | -0.000 | -0.000 | 0.000 | 
| -0.000 | 0.000 | -0.000 | -0.000 | -0.000 | 809.864 | 
| 1482.041 | 1143.888 | 0.000 | 0.000 | 0.000 | 0.000 | 
| 1143.888 | 1482.041 | 0.000 | 0.000 | 0.000 | 0.000 | 
| 0.000 | 0.000 | 0.000 | 0.000 | 0.000 | -0.000 | 
| 0.000 | 0.000 | 0.000 | 0.000 | 0.000 | -0.000 | 
| 0.000 | 0.000 | 0.000 | 0.000 | 0.000 | 0.000 | 
| 0.000 | 0.001 | 0.000 | 0.000 | 0.000 | 809.863 | 
| 1482.041 | 1143.887 | -0.000 | -0.000 | -0.000 | -0.000 | 
| 1143.887 | 1482.041 | -0.000 | -0.000 | -0.000 | -0.000 | 
| -0.000 | -0.000 | -0.000 | -0.000 | -0.000 | 0.000 | 
| -0.000 | -0.000 | -0.000 | -0.000 | -0.000 | 0.000 | 
| -0.000 | -0.000 | -0.000 | -0.000 | -0.000 | -0.000 | 
| -0.000 | -0.001 | -0.000 | -0.000 | -0.000 | 809.863 | 
| 1482.043 | 1143.890 | 0.000 | 0.000 | 0.000 | 0.000 | 
| 1143.890 | 1482.043 | 0.000 | 0.000 | 0.000 | 0.000 | 
| 0.000 | 0.000 | 0.000 | 0.000 | 0.000 | -0.000 | 
| 0.000 | 0.000 | 0.000 | 0.000 | 0.000 | -0.000 | 
| 0.000 | 0.000 | 0.000 | 0.000 | 0.000 | 0.000 | 
| 0.004 | 0.006 | 0.000 | 0.000 | 0.000 | 809.863 | 
| 1482.039 | 1143.885 | -0.000 | -0.000 | -0.000 | -0.000 | 
| 1143.885 | 1482.039 | -0.000 | -0.000 | -0.000 | -0.000 | 
| -0.000 | -0.000 | -0.000 | -0.000 | -0.000 | 0.000 | 
| -0.000 | -0.000 | -0.000 | -0.000 | -0.000 | 0.000 | 
| -0.000 | -0.000 | -0.000 | -0.000 | -0.000 | 0.000 | 
| -0.004 | -0.006 | -0.000 | -0.000 | -0.000 | 809.863 | 
| 677.446 | 380.996 | -10.535 | 77.989 | -177.393 | 640.904 | 
| 1173.850 | 181.293 | -395.811 | 309.561 | 31.115 | 498.189 | 
| 395.081 | -153.549 | -59.778 | 559.194 | -153.370 | 182.523 | 
| 1225.316 | 36.117 | -358.372 | 374.903 | -25.930 | 570.402 | 
| 1245.431 | 33.750 | -342.434 | 297.213 | 55.549 | 553.258 | 
| 741.164 | 364.564 | 67.292 | 84.722 | -323.972 | 717.968 | 
| -980.592 | 1.413 | 370.715 | -305.062 | 24.407 | -531.188 | 
| -612.269 | -153.262 | -71.135 | -121.498 | 316.486 | -581.986 | 
| -1238.812 | -17.245 | 466.744 | -288.275 | 53.359 | -576.266 | 
| -1168.456 | 13.119 | 410.703 | -257.792 | -22.474 | -508.384 | 
| -609.991 | -369.745 | 15.974 | -75.398 | 271.546 | -660.143 | 
| -1209.869 | -38.856 | 343.052 | -287.017 | -12.103 | -468.036 | 
| 221.536 | 96.788 | 12.021 | -27.161 | 7.101 | 92.348 | 
| 84.051 | 154.156 | 62.061 | 4.577 | -15.824 | 45.872 | 
| 63.534 | 71.706 | 69.914 | -5.009 | 25.703 | 54.939 | 
| -42.841 | -93.892 | -140.701 | 188.112 | 41.126 | -44.093 | 
| -140.981 | -46.583 | -137.798 | 41.126 | 206.130 | -37.367 | 
| -0.624 | 24.065 | -58.336 | 17.746 | 6.927 | 101.458 | 
| 559.003 | 107.227 | 158.452 | -44.627 | -147.984 | 121.881 | 
| -80.852 | 196.543 | 47.014 | -54.170 | 17.903 | -57.808 | 
| -88.258 | 12.952 | 157.863 | -14.316 | 24.686 | -59.530 | 
| -33.841 | -5.953 | -12.926 | 9.911 | 7.485 | -40.872 | 
| -87.693 | 14.216 | 56.300 | -43.010 | 76.923 | -41.716 | 
| -29.757 | -24.342 | 29.564 | -17.198 | -19.411 | -4.161 | 
| 144.228 | 37.177 | 24.093 | 2.161 | -1.884 | 2.083 | 
| 44.690 | 161.902 | 45.148 | -18.824 | 2.629 | 3.947 | 
| 36.206 | 44.980 | 111.984 | -4.599 | 12.388 | 1.147 | 
| 1.729 | -0.815 | -15.677 | 62.894 | -8.915 | 4.518 | 
| 23.977 | 2.594 | 4.995 | 0.178 | 54.850 | 14.869 | 
| 9.299 | 2.187 | 3.607 | 0.569 | -27.773 | 62.562 | 
| 131.737 | 46.663 | 42.548 | -18.699 | -7.167 | -2.786 | 
| 27.731 | 161.159 | 47.555 | -27.704 | 4.117 | -4.712 | 
| 13.087 | 36.973 | 105.523 | -9.883 | 22.457 | -9.911 | 
| -17.723 | 0.019 | -13.920 | 46.399 | -3.680 | -6.333 | 
| -8.777 | 0.639 | 15.517 | -11.674 | 53.097 | -3.290 | 
| -4.557 | 1.764 | 8.645 | -7.118 | -26.696 | 54.674 | 
| 3821.665 | 1580.078 | 1580.078 | 0.000 | 0.000 | 0.000 | 
| 1580.079 | 3821.664 | 1580.078 | 0.000 | 0.000 | 0.000 | 
| 1580.079 | 1580.078 | 3821.664 | 0.000 | 0.000 | 0.000 | 
| 0.000 | -0.000 | -0.000 | 1486.443 | 0.000 | 0.000 | 
| -0.000 | -0.000 | -0.000 | 0.000 | 1486.443 | -0.000 | 
| -0.000 | -0.000 | -0.000 | 0.000 | -0.000 | 1486.443 | 
| 3821.666 | 1580.079 | 1580.079 | -0.000 | -0.000 | -0.000 | 
| 1580.079 | 3821.666 | 1580.079 | -0.000 | -0.000 | -0.000 | 
| 1580.079 | 1580.079 | 3821.666 | -0.000 | -0.000 | -0.000 | 
| -0.000 | 0.000 | 0.000 | 1486.443 | -0.000 | -0.000 | 
| 0.000 | 0.000 | 0.000 | -0.000 | 1486.443 | -0.000 | 
| 0.000 | 0.000 | 0.000 | -0.000 | -0.000 | 1486.443 | 
| 3821.662 | 1580.077 | 1580.077 | 0.000 | 0.000 | 0.000 | 
| 1580.077 | 3821.662 | 1580.077 | 0.000 | 0.000 | 0.000 | 
| 1580.077 | 1580.077 | 3821.662 | 0.000 | 0.000 | 0.000 | 
| -0.000 | -0.001 | -0.001 | 1486.443 | 0.000 | -0.000 | 
| -0.001 | -0.000 | -0.001 | 0.000 | 1486.443 | 0.000 | 
| -0.001 | -0.001 | -0.000 | 0.000 | 0.000 | 1486.443 | 
| 3821.668 | 1580.080 | 1580.080 | -0.000 | -0.000 | -0.000 | 
| 1580.080 | 3821.668 | 1580.080 | -0.000 | -0.000 | -0.000 | 
| 1580.080 | 1580.080 | 3821.668 | -0.000 | -0.000 | -0.000 | 
| 0.000 | 0.001 | 0.001 | 1486.443 | -0.000 | -0.000 | 
| 0.001 | 0.000 | 0.001 | -0.000 | 1486.443 | -0.000 | 
| 0.001 | 0.001 | 0.000 | 0.000 | -0.000 | 1486.443 | 
| 3821.639 | 1580.065 | 1580.065 | 0.000 | 0.000 | 0.000 | 
| 1580.065 | 3821.639 | 1580.065 | 0.000 | 0.000 | 0.000 | 
| 1580.065 | 1580.065 | 3821.639 | 0.000 | 0.000 | 0.000 | 
| -0.004 | -0.014 | -0.013 | 1486.443 | 0.000 | -0.000 | 
| -0.014 | -0.004 | -0.013 | 0.000 | 1486.443 | 0.000 | 
| -0.014 | -0.013 | -0.004 | 0.000 | 0.000 | 1486.443 | 
| 3821.691 | 1580.093 | 1580.093 | -0.000 | -0.000 | -0.000 | 
| 1580.093 | 3821.691 | 1580.093 | -0.000 | -0.000 | -0.000 | 
| 1580.093 | 1580.093 | 3821.691 | -0.000 | -0.000 | -0.000 | 
| 0.004 | 0.014 | 0.013 | 1486.443 | -0.000 | 0.000 | 
| 0.014 | 0.004 | 0.013 | -0.000 | 1486.443 | -0.000 | 
| 0.014 | 0.013 | 0.004 | -0.000 | -0.000 | 1486.443 | 
| 4298.853 | 1845.927 | 1845.927 | 0.000 | -0.000 | -0.000 | 
| 1845.927 | 4298.853 | 1845.927 | -0.000 | 0.000 | -0.000 | 
| 1845.927 | 1845.927 | 4298.853 | -0.000 | -0.000 | 0.000 | 
| -0.000 | -0.000 | 0.000 | 1878.945 | 0.000 | 0.000 | 
| -0.000 | -0.000 | -0.000 | 0.000 | 1878.945 | -0.000 | 
| -0.000 | -0.000 | 0.000 | 0.000 | -0.000 | 1878.945 | 
| 4298.853 | 1845.927 | 1845.927 | -0.000 | 0.000 | 0.000 | 
| 1845.927 | 4298.853 | 1845.927 | 0.000 | -0.000 | 0.000 | 
| 1845.927 | 1845.927 | 4298.853 | 0.000 | 0.000 | -0.000 | 
| 0.000 | 0.000 | 0.000 | 1878.945 | -0.000 | 0.000 | 
| 0.000 | 0.000 | 0.000 | -0.000 | 1878.945 | 0.000 | 
| 0.000 | 0.000 | 0.000 | -0.000 | 0.000 | 1878.945 | 
| 4298.854 | 1845.928 | 1845.928 | 0.000 | -0.000 | -0.000 | 
| 1845.928 | 4298.854 | 1845.928 | -0.000 | -0.000 | -0.000 | 
| 1845.928 | 1845.928 | 4298.854 | -0.000 | -0.000 | -0.000 | 
| -0.000 | -0.001 | -0.000 | 1878.944 | -0.000 | -0.000 | 
| -0.001 | -0.000 | -0.000 | 0.000 | 1878.944 | -0.000 | 
| -0.001 | -0.000 | 0.000 | 0.000 | -0.000 | 1878.944 | 
| 4298.852 | 1845.926 | 1845.926 | -0.000 | 0.000 | 0.000 | 
| 1845.926 | 4298.852 | 1845.926 | 0.000 | 0.000 | 0.000 | 
| 1845.926 | 1845.926 | 4298.852 | -0.000 | 0.000 | 0.000 | 
| 0.000 | 0.001 | 0.000 | 1878.944 | -0.000 | 0.000 | 
| 0.001 | 0.000 | 0.000 | -0.000 | 1878.944 | 0.000 | 
| 0.001 | 0.000 | -0.000 | -0.000 | 0.000 | 1878.944 | 
| 4298.863 | 1845.934 | 1845.934 | -0.000 | -0.000 | -0.000 | 
| 1845.934 | 4298.863 | 1845.934 | -0.000 | -0.000 | -0.000 | 
| 1845.934 | 1845.934 | 4298.863 | -0.000 | -0.000 | -0.000 | 
| -0.000 | -0.006 | -0.003 | 1878.944 | -0.000 | -0.000 | 
| -0.006 | -0.000 | -0.003 | -0.000 | 1878.944 | -0.000 | 
| -0.006 | -0.003 | -0.000 | -0.000 | -0.000 | 1878.944 | 
| 4298.844 | 1845.919 | 1845.919 | -0.000 | 0.000 | 0.000 | 
| 1845.919 | 4298.844 | 1845.919 | 0.000 | -0.000 | 0.000 | 
| 1845.919 | 1845.919 | 4298.844 | 0.000 | 0.000 | 0.000 | 
| 0.000 | 0.006 | 0.003 | 1878.944 | 0.000 | -0.000 | 
| 0.006 | 0.000 | 0.003 | 0.000 | 1878.944 | 0.000 | 
| 0.006 | 0.003 | 0.000 | 0.000 | 0.000 | 1878.944 | 
| 1566.535 | 1117.464 | 1117.465 | 0.000 | 0.000 | 0.000 | 
| 1117.464 | 1566.535 | 1117.465 | 0.000 | 0.000 | 0.000 | 
| 1117.464 | 1117.464 | 1566.536 | 0.000 | 0.000 | 0.000 | 
| 0.000 | 0.000 | 0.000 | -52.450 | 0.000 | 0.000 | 
| 0.000 | 0.000 | 0.000 | 0.000 | -52.450 | 0.000 | 
| 0.000 | 0.000 | 0.000 | 0.000 | 0.000 | -52.450 | 
| 1566.535 | 1117.464 | 1117.464 | -0.000 | -0.000 | -0.000 | 
| 1117.464 | 1566.535 | 1117.464 | -0.000 | -0.000 | -0.000 | 
| 1117.464 | 1117.464 | 1566.535 | -0.000 | -0.000 | -0.000 | 
| -0.000 | -0.000 | -0.000 | -52.450 | -0.000 | -0.000 | 
| -0.000 | -0.000 | -0.000 | -0.000 | -52.450 | -0.000 | 
| -0.000 | -0.000 | -0.000 | -0.000 | -0.000 | -52.450 | 
| 1566.535 | 1117.464 | 1117.464 | 0.000 | 0.000 | 0.000 | 
| 1117.464 | 1566.535 | 1117.464 | 0.000 | 0.000 | 0.000 | 
| 1117.464 | 1117.464 | 1566.535 | 0.000 | 0.000 | 0.000 | 
| 0.000 | 0.000 | 0.000 | -52.450 | 0.000 | 0.000 | 
| 0.000 | 0.000 | 0.000 | 0.000 | -52.450 | -0.000 | 
| 0.000 | 0.000 | 0.000 | 0.000 | 0.000 | -52.450 | 
| 1566.535 | 1117.464 | 1117.464 | -0.000 | -0.000 | 0.000 | 
| 1117.464 | 1566.535 | 1117.464 | -0.000 | -0.000 | -0.000 | 
| 1117.464 | 1117.464 | 1566.535 | 0.000 | -0.000 | -0.000 | 
| -0.000 | -0.000 | -0.000 | -52.450 | -0.000 | -0.000 | 
| -0.000 | -0.000 | -0.000 | -0.000 | -52.450 | -0.000 | 
| -0.000 | -0.000 | -0.000 | -0.000 | -0.000 | -52.450 | 
| 1566.534 | 1117.463 | 1117.463 | 0.000 | 0.000 | 0.000 | 
| 1117.463 | 1566.534 | 1117.463 | 0.000 | 0.000 | 0.000 | 
| 1117.463 | 1117.463 | 1566.534 | 0.000 | 0.000 | 0.000 | 
| 0.003 | 0.002 | 0.002 | -52.450 | 0.000 | 0.000 | 
| 0.002 | 0.003 | 0.002 | 0.000 | -52.450 | 0.000 | 
| 0.002 | 0.002 | 0.003 | 0.000 | 0.000 | -52.450 | 
| 1566.537 | 1117.466 | 1117.466 | -0.000 | -0.000 | -0.000 | 
| 1117.466 | 1566.537 | 1117.466 | -0.000 | -0.000 | -0.000 | 
| 1117.466 | 1117.466 | 1566.537 | -0.000 | -0.000 | -0.000 | 
| -0.003 | -0.002 | -0.002 | -52.450 | -0.000 | -0.000 | 
| -0.002 | -0.003 | -0.002 | -0.000 | -52.450 | -0.000 | 
| -0.002 | -0.002 | -0.003 | -0.000 | -0.000 | -52.450 | 
| 436.633 | 117.941 | 117.941 | 0.000 | 0.000 | -0.000 | 
| 117.941 | 436.633 | 117.941 | -0.000 | -0.000 | -0.000 | 
| 117.941 | 117.941 | 436.633 | -0.000 | -0.000 | -0.000 | 
| -0.000 | 0.000 | 0.000 | 256.597 | -0.000 | -0.000 | 
| 0.000 | -0.000 | 0.000 | 0.000 | 256.597 | -0.000 | 
| 0.000 | -0.000 | -0.000 | 0.000 | -0.000 | 256.597 | 
| 436.633 | 117.941 | 117.941 | -0.000 | 0.000 | 0.000 | 
| 117.941 | 436.633 | 117.941 | -0.000 | -0.000 | 0.000 | 
| 117.941 | 117.941 | 436.633 | -0.000 | 0.000 | -0.000 | 
| -0.000 | 0.000 | -0.000 | 256.596 | -0.000 | 0.000 | 
| -0.000 | 0.000 | -0.000 | -0.000 | 256.597 | -0.000 | 
| -0.000 | 0.000 | 0.000 | -0.000 | -0.000 | 256.597 | 
| 436.633 | 117.941 | 117.941 | 0.000 | 0.000 | 0.000 | 
| 117.941 | 436.633 | 117.941 | 0.000 | -0.000 | 0.000 | 
| 117.941 | 117.941 | 436.633 | 0.000 | 0.000 | -0.000 | 
| 0.000 | -0.000 | 0.000 | 256.597 | -0.000 | 0.000 | 
| -0.000 | 0.000 | 0.000 | 0.000 | 256.597 | 0.000 | 
| -0.000 | 0.000 | 0.000 | 0.000 | 0.000 | 256.597 | 
| 436.633 | 117.941 | 117.941 | -0.000 | 0.000 | 0.000 | 
| 117.941 | 436.633 | 117.941 | -0.000 | 0.000 | 0.000 | 
| 117.941 | 117.941 | 436.633 | -0.000 | 0.000 | 0.000 | 
| -0.000 | 0.000 | -0.000 | 256.597 | 0.000 | 0.000 | 
| 0.000 | -0.000 | -0.000 | 0.000 | 256.597 | 0.000 | 
| 0.000 | -0.000 | -0.000 | 0.000 | 0.000 | 256.597 | 
| 436.634 | 117.941 | 117.941 | 0.000 | 0.000 | -0.000 | 
| 117.941 | 436.634 | 117.941 | 0.000 | 0.000 | -0.000 | 
| 117.941 | 117.941 | 436.634 | 0.000 | 0.000 | 0.000 | 
| 0.000 | -0.000 | 0.000 | 256.597 | -0.000 | 0.000 | 
| -0.000 | 0.000 | 0.000 | 0.000 | 256.597 | 0.000 | 
| -0.000 | 0.000 | 0.000 | 0.000 | 0.000 | 256.597 | 
| 436.633 | 117.940 | 117.940 | -0.000 | -0.000 | -0.000 | 
| 117.940 | 436.633 | 117.940 | -0.000 | -0.000 | -0.000 | 
| 117.940 | 117.940 | 436.633 | -0.000 | -0.000 | -0.000 | 
| -0.000 | 0.000 | -0.000 | 256.597 | 0.000 | 0.000 | 
| 0.000 | -0.000 | -0.000 | -0.000 | 256.597 | 0.000 | 
| 0.000 | -0.000 | -0.000 | 0.000 | -0.000 | 256.597 | 
| 529.935 | 88.014 | 54.578 | 8.963 | 0.001 | -0.000 | 
| 88.014 | 529.936 | 54.579 | -8.963 | 0.001 | 0.000 | 
| 16.964 | 16.964 | 638.588 | 0.000 | 0.001 | 0.000 | 
| 14.280 | -14.280 | -0.003 | 209.834 | 0.000 | -0.001 | 
| -0.000 | 0.000 | -0.005 | -0.000 | 209.835 | 14.280 | 
| -0.001 | 0.000 | -0.006 | 0.000 | 14.281 | 260.323 | 
| 588.099 | 67.452 | 16.958 | 14.280 | -0.001 | 0.000 | 
| 88.015 | 529.936 | 54.563 | -8.963 | -0.001 | 0.000 | 
| 16.964 | 16.964 | 638.583 | -0.000 | -0.001 | -0.000 | 
| 14.281 | -14.280 | 0.006 | 209.834 | -0.001 | 0.000 | 
| 0.001 | -0.000 | 0.004 | 0.000 | 209.834 | 14.280 | 
| 0.000 | 0.000 | 0.004 | 0.000 | 14.280 | 260.323 | 
| 529.936 | 88.014 | 54.565 | 8.963 | 0.000 | -0.000 | 
| 88.015 | 529.936 | 54.566 | -8.963 | 0.000 | -0.000 | 
| 16.964 | 16.964 | 638.587 | -0.000 | 0.000 | 0.000 | 
| 14.280 | -14.280 | -0.000 | 209.835 | 0.000 | -0.000 | 
| -0.000 | 0.000 | 0.001 | 0.000 | 191.763 | 9.169 | 
| 0.000 | 0.000 | -0.000 | -0.000 | 14.280 | 260.323 | 
| 529.936 | 88.014 | 54.564 | 8.963 | -0.000 | 0.000 | 
| 95.879 | 528.121 | 48.514 | -9.818 | -0.000 | 0.000 | 
| 53.107 | 53.107 | 566.300 | -0.000 | -0.000 | 0.000 | 
| 14.280 | -14.280 | 0.001 | 209.835 | -0.000 | -0.000 | 
| 0.000 | -0.000 | -0.001 | -0.000 | 191.763 | 9.169 | 
| -0.000 | -0.000 | 0.000 | -0.000 | 14.280 | 260.323 | 
| 529.936 | 88.015 | 54.565 | 8.963 | 0.000 | -0.000 | 
| 95.876 | 528.132 | 48.510 | -9.819 | 0.000 | -0.000 | 
| 53.083 | 53.083 | 566.350 | -0.000 | 0.000 | -0.000 | 
| 14.280 | -14.280 | 0.000 | 209.835 | 0.000 | -0.000 | 
| -0.000 | 0.000 | 0.000 | 0.000 | 191.763 | 9.169 | 
| 0.000 | -0.000 | 0.000 | 0.000 | 9.949 | 214.053 | 
| 588.097 | 67.452 | 16.964 | 14.280 | -0.000 | 0.000 | 
| 67.452 | 588.096 | 16.964 | -14.280 | -0.000 | 0.000 | 
| 53.107 | 53.107 | 566.299 | 0.000 | 0.000 | 0.000 | 
| 14.280 | -14.280 | -0.000 | 209.835 | -0.000 | 0.000 | 
| 0.000 | -0.000 | -0.000 | -0.000 | 191.763 | 9.169 | 
| -0.000 | 0.000 | -0.000 | -0.000 | 9.949 | 214.053 | 
| 567.917 | 125.499 | -21.521 | 8.034 | -0.000 | 0.001 | 
| 172.609 | 544.013 | -44.849 | -4.153 | -0.000 | 0.000 | 
| 16.802 | 16.802 | 639.679 | 0.000 | -0.000 | 0.000 | 
| 41.618 | 22.940 | -64.894 | 192.034 | -0.000 | 0.000 | 
| 32.279 | 32.279 | -64.891 | 0.000 | 192.034 | 9.340 | 
| -0.000 | -0.000 | 0.002 | -0.000 | 14.260 | 260.353 | 
| 587.805 | 67.099 | 17.185 | 14.260 | 0.000 | -0.000 | 
| 43.689 | 439.222 | 190.069 | -5.787 | 0.000 | -0.000 | 
| 16.802 | 16.802 | 639.674 | -0.000 | 0.000 | -0.000 | 
| -22.940 | -41.618 | 64.891 | 192.034 | 0.000 | -0.000 | 
| -32.279 | -32.279 | 64.892 | -0.000 | 192.035 | 9.339 | 
| 0.000 | 0.000 | -0.002 | 0.000 | 14.260 | 260.353 | 
| 530.302 | 92.277 | 49.680 | 8.663 | -0.000 | 0.000 | 
| 67.099 | 587.805 | 17.187 | -14.260 | -0.000 | 0.000 | 
| 57.658 | 57.658 | 557.540 | 0.000 | -0.000 | 0.000 | 
| 12.571 | -5.738 | -6.869 | 191.379 | -0.000 | 0.000 | 
| -0.000 | 0.000 | 0.000 | -0.000 | 209.480 | 14.260 | 
| 0.000 | 0.000 | 0.000 | 0.000 | 14.260 | 260.353 | 
| 525.713 | 88.368 | 58.221 | 9.375 | 0.000 | -0.000 | 
| 84.543 | 524.171 | 63.617 | -8.772 | 0.000 | -0.000 | 
| 51.170 | 51.170 | 570.582 | 0.000 | 0.000 | 0.000 | 
| 4.694 | -12.302 | 7.647 | 189.052 | 0.000 | -0.000 | 
| -0.000 | -0.000 | -0.000 | 0.000 | 209.480 | 14.260 | 
| -0.000 | -0.000 | -0.000 | -0.000 | 14.260 | 260.353 | 
| 530.136 | 87.818 | 54.331 | 8.954 | -0.000 | 0.000 | 
| 87.818 | 530.135 | 54.332 | -8.954 | -0.000 | 0.000 | 
| 53.421 | 53.421 | 566.061 | -0.000 | -0.000 | 0.000 | 
| 9.489 | -8.814 | -0.678 | 191.369 | -0.000 | 0.000 | 
| 0.000 | 0.000 | 0.000 | 0.000 | 209.480 | 14.260 | 
| 0.230 | 0.229 | -0.462 | 0.000 | 10.682 | 218.131 | 
| 529.482 | 87.100 | 55.707 | 8.958 | 0.000 | -0.000 | 
| 87.109 | 529.455 | 55.725 | -8.956 | 0.000 | -0.000 | 
| 52.753 | 52.753 | 567.398 | -0.000 | 0.000 | -0.000 | 
| 8.814 | -9.488 | 0.678 | 191.369 | 0.000 | -0.000 | 
| -0.000 | -0.000 | -0.000 | -0.000 | 209.480 | 14.260 | 
| -0.230 | -0.229 | 0.462 | -0.000 | 10.682 | 218.131 | 
| 587.793 | 67.086 | 17.195 | -0.000 | 0.000 | -0.000 | 
| 67.086 | 587.793 | 17.195 | -0.000 | 0.000 | -0.000 | 
| 50.769 | 50.769 | 571.403 | -0.000 | 0.000 | 0.000 | 
| -0.001 | -0.000 | -0.000 | 209.467 | 0.000 | -0.000 | 
| 0.000 | 0.000 | -0.000 | 0.000 | 209.468 | 0.000 | 
| -0.000 | 0.000 | -0.000 | -0.000 | 0.000 | 260.354 | 
| 587.793 | 67.086 | 17.194 | 0.000 | -0.000 | -0.000 | 
| 67.087 | 587.794 | 17.194 | 0.000 | -0.000 | 0.000 | 
| 16.796 | 16.795 | 639.714 | 0.000 | -0.000 | -0.001 | 
| 0.000 | 0.000 | 0.000 | 209.467 | -0.000 | 0.000 | 
| -0.000 | -0.000 | 0.000 | 0.000 | 209.467 | -0.000 | 
| 0.001 | -0.000 | 0.000 | 0.000 | -0.000 | 260.353 | 
| 587.794 | 67.086 | 17.195 | -0.000 | 0.000 | 0.000 | 
| 99.202 | 526.102 | 46.929 | -0.000 | 0.000 | -0.000 | 
| 52.853 | 52.853 | 567.211 | -0.000 | 0.000 | 0.000 | 
| -0.237 | -0.237 | 0.477 | 191.382 | 0.000 | -0.000 | 
| 0.000 | -0.000 | 0.000 | -0.000 | 209.467 | -0.000 | 
| -0.255 | -0.255 | 0.513 | -0.000 | 0.000 | 219.360 | 
| 529.046 | 88.332 | 54.898 | 0.000 | -0.000 | 0.000 | 
| 99.726 | 526.627 | 45.874 | 0.000 | -0.000 | -0.000 | 
| 53.326 | 53.326 | 566.260 | 0.000 | 0.000 | -0.000 | 
| 0.237 | 0.237 | -0.477 | 191.382 | -0.000 | 0.000 | 
| 0.000 | 0.000 | -0.000 | 0.000 | 209.467 | 0.000 | 
| 0.255 | 0.255 | -0.513 | 0.000 | -0.000 | 219.360 | 
| 526.330 | 99.459 | 46.444 | -0.000 | 0.000 | 0.000 | 
| 88.044 | 528.814 | 55.423 | -0.000 | 0.000 | 0.000 | 
| 53.042 | 53.042 | 566.835 | -0.000 | 0.000 | 0.000 | 
| -0.024 | -0.024 | 0.048 | 191.383 | 0.000 | 0.000 | 
| 0.000 | 0.000 | 0.000 | -0.000 | 209.467 | 0.000 | 
| 0.000 | 0.000 | 0.000 | -0.000 | 0.000 | 260.354 | 
| 528.843 | 88.100 | 55.334 | 0.000 | -0.000 | -0.000 | 
| 88.098 | 528.848 | 55.331 | 0.000 | -0.000 | -0.000 | 
| 53.112 | 53.112 | 566.689 | 0.000 | -0.000 | -0.000 | 
| 0.024 | 0.024 | -0.048 | 191.383 | -0.000 | 0.000 | 
| -0.000 | -0.000 | -0.000 | 0.000 | 209.467 | -0.000 | 
| -0.000 | -0.000 | -0.000 | 0.000 | -0.000 | 260.354 | 
| 526.912 | 98.782 | 46.820 | 2.958 | -0.000 | 0.001 | 
| 88.471 | 529.222 | 54.818 | -2.625 | -0.000 | 0.000 | 
| 53.109 | 53.109 | 566.309 | 0.000 | -0.000 | 0.001 | 
| 2.698 | -2.695 | 0.003 | 191.763 | -0.000 | 0.002 | 
| 0.000 | 0.000 | 0.000 | -0.000 | 209.834 | 4.200 | 
| 0.000 | 0.000 | -0.001 | -0.000 | 4.200 | 260.323 | 
| 588.098 | 67.452 | 16.958 | 4.200 | 0.000 | -0.000 | 
| 88.468 | 529.219 | 54.824 | -2.625 | 0.000 | -0.001 | 
| 53.105 | 53.105 | 566.296 | 0.000 | 0.001 | -0.001 | 
| 2.695 | -2.699 | -0.004 | 191.763 | 0.000 | -0.001 | 
| -0.000 | -0.000 | 0.000 | 0.000 | 209.835 | 4.200 | 
| -0.000 | -0.000 | 0.001 | -0.000 | 4.200 | 260.323 | 
| 529.222 | 88.469 | 54.823 | 2.625 | -0.000 | 0.000 | 
| 67.452 | 588.099 | 16.965 | -4.200 | -0.000 | 0.000 | 
| 16.964 | 16.964 | 638.587 | 0.000 | -0.000 | -0.000 | 
| 2.697 | -2.697 | 0.000 | 191.763 | -0.000 | 0.000 | 
| 0.000 | 0.000 | 0.000 | 0.000 | 209.835 | 4.200 | 
| 0.000 | 0.000 | -0.000 | 0.000 | 3.630 | 215.256 | 
| 588.098 | 67.452 | 16.965 | 4.200 | 0.000 | -0.000 | 
| 67.452 | 588.098 | 16.965 | -4.200 | 0.000 | -0.000 | 
| 16.964 | 16.964 | 638.587 | 0.000 | 0.000 | -0.000 | 
| 2.697 | -2.697 | -0.000 | 191.763 | 0.000 | -0.000 | 
| -0.000 | -0.000 | 0.000 | 0.000 | 209.835 | 4.200 | 
| -0.000 | -0.000 | 0.000 | -0.000 | 3.630 | 215.255 | 
| 523.506 | 95.627 | 53.384 | 2.685 | -0.000 | 0.000 | 
| 98.782 | 526.910 | 46.825 | -2.958 | 0.000 | 0.000 | 
| 53.083 | 53.083 | 566.350 | 0.000 | -0.000 | 0.000 | 
| 2.697 | -2.697 | -0.000 | 191.763 | 0.000 | -0.000 | 
| -0.000 | 0.000 | -0.000 | 0.000 | 191.763 | 2.697 | 
| 0.000 | 0.000 | 0.000 | 0.000 | 4.200 | 260.323 | 
| 529.220 | 88.469 | 54.824 | 2.625 | 0.000 | -0.000 | 
| 88.484 | 529.178 | 54.851 | -2.624 | 0.000 | -0.000 | 
| 53.113 | 53.113 | 566.288 | 0.000 | 0.000 | -0.000 | 
| 2.697 | -2.697 | 0.000 | 191.763 | -0.000 | 0.000 | 
| 0.000 | -0.000 | 0.000 | -0.000 | 191.763 | 2.697 | 
| -0.000 | -0.000 | -0.000 | -0.000 | 4.200 | 260.323 | 
| 528.808 | 94.388 | 49.320 | -3.466 | -0.001 | -0.002 | 
| 67.452 | 588.096 | 16.969 | 5.100 | -0.000 | -0.000 | 
| 53.108 | 53.107 | 566.295 | -0.000 | -0.001 | -0.000 | 
| -3.274 | 3.275 | -0.004 | 191.763 | -0.000 | -0.001 | 
| 0.001 | 0.000 | -0.001 | 0.000 | 191.763 | -3.275 | 
| 0.000 | -0.000 | -0.001 | 0.000 | -5.100 | 260.323 | 
| 528.806 | 94.387 | 49.325 | -3.466 | 0.001 | -0.002 | 
| 87.740 | 530.368 | 54.408 | 3.209 | 0.000 | 0.000 | 
| 53.106 | 53.107 | 566.303 | -0.000 | 0.001 | -0.000 | 
| -3.275 | 3.275 | 0.005 | 191.763 | 0.000 | 0.000 | 
| -0.001 | -0.000 | 0.002 | -0.000 | 191.763 | -3.274 | 
| -0.000 | 0.000 | 0.001 | -0.000 | -5.100 | 260.323 | 
| 530.367 | 87.741 | 54.408 | -3.209 | -0.000 | -0.000 | 
| 67.452 | 588.098 | 16.964 | 5.100 | -0.000 | -0.000 | 
| 16.964 | 16.964 | 638.587 | -0.000 | -0.000 | 0.000 | 
| -3.275 | 3.275 | -0.001 | 191.763 | -0.000 | -0.000 | 
| 0.000 | 0.000 | -0.000 | 0.000 | 209.835 | -5.100 | 
| 0.000 | -0.000 | -0.000 | 0.000 | -3.176 | 220.628 | 
| 528.807 | 94.387 | 49.321 | -3.466 | 0.000 | 0.000 | 
| 87.740 | 530.367 | 54.407 | 3.209 | 0.000 | 0.000 | 
| 53.107 | 53.107 | 566.301 | 0.000 | 0.000 | 0.000 | 
| -3.275 | 3.275 | 0.001 | 191.763 | 0.000 | -0.000 | 
| -0.000 | -0.000 | 0.000 | -0.000 | 209.835 | -5.100 | 
| -0.000 | -0.000 | 0.000 | -0.000 | -3.176 | 220.628 | 
| 588.100 | 67.453 | 16.964 | -5.100 | -0.000 | 0.000 | 
| 94.200 | 523.753 | 54.564 | 3.201 | -0.000 | 0.000 | 
| 53.108 | 53.108 | 566.300 | -0.000 | 0.000 | 0.000 | 
| -3.274 | 3.274 | 0.000 | 191.763 | 0.000 | -0.000 | 
| -0.000 | 0.000 | 0.000 | -0.000 | 191.763 | -3.275 | 
| -0.000 | 0.000 | 0.000 | -0.000 | -3.176 | 220.628 | 
| 530.366 | 87.740 | 54.407 | -3.209 | 0.000 | 0.000 | 
| 87.739 | 530.367 | 54.406 | 3.209 | 0.000 | -0.000 | 
| 53.113 | 53.113 | 566.288 | 0.000 | 0.000 | 0.000 | 
| -3.275 | 3.275 | -0.000 | 191.763 | -0.000 | 0.000 | 
| 0.000 | -0.000 | -0.000 | 0.000 | 191.763 | -3.275 | 
| 0.000 | -0.000 | -0.000 | 0.000 | -3.176 | 220.628 | 
| 530.470 | 87.640 | 54.320 | 1.550 | 0.001 | 0.002 | 
| 87.639 | 530.470 | 54.339 | -1.550 | 0.000 | 0.000 | 
| 53.085 | 53.086 | 566.266 | -0.003 | -0.003 | -0.000 | 
| 2.461 | -2.462 | 0.058 | 209.834 | 0.000 | 0.000 | 
| -0.002 | 0.000 | 0.056 | -0.001 | 209.835 | 2.463 | 
| -0.001 | -0.000 | 0.060 | -0.000 | 2.463 | 260.323 | 
| 529.021 | 94.007 | 49.315 | 1.669 | -0.000 | 0.000 | 
| 87.685 | 530.511 | 54.390 | -1.549 | 0.000 | 0.000 | 
| 53.130 | 53.128 | 566.346 | 0.003 | 0.002 | -0.000 | 
| 2.463 | -2.463 | -0.058 | 209.835 | -0.001 | -0.000 | 
| 0.002 | 0.000 | -0.063 | 0.001 | 209.834 | 2.462 | 
| -0.003 | 0.000 | -0.053 | 0.000 | 2.462 | 260.322 | 
| 588.098 | 67.453 | 16.973 | 2.462 | -0.000 | 0.000 | 
| 67.452 | 588.098 | 16.971 | -2.462 | -0.000 | -0.000 | 
| 16.964 | 16.964 | 638.596 | -0.000 | -0.000 | -0.000 | 
| 2.462 | -2.462 | 0.010 | 209.835 | 0.000 | 0.000 | 
| -0.002 | -0.002 | -0.005 | -0.000 | 191.763 | 1.581 | 
| -0.002 | -0.002 | -0.000 | 0.000 | 1.535 | 220.754 | 
| 588.098 | 67.453 | 16.966 | 2.462 | 0.000 | -0.000 | 
| 67.453 | 588.098 | 16.968 | -2.462 | 0.000 | -0.000 | 
| 53.109 | 53.109 | 566.302 | -0.000 | -0.000 | -0.000 | 
| 2.462 | -2.462 | -0.008 | 209.835 | -0.000 | 0.000 | 
| 0.002 | 0.002 | 0.005 | 0.000 | 191.763 | 1.581 | 
| 0.002 | 0.002 | 0.001 | -0.000 | 1.535 | 220.754 | 
| 523.235 | 96.138 | 53.142 | 1.580 | -0.000 | 0.000 | 
| 87.649 | 530.529 | 54.338 | -1.551 | 0.000 | 0.000 | 
| 53.083 | 53.083 | 566.350 | -0.000 | -0.000 | 0.000 | 
| 1.581 | -1.581 | 0.001 | 191.763 | -0.000 | 0.000 | 
| -0.000 | -0.000 | 0.001 | 0.000 | 191.763 | 1.581 | 
| 0.000 | 0.000 | 0.001 | 0.000 | 2.462 | 260.323 | 
| 528.998 | 93.987 | 49.527 | 1.668 | -0.000 | -0.000 | 
| 87.661 | 530.491 | 54.360 | -1.550 | -0.000 | -0.000 | 
| 53.113 | 53.113 | 566.289 | -0.000 | 0.000 | -0.000 | 
| 1.581 | -1.580 | -0.001 | 191.763 | 0.000 | -0.000 | 
| 0.000 | 0.000 | -0.001 | 0.000 | 191.763 | 1.581 | 
| -0.000 | -0.000 | -0.001 | -0.000 | 2.462 | 260.323 | 
| 587.484 | 66.704 | 17.528 | 2.455 | -0.001 | 0.000 | 
| 2166.003 | 2523.757 | -4064.347 | -1.444 | 0.001 | -0.000 | 
| 4869.546 | 4869.545 | -9172.544 | -0.000 | 0.001 | 0.001 | 
| -0.686 | -5.519 | 6.131 | 208.288 | 0.001 | -0.000 | 
| 2087.954 | 2087.954 | -4223.690 | -0.000 | 183.944 | 1.238 | 
| 2734.669 | 2734.668 | -5531.393 | -0.000 | 1.804 | 212.287 | 
| -3642.859 | -4036.632 | 8443.293 | 0.961 | 0.001 | -0.001 | 
| -4038.146 | -3644.420 | 8446.512 | -0.960 | 0.002 | -0.001 | 
| 16.622 | 16.622 | 640.978 | 0.000 | 0.002 | -0.000 | 
| -4142.959 | -4144.872 | 8379.510 | 178.176 | -0.002 | -0.001 | 
| -2087.954 | -2087.954 | 4223.699 | -0.000 | 183.943 | 1.237 | 
| -2734.668 | -2734.668 | 5531.397 | 0.000 | 1.804 | 212.287 | 
| 911.790 | 520.051 | -768.814 | 0.935 | 0.000 | 0.000 | 
| 64.232 | 556.609 | 51.138 | -2.479 | -0.000 | -0.000 | 
| 262.355 | 262.355 | 143.863 | -0.000 | 0.000 | -0.000 | 
| 2.784 | -2.043 | -0.760 | 208.238 | 0.000 | 0.000 | 
| -0.000 | 0.000 | -0.000 | -0.000 | 209.080 | 2.455 | 
| 108.219 | 108.219 | -218.945 | 0.000 | 1.659 | 145.703 | 
| 549.844 | 66.910 | 55.318 | 2.353 | -0.000 | -0.000 | 
| -174.092 | 249.793 | 602.486 | -1.813 | -0.000 | -0.000 | 
| -346.137 | -346.137 | 1374.466 | -0.000 | -0.000 | -0.000 | 
| -413.049 | -414.965 | 837.178 | 178.204 | 0.000 | -0.000 | 
| -0.000 | -0.000 | 0.000 | 0.000 | 209.080 | 2.455 | 
| -108.219 | -108.219 | 218.946 | -0.000 | 1.659 | 145.703 | 
| 534.657 | 140.377 | -3.631 | 0.965 | -0.000 | -0.000 | 
| 110.804 | 552.386 | 8.325 | -1.387 | -0.000 | -0.000 | 
| 75.259 | 75.259 | 522.336 | 0.000 | 0.000 | 0.000 | 
| 7.199 | 2.723 | -10.033 | 204.614 | -0.000 | 0.000 | 
| 29.130 | 29.130 | -58.920 | 0.000 | 194.268 | 1.736 | 
| 46.018 | 46.020 | -93.058 | -0.000 | 0.882 | 212.245 | 
| 475.653 | 59.495 | 137.798 | 1.223 | 0.000 | -0.000 | 
| 59.498 | 475.707 | 137.740 | -1.224 | -0.000 | -0.000 | 
| 16.622 | 16.622 | 640.917 | 0.000 | 0.000 | -0.000 | 
| -37.120 | -40.471 | 78.463 | 193.024 | -0.000 | 0.000 | 
| -29.130 | -29.130 | 58.920 | -0.000 | 194.268 | 1.736 | 
| -46.018 | -46.020 | 93.058 | 0.000 | 0.882 | 212.245 | 
| 588.099 | 67.451 | 16.962 | 2.856 | 0.000 | 0.000 | 
| 94.550 | 523.950 | 54.015 | -1.808 | 0.001 | 0.000 | 
| 16.964 | 16.964 | 638.584 | -0.000 | 0.001 | -0.001 | 
| 1.843 | -1.824 | -0.015 | 191.763 | 0.001 | -0.000 | 
| 0.010 | 0.009 | -0.019 | -0.000 | 191.764 | 1.834 | 
| 0.000 | -0.001 | 0.004 | -0.000 | 2.857 | 260.322 | 
| 588.098 | 67.454 | 16.975 | 2.856 | -0.001 | 0.000 | 
| 67.452 | 588.099 | 16.974 | -2.856 | -0.001 | -0.000 | 
| 53.097 | 53.098 | 566.320 | 0.000 | -0.001 | 0.000 | 
| 1.824 | -1.843 | 0.016 | 191.763 | -0.001 | 0.000 | 
| -0.010 | -0.009 | 0.019 | 0.000 | 191.762 | 1.834 | 
| -0.000 | 0.001 | -0.004 | 0.000 | 2.855 | 260.323 | 
| 529.937 | 88.015 | 54.563 | 1.793 | 0.000 | -0.000 | 
| 88.016 | 529.936 | 54.563 | -1.793 | 0.000 | 0.000 | 
| 53.108 | 53.108 | 566.297 | 0.000 | 0.000 | -0.000 | 
| 1.835 | -1.833 | -0.002 | 191.763 | 0.000 | 0.000 | 
| 0.001 | 0.001 | -0.002 | -0.000 | 191.763 | 1.834 | 
| 0.000 | -0.000 | 0.000 | -0.000 | 2.856 | 260.323 | 
| 529.935 | 88.013 | 54.567 | 1.793 | -0.000 | -0.000 | 
| 67.452 | 588.098 | 16.964 | -2.856 | -0.000 | -0.000 | 
| 16.964 | 16.964 | 638.587 | 0.000 | -0.000 | 0.000 | 
| 1.833 | -1.835 | 0.001 | 191.763 | -0.000 | -0.000 | 
| -0.001 | -0.001 | 0.002 | 0.000 | 191.763 | 1.834 | 
| -0.000 | 0.000 | -0.000 | 0.000 | 2.856 | 260.323 | 
| 588.100 | 67.453 | 16.964 | 2.856 | 0.000 | 0.000 | 
| 95.865 | 528.162 | 48.489 | -1.964 | 0.000 | -0.000 | 
| 53.108 | 53.108 | 566.300 | 0.000 | 0.000 | -0.000 | 
| 1.834 | -1.834 | -0.000 | 191.763 | 0.000 | 0.000 | 
| -0.000 | 0.000 | -0.000 | 0.000 | 191.763 | 1.834 | 
| -0.000 | 0.000 | -0.000 | -0.000 | 1.772 | 220.188 | 
| 528.120 | 95.878 | 48.515 | 1.964 | -0.000 | 0.000 | 
| 88.013 | 529.936 | 54.564 | -1.793 | -0.000 | 0.000 | 
| 53.131 | 53.131 | 566.251 | 0.000 | -0.000 | 0.000 | 
| 1.834 | -1.834 | 0.000 | 191.763 | -0.000 | -0.000 | 
| 0.000 | -0.000 | 0.000 | -0.000 | 191.763 | 1.834 | 
| 0.000 | -0.000 | 0.000 | 0.000 | 1.772 | 220.188 | 
| 711.347 | 265.654 | -310.267 | 1.361 | 0.000 | 0.000 | 
| 66.648 | 587.397 | 17.431 | -2.846 | 0.001 | 0.000 | 
| 269.038 | 269.038 | 130.228 | -0.000 | 0.000 | 0.000 | 
| 245.894 | 244.543 | -496.907 | 170.423 | 0.000 | 0.000 | 
| 6.997 | 6.997 | -15.396 | 0.000 | 194.615 | 2.038 | 
| -43.557 | -43.557 | 87.174 | -0.000 | 2.606 | 191.070 | 
| 299.407 | -80.944 | 458.106 | 0.940 | -0.000 | -0.000 | 
| 66.648 | 587.397 | 17.455 | -2.847 | -0.000 | -0.000 | 
| -98.566 | -98.566 | 873.947 | -0.000 | 0.001 | -0.000 | 
| 2.348 | -2.687 | 1.263 | 203.163 | 0.000 | -0.000 | 
| -6.997 | -6.997 | 15.400 | -0.000 | 194.615 | 2.038 | 
| 43.557 | 43.557 | -87.180 | 0.000 | 2.606 | 191.069 | 
| 504.138 | 103.949 | 63.906 | 0.209 | 0.000 | 0.000 | 
| 121.209 | 501.725 | 48.920 | -0.943 | 0.000 | 0.000 | 
| 103.282 | 103.282 | 465.576 | -0.000 | 0.000 | 0.000 | 
| 2.847 | -2.847 | -0.001 | 209.032 | 0.000 | 0.000 | 
| 18.372 | 18.372 | -37.166 | 0.000 | 175.154 | 0.942 | 
| 0.003 | 0.003 | -0.093 | 0.000 | 2.519 | 189.458 | 
| 587.397 | 66.648 | 17.450 | 2.847 | 0.000 | -0.000 | 
| 66.648 | 587.397 | 17.450 | -2.847 | 0.000 | -0.000 | 
| 68.734 | 68.734 | 535.573 | 0.000 | -0.000 | -0.000 | 
| -17.430 | -19.314 | 37.167 | 175.154 | 0.000 | -0.000 | 
| -18.372 | -18.372 | 37.166 | -0.000 | 175.154 | 0.942 | 
| -0.003 | -0.003 | 0.093 | -0.000 | 2.519 | 189.458 | 
| 513.817 | 124.694 | 33.162 | 2.161 | 0.000 | 0.000 | 
| 124.706 | 513.822 | 33.145 | -2.161 | -0.000 | 0.000 | 
| 73.641 | 73.641 | 525.554 | -0.000 | 0.000 | 0.000 | 
| 3.100 | 0.802 | -3.956 | 178.833 | -0.000 | 0.000 | 
| 0.000 | 0.000 | -0.000 | 0.000 | 209.032 | 2.847 | 
| 1.650 | 1.650 | -3.338 | -0.000 | 1.136 | 197.366 | 
| 519.138 | 61.388 | 91.833 | 1.183 | -0.000 | -0.000 | 
| 66.648 | 587.395 | 17.454 | -2.847 | 0.000 | -0.000 | 
| 39.878 | 39.878 | 593.864 | -0.000 | -0.000 | -0.000 | 
| -0.659 | -2.783 | 3.482 | 177.290 | 0.000 | -0.000 | 
| -0.000 | -0.000 | 0.000 | -0.000 | 209.032 | 2.847 | 
| -1.650 | -1.650 | 3.338 | 0.000 | 1.136 | 197.366 | 
| 529.443 | 93.069 | 50.003 | 2.529 | 0.000 | -0.001 | 
| 67.452 | 588.092 | 16.964 | -3.758 | 0.000 | 0.000 | 
| 53.104 | 53.103 | 566.307 | -0.000 | -0.000 | -0.001 | 
| 2.410 | -2.417 | 0.009 | 191.763 | -0.000 | 0.004 | 
| 0.001 | -0.000 | -0.001 | 0.000 | 209.835 | 3.758 | 
| -0.000 | 0.000 | -0.001 | -0.000 | 3.758 | 260.322 | 
| 529.450 | 93.077 | 49.987 | 2.529 | -0.000 | 0.002 | 
| 93.076 | 529.452 | 49.988 | -2.529 | 0.000 | 0.000 | 
| 53.110 | 53.111 | 566.293 | -0.000 | 0.000 | 0.000 | 
| 2.416 | -2.409 | -0.007 | 191.763 | 0.000 | 0.002 | 
| -0.001 | 0.000 | 0.001 | -0.000 | 209.835 | 3.758 | 
| -0.000 | 0.000 | 0.001 | 0.000 | 3.758 | 260.323 | 
| 530.781 | 87.477 | 54.256 | 2.370 | 0.000 | -0.000 | 
| 67.452 | 588.099 | 16.964 | -3.758 | -0.000 | -0.000 | 
| 16.964 | 16.964 | 638.587 | 0.000 | -0.000 | -0.000 | 
| 2.413 | -2.413 | 0.001 | 191.763 | -0.000 | -0.000 | 
| 0.000 | 0.000 | -0.000 | -0.000 | 209.835 | 3.758 | 
| -0.000 | -0.000 | 0.001 | 0.000 | 2.258 | 213.994 | 
| 588.098 | 67.452 | 16.964 | 3.758 | -0.000 | 0.000 | 
| 67.452 | 588.098 | 16.964 | -3.758 | 0.000 | -0.000 | 
| 16.964 | 16.964 | 638.586 | -0.000 | 0.000 | 0.000 | 
| 2.413 | -2.412 | -0.001 | 191.763 | 0.000 | 0.000 | 
| 0.000 | -0.000 | -0.000 | 0.000 | 209.835 | 3.758 | 
| 0.000 | 0.000 | -0.001 | -0.000 | 2.258 | 213.994 | 
| 523.802 | 93.862 | 54.853 | 2.348 | -0.000 | -0.000 | 
| 93.074 | 529.446 | 49.997 | -2.529 | 0.000 | 0.000 | 
| 53.083 | 53.083 | 566.350 | -0.000 | -0.000 | -0.000 | 
| 2.413 | -2.413 | 0.000 | 191.763 | -0.000 | -0.000 | 
| -0.000 | 0.000 | 0.000 | 0.000 | 191.763 | 2.413 | 
| 0.000 | 0.000 | 0.000 | 0.000 | 3.758 | 260.323 | 
| 530.781 | 87.477 | 54.255 | 2.370 | -0.000 | -0.000 | 
| 87.480 | 530.772 | 54.261 | -2.370 | 0.000 | 0.000 | 
| 53.113 | 53.113 | 566.288 | -0.000 | -0.000 | 0.000 | 
| 2.413 | -2.413 | -0.000 | 191.763 | 0.000 | 0.000 | 
| 0.000 | -0.000 | -0.000 | -0.000 | 191.763 | 2.413 | 
| -0.000 | -0.000 | -0.000 | -0.000 | 3.758 | 260.323 | 
| 576.230 | 221.065 | -125.499 | 0.780 | -0.000 | -0.000 | 
| 68.509 | 578.338 | 25.433 | -3.916 | -0.000 | -0.001 | 
| 198.331 | 198.331 | 275.157 | -0.000 | -0.000 | -0.001 | 
| 3.754 | -3.755 | -0.016 | 209.616 | -0.000 | -0.000 | 
| -1.697 | -1.697 | 3.402 | 0.000 | 210.063 | 3.787 | 
| 109.525 | 109.524 | -219.747 | -0.001 | 0.823 | 178.769 | 
