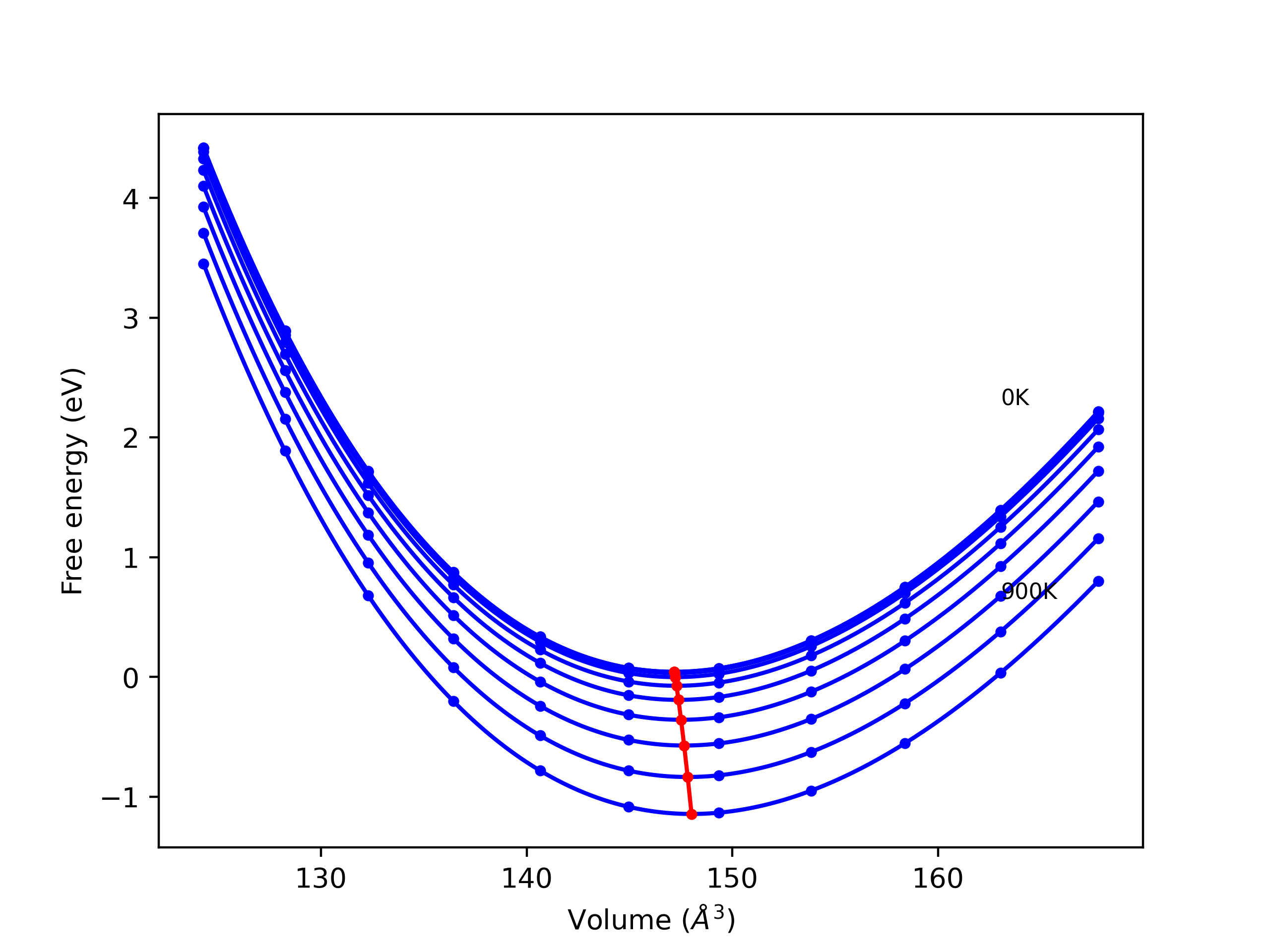
Plots of the potential energy vs interatomic spacing, r, are shown below for all diatom sets associated with the interatomic potential. This calculation provides insights into the functional form of the potential's two-body interactions. A system consisting of only two atoms is created, and the potential energy is evaluated for the atoms separated by 0.02 Å <= r <= 6.0> Å in intervals of 0.02 Å. Two plots are shown: one for the "standard" interaction distance range, and one for small values of r. The small r plot is useful for determining whether the potential is suitable for radiation studies.
The calculation method used is available as the iprPy diatom_scan calculation method.
Clicking on the image of a plot will open an interactive version of it in a new tab. The underlying data for the plots can be downloaded by clicking on the links above each plot.
Notes and Disclaimers:
Version Information:
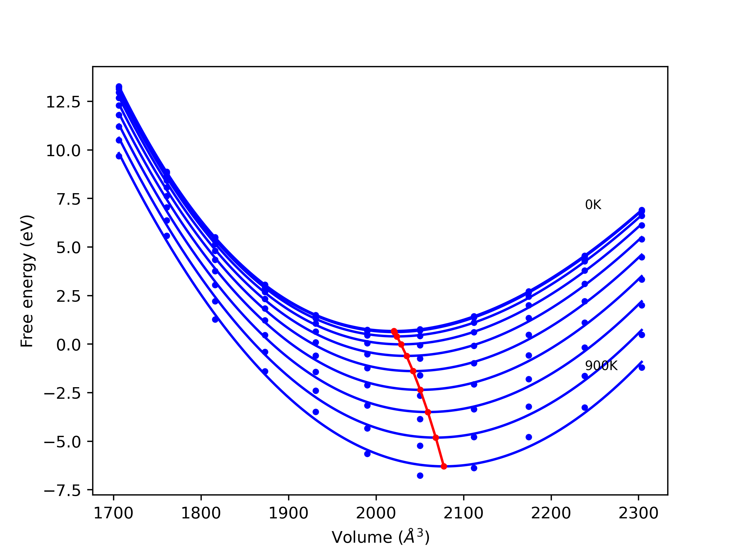
Plots of potential energy vs interatomic spacing, r, are shown below for a number of crystal structures. The structures are generated based on the ideal atomic positions and b/a and c/a lattice parameter ratios for a given crystal prototype. The size of the system is then uniformly scaled, and the energy calculated without relaxing the system. To obtain these plots, values of r are evaluated every 0.02 Å up to 6 Å.
The calculation method used is available as the iprPy E_vs_r_scan calculation method.
Clicking on the image of a plot will open an interactive version of it in a new tab. The underlying data for the plots can be downloaded by clicking on the links above each plot.
Notes and Disclaimers:
Version Information:
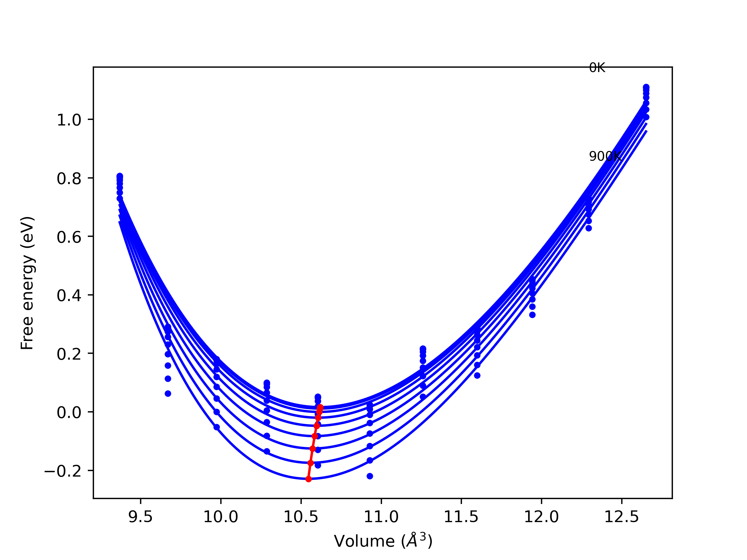
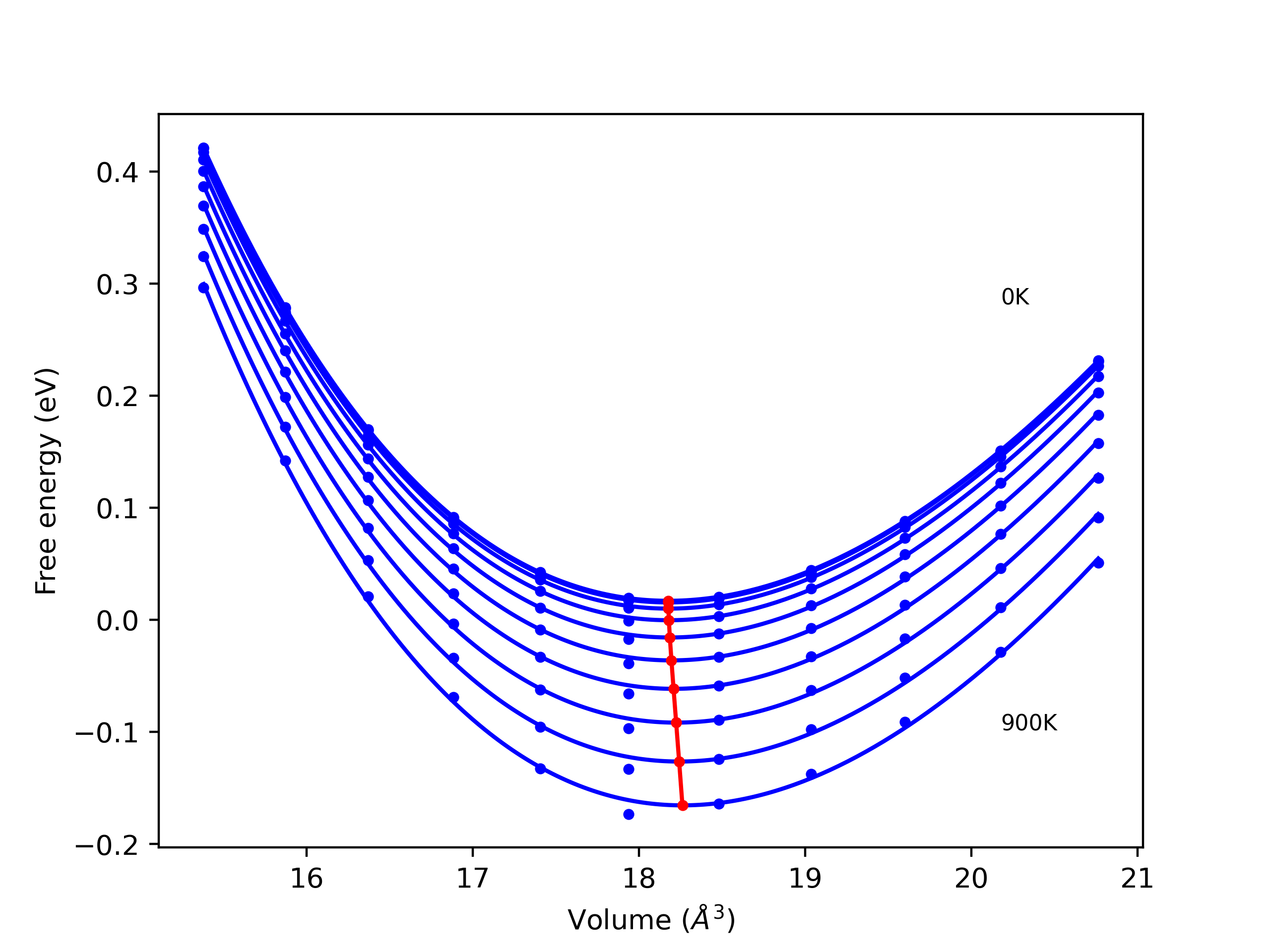
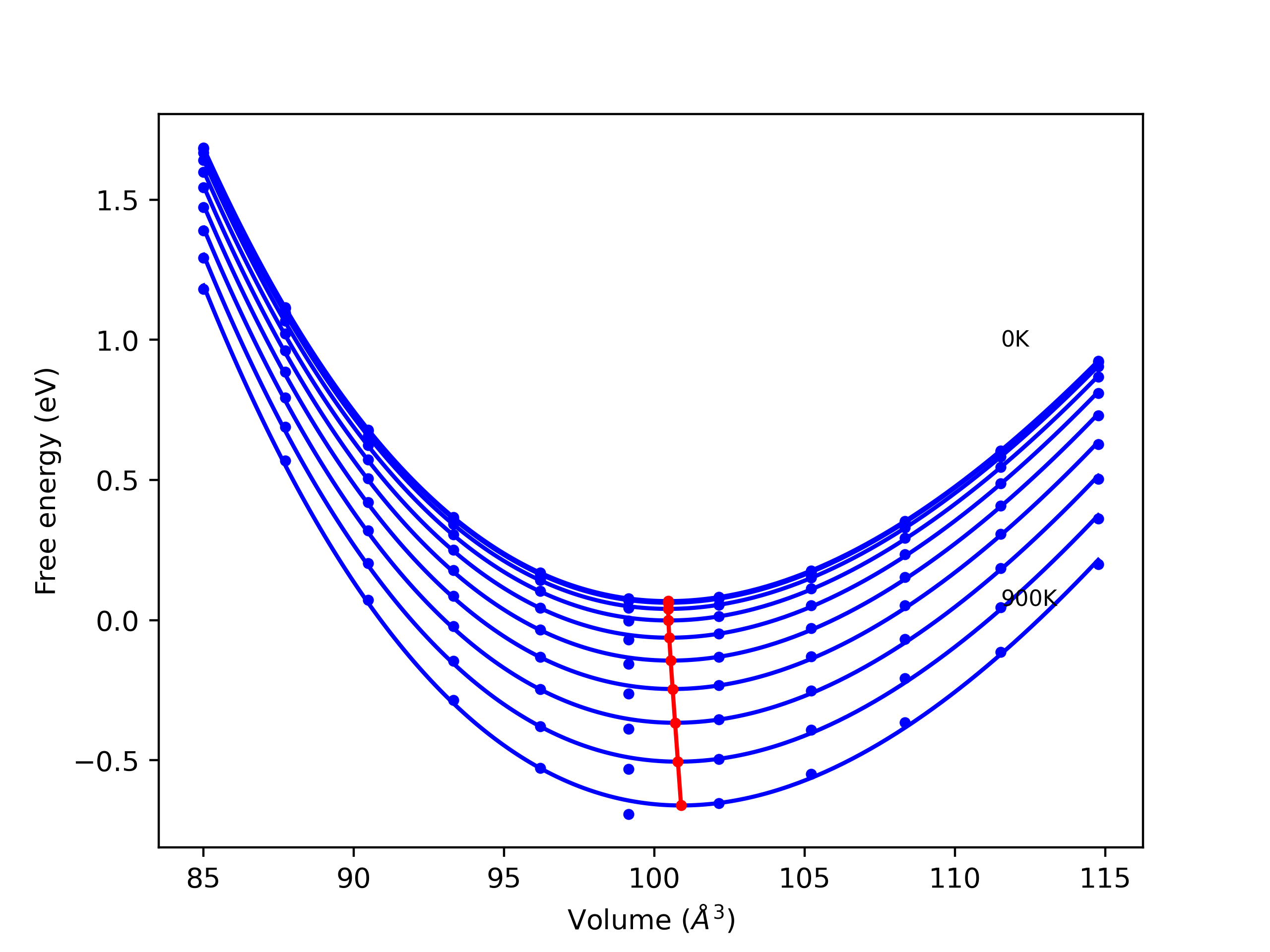
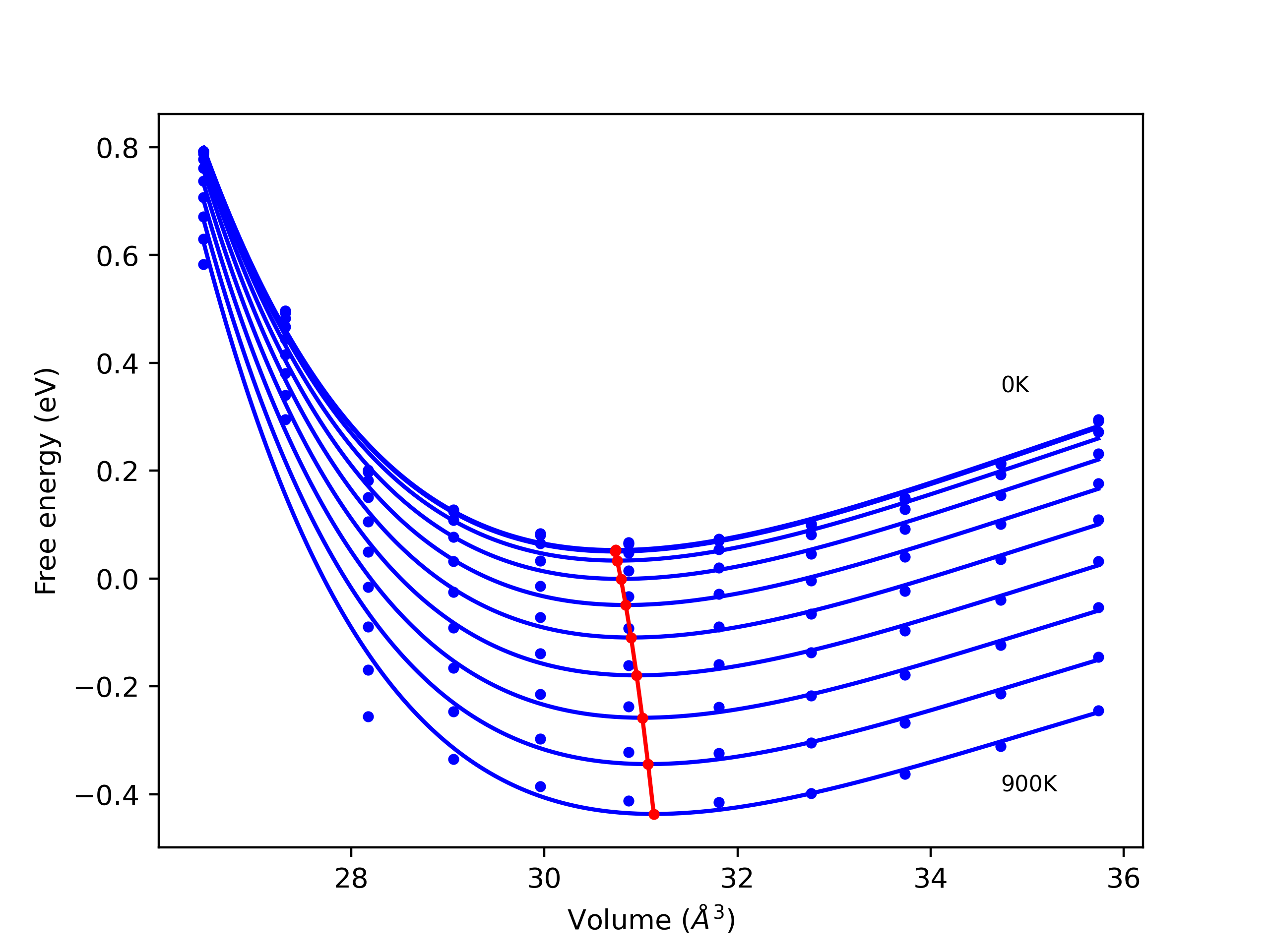
Computed lattice constants and cohesive/potential energies are displayed for a variety of crystal structures. The values displayed here are obtained using the following process.
The calculation methods used are implemented into iprPy as the following calculation styles
Notes and Disclaimers:
Version Information:
Download raw data (including filtered results)
Reference structure matches:
A1--Cu--fcc = oqmd-1214512
A15--beta-W = oqmd-1214957
A2--W--bcc = oqmd-1215135
A3'--alpha-La--double-hcp = oqmd-1215403
A3--Mg--hcp = oqmd-1215313
A4--C--dc = mp-66, oqmd-675640
A5--beta-Sn = oqmd-1215581
A6--In--bct = mp-1181996, oqmd-1215670
A7--alpha-As = oqmd-594528
Ah--alpha-Po--sc = mp-998866, oqmd-636457, oqmd-1214601
| prototype | method | Ecoh (eV/atom) | Epot (eV/atom) | a0 (Å) | b0 (Å) | c0 (Å) | α (degrees) | β (degrees) | γ (degrees) |
|---|---|---|---|---|---|---|---|---|---|
| oqmd-589492 | dynamic | -7.3955 | -7.3955 | 2.5297 | 2.5297 | 53.6687 | 90.0 | 90.0 | 120.0 |
| mp-569416 | static | -7.3955 | -7.3955 | 2.5297 | 2.5297 | 54.6903 | 90.0 | 90.0 | 120.0 |
| oqmd-1214690 | static | -7.3955 | -7.3955 | 2.5297 | 4.3815 | 6.6767 | 90.0 | 90.0 | 90.0 |
| mp-990424 | dynamic | -7.3955 | -7.3955 | 2.5297 | 2.5297 | 24.64 | 90.0 | 90.0 | 120.0 |
| oqmd-590101 | dynamic | -7.3955 | -7.3955 | 2.5297 | 2.5297 | 7.0152 | 90.0 | 90.0 | 120.0 |
| mp-990424 | static | -7.3955 | -7.3955 | 2.5297 | 2.5297 | 24.1328 | 90.0 | 90.0 | 120.0 |
| oqmd-589493 | dynamic | -7.3955 | -7.3955 | 2.5297 | 2.5297 | 28.9561 | 90.0 | 90.0 | 120.0 |
| oqmd-590101 | static | -7.3955 | -7.3955 | 2.5297 | 2.5297 | 6.7959 | 90.0 | 90.0 | 120.0 |
| mp-937760 | static | -7.3955 | -7.3955 | 2.5297 | 4.3815 | 7.1733 | 90.0 | 90.0 | 90.0 |
| mp-169 | static | -7.3955 | -7.3955 | 4.3815 | 2.5297 | 3.7632 | 90.0 | 111.5 | 90.0 |
| A7--alpha-As | dynamic | -7.3955 | -7.3955 | 2.5297 | 2.5297 | 9.7096 | 90.0 | 90.0 | 120.0 |
| oqmd-683820 | static | -7.3955 | -7.3955 | 2.5297 | 4.3815 | 6.7611 | 90.0 | 90.0 | 90.0 |
| mp-568286 | static | -7.3955 | -7.3955 | 2.5297 | 4.3815 | 7.0357 | 90.0 | 90.0 | 90.0 |
| oqmd-683819 | static | -7.3955 | -7.3955 | 2.5297 | 4.3815 | 6.6489 | 90.0 | 90.0 | 90.0 |
| mp-568363 | dynamic | -7.3955 | -7.3955 | 2.5297 | 4.3815 | 8.1843 | 90.0 | 90.0 | 90.0 |
| mp-569304 | static | -7.3955 | -7.3955 | 2.5297 | 2.5297 | 33.1908 | 90.0 | 90.0 | 120.0 |
| mp-632329 | dynamic | -7.3955 | -7.3955 | 4.3815 | 2.5297 | 3.9278 | 90.0 | 93.9 | 90.0 |
| mp-632329 | static | -7.3955 | -7.3955 | 4.3815 | 2.5297 | 3.7378 | 90.0 | 94.2 | 90.0 |
| mp-169 | dynamic | -7.3955 | -7.3955 | 4.3815 | 2.5297 | 3.6227 | 90.0 | 113.1 | 90.0 |
| mp-937760 | dynamic | -7.3955 | -7.3955 | 2.5297 | 4.3815 | 7.1742 | 90.0 | 90.0 | 90.0 |
| mp-568806 | static | -7.3955 | -7.3955 | 2.5297 | 2.5297 | 3.6525 | 90.0 | 90.0 | 120.0 |
| oqmd-610551 | static | -7.3955 | -7.3955 | 2.5297 | 2.5297 | 3.5012 | 90.0 | 90.0 | 120.0 |
| mp-568363 | static | -7.3955 | -7.3955 | 2.5297 | 4.3815 | 8.1499 | 90.0 | 90.0 | 90.0 |
| mp-569304 | dynamic | -7.3955 | -7.3955 | 2.5297 | 2.5297 | 34.0601 | 90.0 | 90.0 | 120.0 |
| mp-1040425 | dynamic | -7.3955 | -7.3955 | 2.5297 | 2.5297 | 20.0002 | 90.0 | 90.0 | 120.0 |
| oqmd-637444 | dynamic | -7.3955 | -7.3955 | 4.1309 | 4.1309 | 4.1309 | 90.0 | 90.0 | 90.0 |
| mp-990448 | static | -7.3955 | -7.3955 | 2.5297 | 2.5297 | 8.5238 | 90.0 | 90.0 | 120.0 |
| mp-1040425 | static | -7.3955 | -7.3955 | 2.5297 | 2.5297 | 19.9983 | 90.0 | 90.0 | 120.0 |
| oqmd-1215937 | static | -7.3955 | -7.3955 | 2.5297 | 2.5297 | 7.3725 | 90.0 | 90.0 | 120.0 |
| mp-997182 | static | -7.3955 | -7.3955 | 2.5297 | 2.5297 | 12.0458 | 90.0 | 90.0 | 120.0 |
| mp-48 | static | -7.3955 | -7.3955 | 2.5297 | 2.5297 | 7.8031 | 90.0 | 90.0 | 120.0 |
| A7--alpha-As | dynamic | -7.3955 | -7.3955 | 2.5297 | 2.5297 | 7.0856 | 90.0 | 90.0 | 120.0 |
| mp-997182 | dynamic | -7.3955 | -7.3955 | 2.5297 | 2.5297 | 12.0465 | 90.0 | 90.0 | 120.0 |
| oqmd-589491 | dynamic | -7.3955 | -7.3955 | 2.5297 | 2.5297 | 31.7154 | 90.0 | 90.0 | 120.0 |
| oqmd-589493 | static | -7.3955 | -7.3955 | 2.5297 | 2.5297 | 28.9535 | 90.0 | 90.0 | 120.0 |
| mp-48 | dynamic | -7.3955 | -7.3955 | 2.5297 | 2.5297 | 7.8033 | 90.0 | 90.0 | 120.0 |
| mp-569416 | dynamic | -7.3955 | -7.3955 | 2.5297 | 2.5297 | 54.7152 | 90.0 | 90.0 | 120.0 |
| oqmd-1215937 | dynamic | -7.3955 | -7.3955 | 2.5297 | 2.5297 | 7.7525 | 90.0 | 90.0 | 120.0 |
| mp-606949 | dynamic | -7.3955 | -7.3955 | 2.5297 | 2.5297 | 29.4919 | 90.0 | 90.0 | 120.0 |
| mp-606949 | static | -7.3955 | -7.3955 | 2.5297 | 2.5297 | 29.4915 | 90.0 | 90.0 | 120.0 |
| oqmd-599492 | dynamic | -7.3705 | -7.3705 | 2.5213 | 2.5213 | 16.4689 | 90.0 | 90.0 | 120.0 |
| mp-569567 | dynamic | -7.3705 | -7.3705 | 2.5213 | 2.5213 | 43.2309 | 90.0 | 90.0 | 120.0 |
| mp-611426 | dynamic | -7.3705 | -7.3705 | 2.5213 | 2.5213 | 8.2345 | 90.0 | 90.0 | 120.0 |
| mp-611448 | dynamic | -7.3705 | -7.3705 | 2.5213 | 2.5213 | 12.3517 | 90.0 | 90.0 | 120.0 |
| mp-569517 | dynamic | -7.3705 | -7.3705 | 2.5213 | 2.5213 | 30.8792 | 90.0 | 90.0 | 120.0 |
| mp-47 | dynamic | -7.3705 | -7.3705 | 2.5213 | 2.5213 | 4.1172 | 90.0 | 90.0 | 120.0 |
| A4--C--dc | dynamic | -7.3705 | -7.3705 | 3.5656 | 3.5656 | 3.5656 | 90.0 | 90.0 | 90.0 |
| oqmd-599489 | box | -7.3705 | -7.3705 | 2.5209 | 2.5209 | 4.1183 | 90.0 | 90.0 | 120.0 |
| mp-47 | box | -7.3704 | -7.3704 | 2.5209 | 2.5209 | 4.1186 | 90.0 | 90.0 | 120.0 |
| oqmd-599492 | box | -7.3698 | -7.3698 | 2.5211 | 2.5211 | 16.4722 | 90.0 | 90.0 | 120.0 |
| mp-616440 | box | -7.3697 | -7.3697 | 2.5212 | 2.5212 | 16.4717 | 90.0 | 90.0 | 120.0 |
| oqmd-599491 | box | -7.3696 | -7.3696 | 2.5212 | 2.5212 | 12.3544 | 90.0 | 90.0 | 120.0 |
| mp-569567 | box | -7.3695 | -7.3695 | 2.5212 | 2.5212 | 43.2384 | 90.0 | 90.0 | 120.0 |
| mp-611448 | box | -7.3695 | -7.3695 | 2.5212 | 2.5212 | 12.3542 | 90.0 | 90.0 | 120.0 |
| oqmd-599493 | box | -7.3695 | -7.3695 | 2.5212 | 2.5212 | 30.8852 | 90.0 | 90.0 | 120.0 |
| mp-569517 | box | -7.3694 | -7.3694 | 2.5212 | 2.5212 | 30.8866 | 90.0 | 90.0 | 120.0 |
| mp-611426 | box | -7.3693 | -7.3693 | 2.5211 | 2.5211 | 8.237 | 90.0 | 90.0 | 120.0 |
| oqmd-599490 | box | -7.3692 | -7.3692 | 2.5212 | 2.5212 | 8.2365 | 90.0 | 90.0 | 120.0 |
| mp-1096869 | static | -7.2983 | -7.2983 | 26.3011 | 15.1935 | 2.1001 | 90.0 | 93.7 | 90.0 |
| mp-1008374 | dynamic | -7.2953 | -7.2953 | 2.5141 | 7.8961 | 2.5567 | 90.0 | 90.0 | 90.0 |
| mp-1008374 | box | -7.2238 | -7.2238 | 2.4984 | 7.9954 | 2.5546 | 90.0 | 90.0 | 90.0 |
| mp-1188817 | dynamic | -7.1356 | -7.1356 | 5.253 | 5.253 | 5.253 | 90.0 | 90.0 | 90.0 |
| mp-1078845 | dynamic | -7.1326 | -7.1326 | 4.216 | 8.7999 | 2.5397 | 90.0 | 90.0 | 90.0 |
| oqmd-637443 | box | -7.1313 | -7.1313 | 5.2514 | 5.2514 | 5.2514 | 90.0 | 90.0 | 90.0 |
| mp-1188817 | box | -7.1299 | -7.1299 | 5.2507 | 5.2507 | 5.2507 | 90.0 | 90.0 | 90.0 |
| mp-1078845 | box | -7.1145 | -7.1145 | 4.2326 | 8.8159 | 2.5338 | 90.0 | 90.0 | 90.0 |
| mp-568410 | dynamic | -7.0647 | -7.0647 | 4.8575 | 5.2433 | 4.488 | 90.0 | 90.0 | 90.0 |
| oqmd-610557 | box | -7.0373 | -7.0373 | 4.8333 | 5.319 | 4.5065 | 90.0 | 90.0 | 90.0 |
| oqmd-610556 | box | -7.0361 | -7.0361 | 4.8303 | 5.3267 | 4.507 | 90.0 | 90.0 | 90.0 |
| mp-568410 | box | -7.0336 | -7.0336 | 4.8286 | 5.3321 | 4.5079 | 90.0 | 90.0 | 90.0 |
| mp-1008395 | dynamic | -6.9948 | -6.9948 | 4.3954 | 4.3954 | 2.5354 | 90.0 | 90.0 | 90.0 |
| oqmd-637353 | box | -6.9665 | -6.9665 | 4.4042 | 4.4042 | 2.5322 | 90.0 | 90.0 | 90.0 |
| mp-1008395 | box | -6.9652 | -6.9652 | 4.4046 | 4.4046 | 2.5322 | 90.0 | 90.0 | 90.0 |
| oqmd-637130 | dynamic | -6.9559 | -6.9559 | 9.1207 | 2.5545 | 4.177 | 90.0 | 90.0 | 90.0 |
| mp-1080826 | dynamic | -6.9538 | -6.9538 | 9.227 | 2.5546 | 4.1772 | 90.0 | 98.3 | 90.0 |
| mp-1080826 | box | -6.9326 | -6.9326 | 9.2154 | 2.554 | 4.1755 | 90.0 | 97.1 | 90.0 |
| oqmd-637352 | box | -6.9324 | -6.9324 | 9.215 | 2.5542 | 4.1747 | 90.0 | 97.1 | 90.0 |
| mp-1190171 | box | -6.9285 | -6.9285 | 9.127 | 2.5546 | 4.1748 | 90.0 | 90.0 | 90.0 |
| oqmd-637130 | box | -6.9282 | -6.9282 | 9.1263 | 2.5549 | 4.1741 | 90.0 | 90.0 | 90.0 |
| oqmd-689315 | dynamic | -6.825 | -6.825 | 10.1439 | 17.5101 | 18.2798 | 90.0 | 90.0 | 90.0 |
| mp-683919 | dynamic | -6.825 | -6.825 | 10.2338 | 17.5723 | 18.2798 | 90.0 | 90.0 | 90.0 |
| mp-683919 | static | -6.825 | -6.825 | 10.4863 | 17.6902 | 18.2795 | 90.0 | 90.0 | 90.0 |
| oqmd-689315 | static | -6.825 | -6.825 | 10.4603 | 17.6698 | 18.2794 | 90.0 | 90.0 | 90.0 |
| mp-683919 | box | -6.812 | -6.812 | 10.4768 | 18.0015 | 18.5709 | 90.0 | 90.0 | 90.0 |
| mp-680372 | dynamic | -6.7971 | -6.7971 | 9.2615 | 9.2615 | 25.3508 | 90.0 | 90.0 | 120.0 |
| oqmd-614417 | static | -6.7971 | -6.7971 | 9.2615 | 9.2615 | 25.1309 | 90.0 | 90.0 | 120.0 |
| oqmd-614417 | dynamic | -6.7971 | -6.7971 | 9.2615 | 9.2615 | 24.2449 | 90.0 | 90.0 | 120.0 |
| mp-680372 | static | -6.7971 | -6.7971 | 9.2615 | 9.2615 | 26.3526 | 90.0 | 90.0 | 120.0 |
| oqmd-689315 | box | -6.7831 | -6.7831 | 10.4402 | 18.0358 | 18.5637 | 90.0 | 90.0 | 90.0 |
| oqmd-595714 | static | -6.7775 | -6.7775 | 9.1869 | 9.2478 | 15.1188 | 90.0 | 90.0 | 90.0 |
| mp-630227 | static | -6.7775 | -6.7775 | 9.1869 | 9.2478 | 16.1998 | 90.0 | 90.0 | 90.0 |
| oqmd-595714 | dynamic | -6.7775 | -6.7775 | 9.1869 | 9.2478 | 14.6442 | 90.0 | 90.0 | 90.0 |
| mp-630227 | dynamic | -6.7775 | -6.7775 | 9.1869 | 9.2478 | 15.6927 | 90.0 | 90.0 | 90.0 |
| oqmd-684627 | dynamic | -6.7774 | -6.7774 | 9.2175 | 9.2175 | 15.271 | 90.0 | 90.0 | 90.0 |
| oqmd-684627 | static | -6.7774 | -6.7774 | 9.2175 | 9.2175 | 15.7712 | 90.0 | 90.0 | 90.0 |
| mp-568028 | dynamic | -6.7748 | -6.7748 | 8.1191 | 14.0617 | 9.5556 | 90.0 | 90.0 | 90.0 |
| oqmd-614417 | box | -6.7663 | -6.7663 | 9.4429 | 9.4429 | 24.8376 | 90.0 | 90.0 | 120.0 |
| mp-680372 | box | -6.7625 | -6.7625 | 9.456 | 9.456 | 26.0282 | 90.0 | 90.0 | 120.0 |
| oqmd-595714 | box | -6.7582 | -6.7582 | 9.3418 | 9.4266 | 15.0211 | 90.0 | 90.0 | 90.0 |
| mp-630227 | box | -6.7574 | -6.7574 | 9.3309 | 9.4202 | 16.1237 | 90.0 | 90.0 | 90.0 |
| oqmd-684315 | dynamic | -6.7534 | -6.7534 | 10.2664 | 16.6338 | 9.2302 | 90.0 | 90.0 | 90.0 |
| mp-1147718 | dynamic | -6.7534 | -6.7534 | 10.3253 | 14.8293 | 9.2302 | 90.0 | 90.0 | 90.0 |
| mp-1147718 | static | -6.7534 | -6.7534 | 10.5803 | 15.2079 | 9.2302 | 90.0 | 90.0 | 90.0 |
| mp-1147718 | box | -6.7381 | -6.7381 | 10.5692 | 15.1752 | 9.4823 | 90.0 | 90.0 | 90.0 |
| mp-667273 | dynamic | -6.7302 | -6.7302 | 14.4663 | 14.4663 | 14.4663 | 90.0 | 90.0 | 90.0 |
| mp-1196583 | dynamic | -6.7302 | -6.7302 | 14.4714 | 14.4714 | 14.4714 | 90.0 | 90.0 | 90.0 |
| oqmd-603085 | dynamic | -6.7302 | -6.7302 | 14.0153 | 14.0153 | 14.0153 | 90.0 | 90.0 | 90.0 |
| oqmd-603085 | static | -6.7302 | -6.7302 | 14.3929 | 14.3929 | 14.3929 | 90.0 | 90.0 | 90.0 |
| oqmd-677227 | dynamic | -6.7302 | -6.7302 | 14.2255 | 14.2255 | 14.2255 | 90.0 | 90.0 | 90.0 |
| oqmd-677227 | static | -6.7302 | -6.7302 | 14.5919 | 14.5919 | 14.5919 | 90.0 | 90.0 | 90.0 |
| mp-1196583 | static | -6.7302 | -6.7302 | 14.8215 | 14.8215 | 14.8215 | 90.0 | 90.0 | 90.0 |
| mp-667273 | static | -6.7302 | -6.7302 | 14.8851 | 14.8851 | 14.8851 | 90.0 | 90.0 | 90.0 |
| mp-1196583 | box | -6.7291 | -6.7291 | 14.8224 | 14.8224 | 14.8224 | 90.0 | 90.0 | 90.0 |
| oqmd-603085 | box | -6.7289 | -6.7289 | 14.3937 | 14.3937 | 14.3937 | 90.0 | 90.0 | 90.0 |
| mp-667273 | box | -6.7285 | -6.7285 | 14.8864 | 14.8864 | 14.8864 | 90.0 | 90.0 | 90.0 |
| oqmd-677227 | box | -6.718 | -6.718 | 14.601 | 14.601 | 14.601 | 90.0 | 90.0 | 90.0 |
| oqmd-684627 | box | -6.7176 | -6.7176 | 9.4038 | 9.4038 | 15.7302 | 90.0 | 90.0 | 90.0 |
| mp-624889 | dynamic | -6.668 | -6.668 | 4.8028 | 5.2645 | 5.5008 | 90.0 | 90.0 | 90.0 |
| oqmd-610552 | static | -6.668 | -6.668 | 4.8028 | 5.2645 | 6.7402 | 90.0 | 90.0 | 90.0 |
| mp-624889 | static | -6.668 | -6.668 | 4.8028 | 5.2645 | 5.911 | 90.0 | 90.0 | 90.0 |
| mp-1205283 | dynamic | -6.6533 | -6.6533 | 10.2916 | 13.1545 | 9.0717 | 90.0 | 90.0 | 90.0 |
| mp-1205283 | static | -6.6475 | -6.6475 | 8.7983 | 13.9569 | 9.5609 | 90.0 | 90.0 | 90.0 |
| mp-624889 | box | -6.6236 | -6.6236 | 4.8437 | 5.3009 | 5.8921 | 90.0 | 90.0 | 90.0 |
| mp-568028 | box | -6.6099 | -6.6099 | 8.6336 | 14.5651 | 9.8234 | 90.0 | 90.0 | 90.0 |
| mp-24 | dynamic | -6.5985 | -6.5985 | 4.4371 | 4.4371 | 4.4371 | 90.0 | 90.0 | 90.0 |
| mp-24 | box | -6.5755 | -6.5755 | 4.462 | 4.462 | 4.462 | 90.0 | 90.0 | 90.0 |
| oqmd-610552 | box | -6.5291 | -6.5291 | 4.7554 | 5.6374 | 6.6519 | 90.0 | 90.0 | 90.0 |
| mp-579909 | box | -6.5265 | -6.5265 | 4.7456 | 5.6503 | 7.0904 | 90.0 | 90.0 | 90.0 |
| mp-1245190 | dynamic | -6.5215 | -6.5215 | 9.8153 | 10.0034 | 10.4569 | 88.3 | 86.4 | 89.6 |
| mp-1244913 | dynamic | -6.434 | -6.434 | 9.8138 | 10.4256 | 10.4374 | 91.4 | 95.5 | 93.4 |
| mp-1244964 | dynamic | -6.4201 | -6.4201 | 9.9755 | 10.2721 | 10.9035 | 87.9 | 88.5 | 90.0 |
| mp-1245190 | static | -6.3145 | -6.3145 | 10.1339 | 10.5047 | 10.5332 | 91.1 | 90.8 | 94.3 |
| mp-1205283 | box | -6.2064 | -6.2064 | 10.3795 | 13.5622 | 9.4325 | 90.0 | 90.0 | 90.0 |
| oqmd-684315 | static | -6.1624 | -6.1624 | 10.2012 | 16.3209 | 9.1648 | 90.0 | 90.0 | 90.0 |
| mp-1244964 | static | -6.1473 | -6.1473 | 10.0705 | 10.2832 | 11.1907 | 89.4 | 84.0 | 89.3 |
| mp-570002 | dynamic | -6.1044 | -6.1044 | 5.0173 | 5.0173 | 5.0173 | 90.0 | 90.0 | 90.0 |
| oqmd-585286 | box | -6.0376 | -6.0376 | 5.0293 | 5.0293 | 5.0293 | 90.0 | 90.0 | 90.0 |
| mp-570002 | box | -6.0372 | -6.0372 | 5.0294 | 5.0294 | 5.0294 | 90.0 | 90.0 | 90.0 |
| mp-1244913 | static | -5.8828 | -5.8828 | 10.432 | 10.5989 | 10.8775 | 90.1 | 93.6 | 96.9 |
| mp-1095633 | dynamic | -5.7627 | -5.7627 | 7.553 | 7.553 | 5.0511 | 90.0 | 90.0 | 90.0 |
| mp-1095633 | static | -5.7537 | -5.7537 | 4.9193 | 4.9193 | 7.6011 | 90.0 | 90.0 | 90.0 |
| mp-1182684 | dynamic | -5.5808 | -5.5808 | 9.4575 | 10.9325 | 14.7348 | 90.0 | 90.0 | 90.0 |
| mp-1182684 | static | -5.5669 | -5.5669 | 12.451 | 12.916 | 18.6384 | 90.0 | 90.0 | 90.0 |
| mp-1197903 | dynamic | -5.5611 | -5.5611 | 7.7599 | 9.3983 | 23.2888 | 97.6 | 97.6 | 105.9 |
| mp-1245190 | box | -5.5324 | -5.5324 | 10.8109 | 11.2523 | 11.2741 | 89.7 | 89.9 | 87.6 |
| mp-1196857 | dynamic | -5.5158 | -5.5158 | 9.2139 | 19.0227 | 5.9819 | 90.0 | 90.0 | 90.0 |
| oqmd-684315 | box | -5.467 | -5.467 | 11.4585 | 15.8043 | 9.2668 | 90.0 | 90.0 | 90.0 |
| mp-1244964 | box | -5.3365 | -5.3365 | 10.9557 | 11.0671 | 11.7983 | 90.1 | 95.0 | 93.1 |
| mp-1197903 | static | -5.3338 | -5.3338 | 7.8464 | 11.2223 | 22.9454 | 96.1 | 96.3 | 107.8 |
| mp-1244913 | box | -4.9773 | -4.9773 | 11.4526 | 11.5258 | 11.9582 | 90.0 | 96.2 | 92.4 |
| mp-1095534 | box | -4.5206 | -4.5206 | 10.8258 | 10.8258 | 2.4929 | 90.0 | 90.0 | 90.0 |
| A3'--alpha-La--double-hcp | dynamic | -4.4411 | -4.4411 | 2.5396 | 2.5396 | 4.1955 | 90.0 | 90.0 | 120.0 |
| A3'--alpha-La--double-hcp | box | -4.4402 | -4.4402 | 2.5583 | 2.5583 | 4.1267 | 90.0 | 90.0 | 120.0 |
| A5--beta-Sn | dynamic | -4.4359 | -4.4359 | 3.4613 | 3.4613 | 1.8243 | 90.0 | 90.0 | 90.0 |
| A5--beta-Sn | box | -4.4271 | -4.4271 | 3.4085 | 3.4085 | 1.8816 | 90.0 | 90.0 | 90.0 |
| Ah--alpha-Po--sc | dynamic | -4.4212 | -4.4212 | 1.802 | 1.802 | 1.802 | 90.0 | 90.0 | 90.0 |
| mp-1095633 | box | -4.4124 | -4.4124 | 6.693 | 6.693 | 8.1095 | 90.0 | 90.0 | 90.0 |
| A6--In--bct | static | -4.1515 | -4.1515 | 1.7085 | 1.7085 | 6.5525 | 90.0 | 90.0 | 90.0 |
| mp-1056957 | static | -4.1515 | -4.1515 | 2.4162 | 2.4162 | 6.5533 | 90.0 | 90.0 | 90.0 |
| mp-1097832 | static | -4.1515 | -4.1515 | 2.4162 | 2.4162 | 9.8799 | 90.0 | 90.0 | 90.0 |
| oqmd-1216026 | static | -4.1515 | -4.1515 | 2.4162 | 2.4162 | 9.1654 | 90.0 | 93.2 | 90.0 |
| A6--In--bct | static | -4.1515 | -4.1515 | 1.7085 | 1.7085 | 6.3803 | 90.0 | 90.0 | 90.0 |
| A6--In--bct | static | -4.1515 | -4.1515 | 1.7085 | 1.7085 | 3.4354 | 90.0 | 90.0 | 90.0 |
| mp-1205417 | box | -3.9651 | -3.9651 | 13.4762 | 13.4762 | 7.8309 | 90.0 | 90.0 | 90.0 |
| mp-1192619 | box | -3.7363 | -3.7363 | 10.2694 | 10.2694 | 10.2694 | 90.0 | 90.0 | 90.0 |
| oqmd-1214779 | box | -3.708 | -3.708 | 9.8462 | 9.8462 | 9.8462 | 90.0 | 90.0 | 90.0 |
| A2--W--bcc | static | -3.6246 | -3.6246 | 2.1521 | 2.1521 | 2.1521 | 90.0 | 90.0 | 90.0 |
| oqmd-1215848 | static | -3.6168 | -3.6168 | 3.4043 | 3.4043 | 1.5493 | 90.0 | 90.0 | 120.0 |
| A15--beta-W | static | -3.3836 | -3.3836 | 3.4062 | 3.4062 | 3.4062 | 90.0 | 90.0 | 90.0 |
| A3--Mg--hcp | static | -3.0636 | -3.0636 | 1.8475 | 1.8475 | 4.3092 | 90.0 | 90.0 | 120.0 |
| A1--Cu--fcc | box | -2.9846 | -2.9846 | 2.7276 | 2.7276 | 2.7276 | 90.0 | 90.0 | 90.0 |
| A3'--alpha-La--double-hcp | box | -2.9844 | -2.9844 | 1.9288 | 1.9288 | 6.2985 | 90.0 | 90.0 | 120.0 |
| A3--Mg--hcp | box | -2.9843 | -2.9843 | 1.9289 | 1.9289 | 3.1489 | 90.0 | 90.0 | 120.0 |
| oqmd-1214868 | dynamic | -2.7075 | -2.7075 | 6.9849 | 6.9849 | 6.9849 | 90.0 | 90.0 | 90.0 |
| oqmd-1214868 | static | -2.7075 | -2.7075 | 7.5713 | 7.5713 | 7.5713 | 90.0 | 90.0 | 90.0 |
| oqmd-1214868 | box | -2.6742 | -2.6742 | 7.6375 | 7.6375 | 7.6375 | 90.0 | 90.0 | 90.0 |
| A1--Cu--fcc | dynamic | 0.0 | 0.0 | 3.0645 | 3.0645 | 3.0645 | 90.0 | 90.0 | 90.0 |
Download raw data (including filtered results)
Reference structure matches:
| prototype | method | Ecoh (eV/atom) | Epot (eV/atom) | a0 (Å) | b0 (Å) | c0 (Å) | α (degrees) | β (degrees) | γ (degrees) |
|---|---|---|---|---|---|---|---|---|---|
| mp-1019097 | dynamic | -6.4068 | -6.4068 | 3.1288 | 3.1288 | 6.6579 | 90.0 | 90.0 | 90.0 |
| mp-1019097 | box | -6.2621 | -6.2621 | 3.1053 | 3.1053 | 6.9125 | 90.0 | 90.0 | 90.0 |
| mp-1102811 | dynamic | -6.1376 | -6.1376 | 4.5796 | 4.5796 | 4.5796 | 90.0 | 90.0 | 90.0 |
| C1--CaF2--fluorite | dynamic | -5.821 | -5.821 | 4.5881 | 4.5881 | 4.5881 | 90.0 | 90.0 | 90.0 |
| mp-1102811 | box | -5.8033 | -5.8033 | 4.7065 | 4.7065 | 4.7065 | 90.0 | 90.0 | 90.0 |
Download raw data (including filtered results)
Reference structure matches:
| prototype | method | Ecoh (eV/atom) | Epot (eV/atom) | a0 (Å) | b0 (Å) | c0 (Å) | α (degrees) | β (degrees) | γ (degrees) |
|---|---|---|---|---|---|---|---|---|---|
| D0_3--BiF3 | static | -4.4452 | -4.4452 | 4.8084 | 4.8084 | 4.8084 | 90.0 | 90.0 | 90.0 |
| A15--Cr3Si | box | -4.4376 | -4.4376 | 3.963 | 3.963 | 3.963 | 90.0 | 90.0 | 90.0 |
| L1_2--AuCu3 | static | -3.8974 | -3.8974 | 3.0556 | 3.0556 | 3.0556 | 90.0 | 90.0 | 90.0 |
| mp-972848 | static | -3.1629 | -3.1629 | 2.6228 | 2.6228 | 14.1591 | 90.0 | 90.0 | 90.0 |
Download raw data (including filtered results)
Reference structure matches:
| prototype | method | Ecoh (eV/atom) | Epot (eV/atom) | a0 (Å) | b0 (Å) | c0 (Å) | α (degrees) | β (degrees) | γ (degrees) |
|---|---|---|---|---|---|---|---|---|---|
| mp-1219306 | dynamic | -5.0012 | -5.0012 | 8.7075 | 8.7075 | 7.8691 | 90.0 | 90.0 | 120.0 |
Download raw data (including filtered results)
Reference structure matches:
| prototype | method | Ecoh (eV/atom) | Epot (eV/atom) | a0 (Å) | b0 (Å) | c0 (Å) | α (degrees) | β (degrees) | γ (degrees) |
|---|---|---|---|---|---|---|---|---|---|
| mp-1179504 | dynamic | -4.8393 | -4.8393 | 5.0851 | 11.8096 | 11.9035 | 70.9 | 85.1 | 87.2 |
| mp-1202928 | dynamic | -4.8024 | -4.8024 | 4.8284 | 11.7211 | 12.53 | 65.0 | 87.9 | 79.1 |
| mp-1202928 | static | -4.7912 | -4.7912 | 4.9288 | 11.622 | 12.4612 | 65.4 | 88.4 | 79.6 |
| mp-1179504 | static | -4.7846 | -4.7846 | 5.3182 | 11.5105 | 11.6569 | 72.3 | 85.6 | 86.3 |
| mp-1179504 | box | -4.3155 | -4.3155 | 5.5683 | 11.7251 | 12.4834 | 69.6 | 86.4 | 86.2 |
Download raw data (including filtered results)
Reference structure matches:
B1--NaCl--rock-salt = mp-1002206
B3--ZnS--cubic-zinc-blende = mp-8062
| prototype | method | Ecoh (eV/atom) | Epot (eV/atom) | a0 (Å) | b0 (Å) | c0 (Å) | α (degrees) | β (degrees) | γ (degrees) |
|---|---|---|---|---|---|---|---|---|---|
| mp-1204356 | dynamic | -6.1647 | -6.1647 | 3.0555 | 3.0555 | 142.2016 | 90.0 | 90.0 | 120.0 |
| mp-1197730 | dynamic | -6.1647 | -6.1647 | 3.0555 | 3.0555 | 127.233 | 90.0 | 90.0 | 120.0 |
| mp-1200848 | dynamic | -6.1647 | -6.1647 | 3.0555 | 3.0555 | 187.1074 | 90.0 | 90.0 | 120.0 |
| mp-567551 | dynamic | -6.1647 | -6.1647 | 3.0555 | 3.0555 | 39.9162 | 90.0 | 90.0 | 120.0 |
| mp-11713 | dynamic | -6.1647 | -6.1647 | 3.0555 | 3.0555 | 37.4215 | 90.0 | 90.0 | 120.0 |
| mp-571286 | dynamic | -6.1647 | -6.1647 | 3.0555 | 3.0555 | 89.8115 | 90.0 | 90.0 | 120.0 |
| mp-568735 | dynamic | -6.1647 | -6.1647 | 3.0555 | 3.0555 | 44.9058 | 90.0 | 90.0 | 120.0 |
| mp-570804 | dynamic | -6.1647 | -6.1647 | 3.0555 | 3.0555 | 97.2958 | 90.0 | 90.0 | 120.0 |
| mp-582034 | dynamic | -6.1647 | -6.1647 | 3.0555 | 3.0555 | 52.3901 | 90.0 | 90.0 | 120.0 |
| mp-568656 | dynamic | -6.1647 | -6.1647 | 3.0555 | 3.0555 | 24.9476 | 90.0 | 90.0 | 120.0 |
| mp-567505 | dynamic | -6.1647 | -6.1647 | 3.0555 | 3.0555 | 19.9581 | 90.0 | 90.0 | 120.0 |
| mp-568696 | dynamic | -6.1647 | -6.1647 | 3.0555 | 3.0555 | 34.9267 | 90.0 | 90.0 | 120.0 |
| mp-568619 | dynamic | -6.1647 | -6.1647 | 3.0555 | 3.0555 | 12.4738 | 90.0 | 90.0 | 120.0 |
| mp-570791 | dynamic | -6.1647 | -6.1647 | 3.0555 | 3.0555 | 47.4005 | 90.0 | 90.0 | 120.0 |
| mp-11714 | dynamic | -6.1647 | -6.1647 | 3.0555 | 3.0555 | 9.9791 | 90.0 | 90.0 | 120.0 |
| mp-7631 | dynamic | -6.1647 | -6.1647 | 3.0555 | 3.0555 | 14.9686 | 90.0 | 90.0 | 120.0 |
| mp-7140 | dynamic | -6.1647 | -6.1647 | 3.0555 | 3.0555 | 4.9895 | 90.0 | 90.0 | 120.0 |
| mp-570985 | dynamic | -6.1647 | -6.1647 | 3.0555 | 3.0555 | 67.3587 | 90.0 | 90.0 | 120.0 |
| mp-570641 | dynamic | -6.1647 | -6.1647 | 3.0555 | 3.0555 | 59.8744 | 90.0 | 90.0 | 120.0 |
| B3--ZnS--cubic-zinc-blende | dynamic | -6.1647 | -6.1647 | 4.3211 | 4.3211 | 4.3211 | 90.0 | 90.0 | 90.0 |
| mp-1199063 | dynamic | -6.1647 | -6.1647 | 3.0555 | 3.0555 | 209.5603 | 90.0 | 90.0 | 120.0 |
| mp-1200168 | dynamic | -6.1647 | -6.1647 | 3.0555 | 3.0555 | 217.0446 | 90.0 | 90.0 | 120.0 |
| mp-624397 | dynamic | -6.1647 | -6.1647 | 3.0555 | 3.0555 | 82.3273 | 90.0 | 90.0 | 120.0 |
| mp-568619 | box | -6.1646 | -6.1646 | 3.0561 | 3.0561 | 12.4684 | 90.0 | 90.0 | 120.0 |
| mp-567505 | box | -6.1646 | -6.1646 | 3.0558 | 3.0558 | 19.953 | 90.0 | 90.0 | 120.0 |
| mp-582034 | box | -6.1646 | -6.1646 | 3.0559 | 3.0559 | 52.375 | 90.0 | 90.0 | 120.0 |
| mp-9947 | box | -6.1646 | -6.1646 | 3.0559 | 3.0559 | 52.3741 | 90.0 | 90.0 | 120.0 |
| mp-568696 | box | -6.1646 | -6.1646 | 3.0559 | 3.0559 | 34.9162 | 90.0 | 90.0 | 120.0 |
| mp-7631 | box | -6.1646 | -6.1646 | 3.056 | 3.056 | 14.9634 | 90.0 | 90.0 | 120.0 |
| mp-1204356 | box | -6.1646 | -6.1646 | 3.056 | 3.056 | 142.1557 | 90.0 | 90.0 | 120.0 |
| mp-571286 | box | -6.1646 | -6.1646 | 3.056 | 3.056 | 89.7814 | 90.0 | 90.0 | 120.0 |
| mp-1200692 | box | -6.1646 | -6.1646 | 3.056 | 3.056 | 127.1873 | 90.0 | 90.0 | 120.0 |
| mp-570985 | box | -6.1646 | -6.1646 | 3.056 | 3.056 | 67.3336 | 90.0 | 90.0 | 120.0 |
| mp-567551 | box | -6.1646 | -6.1646 | 3.056 | 3.056 | 39.9017 | 90.0 | 90.0 | 120.0 |
| mp-7140 | box | -6.1646 | -6.1646 | 3.0567 | 3.0567 | 4.9853 | 90.0 | 90.0 | 120.0 |
| mp-568656 | box | -6.1646 | -6.1646 | 3.0561 | 3.0561 | 24.9376 | 90.0 | 90.0 | 120.0 |
| mp-11713 | box | -6.1646 | -6.1646 | 3.0561 | 3.0561 | 37.4058 | 90.0 | 90.0 | 120.0 |
| mp-570791 | box | -6.1646 | -6.1646 | 3.0561 | 3.0561 | 47.3807 | 90.0 | 90.0 | 120.0 |
| mp-571298 | box | -6.1646 | -6.1646 | 3.0561 | 3.0561 | 97.2569 | 90.0 | 90.0 | 120.0 |
| mp-568735 | box | -6.1646 | -6.1646 | 3.0561 | 3.0561 | 44.8857 | 90.0 | 90.0 | 120.0 |
| mp-11714 | box | -6.1645 | -6.1645 | 3.0562 | 3.0562 | 9.9741 | 90.0 | 90.0 | 120.0 |
| mp-1197730 | box | -6.1645 | -6.1645 | 3.0562 | 3.0562 | 127.1736 | 90.0 | 90.0 | 120.0 |
| mp-570804 | box | -6.1645 | -6.1645 | 3.0568 | 3.0568 | 97.2141 | 90.0 | 90.0 | 120.0 |
| mp-570641 | box | -6.1645 | -6.1645 | 3.0569 | 3.0569 | 59.818 | 90.0 | 90.0 | 120.0 |
| mp-1200168 | box | -6.1645 | -6.1645 | 3.0571 | 3.0571 | 216.8144 | 90.0 | 90.0 | 120.0 |
| mp-624397 | box | -6.1644 | -6.1644 | 3.0572 | 3.0572 | 82.2354 | 90.0 | 90.0 | 120.0 |
| mp-570690 | box | -6.1644 | -6.1644 | 3.0573 | 3.0573 | 67.2795 | 90.0 | 90.0 | 120.0 |
| mp-1199063 | box | -6.1643 | -6.1643 | 3.0572 | 3.0572 | 209.3324 | 90.0 | 90.0 | 120.0 |
| mp-1200848 | box | -6.1642 | -6.1642 | 3.0572 | 3.0572 | 186.9011 | 90.0 | 90.0 | 120.0 |
| B1--NaCl--rock-salt | dynamic | -4.6722 | -4.6722 | 4.239 | 4.239 | 4.239 | 90.0 | 90.0 | 90.0 |
| B1--NaCl--rock-salt | box | -4.6713 | -4.6713 | 4.1951 | 4.1951 | 4.1951 | 90.0 | 90.0 | 90.0 |
| B2--CsCl | static | -3.6691 | -3.6691 | 2.6404 | 2.6404 | 2.6404 | 90.0 | 90.0 | 90.0 |
Download raw data (including filtered results)
Reference structure matches:
| prototype | method | Ecoh (eV/atom) | Epot (eV/atom) | a0 (Å) | b0 (Å) | c0 (Å) | α (degrees) | β (degrees) | γ (degrees) |
|---|---|---|---|---|---|---|---|---|---|
| C1--CaF2--fluorite | static | -4.0103 | -4.0103 | 5.219 | 5.219 | 5.219 | 90.0 | 90.0 | 90.0 |
Download raw data (including filtered results)
Reference structure matches:
| prototype | method | Ecoh (eV/atom) | Epot (eV/atom) | a0 (Å) | b0 (Å) | c0 (Å) | α (degrees) | β (degrees) | γ (degrees) |
|---|---|---|---|---|---|---|---|---|---|
| D0_3--BiF3 | dynamic | -3.14 | -3.14 | 5.9825 | 5.9825 | 5.9825 | 90.0 | 90.0 | 90.0 |
| L1_2--AuCu3 | dynamic | -2.9518 | -2.9518 | 3.8143 | 3.8143 | 3.8143 | 90.0 | 90.0 | 90.0 |
| A15--Cr3Si | box | -2.3467 | -2.3467 | 4.5646 | 4.5646 | 4.5646 | 90.0 | 90.0 | 90.0 |
Download raw data (including filtered results)
Reference structure matches:
A1--Cu--fcc = mp-27, oqmd-9287, oqmd-1214570
A15--beta-W = oqmd-1215015, oqmd-1236371, oqmd-1280410
A2--W--bcc = mp-1014212, oqmd-1215193
A3'--alpha-La--double-hcp = oqmd-1215461
A3--Mg--hcp = mp-10649, oqmd-9288, oqmd-1215371
A4--C--dc = mp-149, oqmd-5714, oqmd-12378, oqmd-1215550
A5--beta-Sn = mp-92, oqmd-18979, oqmd-1215639
A6--In--bct = mp-1056579, oqmd-691768, oqmd-1215728
A7--alpha-As = oqmd-1215817
Ah--alpha-Po--sc = oqmd-1215906
| prototype | method | Ecoh (eV/atom) | Epot (eV/atom) | a0 (Å) | b0 (Å) | c0 (Å) | α (degrees) | β (degrees) | γ (degrees) |
|---|---|---|---|---|---|---|---|---|---|
| A4--C--dc | dynamic | -4.6296 | -4.6296 | 5.432 | 5.432 | 5.432 | 90.0 | 90.0 | 90.0 |
| oqmd-5764 | dynamic | -4.6296 | -4.6296 | 3.841 | 3.841 | 6.2723 | 90.0 | 90.0 | 120.0 |
| oqmd-5764 | box | -4.6295 | -4.6295 | 3.838 | 3.838 | 6.2821 | 90.0 | 90.0 | 120.0 |
| oqmd-22507 | box | -4.6295 | -4.6295 | 3.8436 | 6.6409 | 6.2794 | 90.0 | 90.0 | 90.0 |
| mp-165 | box | -4.6295 | -4.6295 | 3.8378 | 3.8378 | 6.283 | 90.0 | 90.0 | 120.0 |
| oqmd-717362 | dynamic | -4.5907 | -4.5907 | 14.6214 | 14.6214 | 14.6214 | 90.0 | 90.0 | 90.0 |
| oqmd-717362 | box | -4.5906 | -4.5906 | 14.6222 | 14.6222 | 14.6222 | 90.0 | 90.0 | 90.0 |
| mp-1203790 | dynamic | -4.5877 | -4.5877 | 10.3317 | 10.3317 | 16.9075 | 90.0 | 90.0 | 120.0 |
| mp-1203790 | box | -4.5876 | -4.5876 | 10.3312 | 10.3312 | 16.9098 | 90.0 | 90.0 | 120.0 |
| mp-971662 | dynamic | -4.5721 | -4.5721 | 10.1514 | 10.1514 | 10.1514 | 90.0 | 90.0 | 90.0 |
| oqmd-717360 | box | -4.572 | -4.572 | 10.15 | 10.15 | 10.15 | 90.0 | 90.0 | 90.0 |
| mp-971662 | box | -4.572 | -4.572 | 10.1494 | 10.1494 | 10.1494 | 90.0 | 90.0 | 90.0 |
| mp-1196961 | dynamic | -4.5574 | -4.5574 | 10.1199 | 10.1199 | 10.3374 | 90.0 | 90.0 | 120.0 |
| mp-1196961 | box | -4.5573 | -4.5573 | 10.1258 | 10.1258 | 10.3289 | 90.0 | 90.0 | 120.0 |
| mp-1204627 | dynamic | -4.5338 | -4.5338 | 16.7187 | 12.7666 | 9.9443 | 90.0 | 90.0 | 90.0 |
| mp-1204627 | box | -4.5326 | -4.5326 | 16.7281 | 12.7774 | 9.9439 | 90.0 | 90.0 | 90.0 |
| mp-999200 | dynamic | -4.4996 | -4.4996 | 6.6201 | 6.6201 | 3.8861 | 90.0 | 90.0 | 90.0 |
| oqmd-22408 | dynamic | -4.4982 | -4.4982 | 13.8171 | 3.8852 | 6.3242 | 90.0 | 96.8 | 90.0 |
| mp-999200 | box | -4.4956 | -4.4956 | 6.6669 | 6.6669 | 3.8451 | 90.0 | 90.0 | 90.0 |
| mp-1079297 | box | -4.4952 | -4.4952 | 13.8244 | 3.8634 | 6.3558 | 90.0 | 96.5 | 90.0 |
| oqmd-22407 | box | -4.495 | -4.495 | 6.6703 | 6.6703 | 3.8422 | 90.0 | 90.0 | 90.0 |
| oqmd-22408 | box | -4.4949 | -4.4949 | 13.8295 | 3.8641 | 6.3551 | 90.0 | 96.5 | 90.0 |
| mp-1199894 | dynamic | -4.4888 | -4.4888 | 25.3844 | 15.0784 | 9.8838 | 90.0 | 93.9 | 90.0 |
| mp-1200830 | dynamic | -4.4874 | -4.4874 | 12.4268 | 12.4268 | 12.4268 | 90.0 | 90.0 | 90.0 |
| mp-1201492 | dynamic | -4.4872 | -4.4872 | 17.5455 | 17.5455 | 17.5455 | 90.0 | 90.0 | 90.0 |
| mp-1199894 | box | -4.4857 | -4.4857 | 25.3913 | 15.1321 | 9.8656 | 90.0 | 94.2 | 90.0 |
| mp-1201492 | box | -4.4853 | -4.4853 | 17.5588 | 17.5588 | 17.5588 | 90.0 | 90.0 | 90.0 |
| mp-1200830 | box | -4.4849 | -4.4849 | 12.4339 | 12.4339 | 12.4339 | 90.0 | 90.0 | 90.0 |
| mp-971661 | dynamic | -4.4651 | -4.4651 | 10.0825 | 10.0825 | 10.0825 | 90.0 | 90.0 | 90.0 |
| mp-971661 | box | -4.4636 | -4.4636 | 10.0854 | 10.0854 | 10.0854 | 90.0 | 90.0 | 90.0 |
| mp-1202745 | dynamic | -4.4579 | -4.4579 | 9.9437 | 9.9437 | 16.1015 | 90.0 | 90.0 | 120.0 |
| mp-1202745 | box | -4.4566 | -4.4566 | 9.9519 | 9.9519 | 16.0916 | 90.0 | 90.0 | 120.0 |
| mp-1095269 | dynamic | -4.4326 | -4.4326 | 3.9004 | 10.649 | 12.7025 | 90.0 | 90.0 | 90.0 |
| mp-1095269 | box | -4.4285 | -4.4285 | 3.8654 | 10.7684 | 12.6701 | 90.0 | 90.0 | 90.0 |
| mp-1204046 | dynamic | -4.4217 | -4.4217 | 10.0381 | 10.0381 | 24.4881 | 90.0 | 90.0 | 90.0 |
| mp-1204046 | box | -4.4118 | -4.4118 | 10.0954 | 10.0954 | 24.3237 | 90.0 | 90.0 | 90.0 |
| oqmd-3484 | dynamic | -4.3843 | -4.3843 | 6.6444 | 6.6444 | 6.6444 | 90.0 | 90.0 | 90.0 |
| oqmd-3484 | box | -4.3836 | -4.3836 | 6.6379 | 6.6379 | 6.6379 | 90.0 | 90.0 | 90.0 |
| mp-168 | box | -4.3834 | -4.3834 | 6.637 | 6.637 | 6.637 | 90.0 | 90.0 | 90.0 |
| oqmd-1214748 | dynamic | -4.3131 | -4.3131 | 4.6891 | 7.5363 | 3.8694 | 90.0 | 90.0 | 90.0 |
| Ah--alpha-Po--sc | dynamic | -4.311 | -4.311 | 2.5444 | 2.5444 | 2.5444 | 90.0 | 90.0 | 90.0 |
| A7--alpha-As | box | -4.3109 | -4.3109 | 3.5983 | 3.5983 | 8.8139 | 90.0 | 90.0 | 120.0 |
| mp-1120747 | dynamic | -4.3059 | -4.3059 | 5.7332 | 5.7332 | 3.5093 | 90.0 | 90.0 | 120.0 |
| A5--beta-Sn | dynamic | -4.3017 | -4.3017 | 4.9036 | 4.9036 | 2.5678 | 90.0 | 90.0 | 90.0 |
| oqmd-1214748 | box | -4.296 | -4.296 | 4.6999 | 7.3483 | 3.9134 | 90.0 | 90.0 | 90.0 |
| oqmd-7479 | box | -4.2934 | -4.2934 | 4.8451 | 4.9562 | 2.5664 | 90.0 | 90.0 | 90.0 |
| mp-1072544 | dynamic | -4.2824 | -4.2824 | 6.7417 | 6.7417 | 6.7417 | 90.0 | 90.0 | 90.0 |
| mp-571520 | static | -4.2668 | -4.2668 | 9.5871 | 9.5871 | 5.4851 | 90.0 | 90.0 | 120.0 |
| mp-571520 | box | -4.2592 | -4.2592 | 9.5345 | 9.5345 | 5.5988 | 90.0 | 90.0 | 120.0 |
| oqmd-18985 | box | -4.2591 | -4.2591 | 9.522 | 9.522 | 5.579 | 90.0 | 90.0 | 120.0 |
| oqmd-717361 | dynamic | -4.2454 | -4.2454 | 7.6244 | 7.6244 | 7.6244 | 90.0 | 90.0 | 90.0 |
| mp-16220 | dynamic | -4.2193 | -4.2193 | 14.6657 | 14.6657 | 14.6657 | 90.0 | 90.0 | 90.0 |
| mp-16220 | static | -4.2192 | -4.2192 | 14.6659 | 14.6659 | 14.6659 | 90.0 | 90.0 | 90.0 |
| mp-1245041 | dynamic | -4.2132 | -4.2132 | 12.8945 | 13.0091 | 13.0564 | 71.4 | 73.2 | 75.3 |
| mp-1244933 | dynamic | -4.2059 | -4.2059 | 12.3167 | 12.6112 | 12.6782 | 78.7 | 73.3 | 76.8 |
| mp-1244933 | static | -4.2024 | -4.2024 | 12.3357 | 12.5994 | 12.6611 | 78.8 | 73.2 | 76.8 |
| mp-1245041 | static | -4.2005 | -4.2005 | 12.7578 | 13.0373 | 13.0728 | 71.9 | 75.7 | 73.4 |
| A2--W--bcc | dynamic | -4.1969 | -4.1969 | 3.0844 | 3.0844 | 3.0844 | 90.0 | 90.0 | 90.0 |
| mp-1244971 | dynamic | -4.1968 | -4.1968 | 11.6393 | 12.8678 | 13.5302 | 98.0 | 97.3 | 99.6 |
| mp-109 | dynamic | -4.1962 | -4.1962 | 4.8779 | 5.2466 | 9.7589 | 90.0 | 90.0 | 90.0 |
| oqmd-1214837 | dynamic | -4.1875 | -4.1875 | 10.2099 | 10.2099 | 10.2099 | 90.0 | 90.0 | 90.0 |
| mp-1245242 | dynamic | -4.1875 | -4.1875 | 12.5522 | 12.7234 | 12.7604 | 79.9 | 80.4 | 82.4 |
| oqmd-1214837 | static | -4.1856 | -4.1856 | 10.1975 | 10.1975 | 10.1975 | 90.0 | 90.0 | 90.0 |
| oqmd-1214837 | box | -4.1799 | -4.1799 | 10.1882 | 10.1882 | 10.1882 | 90.0 | 90.0 | 90.0 |
| mp-1245242 | static | -4.1778 | -4.1778 | 12.5899 | 12.6714 | 12.8014 | 79.0 | 80.3 | 82.9 |
| mp-1244990 | dynamic | -4.1642 | -4.1642 | 12.2558 | 12.2938 | 12.7888 | 102.2 | 103.1 | 98.2 |
| oqmd-18984 | dynamic | -4.1589 | -4.1589 | 2.6971 | 2.6971 | 2.6147 | 90.0 | 90.0 | 120.0 |
| mp-1244990 | static | -4.1556 | -4.1556 | 12.2449 | 12.3052 | 12.7928 | 101.8 | 103.0 | 98.2 |
| oqmd-717361 | box | -4.149 | -4.149 | 7.6261 | 7.6261 | 7.6261 | 90.0 | 90.0 | 90.0 |
| mp-1120447 | dynamic | -4.1381 | -4.1381 | 5.0794 | 5.5649 | 6.8122 | 71.2 | 70.4 | 83.8 |
| mp-1244933 | box | -4.1307 | -4.1307 | 12.3631 | 12.6134 | 12.618 | 78.9 | 77.4 | 72.9 |
| mp-1245041 | box | -4.1248 | -4.1248 | 12.7608 | 12.8588 | 12.9759 | 72.0 | 73.6 | 75.7 |
| mp-1244971 | box | -4.1233 | -4.1233 | 11.7345 | 12.7267 | 13.4634 | 97.7 | 97.3 | 99.1 |
| oqmd-10215 | box | -4.1131 | -4.1131 | 14.4439 | 14.4439 | 14.4439 | 90.0 | 90.0 | 90.0 |
| mp-1245242 | box | -4.1091 | -4.1091 | 12.5049 | 12.6559 | 12.7277 | 79.2 | 80.5 | 82.9 |
| mp-16220 | box | -4.0906 | -4.0906 | 14.4152 | 14.4152 | 14.4152 | 90.0 | 90.0 | 90.0 |
| mp-1268191 | box | -4.0786 | -4.0786 | 7.0334 | 7.0334 | 2.5593 | 90.0 | 90.0 | 120.0 |
| mp-1244990 | box | -4.0455 | -4.0455 | 12.2358 | 12.2912 | 12.7606 | 102.4 | 102.8 | 99.2 |
| oqmd-691764 | dynamic | -4.0413 | -4.0413 | 2.7248 | 2.7248 | 7.0422 | 90.0 | 90.0 | 120.0 |
| oqmd-78173 | box | -4.0404 | -4.0404 | 5.0697 | 5.4127 | 9.3151 | 90.0 | 90.0 | 90.0 |
| mp-109 | box | -4.0086 | -4.0086 | 5.0875 | 5.51 | 8.8964 | 90.0 | 90.0 | 90.0 |
| mp-1120747 | box | -4.007 | -4.007 | 5.3688 | 5.3688 | 4.4147 | 90.0 | 90.0 | 120.0 |
| A7--alpha-As | box | -3.9895 | -3.9895 | 3.8231 | 3.8231 | 7.5289 | 90.0 | 90.0 | 120.0 |
| mp-1079649 | dynamic | -3.9722 | -3.9722 | 9.8557 | 5.0648 | 5.0648 | 90.0 | 90.0 | 90.0 |
| mp-644693 | dynamic | -3.9423 | -3.9423 | 4.1488 | 5.6726 | 8.8468 | 80.2 | 84.4 | 69.0 |
| mp-676011 | static | -3.9145 | -3.9145 | 5.0423 | 5.5219 | 7.3794 | 70.4 | 81.7 | 76.4 |
| oqmd-1215995 | static | -3.9114 | -3.9114 | 3.9908 | 3.9908 | 7.4613 | 90.0 | 90.0 | 120.0 |
| oqmd-1215995 | dynamic | -3.9114 | -3.9114 | 3.9908 | 3.9908 | 7.4614 | 90.0 | 90.0 | 120.0 |
| mp-676011 | dynamic | -3.8692 | -3.8692 | 4.8735 | 5.3984 | 7.5195 | 69.7 | 76.7 | 70.9 |
| A1--Cu--fcc | dynamic | -3.8677 | -3.8677 | 3.8975 | 3.8975 | 3.8975 | 90.0 | 90.0 | 90.0 |
| A3'--alpha-La--double-hcp | dynamic | -3.8677 | -3.8677 | 2.7559 | 2.7559 | 9.0009 | 90.0 | 90.0 | 120.0 |
| oqmd-1216087 | dynamic | -3.8677 | -3.8677 | 2.7559 | 2.7559 | 20.2519 | 90.0 | 90.0 | 120.0 |
| A3--Mg--hcp | dynamic | -3.8677 | -3.8677 | 2.7559 | 2.7559 | 4.5004 | 90.0 | 90.0 | 120.0 |
| A3--Mg--hcp | box | -3.8677 | -3.8677 | 2.7559 | 2.7559 | 4.5004 | 90.0 | 90.0 | 120.0 |
| oqmd-1216087 | box | -3.8674 | -3.8674 | 2.756 | 2.756 | 20.2508 | 90.0 | 90.0 | 120.0 |
| oqmd-78174 | box | -3.859 | -3.859 | 8.7431 | 5.2278 | 5.2803 | 90.0 | 90.0 | 90.0 |
| oqmd-15748 | box | -3.8519 | -3.8519 | 8.6627 | 5.2414 | 5.2867 | 90.0 | 90.0 | 90.0 |
| mp-1079649 | box | -3.8466 | -3.8466 | 8.7821 | 5.2062 | 5.2861 | 90.0 | 90.0 | 90.0 |
| A15--beta-W | dynamic | -3.8365 | -3.8365 | 4.8716 | 4.8716 | 4.8716 | 90.0 | 90.0 | 90.0 |
| mp-644693 | box | -3.8002 | -3.8002 | 4.128 | 5.6295 | 8.9565 | 74.0 | 90.0 | 68.9 |
| mp-1094057 | box | -3.7119 | -3.7119 | 2.8971 | 2.8971 | 18.3001 | 90.0 | 90.0 | 120.0 |
| oqmd-1214926 | box | -3.5315 | -3.5315 | 6.6976 | 6.6976 | 6.6976 | 90.0 | 90.0 | 90.0 |
Static elastic constants are displayed for the unique structures identified in Crystal Structure Predictions above. The values displayed here are obtained by measuring the change in virial stresses due to applying small strains to the relaxed crystals. The initial structure and the strained states are all relaxed using force minimization.
The calculation method used is available as the iprPy elastic_constants_static calculation method.
Notes and Disclaimers:
Version Information:
| 3589.770 | 5036.225 | 5036.225 | 0.000 | 0.000 | -0.000 |
| 5036.225 | 3589.770 | 5036.225 | 0.000 | 0.000 | -0.000 |
| 5036.225 | 5036.225 | 3589.770 | 0.000 | 0.000 | 0.000 |
| 0.000 | 0.000 | 0.000 | -305.895 | -0.000 | -0.000 |
| -0.000 | 0.000 | 0.000 | -0.000 | -305.895 | 0.000 |
| -0.000 | 0.000 | -0.000 | -0.000 | -0.000 | -305.895 |
| 3589.770 | 5036.225 | 5036.225 | 0.000 | 0.000 | 0.000 |
| 5036.225 | 3589.770 | 5036.225 | 0.000 | 0.000 | 0.000 |
| 5036.225 | 5036.225 | 3589.770 | 0.000 | 0.000 | 0.000 |
| -0.000 | 0.000 | -0.000 | -305.895 | 0.000 | 0.000 |
| 0.000 | -0.000 | -0.000 | 0.000 | -305.895 | -0.000 |
| 0.000 | -0.000 | 0.000 | 0.000 | 0.000 | -305.895 |
| 3589.770 | 5036.225 | 5036.225 | -0.000 | -0.000 | -0.000 |
| 5036.225 | 3589.770 | 5036.225 | -0.000 | -0.000 | 0.000 |
| 5036.225 | 5036.225 | 3589.770 | 0.000 | 0.000 | 0.000 |
| 0.000 | 0.001 | 0.001 | -305.895 | -0.000 | -0.000 |
| 0.001 | 0.000 | 0.001 | -0.000 | -305.895 | -0.000 |
| 0.001 | 0.001 | 0.000 | -0.000 | -0.000 | -305.895 |
| 3589.769 | 5036.225 | 5036.225 | 0.000 | 0.000 | 0.000 |
| 5036.225 | 3589.769 | 5036.225 | 0.000 | 0.000 | -0.000 |
| 5036.225 | 5036.225 | 3589.769 | 0.000 | 0.000 | 0.000 |
| -0.000 | -0.001 | -0.001 | -305.895 | 0.000 | 0.000 |
| -0.001 | -0.000 | -0.001 | 0.000 | -305.895 | 0.000 |
| -0.001 | -0.001 | -0.000 | 0.000 | 0.000 | -305.895 |
| 3589.777 | 5036.226 | 5036.226 | -0.000 | -0.000 | -0.000 |
| 5036.226 | 3589.777 | 5036.226 | -0.000 | -0.000 | -0.000 |
| 5036.226 | 5036.226 | 3589.777 | 0.000 | 0.000 | 0.000 |
| 0.001 | 0.006 | 0.006 | -305.895 | -0.000 | -0.000 |
| 0.006 | 0.001 | 0.006 | -0.000 | -305.895 | -0.000 |
| 0.006 | 0.006 | 0.001 | -0.000 | 0.000 | -305.895 |
| 3589.762 | 5036.224 | 5036.224 | -0.000 | 0.000 | 0.000 |
| 5036.224 | 3589.762 | 5036.224 | -0.000 | -0.000 | 0.000 |
| 5036.224 | 5036.224 | 3589.762 | 0.000 | 0.000 | 0.000 |
| -0.001 | -0.006 | -0.006 | -305.895 | -0.000 | -0.000 |
| -0.006 | -0.001 | -0.006 | -0.000 | -305.895 | 0.000 |
| -0.006 | -0.006 | -0.001 | 0.000 | -0.000 | -305.895 |
| 5441.975 | 4249.228 | 4249.228 | -0.000 | -0.000 | -0.000 |
| 4249.228 | 5441.975 | 4249.228 | -0.000 | -0.000 | -0.000 |
| 4249.228 | 4249.228 | 5441.974 | -0.000 | -0.000 | -0.000 |
| 0.000 | -0.000 | 0.000 | 880.717 | 0.000 | -0.000 |
| 0.000 | -0.000 | -0.000 | -0.000 | 880.717 | -0.000 |
| 0.000 | 0.000 | -0.000 | -0.000 | -0.000 | 880.717 |
| 5441.973 | 4249.229 | 4249.229 | 0.000 | 0.000 | -0.000 |
| 4249.228 | 5441.973 | 4249.229 | 0.000 | 0.000 | 0.000 |
| 4249.229 | 4249.229 | 5441.973 | 0.000 | 0.000 | -0.000 |
| -0.000 | -0.000 | -0.000 | 880.717 | 0.000 | 0.000 |
| 0.000 | 0.000 | 0.000 | 0.000 | 880.717 | 0.000 |
| -0.000 | 0.000 | 0.000 | 0.000 | 0.000 | 880.717 |
| 5441.982 | 4249.228 | 4249.228 | -0.000 | -0.000 | -0.000 |
| 4249.228 | 5441.982 | 4249.228 | -0.000 | -0.000 | -0.000 |
| 4249.228 | 4249.228 | 5441.982 | -0.000 | -0.000 | -0.000 |
| 0.000 | 0.001 | 0.001 | 880.717 | -0.000 | -0.000 |
| 0.001 | 0.000 | 0.001 | -0.000 | 880.717 | -0.000 |
| 0.001 | 0.001 | 0.000 | -0.000 | -0.000 | 880.717 |
| 5441.966 | 4249.229 | 4249.229 | 0.000 | 0.000 | 0.000 |
| 4249.229 | 5441.966 | 4249.229 | 0.000 | 0.000 | 0.000 |
| 4249.229 | 4249.229 | 5441.966 | 0.000 | 0.000 | 0.000 |
| -0.000 | -0.001 | -0.001 | 880.717 | 0.000 | 0.000 |
| -0.001 | -0.000 | -0.001 | 0.000 | 880.717 | 0.000 |
| -0.001 | -0.001 | -0.000 | 0.000 | 0.000 | 880.717 |
| 5442.056 | 4249.226 | 4249.226 | -0.000 | -0.000 | -0.000 |
| 4249.226 | 5442.056 | 4249.226 | -0.000 | -0.000 | -0.000 |
| 4249.226 | 4249.226 | 5442.056 | -0.000 | -0.000 | -0.000 |
| 0.005 | 0.007 | 0.008 | 880.716 | -0.000 | -0.000 |
| 0.007 | 0.005 | 0.008 | -0.000 | 880.716 | -0.000 |
| 0.007 | 0.008 | 0.005 | -0.000 | -0.000 | 880.716 |
| 5441.892 | 4249.231 | 4249.231 | 0.000 | 0.000 | 0.000 |
| 4249.231 | 5441.892 | 4249.231 | 0.000 | 0.000 | 0.000 |
| 4249.231 | 4249.231 | 5441.892 | 0.000 | 0.000 | 0.000 |
| -0.005 | -0.007 | -0.008 | 880.716 | 0.000 | 0.000 |
| -0.007 | -0.005 | -0.008 | 0.000 | 880.716 | 0.000 |
| -0.007 | -0.008 | -0.005 | 0.000 | 0.000 | 880.716 |
| 2174.209 | 1936.974 | 1936.974 | 0.000 | 0.000 | -0.000 |
| 1936.974 | 2174.209 | 1936.974 | 0.000 | 0.000 | -0.000 |
| 1936.974 | 1936.974 | 2174.209 | 0.000 | 0.000 | -0.000 |
| 0.000 | 0.000 | 0.000 | 152.752 | -0.000 | -0.000 |
| 0.000 | 0.000 | 0.000 | 0.000 | 152.752 | 0.000 |
| 0.000 | 0.000 | 0.000 | 0.000 | 0.000 | 152.752 |
| 2174.209 | 1936.974 | 1936.974 | -0.000 | 0.000 | -0.000 |
| 1936.974 | 2174.209 | 1936.974 | -0.000 | -0.000 | 0.000 |
| 1936.974 | 1936.974 | 2174.209 | 0.000 | 0.000 | 0.000 |
| -0.000 | -0.000 | -0.000 | 152.752 | -0.000 | 0.000 |
| -0.000 | -0.000 | -0.000 | 0.000 | 152.752 | 0.000 |
| -0.000 | -0.000 | -0.000 | -0.000 | -0.000 | 152.752 |
| 2174.208 | 1936.974 | 1936.974 | -0.000 | -0.000 | -0.000 |
| 1936.974 | 2174.208 | 1936.974 | 0.000 | 0.000 | 0.000 |
| 1936.974 | 1936.974 | 2174.208 | 0.000 | -0.000 | -0.000 |
| 0.000 | 0.000 | 0.000 | 152.752 | -0.000 | 0.000 |
| 0.000 | 0.000 | 0.000 | 0.000 | 152.752 | -0.000 |
| 0.000 | 0.000 | 0.000 | -0.000 | -0.000 | 152.752 |
| 2174.210 | 1936.975 | 1936.975 | -0.000 | -0.000 | 0.000 |
| 1936.975 | 2174.210 | 1936.975 | -0.000 | -0.000 | 0.000 |
| 1936.975 | 1936.975 | 2174.210 | -0.000 | 0.000 | 0.000 |
| -0.000 | -0.000 | -0.000 | 152.752 | -0.000 | -0.000 |
| -0.000 | -0.000 | -0.000 | -0.000 | 152.752 | 0.000 |
| -0.000 | -0.000 | -0.000 | -0.000 | -0.000 | 152.752 |
| 2174.200 | 1936.969 | 1936.969 | -0.000 | -0.000 | -0.000 |
| 1936.969 | 2174.200 | 1936.969 | 0.000 | 0.000 | -0.000 |
| 1936.969 | 1936.969 | 2174.200 | 0.000 | 0.000 | 0.000 |
| 0.003 | 0.002 | 0.002 | 152.752 | -0.000 | -0.000 |
| 0.002 | 0.003 | 0.002 | 0.000 | 152.752 | -0.000 |
| 0.002 | 0.002 | 0.003 | 0.000 | -0.000 | 152.752 |
| 2174.217 | 1936.980 | 1936.980 | -0.000 | -0.000 | 0.000 |
| 1936.980 | 2174.217 | 1936.980 | -0.000 | -0.000 | -0.000 |
| 1936.980 | 1936.980 | 2174.217 | 0.000 | 0.000 | 0.000 |
| -0.003 | -0.002 | -0.002 | 152.752 | -0.000 | 0.000 |
| -0.002 | -0.003 | -0.002 | -0.000 | 152.752 | 0.000 |
| -0.002 | -0.002 | -0.003 | 0.000 | 0.000 | 152.752 |
| 10929673277.561 | 5507070167.103 | 664663779.156 | -10971224.513 | 16628834.741 | 50287495.897 |
| 6959153949.828 | 6495266893.119 | 9306271296.380 | -4814757.733 | 14590346.988 | -281829092.437 |
| 4759.404 | 4759.404 | 4148.198 | -0.000 | -0.000 | -0.000 |
| 0.000 | 0.000 | 0.000 | -653.527 | 0.000 | 0.000 |
| 0.000 | 0.000 | 0.000 | 0.000 | -653.527 | 0.000 |
| 0.000 | 0.000 | 0.000 | 0.000 | 0.000 | -472.475 |
| -7235057275.233 | -6859225206.584 | -9742808876.786 | 7305775.140 | -4778442.098 | 308313658.416 |
| 4922.826 | 3977.877 | 4759.404 | -0.000 | -0.000 | 0.000 |
| 4759.404 | 4759.404 | 4148.198 | -0.000 | -0.000 | 0.000 |
| -0.000 | 0.000 | -0.000 | -653.527 | 0.000 | 0.000 |
| -0.000 | -0.000 | -0.000 | 0.000 | -653.527 | -0.000 |
| -0.000 | -0.000 | -0.000 | -0.000 | -0.000 | -472.475 |
| 3977.879 | 4922.826 | 4759.404 | 0.000 | 0.000 | -0.000 |
| 713911367.672 | 597304466.600 | 943055245.570 | 2100117.409 | -4042277.207 | -17254103.445 |
| 4759.404 | 4759.404 | 4148.199 | 0.000 | 0.000 | -0.000 |
| 0.000 | 0.000 | 0.001 | -653.527 | 0.000 | 0.000 |
| 0.000 | 0.000 | 0.001 | 0.000 | -653.527 | -0.000 |
| 0.000 | 0.001 | 0.000 | 0.000 | 0.000 | -472.475 |
| -718497651.316 | -578005352.506 | -940572109.400 | 3458356.730 | 32113.275 | 19310762.846 |
| 4922.826 | 3977.875 | 4759.404 | -0.000 | -0.000 | 0.000 |
| 4759.404 | 4759.404 | 4148.197 | -0.000 | -0.000 | 0.000 |
| -0.000 | -0.000 | -0.001 | -653.527 | -0.000 | -0.000 |
| -0.000 | -0.000 | -0.001 | -0.000 | -653.527 | 0.000 |
| -0.000 | -0.001 | -0.000 | 0.000 | 0.000 | -472.475 |
| 107644095.742 | 55576452.168 | 4322310.807 | 9596.481 | 117662.611 | 2026403.982 |
| 73329595.907 | 58700787.214 | 95957114.180 | -99968.011 | 638728.826 | -1534914.588 |
| 4759.406 | 4759.406 | 4148.208 | 0.000 | 0.000 | 0.000 |
| 0.002 | 0.002 | 0.005 | -653.527 | 0.000 | 0.000 |
| 0.002 | 0.002 | 0.005 | -0.000 | -653.527 | -0.000 |
| 100952164.863 | 115055709.207 | 9660960.384 | 124336.159 | 57658.693 | 14635189.821 |
| -73045265.627 | -56808943.415 | -94006560.878 | 140918.836 | 190460.136 | 1851403.616 |
| -111184096.589 | -56311871.597 | -6469803.184 | 261430.433 | 74787.185 | -2627002.447 |
| 4759.402 | 4759.402 | 4148.187 | -0.000 | -0.000 | 0.000 |
| -0.002 | -0.002 | -0.005 | -653.527 | -0.000 | -0.000 |
| -0.002 | -0.002 | -0.005 | -0.000 | -653.527 | 0.000 |
| -81823824.957 | -105297168.927 | -6156003.969 | -126015.694 | 838.412 | 18623621.094 |
| 1863.981 | 558.411 | 1384.137 | 0.000 | 0.000 | -0.000 |
| 558.411 | 1863.981 | 1384.137 | 0.000 | 0.000 | 0.000 |
| 1291.226 | 1291.226 | 6072.175 | 0.000 | 0.000 | 0.000 |
| 0.000 | -0.000 | 0.000 | 1015.172 | 0.000 | 0.000 |
| 0.000 | -0.000 | 0.000 | 0.000 | 1015.172 | 0.000 |
| -0.000 | 0.000 | 0.000 | 0.000 | 0.000 | 652.785 |
| 1863.981 | 558.411 | 1384.137 | -0.000 | -0.000 | -0.000 |
| 997.013 | 1425.378 | 1384.137 | -0.000 | -0.000 | 0.000 |
| 1291.226 | 1291.226 | 6072.176 | -0.000 | -0.000 | -0.000 |
| -0.000 | 0.000 | -0.000 | 1015.172 | -0.000 | 0.000 |
| -0.000 | 0.000 | -0.000 | -0.000 | 1015.172 | 0.000 |
| -0.000 | -0.000 | -0.000 | -0.000 | -0.000 | 652.785 |
| 1425.273 | 997.118 | 1384.137 | 0.000 | 0.000 | -0.000 |
| 997.016 | 1425.374 | 1384.137 | -0.000 | 0.000 | -0.000 |
| 1291.227 | 1291.227 | 6072.170 | 0.000 | 0.000 | -0.000 |
| 0.000 | 0.000 | -0.000 | 1015.172 | 0.000 | 0.000 |
| 0.000 | 0.000 | -0.000 | 0.000 | 1015.172 | 0.000 |
| -0.000 | -0.000 | -0.000 | 0.000 | 0.000 | 652.785 |
| 1425.375 | 997.017 | 1384.138 | -0.000 | -0.000 | 0.000 |
| 997.011 | 1425.381 | 1384.138 | -0.000 | -0.000 | 0.000 |
| 1291.226 | 1291.226 | 6072.181 | -0.000 | -0.000 | -0.000 |
| -0.000 | -0.000 | 0.000 | 1015.172 | -0.000 | -0.000 |
| -0.000 | -0.000 | 0.000 | 0.000 | 1015.172 | -0.000 |
| 0.000 | 0.000 | 0.000 | -0.000 | -0.000 | 652.785 |
| 1425.401 | 996.984 | 1384.136 | 0.000 | 0.000 | -0.000 |
| 997.012 | 1425.373 | 1384.136 | 0.000 | 0.000 | -0.000 |
| 1291.230 | 1291.230 | 6072.124 | 0.000 | 0.000 | 0.000 |
| 0.001 | -0.001 | -0.002 | 1015.172 | 0.000 | -0.000 |
| -0.001 | 0.001 | -0.002 | 0.000 | 1015.172 | -0.000 |
| -0.001 | -0.001 | -0.001 | 0.000 | 0.000 | 214.182 |
| 1425.354 | 997.043 | 1384.140 | -0.000 | -0.000 | 0.000 |
| 996.988 | 1425.409 | 1384.140 | -0.000 | -0.000 | 0.000 |
| 1291.222 | 1291.222 | 6072.227 | -0.000 | -0.000 | 0.000 |
| -0.001 | 0.001 | 0.002 | 1015.172 | -0.000 | 0.000 |
| 0.001 | -0.001 | 0.002 | -0.000 | 1015.172 | 0.000 |
| 0.001 | 0.001 | 0.001 | -0.000 | -0.000 | 214.182 |
| 2424.164 | 2287.651 | 0.000 | 0.000 | 0.000 | -0.000 |
| 2287.651 | 2424.164 | 0.000 | 0.000 | 0.000 | -0.000 |
| -0.000 | -0.000 | 0.000 | 0.000 | 0.000 | -0.000 |
| -0.000 | -0.000 | 0.000 | 0.000 | 0.000 | -0.000 |
| -0.000 | -0.000 | 0.000 | 0.000 | 0.000 | -0.000 |
| -0.000 | 0.000 | 0.000 | 0.000 | 0.000 | 68.257 |
| 2424.164 | 2287.651 | -0.000 | -0.000 | -0.000 | 0.000 |
| 2287.651 | 2424.164 | -0.000 | -0.000 | -0.000 | 0.000 |
| 0.000 | 0.000 | -0.000 | -0.000 | -0.000 | 0.000 |
| 0.000 | 0.000 | -0.000 | -0.000 | -0.000 | 0.000 |
| 0.000 | 0.000 | -0.000 | -0.000 | -0.000 | 0.000 |
| 0.000 | -0.000 | -0.000 | -0.000 | -0.000 | 68.257 |
| 2424.165 | 2287.649 | 0.000 | 0.000 | 0.000 | -0.000 |
| 2287.650 | 2424.164 | 0.000 | 0.000 | 0.000 | -0.000 |
| -0.000 | -0.000 | 0.000 | 0.000 | 0.000 | -0.000 |
| -0.000 | -0.000 | 0.000 | 0.000 | 0.000 | -0.000 |
| -0.000 | -0.000 | 0.000 | 0.000 | 0.000 | -0.000 |
| -0.000 | 0.001 | 0.000 | 0.000 | 0.000 | 68.257 |
| 2424.164 | 2287.653 | -0.000 | -0.000 | -0.000 | 0.000 |
| 2287.652 | 2424.165 | -0.000 | -0.000 | -0.000 | 0.000 |
| 0.000 | 0.000 | -0.000 | -0.000 | -0.000 | 0.000 |
| 0.000 | 0.000 | -0.000 | -0.000 | -0.000 | 0.000 |
| 0.000 | 0.000 | -0.000 | -0.000 | -0.000 | 0.000 |
| 0.000 | -0.001 | -0.000 | -0.000 | -0.000 | 68.257 |
| 2424.169 | 2287.629 | 0.000 | 0.000 | 0.000 | -0.000 |
| 2287.640 | 2424.157 | 0.000 | 0.000 | 0.000 | -0.000 |
| -0.000 | -0.000 | 0.000 | 0.000 | 0.000 | -0.000 |
| -0.000 | -0.000 | 0.000 | 0.000 | 0.000 | 0.000 |
| -0.000 | -0.000 | 0.000 | 0.000 | 0.000 | -0.000 |
| -0.002 | 0.009 | 0.000 | 0.000 | 0.000 | 68.257 |
| 2424.160 | 2287.674 | -0.000 | -0.000 | -0.000 | 0.000 |
| 2287.662 | 2424.171 | -0.000 | -0.000 | -0.000 | 0.000 |
| 0.000 | 0.000 | -0.000 | -0.000 | -0.000 | 0.000 |
| 0.000 | 0.000 | -0.000 | -0.000 | -0.000 | -0.000 |
| 0.000 | 0.000 | -0.000 | -0.000 | -0.000 | 0.000 |
| 0.002 | -0.009 | -0.000 | -0.000 | -0.000 | 68.257 |
| 11095047607.821 | 5985571405.200 | -733355713.890 | 12412052.435 | -10214530.912 | 341841801.003 |
| 4948.522 | 3948.660 | 4760.796 | -0.000 | -0.000 | -0.000 |
| 4760.796 | 4760.796 | 4150.168 | -0.000 | -0.000 | -0.000 |
| 0.000 | 0.000 | 0.000 | -723.065 | -0.000 | 0.000 |
| 0.000 | -0.000 | 0.000 | -0.000 | -723.065 | -0.000 |
| 0.000 | 0.000 | 0.000 | -0.000 | -0.000 | -499.931 |
| 3948.660 | 4948.522 | 4760.796 | 0.000 | 0.000 | 0.000 |
| -11695273995.100 | -6382704255.530 | 795310121.501 | -390906.885 | -1491862.177 | -219479147.279 |
| 4760.796 | 4760.796 | 4150.168 | 0.000 | 0.000 | 0.000 |
| -0.000 | -0.000 | -0.000 | -723.065 | 0.000 | -0.000 |
| -0.000 | 0.000 | -0.000 | 0.000 | -723.065 | 0.000 |
| -0.000 | -0.000 | -0.000 | 0.000 | 0.000 | -499.931 |
| 1160821406.763 | 623590427.466 | -57653863.767 | -786579.822 | 1500180.303 | 30299205.432 |
| 908112186.621 | 873659245.442 | 484852715.755 | -2986933.013 | 4795535.831 | -45233974.273 |
| 4760.796 | 4760.796 | 4150.169 | -0.000 | 0.000 | -0.000 |
| 0.000 | 0.000 | 0.001 | -723.065 | -0.000 | -0.000 |
| 0.000 | 0.000 | 0.001 | -0.000 | -723.065 | 0.000 |
| 1013336162.872 | 1194389217.891 | -71846780.943 | -571464.102 | -528503.054 | 165178877.491 |
| -871303630.400 | -827126626.536 | -576381308.140 | -2044109.320 | -7835595.484 | 23969281.798 |
| -1147874458.105 | -652982183.991 | 94985525.385 | 354913.303 | -586319.449 | -17275997.412 |
| 4760.796 | 4760.796 | 4150.167 | 0.000 | 0.000 | 0.000 |
| -0.000 | -0.000 | -0.001 | -723.065 | 0.000 | 0.000 |
| -0.000 | -0.000 | -0.001 | 0.000 | -723.065 | -0.000 |
| -990803815.907 | -1286811318.815 | 33806853.702 | 1243684.517 | 1285873.234 | 129443549.709 |
| 112270295.428 | 57173892.572 | -7077083.053 | 4718.182 | -86481.660 | 3040603.116 |
| 88788548.942 | 82990690.131 | 48202168.533 | 967215.255 | 278321.005 | -3577216.801 |
| 4760.798 | 4760.798 | 4150.178 | -0.000 | -0.000 | 0.000 |
| 0.002 | 0.003 | 0.005 | -723.065 | -0.000 | 0.000 |
| 0.003 | 0.002 | 0.005 | -0.000 | -723.065 | -0.000 |
| 83320499.305 | 111986802.369 | -2958634.888 | -74966.835 | 40249.582 | 19663054.058 |
| -83277049.406 | -83965966.987 | -54918283.209 | -14362.721 | -792412.179 | 2928649.224 |
| -112003753.914 | -57738226.621 | 6725327.525 | -31850.032 | 105282.123 | -4362646.868 |
| 4760.794 | 4760.794 | 4150.158 | 0.000 | 0.000 | 0.000 |
| -0.002 | -0.003 | -0.005 | -723.065 | 0.000 | 0.000 |
| -0.003 | -0.002 | -0.005 | 0.000 | -723.065 | 0.000 |
| -76574530.351 | -110770850.751 | 10150725.060 | 23943.441 | -21194.885 | 22204784.042 |
| 1074.083 | 101.725 | 101.725 | 0.000 | 0.000 | 0.000 |
| 101.725 | 1074.083 | 101.725 | 0.000 | 0.000 | 0.000 |
| 101.725 | 101.725 | 1074.083 | 0.000 | 0.000 | 0.000 |
| 0.000 | -0.000 | 0.000 | 641.544 | 0.000 | 0.000 |
| -0.000 | 0.000 | 0.000 | 0.000 | 641.544 | 0.000 |
| -0.000 | 0.000 | 0.000 | 0.000 | 0.000 | 641.544 |
| 1074.083 | 101.725 | 101.725 | -0.000 | -0.000 | -0.000 |
| 101.725 | 1074.083 | 101.725 | -0.000 | -0.000 | -0.000 |
| 101.725 | 101.725 | 1074.083 | -0.000 | -0.000 | -0.000 |
| -0.000 | 0.000 | -0.000 | 641.544 | -0.000 | -0.000 |
| 0.000 | -0.000 | -0.000 | -0.000 | 641.544 | -0.000 |
| 0.000 | -0.000 | -0.000 | -0.000 | -0.000 | 641.544 |
| 1074.083 | 101.725 | 101.725 | 0.000 | 0.000 | 0.000 |
| 101.725 | 1074.083 | 101.725 | 0.000 | 0.000 | 0.000 |
| 101.725 | 101.725 | 1074.083 | 0.000 | 0.000 | 0.000 |
| 0.000 | -0.000 | 0.000 | 641.544 | 0.000 | 0.000 |
| -0.000 | 0.000 | 0.000 | 0.000 | 641.544 | 0.000 |
| -0.000 | 0.000 | 0.000 | 0.000 | 0.000 | 641.544 |
| 1074.083 | 101.725 | 101.725 | -0.000 | -0.000 | -0.000 |
| 101.725 | 1074.083 | 101.725 | -0.000 | -0.000 | -0.000 |
| 101.725 | 101.725 | 1074.083 | -0.000 | -0.000 | -0.000 |
| -0.000 | 0.000 | -0.000 | 641.544 | -0.000 | -0.000 |
| 0.000 | -0.000 | -0.000 | -0.000 | 641.544 | -0.000 |
| 0.000 | -0.000 | -0.000 | -0.000 | -0.000 | 641.544 |
| 1074.084 | 101.726 | 101.726 | 0.000 | 0.000 | 0.000 |
| 101.726 | 1074.084 | 101.726 | 0.000 | 0.000 | 0.000 |
| 101.726 | 101.726 | 1074.084 | 0.000 | 0.000 | 0.000 |
| 0.001 | -0.000 | 0.001 | 671.191 | -0.000 | 0.000 |
| -0.000 | 0.001 | 0.001 | -0.000 | 671.191 | 0.000 |
| -0.000 | 0.001 | 0.001 | -0.000 | 0.000 | 671.191 |
| 1074.081 | 101.724 | 101.724 | -0.000 | -0.000 | -0.000 |
| 101.724 | 1074.081 | 101.724 | -0.000 | -0.000 | -0.000 |
| 101.724 | 101.724 | 1074.081 | -0.000 | -0.000 | -0.000 |
| -0.001 | 0.000 | -0.001 | 671.191 | 0.000 | -0.000 |
| 0.000 | -0.001 | -0.001 | 0.000 | 671.191 | -0.000 |
| 0.000 | -0.001 | -0.001 | 0.000 | 0.000 | 671.191 |
| 869.186 | 127.406 | 719.482 | 0.000 | -0.000 | 0.000 |
| 127.406 | 869.186 | 719.482 | 0.000 | -0.000 | 0.000 |
| 719.482 | 719.482 | -838.742 | 0.000 | -0.000 | 0.000 |
| -0.000 | -0.000 | -0.000 | 150.734 | 0.000 | 0.000 |
| -0.000 | -0.000 | -0.000 | -0.000 | 150.734 | -0.000 |
| 0.000 | -0.000 | -0.000 | 0.000 | -0.000 | 160.392 |
| 869.185 | 127.406 | 719.482 | -0.000 | 0.000 | -0.000 |
| 127.406 | 869.186 | 719.482 | -0.000 | 0.000 | 0.000 |
| 719.482 | 719.483 | -838.743 | -0.000 | 0.000 | 0.000 |
| 0.000 | 0.000 | 0.000 | 150.734 | 0.000 | -0.000 |
| 0.000 | 0.000 | -0.000 | -0.000 | 150.734 | 0.000 |
| -0.000 | 0.000 | 0.000 | -0.000 | 0.000 | 160.392 |
| 869.186 | 127.406 | 719.482 | 0.000 | -0.000 | 0.000 |
| 127.406 | 869.186 | 719.482 | 0.000 | -0.000 | 0.000 |
| 719.482 | 719.482 | -838.739 | 0.000 | 0.000 | 0.000 |
| -0.000 | -0.000 | 0.000 | 150.734 | -0.000 | -0.000 |
| -0.000 | -0.000 | 0.000 | -0.000 | 150.734 | -0.000 |
| -0.000 | 0.000 | -0.000 | 0.000 | -0.000 | 160.392 |
| 869.185 | 127.406 | 719.482 | 0.000 | 0.000 | -0.000 |
| 127.406 | 869.185 | 719.482 | -0.000 | 0.000 | -0.000 |
| 719.483 | 719.483 | -838.747 | -0.000 | 0.000 | -0.000 |
| 0.000 | 0.000 | -0.000 | 150.734 | 0.000 | -0.000 |
| 0.000 | 0.000 | -0.000 | 0.000 | 150.734 | -0.000 |
| 0.000 | -0.000 | 0.000 | -0.000 | 0.000 | 160.392 |
| 869.188 | 127.407 | 719.484 | -0.000 | -0.000 | 0.000 |
| 127.407 | 869.188 | 719.484 | -0.000 | -0.000 | -0.000 |
| 719.476 | 719.476 | -838.700 | 0.000 | -0.000 | 0.000 |
| -0.000 | -0.000 | 0.001 | 150.734 | -0.000 | -0.000 |
| -0.000 | -0.000 | 0.001 | -0.000 | 150.734 | -0.000 |
| -0.001 | 0.001 | -0.001 | 0.000 | -0.000 | 160.392 |
| 869.183 | 127.405 | 719.480 | 0.000 | 0.000 | -0.000 |
| 127.405 | 869.183 | 719.480 | -0.000 | 0.000 | -0.000 |
| 719.488 | 719.488 | -838.786 | 0.000 | 0.000 | -0.000 |
| 0.000 | 0.000 | -0.001 | 150.734 | 0.000 | -0.000 |
| 0.000 | 0.000 | -0.001 | -0.000 | 150.734 | 0.000 |
| 0.001 | -0.001 | 0.001 | -0.000 | 0.000 | 160.392 |
| 849.546 | 116.155 | 265.981 | -0.000 | -0.000 | -0.000 |
| 116.155 | 849.546 | 265.981 | 0.000 | 0.000 | -0.000 |
| 265.981 | 265.981 | 1471.280 | 0.000 | 0.000 | -0.000 |
| -0.000 | -0.000 | -0.000 | 154.959 | 0.000 | -0.000 |
| -0.000 | -0.000 | -0.000 | 0.000 | 154.959 | -0.000 |
| -0.000 | -0.000 | -0.000 | -0.000 | -0.000 | 142.084 |
| 849.546 | 116.155 | 265.981 | 0.000 | -0.000 | 0.000 |
| 116.155 | 849.546 | 265.981 | -0.000 | -0.000 | 0.000 |
| 265.981 | 265.981 | 1471.280 | -0.000 | -0.000 | 0.000 |
| 0.000 | 0.000 | 0.000 | 154.959 | -0.000 | 0.000 |
| 0.000 | 0.000 | 0.000 | -0.000 | 154.959 | 0.000 |
| 0.000 | 0.000 | 0.000 | 0.000 | -0.000 | 142.084 |
| 849.547 | 116.155 | 265.981 | -0.000 | 0.000 | -0.000 |
| 116.155 | 849.547 | 265.981 | -0.000 | -0.000 | -0.000 |
| 265.980 | 265.980 | 1471.282 | -0.000 | -0.000 | -0.000 |
| -0.000 | -0.000 | -0.000 | 154.959 | -0.000 | -0.000 |
| -0.000 | -0.000 | -0.000 | -0.000 | 154.959 | -0.000 |
| -0.000 | -0.000 | -0.000 | -0.000 | 0.000 | 142.084 |
| 849.546 | 116.155 | 265.981 | 0.000 | -0.000 | 0.000 |
| 116.155 | 849.546 | 265.981 | -0.000 | -0.000 | 0.000 |
| 265.982 | 265.982 | 1471.279 | 0.000 | -0.000 | -0.000 |
| 0.000 | 0.000 | 0.000 | 154.959 | 0.000 | 0.000 |
| 0.000 | 0.000 | 0.000 | 0.000 | 154.959 | 0.000 |
| 0.000 | 0.000 | 0.000 | 0.000 | 0.000 | 142.084 |
| 849.549 | 116.155 | 265.982 | -0.000 | 0.000 | -0.000 |
| 116.155 | 849.549 | 265.982 | -0.000 | -0.000 | -0.000 |
| 265.975 | 265.975 | 1471.296 | -0.000 | -0.000 | -0.000 |
| -0.000 | -0.000 | -0.000 | 154.959 | -0.000 | 0.000 |
| -0.000 | -0.000 | -0.000 | -0.000 | 154.959 | -0.000 |
| -0.000 | -0.000 | -0.000 | -0.000 | -0.000 | 142.084 |
| 849.544 | 116.154 | 265.980 | -0.000 | -0.000 | 0.000 |
| 116.154 | 849.544 | 265.980 | -0.000 | -0.000 | 0.000 |
| 265.987 | 265.987 | 1471.265 | 0.000 | 0.000 | 0.000 |
| 0.000 | 0.000 | 0.000 | 154.959 | 0.000 | 0.000 |
| 0.000 | 0.000 | 0.000 | 0.000 | 154.959 | 0.000 |
| 0.000 | 0.000 | 0.000 | 0.000 | 0.000 | 142.084 |
| 1493.731 | 0.000 | 0.000 | 0.000 | 0.000 | -0.000 |
| 0.000 | 1493.731 | 0.000 | 0.000 | 0.000 | 0.000 |
| 0.000 | 0.000 | 0.000 | 0.000 | 0.000 | 0.000 |
| 0.000 | 0.000 | 0.000 | 0.000 | 0.000 | 0.000 |
| 0.000 | 0.000 | 0.000 | 0.000 | 0.000 | 0.000 |
| 0.000 | 0.000 | 0.000 | 0.000 | 0.000 | 305.393 |
| 804.275 | 0.000 | 0.000 | 0.000 | 0.000 | -0.000 |
| 0.000 | 804.275 | 0.000 | 0.000 | 0.000 | 0.000 |
| 0.000 | 0.000 | 0.000 | 0.000 | 0.000 | 0.000 |
| 0.000 | 0.000 | 0.000 | 0.000 | 0.000 | 0.000 |
| 0.000 | 0.000 | 0.000 | 0.000 | 0.000 | 0.000 |
| 0.000 | 0.000 | 0.000 | 0.000 | 0.000 | 164.434 |
| 1493.730 | -0.000 | -0.000 | -0.000 | -0.000 | -0.000 |
| -0.000 | 1493.730 | -0.000 | -0.000 | -0.000 | -0.000 |
| -0.000 | -0.000 | -0.000 | -0.000 | -0.000 | -0.000 |
| -0.000 | -0.000 | -0.000 | -0.000 | -0.000 | -0.000 |
| -0.000 | -0.000 | -0.000 | -0.000 | -0.000 | 0.000 |
| -0.000 | -0.000 | -0.000 | -0.000 | -0.000 | 305.393 |
| 804.275 | -0.000 | -0.000 | -0.000 | -0.000 | -0.000 |
| -0.000 | 804.275 | -0.000 | -0.000 | -0.000 | -0.000 |
| -0.000 | -0.000 | -0.000 | -0.000 | -0.000 | -0.000 |
| -0.000 | -0.000 | -0.000 | -0.000 | -0.000 | -0.000 |
| -0.000 | -0.000 | -0.000 | -0.000 | -0.000 | -0.000 |
| -0.000 | -0.000 | -0.000 | -0.000 | -0.000 | 164.434 |
| 1493.731 | 0.000 | 0.000 | 0.000 | 0.000 | 0.000 |
| 0.000 | 1493.731 | 0.000 | 0.000 | 0.000 | -0.000 |
| 0.000 | 0.000 | 0.000 | 0.000 | 0.000 | 0.000 |
| 0.000 | 0.000 | 0.000 | 0.000 | 0.000 | 0.000 |
| 0.000 | 0.000 | 0.000 | 0.000 | 0.000 | 0.000 |
| 0.000 | -0.000 | 0.000 | 0.000 | 0.000 | 305.393 |
| 804.275 | 0.000 | 0.000 | 0.000 | 0.000 | 0.000 |
| 0.000 | 804.275 | 0.000 | 0.000 | 0.000 | -0.000 |
| 0.000 | 0.000 | 0.000 | 0.000 | 0.000 | 0.000 |
| 0.000 | 0.000 | 0.000 | 0.000 | 0.000 | 0.000 |
| 0.000 | 0.000 | 0.000 | 0.000 | 0.000 | 0.000 |
| 0.000 | -0.000 | 0.000 | 0.000 | 0.000 | 164.434 |
| 1493.730 | -0.000 | -0.000 | -0.000 | -0.000 | 0.000 |
| -0.000 | 1493.730 | -0.000 | -0.000 | -0.000 | -0.000 |
| -0.000 | -0.000 | -0.000 | -0.000 | -0.000 | -0.000 |
| -0.000 | -0.000 | -0.000 | -0.000 | -0.000 | -0.000 |
| -0.000 | -0.000 | -0.000 | -0.000 | -0.000 | -0.000 |
| -0.000 | 0.000 | -0.000 | -0.000 | -0.000 | 305.393 |
| 804.274 | -0.000 | -0.000 | -0.000 | -0.000 | 0.000 |
| -0.000 | 804.274 | -0.000 | -0.000 | -0.000 | -0.000 |
| -0.000 | -0.000 | -0.000 | -0.000 | -0.000 | -0.000 |
| -0.000 | -0.000 | -0.000 | -0.000 | -0.000 | -0.000 |
| -0.000 | -0.000 | -0.000 | -0.000 | -0.000 | -0.000 |
| -0.000 | 0.000 | -0.000 | -0.000 | -0.000 | 164.434 |
| 1493.738 | 0.000 | 0.000 | 0.000 | 0.000 | -0.000 |
| 0.000 | 1493.738 | 0.000 | 0.000 | 0.000 | 0.000 |
| 0.000 | 0.000 | 0.000 | 0.000 | 0.000 | 0.000 |
| 0.000 | 0.000 | 0.000 | 0.000 | 0.000 | 0.000 |
| 0.000 | 0.000 | 0.000 | 0.000 | 0.000 | 0.000 |
| -0.000 | -0.000 | 0.000 | 0.000 | 0.000 | 305.393 |
| 804.279 | 0.000 | 0.000 | 0.000 | 0.000 | -0.000 |
| 0.000 | 804.279 | 0.000 | 0.000 | 0.000 | 0.000 |
| 0.000 | 0.000 | 0.000 | 0.000 | 0.000 | 0.000 |
| 0.000 | 0.000 | 0.000 | 0.000 | 0.000 | -0.000 |
| 0.000 | 0.000 | 0.000 | 0.000 | 0.000 | 0.000 |
| -0.000 | -0.000 | 0.000 | 0.000 | 0.000 | 164.434 |
| 1493.723 | -0.000 | -0.000 | -0.000 | -0.000 | 0.000 |
| -0.000 | 1493.723 | -0.000 | -0.000 | -0.000 | 0.000 |
| -0.000 | -0.000 | -0.000 | -0.000 | -0.000 | -0.000 |
| -0.000 | -0.000 | -0.000 | -0.000 | -0.000 | -0.000 |
| -0.000 | -0.000 | -0.000 | -0.000 | -0.000 | -0.000 |
| 0.000 | 0.000 | -0.000 | -0.000 | -0.000 | 305.393 |
| 804.271 | -0.000 | -0.000 | -0.000 | -0.000 | 0.000 |
| -0.000 | 804.271 | -0.000 | -0.000 | -0.000 | 0.000 |
| -0.000 | -0.000 | -0.000 | -0.000 | -0.000 | -0.000 |
| -0.000 | -0.000 | -0.000 | -0.000 | -0.000 | -0.000 |
| -0.000 | -0.000 | -0.000 | -0.000 | -0.000 | -0.000 |
| 0.000 | 0.000 | -0.000 | -0.000 | -0.000 | 164.434 |
| 821.937 | 0.000 | 0.000 | 0.000 | 0.000 | 0.000 |
| 0.000 | 821.937 | 0.000 | 0.000 | 0.000 | 0.000 |
| 0.000 | 0.000 | 0.000 | 0.000 | 0.000 | -0.000 |
| 0.000 | 0.000 | 0.000 | 0.000 | 0.000 | 0.000 |
| 0.000 | 0.000 | 0.000 | 0.000 | 0.000 | 0.000 |
| 0.000 | 0.000 | 0.000 | 0.000 | 0.000 | 168.045 |
| 821.937 | -0.000 | -0.000 | -0.000 | -0.000 | -0.000 |
| -0.000 | 821.937 | -0.000 | -0.000 | -0.000 | -0.000 |
| -0.000 | -0.000 | -0.000 | -0.000 | -0.000 | 0.000 |
| -0.000 | -0.000 | -0.000 | -0.000 | -0.000 | 0.000 |
| -0.000 | -0.000 | -0.000 | -0.000 | -0.000 | -0.000 |
| -0.000 | -0.000 | -0.000 | -0.000 | -0.000 | 168.045 |
| 821.941 | 0.000 | 0.000 | 0.000 | 0.000 | 0.000 |
| 0.000 | 821.941 | 0.000 | 0.000 | 0.000 | 0.000 |
| 0.000 | 0.000 | 0.000 | 0.000 | 0.000 | -0.000 |
| 0.000 | 0.000 | 0.000 | 0.000 | 0.000 | 0.000 |
| 0.000 | 0.000 | 0.000 | 0.000 | 0.000 | 0.000 |
| -0.000 | -0.000 | 0.000 | 0.000 | 0.000 | 168.045 |
| 821.933 | -0.000 | -0.000 | -0.000 | -0.000 | -0.000 |
| -0.000 | 821.933 | -0.000 | -0.000 | -0.000 | -0.000 |
| -0.000 | -0.000 | -0.000 | -0.000 | -0.000 | 0.000 |
| -0.000 | -0.000 | -0.000 | -0.000 | -0.000 | -0.000 |
| -0.000 | -0.000 | -0.000 | -0.000 | -0.000 | -0.000 |
| 0.000 | 0.000 | -0.000 | -0.000 | -0.000 | 168.045 |
| 1291.194 | -204.078 | 0.000 | 0.000 | 0.000 | -0.000 |
| -204.159 | 1291.275 | 0.000 | -0.000 | 0.000 | 0.000 |
| -0.000 | -0.000 | 0.000 | 0.000 | 0.000 | -0.000 |
| -0.000 | -0.000 | 0.000 | 0.000 | 0.000 | -0.000 |
| -0.000 | -0.000 | 0.000 | 0.000 | 0.000 | -0.000 |
| 0.000 | 0.000 | -0.000 | 0.000 | 0.000 | 795.873 |
| 1291.198 | -204.082 | -0.000 | 0.000 | -0.000 | 0.000 |
| -203.996 | 1291.111 | -0.000 | 0.000 | -0.000 | 0.000 |
| 0.000 | 0.000 | -0.000 | -0.000 | -0.000 | 0.000 |
| 0.000 | 0.000 | -0.000 | -0.000 | -0.000 | 0.000 |
| 0.000 | 0.000 | -0.000 | -0.000 | -0.000 | 0.000 |
| -0.000 | -0.000 | 0.000 | -0.000 | 0.000 | 795.873 |
| 1291.198 | -204.077 | 0.000 | -0.000 | 0.000 | 0.000 |
| -204.891 | 1292.012 | 0.000 | -0.000 | 0.000 | -0.000 |
| -0.000 | -0.000 | 0.000 | 0.000 | 0.000 | -0.000 |
| -0.000 | -0.000 | 0.000 | 0.000 | 0.000 | -0.000 |
| -0.000 | -0.000 | 0.000 | 0.000 | 0.000 | -0.000 |
| 0.001 | 0.001 | 0.000 | -0.000 | -0.000 | 747.635 |
| 1291.183 | -204.071 | -0.000 | -0.000 | -0.000 | -0.000 |
| -204.076 | 1291.188 | -0.000 | 0.000 | -0.000 | -0.000 |
| 0.000 | 0.000 | -0.000 | -0.000 | -0.000 | 0.000 |
| 0.000 | 0.000 | -0.000 | 0.000 | -0.000 | 0.000 |
| 0.000 | 0.000 | -0.000 | -0.000 | -0.000 | 0.000 |
| -0.001 | -0.001 | -0.000 | 0.000 | -0.000 | 747.635 |
| 3396.201 | 19.643 | 19.643 | -0.000 | -0.000 | -0.000 |
| 19.643 | 3396.201 | 19.643 | -0.000 | -0.000 | -0.000 |
| 19.643 | 19.643 | 3396.201 | -0.000 | -0.000 | -0.000 |
| -0.000 | 0.000 | -0.000 | 133.731 | -0.000 | -0.000 |
| 0.000 | -0.000 | -0.000 | -0.000 | 133.731 | -0.000 |
| 0.000 | -0.000 | -0.000 | -0.000 | -0.000 | 133.731 |
| 3396.201 | 19.643 | 19.643 | 0.000 | 0.000 | 0.000 |
| 19.643 | 3396.201 | 19.643 | 0.000 | 0.000 | 0.000 |
| 19.643 | 19.643 | 3396.201 | 0.000 | 0.000 | 0.000 |
| 0.000 | -0.000 | 0.000 | 133.731 | 0.000 | 0.000 |
| -0.000 | 0.000 | 0.000 | 0.000 | 133.731 | 0.000 |
| -0.000 | 0.000 | 0.000 | 0.000 | 0.000 | 133.731 |
| 3396.201 | 19.642 | 19.642 | -0.000 | -0.000 | -0.000 |
| 19.642 | 3396.201 | 19.642 | -0.000 | -0.000 | -0.000 |
| 19.642 | 19.642 | 3396.201 | -0.000 | -0.000 | -0.000 |
| -0.000 | 0.000 | -0.000 | 133.731 | -0.000 | -0.000 |
| 0.000 | -0.000 | -0.000 | -0.000 | 133.731 | -0.000 |
| 0.000 | -0.000 | -0.000 | -0.000 | -0.000 | 133.731 |
| 3396.201 | 19.643 | 19.643 | 0.000 | 0.000 | 0.000 |
| 19.643 | 3396.201 | 19.643 | 0.000 | 0.000 | 0.000 |
| 19.643 | 19.643 | 3396.201 | 0.000 | 0.000 | 0.000 |
| 0.000 | -0.000 | 0.000 | 133.731 | 0.000 | 0.000 |
| -0.000 | 0.000 | 0.000 | 0.000 | 133.731 | 0.000 |
| -0.000 | 0.000 | 0.000 | 0.000 | 0.000 | 133.731 |
| 3396.203 | 19.638 | 19.638 | -0.000 | -0.000 | -0.000 |
| 19.638 | 3396.203 | 19.638 | -0.000 | -0.000 | -0.000 |
| 19.638 | 19.638 | 3396.203 | -0.000 | -0.000 | -0.000 |
| -0.000 | -0.000 | -0.001 | 133.731 | -0.000 | -0.000 |
| -0.000 | -0.000 | -0.001 | -0.000 | 133.731 | -0.000 |
| -0.000 | -0.001 | -0.000 | -0.000 | -0.000 | 133.731 |
| 3396.199 | 19.647 | 19.647 | 0.000 | 0.000 | 0.000 |
| 19.647 | 3396.199 | 19.647 | 0.000 | 0.000 | 0.000 |
| 19.647 | 19.647 | 3396.199 | 0.000 | 0.000 | 0.000 |
| 0.000 | 0.000 | 0.001 | 133.731 | 0.000 | 0.000 |
| 0.000 | 0.000 | 0.001 | 0.000 | 133.731 | 0.000 |
| 0.000 | 0.001 | 0.000 | 0.000 | 0.000 | 133.731 |
| 492.362 | 87.451 | -54.787 | 0.000 | 0.000 | -0.000 |
| 99.587 | 1180.180 | -27.018 | -0.000 | -0.000 | -0.000 |
| -52.854 | -40.424 | 1429.786 | -0.000 | 0.000 | 0.000 |
| -0.009 | 1.034 | -0.386 | 778.134 | 0.000 | -0.000 |
| -0.000 | 0.000 | -0.000 | -0.000 | 225.166 | -0.000 |
| -0.000 | 0.000 | -0.000 | -0.000 | 0.000 | 290.180 |
| 512.983 | 53.813 | -48.490 | -0.000 | -0.000 | 0.000 |
| 102.489 | 1173.448 | -25.380 | 0.000 | -0.000 | -0.000 |
| -52.898 | -42.676 | 1430.648 | 0.000 | 0.000 | -0.000 |
| 0.009 | -1.034 | 0.386 | 778.134 | -0.000 | 0.000 |
| 0.000 | -0.000 | 0.000 | -0.000 | 225.166 | 0.000 |
| -0.000 | -0.000 | -0.000 | -0.000 | -0.000 | 290.180 |
| 492.603 | 86.476 | -54.494 | -0.000 | 0.000 | -0.000 |
| 69.647 | 1226.000 | -35.025 | 0.000 | -0.000 | -0.000 |
| -53.852 | -39.773 | 1429.850 | -0.000 | -0.000 | -0.000 |
| -0.001 | 0.104 | -0.039 | 777.958 | 0.000 | -0.000 |
| -0.000 | 0.000 | -0.000 | 0.000 | 225.166 | -0.000 |
| 0.000 | 0.000 | 0.000 | 0.000 | 0.000 | 290.180 |
| 512.983 | 53.813 | -48.490 | -0.000 | -0.000 | 0.000 |
| 101.269 | 1176.415 | -26.120 | 0.000 | -0.000 | -0.000 |
| -53.798 | -39.990 | 1429.914 | -0.000 | -0.000 | -0.000 |
| 0.001 | -0.104 | 0.039 | 777.958 | 0.000 | -0.000 |
| 0.000 | -0.000 | 0.000 | -0.000 | 225.166 | 0.000 |
| -0.000 | -0.000 | -0.000 | -0.000 | -0.000 | 290.180 |
| 492.628 | 86.379 | -54.465 | 0.000 | -0.000 | -0.000 |
| 102.198 | 1171.851 | -24.688 | 0.000 | 0.000 | 0.000 |
| -53.826 | -39.872 | 1429.883 | 0.000 | 0.000 | -0.000 |
| 0.000 | 0.010 | -0.003 | 777.957 | 0.000 | -0.000 |
| -0.000 | 0.000 | -0.000 | 0.000 | 225.166 | 0.000 |
| -0.006 | 0.016 | -0.005 | -0.000 | 0.000 | 100.776 |
| 492.631 | 86.356 | -54.459 | 0.000 | -0.000 | -0.000 |
| 102.205 | 1171.819 | -24.681 | -0.000 | -0.000 | 0.000 |
| -54.001 | -39.797 | 1429.900 | 0.000 | -0.000 | 0.000 |
| -0.000 | -0.010 | 0.003 | 777.957 | -0.000 | -0.000 |
| 0.000 | -0.000 | 0.000 | -0.000 | 225.166 | -0.000 |
| 0.006 | -0.016 | 0.005 | 0.000 | -0.000 | 100.776 |
| 921.507 | 113.077 | -4.282 | -0.000 | -0.000 | -0.000 |
| 113.077 | 921.507 | -4.282 | -0.000 | -0.000 | -0.000 |
| -8.992 | -8.992 | 1340.836 | -0.000 | -0.000 | -0.000 |
| -0.000 | -0.000 | -0.000 | 486.889 | -0.000 | -0.000 |
| -0.000 | -0.000 | -0.000 | -0.000 | 486.889 | -0.000 |
| 0.000 | -0.000 | 0.000 | -0.000 | -0.000 | 269.106 |
| 921.507 | 113.077 | -4.282 | 0.000 | 0.000 | 0.000 |
| 113.077 | 921.507 | -4.282 | 0.000 | 0.000 | 0.000 |
| -8.992 | -8.992 | 1340.836 | 0.000 | 0.000 | 0.000 |
| 0.000 | 0.000 | 0.000 | 486.889 | 0.000 | -0.000 |
| 0.000 | 0.000 | 0.000 | 0.000 | 486.889 | 0.000 |
| -0.000 | 0.000 | -0.000 | 0.000 | 0.000 | 269.106 |
| 921.308 | 113.764 | -5.188 | -0.000 | -0.000 | -0.000 |
| 113.764 | 921.308 | -5.188 | -0.000 | -0.000 | -0.000 |
| -10.119 | -10.119 | 1345.014 | -0.000 | -0.000 | -0.000 |
| 0.000 | -0.000 | 0.000 | 486.889 | -0.000 | -0.000 |
| -0.000 | 0.000 | 0.000 | -0.000 | 486.889 | -0.000 |
| -0.000 | -0.000 | -0.000 | -0.000 | -0.000 | 117.836 |
| 921.507 | 113.077 | -4.283 | 0.000 | 0.000 | 0.000 |
| 113.077 | 921.507 | -4.283 | 0.000 | 0.000 | 0.000 |
| -8.992 | -8.992 | 1340.835 | 0.000 | 0.000 | 0.000 |
| -0.000 | 0.000 | -0.000 | 486.889 | 0.000 | 0.000 |
| 0.000 | -0.000 | -0.000 | 0.000 | 486.889 | 0.000 |
| 0.000 | 0.000 | 0.000 | 0.000 | 0.000 | 117.836 |
| 921.310 | 113.766 | -5.187 | -0.000 | -0.000 | -0.000 |
| 113.766 | 921.310 | -5.187 | -0.000 | -0.000 | -0.000 |
| -8.993 | -8.993 | 1340.843 | -0.000 | -0.000 | -0.000 |
| 0.000 | -0.000 | 0.000 | 486.889 | -0.000 | -0.000 |
| -0.000 | 0.000 | 0.000 | -0.000 | 486.889 | -0.000 |
| -0.000 | -0.000 | 0.000 | -0.000 | -0.000 | 117.836 |
| 921.306 | 113.763 | -5.188 | 0.000 | 0.000 | 0.000 |
| 113.763 | 921.306 | -5.188 | 0.000 | 0.000 | 0.000 |
| -8.992 | -8.992 | 1340.831 | 0.000 | 0.000 | 0.000 |
| -0.000 | 0.000 | -0.000 | 486.889 | -0.000 | 0.000 |
| 0.000 | -0.000 | -0.000 | 0.000 | 486.889 | 0.000 |
| 0.000 | 0.000 | -0.000 | 0.000 | 0.000 | 117.836 |
| 572.515 | 82.557 | 82.557 | -0.000 | -0.000 | 0.000 |
| 82.557 | 572.515 | 82.557 | -0.000 | -0.000 | 0.000 |
| 82.557 | 82.557 | 572.515 | -0.000 | -0.000 | 0.000 |
| -0.000 | -0.000 | 0.000 | 420.536 | 0.000 | -0.000 |
| -0.000 | -0.000 | 0.000 | -0.000 | 420.536 | 0.000 |
| -0.000 | 0.000 | -0.000 | 0.000 | 0.000 | 420.536 |
| 572.515 | 82.557 | 82.557 | -0.000 | -0.000 | 0.000 |
| 82.557 | 572.515 | 82.557 | 0.000 | 0.000 | 0.000 |
| 82.557 | 82.557 | 572.515 | 0.000 | 0.000 | -0.000 |
| 0.000 | 0.000 | -0.000 | 420.536 | -0.000 | -0.000 |
| 0.000 | 0.000 | -0.000 | -0.000 | 420.536 | -0.000 |
| 0.000 | -0.000 | 0.000 | -0.000 | -0.000 | 420.536 |
| 572.515 | 82.557 | 82.557 | -0.000 | -0.000 | -0.000 |
| 82.557 | 572.515 | 82.557 | 0.000 | 0.000 | -0.000 |
| 82.557 | 82.557 | 572.515 | -0.000 | -0.000 | -0.000 |
| -0.000 | 0.000 | 0.000 | 421.479 | 0.000 | 0.000 |
| 0.000 | -0.000 | 0.000 | 0.000 | 421.479 | -0.000 |
| 0.000 | 0.000 | -0.000 | 0.000 | 0.000 | 421.479 |
| 605.886 | 65.871 | 65.871 | -0.000 | -0.000 | -0.000 |
| 65.871 | 605.886 | 65.871 | -0.000 | -0.000 | 0.000 |
| 65.871 | 65.871 | 605.886 | 0.000 | 0.000 | 0.000 |
| 0.000 | -0.000 | -0.000 | 421.479 | -0.000 | -0.000 |
| -0.000 | 0.000 | -0.000 | 0.000 | 421.479 | 0.000 |
| -0.000 | -0.000 | 0.000 | 0.000 | -0.000 | 421.479 |
| 572.516 | 82.557 | 82.557 | 0.000 | -0.000 | 0.000 |
| 82.557 | 572.516 | 82.557 | 0.000 | 0.000 | -0.000 |
| 82.557 | 82.557 | 572.516 | -0.000 | 0.000 | 0.000 |
| 0.000 | 0.000 | 0.001 | 420.536 | 0.000 | -0.000 |
| 0.000 | 0.000 | 0.001 | 0.000 | 420.536 | -0.000 |
| 0.000 | 0.001 | 0.000 | -0.000 | -0.000 | 420.536 |
| 572.527 | 82.550 | 82.550 | -0.000 | -0.000 | -0.000 |
| 82.550 | 572.527 | 82.550 | -0.000 | -0.000 | 0.000 |
| 82.550 | 82.550 | 572.527 | 0.000 | 0.000 | -0.000 |
| -0.000 | -0.000 | -0.001 | 420.536 | -0.000 | 0.000 |
| -0.000 | -0.000 | -0.001 | 0.000 | 420.536 | 0.000 |
| -0.000 | -0.001 | -0.000 | -0.000 | -0.000 | 420.536 |
| 564.915 | 237.009 | 0.000 | 0.000 | 0.000 | -0.000 |
| 237.009 | 564.915 | 0.000 | 0.000 | 0.000 | 0.000 |
| 0.000 | -0.000 | 0.000 | 0.000 | 0.000 | 0.000 |
| 0.000 | 0.000 | 0.000 | 0.000 | 0.000 | 0.000 |
| -0.000 | 0.000 | 0.000 | 0.000 | 0.000 | 0.000 |
| 0.000 | 0.000 | 0.000 | 0.000 | 0.000 | 400.962 |
| 564.915 | 237.008 | -0.000 | -0.000 | -0.000 | 0.000 |
| 237.008 | 564.915 | -0.000 | -0.000 | -0.000 | -0.000 |
| -0.000 | 0.000 | -0.000 | -0.000 | -0.000 | -0.000 |
| -0.000 | -0.000 | -0.000 | -0.000 | -0.000 | -0.000 |
| 0.000 | -0.000 | -0.000 | -0.000 | -0.000 | -0.000 |
| -0.000 | -0.000 | -0.000 | -0.000 | -0.000 | 400.962 |
| 564.915 | 237.009 | 0.000 | 0.000 | 0.000 | 0.000 |
| 237.009 | 564.915 | 0.000 | 0.000 | 0.000 | 0.000 |
| 0.000 | -0.000 | 0.000 | 0.000 | 0.000 | 0.000 |
| 0.000 | 0.000 | 0.000 | 0.000 | 0.000 | 0.000 |
| -0.000 | 0.000 | 0.000 | 0.000 | 0.000 | 0.000 |
| 0.000 | 0.000 | 0.000 | 0.000 | 0.000 | 400.962 |
| 564.915 | 237.008 | -0.000 | -0.000 | -0.000 | -0.000 |
| 237.008 | 564.915 | -0.000 | -0.000 | -0.000 | -0.000 |
| -0.000 | 0.000 | -0.000 | -0.000 | -0.000 | -0.000 |
| -0.000 | -0.000 | -0.000 | -0.000 | -0.000 | -0.000 |