| 490.031 | 83.276 | 99.214 | 2.894 | 0.000 | 0.000 | 
| 67.235 | 587.918 | 17.077 | -3.754 | -0.000 | 0.000 | 
| 16.864 | 16.864 | 639.279 | 0.000 | -0.000 | 0.001 | 
| -109.015 | -110.645 | 220.357 | 170.052 | -0.000 | 0.000 | 
| 1.697 | 1.697 | -3.397 | -0.000 | 210.062 | 3.788 | 
| -109.525 | -109.524 | 219.747 | 0.001 | 0.823 | 178.770 | 
| 587.918 | 67.234 | 17.101 | 3.755 | 0.000 | -0.000 | 
| 67.234 | 587.918 | 17.101 | -3.755 | 0.000 | -0.000 | 
| 70.514 | 70.514 | 531.617 | -0.000 | 0.000 | -0.000 | 
| 6.170 | 0.452 | -6.641 | 197.563 | 0.000 | -0.000 | 
| 3.311 | 3.311 | -6.642 | 0.000 | 197.563 | 2.859 | 
| 3.420 | 3.420 | -6.860 | -0.000 | 2.830 | 227.161 | 
| 502.651 | 87.355 | 82.455 | 1.861 | -0.000 | 0.000 | 
| 87.355 | 502.651 | 82.456 | -1.861 | -0.000 | 0.000 | 
| 16.864 | 16.864 | 639.262 | 0.000 | -0.000 | 0.000 | 
| -7.421 | -10.211 | 17.692 | 177.857 | 0.000 | 0.000 | 
| -3.311 | -3.311 | 6.641 | -0.000 | 197.563 | 2.859 | 
| -3.420 | -3.420 | 6.861 | 0.000 | 2.830 | 227.161 | 
| 530.834 | 87.792 | 53.747 | 2.359 | -0.000 | -0.000 | 
| 92.832 | 530.162 | 49.365 | -2.517 | 0.000 | -0.000 | 
| 53.782 | 53.782 | 565.191 | -0.000 | 0.000 | -0.000 | 
| 2.897 | -1.929 | -0.972 | 191.560 | -0.000 | -0.000 | 
| 0.512 | 0.512 | -1.027 | -0.000 | 191.170 | 2.384 | 
| 0.000 | 0.000 | 0.000 | 0.000 | 3.755 | 260.342 | 
| 529.080 | 91.923 | 51.359 | 2.512 | -0.000 | 0.000 | 
| 88.210 | 527.696 | 56.472 | -2.342 | -0.000 | 0.000 | 
| 52.807 | 52.807 | 567.142 | -0.000 | -0.000 | 0.000 | 
| 3.755 | -3.755 | 0.000 | 209.616 | -0.000 | 0.000 | 
| -0.512 | -0.512 | 1.027 | 0.000 | 191.170 | 2.384 | 
| -0.000 | -0.000 | -0.000 | -0.000 | 3.755 | 260.342 | 
| 587.947 | 67.270 | 17.079 | -0.000 | 0.000 | -0.000 | 
| 67.271 | 587.947 | 17.079 | -0.000 | 0.000 | -0.000 | 
| 278.018 | 278.018 | 115.479 | -0.000 | 0.000 | -0.000 | 
| 251.419 | 251.419 | -504.177 | 189.253 | 0.000 | -0.000 | 
| -0.000 | -0.001 | -0.001 | -0.000 | 209.653 | -0.000 | 
| 251.369 | 251.369 | -504.077 | -0.000 | 0.000 | 218.463 | 
| 587.947 | 67.272 | 17.078 | 0.000 | -0.000 | 0.000 | 
| -160.221 | 277.579 | 556.371 | 0.000 | -0.000 | 0.000 | 
| -165.003 | -165.003 | 1003.882 | 0.000 | -0.000 | -0.000 | 
| -251.419 | -251.419 | 504.176 | 189.253 | -0.000 | 0.000 | 
| 0.000 | 0.001 | 0.000 | 0.000 | 209.653 | 0.000 | 
| -251.369 | -251.369 | 504.077 | 0.000 | -0.000 | 218.463 | 
| 587.947 | 67.271 | 17.078 | -0.000 | 0.000 | -0.000 | 
| 67.271 | 587.948 | 17.078 | -0.000 | 0.000 | 0.000 | 
| 77.030 | 77.030 | 518.526 | -0.000 | 0.000 | -0.000 | 
| -0.000 | -0.000 | -0.000 | 209.653 | 0.000 | -0.000 | 
| 0.000 | -0.000 | 0.000 | -0.000 | 209.653 | -0.000 | 
| 0.000 | -0.000 | -0.000 | -0.000 | 0.000 | 260.338 | 
| 587.947 | 67.271 | 17.078 | 0.000 | -0.000 | 0.000 | 
| 67.271 | 587.947 | 17.078 | 0.000 | -0.000 | 0.000 | 
| 30.366 | 30.366 | 612.102 | 0.000 | -0.000 | 0.000 | 
| 0.000 | 0.000 | 0.000 | 209.653 | -0.000 | 0.000 | 
| 0.000 | 0.000 | -0.000 | 0.000 | 209.653 | -0.000 | 
| -0.000 | 0.000 | 0.000 | 0.000 | -0.000 | 260.338 | 
| 532.893 | 92.631 | 46.853 | -0.000 | 0.000 | -0.000 | 
| 67.271 | 587.949 | 17.078 | -0.000 | 0.000 | -0.000 | 
| 55.353 | 55.353 | 561.998 | 0.000 | 0.000 | -0.000 | 
| 0.000 | 0.000 | 0.000 | 209.653 | 0.000 | -0.000 | 
| 0.000 | 0.000 | 0.000 | -0.000 | 209.653 | -0.000 | 
| 2.315 | 2.315 | -4.642 | -0.000 | 0.000 | 221.774 | 
| 587.946 | 67.271 | 17.078 | 0.000 | -0.000 | -0.000 | 
| 84.468 | 529.171 | 58.766 | 0.000 | -0.000 | 0.000 | 
| 50.869 | 50.869 | 570.986 | 0.000 | -0.000 | -0.000 | 
| -0.000 | -0.000 | -0.000 | 209.653 | -0.000 | 0.000 | 
| -0.000 | -0.000 | -0.000 | 0.000 | 209.653 | 0.000 | 
| -2.315 | -2.315 | 4.642 | 0.000 | -0.000 | 221.774 | 
| 589.913 | 145.984 | -63.385 | -0.000 | -0.000 | -0.000 | 
| 145.984 | 589.913 | -63.382 | -0.000 | 0.000 | -0.000 | 
| 110.694 | 110.695 | 451.133 | -0.000 | 0.000 | -0.000 | 
| 57.587 | 57.587 | -115.167 | 191.763 | 0.000 | 0.000 | 
| -0.000 | 0.000 | 0.001 | 0.000 | 209.835 | -0.000 | 
| -0.000 | 0.000 | -0.000 | -0.000 | 0.000 | 260.323 | 
| 588.098 | 67.452 | 16.955 | 0.001 | -0.000 | 0.001 | 
| 67.452 | 588.099 | 16.954 | 0.000 | -0.000 | 0.001 | 
| -4.480 | -4.480 | 681.471 | -0.000 | -0.000 | -0.000 | 
| -57.587 | -57.588 | 115.166 | 191.763 | -0.000 | -0.000 | 
| 0.000 | 0.000 | -0.001 | -0.000 | 209.835 | 0.000 | 
| 0.000 | -0.000 | 0.001 | -0.000 | 0.000 | 260.323 | 
| 535.749 | 94.042 | 42.725 | -0.000 | -0.000 | -0.000 | 
| 94.042 | 535.749 | 42.725 | 0.000 | 0.000 | -0.000 | 
| 58.866 | 58.866 | 554.784 | -0.000 | 0.000 | 0.000 | 
| 0.000 | 0.000 | -0.000 | 209.835 | 0.000 | -0.000 | 
| -0.000 | 0.000 | -0.000 | -0.000 | 209.835 | -0.000 | 
| -0.000 | 0.000 | 0.000 | -0.000 | 0.000 | 260.323 | 
| 522.284 | 89.386 | 60.844 | -0.000 | -0.000 | 0.000 | 
| 89.386 | 522.284 | 60.845 | 0.000 | -0.000 | 0.000 | 
| 16.964 | 16.964 | 638.587 | -0.000 | 0.000 | 0.000 | 
| -0.000 | -0.000 | -0.000 | 209.835 | -0.000 | 0.000 | 
| 0.000 | -0.000 | 0.000 | 0.000 | 209.835 | 0.000 | 
| 0.000 | -0.000 | -0.000 | 0.000 | -0.000 | 260.323 | 
| 530.741 | 88.469 | 53.307 | -0.000 | -0.000 | -0.000 | 
| 88.470 | 530.740 | 53.307 | -0.000 | 0.000 | -0.000 | 
| 53.684 | 53.684 | 565.148 | -0.000 | 0.000 | 0.000 | 
| 0.000 | 0.000 | 0.000 | 209.835 | -0.000 | -0.000 | 
| 0.576 | 0.576 | -1.152 | -0.000 | 191.763 | -0.000 | 
| 0.608 | 0.609 | -1.217 | -0.000 | -0.000 | 220.446 | 
| 529.623 | 87.245 | 55.645 | -0.000 | -0.000 | 0.000 | 
| 87.240 | 529.636 | 55.637 | -0.000 | 0.000 | 0.000 | 
| 52.554 | 52.554 | 567.404 | 0.000 | 0.000 | -0.000 | 
| -0.000 | -0.000 | -0.000 | 209.835 | 0.000 | 0.000 | 
| -0.576 | -0.576 | 1.152 | 0.000 | 191.763 | 0.000 | 
| -0.608 | -0.609 | 1.217 | 0.000 | 0.000 | 220.446 | 
| 527.714 | 137.346 | 7.281 | 16.393 | -0.000 | -0.001 | 
| 105.226 | 554.355 | 12.775 | -31.199 | 0.000 | 0.001 | 
| 71.229 | 71.229 | 530.136 | -0.000 | -0.000 | -0.000 | 
| 42.819 | -42.818 | -0.000 | 209.704 | -0.001 | 0.000 | 
| 34.917 | 34.917 | -69.965 | 0.000 | 179.514 | 17.227 | 
| -0.000 | 0.000 | -0.000 | 0.000 | 42.818 | 260.335 | 
| 511.784 | 72.833 | 87.879 | 28.881 | 0.000 | 0.000 | 
| 65.603 | 478.928 | 128.046 | -21.049 | -0.000 | 0.001 | 
| 45.730 | 45.730 | 581.234 | -0.000 | -0.000 | -0.000 | 
| 42.818 | -42.818 | 0.001 | 209.704 | 0.001 | 0.000 | 
| -34.917 | -34.917 | 69.965 | -0.000 | 179.515 | 17.227 | 
| -0.000 | -0.000 | -0.000 | -0.000 | 42.819 | 260.335 | 
| 531.083 | 90.382 | 50.962 | 26.601 | -0.000 | 0.000 | 
| 67.323 | 587.993 | 17.047 | -42.818 | -0.000 | -0.000 | 
| 16.904 | 16.905 | 638.994 | 0.000 | -0.000 | 0.000 | 
| 29.019 | -24.658 | -4.369 | 190.852 | 0.000 | -0.000 | 
| 2.180 | 2.180 | -4.369 | 0.000 | 190.852 | 26.839 | 
| 1.908 | 1.908 | -3.824 | -0.000 | 28.789 | 219.591 | 
| 526.964 | 89.847 | 55.625 | 28.156 | 0.000 | -0.000 | 
| 89.848 | 526.960 | 55.628 | -28.155 | 0.000 | 0.000 | 
| 51.442 | 51.442 | 569.785 | -0.000 | -0.000 | 0.000 | 
| 42.818 | -42.818 | -0.000 | 209.704 | 0.000 | 0.000 | 
| -2.180 | -2.180 | 4.369 | -0.000 | 190.852 | 26.838 | 
| -1.908 | -1.908 | 3.824 | -0.000 | 28.789 | 219.591 | 
| 530.122 | 88.023 | 54.290 | 26.884 | -0.000 | 0.000 | 
| 88.028 | 530.109 | 54.299 | -26.881 | -0.000 | 0.000 | 
| 16.905 | 16.905 | 638.996 | 0.000 | -0.000 | 0.000 | 
| 42.819 | -42.818 | 0.000 | 209.704 | -0.000 | -0.000 | 
| 0.000 | 0.000 | 0.000 | 0.000 | 209.704 | 42.818 | 
| 0.000 | 0.000 | 0.000 | 0.000 | 42.818 | 260.335 | 
| 529.709 | 87.579 | 55.145 | 26.891 | 0.000 | 0.000 | 
| 90.988 | 529.071 | 52.370 | -28.018 | 0.000 | -0.000 | 
| 52.921 | 52.921 | 566.820 | -0.000 | -0.000 | -0.000 | 
| 42.818 | -42.818 | -0.000 | 209.704 | -0.000 | -0.000 | 
| -0.000 | -0.000 | -0.000 | -0.000 | 209.704 | 42.818 | 
| -0.000 | -0.000 | -0.000 | -0.000 | 42.818 | 260.335 | 
| 944.858 | 523.303 | -798.848 | -0.000 | -0.000 | -0.000 | 
| 373.087 | 814.770 | -517.559 | -0.000 | -0.001 | -0.000 | 
| 16.852 | 16.853 | 639.323 | -0.000 | -0.001 | -0.000 | 
| 430.194 | 430.194 | -863.459 | 185.846 | -0.000 | -0.000 | 
| 282.020 | 282.020 | -566.069 | -0.000 | 193.923 | -0.000 | 
| 0.000 | 0.000 | 0.001 | -0.000 | -0.001 | 260.342 | 
| 251.112 | -190.622 | 613.868 | 0.000 | 0.000 | 0.001 | 
| 67.210 | 587.894 | 17.115 | 0.000 | 0.001 | 0.001 | 
| 16.852 | 16.852 | 639.322 | 0.000 | 0.000 | 0.000 | 
| -430.194 | -430.194 | 863.460 | 185.846 | 0.000 | 0.001 | 
| -282.019 | -282.020 | 566.069 | 0.000 | 193.924 | 0.000 | 
| -0.000 | -0.000 | -0.001 | 0.000 | 0.001 | 260.342 | 
| 561.035 | 119.282 | -8.191 | -0.000 | -0.000 | -0.000 | 
| 136.035 | 557.597 | -21.552 | -0.000 | -0.000 | 0.000 | 
| 90.592 | 90.592 | 491.319 | -0.000 | -0.000 | -0.000 | 
| 42.984 | 42.984 | -86.275 | 185.865 | -0.000 | -0.000 | 
| -0.000 | 0.000 | 0.000 | -0.000 | 209.592 | -0.000 | 
| 28.206 | 28.206 | -56.615 | -0.000 | -0.000 | 220.829 | 
| 472.116 | 50.067 | 150.509 | 0.000 | 0.000 | -0.000 | 
| 50.054 | 472.033 | 150.604 | 0.000 | 0.000 | 0.000 | 
| 19.906 | 19.906 | 633.199 | 0.000 | 0.000 | 0.000 | 
| -42.990 | -42.990 | 86.287 | 185.862 | 0.000 | 0.000 | 
| 0.000 | -0.000 | -0.000 | 0.000 | 209.592 | 0.000 | 
| -28.206 | -28.206 | 56.615 | 0.000 | 0.000 | 220.830 | 
| 531.156 | 92.289 | 48.887 | 0.000 | -0.000 | -0.000 | 
| 94.730 | 524.794 | 52.822 | -0.000 | -0.000 | -0.000 | 
| 56.407 | 56.407 | 559.936 | -0.000 | -0.000 | -0.000 | 
| 3.411 | 3.410 | -6.845 | 190.780 | -0.000 | -0.000 | 
| 4.079 | 4.079 | -8.187 | -0.000 | 187.075 | 0.000 | 
| 2.853 | 2.853 | -5.726 | -0.000 | -0.000 | 220.376 | 
| 524.792 | 85.343 | 62.241 | 0.000 | 0.000 | 0.000 | 
| 88.893 | 527.619 | 55.841 | 0.000 | 0.000 | 0.000 | 
| 47.921 | 47.921 | 576.965 | 0.000 | 0.000 | 0.000 | 
| -4.079 | -4.079 | 8.187 | 187.075 | 0.000 | 0.000 | 
| -4.079 | -4.079 | 8.187 | 0.000 | 187.075 | 0.000 | 
| -2.853 | -2.853 | 5.726 | 0.000 | 0.000 | 220.376 | 
| 523.092 | 91.371 | 58.052 | -0.000 | -0.000 | -0.001 | 
| 67.452 | 588.099 | 16.960 | 0.000 | -0.000 | -0.001 | 
| 16.964 | 16.965 | 638.585 | 0.000 | -0.000 | -0.001 | 
| -1.737 | -1.738 | 3.465 | 191.762 | -0.001 | -0.001 | 
| -1.737 | -1.737 | 3.466 | -0.000 | 191.761 | -0.001 | 
| 0.000 | 0.000 | 0.001 | 0.000 | -0.000 | 260.323 | 
| 532.768 | 89.114 | 50.626 | -0.000 | 0.000 | 0.000 | 
| 67.452 | 588.097 | 16.958 | -0.000 | 0.001 | 0.000 | 
| 54.844 | 54.845 | 562.827 | 0.000 | 0.001 | 0.001 | 
| 1.737 | 1.737 | -3.465 | 191.763 | 0.001 | 0.001 | 
| 1.737 | 1.737 | -3.466 | 0.000 | 191.764 | 0.001 | 
| -0.000 | -0.000 | -0.000 | 0.000 | 0.000 | 260.324 | 
| 588.098 | 67.452 | 16.966 | 0.000 | -0.000 | 0.000 | 
| 87.104 | 530.917 | 54.496 | -0.000 | -0.000 | -0.000 | 
| 52.934 | 52.934 | 566.648 | 0.000 | -0.000 | -0.000 | 
| -0.174 | -0.174 | 0.346 | 191.763 | -0.000 | -0.000 | 
| 0.000 | -0.000 | 0.000 | -0.000 | 209.834 | -0.000 | 
| -0.181 | -0.181 | 0.362 | -0.000 | -0.000 | 221.356 | 
| 530.087 | 92.338 | 50.090 | -0.000 | 0.000 | 0.000 | 
| 67.452 | 588.098 | 16.964 | -0.000 | 0.000 | 0.000 | 
| 16.964 | 16.964 | 638.587 | -0.000 | 0.000 | 0.000 | 
| 0.174 | 0.174 | -0.346 | 191.763 | 0.000 | 0.000 | 
| -0.000 | 0.000 | -0.000 | 0.000 | 209.834 | 0.000 | 
| 0.181 | 0.181 | -0.362 | 0.000 | -0.000 | 221.356 | 
| 524.739 | 93.148 | 54.630 | 0.000 | -0.000 | -0.000 | 
| 92.160 | 529.883 | 50.473 | 0.000 | -0.000 | -0.000 | 
| 53.090 | 53.090 | 566.338 | -0.000 | -0.000 | -0.000 | 
| -0.017 | -0.018 | 0.035 | 191.763 | -0.000 | -0.000 | 
| -0.018 | -0.017 | 0.035 | -0.000 | 191.763 | -0.000 | 
| -0.018 | -0.018 | 0.036 | 0.000 | -0.000 | 221.356 | 
| 531.089 | 87.308 | 54.116 | 0.000 | 0.000 | 0.000 | 
| 93.187 | 524.760 | 54.566 | 0.000 | 0.000 | 0.000 | 
| 53.123 | 53.123 | 566.267 | 0.000 | 0.000 | 0.000 | 
| 0.017 | 0.018 | -0.035 | 191.763 | 0.000 | 0.000 | 
| 0.018 | 0.017 | -0.035 | 0.000 | 191.763 | 0.000 | 
| 0.018 | 0.018 | -0.036 | -0.000 | 0.000 | 221.356 | 
| 141.985 | -267.435 | 800.145 | -0.001 | -0.000 | -0.000 | 
| -267.421 | 142.005 | 800.115 | -0.000 | -0.000 | -0.000 | 
| -229.686 | -229.686 | 1133.885 | -0.000 | 0.000 | 0.000 | 
| -201.325 | -201.325 | 403.910 | 194.533 | -0.000 | -0.000 | 
| -368.536 | -368.536 | 739.372 | -0.000 | 182.236 | -0.000 | 
| -368.395 | -368.395 | 739.090 | -0.000 | -0.000 | 203.930 | 
| 876.478 | 470.188 | -676.563 | 0.000 | 0.000 | 0.000 | 
| 470.198 | 876.486 | -676.580 | 0.000 | 0.000 | 0.000 | 
| 428.855 | 428.855 | -187.304 | 0.000 | 0.000 | -0.000 | 
| 368.535 | 368.535 | -739.371 | 182.236 | 0.001 | -0.000 | 
| 368.536 | 368.536 | -739.372 | 0.000 | 182.236 | 0.000 | 
| 368.395 | 368.395 | -739.091 | 0.000 | 0.000 | 203.930 | 
| 485.671 | 60.616 | 126.314 | -0.000 | 0.000 | -0.000 | 
| 67.240 | 587.923 | 17.098 | -0.000 | 0.000 | -0.000 | 
| 31.974 | 31.974 | 608.933 | -0.000 | -0.000 | -0.000 | 
| 0.000 | 0.000 | 0.000 | 209.622 | -0.000 | -0.000 | 
| 0.000 | 0.000 | 0.000 | -0.000 | 209.622 | 0.000 | 
| 0.000 | 0.000 | 0.000 | -0.000 | -0.000 | 260.341 | 
| 587.922 | 67.240 | 17.098 | 0.000 | 0.000 | 0.000 | 
| 108.802 | 556.177 | 7.252 | 0.000 | 0.000 | 0.000 | 
| 73.880 | 73.880 | 524.859 | 0.000 | 0.000 | 0.000 | 
| -0.000 | -0.000 | -0.000 | 209.622 | 0.000 | 0.000 | 
| -0.000 | -0.000 | -0.000 | 0.000 | 209.622 | -0.000 | 
| -0.000 | -0.000 | -0.000 | 0.000 | 0.000 | 260.341 | 
| 528.105 | 84.567 | 59.724 | -0.000 | 0.000 | -0.000 | 
| 85.700 | 527.060 | 59.634 | -0.000 | 0.000 | 0.000 | 
| 50.993 | 50.993 | 570.778 | -0.000 | -0.000 | -0.000 | 
| -2.510 | -2.510 | 5.036 | 190.968 | -0.000 | 0.000 | 
| -2.510 | -2.510 | 5.036 | 0.000 | 190.968 | -0.000 | 
| -2.109 | -2.109 | 4.231 | -0.000 | -0.000 | 220.395 | 
| 532.581 | 94.042 | 45.725 | 0.000 | 0.000 | 0.000 | 
| 89.759 | 532.762 | 49.840 | 0.000 | 0.000 | -0.000 | 
| 55.809 | 55.809 | 561.112 | 0.000 | 0.000 | -0.000 | 
| -0.000 | -0.000 | -0.000 | 209.622 | 0.000 | -0.000 | 
| 2.510 | 2.510 | -5.036 | -0.000 | 190.968 | -0.000 | 
| 2.109 | 2.109 | -4.231 | 0.000 | 0.000 | 220.395 | 
| 527.373 | 97.628 | 47.513 | 0.000 | -0.000 | 0.000 | 
| 67.453 | 588.098 | 16.963 | -0.000 | -0.000 | 0.000 | 
| 16.964 | 16.964 | 638.588 | 0.000 | -0.000 | 0.000 | 
| 0.000 | 0.000 | -0.006 | 191.763 | -0.000 | 0.000 | 
| 0.000 | -0.000 | -0.006 | -0.000 | 191.763 | 0.000 | 
| 0.000 | 0.000 | 0.002 | -0.000 | -0.000 | 260.323 | 
| 588.098 | 67.452 | 16.962 | 0.000 | 0.000 | -0.000 | 
| 67.452 | 588.098 | 16.962 | -0.000 | 0.000 | -0.000 | 
| 16.964 | 16.964 | 638.588 | -0.000 | 0.000 | -0.000 | 
| -0.000 | -0.000 | 0.006 | 191.763 | 0.000 | -0.000 | 
| -0.000 | 0.000 | 0.006 | 0.000 | 191.763 | -0.000 | 
| -0.000 | -0.000 | -0.002 | 0.000 | -0.000 | 260.323 | 
| 588.098 | 67.452 | 16.965 | -0.000 | -0.000 | 0.000 | 
| 67.452 | 588.098 | 16.964 | 0.000 | -0.000 | 0.000 | 
| 16.964 | 16.964 | 638.587 | -0.000 | 0.000 | 0.000 | 
| 0.000 | 0.000 | 0.000 | 209.835 | -0.000 | 0.000 | 
| 0.000 | 0.000 | 0.000 | 0.000 | 209.835 | 0.000 | 
| 0.000 | -0.000 | 0.000 | -0.000 | -0.000 | 216.328 | 
| 529.486 | 88.300 | 54.728 | 0.000 | -0.000 | -0.000 | 
| 88.300 | 529.486 | 54.729 | 0.000 | -0.000 | -0.000 | 
| 53.107 | 53.107 | 566.300 | -0.000 | -0.000 | -0.000 | 
| -0.000 | -0.000 | 0.000 | 209.835 | 0.000 | -0.000 | 
| -0.000 | -0.000 | -0.000 | -0.000 | 209.835 | -0.000 | 
| -0.000 | 0.000 | -0.000 | 0.000 | 0.000 | 216.328 | 
| 523.728 | 95.171 | 53.617 | 0.000 | 0.000 | 0.000 | 
| 88.302 | 529.486 | 54.730 | 0.000 | 0.000 | 0.000 | 
| 53.108 | 53.108 | 566.300 | 0.000 | -0.000 | 0.000 | 
| 0.000 | -0.000 | 0.000 | 191.763 | -0.000 | 0.000 | 
| 0.000 | 0.000 | 0.000 | 0.000 | 209.835 | 0.000 | 
| 0.000 | 0.000 | 0.000 | 0.000 | -0.000 | 260.323 | 
| 529.472 | 88.305 | 54.736 | -0.000 | 0.000 | -0.000 | 
| 97.643 | 527.329 | 47.541 | -0.000 | -0.000 | -0.000 | 
| 53.106 | 53.106 | 566.301 | 0.000 | -0.000 | -0.000 | 
| -0.000 | 0.000 | -0.000 | 191.763 | 0.000 | -0.000 | 
| -0.000 | -0.000 | -0.000 | -0.000 | 209.835 | -0.000 | 
| -0.000 | -0.000 | -0.000 | -0.000 | 0.000 | 260.323 | 
| 587.863 | 67.173 | 17.138 | -0.001 | -0.000 | -0.001 | 
| 67.173 | 587.864 | 17.138 | -0.001 | 0.000 | -0.001 | 
| 16.835 | 16.835 | 639.437 | -0.001 | -0.000 | -0.001 | 
| -380.043 | -380.043 | 763.184 | 182.062 | -0.000 | -0.001 | 
| -206.019 | -206.019 | 413.714 | -0.001 | 194.528 | -0.001 | 
| -0.000 | -0.000 | -0.003 | -0.001 | 0.000 | 260.345 | 
| 883.593 | 478.483 | -692.781 | 0.000 | 0.000 | 0.000 | 
| 478.482 | 883.593 | -692.782 | 0.001 | 0.000 | 0.001 | 
| 449.444 | 449.444 | -229.306 | 0.001 | 0.000 | 0.001 | 
| -0.000 | -0.000 | 0.004 | 209.555 | 0.000 | 0.000 | 
| 206.019 | 206.019 | -413.714 | 0.001 | 194.528 | 0.001 | 
| 0.000 | -0.000 | 0.003 | 0.001 | -0.000 | 260.346 | 
| 587.863 | 67.173 | 17.138 | -0.000 | -0.000 | -0.000 | 
| 67.173 | 587.864 | 17.138 | -0.000 | -0.000 | -0.000 | 
| 34.370 | 34.370 | 604.227 | -0.000 | -0.000 | 0.000 | 
| -37.616 | -37.616 | 75.539 | 182.343 | -0.000 | -0.000 | 
| 0.000 | 0.000 | -0.000 | -0.000 | 209.555 | -0.000 | 
| -37.357 | -37.357 | 75.019 | -0.000 | -0.000 | 203.698 | 
| 554.378 | 111.862 | 5.890 | 0.000 | 0.000 | 0.000 | 
| 67.173 | 587.863 | 17.139 | 0.000 | 0.000 | 0.000 | 
| 16.835 | 16.835 | 639.439 | 0.000 | 0.000 | 0.000 | 
| -0.000 | 0.000 | 0.000 | 209.555 | -0.000 | 0.000 | 
| -0.000 | -0.000 | 0.000 | 0.000 | 209.555 | 0.000 | 
| 37.357 | 37.357 | -75.019 | 0.000 | 0.000 | 203.698 | 
| 526.004 | 91.401 | 54.926 | -0.000 | -0.000 | 0.000 | 
| 85.927 | 524.491 | 61.940 | -0.000 | -0.000 | -0.000 | 
| 50.297 | 50.297 | 572.244 | -0.000 | 0.000 | -0.000 | 
| 0.000 | 0.000 | -0.000 | 209.555 | -0.000 | -0.000 | 
| -2.816 | -2.816 | 5.655 | -0.000 | 189.182 | 0.000 | 
| -2.108 | -2.109 | 4.234 | -0.000 | -0.000 | 219.228 | 
| 531.454 | 95.725 | 45.108 | -0.000 | 0.000 | 0.000 | 
| 95.724 | 531.456 | 45.107 | 0.000 | 0.000 | 0.000 | 
| 55.328 | 55.328 | 562.137 | 0.000 | -0.000 | 0.000 | 
| 2.816 | 2.817 | -5.656 | 189.181 | 0.000 | 0.000 | 
| 2.816 | 2.816 | -5.655 | 0.000 | 189.182 | 0.000 | 
| 2.108 | 2.109 | -4.234 | 0.000 | -0.000 | 219.228 | 
| 588.098 | 67.452 | 16.963 | -17.850 | 0.000 | 0.000 | 
| 87.075 | 531.447 | 53.992 | 11.301 | 0.000 | -0.000 | 
| 53.118 | 53.118 | 566.279 | 0.000 | 0.000 | -0.000 | 
| -17.850 | 17.850 | -0.000 | 209.835 | 0.000 | -0.000 | 
| -0.000 | -0.000 | 0.001 | 0.000 | 209.835 | -17.850 | 
| 0.000 | -0.000 | 0.000 | 0.000 | -17.850 | 260.323 | 
| 530.418 | 91.169 | 50.930 | -11.850 | -0.000 | 0.000 | 
| 87.051 | 531.426 | 54.037 | 11.301 | 0.000 | 0.000 | 
| 16.964 | 16.964 | 638.586 | 0.000 | 0.000 | -0.000 | 
| -17.850 | 17.851 | 0.001 | 209.835 | -0.000 | 0.000 | 
| 0.000 | 0.000 | -0.001 | -0.000 | 209.835 | -17.850 | 
| -0.000 | 0.000 | -0.000 | -0.000 | -17.850 | 260.323 | 
| 531.438 | 87.064 | 54.013 | -11.301 | 0.000 | -0.000 | 
| 87.064 | 531.438 | 54.013 | 11.301 | -0.000 | -0.000 | 
| 53.108 | 53.108 | 566.298 | 0.000 | -0.000 | -0.000 | 
| -11.460 | 11.462 | -0.002 | 191.763 | 0.000 | -0.000 | 
| 0.000 | -0.000 | 0.000 | -0.000 | 209.835 | -17.850 | 
| 0.000 | -0.000 | 0.000 | -0.000 | -17.850 | 260.323 | 
| 588.098 | 67.452 | 16.964 | -17.850 | -0.000 | 0.000 | 
| 67.452 | 588.098 | 16.964 | 17.850 | 0.000 | 0.000 | 
| 53.106 | 53.106 | 566.303 | 0.000 | -0.000 | 0.000 | 
| -17.850 | 17.850 | -0.000 | 209.835 | 0.000 | 0.000 | 
| -0.000 | 0.000 | -0.000 | 0.000 | 209.835 | -17.850 | 
| -0.000 | 0.000 | -0.000 | 0.000 | -17.850 | 260.323 | 
| 531.438 | 87.064 | 54.015 | -11.301 | 0.000 | -0.000 | 
| 91.180 | 530.430 | 50.907 | 11.850 | 0.000 | -0.000 | 
| 53.108 | 53.108 | 566.300 | 0.000 | -0.000 | -0.000 | 
| -11.461 | 11.461 | -0.000 | 191.764 | -0.000 | -0.000 | 
| 0.000 | 0.000 | 0.000 | -0.000 | 209.835 | -17.850 | 
| 0.000 | 0.000 | 0.000 | -0.000 | -17.850 | 260.323 | 
| 525.900 | 92.298 | 54.315 | -11.247 | 0.000 | 0.000 | 
| 87.062 | 531.436 | 54.015 | 11.301 | 0.000 | 0.000 | 
| 53.107 | 53.107 | 566.299 | 0.000 | -0.000 | 0.000 | 
| -11.461 | 11.461 | 0.000 | 191.763 | -0.000 | 0.000 | 
| -0.000 | -0.000 | -0.000 | 0.000 | 209.835 | -17.850 | 
| -0.000 | -0.000 | -0.000 | 0.000 | -17.850 | 260.323 | 
| 587.552 | 66.789 | 17.390 | -17.803 | -0.000 | -0.001 | 
| 66.788 | 587.552 | 17.389 | 17.803 | -0.000 | -0.003 | 
| 16.660 | 16.660 | 640.650 | -0.000 | -0.000 | -0.002 | 
| -17.803 | 17.802 | -0.001 | 209.166 | -0.000 | -0.000 | 
| 0.000 | -0.000 | -0.000 | -0.000 | 209.165 | -17.805 | 
| -0.000 | -0.000 | -0.001 | -0.000 | -17.803 | 260.380 | 
| 513.955 | 50.732 | 107.920 | -14.045 | 0.000 | 0.001 | 
| 9.827 | 431.677 | 232.311 | 9.271 | 0.000 | 0.001 | 
| 16.660 | 16.660 | 640.651 | 0.000 | 0.000 | 0.002 | 
| -17.802 | 17.803 | 0.001 | 209.166 | 0.000 | 0.002 | 
| -0.000 | 0.000 | 0.000 | 0.000 | 209.166 | -17.801 | 
| 0.000 | 0.000 | 0.001 | 0.000 | -17.802 | 260.383 | 
| 531.977 | 95.090 | 44.929 | -10.568 | -0.000 | -0.000 | 
| 66.789 | 587.552 | 17.387 | 17.803 | -0.000 | -0.000 | 
| 57.264 | 57.264 | 558.650 | -0.000 | -0.000 | -0.000 | 
| -2.959 | 17.519 | -14.703 | 187.661 | -0.000 | -0.000 | 
| -0.000 | -0.000 | -0.000 | -0.000 | 209.166 | -17.803 | 
| 0.000 | 0.000 | -0.000 | -0.000 | -17.803 | 260.382 | 
| 587.552 | 66.789 | 17.388 | -17.803 | 0.000 | 0.000 | 
| 66.789 | 587.552 | 17.388 | 17.803 | 0.000 | 0.000 | 
| 50.117 | 50.117 | 573.082 | 0.000 | 0.000 | 0.000 | 
| -17.469 | 7.583 | 9.982 | 194.162 | 0.000 | 0.000 | 
| -0.000 | 0.000 | -0.000 | 0.000 | 209.166 | -17.803 | 
| -0.000 | -0.000 | 0.000 | 0.000 | -17.803 | 260.382 | 
| 531.793 | 86.656 | 53.633 | -11.279 | -0.000 | -0.000 | 
| 86.657 | 531.788 | 53.636 | 11.279 | -0.000 | -0.000 | 
| 16.660 | 16.660 | 640.656 | -0.000 | -0.000 | -0.000 | 
| -17.803 | 17.803 | 0.000 | 209.166 | -0.000 | -0.000 | 
| 0.000 | 0.000 | 0.000 | -0.000 | 209.166 | -17.803 | 
| 0.000 | 0.000 | 0.000 | -0.000 | -17.803 | 260.382 | 
| 587.550 | 66.788 | 17.388 | -17.803 | 0.000 | 0.000 | 
| 66.788 | 587.550 | 17.388 | 17.803 | 0.000 | 0.000 | 
| 52.529 | 52.529 | 568.209 | 0.000 | 0.000 | 0.000 | 
| -17.803 | 17.803 | -0.000 | 209.166 | 0.000 | 0.000 | 
| -0.000 | -0.000 | -0.000 | 0.000 | 209.166 | -17.803 | 
| -0.000 | -0.000 | -0.000 | 0.000 | -17.803 | 260.382 | 
| 486.376 | 39.465 | 147.212 | 5.751 | 0.000 | -0.001 | 
| 1.023 | 420.537 | 252.785 | -4.107 | -0.000 | -0.000 | 
| -6.834 | -6.834 | 688.535 | -0.000 | 0.000 | -0.001 | 
| -44.883 | -56.386 | 102.479 | 195.190 | -0.000 | -0.000 | 
| -50.637 | -50.637 | 102.483 | 0.000 | 195.190 | 5.751 | 
| 0.000 | -0.000 | 0.001 | 0.000 | 7.907 | 260.392 | 
| 604.228 | 184.724 | -119.061 | 4.106 | 0.000 | 0.000 | 
| 66.618 | 587.405 | 17.495 | -7.907 | -0.000 | 0.000 | 
| 139.354 | 139.354 | 392.641 | -0.000 | 0.000 | 0.001 | 
| 95.958 | 87.745 | -185.930 | 184.650 | 0.000 | 0.000 | 
| 50.638 | 50.637 | -102.483 | -0.000 | 195.189 | 5.752 | 
| 0.000 | 0.000 | -0.001 | -0.000 | 7.907 | 260.394 | 
| 587.405 | 66.619 | 17.493 | 7.907 | 0.000 | 0.000 | 
| 85.064 | 531.794 | 55.111 | -5.743 | 0.000 | -0.000 | 
| 56.692 | 56.692 | 559.955 | -0.000 | 0.000 | -0.000 | 
| -5.069 | -13.288 | 18.579 | 184.669 | -0.000 | -0.000 | 
| -5.072 | -5.072 | 10.266 | 0.000 | 195.167 | 5.748 | 
| -9.174 | -9.174 | 18.571 | 0.000 | 4.111 | 209.814 | 
| 521.677 | 101.992 | 48.221 | 4.113 | 0.000 | -0.000 | 
| 102.006 | 521.652 | 48.233 | -4.112 | 0.000 | 0.000 | 
| 74.887 | 74.887 | 523.124 | 0.000 | -0.000 | 0.000 | 
| 12.617 | 3.336 | -16.145 | 188.070 | 0.000 | 0.000 | 
| 5.072 | 5.072 | -10.266 | -0.000 | 195.167 | 5.748 | 
| 9.174 | 9.174 | -18.570 | -0.000 | 4.111 | 209.814 | 
| 519.625 | 89.227 | 63.219 | 4.515 | 0.000 | -0.000 | 
| 89.228 | 519.625 | 63.219 | -4.515 | -0.000 | 0.000 | 
| 51.632 | 51.632 | 570.203 | 0.000 | -0.000 | -0.000 | 
| 3.468 | -5.196 | 1.749 | 186.093 | -0.000 | 0.000 | 
| 0.000 | 0.000 | 0.000 | 0.000 | 208.995 | 7.907 | 
| 0.000 | 0.000 | 0.000 | 0.000 | 7.907 | 260.393 | 
| 520.983 | 90.969 | 60.079 | 4.501 | -0.000 | 0.000 | 
| 88.595 | 526.936 | 56.455 | -4.818 | 0.000 | 0.000 | 
| 50.996 | 50.996 | 571.488 | 0.000 | 0.000 | 0.000 | 
| 5.195 | -3.466 | -1.749 | 186.088 | -0.000 | -0.000 | 
| -0.000 | -0.000 | -0.000 | -0.000 | 208.995 | 7.907 | 
| -0.000 | -0.000 | -0.000 | -0.000 | 7.907 | 260.393 | 
| 524.056 | 93.678 | 54.771 | 3.436 | -0.001 | -0.000 | 
| 92.826 | 529.570 | 50.092 | -3.689 | -0.001 | -0.000 | 
| 53.107 | 53.107 | 566.295 | 0.000 | -0.001 | 0.000 | 
| 3.526 | -3.527 | -0.026 | 191.763 | -0.000 | -0.000 | 
| 0.001 | -0.000 | 0.001 | 0.000 | 209.835 | 5.492 | 
| 0.001 | -0.000 | -0.001 | 0.000 | 5.493 | 260.323 | 
| 529.570 | 92.826 | 50.130 | 3.689 | -0.000 | 0.000 | 
| 67.452 | 588.098 | 16.966 | -5.492 | 0.001 | 0.000 | 
| 53.107 | 53.108 | 566.318 | -0.000 | -0.000 | -0.000 | 
| 3.527 | -3.526 | 0.031 | 191.763 | 0.000 | 0.000 | 
| -0.001 | 0.000 | -0.002 | -0.000 | 209.835 | 5.492 | 
| -0.001 | 0.000 | 0.002 | -0.000 | 5.493 | 260.323 | 
| 530.862 | 87.426 | 54.223 | 3.466 | -0.000 | -0.000 | 
| 67.452 | 588.098 | 16.962 | -5.492 | -0.000 | -0.000 | 
| 16.964 | 16.964 | 638.585 | 0.000 | 0.000 | 0.000 | 
| 3.526 | -3.527 | -0.003 | 191.763 | -0.000 | -0.000 | 
| 0.000 | 0.000 | -0.000 | 0.000 | 209.835 | 5.492 | 
| 0.000 | -0.000 | -0.001 | 0.000 | 3.862 | 219.611 | 
| 588.098 | 67.452 | 16.966 | 5.492 | 0.000 | 0.000 | 
| 67.452 | 588.098 | 16.967 | -5.492 | 0.000 | -0.000 | 
| 16.964 | 16.964 | 638.588 | -0.000 | 0.000 | -0.000 | 
| 3.527 | -3.526 | 0.004 | 191.763 | 0.000 | -0.000 | 
| -0.000 | -0.000 | 0.000 | -0.000 | 209.835 | 5.492 | 
| -0.000 | 0.000 | 0.001 | -0.000 | 3.863 | 219.611 | 
| 530.863 | 87.427 | 54.227 | 3.466 | -0.000 | -0.000 | 
| 87.427 | 530.862 | 54.227 | -3.466 | -0.000 | 0.000 | 
| 53.083 | 53.083 | 566.350 | -0.000 | -0.000 | 0.000 | 
| 3.527 | -3.527 | -0.000 | 191.763 | -0.000 | -0.000 | 
| -0.000 | 0.000 | -0.000 | 0.000 | 191.763 | 3.526 | 
| 0.000 | 0.000 | -0.000 | 0.000 | 5.492 | 260.323 | 
| 529.570 | 92.825 | 50.118 | 3.689 | 0.000 | 0.000 | 
| 87.438 | 530.826 | 54.249 | -3.464 | -0.000 | 0.000 | 
| 53.113 | 53.113 | 566.288 | -0.000 | 0.000 | -0.000 | 
| 3.526 | -3.526 | 0.000 | 191.763 | 0.000 | 0.000 | 
| 0.000 | -0.000 | 0.000 | -0.000 | 191.763 | 3.526 | 
| -0.000 | -0.000 | 0.000 | -0.000 | 5.492 | 260.323 | 
| 571.193 | 64.112 | 36.670 | 5.638 | -0.000 | 0.001 | 
| 66.858 | 587.608 | 17.342 | -5.479 | -0.000 | 0.001 | 
| 66.618 | 66.618 | 539.703 | -0.000 | 0.000 | 0.001 | 
| 5.479 | -5.479 | -0.000 | 209.237 | -0.000 | 0.001 | 
| 282.108 | 282.108 | -569.157 | -0.000 | 161.727 | 0.336 | 
| 0.000 | 0.000 | -0.000 | -0.000 | 5.479 | 260.375 | 
| 175.721 | -156.847 | 658.501 | 0.520 | 0.000 | -0.000 | 
| -156.847 | 175.721 | 658.501 | -0.520 | 0.000 | -0.001 | 
| 16.692 | 16.691 | 640.431 | -0.000 | -0.000 | -0.001 | 
| -281.773 | -282.443 | 569.157 | 161.727 | 0.000 | -0.001 | 
| -282.108 | -282.108 | 569.157 | 0.000 | 161.727 | 0.334 | 
| 0.000 | -0.000 | -0.000 | 0.000 | 5.479 | 260.374 | 
| 501.511 | 124.455 | 46.092 | 1.693 | -0.000 | 0.000 | 
| 66.858 | 587.608 | 17.342 | -5.479 | -0.000 | 0.000 | 
| 16.692 | 16.692 | 640.431 | -0.000 | 0.000 | 0.000 | 
| 5.479 | -5.479 | -0.000 | 209.237 | -0.000 | 0.000 | 
| 0.000 | 0.000 | -0.000 | 0.000 | 209.237 | 5.479 | 
| 20.316 | 20.316 | -40.988 | -0.000 | 1.775 | 190.081 | 
| 587.608 | 66.858 | 17.342 | 5.479 | 0.000 | -0.000 | 
| 66.858 | 587.608 | 17.342 | -5.479 | -0.000 | -0.000 | 
| 66.465 | 66.465 | 540.012 | -0.000 | 0.000 | -0.000 | 
| -21.555 | -24.175 | 46.130 | 170.730 | -0.000 | -0.000 | 
| -0.000 | -0.000 | 0.000 | -0.000 | 209.237 | 5.479 | 
| -20.316 | -20.316 | 40.988 | 0.000 | 1.775 | 190.081 | 
| 530.725 | 93.014 | 48.341 | 3.675 | 0.000 | 0.000 | 
| 88.654 | 529.906 | 53.564 | -3.432 | 0.000 | 0.000 | 
| 54.469 | 54.469 | 564.217 | -0.000 | -0.000 | 0.000 | 
| 4.580 | -2.484 | -2.115 | 191.249 | -0.000 | 0.000 | 
| 1.048 | 1.048 | -2.115 | 0.000 | 191.249 | 3.532 | 
| 1.143 | 1.143 | -2.307 | 0.000 | 3.394 | 220.814 | 
| 529.020 | 85.549 | 57.587 | 3.443 | -0.000 | -0.000 | 
| 85.551 | 529.014 | 57.591 | -3.443 | 0.000 | 0.000 | 
| 16.692 | 16.692 | 640.428 | -0.000 | 0.000 | -0.000 | 
| 2.483 | -4.580 | 2.115 | 191.249 | 0.000 | -0.000 | 
| -1.048 | -1.048 | 2.115 | -0.000 | 191.249 | 3.532 | 
| -1.143 | -1.143 | 2.307 | -0.000 | 3.394 | 220.814 | 
| 530.438 | 88.049 | 54.015 | -4.987 | 0.002 | 0.000 | 
| 67.453 | 588.100 | 16.963 | 7.933 | 0.001 | -0.001 | 
| 53.319 | 53.318 | 565.873 | -0.000 | 0.002 | 0.000 | 
| -7.933 | 7.933 | -0.005 | 209.835 | 0.002 | 0.000 | 
| 0.000 | -0.000 | -0.004 | 0.000 | 209.836 | -7.934 | 
| 0.002 | -0.000 | -0.002 | 0.000 | -7.933 | 260.322 | 
| 588.097 | 67.452 | 16.969 | -7.933 | 0.001 | 0.001 | 
| 67.454 | 588.097 | 16.963 | 7.933 | -0.001 | 0.000 | 
| 52.897 | 52.897 | 566.723 | 0.000 | -0.001 | -0.000 | 
| -7.934 | 7.934 | 0.007 | 209.835 | -0.002 | -0.000 | 
| -0.000 | 0.000 | 0.003 | -0.000 | 209.833 | -7.933 | 
| -0.002 | 0.000 | 0.002 | -0.000 | -7.935 | 260.323 | 
| 530.254 | 87.847 | 54.413 | -4.988 | 0.000 | -0.000 | 
| 67.452 | 588.099 | 16.962 | 7.934 | 0.000 | 0.000 | 
| 16.964 | 16.964 | 638.586 | -0.000 | 0.000 | -0.000 | 
| -7.933 | 7.933 | -0.001 | 209.835 | 0.000 | -0.000 | 
| -0.000 | 0.000 | -0.000 | 0.000 | 209.835 | -7.934 | 
| 0.000 | 0.000 | -0.001 | 0.000 | -7.933 | 260.323 | 
| 530.214 | 87.802 | 54.499 | -4.988 | -0.000 | 0.000 | 
| 94.811 | 528.571 | 49.132 | 5.409 | -0.000 | 0.000 | 
| 53.086 | 53.086 | 566.343 | -0.000 | -0.000 | -0.000 | 
| -7.934 | 7.933 | 0.000 | 209.835 | -0.000 | -0.000 | 
| 0.000 | -0.000 | 0.001 | -0.000 | 209.834 | -7.933 | 
| 0.000 | -0.000 | 0.001 | -0.000 | -7.934 | 260.323 | 
| 530.248 | 87.824 | 54.445 | -4.988 | 0.000 | 0.000 | 
| 87.814 | 530.275 | 54.427 | 4.990 | 0.000 | 0.000 | 
| 53.110 | 53.110 | 566.296 | 0.000 | 0.000 | 0.000 | 
| -5.092 | 5.096 | -0.004 | 191.764 | 0.000 | 0.000 | 
| 0.000 | 0.000 | -0.000 | -0.000 | 209.835 | -7.933 | 
| 0.000 | 0.000 | 0.000 | -0.000 | -7.933 | 260.323 | 
| 528.596 | 94.827 | 49.090 | -5.410 | -0.000 | 0.000 | 
| 87.822 | 530.232 | 54.459 | 4.988 | -0.000 | -0.000 | 
| 53.129 | 53.129 | 566.255 | 0.000 | -0.000 | -0.000 | 
| -7.934 | 7.933 | 0.000 | 209.835 | -0.000 | -0.000 | 
| -0.000 | -0.000 | 0.000 | 0.000 | 209.835 | -7.933 | 
| -0.000 | -0.000 | -0.000 | 0.000 | -7.933 | 260.323 | 
| 451.824 | 95.278 | 125.509 | -1.735 | -0.000 | 0.000 | 
| 67.189 | 587.878 | 17.129 | 7.925 | -0.000 | -0.000 | 
| 82.302 | 82.302 | 507.967 | -0.000 | -0.000 | -0.000 | 
| -7.925 | 7.925 | -0.002 | 209.571 | -0.000 | 0.000 | 
| 0.000 | -0.000 | -0.000 | -0.000 | 209.571 | -7.925 | 
| -0.000 | -0.000 | -0.000 | -0.000 | -7.925 | 260.345 | 
| 587.878 | 67.189 | 17.132 | -7.925 | 0.000 | -0.000 | 
| 125.058 | 479.282 | 68.054 | 1.648 | 0.000 | -0.000 | 
| 16.843 | 16.843 | 639.398 | 0.000 | 0.000 | 0.000 | 
| -7.925 | 7.925 | 0.000 | 209.571 | 0.000 | -0.000 | 
| 0.000 | 0.000 | 0.001 | 0.000 | 209.571 | -7.925 | 
| 0.000 | 0.000 | 0.001 | 0.000 | -7.925 | 260.345 | 
| 587.878 | 67.189 | 17.129 | -7.925 | -0.000 | 0.000 | 
| 67.189 | 587.879 | 17.129 | 7.925 | -0.000 | -0.000 | 
| 16.843 | 16.843 | 639.394 | -0.000 | -0.000 | 0.000 | 
| -7.925 | 7.925 | -0.000 | 209.571 | -0.000 | 0.000 | 
| 0.000 | 0.000 | -0.000 | -0.000 | 209.571 | -7.925 | 
| -0.874 | -0.874 | 1.754 | -0.000 | -4.192 | 210.855 | 
| 520.177 | 92.002 | 60.183 | -4.436 | 0.000 | 0.000 | 
| 92.002 | 520.177 | 60.183 | 4.436 | 0.000 | -0.000 | 
| 16.843 | 16.843 | 639.394 | 0.000 | 0.000 | -0.000 | 
| -7.925 | 7.925 | 0.000 | 209.571 | 0.000 | 0.000 | 
| -0.000 | -0.000 | 0.000 | 0.000 | 209.571 | -7.925 | 
| 0.874 | 0.874 | -1.754 | 0.000 | -4.192 | 210.855 | 
| 529.976 | 87.376 | 54.993 | -4.980 | -0.000 | 0.000 | 
| 93.859 | 528.668 | 49.797 | 5.360 | -0.000 | -0.000 | 
| 53.090 | 53.090 | 566.621 | -0.000 | -0.000 | 0.000 | 
| -5.137 | 5.003 | 0.134 | 191.367 | -0.000 | -0.000 | 
| 0.000 | 0.000 | 0.000 | -0.000 | 209.571 | -7.925 | 
| -0.051 | -0.052 | 0.104 | -0.000 | -5.691 | 218.989 | 
| 530.090 | 87.520 | 54.729 | -4.979 | 0.000 | -0.000 | 
| 87.519 | 530.092 | 54.728 | 4.979 | 0.000 | 0.000 | 
| 53.221 | 53.221 | 566.355 | 0.000 | 0.000 | 0.000 | 
| -5.004 | 5.137 | -0.134 | 191.367 | 0.000 | -0.000 | 
| -0.000 | -0.000 | -0.000 | 0.000 | 209.571 | -7.925 | 
| 0.051 | 0.052 | -0.104 | 0.000 | -5.691 | 218.989 | 
| 588.099 | 67.453 | 16.960 | -0.000 | 0.000 | -0.000 | 
| 93.616 | 529.178 | 49.705 | -0.000 | -0.001 | 0.000 | 
| 53.107 | 53.107 | 566.292 | -0.000 | -0.002 | -0.000 | 
| 0.000 | -0.000 | -0.003 | 209.835 | -0.001 | 0.000 | 
| 0.001 | -0.000 | -0.003 | -0.000 | 209.834 | 0.000 | 
| 0.001 | -0.000 | -0.000 | -0.000 | -0.001 | 260.323 | 