| -0.000 | -0.000 | -0.000 | -0.000 | -0.000 | -0.000 |
| -0.000 | -0.000 | -0.000 | -0.000 | -0.000 | 400.962 |
| 564.916 | 237.010 | 0.000 | 0.000 | 0.000 | 0.000 |
| 237.010 | 564.916 | 0.000 | 0.000 | 0.000 | 0.000 |
| 0.000 | -0.000 | 0.000 | 0.000 | 0.000 | 0.000 |
| 0.000 | 0.000 | 0.000 | 0.000 | 0.000 | 0.000 |
| 0.000 | 0.000 | 0.000 | 0.000 | 0.000 | 0.000 |
| 0.000 | 0.001 | 0.000 | 0.000 | 0.000 | 400.962 |
| 564.914 | 237.007 | -0.000 | -0.000 | -0.000 | -0.000 |
| 237.007 | 564.914 | -0.000 | -0.000 | -0.000 | 0.000 |
| -0.000 | 0.000 | -0.000 | -0.000 | -0.000 | -0.000 |
| -0.000 | -0.000 | -0.000 | -0.000 | -0.000 | -0.000 |
| 0.000 | -0.000 | -0.000 | -0.000 | -0.000 | -0.000 |
| -0.000 | -0.001 | -0.000 | -0.000 | -0.000 | 400.962 |
| 1141.531 | 22.657 | -17.990 | -0.000 | -0.000 | 0.000 |
| 22.657 | 1091.000 | 30.392 | -0.000 | -0.000 | 0.000 |
| -17.989 | 30.392 | 1303.460 | -0.000 | -0.000 | 0.000 |
| -0.000 | 0.000 | 0.000 | 559.228 | -0.000 | 0.000 |
| 0.089 | 0.289 | -0.801 | 0.000 | 508.223 | -0.000 |
| 0.000 | 0.000 | 0.000 | -0.000 | -0.000 | 377.718 |
| 1141.530 | 22.657 | -17.990 | 0.000 | 0.000 | 0.000 |
| 22.657 | 1091.000 | 30.392 | 0.000 | 0.000 | -0.000 |
| -17.989 | 30.392 | 1303.460 | 0.000 | 0.000 | 0.000 |
| 0.000 | -0.000 | -0.000 | 559.228 | 0.000 | 0.000 |
| -0.089 | -0.289 | 0.801 | 0.000 | 508.223 | -0.000 |
| -0.000 | -0.000 | -0.000 | 0.000 | 0.000 | 377.718 |
| 1141.531 | 22.657 | -17.990 | -0.000 | -0.000 | 0.000 |
| 22.657 | 1091.000 | 30.392 | -0.000 | -0.000 | 0.000 |
| -9.285 | 35.363 | 1288.135 | -0.000 | -0.000 | 0.000 |
| 0.009 | 0.028 | -0.079 | 522.546 | -0.000 | 0.000 |
| -0.000 | 0.000 | 0.000 | -0.000 | 524.338 | 0.000 |
| 0.011 | 0.035 | -0.096 | -0.000 | -0.000 | 296.970 |
| 1067.075 | 75.585 | -12.388 | 0.000 | 0.000 | 0.000 |
| 22.657 | 1090.999 | 30.392 | 0.000 | 0.000 | -0.000 |
| -9.296 | 35.323 | 1288.246 | 0.000 | 0.000 | 0.000 |
| -0.009 | -0.028 | 0.079 | 522.546 | 0.000 | -0.000 |
| 0.000 | -0.000 | -0.000 | 0.000 | 524.338 | -0.000 |
| -0.011 | -0.035 | 0.096 | 0.000 | 0.000 | 296.970 |
| 1066.320 | 73.198 | -10.701 | -0.000 | -0.000 | -0.000 |
| 71.284 | 1041.091 | 37.540 | -0.000 | -0.000 | -0.000 |
| -11.178 | 37.660 | 1288.042 | -0.000 | -0.000 | 0.000 |
| 0.000 | -0.000 | 0.001 | 559.228 | -0.000 | 0.000 |
| 0.001 | 0.003 | -0.008 | 0.000 | 508.225 | -0.000 |
| -0.006 | 0.006 | -0.010 | -0.000 | -0.000 | 217.182 |
| 1066.940 | 75.690 | -12.437 | 0.000 | 0.000 | -0.000 |
| 71.326 | 1041.034 | 37.562 | 0.000 | 0.000 | -0.000 |
| -9.283 | 35.345 | 1288.178 | -0.000 | 0.000 | -0.000 |
| -0.000 | 0.000 | -0.001 | 559.228 | 0.000 | 0.000 |
| -0.001 | -0.003 | 0.008 | 0.000 | 508.225 | -0.000 |
| 0.006 | -0.006 | 0.010 | 0.000 | 0.000 | 217.182 |
| 1116.430 | 18.789 | -14.581 | 0.000 | 0.000 | 0.000 |
| 16.646 | 1075.988 | 34.562 | 0.000 | 0.000 | 0.000 |
| -117.638 | 36.085 | 1291.266 | 0.000 | 0.000 | 0.000 |
| -0.000 | 0.000 | -0.000 | 553.630 | 0.000 | 0.000 |
| -0.000 | 0.000 | -0.000 | 0.000 | 518.475 | 0.000 |
| -141.139 | 24.728 | 14.149 | 0.000 | 0.000 | 248.912 |
| 1126.518 | 87.964 | -17.203 | -0.000 | -0.000 | -0.000 |
| 16.646 | 1075.987 | 34.562 | -0.000 | -0.000 | -0.000 |
| -21.855 | 29.431 | 1307.034 | -0.000 | -0.000 | -0.000 |
| 0.000 | -0.000 | 0.000 | 553.630 | -0.000 | -0.000 |
| 0.000 | -0.000 | 0.000 | -0.000 | 518.475 | -0.000 |
| 141.139 | -24.728 | -14.149 | -0.000 | -0.000 | 248.912 |
| 1037.813 | 67.532 | -1.132 | 0.000 | 0.000 | 0.000 |
| 54.335 | 1028.912 | 43.006 | 0.000 | 0.000 | 0.000 |
| -18.891 | 34.724 | 1290.440 | 0.000 | 0.000 | 0.000 |
| -6.839 | -0.281 | 1.224 | 513.425 | 0.000 | -0.000 |
| -13.794 | 2.074 | 1.569 | 0.000 | 500.261 | 0.000 |
| -20.738 | 2.514 | 1.953 | 0.000 | 0.000 | 246.311 |
| 1064.845 | 59.268 | -5.858 | -0.000 | -0.000 | -0.000 |
| 73.166 | 1025.483 | 40.949 | 0.000 | -0.000 | -0.000 |
| -21.855 | 29.431 | 1307.034 | -0.000 | -0.000 | -0.000 |
| 6.839 | 0.281 | -1.224 | 513.425 | -0.000 | -0.000 |
| 13.794 | -2.074 | -1.569 | -0.000 | 500.261 | -0.000 |
| 20.738 | -2.514 | -1.953 | -0.000 | -0.000 | 246.311 |
| 1052.366 | 62.688 | -3.670 | 0.000 | 0.000 | 0.000 |
| 61.750 | 1029.283 | 41.784 | 0.000 | 0.000 | 0.000 |
| -17.186 | 36.720 | 1291.388 | -0.000 | 0.000 | 0.000 |
| -1.586 | 0.196 | 0.148 | 515.820 | 0.000 | 0.000 |
| -0.650 | -0.026 | 0.116 | 0.000 | 502.286 | 0.000 |
| -1.341 | 0.156 | 0.188 | 0.000 | 0.000 | 213.466 |
| 1049.673 | 64.829 | -8.628 | -0.000 | -0.000 | -0.000 |
| 62.050 | 1029.406 | 41.569 | -0.000 | -0.000 | 0.000 |
| -13.779 | 34.382 | 1291.234 | -0.000 | -0.000 | -0.000 |
| 1.586 | -0.196 | -0.148 | 515.820 | -0.000 | -0.000 |
| 0.650 | 0.026 | -0.116 | -0.000 | 502.286 | -0.000 |
| 1.341 | -0.156 | -0.188 | -0.000 | -0.000 | 213.466 |
| 794.789 | -67.629 | 153.996 | -0.000 | 591.027 | 0.000 |
| -122.997 | 965.428 | 129.272 | -0.000 | 464.057 | 0.000 |
| -100.145 | 99.739 | 954.573 | -0.000 | 466.925 | 0.000 |
| -157.656 | -92.670 | 65.149 | 492.110 | 530.589 | -11.607 |
| -148.387 | -23.462 | -15.002 | -0.000 | 742.064 | 0.000 |
| -183.884 | 25.475 | -46.571 | -15.646 | 434.902 | 372.500 |
| 1110.792 | 117.533 | 23.460 | 0.000 | -470.605 | -0.000 |
| 9.883 | 1113.339 | 40.305 | 0.000 | -84.130 | -0.000 |
| 267.777 | 48.511 | 1047.969 | 0.000 | -402.958 | -0.000 |
| 157.656 | 92.670 | -65.149 | 492.110 | -530.589 | -11.607 |
| 234.184 | -101.551 | 99.181 | -0.000 | -149.160 | -0.000 |
| 183.885 | -25.475 | 46.571 | -15.646 | -434.902 | 372.500 |
| 935.941 | 16.813 | 95.546 | -0.000 | 111.255 | 0.000 |
| 9.883 | 1113.339 | 40.305 | -0.000 | -84.131 | 0.000 |
| 63.503 | 76.849 | 1000.784 | -0.000 | 72.933 | 0.000 |
| 0.000 | 0.000 | 0.000 | 534.956 | -0.000 | -57.089 |
| 40.713 | -77.455 | 42.337 | -0.000 | 407.386 | 0.000 |
| -18.861 | 4.844 | -6.049 | -23.259 | 45.328 | 381.135 |
| 970.526 | 33.362 | 81.564 | 0.000 | 6.986 | -0.000 |
| 53.764 | 1050.508 | 65.409 | -0.000 | -103.604 | -0.000 |
| 74.266 | 44.404 | 1056.348 | 0.000 | 42.337 | -0.000 |
| -0.000 | -0.000 | -0.000 | 534.956 | 0.000 | -57.089 |
| 48.597 | -41.257 | 22.478 | 0.000 | 270.808 | -0.000 |
| 18.861 | -4.844 | 6.049 | -23.259 | -45.328 | 381.135 |
| 947.508 | 32.794 | 80.833 | -0.000 | 67.300 | 0.000 |
| 26.124 | 1059.262 | 64.636 | -0.000 | -46.747 | 0.000 |
| 85.701 | 67.127 | 1009.986 | -0.000 | 30.433 | 0.000 |
| -1.570 | 0.171 | -0.355 | 496.605 | 3.777 | -15.839 |
| 35.520 | -51.411 | 29.180 | -0.000 | 323.423 | 0.000 |
| -1.427 | -0.839 | 0.590 | -22.601 | 4.802 | 380.791 |
| 955.486 | 26.340 | 87.629 | 0.000 | 51.766 | -0.000 |
| 30.395 | 1056.760 | 65.313 | 0.000 | -53.878 | -0.000 |
| 85.758 | 68.566 | 1009.559 | 0.000 | 28.554 | -0.000 |
| 1.570 | -0.171 | 0.355 | 496.605 | -3.777 | -15.839 |
| 36.760 | -51.331 | 32.837 | 0.000 | 310.227 | -0.000 |
| 1.427 | 0.839 | -0.590 | -22.601 | -4.802 | 380.791 |
| 989.227 | -1.891 | 83.365 | -0.000 | 98.888 | 0.000 |
| 26.082 | 1061.196 | 67.474 | 0.000 | -35.477 | 0.000 |
| 76.614 | 39.645 | 1075.914 | 0.000 | 46.436 | 0.000 |
| 0.000 | -0.000 | -0.000 | 531.851 | 0.000 | -66.290 |
| 31.291 | -44.907 | 30.945 | 0.000 | 311.229 | 0.000 |
| 0.000 | 0.000 | -0.000 | -66.290 | 0.000 | 429.547 |
| 989.227 | -1.891 | 83.365 | -0.000 | 98.888 | -0.000 |
| 8.621 | 1114.873 | 39.645 | -0.000 | -72.311 | 0.000 |
| 89.556 | 64.281 | 1024.614 | -0.000 | 24.446 | -0.000 |
| -0.000 | 0.000 | 0.000 | 531.851 | -0.000 | -66.290 |
| 39.733 | -72.311 | 46.436 | -0.000 | 406.890 | -0.000 |
| -0.000 | -0.000 | 0.000 | -66.290 | -0.000 | 429.547 |
| 949.917 | 22.031 | 94.909 | 0.000 | 71.797 | 0.000 |
| 8.622 | 1114.874 | 39.645 | 0.000 | -72.311 | -0.000 |
| 89.557 | 64.278 | 1024.618 | 0.000 | 24.454 | 0.000 |
| 0.000 | 0.000 | 0.000 | 531.851 | -0.000 | -66.290 |
| 39.733 | -72.311 | 46.436 | 0.000 | 406.890 | 0.000 |
| -0.000 | 0.000 | 0.000 | -66.290 | -0.000 | 429.547 |
| 949.916 | 22.031 | 94.908 | 0.000 | 71.795 | -0.000 |
| 8.621 | 1114.873 | 39.645 | -0.000 | -72.311 | 0.000 |
| 89.559 | 64.283 | 1024.607 | -0.000 | 24.448 | -0.000 |
| -0.000 | -0.000 | -0.000 | 531.851 | 0.000 | -66.290 |
| 29.245 | -43.322 | 30.561 | -0.000 | 312.091 | -0.000 |
| 0.000 | -0.000 | -0.000 | -66.290 | 0.000 | 429.547 |
| 945.863 | 28.619 | 89.327 | 0.000 | 76.463 | 0.000 |
| 35.740 | 1056.553 | 68.072 | 0.000 | -45.498 | -0.000 |
| 86.877 | 66.244 | 1022.423 | 0.000 | 30.767 | 0.000 |
| 0.000 | 0.000 | 0.000 | 531.851 | -0.000 | -66.290 |
| 29.243 | -43.317 | 30.558 | 0.000 | 312.073 | 0.000 |
| -0.000 | 0.000 | 0.000 | -27.714 | -0.000 | 383.886 |
| 945.202 | 28.944 | 89.180 | -0.000 | 77.756 | -0.000 |
| 34.344 | 1057.370 | 66.620 | -0.000 | -46.285 | -0.000 |
| 84.267 | 68.138 | 1021.703 | -0.000 | 31.524 | -0.000 |
| -0.000 | -0.000 | -0.000 | 531.851 | 0.000 | -66.290 |
| 32.417 | -43.242 | 26.836 | -0.000 | 316.926 | -0.000 |
| 0.000 | -0.000 | -0.000 | -27.714 | 0.000 | 383.886 |
| 385.309 | -16.406 | 4.840 | 0.000 | 0.000 | -0.000 |
| -16.406 | 385.309 | 4.840 | 0.000 | 0.000 | -0.000 |
| -13.465 | -13.465 | 178.756 | 0.000 | -0.000 | -0.000 |
| -71.166 | -71.166 | 10.880 | 11.360 | 0.000 | 0.000 |
| -71.166 | -71.166 | 10.880 | 0.000 | 11.360 | 0.000 |
| -0.000 | 0.000 | 0.000 | 0.000 | 0.000 | 99.704 |
| 385.309 | -16.406 | 4.840 | -0.000 | -0.000 | 0.000 |
| -16.406 | 385.309 | 4.840 | -0.000 | -0.000 | 0.000 |
| 78.267 | 78.267 | 124.615 | -0.000 | -0.000 | -0.000 |
| 71.166 | 71.166 | -10.880 | 11.360 | 0.000 | -0.000 |
| 71.166 | 71.166 | -10.880 | -0.000 | 11.360 | -0.000 |
| -0.000 | -0.000 | -0.000 | -0.000 | -0.000 | 99.704 |
| 385.309 | -16.406 | 4.840 | 0.000 | 0.000 | -0.000 |
| -16.406 | 385.309 | 4.840 | 0.000 | 0.000 | -0.000 |
| -13.465 | -13.465 | 178.756 | 0.000 | 0.000 | -0.000 |
| -2.152 | -2.152 | 0.329 | 57.628 | 0.000 | -0.000 |
| -2.152 | -2.152 | 0.329 | 0.000 | 57.628 | 0.000 |
| -3.299 | -3.299 | 0.504 | 0.000 | 0.000 | 53.647 |
| 382.846 | -15.338 | 6.381 | -0.000 | -0.000 | 0.000 |
| -15.338 | 382.846 | 6.381 | -0.000 | -0.000 | 0.000 |
| -4.660 | -4.660 | 166.845 | -0.000 | -0.000 | 0.000 |
| 2.152 | 2.152 | -0.329 | 57.628 | 0.000 | 0.000 |
| 2.152 | 2.152 | -0.329 | -0.000 | 57.628 | -0.000 |
| 3.299 | 3.299 | -0.504 | -0.000 | -0.000 | 53.647 |
| 368.340 | -29.056 | 9.790 | 0.000 | 0.000 | -0.000 |
| -29.056 | 368.340 | 9.790 | 0.000 | 0.000 | -0.000 |
| -11.601 | -11.601 | 169.124 | 0.000 | -0.000 | -0.000 |
| -26705086.132 | -26491858.592 | -2887580.465 | -1451716.094 | 28510.054 | -4855.294 |
| -26502526.236 | -26724462.964 | -2832688.746 | -12541.237 | -1414548.233 | -16850.801 |
| -25831111.271 | -25859683.533 | -2926566.478 | 45795.144 | -35767.155 | -2217215.958 |
| 370.794 | -26.613 | 9.343 | -0.000 | -0.000 | 0.000 |
| -26.613 | 370.794 | 9.343 | -0.000 | -0.000 | 0.000 |
| -10.777 | -10.777 | 168.921 | -0.000 | -0.000 | 0.000 |
| 26791568.672 | 26546552.230 | 2677810.435 | -1302796.523 | -2136.640 | 28387.502 |
| 26483822.051 | 26724236.616 | 2846137.669 | 6367.987 | -1397976.851 | -162.437 |
| 25823068.740 | 25823678.873 | 2842768.914 | -12706.109 | 17993.333 | -2288278.859 |
| 379716415.871 | 384261542.053 | -1760748450.131 | 5763536.294 | 14273925.718 | 2587589.965 |
| 379560909.640 | 380512174.695 | -1773557737.380 | 1598187.395 | 2932389.222 | 1849542.548 |
| -13.722 | -13.722 | 141.015 | -0.002 | -0.002 | 0.000 |
| 371575674.476 | 395741906.144 | -1772833369.205 | -69791604.436 | 5406520.149 | -1226120.563 |
| 404766442.822 | 371219324.104 | -1768865275.419 | 785733.467 | -99566859.116 | -1367812.407 |
| -0.054 | -0.054 | 0.001 | -0.009 | -0.010 | 17.853 |
| 33.687 | -45.141 | -1.636 | 0.007 | 0.008 | -0.000 |
| -380086588.726 | -381130467.168 | 1767473173.717 | -5027376.782 | -8600730.516 | -3560171.306 |
| -13.720 | -13.720 | 141.018 | 0.002 | 0.002 | -0.000 |
| 0.099 | 0.099 | -0.005 | 32.025 | 0.011 | -0.000 |
| -447608033.694 | -435816069.671 | 1610485733.828 | -3889556.623 | -299109871.523 | -713484.519 |
| 0.054 | 0.054 | -0.001 | 0.009 | 0.010 | 17.853 |
| 38167830.790 | 38116492.360 | -176975796.072 | -426850.524 | 476545.816 | 168136.697 |
| 38261521.124 | 37708928.960 | -176398045.540 | -795366.777 | -750123.232 | 423806.601 |
| -13.714 | -13.713 | 141.030 | -0.000 | -0.000 | 0.000 |
| 37034509.602 | 38097216.662 | -178286585.452 | -6131063.634 | -844123.552 | 81917.520 |
| 38321878.967 | 37438403.072 | -177361528.063 | -247284.857 | -6845456.394 | 167093.345 |
| -0.006 | -0.007 | 0.000 | -0.001 | -0.001 | 17.916 |
| -38365925.520 | -37908764.013 | 176374726.928 | 247543.021 | 1141846.216 | -368063.316 |
| -38022381.786 | -38037683.363 | 177465310.278 | 563764.923 | -587366.320 | -202579.188 |
| -13.708 | -13.708 | 141.023 | 0.000 | 0.000 | -0.000 |
| -43566067.650 | -44530244.095 | 161146739.088 | -29981579.994 | -197692.189 | -27962.609 |
| -44715405.008 | -43679780.427 | 160833567.757 | -494740.849 | -29120471.479 | -133670.022 |
| 0.006 | 0.007 | -0.000 | 0.001 | 0.001 | 17.916 |
| 3768665.149 | 3834459.992 | -17661930.120 | -86121.470 | 60879.722 | 29305.285 |
| 3864065.854 | 3763725.274 | -17691938.713 | -4884.354 | -138526.287 | 45225.782 |
| -13.708 | -13.708 | 141.029 | -0.000 | -0.000 | 0.000 |
| 3728685.183 | 3878749.808 | -17738048.488 | -529145.166 | -30640.919 | -16263.242 |
| 3977722.411 | 3756460.385 | -17601677.226 | -7718.818 | -917667.909 | 20696.410 |
| -0.009 | -0.012 | 0.001 | -0.000 | -0.000 | 17.916 |
| -3866023.785 | -3823757.630 | 17508708.650 | 77991.851 | 115551.084 | -22417.076 |
| -3797316.492 | -3869540.098 | 17582944.809 | 149715.888 | -23176.174 | -32084.914 |
| -13.713 | -13.713 | 141.024 | 0.000 | 0.000 | -0.000 |
| -4347335.536 | -4461669.131 | 16136794.476 | -2961190.504 | -31359.211 | -171.128 |
| -3803045.581 | -3719079.967 | 17817724.371 | -72626.439 | -550900.856 | 10980.390 |
| 0.009 | 0.012 | -0.001 | 0.000 | 0.000 | 17.916 |
| 287.455 | 129.600 | 38.348 | 0.000 | 0.000 | 0.000 |
| 129.600 | 287.455 | 38.348 | 0.000 | 0.000 | 0.000 |
| 35.080 | 35.080 | 328.974 | 0.000 | 0.000 | 0.000 |
| 0.000 | 0.000 | -0.000 | 1047.006 | 0.000 | -0.000 |
| 0.000 | 0.000 | -0.000 | 0.000 | 1047.006 | 0.000 |
| -0.007 | -0.007 | 0.016 | 0.000 | 0.000 | 155.918 |
| 440.126 | 280.111 | -302.315 | -0.000 | 0.000 | -0.000 |
| 280.111 | 440.126 | -302.315 | 0.000 | -0.000 | -0.000 |
| 34.849 | 34.849 | 329.495 | 0.000 | 0.000 | -0.000 |
| -0.000 | -0.000 | 0.000 | 1047.006 | -0.000 | -0.000 |
| -0.000 | -0.000 | 0.000 | 0.000 | 1047.006 | -0.000 |
| 0.007 | 0.007 | -0.016 | -0.000 | -0.000 | 155.918 |
| 227.134 | 111.117 | 99.305 | -0.000 | 0.000 | -0.000 |
| 111.117 | 227.134 | 99.305 | 0.000 | -0.000 | -0.000 |
| 37.497 | 37.497 | 323.143 | 0.000 | 0.000 | 0.000 |
| 0.000 | -0.000 | -0.000 | 1047.006 | 0.000 | 0.000 |
| -0.000 | 0.000 | -0.000 | 0.000 | 1047.006 | 0.000 |
| -0.001 | -0.001 | 0.002 | 0.000 | 0.000 | 153.853 |
| 227.125 | 111.116 | 99.310 | 0.000 | 0.000 | -0.000 |
| 111.116 | 227.125 | 99.310 | 0.000 | 0.000 | -0.000 |
| 35.126 | 35.126 | 328.870 | 0.000 | -0.000 | -0.000 |
| -0.000 | 0.000 | 0.000 | 1047.006 | -0.000 | -0.000 |
| 0.000 | -0.000 | 0.000 | -0.000 | 1047.006 | 0.000 |
| 0.001 | 0.001 | -0.002 | -0.000 | -0.000 | 153.853 |
| 365.886 | 153.507 | 0.000 | 0.000 | 0.000 | 0.000 |
| 153.507 | 365.886 | 0.000 | 0.000 | 0.000 | -0.000 |
| 0.000 | 0.000 | 0.000 | 0.000 | 0.000 | 0.000 |
| 0.000 | 0.000 | 0.000 | 0.000 | 0.000 | 0.000 |
| 0.000 | 0.000 | 0.000 | 0.000 | 0.000 | 0.000 |
| 0.000 | 0.000 | 0.000 | 0.000 | 0.000 | 259.696 |
| 365.886 | 153.507 | -0.000 | -0.000 | -0.000 | 0.000 |
| 153.507 | 365.886 | -0.000 | -0.000 | -0.000 | 0.000 |
| -0.000 | -0.000 | -0.000 | -0.000 | -0.000 | -0.000 |
| -0.000 | -0.000 | -0.000 | -0.000 | -0.000 | -0.000 |
| -0.000 | -0.000 | -0.000 | -0.000 | -0.000 | -0.000 |
| -0.000 | -0.000 | -0.000 | -0.000 | -0.000 | 259.696 |
| 365.886 | 153.507 | 0.000 | 0.000 | 0.000 | 0.000 |
| 153.507 | 365.886 | 0.000 | 0.000 | 0.000 | -0.000 |
| 0.000 | 0.000 | 0.000 | 0.000 | 0.000 | 0.000 |
| 0.000 | 0.000 | 0.000 | 0.000 | 0.000 | 0.000 |
| 0.000 | 0.000 | 0.000 | 0.000 | 0.000 | 0.000 |
| 0.000 | 0.000 | 0.000 | 0.000 | 0.000 | 259.696 |
| 365.886 | 153.506 | -0.000 | -0.000 | -0.000 | -0.000 |
| 153.506 | 365.886 | -0.000 | -0.000 | -0.000 | 0.000 |
| -0.000 | -0.000 | -0.000 | -0.000 | -0.000 | -0.000 |
| -0.000 | -0.000 | -0.000 | -0.000 | -0.000 | -0.000 |
| -0.000 | -0.000 | -0.000 | -0.000 | -0.000 | -0.000 |
| -0.000 | -0.000 | -0.000 | -0.000 | -0.000 | 259.696 |
| 365.887 | 153.507 | 0.000 | 0.000 | 0.000 | 0.000 |
| 153.507 | 365.887 | 0.000 | 0.000 | 0.000 | 0.000 |
| 0.000 | 0.000 | 0.000 | 0.000 | 0.000 | 0.000 |
| 0.000 | 0.000 | 0.000 | 0.000 | 0.000 | 0.000 |
| 0.000 | 0.000 | 0.000 | 0.000 | 0.000 | 0.000 |
| 0.000 | 0.001 | 0.000 | 0.000 | 0.000 | 259.696 |
| 365.885 | 153.506 | -0.000 | -0.000 | -0.000 | -0.000 |
| 153.506 | 365.885 | -0.000 | -0.000 | -0.000 | 0.000 |
| -0.000 | -0.000 | -0.000 | -0.000 | -0.000 | -0.000 |
| -0.000 | -0.000 | -0.000 | -0.000 | -0.000 | -0.000 |
| -0.000 | -0.000 | -0.000 | -0.000 | -0.000 | -0.000 |
| -0.000 | -0.001 | -0.000 | -0.000 | -0.000 | 259.696 |
| 430.355 | 43.138 | 34.826 | 0.000 | 0.000 | 0.000 |
| 43.138 | 430.598 | 34.930 | 0.000 | 0.000 | -0.000 |
| 46.849 | 47.989 | 204.917 | 0.000 | 0.000 | 0.000 |
| 0.000 | 0.000 | 0.000 | 222.727 | -0.000 | -0.000 |
| -0.000 | 0.000 | 0.000 | 0.000 | 221.936 | 0.000 |
| 0.000 | 0.000 | -0.000 | 0.000 | 0.000 | 202.133 |
| 223.519 | 78.979 | 66.765 | -0.000 | -0.000 | 0.000 |
| 43.138 | 430.598 | 34.930 | -0.000 | -0.000 | 0.000 |
| 34.826 | 34.930 | 489.752 | -0.000 | -0.000 | -0.000 |
| 0.000 | -0.000 | -0.000 | 222.727 | -0.000 | 0.000 |
| 0.000 | -0.000 | -0.000 | -0.000 | 221.936 | -0.000 |
| 0.000 | -0.000 | -0.000 | -0.000 | -0.000 | 202.133 |
| 101.343 | 51.786 | 44.137 | 0.000 | 0.000 | -0.000 |
| -40.731 | 27.370 | -12.001 | 0.000 | 0.000 | -0.000 |
| 34.826 | 34.930 | 489.754 | 0.000 | 0.000 | -0.000 |
| 0.000 | -0.000 | -0.000 | 109.577 | 0.000 | -0.000 |
| -0.000 | 0.000 | -0.000 | 0.000 | 106.852 | -0.000 |
| -0.000 | 0.000 | 0.000 | 0.000 | 0.000 | 202.134 |
| 18.855 | -50.454 | -19.186 | -0.000 | -0.000 | 0.000 |
| -40.738 | 27.372 | -12.005 | -0.000 | -0.000 | -0.000 |
| 1.610 | 2.391 | 181.079 | -0.000 | -0.000 | 0.000 |
| -0.000 | 0.000 | 0.000 | 109.577 | -0.000 | 0.000 |
| 0.000 | -0.000 | 0.000 | -0.000 | 106.852 | 0.000 |
| 0.000 | -0.000 | -0.000 | -0.000 | -0.000 | 202.134 |
| -21.389 | -59.095 | 347.740 | -0.000 | -0.000 | 0.000 |
| 15.711 | 45.909 | 275.585 | -0.000 | 0.000 | 0.000 |
| 15.716 | 10.422 | 433.543 | 0.000 | -0.000 | -0.000 |
| -2.490 | -19.452 | 40.464 | 185.422 | 0.000 | 0.000 |
| -39.315 | -72.702 | 228.781 | -0.000 | 75.781 | 0.000 |
| -39.151 | -72.327 | 227.626 | -0.000 | -0.000 | 39.728 |
| 174.660 | 129.273 | -194.096 | -0.000 | 0.000 | -0.000 |
| 53.164 | 367.628 | -10.037 | -0.000 | 0.000 | -0.000 |
| 80.057 | 116.115 | -50.078 | 0.000 | 0.000 | -0.000 |
| 2.490 | 19.452 | -40.464 | 185.422 | 0.000 | -0.000 |
| 39.315 | 72.702 | -228.781 | -0.000 | 75.781 | -0.000 |
| 39.151 | 72.327 | -227.626 | 0.000 | -0.000 | 39.728 |
| 85.912 | 45.592 | 60.388 | -0.000 | -0.000 | 0.000 |
| 69.208 | 151.490 | 67.898 | 0.000 | -0.000 | -0.000 |
| 44.320 | 45.576 | 258.775 | -0.000 | -0.000 | -0.000 |
| -11.466 | -16.633 | 42.701 | 36.792 | -0.000 | 0.000 |
| -0.000 | 0.000 | 0.000 | -0.000 | 207.855 | 0.000 |
| -6.234 | -8.517 | 27.633 | -0.000 | -0.000 | 34.008 |
| 99.542 | 59.843 | 4.349 | 0.000 | 0.000 | -0.000 |
| -13.568 | 23.155 | -48.151 | -0.000 | 0.000 | -0.000 |
| 56.223 | 56.903 | 201.275 | 0.000 | 0.000 | -0.000 |
| 11.466 | 16.633 | -42.701 | 36.792 | 0.000 | -0.000 |
| 0.000 | -0.000 | -0.000 | -0.000 | 207.855 | -0.000 |
| 6.234 | 8.517 | -27.633 | 0.000 | 0.000 | 34.008 |
| 609.883 | 0.000 | 0.000 | 0.000 | 0.000 | 0.000 |
| 0.000 | 0.000 | 0.000 | 0.000 | 0.000 | 0.000 |
| 0.000 | 0.000 | 0.000 | 0.000 | 0.000 | 0.000 |
| 0.000 | 0.000 | 0.000 | 0.000 | 0.000 | 0.000 |
| 0.000 | 0.000 | 0.000 | 0.000 | 0.000 | 0.000 |
| 0.000 | 0.000 | 0.000 | 0.000 | 0.000 | 0.000 |
| 609.883 | -0.000 | -0.000 | -0.000 | -0.000 | -0.000 |
| -0.000 | -0.000 | -0.000 | -0.000 | -0.000 | -0.000 |
| -0.000 | -0.000 | -0.000 | -0.000 | -0.000 | -0.000 |
| -0.000 | -0.000 | -0.000 | -0.000 | -0.000 | -0.000 |
| -0.000 | -0.000 | -0.000 | -0.000 | -0.000 | -0.000 |
| -0.000 | -0.000 | -0.000 | -0.000 | -0.000 | -0.000 |
| 609.883 | 0.000 | 0.000 | 0.000 | 0.000 | 0.000 |
| 0.000 | 0.000 | 0.000 | 0.000 | 0.000 | 0.000 |
| 0.000 | 0.000 | 0.000 | 0.000 | 0.000 | 0.000 |
| 0.000 | 0.000 | 0.000 | 0.000 | 0.000 | 0.000 |
| 0.000 | 0.000 | 0.000 | 0.000 | 0.000 | 0.000 |
| 0.000 | 0.000 | 0.000 | 0.000 | 0.000 | 0.000 |
| 609.882 | -0.000 | -0.000 | -0.000 | -0.000 | -0.000 |
| -0.000 | -0.000 | -0.000 | -0.000 | -0.000 | -0.000 |
| -0.000 | -0.000 | -0.000 | -0.000 | -0.000 | -0.000 |
| -0.000 | -0.000 | -0.000 | -0.000 | -0.000 | -0.000 |
| 0.000 | -0.000 | -0.000 | -0.000 | -0.000 | -0.000 |
| -0.000 | -0.000 | -0.000 | -0.000 | -0.000 | -0.000 |
| 609.885 | 0.000 | 0.000 | 0.000 | 0.000 | 0.000 |
| 0.000 | 0.000 | 0.000 | 0.000 | 0.000 | 0.000 |
| 0.000 | 0.000 | 0.000 | 0.000 | 0.000 | 0.000 |
| 0.000 | 0.000 | 0.000 | 0.000 | 0.000 | 0.000 |
| 0.000 | 0.000 | 0.000 | 0.000 | 0.000 | 0.000 |
| 0.000 | 0.000 | 0.000 | 0.000 | 0.000 | 0.000 |
| 609.880 | -0.000 | -0.000 | -0.000 | -0.000 | -0.000 |
| -0.000 | -0.000 | -0.000 | -0.000 | -0.000 | -0.000 |
| -0.000 | -0.000 | -0.000 | -0.000 | -0.000 | -0.000 |
| -0.000 | -0.000 | -0.000 | -0.000 | -0.000 | -0.000 |
| -0.000 | -0.000 | -0.000 | -0.000 | -0.000 | -0.000 |
| -0.000 | -0.000 | -0.000 | -0.000 | -0.000 | -0.000 |
| 609.883 | 0.000 | 0.000 | 0.000 | 0.000 | 0.000 |
| -0.000 | 0.000 | 0.000 | 0.000 | 0.000 | 0.000 |
| -0.000 | 0.000 | 0.000 | 0.000 | 0.000 | 0.000 |
| 0.000 | 0.000 | 0.000 | 0.000 | 0.000 | 0.000 |
| -0.000 | 0.000 | 0.000 | 0.000 | 0.000 | 0.000 |
| -0.000 | 0.000 | 0.000 | 0.000 | 0.000 | 0.000 |
| 609.883 | -0.000 | -0.000 | -0.000 | -0.000 | -0.000 |
| 0.000 | -0.000 | -0.000 | -0.000 | -0.000 | -0.000 |
| 0.000 | -0.000 | -0.000 | -0.000 | -0.000 | -0.000 |
| -0.000 | -0.000 | -0.000 | -0.000 | -0.000 | -0.000 |
| 0.000 | -0.000 | -0.000 | -0.000 | -0.000 | -0.000 |
| 0.000 | -0.000 | -0.000 | -0.000 | -0.000 | -0.000 |
| 609.883 | 0.000 | 0.000 | 0.000 | 0.000 | 0.000 |
| -0.000 | 0.000 | 0.000 | 0.000 | 0.000 | 0.000 |
| -0.000 | 0.000 | 0.000 | 0.000 | 0.000 | 0.000 |
| 0.000 | 0.000 | 0.000 | 0.000 | 0.000 | 0.000 |
| -0.000 | 0.000 | 0.000 | 0.000 | 0.000 | 0.000 |
| -0.000 | 0.000 | 0.000 | 0.000 | 0.000 | 0.000 |
| 609.882 | -0.000 | -0.000 | -0.000 | -0.000 | -0.000 |
| 0.000 | -0.000 | -0.000 | -0.000 | -0.000 | -0.000 |
| 0.000 | -0.000 | -0.000 | -0.000 | -0.000 | -0.000 |
| -0.000 | -0.000 | -0.000 | -0.000 | -0.000 | -0.000 |
| 0.000 | -0.000 | -0.000 | -0.000 | -0.000 | -0.000 |
| 0.000 | -0.000 | -0.000 | -0.000 | -0.000 | -0.000 |
| 609.885 | 0.000 | 0.000 | 0.000 | 0.000 | 0.000 |
| -0.000 | 0.000 | 0.000 | 0.000 | 0.000 | 0.000 |
| 0.000 | 0.000 | 0.000 | 0.000 | 0.000 | 0.000 |
| 0.000 | 0.000 | 0.000 | 0.000 | 0.000 | 0.000 |
| -0.000 | 0.000 | 0.000 | 0.000 | 0.000 | 0.000 |
| -0.000 | 0.000 | 0.000 | 0.000 | 0.000 | 0.000 |
| 609.880 | -0.000 | -0.000 | -0.000 | -0.000 | -0.000 |
| -0.000 | -0.000 | -0.000 | -0.000 | -0.000 | -0.000 |
| 0.000 | -0.000 | -0.000 | -0.000 | -0.000 | -0.000 |
| -0.000 | -0.000 | -0.000 | -0.000 | -0.000 | -0.000 |
| 0.000 | -0.000 | -0.000 | -0.000 | -0.000 | -0.000 |
| 0.000 | -0.000 | -0.000 | -0.000 | -0.000 | -0.000 |
| 321.244 | -436.709 | -436.709 | 0.000 | -0.000 | -0.000 |
| -436.709 | 321.244 | -436.709 | 0.000 | -0.000 | -0.000 |
| -436.709 | -436.709 | 321.244 | 0.000 | -0.000 | -0.000 |
| -653.740 | -653.740 | -653.740 | 369.805 | -0.000 | -0.000 |
| -653.740 | -653.740 | -653.740 | 0.000 | 369.805 | -0.000 |
| -653.740 | -653.740 | -653.740 | -0.000 | -0.000 | 369.805 |
| 1453.878 | 720.178 | 720.178 | 0.000 | 0.000 | -0.000 |
| 718.241 | 1458.043 | 718.241 | 0.000 | 0.000 | -0.000 |
| 720.178 | 720.178 | 1453.878 | 0.000 | 0.000 | 0.000 |
| 653.740 | 653.740 | 653.740 | 369.805 | 0.000 | -0.000 |
| 653.740 | 653.740 | 653.740 | 0.000 | 369.805 | 0.000 |
| 653.740 | 653.740 | 653.740 | 0.000 | 0.000 | 369.805 |
| 767.919 | 10.030 | 10.030 | 0.000 | -0.000 | -0.000 |
| 10.030 | 767.919 | 10.030 | 0.000 | -0.000 | -0.000 |
| 10.030 | 10.030 | 767.919 | 0.000 | -0.000 | -0.000 |
| -66.312 | -66.312 | -66.312 | 367.760 | -0.000 | 0.000 |
| -66.312 | -66.312 | -66.312 | -0.000 | 367.760 | -0.000 |
| -66.312 | -66.312 | -66.312 | -0.000 | -0.000 | 367.760 |
| 865.768 | 131.031 | 131.031 | 0.000 | 0.000 | 0.000 |
| 131.031 | 865.768 | 131.031 | 0.000 | 0.000 | 0.000 |
| 131.031 | 131.031 | 865.768 | 0.000 | 0.000 | 0.000 |
| 66.312 | 66.312 | 66.312 | 367.760 | 0.000 | 0.000 |
| 66.312 | 66.312 | 66.312 | 0.000 | 367.760 | -0.000 |
| 66.312 | 66.312 | 66.312 | 0.000 | 0.000 | 367.760 |
| 801.024 | 56.513 | 56.513 | -0.000 | -0.000 | -0.000 |
| 57.779 | 799.170 | 57.779 | -0.000 | -0.000 | -0.000 |
| 57.779 | 57.779 | 799.170 | -0.000 | -0.000 | -0.000 |
| -6.536 | -6.536 | -6.536 | 317.527 | -0.000 | -0.000 |
| -6.536 | -6.536 | -6.536 | -0.000 | 317.527 | -0.000 |
| -7.232 | -7.232 | -7.232 | -0.000 | -0.000 | 319.044 |
| 815.026 | 68.774 | 68.774 | 0.000 | 0.000 | -0.000 |
| 68.774 | 815.026 | 68.774 | 0.000 | 0.000 | 0.000 |
| 68.774 | 68.774 | 815.026 | 0.000 | 0.000 | 0.000 |
| 6.536 | 6.536 | 6.536 | 317.527 | 0.000 | 0.000 |
| 6.536 | 6.536 | 6.536 | 0.000 | 317.527 | 0.000 |
| 7.232 | 7.232 | 7.232 | 0.000 | 0.000 | 319.044 |
| 853.562 | 40.935 | 40.935 | 0.000 | 0.000 | 0.000 |
| 40.935 | 853.562 | 40.935 | 0.000 | 0.000 | 0.000 |
| 40.935 | 40.935 | 853.562 | 0.000 | 0.000 | 0.000 |
| -0.861 | -0.861 | -0.861 | 349.467 | 0.000 | 0.000 |
| -0.861 | -0.861 | -0.861 | -0.000 | 349.467 | 0.000 |
| -0.861 | -0.861 | -0.861 | -0.000 | 0.000 | 349.467 |
| 809.850 | 62.715 | 62.715 | 0.000 | -0.000 | -0.000 |
| 62.715 | 809.850 | 62.715 | 0.000 | 0.000 | -0.000 |
| 62.715 | 62.715 | 809.850 | 0.000 | 0.000 | -0.000 |
| 0.861 | 0.861 | 0.861 | 349.467 | -0.000 | -0.000 |
| 0.861 | 0.861 | 0.861 | 0.000 | 349.467 | -0.000 |
| 0.861 | 0.861 | 0.861 | 0.000 | 0.000 | 349.467 |
| 808.620 | 62.031 | 62.031 | -0.000 | 0.000 | 0.000 |
| 62.031 | 808.620 | 62.031 | -0.000 | 0.000 | 0.000 |
| 62.031 | 62.031 | 808.620 | 0.000 | 0.000 | 0.000 |
| 0.000 | -0.000 | 0.000 | 426.317 | -0.000 | 0.000 |
| -0.000 | 0.000 | 0.000 | 0.000 | 426.317 | 0.000 |
| -0.000 | 0.000 | 0.000 | -0.000 | 0.000 | 426.317 |
| 806.610 | 62.567 | 62.567 | 0.000 | -0.000 | -0.000 |
| 62.567 | 806.610 | 62.567 | 0.000 | -0.000 | -0.000 |
| 62.567 | 62.567 | 806.610 | 0.000 | -0.000 | -0.000 |
| -0.000 | 0.000 | -0.000 | 426.317 | -0.000 | -0.000 |
| 0.000 | -0.000 | -0.000 | 0.000 | 426.317 | -0.000 |
| 0.000 | -0.000 | -0.000 | 0.000 | -0.000 | 426.317 |
| 806.524 | 62.491 | 62.491 | -0.000 | 0.000 | 0.000 |
| 62.491 | 806.524 | 62.491 | 0.000 | 0.000 | 0.000 |
| 62.491 | 62.491 | 806.524 | -0.000 | 0.000 | 0.000 |
| -0.008 | -0.008 | -0.008 | 317.219 | 0.000 | 0.000 |
| -0.008 | -0.008 | -0.008 | -0.000 | 317.219 | 0.000 |
| -0.008 | -0.008 | -0.008 | -0.000 | 0.000 | 317.219 |
| 853.560 | 40.935 | 40.935 | -0.000 | -0.000 | -0.000 |
| 40.935 | 853.560 | 40.935 | -0.000 | -0.000 | -0.000 |
| 40.935 | 40.935 | 853.560 | 0.000 | -0.000 | -0.000 |
| 0.008 | 0.008 | 0.008 | 317.219 | 0.000 | -0.000 |
| 0.008 | 0.008 | 0.008 | 0.000 | 317.219 | -0.000 |
| 0.008 | 0.008 | 0.008 | 0.000 | -0.000 | 317.219 |
| 838.517 | 82.594 | 67.779 | -0.000 | 0.000 | -0.000 |
| -98.251 | 1072.255 | 23.298 | 0.000 | 0.000 | 0.000 |
| 84.799 | 60.283 | 1042.924 | -0.000 | -0.000 | -0.000 |
| 0.000 | -0.000 | -0.000 | 547.958 | -0.000 | -0.000 |
| -108.026 | 7.963 | -52.328 | -0.000 | 342.156 | -0.000 |
| -108.498 | 6.359 | -52.626 | 0.000 | -0.000 | 388.683 |
| 1016.840 | -26.496 | 147.884 | 0.000 | -0.000 | 0.000 |
| 125.424 | 1054.711 | 132.249 | 0.000 | -0.000 | 0.000 |
| 194.896 | 30.023 | 1016.702 | -0.000 | -0.000 | -0.000 |
| 0.000 | 0.000 | 0.000 | 547.958 | -0.000 | -0.000 |
| 108.026 | -7.963 | 52.328 | -0.000 | 342.156 | -0.000 |
| 108.498 | -6.359 | 52.627 | 0.000 | -0.000 | 388.683 |
| 953.213 | 25.706 | 93.944 | -0.000 | -0.000 | 0.000 |
| 4.456 | 1075.186 | 69.913 | -0.000 | 0.000 | 0.000 |
| 90.885 | 88.043 | 993.858 | -0.000 | 0.000 | 0.000 |
| -7.917 | 5.788 | -3.985 | 492.172 | 0.000 | 0.000 |
| -8.852 | 13.269 | -7.291 | 0.000 | 327.516 | 0.000 |
| -9.549 | 14.313 | -7.865 | 0.000 | 0.000 | 383.103 |
| 1006.619 | -12.309 | 85.722 | -0.000 | -0.000 | -0.000 |
| 17.614 | 1058.999 | 82.056 | -0.000 | 0.000 | 0.000 |
| 84.799 | 60.283 | 1042.924 | 0.000 | 0.000 | 0.000 |
| 7.917 | -5.788 | 3.985 | 492.172 | -0.000 | -0.000 |
| 8.852 | -13.269 | 7.291 | 0.000 | 327.516 | -0.000 |
| 9.549 | -14.313 | 7.865 | -0.000 | -0.000 | 383.103 |
| 1006.623 | -12.309 | 85.723 | 0.000 | -0.000 | -0.000 |
| 18.300 | 1055.133 | 84.307 | 0.000 | 0.000 | -0.000 |
| 100.769 | 81.304 | 988.605 | 0.000 | 0.000 | -0.000 |
| -1.075 | 1.612 | -0.886 | 501.344 | 0.000 | 0.000 |
| -0.874 | 1.310 | -0.720 | -0.000 | 328.663 | 0.000 |
| -1.101 | 1.650 | -0.906 | 0.000 | 0.000 | 378.552 |
| 950.518 | 16.661 | 107.973 | -0.000 | -0.000 | -0.000 |
| 19.793 | 1056.237 | 80.649 | -0.000 | -0.000 | -0.000 |
| 97.328 | 86.663 | 979.074 | 0.000 | -0.000 | 0.000 |
| 1.075 | -1.612 | 0.886 | 501.344 | -0.000 | -0.000 |
| 0.874 | -1.310 | 0.720 | 0.000 | 328.663 | 0.000 |
| 1.101 | -1.650 | 0.906 | -0.000 | -0.000 | 378.552 |
| 2503332.294 | 2216645.578 | 2143851.468 | 185999.525 | 4226.705 | -36501.792 |
| 1046675.102 | 945553.606 | 702460.067 | 137670.166 | 32760.324 | -24595.417 |
| 1480893.782 | 1360319.482 | 1165634.158 | 118089.176 | 15448.800 | -83141.003 |
| 359231.075 | 275932.076 | 69837.586 | 113785.479 | -52681.086 | -132156.503 |
| 1206847.350 | 941181.252 | 748437.665 | 102227.033 | -11323.188 | -85414.060 |
| 1099980.325 | 1181139.748 | 763339.576 | 105468.490 | -67286.084 | 5893.389 |
| -3518006.291 | -3630251.663 | -3163350.251 | -142355.978 | 75030.480 | 150423.595 |
| -1838624.277 | -1662565.461 | -1617265.263 | -142641.924 | 60600.563 | -13306.282 |
| -1084081.061 | -876010.415 | -711814.595 | -117920.776 | 45543.847 | 13655.918 |
| -2006312.624 | -681621.861 | -1240090.048 | 155569.529 | -76939.303 | -313163.876 |
| -1341738.551 | -1293487.237 | -970344.929 | -129111.321 | 42387.039 | 65931.608 |
| -1576580.502 | -1430748.867 | -1217808.262 | -82800.408 | 49967.936 | 40516.442 |
| 111267.297 | 81353.887 | 62812.135 | 2999.255 | -7882.133 | -4454.755 |
| 103028.664 | 86244.377 | 71370.184 | 9617.113 | -4554.194 | -6119.675 |
| 263983.006 | 211241.630 | 206533.042 | 23698.376 | -11058.704 | 7921.234 |
| 163656.222 | 154283.805 | 142729.343 | 14173.211 | 3181.580 | -360.715 |
| 129398.416 | 120886.395 | 101414.912 | 8574.980 | -1844.398 | -1747.673 |
| 181410.049 | 172294.053 | 138662.942 | 18628.130 | -694.884 | -869.515 |
| -139523.678 | -68906.631 | -65081.966 | -14603.687 | -8979.549 | 30204.129 |
| -173636.730 | -154401.724 | -144871.394 | -14933.622 | -1637.783 | 1864.399 |
| -378361.514 | -371724.272 | -322217.908 | -5416.590 | -12964.382 | -8360.038 |
| -186283.966 | -166403.460 | -146272.637 | -13497.815 | -1641.326 | 5755.355 |
| -149217.197 | -140636.641 | -107861.430 | -20393.780 | -1395.290 | 8061.419 |
| -129479.527 | -114075.489 | -88419.689 | -15485.178 | 21.145 | 7529.174 |
| 7982.743 | 6162.147 | 3410.764 | 924.109 | 454.048 | -134.412 |
| 27214.672 | 25111.439 | 24619.393 | 1358.549 | 1044.016 | 772.365 |
| 12694.343 | 11932.489 | 7874.926 | 1618.886 | 148.888 | 38.167 |
| 6980.697 | 7419.278 | 3301.135 | -114.290 | 152.415 | -442.034 |
| 3734.890 | 461.620 | -1300.914 | 1104.584 | 1439.744 | -941.111 |
| 32544.293 | 28863.267 | 27893.012 | 3322.734 | 113.756 | 655.726 |
| -15019.850 | -12479.184 | -10212.428 | -1093.927 | -368.968 | 173.617 |
| -14416.528 | -12158.750 | -10121.002 | -1228.999 | 400.629 | 496.313 |
| -19413.921 | -18493.482 | -14971.724 | -1971.235 | -749.897 | 625.411 |
| -9903.295 | -8194.592 | -5709.792 | -743.687 | 707.804 | 22.600 |
| -18141.523 | -15259.365 | -12745.638 | -2087.466 | -4189.943 | -3021.098 |
| -13912.893 | -12852.536 | -9917.697 | -1121.389 | 182.840 | 735.539 |
| 165.779 | 63.455 | 63.455 | -0.000 | -0.000 | 0.000 |
| 63.455 | 165.779 | 63.455 | -0.000 | 0.000 | 0.000 |
| 31.055 | 31.055 | 423.450 | -0.000 | -0.000 | -0.000 |
| 0.000 | -0.000 | 0.000 | 196.198 | 0.000 | -0.000 |
| -0.000 | 0.000 | 0.000 | -0.000 | 196.198 | 0.000 |
| 0.000 | -0.000 | 0.000 | 0.000 | -0.000 | 196.198 |
| 423.450 | 31.055 | 31.055 | 0.000 | 0.000 | 0.000 |
| 31.055 | 423.450 | 31.055 | 0.000 | 0.000 | -0.000 |
| 31.055 | 31.055 | 423.450 | -0.000 | -0.000 | -0.000 |
| -0.000 | -0.000 | 0.000 | 196.198 | -0.000 | -0.000 |
| 0.000 | -0.000 | -0.000 | 0.000 | 196.198 | -0.000 |
| -0.000 | 0.000 | -0.000 | 0.000 | -0.000 | 196.198 |
| 165.781 | 63.456 | 63.456 | -0.000 | -0.000 | 0.000 |
| 63.456 | 165.781 | 63.456 | -0.000 | 0.000 | -0.000 |
| 63.456 | 63.456 | 165.781 | -0.000 | 0.000 | 0.000 |
| 0.000 | 0.000 | 0.000 | 196.198 | -0.000 | 0.000 |
| -0.000 | 0.000 | 0.000 | -0.000 | 196.198 | 0.000 |
| -0.000 | 0.000 | 0.000 | -0.000 | 0.000 | 196.198 |
| 120.714 | 55.071 | 55.071 | 0.000 | -0.000 | -0.000 |
| 63.456 | 165.783 | 63.456 | 0.000 | 0.000 | -0.000 |
| 55.071 | 55.071 | 120.714 | 0.000 | -0.000 | -0.000 |
| -0.000 | -0.000 | -0.000 | 196.198 | -0.000 | 0.000 |
| 0.000 | -0.000 | -0.000 | 0.000 | 196.198 | -0.000 |
| -0.000 | -0.000 | -0.000 | 0.000 | -0.000 | 196.198 |
| 19.032 | -44.239 | -44.239 | -0.000 | 0.000 | 0.000 |
| 21.925 | 82.738 | 21.925 | -0.000 | 0.000 | 0.000 |
| -35.859 | -35.859 | 29.937 | -0.000 | 0.000 | 0.000 |
| 0.000 | -0.000 | -0.000 | 75.375 | 0.000 | -0.000 |
| -0.000 | 0.000 | -0.000 | -0.000 | 75.375 | 0.000 |
| -0.000 | -0.000 | 0.000 | -0.000 | -0.000 | 75.375 |
| 165.720 | 63.463 | 63.463 | 0.000 | -0.000 | -0.000 |
| 63.463 | 165.720 | 63.463 | 0.000 | 0.000 | 0.000 |
| 63.463 | 63.463 | 165.720 | 0.000 | -0.000 | -0.000 |
| -0.000 | 0.000 | 0.000 | 75.375 | 0.000 | -0.000 |
| 0.000 | -0.000 | 0.000 | 0.000 | 75.375 | 0.000 |
| 0.000 | 0.000 | -0.000 | 0.000 | 0.000 | 75.375 |
| 394.144 | 28.905 | 28.905 | 0.000 | -0.000 | 0.000 |
| 28.905 | 394.144 | 28.905 | 0.000 | -0.000 | 0.000 |
| 28.905 | 28.905 | 394.144 | -0.000 | 0.000 | 0.000 |
| -8.917 | -8.917 | -8.917 | 120.751 | 0.000 | -0.000 |
| -8.917 | -8.917 | -8.917 | 0.000 | 120.751 | 0.000 |
| -8.917 | -8.917 | -8.917 | -0.000 | -0.000 | 120.751 |
| 394.144 | 28.905 | 28.905 | 0.000 | 0.000 | -0.000 |
| 28.905 | 394.143 | 28.905 | 0.000 | -0.000 | -0.000 |
| 28.905 | 28.905 | 394.144 | 0.000 | 0.000 | -0.000 |
| 8.917 | 8.917 | 8.917 | 120.751 | -0.000 | -0.000 |
| 8.917 | 8.917 | 8.917 | 0.000 | 120.750 | -0.000 |
| 8.917 | 8.917 | 8.917 | -0.000 | 0.000 | 120.751 |
| 76.293 | 20.459 | 20.459 | -0.000 | -0.000 | 0.000 |
| 20.459 | 76.293 | 20.459 | 0.000 | -0.000 | -0.000 |
| 20.459 | 20.459 | 76.293 | 0.000 | -0.000 | -0.000 |
| -0.291 | -0.291 | -0.291 | 45.741 | -0.000 | 0.000 |
| -0.161 | -0.161 | -0.161 | -0.000 | 70.849 | 0.000 |
| -0.291 | -0.291 | -0.291 | -0.000 | -0.000 | 45.741 |
| 155.939 | 59.076 | 59.076 | -0.000 | 0.000 | -0.000 |
| 59.076 | 155.939 | 59.076 | 0.000 | 0.000 | -0.000 |
| 59.076 | 59.076 | 155.939 | -0.000 | 0.000 | 0.000 |
| 0.291 | 0.291 | 0.291 | 45.741 | 0.000 | -0.000 |
| 0.161 | 0.161 | 0.161 | -0.000 | 70.849 | -0.000 |
| 0.291 | 0.291 | 0.291 | 0.000 | 0.000 | 45.741 |
| 7004.804 | 7041.442 | 7041.442 | -0.000 | -0.000 | -0.000 |
| 7041.442 | 7004.804 | 7041.442 | -0.000 | -0.000 | -0.000 |
| 7041.442 | 7041.442 | 7004.804 | 0.000 | -0.000 | -0.000 |
| 8862.044 | 8862.044 | 8862.044 | -29.712 | -0.000 | 0.000 |
| 8862.044 | 8862.044 | 8862.044 | -0.000 | -29.712 | -0.000 |
| 8862.044 | 8862.044 | 8862.044 | -0.000 | -0.000 | -29.712 |
| 394.071 | 28.900 | 28.900 | -0.000 | 0.000 | 0.000 |
| 28.900 | 394.071 | 28.900 | -0.000 | 0.000 | -0.000 |
| 28.900 | 28.900 | 394.071 | 0.000 | 0.000 | 0.000 |
| -8862.044 | -8862.044 | -8862.044 | -29.712 | 0.000 | 0.000 |
| -8862.044 | -8862.044 | -8862.044 | -0.000 | -29.712 | -0.000 |
| -8862.044 | -8862.044 | -8862.044 | -0.000 | 0.000 | -29.712 |
| 694.041 | 714.585 | 714.585 | -0.000 | -0.000 | -0.000 |
| 714.585 | 694.041 | 714.585 | -0.000 | -0.000 | -0.000 |
| 714.585 | 714.585 | 694.041 | -0.000 | -0.000 | 0.000 |
| 106.442 | 106.442 | 106.442 | 142.104 | 0.000 | 0.000 |
| 106.442 | 106.442 | 106.442 | 0.000 | 142.104 | -0.000 |
| 106.442 | 106.442 | 106.442 | 0.000 | -0.000 | 142.104 |
| -914.624 | -859.266 | -859.266 | 0.000 | -0.000 | 0.000 |
| -859.266 | -914.624 | -859.266 | 0.000 | -0.000 | 0.000 |
| -859.266 | -859.266 | -914.624 | 0.000 | -0.000 | 0.000 |
| -106.442 | -106.442 | -106.442 | 142.104 | 0.000 | 0.000 |
| -106.442 | -106.442 | -106.442 | 0.000 | 142.104 | -0.000 |
| -106.442 | -106.442 | -106.442 | -0.000 | -0.000 | 142.104 |
| 90.657 | 63.769 | 63.769 | 0.000 | 0.000 | -0.000 |
| 63.769 | 90.657 | 63.769 | -0.000 | -0.000 | 0.000 |
| 63.769 | 63.769 | 90.657 | -0.000 | -0.000 | -0.000 |
| 38.118 | 38.117 | 38.118 | 57.125 | -0.000 | -0.000 |
| 38.117 | 38.118 | 38.118 | -0.000 | 57.125 | -0.000 |
| 38.117 | 38.118 | 38.118 | 0.000 | -0.000 | 57.125 |
| -55.361 | -79.082 | -79.082 | -0.000 | -0.000 | 0.000 |
| -79.082 | -55.361 | -79.082 | -0.000 | 0.000 | 0.000 |
| -79.082 | -79.082 | -55.361 | 0.000 | -0.000 | 0.000 |
| -38.118 | -38.117 | -38.118 | 57.125 | -0.000 | 0.000 |
| -38.117 | -38.118 | -38.118 | 0.000 | 57.125 | -0.000 |
| -38.117 | -38.118 | -38.118 | -0.000 | 0.000 | 57.125 |
| 23.047 | 32.155 | 20.204 | 0.000 | -0.000 | 0.000 |
| -2.812 | 11.183 | 0.067 | 0.000 | -0.000 | 0.000 |
| 15.592 | 2.456 | 35.776 | 0.000 | -0.000 | 0.000 |
| -0.001 | 0.002 | 0.001 | 50.330 | -0.000 | -0.000 |
| -0.001 | 0.002 | 0.001 | 0.000 | 22.825 | 0.000 |
| -0.000 | -0.000 | -0.000 | 0.000 | -0.000 | 80.737 |
| 70.291 | 39.038 | 43.384 | -0.000 | 0.000 | 0.000 |
| 31.180 | 178.950 | 3.321 | -0.000 | 0.000 | -0.000 |
| 43.384 | 20.558 | 175.926 | 0.000 | -0.000 | 0.000 |
| 0.001 | -0.002 | -0.001 | 50.330 | 0.000 | -0.000 |
| 0.001 | -0.002 | -0.001 | 0.000 | 22.825 | -0.000 |
| 0.000 | 0.000 | 0.000 | -0.000 | 0.000 | 80.737 |
| 7.616 | 17.524 | 1.966 | 0.000 | -0.000 | 0.000 |
| 31.181 | 178.974 | 3.325 | 0.000 | -0.000 | 0.000 |
| 15.598 | 2.457 | 35.803 | -0.000 | -0.000 | 0.000 |
| 0.000 | 0.000 | 0.000 | 111.593 | -0.000 | -0.000 |
| -0.000 | 0.000 | 0.000 | -0.000 | 5.065 | 0.000 |
| -0.000 | 0.000 | 0.000 | -0.000 | -0.000 | 27.011 |
| 70.291 | 39.038 | 43.384 | -0.000 | 0.000 | -0.000 |
| 1.167 | 63.330 | -29.568 | 0.000 | 0.000 | -0.000 |
| 1.911 | -8.359 | 6.225 | 0.000 | 0.000 | -0.000 |
| -0.000 | -0.000 | -0.000 | 111.593 | 0.000 | -0.000 |
| 0.000 | -0.000 | -0.000 | -0.000 | 22.825 | -0.000 |
| 0.000 | -0.000 | -0.000 | -0.000 | 0.000 | 27.011 |
| 1633.688 | -6686.077 | 2924.275 | -11355.618 | -10552.583 | -3369.753 |
| 3540.926 | -2114.007 | 554.367 | -7954.964 | -613.731 | -790.407 |
| 1137.588 | -681.152 | -1745.620 | 3118.963 | -3337.335 | -1085.710 |
| 399.515 | -4943.258 | 4090.103 | -6237.612 | -4806.858 | -1650.891 |
| 953.832 | -4610.023 | 3329.611 | -5586.192 | -3116.669 | -1954.847 |
| 1972.096 | -6713.919 | 2667.418 | -11475.139 | -10464.833 | -3296.034 |
| -428.636 | 630.631 | 916.818 | 7.526 | 4961.361 | -13.105 |
| -861.131 | 5870.540 | -4674.206 | 4894.783 | 2294.018 | 2554.396 |
| -700.605 | 4677.711 | -3557.225 | 5680.008 | 2901.279 | 1897.426 |
| -637.344 | 682.533 | 1136.131 | -123.992 | 4909.107 | -85.318 |
| -2056.456 | 3063.521 | 744.242 | 5812.411 | 6219.994 | 1490.927 |
| -6309.836 | 624.805 | 3439.847 | 6679.399 | -1048.299 | -982.715 |
| 163.311 | -676.309 | 311.475 | -1136.144 | -1051.200 | -325.901 |
| -104.599 | -305.745 | -404.833 | 1.921 | -767.003 | -146.825 |
| 173.863 | -670.514 | 308.493 | -1126.770 | -1050.650 | -316.997 |
| 156.725 | -676.605 | 309.954 | -1135.586 | -1044.919 | -322.834 |
| 159.565 | -117.629 | -20.430 | -861.920 | -586.077 | -202.366 |
| 194.842 | -566.186 | 122.295 | -771.617 | -809.184 | -371.928 |
| -404.187 | -74.125 | 371.229 | -103.759 | -160.650 | -176.434 |
| -374.983 | -35.934 | 303.701 | 241.247 | 178.547 | 1.981 |
| -298.271 | -42.919 | 265.731 | -95.246 | 547.934 | -185.905 |
| -130.735 | 636.245 | -295.561 | 1134.232 | 1025.868 | 334.238 |
| -162.879 | 662.546 | -304.886 | 1135.592 | 1045.477 | 320.889 |
| -337.829 | -530.450 | 866.064 | -529.409 | -22.981 | -642.364 |
| 45.234 | 22.122 | -45.547 | -9.767 | -74.038 | 32.888 |
| 15.725 | -66.872 | 29.958 | -114.323 | -105.268 | -32.560 |
| 62.190 | 19.781 | -62.959 | 55.440 | -46.583 | 17.598 |
| 34.922 | 54.506 | -71.958 | 41.419 | 35.077 | 46.578 |
| 49.825 | -64.076 | -18.092 | -87.867 | -64.655 | -4.585 |
| 68.028 | 15.337 | -68.664 | 2.183 | -4.302 | 13.901 |
| -15.332 | 68.244 | -30.930 | 114.436 | 105.756 | 34.325 |
| -15.047 | 65.675 | -28.759 | 112.402 | 104.177 | 31.666 |
| -36.348 | 45.094 | -92.745 | -65.367 | -48.763 | -23.706 |
| -12.777 | 31.833 | 21.169 | 67.279 | 78.758 | 7.150 |
| -0.015 | 22.244 | -14.112 | 88.155 | 124.921 | 15.761 |
| -73.176 | -57.826 | 80.538 | -106.633 | -89.141 | -46.279 |
| 409.256 | 36.226 | 63.694 | -0.000 | 0.000 | -0.000 |
| 36.226 | 543.351 | 25.335 | -0.000 | -0.000 | -0.000 |
| 103.895 | 52.138 | 351.494 | -0.000 | -0.000 | -0.001 |
| -0.000 | 0.000 | -0.000 | 275.514 | 0.000 | 0.000 |
| 0.000 | -0.000 | 0.000 | -0.000 | 237.794 | -0.000 |
| 0.000 | -0.000 | 0.000 | -0.000 | 0.000 | 230.508 |
| 309.726 | 42.694 | 86.964 | -0.000 | -0.000 | 0.000 |
| 36.226 | 543.352 | 25.335 | 0.000 | -0.000 | -0.000 |
| 93.900 | 57.285 | 451.235 | -0.000 | 0.000 | 0.000 |
| 0.000 | -0.000 | 0.000 | 275.514 | 0.000 | -0.000 |
| -0.000 | 0.000 | -0.000 | -0.000 | 237.794 | 0.000 |
| -0.000 | 0.000 | -0.000 | 0.000 | 0.000 | 230.508 |
| 409.256 | 36.226 | 63.695 | -0.000 | -0.000 | -0.000 |
| 36.226 | 543.351 | 25.335 | -0.000 | -0.000 | 0.000 |
| 91.352 | 56.239 | 321.505 | 0.000 | -0.000 | -0.000 |
| 0.000 | -0.000 | -0.000 | 224.223 | -0.000 | -0.000 |
| -0.000 | 0.000 | 0.000 | 0.000 | 237.794 | 0.000 |
| 0.000 | 0.000 | -0.000 | -0.000 | 0.000 | 173.776 |
| 309.743 | 42.694 | 86.961 | 0.000 | -0.000 | 0.000 |
| 55.484 | 375.278 | 59.249 | 0.000 | -0.000 | 0.000 |
| 63.695 | 25.335 | 571.045 | 0.000 | -0.000 | -0.000 |
| -0.000 | 0.000 | 0.000 | 224.223 | 0.000 | 0.000 |
| 0.000 | -0.000 | -0.000 | 0.000 | 237.794 | -0.000 |
| -0.000 | -0.000 | 0.000 | -0.000 | 0.000 | 173.776 |
| 112.459 | -1.332 | 68.639 | -0.000 | -0.000 | 0.000 |
| 6.244 | 271.774 | 39.443 | 0.000 | -0.000 | -0.000 |
| 63.203 | 36.179 | 277.055 | -0.000 | 0.000 | 0.000 |
| 0.000 | -0.000 | 0.000 | 275.514 | 0.000 | -0.000 |
| -0.000 | 0.000 | 0.000 | -0.000 | 171.493 | -0.000 |
| -0.001 | -0.001 | 0.000 | 0.000 | 0.000 | 110.652 |
| 186.095 | 38.142 | 95.925 | 0.000 | 0.000 | 0.000 |
| 42.687 | 311.962 | 52.513 | -0.000 | 0.000 | 0.000 |
| 103.885 | 52.131 | 351.510 | 0.000 | 0.000 | 0.000 |
| -0.000 | 0.000 | -0.000 | 275.514 | 0.000 | 0.000 |
| 0.000 | -0.000 | -0.000 | -0.000 | 171.493 | 0.000 |
| 0.001 | 0.001 | -0.000 | 0.000 | 0.000 | 110.652 |
| -222.779 | 265.938 | 348.461 | -0.026 | -0.035 | -0.831 |
| -148.484 | 660.791 | 228.702 | -0.028 | -0.027 | -1.793 |
| 71.233 | 50.883 | 495.280 | -0.039 | -0.012 | -1.275 |
| -185.155 | 480.336 | 436.081 | 320.954 | -0.046 | -1.043 |
| -138.083 | 451.251 | 389.779 | -0.028 | 191.780 | -2.101 |
| -12.565 | 135.069 | 85.576 | -0.017 | -0.011 | 6.586 |
| 228.054 | -7.715 | 50.804 | -0.017 | 0.014 | -1.052 |
| 25.235 | 459.551 | 0.807 | -0.000 | -0.000 | -0.000 |
| 79.839 | 2.765 | 485.347 | 0.039 | 0.012 | 1.284 |
| 4.290 | -25.064 | -4.245 | 183.386 | 0.013 | 1.341 |
| 267.163 | -467.646 | -485.910 | 0.036 | 30.818 | 1.540 |
| 5.573 | -34.448 | -23.043 | -0.015 | 0.014 | 119.755 |
| 35.923 | -22.856 | 32.726 | -0.005 | -0.003 | 0.005 |
| 12.807 | 216.376 | 39.795 | -0.002 | -0.002 | -0.057 |
| 30.691 | 17.994 | 292.939 | -0.002 | -0.003 | -0.072 |
| -11.795 | 41.851 | 35.719 | 70.446 | -0.004 | -0.121 |
| -1.011 | 9.988 | 6.351 | -0.004 | 86.116 | -0.112 |
| -11.535 | 40.869 | 34.987 | -0.003 | -0.004 | 35.048 |
| 69.621 | -41.357 | 40.832 | 0.004 | 0.003 | 0.044 |
| -26.686 | 144.408 | -4.470 | 0.004 | 0.003 | 0.098 |
| 28.657 | -17.533 | 197.965 | 0.004 | 0.004 | 0.131 |
| -0.000 | 0.000 | -0.000 | 253.051 | 0.000 | -0.000 |
| 0.475 | -2.759 | -0.940 | 0.004 | 165.215 | 0.142 |
| 1.231 | -11.257 | -7.701 | 0.002 | 0.001 | 19.696 |
| 63.667 | -2.974 | 24.901 | -0.000 | -0.000 | -0.011 |
| -6.400 | 202.170 | 22.656 | -0.000 | -0.000 | -0.011 |
| 15.246 | 25.510 | 259.014 | -0.000 | -0.000 | -0.012 |
| -3.399 | 4.040 | 5.543 | 71.386 | -0.000 | -0.016 |
| -1.164 | 3.351 | 3.000 | -0.000 | 55.851 | -0.017 |
| -0.616 | 2.661 | 2.228 | -0.000 | -0.000 | 43.461 |
| 71.669 | -18.085 | 20.838 | 0.000 | 0.000 | 0.009 |
| -19.346 | 197.331 | 17.073 | 0.000 | 0.000 | 0.009 |
| 40.138 | 21.021 | 237.088 | 0.001 | 0.000 | 0.013 |
| 1.015 | -3.282 | -2.894 | 73.257 | 0.000 | 0.011 |
| 1.756 | -3.528 | -3.586 | 0.000 | 55.671 | 0.016 |
| 0.846 | -3.019 | -2.550 | 0.000 | 0.000 | 42.033 |
| -246767.057 | -369402.033 | -74332.327 | 26842.947 | 196266.058 | 100507.432 |
| -246800.969 | -369367.578 | -74329.406 | 26838.048 | 196266.244 | 100506.103 |
| -246801.006 | -369399.680 | -74306.638 | 26836.593 | 196266.503 | 100505.689 |
| -246789.916 | -369385.774 | -74313.484 | 26843.605 | 196266.464 | 100504.388 |
| -246787.477 | -369387.914 | -74317.177 | 26838.684 | 196277.976 | 100506.243 |
| -246787.748 | -369387.829 | -74317.344 | 26838.829 | 196266.098 | 100517.036 |
| 246808.229 | 369374.437 | 74303.803 | -26837.862 | -196266.039 | -100505.973 |
| 246774.646 | 369408.099 | 74305.364 | -26840.064 | -196266.012 | -100506.556 |
| 246774.960 | 369376.246 | 74328.335 | -26842.597 | -196265.701 | -100507.276 |
| 246789.220 | 369387.166 | 74315.758 | -26826.270 | -196266.238 | -100506.014 |
| 246788.210 | 369387.693 | 74317.453 | -26839.211 | -196254.293 | -100506.356 |
| 246787.949 | 369387.768 | 74317.267 | -26839.039 | -196266.172 | -100495.555 |
| -24659.129 | -36951.556 | -7444.008 | 2683.215 | 19626.820 | 10050.475 |
| -24691.827 | -36918.526 | -7443.960 | 2682.792 | 19626.691 | 10050.369 |
| -24691.436 | -36950.967 | -7421.947 | 2682.320 | 19626.874 | 10050.220 |
| -24679.125 | -36938.502 | -7431.106 | 2694.112 | 19626.675 | 10050.253 |
| -24678.335 | -36939.006 | -7431.809 | 2684.008 | 19638.432 | 10050.677 |
| -24678.682 | -36938.812 | -7431.772 | 2683.793 | 19626.576 | 10061.371 |
| 24698.975 | 36925.523 | 7418.547 | -2683.065 | -19626.479 | -10050.369 |
| 24666.098 | 36958.686 | 7418.940 | -2683.866 | -19626.567 | -10050.575 |
| 24666.677 | 36926.030 | 7440.542 | -2683.650 | -19626.433 | -10050.537 |
| 24679.151 | 36938.280 | 7431.073 | -2671.106 | -19626.640 | -10050.291 |
| 24679.153 | 36938.669 | 7431.865 | -2684.152 | -19614.773 | -10050.685 |
| 24678.886 | 36938.749 | 7431.691 | -2683.997 | -19626.650 | -10039.889 |
| -2442.172 | -3713.441 | -755.481 | 269.808 | 1956.767 | 1004.691 |
| -2480.733 | -3673.840 | -755.788 | 267.976 | 1962.698 | 1004.991 |
| -2480.544 | -3721.663 | -709.691 | 279.507 | 1953.303 | 1012.066 |
| -2462.071 | -3700.634 | -742.896 | 281.614 | 1956.605 | 1004.724 |
| -2461.738 | -3700.592 | -742.658 | 269.664 | 1968.433 | 1004.637 |
| -2467.780 | -3693.918 | -743.237 | 268.308 | 1962.615 | 1015.808 |
| 2482.001 | 3687.537 | 730.072 | -270.203 | -1956.457 | -1004.746 |
| 2455.006 | 3713.884 | 730.527 | -268.370 | -1962.635 | -1005.025 |
| 2455.647 | 3696.685 | 728.115 | -279.931 | -1952.953 | -1012.170 |
| 2462.069 | 3700.319 | 742.711 | -258.268 | -1956.605 | -1004.673 |
| 2462.288 | 3700.580 | 742.991 | -270.071 | -1944.839 | -1004.769 |
| 2467.894 | 3693.904 | 743.175 | -268.275 | -1962.723 | -994.282 |
| 408.919 | -13.129 | -6.935 | 28.995 | 35.398 | -43.388 |
| 71.237 | 649.261 | 17.453 | -75.594 | -61.147 | 26.112 |
| 69.512 | 18.364 | 559.420 | -29.530 | -67.859 | 73.278 |
| -12.917 | -44.626 | -21.700 | 187.211 | 36.951 | -49.049 |
| -41.326 | 15.772 | -32.958 | -5.570 | 232.157 | -26.605 |
| 80.381 | 26.585 | 71.180 | -76.539 | -84.087 | 345.771 |
| 373.292 | 56.723 | 73.969 | -23.952 | -74.941 | 35.715 |
| 152.216 | 487.716 | 78.841 | -64.785 | -54.167 | 77.482 |
| 61.169 | 23.493 | 502.274 | -37.191 | -65.447 | 47.793 |
| 29.454 | -6.393 | -64.400 | 153.016 | -53.192 | -6.907 |
| 47.284 | 46.718 | -6.609 | -54.954 | 174.572 | 35.726 |
| 14.002 | -9.639 | 0.120 | -52.839 | -11.924 | 191.684 |
| 375.762 | 55.849 | 54.083 | 6.765 | -24.477 | 0.510 |
| -4.878 | 536.779 | 0.267 | -0.701 | 24.724 | -33.845 |
| 44.087 | 50.357 | 355.575 | -33.370 | -48.764 | 4.047 |
| -3.652 | -42.715 | -21.134 | 204.188 | 1.532 | -29.742 |
| -27.410 | 22.820 | -40.853 | -20.225 | 192.810 | -9.673 |
| -24.072 | -22.818 | 3.872 | -21.753 | -6.696 | 247.598 |
| 386.465 | 95.771 | 85.035 | -26.289 | -50.632 | 32.106 |
| 65.896 | 499.407 | 49.695 | -17.222 | 2.544 | 13.619 |
| 65.819 | 36.656 | 376.634 | -27.761 | -23.546 | -2.549 |
| 14.465 | -15.030 | -18.304 | 147.759 | -27.875 | -8.523 |
| -25.664 | 14.390 | -43.356 | -18.262 | 139.656 | -3.452 |
| 0.826 | 4.097 | -3.089 | -37.140 | -15.205 | 230.749 |
| 318.434 | 68.165 | 52.799 | -6.897 | -24.499 | 3.309 |
| 56.675 | 384.452 | 43.593 | -14.796 | 9.275 | -9.809 |
| 69.537 | 64.915 | 249.655 | -44.814 | -44.073 | -1.280 |
| 0.515 | -17.146 | -37.752 | 124.989 | -8.953 | -32.285 |
| -66.028 | -9.966 | -67.973 | 9.345 | 165.323 | -37.873 |
| -14.435 | -14.982 | 3.208 | -26.302 | -4.068 | 178.124 |
| 372.958 | 70.636 | 60.506 | -20.652 | -31.023 | 18.559 |
| 57.518 | 362.357 | 45.328 | -15.698 | 14.386 | -24.161 |
| 74.095 | 42.553 | 415.866 | -36.053 | -41.468 | 15.930 |
| -22.323 | -30.727 | -47.410 | 158.183 | 1.029 | -41.896 |
| -40.620 | -2.002 | -42.833 | 0.825 | 151.804 | -15.073 |
| -27.308 | -22.347 | -13.992 | -13.362 | 19.980 | 167.359 |
| 289.685 | 84.160 | 26.284 | 2.634 | 1.355 | 81.342 |
| 264.366 | 1295.614 | 347.254 | 183.125 | 293.161 | -46.824 |
| 127.518 | 158.655 | 202.615 | 32.134 | 104.722 | 46.794 |
| 14.640 | -27.596 | 10.404 | 78.174 | 1.013 | -6.500 |
| 3.479 | -6.187 | -2.001 | 13.353 | 104.600 | 0.411 |
| 8.310 | -17.032 | 31.065 | -24.714 | -10.007 | 54.839 |
| -46.558 | 69.935 | 38.913 | 114.249 | 77.039 | -16.772 |
| 352.767 | -80.424 | -304.634 | -241.526 | -170.063 | 309.938 |
| -104.440 | -20.014 | -102.807 | 73.217 | 21.840 | -15.974 |
| 89.147 | -250.056 | -111.366 | -224.504 | -75.812 | 77.102 |
| -20.922 | -4.418 | -22.545 | 3.602 | 113.716 | -4.945 |
| -142.879 | -114.792 | -88.511 | 23.593 | -1.511 | -9.544 |
| 74.121 | 53.785 | 20.959 | 49.688 | 46.003 | 5.680 |
| 32.417 | 95.087 | 12.156 | 1.427 | 16.969 | 43.127 |
| -20.641 | 3.622 | 124.575 | 18.208 | 8.873 | -24.325 |
| -9.573 | 3.630 | -10.115 | 96.419 | 34.881 | -18.208 |
| -34.403 | -27.350 | 4.472 | 12.884 | 77.750 | -11.028 |
| 7.220 | -8.708 | 15.037 | -10.839 | -6.924 | 40.090 |
| 97.081 | -13.678 | 16.780 | 18.167 | 40.531 | -27.405 |
| -17.201 | -0.090 | -15.921 | -5.495 | -21.926 | 24.171 |
| 33.749 | -42.259 | 111.880 | -44.366 | -17.810 | -4.580 |
| 63.160 | -43.394 | 16.768 | -5.405 | -43.600 | 2.105 |
| -2.198 | 2.690 | 2.688 | 4.996 | 124.510 | -3.232 |
| 30.889 | -46.055 | -13.309 | -52.642 | -33.459 | 63.574 |
| 89.951 | 5.417 | 9.376 | 1.725 | 9.655 | 4.339 |
| -0.397 | 106.338 | -4.283 | 4.087 | 6.758 | 6.277 |
| 8.978 | -3.491 | 102.859 | -3.128 | -4.651 | -1.196 |
| 0.892 | -7.665 | -7.631 | 49.420 | 3.366 | -1.380 |
| -3.590 | 3.215 | -6.539 | 2.153 | 62.054 | -4.371 |
| 4.800 | 18.150 | 2.847 | 1.894 | 3.306 | 47.115 |
| 101.336 | -1.595 | 10.073 | 0.239 | 6.464 | 9.139 |
| -1.654 | 75.665 | -8.402 | -0.426 | -7.275 | 14.610 |
| 9.703 | -8.202 | 82.109 | -3.788 | -15.055 | 2.481 |
| -0.573 | -10.794 | -13.424 | 46.401 | -2.779 | -2.660 |
| -0.848 | -0.955 | -12.521 | -1.403 | 51.464 | -2.627 |
| 10.910 | 5.215 | -3.067 | -6.110 | -5.591 | 47.784 |
| 455.449 | 28.309 | 1.930 | -2.659 | -4.845 | 0.815 |
| 36.669 | 342.732 | 61.678 | 3.362 | -19.306 | 7.314 |
| 36.005 | 51.802 | 456.796 | 4.888 | 15.890 | 6.747 |
| -52.536 | 12.105 | -39.018 | 299.208 | -60.549 | 8.216 |
| -0.865 | -4.596 | -7.446 | -18.101 | 217.252 | 2.015 |
| -77.733 | -3.006 | -52.181 | 10.436 | -65.460 | 273.563 |
| 455.537 | 28.309 | 1.959 | -2.678 | -4.794 | 0.782 |
| 28.512 | 426.560 | 17.315 | -0.465 | -15.222 | -0.999 |
| -11.765 | 15.882 | 487.657 | 8.131 | -17.714 | 13.679 |
| 21.592 | 7.358 | 20.785 | 217.423 | 2.213 | -14.336 |
| -0.395 | -4.461 | -7.182 | -18.282 | 217.692 | 1.778 |
| -10.200 | -14.597 | 9.451 | 8.835 | -14.286 | 186.533 |
| 455.765 | 28.307 | 2.037 | -2.732 | -4.673 | 0.703 |
| 28.322 | 452.503 | 13.975 | -0.028 | -3.710 | -1.359 |
| 45.240 | 69.695 | 396.064 | 0.940 | 23.251 | 5.182 |
| -14.894 | -5.940 | 2.274 | 189.896 | -19.666 | 10.446 |
| 113.517 | 25.872 | 54.636 | -60.545 | 320.778 | -53.711 |
| 1.654 | -2.253 | 2.082 | -3.740 | -2.757 | 142.033 |
| 364.652 | 88.479 | 53.644 | -1.913 | 18.405 | -4.945 |
| 96.507 | 522.112 | 67.418 | -21.933 | 86.374 | -31.135 |
| 42.118 | 50.456 | 381.390 | -2.428 | 5.855 | -2.797 |
| -52.539 | 12.111 | -39.021 | 299.203 | -60.545 | 8.219 |
| 0.448 | -4.243 | -6.725 | -18.590 | 218.449 | 1.368 |
| -5.474 | 5.592 | -7.896 | 3.634 | -11.026 | 188.698 |
| 300.439 | 63.559 | 33.997 | 3.169 | -5.077 | -4.310 |
| 48.926 | 258.054 | 52.822 | 3.938 | -4.556 | 2.539 |
| 21.987 | 59.675 | 323.296 | 2.279 | 1.673 | 0.259 |
| -6.077 | -6.641 | 9.481 | 179.585 | -12.125 | 7.882 |
| 12.074 | -9.759 | 5.311 | -9.053 | 190.659 | -0.505 |
| 2.241 | 7.230 | -0.333 | 4.536 | -3.211 | 128.139 |
| 293.111 | 70.455 | 37.502 | 3.786 | 3.077 | -9.438 |
| 46.795 | 212.451 | 64.905 | -0.671 | 0.748 | 1.672 |
| 39.553 | 62.338 | 296.937 | -2.935 | 10.883 | -1.204 |
| 9.808 | 5.451 | 6.387 | 156.495 | 1.593 | 1.203 |
| 29.874 | -29.624 | 44.790 | -30.580 | 118.120 | -21.477 |
| -1.670 | -0.525 | 5.431 | 0.196 | -3.353 | 130.606 |
| 195738.665 | -41809.519 | -746360.588 | -206159.020 | 22654.223 | 87492.539 |
| 200547.055 | -39852.698 | -752613.248 | -213778.649 | 20805.473 | 91291.912 |
| 200884.917 | -40347.932 | -755754.563 | -214647.043 | 21556.910 | 91380.650 |
| 194200.672 | -41177.990 | -738489.691 | -203443.150 | 21284.316 | 86833.908 |
| 199220.674 | -39331.518 | -744995.791 | -211074.444 | 19473.456 | 90643.677 |
| 202916.227 | -55375.955 | -859348.282 | -248514.244 | 56803.308 | 93883.991 |
| -202398.356 | 55407.700 | 859554.748 | 248694.919 | -57076.875 | -93780.425 |
| -193771.752 | 41092.087 | 736203.936 | 202706.414 | -20899.895 | -86642.797 |
| -202618.933 | 55512.921 | 859608.100 | 248528.596 | -57070.813 | -93821.266 |
| -193701.563 | 40933.961 | 735756.636 | 202628.492 | -20824.216 | -86627.591 |
| -202945.746 | 55575.374 | 859498.553 | 248450.576 | -56834.935 | -93761.297 |
| -194878.002 | 41482.909 | 742278.094 | 204777.781 | -21923.459 | -87097.770 |
| 20370.754 | -5553.568 | -85970.570 | -24861.349 | 5749.693 | 9388.334 |
| 20088.376 | -3878.849 | -75296.309 | -21429.583 | 2075.807 | 9156.041 |
| 19994.288 | -4003.629 | -75051.786 | -21295.538 | 2088.902 | 9082.920 |
| 19392.582 | -4116.372 | -73694.525 | -20240.552 | 2105.789 | 8659.625 |
| 20335.917 | -5538.083 | -85926.796 | -24839.136 | 5701.222 | 9378.030 |
| 19837.341 | -3881.356 | -73993.809 | -20948.870 | 1850.848 | 9087.879 |
| -20156.836 | 5565.662 | 85926.125 | 24850.898 | -5657.989 | -9371.271 |
| -19633.168 | 4338.052 | 75159.045 | 20773.847 | -2358.613 | -8777.303 |
| -19579.873 | 4214.105 | 74929.538 | 20650.633 | -2310.155 | -8755.578 |
| -20279.170 | 5551.889 | 85928.662 | 24902.017 | -5685.136 | -9407.004 |
| -20272.040 | 5539.646 | 85856.510 | 24854.174 | -5656.993 | -9355.576 |
| -20360.712 | 5534.532 | 85991.354 | 24874.474 | -5653.125 | -9333.101 |
| 2182.769 | -543.523 | -8593.579 | -2476.689 | 578.784 | 943.490 |
| 2038.613 | -444.555 | -8578.303 | -2491.469 | 568.212 | 943.919 |
| 2033.473 | -539.464 | -8460.242 | -2496.655 | 553.052 | 937.847 |
| 1954.539 | -429.313 | -7451.367 | -2000.686 | 227.529 | 861.973 |
| 2036.382 | -554.172 | -8605.275 | -2480.117 | 615.900 | 939.788 |
| 1965.191 | -415.817 | -7521.516 | -2089.977 | 237.817 | 940.923 |
| -1879.529 | 565.109 | 8592.962 | 2490.068 | -553.973 | -931.657 |
| -2022.224 | 663.156 | 8607.320 | 2478.538 | -567.218 | -931.310 |
| -1962.762 | 440.064 | 7656.818 | 2065.882 | -252.394 | -876.360 |
| -2000.112 | 396.870 | 7561.662 | 2192.386 | -219.356 | -918.903 |
| -2020.270 | 556.435 | 8582.702 | 2489.855 | -521.841 | -934.555 |
| -1998.703 | 398.537 | 7458.225 | 2111.454 | -191.291 | -849.495 |
| 11838.470 | 1410.624 | 190.739 | 1055.330 | -1789.527 | -1184.898 |
| 2821.725 | -912.780 | -1704.389 | 3167.600 | -488.394 | 2498.868 |
| 3741.118 | 2005.688 | -557.700 | 682.211 | -1750.259 | -3207.323 |
| 10029.681 | 900.079 | 681.082 | 1000.791 | -2575.162 | -1923.062 |
| 9742.577 | 1744.983 | -4279.462 | -712.111 | 331.911 | -4822.793 |
| 8885.565 | 480.819 | -103.389 | 175.895 | -1417.217 | -2424.740 |
| -8817.643 | -1091.639 | -1090.853 | -570.102 | 2602.909 | 2136.597 |
| -1726.553 | 360.986 | -10.503 | -108.955 | 376.898 | 1128.507 |
| -10454.829 | -645.823 | -196.305 | -239.109 | 1899.583 | 1437.334 |
| -10725.326 | -1661.210 | -132.802 | -363.049 | 2343.643 | 1814.775 |
| -11469.413 | -1428.075 | -780.434 | -889.519 | 2383.717 | 1602.214 |
| -9487.072 | 595.176 | 248.252 | -1463.619 | 3064.910 | 369.838 |
| 1472.871 | 223.117 | 68.550 | 60.753 | -263.677 | -119.754 |
| 740.765 | 74.358 | 66.239 | 92.973 | -161.869 | -359.731 |
| 208.404 | 74.806 | 465.382 | -0.665 | -64.477 | -124.759 |
| 3499.423 | 705.122 | -396.378 | 287.926 | -19.188 | 685.643 |
| 1051.521 | 114.177 | 24.869 | 52.641 | -135.912 | -185.690 |
| 1147.943 | 111.093 | 79.859 | 110.775 | -176.798 | -158.083 |
| -679.430 | -4.360 | -1.661 | -63.110 | 243.397 | 269.111 |
| -135.023 | 415.068 | 57.930 | -32.903 | 32.607 | 107.758 |
| -958.102 | -11.529 | 119.901 | -124.631 | 348.538 | 265.227 |
| -980.635 | -166.572 | -70.653 | 30.248 | 257.624 | 216.737 |
| -205.294 | -8.341 | -34.663 | 4.307 | 232.324 | 110.636 |
| -1831.047 | 426.950 | -796.780 | 319.458 | 266.152 | 2324.836 |
| 572.480 | 71.016 | 50.657 | 7.998 | -48.276 | 15.042 |
| 120.968 | 213.754 | 83.511 | -5.738 | -25.770 | 6.608 |
| 162.310 | 92.451 | 264.820 | -11.112 | -45.800 | -13.339 |
| 120.551 | 1.559 | -13.374 | 122.518 | -19.915 | -22.704 |
| 97.718 | -24.471 | -17.026 | 14.077 | 40.305 | -2.432 |
| 152.059 | 46.801 | 9.057 | 0.796 | -21.342 | 77.667 |
| 92.654 | 16.237 | 51.101 | -3.454 | -2.305 | 41.468 |
| -109.143 | 194.081 | 78.962 | -22.893 | 20.797 | 52.048 |
| -66.076 | 59.678 | 279.176 | -27.332 | -1.320 | 17.060 |
| -117.013 | -43.578 | -18.812 | 97.185 | 24.164 | 16.271 |
| -144.792 | -25.228 | -21.706 | -10.582 | 116.472 | 21.476 |
| -86.539 | -0.533 | 0.721 | -16.548 | 23.057 | 132.347 |
| 94.756 | 1155.536 | 460.320 | 1140.530 | -6.421 | -271.738 |
| -84.505 | 987.773 | 212.810 | 1019.914 | 38.860 | -299.988 |
| -1156.731 | 855.460 | -588.069 | 1521.491 | 1243.821 | -1152.728 |
| -307.117 | 940.050 | 225.752 | 1177.164 | 202.734 | -326.126 |
| -600.425 | 784.507 | 258.103 | 1094.121 | 185.260 | -328.287 |
| -431.933 | 897.813 | 27.645 | 1137.796 | 353.347 | -332.475 |
| -28.218 | -473.905 | 130.913 | -832.435 | -251.590 | 339.141 |
| 87.376 | -1546.464 | -979.272 | -1480.556 | 82.176 | 328.507 |
| 3.319 | -950.084 | -202.497 | -972.806 | 137.123 | 115.201 |
| -91.232 | -1465.302 | -869.115 | -1192.153 | 214.680 | 203.918 |
| 80.675 | -908.917 | -363.005 | -892.650 | 38.341 | 207.476 |
| 112.163 | -1150.089 | 105.090 | -1198.654 | -621.915 | 738.890 |
| 102.996 | 38.723 | -8.768 | 40.890 | 32.114 | -34.777 |
| -42.229 | 52.015 | 25.371 | 122.867 | 18.704 | -37.729 |
| -25.075 | 118.434 | 87.089 | 98.708 | 37.272 | -35.571 |
| -3.959 | 55.883 | 29.513 | 188.373 | -19.334 | -4.177 |
| -8.628 | 66.639 | 46.227 | 7.321 | 237.220 | -44.343 |
| -27.073 | 53.870 | 39.678 | 112.046 | 20.507 | -12.714 |
| 391.181 | -59.228 | 48.985 | -163.791 | -123.305 | 68.282 |
| 9.538 | 68.689 | 12.255 | -44.398 | -6.598 | 8.734 |
| -6.843 | -59.073 | 84.889 | -107.698 | -60.043 | 65.221 |
| 22.971 | -85.440 | -16.601 | -55.748 | -21.401 | 35.631 |
| 42.417 | -76.053 | -1.973 | -114.997 | -1.960 | 60.408 |
| -24.233 | -101.729 | -60.431 | -94.357 | 21.701 | 72.452 |
| 142.251 | 14.780 | -3.978 | 7.317 | 12.904 | -19.091 |
| -1.752 | 93.450 | 21.797 | 12.486 | 3.482 | -12.051 |
| 4.940 | 35.272 | 169.645 | -0.213 | 7.708 | 1.250 |
| -5.987 | 5.780 | 0.930 | 107.629 | -9.844 | 1.849 |
| 15.650 | 13.119 | 5.312 | 3.939 | 62.361 | 1.737 |
| -22.244 | -2.990 | -7.638 | 9.664 | 10.453 | 41.065 |
| 117.467 | -1.442 | -7.868 | -6.921 | 9.602 | -14.186 |
| 3.120 | 81.833 | 16.220 | -6.013 | -2.108 | -3.382 |
| -6.936 | 13.615 | 98.142 | -8.222 | 2.460 | 0.959 |
| 23.242 | -3.262 | 17.843 | -0.712 | -23.586 | 21.578 |
| 19.955 | -8.284 | -0.931 | -19.798 | 60.200 | 10.575 |
| -16.535 | -14.183 | -8.515 | -6.276 | -0.518 | 45.758 |
| 885.827 | 114.654 | 114.654 | -0.000 | -0.000 | 0.000 |
| 114.654 | 885.827 | 114.654 | -0.000 | -0.000 | 0.000 |
| 114.654 | 114.654 | 885.827 | 0.000 | -0.000 | 0.000 |
| -0.000 | 0.000 | 0.000 | 373.002 | -0.000 | 0.000 |
| -0.000 | 0.000 | 0.000 | 0.000 | 373.002 | 0.000 |
| -0.000 | 0.000 | 0.000 | 0.000 | 0.000 | 373.002 |
| 869.460 | 143.360 | 143.360 | -0.000 | 0.000 | -0.000 |
| 115.730 | 997.798 | 115.730 | 0.000 | 0.000 | -0.000 |
| 115.730 | 115.730 | 997.798 | -0.000 | -0.000 | 0.000 |
| 0.000 | -0.000 | -0.000 | 373.002 | -0.000 | -0.000 |
| 0.000 | -0.000 | -0.000 | -0.000 | 373.002 | -0.000 |
| 0.000 | -0.000 | -0.000 | -0.000 | -0.000 | 373.002 |
| 997.799 | 115.730 | 115.730 | 0.000 | 0.000 | 0.000 |
| 115.730 | 997.799 | 115.730 | 0.000 | 0.000 | 0.000 |
| 115.730 | 115.730 | 997.799 | 0.000 | 0.000 | 0.000 |
| 0.000 | 0.000 | 0.000 | 497.765 | 0.000 | -0.000 |
| -0.000 | 0.000 | 0.000 | 0.000 | 497.765 | -0.000 |
| 0.000 | 0.000 | 0.000 | 0.000 | 0.000 | 497.765 |
| 885.827 | 114.654 | 114.654 | 0.000 | 0.000 | -0.000 |
| 114.654 | 885.827 | 114.654 | -0.000 | 0.000 | -0.000 |
| 114.654 | 114.654 | 885.827 | 0.000 | 0.000 | -0.000 |
| -0.000 | -0.000 | -0.000 | 497.765 | -0.000 | -0.000 |
| 0.000 | -0.000 | -0.000 | -0.000 | 497.765 | -0.000 |
| -0.000 | -0.000 | -0.000 | 0.000 | -0.000 | 497.765 |
| 869.459 | 143.361 | 143.360 | 0.000 | 0.000 | -0.000 |
| 143.360 | 869.459 | 143.361 | 0.000 | -0.000 | -0.000 |
| 143.361 | 143.360 | 869.459 | -0.000 | 0.000 | 0.000 |
| 0.000 | -0.000 | 0.001 | 354.527 | -0.000 | 0.000 |
| 0.000 | 0.000 | 0.000 | -0.000 | 354.527 | 0.000 |
| -0.000 | 0.001 | 0.000 | -0.000 | -0.000 | 354.527 |
| 885.827 | 114.653 | 114.654 | 0.000 | 0.000 | -0.000 |
| 114.654 | 885.827 | 114.653 | 0.000 | 0.000 | -0.000 |
| 114.653 | 114.654 | 885.827 | 0.000 | -0.000 | -0.000 |
| -0.000 | 0.000 | -0.001 | 354.527 | -0.000 | -0.000 |
| -0.000 | -0.000 | -0.000 | -0.000 | 354.527 | -0.000 |
| 0.000 | -0.001 | -0.000 | 0.000 | 0.000 | 354.527 |
| 960.890 | 99.973 | 99.973 | 0.000 | -0.000 | -0.000 |
| 99.973 | 960.890 | 99.973 | -0.000 | -0.000 | 0.000 |
| 99.973 | 99.973 | 960.890 | 0.000 | -0.000 | 0.000 |
| 0.000 | 0.000 | 0.000 | 483.530 | -0.000 | 0.000 |
| 0.000 | 0.000 | 0.000 | 0.000 | 483.530 | -0.000 |
| 0.000 | 0.000 | 0.000 | 0.000 | -0.000 | 483.530 |
| 842.250 | 122.915 | 122.916 | -0.000 | 0.000 | -0.000 |
| 122.916 | 842.250 | 122.915 | -0.000 | 0.000 | -0.000 |
| 122.915 | 122.915 | 842.250 | -0.000 | 0.000 | -0.000 |
| -0.000 | -0.000 | -0.000 | 483.530 | -0.000 | -0.000 |
| -0.000 | -0.000 | -0.000 | 0.000 | 483.530 | 0.000 |
| -0.000 | -0.000 | -0.000 | -0.000 | -0.000 | 483.530 |
| 859.096 | 94.611 | 94.611 | 0.000 | 0.000 | 0.000 |
| 94.611 | 859.096 | 94.611 | 0.000 | -0.000 | 0.000 |
| 94.611 | 94.611 | 859.096 | 0.000 | 0.000 | 0.000 |
| 0.000 | 0.000 | 0.000 | 343.998 | -0.000 | 0.000 |
| 0.000 | 0.000 | 0.000 | 0.000 | 343.998 | -0.000 |
| 0.000 | 0.000 | 0.000 | -0.000 | -0.000 | 343.998 |
| 859.096 | 94.611 | 94.611 | -0.000 | 0.000 | -0.000 |
| 94.611 | 859.096 | 94.611 | -0.000 | -0.000 | -0.000 |
| 94.611 | 94.611 | 859.096 | -0.000 | 0.000 | -0.000 |
| -0.000 | -0.000 | -0.000 | 343.998 | 0.000 | -0.000 |
| -0.000 | -0.000 | -0.000 | 0.000 | 343.998 | -0.000 |
| -0.000 | -0.000 | -0.000 | 0.000 | 0.000 | 343.998 |
| 842.252 | 122.917 | 122.917 | -0.000 | -0.000 | -0.000 |
| 122.917 | 842.252 | 122.917 | 0.000 | -0.000 | 0.000 |
| 122.917 | 122.917 | 842.252 | 0.000 | -0.000 | 0.000 |
| 0.000 | -0.000 | 0.000 | 363.050 | 0.000 | 0.000 |
| 0.000 | 0.000 | 0.000 | 0.000 | 343.998 | -0.000 |
| -0.000 | 0.000 | 0.000 | 0.000 | -0.000 | 363.050 |
| 842.252 | 122.916 | 122.917 | -0.000 | 0.000 | 0.000 |
| 122.917 | 842.252 | 122.916 | 0.000 | 0.000 | -0.000 |
| 122.916 | 122.917 | 842.252 | -0.000 | 0.000 | -0.000 |
| -0.000 | 0.000 | -0.000 | 363.050 | 0.000 | -0.000 |
| -0.000 | -0.000 | -0.000 | 0.000 | 343.998 | 0.000 |
| 0.000 | -0.000 | -0.000 | -0.000 | 0.000 | 363.050 |
| 1259.604 | 40.567 | -22.018 | 0.000 | 0.000 | -0.000 |
| 40.567 | 1259.604 | -22.018 | -0.000 | 0.000 | -0.000 |
| -21.458 | -21.458 | 1319.129 | -0.000 | 0.000 | -0.000 |
| -0.187 | -0.187 | 0.371 | 538.387 | 0.000 | -0.000 |
| -0.000 | -0.000 | -0.000 | -0.000 | 548.262 | -0.000 |
| -0.229 | -0.229 | 0.456 | 0.000 | 0.000 | 580.294 |
| 1259.604 | 40.567 | -22.018 | 0.000 | 0.000 | 0.000 |
| 40.567 | 1259.604 | -22.018 | -0.000 | -0.000 | 0.000 |
| -1.645 | -1.645 | 1279.727 | 0.000 | -0.000 | 0.000 |
| 0.187 | 0.187 | -0.371 | 538.387 | 0.000 | -0.000 |
| 0.000 | 0.000 | 0.000 | 0.000 | 548.262 | 0.000 |
| 0.229 | 0.229 | -0.456 | 0.000 | -0.000 | 580.294 |
| 1259.605 | 40.567 | -22.018 | -0.000 | -0.000 | -0.000 |
| 59.905 | 1220.491 | -2.355 | -0.000 | -0.000 | 0.000 |
| -1.850 | -1.850 | 1280.137 | -0.000 | -0.000 | -0.000 |
| 0.000 | -0.000 | 0.000 | 548.262 | -0.000 | -0.000 |
| -0.000 | 0.000 | 0.000 | 0.000 | 548.262 | -0.000 |
| 0.000 | 0.000 | 0.000 | 0.000 | 0.000 | 609.519 |
| 1259.604 | 40.567 | -22.018 | -0.000 | -0.000 | -0.000 |
| 56.635 | 1220.862 | 0.527 | -0.000 | -0.000 | 0.000 |
| -21.458 | -21.458 | 1319.129 | 0.000 | -0.000 | 0.000 |
| -0.000 | 0.000 | -0.000 | 548.262 | -0.000 | -0.000 |
| 0.000 | -0.000 | -0.000 | -0.000 | 548.262 | 0.000 |
| -0.000 | -0.000 | -0.000 | -0.000 | -0.000 | 609.519 |
| 1220.509 | 59.923 | -2.387 | -0.000 | 0.000 | -0.000 |
| 56.609 | 1220.849 | 0.570 | -0.000 | 0.000 | 0.000 |
| -21.458 | -21.458 | 1319.134 | -0.000 | 0.000 | -0.000 |
| -0.001 | -0.002 | 0.004 | 538.387 | 0.000 | -0.000 |
| -0.002 | -0.001 | 0.004 | 0.000 | 538.387 | -0.000 |
| -0.003 | -0.002 | 0.005 | 0.000 | 0.000 | 580.293 |
| 1220.847 | 56.612 | 0.561 | 0.000 | -0.000 | 0.000 |
| 56.612 | 1220.847 | 0.561 | -0.000 | -0.000 | 0.000 |
| -1.830 | -1.830 | 1280.092 | 0.000 | -0.000 | 0.000 |
| 0.001 | 0.002 | -0.004 | 538.387 | -0.000 | 0.000 |
| 0.002 | 0.001 | -0.004 | -0.000 | 538.387 | 0.000 |
| 0.003 | 0.002 | -0.005 | -0.000 | -0.000 | 580.293 |
| 4665.158 | 661.906 | 473.511 | 0.000 | 0.000 | 0.000 |
| -11739.362 | 1676.921 | -377.524 | 0.004 | -0.578 | -0.000 |
| -1729.816 | 8932.979 | -980.285 | 0.012 | -1.837 | -0.000 |
| 22964.331 | 9745.380 | 216.617 | 308.412 | -0.298 | 0.001 |
| -0.000 | 0.000 | 0.000 | -0.000 | 683.902 | 0.000 |
| 22595.055 | 9588.670 | 213.134 | 0.002 | -0.293 | -787.576 |
| -20766.791 | -7883.012 | -402.518 | -0.001 | 0.202 | -0.000 |
| 15583.113 | -8048.796 | 4294.435 | -0.003 | 0.524 | -0.000 |
| -22911.691 | -9602.456 | 436.759 | -0.002 | 0.290 | -0.001 |
| -22964.331 | -9745.379 | -216.617 | 308.408 | 0.298 | -0.001 |
| 0.000 | -0.000 | -0.000 | -0.000 | 683.902 | -0.000 |
| -22595.055 | -9588.670 | -213.134 | -0.002 | 0.293 | -787.577 |
| 5.781 | 847.360 | -181.542 | 0.000 | -0.032 | 0.000 |
| 2163.068 | 1547.050 | 127.602 | -0.001 | 0.142 | -0.001 |
| -2092.401 | 405.121 | 300.749 | 0.000 | -0.029 | -0.000 |
| -1610.733 | 858.903 | -431.808 | 295.213 | -0.054 | 0.000 |
| -338.994 | 960.124 | -235.199 | -0.000 | 813.981 | 0.000 |
| 1309.238 | 555.602 | 12.350 | 0.000 | -0.017 | -108.636 |
| 45.289 | -821.391 | 204.991 | -0.002 | 0.369 | -0.000 |
| -1914.736 | -766.805 | -152.030 | 0.001 | -0.198 | -0.000 |
| -580.883 | -1241.033 | 804.479 | -0.000 | 0.005 | -0.000 |
| -571.123 | -1289.183 | 122.656 | 61.473 | 0.014 | 0.000 |
| -96.473 | -877.028 | 174.085 | -0.000 | 174.825 | 0.000 |
| -1309.238 | -555.602 | -12.350 | -0.000 | 0.017 | -108.636 |
| 253.745 | 203.815 | 99.441 | 0.001 | -0.156 | 0.000 |
| -79.369 | 652.000 | -13.304 | -0.000 | 0.003 | 0.000 |
| 149.028 | 120.299 | 340.773 | -0.001 | 0.105 | 0.000 |
| -10.598 | 97.970 | -25.476 | 143.159 | -0.007 | 0.000 |
| 157.475 | 109.421 | 6.223 | 0.000 | 134.611 | 0.000 |
| -3.627 | 68.077 | -11.962 | -0.000 | 0.001 | 132.159 |
| 244.030 | -0.479 | 83.034 | -0.000 | 0.002 | -0.000 |
| 122.176 | 300.326 | -2.518 | 0.000 | -0.006 | 0.000 |
| 96.659 | -84.818 | 380.456 | 0.000 | -0.010 | -0.000 |
| -59.060 | -84.418 | 6.033 | 158.250 | 0.003 | -0.000 |
| -157.474 | -109.421 | -6.223 | -0.000 | 134.613 | -0.000 |
| 3.627 | -68.077 | 11.962 | 0.000 | -0.001 | 132.159 |
| 130349.013 | 176729.912 | 80012.593 | -0.000 | 0.000 | 0.080 |
| 146352.589 | 198886.694 | 89892.268 | -0.000 | 0.000 | 0.086 |
| 128464.307 | 174328.848 | 79238.853 | 0.000 | -0.000 | 0.059 |
| 134717.157 | 182877.823 | 82769.624 | 117.187 | -0.000 | 0.064 |
| 130171.432 | 176706.009 | 79976.293 | 0.000 | 65.248 | 0.080 |
| 141709.177 | 192371.395 | 87066.360 | -0.000 | -0.000 | 45.938 |
| -129639.616 | -176199.752 | -79721.610 | 0.000 | -0.000 | -0.061 |
| -140277.991 | -190217.193 | -86214.507 | -0.000 | 0.000 | -0.068 |
| -139919.061 | -189999.979 | -85654.948 | -0.000 | 0.000 | -0.082 |
| -146322.665 | -198635.407 | -89901.414 | 117.008 | -0.000 | -0.089 |
| -142782.034 | -193828.074 | -87725.646 | 0.000 | 64.056 | -0.085 |
| -128779.749 | -174816.501 | -79121.111 | -0.000 | 0.000 | 46.454 |
| 30314.773 | 40946.180 | 18557.808 | -0.000 | -0.000 | 0.007 |
| 13977.054 | 19184.882 | 8559.825 | -0.000 | -0.000 | 0.007 |
| 13119.873 | 17750.788 | 8372.299 | -0.000 | 0.000 | 0.008 |
| 12947.029 | 17575.406 | 7954.545 | 117.290 | -0.000 | 0.008 |
| 12981.750 | 17622.548 | 7975.881 | 0.000 | 65.286 | 0.006 |
| 12843.047 | 17434.228 | 7890.648 | 0.000 | -0.000 | 46.442 |
| -19206.114 | -26289.733 | -11872.980 | -0.000 | 0.000 | -0.009 |
| -12999.654 | -17435.452 | -8014.832 | -0.000 | -0.000 | -0.008 |
| -64845.559 | -88161.646 | -39561.444 | -0.000 | -0.000 | 0.236 |
| -13156.488 | -17859.791 | -8083.256 | 117.247 | 0.000 | -0.008 |
| -13398.941 | -18188.984 | -8232.247 | -0.000 | 64.857 | -0.006 |
| -14031.770 | -19048.198 | -8621.122 | 0.000 | 0.000 | 45.917 |
| 6632.784 | 8783.852 | 3991.433 | -0.000 | 0.000 | 0.001 |
| 1360.534 | 2058.081 | 808.070 | -0.000 | -0.000 | 0.001 |
| 1359.952 | 1786.852 | 1147.045 | 0.000 | 0.000 | 0.001 |
| 1312.023 | 1781.056 | 806.097 | 117.254 | -0.000 | 0.001 |
| 1312.044 | 1781.085 | 806.110 | 0.000 | 65.140 | 0.001 |
| 1593.743 | 2163.572 | 979.222 | -0.000 | -0.000 | 45.316 |
| -6342.136 | -8860.643 | -3982.019 | 0.000 | -0.000 | 0.019 |
| -6521.079 | -8650.394 | -4035.668 | -0.000 | -0.000 | 0.025 |
| -1333.904 | -1869.953 | -508.124 | 0.000 | 0.000 | -0.001 |
| -1357.708 | -1843.083 | -834.171 | 117.169 | -0.000 | -0.001 |
| -1644.682 | -2232.738 | -1010.526 | -0.000 | 62.575 | -0.001 |
| -1291.253 | -1752.857 | -793.335 | -0.000 | -0.000 | 46.403 |
| 1038.778 | -164.182 | 0.000 | 0.000 | 0.000 | -0.000 |
| -164.182 | 1038.777 | 0.000 | 0.000 | 0.000 | -0.000 |
| 0.000 | -0.000 | 0.000 | 0.000 | 0.000 | 0.000 |
| 0.000 | -0.000 | 0.000 | 0.000 | 0.000 | -0.000 |
| 0.000 | -0.000 | 0.000 | 0.000 | 0.000 | -0.000 |
| 0.000 | -0.000 | 0.000 | 0.000 | 0.000 | 601.480 |
| 1038.778 | -164.182 | -0.000 | -0.000 | -0.000 | 0.000 |
| -164.182 | 1038.778 | -0.000 | -0.000 | -0.000 | 0.000 |
| -0.000 | 0.000 | -0.000 | -0.000 | -0.000 | -0.000 |
| -0.000 | 0.000 | -0.000 | -0.000 | -0.000 | 0.000 |
| -0.000 | 0.000 | -0.000 | -0.000 | -0.000 | 0.000 |
| -0.000 | 0.000 | -0.000 | -0.000 | -0.000 | 601.480 |
| 1038.712 | -164.117 | 0.000 | 0.000 | 0.000 | -0.000 |
| -164.182 | 1038.777 | 0.000 | 0.000 | 0.000 | -0.000 |
| 0.000 | -0.000 | 0.000 | 0.000 | 0.000 | 0.000 |
| 0.000 | -0.000 | 0.000 | 0.000 | 0.000 | -0.000 |
| 0.000 | -0.000 | 0.000 | 0.000 | 0.000 | -0.000 |
| 0.000 | 0.000 | 0.000 | 0.000 | 0.000 | 601.480 |
| 1038.777 | -164.182 | -0.000 | -0.000 | -0.000 | 0.000 |
| -164.183 | 1038.778 | -0.000 | -0.000 | -0.000 | 0.000 |
| -0.000 | 0.000 | -0.000 | -0.000 | -0.000 | -0.000 |
| -0.000 | 0.000 | -0.000 | -0.000 | -0.000 | 0.000 |
| -0.000 | 0.000 | -0.000 | -0.000 | -0.000 | 0.000 |
| -0.000 | -0.000 | -0.000 | -0.000 | -0.000 | 601.480 |
| 1038.786 | -164.187 | 0.000 | 0.000 | 0.000 | -0.000 |
| -164.178 | 1038.777 | 0.000 | 0.000 | 0.000 | -0.000 |
| 0.000 | -0.000 | 0.000 | 0.000 | 0.000 | 0.000 |
| 0.000 | -0.000 | 0.000 | 0.000 | 0.000 | -0.000 |
| 0.000 | -0.000 | 0.000 | 0.000 | 0.000 | -0.000 |
| 0.001 | 0.001 | 0.000 | 0.000 | 0.000 | 601.480 |
| 1038.769 | -164.177 | -0.000 | -0.000 | -0.000 | 0.000 |
| -164.186 | 1038.778 | -0.000 | -0.000 | -0.000 | 0.000 |
| -0.000 | 0.000 | -0.000 | -0.000 | -0.000 | -0.000 |
| -0.000 | 0.000 | -0.000 | -0.000 | -0.000 | 0.000 |
| -0.000 | 0.000 | -0.000 | -0.000 | -0.000 | -0.000 |
| -0.001 | -0.001 | -0.000 | -0.000 | -0.000 | 601.480 |
| 1041.063 | -164.543 | 0.000 | 0.000 | 0.000 | -0.000 |
| -164.543 | 1041.063 | 0.000 | 0.000 | 0.000 | -0.000 |
| -0.000 | 0.000 | 0.000 | 0.000 | 0.000 | -0.000 |
| -0.000 | 0.000 | 0.000 | 0.000 | 0.000 | -0.000 |
| -0.000 | 0.000 | 0.000 | 0.000 | 0.000 | -0.000 |
| -0.000 | -0.000 | 0.000 | 0.000 | 0.000 | 641.697 |
| 1041.063 | -164.543 | -0.000 | -0.000 | -0.000 | 0.000 |
| -164.543 | 1041.063 | -0.000 | -0.000 | -0.000 | 0.000 |
| 0.000 | -0.000 | -0.000 | -0.000 | -0.000 | 0.000 |
| 0.000 | -0.000 | -0.000 | -0.000 | -0.000 | 0.000 |
| 0.000 | -0.000 | -0.000 | -0.000 | -0.000 | 0.000 |
| 0.000 | 0.000 | -0.000 | -0.000 | -0.000 | 641.697 |
| 1041.064 | -164.544 | 0.000 | 0.000 | 0.000 | -0.000 |
| -164.543 | 1041.063 | 0.000 | 0.000 | 0.000 | -0.000 |
| -0.000 | 0.000 | 0.000 | 0.000 | 0.000 | -0.000 |
| -0.000 | 0.000 | 0.000 | 0.000 | 0.000 | -0.000 |
| -0.000 | 0.000 | 0.000 | 0.000 | 0.000 | -0.000 |
| 0.000 | 0.000 | 0.000 | 0.000 | 0.000 | 602.803 |
| 1041.128 | -164.609 | -0.000 | -0.000 | -0.000 | 0.000 |
| -164.544 | 1041.063 | -0.000 | -0.000 | -0.000 | 0.000 |
| 0.000 | -0.000 | -0.000 | -0.000 | -0.000 | 0.000 |
| 0.000 | -0.000 | -0.000 | -0.000 | -0.000 | 0.000 |
| 0.000 | -0.000 | -0.000 | -0.000 | -0.000 | 0.000 |
| -0.000 | -0.000 | -0.000 | -0.000 | -0.000 | 602.803 |
| 1025.533 | -162.089 | 0.000 | 0.000 | 0.000 | -0.000 |
| -162.089 | 1025.533 | 0.000 | 0.000 | 0.000 | -0.000 |
| 0.000 | -0.000 | 0.000 | 0.000 | 0.000 | -0.000 |
| 0.000 | -0.000 | 0.000 | 0.000 | 0.000 | -0.000 |
| 0.000 | -0.000 | 0.000 | 0.000 | 0.000 | -0.000 |
| 0.000 | 0.000 | 0.000 | 0.000 | 0.000 | 593.811 |
| 1063.846 | -200.402 | -0.000 | -0.000 | -0.000 | 0.000 |
| -200.402 | 1063.846 | -0.000 | -0.000 | -0.000 | 0.000 |
| -0.000 | 0.000 | -0.000 | -0.000 | -0.000 | 0.000 |
| -0.000 | 0.000 | -0.000 | -0.000 | -0.000 | 0.000 |
| -0.000 | 0.000 | -0.000 | -0.000 | -0.000 | 0.000 |
| -0.000 | -0.000 | -0.000 | -0.000 | -0.000 | 593.811 |
| 1063.847 | -200.402 | 0.000 | 0.000 | 0.000 | -0.000 |
| -162.088 | 1025.533 | 0.000 | 0.000 | 0.000 | -0.000 |
| 0.000 | -0.000 | 0.000 | 0.000 | 0.000 | -0.000 |
| 0.000 | -0.000 | 0.000 | 0.000 | 0.000 | -0.000 |
| 0.000 | -0.000 | 0.000 | 0.000 | 0.000 | -0.000 |
| 0.000 | 0.000 | 0.000 | 0.000 | 0.000 | 593.811 |
| 1025.597 | -162.153 | -0.000 | -0.000 | -0.000 | -0.000 |
| -162.089 | 1025.533 | -0.000 | -0.000 | -0.000 | 0.000 |
| -0.000 | 0.000 | -0.000 | -0.000 | -0.000 | 0.000 |
| -0.000 | 0.000 | -0.000 | -0.000 | -0.000 | 0.000 |
| -0.000 | 0.000 | -0.000 | -0.000 | -0.000 | 0.000 |
| -0.000 | -0.000 | -0.000 | -0.000 | -0.000 | 593.811 |
| 1025.541 | -162.094 | 0.000 | 0.000 | 0.000 | 0.000 |
| -162.085 | 1025.532 | 0.000 | 0.000 | 0.000 | 0.000 |
| 0.000 | -0.000 | 0.000 | 0.000 | 0.000 | -0.000 |
| 0.000 | -0.000 | 0.000 | 0.000 | 0.000 | 0.000 |
| 0.000 | -0.000 | 0.000 | 0.000 | 0.000 | -0.000 |
| 0.001 | 0.001 | 0.000 | 0.000 | 0.000 | 593.811 |
| 1025.525 | -162.084 | -0.000 | -0.000 | -0.000 | 0.000 |
| -162.088 | 1025.529 | -0.000 | -0.000 | -0.000 | 0.000 |
| -0.000 | 0.000 | -0.000 | -0.000 | -0.000 | 0.000 |
| -0.000 | 0.000 | -0.000 | -0.000 | -0.000 | -0.000 |
| -0.000 | 0.000 | -0.000 | -0.000 | -0.000 | 0.000 |
| -0.001 | -0.001 | -0.000 | -0.000 | -0.000 | 593.811 |
| 1024.441 | -161.916 | 0.000 | 0.000 | 0.000 | 0.000 |
| -161.916 | 1024.441 | 0.000 | 0.000 | 0.000 | -0.000 |
| -0.000 | 0.000 | 0.000 | 0.000 | 0.000 | -0.000 |
| -0.000 | 0.000 | 0.000 | 0.000 | 0.000 | 0.000 |
| -0.000 | 0.000 | 0.000 | 0.000 | 0.000 | -0.000 |
| -0.000 | 0.000 | 0.000 | 0.000 | 0.000 | 593.179 |
| 1024.441 | -161.916 | -0.000 | -0.000 | -0.000 | -0.000 |
| -161.916 | 1024.441 | -0.000 | -0.000 | -0.000 | -0.000 |
| 0.000 | -0.000 | -0.000 | -0.000 | -0.000 | 0.000 |
| 0.000 | -0.000 | -0.000 | -0.000 | -0.000 | -0.000 |
| 0.000 | -0.000 | -0.000 | -0.000 | -0.000 | 0.000 |
| 0.000 | -0.000 | -0.000 | -0.000 | -0.000 | 593.179 |
| 1024.377 | -161.852 | 0.000 | 0.000 | 0.000 | -0.000 |
| -161.916 | 1024.441 | 0.000 | 0.000 | 0.000 | -0.000 |
| -0.000 | 0.000 | 0.000 | 0.000 | 0.000 | -0.000 |
| -0.000 | 0.000 | 0.000 | 0.000 | 0.000 | -0.000 |
| -0.000 | 0.000 | 0.000 | 0.000 | 0.000 | 0.000 |
| 0.000 | 0.000 | 0.000 | 0.000 | 0.000 | 593.178 |
| 1024.440 | -161.916 | -0.000 | -0.000 | -0.000 | -0.000 |
| -161.917 | 1024.441 | -0.000 | -0.000 | -0.000 | 0.000 |
| 0.000 | -0.000 | -0.000 | -0.000 | -0.000 | 0.000 |
| 0.000 | -0.000 | -0.000 | -0.000 | -0.000 | 0.000 |
| 0.000 | -0.000 | -0.000 | -0.000 | -0.000 | 0.000 |
| -0.000 | -0.000 | -0.000 | -0.000 | -0.000 | 593.178 |
| 1024.449 | -161.921 | 0.000 | 0.000 | 0.000 | -0.000 |
| -161.912 | 1024.440 | 0.000 | 0.000 | 0.000 | 0.000 |
| -0.000 | 0.000 | 0.000 | 0.000 | 0.000 | -0.000 |
| -0.000 | 0.000 | 0.000 | 0.000 | 0.000 | -0.000 |
| -0.000 | 0.000 | 0.000 | 0.000 | 0.000 | -0.000 |
| 0.001 | 0.001 | 0.000 | 0.000 | 0.000 | 593.178 |
| 1024.432 | -161.911 | -0.000 | -0.000 | -0.000 | 0.000 |
| -161.920 | 1024.441 | -0.000 | -0.000 | -0.000 | 0.000 |
| 0.000 | -0.000 | -0.000 | -0.000 | -0.000 | 0.000 |
| 0.000 | -0.000 | -0.000 | -0.000 | -0.000 | -0.000 |
| 0.000 | -0.000 | -0.000 | -0.000 | -0.000 | -0.000 |
| -0.001 | -0.001 | -0.000 | -0.000 | -0.000 | 593.178 |
| 1089.484 | 94.593 | -89.535 | -0.000 | 0.000 | -0.000 |
| 180.149 | 315.640 | -6.619 | 0.000 | -0.000 | -0.000 |
| -79.294 | -6.631 | 1200.372 | 0.000 | 0.000 | -0.000 |
| -0.584 | 0.576 | -0.146 | 98.876 | 0.000 | -0.000 |
| -0.189 | 0.187 | -0.053 | -0.000 | 515.956 | -0.000 |
| -0.509 | 0.500 | -0.124 | -0.000 | -0.000 | 241.901 |
| 1089.484 | 94.593 | -89.535 | -0.000 | 0.000 | 0.000 |
| 181.432 | 314.378 | -6.310 | -0.000 | -0.000 | 0.000 |
| -71.156 | -5.304 | 1152.785 | -0.000 | -0.000 | 0.000 |
| 0.584 | -0.576 | 0.146 | 98.876 | -0.000 | 0.000 |
| 0.189 | -0.187 | 0.053 | -0.000 | 515.956 | 0.000 |
| 0.509 | -0.500 | 0.124 | -0.000 | 0.000 | 241.901 |
| 1089.484 | 94.593 | -89.535 | -0.000 | -0.000 | -0.000 |
| 180.711 | 315.086 | -6.480 | 0.000 | -0.000 | -0.000 |
| -79.293 | -6.631 | 1200.373 | 0.000 | -0.000 | -0.000 |
| -0.078 | 0.077 | -0.019 | 99.811 | 0.000 | -0.000 |
| 0.000 | 0.000 | 0.000 | -0.000 | 588.037 | -0.000 |
| -0.000 | 0.000 | -0.000 | -0.000 | -0.000 | 283.626 |
| 1011.757 | 164.029 | -78.297 | -0.000 | -0.000 | 0.000 |
| 180.610 | 314.813 | -5.640 | -0.000 | 0.000 | 0.000 |
| -71.728 | -4.740 | 1152.642 | -0.000 | -0.000 | 0.000 |
| 0.078 | -0.077 | 0.019 | 99.811 | -0.000 | 0.000 |
| -0.000 | -0.000 | -0.000 | 0.000 | 588.037 | 0.000 |
| 0.000 | -0.000 | 0.000 | 0.000 | -0.000 | 283.626 |
| 1006.240 | 171.262 | -82.269 | 0.000 | 0.000 | -0.000 |
| 180.546 | 314.876 | -5.657 | 0.000 | 0.000 | -0.000 |
| -71.921 | -4.560 | 1152.629 | -0.000 | -0.000 | -0.000 |
| -0.008 | 0.008 | -0.002 | 99.811 | 0.000 | -0.000 |
| 0.000 | 0.000 | 0.000 | -0.000 | 588.037 | -0.000 |
| -0.005 | 0.005 | -0.001 | -0.000 | 0.000 | 241.902 |
| 1006.250 | 171.246 | -82.267 | 0.000 | -0.000 | 0.000 |
| 180.547 | 314.874 | -5.654 | 0.000 | -0.000 | 0.000 |
| -71.785 | -4.684 | 1152.621 | 0.000 | -0.000 | 0.000 |
| 0.008 | -0.008 | 0.002 | 99.811 | 0.000 | 0.000 |
| -0.000 | -0.000 | -0.000 | 0.000 | 588.037 | -0.000 |
| 0.005 | -0.005 | 0.001 | -0.000 | -0.000 | 241.902 |
| 1117.950 | 94.029 | -88.158 | -0.000 | -0.000 | -0.000 |
| 94.029 | 410.444 | 3.541 | -0.000 | -0.000 | -0.000 |
| -88.157 | 3.541 | 1253.485 | -0.000 | -0.000 | 0.000 |
| 0.001 | -0.001 | -0.001 | 105.763 | -0.000 | -0.000 |
| 0.001 | -0.000 | -0.002 | -0.000 | 530.135 | -0.000 |
| 0.001 | -0.000 | -0.001 | -0.000 | -0.000 | 235.639 |
| 1039.742 | 178.287 | -84.743 | 0.000 | 0.000 | -0.000 |
| 94.029 | 410.444 | 3.541 | 0.000 | 0.000 | -0.000 |
| -88.158 | 3.541 | 1253.485 | 0.000 | 0.000 | 0.000 |
| -0.001 | 0.001 | 0.001 | 105.763 | 0.000 | 0.000 |
| -0.001 | 0.000 | 0.002 | 0.000 | 530.135 | 0.000 |
| -0.001 | 0.000 | 0.001 | 0.000 | 0.000 | 235.639 |
| 1044.798 | 170.611 | -81.749 | -0.000 | -0.000 | -0.000 |
| 178.331 | 317.073 | 9.249 | -0.000 | -0.000 | -0.000 |
| -84.743 | 9.247 | 1209.725 | -0.000 | -0.000 | -0.000 |
| 0.000 | -0.000 | -0.000 | 105.763 | -0.000 | -0.000 |
| 0.000 | 0.000 | 0.000 | -0.000 | 602.431 | -0.000 |
| 0.000 | -0.000 | -0.000 | -0.000 | -0.000 | 235.639 |
| 1039.742 | 178.287 | -84.743 | 0.000 | 0.000 | 0.000 |
| 94.029 | 410.444 | 3.541 | 0.000 | 0.000 | 0.000 |
| -88.158 | 3.541 | 1253.484 | 0.000 | 0.000 | 0.000 |
| -0.000 | 0.000 | 0.000 | 105.763 | 0.000 | 0.000 |
| -0.000 | -0.000 | -0.000 | -0.000 | 602.431 | 0.000 |
| -0.000 | 0.000 | 0.000 | 0.000 | 0.000 | 235.639 |
| 715.042 | -113.015 | 0.000 | 0.000 | 0.000 | -0.000 |
| -113.015 | 715.042 | 0.000 | 0.000 | 0.000 | 0.000 |
| -0.000 | -0.000 | 0.000 | 0.000 | 0.000 | 0.000 |
| -0.000 | -0.000 | 0.000 | 0.000 | 0.000 | 0.000 |
| -0.000 | -0.000 | 0.000 | 0.000 | 0.000 | 0.000 |
| 0.000 | -0.000 | 0.000 | 0.000 | 0.000 | 440.742 |
| 741.755 | -139.728 | -0.000 | -0.000 | -0.000 | -0.000 |
| -113.015 | 715.042 | -0.000 | -0.000 | -0.000 | -0.000 |
| 0.000 | 0.000 | -0.000 | -0.000 | -0.000 | -0.000 |
| 0.000 | 0.000 | -0.000 | -0.000 | -0.000 | -0.000 |
| 0.000 | 0.000 | -0.000 | -0.000 | -0.000 | -0.000 |
| -0.000 | 0.000 | -0.000 | -0.000 | -0.000 | 440.742 |
| 715.042 | -113.015 | 0.000 | 0.000 | 0.000 | 0.000 |
| -113.026 | 715.053 | 0.000 | 0.000 | 0.000 | -0.000 |
| -0.000 | -0.000 | 0.000 | 0.000 | 0.000 | 0.000 |
| -0.000 | -0.000 | 0.000 | 0.000 | 0.000 | 0.000 |
| -0.000 | -0.000 | 0.000 | 0.000 | 0.000 | 0.000 |
| 0.000 | 0.000 | 0.000 | 0.000 | 0.000 | 414.028 |
| 741.755 | -139.728 | -0.000 | -0.000 | -0.000 | -0.000 |
| -113.015 | 715.042 | -0.000 | -0.000 | -0.000 | -0.000 |
| 0.000 | 0.000 | -0.000 | -0.000 | -0.000 | -0.000 |
| 0.000 | 0.000 | -0.000 | -0.000 | -0.000 | -0.000 |
| 0.000 | 0.000 | -0.000 | -0.000 | -0.000 | -0.000 |
| -0.000 | -0.000 | -0.000 | -0.000 | -0.000 | 414.028 |
| 714.933 | -112.903 | 0.000 | 0.000 | 0.000 | -0.000 |
| -113.012 | 715.041 | 0.000 | 0.000 | 0.000 | 0.000 |
| 0.000 | -0.000 | 0.000 | 0.000 | 0.000 | 0.000 |
| -0.000 | -0.000 | 0.000 | 0.000 | 0.000 | 0.000 |
| -0.000 | -0.000 | 0.000 | 0.000 | 0.000 | 0.000 |
| 0.000 | 0.000 | 0.000 | 0.000 | 0.000 | 414.028 |
| 741.753 | -139.728 | -0.000 | -0.000 | -0.000 | 0.000 |
| -139.728 | 741.752 | -0.000 | -0.000 | -0.000 | 0.000 |
| 0.000 | 0.000 | -0.000 | -0.000 | -0.000 | -0.000 |
| 0.000 | 0.000 | -0.000 | -0.000 | -0.000 | -0.000 |
| 0.000 | 0.000 | -0.000 | -0.000 | -0.000 | -0.000 |
| -0.000 | -0.000 | -0.000 | -0.000 | -0.000 | 414.028 |
| 908.474 | -171.134 | -0.000 | 0.000 | -0.000 | 0.000 |
| -171.134 | 908.474 | -0.000 | -0.000 | -0.000 | 0.000 |
| 0.000 | -0.000 | -0.000 | 0.000 | -0.000 | 0.000 |
| -0.000 | 0.000 | -0.000 | 0.000 | -0.000 | 0.000 |
| 0.000 | -0.000 | -0.000 | 0.000 | -0.000 | 0.000 |
| 0.000 | -0.000 | -0.000 | 0.000 | -0.000 | 507.086 |
| 908.474 | -171.134 | 0.000 | 0.000 | 0.000 | -0.000 |
| -138.416 | 875.756 | 0.000 | -0.000 | 0.000 | 0.000 |
| -0.000 | 0.000 | 0.000 | 0.000 | 0.000 | -0.000 |
| 0.000 | 0.000 | 0.000 | -0.000 | 0.000 | -0.000 |
| -0.000 | 0.000 | 0.000 | -0.000 | 0.000 | -0.000 |
| -0.000 | 0.000 | 0.000 | -0.000 | 0.000 | 507.086 |
| 875.701 | -138.361 | -0.000 | -0.000 | -0.000 | -0.000 |
| -138.416 | 875.756 | -0.000 | 0.000 | -0.000 | -0.000 |
| 0.000 | -0.000 | -0.000 | 0.000 | 0.000 | 0.000 |
| -0.000 | -0.000 | -0.000 | 0.000 | -0.000 | 0.000 |
| 0.000 | -0.000 | -0.000 | 0.000 | -0.000 | 0.000 |
| 0.000 | 0.000 | -0.000 | -0.000 | -0.000 | 507.086 |
| 875.755 | -138.416 | 0.000 | -0.000 | 0.000 | 0.000 |
| -138.361 | 875.701 | 0.000 | 0.000 | 0.000 | 0.000 |
| -0.000 | 0.000 | 0.000 | -0.000 | 0.000 | -0.000 |
| 0.000 | 0.000 | 0.000 | -0.000 | 0.000 | -0.000 |
| -0.000 | 0.000 | 0.000 | -0.000 | 0.000 | -0.000 |
| -0.000 | -0.000 | 0.000 | 0.000 | 0.000 | 507.086 |
| 875.623 | -138.280 | -0.000 | -0.000 | -0.000 | -0.000 |
| -138.968 | 876.311 | -0.000 | -0.000 | -0.000 | -0.000 |
| 0.000 | 0.000 | -0.000 | -0.000 | -0.000 | 0.000 |
| -0.000 | 0.000 | -0.000 | 0.000 | -0.000 | 0.000 |
| 0.000 | -0.000 | -0.000 | 0.000 | -0.000 | 0.000 |
| 0.000 | 0.001 | -0.000 | -0.000 | -0.000 | 507.086 |
| 875.753 | -138.416 | 0.000 | 0.000 | 0.000 | 0.000 |
| -138.279 | 875.616 | 0.000 | 0.000 | 0.000 | 0.000 |
| 0.000 | 0.000 | 0.000 | 0.000 | 0.000 | -0.000 |
| 0.000 | 0.000 | 0.000 | -0.000 | 0.000 | -0.000 |
| -0.000 | 0.000 | 0.000 | -0.000 | 0.000 | -0.000 |
| -0.000 | -0.001 | 0.000 | 0.000 | -0.000 | 507.086 |
| 582.053 | -586.518 | 1278.671 | 14.746 | -0.000 | -0.000 |
| -847.178 | 313.604 | 1806.649 | -13.647 | 0.000 | 0.000 |
| -907.364 | -907.364 | 3087.202 | 0.000 | 0.000 | 0.000 |
| 17.436 | -17.436 | -0.000 | 547.862 | -0.000 | -0.000 |
| -905.963 | -905.963 | 1808.042 | -0.000 | 534.439 | 13.634 |
| -905.996 | -905.996 | 1808.108 | 0.000 | 13.634 | 580.290 |
| 2125.623 | 965.266 | -1810.048 | 13.619 | -0.000 | 0.000 |
| 965.064 | 2125.433 | -1809.656 | -13.620 | -0.000 | 0.000 |
| 639.929 | 639.929 | -0.750 | 0.000 | 0.000 | 0.000 |
| 656.152 | 626.654 | -1280.054 | 538.374 | 0.000 | 0.000 |
| 905.963 | 905.963 | -1808.042 | 0.000 | 534.439 | 13.634 |
| 905.996 | 905.996 | -1808.108 | -0.000 | 13.634 | 580.290 |
| 1258.759 | 40.104 | -21.862 | 17.436 | -0.000 | -0.000 |
| -32.092 | 1130.641 | 178.022 | -13.775 | -0.000 | -0.000 |
| -72.994 | -72.994 | 1422.038 | 0.000 | 0.000 | -0.000 |
| -76.715 | -104.004 | 180.332 | 534.474 | -0.000 | -0.000 |
| -90.360 | -90.359 | 180.332 | 0.000 | 534.474 | 13.644 |
| -64.032 | -64.032 | 127.789 | 0.000 | 14.753 | 584.331 |
| 1258.759 | 40.104 | -21.862 | 17.436 | 0.000 | -0.000 |
| 40.104 | 1258.759 | -21.862 | -17.436 | -0.000 | 0.000 |
| -21.651 | -21.651 | 1319.570 | -0.000 | -0.000 | 0.000 |
| 78.928 | 49.434 | -128.087 | 538.368 | -0.000 | 0.000 |
| 90.360 | 90.359 | -180.332 | -0.000 | 534.474 | 13.644 |
| 64.032 | 64.032 | -127.789 | -0.000 | 14.753 | 584.331 |
| 1258.763 | 40.105 | -21.862 | 17.436 | -0.000 | 0.000 |
| 45.416 | 1217.089 | 14.422 | -14.360 | 0.000 | -0.000 |
| -6.611 | -6.611 | 1289.561 | 0.000 | 0.000 | 0.000 |
| 17.437 | -17.436 | 0.000 | 547.862 | -0.000 | -0.000 |
| -7.844 | -7.844 | 15.655 | 0.000 | 536.240 | 14.144 |
| -7.861 | -7.860 | 15.688 | 0.000 | 14.137 | 584.134 |
| 1229.185 | 61.965 | -14.170 | 14.069 | -0.000 | 0.000 |
| 61.346 | 1231.896 | -16.257 | -14.988 | -0.000 | 0.000 |
| 5.906 | 5.906 | 1264.571 | -0.000 | -0.000 | 0.000 |
| 21.988 | -6.300 | -15.654 | 536.240 | -0.000 | -0.000 |
| 7.844 | 7.844 | -15.655 | -0.000 | 536.240 | 14.144 |
| 7.861 | 7.860 | -15.688 | -0.000 | 14.137 | 584.134 |
| 1319.290 | 140.784 | -182.544 | 16.379 | -0.000 | 0.000 |
| 40.054 | 1259.094 | -21.617 | -17.443 | -0.000 | -0.000 |
| 326.101 | 326.101 | 625.328 | -0.000 | -0.000 | 0.000 |
| 17.443 | -17.443 | -0.000 | 547.850 | -0.000 | -0.000 |
| -0.000 | -0.000 | -0.000 | -0.000 | 547.850 | 17.443 |
| -0.000 | -0.000 | -0.000 | -0.000 | 17.443 | 609.520 |
| 1141.361 | -35.881 | 172.054 | 16.272 | 0.000 | -0.000 |
| -264.336 | 892.861 | 649.008 | -13.389 | -0.000 | 0.000 |
| -94.292 | -94.292 | 1466.117 | -0.000 | 0.000 | -0.000 |
| -309.569 | -336.298 | 645.867 | 533.429 | 0.000 | -0.000 |
| 0.000 | 0.000 | 0.000 | 0.000 | 547.850 | 17.443 |
| 0.000 | 0.000 | 0.000 | 0.000 | 17.443 | 609.520 |
| 1259.095 | 40.054 | -21.616 | 17.443 | -0.000 | 0.000 |
| 40.054 | 1259.095 | -21.616 | -17.443 | -0.000 | -0.000 |
| 7.205 | 7.205 | 1263.122 | 0.000 | -0.000 | -0.000 |
| 25.944 | -6.485 | -19.459 | 543.505 | -0.000 | 0.000 |
| -0.000 | 0.000 | 0.000 | 0.000 | 547.850 | 17.443 |
| 0.000 | 0.000 | 0.000 | 0.000 | 17.443 | 609.520 |
| 1186.718 | 25.543 | 65.271 | 13.650 | 0.000 | 0.000 |
| 40.054 | 1259.094 | -21.617 | -17.443 | 0.000 | -0.000 |
| -21.617 | -21.617 | 1320.765 | 0.000 | 0.000 | 0.000 |
| 6.488 | -25.942 | 19.454 | 543.506 | 0.000 | -0.000 |
| 0.000 | -0.000 | -0.000 | -0.000 | 547.850 | 17.443 |
| -0.000 | -0.000 | -0.000 | -0.000 | 17.443 | 609.520 |
| 1227.042 | 55.149 | -4.655 | 14.352 | -0.000 | -0.000 |
| 55.152 | 1227.037 | -4.653 | -14.352 | 0.000 | -0.000 |
| -21.616 | -21.616 | 1320.770 | -0.000 | -0.000 | -0.000 |
| 16.809 | -11.986 | -4.823 | 537.081 | 0.000 | 0.000 |
| 2.412 | 2.412 | -4.823 | 0.000 | 537.080 | 14.397 |
| 1.373 | 1.373 | -2.746 | 0.000 | 15.709 | 584.305 |
| 1221.649 | 57.427 | -1.548 | 15.124 | -0.000 | -0.000 |
| 50.018 | 1222.996 | 4.514 | -14.424 | 0.000 | -0.000 |
| -3.481 | -3.481 | 1284.489 | 0.000 | 0.000 | 0.000 |
| 11.985 | -16.809 | 4.823 | 537.081 | -0.000 | -0.000 |
| -2.412 | -2.412 | 4.823 | -0.000 | 537.080 | 14.397 |
| -1.373 | -1.373 | 2.746 | -0.000 | 15.709 | 584.305 |
| 1152.123 | -19.198 | 144.607 | 10.177 | 0.000 | -0.000 |
| -19.199 | 1152.122 | 144.609 | -10.177 | -0.000 | -0.000 |
| -62.951 | -62.951 | 1403.435 | 0.000 | 0.000 | -0.000 |
| 12.459 | -12.459 | 0.000 | 547.850 | -0.000 | -0.000 |
| -64.866 | -64.866 | 129.732 | 0.000 | 537.648 | 10.398 |
| -60.374 | -60.374 | 120.748 | -0.000 | 10.541 | 586.232 |
| 1259.094 | 40.054 | -21.617 | 12.459 | -0.000 | 0.000 |
| 114.174 | 1286.662 | -123.304 | -10.542 | -0.000 | 0.000 |
| 57.886 | 57.886 | 1161.761 | -0.000 | -0.000 | 0.000 |
| 70.924 | 49.843 | -120.767 | 538.353 | 0.000 | 0.000 |
| 64.866 | 64.866 | -129.732 | -0.000 | 537.648 | 10.398 |
| 60.374 | 60.374 | -120.748 | 0.000 | 10.541 | 586.232 |
| 1259.095 | 40.054 | -21.616 | 12.459 | 0.000 | -0.000 |
| 40.054 | 1259.095 | -21.616 | -12.459 | 0.000 | -0.000 |
| -21.616 | -21.616 | 1320.766 | 0.000 | 0.000 | -0.000 |
| 4.463 | -16.600 | 12.137 | 538.305 | 0.000 | -0.000 |
| -7.102 | -7.102 | 14.204 | 0.000 | 536.680 | 10.203 |
| -7.103 | -7.103 | 14.206 | 0.000 | 10.202 | 585.922 |
| 1259.094 | 40.054 | -21.617 | 12.459 | 0.000 | 0.000 |
| 40.054 | 1259.094 | -21.617 | -12.459 | -0.000 | 0.000 |
| -21.616 | -21.616 | 1320.765 | -0.000 | -0.000 | 0.000 |
| 17.305 | -3.101 | -14.204 | 536.680 | 0.000 | 0.000 |
| 7.102 | 7.102 | -14.204 | -0.000 | 536.680 | 10.203 |
| 7.103 | 7.103 | -14.206 | -0.000 | 10.202 | 585.922 |
| 1259.098 | 40.055 | -21.616 | 12.459 | 0.000 | -0.000 |
| 50.882 | 1226.312 | 0.342 | -10.374 | 0.000 | -0.000 |
| -2.418 | -2.418 | 1282.372 | 0.000 | 0.000 | -0.000 |
| 9.805 | -11.076 | 1.271 | 537.854 | 0.000 | -0.000 |
| -0.627 | -0.626 | 1.254 | 0.000 | 537.993 | 10.468 |
| -0.672 | -0.671 | 1.344 | 0.000 | 10.325 | 587.207 |
| 1227.503 | 52.238 | -2.213 | 10.366 | -0.000 | 0.000 |
| 40.054 | 1259.091 | -21.617 | -12.459 | -0.000 | 0.000 |
| -21.617 | -21.617 | 1320.760 | -0.000 | 0.000 | 0.000 |
| 11.075 | -9.804 | -1.271 | 537.854 | 0.000 | 0.000 |
| 0.627 | 0.626 | -1.254 | -0.000 | 537.993 | 10.468 |
| 0.672 | 0.671 | -1.344 | -0.000 | 10.325 | 587.207 |
| 3119.543 | 1952.268 | -3800.067 | 9.987 | -0.000 | 0.000 |
| 1402.929 | 2569.421 | -2699.177 | -10.699 | 0.000 | 0.000 |
| 1892.733 | 1892.733 | -2513.348 | -0.000 | -0.000 | 0.000 |
| 1905.067 | 1885.083 | -3795.121 | 535.460 | -0.000 | 0.000 |
| 1347.452 | 1347.452 | -2698.453 | -0.000 | 538.952 | 10.696 |
| -0.000 | -0.000 | 0.000 | -0.000 | 12.447 | 609.346 |
| -468.445 | -1650.401 | 3400.037 | 10.255 | 0.000 | -0.000 |
| -1293.442 | -127.074 | 2700.789 | -10.692 | 0.000 | -0.000 |
| -1349.507 | -1349.507 | 3979.652 | 0.000 | 0.000 | -0.000 |
| -1336.770 | -1358.163 | 2698.481 | 538.952 | 0.000 | -0.000 |
| -1347.452 | -1347.452 | 2698.453 | 0.000 | 538.952 | 10.696 |
| 0.000 | 0.000 | -0.000 | 0.000 | 12.447 | 609.346 |
| 1356.878 | 189.961 | -270.472 | 10.722 | -0.000 | 0.000 |
| 39.806 | 1258.497 | -21.609 | -12.447 | -0.000 | 0.000 |
| 134.019 | 134.019 | 1008.694 | -0.000 | -0.000 | 0.000 |
| 12.447 | -12.447 | 0.000 | 547.625 | 0.000 | 0.000 |
| 189.503 | 189.503 | -379.503 | 0.000 | 535.461 | 9.992 |
| 0.000 | 0.000 | 0.000 | 0.000 | 12.447 | 609.346 |
| 1086.936 | -79.102 | 269.242 | 10.674 | 0.000 | -0.000 |
| -133.581 | 1034.568 | 376.227 | -10.028 | 0.000 | -0.000 |
| -154.158 | -154.158 | 1585.806 | 0.000 | 0.000 | -0.000 |
| 12.447 | -12.447 | -0.000 | 547.625 | 0.000 | -0.000 |
| -189.503 | -189.503 | 379.503 | -0.000 | 535.461 | 9.992 |
| -0.000 | -0.000 | -0.000 | -0.000 | 12.447 | 609.346 |
| 1238.933 | 73.430 | -35.684 | 9.902 | -0.000 | 0.000 |
| 73.437 | 1238.929 | -35.687 | -9.901 | -0.000 | 0.000 |
| 15.598 | 15.598 | 1245.851 | -0.000 | -0.000 | 0.000 |
| 24.546 | 3.263 | -27.845 | 538.676 | -0.000 | 0.000 |
| 18.201 | 18.201 | -36.450 | 0.000 | 535.942 | 10.089 |
| 0.000 | 0.001 | 0.000 | 0.000 | 12.447 | 609.346 |
| 1210.912 | 32.868 | 32.981 | 10.302 | 0.000 | -0.000 |
| 34.918 | 1207.730 | 34.115 | -10.252 | 0.000 | -0.000 |
| -15.736 | -15.736 | 1308.594 | 0.000 | 0.000 | -0.000 |
| 12.447 | -12.447 | -0.000 | 547.625 | 0.000 | -0.000 |
| -18.201 | -18.201 | 36.450 | -0.000 | 535.942 | 10.089 |
| -0.000 | -0.001 | -0.000 | -0.000 | 12.447 | 609.346 |
| 846.582 | -25.333 | -25.333 | 0.000 | 0.000 | -0.000 |
| -25.333 | 846.582 | -25.333 | 0.000 | 0.000 | 0.000 |
| -25.333 | -25.333 | 846.582 | 0.000 | 0.000 | 0.000 |
| 0.000 | 0.000 | 0.000 | 158.830 | -0.000 | 0.000 |
| 0.000 | 0.000 | 0.000 | 0.000 | 158.830 | 0.000 |
| 0.000 | 0.000 | 0.000 | -0.000 | -0.000 | 158.830 |
| 846.581 | -25.334 | -25.334 | -0.000 | -0.000 | -0.000 |
| -25.334 | 846.581 | -25.334 | -0.000 | -0.000 | 0.000 |
| -25.334 | -25.334 | 846.581 | -0.000 | -0.000 | 0.000 |
| -0.000 | -0.000 | -0.000 | 158.830 | -0.000 | -0.000 |
| -0.000 | -0.000 | -0.000 | 0.000 | 158.830 | -0.000 |
| -0.000 | -0.000 | -0.000 | 0.000 | -0.000 | 158.830 |
| 846.582 | -25.333 | -25.333 | 0.000 | -0.000 | 0.000 |
| -25.333 | 846.582 | -25.333 | 0.000 | 0.000 | 0.000 |
| -25.333 | -25.333 | 846.582 | 0.000 | 0.000 | 0.000 |
| -0.000 | 0.000 | 0.000 | 426.913 | 0.000 | -0.000 |
| 0.000 | 0.000 | 0.000 | 0.000 | 216.018 | 0.000 |
| 0.000 | 0.000 | 0.000 | 0.000 | -0.000 | 216.019 |
| 870.476 | -36.699 | -36.699 | 0.000 | -0.000 | -0.000 |
| -36.699 | 870.476 | -36.699 | 0.000 | -0.000 | 0.000 |
| -36.699 | -36.699 | 870.476 | 0.000 | -0.000 | -0.000 |
| 0.000 | -0.000 | -0.000 | 426.913 | 0.000 | 0.000 |
| -0.000 | -0.000 | -0.000 | 0.000 | 216.018 | -0.000 |
| -0.000 | -0.000 | -0.000 | 0.000 | 0.000 | 216.019 |
| 870.479 | -36.699 | -36.699 | -0.000 | 0.000 | 0.000 |
| -36.699 | 870.479 | -36.699 | 0.000 | -0.000 | -0.000 |
| -36.699 | -36.699 | 870.479 | 0.000 | 0.000 | -0.000 |
| -0.000 | 0.000 | 0.000 | 158.828 | -0.000 | 0.000 |
| 0.000 | -0.000 | 0.000 | 0.000 | 158.828 | 0.000 |
| 0.000 | 0.000 | -0.000 | 0.000 | -0.000 | 158.828 |
| 846.578 | -25.333 | -25.333 | -0.000 | 0.000 | -0.000 |
| -25.333 | 846.578 | -25.333 | 0.000 | -0.000 | -0.000 |
| -25.333 | -25.333 | 846.578 | 0.000 | 0.000 | -0.000 |
| 0.000 | -0.000 | -0.000 | 158.828 | -0.000 | -0.000 |
| -0.000 | 0.000 | -0.000 | 0.000 | 158.828 | -0.000 |
| -0.000 | -0.000 | 0.000 | 0.000 | 0.000 | 158.828 |
| 851.524 | -38.948 | -38.948 | 0.000 | 0.000 | 0.000 |
| -38.948 | 851.524 | -38.948 | -0.000 | -0.000 | -0.000 |
| -38.948 | -38.948 | 851.524 | -0.000 | 0.000 | -0.000 |
| -0.000 | 0.000 | 0.000 | 421.636 | -0.000 | 0.000 |
| 0.000 | -0.000 | 0.000 | 0.000 | 421.636 | -0.000 |
| 0.000 | 0.000 | -0.000 | 0.000 | -0.000 | 421.636 |
| 851.523 | -38.948 | -38.948 | -0.000 | 0.000 | 0.000 |
| -38.948 | 851.523 | -38.948 | 0.000 | -0.000 | 0.000 |
| -38.948 | -38.948 | 851.523 | 0.000 | -0.000 | -0.000 |
| 0.000 | -0.000 | -0.000 | 421.636 | 0.000 | 0.000 |
| -0.000 | 0.000 | -0.000 | 0.000 | 421.636 | 0.000 |
| -0.000 | -0.000 | 0.000 | -0.000 | -0.000 | 421.636 |
| 826.599 | -27.269 | -27.269 | 0.000 | 0.000 | -0.000 |
| -27.269 | 826.599 | -27.269 | 0.000 | 0.000 | -0.000 |
| -27.269 | -27.269 | 826.599 | -0.000 | 0.000 | 0.000 |
| 0.011 | 0.012 | 0.012 | 158.468 | -0.000 | 0.000 |
| 0.012 | 0.011 | 0.012 | -0.000 | 158.468 | -0.000 |
| 0.012 | 0.012 | 0.011 | 0.000 | -0.000 | 158.468 |
| 826.600 | -27.124 | -27.124 | 0.000 | 0.000 | -0.000 |
| -27.124 | 826.600 | -27.124 | -0.000 | 0.000 | -0.000 |
| -27.124 | -27.124 | 826.600 | -0.000 | 0.000 | -0.000 |
| -0.011 | -0.012 | -0.012 | 158.468 | -0.000 | -0.000 |
| -0.012 | -0.011 | -0.012 | 0.000 | 158.468 | 0.000 |
| -0.012 | -0.012 | -0.011 | -0.000 | 0.000 | 158.468 |
| 479.312 | 55.663 | 18.359 | 0.000 | 0.000 | 0.000 |
| 50.322 | 298.932 | -2.933 | -0.000 | 0.000 | 0.000 |
| 32.320 | -19.194 | 433.589 | 0.000 | 0.000 | 0.000 |
| -0.000 | -0.000 | -0.000 | 84.603 | -0.000 | 0.000 |
| -0.000 | -0.000 | 0.000 | -0.000 | 246.298 | 0.000 |
| 8.444 | -13.077 | -17.153 | -0.000 | 0.000 | 209.475 |
| 459.975 | 81.758 | 49.136 | -0.000 | -0.000 | 0.000 |
| 89.169 | 246.717 | 27.988 | -0.000 | -0.000 | -0.000 |
| 32.320 | -19.194 | 433.590 | 0.000 | -0.000 | -0.000 |
| 0.000 | 0.000 | 0.000 | 84.603 | -0.000 | -0.000 |
| 0.000 | 0.000 | 0.000 | -0.000 | 246.298 | -0.000 |
| -8.444 | 13.077 | 17.153 | 0.000 | 0.000 | 209.475 |
| 472.907 | 65.730 | 31.696 | 0.000 | 0.000 | 0.000 |
| 50.322 | 298.933 | -2.933 | -0.000 | 0.000 | 0.000 |
| 31.989 | -9.890 | 53.332 | -0.000 | 0.000 | 0.000 |
| 0.000 | -0.000 | -0.000 | 84.603 | 0.000 | 0.000 |
| 0.000 | 0.000 | 0.000 | 0.000 | 246.298 | 0.000 |
| 0.000 | 0.000 | 0.000 | 0.000 | 0.000 | 218.926 |
| 470.917 | 68.322 | 34.656 | 0.000 | 0.000 | -0.000 |
| 97.921 | 232.857 | 5.976 | -0.000 | -0.000 | -0.000 |
| -8.561 | -5.969 | 6.912 | 0.000 | -0.000 | -0.000 |
| -0.000 | 0.000 | 0.000 | 84.603 | 0.000 | -0.000 |
| -0.000 | -0.000 | -0.000 | 0.000 | 246.298 | -0.000 |
| -0.000 | -0.000 | -0.000 | 0.000 | -0.000 | 218.926 |
| 465.021 | 84.387 | 15.378 | 0.000 | 0.000 | 0.000 |
| 99.194 | 230.889 | 3.434 | 0.000 | 0.000 | 0.000 |
| -6.840 | -9.148 | 0.153 | -0.000 | 0.000 | 0.000 |
| 0.064 | -0.260 | -0.722 | 0.001 | 0.000 | 0.000 |
| 0.073 | -0.183 | -0.583 | -0.000 | 0.000 | 0.000 |
| 0.067 | -0.103 | -0.135 | -0.000 | 0.000 | 211.478 |
| 464.319 | 82.967 | 0.565 | -0.000 | -0.000 | 0.000 |
| 98.950 | 231.262 | 3.895 | 0.000 | 0.000 | -0.000 |
| -7.158 | -8.573 | 1.472 | -0.000 | -0.000 | -0.000 |
| -0.064 | 0.260 | 0.722 | 0.001 | -0.000 | -0.000 |
| -0.073 | 0.183 | 0.583 | -0.000 | 0.000 | -0.000 |
| -0.067 | 0.103 | 0.135 | 0.000 | -0.000 | 211.478 |
| 791.941 | -149.182 | 0.000 | -0.000 | -0.000 | -0.000 |
| -149.182 | 791.941 | 0.000 | 0.000 | -0.000 | 0.000 |
| -0.000 | 0.000 | -0.000 | -0.000 | -0.000 | -0.000 |
| -0.000 | 0.000 | 0.000 | 0.000 | -0.000 | -0.000 |
| -0.000 | 0.000 | 0.000 | 0.000 | 0.000 | -0.000 |
| -0.000 | 0.000 | 0.000 | 0.000 | -0.000 | 470.562 |
| 791.941 | -149.182 | -0.000 | -0.000 | 0.000 | -0.000 |
| -149.182 | 791.941 | -0.000 | 0.000 | 0.000 | -0.000 |
| 0.000 | -0.000 | 0.000 | -0.000 | -0.000 | 0.000 |
| 0.000 | -0.000 | -0.000 | -0.000 | 0.000 | 0.000 |
| 0.000 | -0.000 | -0.000 | -0.000 | -0.000 | 0.000 |
| 0.000 | 0.000 | -0.000 | -0.000 | -0.000 | 470.562 |
| 791.941 | -149.182 | 0.000 | -0.000 | 0.000 | 0.000 |
| -120.661 | 763.420 | 0.000 | -0.000 | -0.000 | 0.000 |
| -0.000 | 0.000 | -0.000 | -0.000 | -0.000 | -0.000 |
| -0.000 | 0.000 | 0.000 | 0.000 | -0.000 | -0.000 |
| -0.000 | 0.000 | 0.000 | 0.000 | -0.000 | -0.000 |
| 0.000 | 0.000 | 0.000 | -0.000 | -0.000 | 442.041 |
| 763.423 | -120.664 | -0.000 | -0.000 | 0.000 | -0.000 |
| -120.661 | 763.420 | -0.000 | 0.000 | 0.000 | 0.000 |
| 0.000 | -0.000 | 0.000 | -0.000 | 0.000 | 0.000 |
| 0.000 | -0.000 | -0.000 | -0.000 | 0.000 | 0.000 |
| 0.000 | -0.000 | -0.000 | -0.000 | 0.000 | 0.000 |
| -0.000 | -0.000 | -0.000 | 0.000 | 0.000 | 442.041 |
| 763.423 | -120.661 | 0.000 | -0.000 | -0.000 | 0.000 |
| -120.658 | 763.420 | 0.000 | -0.000 | -0.000 | 0.000 |
| 0.000 | 0.000 | -0.000 | -0.000 | -0.000 | -0.000 |
| -0.000 | 0.000 | 0.000 | -0.000 | -0.000 | -0.000 |
| -0.000 | 0.000 | 0.000 | 0.000 | -0.000 | -0.000 |
| 0.000 | 0.000 | 0.000 | -0.000 | -0.000 | 470.562 |
| 763.414 | -120.658 | -0.000 | 0.000 | 0.000 | -0.000 |
| -120.664 | 763.421 | -0.000 | 0.000 | 0.000 | -0.000 |
| 0.000 | 0.000 | 0.000 | 0.000 | 0.000 | 0.000 |
| 0.000 | -0.000 | -0.000 | -0.000 | 0.000 | 0.000 |
| 0.000 | -0.000 | -0.000 | -0.000 | 0.000 | 0.000 |
| -0.000 | -0.000 | -0.000 | 0.000 | -0.000 | 470.562 |
| 1258.876 | 40.243 | -21.982 | 0.000 | 0.000 | -0.000 |
| 40.243 | 1258.876 | -21.982 | 0.000 | 0.000 | -0.000 |
| -185.207 | -185.207 | 1645.029 | 0.000 | 0.000 | -0.000 |
| -0.000 | -0.000 | -0.000 | 547.972 | -0.000 | -0.000 |
| -0.000 | -0.000 | -0.000 | -0.000 | 547.972 | -0.000 |
| -181.798 | -181.798 | 362.226 | -0.000 | 0.000 | 585.691 |
| 1258.876 | 40.243 | -21.982 | 0.000 | -0.000 | 0.000 |
| 236.717 | 1407.676 | -365.955 | 0.000 | 0.000 | 0.000 |
| -21.611 | -21.610 | 1319.070 | -0.000 | -0.000 | -0.000 |
| 0.000 | 0.000 | 0.000 | 547.972 | 0.000 | 0.000 |
| 0.000 | 0.000 | 0.000 | 0.000 | 547.973 | 0.000 |
| 181.798 | 181.798 | -362.226 | -0.000 | -0.000 | 585.691 |
| 1206.354 | 40.754 | 29.833 | -0.000 | -0.000 | -0.000 |
| 35.157 | 1207.973 | 33.796 | -0.000 | -0.000 | 0.000 |
| -16.698 | -16.698 | 1309.283 | 0.000 | 0.000 | -0.000 |
| -17.833 | -17.833 | 35.532 | 537.470 | -0.000 | 0.000 |
| -17.834 | -17.834 | 35.534 | 0.000 | 537.470 | 0.000 |
| -18.368 | -18.368 | 36.597 | -0.000 | -0.000 | 585.447 |
| 1241.335 | 74.065 | -38.203 | 0.000 | 0.000 | -0.000 |
| 74.065 | 1241.335 | -38.203 | 0.000 | 0.000 | 0.000 |
| -21.611 | -21.611 | 1319.070 | 0.000 | 0.000 | -0.000 |
| 17.833 | 17.833 | -35.532 | 537.470 | 0.000 | -0.000 |
| 17.834 | 17.834 | -35.534 | -0.000 | 537.470 | 0.000 |
| 18.368 | 18.368 | -36.597 | 0.000 | 0.000 | 585.447 |
| 1223.289 | 51.193 | 2.566 | -0.000 | -0.000 | 0.000 |
| 51.193 | 1223.289 | 2.566 | -0.000 | -0.000 | -0.000 |
| -3.635 | -3.635 | 1283.258 | 0.000 | 0.000 | -0.000 |
| -1.677 | -1.678 | 3.343 | 538.113 | -0.000 | -0.000 |
| -0.000 | 0.000 | 0.000 | -0.000 | 547.972 | -0.000 |
| -2.146 | -2.145 | 4.276 | 0.000 | 0.000 | 580.070 |
| 1226.344 | 55.009 | -4.288 | -0.000 | -0.000 | -0.000 |
| 61.060 | 1221.407 | -5.397 | -0.000 | -0.000 | 0.000 |
| -0.284 | -0.284 | 1276.574 | 0.000 | -0.000 | 0.000 |
| 1.677 | 1.678 | -3.343 | 538.113 | 0.000 | 0.000 |
| 0.000 | -0.000 | -0.000 | 0.000 | 547.972 | 0.000 |
| 2.146 | 2.145 | -4.276 | -0.000 | -0.000 | 580.070 |
| 1258.871 | 40.136 | -21.843 | -0.000 | -0.000 | -0.000 |
| 51.945 | 1218.754 | 6.403 | -0.000 | 0.000 | -0.000 |
| -21.630 | -21.631 | 1319.687 | -0.000 | -0.000 | -0.000 |
| -5.428 | -5.428 | 10.833 | 538.008 | 0.000 | -0.000 |
| 0.000 | 0.000 | 0.000 | -0.000 | 547.894 | -0.000 |
| 0.000 | 0.000 | 0.000 | -0.000 | 0.000 | 609.368 |
| 1231.555 | 57.948 | -12.359 | -0.000 | -0.000 | 0.000 |
| 40.136 | 1258.871 | -21.844 | -0.000 | -0.000 | 0.000 |
| -21.631 | -21.631 | 1319.687 | -0.000 | -0.000 | 0.000 |
| 5.428 | 5.428 | -10.833 | 538.008 | 0.000 | 0.000 |
| -0.000 | -0.000 | -0.000 | 0.000 | 547.894 | -0.000 |
| -0.000 | -0.000 | -0.000 | 0.000 | 0.000 | 609.368 |
| 1225.836 | 51.347 | -0.065 | -0.000 | 0.000 | -0.000 |
| 51.347 | 1225.836 | -0.065 | -0.000 | -0.000 | -0.000 |
| -2.487 | -2.487 | 1281.484 | -0.000 | -0.000 | -0.000 |
| -0.542 | -0.542 | 1.081 | 538.027 | 0.000 | -0.000 |
| -0.000 | 0.000 | 0.000 | 0.000 | 547.894 | -0.000 |
| 0.000 | 0.000 | 0.000 | -0.000 | -0.000 | 609.368 |
| 1225.197 | 57.704 | -5.772 | 0.000 | 0.000 | 0.000 |
| 52.527 | 1226.859 | -2.265 | 0.000 | 0.000 | 0.000 |
| -21.631 | -21.631 | 1319.687 | 0.000 | 0.000 | 0.000 |
| 0.542 | 0.542 | -1.081 | 538.027 | 0.000 | 0.000 |
| 0.000 | -0.000 | -0.000 | -0.000 | 547.894 | 0.000 |
| -0.000 | -0.000 | -0.000 | 0.000 | 0.000 | 609.368 |
| 1224.562 | 57.159 | -4.591 | 0.000 | 0.000 | -0.000 |
| 51.877 | 1226.299 | -1.053 | 0.000 | 0.000 | -0.000 |
| -2.000 | -2.000 | 1280.516 | -0.000 | -0.000 | -0.000 |
| -0.054 | -0.054 | 0.108 | 538.028 | 0.000 | -0.000 |
| -0.000 | 0.000 | 0.000 | -0.000 | 547.894 | -0.000 |
| -0.058 | -0.058 | 0.117 | -0.000 | -0.000 | 586.670 |
| 1226.392 | 51.995 | -1.272 | 0.000 | 0.000 | 0.000 |
| 51.994 | 1226.395 | -1.274 | -0.000 | -0.000 | 0.000 |
| -1.892 | -1.892 | 1280.290 | 0.000 | 0.000 | 0.000 |
| 0.054 | 0.054 | -0.108 | 538.028 | -0.000 | 0.000 |
| 0.000 | -0.000 | -0.000 | 0.000 | 547.894 | -0.000 |
| 0.058 | 0.058 | -0.117 | 0.000 | 0.000 | 586.670 |
| 1259.095 | 40.054 | -21.617 | 0.000 | 0.000 | -0.000 |
| 57.226 | 1224.981 | -4.675 | 0.000 | -0.000 | 0.000 |
| -21.616 | -21.616 | 1320.765 | 0.000 | -0.000 | 0.000 |
| 0.132 | 0.132 | -0.264 | 537.967 | -0.000 | 0.000 |
| 0.132 | 0.132 | -0.264 | -0.000 | 537.967 | 0.000 |
| 0.142 | 0.142 | -0.285 | 0.000 | -0.000 | 586.846 |
| 1226.452 | 51.658 | -0.577 | -0.000 | 0.000 | -0.000 |
| 40.054 | 1259.094 | -21.616 | -0.000 | -0.000 | 0.000 |
| -1.984 | -1.984 | 1281.500 | -0.000 | 0.000 | -0.000 |
| -0.132 | -0.132 | 0.264 | 537.967 | 0.000 | -0.000 |
| -0.132 | -0.132 | 0.264 | 0.000 | 537.967 | -0.000 |
| -0.142 | -0.142 | 0.285 | -0.000 | 0.000 | 586.846 |
| 1224.851 | 57.117 | -4.436 | -0.000 | -0.000 | 0.000 |
| 59.700 | 1219.711 | -1.878 | 0.000 | -0.000 | 0.000 |
| -21.616 | -21.616 | 1320.766 | 0.000 | -0.000 | 0.000 |
| 0.013 | 0.013 | -0.026 | 537.967 | -0.000 | 0.000 |
| 0.013 | 0.013 | -0.026 | 0.000 | 537.967 | 0.000 |
| 0.010 | 0.010 | -0.019 | -0.000 | -0.000 | 584.799 |
| 1226.564 | 51.787 | -0.819 | -0.000 | 0.000 | -0.000 |
| 51.787 | 1226.563 | -0.819 | 0.000 | 0.000 | -0.000 |
| -21.617 | -21.617 | 1320.765 | -0.000 | 0.000 | -0.000 |
| -0.013 | -0.013 | 0.026 | 537.967 | -0.000 | -0.000 |
| -0.013 | -0.013 | 0.026 | -0.000 | 537.967 | -0.000 |
| -0.010 | -0.010 | 0.019 | 0.000 | 0.000 | 584.799 |
| 1224.840 | 57.107 | -4.411 | 0.000 | 0.000 | 0.000 |
| 51.804 | 1226.581 | -0.848 | 0.000 | 0.000 | 0.000 |
| -21.616 | -21.616 | 1320.770 | 0.000 | -0.000 | 0.000 |
| 0.002 | 0.001 | -0.002 | 537.967 | -0.000 | 0.000 |
| 0.001 | 0.002 | -0.002 | 0.000 | 537.967 | -0.000 |
| 0.001 | 0.002 | -0.002 | -0.000 | -0.000 | 586.846 |
| 1226.572 | 51.800 | -0.843 | -0.000 | -0.000 | -0.000 |
| 51.806 | 1226.555 | -0.833 | -0.000 | -0.000 | 0.000 |
| -1.853 | -1.853 | 1281.235 | -0.000 | 0.000 | -0.000 |
| -0.002 | -0.001 | 0.002 | 537.967 | -0.000 | -0.000 |
| -0.001 | -0.002 | 0.002 | -0.000 | 537.967 | 0.000 |
| -0.001 | -0.002 | 0.002 | 0.000 | 0.000 | 586.846 |
| 1258.871 | 40.036 | -21.713 | -0.000 | -0.000 | -0.000 |
| 49.621 | 1206.279 | 21.266 | -0.000 | -0.000 | -0.000 |
| -9.283 | -9.283 | 1295.552 | -0.000 | -0.000 | -0.000 |
| -7.081 | -7.081 | 14.153 | 532.186 | -0.000 | -0.000 |
| -4.472 | -4.472 | 8.939 | -0.000 | 537.948 | -0.000 |
| -3.510 | -3.510 | 7.015 | -0.000 | -0.000 | 588.840 |
| 1218.287 | 63.852 | -4.955 | 0.000 | 0.000 | -0.000 |
| 63.852 | 1218.287 | -4.955 | 0.000 | 0.000 | 0.000 |
| 13.380 | 13.380 | 1250.257 | 0.000 | 0.000 | -0.000 |
| 7.081 | 7.081 | -14.153 | 532.186 | 0.000 | 0.000 |
| 4.472 | 4.472 | -8.939 | 0.000 | 537.948 | -0.000 |
| 3.510 | 3.510 | -7.015 | 0.000 | 0.000 | 588.840 |
| 1258.874 | 40.037 | -21.713 | -0.000 | -0.000 | -0.000 |
| 51.270 | 1227.053 | -1.138 | -0.000 | -0.000 | -0.000 |
| -21.649 | -21.649 | 1320.273 | -0.000 | -0.000 | 0.000 |
| 0.000 | -0.000 | 0.000 | 547.821 | -0.000 | -0.000 |
| -0.045 | -0.044 | 0.089 | 0.000 | 537.950 | -0.000 |
| -0.047 | -0.047 | 0.095 | -0.000 | -0.000 | 587.487 |
| 1227.119 | 51.369 | -1.311 | -0.000 | -0.000 | 0.000 |
| 51.365 | 1227.130 | -1.318 | 0.000 | 0.000 | 0.000 |
| -1.869 | -1.869 | 1280.731 | 0.000 | 0.000 | -0.000 |
| -0.000 | 0.000 | -0.000 | 547.821 | 0.000 | 0.000 |
| 0.045 | 0.044 | -0.089 | -0.000 | 537.950 | 0.000 |
| 0.047 | 0.047 | -0.095 | 0.000 | -0.000 | 587.487 |
| 1956.958 | -2055.826 | 220.548 | -0.000 | 0.000 | -0.000 |
| 60.343 | 439.598 | 5.502 | -0.000 | -0.000 | -0.000 |
| 1263.156 | -2178.877 | 589.829 | -0.000 | -0.000 | -0.000 |
| 1196.903 | -2211.508 | 165.748 | 70.506 | -0.000 | -0.000 |
| 1249.806 | -2180.738 | 215.305 | -0.000 | 246.273 | -0.000 |
| 1248.104 | -2177.768 | 215.012 | -0.000 | -0.000 | 259.033 |
| -482.010 | 2348.036 | 28.478 | -0.000 | 0.000 | 0.000 |
| -1111.824 | 2477.862 | -197.007 | 0.000 | -0.000 | 0.000 |
| -1193.516 | 2219.550 | 127.191 | 0.000 | 0.000 | 0.000 |
| -1196.903 | 2211.508 | -165.748 | 70.506 | 0.000 | 0.000 |
| -1249.806 | 2180.738 | -215.305 | 0.000 | 246.273 | 0.000 |
| -1248.104 | 2177.768 | -215.012 | 0.000 | 0.000 | 259.033 |
| 765.782 | 60.343 | 18.165 | -0.000 | -0.000 | -0.000 |
| 252.217 | 80.564 | 30.362 | -0.000 | -0.000 | -0.000 |
| 174.312 | -283.743 | 319.302 | -0.000 | -0.000 | -0.000 |
| 126.875 | -221.379 | 21.857 | 74.166 | -0.000 | -0.000 |
| 118.621 | -220.398 | -10.378 | -0.000 | 19.382 | -0.000 |
| 125.436 | -218.869 | 21.609 | -0.000 | -0.000 | 258.990 |
| 594.125 | 353.589 | -13.482 | -0.000 | 0.000 | 0.000 |
| 60.343 | 439.598 | 5.503 | 0.000 | 0.000 | 0.000 |
| -119.560 | 221.502 | 2.907 | 0.000 | 0.000 | 0.000 |
| -126.875 | 221.379 | -21.857 | 74.166 | 0.000 | 0.000 |
| -118.621 | 220.398 | 10.378 | 0.000 | 19.382 | 0.000 |
| -125.436 | 218.869 | -21.609 | 0.000 | 0.000 | 258.990 |
| 725.888 | 110.857 | 5.002 | -0.000 | -0.000 | -0.000 |
| 144.410 | 279.530 | 15.199 | -0.000 | -0.000 | -0.000 |
| 11.960 | -22.157 | -0.308 | -0.000 | -0.000 | -0.000 |
| 11.963 | -22.130 | 0.187 | -0.004 | -0.000 | 0.000 |
| 12.656 | -22.193 | 0.706 | -0.000 | 0.052 | -0.000 |
| 0.000 | 0.000 | 0.000 | -0.000 | -0.000 | 267.547 |
| 702.155 | 154.622 | 1.718 | 0.000 | 0.000 | 0.000 |
| 120.619 | 323.481 | 0.288 | 0.000 | 0.000 | -0.000 |
| -11.955 | 22.151 | 0.311 | 0.000 | -0.000 | 0.000 |
| -11.963 | 22.130 | -0.187 | -0.004 | 0.000 | 0.000 |
| -12.656 | 22.193 | -0.706 | 0.000 | 0.052 | 0.000 |
| -0.000 | -0.000 | -0.000 | 0.000 | 0.000 | 267.547 |
| 822.899 | 64.844 | 19.520 | 0.000 | -0.000 | -0.000 |
| 142.266 | 324.166 | 14.428 | 0.000 | -0.000 | 0.000 |
| 0.358 | -0.007 | 0.004 | 0.000 | -0.000 | -0.000 |
| 0.005 | -0.003 | -0.006 | 46.851 | -0.000 | 0.000 |
| -0.003 | -0.002 | -0.003 | 0.000 | 162.044 | 0.000 |
| -0.002 | -0.002 | -0.002 | 0.000 | -0.000 | 275.354 |
| 822.899 | 64.844 | 19.520 | -0.000 | 0.000 | -0.000 |
| 64.844 | 472.386 | 5.913 | -0.000 | 0.000 | -0.000 |
| -20.813 | 41.335 | 11.677 | -0.000 | 0.000 | -0.000 |
| -0.005 | 0.003 | 0.006 | 46.851 | 0.000 | -0.000 |
| 0.003 | 0.002 | 0.003 | 0.000 | 162.044 | -0.000 |
| 0.002 | 0.002 | 0.002 | -0.000 | 0.000 | 275.354 |
| 767.222 | 142.684 | 3.615 | 0.000 | -0.000 | 0.000 |
| 142.225 | 324.246 | 14.424 | 0.000 | -0.000 | 0.000 |
| 0.355 | -0.006 | 0.004 | 0.000 | -0.000 | 0.000 |
| 0.000 | -0.000 | -0.000 | 120.399 | -0.000 | 0.000 |
| -0.000 | -0.000 | -0.000 | 0.000 | 162.044 | 0.000 |
| 0.000 | 0.000 | 0.000 | 0.000 | -0.000 | 287.502 |
| 767.222 | 142.684 | 3.615 | -0.000 | 0.000 | -0.000 |
| 142.446 | 323.842 | -0.001 | -0.000 | 0.000 | -0.000 |
| -20.820 | 41.335 | 11.616 | -0.000 | 0.000 | -0.000 |
| -0.000 | 0.000 | 0.000 | 120.399 | 0.000 | -0.000 |
| 0.000 | 0.000 | 0.000 | -0.000 | 162.044 | -0.000 |
| -0.000 | -0.000 | -0.000 | -0.000 | 0.000 | 287.502 |
| 767.225 | 142.684 | 3.615 | 0.000 | -0.000 | 0.000 |
| 141.843 | 324.951 | 14.361 | 0.000 | -0.000 | 0.000 |
| -0.001 | 0.000 | -0.035 | 0.000 | -0.000 | 0.000 |
| 0.000 | -0.000 | 0.000 | 46.851 | -0.000 | 0.000 |
| -0.000 | -0.002 | 0.001 | 0.000 | -0.000 | 0.000 |
| 0.000 | 0.000 | 0.000 | 0.000 | -0.000 | 287.502 |
| 767.203 | 142.455 | 0.000 | -0.000 | 0.000 | -0.000 |
| 145.464 | 324.025 | 19.166 | -0.000 | 0.000 | -0.000 |
| -20.815 | 41.329 | 11.713 | -0.000 | 0.000 | -0.000 |
| -0.000 | 0.000 | -0.000 | 46.851 | 0.000 | -0.000 |
| 0.000 | 0.002 | -0.001 | -0.000 | -0.000 | -0.000 |
| -0.000 | -0.000 | -0.000 | -0.000 | 0.000 | 287.502 |
| 98.019 | 715.200 | -1225.621 | 0.000 | -0.000 | -0.000 |
| -295.600 | 664.814 | -2641.691 | -0.000 | -0.000 | -0.000 |
| 14.586 | 3.876 | 564.364 | -0.000 | -0.000 | -0.000 |
| -598.628 | 637.345 | -1338.566 | 60.219 | -0.000 | -0.000 |
| -601.707 | 640.623 | -1345.450 | -0.000 | 203.173 | -0.000 |
| 0.000 | 0.000 | -0.000 | -0.000 | -0.000 | 258.619 |
| 724.574 | 48.624 | 21.318 | 0.000 | 0.000 | 0.000 |
| 566.690 | -344.731 | 2288.598 | 0.000 | -0.000 | 0.000 |
| 14.586 | 3.876 | 564.364 | 0.000 | 0.000 | 0.000 |
| 598.628 | -637.345 | 1338.566 | 60.219 | -0.000 | 0.000 |
| 601.707 | -640.623 | 1345.450 | -0.000 | 203.173 | 0.000 |
| -0.000 | -0.000 | 0.000 | 0.000 | -0.000 | 258.619 |
| 629.434 | 181.395 | -190.648 | 0.000 | 0.000 | -0.000 |
| 66.676 | 330.079 | -264.169 | -0.000 | -0.000 | -0.000 |
| -46.985 | 34.113 | -264.172 | -0.000 | -0.000 | -0.000 |
| -40.766 | 34.666 | -283.829 | 50.803 | 0.000 | -0.000 |
| -36.886 | 26.699 | -292.864 | -0.000 | 33.381 | -0.000 |
| -60.610 | 64.530 | -135.528 | -0.000 | 0.000 | 246.609 |
| 724.574 | 48.624 | 21.318 | 0.000 | 0.000 | 0.000 |
| 44.971 | 422.086 | 6.955 | 0.000 | 0.000 | 0.000 |
| 61.289 | -42.913 | 413.734 | 0.000 | -0.000 | 0.000 |
| 40.766 | -34.666 | 283.829 | 50.803 | 0.000 | 0.000 |
| 36.886 | -26.699 | 292.864 | -0.000 | 33.381 | 0.000 |
| 60.610 | -64.530 | 135.528 | 0.000 | 0.000 | 246.609 |
| 673.606 | 116.967 | -8.546 | -0.000 | 0.000 | -0.000 |
| 102.913 | 296.574 | -26.436 | -0.000 | -0.000 | -0.000 |
| -19.905 | 11.668 | -24.057 | -0.000 | -0.000 | -0.000 |
| -4.732 | 5.453 | -24.545 | -0.007 | -0.000 | -0.000 |
| 8.203 | -20.943 | -17.271 | -0.000 | 6.965 | -0.000 |
| -3.438 | 4.826 | -20.013 | -0.000 | -0.000 | 244.297 |
| 685.148 | 90.312 | 20.959 | -0.000 | -0.000 | 0.000 |
| 110.971 | 289.134 | 26.425 | 0.000 | 0.000 | 0.000 |
| -2.705 | -6.803 | 26.443 | 0.000 | 0.000 | 0.000 |
| 4.732 | -5.453 | 24.545 | -0.007 | 0.000 | 0.000 |
| -8.203 | 20.943 | 17.271 | -0.000 | 6.965 | 0.000 |
| 3.438 | -4.826 | 20.013 | 0.000 | 0.000 | 244.297 |
| 514.638 | 39.463 | 39.033 | 0.000 | -0.000 | 0.000 |
| 39.463 | 512.440 | 38.424 | 0.000 | 0.000 | -0.000 |
| 83.989 | 77.488 | 253.245 | 0.000 | 0.000 | -0.000 |
| 0.000 | 0.000 | 0.000 | 219.445 | -0.000 | 0.000 |
| 0.000 | 0.000 | 0.000 | 0.000 | 225.101 | 0.000 |
| 0.000 | 0.000 | 0.000 | -0.000 | -0.000 | 253.198 |
| 318.967 | 75.348 | 80.226 | -0.000 | 0.000 | -0.000 |
| 72.930 | 333.498 | 71.809 | -0.000 | 0.000 | 0.000 |
| 39.033 | 38.424 | 459.522 | -0.000 | 0.000 | -0.000 |
| -0.000 | -0.000 | -0.000 | 219.445 | -0.000 | -0.000 |
| -0.000 | 0.000 | -0.000 | -0.000 | 225.101 | -0.000 |
| 0.000 | -0.000 | -0.000 | 0.000 | -0.000 | 253.198 |
| 514.638 | 39.463 | 39.033 | 0.000 | -0.000 | -0.000 |
| 72.931 | 333.507 | 71.807 | 0.000 | 0.000 | 0.000 |
| 39.033 | 38.424 | 459.522 | 0.000 | 0.000 | -0.000 |
| 0.000 | 0.000 | 0.000 | 219.445 | 0.000 | -0.000 |
| 0.000 | 0.000 | 0.000 | 0.000 | 225.101 | -0.000 |
| 0.000 | 0.000 | 0.000 | 0.000 | 0.000 | 148.676 |
| 514.638 | 39.463 | 39.033 | -0.000 | 0.000 | -0.000 |
| 39.463 | 512.440 | 38.424 | -0.000 | 0.000 | 0.000 |
| 83.985 | 77.486 | 253.252 | -0.000 | 0.000 | 0.000 |
| -0.000 | -0.000 | -0.000 | 219.445 | -0.000 | 0.000 |
| -0.000 | -0.000 | -0.000 | -0.000 | 225.101 | -0.000 |
| -0.000 | -0.000 | -0.000 | -0.000 | -0.000 | 148.676 |
| 221.147 | 55.635 | 70.361 | 0.000 | -0.000 | 0.000 |
| 71.022 | 253.897 | 71.013 | 0.000 | 0.000 | -0.000 |
| 71.004 | 60.738 | 109.489 | 0.000 | 0.000 | -0.000 |
| 0.000 | -0.000 | -0.000 | 119.953 | 0.000 | 0.000 |
| 0.000 | 0.000 | 0.000 | 0.000 | 225.101 | 0.000 |
| -0.000 | 0.000 | 0.000 | 0.000 | -0.000 | 253.198 |
| 221.173 | 55.647 | 70.370 | -0.000 | -0.000 | 0.000 |
| 58.252 | 224.620 | 63.061 | -0.000 | -0.000 | 0.000 |
| 28.813 | 31.099 | 68.119 | -0.000 | -0.000 | -0.000 |
| -0.000 | 0.000 | 0.000 | 119.953 | -0.000 | -0.000 |
| -0.000 | -0.000 | -0.000 | 0.000 | 225.101 | 0.000 |
| 0.000 | -0.000 | -0.000 | 0.000 | 0.000 | 253.198 |
| -2136.782 | -1603.916 | 5990.751 | -0.000 | -0.000 | -0.000 |
| -1093.929 | -85.684 | 2499.262 | 0.000 | -0.000 | -0.000 |
| -2848.512 | -3297.697 | 9848.717 | -0.000 | -0.000 | 0.000 |
| -2220.361 | -1654.246 | 5924.836 | -11.867 | -0.000 | -0.000 |
| 0.000 | -0.000 | 0.000 | -0.000 | 202.295 | -0.000 |
| -1132.087 | -359.858 | 2425.759 | -0.000 | 0.000 | 140.934 |
| 742.264 | -153.951 | -568.815 | -0.000 | 0.000 | 0.000 |
| 2262.475 | 1742.843 | -5848.132 | 0.000 | 0.000 | 0.000 |
| 400.424 | -143.320 | -288.247 | -0.000 | -0.000 | 0.000 |
| 2220.361 | 1654.246 | -5924.836 | -11.867 | 0.000 | 0.000 |
| -0.000 | 0.000 | 0.000 | 0.000 | 202.295 | 0.000 |
| 1132.087 | 359.858 | -2425.759 | -0.000 | 0.000 | 140.934 |
| -313.183 | -276.597 | 913.374 | 0.000 | -0.000 | -0.000 |
| -176.125 | -71.105 | 658.391 | 0.000 | -0.000 | -0.000 |
| 32.034 | 32.165 | 411.508 | 0.000 | -0.000 | -0.000 |
| -35.295 | 19.030 | 62.542 | 153.543 | -0.000 | -0.000 |
| -219.621 | -163.372 | 585.901 | -0.000 | 19.834 | 0.000 |
| 0.000 | 0.000 | 0.000 | 0.000 | -0.000 | 235.571 |
| 465.860 | 25.155 | 36.436 | -0.000 | 0.000 | -0.000 |
| 69.418 | 373.316 | -10.721 | -0.000 | -0.000 | -0.000 |
| 304.191 | 236.708 | -599.758 | -0.000 | 0.000 | 0.000 |
| 35.295 | -19.030 | -62.542 | 153.543 | 0.000 | 0.000 |
| 219.621 | 163.372 | -585.901 | 0.000 | 19.834 | -0.000 |
| -0.000 | -0.000 | -0.000 | 0.000 | 0.000 | 235.571 |
| 164.789 | 27.638 | 113.803 | -0.000 | -0.000 | -0.000 |
| 32.089 | 212.701 | 103.150 | -0.000 | -0.000 | -0.000 |
| 0.692 | -4.358 | 135.548 | -0.000 | -0.000 | 0.000 |
| -12.114 | -4.036 | 26.038 | 81.230 | -0.000 | 0.000 |
| -12.074 | -3.972 | 25.928 | -0.000 | 100.206 | -0.000 |
| -16.406 | -11.874 | 43.769 | 0.000 | -0.000 | 94.794 |
| 190.303 | 51.886 | 26.905 | 0.000 | 0.000 | 0.000 |
| 43.467 | 360.422 | 47.909 | -0.000 | 0.000 | 0.000 |
| -6.227 | -5.683 | -108.498 | 0.000 | 0.000 | 0.000 |
| 12.114 | 4.036 | -26.038 | 81.230 | 0.000 | 0.000 |
| 12.074 | 3.972 | -25.928 | -0.000 | 100.206 | 0.000 |
| 16.406 | 11.874 | -43.769 | 0.000 | 0.000 | 94.794 |
| 448.341 | 32.880 | 32.880 | -0.000 | -0.000 | 0.000 |
| 32.880 | 448.341 | 32.880 | -0.000 | -0.000 | 0.000 |
| 32.880 | 32.880 | 448.342 | -0.000 | -0.000 | 0.000 |
| 0.000 | -0.000 | 0.000 | 61.379 | -0.000 | 0.000 |
| 0.000 | 0.000 | 0.000 | -0.000 | 61.379 | 0.000 |
| 0.000 | -0.000 | 0.000 | -0.000 | -0.000 | 61.379 |
| 31.295 | -37.850 | -37.850 | 0.000 | 0.000 | -0.000 |
| -37.850 | 31.295 | -37.850 | 0.000 | 0.000 | -0.000 |
| -37.850 | -37.850 | 31.295 | 0.000 | 0.000 | -0.000 |
| -0.000 | 0.000 | -0.000 | 61.379 | 0.000 | -0.000 |
| -0.000 | -0.000 | -0.000 | 0.000 | 61.379 | -0.000 |
| -0.000 | 0.000 | -0.000 | 0.000 | 0.000 | 61.379 |
| 448.342 | 32.880 | 32.880 | -0.000 | -0.000 | 0.000 |
| 32.880 | 448.342 | 32.880 | -0.000 | -0.000 | 0.000 |
| 32.880 | 32.880 | 448.342 | -0.000 | -0.000 | 0.000 |
| 0.000 | -0.000 | 0.000 | 207.731 | -0.000 | 0.000 |
| -0.000 | 0.000 | 0.000 | -0.000 | 207.731 | 0.000 |
| -0.000 | 0.000 | 0.000 | -0.000 | -0.000 | 207.731 |
| 448.341 | 32.880 | 32.880 | 0.000 | 0.000 | -0.000 |
| 32.880 | 448.341 | 32.880 | 0.000 | 0.000 | -0.000 |
| 32.880 | 32.880 | 448.341 | 0.000 | 0.000 | -0.000 |
| -0.000 | 0.000 | -0.000 | 207.731 | 0.000 | -0.000 |
| 0.000 | -0.000 | -0.000 | 0.000 | 207.731 | -0.000 |
| 0.000 | -0.000 | -0.000 | 0.000 | 0.000 | 207.731 |
| 175.520 | 67.187 | 67.187 | -0.000 | -0.000 | 0.000 |
| 67.187 | 175.520 | 67.187 | -0.000 | -0.000 | 0.000 |
| 67.187 | 67.187 | 175.520 | -0.000 | -0.000 | 0.000 |
| 0.000 | -0.000 | -0.000 | 52.028 | -0.000 | 0.000 |
| -0.000 | 0.000 | -0.000 | -0.000 | 79.806 | 0.000 |
| -0.000 | -0.000 | 0.000 | -0.000 | -0.000 | 52.028 |
| 87.229 | 23.198 | 23.198 | 0.000 | 0.000 | -0.000 |
| 23.198 | 87.229 | 23.198 | 0.000 | 0.000 | -0.000 |
| 23.198 | 23.198 | 87.229 | 0.000 | 0.000 | -0.000 |
| -0.000 | 0.000 | 0.000 | 52.028 | 0.000 | -0.000 |
| 0.000 | -0.000 | 0.000 | 0.000 | 79.806 | -0.000 |
| 0.000 | 0.000 | -0.000 | 0.000 | 0.000 | 52.028 |
| 359.438 | 37.607 | 37.607 | 0.000 | -0.000 | -0.000 |
| 37.607 | 359.438 | 37.607 | 0.000 | -0.000 | -0.000 |
| 37.607 | 37.607 | 359.438 | 0.000 | -0.000 | -0.000 |
| -0.154 | -0.154 | -0.154 | 163.558 | -0.000 | -0.000 |
| -0.154 | -0.154 | -0.154 | -0.000 | 163.558 | -0.000 |
| -0.154 | -0.154 | -0.154 | -0.000 | -0.000 | 163.558 |
| 416.881 | 30.573 | 30.573 | -0.000 | 0.000 | 0.000 |
| 30.573 | 416.881 | 30.573 | -0.000 | 0.000 | 0.000 |
| 30.573 | 30.573 | 416.881 | -0.000 | 0.000 | 0.000 |
| 0.154 | 0.154 | 0.154 | 163.558 | 0.000 | 0.000 |
| 0.154 | 0.154 | 0.154 | 0.000 | 163.558 | 0.000 |
| 0.154 | 0.154 | 0.154 | -0.000 | 0.000 | 163.558 |
| 29.771 | -35.151 | -35.151 | 0.000 | 0.000 | -0.000 |
| -35.151 | 29.771 | -35.151 | 0.000 | -0.000 | -0.000 |
| -35.151 | -35.151 | 29.771 | 0.000 | 0.000 | -0.000 |
| 0.000 | 0.000 | 0.000 | 193.154 | 0.000 | -0.000 |
| -0.000 | 0.000 | 0.000 | 0.000 | 193.154 | -0.000 |
| -0.000 | 0.000 | 0.000 | 0.000 | 0.000 | 193.154 |
| 416.881 | 30.573 | 30.573 | -0.000 | -0.000 | 0.000 |
| 30.573 | 416.881 | 30.573 | -0.000 | 0.000 | 0.000 |
| 30.573 | 30.573 | 416.881 | -0.000 | 0.000 | 0.000 |
| -0.000 | -0.000 | -0.000 | 193.154 | -0.000 | 0.000 |
| 0.000 | -0.000 | -0.000 | -0.000 | 193.154 | 0.000 |
| 0.000 | -0.000 | -0.000 | -0.000 | -0.000 | 193.154 |
| 81.272 | 21.764 | 21.764 | -0.000 | -0.000 | -0.000 |
| 21.764 | 81.272 | 21.764 | 0.000 | -0.000 | -0.000 |
| 21.764 | 21.764 | 81.272 | 0.000 | -0.000 | -0.000 |
| 0.000 | 0.000 | 0.000 | 193.154 | 0.000 | -0.000 |
| -0.000 | 0.000 | 0.000 | 0.000 | 193.154 | -0.000 |
| 0.000 | 0.000 | 0.000 | 0.000 | 0.000 | 193.154 |
| 18.765 | -43.520 | -43.520 | -0.000 | -0.000 | 0.000 |
| -43.520 | 18.765 | -43.520 | -0.000 | 0.000 | 0.000 |
| -43.520 | -43.520 | 18.765 | 0.000 | -0.000 | 0.000 |
| -0.000 | -0.000 | -0.000 | 193.154 | 0.000 | 0.000 |
| 0.000 | -0.000 | -0.000 | -0.000 | 193.154 | 0.000 |
| -0.000 | -0.000 | -0.000 | 0.000 | 0.000 | 193.154 |
| 2722.852 | 2542.947 | 2542.947 | 0.000 | -0.000 | 0.000 |
| 2542.947 | 2722.852 | 2542.947 | 0.000 | -0.000 | 0.000 |
| 2542.947 | 2542.947 | 2722.852 | 0.000 | -0.000 | 0.000 |
| 2501.166 | 2501.166 | 2501.166 | 89.664 | -0.000 | 0.000 |
| 2501.166 | 2501.166 | 2501.166 | -0.000 | 89.664 | -0.000 |
| 2501.166 | 2501.166 | 2501.166 | 0.000 | 0.000 | 89.664 |
| -3291.159 | -3429.508 | -3429.508 | -0.000 | 0.000 | -0.000 |
| -3429.508 | -3291.159 | -3429.508 | -0.000 | -0.000 | -0.000 |
| -3429.508 | -3429.508 | -3291.159 | 0.000 | 0.000 | -0.000 |
| -2501.166 | -2501.166 | -2501.166 | 89.664 | 0.000 | -0.000 |
| -2501.166 | -2501.166 | -2501.166 | -0.000 | 89.664 | 0.000 |
| -2501.166 | -2501.166 | -2501.166 | -0.000 | 0.000 | 89.664 |
| 522.762 | 376.678 | 376.678 | 0.000 | -0.000 | -0.000 |
| 88.946 | 426.861 | 88.946 | -0.000 | 0.000 | -0.000 |
| 88.946 | 88.946 | 426.861 | 0.000 | -0.000 | 0.000 |
| 250.486 | 250.486 | 250.486 | 89.514 | -0.000 | 0.000 |
| 250.486 | 250.486 | 250.486 | -0.000 | 89.514 | 0.000 |
| 250.486 | 250.486 | 250.486 | 0.000 | -0.000 | 89.514 |
| 416.742 | 30.563 | 30.563 | -0.000 | 0.000 | -0.000 |
| 30.563 | 416.742 | 30.563 | -0.000 | 0.000 | 0.000 |
| -208.108 | -208.108 | -34.823 | -0.000 | -0.000 | -0.000 |
| -250.486 | -250.486 | -250.486 | 89.514 | 0.000 | -0.000 |
| -250.486 | -250.486 | -250.486 | 0.000 | 89.514 | -0.000 |
| -250.486 | -250.486 | -250.486 | -0.000 | 0.000 | 89.514 |
| 126.702 | 70.682 | 70.682 | 0.000 | 0.000 | -0.000 |
| 70.682 | 126.702 | 70.682 | 0.000 | -0.000 | 0.000 |
| 70.682 | 70.682 | 126.702 | 0.000 | -0.000 | 0.000 |
| 27.857 | 27.857 | 27.857 | 78.153 | 0.000 | 0.000 |
| 27.857 | 27.857 | 27.857 | 0.000 | 78.153 | 0.000 |
| 27.857 | 27.857 | 27.857 | 0.000 | -0.000 | 78.153 |
| 351.136 | 30.688 | 30.688 | 0.000 | -0.000 | -0.000 |
| -79.074 | -40.293 | -79.074 | -0.000 | -0.000 | -0.000 |
| -105.152 | -105.152 | -55.297 | -0.000 | -0.000 | 0.000 |
| -27.857 | -27.857 | -27.857 | 78.153 | 0.000 | -0.000 |
| -27.857 | -27.857 | -27.857 | -0.000 | 78.153 | 0.000 |
| -27.857 | -27.857 | -27.857 | -0.000 | -0.000 | 78.153 |
| 389.242 | 53.062 | 99.681 | -17.082 | 0.000 | -0.000 |
| 28.554 | 558.627 | 52.841 | 8.697 | -0.000 | 0.000 |
| 52.841 | 52.841 | 444.675 | 0.000 | 0.000 | 0.000 |
| -8.697 | 8.697 | 0.000 | 242.731 | -0.000 | 0.000 |
| -0.008 | -0.008 | 0.023 | 0.000 | 171.463 | -15.629 |
| -0.000 | -0.000 | 0.014 | -0.000 | -19.801 | 142.023 |
| 558.627 | 28.554 | 52.841 | -8.697 | 0.000 | -0.000 |
| 28.554 | 558.627 | 52.841 | 8.697 | 0.000 | -0.000 |
| 52.841 | 52.841 | 444.675 | -0.000 | -0.000 | 0.000 |
| -8.697 | 8.697 | 0.000 | 242.731 | 0.000 | -0.000 |
| 0.008 | 0.008 | -0.024 | -0.000 | 171.462 | -15.629 |
| 0.000 | 0.000 | -0.014 | 0.000 | -19.801 | 142.023 |
| 317.727 | 51.959 | 101.009 | -20.653 | -0.000 | -0.000 |
| 28.554 | 558.627 | 52.841 | 8.697 | -0.000 | -0.000 |
| 96.426 | 96.426 | 283.955 | 0.000 | -0.000 | -0.000 |
| -20.072 | 20.072 | 0.002 | 132.963 | -0.000 | -0.000 |
| 0.000 | 0.000 | 0.000 | 0.000 | 242.731 | -8.697 |
| -0.001 | -0.001 | 0.003 | 0.000 | -16.197 | 178.330 |
| 389.191 | 53.082 | 99.667 | -17.085 | 0.000 | 0.000 |
| 28.554 | 558.627 | 52.841 | 8.697 | -0.000 | -0.000 |
| 52.841 | 52.841 | 444.674 | -0.000 | -0.000 | 0.000 |
| -8.697 | 8.697 | -0.000 | 242.731 | -0.000 | -0.000 |
| -0.000 | -0.000 | -0.000 | -0.000 | 242.731 | -8.697 |
| 0.001 | 0.001 | -0.003 | -0.000 | -16.197 | 178.330 |
| 273.795 | 40.102 | 65.156 | -15.746 | 0.000 | -0.000 |
| 46.807 | 289.086 | 87.060 | 17.057 | -0.000 | 0.000 |
| 96.413 | 96.413 | 284.007 | 0.000 | -0.000 | -0.000 |
| -20.072 | 20.072 | 0.000 | 132.963 | -0.000 | -0.000 |
| 0.000 | 0.000 | 0.000 | 0.000 | 242.731 | -8.697 |
| -0.000 | -0.000 | 0.000 | -0.000 | -19.801 | 142.023 |
| 317.633 | 51.972 | 101.033 | -20.658 | 0.000 | 0.000 |
| 46.825 | 288.719 | 87.102 | 17.073 | -0.000 | -0.000 |
| 100.958 | 100.958 | 189.810 | -0.000 | 0.000 | 0.000 |
| -15.629 | 15.629 | -0.000 | 171.463 | 0.000 | 0.000 |
| -0.000 | -0.000 | -0.000 | -0.000 | 242.731 | -8.697 |
| 0.000 | 0.000 | -0.000 | 0.000 | -19.801 | 142.023 |
| 1659.122 | 1216.864 | -780.624 | -9.916 | -0.000 | -0.000 |
| 5818.134 | 6045.294 | -3639.830 | 17.998 | -0.000 | 0.000 |
| 1261.815 | 1261.815 | -509.016 | -0.000 | 0.000 | -0.000 |
| 1191.082 | 1210.920 | -846.506 | 191.681 | 0.000 | -0.000 |
| -0.000 | -0.000 | -0.000 | 0.000 | 219.037 | -7.923 |
| -0.000 | -0.000 | -0.000 | 0.000 | -7.923 | 249.462 |
| -743.635 | -1185.670 | 912.834 | -9.924 | -0.000 | -0.000 |
| -5766.286 | -5539.130 | 3821.492 | 17.997 | -0.000 | -0.000 |
| -1140.843 | -1140.843 | 1184.533 | -0.000 | -0.000 | 0.000 |
| -6129.420 | -6099.335 | 3075.422 | 93.549 | -0.000 | -0.000 |
| 0.000 | 0.000 | 0.000 | -0.000 | 219.037 | -7.923 |
| 0.000 | 0.000 | 0.000 | -0.000 | -7.923 | 249.462 |
| 579.249 | 136.300 | -19.226 | -9.892 | -0.000 | -0.000 |
| 11.953 | 510.878 | 50.585 | 7.923 | 0.000 | -0.000 |
| 181.506 | 181.506 | 251.841 | 0.000 | 0.000 | 0.000 |
| 110.541 | 130.392 | -84.909 | 191.598 | -0.000 | 0.000 |
| -0.000 | 0.000 | 0.000 | -0.000 | 219.037 | -7.923 |
| 338.629 | 338.629 | -206.370 | 0.000 | -15.751 | 157.462 |
| -15.705 | -323.691 | 303.591 | -16.057 | -0.000 | -0.000 |
| -593.097 | -363.531 | 365.882 | 14.706 | 0.000 | 0.000 |
| -60.414 | -60.414 | 423.087 | -0.000 | -0.000 | 0.000 |
| -130.399 | -110.548 | 84.913 | 191.596 | 0.000 | -0.000 |
| 0.000 | -0.000 | -0.000 | 0.000 | 219.037 | -7.923 |
| -338.629 | -338.629 | 206.370 | 0.000 | -15.751 | 157.462 |
| 456.262 | 37.333 | 58.182 | -10.736 | 0.000 | -0.000 |
| 37.333 | 456.264 | 58.182 | 10.736 | 0.000 | 0.000 |
| 128.448 | 128.448 | 169.674 | -0.000 | 0.000 | -0.000 |
| 20.379 | 53.488 | -22.371 | 126.014 | -0.000 | 0.000 |
| 0.000 | 0.000 | 0.000 | 0.000 | 219.037 | -7.923 |
| 15.366 | 15.366 | -10.830 | -0.000 | -10.477 | 213.150 |
| 201.777 | -32.967 | 124.474 | -17.454 | -0.000 | -0.000 |
| -32.953 | 201.900 | 124.436 | 17.450 | -0.000 | -0.000 |
| 48.292 | 48.292 | 326.175 | -0.000 | -0.000 | -0.000 |
| -74.403 | -39.396 | 36.878 | 96.907 | -0.000 | 0.000 |
| -0.000 | -0.000 | -0.000 | -0.000 | 219.037 | -7.923 |
| -15.366 | -15.366 | 10.830 | 0.000 | -10.477 | 213.150 |
| 257.278 | 76.909 | 54.096 | -0.000 | 0.000 | -0.000 |
| 83.470 | 162.669 | 50.254 | 0.000 | -0.000 | -0.000 |
| 57.166 | 47.292 | 389.477 | -0.000 | 0.000 | -0.000 |
| 0.001 | 0.000 | -0.001 | 144.835 | 0.000 | -0.000 |
| 0.001 | -0.000 | -0.001 | -0.000 | 86.414 | -0.000 |
| 0.001 | 0.000 | -0.001 | -0.000 | -0.000 | 113.583 |
| 257.276 | 76.908 | 54.098 | 0.000 | 0.000 | 0.000 |
| 46.565 | 443.517 | 16.381 | 0.000 | -0.000 | 0.000 |
| 29.154 | 31.447 | 180.667 | 0.000 | -0.000 | 0.000 |
| -0.001 | -0.000 | 0.001 | 144.835 | -0.000 | 0.000 |
| -0.001 | 0.000 | 0.001 | 0.000 | 86.414 | 0.000 |
| -0.001 | -0.000 | 0.001 | 0.000 | 0.000 | 113.583 |
| 257.276 | 76.909 | 54.097 | -0.000 | -0.000 | -0.000 |
| 46.565 | 443.517 | 16.381 | -0.000 | -0.000 | -0.000 |
| 20.534 | 16.381 | 551.290 | -0.000 | 0.000 | -0.000 |
| 0.000 | -0.000 | 0.000 | 226.838 | -0.000 | -0.000 |
| -0.000 | 0.000 | 0.000 | 0.000 | 226.645 | -0.000 |
| -0.000 | 0.000 | 0.000 | -0.000 | 0.000 | 190.973 |
| 428.411 | 46.565 | 20.534 | 0.000 | 0.000 | 0.000 |
| 46.565 | 443.517 | 16.381 | 0.000 | -0.000 | 0.000 |
| 20.534 | 16.381 | 551.290 | 0.000 | -0.000 | 0.000 |
| -0.000 | 0.000 | -0.000 | 226.838 | -0.000 | 0.000 |
| 0.000 | -0.000 | -0.000 | 0.000 | 226.645 | 0.000 |
| 0.000 | -0.000 | -0.000 | 0.000 | 0.000 | 190.973 |
| 145.149 | 82.920 | 61.130 | -0.000 | -0.000 | -0.000 |
| -17.415 | 65.237 | 10.812 | -0.000 | -0.000 | -0.000 |
| 20.534 | 16.381 | 551.291 | -0.000 | 0.000 | -0.000 |
| 0.000 | -0.000 | 0.000 | 226.838 | -0.000 | -0.000 |
| -0.000 | 0.000 | 0.000 | -0.000 | 226.645 | -0.000 |
| -0.000 | -0.000 | 0.000 | -0.000 | -0.000 | 113.583 |
| 101.797 | 65.263 | 50.241 | 0.000 | 0.000 | 0.000 |
| 24.547 | 91.274 | 27.493 | 0.000 | -0.000 | 0.000 |
| 68.203 | 55.524 | 255.094 | -0.000 | -0.000 | 0.000 |
| -0.000 | 0.000 | -0.000 | 226.838 | 0.000 | 0.000 |
| 0.000 | -0.000 | -0.000 | 0.000 | 226.645 | 0.000 |
| 0.000 | 0.000 | -0.000 | 0.000 | -0.000 | 113.583 |
| -572.544 | 112.722 | 719.836 | 0.000 | 0.000 | -0.000 |
| -1487.002 | 64.754 | 1257.185 | 0.000 | 0.000 | -0.000 |
| -893.449 | 81.563 | 1164.376 | 0.000 | 0.000 | -0.000 |
| -3903.513 | -1299.456 | 2382.851 | -23.732 | 0.000 | -0.000 |
| -0.000 | 0.000 | 0.000 | 0.000 | 212.879 | -0.000 |
| -921.760 | 59.696 | 693.155 | 0.000 | 0.000 | 149.603 |
| 1271.193 | -6.688 | -666.620 | -0.000 | -0.000 | -0.000 |
| 3131.363 | 341.162 | -1642.505 | -0.000 | -0.000 | 0.000 |
| 950.220 | -37.833 | -222.070 | -0.000 | -0.000 | -0.000 |
| -0.000 | 0.000 | -0.000 | 213.384 | 0.000 | -0.000 |
| 0.000 | -0.000 | -0.000 | -0.000 | 212.879 | -0.000 |
| 921.760 | -59.696 | -693.155 | -0.000 | -0.000 | 149.603 |
| 255.862 | 59.133 | 96.581 | 0.000 | 0.000 | -0.000 |
| -40.414 | 371.607 | 90.630 | 0.000 | 0.000 | -0.000 |
| -389.100 | -198.178 | 303.565 | 0.000 | 0.000 | -0.000 |
| -92.572 | 5.995 | 69.614 | 188.400 | 0.000 | -0.000 |
| -155.695 | -19.573 | 123.048 | 0.000 | 139.546 | 0.000 |
| -92.588 | 5.996 | 69.625 | 0.000 | 0.000 | 149.477 |
| 300.725 | 111.700 | -105.386 | -0.000 | -0.000 | 0.000 |
| 219.437 | 280.579 | -91.604 | -0.000 | -0.000 | 0.000 |
| 198.758 | 53.045 | 250.043 | -0.000 | -0.000 | -0.000 |
| 92.572 | -5.995 | -69.614 | 188.400 | -0.000 | -0.000 |
| 155.695 | 19.573 | -123.048 | -0.000 | 139.546 | 0.000 |
| 92.588 | -5.996 | -69.625 | -0.000 | -0.000 | 149.477 |
| -0.740 | -19.170 | 39.227 | 0.000 | 0.000 | -0.000 |
| 47.680 | 83.743 | 58.756 | 0.000 | 0.000 | -0.000 |
| -16.171 | -4.199 | 178.093 | 0.000 | 0.000 | -0.000 |
| -12.480 | 0.808 | 9.385 | 179.702 | 0.000 | 0.000 |
| -36.545 | -23.989 | 27.128 | 0.000 | 39.849 | 0.000 |
| -27.384 | -10.102 | 18.027 | 0.000 | 0.000 | 28.667 |
| 118.098 | 72.153 | 38.703 | -0.000 | 0.000 | 0.000 |
| 74.290 | 107.524 | 13.466 | -0.000 | -0.000 | 0.000 |
| 89.058 | 52.492 | 163.952 | -0.000 | -0.000 | 0.000 |
| 12.480 | -0.808 | -9.385 | 179.702 | -0.000 | 0.000 |
| 36.545 | 23.989 | -27.128 | -0.000 | 39.849 | 0.000 |
| 27.384 | 10.102 | -18.027 | -0.000 | -0.000 | 28.667 |
| 1047.364 | -165.539 | 0.000 | 0.000 | 0.000 | 0.000 |
| -165.539 | 1047.364 | 0.000 | 0.000 | 0.000 | 0.000 |
| -0.000 | -0.000 | 0.000 | 0.000 | 0.000 | -0.000 |
| -0.000 | -0.000 | 0.000 | 0.000 | 0.000 | 0.000 |
| -0.000 | -0.000 | 0.000 | 0.000 | 0.000 | 0.000 |
| 0.000 | -0.000 | 0.000 | 0.000 | 0.000 | 606.452 |
| 1047.364 | -165.539 | -0.000 | -0.000 | -0.000 | -0.000 |
| -165.539 | 1047.364 | -0.000 | -0.000 | -0.000 | -0.000 |
| 0.000 | 0.000 | -0.000 | -0.000 | -0.000 | 0.000 |
| 0.000 | 0.000 | -0.000 | -0.000 | -0.000 | -0.000 |
| 0.000 | 0.000 | -0.000 | -0.000 | -0.000 | -0.000 |
| -0.000 | 0.000 | -0.000 | -0.000 | -0.000 | 606.452 |
| 1047.298 | -165.473 | 0.000 | 0.000 | 0.000 | 0.000 |
| -165.539 | 1047.364 | 0.000 | 0.000 | 0.000 | -0.000 |
| -0.000 | -0.000 | 0.000 | 0.000 | 0.000 | -0.000 |
| -0.000 | -0.000 | 0.000 | 0.000 | 0.000 | 0.000 |
| -0.000 | -0.000 | 0.000 | 0.000 | 0.000 | 0.000 |
| 0.000 | 0.000 | 0.000 | 0.000 | 0.000 | 606.452 |
| 1047.363 | -165.539 | -0.000 | -0.000 | -0.000 | -0.000 |
| -165.540 | 1047.364 | -0.000 | -0.000 | -0.000 | -0.000 |
| 0.000 | 0.000 | -0.000 | -0.000 | -0.000 | 0.000 |
| 0.000 | 0.000 | -0.000 | -0.000 | -0.000 | -0.000 |
| 0.000 | 0.000 | -0.000 | -0.000 | -0.000 | -0.000 |
| -0.000 | -0.000 | -0.000 | -0.000 | -0.000 | 606.452 |
| 1047.372 | -165.544 | 0.000 | 0.000 | 0.000 | 0.000 |
| -165.535 | 1047.363 | 0.000 | 0.000 | 0.000 | 0.000 |
| -0.000 | -0.000 | 0.000 | 0.000 | 0.000 | -0.000 |
| -0.000 | -0.000 | 0.000 | 0.000 | 0.000 | 0.000 |
| -0.000 | -0.000 | 0.000 | 0.000 | 0.000 | 0.000 |
| 0.001 | 0.001 | 0.000 | 0.000 | 0.000 | 606.452 |
| 1047.355 | -165.534 | -0.000 | -0.000 | -0.000 | -0.000 |
| -165.544 | 1047.364 | -0.000 | -0.000 | -0.000 | 0.000 |
| 0.000 | 0.000 | -0.000 | -0.000 | -0.000 | 0.000 |
| 0.000 | 0.000 | -0.000 | -0.000 | -0.000 | 0.000 |
| 0.000 | 0.000 | -0.000 | -0.000 | -0.000 | -0.000 |
| -0.001 | -0.001 | -0.000 | -0.000 | -0.000 | 606.452 |
| 1047.346 | -165.536 | 0.000 | 0.000 | 0.000 | -0.000 |
| -165.536 | 1047.346 | 0.000 | 0.000 | 0.000 | -0.000 |
| 0.000 | -0.000 | 0.000 | 0.000 | 0.000 | -0.000 |
| 0.000 | -0.000 | 0.000 | 0.000 | 0.000 | -0.000 |
| 0.000 | -0.000 | 0.000 | 0.000 | 0.000 | -0.000 |
| 0.000 | -0.000 | 0.000 | 0.000 | 0.000 | 606.441 |
| 1047.346 | -165.536 | -0.000 | -0.000 | -0.000 | 0.000 |
| -165.537 | 1047.346 | -0.000 | -0.000 | -0.000 | 0.000 |
| -0.000 | 0.000 | -0.000 | -0.000 | -0.000 | 0.000 |
| -0.000 | 0.000 | -0.000 | -0.000 | -0.000 | 0.000 |
| -0.000 | 0.000 | -0.000 | -0.000 | -0.000 | 0.000 |
| -0.000 | 0.000 | -0.000 | -0.000 | -0.000 | 606.441 |
| 1047.347 | -165.537 | 0.000 | 0.000 | 0.000 | -0.000 |
| -165.602 | 1047.412 | 0.000 | 0.000 | 0.000 | -0.000 |
| 0.000 | -0.000 | 0.000 | 0.000 | 0.000 | -0.000 |
| 0.000 | -0.000 | 0.000 | 0.000 | 0.000 | -0.000 |
| 0.000 | -0.000 | 0.000 | 0.000 | 0.000 | -0.000 |
| 0.000 | 0.000 | 0.000 | 0.000 | 0.000 | 645.569 |
| 1047.345 | -165.536 | -0.000 | -0.000 | -0.000 | 0.000 |
| -165.537 | 1047.346 | -0.000 | -0.000 | -0.000 | 0.000 |
| -0.000 | 0.000 | -0.000 | -0.000 | -0.000 | 0.000 |
| -0.000 | 0.000 | -0.000 | -0.000 | -0.000 | 0.000 |
| -0.000 | 0.000 | -0.000 | -0.000 | -0.000 | 0.000 |
| -0.000 | -0.000 | -0.000 | -0.000 | -0.000 | 645.569 |
| 1047.354 | -165.541 | 0.000 | 0.000 | 0.000 | -0.000 |
| -165.532 | 1047.345 | 0.000 | 0.000 | 0.000 | -0.000 |
| 0.000 | -0.000 | 0.000 | 0.000 | 0.000 | -0.000 |
| 0.000 | -0.000 | 0.000 | 0.000 | 0.000 | -0.000 |
| 0.000 | -0.000 | 0.000 | 0.000 | 0.000 | -0.000 |
| 0.001 | 0.001 | 0.000 | 0.000 | 0.000 | 606.441 |
| 1047.337 | -165.532 | -0.000 | -0.000 | -0.000 | 0.000 |
| -165.541 | 1047.346 | -0.000 | -0.000 | -0.000 | 0.000 |
| -0.000 | 0.000 | -0.000 | -0.000 | -0.000 | 0.000 |
| -0.000 | 0.000 | -0.000 | -0.000 | -0.000 | 0.000 |
| -0.000 | 0.000 | -0.000 | -0.000 | -0.000 | 0.000 |
| -0.001 | -0.001 | -0.000 | -0.000 | -0.000 | 606.441 |
| -2114612.320 | -1926501.228 | -2574935.066 | 330221.065 | 495892.542 | -424657.370 |
| -1916471.708 | -1815471.423 | -2262389.694 | 410848.466 | 710506.698 | -36201.074 |
| -2996428.239 | -2833857.078 | -3400364.860 | 165309.348 | 600426.750 | -416193.646 |
| -2283460.658 | -2111240.409 | -2820194.269 | 288831.816 | 602892.358 | -410028.302 |
| -190992.658 | -100892.724 | -672881.959 | 629245.286 | 896100.998 | -165532.827 |
| -2413187.622 | -2240937.873 | -2873345.936 | 298100.810 | 493686.234 | -377681.477 |
| 2492920.882 | 2324469.058 | 2899863.810 | -332430.280 | -537137.269 | 428727.695 |
| 2583464.412 | 2415933.466 | 3036720.203 | -328354.699 | -568537.728 | 411532.031 |
| 2601980.939 | 2441657.954 | 3016410.010 | -322288.166 | -505128.605 | 374955.824 |
| 2489289.375 | 2370783.644 | 2926770.146 | -346604.643 | -556723.030 | 380806.270 |
| 2324409.585 | 2147516.354 | 2734724.579 | -324852.399 | -476968.228 | 403390.964 |
| 2687197.469 | 2604296.986 | 3163978.312 | -308430.717 | -527831.768 | 428151.661 |
| -259056.976 | -245958.426 | -304522.453 | 35631.264 | 57072.072 | -39974.508 |
| -253294.082 | -244802.736 | -295909.401 | 34233.302 | 53532.927 | -48241.997 |
| -205150.122 | -180439.791 | -230675.543 | 31605.475 | 54109.879 | -35344.771 |
| -248549.319 | -230471.903 | -289949.399 | 32309.122 | 55297.425 | -42263.820 |
| -284600.514 | -275306.599 | -332736.215 | 38136.226 | 54786.145 | -40453.887 |
| -250720.906 | -236865.951 | -299856.570 | 28003.220 | 52171.028 | -34939.574 |
| 221792.096 | 215476.425 | 256796.743 | -34152.596 | -47958.308 | 38122.226 |
| 249613.368 | 255128.487 | 309439.499 | -24079.602 | -49097.305 | 52070.772 |
| 236109.877 | 229965.149 | 278969.491 | -26117.173 | -51028.309 | 40109.992 |
| 245855.053 | 230534.683 | 289825.390 | -33322.796 | -54658.088 | 41678.429 |
| 252707.696 | 240999.604 | 295751.439 | -33145.180 | -54447.993 | 42626.917 |
| 251132.378 | 233494.293 | 293996.532 | -41395.449 | -52470.524 | 38841.322 |
| -25483.904 | -24046.552 | -29560.279 | 3227.920 | 5510.877 | -4053.577 |
| -25232.709 | -23489.245 | -29043.173 | 3130.077 | 5105.435 | -3831.074 |
| -30277.272 | -30044.268 | -34705.738 | 1210.792 | 6488.878 | -5246.650 |
| -18550.345 | -14096.189 | -19349.527 | 2495.898 | 2742.718 | -3331.466 |
| -20774.993 | -19812.816 | -24609.200 | 2658.691 | 6589.059 | -3375.678 |
| -40021.473 | -38179.173 | -46178.591 | 2719.444 | 4446.271 | -3801.971 |
| 25193.439 | 24552.472 | 29857.395 | -3458.150 | -5292.231 | 4039.165 |
| 11128.685 | 12247.388 | 16730.891 | 395.450 | -4232.338 | 7488.140 |
| 22601.457 | 20744.710 | 26985.997 | -3554.947 | -4939.599 | 4268.801 |
| 16973.593 | 14820.127 | 20950.586 | -3288.609 | -4228.267 | 4438.885 |
| 27547.841 | 25650.932 | 31363.669 | -3853.147 | -5887.651 | 3625.993 |
| 29365.037 | 27887.278 | 33868.165 | -2743.290 | -6847.969 | 3790.479 |
| 108.376 | -153.355 | -153.355 | 0.000 | 0.001 | -0.001 |
| -153.355 | 108.375 | -153.355 | 0.000 | 0.001 | -0.001 |
| -153.355 | -153.355 | 108.375 | 0.000 | 0.001 | -0.001 |
| 30.317 | 30.316 | 30.316 | 27.274 | 0.001 | -0.001 |
| 30.317 | 30.316 | 30.316 | 0.000 | 27.275 | -0.001 |
| 30.317 | 30.316 | 30.316 | 0.000 | 0.001 | 27.272 |
| -97.861 | 65.715 | 65.715 | -0.001 | -0.002 | 0.002 |
| 65.714 | -97.861 | 65.716 | -0.001 | -0.002 | 0.002 |
| 65.714 | 65.716 | -97.861 | -0.001 | -0.002 | 0.002 |
| -30.317 | -30.316 | -30.316 | 27.273 | -0.001 | 0.001 |
| -30.317 | -30.316 | -30.316 | -0.000 | 27.272 | 0.001 |
| -30.317 | -30.316 | -30.316 | -0.000 | -0.001 | 27.275 |
| 13.339 | 13.372 | 13.372 | 0.000 | 0.000 | -0.000 |
| 13.372 | 13.339 | 13.372 | 0.000 | 0.000 | -0.000 |
| 13.372 | 13.372 | 13.339 | 0.000 | 0.000 | -0.000 |
| 2.604 | 2.604 | 2.604 | 16.511 | 0.000 | -0.000 |
| 2.604 | 2.604 | 2.604 | 0.000 | 16.511 | -0.000 |
| 2.604 | 2.604 | 2.604 | 0.000 | 0.000 | 16.511 |
| -13.037 | -13.350 | -13.350 | -0.000 | -0.000 | 0.000 |
| -13.350 | -13.037 | -13.350 | -0.000 | -0.000 | 0.000 |
| -13.350 | -13.350 | -13.037 | -0.000 | -0.000 | 0.000 |
| -2.604 | -2.604 | -2.604 | 16.511 | -0.000 | 0.000 |
| -2.604 | -2.604 | -2.604 | -0.000 | 16.511 | 0.000 |
| -2.604 | -2.604 | -2.604 | -0.000 | -0.000 | 16.511 |
| 1.350 | 1.609 | 1.609 | 0.000 | 0.000 | -0.000 |
| 1.609 | 1.350 | 1.609 | 0.000 | 0.000 | -0.000 |
| 1.609 | 1.609 | 1.350 | 0.000 | 0.000 | -0.000 |
| 1.322 | 1.321 | 1.321 | 0.367 | 0.000 | -0.000 |
| 1.321 | 1.322 | 1.321 | 0.000 | 0.367 | -0.000 |
| 1.321 | 1.321 | 1.322 | 0.000 | 0.000 | 0.367 |
| -1.416 | -1.005 | -1.005 | -0.000 | -0.000 | 0.000 |
| -1.005 | -1.416 | -1.005 | -0.000 | -0.000 | 0.000 |
| -1.005 | -1.005 | -1.416 | -0.000 | -0.000 | 0.000 |
| -1.322 | -1.321 | -1.321 | 0.367 | -0.000 | 0.000 |
| -1.321 | -1.322 | -1.321 | -0.000 | 0.367 | 0.000 |
| -1.321 | -1.321 | -1.322 | -0.000 | -0.000 | 0.367 |
| 0.000 | 0.000 | 0.000 | -0.000 | -0.000 | 0.000 |
| 0.000 | 0.000 | 0.000 | -0.000 | -0.000 | 0.000 |
| 0.000 | 0.000 | 690.119 | -0.000 | -0.000 | 0.000 |
| 0.000 | 0.000 | -0.000 | 0.000 | 0.000 | 0.000 |
| -0.000 | 0.000 | 0.000 | 0.000 | 0.000 | 0.000 |
| 0.000 | 0.000 | 0.000 | -0.000 | -0.000 | 0.000 |
| -0.000 | -0.000 | -0.000 | 0.000 | 0.000 | -0.000 |
| -0.000 | -0.000 | -0.000 | 0.000 | 0.000 | -0.000 |
| -0.000 | -0.000 | 690.119 | 0.000 | 0.000 | -0.000 |
| -0.000 | 0.000 | -0.000 | -0.000 | -0.000 | 0.000 |
| 0.000 | -0.000 | -0.000 | -0.000 | -0.000 | -0.000 |
| -0.000 | -0.000 | -0.000 | 0.000 | 0.000 | -0.000 |
| 0.000 | 0.000 | 0.000 | -0.000 | -0.000 | 0.000 |
| 0.000 | 0.000 | 0.000 | -0.000 | -0.000 | 0.000 |
| 0.000 | 0.000 | 690.120 | -0.000 | -0.000 | 0.000 |
| 0.000 | -0.000 | -0.000 | 0.000 | 0.000 | -0.000 |
| 0.000 | 0.000 | -0.000 | -0.000 | -0.000 | 0.000 |
| 0.000 | 0.000 | 0.000 | -0.000 | -0.000 | 0.000 |
| -0.000 | -0.000 | -0.000 | 0.000 | 0.000 | -0.000 |
| -0.000 | -0.000 | -0.000 | 0.000 | 0.000 | -0.000 |
| -0.000 | -0.000 | 690.119 | 0.000 | 0.000 | -0.000 |
| -0.000 | -0.000 | 0.000 | 0.000 | 0.000 | -0.000 |
| -0.000 | -0.000 | 0.000 | 0.000 | 0.000 | -0.000 |
| -0.000 | -0.000 | -0.000 | 0.000 | 0.000 | -0.000 |
| 0.000 | 0.000 | 0.000 | -0.000 | -0.000 | 0.000 |
| 0.000 | 0.000 | 0.000 | -0.000 | -0.000 | 0.000 |
| 0.000 | 0.000 | 690.122 | -0.000 | -0.000 | 0.000 |
| 0.000 | 0.000 | -0.000 | -0.000 | -0.000 | 0.000 |
| -0.000 | 0.000 | -0.000 | -0.000 | -0.000 | 0.000 |
| 0.000 | 0.000 | 0.000 | -0.000 | -0.000 | 0.000 |
| -0.000 | -0.000 | -0.000 | 0.000 | 0.000 | -0.000 |
| -0.000 | -0.000 | -0.000 | 0.000 | 0.000 | -0.000 |
| -0.000 | -0.000 | 690.116 | -0.000 | -0.000 | -0.000 |
| -0.000 | -0.000 | 0.000 | 0.000 | 0.000 | -0.000 |
| 0.000 | -0.000 | 0.000 | 0.000 | 0.000 | -0.000 |
| -0.000 | -0.000 | -0.000 | 0.000 | 0.000 | -0.000 |
| 592.514 | 248.588 | 0.000 | 0.000 | 0.000 | 0.000 |
| 248.588 | 592.514 | 0.000 | 0.000 | 0.000 | 0.000 |
| -0.000 | -0.000 | 0.000 | 0.000 | 0.000 | 0.000 |
| 0.000 | -0.000 | 0.000 | 0.000 | 0.000 | 0.000 |
| -0.000 | -0.000 | 0.000 | 0.000 | 0.000 | 0.000 |
| 0.000 | 0.000 | 0.000 | 0.000 | 0.000 | 420.551 |
| 592.514 | 248.588 | -0.000 | -0.000 | -0.000 | 0.000 |
| 248.588 | 592.514 | -0.000 | -0.000 | -0.000 | -0.000 |
| 0.000 | 0.000 | -0.000 | -0.000 | -0.000 | -0.000 |
| 0.000 | 0.000 | -0.000 | -0.000 | -0.000 | -0.000 |
| -0.000 | 0.000 | -0.000 | -0.000 | -0.000 | -0.000 |
| -0.000 | -0.000 | -0.000 | -0.000 | -0.000 | 420.551 |
| 592.515 | 248.588 | 0.000 | 0.000 | 0.000 | 0.000 |
| 248.588 | 592.515 | 0.000 | 0.000 | 0.000 | -0.000 |
| -0.000 | -0.000 | 0.000 | 0.000 | 0.000 | 0.000 |
| -0.000 | -0.000 | 0.000 | 0.000 | 0.000 | 0.000 |
| 0.000 | -0.000 | 0.000 | 0.000 | 0.000 | 0.000 |
| 0.000 | 0.000 | 0.000 | 0.000 | 0.000 | 420.551 |
| 592.514 | 248.588 | -0.000 | -0.000 | -0.000 | -0.000 |
| 248.588 | 592.514 | -0.000 | -0.000 | -0.000 | 0.000 |
| 0.000 | 0.000 | -0.000 | -0.000 | -0.000 | -0.000 |
| 0.000 | 0.000 | -0.000 | -0.000 | -0.000 | -0.000 |
| 0.000 | 0.000 | -0.000 | -0.000 | -0.000 | 0.000 |
| -0.000 | -0.000 | -0.000 | -0.000 | -0.000 | 420.551 |
| 592.516 | 248.589 | 0.000 | 0.000 | 0.000 | 0.000 |
| 248.589 | 592.516 | 0.000 | 0.000 | 0.000 | 0.000 |
| -0.000 | -0.000 | 0.000 | 0.000 | 0.000 | 0.000 |
| -0.000 | -0.000 | 0.000 | 0.000 | 0.000 | 0.000 |
| 0.000 | -0.000 | 0.000 | 0.000 | 0.000 | 0.000 |
| 0.000 | 0.001 | 0.000 | 0.000 | 0.000 | 420.551 |
| 592.513 | 248.587 | -0.000 | -0.000 | -0.000 | -0.000 |
| 248.587 | 592.513 | -0.000 | -0.000 | -0.000 | -0.000 |
| 0.000 | 0.000 | -0.000 | -0.000 | -0.000 | -0.000 |
| 0.000 | 0.000 | -0.000 | -0.000 | -0.000 | -0.000 |
| 0.000 | 0.000 | -0.000 | -0.000 | -0.000 | -0.000 |
| -0.000 | -0.001 | -0.000 | -0.000 | -0.000 | 420.551 |
| 827.344 | -26.976 | -26.976 | -0.000 | -0.000 | -0.000 |
| -26.976 | 827.344 | -26.976 | -0.000 | 0.000 | -0.000 |
| -26.976 | -26.976 | 827.344 | -0.000 | -0.000 | -0.000 |
| 0.083 | 0.083 | 0.083 | 214.101 | 0.000 | 0.000 |
| 0.083 | 0.083 | 0.083 | 0.000 | 214.101 | 0.000 |
| 0.083 | 0.083 | 0.083 | -0.000 | -0.000 | 214.101 |
| 827.031 | -27.151 | -27.151 | 0.000 | 0.000 | 0.000 |
| -27.151 | 827.031 | -27.151 | 0.000 | 0.000 | 0.000 |
| -27.151 | -27.151 | 827.031 | 0.000 | 0.000 | 0.000 |
| -0.083 | -0.083 | -0.083 | 214.101 | 0.000 | 0.000 |
| -0.083 | -0.083 | -0.083 | 0.000 | 214.101 | 0.000 |
| -0.083 | -0.083 | -0.083 | -0.000 | 0.000 | 214.101 |
| 827.183 | -27.212 | -27.212 | 0.000 | 0.000 | 0.000 |
| -27.212 | 827.183 | -27.212 | 0.000 | 0.000 | 0.000 |
| -27.212 | -27.212 | 827.183 | 0.000 | 0.000 | 0.000 |
| 0.008 | 0.008 | 0.008 | 214.108 | -0.000 | 0.000 |
| 0.008 | 0.008 | 0.008 | -0.000 | 214.108 | 0.000 |
| 0.008 | 0.008 | 0.008 | -0.000 | 0.000 | 214.108 |
| 827.178 | -27.075 | -27.075 | 0.000 | 0.000 | 0.000 |
| -27.075 | 827.178 | -27.075 | 0.000 | 0.000 | 0.000 |
| -27.075 | -27.075 | 827.178 | 0.000 | 0.000 | 0.000 |
| -0.008 | -0.008 | -0.008 | 214.108 | 0.000 | 0.000 |
| -0.008 | -0.008 | -0.008 | 0.000 | 214.108 | -0.000 |
| -0.008 | -0.008 | -0.008 | -0.000 | -0.000 | 214.108 |
| 827.199 | -27.065 | -27.065 | -0.000 | -0.000 | -0.000 |
| -27.065 | 827.199 | -27.065 | -0.000 | -0.000 | -0.000 |
| -27.065 | -27.065 | 827.199 | -0.000 | -0.000 | -0.000 |
| 0.001 | 0.002 | 0.002 | 158.479 | -0.000 | -0.000 |
| 0.002 | 0.001 | 0.002 | -0.000 | 158.479 | -0.000 |
| 0.002 | 0.002 | 0.001 | 0.000 | -0.000 | 158.479 |
| 827.164 | -27.227 | -27.227 | 0.000 | -0.000 | -0.000 |
| -27.227 | 827.164 | -27.227 | -0.000 | 0.000 | -0.000 |
| -27.227 | -27.227 | 827.164 | -0.000 | 0.000 | -0.000 |
| -0.001 | -0.002 | -0.002 | 158.479 | 0.000 | 0.000 |
| -0.002 | -0.001 | -0.002 | 0.000 | 158.479 | -0.000 |
| -0.002 | -0.002 | -0.001 | 0.000 | -0.000 | 158.479 |
| 969.308 | -182.593 | -0.000 | -0.000 | -0.000 | -0.000 |
| -182.593 | 969.307 | -0.000 | 0.000 | 0.000 | 0.000 |
| -0.000 | -0.000 | -0.000 | 0.000 | 0.000 | 0.000 |
| -0.000 | -0.000 | -0.000 | 0.000 | 0.000 | 0.000 |
| -0.000 | -0.000 | -0.000 | 0.000 | 0.000 | 0.000 |
| 0.000 | 0.000 | -0.000 | -0.000 | -0.000 | 575.950 |
| 969.308 | -182.593 | 0.000 | -0.000 | 0.000 | -0.000 |
| -182.593 | 969.307 | 0.000 | 0.000 | 0.000 | -0.000 |
| 0.000 | 0.000 | 0.000 | -0.000 | -0.000 | -0.000 |
| 0.000 | 0.000 | 0.000 | -0.000 | -0.000 | -0.000 |
| 0.000 | 0.000 | -0.000 | -0.000 | -0.000 | -0.000 |
| -0.000 | -0.000 | 0.000 | 0.000 | -0.000 | 575.950 |
| 934.400 | -147.685 | -0.000 | -0.000 | 0.000 | 0.000 |
| -147.744 | 934.458 | 0.000 | 0.000 | 0.000 | 0.000 |
| -0.000 | -0.000 | 0.000 | 0.000 | 0.000 | 0.000 |
| -0.000 | -0.000 | -0.000 | 0.000 | -0.000 | 0.000 |
| -0.000 | -0.000 | -0.000 | 0.000 | 0.000 | 0.000 |
| 0.000 | 0.000 | -0.000 | 0.000 | 0.000 | 541.042 |
| 934.457 | -147.744 | 0.000 | -0.000 | -0.000 | -0.000 |
| -147.685 | 934.399 | 0.000 | 0.000 | -0.000 | 0.000 |
| 0.000 | 0.000 | 0.000 | -0.000 | -0.000 | -0.000 |
| 0.000 | 0.000 | 0.000 | -0.000 | -0.000 | -0.000 |
| 0.000 | 0.000 | -0.000 | -0.000 | -0.000 | -0.000 |
| -0.000 | -0.000 | 0.000 | -0.000 | 0.000 | 541.042 |
| 969.311 | -182.593 | -0.000 | -0.000 | 0.000 | 0.000 |
| -147.681 | 934.398 | -0.000 | -0.000 | 0.000 | -0.000 |
| -0.000 | -0.000 | -0.000 | 0.000 | 0.000 | 0.000 |
| -0.000 | -0.000 | -0.000 | 0.000 | 0.000 | 0.000 |