| 588.098 | 67.452 | 16.980 | 0.001 | 0.001 | 0.000 | 
| 93.615 | 529.178 | 49.722 | 0.000 | 0.001 | 0.000 | 
| 53.107 | 53.107 | 566.306 | 0.001 | 0.002 | 0.000 | 
| 0.000 | 0.000 | 0.020 | 191.763 | 0.001 | 0.000 | 
| -0.001 | 0.000 | 0.002 | 0.000 | 209.835 | -0.000 | 
| -0.001 | -0.000 | 0.001 | 0.000 | 0.000 | 260.323 | 
| 530.606 | 87.589 | 54.318 | -0.000 | -0.000 | 0.000 | 
| 87.589 | 530.606 | 54.318 | -0.000 | -0.000 | 0.000 | 
| 16.964 | 16.964 | 638.585 | -0.000 | -0.000 | -0.000 | 
| -0.000 | -0.000 | -0.002 | 191.763 | -0.000 | -0.000 | 
| 0.000 | 0.000 | -0.000 | 0.000 | 209.835 | -0.000 | 
| 0.000 | 0.000 | 0.000 | 0.000 | -0.000 | 260.323 | 
| 588.098 | 67.452 | 16.966 | 0.000 | 0.000 | -0.000 | 
| 67.452 | 588.098 | 16.966 | -0.000 | 0.000 | -0.000 | 
| 16.964 | 16.964 | 638.586 | 0.000 | 0.000 | 0.000 | 
| 0.000 | 0.000 | 0.002 | 191.763 | -0.000 | 0.000 | 
| -0.000 | -0.000 | 0.000 | -0.000 | 209.835 | 0.000 | 
| -0.000 | -0.000 | -0.000 | -0.000 | 0.000 | 260.323 | 
| 523.788 | 93.995 | 54.734 | -0.000 | -0.000 | 0.000 | 
| 87.590 | 530.606 | 54.321 | -0.000 | -0.000 | 0.000 | 
| 53.083 | 53.083 | 566.350 | -0.000 | -0.000 | -0.000 | 
| 0.000 | -0.000 | -0.000 | 191.763 | -0.000 | 0.000 | 
| -0.000 | 0.000 | -0.000 | -0.000 | 191.763 | 0.000 | 
| -0.000 | 0.000 | 0.000 | -0.000 | -0.000 | 220.871 | 
| 530.605 | 87.588 | 54.319 | 0.000 | 0.000 | -0.000 | 
| 87.601 | 530.568 | 54.344 | 0.000 | 0.000 | -0.000 | 
| 53.131 | 53.131 | 566.251 | 0.000 | 0.000 | 0.000 | 
| -0.000 | 0.000 | 0.000 | 191.763 | 0.000 | -0.000 | 
| 0.000 | -0.000 | 0.000 | 0.000 | 191.763 | -0.000 | 
| 0.000 | -0.000 | -0.000 | 0.000 | 0.000 | 220.871 | 
| 499.554 | 75.459 | 97.418 | 0.000 | 0.000 | 0.000 | 
| 92.628 | 596.189 | -16.786 | 0.000 | 0.000 | -0.000 | 
| 16.844 | 16.844 | 639.389 | 0.000 | 0.000 | 0.000 | 
| -317.831 | -317.832 | 637.999 | 173.703 | 0.000 | 0.000 | 
| -34.697 | -34.697 | 69.585 | 0.000 | 204.498 | -0.000 | 
| 15.952 | 15.952 | -32.070 | 0.000 | 0.000 | 251.982 | 
| 564.944 | 60.611 | 46.805 | -0.000 | -0.000 | 0.000 | 
| 384.240 | 804.069 | -518.077 | -0.000 | -0.000 | -0.000 | 
| 16.844 | 16.844 | 639.392 | -0.000 | -0.000 | -0.000 | 
| 388.663 | 388.663 | -780.259 | 163.131 | -0.000 | 0.000 | 
| 34.697 | 34.697 | -69.585 | -0.000 | 204.497 | -0.000 | 
| -15.953 | -15.952 | 32.069 | -0.000 | -0.000 | 251.981 | 
| 411.233 | 77.725 | 183.876 | 0.000 | 0.000 | -0.000 | 
| 51.386 | 478.141 | 143.148 | -0.000 | 0.000 | 0.000 | 
| 71.044 | 71.044 | 530.571 | 0.000 | 0.000 | -0.000 | 
| -0.000 | 0.000 | -0.000 | 209.573 | 0.000 | -0.000 | 
| 1.118 | 1.118 | -2.248 | 0.000 | 210.684 | -0.000 | 
| 0.902 | 0.902 | -1.815 | 0.000 | -0.000 | 250.402 | 
| 484.887 | 155.095 | 32.281 | 0.000 | -0.000 | 0.000 | 
| 67.192 | 587.881 | 17.129 | 0.000 | -0.000 | 0.000 | 
| 107.951 | 107.951 | 456.486 | -0.000 | -0.000 | -0.000 | 
| 38.633 | 38.632 | -77.557 | 163.411 | -0.000 | -0.000 | 
| -1.118 | -1.118 | 2.248 | -0.000 | 210.684 | -0.000 | 
| -0.902 | -0.902 | 1.815 | -0.000 | -0.000 | 250.402 | 
| 526.783 | 74.653 | 70.973 | 0.000 | 0.000 | -0.000 | 
| 74.658 | 526.768 | 70.983 | -0.000 | 0.000 | 0.000 | 
| 54.048 | 54.048 | 564.699 | 0.000 | 0.000 | 0.000 | 
| -1.860 | -1.861 | 3.734 | 187.926 | 0.000 | 0.000 | 
| 0.000 | 0.000 | 0.000 | 0.000 | 209.573 | -0.000 | 
| -2.364 | -2.364 | 4.745 | 0.000 | 0.000 | 201.867 | 
| 510.181 | 97.196 | 65.006 | 0.000 | -0.000 | 0.000 | 
| 92.970 | 536.475 | 42.853 | 0.000 | -0.000 | 0.000 | 
| 51.680 | 51.680 | 569.449 | -0.000 | -0.000 | 0.000 | 
| 2.701 | 2.701 | -5.423 | 177.296 | -0.000 | -0.000 | 
| -0.000 | -0.000 | -0.000 | -0.000 | 209.573 | -0.000 | 
| 2.364 | 2.364 | -4.745 | -0.000 | 0.000 | 201.867 | 
| 347.459 | -71.440 | 397.727 | -4.582 | 0.000 | 0.000 | 
| -688.348 | -262.484 | 1629.900 | 2.080 | -0.000 | -0.000 | 
| -707.279 | -707.279 | 2093.935 | -0.000 | -0.000 | -0.000 | 
| 30.121 | 41.335 | -71.800 | 210.658 | -0.000 | 0.000 | 
| 35.728 | 35.728 | -71.800 | -0.000 | 210.658 | -5.607 | 
| -0.000 | 0.000 | 0.001 | -0.000 | -5.486 | 260.348 | 
| 1290.706 | 866.442 | -1491.444 | -2.024 | 0.000 | -0.000 | 
| 1088.079 | 1439.915 | -1863.926 | 1.096 | 0.000 | 0.000 | 
| 1063.257 | 1063.258 | -1462.408 | 0.000 | -0.000 | 0.000 | 
| 972.378 | 974.602 | -1955.396 | 169.239 | 0.000 | 0.000 | 
| -35.728 | -35.728 | 71.799 | 0.000 | 210.658 | -5.607 | 
| 0.000 | -0.000 | -0.002 | 0.000 | -5.486 | 260.348 | 
| 587.854 | 67.158 | 17.150 | -5.486 | 0.000 | -0.000 | 
| 67.158 | 587.854 | 17.150 | 5.486 | 0.000 | -0.000 | 
| -0.300 | -0.300 | 673.900 | -0.000 | -0.000 | -0.000 | 
| -5.486 | 5.486 | 0.000 | 209.539 | 0.000 | 0.000 | 
| 0.000 | 0.000 | 0.000 | -0.000 | 209.539 | -5.486 | 
| 0.000 | 0.000 | 0.000 | -0.000 | -5.486 | 260.348 | 
| 560.322 | 210.526 | -99.187 | -1.043 | -0.000 | 0.000 | 
| 166.715 | 585.284 | -80.254 | 1.827 | 0.000 | 0.000 | 
| 137.684 | 137.684 | 396.742 | 0.000 | -0.000 | 0.000 | 
| -7.958 | 3.152 | 4.831 | 210.175 | 0.000 | 0.000 | 
| -0.000 | -0.000 | -0.000 | 0.000 | 209.539 | -5.486 | 
| -0.000 | -0.000 | -0.000 | 0.000 | -5.486 | 260.348 | 
| 526.909 | 95.572 | 49.823 | -4.032 | 0.000 | -0.000 | 
| 95.571 | 526.908 | 49.824 | 4.032 | -0.000 | -0.000 | 
| 16.829 | 16.829 | 639.498 | -0.000 | 0.000 | -0.000 | 
| -9.122 | -4.083 | 13.262 | 182.207 | -0.000 | -0.000 | 
| -6.603 | -6.602 | 13.262 | 0.000 | 182.206 | -2.519 | 
| 0.000 | 0.000 | 0.000 | -0.000 | -5.486 | 260.348 | 
| 587.852 | 67.157 | 17.150 | -5.486 | 0.000 | 0.000 | 
| 98.672 | 520.324 | 53.319 | 2.911 | 0.000 | -0.000 | 
| 54.397 | 54.397 | 564.032 | 0.000 | -0.000 | 0.000 | 
| -1.102 | 7.106 | -6.029 | 196.806 | -0.000 | 0.000 | 
| 6.603 | 6.602 | -13.262 | -0.000 | 182.206 | -2.519 | 
| -0.000 | -0.000 | -0.000 | 0.000 | -5.486 | 260.348 | 
| 474.190 | 28.042 | 170.506 | 6.861 | 0.000 | -0.000 | 
| 67.233 | 587.915 | 17.103 | -10.191 | 0.000 | -0.001 | 
| -10.102 | -10.102 | 693.360 | 0.000 | -0.000 | -0.001 | 
| -80.752 | -91.605 | 172.908 | 185.990 | 0.000 | -0.001 | 
| -86.176 | -86.176 | 172.902 | 0.000 | 185.991 | 5.426 | 
| -59.985 | -59.985 | 120.351 | 0.000 | 6.862 | 223.082 | 
| 594.187 | 148.010 | -70.222 | 6.863 | -0.000 | 0.001 | 
| 67.233 | 587.915 | 17.101 | -10.191 | -0.000 | 0.001 | 
| 150.376 | 150.375 | 371.381 | -0.000 | -0.000 | 0.001 | 
| 10.191 | -10.191 | -0.001 | 209.615 | -0.000 | 0.001 | 
| 86.176 | 86.176 | -172.902 | -0.000 | 185.991 | 5.427 | 
| 59.985 | 59.985 | -120.351 | -0.000 | 6.862 | 223.083 | 
| 507.961 | 83.459 | 81.035 | 5.484 | 0.000 | -0.000 | 
| 82.104 | 527.787 | 62.505 | -6.836 | 0.000 | -0.000 | 
| 55.312 | 55.312 | 562.116 | -0.000 | 0.000 | -0.000 | 
| 10.191 | -10.191 | 0.000 | 209.615 | 0.000 | -0.000 | 
| -7.287 | -7.287 | 14.620 | 0.000 | 189.670 | 6.169 | 
| -8.565 | -8.565 | 17.185 | 0.000 | 5.455 | 211.960 | 
| 540.057 | 94.111 | 38.150 | 6.851 | -0.000 | 0.000 | 
| 100.654 | 524.671 | 47.021 | -5.460 | -0.000 | 0.000 | 
| 63.238 | 63.238 | 546.213 | 0.000 | -0.000 | 0.000 | 
| 14.030 | 3.143 | -17.228 | 186.076 | -0.000 | 0.000 | 
| 7.287 | 7.287 | -14.620 | -0.000 | 189.670 | 6.169 | 
| 8.565 | 8.565 | -17.185 | -0.000 | 5.455 | 211.960 | 
| 527.707 | 87.129 | 57.546 | 6.271 | 0.000 | -0.000 | 
| 86.440 | 528.733 | 57.208 | -6.317 | 0.000 | -0.000 | 
| 52.221 | 52.221 | 568.318 | 0.000 | 0.000 | -0.000 | 
| 5.972 | -7.261 | 1.293 | 191.889 | 0.000 | 0.000 | 
| -0.645 | -0.644 | 1.293 | 0.000 | 191.889 | 6.616 | 
| -0.730 | -0.730 | 1.465 | 0.000 | 6.155 | 219.108 | 
| 528.954 | 88.607 | 54.808 | 6.259 | -0.000 | 0.000 | 
| 89.763 | 531.862 | 50.731 | -6.672 | -0.000 | 0.000 | 
| 53.542 | 53.542 | 565.665 | -0.000 | -0.000 | 0.000 | 
| 7.261 | -5.972 | -1.293 | 191.889 | -0.000 | 0.000 | 
| 0.645 | 0.644 | -1.293 | -0.000 | 191.889 | 6.616 | 
| 0.730 | 0.730 | -1.465 | -0.000 | 6.155 | 219.108 | 
| 588.098 | 67.452 | 16.953 | 6.491 | -0.000 | 0.000 | 
| 87.782 | 530.302 | 54.436 | -4.082 | -0.000 | 0.000 | 
| 53.107 | 53.107 | 566.302 | 0.001 | 0.001 | -0.000 | 
| 6.491 | -6.491 | 0.002 | 209.835 | -0.000 | 0.000 | 
| -0.000 | -0.000 | -0.012 | -0.000 | 209.834 | 6.491 | 
| 0.000 | -0.000 | -0.011 | -0.000 | 6.491 | 260.323 | 
| 530.301 | 87.782 | 54.421 | 4.082 | 0.001 | -0.000 | 
| 87.781 | 530.302 | 54.431 | -4.083 | 0.001 | -0.000 | 
| 16.964 | 16.964 | 638.583 | 0.000 | -0.000 | 0.000 | 
| 6.491 | -6.491 | -0.008 | 209.835 | 0.000 | -0.000 | 
| -0.000 | 0.000 | 0.031 | 0.000 | 209.835 | 6.491 | 
| 0.000 | 0.000 | 0.008 | -0.000 | 6.491 | 260.323 | 
| 588.098 | 67.452 | 16.964 | 6.491 | -0.000 | 0.000 | 
| 67.452 | 588.098 | 16.965 | -6.491 | 0.000 | 0.000 | 
| 16.964 | 16.964 | 638.587 | 0.000 | 0.000 | -0.000 | 
| 4.168 | -4.168 | -0.000 | 191.763 | -0.000 | 0.000 | 
| 0.000 | -0.000 | -0.002 | -0.000 | 209.835 | 6.491 | 
| 0.000 | -0.000 | -0.001 | -0.000 | 6.491 | 260.323 | 
| 588.098 | 67.452 | 16.964 | 6.491 | 0.000 | -0.000 | 
| 67.452 | 588.098 | 16.964 | -6.491 | 0.000 | -0.000 | 
| 16.964 | 16.964 | 638.587 | -0.000 | -0.000 | 0.000 | 
| 4.168 | -4.168 | 0.000 | 191.763 | 0.000 | 0.000 | 
| -0.000 | 0.000 | 0.001 | 0.000 | 209.835 | 6.491 | 
| -0.000 | 0.000 | 0.001 | 0.000 | 6.491 | 260.323 | 
| 523.821 | 94.226 | 54.469 | 4.080 | -0.000 | 0.000 | 
| 94.603 | 528.704 | 49.209 | -4.418 | 0.000 | 0.000 | 
| 16.964 | 16.964 | 638.589 | 0.000 | -0.000 | -0.000 | 
| 4.168 | -4.168 | 0.000 | 191.763 | -0.000 | -0.000 | 
| 0.000 | 0.000 | 0.000 | 0.000 | 209.835 | 6.491 | 
| 0.000 | 0.000 | 0.000 | 0.000 | 6.491 | 260.323 | 
| 530.301 | 87.781 | 54.430 | 4.083 | -0.000 | -0.000 | 
| 67.452 | 588.096 | 16.964 | -6.491 | -0.000 | -0.000 | 
| 16.964 | 16.964 | 638.584 | -0.000 | -0.000 | 0.000 | 
| 4.168 | -4.168 | -0.000 | 191.763 | 0.000 | -0.000 | 
| -0.000 | -0.000 | 0.000 | -0.000 | 209.835 | 6.491 | 
| -0.000 | -0.000 | -0.000 | -0.000 | 6.491 | 260.323 | 
| 3711.532 | 3280.387 | -6393.999 | 3.694 | 0.000 | 0.000 | 
| 2551.702 | 2990.958 | -4927.907 | -4.290 | -0.000 | -0.000 | 
| 3241.748 | 3241.748 | -5884.220 | 0.000 | -0.000 | 0.000 | 
| 3192.702 | 3185.312 | -6452.140 | 187.318 | -0.000 | -0.000 | 
| 3189.007 | 3189.007 | -6452.140 | -0.000 | 187.318 | 3.695 | 
| 3188.893 | 3188.893 | -6451.910 | 0.000 | 3.695 | 215.598 | 
| -2664.162 | -3095.463 | 6505.746 | 3.698 | 0.000 | 0.000 | 
| -3094.872 | -2663.554 | 6504.533 | -3.699 | -0.000 | 0.000 | 
| 16.603 | 16.603 | 641.036 | -0.000 | -0.000 | -0.000 | 
| 6.471 | -6.471 | -0.000 | 209.041 | 0.000 | -0.000 | 
| -3189.007 | -3189.007 | 6452.140 | -0.000 | 187.318 | 3.695 | 
| -3188.893 | -3188.893 | 6451.910 | -0.000 | 3.695 | 215.598 | 
| 774.767 | 335.146 | -443.631 | 4.303 | -0.000 | 0.000 | 
| 335.149 | 774.770 | -443.637 | -4.303 | 0.000 | -0.000 | 
| 371.249 | 371.249 | -76.499 | 0.000 | 0.000 | -0.000 | 
| 322.471 | 315.078 | -644.959 | 187.326 | -0.000 | 0.000 | 
| 0.000 | 0.000 | -0.000 | 0.000 | 209.041 | 6.471 | 
| 0.000 | 0.000 | -0.000 | 0.000 | 6.471 | 260.392 | 
| 206.974 | -225.377 | 697.799 | 3.731 | 0.000 | -0.000 | 
| -225.591 | 206.694 | 698.299 | -3.729 | -0.000 | -0.000 | 
| 16.603 | 16.603 | 641.036 | -0.000 | -0.000 | 0.000 | 
| -315.059 | -322.451 | 644.919 | 187.328 | 0.000 | 0.000 | 
| -0.000 | -0.000 | 0.000 | -0.000 | 209.041 | 6.471 | 
| -0.000 | -0.000 | 0.000 | -0.000 | 6.471 | 260.392 | 
| 551.975 | 122.872 | -3.506 | 3.630 | 0.000 | -0.000 | 
| 66.665 | 587.450 | 17.467 | -6.471 | 0.000 | 0.000 | 
| 79.760 | 79.760 | 513.256 | 0.000 | 0.000 | -0.000 | 
| 6.471 | -6.471 | 0.000 | 209.041 | 0.000 | 0.000 | 
| 30.860 | 30.860 | -62.437 | 0.000 | 188.019 | 3.785 | 
| 0.000 | 0.000 | 0.000 | 0.000 | 6.471 | 260.392 | 
| 498.000 | 58.619 | 116.092 | 3.949 | 0.000 | -0.000 | 
| 58.614 | 497.953 | 116.145 | -3.947 | 0.000 | 0.000 | 
| 30.406 | 30.406 | 613.108 | -0.000 | -0.000 | -0.000 | 
| -22.737 | -31.005 | 54.366 | 190.753 | -0.000 | 0.000 | 
| -30.860 | -30.860 | 62.437 | -0.000 | 188.019 | 3.785 | 
| -0.000 | -0.000 | -0.000 | -0.000 | 6.471 | 260.392 | 
| 587.609 | 66.846 | 17.356 | -0.000 | -0.000 | -0.000 | 
| 66.846 | 587.608 | 17.356 | -0.000 | 0.001 | -0.000 | 
| 53.086 | 53.086 | 567.049 | 0.000 | 0.000 | 0.000 | 
| 0.000 | 0.000 | 0.000 | 209.221 | 0.001 | 0.000 | 
| -0.001 | -0.001 | 0.003 | -0.000 | 191.128 | 0.000 | 
| 0.000 | 0.000 | 0.000 | -0.000 | 0.001 | 260.381 | 
| 523.638 | 91.030 | 57.502 | 0.000 | -0.001 | -0.000 | 
| 66.846 | 587.608 | 17.356 | -0.000 | -0.001 | -0.000 | 
| 53.088 | 53.088 | 567.044 | 0.000 | -0.001 | -0.000 | 
| -0.000 | -0.000 | -0.000 | 209.222 | -0.000 | 0.000 | 
| 0.001 | 0.001 | -0.003 | 0.000 | 191.126 | -0.000 | 
| 0.000 | -0.000 | -0.000 | 0.000 | -0.000 | 260.381 | 
| 587.609 | 66.846 | 17.357 | -0.000 | 0.000 | 0.000 | 
| 66.846 | 587.609 | 17.357 | 0.000 | 0.000 | 0.000 | 
| 53.084 | 53.084 | 567.052 | -0.000 | 0.000 | -0.000 | 
| -0.000 | -0.000 | 0.000 | 191.127 | -0.000 | -0.000 | 
| 0.000 | 0.000 | 0.000 | -0.000 | 209.222 | -0.000 | 
| 0.000 | 0.000 | 0.000 | -0.000 | 0.000 | 260.381 | 
| 523.342 | 95.039 | 53.755 | 0.000 | -0.000 | 0.000 | 
| 91.028 | 523.637 | 57.504 | 0.000 | -0.000 | 0.000 | 
| 53.087 | 53.087 | 567.046 | 0.000 | 0.000 | -0.000 | 
| 0.000 | 0.000 | -0.000 | 191.127 | 0.000 | -0.000 | 
| -0.000 | -0.000 | -0.000 | 0.000 | 209.222 | 0.000 | 
| -0.000 | -0.000 | -0.000 | 0.000 | -0.000 | 260.381 | 
| 587.610 | 66.846 | 17.357 | 0.000 | -0.000 | 0.000 | 
| 95.039 | 523.344 | 53.755 | -0.000 | 0.000 | 0.000 | 
| 53.088 | 53.088 | 567.046 | 0.000 | 0.000 | 0.000 | 
| 0.000 | -0.000 | 0.000 | 191.127 | 0.000 | -0.000 | 
| -0.000 | 0.000 | 0.000 | -0.000 | 191.127 | -0.000 | 
| -0.000 | 0.000 | 0.000 | -0.000 | 0.000 | 214.156 | 
| 587.607 | 66.846 | 17.356 | -0.000 | -0.000 | 0.000 | 
| 91.027 | 523.638 | 57.503 | 0.000 | -0.000 | 0.000 | 
| 53.086 | 53.086 | 567.047 | 0.000 | -0.000 | -0.000 | 
| -0.000 | 0.000 | -0.000 | 191.127 | -0.000 | -0.000 | 
| 0.000 | -0.000 | -0.000 | 0.000 | 191.127 | 0.000 | 
| 0.000 | -0.000 | -0.000 | 0.000 | -0.000 | 214.156 | 
| 587.889 | 67.203 | 17.122 | 0.000 | 0.000 | 0.001 | 
| 82.957 | 519.662 | 69.783 | 0.000 | 0.001 | 0.000 | 
| 16.849 | 16.849 | 639.349 | -0.000 | 0.000 | 0.001 | 
| -0.000 | 0.000 | -0.000 | 209.585 | -0.001 | 0.000 | 
| -9.642 | -9.642 | 19.355 | 0.000 | 190.989 | -0.000 | 
| -9.938 | -9.938 | 19.947 | -0.001 | -0.000 | 220.655 | 
| 538.916 | 97.681 | 35.680 | 0.000 | -0.000 | -0.001 | 
| 97.682 | 538.916 | 35.682 | -0.000 | 0.000 | 0.000 | 
| 62.435 | 62.435 | 547.849 | -0.000 | -0.000 | -0.000 | 
| 0.000 | -0.001 | 0.003 | 209.584 | 0.000 | -0.000 | 
| 9.642 | 9.642 | -19.354 | -0.001 | 190.991 | -0.000 | 
| 9.938 | 9.938 | -19.947 | 0.001 | 0.000 | 220.655 | 
| 529.630 | 86.199 | 56.526 | 0.000 | 0.000 | 0.000 | 
| 86.200 | 529.630 | 56.526 | -0.000 | -0.000 | 0.000 | 
| 52.161 | 52.161 | 568.468 | 0.000 | -0.000 | -0.000 | 
| 0.000 | 0.000 | -0.000 | 209.584 | 0.000 | 0.000 | 
| 0.000 | 0.000 | -0.000 | 0.000 | 209.584 | 0.000 | 
| -0.738 | -0.738 | 1.482 | -0.000 | -0.000 | 219.289 | 
| 587.888 | 67.202 | 17.121 | 0.000 | 0.000 | 0.000 | 
| 67.202 | 587.889 | 17.121 | -0.000 | 0.000 | -0.000 | 
| 54.033 | 54.033 | 564.711 | -0.000 | -0.000 | 0.000 | 
| -0.000 | -0.000 | 0.000 | 209.584 | 0.000 | -0.000 | 
| 0.000 | -0.000 | 0.000 | -0.000 | 209.584 | -0.000 | 
| 0.738 | 0.739 | -1.482 | 0.000 | -0.000 | 219.289 | 
| 530.448 | 87.089 | 54.814 | -0.000 | -0.000 | 0.000 | 
| 93.226 | 529.024 | 50.084 | -0.000 | 0.000 | 0.000 | 
| 53.002 | 53.002 | 566.783 | 0.000 | -0.000 | 0.000 | 
| 0.000 | 0.000 | 0.000 | 209.584 | -0.000 | 0.000 | 
| -0.093 | -0.093 | 0.187 | 0.000 | 191.504 | 0.000 | 
| -0.099 | -0.098 | 0.198 | 0.000 | -0.000 | 221.015 | 
| 530.627 | 87.286 | 54.433 | -0.000 | 0.000 | -0.000 | 
| 93.401 | 529.226 | 49.701 | -0.000 | -0.000 | -0.000 | 
| 53.189 | 53.189 | 566.404 | -0.000 | 0.000 | -0.000 | 
| -0.000 | -0.000 | -0.000 | 209.584 | 0.000 | -0.000 | 
| 0.093 | 0.093 | -0.187 | -0.000 | 191.504 | -0.000 | 
| 0.099 | 0.098 | -0.198 | -0.000 | 0.000 | 221.015 | 
| 588.098 | 67.452 | 16.965 | 10.200 | -0.000 | -0.001 | 
| 67.452 | 588.097 | 16.964 | -10.200 | -0.001 | -0.000 | 
| 53.105 | 53.105 | 566.303 | -0.000 | 0.000 | -0.001 | 
| 6.547 | -6.551 | 0.002 | 191.763 | -0.000 | -0.001 | 
| -0.000 | -0.000 | -0.001 | 0.000 | 209.834 | 10.200 | 
| -0.001 | -0.000 | -0.000 | 0.000 | 10.200 | 260.323 | 
| 531.084 | 87.290 | 54.143 | 6.444 | 0.000 | -0.000 | 
| 87.290 | 531.084 | 54.141 | -6.444 | 0.000 | 0.000 | 
| 16.964 | 16.964 | 638.587 | -0.000 | 0.000 | 0.000 | 
| 6.552 | -6.547 | -0.002 | 191.763 | 0.000 | 0.001 | 
| 0.000 | 0.000 | 0.000 | 0.000 | 209.835 | 10.201 | 
| 0.001 | 0.000 | 0.000 | -0.000 | 10.200 | 260.323 | 
| 529.902 | 92.176 | 50.437 | 6.819 | -0.000 | -0.000 | 
| 87.287 | 531.081 | 54.146 | -6.444 | -0.000 | -0.000 | 
| 53.107 | 53.107 | 566.301 | -0.000 | -0.000 | -0.000 | 
| 10.200 | -10.200 | -0.000 | 209.835 | -0.000 | 0.000 | 
| -0.000 | 0.000 | -0.000 | 0.000 | 209.835 | 10.200 | 
| -0.000 | 0.000 | -0.000 | 0.000 | 10.200 | 260.323 | 
| 531.082 | 87.288 | 54.145 | 6.444 | 0.000 | 0.000 | 
| 67.452 | 588.098 | 16.964 | -10.200 | 0.000 | 0.000 | 
| 53.107 | 53.107 | 566.300 | -0.000 | 0.000 | 0.000 | 
| 10.200 | -10.200 | 0.000 | 209.835 | 0.000 | 0.000 | 
| 0.000 | -0.000 | 0.000 | -0.000 | 209.835 | 10.200 | 
| 0.000 | -0.000 | 0.000 | -0.000 | 10.200 | 260.323 | 
| 529.903 | 92.177 | 50.437 | 6.819 | -0.000 | -0.000 | 
| 87.288 | 531.081 | 54.147 | -6.444 | -0.000 | 0.000 | 
| 53.108 | 53.108 | 566.300 | -0.000 | -0.000 | -0.000 | 
| 6.549 | -6.549 | 0.000 | 191.763 | -0.000 | -0.000 | 
| -0.000 | 0.000 | 0.000 | 0.000 | 191.763 | 6.549 | 
| 0.000 | 0.000 | 0.000 | 0.000 | 10.200 | 260.323 | 
| 531.081 | 87.287 | 54.145 | 6.444 | 0.000 | 0.000 | 
| 67.452 | 588.096 | 16.964 | -10.200 | 0.000 | 0.000 | 
| 53.107 | 53.107 | 566.299 | -0.000 | 0.000 | 0.000 | 
| 6.549 | -6.549 | -0.000 | 191.764 | 0.000 | -0.000 | 
| 0.000 | -0.000 | -0.000 | -0.000 | 191.763 | 6.549 | 
| -0.000 | -0.000 | -0.000 | -0.000 | 10.200 | 260.323 | 
| 587.874 | 67.182 | 17.131 | 10.189 | 0.000 | -0.000 | 
| 652.719 | 1063.686 | -1048.447 | -4.817 | 0.000 | 0.000 | 
| 16.840 | 16.840 | 639.422 | 0.000 | 0.000 | -0.000 | 
| 310.079 | 295.617 | -608.118 | 194.890 | -0.000 | 0.000 | 
| -0.001 | -0.000 | 0.000 | 0.000 | 209.563 | 10.189 | 
| 556.554 | 556.555 | -1117.548 | 0.000 | 4.825 | 205.561 | 
| 291.878 | -168.873 | 551.309 | 7.719 | -0.000 | -0.001 | 
| -460.404 | -49.116 | 1186.353 | -4.833 | -0.000 | -0.000 | 
| -207.491 | -207.492 | 1089.880 | -0.000 | -0.000 | 0.000 | 
| 10.189 | -10.189 | 0.002 | 209.563 | 0.000 | -0.000 | 
| 0.001 | 0.000 | -0.001 | -0.000 | 209.563 | 10.189 | 
| -556.555 | -556.555 | 1117.548 | -0.000 | 4.825 | 205.561 | 
| 561.990 | 151.422 | -41.454 | 4.798 | 0.000 | -0.000 | 
| 151.426 | 561.989 | -41.456 | -4.797 | -0.000 | -0.000 | 
| 16.840 | 16.840 | 639.423 | 0.000 | -0.000 | -0.000 | 
| 60.305 | 50.618 | -111.365 | 183.047 | 0.000 | -0.000 | 
| -0.000 | 0.000 | -0.000 | 0.000 | 209.563 | 10.189 | 
| 0.000 | 0.000 | -0.000 | 0.000 | 10.189 | 260.346 | 
| 453.963 | 40.320 | 178.549 | 4.948 | -0.000 | -0.000 | 
| 58.294 | 515.226 | 98.998 | -7.510 | -0.000 | -0.000 | 
| 14.609 | 14.609 | 643.904 | -0.000 | -0.000 | -0.000 | 
| -50.618 | -60.304 | 111.365 | 183.047 | -0.000 | 0.000 | 
| 0.000 | -0.000 | 0.000 | -0.000 | 209.563 | 10.189 | 
| -0.000 | -0.000 | 0.000 | -0.000 | 10.189 | 260.346 | 
| 528.727 | 93.485 | 50.112 | 6.006 | 0.000 | 0.000 | 
| 92.417 | 536.201 | 43.681 | -6.803 | -0.000 | -0.000 | 
| 59.833 | 59.833 | 553.097 | 0.000 | 0.000 | -0.000 | 
| 10.298 | -3.313 | -7.013 | 192.778 | 0.000 | 0.000 | 
| 4.630 | 4.631 | -9.298 | 0.000 | 187.425 | 5.726 | 
| 4.455 | 4.455 | -8.946 | 0.000 | 5.895 | 216.490 | 
| 525.710 | 83.366 | 63.296 | 6.369 | -0.000 | -0.000 | 
| 67.182 | 587.872 | 17.135 | -10.189 | 0.000 | 0.000 | 
| 52.721 | 52.721 | 567.373 | -0.000 | -0.000 | -0.000 | 
| 3.312 | -10.298 | 7.014 | 192.776 | -0.000 | -0.000 | 
| -4.630 | -4.631 | 9.298 | -0.000 | 187.425 | 5.726 | 
| -4.455 | -4.455 | 8.946 | -0.000 | 5.895 | 216.490 | 
| 923.051 | 507.210 | 507.210 | -0.000 | -0.000 | 0.000 | 
| 507.210 | 923.051 | 507.210 | -0.000 | -0.000 | 0.000 | 
| 507.210 | 507.210 | 923.051 | -0.000 | -0.000 | 0.000 | 
| -0.000 | -0.000 | 0.000 | 101.905 | 0.000 | 0.000 | 
| 0.000 | -0.000 | 0.000 | 0.000 | 101.905 | 0.000 | 
| 0.000 | -0.000 | -0.000 | 0.000 | 0.000 | 101.905 | 
| 923.051 | 507.210 | 507.210 | -0.000 | -0.000 | -0.000 | 
| 507.210 | 923.052 | 507.210 | -0.000 | -0.000 | -0.000 | 
| 507.210 | 507.210 | 923.051 | -0.000 | -0.000 | -0.000 | 
| 0.000 | 0.000 | -0.000 | 101.905 | -0.000 | -0.000 | 
| -0.000 | 0.000 | -0.000 | -0.000 | 101.905 | -0.000 | 
| -0.000 | 0.000 | 0.000 | -0.000 | 0.000 | 101.905 | 
| 923.051 | 507.210 | 507.210 | 0.000 | 0.000 | 0.000 | 
| 507.210 | 923.051 | 507.210 | 0.000 | 0.000 | 0.000 | 
| 507.210 | 507.210 | 923.051 | 0.000 | -0.000 | 0.000 | 
| 0.000 | 0.000 | 0.000 | 101.905 | -0.000 | 0.000 | 
| 0.000 | 0.000 | 0.000 | 0.000 | 101.905 | 0.000 | 
| 0.000 | 0.000 | 0.000 | 0.000 | -0.000 | 101.905 | 
| 923.051 | 507.210 | 507.210 | -0.000 | 0.000 | -0.000 | 
| 507.210 | 923.051 | 507.210 | -0.000 | -0.000 | -0.000 | 
| 507.210 | 507.210 | 923.051 | -0.000 | 0.000 | -0.000 | 
| -0.000 | -0.000 | -0.000 | 101.905 | -0.000 | -0.000 | 
| -0.000 | -0.000 | -0.000 | -0.000 | 101.905 | -0.000 | 
| -0.000 | -0.000 | -0.000 | -0.000 | -0.000 | 101.905 | 
| 923.052 | 507.210 | 507.210 | 0.000 | 0.000 | 0.000 | 
| 507.210 | 923.052 | 507.210 | 0.000 | 0.000 | 0.000 | 
| 507.210 | 507.210 | 923.052 | 0.000 | 0.000 | 0.000 | 
| 0.001 | 0.000 | 0.000 | 101.905 | 0.000 | 0.000 | 
| 0.000 | 0.001 | 0.000 | 0.000 | 101.905 | 0.000 | 
| 0.000 | 0.000 | 0.001 | 0.000 | 0.000 | 101.905 | 
| 923.051 | 507.210 | 507.210 | -0.000 | -0.000 | -0.000 | 
| 507.210 | 923.051 | 507.210 | -0.000 | -0.000 | -0.000 | 
| 507.210 | 507.210 | 923.051 | -0.000 | -0.000 | -0.000 | 
| -0.001 | -0.000 | -0.000 | 101.905 | -0.000 | -0.000 | 
| -0.000 | -0.001 | -0.000 | -0.000 | 101.905 | -0.000 | 
| -0.000 | -0.000 | -0.001 | -0.000 | 0.000 | 101.905 | 
| 1077.021 | 818.261 | 818.262 | -0.000 | 0.000 | 0.000 | 
| 818.261 | 1077.021 | 818.262 | -0.000 | 0.000 | 0.000 | 
| 818.261 | 818.261 | 1077.021 | -0.000 | 0.000 | 0.000 | 
| 0.000 | 0.001 | 0.001 | -83.321 | 0.000 | 0.000 | 
| 0.000 | 0.000 | 0.001 | -0.000 | -83.321 | -0.000 | 
| 0.000 | 0.000 | 0.000 | -0.000 | 0.000 | -83.321 | 
| 1064.467 | 824.537 | 824.537 | 0.000 | -0.000 | -0.000 | 
| 824.537 | 1064.467 | 824.537 | 0.000 | -0.000 | -0.000 | 
| 824.537 | 824.537 | 1064.467 | -0.000 | -0.000 | -0.000 | 
| -0.000 | -0.000 | -0.000 | -83.321 | 0.000 | 0.000 | 
| -0.000 | -0.000 | -0.001 | 0.000 | -83.321 | -0.000 | 
| -0.000 | -0.000 | -0.000 | 0.000 | -0.000 | -83.321 | 
| 1064.468 | 824.537 | 824.537 | -0.000 | 0.000 | 0.000 | 
| 824.537 | 1064.468 | 824.537 | -0.000 | -0.000 | 0.000 | 
| 824.537 | 824.537 | 1064.468 | -0.000 | -0.000 | 0.000 | 
| 442887725.959 | 321888331.039 | 327272813.953 | -68861592.623 | 2847890.057 | -919799.163 | 
| 324787978.889 | 447632691.555 | 322284076.470 | 1840299.338 | -62405132.262 | -1699732.932 | 
| 325065889.718 | 325699702.343 | 447807977.499 | -3089198.705 | 3103635.929 | -64576812.014 | 
| 1064.467 | 824.537 | 824.537 | 0.000 | -0.000 | -0.000 | 
| 824.537 | 1064.467 | 824.537 | 0.000 | -0.000 | -0.000 | 
| 824.537 | 824.537 | 1064.467 | 0.000 | -0.000 | -0.000 | 
| -443122015.839 | -325618345.268 | -325417986.243 | -71154236.691 | 2725287.848 | 862240.413 | 
| -325900485.222 | -442865575.230 | -322431275.995 | -774023.264 | -65607930.236 | 1859951.986 | 
| -320979254.727 | -323062438.740 | -441983680.937 | 288868.982 | -1688135.939 | -69752888.680 | 
| 1064.473 | 824.537 | 824.537 | -0.000 | 0.000 | 0.000 | 
| 824.537 | 1064.473 | 824.537 | -0.000 | -0.000 | 0.000 | 
| 824.537 | 824.537 | 1064.473 | -0.000 | 0.000 | 0.000 | 
| 44292624.554 | 32388445.286 | 32811199.934 | -6334464.267 | -47487.192 | -105393.163 | 
| 32376277.300 | 43948281.545 | 32619768.376 | 140497.427 | -6180702.838 | 135106.443 | 
| 33425578.389 | 32804616.985 | 45431312.758 | -302100.055 | -209407.366 | -6171894.007 | 
| 1064.462 | 824.538 | 824.538 | 0.000 | -0.000 | -0.000 | 
| 824.538 | 1064.462 | 824.538 | 0.000 | 0.000 | -0.000 | 
| 824.538 | 824.538 | 1064.462 | 0.000 | -0.000 | -0.000 | 
| -45537678.817 | -32953162.195 | -32080485.075 | -6508710.581 | -47403.137 | -69547.339 | 
| -32187133.190 | -44182104.246 | -32147198.689 | -4429.861 | -6010978.040 | -40325.085 | 
| -31462034.985 | -31952437.251 | -45265459.846 | 299358.339 | 103980.574 | -6894628.120 | 
| 186.233 | 84.424 | 84.424 | -0.000 | 0.000 | 0.000 | 
| 84.424 | 186.233 | 84.424 | 0.000 | 0.000 | 0.000 | 
| 84.424 | 84.424 | 186.233 | 0.000 | 0.000 | 0.000 | 
| 0.000 | 0.000 | 0.000 | 82.598 | 0.000 | 0.000 | 
| 0.000 | 0.000 | 0.000 | -0.000 | 82.598 | 0.000 | 
| 0.000 | 0.000 | 0.000 | -0.000 | 0.000 | 82.598 | 
| 186.232 | 84.424 | 84.424 | -0.000 | -0.000 | -0.000 | 
| 84.424 | 186.232 | 84.424 | 0.000 | -0.000 | -0.000 | 
| 84.424 | 84.424 | 186.232 | 0.000 | -0.000 | -0.000 | 
| -0.000 | -0.000 | -0.000 | 82.598 | -0.000 | -0.000 | 
| -0.000 | -0.000 | -0.000 | -0.000 | 82.598 | -0.000 | 
| -0.000 | -0.000 | -0.000 | -0.000 | -0.000 | 82.598 | 
| 186.233 | 84.424 | 84.424 | 0.000 | 0.000 | -0.000 | 
| 84.424 | 186.233 | 84.424 | -0.000 | 0.000 | 0.000 | 
| 84.424 | 84.424 | 186.233 | 0.000 | 0.000 | 0.000 | 
| 0.000 | 0.000 | 0.000 | 82.598 | 0.000 | 0.000 | 
| 0.000 | 0.000 | 0.000 | 0.000 | 82.598 | 0.000 | 
| 0.000 | 0.000 | 0.000 | 0.000 | 0.000 | 82.598 | 
| 186.232 | 84.424 | 84.424 | -0.000 | -0.000 | -0.000 | 
| 84.424 | 186.232 | 84.424 | -0.000 | -0.000 | -0.000 | 
| 84.424 | 84.424 | 186.232 | -0.000 | -0.000 | -0.000 | 
| -0.000 | -0.000 | -0.000 | 82.598 | -0.000 | -0.000 | 
| -0.000 | -0.000 | -0.000 | -0.000 | 82.598 | -0.000 | 
| -0.000 | -0.000 | -0.000 | -0.000 | -0.000 | 82.598 | 
| 186.233 | 84.424 | 84.424 | -0.000 | 0.000 | 0.000 | 
| 84.424 | 186.233 | 84.424 | 0.000 | 0.000 | 0.000 | 
| 84.424 | 84.424 | 186.233 | 0.000 | 0.000 | 0.000 | 
| -0.000 | 0.000 | 0.000 | 82.598 | 0.000 | 0.000 | 
| 0.000 | -0.000 | 0.000 | 0.000 | 82.598 | 0.000 | 
| 0.000 | 0.000 | -0.000 | 0.000 | 0.000 | 82.598 | 
| 186.232 | 84.424 | 84.424 | 0.000 | -0.000 | -0.000 | 
| 84.424 | 186.232 | 84.424 | -0.000 | -0.000 | -0.000 | 
| 84.424 | 84.424 | 186.232 | -0.000 | -0.000 | -0.000 | 
| 0.000 | -0.000 | -0.000 | 82.598 | -0.000 | -0.000 | 
| -0.000 | 0.000 | -0.000 | -0.000 | 82.598 | -0.000 | 
| -0.000 | -0.000 | 0.000 | -0.000 | -0.000 | 82.598 | 
| 1226.761 | 1188.629 | 1188.629 | 0.000 | -0.000 | -0.000 | 
| 1188.629 | 1226.761 | 1188.629 | 0.000 | -0.000 | -0.000 | 
| 1188.629 | 1188.629 | 1226.761 | 0.000 | -0.000 | -0.000 | 
| 0.001 | 0.001 | 0.001 | 204.086 | 0.000 | 0.000 | 
| 0.001 | 0.001 | 0.001 | -0.000 | 204.086 | -0.000 | 
| 0.001 | 0.001 | 0.001 | -0.000 | -0.000 | 204.086 | 
| 1226.759 | 1188.627 | 1188.627 | -0.000 | -0.000 | -0.000 | 
| 1188.627 | 1226.759 | 1188.627 | -0.000 | -0.000 | -0.000 | 
| 1188.627 | 1188.627 | 1226.759 | -0.000 | -0.000 | -0.000 | 
| -0.001 | -0.001 | -0.001 | 204.086 | -0.000 | 0.000 | 
| -0.001 | -0.001 | -0.001 | -0.000 | 204.086 | 0.000 | 
| -0.001 | -0.001 | -0.001 | 0.000 | 0.000 | 204.086 | 
| 1226.759 | 1188.627 | 1188.627 | -0.000 | -0.000 | -0.000 | 
| 1188.627 | 1226.759 | 1188.627 | -0.000 | -0.000 | -0.000 | 
| 1188.627 | 1188.627 | 1226.759 | 0.000 | 0.000 | -0.000 | 
| -0.000 | 0.000 | 0.000 | 204.085 | 0.000 | -0.000 | 
| 0.000 | -0.000 | 0.000 | 0.000 | 204.085 | -0.000 | 
| 0.000 | 0.000 | -0.000 | -0.000 | -0.000 | 204.085 | 
| 1226.761 | 1188.629 | 1188.629 | -0.000 | 0.000 | 0.000 | 
| 1188.629 | 1226.761 | 1188.629 | -0.000 | -0.000 | 0.000 | 
| 1188.629 | 1188.629 | 1226.761 | -0.000 | -0.000 | 0.000 | 
| 0.000 | -0.000 | -0.000 | 204.085 | 0.000 | -0.000 | 
| -0.000 | 0.000 | -0.000 | -0.000 | 204.085 | 0.000 | 
| -0.000 | -0.000 | 0.000 | 0.000 | 0.000 | 204.085 | 
| 1226.750 | 1188.620 | 1188.620 | 0.000 | -0.000 | -0.000 | 
| 1188.620 | 1226.750 | 1188.620 | 0.000 | 0.000 | -0.000 | 
| 1188.620 | 1188.620 | 1226.750 | -0.000 | -0.000 | 0.000 | 
| -0.004 | 0.001 | 0.001 | 204.085 | -0.000 | -0.000 | 
| 0.001 | -0.004 | 0.001 | 0.000 | 204.085 | -0.000 | 
| 0.001 | 0.001 | -0.004 | 0.000 | 0.000 | 204.085 | 
| 1226.769 | 1188.636 | 1188.636 | -0.000 | -0.000 | 0.000 | 
| 1188.636 | 1226.769 | 1188.636 | 0.000 | 0.000 | 0.000 | 
| 1188.636 | 1188.636 | 1226.769 | -0.000 | -0.000 | -0.000 | 
| 0.004 | -0.001 | -0.001 | 204.085 | 0.000 | -0.000 | 
| -0.001 | 0.004 | -0.001 | -0.000 | 204.085 | 0.000 | 
| -0.001 | -0.001 | 0.004 | -0.000 | -0.000 | 204.085 | 
| 2853.416 | 1106.069 | 1106.069 | 0.000 | 0.000 | -0.000 | 
| 1106.069 | 2853.416 | 1106.069 | 0.000 | -0.000 | -0.000 | 
| 1106.069 | 1106.069 | 2853.416 | 0.000 | 0.000 | 0.000 | 
| 0.000 | 0.000 | 0.000 | 805.757 | -0.000 | 0.000 | 
| 0.000 | 0.000 | 0.000 | 0.000 | 805.757 | 0.000 | 
| 0.000 | 0.000 | 0.000 | -0.000 | 0.000 | 805.757 | 
| 2853.415 | 1106.069 | 1106.068 | -0.000 | -0.000 | -0.000 | 
| 1106.069 | 2853.415 | 1106.068 | 0.000 | -0.000 | -0.000 | 
| 1106.068 | 1106.069 | 2853.415 | -0.000 | -0.000 | -0.000 | 
| -0.000 | -0.000 | -0.000 | 805.757 | -0.000 | -0.000 | 
| -0.000 | -0.000 | -0.000 | 0.000 | 805.757 | -0.000 | 
| -0.000 | -0.000 | -0.000 | 0.000 | -0.000 | 805.757 | 
| 2853.415 | 1106.069 | 1106.069 | 0.000 | 0.000 | 0.000 | 
| 1106.069 | 2853.415 | 1106.069 | 0.000 | 0.000 | 0.000 | 
| 1106.069 | 1106.069 | 2853.415 | 0.000 | -0.000 | 0.000 | 
| -0.000 | -0.000 | -0.000 | 805.756 | 0.000 | 0.000 | 
| -0.000 | -0.000 | -0.000 | -0.000 | 805.756 | 0.000 | 
| -0.000 | -0.000 | -0.000 | -0.000 | 0.000 | 805.756 | 
| 2853.416 | 1106.069 | 1106.069 | 0.000 | -0.000 | 0.000 | 
| 1106.069 | 2853.416 | 1106.069 | -0.000 | 0.000 | 0.000 | 
| 1106.069 | 1106.069 | 2853.416 | -0.000 | -0.000 | -0.000 | 
| 0.000 | 0.000 | 0.000 | 805.756 | -0.000 | -0.000 | 
| 0.000 | 0.000 | 0.000 | -0.000 | 805.756 | -0.000 | 
| 0.000 | 0.000 | 0.000 | -0.000 | -0.000 | 805.756 | 
| 2853.414 | 1106.069 | 1106.069 | 0.000 | 0.000 | 0.000 | 
| 1106.069 | 2853.414 | 1106.069 | 0.000 | 0.000 | -0.000 | 
| 1106.069 | 1106.069 | 2853.414 | -0.000 | 0.000 | 0.000 | 
| -0.001 | -0.003 | -0.002 | 806.057 | 0.000 | 0.000 | 
| -0.003 | -0.001 | -0.002 | 0.000 | 806.057 | 0.000 | 
| -0.003 | -0.002 | -0.001 | -0.000 | 0.000 | 806.057 | 
| 2853.417 | 1106.069 | 1106.069 | -0.000 | -0.000 | -0.000 | 
| 1106.069 | 2853.417 | 1106.069 | -0.000 | -0.000 | 0.000 | 
| 1106.069 | 1106.069 | 2853.417 | -0.000 | -0.000 | -0.000 | 
| 0.001 | 0.003 | 0.002 | 806.057 | 0.000 | -0.000 | 
| 0.003 | 0.001 | 0.002 | -0.000 | 806.057 | -0.000 | 
| 0.003 | 0.002 | 0.001 | 0.000 | -0.000 | 806.057 | 
| 199.061 | 134.587 | 134.587 | 0.000 | 0.000 | 0.000 | 
| 134.587 | 199.061 | 134.587 | 0.000 | 0.000 | 0.000 | 
| 134.587 | 134.587 | 199.061 | 0.000 | 0.000 | 0.000 | 
| 0.000 | 0.000 | 0.000 | 142.336 | 0.000 | 0.000 | 
| 0.000 | 0.000 | 0.000 | 0.000 | 142.336 | 0.000 | 
| 0.000 | 0.000 | 0.000 | 0.000 | 0.000 | 142.336 | 
| 199.060 | 134.587 | 134.587 | -0.000 | 0.000 | -0.000 | 
| 134.587 | 199.060 | 134.587 | -0.000 | -0.000 | -0.000 | 
| 134.587 | 134.587 | 199.060 | -0.000 | 0.000 | -0.000 | 
| -0.000 | -0.000 | -0.000 | 142.336 | -0.000 | -0.000 | 
| -0.000 | -0.000 | -0.000 | -0.000 | 142.336 | -0.000 | 
| -0.000 | -0.000 | -0.000 | -0.000 | 0.000 | 142.336 | 
| 199.061 | 134.587 | 134.587 | 0.000 | 0.000 | 0.000 | 
| 134.587 | 199.061 | 134.587 | 0.000 | 0.000 | -0.000 | 
| 134.587 | 134.587 | 199.061 | 0.000 | 0.000 | 0.000 | 
| 0.000 | 0.000 | 0.000 | 142.336 | 0.000 | 0.000 | 
| -0.000 | 0.000 | 0.000 | 0.000 | 142.336 | 0.000 | 
| 0.000 | 0.000 | 0.000 | 0.000 | -0.000 | 142.336 | 
| 199.061 | 134.587 | 134.587 | -0.000 | 0.000 | 0.000 | 
| 134.587 | 199.061 | 134.587 | -0.000 | -0.000 | -0.000 | 
| 134.587 | 134.587 | 199.061 | -0.000 | -0.000 | -0.000 | 
| -0.000 | -0.000 | -0.000 | 142.336 | -0.000 | 0.000 | 
| -0.000 | -0.000 | -0.000 | -0.000 | 142.336 | -0.000 | 
| -0.000 | -0.000 | -0.000 | 0.000 | 0.000 | 142.336 | 
| 199.061 | 134.588 | 134.588 | 0.000 | 0.000 | 0.000 | 
| 134.588 | 199.061 | 134.588 | 0.000 | -0.000 | 0.000 | 
| 134.588 | 134.588 | 199.061 | 0.000 | 0.000 | -0.000 | 
| 0.000 | 0.000 | 0.000 | 142.336 | -0.000 | 0.000 | 
| 0.000 | 0.000 | 0.000 | 0.000 | 142.336 | 0.000 | 
| 0.000 | 0.000 | 0.000 | 0.000 | 0.000 | 142.336 | 
| 199.060 | 134.587 | 134.587 | -0.000 | -0.000 | -0.000 | 