| -0.000 | -0.000 | 0.000 | 0.000 | 0.000 | 0.000 |
| 0.000 | 0.000 | -0.000 | -0.000 | -0.000 | 575.950 |
| 934.984 | -148.273 | 0.000 | -0.000 | -0.000 | -0.000 |
| -147.096 | 933.807 | 0.000 | -0.000 | -0.000 | 0.000 |
| 0.000 | 0.000 | -0.000 | -0.000 | -0.000 | -0.000 |
| 0.000 | 0.000 | 0.000 | -0.000 | -0.000 | -0.000 |
| 0.000 | 0.000 | 0.000 | -0.000 | -0.000 | -0.000 |
| -0.000 | -0.000 | 0.000 | 0.000 | -0.000 | 575.950 |
| 866.010 | -136.876 | 0.000 | 0.000 | -0.000 | 0.000 |
| -136.876 | 866.009 | 0.000 | 0.000 | -0.000 | 0.000 |
| 0.000 | 0.000 | -0.000 | 0.000 | -0.000 | -0.000 |
| 0.000 | -0.000 | 0.000 | 0.000 | -0.000 | -0.000 |
| 0.000 | -0.000 | 0.000 | 0.000 | -0.000 | -0.000 |
| 0.000 | -0.000 | 0.000 | 0.000 | 0.000 | 533.796 |
| 866.009 | -136.875 | -0.000 | -0.000 | 0.000 | -0.000 |
| -136.876 | 866.009 | -0.000 | -0.000 | 0.000 | -0.000 |
| -0.000 | 0.000 | -0.000 | -0.000 | 0.000 | 0.000 |
| -0.000 | 0.000 | -0.000 | -0.000 | 0.000 | 0.000 |
| -0.000 | 0.000 | -0.000 | -0.000 | 0.000 | 0.000 |
| -0.000 | 0.000 | -0.000 | -0.000 | 0.000 | 501.442 |
| 866.010 | -136.876 | 0.000 | 0.000 | -0.000 | 0.000 |
| -136.930 | 866.064 | 0.000 | -0.000 | -0.000 | 0.000 |
| 0.000 | 0.000 | -0.000 | 0.000 | -0.000 | -0.000 |
| 0.000 | -0.000 | 0.000 | 0.000 | -0.000 | -0.000 |
| 0.000 | -0.000 | 0.000 | 0.000 | -0.000 | -0.000 |
| 0.000 | 0.000 | -0.000 | 0.000 | -0.000 | 501.443 |
| 866.009 | -136.875 | -0.000 | -0.000 | 0.000 | -0.000 |
| -136.821 | 865.955 | -0.000 | 0.000 | 0.000 | -0.000 |
| 0.000 | 0.000 | 0.000 | 0.000 | -0.000 | 0.000 |
| -0.000 | 0.000 | -0.000 | -0.000 | 0.000 | 0.000 |
| -0.000 | 0.000 | -0.000 | -0.000 | 0.000 | 0.000 |
| -0.000 | -0.000 | -0.000 | -0.000 | 0.000 | 501.443 |
| 866.017 | -136.880 | 0.000 | 0.000 | -0.000 | 0.000 |
| -136.876 | 866.013 | 0.000 | 0.000 | -0.000 | 0.000 |
| 0.000 | 0.000 | 0.000 | 0.000 | -0.000 | -0.000 |
| 0.000 | -0.000 | 0.000 | 0.000 | -0.000 | -0.000 |
| 0.000 | -0.000 | 0.000 | 0.000 | -0.000 | -0.000 |
| 0.000 | 0.001 | 0.000 | -0.000 | -0.000 | 501.443 |
| 866.002 | -136.872 | -0.000 | -0.000 | 0.000 | -0.000 |
| -136.875 | 866.006 | -0.000 | -0.000 | 0.000 | -0.000 |
| 0.000 | 0.000 | 0.000 | -0.000 | 0.000 | 0.000 |
| -0.000 | 0.000 | 0.000 | -0.000 | 0.000 | 0.000 |
| -0.000 | 0.000 | -0.000 | -0.000 | 0.000 | 0.000 |
| -0.000 | -0.001 | -0.000 | 0.000 | 0.000 | 501.443 |
| 898.283 | -169.214 | 0.000 | 0.000 | 0.000 | -0.000 |
| -169.214 | 898.283 | 0.000 | 0.000 | 0.000 | 0.000 |
| 0.000 | 0.000 | 0.000 | 0.000 | 0.000 | -0.000 |
| 0.000 | 0.000 | 0.000 | 0.000 | 0.000 | -0.000 |
| 0.000 | 0.000 | 0.000 | 0.000 | 0.000 | -0.000 |
| 0.000 | 0.000 | 0.000 | 0.000 | 0.000 | 533.749 |
| 898.283 | -169.214 | -0.000 | -0.000 | -0.000 | -0.000 |
| -169.214 | 898.283 | -0.000 | -0.000 | -0.000 | 0.000 |
| -0.000 | -0.000 | -0.000 | -0.000 | -0.000 | 0.000 |
| -0.000 | -0.000 | -0.000 | -0.000 | -0.000 | 0.000 |
| -0.000 | -0.000 | -0.000 | -0.000 | -0.000 | 0.000 |
| -0.000 | -0.000 | -0.000 | -0.000 | -0.000 | 533.749 |
| 898.283 | -169.214 | 0.000 | 0.000 | 0.000 | -0.000 |
| -136.863 | 865.932 | 0.000 | 0.000 | 0.000 | 0.000 |
| 0.000 | 0.000 | 0.000 | 0.000 | 0.000 | -0.000 |
| 0.000 | 0.000 | 0.000 | 0.000 | 0.000 | -0.000 |
| 0.000 | 0.000 | 0.000 | 0.000 | 0.000 | -0.000 |
| 0.000 | 0.000 | 0.000 | 0.000 | 0.000 | 533.749 |
| 865.932 | -136.863 | -0.000 | -0.000 | -0.000 | -0.000 |
| -136.863 | 865.931 | -0.000 | -0.000 | -0.000 | -0.000 |
| -0.000 | -0.000 | -0.000 | -0.000 | -0.000 | 0.000 |
| -0.000 | -0.000 | -0.000 | -0.000 | -0.000 | 0.000 |
| -0.000 | -0.000 | -0.000 | -0.000 | -0.000 | 0.000 |
| -0.000 | -0.000 | -0.000 | -0.000 | -0.000 | 533.749 |
| 865.391 | -136.319 | 0.000 | 0.000 | 0.000 | 0.000 |
| -136.999 | 866.071 | 0.000 | 0.000 | 0.000 | -0.000 |
| 0.000 | 0.000 | 0.000 | 0.000 | 0.000 | -0.000 |
| 0.000 | 0.000 | 0.000 | 0.000 | 0.000 | -0.000 |
| 0.000 | 0.000 | 0.000 | 0.000 | 0.000 | -0.000 |
| 0.000 | 0.000 | 0.000 | 0.000 | 0.000 | 533.749 |
| 865.925 | -136.859 | -0.000 | -0.000 | -0.000 | -0.000 |
| -169.214 | 898.280 | -0.000 | -0.000 | -0.000 | 0.000 |
| 0.000 | 0.000 | -0.000 | -0.000 | -0.000 | 0.000 |
| -0.000 | -0.000 | -0.000 | -0.000 | -0.000 | 0.000 |
| -0.000 | -0.000 | -0.000 | -0.000 | -0.000 | 0.000 |
| -0.000 | -0.000 | -0.000 | -0.000 | -0.000 | 533.749 |
| 540.741 | 41.465 | 41.012 | 0.000 | 0.000 | -0.000 |
| -699.777 | 214.842 | 495.749 | 0.000 | 0.000 | -0.000 |
| -684.611 | -68.167 | 718.941 | 0.000 | 0.000 | -0.000 |
| -751.629 | -134.583 | 419.078 | 125.811 | 0.000 | -0.000 |
| -751.167 | -134.516 | 418.838 | 0.000 | 144.351 | -0.000 |
| -218.995 | -64.451 | 150.440 | 0.000 | 0.000 | 237.123 |
| 540.741 | 41.465 | 41.012 | -0.000 | -0.000 | 0.000 |
| 271.625 | 542.229 | -98.643 | -0.000 | -0.000 | 0.000 |
| 281.148 | 118.790 | 265.283 | -0.000 | -0.000 | 0.000 |
| 751.629 | 134.583 | -419.078 | 125.811 | -0.000 | 0.000 |
| 751.167 | 134.516 | -418.838 | -0.000 | 144.351 | 0.000 |
| 218.995 | 64.451 | -150.440 | -0.000 | -0.000 | 237.123 |
| 174.163 | 59.292 | 144.638 | 0.000 | 0.000 | 0.000 |
| 25.424 | 436.464 | 80.432 | 0.000 | 0.000 | -0.000 |
| -137.766 | 3.239 | 78.872 | 0.000 | 0.000 | -0.000 |
| 0.000 | 0.000 | 0.000 | 230.576 | 0.000 | -0.000 |
| -28.761 | -8.464 | 19.758 | 0.000 | 195.765 | -0.000 |
| -29.416 | -8.657 | 20.208 | 0.000 | 0.000 | 227.197 |
| 498.491 | 60.276 | 38.874 | -0.000 | 0.000 | 0.000 |
| 167.835 | 327.910 | 21.397 | -0.000 | 0.000 | 0.000 |
| 204.937 | 85.536 | 112.405 | -0.000 | -0.000 | 0.000 |
| -0.000 | -0.000 | -0.000 | 230.576 | 0.000 | 0.000 |
| 28.761 | 8.464 | -19.758 | -0.000 | 195.765 | 0.000 |
| 29.416 | 8.657 | -20.208 | -0.000 | -0.000 | 227.197 |
| 252.484 | 71.308 | 91.383 | 0.000 | 0.000 | -0.000 |
| 47.673 | 232.780 | 72.250 | 0.000 | 0.000 | -0.000 |
| 80.889 | 78.130 | 165.241 | 0.000 | -0.000 | -0.000 |
| -6.333 | -1.864 | 4.350 | 129.076 | -0.000 | -0.000 |
| -6.194 | -1.823 | 4.255 | 0.000 | 148.761 | -0.000 |
| -11.202 | -1.560 | 5.745 | 0.000 | 0.000 | 135.892 |
| 355.470 | 78.692 | 76.776 | -0.000 | -0.000 | 0.000 |
| 41.465 | 538.431 | 40.373 | -0.000 | -0.000 | 0.000 |
| -10.766 | -28.354 | 15.261 | 0.000 | 0.000 | 0.000 |
| 6.333 | 1.864 | -4.350 | 129.076 | -0.000 | 0.000 |
| 6.194 | 1.823 | -4.255 | -0.000 | 148.761 | 0.000 |
| 11.202 | 1.560 | -5.745 | -0.000 | -0.000 | 135.892 |
| 663.493 | -617.782 | 618.022 | 0.000 | 0.000 | -0.000 |
| 270.676 | -228.639 | 619.847 | 0.000 | -0.000 | -0.000 |
| 280.408 | -610.727 | 942.680 | 0.000 | -0.000 | -0.000 |
| 3225.433 | -1482.395 | -1247.796 | 1.179 | 0.000 | -0.000 |
| 3161.839 | -2043.772 | -361.340 | 0.000 | 22.858 | -0.000 |
| 231.526 | -657.863 | 567.435 | 0.000 | 0.000 | 219.266 |
| 199.857 | 698.268 | -516.962 | -0.000 | 0.000 | 0.000 |
| -192.429 | 1087.542 | -515.071 | -0.000 | 0.000 | 0.000 |
| -182.609 | 705.067 | -192.422 | -0.000 | -0.000 | -0.000 |
| -3225.433 | 1482.395 | 1247.796 | 1.179 | -0.000 | 0.000 |
| -3161.839 | 2043.772 | 361.340 | -0.000 | 22.858 | 0.000 |
| -231.526 | 657.863 | -567.435 | -0.000 | -0.000 | 219.266 |
| 440.712 | -162.555 | 207.972 | 0.000 | -0.000 | -0.000 |
| 270.151 | -61.650 | 131.707 | 0.000 | 0.000 | -0.000 |
| 209.766 | -167.632 | 387.904 | 0.000 | -0.000 | -0.000 |
| 23.334 | -66.301 | 57.187 | 173.500 | 0.000 | -0.000 |
| 23.311 | -66.236 | 57.132 | 0.000 | 182.603 | -0.000 |
| 23.320 | -66.261 | 57.153 | 0.000 | -0.000 | 219.046 |
| 404.907 | 107.373 | -6.254 | -0.000 | 0.000 | -0.000 |
| -83.995 | 533.953 | -77.398 | -0.000 | -0.000 | 0.000 |
| 25.842 | 114.225 | 315.699 | -0.000 | -0.000 | -0.000 |
| -23.334 | 66.301 | -57.187 | 173.500 | -0.000 | 0.000 |
| -23.311 | 66.236 | -57.132 | 0.000 | 182.603 | -0.000 |
| -23.320 | 66.261 | -57.153 | -0.000 | 0.000 | 219.046 |
| 398.581 | 32.537 | 69.926 | 0.000 | -0.000 | -0.000 |
| 46.213 | 178.401 | 12.072 | 0.000 | -0.000 | 0.000 |
| -26.195 | -53.854 | -48.840 | -0.000 | -0.000 | -0.000 |
| 0.000 | 0.000 | 0.000 | 211.225 | 0.000 | -0.000 |
| 19.365 | -20.547 | 6.000 | -0.000 | 81.614 | 0.000 |
| 15.977 | -26.247 | 16.491 | 0.000 | 0.000 | 141.628 |
| 496.181 | 28.690 | 38.973 | -0.000 | 0.000 | 0.000 |
| 38.297 | 246.067 | 58.069 | -0.000 | -0.000 | 0.000 |
| 1.220 | 33.490 | 87.890 | 0.000 | -0.000 | -0.000 |
| -0.000 | -0.000 | -0.000 | 211.225 | 0.000 | 0.000 |
| -19.365 | 20.547 | -6.000 | -0.000 | 81.614 | -0.000 |
| -15.977 | 26.247 | -16.491 | -0.000 | 0.000 | 141.628 |
| 1220.822 | 56.542 | 0.648 | 0.000 | -0.000 | -0.000 |
| 59.861 | 1220.480 | -2.314 | -0.000 | -0.000 | 0.000 |
| -21.467 | -21.467 | 1319.271 | -0.000 | -0.000 | -0.000 |
| 0.000 | -0.000 | 0.000 | 548.235 | -0.000 | -0.000 |
| -0.000 | 0.000 | 0.000 | 0.000 | 548.235 | 0.000 |
| 0.000 | 0.000 | 0.000 | -0.000 | -0.000 | 609.525 |
| 1220.848 | 56.585 | 0.579 | -0.000 | 0.000 | 0.000 |
| 59.895 | 1220.513 | -2.381 | -0.000 | 0.000 | -0.000 |
| -1.813 | -1.813 | 1280.168 | -0.000 | -0.000 | 0.000 |
| -0.000 | 0.000 | -0.000 | 548.235 | 0.000 | 0.000 |
| 0.000 | -0.000 | -0.000 | -0.000 | 548.235 | 0.000 |
| -0.000 | -0.000 | -0.000 | 0.000 | 0.000 | 609.525 |
| 1259.586 | 40.534 | -21.985 | -0.000 | -0.000 | -0.000 |
| 56.539 | 1220.892 | 0.585 | -0.000 | -0.000 | -0.000 |
| -1.831 | -1.831 | 1280.209 | 0.000 | -0.000 | -0.000 |
| -0.001 | -0.002 | 0.004 | 538.360 | 0.000 | -0.000 |
| -0.002 | -0.001 | 0.004 | -0.000 | 538.360 | -0.000 |
| -0.002 | -0.002 | 0.004 | -0.000 | -0.000 | 580.309 |
| 1220.783 | 56.585 | 0.639 | -0.000 | 0.000 | 0.000 |
| 56.565 | 1220.833 | 0.610 | -0.000 | 0.000 | 0.000 |
| -1.828 | -1.828 | 1280.194 | -0.000 | 0.000 | 0.000 |
| 0.001 | 0.002 | -0.004 | 538.360 | -0.000 | -0.000 |
| 0.002 | 0.001 | -0.004 | 0.000 | 538.360 | 0.000 |
| 0.002 | 0.002 | -0.004 | -0.000 | 0.000 | 580.309 |
| 1220.482 | 55.909 | 1.140 | 0.000 | 0.000 | 0.000 |
| 40.054 | 1259.094 | -21.617 | 0.000 | -0.000 | -0.000 |
| -21.617 | -21.617 | 1320.765 | -0.000 | -0.000 | -0.000 |
| -0.000 | -0.000 | 0.000 | 537.967 | -0.000 | 0.000 |
| -0.000 | -0.000 | 0.000 | -0.000 | 537.967 | 0.000 |
| -0.000 | -0.000 | 0.000 | 0.000 | 0.000 | 580.448 |
| 1220.140 | 59.245 | -1.852 | 0.000 | 0.000 | -0.000 |
| 59.244 | 1220.140 | -1.852 | 0.000 | 0.000 | 0.000 |
| -21.616 | -21.616 | 1320.765 | 0.000 | 0.000 | 0.000 |
| 0.000 | 0.000 | -0.000 | 537.967 | 0.000 | -0.000 |
| 0.000 | 0.000 | -0.000 | 0.000 | 537.967 | -0.000 |
| 0.000 | 0.000 | -0.000 | -0.000 | -0.000 | 580.448 |
| 1259.095 | 40.054 | -21.616 | -0.000 | -0.000 | -0.000 |
| 55.910 | 1220.483 | 1.140 | -0.000 | -0.000 | 0.000 |
| -21.617 | -21.616 | 1320.766 | -0.000 | -0.000 | -0.000 |
| 0.000 | -0.000 | 0.000 | 547.850 | 0.000 | -0.000 |
| -0.000 | 0.000 | 0.000 | -0.000 | 537.967 | -0.000 |
| -0.000 | 0.000 | 0.000 | 0.000 | 0.000 | 580.448 |
| 1220.482 | 55.909 | 1.140 | -0.000 | 0.000 | -0.000 |
| 40.054 | 1259.094 | -21.617 | -0.000 | -0.000 | 0.000 |
| -21.617 | -21.617 | 1320.765 | 0.000 | -0.000 | -0.000 |
| -0.000 | 0.000 | -0.000 | 547.850 | -0.000 | -0.000 |
| 0.000 | -0.000 | -0.000 | 0.000 | 537.967 | -0.000 |
| 0.000 | -0.000 | -0.000 | -0.000 | -0.000 | 580.448 |
| 1220.484 | 55.911 | 1.141 | 0.000 | -0.000 | 0.000 |
| 59.246 | 1220.141 | -1.851 | 0.000 | -0.000 | 0.000 |
| -1.852 | -1.852 | 1281.240 | 0.000 | -0.000 | 0.000 |
| 0.000 | -0.000 | 0.000 | 537.967 | 0.000 | 0.000 |
| -0.000 | 0.000 | 0.000 | 0.000 | 537.967 | -0.000 |
| -0.000 | 0.000 | 0.000 | -0.000 | -0.000 | 580.448 |
| 1220.138 | 59.243 | -1.853 | -0.000 | -0.000 | -0.000 |
| 40.054 | 1259.091 | -21.617 | 0.000 | 0.000 | 0.000 |
| -1.852 | -1.852 | 1281.233 | -0.000 | 0.000 | -0.000 |
| -0.000 | 0.000 | -0.000 | 537.967 | -0.000 | 0.000 |
| 0.000 | -0.000 | -0.000 | -0.000 | 537.967 | -0.000 |
| 0.000 | -0.000 | -0.000 | -0.000 | 0.000 | 580.448 |
| 1258.748 | 40.192 | -21.983 | -0.000 | -0.000 | -0.000 |
| 40.192 | 1258.748 | -21.983 | 0.000 | 0.000 | 0.000 |
| -21.636 | -21.636 | 1319.028 | 0.000 | 0.000 | 0.000 |
| 0.000 | 0.000 | -0.000 | 547.926 | -0.000 | -0.000 |
| -34.149 | -34.149 | 68.057 | -0.000 | 537.829 | -0.000 |
| 0.000 | 0.000 | -0.000 | -0.000 | -0.000 | 609.278 |
| 1258.748 | 40.192 | -21.983 | 0.000 | 0.000 | -0.000 |
| 40.192 | 1258.748 | -21.983 | -0.000 | 0.000 | 0.000 |
| 31.369 | 31.369 | 1213.390 | -0.000 | 0.000 | 0.000 |
| -0.000 | -0.000 | 0.000 | 547.926 | 0.000 | -0.000 |
| 34.149 | 34.149 | -68.057 | 0.000 | 537.829 | 0.000 |
| -0.000 | -0.000 | 0.000 | 0.000 | 0.000 | 609.278 |
| 1216.367 | 55.992 | 4.506 | 0.000 | 0.000 | 0.000 |
| 40.192 | 1258.749 | -21.983 | 0.000 | 0.000 | -0.000 |
| -5.337 | -5.337 | 1286.544 | 0.000 | 0.000 | -0.000 |
| -3.343 | -3.343 | 6.662 | 538.042 | 0.000 | 0.000 |
| -3.340 | -3.340 | 6.656 | -0.000 | 538.070 | 0.000 |
| 0.000 | 0.000 | 0.000 | 0.000 | 0.000 | 609.278 |
| 1225.622 | 65.528 | -14.220 | -0.000 | 0.000 | -0.000 |
| 40.192 | 1258.748 | -21.983 | 0.000 | 0.000 | 0.000 |
| 1.350 | 1.350 | 1273.217 | -0.000 | -0.000 | 0.000 |
| 3.343 | 3.343 | -6.662 | 538.042 | -0.000 | 0.000 |
| 3.340 | 3.340 | -6.656 | 0.000 | 538.070 | -0.000 |
| -0.000 | -0.000 | -0.000 | 0.000 | 0.000 | 609.278 |
| 1224.423 | 52.633 | -0.172 | 0.000 | 0.000 | 0.000 |
| 52.630 | 1224.430 | -0.176 | -0.000 | -0.000 | 0.000 |
| -2.333 | -2.333 | 1280.562 | -0.000 | -0.000 | 0.000 |
| -0.334 | -0.334 | 0.666 | 538.069 | -0.000 | 0.000 |
| -0.000 | 0.000 | 0.000 | -0.000 | 547.926 | -0.000 |
| -0.370 | -0.370 | 0.738 | 0.000 | 0.000 | 579.841 |
| 1225.027 | 53.390 | -1.537 | 0.000 | 0.000 | -0.000 |
| 53.390 | 1225.027 | -1.537 | -0.000 | 0.000 | -0.000 |
| -1.666 | -1.666 | 1279.225 | -0.000 | -0.000 | -0.000 |
| 0.334 | 0.334 | -0.666 | 538.069 | 0.000 | -0.000 |
| 0.000 | -0.000 | -0.000 | 0.000 | 547.926 | -0.000 |
| 0.370 | 0.370 | -0.738 | -0.000 | -0.000 | 579.841 |
| 1259.095 | 40.054 | -21.616 | -0.000 | -0.000 | 0.000 |
| 62.400 | 1222.108 | -6.975 | 0.000 | -0.000 | 0.000 |
| -21.616 | -21.616 | 1320.765 | -0.000 | -0.000 | -0.000 |
| 0.000 | 0.000 | 0.000 | 547.850 | -0.000 | 0.000 |
| 0.000 | 0.000 | 0.000 | -0.000 | 537.967 | 0.000 |
| 0.000 | 0.000 | -0.000 | 0.000 | -0.000 | 580.116 |
| 1259.094 | 40.054 | -21.617 | -0.000 | -0.000 | -0.000 |
| 62.399 | 1222.107 | -6.975 | -0.000 | 0.000 | 0.000 |
| -21.617 | -21.617 | 1320.765 | -0.000 | 0.000 | -0.000 |
| -0.000 | -0.000 | -0.000 | 547.850 | 0.000 | 0.000 |
| -0.000 | -0.000 | -0.000 | 0.000 | 537.967 | -0.000 |
| -0.000 | -0.000 | 0.000 | 0.000 | 0.000 | 580.116 |
| 1225.084 | 52.787 | -0.338 | -0.000 | -0.000 | 0.000 |
| 52.787 | 1225.084 | -0.338 | -0.000 | -0.000 | 0.000 |
| -21.616 | -21.616 | 1320.766 | -0.000 | -0.000 | 0.000 |
| 0.000 | -0.000 | 0.000 | 537.967 | -0.000 | -0.000 |
| -0.000 | 0.000 | 0.000 | -0.000 | 537.967 | 0.000 |
| 0.000 | 0.000 | 0.000 | -0.000 | -0.000 | 609.520 |
| 1259.094 | 40.054 | -21.617 | -0.000 | -0.000 | -0.000 |
| 52.788 | 1225.080 | -0.336 | 0.000 | 0.000 | -0.000 |
| -21.617 | -21.617 | 1320.765 | -0.000 | 0.000 | -0.000 |
| -0.000 | 0.000 | -0.000 | 537.967 | 0.000 | 0.000 |
| 0.000 | -0.000 | -0.000 | 0.000 | 537.967 | -0.000 |
| -0.000 | -0.000 | -0.000 | 0.000 | 0.000 | 609.520 |
| 1222.110 | 62.400 | -6.974 | 0.000 | 0.000 | 0.000 |
| 62.390 | 1222.138 | -6.992 | 0.000 | 0.000 | 0.000 |
| -1.852 | -1.852 | 1281.240 | 0.000 | 0.000 | 0.000 |
| 0.000 | -0.000 | 0.000 | 537.967 | 0.000 | -0.000 |
| -0.000 | 0.000 | 0.000 | 0.000 | 547.850 | -0.000 |
| -0.000 | 0.000 | 0.000 | 0.000 | -0.000 | 585.304 |
| 1225.081 | 52.786 | -0.339 | 0.000 | 0.000 | -0.000 |
| 52.786 | 1225.081 | -0.339 | 0.000 | 0.000 | -0.000 |
| -21.617 | -21.617 | 1320.760 | -0.000 | -0.000 | -0.000 |
| -0.000 | 0.000 | -0.000 | 537.967 | -0.000 | -0.000 |
| 0.000 | -0.000 | -0.000 | -0.000 | 547.850 | -0.000 |
| 0.000 | -0.000 | -0.000 | -0.000 | 0.000 | 585.304 |
| 1118.545 | -33.240 | 191.243 | 0.000 | 0.000 | 0.000 |
| -1.530 | 1166.567 | 111.780 | 0.000 | 0.000 | -0.000 |
| -21.600 | -21.600 | 1319.317 | 0.000 | 0.000 | -0.000 |
| -57.436 | -57.436 | 114.486 | 538.170 | -0.000 | 0.000 |
| -99.120 | -99.120 | 197.572 | -0.000 | 531.004 | 0.000 |
| -57.156 | -57.156 | 113.926 | 0.000 | 0.000 | 584.091 |
| 1258.961 | 40.240 | -21.933 | 0.000 | -0.000 | -0.000 |
| 112.649 | 1280.968 | -116.031 | -0.000 | 0.000 | 0.000 |
| 93.978 | 93.978 | 1088.941 | -0.000 | -0.000 | 0.000 |
| 57.436 | 57.436 | -114.486 | 538.170 | 0.000 | 0.000 |
| 99.120 | 99.120 | -197.572 | 0.000 | 531.004 | 0.000 |
| 57.156 | 57.156 | -113.926 | -0.000 | -0.000 | 584.091 |
| 1217.795 | 46.404 | 12.952 | -0.000 | -0.000 | -0.000 |
| 40.240 | 1258.962 | -21.933 | 0.000 | 0.000 | 0.000 |
| -5.092 | -5.092 | 1286.413 | 0.000 | 0.000 | 0.000 |
| -7.292 | -7.292 | 14.536 | 535.489 | -0.000 | -0.000 |
| -0.000 | 0.000 | 0.000 | 0.000 | 547.976 | -0.000 |
| -7.044 | -7.044 | 14.040 | 0.000 | 0.000 | 583.549 |
| 1258.961 | 40.240 | -21.933 | -0.000 | -0.000 | 0.000 |
| 61.318 | 1227.752 | -11.836 | -0.000 | -0.000 | 0.000 |
| 5.363 | 5.363 | 1265.572 | -0.000 | -0.000 | 0.000 |
| 5.768 | 5.768 | -11.498 | 538.128 | -0.000 | 0.000 |
| 0.000 | -0.000 | -0.000 | -0.000 | 547.976 | 0.000 |
| 7.044 | 7.044 | -14.040 | -0.000 | -0.000 | 583.549 |
| 1225.833 | 51.464 | -0.098 | 0.000 | 0.000 | -0.000 |
| 51.459 | 1225.847 | -0.107 | 0.000 | 0.000 | -0.000 |
| -2.501 | -2.501 | 1281.252 | 0.000 | 0.000 | -0.000 |
| -0.578 | -0.579 | 1.153 | 538.072 | 0.000 | -0.000 |
| -0.579 | -0.578 | 1.153 | 0.000 | 538.072 | -0.000 |
| -0.621 | -0.621 | 1.239 | -0.000 | -0.000 | 586.595 |
| 1221.528 | 57.485 | -1.816 | 0.000 | 0.000 | 0.000 |
| 52.722 | 1226.912 | -2.435 | -0.000 | -0.000 | 0.000 |
| -1.369 | -1.369 | 1278.988 | -0.000 | -0.000 | -0.000 |
| 0.578 | 0.579 | -1.153 | 538.072 | -0.000 | 0.000 |
| 0.579 | 0.578 | -1.153 | -0.000 | 538.072 | -0.000 |
| 0.621 | 0.621 | -1.239 | 0.000 | 0.000 | 586.595 |
| 1197.355 | 20.506 | 59.283 | -0.000 | -0.000 | -0.000 |
| 40.260 | 1259.058 | -21.907 | 0.000 | -0.000 | -0.000 |
| -32.742 | -32.742 | 1341.702 | 0.000 | 0.000 | 0.000 |
| -0.000 | -0.000 | -0.000 | 547.998 | -0.000 | 0.000 |
| -0.000 | 0.000 | -0.000 | -0.000 | 547.998 | -0.000 |
| -0.000 | -0.000 | -0.000 | 0.000 | 0.000 | 609.399 |
| 1255.282 | 84.219 | -61.958 | -0.000 | -0.000 | 0.000 |
| 40.260 | 1259.058 | -21.907 | 0.000 | 0.000 | 0.000 |
| -21.584 | -21.584 | 1319.459 | -0.000 | 0.000 | 0.000 |
| 0.000 | 0.000 | 0.000 | 547.998 | 0.000 | 0.000 |
| -0.000 | -0.000 | 0.000 | 0.000 | 547.998 | -0.000 |
| 0.000 | 0.000 | 0.000 | -0.000 | -0.000 | 609.399 |
| 1224.304 | 48.392 | 4.628 | -0.000 | -0.000 | -0.000 |
| 48.392 | 1224.304 | 4.628 | -0.000 | -0.000 | -0.000 |
| -21.584 | -21.584 | 1319.459 | 0.000 | 0.000 | -0.000 |
| 0.000 | -0.000 | 0.000 | 547.998 | 0.000 | -0.000 |
| -0.000 | 0.000 | 0.000 | 0.000 | 547.998 | -0.000 |
| 0.000 | 0.000 | 0.000 | 0.000 | 0.000 | 609.399 |
| 1259.057 | 40.260 | -21.907 | 0.000 | -0.000 | -0.000 |
| 40.260 | 1259.057 | -21.907 | -0.000 | -0.000 | -0.000 |
| -21.584 | -21.584 | 1319.458 | -0.000 | -0.000 | 0.000 |
| -0.000 | 0.000 | -0.000 | 547.998 | -0.000 | 0.000 |
| 0.000 | -0.000 | -0.000 | -0.000 | 547.998 | -0.000 |
| -0.000 | -0.000 | -0.000 | -0.000 | -0.000 | 609.399 |
| 1226.953 | 51.290 | -0.897 | 0.000 | 0.000 | -0.000 |
| 54.969 | 1225.667 | -3.282 | -0.000 | -0.000 | -0.000 |
| -2.226 | -2.226 | 1280.873 | 0.000 | 0.000 | 0.000 |
| -0.305 | -0.306 | 0.610 | 538.131 | 0.000 | -0.000 |
| -0.000 | 0.000 | 0.000 | -0.000 | 547.998 | -0.000 |
| -0.323 | -0.322 | 0.644 | -0.000 | -0.000 | 587.417 |
| 1227.523 | 51.943 | -2.124 | -0.000 | -0.000 | 0.000 |
| 40.260 | 1259.054 | -21.908 | -0.000 | -0.000 | -0.000 |
| -1.615 | -1.615 | 1279.648 | 0.000 | 0.000 | -0.000 |
| 0.305 | 0.306 | -0.610 | 538.131 | -0.000 | -0.000 |
| 0.000 | -0.000 | -0.000 | 0.000 | 547.998 | -0.000 |
| 0.323 | 0.322 | -0.644 | 0.000 | 0.000 | 587.417 |
| 1259.094 | 40.054 | -21.617 | -0.000 | -0.000 | 0.000 |
| 40.054 | 1259.095 | -21.617 | -0.000 | -0.000 | 0.000 |
| -1.852 | -1.852 | 1281.236 | 0.000 | 0.000 | 0.000 |
| -0.000 | -0.000 | -0.000 | 537.967 | -0.000 | 0.000 |
| -0.000 | -0.000 | -0.000 | -0.000 | 547.850 | 0.000 |
| -0.000 | -0.000 | -0.000 | -0.000 | -0.000 | 587.595 |
| 1259.095 | 40.054 | -21.616 | -0.000 | -0.000 | -0.000 |
| 51.322 | 1227.309 | -1.099 | -0.000 | -0.000 | -0.000 |
| -1.852 | -1.852 | 1281.236 | 0.000 | 0.000 | -0.000 |
| 0.000 | 0.000 | 0.000 | 537.967 | 0.000 | -0.000 |
| 0.000 | 0.000 | 0.000 | 0.000 | 547.850 | -0.000 |
| 0.000 | 0.000 | 0.000 | 0.000 | 0.000 | 587.595 |
| 1259.095 | 40.054 | -21.616 | 0.000 | 0.000 | -0.000 |
| 40.054 | 1259.095 | -21.616 | -0.000 | 0.000 | 0.000 |
| -21.616 | -21.617 | 1320.766 | 0.000 | 0.000 | 0.000 |
| 0.000 | -0.000 | 0.000 | 547.850 | -0.000 | 0.000 |
| -0.000 | 0.000 | 0.000 | 0.000 | 547.850 | 0.000 |
| -0.000 | 0.000 | 0.000 | -0.000 | -0.000 | 587.595 |
| 1227.309 | 51.322 | -1.099 | 0.000 | 0.000 | 0.000 |
| 51.322 | 1227.309 | -1.099 | 0.000 | 0.000 | -0.000 |
| -1.852 | -1.852 | 1281.236 | -0.000 | -0.000 | -0.000 |
| -0.000 | 0.000 | -0.000 | 547.850 | 0.000 | -0.000 |
| 0.000 | -0.000 | -0.000 | -0.000 | 547.850 | -0.000 |
| 0.000 | -0.000 | -0.000 | 0.000 | 0.000 | 587.595 |
| 1226.085 | 54.992 | -3.541 | -0.000 | -0.000 | 0.000 |
| 40.054 | 1259.098 | -21.616 | 0.000 | 0.000 | 0.000 |
| -1.852 | -1.852 | 1281.240 | 0.000 | -0.000 | 0.000 |
| 0.000 | -0.000 | 0.000 | 547.850 | 0.000 | 0.000 |
| -0.000 | 0.000 | 0.000 | 0.000 | 537.967 | 0.000 |
| -0.000 | 0.000 | 0.000 | -0.000 | -0.000 | 587.595 |
| 1226.056 | 54.999 | -3.527 | 0.000 | 0.000 | -0.000 |
| 40.054 | 1259.091 | -21.617 | -0.000 | 0.000 | 0.000 |
| -1.851 | -1.851 | 1281.230 | -0.000 | -0.000 | -0.000 |
| -0.000 | 0.000 | -0.000 | 547.850 | -0.000 | -0.000 |
| 0.000 | -0.000 | -0.000 | -0.000 | 537.967 | -0.000 |
| 0.000 | -0.000 | -0.000 | 0.000 | 0.000 | 587.595 |
| 1225.809 | 52.614 | -1.392 | 14.463 | 0.000 | 0.000 |
| 59.495 | 1223.670 | -6.122 | -15.162 | -0.000 | -0.000 |
| -1.737 | -1.737 | 1279.724 | 0.000 | 0.000 | -0.000 |
| 14.817 | -14.428 | -0.387 | 537.971 | -0.000 | 0.000 |
| -0.000 | 0.000 | 0.000 | 0.000 | 547.911 | 17.439 |
| 0.000 | 0.001 | 0.000 | 0.000 | 17.439 | 609.330 |
| 1219.767 | 59.061 | -1.804 | 14.634 | -0.000 | -0.000 |
| 52.183 | 1225.444 | -0.607 | -14.467 | -0.000 | 0.000 |
| -21.631 | -21.631 | 1319.393 | -0.000 | -0.000 | -0.000 |
| 14.450 | -14.835 | 0.383 | 538.045 | 0.000 | -0.000 |
| 0.000 | -0.000 | -0.000 | -0.000 | 547.911 | 17.439 |
| -0.000 | -0.001 | -0.000 | -0.000 | 17.439 | 609.330 |
| 466.149 | 34.186 | 34.186 | -0.000 | 0.000 | 0.000 |
| 34.186 | 466.149 | 34.186 | -0.000 | -0.000 | -0.000 |
| 34.186 | 34.186 | 466.149 | -0.000 | 0.000 | 0.000 |
| -0.000 | -0.000 | -0.000 | 215.982 | 0.000 | 0.000 |
| -0.000 | -0.000 | -0.000 | -0.000 | 215.982 | 0.000 |
| -0.000 | 0.000 | -0.000 | -0.000 | 0.000 | 215.982 |
| 526.900 | 165.805 | 165.805 | 0.000 | -0.000 | 0.000 |
| 165.805 | 526.900 | 165.805 | 0.000 | -0.000 | 0.000 |
| 165.805 | 165.805 | 526.900 | 0.000 | -0.000 | -0.000 |
| -0.000 | -0.000 | 0.000 | 215.982 | -0.000 | -0.000 |
| 0.000 | 0.000 | 0.000 | 0.000 | 215.982 | -0.000 |
| 0.000 | -0.000 | 0.000 | 0.000 | -0.000 | 215.982 |
| 0.918 | -13.104 | -13.104 | -0.000 | 0.000 | 0.000 |
| -50.936 | -55.583 | -50.936 | -0.000 | 0.000 | -0.000 |
| -13.104 | -13.104 | 0.918 | -0.000 | 0.000 | 0.000 |
| 0.000 | -0.000 | 0.000 | 215.982 | -0.000 | -0.000 |
| 0.000 | 0.000 | 0.000 | -0.000 | 215.982 | 0.000 |
| -0.000 | 0.000 | 0.000 | 0.000 | 0.000 | 215.982 |
| 466.149 | 34.186 | 34.186 | -0.000 | -0.000 | -0.000 |
| 34.186 | 466.149 | 34.186 | 0.000 | -0.000 | -0.000 |
| 34.186 | 34.186 | 466.149 | 0.000 | -0.000 | -0.000 |
| -0.000 | 0.000 | -0.000 | 215.982 | -0.000 | -0.000 |
| 0.000 | -0.000 | -0.000 | 0.000 | 215.982 | 0.000 |
| 0.000 | -0.000 | -0.000 | -0.000 | -0.000 | 215.982 |
| 20.059 | -53.058 | -53.058 | 0.000 | 0.000 | -0.000 |
| -53.058 | 20.059 | -53.058 | -0.000 | 0.000 | 0.000 |
| -53.058 | -53.058 | 20.059 | -0.000 | 0.000 | -0.000 |
| -8.211 | -8.211 | -8.211 | 54.426 | 0.000 | -0.000 |
| -8.211 | -8.211 | -8.211 | -0.000 | 54.426 | 0.000 |
| -8.211 | -8.211 | -8.211 | -0.000 | 0.000 | 54.426 |
| 45.260 | -25.318 | -25.318 | 0.000 | -0.000 | -0.000 |
| -25.270 | 45.309 | -25.270 | 0.000 | 0.000 | -0.000 |
| 73.863 | 73.863 | 198.623 | 0.000 | 0.000 | -0.000 |
| 8.211 | 8.211 | 8.211 | 54.426 | -0.000 | 0.000 |
| 8.211 | 8.211 | 8.211 | -0.000 | 54.426 | -0.000 |
| 8.211 | 8.211 | 8.211 | 0.000 | -0.000 | 54.426 |
| 604.227 | 284.761 | 284.762 | -0.000 | -0.000 | 0.000 |
| 284.762 | 604.227 | 284.761 | -0.000 | -0.000 | -0.000 |
| 284.762 | 284.761 | 604.227 | -0.000 | 0.000 | 0.000 |
| -0.000 | -0.000 | 0.000 | 199.391 | 0.000 | -0.000 |
| 0.000 | -0.000 | 0.000 | 0.000 | 199.391 | 0.000 |
| 0.000 | -0.000 | 0.000 | -0.000 | -0.000 | 199.391 |
| -1529.110 | -1478.053 | -1478.054 | -0.000 | 0.000 | 0.000 |
| -1478.054 | -1529.110 | -1478.053 | -0.000 | -0.000 | -0.000 |
| -1478.054 | -1478.053 | -1529.110 | 0.000 | -0.000 | 0.000 |
| 0.000 | 0.000 | -0.000 | 199.391 | -0.000 | -0.000 |
| 0.000 | 0.000 | -0.000 | 0.000 | 199.391 | 0.000 |
| -0.000 | -0.000 | -0.000 | -0.000 | -0.000 | 199.391 |
| 430.343 | 31.560 | 31.560 | 0.000 | -0.000 | 0.000 |
| 31.560 | 430.343 | 31.560 | -0.000 | 0.000 | 0.000 |
| 31.560 | 31.560 | 430.343 | 0.000 | 0.000 | -0.000 |
| 33.492 | 33.492 | 33.492 | 145.031 | 0.000 | 0.000 |
| 33.492 | 33.492 | 33.492 | 0.000 | 145.031 | -0.000 |
| 33.492 | 33.492 | 33.492 | 0.000 | -0.000 | 145.031 |
| -106.442 | -78.946 | -78.946 | 0.000 | 0.000 | -0.000 |
| -78.946 | -106.442 | -78.946 | 0.000 | 0.000 | 0.000 |
| -78.946 | -78.946 | -106.442 | 0.000 | -0.000 | 0.000 |
| -33.492 | -33.492 | -33.492 | 145.031 | -0.000 | -0.000 |
| -33.492 | -33.492 | -33.492 | 0.000 | 145.031 | -0.000 |
| -33.492 | -33.492 | -33.492 | 0.000 | 0.000 | 145.031 |
| 51.229 | -13.406 | -13.406 | -0.000 | 0.000 | 0.000 |
| -13.351 | 51.304 | -13.351 | -0.000 | 0.000 | 0.000 |
| 67.848 | 67.848 | 146.681 | -0.000 | -0.000 | -0.000 |
| 9.861 | 9.861 | 9.861 | 58.603 | -0.000 | 0.000 |
| 7.307 | 7.307 | 7.307 | 0.000 | 80.790 | 0.000 |
| 9.861 | 9.861 | 9.861 | -0.000 | -0.000 | 58.603 |
| 155.552 | 55.746 | 55.746 | -0.000 | 0.000 | -0.000 |
| 55.746 | 155.552 | 55.746 | 0.000 | -0.000 | -0.000 |
| 55.746 | 55.746 | 155.552 | 0.000 | 0.000 | 0.000 |
| -9.861 | -9.861 | -9.861 | 58.603 | 0.000 | 0.000 |
| -7.307 | -7.307 | -7.307 | 0.000 | 80.790 | -0.000 |
| -9.861 | -9.861 | -9.861 | 0.000 | -0.000 | 58.603 |
| 1238.189 | -233.244 | 0.000 | 0.000 | 0.000 | -0.000 |
| -188.652 | 1193.597 | 0.000 | 0.000 | 0.000 | 0.000 |
| 0.000 | 0.000 | 0.000 | 0.000 | 0.000 | -0.000 |
| 0.000 | 0.000 | 0.000 | 0.000 | 0.000 | -0.000 |
| 0.000 | 0.000 | 0.000 | 0.000 | 0.000 | -0.000 |
| 0.000 | 0.000 | 0.000 | 0.000 | 0.000 | 735.716 |
| 1238.189 | -233.244 | -0.000 | -0.000 | -0.000 | 0.000 |
| -233.244 | 1238.189 | -0.000 | -0.000 | -0.000 | -0.000 |
| -0.000 | -0.000 | -0.000 | -0.000 | -0.000 | 0.000 |
| -0.000 | -0.000 | -0.000 | -0.000 | -0.000 | 0.000 |
| -0.000 | -0.000 | -0.000 | -0.000 | -0.000 | 0.000 |
| -0.000 | -0.000 | -0.000 | -0.000 | -0.000 | 735.716 |
| 1193.598 | -188.652 | 0.000 | 0.000 | 0.000 | 0.000 |
| -188.727 | 1193.672 | 0.000 | 0.000 | 0.000 | 0.000 |
| 0.000 | 0.000 | 0.000 | 0.000 | 0.000 | -0.000 |
| 0.000 | 0.000 | 0.000 | 0.000 | 0.000 | -0.000 |
| 0.000 | 0.000 | 0.000 | 0.000 | 0.000 | -0.000 |
| 0.000 | 0.000 | 0.000 | 0.000 | 0.000 | 735.716 |
| 1238.188 | -233.244 | -0.000 | -0.000 | -0.000 | 0.000 |
| -188.652 | 1193.597 | -0.000 | -0.000 | -0.000 | -0.000 |
| -0.000 | -0.000 | -0.000 | -0.000 | -0.000 | 0.000 |
| -0.000 | -0.000 | -0.000 | -0.000 | -0.000 | 0.000 |
| -0.000 | -0.000 | -0.000 | -0.000 | -0.000 | 0.000 |
| -0.000 | -0.000 | -0.000 | -0.000 | -0.000 | 735.716 |
| 1193.607 | -188.657 | 0.000 | 0.000 | 0.000 | 0.000 |
| -188.653 | 1193.602 | 0.000 | 0.000 | 0.000 | 0.000 |
| 0.000 | 0.000 | 0.000 | 0.000 | 0.000 | -0.000 |
| 0.000 | 0.000 | 0.000 | 0.000 | 0.000 | -0.000 |
| 0.000 | 0.000 | 0.000 | 0.000 | 0.000 | -0.000 |
| 0.001 | 0.001 | 0.000 | 0.000 | 0.000 | 691.124 |
| 1193.587 | -188.646 | -0.000 | -0.000 | -0.000 | -0.000 |
| -188.657 | 1193.597 | -0.000 | -0.000 | -0.000 | -0.000 |
| -0.000 | -0.000 | -0.000 | -0.000 | -0.000 | 0.000 |
| -0.000 | -0.000 | -0.000 | -0.000 | -0.000 | 0.000 |
| -0.000 | -0.000 | -0.000 | -0.000 | -0.000 | 0.000 |
| -0.001 | -0.001 | -0.000 | -0.000 | -0.000 | 691.124 |
| 398.397 | 113.590 | 146.335 | -0.000 | 0.000 | -0.000 |
| 52.958 | 319.389 | -2.793 | -0.000 | 0.000 | -0.000 |
| 33.740 | -19.505 | 461.321 | -0.000 | 0.000 | -0.000 |
| -122.050 | 104.971 | 275.123 | 47.490 | 0.000 | -0.000 |
| -0.000 | -0.000 | -0.000 | -0.000 | 262.527 | -0.000 |
| -0.000 | -0.000 | -0.000 | 0.000 | 0.000 | 232.366 |
| 631.166 | 20.272 | -92.753 | -0.000 | -0.000 | 0.000 |
| 52.958 | 319.389 | -2.793 | 0.000 | -0.000 | 0.000 |
| 181.701 | -74.834 | 153.721 | -0.000 | -0.000 | 0.000 |
| 122.050 | -104.971 | -275.123 | 47.490 | -0.000 | 0.000 |
| -0.000 | 0.000 | 0.000 | -0.000 | 262.527 | 0.000 |
| 0.000 | 0.000 | 0.000 | -0.000 | -0.000 | 232.366 |
| 557.646 | 38.105 | 35.600 | -0.000 | 0.000 | -0.000 |
| 52.958 | 319.389 | -2.793 | -0.000 | 0.000 | -0.000 |
| 33.740 | -19.505 | 461.321 | -0.000 | 0.000 | -0.000 |
| -12.480 | 11.833 | 31.181 | 41.029 | 0.000 | -0.000 |
| -40.284 | 16.403 | 40.229 | 0.000 | 117.113 | -0.000 |
| 0.000 | 0.000 | 0.000 | -0.000 | 0.000 | 232.366 |
| 557.646 | 38.105 | 35.600 | 0.000 | -0.000 | 0.000 |
| 52.958 | 319.389 | -2.793 | -0.000 | -0.000 | 0.000 |
| 5.567 | -20.597 | -32.975 | -0.000 | -0.000 | 0.000 |
| 12.480 | -11.833 | -31.181 | 41.029 | 0.000 | 0.000 |
| 40.284 | -16.403 | -40.229 | 0.000 | 117.113 | 0.000 |
| -0.000 | -0.000 | -0.000 | 0.000 | -0.000 | 232.366 |
| 496.746 | 90.406 | 18.568 | 0.000 | 0.000 | -0.000 |
| 102.970 | 246.772 | 6.299 | 0.000 | 0.000 | -0.000 |
| -2.859 | -15.936 | 3.275 | -0.000 | 0.000 | -0.000 |
| -0.894 | 0.702 | 3.906 | 0.005 | 0.000 | -0.000 |
| -1.982 | 1.790 | 4.703 | -0.000 | 14.863 | -0.000 |
| -1.141 | 0.465 | 1.139 | -0.000 | 0.000 | 224.473 |
| 505.621 | 71.272 | 33.157 | 0.000 | -0.000 | 0.000 |
| 106.599 | 245.545 | 2.389 | 0.000 | -0.000 | 0.000 |
| -0.859 | -17.490 | -3.281 | 0.000 | -0.000 | 0.000 |
| 0.894 | -0.702 | -3.906 | 0.005 | -0.000 | 0.000 |
| 1.982 | -1.790 | -4.703 | 0.000 | 14.863 | 0.000 |
| 1.141 | -0.465 | -1.139 | 0.000 | -0.000 | 224.473 |
| 2445.527 | -1260.339 | 140.282 | 0.000 | -0.000 | -0.000 |
| 1618.600 | -1110.921 | 195.669 | 0.000 | -0.000 | -0.000 |
| 1357.845 | -1433.822 | 1382.787 | 0.000 | -0.000 | 0.000 |
| 1434.090 | -1433.171 | 224.429 | 114.037 | -0.000 | -0.000 |
| 1438.660 | -1426.057 | 200.208 | 0.000 | 546.400 | 0.000 |
| 1433.387 | -1432.349 | 224.064 | 0.000 | -0.000 | 234.396 |
| 1093.941 | 94.183 | -90.674 | -0.000 | 0.000 | 0.000 |
| -1252.586 | 1746.764 | -231.327 | -0.000 | 0.000 | 0.000 |
| -81.892 | -4.723 | 1206.502 | -0.000 | 0.000 | -0.000 |
| -1434.090 | 1433.171 | -224.429 | 114.036 | 0.000 | -0.000 |
| -1438.660 | 1426.057 | -200.208 | -0.000 | 546.400 | -0.000 |
| -1433.387 | 1432.349 | -224.064 | -0.000 | 0.000 | 234.396 |
| 1093.941 | 94.183 | -90.674 | 0.000 | -0.000 | -0.000 |
| 323.748 | 172.589 | 15.469 | 0.000 | -0.000 | -0.000 |
| 56.211 | -129.666 | 1175.698 | 0.000 | -0.000 | 0.000 |
| -0.000 | -0.000 | -0.000 | 181.847 | -0.000 | 0.000 |
| -0.000 | 0.000 | 0.000 | 0.000 | 590.447 | 0.000 |
| -0.000 | 0.000 | 0.000 | 0.000 | -0.000 | 281.842 |
| 870.694 | 309.643 | -98.551 | -0.000 | 0.000 | 0.000 |
| 36.233 | 458.312 | -26.117 | -0.000 | 0.000 | 0.000 |
| -210.665 | 136.083 | 1133.491 | -0.000 | 0.000 | -0.000 |
| 0.000 | 0.000 | 0.000 | 181.847 | 0.000 | -0.000 |
| 0.000 | -0.000 | -0.000 | -0.000 | 590.447 | -0.000 |
| 0.000 | -0.000 | -0.000 | -0.000 | 0.000 | 281.842 |
| 1093.944 | 94.184 | -90.674 | 0.000 | -0.000 | -0.000 |
| 193.700 | 300.961 | -1.474 | 0.000 | -0.000 | -0.000 |
| -63.810 | -13.388 | 1170.267 | 0.000 | -0.000 | 0.000 |
| 17.262 | -17.296 | 2.797 | 99.884 | -0.000 | -0.000 |
| 13.723 | -13.892 | 2.517 | 0.000 | 518.329 | -0.000 |
| 11.795 | -11.692 | 1.642 | 0.000 | -0.000 | 239.927 |
| 997.494 | 186.557 | -85.910 | -0.000 | 0.000 | -0.000 |
| 165.486 | 329.465 | -6.569 | -0.000 | 0.000 | -0.000 |
| -89.264 | 12.168 | 1156.610 | -0.000 | 0.000 | 0.000 |
| -17.262 | 17.296 | -2.797 | 99.884 | 0.000 | -0.000 |
| -13.723 | 13.892 | -2.517 | -0.000 | 518.329 | 0.000 |
| -11.795 | 11.692 | -1.642 | -0.000 | 0.000 | 239.927 |
| 1019.416 | 164.906 | -80.552 | 0.000 | 0.000 | 0.000 |
| 100.609 | 392.995 | -5.683 | -0.000 | 0.000 | 0.000 |
| -82.838 | -4.028 | 1208.807 | 0.000 | 0.000 | 0.000 |
| -0.000 | -0.000 | -0.000 | 181.539 | 0.000 | 0.000 |
| -0.000 | -0.000 | -0.000 | 0.000 | 591.314 | 0.000 |
| -0.000 | -0.000 | -0.000 | -0.000 | 0.000 | 281.173 |
| 1095.522 | 94.037 | -91.064 | 0.000 | 0.000 | -0.000 |
| 100.609 | 392.995 | -5.683 | -0.000 | -0.000 | -0.000 |
| -74.467 | -2.800 | 1170.352 | -0.000 | -0.000 | -0.000 |
| 0.000 | 0.000 | 0.000 | 181.539 | -0.000 | -0.000 |
| 0.000 | 0.000 | 0.000 | 0.000 | 591.314 | -0.000 |
| 0.000 | 0.000 | 0.000 | -0.000 | -0.000 | 281.173 |
| 1019.507 | 164.809 | -80.502 | 0.000 | 0.000 | 0.000 |
| 100.609 | 392.995 | -5.683 | -0.000 | 0.000 | 0.000 |
| -74.529 | -2.724 | 1170.276 | 0.000 | 0.000 | 0.000 |
| -0.009 | 0.010 | -0.007 | 113.198 | 0.000 | 0.000 |
| 0.000 | 0.000 | 0.000 | -0.000 | 591.314 | 0.000 |
| 0.000 | 0.000 | -0.000 | -0.000 | -0.000 | 281.173 |
| 1013.844 | 172.580 | -84.252 | -0.000 | -0.000 | -0.000 |
| 179.245 | 315.085 | -2.961 | -0.000 | -0.000 | -0.000 |
| -74.518 | -2.738 | 1170.289 | -0.000 | 0.000 | -0.000 |
| 0.009 | -0.010 | 0.007 | 113.198 | -0.000 | -0.000 |
| -0.000 | -0.000 | -0.000 | -0.000 | 591.314 | -0.000 |
| -0.000 | -0.000 | 0.000 | -0.000 | -0.000 | 281.173 |
| 1013.680 | 172.738 | -84.237 | 0.000 | 0.000 | 0.000 |
| 179.516 | 315.258 | -3.845 | 0.000 | 0.000 | 0.000 |
| -76.201 | -1.113 | 1161.330 | 0.000 | -0.000 | 0.000 |
| 0.000 | -0.000 | -0.000 | 181.539 | 0.000 | 0.000 |
| 0.000 | 0.000 | 0.000 | -0.000 | 591.314 | 0.000 |
| -0.001 | 0.001 | -0.001 | 0.000 | 0.000 | 237.503 |
| 1013.821 | 172.600 | -84.256 | -0.000 | -0.000 | -0.000 |
| 179.505 | 315.267 | -3.844 | -0.000 | -0.000 | -0.000 |
| -76.008 | -1.304 | 1161.324 | -0.000 | -0.000 | -0.000 |
| -0.000 | 0.000 | 0.000 | 181.539 | -0.000 | -0.000 |
| -0.000 | -0.000 | -0.000 | 0.000 | 591.314 | -0.000 |
| 0.001 | -0.001 | 0.001 | -0.000 | 0.000 | 237.503 |
| -4222.170 | -4492.919 | 26017.455 | -21.326 | -0.000 | 0.000 |
| 2249.492 | 2460.678 | 45871.960 | 11.779 | 0.000 | 0.000 |
| -4443.956 | -4443.956 | 26134.077 | 0.000 | -0.000 | 0.000 |
| 6853.133 | 6875.098 | 49700.365 | 90.884 | -0.000 | 0.000 |
| -4557.189 | -4557.189 | 25948.333 | 0.000 | 130.245 | -21.345 |
| 0.000 | 0.000 | 0.000 | -0.000 | -8.984 | 273.777 |
| 577.050 | 29.495 | 54.582 | -8.984 | 0.000 | -0.000 |
| 4624.617 | 4894.243 | -25900.284 | 21.376 | -0.000 | 0.000 |
| 4222.441 | 4222.441 | -37099.048 | 0.001 | 0.000 | -0.000 |
| 1868.761 | 1892.947 | -7213.028 | 218.765 | -0.000 | 0.000 |
| 4557.189 | 4557.189 | -25948.334 | 0.000 | 130.245 | -21.345 |
| 0.000 | -0.000 | -0.000 | 0.000 | -8.984 | 273.777 |
| 306.431 | 53.523 | 457.432 | -13.092 | 0.000 | 0.000 |
| 31.384 | 284.159 | 411.224 | 15.151 | -0.000 | 0.000 |
| 54.583 | 54.583 | 459.339 | -0.000 | 0.000 | 0.000 |
| -58.942 | -18.862 | 354.029 | 95.439 | 0.000 | 0.000 |
| 0.000 | 0.000 | 0.000 | 0.000 | 250.736 | -8.984 |
| -20.834 | -20.833 | 79.897 | -0.000 | -12.428 | 233.955 |
| 523.292 | 63.581 | -12.331 | -12.783 | 0.000 | -0.000 |
| 98.218 | 225.567 | -325.915 | 21.685 | -0.000 | -0.000 |
| 16.442 | 16.442 | -376.203 | -0.000 | 0.000 | -0.000 |
| 18.848 | 58.937 | -354.040 | 95.425 | -0.000 | -0.000 |
| -0.000 | -0.000 | -0.000 | -0.000 | 250.736 | -8.984 |
| 20.834 | 20.833 | -79.897 | 0.000 | -12.428 | 233.955 |
| 21350.005 | 21271.559 | 52701.365 | -17.737 | -0.000 | -0.000 |
| 6054.033 | 6276.723 | 25119.692 | 21.304 | -0.000 | 0.000 |
| 14253.036 | 14253.036 | 45730.484 | 0.000 | -0.000 | 0.000 |
| 21180.090 | 21215.435 | 52457.592 | 25.387 | -0.000 | -0.000 |
| 6034.972 | 6034.972 | 25079.424 | 0.000 | 93.654 | -21.340 |
| 6041.728 | 6041.728 | 25095.267 | 0.000 | -21.351 | 110.796 |
| 528.873 | 13.493 | 52.171 | -8.212 | 0.000 | 0.000 |
| 13.493 | 528.873 | 52.171 | 8.212 | 0.000 | 0.000 |
| -21163.781 | -21163.781 | -52495.296 | 0.000 | 0.000 | 0.000 |
| -14160.156 | -14109.658 | -45717.452 | 11.069 | 0.000 | 0.000 |
| -6034.972 | -6034.972 | -25079.424 | -0.000 | 93.654 | -21.340 |
| -6041.728 | -6041.728 | -25095.267 | -0.000 | -21.351 | 110.796 |
| 852.191 | 622.529 | 2547.855 | -20.987 | -0.000 | -0.000 |
| 13.493 | 528.874 | 52.171 | 8.212 | -0.000 | -0.000 |
| 1525.039 | 1525.039 | 4553.825 | 0.000 | -0.000 | -0.000 |
| 2101.930 | 2137.227 | 5242.744 | 25.571 | -0.000 | -0.000 |
| 603.095 | 603.095 | 2506.091 | -0.000 | 93.744 | -21.331 |
| 186.232 | 186.232 | 451.444 | -0.000 | -11.187 | 216.253 |
| -1361.013 | -1400.316 | -4540.026 | -25.601 | 0.000 | 0.000 |
| -2700.182 | -2451.756 | -5800.658 | 6.858 | 0.000 | 0.000 |
| 47.373 | 47.373 | 406.012 | -0.000 | 0.000 | -0.000 |
| -624.497 | -581.832 | -2506.387 | 93.729 | 0.000 | 0.000 |
| -603.095 | -603.095 | -2506.091 | 0.000 | 93.744 | -21.331 |
| -186.232 | -186.232 | -451.444 | 0.000 | -11.187 | 216.253 |
| 467.984 | 43.739 | 124.070 | -11.483 | -0.000 | -0.000 |
| 43.737 | 467.987 | 124.068 | 11.483 | -0.000 | -0.000 |
| 118.238 | 118.238 | 385.530 | 0.000 | -0.000 | -0.000 |
| 36.730 | 78.028 | 237.109 | 100.279 | -0.000 | 0.000 |
| 208.532 | 208.532 | 497.585 | 0.000 | 41.644 | -15.773 |
| 57.269 | 57.269 | 237.451 | -0.000 | -20.652 | 118.502 |
| 528.872 | 13.493 | 52.171 | -8.212 | 0.000 | 0.000 |
| -96.040 | -16.859 | -312.347 | 24.126 | 0.000 | 0.000 |
| -286.927 | -286.927 | -578.857 | 0.000 | 0.000 | 0.000 |
| -78.084 | -36.772 | -237.213 | 100.174 | -0.000 | 0.000 |
| -208.532 | -208.532 | -497.585 | -0.000 | 41.644 | -15.773 |
| -57.269 | -57.269 | -237.451 | 0.000 | -20.652 | 118.502 |
| 950.799 | 18.659 | 105.993 | -0.000 | 0.000 | 0.000 |
| -11.799 | 1114.630 | 59.969 | -0.000 | -0.000 | 0.000 |
| 85.065 | 59.969 | 1041.958 | -0.000 | -0.000 | -0.000 |
| -0.000 | 0.002 | -0.001 | 501.904 | 0.000 | 0.000 |
| 0.000 | -0.000 | 0.000 | -0.000 | 415.500 | -0.000 |
| 0.000 | -0.000 | -0.000 | -0.000 | -0.000 | 412.437 |
| 1007.588 | -11.799 | 85.065 | 0.000 | -0.000 | -0.000 |
| -11.799 | 1114.630 | 59.969 | 0.000 | 0.000 | 0.000 |
| 102.565 | 76.032 | 994.623 | 0.000 | -0.000 | -0.000 |
| 0.000 | -0.002 | 0.001 | 501.904 | -0.000 | -0.000 |
| -0.000 | 0.000 | -0.000 | 0.000 | 415.500 | -0.000 |
| 0.000 | -0.002 | 0.001 | -0.000 | -0.000 | 377.805 |
| 945.647 | 20.242 | 100.558 | -0.000 | 0.000 | 0.000 |
| 20.392 | 1056.964 | 79.114 | -0.000 | 0.000 | 0.000 |
| 102.564 | 76.034 | 994.623 | 0.000 | 0.000 | 0.000 |
| 0.000 | 0.000 | 0.000 | 548.439 | -0.000 | -0.000 |
| 0.000 | 0.000 | 0.000 | -0.000 | 415.500 | 0.000 |
| -0.000 | 0.000 | 0.000 | -0.000 | -0.000 | 412.437 |
| 945.647 | 20.242 | 100.557 | 0.000 | -0.000 | -0.000 |
| 15.293 | 1061.610 | 77.060 | 0.000 | -0.000 | -0.000 |
| 100.276 | 81.839 | 988.651 | -0.000 | -0.000 | -0.000 |
| -0.000 | -0.000 | 0.000 | 501.579 | -0.000 | -0.000 |
| -0.000 | -0.000 | -0.000 | 0.000 | 415.500 | 0.000 |
| 0.000 | -0.000 | -0.000 | 0.000 | 0.000 | 412.437 |
| 945.710 | 20.210 | 100.538 | -0.000 | 0.000 | 0.000 |
| 20.387 | 1056.976 | 79.112 | -0.000 | 0.000 | 0.000 |
| 102.560 | 76.030 | 994.638 | -0.000 | 0.000 | 0.000 |
| 0.000 | -0.000 | 0.000 | 501.904 | 0.000 | 0.000 |
| -0.000 | 0.000 | -0.000 | 0.000 | 329.284 | -0.000 |
| -0.000 | 0.000 | 0.000 | -0.000 | 0.000 | 377.765 |
| 944.439 | 21.444 | 97.345 | 0.000 | -0.000 | -0.000 |
| 21.082 | 1053.902 | 84.723 | 0.000 | -0.000 | -0.000 |
| 100.275 | 81.838 | 988.651 | -0.000 | -0.000 | -0.000 |
| -0.000 | 0.000 | -0.000 | 501.904 | -0.000 | -0.000 |
| 0.000 | -0.000 | 0.000 | -0.000 | 329.284 | -0.000 |
| 0.000 | -0.000 | -0.000 | 0.000 | -0.000 | 377.765 |
| 542.761 | 1603.662 | 292.519 | 0.000 | -0.000 | 0.000 |
| -1748.715 | 2346.760 | 168.714 | -0.000 | 0.000 | 0.000 |
| 84.557 | 60.406 | 1042.862 | 0.000 | 0.000 | 0.000 |
| -400.341 | 1587.853 | 211.732 | 536.366 | -0.000 | -0.000 |
| -723.401 | 340.109 | 2226.661 | 0.000 | 327.322 | 0.000 |
| -0.000 | -0.000 | -0.000 | 0.000 | 0.000 | 412.815 |
| 2494.663 | -1615.436 | -166.218 | 0.000 | -0.000 | -0.000 |
| 159.144 | 1151.236 | -1990.421 | -0.000 | -0.000 | 0.000 |
| 1664.417 | -1555.374 | 706.935 | -0.000 | -0.000 | -0.000 |
| 400.341 | -1587.853 | -211.732 | 536.366 | 0.000 | -0.000 |
| 723.401 | -340.109 | -2226.661 | -0.000 | 327.322 | -0.000 |
| 0.000 | 0.000 | 0.000 | -0.000 | -0.000 | 412.815 |
| 766.413 | 150.572 | 119.554 | 0.000 | 0.000 | 0.000 |
| 15.654 | 1053.475 | 286.453 | -0.000 | 0.000 | 0.000 |
| 41.436 | 229.598 | 1043.946 | 0.000 | -0.000 | -0.000 |
| -70.762 | 33.406 | 222.176 | 496.952 | 0.000 | 0.000 |
| -73.998 | 31.499 | 213.239 | -0.000 | 324.109 | 0.000 |
| -155.457 | 163.323 | 27.061 | 0.000 | 0.000 | 365.568 |
| 1017.218 | -10.908 | -127.187 | -0.000 | -0.000 | -0.000 |
| 48.252 | 927.529 | 55.852 | 0.000 | -0.000 | 0.000 |
| 256.138 | -80.643 | 952.108 | 0.000 | -0.000 | -0.000 |
| 70.762 | -33.405 | -222.177 | 496.952 | -0.000 | 0.000 |
| 7.593 | 4.048 | -199.469 | -0.000 | 304.397 | -0.000 |
| 12.845 | 9.442 | -207.092 | -0.000 | -0.000 | 381.327 |
| 933.974 | 26.801 | 116.702 | -0.000 | 0.000 | 0.000 |
| 13.682 | 1054.671 | 111.754 | 0.000 | 0.000 | 0.000 |
| 89.664 | 92.874 | 994.854 | -0.000 | -0.000 | 0.000 |
| -13.221 | 9.765 | 0.607 | 494.655 | 0.000 | 0.000 |
| -1.704 | 5.225 | 14.435 | -0.000 | 324.350 | 0.000 |
| -2.038 | -0.838 | 20.849 | -0.000 | 0.000 | 378.722 |
| 949.379 | 7.148 | 95.271 | -0.000 | -0.000 | -0.000 |
| 26.957 | 1048.634 | 69.520 | 0.000 | 0.000 | -0.000 |
| 103.431 | 86.317 | 954.703 | -0.000 | -0.000 | -0.000 |
| 13.221 | -9.765 | -0.607 | 494.655 | 0.000 | -0.000 |
| 1.704 | -5.225 | -14.435 | -0.000 | 324.350 | -0.000 |
| 12.597 | -14.321 | -2.640 | -0.000 | -0.000 | 374.008 |
| 1011.227 | -73.661 | -84.054 | 0.000 | 177.449 | -0.000 |
| 9.623 | 1113.545 | 40.654 | 0.000 | -84.112 | 0.000 |
| 74.062 | 44.614 | 1056.883 | -0.000 | 42.443 | 0.000 |
| 21.768 | -30.516 | -186.954 | 496.975 | 70.402 | -16.671 |
| 57.590 | -82.433 | -152.576 | 0.000 | 387.143 | -0.000 |
| 21.755 | -30.500 | -186.951 | -23.318 | 70.400 | 381.267 |
| 992.723 | 0.797 | 76.121 | -0.000 | 77.822 | -0.000 |
| 9.623 | 1113.545 | 40.654 | -0.000 | -84.112 | -0.000 |
| -14.745 | 168.254 | 1169.680 | -0.000 | 32.719 | 0.000 |
| -21.768 | 30.516 | 186.954 | 496.975 | -70.402 | -16.671 |
| -69.762 | 59.071 | 191.586 | -0.000 | 299.065 | -0.000 |
| -21.755 | 30.500 | 186.951 | -23.318 | -70.400 | 381.267 |
| 992.723 | 0.797 | 76.121 | 0.000 | 77.822 | 0.000 |
| 40.466 | 1047.468 | 50.736 | -0.000 | -51.476 | -0.000 |
| 91.037 | 62.089 | 987.192 | -0.000 | 44.237 | 0.000 |
| 0.000 | 0.000 | 0.000 | 534.899 | -0.000 | -57.159 |
| 44.491 | -59.003 | 16.988 | 0.000 | 321.843 | 0.000 |
| 2.256 | -3.175 | -18.695 | -23.094 | 7.113 | 381.012 |
| 992.722 | 0.797 | 76.121 | -0.000 | 77.822 | -0.000 |
| 17.990 | 1066.641 | 82.617 | -0.000 | -48.363 | -0.000 |
| 77.430 | 79.575 | 1023.035 | -0.000 | 25.538 | 0.000 |
| -0.000 | -0.000 | -0.000 | 534.899 | 0.000 | -57.159 |
| 26.498 | -36.575 | 41.118 | -0.000 | 303.511 | -0.000 |
| -2.256 | 3.175 | 18.695 | -23.094 | -7.113 | 381.012 |
| 949.022 | 31.133 | 80.744 | 0.000 | 65.715 | -0.000 |
| 37.756 | 1053.524 | 65.224 | 0.000 | -58.958 | 0.000 |
| 84.354 | 68.695 | 1006.990 | 0.000 | 34.379 | 0.000 |
| 0.978 | -0.940 | -1.556 | 496.854 | -0.076 | -16.846 |
| 35.949 | -52.201 | 30.810 | 0.000 | 315.614 | -0.000 |
| 0.997 | -0.959 | -1.587 | -22.689 | -0.078 | 380.987 |
| 949.555 | 31.465 | 84.164 | -0.000 | 62.022 | 0.000 |
| 37.744 | 1054.002 | 68.973 | -0.000 | -60.945 | -0.000 |
| 82.994 | 69.829 | 1011.171 | 0.000 | 32.519 | -0.000 |
| -0.978 | 0.940 | 1.556 | 496.854 | 0.076 | -16.846 |
| 34.481 | -50.601 | 34.237 | -0.000 | 314.364 | 0.000 |
| -0.997 | 0.959 | 1.587 | -22.689 | 0.078 | 380.987 |
| 931.810 | 118.927 | -5.443 | 0.000 | 0.000 | -0.000 |
| 118.927 | 931.810 | -5.443 | 0.000 | 0.000 | -0.000 |
| -6.570 | -6.570 | 1339.242 | 0.000 | 0.000 | -0.000 |
| 0.000 | 0.000 | -0.000 | 490.891 | -0.000 | 0.000 |
| 0.000 | 0.000 | -0.000 | -0.000 | 490.891 | 0.000 |
| 0.000 | 0.000 | -0.000 | 0.000 | 0.000 | 116.158 |
| 931.506 | 119.972 | -6.570 | -0.000 | -0.000 | -0.000 |
| 119.972 | 931.506 | -6.570 | -0.000 | -0.000 | -0.000 |
| -6.570 | -6.570 | 1339.242 | 0.000 | 0.000 | -0.000 |
| -0.000 | -0.000 | 0.000 | 490.891 | 0.000 | 0.000 |
| -0.000 | -0.000 | 0.000 | 0.000 | 490.891 | -0.000 |
| -0.000 | -0.000 | 0.000 | 0.000 | 0.000 | 116.158 |
| 931.506 | 119.972 | -6.570 | 0.000 | 0.000 | -0.000 |
| 119.972 | 931.506 | -6.570 | 0.000 | 0.000 | -0.000 |
| -7.978 | -7.978 | 1343.523 | -0.000 | -0.000 | 0.000 |
| 0.000 | -0.000 | 0.000 | 519.627 | -0.000 | -0.000 |
| -0.000 | 0.000 | 0.000 | -0.000 | 519.627 | -0.000 |
| -0.000 | -0.000 | 0.000 | -0.000 | -0.000 | 116.158 |
| 931.810 | 118.927 | -5.443 | -0.000 | -0.000 | -0.000 |
| 118.927 | 931.810 | -5.443 | 0.000 | -0.000 | -0.000 |
| -6.570 | -6.570 | 1339.242 | -0.000 | -0.000 | -0.000 |
| -0.000 | 0.000 | -0.000 | 519.627 | 0.000 | 0.000 |
| 0.000 | -0.000 | -0.000 | 0.000 | 519.627 | -0.000 |
| 0.000 | 0.000 | -0.000 | 0.000 | 0.000 | 116.158 |
| 931.537 | 119.945 | -6.571 | -0.000 | 0.000 | 0.000 |
| 119.945 | 931.537 | -6.571 | 0.000 | -0.000 | 0.000 |
| -6.570 | -6.570 | 1339.246 | -0.000 | -0.000 | -0.000 |
| 0.000 | -0.000 | 0.000 | 490.891 | -0.000 | 0.000 |
| -0.000 | 0.000 | 0.000 | -0.000 | 490.891 | -0.000 |
| -0.000 | -0.000 | 0.000 | -0.000 | -0.000 | 116.158 |
| 931.504 | 119.972 | -6.571 | -0.000 | -0.000 | -0.000 |
| 119.972 | 931.504 | -6.571 | -0.000 | -0.000 | -0.000 |
| -6.570 | -6.570 | 1339.238 | -0.000 | -0.000 | -0.000 |
| -0.000 | 0.000 | -0.000 | 490.891 | -0.000 | 0.000 |
| 0.000 | -0.000 | -0.000 | 0.000 | 490.891 | 0.000 |
| 0.000 | 0.000 | -0.000 | 0.000 | 0.000 | 116.158 |
| 921.532 | 113.089 | -4.282 | 0.000 | 0.000 | -0.000 |
| 113.089 | 921.532 | -4.282 | 0.000 | 0.000 | 0.000 |
| -8.986 | -8.986 | 1340.845 | 0.000 | 0.000 | 0.000 |
| 0.000 | -0.000 | 0.000 | 486.898 | -0.000 | -0.000 |
| -0.000 | 0.000 | 0.000 | 0.000 | 486.898 | 0.000 |
| 0.000 | 0.000 | 0.000 | 0.000 | 0.000 | 117.832 |
| 980.170 | 55.548 | -6.315 | -0.000 | -0.000 | -0.000 |
| 55.548 | 980.170 | -6.315 | -0.000 | -0.000 | 0.000 |
| -8.986 | -8.986 | 1340.844 | -0.000 | -0.000 | 0.000 |
| -0.000 | 0.000 | -0.000 | 486.898 | -0.000 | -0.000 |
| 0.000 | -0.000 | -0.000 | -0.000 | 486.898 | -0.000 |
| -0.000 | -0.000 | -0.000 | -0.000 | -0.000 | 117.832 |
| 980.170 | 55.549 | -6.315 | 0.000 | 0.000 | 0.000 |
| 55.549 | 980.170 | -6.315 | 0.000 | 0.000 | 0.000 |
| -8.986 | -8.986 | 1340.845 | 0.000 | 0.000 | -0.000 |
| 0.000 | -0.000 | 0.000 | 486.898 | 0.000 | -0.000 |
| -0.000 | 0.000 | 0.000 | -0.000 | 486.898 | 0.000 |
| -0.000 | -0.000 | 0.000 | 0.000 | 0.000 | 117.832 |
| 921.332 | 113.778 | -5.188 | -0.000 | -0.000 | 0.000 |
| 113.778 | 921.332 | -5.188 | -0.000 | -0.000 | -0.000 |
| -8.986 | -8.986 | 1340.844 | -0.000 | -0.000 | -0.000 |
| -0.000 | 0.000 | -0.000 | 486.898 | 0.000 | 0.000 |
| 0.000 | -0.000 | -0.000 | -0.000 | 486.898 | -0.000 |
| 0.000 | 0.000 | -0.000 | -0.000 | -0.000 | 117.832 |
| 921.335 | 113.779 | -5.187 | 0.000 | 0.000 | -0.000 |
| 113.779 | 921.335 | -5.187 | -0.000 | -0.000 | 0.000 |
| -8.987 | -8.987 | 1340.852 | 0.000 | 0.000 | 0.000 |
| 0.000 | -0.000 | 0.000 | 486.898 | 0.000 | -0.000 |
| -0.000 | 0.000 | 0.000 | 0.000 | 486.898 | 0.000 |
| -0.000 | -0.000 | 0.000 | 0.000 | 0.000 | 117.832 |
| 921.331 | 113.777 | -5.188 | -0.000 | -0.000 | -0.000 |
| 113.777 | 921.331 | -5.188 | -0.000 | -0.000 | 0.000 |
| -8.986 | -8.986 | 1340.840 | -0.000 | -0.000 | -0.000 |
| -0.000 | 0.000 | -0.000 | 486.898 | -0.000 | 0.000 |
| 0.000 | -0.000 | -0.000 | 0.000 | 486.898 | -0.000 |
| 0.000 | 0.000 | -0.000 | -0.000 | -0.000 | 117.832 |
| 808.483 | 63.159 | 63.159 | 0.000 | -0.000 | -0.000 |
| 63.159 | 808.483 | 63.159 | 0.000 | 0.000 | -0.000 |
| 63.159 | 63.159 | 808.483 | 0.000 | 0.000 | -0.000 |
| 0.000 | 0.000 | 0.000 | 427.011 | -0.000 | -0.000 |
| -0.000 | 0.000 | 0.000 | 0.000 | 427.011 | -0.000 |
| 0.000 | 0.000 | -0.000 | 0.000 | -0.000 | 427.011 |
| 855.727 | 41.488 | 41.488 | 0.000 | 0.000 | 0.000 |
| 41.488 | 855.727 | 41.488 | -0.000 | -0.000 | 0.000 |
| 41.488 | 41.488 | 855.727 | 0.000 | 0.000 | 0.000 |
| -0.000 | 0.000 | -0.000 | 427.011 | 0.000 | 0.000 |
| -0.000 | -0.000 | 0.000 | 0.000 | 427.011 | 0.000 |
| -0.000 | -0.000 | -0.000 | -0.000 | -0.000 | 427.011 |
| 810.653 | 62.771 | 62.771 | 0.000 | 0.000 | -0.000 |
| 62.771 | 810.653 | 62.771 | 0.000 | 0.000 | -0.000 |
| 62.771 | 62.771 | 810.653 | 0.000 | 0.000 | -0.000 |
| 0.000 | -0.000 | 0.000 | 427.011 | -0.000 | -0.000 |
| -0.000 | 0.000 | 0.000 | -0.000 | 427.011 | -0.000 |
| -0.002 | -0.002 | -0.002 | 0.000 | 0.000 | 317.486 |
| 855.727 | 41.488 | 41.488 | -0.000 | 0.000 | 0.000 |
| 41.488 | 855.727 | 41.488 | 0.000 | 0.000 | 0.000 |
| 62.955 | 62.955 | 807.262 | 0.000 | 0.000 | 0.000 |
| -0.000 | 0.000 | -0.000 | 427.011 | 0.000 | -0.000 |
| 0.000 | -0.000 | -0.000 | 0.000 | 427.011 | 0.000 |
| 0.002 | 0.002 | 0.002 | -0.000 | 0.000 | 317.486 |
| 807.274 | 62.977 | 62.977 | -0.000 | -0.000 | -0.000 |
| 62.977 | 807.274 | 62.977 | -0.000 | -0.000 | 0.000 |
| 62.977 | 62.977 | 807.274 | 0.000 | 0.000 | -0.000 |
| 0.000 | -0.000 | -0.000 | 317.486 | -0.000 | 0.000 |
| -0.001 | 0.000 | -0.000 | -0.000 | 317.486 | 0.000 |
| -0.001 | -0.000 | 0.000 | 0.000 | 0.000 | 317.486 |
| 807.252 | 62.984 | 62.984 | 0.000 | 0.000 | -0.000 |
| 62.758 | 810.679 | 62.758 | -0.000 | 0.000 | 0.000 |
| 62.984 | 62.984 | 807.253 | 0.000 | 0.000 | 0.000 |
| -0.000 | 0.000 | 0.000 | 317.486 | -0.000 | -0.000 |
| 0.001 | -0.000 | 0.000 | -0.000 | 317.486 | -0.000 |
| 0.001 | 0.000 | -0.000 | -0.000 | -0.000 | 317.486 |
| 174.526 | 66.803 | 66.803 | -0.000 | -0.000 | 0.000 |
| 66.803 | 174.526 | 66.803 | -0.000 | 0.000 | -0.000 |
| 66.803 | 66.803 | 174.526 | 0.000 | 0.000 | 0.000 |
| -0.000 | -0.000 | -0.000 | 79.351 | -0.000 | -0.000 |
| -0.000 | -0.000 | -0.000 | 0.000 | 79.351 | -0.000 |
| -0.000 | -0.000 | -0.000 | 0.000 | 0.000 | 61.029 |
| 445.786 | 32.693 | 32.693 | -0.000 | -0.000 | -0.000 |
| 32.693 | 445.787 | 32.693 | 0.000 | 0.000 | -0.000 |
| 32.693 | 32.693 | 445.787 | 0.000 | 0.000 | -0.000 |
| 0.000 | 0.000 | 0.000 | 79.351 | 0.000 | 0.000 |
| 0.000 | 0.000 | 0.000 | 0.000 | 79.351 | -0.000 |
| 0.000 | 0.000 | 0.000 | 0.000 | 0.000 | 61.029 |
| 127.079 | 57.976 | 57.976 | -0.000 | -0.000 | -0.000 |
| 57.976 | 127.079 | 57.976 | 0.000 | 0.000 | 0.000 |
| 57.976 | 57.976 | 127.079 | 0.000 | 0.000 | -0.000 |
| -0.000 | -0.000 | -0.000 | 61.029 | 0.000 | -0.000 |
| -0.000 | -0.000 | -0.000 | 0.000 | 61.029 | -0.000 |
| -0.000 | -0.000 | -0.000 | -0.000 | 0.000 | 61.029 |
| 445.786 | 32.693 | 32.693 | 0.000 | 0.000 | 0.000 |
| 32.693 | 445.786 | 32.693 | -0.000 | 0.000 | 0.000 |
| 32.693 | 32.693 | 445.786 | -0.000 | 0.000 | -0.000 |
| 0.000 | 0.000 | 0.000 | 61.029 | 0.000 | -0.000 |
| 0.000 | 0.000 | 0.000 | 0.000 | 61.029 | -0.000 |
| 0.000 | 0.000 | 0.000 | 0.000 | 0.000 | 61.029 |
| 31.472 | -37.781 | -37.781 | -0.000 | 0.000 | -0.000 |
| -37.781 | 31.472 | -37.781 | 0.000 | 0.000 | -0.000 |
| -37.781 | -37.781 | 31.472 | 0.000 | 0.000 | -0.000 |
| 0.000 | -0.000 | -0.000 | 79.351 | 0.000 | -0.000 |
| -0.000 | 0.000 | 0.000 | 0.000 | 206.547 | -0.000 |
| -0.000 | -0.000 | 0.000 | -0.000 | 0.000 | 79.351 |
| 86.733 | 23.066 | 23.066 | 0.000 | -0.000 | -0.000 |
| 23.066 | 86.733 | 23.066 | 0.000 | 0.000 | -0.000 |
| -46.569 | -46.569 | 20.037 | 0.000 | -0.000 | -0.000 |
| -0.000 | 0.000 | 0.000 | 79.351 | 0.000 | 0.000 |
| 0.000 | -0.000 | -0.000 | 0.000 | 206.547 | -0.000 |
| 0.000 | 0.000 | -0.000 | 0.000 | -0.000 | 79.351 |
| 181.305 | 143.878 | 143.878 | 0.000 | 0.000 | -0.000 |
| 143.878 | 181.305 | 143.878 | 0.000 | 0.000 | -0.000 |
| 166.550 | 166.550 | 127.988 | -0.000 | -0.000 | -0.000 |
| 170.957 | 170.957 | 170.957 | 38.028 | -0.000 | -0.000 |
| 170.957 | 170.957 | 170.957 | 0.000 | 38.028 | -0.000 |
| 164.936 | 164.936 | 164.936 | -0.000 | -0.000 | 22.409 |
| -146.536 | -191.298 | -191.298 | -0.000 | -0.000 | -0.000 |
| -191.298 | -146.536 | -191.298 | 0.000 | -0.000 | 0.000 |
| -191.298 | -191.298 | -146.536 | 0.000 | -0.000 | 0.000 |
| -170.957 | -170.957 | -170.957 | 38.028 | -0.000 | 0.000 |
| -170.957 | -170.957 | -170.957 | 0.000 | 38.028 | 0.000 |
| -164.936 | -164.936 | -164.936 | 0.000 | -0.000 | 22.409 |
| 20.098 | 57.556 | 57.557 | -0.000 | -0.000 | -0.000 |
| 57.557 | 20.098 | 57.556 | -0.000 | 0.000 | -0.000 |
| 57.556 | 57.557 | 20.098 | 0.000 | -0.000 | -0.000 |
| 12.067 | 12.067 | 12.067 | -18.725 | -0.000 | -0.000 |
| 12.067 | 12.067 | 12.067 | 0.000 | -18.725 | -0.000 |
| 12.067 | 12.067 | 12.067 | 0.000 | -0.000 | -18.725 |
| 1.562 | -42.953 | -42.953 | -0.000 | -0.000 | 0.000 |
| -3.734 | -14.525 | -3.734 | -0.000 | -0.000 | 0.000 |
| -42.953 | -42.953 | 1.562 | -0.000 | -0.000 | 0.000 |
| -12.067 | -12.067 | -12.067 | -18.725 | 0.000 | 0.000 |
| -12.067 | -12.067 | -12.067 | -0.000 | -18.725 | 0.000 |
| -12.067 | -12.067 | -12.067 | 0.000 | 0.000 | -18.725 |
| 25.766 | -40.722 | -40.722 | 0.000 | 0.000 | -0.000 |
| -40.763 | 25.700 | -40.763 | 0.000 | 0.000 | -0.000 |
| -40.722 | -40.722 | 25.766 | 0.000 | 0.000 | -0.000 |
| 1.433 | 1.433 | 1.433 | 13.804 | -0.000 | -0.000 |
| 1.781 | 1.781 | 1.781 | -0.000 | 31.376 | -0.000 |
| 1.711 | 1.711 | 1.711 | 0.000 | -0.000 | 26.206 |
| 18.170 | -41.565 | -41.565 | -0.000 | 0.000 | 0.000 |
| -41.565 | 18.170 | -41.565 | -0.000 | 0.000 | 0.000 |
| -41.565 | -41.565 | 18.170 | -0.000 | 0.000 | 0.000 |
| -1.433 | -1.433 | -1.433 | 13.804 | 0.000 | 0.000 |
| -1.781 | -1.781 | -1.781 | -0.000 | 31.376 | 0.000 |
| -1.711 | -1.711 | -1.711 | -0.000 | -0.000 | 26.206 |
| 267.146 | 131.758 | 131.758 | -0.000 | 0.000 | 0.000 |
| 131.758 | 267.146 | 131.758 | 0.000 | -0.000 | 0.000 |
| 131.758 | 131.758 | 267.146 | 0.000 | 0.000 | -0.000 |
| 0.000 | -0.000 | 0.000 | 191.020 | -0.000 | 0.000 |
| 0.000 | -0.000 | 0.000 | -0.000 | 191.020 | 0.000 |
| 0.000 | -0.000 | 0.000 | 0.000 | -0.000 | 191.020 |
| 412.275 | 30.235 | 30.235 | 0.000 | -0.000 | -0.000 |
| 30.235 | 412.275 | 30.235 | -0.000 | -0.000 | -0.000 |
| 30.235 | 30.235 | 412.275 | 0.000 | -0.000 | -0.000 |
| -0.000 | -0.000 | -0.000 | 191.020 | 0.000 | -0.000 |
| -0.000 | 0.000 | -0.000 | -0.000 | 191.020 | 0.000 |
| -0.000 | 0.000 | -0.000 | -0.000 | -0.000 | 191.020 |
| 412.275 | 30.235 | 30.235 | -0.000 | 0.000 | -0.000 |
| 30.235 | 412.275 | 30.235 | -0.000 | -0.000 | 0.000 |
| 30.235 | 30.235 | 412.275 | 0.000 | -0.000 | 0.000 |
| 2.285 | 2.285 | 2.285 | 151.212 | -0.000 | 0.000 |
| 2.285 | 2.285 | 2.285 | 0.000 | 151.212 | 0.000 |
| 2.285 | 2.285 | 2.285 | 0.000 | -0.000 | 151.212 |
| 332.911 | 37.418 | 37.418 | 0.000 | 0.000 | -0.000 |
| 37.418 | 332.911 | 37.418 | -0.000 | 0.000 | -0.000 |
| 37.418 | 37.418 | 332.911 | 0.000 | 0.000 | -0.000 |
| -2.285 | -2.285 | -2.285 | 151.212 | -0.000 | -0.000 |
| -2.285 | -2.285 | -2.285 | 0.000 | 151.212 | -0.000 |
| -2.285 | -2.285 | -2.285 | -0.000 | 0.000 | 151.212 |
| 17.317 | -38.812 | -38.812 | 0.000 | 0.000 | -0.000 |
| -38.812 | 17.317 | -38.812 | 0.000 | 0.000 | 0.000 |
| -10.210 | -10.210 | 4.844 | -0.000 | -0.000 | 0.000 |
| 0.589 | 0.589 | 0.589 | 88.432 | 0.000 | 0.000 |
| 3.057 | 3.057 | 3.057 | 0.000 | 1.170 | 0.000 |
| 0.589 | 0.589 | 0.589 | 0.000 | 0.000 | 88.432 |
| 85.725 | 28.142 | 28.142 | 0.000 | -0.000 | -0.000 |
| 28.142 | 85.725 | 28.142 | 0.000 | 0.000 | -0.000 |
| 28.142 | 28.142 | 85.725 | 0.000 | 0.000 | -0.000 |
| -0.589 | -0.589 | -0.589 | 88.432 | 0.000 | -0.000 |
| -3.057 | -3.057 | -3.057 | 0.000 | 1.170 | -0.000 |
| -0.589 | -0.589 | -0.589 | -0.000 | -0.000 | 88.432 |
| 1304.008 | -245.643 | 0.000 | 0.000 | 0.000 | -0.000 |
| -245.643 | 1304.008 | 0.000 | 0.000 | 0.000 | -0.000 |
| 0.000 | -0.000 | 0.000 | 0.000 | 0.000 | 0.000 |
| 0.000 | -0.000 | 0.000 | 0.000 | 0.000 | -0.000 |
| 0.000 | -0.000 | 0.000 | 0.000 | 0.000 | 0.000 |
| -0.000 | -0.000 | 0.000 | 0.000 | 0.000 | 727.863 |
| 1257.046 | -198.680 | -0.000 | -0.000 | -0.000 | 0.000 |
| -198.680 | 1257.046 | -0.000 | -0.000 | -0.000 | -0.000 |
| -0.000 | 0.000 | -0.000 | -0.000 | -0.000 | -0.000 |
| -0.000 | 0.000 | -0.000 | -0.000 | -0.000 | 0.000 |
| -0.000 | 0.000 | -0.000 | -0.000 | -0.000 | -0.000 |
| 0.000 | 0.000 | -0.000 | -0.000 | -0.000 | 727.863 |
| 1257.046 | -198.681 | 0.000 | 0.000 | 0.000 | 0.000 |
| -198.680 | 1257.045 | 0.000 | 0.000 | 0.000 | 0.000 |
| 0.000 | -0.000 | 0.000 | 0.000 | 0.000 | 0.000 |
| 0.000 | -0.000 | 0.000 | 0.000 | 0.000 | -0.000 |
| 0.000 | -0.000 | 0.000 | 0.000 | 0.000 | 0.000 |
| 0.000 | 0.000 | 0.000 | 0.000 | 0.000 | 774.825 |
| 1304.008 | -245.643 | -0.000 | -0.000 | -0.000 | -0.000 |
| -198.681 | 1257.046 | -0.000 | -0.000 | -0.000 | 0.000 |
| -0.000 | 0.000 | -0.000 | -0.000 | -0.000 | -0.000 |
| -0.000 | 0.000 | -0.000 | -0.000 | -0.000 | -0.000 |
| -0.000 | 0.000 | -0.000 | -0.000 | -0.000 | -0.000 |
| -0.000 | -0.000 | -0.000 | -0.000 | -0.000 | 727.863 |
| 1257.056 | -198.686 | 0.000 | 0.000 | 0.000 | -0.000 |
| -198.675 | 1257.045 | 0.000 | 0.000 | 0.000 | 0.000 |
| 0.000 | -0.000 | 0.000 | 0.000 | 0.000 | 0.000 |
| 0.000 | -0.000 | 0.000 | 0.000 | 0.000 | -0.000 |
| 0.000 | -0.000 | 0.000 | 0.000 | 0.000 | 0.000 |
| 0.001 | 0.001 | 0.000 | 0.000 | 0.000 | 727.863 |
| 1257.035 | -198.674 | -0.000 | -0.000 | -0.000 | 0.000 |
| -198.685 | 1257.046 | -0.000 | -0.000 | -0.000 | -0.000 |
| -0.000 | 0.000 | -0.000 | -0.000 | -0.000 | -0.000 |
| -0.000 | 0.000 | -0.000 | -0.000 | -0.000 | 0.000 |
| -0.000 | 0.000 | -0.000 | -0.000 | -0.000 | -0.000 |
| -0.001 | -0.001 | -0.000 | -0.000 | -0.000 | 727.863 |
| 1236.184 | -195.383 | 0.000 | 0.000 | 0.000 | 0.000 |
| -195.383 | 1236.183 | 0.000 | 0.000 | 0.000 | -0.000 |
| 0.000 | -0.000 | 0.000 | 0.000 | 0.000 | -0.000 |
| 0.000 | -0.000 | 0.000 | 0.000 | 0.000 | -0.000 |
| 0.000 | -0.000 | 0.000 | 0.000 | 0.000 | 0.000 |
| 0.000 | -0.000 | 0.000 | 0.000 | 0.000 | 715.783 |
| 1236.183 | -195.382 | -0.000 | -0.000 | -0.000 | -0.000 |
| -195.383 | 1236.183 | -0.000 | -0.000 | -0.000 | -0.000 |
| -0.000 | 0.000 | -0.000 | -0.000 | -0.000 | 0.000 |
| -0.000 | 0.000 | -0.000 | -0.000 | -0.000 | -0.000 |
| -0.000 | 0.000 | -0.000 | -0.000 | -0.000 | 0.000 |
| -0.000 | 0.000 | -0.000 | -0.000 | -0.000 | 715.783 |
| 1236.184 | -195.383 | 0.000 | 0.000 | 0.000 | 0.000 |
| -195.382 | 1236.183 | 0.000 | 0.000 | 0.000 | -0.000 |
| 0.000 | -0.000 | 0.000 | 0.000 | 0.000 | -0.000 |
| 0.000 | -0.000 | 0.000 | 0.000 | 0.000 | -0.000 |
| 0.000 | -0.000 | 0.000 | 0.000 | 0.000 | -0.000 |
| 0.000 | 0.000 | 0.000 | 0.000 | 0.000 | 715.783 |
| 1236.261 | -195.461 | -0.000 | -0.000 | -0.000 | -0.000 |
| -195.305 | 1236.105 | -0.000 | -0.000 | -0.000 | 0.000 |
| -0.000 | 0.000 | -0.000 | -0.000 | -0.000 | 0.000 |
| -0.000 | 0.000 | -0.000 | -0.000 | -0.000 | 0.000 |
| -0.000 | 0.000 | -0.000 | -0.000 | -0.000 | 0.000 |
| -0.000 | -0.000 | -0.000 | -0.000 | -0.000 | 715.783 |
| 1236.187 | -195.383 | 0.000 | 0.000 | 0.000 | -0.000 |
| -195.378 | 1236.183 | 0.000 | 0.000 | 0.000 | 0.000 |
| 0.000 | -0.000 | 0.000 | 0.000 | 0.000 | -0.000 |
| 0.000 | -0.000 | 0.000 | 0.000 | 0.000 | -0.000 |
| 0.000 | -0.000 | 0.000 | 0.000 | 0.000 | -0.000 |
| 0.001 | 0.001 | 0.000 | 0.000 | 0.000 | 715.783 |
| 1236.179 | -195.383 | -0.000 | -0.000 | -0.000 | -0.000 |
| -195.388 | 1236.184 | -0.000 | -0.000 | -0.000 | 0.000 |
| -0.000 | 0.000 | -0.000 | -0.000 | -0.000 | 0.000 |
| -0.000 | 0.000 | -0.000 | -0.000 | -0.000 | -0.000 |
| -0.000 | 0.000 | -0.000 | -0.000 | -0.000 | 0.000 |
| -0.001 | -0.001 | -0.000 | -0.000 | -0.000 | 715.783 |
| 389.229 | 35.846 | 31.450 | -0.000 | 0.000 | 0.000 |
| 68.080 | 201.316 | 59.150 | -0.000 | 0.000 | -0.000 |
| 44.476 | 40.567 | 183.736 | -0.000 | 0.000 | -0.000 |
| 0.000 | 0.000 | -0.000 | 198.000 | -0.000 | 0.000 |
| 0.000 | 0.003 | -0.002 | 0.000 | 101.681 | -0.000 |
| 0.000 | 0.000 | -0.000 | -0.000 | 0.000 | 178.407 |
| 389.229 | 35.846 | 31.450 | -0.000 | -0.000 | -0.000 |
| 35.846 | 388.399 | 31.095 | 0.000 | -0.000 | -0.000 |
| 31.450 | 31.095 | 439.130 | 0.000 | -0.000 | -0.000 |
| -0.000 | -0.000 | -0.000 | 198.000 | -0.000 | -0.000 |
| -0.000 | -0.003 | 0.002 | 0.000 | 101.681 | 0.000 |
| -0.000 | -0.000 | 0.000 | -0.000 | -0.000 | 178.407 |
| 389.229 | 35.846 | 31.450 | -0.000 | 0.000 | 0.000 |
| 65.227 | 126.166 | 53.982 | 0.000 | 0.000 | -0.000 |
| 56.787 | 50.326 | 202.290 | -0.000 | 0.000 | -0.000 |
| 0.000 | 0.000 | -0.000 | 92.371 | 0.000 | -0.000 |
| 0.000 | 0.000 | 0.000 | -0.000 | 200.701 | 0.000 |
| 0.000 | 0.000 | -0.000 | -0.000 | 0.000 | 82.073 |
| 190.838 | 69.692 | 63.749 | 0.000 | -0.000 | 0.000 |
| 48.146 | 92.027 | 38.368 | 0.000 | -0.000 | 0.000 |
| 31.450 | 31.095 | 439.130 | 0.000 | -0.000 | 0.000 |
| -0.000 | -0.000 | 0.000 | 92.371 | -0.000 | 0.000 |
| -0.000 | -0.000 | -0.000 | 0.000 | 200.701 | -0.000 |
| -0.000 | -0.000 | 0.000 | 0.000 | -0.000 | 82.073 |
| 87.990 | 45.205 | 39.195 | 0.000 | 0.000 | -0.000 |
| -39.454 | 22.897 | -14.560 | 0.000 | 0.000 | -0.000 |
| 44.470 | 40.563 | 183.753 | -0.000 | 0.000 | -0.000 |
| 0.000 | -0.000 | -0.000 | 92.371 | 0.000 | -0.000 |
| -0.000 | 0.000 | -0.000 | -0.000 | 101.681 | -0.000 |
| -0.000 | -0.000 | 0.000 | 0.000 | 0.000 | 56.191 |
| 22.657 | -38.299 | -10.924 | 0.000 | -0.000 | 0.000 |
| -3.347 | 46.972 | 4.713 | -0.000 | -0.000 | 0.000 |
| 44.477 | 40.570 | 183.716 | 0.000 | -0.000 | 0.000 |
| -0.000 | 0.000 | 0.000 | 92.371 | -0.000 | 0.000 |
| 0.000 | -0.000 | 0.000 | 0.000 | 101.681 | 0.000 |
| 0.000 | 0.000 | -0.000 | 0.000 | -0.000 | 56.191 |
| 275.495 | -43.018 | 44.650 | -0.484 | 0.674 | -1.525 |
| -248.065 | -1094.867 | -163.070 | -4.449 | 0.551 | -0.911 |
| 64.997 | -77.779 | 316.447 | -0.481 | 0.670 | -1.517 |
| -132.409 | -685.884 | -224.478 | 27.545 | 0.869 | -0.811 |
| -608.927 | -1056.885 | 162.230 | -9.321 | 21.494 | -1.313 |
| -67.401 | -428.445 | -161.492 | -0.588 | 1.027 | 28.539 |
| 389.575 | 1238.534 | -32.924 | 7.492 | -0.766 | -0.097 |
| 69.047 | 463.305 | 76.778 | 1.913 | -0.653 | 0.239 |
| 162.137 | 450.241 | 307.994 | 0.787 | -1.106 | 0.817 |
| 192.715 | 913.801 | 184.794 | 23.687 | -0.454 | 0.939 |
| 629.318 | 1160.794 | -162.246 | 9.177 | 19.917 | 1.686 |
| 483.514 | 1279.841 | -29.352 | 7.346 | -0.810 | 13.403 |
| -9.403 | -97.562 | 1.760 | -0.457 | 0.073 | -0.061 |
| -57.107 | -98.216 | -9.926 | -0.581 | 0.058 | -0.093 |
| 70.391 | -26.411 | 151.639 | -0.093 | 0.100 | -0.080 |
| -17.408 | -84.714 | -17.626 | 27.455 | 0.058 | -0.115 |
| -30.271 | -50.630 | 8.616 | -1.875 | -25.734 | -0.074 |
| -4.454 | -20.574 | -7.377 | -0.194 | 0.072 | 79.156 |
| 90.244 | 109.018 | 65.402 | 0.278 | -0.103 | 0.156 |
| 36.915 | 116.578 | 6.884 | 0.277 | -0.052 | 0.100 |
| 47.968 | 91.011 | 99.502 | 0.498 | -0.096 | 0.142 |
| 19.150 | 88.670 | 18.553 | 19.178 | -0.091 | 0.130 |
| 42.449 | 129.558 | 4.263 | 0.647 | 33.386 | 0.033 |
| 32.684 | 119.499 | 11.619 | 0.511 | -0.059 | 17.908 |
| -3.666 | -8.584 | -0.791 | -0.111 | 0.000 | -0.007 |
| -1.661 | -9.269 | -1.867 | -0.129 | -0.001 | -0.007 |
| 4.226 | -16.827 | 99.112 | -0.052 | 0.005 | -0.008 |
| -4.309 | -8.637 | 0.168 | 10.624 | 0.003 | -0.008 |
| -3.432 | -8.123 | 0.000 | -0.113 | 6.392 | -0.004 |
| -4.328 | -8.569 | 0.429 | -0.084 | 0.002 | 0.157 |
| 1.890 | 11.929 | -2.960 | 0.123 | 0.001 | 0.007 |
| 0.201 | 7.309 | -0.313 | 0.117 | -0.000 | 0.008 |
| 3.595 | 5.770 | 91.524 | 0.096 | -0.000 | 0.006 |
| 2.704 | 6.807 | -0.731 | 5.466 | 0.002 | -0.001 |
| 2.408 | 8.402 | -0.689 | 0.154 | 1.072 | 0.007 |
| 2.603 | 7.193 | -0.264 | 0.122 | -0.003 | -0.597 |
| 517.452 | 39.848 | 38.982 | -0.000 | 0.000 | -0.000 |
| 39.848 | 517.452 | 38.982 | -0.000 | -0.000 | -0.000 |
| 81.185 | 81.185 | 255.061 | -0.000 | -0.000 | -0.000 |
| 0.000 | 0.000 | 0.001 | 130.096 | 0.000 | -0.000 |
| 0.000 | 0.000 | 0.001 | 0.000 | 130.096 | -0.000 |
| 0.001 | 0.001 | 0.000 | -0.000 | -0.000 | 129.572 |
| 517.452 | 39.848 | 38.982 | 0.000 | -0.000 | -0.000 |
| 39.848 | 517.452 | 38.982 | -0.000 | 0.000 | 0.000 |
| 82.507 | 82.507 | 161.243 | -0.000 | 0.000 | -0.000 |
| -0.000 | -0.000 | -0.001 | 130.096 | -0.000 | 0.000 |
| -0.000 | -0.000 | -0.001 | -0.000 | 130.096 | -0.000 |
| -0.001 | -0.001 | -0.000 | 0.000 | -0.000 | 129.572 |
| 517.453 | 39.848 | 38.982 | -0.000 | 0.000 | -0.000 |
| 39.848 | 517.453 | 38.982 | -0.000 | 0.000 | -0.000 |
| 81.184 | 81.184 | 255.066 | -0.000 | 0.000 | 0.000 |
| 0.000 | 0.000 | 0.000 | 223.847 | -0.000 | -0.000 |
| 0.000 | 0.000 | 0.000 | -0.000 | 130.096 | -0.000 |
| 0.000 | 0.000 | 0.000 | -0.000 | 0.000 | 149.868 |
| 517.452 | 39.848 | 38.982 | 0.000 | 0.000 | -0.000 |
| 39.848 | 517.452 | 38.982 | 0.000 | 0.000 | 0.000 |
| 66.584 | 66.584 | 110.933 | -0.000 | -0.000 | 0.000 |
| -0.000 | -0.000 | -0.000 | 223.847 | 0.000 | 0.000 |
| -0.000 | -0.000 | -0.000 | -0.000 | 130.096 | 0.000 |
| -0.000 | -0.000 | -0.000 | 0.000 | -0.000 | 149.868 |
| 224.716 | 57.379 | 67.478 | -0.000 | 0.000 | 0.000 |
| 57.379 | 224.716 | 67.478 | 0.000 | 0.000 | -0.000 |
| -13.424 | -13.424 | 32.291 | -0.000 | 0.000 | -0.000 |
| 0.000 | -0.000 | -0.000 | 130.096 | -0.000 | -0.000 |
| -0.000 | 0.000 | -0.000 | -0.000 | 130.096 | -0.000 |
| -0.000 | -0.000 | 0.000 | -0.000 | 0.000 | 129.572 |
| 212.036 | 46.491 | 46.916 | -0.000 | -0.000 | 0.000 |
| 46.491 | 212.036 | 46.916 | 0.000 | -0.000 | 0.000 |
| 38.982 | 38.982 | 462.848 | -0.000 | -0.000 | 0.000 |
| -0.000 | 0.000 | 0.000 | 130.096 | 0.000 | -0.000 |
| 0.000 | -0.000 | 0.000 | 0.000 | 130.096 | 0.000 |
| 0.000 | 0.000 | -0.000 | 0.000 | -0.000 | 129.572 |
| 469.851 | 26.526 | 36.582 | -0.000 | -0.000 | 0.000 |
| 26.526 | 469.851 | 36.582 | -0.000 | 0.000 | 0.000 |
| 72.546 | 72.546 | 419.953 | -0.000 | -0.000 | 0.000 |
| -6.022 | -6.022 | 62.606 | 178.345 | -0.000 | 0.000 |
| -6.022 | -6.022 | 62.606 | -0.000 | 178.345 | 0.000 |
| -6.022 | -6.022 | 62.605 | -0.000 | -0.000 | 216.844 |
| 469.851 | 26.526 | 36.582 | 0.000 | 0.000 | -0.000 |
| 26.526 | 469.851 | 36.582 | 0.000 | 0.000 | -0.000 |
| 47.404 | 47.404 | 310.382 | 0.000 | 0.000 | -0.000 |
| 6.022 | 6.022 | -62.606 | 178.345 | 0.000 | -0.000 |
| 6.022 | 6.022 | -62.606 | 0.000 | 178.345 | -0.000 |
| 6.022 | 6.022 | -62.605 | 0.000 | 0.000 | 216.844 |
| 424.655 | 32.100 | 52.258 | -0.000 | -0.000 | 0.000 |
| 32.100 | 424.655 | 52.258 | -0.000 | -0.000 | 0.000 |
| 71.554 | 71.554 | 76.446 | -0.000 | -0.000 | 0.000 |
| 10.051 | 10.051 | 13.464 | 82.114 | -0.000 | 0.000 |
| 10.051 | 10.051 | 13.464 | -0.000 | 82.114 | 0.000 |
| -0.618 | -0.618 | 6.428 | -0.000 | -0.000 | 216.293 |
| 425.552 | 33.420 | 39.146 | 0.000 | 0.000 | -0.000 |
| 33.420 | 425.552 | 39.146 | 0.000 | 0.000 | -0.000 |
| 42.547 | 42.547 | 363.772 | 0.000 | 0.000 | -0.000 |
| -10.051 | -10.051 | -13.464 | 82.114 | 0.000 | -0.000 |
| -10.051 | -10.051 | -13.464 | 0.000 | 82.114 | -0.000 |
| 0.618 | 0.618 | -6.428 | 0.000 | 0.000 | 216.293 |
| 240.990 | 50.569 | 76.462 | -0.000 | -0.000 | 0.000 |
| 50.569 | 240.990 | 76.462 | -0.000 | -0.000 | 0.000 |
| 60.723 | 60.723 | 103.178 | -0.000 | -0.000 | -0.000 |
| 0.399 | 0.399 | 1.954 | 92.846 | -0.000 | 0.000 |
| 0.399 | 0.399 | 1.954 | -0.000 | 92.846 | 0.000 |
| 0.429 | 0.429 | 2.141 | -0.000 | -0.000 | 128.966 |
| 197.568 | 37.500 | 62.582 | 0.000 | 0.000 | -0.000 |
| 37.500 | 197.568 | 62.582 | -0.000 | 0.000 | -0.000 |
| 58.846 | 58.846 | 103.759 | 0.000 | 0.000 | -0.000 |
| -0.399 | -0.399 | -1.954 | 92.846 | 0.000 | -0.000 |
| -0.399 | -0.399 | -1.954 | 0.000 | 92.846 | -0.000 |
| -0.429 | -0.429 | -2.141 | 0.000 | 0.000 | 128.966 |
| 260.476 | 77.865 | 54.770 | 0.000 | -0.000 | -0.000 |
| 47.144 | 449.034 | 16.584 | -0.000 | 0.000 | -0.000 |
| 20.790 | 16.584 | 558.147 | 0.000 | -0.000 | -0.000 |
| 0.000 | -0.000 | 0.000 | 229.660 | -0.000 | -0.000 |
| -0.000 | 0.000 | 0.000 | 0.000 | 229.464 | -0.000 |
| 0.001 | -0.000 | -0.001 | -0.000 | -0.000 | 69.514 |
| 433.740 | 47.144 | 20.790 | -0.000 | -0.000 | 0.000 |
| 47.144 | 449.034 | 16.584 | 0.000 | 0.000 | 0.000 |
| 20.790 | 16.584 | 558.147 | -0.000 | -0.000 | 0.000 |
| -0.000 | -0.000 | -0.000 | 229.660 | -0.000 | 0.000 |
| 0.000 | -0.000 | -0.000 | 0.000 | 229.464 | 0.000 |
| -0.001 | 0.000 | 0.001 | 0.000 | -0.000 | 69.514 |
| 146.955 | 83.951 | 61.890 | -0.000 | -0.000 | -0.000 |
| 66.687 | 130.326 | 44.855 | -0.000 | -0.000 | -0.000 |
| 20.790 | 16.584 | 558.149 | -0.000 | -0.000 | -0.000 |
| 0.000 | -0.000 | -0.000 | 74.828 | -0.000 | -0.000 |
| -0.000 | 0.000 | 0.000 | -0.000 | 229.464 | -0.000 |
| -0.000 | -0.000 | 0.000 | -0.000 | -0.000 | 114.996 |
| 103.063 | 66.075 | 50.866 | 0.000 | -0.000 | 0.000 |
| 24.569 | 93.661 | 27.608 | 0.000 | -0.000 | 0.000 |
| 69.052 | 56.215 | 258.267 | 0.000 | 0.000 | 0.000 |
| -0.000 | 0.000 | 0.000 | 74.828 | 0.000 | 0.000 |
| 0.000 | -0.000 | -0.000 | 0.000 | 229.464 | 0.000 |
| 0.000 | 0.000 | -0.000 | -0.000 | 0.000 | 114.996 |
| -4133.801 | 13304.175 | 15774.903 | -0.000 | -0.000 | -0.000 |
| -700.002 | 278.369 | 1480.645 | -0.000 | 0.000 | -0.000 |
| 18.673 | 13.809 | 514.670 | -0.000 | -0.000 | -0.000 |
| -3722.013 | 13320.634 | 15712.271 | -139.573 | 0.000 | -0.000 |
| -18545.848 | 14837.327 | 10537.072 | 0.000 | 423.280 | 0.000 |
| -753.754 | -85.998 | 1460.249 | -0.000 | 0.000 | 148.390 |
| 645.983 | -238.806 | -2592.474 | 0.000 | -0.000 | -0.000 |
| 762.187 | -9297.803 | -12036.551 | 0.000 | -0.000 | 0.000 |
| 782.706 | 108.450 | -990.685 | 0.000 | -0.000 | 0.000 |
| 3722.013 | -13320.634 | -15712.271 | -139.572 | 0.000 | 0.000 |
| 3722.986 | -13324.265 | -15716.559 | 0.000 | -122.117 | -0.000 |
| 753.754 | 85.998 | -1460.249 | 0.000 | -0.000 | 148.390 |
| 273.043 | 44.971 | 172.153 | -0.000 | 0.000 | 0.000 |
| 24.474 | 292.278 | 288.494 | -0.000 | 0.000 | 0.000 |
| -403.178 | 1380.008 | 1277.621 | -0.000 | -0.000 | -0.000 |
| -217.797 | 1154.997 | 1540.015 | -208.233 | 0.000 | -0.000 |
| -40.505 | 30.531 | 263.846 | -0.000 | 139.265 | -0.000 |
| -378.046 | 1326.353 | 1556.484 | -0.000 | -0.000 | -128.839 |
| 278.986 | 34.545 | -224.559 | 0.000 | -0.000 | 0.000 |
| 119.996 | -1240.240 | -1112.312 | 0.000 | -0.000 | 0.000 |
| 93.081 | -267.696 | -500.228 | 0.000 | -0.000 | -0.000 |
| 217.778 | -1155.073 | -1540.206 | -208.318 | -0.000 | 0.000 |
| 40.505 | -30.531 | -263.846 | 0.000 | 139.265 | 0.000 |
| 377.976 | -1326.017 | -1556.065 | 0.000 | -0.000 | -128.755 |
| 42.229 | 99.137 | 105.284 | -0.000 | -0.000 | -0.000 |
| -2.725 | 77.250 | 94.971 | -0.000 | 0.000 | -0.000 |
| -1.641 | 74.918 | 170.565 | -0.000 | 0.000 | 0.000 |
| -76.848 | 134.962 | 141.834 | 18.932 | -0.000 | -0.000 |
| -76.871 | 132.783 | 138.948 | 0.000 | -9.995 | -0.000 |
| -51.258 | 127.830 | 150.448 | -0.000 | 0.000 | 5.260 |
| 181.131 | 67.086 | 14.876 | 0.000 | -0.000 | 0.000 |
| -49.198 | -122.104 | -183.810 | 0.000 | -0.000 | 0.000 |
| -12.563 | -135.634 | -19.948 | 0.000 | -0.000 | 0.000 |
| 76.848 | -134.962 | -141.834 | 18.932 | 0.000 | 0.000 |
| 76.871 | -132.783 | -138.948 | -0.000 | -9.995 | -0.000 |
| 51.258 | -127.830 | -150.448 | 0.000 | -0.000 | 5.260 |
| 553.263 | 171.917 | 171.917 | -0.000 | -0.000 | 0.000 |
| 171.917 | 553.263 | 171.917 | -0.000 | -0.000 | 0.000 |
| 171.917 | 171.917 | 553.263 | -0.000 | 0.000 | -0.000 |
| -0.000 | -0.000 | 0.000 | 373.138 | 0.000 | 0.000 |
| -0.000 | -0.000 | 0.000 | -0.000 | 373.138 | -0.000 |
| -0.000 | 0.000 | 0.000 | -0.000 | -0.000 | 373.138 |
| 553.263 | 171.917 | 171.917 | 0.000 | 0.000 | 0.000 |
| 171.917 | 553.263 | 171.917 | 0.000 | 0.000 | 0.000 |
| 171.917 | 171.917 | 553.263 | 0.000 | 0.000 | -0.000 |
| 0.000 | -0.000 | -0.000 | 373.138 | 0.000 | 0.000 |
| 0.000 | 0.000 | -0.000 | 0.000 | 373.138 | 0.000 |
| -0.000 | -0.000 | -0.000 | 0.000 | 0.000 | 373.138 |
| 553.264 | 171.917 | 171.917 | -0.000 | -0.000 | 0.000 |
| 171.917 | 553.264 | 171.917 | -0.000 | -0.000 | -0.000 |
| 171.917 | 171.917 | 553.264 | -0.000 | -0.000 | 0.000 |
| 0.000 | -0.000 | 0.000 | 266.665 | -0.000 | 0.000 |
| -0.000 | 0.000 | 0.000 | -0.000 | 266.665 | 0.000 |
| -0.000 | 0.000 | 0.000 | -0.000 | 0.000 | 266.665 |
| 553.262 | 171.916 | 171.916 | 0.000 | 0.000 | -0.000 |
| 171.916 | 553.262 | 171.916 | 0.000 | 0.000 | 0.000 |
| 171.916 | 171.916 | 553.262 | 0.000 | 0.000 | 0.000 |
| -0.000 | 0.000 | -0.000 | 266.665 | 0.000 | -0.000 |
| 0.000 | -0.000 | -0.000 | 0.000 | 266.665 | 0.000 |
| 0.000 | -0.000 | -0.000 | 0.000 | 0.000 | 266.665 |
| 500.706 | -11.443 | 22.837 | 0.000 | 0.000 | -0.000 |
| -11.443 | 500.706 | 22.837 | -0.000 | -0.000 | -0.000 |
| 23.975 | 23.975 | 667.627 | 0.000 | 0.000 | 0.000 |
| 0.000 | 0.000 | -0.001 | 41.541 | 0.000 | 0.000 |
| 0.000 | 0.000 | -0.001 | 0.000 | 41.542 | -0.000 |
| -0.000 | -0.000 | 0.000 | -0.000 | 0.000 | 32.779 |
| 500.707 | -11.443 | 22.837 | 0.000 | 0.000 | 0.000 |
| -11.443 | 500.707 | 22.837 | 0.000 | -0.000 | 0.000 |
| 23.975 | 23.975 | 667.627 | 0.000 | -0.000 | 0.000 |
| -0.000 | -0.000 | 0.001 | 41.541 | -0.000 | 0.000 |
| -0.000 | -0.000 | 0.001 | -0.000 | 41.542 | 0.000 |
| 0.000 | 0.000 | -0.000 | -0.000 | -0.000 | 32.779 |
| 500.666 | -11.817 | 24.034 | -0.000 | -0.000 | -0.000 |
| -11.356 | 504.255 | 12.340 | -0.000 | -0.000 | 0.000 |
| 23.975 | 23.975 | 667.627 | -0.000 | -0.000 | 0.000 |
| -0.000 | 0.000 | -0.000 | 41.542 | -0.000 | -0.000 |
| 0.000 | 0.000 | -0.000 | 0.000 | 41.542 | -0.000 |
| -0.000 | -0.000 | 0.000 | 0.000 | 0.000 | 32.779 |
| 500.665 | -11.817 | 24.034 | 0.000 | 0.000 | -0.000 |
| -11.356 | 504.255 | 12.340 | -0.000 | 0.000 | 0.000 |
| 23.975 | 23.975 | 667.627 | 0.000 | 0.000 | -0.000 |
| 0.000 | -0.000 | 0.000 | 41.542 | 0.000 | 0.000 |
| -0.000 | -0.000 | 0.000 | 0.000 | 41.542 | 0.000 |
| 0.000 | 0.000 | -0.000 | 0.000 | -0.000 | 32.779 |
| 500.664 | -11.793 | 23.975 | -0.000 | -0.000 | 0.000 |
| -11.793 | 500.664 | 23.975 | -0.000 | -0.000 | -0.000 |
| 23.976 | 23.976 | 667.624 | -0.000 | -0.000 | 0.000 |
| -0.000 | 0.001 | -0.002 | 41.542 | 0.000 | -0.000 |
| 0.001 | -0.000 | -0.002 | 0.000 | 41.542 | -0.000 |
| -0.000 | -0.000 | 0.000 | -0.000 | -0.000 | 32.779 |
| 500.661 | -11.793 | 23.974 | 0.000 | 0.000 | 0.000 |
| -11.793 | 500.661 | 23.974 | -0.000 | -0.000 | 0.000 |
| 23.974 | 23.974 | 667.630 | 0.000 | 0.000 | -0.000 |
| 0.000 | -0.001 | 0.002 | 41.542 | -0.000 | 0.000 |
| -0.001 | 0.000 | 0.002 | -0.000 | 41.542 | 0.000 |
| 0.000 | 0.000 | -0.000 | 0.000 | 0.000 | 32.779 |
| 792.766 | 28.323 | 28.323 | 0.000 | -0.000 | 0.000 |
| 28.323 | 792.766 | 28.323 | -0.000 | 0.000 | 0.000 |
| 28.323 | 28.323 | 792.766 | 0.000 | 0.000 | 0.000 |
| -0.000 | -0.000 | 0.000 | 213.671 | 0.000 | -0.000 |
| 0.000 | 0.000 | 0.000 | -0.000 | 213.671 | 0.000 |
| -0.000 | 0.000 | 0.000 | 0.000 | 0.000 | 213.671 |
| 792.766 | 28.323 | 28.323 | -0.000 | 0.000 | -0.000 |
| 28.323 | 792.766 | 28.323 | -0.000 | -0.000 | -0.000 |
| 28.323 | 28.323 | 792.766 | -0.000 | 0.000 | -0.000 |
| 0.000 | 0.000 | -0.000 | 213.671 | 0.000 | -0.000 |
| -0.000 | -0.000 | 0.000 | -0.000 | 213.671 | -0.000 |
| 0.000 | -0.000 | -0.000 | -0.000 | -0.000 | 213.671 |
| 811.860 | 34.119 | 34.119 | 0.000 | 0.000 | -0.000 |
| 34.119 | 811.860 | 34.119 | 0.000 | 0.000 | 0.000 |
| 34.119 | 34.119 | 811.860 | 0.000 | 0.000 | -0.000 |
| 0.000 | -0.000 | -0.000 | 213.671 | 0.000 | -0.000 |
| -0.000 | 0.000 | -0.000 | -0.000 | 213.671 | 0.000 |
| -0.000 | -0.000 | 0.000 | -0.000 | -0.000 | 213.671 |
| 794.207 | 24.987 | 24.987 | -0.000 | -0.000 | 0.000 |
| 24.987 | 794.207 | 24.987 | -0.000 | -0.000 | -0.000 |
| 24.987 | 24.987 | 794.207 | 0.000 | 0.000 | -0.000 |
| -0.000 | 0.000 | 0.000 | 213.671 | -0.000 | -0.000 |
| 0.000 | -0.000 | 0.000 | -0.000 | 213.671 | -0.000 |
| 0.000 | 0.000 | -0.000 | -0.000 | 0.000 | 213.671 |
| 792.768 | 28.323 | 28.323 | 0.000 | -0.000 | 0.000 |
| 28.323 | 792.768 | 28.323 | 0.000 | 0.000 | 0.000 |
| 28.325 | 28.325 | 792.772 | -0.000 | 0.000 | 0.000 |
| 0.000 | -0.000 | -0.000 | 211.587 | 0.000 | 0.000 |
| -0.000 | 0.000 | -0.000 | -0.000 | 211.587 | 0.000 |
| -0.000 | -0.000 | 0.000 | 0.000 | 0.000 | 211.587 |
| 792.764 | 28.323 | 28.323 | -0.000 | -0.000 | -0.000 |
| 28.323 | 792.764 | 28.323 | -0.000 | -0.000 | -0.000 |
| 28.323 | 28.323 | 792.764 | 0.000 | -0.000 | -0.000 |
| -0.000 | 0.000 | 0.000 | 211.587 | -0.000 | 0.000 |
| 0.000 | -0.000 | 0.000 | -0.000 | 211.587 | -0.000 |
| 0.000 | 0.000 | -0.000 | -0.000 | -0.000 | 211.587 |
| 612.653 | -13.255 | -13.255 | 0.000 | 0.000 | -0.000 |
| -13.255 | 612.653 | -13.255 | 0.000 | -0.000 | 0.000 |
| -13.255 | -13.255 | 612.653 | -0.000 | 0.000 | 0.000 |
| 0.000 | 0.000 | 0.000 | 241.493 | 0.000 | -0.000 |
| 0.000 | 0.000 | 0.000 | 0.000 | 241.493 | 0.000 |
| 0.000 | 0.000 | 0.000 | -0.000 | 0.000 | 241.493 |
| 623.304 | -2.701 | -2.701 | -0.000 | 0.000 | -0.000 |
| -2.701 | 623.303 | -2.701 | 0.000 | -0.000 | -0.000 |
| -2.701 | -2.701 | 623.303 | -0.000 | -0.000 | -0.000 |
| -0.000 | -0.000 | -0.000 | 241.493 | -0.000 | -0.000 |
| -0.000 | -0.000 | -0.000 | 0.000 | 241.493 | -0.000 |
| -0.000 | -0.000 | -0.000 | -0.000 | 0.000 | 241.493 |
| 623.304 | -2.700 | -2.700 | 0.000 | -0.000 | 0.000 |
| -2.700 | 623.304 | -2.700 | 0.000 | 0.000 | 0.000 |
| -2.700 | -2.700 | 623.304 | -0.000 | 0.000 | 0.000 |
| 0.000 | 0.000 | 0.000 | 241.493 | -0.000 | 0.000 |
| 0.000 | 0.000 | 0.000 | -0.000 | 241.493 | 0.000 |
| 0.000 | 0.000 | 0.000 | 0.000 | 0.000 | 241.493 |
| 611.805 | -14.023 | -14.023 | 0.000 | 0.000 | -0.000 |
| -14.023 | 611.805 | -14.023 | -0.000 | 0.000 | -0.000 |
| -14.023 | -14.023 | 611.805 | 0.000 | -0.000 | 0.000 |
| -0.000 | -0.000 | -0.000 | 241.493 | -0.000 | -0.000 |
| -0.000 | -0.000 | -0.000 | -0.000 | 241.493 | -0.000 |
| -0.000 | -0.000 | -0.000 | -0.000 | -0.000 | 241.493 |
| 611.914 | -13.996 | -13.996 | -0.000 | -0.000 | 0.000 |
| -13.996 | 611.914 | -13.996 | -0.000 | 0.000 | 0.000 |
| -13.996 | -13.996 | 611.914 | 0.000 | 0.000 | -0.000 |
| 0.007 | 0.007 | 0.007 | 192.622 | -0.000 | 0.000 |
| 0.007 | 0.007 | 0.007 | 0.000 | 192.622 | 0.000 |
| 0.007 | 0.007 | 0.007 | -0.000 | -0.000 | 192.622 |
| 611.870 | -13.956 | -13.956 | 0.000 | -0.000 | 0.000 |
| -13.956 | 611.870 | -13.956 | -0.000 | 0.000 | 0.000 |
| -13.956 | -13.956 | 611.870 | 0.000 | -0.000 | -0.000 |
| -0.007 | -0.007 | -0.007 | 192.622 | -0.000 | 0.000 |
| -0.007 | -0.007 | -0.007 | 0.000 | 192.622 | 0.000 |
| -0.007 | -0.007 | -0.007 | -0.000 | 0.000 | 192.622 |
| -7782017455.243 | -3023349525.883 | -2687802046.917 | -103826145.237 | -14551687.713 | -54229336.640 |
| -2743015763.579 | -7850427854.188 | -2928380761.652 | 15370092.406 | -88617528.842 | 61186400.748 |
| -2987691763.743 | -2606170437.068 | -8013267579.482 | 44651580.824 | 2192876.385 | 10225589.160 |
| -0.000 | 0.000 | 0.000 | 52.369 | 0.000 | 0.000 |
| 0.000 | -0.000 | 0.000 | 0.000 | 52.369 | 0.000 |
| 0.000 | 0.000 | 0.000 | 0.000 | 0.000 | 52.369 |
| 3477335615.491 | 5951566117.732 | 5423743634.881 | 21782092.842 | -13790367.999 | 20931914.097 |
| 5402102824.621 | 3309277871.250 | 5894316038.358 | 73951347.458 | 29076070.161 | 19571836.859 |
| 5914426664.242 | 5388160547.802 | 3377117050.645 | -4437452.988 | 11275217.825 | -13027566.793 |
| 0.000 | -0.000 | -0.000 | 52.369 | -0.000 | 0.000 |
| -0.000 | 0.000 | -0.000 | -0.000 | 52.369 | -0.000 |
| -0.000 | -0.000 | 0.000 | -0.000 | -0.000 | 52.369 |
| -788032976.063 | -327607225.361 | -265053038.918 | -7606790.564 | 4214726.653 | 1702578.227 |
| -265728124.623 | -773836782.370 | -311948906.962 | 10236063.489 | -3097912.692 | -626494.131 |
| -311780860.130 | -256424108.188 | -777897267.370 | -8289137.664 | 2003730.516 | -5669828.633 |
| -0.001 | 0.000 | 0.000 | 52.369 | -0.000 | 0.000 |
| 0.000 | -0.001 | 0.000 | 0.000 | 52.369 | 0.000 |
| 0.000 | 0.000 | -0.001 | 0.000 | 0.000 | 52.369 |
| 313801250.712 | 585864944.172 | 561256515.809 | 11618620.928 | 1344120.960 | 1182070.862 |
| 552600904.050 | 325304945.792 | 584152925.540 | -4944777.688 | 2013933.034 | -1621014.564 |
| 566010759.443 | 546356184.111 | 320742584.712 | 9565947.366 | -291283.994 | -4185522.903 |
| 0.001 | -0.000 | -0.000 | 52.369 | -0.000 | -0.000 |
| -0.000 | 0.001 | -0.000 | -0.000 | 52.369 | -0.000 |
| -0.000 | -0.000 | 0.001 | -0.000 | -0.000 | 52.369 |
| -76647103.275 | -30110449.581 | -26250738.206 | -1304587.805 | 317556.611 | 34613.547 |
| -25348127.126 | -76658331.589 | -30398903.357 | -655847.230 | 107878.013 | 158582.977 |
| -30540644.579 | -26654632.925 | -77307722.115 | 1097168.815 | -632083.906 | -157209.475 |
| -0.009 | 0.002 | 0.004 | 52.369 | 0.000 | -0.000 |
| 0.002 | -0.009 | 0.004 | 0.000 | 52.369 | 0.000 |
| 0.002 | 0.004 | -0.009 | 0.000 | 0.000 | 52.369 |
| 32062311.812 | 57671631.799 | 54669519.407 | -484168.692 | 399801.417 | -189889.146 |
| 54704091.835 | 32513755.912 | 58432722.483 | 287301.594 | 757697.867 | 641056.267 |
| 56972947.717 | 57031283.503 | 31513232.811 | 840386.661 | 16757.897 | 915703.372 |
| 0.009 | -0.002 | -0.004 | 52.369 | -0.000 | -0.000 |
| -0.002 | 0.009 | -0.004 | -0.000 | 52.369 | -0.000 |
| -0.002 | -0.004 | 0.009 | -0.000 | -0.000 | 52.369 |
| 2087.534 | 4327.688 | 4327.688 | -0.000 | -0.000 | -0.000 |
| 4327.688 | 2087.534 | 4327.688 | -0.000 | -0.000 | -0.000 |
| 4327.688 | 4327.688 | 2087.534 | -0.000 | -0.000 | -0.000 |
| -0.000 | -0.000 | -0.000 | 584.587 | -0.000 | -0.000 |
| -0.000 | -0.000 | -0.000 | -0.000 | 584.587 | 0.000 |
| -0.000 | -0.000 | -0.000 | -0.000 | 0.000 | 584.587 |
| 2087.534 | 4327.688 | 4327.688 | 0.000 | 0.000 | -0.000 |
| 4327.688 | 2087.534 | 4327.688 | 0.000 | 0.000 | 0.000 |
| 4327.688 | 4327.688 | 2087.534 | 0.000 | -0.000 | -0.000 |
| 0.000 | 0.000 | 0.000 | 584.587 | -0.000 | 0.000 |
| 0.000 | 0.000 | 0.000 | -0.000 | 584.587 | 0.000 |
| 0.000 | 0.000 | 0.000 | 0.000 | 0.000 | 584.587 |
| 2087.535 | 4327.688 | 4327.688 | -0.000 | -0.000 | 0.000 |
| 4327.688 | 2087.535 | 4327.688 | -0.000 | -0.000 | 0.000 |
| 4327.688 | 4327.688 | 2087.535 | -0.000 | -0.000 | 0.000 |
| -0.000 | -0.000 | -0.000 | 584.587 | -0.000 | 0.000 |
| -0.000 | -0.000 | -0.000 | 0.000 | 584.587 | 0.000 |
| -0.000 | -0.000 | -0.000 | -0.000 | 0.000 | 584.587 |
| 2087.534 | 4327.688 | 4327.688 | -0.000 | -0.000 | -0.000 |
| 4327.688 | 2087.534 | 4327.688 | -0.000 | -0.000 | 0.000 |
| 4327.688 | 4327.688 | 2087.534 | 0.000 | 0.000 | -0.000 |
| 0.000 | 0.000 | 0.000 | 584.587 | 0.000 | 0.000 |
| 0.000 | 0.000 | 0.000 | 0.000 | 584.587 | -0.000 |
| 0.000 | 0.000 | 0.000 | -0.000 | -0.000 | 584.587 |
| 2087.538 | 4327.687 | 4327.687 | -0.000 | -0.000 | -0.000 |
| 4327.687 | 2087.538 | 4327.687 | -0.000 | -0.000 | -0.000 |
| 4327.687 | 4327.687 | 2087.538 | -0.000 | -0.000 | 0.000 |
| -0.002 | -0.003 | -0.001 | 584.578 | -0.000 | 0.000 |
| -0.003 | -0.002 | -0.001 | 0.000 | 584.578 | -0.000 |
| -0.003 | -0.001 | -0.002 | -0.000 | -0.000 | 584.578 |
| 2087.531 | 4327.690 | 4327.690 | 0.000 | -0.000 | -0.000 |
| 4327.690 | 2087.531 | 4327.690 | 0.000 | 0.000 | -0.000 |
| 4327.690 | 4327.690 | 2087.531 | 0.000 | -0.000 | -0.000 |
| 0.002 | 0.003 | 0.001 | 584.578 | -0.000 | -0.000 |
| 0.003 | 0.002 | 0.001 | 0.000 | 584.578 | 0.000 |
| 0.003 | 0.001 | 0.002 | 0.000 | 0.000 | 584.578 |
| 480.891 | 160.394 | 160.394 | 0.000 | 0.000 | 0.000 |
| 160.394 | 480.891 | 160.395 | 0.000 | 0.000 | 0.000 |
| 160.394 | 160.394 | 480.891 | 0.000 | 0.000 | 0.000 |
| 0.000 | 0.000 | 0.000 | 191.599 | 0.000 | 0.000 |
| 0.000 | 0.000 | 0.000 | 0.000 | 191.599 | 0.000 |
| 0.000 | 0.000 | 0.000 | 0.000 | 0.000 | 191.599 |
| 480.891 | 160.394 | 160.394 | -0.000 | -0.000 | -0.000 |
| 160.394 | 480.891 | 160.394 | -0.000 | -0.000 | -0.000 |
| 160.394 | 160.394 | 480.891 | -0.000 | -0.000 | -0.000 |
| -0.000 | -0.000 | -0.000 | 191.599 | -0.000 | -0.000 |
| -0.000 | -0.000 | -0.000 | -0.000 | 191.599 | -0.000 |
| -0.000 | -0.000 | -0.000 | -0.000 | -0.000 | 191.599 |
| 480.891 | 160.394 | 160.394 | 0.000 | 0.000 | 0.000 |
| 160.394 | 480.891 | 160.394 | 0.000 | 0.000 | 0.000 |
| 160.394 | 160.394 | 480.891 | 0.000 | 0.000 | 0.000 |
| 0.000 | 0.000 | 0.000 | 191.599 | 0.000 | 0.000 |
| 0.000 | 0.000 | 0.000 | 0.000 | 191.599 | 0.000 |
| 0.000 | 0.000 | 0.000 | 0.000 | 0.000 | 191.599 |
| 480.891 | 160.394 | 160.394 | -0.000 | -0.000 | -0.000 |
| 160.394 | 480.891 | 160.394 | -0.000 | -0.000 | -0.000 |
| 160.394 | 160.394 | 480.891 | -0.000 | -0.000 | -0.000 |
| -0.000 | -0.000 | -0.000 | 191.599 | -0.000 | -0.000 |
| -0.000 | -0.000 | -0.000 | -0.000 | 191.599 | -0.000 |
| -0.000 | -0.000 | -0.000 | -0.000 | -0.000 | 191.599 |
| 480.892 | 160.395 | 160.395 | 0.000 | 0.000 | 0.000 |
| 160.395 | 480.892 | 160.395 | 0.000 | 0.000 | 0.000 |
| 160.395 | 160.395 | 480.892 | 0.000 | 0.000 | 0.000 |
| -0.000 | 0.000 | 0.000 | 191.599 | 0.000 | 0.000 |
| 0.000 | -0.000 | 0.000 | 0.000 | 191.599 | 0.000 |
| 0.000 | 0.000 | -0.000 | 0.000 | 0.000 | 191.599 |
| 480.890 | 160.394 | 160.394 | -0.000 | -0.000 | -0.000 |
| 160.394 | 480.890 | 160.394 | -0.000 | -0.000 | -0.000 |
| 160.394 | 160.394 | 480.890 | -0.000 | -0.000 | -0.000 |
| 0.000 | -0.000 | -0.000 | 191.599 | -0.000 | -0.000 |
| -0.000 | 0.000 | -0.000 | -0.000 | 191.599 | -0.000 |
| -0.000 | -0.000 | 0.000 | -0.000 | -0.000 | 191.599 |
| 1482.041 | 1143.887 | 0.000 | 0.000 | 0.000 | 0.000 |
| 1143.887 | 1482.041 | 0.000 | 0.000 | 0.000 | 0.000 |
| 0.000 | 0.000 | 0.000 | 0.000 | 0.000 | -0.000 |
| 0.000 | 0.000 | 0.000 | 0.000 | 0.000 | 0.000 |
| 0.000 | 0.000 | 0.000 | 0.000 | 0.000 | 0.000 |
| -0.000 | 0.000 | 0.000 | 0.000 | 0.000 | 809.863 |
| 1482.041 | 1143.888 | -0.000 | -0.000 | -0.000 | -0.000 |
| 1143.888 | 1482.041 | -0.000 | -0.000 | -0.000 | -0.000 |
| -0.000 | -0.000 | -0.000 | -0.000 | -0.000 | 0.000 |
| -0.000 | -0.000 | -0.000 | -0.000 | -0.000 | -0.000 |
| -0.000 | -0.000 | -0.000 | -0.000 | -0.000 | 0.000 |
| 0.000 | -0.000 | -0.000 | -0.000 | -0.000 | 809.863 |
| 1482.041 | 1143.888 | 0.000 | 0.000 | 0.000 | 0.000 |
| 1143.888 | 1482.041 | 0.000 | 0.000 | 0.000 | 0.000 |
| 0.000 | 0.000 | 0.000 | 0.000 | 0.000 | -0.000 |
| 0.000 | 0.000 | 0.000 | 0.000 | 0.000 | 0.000 |
| 0.000 | 0.000 | 0.000 | 0.000 | 0.000 | 0.000 |
| 0.000 | 0.001 | 0.000 | 0.000 | 0.000 | 809.863 |
| 1482.041 | 1143.887 | -0.000 | -0.000 | -0.000 | -0.000 |
| 1143.887 | 1482.041 | -0.000 | -0.000 | -0.000 | 0.000 |
| -0.000 | -0.000 | -0.000 | -0.000 | -0.000 | 0.000 |
| -0.000 | -0.000 | -0.000 | -0.000 | -0.000 | -0.000 |
| -0.000 | -0.000 | -0.000 | -0.000 | -0.000 | -0.000 |
| -0.000 | -0.001 | -0.000 | -0.000 | -0.000 | 809.863 |
| 1482.043 | 1143.890 | 0.000 | 0.000 | 0.000 | 0.000 |
| 1143.890 | 1482.043 | 0.000 | 0.000 | 0.000 | 0.000 |
| 0.000 | 0.000 | 0.000 | 0.000 | 0.000 | -0.000 |
| 0.000 | 0.000 | 0.000 | 0.000 | 0.000 | 0.000 |
| 0.000 | 0.000 | 0.000 | 0.000 | 0.000 | 0.000 |
| 0.004 | 0.006 | 0.000 | 0.000 | 0.000 | 809.863 |
| 1482.039 | 1143.885 | -0.000 | -0.000 | -0.000 | -0.000 |
| 1143.885 | 1482.039 | -0.000 | -0.000 | -0.000 | -0.000 |
| -0.000 | -0.000 | -0.000 | -0.000 | -0.000 | 0.000 |
| -0.000 | -0.000 | -0.000 | -0.000 | -0.000 | -0.000 |
| -0.000 | -0.000 | -0.000 | -0.000 | -0.000 | -0.000 |
| -0.004 | -0.006 | -0.000 | -0.000 | -0.000 | 809.863 |
| 171.264 | 37.226 | 24.026 | 6.216 | 4.160 | 0.000 |
| 37.226 | 171.264 | 24.026 | -6.216 | -4.160 | -0.000 |
| 36.691 | 36.691 | 157.901 | 0.000 | -0.000 | -0.000 |
| 25.751 | -25.750 | -0.001 | 40.617 | -0.000 | -3.114 |
| 4.160 | -4.160 | -0.000 | 0.000 | 86.818 | 6.216 |
| 0.000 | 0.000 | -0.000 | -4.160 | 6.216 | 67.019 |
| 171.264 | 37.226 | 24.026 | 6.216 | 4.160 | -0.000 |
| 50.185 | 132.511 | 35.236 | -15.103 | -0.767 | -0.000 |
| 24.026 | 24.026 | 236.239 | -0.000 | 0.000 | -0.000 |
| 6.216 | -6.216 | 0.000 | 86.818 | -0.000 | -4.160 |
| 4.160 | -4.160 | 0.000 | 0.000 | 86.818 | 6.216 |
| -0.000 | -0.000 | 0.000 | -0.558 | 15.649 | 39.574 |
| 132.511 | 50.185 | 35.235 | 15.103 | 0.767 | -0.000 |
| 60.585 | 110.839 | 29.323 | -27.735 | -4.408 | -0.000 |
| 29.088 | 29.088 | 93.607 | -0.000 | -0.000 | -0.000 |
| 6.216 | -6.216 | -0.000 | 86.818 | -0.000 | -4.160 |
| 4.160 | -4.160 | -0.000 | 0.000 | 86.818 | 6.216 |
| -0.000 | 0.000 | -0.000 | -4.160 | 6.216 | 67.019 |
| 132.511 | 50.185 | 35.235 | 15.102 | 0.767 | -0.000 |
| 60.585 | 110.839 | 29.323 | -27.735 | -4.408 | -0.000 |
| 24.026 | 24.026 | 236.239 | -0.000 | 0.000 | -0.000 |
| 14.423 | -14.423 | 0.000 | 64.491 | -0.000 | -1.026 |
| 5.057 | -5.057 | 0.000 | -0.000 | 46.677 | 31.482 |
| 0.000 | 0.000 | 0.000 | -0.558 | 15.649 | 39.574 |
| 92.786 | 38.980 | 25.615 | 25.201 | 4.733 | 0.000 |
| 47.646 | 98.733 | 28.040 | -30.114 | -5.258 | -0.000 |
| 27.189 | 27.189 | 55.518 | 0.000 | 0.000 | 0.000 |
| 14.424 | -14.424 | 0.000 | 64.490 | 0.000 | -1.026 |
| 4.160 | -4.160 | 0.000 | 0.000 | 86.818 | 6.216 |
| -0.000 | -0.000 | 0.000 | -3.332 | 26.232 | 28.622 |
| 98.733 | 47.645 | 28.040 | 30.114 | 5.257 | -0.000 |
| 47.647 | 98.724 | 28.040 | -30.117 | -5.258 | 0.000 |
| 36.693 | 36.693 | 157.891 | 0.000 | 0.000 | 0.000 |
| 31.485 | -31.485 | 0.000 | 46.668 | 0.000 | -5.056 |
| 1.026 | -1.026 | -0.000 | -0.000 | 64.491 | 14.423 |
| -0.000 | -0.000 | -0.000 | -4.160 | 6.216 | 67.019 |
| -231.404 | -135.547 | -222.189 | 406.570 | 458.337 | -182.291 |
| -493.000 | -604.833 | -576.761 | 689.754 | 521.671 | -509.999 |
| -1610.394 | -300.062 | -923.148 | 352.004 | 1118.148 | -189.555 |
| -862.307 | -115.978 | -311.201 | 601.760 | 298.723 | -316.126 |
| -904.216 | -130.960 | -310.161 | 569.128 | 371.459 | -306.785 |
| -555.520 | -833.142 | -618.343 | 740.703 | 493.073 | -440.707 |
| 559.003 | 107.227 | 158.452 | -44.627 | -147.984 | 121.881 |
| 916.297 | 251.587 | 365.759 | -593.857 | -313.331 | 323.888 |
| 552.564 | -344.613 | -1321.516 | 361.805 | 192.896 | 64.490 |
| 506.889 | 818.401 | 608.766 | -656.361 | -524.717 | 510.004 |
| 818.459 | 103.192 | 266.942 | -578.997 | -241.756 | 312.508 |
| 492.399 | 829.903 | 586.366 | -744.748 | -552.205 | 584.676 |
| 559.003 | 107.227 | 158.452 | -44.627 | -147.984 | 121.881 |
| -95.550 | 111.607 | 100.232 | 10.044 | 23.943 | -57.530 |
| -12.333 | -40.222 | 107.217 | 57.735 | 50.635 | -47.745 |
| -56.227 | -51.324 | 0.475 | 111.368 | 25.528 | -31.426 |
| -33.991 | -11.707 | -9.129 | 37.005 | 77.899 | -18.602 |
| -57.126 | -11.794 | -29.774 | 59.661 | 20.632 | 10.572 |
| 168.657 | 50.252 | -110.396 | -5.746 | 63.415 | 59.263 |
| 41.159 | 237.493 | 16.665 | -58.773 | -12.185 | 9.892 |
| 53.962 | 81.557 | 149.997 | -42.711 | -9.863 | 31.539 |
| 30.501 | 6.400 | 49.670 | -24.870 | -54.088 | -7.816 |
| 71.767 | 3.300 | 25.392 | -60.802 | 7.828 | 37.023 |
| 90.942 | 21.088 | 38.158 | -58.189 | -49.242 | 69.126 |
| 128.120 | 34.175 | 22.513 | 2.835 | 3.137 | -5.939 |
| 29.635 | 158.443 | 43.885 | -18.615 | 7.446 | -3.634 |
| -1.786 | 39.275 | 108.634 | -8.703 | 29.001 | -11.232 |
| -10.294 | -1.377 | -12.472 | 56.679 | -2.770 | -6.161 |
| 9.434 | -0.390 | 4.941 | 0.544 | 58.237 | 6.589 |
| -3.482 | -1.763 | 3.571 | 2.136 | -24.282 | 53.991 |
| 145.231 | 38.776 | 27.221 | -6.616 | -4.636 | 0.988 |
| 56.276 | 159.096 | 58.637 | -26.756 | -9.235 | 0.950 |
| 28.569 | 44.517 | 108.204 | -10.589 | 13.185 | -1.553 |
| 18.337 | 7.507 | -10.769 | 49.211 | -12.026 | 9.782 |
| 16.177 | -3.725 | 11.127 | 1.520 | 69.113 | -4.869 |
| 6.477 | 1.074 | -7.287 | -2.871 | -20.469 | 62.710 |
| 4298.853 | 1845.927 | 1845.927 | 0.000 | 0.000 | -0.000 |
| 1845.927 | 4298.853 | 1845.927 | 0.000 | 0.000 | -0.000 |
| 1845.927 | 1845.927 | 4298.853 | 0.000 | 0.000 | -0.000 |
| -0.000 | -0.000 | -0.000 | 1878.944 | 0.000 | 0.000 |
| -0.000 | -0.000 | -0.000 | 0.000 | 1878.944 | -0.000 |
| -0.000 | -0.000 | 0.000 | 0.000 | 0.000 | 1878.944 |
| 4298.853 | 1845.927 | 1845.927 | -0.000 | -0.000 | 0.000 |
| 1845.927 | 4298.853 | 1845.927 | -0.000 | -0.000 | 0.000 |
| 1845.927 | 1845.927 | 4298.853 | -0.000 | -0.000 | 0.000 |
| 0.000 | 0.000 | 0.000 | 1878.944 | -0.000 | 0.000 |
| 0.000 | 0.000 | 0.000 | 0.000 | 1878.944 | 0.000 |
| 0.000 | 0.000 | -0.000 | -0.000 | -0.000 | 1878.944 |
| 4298.854 | 1845.928 | 1845.928 | 0.000 | 0.000 | -0.000 |
| 1845.928 | 4298.854 | 1845.928 | 0.000 | 0.000 | -0.000 |
| 1845.928 | 1845.928 | 4298.854 | 0.000 | 0.000 | 0.000 |
| -0.000 | -0.001 | -0.000 | 1878.944 | 0.000 | -0.000 |
| -0.001 | -0.000 | -0.000 | 0.000 | 1878.944 | -0.000 |
| -0.001 | -0.000 | -0.000 | 0.000 | 0.000 | 1878.944 |
| 4298.852 | 1845.926 | 1845.926 | -0.000 | -0.000 | -0.000 |
| 1845.926 | 4298.852 | 1845.926 | -0.000 | -0.000 | 0.000 |
| 1845.926 | 1845.926 | 4298.852 | -0.000 | -0.000 | 0.000 |
| 0.000 | 0.001 | 0.000 | 1878.944 | -0.000 | 0.000 |
| 0.001 | 0.000 | 0.000 | 0.000 | 1878.944 | 0.000 |
| 0.001 | 0.000 | 0.000 | -0.000 | -0.000 | 1878.944 |
| 4298.863 | 1845.934 | 1845.934 | 0.000 | 0.000 | -0.000 |
| 1845.934 | 4298.863 | 1845.934 | 0.000 | 0.000 | -0.000 |
| 1845.934 | 1845.934 | 4298.863 | 0.000 | 0.000 | -0.000 |
| -0.000 | -0.006 | -0.003 | 1878.944 | 0.000 | -0.000 |
| -0.006 | -0.000 | -0.003 | 0.000 | 1878.944 | -0.000 |
| -0.006 | -0.003 | -0.000 | 0.000 | 0.000 | 1878.944 |
| 4298.844 | 1845.919 | 1845.919 | -0.000 | -0.000 | 0.000 |
| 1845.919 | 4298.844 | 1845.919 | -0.000 | -0.000 | 0.000 |
| 1845.919 | 1845.919 | 4298.844 | -0.000 | -0.000 | -0.000 |
| 0.000 | 0.006 | 0.003 | 1878.944 | -0.000 | 0.000 |
| 0.006 | 0.000 | 0.003 | -0.000 | 1878.944 | 0.000 |
| 0.006 | 0.003 | 0.000 | -0.000 | -0.000 | 1878.944 |
| 618.546 | -6.966 | -6.966 | -0.000 | -0.000 | -0.000 |
| -6.966 | 618.546 | -6.966 | -0.000 | -0.000 | -0.000 |
| -6.966 | -6.966 | 618.546 | -0.000 | -0.000 | -0.000 |
| -0.000 | 0.000 | -0.000 | 71.774 | -0.000 | -0.000 |
| 0.000 | -0.000 | -0.000 | -0.000 | 71.774 | -0.000 |
| 0.000 | -0.000 | -0.000 | -0.000 | -0.000 | 71.774 |
| 618.546 | -6.966 | -6.966 | 0.000 | 0.000 | 0.000 |
| -6.966 | 618.546 | -6.966 | 0.000 | 0.000 | 0.000 |
| -6.966 | -6.966 | 618.546 | 0.000 | 0.000 | 0.000 |
| 0.000 | -0.000 | 0.000 | 71.774 | 0.000 | 0.000 |
| -0.000 | 0.000 | 0.000 | 0.000 | 71.774 | 0.000 |
| -0.000 | 0.000 | 0.000 | 0.000 | 0.000 | 71.774 |
| 618.546 | -6.966 | -6.966 | -0.000 | -0.000 | -0.000 |
| -6.966 | 618.546 | -6.966 | -0.000 | -0.000 | -0.000 |
| -6.966 | -6.966 | 618.546 | -0.000 | -0.000 | -0.000 |
| -0.000 | -0.000 | -0.000 | 71.774 | -0.000 | -0.000 |
| -0.000 | -0.000 | -0.000 | -0.000 | 71.774 | -0.000 |
| -0.000 | -0.000 | -0.000 | -0.000 | -0.000 | 71.774 |
| 618.545 | -6.966 | -6.966 | 0.000 | 0.000 | 0.000 |
| -6.966 | 618.545 | -6.966 | 0.000 | 0.000 | 0.000 |
| -6.966 | -6.966 | 618.545 | 0.000 | 0.000 | 0.000 |
| 0.000 | 0.000 | 0.000 | 71.774 | 0.000 | 0.000 |
| 0.000 | 0.000 | 0.000 | 0.000 | 71.774 | 0.000 |
| 0.000 | 0.000 | 0.000 | 0.000 | 0.000 | 71.774 |
| 618.549 | -6.966 | -6.966 | -0.000 | -0.000 | -0.000 |
| -6.966 | 618.549 | -6.966 | -0.000 | -0.000 | -0.000 |
| -6.966 | -6.966 | 618.549 | 0.000 | 0.000 | -0.000 |
| -0.000 | -0.000 | -0.000 | 71.774 | -0.000 | -0.000 |
| -0.000 | -0.000 | -0.000 | -0.000 | 71.774 | -0.000 |
| -0.000 | -0.000 | -0.000 | -0.000 | -0.000 | 71.774 |
| 618.542 | -6.966 | -6.966 | 0.000 | 0.000 | 0.000 |
| -6.966 | 618.542 | -6.966 | 0.000 | 0.000 | 0.000 |
| -6.966 | -6.966 | 618.542 | -0.000 | -0.000 | 0.000 |
| 0.000 | 0.000 | 0.000 | 71.774 | 0.000 | 0.000 |
| 0.000 | 0.000 | 0.000 | 0.000 | 71.774 | 0.000 |
| 0.000 | 0.000 | 0.000 | 0.000 | 0.000 | 71.774 |
| 1566.535 | 1117.464 | 1117.464 | 0.000 | 0.000 | 0.000 |
| 1117.464 | 1566.535 | 1117.464 | 0.000 | 0.000 | -0.000 |
| 1117.464 | 1117.464 | 1566.535 | 0.000 | 0.000 | 0.000 |
| -0.000 | -0.000 | -0.000 | -52.450 | -0.000 | -0.000 |
| -0.000 | -0.000 | -0.000 | 0.000 | -52.450 | -0.000 |
| -0.000 | -0.000 | 0.000 | 0.000 | 0.000 | -52.450 |
| 1566.535 | 1117.464 | 1117.464 | -0.000 | -0.000 | -0.000 |
| 1117.464 | 1566.535 | 1117.464 | -0.000 | -0.000 | 0.000 |
| 1117.464 | 1117.464 | 1566.535 | -0.000 | -0.000 | -0.000 |
| 0.000 | 0.000 | -0.000 | -52.450 | -0.000 | 0.000 |
| 0.000 | -0.000 | 0.000 | -0.000 | -52.450 | 0.000 |
| 0.000 | 0.000 | -0.000 | -0.000 | -0.000 | -52.450 |
| 1566.535 | 1117.464 | 1117.464 | 0.000 | 0.000 | 0.000 |
| 1117.464 | 1566.535 | 1117.464 | 0.000 | 0.000 | 0.000 |
| 1117.464 | 1117.464 | 1566.535 | 0.000 | 0.000 | 0.000 |
| 0.000 | 0.000 | 0.000 | -52.450 | 0.000 | 0.000 |
| 0.000 | 0.000 | 0.000 | 0.000 | -52.450 | -0.000 |
| 0.000 | 0.000 | 0.000 | 0.000 | 0.000 | -52.450 |
| 1566.535 | 1117.465 | 1117.465 | -0.000 | -0.000 | -0.000 |
| 1117.465 | 1566.535 | 1117.465 | -0.000 | -0.000 | -0.000 |
| 1117.465 | 1117.465 | 1566.535 | -0.000 | 0.000 | -0.000 |
| -0.000 | -0.000 | -0.000 | -52.450 | -0.000 | -0.000 |
| -0.000 | -0.000 | -0.000 | -0.000 | -52.450 | 0.000 |
| -0.000 | -0.000 | -0.000 | -0.000 | -0.000 | -52.450 |
| 1566.534 | 1117.463 | 1117.463 | 0.000 | 0.000 | -0.000 |
| 1117.463 | 1566.534 | 1117.463 | 0.000 | 0.000 | 0.000 |
| 1117.463 | 1117.463 | 1566.534 | -0.000 | -0.000 | -0.000 |
| 0.003 | 0.002 | 0.002 | -52.450 | -0.000 | 0.000 |
| 0.002 | 0.003 | 0.002 | -0.000 | -52.450 | 0.000 |
| 0.002 | 0.002 | 0.003 | 0.000 | 0.000 | -52.450 |
| 1566.537 | 1117.466 | 1117.466 | 0.000 | 0.000 | 0.000 |
| 1117.466 | 1566.537 | 1117.466 | 0.000 | 0.000 | 0.000 |
| 1117.466 | 1117.466 | 1566.537 | -0.000 | -0.000 | 0.000 |
| -0.003 | -0.002 | -0.002 | -52.450 | -0.000 | 0.000 |
| -0.002 | -0.003 | -0.002 | -0.000 | -52.450 | -0.000 |
| -0.002 | -0.002 | -0.003 | -0.000 | -0.000 | -52.450 |
| 436.633 | 117.941 | 117.941 | -0.000 | -0.000 | -0.000 |
| 117.941 | 436.633 | 117.941 | -0.000 | -0.000 | -0.000 |
| 117.941 | 117.941 | 436.633 | -0.000 | -0.000 | -0.000 |
| -0.000 | -0.000 | -0.000 | 256.597 | -0.000 | -0.000 |
| -0.000 | 0.000 | -0.000 | -0.000 | 256.597 | -0.000 |
| -0.000 | -0.000 | -0.000 | -0.000 | -0.000 | 256.597 |
| 436.633 | 117.941 | 117.941 | 0.000 | 0.000 | 0.000 |
| 117.941 | 436.633 | 117.941 | 0.000 | 0.000 | 0.000 |
| 117.941 | 117.941 | 436.633 | 0.000 | 0.000 | 0.000 |
| 0.000 | 0.000 | 0.000 | 256.597 | 0.000 | 0.000 |
| 0.000 | -0.000 | 0.000 | 0.000 | 256.597 | 0.000 |
| 0.000 | 0.000 | 0.000 | 0.000 | 0.000 | 256.597 |
| 436.633 | 117.941 | 117.941 | -0.000 | -0.000 | -0.000 |
| 117.941 | 436.633 | 117.941 | -0.000 | -0.000 | -0.000 |
| 117.941 | 117.941 | 436.633 | -0.000 | -0.000 | -0.000 |
| 0.000 | -0.000 | 0.000 | 256.597 | -0.000 | -0.000 |
| -0.000 | 0.000 | 0.000 | -0.000 | 256.597 | -0.000 |
| -0.000 | 0.000 | 0.000 | -0.000 | -0.000 | 256.597 |
| 436.633 | 117.941 | 117.941 | 0.000 | 0.000 | 0.000 |
| 117.941 | 436.633 | 117.941 | 0.000 | 0.000 | 0.000 |
| 117.941 | 117.941 | 436.633 | 0.000 | 0.000 | 0.000 |
| -0.000 | 0.000 | -0.000 | 256.597 | 0.000 | 0.000 |
| 0.000 | -0.000 | -0.000 | 0.000 | 256.597 | 0.000 |
| 0.000 | -0.000 | -0.000 | 0.000 | 0.000 | 256.597 |
| 436.634 | 117.941 | 117.941 | -0.000 | -0.000 | -0.000 |
| 117.941 | 436.634 | 117.941 | -0.000 | -0.000 | -0.000 |
| 117.941 | 117.941 | 436.634 | -0.000 | -0.000 | -0.000 |
| 0.000 | -0.000 | 0.000 | 256.597 | -0.000 | -0.000 |
| -0.000 | 0.000 | 0.000 | -0.000 | 256.597 | -0.000 |
| -0.000 | 0.000 | 0.000 | -0.000 | -0.000 | 256.597 |
| 436.633 | 117.940 | 117.940 | 0.000 | 0.000 | 0.000 |
| 117.940 | 436.633 | 117.940 | 0.000 | 0.000 | 0.000 |
| 117.940 | 117.940 | 436.633 | 0.000 | 0.000 | 0.000 |
| -0.000 | 0.000 | -0.000 | 256.597 | 0.000 | 0.000 |
| 0.000 | -0.000 | -0.000 | 0.000 | 256.597 | 0.000 |
| 0.000 | -0.000 | -0.000 | 0.000 | 0.000 | 256.597 |
| 612.782 | 168.464 | -108.731 | 9.125 | 0.000 | -0.000 |
| 67.452 | 588.098 | 16.964 | -14.280 | -0.000 | -0.000 |
| 16.964 | 16.964 | 638.587 | 0.000 | 0.000 | -0.000 |
| 14.280 | -14.280 | -0.000 | 209.835 | -0.000 | -0.000 |
| -0.000 | -0.000 | 0.000 | -0.000 | 209.835 | 14.280 |
| -0.000 | -0.000 | 0.000 | -0.000 | 14.280 | 260.323 |
| 588.098 | 67.452 | 16.964 | 14.280 | 0.000 | 0.000 |
| 67.452 | 588.098 | 16.964 | -14.280 | 0.000 | 0.000 |
| -27.273 | -27.273 | 727.060 | 0.000 | 0.000 | 0.000 |
| -71.211 | -89.549 | 160.759 | 191.763 | 0.000 | 0.000 |
| 0.000 | 0.000 | -0.000 | 0.000 | 209.835 | 14.280 |
| 0.000 | 0.000 | -0.000 | 0.000 | 14.280 | 260.323 |
| 537.713 | 96.717 | 38.086 | 8.900 | -0.000 | -0.000 |
| 67.452 | 588.098 | 16.964 | -14.280 | -0.000 | -0.000 |
| 61.145 | 61.145 | 550.224 | -0.000 | -0.000 | -0.000 |
| 17.207 | -1.131 | -16.076 | 191.763 | 0.000 | 0.000 |
| 0.000 | 0.000 | 0.000 | 0.000 | 209.835 | 14.280 |
| 0.000 | 0.000 | 0.000 | 0.000 | 14.280 | 260.323 |
| 522.263 | 79.526 | 70.726 | 9.018 | 0.000 | -0.000 |
| 67.452 | 588.098 | 16.964 | -14.280 | 0.000 | 0.000 |
| 45.069 | 45.069 | 582.376 | -0.000 | -0.000 | 0.000 |
| 14.280 | -14.280 | -0.000 | 209.835 | -0.000 | 0.000 |
| -0.000 | -0.000 | -0.000 | -0.000 | 209.835 | 14.280 |
| -0.000 | -0.000 | -0.000 | -0.000 | 14.280 | 260.323 |
| 529.014 | 96.646 | 46.857 | 9.856 | -0.000 | -0.000 |
| 67.453 | 588.100 | 16.964 | -14.280 | 0.000 | -0.000 |
| 53.912 | 53.912 | 564.692 | -0.000 | 0.000 | -0.000 |
| 9.973 | -8.365 | -1.608 | 191.763 | -0.000 | -0.000 |
| 0.804 | 0.804 | -1.608 | 0.000 | 191.763 | 9.169 |
| 0.000 | 0.000 | 0.000 | 0.000 | 14.280 | 260.323 |
| 529.167 | 87.155 | 56.191 | 8.969 | -0.000 | 0.000 |
| 95.100 | 527.242 | 50.171 | -9.784 | -0.000 | 0.000 |
| 52.302 | 52.302 | 567.908 | 0.000 | 0.000 | 0.000 |
| 14.280 | -14.280 | -0.000 | 209.835 | 0.000 | 0.000 |
| -0.804 | -0.804 | 1.608 | -0.000 | 191.763 | 9.169 |
| -0.000 | -0.000 | -0.000 | -0.000 | 14.280 | 260.323 |
| 587.805 | 67.099 | 17.187 | 14.260 | 0.000 | -0.000 |
| 172.853 | 544.305 | -45.390 | -4.157 | 0.000 | 0.000 |
| 16.802 | 16.802 | 639.676 | 0.000 | 0.000 | -0.000 |
| 41.748 | 23.068 | -65.153 | 192.037 | 0.000 | 0.000 |
| 63.318 | 63.318 | -127.294 | -0.000 | 175.616 | 4.708 |
| 61.983 | 61.983 | -124.610 | -0.000 | 4.910 | 191.286 |
| 587.805 | 67.099 | 17.187 | 14.260 | -0.000 | -0.000 |
| 58.547 | 495.892 | 118.173 | -9.293 | -0.000 | -0.000 |
| 16.802 | 16.802 | 639.676 | -0.000 | -0.000 | -0.000 |
| 14.260 | -14.260 | 0.001 | 209.480 | -0.000 | -0.000 |
| -63.318 | -63.318 | 127.294 | 0.000 | 175.616 | 4.708 |
| -61.983 | -61.983 | 124.610 | 0.000 | 4.909 | 191.286 |
| 530.305 | 92.298 | 49.656 | 8.662 | 0.000 | -0.000 |
| 94.547 | 532.853 | 44.834 | -9.458 | 0.000 | -0.000 |
| 57.676 | 57.676 | 557.503 | 0.000 | 0.000 | 0.000 |
| 12.317 | -4.675 | -7.682 | 189.045 | 0.000 | 0.000 |
| -0.000 | 0.000 | -0.000 | 0.000 | 209.480 | 14.260 |
| 3.070 | 3.070 | -6.172 | 0.000 | 9.592 | 219.927 |
| 521.017 | 91.784 | 59.508 | 9.221 | -0.000 | 0.000 |
| 67.099 | 587.805 | 17.187 | -14.260 | -0.000 | 0.000 |
| 16.802 | 16.802 | 639.676 | 0.000 | -0.000 | -0.000 |
| 4.675 | -12.317 | 7.682 | 189.045 | -0.000 | 0.000 |
| 0.000 | -0.000 | -0.000 | -0.000 | 209.480 | 14.260 |
| -3.070 | -3.070 | 6.172 | -0.000 | 9.592 | 219.927 |
| 530.138 | 87.819 | 54.328 | 8.954 | 0.000 | 0.000 |
| 87.820 | 530.136 | 54.329 | -8.954 | 0.000 | -0.000 |
| 53.416 | 53.416 | 566.069 | 0.000 | 0.000 | 0.000 |
| 9.495 | -8.823 | -0.676 | 191.395 | 0.000 | -0.000 |
| 0.336 | 0.336 | -0.676 | 0.000 | 191.396 | 9.159 |
| 0.231 | 0.230 | -0.464 | 0.000 | 10.682 | 218.132 |
| 529.492 | 87.094 | 55.702 | 8.959 | -0.000 | -0.000 |
| 92.670 | 524.175 | 55.442 | -9.012 | -0.000 | -0.000 |
| 52.766 | 52.766 | 567.373 | 0.000 | -0.000 | 0.000 |
| 8.813 | -9.490 | 0.681 | 191.369 | -0.000 | -0.000 |
| -0.336 | -0.336 | 0.676 | -0.000 | 191.396 | 9.159 |
| -0.231 | -0.230 | 0.464 | -0.000 | 10.682 | 218.132 |
| 587.794 | 67.086 | 17.195 | -0.000 | 0.000 | -0.000 |
| 67.086 | 587.794 | 17.195 | 0.000 | -0.000 | -0.000 |
| 50.769 | 50.769 | 571.403 | -0.000 | 0.000 | -0.000 |
| -0.000 | -0.000 | 0.000 | 209.467 | -0.000 | -0.000 |
| -0.000 | -0.000 | -0.000 | -0.000 | 209.467 | 0.000 |
| -0.000 | -0.000 | 0.000 | -0.000 | -0.000 | 260.354 |
| 587.794 | 67.086 | 17.195 | 0.000 | 0.000 | 0.000 |
| 67.086 | 587.794 | 17.195 | 0.000 | 0.000 | 0.000 |
| 16.796 | 16.796 | 639.714 | 0.000 | 0.000 | -0.000 |
| 0.000 | 0.000 | 0.000 | 209.467 | -0.000 | 0.000 |
| 0.000 | 0.000 | 0.000 | 0.000 | 209.467 | 0.000 |
| 0.000 | 0.000 | -0.000 | 0.000 | 0.000 | 260.354 |
| 587.794 | 67.086 | 17.195 | -0.000 | -0.000 | -0.000 |
| 99.202 | 526.102 | 46.929 | -0.000 | -0.000 | -0.000 |
| 52.853 | 52.853 | 567.211 | -0.000 | 0.000 | -0.000 |
| -0.237 | -0.237 | 0.477 | 191.382 | 0.000 | -0.000 |
| 0.000 | 0.000 | 0.000 | -0.000 | 209.467 | -0.000 |
| -0.255 | -0.255 | 0.513 | -0.000 | -0.000 | 219.360 |
| 529.046 | 88.332 | 54.898 | 0.000 | -0.000 | 0.000 |
| 99.726 | 526.627 | 45.874 | 0.000 | -0.000 | 0.000 |
| 53.326 | 53.326 | 566.260 | 0.000 | -0.000 | 0.000 |
| 0.237 | 0.237 | -0.477 | 191.382 | -0.000 | 0.000 |
| -0.000 | -0.000 | -0.000 | 0.000 | 209.467 | 0.000 |
| 0.255 | 0.255 | -0.513 | 0.000 | -0.000 | 219.360 |
| 526.330 | 99.459 | 46.444 | -0.000 | 0.000 | -0.000 |
| 88.044 | 528.814 | 55.423 | -0.000 | 0.000 | -0.000 |
| 53.067 | 53.067 | 566.783 | -0.000 | -0.000 | -0.000 |
| -0.024 | -0.024 | 0.048 | 191.383 | -0.000 | -0.000 |
| 0.000 | 0.000 | 0.000 | -0.000 | 209.467 | -0.000 |
| 0.000 | 0.000 | 0.000 | -0.000 | -0.000 | 260.354 |
| 528.843 | 88.100 | 55.334 | 0.000 | 0.000 | -0.000 |
| 88.098 | 528.848 | 55.331 | 0.000 | -0.000 | 0.000 |
| 53.112 | 53.112 | 566.689 | 0.000 | -0.000 | 0.000 |
| 0.024 | 0.024 | -0.048 | 191.383 | -0.000 | 0.000 |
| -0.000 | -0.000 | -0.000 | -0.000 | 209.467 | 0.000 |
| -0.000 | -0.000 | -0.000 | 0.000 | -0.000 | 260.354 |
| 529.221 | 88.470 | 54.825 | 2.625 | -0.000 | -0.000 |
| 67.452 | 588.098 | 16.964 | -4.200 | -0.000 | 0.000 |
| 16.964 | 16.964 | 638.586 | 0.000 | -0.000 | 0.000 |
| 2.697 | -2.697 | 0.000 | 191.763 | -0.000 | -0.000 |
| -0.000 | -0.000 | -0.000 | 0.000 | 191.763 | 2.697 |
| -0.000 | -0.000 | 0.000 | 0.000 | 2.589 | 219.455 |
| 529.221 | 88.470 | 54.824 | 2.625 | 0.000 | 0.000 |
| 88.470 | 529.221 | 54.825 | -2.625 | 0.000 | -0.000 |
| 53.107 | 53.107 | 566.301 | 0.000 | 0.000 | -0.000 |
| 2.697 | -2.697 | 0.000 | 191.763 | 0.000 | -0.000 |
| -0.000 | 0.000 | 0.000 | -0.000 | 191.763 | 2.697 |
| -0.000 | 0.000 | -0.000 | -0.000 | 2.589 | 219.455 |
| 588.098 | 67.452 | 16.964 | 4.200 | -0.000 | 0.000 |
| 67.452 | 588.098 | 16.964 | -4.200 | -0.000 | -0.000 |
| 16.964 | 16.964 | 638.587 | 0.000 | -0.000 | 0.000 |
| 2.697 | -2.697 | -0.000 | 191.763 | -0.000 | 0.000 |
| -0.000 | 0.000 | 0.000 | 0.000 | 191.763 | 2.697 |
| 0.000 | 0.000 | -0.000 | 0.000 | 4.200 | 260.323 |
| 529.221 | 88.470 | 54.825 | 2.625 | 0.000 | 0.000 |
| 88.469 | 529.221 | 54.825 | -2.625 | 0.000 | -0.000 |
| 53.107 | 53.107 | 566.301 | -0.000 | 0.000 | -0.000 |
| 2.697 | -2.697 | -0.000 | 191.763 | 0.000 | 0.000 |
| 0.000 | -0.000 | 0.000 | -0.000 | 191.763 | 2.697 |
| -0.000 | -0.000 | 0.000 | -0.000 | 4.200 | 260.323 |
| 529.221 | 88.470 | 54.825 | 2.625 | -0.000 | 0.000 |
| 88.471 | 529.220 | 54.826 | -2.625 | -0.000 | -0.000 |
| 53.108 | 53.108 | 566.300 | 0.000 | -0.000 | 0.000 |
| 2.697 | -2.697 | 0.000 | 191.763 | -0.000 | -0.000 |
| 0.000 | 0.000 | 0.000 | 0.000 | 209.835 | 4.200 |
| -0.000 | 0.000 | 0.000 | 0.000 | 2.589 | 219.455 |
| 529.220 | 88.469 | 54.824 | 2.625 | 0.000 | -0.000 |
| 88.484 | 529.178 | 54.851 | -2.624 | 0.000 | -0.000 |
| 53.106 | 53.106 | 566.301 | -0.000 | 0.000 | 0.000 |
| 2.697 | -2.697 | -0.000 | 191.763 | 0.000 | 0.000 |
| -0.000 | -0.000 | -0.000 | -0.000 | 209.835 | 4.200 |
| 0.000 | -0.000 | -0.000 | -0.000 | 2.589 | 219.455 |
| -1304.564 | -1731.754 | 3728.032 | 2.859 | 0.000 | -0.000 |
| -2844.815 | -2412.968 | 5961.563 | -2.118 | -0.000 | -0.000 |
| 16.790 | 16.790 | 639.702 | -0.000 | -0.000 | -0.000 |
| -3747.963 | -3750.968 | 7539.447 | 177.021 | -0.000 | -0.000 |
| -3749.303 | -3749.303 | 7539.117 | -0.000 | 177.022 | 1.503 |
| -3749.569 | -3749.569 | 7539.651 | -0.000 | 1.503 | 192.233 |
| 4240.017 | 3855.671 | -7463.844 | 1.500 | 0.000 | 0.000 |
| 547.838 | 1016.992 | -897.443 | -3.837 | 0.000 | 0.000 |
| 505.337 | 505.337 | -342.410 | 0.000 | 0.000 | 0.000 |
| 4.194 | -4.194 | -0.000 | 209.460 | 0.000 | 0.000 |
| 3749.303 | 3749.303 | -7539.117 | 0.000 | 177.022 | 1.503 |
| 3749.569 | 3749.569 | -7539.650 | 0.000 | 1.503 | 192.233 |
| 587.773 | 67.077 | 17.193 | 4.194 | -0.000 | -0.000 |
| -87.066 | 339.804 | 421.450 | -2.845 | -0.000 | -0.000 |
| -129.455 | -129.455 | 933.747 | -0.000 | -0.000 | -0.000 |
| -291.283 | -295.514 | 589.947 | 184.407 | -0.000 | -0.000 |
| 0.000 | 0.000 | 0.000 | -0.000 | 209.460 | 4.194 |
| -374.728 | -374.728 | 753.504 | -0.000 | 1.504 | 192.275 |
| 599.361 | 128.343 | -56.029 | 3.880 | 0.000 | 0.000 |
| 285.053 | 694.920 | -309.658 | -2.852 | 0.000 | 0.000 |
| 448.208 | 448.208 | -227.796 | -0.000 | 0.000 | 0.000 |
| 4.194 | -4.194 | 0.000 | 209.460 | 0.000 | 0.000 |
| -0.000 | -0.000 | -0.000 | 0.000 | 209.460 | 4.194 |
| 374.728 | 374.728 | -753.504 | 0.000 | 1.504 | 192.275 |
| 529.722 | 82.169 | 60.383 | 3.343 | -0.000 | -0.000 |
| 59.040 | 499.861 | 113.660 | -2.372 | -0.000 | -0.000 |
| 16.790 | 16.790 | 639.707 | 0.000 | -0.000 | -0.000 |
| -34.461 | -37.672 | 72.523 | 178.256 | -0.000 | -0.000 |
| -36.069 | -36.068 | 72.526 | -0.000 | 178.255 | 1.605 |
| -35.149 | -35.149 | 70.677 | -0.000 | 1.671 | 196.497 |
| 545.374 | 113.594 | 13.054 | 3.064 | -0.000 | 0.000 |
| 113.592 | 545.374 | 13.055 | -3.065 | 0.000 | 0.000 |
| 57.123 | 57.123 | 558.602 | 0.000 | 0.000 | 0.000 |
| 10.817 | 3.510 | -14.403 | 202.950 | 0.000 | 0.000 |
| 36.069 | 36.068 | -72.526 | 0.000 | 178.255 | 1.605 |
| 35.149 | 35.149 | -70.677 | 0.000 | 1.671 | 196.497 |
| 530.367 | 87.740 | 54.408 | -3.209 | -0.000 | -0.000 |
| 67.452 | 588.098 | 16.964 | 5.100 | 0.000 | -0.000 |
| 16.964 | 16.964 | 638.588 | -0.000 | -0.000 | 0.000 |
| -3.275 | 3.275 | 0.001 | 191.763 | -0.000 | -0.000 |
| 0.000 | 0.000 | 0.000 | -0.000 | 209.835 | -5.100 |
| -0.000 | -0.000 | 0.001 | -0.000 | -3.176 | 220.628 |
| 528.807 | 94.387 | 49.321 | -3.466 | -0.000 | 0.000 |
| 87.740 | 530.367 | 54.407 | 3.209 | 0.000 | -0.000 |
| 53.107 | 53.107 | 566.300 | -0.000 | 0.000 | 0.000 |
| -3.275 | 3.275 | -0.001 | 191.763 | 0.000 | -0.000 |
| -0.000 | -0.000 | -0.000 | 0.000 | 209.835 | -5.100 |
| 0.000 | 0.000 | -0.001 | 0.000 | -3.176 | 220.628 |
| 588.100 | 67.453 | 16.964 | -5.100 | -0.000 | -0.000 |
| 94.200 | 523.753 | 54.564 | 3.201 | -0.000 | -0.000 |
| 53.108 | 53.108 | 566.300 | -0.000 | -0.000 | -0.000 |
| -3.274 | 3.274 | 0.000 | 191.763 | 0.000 | -0.000 |
| -0.000 | 0.000 | 0.000 | -0.000 | 191.763 | -3.275 |
| -0.000 | 0.000 | 0.000 | -0.000 | -3.176 | 220.628 |
| 530.366 | 87.740 | 54.407 | -3.209 | 0.000 | 0.000 |
| 87.739 | 530.367 | 54.406 | 3.209 | 0.000 | 0.000 |
| 53.131 | 53.131 | 566.251 | 0.000 | 0.000 | 0.000 |
| -3.275 | 3.275 | -0.000 | 191.763 | -0.000 | -0.000 |
| 0.000 | -0.000 | -0.000 | 0.000 | 191.763 | -3.275 |
| 0.000 | -0.000 | -0.000 | 0.000 | -3.176 | 220.628 |
| 587.445 | 66.677 | 17.439 | -5.084 | 0.000 | -0.000 |
| 66.677 | 587.445 | 17.438 | 5.084 | 0.000 | -0.000 |
| 16.608 | 16.608 | 640.948 | -0.000 | -0.000 | 0.000 |
| -369.130 | -367.832 | 745.300 | 164.882 | -0.000 | -0.000 |
| -368.467 | -368.467 | 745.272 | -0.000 | 164.883 | -0.649 |
| -0.000 | -0.000 | -0.011 | 0.000 | -5.084 | 260.384 |
| 587.445 | 66.677 | 17.461 | -5.084 | -0.000 | 0.000 |
| 482.846 | 821.129 | -639.754 | 0.639 | 0.000 | -0.000 |
| 16.608 | 16.608 | 640.966 | 0.000 | -0.000 | 0.000 |
| 58.438 | 66.406 | -126.209 | 198.099 | 0.000 | -0.000 |
| 368.467 | 368.467 | -745.272 | -0.000 | 164.883 | -0.649 |
| 0.000 | 0.000 | 0.011 | -0.000 | -5.084 | 260.384 |
| 587.446 | 66.677 | 17.449 | -5.084 | 0.000 | 0.000 |
| 76.069 | 424.989 | 172.249 | 0.898 | 0.000 | -0.000 |
| 16.608 | 16.608 | 640.955 | -0.000 | 0.000 | -0.000 |
| 1.453 | 13.176 | -14.799 | 216.797 | 0.000 | -0.000 |
| 0.000 | 0.000 | -0.001 | -0.000 | 209.056 | -5.084 |
| 6.981 | 6.981 | -14.123 | -0.000 | -5.821 | 256.576 |
| 587.445 | 66.677 | 17.451 | -5.084 | -0.000 | -0.000 |
| 70.442 | 586.774 | 14.325 | 5.907 | -0.000 | 0.000 |
| 16.608 | 16.608 | 640.957 | -0.000 | -0.000 | 0.000 |
| 35.659 | 37.072 | -73.554 | 165.460 | -0.000 | 0.000 |
| -0.000 | -0.000 | 0.001 | 0.000 | 209.056 | -5.084 |
| -6.981 | -6.981 | 14.123 | 0.000 | -5.821 | 256.576 |
| 587.447 | 66.678 | 17.451 | -5.084 | 0.000 | 0.000 |
| 95.628 | 530.170 | 46.098 | 3.694 | 0.000 | -0.000 |
| 52.283 | 52.283 | 568.798 | -0.000 | 0.000 | -0.000 |
| -4.643 | 0.308 | 4.383 | 183.076 | 0.000 | -0.000 |
| -2.167 | -2.167 | 4.383 | 0.000 | 183.076 | -2.476 |
| 0.000 | 0.000 | -0.000 | -0.000 | -5.084 | 260.384 |
| 587.444 | 66.677 | 17.450 | -5.084 | -0.000 | 0.000 |
| 92.014 | 521.391 | 58.628 | 2.858 | -0.000 | -0.000 |
| 59.488 | 59.488 | 554.222 | -0.000 | -0.000 | 0.000 |
| -0.309 | 4.643 | -4.383 | 183.077 | -0.000 | 0.000 |
| 2.167 | 2.167 | -4.383 | -0.000 | 183.076 | -2.476 |
| -0.000 | -0.000 | 0.000 | 0.000 | -5.084 | 260.384 |
| 588.098 | 67.452 | 16.951 | 2.462 | -0.001 | -0.000 |
| 93.987 | 528.998 | 49.527 | -1.668 | -0.000 | -0.000 |
| 16.964 | 16.964 | 638.585 | -0.000 | -0.000 | -0.000 |
| 1.580 | -1.581 | -0.002 | 191.763 | -0.000 | 0.000 |
| -0.001 | -0.001 | -0.004 | 0.000 | 191.763 | 1.581 |
| -0.000 | -0.000 | 0.001 | 0.000 | 2.462 | 260.323 |
| 528.999 | 93.988 | 49.551 | 1.668 | 0.000 | 0.000 |
| 87.663 | 530.491 | 54.370 | -1.550 | 0.000 | 0.000 |
| 53.108 | 53.108 | 566.307 | -0.000 | 0.000 | 0.000 |
| 1.581 | -1.580 | 0.003 | 191.763 | 0.000 | 0.000 |
| 0.001 | 0.001 | 0.003 | -0.000 | 191.763 | 1.581 |
| 0.000 | 0.000 | -0.001 | -0.000 | 2.462 | 260.323 |
| 588.098 | 67.452 | 16.962 | 2.462 | 0.000 | -0.000 |
| 67.452 | 588.098 | 16.962 | -2.462 | 0.000 | -0.000 |
| 16.964 | 16.964 | 638.586 | 0.000 | 0.000 | -0.000 |
| 2.462 | -2.462 | -0.001 | 209.835 | -0.000 | -0.000 |
| -0.000 | -0.000 | -0.000 | -0.000 | 191.763 | 1.581 |
| 0.000 | 0.000 | -0.001 | -0.000 | 2.462 | 260.323 |
| 588.098 | 67.452 | 16.965 | 2.462 | 0.000 | 0.000 |
| 93.987 | 528.999 | 49.530 | -1.668 | -0.000 | 0.000 |
| 53.107 | 53.107 | 566.301 | -0.000 | 0.000 | 0.000 |
| 2.462 | -2.462 | 0.000 | 209.835 | 0.000 | 0.000 |
| 0.000 | 0.000 | 0.000 | -0.000 | 191.763 | 1.581 |
| -0.000 | -0.000 | 0.001 | 0.000 | 2.462 | 260.323 |
| 530.491 | 87.663 | 54.363 | 1.550 | 0.000 | -0.000 |
| 87.663 | 530.490 | 54.363 | -1.550 | -0.000 | -0.000 |
| 53.108 | 53.108 | 566.300 | 0.000 | 0.000 | -0.000 |
| 1.581 | -1.581 | -0.000 | 191.763 | -0.000 | -0.000 |
| -0.000 | 0.000 | -0.000 | 0.000 | 191.763 | 1.581 |
| -0.000 | 0.000 | 0.000 | 0.000 | 1.535 | 220.754 |
| 528.987 | 93.990 | 49.535 | 1.668 | 0.000 | 0.000 |
| 87.661 | 530.491 | 54.361 | -1.550 | -0.000 | 0.000 |
| 53.106 | 53.106 | 566.301 | -0.000 | -0.000 | 0.000 |
| 1.581 | -1.581 | 0.000 | 191.763 | 0.000 | 0.000 |
| 0.000 | -0.000 | 0.000 | -0.000 | 191.763 | 1.581 |
| 0.000 | -0.000 | -0.000 | -0.000 | 1.535 | 220.754 |
| 1857.938 | 1515.708 | -2733.267 | 1.459 | -0.000 | -0.000 |
| 3975.958 | 4490.296 | -7882.011 | -1.608 | -0.000 | -0.000 |
| 16.622 | 16.622 | 640.921 | -0.000 | -0.000 | -0.000 |
| 4360.681 | 4359.123 | -8816.237 | 174.512 | -0.000 | 0.000 |
| 0.000 | 0.000 | 0.001 | -0.000 | 209.080 | 2.455 |
| 0.000 | 0.000 | 0.002 | -0.000 | 2.455 | 260.390 |
| 85.376 | -386.532 | 983.540 | 2.233 | 0.000 | -0.000 |
| 66.704 | 587.484 | 17.445 | -2.455 | 0.000 | 0.000 |
| -4288.684 | -4288.684 | 9346.754 | 0.000 | 0.000 | 0.000 |
| -463.598 | -468.070 | 942.158 | 204.566 | 0.000 | -0.000 |
| -0.000 | -0.000 | -0.001 | 0.000 | 209.081 | 2.455 |
| -0.000 | -0.000 | -0.001 | 0.000 | 2.455 | 260.390 |
| 945.624 | 461.163 | -743.536 | 1.167 | -0.000 | 0.000 |
| 267.296 | 610.592 | -208.849 | -1.509 | -0.000 | -0.000 |
| 16.622 | 16.622 | 640.921 | -0.000 | -0.000 | 0.000 |
| 2.455 | -2.455 | 0.000 | 209.080 | -0.000 | 0.000 |
| 0.000 | 0.000 | 0.000 | -0.000 | 209.080 | 2.455 |
| 0.000 | 0.000 | 0.000 | 0.000 | 2.455 | 260.390 |
| 587.483 | 66.704 | 17.443 | 2.455 | 0.000 | -0.000 |
| 66.705 | 587.483 | 17.443 | -2.455 | 0.000 | -0.000 |
| -125.217 | -125.217 | 927.867 | 0.000 | 0.000 | -0.000 |
| -385.365 | -387.856 | 781.828 | 184.144 | 0.000 | -0.000 |
| -0.000 | -0.000 | -0.000 | 0.000 | 209.080 | 2.455 |
| -0.000 | -0.000 | -0.000 | 0.000 | 2.455 | 260.390 |
| 566.986 | 88.129 | 16.506 | 2.327 | -0.000 | -0.000 |
| 66.705 | 587.486 | 17.443 | -2.455 | -0.000 | 0.000 |
| 62.647 | 62.647 | 547.851 | -0.000 | -0.000 | 0.000 |
| 37.354 | 34.673 | -72.830 | 186.090 | -0.000 | -0.000 |
| 0.000 | 0.000 | -0.000 | 0.000 | 209.080 | 2.455 |
| 0.000 | 0.000 | 0.000 | 0.000 | 2.455 | 260.390 |
| 493.093 | 77.829 | 101.641 | 1.810 | 0.000 | -0.000 |
| 108.252 | 494.467 | 69.483 | -1.770 | 0.000 | 0.000 |
| 16.622 | 16.622 | 640.917 | 0.000 | 0.000 | -0.000 |
| 2.455 | -2.455 | 0.000 | 209.080 | 0.000 | -0.000 |
| -0.000 | -0.000 | 0.000 | -0.000 | 209.080 | 2.455 |
| -0.000 | -0.000 | -0.000 | -0.000 | 2.455 | 260.390 |
| 171.468 | -194.425 | 697.486 | 1.100 | 0.000 | -0.000 |
| 67.221 | 587.904 | 17.110 | -4.196 | -0.000 | -0.000 |
| 46.944 | 46.944 | 578.913 | -0.000 | 0.000 | -0.000 |
| 4.196 | -4.196 | 0.000 | 209.603 | 0.000 | -0.000 |
| 0.000 | 0.000 | 0.000 | -0.000 | 209.603 | 4.196 |
| 0.000 | 0.000 | 0.001 | -0.000 | 4.196 | 260.342 |
| 587.904 | 67.221 | 17.109 | 4.196 | -0.000 | 0.000 |
| 67.221 | 587.904 | 17.108 | -4.196 | -0.000 | 0.000 |
| 16.857 | 16.857 | 639.296 | 0.000 | -0.000 | 0.000 |
| 4.196 | -4.196 | -0.000 | 209.603 | -0.000 | 0.000 |
| -0.000 | -0.000 | -0.000 | 0.000 | 209.603 | 4.196 |
| -0.000 | -0.000 | -0.001 | 0.000 | 4.196 | 260.342 |
| 587.904 | 67.221 | 17.109 | 4.196 | 0.000 | -0.000 |
| 67.221 | 587.905 | 17.109 | -4.196 | 0.000 | -0.000 |
| 60.725 | 60.725 | 551.263 | -0.000 | 0.000 | -0.000 |
| -17.065 | -21.525 | 38.721 | 185.927 | 0.000 | -0.000 |
| -29.434 | -29.434 | 59.068 | -0.000 | 173.235 | 1.176 |
| -2.232 | -2.232 | 4.479 | -0.000 | 3.954 | 244.573 |
| 545.373 | 104.731 | 22.148 | 3.087 | -0.000 | 0.000 |
| 135.279 | 506.042 | 30.960 | -1.198 | -0.000 | 0.000 |
| 16.857 | 16.857 | 639.295 | 0.000 | -0.000 | 0.000 |
| 30.610 | 28.258 | -59.068 | 173.235 | -0.000 | 0.000 |
| 29.434 | 29.434 | -59.068 | 0.000 | 173.235 | 1.176 |
| 2.232 | 2.232 | -4.479 | 0.000 | 3.954 | 244.573 |
| 588.098 | 67.452 | 16.959 | 2.856 | -0.000 | 0.000 |
| 67.452 | 588.098 | 16.959 | -2.856 | 0.000 | -0.000 |
| 16.964 | 16.964 | 638.583 | 0.000 | -0.000 | 0.000 |
| 2.856 | -2.856 | -0.009 | 209.835 | -0.000 | 0.000 |
| 0.000 | 0.000 | -0.007 | -0.000 | 209.835 | 2.856 |
| 0.281 | 0.281 | -0.566 | -0.000 | 1.772 | 220.188 |
| 527.831 | 95.623 | 49.063 | 1.961 | 0.000 | 0.000 |
| 67.452 | 588.098 | 16.964 | -2.856 | 0.000 | -0.000 |
| 16.964 | 16.964 | 638.589 | -0.000 | -0.000 | -0.000 |
| 2.856 | -2.856 | 0.005 | 209.835 | 0.000 | 0.000 |
| -0.000 | -0.000 | 0.007 | 0.000 | 209.835 | 2.856 |
| -0.281 | -0.281 | 0.567 | 0.000 | 1.772 | 220.188 |
| 588.098 | 67.452 | 16.964 | 2.856 | -0.000 | -0.000 |
| 67.452 | 588.098 | 16.964 | -2.856 | 0.000 | -0.000 |
| 16.964 | 16.964 | 638.587 | 0.000 | -0.000 | 0.000 |
| 1.860 | -1.807 | -0.054 | 191.763 | 0.000 | 0.000 |
| 0.000 | 0.000 | -0.001 | -0.000 | 209.835 | 2.856 |
| 0.028 | 0.028 | -0.057 | -0.000 | 1.772 | 220.188 |
| 529.909 | 87.986 | 54.619 | 1.793 | -0.000 | -0.000 |
| 67.452 | 588.098 | 16.964 | -2.856 | 0.000 | -0.000 |
| 16.964 | 16.964 | 638.587 | -0.000 | -0.000 | -0.000 |
| 1.807 | -1.860 | 0.053 | 191.763 | 0.000 | 0.000 |
| -0.000 | -0.000 | 0.001 | 0.000 | 209.835 | 2.856 |
| -0.028 | -0.028 | 0.057 | 0.000 | 1.772 | 220.188 |
| 529.939 | 88.018 | 54.560 | 1.793 | 0.000 | -0.000 |
| 88.004 | 529.978 | 54.534 | -1.793 | -0.000 | -0.000 |
| 53.086 | 53.086 | 566.345 | 0.000 | 0.000 | 0.000 |
| 1.837 | -1.831 | -0.005 | 191.763 | -0.000 | 0.000 |
| 0.000 | 0.000 | -0.000 | 0.000 | 209.835 | 2.856 |
| 0.000 | 0.000 | 0.000 | 0.000 | 2.856 | 260.323 |
| 529.933 | 88.011 | 54.569 | 1.793 | 0.000 | 0.000 |
| 88.011 | 529.933 | 54.569 | -1.793 | 0.000 | 0.000 |
| 53.103 | 53.103 | 566.306 | 0.000 | 0.000 | -0.000 |
| 1.831 | -1.836 | 0.005 | 191.763 | 0.000 | -0.000 |
| -0.000 | -0.000 | 0.000 | -0.000 | 209.835 | 2.856 |
| -0.000 | -0.000 | -0.000 | -0.000 | 2.856 | 260.323 |
| 587.397 | 66.648 | 17.454 | 2.847 | -0.000 | 0.000 |
| 66.648 | 587.397 | 17.454 | -2.847 | -0.000 | -0.000 |
| 30.917 | 30.917 | 611.951 | 0.000 | -0.000 | -0.000 |
| -47.522 | -49.723 | 98.337 | 177.973 | -0.000 | -0.000 |
| -6.115 | -6.115 | 12.187 | 0.000 | 202.804 | 2.497 |
| 4.156 | 4.156 | -8.487 | 0.000 | 2.930 | 238.949 |
| 564.502 | 86.606 | 20.501 | 2.930 | 0.000 | 0.000 |
| 86.597 | 564.507 | 20.506 | -2.930 | -0.000 | 0.000 |
| 128.137 | 128.137 | 415.332 | 0.000 | 0.000 | 0.000 |
| 49.723 | 47.522 | -98.338 | 177.973 | 0.000 | 0.000 |
| 6.115 | 6.115 | -12.187 | -0.000 | 202.804 | 2.497 |
| -4.156 | -4.156 | 8.486 | -0.000 | 2.930 | 238.949 |
| 487.677 | 94.830 | 89.819 | 1.110 | -0.000 | -0.000 |
| 94.831 | 487.674 | 89.821 | -1.110 | 0.000 | -0.000 |
| 12.554 | 12.554 | 649.136 | 0.000 | -0.000 | -0.000 |
| 2.847 | -2.847 | -0.000 | 209.032 | 0.000 | -0.000 |
| 0.000 | 0.000 | -0.000 | 0.000 | 209.032 | 2.847 |
| -7.843 | -7.843 | 15.852 | -0.000 | 0.198 | 199.801 |
| 485.124 | 84.691 | 102.678 | 0.214 | 0.000 | 0.000 |
| 90.572 | 567.611 | 13.277 | -2.916 | 0.000 | 0.000 |
| 83.812 | 83.812 | 504.977 | -0.000 | 0.000 | 0.000 |
| 5.957 | 3.750 | -9.816 | 178.029 | 0.000 | 0.000 |
| -0.000 | -0.000 | 0.000 | -0.000 | 209.032 | 2.847 |
| 7.843 | 7.843 | -15.852 | 0.000 | 0.198 | 199.801 |
| 540.184 | 98.403 | 33.093 | 2.360 | 0.000 | -0.000 |
| 66.648 | 587.399 | 17.454 | -2.847 | -0.000 | -0.000 |
| 49.620 | 49.620 | 574.151 | -0.000 | -0.000 | 0.000 |
| 0.901 | -1.749 | 0.857 | 181.957 | -0.000 | -0.000 |
| 0.000 | 0.000 | 0.000 | 0.000 | 209.032 | 2.847 |
| 0.000 | 0.000 | 0.000 | 0.000 | 2.847 | 260.375 |
| 519.533 | 111.174 | 41.064 | 2.090 | 0.000 | 0.000 |
| 92.820 | 513.641 | 65.589 | -1.490 | -0.000 | 0.000 |
| 62.679 | 62.679 | 547.729 | -0.000 | 0.000 | 0.000 |
| 2.847 | -2.847 | -0.000 | 209.032 | 0.000 | -0.000 |
| -0.000 | -0.000 | -0.000 | -0.000 | 209.032 | 2.847 |
| -0.000 | -0.000 | -0.000 | -0.000 | 2.847 | 260.375 |
| 588.099 | 67.453 | 16.964 | 3.758 | -0.000 | -0.000 |
| 93.073 | 529.447 | 49.995 | -2.529 | -0.000 | -0.000 |
| 16.964 | 16.964 | 638.587 | 0.000 | -0.000 | 0.000 |
| 2.413 | -2.413 | -0.000 | 191.763 | -0.000 | -0.000 |
| -0.000 | -0.000 | 0.000 | 0.000 | 191.763 | 2.413 |
| -0.000 | -0.000 | -0.000 | 0.000 | 2.349 | 221.050 |
| 529.447 | 93.073 | 49.995 | 2.529 | 0.000 | 0.000 |
| 93.073 | 529.447 | 49.995 | -2.529 | 0.000 | -0.000 |
| 53.107 | 53.107 | 566.301 | -0.000 | 0.000 | 0.000 |
| 2.413 | -2.413 | -0.000 | 191.763 | 0.000 | -0.000 |
| 0.000 | 0.000 | -0.000 | 0.000 | 191.763 | 2.413 |
| 0.000 | 0.000 | 0.000 | -0.000 | 2.349 | 221.050 |
| 530.782 | 87.478 | 54.256 | 2.370 | -0.000 | -0.000 |
| 67.453 | 588.101 | 16.964 | -3.758 | -0.000 | -0.000 |
| 53.108 | 53.108 | 566.302 | 0.000 | -0.000 | -0.000 |
| 2.413 | -2.413 | 0.000 | 191.763 | -0.000 | 0.000 |
| 0.000 | 0.000 | -0.000 | 0.000 | 209.835 | 3.758 |
| 0.000 | -0.000 | 0.000 | 0.000 | 2.656 | 219.461 |
| 530.781 | 87.477 | 54.255 | 2.370 | 0.000 | 0.000 |
| 93.072 | 529.447 | 49.994 | -2.529 | 0.000 | -0.000 |
| 53.113 | 53.113 | 566.288 | -0.000 | 0.000 | 0.000 |
| 2.413 | -2.413 | 0.000 | 191.763 | 0.000 | 0.000 |
| -0.000 | -0.000 | 0.000 | -0.000 | 209.835 | 3.758 |
| -0.000 | 0.000 | -0.000 | -0.000 | 2.656 | 219.461 |
| 576.230 | 221.066 | -125.496 | 0.780 | -0.000 | -0.000 |
| 68.509 | 578.339 | 25.433 | -3.916 | 0.000 | -0.000 |
| 198.331 | 198.331 | 275.165 | -0.000 | 0.000 | -0.000 |
| 3.755 | -3.755 | 0.003 | 209.616 | -0.000 | 0.000 |
| -1.697 | -1.697 | 3.407 | -0.000 | 210.062 | 3.788 |
| 109.525 | 109.525 | -219.752 | -0.000 | 0.823 | 178.770 |
| 490.031 | 83.276 | 99.207 | 2.894 | -0.000 | -0.000 |
| 67.234 | 587.918 | 17.098 | -3.755 | -0.000 | 0.000 |
| 16.864 | 16.864 | 639.258 | 0.000 | -0.000 | 0.000 |
| -109.015 | -110.645 | 220.364 | 170.052 | -0.000 | 0.000 |
| 1.697 | 1.697 | -3.406 | -0.000 | 210.062 | 3.788 |
| -109.525 | -109.525 | 219.751 | 0.000 | 0.823 | 178.770 |
| 587.918 | 67.234 | 17.102 | 3.755 | -0.000 | -0.000 |
| 67.234 | 587.918 | 17.102 | -3.755 | 0.000 | 0.000 |
| 70.514 | 70.514 | 531.617 | -0.000 | -0.000 | -0.000 |
| 6.170 | 0.452 | -6.642 | 197.563 | 0.000 | -0.000 |
| 3.311 | 3.311 | -6.642 | -0.000 | 197.563 | 2.859 |
| 3.420 | 3.420 | -6.861 | -0.000 | 2.830 | 227.161 |
| 502.650 | 87.355 | 82.458 | 1.861 | -0.000 | -0.000 |
| 87.355 | 502.651 | 82.457 | -1.861 | 0.000 | -0.000 |
| 16.864 | 16.864 | 639.261 | 0.000 | 0.000 | 0.000 |
| -7.421 | -10.211 | 17.689 | 177.857 | -0.000 | -0.000 |
| -3.311 | -3.311 | 6.642 | 0.000 | 197.563 | 2.859 |
| -3.420 | -3.420 | 6.861 | 0.000 | 2.830 | 227.161 |
| 530.834 | 87.792 | 53.747 | 2.359 | 0.000 | -0.000 |
| 92.832 | 530.162 | 49.365 | -2.517 | 0.000 | -0.000 |
| 53.755 | 53.755 | 565.244 | -0.000 | 0.000 | 0.000 |
| 2.897 | -1.929 | -0.972 | 191.560 | 0.000 | -0.000 |
| 0.512 | 0.512 | -1.027 | 0.000 | 191.170 | 2.384 |
| 0.531 | 0.531 | -1.065 | 0.000 | 2.334 | 220.805 |
| 529.080 | 91.923 | 51.359 | 2.512 | -0.000 | -0.000 |
| 88.210 | 527.696 | 56.472 | -2.342 | -0.000 | 0.000 |
| 52.807 | 52.807 | 567.142 | 0.000 | -0.000 | 0.000 |
| 3.755 | -3.755 | -0.000 | 209.616 | -0.000 | -0.000 |
| -0.512 | -0.512 | 1.027 | -0.000 | 191.170 | 2.384 |
| -0.531 | -0.531 | 1.065 | -0.000 | 2.334 | 220.805 |
| 511.616 | 84.898 | 76.002 | 0.000 | -0.000 | -0.000 |
| 67.452 | 588.098 | 16.964 | 0.000 | 0.000 | -0.000 |
| 16.964 | 16.964 | 638.587 | -0.000 | -0.000 | -0.000 |
| -11.447 | -11.447 | 22.894 | 191.763 | -0.000 | -0.000 |
| -0.000 | 0.000 | -0.000 | -0.000 | 209.835 | -0.000 |
| 0.000 | 0.000 | -0.000 | 0.000 | 0.000 | 260.323 |
| 588.098 | 67.452 | 16.964 | 0.000 | -0.000 | 0.000 |
| 99.112 | 542.722 | 30.682 | -0.000 | -0.000 | 0.000 |
| 16.964 | 16.964 | 638.587 | -0.000 | -0.000 | 0.000 |
| 11.447 | 11.447 | -22.894 | 191.763 | 0.000 | 0.000 |
| 0.000 | -0.000 | 0.000 | 0.000 | 209.835 | 0.000 |
| -0.000 | -0.000 | 0.000 | -0.000 | 0.000 | 260.323 |
| 530.323 | 85.871 | 56.322 | -0.000 | -0.000 | -0.000 |
| 85.871 | 530.323 | 56.322 | -0.000 | -0.000 | -0.000 |
| 16.964 | 16.964 | 638.587 | 0.000 | 0.000 | -0.000 |
| -1.145 | -1.145 | 2.289 | 191.763 | 0.000 | -0.000 |
| 0.000 | 0.000 | 0.000 | 0.000 | 209.835 | -0.000 |
| 0.000 | 0.000 | 0.000 | 0.000 | 0.000 | 260.323 |
| 532.552 | 88.258 | 51.705 | 0.000 | -0.000 | 0.000 |
| 92.250 | 531.635 | 48.630 | 0.000 | -0.000 | 0.000 |
| 54.252 | 54.252 | 564.011 | -0.000 | 0.000 | 0.000 |
| 1.145 | 1.145 | -2.289 | 191.763 | -0.000 | 0.000 |
| -0.000 | -0.000 | -0.000 | -0.000 | 209.835 | 0.000 |
| -0.000 | -0.000 | -0.000 | -0.000 | -0.000 | 260.323 |
| 531.334 | 86.942 | 54.242 | 0.000 | 0.000 | -0.000 |
| 86.944 | 531.325 | 54.247 | -0.000 | 0.000 | -0.000 |
| 52.969 | 52.969 | 566.579 | 0.000 | 0.000 | -0.000 |
| -0.114 | -0.115 | 0.229 | 191.763 | -0.000 | -0.000 |
| -0.115 | -0.114 | 0.229 | -0.000 | 191.763 | -0.000 |
| -0.119 | -0.119 | 0.238 | -0.000 | 0.000 | 221.716 |
| 530.550 | 91.286 | 50.677 | -0.000 | 0.000 | 0.000 |
| 91.289 | 530.542 | 50.682 | 0.000 | -0.000 | 0.000 |
| 53.221 | 53.221 | 566.070 | -0.000 | -0.000 | 0.000 |
| 0.114 | 0.115 | -0.229 | 191.763 | 0.000 | 0.000 |
| 0.115 | 0.114 | -0.229 | -0.000 | 191.763 | 0.000 |
| 0.119 | 0.119 | -0.238 | 0.000 | -0.000 | 221.716 |
| 587.947 | 67.271 | 17.078 | 0.000 | 0.000 | 0.000 |
| 67.271 | 587.947 | 17.078 | -0.000 | 0.000 | 0.000 |
| 278.018 | 278.018 | 115.479 | 0.000 | 0.000 | -0.000 |
| 251.419 | 251.419 | -504.176 | 189.253 | 0.000 | -0.000 |
| -0.000 | -0.000 | 0.000 | -0.000 | 209.653 | 0.000 |
| -0.000 | -0.000 | -0.000 | -0.000 | 0.000 | 260.338 |
| 587.947 | 67.271 | 17.078 | -0.000 | -0.000 | -0.000 |
| -160.222 | 277.580 | 556.371 | -0.000 | -0.000 | 0.000 |
| -165.003 | -165.003 | 1003.881 | -0.000 | 0.000 | 0.000 |
| -251.419 | -251.419 | 504.176 | 189.253 | -0.000 | 0.000 |
| 0.000 | 0.000 | -0.000 | 0.000 | 209.653 | 0.000 |
| 0.000 | 0.000 | 0.000 | -0.000 | -0.000 | 260.338 |
| 587.947 | 67.271 | 17.078 | 0.000 | 0.000 | 0.000 |
| 67.271 | 587.948 | 17.078 | -0.000 | 0.000 | -0.000 |
| 77.030 | 77.030 | 518.526 | -0.000 | 0.000 | -0.000 |
| 0.000 | -0.000 | -0.000 | 209.653 | 0.000 | 0.000 |
| -0.000 | 0.000 | -0.000 | 0.000 | 209.653 | 0.000 |
| 0.000 | 0.000 | 0.000 | 0.000 | 0.000 | 260.338 |
| 587.947 | 67.271 | 17.078 | -0.000 | -0.000 | -0.000 |
| 67.271 | 587.947 | 17.078 | -0.000 | -0.000 | -0.000 |
| 30.366 | 30.366 | 612.102 | -0.000 | -0.000 | 0.000 |
| -0.000 | 0.000 | 0.000 | 209.653 | -0.000 | 0.000 |
| 0.000 | -0.000 | 0.000 | -0.000 | 209.653 | -0.000 |
| -0.000 | -0.000 | -0.000 | -0.000 | -0.000 | 260.338 |
| 532.893 | 92.631 | 46.853 | 0.000 | 0.000 | -0.000 |
| 67.271 | 587.949 | 17.078 | -0.000 | 0.000 | 0.000 |
| 55.353 | 55.353 | 561.998 | 0.000 | 0.000 | -0.000 |
| 0.000 | 0.000 | 0.000 | 209.653 | 0.000 | 0.000 |
| 0.000 | 0.000 | 0.000 | -0.000 | 209.653 | -0.000 |
| 2.315 | 2.315 | -4.642 | 0.000 | 0.000 | 221.774 |
| 587.946 | 67.271 | 17.078 | -0.000 | -0.000 | -0.000 |
| 84.468 | 529.171 | 58.766 | 0.000 | -0.000 | 0.000 |
| 50.869 | 50.869 | 570.986 | 0.000 | -0.000 | -0.000 |
| -0.000 | -0.000 | -0.000 | 209.653 | -0.000 | 0.000 |
| -0.000 | -0.000 | -0.000 | 0.000 | 209.653 | -0.000 |
| -2.315 | -2.315 | 4.642 | -0.000 | -0.000 | 221.774 |
| 588.098 | 67.452 | 16.964 | -0.000 | -0.000 | 0.000 |
| 67.452 | 588.098 | 16.964 | 0.000 | 0.000 | -0.000 |
| 16.964 | 16.964 | 638.586 | 0.000 | -0.000 | -0.000 |
| 0.000 | 0.000 | -0.000 | 209.835 | -0.000 | 0.000 |
| 73.524 | 73.524 | -147.048 | 0.000 | 191.763 | 0.000 |
| 73.970 | 73.970 | -147.941 | 0.000 | -0.000 | 222.363 |
| 458.246 | 13.369 | 200.900 | -0.000 | 0.000 | -0.000 |
| 13.369 | 458.248 | 200.898 | 0.000 | 0.000 | -0.000 |
| -20.417 | -20.417 | 713.349 | 0.000 | -0.000 | -0.000 |
| -0.000 | -0.000 | -0.000 | 209.835 | -0.000 | -0.000 |
| -73.524 | -73.524 | 147.048 | -0.000 | 191.763 | -0.000 |
| -73.970 | -73.970 | 147.941 | -0.000 | 0.000 | 222.363 |
| 537.308 | 95.769 | 39.438 | -0.000 | -0.000 | -0.000 |
| 95.769 | 537.308 | 39.438 | 0.000 | -0.000 | 0.000 |
| 60.460 | 60.460 | 551.596 | 0.000 | -0.000 | 0.000 |
| 0.000 | 0.000 | 0.000 | 209.835 | 0.000 | 0.000 |
| 0.000 | 0.000 | 0.000 | -0.000 | 209.835 | -0.000 |
| 0.000 | 0.000 | 0.000 | 0.000 | -0.000 | 260.323 |
| 523.148 | 80.109 | 69.258 | 0.000 | -0.000 | -0.000 |
| 67.452 | 588.098 | 16.964 | -0.000 | -0.000 | 0.000 |
| 16.964 | 16.964 | 638.586 | -0.000 | 0.000 | -0.000 |
| -0.000 | -0.000 | 0.000 | 209.835 | -0.000 | -0.000 |
| -0.000 | -0.000 | 0.000 | 0.000 | 209.835 | -0.000 |
| -0.000 | -0.000 | -0.000 | -0.000 | 0.000 | 260.323 |
| 530.894 | 88.639 | 52.984 | 0.000 | -0.000 | 0.000 |
| 88.625 | 530.933 | 52.959 | 0.000 | 0.000 | 0.000 |
| 53.842 | 53.842 | 564.832 | 0.000 | -0.000 | 0.000 |
| 0.735 | 0.735 | -1.470 | 191.763 | -0.000 | 0.000 |
| 0.000 | 0.000 | 0.000 | 0.000 | 209.835 | -0.000 |
| 0.535 | 0.534 | -1.069 | -0.000 | -0.000 | 218.253 |
| 527.721 | 94.287 | 50.505 | 0.000 | 0.000 | -0.000 |
| 93.554 | 523.186 | 55.773 | 0.000 | 0.000 | -0.000 |
| 52.371 | 52.371 | 567.771 | -0.000 | -0.000 | -0.000 |
| -0.735 | -0.735 | 1.470 | 191.763 | 0.000 | -0.000 |
| -0.000 | -0.000 | -0.000 | -0.000 | 209.835 | 0.000 |
| -0.535 | -0.534 | 1.069 | 0.000 | -0.000 | 218.253 |
| 587.910 | 67.228 | 17.104 | -0.000 | 0.000 | 0.000 |
| 67.228 | 587.910 | 17.104 | -0.000 | 0.000 | 0.000 |
| 16.861 | 16.861 | 639.273 | -0.000 | -0.000 | 0.000 |
| 0.000 | 0.000 | -0.001 | 209.610 | 0.000 | -0.000 |
| -0.000 | 0.000 | -0.001 | -0.000 | 209.610 | 0.000 |
| 0.000 | 0.000 | -0.001 | -0.000 | 0.000 | 260.341 |
| 587.910 | 67.228 | 17.105 | 0.000 | 0.000 | -0.000 |
| 350.741 | 770.729 | -450.760 | 0.000 | -0.000 | -0.000 |
| 301.896 | 301.896 | 67.330 | 0.000 | -0.000 | -0.000 |
| -0.000 | -0.000 | 0.000 | 209.610 | -0.000 | -0.000 |
| 0.000 | -0.000 | 0.001 | 0.000 | 209.610 | 0.000 |
| -0.000 | -0.000 | 0.001 | 0.000 | -0.000 | 260.341 |
| 526.752 | 91.856 | 53.757 | -0.000 | 0.000 | 0.000 |
| 85.483 | 528.185 | 58.713 | -0.000 | 0.000 | 0.000 |
| 16.861 | 16.861 | 639.277 | -0.000 | 0.000 | 0.000 |
| -1.935 | -1.935 | 3.882 | 191.424 | 0.000 | 0.000 |
| -1.916 | -1.916 | 3.844 | -0.000 | 191.540 | 0.000 |
| -1.519 | -1.519 | 3.048 | -0.000 | 0.000 | 219.036 |
| 530.900 | 95.443 | 45.992 | 0.000 | -0.000 | -0.000 |
| 95.439 | 530.912 | 45.985 | 0.000 | -0.000 | -0.000 |
| 55.074 | 55.074 | 562.595 | 0.000 | -0.000 | -0.000 |
| 1.935 | 1.935 | -3.882 | 191.424 | -0.000 | -0.000 |
| 1.916 | 1.916 | -3.844 | -0.000 | 191.540 | 0.000 |
| 1.519 | 1.519 | -3.048 | 0.000 | -0.000 | 219.036 |
| 527.714 | 137.346 | 7.283 | 16.393 | 0.000 | 0.000 |
| 105.226 | 554.356 | 12.772 | -31.199 | -0.000 | 0.000 |
| 71.229 | 71.229 | 530.135 | 0.000 | -0.000 | 0.000 |
| 42.818 | -42.818 | 0.000 | 209.704 | 0.000 | 0.000 |
| 34.917 | 34.917 | -69.968 | 0.000 | 179.514 | 17.228 |
| -0.000 | -0.000 | -0.000 | -0.000 | 42.818 | 260.335 |
| 511.784 | 72.834 | 87.881 | 28.881 | -0.000 | -0.000 |
| 65.603 | 478.927 | 128.045 | -21.049 | -0.000 | 0.000 |
| 45.730 | 45.730 | 581.232 | -0.000 | -0.000 | 0.000 |
| 42.818 | -42.818 | 0.000 | 209.704 | 0.000 | -0.000 |
| -34.917 | -34.917 | 69.968 | -0.000 | 179.514 | 17.228 |
| 0.000 | 0.000 | 0.000 | 0.000 | 42.818 | 260.335 |
| 531.083 | 90.382 | 50.962 | 26.601 | 0.000 | 0.000 |
| 67.322 | 587.993 | 17.047 | -42.818 | 0.000 | 0.000 |
| 16.904 | 16.904 | 638.994 | 0.000 | 0.000 | -0.000 |
| 29.019 | -24.658 | -4.369 | 190.852 | -0.000 | 0.000 |
| 2.180 | 2.180 | -4.369 | 0.000 | 190.852 | 26.839 |
| 1.908 | 1.908 | -3.824 | 0.000 | 28.789 | 219.591 |
| 526.964 | 89.847 | 55.625 | 28.156 | -0.000 | -0.000 |
| 86.921 | 527.194 | 58.325 | -27.178 | -0.000 | 0.000 |
| 51.442 | 51.442 | 569.785 | -0.000 | 0.000 | 0.000 |
| 42.818 | -42.818 | 0.000 | 209.704 | -0.000 | -0.000 |
| -2.180 | -2.180 | 4.369 | -0.000 | 190.852 | 26.839 |
| -1.908 | -1.908 | 3.824 | -0.000 | 28.789 | 219.591 |
| 527.307 | 92.114 | 53.012 | 27.437 | 0.000 | -0.000 |
| 88.028 | 530.109 | 54.299 | -26.881 | 0.000 | 0.000 |
| 16.904 | 16.904 | 638.996 | -0.000 | 0.000 | -0.000 |
| 42.819 | -42.818 | 0.000 | 209.704 | 0.000 | -0.000 |
| 0.000 | 0.000 | 0.000 | 0.000 | 209.704 | 42.818 |
| 0.000 | 0.000 | 0.000 | 0.000 | 42.818 | 260.335 |
| 529.709 | 87.579 | 55.145 | 26.891 | 0.000 | -0.000 |
| 90.988 | 529.071 | 52.370 | -28.018 | -0.000 | -0.000 |
| 52.921 | 52.921 | 566.820 | -0.000 | -0.000 | -0.000 |
| 42.818 | -42.818 | -0.000 | 209.704 | -0.000 | -0.000 |
| -0.000 | -0.000 | -0.000 | -0.000 | 209.704 | 42.818 |
| -0.000 | -0.000 | -0.000 | -0.000 | 42.818 | 260.335 |
| 588.098 | 67.452 | 16.964 | -0.000 | 0.000 | -0.000 |
| 67.452 | 588.098 | 16.964 | -0.000 | 0.000 | -0.000 |
| 53.107 | 53.107 | 566.300 | 0.000 | 0.000 | 0.000 |
| -0.000 | -0.000 | 0.000 | 209.835 | 0.000 | 0.000 |
| 0.000 | 0.000 | 0.000 | 0.000 | 191.763 | 0.000 |
| -0.000 | -0.000 | 0.000 | -0.000 | 0.000 | 214.195 |
| 588.098 | 67.452 | 16.964 | 0.000 | 0.000 | -0.000 |
| 88.014 | 529.936 | 54.565 | 0.000 | 0.000 | -0.000 |
| 16.964 | 16.964 | 638.587 | -0.000 | -0.000 | -0.000 |
| -0.000 | -0.000 | -0.000 | 191.763 | -0.000 | -0.000 |
| 0.000 | -0.000 | -0.000 | -0.000 | 191.763 | 0.000 |
| 0.000 | 0.000 | -0.000 | 0.000 | 0.000 | 214.195 |
| 529.939 | 88.014 | 54.563 | -0.000 | -0.000 | 0.000 |
| 67.453 | 588.100 | 16.964 | 0.000 | 0.000 | 0.000 |
| 53.108 | 53.108 | 566.300 | 0.000 | -0.000 | 0.000 |
| 0.000 | -0.000 | 0.000 | 191.763 | -0.000 | 0.000 |
| -0.000 | 0.000 | 0.000 | -0.000 | 191.763 | -0.000 |
| 0.000 | 0.000 | 0.000 | 0.000 | 0.000 | 260.323 |
| 529.935 | 88.014 | 54.564 | -0.000 | -0.000 | -0.000 |
| 67.452 | 588.096 | 16.964 | -0.000 | -0.000 | -0.000 |
| 53.106 | 53.106 | 566.301 | 0.000 | -0.000 | -0.000 |
| -0.000 | -0.000 | -0.000 | 209.835 | -0.000 | -0.000 |
| 0.000 | -0.000 | -0.000 | 0.000 | 191.763 | -0.000 |
| -0.000 | -0.000 | -0.000 | -0.000 | -0.000 | 260.323 |
| 944.858 | 523.303 | -798.848 | -0.000 | -0.000 | 0.000 |
| 373.087 | 814.771 | -517.559 | 0.000 | -0.000 | 0.000 |
| 16.852 | 16.852 | 639.323 | 0.000 | 0.000 | -0.000 |
| 430.194 | 430.194 | -863.460 | 185.846 | 0.000 | -0.000 |
| 282.020 | 282.020 | -566.070 | -0.000 | 193.923 | -0.000 |
| -0.000 | -0.000 | -0.000 | -0.000 | -0.000 | 260.342 |
| 251.112 | -190.622 | 613.868 | -0.000 | -0.000 | -0.000 |
| 67.210 | 587.894 | 17.115 | 0.000 | 0.000 | 0.000 |
| 16.852 | 16.852 | 639.323 | 0.000 | -0.000 | 0.000 |
| -430.194 | -430.194 | 863.460 | 185.846 | 0.000 | 0.000 |
| -282.020 | -282.020 | 566.070 | 0.000 | 193.923 | -0.000 |
| 0.000 | 0.000 | 0.000 | -0.000 | -0.000 | 260.342 |
| 561.035 | 119.282 | -8.191 | 0.000 | 0.000 | 0.000 |
| 136.035 | 557.597 | -21.552 | -0.000 | -0.000 | -0.000 |
| 90.592 | 90.592 | 491.319 | -0.000 | -0.000 | -0.000 |
| 42.984 | 42.984 | -86.275 | 185.865 | -0.000 | -0.000 |
| -0.000 | 0.000 | -0.000 | -0.000 | 209.592 | -0.000 |
| 28.206 | 28.206 | -56.615 | -0.000 | -0.000 | 220.829 |
| 472.116 | 50.067 | 150.509 | 0.000 | 0.000 | 0.000 |
| 50.054 | 472.033 | 150.604 | 0.000 | 0.000 | 0.000 |
| 19.906 | 19.906 | 633.199 | 0.000 | -0.000 | 0.000 |
| -42.990 | -42.990 | 86.287 | 185.862 | 0.000 | 0.000 |
| 0.000 | -0.000 | 0.000 | 0.000 | 209.592 | -0.000 |
| -28.206 | -28.206 | 56.615 | 0.000 | -0.000 | 220.829 |
| 531.156 | 92.289 | 48.887 | 0.000 | -0.000 | -0.000 |
| 94.730 | 524.794 | 52.822 | -0.000 | -0.000 | 0.000 |
| 56.407 | 56.407 | 559.936 | 0.000 | -0.000 | 0.000 |
| 3.411 | 3.410 | -6.845 | 190.780 | -0.000 | 0.000 |
| 4.079 | 4.079 | -8.187 | 0.000 | 187.075 | 0.000 |
| 2.853 | 2.853 | -5.726 | 0.000 | -0.000 | 220.376 |
| 524.792 | 85.343 | 62.241 | 0.000 | -0.000 | -0.000 |
| 88.907 | 527.567 | 55.879 | 0.000 | 0.000 | 0.000 |
| 47.921 | 47.921 | 576.965 | -0.000 | 0.000 | 0.000 |
| -4.079 | -4.079 | 8.187 | 187.075 | -0.000 | 0.000 |
| -4.079 | -4.079 | 8.187 | -0.000 | 187.075 | 0.000 |
| -2.853 | -2.853 | 5.726 | -0.000 | -0.000 | 220.376 |
| 588.098 | 67.452 | 16.964 | -0.000 | -0.000 | -0.000 |
| 67.452 | 588.098 | 16.964 | 0.000 | -0.000 | -0.000 |
| 16.964 | 16.964 | 638.587 | -0.000 | -0.000 | -0.000 |
| 0.000 | 0.000 | 0.000 | 209.835 | -0.000 | -0.000 |
| 0.000 | 0.000 | 0.000 | -0.000 | 209.835 | -0.000 |
| 0.000 | 0.000 | 0.000 | -0.000 | -0.000 | 260.323 |
| 529.032 | 85.074 | 58.408 | 0.000 | 0.000 | -0.000 |
| 85.074 | 529.033 | 58.408 | 0.000 | 0.000 | 0.000 |
| 50.992 | 50.992 | 570.531 | 0.000 | 0.000 | 0.000 |
| -0.000 | 0.000 | -0.000 | 209.835 | 0.000 | -0.000 |
| -0.000 | -0.000 | -0.000 | 0.000 | 209.835 | -0.000 |
| -0.000 | -0.000 | -0.000 | 0.000 | 0.000 | 260.323 |
| 531.287 | 87.510 | 53.719 | 0.000 | -0.000 | -0.000 |
| 92.374 | 530.127 | 50.016 | 0.000 | -0.000 | -0.000 |
| 53.320 | 53.320 | 565.877 | 0.000 | -0.000 | -0.000 |
| 0.000 | 0.000 | 0.000 | 209.835 | -0.000 | -0.000 |
| 0.000 | 0.000 | 0.000 | 0.000 | 209.835 | 0.000 |
| 0.220 | 0.221 | -0.441 | -0.000 | -0.000 | 221.355 |
| 530.876 | 87.065 | 54.572 | 0.000 | 0.000 | 0.000 |
| 87.065 | 530.875 | 54.573 | 0.000 | 0.000 | 0.000 |
| 52.894 | 52.894 | 566.724 | -0.000 | 0.000 | 0.000 |
| -0.000 | -0.000 | -0.000 | 209.835 | 0.000 | 0.000 |
| -0.000 | -0.000 | -0.000 | -0.000 | 209.835 | 0.000 |
| -0.220 | -0.221 | 0.441 | -0.000 | 0.000 | 221.355 |
| 141.985 | -267.435 | 800.145 | -0.000 | 0.000 | -0.000 |
| -267.421 | 142.005 | 800.111 | 0.000 | 0.000 | -0.000 |
| -229.686 | -229.686 | 1133.885 | -0.000 | 0.000 | 0.000 |
| -201.325 | -201.325 | 403.905 | 194.534 | 0.000 | 0.000 |
| -368.535 | -368.535 | 739.368 | -0.000 | 182.236 | 0.000 |
| -368.395 | -368.395 | 739.088 | -0.000 | 0.000 | 203.930 |
| 813.402 | 372.114 | -514.908 | 0.000 | 0.000 | -0.000 |
| 470.198 | 876.486 | -676.579 | 0.000 | 0.000 | -0.000 |
| 428.855 | 428.855 | -187.304 | 0.000 | -0.000 | -0.000 |
| 368.535 | 368.535 | -739.368 | 182.236 | 0.000 | -0.000 |
| 368.535 | 368.535 | -739.368 | 0.000 | 182.236 | -0.000 |
| 368.395 | 368.395 | -739.088 | 0.000 | -0.000 | 203.930 |
| 485.671 | 60.616 | 126.314 | 0.000 | 0.000 | -0.000 |
| 67.240 | 587.923 | 17.098 | -0.000 | 0.000 | 0.000 |
| 31.974 | 31.974 | 608.933 | -0.000 | 0.000 | 0.000 |
| 0.000 | 0.000 | -0.000 | 209.622 | 0.000 | 0.000 |
| 0.000 | 0.000 | -0.000 | -0.000 | 209.622 | 0.000 |
| 0.000 | 0.000 | -0.000 | -0.000 | 0.000 | 260.341 |
| 587.922 | 67.240 | 17.098 | 0.000 | 0.000 | -0.000 |
| 108.802 | 556.177 | 7.252 | 0.000 | -0.000 | -0.000 |
| 73.880 | 73.880 | 524.860 | 0.000 | 0.000 | -0.000 |
| -0.000 | -0.000 | 0.000 | 209.622 | -0.000 | -0.000 |
| -0.000 | -0.000 | 0.000 | 0.000 | 209.622 | 0.000 |
| -0.000 | -0.000 | 0.000 | -0.000 | 0.000 | 260.341 |
| 528.105 | 84.567 | 59.724 | -0.000 | 0.000 | 0.000 |
| 84.558 | 528.137 | 59.700 | 0.000 | 0.000 | 0.000 |
| 50.993 | 50.993 | 570.778 | -0.000 | 0.000 | -0.000 |
| -2.510 | -2.510 | 5.036 | 190.968 | 0.000 | 0.000 |
| -2.510 | -2.510 | 5.036 | -0.000 | 190.968 | -0.000 |
| -2.109 | -2.109 | 4.231 | -0.000 | 0.000 | 220.395 |
| 532.581 | 94.042 | 45.725 | 0.000 | -0.000 | -0.000 |
| 89.759 | 532.762 | 49.840 | 0.000 | 0.000 | -0.000 |
| 55.809 | 55.809 | 561.112 | 0.000 | 0.000 | -0.000 |
| -0.000 | -0.000 | -0.000 | 209.622 | -0.000 | -0.000 |
| 2.510 | 2.510 | -5.036 | 0.000 | 190.968 | -0.000 |
| 2.109 | 2.109 | -4.231 | 0.000 | 0.000 | 220.395 |
| 588.098 | 67.452 | 16.964 | -0.000 | 0.000 | -0.000 |
| -130.921 | 297.448 | 505.988 | -0.000 | 0.000 | -0.000 |
| 16.964 | 16.964 | 638.586 | -0.000 | 0.000 | -0.000 |
| -226.745 | -226.745 | 453.489 | 191.763 | 0.000 | -0.000 |
| 0.000 | 0.000 | -0.000 | -0.000 | 209.835 | -0.000 |
| 0.000 | 0.000 | -0.000 | -0.000 | -0.000 | 260.323 |
| 758.915 | 314.393 | -400.793 | -0.000 | -0.000 | 0.000 |
| 67.452 | 588.098 | 16.965 | -0.000 | -0.000 | 0.000 |
| 279.852 | 279.852 | 112.812 | 0.000 | -0.000 | 0.000 |
| 226.744 | 226.744 | -453.489 | 191.763 | -0.000 | 0.000 |
| -0.000 | -0.000 | -0.000 | -0.000 | 209.835 | 0.000 |
| -0.000 | -0.000 | -0.000 | 0.000 | 0.000 | 260.323 |
| 507.840 | 64.680 | 99.995 | -0.000 | 0.000 | -0.000 |
| 67.452 | 588.099 | 16.964 | 0.000 | 0.000 | 0.000 |
| 30.433 | 30.433 | 611.650 | 0.000 | -0.000 | -0.000 |
| 0.000 | 0.000 | -0.000 | 209.835 | -0.000 | 0.000 |
| -22.674 | -22.674 | 45.349 | 0.000 | 191.763 | 0.000 |
| 0.000 | 0.000 | -0.000 | -0.000 | 0.000 | 260.323 |
| 588.098 | 67.452 | 16.964 | 0.000 | 0.000 | -0.000 |
| 67.452 | 588.098 | 16.964 | -0.000 | 0.000 | -0.000 |
| 75.782 | 75.782 | 520.951 | -0.000 | -0.000 | 0.000 |
| -0.000 | -0.000 | 0.000 | 209.835 | 0.000 | 0.000 |
| 22.674 | 22.674 | -45.349 | -0.000 | 191.763 | 0.000 |
| -0.000 | -0.000 | 0.000 | 0.000 | -0.000 | 260.323 |
| 527.333 | 85.867 | 59.317 | 0.000 | 0.000 | -0.000 |
| 85.867 | 527.332 | 59.318 | 0.000 | 0.000 | -0.000 |
| 50.841 | 50.841 | 570.835 | -0.000 | -0.000 | -0.000 |
| -2.267 | -2.268 | 4.535 | 191.763 | 0.000 | -0.000 |
| 0.000 | 0.000 | 0.000 | 0.000 | 209.835 | -0.000 |
| 0.000 | 0.000 | 0.000 | 0.000 | 0.000 | 260.323 |
| 531.647 | 90.755 | 50.111 | 0.000 | 0.000 | 0.000 |
| 90.756 | 531.644 | 50.113 | -0.000 | -0.000 | 0.000 |
| 55.373 | 55.373 | 561.766 | -0.000 | 0.000 | 0.000 |
| 2.267 | 2.268 | -4.535 | 191.763 | 0.000 | 0.000 |
| -0.000 | -0.000 | -0.000 | -0.000 | 209.835 | 0.000 |
| -0.000 | -0.000 | -0.000 | 0.000 | -0.000 | 260.323 |
| 587.863 | 67.173 | 17.138 | -0.000 | -0.000 | -0.000 |
| 67.173 | 587.863 | 17.139 | 0.000 | -0.000 | -0.000 |
| 16.835 | 16.835 | 639.439 | -0.000 | -0.000 | -0.000 |
| -380.043 | -380.043 | 763.186 | 182.062 | -0.000 | -0.000 |
| -380.040 | -380.040 | 763.180 | -0.000 | 182.062 | 0.000 |
| 0.000 | 0.000 | -0.000 | 0.000 | -0.000 | 260.345 |
| 883.593 | 478.483 | -692.784 | 0.000 | 0.000 | 0.000 |
| 478.483 | 883.593 | -692.784 | 0.000 | 0.000 | -0.000 |
| 449.445 | 449.445 | -229.309 | -0.000 | 0.000 | 0.000 |
| -0.000 | 0.000 | 0.000 | 209.555 | 0.000 | -0.000 |
| 380.040 | 380.040 | -763.180 | 0.000 | 182.062 | 0.000 |
| -0.000 | -0.000 | 0.000 | -0.000 | 0.000 | 260.345 |
| 587.863 | 67.173 | 17.139 | -0.000 | -0.000 | -0.000 |
| 67.173 | 587.863 | 17.139 | 0.000 | -0.000 | -0.000 |
| 34.370 | 34.370 | 604.227 | 0.000 | -0.000 | -0.000 |
| -37.616 | -37.616 | 75.540 | 182.343 | -0.000 | 0.000 |
| 0.000 | 0.000 | -0.000 | -0.000 | 209.555 | -0.000 |
| -37.357 | -37.357 | 75.019 | 0.000 | 0.000 | 203.698 |
| 554.378 | 111.862 | 5.890 | -0.000 | 0.000 | 0.000 |
| 67.173 | 587.863 | 17.139 | 0.000 | 0.000 | 0.000 |
| 16.835 | 16.835 | 639.439 | -0.000 | 0.000 | 0.000 |
| -0.000 | 0.000 | 0.000 | 209.555 | 0.000 | -0.000 |
| -0.000 | -0.000 | 0.000 | 0.000 | 209.555 | -0.000 |
| 37.357 | 37.357 | -75.019 | -0.000 | 0.000 | 203.698 |
| 526.004 | 91.401 | 54.926 | -0.000 | -0.000 | 0.000 |
| 85.927 | 524.491 | 61.940 | -0.000 | -0.000 | -0.000 |
| 50.297 | 50.297 | 572.244 | 0.000 | -0.000 | 0.000 |
| 0.000 | 0.000 | 0.000 | 209.555 | -0.000 | -0.000 |
| -2.816 | -2.816 | 5.656 | -0.000 | 189.182 | 0.000 |
| -2.108 | -2.109 | 4.234 | -0.000 | -0.000 | 219.228 |
| 531.454 | 95.725 | 45.108 | -0.000 | 0.000 | -0.000 |
| 91.693 | 529.063 | 51.556 | -0.000 | 0.000 | 0.000 |
| 55.354 | 55.354 | 562.085 | -0.000 | 0.000 | 0.000 |
| 2.816 | 2.817 | -5.656 | 189.181 | 0.000 | 0.000 |
| 2.816 | 2.816 | -5.656 | -0.000 | 189.182 | 0.000 |
| 2.108 | 2.109 | -4.234 | 0.000 | -0.000 | 219.228 |
| 531.435 | 87.061 | 54.019 | -11.301 | 0.000 | -0.000 |
| 67.452 | 588.098 | 16.964 | 17.850 | 0.000 | 0.000 |
| 53.105 | 53.105 | 566.305 | 0.000 | 0.000 | -0.000 |
| -11.463 | 11.459 | 0.004 | 191.763 | 0.000 | -0.000 |
| -0.000 | -0.000 | -0.000 | -0.000 | 209.835 | -17.850 |
| -0.000 | -0.000 | -0.000 | -0.000 | -17.850 | 260.323 |
| 588.098 | 67.452 | 16.965 | -17.850 | -0.000 | 0.000 |
| 87.065 | 531.439 | 54.011 | 11.301 | -0.000 | 0.000 |
| 16.964 | 16.964 | 638.587 | -0.000 | -0.000 | -0.000 |
| -17.850 | 17.850 | 0.000 | 209.835 | -0.000 | -0.000 |
| -0.000 | 0.000 | 0.000 | 0.000 | 209.835 | -17.850 |
| 0.000 | 0.000 | -0.000 | 0.000 | -17.850 | 260.323 |
| 531.437 | 87.063 | 54.016 | -11.301 | 0.000 | 0.000 |
| 87.063 | 531.437 | 54.016 | 11.301 | 0.000 | -0.000 |
| 53.107 | 53.107 | 566.301 | 0.000 | 0.000 | -0.000 |
| -17.850 | 17.850 | 0.000 | 209.835 | 0.000 | 0.000 |
| 0.000 | 0.000 | -0.000 | -0.000 | 209.835 | -17.850 |
| 0.000 | 0.000 | -0.000 | -0.000 | -17.850 | 260.323 |
| 531.437 | 87.063 | 54.015 | -11.301 | -0.000 | 0.000 |
| 67.452 | 588.098 | 16.964 | 17.850 | -0.000 | 0.000 |
| 16.964 | 16.964 | 638.586 | 0.000 | -0.000 | 0.000 |
| -11.461 | 11.461 | -0.000 | 191.763 | 0.000 | 0.000 |
| -0.000 | -0.000 | 0.000 | 0.000 | 209.835 | -17.850 |
| -0.000 | -0.000 | 0.000 | 0.000 | -17.850 | 260.323 |
| 525.854 | 92.317 | 54.345 | -11.242 | 0.000 | 0.000 |
| 67.453 | 588.100 | 16.964 | 17.850 | 0.000 | -0.000 |
| 53.108 | 53.108 | 566.302 | 0.000 | 0.000 | 0.000 |
| -11.461 | 11.461 | 0.000 | 191.763 | 0.000 | 0.000 |
| -0.000 | 0.000 | 0.000 | -0.000 | 191.763 | -11.461 |
| -0.000 | 0.000 | 0.000 | 0.000 | -11.031 | 216.159 |
| 531.434 | 87.063 | 54.016 | -11.300 | -0.000 | -0.000 |
| 91.178 | 530.430 | 50.904 | 11.850 | -0.000 | -0.000 |
| 53.107 | 53.107 | 566.299 | -0.000 | -0.000 | -0.000 |
| -11.461 | 11.461 | -0.000 | 191.763 | -0.000 | 0.000 |
| 0.000 | -0.000 | -0.000 | 0.000 | 191.763 | -11.461 |
| 0.000 | -0.000 | -0.000 | -0.000 | -11.031 | 216.159 |
| 587.552 | 66.789 | 17.387 | -17.803 | -0.000 | 0.000 |
| 66.789 | 587.552 | 17.387 | 17.803 | -0.000 | 0.000 |
| 16.660 | 16.660 | 640.652 | 0.000 | -0.000 | 0.000 |
| -17.803 | 17.803 | -0.001 | 209.166 | -0.000 | 0.000 |
| 0.000 | 0.000 | -0.000 | -0.000 | 209.166 | -17.803 |
| 0.000 | 0.000 | 0.000 | 0.000 | -17.803 | 260.382 |
| 513.955 | 50.733 | 107.919 | -14.045 | -0.000 | -0.000 |
| 9.827 | 431.678 | 232.308 | 9.271 | 0.000 | -0.000 |
| 16.660 | 16.660 | 640.654 | -0.000 | 0.000 | -0.000 |
| -17.803 | 17.803 | -0.000 | 209.166 | 0.000 | -0.000 |
| -0.000 | -0.000 | 0.000 | 0.000 | 209.166 | -17.803 |
| -0.000 | -0.000 | -0.000 | -0.000 | -17.803 | 260.382 |
| 531.977 | 95.090 | 44.929 | -10.568 | -0.000 | 0.000 |
| 66.789 | 587.552 | 17.388 | 17.803 | -0.000 | 0.000 |
| 57.264 | 57.264 | 558.650 | 0.000 | -0.000 | 0.000 |
| -2.959 | 17.519 | -14.703 | 187.661 | -0.000 | 0.000 |
| 7.280 | 7.280 | -14.703 | -0.000 | 187.661 | -10.239 |
| 0.000 | 0.000 | -0.000 | -0.000 | -17.803 | 260.382 |
| 587.552 | 66.789 | 17.388 | -17.803 | 0.000 | -0.000 |
| 66.789 | 587.552 | 17.388 | 17.803 | 0.000 | -0.000 |
| 50.117 | 50.117 | 573.082 | -0.000 | 0.000 | -0.000 |
| -17.469 | 7.583 | 9.982 | 194.162 | 0.000 | -0.000 |
| -7.280 | -7.280 | 14.703 | 0.000 | 187.661 | -10.239 |
| -0.000 | -0.000 | -0.000 | 0.000 | -17.803 | 260.382 |
| 531.793 | 86.656 | 53.633 | -11.279 | -0.000 | 0.000 |
| 86.658 | 531.785 | 53.638 | 11.278 | -0.000 | 0.000 |
| 16.660 | 16.660 | 640.656 | -0.000 | -0.000 | 0.000 |
| -17.803 | 17.803 | 0.000 | 209.166 | -0.000 | 0.000 |
| 0.000 | 0.000 | 0.000 | -0.000 | 209.166 | -17.803 |
| 0.000 | 0.000 | 0.000 | -0.000 | -17.803 | 260.382 |
| 587.550 | 66.788 | 17.388 | -17.803 | 0.000 | -0.000 |
| 66.788 | 587.550 | 17.388 | 17.803 | 0.000 | -0.000 |
| 52.529 | 52.529 | 568.209 | -0.000 | -0.000 | -0.000 |
| -17.803 | 17.803 | -0.000 | 209.166 | 0.000 | -0.000 |