| 134.587 | 199.060 | 134.587 | -0.000 | 0.000 | -0.000 | 
| 134.587 | 134.587 | 199.060 | -0.000 | -0.000 | 0.000 | 
| -0.000 | -0.000 | -0.000 | 142.336 | -0.000 | -0.000 | 
| -0.000 | -0.000 | -0.000 | -0.000 | 142.336 | -0.000 | 
| -0.000 | -0.000 | -0.000 | -0.000 | -0.000 | 142.336 | 
| 1314.249 | 1224.498 | 1065.286 | -0.000 | -0.000 | -0.000 | 
| 1130.605 | 1408.141 | 1065.286 | -0.000 | -0.000 | -0.001 | 
| 1065.286 | 1065.286 | 1473.446 | -0.000 | -0.000 | -0.000 | 
| -0.000 | -0.000 | -0.000 | 70.141 | -0.000 | -0.000 | 
| -0.000 | -0.000 | -0.000 | -0.000 | 70.141 | -0.000 | 
| 0.000 | 0.000 | -0.000 | -0.000 | -0.000 | 138.768 | 
| 1408.141 | 1130.605 | 1065.287 | 0.000 | 0.000 | 0.000 | 
| 1130.605 | 1408.141 | 1065.288 | 0.000 | 0.000 | 0.000 | 
| 1065.286 | 1065.286 | 1473.446 | -0.000 | 0.000 | 0.000 | 
| 0.000 | 0.000 | 0.000 | 70.142 | 0.000 | -0.000 | 
| 0.000 | 0.000 | 0.000 | 0.000 | 70.141 | -0.000 | 
| -0.000 | -0.000 | 0.000 | 0.000 | 0.000 | 138.768 | 
| 1408.141 | 1130.604 | 1065.285 | -0.000 | -0.000 | 0.000 | 
| 1224.498 | 1314.247 | 1065.286 | -0.000 | -0.000 | 0.000 | 
| 1065.286 | 1065.286 | 1473.445 | -0.000 | -0.000 | -0.000 | 
| -0.000 | -0.000 | 0.000 | 70.141 | -0.000 | -0.000 | 
| -0.000 | -0.000 | 0.000 | -0.000 | 70.141 | -0.000 | 
| -0.000 | 0.000 | -0.000 | -0.000 | -0.000 | 138.768 | 
| 1408.142 | 1130.606 | 1065.288 | 0.000 | 0.000 | 0.000 | 
| 1130.606 | 1408.142 | 1065.288 | 0.000 | 0.000 | 0.000 | 
| 1065.287 | 1065.287 | 1473.448 | 0.000 | -0.000 | -0.000 | 
| 0.000 | 0.000 | -0.000 | 70.141 | 0.000 | 0.000 | 
| 0.000 | 0.000 | -0.000 | 0.000 | 70.141 | -0.000 | 
| 0.000 | -0.000 | 0.000 | 0.000 | 0.000 | 138.768 | 
| 1314.252 | 1224.477 | 1065.278 | -0.000 | 0.000 | 0.000 | 
| 1224.496 | 1314.234 | 1065.278 | -0.000 | -0.000 | -0.000 | 
| 1065.278 | 1065.278 | 1473.433 | -0.000 | -0.000 | -0.000 | 
| 0.001 | -0.003 | 0.002 | 70.141 | -0.000 | -0.000 | 
| -0.003 | 0.001 | 0.002 | -0.000 | 70.141 | 0.000 | 
| -0.001 | 0.004 | -0.001 | -0.000 | -0.000 | 44.876 | 
| 1314.245 | 1224.518 | 1065.295 | 0.000 | 0.000 | 0.000 | 
| 1224.499 | 1314.264 | 1065.295 | 0.000 | 0.000 | -0.000 | 
| 1065.295 | 1065.295 | 1473.460 | 0.000 | 0.000 | 0.000 | 
| -0.001 | 0.003 | -0.002 | 70.141 | -0.000 | 0.000 | 
| 0.003 | -0.001 | -0.002 | 0.000 | 70.141 | 0.000 | 
| 0.001 | -0.004 | 0.001 | 0.000 | 0.000 | 44.876 | 
| 1404.503 | 1134.256 | 1065.292 | 0.000 | 0.000 | -0.000 | 
| 1134.256 | 1404.502 | 1065.291 | 0.000 | 0.000 | -0.001 | 
| 1065.291 | 1065.291 | 1473.440 | 0.000 | 0.000 | -0.000 | 
| -0.000 | -0.000 | 0.000 | 59.543 | 0.000 | -0.000 | 
| -0.000 | -0.000 | -0.000 | 0.000 | 59.543 | -0.000 | 
| 0.000 | 0.000 | -0.000 | 0.000 | 0.000 | 40.383 | 
| 1309.763 | 1228.996 | 1065.292 | -0.000 | -0.000 | 0.000 | 
| 1134.255 | 1404.503 | 1065.291 | 0.000 | 0.000 | 0.000 | 
| 1065.292 | 1065.292 | 1473.440 | -0.000 | -0.000 | 0.000 | 
| -0.000 | 0.000 | -0.000 | 59.543 | 0.000 | 0.000 | 
| 0.000 | 0.000 | -0.000 | 0.000 | 59.543 | 0.000 | 
| -0.000 | 0.000 | 0.000 | -0.000 | 0.000 | 40.384 | 
| 1404.503 | 1134.254 | 1065.290 | 0.000 | -0.000 | -0.000 | 
| 1228.996 | 1309.761 | 1065.291 | 0.000 | -0.000 | -0.000 | 
| 1065.291 | 1065.291 | 1473.439 | 0.000 | -0.000 | -0.000 | 
| -0.000 | -0.000 | 0.000 | 59.543 | 0.000 | -0.000 | 
| -0.000 | -0.000 | 0.000 | 0.000 | 59.543 | -0.000 | 
| -0.000 | 0.000 | 0.000 | 0.000 | 0.000 | 40.384 | 
| 1309.762 | 1228.999 | 1065.292 | -0.000 | -0.000 | 0.000 | 
| 1134.256 | 1404.504 | 1065.293 | 0.000 | 0.000 | 0.000 | 
| 1065.292 | 1065.292 | 1473.442 | 0.000 | -0.000 | 0.000 | 
| 0.000 | 0.000 | -0.000 | 59.543 | 0.000 | 0.000 | 
| 0.000 | 0.000 | -0.000 | -0.000 | 59.543 | 0.000 | 
| 0.000 | -0.000 | -0.000 | -0.000 | -0.000 | 40.384 | 
| 1309.777 | 1228.965 | 1065.283 | 0.000 | 0.000 | -0.000 | 
| 1229.004 | 1309.738 | 1065.283 | 0.000 | 0.000 | -0.000 | 
| 1065.283 | 1065.283 | 1473.427 | 0.000 | 0.000 | -0.000 | 
| 0.001 | -0.004 | 0.003 | 59.543 | 0.000 | -0.000 | 
| -0.004 | 0.001 | 0.003 | 0.000 | 59.543 | -0.000 | 
| -0.001 | 0.004 | 0.000 | 0.000 | -0.000 | 40.384 | 
| 1309.749 | 1229.026 | 1065.300 | -0.000 | -0.000 | 0.000 | 
| 1228.987 | 1309.788 | 1065.300 | -0.000 | 0.000 | 0.000 | 
| 1065.300 | 1065.300 | 1473.453 | -0.000 | -0.000 | 0.000 | 
| -0.001 | 0.004 | -0.003 | 59.543 | -0.000 | 0.000 | 
| 0.004 | -0.001 | -0.003 | -0.000 | 59.543 | 0.000 | 
| 0.001 | -0.004 | -0.000 | -0.000 | -0.000 | 40.384 | 
| 142.537 | 75.376 | 75.376 | 0.000 | 0.000 | 0.000 | 
| 75.376 | 142.537 | 75.376 | 0.000 | 0.000 | 0.000 | 
| 75.376 | 75.376 | 142.537 | 0.000 | -0.000 | 0.000 | 
| 0.000 | 0.000 | 0.000 | 69.025 | 0.000 | -0.000 | 
| 0.000 | 0.000 | 0.000 | -0.000 | 69.025 | 0.000 | 
| 0.000 | 0.000 | 0.000 | 0.000 | 0.000 | 69.025 | 
| 142.537 | 75.376 | 75.376 | 0.000 | 0.000 | 0.000 | 
| 75.376 | 142.537 | 75.376 | 0.000 | 0.000 | 0.000 | 
| 75.376 | 75.376 | 142.537 | 0.000 | 0.000 | 0.000 | 
| -0.000 | -0.000 | -0.000 | 69.025 | -0.000 | -0.000 | 
| -0.000 | -0.000 | -0.000 | 0.000 | 69.025 | -0.000 | 
| -0.000 | -0.000 | -0.000 | -0.000 | -0.000 | 69.025 | 
| 142.537 | 75.376 | 75.376 | 0.000 | 0.000 | 0.000 | 
| 75.376 | 142.537 | 75.376 | 0.000 | 0.000 | 0.000 | 
| 75.376 | 75.376 | 142.537 | 0.000 | 0.000 | -0.000 | 
| 0.000 | -0.000 | 0.000 | 69.025 | -0.000 | 0.000 | 
| -0.000 | -0.000 | 0.000 | -0.000 | 69.025 | 0.000 | 
| -0.000 | 0.000 | 0.000 | -0.000 | -0.000 | 69.025 | 
| 142.537 | 75.376 | 75.376 | 0.000 | -0.000 | 0.000 | 
| 75.376 | 142.537 | 75.376 | 0.000 | 0.000 | 0.000 | 
| 75.376 | 75.376 | 142.537 | 0.000 | 0.000 | -0.000 | 
| -0.000 | 0.000 | -0.000 | 69.025 | -0.000 | -0.000 | 
| 0.000 | -0.000 | -0.000 | 0.000 | 69.025 | -0.000 | 
| 0.000 | -0.000 | -0.000 | -0.000 | 0.000 | 69.025 | 
| 142.537 | 75.376 | 75.376 | -0.000 | -0.000 | -0.000 | 
| 75.376 | 142.537 | 75.376 | -0.000 | 0.000 | 0.000 | 
| 75.376 | 75.376 | 142.537 | -0.000 | -0.000 | 0.000 | 
| 0.000 | -0.000 | 0.000 | 69.025 | -0.000 | -0.000 | 
| -0.000 | 0.000 | 0.000 | 0.000 | 69.025 | 0.000 | 
| -0.000 | 0.000 | 0.000 | 0.000 | 0.000 | 69.025 | 
| 142.537 | 75.376 | 75.376 | -0.000 | 0.000 | 0.000 | 
| 75.376 | 142.537 | 75.376 | 0.000 | 0.000 | 0.000 | 
| 75.376 | 75.376 | 142.537 | 0.000 | 0.000 | 0.000 | 
| -0.000 | 0.000 | -0.000 | 69.025 | -0.000 | -0.000 | 
| 0.000 | -0.000 | -0.000 | -0.000 | 69.025 | -0.000 | 
| 0.000 | -0.000 | -0.000 | -0.000 | -0.000 | 69.025 | 
| 302.641 | 61.983 | 30.409 | 0.000 | -0.000 | 0.000 | 
| 61.983 | 302.641 | 30.409 | -0.000 | 0.000 | 0.000 | 
| 30.409 | 30.409 | 391.428 | -0.000 | -0.000 | 0.000 | 
| -0.000 | -0.000 | 0.000 | 35.616 | -0.000 | 0.000 | 
| -0.000 | -0.000 | 0.000 | -0.000 | 35.617 | 0.000 | 
| 0.000 | 0.000 | -0.000 | -0.000 | 0.000 | 29.029 | 
| 302.641 | 61.983 | 30.409 | 0.000 | -0.000 | -0.000 | 
| 61.983 | 302.641 | 30.409 | -0.000 | 0.000 | -0.000 | 
| 30.409 | 30.409 | 391.428 | -0.000 | -0.000 | 0.000 | 
| 0.000 | 0.000 | -0.000 | 35.617 | 0.000 | 0.000 | 
| 0.000 | 0.000 | -0.000 | 0.000 | 35.616 | -0.000 | 
| -0.000 | -0.000 | 0.000 | 0.000 | -0.000 | 29.029 | 
| 302.641 | 61.983 | 30.409 | -0.000 | 0.000 | 0.000 | 
| 61.983 | 302.641 | 30.409 | 0.000 | -0.000 | -0.000 | 
| 30.409 | 30.409 | 391.429 | 0.000 | 0.000 | 0.000 | 
| -0.000 | 0.000 | -0.000 | 35.617 | -0.000 | -0.000 | 
| 0.000 | 0.000 | -0.000 | -0.000 | 35.617 | 0.000 | 
| -0.000 | -0.000 | -0.000 | -0.000 | 0.000 | 29.029 | 
| 302.641 | 61.983 | 30.409 | 0.000 | -0.000 | -0.000 | 
| 61.983 | 302.641 | 30.409 | 0.000 | -0.000 | -0.000 | 
| 30.409 | 30.409 | 391.428 | -0.000 | -0.000 | -0.000 | 
| 0.000 | -0.000 | 0.000 | 35.617 | 0.000 | -0.000 | 
| -0.000 | -0.000 | 0.000 | 0.000 | 35.617 | -0.000 | 
| 0.000 | 0.000 | 0.000 | 0.000 | -0.000 | 29.029 | 
| 302.642 | 61.983 | 30.409 | -0.000 | 0.000 | 0.000 | 
| 61.983 | 302.642 | 30.409 | 0.000 | 0.000 | -0.000 | 
| 30.409 | 30.409 | 391.431 | -0.000 | 0.000 | 0.000 | 
| -0.000 | -0.000 | -0.000 | 35.617 | -0.000 | -0.000 | 
| -0.000 | -0.000 | -0.000 | -0.000 | 35.617 | 0.000 | 
| -0.000 | -0.000 | -0.000 | 0.000 | 0.000 | 29.029 | 
| 302.641 | 61.982 | 30.409 | 0.000 | -0.000 | -0.000 | 
| 61.982 | 302.641 | 30.409 | 0.000 | 0.000 | -0.000 | 
| 30.409 | 30.409 | 391.426 | -0.000 | -0.000 | -0.000 | 
| 0.000 | 0.000 | 0.000 | 35.617 | 0.000 | -0.000 | 
| 0.000 | 0.000 | 0.000 | 0.000 | 35.617 | -0.000 | 
| 0.000 | 0.000 | 0.000 | -0.000 | -0.000 | 29.029 | 
| 1285.832 | 1070.202 | 1216.199 | 0.000 | 0.000 | 0.000 | 
| 1070.202 | 1285.832 | 1216.199 | 0.000 | -0.000 | 0.000 | 
| 1216.199 | 1216.199 | 1199.443 | 0.000 | -0.000 | 0.000 | 
| 0.000 | -0.000 | -0.000 | 253.853 | -0.000 | 0.000 | 
| -0.000 | 0.000 | 0.000 | 0.000 | 253.853 | 0.000 | 
| -0.000 | -0.000 | 0.000 | 0.000 | 0.000 | 59.422 | 
| 1285.832 | 1070.202 | 1216.199 | -0.000 | 0.000 | -0.000 | 
| 1070.202 | 1285.832 | 1216.199 | -0.000 | 0.000 | -0.000 | 
| 1216.198 | 1216.198 | 1199.443 | -0.000 | 0.000 | -0.000 | 
| -0.000 | 0.000 | 0.000 | 253.853 | 0.000 | -0.000 | 
| 0.000 | -0.000 | 0.000 | -0.000 | 253.853 | -0.000 | 
| 0.000 | -0.000 | -0.000 | -0.000 | -0.000 | 59.422 | 
| 1285.832 | 1070.201 | 1216.197 | 0.000 | -0.000 | 0.000 | 
| 1070.201 | 1285.832 | 1216.197 | 0.000 | -0.000 | 0.000 | 
| 1216.198 | 1216.198 | 1199.442 | 0.000 | -0.000 | 0.000 | 
| -0.000 | -0.000 | 0.000 | 253.853 | -0.000 | 0.000 | 
| -0.000 | -0.000 | 0.000 | 0.000 | 253.853 | 0.000 | 
| -0.000 | -0.000 | 0.000 | 0.000 | -0.000 | 59.422 | 
| 1285.833 | 1070.203 | 1216.200 | -0.000 | 0.000 | -0.000 | 
| 1070.203 | 1285.833 | 1216.200 | -0.000 | 0.000 | -0.000 | 
| 1216.200 | 1216.200 | 1199.444 | -0.000 | -0.000 | -0.000 | 
| 0.000 | 0.000 | -0.000 | 253.853 | -0.000 | -0.000 | 
| 0.000 | 0.000 | -0.000 | -0.000 | 253.853 | -0.000 | 
| 0.000 | 0.000 | -0.000 | -0.000 | 0.000 | 59.422 | 
| 1285.829 | 1070.193 | 1216.185 | 0.000 | -0.000 | 0.000 | 
| 1070.193 | 1285.829 | 1216.185 | 0.000 | -0.000 | 0.000 | 
| 1216.190 | 1216.190 | 1199.433 | 0.000 | -0.000 | 0.000 | 
| -0.002 | -0.003 | 0.001 | 253.853 | -0.000 | 0.000 | 
| -0.003 | -0.002 | 0.001 | 0.000 | 253.853 | 0.000 | 
| -0.001 | -0.001 | 0.002 | 0.000 | -0.000 | 59.422 | 
| 1285.835 | 1070.211 | 1216.212 | -0.000 | 0.000 | -0.000 | 
| 1070.211 | 1285.835 | 1216.212 | -0.000 | 0.000 | -0.000 | 
| 1216.207 | 1216.207 | 1199.453 | -0.000 | 0.000 | -0.000 | 
| 0.002 | 0.003 | -0.001 | 253.853 | 0.000 | -0.000 | 
| 0.003 | 0.002 | -0.001 | -0.000 | 253.853 | -0.000 | 
| 0.001 | 0.001 | -0.002 | -0.000 | 0.000 | 59.422 | 
| 223.742 | 54.980 | 109.961 | -77.756 | -0.000 | -0.000 | 
| 54.979 | 223.742 | 109.961 | 77.756 | 0.000 | -0.000 | 
| 109.960 | 109.960 | 168.750 | 0.000 | -0.000 | -0.000 | 
| -77.756 | 77.756 | -0.000 | 139.359 | -0.000 | -0.000 | 
| -0.000 | 0.000 | -0.000 | 0.000 | 139.359 | -77.756 | 
| -0.000 | 0.000 | -0.000 | 0.000 | -77.756 | 84.381 | 
| 223.742 | 54.980 | 109.962 | -77.756 | 0.000 | 0.000 | 
| 54.980 | 223.742 | 109.962 | 77.756 | -0.000 | 0.000 | 
| 109.960 | 109.960 | 168.750 | 0.000 | 0.000 | 0.000 | 
| -77.756 | 77.756 | 0.000 | 139.359 | 0.000 | 0.000 | 
| -0.000 | -0.000 | 0.000 | -0.000 | 139.359 | -77.756 | 
| -0.000 | -0.001 | 0.000 | -0.000 | -77.756 | 84.381 | 
| 223.742 | 54.980 | 109.962 | -77.756 | -0.000 | -0.000 | 
| 54.980 | 223.742 | 109.962 | 77.756 | -0.000 | -0.000 | 
| 109.960 | 109.960 | 168.750 | -0.000 | -0.000 | -0.000 | 
| -77.756 | 77.756 | 0.000 | 139.359 | -0.000 | -0.000 | 
| 0.000 | 0.000 | 0.000 | -0.000 | 139.359 | -77.756 | 
| 0.000 | 0.000 | -0.000 | -0.000 | -77.756 | 84.381 | 
| 223.742 | 54.979 | 109.961 | -77.756 | 0.000 | 0.000 | 
| 54.979 | 223.742 | 109.961 | 77.756 | 0.000 | 0.000 | 
| 109.960 | 109.960 | 168.750 | -0.000 | 0.000 | 0.000 | 
| -77.756 | 77.756 | -0.000 | 139.359 | 0.000 | 0.000 | 
| -0.000 | -0.000 | -0.000 | 0.000 | 139.359 | -77.756 | 
| -0.000 | -0.000 | 0.000 | 0.000 | -77.756 | 84.381 | 
| 223.743 | 54.980 | 109.962 | -77.756 | -0.000 | -0.000 | 
| 54.980 | 223.743 | 109.962 | 77.756 | -0.000 | -0.000 | 
| 109.960 | 109.960 | 168.750 | 0.000 | -0.000 | -0.000 | 
| -77.756 | 77.756 | 0.000 | 139.359 | -0.000 | -0.000 | 
| 0.000 | 0.000 | 0.000 | -0.000 | 139.359 | -77.756 | 
| 0.000 | 0.000 | 0.000 | -0.000 | -77.756 | 84.381 | 
| 223.742 | 54.979 | 109.961 | -77.755 | 0.000 | 0.000 | 
| 54.979 | 223.741 | 109.961 | 77.755 | 0.000 | 0.000 | 
| 109.960 | 109.960 | 168.749 | -0.000 | 0.000 | 0.000 | 
| -77.756 | 77.756 | -0.000 | 139.358 | 0.000 | 0.000 | 
| -0.000 | -0.000 | -0.000 | 0.000 | 139.359 | -77.756 | 
| -0.000 | -0.000 | -0.000 | 0.000 | -77.756 | 84.381 | 
| 272.176 | 66.717 | 121.605 | -84.557 | 0.000 | -0.000 | 
| 66.717 | 272.176 | 121.606 | 84.557 | 0.000 | -0.000 | 
| 112.421 | 112.421 | 113.792 | -0.000 | 0.000 | -0.000 | 
| -84.557 | 84.557 | 0.000 | 126.590 | -0.000 | -0.000 | 
| 0.000 | 0.000 | 0.000 | -0.000 | 126.590 | -84.557 | 
| 0.000 | 0.000 | -0.000 | -0.000 | -84.557 | 102.729 | 
| 272.176 | 66.717 | 121.605 | -84.557 | -0.000 | 0.000 | 
| 66.717 | 272.176 | 121.605 | 84.557 | -0.000 | 0.000 | 
| 112.422 | 112.422 | 113.792 | 0.000 | 0.000 | 0.000 | 
| -84.557 | 84.557 | -0.000 | 126.590 | -0.000 | 0.000 | 
| -0.000 | -0.000 | -0.000 | 0.000 | 126.590 | -84.557 | 
| -0.000 | -0.000 | 0.000 | 0.000 | -84.557 | 102.730 | 
| 272.176 | 66.717 | 121.606 | -84.557 | 0.000 | -0.000 | 
| 66.717 | 272.176 | 121.605 | 84.557 | -0.000 | -0.000 | 
| 112.422 | 112.422 | 113.792 | 0.000 | 0.000 | -0.000 | 
| -84.557 | 84.557 | 0.000 | 126.590 | 0.000 | -0.000 | 
| 0.000 | 0.000 | 0.000 | -0.000 | 126.590 | -84.557 | 
| 0.000 | 0.000 | 0.000 | -0.000 | -84.557 | 102.730 | 
| 272.176 | 66.717 | 121.605 | -84.557 | -0.000 | 0.000 | 
| 66.717 | 272.176 | 121.605 | 84.557 | -0.000 | 0.000 | 
| 112.422 | 112.422 | 113.792 | -0.000 | -0.000 | 0.000 | 
| -84.557 | 84.557 | -0.000 | 126.590 | -0.000 | 0.000 | 
| -0.000 | -0.000 | -0.000 | 0.000 | 126.590 | -84.557 | 
| -0.000 | -0.000 | -0.000 | 0.000 | -84.557 | 102.730 | 
| 272.177 | 66.717 | 121.606 | -84.557 | 0.000 | -0.000 | 
| 66.717 | 272.177 | 121.606 | 84.557 | 0.000 | -0.000 | 
| 112.422 | 112.422 | 113.792 | -0.000 | 0.000 | -0.000 | 
| -84.557 | 84.557 | 0.000 | 126.590 | 0.000 | -0.000 | 
| 0.000 | 0.000 | 0.000 | -0.000 | 126.590 | -84.557 | 
| 0.000 | 0.000 | 0.000 | -0.000 | -84.557 | 102.730 | 
| 272.175 | 66.716 | 121.605 | -84.557 | -0.000 | 0.000 | 
| 66.717 | 272.175 | 121.605 | 84.556 | 0.000 | 0.000 | 
| 112.421 | 112.421 | 113.792 | 0.000 | -0.000 | 0.000 | 
| -84.557 | 84.557 | -0.000 | 126.590 | -0.000 | 0.000 | 
| -0.000 | -0.000 | -0.000 | 0.000 | 126.590 | -84.557 | 
| -0.000 | -0.000 | -0.000 | 0.000 | -84.557 | 102.730 | 
| 388.704 | -0.000 | -0.000 | -0.000 | 0.000 | 0.000 | 
| -0.000 | 388.704 | 0.000 | -0.000 | -0.000 | 0.000 | 
| -0.000 | -0.000 | 388.704 | -0.000 | -0.000 | 0.000 | 
| -0.000 | 0.000 | 0.000 | 29.397 | 0.000 | 0.000 | 
| -0.000 | -0.000 | -0.000 | -0.000 | 29.397 | -0.000 | 
| -0.000 | -0.000 | -0.000 | -0.000 | -0.000 | 29.397 | 
| 388.704 | 0.000 | 0.000 | 0.000 | 0.000 | 0.000 | 
| 0.000 | 388.704 | 0.000 | 0.000 | 0.000 | 0.000 | 
| 0.000 | 0.000 | 388.704 | 0.000 | 0.000 | 0.000 | 
| 0.000 | -0.000 | -0.000 | 29.397 | 0.000 | -0.000 | 
| -0.000 | 0.000 | 0.000 | 0.000 | 29.397 | -0.000 | 
| 0.000 | 0.000 | 0.000 | 0.000 | 0.000 | 29.397 | 
| 388.705 | -0.000 | 0.000 | -0.000 | -0.000 | -0.000 | 
| -0.000 | 388.705 | 0.000 | -0.000 | -0.000 | 0.000 | 
| -0.000 | -0.000 | 388.705 | 0.000 | 0.000 | -0.000 | 
| -0.000 | -0.000 | -0.000 | 29.397 | 0.000 | 0.000 | 
| -0.000 | -0.000 | -0.000 | 0.000 | 29.397 | 0.000 | 
| -0.000 | -0.000 | -0.000 | -0.000 | -0.000 | 29.397 | 
| 388.704 | 0.000 | 0.000 | 0.000 | 0.000 | -0.000 | 
| 0.000 | 388.704 | 0.000 | 0.000 | 0.000 | 0.000 | 
| 0.000 | 0.000 | 388.704 | 0.000 | 0.000 | -0.000 | 
| 0.000 | 0.000 | 0.000 | 29.397 | -0.000 | -0.000 | 
| 0.000 | 0.000 | 0.000 | -0.000 | 29.397 | -0.000 | 
| 0.000 | 0.000 | 0.000 | 0.000 | 0.000 | 29.397 | 
| 388.706 | -0.000 | -0.000 | -0.000 | -0.000 | -0.000 | 
| -0.000 | 388.706 | -0.000 | -0.000 | -0.000 | -0.000 | 
| -0.000 | -0.000 | 388.706 | -0.000 | -0.000 | -0.000 | 
| -0.000 | 0.000 | -0.000 | 29.397 | -0.000 | 0.000 | 
| 0.000 | -0.000 | -0.000 | -0.000 | 29.397 | 0.000 | 
| 0.000 | -0.000 | -0.000 | -0.000 | -0.000 | 29.397 | 
| 388.702 | 0.000 | 0.000 | 0.000 | -0.000 | -0.000 | 
| 0.000 | 388.702 | 0.000 | -0.000 | 0.000 | -0.000 | 
| 0.000 | 0.000 | 388.702 | -0.000 | -0.000 | 0.000 | 
| 0.000 | -0.000 | 0.000 | 29.397 | -0.000 | -0.000 | 
| -0.000 | 0.000 | 0.000 | -0.000 | 29.397 | -0.000 | 
| -0.000 | 0.000 | 0.000 | 0.000 | -0.000 | 29.397 | 
| 96.948 | 60.819 | 60.819 | 0.000 | 0.000 | 0.000 | 
| 60.819 | 96.948 | 60.819 | 0.000 | -0.000 | 0.000 | 
| 60.819 | 60.819 | 96.948 | 0.000 | -0.000 | 0.000 | 
| 0.000 | 0.000 | 0.000 | 22.803 | 0.000 | 0.000 | 
| 0.000 | 0.000 | 0.000 | -0.000 | 22.803 | 0.000 | 
| 0.000 | 0.000 | 0.000 | 0.000 | -0.000 | 22.803 | 
| 96.948 | 60.819 | 60.819 | -0.000 | -0.000 | -0.000 | 
| 60.819 | 96.948 | 60.819 | -0.000 | 0.000 | -0.000 | 
| 60.819 | 60.819 | 96.948 | -0.000 | 0.000 | -0.000 | 
| -0.000 | -0.000 | -0.000 | 22.803 | -0.000 | -0.000 | 
| -0.000 | -0.000 | -0.000 | -0.000 | 22.803 | -0.000 | 
| -0.000 | -0.000 | -0.000 | -0.000 | 0.000 | 22.803 | 
| 96.948 | 60.819 | 60.819 | 0.000 | -0.000 | 0.000 | 
| 60.819 | 96.948 | 60.819 | 0.000 | -0.000 | 0.000 | 
| 60.819 | 60.819 | 96.948 | 0.000 | -0.000 | 0.000 | 
| 0.000 | 0.000 | 0.000 | 62.421 | -0.000 | 0.000 | 
| 0.000 | 0.000 | 0.000 | 0.000 | 62.421 | 0.000 | 
| 0.000 | 0.000 | 0.000 | 0.000 | -0.000 | 62.421 | 
| 96.948 | 60.819 | 60.819 | -0.000 | 0.000 | -0.000 | 
| 60.819 | 96.948 | 60.819 | 0.000 | 0.000 | -0.000 | 
| 60.819 | 60.819 | 96.948 | -0.000 | 0.000 | -0.000 | 
| -0.000 | -0.000 | -0.000 | 62.421 | -0.000 | -0.000 | 
| -0.000 | -0.000 | -0.000 | -0.000 | 62.421 | -0.000 | 
| -0.000 | -0.000 | -0.000 | -0.000 | 0.000 | 62.421 | 
| 96.948 | 60.819 | 60.819 | 0.000 | -0.000 | 0.000 | 
| 60.819 | 96.948 | 60.819 | 0.000 | -0.000 | 0.000 | 
| 60.819 | 60.819 | 96.948 | 0.000 | -0.000 | 0.000 | 
| 0.000 | -0.000 | -0.000 | 22.803 | -0.000 | 0.000 | 
| -0.000 | 0.000 | -0.000 | -0.000 | 22.803 | 0.000 | 
| -0.000 | -0.000 | 0.000 | 0.000 | -0.000 | 22.803 | 
| 96.947 | 60.819 | 60.819 | -0.000 | 0.000 | -0.000 | 
| 60.819 | 96.947 | 60.819 | -0.000 | 0.000 | -0.000 | 
| 60.819 | 60.819 | 96.947 | -0.000 | 0.000 | -0.000 | 
| -0.000 | 0.000 | 0.000 | 22.803 | 0.000 | -0.000 | 
| 0.000 | -0.000 | 0.000 | -0.000 | 22.803 | -0.000 | 
| 0.000 | 0.000 | -0.000 | 0.000 | 0.000 | 22.803 | 
| 180.388 | 160.942 | -65.278 | -0.000 | -77.374 | -0.000 | 
| 128.996 | 241.760 | -46.562 | 0.000 | -75.935 | -0.000 | 
| 43.304 | 47.196 | 189.699 | 0.000 | 25.013 | -0.000 | 
| -0.000 | 0.000 | -0.000 | 86.927 | -0.000 | -24.661 | 
| 42.580 | 108.960 | -121.483 | -0.000 | -49.003 | -0.000 | 
| 85.220 | 80.339 | -109.271 | -6.067 | -68.805 | 31.761 | 
| 199.187 | 13.676 | 45.758 | -0.000 | 16.920 | 0.000 | 
| 16.027 | 215.740 | 46.134 | -0.000 | -26.725 | 0.000 | 
| -15.506 | -26.682 | 263.941 | -0.000 | 94.751 | 0.000 | 
| 0.000 | -0.000 | 0.000 | 86.926 | 0.000 | -24.661 | 
| -82.232 | -89.383 | 119.064 | -0.000 | 113.202 | 0.000 | 
| -85.220 | -80.339 | 109.271 | -6.067 | 68.805 | 31.761 | 
| 149.511 | 55.761 | 52.007 | 0.000 | -0.641 | -0.000 | 
| 50.435 | 166.990 | 53.614 | 0.000 | -13.358 | -0.000 | 
| 64.853 | 74.302 | 142.654 | 0.000 | 5.667 | -0.000 | 
| 3.307 | 9.299 | -10.864 | 51.102 | -6.906 | -4.081 | 
| 6.821 | 3.328 | 0.495 | -0.000 | 32.110 | -0.000 | 
| 3.265 | 9.180 | -10.725 | -4.639 | -6.818 | 30.343 | 
| 136.104 | 37.740 | 79.061 | -0.000 | 14.226 | 0.000 | 
| 40.489 | 152.195 | 75.378 | -0.000 | -0.303 | 0.000 | 
| 59.587 | 56.255 | 162.250 | 0.000 | 19.146 | 0.000 | 
| -3.307 | -9.299 | 10.864 | 51.102 | 6.906 | -4.081 | 
| -3.760 | -13.536 | 20.172 | -0.000 | 45.721 | 0.000 | 
| -3.265 | -9.180 | 10.725 | -4.639 | 6.818 | 30.343 | 
| 139.922 | 46.588 | 62.268 | 0.000 | 6.868 | -0.000 | 
| 44.701 | 161.905 | 63.308 | 0.000 | -7.849 | -0.000 | 
| 63.190 | 63.765 | 151.713 | 0.000 | 10.826 | -0.000 | 
| 0.319 | 0.895 | -1.046 | 52.425 | -0.665 | -4.841 | 
| 3.791 | -6.092 | 11.246 | 0.000 | 39.580 | -0.000 | 
| 1.181 | 0.778 | -1.160 | -5.631 | -0.703 | 31.297 | 
| 138.615 | 44.892 | 63.874 | -0.000 | 9.430 | 0.000 | 
| 45.411 | 159.662 | 62.801 | -0.000 | -6.248 | 0.000 | 
| 61.001 | 63.781 | 155.086 | 0.000 | 13.473 | 0.000 | 
| -0.319 | -0.895 | 1.046 | 52.425 | 0.665 | -4.841 | 
| 3.111 | -8.037 | 13.510 | -0.000 | 41.040 | 0.000 | 
| -1.181 | -0.778 | 1.160 | -5.631 | 0.703 | 31.297 | 
| 1030.740 | 621.299 | 586.777 | -0.000 | 0.001 | -0.000 | 
| 593.402 | 811.135 | 406.071 | -0.011 | 0.016 | -0.001 | 
| 572.732 | 411.913 | 869.189 | 0.000 | 0.001 | -0.000 | 
| 0.203 | 0.513 | 0.042 | 79.213 | 0.004 | -0.000 | 
| 0.335 | 1.123 | 0.052 | -0.004 | 31.963 | -0.000 | 
| 0.076 | 0.159 | 0.019 | -0.004 | 0.004 | 149.205 | 
| 1029.995 | 619.887 | 586.645 | 0.000 | -0.001 | 0.000 | 
| 592.543 | 806.588 | 405.999 | 0.011 | -0.016 | 0.001 | 
| 572.271 | 410.439 | 869.107 | -0.000 | -0.001 | 0.000 | 
| -0.203 | -0.513 | -0.042 | 79.218 | -0.004 | 0.000 | 
| -0.335 | -1.123 | -0.052 | 0.004 | 31.956 | 0.000 | 
| -0.076 | -0.159 | -0.019 | 0.004 | -0.005 | 149.206 | 
| 1029.840 | 612.913 | 586.825 | -0.001 | 0.002 | -0.000 | 
| 592.727 | 809.031 | 405.952 | -0.001 | 0.002 | -0.000 | 
| 572.545 | 411.254 | 869.162 | -0.000 | 0.000 | -0.000 | 
| 0.020 | 0.051 | 0.004 | 79.224 | 0.000 | -0.000 | 
| 0.034 | 0.112 | 0.005 | -0.000 | 31.965 | -0.000 | 
| 0.023 | 0.062 | 0.004 | -0.000 | 0.000 | 149.019 | 
| 1029.747 | 612.456 | 586.815 | 0.001 | -0.002 | 0.000 | 
| 592.639 | 808.586 | 405.945 | 0.001 | -0.002 | 0.000 | 
| 572.500 | 411.106 | 869.154 | -0.000 | -0.000 | 0.000 | 
| -0.020 | -0.051 | -0.004 | 79.224 | -0.000 | 0.000 | 
| -0.034 | -0.112 | -0.005 | 0.000 | 31.964 | 0.000 | 
| -0.023 | -0.062 | -0.004 | 0.000 | -0.000 | 149.019 | 
| 1029.832 | 612.709 | 586.833 | -0.000 | 0.000 | -0.000 | 
| 592.692 | 808.787 | 405.947 | -0.000 | 0.000 | -0.000 | 
| 572.587 | 411.732 | 869.154 | -0.000 | 0.000 | -0.000 | 
| 0.002 | 0.005 | 0.001 | 79.224 | 0.000 | -0.000 | 
| 0.006 | 0.009 | 0.001 | -0.000 | 31.965 | -0.000 | 
| 24189839.657 | -19330984.642 | -770573.228 | 0.000 | -0.000 | 3453574.193 | 
| 1029.753 | 612.645 | 586.807 | 0.000 | -0.000 | 0.000 | 
| 592.669 | 808.829 | 405.948 | 0.000 | -0.000 | 0.000 | 
| 572.587 | 411.688 | 869.156 | 0.000 | -0.000 | 0.000 | 
| -0.002 | -0.005 | -0.001 | 79.224 | -0.000 | 0.000 | 
| -0.006 | -0.009 | -0.001 | 0.000 | 31.965 | 0.000 | 
| -24189839.687 | 19330984.616 | 770573.211 | 0.000 | 0.001 | 3453574.181 | 
| 424.647 | 39.368 | -1.250 | 0.000 | 0.000 | -0.000 | 
| 46.167 | 843.785 | 265.392 | 0.000 | 0.000 | 0.000 | 
| 2.247 | 259.793 | 351.373 | 0.000 | 0.000 | -0.000 | 
| -0.004 | -0.018 | -0.002 | 125.725 | 0.000 | 0.000 | 
| -0.007 | -0.034 | -0.004 | 0.000 | 30.148 | -0.000 | 
| -0.008 | -0.039 | -0.005 | -0.000 | 0.000 | 23.961 | 
| 421.725 | 38.705 | -5.227 | -0.000 | -0.000 | 0.000 | 
| 46.173 | 843.813 | 265.394 | -0.000 | -0.000 | 0.000 | 
| 8.823 | 279.299 | 357.174 | -0.000 | -0.000 | 0.000 | 
| 0.004 | 0.018 | 0.002 | 125.725 | -0.000 | 0.000 | 
| 0.007 | 0.034 | 0.004 | -0.000 | 30.148 | 0.000 | 
| 0.008 | 0.039 | 0.005 | -0.000 | -0.000 | 23.961 | 
| 430.621 | 59.352 | 3.624 | -0.000 | 0.000 | -0.000 | 
| 46.160 | 843.758 | 265.386 | 0.000 | 0.000 | -0.000 | 
| 8.823 | 279.299 | 357.174 | -0.000 | 0.000 | -0.000 | 
| 0.000 | -0.000 | 0.000 | 126.053 | -0.000 | 0.000 | 
| -0.001 | -0.003 | -0.000 | 0.000 | 30.148 | -0.000 | 
| -0.001 | -0.004 | -0.000 | -0.000 | 0.000 | 23.961 | 
| 430.620 | 59.352 | 3.624 | -0.000 | -0.000 | 0.000 | 
| 62.361 | 906.533 | 277.110 | -0.000 | -0.000 | 0.000 | 
| 8.823 | 279.299 | 357.174 | -0.000 | -0.000 | -0.000 | 
| -0.000 | 0.000 | -0.000 | 126.053 | -0.000 | 0.000 | 
| 0.001 | 0.003 | 0.000 | -0.000 | 30.148 | 0.000 | 
| 0.001 | 0.004 | 0.000 | -0.000 | -0.000 | 23.961 | 
| 424.639 | 39.340 | -1.260 | 0.000 | 0.000 | -0.000 | 
| 41.706 | 839.593 | 259.877 | -0.000 | 0.000 | -0.000 | 
| 2.244 | 259.794 | 351.369 | 0.000 | 0.000 | -0.000 | 
| 0.000 | 0.000 | 0.000 | 125.698 | 0.000 | 0.000 | 
| -0.000 | -0.000 | -0.000 | -0.000 | 30.148 | -0.000 | 
| -0.000 | -0.001 | -0.000 | 0.000 | 0.000 | 23.961 | 
| 421.720 | 38.689 | -5.227 | 0.000 | -0.000 | 0.000 | 
| 41.696 | 839.538 | 259.871 | -0.000 | -0.000 | 0.000 | 
| 2.251 | 259.815 | 351.373 | -0.000 | -0.000 | -0.000 | 
| -0.000 | -0.000 | -0.000 | 125.698 | -0.000 | 0.000 | 
| 0.000 | 0.000 | 0.000 | 0.000 | 30.148 | 0.000 | 
| 0.000 | 0.001 | 0.000 | -0.000 | -0.000 | 23.961 | 
| 204.540 | 22.873 | 38.244 | 0.000 | -0.000 | -0.000 | 
| 24.757 | 204.360 | 35.031 | 0.000 | -0.000 | -0.000 | 
| -27.069 | -2.794 | 226.649 | -0.000 | -0.000 | -0.000 | 
| 0.000 | 0.000 | 0.000 | 56.606 | 0.000 | -0.000 | 
| 0.000 | 0.000 | 0.000 | 0.000 | 71.465 | 0.000 | 
| -0.000 | 0.000 | 0.000 | 0.000 | -0.000 | 59.426 | 
| 204.540 | 22.873 | 38.244 | 0.000 | 0.000 | 0.000 | 
| 38.830 | 172.665 | 96.841 | -0.000 | 0.000 | -0.000 | 
| 38.895 | 33.798 | 172.978 | -0.000 | 0.000 | 0.000 | 
| -0.000 | -0.000 | -0.000 | 56.606 | 0.000 | -0.000 | 
| -0.000 | -0.000 | -0.000 | -0.000 | 71.465 | 0.000 | 
| -0.000 | 0.000 | -0.000 | 0.000 | 0.000 | 59.426 | 
| 142.334 | 53.256 | 45.037 | 0.000 | -0.000 | 0.000 | 
| 41.801 | 156.887 | 70.435 | 0.000 | -0.000 | -0.000 | 
| 46.276 | 50.810 | 126.810 | 0.000 | -0.000 | 0.000 | 
| 2.659 | -3.467 | -0.662 | 26.526 | -0.000 | 0.000 | 
| 2.208 | -2.879 | -0.550 | 0.000 | 33.954 | -0.000 | 
| 0.057 | -5.273 | 2.010 | 0.000 | -0.000 | 37.754 | 
| 144.327 | 58.663 | 45.030 | -0.000 | 0.000 | 0.000 | 
| 53.689 | 159.546 | 62.520 | -0.000 | 0.000 | -0.000 | 
| 38.895 | 33.799 | 172.977 | -0.000 | 0.000 | -0.000 | 
| -2.659 | 3.467 | 0.662 | 26.526 | 0.000 | -0.000 | 
| -2.208 | 2.879 | 0.550 | 0.000 | 33.954 | -0.000 | 
| -0.057 | 5.273 | -2.010 | -0.000 | 0.000 | 37.754 | 
| 145.840 | 53.724 | 47.070 | 0.000 | -0.000 | -0.000 | 
| 55.341 | 159.374 | 58.508 | -0.000 | -0.000 | -0.000 | 
| 48.899 | 58.227 | 121.412 | -0.000 | -0.000 | 0.000 | 
| -0.336 | -0.384 | 0.482 | 27.061 | -0.000 | 0.000 | 
| 0.111 | -0.386 | 0.066 | 0.000 | 37.415 | 0.000 | 
| 0.194 | -0.253 | -0.048 | 0.000 | -0.000 | 36.698 | 
| 146.179 | 53.869 | 47.505 | -0.000 | 0.000 | -0.000 | 
| 53.541 | 160.260 | 59.997 | 0.000 | 0.000 | 0.000 | 
| 49.387 | 56.772 | 121.145 | -0.000 | -0.000 | 0.000 | 
| 0.336 | 0.384 | -0.482 | 27.061 | -0.000 | 0.000 | 
| -0.111 | 0.386 | -0.066 | -0.000 | 37.415 | 0.000 | 
| -0.194 | 0.253 | 0.048 | -0.000 | -0.000 | 36.698 | 
| 125.074 | 65.439 | 52.635 | -3.603 | 6.413 | 2.134 | 
| 62.485 | 111.067 | 54.862 | -7.066 | -2.774 | -0.005 | 
| 43.325 | 56.055 | 129.102 | 6.279 | -22.760 | -8.875 | 
| -5.537 | 2.894 | 5.887 | 28.996 | -7.649 | -1.023 | 
| 23.854 | -6.017 | -22.828 | -7.647 | 55.772 | 10.892 | 
| 0.205 | 1.793 | -1.082 | 2.206 | -6.921 | 20.701 | 
| 125.225 | 65.939 | 52.035 | -3.353 | 6.497 | 2.777 | 
| 62.556 | 111.745 | 54.115 | -7.048 | -2.734 | 0.533 | 
| 43.250 | 56.784 | 128.397 | 6.042 | -22.828 | -8.226 | 
| -5.152 | 3.090 | 5.662 | 29.281 | -7.489 | -0.362 | 
| 24.120 | -5.606 | -23.374 | -7.537 | 55.875 | 11.404 | 
| 0.457 | 2.290 | -1.724 | 2.422 | -6.857 | 21.187 | 
| 124.845 | 65.217 | 52.057 | -2.888 | 6.196 | 2.540 | 
| 62.657 | 110.553 | 53.726 | -7.361 | -3.478 | 0.288 | 
| 42.480 | 56.372 | 127.898 | 6.859 | -22.322 | -8.031 | 
| -5.183 | 1.992 | 6.900 | 28.261 | -7.413 | -1.356 | 
| 24.092 | -6.556 | -22.301 | -7.380 | 55.375 | 10.837 | 
| 0.491 | 2.002 | -1.077 | 1.774 | -6.985 | 20.661 | 
| 124.869 | 65.280 | 52.010 | -2.876 | 6.212 | 2.590 | 
| 62.676 | 110.612 | 53.676 | -7.343 | -3.464 | 0.334 | 
| 42.502 | 56.433 | 127.856 | 6.875 | -22.309 | -7.987 | 
| -5.161 | 2.053 | 6.851 | 28.276 | -7.399 | -1.311 | 
| 24.058 | -6.357 | -22.398 | -7.497 | 55.392 | 10.703 | 
| 0.510 | 2.070 | -1.129 | 1.782 | -6.970 | 20.707 | 
| 124.875 | 65.108 | 52.124 | -2.856 | 6.274 | 2.617 | 
| 62.672 | 110.587 | 53.758 | -7.303 | -3.439 | 0.299 | 
| 42.492 | 56.452 | 127.877 | 6.893 | -22.303 | -8.024 | 
| -4.646 | 1.892 | 6.761 | 28.377 | -7.432 | -1.346 | 
| 24.104 | -6.445 | -22.303 | -7.482 | 55.371 | 10.799 | 
| 0.450 | 1.944 | -1.055 | 1.654 | -7.008 | 20.660 | 
| 124.879 | 65.112 | 52.121 | -2.855 | 6.274 | 2.621 | 
| 62.674 | 110.593 | 53.754 | -7.302 | -3.438 | 0.303 | 
| 42.494 | 56.458 | 127.872 | 6.895 | -22.302 | -8.020 | 
| -5.225 | 2.060 | 6.890 | 28.252 | -7.482 | -1.345 | 
| 24.106 | -6.439 | -22.307 | -7.481 | 55.372 | 10.804 | 
| 0.452 | 1.950 | -1.059 | 1.655 | -7.007 | 20.664 | 
| 428.536 | 185.931 | 455.570 | -0.000 | -0.000 | -0.000 | 
| 142.952 | 305.046 | 214.163 | -0.000 | 0.000 | -0.000 | 
| 226.278 | 226.278 | 888.818 | -0.000 | 0.000 | 0.000 | 
| -0.000 | -0.000 | -0.001 | 59.610 | 0.000 | 0.000 | 
| -0.000 | -0.001 | -0.001 | 0.000 | 59.610 | -0.000 | 
| -0.000 | -0.000 | -0.001 | -0.000 | 0.000 | 81.807 | 
| 428.536 | 185.932 | 455.570 | 0.000 | 0.000 | 0.000 | 
| 133.040 | 306.024 | 201.210 | -0.000 | -0.000 | -0.000 | 
| 469.200 | 469.200 | 1593.370 | 0.000 | 0.000 | -0.000 | 
| 0.000 | 0.000 | 0.000 | 382.141 | -0.000 | 0.000 | 
| 0.000 | 0.001 | 0.001 | 0.000 | 59.610 | -0.000 | 
| 0.000 | 0.000 | 0.001 | -0.000 | 0.000 | 81.806 | 
| 306.026 | 133.042 | 201.214 | 0.000 | -0.000 | -0.000 | 
| 133.022 | 305.979 | 201.116 | 0.000 | -0.000 | -0.000 | 
| 226.197 | 226.197 | 888.581 | 0.000 | 0.000 | 0.000 | 
| -0.000 | -0.000 | -0.000 | 59.610 | 0.000 | -0.000 | 
| -0.000 | -0.000 | -0.000 | 0.000 | 59.610 | -0.000 | 
| -0.000 | 0.000 | -0.000 | -0.000 | -0.000 | 121.302 | 
| 305.095 | 142.973 | 214.266 | -0.000 | 0.000 | 0.000 | 
| 133.041 | 306.022 | 201.206 | 0.000 | 0.000 | -0.000 | 
| 226.294 | 226.294 | 888.867 | -0.000 | -0.000 | -0.000 | 
| 0.000 | 0.000 | 0.000 | 59.610 | -0.000 | 0.000 | 
| 0.000 | 0.000 | 0.000 | 0.000 | 59.610 | -0.000 | 
| 0.000 | -0.000 | 0.000 | -0.000 | -0.000 | 81.807 | 
| 306.045 | 133.050 | 201.251 | 0.000 | -0.000 | -0.000 | 
| 142.347 | 304.508 | 212.504 | 0.000 | -0.000 | -0.000 | 
| 226.278 | 226.278 | 888.810 | 0.000 | 0.000 | -0.000 | 
| 0.000 | -0.001 | -0.000 | 59.610 | -0.000 | 0.000 | 
| -0.001 | 0.000 | -0.000 | 0.000 | 59.610 | -0.000 | 
| -0.000 | 0.000 | -0.001 | -0.000 | 0.000 | 81.807 | 
| 305.025 | 142.943 | 214.122 | 0.000 | 0.000 | -0.000 | 
| 142.943 | 305.027 | 214.125 | -0.000 | 0.000 | -0.000 | 
| 226.275 | 226.275 | 888.819 | -0.000 | -0.000 | -0.000 | 
| -0.000 | 0.001 | 0.000 | 59.610 | -0.000 | -0.000 | 
| 0.001 | -0.000 | 0.000 | -0.000 | 59.610 | 0.000 | 
| 0.000 | -0.000 | 0.001 | 0.000 | 0.000 | 81.807 | 
| 228.380 | 73.105 | 84.810 | -0.000 | -0.000 | -0.000 | 
| 86.556 | 188.932 | 106.292 | 0.000 | 0.000 | -0.000 | 
| 84.810 | 84.810 | 210.067 | -0.000 | -0.000 | -0.000 | 
| -0.000 | -0.000 | 0.000 | 101.128 | 0.000 | -0.000 | 
| -0.000 | -0.000 | -0.000 | 0.000 | 48.521 | -0.000 | 
| -0.000 | -0.000 | -0.000 | 0.000 | 0.000 | 53.627 | 
| 228.381 | 73.105 | 84.810 | 0.000 | 0.000 | 0.000 | 
| 86.556 | 188.933 | 106.292 | 0.000 | 0.000 | 0.000 | 
| 84.811 | 84.810 | 210.067 | -0.000 | 0.000 | 0.000 | 
| 0.000 | 0.000 | 0.000 | 101.128 | 0.000 | -0.000 | 
| 0.000 | 0.000 | -0.000 | 0.000 | 48.521 | 0.000 | 
| 0.000 | 0.000 | 0.000 | -0.000 | -0.000 | 53.627 | 
| 199.767 | 66.301 | 114.077 | 0.000 | -0.000 | -0.000 | 
| 73.105 | 228.381 | 84.810 | -0.000 | -0.000 | -0.000 | 
| 84.810 | 84.810 | 210.067 | -0.000 | -0.000 | -0.000 | 
| -0.000 | -0.000 | 0.000 | 101.128 | 0.000 | -0.000 | 
| -0.000 | 0.000 | -0.000 | -0.000 | 48.521 | -0.000 | 
| -0.000 | -0.000 | -0.000 | -0.000 | -0.000 | 51.178 | 
| 199.767 | 66.301 | 114.077 | -0.000 | -0.000 | 0.000 | 
| 73.105 | 228.381 | 84.810 | 0.000 | 0.000 | 0.000 | 
| 106.715 | 106.715 | 173.866 | 0.000 | 0.000 | 0.000 | 
| 0.000 | 0.000 | -0.000 | 101.128 | 0.000 | 0.000 | 
| 0.000 | -0.000 | 0.000 | -0.000 | 48.521 | 0.000 | 
| 0.000 | 0.000 | 0.000 | 0.000 | 0.000 | 51.178 | 
| 188.932 | 86.557 | 106.293 | -0.000 | -0.000 | -0.000 | 
| 66.301 | 199.767 | 114.078 | -0.000 | 0.000 | -0.000 | 
| 106.715 | 106.715 | 173.867 | -0.000 | 0.000 | -0.000 | 
| 0.000 | -0.000 | -0.000 | 48.521 | -0.000 | -0.000 | 
| 0.000 | 0.000 | 0.000 | -0.000 | 101.128 | -0.000 | 
| -0.000 | -0.000 | -0.000 | -0.000 | -0.000 | 51.178 | 
| 199.767 | 66.301 | 114.077 | -0.000 | -0.000 | 0.000 | 
| 86.556 | 188.929 | 106.296 | 0.000 | -0.000 | 0.000 | 