| -0.000 | -0.000 | -0.000 | 0.000 | 209.166 | -17.803 |
| -0.000 | -0.000 | -0.000 | 0.000 | -17.803 | 260.382 |
| 768.269 | 277.334 | -378.897 | 3.263 | 0.000 | 0.000 |
| 66.619 | 587.404 | 17.493 | -7.907 | 0.000 | 0.000 |
| 313.275 | 313.275 | 40.494 | -0.000 | 0.000 | 0.000 |
| 233.612 | 228.209 | -467.489 | 175.651 | 0.000 | 0.000 |
| 230.873 | 230.873 | -467.413 | 0.000 | 175.656 | 2.702 |
| 230.875 | 230.875 | -467.417 | 0.000 | 2.702 | 191.043 |
| 254.742 | -127.744 | 550.985 | 2.717 | -0.000 | -0.000 |
| -6.136 | 433.571 | 246.866 | -5.603 | -0.000 | -0.000 |
| -147.503 | -147.503 | 973.361 | -0.000 | -0.000 | -0.000 |
| -228.209 | -233.612 | 467.489 | 175.651 | -0.000 | -0.000 |
| -230.873 | -230.873 | 467.413 | -0.000 | 175.656 | 2.702 |
| -230.875 | -230.875 | 467.417 | -0.000 | 2.702 | 191.043 |
| 509.745 | 124.172 | 37.845 | 2.833 | 0.000 | 0.000 |
| 102.615 | 542.619 | 26.389 | -5.617 | 0.000 | 0.000 |
| 58.748 | 58.748 | 555.794 | 0.000 | 0.000 | 0.000 |
| 15.604 | 4.456 | -20.306 | 194.049 | 0.000 | 0.000 |
| 0.000 | 0.000 | -0.000 | 0.000 | 208.995 | 7.907 |
| 22.357 | 22.357 | -45.262 | 0.000 | 2.867 | 193.238 |
| 587.404 | 66.618 | 17.493 | 7.907 | 0.000 | -0.000 |
| 78.599 | 470.194 | 124.013 | -3.059 | 0.000 | -0.000 |
| 60.052 | 60.052 | 553.156 | -0.000 | -0.000 | -0.000 |
| -19.867 | -25.462 | 45.885 | 176.267 | -0.000 | -0.000 |
| -0.000 | -0.000 | 0.000 | -0.000 | 208.995 | 7.907 |
| -22.357 | -22.357 | 45.262 | -0.000 | 2.867 | 193.238 |
| 528.712 | 84.677 | 58.627 | 4.598 | 0.000 | 0.000 |
| 89.600 | 527.074 | 55.301 | -4.781 | 0.000 | 0.000 |
| 55.959 | 55.959 | 561.443 | 0.000 | 0.000 | 0.000 |
| 6.421 | -3.359 | -3.100 | 189.667 | 0.000 | 0.000 |
| 1.456 | 1.456 | -2.947 | 0.000 | 187.972 | 4.625 |
| 0.000 | 0.000 | 0.000 | 0.000 | 7.907 | 260.393 |
| 587.403 | 66.618 | 17.493 | 7.907 | -0.000 | -0.000 |
| 86.666 | 524.797 | 60.573 | -4.805 | -0.000 | -0.000 |
| 51.567 | 51.567 | 570.332 | -0.000 | -0.000 | -0.000 |
| 3.169 | -6.081 | 2.947 | 187.973 | 0.000 | -0.000 |
| -1.456 | -1.456 | 2.947 | -0.000 | 187.972 | 4.625 |
| -0.000 | -0.000 | -0.000 | -0.000 | 7.907 | 260.393 |
| 697.973 | 253.317 | -278.776 | -7.231 | 0.000 | -0.000 |
| 67.452 | 588.098 | 16.964 | 11.274 | 0.000 | 0.000 |
| 218.777 | 218.777 | 234.960 | -0.000 | -0.000 | -0.000 |
| -11.274 | 11.274 | 0.000 | 209.835 | -0.000 | 0.000 |
| 0.000 | -0.000 | 0.000 | -0.000 | 209.835 | -11.274 |
| 165.913 | 165.913 | -331.826 | -0.000 | -7.233 | 222.342 |
| 366.166 | -78.538 | 384.887 | -7.234 | -0.000 | -0.000 |
| -70.663 | 358.640 | 384.538 | 7.238 | -0.000 | -0.000 |
| -112.563 | -112.563 | 897.641 | -0.000 | -0.000 | 0.000 |
| -11.274 | 11.274 | -0.000 | 209.835 | -0.000 | 0.000 |
| -0.000 | 0.000 | -0.000 | 0.000 | 209.835 | -11.274 |
| -165.913 | -165.913 | 331.826 | 0.000 | -7.233 | 222.342 |
| 588.098 | 67.452 | 16.964 | -11.274 | -0.000 | -0.000 |
| 106.196 | 546.153 | 20.165 | 6.981 | -0.000 | -0.000 |
| 16.964 | 16.964 | 638.587 | 0.000 | 0.000 | 0.000 |
| 9.329 | 23.806 | -33.134 | 191.763 | -0.000 | -0.000 |
| 0.000 | 0.000 | 0.000 | -0.000 | 209.835 | -11.274 |
| 0.000 | 0.000 | 0.000 | -0.000 | -11.274 | 260.323 |
| 588.098 | 67.452 | 16.964 | -11.274 | -0.000 | -0.000 |
| 67.452 | 588.098 | 16.964 | 11.274 | 0.000 | 0.000 |
| 16.964 | 16.964 | 638.586 | -0.000 | -0.000 | 0.000 |
| -11.274 | 11.274 | -0.000 | 209.835 | -0.000 | 0.000 |
| -0.000 | -0.000 | -0.000 | 0.000 | 209.835 | -11.274 |
| -0.000 | -0.000 | -0.000 | 0.000 | -11.274 | 260.323 |
| 531.306 | 89.935 | 51.276 | -7.056 | -0.000 | -0.000 |
| 89.935 | 531.305 | 51.276 | 7.056 | 0.000 | 0.000 |
| 54.765 | 54.765 | 562.987 | 0.000 | -0.000 | -0.000 |
| -11.274 | 11.274 | 0.000 | 209.835 | 0.000 | 0.000 |
| 1.657 | 1.657 | -3.313 | -0.000 | 191.763 | -7.239 |
| 1.762 | 1.762 | -3.524 | -0.000 | -6.981 | 219.980 |
| 528.140 | 86.376 | 57.996 | -7.077 | -0.000 | -0.000 |
| 95.043 | 525.951 | 51.519 | 7.740 | -0.000 | -0.000 |
| 51.449 | 51.449 | 569.614 | -0.000 | 0.000 | -0.000 |
| -11.274 | 11.274 | -0.000 | 209.835 | -0.000 | 0.000 |
| -1.657 | -1.657 | 3.313 | 0.000 | 191.763 | -7.239 |
| -1.762 | -1.762 | 3.524 | 0.000 | -6.981 | 219.980 |
| 587.822 | 67.121 | 17.175 | -11.259 | -0.000 | 0.000 |
| 9.697 | 468.707 | 194.571 | 8.944 | -0.000 | 0.000 |
| -185.157 | -185.157 | 1045.511 | 0.000 | -0.000 | 0.000 |
| -11.259 | 11.259 | 0.001 | 209.502 | -0.000 | 0.000 |
| -0.000 | -0.000 | 0.000 | -0.000 | 209.502 | -11.259 |
| -71.677 | -71.677 | 144.051 | -0.000 | -9.129 | 231.044 |
| 587.822 | 67.121 | 17.172 | -11.259 | 0.000 | -0.000 |
| 151.179 | 616.544 | -96.156 | 9.326 | 0.000 | -0.000 |
| 339.864 | 339.864 | -9.642 | -0.000 | 0.000 | -0.000 |
| 261.666 | 268.725 | -532.973 | 174.796 | 0.000 | -0.000 |
| 0.000 | 0.000 | -0.000 | 0.000 | 209.502 | -11.259 |
| 71.677 | 71.677 | -144.051 | 0.000 | -9.129 | 231.044 |
| 587.822 | 67.121 | 17.173 | -11.259 | -0.000 | -0.000 |
| 67.121 | 587.822 | 17.173 | 11.259 | -0.000 | 0.000 |
| 56.232 | 56.232 | 560.382 | -0.000 | -0.000 | 0.000 |
| -18.106 | -1.326 | 19.527 | 196.620 | -0.000 | 0.000 |
| -0.000 | 0.000 | -0.000 | -0.000 | 209.502 | -11.259 |
| -9.581 | -9.581 | 19.256 | -0.000 | -8.428 | 225.133 |
| 587.822 | 67.121 | 17.173 | -11.259 | 0.000 | -0.000 |
| 67.121 | 587.822 | 17.173 | 11.259 | 0.000 | -0.000 |
| 68.182 | 68.182 | 536.366 | -0.000 | 0.000 | -0.000 |
| -11.259 | 11.259 | -0.000 | 209.502 | 0.000 | -0.000 |
| 0.000 | -0.000 | 0.000 | 0.000 | 209.502 | -11.259 |
| 9.581 | 9.581 | -19.256 | 0.000 | -8.428 | 225.133 |
| 526.903 | 93.011 | 52.374 | -7.598 | -0.000 | 0.000 |
| 86.355 | 527.645 | 58.317 | 7.026 | -0.000 | 0.000 |
| 52.074 | 52.074 | 568.741 | 0.000 | -0.000 | 0.000 |
| -8.514 | 5.648 | 2.881 | 190.744 | -0.000 | -0.000 |
| 0.000 | 0.000 | 0.000 | -0.000 | 209.502 | -11.259 |
| -1.096 | -1.096 | 2.202 | -0.000 | -8.018 | 219.006 |
| 530.226 | 89.383 | 52.677 | -7.002 | 0.000 | -0.000 |
| 89.378 | 530.238 | 52.670 | 7.003 | 0.000 | -0.000 |
| 54.802 | 54.802 | 563.254 | -0.000 | 0.000 | -0.000 |
| -5.900 | 8.621 | -2.735 | 191.549 | 0.000 | -0.000 |
| -0.000 | -0.000 | -0.000 | 0.000 | 209.502 | -11.259 |
| 1.096 | 1.096 | -2.202 | 0.000 | -8.018 | 219.006 |
| 530.792 | 87.350 | 54.371 | 3.466 | 0.000 | -0.000 |
| 87.350 | 530.792 | 54.372 | -3.466 | 0.000 | -0.000 |
| 53.035 | 53.035 | 566.445 | 0.000 | 0.000 | -0.000 |
| 5.492 | -5.492 | -0.001 | 209.835 | 0.000 | -0.000 |
| 0.000 | 0.000 | -0.001 | -0.000 | 209.835 | 5.492 |
| 0.000 | 0.000 | -0.001 | -0.000 | 5.492 | 260.323 |
| 530.932 | 87.503 | 54.081 | 3.465 | -0.000 | 0.000 |
| 87.503 | 530.932 | 54.081 | -3.465 | -0.000 | 0.000 |
| 16.964 | 16.964 | 638.587 | 0.000 | -0.000 | -0.000 |
| 3.599 | -3.454 | -0.144 | 191.763 | -0.000 | 0.000 |
| -0.000 | -0.000 | 0.000 | 0.000 | 209.835 | 5.492 |
| -0.000 | -0.000 | 0.001 | -0.000 | 5.492 | 260.323 |
| 524.058 | 93.678 | 54.781 | 3.436 | 0.000 | -0.000 |
| 93.675 | 524.064 | 54.777 | -3.436 | 0.000 | 0.000 |
| 53.105 | 53.105 | 566.306 | 0.000 | 0.000 | -0.000 |
| 3.526 | -3.527 | 0.001 | 191.763 | 0.000 | -0.000 |
| 0.000 | 0.000 | 0.000 | 0.000 | 209.835 | 5.492 |
| 0.000 | 0.000 | 0.000 | 0.000 | 5.492 | 260.323 |
| 524.053 | 93.680 | 54.780 | 3.435 | -0.000 | 0.000 |
| 67.452 | 588.096 | 16.964 | -5.492 | -0.000 | -0.000 |
| 53.132 | 53.132 | 566.249 | -0.000 | -0.000 | -0.000 |
| 5.492 | -5.492 | -0.000 | 209.835 | 0.000 | 0.000 |
| -0.000 | -0.000 | -0.000 | -0.000 | 209.835 | 5.492 |
| -0.000 | -0.000 | -0.000 | -0.000 | 5.492 | 260.323 |
| 663.269 | 219.738 | -213.202 | 3.392 | 0.000 | -0.000 |
| 195.253 | 640.307 | -165.340 | -3.780 | 0.000 | 0.000 |
| 253.745 | 253.745 | 162.170 | 0.000 | 0.000 | 0.000 |
| 112.020 | 104.531 | -218.449 | 193.216 | 0.000 | 0.000 |
| 108.275 | 108.275 | -218.449 | 0.000 | 193.216 | 3.745 |
| 132.233 | 132.233 | -266.784 | 0.000 | 3.415 | 222.119 |
| 422.176 | -20.508 | 272.356 | 3.713 | -0.000 | -0.000 |
| -92.792 | 315.253 | 453.132 | -2.509 | 0.000 | -0.000 |
| 16.692 | 16.692 | 640.431 | 0.000 | -0.000 | -0.000 |
| -104.658 | -112.144 | 218.703 | 193.198 | -0.000 | -0.000 |
| -108.275 | -108.275 | 218.449 | -0.000 | 193.216 | 3.745 |
| -132.233 | -132.233 | 266.784 | -0.000 | 3.415 | 222.119 |
| 531.460 | 108.124 | 32.356 | 2.912 | 0.000 | 0.000 |
| 108.121 | 531.463 | 32.355 | -2.912 | -0.000 | 0.000 |
| 16.692 | 16.692 | 640.434 | 0.000 | 0.000 | 0.000 |
| 16.327 | 9.383 | -25.935 | 190.699 | 0.000 | 0.000 |
| 0.000 | 0.000 | 0.000 | 0.000 | 209.237 | 5.479 |
| 15.873 | 15.874 | -32.025 | -0.000 | 2.979 | 212.931 |
| 518.017 | 79.008 | 75.285 | 3.610 | 0.000 | -0.000 |
| 66.858 | 587.606 | 17.342 | -5.479 | -0.000 | -0.000 |
| 48.215 | 48.215 | 576.830 | 0.000 | -0.000 | -0.000 |
| 5.479 | -5.479 | -0.000 | 209.237 | -0.000 | -0.000 |
| -0.000 | -0.000 | -0.000 | -0.000 | 209.237 | 5.479 |
| -15.873 | -15.874 | 32.025 | 0.000 | 2.979 | 212.931 |
| 528.586 | 94.819 | 49.109 | 5.409 | -0.000 | -0.000 |
| 67.452 | 588.098 | 16.964 | -7.933 | 0.000 | -0.000 |
| 53.096 | 53.096 | 566.323 | 0.000 | 0.000 | -0.000 |
| 5.082 | -5.105 | 0.023 | 191.763 | -0.000 | -0.000 |
| -0.011 | -0.011 | 0.022 | 0.000 | 191.763 | 5.094 |
| -0.000 | -0.000 | -0.001 | 0.000 | 7.933 | 260.323 |
| 588.098 | 67.452 | 16.965 | 7.933 | 0.000 | 0.000 |
| 87.837 | 530.245 | 54.433 | -4.988 | 0.000 | 0.000 |
| 16.964 | 16.964 | 638.587 | -0.000 | 0.000 | 0.000 |
| 5.105 | -5.082 | -0.023 | 191.763 | 0.000 | 0.000 |
| 0.011 | 0.011 | -0.022 | -0.000 | 191.763 | 5.094 |
| 0.000 | 0.000 | 0.001 | -0.000 | 7.933 | 260.323 |
| 528.597 | 94.829 | 49.089 | 5.410 | 0.000 | -0.000 |
| 67.452 | 588.098 | 16.964 | -7.933 | 0.000 | -0.000 |
| 53.106 | 53.106 | 566.303 | 0.000 | 0.000 | -0.000 |
| 5.093 | -5.095 | 0.002 | 191.763 | 0.000 | -0.000 |
| -0.001 | -0.001 | 0.002 | 0.000 | 191.763 | 5.094 |
| -0.001 | -0.001 | 0.002 | 0.000 | 5.846 | 218.362 |
| 530.235 | 87.826 | 54.454 | 4.988 | -0.000 | -0.000 |
| 87.826 | 530.235 | 54.453 | -4.988 | 0.000 | 0.000 |
| 16.964 | 16.964 | 638.587 | -0.000 | 0.000 | 0.000 |
| 5.095 | -5.093 | -0.002 | 191.763 | 0.000 | 0.000 |
| 0.001 | 0.001 | -0.002 | -0.000 | 191.763 | 5.094 |
| 0.001 | 0.001 | -0.002 | -0.000 | 5.846 | 218.362 |
| 588.100 | 67.453 | 16.964 | 7.934 | -0.000 | -0.000 |
| 87.826 | 530.234 | 54.457 | -4.988 | 0.000 | -0.000 |
| 53.083 | 53.083 | 566.351 | 0.000 | -0.000 | -0.000 |
| 5.094 | -5.094 | 0.000 | 191.763 | -0.000 | -0.000 |
| -0.000 | 0.000 | 0.000 | 0.000 | 191.763 | 5.094 |
| -0.000 | -0.000 | 0.000 | 0.000 | 4.934 | 220.492 |
| 530.234 | 87.824 | 54.455 | 4.988 | -0.000 | 0.000 |
| 94.829 | 528.599 | 49.085 | -5.410 | 0.000 | 0.000 |
| 53.106 | 53.106 | 566.301 | -0.000 | -0.000 | 0.000 |
| 5.094 | -5.094 | -0.000 | 191.763 | -0.000 | 0.000 |
| 0.000 | -0.000 | -0.000 | -0.000 | 191.763 | 5.094 |
| 0.000 | 0.000 | -0.000 | -0.000 | 4.934 | 220.492 |
| 451.824 | 95.278 | 125.510 | -1.735 | -0.000 | 0.000 |
| 67.189 | 587.878 | 17.129 | 7.925 | -0.000 | 0.000 |
| 82.302 | 82.302 | 507.971 | 0.000 | 0.000 | -0.000 |
| -7.925 | 7.925 | 0.000 | 209.571 | -0.000 | -0.000 |
| -0.000 | 0.000 | -0.000 | 0.000 | 209.571 | -7.925 |
| -0.000 | -0.000 | 0.000 | 0.000 | -7.925 | 260.345 |
| 587.878 | 67.189 | 17.130 | -7.925 | -0.000 | 0.000 |
| 125.058 | 479.282 | 68.051 | 1.647 | 0.000 | 0.000 |
| 16.843 | 16.843 | 639.394 | -0.000 | 0.000 | -0.000 |
| -7.925 | 7.925 | -0.000 | 209.571 | -0.000 | -0.000 |
| 0.000 | -0.000 | -0.000 | -0.000 | 209.571 | -7.925 |
| 0.000 | 0.000 | -0.000 | -0.000 | -7.925 | 260.345 |
| 587.878 | 67.189 | 17.129 | -7.925 | -0.000 | 0.000 |
| 67.189 | 587.879 | 17.129 | 7.925 | -0.000 | -0.000 |
| 16.843 | 16.843 | 639.394 | -0.000 | -0.000 | -0.000 |
| -7.925 | 7.925 | 0.000 | 209.571 | 0.000 | -0.000 |
| 0.000 | 0.000 | 0.000 | -0.000 | 209.571 | -7.925 |
| -0.874 | -0.874 | 1.754 | -0.000 | -4.192 | 210.855 |
| 520.177 | 92.002 | 60.183 | -4.436 | 0.000 | -0.000 |
| 92.002 | 520.177 | 60.183 | 4.436 | -0.000 | -0.000 |
| 16.843 | 16.843 | 639.394 | 0.000 | -0.000 | -0.000 |
| -7.925 | 7.925 | -0.000 | 209.571 | 0.000 | -0.000 |
| -0.000 | -0.000 | -0.000 | 0.000 | 209.571 | -7.925 |
| 0.874 | 0.874 | -1.754 | 0.000 | -4.192 | 210.855 |
| 529.976 | 87.376 | 54.993 | -4.980 | -0.000 | 0.000 |
| 94.610 | 523.639 | 54.092 | 5.055 | 0.000 | -0.000 |
| 53.090 | 53.090 | 566.621 | 0.000 | -0.000 | -0.000 |
| -5.137 | 5.004 | 0.134 | 191.367 | 0.000 | 0.000 |
| 0.000 | 0.000 | 0.000 | -0.000 | 209.571 | -7.925 |
| -0.076 | -0.076 | 0.152 | 0.000 | -4.706 | 216.767 |
| 530.090 | 87.520 | 54.729 | -4.979 | 0.000 | -0.000 |
| 87.519 | 530.092 | 54.728 | 4.979 | 0.000 | 0.000 |
| 53.221 | 53.221 | 566.355 | 0.000 | 0.000 | -0.000 |
| -5.004 | 5.137 | -0.134 | 191.367 | -0.000 | 0.000 |
| -0.000 | -0.000 | -0.000 | 0.000 | 209.571 | -7.925 |
| 0.076 | 0.076 | -0.152 | -0.000 | -4.706 | 216.767 |
| 588.098 | 67.452 | 16.964 | -0.000 | -0.000 | -0.000 |
| 67.452 | 588.098 | 16.966 | -0.000 | 0.000 | -0.000 |
| 16.964 | 16.964 | 638.588 | -0.000 | 0.000 | -0.000 |
| -0.000 | -0.000 | 0.000 | 209.835 | -0.000 | -0.000 |
| 0.000 | -0.000 | 0.000 | 0.000 | 209.835 | 0.000 |
| -0.000 | -0.000 | 0.000 | -0.000 | 0.000 | 260.323 |
| 588.098 | 67.452 | 16.963 | 0.000 | -0.000 | 0.000 |
| 40.351 | 485.378 | 146.786 | -0.000 | -0.000 | 0.000 |
| 6.702 | 6.702 | 659.110 | 0.000 | 0.000 | 0.000 |
| 0.000 | 0.000 | -0.000 | 209.835 | -0.000 | 0.000 |
| -0.000 | 0.000 | -0.000 | 0.000 | 209.835 | 0.000 |
| 0.000 | 0.000 | -0.000 | 0.000 | -0.000 | 260.323 |
| 588.099 | 67.453 | 16.964 | -0.000 | 0.000 | -0.000 |
| 67.452 | 588.099 | 16.964 | 0.000 | -0.000 | -0.000 |
| 57.747 | 57.747 | 557.021 | -0.000 | 0.000 | 0.000 |
| 4.640 | 4.640 | -9.280 | 191.763 | 0.000 | -0.000 |
| 0.000 | 0.000 | -0.000 | -0.000 | 209.835 | 0.000 |
| 0.000 | 0.000 | 0.000 | -0.000 | 0.000 | 260.323 |
| 588.098 | 67.452 | 16.964 | 0.000 | 0.000 | -0.000 |
| 82.712 | 526.140 | 63.663 | -0.000 | 0.000 | 0.000 |
| 16.964 | 16.964 | 638.586 | 0.000 | -0.000 | 0.000 |
| -4.640 | -4.640 | 9.280 | 191.763 | -0.000 | 0.000 |
| -0.000 | -0.000 | 0.000 | 0.000 | 209.835 | -0.000 |
| -0.000 | -0.000 | -0.000 | 0.000 | 0.000 | 260.323 |
| 531.054 | 88.081 | 53.382 | -0.000 | 0.000 | -0.000 |
| 88.081 | 531.053 | 53.382 | -0.000 | 0.000 | 0.000 |
| 53.570 | 53.570 | 565.377 | -0.000 | -0.000 | -0.000 |
| 0.464 | 0.464 | -0.928 | 191.763 | -0.000 | -0.000 |
| 0.000 | 0.000 | 0.000 | 0.000 | 209.835 | 0.000 |
| 0.370 | 0.369 | -0.739 | -0.000 | 0.000 | 219.127 |
| 528.678 | 93.179 | 50.657 | -0.000 | -0.000 | 0.000 |
| 93.178 | 528.679 | 50.656 | -0.000 | 0.000 | 0.000 |
| 52.666 | 52.666 | 567.180 | 0.000 | -0.000 | 0.000 |
| -0.464 | -0.464 | 0.928 | 191.763 | -0.000 | 0.000 |
| -0.000 | -0.000 | -0.000 | -0.000 | 209.835 | 0.000 |
| -0.370 | -0.369 | 0.739 | 0.000 | 0.000 | 219.127 |
| 499.554 | 75.459 | 97.421 | -0.000 | -0.000 | -0.000 |
| 92.628 | 596.189 | -16.787 | 0.000 | -0.000 | -0.000 |
| 16.844 | 16.844 | 639.389 | 0.000 | 0.000 | -0.000 |
| -317.831 | -317.831 | 638.001 | 173.702 | -0.000 | -0.000 |
| -34.697 | -34.697 | 69.584 | -0.000 | 204.497 | -0.000 |
| 15.952 | 15.952 | -32.070 | -0.000 | -0.000 | 251.982 |
| 564.943 | 60.611 | 46.803 | -0.000 | -0.000 | 0.000 |
| 384.241 | 804.069 | -518.077 | -0.000 | -0.000 | 0.000 |
| 16.844 | 16.844 | 639.388 | 0.000 | -0.000 | -0.000 |
| 388.663 | 388.663 | -780.263 | 163.131 | 0.000 | 0.000 |
| 34.697 | 34.697 | -69.584 | 0.000 | 204.497 | -0.000 |
| -15.952 | -15.952 | 32.070 | 0.000 | -0.000 | 251.982 |
| 411.233 | 77.725 | 183.876 | 0.000 | 0.000 | -0.000 |
| 51.386 | 478.141 | 143.149 | -0.000 | 0.000 | -0.000 |
| 71.044 | 71.044 | 530.572 | 0.000 | 0.000 | -0.000 |
| -0.000 | 0.000 | -0.000 | 209.573 | -0.000 | -0.000 |
| 1.118 | 1.118 | -2.248 | -0.000 | 210.684 | -0.000 |
| 0.902 | 0.902 | -1.815 | 0.000 | -0.000 | 250.402 |
| 531.447 | 111.766 | 29.042 | 0.000 | -0.000 | 0.000 |
| 67.192 | 587.881 | 17.128 | 0.000 | -0.000 | 0.000 |
| 107.951 | 107.951 | 456.486 | -0.000 | -0.000 | 0.000 |
| 38.633 | 38.632 | -77.557 | 163.411 | 0.000 | 0.000 |
| -1.118 | -1.118 | 2.248 | 0.000 | 210.684 | -0.000 |
| -0.902 | -0.902 | 1.815 | -0.000 | -0.000 | 250.402 |
| 526.783 | 74.653 | 70.973 | 0.000 | 0.000 | -0.000 |
| 74.658 | 526.768 | 70.983 | -0.000 | -0.000 | -0.000 |
| 54.048 | 54.048 | 564.698 | -0.000 | 0.000 | -0.000 |
| -1.860 | -1.861 | 3.734 | 187.926 | 0.000 | -0.000 |
| 0.000 | 0.000 | 0.000 | 0.000 | 209.573 | -0.000 |
| -2.364 | -2.364 | 4.745 | 0.000 | 0.000 | 201.867 |
| 510.181 | 97.196 | 65.006 | 0.000 | 0.000 | 0.000 |
| 92.970 | 536.475 | 42.853 | 0.000 | -0.000 | 0.000 |
| 51.680 | 51.680 | 569.449 | -0.000 | -0.000 | 0.000 |
| 2.701 | 2.701 | -5.423 | 177.296 | -0.000 | 0.000 |
| -0.000 | -0.000 | -0.000 | -0.000 | 209.573 | -0.000 |
| 2.364 | 2.364 | -4.745 | -0.000 | 0.000 | 201.867 |
| 347.459 | -71.440 | 397.731 | -4.582 | 0.000 | -0.000 |
| -688.348 | -262.484 | 1629.902 | 2.080 | 0.000 | 0.000 |
| -882.198 | -882.198 | 2445.319 | 0.000 | -0.000 | -0.000 |
| 30.121 | 41.335 | -71.799 | 210.658 | 0.000 | 0.000 |
| 35.679 | 35.679 | -71.700 | 0.000 | 210.656 | -5.607 |
| -0.000 | -0.000 | -0.000 | 0.000 | -5.486 | 260.348 |
| 1290.706 | 866.442 | -1491.447 | -2.024 | -0.000 | -0.000 |
| 1088.079 | 1439.915 | -1863.928 | 1.096 | -0.000 | -0.000 |
| 1063.257 | 1063.257 | -1462.409 | -0.000 | 0.000 | -0.000 |
| 972.378 | 974.602 | -1955.396 | 169.239 | 0.000 | -0.000 |
| -35.679 | -35.679 | 71.700 | 0.000 | 210.656 | -5.607 |
| 0.000 | 0.000 | 0.000 | -0.000 | -5.486 | 260.348 |
| 587.854 | 67.158 | 17.150 | -5.486 | 0.000 | -0.000 |
| 67.158 | 587.854 | 17.150 | 5.486 | -0.000 | 0.000 |
| -0.300 | -0.300 | 673.900 | -0.000 | 0.000 | 0.000 |
| -5.486 | 5.486 | -0.000 | 209.539 | -0.000 | 0.000 |
| 0.000 | 0.000 | -0.000 | -0.000 | 209.539 | -5.486 |
| 0.000 | 0.000 | -0.000 | -0.000 | -5.486 | 260.348 |
| 560.322 | 210.526 | -99.187 | -1.043 | 0.000 | -0.000 |
| 166.715 | 585.284 | -80.254 | 1.827 | -0.000 | -0.000 |
| 137.685 | 137.685 | 396.741 | 0.000 | -0.000 | -0.000 |
| -7.958 | 3.152 | 4.830 | 210.175 | -0.000 | 0.000 |
| -0.000 | -0.000 | 0.000 | 0.000 | 209.539 | -5.486 |
| -0.000 | -0.000 | 0.000 | 0.000 | -5.486 | 260.348 |
| 526.909 | 95.572 | 49.823 | -4.032 | -0.000 | -0.000 |
| 95.571 | 526.908 | 49.824 | 4.032 | -0.000 | 0.000 |
| 16.829 | 16.829 | 639.498 | 0.000 | 0.000 | 0.000 |
| -9.122 | -4.083 | 13.262 | 182.207 | -0.000 | 0.000 |
| -6.603 | -6.602 | 13.262 | 0.000 | 182.206 | -2.519 |
| 0.000 | 0.000 | 0.000 | -0.000 | -5.486 | 260.348 |
| 587.852 | 67.157 | 17.150 | -5.486 | 0.000 | -0.000 |
| 98.672 | 520.324 | 53.319 | 2.911 | -0.000 | -0.000 |
| 54.397 | 54.397 | 564.032 | -0.000 | 0.000 | -0.000 |
| -1.102 | 7.106 | -6.029 | 196.806 | -0.000 | 0.000 |
| 6.603 | 6.602 | -13.262 | -0.000 | 182.206 | -2.519 |
| -0.000 | -0.000 | -0.000 | 0.000 | -5.486 | 260.348 |
| 474.190 | 28.042 | 170.505 | 6.861 | 0.000 | 0.000 |
| 67.233 | 587.915 | 17.102 | -10.191 | 0.000 | -0.000 |
| -10.102 | -10.102 | 693.359 | -0.000 | 0.000 | 0.000 |
| -80.752 | -91.605 | 172.907 | 185.990 | 0.000 | 0.000 |
| -86.176 | -86.176 | 172.901 | 0.000 | 185.991 | 5.427 |
| -59.985 | -59.985 | 120.351 | -0.000 | 6.862 | 223.082 |
| 594.187 | 148.010 | -70.222 | 6.863 | -0.000 | 0.000 |
| 67.233 | 587.915 | 17.102 | -10.191 | -0.000 | 0.000 |
| 150.375 | 150.375 | 371.382 | -0.000 | -0.000 | -0.000 |
| 10.191 | -10.191 | -0.000 | 209.615 | 0.000 | -0.000 |
| 86.176 | 86.176 | -172.901 | -0.000 | 185.991 | 5.427 |
| 59.985 | 59.985 | -120.351 | 0.000 | 6.862 | 223.082 |
| 507.961 | 83.459 | 81.035 | 5.484 | 0.000 | -0.000 |
| 82.104 | 527.787 | 62.505 | -6.836 | 0.000 | 0.000 |
| 55.312 | 55.312 | 562.115 | 0.000 | 0.000 | -0.000 |
| 10.191 | -10.191 | 0.000 | 209.615 | 0.000 | 0.000 |
| -7.287 | -7.287 | 14.620 | 0.000 | 189.670 | 6.169 |
| -8.565 | -8.565 | 17.185 | 0.000 | 5.455 | 211.960 |
| 533.794 | 95.881 | 42.658 | 6.157 | -0.000 | 0.000 |
| 100.654 | 524.671 | 47.021 | -5.460 | -0.000 | -0.000 |
| 56.491 | 56.491 | 559.750 | 0.000 | -0.000 | -0.000 |
| 14.030 | 3.143 | -17.228 | 186.076 | -0.000 | -0.000 |
| 7.287 | 7.287 | -14.620 | -0.000 | 189.670 | 6.169 |
| 8.565 | 8.565 | -17.185 | 0.000 | 5.455 | 211.960 |
| 527.707 | 87.129 | 57.546 | 6.271 | 0.000 | -0.000 |
| 86.440 | 528.733 | 57.208 | -6.317 | 0.000 | 0.000 |
| 52.221 | 52.221 | 568.318 | 0.000 | 0.000 | 0.000 |
| 5.972 | -7.261 | 1.293 | 191.889 | 0.000 | 0.000 |
| -0.645 | -0.644 | 1.293 | 0.000 | 191.889 | 6.616 |
| -0.730 | -0.730 | 1.465 | 0.000 | 6.155 | 219.108 |
| 528.954 | 88.607 | 54.808 | 6.259 | -0.000 | 0.000 |
| 89.763 | 531.862 | 50.731 | -6.672 | -0.000 | -0.000 |
| 53.542 | 53.542 | 565.665 | -0.000 | -0.000 | -0.000 |
| 7.261 | -5.972 | -1.293 | 191.889 | 0.000 | -0.000 |
| 0.645 | 0.644 | -1.293 | -0.000 | 191.889 | 6.616 |
| 0.730 | 0.730 | -1.465 | -0.000 | 6.155 | 219.108 |
| 529.870 | 95.614 | 47.030 | 4.436 | -0.000 | 0.000 |
| 88.926 | 531.335 | 52.254 | -4.079 | 0.000 | 0.000 |
| 16.964 | 16.964 | 638.587 | -0.000 | -0.000 | 0.000 |
| 5.242 | -3.093 | -2.149 | 191.763 | -0.000 | -0.000 |
| -0.000 | -0.000 | 0.001 | 0.000 | 209.834 | 6.491 |
| 0.805 | 0.805 | -1.610 | 0.000 | 4.751 | 218.497 |
| 588.098 | 67.452 | 16.964 | 6.491 | 0.000 | 0.000 |
| 67.452 | 588.098 | 16.963 | -6.491 | 0.000 | 0.000 |
| 52.033 | 52.033 | 568.451 | -0.000 | 0.000 | -0.000 |
| 6.491 | -6.491 | -0.001 | 209.835 | 0.000 | 0.000 |
| 0.000 | 0.000 | -0.001 | -0.000 | 209.835 | 6.491 |
| -0.805 | -0.805 | 1.610 | -0.000 | 4.751 | 218.497 |
| 528.821 | 94.704 | 48.989 | 4.420 | -0.000 | 0.000 |
| 87.895 | 530.409 | 54.211 | -4.082 | -0.000 | 0.000 |
| 16.964 | 16.964 | 638.587 | -0.000 | -0.000 | -0.000 |
| 4.275 | -4.060 | -0.215 | 191.763 | -0.000 | -0.000 |
| -0.000 | 0.000 | 0.000 | 0.000 | 209.835 | 6.491 |
| 0.080 | 0.080 | -0.161 | 0.000 | 4.754 | 218.509 |
| 530.199 | 87.667 | 54.649 | 4.083 | 0.000 | -0.000 |
| 94.501 | 528.588 | 49.426 | -4.417 | 0.000 | -0.000 |
| 53.000 | 53.000 | 566.516 | 0.000 | -0.000 | -0.000 |
| 4.060 | -4.275 | 0.215 | 191.763 | 0.000 | -0.000 |
| 0.000 | -0.000 | -0.000 | -0.000 | 209.835 | 6.491 |
| -0.080 | -0.080 | 0.161 | -0.000 | 4.754 | 218.509 |
| 530.313 | 87.794 | 54.410 | 4.083 | -0.000 | -0.000 |
| 87.794 | 530.312 | 54.411 | -4.082 | -0.000 | -0.000 |
| 53.119 | 53.119 | 566.279 | -0.000 | -0.000 | -0.000 |
| 6.491 | -6.491 | 0.000 | 209.835 | 0.000 | 0.000 |
| 0.000 | 0.000 | 0.000 | 0.000 | 209.835 | 6.491 |
| 0.000 | 0.000 | 0.000 | 0.000 | 6.491 | 260.323 |
| 530.291 | 87.770 | 54.452 | 4.083 | 0.000 | -0.000 |
| 87.769 | 530.292 | 54.452 | -4.083 | 0.000 | 0.000 |
| 53.095 | 53.095 | 566.322 | -0.000 | 0.000 | 0.000 |
| 4.157 | -4.178 | 0.021 | 191.763 | 0.000 | -0.000 |
| -0.000 | -0.000 | -0.000 | -0.000 | 209.835 | 6.491 |
| -0.000 | -0.000 | -0.000 | -0.000 | 6.491 | 260.323 |
| 3711.533 | 3280.387 | -6393.999 | 3.694 | 0.000 | -0.000 |
| 2551.702 | 2990.958 | -4927.907 | -4.290 | 0.000 | -0.000 |
| 3241.748 | 3241.748 | -5884.219 | 0.000 | 0.000 | -0.000 |
| 3192.702 | 3185.312 | -6452.139 | 187.318 | -0.000 | -0.000 |
| 3189.007 | 3189.007 | -6452.140 | -0.000 | 187.318 | 3.695 |
| 3188.893 | 3188.893 | -6451.910 | 0.000 | 3.695 | 215.598 |
| -2664.162 | -3095.463 | 6505.747 | 3.698 | -0.000 | 0.000 |
| -3094.872 | -2663.554 | 6504.534 | -3.699 | -0.000 | 0.000 |
| 16.603 | 16.603 | 641.036 | -0.000 | -0.000 | 0.000 |
| 6.471 | -6.470 | 0.001 | 209.041 | 0.000 | 0.000 |
| -3189.007 | -3189.007 | 6452.140 | 0.000 | 187.318 | 3.695 |
| -3188.893 | -3188.893 | 6451.910 | -0.000 | 3.695 | 215.598 |
| 774.767 | 335.146 | -443.631 | 4.303 | -0.000 | -0.000 |
| 335.149 | 774.770 | -443.637 | -4.303 | 0.000 | -0.000 |
| 371.249 | 371.249 | -76.499 | 0.000 | 0.000 | -0.000 |
| 322.471 | 315.078 | -644.959 | 187.326 | 0.000 | -0.000 |
| 0.000 | 0.000 | 0.000 | 0.000 | 209.041 | 6.471 |
| 0.000 | 0.000 | 0.000 | 0.000 | 6.471 | 260.392 |
| 206.974 | -225.377 | 697.799 | 3.731 | -0.000 | 0.000 |
| -225.591 | 206.694 | 698.299 | -3.729 | -0.000 | 0.000 |
| 16.603 | 16.603 | 641.036 | -0.000 | -0.000 | 0.000 |
| -315.059 | -322.451 | 644.919 | 187.328 | 0.000 | 0.000 |
| -0.000 | -0.000 | -0.000 | -0.000 | 209.041 | 6.471 |
| -0.000 | -0.000 | -0.000 | -0.000 | 6.471 | 260.392 |
| 551.975 | 122.872 | -3.506 | 3.630 | -0.000 | -0.000 |
| 66.665 | 587.450 | 17.467 | -6.471 | 0.000 | -0.000 |
| 79.760 | 79.760 | 513.256 | 0.000 | 0.000 | -0.000 |
| 6.471 | -6.471 | 0.000 | 209.041 | 0.000 | -0.000 |
| 30.860 | 30.860 | -62.437 | 0.000 | 188.019 | 3.785 |
| 30.655 | 30.656 | -62.024 | -0.000 | 3.802 | 217.330 |
| 498.000 | 58.619 | 116.092 | 3.949 | -0.000 | 0.000 |
| 58.614 | 497.953 | 116.145 | -3.947 | -0.000 | 0.000 |
| 30.406 | 30.406 | 613.108 | 0.000 | -0.000 | 0.000 |
| -20.707 | -29.225 | 50.512 | 191.734 | 0.000 | 0.000 |
| -30.860 | -30.860 | 62.437 | -0.000 | 188.019 | 3.785 |
| -30.655 | -30.656 | 62.024 | 0.000 | 3.802 | 217.330 |
| 587.609 | 66.846 | 17.357 | 0.000 | 0.000 | 0.000 |
| 66.846 | 587.608 | 17.357 | 0.000 | -0.000 | 0.000 |
| 53.086 | 53.086 | 567.049 | -0.000 | -0.000 | 0.000 |
| 0.000 | 0.000 | 0.000 | 209.222 | 0.000 | -0.000 |
| -0.001 | -0.001 | 0.003 | -0.000 | 191.127 | -0.000 |
| 0.000 | 0.000 | 0.000 | 0.000 | 0.000 | 260.381 |
| 587.608 | 66.846 | 17.357 | 0.000 | 0.000 | 0.000 |
| 66.846 | 587.608 | 17.357 | -0.000 | -0.000 | 0.000 |
| 53.088 | 53.088 | 567.044 | 0.000 | -0.000 | -0.000 |
| -0.000 | -0.000 | -0.000 | 209.222 | -0.000 | -0.000 |
| 0.001 | 0.001 | -0.003 | 0.000 | 191.127 | -0.000 |
| -0.000 | -0.000 | -0.000 | -0.000 | 0.000 | 260.381 |
| 587.609 | 66.846 | 17.357 | 0.000 | 0.000 | -0.000 |
| 66.846 | 587.609 | 17.357 | 0.000 | 0.000 | -0.000 |
| 53.084 | 53.084 | 567.052 | -0.000 | 0.000 | -0.000 |
| -0.000 | -0.000 | 0.000 | 191.127 | -0.000 | 0.000 |
| 0.000 | 0.000 | 0.000 | -0.000 | 209.222 | 0.000 |
| 0.000 | 0.000 | 0.000 | -0.000 | -0.000 | 260.381 |
| 587.608 | 66.846 | 17.357 | 0.000 | -0.000 | -0.000 |
| 91.028 | 523.637 | 57.504 | 0.000 | 0.000 | -0.000 |
| 53.087 | 53.087 | 567.046 | -0.000 | -0.000 | -0.000 |
| 0.000 | 0.000 | -0.000 | 191.127 | -0.000 | -0.000 |
| -0.000 | -0.000 | -0.000 | 0.000 | 209.222 | 0.000 |
| -0.000 | -0.000 | -0.000 | 0.000 | -0.000 | 260.381 |
| 523.377 | 95.026 | 53.734 | 0.000 | 0.000 | 0.000 |
| 91.030 | 523.635 | 57.506 | 0.000 | -0.000 | 0.000 |
| 53.088 | 53.088 | 567.046 | -0.000 | -0.000 | 0.000 |
| 0.000 | -0.000 | 0.000 | 191.127 | -0.000 | -0.000 |
| -0.000 | 0.000 | 0.000 | -0.000 | 191.127 | 0.000 |
| -0.000 | 0.000 | 0.000 | -0.000 | 0.000 | 214.156 |
| 587.607 | 66.846 | 17.356 | -0.000 | 0.000 | 0.000 |
| 91.027 | 523.638 | 57.503 | 0.000 | 0.000 | -0.000 |
| 53.086 | 53.086 | 567.047 | 0.000 | 0.000 | 0.000 |
| -0.000 | 0.000 | -0.000 | 191.127 | 0.000 | -0.000 |
| 0.000 | -0.000 | -0.000 | -0.000 | 191.127 | 0.000 |
| 0.000 | -0.000 | -0.000 | 0.000 | -0.000 | 214.156 |
| 588.098 | 67.453 | 16.964 | 0.000 | 0.000 | 0.000 |
| 67.452 | 588.098 | 16.964 | 0.000 | 0.000 | 0.000 |
| 16.964 | 16.964 | 638.587 | 0.000 | 0.000 | 0.000 |
| 0.000 | 0.000 | -0.000 | 191.763 | 0.000 | -0.000 |
| 0.000 | 0.000 | 0.000 | 0.000 | 209.835 | -0.000 |
| 0.000 | 0.000 | -0.000 | 0.000 | 0.000 | 220.871 |
| 588.098 | 67.452 | 16.964 | -0.000 | -0.000 | 0.000 |
| 87.589 | 530.606 | 54.320 | -0.000 | -0.000 | 0.000 |
| 16.964 | 16.964 | 638.587 | -0.000 | 0.000 | -0.000 |
| -0.000 | -0.000 | 0.000 | 191.763 | -0.000 | 0.000 |
| -0.000 | -0.000 | -0.000 | -0.000 | 209.835 | 0.000 |
| -0.000 | -0.000 | 0.000 | -0.000 | -0.000 | 220.871 |
| 529.176 | 93.624 | 49.715 | 0.000 | 0.000 | 0.000 |
| 87.589 | 530.606 | 54.320 | 0.000 | 0.000 | -0.000 |
| 16.964 | 16.964 | 638.587 | 0.000 | 0.000 | -0.000 |
| 0.000 | 0.000 | -0.000 | 191.763 | 0.000 | 0.000 |
| 0.000 | 0.000 | 0.000 | 0.000 | 209.835 | -0.000 |
| 0.000 | 0.000 | 0.000 | 0.000 | 0.000 | 260.323 |
| 529.176 | 93.624 | 49.715 | -0.000 | -0.000 | -0.000 |
| 87.589 | 530.606 | 54.320 | 0.000 | -0.000 | 0.000 |
| 53.109 | 53.109 | 566.296 | 0.000 | -0.000 | 0.000 |
| -0.000 | -0.000 | -0.000 | 191.763 | -0.000 | -0.000 |
| -0.000 | -0.000 | -0.000 | -0.000 | 209.835 | -0.000 |
| -0.000 | -0.000 | -0.000 | -0.000 | -0.000 | 260.323 |
| 530.607 | 87.589 | 54.320 | -0.000 | 0.000 | 0.000 |
| 87.577 | 530.644 | 54.296 | 0.000 | 0.000 | 0.000 |
| 53.108 | 53.108 | 566.300 | -0.000 | 0.000 | -0.000 |
| 0.000 | -0.000 | 0.000 | 191.763 | 0.000 | 0.000 |
| 0.000 | 0.000 | 0.000 | 0.000 | 209.835 | 0.000 |
| 0.000 | -0.000 | 0.000 | 0.000 | 0.000 | 219.125 |
| 588.097 | 67.452 | 16.964 | -0.000 | -0.000 | 0.000 |
| 87.588 | 530.606 | 54.319 | 0.000 | -0.000 | -0.000 |
| 53.106 | 53.106 | 566.301 | -0.000 | -0.000 | -0.000 |
| -0.000 | 0.000 | -0.000 | 191.763 | -0.000 | -0.000 |
| -0.000 | -0.000 | -0.000 | -0.000 | 209.835 | -0.000 |
| -0.000 | 0.000 | -0.000 | -0.000 | -0.000 | 219.125 |
| 587.889 | 67.203 | 17.120 | -0.000 | -0.000 | 0.000 |
| 67.203 | 587.889 | 17.120 | -0.000 | 0.000 | 0.000 |
| 16.849 | 16.849 | 639.351 | 0.000 | 0.000 | 0.000 |
| 0.000 | 0.000 | -0.000 | 209.584 | -0.000 | 0.000 |
| -9.642 | -9.642 | 19.354 | -0.000 | 190.990 | 0.000 |
| 0.000 | 0.000 | -0.000 | -0.000 | -0.000 | 260.343 |
| 538.916 | 97.682 | 35.681 | 0.000 | -0.000 | -0.000 |
| 97.682 | 538.916 | 35.681 | 0.000 | 0.000 | 0.000 |
| 62.435 | 62.435 | 547.845 | 0.000 | 0.000 | 0.000 |
| -0.000 | -0.000 | -0.000 | 209.584 | 0.000 | -0.000 |
| 9.642 | 9.642 | -19.354 | 0.000 | 190.990 | -0.000 |
| -0.000 | -0.000 | -0.000 | 0.000 | -0.000 | 260.343 |
| 529.630 | 86.200 | 56.526 | -0.000 | -0.000 | 0.000 |
| 86.200 | 529.630 | 56.526 | -0.000 | -0.000 | 0.000 |
| 16.849 | 16.849 | 639.351 | -0.000 | -0.000 | 0.000 |
| 0.000 | 0.000 | -0.000 | 209.584 | -0.000 | 0.000 |
| 0.000 | 0.000 | -0.000 | -0.000 | 209.584 | 0.000 |
| -0.738 | -0.739 | 1.482 | 0.000 | -0.000 | 219.289 |
| 531.432 | 88.183 | 52.726 | 0.000 | 0.000 | 0.000 |
| 67.202 | 587.888 | 17.120 | 0.000 | -0.000 | -0.000 |
| 54.033 | 54.033 | 564.711 | 0.000 | -0.000 | -0.000 |
| -0.000 | -0.000 | 0.000 | 209.584 | 0.000 | 0.000 |
| -0.000 | -0.000 | 0.000 | 0.000 | 209.584 | 0.000 |
| 0.738 | 0.739 | -1.482 | -0.000 | 0.000 | 219.289 |
| 530.448 | 87.089 | 54.814 | -0.000 | 0.000 | 0.000 |
| 93.226 | 529.024 | 50.084 | -0.000 | -0.000 | 0.000 |
| 52.976 | 52.976 | 566.834 | -0.000 | -0.000 | 0.000 |
| 0.000 | 0.000 | 0.000 | 209.584 | -0.000 | -0.000 |
| -0.093 | -0.093 | 0.187 | -0.000 | 191.504 | -0.000 |
| -0.099 | -0.098 | 0.198 | -0.000 | -0.000 | 221.015 |
| 523.135 | 96.028 | 53.178 | -0.000 | -0.000 | -0.000 |
| 93.401 | 529.226 | 49.701 | 0.000 | 0.000 | 0.000 |
| 53.189 | 53.189 | 566.404 | 0.000 | -0.000 | 0.000 |
| -0.000 | -0.000 | -0.000 | 209.584 | -0.000 | -0.000 |
| 0.093 | 0.093 | -0.187 | 0.000 | 191.504 | 0.000 |
| 0.099 | 0.098 | -0.198 | -0.000 | 0.000 | 221.015 |
| 588.098 | 67.452 | 16.964 | 10.200 | -0.000 | -0.000 |
| 67.452 | 588.098 | 16.964 | -10.200 | -0.000 | -0.000 |
| 16.964 | 16.964 | 638.586 | -0.000 | -0.000 | -0.000 |
| 6.549 | -6.549 | -0.001 | 191.763 | -0.000 | -0.000 |
| -0.000 | 0.000 | -0.000 | 0.000 | 209.835 | 10.200 |
| -0.000 | -0.000 | -0.001 | -0.000 | 6.391 | 221.355 |
| 531.082 | 87.288 | 54.145 | 6.444 | 0.000 | 0.000 |
| 92.176 | 529.902 | 50.437 | -6.819 | 0.000 | -0.000 |
| 16.964 | 16.964 | 638.586 | 0.000 | 0.000 | 0.000 |
| 6.549 | -6.549 | 0.001 | 191.763 | 0.000 | -0.000 |
| 0.000 | -0.000 | -0.000 | 0.000 | 209.835 | 10.200 |
| 0.000 | 0.000 | 0.001 | 0.000 | 6.391 | 221.355 |
| 588.098 | 67.452 | 16.964 | 10.200 | -0.000 | -0.000 |
| 67.452 | 588.098 | 16.964 | -10.200 | -0.000 | -0.000 |
| 53.107 | 53.107 | 566.301 | -0.000 | -0.000 | -0.000 |
| 6.549 | -6.549 | -0.000 | 191.763 | -0.000 | -0.000 |
| -0.000 | 0.000 | -0.000 | -0.000 | 191.763 | 6.549 |
| -0.000 | 0.000 | 0.000 | -0.000 | 6.391 | 221.355 |
| 524.752 | 93.167 | 54.595 | 6.399 | 0.000 | 0.000 |
| 67.452 | 588.098 | 16.964 | -10.200 | 0.000 | 0.000 |
| 16.964 | 16.964 | 638.586 | 0.000 | 0.000 | -0.000 |
| 6.549 | -6.549 | 0.000 | 191.763 | 0.000 | 0.000 |
| 0.000 | -0.000 | 0.000 | 0.000 | 191.763 | 6.549 |
| 0.000 | -0.000 | -0.000 | 0.000 | 6.391 | 221.355 |
| 531.085 | 87.287 | 54.145 | 6.444 | -0.000 | -0.000 |
| 87.287 | 531.085 | 54.145 | -6.444 | -0.000 | 0.000 |
| 53.108 | 53.108 | 566.300 | -0.000 | -0.000 | 0.000 |
| 6.549 | -6.549 | 0.000 | 191.763 | -0.000 | -0.000 |
| -0.000 | 0.000 | 0.000 | 0.000 | 191.763 | 6.549 |
| 0.000 | 0.000 | 0.000 | 0.000 | 10.200 | 260.323 |
| 588.097 | 67.452 | 16.964 | 10.200 | 0.000 | 0.000 |
| 93.170 | 524.743 | 54.600 | -6.398 | 0.000 | -0.000 |
| 53.131 | 53.131 | 566.251 | 0.000 | 0.000 | 0.000 |
| 6.549 | -6.549 | -0.000 | 191.763 | 0.000 | -0.000 |
| 0.000 | -0.000 | -0.000 | -0.000 | 191.763 | 6.549 |
| -0.000 | -0.000 | -0.000 | -0.000 | 10.200 | 260.323 |
| 587.874 | 67.182 | 17.135 | 10.189 | 0.000 | 0.000 |
| 652.719 | 1063.686 | -1048.446 | -4.817 | 0.000 | -0.000 |
| 16.840 | 16.840 | 639.422 | -0.000 | 0.000 | 0.000 |
| 310.079 | 295.617 | -608.117 | 194.890 | -0.000 | -0.000 |
| -0.000 | -0.000 | -0.000 | -0.000 | 209.563 | 10.189 |
| 556.555 | 556.555 | -1117.548 | -0.000 | 4.825 | 205.561 |
| -49.086 | -460.380 | 1186.300 | 4.833 | -0.000 | 0.000 |
| -460.404 | -49.116 | 1186.355 | -4.833 | -0.000 | -0.000 |
| -207.491 | -207.491 | 1089.881 | 0.000 | -0.000 | -0.000 |
| 10.189 | -10.189 | -0.000 | 209.563 | -0.000 | 0.000 |
| 0.000 | 0.000 | 0.001 | 0.000 | 209.563 | 10.189 |
| -556.555 | -556.555 | 1117.548 | 0.000 | 4.825 | 205.561 |
| 561.990 | 151.422 | -41.454 | 4.798 | 0.000 | 0.000 |
| 151.426 | 561.989 | -41.456 | -4.797 | 0.000 | 0.000 |
| 16.840 | 16.840 | 639.423 | 0.000 | -0.000 | 0.000 |
| 60.305 | 50.618 | -111.365 | 183.047 | 0.000 | -0.000 |
| -0.000 | 0.000 | -0.000 | 0.000 | 209.563 | 10.189 |
| 0.000 | 0.000 | 0.000 | 0.000 | 10.189 | 260.346 |
| 453.963 | 40.320 | 178.549 | 4.948 | 0.000 | 0.000 |
| 58.294 | 515.227 | 98.996 | -7.510 | -0.000 | -0.000 |
| 14.609 | 14.609 | 643.903 | -0.000 | -0.000 | -0.000 |
| -50.618 | -60.304 | 111.365 | 183.047 | -0.000 | -0.000 |
| 0.000 | -0.000 | 0.000 | -0.000 | 209.563 | 10.189 |
| -0.000 | -0.000 | -0.000 | -0.000 | 10.189 | 260.346 |
| 532.725 | 91.596 | 47.995 | 6.287 | 0.000 | -0.000 |
| 92.417 | 536.201 | 43.681 | -6.803 | 0.000 | -0.000 |
| 59.833 | 59.833 | 553.097 | 0.000 | 0.000 | -0.000 |
| 10.357 | -1.097 | -9.297 | 187.427 | 0.000 | -0.000 |
| 4.630 | 4.631 | -9.298 | 0.000 | 187.425 | 5.726 |
| 4.455 | 4.455 | -8.946 | -0.000 | 5.895 | 216.490 |
| 525.710 | 83.366 | 63.296 | 6.369 | -0.000 | 0.000 |
| 67.182 | 587.872 | 17.135 | -10.189 | -0.000 | -0.000 |
| 52.721 | 52.721 | 567.373 | -0.000 | -0.000 | 0.000 |
| 3.312 | -10.298 | 7.014 | 192.776 | -0.000 | -0.000 |
| -4.630 | -4.631 | 9.298 | -0.000 | 187.425 | 5.726 |
| -4.455 | -4.455 | 8.946 | 0.000 | 5.895 | 216.490 |
| 923.051 | 507.210 | 507.210 | 0.000 | -0.000 | -0.000 |
| 507.210 | 923.051 | 507.210 | -0.000 | 0.000 | -0.000 |
| 507.210 | 507.210 | 923.051 | -0.000 | -0.000 | -0.000 |
| -0.000 | 0.000 | 0.000 | 101.905 | 0.000 | -0.000 |
| 0.000 | -0.000 | 0.000 | 0.000 | 101.905 | -0.000 |
| 0.000 | 0.000 | -0.000 | 0.000 | -0.000 | 101.905 |
| 923.051 | 507.210 | 507.210 | -0.000 | 0.000 | 0.000 |
| 507.210 | 923.051 | 507.210 | 0.000 | 0.000 | 0.000 |
| 507.210 | 507.210 | 923.051 | -0.000 | 0.000 | 0.000 |
| -0.000 | -0.000 | 0.000 | 101.905 | 0.000 | 0.000 |
| -0.000 | 0.000 | 0.000 | 0.000 | 101.905 | -0.000 |
| -0.000 | -0.000 | 0.000 | -0.000 | -0.000 | 101.905 |
| 923.051 | 507.210 | 507.210 | 0.000 | -0.000 | -0.000 |
| 507.210 | 923.051 | 507.210 | 0.000 | -0.000 | 0.000 |
| 507.210 | 507.210 | 923.051 | 0.000 | 0.000 | 0.000 |
| 0.000 | 0.000 | 0.000 | 101.905 | 0.000 | -0.000 |
| 0.000 | 0.000 | 0.000 | 0.000 | 101.905 | 0.000 |
| 0.000 | 0.000 | 0.000 | 0.000 | 0.000 | 101.905 |
| 923.051 | 507.210 | 507.210 | -0.000 | 0.000 | 0.000 |
| 507.210 | 923.051 | 507.210 | -0.000 | -0.000 | 0.000 |
| 507.210 | 507.210 | 923.051 | -0.000 | -0.000 | 0.000 |
| -0.000 | -0.000 | -0.000 | 101.905 | 0.000 | -0.000 |
| -0.000 | -0.000 | -0.000 | -0.000 | 101.905 | 0.000 |
| -0.000 | -0.000 | -0.000 | -0.000 | -0.000 | 101.905 |
| 923.052 | 507.210 | 507.210 | 0.000 | -0.000 | -0.000 |
| 507.210 | 923.052 | 507.210 | 0.000 | -0.000 | 0.000 |
| 507.210 | 507.210 | 923.052 | 0.000 | 0.000 | -0.000 |
| 0.001 | 0.000 | 0.000 | 101.905 | -0.000 | -0.000 |
| 0.000 | 0.001 | 0.000 | 0.000 | 101.905 | -0.000 |
| 0.000 | 0.000 | 0.001 | 0.000 | -0.000 | 101.905 |
| 923.051 | 507.210 | 507.210 | -0.000 | -0.000 | 0.000 |
| 507.210 | 923.051 | 507.210 | -0.000 | -0.000 | -0.000 |
| 507.210 | 507.210 | 923.051 | -0.000 | -0.000 | 0.000 |
| -0.001 | -0.000 | -0.000 | 101.905 | -0.000 | -0.000 |
| -0.000 | -0.001 | -0.000 | -0.000 | 101.905 | -0.000 |
| -0.000 | -0.000 | -0.001 | -0.000 | -0.000 | 101.905 |
| 1064.467 | 824.537 | 824.537 | -0.000 | -0.000 | -0.000 |
| 824.537 | 1064.467 | 824.537 | -0.000 | -0.000 | 0.000 |
| 824.537 | 824.537 | 1064.467 | -0.000 | -0.000 | -0.000 |
| 4368279611.132 | 3237368899.614 | 3162802348.820 | -711557682.081 | -1883992.389 | 7984210.387 |
| 3130010269.882 | 4202529788.054 | 3179168661.952 | 13979409.115 | -591608414.204 | 18969932.112 |
| 3183902116.782 | 3192098555.291 | 4260442089.837 | 18045648.380 | 18703648.410 | -613610318.413 |
| 1064.467 | 824.537 | 824.537 | 0.000 | 0.000 | 0.000 |
| 824.537 | 1064.467 | 824.537 | 0.000 | 0.000 | 0.000 |
| 824.537 | 824.537 | 1064.467 | 0.000 | -0.000 | 0.000 |
| -5319453361.098 | -3045999293.185 | -2967862164.040 | -1004703799.251 | 9355293.287 | -5453620.733 |
| -3272929870.755 | -4833068144.612 | -3185916927.801 | -10393289.111 | -820744440.881 | -33949703.495 |
| -3117753662.847 | -3167006426.689 | -5150367795.230 | -267066.010 | -16562674.754 | -933429275.750 |
| 1064.468 | 824.537 | 824.537 | -0.000 | -0.000 | -0.000 |
| 824.537 | 1064.468 | 824.537 | -0.000 | -0.000 | -0.000 |
| 824.537 | 824.537 | 1064.468 | -0.000 | -0.000 | -0.000 |
| 427854094.853 | 318966220.783 | 318815656.384 | -66603588.927 | 673975.753 | 2824927.888 |
| 320235381.435 | 424464964.541 | 319624527.220 | 1811236.507 | -62563856.762 | -3198030.067 |
| 317657032.506 | 315742588.533 | 418474155.274 | -95742.982 | -49678.453 | -60071627.422 |
| 1064.467 | 824.537 | 824.537 | 0.000 | 0.000 | 0.000 |
| 824.537 | 1064.467 | 824.537 | -0.000 | -0.000 | 0.000 |
| 824.537 | 824.537 | 1064.467 | -0.000 | -0.000 | 0.000 |
| -514622260.938 | -309144772.925 | -317124517.453 | -90508142.698 | -2501493.958 | -140021.681 |
| -327373730.859 | -482773121.336 | -325991549.976 | -542454.295 | -76062683.102 | 2619130.262 |
| -315110363.974 | -318822773.494 | -508387838.181 | 328896.497 | -1594054.966 | -93580200.336 |
| 1064.473 | 824.537 | 824.537 | -0.000 | -0.000 | -0.000 |
| 824.537 | 1064.473 | 824.537 | -0.000 | -0.000 | -0.000 |
| 824.537 | 824.537 | 1064.473 | -0.000 | -0.000 | -0.000 |
| 42218491.513 | 31781075.921 | 31741130.150 | -6174619.392 | 254554.955 | -78881.976 |
| 32163902.907 | 41795500.573 | 31334455.871 | -121120.818 | -6218472.806 | 136179.468 |
| 31082484.493 | 31740548.703 | 43098411.568 | 299808.009 | 463702.858 | -6692058.487 |
| 1064.462 | 824.538 | 824.538 | -0.000 | -0.000 | -0.000 |
| 824.538 | 1064.462 | 824.538 | -0.000 | -0.000 | -0.000 |
| 824.538 | 824.538 | 1064.462 | 0.000 | 0.000 | -0.000 |
| -50020217.364 | -32115756.464 | -32184946.407 | -8351770.427 | -100199.442 | -188442.003 |
| -31370721.510 | -48641326.555 | -31816042.580 | -334067.675 | -8414769.423 | 2221.144 |
| -32187394.531 | -31493770.226 | -50253767.061 | 333080.006 | 40600.383 | -8744748.164 |
| 3578.403 | 83.201 | 83.201 | 0.000 | 0.000 | 0.000 |
| 83.201 | 3578.403 | 83.201 | 0.000 | 0.000 | 0.000 |
| 83.201 | 83.201 | 3578.403 | 0.000 | 0.000 | 0.000 |
| 0.000 | 0.000 | -0.000 | 83.601 | 0.000 | 0.000 |
| 0.000 | 0.000 | -0.000 | 0.000 | 83.601 | -0.000 |
| 0.000 | -0.000 | 0.000 | -0.000 | -0.000 | 83.601 |
| 3578.404 | 83.201 | 83.201 | -0.000 | -0.000 | -0.000 |
| 83.201 | 3578.404 | 83.201 | -0.000 | -0.000 | -0.000 |
| 83.201 | 83.201 | 3578.404 | -0.000 | -0.000 | -0.000 |
| -0.000 | -0.000 | 0.000 | 83.601 | -0.000 | -0.000 |
| -0.000 | -0.000 | 0.000 | -0.000 | 83.601 | -0.000 |
| -0.000 | 0.000 | -0.000 | -0.000 | -0.000 | 83.601 |
| 3578.400 | 83.201 | 83.201 | 0.000 | 0.000 | 0.000 |
| 83.201 | 3578.400 | 83.201 | 0.000 | 0.000 | -0.000 |
| 83.201 | 83.201 | 3578.400 | 0.000 | 0.000 | 0.000 |
| 0.000 | 0.000 | -0.000 | 86.218 | 0.000 | 0.000 |
| -0.000 | 0.000 | -0.000 | 0.000 | 86.218 | 0.000 |
| 0.000 | -0.000 | 0.000 | 0.000 | 0.000 | 86.218 |
| 3578.407 | 83.201 | 83.201 | -0.000 | -0.000 | -0.000 |
| 83.201 | 3578.407 | 83.201 | -0.000 | -0.000 | 0.000 |
| 83.201 | 83.201 | 3578.407 | -0.000 | -0.000 | -0.000 |
| -0.000 | -0.000 | 0.000 | 86.218 | -0.000 | -0.000 |
| -0.000 | -0.000 | 0.000 | -0.000 | 86.218 | -0.000 |
| 0.000 | 0.000 | -0.000 | -0.000 | -0.000 | 86.218 |
| 3578.371 | 83.199 | 83.199 | 0.000 | 0.000 | 0.000 |
| 83.199 | 3578.371 | 83.199 | 0.000 | 0.000 | 0.000 |
| 83.199 | 83.199 | 3578.371 | 0.000 | 0.000 | 0.000 |
| -0.000 | 0.000 | -0.002 | 83.601 | 0.000 | 0.000 |
| 0.000 | -0.000 | -0.002 | 0.000 | 83.601 | 0.000 |
| 0.000 | -0.002 | -0.000 | 0.000 | 0.000 | 83.601 |
| 3578.436 | 83.203 | 83.203 | -0.000 | -0.000 | -0.000 |
| 83.203 | 3578.436 | 83.203 | -0.000 | -0.000 | -0.000 |
| 83.203 | 83.203 | 3578.436 | -0.000 | -0.000 | -0.000 |
| 0.000 | -0.000 | 0.002 | 83.601 | -0.000 | -0.000 |
| -0.000 | 0.000 | 0.002 | 0.000 | 83.601 | -0.000 |
| -0.000 | 0.002 | 0.000 | -0.000 | -0.000 | 83.601 |
| 186.233 | 84.424 | 84.424 | -0.000 | -0.000 | 0.000 |
| 84.424 | 186.233 | 84.424 | 0.000 | 0.000 | 0.000 |
| 84.424 | 84.424 | 186.233 | 0.000 | 0.000 | 0.000 |
| 0.000 | 0.000 | 0.000 | 82.598 | -0.000 | -0.000 |
| 0.000 | 0.000 | 0.000 | 0.000 | 82.598 | 0.000 |
| 0.000 | 0.000 | 0.000 | -0.000 | -0.000 | 82.598 |
| 186.232 | 84.424 | 84.424 | -0.000 | -0.000 | -0.000 |
| 84.424 | 186.232 | 84.424 | -0.000 | -0.000 | -0.000 |
| 84.424 | 84.424 | 186.232 | -0.000 | 0.000 | -0.000 |
| -0.000 | -0.000 | -0.000 | 82.598 | -0.000 | -0.000 |
| -0.000 | -0.000 | -0.000 | -0.000 | 82.598 | -0.000 |
| -0.000 | -0.000 | -0.000 | 0.000 | 0.000 | 82.598 |
| 186.233 | 84.424 | 84.424 | -0.000 | -0.000 | 0.000 |
| 84.424 | 186.233 | 84.424 | -0.000 | -0.000 | 0.000 |
| 84.424 | 84.424 | 186.233 | 0.000 | 0.000 | -0.000 |
| 0.000 | 0.000 | 0.000 | 82.598 | 0.000 | 0.000 |
| 0.000 | 0.000 | 0.000 | 0.000 | 82.598 | 0.000 |
| 0.000 | 0.000 | 0.000 | -0.000 | -0.000 | 82.598 |
| 186.232 | 84.424 | 84.424 | 0.000 | -0.000 | -0.000 |
| 84.424 | 186.232 | 84.424 | 0.000 | 0.000 | -0.000 |
| 84.424 | 84.424 | 186.232 | 0.000 | 0.000 | -0.000 |
| -0.000 | -0.000 | -0.000 | 82.598 | -0.000 | -0.000 |
| -0.000 | -0.000 | -0.000 | -0.000 | 82.598 | -0.000 |
| -0.000 | -0.000 | -0.000 | 0.000 | 0.000 | 82.598 |
| 186.233 | 84.424 | 84.424 | 0.000 | 0.000 | 0.000 |
| 84.424 | 186.233 | 84.424 | 0.000 | 0.000 | -0.000 |
| 84.424 | 84.424 | 186.233 | 0.000 | 0.000 | 0.000 |
| -0.000 | 0.000 | 0.000 | 82.598 | 0.000 | -0.000 |
| 0.000 | -0.000 | 0.000 | 0.000 | 82.598 | -0.000 |
| 0.000 | 0.000 | -0.000 | -0.000 | -0.000 | 82.598 |
| 186.232 | 84.424 | 84.424 | -0.000 | -0.000 | -0.000 |
| 84.424 | 186.232 | 84.424 | -0.000 | -0.000 | -0.000 |
| 84.424 | 84.424 | 186.232 | 0.000 | 0.000 | -0.000 |
| 0.000 | -0.000 | -0.000 | 82.598 | -0.000 | 0.000 |
| -0.000 | 0.000 | -0.000 | -0.000 | 82.598 | 0.000 |
| -0.000 | -0.000 | 0.000 | 0.000 | 0.000 | 82.598 |
| 1226.761 | 1188.629 | 1188.629 | 0.000 | 0.000 | 0.000 |
| 1188.629 | 1226.761 | 1188.629 | 0.000 | 0.000 | 0.000 |
| 1188.629 | 1188.629 | 1226.761 | 0.000 | 0.000 | 0.000 |
| 0.001 | 0.001 | 0.001 | 204.086 | -0.000 | -0.000 |
| 0.001 | 0.001 | 0.001 | -0.000 | 204.086 | -0.000 |
| 0.001 | 0.001 | 0.001 | 0.000 | 0.000 | 204.086 |
| 1226.759 | 1188.627 | 1188.627 | 0.000 | 0.000 | 0.000 |
| 1188.627 | 1226.759 | 1188.627 | -0.000 | -0.000 | -0.000 |
| 1188.627 | 1188.627 | 1226.759 | -0.000 | -0.000 | -0.000 |
| -0.001 | -0.001 | -0.001 | 204.086 | 0.000 | -0.000 |
| -0.001 | -0.001 | -0.001 | 0.000 | 204.086 | 0.000 |
| -0.001 | -0.001 | -0.001 | -0.000 | -0.000 | 204.086 |
| 1226.759 | 1188.627 | 1188.627 | 0.000 | 0.000 | 0.000 |
| 1188.627 | 1226.759 | 1188.627 | 0.000 | 0.000 | -0.000 |
| 1188.627 | 1188.627 | 1226.759 | -0.000 | -0.000 | -0.000 |
| -0.000 | 0.000 | 0.000 | 204.085 | 0.000 | 0.000 |
| 0.000 | -0.000 | 0.000 | 0.000 | 204.085 | -0.000 |
| 0.000 | 0.000 | -0.000 | -0.000 | -0.000 | 204.085 |
| 1226.761 | 1188.629 | 1188.629 | 0.000 | 0.000 | 0.000 |
| 1188.629 | 1226.761 | 1188.629 | 0.000 | 0.000 | 0.000 |
| 1188.629 | 1188.629 | 1226.761 | 0.000 | 0.000 | -0.000 |
| 0.000 | -0.000 | -0.000 | 204.085 | -0.000 | -0.000 |
| -0.000 | 0.000 | -0.000 | -0.000 | 204.085 | 0.000 |
| -0.000 | -0.000 | 0.000 | 0.000 | 0.000 | 204.085 |
| 1226.750 | 1188.620 | 1188.620 | -0.000 | -0.000 | 0.000 |
| 1188.620 | 1226.750 | 1188.620 | -0.000 | -0.000 | 0.000 |
| 1188.620 | 1188.620 | 1226.750 | 0.000 | 0.000 | -0.000 |
| -0.004 | 0.001 | 0.001 | 204.085 | -0.000 | -0.000 |
| 0.001 | -0.004 | 0.001 | -0.000 | 204.085 | 0.000 |
| 0.001 | 0.001 | -0.004 | 0.000 | 0.000 | 204.085 |
| 1226.769 | 1188.636 | 1188.636 | 0.000 | 0.000 | 0.000 |
| 1188.636 | 1226.769 | 1188.636 | 0.000 | 0.000 | 0.000 |
| 1188.636 | 1188.636 | 1226.769 | 0.000 | 0.000 | -0.000 |
| 0.004 | -0.001 | -0.001 | 204.085 | 0.000 | 0.000 |
| -0.001 | 0.004 | -0.001 | 0.000 | 204.085 | -0.000 |
| -0.001 | -0.001 | 0.004 | -0.000 | -0.000 | 204.085 |
| 2853.416 | 1106.069 | 1106.069 | 0.000 | 0.000 | 0.000 |
| 1106.069 | 2853.416 | 1106.069 | 0.000 | 0.000 | 0.000 |
| 1106.069 | 1106.069 | 2853.416 | 0.000 | 0.000 | 0.000 |
| 0.000 | 0.000 | 0.000 | 805.757 | 0.000 | 0.000 |
| -0.000 | 0.000 | 0.000 | -0.000 | 805.757 | -0.000 |
| 0.000 | 0.000 | 0.000 | 0.000 | 0.000 | 805.757 |
| 2853.416 | 1106.068 | 1106.068 | -0.000 | -0.000 | -0.000 |
| 1106.068 | 2853.416 | 1106.068 | -0.000 | -0.000 | -0.000 |
| 1106.068 | 1106.068 | 2853.416 | -0.000 | -0.000 | 0.000 |
| -0.000 | -0.000 | -0.000 | 805.757 | -0.000 | -0.000 |
| -0.000 | -0.000 | -0.000 | -0.000 | 805.757 | 0.000 |
| 0.000 | -0.000 | -0.000 | -0.000 | -0.000 | 805.757 |
| 2853.415 | 1106.069 | 1106.069 | 0.000 | 0.000 | 0.000 |
| 1106.069 | 2853.415 | 1106.069 | 0.000 | 0.000 | 0.000 |
| 1106.069 | 1106.069 | 2853.415 | 0.000 | 0.000 | 0.000 |
| -0.000 | -0.000 | -0.000 | 806.057 | 0.000 | 0.000 |
| -0.000 | -0.000 | -0.000 | 0.000 | 806.057 | 0.000 |
| -0.000 | -0.000 | -0.000 | 0.000 | 0.000 | 806.057 |
| 2853.416 | 1106.068 | 1106.068 | -0.000 | -0.000 | -0.000 |
| 1106.068 | 2853.416 | 1106.068 | -0.000 | -0.000 | -0.000 |
| 1106.068 | 1106.068 | 2853.416 | -0.000 | -0.000 | -0.000 |
| 0.000 | 0.000 | 0.000 | 806.057 | -0.000 | -0.000 |
| 0.000 | 0.000 | 0.000 | -0.000 | 806.057 | -0.000 |
| 0.000 | 0.000 | 0.000 | -0.000 | -0.000 | 806.057 |
| 2853.415 | 1106.068 | 1106.068 | 0.000 | 0.000 | -0.000 |
| 1106.068 | 2853.415 | 1106.068 | 0.000 | 0.000 | 0.000 |
| 1106.068 | 1106.068 | 2853.415 | 0.000 | 0.000 | 0.000 |
| -0.001 | -0.003 | -0.002 | 805.756 | 0.000 | 0.000 |
| -0.003 | -0.001 | -0.002 | 0.000 | 805.756 | 0.000 |
| -0.003 | -0.002 | -0.001 | 0.000 | 0.000 | 805.756 |
| 2853.417 | 1106.069 | 1106.069 | -0.000 | -0.000 | -0.000 |
| 1106.069 | 2853.417 | 1106.069 | -0.000 | -0.000 | -0.000 |
| 1106.069 | 1106.069 | 2853.417 | -0.000 | -0.000 | -0.000 |
| 0.001 | 0.003 | 0.002 | 805.756 | -0.000 | -0.000 |
| 0.003 | 0.001 | 0.002 | -0.000 | 805.756 | 0.000 |
| 0.003 | 0.002 | 0.001 | -0.000 | -0.000 | 805.756 |
| 199.061 | 134.587 | 134.587 | 0.000 | -0.000 | 0.000 |
| 134.587 | 199.061 | 134.587 | 0.000 | 0.000 | 0.000 |
| 134.587 | 134.587 | 199.061 | -0.000 | -0.000 | 0.000 |
| 0.000 | 0.000 | 0.000 | 142.336 | 0.000 | 0.000 |
| 0.000 | 0.000 | 0.000 | -0.000 | 142.336 | 0.000 |
| 0.000 | 0.000 | 0.000 | 0.000 | 0.000 | 142.336 |
| 199.061 | 134.587 | 134.587 | 0.000 | 0.000 | -0.000 |
| 134.587 | 199.061 | 134.587 | 0.000 | 0.000 | -0.000 |
| 134.587 | 134.587 | 199.061 | -0.000 | -0.000 | -0.000 |
| -0.000 | -0.000 | -0.000 | 142.336 | 0.000 | 0.000 |
| -0.000 | -0.000 | -0.000 | 0.000 | 142.336 | -0.000 |
| -0.000 | -0.000 | -0.000 | -0.000 | -0.000 | 142.336 |
| 199.061 | 134.588 | 134.588 | -0.000 | -0.000 | 0.000 |
| 134.588 | 199.061 | 134.588 | -0.000 | -0.000 | 0.000 |
| 134.588 | 134.588 | 199.061 | -0.000 | -0.000 | 0.000 |
| 0.000 | 0.000 | 0.000 | 142.336 | 0.000 | 0.000 |
| 0.000 | 0.000 | 0.000 | 0.000 | 142.336 | -0.000 |
| 0.000 | 0.000 | 0.000 | -0.000 | 0.000 | 142.336 |
| 199.060 | 134.587 | 134.587 | 0.000 | 0.000 | 0.000 |
| 134.587 | 199.060 | 134.587 | 0.000 | -0.000 | 0.000 |
| 134.587 | 134.587 | 199.060 | -0.000 | -0.000 | 0.000 |
| -0.000 | -0.000 | -0.000 | 142.336 | -0.000 | 0.000 |
| -0.000 | -0.000 | -0.000 | -0.000 | 142.336 | 0.000 |
| -0.000 | -0.000 | -0.000 | 0.000 | -0.000 | 142.336 |
| 1314.248 | 1224.482 | 1065.278 | -0.000 | -0.000 | 0.000 |
| 1224.496 | 1314.234 | 1065.278 | -0.000 | -0.000 | 0.000 |
| 1065.278 | 1065.278 | 1473.433 | 0.000 | -0.000 | 0.000 |
| 0.001 | -0.003 | 0.002 | 70.141 | -0.000 | 0.000 |
| -0.003 | 0.001 | 0.002 | -0.000 | 70.141 | 0.000 |
| -0.001 | 0.004 | -0.001 | 0.000 | -0.000 | 44.876 |
| 1314.245 | 1224.518 | 1065.295 | -0.000 | 0.000 | -0.000 |
| 1224.499 | 1314.264 | 1065.295 | -0.000 | 0.000 | -0.000 |
| 1065.295 | 1065.295 | 1473.460 | -0.000 | 0.000 | -0.000 |
| -0.001 | 0.003 | -0.002 | 70.141 | 0.000 | -0.000 |
| 0.003 | -0.001 | -0.002 | 0.000 | 70.141 | -0.000 |
| 0.001 | -0.004 | 0.001 | 0.000 | 0.000 | 44.876 |
| 1309.087 | 1228.132 | 1064.620 | 0.000 | 0.000 | -0.000 |
| 1133.439 | 1403.780 | 1064.620 | 0.000 | 0.000 | -0.000 |
| 1064.628 | 1064.627 | 1472.770 | 0.000 | 0.000 | -0.000 |
| -0.000 | 0.000 | 0.000 | 59.455 | 0.000 | 0.000 |
| -0.000 | -0.000 | -0.000 | -0.000 | 59.455 | -0.000 |
| 0.000 | 0.000 | -0.000 | -0.000 | -0.000 | 40.477 |
| 1309.086 | 1228.133 | 1064.620 | 0.000 | 0.000 | 0.000 |
| 1133.438 | 1403.780 | 1064.620 | 0.000 | 0.000 | -0.000 |
| 1064.627 | 1064.628 | 1472.770 | 0.000 | 0.000 | 0.000 |
| 0.000 | -0.000 | -0.000 | 59.455 | -0.000 | -0.000 |
| 0.000 | 0.000 | 0.000 | 0.000 | 59.455 | 0.000 |
| -0.000 | -0.000 | 0.000 | 0.000 | 0.000 | 40.477 |
| 1309.087 | 1228.130 | 1064.619 | -0.000 | 0.000 | -0.000 |
| 1228.133 | 1309.084 | 1064.619 | 0.000 | 0.000 | 0.000 |
| 1064.627 | 1064.627 | 1472.768 | 0.000 | 0.000 | -0.000 |
| -0.000 | -0.000 | 0.000 | 59.455 | -0.000 | 0.000 |
| -0.000 | -0.000 | 0.000 | -0.000 | 59.455 | -0.000 |
| -0.000 | 0.000 | -0.000 | -0.000 | -0.000 | 135.171 |
| 1309.085 | 1228.136 | 1064.620 | 0.000 | 0.000 | 0.000 |
| 1228.132 | 1309.088 | 1064.621 | 0.000 | 0.000 | 0.000 |
| 1064.628 | 1064.628 | 1472.771 | -0.000 | -0.000 | 0.000 |
| 0.000 | 0.000 | -0.000 | 59.455 | -0.000 | -0.000 |
| 0.000 | 0.000 | -0.000 | 0.000 | 59.455 | -0.000 |
| 0.000 | -0.000 | 0.000 | 0.000 | 0.000 | 135.171 |
| 1309.100 | 1228.102 | 1064.612 | 0.000 | -0.000 | -0.000 |
| 1228.141 | 1309.061 | 1064.612 | 0.000 | -0.000 | 0.000 |
| 1064.619 | 1064.619 | 1472.756 | -0.000 | -0.000 | -0.000 |
| -0.002 | -0.001 | 0.003 | 59.455 | -0.000 | -0.000 |
| -0.004 | 0.001 | 0.003 | 0.000 | 59.455 | -0.000 |
| -0.001 | 0.004 | 0.000 | -0.000 | -0.000 | 40.477 |
| 1309.072 | 1228.163 | 1064.628 | -0.000 | 0.000 | 0.000 |
| 1228.124 | 1309.111 | 1064.628 | -0.000 | 0.000 | 0.000 |
| 1064.636 | 1064.636 | 1472.783 | 0.000 | 0.000 | 0.000 |
| 0.002 | 0.001 | -0.003 | 59.455 | -0.000 | -0.000 |
| 0.004 | -0.001 | -0.003 | -0.000 | 59.455 | -0.000 |
| 0.001 | -0.004 | -0.000 | 0.000 | -0.000 | 40.477 |
| 1309.764 | 1228.995 | 1065.291 | -0.000 | -0.000 | -0.000 |
| 1134.256 | 1404.503 | 1065.291 | -0.000 | -0.000 | -0.000 |
| 1065.292 | 1065.292 | 1473.440 | 0.000 | 0.000 | -0.000 |
| 0.000 | -0.000 | 0.000 | 59.543 | -0.000 | 0.000 |
| -0.000 | -0.000 | -0.000 | -0.000 | 59.543 | -0.000 |
| 0.000 | 0.000 | -0.000 | -0.000 | -0.000 | 40.384 |
| 1404.503 | 1134.256 | 1065.292 | 0.000 | 0.000 | -0.000 |
| 1134.255 | 1404.503 | 1065.292 | 0.000 | 0.000 | 0.000 |
| 1065.292 | 1065.292 | 1473.440 | -0.000 | -0.000 | 0.000 |
| -0.000 | -0.000 | -0.000 | 59.543 | 0.000 | -0.000 |
| 0.000 | 0.000 | 0.000 | -0.000 | 59.543 | 0.000 |
| -0.000 | -0.000 | 0.000 | 0.000 | 0.000 | 40.384 |
| 1309.764 | 1228.993 | 1065.291 | 0.000 | -0.000 | -0.000 |
| 1228.997 | 1309.761 | 1065.291 | -0.000 | -0.000 | -0.000 |
| 1065.291 | 1065.291 | 1473.439 | -0.000 | -0.000 | -0.000 |
| -0.000 | -0.000 | 0.000 | 59.543 | -0.000 | 0.000 |
| -0.000 | -0.000 | 0.000 | -0.000 | 59.543 | -0.000 |
| -0.000 | 0.000 | -0.000 | -0.000 | -0.000 | 40.384 |
| 1404.504 | 1134.257 | 1065.293 | -0.000 | -0.000 | 0.000 |
| 1228.995 | 1309.766 | 1065.292 | 0.000 | 0.000 | 0.000 |
| 1065.292 | 1065.292 | 1473.442 | 0.000 | 0.000 | -0.000 |
| 0.000 | 0.000 | -0.000 | 59.543 | 0.000 | 0.000 |
| 0.000 | 0.000 | -0.000 | 0.000 | 59.543 | 0.000 |
| 0.000 | -0.000 | 0.000 | 0.000 | 0.000 | 40.384 |
| 1309.777 | 1228.965 | 1065.283 | -0.000 | -0.000 | -0.000 |
| 1229.004 | 1309.738 | 1065.283 | -0.000 | -0.000 | -0.000 |
| 1065.283 | 1065.283 | 1473.427 | -0.000 | -0.000 | -0.000 |
| 0.001 | -0.004 | 0.003 | 59.543 | -0.000 | -0.000 |
| -0.004 | 0.001 | 0.003 | -0.000 | 59.543 | -0.000 |
| -0.001 | 0.004 | 0.000 | -0.000 | -0.000 | 40.384 |
| 1309.749 | 1229.026 | 1065.300 | 0.000 | 0.000 | 0.000 |
| 1228.987 | 1309.788 | 1065.300 | 0.000 | 0.000 | 0.000 |
| 1065.300 | 1065.300 | 1473.453 | -0.000 | -0.000 | -0.000 |
| -0.001 | 0.004 | -0.003 | 59.543 | 0.000 | 0.000 |
| 0.004 | -0.001 | -0.003 | 0.000 | 59.543 | 0.000 |
| 0.001 | -0.004 | -0.000 | 0.000 | 0.000 | 40.384 |
| 142.537 | 75.376 | 75.376 | 0.000 | 0.000 | 0.000 |
| 75.376 | 142.537 | 75.376 | 0.000 | 0.000 | 0.000 |
| 75.376 | 75.376 | 142.537 | 0.000 | 0.000 | 0.000 |
| 0.000 | 0.000 | 0.000 | 118.814 | -0.000 | -0.000 |
| 0.000 | 0.000 | 0.000 | -0.000 | 118.814 | -0.000 |
| 0.000 | 0.000 | 0.000 | -0.000 | -0.000 | 118.814 |
| 142.537 | 75.376 | 75.376 | -0.000 | -0.000 | -0.000 |
| 75.376 | 142.537 | 75.376 | -0.000 | -0.000 | -0.000 |
| 75.376 | 75.376 | 142.537 | -0.000 | -0.000 | -0.000 |
| -0.000 | -0.000 | -0.000 | 118.814 | 0.000 | 0.000 |
| -0.000 | -0.000 | -0.000 | 0.000 | 118.814 | 0.000 |
| -0.000 | -0.000 | -0.000 | 0.000 | 0.000 | 118.814 |
| 142.537 | 75.376 | 75.376 | 0.000 | 0.000 | 0.000 |
| 75.376 | 142.537 | 75.376 | 0.000 | 0.000 | 0.000 |
| 75.376 | 75.376 | 142.537 | 0.000 | 0.000 | 0.000 |
| 0.000 | -0.000 | 0.000 | 69.025 | 0.000 | 0.000 |
| -0.000 | 0.000 | 0.000 | 0.000 | 69.025 | 0.000 |
| -0.000 | 0.000 | 0.000 | 0.000 | 0.000 | 69.025 |
| 142.537 | 75.376 | 75.376 | -0.000 | -0.000 | -0.000 |
| 75.376 | 142.537 | 75.376 | -0.000 | -0.000 | -0.000 |
| 75.376 | 75.376 | 142.537 | -0.000 | -0.000 | -0.000 |
| -0.000 | 0.000 | -0.000 | 69.025 | -0.000 | -0.000 |
| 0.000 | -0.000 | -0.000 | -0.000 | 69.025 | -0.000 |
| 0.000 | -0.000 | -0.000 | -0.000 | -0.000 | 69.025 |
| 142.537 | 75.376 | 75.376 | 0.000 | 0.000 | 0.000 |
| 75.376 | 142.537 | 75.376 | 0.000 | 0.000 | 0.000 |
| 75.376 | 75.376 | 142.537 | 0.000 | 0.000 | 0.000 |
| 0.000 | -0.000 | 0.000 | 69.025 | 0.000 | -0.000 |
| -0.000 | 0.000 | 0.000 | 0.000 | 69.025 | -0.000 |
| -0.000 | 0.000 | 0.000 | 0.000 | -0.000 | 69.025 |
| 142.537 | 75.376 | 75.376 | -0.000 | -0.000 | -0.000 |
| 75.376 | 142.537 | 75.376 | -0.000 | -0.000 | -0.000 |
| 75.376 | 75.376 | 142.537 | -0.000 | -0.000 | -0.000 |
| -0.000 | 0.000 | -0.000 | 69.025 | -0.000 | 0.000 |
| 0.000 | -0.000 | -0.000 | -0.000 | 69.025 | 0.000 |
| 0.000 | -0.000 | -0.000 | -0.000 | 0.000 | 69.025 |
| 302.641 | 61.983 | 30.409 | -0.000 | -0.000 | -0.000 |
| 61.983 | 302.641 | 30.409 | -0.000 | -0.000 | 0.000 |
| 30.409 | 30.409 | 391.428 | -0.000 | -0.000 | 0.000 |
| -0.000 | -0.000 | 0.000 | 35.617 | 0.000 | 0.000 |
| -0.000 | -0.000 | 0.000 | -0.000 | 35.617 | 0.000 |
| -0.000 | 0.000 | -0.000 | -0.000 | 0.000 | 29.029 |
| 302.641 | 61.983 | 30.409 | 0.000 | 0.000 | -0.000 |
| 61.983 | 302.641 | 30.409 | 0.000 | 0.000 | -0.000 |
| 30.409 | 30.409 | 391.428 | 0.000 | -0.000 | 0.000 |
| 0.000 | 0.000 | -0.000 | 35.617 | 0.000 | -0.000 |
| 0.000 | 0.000 | -0.000 | -0.000 | 35.617 | -0.000 |
| 0.000 | -0.000 | 0.000 | 0.000 | 0.000 | 29.029 |
| 302.641 | 61.983 | 30.409 | -0.000 | 0.000 | 0.000 |
| 61.983 | 302.641 | 30.409 | -0.000 | -0.000 | 0.000 |
| 30.409 | 30.409 | 391.429 | -0.000 | -0.000 | 0.000 |
| -0.000 | 0.000 | -0.000 | 35.617 | -0.000 | 0.000 |
| 0.000 | -0.000 | -0.000 | -0.000 | 35.617 | 0.000 |
| -0.000 | -0.000 | -0.000 | -0.000 | -0.000 | 29.029 |
| 302.641 | 61.983 | 30.409 | 0.000 | 0.000 | -0.000 |
| 61.983 | 302.641 | 30.409 | 0.000 | 0.000 | -0.000 |
| 30.409 | 30.409 | 391.428 | 0.000 | 0.000 | 0.000 |
| 0.000 | -0.000 | 0.000 | 35.617 | 0.000 | 0.000 |
| -0.000 | 0.000 | 0.000 | 0.000 | 35.617 | -0.000 |
| 0.000 | 0.000 | 0.000 | 0.000 | 0.000 | 29.029 |
| 302.642 | 61.983 | 30.409 | -0.000 | -0.000 | 0.000 |
| 61.983 | 302.642 | 30.409 | -0.000 | -0.000 | 0.000 |
| 30.409 | 30.409 | 391.431 | 0.000 | -0.000 | 0.000 |
| -0.000 | -0.000 | -0.000 | 35.617 | -0.000 | 0.000 |
| -0.000 | -0.000 | -0.000 | 0.000 | 35.617 | 0.000 |
| -0.000 | -0.000 | -0.000 | -0.000 | 0.000 | 29.029 |
| 302.641 | 61.982 | 30.409 | 0.000 | 0.000 | 0.000 |
| 61.982 | 302.641 | 30.409 | 0.000 | 0.000 | 0.000 |
| 30.409 | 30.409 | 391.426 | 0.000 | 0.000 | -0.000 |
| 0.000 | 0.000 | 0.000 | 35.617 | 0.000 | 0.000 |
| 0.000 | 0.000 | 0.000 | -0.000 | 35.617 | -0.000 |
| 0.000 | 0.000 | 0.000 | 0.000 | -0.000 | 29.029 |
| 1285.832 | 1070.202 | 1216.198 | -0.000 | -0.000 | -0.000 |
| 1070.202 | 1285.832 | 1216.198 | -0.000 | -0.000 | -0.000 |
| 1216.198 | 1216.198 | 1199.443 | -0.000 | 0.000 | 0.000 |
| -0.000 | 0.000 | 0.000 | 253.853 | 0.000 | 0.000 |
| 0.000 | -0.000 | 0.000 | 0.000 | 253.853 | 0.000 |
| 0.000 | 0.000 | 0.000 | 0.000 | 0.000 | 59.422 |
| 1285.832 | 1070.202 | 1216.199 | -0.000 | -0.000 | 0.000 |
| 1070.202 | 1285.832 | 1216.199 | -0.000 | -0.000 | -0.000 |
| 1216.199 | 1216.199 | 1199.443 | -0.000 | -0.000 | 0.000 |
| 0.000 | -0.000 | -0.000 | 253.853 | -0.000 | -0.000 |
| -0.000 | 0.000 | -0.000 | -0.000 | 253.853 | 0.000 |
| -0.000 | -0.000 | -0.000 | -0.000 | -0.000 | 59.422 |
| 1285.832 | 1070.201 | 1216.197 | 0.000 | 0.000 | 0.000 |
| 1070.201 | 1285.832 | 1216.197 | 0.000 | 0.000 | 0.000 |
| 1216.198 | 1216.198 | 1199.442 | 0.000 | 0.000 | 0.000 |
| -0.000 | -0.000 | 0.000 | 253.853 | 0.000 | 0.000 |
| -0.000 | -0.000 | 0.000 | 0.000 | 253.853 | 0.000 |
| -0.000 | -0.000 | 0.000 | 0.000 | 0.000 | 59.422 |
| 1285.833 | 1070.203 | 1216.200 | -0.000 | -0.000 | 0.000 |
| 1070.203 | 1285.833 | 1216.200 | -0.000 | -0.000 | -0.000 |
| 1216.200 | 1216.200 | 1199.444 | 0.000 | 0.000 | -0.000 |
| 0.000 | 0.000 | -0.000 | 253.853 | -0.000 | -0.000 |
| 0.000 | 0.000 | -0.000 | -0.000 | 253.853 | -0.000 |
| 0.000 | 0.000 | -0.000 | -0.000 | -0.000 | 59.422 |
| 1285.829 | 1070.193 | 1216.185 | -0.000 | -0.000 | -0.000 |
| 1070.193 | 1285.829 | 1216.185 | -0.000 | -0.000 | 0.000 |
| 1216.190 | 1216.190 | 1199.433 | 0.000 | 0.000 | 0.000 |
| -0.002 | -0.003 | 0.001 | 253.853 | 0.000 | 0.000 |
| -0.003 | -0.002 | 0.001 | 0.000 | 253.853 | 0.000 |
| -0.001 | -0.001 | 0.002 | 0.000 | 0.000 | 59.422 |
| 1285.835 | 1070.211 | 1216.212 | -0.000 | -0.000 | -0.000 |
| 1070.211 | 1285.835 | 1216.212 | -0.000 | -0.000 | 0.000 |
| 1216.207 | 1216.207 | 1199.453 | -0.000 | -0.000 | -0.000 |
| 0.002 | 0.003 | -0.001 | 253.853 | -0.000 | 0.000 |
| 0.003 | 0.002 | -0.001 | -0.000 | 253.853 | -0.000 |
| 0.001 | 0.001 | -0.002 | -0.000 | -0.000 | 59.422 |
| 223.742 | 54.979 | 109.961 | -77.756 | -0.000 | -0.000 |
| 54.979 | 223.742 | 109.961 | 77.756 | -0.000 | 0.000 |
| 109.960 | 109.960 | 168.750 | 0.000 | -0.000 | 0.000 |
| -77.756 | 77.756 | -0.000 | 139.359 | -0.000 | 0.000 |
| -0.000 | -0.000 | -0.000 | 0.000 | 139.359 | -77.756 |
| -0.000 | 0.000 | 0.000 | 0.000 | -77.756 | 84.381 |
| 223.742 | 54.980 | 109.962 | -77.756 | 0.000 | -0.000 |
| 54.980 | 223.742 | 109.962 | 77.756 | 0.000 | -0.000 |
| 109.960 | 109.960 | 168.750 | -0.000 | 0.000 | 0.000 |
| -77.756 | 77.756 | 0.000 | 139.359 | 0.000 | -0.000 |
| 0.000 | 0.000 | 0.000 | -0.000 | 139.359 | -77.756 |
| 0.000 | -0.000 | -0.000 | -0.000 | -77.756 | 84.381 |
| 223.742 | 54.980 | 109.962 | -77.756 | 0.000 | -0.000 |
| 54.980 | 223.742 | 109.962 | 77.756 | -0.000 | 0.000 |
| 109.960 | 109.960 | 168.750 | 0.000 | -0.000 | 0.000 |
| -77.756 | 77.756 | 0.000 | 139.359 | -0.000 | 0.000 |
| 0.000 | 0.000 | 0.000 | -0.000 | 139.359 | -77.756 |
| 0.000 | 0.000 | 0.000 | -0.000 | -77.756 | 84.381 |
| 223.742 | 54.979 | 109.961 | -77.756 | 0.000 | -0.000 |
| 54.979 | 223.742 | 109.961 | 77.756 | -0.000 | -0.000 |
| 109.960 | 109.960 | 168.750 | -0.000 | -0.000 | -0.000 |
| -77.756 | 77.756 | -0.000 | 139.359 | 0.000 | 0.000 |
| -0.000 | -0.000 | -0.000 | 0.000 | 139.359 | -77.756 |
| -0.000 | -0.000 | -0.000 | 0.000 | -77.756 | 84.381 |
| 223.743 | 54.980 | 109.962 | -77.756 | 0.000 | 0.000 |
| 54.980 | 223.743 | 109.962 | 77.756 | -0.000 | -0.000 |
| 109.960 | 109.960 | 168.750 | 0.000 | -0.000 | 0.000 |
| -77.756 | 77.756 | 0.000 | 139.359 | -0.000 | -0.000 |
| 0.000 | 0.000 | 0.000 | -0.000 | 139.359 | -77.756 |
| 0.000 | 0.000 | 0.000 | -0.000 | -77.756 | 84.381 |
| 223.742 | 54.979 | 109.961 | -77.755 | 0.000 | 0.000 |
| 54.979 | 223.741 | 109.961 | 77.755 | 0.000 | -0.000 |
| 109.960 | 109.960 | 168.749 | 0.000 | 0.000 | 0.000 |
| -77.756 | 77.756 | -0.000 | 139.358 | 0.000 | -0.000 |
| -0.000 | -0.000 | -0.000 | 0.000 | 139.359 | -77.756 |
| -0.000 | -0.000 | -0.000 | 0.000 | -77.756 | 84.381 |
| 272.176 | 66.717 | 121.605 | -84.557 | 0.000 | -0.000 |
| 66.717 | 272.176 | 121.606 | 84.557 | -0.000 | 0.000 |
| 112.421 | 112.421 | 113.792 | -0.000 | 0.000 | -0.000 |
| -84.557 | 84.556 | 0.000 | 126.590 | 0.000 | 0.000 |
| 0.000 | 0.000 | 0.000 | 0.000 | 126.590 | -84.557 |
| -0.000 | -0.000 | -0.000 | -0.000 | -84.557 | 102.730 |
| 272.176 | 66.717 | 121.605 | -84.557 | -0.000 | 0.000 |
| 66.717 | 272.176 | 121.605 | 84.557 | 0.000 | -0.000 |
| 112.422 | 112.422 | 113.792 | 0.000 | 0.000 | 0.000 |
| -84.557 | 84.557 | -0.000 | 126.590 | 0.000 | 0.000 |
| -0.000 | -0.000 | -0.000 | -0.000 | 126.590 | -84.557 |
| 0.000 | 0.000 | 0.000 | 0.000 | -84.557 | 102.730 |
| 272.176 | 66.717 | 121.606 | -84.557 | -0.000 | -0.000 |
| 66.717 | 272.176 | 121.606 | 84.557 | -0.000 | 0.000 |
| 112.422 | 112.422 | 113.792 | -0.000 | -0.000 | 0.000 |
| -84.557 | 84.557 | 0.000 | 126.590 | -0.000 | 0.000 |
| 0.000 | 0.000 | 0.000 | -0.000 | 126.590 | -84.557 |
| 0.000 | 0.000 | 0.000 | -0.000 | -84.557 | 102.730 |
| 272.176 | 66.717 | 121.605 | -84.557 | -0.000 | 0.000 |
| 66.717 | 272.176 | 121.605 | 84.557 | -0.000 | 0.000 |
| 112.422 | 112.422 | 113.792 | -0.000 | 0.000 | -0.000 |
| -84.557 | 84.557 | -0.000 | 126.590 | -0.000 | -0.000 |
| -0.000 | -0.000 | -0.000 | 0.000 | 126.590 | -84.557 |
| -0.000 | -0.000 | -0.000 | 0.000 | -84.557 | 102.730 |
| 272.177 | 66.717 | 121.606 | -84.557 | -0.000 | -0.000 |
| 66.717 | 272.177 | 121.606 | 84.557 | -0.000 | -0.000 |
| 112.422 | 112.422 | 113.792 | -0.000 | -0.000 | -0.000 |
| -84.557 | 84.557 | 0.000 | 126.590 | -0.000 | 0.000 |
| 0.000 | 0.000 | 0.000 | -0.000 | 126.590 | -84.557 |
| 0.000 | 0.000 | 0.000 | -0.000 | -84.557 | 102.730 |
| 272.175 | 66.716 | 121.605 | -84.557 | 0.000 | -0.000 |
| 66.717 | 272.175 | 121.605 | 84.556 | -0.000 | 0.000 |
| 112.421 | 112.421 | 113.792 | 0.000 | 0.000 | 0.000 |
| -84.557 | 84.557 | -0.000 | 126.590 | -0.000 | 0.000 |
| -0.000 | -0.000 | -0.000 | 0.000 | 126.590 | -84.557 |
| -0.000 | -0.000 | -0.000 | 0.000 | -84.557 | 102.730 |
| 388.704 | 0.000 | 0.000 | 0.000 | 0.000 | 0.000 |
| -0.000 | 388.704 | 0.000 | 0.000 | 0.000 | 0.000 |
| -0.000 | 0.000 | 388.704 | 0.000 | 0.000 | 0.000 |
| -0.000 | 0.000 | -0.000 | 29.397 | 0.000 | 0.000 |
| -0.000 | 0.000 | -0.000 | 0.000 | 29.397 | 0.000 |
| -0.000 | 0.000 | 0.000 | 0.000 | 0.000 | 29.397 |
| 388.704 | -0.000 | -0.000 | -0.000 | -0.000 | -0.000 |
| 0.000 | 388.704 | -0.000 | -0.000 | -0.000 | -0.000 |
| 0.000 | -0.000 | 388.704 | -0.000 | -0.000 | -0.000 |
| 0.000 | -0.000 | 0.000 | 29.397 | -0.000 | -0.000 |
| -0.000 | -0.000 | 0.000 | -0.000 | 29.397 | -0.000 |
| -0.000 | 0.000 | -0.000 | -0.000 | -0.000 | 29.397 |
| 388.705 | 0.000 | 0.000 | 0.000 | 0.000 | 0.000 |
| -0.000 | 388.705 | 0.000 | 0.000 | 0.000 | 0.000 |
| -0.000 | 0.000 | 388.705 | 0.000 | 0.000 | 0.000 |
| -0.000 | -0.000 | -0.000 | 29.397 | 0.000 | -0.000 |
| -0.000 | 0.000 | -0.000 | 0.000 | 29.397 | 0.000 |
| -0.000 | -0.000 | 0.000 | 0.000 | 0.000 | 29.397 |
| 388.704 | -0.000 | -0.000 | -0.000 | -0.000 | -0.000 |
| 0.000 | 388.704 | -0.000 | -0.000 | -0.000 | -0.000 |
| 0.000 | -0.000 | 388.704 | -0.000 | -0.000 | -0.000 |
| 0.000 | 0.000 | 0.000 | 29.397 | -0.000 | -0.000 |
| 0.000 | -0.000 | 0.000 | -0.000 | 29.397 | -0.000 |
| 0.000 | 0.000 | -0.000 | -0.000 | -0.000 | 29.397 |
| 388.706 | 0.000 | 0.000 | 0.000 | 0.000 | 0.000 |
| -0.000 | 388.706 | 0.000 | 0.000 | 0.000 | 0.000 |
| -0.000 | 0.000 | 388.706 | 0.000 | 0.000 | 0.000 |
| -0.000 | 0.000 | -0.000 | 29.397 | 0.000 | 0.000 |
| 0.000 | 0.000 | -0.000 | 0.000 | 29.397 | 0.000 |
| 0.000 | -0.000 | 0.000 | 0.000 | 0.000 | 29.397 |
| 388.702 | -0.000 | -0.000 | -0.000 | -0.000 | -0.000 |
| 0.000 | 388.702 | -0.000 | -0.000 | -0.000 | -0.000 |
| 0.000 | -0.000 | 388.702 | -0.000 | -0.000 | -0.000 |
| -0.000 | -0.000 | 0.000 | 29.397 | -0.000 | -0.000 |
| -0.000 | -0.000 | 0.000 | -0.000 | 29.397 | -0.000 |
| -0.000 | 0.000 | -0.000 | -0.000 | -0.000 | 29.397 |
| 96.948 | 60.819 | 60.819 | -0.000 | -0.000 | -0.000 |
| 60.819 | 96.948 | 60.819 | -0.000 | -0.000 | -0.000 |
| 60.819 | 60.819 | 96.948 | -0.000 | -0.000 | -0.000 |
| 0.000 | 0.000 | 0.000 | 22.803 | -0.000 | -0.000 |
| 0.000 | 0.000 | 0.000 | -0.000 | 22.803 | -0.000 |
| 0.000 | 0.000 | 0.000 | -0.000 | -0.000 | 22.803 |
| 96.948 | 60.819 | 60.819 | 0.000 | 0.000 | 0.000 |
| 60.819 | 96.948 | 60.819 | 0.000 | 0.000 | 0.000 |
| 60.819 | 60.819 | 96.948 | 0.000 | 0.000 | 0.000 |
| -0.000 | -0.000 | -0.000 | 22.803 | 0.000 | 0.000 |
| -0.000 | -0.000 | -0.000 | 0.000 | 22.803 | 0.000 |
| -0.000 | -0.000 | -0.000 | 0.000 | 0.000 | 22.803 |
| 96.948 | 60.819 | 60.819 | -0.000 | -0.000 | -0.000 |
| 60.819 | 96.948 | 60.819 | -0.000 | -0.000 | -0.000 |
| 60.819 | 60.819 | 96.948 | -0.000 | -0.000 | -0.000 |
| 0.000 | 0.000 | 0.000 | 62.421 | -0.000 | -0.000 |
| 0.000 | 0.000 | 0.000 | -0.000 | 62.421 | -0.000 |
| 0.000 | 0.000 | 0.000 | -0.000 | -0.000 | 62.421 |
| 124.820 | 46.883 | 46.883 | 0.000 | 0.000 | 0.000 |
| 46.883 | 124.820 | 46.883 | 0.000 | 0.000 | 0.000 |
| 46.883 | 46.883 | 124.820 | 0.000 | 0.000 | 0.000 |
| -0.000 | -0.000 | -0.000 | 62.421 | 0.000 | 0.000 |
| -0.000 | -0.000 | -0.000 | 0.000 | 62.421 | 0.000 |
| -0.000 | -0.000 | -0.000 | 0.000 | 0.000 | 62.421 |
| 96.948 | 60.819 | 60.819 | -0.000 | -0.000 | -0.000 |
| 60.819 | 96.948 | 60.819 | -0.000 | -0.000 | -0.000 |
| 60.819 | 60.819 | 96.948 | -0.000 | -0.000 | -0.000 |
| 0.000 | -0.000 | -0.000 | 22.803 | -0.000 | -0.000 |
| -0.000 | 0.000 | -0.000 | -0.000 | 22.803 | -0.000 |
| -0.000 | -0.000 | 0.000 | -0.000 | -0.000 | 22.803 |
| 96.947 | 60.819 | 60.819 | 0.000 | 0.000 | 0.000 |
| 60.819 | 96.947 | 60.819 | 0.000 | 0.000 | 0.000 |
| 60.819 | 60.819 | 96.947 | 0.000 | 0.000 | 0.000 |
| -0.000 | 0.000 | 0.000 | 22.803 | 0.000 | 0.000 |
| 0.000 | -0.000 | 0.000 | 0.000 | 22.803 | 0.000 |
| 0.000 | 0.000 | -0.000 | 0.000 | 0.000 | 22.803 |
| 199.187 | 13.676 | 45.758 | -0.000 | 16.920 | -0.000 |
| 87.468 | -389.353 | 633.903 | -0.000 | 175.813 | 0.000 |
| 296.411 | -395.100 | 862.469 | -0.000 | 222.519 | 0.000 |
| 323.212 | -433.886 | 557.942 | 52.147 | 111.765 | -5.370 |
| 34.653 | -534.897 | 575.098 | -0.000 | 205.202 | 0.000 |
| 230.704 | -450.998 | 705.318 | -9.771 | 212.638 | 35.702 |
| 199.187 | 13.676 | 45.758 | 0.000 | 16.920 | -0.000 |
| -178.902 | 608.450 | -647.624 | 0.000 | -218.137 | -0.000 |
| -165.326 | 506.682 | -547.606 | -0.000 | -202.566 | 0.000 |
| -323.212 | 433.886 | -557.942 | 52.147 | -111.765 | -5.370 |
| 9.157 | -26.430 | 25.013 | 0.000 | 73.251 | -0.000 |
| -230.704 | 450.998 | -705.318 | -9.771 | -212.638 | 35.702 |
| 142.275 | 41.429 | 68.914 | -0.000 | 8.727 | 0.000 |
| 44.983 | 156.217 | 68.910 | -0.000 | -5.543 | 0.000 |
| 66.170 | 58.564 | 157.343 | 0.000 | 11.603 | 0.000 |
| 3.046 | -3.987 | 5.982 | 52.287 | 1.203 | -5.379 |
| 6.805 | -11.325 | 17.125 | -0.000 | 41.127 | 0.000 |
| 3.368 | -3.489 | 5.283 | -5.742 | 0.743 | 31.319 |
| 135.992 | 48.743 | 57.847 | 0.000 | 6.093 | -0.000 |
| 45.802 | 163.572 | 55.291 | 0.000 | -8.286 | -0.000 |
| 58.756 | 67.426 | 147.281 | -0.000 | 10.311 | -0.000 |
| -3.046 | 3.987 | -5.982 | 52.287 | -1.203 | -5.379 |
| 2.974 | -2.271 | 7.607 | 0.000 | 37.673 | 0.000 |
| -3.368 | 3.489 | -5.283 | -5.742 | -0.743 | 31.319 |
| 1030.667 | 621.241 | 586.742 | 0.001 | 0.001 | -0.000 |
| 593.212 | 810.999 | 406.001 | -0.000 | 0.009 | -0.000 |
| 572.659 | 411.862 | 869.154 | 0.001 | 0.001 | -0.000 |
| 0.135 | 0.457 | 0.002 | 79.216 | 0.002 | -0.000 |
| 0.268 | 1.064 | 0.022 | 0.001 | 31.960 | -0.000 |
| 0.039 | 0.129 | -0.005 | 0.001 | 0.002 | 149.202 |
| 1030.067 | 619.925 | 586.684 | -0.001 | -0.001 | 0.000 |
| 592.500 | 806.681 | 405.999 | 0.000 | -0.009 | 0.000 |
| 572.332 | 410.500 | 869.143 | -0.001 | -0.001 | 0.000 |
| -0.135 | -0.457 | -0.002 | 79.216 | -0.002 | 0.000 |
| -0.268 | -1.064 | -0.022 | -0.001 | 31.956 | 0.000 |
| -0.039 | -0.129 | 0.005 | -0.001 | -0.002 | 149.202 |
| 1029.832 | 612.898 | 586.822 | -0.000 | 0.001 | -0.000 |
| 592.719 | 809.020 | 405.948 | -0.000 | 0.001 | -0.000 |
| 572.539 | 411.249 | 869.158 | 0.000 | 0.000 | -0.000 |
| 0.013 | 0.046 | 0.000 | 79.224 | 0.000 | -0.000 |
| 0.027 | 0.106 | 0.002 | 0.000 | 31.965 | -0.000 |
| 0.015 | 0.049 | 0.000 | -0.000 | 0.000 | 149.020 |
| 1029.754 | 612.465 | 586.819 | 0.000 | -0.001 | 0.000 |
| 592.646 | 808.597 | 405.948 | 0.000 | -0.001 | 0.000 |
| 572.506 | 411.112 | 869.157 | -0.000 | -0.000 | 0.000 |
| -0.013 | -0.046 | -0.000 | 79.224 | -0.000 | 0.000 |
| -0.027 | -0.106 | -0.002 | -0.000 | 31.965 | 0.000 |
| -0.015 | -0.049 | -0.000 | 0.000 | -0.000 | 149.020 |
| 1029.831 | 612.708 | 586.833 | -0.000 | 0.000 | -0.000 |
| 592.691 | 808.786 | 405.947 | -0.000 | 0.000 | -0.000 |
| 572.586 | 411.731 | 869.154 | -0.000 | 0.000 | -0.000 |
| 0.002 | 0.004 | 0.000 | 79.224 | 0.000 | -0.000 |
| 0.006 | 0.008 | 0.001 | 0.000 | 31.965 | -0.000 |
| 0.004 | 0.006 | -0.000 | -0.000 | 0.000 | 149.020 |
| 1029.754 | 612.647 | 586.807 | 0.000 | -0.000 | 0.000 |
| 592.670 | 808.830 | 405.949 | 0.000 | -0.000 | 0.000 |
| 572.588 | 411.690 | 869.156 | 0.000 | -0.000 | 0.000 |
| -0.002 | -0.004 | -0.000 | 79.224 | -0.000 | 0.000 |
| -0.006 | -0.008 | -0.001 | -0.000 | 31.965 | 0.000 |
| -24189839.666 | 19330984.641 | 770573.229 | 0.000 | -0.000 | 3453574.187 |
| 397.987 | 55.041 | 19.179 | -0.000 | -0.000 | 0.000 |
| -2.043 | 1748.379 | 156.685 | -0.000 | 0.000 | 0.000 |
| 30.279 | 215.253 | 188.466 | 0.000 | -0.000 | 0.000 |
| -0.000 | 0.000 | -0.000 | 155.284 | 0.000 | 0.000 |
| -0.000 | 0.000 | -0.000 | -0.000 | 38.688 | 0.000 |
| 0.013 | 0.366 | 0.042 | -0.000 | -0.000 | 40.125 |
| 397.987 | 55.040 | 19.179 | 0.000 | 0.000 | -0.000 |
| 55.040 | 2680.335 | 226.064 | -0.000 | 0.000 | -0.000 |
| 17.130 | 143.987 | 197.667 | 0.000 | 0.000 | -0.000 |
| 0.000 | -0.000 | 0.000 | 155.284 | -0.000 | -0.000 |
| 0.000 | -0.000 | 0.000 | 0.000 | 38.688 | -0.000 |
| -0.013 | -0.366 | -0.042 | 0.000 | 0.000 | 40.125 |
| 397.987 | 55.041 | 19.179 | -0.000 | -0.000 | 0.000 |
| -61.653 | 1521.170 | 215.230 | -0.000 | -0.000 | 0.000 |
| 19.179 | 226.064 | 208.695 | -0.000 | -0.000 | 0.000 |
| -0.004 | -0.044 | -0.001 | 70.048 | 0.000 | 0.000 |
| 0.000 | -0.000 | -0.000 | 0.000 | 38.688 | 0.000 |
| 0.001 | 0.037 | 0.004 | 0.000 | -0.000 | 40.125 |
| 397.987 | 55.041 | 19.179 | 0.000 | 0.000 | -0.000 |
| -61.670 | 1520.879 | 215.207 | 0.000 | 0.000 | -0.000 |
| 17.132 | 144.050 | 197.674 | -0.000 | -0.000 | -0.000 |
| 0.004 | 0.044 | 0.001 | 70.048 | 0.000 | -0.000 |
| -0.000 | 0.000 | 0.000 | 0.000 | 38.688 | -0.000 |
| -0.001 | -0.037 | -0.004 | 0.000 | 0.000 | 40.125 |
| 378.857 | -61.645 | 30.284 | -0.000 | -0.000 | 0.000 |
| -61.661 | 1521.038 | 215.218 | 0.000 | 0.000 | 0.000 |
| 30.284 | 215.230 | 188.454 | 0.000 | -0.000 | 0.000 |
| -0.000 | -0.004 | -0.000 | 70.048 | -0.000 | 0.000 |
| 0.000 | -0.000 | -0.000 | 0.000 | 38.688 | 0.000 |
| 0.000 | 0.005 | 0.001 | -0.000 | -0.000 | 40.125 |
| 378.909 | -61.013 | 30.303 | 0.000 | 0.000 | -0.000 |
| -61.677 | 1520.948 | 215.232 | 0.000 | 0.000 | -0.000 |
| 30.284 | 215.218 | 188.452 | 0.000 | 0.000 | -0.000 |
| 0.000 | 0.004 | 0.000 | 70.048 | -0.000 | -0.000 |
| -0.000 | 0.000 | 0.000 | 0.000 | 38.688 | -0.000 |
| -0.000 | -0.005 | -0.001 | 0.000 | 0.000 | 40.125 |
| 424.647 | 39.369 | -1.251 | 0.000 | -0.000 | 0.000 |
| 46.167 | 843.785 | 265.392 | 0.000 | 0.000 | 0.000 |
| 2.247 | 259.793 | 351.372 | -0.000 | -0.000 | -0.000 |
| -0.004 | -0.018 | -0.002 | 125.725 | 0.000 | 0.000 |
| -0.007 | -0.034 | -0.004 | 0.000 | 30.148 | 0.000 |
| -0.008 | -0.039 | -0.005 | 0.000 | 0.000 | 23.961 |
| 421.725 | 38.705 | -5.227 | 0.000 | 0.000 | -0.000 |
| 41.702 | 839.578 | 259.874 | -0.000 | -0.000 | 0.000 |
| 8.822 | 279.299 | 357.174 | 0.000 | 0.000 | -0.000 |
| 0.004 | 0.018 | 0.002 | 125.725 | -0.000 | -0.000 |
| 0.007 | 0.034 | 0.004 | -0.000 | 30.148 | -0.000 |
| 0.008 | 0.039 | 0.005 | -0.000 | -0.000 | 23.961 |
| 430.621 | 59.352 | 3.624 | 0.000 | -0.000 | 0.000 |
| 46.160 | 843.758 | 265.386 | 0.000 | -0.000 | -0.000 |
| 8.823 | 279.299 | 357.174 | -0.000 | 0.000 | 0.000 |
| 0.000 | 0.000 | 0.000 | 126.053 | 0.000 | -0.000 |
| -0.001 | -0.003 | -0.000 | 0.000 | 30.148 | -0.000 |
| -0.001 | -0.004 | -0.000 | 0.000 | 0.000 | 23.961 |
| 430.620 | 59.351 | 3.624 | 0.000 | 0.000 | 0.000 |
| 62.361 | 906.533 | 277.110 | 0.000 | 0.000 | -0.000 |
| 8.823 | 279.299 | 357.174 | -0.000 | -0.000 | -0.000 |
| -0.000 | -0.000 | -0.000 | 126.053 | -0.000 | 0.000 |
| 0.001 | 0.003 | 0.000 | -0.000 | 30.148 | 0.000 |
| 0.001 | 0.004 | 0.000 | -0.000 | -0.000 | 23.961 |
| 424.639 | 39.340 | -1.260 | 0.000 | 0.000 | -0.000 |
| 41.706 | 839.593 | 259.877 | 0.000 | -0.000 | 0.000 |
| 8.823 | 279.300 | 357.175 | 0.000 | 0.000 | -0.000 |
| 0.000 | 0.000 | 0.000 | 125.698 | -0.000 | 0.000 |
| -0.000 | -0.000 | -0.000 | 0.000 | 30.148 | 0.000 |
| -0.000 | -0.001 | -0.000 | 0.000 | -0.000 | 23.961 |
| 421.720 | 38.689 | -5.227 | -0.000 | -0.000 | -0.000 |
| 46.166 | 843.773 | 265.391 | -0.000 | -0.000 | 0.000 |