| 106.715 | 106.715 | 173.865 | -0.000 | 0.000 | 0.000 | 
| -0.000 | 0.000 | 0.000 | 48.521 | -0.000 | 0.000 | 
| -0.000 | -0.000 | -0.000 | 0.000 | 101.128 | 0.000 | 
| 0.000 | 0.000 | 0.000 | 0.000 | 0.000 | 51.178 | 
| -718.286 | 578.239 | 474.339 | -0.000 | -0.000 | -0.000 | 
| 41.224 | 175.621 | 35.203 | -0.000 | -0.000 | -0.000 | 
| -593.341 | 619.649 | 480.297 | -0.000 | -0.000 | 0.000 | 
| -423.729 | 510.865 | 196.785 | 41.182 | -0.000 | -0.000 | 
| -645.599 | 570.457 | 338.827 | -0.000 | 43.090 | -0.000 | 
| -178.060 | 452.743 | 114.540 | -0.000 | -0.000 | 49.548 | 
| 771.603 | -518.823 | -286.362 | 0.000 | 0.000 | 0.000 | 
| 41.225 | 175.621 | 35.204 | 0.000 | 0.000 | 0.000 | 
| 233.962 | -398.377 | 16.430 | 0.000 | 0.000 | 0.000 | 
| 423.729 | -510.865 | -196.785 | 41.182 | 0.000 | 0.000 | 
| 645.599 | -570.457 | -338.827 | 0.000 | 43.090 | -0.000 | 
| 178.060 | -452.743 | -114.540 | 0.000 | 0.000 | 49.548 | 
| 171.152 | 41.112 | 41.073 | 0.000 | -0.000 | 0.000 | 
| 41.225 | 175.621 | 35.203 | -0.000 | -0.000 | -0.000 | 
| 36.359 | 97.630 | 146.146 | -0.000 | -0.000 | -0.000 | 
| -79.737 | 49.177 | 39.153 | 16.872 | -0.000 | -0.000 | 
| -79.566 | 49.071 | 39.069 | -0.000 | 16.153 | 0.000 | 
| -65.256 | 57.353 | 34.209 | -0.000 | -0.000 | 42.430 | 
| 187.835 | -4.184 | 19.722 | 0.000 | 0.000 | 0.000 | 
| 142.950 | 62.688 | 33.882 | 0.000 | 0.000 | -0.000 | 
| 142.471 | 24.370 | 72.833 | 0.000 | 0.000 | -0.000 | 
| 79.737 | -49.177 | -39.153 | 16.872 | 0.000 | -0.000 | 
| 79.566 | -49.071 | -39.069 | 0.000 | 16.153 | -0.000 | 
| 65.256 | -57.353 | -34.209 | 0.000 | 0.000 | 42.430 | 
| 120.420 | 59.105 | 56.293 | -0.000 | -0.000 | -0.000 | 
| 48.729 | 137.624 | 58.175 | -0.000 | -0.000 | -0.000 | 
| 52.002 | 61.063 | 133.669 | -0.000 | -0.000 | 0.000 | 
| -4.240 | 5.384 | 2.459 | 38.617 | -0.000 | 0.000 | 
| -4.634 | 5.315 | 2.299 | -0.000 | 38.989 | -0.000 | 
| -3.491 | 5.077 | 2.090 | -0.000 | -0.000 | 38.930 | 
| 128.560 | 49.963 | 52.379 | 0.000 | 0.000 | 0.000 | 
| 62.989 | 129.217 | 56.468 | -0.000 | 0.000 | 0.000 | 
| 63.850 | 50.539 | 129.679 | 0.000 | -0.000 | 0.000 | 
| 4.240 | -5.384 | -2.459 | 38.617 | 0.000 | 0.000 | 
| 4.634 | -5.315 | -2.299 | 0.000 | 38.989 | 0.000 | 
| 3.491 | -5.077 | -2.090 | 0.000 | 0.000 | 38.930 | 
| 130.523 | 58.025 | 59.435 | 0.000 | 4.010 | 0.000 | 
| 58.161 | 122.048 | 57.561 | 0.000 | 0.548 | 0.000 | 
| 42.886 | 43.076 | 167.567 | 0.000 | 0.712 | 0.000 | 
| 0.030 | -0.162 | -0.203 | 36.358 | -0.296 | 0.677 | 
| 2.183 | 0.492 | 0.711 | 0.000 | 75.757 | 0.000 | 
| 0.029 | -0.157 | -0.197 | 0.696 | -0.287 | 34.663 | 
| 129.095 | 58.808 | 58.978 | 0.000 | 6.360 | -0.000 | 
| 57.746 | 124.573 | 59.626 | -0.000 | 1.026 | -0.000 | 
| 59.298 | 59.576 | 131.151 | -0.000 | 0.963 | -0.000 | 
| -0.030 | 0.162 | 0.203 | 36.358 | 0.296 | 0.677 | 
| 2.183 | 0.492 | 0.711 | -0.000 | 75.757 | -0.000 | 
| -0.029 | 0.157 | 0.197 | 0.696 | 0.287 | 34.663 | 
| 173.962 | 35.001 | 42.934 | 0.000 | 7.343 | 0.000 | 
| 57.705 | 124.530 | 59.346 | 0.000 | 0.694 | 0.000 | 
| 42.886 | 43.076 | 167.567 | 0.000 | 0.711 | 0.000 | 
| 0.003 | -0.016 | -0.020 | 36.481 | -0.030 | 0.679 | 
| 2.184 | 0.492 | 0.711 | 0.000 | 75.757 | 0.000 | 
| 0.000 | 0.000 | 0.000 | 1.265 | 0.000 | 64.114 | 
| 173.962 | 35.001 | 42.934 | -0.000 | 7.343 | -0.000 | 
| 57.701 | 124.560 | 59.388 | -0.000 | 0.754 | -0.000 | 
| 59.235 | 59.338 | 131.166 | -0.000 | 0.692 | -0.000 | 
| -0.003 | 0.016 | 0.020 | 36.481 | 0.030 | 0.679 | 
| 2.250 | -0.081 | 1.077 | 0.000 | 38.359 | -0.000 | 
| -0.000 | -0.000 | -0.000 | 1.265 | -0.000 | 64.114 | 
| 130.865 | 57.992 | 59.500 | 0.000 | 4.339 | 0.000 | 
| 57.703 | 124.545 | 59.365 | 0.000 | 0.721 | 0.000 | 
| 59.230 | 59.312 | 131.162 | 0.000 | 0.659 | 0.000 | 
| 0.000 | -0.002 | -0.002 | 36.482 | -0.003 | 0.679 | 
| 2.185 | -0.064 | 0.671 | 0.000 | 38.164 | 0.000 | 
| -0.001 | -0.002 | -0.002 | 1.494 | -0.007 | 34.034 | 
| 129.344 | 58.472 | 58.732 | -0.000 | 5.680 | -0.000 | 
| 58.130 | 122.598 | 58.353 | -0.000 | 0.457 | -0.000 | 
| 58.550 | 59.357 | 130.466 | -0.000 | 0.437 | -0.000 | 
| -0.000 | 0.002 | 0.002 | 36.482 | 0.003 | 0.679 | 
| 1.949 | 0.703 | 0.668 | -0.000 | 39.836 | -0.000 | 
| 0.001 | 0.002 | 0.002 | 1.494 | 0.007 | 34.034 | 
| 28.317 | -16.992 | -250.319 | 0.000 | 163.905 | 0.000 | 
| 120.209 | 57.523 | -180.589 | 0.000 | 5.558 | -0.000 | 
| 42.605 | 42.226 | 166.253 | -0.000 | 0.746 | -0.000 | 
| -328.734 | 159.837 | -213.766 | 27.595 | -234.509 | 3.018 | 
| -63.861 | -65.873 | -345.317 | 0.000 | -47.690 | -0.000 | 
| -328.736 | 159.838 | -213.785 | 3.116 | -234.512 | 31.081 | 
| 442.506 | -94.988 | 276.269 | -0.000 | 241.254 | 0.000 | 
| 27.847 | 128.034 | 325.895 | -0.000 | -3.269 | 0.000 | 
| 389.546 | -98.400 | 332.907 | -0.000 | 234.962 | 0.000 | 
| 328.734 | -159.838 | 213.766 | 27.595 | 234.509 | 3.019 | 
| -44.883 | 36.455 | 252.319 | -0.000 | 0.855 | 0.000 | 
| 328.736 | -159.838 | 213.785 | 3.116 | 234.512 | 31.081 | 
| 172.832 | 34.249 | 42.832 | 0.000 | 7.593 | -0.000 | 
| 33.644 | 125.231 | 41.378 | -0.000 | -25.276 | -0.000 | 
| 73.355 | 65.595 | 82.941 | 0.000 | 0.814 | 0.000 | 
| 0.000 | 0.000 | 0.000 | 72.306 | -0.000 | 1.104 | 
| 2.076 | 0.498 | 0.746 | 0.000 | 75.145 | 0.000 | 
| 4.413 | -3.386 | -24.102 | 0.167 | 0.420 | 12.774 | 
| 102.410 | 72.528 | 90.580 | -0.000 | 2.073 | -0.000 | 
| 95.308 | 101.751 | 79.545 | 0.000 | 21.655 | -0.000 | 
| 42.605 | 42.226 | 166.253 | 0.000 | 0.746 | 0.000 | 
| 0.000 | -0.000 | -0.000 | 72.306 | 0.000 | 1.104 | 
| 10.590 | -9.007 | 31.410 | 0.000 | 38.998 | 0.000 | 
| -4.413 | 3.386 | 24.102 | 0.167 | -0.420 | 12.774 | 
| 125.974 | 58.477 | 55.500 | 0.000 | 5.593 | -0.000 | 
| 57.875 | 120.852 | 58.381 | 0.000 | -2.666 | -0.000 | 
| 59.933 | 59.171 | 126.114 | 0.000 | 0.554 | -0.000 | 
| -1.667 | -0.036 | -3.173 | 35.227 | -0.854 | 1.153 | 
| 0.602 | -0.096 | -3.385 | 0.000 | 38.306 | -0.000 | 
| 0.266 | -0.204 | -1.452 | 0.579 | 0.025 | 33.228 | 
| 129.170 | 56.566 | 60.245 | -0.000 | 3.556 | 0.000 | 
| 58.131 | 121.730 | 62.563 | -0.000 | -0.037 | 0.000 | 
| 59.519 | 57.154 | 131.677 | -0.000 | 1.739 | 0.000 | 
| 1.152 | -1.178 | 3.332 | 34.418 | 0.327 | 0.553 | 
| 4.216 | -1.255 | 2.068 | -0.000 | 36.111 | -0.000 | 
| -0.266 | 0.204 | 1.452 | 0.579 | -0.025 | 33.228 | 
| 130.388 | 56.730 | 56.730 | -0.000 | 0.000 | -0.000 | 
| 56.729 | 130.388 | 56.730 | -0.000 | -0.000 | -0.000 | 
| 56.730 | 56.730 | 130.388 | 0.000 | -0.000 | -0.000 | 
| -0.003 | -0.003 | -0.003 | 35.428 | 0.000 | -0.000 | 
| -0.000 | -0.000 | -0.000 | 0.000 | 68.079 | -0.000 | 
| -0.004 | -0.003 | -0.003 | 0.000 | 0.000 | 35.428 | 
| 128.331 | 57.118 | 57.118 | -0.000 | 0.000 | 0.000 | 
| 57.118 | 128.330 | 57.118 | -0.000 | 0.000 | -0.000 | 
| 57.118 | 57.118 | 128.330 | -0.000 | -0.000 | 0.000 | 
| -0.000 | 0.000 | 0.000 | 68.079 | 0.000 | 0.000 | 
| 0.000 | 0.000 | 0.000 | -0.000 | 68.079 | 0.000 | 
| 0.000 | 0.000 | 0.000 | -0.000 | -0.000 | 68.079 | 
| 130.404 | 56.726 | 56.726 | 0.000 | 0.000 | -0.000 | 
| 56.726 | 130.404 | 56.726 | 0.000 | 0.000 | -0.000 | 
| 56.726 | 56.726 | 130.404 | -0.000 | 0.000 | -0.000 | 
| -0.000 | -0.000 | -0.000 | 35.429 | -0.000 | -0.000 | 
| -0.000 | -0.000 | -0.000 | -0.000 | 35.429 | -0.000 | 
| -0.000 | -0.000 | -0.000 | -0.000 | -0.000 | 35.429 | 
| 130.407 | 56.726 | 56.726 | 0.000 | -0.000 | 0.000 | 
| 56.726 | 130.407 | 56.726 | -0.000 | -0.000 | 0.000 | 
| 56.726 | 56.726 | 130.407 | -0.000 | 0.000 | -0.000 | 
| 0.000 | 0.000 | 0.000 | 35.429 | -0.000 | 0.000 | 
| 0.000 | 0.000 | 0.000 | 0.000 | 35.429 | 0.000 | 
| 0.000 | 0.000 | 0.000 | -0.000 | -0.000 | 35.429 | 
| 130.406 | 56.726 | 56.726 | -0.000 | 0.000 | -0.000 | 
| 56.726 | 130.406 | 56.726 | -0.000 | -0.000 | -0.000 | 
| 56.726 | 56.726 | 130.406 | -0.000 | -0.000 | -0.000 | 
| -0.000 | -0.000 | -0.000 | 33.946 | 0.000 | -0.000 | 
| -0.000 | -0.000 | -0.000 | 0.000 | 33.946 | -0.000 | 
| -0.000 | -0.000 | -0.000 | 0.000 | -0.000 | 33.946 | 
| 169.458 | 38.194 | 38.194 | -0.000 | 0.000 | 0.000 | 
| 38.194 | 169.458 | 38.194 | -0.000 | 0.000 | 0.000 | 
| 38.194 | 38.194 | 169.458 | -0.000 | 0.000 | 0.000 | 
| 0.000 | 0.000 | 0.000 | 33.946 | -0.000 | 0.000 | 
| 0.000 | 0.000 | 0.000 | -0.000 | 33.946 | 0.000 | 
| 0.000 | 0.000 | 0.000 | 0.000 | -0.000 | 33.946 | 
| 168.407 | 37.702 | 37.702 | -0.000 | 0.000 | -0.000 | 
| 37.702 | 168.407 | 37.702 | -0.000 | -0.000 | -0.000 | 
| 37.702 | 37.702 | 168.407 | -0.000 | 0.000 | 0.000 | 
| -24.513 | -24.513 | -24.513 | 22.795 | -0.000 | -0.000 | 
| -25.519 | -25.519 | -25.519 | 0.000 | 18.533 | -0.000 | 
| -25.519 | -25.519 | -25.519 | 0.000 | 0.000 | 18.533 | 
| 131.211 | 93.059 | 93.059 | 0.000 | -0.000 | -0.000 | 
| 93.059 | 131.211 | 93.059 | -0.000 | -0.000 | -0.000 | 
| 93.059 | 93.059 | 131.211 | -0.000 | -0.000 | -0.000 | 
| 25.519 | 25.519 | 25.519 | 18.533 | 0.000 | -0.000 | 
| 24.513 | 24.513 | 24.513 | -0.000 | 22.795 | -0.000 | 
| 25.519 | 25.519 | 25.519 | 0.000 | -0.000 | 18.533 | 
| 168.407 | 37.702 | 37.702 | -0.000 | -0.000 | 0.000 | 
| 37.702 | 168.407 | 37.702 | 0.000 | -0.000 | 0.000 | 
| 37.702 | 37.702 | 168.407 | 0.000 | -0.000 | 0.000 | 
| -2.007 | -2.007 | -2.007 | 29.049 | 0.000 | -0.000 | 
| -2.007 | -2.007 | -2.007 | -0.000 | 29.049 | 0.000 | 
| -2.007 | -2.007 | -2.007 | -0.000 | -0.000 | 29.049 | 
| 127.431 | 56.130 | 56.130 | -0.000 | 0.000 | -0.000 | 
| 56.130 | 127.431 | 56.130 | -0.000 | 0.000 | -0.000 | 
| 56.130 | 56.130 | 127.431 | -0.000 | 0.000 | -0.000 | 
| 2.007 | 2.007 | 2.007 | 29.049 | 0.000 | -0.000 | 
| 2.007 | 2.007 | 2.007 | 0.000 | 29.049 | -0.000 | 
| 2.007 | 2.007 | 2.007 | 0.000 | -0.000 | 29.049 | 
| 129.444 | 55.948 | 55.948 | -0.000 | -0.000 | 0.000 | 
| 55.948 | 129.444 | 55.948 | 0.000 | -0.000 | 0.000 | 
| 56.248 | 56.248 | 127.418 | 0.000 | -0.000 | -0.000 | 
| -0.168 | -0.168 | -0.168 | 35.342 | -0.000 | -0.000 | 
| -0.168 | -0.168 | -0.168 | 0.000 | 35.342 | 0.000 | 
| -0.168 | -0.168 | -0.168 | 0.000 | -0.000 | 35.342 | 
| 127.124 | 56.604 | 56.604 | 0.000 | 0.000 | -0.000 | 
| 56.604 | 127.124 | 56.604 | -0.000 | 0.000 | -0.000 | 
| 56.604 | 56.604 | 127.124 | -0.000 | 0.000 | -0.000 | 
| 0.168 | 0.168 | 0.168 | 35.342 | 0.000 | -0.000 | 
| 0.168 | 0.168 | 0.168 | 0.000 | 35.342 | -0.000 | 
| 0.168 | 0.168 | 0.168 | -0.000 | 0.000 | 35.342 | 
| 176.669 | 35.227 | 35.227 | -0.000 | 0.000 | 0.000 | 
| 35.227 | 176.669 | 35.227 | -0.000 | 0.000 | 0.000 | 
| 35.227 | 35.227 | 176.669 | -0.000 | 0.000 | 0.000 | 
| -0.000 | -0.000 | -0.000 | 65.144 | 0.000 | 0.000 | 
| 0.000 | -0.000 | -0.000 | -0.000 | 65.144 | 0.000 | 
| 0.000 | -0.000 | -0.000 | -0.000 | -0.000 | 65.144 | 
| 176.669 | 35.227 | 35.227 | 0.000 | 0.000 | -0.000 | 
| 35.227 | 176.669 | 35.227 | 0.000 | 0.000 | -0.000 | 
| 35.227 | 35.227 | 176.669 | 0.000 | 0.000 | -0.000 | 
| 0.000 | 0.000 | 0.000 | 65.144 | -0.000 | -0.000 | 
| -0.000 | 0.000 | 0.000 | -0.000 | 65.144 | -0.000 | 
| -0.000 | 0.000 | 0.000 | 0.000 | -0.000 | 65.144 | 
| 176.669 | 35.227 | 35.227 | 0.000 | -0.000 | 0.000 | 
| 35.227 | 176.669 | 35.227 | -0.000 | -0.000 | 0.000 | 
| 35.227 | 35.227 | 176.669 | -0.000 | -0.000 | 0.000 | 
| 0.000 | -0.000 | 0.000 | 65.144 | -0.000 | 0.000 | 
| 0.000 | -0.000 | 0.000 | 0.000 | 65.144 | 0.000 | 
| 0.000 | 0.000 | 0.000 | -0.000 | -0.000 | 65.144 | 
| 176.669 | 35.227 | 35.227 | 0.000 | 0.000 | -0.000 | 
| 35.227 | 176.669 | 35.227 | -0.000 | 0.000 | -0.000 | 
| 35.227 | 35.227 | 176.669 | 0.000 | 0.000 | -0.000 | 
| -0.000 | 0.000 | -0.000 | 65.144 | -0.000 | -0.000 | 
| -0.000 | 0.000 | -0.000 | 0.000 | 65.144 | -0.000 | 
| -0.000 | -0.000 | -0.000 | 0.000 | 0.000 | 65.144 | 
| 176.669 | 35.227 | 35.227 | -0.000 | 0.000 | -0.000 | 
| 35.227 | 176.669 | 35.227 | -0.000 | -0.000 | 0.000 | 
| 35.227 | 35.227 | 176.669 | -0.000 | -0.000 | 0.000 | 
| 0.000 | 0.000 | 0.000 | 33.890 | -0.000 | -0.000 | 
| 0.000 | 0.000 | 0.000 | -0.000 | 33.890 | 0.000 | 
| 0.000 | 0.000 | 0.000 | -0.000 | -0.000 | 33.890 | 
| 129.311 | 57.388 | 57.388 | 0.000 | -0.000 | 0.000 | 
| 57.388 | 129.311 | 57.388 | -0.000 | 0.000 | -0.000 | 
| 57.388 | 57.388 | 129.311 | 0.000 | -0.000 | -0.000 | 
| -0.000 | -0.000 | -0.000 | 33.890 | -0.000 | -0.000 | 
| -0.000 | -0.000 | -0.000 | 0.000 | 33.890 | -0.000 | 
| -0.000 | -0.000 | -0.000 | 0.000 | 0.000 | 33.890 | 
| 127.430 | 33.288 | 40.998 | 1.160 | 0.647 | -2.397 | 
| 34.687 | 175.384 | 34.687 | 0.000 | 0.000 | -0.000 | 
| 32.889 | 32.440 | 172.357 | 1.199 | 0.669 | -2.478 | 
| -0.000 | -0.000 | 0.000 | 64.820 | -0.000 | -0.000 | 
| -5.944 | -6.739 | 7.256 | 2.116 | 25.619 | -4.374 | 
| 0.000 | -0.000 | -0.000 | 0.000 | 0.000 | 64.820 | 
| 118.360 | 70.857 | 56.878 | -2.113 | -1.179 | 4.368 | 
| 74.603 | 96.492 | 67.600 | -1.118 | -0.624 | 2.310 | 
| 75.846 | 76.190 | 95.412 | -0.916 | -0.511 | 1.893 | 
| 5.376 | 5.722 | -0.374 | 12.377 | -0.514 | 1.903 | 
| 5.936 | 6.730 | -7.246 | -2.113 | 23.318 | 4.367 | 
| 14.224 | 14.649 | 7.171 | -1.126 | -0.628 | 31.718 | 
| 118.785 | 59.520 | 59.899 | 0.057 | 0.032 | -0.118 | 
| 55.440 | 126.160 | 56.121 | 0.109 | 0.061 | -0.225 | 
| 58.262 | 58.197 | 124.519 | 0.173 | 0.096 | -0.357 | 
| -0.497 | -0.564 | 0.607 | 31.219 | 0.099 | -0.366 | 
| -0.496 | -0.563 | 0.606 | 0.177 | 31.193 | -0.365 | 
| -0.389 | -0.412 | -0.002 | 0.062 | 0.035 | 26.675 | 
| 124.807 | 59.106 | 57.972 | -0.171 | -0.096 | 0.354 | 
| 55.301 | 128.434 | 54.490 | -0.130 | -0.073 | 0.269 | 
| 58.693 | 58.757 | 124.476 | -0.169 | -0.094 | 0.349 | 
| 0.000 | -0.000 | -0.000 | 64.820 | -0.000 | 0.000 | 
| 0.000 | -0.000 | -0.000 | -0.000 | 64.820 | 0.000 | 
| 0.380 | 0.402 | 0.025 | -0.057 | -0.032 | 27.232 | 
| 126.281 | 55.875 | 55.950 | 0.011 | 0.006 | -0.023 | 
| 56.176 | 126.519 | 56.252 | 0.012 | 0.007 | -0.025 | 
| 56.691 | 56.687 | 127.073 | 0.009 | 0.005 | -0.019 | 
| -0.037 | -0.041 | 0.034 | 33.631 | 0.006 | -0.023 | 
| -0.045 | -0.050 | 0.054 | 0.016 | 34.625 | -0.033 | 
| -0.044 | -0.050 | 0.054 | 0.016 | 0.009 | 34.615 | 
| 126.607 | 56.290 | 56.209 | -0.012 | -0.007 | 0.025 | 
| 56.770 | 127.082 | 56.711 | -0.009 | -0.005 | 0.019 | 
| 56.785 | 56.789 | 126.998 | -0.009 | -0.005 | 0.019 | 
| 0.037 | 0.041 | -0.034 | 33.608 | -0.006 | 0.023 | 
| 0.037 | 0.041 | -0.034 | -0.011 | 33.613 | 0.023 | 
| 0.038 | 0.042 | -0.026 | -0.010 | -0.006 | 33.839 | 
| 164.052 | 36.007 | 38.789 | 3.767 | 0.000 | 0.000 | 
| 36.006 | 164.052 | 38.789 | -3.766 | -0.000 | 0.000 | 
| 38.695 | 38.695 | 163.236 | 0.000 | -0.000 | 0.000 | 
| 3.766 | -3.767 | -0.001 | 67.529 | -0.000 | 0.000 | 
| -0.000 | -0.000 | 0.000 | -0.000 | 67.529 | 3.766 | 
| 1.177 | 1.176 | -17.573 | -0.001 | -1.524 | 22.762 | 
| 148.141 | 73.436 | 19.673 | -4.470 | 0.000 | 0.000 | 
| 36.007 | 164.053 | 38.790 | -3.766 | -0.000 | 0.000 | 
| 38.696 | 38.696 | 163.236 | -0.001 | -0.000 | -0.000 | 
| 23.906 | 33.039 | -44.719 | 41.016 | -0.000 | -0.000 | 
| -0.000 | 0.000 | -0.000 | 0.000 | 67.529 | 3.766 | 
| -1.176 | -1.176 | 17.573 | 0.001 | -1.524 | 22.762 | 
| 164.053 | 36.006 | 38.789 | 3.766 | 0.000 | 0.000 | 
| 36.006 | 164.053 | 38.789 | -3.766 | 0.000 | 0.000 | 
| 57.884 | 57.884 | 121.077 | 0.000 | 0.000 | -0.000 | 
| 3.766 | -3.766 | 0.000 | 67.529 | 0.000 | -0.000 | 
| 1.223 | 1.223 | -1.474 | 0.000 | 32.153 | 2.130 | 
| -0.016 | -0.016 | 0.396 | -0.000 | -0.613 | 30.146 | 
| 164.052 | 36.006 | 38.789 | 3.766 | -0.000 | 0.000 | 
| 59.752 | 118.741 | 52.745 | 1.084 | -0.000 | -0.000 | 
| 38.696 | 38.696 | 163.236 | -0.000 | -0.000 | 0.000 | 
| 3.766 | -3.766 | 0.000 | 67.529 | -0.000 | -0.000 | 
| -1.223 | -1.223 | 1.474 | -0.000 | 32.153 | 2.130 | 
| 0.016 | 0.016 | -0.396 | 0.000 | -0.613 | 30.146 | 
| 121.080 | 55.904 | 53.599 | 0.784 | -0.000 | -0.000 | 
| 56.912 | 122.079 | 56.622 | -0.629 | 0.000 | 0.000 | 
| 54.699 | 54.699 | 113.629 | 0.000 | 0.000 | 0.000 | 
| -0.804 | 0.840 | -0.086 | 32.079 | 0.000 | -0.000 | 
| 0.115 | 0.115 | -0.138 | -0.000 | 34.371 | 2.232 | 
| 0.050 | 0.050 | -0.040 | -0.000 | 0.735 | 32.568 | 
| 122.000 | 56.827 | 56.678 | 0.637 | -0.000 | -0.000 | 
| 56.822 | 122.009 | 56.674 | -0.637 | 0.000 | 0.000 | 
| 55.940 | 55.940 | 117.693 | -0.000 | -0.000 | 0.000 | 
| 3.766 | -3.766 | -0.000 | 67.529 | -0.000 | 0.000 | 
| -0.115 | -0.115 | 0.138 | 0.000 | 34.371 | 2.232 | 
| -0.050 | -0.050 | 0.040 | 0.000 | 0.735 | 32.568 | 
| -125.302 | -121.010 | 139.710 | -0.000 | -0.000 | -0.000 | 
| -11.227 | 128.202 | -132.616 | 0.000 | -0.000 | 0.000 | 
| -7.155 | -7.155 | 1.734 | 0.000 | -0.000 | -0.000 | 
| -206.919 | -206.919 | 55.910 | -3.236 | -0.000 | 0.000 | 
| -0.000 | -0.000 | 0.000 | 0.000 | 73.245 | -0.000 | 
| -46.401 | -46.401 | -172.213 | 0.000 | -0.000 | 70.092 | 
| 222.098 | 81.352 | 211.121 | -0.000 | -0.000 | 0.000 | 
| 81.354 | 222.097 | 211.121 | 0.000 | 0.000 | 0.000 | 
| 37.597 | 37.597 | 178.763 | 0.000 | 0.000 | -0.000 | 
| 0.001 | -0.000 | 0.000 | 73.246 | 0.000 | 0.000 | 
| 0.000 | 0.000 | -0.000 | 0.000 | 73.245 | 0.000 | 
| 46.401 | 46.401 | 172.213 | -0.000 | 0.000 | 70.093 | 
| 180.005 | 36.273 | 37.550 | 0.000 | -0.000 | -0.000 | 
| 36.272 | 180.005 | 37.550 | 0.000 | -0.000 | 0.000 | 
| 37.597 | 37.597 | 178.763 | 0.000 | 0.000 | -0.000 | 
| -19.720 | -19.720 | 5.328 | 0.355 | -0.000 | -0.000 | 
| 0.000 | 0.000 | -0.000 | 0.000 | 73.245 | -0.000 | 
| -0.000 | 0.000 | -0.000 | 0.000 | 0.000 | 71.866 | 
| 104.650 | 103.461 | 76.848 | -0.000 | 0.000 | 0.000 | 
| 51.653 | 167.277 | 59.887 | -0.000 | -0.000 | 0.000 | 
| 37.597 | 37.597 | 178.762 | 0.000 | 0.000 | 0.000 | 
| 19.720 | 19.720 | -5.328 | 0.355 | 0.000 | -0.000 | 
| -0.000 | 0.000 | 0.000 | -0.000 | 73.245 | -0.000 | 
| -0.000 | -0.000 | 0.000 | -0.000 | 0.000 | 71.866 | 
| 135.108 | 55.461 | 56.679 | -0.000 | 0.000 | 0.000 | 
| 36.273 | 180.006 | 37.550 | 0.000 | 0.000 | 0.000 | 
| 56.631 | 56.631 | 135.297 | -0.000 | -0.000 | 0.000 | 
| -1.004 | -1.004 | 0.271 | 36.135 | -0.000 | 0.000 | 
| 0.000 | 0.000 | 0.000 | 0.000 | 73.245 | -0.000 | 
| -1.010 | -1.010 | 0.273 | 0.000 | -0.000 | 35.667 | 
| 133.606 | 60.804 | 59.510 | -0.000 | 0.000 | 0.000 | 
| 60.803 | 133.607 | 59.510 | -0.000 | 0.000 | -0.000 | 
| 60.515 | 60.515 | 133.547 | -0.000 | 0.000 | -0.000 | 
| 1.004 | 1.004 | -0.271 | 36.135 | 0.000 | 0.000 | 
| -0.000 | -0.000 | -0.000 | 0.000 | 73.245 | -0.000 | 
| 1.010 | 1.010 | -0.273 | -0.000 | 0.000 | 35.667 | 
| 137.244 | 57.600 | 57.866 | -0.000 | -0.000 | 0.000 | 
| 36.279 | 180.122 | 37.633 | -0.000 | 0.000 | 0.000 | 
| 57.815 | 57.815 | 137.540 | -0.000 | -0.000 | 0.000 | 
| -0.000 | -0.000 | 0.001 | 73.234 | 0.001 | -0.000 | 
| -0.000 | -0.000 | 0.000 | 0.000 | 73.235 | -0.000 | 
| -0.000 | -0.000 | -0.000 | -0.000 | 0.000 | 71.922 | 
| 137.087 | 57.651 | 57.758 | 0.000 | 0.000 | 0.000 | 
| 36.280 | 180.122 | 37.635 | 0.000 | -0.000 | -0.000 | 
| 37.634 | 37.634 | 178.844 | 0.000 | 0.000 | -0.000 | 
| 0.000 | 0.000 | 0.000 | 73.234 | -0.001 | 0.000 | 
| 0.000 | 0.000 | -0.000 | 0.000 | 73.234 | 0.000 | 
| 0.000 | 0.000 | 0.000 | 0.000 | -0.000 | 71.922 | 
| 136.377 | 57.074 | 57.747 | -0.000 | 0.000 | 0.000 | 
| 57.606 | 137.209 | 57.800 | -0.000 | -0.000 | 0.000 | 
| 37.634 | 37.634 | 178.843 | 0.000 | 0.000 | -0.000 | 
| 0.000 | 0.000 | -0.000 | 73.234 | 0.000 | -0.000 | 
| -0.000 | -0.000 | 0.000 | 0.000 | 73.234 | 0.000 | 
| -0.000 | 0.000 | -0.000 | -0.000 | -0.000 | 71.922 | 
| 180.122 | 36.279 | 37.634 | 0.000 | -0.000 | 0.000 | 
| 56.748 | 136.001 | 57.411 | -0.000 | -0.000 | -0.000 | 
| 37.634 | 37.634 | 178.843 | 0.000 | -0.000 | 0.000 | 
| -0.000 | 0.000 | 0.000 | 73.234 | -0.000 | 0.000 | 
| 0.000 | 0.000 | 0.000 | 0.000 | 73.234 | 0.000 | 
| -0.000 | -0.000 | -0.000 | 0.000 | -0.000 | 71.922 | 
| 136.356 | 57.067 | 57.738 | 0.000 | 0.000 | -0.000 | 
| 57.068 | 136.355 | 57.738 | 0.000 | 0.000 | 0.000 | 
| 57.815 | 57.815 | 137.436 | -0.000 | 0.000 | -0.000 | 
| 0.000 | 0.000 | 0.000 | 73.234 | 0.000 | -0.000 | 
| 0.000 | 0.000 | 0.001 | -0.000 | 40.447 | 0.000 | 
| 0.000 | 0.000 | 0.000 | -0.000 | 0.000 | 71.922 | 
| 136.352 | 57.065 | 57.735 | 0.000 | -0.000 | -0.000 | 
| 57.614 | 137.189 | 57.800 | 0.000 | 0.000 | -0.000 | 
| 57.821 | 57.821 | 137.420 | 0.000 | 0.000 | 0.000 | 
| -0.000 | -0.000 | -0.000 | 73.234 | -0.000 | 0.000 | 
| -0.000 | -0.000 | -0.001 | -0.000 | 40.447 | -0.000 | 
| -0.000 | -0.000 | -0.000 | 0.000 | -0.000 | 71.922 | 
| 179.400 | 51.014 | 39.028 | 0.000 | 0.000 | -0.000 | 
| 51.015 | 179.400 | 39.028 | 0.000 | 0.000 | 0.000 | 
| 51.645 | 51.644 | 129.447 | 0.000 | 0.000 | 0.000 | 
| -0.016 | -0.016 | -0.000 | 65.974 | -0.000 | 0.000 | 
| -0.016 | -0.016 | -0.001 | 0.000 | 65.974 | 0.000 | 
| 0.000 | -0.000 | -0.000 | 0.000 | -0.000 | 145.287 | 
| 179.428 | 51.041 | 39.029 | -0.000 | -0.000 | -0.000 | 
| 51.041 | 179.428 | 39.029 | -0.000 | 0.000 | -0.000 | 
| 56.215 | 56.215 | 172.111 | -0.000 | 0.000 | -0.000 | 
| 0.016 | 0.016 | 0.000 | 65.974 | -0.000 | 0.000 | 
| 0.016 | 0.016 | 0.001 | -0.000 | 65.974 | -0.000 | 
| -0.000 | 0.000 | 0.000 | -0.000 | 0.000 | 145.287 | 
| 143.477 | 67.672 | 54.202 | 0.000 | -0.000 | 0.000 | 
| 67.672 | 143.477 | 54.202 | 0.000 | -0.000 | 0.000 | 
| 56.215 | 56.215 | 172.111 | 0.000 | 0.000 | 0.000 | 
| 0.000 | -0.000 | -0.000 | 85.256 | -0.000 | -0.000 | 
| -0.000 | 0.000 | -0.000 | 0.000 | 85.256 | 0.000 | 
| -0.012 | -0.012 | -0.000 | 0.000 | 0.000 | 32.743 | 
| 143.491 | 67.680 | 54.200 | -0.000 | -0.000 | -0.000 | 
| 67.680 | 143.491 | 54.200 | -0.000 | 0.000 | -0.000 | 
| 56.215 | 56.215 | 172.111 | -0.000 | -0.000 | -0.000 | 
| -0.000 | -0.000 | 0.000 | 85.256 | 0.000 | -0.000 | 
| 0.000 | -0.000 | -0.000 | -0.000 | 85.256 | -0.000 | 
| 0.012 | 0.012 | 0.000 | -0.000 | -0.000 | 32.743 | 
| 143.433 | 67.650 | 54.193 | 0.000 | 0.000 | 0.000 | 
| 67.650 | 143.433 | 54.193 | 0.000 | 0.000 | 0.000 | 
| 54.348 | 54.348 | 132.523 | -0.000 | 0.000 | 0.000 | 
| -0.000 | -0.000 | 0.000 | 65.974 | 0.000 | 0.000 | 
| -0.000 | -0.000 | 0.000 | -0.000 | 65.974 | 0.000 | 
| 0.000 | 0.000 | 0.000 | 0.000 | -0.000 | 33.507 | 
| 138.825 | 69.831 | 51.688 | 0.000 | -0.000 | -0.000 | 
| 69.831 | 138.825 | 51.688 | 0.000 | -0.000 | 0.000 | 
| 52.426 | 52.426 | 129.106 | -0.000 | 0.000 | -0.000 | 
| 0.000 | 0.000 | -0.000 | 65.974 | 0.000 | 0.000 | 
| 0.000 | 0.000 | -0.000 | -0.000 | 65.974 | -0.000 | 
| -0.000 | -0.000 | -0.000 | 0.000 | -0.000 | 33.507 | 
| -613.133 | -661.194 | 88.200 | 0.000 | -0.000 | -0.000 | 
| -661.194 | -613.133 | 88.200 | -0.000 | -0.000 | -0.000 | 
| 41.172 | 41.173 | 166.789 | 0.000 | -0.000 | -0.000 | 
| -898.098 | -898.098 | -728.554 | 33.987 | 0.000 | -0.000 | 
| -898.098 | -898.098 | -728.554 | 0.000 | 33.987 | -0.000 | 
| -898.119 | -898.119 | -728.595 | -0.000 | -0.000 | 31.710 | 
| 933.305 | 863.593 | 553.539 | 0.000 | 0.000 | 0.000 | 
| 863.593 | 933.305 | 553.539 | 0.000 | -0.000 | 0.000 | 
| 41.173 | 41.173 | 166.789 | 0.000 | -0.000 | -0.000 | 
| 898.098 | 898.098 | 728.554 | 33.987 | 0.000 | 0.000 | 
| 898.098 | 898.098 | 728.554 | -0.000 | 33.987 | 0.000 | 
| 898.119 | 898.119 | 728.595 | 0.000 | 0.000 | 31.710 | 
| 11.904 | -56.676 | -7.303 | -0.000 | -0.000 | -0.000 | 
| -56.676 | 11.904 | -7.303 | 0.000 | -0.000 | -0.000 | 
| -38.069 | -38.069 | 52.275 | 0.000 | -0.000 | -0.000 | 
| -89.805 | -89.805 | -72.470 | 33.845 | 0.000 | -0.000 | 
| -89.805 | -89.805 | -72.470 | -0.000 | 33.845 | -0.000 | 
| -71.443 | -71.443 | 2.616 | 0.000 | -0.000 | 20.431 | 
| 194.982 | 147.288 | 126.076 | -0.000 | 0.000 | 0.000 | 
| 147.288 | 194.982 | 126.076 | -0.000 | 0.000 | 0.000 | 
| 130.008 | 130.008 | 112.755 | 0.000 | 0.000 | 0.000 | 
| 89.805 | 89.805 | 72.470 | 33.845 | -0.000 | 0.000 | 
| 89.805 | 89.805 | 72.470 | 0.000 | 33.845 | 0.000 | 
| 71.443 | 71.443 | -2.616 | -0.000 | 0.000 | 20.431 | 
| 105.436 | 47.322 | 59.435 | 0.000 | 0.000 | -0.000 | 
| 47.322 | 105.436 | 59.435 | 0.000 | -0.000 | -0.000 | 
| 44.590 | 44.590 | 118.234 | -0.000 | -0.000 | -0.000 | 
| -8.769 | -8.769 | -0.801 | 31.946 | -0.000 | -0.000 | 
| -8.769 | -8.769 | -0.801 | 0.000 | 31.946 | -0.000 | 
| -10.699 | -10.699 | -6.076 | 0.000 | -0.000 | 33.429 | 
| 121.298 | 59.847 | 59.615 | -0.000 | 0.000 | 0.000 | 
| 59.847 | 121.298 | 59.615 | -0.000 | 0.000 | 0.000 | 
| 61.979 | 61.979 | 126.736 | 0.000 | 0.000 | 0.000 | 
| 8.769 | 8.769 | 0.801 | 31.946 | -0.000 | 0.000 | 
| 8.769 | 8.769 | 0.801 | -0.000 | 31.946 | 0.000 | 
| 10.699 | 10.699 | 6.076 | -0.000 | 0.000 | 33.429 | 
| 175.723 | 35.054 | 41.780 | -0.000 | -0.000 | 0.000 | 
| 58.351 | 132.681 | 56.842 | -0.000 | -0.000 | -0.000 | 
| 41.781 | 37.895 | 170.370 | 0.000 | 0.000 | -0.000 | 
| 0.001 | -0.133 | 0.209 | 38.754 | -0.000 | -0.000 | 
| 0.000 | -0.000 | 0.000 | 0.000 | 74.372 | 0.000 | 
| 0.000 | 0.000 | -0.000 | -0.000 | -0.000 | 67.958 | 
| 175.724 | 35.054 | 41.780 | 0.000 | 0.000 | -0.000 | 
| 57.166 | 131.017 | 55.350 | 0.000 | 0.000 | 0.000 | 
| 41.780 | 37.895 | 170.370 | 0.000 | 0.000 | -0.000 | 
| -0.001 | 0.133 | -0.208 | 38.754 | 0.000 | -0.000 | 
| -0.000 | -0.000 | 0.000 | 0.000 | 74.372 | 0.000 | 
| -0.000 | -0.000 | -0.000 | 0.000 | 0.000 | 67.958 | 
| 131.999 | 57.870 | 58.537 | -0.000 | 0.000 | -0.000 | 
| 58.367 | 132.773 | 56.661 | -0.000 | -0.000 | -0.000 | 
| 41.780 | 37.895 | 170.370 | -0.000 | -0.000 | -0.000 | 
| -0.001 | -0.012 | 0.024 | 37.900 | -0.000 | 0.000 | 
| 0.000 | -0.000 | 0.000 | -0.000 | 74.372 | -0.000 | 
| 0.000 | -0.000 | 0.000 | -0.000 | 0.000 | 67.958 | 
| 175.723 | 35.054 | 41.780 | 0.000 | 0.000 | 0.000 | 
| 35.054 | 177.493 | 37.895 | 0.000 | -0.000 | 0.000 | 
| 58.785 | 56.791 | 130.195 | -0.000 | -0.000 | 0.000 | 
| 0.001 | 0.012 | -0.024 | 37.900 | 0.000 | -0.000 | 
| -0.000 | 0.000 | -0.000 | 0.000 | 74.372 | 0.000 | 
| -0.000 | 0.000 | 0.000 | 0.000 | -0.000 | 67.958 | 
| 131.996 | 57.881 | 58.517 | -0.000 | -0.000 | -0.000 | 
| 56.853 | 130.292 | 55.301 | -0.000 | -0.000 | -0.000 | 
| 58.622 | 56.304 | 128.277 | -0.000 | -0.000 | -0.000 | 
| 0.000 | -0.001 | 0.002 | 38.755 | -0.000 | -0.000 | 
| 0.000 | 0.000 | 0.000 | -0.000 | 74.372 | -0.000 | 
| 0.000 | 0.000 | 0.000 | -0.000 | -0.000 | 67.958 | 
| 131.985 | 57.888 | 58.516 | 0.000 | 0.000 | 0.000 | 
| 56.841 | 130.314 | 55.287 | 0.000 | 0.000 | 0.000 | 
| 58.621 | 56.305 | 128.274 | 0.000 | 0.000 | 0.000 | 
| -0.000 | 0.001 | -0.002 | 38.755 | 0.000 | 0.000 | 
| -0.000 | -0.000 | -0.000 | 0.000 | 74.372 | 0.000 | 
| -0.000 | -0.000 | -0.000 | 0.000 | -0.000 | 67.958 | 
| 482.307 | -640.994 | 458.878 | -0.000 | 0.000 | -0.000 | 
| 34.647 | 176.558 | 37.464 | 0.000 | -0.000 | -0.000 | 
| 480.485 | -652.153 | 466.748 | -0.000 | 0.000 | -0.000 | 
| 0.000 | 0.000 | -0.000 | 71.366 | 0.000 | 0.000 | 
| 390.937 | -708.722 | 372.424 | 0.000 | 2.177 | -0.000 | 
| 391.100 | -709.019 | 372.580 | 0.000 | 0.000 | 8.771 | 
| -295.517 | 774.518 | -287.822 | -0.000 | 0.000 | 0.000 | 
| 34.648 | 176.557 | 37.464 | -0.000 | -0.000 | 0.000 | 
| -304.179 | 764.353 | -273.947 | -0.000 | -0.000 | 0.000 | 
| -0.000 | -0.000 | 0.000 | 71.366 | -0.000 | 0.000 | 
| -390.937 | 708.722 | -372.424 | -0.000 | 2.177 | 0.000 | 
| -391.100 | 709.019 | -372.580 | -0.000 | -0.000 | 8.771 | 
| 174.703 | 34.541 | 41.389 | 0.000 | 0.000 | 0.000 | 
| 97.208 | 59.714 | 91.878 | 0.000 | 0.000 | -0.000 | 
| 91.682 | -19.851 | 104.461 | 0.000 | -0.000 | 0.000 | 
| 42.149 | -72.782 | -24.030 | 32.511 | 0.000 | -0.000 | 
| 33.231 | -60.243 | 31.657 | 0.000 | 12.951 | -0.000 | 
| 34.136 | -61.884 | 32.519 | 0.000 | 0.000 | 16.274 | 
| 83.828 | 146.723 | 59.619 | -0.000 | -0.000 | 0.000 | 
| 18.835 | 207.942 | 52.177 | -0.000 | -0.000 | 0.000 | 
| 38.710 | 117.131 | 81.781 | -0.000 | -0.000 | 0.000 | 
| -42.149 | 72.782 | 24.030 | 32.511 | 0.000 | -0.000 | 
| -33.231 | 60.243 | -31.657 | -0.000 | 12.951 | 0.000 | 
| -34.136 | 61.884 | -32.519 | -0.000 | -0.000 | 16.274 | 
| 133.516 | 54.415 | 59.999 | 0.000 | 0.000 | -0.000 | 
| 60.296 | 127.718 | 58.355 | 0.000 | 0.000 | 0.000 | 
| 60.693 | 51.361 | 126.420 | -0.000 | 0.000 | -0.000 | 
| 3.268 | -6.111 | -0.800 | 36.785 | -0.000 | 0.000 | 
| 2.012 | -4.157 | 1.154 | 0.000 | 36.797 | -0.000 | 
| 2.002 | -3.630 | 1.908 | 0.000 | 0.000 | 37.560 | 
| 129.582 | 61.285 | 56.525 | -0.000 | 0.000 | -0.000 | 
| 54.154 | 134.541 | 53.564 | -0.000 | -0.000 | 0.000 | 
| 55.883 | 59.609 | 125.663 | -0.000 | 0.000 | 0.000 | 
| -3.268 | 6.111 | 0.800 | 36.785 | -0.000 | 0.000 | 
| -2.012 | 4.157 | -1.154 | -0.000 | 36.797 | 0.000 | 
| -2.002 | 3.630 | -1.908 | -0.000 | -0.000 | 37.560 | 
| 384.663 | 530.698 | 272.592 | -248.823 | 316.573 | 129.205 | 
| 346.874 | 97.087 | -46.586 | -226.183 | 325.671 | 329.599 | 
| 717.152 | 874.512 | 616.384 | -196.642 | 42.796 | 20.465 | 
| 253.278 | 457.918 | 193.250 | -222.070 | 334.894 | 135.564 | 
| 649.608 | 822.855 | 470.348 | -213.903 | 79.961 | 16.913 | 
| 640.918 | 814.980 | 448.798 | -213.491 | 32.206 | 71.820 | 
| -36.961 | -234.056 | 228.659 | 336.335 | -308.384 | -244.055 | 
| -158.250 | -111.184 | 233.056 | 316.574 | -301.744 | -222.540 | 
| -186.017 | -259.651 | 404.984 | 339.784 | -293.813 | -224.438 | 
| -236.289 | -320.278 | 178.164 | 402.231 | -299.744 | -223.173 | 
| -209.811 | -287.086 | 200.173 | 346.673 | -240.659 | -223.026 | 
| -226.549 | -292.307 | 186.658 | 342.708 | -313.399 | -141.921 | 
| 183.214 | 105.941 | 92.919 | -29.598 | 20.682 | 16.729 | 
| 125.422 | 201.982 | 83.260 | -20.331 | 6.627 | 5.226 | 
| 113.084 | 117.939 | 203.143 | -14.071 | 15.777 | 3.287 | 
| 17.152 | -10.404 | -15.201 | -1.073 | 35.827 | 26.546 | 
| 41.898 | 38.225 | -0.477 | -26.331 | 87.124 | 18.827 | 
| 50.847 | 69.247 | 29.684 | -28.874 | 2.479 | 57.716 | 
| 136.896 | 13.664 | 51.940 | 46.266 | -49.286 | -33.500 | 
| 101.420 | 361.992 | 105.467 | -18.724 | -17.734 | -19.365 | 
| 12.531 | 1.819 | 225.377 | 24.881 | -11.755 | -18.311 | 
| 30.469 | -0.589 | 14.229 | 128.714 | -23.139 | -20.854 | 
| -14.707 | -24.000 | 26.460 | 33.923 | 41.135 | -17.956 | 
| -23.580 | -27.389 | 17.242 | 32.373 | -37.849 | 61.946 | 
| 230.531 | 75.917 | 50.594 | -5.126 | -13.356 | -21.250 | 
| 86.840 | 166.665 | 70.391 | -13.961 | 1.999 | -1.858 | 
| 83.049 | 71.458 | 171.219 | -6.678 | 1.397 | -3.817 | 
| 7.834 | 2.137 | 10.066 | 57.212 | -3.533 | -3.780 | 
| -2.917 | 2.415 | 0.396 | -4.156 | 49.113 | 2.925 | 
| 4.781 | 1.606 | -2.669 | -2.539 | -3.797 | 48.144 | 
| 159.399 | 76.977 | 74.476 | 0.614 | -14.721 | -11.961 | 
| 67.642 | 193.606 | 58.908 | -5.217 | -7.119 | -6.724 | 
| 70.880 | 62.779 | 159.969 | 2.610 | -2.548 | -4.228 | 
| -3.097 | -9.707 | 1.225 | 48.785 | -2.088 | -2.945 | 
| -7.897 | -6.125 | -2.076 | 0.230 | 45.206 | 0.522 | 
| -4.414 | -9.080 | -4.602 | -1.412 | -6.923 | 46.540 | 
| 437.766 | -4.729 | 201.546 | -242.685 | 190.874 | 264.087 | 
| -103.311 | -215.596 | 70.323 | -454.916 | 321.949 | 533.825 | 
| 102.793 | 102.927 | 378.205 | -13.168 | -0.429 | -19.381 | 
| -154.316 | -450.629 | 4.496 | -372.778 | 324.008 | 526.262 | 
| 268.772 | -241.312 | 34.128 | -153.386 | 134.494 | 344.526 | 
| -148.231 | -432.705 | 24.604 | -442.642 | 324.771 | 601.268 | 
| 363.238 | 494.612 | 44.221 | 447.347 | -358.966 | -553.957 | 
| 107.189 | 305.477 | 103.940 | 1.508 | -18.450 | -36.511 | 
| -221.966 | 94.560 | 19.138 | 240.202 | -205.896 | -263.740 | 
| 27.970 | 18.701 | -13.168 | 124.150 | -19.071 | -22.457 | 
| -287.732 | 44.294 | -144.594 | 238.431 | -140.476 | -264.692 | 
| -315.032 | 308.370 | 50.562 | 227.059 | -44.940 | -245.886 | 
| 201.417 | 47.482 | 76.746 | -20.227 | 0.680 | 12.242 | 
| 43.312 | 190.373 | 57.872 | -58.652 | 25.904 | 53.341 | 
| 123.312 | 43.866 | 159.979 | -38.718 | 4.054 | 23.967 | 
| -7.701 | -42.574 | -19.589 | -9.787 | 24.373 | 30.836 | 
| 25.596 | -10.882 | 9.366 | -24.412 | 80.121 | 27.935 | 
| -60.100 | -36.643 | -19.181 | -19.408 | 10.145 | 129.370 | 
| 127.190 | 111.474 | 100.628 | 16.873 | -18.847 | -41.900 | 
| 34.387 | 205.535 | 44.617 | 21.355 | -25.867 | -30.240 | 
| 85.199 | 90.601 | 207.283 | 25.932 | -29.355 | -50.175 | 
| 12.049 | 28.359 | -20.101 | 99.789 | -33.462 | -51.404 | 
| -32.960 | -1.483 | -17.040 | 21.851 | 46.407 | -22.966 | 
| 13.151 | 47.340 | -2.900 | 39.889 | -35.577 | 25.222 | 
| 165.228 | 69.717 | 79.402 | -3.926 | -7.063 | -9.843 | 
| 69.180 | 147.474 | 63.594 | -11.385 | -1.952 | 3.841 | 
| 80.653 | 60.842 | 161.487 | -9.663 | 1.104 | 4.694 | 
| 0.182 | -6.437 | -6.649 | 36.264 | 0.116 | 0.977 | 
| -0.136 | -7.672 | -3.606 | -3.943 | 50.577 | 4.856 | 
| 0.878 | -3.723 | -3.124 | -3.754 | -2.739 | 42.217 | 
| 152.254 | 69.690 | 75.185 | 1.974 | -12.951 | -17.071 | 
| 66.585 | 156.243 | 61.802 | -6.590 | -6.917 | -4.654 | 
| 71.751 | 62.107 | 156.280 | -3.430 | -2.526 | -4.288 | 
| -1.792 | 0.283 | -9.393 | 46.042 | -4.894 | -5.662 | 
| -7.343 | -4.799 | -2.374 | -0.905 | 49.417 | 0.613 | 
| -2.654 | 5.336 | 2.349 | 1.378 | -7.607 | 38.059 | 
| 36.435 | -185.588 | -254.758 | 64.673 | -114.235 | 225.167 | 
| 69.895 | 257.591 | 61.643 | -1.339 | -3.764 | 29.725 | 
| -80.779 | -167.599 | -128.736 | 57.663 | -127.848 | 225.793 | 
| -75.411 | -197.965 | -252.000 | 104.257 | -171.775 | 257.549 | 
| 461.037 | 80.844 | 134.342 | -161.123 | -246.384 | 161.038 | 
| 7.354 | 29.762 | -0.041 | -3.983 | 1.606 | 92.846 | 
| 520.956 | 387.879 | 532.651 | -171.147 | -38.283 | -24.983 | 
| 69.896 | 257.591 | 61.643 | -1.339 | -3.764 | 29.725 | 
| -418.624 | -30.401 | -34.000 | 172.206 | 272.983 | -171.229 | 
| 108.191 | 229.596 | 276.321 | 8.175 | 152.155 | -232.735 | 
| 192.778 | 526.412 | -13.657 | -148.453 | 635.757 | -235.893 | 
| -460.653 | -77.959 | -125.930 | 154.745 | 259.030 | -125.597 | 
| 159.599 | 22.539 | 5.572 | 12.564 | 21.455 | 9.534 | 
| 35.183 | 104.406 | 23.043 | 20.238 | -0.197 | 12.212 | 
| 40.077 | 43.871 | 77.484 | 10.689 | 2.141 | 4.902 | 
| -34.423 | -31.899 | -13.077 | 36.323 | -37.635 | 24.226 | 
| -26.754 | -4.843 | -40.959 | 6.509 | 112.104 | -16.959 | 
| 7.354 | 29.762 | -0.041 | -3.983 | 1.606 | 92.846 | 
| 172.262 | 75.742 | 108.531 | 7.724 | -11.688 | 3.739 | 
| 103.842 | 151.180 | 108.313 | -10.483 | 2.987 | -5.097 | 
| 24.892 | 61.137 | 161.655 | 4.269 | 36.132 | -31.663 | 
| -33.012 | -1.858 | -5.650 | 33.422 | 28.046 | -18.928 | 
| 20.492 | 21.651 | 33.793 | -6.684 | 30.026 | -10.201 | 
| 7.354 | 29.762 | -0.041 | -3.983 | 1.606 | 92.846 | 
| 142.008 | 54.207 | 57.830 | 1.915 | 3.694 | 4.070 | 
| 62.927 | 137.982 | 63.054 | 6.753 | -0.139 | 0.993 | 
| 55.482 | 55.219 | 116.450 | 2.446 | -2.007 | 1.993 | 
| -2.824 | -1.074 | -1.755 | 38.225 | 1.458 | 0.936 | 
| -2.444 | -2.000 | -6.272 | 1.930 | 36.051 | -0.427 | 
| -2.951 | 0.805 | -3.608 | 2.860 | 4.147 | 42.656 | 
| 156.023 | 67.195 | 66.168 | -0.193 | 5.544 | 3.916 | 
| 64.933 | 152.619 | 59.649 | 10.260 | -0.762 | 4.493 | 
| 58.222 | 57.388 | 123.773 | -0.657 | -2.193 | 0.765 | 
| 1.491 | 6.739 | 2.982 | 33.338 | 0.671 | 1.487 | 
| -0.621 | 2.050 | -0.997 | 0.344 | 42.206 | -4.588 | 
| -11.474 | 1.813 | -3.271 | 5.385 | 13.713 | 62.961 | 
| 852.870 | 105.928 | 642.489 | -186.080 | -547.011 | 201.721 | 
| 71.047 | 259.788 | 63.551 | -2.214 | -3.803 | 30.220 | 
| 689.091 | 105.980 | 776.521 | -187.255 | -571.773 | 196.921 | 
| 320.548 | -78.219 | 515.071 | -133.998 | -333.660 | -60.268 | 
| 307.835 | -99.950 | 523.718 | -103.012 | -352.630 | -61.604 | 
| 618.221 | 57.989 | 578.322 | -177.945 | -543.043 | 266.361 | 
| -390.591 | 5.323 | -517.882 | 175.565 | 555.651 | -187.379 | 
| -568.900 | 155.055 | -524.178 | 191.273 | 553.210 | -186.963 | 
| 90.656 | 66.170 | 233.466 | -13.797 | -41.589 | 6.349 | 
| -627.944 | -51.191 | -585.008 | 254.145 | 553.073 | -192.073 | 
| -632.165 | -47.132 | -599.937 | 184.079 | 637.544 | -201.238 | 
| -499.203 | -97.319 | -599.113 | -3.656 | 442.226 | -58.855 | 
| 160.185 | 59.418 | 133.683 | -7.443 | -14.675 | -20.301 | 
| 94.969 | 111.087 | 119.326 | -15.923 | -9.226 | -23.858 | 
| 110.591 | 72.353 | 154.419 | -16.256 | -37.180 | 3.597 | 
| 57.780 | 11.735 | 55.985 | 24.111 | -24.238 | 5.027 | 
| 57.585 | 8.105 | 41.640 | -16.530 | 29.072 | 13.685 | 
| 58.977 | 14.568 | 65.273 | -4.250 | -30.404 | 44.254 | 
| 89.658 | 43.343 | 1.895 | 16.310 | 31.406 | 4.541 | 
| -9.485 | 123.835 | -16.581 | 10.719 | 36.211 | 6.714 | 
| 41.681 | 84.032 | 60.342 | 14.522 | 37.122 | -12.416 | 
| -70.104 | -3.452 | -66.038 | 90.509 | 60.612 | -17.086 | 
| -49.833 | -14.727 | -58.886 | 12.970 | 72.124 | -12.633 | 
| -62.761 | -38.155 | -73.231 | 21.627 | 37.186 | 26.967 | 
| 145.397 | 56.814 | 63.374 | 0.552 | 2.249 | 3.903 | 
| 67.234 | 139.786 | 69.162 | 5.020 | -0.192 | 0.996 | 
| 60.904 | 58.362 | 122.809 | 0.543 | -3.485 | 1.099 | 
| 2.506 | 0.823 | 3.761 | 30.916 | -3.404 | 3.268 | 
| 4.043 | 0.962 | 2.374 | -0.150 | 38.688 | -2.780 | 
| 9.218 | 4.510 | 9.892 | -0.708 | -3.401 | 44.829 | 
| 140.739 | 62.968 | 55.567 | -1.152 | 10.601 | 4.090 | 
| 52.524 | 127.504 | 53.332 | 9.021 | 5.696 | 1.202 | 
| 63.408 | 69.628 | 127.453 | -0.309 | 2.526 | -2.854 | 
| -6.135 | 1.223 | -5.955 | 33.107 | 3.035 | 2.650 | 
| -3.516 | 3.096 | -7.305 | 1.453 | 40.030 | -1.877 | 
| -6.393 | -0.558 | -4.981 | 5.485 | 6.171 | 36.057 | 
| 614.978 | 121.538 | 519.025 | 190.178 | -285.962 | 41.327 | 
| 400.794 | 520.814 | 1049.376 | 311.436 | -255.361 | -43.852 | 
| 138.264 | 141.919 | 403.354 | 1.273 | 38.338 | 3.053 | 
| 494.557 | 225.057 | 923.072 | 812.354 | -483.403 | 49.141 | 
| -395.927 | -2.100 | 1007.896 | 279.899 | -381.605 | 122.476 | 
| 444.795 | 188.895 | 928.820 | 752.933 | -452.282 | 114.797 | 
| -260.205 | -13.372 | -443.284 | -217.925 | 294.678 | 26.751 | 
| 467.715 | 174.531 | -942.948 | -275.354 | 395.738 | -125.621 | 
| -394.536 | -36.559 | -335.914 | -199.348 | 280.308 | -5.970 | 
| -464.378 | -207.725 | -928.900 | -671.553 | 470.786 | -33.200 | 
| 10.175 | -5.397 | 38.338 | 1.308 | 152.294 | 17.585 | 
| -926.879 | -646.040 | -1143.485 | -691.536 | 115.362 | -244.187 | 
| 242.340 | 74.966 | 103.449 | 16.109 | -20.693 | 42.978 | 
| 106.172 | 202.132 | 174.587 | 65.344 | -26.998 | -43.016 | 
| 39.607 | 65.469 | 205.139 | 35.388 | -46.342 | 21.598 | 
| 98.734 | 62.474 | 117.340 | 116.034 | -3.023 | 28.651 | 
| -55.756 | -3.804 | 98.913 | 34.657 | -17.681 | 15.148 | 
| 70.419 | 3.845 | 47.210 | 14.063 | -22.738 | 64.023 | 
| 142.241 | 14.449 | -36.380 | -52.467 | 36.455 | -26.585 | 
| 19.001 | 146.519 | -9.581 | -2.292 | 18.727 | -5.533 | 
| -17.856 | -2.931 | 106.356 | -62.615 | 5.296 | -17.555 | 
| 26.557 | -5.575 | -91.563 | -4.686 | 42.500 | -15.311 | 
| -67.092 | -61.145 | -42.411 | -60.860 | 94.858 | -33.622 | 
| -18.871 | -9.540 | -48.227 | -26.477 | 33.167 | 57.192 | 
| 167.350 | 73.019 | 74.993 | 2.263 | 5.408 | 5.222 | 
| 90.785 | 199.182 | 77.596 | 19.117 | -8.423 | -10.205 | 
| 90.493 | 80.107 | 173.435 | 8.804 | -7.374 | 2.392 | 
| 4.062 | 6.509 | 12.268 | 45.043 | -4.553 | -2.460 | 
| -1.128 | -1.475 | 2.965 | 0.235 | 36.760 | -1.288 | 
| -5.010 | -12.207 | 11.418 | 4.650 | 8.429 | 61.568 | 
| 183.563 | 77.889 | 65.980 | -8.215 | 15.523 | 5.122 | 
| 84.996 | 190.349 | 58.694 | 9.050 | -1.443 | -11.858 | 
| 64.999 | 65.410 | 149.783 | -2.868 | 2.258 | -1.151 | 
| -0.255 | 4.106 | 1.794 | 40.277 | 1.946 | -3.032 | 
| -5.693 | -5.569 | -9.637 | -6.868 | 45.952 | -1.005 | 
| -9.037 | -15.279 | -7.635 | -5.072 | 16.125 | 59.002 | 
| 262.417 | 100.322 | 58.686 | -17.642 | -7.475 | -25.156 | 
| 126.985 | -119.726 | -77.403 | 94.162 | -60.697 | 76.999 | 
| 95.236 | 55.513 | -155.370 | 65.388 | 16.102 | -10.922 | 
| 89.052 | -14.225 | -91.302 | 63.621 | 14.058 | -37.802 | 
| 56.854 | 9.846 | -159.313 | -2.676 | 15.718 | -53.877 | 
| 134.447 | 20.033 | 4.451 | 5.652 | -5.171 | 6.079 | 
| 103.768 | 36.055 | 190.841 | 11.177 | 7.157 | 40.479 | 
| -120.123 | -181.689 | -12.987 | 64.367 | -13.771 | 22.227 | 
| -5.599 | 100.785 | 259.390 | -38.136 | 4.113 | 27.104 | 
| -75.925 | 29.017 | 47.402 | 64.211 | 1.980 | 45.235 | 
| -121.884 | -8.407 | -8.537 | -37.251 | -167.077 | 54.648 | 
| -56.442 | -6.796 | 43.287 | -51.428 | 11.170 | -139.617 | 
| 143.605 | 87.751 | 67.703 | -8.948 | -9.776 | -12.735 | 
| 59.485 | 204.376 | 51.465 | -20.419 | 1.060 | -17.357 | 
| 65.996 | 99.964 | 308.472 | -32.179 | 28.085 | 3.899 | 
| -15.251 | -66.462 | -32.179 | 118.570 | 3.688 | 5.282 | 
| 10.903 | 3.384 | -2.086 | 1.152 | 63.058 | -7.014 | 
| 2.735 | -10.316 | -11.630 | 3.485 | -12.470 | 39.246 | 
| 114.017 | 61.063 | 73.377 | -4.281 | -4.231 | -4.930 | 
| 103.161 | 385.324 | 107.587 | -98.376 | 4.536 | -6.181 | 
| 68.062 | 69.217 | 168.902 | -0.646 | 5.932 | 3.450 | 
| -16.359 | -13.342 | -7.812 | 81.053 | -0.590 | 12.762 | 
| -5.897 | 16.867 | 16.923 | -4.335 | 66.105 | 1.601 | 
| -12.110 | -13.018 | 4.613 | 2.806 | -12.121 | 45.683 | 
| 137.131 | 63.737 | 62.341 | 0.491 | -7.306 | -11.227 | 
| 62.188 | 135.166 | 63.023 | -12.766 | 0.421 | -3.415 | 
| 63.585 | 61.081 | 144.438 | -2.024 | 2.611 | 1.604 | 
| -0.515 | -3.073 | -4.248 | 36.225 | 1.112 | -0.454 | 
| 1.346 | 1.022 | 1.708 | 1.116 | 33.343 | -1.204 | 
| -1.389 | -6.173 | -0.124 | -0.599 | -11.071 | 39.290 | 
| 131.532 | 62.961 | 63.047 | -1.190 | -6.734 | -9.999 | 
| 62.388 | 138.782 | 63.897 | -11.699 | 1.149 | -4.216 | 
| 62.925 | 66.452 | 147.230 | -3.982 | 1.780 | 3.108 | 
| -2.089 | -3.517 | -2.876 | 36.247 | 1.405 | -0.113 | 
| -0.771 | 2.176 | 2.386 | 1.174 | 34.078 | -0.550 | 
| -4.235 | -12.046 | -0.019 | 1.439 | -11.244 | 41.645 | 
| 269.705 | -1185.419 | 46.721 | 468.320 | -324.684 | 256.470 | 
| 569.525 | -749.310 | 220.389 | 350.839 | -350.709 | 325.108 | 
| 142.892 | -1334.804 | 137.200 | 222.567 | 18.974 | 454.993 | 
| 101.042 | -1407.183 | -33.021 | 295.367 | 26.915 | 452.014 | 
| 162.578 | -1264.193 | -24.207 | 463.631 | -299.498 | 269.720 | 
| 95.711 | -1406.186 | -19.605 | 231.639 | 14.005 | 503.440 | 
| -312.420 | 963.929 | -144.018 | -335.437 | 326.238 | -356.776 | 
| 535.581 | 1326.180 | -105.142 | -9.821 | 106.612 | -419.674 | 
| -455.396 | 252.378 | -262.630 | 77.901 | 369.492 | -310.148 | 
| -93.210 | 1384.373 | 15.081 | -171.428 | -27.314 | -454.009 | 
| -173.440 | 1262.397 | 44.782 | -465.736 | 334.395 | -269.189 | 
| -506.243 | 160.684 | -287.460 | 95.087 | 388.484 | -310.564 | 
| 117.757 | -52.757 | 74.204 | 47.978 | -35.923 | 15.312 | 
| 109.826 | -7.386 | 96.332 | 11.217 | -25.519 | -16.136 | 
| 93.850 | -62.642 | 214.290 | 39.763 | -34.671 | 37.083 | 
| 14.578 | -150.368 | -9.968 | 83.945 | 2.033 | 45.618 | 
| 47.428 | -14.382 | 9.115 | -12.548 | -40.237 | 26.397 | 
| -35.065 | -116.909 | 10.572 | 0.557 | -24.154 | 91.486 | 
| 136.182 | 180.026 | 52.274 | -20.362 | -10.858 | -55.164 | 
| 57.300 | 221.471 | 65.388 | -41.302 | 35.331 | -29.696 | 
| 21.644 | 135.883 | 157.616 | -29.466 | 6.868 | 0.433 | 
| -47.673 | 106.368 | -15.373 | 22.336 | 37.240 | -29.251 | 
| -23.640 | 124.715 | 8.325 | -48.250 | 46.401 | -27.453 | 
| -53.127 | 76.424 | -16.743 | -31.506 | 20.579 | 36.920 | 
| 170.695 | 39.476 | 53.322 | 4.588 | -12.906 | -11.762 | 
| 62.149 | 126.116 | 59.787 | -7.971 | -0.543 | -5.025 | 
| 62.452 | 44.483 | 179.072 | 3.428 | 5.049 | 4.806 | 
| 0.980 | -12.413 | -2.355 | 35.665 | -2.506 | -0.829 | 
| -2.291 | -8.018 | 3.973 | 1.604 | 33.336 | 3.042 | 
| -1.745 | -15.191 | 0.563 | -0.052 | -11.722 | 44.099 | 
| 125.673 | 67.020 | 55.820 | -3.256 | -5.261 | -9.693 | 
| 62.972 | 167.343 | 63.653 | -17.675 | 6.430 | -6.123 | 
| 69.840 | 80.540 | 152.506 | -3.403 | 2.796 | -4.351 | 
| 1.319 | 12.069 | -1.013 | 37.449 | 0.820 | -5.607 | 
| -6.763 | 14.718 | 1.307 | -5.830 | 33.839 | -2.589 | 
| -4.100 | 8.916 | -0.928 | -5.783 | -7.526 | 38.401 | 
| 9.263 | 43.859 | 28.126 | -31.542 | -7.452 | -30.450 | 
| 3.633 | 148.986 | 53.220 | -27.505 | -3.797 | -6.551 | 
| 27.379 | 53.862 | 178.245 | -27.167 | -16.469 | -5.855 | 
| -27.684 | 5.556 | -2.922 | 21.216 | -7.500 | -1.087 | 
| -15.054 | -5.167 | -2.950 | -18.199 | 31.981 | -9.920 | 
| -20.158 | 2.698 | -9.460 | -13.986 | -14.364 | 42.581 | 
| 165.178 | 32.073 | 64.266 | 23.932 | -12.494 | -6.824 | 
| 111.324 | 200.246 | 64.471 | 9.283 | 0.520 | 3.642 | 
| 87.569 | 49.484 | 176.164 | 20.071 | -6.446 | -0.661 | 
| 54.773 | 5.212 | -29.961 | 18.842 | 13.343 | 3.346 | 
| 30.784 | -3.048 | -6.587 | 15.577 | 41.105 | -4.964 | 
| 26.264 | -6.141 | -0.067 | 24.534 | -3.486 | 34.972 | 
| 208.281 | 51.502 | 45.565 | 3.280 | -2.859 | -11.509 | 
| 59.043 | 130.887 | 55.689 | -8.912 | -1.926 | -6.382 | 
| 62.818 | 58.937 | 135.214 | -5.441 | -2.785 | 0.228 | 
| -2.813 | -5.335 | -3.759 | 34.299 | -1.651 | -3.589 | 
| -9.936 | -5.001 | -4.001 | -1.117 | 34.211 | -0.437 | 
| -7.515 | 1.696 | 1.188 | -4.054 | -9.481 | 41.465 | 
| 138.944 | 60.592 | 62.775 | 1.380 | -7.406 | -8.365 | 
| 70.242 | 145.056 | 67.525 | -6.126 | -0.454 | -3.630 | 
| 68.299 | 61.792 | 157.571 | 2.560 | -1.329 | 2.940 | 
| -5.644 | -5.226 | -6.893 | 28.644 | 0.376 | 1.530 | 
| -1.502 | -2.959 | -2.301 | 1.828 | 31.332 | 1.318 | 
| -0.600 | -0.928 | 0.829 | 1.659 | -5.423 | 39.242 | 
| 132.809 | 57.295 | 58.015 | -0.667 | -7.324 | -9.669 | 
| 57.080 | 132.690 | 55.750 | -9.313 | -1.381 | -2.949 | 
| 60.473 | 57.619 | 134.888 | -3.221 | -2.655 | 0.552 | 
| -1.873 | -3.716 | -3.962 | 31.102 | -1.042 | -1.153 | 
| -2.801 | -1.784 | -3.453 | -0.070 | 35.952 | 0.240 | 
| -5.371 | -2.425 | 0.381 | -1.260 | -5.910 | 34.675 | 
| 131.870 | 57.052 | 59.365 | -0.706 | -7.013 | -9.737 | 
| 57.994 | 132.702 | 56.117 | -8.733 | -0.881 | -2.498 | 
| 58.962 | 54.971 | 132.181 | -3.457 | -1.929 | -0.235 | 
| -1.699 | -2.781 | -3.348 | 32.155 | -0.406 | -0.768 | 
| -2.136 | -0.771 | -2.825 | -0.484 | 34.541 | -1.145 | 
| -4.465 | -2.523 | 0.545 | -0.542 | -5.452 | 34.871 | 
| -85.758 | -385.497 | 818.114 | -170.570 | -475.207 | -78.131 | 
| -235.030 | -234.585 | 808.811 | -180.353 | -465.327 | -63.073 | 
| 77.200 | 49.700 | 279.013 | -8.535 | -4.757 | 4.661 | 
| -930.223 | -797.467 | -260.737 | -105.687 | -176.985 | -175.674 | 
| -945.686 | -806.197 | -266.079 | -146.580 | -148.560 | -174.182 | 
| -289.617 | -426.595 | 759.878 | -173.114 | -479.800 | -7.171 | 
| 440.099 | 410.504 | -194.557 | 103.790 | 230.511 | 87.652 | 
| 966.520 | 927.683 | 307.119 | 149.604 | 181.348 | 177.174 | 
| 316.615 | 450.121 | -568.395 | 160.911 | 462.197 | 58.544 | 
| 288.310 | 430.161 | -769.975 | 231.529 | 468.897 | 65.470 | 
| 11.494 | -0.951 | -4.757 | 4.632 | 98.826 | 0.135 | 
| -142.485 | 215.723 | -79.314 | 190.767 | 196.603 | -64.736 | 
| 58.999 | -28.269 | 28.415 | -9.046 | -27.156 | -22.837 | 
| 24.236 | 98.979 | 88.622 | -17.786 | -32.353 | -16.954 | 
| -5.640 | -15.234 | 199.262 | -21.532 | -33.286 | -17.610 | 
| -24.477 | -40.927 | 71.526 | 43.416 | -46.062 | -7.479 | 
| -100.615 | -77.686 | -30.731 | -15.906 | 15.735 | -13.482 | 
| -7.256 | 2.712 | 5.415 | -2.341 | -15.532 | 105.416 | 
| 153.799 | 98.523 | 39.577 | 6.179 | 6.511 | -2.419 | 
| 109.510 | 181.847 | 72.566 | 18.378 | 18.501 | 13.464 | 
| 94.935 | 95.428 | 108.532 | 13.162 | 14.122 | 16.896 | 
| 0.195 | 8.810 | -23.094 | 29.273 | 14.997 | 32.414 | 
| 74.713 | 72.685 | 23.846 | 10.756 | 40.325 | 22.923 | 
| -31.040 | 28.842 | -22.995 | 13.907 | 0.731 | 25.209 | 
| 140.928 | 61.405 | 71.616 | -1.172 | -8.228 | -9.974 | 
| 53.605 | 128.757 | 58.907 | -6.918 | -5.134 | -4.389 | 
| 61.851 | 51.088 | 142.015 | -1.439 | -2.067 | -1.527 | 
| -5.116 | -4.979 | 5.141 | 35.805 | -2.666 | 0.369 | 
| -2.767 | -5.135 | -0.549 | -2.124 | 35.037 | -1.784 | 
| -4.730 | -3.529 | 0.733 | -0.435 | -8.368 | 36.160 | 
| 149.512 | 68.191 | 68.451 | 1.241 | -1.392 | -9.507 | 
| 68.642 | 145.857 | 65.940 | -5.761 | 0.384 | 2.176 | 
| 64.373 | 59.052 | 132.101 | -2.416 | 0.434 | 3.834 | 
| 6.039 | 6.910 | 3.997 | 40.916 | 3.353 | 6.114 | 
| -1.065 | -1.134 | -0.566 | -1.132 | 35.185 | 1.905 | 
| -0.030 | 2.306 | -2.334 | 2.276 | -4.619 | 37.234 | 
| 629.355 | 227.629 | 2.901 | 0.001 | 0.000 | -0.000 | 
| 135.448 | 381.164 | 0.998 | 0.001 | 0.000 | -0.000 | 
| 1.117 | 1.117 | 329.529 | -0.000 | 0.000 | -0.000 | 
| -0.000 | -0.000 | 0.001 | 23.277 | -0.001 | -0.000 | 
| -0.000 | -0.000 | 0.000 | -0.000 | 23.281 | -0.000 | 
| 71.489 | 71.489 | 0.414 | 0.000 | 0.000 | 143.550 | 
| 629.354 | 227.629 | 2.900 | -0.000 | -0.001 | 0.000 | 
| 227.629 | 629.354 | 2.900 | 0.001 | -0.001 | 0.000 | 
| 1.117 | 1.117 | 329.529 | -0.000 | -0.000 | 0.000 | 
| 0.000 | 0.000 | -0.001 | 23.278 | -0.002 | 0.000 | 
| 0.000 | 0.000 | -0.000 | 0.000 | 23.280 | 0.000 | 
| -71.489 | -71.489 | -0.415 | 0.000 | -0.001 | 143.550 | 
| 333.159 | 96.017 | 0.765 | 0.000 | 0.000 | 0.000 | 
| 227.629 | 629.354 | 2.901 | -0.000 | 0.000 | 0.000 | 
| 5.663 | 5.663 | 329.541 | -0.000 | 0.000 | -0.000 | 
| -0.000 | -0.000 | 0.000 | 23.280 | 0.000 | -0.000 | 
| -0.000 | -0.000 | 0.000 | -0.000 | 23.280 | -0.000 | 
| 7.833 | 7.833 | 0.045 | -0.000 | 0.000 | 138.061 | 
| 350.190 | 47.073 | 1.250 | -0.000 | -0.000 | -0.000 | 
| 72.251 | 318.184 | 0.620 | 0.000 | 0.000 | -0.000 | 
| 1.117 | 1.117 | 329.528 | 0.000 | 0.000 | 0.000 | 
| 0.000 | 0.000 | -0.000 | 23.280 | 0.000 | 0.000 | 
| 0.000 | 0.000 | -0.000 | -0.000 | 23.280 | 0.000 | 
| -2.782 | -2.782 | -0.018 | 0.000 | -0.000 | 118.903 | 
| 323.936 | 86.049 | 0.774 | 0.000 | 0.000 | 0.000 | 
| 90.722 | 327.830 | 0.733 | 0.000 | 0.000 | 0.000 | 
| 1.117 | 1.117 | 329.530 | -0.000 | 0.000 | -0.000 | 
| 0.000 | -0.000 | -0.000 | 23.280 | 0.000 | -0.000 | 
| -0.000 | 0.000 | -0.000 | 0.000 | 23.280 | -0.000 | 
| 0.784 | 0.784 | 0.004 | 0.000 | 0.000 | 137.979 | 
| 326.638 | 89.545 | 0.726 | -0.000 | -0.000 | -0.000 | 
| 52.087 | 354.909 | 1.278 | -0.000 | -0.000 | -0.000 | 
| 1.117 | 1.117 | 329.526 | 0.000 | -0.000 | 0.000 | 
| -0.000 | 0.000 | 0.000 | 23.280 | 0.000 | 0.000 | 
| 0.000 | -0.000 | 0.000 | 0.000 | 23.280 | 0.000 | 
| -0.577 | -0.577 | -0.003 | -0.000 | -0.000 | 118.943 | 
| 48.900 | 0.825 | 0.825 | 0.000 | -0.000 | 0.000 | 
| 0.825 | 48.900 | 0.825 | 0.000 | 0.000 | -0.000 | 
| 0.825 | 0.825 | 48.900 | 0.000 | -0.000 | -0.000 | 
| -76.446 | -76.446 | -76.446 | 41.039 | -0.000 | 0.000 | 
| -76.446 | -76.446 | -76.446 | 0.000 | 41.038 | -0.000 | 
| -76.446 | -76.446 | -76.446 | -0.000 | -0.000 | 41.038 | 
| 201.413 | 153.374 | 153.374 | -0.000 | 0.000 | 0.000 | 
| 153.374 | 201.413 | 153.374 | -0.000 | -0.000 | 0.000 | 
| 153.374 | 153.374 | 201.413 | -0.000 | 0.000 | -0.000 | 
| 76.446 | 76.446 | 76.446 | 41.038 | 0.000 | 0.000 | 
| 76.446 | 76.446 | 76.446 | -0.000 | 41.039 | 0.000 | 
| 76.446 | 76.446 | 76.446 | -0.000 | -0.000 | 41.038 | 
| 117.497 | 69.397 | 69.397 | 0.000 | -0.000 | 0.000 | 
| 69.397 | 117.497 | 69.397 | 0.000 | -0.000 | -0.000 | 
| 69.397 | 69.397 | 117.497 | 0.000 | -0.000 | 0.000 | 
| -7.041 | -7.041 | -7.041 | 31.328 | -0.000 | -0.000 | 
| -8.259 | -8.259 | -8.259 | 0.000 | 36.935 | -0.000 | 
| -8.259 | -8.259 | -8.259 | 0.000 | 0.000 | 36.935 | 
| 138.522 | 75.076 | 75.076 | 0.000 | 0.000 | 0.000 | 
| 75.076 | 138.522 | 75.076 | 0.000 | 0.000 | -0.000 | 
| 75.076 | 75.076 | 138.522 | -0.000 | 0.000 | -0.000 | 
| 8.259 | 8.259 | 8.259 | 36.935 | 0.000 | 0.000 | 
| 8.259 | 8.259 | 8.259 | -0.000 | 36.935 | 0.000 | 
| 8.259 | 8.259 | 8.259 | 0.000 | 0.000 | 36.935 | 
| 124.201 | 76.254 | 76.254 | -0.000 | 0.000 | 0.000 | 
| 76.254 | 124.201 | 76.254 | 0.000 | -0.000 | -0.000 | 
| 76.254 | 76.254 | 124.201 | 0.000 | 0.000 | 0.000 | 
| -0.675 | -0.675 | -0.675 | 32.513 | 0.000 | -0.000 | 
| -0.675 | -0.675 | -0.675 | 0.000 | 32.513 | -0.000 | 
| -0.675 | -0.675 | -0.675 | 0.000 | -0.000 | 32.513 | 
| 123.468 | 77.435 | 77.435 | -0.000 | -0.000 | -0.000 | 
| 77.435 | 123.468 | 77.435 | -0.000 | 0.000 | 0.000 | 
| 77.435 | 77.435 | 123.468 | -0.000 | 0.000 | 0.000 | 
| 0.675 | 0.675 | 0.675 | 32.513 | 0.000 | 0.000 | 
| 0.675 | 0.675 | 0.675 | 0.000 | 32.513 | 0.000 | 
| 0.675 | 0.675 | 0.675 | -0.000 | -0.000 | 32.513 | 
| 166.150 | 91.851 | 91.851 | 0.000 | 0.000 | 0.000 | 
| 91.851 | 166.150 | 91.851 | 0.000 | 0.000 | 0.000 | 
| 91.851 | 91.851 | 166.150 | 0.000 | 0.000 | 0.000 | 
| 19.768 | 19.768 | 19.768 | 46.115 | 0.000 | 0.000 | 
| 19.768 | 19.768 | 19.768 | 0.000 | 46.115 | 0.000 | 
| 19.768 | 19.768 | 19.768 | 0.000 | 0.000 | 46.115 | 
| 127.268 | 52.969 | 52.969 | 0.000 | 0.000 | -0.000 | 
| 52.969 | 127.268 | 52.969 | 0.000 | -0.000 | -0.000 | 
| 52.969 | 52.969 | 127.268 | -0.000 | -0.000 | -0.000 | 
| -19.768 | -19.768 | -19.768 | 46.115 | 0.000 | -0.000 | 
| -19.768 | -19.768 | -19.768 | -0.000 | 46.115 | -0.000 | 
| -19.768 | -19.768 | -19.768 | -0.000 | -0.000 | 46.115 | 
| 148.545 | 73.456 | 73.456 | 0.000 | 0.000 | 0.000 | 
| 73.456 | 148.545 | 73.456 | 0.000 | 0.000 | 0.000 | 
| 73.456 | 73.456 | 148.545 | 0.000 | 0.000 | 0.000 | 
| 1.834 | 1.834 | 1.834 | 45.789 | -0.000 | 0.000 | 
| 1.834 | 1.834 | 1.834 | 0.000 | 45.789 | 0.000 | 
| 1.834 | 1.834 | 1.834 | 0.000 | 0.000 | 45.789 | 
| 144.765 | 70.466 | 70.466 | -0.000 | -0.000 | -0.000 | 
| 70.466 | 144.765 | 70.466 | -0.000 | -0.000 | -0.000 | 
| 70.466 | 70.466 | 144.765 | -0.000 | 0.000 | -0.000 | 
| -1.834 | -1.834 | -1.834 | 45.789 | -0.000 | -0.000 | 
| -1.834 | -1.834 | -1.834 | -0.000 | 45.789 | -0.000 | 
| -1.834 | -1.834 | -1.834 | -0.000 | 0.000 | 45.789 | 
| 146.903 | 72.605 | 72.605 | 0.000 | 0.000 | 0.000 | 
| 72.605 | 146.903 | 72.605 | 0.000 | 0.000 | 0.000 | 
| 72.605 | 72.605 | 146.903 | 0.000 | 0.000 | 0.000 | 
| 0.194 | 0.194 | 0.194 | 45.000 | 0.000 | 0.000 | 
| 0.183 | 0.183 | 0.183 | 0.000 | 45.817 | 0.000 | 
| 0.194 | 0.194 | 0.194 | 0.000 | -0.000 | 45.000 | 
| 146.512 | 72.216 | 72.216 | -0.000 | -0.000 | -0.000 | 
| 72.216 | 146.512 | 72.216 | -0.000 | 0.000 | -0.000 | 
| 72.216 | 72.216 | 146.512 | -0.000 | 0.000 | -0.000 | 
| -0.194 | -0.194 | -0.194 | 45.000 | -0.000 | -0.000 | 
| -0.183 | -0.183 | -0.183 | -0.000 | 45.817 | -0.000 | 
| -0.194 | -0.194 | -0.194 | -0.000 | 0.000 | 45.000 | 
| 145.652 | 69.590 | 69.590 | 0.000 | 0.000 | 0.000 | 
| 69.590 | 145.652 | 69.590 | 0.000 | 0.000 | -0.000 | 
| 69.591 | 69.590 | 145.652 | 0.000 | 0.000 | -0.000 | 
| -0.000 | -0.000 | -0.000 | 93.360 | 0.000 | 0.000 | 
| -0.000 | -0.000 | -0.000 | 0.000 | 93.360 | -0.000 | 
| -0.000 | -0.000 | -0.000 | 0.000 | 0.000 | 93.360 | 
| 145.652 | 69.591 | 69.591 | -0.000 | -0.000 | -0.000 | 
| 69.590 | 145.652 | 69.591 | -0.000 | -0.000 | 0.000 | 
| 69.590 | 69.591 | 145.652 | -0.000 | -0.000 | 0.000 | 
| -0.000 | 0.000 | 0.000 | 93.360 | -0.000 | -0.000 | 
| 0.000 | 0.000 | 0.000 | -0.000 | 93.360 | -0.000 | 
| 0.000 | 0.000 | 0.000 | -0.000 | -0.000 | 93.360 | 
| 190.580 | 59.168 | 59.168 | 0.000 | 0.000 | 0.000 | 
| 59.168 | 190.580 | 59.168 | 0.000 | 0.000 | -0.000 | 
| 59.168 | 59.168 | 190.580 | 0.000 | 0.000 | 0.000 | 
| 0.000 | -0.000 | -0.000 | 45.826 | 0.000 | -0.000 | 
| -0.000 | -0.000 | -0.000 | 0.000 | 45.826 | -0.000 | 
| -0.000 | -0.000 | -0.000 | 0.000 | 0.000 | 45.826 | 
| 145.652 | 69.590 | 69.590 | -0.000 | -0.000 | -0.000 | 
| 69.590 | 145.652 | 69.590 | -0.000 | -0.000 | 0.000 | 
| 69.590 | 69.590 | 145.652 | -0.000 | -0.000 | 0.000 | 
| -0.000 | 0.000 | 0.000 | 45.826 | -0.000 | -0.000 | 
| 0.000 | 0.000 | 0.000 | -0.000 | 45.826 | -0.000 | 
| -0.000 | 0.000 | 0.000 | -0.000 | -0.000 | 45.826 | 
| 145.652 | 69.591 | 69.591 | 0.000 | 0.000 | -0.000 | 
| 69.591 | 145.652 | 69.591 | 0.000 | 0.000 | -0.000 | 
| 69.591 | 69.591 | 145.652 | 0.000 | 0.000 | 0.000 | 
| 0.000 | -0.000 | -0.000 | 45.007 | 0.000 | -0.000 | 
| -0.000 | -0.000 | -0.000 | 0.000 | 45.007 | -0.000 | 
| -0.000 | -0.000 | -0.000 | 0.000 | 0.000 | 45.007 | 
| 145.652 | 69.590 | 69.590 | -0.000 | -0.000 | 0.000 | 
| 69.590 | 145.652 | 69.590 | -0.000 | -0.000 | -0.000 | 
| 69.590 | 69.590 | 145.652 | -0.000 | -0.000 | 0.000 | 
| -0.000 | 0.000 | 0.000 | 45.007 | -0.000 | -0.000 | 
| 0.000 | 0.000 | 0.000 | -0.000 | 45.007 | -0.000 | 
| 0.000 | 0.000 | 0.000 | -0.000 | -0.000 | 45.007 | 
| 324.326 | 124.268 | -0.000 | 0.000 | 0.000 | 0.000 | 
| 124.268 | 324.326 | -0.000 | 0.000 | 0.000 | 0.000 | 
| -0.000 | 0.000 | 344.811 | 0.000 | 0.000 | 0.000 | 
| -0.000 | -0.000 | -0.000 | 26.557 | 0.000 | 0.000 | 
| -0.000 | 0.000 | -0.000 | 0.000 | 26.557 | 0.000 | 
| 0.000 | 0.000 | -0.000 | 0.000 | 0.000 | 100.029 | 
| 324.326 | 124.268 | 0.000 | -0.000 | -0.000 | -0.000 | 
| 124.268 | 324.326 | 0.000 | 0.000 | -0.000 | -0.000 | 
| 0.000 | -0.000 | 344.811 | -0.000 | -0.000 | -0.000 | 
| 0.000 | 0.000 | 0.000 | 26.557 | -0.000 | -0.000 | 
| 0.000 | -0.000 | 0.000 | -0.000 | 26.557 | -0.000 | 
| -0.000 | -0.000 | 0.000 | -0.000 | -0.000 | 100.029 | 
| 324.326 | 124.268 | -0.000 | 0.000 | 0.000 | 0.000 | 
| 124.268 | 324.326 | -0.000 | 0.000 | 0.000 | 0.000 | 
| -0.000 | 0.000 | 344.811 | 0.000 | 0.000 | 0.000 | 
| -0.000 | 0.000 | -0.000 | 26.557 | 0.000 | 0.000 | 
| -0.000 | 0.000 | -0.000 | 0.000 | 26.557 | 0.000 | 
| 0.000 | 0.000 | -0.000 | 0.000 | 0.000 | 100.029 | 
| 324.326 | 124.268 | 0.000 | -0.000 | -0.000 | -0.000 | 
| 124.268 | 324.326 | 0.000 | -0.000 | -0.000 | -0.000 | 
| 0.000 | -0.000 | 344.811 | 0.000 | -0.000 | -0.000 | 
| 0.000 | -0.000 | 0.000 | 26.557 | -0.000 | -0.000 | 
| 0.000 | -0.000 | 0.000 | -0.000 | 26.557 | -0.000 | 
| 0.000 | -0.000 | 0.000 | -0.000 | -0.000 | 100.029 | 
| 324.328 | 124.268 | -0.000 | 0.000 | 0.000 | 0.000 | 
| 124.268 | 324.327 | -0.000 | 0.000 | 0.000 | 0.000 | 
| -0.000 | 0.000 | 344.813 | 0.000 | 0.000 | 0.000 | 
| 0.000 | -0.000 | -0.000 | 26.557 | 0.000 | 0.000 | 
| -0.000 | 0.000 | -0.000 | 0.000 | 26.557 | 0.000 | 
| -0.000 | 0.000 | -0.000 | 0.000 | 0.000 | 100.029 | 
| 324.324 | 124.267 | 0.000 | -0.000 | -0.000 | -0.000 | 
| 124.267 | 324.325 | 0.000 | -0.000 | -0.000 | -0.000 | 
| 0.000 | -0.000 | 344.809 | -0.000 | -0.000 | -0.000 | 
| -0.000 | 0.000 | 0.000 | 26.557 | -0.000 | -0.000 | 
| 0.000 | -0.000 | 0.000 | 0.000 | 26.557 | -0.000 | 
| 0.000 | -0.000 | 0.000 | -0.000 | -0.000 | 100.029 | 
| -491.321 | -550.488 | -1310.726 | -1.028 | -2.737 | -0.000 | 
| -550.530 | -491.370 | -1310.821 | 1.028 | 2.735 | 0.000 | 
| 43.546 | 43.545 | 200.004 | -0.001 | -0.000 | -0.000 | 
| -630.103 | -627.905 | -1378.802 | 18.831 | -0.000 | 2.685 | 
| 517.479 | 533.833 | -425.828 | -0.000 | 63.532 | 16.926 | 
| -628.967 | -628.968 | -1378.722 | 2.686 | -1.098 | 29.412 | 
| 766.113 | 707.639 | 1446.923 | -1.169 | -2.634 | 0.000 | 
| -493.030 | -356.923 | 447.826 | -17.346 | 8.344 | -0.000 | 
| 696.505 | 696.505 | 1506.641 | 0.000 | 0.000 | 0.000 | 
| 627.893 | 630.091 | 1378.775 | 18.833 | 0.000 | 2.686 | 
| 626.314 | 631.685 | 1378.791 | 0.000 | 18.832 | -1.099 | 
| -246.431 | -246.431 | -1298.095 | 6.229 | 0.694 | 38.393 | 
| 77.859 | 15.054 | -69.918 | -0.278 | -3.271 | -0.000 | 
| 51.449 | 218.204 | 41.842 | -21.133 | 18.555 | -0.000 | 
| 3.593 | 3.593 | -8.474 | -0.000 | -0.000 | 0.000 | 
| -63.425 | -61.527 | -136.950 | 19.179 | -0.000 | 2.792 | 
| 21.587 | 34.526 | 126.532 | -0.000 | 21.597 | 1.676 | 
| -62.523 | -62.523 | -137.053 | 2.780 | -0.966 | 29.732 | 
| 197.809 | 141.519 | 205.295 | -1.620 | -2.313 | -0.000 | 
| 46.193 | 120.856 | -81.911 | -0.165 | 6.058 | 0.000 | 
| 1.735 | 1.735 | 149.334 | 0.000 | 0.000 | 0.000 | 
| -26.379 | -29.731 | -126.535 | 21.598 | 0.000 | 6.470 | 
| 59.683 | 65.268 | 136.948 | 0.000 | 19.180 | -0.949 | 
| 62.523 | 62.523 | 137.053 | 2.780 | -0.966 | 29.732 | 
| 154.147 | 67.092 | 46.686 | 5.614 | -4.811 | -0.000 | 
| 65.860 | 149.959 | 48.003 | -4.108 | 6.402 | 0.000 | 
| 53.581 | 53.581 | 110.694 | -0.000 | -0.000 | -0.000 | 
| -1.463 | -8.503 | -10.923 | 29.544 | -0.000 | 5.982 | 
| -10.966 | 0.999 | -10.923 | -0.000 | 29.544 | 3.520 | 
| -0.487 | -0.487 | -9.843 | 4.180 | 6.740 | 45.090 | 
| 159.064 | 65.513 | 63.851 | 7.950 | -3.511 | 0.000 | 
| 77.918 | 153.683 | 71.870 | -2.392 | 5.177 | -0.000 | 
| 50.819 | 50.819 | 94.907 | 0.000 | 0.000 | 0.000 | 
| 0.521 | -7.457 | -11.289 | 30.863 | -0.000 | 4.898 | 
| -1.006 | 10.968 | 10.919 | 0.000 | 29.560 | 3.526 | 
| 5.127 | 5.127 | 11.239 | 5.619 | 3.011 | 39.386 | 
| 302.375 | 61.277 | 30.910 | 0.000 | -0.000 | 0.000 | 
| 62.770 | 302.892 | 29.967 | 0.000 | -0.000 | 0.000 | 
| 31.653 | 29.217 | 391.634 | 0.000 | -0.000 | 0.000 | 
| 0.000 | 0.000 | -0.000 | 35.658 | -0.000 | 0.000 | 
| 0.000 | 0.000 | -0.000 | 0.000 | 35.547 | -0.000 | 
| 0.000 | 0.000 | 0.000 | 0.000 | -0.000 | 29.763 | 
| 302.375 | 61.277 | 30.910 | -0.000 | 0.000 | -0.000 | 
| 62.770 | 302.892 | 29.967 | -0.000 | 0.000 | 0.000 | 
| 31.653 | 29.217 | 391.634 | -0.000 | 0.000 | -0.000 | 
| -0.000 | -0.000 | -0.000 | 35.658 | 0.000 | -0.000 | 
| -0.000 | -0.000 | 0.000 | 0.000 | 35.548 | -0.000 | 
| -0.000 | -0.000 | -0.000 | -0.000 | 0.000 | 29.763 | 
| 302.375 | 61.277 | 30.910 | 0.000 | -0.000 | 0.000 | 
| 62.770 | 302.892 | 29.967 | 0.000 | -0.000 | 0.000 | 
| 31.653 | 29.217 | 391.634 | -0.000 | -0.000 | 0.000 | 
| 0.000 | 0.000 | -0.000 | 35.658 | -0.000 | -0.000 | 
| 0.000 | 0.000 | -0.000 | 0.000 | 35.547 | 0.000 | 
| 0.000 | 0.000 | -0.000 | 0.000 | -0.000 | 29.763 | 
| 302.375 | 61.277 | 30.910 | -0.000 | 0.000 | -0.000 | 
| 62.770 | 302.892 | 29.967 | -0.000 | 0.000 | -0.000 | 
| 31.653 | 29.217 | 391.633 | -0.000 | 0.000 | -0.000 | 
| -0.000 | -0.000 | 0.000 | 35.658 | -0.000 | -0.000 | 
| -0.000 | -0.000 | 0.000 | -0.000 | 35.547 | -0.000 | 
| -0.000 | -0.000 | 0.000 | -0.000 | 0.000 | 29.763 | 
| 302.375 | 61.277 | 30.910 | 0.000 | -0.000 | 0.000 | 
| 62.771 | 302.893 | 29.967 | -0.000 | -0.000 | 0.000 | 
| 31.653 | 29.217 | 391.636 | 0.000 | -0.000 | 0.000 | 
| -0.000 | -0.000 | -0.000 | 35.658 | -0.000 | 0.000 | 
| -0.000 | -0.000 | -0.000 | 0.000 | 35.547 | -0.000 | 
| -0.000 | -0.000 | -0.000 | 0.000 | 0.000 | 29.763 | 
| 302.374 | 61.277 | 30.910 | -0.000 | 0.000 | -0.000 | 
| 62.770 | 302.891 | 29.967 | -0.000 | 0.000 | -0.000 | 
| 31.653 | 29.217 | 391.632 | -0.000 | 0.000 | -0.000 | 
| 0.000 | 0.000 | 0.000 | 35.658 | 0.000 | -0.000 | 
| 0.000 | 0.000 | 0.000 | 0.000 | 35.547 | 0.000 | 
| 0.000 | 0.000 | 0.000 | 0.000 | 0.000 | 29.763 | 
| 126.670 | 63.751 | 63.751 | 0.000 | 0.000 | -0.000 | 
| 63.751 | 126.670 | 63.751 | 0.000 | 0.000 | 0.000 | 
| 63.751 | 63.751 | 126.670 | -0.000 | -0.000 | -0.000 | 
| 0.000 | 0.000 | 0.000 | 78.704 | -0.000 | 0.000 | 
| 0.000 | 0.000 | -0.000 | -0.000 | 78.704 | -0.000 | 
| 0.000 | 0.000 | 0.000 | -0.000 | -0.000 | 78.704 | 
| 126.988 | 64.005 | 64.005 | -0.000 | -0.000 | 0.000 | 
| 64.005 | 126.988 | 64.005 | -0.000 | -0.000 | 0.000 | 
| 64.005 | 64.005 | 126.988 | 0.000 | -0.000 | 0.000 | 
| -0.000 | -0.000 | -0.000 | 78.704 | -0.000 | 0.000 | 
| -0.000 | -0.000 | -0.000 | 0.000 | 78.704 | 0.000 | 
| -0.000 | -0.000 | 0.000 | -0.000 | 0.000 | 78.704 | 
| 127.892 | 63.489 | 63.489 | 0.000 | 0.000 | -0.000 | 
| 63.489 | 127.892 | 63.489 | 0.000 | 0.000 | -0.000 | 
| 63.489 | 63.489 | 127.892 | -0.000 | -0.000 | -0.000 | 
| -0.011 | -0.011 | -0.011 | 40.802 | -0.000 | -0.000 | 
| -0.011 | -0.011 | -0.011 | 0.000 | 40.802 | -0.000 | 
| -0.011 | -0.011 | -0.011 | -0.000 | -0.000 | 40.802 | 
| 127.924 | 63.504 | 63.504 | -0.000 | -0.000 | 0.000 | 
| 63.504 | 127.924 | 63.504 | 0.000 | -0.000 | 0.000 | 
| 63.504 | 63.504 | 127.924 | -0.000 | -0.000 | -0.000 | 
| 0.011 | 0.011 | 0.011 | 40.802 | -0.000 | 0.000 | 
| 0.011 | 0.011 | 0.011 | 0.000 | 40.802 | 0.000 | 
| 0.011 | 0.011 | 0.011 | 0.000 | 0.000 | 40.802 | 
| 126.841 | 63.871 | 63.871 | 0.000 | 0.000 | -0.000 | 
| 63.871 | 126.841 | 63.871 | 0.000 | 0.000 | -0.000 | 
| 63.871 | 63.871 | 126.841 | 0.000 | 0.000 | -0.000 | 
| -0.001 | -0.001 | -0.001 | 40.802 | -0.000 | -0.000 | 
| -0.001 | -0.001 | -0.001 | 0.000 | 40.802 | -0.000 | 
| -0.001 | -0.001 | -0.001 | -0.000 | -0.000 | 40.802 | 
| 127.910 | 63.497 | 63.497 | -0.000 | -0.000 | -0.000 | 
| 63.497 | 127.910 | 63.497 | -0.000 | 0.000 | 0.000 | 
| 63.497 | 63.497 | 127.910 | 0.000 | 0.000 | 0.000 | 
| 0.001 | 0.001 | 0.001 | 40.802 | 0.000 | 0.000 | 
| 0.001 | 0.001 | 0.001 | 0.000 | 40.802 | 0.000 | 
| 0.001 | 0.001 | 0.001 | 0.000 | 0.000 | 40.802 | 
| 286.592 | 246.813 | 246.814 | 0.000 | 0.000 | -0.000 | 
| 246.813 | 286.592 | 246.814 | -0.000 | 0.000 | -0.000 | 
| 246.813 | 246.813 | 286.593 | -0.000 | 0.000 | -0.000 | 
| -0.000 | -0.000 | 0.000 | 77.493 | 0.000 | -0.000 | 
| -0.000 | -0.000 | 0.000 | -0.000 | 77.493 | -0.000 | 
| -0.000 | -0.000 | 0.000 | -0.000 | 0.000 | 77.493 | 
| -62.299 | -135.843 | -135.843 | 0.000 | -0.000 | 0.000 | 
| -135.843 | -62.299 | -135.844 | 0.000 | 0.000 | 0.000 | 
| -135.843 | -135.843 | -62.299 | 0.000 | -0.000 | 0.000 | 
| 0.000 | 0.000 | -0.000 | 77.493 | -0.000 | 0.000 | 
| 0.000 | 0.000 | -0.000 | 0.000 | 77.493 | 0.000 | 
| 0.000 | 0.000 | -0.000 | 0.000 | -0.000 | 77.493 | 
| 135.168 | 80.932 | 80.932 | -0.000 | 0.000 | -0.000 | 
| 80.932 | 135.168 | 80.932 | -0.000 | 0.000 | -0.000 | 
| 80.932 | 80.932 | 135.168 | -0.000 | 0.000 | -0.000 | 
| 14.494 | 14.494 | 14.494 | 20.557 | 0.000 | -0.000 | 
| 14.494 | 14.494 | 14.494 | -0.000 | 20.557 | -0.000 | 
| 14.494 | 14.494 | 14.494 | -0.000 | 0.000 | 20.557 | 
| 172.608 | 42.066 | 42.066 | 0.000 | 0.000 | 0.000 | 
| 42.066 | 172.608 | 42.066 | -0.000 | -0.000 | 0.000 | 
| 42.066 | 42.066 | 172.608 | 0.000 | -0.000 | 0.000 | 
| -14.494 | -14.494 | -14.494 | 20.557 | 0.000 | 0.000 | 
| -14.494 | -14.494 | -14.494 | 0.000 | 20.557 | 0.000 | 
| -14.494 | -14.494 | -14.494 | 0.000 | -0.000 | 20.557 | 
| 137.306 | 59.825 | 59.825 | -0.000 | 0.000 | 0.000 | 
| 59.825 | 137.306 | 59.825 | -0.000 | -0.000 | -0.000 | 
| 59.825 | 59.825 | 137.306 | -0.000 | 0.000 | -0.000 | 
| 1.967 | 1.967 | 1.967 | 40.083 | 0.000 | 0.000 | 
| 1.967 | 1.967 | 1.967 | -0.000 | 40.083 | -0.000 | 
| 1.967 | 1.967 | 1.967 | -0.000 | 0.000 | 40.083 | 
| 172.608 | 42.066 | 42.066 | 0.000 | -0.000 | 0.000 | 
| 56.041 | 133.211 | 56.041 | 0.000 | -0.000 | -0.000 | 
| 42.066 | 42.066 | 172.608 | 0.000 | -0.000 | -0.000 | 
| -1.967 | -1.967 | -1.967 | 40.083 | 0.000 | 0.000 | 
| -1.967 | -1.967 | -1.967 | 0.000 | 40.083 | 0.000 | 
| -1.967 | -1.967 | -1.967 | 0.000 | -0.000 | 40.083 | 
| 134.872 | 57.738 | 57.738 | -0.000 | -0.000 | -0.000 | 
| 57.738 | 134.872 | 57.738 | -0.000 | -0.000 | -0.000 | 
| 57.738 | 57.738 | 134.872 | -0.000 | -0.000 | -0.000 | 
| 0.000 | -0.000 | -0.000 | 77.405 | -0.000 | -0.000 | 
| 0.000 | -0.000 | 0.000 | -0.000 | 77.405 | -0.000 | 
| 0.000 | -0.000 | 0.000 | -0.000 | -0.000 | 77.405 | 
| 134.927 | 57.796 | 57.796 | 0.000 | -0.000 | 0.000 | 
| 57.796 | 134.927 | 57.796 | 0.000 | 0.000 | 0.000 | 
| 57.796 | 57.796 | 134.927 | 0.000 | 0.000 | 0.000 | 
| -0.000 | 0.000 | -0.000 | 77.405 | 0.000 | 0.000 | 
| -0.000 | 0.000 | -0.000 | 0.000 | 77.405 | 0.000 | 
| -0.000 | 0.000 | -0.000 | 0.000 | 0.000 | 77.405 | 
| 135.674 | 58.810 | 58.810 | -0.000 | -0.000 | -0.000 | 
| 58.810 | 135.674 | 58.810 | -0.000 | -0.000 | -0.000 | 
| 58.810 | 58.810 | 135.674 | -0.000 | 0.000 | -0.000 | 
| 0.000 | -0.000 | 0.000 | 77.405 | 0.000 | -0.000 | 
| 0.000 | -0.000 | 0.000 | -0.000 | 77.405 | -0.000 | 
| 0.000 | 0.000 | 0.000 | -0.000 | 0.000 | 77.405 | 
| 134.750 | 57.816 | 57.816 | 0.000 | 0.000 | 0.000 | 
| 57.816 | 134.750 | 57.816 | 0.000 | 0.000 | 0.000 | 
| 57.816 | 57.816 | 134.750 | 0.000 | 0.000 | 0.000 | 
| -0.000 | 0.000 | -0.000 | 77.405 | -0.000 | 0.000 | 
| -0.000 | -0.000 | -0.000 | 0.000 | 77.405 | 0.000 | 
| -0.000 | -0.000 | -0.000 | 0.000 | 0.000 | 77.405 | 
| 134.746 | 57.814 | 57.814 | -0.000 | -0.000 | -0.000 | 
| 57.814 | 134.746 | 57.814 | -0.000 | -0.000 | -0.000 | 
| 58.193 | 58.193 | 134.613 | -0.000 | -0.000 | -0.000 | 
| -0.000 | -0.000 | -0.000 | 40.204 | -0.000 | -0.000 | 
| 0.000 | 0.000 | 0.000 | -0.000 | 77.405 | -0.000 | 
| -0.000 | -0.000 | -0.000 | -0.000 | -0.000 | 40.204 | 
| 135.677 | 58.810 | 58.810 | 0.000 | -0.000 | 0.000 | 
| 58.810 | 135.677 | 58.810 | 0.000 | -0.000 | 0.000 | 
| 58.810 | 58.810 | 135.677 | 0.000 | 0.000 | 0.000 | 
| -0.000 | -0.000 | -0.000 | 77.405 | 0.000 | 0.000 | 
| -0.000 | -0.000 | -0.000 | 0.000 | 77.405 | 0.000 | 
| 0.000 | 0.000 | 0.000 | 0.000 | 0.000 | 40.204 | 
| 144.686 | 36.452 | 68.458 | 0.000 | 0.000 | -0.000 | 
| 36.452 | 144.686 | 68.458 | 0.000 | 0.000 | 0.000 | 
| 55.942 | 55.942 | 189.173 | -0.000 | -0.000 | 0.000 | 
| -0.000 | -0.000 | -0.000 | 41.048 | 0.000 | 0.000 | 
| -0.000 | -0.000 | -0.000 | 0.000 | 41.047 | 0.000 | 
| -0.000 | -0.000 | -0.000 | 0.000 | 0.000 | 21.387 | 
| 144.686 | 36.452 | 68.458 | -0.000 | -0.000 | 0.000 | 
| 36.452 | 144.686 | 68.458 | -0.000 | -0.000 | 0.000 | 
| 55.942 | 55.942 | 189.174 | -0.000 | -0.000 | 0.000 | 
| 0.000 | 0.000 | -0.000 | 41.047 | -0.000 | -0.000 | 
| 0.000 | 0.000 | 0.000 | -0.000 | 41.047 | 0.000 | 
| 0.000 | 0.000 | 0.000 | -0.000 | 0.000 | 21.387 | 
| 214.030 | 8.914 | 32.536 | -0.000 | -0.000 | 0.000 | 
| 8.914 | 214.030 | 32.536 | -0.000 | -0.000 | 0.000 | 
| 55.942 | 55.942 | 189.173 | -0.000 | -0.000 | -0.000 | 
| -0.000 | -0.000 | -0.000 | 41.047 | 0.000 | -0.000 | 
| -0.000 | -0.000 | -0.000 | 0.000 | 41.047 | -0.000 | 
| -0.000 | -0.000 | -0.000 | 0.000 | 0.000 | 21.387 | 
| 144.687 | 36.452 | 68.457 | -0.000 | 0.000 | -0.000 | 
| 36.452 | 144.687 | 68.457 | -0.000 | -0.000 | 0.000 | 
| 55.942 | 55.942 | 189.173 | 0.000 | 0.000 | 0.000 | 
| 0.000 | 0.000 | 0.000 | 41.047 | -0.000 | -0.000 | 
| 0.000 | 0.000 | 0.000 | -0.000 | 41.047 | -0.000 | 
| 0.000 | 0.000 | 0.000 | 0.000 | -0.000 | 21.387 | 
| 140.450 | 52.738 | 58.105 | 0.000 | 0.000 | 0.000 | 
| 52.738 | 140.450 | 58.105 | 0.000 | 0.000 | 0.000 | 
| 55.942 | 55.942 | 189.174 | 0.000 | -0.000 | -0.000 | 
| 0.000 | -0.000 | -0.000 | 41.047 | 0.000 | -0.000 | 
| -0.000 | 0.000 | -0.000 | 0.000 | 41.047 | 0.000 | 
| -0.000 | -0.000 | -0.000 | 0.000 | 0.000 | 21.387 | 
| 140.455 | 52.735 | 58.101 | -0.000 | -0.000 | -0.000 | 
| 52.735 | 140.455 | 58.101 | -0.000 | -0.000 | -0.000 | 
| 55.942 | 55.942 | 189.173 | -0.000 | 0.000 | -0.000 | 
| -0.000 | 0.000 | 0.000 | 41.047 | -0.000 | 0.000 | 
| 0.000 | -0.000 | 0.000 | -0.000 | 41.047 | -0.000 | 
| 0.000 | 0.000 | 0.000 | -0.000 | -0.000 | 21.387 | 
| 137.760 | 74.374 | 74.374 | -0.000 | -0.000 | 0.000 | 
| 74.374 | 137.760 | 74.374 | 0.000 | -0.000 | 0.000 | 
| 74.374 | 74.374 | 137.760 | -0.000 | -0.000 | 0.000 | 
| -0.000 | -0.000 | -0.000 | 91.649 | 0.000 | 0.000 | 
| -0.000 | 0.000 | 0.000 | -0.000 | 91.649 | 0.000 | 
| -0.000 | 0.000 | 0.000 | -0.000 | -0.000 | 91.649 | 
| 137.760 | 74.374 | 74.374 | -0.000 | 0.000 | -0.000 | 
| 74.374 | 137.760 | 74.374 | 0.000 | 0.000 | -0.000 | 
| 74.374 | 74.374 | 137.760 | -0.000 | -0.000 | -0.000 | 
| 0.000 | 0.000 | -0.000 | 91.649 | 0.000 | -0.000 | 
| 0.000 | 0.000 | -0.000 | -0.000 | 91.649 | -0.000 | 
| 0.000 | -0.000 | -0.000 | -0.000 | 0.000 | 91.649 | 
| 124.197 | 76.220 | 76.220 | -0.000 | -0.000 | -0.000 | 
| 76.220 | 124.197 | 76.220 | -0.000 | -0.000 | 0.000 | 
| 74.374 | 74.374 | 137.760 | -0.000 | 0.000 | 0.000 | 
| -0.048 | -0.048 | -0.048 | 32.614 | -0.000 | 0.000 | 
| -0.048 | -0.048 | -0.048 | 0.000 | 32.614 | 0.000 | 
| -0.048 | -0.048 | -0.048 | -0.000 | 0.000 | 32.614 | 
| 137.760 | 74.374 | 74.374 | -0.000 | 0.000 | -0.000 | 
| 74.374 | 137.760 | 74.374 | -0.000 | 0.000 | -0.000 | 
| 74.374 | 74.374 | 137.760 | -0.000 | 0.000 | -0.000 | 
| 0.048 | 0.048 | 0.048 | 32.614 | 0.000 | -0.000 | 
| 0.048 | 0.048 | 0.048 | 0.000 | 32.614 | -0.000 | 
| 0.048 | 0.048 | 0.048 | -0.000 | 0.000 | 32.614 | 
| 124.243 | 76.268 | 76.268 | 0.000 | -0.000 | 0.000 | 
| 76.268 | 124.243 | 76.268 | 0.000 | -0.000 | 0.000 | 
| 76.268 | 76.268 | 124.243 | 0.000 | -0.000 | 0.000 | 
| -0.006 | -0.006 | -0.006 | 34.847 | -0.000 | -0.000 | 
| -0.005 | -0.005 | -0.005 | -0.000 | 31.429 | -0.000 | 
| -0.006 | -0.006 | -0.006 | 0.000 | 0.000 | 34.847 | 
| 122.227 | 75.778 | 75.778 | 0.000 | 0.000 | -0.000 | 
| 76.278 | 124.253 | 76.278 | 0.000 | -0.000 | -0.000 | 
| 76.278 | 76.278 | 124.253 | -0.000 | 0.000 | 0.000 | 
| 0.006 | 0.006 | 0.006 | 34.847 | -0.000 | -0.000 | 
| 0.005 | 0.005 | 0.005 | -0.000 | 31.429 | -0.000 | 
| 0.006 | 0.006 | 0.006 | -0.000 | 0.000 | 34.847 | 
| 108.617 | 59.399 | 59.399 | 0.000 | 0.000 | -0.000 | 
| 59.399 | 108.617 | 59.399 | 0.000 | 0.000 | -0.000 | 
| 59.399 | 59.399 | 108.617 | 0.000 | -0.000 | -0.000 | 
| 0.000 | 0.000 | -0.000 | 81.295 | 0.000 | -0.000 | 
| 0.000 | 0.000 | -0.000 | -0.000 | 81.295 | -0.000 | 
| 0.000 | 0.000 | 0.000 | 0.000 | 0.000 | 81.296 | 
| 108.615 | 59.399 | 59.399 | -0.000 | -0.000 | 0.000 | 
| 59.399 | 108.616 | 59.399 | 0.000 | -0.000 | 0.000 | 
| 59.399 | 59.399 | 108.617 | -0.000 | -0.000 | 0.000 | 
| 0.000 | -0.000 | -0.000 | 81.295 | -0.000 | 0.000 | 
| -0.000 | 0.000 | -0.000 | -0.000 | 81.295 | 0.000 | 
| -0.000 | -0.000 | -0.000 | 0.000 | -0.000 | 81.296 | 
| 106.580 | 58.941 | 58.941 | 0.000 | 0.000 | -0.000 | 
| 58.941 | 106.580 | 58.941 | 0.000 | -0.000 | -0.000 | 
| 58.941 | 58.941 | 106.580 | 0.000 | 0.000 | -0.000 | 
| -0.000 | -0.000 | 0.000 | 35.918 | 0.000 | -0.000 | 
| -0.000 | -0.000 | 0.000 | 0.000 | 35.918 | 0.000 | 
| -0.000 | -0.000 | 0.000 | 0.000 | 0.000 | 35.918 | 
| 120.415 | 58.716 | 58.716 | -0.000 | -0.000 | 0.000 | 
| 58.716 | 120.415 | 58.716 | -0.000 | -0.000 | 0.000 | 
| 58.716 | 58.716 | 120.415 | -0.000 | -0.000 | 0.000 | 
| 0.000 | 0.000 | -0.000 | 35.918 | -0.000 | 0.000 | 
| 0.000 | 0.000 | -0.000 | -0.000 | 35.918 | 0.000 | 
| 0.000 | 0.000 | -0.000 | -0.000 | -0.000 | 35.918 | 
| 108.617 | 59.399 | 59.399 | 0.000 | 0.000 | -0.000 | 
| 59.399 | 108.617 | 59.399 | 0.000 | -0.000 | -0.000 | 
| 59.399 | 59.399 | 108.617 | 0.000 | 0.000 | -0.000 | 
| 0.000 | -0.000 | -0.000 | 35.918 | -0.000 | -0.000 | 
| -0.000 | 0.000 | -0.000 | 0.000 | 35.918 | -0.000 | 
| -0.000 | -0.000 | 0.000 | 0.000 | 0.000 | 35.918 | 
| 108.617 | 59.399 | 59.399 | -0.000 | 0.000 | 0.000 | 
| 59.399 | 108.617 | 59.399 | -0.000 | -0.000 | 0.000 | 
| 59.399 | 59.399 | 108.617 | -0.000 | -0.000 | 0.000 | 
| -0.000 | 0.000 | 0.000 | 35.918 | -0.000 | 0.000 | 
| 0.000 | -0.000 | 0.000 | -0.000 | 35.918 | 0.000 | 
| 0.000 | 0.000 | -0.000 | -0.000 | -0.000 | 35.918 | 
| 651.475 | 164.972 | 31.169 | 0.000 | 0.000 | 0.000 | 
| 127.796 | 289.020 | 108.269 | 0.000 | 0.000 | 0.000 | 
| 32.172 | 120.531 | 186.729 | -0.000 | 0.000 | -0.000 | 
| -0.006 | -0.013 | 0.001 | 77.095 | 0.000 | 0.000 | 
| -0.000 | -0.000 | -0.000 | 0.000 | 475.379 | 0.000 | 
| -0.004 | -0.010 | 0.001 | 0.000 | 0.000 | 40.145 | 
| 634.572 | 123.494 | 35.446 | -0.000 | 0.000 | 0.000 | 
| 121.016 | 213.172 | 125.039 | 0.000 | 0.000 | 0.000 | 
| 32.170 | 120.552 | 186.723 | 0.000 | -0.000 | -0.000 | 
| 0.006 | 0.013 | -0.001 | 77.095 | -0.000 | -0.000 | 
| 0.000 | 0.000 | 0.000 | 0.000 | 475.379 | 0.000 | 
| 0.004 | 0.010 | -0.001 | -0.000 | -0.000 | 40.145 | 
| 651.514 | 164.998 | 31.177 | 0.000 | 0.000 | 0.000 | 
| 127.858 | 289.057 | 108.282 | -0.000 | 0.000 | 0.000 | 
| 32.173 | 120.541 | 186.726 | -0.000 | 0.000 | 0.000 | 
| -0.003 | -0.007 | 0.001 | 74.485 | -0.000 | -0.000 | 
| -0.000 | -0.001 | 0.000 | -0.000 | 169.263 | 0.000 | 
| -0.000 | -0.001 | 0.000 | 0.000 | 0.000 | 40.147 | 
| 634.512 | 123.408 | 35.446 | 0.000 | 0.000 | 0.000 | 
| 852.238 | 595.813 | 298.952 | 0.000 | 0.000 | 0.000 | 
| 35.943 | 127.974 | 186.235 | 0.000 | 0.000 | 0.000 | 
| 0.003 | 0.007 | -0.001 | 74.485 | 0.000 | 0.000 | 
| 0.000 | 0.001 | -0.000 | -0.000 | 169.263 | 0.000 | 
| 0.000 | 0.001 | -0.000 | 0.000 | -0.000 | 40.147 | 
| 634.809 | 123.521 | 35.527 | -0.000 | -0.000 | -0.000 | 
| 121.062 | 213.122 | 125.069 | -0.000 | -0.000 | -0.000 | 
| 35.957 | 127.972 | 186.241 | -0.000 | -0.000 | -0.000 | 
| 0.001 | -0.000 | 0.000 | 74.484 | -0.000 | -0.000 | 
| 0.001 | 0.000 | 0.000 | -0.000 | 169.263 | 0.000 | 
| 0.001 | 0.000 | 0.000 | 0.000 | 0.000 | 40.142 | 
| 634.533 | 123.410 | 35.453 | 0.000 | -0.000 | -0.000 | 
| 120.892 | 213.054 | 125.022 | 0.000 | 0.000 | 0.000 | 
| 35.924 | 127.960 | 186.231 | 0.000 | 0.000 | 0.000 | 
| -0.001 | 0.000 | -0.000 | 74.484 | 0.000 | 0.000 | 
| -0.001 | -0.000 | -0.000 | 0.000 | 169.263 | -0.000 | 
| -0.001 | -0.000 | -0.000 | 0.000 | -0.000 | 40.142 | 
| 331.337 | 78.962 | 78.962 | 0.000 | 0.000 | 0.000 | 
| 78.962 | 331.338 | 78.962 | 0.000 | 0.000 | 0.000 | 
| 78.962 | 78.962 | 331.337 | 0.000 | 0.000 | 0.000 | 
| 0.000 | 0.000 | 0.000 | 33.995 | 0.000 | 0.000 | 
| -0.000 | 0.000 | 0.000 | 0.000 | 33.995 | 0.000 | 
| -0.000 | -0.000 | 0.000 | 0.000 | 0.000 | 33.995 | 
| 125.822 | -62.601 | -62.601 | -0.000 | -0.000 | -0.000 | 
| -62.601 | 125.821 | -62.601 | -0.000 | -0.000 | -0.000 | 
| -62.601 | -62.601 | 125.822 | -0.000 | -0.000 | -0.000 | 
| 0.000 | -0.000 | -0.000 | 33.995 | -0.000 | -0.000 | 
| 0.000 | -0.000 | -0.000 | -0.000 | 33.995 | -0.000 | 
| 0.000 | -0.000 | -0.000 | 0.000 | -0.000 | 33.995 | 
| 242.740 | 49.599 | 49.599 | 0.000 | 0.000 | 0.000 | 
| 49.599 | 242.740 | 49.599 | 0.000 | 0.000 | 0.000 | 
| 49.599 | 49.599 | 242.740 | 0.000 | 0.000 | 0.000 | 
| 5.065 | 5.065 | 5.065 | 24.941 | 0.000 | 0.000 | 
| 5.065 | 5.065 | 5.065 | 0.000 | 24.941 | 0.000 | 
| 5.065 | 5.065 | 5.065 | 0.000 | 0.000 | 24.941 | 
| 225.379 | 29.125 | 29.125 | -0.000 | -0.000 | -0.000 | 
| 29.125 | 225.379 | 29.125 | -0.000 | -0.000 | -0.000 | 
| 29.125 | 29.125 | 225.379 | -0.000 | -0.000 | -0.000 | 
| -5.065 | -5.065 | -5.065 | 24.941 | -0.000 | -0.000 | 
| -5.065 | -5.065 | -5.065 | -0.000 | 24.941 | -0.000 | 
| -5.065 | -5.065 | -5.065 | -0.000 | -0.000 | 24.941 | 
| 232.631 | 40.253 | 40.253 | 0.000 | 0.000 | 0.000 | 
| 40.253 | 232.631 | 40.253 | 0.000 | 0.000 | 0.000 | 
| 40.253 | 40.253 | 232.631 | 0.000 | 0.000 | 0.000 | 
| 0.000 | 0.000 | -0.000 | 33.995 | 0.000 | 0.000 | 
| 0.000 | 0.000 | -0.000 | 0.000 | 33.995 | -0.000 | 
| 0.000 | -0.000 | 0.000 | 0.000 | 0.000 | 33.995 | 
| 244.866 | 34.281 | 34.281 | -0.000 | -0.000 | -0.000 | 
| 34.281 | 244.866 | 34.281 | -0.000 | -0.000 | -0.000 | 
| 34.281 | 34.281 | 244.866 | -0.000 | -0.000 | -0.000 | 
| -0.000 | -0.000 | 0.000 | 33.995 | -0.000 | 0.000 | 
| -0.000 | -0.000 | 0.000 | -0.000 | 33.995 | -0.000 | 
| -0.000 | 0.000 | -0.000 | -0.000 | -0.000 | 33.995 | 
| 80951444.315 | 277234331.839 | 316844808.547 | 11715125.216 | -11471260.327 | 2458854.168 | 
| 296242757.526 | 50691356.250 | 303966873.179 | -2389191.977 | 2268828.639 | 783151.945 | 
| 286436758.197 | 295268335.672 | 56481403.338 | -385986.616 | 11582882.253 | -16731984.158 | 
| 327295323.079 | 209509739.550 | 227663965.893 | -41489046.148 | 229024.419 | 2931810.655 | 
| 248300913.538 | 295643724.208 | 188949131.076 | -7772.976 | -44949955.131 | 8678691.323 | 
| 223552210.829 | 244352961.158 | 314686701.909 | -8147608.112 | -2384364.398 | -32873382.786 | 
| -486673768.449 | 18990831.862 | 6248396.637 | -9067400.554 | -5916419.705 | 17511057.799 | 
| 2305335.808 | -478001953.027 | -5886337.167 | 7437477.773 | -2230943.671 | 4825637.187 | 
| 16137687.809 | 1019713.746 | -485079080.508 | -21200447.332 | -8395338.065 | -1383400.602 | 
| -297723430.018 | -209461843.161 | -242190926.891 | -40405723.009 | 233888.667 | -5166469.575 | 
| -221062059.988 | -317649069.105 | -229226434.895 | -2004256.119 | -44417279.022 | -14122325.653 | 
| -205442684.253 | -262614588.585 | -309803895.195 | 12260353.642 | -5020774.104 | -37618346.576 | 
| 6557323.688 | 28496492.626 | 30630153.793 | 807683.908 | -270433.362 | -427703.348 | 
| 29841157.563 | 5272820.088 | 28775009.036 | -95806.626 | 694491.855 | -777720.922 | 
| 28915147.329 | 30148026.634 | 6274143.714 | -260176.959 | -237699.794 | -676705.355 | 
| 33888080.089 | 21611563.488 | 21176146.388 | -4169746.426 | -186272.203 | -585842.331 | 
| 23499660.851 | 31793567.043 | 20782116.279 | -842225.911 | -4061076.301 | 64064.413 | 
| 21981527.646 | 23602074.927 | 32010570.398 | -77172.591 | 58535.089 | -4109935.426 | 
| -92905628.601 | 62747393.136 | 62747393.140 | -0.002 | 0.005 | 0.001 | 
| 62747393.208 | -92905628.751 | 62747393.199 | -0.004 | -0.003 | 0.001 | 
| 62747393.233 | 62747393.219 | -92905628.602 | 0.001 | 0.001 | 0.008 | 
| -31521080.419 | -22947679.094 | -21308023.081 | -4148891.523 | 113558.648 | -600690.119 | 
| -19881404.581 | -32855057.295 | -21394631.169 | -394759.749 | -5975292.867 | -686910.888 | 
| -23141962.742 | -22248397.070 | -33579546.453 | 355803.594 | -853049.033 | -3671371.946 | 
| 776511.260 | 2867734.885 | 2978614.572 | 14381.752 | -21085.332 | 51553.822 | 
| 3017684.179 | 541636.494 | 2864247.730 | -18621.854 | -37577.564 | -84207.547 | 
| 2874003.772 | 3051899.175 | 715953.511 | 52798.473 | 76125.131 | -33505.324 | 
| 3555374.661 | 2131080.852 | 2162104.591 | -469043.568 | 20664.974 | 34163.996 | 
| 2371185.535 | 3107882.710 | 2325553.970 | -195821.536 | -456493.472 | -30275.485 | 
| 2227370.583 | 2269238.230 | 3228407.222 | -761.975 | -22749.271 | -472351.890 | 
| -9289927.513 | 6275016.473 | 6275016.474 | -0.000 | -0.000 | 0.000 | 
| 6275016.467 | -9289927.511 | 6275016.468 | -0.000 | 0.000 | 0.000 | 
| 6275016.479 | 6275016.476 | -9289927.501 | -0.000 | 0.000 | -0.001 | 
| -3180890.013 | -2330127.223 | -2207407.500 | -424928.784 | -9444.927 | -8046.603 | 
| -1974960.760 | -3444879.679 | -2299701.125 | 23582.695 | -495073.338 | -56781.440 | 
| -2367395.939 | -2163341.344 | -3287468.566 | 74510.605 | -101627.639 | -441830.993 | 
| 238.189 | 39.547 | 0.000 | 0.000 | 0.000 | 0.000 | 
| 39.548 | 238.189 | 0.000 | 0.000 | 0.000 | 0.000 | 
| 0.000 | -0.000 | 0.000 | 0.000 | 0.000 | -0.000 | 
| 0.000 | -0.000 | 0.000 | 0.000 | 0.000 | -0.000 | 
| 0.000 | 0.000 | 0.000 | 0.000 | 0.000 | 0.000 | 
| 0.000 | 0.000 | 0.000 | 0.000 | 0.000 | 74.860 | 
| 238.189 | 39.547 | -0.000 | -0.000 | -0.000 | -0.000 | 
| 39.547 | 238.189 | -0.000 | -0.000 | -0.000 | -0.000 | 
| -0.000 | -0.000 | -0.000 | -0.000 | -0.000 | -0.000 | 
| -0.000 | 0.000 | -0.000 | -0.000 | -0.000 | 0.000 | 
| -0.000 | 0.000 | -0.000 | -0.000 | -0.000 | -0.000 | 
| -0.000 | -0.000 | -0.000 | -0.000 | -0.000 | 74.860 | 
| 238.189 | 39.547 | 0.000 | 0.000 | 0.000 | 0.000 | 
| 64.008 | 213.728 | 0.000 | 0.000 | 0.000 | 0.000 | 
| 0.000 | -0.000 | 0.000 | 0.000 | 0.000 | -0.000 | 
| 0.000 | -0.000 | 0.000 | 0.000 | 0.000 | -0.000 | 
| 0.000 | 0.000 | 0.000 | 0.000 | 0.000 | 0.000 | 
| 0.000 | 0.000 | 0.000 | 0.000 | 0.000 | 99.321 | 
| 213.728 | 64.008 | -0.000 | -0.000 | -0.000 | -0.000 | 
| 64.008 | 213.728 | -0.000 | -0.000 | -0.000 | 0.000 | 
| -0.000 | -0.000 | -0.000 | -0.000 | -0.000 | -0.000 | 
| -0.000 | 0.000 | -0.000 | -0.000 | -0.000 | 0.000 | 
| -0.000 | -0.000 | -0.000 | -0.000 | -0.000 | -0.000 | 
| -0.000 | -0.000 | -0.000 | -0.000 | -0.000 | 99.321 | 
| 213.729 | 64.008 | 0.000 | 0.000 | 0.000 | 0.000 | 
| 64.009 | 213.729 | 0.000 | 0.000 | 0.000 | -0.000 | 
| 0.000 | -0.000 | 0.000 | 0.000 | 0.000 | -0.000 | 
| 0.000 | -0.000 | 0.000 | 0.000 | 0.000 | -0.000 | 
| 0.000 | -0.000 | 0.000 | 0.000 | 0.000 | 0.000 | 
| 0.000 | 0.000 | 0.000 | 0.000 | 0.000 | 99.321 | 
| 213.728 | 64.008 | -0.000 | -0.000 | -0.000 | -0.000 | 
| 64.007 | 213.728 | -0.000 | -0.000 | -0.000 | -0.000 | 
| -0.000 | -0.000 | -0.000 | -0.000 | -0.000 | -0.000 | 
| -0.000 | 0.000 | -0.000 | -0.000 | -0.000 | -0.000 | 
| -0.000 | -0.000 | -0.000 | -0.000 | -0.000 | -0.000 | 
| -0.000 | -0.000 | -0.000 | -0.000 | -0.000 | 99.321 | 
| 1406.045 | 1131.528 | 1064.641 | 29.102 | 0.000 | 0.000 | 
| 1131.528 | 1406.044 | 1064.641 | -29.102 | 0.000 | 0.000 | 
| 1064.615 | 1064.615 | 1472.251 | 0.000 | 0.000 | -0.000 | 
| 29.102 | -29.102 | 0.000 | 66.925 | 0.000 | 0.000 | 
| 0.000 | -0.000 | 0.000 | 0.000 | 66.925 | 29.102 | 
| 0.000 | -0.000 | -0.000 | 0.000 | 29.102 | 137.258 | 
| 1406.044 | 1131.528 | 1064.641 | 29.102 | -0.000 | 0.000 | 
| 1217.330 | 1320.241 | 1064.641 | -23.289 | -0.000 | -0.000 | 
| 1064.615 | 1064.616 | 1472.251 | -0.000 | 0.000 | -0.000 | 
| 29.102 | -29.102 | -0.000 | 66.925 | -0.000 | -0.000 | 
| 0.000 | 0.000 | -0.000 | -0.000 | 66.925 | 29.102 | 
| -0.000 | 0.000 | 0.000 | -0.000 | 29.102 | 137.258 | 
| 1406.044 | 1131.526 | 1064.640 | 29.102 | 0.000 | -0.000 | 
| 1131.527 | 1406.043 | 1064.640 | -29.102 | -0.000 | 0.000 | 
| 1064.614 | 1064.614 | 1472.250 | -0.000 | -0.000 | -0.000 | 
| 29.102 | -29.102 | 0.000 | 66.925 | 0.000 | 0.000 | 
| -0.000 | -0.000 | 0.000 | 0.000 | 66.925 | 29.102 | 
| -0.000 | 0.000 | -0.000 | 0.000 | 29.102 | 137.258 | 
| 1406.045 | 1131.529 | 1064.642 | 29.102 | -0.000 | -0.000 | 
| 1131.528 | 1406.045 | 1064.642 | -29.102 | -0.000 | -0.000 | 
| 1064.616 | 1064.616 | 1472.252 | 0.000 | -0.000 | 0.000 | 
| 29.102 | -29.102 | -0.000 | 66.925 | -0.000 | -0.000 | 
| 0.000 | 0.000 | -0.000 | -0.000 | 66.925 | 29.102 | 
| 0.000 | -0.000 | 0.000 | -0.000 | 29.102 | 137.258 | 
| 1320.240 | 1217.315 | 1064.633 | 23.290 | 0.000 | 0.000 | 
| 1217.325 | 1320.230 | 1064.633 | -23.287 | 0.000 | 0.000 | 
| 1064.607 | 1064.607 | 1472.238 | -0.000 | -0.000 | 0.000 | 
| 23.290 | -23.293 | 0.003 | 66.531 | 0.000 | 0.000 | 
| -0.003 | 0.001 | 0.003 | 0.000 | 66.531 | 23.289 | 
| -0.001 | 0.004 | -0.000 | -0.001 | 23.289 | 51.456 | 
| 1320.249 | 1217.339 | 1064.650 | 23.289 | -0.000 | 0.000 | 
| 1217.343 | 1320.246 | 1064.650 | -23.290 | -0.000 | -0.000 | 
| 1064.624 | 1064.624 | 1472.264 | -0.000 | -0.000 | 0.000 | 
| 29.104 | -29.101 | -0.003 | 66.926 | -0.000 | 0.000 | 
| 0.003 | -0.001 | -0.003 | -0.000 | 66.531 | 23.289 | 
| 0.001 | -0.004 | 0.000 | 0.001 | 23.289 | 51.456 | 
| 1035.190 | 562.827 | 557.152 | 0.000 | -0.004 | -0.000 | 
| 551.656 | 838.288 | 385.600 | 0.000 | -0.000 | 0.000 | 
| 546.641 | 389.592 | 808.088 | 0.001 | -0.001 | 0.000 | 
| 0.004 | -0.011 | -0.008 | 94.294 | -0.001 | -0.000 | 
| 0.006 | -0.005 | -0.003 | 0.001 | 118.221 | 0.000 | 
| 0.008 | -0.004 | -0.001 | 0.000 | -0.003 | 159.176 | 
| 1035.180 | 562.846 | 557.165 | -0.000 | 0.004 | -0.000 | 
| 551.641 | 838.306 | 385.610 | -0.000 | 0.000 | 0.000 | 
| 546.631 | 389.610 | 808.101 | -0.001 | 0.001 | 0.000 | 
| -0.004 | 0.011 | 0.008 | 94.294 | 0.001 | 0.000 | 
| -0.006 | 0.005 | 0.003 | -0.001 | 118.223 | -0.000 | 
| -0.008 | 0.004 | 0.001 | -0.000 | 0.003 | 159.176 | 
| 1035.154 | 562.582 | 556.963 | 0.000 | -0.000 | -0.000 | 
| 550.822 | 838.284 | 385.386 | 0.000 | -0.000 | 0.000 | 
| 548.073 | 388.276 | 807.736 | 0.000 | -0.000 | 0.000 | 
| 0.000 | -0.001 | -0.001 | 94.294 | -0.000 | -0.000 | 
| 0.001 | -0.001 | -0.000 | 0.000 | 118.151 | 0.000 | 
| 0.001 | -0.000 | -0.000 | 0.000 | -0.000 | 159.152 | 
| 1035.154 | 562.584 | 556.965 | -0.000 | 0.000 | -0.000 | 
| 550.822 | 838.286 | 385.388 | -0.000 | 0.000 | -0.000 | 
| 548.073 | 388.278 | 807.737 | -0.000 | 0.000 | 0.000 | 
| -0.000 | 0.001 | 0.001 | 94.294 | 0.000 | -0.000 | 
| -0.001 | 0.001 | 0.000 | -0.000 | 118.152 | -0.000 | 
| -0.001 | 0.000 | 0.000 | -0.000 | 0.000 | 159.152 | 
| 1035.145 | 562.576 | 556.958 | 0.000 | -0.000 | 0.000 | 
| 550.795 | 838.282 | 385.375 | 0.000 | -0.000 | -0.000 | 
| 548.070 | 388.271 | 807.736 | 0.000 | -0.000 | 0.000 | 
| -0.001 | -0.001 | -0.000 | 94.294 | -0.000 | -0.000 | 
| 0.002 | -0.001 | 0.000 | 0.000 | 118.151 | 0.000 | 
| -0.000 | -0.001 | -0.001 | 0.000 | -0.000 | 159.151 | 
| 1035.163 | 562.584 | 556.967 | -0.000 | 0.000 | -0.000 | 
| 550.800 | 838.287 | 385.385 | -0.000 | 0.000 | 0.000 | 
| 548.078 | 388.280 | 807.737 | -0.000 | 0.000 | -0.000 | 
| 0.001 | 0.001 | 0.000 | 94.294 | 0.000 | -0.000 | 
| -0.002 | 0.001 | -0.000 | -0.000 | 118.151 | -0.000 | 
| 0.000 | 0.001 | 0.001 | -0.000 | 0.000 | 159.151 | 
| 219.738 | 51.979 | 42.739 | 21.331 | 18.833 | -0.000 | 
| 146.156 | 232.596 | -896.452 | -4.330 | -5.504 | -0.002 | 
| 209.489 | 209.489 | -311.725 | -0.000 | -0.001 | -0.000 | 
| 129.867 | 143.312 | -412.808 | 5.144 | 0.000 | 1.527 | 
| 138.127 | 132.476 | -920.245 | -0.000 | -2.808 | -7.685 | 
| 137.572 | 137.571 | -931.437 | -2.224 | -10.045 | 15.114 | 
| -20.871 | -52.313 | 482.782 | -6.708 | -1.516 | -0.000 | 
| -52.312 | -20.865 | 482.773 | 6.708 | 1.516 | -0.000 | 
| -63.521 | -63.521 | 926.628 | 0.001 | 0.000 | -0.001 | 
| -109.053 | -128.577 | 807.258 | 45.608 | 0.000 | -6.977 | 
| -132.489 | -138.138 | 920.283 | 0.000 | -2.814 | -7.687 | 
| -118.772 | -118.773 | 808.042 | -6.995 | 9.797 | 53.146 | 
| 175.974 | 80.199 | -20.301 | 7.495 | 5.759 | -0.000 | 
| 80.200 | 175.973 | -20.301 | -7.494 | -5.758 | -0.000 | 
| 87.374 | 87.374 | 56.796 | -0.000 | -0.000 | -0.000 | 
| 7.402 | 19.032 | -39.946 | 7.270 | 0.000 | 0.868 | 
| 18.462 | 6.185 | -87.608 | -0.000 | 31.289 | 4.748 | 
| -0.000 | -0.000 | -0.000 | -18.833 | 21.331 | 83.880 | 
| 107.311 | 69.720 | 108.335 | -5.444 | -0.599 | -0.000 | 
| 56.851 | 148.089 | 130.311 | -6.487 | -5.260 | -0.000 | 
| 44.352 | 44.352 | 200.992 | 0.000 | -0.000 | -0.000 | 
| -5.865 | -18.742 | 73.422 | 37.467 | 0.000 | -5.227 | 
| -7.077 | -17.530 | 73.421 | 0.000 | 37.466 | 6.438 | 
| -13.249 | -13.249 | 40.043 | 0.916 | -5.881 | 17.733 | 
| 155.928 | 72.850 | 57.218 | 3.912 | 6.191 | -0.000 | 
| 72.843 | 155.949 | 57.213 | -3.918 | -6.195 | -0.000 | 
| 54.573 | 54.573 | 102.849 | -0.000 | -0.000 | -0.000 | 
| 5.827 | -3.263 | -7.211 | 32.911 | -0.000 | -4.076 | 
| 7.247 | -5.581 | -2.518 | -0.000 | 30.791 | 4.219 | 
| 1.229 | 1.229 | -6.965 | -4.763 | 5.403 | 43.210 | 
| 155.493 | 68.926 | 65.435 | 5.551 | 4.503 | -0.000 | 
| 68.926 | 155.494 | 65.435 | -5.551 | -4.503 | -0.000 | 
| 64.218 | 64.218 | 130.639 | -0.000 | 0.000 | -0.000 | 
| 3.386 | -5.052 | 2.518 | 30.791 | -0.000 | -6.414 | 
| 4.670 | -6.262 | 9.358 | 0.000 | 30.782 | 4.342 | 
| -0.867 | -0.867 | 2.620 | -5.910 | 3.525 | 40.597 | 
| 218.970 | 9.512 | 30.090 | -0.000 | -0.000 | 0.000 | 
| 9.512 | 218.970 | 30.090 | -0.000 | -0.000 | 0.000 | 
| 56.430 | 56.430 | 192.251 | -0.000 | 0.000 | 0.000 | 
| -0.000 | 0.000 | -0.000 | 42.678 | -0.000 | -0.000 | 
| 0.000 | -0.000 | 0.000 | -0.000 | 42.678 | 0.000 | 
| -0.000 | -0.000 | -0.000 | 0.000 | 0.000 | 20.309 | 
| 218.970 | 9.512 | 30.090 | 0.000 | 0.000 | 0.000 | 
| 9.512 | 218.970 | 30.090 | 0.000 | 0.000 | -0.000 | 
| 30.091 | 30.091 | 234.723 | -0.000 | 0.000 | -0.000 | 
| 0.000 | -0.000 | 0.000 | 42.678 | -0.000 | 0.000 | 
| 0.000 | -0.000 | 0.000 | 0.000 | 42.678 | -0.000 | 
| 0.000 | 0.000 | 0.000 | -0.000 | -0.000 | 20.309 | 
| 145.466 | 37.414 | 66.856 | 0.000 | 0.000 | 0.000 | 
| 37.414 | 145.466 | 66.856 | -0.000 | -0.000 | -0.000 | 
| 56.430 | 56.430 | 192.251 | -0.000 | -0.000 | -0.000 | 
| 0.000 | -0.000 | -0.000 | 42.678 | -0.000 | 0.000 | 
| -0.000 | 0.000 | -0.000 | -0.000 | 42.678 | 0.000 | 
| -0.000 | -0.000 | -0.000 | -0.000 | 0.000 | 20.309 | 
| 145.467 | 37.414 | 66.856 | 0.000 | -0.000 | 0.000 | 
| 37.414 | 145.467 | 66.856 | -0.000 | 0.000 | -0.000 | 
| 56.430 | 56.430 | 192.251 | 0.000 | 0.000 | 0.000 | 
| -0.000 | -0.000 | 0.000 | 42.678 | -0.000 | -0.000 | 
| 0.000 | -0.000 | 0.000 | -0.000 | 42.678 | 0.000 | 
| 0.000 | 0.000 | 0.000 | 0.000 | -0.000 | 20.309 | 
| 140.950 | 54.860 | 56.432 | 0.000 | 0.000 | 0.000 | 
| 54.860 | 140.950 | 56.432 | -0.000 | 0.000 | -0.000 | 
| 56.430 | 56.430 | 192.251 | 0.000 | 0.000 | 0.000 | 
| 0.000 | -0.000 | -0.000 | 42.678 | 0.000 | 0.000 | 
| -0.000 | 0.000 | -0.000 | -0.000 | 42.678 | -0.000 | 
| -0.000 | -0.000 | -0.000 | 0.000 | -0.000 | 20.309 | 
| 140.956 | 54.858 | 56.428 | 0.000 | 0.000 | -0.000 | 
| 54.858 | 140.956 | 56.428 | 0.000 | -0.000 | -0.000 | 
| 56.430 | 56.430 | 192.250 | 0.000 | 0.000 | -0.000 | 
| -0.000 | 0.000 | 0.000 | 42.678 | -0.000 | 0.000 | 
| 0.000 | -0.000 | 0.000 | 0.000 | 42.678 | 0.000 | 
| 0.000 | 0.000 | 0.000 | -0.000 | -0.000 | 20.309 | 
| 140.461 | 52.762 | 58.082 | -0.000 | 0.000 | -0.000 | 
| 52.762 | 140.461 | 58.082 | -0.000 | -0.000 | 0.000 | 
| 30.372 | 30.372 | 233.133 | -0.000 | -0.000 | 0.000 | 
| 0.000 | 0.000 | 0.000 | 41.067 | -0.000 | 0.000 | 
| 0.000 | 0.000 | 0.000 | -0.000 | 41.067 | -0.000 | 
| 0.000 | 0.000 | 0.000 | 0.000 | 0.000 | 21.375 | 
| 140.461 | 52.762 | 58.082 | -0.000 | -0.000 | 0.000 | 
| 52.762 | 140.461 | 58.082 | -0.000 | -0.000 | -0.000 | 
| 55.946 | 55.946 | 189.218 | -0.000 | -0.000 | 0.000 | 
| -0.000 | -0.000 | 0.000 | 41.067 | 0.000 | -0.000 | 
| -0.000 | -0.000 | 0.000 | 0.000 | 41.067 | -0.000 | 
| -0.000 | -0.000 | -0.000 | -0.000 | -0.000 | 21.375 | 
| 140.461 | 52.762 | 58.082 | -0.000 | 0.000 | -0.000 | 
| 52.762 | 140.461 | 58.082 | 0.000 | -0.000 | 0.000 | 
| 55.946 | 55.946 | 189.218 | -0.000 | -0.000 | -0.000 | 
| 0.000 | 0.000 | -0.000 | 41.067 | -0.000 | 0.000 | 
| 0.000 | 0.000 | -0.000 | -0.000 | 41.067 | 0.000 | 
| -0.000 | -0.000 | -0.000 | -0.000 | 0.000 | 21.375 | 
| 144.699 | 36.464 | 68.438 | 0.000 | -0.000 | -0.000 | 
| 36.464 | 144.699 | 68.438 | -0.000 | 0.000 | -0.000 | 
| 55.946 | 55.946 | 189.218 | -0.000 | -0.000 | 0.000 | 
| -0.000 | 0.000 | 0.000 | 41.067 | 0.000 | 0.000 | 
| 0.000 | -0.000 | 0.000 | 0.000 | 41.067 | -0.000 | 
| 0.000 | -0.000 | 0.000 | -0.000 | -0.000 | 21.375 | 
| 140.459 | 52.763 | 58.084 | -0.000 | 0.000 | 0.000 | 
| 52.763 | 140.459 | 58.084 | 0.000 | 0.000 | 0.000 | 
| 55.946 | 55.946 | 189.218 | 0.000 | 0.000 | -0.000 | 
| 0.000 | -0.000 | -0.000 | 41.067 | -0.000 | 0.000 | 
| -0.000 | 0.000 | -0.000 | -0.000 | 41.067 | 0.000 | 
| -0.000 | -0.000 | -0.000 | 0.000 | 0.000 | 21.375 | 
| 140.464 | 52.761 | 58.080 | -0.000 | -0.000 | -0.000 | 
| 52.761 | 140.464 | 58.080 | -0.000 | 0.000 | -0.000 | 
| 55.945 | 55.945 | 189.217 | 0.000 | 0.000 | -0.000 | 
| -0.000 | 0.000 | 0.000 | 41.067 | -0.000 | 0.000 | 
| 0.000 | -0.000 | 0.000 | -0.000 | 41.067 | -0.000 | 
| 0.000 | 0.000 | 0.000 | -0.000 | -0.000 | 21.375 | 
| 200.502 | 12.932 | 47.195 | -0.000 | 17.889 | 0.000 | 
| 44.354 | 163.171 | 65.265 | 0.000 | -6.798 | -0.000 | 
| 44.118 | 45.937 | 191.658 | -0.000 | 25.735 | -0.000 | 
| -0.000 | 0.000 | -0.000 | 51.688 | -0.000 | -5.263 | 
| 9.169 | -26.374 | 25.735 | -0.000 | 72.945 | -0.000 | 
| -0.000 | 0.000 | -0.000 | -6.103 | -0.000 | 32.508 | 
| 144.111 | 46.322 | 66.223 | -0.000 | 6.387 | -0.000 | 
| 16.085 | 216.933 | 45.937 | -0.000 | -26.374 | 0.000 | 
| 64.384 | 62.765 | 152.451 | 0.000 | 10.693 | -0.000 | 
| 0.000 | -0.000 | 0.000 | 51.688 | 0.000 | -5.263 | 
| 2.723 | -6.973 | 12.334 | -0.000 | 39.454 | -0.000 | 
| 0.000 | -0.000 | 0.000 | -6.103 | 0.000 | 32.508 | 
| 144.110 | 46.323 | 66.223 | -0.000 | 6.387 | 0.000 | 
| 46.255 | 162.473 | 62.340 | -0.000 | -6.652 | -0.000 | 
| 44.118 | 45.937 | 191.658 | 0.000 | 25.735 | -0.000 | 
| -0.000 | -0.000 | 0.000 | 51.408 | -0.000 | -5.785 | 
| 9.169 | -26.374 | 25.735 | -0.000 | 72.945 | -0.000 | 
| -0.000 | 0.000 | -0.000 | -5.247 | -0.000 | 32.145 | 
| 144.109 | 46.323 | 66.224 | 0.000 | 6.387 | -0.000 | 
| 16.085 | 216.933 | 45.937 | 0.000 | -26.374 | 0.000 | 
| 64.384 | 62.765 | 152.451 | 0.000 | 10.693 | -0.000 | 
| 0.000 | 0.000 | -0.000 | 51.408 | -0.000 | -5.785 | 
| 9.169 | -26.374 | 25.735 | -0.000 | 72.945 | 0.000 | 
| 0.000 | -0.000 | 0.000 | -5.247 | 0.000 | 32.145 | 
| 140.125 | 45.257 | 64.284 | -0.000 | 8.918 | 0.000 | 
| 46.256 | 162.472 | 62.340 | -0.000 | -6.651 | -0.000 | 
| 63.417 | 62.608 | 152.269 | -0.000 | 11.426 | -0.000 | 
| -0.000 | -0.000 | -0.000 | 51.407 | -0.000 | -5.785 | 
| 2.723 | -6.973 | 12.334 | -0.000 | 39.453 | -0.000 | 
| -0.000 | -0.000 | 0.000 | -5.700 | 0.000 | 32.078 | 
| 140.128 | 45.255 | 64.282 | -0.000 | 8.919 | 0.000 | 
| 46.255 | 162.473 | 62.339 | 0.000 | -6.652 | 0.000 | 
| 64.383 | 62.764 | 152.452 | 0.000 | 10.694 | -0.000 | 
| 0.000 | 0.000 | 0.000 | 51.407 | 0.000 | -5.785 | 
| 3.000 | -6.711 | 11.048 | 0.000 | 39.178 | 0.000 | 
| 0.000 | 0.000 | -0.000 | -5.700 | -0.000 | 32.078 | 
| 239.033 | 148.385 | -69.157 | -0.000 | -97.378 | 0.000 | 
| 156.949 | 249.532 | -68.165 | -0.000 | -92.483 | 0.000 | 
| 122.068 | 174.939 | 5.400 | 0.000 | -82.201 | 0.000 | 
| 0.000 | 0.000 | 0.000 | 87.054 | 0.000 | -24.705 | 
| 9.153 | -26.476 | 24.993 | -0.000 | 73.281 | 0.000 | 
| 61.499 | 112.679 | -151.145 | -1.702 | -97.467 | 27.378 | 
| 78.990 | -68.681 | 221.286 | -0.000 | 107.032 | -0.000 | 
| 16.048 | 215.770 | 46.252 | 0.000 | -26.784 | -0.000 | 
| -50.001 | -25.632 | 282.737 | -0.000 | 96.125 | -0.000 | 
| -0.000 | -0.000 | -0.000 | 87.054 | -0.000 | -24.705 | 
| 9.153 | -26.477 | 24.993 | 0.000 | 73.280 | -0.000 | 
| -61.499 | -112.679 | 151.144 | -1.702 | 97.467 | 27.378 | 
| 150.649 | 54.754 | 51.266 | -0.000 | -1.097 | -0.000 | 
| 16.048 | 215.770 | 46.252 | -0.000 | -26.784 | 0.000 | 
| 43.245 | 47.398 | 189.696 | 0.000 | 24.993 | 0.000 | 
| -0.000 | 0.000 | 0.000 | 87.054 | -0.000 | -24.705 | 
| 13.393 | 2.290 | -1.772 | 0.000 | 30.111 | 0.000 | 
| -0.000 | 0.000 | 0.000 | -25.012 | 0.000 | 50.318 | 
| 126.889 | 40.089 | 74.948 | 0.000 | 16.606 | -0.000 | 
| 16.048 | 215.770 | 46.252 | -0.000 | -26.784 | -0.000 | 
| 43.245 | 47.398 | 189.696 | -0.000 | 24.993 | -0.000 | 
| 0.000 | -0.000 | -0.000 | 87.054 | 0.000 | -24.705 | 
| -6.587 | -13.982 | 22.285 | 0.000 | 47.061 | -0.000 | 
| 0.000 | -0.000 | -0.000 | -25.012 | -0.000 | 50.318 | 
| 144.613 | 48.064 | 63.043 | -0.000 | 5.572 | 0.000 | 
| 46.534 | 161.099 | 60.623 | -0.000 | -8.753 | 0.000 | 
| 64.194 | 64.121 | 151.724 | 0.000 | 9.974 | 0.000 | 
| 0.524 | 0.960 | -1.288 | 52.448 | -0.831 | -4.836 | 
| 4.051 | -6.041 | 10.988 | -0.000 | 39.484 | 0.000 | 
| 1.467 | 1.000 | -1.479 | -5.332 | -1.195 | 31.323 | 
| 142.695 | 46.182 | 66.336 | 0.000 | 7.422 | 0.000 | 
| 44.843 | 159.316 | 63.188 | 0.000 | -6.713 | -0.000 | 
| 61.528 | 62.068 | 154.149 | -0.000 | 12.542 | -0.000 | 
| -0.524 | -0.960 | 1.288 | 52.448 | 0.831 | -4.836 | 
| 2.841 | -7.578 | 12.435 | 0.000 | 40.943 | -0.000 | 
| -1.467 | -1.000 | 1.479 | -5.332 | 1.195 | 31.323 | 
| 172.453 | 66.004 | 55.047 | 0.000 | 0.000 | 0.000 | 
| 66.952 | 170.474 | 55.336 | -0.000 | -0.000 | 0.000 | 
| 18.553 | 18.926 | 255.529 | -0.000 | -0.000 | 0.000 | 
| -0.338 | -1.455 | 1.774 | 45.550 | 0.000 | 0.000 | 
| -0.339 | -1.459 | 1.779 | -0.000 | 45.724 | 0.000 | 
| -0.000 | -0.000 | -0.000 | 0.000 | -0.000 | 90.000 | 
| 172.905 | 69.184 | 51.455 | -0.000 | 0.000 | -0.000 | 
| 67.721 | 173.408 | 51.671 | -0.000 | -0.000 | 0.000 | 
| 51.904 | 53.525 | 188.111 | -0.000 | -0.000 | -0.000 | 
| 0.000 | 0.000 | -0.000 | 62.232 | -0.000 | -0.000 | 
| 0.339 | 1.459 | -1.779 | 0.000 | 45.724 | 0.000 | 
| 0.000 | 0.000 | 0.000 | -0.000 | -0.000 | 90.000 | 
| 172.655 | 67.431 | 53.435 | -0.000 | -0.000 | 0.000 | 
| 69.193 | 171.716 | 51.876 | -0.000 | -0.000 | 0.000 | 
| 18.553 | 18.926 | 255.529 | -0.000 | -0.000 | -0.000 | 
| -0.034 | -0.146 | 0.177 | 45.551 | -0.000 | 0.000 | 
| -0.000 | -0.000 | -0.000 | -0.000 | 62.344 | 0.000 | 
| 0.000 | 0.000 | 0.000 | -0.000 | -0.000 | 90.000 | 
| 227.982 | 47.039 | 18.447 | -0.000 | 0.000 | -0.000 | 
| 69.252 | 172.017 | 51.520 | -0.000 | 0.000 | -0.000 | 
| 51.599 | 52.210 | 189.715 | -0.000 | 0.000 | -0.000 | 
| 0.034 | 0.146 | -0.177 | 45.551 | -0.000 | -0.000 | 
| 0.000 | 0.000 | 0.000 | 0.000 | 62.344 | -0.000 | 
| -0.000 | -0.000 | -0.000 | 0.000 | -0.000 | 90.000 | 
| 172.675 | 67.575 | 53.274 | 0.000 | -0.000 | 0.000 | 
| 69.221 | 171.850 | 51.717 | 0.000 | 0.000 | 0.000 | 
| 51.563 | 52.051 | 189.909 | 0.000 | 0.000 | 0.000 | 
| -0.003 | -0.015 | 0.018 | 45.551 | 0.000 | 0.000 | 
| 0.000 | 0.000 | -0.000 | 0.000 | 62.344 | 0.000 | 
| -0.004 | -0.016 | 0.019 | 0.000 | -0.000 | 51.193 | 
| 172.607 | 69.490 | 51.448 | -0.000 | 0.000 | -0.000 | 
| 69.225 | 171.883 | 51.679 | 0.000 | 0.000 | -0.000 | 
| 51.567 | 52.077 | 189.877 | 0.000 | 0.000 | -0.000 | 
| 0.003 | 0.015 | -0.018 | 45.551 | 0.000 | -0.000 | 
| -0.000 | -0.000 | 0.000 | -0.000 | 62.344 | -0.000 | 
| 0.004 | 0.016 | -0.019 | 0.000 | 0.000 | 51.193 | 
| 166.462 | 89.845 | 89.845 | -0.000 | -0.000 | -0.000 | 
| 89.845 | 166.462 | 89.845 | -0.000 | -0.000 | -0.000 | 
| 89.844 | 89.845 | 166.461 | -0.000 | -0.000 | -0.000 | 
| 17.769 | 17.769 | 17.769 | 46.045 | -0.000 | -0.000 | 
| 17.769 | 17.769 | 17.769 | -0.000 | 46.045 | -0.000 | 
| 17.769 | 17.769 | 17.769 | -0.000 | -0.000 | 46.045 | 
| 129.136 | 54.797 | 54.797 | 0.000 | 0.000 | 0.000 | 
| 54.797 | 129.136 | 54.797 | 0.000 | 0.000 | 0.000 | 
| 54.797 | 54.797 | 129.136 | 0.000 | 0.000 | 0.000 | 
| -17.769 | -17.769 | -17.769 | 46.045 | 0.000 | 0.000 | 
| -17.769 | -17.769 | -17.769 | 0.000 | 46.045 | 0.000 | 
| -17.769 | -17.769 | -17.769 | 0.000 | -0.000 | 46.045 | 
| 148.221 | 73.032 | 73.032 | -0.000 | -0.000 | 0.000 | 
| 73.032 | 148.221 | 73.032 | -0.000 | -0.000 | -0.000 | 
| 73.032 | 73.032 | 148.221 | -0.000 | -0.000 | -0.000 | 
| 0.000 | 0.000 | 0.000 | 94.014 | -0.000 | -0.000 | 
| 0.000 | 0.000 | 0.000 | -0.000 | 94.014 | -0.000 | 
| 0.000 | 0.000 | 0.000 | -0.000 | -0.000 | 94.014 | 
| 192.267 | 60.196 | 60.196 | 0.000 | 0.000 | 0.000 | 
| 60.196 | 192.267 | 60.196 | 0.000 | 0.000 | 0.000 | 
| 60.196 | 60.196 | 192.267 | 0.000 | 0.000 | 0.000 | 
| -0.000 | -0.000 | -0.000 | 94.014 | 0.000 | 0.000 | 
| -0.000 | -0.000 | -0.000 | 0.000 | 94.014 | 0.000 | 
| -0.000 | -0.000 | -0.000 | 0.000 | 0.000 | 94.014 | 
| 146.828 | 71.186 | 71.186 | -0.000 | -0.000 | -0.000 | 
| 71.186 | 146.828 | 71.186 | -0.000 | -0.000 | 0.000 | 
| 71.186 | 71.186 | 146.828 | -0.000 | -0.000 | -0.000 | 
| 0.164 | 0.164 | 0.164 | 45.818 | -0.000 | -0.000 | 
| 0.164 | 0.164 | 0.164 | -0.000 | 45.818 | -0.000 | 
| 0.164 | 0.164 | 0.164 | -0.000 | -0.000 | 45.818 | 
| 146.527 | 70.778 | 70.779 | 0.000 | 0.000 | 0.000 | 
| 70.779 | 146.527 | 70.778 | 0.000 | 0.000 | 0.000 | 
| 70.778 | 70.779 | 146.527 | 0.000 | 0.000 | 0.000 | 
| -0.164 | -0.164 | -0.164 | 45.818 | 0.000 | 0.000 | 
| -0.164 | -0.164 | -0.164 | 0.000 | 45.818 | 0.000 | 
| -0.164 | -0.164 | -0.164 | 0.000 | 0.000 | 45.818 | 
| 172.196 | 67.587 | 53.329 | -0.000 | 0.000 | -0.000 | 
| 47.188 | 227.815 | 18.491 | 0.000 | 0.000 | -0.000 | 
| 18.815 | 18.815 | 255.277 | -0.000 | 0.000 | 0.000 | 
| -0.000 | -0.000 | -0.000 | 62.406 | -0.000 | -0.000 | 
| -0.000 | -0.000 | -0.000 | 0.000 | 62.407 | -0.000 | 
| -0.003 | -0.003 | 0.006 | -0.000 | 0.000 | 51.318 | 
| 227.815 | 47.188 | 18.491 | 0.000 | -0.000 | -0.000 | 
| 47.188 | 227.815 | 18.491 | 0.000 | 0.000 | 0.000 | 
| 18.815 | 18.815 | 255.277 | -0.000 | -0.000 | -0.000 | 
| 0.000 | 0.000 | -0.000 | 62.406 | 0.000 | 0.000 | 
| 0.000 | 0.000 | 0.000 | -0.000 | 62.407 | 0.000 | 
| 0.003 | 0.003 | -0.006 | 0.000 | -0.000 | 51.318 | 
| 227.815 | 47.188 | 18.491 | -0.000 | 0.000 | -0.000 | 
| 47.188 | 227.815 | 18.491 | -0.000 | 0.000 | -0.000 | 
| 51.844 | 51.844 | 189.935 | 0.000 | 0.000 | -0.000 | 
| -0.000 | -0.000 | 0.001 | 45.734 | -0.000 | -0.000 | 
| -0.000 | -0.000 | 0.000 | -0.000 | 45.734 | -0.000 | 
| -0.000 | -0.000 | 0.001 | -0.000 | -0.000 | 51.318 | 
| 227.815 | 47.188 | 18.491 | -0.000 | 0.000 | 0.000 | 
| 47.188 | 227.814 | 18.491 | -0.000 | -0.000 | -0.000 | 
| 51.846 | 51.846 | 189.929 | 0.000 | -0.000 | 0.000 | 
| 0.000 | 0.000 | -0.000 | 45.734 | -0.000 | 0.000 | 
| 0.000 | 0.000 | -0.000 | 0.000 | 45.734 | 0.000 | 
| 0.000 | 0.000 | -0.001 | 0.000 | -0.000 | 51.318 | 
| 172.198 | 67.591 | 53.324 | 0.000 | 0.000 | -0.000 | 
| 67.591 | 172.197 | 53.325 | -0.000 | -0.000 | -0.000 | 
| 51.828 | 51.828 | 189.966 | 0.000 | 0.000 | -0.000 | 
| 0.000 | 0.000 | -0.000 | 62.407 | 0.000 | -0.000 | 
| -0.000 | 0.000 | 0.000 | -0.000 | 45.734 | -0.000 | 
| 0.000 | 0.000 | 0.000 | -0.000 | -0.000 | 90.313 | 
| 172.198 | 67.590 | 53.323 | 0.000 | -0.000 | 0.000 | 
| 69.487 | 172.125 | 51.519 | 0.000 | -0.000 | 0.000 | 
| 51.844 | 51.844 | 189.933 | 0.000 | 0.000 | -0.000 | 
| -0.000 | -0.000 | 0.000 | 62.407 | 0.000 | 0.000 | 
| 0.000 | -0.000 | -0.000 | 0.000 | 45.734 | 0.000 | 
| -0.000 | -0.000 | -0.000 | 0.000 | -0.000 | 90.313 | 
| 1242.472 | 634.178 | 424.410 | 0.000 | 0.000 | 0.000 | 
| 660.969 | 1215.680 | 424.410 | -0.000 | 0.000 | -0.000 | 
| 424.410 | 424.410 | 1610.434 | 0.000 | 0.000 | -0.000 | 
| 0.000 | 0.000 | 0.000 | 49.646 | 0.000 | -0.000 | 
| -0.000 | 0.000 | 0.000 | 0.000 | 246.581 | -0.000 | 
| 0.000 | 0.000 | 0.000 | -0.000 | 0.000 | 277.356 | 
| 1242.471 | 634.178 | 424.410 | -0.000 | -0.000 | 0.000 | 
| 634.177 | 1242.471 | 424.410 | -0.000 | 0.000 | 0.000 | 
| 424.410 | 424.410 | 1610.433 | 0.000 | 0.000 | 0.000 | 
| -0.000 | -0.000 | -0.000 | 49.646 | 0.000 | 0.000 | 
| 0.000 | -0.000 | -0.000 | -0.000 | 246.580 | 0.000 | 
| -0.000 | -0.000 | -0.000 | -0.000 | -0.000 | 277.356 | 
| 1215.680 | 660.968 | 424.409 | 0.000 | 0.000 | -0.000 | 
| 634.177 | 1242.471 | 424.409 | 0.000 | 0.000 | -0.000 | 
| 424.409 | 424.409 | 1610.433 | 0.000 | 0.000 | -0.000 | 
| -0.000 | -0.000 | 0.000 | 246.580 | 0.000 | -0.000 | 
| -0.000 | 0.000 | -0.000 | -0.000 | 49.646 | -0.000 | 
| -0.000 | 0.000 | -0.000 | 0.000 | 0.000 | 304.147 | 
| 1215.680 | 660.970 | 424.410 | -0.000 | -0.000 | 0.000 | 
| 660.972 | 1215.678 | 424.410 | -0.000 | -0.000 | 0.000 | 
| 424.410 | 424.410 | 1610.434 | -0.000 | -0.000 | 0.000 | 
| 0.000 | 0.000 | -0.000 | 246.580 | -0.000 | 0.000 | 
| 0.000 | -0.000 | 0.000 | 0.000 | 49.646 | 0.000 | 
| 0.000 | -0.000 | 0.000 | 0.000 | -0.000 | 304.147 | 
| 1242.469 | 634.167 | 424.404 | 0.000 | 0.000 | -0.000 | 
| 660.963 | 1215.674 | 424.404 | 0.000 | 0.000 | -0.000 | 
| 424.405 | 424.405 | 1610.429 | 0.000 | 0.000 | -0.000 | 
| 0.001 | -0.001 | -0.001 | 49.646 | -0.000 | -0.000 | 
| -0.001 | 0.001 | -0.001 | -0.000 | 49.646 | -0.000 | 
| -0.001 | 0.003 | -0.002 | -0.000 | 0.000 | 304.147 | 
| 1215.681 | 660.980 | 424.415 | -0.000 | -0.000 | 0.000 | 
| 661.000 | 1215.661 | 424.415 | 0.000 | 0.000 | 0.000 | 
| 424.415 | 424.415 | 1610.438 | 0.000 | -0.000 | 0.000 | 
| -0.001 | 0.001 | 0.001 | 49.646 | -0.000 | 0.000 | 
| 0.001 | -0.001 | 0.001 | 0.000 | 49.646 | 0.000 | 
| 0.001 | -0.003 | 0.002 | 0.000 | 0.000 | 304.147 | 
| 172.563 | 42.044 | 42.044 | -0.000 | 0.000 | 0.000 | 
| 42.044 | 172.563 | 42.044 | 0.000 | 0.000 | 0.000 | 
| 42.044 | 42.044 | 172.563 | 0.000 | 0.000 | -0.000 | 
| -0.000 | -0.000 | -0.000 | 77.479 | 0.000 | 0.000 | 
| -0.000 | 0.000 | 0.000 | 0.000 | 77.479 | 0.000 | 
| -0.000 | 0.000 | 0.001 | 0.000 | 0.000 | 77.479 | 
| 172.563 | 42.044 | 42.044 | -0.000 | -0.000 | -0.000 | 
| 42.044 | 172.563 | 42.044 | 0.000 | -0.000 | -0.000 | 
| 42.044 | 42.044 | 172.563 | -0.000 | -0.000 | 0.000 | 
| 0.000 | 0.000 | 0.000 | 77.479 | -0.000 | -0.000 | 
| 0.000 | -0.000 | -0.000 | -0.000 | 77.479 | -0.000 | 
| 0.000 | -0.000 | -0.001 | -0.000 | -0.000 | 77.479 | 
| 172.563 | 42.044 | 42.044 | -0.000 | 0.000 | 0.000 | 
| 42.044 | 172.563 | 42.044 | -0.000 | 0.000 | 0.000 | 
| 42.044 | 42.044 | 172.563 | 0.000 | 0.000 | 0.000 | 
| 0.000 | -0.000 | -0.000 | 77.479 | 0.000 | 0.000 | 
| -0.000 | 0.000 | 0.000 | 0.000 | 77.479 | 0.000 | 
| -0.000 | 0.000 | 0.000 | 0.000 | -0.000 | 77.479 | 
| 172.563 | 42.044 | 42.044 | -0.000 | -0.000 | -0.000 | 
| 42.044 | 172.563 | 42.044 | -0.000 | 0.000 | -0.000 | 
| 42.044 | 42.044 | 172.563 | -0.000 | 0.000 | -0.000 | 
| -0.000 | -0.000 | 0.000 | 77.479 | -0.000 | -0.000 | 
| 0.000 | -0.000 | -0.000 | -0.000 | 77.479 | -0.000 | 
| 0.000 | -0.000 | -0.000 | -0.000 | -0.000 | 77.479 | 
| 137.324 | 59.827 | 59.827 | 0.000 | -0.000 | 0.000 | 
| 59.827 | 137.324 | 59.827 | 0.000 | 0.000 | -0.000 | 
| 59.827 | 59.827 | 137.324 | 0.000 | 0.000 | -0.000 | 
| 2.007 | 2.007 | 2.007 | 40.208 | 0.000 | 0.000 | 
| 2.007 | 2.007 | 2.007 | 0.000 | 40.208 | 0.000 | 
| 2.007 | 2.007 | 2.007 | 0.000 | 0.000 | 40.208 | 
| 133.334 | 58.472 | 58.472 | -0.000 | -0.000 | 0.000 | 
| 58.472 | 133.334 | 58.472 | -0.000 | -0.000 | -0.000 | 
| 58.472 | 58.472 | 133.334 | -0.000 | -0.000 | -0.000 | 
| -2.007 | -2.007 | -2.007 | 40.208 | 0.000 | 0.000 | 
| -2.007 | -2.007 | -2.007 | -0.000 | 40.208 | -0.000 | 
| -2.007 | -2.007 | -2.007 | -0.000 | -0.000 | 40.208 | 
| 132.856 | 54.966 | 54.966 | 0.000 | -0.000 | 0.000 | 
| 54.966 | 132.856 | 54.966 | 0.000 | -0.000 | 0.000 | 
| 54.966 | 54.966 | 132.856 | 0.000 | -0.000 | 0.000 | 
| 0.011 | 0.011 | 0.011 | 35.662 | 0.001 | -0.001 | 
| 0.011 | 0.011 | 0.011 | -0.001 | 35.663 | -0.001 | 
| 0.011 | 0.011 | 0.011 | -0.001 | 0.001 | 35.661 | 
| 138.170 | 54.735 | 54.735 | 0.001 | -0.001 | 0.001 | 
| 54.735 | 138.170 | 54.735 | 0.001 | -0.001 | 0.001 | 
| 54.735 | 54.735 | 138.170 | 0.001 | -0.001 | 0.001 | 
| -0.011 | -0.011 | -0.011 | 35.663 | -0.001 | 0.001 | 
| -0.011 | -0.011 | -0.011 | 0.001 | 35.661 | 0.001 | 
| -0.011 | -0.011 | -0.011 | 0.001 | -0.001 | 35.663 | 
| 132.793 | 54.972 | 54.972 | -0.000 | 0.000 | -0.000 | 
| 54.972 | 132.793 | 54.972 | -0.000 | 0.000 | -0.000 | 
| 54.972 | 54.972 | 132.793 | -0.000 | 0.000 | -0.000 | 
| 0.001 | 0.001 | 0.001 | 35.662 | 0.000 | -0.000 | 
| 0.001 | 0.001 | 0.001 | -0.000 | 35.662 | -0.000 | 
| 0.001 | 0.001 | 0.001 | -0.000 | 0.000 | 35.662 | 
| 132.792 | 54.971 | 54.971 | 0.000 | -0.000 | 0.000 | 
| 54.971 | 132.792 | 54.971 | 0.000 | -0.000 | 0.000 | 
| 54.971 | 54.971 | 132.792 | 0.000 | -0.000 | 0.000 | 
| -0.001 | -0.001 | -0.001 | 35.448 | -0.000 | 0.000 | 
| -0.001 | -0.001 | -0.001 | 0.000 | 35.662 | 0.000 | 
| -0.001 | -0.001 | -0.001 | 0.000 | -0.000 | 35.662 | 
| 132.791 | 55.012 | 55.012 | -0.000 | 0.000 | -0.000 | 
| 55.012 | 132.791 | 55.012 | -0.000 | 0.000 | -0.000 | 
| 55.012 | 55.012 | 132.791 | -0.000 | 0.000 | -0.000 | 
| 0.000 | 0.000 | 0.000 | 35.448 | 0.000 | -0.000 | 
| 0.000 | 0.000 | 0.000 | -0.000 | 35.448 | -0.000 | 
| 0.000 | 0.000 | 0.000 | -0.000 | 0.000 | 35.448 | 
| 132.793 | 55.011 | 55.011 | 0.000 | -0.000 | 0.000 | 
| 55.011 | 132.793 | 55.011 | 0.000 | -0.000 | 0.000 | 
| 55.011 | 55.011 | 132.793 | 0.000 | -0.000 | 0.000 | 
| -0.000 | -0.000 | -0.000 | 35.448 | -0.000 | 0.000 | 
| -0.000 | -0.000 | -0.000 | 0.000 | 35.448 | 0.000 | 
| -0.000 | -0.000 | -0.000 | 0.000 | -0.000 | 35.448 | 
| 87.358 | 21.709 | 21.709 | 0.000 | 0.000 | -0.000 | 
| 21.710 | 87.358 | 21.709 | -0.000 | -0.000 | -0.000 | 
| 21.710 | 21.709 | 87.357 | 0.000 | 0.000 | 0.000 | 
| -60.141 | -60.141 | -60.141 | 44.982 | 0.000 | -0.000 | 
| -60.141 | -60.141 | -60.141 | 0.000 | 44.982 | -0.000 | 
| -60.141 | -60.141 | -60.141 | 0.000 | -0.000 | 44.981 | 
| 168.612 | 102.648 | 102.648 | -0.000 | -0.000 | 0.000 | 
| 102.648 | 168.613 | 102.648 | -0.000 | -0.000 | 0.000 | 
| 102.648 | 102.648 | 168.612 | -0.000 | -0.000 | -0.000 | 
| 60.141 | 60.141 | 60.141 | 44.982 | -0.000 | -0.000 | 
| 60.141 | 60.141 | 60.141 | -0.000 | 44.982 | -0.000 | 
| 60.141 | 60.141 | 60.141 | 0.000 | -0.001 | 44.981 | 
| 127.471 | 56.870 | 56.870 | -0.000 | 0.000 | -0.000 | 
| 56.870 | 127.471 | 56.870 | -0.000 | 0.000 | 0.000 | 
| 56.870 | 56.870 | 127.471 | 0.000 | 0.000 | -0.000 | 
| -3.832 | -3.832 | -3.832 | 34.759 | 0.000 | -0.000 | 
| -3.832 | -3.832 | -3.832 | 0.000 | 34.759 | 0.000 | 
| -3.832 | -3.832 | -3.832 | -0.000 | 0.000 | 34.759 | 
| 144.034 | 63.015 | 63.015 | -0.000 | -0.000 | 0.000 | 
| 63.015 | 144.034 | 63.015 | 0.000 | -0.000 | -0.000 | 
| 63.015 | 63.015 | 144.034 | -0.000 | -0.000 | -0.000 | 
| 3.832 | 3.832 | 3.832 | 34.759 | 0.000 | -0.000 | 
| 3.832 | 3.832 | 3.832 | 0.000 | 34.759 | 0.000 | 
| 3.832 | 3.832 | 3.832 | -0.000 | 0.000 | 34.759 | 
| 137.494 | 56.138 | 56.138 | -0.000 | 0.000 | 0.000 | 
| 56.138 | 137.494 | 56.138 | 0.000 | 0.000 | -0.000 | 
| 56.138 | 56.138 | 137.494 | -0.000 | 0.000 | 0.000 | 
| -0.562 | -0.562 | -0.562 | 39.535 | 0.000 | 0.000 | 
| -0.562 | -0.562 | -0.562 | 0.000 | 39.535 | 0.000 | 
| -0.562 | -0.562 | -0.562 | -0.000 | 0.000 | 39.535 | 
| 183.444 | 35.288 | 35.288 | 0.000 | -0.000 | -0.000 | 
| 35.288 | 183.444 | 35.288 | 0.000 | -0.000 | -0.000 | 
| 35.288 | 35.288 | 183.444 | 0.000 | 0.000 | -0.000 | 
| 0.562 | 0.562 | 0.562 | 39.535 | -0.000 | -0.000 | 
| 0.562 | 0.562 | 0.562 | 0.000 | 39.535 | -0.000 | 
| 0.562 | 0.562 | 0.562 | 0.000 | -0.000 | 39.535 | 
| 301.349 | 59.802 | 32.516 | 0.000 | -0.000 | -0.000 | 
| 65.260 | 303.721 | 29.092 | 0.000 | 0.000 | -0.000 | 
| 35.199 | 26.317 | 394.172 | 0.000 | -0.000 | -0.000 | 
| 0.000 | 0.000 | 0.000 | 35.644 | 0.000 | 0.000 | 
| 0.000 | -0.000 | 0.000 | 0.000 | 35.222 | 0.000 | 
| -0.000 | -0.000 | 0.000 | 0.000 | 0.000 | 31.589 | 
| 301.349 | 59.802 | 32.516 | -0.000 | -0.000 | 0.000 | 
| 65.260 | 303.721 | 29.092 | -0.000 | 0.000 | 0.000 | 
| 35.199 | 26.317 | 394.172 | -0.000 | 0.000 | -0.000 | 
| -0.000 | -0.000 | -0.000 | 35.644 | -0.000 | -0.000 | 
| 0.000 | 0.000 | -0.000 | -0.000 | 35.222 | -0.000 | 
| 0.000 | 0.000 | -0.000 | -0.000 | 0.000 | 31.589 | 
| 301.349 | 59.802 | 32.516 | 0.000 | 0.000 | -0.000 | 
| 65.260 | 303.721 | 29.092 | 0.000 | -0.000 | -0.000 | 
| 35.199 | 26.317 | 394.172 | 0.000 | 0.000 | -0.000 | 
| -0.000 | 0.000 | -0.000 | 35.644 | -0.000 | 0.000 | 
| -0.000 | -0.000 | -0.000 | 0.000 | 35.222 | 0.000 | 
| -0.000 | -0.000 | -0.000 | 0.000 | 0.000 | 31.589 | 
| 301.349 | 59.802 | 32.516 | -0.000 | 0.000 | 0.000 | 
| 65.260 | 303.721 | 29.092 | 0.000 | 0.000 | 0.000 | 
| 35.199 | 26.317 | 394.172 | -0.000 | -0.000 | -0.000 | 
| 0.000 | 0.000 | -0.000 | 35.644 | 0.000 | 0.000 | 
| 0.000 | 0.000 | -0.000 | -0.000 | 35.222 | -0.000 | 
| 0.000 | 0.000 | 0.000 | -0.000 | 0.000 | 31.589 | 
| 301.349 | 59.802 | 32.516 | 0.000 | -0.000 | -0.000 | 
| 65.260 | 303.722 | 29.092 | 0.000 | -0.000 | 0.000 | 
| 35.199 | 26.317 | 394.174 | 0.000 | 0.000 | -0.000 | 
| -0.000 | -0.000 | -0.000 | 35.644 | 0.000 | -0.000 | 
| -0.000 | -0.000 | -0.000 | 0.000 | 35.222 | -0.000 | 
| -0.000 | -0.000 | -0.000 | 0.000 | -0.000 | 31.589 | 
| 301.348 | 59.802 | 32.516 | -0.000 | 0.000 | 0.000 | 
| 65.259 | 303.720 | 29.092 | -0.000 | 0.000 | 0.000 | 
| 35.199 | 26.317 | 394.170 | -0.000 | -0.000 | 0.000 | 
| 0.000 | 0.000 | 0.000 | 35.644 | -0.000 | -0.000 | 
| 0.000 | 0.000 | 0.000 | -0.000 | 35.222 | 0.000 | 
| 0.000 | 0.000 | 0.000 | -0.000 | -0.000 | 31.589 | 
| 461.932 | 5.958 | 0.537 | 0.000 | -0.000 | 0.000 | 
| 21.718 | 1417.781 | 151.475 | -0.000 | -0.000 | 0.000 | 
| 12.443 | 147.620 | 336.526 | -0.000 | -0.000 | 0.000 | 
| 0.000 | 0.000 | 0.000 | 104.551 | -0.000 | -0.000 | 
| 0.000 | 0.000 | 0.000 | 0.000 | 29.249 | 0.000 | 
| 0.000 | -0.000 | 0.000 | 0.000 | -0.000 | 33.083 | 
| 461.932 | 5.958 | 0.537 | -0.000 | 0.000 | 0.000 | 
| 21.718 | 1417.780 | 151.475 | 0.000 | 0.000 | 0.000 | 
| 12.442 | 147.621 | 336.526 | 0.000 | 0.000 | -0.000 | 
| -0.000 | -0.000 | -0.000 | 104.551 | 0.000 | -0.000 | 
| -0.000 | -0.000 | -0.000 | -0.000 | 29.249 | -0.000 | 
| -0.000 | 0.000 | -0.000 | -0.000 | 0.000 | 33.083 | 
| 461.932 | 5.958 | 0.537 | 0.000 | -0.000 | -0.000 | 
| 21.718 | 1417.781 | 151.475 | -0.000 | -0.000 | 0.000 | 
| 12.442 | 147.621 | 336.526 | -0.000 | -0.000 | -0.000 | 
| 0.000 | -0.000 | 0.000 | 104.551 | -0.000 | 0.000 | 
| 0.000 | -0.000 | -0.000 | 0.000 | 29.249 | -0.000 | 
| -0.000 | -0.000 | 0.000 | 0.000 | -0.000 | 33.083 | 
| 461.932 | 5.958 | 0.537 | -0.000 | 0.000 | 0.000 | 
| 21.718 | 1417.780 | 151.475 | -0.000 | 0.000 | 0.000 | 
| 12.442 | 147.621 | 336.526 | 0.000 | 0.000 | 0.000 | 
| -0.000 | 0.000 | -0.000 | 104.551 | 0.000 | 0.000 | 
| -0.000 | 0.000 | 0.000 | -0.000 | 29.249 | 0.000 | 
| 0.000 | 0.000 | -0.000 | -0.000 | 0.000 | 33.083 | 
| 461.934 | 5.958 | 0.537 | -0.000 | -0.000 | 0.000 | 
| 21.716 | 1417.784 | 151.471 | -0.000 | -0.000 | 0.000 | 
| 12.442 | 147.622 | 336.527 | -0.000 | -0.000 | 0.000 | 
| 0.000 | -0.000 | 0.000 | 104.551 | -0.000 | -0.000 | 
| 0.000 | -0.000 | -0.000 | -0.000 | 29.249 | 0.000 | 
| 0.000 | -0.001 | -0.000 | -0.000 | -0.000 | 33.083 | 
| 461.930 | 5.958 | 0.537 | 0.000 | 0.000 | -0.000 | 
| 21.720 | 1417.777 | 151.479 | 0.000 | 0.000 | 0.000 | 
| 12.442 | 147.621 | 336.525 | 0.000 | 0.000 | -0.000 | 
| -0.000 | 0.000 | -0.000 | 104.551 | 0.000 | -0.000 | 
| -0.000 | 0.000 | 0.000 | 0.000 | 29.249 | -0.000 | 
| -0.000 | 0.001 | 0.000 | 0.000 | 0.000 | 33.083 | 
Phonon band structures and crystal properties estimated from quasi-harmonic approximation (QHA) calculations are displayed for select crystals. The calculations were performed using phonopy and LAMMPS. For the phonon calculations, 3x3 supercells of the potential-specific relaxed crystals were used. The QHA calculations were based on 11 strain states ranging from -0.05 to 0.05.
The calculation method used is available as the iprPy phonon calculation method.
Notes and Disclaimers:
Version Information:
























































































































Static free surface formation energies are displayed for select crystals. The values displayed here are obtained by taking a perfect periodic bulk crystal, slicing along a crystallographic plane, and using force minimization to statically relax the surfaces. The free surface formation energy is computed by comparing the energy of the defect system to the bulk system and dividing by the total surface area created by the cut.
The calculation method used is available as the iprPy surface_energy_static calculation method.
Notes and Disclaimers:
Version Information:
| Surface | γfs (mJ/m2) | 
|---|---|
| (211) 2 | -53494.68 | 
| (111) | -37552.12 | 
| (201) | -15903.21 | 
| (101) 1 | -7743.64 | 
| (101) 2 | -4035.89 | 
| (001) | -1437.01 | 
| (100) | 1420.51 | 
| (110) | 2456.85 | 
| Surface | γfs (mJ/m2) | 
|---|---|
| (111) | -101559.82 | 
| (322) | -61551.86 | 
| (321) | -41478.33 | 
| (332) | -28557.30 | 
| (211) | -16069.63 | 
| (221) | -14969.47 | 
| (100) | 938.87 | 
| (310) | 1080.66 | 
| (210) | 1148.68 | 
| (320) | 1319.19 | 
| (110) | 1490.18 | 
| Surface | γfs (mJ/m2) | 
|---|---|
| (332) | -11708.64 | 
| (322) | -11286.92 | 
| (321) | -11215.65 | 
| (331) | -9978.11 | 
| (320) | -9059.63 | 
| (221) | -8340.48 | 
| (211) | -7516.70 | 
| (311) | -6454.41 | 
| (210) | -5717.74 | 
| (310) | -2867.87 | 
| (111) | 995.21 | 
| (110) | 1136.21 | 
| (100) | 1239.59 | 
| Surface | γfs (mJ/m2) | 
|---|---|
| (110) | 1327.26 | 
| (211) | 1383.78 | 
| (321) | 1388.76 | 
| (111) | 1401.48 | 
| (331) | 1410.07 | 
| (221) | 1422.95 | 
| (332) | 1427.67 | 
| (322) | 1438.15 | 
| (320) | 1590.20 | 
| (311) | 1651.21 | 
| (210) | 1757.00 | 
| (310) | 1943.99 | 
| (100) | 2326.45 | 
| Surface | γfs (mJ/m2) | 
|---|---|
| (2132) 2 | -5257.71 | 
| (2132) 1 | -4369.05 | 
| (2112) | -4058.66 | 
| (1012) 1 | -3948.32 | 
| (1012) 2 | -3276.50 | 
| (2021) 2 | -3273.25 | 
| (1011) 2 | -3020.69 | 
| (2021) 1 | -2101.30 | 
| (2130) 2 | -1953.12 | 
| (1011) 1 | -1661.58 | 
| (2130) 1 | -1620.51 | 
| (2241) | -1104.74 | 
| (1121) | -1024.00 | 
| (2131) 1 | -821.60 | 
| (2131) 2 | -578.94 | 
| (1010) 1 | -183.86 | 
| (0001) | 995.15 | 
| (1120) | 1053.59 | 
| (1010) 2 | 1337.54 | 
| Surface | γfs (mJ/m2) | 
|---|---|
| (111) 2 | 1199.91 | 
| (331) 2 | 1460.29 | 
| (110) | 1521.75 | 
| (321) | 1743.52 | 
| (211) | 1792.48 | 
| (320) | 1823.30 | 
| (332) | 1883.19 | 
| (311) 2 | 1976.37 | 
| (210) | 1979.31 | 
| (311) 1 | 2027.08 | 
| (310) | 2125.81 | 
| (322) | 2183.32 | 
| (221) | 2253.62 | 
| (100) | 2268.38 | 
| (331) 1 | 2628.69 | 
| (111) 1 | 4139.24 | 
| Surface | γfs (mJ/m2) | 
|---|---|
| (100) | 1112.93 | 
| (112) | 1364.56 | 
| (101) 1 | 1387.30 | 
| (201) | 1433.81 | 
| (001) | 1665.98 | 
| (211) 1 | 1676.53 | 
| (110) | 1761.26 | 
| (111) | 1802.48 | 
| (211) 2 | 2005.03 | 
| (101) 2 | 3020.95 | 
| Surface | γfs (mJ/m2) | 
|---|---|
| (100) | 980.56 | 
| (310) | 1268.87 | 
| (210) | 1371.78 | 
| (320) | 1452.35 | 
| (311) | 1532.31 | 
| (110) | 1534.17 | 
| (331) | 1643.07 | 
| (321) | 1672.86 | 
| (221) | 1702.89 | 
| (211) | 1725.71 | 
| (332) | 1773.68 | 
| (322) | 1803.81 | 
| (111) | 1878.48 | 
Stacking fault energy plots and maps are displayed for select crystals. The values are computed by
The calculation method used is available as the iprPy stacking_fault_map_2D calculation method.
Notes and Disclaimers:
Version Information:
| E_usf a/2 [0 -1 1] | 167.02 | 
| τ_ideal a/2 [0 -1 1] | 12.29 | 




| E_isf | 0.08 | 
| E_usf a/2 [0 -1 1] | 3.63 | 
| τ_ideal a/2 [0 -1 1] | 13.21 | 




| E_usf a/2 [-1 1 -1] | 565.72 | 
| τ_ideal a/2 [-1 1 -1] | 27.87 | 




| E_usf a/2 [-1 -1 1] | 745.76 | 
| τ_ideal a/2 [-1 -1 1] | 37.31 | 




| E_isf | -0.08 | 
| E_usf a/3 [-2 1 1 0] | 3.64 | 
| τ_ideal a/3 [-2 1 1 0] | 13.20 | 




| E_usf a/3 [-1 2 -1 0] | 160.05 | 
| τ_ideal a/3 [-1 2 -1 0] | 13.21 | 




| E_usf a/3 [-1 2 -1 0] | 134.70 | 
| τ_ideal a/3 [-1 2 -1 0] | 11.09 | 




| E_usf a/3 [-1 2 -1 0] | 29.07 | 
| E_usf a/3 [-2 1 1 3] | 1394.33 | 
| τ_ideal a/3 [-1 2 -1 0] | 10.24 | 
| τ_ideal a/3 [-2 1 1 3] | 69.18 | 





| E_usf a/3 [-1 2 -1 0] | 45.96 | 
| E_usf a/3 [-2 1 1 3] | 179.45 | 
| τ_ideal a/3 [-1 2 -1 0] | 7.28 | 
| τ_ideal a/3 [-2 1 1 3] | 14.45 | 





| E_usf a/3 [-2 1 1 3] | 589.47 | 
| τ_ideal a/3 [-2 1 1 3] | 398.04 | 




Static point defect formation energies, Ef, and elastic dipole tensors, pij, are displayed for select crystals. Relaxed defect configurations are obtained by taking a 12x12x12 supercell of a perfect periodic bulk crystal, inserting the point defect, and using force minimization to statically relax the atomic positions while keeping the system dimensions constant. Ef is computed by comparing the energy of the defect system to the same number of atoms in a perfect bulk crystal. pij is estimated as the difference in the system's global pressure with and without the defect multiplied by the system's volume.
Simple structural comparisons of the unrelaxed and relaxed defect configurations are used to help determine if the defect structure has relaxed to a different configuration. Relaxed structures that are identified as no longer consistent with the ideal defect definition are excluded from the table below. The only exception to this is if the lowest energy interstitial configuration does not coincide with a known ideal defect, its energies and pressure tensor are included under the listing "relaxed interstitial". The full list of calculation results including the transformed structures and the structural comparison values is included in the csv file available from the "Download raw data" link.
The calculation method used is available as the iprPy point_defect_static calculation method.
Notes and Disclaimers:
| Point Defect | Ef (eV) | p11 (eV) | p22 (eV) | p33 (eV) | p12 (eV) | p13 (eV) | p23 (eV) | 
|---|---|---|---|---|---|---|---|
| relaxed interstitial | -1129.608 | 5095.248 | 5003.303 | 4381.219 | -159.205 | 24.765 | -39.964 | 
| vacancy | -0.295 | -22.626 | -22.626 | -22.626 | -0.000 | 0.000 | 0.000 | 
| 1nn divacancy | -0.090 | -40.295 | -41.358 | -41.358 | -0.000 | 0.000 | -1.966 | 
| Point Defect | Ef (eV) | p11 (eV) | p22 (eV) | p33 (eV) | p12 (eV) | p13 (eV) | p23 (eV) | 
|---|---|---|---|---|---|---|---|
| vacancy | 0.983 | -4.920 | -4.920 | -4.920 | -0.000 | -0.000 | 0.000 | 
| 1nn divacancy | 1.867 | -8.083 | -8.083 | -8.083 | -0.746 | -0.746 | -0.746 | 
| octahedral interstitial | 2.126 | 23.733 | 31.778 | 31.778 | -0.000 | 0.000 | -0.000 | 
| 100 dumbbell | 2.515 | 23.509 | 23.509 | 35.245 | -0.000 | -0.000 | -0.000 | 
| 2nn divacancy | 2.668 | -5.458 | -5.458 | -6.678 | -0.000 | -0.000 | -0.000 | 
| 110 dumbbell | 4.487 | 46.423 | 15.494 | 15.494 | 0.000 | -0.000 | -7.742 | 
| crowdion interstitial | 5.302 | 28.507 | 28.507 | 28.507 | 4.841 | 4.841 | 4.841 | 
| 111 dumbbell | 5.658 | 25.963 | 25.963 | 25.963 | 7.055 | 7.055 | 7.055 | 
| tetrahedral interstitial | 6.494 | 27.917 | 31.672 | 27.917 | 0.000 | 0.000 | -0.000 | 
| Point Defect | Ef (eV) | p11 (eV) | p22 (eV) | p33 (eV) | p12 (eV) | p13 (eV) | p23 (eV) | 
|---|---|---|---|---|---|---|---|
| relaxed interstitial | -735.442 | 4767.860 | 2271.040 | 305.123 | 54.324 | -3.875 | 23.269 | 
| vacancy | -0.292 | -22.430 | -22.430 | -23.181 | 0.000 | -0.000 | -0.000 | 
| Point Defect | Ef (eV) | p11 (eV) | p22 (eV) | p33 (eV) | p12 (eV) | p13 (eV) | p23 (eV) | 
|---|---|---|---|---|---|---|---|
| tetragonal interstitial | 3.586 | 20.405 | 20.405 | 20.405 | -0.000 | -0.000 | -0.000 | 
| vacancy | 3.704 | 5.380 | 5.380 | 5.380 | 0.000 | -0.000 | 0.000 | 
| 100 dumbbell | 4.702 | 14.920 | 14.920 | 20.872 | -0.000 | 0.000 | 0.000 | 
| 1nn divacancy | 5.563 | 8.171 | 8.171 | 8.171 | 0.262 | 0.262 | 0.262 | 
Plots of the atomic structure of dislocation cores are shown here. The dislocations were constructed using dislocation monopole configurations in which a straight dislocation is created in the center of the system using anisotropic elasticity and the elastic constants computed above. A cylindrical region centered around the dislocation is allowed to relax while the remaining atoms are held fixed. The relaxation consists of 1 million NVT steps at 10 K followed by an energy/force minimization. The final plots show the atomic configuration near the center of the monopole system, and display differential displacement arrows and Nye tensor color maps that are both taken with respect to the Burgers vector direction.
These plots show a wide range of final structures, some corresponding to expected dislocation structures and others not. While the characterizations are dislocation-type dependent, some general classification guidelines are listed here.
The calculation method used is available as the iprPy dislocation_monopole calculation method.
Links are provided above the images allowing for users to download the final defect configuration and a corresponding defect-free configuration if they wish to further analyze the structures or use them for subsequent simulations.
Notes and Disclaimers:
Version Information:
Plots of lattice and elastic constants are shown as a function of temperature. The 0K points were taken from the Crystal Structure Predictions and the Elastic Constants Predictions sections above for the unique crystal structures relaxed with the "dynamic" method. Starting from the 0 K relaxed crystal unit cells, supercell systems are created by replicating all three dimensions by the same multiplier to achieve at least 4000 atoms. The systems are then relaxed at 50 K and zero pressure using 1 million NPT steps. Lattice constants are estimated by averaging the measured box dimensions. Temperatures are iteratively increased by 50 K, with each subsequent relaxation calculation starting from the final atomic configuration at the previous temperature and relaxing for another 1 million steps.
The elastic constants are calculated using the deformation–fluctuation hybrid method. Starting from the final atomic configurations of the dynamic relaxations, the system is allowed to evolve at constant volume with a Langevin thermostat. The Born matrix is computed during this run by evaluating how the atomic forces would vary due to applied linear strain fields. The elastic constants can then be estimated using the averaged Born matrix values and the averaged stresses on the system.
The calculation methods used are available as the iprPy relax_dynamic and elastic_constants_dynamic calculation methods.
Clicking on the image of a plot will open an interactive version of it in a new tab. The underlying data for the plots can be downloaded by clicking on the links above each plot.
Notes and Disclaimers:
Version Information:
Plots of radial distribution functions at different temperatures and the temperature-dependent diffusion and viscosity are shown here for elemental liquids. Melt phases are constructed by starting with a 10x10x10 fcc super cell and relaxing with 50,000 NPT steps at zero pressure and a high melting temperature (3000 K for most potentials and elements). Following the melt, liquid structures are relaxed by running NPT for 10,000 steps over which the temperature is dropped by 50 K, then 50,000 NPT at the target temperature to estimate the equilibrium volume, followed by 20,000 NVT steps at the averaged equilibrium volume and target temperature. Structures from the NVT run are sampled to compute the radial distribution function of the liquid at the corresponding temperature.
The final relaxed configurations at each temperature explored are used as the initial configurations for the diffusion and viscosity calculations. For diffusion, the system is integrated for 100 runs of 2,000 NVT steps during which both the mean squared displacement (MSD) and the velocity auto correlation function (VACF) are computed. From these simulations, three estimates of diffusion are computed: one from the MSD of the full 200,000 step run, one in which the MSD is reset for each short run and then averaged, and one from the VACF computed for each short run and averaged. For viscosity, the Green-Kubo method is used which is evaluated during a 1 million step NVT run.
The calculation methods used are available as the iprPy relax_liquid_redo, diffusion_liquid, and viscosity_green_kubo calculation methods.
Clicking on the image of a plot will open an interactive version of it in a new tab. The underlying data for the plots can be downloaded by clicking on the links above each plot.
Notes and Disclaimers:
Version Information:
Plots of internal energy, Gibbs free energy, entropy, heat capacity and volume are shown here as a function of temperature for various crystal structures and liquid phases. The included crystal structures correspond to those in the Solid Structures vs. Temperature section, and the liquid phases to those in the Liquid Properties section. Internal energy and volume are taken from the associated structure relaxations mentioned in those previous sections. Constant pressure heat capacity is estimated using 3-point numerical derivatives of enthalpy versus temperature. Note that since all simulations done here are at 0 pressure, internal energy and enthalpy are equivalent.
The Gibbs energies of the phases are estimated using thermodynamic integration between the interatomic potential in question and a simpler model with known Gibbs free energy values. For solids, the reference model is an Einstein solid, while for liquids it is the Uhlenbeck-Ford potential. Besides a short run at the start of the solid calculations to estimate Einstein model spring constants, the two calculations proceed similarly. Starting with the final relaxation configurations, the systems are stabilized for 25,000 steps. Then, over the next 50,000 steps the potential is swapped out for the reference potential. The system is then stabilized for another 25,000 steps with the reference model before a reverse swap of 50,000 steps is performed. The simulation ends with one final 25,000 step stabilization period. From the simulation, the irreversible work of transformation is estimated and used to compute the absolute Gibbs free energy of the target phase and potential relative to the reference potential. Entropy is estimated as the difference in enthalpy and Gibbs free energy and divided by temperature.
The calculation methods used are available as the iprPy relax_dynamic, relax_liquid_redo, free_energy, and free_energy_liquid calculation methods.
Clicking on the image of a plot will open an interactive version of it in a new tab. The underlying data for the plots can be downloaded by clicking on the links above each plot.
Notes and Disclaimers:
Version Information:
 
             
            