| 2.251 | 259.815 | 351.373 | 0.000 | 0.000 | -0.000 |
| -0.000 | -0.000 | -0.000 | 125.698 | 0.000 | -0.000 |
| 0.000 | 0.000 | 0.000 | -0.000 | 30.148 | -0.000 |
| 0.000 | 0.001 | 0.000 | -0.000 | 0.000 | 23.961 |
| 1406.929 | 1131.822 | 1065.288 | 29.072 | -0.000 | -0.000 |
| 1217.828 | 1320.922 | 1065.288 | -23.228 | -0.000 | -0.000 |
| 1065.288 | 1065.288 | 1473.444 | -0.000 | -0.000 | -0.000 |
| 23.494 | -23.495 | -0.000 | 66.230 | -0.000 | 0.000 |
| -0.000 | -0.000 | -0.000 | -0.000 | 66.230 | 23.495 |
| 0.000 | -0.000 | -0.000 | -0.000 | 29.072 | 137.553 |
| 1406.929 | 1131.822 | 1065.288 | 29.072 | -0.000 | 0.000 |
| 1217.830 | 1320.921 | 1065.289 | -23.228 | 0.000 | 0.000 |
| 1065.288 | 1065.288 | 1473.444 | -0.000 | 0.000 | -0.000 |
| 23.495 | -23.495 | 0.000 | 66.230 | 0.000 | 0.000 |
| 0.000 | 0.000 | 0.000 | 0.000 | 66.230 | 23.495 |
| -0.000 | 0.000 | 0.000 | 0.000 | 29.072 | 137.553 |
| 1320.904 | 1217.845 | 1065.287 | 23.227 | -0.000 | -0.000 |
| 1131.821 | 1406.928 | 1065.287 | -29.072 | -0.000 | -0.000 |
| 1065.287 | 1065.287 | 1473.443 | -0.000 | -0.000 | 0.000 |
| 23.230 | -23.230 | 0.000 | 66.212 | -0.000 | 0.000 |
| -0.000 | 0.000 | 0.000 | 0.000 | 66.212 | 23.230 |
| -0.000 | 0.000 | -0.000 | -0.000 | 23.227 | 51.527 |
| 1406.929 | 1131.823 | 1065.289 | 29.072 | 0.000 | 0.000 |
| 1131.823 | 1406.930 | 1065.289 | -29.072 | 0.000 | -0.000 |
| 1065.289 | 1065.289 | 1473.446 | 0.000 | 0.000 | 0.000 |
| 23.229 | -23.229 | -0.000 | 66.212 | 0.000 | -0.000 |
| 0.000 | -0.000 | -0.000 | -0.000 | 66.212 | 23.230 |
| 0.000 | -0.000 | 0.000 | 0.000 | 23.227 | 51.527 |
| 1320.895 | 1217.839 | 1065.280 | 23.227 | -0.000 | 0.000 |
| 1217.852 | 1320.881 | 1065.280 | -23.224 | -0.000 | 0.000 |
| 1065.280 | 1065.280 | 1473.431 | -0.000 | -0.000 | 0.000 |
| 23.228 | -23.230 | 0.003 | 66.211 | -0.000 | -0.000 |
| -0.003 | 0.001 | 0.003 | 0.000 | 66.212 | 23.227 |
| -0.001 | 0.004 | -0.000 | -0.001 | 23.227 | 51.527 |
| 1320.910 | 1217.857 | 1065.297 | 23.227 | 0.000 | -0.000 |
| 1131.830 | 1406.938 | 1065.299 | -29.073 | -0.000 | -0.000 |
| 1065.297 | 1065.297 | 1473.457 | -0.000 | 0.000 | -0.000 |
| 23.226 | -23.223 | -0.003 | 66.212 | 0.000 | -0.000 |
| 0.003 | -0.001 | -0.003 | -0.000 | 66.212 | 23.227 |
| 0.001 | -0.004 | 0.000 | 0.001 | 23.227 | 51.527 |
| 204.540 | 22.873 | 38.244 | -0.000 | 0.000 | 0.000 |
| -60.929 | 185.221 | 171.282 | 0.000 | 0.000 | -0.000 |
| -108.611 | 93.081 | 259.184 | 0.000 | -0.000 | 0.000 |
| -127.256 | 60.543 | 78.112 | 12.913 | -0.000 | 0.000 |
| 0.000 | 0.000 | 0.000 | -0.000 | 71.465 | 0.000 |
| -123.850 | 58.923 | 76.021 | 0.000 | -0.000 | 15.372 |
| 204.540 | 22.873 | 38.244 | 0.000 | -0.000 | -0.000 |
| 145.855 | 143.920 | -61.687 | -0.000 | -0.000 | -0.000 |
| 126.016 | 1.915 | 48.962 | 0.000 | -0.000 | -0.000 |
| 127.256 | -60.543 | -78.112 | 12.913 | 0.000 | -0.000 |
| -0.000 | -0.000 | -0.000 | 0.000 | 71.465 | 0.000 |
| 123.850 | -58.923 | -76.021 | -0.000 | -0.000 | 15.372 |
| 138.216 | 55.879 | 55.984 | -0.000 | -0.000 | 0.000 |
| 47.137 | 162.210 | 65.287 | -0.000 | -0.000 | 0.000 |
| 38.987 | 62.958 | 126.848 | -0.000 | -0.000 | 0.000 |
| 0.000 | 0.000 | 0.000 | 56.606 | -0.000 | 0.000 |
| -6.756 | 3.214 | 4.147 | -0.000 | 36.634 | 0.000 |
| 0.000 | 0.000 | -0.000 | -0.000 | -0.000 | 59.426 |
| 152.997 | 50.989 | 41.106 | 0.000 | -0.000 | -0.000 |
| 62.258 | 154.903 | 56.163 | 0.000 | 0.000 | 0.000 |
| 38.895 | 33.799 | 172.977 | 0.000 | -0.000 | 0.000 |
| -0.000 | -0.000 | -0.000 | 56.606 | -0.000 | -0.000 |
| 6.756 | -3.214 | -4.147 | 0.000 | 36.634 | -0.000 |
| -0.000 | -0.000 | 0.000 | 0.000 | 0.000 | 59.426 |
| 146.837 | 51.730 | 51.449 | -0.000 | 0.000 | 0.000 |
| 53.066 | 160.270 | 60.417 | -0.000 | -0.000 | 0.000 |
| 50.527 | 57.767 | 124.619 | -0.000 | 0.000 | 0.000 |
| -0.765 | 0.364 | 0.469 | 30.349 | 0.000 | 0.000 |
| 0.000 | 0.000 | 0.000 | -0.000 | 71.465 | 0.000 |
| -0.638 | 0.304 | 0.392 | -0.000 | 0.000 | 36.728 |
| 146.963 | 53.268 | 46.942 | 0.000 | -0.000 | -0.000 |
| 54.560 | 159.520 | 59.553 | 0.000 | 0.000 | -0.000 |
| 48.742 | 58.180 | 121.635 | 0.000 | 0.000 | -0.000 |
| 0.765 | -0.364 | -0.469 | 30.349 | 0.000 | -0.000 |
| -0.000 | -0.000 | -0.000 | 0.000 | 71.465 | 0.000 |
| 0.638 | -0.304 | -0.392 | 0.000 | 0.000 | 36.728 |
| 206.090 | 22.979 | 37.455 | 0.000 | 0.000 | -0.000 |
| 22.979 | 206.590 | 36.469 | 0.000 | 0.000 | -0.000 |
| 51.446 | 59.606 | 123.342 | -0.000 | 0.000 | 0.000 |
| 0.000 | 0.000 | 0.000 | 57.256 | 0.000 | -0.000 |
| -0.000 | -0.000 | -0.000 | 0.000 | 71.390 | 0.000 |
| 1.315 | -0.451 | -2.007 | 0.000 | -0.000 | 35.401 |
| 206.090 | 22.979 | 37.454 | -0.000 | -0.000 | 0.000 |
| 22.979 | 206.590 | 36.469 | -0.000 | -0.000 | -0.000 |
| 48.291 | 59.024 | 123.793 | 0.000 | -0.000 | 0.000 |
| -0.000 | -0.000 | -0.000 | 57.256 | 0.000 | -0.000 |
| 0.000 | 0.000 | 0.000 | -0.000 | 71.390 | 0.000 |
| -1.315 | 0.451 | 2.007 | -0.000 | -0.000 | 35.401 |
| 150.739 | 53.098 | 50.182 | 0.000 | 0.000 | 0.000 |
| 53.728 | 157.578 | 60.910 | 0.000 | 0.000 | 0.000 |
| 50.239 | 60.161 | 125.043 | 0.000 | 0.000 | -0.000 |
| 0.154 | -0.053 | -0.235 | 29.993 | 0.000 | 0.000 |
| 0.000 | 0.000 | 0.000 | 0.000 | 71.390 | -0.000 |
| 0.000 | -0.000 | 0.000 | 0.000 | -0.000 | 57.330 |
| 150.731 | 53.044 | 50.559 | -0.000 | -0.000 | 0.000 |
| 53.429 | 157.685 | 61.357 | -0.000 | -0.000 | 0.000 |
| 49.975 | 60.296 | 125.402 | 0.000 | -0.000 | -0.000 |
| -0.154 | 0.053 | 0.235 | 29.993 | 0.000 | -0.000 |
| -0.000 | -0.000 | -0.000 | -0.000 | 71.390 | 0.000 |
| -0.000 | 0.000 | -0.000 | -0.000 | -0.000 | 57.330 |
| 148.373 | 52.308 | 48.288 | -0.000 | 0.000 | -0.000 |
| 53.594 | 157.627 | 61.111 | 0.000 | 0.000 | -0.000 |
| 50.121 | 60.223 | 125.202 | -0.000 | 0.000 | 0.000 |
| 0.012 | -0.002 | -0.035 | 26.800 | 0.000 | 0.000 |
| 0.013 | -0.005 | -0.020 | 0.000 | 38.524 | -0.000 |
| -0.003 | -0.005 | -0.012 | 0.000 | 0.000 | 34.259 |
| 149.090 | 55.142 | 47.313 | -0.000 | -0.000 | 0.000 |
| 54.429 | 157.540 | 60.068 | 0.000 | -0.000 | -0.000 |
| 47.312 | 61.180 | 123.489 | 0.000 | -0.000 | -0.000 |
| 0.014 | 0.008 | 0.000 | 26.535 | -0.000 | -0.000 |
| -0.013 | 0.005 | 0.020 | -0.000 | 38.524 | 0.000 |
| 0.003 | 0.005 | 0.012 | -0.000 | -0.000 | 34.259 |
| 125.074 | 65.439 | 52.635 | -3.603 | 6.413 | 2.134 |
| 62.485 | 111.067 | 54.862 | -7.066 | -2.774 | -0.005 |
| 43.325 | 56.055 | 129.102 | 6.279 | -22.760 | -8.875 |
| -5.537 | 2.894 | 5.887 | 28.996 | -7.649 | -1.023 |
| 23.854 | -6.017 | -22.828 | -7.647 | 55.772 | 10.892 |
| 0.205 | 1.793 | -1.082 | 2.206 | -6.921 | 20.701 |
| 125.225 | 65.939 | 52.035 | -3.353 | 6.497 | 2.777 |
| 62.556 | 111.745 | 54.115 | -7.048 | -2.734 | 0.533 |
| 43.250 | 56.784 | 128.397 | 6.042 | -22.828 | -8.226 |
| -5.152 | 3.090 | 5.662 | 29.281 | -7.489 | -0.362 |
| 24.120 | -5.606 | -23.374 | -7.537 | 55.875 | 11.404 |
| 0.457 | 2.290 | -1.724 | 2.422 | -6.857 | 21.187 |
| 124.845 | 65.217 | 52.057 | -2.888 | 6.196 | 2.540 |
| 62.657 | 110.553 | 53.726 | -7.361 | -3.478 | 0.288 |
| 42.480 | 56.372 | 127.898 | 6.859 | -22.322 | -8.031 |
| -5.183 | 1.992 | 6.900 | 28.261 | -7.413 | -1.356 |
| 24.092 | -6.556 | -22.301 | -7.380 | 55.375 | 10.837 |
| 0.491 | 2.002 | -1.077 | 1.774 | -6.985 | 20.661 |
| 124.869 | 65.280 | 52.010 | -2.876 | 6.212 | 2.590 |
| 62.676 | 110.612 | 53.676 | -7.343 | -3.464 | 0.334 |
| 42.502 | 56.433 | 127.856 | 6.875 | -22.309 | -7.987 |
| -5.161 | 2.053 | 6.851 | 28.276 | -7.399 | -1.311 |
| 24.058 | -6.357 | -22.398 | -7.497 | 55.392 | 10.703 |
| 0.510 | 2.070 | -1.129 | 1.782 | -6.970 | 20.707 |
| 124.875 | 65.108 | 52.124 | -2.856 | 6.274 | 2.617 |
| 62.672 | 110.587 | 53.758 | -7.303 | -3.439 | 0.299 |
| 42.492 | 56.452 | 127.877 | 6.893 | -22.303 | -8.024 |
| -4.646 | 1.892 | 6.761 | 28.377 | -7.432 | -1.346 |
| 24.104 | -6.445 | -22.303 | -7.482 | 55.371 | 10.799 |
| 0.450 | 1.944 | -1.055 | 1.654 | -7.008 | 20.660 |
| 124.879 | 65.112 | 52.121 | -2.855 | 6.274 | 2.621 |
| 62.674 | 110.593 | 53.754 | -7.302 | -3.438 | 0.303 |
| 42.494 | 56.458 | 127.872 | 6.895 | -22.302 | -8.020 |
| -5.225 | 2.060 | 6.890 | 28.252 | -7.482 | -1.345 |
| 24.106 | -6.439 | -22.307 | -7.481 | 55.372 | 10.804 |
| 0.452 | 1.950 | -1.059 | 1.655 | -7.007 | 20.664 |
| 428.536 | 185.931 | 455.570 | 0.000 | -0.000 | -0.000 |
| 142.952 | 305.046 | 214.163 | -0.000 | -0.000 | -0.000 |
| 226.278 | 226.278 | 888.818 | -0.000 | -0.000 | -0.000 |
| -0.000 | -0.000 | -0.001 | 59.610 | -0.000 | -0.000 |
| -0.000 | -0.000 | -0.001 | -0.000 | 59.610 | -0.000 |
| -0.000 | -0.000 | -0.001 | -0.000 | -0.000 | 81.807 |
| 305.046 | 142.952 | 214.163 | -0.000 | 0.000 | 0.000 |
| 133.042 | 306.024 | 201.210 | -0.000 | -0.000 | 0.000 |
| 469.200 | 469.200 | 1593.369 | 0.000 | 0.000 | 0.000 |
| 0.000 | 0.000 | 0.001 | 59.610 | 0.000 | 0.000 |
| 0.000 | 0.000 | 0.001 | 0.000 | 59.610 | 0.000 |
| 0.000 | 0.000 | 0.001 | 0.000 | 0.000 | 81.807 |
| 306.026 | 133.042 | 201.214 | -0.000 | -0.000 | -0.000 |
| 133.022 | 305.979 | 201.116 | -0.000 | -0.000 | -0.000 |
| 226.197 | 226.197 | 888.581 | 0.000 | 0.000 | -0.000 |
| -0.000 | -0.000 | -0.000 | 59.610 | -0.000 | 0.000 |
| -0.000 | -0.000 | -0.000 | 0.000 | 59.610 | -0.000 |
| -0.000 | 0.000 | -0.000 | -0.000 | -0.000 | 81.807 |
| 305.095 | 142.973 | 214.266 | 0.000 | 0.000 | 0.000 |
| 133.041 | 306.022 | 201.206 | 0.000 | 0.000 | -0.000 |
| 226.294 | 226.294 | 888.867 | 0.000 | 0.000 | 0.000 |
| 0.000 | 0.000 | 0.000 | 59.610 | 0.000 | -0.000 |
| 0.000 | 0.000 | 0.000 | 0.000 | 59.610 | -0.000 |
| 0.000 | -0.000 | 0.000 | 0.000 | 0.000 | 81.807 |
| 306.045 | 133.050 | 201.251 | -0.000 | -0.000 | -0.000 |
| 142.347 | 304.508 | 212.504 | -0.000 | -0.000 | -0.000 |
| 226.278 | 226.278 | 888.810 | 0.000 | -0.000 | -0.000 |
| 0.000 | -0.001 | -0.000 | 59.610 | -0.000 | -0.000 |
| -0.001 | 0.000 | -0.000 | 0.000 | 59.610 | -0.000 |
| -0.000 | 0.000 | -0.001 | -0.000 | -0.000 | 81.807 |
| 305.025 | 142.943 | 214.122 | 0.000 | 0.000 | 0.000 |
| 142.943 | 305.027 | 214.125 | 0.000 | 0.000 | 0.000 |
| 226.275 | 226.275 | 888.819 | -0.000 | -0.000 | 0.000 |
| -0.000 | 0.001 | 0.000 | 59.610 | 0.000 | 0.000 |
| 0.001 | -0.000 | 0.000 | -0.000 | 59.610 | -0.000 |
| 0.000 | -0.000 | 0.001 | 0.000 | 0.000 | 81.807 |
| -718.285 | 578.239 | 474.339 | -0.000 | -0.000 | -0.000 |
| 41.225 | 175.621 | 35.203 | 0.000 | 0.000 | -0.000 |
| -593.341 | 619.649 | 480.297 | 0.000 | -0.000 | 0.000 |
| -423.729 | 510.865 | 196.785 | 41.182 | -0.000 | -0.000 |
| -645.598 | 570.457 | 338.827 | 0.000 | 43.090 | -0.000 |
| -178.060 | 452.743 | 114.540 | 0.000 | -0.000 | 49.548 |
| 771.602 | -518.823 | -286.362 | 0.000 | -0.000 | -0.000 |
| 41.225 | 175.621 | 35.204 | -0.000 | -0.000 | 0.000 |
| 233.962 | -398.377 | 16.430 | -0.000 | 0.000 | 0.000 |
| 423.729 | -510.865 | -196.785 | 41.182 | 0.000 | 0.000 |
| 645.598 | -570.457 | -338.827 | -0.000 | 43.090 | 0.000 |
| 178.060 | -452.743 | -114.540 | -0.000 | 0.000 | 49.548 |
| 171.152 | 41.112 | 41.073 | -0.000 | -0.000 | -0.000 |
| 41.225 | 175.621 | 35.203 | 0.000 | -0.000 | -0.000 |
| 36.359 | 97.630 | 146.146 | 0.000 | -0.000 | -0.000 |
| -79.737 | 49.177 | 39.153 | 16.872 | 0.000 | -0.000 |
| -79.566 | 49.071 | 39.069 | -0.000 | 16.153 | -0.000 |
| -65.255 | 57.353 | 34.209 | 0.000 | 0.000 | 42.430 |
| 187.835 | -4.185 | 19.722 | 0.000 | 0.000 | 0.000 |
| 142.950 | 62.688 | 33.882 | -0.000 | 0.000 | 0.000 |
| 142.470 | 24.370 | 72.833 | -0.000 | -0.000 | -0.000 |
| 79.737 | -49.177 | -39.153 | 16.872 | -0.000 | -0.000 |
| 79.566 | -49.071 | -39.069 | 0.000 | 16.153 | -0.000 |
| 65.255 | -57.353 | -34.209 | 0.000 | 0.000 | 42.430 |
| 120.420 | 59.105 | 56.293 | -0.000 | -0.000 | -0.000 |
| 48.729 | 137.624 | 58.175 | -0.000 | 0.000 | -0.000 |
| 52.002 | 61.063 | 133.669 | 0.000 | 0.000 | -0.000 |
| -4.366 | 5.228 | 2.126 | 38.604 | -0.000 | 0.000 |
| -4.634 | 5.315 | 2.299 | -0.000 | 38.989 | -0.000 |
| -3.491 | 5.077 | 2.090 | 0.000 | 0.000 | 38.930 |
| 128.560 | 49.963 | 52.379 | -0.000 | 0.000 | 0.000 |
| 62.991 | 129.212 | 56.470 | 0.000 | 0.000 | 0.000 |
| 63.850 | 50.539 | 129.679 | -0.000 | -0.000 | 0.000 |
| 4.366 | -5.228 | -2.126 | 38.604 | 0.000 | 0.000 |
| 6.536 | -5.382 | -3.381 | 0.000 | 39.123 | 0.000 |
| 3.491 | -5.077 | -2.090 | -0.000 | 0.000 | 38.930 |
| 131.242 | 57.530 | 59.404 | 0.000 | 3.935 | -0.000 |
| 34.967 | 167.000 | 43.076 | -0.000 | 0.492 | -0.000 |
| 58.596 | 58.684 | 130.180 | 0.000 | 0.434 | -0.000 |
| -0.092 | -0.209 | 0.082 | 36.450 | -0.433 | 0.678 |
| 2.183 | 0.492 | 0.711 | -0.000 | 75.757 | 0.000 |
| 0.000 | -0.000 | -0.000 | 1.265 | 0.000 | 64.114 |
| 173.962 | 35.001 | 42.934 | 0.000 | 7.343 | 0.000 |
| 34.967 | 167.000 | 43.076 | 0.000 | 0.492 | 0.000 |
| 59.151 | 59.354 | 131.460 | -0.000 | 1.097 | -0.000 |
| 0.092 | 0.209 | -0.082 | 36.450 | 0.433 | 0.678 |
| 2.183 | 0.492 | 0.711 | -0.000 | 75.757 | 0.000 |
| -0.000 | 0.000 | 0.000 | 1.265 | -0.000 | 64.114 |
| 173.962 | 35.001 | 42.934 | -0.000 | 7.343 | 0.000 |
| 58.582 | 123.075 | 59.494 | 0.000 | -0.546 | -0.000 |
| 42.886 | 43.076 | 167.567 | -0.000 | 0.711 | -0.000 |
| 0.000 | 0.000 | 0.000 | 72.999 | 0.000 | 1.265 |
| 1.941 | 0.682 | 0.674 | 0.000 | 39.836 | -0.000 |
| 0.000 | 0.000 | 0.000 | 1.265 | -0.000 | 64.114 |
| 129.359 | 58.510 | 58.737 | -0.000 | 5.676 | 0.000 |
| 57.681 | 124.625 | 59.336 | -0.000 | 0.768 | 0.000 |
| 42.886 | 43.076 | 167.567 | 0.000 | 0.711 | 0.000 |
| -0.000 | -0.000 | -0.000 | 72.999 | -0.000 | 1.265 |
| 2.183 | 0.492 | 0.711 | 0.000 | 75.757 | 0.000 |
| -0.000 | -0.000 | -0.000 | 1.265 | -0.000 | 64.114 |
| 128.987 | 58.064 | 58.399 | 0.000 | 4.469 | -0.000 |
| 57.701 | 124.545 | 59.367 | 0.000 | 0.720 | -0.000 |
| 59.231 | 59.314 | 131.159 | 0.000 | 0.658 | -0.000 |
| -0.001 | -0.002 | 0.001 | 36.482 | -0.004 | 0.679 |
| 2.265 | -0.104 | 1.010 | 0.000 | 38.348 | 0.000 |
| -0.001 | -0.002 | 0.001 | 0.698 | -0.004 | 34.789 |
| 130.864 | 57.997 | 59.502 | -0.000 | 4.346 | 0.000 |
| 57.703 | 124.548 | 59.366 | -0.000 | 0.729 | 0.000 |
| 59.232 | 59.317 | 131.159 | -0.000 | 0.666 | 0.000 |
| 0.001 | 0.002 | -0.001 | 36.482 | 0.004 | 0.679 |
| 1.950 | 0.704 | 0.666 | -0.000 | 39.828 | 0.000 |
| 0.001 | 0.002 | -0.001 | 0.698 | 0.004 | 34.789 |
| 172.832 | 34.249 | 42.832 | -0.000 | 7.593 | 0.000 |
| 120.211 | 57.524 | -180.604 | 0.000 | 5.556 | -0.000 |
| 117.429 | 35.635 | -150.839 | 0.000 | 4.776 | -0.000 |
| -328.732 | 159.834 | -213.777 | 27.596 | -234.511 | 3.018 |
| 2.076 | 0.498 | 0.746 | -0.000 | 75.145 | 0.000 |
| -328.729 | 159.832 | -213.796 | 3.116 | -234.512 | 31.081 |
| 442.502 | -94.985 | 276.280 | 0.000 | 241.255 | -0.000 |
| 167.943 | 203.056 | 348.409 | 0.000 | -157.161 | -0.000 |
| 24.955 | 106.986 | 354.966 | -0.000 | -4.055 | 0.000 |
| 328.732 | -159.834 | 213.777 | 27.596 | 234.511 | 3.018 |
| 2.076 | 0.498 | 0.746 | 0.000 | 75.145 | -0.000 |
| 328.729 | -159.832 | 213.796 | 3.116 | 234.512 | 31.081 |
| 172.832 | 34.249 | 42.832 | 0.000 | 7.593 | -0.000 |
| 57.766 | 123.472 | 57.964 | 0.000 | 0.950 | -0.000 |
| 59.933 | 59.171 | 126.114 | 0.000 | 0.554 | -0.000 |
| -1.667 | -0.036 | -3.173 | 35.227 | -0.854 | 1.153 |
| -0.564 | 0.421 | -0.986 | -0.000 | 37.161 | 0.000 |
| -1.759 | 0.060 | -3.004 | -0.558 | 0.298 | 34.392 |
| 126.836 | 58.329 | 60.533 | 0.000 | 7.423 | -0.000 |
| 60.416 | 121.850 | 60.613 | 0.000 | 0.091 | 0.000 |
| 59.364 | 59.573 | 129.155 | -0.000 | 0.502 | 0.000 |
| 1.667 | 0.036 | 3.173 | 35.227 | 0.854 | 1.153 |
| 1.396 | 0.981 | 1.880 | -0.000 | 38.323 | -0.000 |
| 1.759 | -0.060 | 3.004 | -0.558 | -0.298 | 34.392 |
| 128.269 | 57.116 | 57.116 | 0.000 | 0.000 | 0.000 |
| 57.116 | 128.269 | 57.116 | 0.000 | 0.000 | -0.000 |
| 57.116 | 57.116 | 128.269 | 0.000 | -0.000 | -0.000 |
| -0.002 | -0.002 | -0.002 | 34.109 | 0.000 | 0.000 |
| -0.002 | -0.002 | -0.002 | 0.000 | 34.109 | 0.000 |
| -0.002 | -0.002 | -0.002 | 0.000 | 0.000 | 34.109 |
| 130.406 | 56.721 | 56.721 | 0.000 | 0.000 | 0.000 |
| 56.721 | 130.406 | 56.721 | -0.000 | 0.000 | -0.000 |
| 56.721 | 56.721 | 130.406 | -0.000 | 0.000 | -0.000 |
| 0.002 | 0.002 | 0.002 | 34.109 | -0.000 | 0.000 |
| 0.002 | 0.002 | 0.002 | 0.000 | 34.109 | -0.000 |
| 0.002 | 0.002 | 0.002 | -0.000 | -0.000 | 34.109 |
| 169.458 | 38.194 | 38.194 | -0.000 | 0.000 | 0.000 |
| 38.194 | 169.458 | 38.194 | 0.000 | -0.000 | 0.000 |
| 38.194 | 38.194 | 169.458 | 0.000 | 0.000 | 0.000 |
| -0.000 | -0.000 | 0.000 | 68.079 | 0.000 | -0.000 |
| -0.000 | -0.000 | 0.000 | -0.000 | 68.079 | -0.000 |
| -0.000 | 0.000 | -0.000 | -0.000 | -0.000 | 68.079 |
| 130.406 | 56.725 | 56.725 | 0.000 | -0.000 | 0.000 |
| 56.725 | 130.406 | 56.725 | 0.000 | -0.000 | 0.000 |
| 56.725 | 56.725 | 130.406 | 0.000 | -0.000 | 0.000 |
| 0.000 | 0.000 | -0.000 | 68.079 | -0.000 | -0.000 |
| 0.000 | 0.000 | -0.000 | 0.000 | 68.079 | -0.000 |
| 0.000 | -0.000 | 0.000 | -0.000 | -0.000 | 68.079 |
| 130.406 | 56.726 | 56.726 | 0.000 | 0.000 | 0.000 |
| 56.726 | 130.406 | 56.726 | 0.000 | -0.000 | 0.000 |
| 56.726 | 56.726 | 130.406 | 0.000 | 0.000 | -0.000 |
| 0.000 | 0.000 | 0.000 | 68.079 | 0.000 | -0.000 |
| 0.000 | 0.000 | 0.000 | -0.000 | 68.079 | 0.000 |
| 0.000 | 0.000 | 0.000 | -0.000 | 0.000 | 68.079 |
| 130.402 | 56.727 | 56.727 | 0.000 | 0.000 | 0.000 |
| 56.727 | 130.402 | 56.727 | 0.000 | 0.000 | 0.000 |
| 56.727 | 56.727 | 130.402 | 0.000 | -0.000 | -0.000 |
| -0.000 | -0.000 | -0.000 | 68.079 | -0.000 | -0.000 |
| -0.000 | -0.000 | -0.000 | 0.000 | 68.079 | -0.000 |
| -0.000 | -0.000 | -0.000 | 0.000 | -0.000 | 68.079 |
| 214.673 | 150.385 | 150.385 | 0.000 | -0.000 | 0.000 |
| 150.385 | 214.673 | 150.385 | 0.000 | -0.000 | 0.000 |
| 150.385 | 150.385 | 214.673 | 0.000 | 0.000 | 0.000 |
| 92.068 | 92.068 | 92.068 | 26.034 | -0.000 | -0.000 |
| 92.068 | 92.068 | 92.068 | 0.000 | 26.034 | -0.000 |
| 92.068 | 92.068 | 92.068 | -0.000 | -0.000 | 26.034 |
| 30.559 | -33.799 | -33.799 | -0.000 | -0.000 | -0.000 |
| -33.799 | 30.559 | -33.799 | -0.000 | -0.000 | -0.000 |
| -33.799 | -33.799 | 30.559 | -0.000 | -0.000 | -0.000 |
| -92.068 | -92.068 | -92.068 | 26.034 | 0.000 | 0.000 |
| -92.068 | -92.068 | -92.068 | -0.000 | 26.034 | -0.000 |
| -92.068 | -92.068 | -92.068 | -0.000 | -0.000 | 26.034 |
| 128.369 | 63.304 | 63.304 | 0.000 | 0.000 | -0.000 |
| 63.304 | 128.369 | 63.304 | 0.000 | -0.000 | 0.000 |
| 63.304 | 63.304 | 128.369 | 0.000 | -0.000 | -0.000 |
| 8.847 | 8.847 | 8.847 | 27.558 | 0.000 | 0.000 |
| 8.847 | 8.847 | 8.847 | 0.000 | 27.558 | 0.000 |
| 8.847 | 8.847 | 8.847 | -0.000 | 0.000 | 27.558 |
| 118.201 | 54.738 | 54.738 | -0.000 | 0.000 | 0.000 |
| 54.738 | 118.201 | 54.738 | -0.000 | 0.000 | 0.000 |
| 54.738 | 54.738 | 118.201 | -0.000 | -0.000 | 0.000 |
| -8.847 | -8.847 | -8.847 | 27.558 | -0.000 | -0.000 |
| -8.847 | -8.847 | -8.847 | -0.000 | 27.558 | 0.000 |
| -8.847 | -8.847 | -8.847 | -0.000 | 0.000 | 27.558 |
| 168.408 | 37.702 | 37.702 | -0.000 | -0.000 | -0.000 |
| 37.702 | 168.408 | 37.702 | 0.000 | -0.000 | -0.000 |
| 37.702 | 37.702 | 168.408 | -0.000 | -0.000 | -0.000 |
| 0.417 | 0.416 | 0.417 | 35.261 | 0.000 | -0.000 |
| 0.416 | 0.417 | 0.417 | 0.000 | 35.261 | -0.000 |
| 0.416 | 0.417 | 0.417 | 0.000 | -0.000 | 35.261 |
| 128.817 | 55.896 | 55.896 | -0.000 | -0.000 | 0.000 |
| 55.896 | 128.817 | 55.896 | -0.000 | 0.000 | 0.000 |
| 55.896 | 55.896 | 128.817 | -0.000 | 0.000 | 0.000 |
| -0.417 | -0.416 | -0.417 | 35.261 | 0.000 | 0.000 |
| -0.416 | -0.417 | -0.417 | -0.000 | 35.261 | 0.000 |
| -0.416 | -0.417 | -0.417 | -0.000 | 0.000 | 35.261 |
| 176.669 | 35.227 | 35.227 | -0.000 | -0.000 | -0.000 |
| 35.227 | 176.669 | 35.227 | -0.000 | -0.000 | 0.000 |
| 35.227 | 35.227 | 176.669 | -0.000 | 0.000 | -0.000 |
| 0.004 | 0.004 | 0.004 | 34.485 | -0.000 | -0.000 |
| 0.004 | 0.004 | 0.004 | 0.000 | 34.485 | -0.000 |
| 0.004 | 0.004 | 0.004 | -0.000 | -0.000 | 34.485 |
| 176.669 | 35.227 | 35.227 | 0.000 | 0.000 | 0.000 |
| 35.227 | 176.669 | 35.227 | 0.000 | 0.000 | 0.000 |
| 35.227 | 35.227 | 176.669 | 0.000 | 0.000 | 0.000 |
| -0.004 | -0.004 | -0.004 | 34.485 | 0.000 | 0.000 |
| -0.004 | -0.004 | -0.004 | 0.000 | 34.485 | 0.000 |
| -0.004 | -0.004 | -0.004 | 0.000 | 0.000 | 34.485 |
| 176.669 | 35.227 | 35.227 | -0.000 | -0.000 | -0.000 |
| 35.227 | 176.669 | 35.227 | -0.000 | -0.000 | -0.000 |
| 35.227 | 35.227 | 176.669 | 0.000 | -0.000 | -0.000 |
| -0.002 | -0.002 | -0.002 | 33.888 | -0.000 | -0.000 |
| -0.002 | -0.002 | -0.002 | -0.000 | 33.888 | -0.000 |
| -0.002 | -0.002 | -0.002 | -0.000 | -0.000 | 33.888 |
| 176.669 | 35.227 | 35.227 | 0.000 | 0.000 | 0.000 |
| 35.227 | 176.669 | 35.227 | 0.000 | 0.000 | 0.000 |
| 35.227 | 35.227 | 176.669 | 0.000 | -0.000 | 0.000 |
| 0.002 | 0.002 | 0.002 | 33.888 | 0.000 | 0.000 |
| 0.002 | 0.002 | 0.002 | 0.000 | 33.888 | 0.000 |
| 0.002 | 0.002 | 0.002 | 0.000 | 0.000 | 33.888 |
| 127.921 | 57.500 | 57.500 | -0.000 | 0.000 | -0.000 |
| 57.500 | 127.921 | 57.500 | -0.000 | 0.000 | -0.000 |
| 57.500 | 57.500 | 127.921 | -0.000 | -0.000 | -0.000 |
| 0.000 | -0.000 | 0.000 | 34.645 | 0.000 | -0.000 |
| -0.000 | 0.000 | -0.000 | 0.000 | 34.645 | -0.000 |
| -0.000 | 0.000 | 0.000 | -0.000 | -0.000 | 34.645 |
| 127.909 | 57.506 | 57.506 | 0.000 | 0.000 | 0.000 |
| 57.506 | 127.909 | 57.506 | 0.000 | -0.000 | 0.000 |
| 57.506 | 57.506 | 127.909 | 0.000 | -0.000 | 0.000 |
| -0.000 | 0.000 | -0.000 | 34.645 | -0.000 | 0.000 |
| 0.000 | -0.000 | 0.000 | 0.000 | 34.645 | 0.000 |
| 0.000 | -0.000 | -0.000 | 0.000 | 0.000 | 34.645 |
| 122.594 | 46.106 | 44.355 | -1.615 | 3.107 | -1.084 |
| 52.276 | 78.382 | 49.697 | -0.969 | 1.865 | -0.651 |
| 34.687 | 34.687 | 175.384 | -0.000 | -0.000 | 0.000 |
| 0.000 | 0.000 | 0.000 | 64.820 | -0.000 | 0.000 |
| 0.000 | 0.000 | 0.000 | -0.000 | 64.820 | 0.000 |
| -17.417 | -18.956 | -20.012 | -0.975 | 1.876 | 13.446 |
| 140.256 | 65.080 | 67.015 | 1.791 | -3.444 | 1.202 |
| 66.346 | 133.439 | 73.248 | 2.599 | -4.999 | 1.744 |
| 66.363 | 70.457 | 136.229 | 2.600 | -5.002 | 1.745 |
| 0.000 | 0.000 | -0.000 | 64.820 | 0.000 | -0.000 |
| 6.901 | 10.990 | 13.799 | 2.597 | 25.930 | 1.743 |
| 6.910 | 11.004 | 13.817 | 2.600 | -5.003 | 32.628 |
| 126.146 | 53.550 | 53.350 | -0.185 | 0.356 | -0.124 |
| 53.835 | 125.864 | 53.345 | -0.185 | 0.355 | -0.124 |
| 57.316 | 56.931 | 124.299 | -0.244 | 0.470 | -0.164 |
| 0.000 | 0.000 | 0.000 | 64.820 | -0.000 | -0.000 |
| -0.981 | -1.267 | -1.463 | -0.181 | 34.758 | -0.122 |
| -0.659 | -1.050 | -1.319 | -0.248 | 0.477 | 32.267 |
| 127.724 | 56.319 | 56.516 | 0.182 | -0.349 | 0.122 |
| 56.036 | 128.003 | 56.520 | 0.182 | -0.350 | 0.122 |
| 56.039 | 56.326 | 128.195 | 0.182 | -0.351 | 0.122 |
| 0.662 | 1.055 | 1.325 | 32.531 | -0.480 | 0.167 |
| -0.000 | -0.000 | -0.000 | 0.000 | 64.820 | -0.000 |
| 0.662 | 1.054 | 1.323 | 0.249 | -0.479 | 32.479 |
| 126.137 | 55.960 | 55.942 | -0.017 | 0.032 | -0.011 |
| 55.791 | 126.159 | 55.748 | -0.016 | 0.031 | -0.011 |
| 55.986 | 55.960 | 126.093 | -0.017 | 0.032 | -0.011 |
| -0.086 | -0.109 | -0.125 | 33.704 | 0.028 | -0.010 |
| -0.093 | -0.119 | -0.137 | -0.016 | 33.626 | -0.011 |
| -0.093 | -0.119 | -0.137 | -0.016 | 0.032 | 33.582 |
| 127.019 | 56.885 | 56.900 | 0.014 | -0.026 | 0.009 |
| 56.858 | 127.048 | 56.894 | 0.014 | -0.026 | 0.009 |
| 56.675 | 56.711 | 128.610 | 0.023 | -0.044 | 0.015 |
| 0.086 | 0.109 | 0.125 | 33.741 | -0.028 | 0.010 |
| 0.061 | 0.098 | 0.123 | 0.023 | 34.608 | 0.016 |
| 0.091 | 0.119 | 0.139 | 0.018 | -0.034 | 33.614 |
| 164.621 | 36.357 | 38.968 | 3.773 | 0.000 | 0.000 |
| 36.357 | 164.621 | 38.968 | -3.773 | 0.000 | 0.000 |
| 49.723 | 49.723 | 133.274 | -0.000 | -0.000 | -0.000 |
| 3.773 | -3.773 | -0.000 | 67.742 | 0.000 | -0.000 |
| -0.000 | -0.000 | -0.000 | -0.000 | 67.742 | 3.773 |
| -0.000 | -0.000 | -0.000 | 0.000 | 3.773 | 64.132 |
| 128.376 | 65.056 | 44.850 | 2.127 | -0.000 | 0.000 |
| 36.357 | 164.621 | 38.968 | -3.773 | -0.000 | -0.000 |
| 38.968 | 38.968 | 163.969 | 0.000 | 0.000 | -0.000 |
| 6.559 | 5.994 | -13.315 | 33.894 | -0.000 | 0.000 |
| 0.000 | 0.000 | 0.000 | 0.000 | 67.742 | 3.773 |
| 0.000 | 0.000 | 0.000 | -0.000 | 3.773 | 64.132 |
| 121.794 | 56.626 | 58.243 | 0.671 | 0.000 | -0.000 |
| 56.626 | 121.794 | 58.243 | -0.671 | 0.000 | -0.000 |
| 56.385 | 56.385 | 124.411 | -0.000 | 0.000 | -0.000 |
| 1.680 | -2.801 | 1.060 | 34.430 | 0.000 | -0.000 |
| -0.000 | 0.000 | 0.000 | 0.000 | 67.742 | 3.773 |
| -0.551 | -0.551 | 1.042 | -0.000 | 2.267 | 34.413 |
| 122.830 | 58.011 | 55.701 | 0.624 | -0.000 | 0.000 |
| 58.032 | 125.836 | 53.982 | -2.241 | -0.000 | 0.000 |
| 57.102 | 57.102 | 116.716 | 0.000 | -0.000 | 0.000 |
| 2.801 | -1.680 | -1.060 | 34.430 | 0.000 | 0.000 |
| 0.000 | -0.000 | -0.000 | -0.000 | 67.742 | 3.773 |
| 0.551 | 0.551 | -1.042 | 0.000 | 2.267 | 34.413 |
| 125.198 | 57.428 | 55.157 | 2.240 | 0.000 | -0.000 |
| 57.251 | 122.258 | 57.104 | -0.653 | 0.000 | -0.000 |
| 56.955 | 56.955 | 123.333 | -0.000 | -0.000 | -0.000 |
| 0.448 | -0.575 | 0.132 | 33.226 | 0.000 | -0.000 |
| -0.056 | -0.056 | 0.106 | -0.000 | 34.472 | 2.242 |
| -0.064 | -0.064 | 0.132 | -0.000 | 0.759 | 32.488 |
| 125.323 | 57.533 | 54.939 | 2.241 | -0.000 | 0.000 |
| 36.356 | 164.621 | 38.968 | -3.773 | -0.000 | 0.000 |
| 56.529 | 56.529 | 118.025 | 0.000 | -0.000 | 0.000 |
| 3.773 | -3.773 | -0.000 | 67.742 | -0.000 | 0.000 |
| 0.056 | 0.056 | -0.106 | 0.000 | 34.472 | 2.242 |
| 0.064 | 0.064 | -0.132 | 0.000 | 0.759 | 32.488 |
| 164.053 | 36.006 | 38.789 | 3.766 | 0.000 | -0.000 |
| 36.006 | 164.052 | 38.789 | -3.766 | 0.000 | -0.000 |
| 38.696 | 38.696 | 163.236 | -0.000 | 0.000 | -0.000 |
| 3.766 | -3.766 | 0.000 | 67.529 | 0.000 | -0.000 |
| -0.000 | 0.000 | 0.000 | -0.000 | 67.529 | 3.766 |
| 1.176 | 1.176 | -17.573 | -0.000 | -1.524 | 22.762 |
| 148.141 | 73.436 | 19.673 | -4.470 | -0.000 | 0.000 |
| 36.006 | 164.052 | 38.789 | -3.766 | -0.000 | 0.000 |
| 38.696 | 38.696 | 163.236 | 0.000 | -0.000 | 0.000 |
| 23.906 | 33.039 | -44.720 | 41.016 | -0.000 | 0.000 |
| 0.000 | -0.000 | -0.000 | 0.000 | 67.529 | 3.766 |
| -1.176 | -1.176 | 17.573 | 0.000 | -1.524 | 22.762 |
| 164.053 | 36.006 | 38.789 | 3.766 | 0.000 | 0.000 |
| 36.006 | 164.053 | 38.789 | -3.766 | 0.000 | -0.000 |
| 57.884 | 57.884 | 121.077 | -0.000 | 0.000 | -0.000 |
| 3.766 | -3.766 | 0.000 | 67.529 | 0.000 | -0.000 |
| 1.223 | 1.223 | -1.474 | -0.000 | 32.153 | 2.130 |
| -0.016 | -0.016 | 0.396 | 0.000 | -0.613 | 30.146 |
| 164.052 | 36.006 | 38.789 | 3.766 | -0.000 | 0.000 |
| 59.752 | 118.741 | 52.745 | 1.084 | -0.000 | 0.000 |
| 38.696 | 38.696 | 163.236 | 0.000 | -0.000 | 0.000 |
| 3.766 | -3.766 | -0.000 | 67.529 | -0.000 | 0.000 |
| -1.223 | -1.223 | 1.474 | 0.000 | 32.153 | 2.130 |
| 0.016 | 0.016 | -0.396 | -0.000 | -0.613 | 30.146 |
| 121.080 | 55.904 | 53.599 | 0.784 | 0.000 | -0.000 |
| 56.912 | 122.079 | 56.622 | -0.629 | 0.000 | -0.000 |
| 54.699 | 54.699 | 113.629 | -0.000 | 0.000 | -0.000 |
| -0.804 | 0.840 | -0.086 | 32.079 | 0.000 | -0.000 |
| 0.115 | 0.115 | -0.138 | -0.000 | 34.371 | 2.232 |
| 0.050 | 0.050 | -0.040 | -0.000 | 0.735 | 32.568 |
| 122.000 | 56.826 | 56.678 | 0.637 | -0.000 | 0.000 |
| 56.822 | 122.009 | 56.674 | -0.637 | -0.000 | -0.000 |
| 55.940 | 55.940 | 117.693 | 0.000 | -0.000 | 0.000 |
| 3.766 | -3.766 | -0.000 | 67.529 | -0.000 | -0.000 |
| -0.115 | -0.115 | 0.138 | 0.000 | 34.371 | 2.232 |
| -0.050 | -0.050 | 0.040 | 0.000 | 0.735 | 32.568 |
| -125.302 | -121.009 | 139.710 | 0.000 | -0.000 | 0.000 |
| -11.226 | 128.202 | -132.616 | -0.000 | 0.000 | -0.000 |
| -7.155 | -7.155 | 1.734 | -0.000 | -0.000 | 0.000 |
| 0.000 | 0.000 | 0.000 | 73.245 | -0.000 | 0.000 |
| 0.000 | 0.000 | 0.000 | -0.000 | 73.245 | 0.000 |
| -46.401 | -46.401 | -172.213 | 0.000 | -0.000 | 70.092 |
| 222.097 | 81.353 | 211.121 | 0.000 | -0.000 | -0.000 |
| 81.353 | 222.097 | 211.121 | -0.000 | -0.000 | -0.000 |
| 37.596 | 37.596 | 178.763 | 0.000 | -0.000 | -0.000 |
| 206.919 | 206.919 | -55.910 | -3.236 | 0.000 | -0.000 |
| -0.000 | -0.000 | -0.000 | 0.000 | 73.245 | 0.000 |
| 46.401 | 46.401 | 172.213 | 0.000 | -0.000 | 70.092 |
| 135.108 | 55.461 | 56.679 | -0.000 | -0.000 | 0.000 |
| 36.273 | 180.006 | 37.550 | 0.000 | 0.000 | -0.000 |
| 56.229 | 56.229 | 136.183 | -0.000 | -0.000 | 0.000 |
| -1.004 | -1.004 | 0.271 | 36.135 | 0.000 | 0.000 |
| 0.000 | 0.000 | 0.000 | 0.000 | 73.245 | -0.000 |
| -1.010 | -1.010 | 0.273 | 0.000 | 0.000 | 35.667 |
| 133.606 | 60.804 | 59.510 | 0.000 | 0.000 | -0.000 |
| 60.803 | 133.607 | 59.510 | 0.000 | 0.000 | -0.000 |
| 60.515 | 60.515 | 133.547 | 0.000 | 0.000 | 0.000 |
| 1.004 | 1.004 | -0.271 | 36.135 | 0.000 | -0.000 |
| -0.000 | -0.000 | -0.000 | -0.000 | 73.245 | -0.000 |
| 1.010 | 1.010 | -0.273 | 0.000 | -0.000 | 35.667 |
| 180.122 | 36.279 | 37.634 | -0.000 | -0.000 | 0.000 |
| 59.193 | 136.463 | 55.049 | -0.000 | 0.000 | -0.000 |
| 37.634 | 37.634 | 178.843 | 0.000 | 0.000 | 0.000 |
| -0.000 | -0.000 | -0.000 | 73.234 | -0.000 | 0.000 |
| 0.790 | 0.790 | -3.372 | -0.000 | 39.906 | -0.000 |
| 0.792 | 0.792 | -3.383 | -0.000 | 0.000 | 39.518 |
| 136.588 | 57.379 | 61.537 | 0.000 | 0.000 | 0.000 |
| 56.651 | 136.780 | 60.952 | -0.000 | -0.000 | 0.000 |
| 37.634 | 37.634 | 178.843 | 0.000 | -0.000 | 0.000 |
| 0.000 | 0.000 | 0.000 | 73.234 | -0.000 | -0.000 |
| -0.790 | -0.790 | 3.372 | -0.000 | 39.906 | 0.000 |
| -0.792 | -0.792 | 3.383 | -0.000 | -0.000 | 39.518 |
| 180.122 | 36.279 | 37.634 | -0.000 | -0.000 | -0.000 |
| 57.735 | 137.182 | 57.505 | 0.000 | -0.000 | -0.000 |
| 57.905 | 57.905 | 137.075 | -0.000 | 0.000 | 0.000 |
| 0.000 | -0.000 | 0.000 | 73.234 | -0.000 | 0.000 |
| -0.000 | 0.000 | 0.000 | -0.000 | 73.234 | -0.000 |
| 0.078 | 0.078 | -0.333 | 0.000 | 0.000 | 40.053 |
| 180.122 | 36.279 | 37.634 | 0.000 | 0.000 | 0.000 |
| 57.081 | 136.406 | 58.091 | 0.000 | 0.000 | 0.000 |
| 37.634 | 37.634 | 178.843 | 0.000 | 0.000 | -0.000 |
| -0.000 | 0.000 | -0.000 | 73.234 | 0.000 | -0.000 |
| 0.000 | 0.000 | -0.000 | 0.000 | 73.234 | 0.000 |
| -0.078 | -0.078 | 0.333 | 0.000 | 0.000 | 40.053 |
| 137.199 | 57.621 | 57.766 | 0.000 | 0.000 | -0.000 |
| 57.065 | 136.348 | 57.701 | -0.000 | 0.000 | -0.000 |
| 37.634 | 37.634 | 178.844 | -0.000 | -0.000 | 0.000 |
| -0.016 | -0.016 | -0.048 | 39.606 | -0.000 | -0.000 |
| 0.000 | 0.000 | 0.000 | -0.000 | 73.234 | 0.000 |
| 0.000 | 0.000 | -0.036 | 0.000 | -0.000 | 39.694 |
| 180.122 | 36.279 | 37.634 | 0.000 | 0.000 | 0.000 |
| 57.067 | 136.360 | 57.771 | 0.000 | 0.000 | 0.000 |
| 57.807 | 57.807 | 137.468 | -0.000 | -0.000 | -0.000 |
| 0.016 | 0.016 | 0.048 | 39.606 | -0.000 | 0.000 |
| -0.000 | -0.000 | -0.000 | 0.000 | 73.234 | -0.000 |
| -0.000 | -0.000 | 0.036 | -0.000 | -0.000 | 39.694 |
| 346.449 | 119.530 | 56.215 | -0.000 | -0.000 | -0.000 |
| 119.530 | 346.449 | 56.215 | -0.000 | -0.000 | -0.000 |
| 56.215 | 56.215 | 172.111 | -0.000 | 0.000 | -0.000 |
| 0.473 | 0.473 | -0.639 | 64.949 | 0.000 | -0.000 |
| 0.473 | 0.474 | -0.639 | -0.000 | 64.949 | -0.000 |
| 0.000 | -0.000 | 0.000 | -0.000 | -0.000 | 145.287 |
| 346.449 | 119.530 | 56.215 | 0.000 | -0.000 | -0.000 |
| 119.530 | 346.449 | 56.215 | 0.000 | 0.000 | 0.000 |
| 23.318 | 23.317 | 161.427 | 0.000 | -0.000 | 0.000 |
| -0.473 | -0.473 | 0.639 | 64.949 | -0.000 | -0.000 |
| -0.473 | -0.474 | 0.639 | 0.000 | 64.949 | 0.000 |
| -0.000 | 0.000 | -0.000 | 0.000 | 0.000 | 145.287 |
| 144.300 | 68.002 | 53.550 | 0.000 | 0.000 | -0.000 |
| 68.002 | 144.300 | 53.550 | -0.000 | 0.000 | 0.000 |
| 54.402 | 54.402 | 132.112 | -0.000 | 0.000 | -0.000 |
| 0.000 | -0.000 | 0.000 | 85.256 | 0.000 | -0.000 |
| 0.403 | 0.403 | -0.481 | -0.000 | 37.202 | 0.000 |
| 0.037 | 0.037 | -0.050 | -0.000 | 0.000 | 55.843 |
| 179.267 | 50.947 | 39.064 | -0.000 | -0.000 | 0.000 |
| 50.947 | 179.267 | 39.064 | 0.000 | -0.000 | 0.000 |
| 24.444 | 24.444 | 160.826 | 0.000 | -0.000 | -0.000 |
| -0.000 | 0.000 | -0.000 | 85.256 | 0.000 | -0.000 |
| -0.403 | -0.403 | 0.481 | 0.000 | 37.202 | 0.000 |
| -0.037 | -0.037 | 0.050 | 0.000 | -0.000 | 55.843 |
| 143.510 | 67.683 | 54.128 | -0.000 | 0.000 | -0.000 |
| 67.683 | 143.510 | 54.128 | 0.000 | 0.000 | 0.000 |
| 56.215 | 56.215 | 172.111 | -0.000 | -0.000 | -0.000 |
| 0.005 | 0.004 | -0.006 | 65.974 | 0.000 | -0.000 |
| 0.043 | 0.043 | -0.048 | -0.000 | 36.871 | -0.000 |
| 0.040 | 0.040 | -0.048 | 0.000 | 0.000 | 33.506 |
| 143.445 | 67.666 | 54.273 | -0.000 | -0.000 | 0.000 |
| 67.666 | 143.445 | 54.273 | -0.000 | -0.000 | 0.000 |
| 54.035 | 54.035 | 132.444 | 0.000 | -0.000 | 0.000 |
| -0.005 | -0.004 | 0.006 | 65.974 | -0.000 | 0.000 |
| -0.043 | -0.043 | 0.048 | 0.000 | 36.871 | 0.000 |
| -0.040 | -0.040 | 0.048 | -0.000 | -0.000 | 33.506 |
| -613.133 | -661.194 | 88.200 | -0.000 | -0.000 | 0.000 |
| -661.194 | -613.133 | 88.200 | -0.000 | -0.000 | -0.000 |
| 41.173 | 41.173 | 166.789 | -0.000 | -0.000 | -0.000 |
| -898.098 | -898.098 | -728.554 | 33.987 | -0.000 | -0.000 |
| -898.098 | -898.098 | -728.554 | -0.000 | 33.987 | -0.000 |
| -898.119 | -898.119 | -728.595 | -0.000 | -0.000 | 31.710 |
| 933.305 | 863.594 | 553.539 | 0.000 | -0.000 | -0.000 |
| 863.594 | 933.305 | 553.539 | 0.000 | 0.000 | 0.000 |
| 949.980 | 949.980 | 852.388 | 0.000 | 0.000 | 0.000 |
| 898.098 | 898.098 | 728.554 | 33.987 | 0.000 | -0.000 |
| 898.098 | 898.098 | 728.554 | 0.000 | 33.987 | 0.000 |
| 898.119 | 898.119 | 728.595 | 0.000 | -0.000 | 31.710 |
| 11.904 | -56.676 | -7.303 | -0.000 | -0.000 | 0.000 |
| -56.676 | 11.904 | -7.303 | -0.000 | -0.000 | 0.000 |
| -38.069 | -38.069 | 52.275 | -0.000 | -0.000 | -0.000 |
| -89.805 | -89.805 | -72.469 | 33.845 | 0.000 | -0.000 |
| -89.805 | -89.805 | -72.469 | -0.000 | 33.845 | -0.000 |
| -71.443 | -71.443 | 2.616 | -0.000 | -0.000 | 20.431 |
| 194.982 | 147.288 | 126.076 | 0.000 | 0.000 | 0.000 |
| 147.288 | 194.982 | 126.076 | 0.000 | -0.000 | -0.000 |
| 130.008 | 130.008 | 112.755 | 0.000 | 0.000 | 0.000 |
| 89.805 | 89.805 | 72.469 | 33.845 | -0.000 | -0.000 |
| 89.805 | 89.805 | 72.469 | 0.000 | 33.845 | 0.000 |
| 71.443 | 71.443 | -2.616 | 0.000 | 0.000 | 20.431 |
| 105.436 | 47.322 | 59.435 | -0.000 | -0.000 | -0.000 |
| 47.322 | 105.436 | 59.435 | -0.000 | -0.000 | 0.000 |
| 44.590 | 44.590 | 118.234 | -0.000 | -0.000 | 0.000 |
| -8.769 | -8.769 | -0.801 | 31.946 | 0.000 | 0.000 |
| -8.769 | -8.769 | -0.801 | -0.000 | 31.946 | -0.000 |
| -10.699 | -10.699 | -6.076 | -0.000 | 0.000 | 33.429 |
| 121.298 | 59.847 | 59.615 | 0.000 | 0.000 | 0.000 |
| 59.847 | 121.298 | 59.615 | 0.000 | 0.000 | 0.000 |
| 61.979 | 61.979 | 126.736 | 0.000 | 0.000 | 0.000 |
| 8.769 | 8.769 | 0.801 | 31.946 | 0.000 | 0.000 |
| 8.769 | 8.769 | 0.801 | 0.000 | 31.946 | -0.000 |
| 10.699 | 10.699 | 6.076 | 0.000 | 0.000 | 33.429 |
| 175.723 | 35.054 | 41.780 | 0.000 | 0.000 | -0.000 |
| 73.732 | 112.806 | 59.487 | 0.000 | 0.000 | -0.000 |
| 41.780 | 37.895 | 170.370 | 0.000 | 0.000 | -0.000 |
| 0.000 | -0.000 | 0.000 | 71.662 | -0.000 | -0.000 |
| 16.100 | -18.723 | 3.877 | 0.000 | 37.996 | 0.000 |
| 16.212 | -18.911 | 3.938 | 0.000 | 0.000 | 37.261 |
| 114.308 | 80.150 | 54.486 | -0.000 | -0.000 | -0.000 |
| 35.054 | 177.493 | 37.895 | -0.000 | -0.000 | -0.000 |
| 41.676 | 75.563 | 124.602 | -0.000 | -0.000 | -0.000 |
| -16.636 | 20.924 | -4.941 | 35.937 | -0.000 | 0.000 |
| -16.100 | 18.723 | -3.877 | -0.000 | 37.996 | 0.000 |
| -16.212 | 18.911 | -3.938 | -0.000 | -0.000 | 37.261 |
| 134.725 | 56.141 | 58.941 | 0.000 | 0.000 | -0.000 |
| 59.922 | 130.849 | 57.088 | 0.000 | 0.000 | 0.000 |
| 41.780 | 37.895 | 170.370 | 0.000 | 0.000 | 0.000 |
| 1.674 | -1.988 | 0.428 | 37.903 | 0.000 | -0.000 |
| 1.648 | -2.073 | 0.489 | 0.000 | 38.754 | 0.000 |
| 1.668 | -2.099 | 0.496 | 0.000 | 0.000 | 38.264 |
| 175.723 | 35.054 | 41.780 | -0.000 | -0.000 | 0.000 |
| 56.877 | 134.595 | 56.248 | -0.000 | -0.000 | 0.000 |
| 41.780 | 37.895 | 170.370 | -0.000 | -0.000 | -0.000 |
| -1.674 | 1.988 | -0.428 | 37.903 | -0.000 | -0.000 |
| -1.648 | 2.073 | -0.489 | -0.000 | 38.754 | 0.000 |
| -1.668 | 2.099 | -0.496 | -0.000 | -0.000 | 38.264 |
| 132.154 | 57.686 | 58.557 | 0.000 | 0.000 | -0.000 |
| 58.521 | 132.597 | 56.683 | 0.000 | -0.000 | 0.000 |
| 58.949 | 56.581 | 130.256 | 0.000 | 0.000 | 0.000 |
| 0.153 | -0.193 | 0.045 | 38.754 | 0.000 | -0.000 |
| 0.000 | 0.000 | 0.000 | 0.000 | 74.372 | -0.000 |
| 0.000 | 0.000 | 0.000 | 0.000 | 0.000 | 67.958 |
| 132.968 | 58.327 | 58.443 | -0.000 | -0.000 | -0.000 |
| 58.217 | 132.969 | 56.600 | -0.000 | -0.000 | 0.000 |
| 58.457 | 56.507 | 128.219 | -0.000 | -0.000 | -0.000 |
| -0.153 | 0.193 | -0.045 | 38.754 | -0.000 | -0.000 |
| -0.000 | -0.000 | -0.000 | -0.000 | 74.372 | -0.000 |
| -0.000 | -0.000 | -0.000 | -0.000 | 0.000 | 67.958 |
| 482.307 | -640.994 | 458.878 | 0.000 | 0.000 | -0.000 |
| 34.648 | 176.557 | 37.464 | 0.000 | 0.000 | 0.000 |
| 480.485 | -652.154 | 466.748 | 0.000 | 0.000 | 0.000 |
| 0.000 | -0.000 | -0.000 | 71.366 | -0.000 | 0.000 |
| 390.937 | -708.723 | 372.424 | 0.000 | 2.177 | 0.000 |
| 391.101 | -709.020 | 372.580 | 0.000 | 0.000 | 8.770 |
| -295.517 | 774.519 | -287.822 | -0.000 | -0.000 | 0.000 |
| 34.648 | 176.557 | 37.464 | 0.000 | -0.000 | -0.000 |
| -304.179 | 764.353 | -273.947 | -0.000 | -0.000 | -0.000 |
| -0.000 | 0.000 | 0.000 | 71.366 | -0.000 | -0.000 |
| -390.937 | 708.723 | -372.424 | -0.000 | 2.177 | -0.000 |
| -391.101 | 709.020 | -372.580 | -0.000 | -0.000 | 8.770 |
| 174.703 | 34.541 | 41.389 | -0.000 | 0.000 | 0.000 |
| 97.208 | 59.713 | 91.878 | 0.000 | 0.000 | 0.000 |
| 117.783 | 4.934 | 121.731 | 0.000 | -0.000 | 0.000 |
| 49.377 | -77.593 | -5.737 | 36.718 | 0.000 | 0.000 |
| 33.231 | -60.243 | 31.657 | -0.000 | 12.951 | 0.000 |
| 34.136 | -61.884 | 32.519 | 0.000 | 0.000 | 16.274 |
| 87.927 | 123.668 | 82.605 | -0.000 | 0.000 | -0.000 |
| 18.835 | 207.942 | 52.177 | 0.000 | -0.000 | -0.000 |
| 38.710 | 117.131 | 81.781 | -0.000 | 0.000 | -0.000 |
| -32.546 | 59.002 | -31.005 | 12.042 | 0.000 | -0.000 |
| -33.231 | 60.243 | -31.657 | -0.000 | 12.951 | -0.000 |
| -34.136 | 61.884 | -32.519 | -0.000 | -0.000 | 16.274 |
| 132.619 | 52.955 | 59.436 | 0.000 | 0.000 | 0.000 |
| 60.296 | 127.718 | 58.355 | 0.000 | 0.000 | 0.000 |
| 60.698 | 51.365 | 126.409 | -0.000 | 0.000 | 0.000 |
| 3.268 | -6.111 | -0.800 | 36.785 | 0.000 | 0.000 |
| 2.012 | -4.157 | 1.154 | 0.000 | 36.797 | 0.000 |
| 2.002 | -3.630 | 1.908 | 0.000 | 0.000 | 37.560 |
| 129.582 | 61.285 | 56.525 | -0.000 | -0.000 | -0.000 |
| 54.154 | 134.541 | 53.564 | 0.000 | -0.000 | -0.000 |
| 56.534 | 59.650 | 127.343 | -0.000 | -0.000 | -0.000 |
| -3.268 | 6.111 | 0.800 | 36.785 | -0.000 | -0.000 |
| -2.012 | 4.157 | -1.154 | -0.000 | 36.797 | -0.000 |
| -2.002 | 3.630 | -1.908 | -0.000 | -0.000 | 37.560 |
| 293.163 | 72.556 | 44.869 | -1.281 | -28.059 | -11.972 |
| 101.419 | 361.989 | 105.466 | -18.725 | -17.733 | -19.366 |
| 101.758 | 107.471 | 301.511 | 14.230 | -30.695 | -22.630 |
| 161.317 | -32.039 | -15.052 | 83.040 | -94.155 | -6.528 |
| 147.635 | -31.732 | -27.836 | 42.590 | -46.452 | -0.094 |
| 182.274 | -7.271 | 2.932 | 42.972 | -109.448 | 27.378 |
| 419.879 | 116.614 | 115.358 | 41.611 | -94.080 | -48.994 |
| 14.798 | 203.227 | 66.383 | -23.214 | 7.666 | -16.604 |
| 101.758 | 107.471 | 301.511 | 14.230 | -30.695 | -22.630 |
| -86.766 | -16.106 | 6.260 | 45.619 | 21.197 | -14.261 |
| -53.253 | -20.994 | -30.695 | -23.140 | 124.905 | 30.082 |
| -187.583 | 13.168 | -12.616 | -37.627 | 73.310 | 35.110 |
| 247.010 | 75.967 | 55.278 | 0.553 | -21.964 | -23.559 |
| 79.435 | 219.063 | 55.411 | -26.894 | -0.539 | -0.614 |
| 61.283 | 55.655 | 230.737 | -6.365 | 6.992 | 0.014 |
| 30.470 | -0.586 | 14.230 | 128.713 | -23.140 | -20.855 |
| 5.490 | -0.496 | 5.824 | 1.757 | 71.252 | 4.986 |
| -3.815 | -19.346 | -18.304 | -17.593 | 12.480 | 121.922 |
| 192.796 | 75.715 | 68.202 | 9.383 | -23.155 | -27.392 |
| 69.991 | 220.698 | 58.559 | -26.086 | 0.246 | -3.645 |
| 46.717 | 51.306 | 202.773 | 7.339 | 4.780 | -7.377 |
| -6.460 | 0.588 | 12.147 | 55.328 | -1.843 | -5.983 |
| -9.795 | -1.894 | 4.148 | -0.485 | 78.306 | 5.327 |
| -3.815 | -19.346 | -18.304 | -17.593 | 12.480 | 121.922 |
| 168.363 | 83.906 | 78.633 | 1.916 | -16.423 | -14.564 |
| 69.883 | 175.459 | 56.575 | -18.079 | 2.010 | -0.111 |
| 70.916 | 67.970 | 157.475 | -2.438 | -0.545 | -3.729 |
| 4.763 | -3.046 | 8.980 | 59.917 | -5.612 | -4.933 |
| -4.081 | -2.117 | -1.015 | -1.813 | 47.782 | 1.972 |
| 2.702 | -3.271 | -5.368 | -1.627 | -6.167 | 54.830 |
| 157.544 | 79.981 | 71.438 | 0.490 | -11.618 | -14.618 |
| 80.320 | 168.142 | 70.732 | -14.801 | -3.571 | -5.465 |
| 75.070 | 71.094 | 167.563 | 0.330 | 2.510 | -5.115 |
| 1.476 | -15.560 | -4.478 | 73.413 | 0.550 | -3.053 |
| -5.301 | -1.778 | -1.026 | -0.792 | 46.816 | 2.739 |
| 0.140 | -2.884 | -5.099 | -2.352 | -4.768 | 55.008 |
| 278.244 | 86.469 | 187.028 | 175.496 | -21.016 | -295.164 |
| 177.980 | 317.325 | 33.612 | -52.142 | -57.338 | -182.558 |
| 195.572 | 148.344 | 194.704 | -41.134 | -53.176 | -188.418 |
| 124.894 | 85.439 | -27.194 | 34.300 | -54.889 | -185.733 |
| -6.109 | -21.500 | -0.429 | -19.071 | 123.976 | 27.248 |
| 35.472 | -55.008 | 91.939 | 168.677 | -16.304 | -192.922 |
| 6.073 | 247.970 | 82.544 | 80.098 | 4.367 | 165.610 |
| 19.710 | 366.482 | 52.875 | 94.290 | 14.368 | 155.640 |
| 102.793 | 102.927 | 378.205 | -13.168 | -0.429 | -19.381 |
| -71.063 | 46.813 | -98.941 | -130.223 | 6.230 | 222.028 |
| -135.258 | -103.180 | 13.101 | 25.920 | 138.959 | 194.708 |
| 52.837 | 274.290 | 64.011 | 91.248 | -1.274 | 124.963 |
| 153.504 | 82.782 | 96.953 | -2.686 | -1.150 | -16.501 |
| 107.189 | 305.477 | 103.940 | 1.508 | -18.450 | -36.511 |
| 102.793 | 102.927 | 378.205 | -13.168 | -0.429 | -19.381 |
| 27.970 | 18.701 | -13.168 | 124.150 | -19.071 | -22.457 |
| -8.915 | -21.781 | -9.330 | -5.136 | 47.895 | -11.728 |
| -60.100 | -36.643 | -19.181 | -19.408 | 10.145 | 129.370 |
| 235.069 | 50.381 | 76.203 | 6.089 | -19.734 | -13.569 |
| 107.189 | 305.477 | 103.940 | 1.508 | -18.450 | -36.511 |
| 102.793 | 102.927 | 378.205 | -13.168 | -0.429 | -19.381 |
| -8.856 | -21.278 | -15.719 | 69.141 | 3.387 | 18.100 |
| -4.767 | -7.922 | -12.080 | -14.419 | 39.217 | 26.725 |
| 7.258 | 14.001 | 3.419 | -10.555 | -1.638 | 50.224 |
| 165.682 | 74.957 | 80.998 | -1.532 | -9.843 | -15.802 |
| 65.609 | 149.765 | 61.843 | -9.923 | -4.651 | -1.639 |
| 79.459 | 64.157 | 160.646 | -6.230 | -1.201 | -5.065 |
| 1.385 | -1.881 | -7.492 | 43.435 | -3.663 | -3.608 |
| -6.657 | -4.819 | -1.533 | -1.514 | 47.071 | 0.422 |
| -7.206 | -2.080 | -1.488 | -1.903 | -4.582 | 46.765 |
| 170.338 | 79.694 | 82.738 | 0.311 | -13.803 | -21.469 |
| 63.242 | 148.153 | 59.856 | -10.409 | -5.384 | 0.651 |
| 74.381 | 59.998 | 156.694 | -6.122 | 0.147 | -0.201 |
| -1.552 | -4.878 | -8.103 | 41.434 | -2.332 | -1.029 |
| -3.200 | -5.228 | -3.381 | -0.135 | 48.029 | 2.851 |
| -1.814 | -0.818 | -2.537 | -1.604 | -5.009 | 41.981 |
| 51.733 | -48.215 | -259.067 | -7.757 | 219.128 | 17.709 |
| 50.518 | -10.677 | -221.929 | 8.052 | 193.723 | -0.948 |
| -128.323 | -6.115 | -151.580 | 44.142 | 257.677 | -43.539 |
| -18.172 | -15.777 | -13.483 | 87.185 | 6.510 | -5.060 |
| 52.189 | -35.211 | -257.905 | -30.848 | 199.656 | 64.519 |
| -193.352 | -58.718 | -349.332 | 51.611 | 287.999 | 23.507 |
| 378.300 | 108.061 | 400.708 | -43.980 | -265.811 | 39.822 |
| 82.045 | 197.617 | 179.059 | -64.608 | -20.362 | -23.094 |
| 131.181 | 172.364 | 221.458 | -74.823 | -18.477 | -18.760 |
| 182.945 | 62.802 | 342.945 | 22.420 | -276.399 | 47.255 |
| 182.978 | -79.863 | 333.051 | -38.923 | -196.604 | -75.174 |
| 7.352 | 29.762 | -0.041 | -3.982 | 1.608 | 92.845 |
| 298.099 | 77.306 | 83.912 | -18.004 | -12.010 | 25.272 |
| 48.127 | 136.320 | 39.003 | 18.122 | 11.839 | -6.802 |
| 36.125 | 37.629 | 115.730 | 2.370 | 17.254 | -0.003 |
| -18.172 | -15.777 | -13.483 | 87.185 | 6.510 | -5.060 |
| 11.766 | 4.789 | -23.325 | -2.785 | 74.604 | 7.376 |
| -5.966 | 4.703 | -27.934 | 2.576 | 22.260 | 36.222 |
| 202.612 | 50.244 | 70.388 | 0.544 | -1.556 | -0.571 |
| 36.685 | 134.298 | 57.561 | 24.640 | 0.355 | -15.299 |
| 32.333 | 48.176 | 177.449 | 5.274 | -11.070 | -6.938 |
| 18.618 | 7.884 | 33.073 | 65.010 | -28.638 | 9.145 |
| 9.551 | 14.708 | 23.344 | 4.040 | 24.747 | 6.149 |
| 6.550 | 5.692 | 31.538 | 1.150 | -16.250 | 67.884 |
| 149.692 | 63.553 | 67.944 | 0.892 | 2.833 | 2.274 |
| 57.345 | 143.455 | 53.123 | 9.850 | 6.352 | 2.890 |
| 67.336 | 64.962 | 136.927 | -4.820 | -4.386 | 5.905 |
| -7.301 | 8.131 | -10.808 | 49.903 | 12.906 | 1.928 |
| -5.691 | 3.727 | -6.894 | -0.071 | 42.958 | -0.276 |
| -3.546 | 1.737 | -3.155 | 1.971 | 5.409 | 42.338 |
| 148.965 | 57.732 | 63.546 | 0.552 | 3.271 | 3.472 |
| 68.768 | 138.376 | 70.007 | 5.153 | -2.873 | -0.450 |
| 65.887 | 60.474 | 128.492 | 0.321 | -4.770 | 0.131 |
| 3.219 | 1.337 | 3.851 | 33.714 | -1.342 | -0.166 |
| -0.542 | 4.687 | 0.537 | -0.707 | 36.893 | -2.813 |
| 2.875 | 4.407 | 6.631 | 0.628 | -0.586 | 44.055 |
| 17.754 | 82.215 | 259.654 | -23.990 | -171.371 | 14.033 |
| -113.290 | 221.730 | 274.073 | -13.923 | -191.534 | 19.043 |
| -144.358 | 88.542 | 395.374 | -27.231 | -201.049 | 14.176 |
| -18.500 | -15.984 | -13.796 | 87.682 | 6.730 | -5.064 |
| -763.942 | 33.253 | -25.815 | 21.968 | 49.607 | -2.392 |
| -806.509 | -14.430 | -48.498 | 32.158 | 52.449 | 1.851 |
| 304.663 | 79.540 | 86.117 | -18.411 | -12.136 | 25.584 |
| 197.604 | 148.062 | -171.409 | 46.066 | 203.709 | -22.887 |
| 178.587 | 15.950 | -40.702 | 30.441 | 188.324 | -26.200 |
| 800.521 | 11.992 | 57.714 | 1.478 | -35.830 | 25.813 |
| 192.957 | -30.765 | -226.519 | 26.485 | 264.627 | -16.356 |
| 142.199 | -39.610 | -229.210 | 36.940 | 212.046 | 40.714 |
| 178.448 | 51.401 | 57.546 | 1.208 | 8.571 | -1.861 |
| 55.033 | 106.276 | 102.157 | -3.676 | -17.128 | 10.806 |
| 90.656 | 66.170 | 233.467 | -13.797 | -41.589 | 6.350 |
| -10.032 | 8.172 | 23.842 | 64.541 | -22.949 | 8.737 |
| -50.360 | 12.304 | 2.042 | 2.964 | 41.389 | 7.196 |
| -39.261 | 17.108 | 23.344 | -9.501 | 12.153 | 28.324 |
| 143.889 | 43.727 | 42.616 | 16.266 | -2.970 | 3.999 |
| 100.226 | 139.124 | 61.771 | 16.971 | -3.396 | -5.957 |
| 101.043 | 39.732 | 128.222 | 4.998 | 6.802 | -2.821 |
| 9.981 | 1.610 | -41.409 | 6.224 | 29.842 | -10.723 |
| 42.594 | 5.836 | -9.259 | -2.968 | 71.740 | 4.546 |
| 52.426 | 9.861 | -18.761 | 2.442 | 0.008 | 12.281 |
| 194.808 | 49.377 | 40.955 | 2.935 | 23.443 | -2.630 |
| 52.050 | 130.704 | 56.307 | 6.524 | 5.673 | 1.591 |
| 65.023 | 69.230 | 134.312 | -2.008 | -1.818 | -2.171 |
| -6.174 | 0.224 | 0.041 | 38.265 | 4.155 | -1.277 |
| -8.117 | 4.219 | -2.471 | -0.463 | 40.783 | -0.627 |
| -2.512 | -1.494 | 2.509 | 2.837 | 5.291 | 50.761 |
| 163.246 | 67.064 | 63.684 | 0.660 | 5.255 | 4.836 |
| 66.425 | 140.045 | 64.547 | 6.744 | 2.698 | 0.410 |
| 66.993 | 62.971 | 122.323 | 1.121 | -3.129 | 1.294 |
| 4.151 | 4.191 | -0.920 | 35.381 | 0.353 | 2.547 |
| 5.485 | 3.757 | -9.114 | -0.851 | 76.977 | -2.897 |
| 0.386 | -2.095 | -6.245 | 2.010 | 5.634 | 39.721 |
| -1173.907 | 147.151 | 293.302 | 284.561 | -322.693 | -670.646 |
| -1263.768 | 496.421 | 748.809 | 693.669 | -141.923 | -791.225 |
| -1285.168 | 115.743 | 373.677 | 284.452 | -348.230 | -692.951 |
| -1334.839 | 82.194 | 232.077 | 321.145 | -335.019 | -703.263 |
| -960.832 | 358.124 | 696.799 | 10.173 | -11.442 | -1024.132 |
| -367.865 | 1.305 | 531.448 | 295.427 | 72.053 | -671.965 |
| 1611.973 | -136.797 | -611.457 | -656.849 | 169.123 | 770.890 |
| 330.831 | -589.754 | -835.845 | -583.446 | 376.387 | 677.501 |
| 1308.263 | -282.984 | -252.131 | -824.294 | 49.905 | 781.040 |
| 1699.092 | -54.450 | 127.096 | -325.937 | 97.496 | 1474.459 |
| 957.105 | -342.478 | -755.667 | -12.137 | 31.678 | 974.657 |
| 1376.457 | -75.048 | -218.087 | -269.768 | 342.490 | 759.718 |
| 69.522 | 149.273 | 163.236 | 56.644 | -36.394 | -76.412 |
| -34.106 | 175.714 | 110.453 | 28.404 | -61.472 | -88.452 |
| -75.234 | 83.373 | 298.815 | 66.267 | -11.778 | -72.842 |
| -135.356 | 31.171 | 67.820 | 146.640 | -9.352 | -86.449 |
| -112.475 | 37.768 | 49.043 | 78.965 | 8.665 | -89.891 |
| -149.006 | -4.525 | 75.526 | 60.925 | 23.843 | 25.546 |
| 390.053 | 52.935 | -1.279 | -62.986 | 46.656 | 82.224 |
| 270.375 | 136.935 | 80.759 | -36.914 | 0.122 | 120.245 |
| 194.027 | 24.292 | 104.217 | -88.673 | 8.311 | 72.004 |
| 135.706 | -8.958 | -68.455 | 21.297 | 17.365 | 66.706 |
| 23.839 | -72.836 | -86.885 | -64.140 | 41.894 | 70.405 |
| 123.331 | -46.690 | -62.729 | -72.574 | 49.808 | 176.374 |
| 153.907 | 74.833 | 76.651 | 6.663 | 6.670 | -13.203 |
| 66.900 | 169.863 | 68.771 | 17.610 | -5.292 | -17.471 |
| 69.534 | 76.540 | 177.062 | 14.666 | 4.378 | -7.860 |
| -2.950 | 10.570 | 8.671 | 45.650 | -3.527 | -10.553 |
| -12.012 | -2.499 | 7.212 | 3.021 | 36.999 | -8.208 |
| -17.084 | -13.727 | 4.088 | 5.410 | 14.783 | 58.438 |
| 174.777 | 82.018 | 72.456 | 1.876 | 10.654 | 12.464 |
| 84.579 | 168.515 | 59.788 | 7.137 | -1.992 | 0.639 |
| 87.397 | 67.703 | 171.246 | -2.950 | 5.515 | 9.328 |
| 19.934 | 8.238 | 6.896 | 41.068 | -1.303 | 9.403 |
| -0.364 | -5.290 | -8.810 | -2.227 | 39.091 | 7.711 |
| 0.138 | -14.290 | 0.327 | -4.410 | 17.608 | 61.399 |
| 479.750 | 152.886 | 138.082 | -4.177 | 79.400 | -14.729 |
| 146.586 | 495.867 | 160.343 | 56.010 | 12.011 | 12.922 |
| 48.102 | 54.606 | 206.191 | 4.433 | 9.231 | 2.336 |
| -6.141 | 12.623 | 44.934 | 165.650 | 1.126 | 11.459 |
| 21.819 | 0.958 | -4.306 | 1.299 | 88.163 | -2.022 |
| -7.360 | -13.288 | 3.667 | 11.377 | 20.661 | 91.181 |
| 230.355 | 77.205 | 74.574 | -1.136 | 29.496 | -8.759 |
| 77.382 | 218.109 | 78.406 | 27.050 | -0.512 | 0.560 |
| 83.362 | 90.981 | 241.255 | 6.131 | 0.141 | 8.311 |
| -4.230 | 19.534 | 5.870 | 96.091 | 2.271 | 12.199 |
| 28.442 | 14.643 | 4.089 | 2.831 | 88.291 | -1.054 |
| 0.082 | 1.193 | 12.814 | 13.033 | 20.636 | 91.283 |
| 238.506 | 79.206 | 53.618 | -11.044 | 32.879 | -0.939 |
| 146.586 | 495.867 | 160.343 | 56.010 | 12.011 | 12.922 |
| 51.496 | 61.231 | 209.300 | 5.112 | 9.415 | 2.597 |
| -11.450 | -4.792 | 5.901 | 74.720 | 4.263 | -3.082 |
| 4.773 | -3.187 | -3.391 | 1.387 | 61.424 | -3.543 |
| -26.472 | 12.989 | 0.220 | 11.754 | 33.562 | 160.973 |
| 479.750 | 152.886 | 138.082 | -4.177 | 79.400 | -14.729 |
| 146.585 | 495.867 | 160.343 | 56.010 | 12.011 | 12.922 |
| 80.144 | 84.490 | 236.947 | 5.317 | 0.096 | 7.880 |
| -10.446 | -3.075 | 6.966 | 74.870 | 4.279 | -3.048 |
| 25.464 | 8.485 | 0.310 | 2.141 | 88.245 | -1.490 |
| -4.622 | 12.061 | 5.167 | 0.874 | 22.609 | 75.414 |
| 201.719 | 77.375 | 71.975 | -2.045 | 21.969 | -8.270 |
| 75.293 | 194.263 | 75.603 | 16.389 | 0.023 | 0.580 |
| 66.129 | 74.895 | 179.341 | 2.980 | 0.848 | -1.261 |
| -5.450 | 4.736 | 7.256 | 56.298 | 2.410 | 2.076 |
| 7.916 | 0.769 | 2.185 | -0.265 | 51.878 | 0.255 |
| -16.693 | -4.831 | 0.461 | 2.805 | 15.012 | 57.750 |
| 197.146 | 80.730 | 68.301 | -4.012 | 21.177 | -4.326 |
| 81.697 | 186.890 | 76.644 | 14.432 | -1.480 | 1.290 |
| 72.182 | 80.048 | 170.109 | 5.078 | 5.998 | -0.237 |
| -5.397 | 4.743 | 7.463 | 56.193 | 2.438 | 1.940 |
| 1.755 | -1.366 | -0.335 | 1.030 | 54.857 | -1.458 |
| -16.593 | -4.639 | 0.587 | 2.833 | 15.038 | 57.779 |
| -16.031 | -122.015 | 41.876 | 8.632 | -25.276 | -90.856 |
| -78.491 | 18.207 | 26.573 | -16.313 | -13.268 | -128.890 |
| -52.457 | -84.921 | -68.256 | 53.925 | -75.291 | -67.849 |
| -233.520 | -254.086 | -50.336 | 82.200 | -46.639 | -74.528 |
| -127.571 | -221.121 | -20.125 | 65.852 | 36.603 | -112.006 |
| -2.032 | -6.209 | -3.679 | 4.434 | -37.520 | 117.936 |
| 255.435 | 254.306 | 129.641 | -48.838 | 1.595 | 89.726 |
| 164.857 | 172.142 | -8.043 | -9.663 | -5.381 | 109.306 |
| 150.185 | 220.613 | 289.649 | -60.903 | -19.321 | 111.450 |
| 166.527 | 203.657 | 146.049 | -23.065 | 2.920 | 106.517 |
| 94.092 | 164.460 | 69.013 | -50.623 | 40.043 | 104.595 |
| 115.467 | 189.580 | 44.248 | -17.234 | 18.444 | 91.428 |
| 116.552 | 59.649 | 64.736 | 4.458 | -8.642 | -16.887 |
| 60.226 | 163.377 | 66.314 | -16.295 | 0.661 | -12.315 |
| 47.561 | 42.582 | 132.960 | 2.378 | 3.688 | -8.647 |
| -19.421 | -20.282 | -11.153 | 39.610 | 1.008 | -7.761 |
| -13.769 | -20.513 | 1.849 | 2.595 | 30.175 | -9.183 |
| -9.531 | -26.606 | -7.762 | 4.384 | -7.050 | 22.227 |
| 142.520 | 92.608 | 78.538 | -3.841 | -3.613 | -5.582 |
| 81.495 | 147.686 | 78.190 | -18.170 | 6.320 | -5.393 |
| 93.856 | 105.211 | 156.423 | -15.073 | 2.065 | 7.885 |
| 13.078 | 21.908 | 8.894 | 25.701 | 3.696 | 5.902 |
| 9.659 | 5.384 | 28.085 | 3.688 | 88.408 | -13.922 |
| 17.880 | 27.619 | 19.537 | -9.496 | -2.358 | 42.328 |
| 134.430 | 64.413 | 65.657 | -1.204 | -6.462 | -13.822 |
| 60.528 | 135.791 | 63.784 | -13.293 | 0.763 | -5.150 |
| 61.803 | 62.310 | 143.062 | -3.899 | 1.933 | 1.945 |
| -2.658 | -5.119 | -4.089 | 36.540 | 1.086 | -1.282 |
| -0.988 | 0.317 | 1.048 | 1.644 | 33.838 | -1.674 |
| -3.875 | -8.512 | 1.800 | -0.128 | -10.197 | 38.374 |
| 136.001 | 65.589 | 63.914 | -0.600 | -7.471 | -11.194 |
| 62.744 | 138.159 | 63.989 | -13.349 | 0.733 | -2.863 |
| 65.039 | 64.174 | 144.857 | -3.162 | 2.664 | 3.203 |
| 0.509 | -0.172 | -2.011 | 35.160 | 1.360 | -0.061 |
| 2.168 | 2.276 | 3.190 | 1.138 | 33.621 | -0.555 |
| -0.946 | -4.399 | 4.047 | -0.612 | -9.104 | 39.188 |
| 248.278 | 82.005 | 46.706 | -2.530 | -22.537 | -23.971 |
| 90.953 | 50.720 | -2.162 | 52.357 | -16.976 | 39.531 |
| 42.427 | -25.050 | 100.670 | 28.214 | -21.384 | 28.910 |
| -1.390 | -13.645 | -12.233 | 83.521 | 0.863 | 3.543 |
| -3.966 | 3.696 | 25.070 | 0.863 | 77.514 | -0.599 |
| -23.901 | -92.995 | -36.621 | 35.555 | -31.159 | 85.901 |
| 200.383 | 143.809 | 87.050 | -38.034 | 4.793 | -51.042 |
| 59.976 | 260.379 | 135.737 | -70.594 | 21.675 | -40.022 |
| 56.707 | 116.930 | 232.650 | -32.425 | 13.392 | -17.178 |
| 17.836 | 83.462 | 34.206 | 29.882 | 20.945 | -20.038 |
| 15.285 | 86.929 | 35.877 | -32.636 | 73.335 | -22.332 |
| 4.485 | 0.370 | -5.988 | 3.306 | -21.919 | 104.897 |
| 147.545 | 54.528 | 57.362 | 8.370 | -13.024 | -2.642 |
| 47.721 | 156.902 | 48.950 | -11.952 | 0.882 | -10.374 |
| 41.024 | 34.737 | 200.643 | 2.384 | -1.964 | 5.924 |
| 1.048 | -10.928 | -9.969 | 44.459 | -0.065 | 3.449 |
| -4.861 | -11.343 | -6.829 | 9.153 | 55.756 | 4.783 |
| 4.485 | 0.370 | -5.988 | 3.306 | -21.919 | 104.897 |
| 140.636 | 76.527 | 71.007 | -5.443 | -8.734 | -15.287 |
| 59.404 | 200.433 | 47.837 | -12.230 | -2.018 | -4.025 |
| 55.191 | 72.929 | 175.357 | -14.200 | 0.980 | -1.420 |
| -1.390 | -13.645 | -12.233 | 83.521 | 0.863 | 3.543 |
| -3.966 | 3.696 | 25.070 | 0.863 | 77.514 | -0.599 |
| 4.485 | 0.370 | -5.988 | 3.306 | -21.919 | 104.897 |
| 144.245 | 62.773 | 63.015 | 3.055 | -11.445 | -7.500 |
| 60.785 | 132.129 | 60.475 | -7.816 | 1.854 | -3.818 |
| 65.261 | 56.877 | 152.913 | 0.678 | 2.291 | 3.614 |
| 0.604 | -3.503 | -5.285 | 43.955 | 0.189 | 4.684 |
| -0.886 | -1.933 | 3.901 | 3.011 | 36.637 | -0.345 |
| 0.614 | -5.377 | 0.503 | 0.714 | -8.854 | 38.553 |
| 140.152 | 69.926 | 67.177 | -1.105 | -9.274 | -14.286 |
| 66.310 | 138.474 | 66.200 | -8.660 | 0.244 | -7.650 |
| 58.078 | 55.934 | 140.943 | -1.044 | 2.445 | -0.593 |
| 1.593 | 2.956 | 2.112 | 36.429 | 2.099 | 0.106 |
| -1.464 | 1.867 | 3.526 | 0.597 | 36.191 | -0.039 |
| 4.484 | 2.897 | 2.199 | -1.882 | -11.000 | 42.237 |
| 170.358 | 94.615 | 249.191 | 64.520 | 245.152 | -25.409 |
| -35.825 | 20.562 | 232.119 | 81.583 | 32.579 | -155.045 |
| 150.284 | 87.900 | 305.815 | 79.077 | 231.486 | -23.854 |
| 51.446 | -120.043 | 212.492 | 25.805 | 105.088 | -53.964 |
| 4.362 | -25.820 | 241.791 | 70.519 | 163.113 | 43.351 |
| -6.906 | 7.885 | 10.069 | -5.691 | -12.791 | 103.495 |
| -111.064 | -57.975 | -220.908 | -51.350 | -206.456 | -23.338 |
| 82.575 | 194.819 | -88.657 | -84.952 | -148.022 | -47.501 |
| 58.757 | 74.196 | -36.366 | -69.501 | -83.631 | -40.813 |
| -57.009 | -12.721 | -200.448 | -90.601 | -244.463 | -0.514 |
| -26.281 | 147.784 | -213.448 | -42.130 | -124.055 | 56.068 |
| -71.895 | -78.081 | -177.298 | -80.627 | -280.384 | 63.258 |
| 128.902 | 59.216 | 69.306 | 5.486 | 11.298 | -14.516 |
| 56.811 | 212.675 | 79.617 | -5.831 | 9.893 | 9.263 |
| 48.146 | 44.193 | 198.457 | 9.982 | 5.084 | -7.707 |
| 8.903 | 0.059 | 29.423 | 41.008 | 16.219 | -0.831 |
| 5.376 | 6.165 | 13.324 | 5.505 | 62.578 | -3.697 |
| 5.173 | 6.153 | 22.162 | 6.662 | 11.573 | 31.565 |
| 123.164 | 48.999 | 42.217 | -7.611 | -33.081 | -2.398 |
| 45.879 | 120.458 | 34.024 | -15.132 | -27.195 | 1.530 |
| 51.505 | 44.371 | 117.008 | -10.365 | -30.663 | 3.395 |
| -10.778 | -10.372 | -19.811 | 23.214 | -25.072 | 4.268 |
| -4.747 | -9.818 | -25.934 | -3.425 | 20.048 | 6.972 |
| -5.345 | 6.952 | -24.217 | -10.001 | -21.134 | 70.897 |
| 131.668 | 56.643 | 60.170 | -0.124 | -5.102 | -9.925 |
| 56.978 | 132.161 | 57.575 | -8.218 | 0.716 | -2.662 |
| 57.689 | 54.833 | 135.207 | -2.742 | 0.161 | -1.049 |
| -0.609 | -3.222 | -1.651 | 31.903 | 0.977 | -2.067 |
| -2.022 | -1.377 | 0.085 | -0.107 | 36.329 | -0.284 |
| -2.705 | -3.982 | 2.734 | -0.816 | -4.129 | 35.563 |
| 129.938 | 56.091 | 56.895 | -1.549 | -9.537 | -9.149 |
| 56.821 | 131.200 | 53.211 | -9.858 | -2.999 | -2.479 |
| 57.573 | 54.359 | 130.019 | -4.347 | -4.188 | 0.072 |
| 2.610 | -1.231 | -3.172 | 33.792 | -1.512 | -0.372 |
| -3.046 | -2.000 | -3.618 | -1.503 | 31.097 | 0.361 |
| -6.616 | -3.061 | -1.549 | -1.883 | -8.502 | 34.462 |
| 332.108 | 123.380 | 0.622 | 0.000 | 0.000 | 0.000 |
| 123.380 | 332.108 | 0.622 | -0.000 | -0.000 | 0.000 |
| 0.622 | 0.622 | 332.549 | 0.000 | 0.000 | 0.000 |
| -0.000 | -0.000 | -0.000 | 23.684 | 0.000 | 0.000 |
| -0.000 | -0.000 | -0.000 | -0.000 | 23.684 | -0.000 |
| 0.000 | 0.000 | -0.000 | 0.000 | 0.000 | 104.364 |
| 332.108 | 123.380 | 0.622 | 0.000 | 0.000 | -0.000 |
| 123.380 | 332.108 | 0.622 | -0.000 | -0.000 | -0.000 |
| 0.622 | 0.622 | 332.549 | -0.000 | -0.000 | -0.000 |
| 0.000 | 0.000 | 0.000 | 23.684 | 0.000 | -0.000 |
| 0.000 | 0.000 | 0.000 | 0.000 | 23.684 | -0.000 |
| -0.000 | -0.000 | 0.000 | -0.000 | -0.000 | 104.364 |
| 332.108 | 123.380 | 0.622 | 0.000 | 0.000 | 0.000 |
| 123.380 | 332.108 | 0.622 | -0.000 | 0.000 | 0.000 |
| 0.622 | 0.622 | 332.549 | 0.000 | 0.000 | 0.000 |
| 0.000 | -0.000 | -0.000 | 23.684 | 0.000 | 0.000 |
| -0.000 | -0.000 | -0.000 | -0.000 | 23.684 | -0.000 |
| 0.000 | 0.000 | -0.000 | -0.000 | -0.000 | 104.364 |
| 332.108 | 123.380 | 0.622 | 0.000 | -0.000 | -0.000 |
| 85.510 | 276.797 | 0.179 | -0.000 | -0.000 | -0.000 |
| 0.161 | 0.161 | 332.543 | -0.000 | -0.000 | -0.000 |
| 0.000 | 0.000 | 0.000 | 23.684 | -0.000 | -0.000 |
| 0.000 | 0.000 | 0.000 | 0.000 | 23.684 | -0.000 |
| 0.000 | 0.000 | 0.000 | -0.000 | -0.000 | 93.358 |
| 276.795 | 85.508 | 0.179 | 0.000 | 0.000 | 0.000 |
| 85.530 | 276.827 | 0.179 | 0.000 | 0.000 | 0.000 |
| 0.622 | 0.622 | 332.550 | 0.000 | 0.000 | 0.000 |
| 0.000 | -0.000 | -0.000 | 23.684 | 0.000 | 0.000 |
| -0.000 | 0.000 | -0.000 | 0.000 | 23.684 | 0.000 |
| 0.000 | 0.000 | -0.000 | 0.000 | 0.000 | 104.364 |
| 276.800 | 85.512 | 0.179 | -0.000 | -0.000 | -0.000 |
| 85.512 | 276.799 | 0.179 | -0.000 | -0.000 | -0.000 |
| 0.161 | 0.161 | 332.542 | -0.000 | -0.000 | 0.000 |
| -0.000 | 0.000 | 0.000 | 23.684 | 0.000 | 0.000 |
| 0.000 | -0.000 | 0.000 | -0.000 | 23.684 | 0.000 |
| 0.000 | 0.000 | 0.000 | -0.000 | -0.000 | 84.345 |
| 629.355 | 227.629 | 2.901 | -0.000 | -0.000 | -0.000 |
| 135.448 | 381.164 | 0.997 | -0.000 | 0.000 | 0.000 |
| 1.117 | 1.117 | 329.528 | -0.000 | -0.000 | -0.000 |
| -0.000 | 0.000 | -0.000 | 23.280 | -0.000 | 0.000 |
| -0.000 | 0.000 | -0.000 | 0.000 | 23.280 | -0.000 |
| 71.489 | 71.489 | 0.414 | -0.000 | -0.000 | 143.550 |
| 629.354 | 227.629 | 2.901 | 0.000 | 0.000 | 0.000 |
| -3.125 | 302.146 | 0.973 | 0.000 | 0.000 | -0.000 |
| 1.117 | 1.117 | 329.528 | 0.000 | 0.000 | -0.000 |
| 0.000 | 0.000 | 0.000 | 23.280 | -0.000 | 0.000 |
| 0.000 | 0.000 | 0.000 | -0.000 | 23.280 | 0.000 |
| -71.489 | -71.489 | -0.414 | 0.000 | -0.000 | 143.550 |
| 323.936 | 86.050 | 0.774 | -0.000 | -0.000 | 0.000 |
| 90.722 | 327.830 | 0.733 | -0.000 | -0.000 | 0.000 |
| 1.117 | 1.117 | 329.530 | -0.000 | -0.000 | -0.000 |
| 0.000 | -0.000 | -0.000 | 23.280 | 0.000 | -0.000 |
| -0.000 | 0.000 | -0.000 | 0.000 | 23.280 | 0.000 |
| 0.784 | 0.784 | 0.004 | -0.000 | -0.000 | 137.979 |
| 326.638 | 89.545 | 0.726 | 0.000 | 0.000 | -0.000 |
| 52.087 | 354.909 | 1.278 | 0.000 | 0.000 | -0.000 |
| 1.117 | 1.117 | 329.526 | 0.000 | 0.000 | 0.000 |
| -0.000 | 0.000 | 0.000 | 23.280 | 0.000 | 0.000 |
| 0.000 | -0.000 | 0.000 | -0.000 | 23.280 | 0.000 |
| -0.577 | -0.577 | -0.003 | 0.000 | 0.000 | 118.943 |
| 48.900 | 0.825 | 0.825 | -0.000 | 0.000 | 0.000 |
| 0.825 | 48.900 | 0.825 | 0.000 | -0.000 | 0.000 |
| 0.825 | 0.825 | 48.900 | 0.000 | 0.000 | -0.000 |
| -76.446 | -76.446 | -76.446 | 41.038 | -0.000 | 0.000 |
| -76.446 | -76.446 | -76.446 | 0.000 | 41.038 | -0.000 |
| -76.446 | -76.446 | -76.446 | 0.000 | -0.000 | 41.038 |
| 201.413 | 153.374 | 153.374 | -0.000 | 0.000 | 0.000 |
| 153.374 | 201.413 | 153.374 | -0.000 | 0.000 | -0.000 |
| 153.374 | 153.374 | 201.413 | -0.000 | 0.000 | 0.000 |
| 76.446 | 76.446 | 76.446 | 41.038 | -0.000 | 0.000 |
| 76.446 | 76.446 | 76.446 | -0.000 | 41.038 | -0.000 |
| 76.446 | 76.446 | 76.446 | -0.000 | 0.000 | 41.038 |
| 117.497 | 69.397 | 69.397 | 0.000 | -0.000 | 0.000 |
| 69.397 | 117.497 | 69.397 | 0.000 | -0.000 | -0.000 |
| 69.397 | 69.397 | 117.497 | 0.000 | -0.000 | 0.000 |
| -8.259 | -8.259 | -8.259 | 36.935 | -0.000 | -0.000 |
| -8.259 | -8.259 | -8.259 | 0.000 | 36.935 | 0.000 |
| -8.259 | -8.259 | -8.259 | 0.000 | -0.000 | 36.935 |
| 138.522 | 75.076 | 75.076 | -0.000 | 0.000 | 0.000 |
| 75.076 | 138.522 | 75.076 | -0.000 | 0.000 | 0.000 |
| 75.076 | 75.076 | 138.522 | -0.000 | 0.000 | -0.000 |
| 8.259 | 8.259 | 8.259 | 36.935 | -0.000 | 0.000 |
| 8.259 | 8.259 | 8.259 | -0.000 | 36.935 | 0.000 |
| 8.259 | 8.259 | 8.259 | -0.000 | 0.000 | 36.935 |
| 124.201 | 76.254 | 76.254 | 0.000 | -0.000 | -0.000 |
| 76.254 | 124.201 | 76.254 | 0.000 | -0.000 | -0.000 |
| 76.254 | 76.254 | 124.201 | 0.000 | -0.000 | -0.000 |
| -0.675 | -0.675 | -0.675 | 32.513 | 0.000 | -0.000 |
| -0.675 | -0.675 | -0.675 | 0.000 | 32.513 | -0.000 |
| -0.675 | -0.675 | -0.675 | 0.000 | -0.000 | 32.513 |
| 123.468 | 77.435 | 77.435 | -0.000 | 0.000 | -0.000 |
| 77.435 | 123.468 | 77.435 | -0.000 | 0.000 | -0.000 |
| 77.435 | 77.435 | 123.468 | -0.000 | 0.000 | -0.000 |
| 0.675 | 0.675 | 0.675 | 32.513 | 0.000 | -0.000 |
| 0.675 | 0.675 | 0.675 | -0.000 | 32.513 | -0.000 |
| 0.675 | 0.675 | 0.675 | -0.000 | 0.000 | 32.513 |
| 172.209 | 67.585 | 53.315 | -0.000 | -0.000 | -0.000 |
| 67.585 | 172.209 | 53.315 | -0.000 | -0.000 | 0.000 |
| 18.805 | 18.805 | 255.300 | -0.000 | 0.000 | 0.000 |
| 0.007 | 0.007 | -0.015 | 45.723 | -0.000 | -0.000 |
| 0.007 | 0.007 | -0.015 | -0.000 | 45.723 | -0.000 |
| 0.008 | 0.008 | -0.016 | 0.000 | 0.000 | 51.326 |
| 172.195 | 67.569 | 53.346 | -0.000 | -0.000 | -0.000 |
| 47.178 | 227.808 | 18.492 | -0.000 | -0.000 | -0.000 |
| 51.831 | 51.831 | 189.941 | 0.000 | 0.000 | 0.000 |
| -0.007 | -0.007 | 0.015 | 45.723 | 0.000 | -0.000 |
| -0.007 | -0.007 | 0.015 | 0.000 | 45.723 | 0.000 |
| -0.008 | -0.008 | 0.016 | -0.000 | -0.000 | 51.326 |
| 172.203 | 67.578 | 53.329 | -0.000 | -0.000 | 0.000 |
| 67.578 | 172.203 | 53.329 | -0.000 | -0.000 | 0.000 |
| 51.839 | 51.839 | 189.924 | -0.000 | -0.000 | 0.000 |
| -0.000 | -0.000 | -0.000 | 62.392 | 0.000 | -0.000 |
| 0.001 | 0.001 | -0.001 | -0.000 | 45.723 | 0.000 |
| 0.000 | -0.000 | 0.000 | -0.000 | 0.000 | 90.315 |
| 172.201 | 67.576 | 53.332 | 0.000 | -0.000 | -0.000 |
| 67.576 | 172.202 | 53.332 | -0.000 | 0.000 | 0.000 |
| 51.839 | 51.839 | 189.924 | 0.000 | -0.000 | -0.000 |
| 0.000 | 0.000 | 0.000 | 62.392 | -0.000 | 0.000 |
| -0.001 | -0.001 | 0.001 | 0.000 | 45.723 | -0.000 |
| -0.000 | 0.000 | -0.000 | -0.000 | -0.000 | 90.315 |
| 172.127 | 69.476 | 51.525 | 0.000 | 0.000 | 0.000 |
| 67.578 | 172.201 | 53.332 | -0.000 | -0.000 | -0.000 |
| 51.840 | 51.840 | 189.923 | 0.000 | 0.000 | -0.000 |
| 0.000 | 0.000 | -0.000 | 62.392 | -0.000 | 0.000 |
| -0.000 | 0.000 | -0.000 | 0.000 | 45.723 | 0.000 |
| -0.000 | 0.000 | -0.000 | 0.000 | 0.000 | 51.326 |
| 172.202 | 67.576 | 53.330 | -0.000 | -0.000 | -0.000 |
| 67.576 | 172.204 | 53.329 | -0.000 | -0.000 | -0.000 |
| 51.839 | 51.839 | 189.924 | -0.000 | -0.000 | 0.000 |
| -0.000 | -0.000 | 0.000 | 62.392 | 0.000 | -0.000 |
| 0.000 | -0.000 | 0.000 | -0.000 | 45.723 | 0.000 |
| 0.000 | -0.000 | 0.000 | -0.000 | -0.000 | 51.326 |
| 166.150 | 91.851 | 91.851 | -0.000 | 0.000 | -0.000 |
| 91.851 | 166.150 | 91.851 | -0.000 | 0.000 | -0.000 |
| 91.851 | 91.851 | 166.150 | -0.000 | 0.000 | -0.000 |
| 19.768 | 19.768 | 19.768 | 46.115 | 0.000 | -0.000 |
| 19.768 | 19.768 | 19.768 | -0.000 | 46.115 | -0.000 |
| 19.768 | 19.768 | 19.768 | -0.000 | 0.000 | 46.115 |
| 127.268 | 52.969 | 52.969 | 0.000 | 0.000 | 0.000 |
| 52.969 | 127.268 | 52.969 | 0.000 | -0.000 | 0.000 |
| 52.969 | 52.969 | 127.268 | 0.000 | -0.000 | 0.000 |
| -19.768 | -19.768 | -19.768 | 46.115 | -0.000 | 0.000 |
| -19.768 | -19.768 | -19.768 | 0.000 | 46.115 | 0.000 |
| -19.768 | -19.768 | -19.768 | 0.000 | -0.000 | 46.115 |
| 148.545 | 73.456 | 73.456 | -0.000 | 0.000 | -0.000 |
| 73.456 | 148.545 | 73.456 | -0.000 | -0.000 | -0.000 |
| 73.456 | 73.456 | 148.545 | -0.000 | 0.000 | -0.000 |
| 1.834 | 1.834 | 1.834 | 45.789 | 0.000 | -0.000 |
| 1.834 | 1.834 | 1.834 | -0.000 | 45.789 | -0.000 |
| 1.834 | 1.834 | 1.834 | -0.000 | 0.000 | 45.789 |
| 144.765 | 70.466 | 70.466 | 0.000 | -0.000 | 0.000 |
| 70.466 | 144.765 | 70.466 | 0.000 | 0.000 | 0.000 |
| 70.466 | 70.466 | 144.765 | 0.000 | -0.000 | 0.000 |
| -1.834 | -1.834 | -1.834 | 45.789 | -0.000 | 0.000 |
| -1.834 | -1.834 | -1.834 | 0.000 | 45.789 | 0.000 |
| -1.834 | -1.834 | -1.834 | 0.000 | -0.000 | 45.789 |
| 146.903 | 72.605 | 72.605 | -0.000 | 0.000 | -0.000 |
| 72.605 | 146.903 | 72.605 | -0.000 | 0.000 | -0.000 |
| 72.605 | 72.605 | 146.903 | -0.000 | 0.000 | 0.000 |
| 0.194 | 0.194 | 0.194 | 45.000 | 0.000 | -0.000 |
| 0.183 | 0.183 | 0.183 | -0.000 | 45.817 | -0.000 |
| 0.142 | 0.142 | 0.142 | -0.000 | -0.000 | 45.003 |
| 146.512 | 72.216 | 72.216 | 0.000 | -0.000 | 0.000 |
| 72.216 | 146.512 | 72.216 | 0.000 | -0.000 | 0.000 |
| 72.216 | 72.216 | 146.512 | 0.000 | -0.000 | 0.000 |
| -0.194 | -0.194 | -0.194 | 45.000 | -0.000 | 0.000 |
| -0.183 | -0.183 | -0.183 | 0.000 | 45.817 | 0.000 |
| -0.142 | -0.142 | -0.142 | -0.000 | -0.000 | 45.003 |
| -491.321 | -550.488 | -1310.726 | -1.027 | 2.737 | 0.000 |
| -550.530 | -491.370 | -1310.821 | 1.029 | -2.735 | -0.000 |
| 43.546 | 43.546 | 200.004 | 0.000 | -0.000 | -0.000 |
| -630.103 | -627.905 | -1378.802 | 18.831 | 0.000 | -2.685 |
| -626.314 | -631.685 | -1378.791 | -0.000 | 18.832 | -1.099 |
| 246.431 | 246.431 | 1298.095 | -6.229 | 0.694 | 38.393 |
| 766.113 | 707.638 | 1446.923 | -1.170 | 2.635 | 0.000 |
| -493.030 | -356.923 | 447.826 | -17.346 | -8.344 | 0.000 |
| 696.505 | 696.505 | 1506.641 | 0.000 | 0.000 | 0.000 |
| 627.893 | 630.091 | 1378.775 | 18.832 | -0.000 | -2.685 |
| -517.479 | -533.834 | 425.828 | 0.000 | 63.532 | 16.926 |
| 628.968 | 628.968 | 1378.722 | -2.686 | -1.098 | 29.412 |
| 218.204 | 51.449 | 41.842 | 21.133 | 18.555 | 0.000 |
| 51.449 | 218.204 | 41.842 | -21.133 | -18.555 | 0.000 |
| 3.593 | 3.593 | -8.474 | -0.000 | -0.000 | -0.000 |
| 44.544 | 35.950 | 99.729 | 30.932 | -0.000 | -5.513 |
| 18.555 | -18.555 | 0.000 | 0.000 | 70.395 | 21.133 |
| -62.523 | -62.523 | -137.053 | -2.780 | -0.966 | 29.732 |
| 197.809 | 141.519 | 205.295 | -1.620 | 2.314 | 0.000 |
| 46.193 | 120.856 | -81.911 | -0.165 | -6.058 | 0.000 |
| 1.725 | 1.725 | 149.327 | -0.000 | -0.000 | 0.000 |
| -26.379 | -29.731 | -126.535 | 21.598 | 0.000 | -6.470 |
| -21.587 | -34.526 | -126.532 | 0.000 | 21.597 | 1.676 |
| 62.523 | 62.523 | 137.053 | -2.780 | -0.966 | 29.732 |
| 154.147 | 67.092 | 46.686 | 5.614 | 4.811 | 0.000 |
| 67.101 | 154.107 | 46.690 | -5.604 | -4.804 | 0.000 |
| 53.581 | 53.581 | 110.694 | 0.000 | -0.000 | -0.000 |
| -1.463 | -8.503 | -10.923 | 29.544 | 0.000 | -5.982 |
| 1.006 | -10.968 | -10.919 | -0.000 | 29.560 | 3.526 |
| -5.127 | -5.127 | -11.239 | -5.619 | 3.011 | 39.386 |
| 159.064 | 65.513 | 63.851 | 7.950 | 3.511 | -0.000 |
| 77.918 | 153.683 | 71.870 | -2.392 | -5.177 | 0.000 |
| 50.819 | 50.819 | 94.907 | -0.000 | 0.000 | -0.000 |
| 0.521 | -7.457 | -11.289 | 30.863 | 0.000 | -4.898 |
| 10.966 | -0.999 | 10.923 | 0.000 | 29.544 | 3.520 |
| 0.487 | 0.487 | 9.843 | -4.180 | 6.740 | 45.090 |
| 302.375 | 61.277 | 30.910 | -0.000 | -0.000 | -0.000 |
| 62.770 | 302.892 | 29.967 | -0.000 | -0.000 | -0.000 |
| 31.653 | 29.217 | 391.634 | -0.000 | -0.000 | -0.000 |
| 0.000 | 0.000 | 0.000 | 35.658 | -0.000 | -0.000 |
| 0.000 | 0.000 | -0.000 | -0.000 | 35.547 | -0.000 |
| 0.000 | 0.000 | 0.000 | -0.000 | -0.000 | 29.763 |
| 302.375 | 61.277 | 30.910 | 0.000 | 0.000 | -0.000 |
| 62.770 | 302.892 | 29.967 | 0.000 | 0.000 | 0.000 |
| 31.653 | 29.217 | 391.634 | 0.000 | 0.000 | -0.000 |
| -0.000 | -0.000 | -0.000 | 35.658 | 0.000 | 0.000 |
| -0.000 | -0.000 | 0.000 | 0.000 | 35.547 | 0.000 |
| -0.000 | -0.000 | -0.000 | 0.000 | 0.000 | 29.763 |
| 302.375 | 61.277 | 30.910 | -0.000 | -0.000 | -0.000 |
| 62.770 | 302.892 | 29.967 | -0.000 | -0.000 | -0.000 |
| 31.653 | 29.217 | 391.634 | -0.000 | -0.000 | -0.000 |
| 0.000 | 0.000 | -0.000 | 35.658 | -0.000 | -0.000 |
| 0.000 | 0.000 | -0.000 | -0.000 | 35.547 | -0.000 |
| 0.000 | 0.000 | 0.000 | -0.000 | -0.000 | 29.763 |
| 302.375 | 61.277 | 30.910 | 0.000 | 0.000 | 0.000 |
| 62.770 | 302.892 | 29.967 | 0.000 | 0.000 | 0.000 |
| 31.653 | 29.217 | 391.633 | 0.000 | 0.000 | 0.000 |
| -0.000 | -0.000 | 0.000 | 35.658 | 0.000 | -0.000 |
| -0.000 | -0.000 | 0.000 | 0.000 | 35.547 | 0.000 |
| -0.000 | -0.000 | -0.000 | 0.000 | 0.000 | 29.763 |
| 302.375 | 61.277 | 30.910 | -0.000 | -0.000 | -0.000 |
| 62.771 | 302.893 | 29.967 | -0.000 | -0.000 | 0.000 |
| 31.653 | 29.217 | 391.636 | -0.000 | -0.000 | -0.000 |
| -0.000 | -0.000 | -0.000 | 35.658 | -0.000 | -0.000 |
| -0.000 | -0.000 | -0.000 | 0.000 | 35.547 | -0.000 |
| -0.000 | -0.000 | -0.000 | -0.000 | -0.000 | 29.763 |
| 302.374 | 61.277 | 30.910 | 0.000 | 0.000 | 0.000 |
| 62.770 | 302.891 | 29.967 | 0.000 | 0.000 | -0.000 |
| 31.653 | 29.217 | 391.632 | 0.000 | 0.000 | 0.000 |
| 0.000 | 0.000 | 0.000 | 35.658 | 0.000 | -0.000 |
| 0.000 | 0.000 | 0.000 | -0.000 | 35.547 | 0.000 |
| 0.000 | 0.000 | 0.000 | 0.000 | 0.000 | 29.763 |
| 158.080 | 49.650 | 49.650 | 0.000 | 0.000 | -0.000 |
| 49.650 | 158.080 | 49.650 | -0.000 | 0.000 | 0.000 |
| 49.650 | 49.650 | 158.080 | -0.000 | 0.000 | 0.000 |
| -3.133 | -3.133 | -3.133 | 40.189 | -0.000 | 0.000 |
| -3.133 | -3.133 | -3.133 | -0.000 | 40.189 | 0.000 |
| -3.133 | -3.133 | -3.133 | 0.000 | -0.000 | 40.189 |
| 158.080 | 49.650 | 49.650 | -0.000 | -0.000 | 0.000 |
| 49.650 | 158.080 | 49.650 | 0.000 | -0.000 | -0.000 |
| 49.650 | 49.650 | 158.080 | -0.000 | -0.000 | 0.000 |
| 3.133 | 3.133 | 3.133 | 40.189 | 0.000 | -0.000 |
| 3.133 | 3.133 | 3.133 | 0.000 | 40.189 | -0.000 |
| 3.133 | 3.133 | 3.133 | 0.000 | -0.000 | 40.189 |
| 127.577 | 64.159 | 64.159 | -0.000 | -0.000 | 0.000 |
| 64.159 | 127.577 | 64.159 | -0.000 | -0.000 | 0.000 |
| 64.159 | 64.159 | 127.577 | -0.000 | -0.000 | 0.000 |
| -0.208 | -0.208 | -0.208 | 39.839 | -0.000 | 0.000 |
| -0.208 | -0.208 | -0.208 | -0.000 | 39.839 | 0.000 |
| -0.208 | -0.208 | -0.208 | 0.000 | 0.000 | 39.839 |
| 158.080 | 49.650 | 49.650 | -0.000 | -0.000 | -0.000 |
| 49.650 | 158.080 | 49.650 | 0.000 | 0.000 | -0.000 |
| 49.650 | 49.650 | 158.080 | 0.000 | -0.000 | -0.000 |
| 0.208 | 0.208 | 0.208 | 39.839 | 0.000 | -0.000 |
| 0.208 | 0.208 | 0.208 | 0.000 | 39.839 | -0.000 |
| -0.000 | -0.000 | -0.000 | 0.000 | 0.000 | 78.930 |
| 127.187 | 64.312 | 64.312 | -0.000 | -0.000 | 0.000 |
| 64.312 | 127.187 | 64.312 | -0.000 | -0.000 | 0.000 |
| 64.312 | 64.312 | 127.187 | -0.000 | -0.000 | 0.000 |
| -0.038 | -0.038 | -0.038 | 39.991 | -0.000 | 0.000 |
| -0.038 | -0.038 | -0.038 | 0.000 | 39.991 | 0.000 |
| -0.038 | -0.038 | -0.038 | -0.000 | -0.000 | 39.991 |
| 127.260 | 64.330 | 64.330 | 0.000 | 0.000 | -0.000 |
| 64.330 | 127.260 | 64.330 | 0.000 | 0.000 | -0.000 |
| 64.330 | 64.330 | 127.260 | 0.000 | 0.000 | -0.000 |
| 0.038 | 0.038 | 0.038 | 39.991 | 0.000 | -0.000 |
| 0.038 | 0.038 | 0.038 | 0.000 | 39.991 | 0.000 |
| 0.019 | 0.019 | 0.019 | 0.000 | 0.000 | 40.179 |
| 126.670 | 63.751 | 63.751 | -0.000 | -0.000 | 0.000 |
| 63.751 | 126.670 | 63.751 | -0.000 | -0.000 | 0.000 |
| 63.751 | 63.751 | 126.670 | -0.000 | -0.000 | 0.000 |
| 0.000 | 0.000 | 0.000 | 78.704 | -0.000 | 0.000 |
| 0.000 | 0.000 | 0.000 | 0.000 | 78.704 | 0.000 |
| 0.000 | 0.000 | 0.000 | -0.000 | -0.000 | 78.704 |
| 126.988 | 64.005 | 64.005 | 0.000 | -0.000 | -0.000 |
| 64.005 | 126.988 | 64.005 | -0.000 | 0.000 | -0.000 |
| 64.005 | 64.005 | 126.988 | 0.000 | -0.000 | -0.000 |
| -0.000 | -0.000 | -0.000 | 78.704 | 0.000 | -0.000 |
| -0.000 | -0.000 | -0.000 | 0.000 | 78.704 | -0.000 |
| -0.000 | -0.000 | -0.000 | 0.000 | 0.000 | 78.704 |
| 127.892 | 63.489 | 63.489 | 0.000 | -0.000 | 0.000 |
| 63.489 | 127.892 | 63.489 | -0.000 | 0.000 | 0.000 |
| 63.489 | 63.489 | 127.892 | 0.000 | -0.000 | 0.000 |
| -0.011 | -0.011 | -0.011 | 40.802 | -0.000 | 0.000 |
| -0.011 | -0.011 | -0.011 | 0.000 | 40.802 | -0.000 |
| -0.011 | -0.011 | -0.011 | 0.000 | -0.000 | 40.802 |
| 127.924 | 63.504 | 63.504 | 0.000 | 0.000 | -0.000 |
| 63.504 | 127.924 | 63.504 | 0.000 | 0.000 | -0.000 |
| 63.504 | 63.504 | 127.924 | -0.000 | -0.000 | -0.000 |
| 0.011 | 0.011 | 0.011 | 40.802 | 0.000 | -0.000 |
| 0.011 | 0.011 | 0.011 | -0.000 | 40.802 | -0.000 |
| 0.011 | 0.011 | 0.011 | 0.000 | -0.000 | 40.802 |
| 126.841 | 63.871 | 63.871 | 0.000 | -0.000 | 0.000 |
| 63.871 | 126.841 | 63.871 | 0.000 | 0.000 | 0.000 |
| 63.871 | 63.871 | 126.841 | -0.000 | -0.000 | 0.000 |
| -0.001 | -0.001 | -0.001 | 40.802 | -0.000 | 0.000 |
| -0.001 | -0.001 | -0.001 | -0.000 | 40.802 | 0.000 |
| -0.001 | -0.001 | -0.001 | 0.000 | -0.000 | 40.802 |
| 127.910 | 63.497 | 63.497 | -0.000 | -0.000 | -0.000 |
| 63.497 | 127.910 | 63.497 | 0.000 | -0.000 | -0.000 |
| 63.497 | 63.497 | 127.910 | 0.000 | 0.000 | -0.000 |
| 0.001 | 0.001 | 0.001 | 40.802 | 0.000 | -0.000 |
| 0.001 | 0.001 | 0.001 | 0.000 | 40.802 | -0.000 |
| 0.001 | 0.001 | 0.001 | 0.000 | 0.000 | 40.802 |
| 286.592 | 246.813 | 246.813 | 0.000 | 0.000 | 0.000 |
| 246.813 | 286.592 | 246.813 | 0.000 | 0.000 | -0.000 |
| 246.813 | 246.813 | 286.592 | -0.000 | -0.000 | -0.000 |
| -0.000 | -0.000 | -0.000 | 77.493 | 0.000 | 0.000 |
| -0.000 | -0.000 | -0.000 | 0.000 | 77.493 | 0.000 |
| -0.000 | -0.000 | -0.000 | 0.000 | 0.000 | 77.493 |
| -62.299 | -135.843 | -135.843 | -0.000 | 0.000 | -0.000 |
| -135.843 | -62.299 | -135.843 | -0.000 | 0.000 | -0.000 |
| -135.843 | -135.843 | -62.299 | -0.000 | -0.000 | 0.000 |
| 0.000 | 0.000 | 0.000 | 77.493 | -0.000 | -0.000 |
| 0.000 | 0.000 | 0.000 | 0.000 | 77.493 | 0.000 |
| 0.000 | 0.000 | 0.000 | 0.000 | -0.000 | 77.493 |
| 135.168 | 80.932 | 80.932 | 0.000 | 0.000 | -0.000 |
| 80.932 | 135.168 | 80.932 | 0.000 | -0.000 | -0.000 |
| 80.932 | 80.932 | 135.168 | 0.000 | 0.000 | -0.000 |
| 14.494 | 14.494 | 14.494 | 20.557 | 0.000 | -0.000 |
| 14.494 | 14.494 | 14.494 | 0.000 | 20.557 | -0.000 |
| 14.494 | 14.494 | 14.494 | -0.000 | 0.000 | 20.557 |
| 172.608 | 42.066 | 42.066 | -0.000 | 0.000 | 0.000 |
| 42.066 | 172.608 | 42.066 | 0.000 | -0.000 | -0.000 |
| 42.066 | 42.066 | 172.608 | 0.000 | 0.000 | -0.000 |
| -14.494 | -14.494 | -14.494 | 20.557 | 0.000 | -0.000 |
| -14.494 | -14.494 | -14.494 | -0.000 | 20.557 | 0.000 |
| -14.494 | -14.494 | -14.494 | 0.000 | -0.000 | 20.557 |
| 137.306 | 59.825 | 59.825 | 0.000 | 0.000 | -0.000 |
| 59.825 | 137.306 | 59.825 | -0.000 | -0.000 | 0.000 |
| 59.825 | 59.825 | 137.306 | -0.000 | -0.000 | -0.000 |
| 1.967 | 1.967 | 1.967 | 40.083 | -0.000 | 0.000 |
| 1.967 | 1.967 | 1.967 | 0.000 | 40.083 | 0.000 |
| 1.967 | 1.967 | 1.967 | -0.000 | -0.000 | 40.083 |
| 133.211 | 56.041 | 56.041 | 0.000 | -0.000 | -0.000 |
| 56.041 | 133.211 | 56.041 | -0.000 | 0.000 | -0.000 |
| 56.041 | 56.041 | 133.211 | 0.000 | 0.000 | 0.000 |
| -1.967 | -1.967 | -1.967 | 40.083 | 0.000 | 0.000 |
| -1.967 | -1.967 | -1.967 | -0.000 | 40.083 | -0.000 |
| -1.967 | -1.967 | -1.967 | 0.000 | -0.000 | 40.083 |
| 172.339 | 41.933 | 41.933 | -0.000 | -0.000 | 0.000 |
| 41.933 | 172.339 | 41.933 | -0.000 | -0.000 | 0.000 |
| 41.933 | 41.933 | 172.339 | -0.000 | 0.000 | 0.000 |
| -0.026 | -0.026 | -0.026 | 40.483 | 0.000 | 0.000 |
| -0.026 | -0.026 | -0.026 | 0.000 | 40.483 | -0.000 |
| -0.026 | -0.026 | -0.026 | -0.000 | 0.000 | 40.483 |
| 134.949 | 57.826 | 57.826 | 0.000 | -0.000 | -0.000 |
| 57.826 | 134.949 | 57.826 | -0.000 | -0.000 | 0.000 |
| 57.826 | 57.826 | 134.949 | -0.000 | 0.000 | -0.000 |
| 0.026 | 0.026 | 0.026 | 40.483 | 0.000 | 0.000 |
| 0.026 | 0.026 | 0.026 | 0.000 | 40.483 | 0.000 |
| 0.026 | 0.026 | 0.026 | 0.000 | 0.000 | 40.483 |
| 134.895 | 57.761 | 57.761 | 0.000 | 0.000 | 0.000 |
| 57.761 | 134.895 | 57.761 | -0.000 | -0.000 | 0.000 |
| 57.761 | 57.761 | 134.895 | -0.000 | 0.000 | -0.000 |
| -0.006 | -0.006 | -0.006 | 40.204 | 0.000 | -0.000 |
| -0.006 | -0.006 | -0.006 | -0.000 | 40.204 | 0.000 |
| -0.006 | -0.006 | -0.006 | -0.000 | 0.000 | 40.204 |
| 172.339 | 41.933 | 41.933 | 0.000 | 0.000 | -0.000 |
| 41.933 | 172.339 | 41.933 | -0.000 | -0.000 | -0.000 |
| 41.933 | 41.933 | 172.339 | -0.000 | -0.000 | -0.000 |
| 0.006 | 0.006 | 0.006 | 40.204 | -0.000 | -0.000 |
| 0.006 | 0.006 | 0.006 | -0.000 | 40.204 | 0.000 |
| 0.006 | 0.006 | 0.006 | 0.000 | -0.000 | 40.204 |
| 134.899 | 57.767 | 57.767 | 0.000 | 0.000 | 0.000 |
| 57.767 | 134.899 | 57.767 | -0.000 | 0.000 | 0.000 |
| 58.809 | 58.809 | 135.680 | -0.000 | -0.000 | 0.000 |
| -0.000 | -0.000 | -0.000 | 40.483 | -0.000 | 0.000 |
| -0.000 | -0.000 | -0.000 | -0.000 | 40.483 | -0.000 |
| -0.000 | -0.000 | -0.000 | 0.000 | 0.000 | 40.483 |
| 134.901 | 57.767 | 57.767 | -0.000 | 0.000 | 0.000 |
| 57.767 | 134.901 | 57.767 | -0.000 | -0.000 | 0.000 |
| 57.767 | 57.767 | 134.901 | -0.000 | 0.000 | -0.000 |
| 0.000 | 0.000 | 0.000 | 40.483 | 0.000 | -0.000 |
| 0.000 | 0.000 | 0.000 | 0.000 | 40.483 | -0.000 |
| 0.000 | 0.000 | 0.000 | -0.000 | -0.000 | 40.483 |
| 144.686 | 36.452 | 68.458 | 0.000 | 0.000 | 0.000 |
| 36.452 | 144.686 | 68.458 | 0.000 | 0.000 | 0.000 |
| 55.942 | 55.942 | 189.173 | 0.000 | 0.000 | 0.000 |
| -0.000 | -0.000 | -0.000 | 41.047 | 0.000 | 0.000 |
| -0.000 | -0.000 | -0.000 | -0.000 | 41.047 | 0.000 |
| -0.000 | -0.000 | -0.000 | -0.000 | -0.000 | 32.397 |
| 144.686 | 36.452 | 68.458 | -0.000 | -0.000 | -0.000 |
| 36.452 | 144.686 | 68.458 | -0.000 | -0.000 | -0.000 |
| 55.942 | 55.942 | 189.174 | 0.000 | 0.000 | -0.000 |
| 0.000 | 0.000 | 0.000 | 41.047 | 0.000 | -0.000 |
| 0.000 | 0.000 | 0.000 | -0.000 | 41.047 | -0.000 |
| 0.000 | 0.000 | 0.000 | 0.000 | 0.000 | 32.397 |
| 140.452 | 52.737 | 58.103 | 0.000 | -0.000 | 0.000 |
| 52.737 | 140.452 | 58.103 | -0.000 | 0.000 | 0.000 |
| 55.942 | 55.942 | 189.173 | 0.000 | 0.000 | 0.000 |
| -0.000 | -0.000 | -0.000 | 41.047 | -0.000 | 0.000 |
| -0.000 | -0.000 | -0.000 | 0.000 | 41.047 | 0.000 |
| -0.000 | -0.000 | -0.000 | -0.000 | -0.000 | 32.397 |
| 140.453 | 52.737 | 58.103 | -0.000 | 0.000 | -0.000 |
| 52.737 | 140.453 | 58.103 | -0.000 | 0.000 | -0.000 |
| 55.942 | 55.942 | 189.173 | 0.000 | 0.000 | -0.000 |
| 0.000 | 0.000 | 0.000 | 41.047 | -0.000 | -0.000 |
| 0.000 | 0.000 | 0.000 | -0.000 | 41.047 | -0.000 |
| 0.000 | 0.000 | 0.000 | 0.000 | 0.000 | 32.397 |
| 140.450 | 52.738 | 58.105 | 0.000 | 0.000 | 0.000 |
| 52.738 | 140.450 | 58.105 | 0.000 | 0.000 | 0.000 |
| 55.942 | 55.942 | 189.174 | -0.000 | -0.000 | 0.000 |
| 0.000 | -0.000 | -0.000 | 41.047 | 0.000 | 0.000 |
| -0.000 | 0.000 | -0.000 | 0.000 | 41.047 | 0.000 |
| -0.000 | -0.000 | -0.000 | 0.000 | 0.000 | 21.387 |
| 140.455 | 52.735 | 58.101 | 0.000 | -0.000 | -0.000 |
| 52.735 | 140.455 | 58.101 | -0.000 | -0.000 | -0.000 |
| 55.942 | 55.942 | 189.173 | -0.000 | -0.000 | 0.000 |
| -0.000 | 0.000 | 0.000 | 41.047 | 0.000 | -0.000 |
| 0.000 | -0.000 | 0.000 | -0.000 | 41.047 | -0.000 |
| 0.000 | 0.000 | 0.000 | -0.000 | -0.000 | 21.387 |
| 137.760 | 74.374 | 74.374 | -0.000 | 0.000 | 0.000 |
| 74.374 | 137.760 | 74.374 | -0.000 | 0.000 | 0.000 |
| 74.374 | 74.374 | 137.760 | -0.000 | 0.000 | -0.000 |
| 0.000 | 0.000 | 0.000 | 91.649 | 0.000 | 0.000 |
| 0.000 | 0.000 | 0.000 | -0.000 | 91.649 | 0.000 |
| 0.000 | 0.000 | 0.000 | -0.000 | 0.000 | 91.649 |
| 137.760 | 74.374 | 74.374 | 0.000 | -0.000 | -0.000 |
| 74.374 | 137.760 | 74.374 | 0.000 | -0.000 | -0.000 |
| 74.374 | 74.374 | 137.760 | 0.000 | -0.000 | -0.000 |
| -0.000 | -0.000 | -0.000 | 91.649 | 0.000 | -0.000 |
| -0.000 | -0.000 | -0.000 | 0.000 | 91.649 | -0.000 |
| -0.000 | -0.000 | -0.000 | 0.000 | -0.000 | 91.649 |
| 124.197 | 76.220 | 76.220 | -0.000 | 0.000 | 0.000 |
| 76.220 | 124.197 | 76.220 | -0.000 | 0.000 | 0.000 |
| 74.374 | 74.374 | 137.760 | -0.000 | 0.000 | -0.000 |
| -0.048 | -0.048 | -0.048 | 32.614 | 0.000 | -0.000 |
| -0.048 | -0.048 | -0.048 | 0.000 | 32.614 | 0.000 |
| -0.048 | -0.048 | -0.048 | -0.000 | 0.000 | 32.614 |
| 137.760 | 74.374 | 74.374 | 0.000 | -0.000 | -0.000 |
| 74.374 | 137.760 | 74.374 | 0.000 | -0.000 | 0.000 |
| 74.374 | 74.374 | 137.760 | 0.000 | -0.000 | -0.000 |
| 0.048 | 0.048 | 0.048 | 32.614 | -0.000 | -0.000 |
| 0.048 | 0.048 | 0.048 | 0.000 | 32.614 | -0.000 |
| 0.048 | 0.048 | 0.048 | 0.000 | -0.000 | 32.614 |
| 124.243 | 76.268 | 76.268 | 0.000 | 0.000 | 0.000 |
| 76.268 | 124.243 | 76.268 | -0.000 | 0.000 | 0.000 |
| 76.268 | 76.268 | 124.243 | -0.000 | 0.000 | 0.000 |
| -0.005 | -0.005 | -0.005 | 31.429 | 0.000 | 0.000 |
| -0.005 | -0.005 | -0.005 | 0.000 | 31.429 | 0.000 |
| -0.005 | -0.005 | -0.005 | 0.000 | 0.000 | 31.429 |
| 124.253 | 76.278 | 76.278 | 0.000 | -0.000 | -0.000 |
| 76.278 | 124.253 | 76.278 | 0.000 | -0.000 | -0.000 |
| 76.278 | 76.278 | 124.253 | 0.000 | -0.000 | -0.000 |
| 0.005 | 0.005 | 0.005 | 31.429 | -0.000 | -0.000 |
| 0.005 | 0.005 | 0.005 | -0.000 | 31.429 | -0.000 |
| 0.005 | 0.005 | 0.005 | 0.000 | -0.000 | 31.429 |
| 108.617 | 59.399 | 59.399 | -0.000 | -0.000 | -0.000 |
| 59.399 | 108.617 | 59.399 | -0.000 | -0.000 | -0.000 |
| 59.399 | 59.399 | 108.617 | -0.000 | -0.000 | -0.000 |
| -0.000 | -0.000 | -0.000 | 81.295 | 0.000 | 0.000 |
| -0.000 | -0.000 | -0.000 | 0.000 | 81.295 | 0.000 |
| -0.000 | -0.000 | -0.000 | 0.000 | 0.000 | 81.295 |
| 108.617 | 59.399 | 59.399 | 0.000 | 0.000 | 0.000 |
| 59.399 | 108.617 | 59.399 | 0.000 | 0.000 | 0.000 |
| 59.399 | 59.399 | 108.617 | 0.000 | 0.000 | 0.000 |
| 0.000 | 0.000 | 0.000 | 81.295 | -0.000 | -0.000 |
| 0.000 | 0.000 | 0.000 | -0.000 | 81.295 | -0.000 |
| 0.000 | 0.000 | 0.000 | -0.000 | -0.000 | 81.295 |
| 108.617 | 59.399 | 59.399 | -0.000 | -0.000 | -0.000 |
| 59.399 | 108.617 | 59.399 | -0.000 | -0.000 | -0.000 |
| 58.941 | 58.941 | 106.580 | 0.000 | 0.000 | -0.000 |
| 0.000 | -0.000 | -0.000 | 35.918 | -0.000 | -0.000 |
| -0.000 | 0.000 | -0.000 | 0.000 | 35.918 | -0.000 |
| -0.000 | -0.000 | 0.000 | -0.000 | -0.000 | 35.918 |
| 120.415 | 58.716 | 58.716 | 0.000 | -0.000 | -0.000 |
| 58.716 | 120.415 | 58.716 | -0.000 | 0.000 | -0.000 |
| 58.716 | 58.716 | 120.415 | -0.000 | -0.000 | 0.000 |
| -0.000 | 0.000 | 0.000 | 35.918 | 0.000 | 0.000 |
| 0.000 | -0.000 | 0.000 | 0.000 | 35.918 | 0.000 |
| 0.000 | 0.000 | -0.000 | 0.000 | 0.000 | 35.918 |
| 108.617 | 59.399 | 59.399 | 0.000 | -0.000 | -0.000 |
| 59.399 | 108.617 | 59.399 | -0.000 | 0.000 | -0.000 |
| 59.399 | 59.399 | 108.617 | -0.000 | -0.000 | 0.000 |
| 0.000 | -0.000 | -0.000 | 34.006 | 0.000 | -0.000 |
| -0.000 | 0.000 | -0.000 | 0.000 | 34.006 | -0.000 |
| -0.000 | -0.000 | 0.000 | -0.000 | -0.000 | 34.006 |
| 108.617 | 59.399 | 59.399 | 0.000 | -0.000 | 0.000 |
| 59.399 | 108.617 | 59.399 | 0.000 | 0.000 | 0.000 |
| 59.399 | 59.399 | 108.617 | -0.000 | -0.000 | 0.000 |
| -0.000 | 0.000 | 0.000 | 34.006 | 0.000 | 0.000 |
| 0.000 | -0.000 | 0.000 | -0.000 | 34.006 | 0.000 |
| 0.000 | 0.000 | -0.000 | -0.000 | -0.000 | 34.006 |
| 651.475 | 164.972 | 31.169 | -0.000 | -0.000 | -0.000 |
| 127.796 | 289.020 | 108.269 | -0.000 | -0.000 | -0.000 |
| 32.172 | 120.531 | 186.729 | -0.000 | -0.000 | -0.000 |
| -0.006 | -0.013 | 0.001 | 77.095 | -0.000 | -0.000 |
| -0.000 | -0.000 | -0.000 | -0.000 | 475.379 | 0.000 |
| -0.004 | -0.010 | 0.001 | -0.000 | -0.000 | 40.145 |
| 634.572 | 123.494 | 35.446 | 0.000 | -0.000 | -0.000 |
| 121.016 | 213.172 | 125.039 | 0.000 | -0.000 | -0.000 |
| 32.170 | 120.552 | 186.723 | 0.000 | 0.000 | 0.000 |
| 0.006 | 0.013 | -0.001 | 77.095 | 0.000 | 0.000 |
| 0.000 | 0.000 | 0.000 | 0.000 | 475.379 | 0.000 |
| 0.004 | 0.010 | -0.001 | -0.000 | 0.000 | 40.145 |
| 651.514 | 164.998 | 31.177 | -0.000 | -0.000 | -0.000 |
| 120.982 | 213.083 | 125.049 | -0.000 | 0.000 | 0.000 |
| 32.173 | 120.541 | 186.726 | -0.000 | -0.000 | -0.000 |
| -0.003 | -0.007 | 0.001 | 74.485 | 0.000 | 0.000 |
| -0.000 | -0.001 | 0.000 | 0.000 | 169.263 | -0.000 |
| -0.000 | -0.001 | 0.000 | -0.000 | -0.000 | 40.147 |
| 634.512 | 123.408 | 35.446 | 0.000 | -0.000 | -0.000 |
| 852.238 | 595.813 | 298.952 | 0.000 | 0.000 | 0.000 |
| 35.943 | 127.974 | 186.235 | 0.000 | -0.000 | -0.000 |
| 0.003 | 0.007 | -0.001 | 74.485 | -0.000 | -0.000 |
| 0.000 | 0.001 | -0.000 | 0.000 | 169.263 | 0.000 |
| 0.000 | 0.001 | -0.000 | 0.000 | 0.000 | 40.147 |
| 634.809 | 123.521 | 35.527 | -0.000 | 0.000 | 0.000 |
| 121.062 | 213.122 | 125.069 | -0.000 | 0.000 | 0.000 |
| 35.957 | 127.972 | 186.241 | -0.000 | 0.000 | 0.000 |
| 0.001 | -0.000 | 0.000 | 74.484 | 0.000 | 0.000 |
| 0.001 | 0.000 | 0.000 | -0.000 | 169.263 | -0.000 |
| 0.001 | 0.000 | 0.000 | -0.000 | -0.000 | 40.142 |
| 634.533 | 123.410 | 35.453 | 0.000 | 0.000 | 0.000 |
| 120.892 | 213.054 | 125.022 | 0.000 | -0.000 | -0.000 |
| 35.924 | 127.960 | 186.231 | 0.000 | -0.000 | -0.000 |
| -0.001 | 0.000 | -0.000 | 74.484 | -0.000 | -0.000 |
| -0.001 | -0.000 | -0.000 | 0.000 | 169.263 | 0.000 |
| -0.001 | -0.000 | -0.000 | 0.000 | 0.000 | 40.142 |
| 317.341 | 193.041 | 193.041 | 0.000 | 0.000 | 0.000 |
| 193.041 | 317.341 | 193.041 | 0.000 | 0.000 | 0.000 |
| 193.041 | 193.041 | 317.341 | 0.000 | 0.000 | 0.000 |
| 106.823 | 106.823 | 106.823 | 28.900 | 0.000 | 0.000 |
| 106.823 | 106.823 | 106.823 | 0.000 | 28.900 | 0.000 |
| 106.823 | 106.823 | 106.823 | 0.000 | 0.000 | 28.900 |
| 217.273 | -33.860 | -33.860 | -0.000 | -0.000 | -0.000 |
| -33.860 | 217.273 | -33.860 | -0.000 | -0.000 | -0.000 |
| -33.860 | -33.860 | 217.273 | -0.000 | -0.000 | -0.000 |
| -106.823 | -106.823 | -106.823 | 28.900 | -0.000 | -0.000 |
| -106.823 | -106.823 | -106.823 | -0.000 | 28.900 | -0.000 |
| -106.823 | -106.823 | -106.823 | -0.000 | -0.000 | 28.900 |
| 271.263 | 36.093 | 36.093 | 0.000 | 0.000 | 0.000 |
| 36.093 | 271.263 | 36.093 | 0.000 | 0.000 | 0.000 |
| 36.093 | 36.093 | 271.263 | 0.000 | 0.000 | 0.000 |
| -0.000 | 0.000 | -0.000 | 33.995 | -0.000 | 0.000 |
| -0.000 | -0.000 | -0.000 | -0.000 | 33.995 | -0.000 |
| 0.000 | -0.000 | -0.000 | -0.000 | -0.000 | 33.995 |
| 225.360 | 28.659 | 28.659 | -0.000 | -0.000 | -0.000 |
| 28.659 | 225.360 | 28.659 | -0.000 | -0.000 | -0.000 |
| 28.659 | 28.659 | 225.360 | -0.000 | -0.000 | -0.000 |
| 0.000 | -0.000 | 0.000 | 33.995 | 0.000 | -0.000 |
| -0.000 | -0.000 | 0.000 | 0.000 | 33.995 | 0.000 |
| -0.000 | 0.000 | 0.000 | 0.000 | 0.000 | 33.995 |
| 245.846 | 36.650 | 36.650 | 0.000 | 0.000 | 0.000 |
| 36.650 | 245.846 | 36.650 | 0.000 | 0.000 | 0.000 |
| 36.650 | 36.650 | 245.846 | 0.000 | 0.000 | 0.000 |
| 0.877 | 0.877 | 0.877 | 26.338 | 0.000 | 0.000 |
| 0.877 | 0.877 | 0.877 | 0.000 | 26.338 | 0.000 |
| 0.877 | 0.877 | 0.877 | 0.000 | 0.000 | 26.338 |
| 235.210 | 37.378 | 37.378 | -0.000 | -0.000 | -0.000 |
| 37.378 | 235.210 | 37.378 | -0.000 | -0.000 | -0.000 |
| 37.378 | 37.378 | 235.210 | -0.000 | -0.000 | -0.000 |
| -0.877 | -0.877 | -0.877 | 26.338 | -0.000 | -0.000 |
| -0.877 | -0.877 | -0.877 | -0.000 | 26.338 | -0.000 |
| -0.877 | -0.877 | -0.877 | -0.000 | -0.000 | 26.338 |
| 308.750 | 8.426 | 8.426 | 0.000 | 0.000 | 0.000 |
| 8.426 | 308.750 | 8.426 | 0.000 | 0.000 | 0.000 |
| 8.426 | 8.426 | 308.750 | 0.000 | 0.000 | 0.000 |
| -0.060 | -0.060 | -0.060 | 27.155 | 0.000 | -0.000 |
| -0.060 | -0.060 | -0.060 | 0.000 | 27.155 | 0.000 |
| -0.060 | -0.060 | -0.060 | 0.000 | 0.000 | 27.155 |
| 308.750 | 8.426 | 8.426 | -0.000 | -0.000 | 0.000 |
| 8.426 | 308.750 | 8.426 | -0.000 | -0.000 | 0.000 |
| 8.426 | 8.426 | 308.750 | -0.000 | 0.000 | -0.000 |
| 0.060 | 0.060 | 0.060 | 27.155 | 0.000 | -0.000 |
| 0.060 | 0.060 | 0.060 | 0.000 | 27.155 | -0.000 |
| 0.060 | 0.060 | 0.060 | -0.000 | -0.000 | 27.155 |
| 308.750 | 8.426 | 8.426 | 0.000 | 0.000 | 0.000 |
| 8.426 | 308.750 | 8.426 | 0.000 | 0.000 | 0.000 |
| 8.426 | 8.426 | 308.750 | 0.000 | 0.000 | -0.000 |
| -0.025 | -0.025 | -0.025 | 26.399 | -0.000 | -0.000 |
| -0.025 | -0.025 | -0.025 | 0.000 | 26.399 | -0.000 |
| -0.025 | -0.025 | -0.025 | -0.000 | -0.000 | 26.399 |
| 225.377 | 37.304 | 37.304 | -0.000 | 0.000 | 0.000 |
| 37.304 | 225.377 | 37.304 | 0.000 | -0.000 | 0.000 |
| 36.570 | 36.570 | 225.447 | -0.000 | -0.000 | 0.000 |
| 0.025 | 0.025 | 0.025 | 26.399 | 0.000 | 0.000 |
| 0.025 | 0.025 | 0.025 | -0.000 | 26.399 | 0.000 |
| 0.025 | 0.025 | 0.025 | -0.000 | -0.000 | 26.399 |
| 239.196 | 34.110 | 34.110 | 0.000 | -0.000 | -0.000 |
| 34.110 | 239.196 | 34.110 | -0.000 | -0.000 | 0.000 |
| 34.110 | 34.110 | 239.196 | 0.000 | 0.000 | -0.000 |
| -0.001 | -0.001 | -0.001 | 27.156 | 0.000 | -0.000 |
| -0.001 | -0.001 | -0.001 | 0.000 | 27.156 | 0.000 |
| -0.001 | -0.001 | -0.001 | 0.000 | 0.000 | 27.156 |
| 230.922 | 36.746 | 36.746 | 0.000 | 0.000 | 0.000 |
| 36.746 | 230.922 | 36.746 | -0.000 | -0.000 | 0.000 |
| 37.813 | 37.813 | 226.595 | -0.000 | -0.000 | 0.000 |
| 0.001 | 0.001 | 0.001 | 27.156 | -0.000 | -0.000 |
| 0.001 | 0.001 | 0.001 | -0.000 | 27.156 | -0.000 |
| 0.001 | 0.001 | 0.001 | -0.000 | -0.000 | 27.156 |
| 38732997.488 | 311674054.011 | 305068442.113 | -3721911.315 | 4846450.291 | -4764092.740 |
| 300845185.319 | 54207273.118 | 290819987.536 | 10521419.491 | 4359765.082 | -15564860.637 |
| 300529845.696 | 300005396.822 | 61443212.947 | 610098.680 | -3342672.553 | 2553534.946 |
| 315173415.685 | 244921727.975 | 242505225.769 | -34207715.016 | 5445405.659 | 4210520.905 |
| 240693278.880 | 321199953.016 | 237182740.517 | 2951741.346 | -46814800.510 | 5380728.562 |
| 218833242.399 | 217083956.838 | 317437327.336 | -636656.089 | 5392632.577 | -50453028.022 |
| -494186127.360 | 4810477.452 | 5197079.813 | 3338126.772 | -6451376.457 | -5929523.922 |
| 70370728.540 | -499700319.202 | 33638680.405 | 2599061.009 | -7970252.588 | -12071979.061 |
| 37556574.038 | 56698610.698 | -490927355.535 | 24898379.385 | -9291542.558 | -9640823.613 |
| -333771297.358 | -230592691.361 | -242677473.398 | -39467412.866 | 146716.857 | 6405900.999 |
| -245100477.074 | -325526075.323 | -241178784.132 | 10746122.751 | -36727965.411 | -8100090.972 |
| -237731016.628 | -246075013.202 | -309935325.768 | 4157439.539 | -4987192.609 | -37970164.270 |
| 8221994.448 | 30569087.304 | 30392870.916 | -552445.863 | 911513.297 | 729440.832 |
| 28975169.280 | 6246241.881 | 29680134.901 | -428716.771 | -347354.306 | 15549.069 |
| 29606867.900 | 29809994.962 | 6510483.439 | -185598.352 | 748583.853 | 913189.991 |
| 33691390.056 | 23198338.962 | 20770178.966 | -5037025.677 | 208326.682 | 1335539.062 |
| 24501915.245 | 33000024.977 | 22469430.997 | 449021.518 | -4065790.776 | 357430.005 |
| 19413049.917 | 20245625.023 | 32948396.166 | -295210.574 | 417205.916 | -6204641.298 |
| -92905628.736 | 62747393.199 | 62747393.200 | -0.002 | -0.001 | -0.002 |
| 62747392.947 | -92905628.765 | 62747392.940 | -0.003 | 0.003 | 0.004 |
| 62747392.949 | 62747392.946 | -92905628.822 | 0.003 | -0.005 | 0.004 |
| -33186781.154 | -23114883.821 | -21791992.657 | -5345489.671 | 348114.091 | -161321.526 |
| -22430136.088 | -31720025.620 | -23340215.556 | 198174.700 | -5042620.585 | -626854.063 |
| -21156783.188 | -21934438.129 | -31965915.613 | 548298.969 | 102203.525 | -4823651.208 |
| 614914.634 | 3081014.462 | 2856946.448 | 38299.575 | 154447.072 | 2915.788 |
| 2864285.066 | 501561.857 | 2919512.773 | -51592.040 | 16869.730 | 37611.292 |
| 2859472.155 | 3055325.059 | 532160.048 | -91262.205 | -68537.063 | 1717.869 |
| 3435545.422 | 1996344.364 | 2312919.890 | -438845.205 | 58581.380 | 88463.808 |
| 2258214.953 | 3426665.018 | 2150342.654 | 46159.910 | -522566.455 | -16345.525 |
| 2269407.238 | 2009233.919 | 3423444.749 | -14557.716 | 92437.493 | -487290.932 |
| -9289927.507 | 6275016.474 | 6275016.475 | -0.000 | 0.000 | 0.000 |
| 6275016.485 | -9289927.493 | 6275016.485 | -0.000 | 0.000 | 0.000 |
| 6275016.489 | 6275016.489 | -9289927.503 | -0.000 | 0.000 | 0.000 |
| -3456536.319 | -2244390.782 | -2333701.494 | -405464.152 | 53749.879 | -65040.589 |
| -2189428.623 | -3317630.968 | -2240965.032 | 51000.206 | -455005.090 | -50545.790 |
| -2017666.169 | -2211055.339 | -3308287.651 | -12711.540 | 57064.557 | -502902.659 |
| 1406.053 | 1131.537 | 1064.649 | 29.102 | -0.000 | 0.000 |
| 1131.537 | 1406.053 | 1064.649 | -29.103 | -0.000 | -0.000 |
| 1064.623 | 1064.623 | 1472.258 | -0.000 | -0.000 | 0.000 |
| 29.102 | -29.103 | -0.000 | 66.926 | -0.000 | 0.000 |
| -0.000 | -0.000 | -0.000 | 0.000 | 66.926 | 29.102 |
| 0.000 | 0.000 | -0.000 | 0.000 | 29.102 | 137.258 |
| 1320.249 | 1217.340 | 1064.649 | 23.289 | 0.000 | -0.000 |
| 1131.536 | 1406.052 | 1064.649 | -29.102 | 0.000 | -0.000 |
| 1064.623 | 1064.623 | 1472.258 | 0.000 | 0.000 | -0.000 |
| 29.102 | -29.102 | 0.000 | 66.926 | 0.000 | -0.000 |
| 0.000 | 0.000 | 0.000 | -0.000 | 66.926 | 29.102 |
| -0.000 | -0.000 | 0.000 | -0.000 | 29.102 | 137.258 |
| 1406.052 | 1131.536 | 1064.648 | 29.102 | 0.000 | 0.000 |
| 1131.536 | 1406.051 | 1064.648 | -29.102 | -0.000 | 0.000 |
| 1064.622 | 1064.622 | 1472.257 | 0.000 | 0.000 | 0.000 |
| 23.289 | -23.290 | 0.000 | 66.532 | -0.000 | 0.000 |
| -0.000 | -0.000 | 0.000 | 0.000 | 66.926 | 29.102 |
| -0.000 | 0.000 | -0.000 | 0.000 | 29.102 | 137.258 |
| 1406.053 | 1131.538 | 1064.650 | 29.102 | 0.000 | -0.000 |
| 1131.538 | 1406.053 | 1064.650 | -29.102 | 0.000 | 0.000 |
| 1064.624 | 1064.624 | 1472.260 | 0.000 | 0.000 | -0.000 |
| 23.289 | -23.289 | -0.000 | 66.532 | 0.000 | -0.000 |
| 0.000 | 0.000 | -0.000 | -0.000 | 66.926 | 29.102 |
| 0.000 | -0.000 | 0.000 | -0.000 | 29.102 | 137.258 |
| 1320.258 | 1217.314 | 1064.640 | 23.291 | -0.000 | 0.000 |
| 1217.344 | 1320.228 | 1064.640 | -23.287 | -0.000 | 0.000 |
| 1064.614 | 1064.614 | 1472.245 | -0.000 | -0.000 | 0.000 |
| 29.101 | -29.103 | 0.003 | 66.926 | -0.000 | 0.000 |
| -0.001 | -0.002 | 0.003 | 0.001 | 66.926 | 29.102 |
| -0.001 | 0.004 | -0.000 | -0.001 | 23.289 | 51.455 |
| 1320.240 | 1217.365 | 1064.657 | 23.288 | 0.000 | -0.000 |
| 1217.336 | 1320.270 | 1064.657 | -23.292 | 0.000 | -0.000 |
| 1064.631 | 1064.631 | 1472.271 | 0.000 | 0.000 | -0.000 |
| 23.288 | -23.286 | -0.003 | 66.533 | 0.000 | -0.000 |
| 0.001 | 0.002 | -0.003 | -0.001 | 66.926 | 29.102 |
| 0.001 | -0.004 | 0.000 | 0.001 | 23.289 | 51.455 |
| 1035.176 | 562.708 | 557.061 | -0.005 | 0.002 | -0.000 |
| 551.656 | 838.288 | 385.600 | 0.001 | 0.000 | 0.000 |
| 546.715 | 389.525 | 808.071 | 0.004 | 0.001 | -0.000 |
| 0.004 | -0.011 | -0.008 | 94.294 | 0.001 | -0.000 |
| 0.006 | -0.005 | -0.002 | 0.005 | 118.194 | 0.000 |
| 0.009 | -0.003 | -0.001 | -0.004 | 0.002 | 159.164 |
| 1035.165 | 562.727 | 557.074 | 0.005 | -0.002 | 0.000 |
| 551.640 | 838.305 | 385.610 | -0.001 | -0.000 | 0.000 |
| 546.704 | 389.543 | 808.083 | -0.004 | -0.001 | 0.000 |
| -0.004 | 0.011 | 0.008 | 94.294 | -0.001 | 0.000 |
| -0.006 | 0.005 | 0.002 | -0.005 | 118.193 | 0.000 |
| -0.009 | 0.003 | 0.001 | 0.004 | -0.002 | 159.164 |
| 1035.153 | 562.580 | 556.962 | -0.001 | 0.000 | -0.000 |
| 550.811 | 838.283 | 385.383 | -0.000 | 0.000 | -0.000 |
| 548.074 | 388.275 | 807.736 | -0.001 | 0.000 | 0.000 |
| 0.000 | -0.001 | -0.001 | 94.294 | 0.000 | -0.000 |
| 0.001 | -0.001 | -0.000 | 0.000 | 118.151 | -0.000 |
| 0.001 | -0.000 | -0.000 | -0.000 | 0.000 | 159.151 |
| 1035.154 | 562.583 | 556.964 | 0.001 | -0.000 | -0.000 |
| 550.810 | 838.286 | 385.385 | 0.000 | -0.000 | 0.000 |
| 548.073 | 388.278 | 807.737 | 0.001 | -0.000 | -0.000 |
| -0.000 | 0.001 | 0.001 | 94.294 | -0.000 | 0.000 |
| -0.001 | 0.001 | 0.000 | -0.000 | 118.151 | 0.000 |
| -0.001 | 0.000 | 0.000 | 0.000 | -0.000 | 159.151 |
| 1035.145 | 562.576 | 556.958 | -0.000 | 0.000 | -0.000 |
| 550.794 | 838.282 | 385.375 | -0.000 | 0.000 | -0.000 |
| 548.070 | 388.271 | 807.736 | -0.000 | 0.000 | -0.000 |
| -0.001 | -0.001 | -0.000 | 94.294 | 0.000 | 0.000 |
| 0.002 | -0.001 | 0.000 | 0.000 | 118.151 | -0.000 |
| -0.000 | -0.001 | -0.001 | -0.000 | 0.000 | 159.151 |
| 1035.163 | 562.584 | 556.967 | 0.000 | -0.000 | 0.000 |
| 550.800 | 838.287 | 385.385 | 0.000 | -0.000 | 0.000 |
| 548.078 | 388.280 | 807.737 | 0.000 | -0.000 | 0.000 |
| 0.001 | 0.001 | 0.000 | 94.294 | -0.000 | -0.000 |
| -0.002 | 0.001 | -0.000 | -0.000 | 118.151 | -0.000 |
| 0.000 | 0.001 | 0.001 | 0.000 | -0.000 | 159.151 |
| 324.326 | 124.268 | -0.000 | -0.000 | -0.000 | -0.000 |
| 124.268 | 324.326 | -0.000 | -0.000 | -0.000 | 0.000 |
| -0.000 | -0.000 | 344.811 | -0.000 | -0.000 | 0.000 |
| -0.000 | -0.000 | -0.000 | 26.557 | -0.000 | -0.000 |
| -0.000 | -0.000 | -0.000 | -0.000 | 26.557 | -0.000 |
| 0.000 | 0.000 | -0.000 | -0.000 | -0.000 | 100.029 |
| 324.326 | 124.268 | 0.000 | -0.000 | -0.000 | -0.000 |
| 124.268 | 324.326 | 0.000 | 0.000 | 0.000 | 0.000 |
| 0.000 | 0.000 | 344.811 | 0.000 | 0.000 | -0.000 |
| 0.000 | 0.000 | 0.000 | 26.557 | 0.000 | -0.000 |
| 0.000 | 0.000 | 0.000 | 0.000 | 26.557 | -0.000 |
| -0.000 | -0.000 | 0.000 | 0.000 | 0.000 | 100.029 |
| 324.326 | 124.268 | -0.000 | -0.000 | -0.000 | -0.000 |
| 124.268 | 324.326 | -0.000 | -0.000 | -0.000 | -0.000 |
| -0.000 | -0.000 | 344.811 | -0.000 | -0.000 | 0.000 |
| -0.000 | -0.000 | -0.000 | 26.557 | -0.000 | 0.000 |
| -0.000 | -0.000 | -0.000 | -0.000 | 26.557 | -0.000 |
| 0.000 | 0.000 | -0.000 | -0.000 | -0.000 | 100.029 |
| 324.326 | 124.268 | 0.000 | 0.000 | 0.000 | 0.000 |
| 124.268 | 324.326 | 0.000 | -0.000 | -0.000 | 0.000 |
| 0.000 | 0.000 | 344.811 | 0.000 | 0.000 | -0.000 |
| 0.000 | 0.000 | 0.000 | 26.557 | 0.000 | -0.000 |
| 0.000 | 0.000 | 0.000 | 0.000 | 26.557 | 0.000 |
| -0.000 | -0.000 | 0.000 | 0.000 | -0.000 | 100.029 |
| 324.328 | 124.268 | -0.000 | -0.000 | -0.000 | 0.000 |
| 124.268 | 324.327 | -0.000 | -0.000 | -0.000 | 0.000 |
| -0.000 | -0.000 | 344.813 | -0.000 | -0.000 | -0.000 |
| 0.000 | -0.000 | -0.000 | 26.557 | -0.000 | 0.000 |
| -0.000 | 0.000 | -0.000 | 0.000 | 26.557 | 0.000 |
| -0.000 | 0.000 | -0.000 | 0.000 | 0.000 | 100.029 |
| 324.324 | 124.267 | 0.000 | 0.000 | 0.000 | 0.000 |
| 124.267 | 324.325 | 0.000 | 0.000 | 0.000 | 0.000 |
| 0.000 | 0.000 | 344.809 | 0.000 | 0.000 | -0.000 |
| -0.000 | 0.000 | 0.000 | 26.557 | -0.000 | -0.000 |
| 0.000 | -0.000 | 0.000 | -0.000 | 26.557 | -0.000 |
| 0.000 | -0.000 | 0.000 | -0.000 | -0.000 | 100.029 |
| 219.739 | 51.979 | 42.739 | 21.331 | 18.833 | -0.000 |
| 146.157 | 232.596 | -896.453 | -4.330 | -5.503 | -0.000 |
| 209.489 | 209.489 | -311.725 | 0.000 | -0.000 | 0.000 |
| 129.868 | 143.312 | -412.808 | 5.144 | 0.000 | 1.527 |
| 138.128 | 132.476 | -920.245 | 0.000 | -2.808 | -7.685 |
| 137.572 | 137.571 | -931.436 | -2.224 | -10.045 | 15.114 |
| 51.774 | -53.422 | 856.275 | 9.556 | 6.870 | 0.000 |
| -53.414 | 51.791 | 856.244 | -9.558 | -6.871 | -0.000 |
| -63.521 | -63.521 | 926.628 | 0.000 | -0.000 | -0.000 |
| -109.053 | -128.577 | 807.258 | 45.607 | 0.000 | -6.977 |
| -132.490 | -138.138 | 920.283 | 0.000 | -2.814 | -7.687 |
| -118.772 | -118.772 | 808.042 | -6.995 | 9.797 | 53.147 |
| 175.974 | 80.199 | -20.301 | 7.495 | 5.759 | 0.000 |
| 80.200 | 175.973 | -20.301 | -7.494 | -5.758 | 0.000 |
| 87.374 | 87.374 | 56.796 | 0.000 | -0.000 | 0.000 |
| 7.402 | 19.032 | -39.946 | 7.270 | -0.000 | 0.869 |
| 18.462 | 6.185 | -87.608 | 0.000 | 31.289 | 4.748 |
| -0.000 | 0.000 | -0.000 | -18.833 | 21.331 | 83.880 |
| 107.311 | 69.720 | 108.335 | -5.444 | -0.599 | -0.000 |
| 56.851 | 148.088 | 130.311 | -6.487 | -5.260 | -0.000 |
| 44.352 | 44.352 | 200.992 | 0.000 | -0.000 | -0.000 |
| -5.865 | -18.742 | 73.422 | 37.467 | 0.000 | -5.227 |
| -7.077 | -17.531 | 73.421 | -0.000 | 37.466 | 6.438 |
| -13.249 | -13.249 | 40.043 | 0.916 | -5.881 | 17.733 |
| 155.928 | 72.850 | 57.218 | 3.912 | 6.191 | -0.000 |
| 72.843 | 155.949 | 57.213 | -3.918 | -6.195 | -0.000 |
| 54.574 | 54.574 | 102.849 | -0.000 | 0.000 | 0.000 |
| 5.053 | -3.387 | -2.518 | 30.792 | 0.000 | -6.414 |
| 7.247 | -5.581 | -2.518 | -0.000 | 30.791 | 4.219 |
| 1.229 | 1.229 | -6.965 | -4.763 | 5.403 | 43.210 |
| 155.493 | 68.926 | 65.435 | 5.551 | 4.503 | -0.000 |
| 68.926 | 155.494 | 65.435 | -5.551 | -4.503 | -0.000 |
| 64.218 | 64.218 | 130.639 | -0.000 | -0.000 | -0.000 |
| 3.263 | -5.827 | 7.210 | 32.911 | 0.000 | -4.076 |
| 4.670 | -6.262 | 9.358 | 0.000 | 30.782 | 4.342 |
| -0.867 | -0.867 | 2.620 | -5.910 | 3.525 | 40.597 |
| 218.970 | 9.512 | 30.090 | 0.000 | 0.000 | 0.000 |
| 9.512 | 218.970 | 30.090 | -0.000 | 0.000 | -0.000 |
| 56.430 | 56.430 | 192.251 | -0.000 | -0.000 | -0.000 |
| 0.000 | 0.000 | -0.000 | 42.678 | -0.000 | 0.000 |
| 0.000 | 0.000 | -0.000 | -0.000 | 42.678 | -0.000 |
| -0.000 | -0.000 | -0.000 | -0.000 | -0.000 | 30.981 |
| 218.970 | 9.512 | 30.090 | 0.000 | 0.000 | 0.000 |
| 9.512 | 218.970 | 30.090 | 0.000 | 0.000 | -0.000 |
| 30.091 | 30.091 | 234.723 | 0.000 | 0.000 | 0.000 |
| -0.000 | -0.000 | 0.000 | 42.678 | 0.000 | 0.000 |
| -0.000 | -0.000 | 0.000 | -0.000 | 42.678 | 0.000 |
| -0.000 | 0.000 | 0.000 | 0.000 | 0.000 | 30.981 |
| 145.466 | 37.414 | 66.856 | -0.000 | -0.000 | 0.000 |
| 37.414 | 145.466 | 66.856 | -0.000 | -0.000 | 0.000 |
| 56.430 | 56.430 | 192.251 | 0.000 | 0.000 | -0.000 |
| 0.000 | -0.000 | -0.000 | 42.678 | -0.000 | 0.000 |
| -0.000 | 0.000 | -0.000 | -0.000 | 42.678 | 0.000 |
| 0.000 | 0.000 | -0.000 | -0.000 | -0.000 | 20.309 |
| 140.953 | 54.859 | 56.430 | -0.000 | -0.000 | -0.000 |
| 37.414 | 145.467 | 66.856 | 0.000 | 0.000 | -0.000 |
| 56.430 | 56.430 | 192.251 | 0.000 | 0.000 | -0.000 |
| -0.000 | 0.000 | 0.000 | 42.678 | 0.000 | -0.000 |
| 0.000 | -0.000 | 0.000 | -0.000 | 42.678 | -0.000 |
| -0.000 | -0.000 | 0.000 | 0.000 | 0.000 | 20.309 |
| 140.950 | 54.860 | 56.432 | -0.000 | -0.000 | 0.000 |
| 54.860 | 140.950 | 56.432 | -0.000 | 0.000 | -0.000 |
| 56.430 | 56.430 | 192.251 | -0.000 | -0.000 | 0.000 |
| 0.000 | -0.000 | -0.000 | 42.678 | -0.000 | 0.000 |
| -0.000 | 0.000 | -0.000 | 0.000 | 42.678 | 0.000 |
| -0.000 | -0.000 | -0.000 | -0.000 | -0.000 | 20.309 |
| 140.956 | 54.858 | 56.428 | -0.000 | 0.000 | -0.000 |
| 54.858 | 140.956 | 56.428 | -0.000 | -0.000 | 0.000 |
| 56.430 | 56.430 | 192.250 | -0.000 | -0.000 | -0.000 |
| -0.000 | 0.000 | 0.000 | 42.678 | 0.000 | -0.000 |
| 0.000 | -0.000 | 0.000 | 0.000 | 42.678 | -0.000 |
| 0.000 | 0.000 | 0.000 | 0.000 | 0.000 | 20.309 |
| 140.461 | 52.762 | 58.082 | 0.000 | -0.000 | -0.000 |
| 52.762 | 140.461 | 58.082 | -0.000 | 0.000 | -0.000 |
| 30.372 | 30.372 | 233.134 | 0.000 | 0.000 | 0.000 |
| 0.000 | 0.000 | 0.000 | 41.067 | 0.000 | 0.000 |
| 0.000 | 0.000 | 0.000 | 0.000 | 41.067 | -0.000 |
| 0.000 | 0.000 | 0.000 | -0.000 | -0.000 | 21.375 |
| 140.462 | 52.762 | 58.082 | 0.000 | 0.000 | 0.000 |
| 52.762 | 140.462 | 58.082 | 0.000 | 0.000 | 0.000 |
| 55.946 | 55.946 | 189.218 | -0.000 | -0.000 | -0.000 |
| -0.000 | -0.000 | -0.000 | 41.067 | -0.000 | -0.000 |
| -0.000 | -0.000 | -0.000 | 0.000 | 41.067 | 0.000 |
| -0.000 | -0.000 | -0.000 | 0.000 | 0.000 | 21.375 |
| 140.461 | 52.762 | 58.082 | -0.000 | -0.000 | -0.000 |
| 52.762 | 140.461 | 58.082 | -0.000 | -0.000 | -0.000 |
| 55.946 | 55.946 | 189.218 | 0.000 | 0.000 | -0.000 |
| 0.000 | -0.000 | -0.000 | 41.067 | -0.000 | -0.000 |
| -0.000 | 0.000 | -0.000 | -0.000 | 41.067 | 0.000 |
| -0.000 | -0.000 | -0.000 | 0.000 | -0.000 | 21.375 |
| 144.699 | 36.464 | 68.438 | -0.000 | -0.000 | 0.000 |
| 36.464 | 144.699 | 68.438 | 0.000 | 0.000 | -0.000 |
| 55.946 | 55.946 | 189.218 | -0.000 | -0.000 | -0.000 |
| -0.000 | 0.000 | 0.000 | 41.067 | 0.000 | -0.000 |
| 0.000 | -0.000 | 0.000 | 0.000 | 41.067 | 0.000 |
| 0.000 | 0.000 | 0.000 | 0.000 | 0.000 | 21.375 |
| 140.459 | 52.763 | 58.084 | -0.000 | 0.000 | -0.000 |
| 52.763 | 140.459 | 58.084 | -0.000 | -0.000 | -0.000 |
| 55.946 | 55.946 | 189.218 | 0.000 | 0.000 | 0.000 |
| 0.000 | -0.000 | -0.000 | 41.067 | -0.000 | -0.000 |
| -0.000 | 0.000 | -0.000 | 0.000 | 41.067 | 0.000 |
| -0.000 | -0.000 | -0.000 | 0.000 | 0.000 | 21.375 |
| 140.464 | 52.761 | 58.080 | -0.000 | -0.000 | 0.000 |
| 52.761 | 140.464 | 58.080 | -0.000 | 0.000 | 0.000 |
| 55.945 | 55.945 | 189.217 | -0.000 | -0.000 | 0.000 |
| -0.000 | 0.000 | 0.000 | 41.067 | -0.000 | 0.000 |
| 0.000 | -0.000 | 0.000 | 0.000 | 41.067 | -0.000 |
| 0.000 | 0.000 | 0.000 | 0.000 | -0.000 | 21.375 |
| 139.740 | 44.345 | 65.100 | 0.000 | 7.385 | 0.000 |
| 46.255 | 162.472 | 62.340 | -0.000 | -6.651 | 0.000 |
| 64.384 | 62.765 | 152.451 | -0.000 | 10.693 | 0.000 |
| 0.000 | 0.000 | -0.000 | 51.688 | -0.000 | -5.263 |
| 3.000 | -6.711 | 11.047 | 0.000 | 39.178 | -0.000 |
| 0.000 | 0.000 | -0.000 | -6.103 | -0.000 | 32.508 |
| 144.110 | 46.323 | 66.223 | -0.000 | 6.387 | 0.000 |
| 46.255 | 162.472 | 62.340 | 0.000 | -6.651 | -0.000 |
| 64.384 | 62.765 | 152.451 | 0.000 | 10.693 | -0.000 |
| -0.000 | -0.000 | 0.000 | 51.688 | 0.000 | -5.263 |
| 2.723 | -6.973 | 12.334 | 0.000 | 39.453 | -0.000 |
| -0.000 | -0.000 | 0.000 | -6.103 | 0.000 | 32.508 |
| 144.110 | 46.323 | 66.223 | 0.000 | 6.387 | -0.000 |
| 45.636 | 162.347 | 62.616 | -0.000 | -7.526 | 0.000 |
| 44.118 | 45.937 | 191.658 | -0.000 | 25.735 | 0.000 |
| 0.000 | -0.000 | -0.000 | 51.688 | -0.000 | -5.263 |
| 9.169 | -26.374 | 25.735 | -0.000 | 72.945 | -0.000 |
| -0.000 | 0.000 | 0.000 | -24.885 | 0.000 | 51.081 |
| 139.740 | 44.345 | 65.100 | -0.000 | 7.385 | -0.000 |
| 16.085 | 216.933 | 45.937 | -0.000 | -26.374 | -0.000 |
| 44.118 | 45.937 | 191.658 | -0.000 | 25.735 | -0.000 |
| -0.000 | 0.000 | 0.000 | 51.688 | 0.000 | -5.263 |
| 9.169 | -26.374 | 25.735 | 0.000 | 72.945 | 0.000 |
| 0.000 | -0.000 | -0.000 | -24.885 | -0.000 | 51.081 |
| 140.125 | 45.257 | 64.284 | 0.000 | 8.918 | 0.000 |
| 46.256 | 162.472 | 62.340 | -0.000 | -6.651 | 0.000 |
| 63.620 | 62.500 | 152.272 | 0.000 | 11.556 | -0.000 |
| -0.000 | -0.000 | -0.000 | 51.408 | -0.000 | -5.785 |
| 2.723 | -6.973 | 12.334 | -0.000 | 39.453 | -0.000 |
| -0.000 | -0.000 | 0.000 | -5.700 | 0.000 | 32.078 |
| 140.128 | 45.255 | 64.282 | -0.000 | 8.919 | -0.000 |
| 45.636 | 162.346 | 62.615 | 0.000 | -7.526 | -0.000 |
| 62.268 | 64.341 | 153.645 | 0.000 | 12.859 | -0.000 |
| 0.000 | 0.000 | 0.000 | 51.408 | 0.000 | -5.785 |
| 3.000 | -6.711 | 11.048 | 0.000 | 39.178 | -0.000 |
| 0.000 | 0.000 | -0.000 | -5.700 | -0.000 | 32.078 |
| 199.187 | 13.798 | 45.712 | 0.000 | 16.886 | 0.000 |
| 156.949 | 249.532 | -68.165 | 0.000 | -92.483 | 0.000 |
| 122.068 | 174.939 | 5.400 | -0.000 | -82.201 | 0.000 |
| 0.000 | 0.000 | 0.000 | 87.054 | 0.000 | -24.705 |
| 9.153 | -26.476 | 24.993 | -0.000 | 73.281 | 0.000 |
| 61.499 | 112.679 | -151.144 | -1.702 | -97.467 | 27.378 |
| 78.990 | -68.681 | 221.286 | 0.000 | 107.032 | -0.000 |
| -66.902 | 71.493 | 192.208 | -0.000 | 77.190 | -0.000 |
| -0.834 | -52.091 | 308.484 | -0.000 | 114.522 | -0.000 |
| -0.000 | -0.000 | -0.000 | 87.054 | -0.000 | -24.705 |
| 9.153 | -26.476 | 24.993 | -0.000 | 73.280 | -0.000 |
| -61.499 | -112.679 | 151.144 | -1.702 | 97.467 | 27.378 |
| 150.730 | 54.459 | 50.286 | 0.000 | -1.192 | 0.000 |
| 16.048 | 215.770 | 46.252 | -0.000 | -26.784 | 0.000 |
| 43.245 | 47.398 | 189.696 | 0.000 | 24.993 | 0.000 |
| 0.000 | 0.000 | 0.000 | 87.054 | -0.000 | -24.705 |
| 9.153 | -26.476 | 24.993 | 0.000 | 73.281 | 0.000 |
| 0.000 | 0.000 | 0.000 | -25.012 | 0.000 | 50.318 |
| 126.889 | 40.089 | 74.948 | -0.000 | 16.606 | -0.000 |
| 16.048 | 215.770 | 46.252 | -0.000 | -26.784 | -0.000 |
| 43.245 | 47.398 | 189.696 | -0.000 | 24.993 | -0.000 |
| -0.000 | -0.000 | -0.000 | 87.054 | 0.000 | -24.705 |
| -6.587 | -13.982 | 22.285 | 0.000 | 47.061 | -0.000 |
| -0.000 | -0.000 | -0.000 | -25.012 | -0.000 | 50.318 |
| 144.613 | 48.064 | 63.043 | 0.000 | 5.572 | 0.000 |
| 46.534 | 161.099 | 60.623 | 0.000 | -8.753 | 0.000 |
| 64.194 | 64.121 | 151.724 | -0.000 | 9.974 | 0.000 |
| 0.524 | 0.960 | -1.288 | 52.448 | -0.831 | -4.836 |
| 4.051 | -6.041 | 10.988 | 0.000 | 39.484 | 0.000 |
| 1.467 | 1.000 | -1.479 | -5.332 | -1.195 | 31.323 |
| 142.695 | 46.182 | 66.336 | 0.000 | 7.422 | -0.000 |
| 44.898 | 159.317 | 63.121 | 0.000 | -6.710 | -0.000 |
| 61.528 | 62.068 | 154.149 | -0.000 | 12.542 | -0.000 |
| -0.524 | -0.960 | 1.288 | 52.448 | 0.831 | -4.836 |
| 2.915 | -8.088 | 13.749 | 0.000 | 41.234 | -0.000 |
| -1.467 | -1.000 | 1.479 | -5.332 | 1.195 | 31.323 |
| 172.453 | 66.004 | 55.046 | -0.000 | -0.000 | 0.000 |
| 46.787 | 228.030 | 18.568 | 0.000 | -0.000 | 0.000 |
| 18.553 | 18.926 | 255.529 | 0.000 | 0.000 | 0.000 |
| -0.000 | -0.000 | -0.000 | 62.232 | -0.000 | -0.000 |
| -0.339 | -1.459 | 1.779 | -0.000 | 45.724 | 0.000 |
| -0.368 | -1.584 | 1.931 | 0.000 | 0.000 | 51.197 |
| 172.905 | 69.183 | 51.455 | -0.000 | 0.000 | -0.000 |
| 67.721 | 173.408 | 51.671 | -0.000 | 0.000 | -0.000 |
| 51.904 | 53.525 | 188.111 | -0.000 | -0.000 | -0.000 |
| 0.000 | 0.000 | 0.000 | 62.232 | 0.000 | -0.000 |
| 0.339 | 1.459 | -1.779 | 0.000 | 45.724 | -0.000 |
| 0.368 | 1.584 | -1.931 | -0.000 | 0.000 | 51.197 |
| 172.575 | 69.324 | 51.645 | -0.000 | 0.000 | 0.000 |
| 69.193 | 171.716 | 51.876 | 0.000 | -0.000 | 0.000 |
| 18.553 | 18.926 | 255.529 | -0.000 | -0.000 | 0.000 |
| -0.000 | -0.000 | -0.000 | 62.232 | -0.000 | 0.000 |
| -0.000 | 0.000 | -0.000 | 0.000 | 62.344 | 0.000 |
| -0.037 | -0.158 | 0.193 | 0.000 | -0.000 | 51.193 |
| 172.634 | 69.626 | 51.288 | -0.000 | 0.000 | -0.000 |
| 69.252 | 172.017 | 51.520 | -0.000 | -0.000 | 0.000 |
| 51.599 | 52.210 | 189.715 | -0.000 | 0.000 | -0.000 |
| 0.000 | 0.000 | 0.000 | 62.232 | -0.000 | -0.000 |
| 0.000 | -0.000 | 0.000 | -0.000 | 62.344 | 0.000 |
| 0.037 | 0.158 | -0.193 | -0.000 | -0.000 | 51.193 |
| 172.601 | 69.460 | 51.485 | -0.000 | -0.000 | 0.000 |
| 69.221 | 171.850 | 51.717 | -0.000 | -0.000 | 0.000 |
| 51.563 | 52.051 | 189.909 | -0.000 | -0.000 | 0.000 |
| -0.003 | -0.015 | 0.018 | 45.551 | -0.000 | 0.000 |
| -0.003 | -0.015 | 0.018 | 0.000 | 45.725 | -0.000 |
| -0.004 | -0.016 | 0.019 | 0.000 | -0.000 | 51.193 |
| 172.607 | 69.490 | 51.448 | -0.000 | 0.000 | -0.000 |
| 69.225 | 171.883 | 51.679 | -0.000 | 0.000 | -0.000 |
| 51.567 | 52.077 | 189.877 | 0.000 | 0.000 | -0.000 |
| 0.003 | 0.015 | -0.018 | 45.551 | 0.000 | 0.000 |
| 0.003 | 0.015 | -0.018 | -0.000 | 45.725 | -0.000 |
| 0.004 | 0.016 | -0.019 | -0.000 | -0.000 | 51.193 |
| 192.268 | 60.196 | 60.196 | -0.000 | 0.000 | 0.000 |
| 60.196 | 192.268 | 60.196 | 0.000 | 0.000 | 0.000 |
| 60.196 | 60.196 | 192.268 | 0.000 | 0.000 | 0.000 |
| 17.768 | 17.768 | 17.768 | 46.044 | -0.000 | -0.000 |
| 17.768 | 17.768 | 17.768 | -0.000 | 46.044 | -0.000 |
| 17.768 | 17.768 | 17.768 | -0.000 | -0.000 | 46.044 |
| 192.267 | 60.196 | 60.196 | 0.000 | 0.000 | -0.000 |
| 60.196 | 192.267 | 60.196 | 0.000 | 0.000 | -0.000 |
| 60.196 | 60.196 | 192.267 | 0.000 | 0.000 | -0.000 |
| -17.768 | -17.768 | -17.768 | 46.044 | -0.000 | -0.000 |
| -17.768 | -17.768 | -17.768 | 0.000 | 46.044 | -0.000 |
| -17.768 | -17.768 | -17.768 | 0.000 | 0.000 | 46.044 |
| 148.221 | 73.032 | 73.032 | -0.000 | -0.000 | -0.000 |
| 73.032 | 148.221 | 73.032 | -0.000 | -0.000 | -0.000 |
| 73.032 | 73.032 | 148.221 | -0.000 | -0.000 | 0.000 |
| 0.000 | 0.000 | 0.000 | 94.014 | -0.000 | -0.000 |
| 0.000 | 0.000 | 0.000 | 0.000 | 94.014 | 0.000 |
| 0.000 | 0.000 | 0.000 | -0.000 | 0.000 | 94.014 |
| 192.267 | 60.196 | 60.196 | 0.000 | 0.000 | -0.000 |
| 60.196 | 192.267 | 60.196 | -0.000 | -0.000 | -0.000 |
| 60.196 | 60.196 | 192.267 | 0.000 | -0.000 | -0.000 |
| -0.000 | -0.000 | -0.000 | 94.014 | 0.000 | 0.000 |
| -0.000 | -0.000 | -0.000 | -0.000 | 94.014 | -0.000 |
| -0.000 | -0.000 | -0.000 | -0.000 | 0.000 | 94.014 |
| 146.743 | 72.404 | 72.404 | -0.000 | -0.000 | 0.000 |
| 71.186 | 146.828 | 71.186 | -0.000 | 0.000 | -0.000 |
| 71.186 | 71.186 | 146.828 | 0.000 | -0.000 | -0.000 |
| 0.164 | 0.164 | 0.164 | 45.818 | 0.000 | 0.000 |
| 0.164 | 0.164 | 0.164 | -0.000 | 45.818 | 0.000 |
| 0.164 | 0.164 | 0.164 | 0.000 | -0.000 | 45.818 |
| 146.527 | 70.778 | 70.779 | -0.000 | -0.000 | -0.000 |
| 70.779 | 146.527 | 70.778 | 0.000 | 0.000 | -0.000 |
| 70.778 | 70.779 | 146.527 | -0.000 | -0.000 | -0.000 |
| -0.164 | -0.164 | -0.164 | 45.818 | 0.000 | -0.000 |
| -0.164 | -0.164 | -0.164 | 0.000 | 45.818 | 0.000 |
| -0.164 | -0.164 | -0.164 | 0.000 | -0.000 | 45.818 |
| 145.652 | 69.590 | 69.590 | 0.000 | -0.000 | 0.000 |
| 69.590 | 145.652 | 69.590 | 0.000 | -0.000 | 0.000 |
| 69.590 | 69.590 | 145.652 | 0.000 | -0.000 | 0.000 |
| -0.000 | -0.000 | -0.000 | 93.360 | -0.000 | 0.000 |
| -0.000 | -0.000 | -0.000 | 0.000 | 93.360 | 0.000 |
| -0.000 | -0.000 | -0.000 | -0.000 | -0.000 | 93.360 |
| 145.652 | 69.591 | 69.591 | -0.000 | 0.000 | -0.000 |
| 69.591 | 145.652 | 69.591 | -0.000 | 0.000 | -0.000 |
| 69.591 | 69.591 | 145.652 | -0.000 | 0.000 | -0.000 |
| 0.000 | 0.000 | 0.000 | 93.360 | -0.000 | -0.000 |
| 0.000 | 0.000 | 0.000 | -0.000 | 93.360 | -0.000 |
| 0.000 | 0.000 | 0.000 | -0.000 | 0.000 | 93.360 |
| 190.580 | 59.168 | 59.168 | 0.000 | 0.000 | 0.000 |
| 59.168 | 190.580 | 59.168 | -0.000 | 0.000 | 0.000 |
| 59.168 | 59.168 | 190.580 | 0.000 | -0.000 | 0.000 |
| -0.000 | -0.000 | -0.000 | 45.826 | -0.000 | 0.000 |
| -0.000 | -0.000 | -0.000 | 0.000 | 45.826 | 0.000 |
| -0.000 | -0.000 | -0.000 | 0.000 | 0.000 | 45.826 |
| 145.652 | 69.590 | 69.590 | 0.000 | 0.000 | -0.000 |
| 69.590 | 145.652 | 69.590 | -0.000 | 0.000 | -0.000 |
| 69.590 | 69.590 | 145.652 | -0.000 | -0.000 | -0.000 |
| 0.000 | 0.000 | 0.000 | 45.826 | 0.000 | -0.000 |
| 0.000 | 0.000 | 0.000 | -0.000 | 45.826 | -0.000 |
| 0.000 | 0.000 | 0.000 | -0.000 | -0.000 | 45.826 |
| 145.652 | 69.591 | 69.591 | 0.000 | -0.000 | 0.000 |
| 69.591 | 145.652 | 69.591 | 0.000 | 0.000 | 0.000 |
| 69.591 | 69.591 | 145.652 | 0.000 | -0.000 | 0.000 |
| -0.000 | -0.000 | -0.000 | 45.007 | 0.000 | -0.000 |
| -0.000 | -0.000 | -0.000 | -0.000 | 45.007 | -0.000 |
| -0.000 | -0.000 | -0.000 | 0.000 | -0.000 | 45.007 |
| 145.652 | 69.590 | 69.590 | -0.000 | 0.000 | -0.000 |
| 69.590 | 145.652 | 69.590 | -0.000 | 0.000 | -0.000 |
| 69.590 | 69.590 | 145.652 | -0.000 | -0.000 | -0.000 |
| 0.000 | 0.000 | 0.000 | 45.007 | 0.000 | -0.000 |
| 0.000 | 0.000 | 0.000 | -0.000 | 45.007 | -0.000 |
| 0.000 | 0.000 | 0.000 | 0.000 | 0.000 | 45.007 |
| 172.196 | 67.587 | 53.329 | -0.000 | 0.000 | 0.000 |
| 47.188 | 227.814 | 18.491 | 0.000 | 0.000 | 0.000 |
| 18.815 | 18.815 | 255.277 | 0.000 | 0.000 | 0.000 |
| -0.000 | -0.000 | -0.000 | 62.406 | 0.000 | 0.000 |
| -0.000 | -0.000 | -0.000 | -0.000 | 62.407 | 0.000 |
| -0.003 | -0.003 | 0.006 | -0.000 | 0.000 | 51.318 |
| 227.815 | 47.188 | 18.491 | 0.000 | -0.000 | -0.000 |
| 47.188 | 227.815 | 18.491 | 0.000 | 0.000 | -0.000 |
| 18.815 | 18.815 | 255.277 | -0.000 | -0.000 | -0.000 |
| 0.000 | 0.000 | 0.000 | 62.406 | -0.000 | -0.000 |
| 0.000 | 0.000 | 0.000 | -0.000 | 62.407 | 0.000 |
| 0.003 | 0.003 | -0.006 | 0.000 | 0.000 | 51.318 |
| 227.815 | 47.188 | 18.491 | -0.000 | 0.000 | 0.000 |
| 47.188 | 227.815 | 18.491 | -0.000 | 0.000 | 0.000 |
| 51.844 | 51.844 | 189.935 | 0.000 | 0.000 | 0.000 |
| -0.000 | -0.000 | 0.001 | 45.734 | -0.000 | 0.000 |
| -0.000 | -0.000 | 0.001 | -0.000 | 45.734 | 0.000 |
| -0.000 | -0.000 | 0.001 | -0.000 | 0.000 | 51.318 |
| 227.815 | 47.188 | 18.491 | 0.000 | -0.000 | -0.000 |
| 47.188 | 227.814 | 18.491 | 0.000 | 0.000 | -0.000 |
| 51.845 | 51.845 | 189.932 | -0.000 | -0.000 | -0.000 |
| 0.000 | 0.000 | -0.001 | 45.734 | 0.000 | 0.000 |
| 0.000 | 0.000 | -0.001 | 0.000 | 45.734 | 0.000 |
| 0.000 | 0.000 | -0.001 | 0.000 | -0.000 | 51.318 |
| 172.198 | 67.591 | 53.324 | -0.000 | 0.000 | 0.000 |
| 67.591 | 172.197 | 53.325 | -0.000 | -0.000 | 0.000 |
| 51.846 | 51.846 | 189.931 | 0.000 | 0.000 | 0.000 |
| 0.000 | 0.000 | -0.000 | 62.407 | -0.000 | 0.000 |
| -0.000 | 0.000 | 0.000 | 0.000 | 45.734 | 0.000 |
| -0.000 | -0.000 | 0.000 | 0.000 | 0.000 | 51.318 |
| 172.198 | 67.590 | 53.323 | 0.000 | 0.000 | 0.000 |
| 69.487 | 172.125 | 51.519 | -0.000 | -0.000 | -0.000 |
| 51.861 | 51.861 | 189.901 | -0.000 | -0.000 | -0.000 |
| -0.000 | -0.000 | 0.000 | 62.407 | 0.000 | -0.000 |
| 0.000 | -0.000 | -0.000 | -0.000 | 45.734 | 0.000 |
| 0.000 | 0.000 | -0.000 | -0.000 | -0.000 | 51.318 |
| 1242.477 | 634.184 | 424.413 | -0.000 | 0.000 | -0.000 |
| 634.184 | 1242.477 | 424.413 | 0.000 | 0.000 | 0.000 |
| 424.413 | 424.413 | 1610.437 | 0.000 | -0.000 | -0.000 |
| 0.000 | 0.000 | 0.000 | 49.646 | -0.000 | -0.000 |
| 0.000 | 0.000 | 0.000 | -0.000 | 246.581 | -0.000 |
| 0.000 | 0.000 | 0.000 | -0.000 | -0.000 | 277.355 |
| 1215.685 | 660.975 | 424.413 | 0.000 | 0.000 | 0.000 |
| 660.975 | 1215.685 | 424.413 | 0.000 | 0.000 | 0.000 |
| 424.413 | 424.413 | 1610.437 | -0.000 | -0.000 | -0.000 |
| -0.000 | -0.000 | -0.000 | 49.646 | 0.000 | 0.000 |
| -0.000 | -0.000 | -0.000 | 0.000 | 246.581 | 0.000 |
| -0.000 | -0.000 | -0.000 | -0.000 | -0.000 | 277.355 |
| 1215.685 | 660.974 | 424.413 | 0.000 | 0.000 | -0.000 |
| 660.972 | 1215.687 | 424.413 | -0.000 | -0.000 | -0.000 |
| 424.413 | 424.413 | 1610.437 | 0.000 | 0.000 | -0.000 |
| 0.000 | -0.000 | -0.000 | 49.646 | -0.000 | -0.000 |
| -0.000 | -0.000 | 0.000 | -0.000 | 246.581 | 0.000 |
| -0.000 | 0.000 | -0.000 | -0.000 | -0.000 | 277.355 |
| 1215.688 | 660.974 | 424.414 | 0.000 | 0.000 | 0.000 |
| 660.976 | 1215.686 | 424.414 | 0.000 | 0.000 | 0.000 |
| 424.414 | 424.414 | 1610.437 | -0.000 | -0.000 | 0.000 |
| -0.000 | 0.000 | 0.000 | 49.646 | 0.000 | 0.000 |
| 0.000 | 0.000 | -0.000 | -0.000 | 246.581 | 0.000 |
| 0.000 | -0.000 | 0.000 | -0.000 | 0.000 | 277.355 |
| 1215.683 | 660.965 | 424.407 | -0.000 | -0.000 | 0.000 |
| 660.944 | 1215.704 | 424.407 | -0.000 | -0.000 | -0.000 |
| 424.408 | 424.408 | 1610.433 | -0.000 | -0.000 | -0.000 |
| 0.001 | -0.001 | -0.001 | 49.646 | -0.000 | -0.000 |
| -0.001 | 0.001 | -0.001 | 0.000 | 49.646 | -0.000 |
| -0.001 | 0.003 | -0.002 | 0.000 | -0.000 | 277.355 |
| 1242.479 | 634.194 | 424.419 | -0.000 | -0.000 | 0.000 |
| 660.981 | 1215.692 | 424.419 | 0.000 | 0.000 | 0.000 |
| 424.418 | 424.418 | 1610.441 | 0.000 | 0.000 | 0.000 |
| -0.001 | 0.001 | 0.001 | 49.646 | 0.000 | 0.000 |
| 0.001 | -0.001 | 0.001 | -0.000 | 49.646 | 0.000 |
| 0.001 | -0.003 | 0.002 | 0.000 | -0.000 | 277.355 |
| 172.563 | 42.044 | 42.044 | 0.000 | -0.000 | -0.000 |
| 42.044 | 172.563 | 42.044 | 0.000 | 0.000 | -0.000 |
| 42.044 | 42.044 | 172.563 | -0.000 | -0.000 | -0.000 |
| -0.000 | -0.000 | -0.000 | 77.479 | 0.000 | 0.000 |
| -0.000 | -0.000 | -0.000 | -0.000 | 77.479 | -0.000 |
| -0.000 | -0.000 | -0.000 | 0.000 | 0.000 | 77.479 |
| 172.563 | 42.044 | 42.044 | -0.000 | -0.000 | -0.000 |
| 42.044 | 172.563 | 42.044 | -0.000 | -0.000 | 0.000 |
| 42.044 | 42.044 | 172.563 | 0.000 | 0.000 | -0.000 |
| 0.000 | 0.000 | 0.000 | 77.479 | -0.000 | 0.000 |
| 0.000 | 0.000 | 0.000 | -0.000 | 77.479 | 0.000 |
| 0.000 | 0.000 | 0.000 | -0.000 | -0.000 | 77.479 |
| 172.563 | 42.044 | 42.044 | 0.000 | 0.000 | -0.000 |
| 42.044 | 172.563 | 42.044 | 0.000 | 0.000 | -0.000 |
| 42.044 | 42.044 | 172.563 | 0.000 | 0.000 | -0.000 |
| 0.000 | -0.000 | 0.000 | 77.479 | -0.000 | 0.000 |
| 0.000 | 0.000 | 0.000 | -0.000 | 77.479 | 0.000 |
| 20.041 | 20.041 | 20.041 | 0.000 | 0.000 | 40.351 |
| 172.563 | 42.044 | 42.044 | -0.000 | -0.000 | 0.000 |
| 42.044 | 172.563 | 42.044 | -0.000 | -0.000 | 0.000 |
| 42.044 | 42.044 | 172.563 | 0.000 | 0.000 | -0.000 |
| -0.000 | 0.000 | -0.000 | 77.479 | -0.000 | -0.000 |
| 0.000 | -0.000 | -0.000 | 0.000 | 77.479 | 0.000 |
| -20.041 | -20.041 | -20.041 | -0.000 | -0.000 | 40.351 |
| 137.324 | 59.827 | 59.827 | 0.000 | 0.000 | -0.000 |
| 59.827 | 137.324 | 59.827 | 0.000 | 0.000 | -0.000 |
| 59.827 | 59.827 | 137.324 | 0.000 | 0.000 | -0.000 |
| 0.990 | 0.990 | 0.990 | 39.957 | 0.000 | 0.000 |
| 0.990 | 0.990 | 0.990 | -0.000 | 39.957 | -0.000 |
| 0.990 | 0.990 | 0.990 | -0.000 | -0.000 | 39.957 |
| 133.334 | 58.472 | 58.472 | 0.000 | 0.000 | -0.000 |
| 58.472 | 133.334 | 58.472 | 0.000 | 0.000 | 0.000 |
| 58.472 | 58.472 | 133.334 | 0.000 | 0.000 | 0.000 |
| -0.990 | -0.990 | -0.990 | 39.957 | -0.000 | 0.000 |
| -0.990 | -0.990 | -0.990 | -0.000 | 39.957 | 0.000 |
| -0.990 | -0.990 | -0.990 | 0.000 | 0.000 | 39.957 |
| 179.358 | 34.888 | 34.888 | 0.000 | 0.000 | -0.000 |
| 34.888 | 179.358 | 34.888 | 0.000 | 0.000 | -0.000 |
| 34.888 | 34.888 | 179.358 | 0.000 | 0.000 | -0.000 |
| -0.085 | -0.085 | -0.085 | 35.654 | 0.000 | -0.000 |
| -0.056 | -0.056 | -0.056 | -0.000 | 36.261 | 0.000 |
| -0.085 | -0.085 | -0.085 | -0.000 | -0.000 | 35.654 |
| 179.358 | 34.888 | 34.888 | -0.000 | -0.000 | 0.000 |
| 34.888 | 179.358 | 34.888 | -0.000 | -0.000 | 0.000 |
| 34.888 | 34.888 | 179.358 | -0.000 | -0.000 | 0.000 |
| 0.085 | 0.085 | 0.085 | 35.654 | 0.000 | 0.000 |
| 0.085 | 0.085 | 0.085 | 0.000 | 35.654 | 0.000 |
| 0.085 | 0.085 | 0.085 | 0.000 | 0.000 | 35.654 |
| 133.835 | 55.364 | 55.364 | -0.000 | -0.000 | 0.000 |
| 54.961 | 138.420 | 54.961 | -0.000 | -0.000 | -0.000 |
| 55.144 | 55.144 | 132.996 | 0.000 | -0.000 | 0.000 |
| -0.011 | -0.011 | -0.011 | 35.443 | -0.000 | -0.000 |
| -0.011 | -0.011 | -0.011 | -0.000 | 35.443 | -0.000 |
| -0.008 | -0.008 | -0.008 | -0.000 | -0.000 | 35.658 |
| 138.430 | 54.962 | 54.962 | 0.000 | 0.000 | 0.000 |
| 54.962 | 138.430 | 54.962 | 0.000 | 0.000 | 0.000 |
| 54.962 | 54.962 | 138.430 | 0.000 | 0.000 | 0.000 |
| 0.011 | 0.011 | 0.011 | 35.443 | 0.000 | 0.000 |
| 0.008 | 0.008 | 0.008 | 0.000 | 35.658 | 0.000 |
| 0.011 | 0.011 | 0.011 | 0.000 | -0.000 | 35.443 |
| 133.064 | 55.186 | 55.186 | -0.000 | 0.000 | 0.000 |
| 55.110 | 133.038 | 55.110 | -0.000 | 0.000 | 0.000 |
| 55.110 | 55.110 | 133.038 | 0.000 | -0.000 | -0.000 |
| -0.001 | -0.001 | -0.001 | 35.443 | -0.000 | -0.000 |
| -0.000 | -0.000 | -0.000 | -0.000 | 37.869 | 0.000 |
| -0.001 | -0.001 | -0.001 | -0.000 | -0.000 | 35.443 |
| 133.009 | 55.190 | 55.190 | 0.000 | 0.000 | 0.000 |
| 55.190 | 133.009 | 55.190 | 0.000 | 0.000 | 0.000 |
| 55.190 | 55.190 | 133.009 | 0.000 | 0.000 | -0.000 |
| 0.001 | 0.001 | 0.001 | 35.443 | 0.000 | 0.000 |
| 0.000 | 0.000 | 0.000 | 0.000 | 37.869 | 0.000 |
| 0.001 | 0.001 | 0.001 | 0.000 | 0.000 | 35.443 |
| 132.856 | 54.966 | 54.966 | -0.001 | -0.000 | -0.000 |
| 54.966 | 132.856 | 54.966 | -0.001 | -0.000 | -0.000 |
| 54.966 | 54.966 | 132.856 | -0.001 | -0.000 | -0.000 |
| 0.011 | 0.011 | 0.011 | 35.663 | 0.000 | 0.001 |
| 0.011 | 0.011 | 0.011 | 0.001 | 35.662 | 0.001 |
| 0.011 | 0.011 | 0.011 | 0.001 | 0.000 | 35.663 |
| 138.170 | 54.735 | 54.735 | -0.001 | -0.000 | -0.001 |
| 54.735 | 138.170 | 54.735 | -0.001 | -0.000 | -0.001 |
| 54.735 | 54.735 | 138.170 | -0.001 | -0.000 | -0.001 |
| -0.011 | -0.011 | -0.011 | 35.661 | -0.000 | -0.001 |
| -0.000 | 0.000 | 0.000 | -0.000 | 59.880 | -0.000 |
| -0.000 | -0.000 | -0.000 | 0.000 | -0.000 | 59.880 |
| 132.793 | 54.972 | 54.972 | 0.000 | 0.000 | 0.000 |
| 54.972 | 132.793 | 54.972 | 0.000 | 0.000 | 0.000 |
| 54.972 | 54.972 | 132.793 | 0.000 | 0.000 | 0.000 |
| 0.001 | 0.001 | 0.001 | 35.662 | 0.000 | 0.000 |
| 0.001 | 0.001 | 0.001 | 0.000 | 35.448 | 0.000 |
| 0.001 | 0.001 | 0.001 | 0.000 | 0.000 | 35.448 |
| 132.792 | 54.971 | 54.971 | -0.000 | -0.000 | -0.000 |
| 54.971 | 132.792 | 54.971 | -0.000 | -0.000 | -0.000 |
| 54.971 | 54.971 | 132.792 | -0.000 | -0.000 | -0.000 |
| -0.001 | -0.001 | -0.001 | 35.662 | -0.000 | -0.000 |
| -0.001 | -0.001 | -0.001 | -0.000 | 35.662 | -0.000 |
| -0.001 | -0.001 | -0.001 | -0.000 | -0.000 | 35.448 |
| 132.791 | 55.012 | 55.012 | 0.000 | 0.000 | 0.000 |
| 55.012 | 132.791 | 55.012 | 0.000 | 0.000 | 0.000 |
| 55.012 | 55.012 | 132.791 | 0.000 | 0.000 | 0.000 |
| 0.000 | 0.000 | 0.000 | 35.448 | 0.000 | 0.000 |
| 0.000 | 0.000 | 0.000 | 0.000 | 35.448 | 0.000 |
| 0.000 | 0.000 | 0.000 | 0.000 | 0.000 | 35.448 |
| 132.793 | 55.011 | 55.011 | -0.000 | -0.000 | -0.000 |
| 55.011 | 132.793 | 55.011 | -0.000 | -0.000 | -0.000 |
| 55.011 | 55.011 | 132.793 | -0.000 | -0.000 | -0.000 |
| -0.000 | -0.000 | -0.000 | 35.448 | -0.000 | -0.000 |
| -0.000 | -0.000 | -0.000 | -0.000 | 35.448 | -0.000 |
| -0.000 | -0.000 | -0.000 | -0.000 | -0.000 | 35.448 |
| 138.730 | 57.146 | 57.146 | -0.000 | 0.000 | 0.000 |
| 57.146 | 138.730 | 57.146 | -0.000 | 0.000 | 0.000 |
| 57.146 | 57.146 | 138.730 | -0.000 | 0.000 | 0.000 |
| -0.004 | -0.004 | -0.004 | 39.491 | 0.000 | 0.000 |
| -0.004 | -0.004 | -0.004 | -0.000 | 39.491 | 0.000 |
| -0.004 | -0.004 | -0.004 | -0.000 | 0.000 | 39.491 |
| 183.540 | 35.328 | 35.328 | -0.000 | 0.000 | 0.000 |
| 35.328 | 183.540 | 35.328 | 0.000 | 0.000 | 0.000 |
| 35.328 | 35.328 | 183.540 | -0.000 | -0.000 | 0.000 |
| 0.004 | 0.004 | 0.004 | 39.491 | -0.000 | -0.000 |
| 0.004 | 0.004 | 0.004 | 0.000 | 39.491 | -0.000 |
| 0.004 | 0.004 | 0.004 | 0.000 | -0.000 | 39.491 |
| 138.734 | 57.147 | 57.147 | -0.000 | 0.000 | 0.000 |
| 57.147 | 138.734 | 57.147 | -0.000 | 0.000 | 0.000 |
| 57.147 | 57.147 | 138.734 | -0.000 | 0.000 | 0.000 |
| 0.000 | 0.000 | 0.000 | 71.061 | 0.000 | -0.000 |
| 0.000 | 0.000 | 0.000 | -0.000 | 71.061 | -0.000 |
| 0.000 | 0.000 | 0.000 | 0.000 | -0.000 | 71.061 |
| 183.540 | 35.328 | 35.328 | -0.000 | 0.000 | 0.000 |
| 35.328 | 183.540 | 35.328 | 0.000 | 0.000 | 0.000 |
| 35.328 | 35.328 | 183.540 | -0.000 | -0.000 | 0.000 |
| -0.000 | -0.000 | -0.000 | 71.061 | 0.000 | 0.000 |
| -0.000 | -0.000 | -0.000 | 0.000 | 71.061 | 0.000 |
| -0.000 | -0.000 | -0.000 | 0.000 | 0.000 | 71.061 |
| 138.750 | 57.140 | 57.140 | -0.000 | 0.000 | 0.000 |
| 57.140 | 138.750 | 57.140 | -0.000 | 0.000 | 0.000 |
| 57.140 | 57.140 | 138.750 | -0.000 | 0.000 | 0.000 |
| 0.000 | 0.000 | 0.000 | 71.061 | -0.000 | -0.000 |
| 0.000 | 0.000 | 0.000 | -0.000 | 71.061 | -0.000 |
| 0.000 | 0.000 | 0.000 | -0.000 | -0.000 | 71.061 |
| 138.070 | 56.837 | 56.837 | 0.000 | -0.000 | -0.000 |
| 56.837 | 138.070 | 56.837 | 0.000 | -0.000 | -0.000 |
| 56.837 | 56.837 | 138.070 | 0.000 | -0.000 | -0.000 |
| -0.000 | -0.000 | -0.000 | 71.061 | -0.000 | 0.000 |
| -0.000 | -0.000 | -0.000 | 0.000 | 71.061 | 0.000 |
| -0.000 | -0.000 | -0.000 | -0.000 | 0.000 | 71.061 |
| 87.358 | 21.710 | 21.710 | -0.000 | -0.000 | 0.000 |
| 21.710 | 87.358 | 21.710 | 0.000 | -0.000 | 0.000 |
| 21.710 | 21.710 | 87.358 | -0.000 | -0.000 | 0.000 |
| -60.141 | -60.141 | -60.141 | 44.981 | -0.000 | -0.000 |
| -60.141 | -60.141 | -60.141 | -0.000 | 44.981 | 0.000 |
| -60.141 | -60.141 | -60.141 | -0.000 | 0.000 | 44.981 |
| 168.612 | 102.648 | 102.648 | 0.000 | -0.000 | -0.000 |
| 102.648 | 168.612 | 102.648 | 0.000 | 0.000 | -0.000 |
| 102.648 | 102.648 | 168.612 | 0.000 | 0.000 | -0.000 |
| 60.141 | 60.141 | 60.141 | 44.981 | -0.000 | -0.000 |
| 60.141 | 60.141 | 60.141 | -0.000 | 44.981 | -0.000 |
| 60.141 | 60.141 | 60.141 | -0.000 | 0.000 | 44.981 |
| 127.471 | 56.870 | 56.870 | -0.000 | -0.000 | 0.000 |
| 56.870 | 127.471 | 56.870 | 0.000 | -0.000 | 0.000 |
| 56.870 | 56.870 | 127.471 | 0.000 | -0.000 | 0.000 |
| -3.832 | -3.832 | -3.832 | 34.759 | 0.000 | 0.000 |
| -3.832 | -3.832 | -3.832 | 0.000 | 34.759 | 0.000 |
| -3.832 | -3.832 | -3.832 | 0.000 | 0.000 | 34.759 |
| 144.034 | 63.015 | 63.015 | -0.000 | -0.000 | -0.000 |
| 63.015 | 144.034 | 63.015 | -0.000 | 0.000 | -0.000 |
| 63.015 | 63.015 | 144.034 | -0.000 | 0.000 | -0.000 |
| 3.832 | 3.832 | 3.832 | 34.759 | 0.000 | -0.000 |
| 3.832 | 3.832 | 3.832 | 0.000 | 34.759 | -0.000 |
| 3.832 | 3.832 | 3.832 | 0.000 | 0.000 | 34.759 |
| 137.494 | 56.138 | 56.138 | 0.000 | -0.000 | 0.000 |
| 56.138 | 137.494 | 56.138 | 0.000 | 0.000 | 0.000 |
| 56.138 | 56.138 | 137.494 | 0.000 | -0.000 | 0.000 |
| -0.562 | -0.562 | -0.562 | 39.535 | -0.000 | 0.000 |
| -0.562 | -0.562 | -0.562 | -0.000 | 39.535 | 0.000 |
| -0.562 | -0.562 | -0.562 | 0.000 | 0.000 | 39.535 |
| 183.444 | 35.288 | 35.288 | -0.000 | -0.000 | -0.000 |
| 35.288 | 183.444 | 35.288 | 0.000 | 0.000 | -0.000 |
| 35.288 | 35.288 | 183.444 | 0.000 | 0.000 | -0.000 |
| 0.562 | 0.562 | 0.562 | 39.535 | 0.000 | -0.000 |
| 0.562 | 0.562 | 0.562 | -0.000 | 39.535 | -0.000 |
| 0.562 | 0.562 | 0.562 | 0.000 | 0.000 | 39.535 |
| 301.349 | 59.802 | 32.516 | -0.000 | 0.000 | 0.000 |
| 65.260 | 303.721 | 29.092 | -0.000 | 0.000 | -0.000 |
| 35.199 | 26.317 | 394.172 | -0.000 | 0.000 | 0.000 |
| 0.000 | 0.000 | 0.000 | 35.644 | 0.000 | 0.000 |
| 0.000 | -0.000 | 0.000 | -0.000 | 35.222 | 0.000 |
| -0.000 | -0.000 | -0.000 | -0.000 | 0.000 | 31.589 |
| 301.349 | 59.802 | 32.516 | 0.000 | -0.000 | -0.000 |
| 65.260 | 303.721 | 29.092 | 0.000 | -0.000 | 0.000 |
| 35.199 | 26.317 | 394.172 | 0.000 | -0.000 | 0.000 |
| -0.000 | -0.000 | -0.000 | 35.644 | -0.000 | 0.000 |
| -0.000 | 0.000 | -0.000 | -0.000 | 35.222 | -0.000 |
| 0.000 | 0.000 | 0.000 | 0.000 | -0.000 | 31.589 |
| 301.349 | 59.802 | 32.516 | -0.000 | 0.000 | 0.000 |
| 65.260 | 303.721 | 29.092 | -0.000 | 0.000 | 0.000 |
| 35.199 | 26.317 | 394.172 | -0.000 | 0.000 | -0.000 |
| -0.000 | 0.000 | -0.000 | 35.644 | -0.000 | -0.000 |
| 0.000 | 0.000 | -0.000 | 0.000 | 35.222 | 0.000 |
| -0.000 | -0.000 | -0.000 | -0.000 | 0.000 | 31.589 |
| 301.349 | 59.802 | 32.516 | 0.000 | -0.000 | 0.000 |
| 65.260 | 303.721 | 29.092 | 0.000 | -0.000 | -0.000 |
| 35.199 | 26.317 | 394.172 | 0.000 | -0.000 | 0.000 |
| 0.000 | -0.000 | 0.000 | 35.644 | 0.000 | -0.000 |
| -0.000 | -0.000 | 0.000 | -0.000 | 35.222 | -0.000 |
| 0.000 | 0.000 | 0.000 | 0.000 | -0.000 | 31.589 |
| 301.349 | 59.802 | 32.516 | -0.000 | 0.000 | -0.000 |
| 65.260 | 303.722 | 29.092 | -0.000 | 0.000 | -0.000 |
| 35.199 | 26.317 | 394.174 | -0.000 | 0.000 | -0.000 |
| -0.000 | -0.000 | -0.000 | 35.644 | 0.000 | -0.000 |
| -0.000 | -0.000 | -0.000 | 0.000 | 35.222 | -0.000 |
| -0.000 | -0.000 | -0.000 | -0.000 | 0.000 | 31.589 |
| 301.348 | 59.802 | 32.516 | 0.000 | -0.000 | 0.000 |
| 65.259 | 303.720 | 29.092 | 0.000 | -0.000 | -0.000 |
| 35.199 | 26.317 | 394.170 | 0.000 | -0.000 | -0.000 |
| 0.000 | 0.000 | 0.000 | 35.644 | -0.000 | 0.000 |
| 0.000 | 0.000 | 0.000 | -0.000 | 35.222 | 0.000 |
| 0.000 | 0.000 | 0.000 | 0.000 | -0.000 | 31.589 |
| 461.932 | 5.958 | 0.537 | 0.000 | 0.000 | -0.000 |
| 21.718 | 1417.781 | 151.475 | 0.000 | 0.000 | -0.000 |
| 12.443 | 147.620 | 336.526 | 0.000 | 0.000 | 0.000 |
| 0.000 | -0.000 | -0.000 | 104.551 | -0.000 | -0.000 |
| 0.000 | 0.000 | 0.000 | 0.000 | 29.249 | -0.000 |
| 0.000 | -0.000 | 0.000 | 0.000 | 0.000 | 33.083 |
| 461.932 | 5.958 | 0.537 | -0.000 | -0.000 | 0.000 |
| 21.718 | 1417.780 | 151.475 | 0.000 | 0.000 | -0.000 |
| 12.442 | 147.621 | 336.526 | -0.000 | -0.000 | 0.000 |
| -0.000 | 0.000 | -0.000 | 104.551 | -0.000 | 0.000 |
| -0.000 | -0.000 | -0.000 | -0.000 | 29.249 | 0.000 |
| -0.000 | 0.000 | -0.000 | -0.000 | -0.000 | 33.083 |
| 461.932 | 5.958 | 0.537 | -0.000 | 0.000 | -0.000 |
| 21.718 | 1417.781 | 151.475 | 0.000 | 0.000 | -0.000 |
| 12.442 | 147.621 | 336.526 | 0.000 | 0.000 | -0.000 |
| 0.000 | -0.000 | 0.000 | 104.551 | -0.000 | -0.000 |
| 0.000 | -0.000 | -0.000 | 0.000 | 29.249 | -0.000 |
| 0.000 | -0.000 | -0.000 | 0.000 | 0.000 | 33.083 |
| 461.932 | 5.958 | 0.537 | -0.000 | -0.000 | 0.000 |
| 21.718 | 1417.780 | 151.475 | 0.000 | -0.000 | 0.000 |
| 12.442 | 147.621 | 336.526 | 0.000 | -0.000 | -0.000 |
| -0.000 | 0.000 | -0.000 | 104.551 | -0.000 | 0.000 |
| -0.000 | 0.000 | 0.000 | -0.000 | 29.249 | 0.000 |
| -0.000 | 0.000 | 0.000 | -0.000 | -0.000 | 33.083 |
| 461.934 | 5.958 | 0.537 | 0.000 | 0.000 | -0.000 |
| 21.716 | 1417.784 | 151.471 | 0.000 | 0.000 | -0.000 |
| 12.442 | 147.622 | 336.527 | 0.000 | 0.000 | -0.000 |
| 0.000 | -0.000 | 0.000 | 104.551 | -0.000 | -0.000 |
| 0.000 | -0.000 | -0.000 | 0.000 | 29.249 | -0.000 |
| 0.000 | -0.001 | -0.000 | -0.000 | -0.000 | 33.083 |
| 461.930 | 5.958 | 0.537 | -0.000 | -0.000 | 0.000 |
| 21.720 | 1417.777 | 151.479 | 0.000 | 0.000 | 0.000 |
| 12.442 | 147.621 | 336.525 | -0.000 | -0.000 | 0.000 |
| -0.000 | 0.000 | -0.000 | 104.551 | -0.000 | 0.000 |
| -0.000 | 0.000 | 0.000 | -0.000 | 29.249 | 0.000 |
| -0.000 | 0.001 | 0.000 | 0.000 | 0.000 | 33.083 |
| 1061.608 | 595.381 | 586.778 | 0.001 | -0.000 | 0.000 |
| 584.115 | 852.407 | 398.025 | -0.001 | -0.000 | 0.000 |
| 573.815 | 402.025 | 850.764 | -0.000 | -0.000 | -0.000 |
| -0.924 | -1.600 | -1.144 | 90.025 | -0.000 | 0.000 |
| -0.858 | -1.451 | -1.063 | 0.000 | 75.657 | 0.000 |
| -1.197 | -2.981 | -0.878 | -0.002 | 0.000 | 152.892 |
| 1063.321 | 598.612 | 588.704 | -0.001 | 0.000 | -0.000 |
| 585.596 | 855.613 | 399.882 | 0.001 | 0.000 | -0.000 |
| 575.680 | 404.931 | 852.718 | 0.000 | -0.000 | -0.000 |
| 0.924 | 1.600 | 1.144 | 90.025 | 0.000 | -0.000 |
| 0.858 | 1.451 | 1.063 | -0.000 | 75.657 | -0.000 |
| 1.197 | 2.981 | 0.878 | 0.002 | -0.000 | 152.892 |
| 1062.378 | 596.825 | 587.643 | 0.000 | -0.000 | 0.000 |
| 580.152 | 853.594 | 397.490 | 0.000 | -0.000 | 0.000 |
| 574.387 | 400.907 | 851.467 | 0.000 | -0.000 | 0.000 |
| -0.102 | -0.172 | -0.126 | 90.192 | -0.000 | 0.000 |
| -0.058 | -0.126 | -0.071 | -0.000 | 75.287 | 0.000 |
| -0.121 | -0.302 | -0.088 | -0.000 | 0.000 | 152.754 |
| 1062.547 | 597.147 | 587.835 | -0.000 | 0.000 | -0.000 |
| 580.324 | 853.918 | 397.683 | -0.000 | 0.000 | -0.000 |
| 574.559 | 401.231 | 851.660 | -0.000 | 0.000 | -0.000 |
| 0.102 | 0.172 | 0.126 | 90.192 | 0.000 | -0.000 |
| 0.058 | 0.126 | 0.071 | 0.000 | 75.287 | -0.000 |
| 0.121 | 0.302 | 0.088 | 0.000 | -0.000 | 152.754 |
| 1062.461 | 596.971 | 587.730 | 0.000 | -0.000 | 0.000 |
| 580.226 | 853.734 | 397.572 | 0.000 | -0.000 | 0.000 |
| 574.460 | 401.050 | 851.553 | 0.000 | -0.000 | 0.000 |
| -0.009 | -0.017 | -0.011 | 90.017 | 0.000 | 0.000 |
| -0.004 | -0.014 | -0.007 | -0.000 | 75.287 | 0.000 |
| -0.030 | -0.057 | -0.020 | -0.000 | -0.000 | 152.761 |
| 1062.464 | 597.001 | 587.748 | -0.000 | 0.000 | -0.000 |
| 580.249 | 853.778 | 397.601 | -0.000 | 0.000 | -0.000 |
| 574.487 | 401.088 | 851.574 | -0.000 | 0.000 | -0.000 |
| 0.009 | 0.017 | 0.011 | 90.017 | 0.000 | -0.000 |
| 0.004 | 0.014 | 0.007 | 0.000 | 75.287 | -0.000 |
| 0.030 | 0.057 | 0.020 | 0.000 | 0.000 | 152.761 |
| 622.534 | 608.695 | 608.453 | -0.000 | -0.000 | 0.000 |
| 500.976 | 1621.481 | 194.840 | -0.000 | 0.000 | -0.000 |
| 500.976 | 194.840 | 1621.481 | 0.000 | 0.000 | 0.000 |
| -0.000 | -0.000 | -0.000 | 133.181 | -0.000 | 0.000 |
| 0.027 | 0.164 | 0.052 | 0.000 | 337.724 | -0.000 |
| 4.836 | 3.768 | -0.050 | -0.000 | -0.000 | 273.206 |
| 739.482 | 500.976 | 500.976 | 0.000 | 0.000 | -0.000 |
| 500.976 | 1621.481 | 194.841 | -0.000 | -0.000 | -0.000 |
| 555.915 | 33.517 | 1445.319 | 0.000 | -0.000 | -0.000 |
| 0.000 | 0.000 | 0.000 | 133.181 | -0.000 | -0.000 |
| -0.027 | -0.164 | -0.052 | -0.000 | 337.724 | -0.000 |
| -4.836 | -3.768 | 0.050 | 0.000 | -0.000 | 273.206 |
| 622.260 | 608.580 | 608.555 | -0.000 | 0.000 | 0.000 |
| 608.177 | 1487.612 | 63.905 | 0.000 | 0.000 | 0.000 |
| 557.522 | 35.862 | 1446.425 | 0.000 | 0.000 | 0.000 |
| 0.000 | -0.000 | -0.000 | 133.181 | 0.000 | 0.000 |
| 0.000 | -0.000 | 0.000 | -0.000 | 416.851 | 0.000 |
| 0.000 | 0.000 | -0.000 | -0.000 | 0.000 | 416.851 |
| 622.189 | 608.564 | 608.588 | 0.000 | 0.000 | -0.000 |
| 557.320 | 1446.235 | 35.679 | 0.000 | 0.000 | 0.000 |
| 608.201 | 63.815 | 1487.521 | 0.000 | 0.000 | -0.000 |
| -0.000 | 0.000 | 0.000 | 133.181 | 0.000 | -0.000 |
| -0.000 | 0.000 | -0.000 | 0.000 | 416.851 | -0.000 |
| -0.000 | -0.000 | 0.000 | -0.000 | -0.000 | 416.851 |
| 580.090 | 553.284 | 553.270 | -0.000 | 0.000 | 0.000 |
| 557.356 | 1446.365 | 35.676 | -0.000 | 0.000 | 0.000 |
| 557.367 | 35.698 | 1446.364 | 0.000 | 0.000 | 0.000 |
| 0.000 | -0.000 | -0.001 | 133.181 | 0.000 | 0.000 |
| 0.001 | 0.002 | 0.000 | 0.000 | 337.729 | 0.000 |
| 0.016 | 0.021 | 0.016 | -0.000 | -0.000 | 272.515 |
| 580.080 | 553.241 | 553.256 | 0.000 | -0.000 | -0.000 |
| 557.358 | 1446.326 | 35.667 | 0.000 | -0.000 | 0.000 |
| 557.356 | 35.649 | 1446.333 | 0.000 | 0.000 | 0.000 |
| -0.000 | 0.000 | 0.001 | 133.181 | -0.000 | -0.000 |
| -0.001 | -0.002 | -0.000 | -0.000 | 337.729 | -0.000 |
| -0.016 | -0.021 | -0.016 | 0.000 | -0.000 | 272.515 |
Phonon band structures and crystal properties estimated from quasi-harmonic approximation (QHA) calculations are displayed for select crystals. The calculations were performed using phonopy and LAMMPS. For the phonon calculations, 3x3 supercells of the potential-specific relaxed crystals were used. The QHA calculations were based on 11 strain states ranging from -0.05 to 0.05.
The calculation method used is available as the iprPy phonon calculation method.
Notes and Disclaimers:
Version Information:



































































































































































































Static free surface formation energies are displayed for select crystals. The values displayed here are obtained by taking a perfect periodic bulk crystal, slicing along a crystallographic plane, and using force minimization to statically relax the surfaces. The free surface formation energy is computed by comparing the energy of the defect system to the bulk system and dividing by the total surface area created by the cut.
The calculation method used is available as the iprPy surface_energy_static calculation method.
Notes and Disclaimers:
Version Information:
| Surface | γfs (mJ/m2) |
|---|---|
| (111) | -31013.87 |
| (201) | -15615.97 |
| (101) 1 | -7743.64 |
| (001) | -1437.01 |
| (100) | 1420.51 |
| (110) | 2456.85 |
| Surface | γfs (mJ/m2) |
|---|---|
| (111) | -101559.82 |
| (322) | -61551.86 |
| (321) | -34773.20 |
| (332) | -28557.30 |
| (211) | -16069.63 |
| (221) | -14969.47 |
| (100) | 938.87 |
| (310) | 1080.66 |
| (210) | 1148.68 |
| (320) | 1319.19 |
| (110) | 1490.18 |
| Surface | γfs (mJ/m2) |
|---|---|
| (322) | -11533.90 |
| (321) | -11388.43 |
| (332) | -11348.27 |
| (331) | -10520.32 |
| (320) | -9277.39 |
| (221) | -8205.85 |
| (211) | -7336.34 |
| (311) | -6533.20 |
| (210) | -5745.01 |
| (310) | -2867.87 |
| (111) | 995.21 |
| (110) | 1136.21 |
| (100) | 1239.59 |
| Surface | γfs (mJ/m2) |
|---|---|
| (110) | 1327.26 |
| (211) | 1383.78 |
| (321) | 1388.76 |
| (111) | 1401.48 |
| (331) | 1410.07 |
| (221) | 1422.95 |
| (332) | 1427.67 |
| (322) | 1438.15 |
| (320) | 1590.20 |
| (311) | 1651.21 |
| (210) | 1757.00 |
| (310) | 1943.99 |
| (100) | 2326.45 |
| Surface | γfs (mJ/m2) |
|---|---|
| (111) 2 | 1199.91 |
| (331) 2 | 1460.29 |
| (110) | 1521.75 |
| (321) | 1743.52 |
| (211) | 1792.48 |
| (320) | 1823.30 |
| (332) | 1883.19 |
| (311) 2 | 1976.37 |
| (210) | 1979.31 |
| (311) 1 | 2027.08 |
| (310) | 2125.81 |
| (322) | 2183.32 |
| (221) | 2253.62 |
| (100) | 2268.38 |
| (331) 1 | 2628.69 |
| (111) 1 | 4139.24 |
| Surface | γfs (mJ/m2) |
|---|---|
| (100) | 1112.93 |
| (112) | 1364.56 |
| (101) 1 | 1387.30 |
| (201) | 1433.81 |
| (001) | 1665.98 |
| (211) 1 | 1676.53 |
| (110) | 1761.26 |
| (111) | 1802.48 |
| (211) 2 | 2005.03 |
| (101) 2 | 3020.95 |
| Surface | γfs (mJ/m2) |
|---|---|
| (100) | 980.56 |
| (310) | 1268.87 |
| (210) | 1371.78 |
| (320) | 1452.35 |
| (311) | 1532.31 |
| (110) | 1534.17 |
| (331) | 1643.07 |
| (321) | 1672.86 |
| (221) | 1702.89 |
| (211) | 1725.71 |
| (332) | 1773.68 |
| (322) | 1803.81 |
| (111) | 1878.48 |
Static point defect formation energies, Ef, and elastic dipole tensors, pij, are displayed for select crystals. Relaxed defect configurations are obtained by taking a 12x12x12 supercell of a perfect periodic bulk crystal, inserting the point defect, and using force minimization to statically relax the atomic positions while keeping the system dimensions constant. Ef is computed by comparing the energy of the defect system to the same number of atoms in a perfect bulk crystal. pij is estimated as the difference in the system's global pressure with and without the defect multiplied by the system's volume.
Simple structural comparisons of the unrelaxed and relaxed defect configurations are used to help determine if the defect structure has relaxed to a different configuration. Relaxed structures that are identified as no longer consistent with the ideal defect definition are excluded from the table below. The only exception to this is if the lowest energy interstitial configuration does not coincide with a known ideal defect, its energies and pressure tensor are included under the listing "relaxed interstitial". The full list of calculation results including the transformed structures and the structural comparison values is included in the csv file available from the "Download raw data" link.
The calculation method used is available as the iprPy point_defect_static calculation method.
Notes and Disclaimers:
| Point Defect | Ef (eV) | p11 (eV) | p22 (eV) | p33 (eV) | p12 (eV) | p13 (eV) | p23 (eV) |
|---|---|---|---|---|---|---|---|
| relaxed interstitial | -1131.342 | 4992.770 | 5179.097 | 4392.593 | -283.155 | -5.958 | 59.753 |
| vacancy | -0.295 | -22.626 | -22.626 | -22.626 | 0.000 | 0.000 | 0.000 |
| 1nn divacancy | -0.090 | -40.295 | -41.358 | -41.358 | 0.000 | -0.000 | -1.966 |
| Point Defect | Ef (eV) | p11 (eV) | p22 (eV) | p33 (eV) | p12 (eV) | p13 (eV) | p23 (eV) |
|---|---|---|---|---|---|---|---|
| vacancy | 0.983 | -4.920 | -4.920 | -4.920 | -0.000 | -0.000 | -0.000 |
| 1nn divacancy | 1.867 | -8.083 | -8.083 | -8.083 | -0.746 | -0.746 | -0.746 |
| octahedral interstitial | 2.126 | 23.733 | 31.778 | 31.778 | -0.000 | -0.000 | 0.000 |
| 100 dumbbell | 2.515 | 23.509 | 23.509 | 35.245 | 0.000 | 0.000 | -0.000 |
| 2nn divacancy | 2.668 | -5.458 | -5.458 | -6.678 | -0.000 | 0.000 | -0.000 |
| 110 dumbbell | 4.487 | 46.423 | 15.494 | 15.494 | 0.000 | -0.000 | -7.742 |
| crowdion interstitial | 5.302 | 28.507 | 28.507 | 28.507 | 4.841 | 4.841 | 4.841 |
| 111 dumbbell | 5.658 | 25.963 | 25.963 | 25.963 | 7.055 | 7.055 | 7.055 |
| tetrahedral interstitial | 6.494 | 27.917 | 31.672 | 27.917 | -0.000 | -0.000 | 0.000 |
| Point Defect | Ef (eV) | p11 (eV) | p22 (eV) | p33 (eV) | p12 (eV) | p13 (eV) | p23 (eV) |
|---|---|---|---|---|---|---|---|
| tetragonal interstitial | 3.586 | 20.405 | 20.405 | 20.405 | 0.000 | 0.000 | 0.000 |
| vacancy | 3.704 | 5.380 | 5.380 | 5.380 | -0.000 | -0.000 | -0.000 |
| 100 dumbbell | 4.702 | 14.920 | 14.920 | 20.872 | 0.000 | 0.000 | 0.000 |
| 1nn divacancy | 5.563 | 8.171 | 8.171 | 8.171 | 0.262 | 0.262 | 0.262 |
Plots of the atomic structure of dislocation cores are shown here. The dislocations were constructed using dislocation monopole configurations in which a straight dislocation is created in the center of the system using anisotropic elasticity and the elastic constants computed above. A cylindrical region centered around the dislocation is allowed to relax while the remaining atoms are held fixed. The relaxation consists of 1 million NVT steps at 10 K followed by an energy/force minimization. The final plots show the atomic configuration near the center of the monopole system, and display differential displacement arrows and Nye tensor color maps that are both taken with respect to the Burgers vector direction.
These plots show a wide range of final structures, some corresponding to expected dislocation structures and others not. While the characterizations are dislocation-type dependent, some general classification guidelines are listed here.
The calculation method used is available as the iprPy dislocation_monopole calculation method.
Links are provided above the images allowing for users to download the final defect configuration and a corresponding defect-free configuration if they wish to further analyze the structures or use them for subsequent simulations.
Notes and Disclaimers:
Version Information:
Plots of lattice and elastic constants are shown as a function of temperature. The 0K points were taken from the Crystal Structure Predictions and the Elastic Constants Predictions sections above for the unique crystal structures relaxed with the "dynamic" method. Starting from the 0 K relaxed crystal unit cells, supercell systems are created by replicating all three dimensions by the same multiplier to achieve at least 4000 atoms. The systems are then relaxed at 50 K and zero pressure using 1 million NPT steps. Lattice constants are estimated by averaging the measured box dimensions. Temperatures are iteratively increased by 50 K, with each subsequent relaxation calculation starting from the final atomic configuration at the previous temperature and relaxing for another 1 million steps.
The elastic constants are calculated using the deformation–fluctuation hybrid method. Starting from the final atomic configurations of the dynamic relaxations, the system is allowed to evolve at constant volume with a Langevin thermostat. The Born matrix is computed during this run by evaluating how the atomic forces would vary due to applied linear strain fields. The elastic constants can then be estimated using the averaged Born matrix values and the averaged stresses on the system.
The calculation methods used are available as the iprPy relax_dynamic and elastic_constants_dynamic calculation methods.
Clicking on the image of a plot will open an interactive version of it in a new tab. The underlying data for the plots can be downloaded by clicking on the links above each plot.
Notes and Disclaimers:
Version Information:
Plots of radial distribution functions at different temperatures and the temperature-dependent diffusion and viscosity are shown here for elemental liquids. Melt phases are constructed by starting with a 10x10x10 fcc super cell and relaxing with 50,000 NPT steps at zero pressure and a high melting temperature (3000 K for most potentials and elements). Following the melt, liquid structures are relaxed by running NPT for 10,000 steps over which the temperature is dropped by 50 K, then 50,000 NPT at the target temperature to estimate the equilibrium volume, followed by 20,000 NVT steps at the averaged equilibrium volume and target temperature. Structures from the NVT run are sampled to compute the radial distribution function of the liquid at the corresponding temperature.
The final relaxed configurations at each temperature explored are used as the initial configurations for the diffusion and viscosity calculations. For diffusion, the system is integrated for 100 runs of 2,000 NVT steps during which both the mean squared displacement (MSD) and the velocity auto correlation function (VACF) are computed. From these simulations, three estimates of diffusion are computed: one from the MSD of the full 200,000 step run, one in which the MSD is reset for each short run and then averaged, and one from the VACF computed for each short run and averaged. For viscosity, the Green-Kubo method is used which is evaluated during a 1 million step NVT run.
The calculation methods used are available as the iprPy relax_liquid_redo, diffusion_liquid, and viscosity_green_kubo calculation methods.
Clicking on the image of a plot will open an interactive version of it in a new tab. The underlying data for the plots can be downloaded by clicking on the links above each plot.
Notes and Disclaimers:
Version Information:
Plots of internal energy, Gibbs free energy, entropy, heat capacity and volume are shown here as a function of temperature for various crystal structures and liquid phases. The included crystal structures correspond to those in the Solid Structures vs. Temperature section, and the liquid phases to those in the Liquid Properties section. Internal energy and volume are taken from the associated structure relaxations mentioned in those previous sections. Constant pressure heat capacity is estimated using 3-point numerical derivatives of enthalpy versus temperature. Note that since all simulations done here are at 0 pressure, internal energy and enthalpy are equivalent.
The Gibbs energies of the phases are estimated using thermodynamic integration between the interatomic potential in question and a simpler model with known Gibbs free energy values. For solids, the reference model is an Einstein solid, while for liquids it is the Uhlenbeck-Ford potential. Besides a short run at the start of the solid calculations to estimate Einstein model spring constants, the two calculations proceed similarly. Starting with the final relaxation configurations, the systems are stabilized for 25,000 steps. Then, over the next 50,000 steps the potential is swapped out for the reference potential. The system is then stabilized for another 25,000 steps with the reference model before a reverse swap of 50,000 steps is performed. The simulation ends with one final 25,000 step stabilization period. From the simulation, the irreversible work of transformation is estimated and used to compute the absolute Gibbs free energy of the target phase and potential relative to the reference potential. Entropy is estimated as the difference in enthalpy and Gibbs free energy and divided by temperature.
The calculation methods used are available as the iprPy relax_dynamic, relax_liquid_redo, free_energy, and free_energy_liquid calculation methods.
Clicking on the image of a plot will open an interactive version of it in a new tab. The underlying data for the plots can be downloaded by clicking on the links above each plot.
Notes and Disclaimers:
Version Information:






