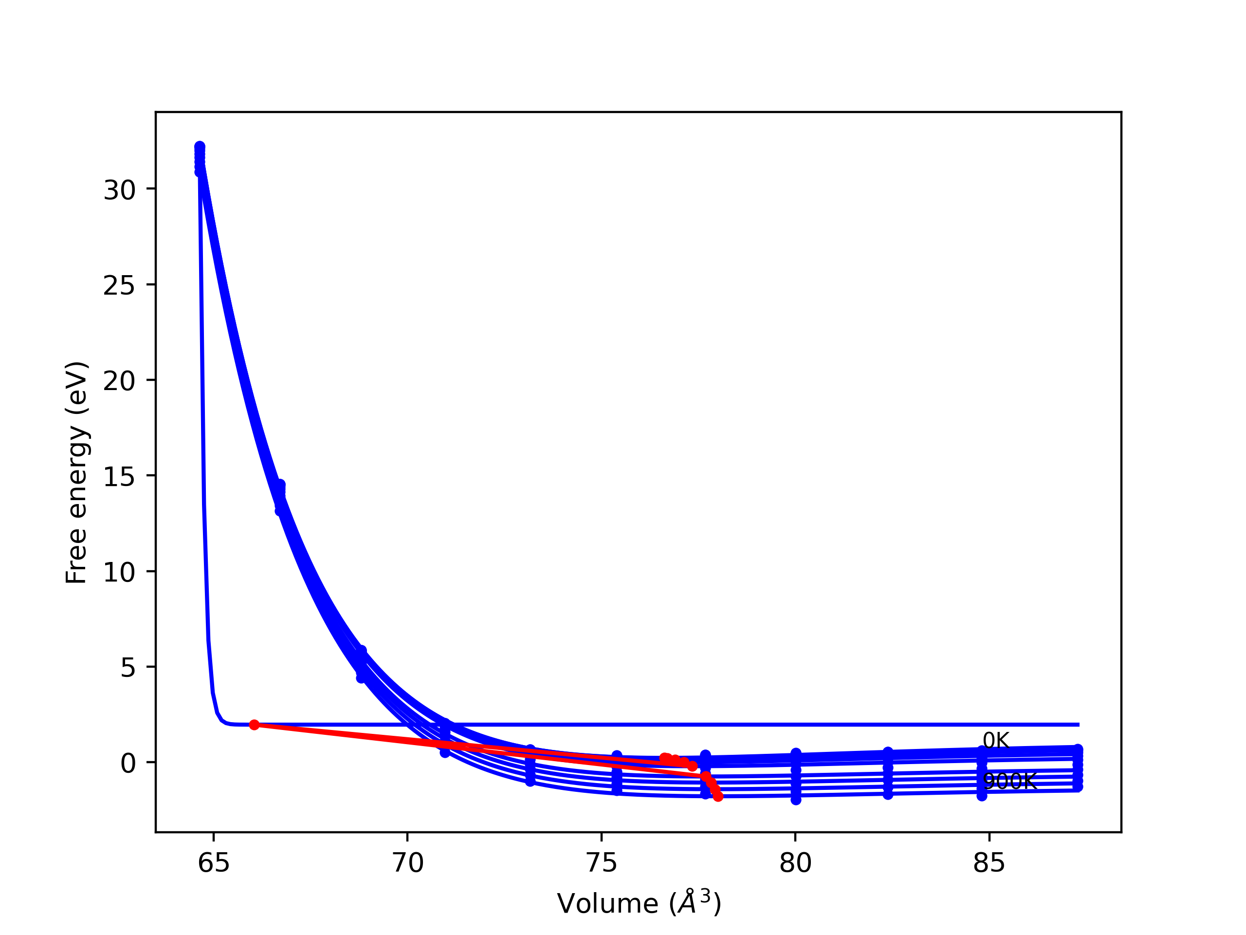
Plots of the potential energy vs interatomic spacing, r, are shown below for all diatom sets associated with the interatomic potential. This calculation provides insights into the functional form of the potential's two-body interactions. A system consisting of only two atoms is created, and the potential energy is evaluated for the atoms separated by 0.02 Å <= r <= 6.0> Å in intervals of 0.02 Å. Two plots are shown: one for the "standard" interaction distance range, and one for small values of r. The small r plot is useful for determining whether the potential is suitable for radiation studies.
The calculation method used is available as the iprPy diatom_scan calculation method.
Clicking on the image of a plot will open an interactive version of it in a new tab. The underlying data for the plots can be downloaded by clicking on the links above each plot.
Notes and Disclaimers:
Version Information:
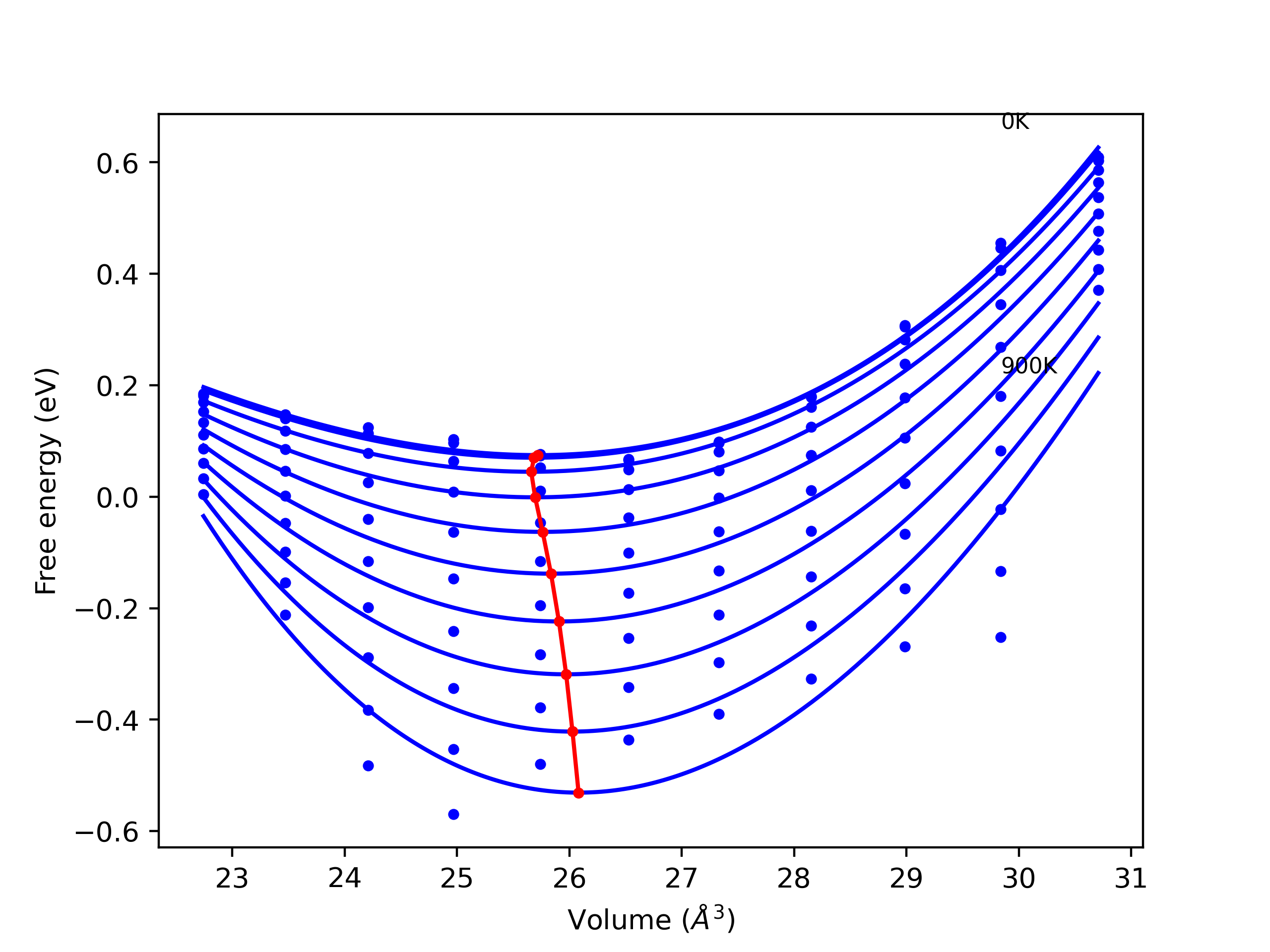
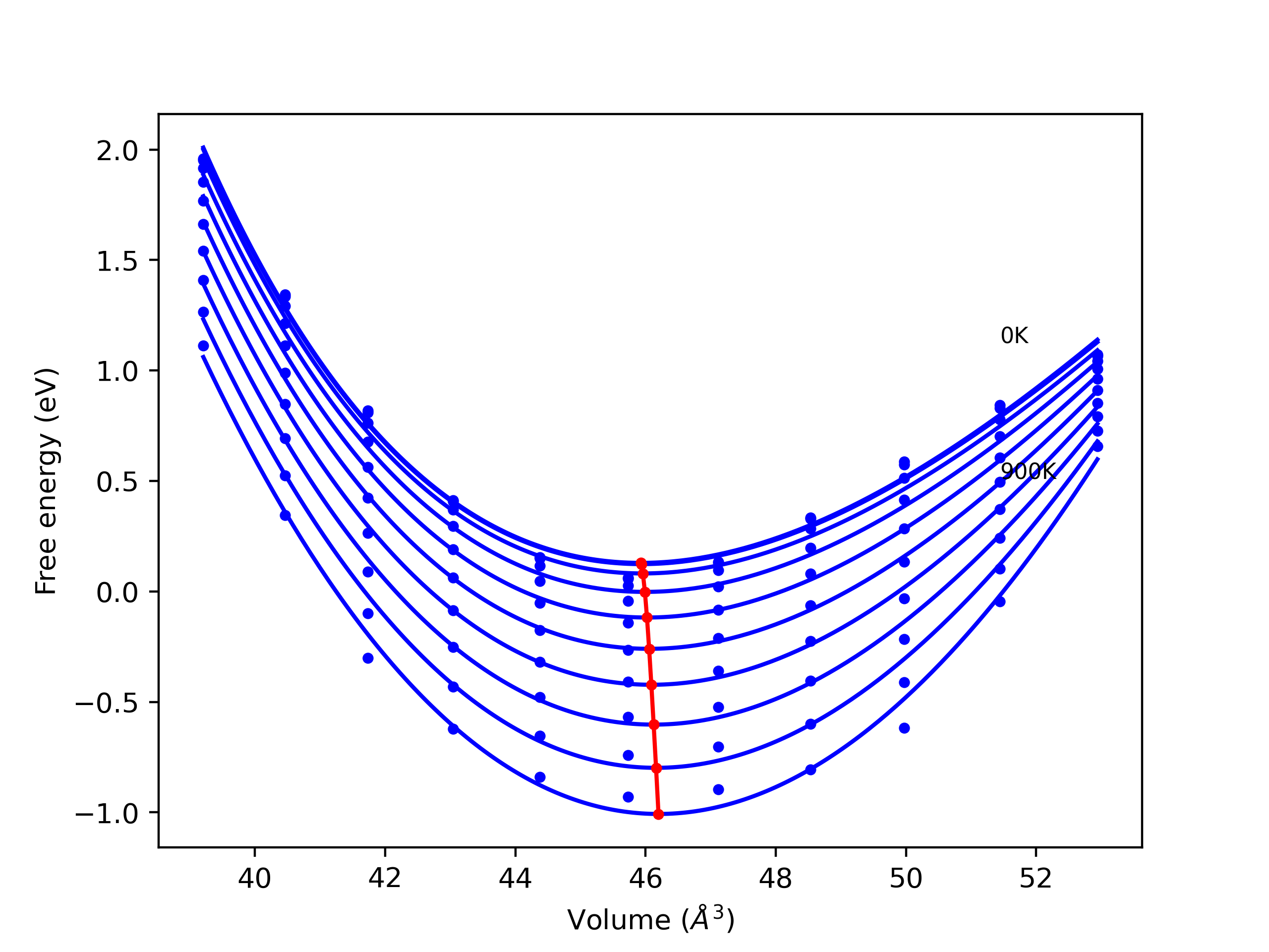
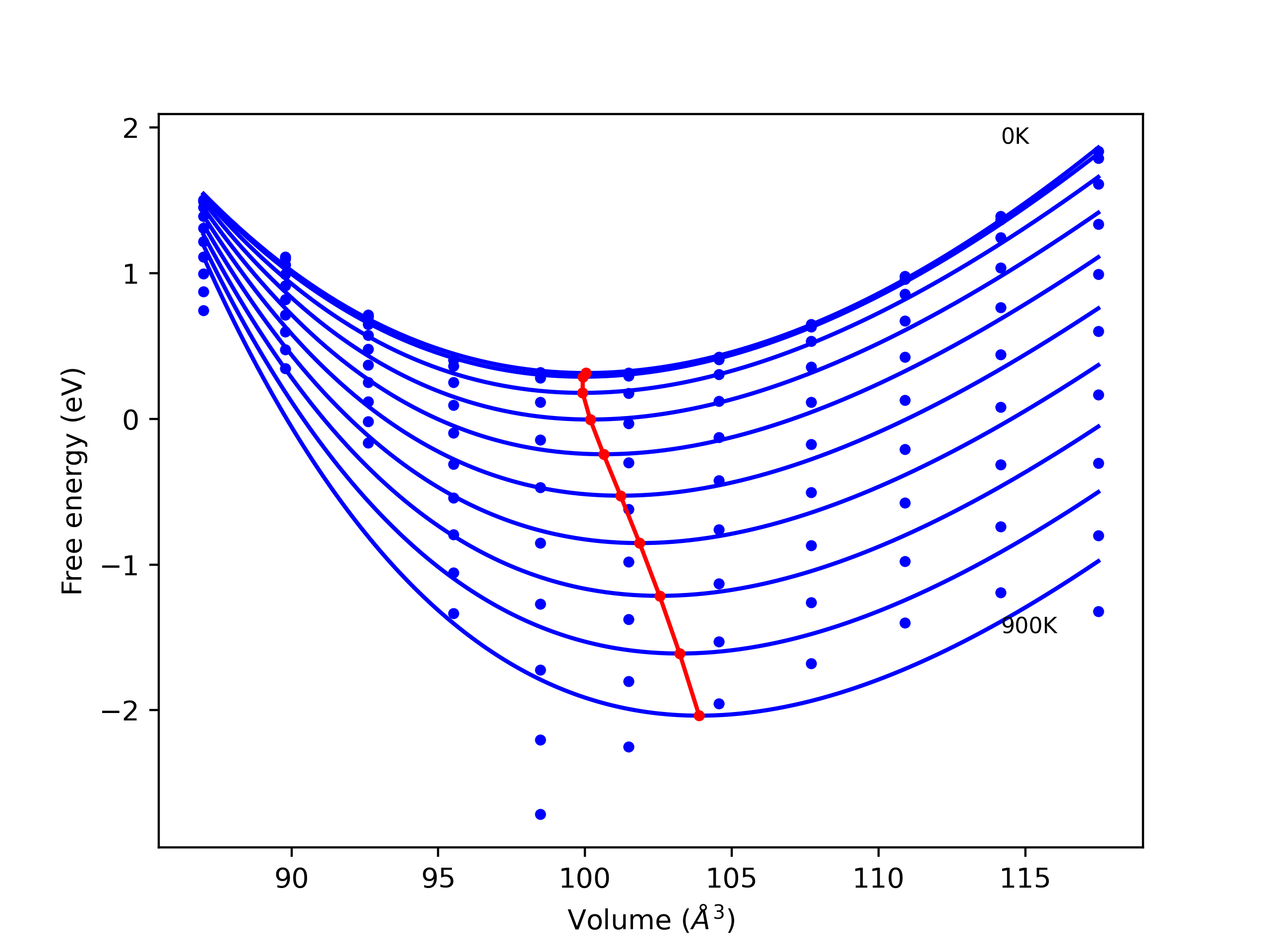
Plots of potential energy vs interatomic spacing, r, are shown below for a number of crystal structures. The structures are generated based on the ideal atomic positions and b/a and c/a lattice parameter ratios for a given crystal prototype. The size of the system is then uniformly scaled, and the energy calculated without relaxing the system. To obtain these plots, values of r are evaluated every 0.02 Å up to 6 Å.
The calculation method used is available as the iprPy E_vs_r_scan calculation method.
Clicking on the image of a plot will open an interactive version of it in a new tab. The underlying data for the plots can be downloaded by clicking on the links above each plot.
Notes and Disclaimers:
Version Information:
Computed lattice constants and cohesive/potential energies are displayed for a variety of crystal structures. The values displayed here are obtained using the following process.
The calculation methods used are implemented into iprPy as the following calculation styles
Notes and Disclaimers:
Version Information:
Download raw data (including filtered results)
Reference structure matches:
A1--Cu--fcc = mp-8633, oqmd-592135, oqmd-1214518
A15--beta-W = mp-17, oqmd-620565, oqmd-691761, oqmd-1214963, oqmd-1280318
A2--W--bcc = mp-90, oqmd-676284, oqmd-676532, oqmd-677049, oqmd-685486, oqmd-690214, oqmd-691769, oqmd-1215141
A3'--alpha-La--double-hcp = oqmd-1215409
A3--Mg--hcp = mp-89, oqmd-592444, oqmd-622452, oqmd-1215319
A4--C--dc = oqmd-1215498
A5--beta-Sn = oqmd-1215587
A6--In--bct = oqmd-1215676
A7--alpha-As = oqmd-1215765
| prototype | method | Ecoh (eV/atom) | Epot (eV/atom) | a0 (Å) | b0 (Å) | c0 (Å) | α (degrees) | β (degrees) | γ (degrees) |
|---|---|---|---|---|---|---|---|---|---|
| A2--W--bcc | dynamic | -4.0473 | -4.0473 | 2.8782 | 2.8782 | 2.8782 | 90.0 | 90.0 | 90.0 |
| A1--Cu--fcc | dynamic | -4.0374 | -4.0374 | 3.7618 | 3.7618 | 3.7618 | 90.0 | 90.0 | 90.0 |
| A3'--alpha-La--double-hcp | dynamic | -4.0358 | -4.0358 | 2.658 | 2.658 | 8.725 | 90.0 | 90.0 | 120.0 |
| oqmd-1216032 | dynamic | -4.0356 | -4.0356 | 2.6569 | 2.6569 | 19.6707 | 90.0 | 90.0 | 120.0 |
| A3--Mg--hcp | dynamic | -4.0351 | -4.0351 | 2.6547 | 2.6547 | 4.3882 | 90.0 | 90.0 | 120.0 |
| A15--beta-W | dynamic | -4.0165 | -4.0165 | 4.6487 | 4.6487 | 4.6487 | 90.0 | 90.0 | 90.0 |
| oqmd-1214874 | dynamic | -4.001 | -4.001 | 6.3817 | 6.3817 | 6.3817 | 90.0 | 90.0 | 90.0 |
| oqmd-1214785 | dynamic | -3.9832 | -3.9832 | 9.0065 | 9.0065 | 9.0065 | 90.0 | 90.0 | 90.0 |
| oqmd-1215230 | box | -3.9753 | -3.9753 | 2.6386 | 4.5655 | 4.4011 | 90.0 | 90.0 | 90.0 |
| oqmd-691775 | dynamic | -3.9491 | -3.9491 | 2.6328 | 2.6328 | 6.2326 | 90.0 | 90.0 | 120.0 |
| oqmd-631035 | dynamic | -3.9323 | -3.9323 | 8.8401 | 8.8401 | 4.6576 | 90.0 | 90.0 | 90.0 |
| mp-1192789 | box | -3.9232 | -3.9232 | 8.8409 | 8.8409 | 4.662 | 90.0 | 90.0 | 90.0 |
| oqmd-631035 | box | -3.8936 | -3.8936 | 8.8158 | 8.8158 | 4.6635 | 90.0 | 90.0 | 90.0 |
| A6--In--bct | static | -3.8309 | -3.8309 | 2.3589 | 2.3589 | 4.0199 | 90.0 | 90.0 | 90.0 |
| A5--beta-Sn | static | -3.3138 | -3.3138 | 4.606 | 4.606 | 2.5498 | 90.0 | 90.0 | 90.0 |
| A5--beta-Sn | static | -3.2402 | -3.2402 | 4.1715 | 4.1715 | 2.4352 | 90.0 | 90.0 | 90.0 |
| Ah--alpha-Po--sc | dynamic | -3.1757 | -3.1757 | 2.688 | 2.688 | 2.688 | 90.0 | 90.0 | 90.0 |
| oqmd-1215943 | static | -3.0503 | -3.0503 | 4.0042 | 4.0042 | 4.1336 | 90.0 | 90.0 | 120.0 |
| Ah--alpha-Po--sc | static | -3.0122 | -3.0122 | 2.3537 | 2.3537 | 2.3537 | 90.0 | 90.0 | 90.0 |
| Ah--alpha-Po--sc | static | -2.9038 | -2.9038 | 2.1909 | 2.1909 | 2.1909 | 90.0 | 90.0 | 90.0 |
| A4--C--dc | dynamic | -2.7911 | -2.7911 | 5.6229 | 5.6229 | 5.6229 | 90.0 | 90.0 | 90.0 |
Download raw data (including filtered results)
Reference structure matches:
| prototype | method | Ecoh (eV/atom) | Epot (eV/atom) | a0 (Å) | b0 (Å) | c0 (Å) | α (degrees) | β (degrees) | γ (degrees) |
|---|---|---|---|---|---|---|---|---|---|
| mp-1077708 | dynamic | -3.9335 | -3.9335 | 6.5843 | 6.5843 | 6.5843 | 90.0 | 90.0 | 90.0 |
| C1--CaF2--fluorite | dynamic | -3.5918 | -3.5918 | 5.5471 | 5.5471 | 5.5471 | 90.0 | 90.0 | 90.0 |
| C1--CaF2--fluorite | dynamic | -3.2641 | -3.2641 | 6.1331 | 6.1331 | 6.1331 | 90.0 | 90.0 | 90.0 |
| oqmd-1232501 | static | -2.9632 | -2.9632 | 5.2681 | 5.2681 | 3.3838 | 90.0 | 90.0 | 90.0 |
| oqmd-1232501 | box | -2.9562 | -2.9562 | 5.1886 | 5.1886 | 3.5127 | 90.0 | 90.0 | 90.0 |
| oqmd-1240427 | static | -1.8708 | -1.8708 | 11.322 | 11.322 | 11.322 | 90.0 | 90.0 | 90.0 |
Download raw data (including filtered results)
Reference structure matches:
| prototype | method | Ecoh (eV/atom) | Epot (eV/atom) | a0 (Å) | b0 (Å) | c0 (Å) | α (degrees) | β (degrees) | γ (degrees) |
|---|---|---|---|---|---|---|---|---|---|
| oqmd-426579 | static | -3.7775 | -3.7775 | 6.9351 | 6.9351 | 8.6452 | 90.0 | 90.0 | 120.0 |
| oqmd-426579 | box | -3.6363 | -3.6363 | 7.0615 | 7.0615 | 9.6128 | 90.0 | 90.0 | 120.0 |
Download raw data (including filtered results)
Reference structure matches:
L2_1--AlCu2Mn--heusler = oqmd-387658
| prototype | method | Ecoh (eV/atom) | Epot (eV/atom) | a0 (Å) | b0 (Å) | c0 (Å) | α (degrees) | β (degrees) | γ (degrees) |
|---|---|---|---|---|---|---|---|---|---|
| L2_1--AlCu2Mn--heusler | static | -4.179 | -4.179 | 5.6339 | 5.6339 | 5.6339 | 90.0 | 90.0 | 90.0 |
| L2_1--AlCu2Mn--heusler | dynamic | -3.9943 | -3.9943 | 6.119 | 6.119 | 6.119 | 90.0 | 90.0 | 90.0 |
Download raw data (including filtered results)
Reference structure matches:
| prototype | method | Ecoh (eV/atom) | Epot (eV/atom) | a0 (Å) | b0 (Å) | c0 (Å) | α (degrees) | β (degrees) | γ (degrees) |
|---|---|---|---|---|---|---|---|---|---|
| mp-1077252 | dynamic | -4.0801 | -4.0801 | 6.5854 | 6.5854 | 6.5854 | 90.0 | 90.0 | 90.0 |
| C1--CaF2--fluorite | static | -3.9398 | -3.9398 | 5.5992 | 5.5992 | 5.5992 | 90.0 | 90.0 | 90.0 |
| oqmd-1238640 | dynamic | -1.9602 | -1.9602 | 11.3952 | 11.3952 | 11.3952 | 90.0 | 90.0 | 90.0 |
Download raw data (including filtered results)
Reference structure matches:
D0_3--BiF3 = mp-1008282, oqmd-310984
L1_2--AuCu3 = mp-1008285, oqmd-343214
| prototype | method | Ecoh (eV/atom) | Epot (eV/atom) | a0 (Å) | b0 (Å) | c0 (Å) | α (degrees) | β (degrees) | γ (degrees) |
|---|---|---|---|---|---|---|---|---|---|
| A15--Cr3Si | dynamic | -4.0611 | -4.0611 | 4.6786 | 4.6786 | 4.6786 | 90.0 | 90.0 | 90.0 |
| L1_2--AuCu3 | dynamic | -4.0456 | -4.0456 | 3.7614 | 3.7614 | 3.7614 | 90.0 | 90.0 | 90.0 |
| D0_3--BiF3 | dynamic | -4.0162 | -4.0162 | 5.6105 | 5.6105 | 5.6105 | 90.0 | 90.0 | 90.0 |
| oqmd-300442 | static | -3.9919 | -3.9919 | 3.3367 | 3.3367 | 8.0726 | 90.0 | 90.0 | 90.0 |
| oqmd-318728 | dynamic | -3.9163 | -3.9163 | 5.3505 | 5.3505 | 3.9089 | 90.0 | 90.0 | 120.0 |
| D0_3--BiF3 | static | -3.8904 | -3.8904 | 6.0838 | 6.0838 | 6.0838 | 90.0 | 90.0 | 90.0 |
Download raw data (including filtered results)
Reference structure matches:
A15--Cr3Si = oqmd-1280316
D0_3--BiF3 = mp-1008275, oqmd-313086
L1_2--AuCu3 = mp-1008278, oqmd-344860
| prototype | method | Ecoh (eV/atom) | Epot (eV/atom) | a0 (Å) | b0 (Å) | c0 (Å) | α (degrees) | β (degrees) | γ (degrees) |
|---|---|---|---|---|---|---|---|---|---|
| D0_3--BiF3 | dynamic | -4.3269 | -4.3269 | 5.6668 | 5.6668 | 5.6668 | 90.0 | 90.0 | 90.0 |
| A15--Cr3Si | dynamic | -4.2812 | -4.2812 | 4.5196 | 4.5196 | 4.5196 | 90.0 | 90.0 | 90.0 |
| oqmd-320374 | dynamic | -4.2353 | -4.2353 | 5.31 | 5.31 | 4.3657 | 90.0 | 90.0 | 120.0 |
| L1_2--AuCu3 | dynamic | -4.2305 | -4.2305 | 3.7605 | 3.7605 | 3.7605 | 90.0 | 90.0 | 90.0 |
| mp-1008284 | dynamic | -4.2243 | -4.2243 | 3.7607 | 3.7607 | 7.4999 | 90.0 | 90.0 | 90.0 |
| oqmd-302544 | box | -4.1513 | -4.1513 | 3.5007 | 3.5007 | 7.6986 | 90.0 | 90.0 | 90.0 |
Download raw data (including filtered results)
Reference structure matches:
| prototype | method | Ecoh (eV/atom) | Epot (eV/atom) | a0 (Å) | b0 (Å) | c0 (Å) | α (degrees) | β (degrees) | γ (degrees) |
|---|---|---|---|---|---|---|---|---|---|
| mp-1226243 | dynamic | -4.2333 | -4.2333 | 2.8526 | 4.0146 | 20.0583 | 90.0 | 90.0 | 90.0 |
| mp-1226243 | box | -4.2321 | -4.2321 | 2.8503 | 4.0146 | 20.0347 | 90.0 | 90.0 | 90.0 |
Download raw data (including filtered results)
Reference structure matches:
B1--NaCl--rock-salt = oqmd-1105105
B2--CsCl = oqmd-305920
B3--ZnS--cubic-zinc-blende = oqmd-1219336
L1_0--AuCu = oqmd-337462
| prototype | method | Ecoh (eV/atom) | Epot (eV/atom) | a0 (Å) | b0 (Å) | c0 (Å) | α (degrees) | β (degrees) | γ (degrees) |
|---|---|---|---|---|---|---|---|---|---|
| mp-1226211 | dynamic | -4.1681 | -4.1681 | 2.748 | 3.9625 | 4.052 | 90.0 | 90.0 | 90.0 |
| oqmd-327004 | dynamic | -4.1425 | -4.1425 | 2.641 | 2.641 | 13.1127 | 90.0 | 90.0 | 120.0 |
| oqmd-1229015 | dynamic | -4.135 | -4.135 | 2.6373 | 2.6373 | 4.3824 | 90.0 | 90.0 | 120.0 |
| L1_0--AuCu | dynamic | -4.0549 | -4.0549 | 2.6972 | 2.6972 | 3.2836 | 90.0 | 90.0 | 90.0 |
| oqmd-1219850 | dynamic | -4.0428 | -4.0428 | 3.8899 | 2.7301 | 4.3063 | 90.0 | 90.0 | 90.0 |
| B2--CsCl | dynamic | -4.0404 | -4.0404 | 2.8008 | 2.8008 | 2.8008 | 90.0 | 90.0 | 90.0 |
| L1_0--AuCu | dynamic | -4.0179 | -4.0179 | 2.635 | 2.635 | 3.8205 | 90.0 | 90.0 | 90.0 |
| L1_0--AuCu | box | -3.9997 | -3.9997 | 2.6739 | 2.6739 | 3.5731 | 90.0 | 90.0 | 90.0 |
| B2--CsCl | dynamic | -3.8555 | -3.8555 | 3.1212 | 3.1212 | 3.1212 | 90.0 | 90.0 | 90.0 |
| B1--NaCl--rock-salt | static | -3.426 | -3.426 | 4.7188 | 4.7188 | 4.7188 | 90.0 | 90.0 | 90.0 |
| B1--NaCl--rock-salt | static | -3.1833 | -3.1833 | 5.2921 | 5.2921 | 5.2921 | 90.0 | 90.0 | 90.0 |
| B3--ZnS--cubic-zinc-blende | dynamic | -2.8229 | -2.8229 | 5.53 | 5.53 | 5.53 | 90.0 | 90.0 | 90.0 |
| B4--ZnS--wurtzite | static | -2.8081 | -2.8081 | 3.9273 | 3.9273 | 6.1403 | 90.0 | 90.0 | 120.0 |
| B4--ZnS--wurtzite | box | -2.8018 | -2.8018 | 3.8995 | 3.8995 | 6.3318 | 90.0 | 90.0 | 120.0 |
| B3--ZnS--cubic-zinc-blende | dynamic | -2.5594 | -2.5594 | 6.1563 | 6.1563 | 6.1563 | 90.0 | 90.0 | 90.0 |
| oqmd-1229015 | box | -2.4631 | -2.4631 | 2.6329 | 2.6329 | 11.4299 | 90.0 | 90.0 | 120.0 |
Download raw data (including filtered results)
Reference structure matches:
| prototype | method | Ecoh (eV/atom) | Epot (eV/atom) | a0 (Å) | b0 (Å) | c0 (Å) | α (degrees) | β (degrees) | γ (degrees) |
|---|---|---|---|---|---|---|---|---|---|
| C1--CaF2--fluorite | dynamic | -3.5024 | -3.5024 | 5.5622 | 5.5622 | 5.5622 | 90.0 | 90.0 | 90.0 |
| C1--CaF2--fluorite | dynamic | -3.291 | -3.291 | 6.2247 | 6.2247 | 6.2247 | 90.0 | 90.0 | 90.0 |
| oqmd-1240426 | static | -1.8018 | -1.8018 | 11.7418 | 11.7418 | 11.7418 | 90.0 | 90.0 | 90.0 |
Download raw data (including filtered results)
Reference structure matches:
L2_1--AlCu2Mn--heusler = oqmd-527070
| prototype | method | Ecoh (eV/atom) | Epot (eV/atom) | a0 (Å) | b0 (Å) | c0 (Å) | α (degrees) | β (degrees) | γ (degrees) |
|---|---|---|---|---|---|---|---|---|---|
| L2_1--AlCu2Mn--heusler | dynamic | -4.1374 | -4.1374 | 5.5693 | 5.5693 | 5.5693 | 90.0 | 90.0 | 90.0 |
| L2_1--AlCu2Mn--heusler | dynamic | -3.8076 | -3.8076 | 6.2308 | 6.2308 | 6.2308 | 90.0 | 90.0 | 90.0 |
Download raw data (including filtered results)
Reference structure matches:
D0_3--BiF3 = mp-1018067, oqmd-308186
L1_2--AuCu3 = mp-1018081, oqmd-346012
| prototype | method | Ecoh (eV/atom) | Epot (eV/atom) | a0 (Å) | b0 (Å) | c0 (Å) | α (degrees) | β (degrees) | γ (degrees) |
|---|---|---|---|---|---|---|---|---|---|
| A15--Cr3Si | dynamic | -4.1053 | -4.1053 | 4.62 | 4.62 | 4.62 | 90.0 | 90.0 | 90.0 |
| oqmd-297657 | dynamic | -4.0842 | -4.0842 | 3.3872 | 3.3872 | 8.1769 | 90.0 | 90.0 | 90.0 |
| oqmd-297657 | box | -4.0154 | -4.0154 | 3.7394 | 3.7394 | 7.1536 | 90.0 | 90.0 | 90.0 |
| L1_2--AuCu3 | static | -3.9915 | -3.9915 | 3.6618 | 3.6618 | 3.6618 | 90.0 | 90.0 | 90.0 |
| oqmd-321526 | static | -3.9663 | -3.9663 | 5.2604 | 5.2604 | 3.8377 | 90.0 | 90.0 | 120.0 |
| D0_3--BiF3 | static | -3.9649 | -3.9649 | 5.6097 | 5.6097 | 5.6097 | 90.0 | 90.0 | 90.0 |
| D0_3--BiF3 | static | -3.8641 | -3.8641 | 6.1437 | 6.1437 | 6.1437 | 90.0 | 90.0 | 90.0 |
Download raw data (including filtered results)
Reference structure matches:
| prototype | method | Ecoh (eV/atom) | Epot (eV/atom) | a0 (Å) | b0 (Å) | c0 (Å) | α (degrees) | β (degrees) | γ (degrees) |
|---|---|---|---|---|---|---|---|---|---|
| mp-1226230 | static | -4.074 | -4.074 | 2.7815 | 3.9719 | 19.5182 | 90.0 | 90.0 | 90.0 |
| mp-1226230 | box | -4.0685 | -4.0685 | 2.8114 | 3.9828 | 19.4251 | 90.0 | 90.0 | 90.0 |
Download raw data (including filtered results)
Reference structure matches:
| prototype | method | Ecoh (eV/atom) | Epot (eV/atom) | a0 (Å) | b0 (Å) | c0 (Å) | α (degrees) | β (degrees) | γ (degrees) |
|---|---|---|---|---|---|---|---|---|---|
| oqmd-959986 | dynamic | -3.8016 | -3.8016 | 5.4266 | 5.4266 | 5.4266 | 90.0 | 90.0 | 90.0 |
| oqmd-958168 | dynamic | -3.7758 | -3.7758 | 5.4889 | 5.4889 | 5.4889 | 90.0 | 90.0 | 90.0 |
| oqmd-835095 | dynamic | -3.7083 | -3.7083 | 5.4541 | 5.4541 | 5.4541 | 90.0 | 90.0 | 90.0 |
Download raw data (including filtered results)
Reference structure matches:
L2_1--AlCu2Mn--heusler = oqmd-528888
| prototype | method | Ecoh (eV/atom) | Epot (eV/atom) | a0 (Å) | b0 (Å) | c0 (Å) | α (degrees) | β (degrees) | γ (degrees) |
|---|---|---|---|---|---|---|---|---|---|
| L2_1--AlCu2Mn--heusler | dynamic | -4.2053 | -4.2053 | 5.5379 | 5.5379 | 5.5379 | 90.0 | 90.0 | 90.0 |
Download raw data (including filtered results)
Reference structure matches:
B1--NaCl--rock-salt = oqmd-1106140
B2--CsCl = mp-1226196, oqmd-306955
B3--ZnS--cubic-zinc-blende = oqmd-1219358
L1_0--AuCu = oqmd-338497
| prototype | method | Ecoh (eV/atom) | Epot (eV/atom) | a0 (Å) | b0 (Å) | c0 (Å) | α (degrees) | β (degrees) | γ (degrees) |
|---|---|---|---|---|---|---|---|---|---|
| B2--CsCl | dynamic | -4.421 | -4.421 | 2.8601 | 2.8601 | 2.8601 | 90.0 | 90.0 | 90.0 |
| oqmd-1229037 | dynamic | -4.3232 | -4.3232 | 2.6171 | 2.6171 | 4.0086 | 90.0 | 90.0 | 120.0 |
| mp-1226232 | dynamic | -4.3194 | -4.3194 | 2.5843 | 2.5843 | 12.578 | 90.0 | 90.0 | 120.0 |
| B4--ZnS--wurtzite | dynamic | -3.998 | -3.998 | 2.6016 | 2.6016 | 9.7847 | 90.0 | 90.0 | 120.0 |
| oqmd-1229037 | box | -3.8691 | -3.8691 | 3.7561 | 3.7561 | 2.5708 | 90.0 | 90.0 | 120.0 |
| B1--NaCl--rock-salt | static | -3.6188 | -3.6188 | 4.6541 | 4.6541 | 4.6541 | 90.0 | 90.0 | 90.0 |
| B1--NaCl--rock-salt | static | -3.5902 | -3.5902 | 5.1842 | 5.1842 | 5.1842 | 90.0 | 90.0 | 90.0 |
| B3--ZnS--cubic-zinc-blende | static | -3.2517 | -3.2517 | 5.4888 | 5.4888 | 5.4888 | 90.0 | 90.0 | 90.0 |
| B4--ZnS--wurtzite | box | -3.2067 | -3.2067 | 3.8686 | 3.8686 | 6.409 | 90.0 | 90.0 | 120.0 |
Download raw data (including filtered results)
Reference structure matches:
| prototype | method | Ecoh (eV/atom) | Epot (eV/atom) | a0 (Å) | b0 (Å) | c0 (Å) | α (degrees) | β (degrees) | γ (degrees) |
|---|---|---|---|---|---|---|---|---|---|
| mp-1077077 | dynamic | -4.394 | -4.394 | 6.4601 | 6.4601 | 6.4601 | 90.0 | 90.0 | 90.0 |
| C1--CaF2--fluorite | dynamic | -3.9226 | -3.9226 | 5.5458 | 5.5458 | 5.5458 | 90.0 | 90.0 | 90.0 |
| oqmd-1238639 | static | -2.0433 | -2.0433 | 11.181 | 11.181 | 11.181 | 90.0 | 90.0 | 90.0 |
Download raw data (including filtered results)
Reference structure matches:
D0_3--BiF3 = mp-1007975, oqmd-309832
L1_2--AuCu3 = mp-1007974, oqmd-348114
| prototype | method | Ecoh (eV/atom) | Epot (eV/atom) | a0 (Å) | b0 (Å) | c0 (Å) | α (degrees) | β (degrees) | γ (degrees) |
|---|---|---|---|---|---|---|---|---|---|
| D0_3--BiF3 | dynamic | -4.33 | -4.33 | 5.5916 | 5.5916 | 5.5916 | 90.0 | 90.0 | 90.0 |
| mp-1007923 | static | -4.3241 | -4.3241 | 3.8116 | 3.8116 | 6.5878 | 90.0 | 90.0 | 90.0 |
| mp-1226338 | box | -4.3229 | -4.3229 | 2.5008 | 2.5008 | 24.6039 | 90.0 | 90.0 | 120.0 |
| L1_2--AuCu3 | dynamic | -4.3201 | -4.3201 | 3.6517 | 3.6517 | 3.6517 | 90.0 | 90.0 | 90.0 |
| oqmd-323628 | static | -4.3197 | -4.3197 | 5.0522 | 5.0522 | 4.0039 | 90.0 | 90.0 | 120.0 |
| oqmd-323628 | box | -4.3147 | -4.3147 | 5.0437 | 5.0437 | 4.012 | 90.0 | 90.0 | 120.0 |
| oqmd-299290 | static | -4.2995 | -4.2995 | 3.414 | 3.414 | 7.5612 | 90.0 | 90.0 | 90.0 |
| mp-1007923 | box | -4.2977 | -4.2977 | 3.4613 | 3.4613 | 7.5415 | 90.0 | 90.0 | 90.0 |
| A15--Cr3Si | dynamic | -4.2952 | -4.2952 | 4.5893 | 4.5893 | 4.5893 | 90.0 | 90.0 | 90.0 |
Download raw data (including filtered results)
Reference structure matches:
A1--Cu--fcc = mp-150, oqmd-7505, oqmd-1214525
A15--beta-W = oqmd-1214970
A2--W--bcc = mp-13, oqmd-8568, oqmd-22514, oqmd-1215148
A3'--alpha-La--double-hcp = oqmd-1215416
A3--Mg--hcp = mp-136, oqmd-30158, oqmd-51781, oqmd-1215326, oqmd-1215391
A4--C--dc = oqmd-1215505
A5--beta-Sn = oqmd-1215594
A6--In--bct = oqmd-1215683
Ah--alpha-Po--sc = mp-568345
| prototype | method | Ecoh (eV/atom) | Epot (eV/atom) | a0 (Å) | b0 (Å) | c0 (Å) | α (degrees) | β (degrees) | γ (degrees) |
|---|---|---|---|---|---|---|---|---|---|
| A6--In--bct | dynamic | -4.0521 | -4.0521 | 2.4133 | 2.4133 | 4.1138 | 90.0 | 90.0 | 90.0 |
| oqmd-1215237 | dynamic | -4.0504 | -4.0504 | 2.4114 | 4.7741 | 4.1108 | 90.0 | 90.0 | 90.0 |
| A1--Cu--fcc | static | -4.0477 | -4.0477 | 3.5484 | 3.5484 | 3.5484 | 90.0 | 90.0 | 90.0 |
| oqmd-1215237 | box | -4.0428 | -4.0428 | 2.432 | 4.6668 | 4.1366 | 90.0 | 90.0 | 90.0 |
| A6--In--bct | box | -4.041 | -4.041 | 2.4668 | 2.4668 | 3.7658 | 90.0 | 90.0 | 90.0 |
| A3'--alpha-La--double-hcp | dynamic | -4.0401 | -4.0401 | 2.5022 | 2.5022 | 8.3229 | 90.0 | 90.0 | 120.0 |
| oqmd-1216039 | dynamic | -4.0398 | -4.0398 | 2.5005 | 2.5005 | 18.78 | 90.0 | 90.0 | 120.0 |
| oqmd-1216039 | box | -4.039 | -4.039 | 2.4999 | 2.4999 | 18.8104 | 90.0 | 90.0 | 120.0 |
| A3--Mg--hcp | dynamic | -4.0372 | -4.0372 | 2.4961 | 2.4961 | 4.2108 | 90.0 | 90.0 | 120.0 |
| A15--beta-W | dynamic | -3.9851 | -3.9851 | 4.6761 | 4.6761 | 4.6761 | 90.0 | 90.0 | 90.0 |
| mp-1245108 | dynamic | -3.9804 | -3.9804 | 10.2073 | 10.3387 | 11.1416 | 91.3 | 91.8 | 92.9 |
| A2--W--bcc | static | -3.9767 | -3.9767 | 2.817 | 2.817 | 2.817 | 90.0 | 90.0 | 90.0 |
| oqmd-1215861 | box | -3.9762 | -3.9762 | 3.9674 | 3.9674 | 2.4889 | 90.0 | 90.0 | 120.0 |
| oqmd-1214881 | dynamic | -3.9745 | -3.9745 | 6.18 | 6.18 | 6.18 | 90.0 | 90.0 | 90.0 |
| oqmd-1214881 | box | -3.9611 | -3.9611 | 6.2236 | 6.2236 | 6.2236 | 90.0 | 90.0 | 90.0 |
| oqmd-1214792 | dynamic | -3.9562 | -3.9562 | 8.8988 | 8.8988 | 8.8988 | 90.0 | 90.0 | 90.0 |
| A2--W--bcc | dynamic | -3.955 | -3.955 | 2.6473 | 2.6473 | 2.6473 | 90.0 | 90.0 | 90.0 |
| oqmd-1214792 | box | -3.9465 | -3.9465 | 8.9065 | 8.9065 | 8.9065 | 90.0 | 90.0 | 90.0 |
| mp-1194030 | dynamic | -3.9235 | -3.9235 | 8.643 | 8.643 | 4.7598 | 90.0 | 90.0 | 90.0 |
| oqmd-21053 | box | -3.9139 | -3.9139 | 8.6587 | 8.6587 | 4.768 | 90.0 | 90.0 | 90.0 |
| mp-1245108 | static | -3.9113 | -3.9113 | 10.3401 | 10.5905 | 10.786 | 92.5 | 90.9 | 91.3 |
| mp-1194030 | box | -3.909 | -3.909 | 8.662 | 8.662 | 4.7679 | 90.0 | 90.0 | 90.0 |
| mp-1245108 | box | -3.8581 | -3.8581 | 10.5211 | 10.6021 | 10.8049 | 92.4 | 91.2 | 91.1 |
| oqmd-1215059 | static | -3.8166 | -3.8166 | 2.5408 | 4.1721 | 8.7484 | 90.0 | 90.0 | 90.0 |
| oqmd-1215059 | box | -3.8132 | -3.8132 | 2.5538 | 4.1717 | 8.6869 | 90.0 | 90.0 | 90.0 |
| mp-1096950 | box | -3.664 | -3.664 | 2.4263 | 2.4263 | 2.2695 | 90.0 | 90.0 | 120.0 |
| A5--beta-Sn | static | -3.6252 | -3.6252 | 4.3753 | 4.3753 | 2.3054 | 90.0 | 90.0 | 90.0 |
| Ah--alpha-Po--sc | static | -3.3998 | -3.3998 | 2.317 | 2.317 | 2.317 | 90.0 | 90.0 | 90.0 |
| oqmd-1215950 | box | -3.1789 | -3.1789 | 3.9734 | 4.3147 | 4.0117 | 90.0 | 119.3 | 90.0 |
| A7--alpha-As | box | -3.0913 | -3.0913 | 3.3664 | 3.3664 | 9.8384 | 90.0 | 90.0 | 120.0 |
| A4--C--dc | static | -2.761 | -2.761 | 5.4576 | 5.4576 | 5.4576 | 90.0 | 90.0 | 90.0 |
Download raw data (including filtered results)
Reference structure matches:
| prototype | method | Ecoh (eV/atom) | Epot (eV/atom) | a0 (Å) | b0 (Å) | c0 (Å) | α (degrees) | β (degrees) | γ (degrees) |
|---|---|---|---|---|---|---|---|---|---|
| mp-1224697 | dynamic | -4.1926 | -4.1926 | 2.5035 | 2.5035 | 6.5493 | 90.0 | 90.0 | 120.0 |
| mp-1077745 | dynamic | -3.9703 | -3.9703 | 6.5746 | 6.5746 | 6.5746 | 90.0 | 90.0 | 90.0 |
| C1--CaF2--fluorite | dynamic | -3.7319 | -3.7319 | 5.4102 | 5.4102 | 5.4102 | 90.0 | 90.0 | 90.0 |
| oqmd-1236414 | static | -2.0029 | -2.0029 | 10.9854 | 10.9854 | 10.9854 | 90.0 | 90.0 | 90.0 |
Download raw data (including filtered results)
Reference structure matches:
| prototype | method | Ecoh (eV/atom) | Epot (eV/atom) | a0 (Å) | b0 (Å) | c0 (Å) | α (degrees) | β (degrees) | γ (degrees) |
|---|---|---|---|---|---|---|---|---|---|
| oqmd-427042 | box | -3.7133 | -3.7133 | 6.068 | 6.068 | 11.9868 | 90.0 | 90.0 | 120.0 |
Download raw data (including filtered results)
Reference structure matches:
D0_3--BiF3 = mp-1007853, oqmd-312075
L1_2--AuCu3 = mp-999189, oqmd-343549
| prototype | method | Ecoh (eV/atom) | Epot (eV/atom) | a0 (Å) | b0 (Å) | c0 (Å) | α (degrees) | β (degrees) | γ (degrees) |
|---|---|---|---|---|---|---|---|---|---|
| mp-1224780 | dynamic | -4.2074 | -4.2074 | 2.6674 | 3.7911 | 7.5514 | 90.0 | 90.0 | 90.0 |
| oqmd-319063 | dynamic | -4.1803 | -4.1803 | 4.8022 | 4.8022 | 3.7749 | 90.0 | 90.0 | 120.0 |
| D0_3--BiF3 | dynamic | -4.1721 | -4.1721 | 5.3354 | 5.3354 | 5.3354 | 90.0 | 90.0 | 90.0 |
| mp-1224827 | dynamic | -4.1559 | -4.1559 | 2.5059 | 2.5059 | 25.7608 | 90.0 | 90.0 | 120.0 |
| mp-1224827 | static | -4.1559 | -4.1559 | 2.5059 | 2.5059 | 25.7612 | 90.0 | 90.0 | 120.0 |
| oqmd-301533 | dynamic | -4.1367 | -4.1367 | 3.4125 | 3.4125 | 8.1659 | 90.0 | 90.0 | 90.0 |
| L1_2--AuCu3 | static | -4.1194 | -4.1194 | 3.4781 | 3.4781 | 3.4781 | 90.0 | 90.0 | 90.0 |
| A15--Cr3Si | dynamic | -4.1051 | -4.1051 | 4.6643 | 4.6643 | 4.6643 | 90.0 | 90.0 | 90.0 |
| oqmd-301533 | box | -4.0261 | -4.0261 | 3.6773 | 3.6773 | 6.3145 | 90.0 | 90.0 | 90.0 |
| oqmd-319063 | box | -4.0253 | -4.0253 | 4.9667 | 4.9667 | 4.298 | 90.0 | 90.0 | 120.0 |
Download raw data (including filtered results)
Reference structure matches:
| prototype | method | Ecoh (eV/atom) | Epot (eV/atom) | a0 (Å) | b0 (Å) | c0 (Å) | α (degrees) | β (degrees) | γ (degrees) |
|---|---|---|---|---|---|---|---|---|---|
| mp-1225009 | dynamic | -4.1946 | -4.1946 | 2.3904 | 2.3904 | 16.8876 | 90.0 | 90.0 | 90.0 |
Download raw data (including filtered results)
Reference structure matches:
B1--NaCl--rock-salt = oqmd-1105634
B2--CsCl = oqmd-306449
B3--ZnS--cubic-zinc-blende = oqmd-1222507
L1_0--AuCu = mp-2213, oqmd-17225, oqmd-30230, oqmd-337991
| prototype | method | Ecoh (eV/atom) | Epot (eV/atom) | a0 (Å) | b0 (Å) | c0 (Å) | α (degrees) | β (degrees) | γ (degrees) |
|---|---|---|---|---|---|---|---|---|---|
| mp-1224965 | dynamic | -4.3595 | -4.3595 | 2.7086 | 3.8215 | 3.774 | 90.0 | 90.0 | 90.0 |
| B2--CsCl | dynamic | -4.3029 | -4.3029 | 2.6944 | 2.6944 | 2.6944 | 90.0 | 90.0 | 90.0 |
| oqmd-1220313 | dynamic | -4.2973 | -4.2973 | 3.8245 | 2.395 | 4.1923 | 90.0 | 90.0 | 90.0 |
| L1_0--AuCu | dynamic | -4.2516 | -4.2516 | 2.3873 | 2.3873 | 3.4068 | 90.0 | 90.0 | 90.0 |
| mp-1224976 | dynamic | -4.243 | -4.243 | 2.4474 | 2.4474 | 13.0434 | 90.0 | 90.0 | 120.0 |
| oqmd-1229478 | dynamic | -4.2358 | -4.2358 | 2.4448 | 2.4448 | 4.3636 | 90.0 | 90.0 | 120.0 |
| oqmd-1229478 | box | -4.2201 | -4.2201 | 2.4751 | 2.4751 | 4.0613 | 90.0 | 90.0 | 120.0 |
| L1_0--AuCu | dynamic | -4.2186 | -4.2186 | 2.4214 | 2.4214 | 4.032 | 90.0 | 90.0 | 90.0 |
| L1_0--AuCu | box | -4.152 | -4.152 | 2.5017 | 2.5017 | 3.0758 | 90.0 | 90.0 | 90.0 |
| B4--ZnS--wurtzite | dynamic | -4.003 | -4.003 | 2.3987 | 2.3987 | 8.2712 | 90.0 | 90.0 | 120.0 |
| B2--CsCl | static | -3.6932 | -3.6932 | 3.1001 | 3.1001 | 3.1001 | 90.0 | 90.0 | 90.0 |
| B1--NaCl--rock-salt | dynamic | -3.6012 | -3.6012 | 4.7544 | 4.7544 | 4.7544 | 90.0 | 90.0 | 90.0 |
| B1--NaCl--rock-salt | static | -3.2995 | -3.2995 | 4.2717 | 4.2717 | 4.2717 | 90.0 | 90.0 | 90.0 |
| oqmd-1225992 | static | -3.2684 | -3.2684 | 3.9431 | 3.9431 | 4.734 | 90.0 | 90.0 | 120.0 |
| B3--ZnS--cubic-zinc-blende | static | -3.149 | -3.149 | 5.4034 | 5.4034 | 5.4034 | 90.0 | 90.0 | 90.0 |
| B4--ZnS--wurtzite | box | -3.116 | -3.116 | 3.8121 | 3.8121 | 6.3303 | 90.0 | 90.0 | 120.0 |
Download raw data (including filtered results)
Reference structure matches:
| prototype | method | Ecoh (eV/atom) | Epot (eV/atom) | a0 (Å) | b0 (Å) | c0 (Å) | α (degrees) | β (degrees) | γ (degrees) |
|---|---|---|---|---|---|---|---|---|---|
| mp-1072076 | dynamic | -4.2542 | -4.2542 | 6.4901 | 6.4901 | 6.4901 | 90.0 | 90.0 | 90.0 |
| C1--CaF2--fluorite | dynamic | -3.8175 | -3.8175 | 5.4061 | 5.4061 | 5.4061 | 90.0 | 90.0 | 90.0 |
| oqmd-1236413 | static | -2.1673 | -2.1673 | 10.9518 | 10.9518 | 10.9518 | 90.0 | 90.0 | 90.0 |
Download raw data (including filtered results)
Reference structure matches:
D0_3--BiF3 = mp-1007854, oqmd-308521
L1_2--AuCu3 = mp-1418, oqmd-7241, oqmd-347103
| prototype | method | Ecoh (eV/atom) | Epot (eV/atom) | a0 (Å) | b0 (Å) | c0 (Å) | α (degrees) | β (degrees) | γ (degrees) |
|---|---|---|---|---|---|---|---|---|---|
| oqmd-322617 | dynamic | -4.3284 | -4.3284 | 4.8605 | 4.8605 | 3.8643 | 90.0 | 90.0 | 120.0 |
| D0_3--BiF3 | dynamic | -4.3238 | -4.3238 | 5.4063 | 5.4063 | 5.4063 | 90.0 | 90.0 | 90.0 |
| oqmd-322617 | box | -4.3222 | -4.3222 | 4.853 | 4.853 | 3.8602 | 90.0 | 90.0 | 120.0 |
| mp-1225078 | dynamic | -4.3179 | -4.3179 | 2.4553 | 2.4553 | 23.2779 | 90.0 | 90.0 | 120.0 |
| mp-1079337 | dynamic | -4.3071 | -4.3071 | 3.8291 | 4.8407 | 4.3148 | 90.0 | 90.0 | 90.0 |
| L1_2--AuCu3 | dynamic | -4.307 | -4.307 | 3.4218 | 3.4218 | 3.4218 | 90.0 | 90.0 | 90.0 |
| mp-1079337 | box | -4.2908 | -4.2908 | 3.8793 | 4.8618 | 4.168 | 90.0 | 90.0 | 90.0 |
| mp-1225078 | box | -4.2877 | -4.2877 | 2.483 | 2.483 | 24.5974 | 90.0 | 90.0 | 120.0 |
| mp-1007855 | dynamic | -4.2593 | -4.2593 | 3.412 | 3.412 | 6.8141 | 90.0 | 90.0 | 90.0 |
| oqmd-297990 | box | -4.2375 | -4.2375 | 3.4247 | 3.4247 | 7.2653 | 90.0 | 90.0 | 90.0 |
| A15--Cr3Si | dynamic | -4.0906 | -4.0906 | 4.6694 | 4.6694 | 4.6694 | 90.0 | 90.0 | 90.0 |
| A15--Cr3Si | static | -4.0141 | -4.0141 | 4.2854 | 4.2854 | 4.2854 | 90.0 | 90.0 | 90.0 |
Download raw data (including filtered results)
Reference structure matches:
A1--Cu--fcc = mp-23, oqmd-676148, oqmd-1214550
A15--beta-W = oqmd-1214995, oqmd-1280360
A2--W--bcc = mp-1008728, oqmd-22516, oqmd-1215173
A3'--alpha-La--double-hcp = oqmd-1215441
A3--Mg--hcp = mp-10257, oqmd-677944, oqmd-1215351
A4--C--dc = oqmd-1215530
A5--beta-Sn = oqmd-1215619
A6--In--bct = oqmd-1215708
| prototype | method | Ecoh (eV/atom) | Epot (eV/atom) | a0 (Å) | b0 (Å) | c0 (Å) | α (degrees) | β (degrees) | γ (degrees) |
|---|---|---|---|---|---|---|---|---|---|
| A1--Cu--fcc | dynamic | -4.3457 | -4.3457 | 3.5185 | 3.5185 | 3.5185 | 90.0 | 90.0 | 90.0 |
| A3'--alpha-La--double-hcp | dynamic | -4.3399 | -4.3399 | 2.4904 | 2.4904 | 8.0595 | 90.0 | 90.0 | 120.0 |
| oqmd-1216067 | dynamic | -4.3384 | -4.3384 | 2.4914 | 2.4914 | 18.0786 | 90.0 | 90.0 | 120.0 |
| A3--Mg--hcp | dynamic | -4.3356 | -4.3356 | 2.4933 | 2.4933 | 3.9932 | 90.0 | 90.0 | 120.0 |
| oqmd-1215262 | box | -4.3349 | -4.3349 | 2.4833 | 4.3365 | 3.9931 | 90.0 | 90.0 | 90.0 |
| A2--W--bcc | dynamic | -4.2876 | -4.2876 | 2.7573 | 2.7573 | 2.7573 | 90.0 | 90.0 | 90.0 |
| oqmd-1214906 | dynamic | -4.2701 | -4.2701 | 6.0342 | 6.0342 | 6.0342 | 90.0 | 90.0 | 90.0 |
| oqmd-1214906 | box | -4.2694 | -4.2694 | 6.037 | 6.037 | 6.037 | 90.0 | 90.0 | 90.0 |
| A15--beta-W | static | -4.2588 | -4.2588 | 4.4838 | 4.4838 | 4.4838 | 90.0 | 90.0 | 90.0 |
| oqmd-1214817 | dynamic | -4.2408 | -4.2408 | 8.637 | 8.637 | 8.637 | 90.0 | 90.0 | 90.0 |
| oqmd-1214817 | box | -4.24 | -4.24 | 8.6358 | 8.6358 | 8.6358 | 90.0 | 90.0 | 90.0 |
| oqmd-1215084 | box | -4.0648 | -4.0648 | 2.5482 | 4.0607 | 8.7222 | 90.0 | 90.0 | 90.0 |
| oqmd-1214728 | static | -4.0408 | -4.0408 | 2.4101 | 2.4101 | 8.0091 | 90.0 | 90.0 | 90.0 |
| oqmd-1214728 | box | -4.0354 | -4.0354 | 2.4248 | 2.4248 | 7.948 | 90.0 | 90.0 | 90.0 |
| A5--beta-Sn | static | -3.8004 | -3.8004 | 4.4978 | 4.4978 | 2.2743 | 90.0 | 90.0 | 90.0 |
| A5--beta-Sn | static | -3.7702 | -3.7702 | 4.7409 | 4.7409 | 2.3413 | 90.0 | 90.0 | 90.0 |
| A5--beta-Sn | box | -3.7587 | -3.7587 | 4.645 | 4.645 | 2.2988 | 90.0 | 90.0 | 90.0 |
| Ah--alpha-Po--sc | static | -3.7234 | -3.7234 | 2.4133 | 2.4133 | 2.4133 | 90.0 | 90.0 | 90.0 |
| Ah--alpha-Po--sc | static | -3.644 | -3.644 | 2.2765 | 2.2765 | 2.2765 | 90.0 | 90.0 | 90.0 |
| oqmd-1215975 | box | -3.4795 | -3.4795 | 3.9127 | 3.9127 | 4.2655 | 90.0 | 90.0 | 120.0 |
| A4--C--dc | static | -3.4244 | -3.4244 | 5.3498 | 5.3498 | 5.3498 | 90.0 | 90.0 | 90.0 |
| mp-1014111 | static | -3.3521 | -3.3521 | 2.442 | 2.442 | 14.7479 | 90.0 | 90.0 | 120.0 |
| mp-1014111 | dynamic | -3.3521 | -3.3521 | 2.442 | 2.442 | 14.0891 | 90.0 | 90.0 | 120.0 |
| mp-1014111 | box | -3.3521 | -3.3521 | 2.442 | 2.442 | 14.7485 | 90.0 | 90.0 | 120.0 |
Static elastic constants are displayed for the unique structures identified in Crystal Structure Predictions above. The values displayed here are obtained by measuring the change in virial stresses due to applying small strains to the relaxed crystals. The initial structure and the strained states are all relaxed using force minimization.
The calculation method used is available as the iprPy elastic_constants_static calculation method.
Notes and Disclaimers:
Version Information:
| 585.132 | 302.453 | 302.453 | 0.000 | 0.000 | 0.000 |
| 302.453 | 585.132 | 302.453 | -0.000 | 0.000 | 0.000 |
| 302.453 | 302.453 | 585.132 | 0.000 | 0.000 | 0.000 |
| -0.000 | -0.000 | -0.000 | 212.412 | -0.000 | -0.000 |
| -0.000 | -0.000 | 0.000 | 0.000 | 212.412 | -0.000 |
| -0.000 | -0.000 | -0.000 | -0.000 | 0.000 | 212.412 |
| 585.132 | 302.453 | 302.453 | 0.000 | -0.000 | 0.000 |
| 302.453 | 585.132 | 302.453 | 0.000 | 0.000 | 0.000 |
| 302.453 | 302.453 | 585.132 | -0.000 | 0.000 | 0.000 |
| 0.000 | 0.000 | 0.000 | 212.412 | 0.000 | 0.000 |
| 0.000 | 0.000 | -0.000 | -0.000 | 212.412 | -0.000 |
| 0.000 | 0.000 | 0.000 | -0.000 | 0.000 | 212.412 |
| 585.132 | 302.453 | 302.453 | 0.000 | 0.000 | 0.000 |
| 302.453 | 585.132 | 302.453 | -0.000 | 0.000 | -0.000 |
| 302.453 | 302.453 | 585.132 | 0.000 | -0.000 | 0.000 |
| -0.000 | -0.000 | -0.000 | 212.412 | 0.000 | -0.000 |
| -0.000 | -0.000 | -0.000 | 0.000 | 212.412 | -0.000 |
| -0.000 | -0.000 | -0.000 | -0.000 | 0.000 | 212.412 |
| 585.132 | 302.453 | 302.453 | -0.000 | -0.000 | 0.000 |
| 302.453 | 585.132 | 302.453 | -0.000 | -0.000 | 0.000 |
| 302.453 | 302.453 | 585.132 | -0.000 | -0.000 | 0.000 |
| 0.000 | 0.000 | 0.000 | 212.412 | 0.000 | 0.000 |
| 0.000 | 0.000 | 0.000 | 0.000 | 212.412 | -0.000 |
| 0.000 | 0.000 | 0.000 | 0.000 | 0.000 | 212.412 |
| 585.132 | 302.454 | 302.454 | -0.000 | 0.000 | -0.000 |
| 302.454 | 585.132 | 302.454 | -0.000 | -0.000 | 0.000 |
| 302.454 | 302.454 | 585.132 | 0.000 | 0.000 | -0.000 |
| -0.000 | -0.000 | -0.000 | 212.412 | 0.000 | -0.000 |
| -0.000 | -0.000 | -0.000 | 0.000 | 212.412 | -0.000 |
| -0.000 | -0.000 | -0.000 | 0.000 | 0.000 | 212.412 |
| 585.131 | 302.452 | 302.452 | 0.000 | 0.000 | 0.000 |
| 302.452 | 585.131 | 302.452 | 0.000 | -0.000 | 0.000 |
| 302.452 | 302.452 | 585.131 | 0.000 | 0.000 | -0.000 |
| 0.000 | 0.000 | 0.000 | 212.412 | -0.000 | 0.000 |
| 0.000 | 0.000 | 0.000 | -0.000 | 212.412 | -0.000 |
| 0.000 | 0.000 | 0.000 | -0.000 | -0.000 | 212.412 |
| 578.472 | 181.764 | 181.764 | -0.000 | -0.000 | -0.000 |
| 181.764 | 578.472 | 181.764 | -0.000 | -0.000 | -0.000 |
| 181.764 | 181.764 | 578.472 | -0.000 | -0.000 | -0.000 |
| -0.000 | -0.000 | 0.000 | 53.091 | -0.000 | -0.000 |
| 0.000 | -0.000 | 0.000 | -0.000 | 53.091 | -0.000 |
| -0.000 | -0.000 | 0.000 | -0.000 | -0.000 | 53.091 |
| 579.353 | 181.324 | 181.324 | 0.000 | 0.000 | 0.000 |
| 181.324 | 579.353 | 181.324 | 0.000 | -0.000 | 0.000 |
| 181.324 | 181.324 | 579.353 | 0.000 | -0.000 | 0.000 |
| -0.000 | 0.000 | -0.000 | 53.091 | 0.000 | 0.000 |
| -0.000 | 0.000 | -0.000 | 0.000 | 53.091 | 0.000 |
| -0.000 | 0.000 | -0.000 | 0.000 | 0.000 | 53.091 |
| 579.353 | 181.324 | 181.324 | -0.000 | -0.000 | -0.000 |
| 181.324 | 579.353 | 181.324 | -0.000 | -0.000 | -0.000 |
| 181.324 | 181.324 | 579.353 | 0.000 | -0.000 | -0.000 |
| 0.000 | 0.000 | 0.000 | 53.091 | -0.000 | -0.000 |
| 0.000 | 0.000 | 0.000 | -0.000 | 53.091 | -0.000 |
| 0.000 | 0.000 | 0.000 | -0.000 | -0.000 | 53.091 |
| 578.472 | 181.764 | 181.764 | 0.000 | 0.000 | 0.000 |
| 181.764 | 578.472 | 181.764 | 0.000 | 0.000 | 0.000 |
| 181.764 | 181.764 | 578.472 | 0.000 | 0.000 | 0.000 |
| -0.000 | -0.000 | -0.000 | 53.091 | 0.000 | 0.000 |
| -0.000 | -0.000 | -0.000 | 0.000 | 53.091 | 0.000 |
| -0.000 | -0.000 | -0.000 | 0.000 | 0.000 | 53.091 |
| 579.353 | 181.324 | 181.324 | -0.000 | 0.000 | -0.000 |
| 181.324 | 579.353 | 181.324 | -0.000 | -0.000 | -0.000 |
| 181.324 | 181.324 | 579.353 | -0.000 | 0.000 | -0.000 |
| 0.000 | 0.000 | 0.000 | 55.960 | -0.000 | -0.000 |
| 0.000 | 0.000 | 0.000 | -0.000 | 55.960 | -0.000 |
| 0.000 | 0.000 | 0.000 | -0.000 | 0.000 | 55.960 |
| 578.472 | 181.764 | 181.764 | 0.000 | 0.000 | 0.000 |
| 181.764 | 578.472 | 181.764 | 0.000 | 0.000 | 0.000 |
| 181.764 | 181.764 | 578.472 | 0.000 | 0.000 | 0.000 |
| -0.000 | -0.000 | -0.000 | 55.960 | 0.000 | 0.000 |
| -0.000 | -0.000 | -0.000 | 0.000 | 55.960 | 0.000 |
| -0.000 | -0.000 | -0.000 | 0.000 | 0.000 | 55.960 |
| 423.783 | 104.926 | 104.926 | 0.000 | 0.000 | -0.000 |
| 104.926 | 423.783 | 104.926 | 0.000 | 0.000 | -0.000 |
| 104.926 | 104.926 | 423.783 | 0.000 | 0.000 | 0.000 |
| -0.000 | 0.000 | 0.000 | 135.904 | 0.000 | -0.000 |
| 0.000 | -0.000 | 0.000 | 0.000 | 135.904 | 0.000 |
| 0.000 | 0.000 | 0.000 | 0.000 | 0.000 | 135.904 |
| 423.783 | 104.926 | 104.926 | -0.000 | -0.000 | -0.000 |
| 104.926 | 423.783 | 104.926 | -0.000 | -0.000 | -0.000 |
| 104.926 | 104.926 | 423.783 | -0.000 | -0.000 | 0.000 |
| 0.000 | -0.000 | -0.000 | 135.904 | -0.000 | -0.000 |
| -0.000 | 0.000 | -0.000 | -0.000 | 135.904 | 0.000 |
| -0.000 | -0.000 | 0.000 | -0.000 | -0.000 | 135.904 |
| 423.784 | 104.926 | 104.926 | 0.000 | 0.000 | 0.000 |
| 104.926 | 423.784 | 104.926 | 0.000 | 0.000 | 0.000 |
| 104.926 | 104.926 | 423.784 | -0.000 | 0.000 | 0.000 |
| 0.000 | 0.000 | 0.000 | 135.904 | -0.000 | -0.000 |
| 0.000 | 0.000 | 0.000 | 0.000 | 135.904 | -0.000 |
| 0.000 | 0.000 | 0.000 | 0.000 | 0.000 | 135.904 |
| 423.782 | 104.926 | 104.926 | -0.000 | -0.000 | -0.000 |
| 104.926 | 423.782 | 104.926 | -0.000 | -0.000 | -0.000 |
| 104.926 | 104.926 | 423.782 | -0.000 | 0.000 | -0.000 |
| -0.000 | -0.000 | -0.000 | 135.904 | 0.000 | -0.000 |
| -0.000 | -0.000 | -0.000 | -0.000 | 135.904 | -0.000 |
| -0.000 | -0.000 | -0.000 | -0.000 | -0.000 | 135.904 |
| 423.791 | 104.925 | 104.925 | 0.000 | 0.000 | 0.000 |
| 104.925 | 423.791 | 104.925 | 0.000 | -0.000 | 0.000 |
| 104.925 | 104.925 | 423.791 | 0.000 | 0.000 | -0.000 |
| 0.000 | 0.001 | 0.001 | 135.904 | 0.000 | -0.000 |
| 0.001 | 0.000 | 0.001 | 0.000 | 135.904 | 0.000 |
| 0.001 | 0.001 | 0.000 | 0.000 | 0.000 | 135.904 |
| 423.775 | 104.927 | 104.927 | -0.000 | -0.000 | 0.000 |
| 104.927 | 423.775 | 104.927 | -0.000 | -0.000 | 0.000 |
| 104.927 | 104.927 | 423.775 | -0.000 | -0.000 | -0.000 |
| -0.000 | -0.001 | -0.001 | 135.904 | -0.000 | -0.000 |
| -0.001 | -0.000 | -0.001 | -0.000 | 135.904 | -0.000 |
| -0.001 | -0.001 | -0.000 | -0.000 | -0.000 | 135.904 |
| 643.831 | 283.110 | 250.056 | 0.000 | -0.000 | 0.000 |
| 275.195 | 651.746 | 250.056 | 0.000 | -0.000 | 0.000 |
| 250.056 | 250.056 | 607.559 | 0.000 | 0.000 | 0.000 |
| -0.000 | -0.000 | -0.000 | 163.308 | -0.000 | 0.000 |
| -0.000 | -0.000 | -0.000 | 0.000 | 163.308 | 0.000 |
| -0.000 | -0.000 | 0.000 | 0.000 | -0.000 | 188.276 |
| 643.831 | 283.110 | 250.056 | -0.000 | 0.000 | -0.000 |
| 283.110 | 643.831 | 250.056 | -0.000 | 0.000 | -0.000 |
| 250.056 | 250.056 | 607.559 | -0.000 | 0.000 | -0.000 |
| 0.000 | 0.000 | 0.000 | 163.308 | 0.000 | -0.000 |
| 0.000 | 0.000 | 0.000 | -0.000 | 163.308 | -0.000 |
| 0.000 | -0.000 | -0.000 | -0.000 | 0.000 | 188.275 |
| 643.831 | 283.110 | 250.056 | 0.000 | -0.000 | 0.000 |
| 283.111 | 643.831 | 250.056 | 0.000 | -0.000 | 0.000 |
| 250.056 | 250.056 | 607.559 | 0.000 | -0.000 | 0.000 |
| -0.000 | -0.000 | -0.000 | 163.308 | -0.000 | 0.000 |
| -0.000 | -0.000 | -0.000 | 0.000 | 163.308 | 0.000 |
| -0.000 | 0.000 | -0.000 | -0.000 | -0.000 | 180.360 |
| 643.831 | 283.110 | 250.056 | -0.000 | 0.000 | -0.000 |
| 275.195 | 651.746 | 250.056 | -0.000 | 0.000 | -0.000 |
| 250.056 | 250.056 | 607.559 | -0.000 | 0.000 | -0.000 |
| 0.000 | 0.000 | 0.000 | 163.308 | 0.000 | -0.000 |
| 0.000 | 0.000 | 0.000 | -0.000 | 163.308 | -0.000 |
| 0.000 | -0.000 | 0.000 | -0.000 | 0.000 | 180.360 |
| 643.832 | 283.111 | 250.056 | 0.000 | -0.000 | 0.000 |
| 283.112 | 643.831 | 250.056 | 0.000 | -0.000 | 0.000 |
| 250.056 | 250.056 | 607.558 | 0.000 | -0.000 | 0.000 |
| -0.000 | -0.001 | -0.000 | 163.308 | -0.000 | 0.000 |
| -0.001 | -0.000 | -0.000 | 0.000 | 163.308 | 0.000 |
| -0.001 | 0.000 | -0.000 | 0.000 | -0.000 | 188.275 |
| 651.746 | 275.195 | 250.055 | -0.000 | 0.000 | -0.000 |
| 283.109 | 643.831 | 250.055 | -0.000 | 0.000 | -0.000 |
| 250.055 | 250.055 | 607.560 | -0.000 | 0.000 | -0.000 |
| 0.000 | 0.001 | 0.000 | 163.308 | 0.000 | -0.000 |
| 0.001 | 0.000 | 0.000 | -0.000 | 163.308 | -0.000 |
| 0.001 | -0.000 | 0.000 | 0.000 | 0.000 | 188.275 |
| 640.243 | 281.221 | 252.702 | -0.000 | 0.000 | -0.000 |
| 271.899 | 649.566 | 252.702 | -0.000 | 0.000 | -0.000 |
| 252.702 | 252.702 | 553.177 | -0.000 | 0.000 | -0.000 |
| -0.000 | -0.000 | -0.000 | 170.037 | 0.000 | -0.000 |
| -0.000 | -0.000 | -0.000 | 0.000 | 170.037 | -0.000 |
| -0.000 | -0.000 | -0.000 | 0.000 | 0.000 | 179.511 |
| 649.566 | 271.899 | 252.702 | 0.000 | -0.000 | 0.000 |
| 271.899 | 649.566 | 252.702 | 0.000 | -0.000 | 0.000 |
| 252.702 | 252.702 | 553.177 | 0.000 | -0.000 | 0.000 |
| 0.000 | 0.000 | 0.000 | 170.037 | -0.000 | 0.000 |
| 0.000 | 0.000 | 0.000 | 0.000 | 170.037 | 0.000 |
| 0.000 | 0.000 | 0.000 | -0.000 | -0.000 | 179.511 |
| 640.243 | 281.221 | 252.702 | 0.000 | 0.000 | -0.000 |
| 281.221 | 640.243 | 252.702 | 0.000 | 0.000 | 0.000 |
| 252.702 | 252.702 | 553.177 | -0.000 | 0.000 | -0.000 |
| -0.000 | -0.000 | -0.000 | 170.037 | 0.000 | 0.000 |
| -0.000 | -0.000 | -0.000 | -0.000 | 170.037 | -0.000 |
| -0.000 | 0.000 | -0.000 | -0.000 | 0.000 | 188.833 |
| 649.566 | 271.899 | 252.702 | 0.000 | -0.000 | 0.000 |
| 281.221 | 640.243 | 252.702 | 0.000 | -0.000 | 0.000 |
| 252.702 | 252.702 | 553.177 | 0.000 | -0.000 | 0.000 |
| 0.000 | 0.000 | 0.000 | 170.037 | -0.000 | 0.000 |
| 0.000 | 0.000 | 0.000 | 0.000 | 170.037 | 0.000 |
| 0.000 | -0.000 | 0.000 | 0.000 | -0.000 | 188.833 |
| 640.243 | 281.221 | 252.703 | 0.000 | 0.000 | -0.000 |
| 281.222 | 640.243 | 252.703 | -0.000 | 0.000 | -0.000 |
| 252.703 | 252.703 | 553.176 | -0.000 | 0.000 | -0.000 |
| -0.000 | -0.001 | -0.001 | 170.037 | 0.000 | -0.000 |
| -0.001 | -0.000 | -0.001 | -0.000 | 170.037 | -0.000 |
| -0.001 | 0.000 | -0.000 | -0.000 | 0.000 | 188.833 |
| 640.243 | 281.220 | 252.702 | 0.000 | -0.000 | 0.000 |
| 271.897 | 649.566 | 252.702 | 0.000 | -0.000 | -0.000 |
| 252.702 | 252.702 | 553.179 | -0.000 | -0.000 | 0.000 |
| 0.000 | 0.001 | 0.001 | 170.037 | -0.000 | 0.000 |
| 0.001 | 0.000 | 0.001 | 0.000 | 170.037 | 0.000 |
| 0.001 | -0.000 | 0.000 | 0.000 | -0.000 | 188.833 |
| 142.169 | 97.655 | 97.655 | -0.000 | 0.000 | 0.000 |
| 97.655 | 142.169 | 97.655 | -0.000 | -0.000 | -0.000 |
| 97.655 | 97.655 | 142.169 | -0.000 | 0.000 | 0.000 |
| -0.000 | -0.000 | -0.000 | 86.487 | 0.000 | 0.000 |
| -0.000 | 0.000 | -0.000 | -0.000 | 86.487 | 0.000 |
| -0.000 | -0.000 | 0.000 | 0.000 | 0.000 | 86.487 |
| 142.169 | 97.655 | 97.655 | 0.000 | 0.000 | 0.000 |
| 97.655 | 142.169 | 97.655 | 0.000 | -0.000 | 0.000 |
| 97.655 | 97.655 | 142.169 | 0.000 | 0.000 | -0.000 |
| 0.000 | 0.000 | -0.000 | 86.487 | 0.000 | -0.000 |
| 0.000 | 0.000 | -0.000 | 0.000 | 86.487 | -0.000 |
| 0.000 | 0.000 | 0.000 | 0.000 | -0.000 | 86.487 |
| 142.169 | 97.655 | 97.655 | -0.000 | 0.000 | 0.000 |
| 97.655 | 142.169 | 97.655 | -0.000 | 0.000 | 0.000 |
| 97.655 | 97.655 | 142.169 | -0.000 | -0.000 | -0.000 |
| -0.000 | -0.000 | -0.000 | 68.501 | 0.000 | 0.000 |
| -0.000 | -0.000 | -0.000 | -0.000 | 68.501 | 0.000 |
| -0.000 | -0.000 | -0.000 | -0.000 | 0.000 | 68.501 |
| 142.170 | 97.655 | 97.655 | 0.000 | 0.000 | -0.000 |
| 97.655 | 142.170 | 97.655 | 0.000 | 0.000 | -0.000 |
| 97.655 | 97.655 | 142.170 | 0.000 | 0.000 | 0.000 |
| 0.000 | 0.000 | 0.000 | 68.501 | 0.000 | -0.000 |
| 0.000 | 0.000 | 0.000 | 0.000 | 68.501 | -0.000 |
| 0.000 | 0.000 | 0.000 | 0.000 | -0.000 | 68.501 |
| 142.168 | 97.655 | 97.655 | -0.000 | -0.000 | 0.000 |
| 97.655 | 142.168 | 97.655 | -0.000 | 0.000 | 0.000 |
| 97.655 | 97.655 | 142.168 | -0.000 | 0.000 | 0.000 |
| -0.000 | -0.000 | -0.000 | 68.501 | -0.000 | -0.000 |
| -0.000 | -0.000 | -0.000 | -0.000 | 68.501 | 0.000 |
| -0.000 | -0.000 | -0.000 | -0.000 | 0.000 | 68.501 |
| 142.171 | 97.655 | 97.655 | 0.000 | 0.000 | -0.000 |
| 97.655 | 142.171 | 97.655 | 0.000 | -0.000 | 0.000 |
| 97.655 | 97.655 | 142.171 | 0.000 | -0.000 | -0.000 |
| 0.000 | 0.000 | 0.000 | 68.501 | -0.000 | -0.000 |
| 0.000 | 0.000 | 0.000 | -0.000 | 68.501 | -0.000 |
| 0.000 | 0.000 | 0.000 | 0.000 | -0.000 | 68.501 |
| 146.491 | 1188.127 | 354.465 | -0.000 | 0.000 | 0.000 |
| 1188.127 | 146.491 | 354.465 | 0.000 | 0.000 | 0.000 |
| 354.465 | 354.465 | 793.330 | -0.000 | -0.000 | 0.000 |
| -0.000 | 0.000 | 0.000 | -28.914 | 0.000 | 0.000 |
| 0.000 | -0.000 | -0.000 | -0.000 | -28.914 | 0.000 |
| 0.000 | -0.000 | -0.000 | -0.000 | -0.000 | -6.574 |
| 146.491 | 1188.127 | 354.465 | -0.000 | -0.000 | -0.000 |
| 1188.127 | 146.491 | 354.465 | 0.000 | -0.000 | -0.000 |
| 354.465 | 354.465 | 793.330 | 0.000 | -0.000 | -0.000 |
| 0.000 | -0.000 | -0.000 | -28.914 | -0.000 | -0.000 |
| -0.000 | 0.000 | 0.000 | -0.000 | -28.914 | -0.000 |
| 0.000 | -0.000 | 0.000 | 0.000 | -0.000 | -6.574 |
| 146.493 | 1188.128 | 354.468 | 0.000 | -0.000 | 0.000 |
| 1188.128 | 146.493 | 354.468 | -0.000 | 0.000 | 0.000 |
| 354.466 | 354.466 | 793.331 | -0.000 | -0.000 | 0.000 |
| -0.000 | 0.000 | 0.000 | -28.914 | 0.000 | 0.000 |
| 0.000 | -0.000 | 0.000 | -0.000 | -28.914 | 0.000 |
| 0.000 | -0.000 | -0.000 | -0.000 | 0.000 | -6.574 |
| 146.489 | 1188.127 | 354.463 | -0.000 | 0.000 | -0.000 |
| 1188.127 | 146.489 | 354.463 | -0.000 | -0.000 | -0.000 |
| 354.465 | 354.465 | 793.329 | 0.000 | -0.000 | -0.000 |
| 0.000 | -0.000 | -0.000 | -28.914 | -0.000 | -0.000 |
| -0.000 | 0.000 | -0.000 | 0.000 | -28.914 | -0.000 |
| -0.000 | 0.000 | 0.000 | 0.000 | -0.000 | -6.574 |
| 146.511 | 1188.130 | 354.492 | 0.000 | -0.000 | 0.000 |
| 1188.130 | 146.511 | 354.492 | -0.000 | 0.000 | 0.000 |
| 354.470 | 354.470 | 793.341 | -0.000 | -0.000 | 0.000 |
| -0.000 | 0.002 | 0.001 | -28.914 | -0.000 | 0.000 |
| 0.002 | -0.000 | 0.001 | -0.000 | -28.914 | 0.000 |
| -0.000 | 0.000 | -0.000 | 0.000 | -0.000 | -6.574 |
| 146.471 | 1188.125 | 354.438 | -0.000 | -0.000 | -0.000 |
| 1188.125 | 146.471 | 354.438 | 0.000 | -0.000 | -0.000 |
| 354.460 | 354.460 | 793.318 | 0.000 | 0.000 | -0.000 |
| 0.000 | -0.002 | -0.001 | -28.914 | 0.000 | -0.000 |
| -0.002 | 0.000 | -0.001 | 0.000 | -28.914 | -0.000 |
| 0.000 | -0.000 | 0.000 | 0.000 | -0.000 | -6.574 |
| 386.674 | -24.768 | 90.062 | -0.000 | -0.000 | -0.000 |
| -24.768 | 386.674 | 90.062 | -0.000 | -0.000 | -0.000 |
| 90.062 | 90.062 | 300.730 | -0.000 | -0.000 | 0.000 |
| -0.000 | 0.000 | -0.000 | 5.144 | -0.000 | 0.000 |
| -0.000 | 0.000 | -0.000 | -0.000 | 5.144 | 0.000 |
| -0.000 | 0.000 | 0.000 | -0.000 | -0.000 | -123.814 |
| 386.674 | -24.768 | 90.062 | 0.000 | 0.000 | 0.000 |
| -24.768 | 386.674 | 90.062 | 0.000 | 0.000 | 0.000 |
| 90.062 | 90.062 | 300.730 | 0.000 | 0.000 | 0.000 |
| 0.000 | -0.000 | 0.000 | 5.144 | 0.000 | 0.000 |
| 0.000 | -0.000 | 0.000 | 0.000 | 5.144 | 0.000 |
| 0.000 | -0.000 | -0.000 | 0.000 | 0.000 | -123.814 |
| 386.674 | -24.768 | 90.062 | -0.000 | -0.000 | -0.000 |
| -24.768 | 386.674 | 90.062 | -0.000 | -0.000 | -0.000 |
| 90.062 | 90.062 | 300.729 | 0.000 | -0.000 | -0.000 |
| -0.000 | 0.000 | -0.000 | 5.144 | -0.000 | 0.000 |
| 0.000 | -0.000 | -0.000 | -0.000 | 5.144 | -0.000 |
| -0.000 | -0.000 | -0.000 | -0.000 | -0.000 | -123.814 |
| 386.674 | -24.768 | 90.062 | 0.000 | 0.000 | 0.000 |
| -24.768 | 386.674 | 90.062 | 0.000 | 0.000 | -0.000 |
| 90.062 | 90.062 | 300.731 | 0.000 | 0.000 | 0.000 |
| 0.000 | -0.000 | 0.000 | 5.144 | 0.000 | 0.000 |
| -0.000 | 0.000 | 0.000 | 0.000 | 5.144 | 0.000 |
| 0.000 | 0.000 | 0.000 | 0.000 | 0.000 | -123.814 |
| 386.676 | -24.768 | 90.063 | -0.000 | -0.000 | 0.000 |
| -24.768 | 386.676 | 90.063 | -0.000 | -0.000 | -0.000 |
| 90.062 | 90.062 | 300.723 | -0.000 | -0.000 | -0.000 |
| -0.000 | 0.000 | -0.001 | 5.144 | -0.000 | -0.000 |
| 0.000 | -0.000 | -0.001 | -0.000 | 5.144 | 0.000 |
| -0.000 | -0.000 | -0.000 | -0.000 | -0.000 | -123.814 |
| 406.487 | -44.583 | 90.061 | 0.000 | 0.000 | 0.000 |
| -44.583 | 406.487 | 90.061 | 0.000 | 0.000 | 0.000 |
| 90.063 | 90.063 | 300.736 | 0.000 | 0.000 | 0.000 |
| 0.000 | -0.000 | 0.001 | 5.144 | 0.000 | -0.000 |
| -0.000 | 0.000 | 0.001 | 0.000 | 5.144 | 0.000 |
| 0.000 | 0.000 | 0.000 | 0.000 | 0.000 | -123.814 |
| 386.585 | -228.581 | 36.732 | 0.000 | 0.000 | -0.000 |
| -228.581 | 386.585 | 36.732 | -0.000 | 0.000 | -0.000 |
| 36.732 | 36.732 | 741.058 | -0.000 | -0.000 | -0.000 |
| 0.000 | 0.000 | 0.000 | 204.442 | -0.000 | -0.000 |
| 0.000 | 0.000 | 0.000 | -0.000 | 204.442 | -0.000 |
| 0.000 | 0.000 | 0.000 | -0.000 | 0.000 | -58.147 |
| 386.585 | -228.581 | 36.732 | 0.000 | -0.000 | 0.000 |
| -228.581 | 386.585 | 36.732 | -0.000 | -0.000 | -0.000 |
| 36.732 | 36.732 | 741.058 | -0.000 | -0.000 | 0.000 |
| -0.000 | -0.000 | 0.000 | 204.442 | -0.000 | -0.000 |
| 0.000 | -0.000 | 0.000 | 0.000 | 204.442 | -0.000 |
| -0.000 | -0.000 | -0.000 | 0.000 | -0.000 | -58.147 |
| 386.586 | -228.581 | 36.732 | 0.000 | 0.000 | -0.000 |
| -228.581 | 386.586 | 36.732 | 0.000 | 0.000 | 0.000 |
| 36.732 | 36.732 | 741.058 | 0.000 | 0.000 | 0.000 |
| 0.000 | 0.000 | -0.000 | 204.442 | 0.000 | -0.000 |
| 0.000 | 0.000 | -0.000 | 0.000 | 204.442 | -0.000 |
| 0.000 | 0.000 | 0.000 | -0.000 | 0.000 | -58.147 |
| 386.584 | -228.582 | 36.732 | -0.000 | -0.000 | 0.000 |
| -228.582 | 386.584 | 36.732 | 0.000 | -0.000 | -0.000 |
| 36.732 | 36.732 | 741.058 | 0.000 | -0.000 | -0.000 |
| -0.000 | -0.000 | 0.000 | 204.442 | -0.000 | 0.000 |
| -0.000 | -0.000 | 0.000 | -0.000 | 204.442 | 0.000 |
| -0.000 | -0.000 | -0.000 | -0.000 | -0.000 | -58.147 |
| 386.594 | -228.578 | 36.735 | 0.000 | 0.000 | -0.000 |
| -228.578 | 386.594 | 36.735 | 0.000 | 0.000 | 0.000 |
| 36.734 | 36.734 | 741.058 | 0.000 | 0.000 | 0.000 |
| 0.000 | 0.000 | -0.000 | 204.442 | 0.000 | 0.000 |
| 0.000 | 0.000 | -0.000 | -0.000 | 204.442 | -0.000 |
| 0.002 | 0.001 | 0.000 | 0.000 | 0.000 | -58.147 |
| 386.577 | -228.585 | 36.729 | 0.000 | -0.000 | -0.000 |
| -228.585 | 386.577 | 36.729 | -0.000 | 0.000 | -0.000 |
| 36.730 | 36.730 | 741.057 | -0.000 | -0.000 | -0.000 |
| -0.000 | -0.000 | 0.000 | 204.442 | -0.000 | 0.000 |
| -0.000 | -0.000 | 0.000 | 0.000 | 204.442 | 0.000 |
| -0.002 | -0.001 | -0.000 | -0.000 | -0.000 | -58.147 |
| 635.747 | 278.692 | 278.692 | -0.000 | 0.000 | 0.000 |
| 278.692 | 635.747 | 278.692 | 0.000 | 0.000 | 0.000 |
| 278.692 | 278.692 | 635.747 | -0.000 | 0.000 | 0.000 |
| 0.000 | 0.000 | 0.000 | -105.372 | 0.000 | 0.000 |
| 0.000 | 0.000 | 0.000 | 0.000 | -105.372 | 0.000 |
| 0.000 | 0.000 | -0.000 | -0.000 | -0.000 | -105.372 |
| 635.747 | 278.692 | 278.692 | 0.000 | -0.000 | -0.000 |
| 278.692 | 635.747 | 278.692 | 0.000 | 0.000 | -0.000 |
| 278.692 | 278.692 | 635.747 | -0.000 | -0.000 | -0.000 |
| -0.000 | -0.000 | -0.000 | -105.372 | -0.000 | -0.000 |
| -0.000 | -0.000 | -0.000 | -0.000 | -105.372 | -0.000 |
| -0.000 | -0.000 | 0.000 | -0.000 | -0.000 | -105.372 |
| 635.748 | 278.693 | 278.693 | -0.000 | -0.000 | 0.000 |
| 278.693 | 635.748 | 278.693 | -0.000 | 0.000 | -0.000 |
| 278.693 | 278.693 | 635.748 | 0.000 | 0.000 | 0.000 |
| 0.000 | 0.000 | 0.000 | -105.372 | -0.000 | -0.000 |
| 0.000 | 0.000 | 0.000 | -0.000 | -105.372 | 0.000 |
| 0.000 | 0.000 | 0.000 | 0.000 | -0.000 | -105.372 |
| 635.746 | 278.692 | 278.692 | 0.000 | -0.000 | -0.000 |
| 278.692 | 635.746 | 278.692 | -0.000 | -0.000 | -0.000 |
| 278.692 | 278.692 | 635.746 | 0.000 | 0.000 | -0.000 |
| -0.000 | -0.000 | -0.000 | -105.372 | 0.000 | -0.000 |
| -0.000 | -0.000 | -0.000 | 0.000 | -105.372 | -0.000 |
| -0.000 | -0.000 | -0.000 | -0.000 | 0.000 | -105.372 |
| 635.756 | 278.696 | 278.696 | -0.000 | -0.000 | 0.000 |
| 278.696 | 635.756 | 278.696 | -0.000 | 0.000 | 0.000 |
| 278.696 | 278.696 | 635.756 | -0.000 | -0.000 | 0.000 |
| 0.000 | 0.001 | 0.001 | -105.372 | -0.000 | 0.000 |
| 0.001 | 0.000 | 0.001 | -0.000 | -105.372 | 0.000 |
| 0.001 | 0.001 | 0.000 | 0.000 | 0.000 | -105.372 |
| 635.738 | 278.689 | 278.689 | -0.000 | 0.000 | -0.000 |
| 278.689 | 635.738 | 278.689 | -0.000 | -0.000 | -0.000 |
| 278.689 | 278.689 | 635.738 | -0.000 | 0.000 | -0.000 |
| -0.000 | -0.001 | -0.001 | -105.372 | 0.000 | -0.000 |
| -0.001 | -0.000 | -0.001 | 0.000 | -105.372 | -0.000 |
| -0.001 | -0.001 | -0.000 | -0.000 | -0.000 | -105.372 |
| 587.459 | 93.532 | 93.532 | 0.000 | -0.000 | 0.000 |
| 93.532 | 587.459 | 93.532 | 0.000 | -0.000 | 0.000 |
| 93.532 | 93.532 | 587.459 | 0.000 | -0.000 | 0.000 |
| -0.000 | -0.000 | -0.000 | -28.261 | -0.000 | -0.000 |
| -0.000 | -0.000 | -0.000 | -0.000 | -28.261 | 0.000 |
| -0.000 | -0.000 | -0.000 | 0.000 | -0.000 | -28.261 |
| 587.459 | 93.532 | 93.532 | -0.000 | 0.000 | -0.000 |
| 93.532 | 587.459 | 93.532 | -0.000 | 0.000 | 0.000 |
| 93.532 | 93.532 | 587.459 | -0.000 | 0.000 | -0.000 |
| 0.000 | 0.000 | 0.000 | -28.261 | 0.000 | -0.000 |
| 0.000 | 0.000 | 0.000 | 0.000 | -28.261 | -0.000 |
| 0.000 | 0.000 | 0.000 | -0.000 | 0.000 | -28.261 |
| 587.459 | 93.532 | 93.532 | 0.000 | -0.000 | 0.000 |
| 93.532 | 587.459 | 93.532 | 0.000 | -0.000 | 0.000 |
| 93.532 | 93.532 | 587.459 | 0.000 | 0.000 | 0.000 |
| -0.000 | 0.000 | -0.000 | -28.261 | -0.000 | 0.000 |
| 0.000 | -0.000 | -0.000 | -0.000 | -28.261 | 0.000 |
| 0.000 | -0.000 | -0.000 | -0.000 | -0.000 | -28.261 |
| 587.458 | 93.532 | 93.532 | -0.000 | 0.000 | -0.000 |
| 93.532 | 587.458 | 93.532 | -0.000 | 0.000 | -0.000 |
| 93.532 | 93.532 | 587.458 | -0.000 | 0.000 | 0.000 |
| 0.000 | -0.000 | 0.000 | -28.261 | 0.000 | -0.000 |
| -0.000 | 0.000 | 0.000 | -0.000 | -28.261 | -0.000 |
| -0.000 | 0.000 | 0.000 | -0.000 | 0.000 | -28.261 |
| 587.462 | 93.533 | 93.533 | -0.000 | -0.000 | 0.000 |
| 93.533 | 587.462 | 93.533 | -0.000 | -0.000 | 0.000 |
| 93.533 | 93.533 | 587.462 | 0.000 | -0.000 | 0.000 |
| -0.000 | 0.000 | -0.000 | -28.261 | -0.000 | 0.000 |
| 0.000 | -0.000 | -0.000 | 0.000 | -28.261 | 0.000 |
| 0.000 | -0.000 | -0.000 | -0.000 | -0.000 | -28.261 |
| 587.455 | 93.532 | 93.532 | -0.000 | 0.000 | -0.000 |
| 93.532 | 587.455 | 93.532 | -0.000 | 0.000 | -0.000 |
| 93.532 | 93.532 | 587.455 | -0.000 | -0.000 | -0.000 |
| 0.000 | -0.000 | 0.000 | -28.261 | 0.000 | -0.000 |
| -0.000 | 0.000 | 0.000 | -0.000 | -28.261 | -0.000 |
| -0.000 | 0.000 | 0.000 | 0.000 | 0.000 | -28.261 |
| 229.156 | 70.347 | 70.347 | 0.000 | 0.000 | 0.000 |
| 70.347 | 229.156 | 70.347 | 0.000 | 0.000 | 0.000 |
| 70.347 | 70.347 | 229.156 | 0.000 | 0.000 | 0.000 |
| -0.000 | -0.000 | -0.000 | 54.466 | 0.000 | 0.000 |
| -0.000 | -0.000 | -0.000 | 0.000 | 54.466 | 0.000 |
| -0.000 | -0.000 | 0.000 | 0.000 | 0.000 | 54.466 |
| 229.156 | 70.347 | 70.347 | -0.000 | -0.000 | -0.000 |
| 70.347 | 229.156 | 70.347 | -0.000 | -0.000 | -0.000 |
| 70.347 | 70.347 | 229.156 | -0.000 | 0.000 | -0.000 |
| 0.000 | 0.000 | 0.000 | 54.466 | -0.000 | -0.000 |
| 0.000 | 0.000 | 0.000 | -0.000 | 54.466 | -0.000 |
| 0.000 | 0.000 | -0.000 | -0.000 | -0.000 | 54.466 |
| 229.156 | 70.347 | 70.347 | 0.000 | 0.000 | 0.000 |
| 70.347 | 229.156 | 70.347 | 0.000 | 0.000 | 0.000 |
| 70.347 | 70.347 | 229.156 | 0.000 | 0.000 | -0.000 |
| -0.000 | -0.000 | -0.000 | 54.466 | -0.000 | 0.000 |
| -0.000 | -0.000 | -0.000 | 0.000 | 54.466 | 0.000 |
| -0.000 | -0.000 | -0.000 | 0.000 | 0.000 | 54.466 |
| 229.156 | 70.347 | 70.347 | -0.000 | -0.000 | -0.000 |
| 70.347 | 229.156 | 70.347 | -0.000 | -0.000 | -0.000 |
| 70.347 | 70.347 | 229.156 | -0.000 | -0.000 | -0.000 |
| 0.000 | 0.000 | 0.000 | 54.466 | -0.000 | -0.000 |
| 0.000 | 0.000 | 0.000 | -0.000 | 54.466 | -0.000 |
| 0.000 | 0.000 | 0.000 | -0.000 | -0.000 | 54.466 |
| 229.158 | 70.347 | 70.347 | 0.000 | 0.000 | 0.000 |
| 70.347 | 229.158 | 70.347 | 0.000 | 0.000 | 0.000 |
| 70.347 | 70.347 | 229.158 | 0.000 | 0.000 | 0.000 |
| -0.000 | -0.000 | -0.000 | 54.466 | 0.000 | 0.000 |
| -0.000 | -0.000 | -0.000 | 0.000 | 54.466 | 0.000 |
| -0.000 | -0.000 | -0.000 | 0.000 | 0.000 | 54.466 |
| 229.154 | 70.347 | 70.347 | -0.000 | -0.000 | -0.000 |
| 70.347 | 229.154 | 70.347 | -0.000 | -0.000 | -0.000 |
| 70.347 | 70.347 | 229.154 | -0.000 | -0.000 | -0.000 |
| 0.000 | 0.000 | 0.000 | 54.466 | -0.000 | -0.000 |
| 0.000 | 0.000 | 0.000 | -0.000 | 54.466 | -0.000 |
| 0.000 | 0.000 | 0.000 | -0.000 | -0.000 | 54.466 |
| 1649.809 | 1532.553 | -931.975 | -0.000 | 0.000 | 0.000 |
| 1532.553 | 1649.809 | -931.975 | -0.000 | 0.000 | 0.000 |
| 1515.980 | 1515.980 | -546.413 | -0.000 | 0.000 | 0.000 |
| 1328.586 | 1328.586 | -1119.995 | 63.277 | 0.000 | 0.000 |
| 1328.586 | 1328.586 | -1119.995 | -0.000 | 63.277 | 0.000 |
| 260.653 | 260.653 | -687.282 | -0.000 | 0.000 | 60.262 |
| -1007.352 | -1124.643 | 1308.034 | -0.000 | -0.000 | -0.000 |
| -1124.643 | -1007.352 | 1308.034 | -0.000 | -0.000 | -0.000 |
| 188.923 | 188.923 | 579.179 | 0.000 | -0.000 | -0.000 |
| -1328.586 | -1328.586 | 1119.995 | 63.277 | -0.000 | -0.000 |
| -1328.586 | -1328.586 | 1119.995 | 0.000 | 63.277 | -0.000 |
| -260.653 | -260.653 | 687.282 | -0.000 | -0.000 | 60.261 |
| 356.583 | 221.390 | 119.539 | 0.000 | 0.000 | 0.000 |
| 221.390 | 356.583 | 119.539 | 0.000 | 0.000 | 0.000 |
| 320.269 | 320.269 | 461.568 | 0.000 | 0.000 | 0.000 |
| 26.069 | 26.069 | -68.738 | 67.759 | 0.000 | 0.000 |
| 26.069 | 26.069 | -68.738 | -0.000 | 67.759 | 0.000 |
| -0.000 | -0.000 | 0.000 | -0.000 | 0.000 | 73.108 |
| 304.082 | 169.393 | 256.979 | -0.000 | -0.000 | -0.000 |
| 169.393 | 304.082 | 256.979 | -0.000 | -0.000 | -0.000 |
| 161.911 | 161.911 | 643.011 | 0.000 | -0.000 | -0.000 |
| -26.069 | -26.069 | 68.738 | 67.759 | -0.000 | -0.000 |
| -26.069 | -26.069 | 68.738 | -0.000 | 67.759 | -0.000 |
| 0.000 | 0.000 | -0.000 | 0.000 | -0.000 | 73.108 |
| 333.737 | 217.900 | 176.817 | -0.000 | 0.000 | 0.000 |
| 217.900 | 333.737 | 176.817 | -0.000 | 0.000 | 0.000 |
| 196.846 | 196.846 | 553.266 | -0.000 | 0.000 | 0.000 |
| 2.644 | 2.644 | -6.970 | 67.711 | 0.000 | 0.000 |
| 2.644 | 2.644 | -6.970 | -0.000 | 67.711 | 0.000 |
| -0.000 | -0.000 | 0.000 | -0.000 | 0.000 | 73.108 |
| 326.169 | 193.400 | 194.959 | -0.000 | -0.000 | -0.000 |
| 193.400 | 326.169 | 194.959 | -0.000 | -0.000 | -0.000 |
| 188.922 | 188.922 | 579.177 | -0.000 | -0.000 | -0.000 |
| -2.644 | -2.644 | 6.970 | 67.711 | -0.000 | -0.000 |
| -2.644 | -2.644 | 6.970 | -0.000 | 67.711 | -0.000 |
| 0.000 | 0.000 | -0.000 | 0.000 | -0.000 | 73.108 |
| 1344.781 | 1092.024 | 1092.024 | -0.000 | -0.000 | -0.000 |
| 1092.024 | 1344.781 | 1092.024 | -0.000 | -0.000 | 0.000 |
| 1092.024 | 1092.024 | 1344.781 | -0.000 | -0.000 | -0.000 |
| 0.000 | -0.000 | -0.000 | 105.080 | -0.000 | -0.000 |
| 0.000 | 0.000 | -0.000 | -0.000 | 105.080 | -0.000 |
| 0.000 | 0.000 | -0.000 | -0.000 | -0.000 | 105.080 |
| 490.965 | 225.649 | 225.649 | 0.000 | 0.000 | -0.000 |
| 225.649 | 490.965 | 225.649 | 0.000 | 0.000 | 0.000 |
| 225.649 | 225.649 | 490.965 | 0.000 | 0.000 | 0.000 |
| 0.000 | -0.000 | 0.000 | 105.080 | 0.000 | 0.000 |
| -0.000 | 0.000 | 0.000 | 0.000 | 105.080 | 0.000 |
| -0.000 | -0.000 | 0.000 | 0.000 | 0.000 | 105.080 |
| 490.965 | 225.649 | 225.649 | -0.000 | -0.000 | -0.000 |
| 225.649 | 490.965 | 225.649 | -0.000 | -0.000 | -0.000 |
| 225.649 | 225.649 | 490.965 | -0.000 | -0.000 | -0.000 |
| 109.209 | 109.209 | 109.209 | 85.855 | -0.000 | -0.000 |
| 109.209 | 109.209 | 109.209 | -0.000 | 85.855 | -0.000 |
| 109.209 | 109.209 | 109.209 | -0.000 | -0.000 | 85.855 |
| 359.786 | 117.217 | 117.217 | 0.000 | 0.000 | 0.000 |
| 117.217 | 359.786 | 117.217 | 0.000 | 0.000 | 0.000 |
| 117.217 | 117.217 | 359.786 | 0.000 | -0.000 | 0.000 |
| -109.209 | -109.209 | -109.209 | 85.855 | 0.000 | -0.000 |
| -109.209 | -109.209 | -109.209 | 0.000 | 85.855 | 0.000 |
| -109.209 | -109.209 | -109.209 | 0.000 | 0.000 | 85.855 |
| 484.842 | 234.341 | 234.341 | -0.000 | 0.000 | -0.000 |
| 234.341 | 484.842 | 234.341 | -0.000 | -0.000 | -0.000 |
| 234.341 | 234.341 | 484.842 | -0.000 | -0.000 | -0.000 |
| 9.887 | 9.887 | 9.887 | 87.676 | -0.000 | 0.000 |
| 9.887 | 9.887 | 9.887 | -0.000 | 87.676 | -0.000 |
| 9.887 | 9.887 | 9.887 | -0.000 | -0.000 | 87.676 |
| 460.662 | 216.097 | 216.097 | 0.000 | 0.000 | 0.000 |
| 216.097 | 460.662 | 216.097 | -0.000 | 0.000 | 0.000 |
| 216.097 | 216.097 | 460.662 | -0.000 | 0.000 | 0.000 |
| -9.887 | -9.887 | -9.887 | 87.676 | 0.000 | 0.000 |
| -9.887 | -9.887 | -9.887 | 0.000 | 87.676 | 0.000 |
| -9.887 | -9.887 | -9.887 | 0.000 | 0.000 | 87.676 |
| 3335.785 | 3103.476 | 3103.476 | -0.000 | -0.000 | 0.000 |
| 3103.476 | 3335.785 | 3103.476 | -0.000 | -0.000 | 0.000 |
| 3103.476 | 3103.476 | 3335.785 | -0.000 | -0.000 | 0.000 |
| 2775.831 | 2775.831 | 2775.831 | 121.090 | -0.000 | 0.000 |
| 2775.831 | 2775.831 | 2775.831 | -0.000 | 121.090 | 0.000 |
| 2775.831 | 2775.831 | 2775.831 | -0.000 | 0.000 | 121.090 |
| -2337.962 | -2570.359 | -2570.359 | 0.000 | 0.000 | -0.000 |
| -2570.359 | -2337.962 | -2570.359 | 0.000 | 0.000 | -0.000 |
| -2570.359 | -2570.359 | -2337.962 | 0.000 | 0.000 | -0.000 |
| -2775.831 | -2775.831 | -2775.831 | 121.090 | -0.000 | -0.000 |
| -2775.831 | -2775.831 | -2775.831 | 0.000 | 121.090 | -0.000 |
| -2775.831 | -2775.831 | -2775.831 | 0.000 | -0.000 | 121.090 |
| 781.026 | 548.932 | 548.932 | -0.000 | -0.000 | 0.000 |
| 548.932 | 781.026 | 548.932 | -0.000 | -0.000 | 0.000 |
| 548.932 | 548.932 | 781.026 | -0.000 | -0.000 | -0.000 |
| 283.181 | 283.181 | 283.181 | 117.627 | -0.000 | 0.000 |
| 283.181 | 283.181 | 283.181 | -0.000 | 117.627 | 0.000 |
| 283.181 | 283.181 | 283.181 | -0.000 | -0.000 | 117.627 |
| 534.339 | 262.593 | 262.593 | -0.000 | -0.000 | -0.000 |
| 262.593 | 534.339 | 262.593 | 0.000 | -0.000 | -0.000 |
| 262.593 | 262.593 | 534.339 | 0.000 | 0.000 | -0.000 |
| -283.181 | -283.181 | -283.181 | 117.627 | 0.000 | -0.000 |
| -283.181 | -283.181 | -283.181 | 0.000 | 117.627 | -0.000 |
| -283.181 | -283.181 | -283.181 | 0.000 | 0.000 | 117.627 |
| 527.397 | 282.339 | 282.339 | -0.000 | -0.000 | 0.000 |
| 282.339 | 527.397 | 282.339 | -0.000 | -0.000 | 0.000 |
| 282.339 | 282.339 | 527.397 | -0.000 | -0.000 | 0.000 |
| 25.052 | 25.052 | 25.052 | 121.821 | -0.000 | 0.000 |
| 25.052 | 25.052 | 25.052 | -0.000 | 121.821 | 0.000 |
| 25.052 | 25.052 | 25.052 | -0.000 | -0.000 | 121.821 |
| 483.531 | 232.249 | 232.249 | 0.000 | -0.000 | -0.000 |
| 232.249 | 483.531 | 232.249 | 0.000 | -0.000 | -0.000 |
| 232.249 | 232.249 | 483.531 | 0.000 | -0.000 | -0.000 |
| -25.052 | -25.052 | -25.052 | 121.821 | 0.000 | -0.000 |
| -25.052 | -25.052 | -25.052 | 0.000 | 121.821 | -0.000 |
| -25.052 | -25.052 | -25.052 | 0.000 | 0.000 | 121.821 |
| 630.958 | 297.591 | 261.224 | -0.000 | -0.000 | 0.000 |
| 287.662 | 636.063 | 259.885 | 0.000 | 0.000 | 0.000 |
| 259.838 | 268.429 | 575.612 | -0.000 | -0.000 | 0.000 |
| -4.798 | 4.779 | 0.042 | 161.976 | -0.000 | 0.000 |
| -4.800 | 4.781 | 0.042 | -0.000 | 163.201 | 0.000 |
| -4.771 | 4.752 | 0.042 | -0.000 | -0.000 | 171.258 |
| 643.408 | 285.189 | 261.114 | 0.000 | 0.000 | -0.000 |
| 297.261 | 626.501 | 259.801 | 0.000 | 0.000 | -0.000 |
| 269.437 | 258.867 | 575.527 | 0.000 | 0.000 | -0.000 |
| 4.798 | -4.779 | -0.042 | 161.976 | 0.000 | -0.000 |
| 4.800 | -4.781 | -0.042 | 0.000 | 163.201 | -0.000 |
| 4.771 | -4.752 | -0.042 | 0.000 | 0.000 | 171.258 |
| 635.278 | 293.288 | 261.186 | 0.000 | -0.000 | 0.000 |
| 284.840 | 638.873 | 259.910 | -0.000 | -0.000 | 0.000 |
| 264.570 | 263.715 | 575.570 | -0.000 | 0.000 | 0.000 |
| -0.461 | 0.459 | 0.004 | 161.976 | -0.000 | 0.000 |
| -0.480 | 0.478 | 0.004 | -0.000 | 163.201 | 0.000 |
| -0.000 | -0.000 | -0.000 | -0.000 | -0.000 | 178.866 |
| 636.238 | 292.332 | 261.177 | 0.000 | 0.000 | -0.000 |
| 284.840 | 638.874 | 259.910 | 0.000 | 0.000 | -0.000 |
| 265.118 | 263.169 | 575.566 | 0.000 | 0.000 | -0.000 |
| 0.461 | -0.459 | -0.004 | 161.976 | 0.000 | -0.000 |
| 0.480 | -0.478 | -0.004 | 0.000 | 163.201 | -0.000 |
| 0.000 | 0.000 | 0.000 | 0.000 | 0.000 | 178.866 |
| 635.709 | 292.858 | 261.182 | -0.000 | 0.000 | 0.000 |
| 292.414 | 631.328 | 259.843 | -0.000 | -0.000 | 0.000 |
| 264.571 | 263.715 | 575.569 | -0.000 | -0.000 | 0.000 |
| -0.020 | 0.019 | -0.000 | 161.976 | -0.000 | 0.000 |
| -0.001 | -0.000 | -0.001 | -0.000 | 163.201 | 0.000 |
| -0.001 | -0.000 | -0.000 | -0.000 | -0.000 | 178.866 |
| 635.807 | 292.762 | 261.181 | -0.000 | 0.000 | -0.000 |
| 292.509 | 631.236 | 259.842 | -0.000 | 0.000 | -0.000 |
| 264.685 | 263.599 | 575.571 | 0.000 | 0.000 | -0.000 |
| 0.020 | -0.019 | 0.000 | 161.976 | 0.000 | 0.000 |
| 0.001 | 0.000 | 0.001 | -0.000 | 163.201 | -0.000 |
| 0.001 | 0.000 | 0.000 | 0.000 | 0.000 | 178.866 |
| 238.590 | 291.354 | 71.011 | 0.000 | 0.000 | 0.000 |
| 291.354 | 238.590 | 71.011 | 0.000 | 0.000 | 0.000 |
| 71.011 | 71.011 | 754.442 | 0.000 | 0.000 | 0.000 |
| -0.000 | -0.000 | -0.000 | 28.440 | 0.000 | 0.000 |
| -0.000 | 0.000 | -0.000 | 0.000 | 28.440 | 0.000 |
| -0.000 | 0.000 | -0.000 | 0.000 | 0.000 | 52.802 |
| 317.774 | 212.170 | 71.011 | -0.000 | -0.000 | -0.000 |
| 149.350 | 380.594 | 71.011 | -0.000 | -0.000 | -0.000 |
| 71.011 | 71.011 | 754.442 | -0.000 | -0.000 | -0.000 |
| 0.000 | -0.000 | 0.000 | 28.440 | -0.000 | -0.000 |
| 0.000 | -0.000 | 0.000 | -0.000 | 28.440 | -0.000 |
| 0.000 | -0.000 | 0.000 | 0.000 | -0.000 | 52.802 |
| 317.773 | 212.170 | 71.011 | 0.000 | 0.000 | 0.000 |
| 149.350 | 380.594 | 71.011 | 0.000 | 0.000 | 0.000 |
| 71.011 | 71.011 | 754.443 | -0.000 | 0.000 | 0.000 |
| -0.000 | -0.000 | -0.000 | 28.440 | 0.000 | 0.000 |
| -0.000 | -0.000 | -0.000 | 0.000 | 28.440 | 0.000 |
| -0.000 | -0.000 | -0.000 | 0.000 | 0.000 | 115.622 |
| 317.774 | 212.170 | 71.011 | -0.000 | -0.000 | -0.000 |
| 149.350 | 380.595 | 71.011 | -0.000 | -0.000 | -0.000 |
| 71.011 | 71.011 | 754.441 | -0.000 | -0.000 | -0.000 |
| 0.000 | 0.000 | 0.000 | 28.440 | -0.000 | -0.000 |
| 0.000 | 0.000 | 0.000 | -0.000 | 28.440 | -0.000 |
| 0.000 | 0.000 | 0.000 | -0.000 | -0.000 | 115.622 |
| 317.770 | 212.171 | 71.011 | 0.000 | 0.000 | 0.000 |
| 149.350 | 380.591 | 71.011 | 0.000 | 0.000 | 0.000 |
| 71.012 | 71.012 | 754.448 | 0.000 | 0.000 | 0.000 |
| -0.000 | -0.001 | -0.000 | 28.440 | 0.000 | 0.000 |
| -0.001 | -0.000 | -0.000 | 0.000 | 28.440 | 0.000 |
| 20389342.736 | 12508004.289 | -1976873.180 | 0.000 | 0.000 | -6825489.660 |
| 11823754.034 | 11924360.113 | 13622704.371 | 5928.833 | -43962.826 | 63944.082 |
| 149.350 | 380.597 | 71.011 | -0.000 | -0.000 | -0.000 |
| 71.011 | 71.011 | 754.436 | -0.000 | -0.000 | -0.000 |
| 0.000 | 0.001 | 0.000 | 28.440 | -0.000 | -0.000 |
| 0.001 | 0.000 | 0.000 | -0.000 | 28.440 | -0.000 |
| -20389342.736 | -12508004.289 | 1976873.180 | -0.000 | -0.000 | -6825489.660 |
| 643.534 | 281.755 | 251.347 | 11.085 | 0.000 | 0.000 |
| 274.129 | 651.163 | 251.271 | -10.714 | -0.000 | 0.000 |
| 251.321 | 251.321 | 587.372 | 0.000 | -0.000 | 0.000 |
| 10.714 | -10.714 | -0.000 | 165.913 | 0.000 | 0.000 |
| 0.001 | 0.001 | -0.075 | 0.000 | 165.897 | 11.059 |
| 0.001 | 0.001 | -0.081 | -0.000 | 11.085 | 180.890 |
| 643.543 | 281.741 | 251.508 | 11.084 | 0.000 | -0.000 |
| 281.741 | 643.543 | 251.508 | -11.084 | 0.000 | -0.000 |
| 251.271 | 251.271 | 590.602 | 0.000 | -0.000 | -0.000 |
| 11.058 | -11.060 | 0.075 | 165.897 | 0.000 | -0.000 |
| -0.001 | -0.001 | 0.075 | -0.000 | 165.897 | 11.059 |
| -0.001 | -0.001 | 0.081 | 0.000 | 11.085 | 180.890 |
| 651.163 | 274.129 | 251.271 | 10.714 | 0.000 | 0.000 |
| 281.756 | 643.534 | 251.318 | -11.085 | -0.000 | 0.000 |
| 251.271 | 251.271 | 590.602 | 0.000 | -0.000 | 0.000 |
| 10.714 | -10.714 | -0.000 | 165.913 | 0.000 | 0.000 |
| 0.000 | 0.000 | -0.008 | 0.000 | 165.895 | 11.085 |
| 0.000 | 0.000 | -0.008 | -0.000 | 11.085 | 180.889 |
| 651.163 | 274.129 | 251.271 | 10.714 | 0.000 | -0.000 |
| 281.749 | 643.538 | 251.436 | -11.085 | 0.000 | -0.000 |
| 251.320 | 251.320 | 587.400 | 0.000 | 0.000 | -0.000 |
| 10.714 | -10.714 | 0.000 | 165.913 | 0.000 | -0.000 |
| -0.000 | -0.000 | 0.008 | -0.000 | 165.895 | 11.085 |
| -0.000 | -0.000 | 0.008 | 0.000 | 11.085 | 180.889 |
| 643.538 | 281.750 | 251.427 | 11.085 | -0.000 | 0.000 |
| 274.130 | 651.162 | 251.272 | -10.714 | -0.000 | 0.000 |
| 251.321 | 251.321 | 587.396 | -0.000 | 0.000 | 0.000 |
| 10.714 | -10.715 | -0.000 | 165.913 | 0.000 | 0.000 |
| -0.001 | -0.000 | -0.000 | 0.000 | 165.913 | 10.714 |
| -0.001 | 0.000 | -0.001 | -0.000 | 11.085 | 180.889 |
| 643.533 | 281.756 | 251.320 | 11.085 | 0.000 | -0.000 |
| 281.755 | 643.534 | 251.320 | -11.085 | -0.000 | -0.000 |
| 251.320 | 251.320 | 587.399 | 0.000 | -0.000 | -0.000 |
| 11.085 | -11.084 | 0.001 | 165.895 | 0.000 | -0.000 |
| 0.001 | 0.000 | 0.000 | -0.000 | 165.913 | 10.714 |
| 0.001 | -0.000 | 0.001 | 0.000 | 11.085 | 180.889 |
| 389.413 | 253.929 | 262.293 | -0.000 | -0.000 | 0.000 |
| 253.929 | 389.413 | 262.293 | -0.000 | -0.000 | 0.000 |
| 246.053 | 246.053 | 656.144 | -0.000 | -0.000 | 0.000 |
| 53.043 | 53.043 | 70.076 | 68.960 | 0.000 | 0.000 |
| 53.043 | 53.043 | 70.076 | 0.000 | 68.960 | 0.000 |
| -17.210 | -17.210 | 554.045 | 0.000 | -0.000 | 39.375 |
| 353.969 | 193.506 | 192.922 | -0.000 | 0.000 | -0.000 |
| 193.506 | 353.969 | 192.922 | -0.000 | 0.000 | -0.000 |
| 139.965 | 139.965 | 515.973 | 0.000 | -0.000 | -0.000 |
| -53.043 | -53.043 | -70.076 | 68.960 | 0.000 | -0.000 |
| -53.043 | -53.043 | -70.076 | 0.000 | 68.960 | -0.000 |
| 17.210 | 17.210 | -554.045 | -0.000 | 0.000 | 39.375 |
| 335.121 | 222.468 | 245.955 | 0.000 | -0.000 | 0.000 |
| 222.468 | 335.121 | 245.955 | -0.000 | -0.000 | 0.000 |
| 178.521 | 178.521 | 647.748 | -0.000 | -0.000 | 0.000 |
| 10.641 | 10.641 | 54.011 | 64.168 | -0.000 | 0.000 |
| 10.641 | 10.641 | 54.011 | -0.000 | 64.168 | 0.000 |
| 5.313 | 5.313 | 7.019 | -0.000 | -0.000 | 60.670 |
| 321.789 | 237.469 | 130.541 | 0.000 | -0.000 | -0.000 |
| 237.469 | 321.789 | 130.541 | 0.000 | 0.000 | -0.000 |
| 193.821 | 193.821 | 590.477 | -0.000 | 0.000 | -0.000 |
| -10.641 | -10.641 | -54.011 | 64.168 | -0.000 | -0.000 |
| -10.641 | -10.641 | -54.011 | 0.000 | 64.168 | -0.000 |
| -5.313 | -5.313 | -7.019 | 0.000 | 0.000 | 60.670 |
| 326.372 | 212.069 | 197.906 | -0.000 | 0.000 | 0.000 |
| 212.069 | 326.372 | 197.906 | 0.000 | -0.000 | 0.000 |
| 193.686 | 193.686 | 587.532 | 0.000 | -0.000 | 0.000 |
| 0.000 | -0.000 | 0.000 | 71.754 | -0.000 | 0.000 |
| -0.000 | 0.000 | 0.000 | -0.000 | 71.754 | 0.000 |
| 0.590 | 0.591 | 0.780 | 0.000 | -0.000 | 59.300 |
| 353.968 | 193.506 | 192.922 | 0.000 | 0.000 | -0.000 |
| 193.506 | 353.968 | 192.922 | -0.000 | -0.000 | -0.000 |
| 192.375 | 192.375 | 584.619 | -0.000 | 0.000 | -0.000 |
| -0.000 | 0.000 | -0.000 | 71.754 | 0.000 | -0.000 |
| 0.000 | -0.000 | -0.000 | -0.000 | 71.754 | -0.000 |
| -0.590 | -0.591 | -0.780 | -0.000 | 0.000 | 59.300 |
| 350.762 | 189.793 | 190.790 | 0.000 | 0.000 | -0.000 |
| 189.793 | 350.762 | 190.790 | 0.000 | 0.000 | -0.000 |
| 190.790 | 190.790 | 582.662 | 0.000 | 0.000 | -0.000 |
| -2.847 | -2.847 | 2.764 | 69.043 | 0.000 | -0.000 |
| -2.847 | -2.847 | 2.764 | 0.000 | 69.043 | -0.000 |
| -3.128 | -3.128 | 3.037 | 0.000 | 0.000 | 62.217 |
| 350.762 | 189.793 | 190.790 | -0.000 | -0.000 | 0.000 |
| 189.793 | 350.762 | 190.790 | -0.000 | -0.000 | 0.000 |
| 190.514 | 190.514 | 574.458 | -0.000 | -0.000 | -0.000 |
| 2.847 | 2.847 | -2.764 | 69.043 | -0.000 | -0.000 |
| 2.847 | 2.847 | -2.764 | -0.000 | 69.043 | 0.000 |
| 3.128 | 3.128 | -3.037 | -0.000 | -0.000 | 62.217 |
| 332.184 | 196.209 | 190.347 | 0.000 | 0.000 | -0.000 |
| 196.209 | 332.184 | 190.347 | 0.000 | 0.000 | -0.000 |
| 190.791 | 190.791 | 582.662 | 0.000 | 0.000 | -0.000 |
| 0.099 | 0.099 | 0.285 | 64.073 | 0.000 | 0.000 |
| 0.099 | 0.099 | 0.285 | 0.000 | 64.073 | 0.000 |
| -0.000 | -0.000 | 0.000 | 0.000 | 0.000 | 73.301 |
| 331.967 | 197.268 | 189.615 | -0.000 | -0.000 | 0.000 |
| 197.268 | 331.967 | 189.615 | -0.000 | -0.000 | 0.000 |
| 190.790 | 190.790 | 582.662 | -0.000 | -0.000 | 0.000 |
| -0.099 | -0.099 | -0.285 | 64.073 | -0.000 | 0.000 |
| -0.099 | -0.099 | -0.285 | -0.000 | 64.073 | -0.000 |
| 0.000 | 0.000 | -0.000 | -0.000 | -0.000 | 73.301 |
| 332.043 | 196.690 | 190.025 | 0.000 | 0.000 | -0.000 |
| 196.690 | 332.043 | 190.025 | 0.000 | 0.000 | 0.000 |
| 190.791 | 190.791 | 582.664 | 0.000 | 0.000 | -0.000 |
| -0.075 | -0.075 | 0.074 | 64.727 | 0.000 | 0.000 |
| -0.075 | -0.075 | 0.074 | 0.000 | 64.727 | 0.000 |
| -0.000 | -0.000 | 0.000 | 0.000 | 0.000 | 73.301 |
| 350.762 | 189.793 | 190.789 | -0.000 | -0.000 | 0.000 |
| 189.793 | 350.762 | 190.789 | -0.000 | -0.000 | 0.000 |
| 190.123 | 190.123 | 578.576 | -0.000 | -0.000 | 0.000 |
| 0.075 | 0.075 | -0.074 | 64.727 | -0.000 | -0.000 |
| 0.075 | 0.075 | -0.074 | -0.000 | 64.727 | -0.000 |
| 0.000 | 0.000 | -0.000 | -0.000 | -0.000 | 73.301 |
| 499.740 | 240.244 | 240.244 | 0.000 | 0.000 | -0.000 |
| 240.244 | 499.740 | 240.244 | 0.000 | 0.000 | -0.000 |
| 240.244 | 240.244 | 499.740 | -0.000 | -0.000 | -0.000 |
| 0.000 | 0.000 | 0.000 | 150.586 | 0.000 | -0.000 |
| 0.000 | 0.000 | -0.000 | -0.000 | 150.586 | -0.000 |
| 0.000 | 0.000 | 0.000 | -0.000 | 0.000 | 150.586 |
| 499.740 | 240.244 | 240.244 | -0.000 | -0.000 | 0.000 |
| 240.244 | 499.740 | 240.244 | -0.000 | -0.000 | 0.000 |
| 240.244 | 240.244 | 499.740 | -0.000 | -0.000 | -0.000 |
| -0.000 | -0.000 | 0.000 | 150.586 | 0.000 | 0.000 |
| -0.000 | -0.000 | -0.000 | 0.000 | 150.586 | 0.000 |
| -0.000 | -0.000 | -0.000 | -0.000 | -0.000 | 150.586 |
| 499.740 | 240.244 | 240.244 | -0.000 | 0.000 | -0.000 |
| 240.244 | 499.740 | 240.244 | 0.000 | 0.000 | -0.000 |
| 240.244 | 240.244 | 499.740 | -0.000 | 0.000 | -0.000 |
| 0.000 | 0.000 | 0.000 | 150.586 | 0.000 | -0.000 |
| 0.000 | 0.000 | 0.000 | 0.000 | 150.586 | -0.000 |
| 0.000 | 0.000 | 0.000 | -0.000 | 0.000 | 150.586 |
| 499.740 | 240.244 | 240.244 | 0.000 | 0.000 | 0.000 |
| 240.244 | 499.740 | 240.244 | 0.000 | 0.000 | 0.000 |
| 240.244 | 240.244 | 499.740 | -0.000 | -0.000 | 0.000 |
| -0.000 | -0.000 | -0.000 | 150.586 | -0.000 | 0.000 |
| -0.000 | -0.000 | -0.000 | -0.000 | 150.586 | 0.000 |
| -0.000 | -0.000 | -0.000 | -0.000 | -0.000 | 150.586 |
| 499.739 | 240.245 | 240.245 | 0.000 | 0.000 | -0.000 |
| 240.245 | 499.739 | 240.245 | 0.000 | 0.000 | -0.000 |
| 240.245 | 240.245 | 499.739 | 0.000 | 0.000 | -0.000 |
| 0.001 | 0.000 | 0.000 | 150.586 | -0.000 | -0.000 |
| 0.000 | 0.001 | 0.000 | -0.000 | 150.586 | -0.000 |
| 0.000 | 0.000 | 0.001 | -0.000 | 0.000 | 150.586 |
| 499.741 | 240.242 | 240.242 | 0.000 | -0.000 | -0.000 |
| 240.242 | 499.741 | 240.242 | -0.000 | -0.000 | -0.000 |
| 240.242 | 240.242 | 499.741 | 0.000 | -0.000 | 0.000 |
| -0.001 | -0.000 | -0.000 | 150.586 | 0.000 | 0.000 |
| -0.000 | -0.001 | -0.000 | 0.000 | 150.586 | 0.000 |
| -0.000 | -0.000 | -0.001 | 0.000 | 0.000 | 150.586 |
| 89.970 | 65.851 | 65.851 | -0.000 | 0.000 | -0.000 |
| 65.851 | 89.970 | 65.851 | -0.000 | 0.000 | 0.000 |
| 65.851 | 65.851 | 89.970 | 0.000 | -0.000 | -0.000 |
| -0.000 | -0.000 | -0.000 | 52.210 | -0.000 | 0.000 |
| -0.000 | 0.000 | -0.000 | -0.000 | 52.210 | 0.000 |
| -0.000 | -0.000 | 0.000 | 0.000 | 0.000 | 52.210 |
| 89.970 | 65.851 | 65.851 | -0.000 | -0.000 | -0.000 |
| 65.851 | 89.970 | 65.851 | 0.000 | -0.000 | -0.000 |
| 65.851 | 65.851 | 89.970 | -0.000 | -0.000 | 0.000 |
| 0.000 | 0.000 | 0.000 | 52.210 | 0.000 | 0.000 |
| 0.000 | -0.000 | 0.000 | 0.000 | 52.210 | -0.000 |
| 0.000 | 0.000 | -0.000 | -0.000 | 0.000 | 52.210 |
| 89.970 | 65.851 | 65.851 | 0.000 | -0.000 | -0.000 |
| 65.851 | 89.970 | 65.851 | -0.000 | -0.000 | -0.000 |
| 65.851 | 65.851 | 89.970 | -0.000 | -0.000 | 0.000 |
| -0.000 | -0.000 | -0.000 | 18.880 | -0.000 | -0.000 |
| -0.000 | -0.000 | -0.000 | 0.000 | 18.880 | 0.000 |
| -0.000 | -0.000 | -0.000 | -0.000 | -0.000 | 18.880 |
| 89.971 | 65.851 | 65.851 | 0.000 | -0.000 | -0.000 |
| 65.851 | 89.971 | 65.851 | 0.000 | -0.000 | -0.000 |
| 65.851 | 65.851 | 89.971 | 0.000 | 0.000 | 0.000 |
| 0.000 | 0.000 | 0.000 | 18.880 | 0.000 | 0.000 |
| 0.000 | 0.000 | 0.000 | -0.000 | 18.880 | 0.000 |
| 0.000 | 0.000 | 0.000 | 0.000 | -0.000 | 18.880 |
| 89.965 | 65.851 | 65.851 | 0.000 | 0.000 | 0.000 |
| 65.851 | 89.965 | 65.851 | -0.000 | 0.000 | 0.000 |
| 65.851 | 65.851 | 89.965 | 0.000 | 0.000 | 0.000 |
| -0.000 | -0.001 | -0.001 | 52.210 | -0.000 | -0.000 |
| -0.001 | -0.000 | -0.001 | -0.000 | 52.210 | 0.000 |
| -0.001 | -0.001 | -0.000 | -0.000 | 0.000 | 52.210 |
| 89.976 | 65.852 | 65.852 | -0.000 | -0.000 | -0.000 |
| 65.852 | 89.976 | 65.852 | -0.000 | -0.000 | 0.000 |
| 65.852 | 65.852 | 89.976 | 0.000 | 0.000 | 0.000 |
| 0.000 | 0.001 | 0.001 | 52.210 | -0.000 | -0.000 |
| 0.001 | 0.000 | 0.001 | -0.000 | 52.210 | -0.000 |
| 0.001 | 0.001 | 0.000 | -0.000 | -0.000 | 52.210 |
| 486.296 | 231.094 | 231.094 | -0.000 | -0.000 | 0.000 |
| 231.094 | 486.296 | 231.094 | 0.000 | -0.000 | 0.000 |
| 231.094 | 231.094 | 486.296 | 0.000 | -0.000 | 0.000 |
| -0.000 | 0.000 | 0.000 | 195.595 | -0.000 | 0.000 |
| -0.000 | 0.000 | 0.000 | -0.000 | 195.595 | 0.000 |
| -0.000 | 0.000 | 0.000 | -0.000 | -0.000 | 195.595 |
| 486.296 | 231.094 | 231.094 | -0.000 | 0.000 | -0.000 |
| 231.094 | 486.296 | 231.094 | -0.000 | 0.000 | -0.000 |
| 231.094 | 231.094 | 486.296 | -0.000 | 0.000 | -0.000 |
| 0.000 | -0.000 | -0.000 | 195.595 | 0.000 | -0.000 |
| 0.000 | -0.000 | -0.000 | 0.000 | 195.595 | -0.000 |
| 0.000 | -0.000 | -0.000 | 0.000 | 0.000 | 195.595 |
| 486.296 | 231.095 | 231.095 | -0.000 | -0.000 | 0.000 |
| 231.095 | 486.296 | 231.095 | 0.000 | -0.000 | 0.000 |
| 231.095 | 231.095 | 486.296 | 0.000 | -0.000 | 0.000 |
| 0.000 | 0.000 | 0.000 | 199.028 | -0.000 | 0.000 |
| 0.000 | 0.000 | 0.000 | 0.000 | 199.028 | 0.000 |
| 0.000 | 0.000 | 0.000 | -0.000 | -0.000 | 199.028 |
| 486.295 | 231.094 | 231.094 | -0.000 | 0.000 | -0.000 |
| 231.094 | 486.295 | 231.094 | -0.000 | 0.000 | -0.000 |
| 231.094 | 231.094 | 486.295 | -0.000 | 0.000 | -0.000 |
| -0.000 | -0.000 | -0.000 | 199.028 | 0.000 | -0.000 |
| -0.000 | -0.000 | -0.000 | 0.000 | 199.028 | -0.000 |
| -0.000 | -0.000 | -0.000 | -0.000 | 0.000 | 199.028 |
| 486.304 | 231.099 | 231.099 | 0.000 | -0.000 | 0.000 |
| 231.099 | 486.304 | 231.099 | 0.000 | -0.000 | 0.000 |
| 231.099 | 231.099 | 486.304 | 0.000 | -0.000 | 0.000 |
| 0.001 | 0.001 | 0.001 | 195.595 | -0.000 | 0.000 |
| 0.001 | 0.001 | 0.001 | -0.000 | 195.595 | 0.000 |
| 0.001 | 0.001 | 0.001 | 0.000 | -0.000 | 195.595 |
| 486.288 | 231.090 | 231.090 | -0.000 | 0.000 | -0.000 |
| 231.090 | 486.288 | 231.090 | -0.000 | 0.000 | -0.000 |
| 231.090 | 231.090 | 486.288 | 0.000 | 0.000 | -0.000 |
| -0.001 | -0.001 | -0.001 | 195.595 | 0.000 | -0.000 |
| -0.001 | -0.001 | -0.001 | -0.000 | 195.595 | -0.000 |
| -0.001 | -0.001 | -0.001 | 0.000 | 0.000 | 195.595 |
| 343.556 | 196.394 | 157.981 | -0.000 | 0.000 | -0.000 |
| 196.394 | 343.556 | 157.981 | -0.000 | 0.000 | -0.000 |
| 160.433 | 160.433 | 243.454 | -0.000 | 0.000 | -0.000 |
| -0.000 | -0.000 | 0.000 | 146.541 | 0.000 | -0.000 |
| -0.000 | -0.000 | 0.000 | -0.000 | 146.541 | -0.000 |
| -0.000 | -0.000 | 0.000 | -0.000 | 0.000 | 182.139 |
| 343.557 | 196.394 | 157.981 | 0.000 | -0.000 | 0.000 |
| 196.394 | 343.557 | 157.981 | 0.000 | -0.000 | 0.000 |
| 197.353 | 197.353 | 156.892 | 0.000 | -0.000 | 0.000 |
| 0.000 | 0.000 | -0.000 | 146.541 | -0.000 | 0.000 |
| 0.000 | 0.000 | -0.000 | 0.000 | 146.541 | 0.000 |
| 0.000 | 0.000 | -0.000 | -0.000 | -0.000 | 182.139 |
| 291.092 | 215.166 | 197.478 | 0.000 | 0.000 | -0.000 |
| 215.166 | 291.092 | 197.478 | -0.000 | 0.000 | -0.000 |
| 160.433 | 160.433 | 243.454 | -0.000 | 0.000 | -0.000 |
| -0.000 | -0.000 | 0.000 | 146.541 | 0.000 | -0.000 |
| -0.000 | -0.000 | 0.000 | -0.000 | 146.541 | -0.000 |
| 0.347 | 0.347 | -0.813 | -0.000 | 0.000 | 177.876 |
| 343.557 | 196.394 | 157.981 | 0.000 | -0.000 | 0.000 |
| 196.394 | 343.557 | 157.981 | -0.000 | -0.000 | 0.000 |
| 160.433 | 160.433 | 243.454 | 0.000 | -0.000 | 0.000 |
| 0.000 | 0.000 | -0.000 | 146.541 | -0.000 | 0.000 |
| 0.000 | 0.000 | -0.000 | 0.000 | 146.541 | 0.000 |
| -0.347 | -0.347 | 0.813 | -0.000 | -0.000 | 177.876 |
| 290.788 | 214.863 | 198.190 | -0.000 | 0.000 | -0.000 |
| 214.863 | 290.788 | 198.190 | -0.000 | 0.000 | -0.000 |
| 200.753 | 200.753 | 148.927 | -0.000 | 0.000 | -0.000 |
| 0.070 | 0.070 | -0.164 | 48.847 | 0.000 | -0.000 |
| 0.070 | 0.070 | -0.164 | -0.000 | 48.847 | -0.000 |
| 0.034 | 0.034 | -0.081 | 0.000 | 0.000 | 177.876 |
| 317.054 | 180.871 | 207.247 | 0.000 | -0.000 | 0.000 |
| 180.871 | 317.054 | 207.247 | 0.000 | -0.000 | 0.000 |
| 200.676 | 200.676 | 149.097 | 0.000 | -0.000 | 0.000 |
| -0.070 | -0.070 | 0.164 | 48.847 | -0.000 | 0.000 |
| -0.070 | -0.070 | 0.164 | 0.000 | 48.847 | 0.000 |
| -0.034 | -0.034 | 0.081 | 0.000 | -0.000 | 177.876 |
| 397.820 | 232.802 | 177.106 | -0.000 | -0.000 | 0.000 |
| 232.802 | 397.820 | 177.106 | -0.000 | -0.000 | 0.000 |
| 216.249 | 216.249 | 246.662 | -0.000 | -0.000 | 0.000 |
| 0.000 | 0.000 | -0.000 | 50.837 | -0.000 | 0.000 |
| -0.000 | 0.000 | -0.000 | -0.000 | 50.837 | 0.000 |
| -0.000 | 0.000 | -0.000 | -0.000 | -0.000 | 213.393 |
| 361.755 | 239.280 | 216.248 | 0.000 | 0.000 | -0.000 |
| 239.280 | 361.755 | 216.248 | 0.000 | 0.000 | -0.000 |
| 177.107 | 177.107 | 350.226 | 0.000 | 0.000 | -0.000 |
| -0.000 | -0.000 | 0.000 | 50.837 | 0.000 | -0.000 |
| -0.000 | -0.000 | 0.000 | 0.000 | 50.837 | -0.000 |
| -0.000 | -0.000 | 0.000 | 0.000 | 0.000 | 213.393 |
| 397.820 | 232.802 | 177.106 | -0.000 | -0.000 | 0.000 |
| 232.802 | 397.820 | 177.106 | -0.000 | -0.000 | 0.000 |
| 177.107 | 177.107 | 350.226 | -0.000 | -0.000 | 0.000 |
| -0.000 | -0.000 | -0.000 | 159.402 | -0.000 | 0.000 |
| -0.000 | -0.000 | -0.000 | -0.000 | 159.402 | 0.000 |
| -0.000 | -0.000 | -0.000 | -0.000 | -0.000 | 217.480 |
| 397.820 | 232.802 | 177.106 | 0.000 | 0.000 | -0.000 |
| 232.802 | 397.820 | 177.106 | 0.000 | 0.000 | -0.000 |
| 177.107 | 177.107 | 350.226 | 0.000 | 0.000 | -0.000 |
| 0.000 | 0.000 | 0.000 | 159.402 | 0.000 | -0.000 |
| 0.000 | 0.000 | 0.000 | 0.000 | 159.402 | -0.000 |
| 0.000 | 0.000 | 0.000 | 0.000 | 0.000 | 217.480 |
| 361.757 | 239.282 | 216.244 | -0.000 | -0.000 | 0.000 |
| 239.282 | 361.757 | 216.244 | -0.000 | -0.000 | 0.000 |
| 216.257 | 216.257 | 246.643 | -0.000 | -0.000 | 0.000 |
| -0.000 | -0.000 | -0.000 | 50.837 | -0.000 | 0.000 |
| -0.000 | -0.000 | -0.000 | -0.000 | 50.837 | 0.000 |
| -0.001 | -0.000 | -0.000 | -0.000 | -0.000 | 213.393 |
| 397.820 | 232.802 | 177.106 | 0.000 | 0.000 | -0.000 |
| 232.802 | 397.820 | 177.106 | 0.000 | 0.000 | -0.000 |
| 216.249 | 216.249 | 246.660 | 0.000 | 0.000 | -0.000 |
| 0.000 | 0.000 | 0.000 | 50.837 | 0.000 | -0.000 |
| 0.000 | 0.000 | 0.000 | 0.000 | 50.837 | -0.000 |
| 0.001 | 0.000 | 0.000 | 0.000 | 0.000 | 213.393 |
| 12.774 | 9.531 | 9.531 | 0.000 | -0.000 | 0.000 |
| 9.531 | 12.774 | 9.531 | -0.000 | 0.000 | 0.000 |
| 9.531 | 9.531 | 12.774 | -0.000 | -0.000 | 0.000 |
| -0.000 | 0.000 | 0.000 | 8.211 | -0.000 | 0.000 |
| -0.000 | 0.000 | 0.000 | -0.000 | 8.211 | 0.000 |
| -0.000 | 0.000 | 0.000 | 0.000 | 0.000 | 8.211 |
| 12.774 | 9.531 | 9.531 | 0.000 | -0.000 | 0.000 |
| 9.531 | 12.774 | 9.531 | 0.000 | -0.000 | 0.000 |
| 9.531 | 9.531 | 12.774 | 0.000 | -0.000 | 0.000 |
| 0.000 | -0.000 | -0.000 | 8.211 | -0.000 | -0.000 |
| 0.000 | -0.000 | -0.000 | -0.000 | 8.211 | -0.000 |
| 0.000 | -0.000 | -0.000 | 0.000 | -0.000 | 8.211 |
| 12.774 | 9.531 | 9.531 | 0.000 | 0.000 | 0.000 |
| 9.531 | 12.774 | 9.531 | -0.000 | 0.000 | 0.000 |
| 9.531 | 9.531 | 12.774 | -0.000 | 0.000 | 0.000 |
| -0.000 | -0.000 | 0.000 | 2.616 | 0.000 | -0.000 |
| -0.000 | -0.000 | 0.000 | -0.000 | 2.616 | 0.000 |
| -0.000 | 0.000 | -0.000 | -0.000 | 0.000 | 2.616 |
| 12.774 | 9.531 | 9.531 | 0.000 | -0.000 | -0.000 |
| 9.531 | 12.774 | 9.531 | -0.000 | -0.000 | -0.000 |
| 9.531 | 9.531 | 12.774 | -0.000 | -0.000 | -0.000 |
| 0.000 | 0.000 | -0.000 | 2.616 | -0.000 | -0.000 |
| 0.000 | 0.000 | -0.000 | 0.000 | 2.616 | -0.000 |
| 0.000 | -0.000 | 0.000 | -0.000 | -0.000 | 2.616 |
| 12.774 | 9.531 | 9.531 | 0.000 | 0.000 | 0.000 |
| 9.531 | 12.774 | 9.531 | 0.000 | 0.000 | 0.000 |
| 9.531 | 9.531 | 12.774 | 0.000 | 0.000 | 0.000 |
| -0.000 | -0.000 | 0.000 | 2.616 | 0.000 | 0.000 |
| -0.000 | -0.000 | 0.000 | 0.000 | 2.616 | 0.000 |
| -0.000 | 0.000 | -0.000 | -0.000 | -0.000 | 2.616 |
| 12.774 | 9.531 | 9.531 | 0.000 | -0.000 | -0.000 |
| 9.531 | 12.774 | 9.531 | -0.000 | -0.000 | -0.000 |
| 9.531 | 9.531 | 12.774 | -0.000 | -0.000 | 0.000 |
| 0.000 | 0.000 | -0.000 | 2.616 | 0.000 | 0.000 |
| 0.000 | 0.000 | -0.000 | 0.000 | 2.616 | 0.000 |
| 0.000 | -0.000 | 0.000 | 0.000 | 0.000 | 2.616 |
| 47.568 | 7.025 | -33.251 | 7.027 | -0.000 | -0.000 |
| -245.452 | -217.845 | 306.136 | -7.330 | 0.000 | -0.000 |
| -30.913 | -30.913 | 104.128 | -0.000 | 0.000 | 0.000 |
| -785119589.842 | -729879012.146 | -650899001.403 | -44112683.565 | -3968961.621 | 6105353.624 |
| -258.053 | -258.052 | 334.704 | 0.000 | -91.839 | 17.006 |
| 0.000 | -0.000 | 0.000 | 0.000 | 7.027 | 20.272 |
| 295.365 | 267.758 | -366.652 | 7.330 | -0.000 | -0.000 |
| 7.025 | 47.568 | -33.251 | -7.027 | 0.000 | 0.000 |
| -30.913 | -30.913 | 104.128 | 0.000 | -0.000 | 0.000 |
| 263.898 | 249.239 | -336.346 | -17.808 | -0.000 | -0.000 |
| 744725952.037 | 778432212.348 | 656466124.357 | -24068132.377 | -36404884.885 | -23572735.272 |
| 0.000 | 0.000 | 0.000 | 0.000 | 7.027 | 20.272 |
| -703.640 | 663.321 | 24.527 | 88.601 | -0.000 | 0.000 |
| 552.872 | -549.811 | -4.987 | -48.508 | -0.000 | 0.000 |
| -30.913 | -30.913 | 104.128 | -0.000 | 0.000 | -0.000 |
| -8.989 | -43.181 | 33.834 | -92.532 | -0.000 | 0.000 |
| -25.887 | -25.887 | 33.937 | -0.000 | -17.832 | 7.332 |
| -0.000 | -0.000 | -0.000 | -0.000 | 7.027 | 20.272 |
| 64.893 | 37.649 | -64.757 | 7.338 | -0.000 | 0.000 |
| 37.649 | 64.893 | -64.757 | -7.338 | -0.000 | -0.000 |
| -2.905 | -2.906 | 65.777 | -0.000 | 0.000 | -0.000 |
| 7.027 | -7.027 | 0.000 | -15.230 | 0.000 | -0.000 |
| 25.887 | 25.887 | -33.937 | 0.000 | -17.832 | 7.332 |
| 0.000 | 0.000 | 0.000 | -0.000 | 7.027 | 20.272 |
| -7696501.918 | -6740825.271 | -4821306.012 | 702838.416 | 39372.868 | -1792.494 |
| -7885344.397 | -7260592.708 | -6507191.798 | -412279.657 | 3311.979 | 43162.357 |
| -30.315 | -30.315 | 103.219 | 0.000 | 0.000 | 0.000 |
| 7.027 | -7.027 | -0.000 | -15.230 | 0.000 | -0.000 |
| -7402639.463 | -7784288.250 | -6498320.072 | 213449.862 | -384497.657 | -175840.282 |
| -7509798.167 | -7542290.202 | -6493276.695 | 334431.334 | 345517.984 | 322341.438 |
| 7870429.431 | 7287262.260 | 6453960.606 | 447310.694 | 17231.146 | -28901.011 |
| 7734106.162 | 6643276.814 | 4787062.468 | -693042.671 | -56053.392 | 18079.023 |
| -30.912 | -30.912 | 104.129 | -0.000 | -0.000 | 0.000 |
| 6938702.573 | 7807563.559 | 6153083.085 | -411856.414 | -3697.169 | -270524.760 |
| 7424214.514 | 7744395.364 | 6493989.310 | -239455.615 | -388836.924 | -177765.482 |
| 7536747.740 | 7459490.055 | 6577919.153 | -339520.855 | 367038.154 | 392657.446 |
| 670.440 | 376.340 | 376.340 | -0.000 | 0.000 | -0.000 |
| 376.340 | 670.440 | 376.340 | -0.000 | -0.000 | -0.000 |
| 376.340 | 376.340 | 670.440 | -0.000 | -0.000 | -0.000 |
| 0.000 | 0.000 | -0.000 | 112.735 | 0.000 | -0.000 |
| 0.000 | 0.000 | -0.000 | -0.000 | 112.735 | -0.000 |
| 0.000 | 0.000 | 0.000 | -0.000 | -0.000 | 112.735 |
| 670.440 | 376.340 | 376.340 | 0.000 | 0.000 | 0.000 |
| 376.340 | 670.440 | 376.340 | 0.000 | 0.000 | 0.000 |
| 376.340 | 376.340 | 670.440 | 0.000 | 0.000 | 0.000 |
| -0.000 | -0.000 | -0.000 | 112.735 | -0.000 | 0.000 |
| -0.000 | -0.000 | 0.000 | 0.000 | 112.734 | 0.000 |
| -0.000 | -0.000 | -0.000 | 0.000 | 0.000 | 112.735 |
| 670.439 | 376.340 | 376.340 | -0.000 | 0.000 | -0.000 |
| 376.340 | 670.439 | 376.340 | -0.000 | 0.000 | -0.000 |
| 376.340 | 376.340 | 670.439 | -0.000 | 0.000 | -0.000 |
| 0.000 | 0.000 | 0.000 | 112.735 | 0.000 | -0.000 |
| 0.000 | 0.000 | 0.000 | -0.000 | 112.735 | -0.000 |
| 0.000 | 0.000 | 0.000 | -0.000 | 0.000 | 112.735 |
| 670.440 | 376.340 | 376.340 | -0.000 | 0.000 | 0.000 |
| 376.340 | 670.440 | 376.340 | -0.000 | -0.000 | 0.000 |
| 376.340 | 376.340 | 670.440 | 0.000 | 0.000 | 0.000 |
| -0.000 | -0.000 | -0.000 | 112.735 | -0.000 | 0.000 |
| -0.000 | -0.000 | -0.000 | 0.000 | 112.735 | 0.000 |
| -0.000 | -0.000 | -0.000 | 0.000 | -0.000 | 112.735 |
| 670.437 | 376.341 | 376.341 | 0.000 | 0.000 | -0.000 |
| 376.341 | 670.437 | 376.341 | -0.000 | 0.000 | -0.000 |
| 376.341 | 376.341 | 670.437 | -0.000 | 0.000 | 0.000 |
| 0.001 | 0.001 | 0.001 | 136.840 | -0.000 | -0.000 |
| 0.001 | 0.001 | 0.001 | -0.000 | 136.840 | -0.000 |
| 0.001 | 0.001 | 0.001 | -0.000 | 0.000 | 136.840 |
| 670.442 | 376.338 | 376.338 | 0.000 | 0.000 | 0.000 |
| 376.338 | 670.442 | 376.338 | 0.000 | -0.000 | 0.000 |
| 376.338 | 376.338 | 670.442 | 0.000 | -0.000 | 0.000 |
| -0.001 | -0.001 | -0.001 | 136.840 | -0.000 | 0.000 |
| -0.001 | -0.001 | -0.001 | 0.000 | 136.840 | 0.000 |
| -0.001 | -0.001 | -0.001 | 0.000 | -0.000 | 136.840 |
| 197.877 | 166.432 | 166.432 | 0.000 | 0.000 | 0.000 |
| 166.432 | 197.877 | 166.432 | 0.000 | 0.000 | 0.000 |
| 166.432 | 166.432 | 197.877 | 0.000 | 0.000 | 0.000 |
| -0.000 | -0.000 | -0.000 | 102.612 | 0.000 | -0.000 |
| -0.000 | -0.000 | -0.000 | 0.000 | 102.612 | -0.000 |
| -0.000 | -0.000 | -0.000 | 0.000 | 0.000 | 102.612 |
| 197.877 | 166.432 | 166.432 | -0.000 | -0.000 | -0.000 |
| 166.432 | 197.877 | 166.432 | -0.000 | -0.000 | -0.000 |
| 166.432 | 166.432 | 197.877 | -0.000 | -0.000 | 0.000 |
| 0.000 | 0.000 | 0.000 | 102.612 | -0.000 | 0.000 |
| 0.000 | 0.000 | 0.000 | -0.000 | 102.612 | 0.000 |
| 0.000 | 0.000 | 0.000 | -0.000 | -0.000 | 102.612 |
| 197.876 | 166.432 | 166.432 | 0.000 | 0.000 | 0.000 |
| 166.432 | 197.876 | 166.432 | 0.000 | 0.000 | -0.000 |
| 166.432 | 166.432 | 197.876 | 0.000 | 0.000 | -0.000 |
| -0.000 | -0.000 | -0.000 | 98.371 | 0.000 | 0.000 |
| -0.000 | -0.000 | -0.000 | 0.000 | 98.371 | -0.000 |
| -0.000 | -0.000 | -0.000 | 0.000 | 0.000 | 98.371 |
| 197.877 | 166.432 | 166.432 | -0.000 | -0.000 | -0.000 |
| 166.432 | 197.877 | 166.432 | -0.000 | -0.000 | -0.000 |
| 166.432 | 166.432 | 197.877 | -0.000 | -0.000 | -0.000 |
| 0.000 | 0.000 | 0.000 | 98.371 | -0.000 | -0.000 |
| 0.000 | 0.000 | 0.000 | -0.000 | 98.371 | 0.000 |
| 0.000 | 0.000 | 0.000 | -0.000 | -0.000 | 98.371 |
| 197.870 | 166.431 | 166.431 | 0.000 | 0.000 | -0.000 |
| 166.431 | 197.870 | 166.431 | 0.000 | 0.000 | 0.000 |
| 166.431 | 166.431 | 197.870 | 0.000 | 0.000 | -0.000 |
| -0.000 | -0.001 | -0.001 | 98.371 | 0.000 | -0.000 |
| -0.001 | -0.000 | -0.001 | 0.000 | 98.371 | -0.000 |
| -0.001 | -0.001 | -0.000 | 0.000 | 0.000 | 98.371 |
| 197.884 | 166.433 | 166.433 | -0.000 | -0.000 | -0.000 |
| 166.433 | 197.884 | 166.433 | -0.000 | -0.000 | -0.000 |
| 166.433 | 166.433 | 197.884 | -0.000 | -0.000 | -0.000 |
| 0.000 | 0.001 | 0.001 | 98.371 | -0.000 | 0.000 |
| 0.001 | 0.000 | 0.001 | -0.000 | 98.371 | 0.000 |
| 0.001 | 0.001 | 0.000 | -0.000 | -0.000 | 98.371 |
| 208.094 | 165.902 | 165.902 | -0.000 | -0.000 | -0.000 |
| 165.902 | 208.094 | 165.902 | -0.000 | 0.000 | -0.000 |
| 165.902 | 165.902 | 208.094 | -0.000 | -0.000 | -0.000 |
| 0.000 | 0.000 | 0.000 | 83.393 | -0.000 | -0.000 |
| 0.000 | 0.000 | 0.000 | -0.000 | 83.393 | -0.000 |
| 0.000 | 0.000 | 0.000 | -0.000 | -0.000 | 83.393 |
| 208.094 | 165.902 | 165.902 | 0.000 | 0.000 | -0.000 |
| 165.902 | 208.094 | 165.902 | 0.000 | 0.000 | -0.000 |
| 165.902 | 165.902 | 208.094 | 0.000 | -0.000 | 0.000 |
| -0.000 | -0.000 | -0.000 | 83.393 | 0.000 | -0.000 |
| -0.000 | -0.000 | -0.000 | 0.000 | 83.393 | 0.000 |
| -0.000 | -0.000 | -0.000 | 0.000 | 0.000 | 83.393 |
| 208.094 | 165.902 | 165.902 | -0.000 | -0.000 | -0.000 |
| 165.902 | 208.094 | 165.902 | -0.000 | -0.000 | -0.000 |
| 165.902 | 165.902 | 208.094 | -0.000 | -0.000 | -0.000 |
| 0.000 | 0.000 | 0.000 | 83.393 | -0.000 | -0.000 |
| 0.000 | 0.000 | 0.000 | -0.000 | 83.393 | -0.000 |
| 0.000 | 0.000 | 0.000 | -0.000 | -0.000 | 83.393 |
| 208.094 | 165.902 | 165.902 | 0.000 | 0.000 | -0.000 |
| 165.902 | 208.094 | 165.902 | 0.000 | 0.000 | 0.000 |
| 165.902 | 165.902 | 208.094 | 0.000 | 0.000 | 0.000 |
| -0.000 | -0.000 | -0.000 | 83.393 | 0.000 | 0.000 |
| -0.000 | -0.000 | -0.000 | 0.000 | 83.393 | 0.000 |
| -0.000 | -0.000 | -0.000 | 0.000 | 0.000 | 83.393 |
| 208.095 | 165.903 | 165.903 | -0.000 | -0.000 | -0.000 |
| 165.903 | 208.095 | 165.903 | -0.000 | 0.000 | -0.000 |
| 165.903 | 165.903 | 208.095 | -0.000 | 0.000 | -0.000 |
| -0.000 | 0.000 | 0.000 | -10.453 | -0.000 | -0.000 |
| 0.000 | -0.000 | 0.000 | -0.000 | -10.453 | -0.000 |
| 0.000 | 0.000 | -0.000 | -0.000 | -0.000 | -10.453 |
| 208.096 | 165.902 | 165.902 | 0.000 | 0.000 | 0.000 |
| 165.902 | 208.096 | 165.902 | 0.000 | 0.000 | -0.000 |
| 165.902 | 165.902 | 208.096 | 0.000 | 0.000 | -0.000 |
| 0.000 | -0.000 | -0.000 | -10.453 | 0.000 | 0.000 |
| -0.000 | 0.000 | -0.000 | 0.000 | -10.453 | 0.000 |
| -0.000 | -0.000 | 0.000 | 0.000 | 0.000 | -10.453 |
| 663.092 | 360.964 | 360.964 | 0.000 | -0.000 | 0.000 |
| 360.964 | 663.092 | 360.964 | -0.000 | -0.000 | 0.000 |
| 360.964 | 360.964 | 663.092 | 0.000 | -0.000 | 0.000 |
| -0.000 | -0.000 | 0.000 | 167.165 | -0.000 | 0.000 |
| 0.000 | -0.000 | 0.000 | 0.000 | 167.165 | 0.000 |
| -0.000 | -0.000 | 0.000 | -0.000 | -0.000 | 167.165 |
| 663.092 | 360.963 | 360.963 | 0.000 | 0.000 | -0.000 |
| 360.963 | 663.092 | 360.963 | -0.000 | 0.000 | -0.000 |
| 360.963 | 360.963 | 663.092 | 0.000 | 0.000 | -0.000 |
| 0.000 | 0.000 | -0.000 | 167.165 | 0.000 | -0.000 |
| -0.000 | 0.000 | -0.000 | 0.000 | 167.165 | -0.000 |
| -0.000 | 0.000 | -0.000 | -0.000 | 0.000 | 167.165 |
| 663.092 | 360.964 | 360.964 | 0.000 | -0.000 | 0.000 |
| 360.964 | 663.092 | 360.964 | -0.000 | 0.000 | 0.000 |
| 360.964 | 360.964 | 663.092 | -0.000 | 0.000 | 0.000 |
| 0.000 | -0.000 | 0.000 | 167.165 | -0.000 | 0.000 |
| -0.000 | 0.000 | 0.000 | -0.000 | 167.165 | 0.000 |
| -0.000 | 0.000 | 0.000 | 0.000 | -0.000 | 167.165 |
| 663.091 | 360.963 | 360.963 | 0.000 | 0.000 | -0.000 |
| 360.963 | 663.091 | 360.963 | 0.000 | -0.000 | -0.000 |
| 360.963 | 360.963 | 663.091 | 0.000 | -0.000 | -0.000 |
| -0.000 | 0.000 | -0.000 | 167.165 | 0.000 | -0.000 |
| 0.000 | -0.000 | -0.000 | -0.000 | 167.165 | -0.000 |
| 0.000 | -0.000 | -0.000 | -0.000 | -0.000 | 167.165 |
| 663.096 | 360.966 | 360.966 | -0.000 | -0.000 | 0.000 |
| 360.966 | 663.096 | 360.966 | -0.000 | -0.000 | 0.000 |
| 360.966 | 360.966 | 663.096 | -0.000 | -0.000 | 0.000 |
| 0.000 | -0.000 | 0.000 | 151.360 | -0.000 | 0.000 |
| -0.000 | 0.000 | 0.000 | -0.000 | 151.360 | 0.000 |
| -0.000 | 0.000 | 0.000 | 0.000 | -0.000 | 151.360 |
| 663.088 | 360.961 | 360.961 | 0.000 | 0.000 | -0.000 |
| 360.961 | 663.088 | 360.961 | -0.000 | -0.000 | -0.000 |
| 360.961 | 360.961 | 663.088 | -0.000 | 0.000 | -0.000 |
| -0.000 | 0.000 | -0.000 | 151.360 | -0.000 | -0.000 |
| 0.000 | -0.000 | -0.000 | 0.000 | 151.360 | -0.000 |
| 0.000 | -0.000 | -0.000 | -0.000 | -0.000 | 151.360 |
| 538.675 | 112.977 | 112.977 | 0.000 | 0.000 | 0.000 |
| 112.977 | 538.675 | 112.977 | 0.000 | 0.000 | 0.000 |
| 112.977 | 112.977 | 538.675 | 0.000 | -0.000 | 0.000 |
| -0.000 | 0.000 | -0.000 | 73.188 | 0.000 | 0.000 |
| 0.000 | 0.000 | 0.000 | 0.000 | 73.188 | 0.000 |
| 0.000 | 0.000 | 0.000 | 0.000 | 0.000 | 73.188 |
| 538.675 | 112.977 | 112.977 | -0.000 | -0.000 | -0.000 |
| 112.977 | 538.675 | 112.977 | -0.000 | -0.000 | -0.000 |
| 112.977 | 112.977 | 538.675 | -0.000 | -0.000 | 0.000 |
| 0.000 | -0.000 | 0.000 | 73.188 | -0.000 | -0.000 |
| -0.000 | -0.000 | -0.000 | -0.000 | 73.188 | -0.000 |
| -0.000 | -0.000 | -0.000 | -0.000 | -0.000 | 73.188 |
| 538.675 | 112.977 | 112.977 | 0.000 | 0.000 | 0.000 |
| 112.977 | 538.675 | 112.977 | 0.000 | 0.000 | 0.000 |
| 112.977 | 112.977 | 538.675 | 0.000 | 0.000 | 0.000 |
| 0.000 | 0.000 | 0.000 | 73.188 | 0.000 | 0.000 |
| 0.000 | 0.000 | 0.000 | 0.000 | 73.188 | 0.000 |
| 0.000 | 0.000 | 0.000 | -0.000 | 0.000 | 73.188 |
| 538.675 | 112.977 | 112.977 | -0.000 | -0.000 | -0.000 |
| 112.977 | 538.675 | 112.977 | -0.000 | -0.000 | -0.000 |
| 112.977 | 112.977 | 538.675 | -0.000 | -0.000 | -0.000 |
| -0.000 | -0.000 | -0.000 | 73.188 | -0.000 | -0.000 |
| -0.000 | -0.000 | -0.000 | -0.000 | 73.188 | -0.000 |
| -0.000 | -0.000 | -0.000 | 0.000 | -0.000 | 73.188 |
| 538.731 | 112.948 | 112.948 | 0.000 | 0.000 | 0.000 |
| 112.948 | 538.731 | 112.948 | 0.000 | 0.000 | 0.000 |
| 112.948 | 112.948 | 538.731 | 0.000 | 0.000 | 0.000 |
| 0.000 | 0.000 | 0.000 | 73.188 | 0.000 | 0.000 |
| 0.000 | 0.000 | 0.000 | 0.000 | 73.188 | 0.000 |
| 0.000 | 0.000 | 0.000 | 0.000 | 0.000 | 73.188 |
| 538.731 | 112.950 | 112.950 | -0.000 | -0.000 | -0.000 |
| 112.950 | 538.731 | 112.950 | -0.000 | -0.000 | -0.000 |
| 112.950 | 112.950 | 538.731 | -0.000 | 0.000 | -0.000 |
| -0.000 | -0.000 | -0.000 | 73.188 | -0.000 | -0.000 |
| -0.000 | -0.000 | -0.000 | -0.000 | 73.188 | -0.000 |
| -0.000 | -0.000 | -0.000 | -0.000 | -0.000 | 73.188 |
| 879.405 | 410.241 | 410.241 | -0.000 | -0.000 | 0.000 |
| 410.241 | 879.405 | 410.241 | 0.000 | -0.000 | 0.000 |
| 410.241 | 410.241 | 879.405 | 0.000 | -0.000 | 0.000 |
| 0.000 | 0.000 | 0.000 | 146.861 | -0.000 | 0.000 |
| 0.000 | 0.000 | 0.000 | 0.000 | 146.861 | 0.000 |
| 0.000 | 0.000 | 0.000 | 0.000 | -0.000 | 146.861 |
| 879.406 | 410.241 | 410.241 | 0.000 | 0.000 | 0.000 |
| 410.241 | 879.406 | 410.241 | 0.000 | 0.000 | 0.000 |
| 410.241 | 410.241 | 879.406 | -0.000 | 0.000 | -0.000 |
| -0.000 | -0.000 | 0.000 | 146.861 | 0.000 | 0.000 |
| -0.000 | -0.000 | -0.000 | 0.000 | 146.861 | -0.000 |
| -0.000 | -0.000 | -0.000 | -0.000 | 0.000 | 146.861 |
| 879.405 | 410.242 | 410.242 | 0.000 | -0.000 | 0.000 |
| 410.242 | 879.405 | 410.242 | 0.000 | -0.000 | 0.000 |
| 410.242 | 410.242 | 879.405 | 0.000 | -0.000 | -0.000 |
| 0.000 | 0.000 | 0.000 | 146.861 | -0.000 | 0.000 |
| 0.000 | 0.000 | 0.000 | 0.000 | 146.861 | 0.000 |
| 0.000 | 0.000 | 0.000 | 0.000 | -0.000 | 146.861 |
| 879.406 | 410.241 | 410.241 | 0.000 | 0.000 | 0.000 |
| 410.241 | 879.406 | 410.241 | 0.000 | 0.000 | -0.000 |
| 410.241 | 410.241 | 879.406 | -0.000 | 0.000 | -0.000 |
| -0.000 | -0.000 | -0.000 | 146.861 | 0.000 | -0.000 |
| -0.000 | -0.000 | -0.000 | -0.000 | 146.861 | -0.000 |
| -0.000 | -0.000 | -0.000 | -0.000 | 0.000 | 146.861 |
| 879.403 | 410.245 | 410.245 | 0.000 | -0.000 | 0.000 |
| 410.245 | 879.403 | 410.245 | 0.000 | -0.000 | -0.000 |
| 410.245 | 410.245 | 879.403 | -0.000 | -0.000 | 0.000 |
| 0.001 | 0.001 | 0.001 | 134.251 | -0.000 | 0.000 |
| 0.001 | 0.001 | 0.001 | 0.000 | 134.251 | 0.000 |
| 0.001 | 0.001 | 0.001 | 0.000 | -0.000 | 134.251 |
| 879.408 | 410.237 | 410.237 | -0.000 | 0.000 | -0.000 |
| 410.237 | 879.408 | 410.237 | 0.000 | 0.000 | 0.000 |
| 410.237 | 410.237 | 879.408 | 0.000 | 0.000 | -0.000 |
| -0.001 | -0.001 | -0.001 | 134.251 | 0.000 | -0.000 |
| -0.001 | -0.001 | -0.001 | 0.000 | 134.251 | -0.000 |
| -0.001 | -0.001 | -0.001 | -0.000 | 0.000 | 134.251 |
| 105.866 | 172.754 | 172.754 | 0.000 | 0.000 | 0.000 |
| 172.754 | 105.866 | 172.754 | 0.000 | -0.000 | -0.000 |
| 172.754 | 172.754 | 105.866 | 0.000 | 0.000 | 0.000 |
| -0.000 | 0.000 | 0.000 | 110.515 | -0.000 | 0.000 |
| -0.000 | 0.000 | 0.000 | 0.000 | 110.515 | 0.000 |
| -0.000 | 0.000 | 0.000 | 0.000 | -0.000 | 110.515 |
| 105.866 | 172.754 | 172.754 | -0.000 | -0.000 | -0.000 |
| 172.754 | 105.866 | 172.754 | -0.000 | -0.000 | -0.000 |
| 172.754 | 172.754 | 105.866 | -0.000 | -0.000 | -0.000 |
| -0.000 | -0.000 | -0.000 | 110.515 | -0.000 | -0.000 |
| 0.000 | -0.000 | -0.000 | -0.000 | 110.515 | -0.000 |
| 0.000 | -0.000 | -0.000 | 0.000 | 0.000 | 110.515 |
| 105.865 | 172.754 | 172.754 | 0.000 | 0.000 | 0.000 |
| 172.754 | 105.865 | 172.754 | 0.000 | 0.000 | 0.000 |
| 172.754 | 172.754 | 105.865 | 0.000 | 0.000 | 0.000 |
| -0.000 | -0.000 | -0.000 | 110.515 | -0.000 | -0.000 |
| -0.000 | -0.000 | -0.000 | 0.000 | 110.515 | 0.000 |
| -0.000 | -0.000 | -0.000 | 0.000 | 0.000 | 110.515 |
| 105.867 | 172.754 | 172.754 | -0.000 | -0.000 | -0.000 |
| 172.754 | 105.867 | 172.754 | -0.000 | -0.000 | 0.000 |
| 172.754 | 172.754 | 105.867 | -0.000 | -0.000 | -0.000 |
| 0.000 | 0.000 | 0.000 | 110.515 | 0.000 | -0.000 |
| 0.000 | 0.000 | 0.000 | -0.000 | 110.515 | -0.000 |
| 0.000 | 0.000 | 0.000 | -0.000 | 0.000 | 110.515 |
| 105.857 | 172.754 | 172.754 | 0.000 | 0.000 | 0.000 |
| 172.754 | 105.857 | 172.754 | 0.000 | 0.000 | 0.000 |
| 172.754 | 172.754 | 105.857 | 0.000 | 0.000 | 0.000 |
| -0.000 | -0.001 | -0.001 | 110.515 | 0.000 | -0.000 |
| -0.001 | -0.000 | -0.001 | 0.000 | 110.515 | 0.000 |
| -0.001 | -0.001 | -0.000 | 0.000 | -0.000 | 110.515 |
| 105.874 | 172.755 | 172.755 | -0.000 | -0.000 | -0.000 |
| 172.755 | 105.874 | 172.755 | -0.000 | -0.000 | -0.000 |
| 172.755 | 172.755 | 105.874 | -0.000 | -0.000 | -0.000 |
| 0.000 | 0.001 | 0.001 | 110.515 | 0.000 | -0.000 |
| 0.001 | 0.000 | 0.001 | -0.000 | 110.515 | -0.000 |
| 0.001 | 0.001 | 0.000 | -0.000 | -0.000 | 110.515 |
| 673.729 | 370.479 | 370.479 | -0.000 | 0.000 | 0.000 |
| 370.479 | 673.729 | 370.479 | 0.000 | -0.000 | 0.000 |
| 370.479 | 370.479 | 673.729 | 0.000 | 0.000 | 0.000 |
| -0.000 | -0.000 | -0.000 | 275.016 | 0.000 | 0.000 |
| -0.000 | -0.000 | -0.000 | 0.000 | 275.016 | 0.000 |
| -0.000 | -0.000 | -0.000 | 0.000 | 0.000 | 275.016 |
| 673.729 | 370.479 | 370.479 | -0.000 | 0.000 | -0.000 |
| 370.479 | 673.729 | 370.479 | -0.000 | -0.000 | -0.000 |
| 370.479 | 370.479 | 673.729 | -0.000 | -0.000 | -0.000 |
| 0.000 | 0.000 | 0.000 | 275.016 | -0.000 | -0.000 |
| 0.000 | 0.000 | 0.000 | -0.000 | 275.016 | -0.000 |
| 0.000 | 0.000 | 0.000 | -0.000 | -0.000 | 275.016 |
| 673.729 | 370.479 | 370.479 | 0.000 | -0.000 | 0.000 |
| 370.479 | 673.729 | 370.479 | 0.000 | 0.000 | 0.000 |
| 370.479 | 370.479 | 673.729 | 0.000 | -0.000 | 0.000 |
| -0.000 | -0.000 | -0.000 | 275.016 | 0.000 | 0.000 |
| -0.000 | -0.000 | -0.000 | 0.000 | 275.016 | 0.000 |
| -0.000 | -0.000 | -0.000 | 0.000 | 0.000 | 275.016 |
| 673.730 | 370.479 | 370.479 | -0.000 | -0.000 | -0.000 |
| 370.479 | 673.730 | 370.479 | -0.000 | -0.000 | -0.000 |
| 370.479 | 370.479 | 673.730 | -0.000 | -0.000 | -0.000 |
| 0.000 | 0.000 | 0.000 | 275.016 | -0.000 | -0.000 |
| 0.000 | 0.000 | 0.000 | -0.000 | 275.016 | -0.000 |
| 0.000 | 0.000 | 0.000 | -0.000 | 0.000 | 275.016 |
| 673.727 | 370.479 | 370.479 | 0.000 | -0.000 | 0.000 |
| 370.479 | 673.727 | 370.479 | 0.000 | 0.000 | 0.000 |
| 370.479 | 370.479 | 673.727 | -0.000 | 0.000 | 0.000 |
| -0.001 | -0.001 | -0.001 | 275.016 | 0.000 | 0.000 |
| -0.001 | -0.001 | -0.001 | 0.000 | 275.016 | 0.000 |
| -0.001 | -0.001 | -0.001 | 0.000 | 0.000 | 275.016 |
| 673.732 | 370.479 | 370.479 | -0.000 | -0.000 | -0.000 |
| 370.479 | 673.732 | 370.479 | -0.000 | -0.000 | -0.000 |
| 370.479 | 370.479 | 673.732 | -0.000 | -0.000 | -0.000 |
| 0.001 | 0.001 | 0.001 | 275.016 | -0.000 | -0.000 |
| 0.001 | 0.001 | 0.001 | -0.000 | 275.016 | -0.000 |
| 0.001 | 0.001 | 0.001 | -0.000 | -0.000 | 275.016 |
| 704.916 | 360.061 | 376.207 | -0.000 | 0.000 | 0.000 |
| 360.061 | 704.916 | 376.207 | -0.000 | -0.000 | -0.000 |
| 376.207 | 376.207 | 662.008 | -0.000 | 0.000 | 0.000 |
| -0.000 | -0.000 | -0.000 | 279.457 | -0.000 | 0.000 |
| -0.000 | -0.000 | -0.000 | -0.000 | 279.457 | 0.000 |
| -0.000 | -0.000 | -0.000 | -0.000 | 0.000 | 264.506 |
| 703.758 | 361.219 | 376.207 | 0.000 | -0.000 | -0.000 |
| 361.219 | 703.758 | 376.207 | -0.000 | -0.000 | -0.000 |
| 376.207 | 376.207 | 662.008 | 0.000 | -0.000 | 0.000 |
| 0.000 | 0.000 | 0.000 | 279.457 | 0.000 | -0.000 |
| 0.000 | 0.000 | 0.000 | 0.000 | 279.457 | -0.000 |
| 0.000 | 0.000 | 0.000 | 0.000 | -0.000 | 264.506 |
| 704.916 | 360.061 | 376.207 | -0.000 | 0.000 | 0.000 |
| 360.061 | 704.916 | 376.207 | -0.000 | 0.000 | 0.000 |
| 376.207 | 376.207 | 662.008 | 0.000 | 0.000 | 0.000 |
| -0.000 | -0.000 | 0.000 | 280.216 | 0.000 | 0.000 |
| -0.000 | -0.000 | 0.000 | -0.000 | 280.216 | 0.000 |
| -0.000 | -0.000 | -0.000 | 0.000 | 0.000 | 264.506 |
| 703.758 | 361.219 | 376.207 | 0.000 | -0.000 | -0.000 |
| 361.219 | 703.758 | 376.207 | 0.000 | -0.000 | -0.000 |
| 376.207 | 376.207 | 662.008 | 0.000 | -0.000 | -0.000 |
| 0.000 | 0.000 | -0.000 | 280.216 | -0.000 | -0.000 |
| 0.000 | 0.000 | -0.000 | 0.000 | 280.216 | -0.000 |
| 0.000 | 0.000 | 0.000 | -0.000 | -0.000 | 264.506 |
| 703.756 | 361.219 | 376.207 | 0.000 | 0.000 | 0.000 |
| 361.219 | 703.756 | 376.207 | -0.000 | -0.000 | 0.000 |
| 376.207 | 376.207 | 662.008 | -0.000 | -0.000 | 0.000 |
| -0.000 | -0.001 | 0.000 | 280.216 | 0.000 | 0.000 |
| -0.001 | -0.000 | 0.000 | -0.000 | 280.216 | 0.000 |
| -0.001 | -0.001 | -0.000 | -0.000 | 0.000 | 264.506 |
| 703.760 | 361.219 | 376.206 | 0.000 | -0.000 | -0.000 |
| 361.219 | 703.760 | 376.206 | 0.000 | -0.000 | -0.000 |
| 376.206 | 376.206 | 662.008 | 0.000 | -0.000 | -0.000 |
| 0.000 | 0.001 | -0.000 | 280.216 | -0.000 | -0.000 |
| 0.001 | 0.000 | -0.000 | -0.000 | 280.216 | -0.000 |
| 0.001 | 0.001 | 0.000 | 0.000 | -0.000 | 264.506 |
| 60.227 | 60.233 | -9.226 | -0.000 | -0.000 | -0.000 |
| 60.233 | 60.227 | -9.226 | -0.000 | -0.000 | 0.000 |
| -9.226 | -9.226 | -122.990 | 0.000 | 0.000 | -0.000 |
| 0.000 | -0.000 | -0.000 | -10.079 | 0.000 | -0.000 |
| -0.000 | 0.000 | -0.000 | 0.000 | -10.079 | 0.000 |
| 0.000 | 0.000 | -0.000 | 0.000 | 0.000 | 46.625 |
| 59.622 | 60.838 | -9.226 | 0.000 | 0.000 | 0.000 |
| 60.838 | 59.622 | -9.226 | -0.000 | 0.000 | 0.000 |
| -9.226 | -9.226 | -122.990 | 0.000 | 0.000 | -0.000 |
| -0.000 | 0.000 | 0.000 | -10.079 | -0.000 | 0.000 |
| 0.000 | -0.000 | 0.000 | -0.000 | -10.079 | -0.000 |
| -0.000 | -0.000 | -0.000 | 0.000 | -0.000 | 46.625 |
| 59.622 | 60.838 | -9.226 | -0.000 | -0.000 | -0.000 |
| 60.838 | 59.622 | -9.226 | 0.000 | -0.000 | 0.000 |
| -9.226 | -9.226 | -122.991 | 0.000 | -0.000 | -0.000 |
| 0.000 | -0.000 | -0.000 | -10.079 | -0.000 | 0.000 |
| -0.000 | 0.000 | -0.000 | 0.000 | -10.079 | 0.000 |
| 0.000 | 0.000 | 0.000 | -0.000 | -0.000 | 46.625 |
| 60.227 | 60.233 | -9.226 | 0.000 | 0.000 | 0.000 |
| 60.233 | 60.227 | -9.226 | 0.000 | 0.000 | -0.000 |
| -9.226 | -9.226 | -122.989 | 0.000 | -0.000 | 0.000 |
| -0.000 | 0.000 | 0.000 | -10.079 | -0.000 | -0.000 |
| 0.000 | -0.000 | 0.000 | -0.000 | -10.079 | -0.000 |
| -0.000 | -0.000 | -0.000 | 0.000 | 0.000 | 46.625 |
| 60.227 | 60.233 | -9.226 | -0.000 | -0.000 | -0.000 |
| 60.233 | 60.227 | -9.226 | -0.000 | -0.000 | -0.000 |
| -9.226 | -9.226 | -122.995 | 0.000 | 0.000 | -0.000 |
| 0.000 | -0.000 | -0.000 | -10.079 | 0.000 | 0.000 |
| -0.000 | 0.000 | -0.000 | 0.000 | -10.079 | 0.000 |
| 0.000 | 0.000 | 0.000 | 0.000 | -0.000 | 46.625 |
| 60.227 | 60.233 | -9.226 | 0.000 | 0.000 | -0.000 |
| 60.233 | 60.227 | -9.226 | 0.000 | 0.000 | -0.000 |
| -9.225 | -9.225 | -122.985 | -0.000 | -0.000 | -0.000 |
| -0.000 | 0.000 | 0.000 | -10.079 | 0.000 | -0.000 |
| 0.000 | -0.000 | 0.000 | 0.000 | -10.079 | -0.000 |
| -0.000 | -0.000 | -0.000 | -0.000 | -0.000 | 46.625 |
| 625.509 | 464.678 | 364.885 | 0.000 | 0.000 | -0.000 |
| 464.678 | 625.509 | 364.885 | -0.000 | -0.000 | -0.000 |
| 364.885 | 364.885 | 986.987 | 0.000 | -0.000 | -0.000 |
| 0.000 | 0.000 | 0.000 | 203.409 | -0.000 | -0.000 |
| 0.000 | 0.000 | -0.000 | -0.000 | 203.409 | -0.000 |
| 0.000 | 0.000 | 0.000 | 0.000 | -0.000 | 298.489 |
| 627.488 | 462.698 | 364.885 | 0.000 | -0.000 | 0.000 |
| 462.698 | 627.488 | 364.885 | -0.000 | 0.000 | 0.000 |
| 364.885 | 364.885 | 986.987 | -0.000 | -0.000 | 0.000 |
| -0.000 | -0.000 | -0.000 | 203.409 | 0.000 | 0.000 |
| -0.000 | -0.000 | -0.000 | -0.000 | 203.409 | 0.000 |
| -0.000 | -0.000 | -0.000 | -0.000 | -0.000 | 298.490 |
| 625.510 | 464.678 | 364.885 | -0.000 | 0.000 | -0.000 |
| 464.678 | 625.510 | 364.885 | -0.000 | -0.000 | -0.000 |
| 364.885 | 364.885 | 986.987 | -0.000 | -0.000 | -0.000 |
| 0.000 | 0.000 | -0.000 | 203.409 | -0.000 | -0.000 |
| 0.000 | 0.000 | -0.000 | 0.000 | 203.409 | -0.000 |
| 0.000 | 0.000 | 0.000 | 0.000 | -0.000 | 298.489 |
| 627.487 | 462.698 | 364.884 | 0.000 | -0.000 | 0.000 |
| 462.698 | 627.487 | 364.884 | -0.000 | -0.000 | 0.000 |
| 364.884 | 364.884 | 986.987 | 0.000 | 0.000 | 0.000 |
| -0.000 | -0.000 | 0.000 | 203.409 | 0.000 | 0.000 |
| -0.000 | -0.000 | 0.000 | -0.000 | 203.409 | 0.000 |
| -0.000 | -0.000 | -0.000 | -0.000 | 0.000 | 298.489 |
| 625.521 | 464.683 | 364.889 | 0.000 | -0.000 | -0.000 |
| 464.683 | 625.521 | 364.889 | 0.000 | -0.000 | -0.000 |
| 364.888 | 364.888 | 986.990 | 0.000 | -0.000 | -0.000 |
| 0.000 | 0.000 | -0.001 | 203.409 | -0.000 | -0.000 |
| 0.000 | 0.000 | -0.001 | -0.000 | 203.409 | -0.000 |
| 0.001 | 0.002 | 0.000 | 0.000 | -0.000 | 298.489 |
| 627.477 | 462.693 | 364.880 | -0.000 | -0.000 | 0.000 |
| 462.693 | 627.477 | 364.880 | -0.000 | -0.000 | 0.000 |
| 364.881 | 364.881 | 986.985 | 0.000 | -0.000 | 0.000 |
| -0.000 | -0.000 | 0.001 | 203.409 | 0.000 | 0.000 |
| -0.000 | -0.000 | 0.001 | 0.000 | 203.409 | 0.000 |
| -0.001 | -0.002 | -0.000 | -0.000 | 0.000 | 298.489 |
| 504.817 | 73.759 | 7.222 | 0.000 | 0.000 | -0.000 |
| 140.782 | 435.320 | 4.987 | 0.000 | -0.000 | 0.000 |
| 7.222 | 7.222 | 435.530 | 0.000 | -0.000 | -0.000 |
| 0.001 | 0.001 | 0.002 | 138.395 | 0.000 | -0.000 |
| 0.001 | 0.001 | 0.002 | 0.000 | 138.395 | -0.000 |
| -0.000 | -0.000 | 0.000 | 0.000 | -0.000 | 215.529 |
| 504.817 | 73.759 | 7.222 | -0.000 | 0.000 | 0.000 |
| 73.759 | 504.817 | 7.222 | -0.000 | 0.000 | 0.000 |
| 7.222 | 7.222 | 435.530 | -0.000 | -0.000 | 0.000 |
| -0.001 | -0.001 | -0.002 | 138.395 | 0.000 | 0.000 |
| -0.001 | -0.001 | -0.002 | -0.000 | 138.395 | -0.000 |
| 0.000 | 0.000 | 0.000 | -0.000 | -0.000 | 215.529 |
| 504.817 | 73.759 | 7.222 | -0.000 | 0.000 | -0.000 |
| 73.759 | 504.817 | 7.222 | 0.000 | -0.000 | -0.000 |
| 7.222 | 7.222 | 435.531 | 0.000 | -0.000 | -0.000 |
| 0.000 | 0.000 | 0.000 | 138.395 | -0.000 | -0.000 |
| -0.000 | -0.000 | 0.000 | 0.000 | 152.446 | -0.000 |
| -0.001 | -0.000 | -0.001 | 0.000 | -0.000 | 141.040 |
| 468.110 | 97.988 | -4.050 | -0.000 | 0.000 | 0.000 |
| 73.759 | 504.818 | 7.222 | -0.000 | 0.000 | 0.000 |
| 7.222 | 7.222 | 435.529 | 0.000 | 0.000 | 0.000 |
| -0.000 | -0.000 | -0.000 | 138.395 | 0.000 | 0.000 |
| 0.000 | 0.000 | -0.000 | 0.000 | 152.446 | -0.000 |
| 0.001 | 0.000 | 0.001 | -0.000 | 0.000 | 141.040 |
| 468.107 | 97.986 | -4.051 | 0.000 | -0.000 | -0.000 |
| 73.758 | 504.814 | 7.221 | 0.000 | -0.000 | -0.000 |
| 7.224 | 7.224 | 435.539 | 0.000 | 0.000 | -0.000 |
| -0.000 | -0.000 | 0.002 | 152.446 | -0.000 | -0.000 |
| -0.000 | 0.000 | 0.002 | 0.000 | 138.395 | -0.000 |
| -0.002 | -0.001 | -0.000 | 0.000 | -0.000 | 157.681 |
| 468.112 | 97.991 | -4.049 | -0.000 | -0.000 | 0.000 |
| 140.784 | 435.324 | 4.988 | 0.000 | 0.000 | -0.000 |
| 7.221 | 7.221 | 435.521 | -0.000 | 0.000 | 0.000 |
| 0.000 | 0.000 | -0.002 | 152.446 | -0.000 | 0.000 |
| 0.000 | -0.000 | -0.002 | -0.000 | 138.395 | 0.000 |
| 0.002 | 0.001 | 0.000 | -0.000 | 0.000 | 157.681 |
| 520.424 | 276.020 | 276.020 | -0.000 | -0.000 | -0.000 |
| 276.020 | 520.424 | 276.020 | -0.000 | -0.000 | -0.000 |
| 276.020 | 276.020 | 520.424 | -0.000 | -0.000 | -0.000 |
| 0.000 | 0.000 | 0.000 | 69.107 | -0.000 | -0.000 |
| 0.000 | -0.000 | 0.000 | -0.000 | 69.107 | -0.000 |
| 0.000 | 0.000 | 0.000 | -0.000 | -0.000 | 69.107 |
| 517.714 | 277.375 | 277.375 | -0.000 | -0.000 | 0.000 |
| 277.375 | 517.714 | 277.375 | -0.000 | -0.000 | -0.000 |
| 277.375 | 277.375 | 517.714 | -0.000 | -0.000 | 0.000 |
| -0.000 | -0.000 | -0.000 | 69.107 | 0.000 | 0.000 |
| -0.000 | -0.000 | -0.000 | 0.000 | 69.107 | 0.000 |
| -0.000 | -0.000 | -0.000 | 0.000 | 0.000 | 69.107 |
| 520.424 | 276.021 | 276.021 | -0.000 | -0.000 | -0.000 |
| 276.021 | 520.424 | 276.021 | -0.000 | -0.000 | -0.000 |
| 276.021 | 276.021 | 520.424 | 0.000 | 0.000 | -0.000 |
| 0.000 | 0.000 | 0.000 | 81.824 | -0.000 | 0.000 |
| 0.000 | 0.000 | 0.000 | -0.000 | 81.824 | -0.000 |
| 0.000 | 0.000 | 0.000 | -0.000 | -0.000 | 81.824 |
| 520.424 | 276.020 | 276.020 | 0.000 | 0.000 | 0.000 |
| 276.020 | 520.424 | 276.020 | 0.000 | 0.000 | 0.000 |
| 276.020 | 276.020 | 520.424 | -0.000 | 0.000 | 0.000 |
| -0.000 | -0.000 | -0.000 | 81.824 | 0.000 | 0.000 |
| -0.000 | -0.000 | -0.000 | 0.000 | 81.824 | 0.000 |
| -0.000 | -0.000 | -0.000 | 0.000 | 0.000 | 81.824 |
| 520.425 | 276.024 | 276.024 | 0.000 | -0.000 | -0.000 |
| 276.024 | 520.425 | 276.024 | -0.000 | -0.000 | -0.000 |
| 276.024 | 276.024 | 520.425 | -0.000 | 0.000 | -0.000 |
| 0.001 | 0.001 | 0.001 | 69.107 | 0.000 | -0.000 |
| 0.001 | 0.001 | 0.001 | -0.000 | 69.107 | -0.000 |
| 0.001 | 0.001 | 0.001 | 0.000 | -0.000 | 69.107 |
| 520.422 | 276.016 | 276.016 | 0.000 | 0.000 | 0.000 |
| 276.016 | 520.422 | 276.016 | 0.000 | 0.000 | 0.000 |
| 276.016 | 276.016 | 520.422 | 0.000 | -0.000 | 0.000 |
| -0.001 | -0.001 | -0.001 | 69.107 | 0.000 | 0.000 |
| -0.001 | -0.001 | -0.001 | 0.000 | 69.107 | 0.000 |
| -0.001 | -0.001 | -0.001 | 0.000 | 0.000 | 69.107 |
| 714.506 | 428.045 | 428.045 | 0.000 | -0.000 | 0.000 |
| 428.045 | 714.506 | 428.045 | -0.000 | -0.000 | 0.000 |
| 428.045 | 428.045 | 714.506 | 0.000 | 0.000 | 0.000 |
| 0.000 | -0.000 | 0.000 | 171.671 | -0.000 | 0.000 |
| -0.000 | -0.000 | 0.000 | 0.000 | 171.671 | 0.000 |
| 0.000 | 0.000 | 0.000 | -0.000 | -0.000 | 171.671 |
| 714.506 | 428.045 | 428.045 | 0.000 | 0.000 | 0.000 |
| 428.045 | 714.506 | 428.045 | 0.000 | 0.000 | -0.000 |
| 428.045 | 428.045 | 714.506 | -0.000 | 0.000 | -0.000 |
| -0.000 | 0.000 | -0.000 | 171.671 | 0.000 | 0.000 |
| 0.000 | 0.000 | -0.000 | -0.000 | 171.671 | -0.000 |
| -0.000 | 0.000 | -0.000 | 0.000 | 0.000 | 171.671 |
| 714.506 | 428.046 | 428.046 | 0.000 | -0.000 | 0.000 |
| 428.046 | 714.506 | 428.046 | 0.000 | -0.000 | 0.000 |
| 428.046 | 428.046 | 714.506 | -0.000 | -0.000 | -0.000 |
| 0.000 | 0.000 | 0.000 | 169.986 | -0.000 | -0.000 |
| 0.000 | 0.000 | 0.000 | -0.000 | 169.986 | 0.000 |
| 0.000 | 0.000 | 0.000 | -0.000 | -0.000 | 169.986 |
| 714.506 | 428.045 | 428.045 | -0.000 | 0.000 | -0.000 |
| 428.045 | 714.506 | 428.045 | -0.000 | 0.000 | 0.000 |
| 428.045 | 428.045 | 714.506 | 0.000 | 0.000 | -0.000 |
| -0.000 | -0.000 | -0.000 | 169.986 | 0.000 | -0.000 |
| -0.000 | -0.000 | -0.000 | 0.000 | 169.986 | -0.000 |
| -0.000 | -0.000 | -0.000 | 0.000 | 0.000 | 169.986 |
| 714.507 | 428.048 | 428.048 | -0.000 | -0.000 | -0.000 |
| 428.048 | 714.507 | 428.048 | -0.000 | -0.000 | -0.000 |
| 428.048 | 428.048 | 714.507 | -0.000 | -0.000 | 0.000 |
| 0.000 | 0.000 | 0.000 | 171.671 | -0.000 | 0.000 |
| 0.000 | 0.000 | 0.000 | -0.000 | 171.671 | 0.000 |
| 0.000 | 0.000 | 0.000 | 0.000 | -0.000 | 171.671 |
| 714.505 | 428.042 | 428.042 | -0.000 | 0.000 | -0.000 |
| 428.042 | 714.505 | 428.042 | -0.000 | 0.000 | 0.000 |
| 428.042 | 428.042 | 714.505 | -0.000 | 0.000 | -0.000 |
| -0.000 | -0.000 | -0.000 | 171.671 | 0.000 | 0.000 |
| -0.000 | -0.000 | -0.000 | 0.000 | 171.671 | -0.000 |
| -0.000 | -0.000 | -0.000 | 0.000 | 0.000 | 171.671 |
| 456.029 | 230.274 | 230.274 | 0.000 | -0.000 | 0.000 |
| 230.274 | 456.029 | 230.274 | 0.000 | -0.000 | 0.000 |
| 230.274 | 230.274 | 456.029 | -0.000 | -0.000 | 0.000 |
| -0.000 | -0.000 | -0.000 | 163.074 | 0.000 | 0.000 |
| -0.000 | -0.000 | -0.000 | -0.000 | 163.074 | 0.000 |
| -0.000 | -0.000 | -0.000 | 0.000 | -0.000 | 163.074 |
| 456.029 | 230.274 | 230.274 | -0.000 | 0.000 | -0.000 |
| 230.274 | 456.029 | 230.274 | 0.000 | 0.000 | -0.000 |
| 230.274 | 230.274 | 456.029 | -0.000 | 0.000 | -0.000 |
| 0.000 | 0.000 | 0.000 | 163.074 | -0.000 | -0.000 |
| 0.000 | 0.000 | 0.000 | 0.000 | 163.074 | -0.000 |
| 0.000 | 0.000 | 0.000 | -0.000 | 0.000 | 163.074 |
| 456.029 | 230.274 | 230.274 | 0.000 | -0.000 | 0.000 |
| 230.274 | 456.029 | 230.274 | -0.000 | 0.000 | 0.000 |
| 230.274 | 230.274 | 456.029 | 0.000 | -0.000 | 0.000 |
| -0.000 | -0.000 | 0.000 | 163.074 | -0.000 | 0.000 |
| -0.000 | -0.000 | 0.000 | 0.000 | 163.074 | 0.000 |
| -0.000 | 0.000 | -0.000 | 0.000 | -0.000 | 163.074 |
| 456.029 | 230.274 | 230.274 | 0.000 | 0.000 | -0.000 |
| 230.274 | 456.029 | 230.274 | 0.000 | 0.000 | -0.000 |
| 230.274 | 230.274 | 456.029 | 0.000 | 0.000 | -0.000 |
| 0.000 | 0.000 | -0.000 | 163.074 | 0.000 | -0.000 |
| 0.000 | 0.000 | -0.000 | 0.000 | 163.074 | -0.000 |
| 0.000 | -0.000 | 0.000 | -0.000 | 0.000 | 163.074 |
| 456.028 | 230.273 | 230.273 | -0.000 | 0.000 | 0.000 |
| 230.273 | 456.028 | 230.273 | -0.000 | -0.000 | 0.000 |
| 230.273 | 230.273 | 456.028 | -0.000 | -0.000 | 0.000 |
| -0.000 | -0.000 | 0.000 | 163.074 | -0.000 | 0.000 |
| -0.000 | -0.000 | 0.000 | 0.000 | 163.074 | 0.000 |
| -0.000 | 0.000 | -0.000 | 0.000 | -0.000 | 163.074 |
| 456.031 | 230.275 | 230.275 | -0.000 | 0.000 | -0.000 |
| 230.275 | 456.031 | 230.275 | -0.000 | 0.000 | -0.000 |
| 230.275 | 230.275 | 456.031 | 0.000 | 0.000 | -0.000 |
| 0.000 | 0.000 | -0.000 | 163.074 | 0.000 | -0.000 |
| 0.000 | 0.000 | -0.000 | -0.000 | 163.074 | -0.000 |
| 0.000 | -0.000 | 0.000 | -0.000 | 0.000 | 163.074 |
| 447.373 | 222.233 | 222.533 | 0.000 | 0.000 | -0.000 |
| 222.233 | 447.373 | 222.533 | -0.000 | 0.000 | -0.000 |
| 222.533 | 222.533 | 450.578 | -0.000 | 0.000 | -0.000 |
| -0.000 | -0.000 | 0.000 | 163.111 | 0.000 | -0.000 |
| -0.000 | -0.000 | 0.000 | 0.000 | 163.111 | -0.000 |
| -0.000 | -0.000 | 0.000 | -0.000 | 0.000 | 163.231 |
| 447.373 | 222.233 | 222.533 | -0.000 | -0.000 | 0.000 |
| 222.233 | 447.373 | 222.533 | -0.000 | -0.000 | 0.000 |
| 222.533 | 222.533 | 450.578 | -0.000 | -0.000 | 0.000 |
| 0.000 | 0.000 | 0.000 | 163.111 | -0.000 | 0.000 |
| 0.000 | 0.000 | -0.000 | -0.000 | 163.111 | 0.000 |
| 0.000 | 0.000 | 0.000 | 0.000 | -0.000 | 163.231 |
| 447.373 | 222.233 | 222.533 | 0.000 | 0.000 | -0.000 |
| 222.233 | 447.373 | 222.533 | 0.000 | 0.000 | -0.000 |
| 222.533 | 222.533 | 450.578 | 0.000 | 0.000 | -0.000 |
| -0.000 | -0.000 | -0.000 | 163.111 | 0.000 | -0.000 |
| -0.000 | -0.000 | -0.000 | 0.000 | 163.111 | -0.000 |
| -0.000 | 0.000 | -0.000 | -0.000 | 0.000 | 163.231 |
| 447.373 | 222.233 | 222.533 | -0.000 | 0.000 | 0.000 |
| 222.233 | 447.373 | 222.533 | 0.000 | -0.000 | 0.000 |
| 222.533 | 222.533 | 450.579 | -0.000 | -0.000 | 0.000 |
| 0.000 | 0.000 | 0.000 | 163.111 | -0.000 | 0.000 |
| 0.000 | 0.000 | 0.000 | 0.000 | 163.111 | 0.000 |
| 0.000 | -0.000 | 0.000 | 0.000 | -0.000 | 163.231 |
| 446.240 | 223.364 | 222.533 | 0.000 | 0.000 | -0.000 |
| 223.364 | 446.240 | 222.533 | 0.000 | 0.000 | -0.000 |
| 222.533 | 222.533 | 450.576 | 0.000 | 0.000 | -0.000 |
| -0.000 | -0.000 | -0.000 | 162.447 | 0.000 | -0.000 |
| -0.000 | -0.000 | -0.000 | 0.000 | 162.447 | -0.000 |
| -0.000 | 0.000 | -0.000 | 0.000 | 0.000 | 163.231 |
| 447.375 | 222.234 | 222.534 | -0.000 | -0.000 | 0.000 |
| 222.234 | 447.375 | 222.534 | 0.000 | -0.000 | 0.000 |
| 222.534 | 222.534 | 450.580 | -0.000 | -0.000 | 0.000 |
| 0.000 | 0.000 | 0.000 | 162.447 | -0.000 | 0.000 |
| 0.000 | 0.000 | 0.000 | -0.000 | 162.447 | 0.000 |
| 0.000 | -0.000 | 0.000 | -0.000 | -0.000 | 163.231 |
| -267.839 | 38.524 | 146.615 | 0.000 | -0.000 | -0.000 |
| 38.524 | -267.839 | 146.615 | 0.000 | 0.000 | -0.000 |
| 146.615 | 146.615 | 513.403 | 0.000 | -0.000 | -0.000 |
| -0.000 | 0.000 | -0.000 | 110.638 | -0.000 | -0.000 |
| -0.000 | 0.000 | 0.000 | -0.000 | 110.638 | -0.000 |
| -0.000 | 0.000 | -0.000 | -0.000 | -0.000 | 1.790 |
| -269.564 | 40.250 | 146.615 | 0.000 | 0.000 | 0.000 |
| 40.250 | -269.564 | 146.615 | 0.000 | 0.000 | 0.000 |
| 146.615 | 146.615 | 513.403 | 0.000 | 0.000 | 0.000 |
| 0.000 | 0.000 | 0.000 | 110.638 | 0.000 | 0.000 |
| 0.000 | -0.000 | 0.000 | -0.000 | 110.638 | 0.000 |
| 0.000 | -0.000 | 0.000 | 0.000 | 0.000 | 1.790 |
| -269.564 | 40.250 | 146.615 | -0.000 | -0.000 | -0.000 |
| 40.250 | -269.564 | 146.615 | -0.000 | -0.000 | -0.000 |
| 146.615 | 146.615 | 513.403 | 0.000 | -0.000 | -0.000 |
| -0.000 | -0.000 | -0.000 | 112.501 | -0.000 | -0.000 |
| -0.000 | -0.000 | -0.000 | -0.000 | 112.501 | -0.000 |
| -0.000 | 0.000 | -0.000 | -0.000 | -0.000 | 1.790 |
| -269.565 | 40.250 | 146.614 | 0.000 | 0.000 | 0.000 |
| 40.250 | -269.565 | 146.614 | 0.000 | 0.000 | 0.000 |
| 146.614 | 146.614 | 513.403 | 0.000 | 0.000 | 0.000 |
| 0.000 | 0.000 | 0.000 | 112.501 | 0.000 | 0.000 |
| 0.000 | 0.000 | 0.000 | -0.000 | 112.501 | 0.000 |
| 0.000 | -0.000 | 0.000 | 0.000 | 0.000 | 1.790 |
| -267.837 | 38.528 | 146.618 | -0.000 | -0.000 | -0.000 |
| 38.528 | -267.837 | 146.618 | -0.000 | -0.000 | -0.000 |
| 146.618 | 146.618 | 513.404 | -0.000 | -0.000 | -0.000 |
| -0.000 | -0.000 | -0.001 | 112.501 | -0.000 | -0.000 |
| -0.000 | -0.000 | -0.001 | -0.000 | 112.501 | -0.000 |
| -0.000 | 0.000 | -0.000 | -0.000 | -0.000 | 1.790 |
| -267.841 | 38.520 | 146.611 | 0.000 | 0.000 | 0.000 |
| 38.520 | -267.841 | 146.611 | -0.000 | 0.000 | 0.000 |
| 146.611 | 146.611 | 513.402 | -0.000 | 0.000 | 0.000 |
| 0.000 | 0.000 | 0.001 | 112.501 | 0.000 | 0.000 |
| 0.000 | 0.000 | 0.001 | 0.000 | 112.501 | 0.000 |
| 0.000 | -0.000 | 0.000 | 0.000 | 0.000 | 1.790 |
| 504.167 | 224.957 | 200.838 | -0.000 | -0.000 | -0.000 |
| 224.957 | 504.167 | 200.838 | -0.000 | -0.000 | -0.000 |
| 200.719 | 200.719 | 430.485 | -0.000 | -0.000 | -0.000 |
| 0.052 | 0.052 | -0.358 | 125.541 | -0.000 | -0.000 |
| 0.052 | 0.052 | -0.358 | -0.000 | 125.541 | -0.000 |
| 0.057 | 0.058 | -0.399 | -0.000 | -0.000 | 139.617 |
| 504.545 | 224.375 | 201.545 | 0.000 | 0.000 | 0.000 |
| 225.192 | 503.950 | 200.776 | 0.000 | 0.000 | 0.000 |
| 200.685 | 200.685 | 430.723 | 0.000 | 0.000 | 0.000 |
| -0.052 | -0.052 | 0.358 | 125.541 | 0.000 | 0.000 |
| -0.052 | -0.052 | 0.358 | 0.000 | 125.541 | 0.000 |
| -0.057 | -0.058 | 0.399 | 0.000 | 0.000 | 139.617 |
| 510.319 | 218.910 | 200.474 | 0.000 | -0.000 | -0.000 |
| 224.742 | 504.284 | 201.178 | -0.000 | -0.000 | -0.000 |
| 200.703 | 200.703 | 430.592 | -0.000 | -0.000 | -0.000 |
| 0.005 | 0.005 | -0.037 | 125.486 | -0.000 | -0.000 |
| 0.005 | 0.005 | -0.037 | -0.000 | 125.486 | -0.000 |
| -0.000 | 0.000 | -0.000 | 0.000 | -0.000 | 145.704 |
| 510.319 | 218.911 | 200.475 | -0.000 | 0.000 | 0.000 |
| 225.209 | 503.968 | 200.659 | 0.000 | 0.000 | 0.000 |
| 200.700 | 200.700 | 430.616 | 0.000 | 0.000 | 0.000 |
| -0.005 | -0.005 | 0.037 | 125.486 | 0.000 | 0.000 |
| -0.005 | -0.005 | 0.037 | 0.000 | 125.486 | 0.000 |
| 0.000 | -0.000 | 0.000 | -0.000 | 0.000 | 145.704 |
| 504.301 | 224.715 | 201.209 | -0.000 | -0.000 | -0.000 |
| 218.910 | 510.317 | 200.473 | 0.000 | -0.000 | -0.000 |
| 200.701 | 200.701 | 430.600 | -0.000 | -0.000 | -0.000 |
| 0.000 | -0.000 | -0.004 | 125.485 | -0.000 | -0.000 |
| -0.000 | 0.000 | -0.004 | -0.000 | 125.485 | -0.000 |
| 0.000 | 0.001 | -0.004 | -0.000 | -0.000 | 139.545 |
| 510.320 | 218.911 | 200.476 | -0.000 | 0.000 | 0.000 |
| 218.911 | 510.320 | 200.476 | -0.000 | 0.000 | 0.000 |
| 200.703 | 200.703 | 430.608 | 0.000 | 0.000 | 0.000 |
| -0.000 | 0.000 | 0.004 | 125.485 | 0.000 | 0.000 |
| 0.000 | -0.000 | 0.004 | 0.000 | 125.485 | 0.000 |
| -0.000 | -0.001 | 0.004 | 0.000 | 0.000 | 139.545 |
| 555.034 | 221.015 | 235.067 | 0.000 | -0.000 | 0.000 |
| 196.965 | 519.723 | 194.642 | 0.000 | -0.000 | 0.000 |
| 201.030 | 193.123 | 503.470 | 0.000 | -0.000 | 0.000 |
| 2.185 | 0.136 | 3.515 | 125.545 | -0.000 | 0.000 |
| 0.000 | -0.000 | 0.000 | 0.000 | 166.093 | 0.000 |
| 0.000 | -0.000 | -0.000 | 0.000 | -0.000 | 156.915 |
| 555.034 | 221.015 | 235.067 | -0.000 | 0.000 | -0.000 |
| 197.672 | 519.782 | 195.762 | -0.000 | 0.000 | -0.000 |
| 234.982 | 215.519 | 534.700 | -0.000 | 0.000 | -0.000 |
| -2.185 | -0.136 | -3.515 | 125.545 | 0.000 | -0.000 |
| -0.000 | 0.000 | -0.000 | -0.000 | 166.094 | -0.000 |
| -0.000 | 0.000 | 0.000 | -0.000 | 0.000 | 156.915 |
| 555.034 | 221.015 | 235.067 | 0.000 | -0.000 | -0.000 |
| 221.287 | 536.754 | 215.875 | 0.000 | -0.000 | 0.000 |
| 234.983 | 215.519 | 534.701 | 0.000 | -0.000 | 0.000 |
| 0.244 | 0.015 | 0.392 | 122.999 | -0.000 | 0.000 |
| 0.116 | 0.007 | 0.186 | 0.000 | 165.641 | 0.000 |
| 0.000 | 0.000 | 0.000 | 0.000 | -0.000 | 156.915 |
| 518.003 | 195.530 | 202.224 | -0.000 | 0.000 | -0.000 |
| 221.286 | 536.754 | 215.875 | -0.000 | 0.000 | -0.000 |
| 199.854 | 192.837 | 501.824 | -0.000 | 0.000 | -0.000 |
| -0.244 | -0.015 | -0.392 | 122.999 | 0.000 | -0.000 |
| -0.116 | -0.007 | -0.186 | -0.000 | 165.641 | -0.000 |
| -0.000 | -0.000 | -0.000 | -0.000 | 0.000 | 156.915 |
| 555.035 | 221.015 | 235.068 | -0.000 | -0.000 | 0.000 |
| 221.287 | 536.756 | 215.876 | -0.000 | -0.000 | 0.000 |
| 234.984 | 215.520 | 534.703 | 0.000 | -0.000 | -0.000 |
| 0.025 | 0.001 | 0.039 | 122.969 | -0.000 | 0.000 |
| 0.012 | 0.001 | 0.019 | 0.000 | 165.636 | 0.000 |
| 0.004 | 0.001 | 0.007 | 0.000 | -0.000 | 156.915 |
| 555.033 | 221.014 | 235.066 | 0.000 | 0.000 | -0.000 |
| 195.891 | 519.241 | 193.392 | -0.000 | 0.000 | -0.000 |
| 200.055 | 193.043 | 501.920 | -0.000 | 0.000 | -0.000 |
| -0.025 | -0.001 | -0.039 | 122.969 | 0.000 | -0.000 |
| -0.012 | -0.001 | -0.019 | -0.000 | 165.636 | -0.000 |
| -0.004 | -0.001 | -0.007 | -0.000 | 0.000 | 156.915 |
| 515.185 | 194.506 | 197.844 | 0.000 | -0.000 | -0.000 |
| 218.908 | 534.817 | 213.253 | 0.000 | 0.000 | 0.000 |
| 231.191 | 213.253 | 524.374 | -0.000 | -0.000 | 0.000 |
| 0.833 | 0.914 | 0.372 | 123.711 | 0.000 | 0.000 |
| 0.000 | -0.000 | 0.000 | -0.000 | 163.957 | 0.000 |
| 0.126 | 0.138 | 0.056 | -0.000 | 0.000 | 155.188 |
| 515.243 | 194.343 | 198.137 | 0.000 | 0.000 | 0.000 |
| 198.308 | 519.592 | 195.330 | -0.000 | 0.000 | 0.000 |
| 195.553 | 190.156 | 489.534 | 0.000 | 0.000 | 0.000 |
| -0.833 | -0.914 | -0.372 | 123.711 | -0.000 | -0.000 |
| -0.000 | 0.000 | -0.000 | 0.000 | 163.957 | 0.000 |
| -0.126 | -0.138 | -0.056 | -0.000 | -0.000 | 155.188 |
| 550.853 | 218.908 | 231.191 | 0.000 | -0.000 | -0.000 |
| 198.220 | 519.610 | 195.157 | 0.000 | -0.000 | -0.000 |
| 195.801 | 190.447 | 489.623 | 0.000 | -0.000 | -0.000 |
| 0.084 | 0.092 | 0.038 | 123.515 | 0.000 | 0.000 |
| 0.000 | 0.000 | 0.000 | 0.000 | 163.957 | 0.000 |
| 0.000 | 0.000 | 0.000 | -0.000 | 0.000 | 155.188 |
| 550.853 | 218.908 | 231.191 | 0.000 | -0.000 | -0.000 |
| 198.237 | 519.606 | 195.189 | -0.000 | 0.000 | 0.000 |
| 195.836 | 190.521 | 489.594 | 0.000 | 0.000 | -0.000 |
| -0.084 | -0.092 | -0.038 | 123.515 | -0.000 | 0.000 |
| -0.000 | -0.000 | -0.000 | -0.000 | 163.957 | 0.000 |
| -0.000 | -0.000 | -0.000 | 0.000 | -0.000 | 155.188 |
| 550.855 | 218.909 | 231.193 | -0.000 | 0.000 | -0.000 |
| 198.228 | 519.610 | 195.172 | -0.000 | 0.000 | 0.000 |
| 195.781 | 190.423 | 489.620 | -0.000 | 0.000 | 0.000 |
| 0.009 | 0.009 | 0.004 | 123.514 | 0.000 | 0.000 |
| -0.002 | -0.004 | 0.001 | 0.000 | 163.444 | 0.000 |
| 0.002 | 0.002 | 0.001 | -0.000 | 0.000 | 155.188 |
| 550.851 | 218.907 | 231.190 | 0.000 | 0.000 | 0.000 |
| 194.472 | 517.987 | 190.537 | 0.000 | -0.000 | 0.000 |
| 195.773 | 190.415 | 489.607 | 0.000 | -0.000 | 0.000 |
| -0.009 | -0.009 | -0.004 | 123.514 | 0.000 | 0.000 |
| 0.002 | 0.004 | -0.001 | 0.000 | 163.444 | -0.000 |
| -0.002 | -0.002 | -0.001 | 0.000 | -0.000 | 155.188 |
| 853.760 | 1.503 | 1.503 | 0.000 | -0.000 | -0.000 |
| 1.503 | 853.760 | 1.503 | -0.000 | 0.000 | -0.000 |
| 1.503 | 1.503 | 853.760 | -0.000 | -0.000 | -0.000 |
| -0.000 | 0.000 | -0.000 | 81.060 | -0.000 | -0.000 |
| -0.000 | 0.000 | -0.000 | 0.000 | 81.060 | -0.000 |
| -0.000 | 0.000 | -0.000 | 0.000 | -0.000 | 81.060 |
| 853.760 | 1.503 | 1.503 | 0.000 | -0.000 | 0.000 |
| 1.503 | 853.760 | 1.503 | -0.000 | 0.000 | 0.000 |
| 1.503 | 1.503 | 853.760 | -0.000 | 0.000 | 0.000 |
| 0.000 | 0.000 | 0.000 | 81.060 | 0.000 | 0.000 |
| 0.000 | -0.000 | 0.000 | -0.000 | 81.060 | 0.000 |
| 0.000 | -0.000 | 0.000 | 0.000 | 0.000 | 81.060 |
| 853.761 | 1.503 | 1.503 | 0.000 | -0.000 | -0.000 |
| 1.503 | 853.761 | 1.503 | 0.000 | 0.000 | -0.000 |
| 1.503 | 1.503 | 853.761 | -0.000 | -0.000 | -0.000 |
| 0.000 | 0.000 | 0.000 | 81.060 | -0.000 | -0.000 |
| 0.000 | 0.000 | 0.000 | -0.000 | 81.060 | -0.000 |
| 0.000 | 0.000 | 0.000 | 0.000 | -0.000 | 81.060 |
| 853.760 | 1.503 | 1.503 | 0.000 | -0.000 | 0.000 |
| 1.503 | 853.760 | 1.503 | 0.000 | -0.000 | 0.000 |
| 1.503 | 1.503 | 853.760 | -0.000 | 0.000 | 0.000 |
| -0.000 | -0.000 | -0.000 | 81.060 | 0.000 | 0.000 |
| -0.000 | -0.000 | -0.000 | -0.000 | 81.060 | 0.000 |
| -0.000 | -0.000 | 0.000 | -0.000 | 0.000 | 81.060 |
| 853.766 | 1.503 | 1.503 | 0.000 | -0.000 | -0.000 |
| 1.503 | 853.766 | 1.503 | 0.000 | -0.000 | -0.000 |
| 1.503 | 1.503 | 853.766 | -0.000 | -0.000 | -0.000 |
| 0.000 | 0.000 | 0.000 | 81.060 | 0.000 | -0.000 |
| 0.000 | 0.000 | 0.000 | 0.000 | 81.060 | -0.000 |
| 0.000 | 0.000 | 0.000 | 0.000 | -0.000 | 81.060 |
| 853.755 | 1.504 | 1.504 | -0.000 | 0.000 | 0.000 |
| 1.504 | 853.755 | 1.504 | 0.000 | 0.000 | 0.000 |
| 1.504 | 1.504 | 853.755 | -0.000 | -0.000 | 0.000 |
| -0.000 | -0.000 | -0.000 | 81.060 | 0.000 | 0.000 |
| -0.000 | -0.000 | -0.000 | -0.000 | 81.060 | 0.000 |
| -0.000 | -0.000 | -0.000 | 0.000 | 0.000 | 81.060 |
| 208.838 | 51.990 | 51.990 | 0.000 | -0.000 | -0.000 |
| 51.990 | 208.838 | 51.990 | 0.000 | -0.000 | -0.000 |
| 51.990 | 51.990 | 208.838 | 0.000 | -0.000 | -0.000 |
| -0.000 | -0.000 | -0.000 | 41.600 | 0.000 | -0.000 |
| -0.000 | -0.000 | -0.000 | 0.000 | 41.600 | -0.000 |
| -0.000 | -0.000 | -0.000 | 0.000 | -0.000 | 41.600 |
| 208.838 | 51.990 | 51.990 | -0.000 | -0.000 | 0.000 |
| 51.990 | 208.838 | 51.990 | -0.000 | -0.000 | 0.000 |
| 51.990 | 51.990 | 208.838 | 0.000 | -0.000 | 0.000 |
| 0.000 | 0.000 | 0.000 | 41.600 | -0.000 | 0.000 |
| 0.000 | 0.000 | 0.000 | -0.000 | 41.600 | 0.000 |
| 0.000 | 0.000 | 0.000 | -0.000 | 0.000 | 41.600 |
| 208.837 | 51.990 | 51.990 | 0.000 | 0.000 | -0.000 |
| 51.990 | 208.837 | 51.990 | 0.000 | -0.000 | -0.000 |
| 51.990 | 51.990 | 208.837 | 0.000 | 0.000 | -0.000 |
| -0.000 | -0.000 | -0.000 | 41.600 | 0.000 | -0.000 |
| -0.000 | -0.000 | -0.000 | 0.000 | 41.600 | -0.000 |
| -0.000 | -0.000 | -0.000 | 0.000 | -0.000 | 41.600 |
| 208.838 | 51.990 | 51.990 | -0.000 | -0.000 | 0.000 |
| 51.990 | 208.838 | 51.990 | -0.000 | 0.000 | 0.000 |
| 51.990 | 51.990 | 208.838 | -0.000 | 0.000 | 0.000 |
| 0.000 | 0.000 | 0.000 | 41.600 | -0.000 | 0.000 |
| 0.000 | 0.000 | 0.000 | -0.000 | 41.600 | 0.000 |
| 0.000 | 0.000 | 0.000 | -0.000 | 0.000 | 41.600 |
| 208.835 | 51.989 | 51.989 | 0.000 | 0.000 | -0.000 |
| 51.989 | 208.835 | 51.989 | 0.000 | -0.000 | -0.000 |
| 51.989 | 51.989 | 208.835 | 0.000 | -0.000 | -0.000 |
| -0.000 | -0.001 | -0.001 | 41.600 | 0.000 | -0.000 |
| -0.001 | -0.000 | -0.001 | 0.000 | 41.600 | -0.000 |
| -0.001 | -0.001 | -0.000 | 0.000 | 0.000 | 41.600 |
| 208.840 | 51.991 | 51.991 | -0.000 | 0.000 | 0.000 |
| 51.991 | 208.840 | 51.991 | -0.000 | -0.000 | 0.000 |
| 51.991 | 51.991 | 208.840 | 0.000 | 0.000 | 0.000 |
| 0.000 | 0.001 | 0.001 | 41.600 | -0.000 | 0.000 |
| 0.001 | 0.000 | 0.001 | -0.000 | 41.600 | 0.000 |
| 0.001 | 0.001 | 0.000 | -0.000 | -0.000 | 41.600 |
| 1151.649 | 522.415 | 522.415 | 0.000 | 0.000 | -0.000 |
| 522.415 | 1151.649 | 522.415 | 0.000 | 0.000 | -0.000 |
| 522.415 | 522.415 | 1151.649 | 0.000 | 0.000 | 0.000 |
| 0.000 | 0.000 | 0.000 | 298.212 | 0.000 | -0.000 |
| 0.000 | 0.000 | 0.000 | 0.000 | 298.212 | -0.000 |
| 0.000 | 0.000 | 0.000 | 0.000 | -0.000 | 298.212 |
| 1151.649 | 522.415 | 522.415 | 0.000 | 0.000 | 0.000 |
| 522.415 | 1151.649 | 522.415 | -0.000 | 0.000 | 0.000 |
| 522.415 | 522.415 | 1151.649 | -0.000 | 0.000 | 0.000 |
| -0.000 | -0.000 | -0.000 | 298.212 | -0.000 | 0.000 |
| -0.000 | -0.000 | -0.000 | -0.000 | 298.212 | -0.000 |
| -0.000 | -0.000 | -0.000 | -0.000 | -0.000 | 298.212 |
| 1151.649 | 522.415 | 522.415 | 0.000 | 0.000 | -0.000 |
| 522.415 | 1151.649 | 522.415 | 0.000 | 0.000 | 0.000 |
| 522.415 | 522.415 | 1151.649 | 0.000 | 0.000 | 0.000 |
| 0.000 | 0.000 | 0.000 | 298.212 | 0.000 | 0.000 |
| 0.000 | 0.000 | 0.000 | 0.000 | 298.212 | -0.000 |
| 0.000 | 0.000 | 0.000 | 0.000 | -0.000 | 298.212 |
| 1151.647 | 522.415 | 522.415 | -0.000 | 0.000 | 0.000 |
| 522.415 | 1151.647 | 522.415 | 0.000 | -0.000 | 0.000 |
| 522.415 | 522.415 | 1151.647 | -0.000 | -0.000 | 0.000 |
| -0.000 | -0.000 | -0.000 | 298.212 | -0.000 | 0.000 |
| -0.000 | -0.000 | -0.000 | -0.000 | 298.212 | 0.000 |
| -0.000 | -0.000 | -0.000 | -0.000 | 0.000 | 298.212 |
| 1151.646 | 522.416 | 522.416 | 0.000 | -0.000 | 0.000 |
| 522.416 | 1151.646 | 522.416 | 0.000 | 0.000 | -0.000 |
| 522.416 | 522.416 | 1151.646 | -0.000 | -0.000 | 0.000 |
| 0.001 | 0.000 | 0.000 | 298.212 | 0.000 | 0.000 |
| 0.000 | 0.001 | 0.000 | 0.000 | 298.212 | 0.000 |
| 0.000 | 0.000 | 0.001 | 0.000 | -0.000 | 298.212 |
| 1151.648 | 522.414 | 522.414 | -0.000 | -0.000 | -0.000 |
| 522.414 | 1151.648 | 522.414 | -0.000 | 0.000 | -0.000 |
| 522.414 | 522.414 | 1151.648 | -0.000 | 0.000 | -0.000 |
| -0.001 | -0.000 | -0.000 | 298.212 | -0.000 | 0.000 |
| -0.000 | -0.001 | -0.000 | -0.000 | 298.212 | -0.000 |
| -0.000 | -0.000 | -0.001 | -0.000 | 0.000 | 298.212 |
| 534.265 | 210.654 | 210.654 | -0.000 | 0.000 | 0.000 |
| 210.654 | 534.265 | 210.654 | -0.000 | 0.000 | 0.000 |
| 210.654 | 210.654 | 534.265 | 0.000 | 0.000 | 0.000 |
| 0.000 | -0.000 | -0.000 | 179.027 | -0.000 | 0.000 |
| -0.000 | 0.000 | -0.000 | -0.000 | 179.027 | 0.000 |
| -0.000 | -0.000 | 0.000 | 0.000 | 0.000 | 179.027 |
| 534.265 | 210.654 | 210.654 | -0.000 | 0.000 | -0.000 |
| 210.654 | 534.265 | 210.654 | 0.000 | 0.000 | -0.000 |
| 210.654 | 210.654 | 534.265 | 0.000 | 0.000 | -0.000 |
| -0.000 | 0.000 | 0.000 | 179.027 | 0.000 | -0.000 |
| 0.000 | -0.000 | 0.000 | 0.000 | 179.027 | -0.000 |
| 0.000 | 0.000 | -0.000 | 0.000 | -0.000 | 179.027 |
| 534.265 | 210.654 | 210.654 | 0.000 | 0.000 | 0.000 |
| 210.654 | 534.265 | 210.654 | -0.000 | 0.000 | 0.000 |
| 210.654 | 210.654 | 534.265 | -0.000 | -0.000 | 0.000 |
| 0.000 | -0.000 | -0.000 | 179.027 | 0.000 | 0.000 |
| -0.000 | 0.000 | -0.000 | -0.000 | 179.027 | 0.000 |
| -0.000 | -0.000 | 0.000 | 0.000 | 0.000 | 179.027 |
| 534.265 | 210.654 | 210.654 | -0.000 | 0.000 | -0.000 |
| 210.654 | 534.265 | 210.654 | 0.000 | -0.000 | -0.000 |
| 210.654 | 210.654 | 534.265 | -0.000 | -0.000 | -0.000 |
| -0.000 | 0.000 | 0.000 | 179.027 | -0.000 | -0.000 |
| 0.000 | -0.000 | 0.000 | 0.000 | 179.027 | 0.000 |
| 0.000 | 0.000 | -0.000 | -0.000 | 0.000 | 179.027 |
| 534.261 | 210.654 | 210.654 | -0.000 | 0.000 | -0.000 |
| 210.654 | 534.261 | 210.654 | 0.000 | -0.000 | 0.000 |
| 210.654 | 210.654 | 534.261 | -0.000 | 0.000 | 0.000 |
| 0.000 | -0.001 | -0.000 | 179.027 | 0.000 | 0.000 |
| -0.001 | 0.000 | -0.000 | 0.000 | 179.027 | 0.000 |
| -0.001 | -0.000 | 0.000 | -0.000 | 0.000 | 179.027 |
| 534.269 | 210.653 | 210.653 | 0.000 | -0.000 | -0.000 |
| 210.653 | 534.269 | 210.653 | 0.000 | 0.000 | -0.000 |
| 210.653 | 210.653 | 534.269 | 0.000 | -0.000 | 0.000 |
| -0.000 | 0.001 | 0.000 | 179.027 | -0.000 | 0.000 |
| 0.001 | -0.000 | 0.000 | 0.000 | 179.027 | -0.000 |
| 0.001 | 0.000 | -0.000 | 0.000 | -0.000 | 179.027 |
| 195.275 | 97.675 | 97.675 | 0.000 | 0.000 | 0.000 |
| 97.675 | 195.275 | 97.675 | 0.000 | -0.000 | 0.000 |
| 97.675 | 97.675 | 195.275 | 0.000 | 0.000 | 0.000 |
| -0.000 | -0.000 | 0.000 | 70.770 | -0.000 | 0.000 |
| -0.000 | -0.000 | 0.000 | 0.000 | 70.770 | 0.000 |
| -0.000 | -0.000 | 0.000 | 0.000 | -0.000 | 70.770 |
| 195.275 | 97.675 | 97.675 | -0.000 | 0.000 | -0.000 |
| 97.675 | 195.275 | 97.675 | -0.000 | -0.000 | -0.000 |
| 97.675 | 97.675 | 195.275 | -0.000 | 0.000 | -0.000 |
| 0.000 | 0.000 | -0.000 | 70.770 | 0.000 | -0.000 |
| 0.000 | -0.000 | -0.000 | -0.000 | 70.770 | -0.000 |
| 0.000 | 0.000 | -0.000 | -0.000 | 0.000 | 70.770 |
| 195.275 | 97.675 | 97.675 | 0.000 | -0.000 | 0.000 |
| 97.675 | 195.275 | 97.675 | 0.000 | -0.000 | 0.000 |
| 97.675 | 97.675 | 195.275 | 0.000 | -0.000 | 0.000 |
| -0.000 | -0.000 | -0.000 | 70.770 | 0.000 | 0.000 |
| -0.000 | -0.000 | -0.000 | 0.000 | 70.770 | 0.000 |
| -0.000 | -0.000 | -0.000 | 0.000 | 0.000 | 70.770 |
| 195.276 | 97.675 | 97.675 | -0.000 | -0.000 | -0.000 |
| 97.675 | 195.276 | 97.675 | -0.000 | -0.000 | -0.000 |
| 97.675 | 97.675 | 195.276 | -0.000 | -0.000 | -0.000 |
| 0.000 | 0.000 | 0.000 | 70.770 | 0.000 | -0.000 |
| 0.000 | 0.000 | 0.000 | -0.000 | 70.770 | -0.000 |
| 0.000 | 0.000 | 0.000 | -0.000 | -0.000 | 70.770 |
| 195.274 | 97.675 | 97.675 | 0.000 | -0.000 | 0.000 |
| 97.675 | 195.274 | 97.675 | 0.000 | 0.000 | 0.000 |
| 97.675 | 97.675 | 195.274 | 0.000 | -0.000 | 0.000 |
| -0.000 | -0.000 | -0.000 | 70.770 | 0.000 | 0.000 |
| -0.000 | -0.000 | -0.000 | 0.000 | 70.770 | 0.000 |
| -0.000 | -0.000 | -0.000 | 0.000 | -0.000 | 70.770 |
| 195.277 | 97.675 | 97.675 | -0.000 | -0.000 | -0.000 |
| 97.675 | 195.277 | 97.675 | -0.000 | -0.000 | -0.000 |
| 97.675 | 97.675 | 195.277 | -0.000 | -0.000 | -0.000 |
| 0.000 | 0.000 | 0.000 | 70.770 | 0.000 | -0.000 |
| 0.000 | 0.000 | 0.000 | -0.000 | 70.770 | -0.000 |
| 0.000 | 0.000 | 0.000 | -0.000 | 0.000 | 70.770 |
| 59.419 | 41.527 | 41.527 | -0.000 | 0.000 | 0.000 |
| 41.527 | 59.419 | 41.527 | -0.000 | -0.000 | 0.000 |
| 41.527 | 41.527 | 59.419 | -0.000 | 0.000 | 0.000 |
| -0.000 | -0.000 | -0.000 | 11.920 | -0.000 | -0.000 |
| -0.000 | -0.000 | -0.000 | -0.000 | 11.920 | 0.000 |
| -0.000 | -0.000 | -0.000 | -0.000 | -0.000 | 11.920 |
| 59.419 | 41.527 | 41.527 | 0.000 | -0.000 | -0.000 |
| 41.527 | 59.419 | 41.527 | 0.000 | 0.000 | -0.000 |
| 41.527 | 41.527 | 59.419 | 0.000 | -0.000 | -0.000 |
| 0.000 | 0.000 | 0.000 | 11.920 | 0.000 | 0.000 |
| 0.000 | 0.000 | 0.000 | 0.000 | 11.920 | 0.000 |
| 0.000 | 0.000 | 0.000 | 0.000 | 0.000 | 11.920 |
| 59.419 | 41.527 | 41.527 | -0.000 | 0.000 | 0.000 |
| 41.527 | 59.419 | 41.527 | -0.000 | -0.000 | 0.000 |
| 41.527 | 41.527 | 59.419 | -0.000 | 0.000 | 0.000 |
| -0.000 | -0.000 | -0.000 | 11.920 | -0.000 | 0.000 |
| -0.000 | -0.000 | -0.000 | -0.000 | 11.920 | 0.000 |
| -0.000 | -0.000 | -0.000 | -0.000 | -0.000 | 11.920 |
| 59.419 | 41.527 | 41.527 | 0.000 | 0.000 | -0.000 |
| 41.527 | 59.419 | 41.527 | 0.000 | -0.000 | -0.000 |
| 41.527 | 41.527 | 59.419 | 0.000 | -0.000 | -0.000 |
| 0.000 | 0.000 | 0.000 | 11.920 | 0.000 | 0.000 |
| 0.000 | 0.000 | 0.000 | 0.000 | 11.920 | -0.000 |
| 0.000 | 0.000 | 0.000 | 0.000 | 0.000 | 11.920 |
| 59.416 | 41.526 | 41.526 | -0.000 | 0.000 | 0.000 |
| 41.526 | 59.416 | 41.526 | -0.000 | -0.000 | 0.000 |
| 41.526 | 41.526 | 59.416 | -0.000 | 0.000 | -0.000 |
| -0.001 | -0.001 | -0.001 | 11.920 | -0.000 | 0.000 |
| -0.001 | -0.001 | -0.001 | -0.000 | 11.920 | -0.000 |
| -0.001 | -0.001 | -0.001 | -0.000 | -0.000 | 11.920 |
| 59.422 | 41.527 | 41.527 | -0.000 | -0.000 | -0.000 |
| 41.527 | 59.422 | 41.527 | 0.000 | -0.000 | -0.000 |
| 41.527 | 41.527 | 59.422 | 0.000 | -0.000 | -0.000 |
| 0.001 | 0.001 | 0.001 | 11.920 | 0.000 | 0.000 |
| 0.001 | 0.001 | 0.001 | 0.000 | 11.920 | -0.000 |
| 0.001 | 0.001 | 0.001 | 0.000 | 0.000 | 11.920 |
| 681.747 | 137.591 | 250.115 | 0.000 | -0.000 | -0.000 |
| 137.591 | 681.747 | 250.115 | -0.000 | 0.000 | -0.000 |
| 250.115 | 250.115 | 361.455 | 0.000 | 0.000 | -0.000 |
| 0.000 | -0.000 | 0.000 | 240.898 | 0.000 | 0.000 |
| -0.000 | 0.000 | 0.000 | 0.000 | 240.898 | 0.000 |
| -0.000 | -0.000 | 0.000 | 0.000 | 0.000 | 130.118 |
| 681.747 | 137.591 | 250.115 | -0.000 | -0.000 | 0.000 |
| 137.591 | 681.747 | 250.115 | -0.000 | -0.000 | -0.000 |
| 250.115 | 250.115 | 361.455 | 0.000 | -0.000 | -0.000 |
| -0.000 | 0.000 | -0.000 | 240.898 | -0.000 | 0.000 |
| 0.000 | -0.000 | -0.000 | -0.000 | 240.898 | 0.000 |
| 0.000 | 0.000 | -0.000 | -0.000 | -0.000 | 130.118 |
| 681.746 | 137.590 | 250.115 | 0.000 | 0.000 | -0.000 |
| 137.590 | 681.746 | 250.115 | 0.000 | 0.000 | 0.000 |
| 250.115 | 250.115 | 361.454 | 0.000 | 0.000 | 0.000 |
| -0.000 | -0.000 | -0.000 | 240.898 | 0.000 | 0.000 |
| -0.000 | -0.000 | -0.000 | 0.000 | 240.898 | 0.000 |
| -0.000 | -0.000 | -0.000 | 0.000 | 0.000 | 130.118 |
| 681.748 | 137.591 | 250.115 | -0.000 | -0.000 | 0.000 |
| 137.591 | 681.748 | 250.115 | -0.000 | -0.000 | 0.000 |
| 250.115 | 250.115 | 361.455 | -0.000 | -0.000 | -0.000 |
| 0.000 | 0.000 | 0.000 | 240.898 | -0.000 | 0.000 |
| 0.000 | 0.000 | 0.000 | -0.000 | 240.898 | 0.000 |
| 0.000 | 0.000 | 0.000 | -0.000 | -0.000 | 130.118 |
| 681.740 | 137.589 | 250.113 | 0.000 | 0.000 | -0.000 |
| 137.589 | 681.740 | 250.113 | 0.000 | 0.000 | -0.000 |
| 250.114 | 250.114 | 361.452 | -0.000 | 0.000 | -0.000 |
| -0.000 | -0.001 | -0.000 | 240.898 | 0.000 | -0.000 |
| -0.001 | -0.000 | -0.000 | 0.000 | 240.898 | -0.000 |
| -0.001 | -0.001 | -0.000 | 0.000 | 0.000 | 130.118 |
| 681.754 | 137.592 | 250.117 | 0.000 | -0.000 | 0.000 |
| 137.592 | 681.754 | 250.117 | -0.000 | 0.000 | 0.000 |
| 250.116 | 250.116 | 361.457 | -0.000 | -0.000 | 0.000 |
| 0.000 | 0.001 | 0.000 | 240.898 | -0.000 | 0.000 |
| 0.001 | 0.000 | 0.000 | -0.000 | 240.898 | 0.000 |
| 0.001 | 0.001 | 0.000 | -0.000 | 0.000 | 130.118 |
| 656.681 | 47.461 | 71.529 | -0.000 | 0.000 | 0.000 |
| 47.461 | 656.681 | 71.529 | -0.000 | 0.000 | 0.000 |
| 71.529 | 71.529 | -325.331 | -0.000 | -0.000 | 0.000 |
| -0.000 | -0.000 | -0.000 | 166.362 | -0.000 | 0.000 |
| -0.000 | -0.000 | -0.000 | 0.000 | 166.362 | 0.000 |
| -0.000 | -0.000 | -0.000 | 0.000 | -0.000 | 138.238 |
| 656.681 | 47.461 | 71.529 | 0.000 | -0.000 | -0.000 |
| 47.461 | 656.681 | 71.529 | 0.000 | -0.000 | -0.000 |
| 71.529 | 71.529 | -325.330 | -0.000 | -0.000 | -0.000 |
| 0.000 | 0.000 | 0.000 | 166.362 | -0.000 | -0.000 |
| 0.000 | 0.000 | 0.000 | -0.000 | 166.362 | -0.000 |
| 0.000 | 0.000 | 0.000 | -0.000 | -0.000 | 138.238 |
| 656.680 | 47.461 | 71.529 | -0.000 | -0.000 | 0.000 |
| 47.461 | 656.680 | 71.529 | -0.000 | 0.000 | 0.000 |
| 71.529 | 71.529 | -325.331 | 0.000 | 0.000 | -0.000 |
| -0.000 | -0.000 | -0.000 | 166.362 | 0.000 | 0.000 |
| -0.000 | -0.000 | -0.000 | -0.000 | 166.362 | 0.000 |
| -0.000 | -0.000 | -0.000 | -0.000 | -0.000 | 138.238 |
| 656.681 | 47.461 | 71.529 | -0.000 | -0.000 | -0.000 |
| 47.461 | 656.681 | 71.529 | 0.000 | -0.000 | 0.000 |
| 71.529 | 71.529 | -325.330 | 0.000 | 0.000 | 0.000 |
| 0.000 | 0.000 | 0.000 | 166.362 | -0.000 | -0.000 |
| 0.000 | 0.000 | 0.000 | -0.000 | 166.362 | 0.000 |
| 0.000 | 0.000 | 0.000 | 0.000 | 0.000 | 138.238 |
| 656.675 | 47.460 | 71.527 | -0.000 | -0.000 | -0.000 |
| 47.460 | 656.675 | 71.527 | 0.000 | 0.000 | 0.000 |
| 71.527 | 71.527 | -325.336 | 0.000 | 0.000 | -0.000 |
| -0.001 | -0.002 | -0.001 | 166.362 | -0.000 | 0.000 |
| -0.002 | -0.001 | -0.001 | -0.000 | 166.362 | 0.000 |
| -0.001 | -0.001 | -0.001 | 0.000 | 0.000 | 138.238 |
| 656.686 | 47.463 | 71.531 | 0.000 | -0.000 | -0.000 |
| 47.463 | 656.686 | 71.531 | -0.000 | -0.000 | -0.000 |
| 71.531 | 71.531 | -325.325 | 0.000 | 0.000 | -0.000 |
| 0.001 | 0.002 | 0.001 | 166.362 | -0.000 | -0.000 |
| 0.002 | 0.001 | 0.001 | 0.000 | 166.362 | 0.000 |
| 0.001 | 0.001 | 0.001 | -0.000 | 0.000 | 138.238 |
| 747.360 | 153.209 | 204.344 | -0.000 | 0.000 | -0.000 |
| 153.209 | 747.360 | 204.344 | -0.000 | 0.000 | 0.000 |
| 204.344 | 204.344 | 733.330 | -0.000 | 0.000 | -0.000 |
| -0.000 | -0.000 | -0.000 | 144.199 | -0.000 | -0.000 |
| -0.000 | -0.000 | -0.000 | -0.000 | 144.199 | -0.000 |
| -0.000 | -0.000 | -0.000 | -0.000 | 0.000 | 95.035 |
| 747.360 | 153.209 | 204.344 | 0.000 | -0.000 | 0.000 |
| 153.209 | 747.360 | 204.344 | 0.000 | -0.000 | 0.000 |
| 204.344 | 204.344 | 733.330 | 0.000 | 0.000 | 0.000 |
| 0.000 | 0.000 | 0.000 | 144.199 | 0.000 | 0.000 |
| 0.000 | 0.000 | 0.000 | 0.000 | 144.199 | 0.000 |
| 0.000 | 0.000 | 0.000 | 0.000 | 0.000 | 95.035 |
| 747.360 | 153.209 | 204.344 | -0.000 | -0.000 | 0.000 |
| 153.209 | 747.360 | 204.344 | -0.000 | 0.000 | -0.000 |
| 204.344 | 204.344 | 733.331 | -0.000 | 0.000 | -0.000 |
| -0.000 | -0.000 | -0.000 | 144.199 | 0.000 | -0.000 |
| -0.000 | -0.000 | -0.000 | -0.000 | 144.199 | -0.000 |
| -0.000 | -0.000 | -0.000 | -0.000 | -0.000 | 95.035 |
| 747.360 | 153.209 | 204.344 | 0.000 | 0.000 | 0.000 |
| 153.209 | 747.360 | 204.344 | 0.000 | -0.000 | 0.000 |
| 204.344 | 204.344 | 733.329 | 0.000 | 0.000 | 0.000 |
| 0.000 | 0.000 | 0.000 | 144.199 | 0.000 | 0.000 |
| 0.000 | 0.000 | 0.000 | 0.000 | 144.199 | 0.000 |
| 0.000 | 0.000 | 0.000 | 0.000 | 0.000 | 95.035 |
| 747.358 | 153.211 | 204.346 | -0.000 | 0.000 | -0.000 |
| 153.211 | 747.358 | 204.346 | -0.000 | 0.000 | -0.000 |
| 204.347 | 204.347 | 733.337 | -0.000 | 0.000 | -0.000 |
| -0.000 | -0.001 | -0.000 | 144.199 | 0.000 | -0.000 |
| -0.001 | -0.000 | -0.000 | 0.000 | 144.199 | -0.000 |
| -0.001 | -0.001 | -0.000 | 0.000 | 0.000 | 95.035 |
| 747.361 | 153.208 | 204.343 | 0.000 | -0.000 | 0.000 |
| 153.208 | 747.361 | 204.343 | 0.000 | 0.000 | 0.000 |
| 204.341 | 204.341 | 733.323 | 0.000 | 0.000 | 0.000 |
| 0.000 | 0.001 | 0.000 | 144.199 | -0.000 | 0.000 |
| 0.001 | 0.000 | 0.000 | 0.000 | 144.199 | 0.000 |
| 0.001 | 0.001 | 0.000 | -0.000 | -0.000 | 95.035 |
| 872.605 | 504.260 | 451.074 | -0.000 | 0.000 | -0.000 |
| 504.260 | 1229.212 | 484.931 | 0.000 | 0.000 | -0.000 |
| 451.074 | 484.931 | 604.828 | 0.000 | 0.000 | -0.000 |
| -0.000 | -0.000 | -0.000 | 231.089 | 0.000 | -0.000 |
| -0.000 | -0.000 | 0.000 | -0.000 | 196.546 | -0.000 |
| 0.000 | 0.000 | -0.000 | 0.000 | 0.000 | 266.366 |
| 872.605 | 504.260 | 451.074 | -0.000 | -0.000 | 0.000 |
| 504.260 | 1229.212 | 484.931 | -0.000 | -0.000 | 0.000 |
| 451.074 | 484.931 | 604.827 | -0.000 | -0.000 | 0.000 |
| 0.000 | 0.000 | 0.000 | 231.089 | -0.000 | 0.000 |
| 0.000 | 0.000 | -0.000 | 0.000 | 196.546 | -0.000 |
| -0.000 | -0.000 | 0.000 | -0.000 | -0.000 | 266.366 |
| 872.605 | 504.261 | 451.074 | 0.000 | 0.000 | -0.000 |
| 504.261 | 1229.212 | 484.931 | 0.000 | 0.000 | -0.000 |
| 451.074 | 484.931 | 604.828 | 0.000 | 0.000 | -0.000 |
| 0.000 | -0.000 | -0.000 | 231.089 | 0.000 | -0.000 |
| -0.000 | 0.000 | 0.000 | 0.000 | 196.546 | -0.000 |
| 0.000 | 0.000 | 0.000 | 0.000 | 0.000 | 266.366 |
| 872.605 | 504.260 | 451.074 | -0.000 | -0.000 | 0.000 |
| 504.260 | 1229.211 | 484.931 | -0.000 | -0.000 | 0.000 |
| 451.074 | 484.931 | 604.827 | 0.000 | -0.000 | 0.000 |
| -0.000 | 0.000 | 0.000 | 231.089 | -0.000 | -0.000 |
| 0.000 | -0.000 | -0.000 | -0.000 | 196.546 | 0.000 |
| -0.000 | -0.000 | -0.000 | -0.000 | -0.000 | 266.366 |
| 872.608 | 504.262 | 451.075 | 0.000 | 0.000 | -0.000 |
| 504.263 | 1229.214 | 484.931 | 0.000 | 0.000 | -0.000 |
| 451.076 | 484.931 | 604.830 | -0.000 | 0.000 | -0.000 |
| 0.000 | -0.001 | -0.001 | 231.089 | 0.000 | -0.000 |
| -0.000 | 0.000 | 0.001 | -0.000 | 196.546 | -0.000 |
| 0.000 | 0.001 | 0.000 | 0.000 | 0.000 | 266.366 |
| 872.602 | 504.259 | 451.073 | -0.000 | 0.000 | 0.000 |
| 504.258 | 1229.209 | 484.931 | -0.000 | -0.000 | 0.000 |
| 451.072 | 484.931 | 604.825 | -0.000 | -0.000 | 0.000 |
| -0.000 | 0.001 | 0.001 | 231.089 | 0.000 | 0.000 |
| 0.000 | -0.000 | -0.001 | -0.000 | 196.546 | 0.000 |
| -0.000 | -0.001 | -0.000 | 0.000 | -0.000 | 266.366 |
| 1153.813 | 465.325 | 565.774 | 0.000 | 0.000 | 0.000 |
| 497.218 | 1011.012 | 439.279 | -0.000 | -0.000 | -0.000 |
| 547.152 | 396.769 | 1003.121 | -0.000 | 0.000 | 0.000 |
| -0.000 | -0.000 | -0.000 | 228.476 | 0.000 | -0.000 |
| 2.550 | -13.616 | 23.218 | -0.000 | 344.292 | 0.000 |
| 2.568 | -13.712 | 23.382 | 0.000 | 0.000 | 282.683 |
| 1158.899 | 497.218 | 564.191 | 0.000 | 0.000 | -0.000 |
| 484.239 | 989.226 | 394.984 | -0.000 | -0.000 | -0.000 |
| 544.754 | 422.642 | 970.689 | -0.000 | -0.000 | 0.000 |
| 0.000 | 0.000 | 0.000 | 228.476 | -0.000 | -0.000 |
| -2.550 | 13.616 | -23.218 | -0.000 | 344.292 | 0.000 |
| -2.568 | 13.712 | -23.382 | 0.000 | -0.000 | 282.683 |
| 1153.172 | 483.892 | 547.652 | 0.000 | 0.000 | 0.000 |
| 497.218 | 1011.012 | 439.279 | 0.000 | 0.000 | 0.000 |
| 564.191 | 439.279 | 1049.991 | 0.000 | 0.000 | 0.000 |
| -0.153 | -2.392 | 1.207 | 171.802 | -0.000 | 0.000 |
| 0.246 | -1.314 | 2.241 | 0.000 | 344.477 | -0.000 |
| 0.257 | -1.371 | 2.338 | 0.000 | 0.000 | 282.683 |
| 1153.161 | 486.289 | 545.658 | -0.000 | 0.000 | -0.000 |
| 483.365 | 972.490 | 404.387 | -0.000 | -0.000 | 0.000 |
| 564.190 | 439.279 | 1049.991 | -0.000 | 0.000 | -0.000 |
| 0.153 | 2.392 | -1.207 | 171.802 | 0.000 | -0.000 |
| -0.246 | 1.314 | -2.241 | -0.000 | 344.477 | 0.000 |
| -0.257 | 1.371 | -2.338 | -0.000 | -0.000 | 282.683 |
| 1153.196 | 484.140 | 547.557 | 0.000 | 0.000 | 0.000 |
| 483.150 | 969.653 | 405.656 | 0.000 | -0.000 | -0.000 |
| 547.388 | 412.119 | 991.795 | 0.000 | -0.000 | 0.000 |
| -0.016 | -0.241 | 0.117 | 171.793 | -0.000 | 0.000 |
| 0.023 | -0.131 | 0.223 | 0.000 | 344.488 | 0.000 |
| 0.001 | -0.000 | -0.000 | -0.000 | -0.000 | 282.683 |
| 1153.184 | 484.526 | 547.209 | -0.000 | 0.000 | 0.000 |
| 484.329 | 968.607 | 412.138 | -0.000 | -0.000 | -0.000 |
| 547.464 | 412.991 | 991.458 | -0.000 | 0.000 | -0.000 |
| 0.016 | 0.241 | -0.117 | 171.793 | 0.000 | 0.000 |
| -0.023 | 0.131 | -0.223 | 0.000 | 344.488 | -0.000 |
| -0.001 | 0.000 | 0.000 | 0.000 | 0.000 | 282.683 |
| 287.852 | 102.941 | 65.455 | 0.000 | 0.000 | 0.000 |
| 102.941 | 287.852 | 65.455 | 0.000 | -0.000 | 0.000 |
| 65.455 | 65.455 | 181.207 | 0.000 | -0.000 | 0.000 |
| -0.073 | -0.073 | 0.220 | 49.944 | -0.000 | 0.000 |
| -0.000 | 0.000 | -0.000 | -0.000 | 54.711 | 0.000 |
| -0.091 | -0.091 | 0.276 | 0.000 | -0.000 | 61.436 |
| 248.364 | 126.463 | 89.641 | -0.000 | 0.000 | -0.000 |
| 128.490 | 250.456 | 83.400 | -0.000 | -0.000 | 0.000 |
| 65.455 | 65.455 | 181.207 | -0.000 | 0.000 | -0.000 |
| 0.073 | 0.073 | -0.220 | 49.944 | 0.000 | -0.000 |
| 0.000 | -0.000 | 0.000 | 0.000 | 54.711 | 0.000 |
| 0.091 | 0.091 | -0.276 | -0.000 | 0.000 | 61.436 |
| 250.339 | 128.399 | 83.716 | 0.000 | -0.000 | -0.000 |
| 102.941 | 287.852 | 65.455 | 0.000 | -0.000 | 0.000 |
| 65.455 | 65.455 | 181.207 | 0.000 | -0.000 | 0.000 |
| 0.000 | 0.000 | 0.000 | 54.711 | -0.000 | 0.000 |
| 0.000 | 0.000 | 0.000 | 0.000 | 54.711 | 0.000 |
| -0.015 | -0.015 | 0.044 | 0.000 | -0.000 | 58.739 |
| 287.852 | 102.941 | 65.455 | -0.000 | 0.000 | 0.000 |
| 128.415 | 250.361 | 83.659 | -0.000 | 0.000 | 0.000 |
| 85.250 | 85.250 | 121.240 | 0.000 | 0.000 | 0.000 |
| -0.000 | -0.000 | -0.000 | 54.711 | 0.000 | -0.000 |
| -0.000 | -0.000 | -0.000 | -0.000 | 54.711 | 0.000 |
| 0.015 | 0.015 | -0.044 | -0.000 | 0.000 | 58.739 |
| 248.297 | 126.321 | 89.953 | -0.000 | -0.000 | -0.000 |
| 128.408 | 250.345 | 83.692 | 0.000 | -0.000 | -0.000 |
| 85.241 | 85.241 | 121.270 | 0.000 | -0.000 | -0.000 |
| -0.001 | -0.001 | 0.002 | 49.944 | -0.000 | 0.000 |
| 0.000 | 0.000 | 0.000 | 0.000 | 54.711 | -0.000 |
| -0.002 | -0.002 | 0.004 | -0.000 | -0.000 | 58.739 |
| 248.305 | 126.322 | 89.944 | -0.000 | 0.000 | -0.000 |
| 126.323 | 248.303 | 89.945 | -0.000 | 0.000 | 0.000 |
| 85.239 | 85.239 | 121.270 | -0.000 | 0.000 | 0.000 |
| 0.001 | 0.001 | -0.002 | 49.944 | 0.000 | 0.000 |
| -0.000 | -0.000 | -0.000 | -0.000 | 54.711 | -0.000 |
| 0.002 | 0.002 | -0.004 | 0.000 | 0.000 | 58.739 |
| 106.935 | 44.592 | -0.100 | 0.000 | 0.000 | -0.000 |
| 44.592 | 106.935 | -0.100 | 0.000 | 0.000 | -0.000 |
| -0.100 | -0.100 | -2.827 | 0.000 | 0.000 | -0.000 |
| -0.000 | -0.000 | -0.000 | -0.100 | 0.000 | -0.000 |
| -0.000 | -0.000 | -0.000 | -0.000 | -0.100 | -0.000 |
| -0.000 | -0.000 | 0.000 | 0.000 | 0.000 | 31.171 |
| 106.935 | 44.592 | -0.100 | -0.000 | -0.000 | 0.000 |
| 44.592 | 106.935 | -0.100 | -0.000 | -0.000 | 0.000 |
| -0.100 | -0.100 | -2.827 | 0.000 | 0.000 | 0.000 |
| 0.000 | 0.000 | 0.000 | -0.100 | 0.000 | 0.000 |
| 0.000 | 0.000 | 0.000 | 0.000 | -0.100 | 0.000 |
| 0.000 | 0.000 | -0.000 | -0.000 | -0.000 | 31.171 |
| 106.935 | 44.592 | -0.100 | 0.000 | 0.000 | -0.000 |
| 44.592 | 106.935 | -0.100 | 0.000 | 0.000 | -0.000 |
| -0.100 | -0.100 | -2.827 | 0.000 | -0.000 | -0.000 |
| -0.000 | -0.000 | -0.000 | -0.100 | -0.000 | -0.000 |
| -0.000 | -0.000 | -0.000 | -0.000 | -0.100 | -0.000 |
| -0.000 | -0.000 | -0.000 | 0.000 | 0.000 | 31.171 |
| 106.935 | 44.592 | -0.100 | -0.000 | 0.000 | 0.000 |
| 44.592 | 106.935 | -0.100 | -0.000 | -0.000 | 0.000 |
| -0.100 | -0.100 | -2.827 | -0.000 | 0.000 | 0.000 |
| 0.000 | 0.000 | 0.000 | -0.100 | 0.000 | 0.000 |
| 0.000 | 0.000 | 0.000 | 0.000 | -0.100 | 0.000 |
| 0.000 | 0.000 | 0.000 | -0.000 | -0.000 | 31.171 |
| 106.934 | 44.592 | -0.100 | 0.000 | 0.000 | -0.000 |
| 44.592 | 106.934 | -0.100 | 0.000 | 0.000 | -0.000 |
| -0.100 | -0.100 | -2.828 | 0.000 | 0.000 | 0.000 |
| -0.000 | -0.000 | -0.000 | -0.100 | 0.000 | -0.000 |
| -0.000 | -0.000 | -0.000 | 0.000 | -0.100 | -0.000 |
| -0.000 | -0.000 | -0.000 | 0.000 | 0.000 | 31.171 |
| 106.935 | 44.592 | -0.100 | -0.000 | -0.000 | 0.000 |
| 44.592 | 106.935 | -0.100 | -0.000 | 0.000 | 0.000 |
| -0.100 | -0.100 | -2.827 | -0.000 | 0.000 | 0.000 |
| 0.000 | 0.000 | 0.000 | -0.100 | -0.000 | 0.000 |
| 0.000 | 0.000 | 0.000 | -0.000 | -0.100 | 0.000 |
| 0.000 | 0.000 | 0.000 | -0.000 | -0.000 | 31.171 |
| 618.889 | 219.297 | 237.763 | -60.024 | -0.000 | 0.000 |
| 219.297 | 618.889 | 237.763 | 60.024 | -0.000 | 0.000 |
| 237.764 | 237.763 | 509.814 | 0.000 | -0.000 | 0.000 |
| -60.024 | 60.024 | -0.000 | 213.794 | 0.000 | 0.000 |
| -0.000 | -0.000 | 0.000 | 0.000 | 213.794 | -60.024 |
| -0.000 | -0.000 | -0.000 | 0.000 | -60.024 | 199.796 |
| 618.889 | 219.297 | 237.764 | -60.024 | 0.000 | -0.000 |
| 219.297 | 618.889 | 237.764 | 60.024 | -0.000 | -0.000 |
| 237.764 | 237.764 | 509.815 | -0.000 | 0.000 | -0.000 |
| -60.024 | 60.024 | 0.000 | 213.794 | 0.000 | -0.000 |
| 0.000 | 0.000 | 0.000 | -0.000 | 213.794 | -60.024 |
| -0.000 | 0.000 | 0.000 | -0.000 | -60.024 | 199.796 |
| 618.889 | 219.296 | 237.763 | -60.024 | 0.000 | 0.000 |
| 219.296 | 618.889 | 237.763 | 60.024 | -0.000 | 0.000 |
| 237.763 | 237.763 | 509.814 | 0.000 | -0.000 | 0.000 |
| -60.024 | 60.024 | -0.000 | 213.794 | -0.000 | 0.000 |
| -0.000 | -0.000 | -0.000 | 0.000 | 213.794 | -60.024 |
| -0.000 | -0.000 | -0.000 | 0.000 | -60.024 | 199.796 |
| 618.890 | 219.297 | 237.764 | -60.024 | 0.000 | 0.000 |
| 219.297 | 618.890 | 237.764 | 60.024 | 0.000 | -0.000 |
| 237.764 | 237.764 | 509.815 | -0.000 | 0.000 | -0.000 |
| -60.024 | 60.024 | 0.000 | 213.794 | 0.000 | -0.000 |
| 0.000 | 0.000 | 0.000 | -0.000 | 213.794 | -60.024 |
| 0.000 | 0.000 | 0.000 | -0.000 | -60.024 | 199.796 |
| 618.884 | 219.295 | 237.762 | -60.024 | -0.000 | 0.000 |
| 219.295 | 618.884 | 237.762 | 60.024 | -0.000 | 0.000 |
| 237.762 | 237.762 | 509.813 | 0.000 | -0.000 | 0.000 |
| -60.025 | 60.023 | -0.001 | 213.794 | -0.000 | 0.000 |
| -0.001 | -0.000 | -0.001 | 0.000 | 213.794 | -60.024 |
| -0.001 | -0.001 | -0.000 | 0.000 | -60.024 | 199.796 |
| 618.894 | 219.298 | 237.765 | -60.024 | 0.000 | -0.000 |
| 219.298 | 618.894 | 237.765 | 60.025 | 0.000 | -0.000 |
| 237.765 | 237.765 | 509.816 | 0.000 | 0.000 | -0.000 |
| -60.024 | 60.026 | 0.001 | 213.794 | 0.000 | -0.000 |
| 0.001 | 0.000 | 0.001 | -0.000 | 213.794 | -60.024 |
| 0.001 | 0.001 | 0.000 | -0.000 | -60.024 | 199.796 |
| 422.697 | 139.770 | 139.770 | -0.000 | -0.000 | -0.000 |
| 139.770 | 422.697 | 139.770 | -0.000 | -0.000 | 0.000 |
| 139.770 | 139.770 | 422.697 | -0.000 | 0.000 | -0.000 |
| 0.000 | -0.000 | -0.000 | 167.205 | 0.000 | -0.000 |
| -0.000 | 0.000 | -0.000 | -0.000 | 167.205 | 0.000 |
| -0.000 | -0.000 | -0.000 | -0.000 | 0.000 | 167.205 |
| 422.698 | 139.770 | 139.770 | 0.000 | -0.000 | -0.000 |
| 139.770 | 422.698 | 139.770 | 0.000 | -0.000 | -0.000 |
| 139.770 | 139.770 | 422.698 | 0.000 | -0.000 | -0.000 |
| -0.000 | 0.000 | 0.000 | 167.205 | -0.000 | -0.000 |
| 0.000 | -0.000 | 0.000 | 0.000 | 167.205 | -0.000 |
| 0.000 | 0.000 | 0.000 | 0.000 | -0.000 | 167.205 |
| 422.697 | 139.770 | 139.770 | -0.000 | 0.000 | 0.000 |
| 139.770 | 422.697 | 139.770 | 0.000 | -0.000 | 0.000 |
| 139.770 | 139.770 | 422.697 | -0.000 | 0.000 | -0.000 |
| 0.000 | -0.000 | -0.000 | 167.205 | 0.000 | -0.000 |
| -0.000 | 0.000 | -0.000 | -0.000 | 167.205 | 0.000 |
| -0.000 | -0.000 | -0.000 | -0.000 | 0.000 | 167.205 |
| 422.698 | 139.770 | 139.770 | 0.000 | -0.000 | -0.000 |
| 139.770 | 422.698 | 139.770 | 0.000 | -0.000 | -0.000 |
| 139.770 | 139.770 | 422.698 | 0.000 | -0.000 | 0.000 |
| -0.000 | 0.000 | 0.000 | 167.205 | -0.000 | -0.000 |
| 0.000 | -0.000 | 0.000 | 0.000 | 167.205 | -0.000 |
| 0.000 | 0.000 | 0.000 | 0.000 | -0.000 | 167.205 |
| 422.696 | 139.769 | 139.769 | -0.000 | 0.000 | 0.000 |
| 139.769 | 422.696 | 139.769 | -0.000 | 0.000 | 0.000 |
| 139.769 | 139.769 | 422.696 | -0.000 | 0.000 | 0.000 |
| 0.000 | -0.001 | -0.000 | 167.205 | 0.000 | 0.000 |
| -0.001 | 0.000 | -0.000 | -0.000 | 167.205 | 0.000 |
| -0.001 | -0.000 | 0.000 | -0.000 | 0.000 | 167.205 |
| 422.699 | 139.771 | 139.771 | 0.000 | 0.000 | 0.000 |
| 139.771 | 422.699 | 139.771 | 0.000 | -0.000 | -0.000 |
| 139.771 | 139.771 | 422.699 | 0.000 | -0.000 | 0.000 |
| -0.000 | 0.001 | 0.000 | 167.205 | -0.000 | -0.000 |
| 0.001 | -0.000 | 0.000 | 0.000 | 167.205 | -0.000 |
| 0.001 | 0.000 | -0.000 | 0.000 | -0.000 | 167.205 |
| 262.425 | 110.337 | 110.337 | -0.000 | 0.000 | 0.000 |
| 110.337 | 262.425 | 110.337 | -0.000 | 0.000 | 0.000 |
| 110.337 | 110.337 | 262.425 | -0.000 | -0.000 | -0.000 |
| -0.000 | -0.000 | -0.000 | 86.583 | 0.000 | 0.000 |
| -0.000 | 0.000 | -0.000 | -0.000 | 86.583 | 0.000 |
| -0.000 | 0.000 | -0.000 | 0.000 | 0.000 | 86.583 |
| 262.425 | 110.337 | 110.337 | 0.000 | -0.000 | -0.000 |
| 110.337 | 262.425 | 110.337 | 0.000 | -0.000 | 0.000 |
| 110.337 | 110.337 | 262.425 | 0.000 | -0.000 | -0.000 |
| 0.000 | -0.000 | 0.000 | 86.583 | -0.000 | -0.000 |
| 0.000 | 0.000 | 0.000 | 0.000 | 86.583 | -0.000 |
| 0.000 | 0.000 | 0.000 | -0.000 | -0.000 | 86.583 |
| 262.425 | 110.337 | 110.337 | -0.000 | 0.000 | 0.000 |
| 110.337 | 262.425 | 110.337 | -0.000 | -0.000 | 0.000 |
| 110.337 | 110.337 | 262.425 | 0.000 | 0.000 | 0.000 |
| -0.000 | -0.000 | -0.000 | 98.865 | 0.000 | 0.000 |
| -0.000 | -0.000 | -0.000 | 0.000 | 98.865 | 0.000 |
| -0.000 | -0.000 | -0.000 | 0.000 | 0.000 | 98.865 |
| 262.426 | 110.337 | 110.337 | 0.000 | -0.000 | -0.000 |
| 110.337 | 262.426 | 110.337 | 0.000 | 0.000 | 0.000 |
| 110.337 | 110.337 | 262.426 | 0.000 | -0.000 | -0.000 |
| 0.000 | 0.000 | 0.000 | 98.865 | -0.000 | -0.000 |
| 0.000 | 0.000 | 0.000 | -0.000 | 98.865 | -0.000 |
| 0.000 | 0.000 | 0.000 | -0.000 | -0.000 | 98.865 |
| 262.422 | 110.337 | 110.337 | -0.000 | -0.000 | -0.000 |
| 110.337 | 262.422 | 110.337 | -0.000 | -0.000 | 0.000 |
| 110.337 | 110.337 | 262.422 | 0.000 | 0.000 | 0.000 |
| -0.000 | -0.000 | -0.000 | 98.865 | 0.000 | 0.000 |
| -0.000 | -0.000 | -0.000 | -0.000 | 98.865 | 0.000 |
| -0.000 | -0.000 | -0.000 | -0.000 | 0.000 | 98.865 |
| 262.429 | 110.337 | 110.337 | 0.000 | 0.000 | -0.000 |
| 110.337 | 262.429 | 110.337 | 0.000 | 0.000 | -0.000 |
| 110.337 | 110.337 | 262.429 | -0.000 | -0.000 | -0.000 |
| 0.000 | 0.000 | 0.000 | 98.865 | -0.000 | -0.000 |
| 0.000 | 0.000 | 0.000 | 0.000 | 98.865 | -0.000 |
| 0.000 | 0.000 | 0.000 | 0.000 | -0.000 | 98.865 |
| 4.285 | 3.633 | 3.633 | 0.000 | 0.000 | 0.000 |
| 3.633 | 4.285 | 3.633 | 0.000 | 0.000 | 0.000 |
| 3.633 | 3.633 | 4.285 | 0.000 | 0.000 | 0.000 |
| 0.000 | 0.000 | -0.000 | 1.191 | 0.000 | 0.000 |
| -0.000 | 0.000 | -0.000 | 0.000 | 1.191 | 0.000 |
| 0.000 | 0.000 | -0.000 | 0.000 | 0.000 | 1.191 |
| 4.285 | 3.633 | 3.633 | -0.000 | -0.000 | -0.000 |
| 3.633 | 4.285 | 3.633 | -0.000 | -0.000 | -0.000 |
| 3.633 | 3.633 | 4.285 | -0.000 | -0.000 | -0.000 |
| -0.000 | -0.000 | 0.000 | 1.191 | -0.000 | -0.000 |
| 0.000 | -0.000 | 0.000 | -0.000 | 1.191 | -0.000 |
| 0.000 | -0.000 | 0.000 | -0.000 | -0.000 | 1.191 |
| 4.285 | 3.633 | 3.633 | -0.000 | 0.000 | 0.000 |
| 3.633 | 4.285 | 3.633 | 0.000 | -0.000 | 0.000 |
| 3.633 | 3.633 | 4.285 | 0.000 | 0.000 | 0.000 |
| -0.000 | -0.000 | -0.000 | 2.314 | -0.000 | 0.000 |
| -0.000 | -0.000 | -0.000 | -0.000 | 2.314 | 0.000 |
| -0.000 | -0.000 | -0.000 | -0.000 | 0.000 | 2.314 |
| 4.285 | 3.633 | 3.633 | -0.000 | -0.000 | -0.000 |
| 3.633 | 4.285 | 3.633 | -0.000 | -0.000 | -0.000 |
| 3.633 | 3.633 | 4.285 | -0.000 | -0.000 | -0.000 |
| 0.000 | 0.000 | 0.000 | 2.314 | -0.000 | -0.000 |
| 0.000 | 0.000 | 0.000 | -0.000 | 2.314 | -0.000 |
| 0.000 | 0.000 | 0.000 | -0.000 | -0.000 | 2.314 |
| 4.285 | 3.633 | 3.633 | -0.000 | 0.000 | 0.000 |
| 3.633 | 4.285 | 3.633 | 0.000 | -0.000 | 0.000 |
| 3.633 | 3.633 | 4.285 | 0.000 | 0.000 | -0.000 |
| -0.000 | -0.000 | -0.000 | 2.314 | 0.000 | 0.000 |
| -0.000 | -0.000 | -0.000 | 0.000 | 2.314 | 0.000 |
| -0.000 | -0.000 | -0.000 | 0.000 | 0.000 | 2.314 |
| 4.285 | 3.633 | 3.633 | 0.000 | -0.000 | -0.000 |
| 3.633 | 4.285 | 3.633 | -0.000 | 0.000 | -0.000 |
| 3.633 | 3.633 | 4.285 | -0.000 | -0.000 | -0.000 |
| 0.000 | 0.000 | 0.000 | 2.314 | -0.000 | -0.000 |
| 0.000 | 0.000 | 0.000 | -0.000 | 2.314 | -0.000 |
| 0.000 | 0.000 | 0.000 | -0.000 | -0.000 | 2.314 |
| 806.491 | 256.634 | 256.634 | -0.000 | -0.000 | -0.000 |
| 256.634 | 806.491 | 256.634 | -0.000 | -0.000 | -0.000 |
| 256.634 | 256.634 | 806.491 | -0.000 | -0.000 | -0.000 |
| 0.000 | -0.000 | -0.000 | 283.937 | -0.000 | 0.000 |
| -0.000 | 0.000 | -0.000 | -0.000 | 283.937 | -0.000 |
| -0.000 | 0.000 | -0.000 | -0.000 | -0.000 | 283.937 |
| 806.491 | 256.634 | 256.634 | 0.000 | 0.000 | 0.000 |
| 256.634 | 806.491 | 256.634 | 0.000 | 0.000 | 0.000 |
| 256.634 | 256.634 | 806.491 | 0.000 | 0.000 | 0.000 |
| -0.000 | 0.000 | 0.000 | 283.937 | 0.000 | 0.000 |
| 0.000 | -0.000 | 0.000 | 0.000 | 283.937 | 0.000 |
| -0.000 | -0.000 | 0.000 | 0.000 | 0.000 | 283.937 |
| 806.490 | 256.634 | 256.634 | -0.000 | -0.000 | -0.000 |
| 256.634 | 806.490 | 256.634 | -0.000 | -0.000 | -0.000 |
| 256.634 | 256.634 | 806.490 | -0.000 | -0.000 | -0.000 |
| 0.000 | -0.000 | 0.000 | 284.134 | -0.000 | 0.000 |
| -0.000 | 0.000 | 0.000 | -0.000 | 284.134 | -0.000 |
| -0.000 | 0.000 | 0.000 | -0.000 | -0.000 | 284.134 |
| 806.491 | 256.634 | 256.634 | 0.000 | 0.000 | 0.000 |
| 256.634 | 806.491 | 256.634 | 0.000 | 0.000 | 0.000 |
| 256.634 | 256.634 | 806.491 | 0.000 | 0.000 | 0.000 |
| -0.000 | 0.000 | -0.000 | 284.134 | 0.000 | 0.000 |
| 0.000 | -0.000 | -0.000 | 0.000 | 284.134 | 0.000 |
| 0.000 | -0.000 | -0.000 | 0.000 | 0.000 | 284.134 |
| 806.489 | 256.633 | 256.633 | -0.000 | -0.000 | -0.000 |
| 256.633 | 806.489 | 256.633 | -0.000 | -0.000 | -0.000 |
| 256.633 | 256.633 | 806.489 | -0.000 | -0.000 | -0.000 |
| 0.001 | -0.000 | 0.000 | 283.937 | -0.000 | -0.000 |
| -0.000 | 0.001 | 0.000 | -0.000 | 283.937 | -0.000 |
| -0.000 | 0.000 | 0.001 | -0.000 | -0.000 | 283.937 |
| 806.492 | 256.634 | 256.634 | 0.000 | 0.000 | 0.000 |
| 256.634 | 806.492 | 256.634 | 0.000 | 0.000 | 0.000 |
| 256.634 | 256.634 | 806.492 | 0.000 | 0.000 | 0.000 |
| -0.001 | 0.000 | -0.000 | 283.937 | 0.000 | 0.000 |
| 0.000 | -0.001 | -0.000 | 0.000 | 283.937 | 0.000 |
| 0.000 | -0.000 | -0.001 | 0.000 | 0.000 | 283.937 |
| 352.436 | 209.676 | 209.676 | -0.000 | -0.000 | 0.000 |
| 209.676 | 352.436 | 209.676 | 0.000 | -0.000 | 0.000 |
| 209.676 | 209.676 | 352.436 | 0.000 | -0.000 | 0.000 |
| 0.000 | 0.000 | -0.000 | 173.223 | -0.000 | 0.000 |
| 0.000 | -0.000 | 0.000 | 0.000 | 173.223 | 0.000 |
| -0.000 | -0.000 | 0.000 | 0.000 | -0.000 | 173.223 |
| 352.436 | 209.676 | 209.676 | 0.000 | 0.000 | -0.000 |
| 209.676 | 352.436 | 209.676 | 0.000 | -0.000 | -0.000 |
| 209.676 | 209.676 | 352.436 | 0.000 | 0.000 | -0.000 |
| -0.000 | -0.000 | -0.000 | 173.223 | 0.000 | -0.000 |
| 0.000 | -0.000 | -0.000 | -0.000 | 173.223 | -0.000 |
| 0.000 | -0.000 | -0.000 | -0.000 | 0.000 | 173.223 |
| 352.435 | 209.676 | 209.676 | 0.000 | -0.000 | -0.000 |
| 209.676 | 352.435 | 209.676 | 0.000 | -0.000 | 0.000 |
| 209.676 | 209.676 | 352.435 | 0.000 | -0.000 | 0.000 |
| 0.000 | -0.000 | -0.000 | 173.223 | -0.000 | 0.000 |
| -0.000 | 0.000 | -0.000 | 0.000 | 173.223 | 0.000 |
| -0.000 | -0.000 | 0.000 | 0.000 | -0.000 | 173.223 |
| 352.436 | 209.676 | 209.676 | -0.000 | 0.000 | 0.000 |
| 209.676 | 352.436 | 209.676 | -0.000 | 0.000 | 0.000 |
| 209.676 | 209.676 | 352.436 | 0.000 | 0.000 | -0.000 |
| -0.000 | 0.000 | 0.000 | 173.223 | 0.000 | -0.000 |
| 0.000 | -0.000 | 0.000 | 0.000 | 173.223 | -0.000 |
| 0.000 | 0.000 | -0.000 | -0.000 | 0.000 | 173.223 |
| 352.431 | 209.676 | 209.676 | -0.000 | -0.000 | 0.000 |
| 209.676 | 352.431 | 209.676 | 0.000 | -0.000 | 0.000 |
| 209.676 | 209.676 | 352.431 | 0.000 | -0.000 | 0.000 |
| 0.000 | -0.001 | -0.000 | 156.783 | 0.000 | -0.000 |
| -0.001 | 0.000 | -0.000 | -0.000 | 156.783 | 0.000 |
| -0.001 | -0.000 | 0.000 | 0.000 | -0.000 | 156.783 |
| 352.441 | 209.676 | 209.676 | 0.000 | 0.000 | -0.000 |
| 209.676 | 352.441 | 209.676 | 0.000 | 0.000 | -0.000 |
| 209.676 | 209.676 | 352.441 | 0.000 | -0.000 | -0.000 |
| -0.000 | 0.001 | 0.000 | 156.783 | 0.000 | -0.000 |
| 0.001 | -0.000 | 0.000 | -0.000 | 156.783 | -0.000 |
| 0.001 | 0.000 | -0.000 | -0.000 | 0.000 | 156.783 |
| 552.612 | 201.493 | 201.493 | -0.000 | 0.000 | -0.000 |
| 201.493 | 552.612 | 201.493 | -0.000 | 0.000 | -0.000 |
| 201.493 | 201.493 | 552.612 | -0.000 | 0.000 | -0.000 |
| -0.000 | -0.000 | -0.000 | 139.720 | 0.000 | -0.000 |
| -0.000 | -0.000 | -0.000 | -0.000 | 139.720 | -0.000 |
| -0.000 | -0.000 | -0.000 | -0.000 | -0.000 | 139.720 |
| 552.612 | 201.493 | 201.493 | 0.000 | -0.000 | 0.000 |
| 201.493 | 552.612 | 201.493 | 0.000 | -0.000 | 0.000 |
| 201.493 | 201.493 | 552.612 | 0.000 | -0.000 | 0.000 |
| 0.000 | 0.000 | 0.000 | 139.720 | -0.000 | 0.000 |
| 0.000 | 0.000 | -0.000 | 0.000 | 139.720 | 0.000 |
| 0.000 | 0.000 | 0.000 | -0.000 | 0.000 | 139.720 |
| 552.612 | 201.493 | 201.493 | -0.000 | 0.000 | -0.000 |
| 201.493 | 552.612 | 201.493 | -0.000 | 0.000 | -0.000 |
| 201.493 | 201.493 | 552.612 | -0.000 | 0.000 | -0.000 |
| -0.000 | 0.000 | 0.000 | 102.099 | 0.000 | -0.000 |
| 0.000 | -0.000 | 0.000 | -0.000 | 102.099 | -0.000 |
| 0.000 | 0.000 | -0.000 | -0.000 | 0.000 | 102.099 |
| 552.611 | 201.493 | 201.493 | 0.000 | -0.000 | 0.000 |
| 201.493 | 552.611 | 201.493 | 0.000 | -0.000 | 0.000 |
| 201.493 | 201.493 | 552.611 | 0.000 | -0.000 | 0.000 |
| 0.000 | -0.000 | -0.000 | 102.099 | -0.000 | 0.000 |
| -0.000 | 0.000 | -0.000 | 0.000 | 102.099 | 0.000 |
| -0.000 | -0.000 | 0.000 | 0.000 | -0.000 | 102.099 |
| 552.614 | 201.494 | 201.494 | -0.000 | 0.000 | -0.000 |
| 201.494 | 552.614 | 201.494 | -0.000 | 0.000 | -0.000 |
| 201.494 | 201.494 | 552.614 | -0.000 | 0.000 | -0.000 |
| -0.000 | -0.000 | -0.000 | 139.720 | -0.000 | -0.000 |
| -0.000 | -0.000 | -0.000 | -0.000 | 139.720 | -0.000 |
| -0.000 | -0.000 | -0.000 | -0.000 | -0.000 | 139.720 |
| 552.609 | 201.491 | 201.491 | 0.000 | -0.000 | 0.000 |
| 201.491 | 552.609 | 201.491 | 0.000 | 0.000 | 0.000 |
| 201.491 | 201.491 | 552.609 | 0.000 | -0.000 | 0.000 |
| 0.000 | 0.000 | 0.000 | 139.720 | -0.000 | 0.000 |
| 0.000 | 0.000 | 0.000 | 0.000 | 139.720 | 0.000 |
| 0.000 | 0.000 | 0.000 | -0.000 | 0.000 | 139.720 |
| 463.456 | 222.501 | 222.501 | -0.000 | -0.000 | 0.000 |
| 222.501 | 463.456 | 222.501 | 0.000 | -0.000 | 0.000 |
| 222.501 | 222.501 | 463.456 | 0.000 | 0.000 | 0.000 |
| 0.000 | 0.000 | 0.000 | 76.270 | -0.000 | 0.000 |
| 0.000 | 0.000 | 0.000 | -0.000 | 76.270 | 0.000 |
| 0.000 | 0.000 | 0.000 | 0.000 | -0.000 | 76.270 |
| 463.456 | 222.501 | 222.501 | -0.000 | -0.000 | -0.000 |
| 222.501 | 463.456 | 222.501 | -0.000 | -0.000 | -0.000 |
| 222.501 | 222.501 | 463.456 | 0.000 | 0.000 | -0.000 |
| -0.000 | -0.000 | -0.000 | 76.270 | 0.000 | -0.000 |
| -0.000 | -0.000 | -0.000 | 0.000 | 76.270 | -0.000 |
| -0.000 | -0.000 | -0.000 | -0.000 | 0.000 | 76.270 |
| 463.456 | 222.501 | 222.501 | 0.000 | -0.000 | 0.000 |
| 222.501 | 463.456 | 222.501 | -0.000 | 0.000 | 0.000 |
| 222.501 | 222.501 | 463.456 | 0.000 | 0.000 | 0.000 |
| 0.000 | 0.000 | 0.000 | 61.985 | 0.000 | -0.000 |
| 0.000 | 0.000 | 0.000 | 0.000 | 61.985 | 0.000 |
| 0.000 | 0.000 | 0.000 | 0.000 | -0.000 | 61.985 |
| 463.456 | 222.501 | 222.501 | -0.000 | -0.000 | 0.000 |
| 222.501 | 463.456 | 222.501 | -0.000 | 0.000 | -0.000 |
| 222.501 | 222.501 | 463.456 | -0.000 | 0.000 | 0.000 |
| -0.000 | -0.000 | -0.000 | 61.985 | -0.000 | -0.000 |
| -0.000 | -0.000 | -0.000 | -0.000 | 61.985 | -0.000 |
| -0.000 | -0.000 | -0.000 | -0.000 | 0.000 | 61.985 |
| 463.456 | 222.502 | 222.502 | 0.000 | 0.000 | 0.000 |
| 222.502 | 463.456 | 222.502 | 0.000 | 0.000 | 0.000 |
| 222.502 | 222.502 | 463.456 | -0.000 | -0.000 | 0.000 |
| 0.001 | 0.001 | 0.001 | 76.270 | -0.000 | 0.000 |
| 0.001 | 0.001 | 0.001 | -0.000 | 76.270 | 0.000 |
| 0.001 | 0.001 | 0.001 | -0.000 | -0.000 | 76.270 |
| 463.455 | 222.500 | 222.500 | 0.000 | 0.000 | -0.000 |
| 222.500 | 463.455 | 222.500 | -0.000 | 0.000 | -0.000 |
| 222.500 | 222.500 | 463.455 | -0.000 | 0.000 | -0.000 |
| -0.001 | -0.001 | -0.001 | 76.270 | 0.000 | 0.000 |
| -0.001 | -0.001 | -0.001 | -0.000 | 76.270 | -0.000 |
| -0.001 | -0.001 | -0.001 | 0.000 | 0.000 | 76.270 |
| 167.319 | 171.745 | 171.745 | 0.000 | 0.000 | 0.000 |
| 171.745 | 167.319 | 171.745 | 0.000 | 0.000 | -0.000 |
| 171.745 | 171.745 | 167.319 | 0.000 | 0.000 | -0.000 |
| -0.000 | -0.000 | 0.000 | 143.509 | 0.000 | -0.000 |
| -0.000 | -0.000 | 0.000 | 0.000 | 143.509 | -0.000 |
| -0.000 | -0.000 | 0.000 | 0.000 | 0.000 | 143.509 |
| 167.319 | 171.745 | 171.745 | -0.000 | -0.000 | -0.000 |
| 171.745 | 167.319 | 171.745 | -0.000 | -0.000 | 0.000 |
| 171.745 | 171.745 | 167.319 | -0.000 | -0.000 | -0.000 |
| 0.000 | 0.000 | -0.000 | 143.509 | -0.000 | -0.000 |
| 0.000 | 0.000 | -0.000 | -0.000 | 143.509 | 0.000 |
| 0.000 | 0.000 | -0.000 | -0.000 | -0.000 | 143.509 |
| 167.319 | 171.745 | 171.745 | 0.000 | 0.000 | 0.000 |
| 171.745 | 167.319 | 171.745 | 0.000 | 0.000 | -0.000 |
| 171.745 | 171.745 | 167.319 | 0.000 | -0.000 | -0.000 |
| -0.000 | -0.000 | -0.000 | 144.068 | 0.000 | 0.000 |
| -0.000 | -0.000 | -0.000 | 0.000 | 144.068 | -0.000 |
| -0.000 | -0.000 | -0.000 | 0.000 | 0.000 | 144.068 |
| 167.320 | 171.745 | 171.745 | -0.000 | -0.000 | -0.000 |
| 171.745 | 167.320 | 171.745 | -0.000 | -0.000 | -0.000 |
| 171.745 | 171.745 | 167.320 | -0.000 | -0.000 | 0.000 |
| 0.000 | 0.000 | 0.000 | 144.068 | -0.000 | 0.000 |
| 0.000 | 0.000 | 0.000 | -0.000 | 144.068 | 0.000 |
| 0.000 | 0.000 | 0.000 | -0.000 | -0.000 | 144.068 |
| 167.314 | 171.745 | 171.745 | 0.000 | -0.000 | -0.000 |
| 171.745 | 167.314 | 171.745 | 0.000 | 0.000 | 0.000 |
| 171.745 | 171.745 | 167.314 | 0.000 | -0.000 | 0.000 |
| -0.000 | -0.001 | -0.001 | 144.068 | 0.000 | -0.000 |
| -0.001 | -0.000 | -0.001 | 0.000 | 144.068 | -0.000 |
| -0.001 | -0.001 | -0.000 | 0.000 | 0.000 | 144.068 |
| 167.324 | 171.746 | 171.746 | -0.000 | -0.000 | 0.000 |
| 171.746 | 167.324 | 171.746 | -0.000 | -0.000 | 0.000 |
| 171.746 | 171.746 | 167.324 | -0.000 | 0.000 | -0.000 |
| 0.000 | 0.001 | 0.001 | 144.068 | -0.000 | -0.000 |
| 0.001 | 0.000 | 0.001 | -0.000 | 144.068 | 0.000 |
| 0.001 | 0.001 | 0.000 | -0.000 | -0.000 | 144.068 |
| 8.052 | 131.931 | 131.931 | -0.000 | -0.000 | -0.000 |
| 131.931 | 8.052 | 131.931 | -0.000 | -0.000 | -0.000 |
| 131.931 | 131.931 | 8.052 | 0.000 | -0.000 | -0.000 |
| 0.000 | -0.000 | -0.000 | 70.369 | -0.000 | -0.000 |
| -0.000 | -0.000 | -0.000 | -0.000 | 70.369 | -0.000 |
| -0.000 | -0.000 | -0.000 | -0.000 | -0.000 | 70.369 |
| 8.052 | 131.931 | 131.931 | 0.000 | 0.000 | 0.000 |
| 131.931 | 8.052 | 131.931 | 0.000 | 0.000 | 0.000 |
| 131.931 | 131.931 | 8.052 | -0.000 | 0.000 | 0.000 |
| -0.000 | 0.000 | 0.000 | 70.369 | 0.000 | 0.000 |
| 0.000 | 0.000 | 0.000 | 0.000 | 70.369 | 0.000 |
| 0.000 | 0.000 | 0.000 | 0.000 | 0.000 | 70.369 |
| 8.051 | 131.931 | 131.931 | -0.000 | -0.000 | -0.000 |
| 131.931 | 8.051 | 131.931 | -0.000 | -0.000 | -0.000 |
| 131.931 | 131.931 | 8.051 | -0.000 | -0.000 | -0.000 |
| -0.000 | -0.000 | -0.000 | 70.369 | -0.000 | -0.000 |
| -0.000 | -0.000 | -0.000 | -0.000 | 70.369 | -0.000 |
| -0.000 | -0.000 | -0.000 | -0.000 | -0.000 | 70.369 |
| 8.052 | 131.931 | 131.931 | 0.000 | 0.000 | 0.000 |
| 131.931 | 8.052 | 131.931 | 0.000 | 0.000 | 0.000 |
| 131.931 | 131.931 | 8.052 | 0.000 | 0.000 | 0.000 |
| 0.000 | 0.000 | 0.000 | 70.369 | 0.000 | 0.000 |
| 0.000 | 0.000 | 0.000 | -0.000 | 70.369 | 0.000 |
| 0.000 | 0.000 | 0.000 | 0.000 | 0.000 | 70.369 |
| 8.048 | 131.931 | 131.931 | -0.000 | -0.000 | -0.000 |
| 131.931 | 8.048 | 131.931 | -0.000 | -0.000 | -0.000 |
| 131.931 | 131.931 | 8.048 | 0.000 | 0.000 | -0.000 |
| -0.000 | -0.001 | -0.001 | 70.369 | -0.000 | -0.000 |
| -0.001 | -0.000 | -0.001 | -0.000 | 70.369 | -0.000 |
| -0.001 | -0.001 | -0.000 | -0.000 | -0.000 | 70.369 |
| 8.055 | 131.931 | 131.931 | 0.000 | 0.000 | 0.000 |
| 131.931 | 8.055 | 131.931 | 0.000 | 0.000 | 0.000 |
| 131.931 | 131.931 | 8.055 | 0.000 | 0.000 | 0.000 |
| 0.000 | 0.001 | 0.001 | 70.369 | 0.000 | 0.000 |
| 0.001 | 0.000 | 0.001 | 0.000 | 70.369 | 0.000 |
| 0.001 | 0.001 | 0.000 | 0.000 | 0.000 | 70.369 |
| 511.022 | 336.745 | 310.376 | 0.000 | -0.000 | -0.000 |
| 336.745 | 511.022 | 310.376 | 0.000 | -0.000 | -0.000 |
| 310.376 | 310.376 | 594.046 | 0.000 | 0.000 | -0.000 |
| 0.000 | -0.000 | 0.000 | 169.931 | 0.000 | -0.000 |
| -0.000 | -0.000 | -0.000 | 0.000 | 169.931 | -0.000 |
| 0.000 | 0.000 | -0.000 | 0.000 | -0.000 | 199.834 |
| 511.022 | 336.745 | 310.376 | -0.000 | 0.000 | 0.000 |
| 336.745 | 511.022 | 310.376 | 0.000 | 0.000 | 0.000 |
| 310.376 | 310.376 | 594.046 | -0.000 | 0.000 | 0.000 |
| -0.000 | 0.000 | 0.000 | 169.931 | 0.000 | 0.000 |
| 0.000 | 0.000 | 0.000 | 0.000 | 169.931 | 0.000 |
| -0.000 | -0.000 | 0.000 | 0.000 | 0.000 | 199.834 |
| 511.022 | 336.745 | 310.376 | -0.000 | -0.000 | -0.000 |
| 336.745 | 511.022 | 310.376 | 0.000 | -0.000 | -0.000 |
| 310.376 | 310.376 | 594.046 | -0.000 | -0.000 | -0.000 |
| -0.000 | -0.000 | -0.000 | 173.675 | -0.000 | -0.000 |
| -0.000 | -0.000 | -0.000 | 0.000 | 173.675 | -0.000 |
| 0.000 | 0.000 | -0.000 | 0.000 | -0.000 | 199.834 |
| 511.021 | 336.745 | 310.376 | -0.000 | 0.000 | 0.000 |
| 336.745 | 511.021 | 310.376 | -0.000 | -0.000 | 0.000 |
| 310.376 | 310.376 | 594.046 | -0.000 | 0.000 | 0.000 |
| 0.000 | 0.000 | 0.000 | 173.675 | 0.000 | 0.000 |
| 0.000 | 0.000 | 0.000 | -0.000 | 173.675 | 0.000 |
| -0.000 | -0.000 | 0.000 | -0.000 | 0.000 | 199.834 |
| 504.553 | 343.220 | 310.377 | 0.000 | 0.000 | -0.000 |
| 343.220 | 504.553 | 310.377 | -0.000 | -0.000 | -0.000 |
| 310.376 | 310.376 | 594.044 | -0.000 | -0.000 | -0.000 |
| -0.000 | -0.000 | -0.001 | 169.931 | -0.000 | -0.000 |
| -0.000 | -0.000 | -0.001 | 0.000 | 169.931 | -0.000 |
| 0.001 | 0.001 | -0.000 | -0.000 | -0.000 | 199.834 |
| 511.017 | 336.743 | 310.375 | -0.000 | 0.000 | 0.000 |
| 336.743 | 511.017 | 310.375 | -0.000 | 0.000 | 0.000 |
| 310.376 | 310.376 | 594.047 | 0.000 | 0.000 | 0.000 |
| 0.000 | 0.000 | 0.001 | 169.931 | 0.000 | 0.000 |
| 0.000 | 0.000 | 0.001 | -0.000 | 169.931 | 0.000 |
| -0.001 | -0.001 | 0.000 | 0.000 | 0.000 | 199.834 |
| 225.548 | 194.442 | 140.246 | 0.000 | 0.000 | 0.000 |
| 194.442 | 225.548 | 140.246 | 0.000 | 0.000 | 0.000 |
| 140.246 | 140.246 | 20.643 | 0.000 | 0.000 | 0.000 |
| -0.000 | -0.000 | -0.000 | 122.635 | -0.000 | 0.000 |
| -0.000 | -0.000 | -0.000 | 0.000 | 122.635 | 0.000 |
| -0.000 | -0.000 | -0.000 | 0.000 | 0.000 | 169.659 |
| 225.548 | 194.442 | 140.246 | -0.000 | -0.000 | -0.000 |
| 194.442 | 225.548 | 140.246 | -0.000 | -0.000 | -0.000 |
| 140.246 | 140.246 | 20.643 | -0.000 | -0.000 | -0.000 |
| -0.000 | 0.000 | 0.000 | 122.634 | 0.000 | -0.000 |
| 0.000 | 0.000 | 0.000 | -0.000 | 122.634 | -0.000 |
| 0.000 | 0.000 | -0.000 | -0.000 | -0.000 | 169.659 |
| 233.498 | 186.491 | 140.246 | 0.000 | -0.000 | 0.000 |
| 186.491 | 233.498 | 140.246 | 0.000 | -0.000 | 0.000 |
| 140.246 | 140.246 | 20.643 | 0.000 | 0.000 | 0.000 |
| -0.000 | -0.000 | -0.000 | 123.225 | -0.000 | 0.000 |
| -0.000 | -0.000 | -0.000 | 0.000 | 123.225 | 0.000 |
| -0.000 | -0.000 | -0.000 | 0.000 | 0.000 | 169.659 |
| 225.548 | 194.442 | 140.246 | -0.000 | -0.000 | -0.000 |
| 194.442 | 225.548 | 140.246 | -0.000 | -0.000 | -0.000 |
| 140.246 | 140.246 | 20.643 | -0.000 | -0.000 | -0.000 |
| 0.000 | 0.000 | 0.000 | 123.225 | 0.000 | -0.000 |
| 0.000 | 0.000 | 0.000 | -0.000 | 123.225 | -0.000 |
| 0.000 | 0.000 | 0.000 | -0.000 | -0.000 | 169.659 |
| 225.544 | 194.441 | 140.246 | 0.000 | 0.000 | 0.000 |
| 194.441 | 225.544 | 140.246 | 0.000 | 0.000 | 0.000 |
| 140.246 | 140.246 | 20.643 | 0.000 | 0.000 | 0.000 |
| -0.000 | -0.002 | -0.001 | 122.634 | 0.000 | 0.000 |
| -0.002 | -0.000 | -0.001 | 0.000 | 122.634 | 0.000 |
| -0.001 | -0.001 | -0.000 | 0.000 | 0.000 | 169.659 |
| 225.551 | 194.442 | 140.246 | -0.000 | -0.000 | -0.000 |
| 194.442 | 225.551 | 140.246 | -0.000 | -0.000 | -0.000 |
| 140.245 | 140.245 | 20.643 | -0.000 | -0.000 | -0.000 |
| 0.000 | 0.002 | 0.001 | 122.634 | -0.000 | -0.000 |
| 0.002 | 0.000 | 0.001 | -0.000 | 122.634 | -0.000 |
| 0.001 | 0.001 | 0.000 | -0.000 | -0.000 | 169.659 |
| 628.273 | 478.495 | 284.615 | 0.000 | 0.000 | -0.000 |
| 242.719 | 436.362 | 238.175 | 0.000 | -0.000 | -0.000 |
| 464.179 | 464.179 | 561.867 | 0.000 | 0.000 | -0.000 |
| 229.864 | 229.864 | 49.919 | 89.834 | 0.000 | -0.000 |
| 229.848 | 229.848 | 49.916 | 0.000 | 88.423 | 0.000 |
| -0.000 | -0.000 | 0.000 | -0.000 | -0.000 | 96.821 |
| 436.362 | 242.719 | 238.175 | -0.000 | -0.000 | 0.000 |
| 15.604 | 165.474 | 184.099 | -0.000 | -0.000 | 0.000 |
| 4.483 | 4.483 | 462.035 | -0.000 | -0.000 | 0.000 |
| -229.864 | -229.864 | -49.919 | 89.834 | -0.000 | 0.000 |
| -229.848 | -229.848 | -49.916 | -0.000 | 88.423 | 0.000 |
| 0.000 | 0.000 | -0.000 | 0.000 | -0.000 | 96.822 |
| 436.361 | 242.719 | 238.175 | 0.000 | -0.000 | -0.000 |
| 242.719 | 436.361 | 238.175 | 0.000 | 0.000 | -0.000 |
| 238.175 | 238.175 | 512.786 | 0.000 | 0.000 | -0.000 |
| 23.144 | 23.144 | 5.026 | 89.832 | -0.000 | -0.000 |
| -0.000 | -0.000 | 0.000 | 0.000 | 90.076 | 0.000 |
| 22.271 | 22.298 | 4.881 | 0.000 | 0.000 | -1379.136 |
| 360.542 | 219.738 | 227.447 | -0.000 | -0.000 | 0.000 |
| 242.719 | 436.362 | 238.175 | -0.000 | 0.000 | 0.000 |
| 211.346 | 211.346 | 506.959 | -0.000 | -0.000 | 0.000 |
| -23.144 | -23.144 | -5.026 | 89.832 | -0.000 | 0.000 |
| 0.000 | 0.000 | -0.000 | -0.000 | 90.076 | 0.000 |
| -22.271 | -22.298 | -4.881 | -0.000 | -0.000 | -1379.136 |
| -99.075 | 716.205 | 231.493 | 0.000 | 0.000 | -0.000 |
| 1714.654 | -1064.599 | 235.442 | 0.000 | 0.000 | -0.000 |
| 238.176 | 238.176 | 512.788 | 0.000 | -0.000 | -0.000 |
| -0.000 | -0.000 | 0.001 | 90.076 | 0.000 | -0.000 |
| 3.720 | 3.720 | 0.809 | 0.000 | 89.684 | -0.000 |
| 1.250 | 1.624 | 0.912 | 0.000 | 0.000 | -1667.687 |
| -1062.201 | 1702.899 | 233.593 | -0.000 | -0.000 | 0.000 |
| 242.720 | 436.367 | 238.175 | -0.000 | -0.000 | 0.000 |
| 238.174 | 238.174 | 512.784 | -0.000 | -0.000 | 0.000 |
| 0.000 | 0.000 | -0.001 | 90.076 | -0.000 | 0.000 |
| -3.720 | -3.720 | -0.809 | -0.000 | 89.684 | 0.000 |
| -1.250 | -1.624 | -0.912 | -0.000 | -0.000 | -1667.687 |
| 331.218 | 245.537 | 331.290 | 0.000 | -0.000 | -0.000 |
| 245.699 | 532.637 | 230.961 | -0.000 | 0.000 | 0.000 |
| 329.711 | 229.220 | 601.059 | -0.000 | -0.000 | -0.000 |
| 0.000 | 0.000 | -0.000 | 99.101 | 0.000 | 0.000 |
| -0.320 | -0.536 | 1.422 | -0.000 | 130.055 | -0.000 |
| -0.040 | -0.067 | 0.177 | -0.000 | 0.000 | 126.546 |
| 240.250 | 148.099 | 224.489 | -0.000 | -0.000 | -0.000 |
| 245.699 | 532.637 | 230.961 | -0.000 | -0.000 | 0.000 |
| 269.699 | 175.635 | 431.157 | -0.000 | -0.000 | 0.000 |
| -0.000 | -0.000 | 0.000 | 99.101 | -0.000 | 0.000 |
| 0.320 | 0.536 | -1.422 | 0.000 | 130.055 | -0.000 |
| 0.040 | 0.067 | -0.177 | -0.000 | -0.000 | 126.546 |
| 331.218 | 245.537 | 331.291 | -0.000 | -0.000 | -0.000 |
| 245.699 | 532.638 | 230.961 | 0.000 | 0.000 | 0.000 |
| 269.444 | 175.349 | 430.974 | 0.000 | 0.000 | -0.000 |
| -0.061 | -0.102 | 0.272 | -58.211 | 0.000 | -0.000 |
| -0.032 | -0.054 | 0.142 | -0.000 | 130.005 | -0.000 |
| -0.004 | -0.007 | 0.018 | 0.000 | 0.000 | 126.546 |
| 236.050 | 145.328 | 203.484 | -0.000 | -0.000 | 0.000 |
| 160.137 | 439.143 | 147.666 | -0.000 | -0.000 | -0.000 |
| 201.924 | 101.147 | 369.174 | 0.000 | -0.000 | 0.000 |
| 0.061 | 0.102 | -0.272 | -58.211 | -0.000 | -0.000 |
| 0.032 | 0.054 | -0.142 | 0.000 | 130.005 | 0.000 |
| 0.004 | 0.007 | -0.018 | -0.000 | -0.000 | 126.546 |
| 331.220 | 245.538 | 331.292 | 0.000 | 0.000 | -0.000 |
| 145.481 | 426.415 | 102.874 | -0.000 | 0.000 | -0.000 |
| 269.473 | 175.379 | 431.012 | 0.000 | 0.000 | -0.000 |
| -0.000 | 0.001 | 0.000 | 99.101 | 0.000 | 0.000 |
| 0.001 | -0.000 | 0.003 | 0.000 | 198.711 | -0.000 |
| 0.000 | 0.001 | 0.002 | 0.000 | 0.000 | 126.546 |
| 236.042 | 145.320 | 203.495 | -0.000 | 0.000 | 0.000 |
| 245.698 | 532.634 | 230.961 | 0.000 | -0.000 | 0.000 |
| 201.903 | 101.125 | 369.154 | -0.000 | -0.000 | -0.000 |
| 0.000 | -0.001 | -0.000 | 99.101 | -0.000 | 0.000 |
| -0.001 | 0.000 | -0.003 | 0.000 | 198.711 | 0.000 |
| -0.000 | -0.001 | -0.002 | -0.000 | -0.000 | 126.546 |
| 418.045 | 205.902 | 205.902 | -0.000 | -0.000 | 0.000 |
| 205.902 | 418.045 | 205.902 | 0.000 | -0.000 | 0.000 |
| 205.902 | 205.902 | 418.045 | 0.000 | -0.000 | 0.000 |
| 0.000 | -0.000 | 0.000 | 169.600 | -0.000 | 0.000 |
| 0.000 | 0.000 | 0.000 | 0.000 | 169.600 | -0.000 |
| 0.000 | 0.000 | 0.000 | 0.000 | -0.000 | 169.600 |
| 418.045 | 205.902 | 205.902 | -0.000 | -0.000 | -0.000 |
| 205.902 | 418.045 | 205.902 | -0.000 | -0.000 | -0.000 |
| 205.902 | 205.902 | 418.045 | -0.000 | -0.000 | -0.000 |
| -0.000 | -0.000 | -0.000 | 169.600 | 0.000 | 0.000 |
| -0.000 | -0.000 | -0.000 | -0.000 | 169.600 | 0.000 |
| -0.000 | -0.000 | -0.000 | -0.000 | 0.000 | 169.600 |
| 418.046 | 205.902 | 205.902 | 0.000 | -0.000 | -0.000 |
| 205.902 | 418.046 | 205.902 | 0.000 | -0.000 | 0.000 |
| 205.902 | 205.902 | 418.046 | 0.000 | -0.000 | 0.000 |
| 0.000 | -0.000 | -0.000 | 133.419 | 0.000 | -0.000 |
| -0.000 | 0.000 | -0.000 | 0.000 | 133.419 | -0.000 |
| -0.000 | -0.000 | 0.000 | 0.000 | 0.000 | 133.419 |
| 418.044 | 205.902 | 205.902 | -0.000 | 0.000 | -0.000 |
| 205.902 | 418.044 | 205.902 | -0.000 | 0.000 | -0.000 |
| 205.902 | 205.902 | 418.044 | -0.000 | 0.000 | -0.000 |
| -0.000 | 0.000 | 0.000 | 133.419 | 0.000 | 0.000 |
| 0.000 | -0.000 | 0.000 | -0.000 | 133.419 | -0.000 |
| 0.000 | 0.000 | -0.000 | -0.000 | -0.000 | 133.419 |
| 418.051 | 205.903 | 205.903 | 0.000 | -0.000 | 0.000 |
| 205.903 | 418.051 | 205.903 | 0.000 | -0.000 | 0.000 |
| 205.903 | 205.903 | 418.051 | 0.000 | -0.000 | -0.000 |
| 0.001 | -0.000 | -0.000 | 134.481 | 0.000 | 0.000 |
| -0.000 | 0.001 | -0.000 | 0.000 | 134.481 | 0.000 |
| -0.000 | -0.000 | 0.001 | 0.000 | -0.000 | 134.481 |
| 418.039 | 205.901 | 205.901 | -0.000 | -0.000 | -0.000 |
| 205.901 | 418.039 | 205.901 | -0.000 | -0.000 | -0.000 |
| 205.901 | 205.901 | 418.039 | -0.000 | 0.000 | 0.000 |
| -0.001 | 0.000 | 0.000 | 134.481 | 0.000 | 0.000 |
| 0.000 | -0.001 | 0.000 | -0.000 | 134.481 | 0.000 |
| 0.000 | 0.000 | -0.001 | -0.000 | 0.000 | 134.481 |
| 328.610 | 108.632 | 108.632 | 0.000 | 0.000 | 0.000 |
| 108.632 | 328.610 | 108.632 | 0.000 | 0.000 | 0.000 |
| 108.632 | 108.632 | 328.610 | 0.000 | 0.000 | 0.000 |
| 0.000 | -0.000 | 0.000 | 175.244 | 0.000 | -0.000 |
| -0.000 | 0.000 | 0.000 | 0.000 | 175.244 | -0.000 |
| -0.000 | 0.000 | 0.000 | 0.000 | -0.000 | 175.244 |
| 328.610 | 108.632 | 108.632 | -0.000 | -0.000 | -0.000 |
| 108.632 | 328.610 | 108.632 | -0.000 | 0.000 | -0.000 |
| 108.632 | 108.632 | 328.610 | -0.000 | 0.000 | -0.000 |
| -0.000 | 0.000 | -0.000 | 175.244 | 0.000 | 0.000 |
| 0.000 | -0.000 | -0.000 | -0.000 | 175.244 | 0.000 |
| 0.000 | -0.000 | -0.000 | -0.000 | -0.000 | 175.244 |
| 328.610 | 108.632 | 108.632 | 0.000 | -0.000 | 0.000 |
| 108.632 | 328.610 | 108.632 | 0.000 | 0.000 | 0.000 |
| 108.632 | 108.632 | 328.610 | 0.000 | -0.000 | 0.000 |
| 0.000 | -0.000 | -0.000 | 129.388 | -0.000 | 0.000 |
| -0.000 | 0.000 | -0.000 | 0.000 | 129.388 | 0.000 |
| -0.000 | -0.000 | 0.000 | 0.000 | 0.000 | 129.388 |
| 328.610 | 108.632 | 108.632 | -0.000 | -0.000 | -0.000 |
| 108.632 | 328.610 | 108.632 | -0.000 | -0.000 | -0.000 |
| 108.632 | 108.632 | 328.610 | -0.000 | -0.000 | -0.000 |
| -0.000 | 0.000 | 0.000 | 129.388 | 0.000 | -0.000 |
| 0.000 | -0.000 | 0.000 | -0.000 | 129.388 | -0.000 |
| 0.000 | 0.000 | -0.000 | -0.000 | -0.000 | 129.388 |
| 328.608 | 108.632 | 108.632 | 0.000 | -0.000 | 0.000 |
| 108.632 | 328.608 | 108.632 | 0.000 | -0.000 | 0.000 |
| 108.632 | 108.632 | 328.608 | 0.000 | -0.000 | 0.000 |
| 0.000 | -0.001 | -0.000 | 129.164 | -0.000 | -0.000 |
| -0.001 | 0.000 | -0.000 | 0.000 | 129.164 | 0.000 |
| -0.001 | -0.000 | 0.000 | 0.000 | 0.000 | 129.164 |
| 328.612 | 108.632 | 108.632 | -0.000 | 0.000 | -0.000 |
| 108.632 | 328.612 | 108.632 | -0.000 | 0.000 | -0.000 |
| 108.632 | 108.632 | 328.612 | -0.000 | -0.000 | -0.000 |
| -0.000 | 0.001 | 0.000 | 129.164 | -0.000 | -0.000 |
| 0.001 | -0.000 | 0.000 | -0.000 | 129.164 | -0.000 |
| 0.001 | 0.000 | -0.000 | -0.000 | -0.000 | 129.164 |
| 338.898 | 169.200 | 169.200 | -0.000 | 0.000 | 0.000 |
| 169.200 | 338.898 | 169.200 | 0.000 | 0.000 | 0.000 |
| 169.200 | 169.200 | 338.898 | 0.000 | 0.000 | 0.000 |
| 0.000 | -0.000 | -0.000 | 154.470 | -0.000 | 0.000 |
| -0.000 | 0.000 | 0.000 | 0.000 | 154.470 | 0.000 |
| 0.000 | 0.000 | 0.000 | -0.000 | 0.000 | 154.470 |
| 338.898 | 169.200 | 169.200 | 0.000 | 0.000 | -0.000 |
| 169.200 | 338.898 | 169.200 | -0.000 | 0.000 | -0.000 |
| 169.200 | 169.200 | 338.898 | 0.000 | -0.000 | -0.000 |
| -0.000 | 0.000 | 0.000 | 154.470 | 0.000 | -0.000 |
| 0.000 | -0.000 | 0.000 | -0.000 | 154.470 | -0.000 |
| 0.000 | 0.000 | -0.000 | -0.000 | 0.000 | 154.470 |
| 338.898 | 169.201 | 169.201 | -0.000 | -0.000 | 0.000 |
| 169.201 | 338.898 | 169.201 | -0.000 | -0.000 | 0.000 |
| 169.201 | 169.201 | 338.898 | -0.000 | -0.000 | 0.000 |
| 0.000 | -0.000 | 0.000 | 198.120 | -0.000 | 0.000 |
| -0.000 | 0.000 | 0.000 | -0.000 | 198.120 | 0.000 |
| -0.000 | 0.000 | 0.000 | -0.000 | -0.000 | 198.120 |
| 338.897 | 169.200 | 169.200 | 0.000 | 0.000 | -0.000 |
| 169.200 | 338.897 | 169.200 | -0.000 | 0.000 | -0.000 |
| 169.200 | 169.200 | 338.897 | 0.000 | 0.000 | -0.000 |
| -0.000 | 0.000 | -0.000 | 198.120 | 0.000 | -0.000 |
| 0.000 | -0.000 | -0.000 | -0.000 | 198.120 | -0.000 |
| 0.000 | -0.000 | -0.000 | 0.000 | 0.000 | 198.120 |
| 338.900 | 169.202 | 169.202 | -0.000 | -0.000 | 0.000 |
| 169.202 | 338.900 | 169.202 | -0.000 | -0.000 | 0.000 |
| 169.202 | 169.202 | 338.900 | -0.000 | 0.000 | 0.000 |
| 0.001 | -0.000 | -0.000 | 152.902 | -0.000 | 0.000 |
| -0.000 | 0.001 | -0.000 | -0.000 | 152.902 | 0.000 |
| -0.000 | -0.000 | 0.001 | 0.000 | -0.000 | 152.902 |
| 338.895 | 169.199 | 169.199 | -0.000 | 0.000 | -0.000 |
| 169.199 | 338.895 | 169.199 | -0.000 | -0.000 | -0.000 |
| 169.199 | 169.199 | 338.895 | 0.000 | 0.000 | -0.000 |
| -0.001 | 0.000 | 0.000 | 152.902 | 0.000 | -0.000 |
| 0.000 | -0.001 | 0.000 | 0.000 | 152.902 | -0.000 |
| 0.000 | 0.000 | -0.001 | -0.000 | 0.000 | 152.902 |
| 571.346 | 319.814 | 319.814 | 0.000 | 0.000 | 0.000 |
| 319.814 | 571.346 | 319.814 | 0.000 | 0.000 | 0.000 |
| 319.814 | 319.814 | 571.346 | -0.000 | -0.000 | 0.000 |
| 0.000 | 0.000 | 0.000 | 192.634 | 0.000 | 0.000 |
| 0.000 | 0.000 | 0.000 | -0.000 | 192.634 | 0.000 |
| 0.000 | 0.000 | 0.000 | -0.000 | 0.000 | 192.634 |
| 571.345 | 319.814 | 319.814 | -0.000 | -0.000 | -0.000 |
| 319.814 | 571.345 | 319.814 | -0.000 | -0.000 | -0.000 |
| 319.814 | 319.814 | 571.345 | -0.000 | 0.000 | -0.000 |
| -0.000 | -0.000 | -0.000 | 192.634 | -0.000 | -0.000 |
| -0.000 | -0.000 | -0.000 | 0.000 | 192.634 | -0.000 |
| -0.000 | -0.000 | -0.000 | 0.000 | 0.000 | 192.634 |
| 571.346 | 319.815 | 319.815 | -0.000 | 0.000 | 0.000 |
| 319.815 | 571.346 | 319.815 | 0.000 | -0.000 | 0.000 |
| 319.815 | 319.815 | 571.346 | 0.000 | 0.000 | 0.000 |
| 0.000 | 0.000 | 0.000 | 192.634 | -0.000 | 0.000 |
| 0.000 | 0.000 | 0.000 | -0.000 | 192.634 | 0.000 |
| 0.000 | 0.000 | 0.000 | -0.000 | -0.000 | 192.634 |
| 571.345 | 319.813 | 319.813 | -0.000 | 0.000 | -0.000 |
| 319.813 | 571.345 | 319.813 | -0.000 | -0.000 | -0.000 |
| 319.813 | 319.813 | 571.345 | 0.000 | 0.000 | -0.000 |
| -0.000 | -0.000 | -0.000 | 192.634 | 0.000 | -0.000 |
| -0.000 | -0.000 | -0.000 | 0.000 | 192.634 | -0.000 |
| -0.000 | -0.000 | -0.000 | 0.000 | 0.000 | 192.634 |
| 571.355 | 319.823 | 319.823 | -0.000 | -0.000 | 0.000 |
| 319.823 | 571.355 | 319.823 | -0.000 | -0.000 | 0.000 |
| 319.823 | 319.823 | 571.355 | -0.000 | -0.000 | 0.000 |
| 0.002 | 0.002 | 0.002 | 192.634 | -0.000 | 0.000 |
| 0.002 | 0.002 | 0.002 | 0.000 | 192.634 | 0.000 |
| 0.002 | 0.002 | 0.002 | 0.000 | -0.000 | 192.634 |
| 571.336 | 319.804 | 319.804 | -0.000 | -0.000 | -0.000 |
| 319.804 | 571.336 | 319.804 | 0.000 | -0.000 | -0.000 |
| 319.804 | 319.804 | 571.336 | 0.000 | -0.000 | -0.000 |
| -0.002 | -0.002 | -0.002 | 192.634 | 0.000 | -0.000 |
| -0.002 | -0.002 | -0.002 | 0.000 | 192.634 | -0.000 |
| -0.002 | -0.002 | -0.002 | -0.000 | -0.000 | 192.634 |
| 425.326 | 87.846 | 87.846 | 0.000 | -0.000 | -0.000 |
| 87.846 | 425.326 | 87.846 | -0.000 | -0.000 | -0.000 |
| 87.846 | 87.846 | 425.326 | 0.000 | -0.000 | -0.000 |
| -0.000 | -0.000 | 0.000 | -38.292 | -0.000 | -0.000 |
| -0.000 | -0.000 | 0.000 | -0.000 | -38.292 | -0.000 |
| -0.000 | -0.000 | 0.000 | -0.000 | -0.000 | -38.292 |
| 425.326 | 87.846 | 87.846 | 0.000 | 0.000 | 0.000 |
| 87.846 | 425.326 | 87.846 | 0.000 | 0.000 | 0.000 |
| 87.846 | 87.846 | 425.326 | 0.000 | 0.000 | 0.000 |
| 0.000 | 0.000 | -0.000 | -38.292 | 0.000 | 0.000 |
| 0.000 | 0.000 | -0.000 | 0.000 | -38.292 | 0.000 |
| 0.000 | 0.000 | -0.000 | 0.000 | 0.000 | -38.292 |
| 425.326 | 87.846 | 87.846 | -0.000 | -0.000 | -0.000 |
| 87.846 | 425.326 | 87.846 | -0.000 | -0.000 | -0.000 |
| 87.846 | 87.846 | 425.326 | -0.000 | -0.000 | -0.000 |
| -0.000 | -0.000 | -0.000 | -38.292 | -0.000 | -0.000 |
| -0.000 | -0.000 | -0.000 | -0.000 | -38.292 | -0.000 |
| -0.000 | -0.000 | -0.000 | -0.000 | -0.000 | -38.292 |
| 425.325 | 87.846 | 87.846 | 0.000 | 0.000 | 0.000 |
| 87.846 | 425.325 | 87.846 | 0.000 | 0.000 | 0.000 |
| 87.846 | 87.846 | 425.325 | 0.000 | 0.000 | 0.000 |
| 0.000 | 0.000 | 0.000 | -38.292 | 0.000 | 0.000 |
| 0.000 | 0.000 | 0.000 | 0.000 | -38.292 | 0.000 |
| 0.000 | 0.000 | 0.000 | 0.000 | 0.000 | -38.292 |
| 425.327 | 87.847 | 87.847 | -0.000 | -0.000 | -0.000 |
| 87.847 | 425.327 | 87.847 | -0.000 | -0.000 | -0.000 |
| 87.847 | 87.847 | 425.327 | -0.000 | -0.000 | -0.000 |
| -0.000 | -0.000 | -0.000 | -38.292 | -0.000 | -0.000 |
| -0.000 | -0.000 | -0.000 | -0.000 | -38.292 | -0.000 |
| -0.000 | -0.000 | -0.000 | 0.000 | -0.000 | -38.292 |
| 425.324 | 87.845 | 87.845 | 0.000 | 0.000 | 0.000 |
| 87.845 | 425.324 | 87.845 | 0.000 | 0.000 | 0.000 |
| 87.845 | 87.845 | 425.324 | 0.000 | 0.000 | 0.000 |
| 0.000 | 0.000 | 0.000 | -38.292 | 0.000 | 0.000 |
| 0.000 | 0.000 | 0.000 | 0.000 | -38.292 | 0.000 |
| 0.000 | 0.000 | 0.000 | -0.000 | 0.000 | -38.292 |
| 108.676 | 0.083 | 0.083 | 0.000 | 0.000 | 0.000 |
| 0.083 | 108.676 | 0.083 | -0.000 | 0.000 | 0.000 |
| 0.083 | 0.083 | 108.676 | -0.000 | 0.000 | 0.000 |
| 0.000 | -0.000 | -0.000 | -15.345 | -0.000 | 0.000 |
| -0.000 | 0.000 | -0.000 | 0.000 | -15.345 | 0.000 |
| -0.000 | -0.000 | -0.000 | -0.000 | 0.000 | -15.345 |
| 108.676 | 0.083 | 0.083 | 0.000 | -0.000 | -0.000 |
| 0.083 | 108.676 | 0.083 | 0.000 | -0.000 | -0.000 |
| 0.083 | 0.083 | 108.676 | -0.000 | -0.000 | -0.000 |
| -0.000 | 0.000 | 0.000 | -15.345 | -0.000 | -0.000 |
| 0.000 | -0.000 | 0.000 | -0.000 | -15.345 | -0.000 |
| 0.000 | 0.000 | 0.000 | 0.000 | -0.000 | -15.345 |
| 108.675 | 0.083 | 0.083 | -0.000 | 0.000 | 0.000 |
| 0.083 | 108.675 | 0.083 | -0.000 | 0.000 | 0.000 |
| 0.083 | 0.083 | 108.675 | -0.000 | 0.000 | 0.000 |
| -0.000 | -0.000 | -0.000 | -15.345 | 0.000 | 0.000 |
| -0.000 | -0.000 | -0.000 | -0.000 | -15.345 | 0.000 |
| -0.000 | -0.000 | -0.000 | -0.000 | 0.000 | -15.345 |
| 108.676 | 0.083 | 0.083 | -0.000 | -0.000 | -0.000 |
| 0.083 | 108.676 | 0.083 | -0.000 | -0.000 | -0.000 |
| 0.083 | 0.083 | 108.676 | -0.000 | -0.000 | -0.000 |
| 0.000 | 0.000 | 0.000 | -15.345 | -0.000 | -0.000 |
| 0.000 | 0.000 | 0.000 | 0.000 | -15.345 | -0.000 |
| 0.000 | 0.000 | 0.000 | 0.000 | -0.000 | -15.345 |
| 108.674 | 0.082 | 0.082 | -0.000 | 0.000 | 0.000 |
| 0.082 | 108.674 | 0.082 | 0.000 | 0.000 | 0.000 |
| 0.082 | 0.082 | 108.674 | 0.000 | 0.000 | 0.000 |
| -0.000 | -0.000 | -0.000 | -15.345 | 0.000 | 0.000 |
| -0.000 | -0.000 | -0.000 | -0.000 | -15.345 | 0.000 |
| -0.000 | -0.000 | -0.000 | -0.000 | 0.000 | -15.345 |
| 108.677 | 0.083 | 0.083 | -0.000 | -0.000 | -0.000 |
| 0.083 | 108.677 | 0.083 | 0.000 | -0.000 | -0.000 |
| 0.083 | 0.083 | 108.677 | -0.000 | -0.000 | -0.000 |
| 0.000 | 0.000 | 0.000 | -15.345 | -0.000 | -0.000 |
| 0.000 | 0.000 | 0.000 | 0.000 | -15.345 | -0.000 |
| 0.000 | 0.000 | 0.000 | 0.000 | -0.000 | -15.345 |
| 509.540 | 364.960 | 364.960 | 0.000 | -0.000 | -0.000 |
| 364.960 | 509.540 | 364.960 | 0.000 | 0.000 | -0.000 |
| 364.960 | 364.960 | 509.540 | -0.000 | 0.000 | -0.000 |
| 0.000 | 0.000 | 0.000 | 124.808 | -0.000 | -0.000 |
| 0.000 | 0.000 | 0.000 | 0.000 | 124.808 | -0.000 |
| 0.000 | 0.000 | 0.000 | 0.000 | 0.000 | 124.808 |
| 509.540 | 364.960 | 364.960 | -0.000 | -0.000 | 0.000 |
| 364.960 | 509.540 | 364.960 | -0.000 | -0.000 | -0.000 |
| 364.960 | 364.960 | 509.540 | 0.000 | -0.000 | -0.000 |
| -0.000 | -0.000 | -0.000 | 124.808 | 0.000 | 0.000 |
| -0.000 | -0.000 | -0.000 | -0.000 | 124.808 | -0.000 |
| -0.000 | -0.000 | -0.000 | -0.000 | -0.000 | 124.808 |
| 509.540 | 364.960 | 364.960 | 0.000 | -0.000 | -0.000 |
| 364.960 | 509.540 | 364.960 | 0.000 | 0.000 | -0.000 |
| 364.960 | 364.960 | 509.540 | 0.000 | -0.000 | -0.000 |
| 0.000 | 0.000 | 0.000 | 124.808 | 0.000 | 0.000 |
| 0.000 | 0.000 | 0.000 | 0.000 | 124.808 | -0.000 |
| 0.000 | 0.000 | 0.000 | 0.000 | 0.000 | 124.808 |
| 509.540 | 364.959 | 364.959 | -0.000 | -0.000 | 0.000 |
| 364.959 | 509.540 | 364.959 | -0.000 | 0.000 | 0.000 |
| 364.959 | 364.959 | 509.540 | -0.000 | 0.000 | -0.000 |
| -0.000 | -0.000 | -0.000 | 124.808 | 0.000 | 0.000 |
| -0.000 | -0.000 | -0.000 | -0.000 | 124.808 | 0.000 |
| -0.000 | -0.000 | -0.000 | -0.000 | -0.000 | 124.808 |
| 509.543 | 364.961 | 364.961 | -0.000 | -0.000 | 0.000 |
| 364.961 | 509.543 | 364.961 | 0.000 | 0.000 | 0.000 |
| 364.961 | 364.961 | 509.543 | 0.000 | 0.000 | -0.000 |
| 0.000 | 0.000 | 0.000 | 124.808 | 0.000 | -0.000 |
| 0.000 | 0.000 | 0.000 | 0.000 | 124.808 | 0.000 |
| 0.000 | 0.000 | 0.000 | 0.000 | 0.000 | 124.808 |
| 509.537 | 364.958 | 364.958 | -0.000 | -0.000 | 0.000 |
| 364.958 | 509.537 | 364.958 | -0.000 | -0.000 | 0.000 |
| 364.958 | 364.958 | 509.537 | 0.000 | -0.000 | -0.000 |
| -0.000 | -0.000 | -0.000 | 124.808 | -0.000 | 0.000 |
| -0.000 | -0.000 | -0.000 | -0.000 | 124.808 | 0.000 |
| -0.000 | -0.000 | -0.000 | -0.000 | -0.000 | 124.808 |
| 55.375 | 69.395 | 69.395 | -0.000 | -0.000 | 0.000 |
| 69.395 | 55.375 | 69.395 | 0.000 | -0.000 | -0.000 |
| 69.395 | 69.395 | 55.375 | 0.000 | 0.000 | -0.000 |
| -0.000 | -0.000 | -0.000 | 8.351 | -0.000 | -0.000 |
| -0.000 | -0.000 | -0.000 | 0.000 | 8.351 | -0.000 |
| -0.000 | -0.000 | 0.000 | 0.000 | -0.000 | 8.351 |
| 55.375 | 69.395 | 69.395 | -0.000 | -0.000 | 0.000 |
| 69.395 | 55.375 | 69.395 | -0.000 | 0.000 | 0.000 |
| 69.395 | 69.395 | 55.375 | 0.000 | 0.000 | 0.000 |
| 0.000 | 0.000 | 0.000 | 8.351 | 0.000 | -0.000 |
| 0.000 | 0.000 | 0.000 | -0.000 | 8.351 | -0.000 |
| 0.000 | 0.000 | 0.000 | -0.000 | 0.000 | 8.351 |
| 55.375 | 69.395 | 69.395 | 0.000 | 0.000 | -0.000 |
| 69.395 | 55.375 | 69.395 | 0.000 | 0.000 | -0.000 |
| 69.395 | 69.395 | 55.375 | -0.000 | -0.000 | -0.000 |
| -0.000 | -0.000 | -0.000 | 8.351 | 0.000 | -0.000 |
| -0.000 | -0.000 | -0.000 | -0.000 | 8.351 | -0.000 |
| -0.000 | -0.000 | -0.000 | -0.000 | -0.000 | 8.351 |
| 55.375 | 69.395 | 69.395 | -0.000 | 0.000 | 0.000 |
| 69.395 | 55.375 | 69.395 | -0.000 | 0.000 | 0.000 |
| 69.395 | 69.395 | 55.375 | 0.000 | 0.000 | 0.000 |
| 0.000 | 0.000 | 0.000 | 8.351 | 0.000 | 0.000 |
| 0.000 | 0.000 | 0.000 | -0.000 | 8.351 | 0.000 |
| 0.000 | 0.000 | 0.000 | 0.000 | 0.000 | 8.351 |
| 55.375 | 69.395 | 69.395 | -0.000 | -0.000 | -0.000 |
| 69.395 | 55.375 | 69.395 | 0.000 | -0.000 | -0.000 |
| 69.395 | 69.395 | 55.375 | -0.000 | 0.000 | 0.000 |
| -0.000 | -0.000 | -0.000 | 8.351 | -0.000 | -0.000 |
| -0.000 | -0.000 | -0.000 | 0.000 | 8.351 | -0.000 |
| -0.000 | -0.000 | -0.000 | 0.000 | -0.000 | 8.351 |
| 55.375 | 69.395 | 69.395 | 0.000 | 0.000 | -0.000 |
| 69.395 | 55.375 | 69.395 | -0.000 | 0.000 | 0.000 |
| 69.395 | 69.395 | 55.375 | -0.000 | 0.000 | -0.000 |
| 0.000 | 0.000 | 0.000 | 8.351 | 0.000 | 0.000 |
| 0.000 | 0.000 | 0.000 | -0.000 | 8.351 | -0.000 |
| 0.000 | 0.000 | 0.000 | -0.000 | 0.000 | 8.351 |
| 361.282 | 240.053 | 233.663 | -36.500 | 0.000 | -0.000 |
| 240.053 | 361.282 | 233.663 | 36.500 | 0.000 | -0.000 |
| 233.663 | 233.663 | 418.501 | 0.000 | -0.000 | -0.000 |
| -36.500 | 36.500 | 0.000 | 35.894 | -0.000 | -0.000 |
| 0.000 | -0.000 | -0.000 | 0.000 | 35.894 | -36.500 |
| 0.000 | -0.000 | 0.000 | 0.000 | -36.500 | 60.614 |
| 361.282 | 240.053 | 233.663 | -36.500 | 0.000 | 0.000 |
| 240.053 | 361.282 | 233.663 | 36.500 | 0.000 | 0.000 |
| 233.663 | 233.663 | 418.500 | -0.000 | 0.000 | 0.000 |
| -36.500 | 36.500 | -0.000 | 35.894 | 0.000 | 0.000 |
| -0.000 | 0.000 | 0.000 | -0.000 | 35.894 | -36.500 |
| 0.000 | 0.000 | -0.000 | -0.000 | -36.500 | 60.615 |
| 361.282 | 240.053 | 233.663 | -36.500 | 0.000 | -0.000 |
| 240.053 | 361.282 | 233.663 | 36.500 | -0.000 | -0.000 |
| 233.663 | 233.663 | 418.501 | 0.000 | -0.000 | -0.000 |
| -36.500 | 36.500 | -0.000 | 35.894 | -0.000 | -0.000 |
| -0.000 | -0.000 | -0.000 | -0.000 | 35.894 | -36.500 |
| -0.000 | -0.000 | -0.000 | -0.000 | -36.500 | 60.614 |
| 361.282 | 240.053 | 233.663 | -36.500 | 0.000 | 0.000 |
| 240.053 | 361.282 | 233.663 | 36.500 | 0.000 | 0.000 |
| 233.663 | 233.663 | 418.500 | -0.000 | 0.000 | 0.000 |
| -36.500 | 36.500 | 0.000 | 35.894 | -0.000 | 0.000 |
| 0.000 | 0.000 | 0.000 | 0.000 | 35.894 | -36.500 |
| 0.000 | 0.000 | 0.000 | 0.000 | -36.500 | 60.614 |
| 361.282 | 240.056 | 233.666 | -36.500 | 0.000 | -0.000 |
| 240.056 | 361.282 | 233.666 | 36.501 | -0.000 | -0.000 |
| 233.666 | 233.666 | 418.502 | 0.000 | -0.000 | -0.000 |
| -36.500 | 36.499 | -0.001 | 35.894 | -0.000 | -0.000 |
| -0.001 | -0.000 | -0.001 | -0.000 | 35.894 | -36.500 |
| -0.001 | -0.001 | -0.000 | -0.000 | -36.500 | 60.614 |
| 361.282 | 240.051 | 233.661 | -36.500 | 0.000 | 0.000 |
| 240.051 | 361.282 | 233.661 | 36.500 | -0.000 | 0.000 |
| 233.661 | 233.661 | 418.499 | -0.000 | -0.000 | 0.000 |
| -36.500 | 36.501 | 0.001 | 35.894 | 0.000 | 0.000 |
| 0.001 | 0.000 | 0.001 | 0.000 | 35.894 | -36.500 |
| 0.001 | 0.001 | 0.000 | 0.000 | -36.500 | 60.614 |
| 509.795 | 340.614 | 337.411 | -0.000 | -0.000 | 0.000 |
| 340.614 | 509.795 | 337.411 | -0.000 | -0.000 | 0.000 |
| 337.411 | 337.411 | 605.986 | -0.000 | 0.000 | 0.000 |
| 0.000 | 0.000 | 0.000 | 57.284 | 0.000 | 0.000 |
| 0.000 | 0.000 | 0.000 | -0.000 | 57.284 | 0.000 |
| -0.000 | 0.000 | 0.000 | -0.000 | 0.000 | 84.591 |
| 475.730 | 374.678 | 337.411 | 0.000 | -0.000 | -0.000 |
| 374.678 | 475.730 | 337.411 | 0.000 | -0.000 | 0.000 |
| 337.411 | 337.411 | 605.986 | -0.000 | -0.000 | -0.000 |
| -0.000 | -0.000 | -0.000 | 57.284 | -0.000 | -0.000 |
| -0.000 | -0.000 | -0.000 | 0.000 | 57.284 | -0.000 |
| 0.000 | -0.000 | -0.000 | 0.000 | 0.000 | 84.591 |
| 475.730 | 374.678 | 337.412 | 0.000 | 0.000 | -0.000 |
| 374.678 | 475.730 | 337.412 | 0.000 | 0.000 | 0.000 |
| 337.412 | 337.412 | 605.987 | 0.000 | 0.000 | 0.000 |
| 0.000 | 0.000 | 0.000 | 57.284 | 0.000 | 0.000 |
| 0.000 | 0.000 | 0.000 | -0.000 | 57.284 | 0.000 |
| -0.000 | -0.000 | 0.000 | -0.000 | -0.000 | 84.591 |
| 475.730 | 374.678 | 337.411 | -0.000 | -0.000 | 0.000 |
| 340.613 | 509.795 | 337.411 | 0.000 | -0.000 | -0.000 |
| 337.411 | 337.411 | 605.985 | -0.000 | -0.000 | -0.000 |
| -0.000 | -0.000 | -0.000 | 57.284 | 0.000 | -0.000 |
| -0.000 | -0.000 | -0.000 | -0.000 | 57.284 | -0.000 |
| 0.000 | 0.000 | -0.000 | 0.000 | 0.000 | 84.591 |
| 475.730 | 374.679 | 337.413 | -0.000 | -0.000 | 0.000 |
| 340.615 | 509.795 | 337.413 | -0.000 | -0.000 | 0.000 |
| 337.415 | 337.415 | 605.997 | 0.000 | 0.000 | 0.000 |
| 0.000 | 0.000 | 0.002 | 57.284 | 0.000 | -0.000 |
| 0.000 | 0.000 | 0.002 | -0.000 | 57.284 | 0.000 |
| -0.002 | -0.000 | -0.000 | -0.000 | 0.000 | 50.526 |
| 475.731 | 374.677 | 337.410 | 0.000 | 0.000 | 0.000 |
| 374.675 | 475.733 | 337.410 | 0.000 | -0.000 | -0.000 |
| 337.408 | 337.408 | 605.975 | -0.000 | 0.000 | -0.000 |
| -0.000 | -0.000 | -0.002 | 57.284 | -0.000 | -0.000 |
| -0.000 | -0.000 | -0.002 | 0.000 | 57.284 | -0.000 |
| 0.002 | 0.000 | 0.000 | 0.000 | -0.000 | 50.526 |
| 203.972 | 106.800 | 114.176 | 0.000 | 0.000 | -0.000 |
| 156.698 | 154.074 | 114.176 | -0.000 | -0.000 | 0.000 |
| 114.176 | 114.176 | 252.647 | 0.000 | 0.000 | 0.000 |
| 0.000 | -0.000 | -0.000 | 48.690 | -0.000 | -0.000 |
| -0.000 | 0.000 | -0.000 | -0.000 | 48.690 | 0.000 |
| 0.000 | -0.000 | -0.000 | 0.000 | 0.000 | 48.586 |
| 154.074 | 156.698 | 114.176 | -0.000 | 0.000 | 0.000 |
| 106.800 | 203.972 | 114.176 | -0.000 | -0.000 | -0.000 |
| 114.176 | 114.176 | 252.647 | -0.000 | 0.000 | 0.000 |
| 0.000 | -0.000 | 0.000 | 48.690 | 0.000 | -0.000 |
| 0.000 | -0.000 | 0.000 | 0.000 | 48.690 | 0.000 |
| -0.000 | 0.000 | 0.000 | 0.000 | -0.000 | 48.586 |
| 154.074 | 156.698 | 114.176 | 0.000 | -0.000 | -0.000 |
| 106.800 | 203.972 | 114.176 | 0.000 | 0.000 | -0.000 |
| 114.176 | 114.176 | 252.647 | -0.000 | 0.000 | -0.000 |
| -0.000 | -0.000 | -0.000 | 48.690 | -0.000 | -0.000 |
| -0.000 | -0.000 | -0.000 | -0.000 | 48.690 | 0.000 |
| -0.000 | -0.000 | -0.000 | 0.000 | 0.000 | 48.586 |
| 203.972 | 106.800 | 114.176 | -0.000 | -0.000 | 0.000 |
| 156.698 | 154.074 | 114.176 | 0.000 | 0.000 | 0.000 |
| 114.176 | 114.176 | 252.647 | 0.000 | -0.000 | 0.000 |
| 0.000 | 0.000 | 0.000 | 48.690 | 0.000 | 0.000 |
| 0.000 | 0.000 | 0.000 | 0.000 | 48.690 | 0.000 |
| 0.000 | 0.000 | 0.000 | -0.000 | -0.000 | 48.586 |
| 154.073 | 156.697 | 114.176 | -0.000 | -0.000 | -0.000 |
| 156.699 | 154.071 | 114.176 | -0.000 | -0.000 | 0.000 |
| 114.176 | 114.176 | 252.646 | 0.000 | 0.000 | -0.000 |
| -0.000 | -0.000 | -0.000 | 48.690 | -0.000 | 0.000 |
| -0.000 | -0.000 | -0.000 | 0.000 | 48.690 | -0.000 |
| -0.001 | -0.001 | -0.000 | 0.000 | -0.000 | -1.312 |
| 154.076 | 156.697 | 114.176 | 0.000 | 0.000 | 0.000 |
| 156.697 | 154.077 | 114.176 | 0.000 | 0.000 | 0.000 |
| 114.176 | 114.176 | 252.648 | 0.000 | -0.000 | 0.000 |
| 0.000 | 0.000 | 0.000 | 48.690 | 0.000 | 0.000 |
| 0.000 | 0.000 | 0.000 | -0.000 | 48.690 | -0.000 |
| 0.001 | 0.001 | 0.000 | -0.000 | 0.000 | -1.312 |
| 155.885 | 122.892 | 122.892 | 0.000 | -0.000 | 0.000 |
| 122.892 | 155.885 | 122.892 | -0.000 | -0.000 | -0.000 |
| 122.892 | 122.892 | 155.885 | 0.000 | -0.000 | 0.000 |
| 0.000 | -0.000 | 0.000 | 13.426 | 0.000 | -0.000 |
| 0.000 | -0.000 | 0.000 | 0.000 | 13.426 | -0.000 |
| 0.000 | -0.000 | 0.000 | 0.000 | -0.000 | 13.426 |
| 155.885 | 122.892 | 122.892 | 0.000 | 0.000 | -0.000 |
| 122.892 | 155.885 | 122.892 | -0.000 | -0.000 | 0.000 |
| 122.892 | 122.892 | 155.885 | -0.000 | 0.000 | -0.000 |
| -0.000 | 0.000 | -0.000 | 13.426 | -0.000 | -0.000 |
| -0.000 | 0.000 | -0.000 | -0.000 | 13.426 | -0.000 |
| -0.000 | 0.000 | -0.000 | -0.000 | 0.000 | 13.426 |
| 155.885 | 122.892 | 122.892 | 0.000 | -0.000 | 0.000 |
| 122.892 | 155.885 | 122.892 | 0.000 | -0.000 | 0.000 |
| 122.892 | 122.892 | 155.885 | -0.000 | -0.000 | 0.000 |
| -0.000 | -0.000 | -0.000 | 13.426 | -0.000 | -0.000 |
| -0.000 | -0.000 | -0.000 | 0.000 | 13.426 | 0.000 |
| -0.000 | -0.000 | -0.000 | 0.000 | -0.000 | 13.426 |
| 155.885 | 122.892 | 122.892 | -0.000 | 0.000 | -0.000 |
| 122.892 | 155.885 | 122.892 | -0.000 | 0.000 | 0.000 |
| 122.892 | 122.892 | 155.885 | -0.000 | -0.000 | -0.000 |
| 0.000 | 0.000 | 0.000 | 13.426 | 0.000 | 0.000 |
| 0.000 | 0.000 | 0.000 | -0.000 | 13.426 | -0.000 |
| 0.000 | 0.000 | 0.000 | -0.000 | 0.000 | 13.426 |
| 155.886 | 122.893 | 122.893 | 0.000 | -0.000 | 0.000 |
| 122.893 | 155.886 | 122.893 | -0.000 | 0.000 | -0.000 |
| 122.893 | 122.893 | 155.886 | 0.000 | -0.000 | -0.000 |
| 0.000 | -0.000 | 0.000 | 100.670 | 0.000 | -0.000 |
| -0.000 | 0.000 | 0.000 | 0.000 | 100.670 | 0.000 |
| -0.000 | 0.000 | 0.000 | 0.000 | 0.000 | 100.670 |
| 155.885 | 122.891 | 122.891 | -0.000 | 0.000 | -0.000 |
| 122.891 | 155.885 | 122.891 | -0.000 | -0.000 | 0.000 |
| 122.891 | 122.891 | 155.885 | 0.000 | 0.000 | -0.000 |
| -0.000 | 0.000 | -0.000 | 100.670 | -0.000 | -0.000 |
| 0.000 | -0.000 | -0.000 | -0.000 | 100.670 | 0.000 |
| 0.000 | -0.000 | -0.000 | -0.000 | 0.000 | 100.670 |
| 582.467 | 384.049 | 384.049 | -0.000 | 0.000 | 0.000 |
| 384.049 | 582.467 | 384.049 | -0.000 | 0.000 | 0.000 |
| 384.049 | 384.049 | 582.467 | -0.000 | 0.000 | 0.000 |
| 0.000 | -0.000 | 0.000 | 129.918 | -0.000 | 0.000 |
| 0.000 | -0.000 | 0.000 | 0.000 | 129.918 | -0.000 |
| 0.000 | -0.000 | 0.000 | 0.000 | -0.000 | 129.918 |
| 582.467 | 384.049 | 384.049 | 0.000 | -0.000 | -0.000 |
| 384.049 | 582.467 | 384.049 | 0.000 | -0.000 | -0.000 |
| 384.049 | 384.049 | 582.467 | 0.000 | -0.000 | -0.000 |
| -0.000 | -0.000 | -0.000 | 129.918 | 0.000 | 0.000 |
| 0.000 | 0.000 | -0.000 | 0.000 | 129.918 | 0.000 |
| 0.000 | 0.000 | -0.000 | 0.000 | -0.000 | 129.918 |
| 582.468 | 384.050 | 384.050 | -0.000 | 0.000 | 0.000 |
| 384.050 | 582.468 | 384.050 | -0.000 | 0.000 | 0.000 |
| 384.050 | 384.050 | 582.468 | -0.000 | 0.000 | 0.000 |
| 0.000 | 0.000 | 0.000 | 129.918 | 0.000 | -0.000 |
| 0.000 | 0.000 | 0.000 | 0.000 | 129.918 | 0.000 |
| 0.000 | 0.000 | 0.000 | -0.000 | -0.000 | 129.918 |
| 582.466 | 384.048 | 384.048 | 0.000 | -0.000 | -0.000 |
| 384.048 | 582.466 | 384.048 | 0.000 | -0.000 | -0.000 |
| 384.048 | 384.048 | 582.466 | 0.000 | -0.000 | 0.000 |
| -0.000 | -0.000 | -0.000 | 129.918 | -0.000 | -0.000 |
| -0.000 | -0.000 | -0.000 | 0.000 | 129.918 | -0.000 |
| -0.000 | -0.000 | -0.000 | -0.000 | 0.000 | 129.918 |
| 582.477 | 384.058 | 384.058 | -0.000 | 0.000 | 0.000 |
| 384.058 | 582.477 | 384.058 | -0.000 | 0.000 | 0.000 |
| 384.058 | 384.058 | 582.477 | -0.000 | 0.000 | 0.000 |
| 0.000 | 0.000 | 0.000 | 129.918 | 0.000 | -0.000 |
| 0.000 | 0.000 | 0.000 | -0.000 | 129.918 | -0.000 |
| 0.000 | 0.000 | 0.000 | -0.000 | -0.000 | 129.918 |
| 582.457 | 384.041 | 384.041 | 0.000 | -0.000 | -0.000 |
| 384.041 | 582.457 | 384.041 | 0.000 | -0.000 | -0.000 |
| 384.041 | 384.041 | 582.457 | 0.000 | -0.000 | -0.000 |
| -0.000 | -0.000 | -0.000 | 129.918 | 0.000 | 0.000 |
| -0.000 | -0.000 | -0.000 | 0.000 | 129.918 | -0.000 |
| -0.000 | -0.000 | -0.000 | -0.000 | -0.000 | 129.918 |
| 9.526 | 9.307 | 9.307 | 0.000 | 0.000 | -0.000 |
| 9.307 | 9.526 | 9.307 | -0.000 | 0.000 | -0.000 |
| 9.307 | 9.307 | 9.526 | -0.000 | 0.000 | 0.000 |
| -0.000 | -0.000 | 0.000 | -1.127 | 0.000 | -0.000 |
| -0.000 | -0.000 | 0.000 | 0.000 | -1.127 | -0.000 |
| -0.000 | -0.000 | 0.000 | 0.000 | 0.000 | -1.127 |
| 9.526 | 9.307 | 9.307 | 0.000 | -0.000 | 0.000 |
| 9.307 | 9.526 | 9.307 | -0.000 | -0.000 | 0.000 |
| 9.307 | 9.307 | 9.526 | -0.000 | -0.000 | 0.000 |
| -0.000 | 0.000 | -0.000 | -1.127 | -0.000 | -0.000 |
| 0.000 | 0.000 | 0.000 | -0.000 | -1.127 | 0.000 |
| 0.000 | 0.000 | -0.000 | -0.000 | -0.000 | -1.127 |
| 9.526 | 9.307 | 9.307 | -0.000 | 0.000 | -0.000 |
| 9.307 | 9.526 | 9.307 | -0.000 | -0.000 | -0.000 |
| 9.307 | 9.307 | 9.526 | -0.000 | 0.000 | -0.000 |
| -0.000 | -0.000 | -0.000 | -1.127 | 0.000 | -0.000 |
| -0.000 | -0.000 | -0.000 | 0.000 | -1.127 | -0.000 |
| -0.000 | -0.000 | -0.000 | 0.000 | 0.000 | -1.127 |
| 9.526 | 9.307 | 9.307 | -0.000 | -0.000 | 0.000 |
| 9.307 | 9.526 | 9.307 | -0.000 | -0.000 | 0.000 |
| 9.307 | 9.307 | 9.526 | 0.000 | -0.000 | 0.000 |
| 0.000 | 0.000 | 0.000 | -1.127 | -0.000 | -0.000 |
| 0.000 | 0.000 | 0.000 | -0.000 | -1.127 | 0.000 |
| 0.000 | 0.000 | 0.000 | -0.000 | -0.000 | -1.127 |
| 9.526 | 9.307 | 9.307 | 0.000 | 0.000 | -0.000 |
| 9.307 | 9.526 | 9.307 | -0.000 | 0.000 | -0.000 |
| 9.307 | 9.307 | 9.526 | -0.000 | 0.000 | -0.000 |
| -0.000 | -0.000 | -0.000 | -1.127 | 0.000 | -0.000 |
| -0.000 | -0.000 | -0.000 | 0.000 | -1.127 | 0.000 |
| -0.000 | -0.000 | -0.000 | 0.000 | 0.000 | -1.127 |
| 9.525 | 9.307 | 9.307 | -0.000 | -0.000 | 0.000 |
| 9.307 | 9.525 | 9.307 | -0.000 | -0.000 | 0.000 |
| 9.307 | 9.307 | 9.525 | -0.000 | -0.000 | 0.000 |
| 0.000 | 0.000 | 0.000 | -1.127 | -0.000 | 0.000 |
| 0.000 | 0.000 | 0.000 | -0.000 | -1.127 | -0.000 |
| 0.000 | 0.000 | 0.000 | -0.000 | -0.000 | -1.127 |
| 498.480 | 252.936 | 252.936 | -0.000 | 0.000 | -0.000 |
| 252.936 | 498.480 | 252.936 | -0.000 | -0.000 | -0.000 |
| 252.936 | 252.936 | 498.480 | 0.000 | 0.000 | -0.000 |
| -0.000 | -0.000 | -0.000 | 84.290 | 0.000 | -0.000 |
| -0.000 | -0.000 | -0.000 | 0.000 | 84.290 | -0.000 |
| -0.000 | -0.000 | -0.000 | -0.000 | 0.000 | 84.290 |
| 493.062 | 255.645 | 255.645 | -0.000 | -0.000 | 0.000 |
| 255.645 | 493.062 | 255.645 | -0.000 | -0.000 | 0.000 |
| 255.645 | 255.645 | 493.062 | -0.000 | -0.000 | 0.000 |
| 0.000 | 0.000 | -0.000 | 84.290 | -0.000 | 0.000 |
| 0.000 | 0.000 | -0.000 | -0.000 | 84.290 | 0.000 |
| 0.000 | 0.000 | 0.000 | 0.000 | -0.000 | 84.290 |
| 498.480 | 252.936 | 252.936 | -0.000 | -0.000 | -0.000 |
| 252.936 | 498.480 | 252.936 | -0.000 | 0.000 | -0.000 |
| 252.936 | 252.936 | 498.480 | 0.000 | 0.000 | -0.000 |
| 0.000 | 0.000 | 0.000 | 47.451 | 0.000 | -0.000 |
| 0.000 | 0.000 | 0.000 | -0.000 | 47.451 | -0.000 |
| 0.000 | 0.000 | 0.000 | 0.000 | 0.000 | 47.451 |
| 493.062 | 255.645 | 255.645 | -0.000 | -0.000 | 0.000 |
| 255.645 | 493.062 | 255.645 | -0.000 | -0.000 | 0.000 |
| 255.645 | 255.645 | 493.062 | -0.000 | -0.000 | 0.000 |
| -0.000 | -0.000 | -0.000 | 47.451 | -0.000 | 0.000 |
| -0.000 | -0.000 | -0.000 | -0.000 | 47.451 | 0.000 |
| -0.000 | -0.000 | -0.000 | -0.000 | -0.000 | 47.451 |
| 493.061 | 255.644 | 255.644 | 0.000 | 0.000 | -0.000 |
| 255.644 | 493.061 | 255.644 | 0.000 | 0.000 | -0.000 |
| 255.644 | 255.644 | 493.061 | -0.000 | 0.000 | -0.000 |
| 0.000 | 0.000 | 0.000 | 47.451 | 0.000 | -0.000 |
| 0.000 | 0.000 | 0.000 | 0.000 | 47.451 | -0.000 |
| 0.000 | 0.000 | 0.000 | 0.000 | 0.000 | 47.451 |
| 493.062 | 255.646 | 255.646 | -0.000 | -0.000 | 0.000 |
| 255.646 | 493.062 | 255.646 | -0.000 | 0.000 | 0.000 |
| 255.646 | 255.646 | 493.062 | -0.000 | -0.000 | 0.000 |
| -0.000 | -0.000 | -0.000 | 47.451 | -0.000 | 0.000 |
| -0.000 | -0.000 | -0.000 | -0.000 | 47.451 | 0.000 |
| -0.000 | -0.000 | -0.000 | -0.000 | -0.000 | 47.451 |
| 520.216 | 438.927 | 438.927 | -0.000 | -0.000 | -0.000 |
| 438.927 | 520.216 | 438.927 | -0.000 | -0.000 | -0.000 |
| 438.927 | 438.927 | 520.216 | -0.000 | -0.000 | -0.000 |
| 0.000 | -0.000 | 0.000 | 145.295 | -0.000 | -0.000 |
| 0.000 | -0.000 | 0.000 | -0.000 | 145.295 | -0.000 |
| -0.000 | 0.000 | 0.000 | -0.000 | -0.000 | 145.295 |
| 520.215 | 438.927 | 438.927 | 0.000 | 0.000 | 0.000 |
| 438.927 | 520.215 | 438.927 | 0.000 | 0.000 | 0.000 |
| 438.927 | 438.927 | 520.215 | 0.000 | 0.000 | 0.000 |
| -0.000 | -0.000 | -0.000 | 145.295 | 0.000 | 0.000 |
| 0.000 | 0.000 | -0.000 | 0.000 | 145.295 | 0.000 |
| 0.000 | -0.000 | -0.000 | 0.000 | 0.000 | 145.295 |
| 520.216 | 438.928 | 438.928 | -0.000 | -0.000 | -0.000 |
| 438.928 | 520.216 | 438.928 | -0.000 | -0.000 | -0.000 |
| 438.928 | 438.928 | 520.216 | -0.000 | -0.000 | -0.000 |
| 0.000 | 0.000 | 0.000 | 143.111 | -0.000 | -0.000 |
| 0.000 | 0.000 | 0.000 | -0.000 | 143.111 | -0.000 |
| 0.000 | 0.000 | 0.000 | -0.000 | -0.000 | 143.111 |
| 520.215 | 438.926 | 438.926 | 0.000 | 0.000 | 0.000 |
| 438.926 | 520.215 | 438.926 | 0.000 | 0.000 | 0.000 |
| 438.926 | 438.926 | 520.215 | 0.000 | 0.000 | 0.000 |
| -0.000 | -0.000 | -0.000 | 143.111 | 0.000 | 0.000 |
| -0.000 | -0.000 | -0.000 | 0.000 | 143.111 | 0.000 |
| -0.000 | -0.000 | -0.000 | 0.000 | 0.000 | 143.111 |
| 520.225 | 438.937 | 438.937 | -0.000 | -0.000 | -0.000 |
| 438.937 | 520.225 | 438.937 | -0.000 | -0.000 | -0.000 |
| 438.937 | 438.937 | 520.225 | -0.000 | -0.000 | -0.000 |
| 0.000 | 0.000 | 0.000 | 143.111 | -0.000 | -0.000 |
| 0.000 | 0.000 | 0.000 | -0.000 | 143.111 | -0.000 |
| 0.000 | 0.000 | 0.000 | -0.000 | -0.000 | 143.111 |
| 520.206 | 438.917 | 438.917 | 0.000 | 0.000 | 0.000 |
| 438.917 | 520.206 | 438.917 | 0.000 | 0.000 | 0.000 |
| 438.917 | 438.917 | 520.206 | 0.000 | 0.000 | 0.000 |
| -0.000 | -0.000 | -0.000 | 143.111 | 0.000 | 0.000 |
| -0.000 | -0.000 | -0.000 | 0.000 | 143.111 | 0.000 |
| -0.000 | -0.000 | -0.000 | 0.000 | 0.000 | 143.111 |
| 297.072 | 275.538 | 275.538 | 0.000 | -0.000 | 0.000 |
| 275.538 | 297.072 | 275.538 | 0.000 | -0.000 | 0.000 |
| 275.538 | 275.538 | 297.072 | -0.000 | -0.000 | -0.000 |
| 0.000 | -0.000 | 0.000 | 82.082 | 0.000 | 0.000 |
| 0.000 | -0.000 | 0.000 | 0.000 | 82.082 | 0.000 |
| 0.000 | 0.000 | 0.000 | 0.000 | 0.000 | 82.082 |
| 297.073 | 275.538 | 275.538 | -0.000 | -0.000 | -0.000 |
| 275.538 | 297.073 | 275.538 | -0.000 | 0.000 | -0.000 |
| 275.538 | 275.538 | 297.073 | -0.000 | 0.000 | 0.000 |
| -0.000 | -0.000 | -0.000 | 82.082 | -0.000 | -0.000 |
| -0.000 | 0.000 | -0.000 | -0.000 | 82.082 | -0.000 |
| -0.000 | -0.000 | -0.000 | -0.000 | 0.000 | 82.082 |
| 297.072 | 275.538 | 275.538 | 0.000 | -0.000 | -0.000 |
| 275.538 | 297.072 | 275.538 | 0.000 | 0.000 | 0.000 |
| 275.538 | 275.538 | 297.072 | -0.000 | -0.000 | 0.000 |
| -0.000 | -0.000 | 0.000 | 82.082 | 0.000 | 0.000 |
| -0.000 | -0.000 | 0.000 | 0.000 | 82.082 | 0.000 |
| -0.000 | 0.000 | 0.000 | 0.000 | 0.000 | 82.082 |
| 297.073 | 275.538 | 275.538 | -0.000 | 0.000 | -0.000 |
| 275.538 | 297.073 | 275.538 | -0.000 | 0.000 | -0.000 |
| 275.538 | 275.538 | 297.073 | -0.000 | 0.000 | -0.000 |
| 0.000 | 0.000 | -0.000 | 82.082 | -0.000 | 0.000 |
| 0.000 | 0.000 | -0.000 | -0.000 | 82.082 | -0.000 |
| 0.000 | -0.000 | 0.000 | -0.000 | 0.000 | 82.082 |
| 297.070 | 275.537 | 275.537 | 0.000 | 0.000 | 0.000 |
| 275.537 | 297.070 | 275.537 | 0.000 | 0.000 | 0.000 |
| 275.537 | 275.537 | 297.070 | 0.000 | -0.000 | -0.000 |
| -0.000 | -0.000 | 0.000 | 82.082 | 0.000 | 0.000 |
| -0.000 | -0.000 | 0.000 | 0.000 | 82.082 | 0.000 |
| -0.000 | 0.000 | -0.000 | 0.000 | 0.000 | 82.082 |
| 297.075 | 275.539 | 275.539 | -0.000 | -0.000 | -0.000 |
| 275.539 | 297.075 | 275.539 | -0.000 | -0.000 | -0.000 |
| 275.539 | 275.539 | 297.075 | -0.000 | -0.000 | -0.000 |
| 0.000 | 0.000 | -0.000 | 82.082 | -0.000 | -0.000 |
| 0.000 | 0.000 | -0.000 | -0.000 | 82.082 | -0.000 |
| 0.000 | -0.000 | 0.000 | -0.000 | -0.000 | 82.082 |
| 390.114 | 200.060 | 239.288 | 0.000 | -0.000 | -0.000 |
| 200.060 | 390.114 | 239.288 | -0.000 | 0.000 | -0.000 |
| 239.288 | 239.288 | 252.553 | 0.000 | -0.000 | -0.000 |
| -0.000 | -0.000 | -0.000 | 107.528 | -0.000 | -0.000 |
| -0.000 | -0.000 | -0.000 | -0.000 | 107.528 | -0.000 |
| -0.000 | -0.000 | -0.000 | 0.000 | -0.000 | 68.131 |
| 389.803 | 200.370 | 239.288 | 0.000 | -0.000 | 0.000 |
| 200.370 | 389.803 | 239.288 | -0.000 | 0.000 | 0.000 |
| 239.288 | 239.288 | 252.553 | -0.000 | -0.000 | 0.000 |
| 0.000 | 0.000 | 0.000 | 107.528 | 0.000 | 0.000 |
| 0.000 | 0.000 | -0.000 | 0.000 | 107.528 | 0.000 |
| 0.000 | 0.000 | 0.000 | -0.000 | 0.000 | 68.131 |
| 389.803 | 200.370 | 239.288 | 0.000 | 0.000 | -0.000 |
| 200.370 | 389.803 | 239.288 | -0.000 | -0.000 | -0.000 |
| 239.288 | 239.288 | 252.552 | 0.000 | -0.000 | -0.000 |
| -0.000 | -0.000 | 0.000 | 107.528 | -0.000 | -0.000 |
| -0.000 | -0.000 | 0.000 | -0.000 | 107.528 | -0.000 |
| 0.000 | 0.000 | -0.000 | -0.000 | -0.000 | 68.131 |
| 390.114 | 200.060 | 239.288 | 0.000 | 0.000 | 0.000 |
| 200.060 | 390.114 | 239.288 | -0.000 | -0.000 | 0.000 |
| 239.288 | 239.288 | 252.553 | -0.000 | -0.000 | 0.000 |
| 0.000 | 0.000 | -0.000 | 107.528 | -0.000 | 0.000 |
| 0.000 | 0.000 | -0.000 | 0.000 | 107.528 | 0.000 |
| -0.000 | -0.000 | 0.000 | 0.000 | 0.000 | 68.131 |
| 389.800 | 200.369 | 239.286 | -0.000 | 0.000 | -0.000 |
| 200.369 | 389.800 | 239.286 | -0.000 | -0.000 | -0.000 |
| 239.286 | 239.286 | 252.551 | -0.000 | -0.000 | -0.000 |
| -0.000 | -0.000 | 0.000 | 107.528 | -0.000 | -0.000 |
| -0.000 | -0.000 | 0.000 | 0.000 | 107.528 | -0.000 |
| 0.000 | 0.000 | -0.000 | 0.000 | -0.000 | 68.131 |
| 390.117 | 200.062 | 239.290 | 0.000 | 0.000 | 0.000 |
| 200.062 | 390.117 | 239.290 | -0.000 | 0.000 | 0.000 |
| 239.290 | 239.290 | 252.554 | 0.000 | 0.000 | 0.000 |
| 0.000 | 0.000 | -0.000 | 107.528 | 0.000 | 0.000 |
| 0.000 | 0.000 | -0.000 | 0.000 | 107.528 | 0.000 |
| -0.000 | -0.000 | 0.000 | -0.000 | 0.000 | 68.131 |
| 409.748 | 326.052 | 307.916 | 52.979 | 0.000 | -0.000 |
| 325.509 | 408.946 | 306.886 | -53.743 | 0.000 | -0.000 |
| 307.647 | 307.647 | 498.711 | 0.000 | 0.000 | 0.000 |
| 59.112 | -59.112 | -0.000 | -19.049 | 0.000 | 0.000 |
| 0.000 | 0.000 | 0.000 | -0.000 | 17.131 | 52.979 |
| -0.000 | -0.000 | -0.000 | 0.000 | 59.112 | 40.808 |
| 408.946 | 325.509 | 306.885 | 53.743 | -0.000 | -0.000 |
| 326.052 | 409.748 | 307.916 | -52.979 | -0.000 | -0.000 |
| 307.647 | 307.647 | 498.711 | -0.000 | -0.000 | -0.000 |
| 52.979 | -52.979 | -0.000 | 17.131 | 0.000 | -0.000 |
| -0.000 | -0.000 | -0.000 | -0.000 | 17.131 | 52.979 |
| 0.000 | 0.000 | 0.000 | -0.000 | 59.112 | 40.808 |
| 409.749 | 326.052 | 307.916 | 52.979 | 0.000 | 0.000 |
| 326.052 | 409.749 | 307.916 | -52.979 | 0.000 | 0.000 |
| 307.647 | 307.647 | 498.711 | 0.000 | -0.000 | 0.000 |
| 59.112 | -59.112 | -0.000 | -19.049 | 0.000 | 0.000 |
| -0.000 | 0.000 | -0.000 | 0.000 | 17.131 | 52.979 |
| -0.000 | -0.000 | 0.000 | 0.000 | 52.979 | 41.848 |
| 408.945 | 325.508 | 306.885 | 53.743 | -0.000 | 0.000 |
| 326.516 | 408.132 | 307.034 | -59.112 | -0.000 | -0.000 |
| 308.528 | 308.528 | 500.061 | 0.000 | -0.000 | -0.000 |
| 59.112 | -59.112 | 0.000 | -19.049 | -0.000 | 0.000 |
| 0.000 | 0.000 | 0.000 | -0.000 | 17.131 | 52.979 |
| 0.000 | 0.000 | -0.000 | -0.000 | 52.979 | 41.848 |
| 409.754 | 326.058 | 307.921 | 52.979 | -0.000 | 0.000 |
| 326.058 | 409.754 | 307.921 | -52.979 | 0.000 | 0.000 |
| 308.534 | 308.534 | 500.067 | -0.000 | 0.000 | 0.000 |
| 52.979 | -52.979 | -0.000 | 17.131 | -0.000 | 0.000 |
| -0.000 | -0.000 | -0.000 | 0.000 | -19.049 | 59.112 |
| -0.000 | -0.000 | -0.000 | 0.000 | 52.979 | 41.848 |
| 409.742 | 326.045 | 307.910 | 52.978 | -0.000 | -0.000 |
| 325.503 | 408.940 | 306.880 | -53.742 | -0.000 | -0.000 |
| 308.523 | 308.523 | 500.057 | 0.000 | -0.000 | -0.000 |
| 59.112 | -59.112 | 0.000 | -19.048 | -0.000 | -0.000 |
| 0.000 | 0.000 | 0.000 | -0.000 | -19.049 | 59.112 |
| 0.000 | 0.000 | 0.000 | -0.000 | 52.979 | 41.848 |
| 263.110 | 296.839 | 265.934 | -0.000 | 0.000 | -0.000 |
| 296.839 | 263.110 | 265.934 | 0.000 | -0.000 | -0.000 |
| 265.934 | 265.934 | 435.462 | -0.000 | -0.000 | -0.000 |
| -0.000 | -0.000 | -0.000 | 109.165 | -0.000 | -0.000 |
| 0.000 | -0.000 | -0.000 | -0.000 | 109.165 | -0.000 |
| 0.000 | -0.000 | -0.000 | -0.000 | -0.000 | 130.111 |
| 263.866 | 296.081 | 265.934 | 0.000 | 0.000 | 0.000 |
| 296.081 | 263.866 | 265.934 | 0.000 | 0.000 | 0.000 |
| 265.934 | 265.934 | 435.462 | -0.000 | 0.000 | 0.000 |
| 0.000 | 0.000 | 0.000 | 109.165 | 0.000 | 0.000 |
| -0.000 | 0.000 | 0.000 | 0.000 | 109.165 | 0.000 |
| -0.000 | 0.000 | 0.000 | 0.000 | 0.000 | 130.112 |
| 263.111 | 296.840 | 265.935 | -0.000 | -0.000 | -0.000 |
| 296.840 | 263.111 | 265.935 | -0.000 | -0.000 | -0.000 |
| 265.935 | 265.935 | 435.463 | 0.000 | -0.000 | -0.000 |
| 0.000 | 0.000 | -0.000 | 108.759 | -0.000 | -0.000 |
| 0.000 | 0.000 | -0.000 | -0.000 | 108.759 | -0.000 |
| 0.000 | 0.000 | 0.000 | -0.000 | -0.000 | 130.111 |
| 263.108 | 296.837 | 265.933 | -0.000 | 0.000 | 0.000 |
| 296.837 | 263.108 | 265.933 | 0.000 | 0.000 | 0.000 |
| 265.933 | 265.933 | 435.461 | -0.000 | 0.000 | 0.000 |
| -0.000 | -0.000 | 0.000 | 108.759 | 0.000 | 0.000 |
| -0.000 | -0.000 | 0.000 | 0.000 | 108.759 | 0.000 |
| -0.000 | -0.000 | -0.000 | 0.000 | 0.000 | 130.112 |
| 263.123 | 296.850 | 265.945 | -0.000 | -0.000 | -0.000 |
| 296.850 | 263.123 | 265.945 | -0.000 | -0.000 | -0.000 |
| 265.945 | 265.945 | 435.471 | 0.000 | -0.000 | -0.000 |
| 0.000 | 0.000 | -0.000 | 108.759 | 0.000 | -0.000 |
| 0.000 | 0.000 | -0.000 | 0.000 | 108.759 | -0.000 |
| 0.001 | 0.001 | 0.000 | -0.000 | 0.000 | 130.111 |
| 263.853 | 296.069 | 265.923 | 0.000 | 0.000 | 0.000 |
| 296.069 | 263.853 | 265.923 | 0.000 | 0.000 | 0.000 |
| 265.923 | 265.923 | 435.453 | 0.000 | 0.000 | 0.000 |
| -0.000 | -0.000 | 0.000 | 108.759 | -0.000 | 0.000 |
| -0.000 | -0.000 | 0.000 | -0.000 | 108.759 | 0.000 |
| -0.001 | -0.001 | -0.000 | 0.000 | 0.000 | 130.111 |
| 325.339 | 296.975 | 283.863 | -0.000 | -0.000 | 0.000 |
| 275.549 | 383.163 | 285.676 | 0.000 | 0.000 | 0.000 |
| 283.881 | 283.881 | 586.479 | -0.000 | 0.000 | 0.000 |
| -2.349 | -2.349 | -0.234 | 62.511 | 0.000 | 0.000 |
| -2.349 | -2.349 | -0.234 | 0.000 | 62.511 | 0.000 |
| 0.000 | 0.000 | 0.000 | 0.000 | 0.000 | 53.807 |
| 383.163 | 275.549 | 285.675 | -0.000 | -0.000 | -0.000 |
| 342.316 | 276.966 | 283.712 | -0.000 | -0.000 | -0.000 |
| 287.784 | 287.784 | 586.867 | -0.000 | -0.000 | -0.000 |
| 2.349 | 2.349 | 0.234 | 62.511 | 0.000 | -0.000 |
| 2.349 | 2.349 | 0.234 | -0.000 | 62.511 | -0.000 |
| -0.000 | -0.000 | -0.000 | -0.000 | -0.000 | 53.807 |
| 312.197 | 309.316 | 283.824 | 0.000 | -0.000 | 0.000 |
| 309.316 | 312.197 | 283.824 | 0.000 | 0.000 | 0.000 |
| 285.638 | 285.638 | 586.655 | -0.000 | -0.000 | 0.000 |
| 0.000 | -0.000 | 0.000 | 62.769 | 0.000 | 0.000 |
| -0.000 | 0.000 | 0.000 | -0.000 | 62.769 | 0.000 |
| -0.000 | 0.000 | 0.000 | 0.000 | 0.000 | 53.807 |
| 307.859 | 313.308 | 283.805 | -0.000 | -0.000 | -0.000 |
| 275.548 | 383.162 | 285.674 | -0.000 | -0.000 | -0.000 |
| 286.026 | 286.026 | 586.691 | 0.000 | 0.000 | -0.000 |
| -0.000 | 0.000 | -0.000 | 62.769 | -0.000 | -0.000 |
| 0.000 | -0.000 | -0.000 | -0.000 | 62.769 | -0.000 |
| 0.000 | -0.000 | -0.000 | -0.000 | -0.000 | 53.807 |
| -9895.353 | 10556.843 | 283.029 | -0.000 | -0.000 | 0.000 |
| 275.560 | 383.173 | 285.686 | 0.000 | 0.000 | 0.000 |
| 285.824 | 285.824 | 586.685 | -0.000 | -0.000 | 0.000 |
| 0.000 | -0.000 | 0.000 | 62.769 | 0.000 | 0.000 |
| -0.000 | 0.000 | 0.000 | -0.000 | 62.769 | 0.000 |
| -0.268 | -0.266 | -0.027 | -0.000 | -0.000 | -176.092 |
| 383.152 | 275.539 | 285.665 | -0.000 | -0.000 | -0.000 |
| 10053.775 | -9400.622 | 287.925 | -0.000 | -0.000 | -0.000 |
| 285.840 | 285.840 | 586.661 | -0.000 | 0.000 | -0.000 |
| -0.000 | 0.000 | -0.000 | 62.769 | -0.000 | -0.000 |
| 0.000 | -0.000 | -0.000 | -0.000 | 62.769 | -0.000 |
| 0.268 | 0.266 | 0.027 | -0.000 | -0.000 | -176.092 |
| 357.767 | 249.540 | 261.321 | 0.000 | 0.000 | -0.000 |
| 1317.706 | -762.486 | 261.958 | 0.000 | -0.000 | -0.000 |
| 261.322 | 261.322 | 564.933 | 0.000 | 0.000 | -0.000 |
| 0.000 | -0.000 | -0.000 | 63.798 | 0.000 | -0.000 |
| -0.000 | -0.000 | -0.000 | 0.000 | 63.798 | -0.000 |
| -28.294 | -28.294 | 0.692 | 0.000 | 0.000 | 35.042 |
| 357.766 | 249.540 | 261.321 | -0.000 | -0.000 | 0.000 |
| 249.540 | 357.766 | 261.321 | -0.000 | -0.000 | 0.000 |
| 286.773 | 286.773 | 564.311 | -0.000 | -0.000 | 0.000 |
| -0.000 | 0.000 | 0.000 | 63.798 | 0.000 | 0.000 |
| 0.000 | 0.000 | 0.000 | -0.000 | 63.798 | -0.000 |
| 28.294 | 28.294 | -0.692 | -0.000 | -0.000 | 35.042 |
| 357.768 | 249.541 | 261.323 | 0.000 | 0.000 | -0.000 |
| 1083.894 | -483.910 | 261.410 | 0.000 | 0.000 | -0.000 |
| 258.907 | 258.907 | 564.994 | 0.000 | 0.000 | -0.000 |
| 0.000 | -0.000 | 0.000 | 63.798 | 0.000 | -0.000 |
| -0.000 | 0.000 | 0.000 | 0.000 | 63.798 | -0.000 |
| -0.000 | -0.000 | -0.000 | 0.000 | 0.000 | 54.113 |
| 357.765 | 249.539 | 261.320 | -0.000 | -0.000 | 0.000 |
| 249.539 | 357.765 | 261.320 | -0.000 | -0.000 | 0.000 |
| 263.971 | 263.971 | 564.867 | -0.000 | 0.000 | 0.000 |
| -0.000 | 0.000 | -0.000 | 63.798 | -0.000 | 0.000 |
| 0.000 | -0.000 | -0.000 | -0.000 | 63.798 | 0.000 |
| 0.000 | 0.000 | 0.000 | -0.000 | -0.000 | 54.113 |
| 357.777 | 249.551 | 261.333 | 0.000 | 0.000 | -0.000 |
| 592.745 | 10.380 | 261.382 | 0.000 | -0.000 | -0.000 |
| 261.197 | 261.197 | 564.951 | 0.000 | 0.000 | -0.000 |
| -0.700 | -0.700 | 0.017 | 63.183 | -0.000 | -0.000 |
| -0.700 | -0.700 | 0.017 | 0.000 | 63.183 | -0.000 |
| -3618666.663 | 3325145.267 | -977868.637 | -0.000 | -0.000 | -6013491.614 |
| 275.004 | 297.523 | 261.737 | -0.000 | -0.000 | 0.000 |
| 593.839 | 10.891 | 261.343 | -0.000 | -0.000 | 0.000 |
| 261.310 | 261.310 | 564.919 | -0.000 | -0.000 | 0.000 |
| 0.700 | 0.700 | -0.017 | 63.183 | -0.000 | 0.000 |
| 0.700 | 0.700 | -0.017 | -0.000 | 63.183 | 0.000 |
| 3618666.709 | -3325145.335 | 977868.663 | 0.000 | -0.000 | -6013491.744 |
| 332.685 | 200.647 | 200.647 | 0.000 | 0.000 | 0.000 |
| 200.647 | 332.685 | 200.647 | 0.000 | 0.000 | 0.000 |
| 200.647 | 200.647 | 332.685 | 0.000 | 0.000 | 0.000 |
| 0.000 | 0.000 | 0.000 | 129.563 | 0.000 | 0.000 |
| 0.000 | -0.000 | 0.000 | 0.000 | 129.563 | 0.000 |
| 0.000 | 0.000 | 0.000 | 0.000 | 0.000 | 129.563 |
| 332.685 | 200.647 | 200.647 | -0.000 | -0.000 | -0.000 |
| 200.647 | 332.685 | 200.647 | -0.000 | -0.000 | -0.000 |
| 200.647 | 200.647 | 332.685 | -0.000 | -0.000 | -0.000 |
| -0.000 | -0.000 | -0.000 | 129.563 | -0.000 | -0.000 |
| -0.000 | 0.000 | -0.000 | -0.000 | 129.563 | -0.000 |
| -0.000 | -0.000 | -0.000 | -0.000 | -0.000 | 129.563 |
| 332.685 | 200.647 | 200.647 | 0.000 | 0.000 | 0.000 |
| 200.647 | 332.685 | 200.647 | 0.000 | 0.000 | 0.000 |
| 200.647 | 200.647 | 332.685 | 0.000 | 0.000 | 0.000 |
| 0.000 | 0.000 | 0.000 | 129.563 | 0.000 | 0.000 |
| 0.000 | 0.000 | 0.000 | 0.000 | 129.563 | 0.000 |
| 0.000 | 0.000 | 0.000 | 0.000 | 0.000 | 129.563 |
| 332.684 | 200.647 | 200.647 | -0.000 | -0.000 | -0.000 |
| 200.647 | 332.684 | 200.647 | -0.000 | -0.000 | -0.000 |
| 200.647 | 200.647 | 332.684 | -0.000 | -0.000 | -0.000 |
| -0.000 | -0.000 | -0.000 | 129.563 | -0.000 | -0.000 |
| -0.000 | -0.000 | -0.000 | -0.000 | 129.563 | -0.000 |
| -0.000 | -0.000 | -0.000 | -0.000 | -0.000 | 129.563 |
| 332.689 | 200.647 | 200.647 | 0.000 | 0.000 | 0.000 |
| 200.647 | 332.689 | 200.647 | 0.000 | 0.000 | 0.000 |
| 200.647 | 200.647 | 332.689 | 0.000 | 0.000 | 0.000 |
| 0.000 | 0.001 | 0.001 | 129.563 | 0.000 | 0.000 |
| 0.001 | 0.000 | 0.001 | 0.000 | 129.563 | 0.000 |
| 0.001 | 0.001 | 0.000 | 0.000 | 0.000 | 129.563 |
| 332.680 | 200.646 | 200.646 | -0.000 | -0.000 | -0.000 |
| 200.646 | 332.680 | 200.646 | -0.000 | 0.000 | -0.000 |
| 200.646 | 200.646 | 332.680 | -0.000 | -0.000 | -0.000 |
| -0.000 | -0.001 | -0.001 | 129.563 | -0.000 | -0.000 |
| -0.001 | -0.000 | -0.001 | -0.000 | 129.563 | -0.000 |
| -0.001 | -0.001 | -0.000 | -0.000 | -0.000 | 129.563 |
| 224.546 | 89.775 | 89.775 | 0.000 | 0.000 | -0.000 |
| 89.775 | 224.546 | 89.775 | -0.000 | 0.000 | -0.000 |
| 89.775 | 89.775 | 224.546 | 0.000 | -0.000 | -0.000 |
| -0.000 | -0.000 | -0.000 | 76.383 | -0.000 | -0.000 |
| -0.000 | -0.000 | -0.000 | -0.000 | 76.383 | -0.000 |
| -0.000 | -0.000 | -0.000 | -0.000 | 0.000 | 76.383 |
| 229.230 | 87.433 | 87.433 | -0.000 | -0.000 | 0.000 |
| 87.433 | 229.230 | 87.433 | -0.000 | -0.000 | -0.000 |
| 87.433 | 87.433 | 229.230 | -0.000 | -0.000 | 0.000 |
| 0.000 | 0.000 | 0.000 | 76.383 | 0.000 | 0.000 |
| 0.000 | 0.000 | 0.000 | -0.000 | 76.383 | 0.000 |
| 0.000 | 0.000 | 0.000 | -0.000 | -0.000 | 76.383 |
| 224.546 | 89.775 | 89.775 | -0.000 | 0.000 | -0.000 |
| 89.775 | 224.546 | 89.775 | 0.000 | 0.000 | -0.000 |
| 89.775 | 89.775 | 224.546 | -0.000 | -0.000 | -0.000 |
| -0.000 | -0.000 | -0.000 | 5.288 | -0.000 | -0.000 |
| -0.000 | -0.000 | -0.000 | 0.000 | 5.288 | -0.000 |
| -0.000 | -0.000 | -0.000 | 0.000 | 0.000 | 5.288 |
| 224.546 | 89.775 | 89.775 | 0.000 | -0.000 | 0.000 |
| 89.775 | 224.546 | 89.775 | 0.000 | -0.000 | 0.000 |
| 89.775 | 89.775 | 224.546 | -0.000 | -0.000 | 0.000 |
| 0.000 | 0.000 | 0.000 | 5.288 | 0.000 | 0.000 |
| 0.000 | 0.000 | 0.000 | 0.000 | 5.288 | 0.000 |
| 0.000 | 0.000 | 0.000 | 0.000 | -0.000 | 5.288 |
| 229.228 | 87.433 | 87.433 | -0.000 | 0.000 | -0.000 |
| 87.433 | 229.228 | 87.433 | 0.000 | 0.000 | -0.000 |
| 87.433 | 87.433 | 229.228 | 0.000 | 0.000 | -0.000 |
| -0.000 | -0.001 | -0.001 | 76.383 | 0.000 | -0.000 |
| -0.001 | -0.000 | -0.001 | 0.000 | 76.383 | -0.000 |
| -0.001 | -0.001 | -0.000 | 0.000 | 0.000 | 76.383 |
| 229.232 | 87.433 | 87.433 | 0.000 | -0.000 | 0.000 |
| 87.433 | 229.232 | 87.433 | -0.000 | -0.000 | 0.000 |
| 87.433 | 87.433 | 229.232 | -0.000 | 0.000 | 0.000 |
| 0.000 | 0.001 | 0.001 | 76.383 | -0.000 | -0.000 |
| 0.001 | 0.000 | 0.001 | -0.000 | 76.383 | 0.000 |
| 0.001 | 0.001 | 0.000 | -0.000 | -0.000 | 76.383 |
| 579.717 | 272.407 | 272.407 | -0.000 | 0.000 | 0.000 |
| 272.407 | 579.717 | 272.407 | 0.000 | 0.000 | 0.000 |
| 272.407 | 272.407 | 579.717 | -0.000 | 0.000 | -0.000 |
| 0.000 | 0.000 | 0.000 | 266.042 | 0.000 | 0.000 |
| 0.000 | 0.000 | 0.000 | 0.000 | 266.042 | 0.000 |
| 0.000 | 0.000 | 0.000 | 0.000 | 0.000 | 266.042 |
| 579.717 | 272.406 | 272.406 | 0.000 | 0.000 | -0.000 |
| 272.406 | 579.717 | 272.406 | -0.000 | 0.000 | -0.000 |
| 272.406 | 272.406 | 579.717 | -0.000 | 0.000 | 0.000 |
| -0.000 | -0.000 | -0.000 | 266.042 | -0.000 | -0.000 |
| -0.000 | -0.000 | -0.000 | -0.000 | 266.042 | -0.000 |
| -0.000 | -0.000 | -0.000 | -0.000 | 0.000 | 266.042 |
| 579.718 | 272.408 | 272.408 | -0.000 | -0.000 | -0.000 |
| 272.408 | 579.718 | 272.408 | 0.000 | -0.000 | 0.000 |
| 272.408 | 272.408 | 579.718 | 0.000 | 0.000 | -0.000 |
| 0.000 | 0.000 | 0.000 | 266.042 | 0.000 | -0.000 |
| 0.000 | 0.000 | 0.000 | 0.000 | 266.042 | -0.000 |
| 0.000 | 0.000 | 0.000 | 0.000 | -0.000 | 266.042 |
| 579.716 | 272.405 | 272.405 | 0.000 | 0.000 | 0.000 |
| 272.405 | 579.716 | 272.405 | 0.000 | -0.000 | -0.000 |
| 272.405 | 272.405 | 579.716 | -0.000 | -0.000 | 0.000 |
| -0.000 | -0.000 | -0.000 | 266.042 | 0.000 | -0.000 |
| -0.000 | -0.000 | -0.000 | -0.000 | 266.042 | 0.000 |
| -0.000 | -0.000 | -0.000 | -0.000 | -0.000 | 266.042 |
| 579.727 | 272.421 | 272.421 | 0.000 | 0.000 | -0.000 |
| 272.421 | 579.727 | 272.421 | 0.000 | 0.000 | -0.000 |
| 272.421 | 272.421 | 579.727 | -0.000 | -0.000 | 0.000 |
| 0.001 | 0.000 | 0.001 | 266.042 | 0.000 | -0.000 |
| 0.000 | 0.001 | 0.001 | -0.000 | 266.042 | -0.000 |
| 0.000 | 0.001 | 0.001 | 0.000 | -0.000 | 266.042 |
| 579.707 | 272.392 | 272.392 | -0.000 | 0.000 | -0.000 |
| 272.392 | 579.707 | 272.392 | -0.000 | -0.000 | 0.000 |
| 272.392 | 272.392 | 579.707 | -0.000 | 0.000 | -0.000 |
| -0.001 | -0.000 | -0.001 | 266.042 | -0.000 | -0.000 |
| -0.000 | -0.001 | -0.001 | -0.000 | 266.042 | -0.000 |
| -0.000 | -0.001 | -0.001 | -0.000 | 0.000 | 266.042 |
| -81.847 | 112.338 | 112.338 | -0.000 | -0.000 | 0.000 |
| 112.338 | -81.847 | 112.338 | -0.000 | -0.000 | -0.000 |
| 112.338 | 112.338 | -81.847 | -0.000 | -0.000 | -0.000 |
| 0.000 | 0.000 | 0.000 | 40.286 | -0.000 | -0.000 |
| 0.000 | 0.000 | 0.000 | -0.000 | 40.286 | 0.000 |
| 0.000 | 0.000 | 0.000 | -0.000 | -0.000 | 40.286 |
| -81.847 | 112.338 | 112.338 | 0.000 | -0.000 | -0.000 |
| 112.338 | -81.847 | 112.338 | -0.000 | 0.000 | -0.000 |
| 112.338 | 112.338 | -81.847 | 0.000 | -0.000 | -0.000 |
| -0.000 | -0.000 | -0.000 | 40.286 | 0.000 | -0.000 |
| -0.000 | -0.000 | -0.000 | 0.000 | 40.286 | -0.000 |
| -0.000 | -0.000 | -0.000 | 0.000 | 0.000 | 40.286 |
| -81.847 | 112.338 | 112.338 | -0.000 | -0.000 | -0.000 |
| 112.338 | -81.847 | 112.338 | -0.000 | -0.000 | -0.000 |
| 112.338 | 112.338 | -81.847 | -0.000 | 0.000 | 0.000 |
| 0.000 | 0.000 | 0.000 | 40.286 | -0.000 | 0.000 |
| 0.000 | 0.000 | 0.000 | -0.000 | 40.286 | 0.000 |
| 0.000 | 0.000 | 0.000 | -0.000 | -0.000 | 40.286 |
| -81.847 | 112.338 | 112.338 | 0.000 | 0.000 | 0.000 |
| 112.338 | -81.847 | 112.338 | 0.000 | 0.000 | -0.000 |
| 112.338 | 112.338 | -81.847 | 0.000 | 0.000 | -0.000 |
| -0.000 | -0.000 | -0.000 | 40.286 | 0.000 | -0.000 |
| -0.000 | -0.000 | -0.000 | 0.000 | 40.286 | -0.000 |
| -0.000 | -0.000 | -0.000 | 0.000 | 0.000 | 40.286 |
| -81.844 | 112.339 | 112.339 | -0.000 | 0.000 | 0.000 |
| 112.339 | -81.844 | 112.339 | -0.000 | -0.000 | 0.000 |
| 112.339 | 112.339 | -81.844 | -0.000 | 0.000 | 0.000 |
| 0.001 | 0.001 | 0.001 | 40.286 | -0.000 | 0.000 |
| 0.001 | 0.001 | 0.001 | -0.000 | 40.286 | -0.000 |
| 0.001 | 0.001 | 0.001 | -0.000 | -0.000 | 40.286 |
| -81.850 | 112.338 | 112.338 | -0.000 | 0.000 | -0.000 |
| 112.338 | -81.850 | 112.338 | 0.000 | 0.000 | -0.000 |
| 112.338 | 112.338 | -81.850 | 0.000 | 0.000 | -0.000 |
| -0.001 | -0.001 | -0.001 | 40.286 | 0.000 | -0.000 |
| -0.001 | -0.001 | -0.001 | 0.000 | 40.286 | 0.000 |
| -0.001 | -0.001 | -0.001 | 0.000 | 0.000 | 40.286 |
| 383.427 | 211.985 | 158.124 | 0.000 | 0.000 | -0.000 |
| 187.527 | 407.884 | 158.124 | 0.000 | 0.000 | -0.000 |
| 158.124 | 158.124 | 384.041 | 0.000 | 0.000 | -0.000 |
| 0.000 | 0.000 | 0.000 | 81.186 | 0.000 | -0.000 |
| 0.000 | -0.000 | 0.000 | 0.000 | 81.186 | -0.000 |
| 0.000 | 0.000 | 0.000 | 0.000 | 0.000 | 110.178 |
| 383.427 | 211.985 | 158.124 | -0.000 | -0.000 | 0.000 |
| 211.985 | 383.427 | 158.124 | -0.000 | -0.000 | 0.000 |
| 158.124 | 158.124 | 384.041 | 0.000 | 0.000 | 0.000 |
| -0.000 | 0.000 | -0.000 | 81.186 | -0.000 | 0.000 |
| -0.000 | -0.000 | -0.000 | -0.000 | 81.186 | 0.000 |
| -0.000 | -0.000 | 0.000 | 0.000 | -0.000 | 110.178 |
| 407.885 | 187.527 | 158.124 | 0.000 | 0.000 | -0.000 |
| 211.985 | 383.428 | 158.124 | 0.000 | 0.000 | -0.000 |
| 158.124 | 158.124 | 384.041 | -0.000 | 0.000 | -0.000 |
| 0.000 | 0.000 | 0.000 | 81.186 | 0.000 | -0.000 |
| 0.000 | 0.000 | 0.000 | -0.000 | 81.186 | -0.000 |
| 0.000 | 0.000 | 0.000 | 0.000 | 0.000 | 110.178 |
| 407.884 | 187.527 | 158.124 | -0.000 | -0.000 | 0.000 |
| 187.527 | 407.884 | 158.124 | -0.000 | 0.000 | 0.000 |
| 158.124 | 158.124 | 384.041 | 0.000 | -0.000 | 0.000 |
| -0.000 | -0.000 | -0.000 | 81.186 | -0.000 | 0.000 |
| -0.000 | -0.000 | -0.000 | 0.000 | 81.186 | 0.000 |
| -0.000 | -0.000 | -0.000 | 0.000 | -0.000 | 110.178 |
| 383.433 | 211.986 | 158.125 | 0.000 | 0.000 | -0.000 |
| 211.985 | 383.433 | 158.125 | 0.000 | 0.000 | -0.000 |
| 158.124 | 158.124 | 384.041 | 0.000 | 0.000 | -0.000 |
| 0.000 | 0.000 | 0.000 | 81.186 | 0.000 | -0.000 |
| 0.000 | 0.000 | 0.000 | 0.000 | 81.186 | -0.000 |
| 0.001 | 0.001 | 0.000 | -0.000 | 0.000 | 110.178 |
| 383.421 | 211.984 | 158.123 | -0.000 | -0.000 | 0.000 |
| 211.984 | 383.421 | 158.123 | -0.000 | 0.000 | 0.000 |
| 158.124 | 158.124 | 384.042 | 0.000 | 0.000 | 0.000 |
| -0.000 | -0.000 | -0.000 | 81.186 | -0.000 | 0.000 |
| -0.000 | -0.000 | -0.000 | 0.000 | 81.186 | 0.000 |
| -0.001 | -0.001 | -0.000 | 0.000 | -0.000 | 110.178 |
| 387.901 | 239.891 | 185.113 | -0.000 | 0.000 | -0.000 |
| 196.806 | 430.987 | 185.114 | -0.000 | -0.000 | -0.000 |
| 185.113 | 185.113 | 511.570 | 0.000 | -0.000 | 0.000 |
| 0.000 | -0.000 | 0.000 | 106.182 | 0.000 | -0.000 |
| 0.000 | -0.000 | -0.000 | -0.000 | 106.182 | -0.000 |
| 0.000 | -0.000 | 0.000 | -0.000 | 0.000 | 74.005 |
| 387.901 | 239.891 | 185.113 | 0.000 | -0.000 | 0.000 |
| 239.891 | 387.901 | 185.113 | 0.000 | -0.000 | 0.000 |
| 185.113 | 185.113 | 511.570 | 0.000 | -0.000 | 0.000 |
| 0.000 | 0.000 | -0.000 | 106.182 | -0.000 | 0.000 |
| -0.000 | 0.000 | -0.000 | 0.000 | 106.182 | 0.000 |
| -0.000 | -0.000 | -0.000 | 0.000 | -0.000 | 74.005 |
| 430.987 | 196.806 | 185.114 | -0.000 | -0.000 | -0.000 |
| 239.891 | 387.902 | 185.114 | -0.000 | 0.000 | 0.000 |
| 185.114 | 185.114 | 511.570 | -0.000 | -0.000 | -0.000 |
| -0.000 | 0.000 | 0.000 | 106.182 | 0.000 | -0.000 |
| 0.000 | -0.000 | 0.000 | 0.000 | 106.182 | 0.000 |
| 0.000 | 0.000 | 0.000 | 0.000 | 0.000 | 74.005 |
| 387.900 | 239.891 | 185.113 | -0.000 | -0.000 | 0.000 |
| 196.806 | 430.986 | 185.113 | 0.000 | 0.000 | 0.000 |
| 185.113 | 185.113 | 511.570 | 0.000 | -0.000 | 0.000 |
| 0.000 | -0.000 | -0.000 | 106.182 | -0.000 | 0.000 |
| -0.000 | 0.000 | -0.000 | 0.000 | 106.182 | 0.000 |
| -0.000 | -0.000 | -0.000 | -0.000 | -0.000 | 74.005 |
| 430.992 | 196.807 | 185.114 | -0.000 | -0.000 | 0.000 |
| 196.807 | 430.991 | 185.114 | -0.000 | -0.000 | -0.000 |
| 185.114 | 185.114 | 511.570 | -0.000 | 0.000 | -0.000 |
| -0.000 | 0.000 | 0.000 | 106.182 | 0.000 | -0.000 |
| 0.000 | 0.000 | 0.000 | -0.000 | 106.182 | -0.000 |
| 0.001 | 0.001 | 0.000 | 0.000 | 0.000 | 74.005 |
| 430.981 | 196.805 | 185.113 | 0.000 | 0.000 | 0.000 |
| 239.891 | 387.894 | 185.113 | 0.000 | -0.000 | 0.000 |
| 185.113 | 185.113 | 511.570 | -0.000 | -0.000 | 0.000 |
| 0.000 | -0.000 | -0.000 | 106.182 | -0.000 | -0.000 |
| -0.000 | -0.000 | -0.000 | 0.000 | 106.182 | 0.000 |
| -0.001 | -0.001 | -0.000 | -0.000 | -0.000 | 74.005 |
| 32.150 | 45.338 | 45.338 | -0.000 | -0.000 | -0.000 |
| 45.338 | 32.150 | 45.338 | -0.000 | -0.000 | -0.000 |
| 45.338 | 45.338 | 32.150 | -0.000 | -0.000 | -0.000 |
| -0.000 | -0.000 | -0.000 | 32.972 | -0.000 | -0.000 |
| -0.000 | -0.000 | -0.000 | 0.000 | 32.972 | -0.000 |
| -0.000 | -0.000 | 0.000 | -0.000 | 0.000 | 32.972 |
| 32.150 | 45.338 | 45.338 | 0.000 | 0.000 | 0.000 |
| 45.338 | 32.150 | 45.338 | 0.000 | 0.000 | 0.000 |
| 45.338 | 45.338 | 32.150 | 0.000 | 0.000 | 0.000 |
| -0.000 | 0.000 | 0.000 | 32.972 | 0.000 | -0.000 |
| 0.000 | -0.000 | 0.000 | 0.000 | 32.972 | -0.000 |
| 0.000 | 0.000 | -0.000 | 0.000 | -0.000 | 32.972 |
| 32.150 | 45.338 | 45.338 | -0.000 | -0.000 | -0.000 |
| 45.338 | 32.150 | 45.338 | -0.000 | -0.000 | -0.000 |
| 45.338 | 45.338 | 32.150 | -0.000 | -0.000 | -0.000 |
| 0.000 | 0.000 | 0.000 | -34.256 | -0.000 | -0.000 |
| 0.000 | 0.000 | 0.000 | -0.000 | -34.256 | -0.000 |
| 0.000 | 0.000 | 0.000 | -0.000 | -0.000 | -34.256 |
| 32.150 | 45.338 | 45.338 | 0.000 | 0.000 | 0.000 |
| 45.338 | 32.150 | 45.338 | 0.000 | 0.000 | 0.000 |
| 45.338 | 45.338 | 32.150 | 0.000 | 0.000 | 0.000 |
| -0.000 | -0.000 | -0.000 | -34.256 | 0.000 | 0.000 |
| -0.000 | -0.000 | -0.000 | 0.000 | -34.256 | 0.000 |
| -0.000 | -0.000 | -0.000 | 0.000 | 0.000 | -34.256 |
| 32.150 | 45.338 | 45.338 | -0.000 | -0.000 | -0.000 |
| 45.338 | 32.150 | 45.338 | -0.000 | -0.000 | -0.000 |
| 45.338 | 45.338 | 32.150 | -0.000 | -0.000 | -0.000 |
| 0.000 | 0.000 | 0.000 | -34.256 | -0.000 | -0.000 |
| 0.000 | 0.000 | 0.000 | -0.000 | -34.256 | -0.000 |
| 0.000 | 0.000 | 0.000 | -0.000 | -0.000 | -34.256 |
| 32.149 | 45.338 | 45.338 | 0.000 | 0.000 | 0.000 |
| 45.338 | 32.149 | 45.338 | 0.000 | 0.000 | 0.000 |
| 45.338 | 45.338 | 32.149 | 0.000 | 0.000 | 0.000 |
| -0.000 | -0.000 | -0.000 | -34.256 | 0.000 | 0.000 |
| -0.000 | -0.000 | -0.000 | 0.000 | -34.256 | 0.000 |
| -0.000 | -0.000 | -0.000 | 0.000 | 0.000 | -34.256 |
| -897757986.610 | 1419092299.155 | 3078733522.711 | 19450072.971 | 5155496.249 | -1197562.984 |
| 1432520578.300 | -901374349.874 | 3065192545.408 | -12232268.804 | 1884879.965 | -117993.877 |
| 27.387 | 27.387 | 498.991 | -0.000 | 0.000 | 0.000 |
| -0.000 | 0.000 | 0.000 | -47.688 | -0.000 | -0.000 |
| 0.000 | 0.000 | 0.000 | 0.000 | -47.688 | 0.000 |
| -0.000 | 0.000 | -0.000 | 0.000 | 0.000 | -23.273 |
| 770.667 | 23.459 | 27.387 | -0.000 | -0.000 | 0.000 |
| 23.459 | 770.667 | 27.387 | -0.000 | -0.000 | 0.000 |
| 27.387 | 27.387 | 498.991 | -0.000 | -0.000 | -0.000 |
| 0.000 | -0.000 | -0.000 | -47.688 | -0.000 | -0.000 |
| -0.000 | -0.000 | -0.000 | 0.000 | -47.688 | -0.000 |
| 0.000 | -0.000 | 0.000 | -0.000 | -0.000 | -23.273 |
| 770.667 | 23.459 | 27.387 | 0.000 | 0.000 | -0.000 |
| 23.459 | 770.667 | 27.387 | -0.000 | -0.000 | -0.000 |
| 27.387 | 27.387 | 498.991 | -0.000 | 0.000 | 0.000 |
| 0.000 | 0.000 | 0.000 | -20.113 | 0.000 | 0.000 |
| 0.000 | 0.000 | 0.000 | 0.000 | -20.113 | 0.000 |
| 0.000 | 0.000 | 0.000 | 0.000 | 0.000 | -23.273 |
| -55323087.177 | -75230169.026 | -115802996.946 | -1169189.705 | 1509731.324 | 6181232.569 |
| -59410464.280 | -71027489.847 | -94581976.222 | 2929894.632 | -1063143.418 | -1223483.493 |
| 27.387 | 27.387 | 498.990 | -0.000 | -0.000 | -0.000 |
| -0.000 | -0.000 | -0.000 | -20.113 | -0.000 | -0.000 |
| -0.000 | -0.000 | -0.000 | -0.000 | -20.113 | -0.000 |
| -0.000 | -0.000 | -0.000 | -0.000 | -0.000 | -23.273 |
| -9734245.498 | 14167026.095 | 30300463.482 | -21029.343 | -0.043 | -0.000 |
| 14431912.977 | -9459064.455 | 29995695.557 | 64097.654 | -239783.714 | 7655.497 |
| 27.388 | 27.388 | 498.999 | 0.000 | 0.000 | 0.000 |
| 0.000 | 0.002 | 0.001 | -47.688 | -0.000 | -0.000 |
| 0.002 | 0.000 | 0.001 | -0.000 | -47.688 | 0.000 |
| 0.001 | 0.001 | 0.000 | -0.000 | 0.000 | -23.273 |
| -5399374.290 | -3861804.154 | -3500752.564 | -35121.452 | -117577.383 | 271380.901 |
| 9029023.514 | -14336789.686 | -30612405.232 | 0.007 | 114587.304 | -0.009 |
| 27.386 | 27.386 | 498.982 | -0.000 | -0.000 | -0.000 |
| -0.000 | -0.002 | -0.001 | -47.688 | -0.000 | 0.000 |
| -0.002 | -0.000 | -0.001 | -0.000 | -47.688 | -0.000 |
| -0.001 | -0.001 | -0.000 | -0.000 | -0.000 | -23.273 |
| 623.572 | 159.383 | 242.747 | -0.000 | 0.000 | -0.000 |
| 159.383 | 623.572 | 242.747 | 0.000 | -0.000 | 0.000 |
| 242.747 | 242.747 | 373.699 | -0.000 | -0.000 | 0.000 |
| 0.000 | -0.000 | -0.000 | 183.643 | -0.000 | 0.000 |
| -0.000 | 0.000 | -0.000 | -0.000 | 183.643 | 0.000 |
| -0.000 | -0.000 | -0.000 | -0.000 | -0.000 | 99.196 |
| 623.572 | 159.383 | 242.747 | 0.000 | 0.000 | 0.000 |
| 159.383 | 623.572 | 242.747 | -0.000 | 0.000 | -0.000 |
| 242.747 | 242.747 | 373.699 | 0.000 | -0.000 | -0.000 |
| 0.000 | 0.000 | 0.000 | 183.643 | 0.000 | -0.000 |
| 0.000 | 0.000 | 0.000 | 0.000 | 183.643 | -0.000 |
| 0.000 | 0.000 | 0.000 | 0.000 | 0.000 | 99.196 |
| 623.572 | 159.383 | 242.747 | -0.000 | -0.000 | 0.000 |
| 159.383 | 623.572 | 242.747 | -0.000 | 0.000 | 0.000 |
| 242.747 | 242.747 | 373.698 | 0.000 | -0.000 | -0.000 |
| -0.000 | -0.000 | -0.000 | 183.643 | -0.000 | 0.000 |
| -0.000 | -0.000 | -0.000 | 0.000 | 183.643 | 0.000 |
| -0.000 | -0.000 | -0.000 | 0.000 | 0.000 | 99.196 |
| 623.572 | 159.383 | 242.747 | 0.000 | 0.000 | 0.000 |
| 159.383 | 623.572 | 242.747 | 0.000 | 0.000 | -0.000 |
| 242.747 | 242.747 | 373.700 | 0.000 | 0.000 | -0.000 |
| 0.000 | 0.000 | 0.000 | 183.643 | -0.000 | 0.000 |
| 0.000 | 0.000 | 0.000 | -0.000 | 183.643 | -0.000 |
| 0.000 | 0.000 | 0.000 | 0.000 | -0.000 | 99.196 |
| 623.573 | 159.383 | 242.747 | -0.000 | -0.000 | 0.000 |
| 159.383 | 623.573 | 242.747 | -0.000 | -0.000 | 0.000 |
| 242.746 | 242.746 | 373.691 | 0.000 | 0.000 | 0.000 |
| -0.000 | -0.001 | -0.001 | 183.643 | -0.000 | 0.000 |
| -0.001 | -0.000 | -0.001 | -0.000 | 183.643 | 0.000 |
| -0.001 | -0.001 | -0.000 | -0.000 | -0.000 | 99.196 |
| 623.571 | 159.383 | 242.747 | 0.000 | 0.000 | -0.000 |
| 159.383 | 623.571 | 242.747 | 0.000 | 0.000 | -0.000 |
| 242.748 | 242.748 | 373.707 | 0.000 | 0.000 | -0.000 |
| 0.000 | 0.001 | 0.001 | 183.643 | -0.000 | -0.000 |
| 0.001 | 0.000 | 0.001 | 0.000 | 183.643 | -0.000 |
| 0.001 | 0.001 | 0.000 | 0.000 | 0.000 | 99.196 |
| 528.059 | 158.028 | 160.900 | -0.000 | -0.000 | -0.000 |
| 158.028 | 528.059 | 160.900 | 0.000 | -0.000 | -0.000 |
| 160.900 | 160.900 | -13.762 | 0.000 | 0.000 | 0.000 |
| -0.000 | -0.000 | -0.000 | 81.281 | -0.000 | 0.000 |
| -0.000 | -0.000 | -0.000 | 0.000 | 81.281 | 0.000 |
| -0.000 | -0.000 | -0.000 | 0.000 | -0.000 | 78.201 |
| 528.059 | 158.028 | 160.900 | -0.000 | -0.000 | -0.000 |
| 158.028 | 528.059 | 160.900 | -0.000 | -0.000 | -0.000 |
| 160.900 | 160.900 | -13.762 | -0.000 | -0.000 | 0.000 |
| 0.000 | 0.000 | 0.000 | 81.281 | -0.000 | -0.000 |
| 0.000 | 0.000 | 0.000 | -0.000 | 81.281 | -0.000 |
| 0.000 | 0.000 | 0.000 | 0.000 | 0.000 | 78.201 |
| 528.060 | 158.028 | 160.900 | -0.000 | 0.000 | 0.000 |
| 158.028 | 528.060 | 160.900 | 0.000 | -0.000 | -0.000 |
| 160.900 | 160.900 | -13.762 | 0.000 | 0.000 | 0.000 |
| -0.000 | -0.000 | -0.000 | 81.281 | -0.000 | 0.000 |
| -0.000 | -0.000 | -0.000 | 0.000 | 81.281 | 0.000 |
| -0.000 | -0.000 | -0.000 | -0.000 | -0.000 | 78.201 |
| 528.059 | 158.028 | 160.900 | -0.000 | 0.000 | 0.000 |
| 158.028 | 528.059 | 160.900 | -0.000 | 0.000 | 0.000 |
| 160.900 | 160.900 | -13.762 | 0.000 | -0.000 | -0.000 |
| 0.000 | 0.000 | 0.000 | 81.281 | 0.000 | -0.000 |
| 0.000 | 0.000 | 0.000 | 0.000 | 81.281 | -0.000 |
| 0.000 | 0.000 | 0.000 | -0.000 | -0.000 | 78.201 |
| 528.065 | 158.028 | 160.901 | -0.000 | 0.000 | 0.000 |
| 158.028 | 528.065 | 160.901 | 0.000 | -0.000 | 0.000 |
| 160.901 | 160.901 | -13.764 | 0.000 | -0.000 | 0.000 |
| -0.000 | -0.000 | -0.000 | 81.281 | 0.000 | 0.000 |
| -0.000 | -0.000 | -0.000 | 0.000 | 81.281 | 0.000 |
| -0.000 | -0.000 | -0.000 | -0.000 | -0.000 | 78.201 |
| 528.054 | 158.027 | 160.900 | -0.000 | -0.000 | 0.000 |
| 158.027 | 528.054 | 160.900 | -0.000 | 0.000 | -0.000 |
| 160.900 | 160.900 | -13.761 | -0.000 | 0.000 | 0.000 |
| 0.000 | 0.000 | 0.000 | 81.281 | -0.000 | 0.000 |
| 0.000 | 0.000 | 0.000 | -0.000 | 81.281 | -0.000 |
| 0.000 | 0.000 | 0.000 | -0.000 | -0.000 | 78.201 |
| 9.749 | 1.444 | -10.591 | 12.939 | 0.000 | -0.000 |
| 1.444 | 9.749 | -10.591 | -12.939 | 0.000 | -0.000 |
| -17.870 | -17.870 | -97.678 | -0.000 | 0.000 | -0.000 |
| 12.939 | -12.939 | -0.000 | -22.715 | 0.000 | -0.000 |
| -0.000 | -0.000 | -0.000 | 0.000 | -22.715 | 12.939 |
| -0.000 | -0.000 | 0.000 | 0.000 | 12.939 | 4.153 |
| 9.749 | 1.444 | -10.591 | 12.939 | 0.000 | 0.000 |
| 1.444 | 9.749 | -10.591 | -12.939 | -0.000 | 0.000 |
| -17.872 | -17.872 | -97.681 | 0.000 | -0.000 | 0.000 |
| 12.939 | -12.939 | 0.000 | -22.715 | -0.000 | 0.000 |
| 0.000 | 0.000 | -0.000 | -0.000 | -22.715 | 12.939 |
| 0.000 | 0.000 | -0.000 | 0.000 | 12.939 | 4.153 |
| 9.749 | 1.444 | -10.590 | 12.939 | 0.000 | -0.000 |
| 1.444 | 9.749 | -10.591 | -12.939 | 0.000 | -0.000 |
| -17.869 | -17.869 | -97.678 | 0.000 | 0.000 | -0.000 |
| 12.939 | -12.939 | -0.000 | -22.715 | -0.000 | -0.000 |
| -0.000 | -0.000 | -0.000 | -0.000 | -22.715 | 12.939 |
| 0.000 | 0.000 | 0.000 | 0.000 | 12.939 | 4.153 |
| 9.749 | 1.444 | -10.591 | 12.939 | -0.000 | 0.000 |
| 1.444 | 9.749 | -10.590 | -12.939 | -0.000 | 0.000 |
| -17.870 | -17.870 | -97.678 | -0.000 | -0.000 | 0.000 |
| 12.939 | -12.939 | 0.000 | -22.715 | -0.000 | 0.000 |
| 0.000 | 0.000 | 0.000 | 0.000 | -22.715 | 12.939 |
| -0.000 | -0.000 | -0.000 | -0.000 | 12.939 | 4.153 |
| 9.748 | 1.444 | -10.591 | 12.939 | 0.000 | -0.000 |
| 1.444 | 9.748 | -10.591 | -12.939 | 0.000 | -0.000 |
| -17.870 | -17.870 | -97.678 | 0.000 | 0.000 | -0.000 |
| 12.939 | -12.940 | -0.000 | -22.715 | 0.000 | -0.000 |
| -0.000 | -0.000 | -0.000 | -0.000 | -22.715 | 12.939 |
| -0.000 | -0.000 | -0.000 | 0.000 | 12.939 | 4.153 |
| 9.751 | 1.444 | -10.590 | 12.939 | -0.000 | 0.000 |
| 1.444 | 9.751 | -10.590 | -12.939 | -0.000 | 0.000 |
| -17.869 | -17.869 | -97.678 | -0.000 | -0.000 | 0.000 |
| 12.939 | -12.939 | 0.000 | -22.715 | -0.000 | 0.000 |
| 0.000 | 0.000 | 0.000 | 0.000 | -22.715 | 12.939 |
| 0.000 | 0.000 | 0.000 | -0.000 | 12.939 | 4.153 |
| 295.718 | -21.071 | -21.071 | -0.000 | 0.000 | -0.000 |
| -21.071 | 295.718 | -21.071 | -0.000 | 0.000 | -0.000 |
| -21.071 | -21.071 | 295.718 | 0.000 | -0.000 | -0.000 |
| 0.000 | 0.000 | 0.000 | -59.351 | -0.000 | -0.000 |
| 0.000 | 0.000 | 0.000 | 0.000 | -59.351 | 0.000 |
| 0.000 | 0.000 | 0.000 | 0.000 | 0.000 | -59.351 |
| 295.718 | -21.071 | -21.071 | -0.000 | -0.000 | -0.000 |
| -21.071 | 295.718 | -21.071 | -0.000 | -0.000 | -0.000 |
| -21.071 | -21.071 | 295.718 | 0.000 | -0.000 | -0.000 |
| -0.000 | -0.000 | -0.000 | -59.351 | 0.000 | -0.000 |
| -0.000 | -0.000 | -0.000 | -0.000 | -59.351 | -0.000 |
| -0.000 | -0.000 | -0.000 | -0.000 | -0.000 | -59.351 |
| 295.719 | -21.071 | -21.071 | 0.000 | 0.000 | -0.000 |
| -21.071 | 295.719 | -21.071 | 0.000 | 0.000 | -0.000 |
| -21.071 | -21.071 | 295.719 | 0.000 | 0.000 | -0.000 |
| 0.000 | 0.000 | 0.000 | -59.351 | -0.000 | -0.000 |
| 0.000 | 0.000 | 0.000 | 0.000 | -59.351 | -0.000 |
| 0.000 | 0.000 | 0.000 | 0.000 | 0.000 | -59.351 |
| 295.718 | -21.071 | -21.071 | -0.000 | -0.000 | -0.000 |
| -21.071 | 295.718 | -21.071 | -0.000 | -0.000 | -0.000 |
| -21.071 | -21.071 | 295.718 | -0.000 | 0.000 | -0.000 |
| -0.000 | -0.000 | -0.000 | -59.351 | 0.000 | -0.000 |
| -0.000 | -0.000 | -0.000 | 0.000 | -59.351 | -0.000 |
| -0.000 | -0.000 | -0.000 | -0.000 | 0.000 | -59.351 |
| 295.723 | -21.070 | -21.070 | 0.000 | 0.000 | -0.000 |
| -21.070 | 295.723 | -21.070 | 0.000 | 0.000 | -0.000 |
| -21.070 | -21.070 | 295.723 | -0.000 | 0.000 | -0.000 |
| 0.000 | 0.000 | 0.000 | -59.351 | 0.000 | -0.000 |
| 0.000 | 0.000 | 0.000 | 0.000 | -59.351 | -0.000 |
| 0.000 | 0.000 | 0.000 | 0.000 | 0.000 | -59.351 |
| 295.713 | -21.072 | -21.072 | -0.000 | -0.000 | -0.000 |
| -21.072 | 295.713 | -21.072 | -0.000 | -0.000 | -0.000 |
| -21.072 | -21.072 | 295.713 | 0.000 | -0.000 | 0.000 |
| -0.000 | -0.000 | -0.000 | -59.351 | -0.000 | -0.000 |
| -0.000 | -0.000 | -0.000 | -0.000 | -59.351 | -0.000 |
| -0.000 | -0.000 | -0.000 | -0.000 | -0.000 | -59.351 |
| 398.005 | 184.632 | -11.350 | 0.000 | -0.000 | 0.000 |
| 184.632 | 398.005 | -11.350 | 0.000 | 0.000 | 0.000 |
| -11.350 | -11.350 | 349.192 | 0.000 | -0.000 | 0.000 |
| -0.000 | -0.000 | -0.000 | -88.537 | -0.000 | 0.000 |
| -0.000 | -0.000 | -0.000 | 0.000 | -88.537 | 0.000 |
| -0.000 | -0.000 | -0.000 | -0.000 | 0.000 | 106.687 |
| 398.005 | 184.632 | -11.350 | -0.000 | -0.000 | -0.000 |
| 184.632 | 398.005 | -11.350 | -0.000 | 0.000 | -0.000 |
| -11.350 | -11.350 | 349.191 | -0.000 | -0.000 | -0.000 |
| 0.000 | 0.000 | 0.000 | -88.537 | 0.000 | -0.000 |
| 0.000 | 0.000 | 0.000 | -0.000 | -88.537 | -0.000 |
| 0.000 | -0.000 | 0.000 | 0.000 | 0.000 | 106.687 |
| 398.005 | 184.632 | -11.350 | 0.000 | -0.000 | 0.000 |
| 184.632 | 398.005 | -11.350 | 0.000 | 0.000 | 0.000 |
| -11.350 | -11.350 | 349.192 | 0.000 | 0.000 | 0.000 |
| -0.000 | -0.000 | -0.000 | -88.537 | -0.000 | 0.000 |
| -0.000 | -0.000 | -0.000 | 0.000 | -88.537 | 0.000 |
| -0.000 | 0.000 | -0.000 | -0.000 | -0.000 | 106.687 |
| 398.005 | 184.632 | -11.350 | 0.000 | -0.000 | -0.000 |
| 184.632 | 398.005 | -11.350 | -0.000 | 0.000 | -0.000 |
| -11.350 | -11.350 | 349.191 | -0.000 | -0.000 | -0.000 |
| 0.000 | 0.000 | 0.000 | -88.537 | 0.000 | -0.000 |
| 0.000 | 0.000 | 0.000 | -0.000 | -88.537 | -0.000 |
| 0.000 | -0.000 | 0.000 | 0.000 | 0.000 | 106.687 |
| 398.004 | 184.631 | -11.351 | 0.000 | -0.000 | 0.000 |
| 184.632 | 398.002 | -11.351 | 0.000 | -0.000 | 0.000 |
| -11.350 | -11.350 | 349.194 | 0.000 | -0.000 | 0.000 |
| -0.000 | -0.001 | -0.000 | -88.537 | 0.000 | 0.000 |
| -0.001 | -0.000 | -0.000 | 0.000 | -88.537 | 0.000 |
| -0.001 | 0.000 | -0.000 | -0.000 | 0.000 | 106.687 |
| 398.007 | 184.632 | -11.349 | -0.000 | -0.000 | -0.000 |
| 184.631 | 398.008 | -11.349 | -0.000 | -0.000 | 0.000 |
| -11.350 | -11.350 | 349.188 | -0.000 | -0.000 | -0.000 |
| 0.000 | 0.001 | 0.000 | -88.537 | -0.000 | -0.000 |
| 0.001 | 0.000 | 0.000 | 0.000 | -88.537 | -0.000 |
| 0.001 | -0.000 | 0.000 | 0.000 | 0.000 | 106.687 |
| 1452.021 | 1239.068 | -1046.183 | -0.000 | -0.000 | 0.000 |
| 1239.068 | 1452.021 | -1046.183 | -0.000 | -0.000 | 0.000 |
| 121.602 | 121.602 | 372.993 | -0.000 | 0.000 | 0.000 |
| 1124.174 | 1124.174 | -1166.879 | 91.835 | 0.000 | 0.000 |
| 1124.174 | 1124.174 | -1166.879 | 0.000 | 91.835 | 0.000 |
| 0.000 | -0.000 | 0.000 | -0.000 | -0.000 | 100.403 |
| -751.790 | -939.493 | 1145.227 | 0.000 | -0.000 | -0.000 |
| -939.493 | -751.790 | 1145.227 | -0.000 | 0.000 | -0.000 |
| 121.602 | 121.602 | 372.993 | 0.000 | 0.000 | -0.000 |
| -1124.174 | -1124.174 | 1166.879 | 91.835 | -0.000 | -0.000 |
| -1124.174 | -1124.174 | 1166.879 | 0.000 | 91.835 | -0.000 |
| -0.000 | -0.000 | -0.000 | 0.000 | 0.000 | 100.403 |
| 440.197 | 227.443 | 3.874 | -0.000 | -0.000 | 0.000 |
| 227.443 | 440.197 | 3.874 | -0.000 | -0.000 | 0.000 |
| 121.602 | 121.602 | 372.992 | -0.000 | 0.000 | 0.000 |
| -0.000 | 0.000 | -0.000 | 107.549 | 0.000 | 0.000 |
| 0.000 | -0.000 | -0.000 | -0.000 | 107.549 | 0.000 |
| 112.505 | 112.505 | -116.778 | 0.000 | -0.000 | 81.526 |
| 215.542 | 2.406 | 237.454 | 0.000 | 0.000 | -0.000 |
| 2.406 | 215.542 | 237.454 | -0.000 | 0.000 | -0.000 |
| 121.602 | 121.602 | 372.993 | 0.000 | 0.000 | -0.000 |
| 0.000 | -0.000 | 0.000 | 107.549 | 0.000 | -0.000 |
| -0.000 | 0.000 | 0.000 | 0.000 | 107.549 | -0.000 |
| -112.505 | -112.505 | 116.778 | 0.000 | -0.000 | 81.526 |
| 278.263 | 167.918 | 120.233 | -0.000 | 0.000 | 0.000 |
| 167.918 | 278.263 | 120.233 | 0.000 | 0.000 | 0.000 |
| 122.691 | 122.691 | 339.924 | 0.000 | -0.000 | 0.000 |
| 12.855 | 12.855 | 8.296 | 44.394 | -0.000 | 0.000 |
| 12.855 | 12.855 | 8.296 | -0.000 | 44.394 | 0.000 |
| 11.858 | 11.858 | -12.309 | -0.000 | 0.000 | 80.506 |
| 297.957 | 114.067 | 129.812 | 0.000 | 0.000 | -0.000 |
| 114.067 | 297.957 | 129.812 | 0.000 | -0.000 | -0.000 |
| 111.456 | 111.456 | 319.924 | -0.000 | -0.000 | -0.000 |
| -12.855 | -12.855 | -8.296 | 44.394 | 0.000 | -0.000 |
| -12.855 | -12.855 | -8.296 | 0.000 | 44.394 | -0.000 |
| -11.858 | -11.858 | 12.309 | 0.000 | -0.000 | 80.506 |
| 343.312 | 135.234 | 137.069 | -2.238 | 18.108 | -19.004 |
| 137.265 | 325.351 | 141.900 | -4.665 | -4.242 | -6.705 |
| 1402.552 | -417.469 | 238.088 | -642.693 | 557.431 | -466.308 |
| 685.169 | 123.713 | 367.160 | -369.392 | 786.469 | -171.570 |
| 701.787 | 116.112 | 353.089 | -417.063 | 826.662 | -165.587 |
| 1271.986 | -551.552 | 70.316 | -653.833 | 565.883 | -431.478 |
| -1241.135 | 1744.317 | 450.573 | 1432.355 | -406.080 | -153.531 |
| 137.265 | 325.351 | 141.900 | -4.665 | -4.242 | -6.705 |
| 137.320 | 140.005 | 301.730 | 8.627 | -3.607 | 7.069 |
| -0.883 | -5.554 | 8.627 | 90.753 | 7.967 | -4.192 |
| 16.690 | -4.372 | -3.607 | 7.967 | 85.965 | 0.727 |
| -639.775 | 168.687 | -321.160 | 326.875 | -680.656 | 240.536 |
| 343.312 | 135.234 | 137.069 | -2.238 | 18.108 | -19.004 |
| 193.951 | 272.395 | 169.768 | -37.453 | 61.447 | -23.301 |
| 137.320 | 140.005 | 301.730 | 8.627 | -3.607 | 7.069 |
| -0.883 | -5.554 | 8.627 | 90.753 | 7.967 | -4.192 |
| 16.690 | -4.372 | -3.607 | 7.967 | 85.965 | 0.727 |
| -18.394 | -6.713 | 7.691 | -4.063 | 4.300 | 87.622 |
| 239.831 | 147.153 | 97.835 | 30.924 | -51.798 | 1.078 |
| 137.265 | 325.351 | 141.899 | -4.665 | -4.242 | -6.705 |
| 137.320 | 140.005 | 301.729 | 8.627 | -3.607 | 7.069 |
| -0.883 | -5.554 | 8.627 | 90.753 | 7.967 | -4.192 |
| 16.690 | -4.372 | -3.607 | 7.967 | 85.965 | 0.727 |
| -77.509 | 11.038 | -26.385 | 28.463 | -65.232 | 87.962 |
| 303.625 | 127.046 | 133.232 | -5.761 | 23.662 | -17.268 |
| 137.266 | 325.353 | 141.900 | -4.665 | -4.242 | -6.705 |
| 126.771 | 120.678 | 193.073 | -2.129 | -2.487 | 2.838 |
| -0.883 | -5.553 | 8.627 | 90.753 | 7.967 | -4.192 |
| 21.944 | -8.851 | -1.272 | 3.437 | 72.246 | -1.364 |
| -18.394 | -6.713 | 7.691 | -4.063 | 4.300 | 87.622 |
| 222.613 | 124.723 | 114.088 | 0.538 | 4.145 | -20.193 |
| 137.264 | 325.349 | 141.899 | -4.665 | -4.242 | -6.706 |
| 137.320 | 140.004 | 301.728 | 8.627 | -3.607 | 7.069 |
| -16.227 | 3.840 | 2.354 | 51.718 | 3.298 | -4.254 |
| 9.103 | -4.915 | -7.957 | 10.446 | 60.365 | 2.194 |
| -30.822 | -5.649 | 6.557 | -2.244 | -6.000 | 47.156 |
| 225.659 | 131.223 | 131.223 | -0.000 | 0.000 | 0.000 |
| 131.223 | 225.659 | 131.223 | -0.000 | -0.000 | 0.000 |
| 131.223 | 131.223 | 225.659 | -0.000 | 0.000 | 0.000 |
| 0.000 | -0.000 | -0.000 | 70.698 | -0.000 | 0.000 |
| 0.000 | -0.000 | -0.000 | -0.000 | 70.698 | 0.000 |
| 0.000 | -0.000 | -0.000 | 0.000 | 0.000 | 70.698 |
| 294.312 | 119.947 | 119.947 | -0.000 | 0.000 | -0.000 |
| 119.947 | 294.312 | 119.947 | 0.000 | -0.000 | -0.000 |
| 119.947 | 119.947 | 294.312 | 0.000 | 0.000 | -0.000 |
| -0.000 | 0.000 | 0.000 | 70.698 | -0.000 | -0.000 |
| -0.000 | 0.000 | 0.000 | -0.000 | 70.698 | -0.000 |
| -0.000 | 0.000 | 0.000 | 0.000 | -0.000 | 70.698 |
| 294.313 | 119.947 | 119.947 | 0.000 | 0.000 | 0.000 |
| 119.947 | 294.313 | 119.947 | -0.000 | -0.000 | 0.000 |
| 119.947 | 119.947 | 294.313 | -0.000 | -0.000 | 0.000 |
| -0.529 | -0.529 | -0.529 | 47.583 | 0.000 | 0.000 |
| -0.529 | -0.529 | -0.529 | 0.000 | 47.583 | 0.000 |
| -0.529 | -0.529 | -0.529 | -0.000 | -0.000 | 47.583 |
| 294.312 | 119.947 | 119.947 | -0.000 | -0.000 | -0.000 |
| 119.947 | 294.312 | 119.947 | -0.000 | 0.000 | -0.000 |
| 119.947 | 119.947 | 294.312 | 0.000 | -0.000 | -0.000 |
| 0.529 | 0.529 | 0.529 | 47.583 | -0.000 | -0.000 |
| 0.529 | 0.529 | 0.529 | 0.000 | 47.583 | -0.000 |
| 0.529 | 0.529 | 0.529 | 0.000 | -0.000 | 47.583 |
| 239.496 | 137.367 | 137.367 | 0.000 | 0.000 | 0.000 |
| 137.367 | 239.496 | 137.367 | -0.000 | 0.000 | 0.000 |
| 137.367 | 137.367 | 239.496 | -0.000 | -0.000 | 0.000 |
| -0.000 | -0.000 | 0.000 | 70.698 | 0.000 | 0.000 |
| -0.000 | -0.000 | 0.000 | -0.000 | 70.698 | 0.000 |
| -0.000 | 0.000 | -0.000 | 0.000 | -0.000 | 70.698 |
| 239.648 | 137.509 | 137.509 | -0.000 | 0.000 | -0.000 |
| 137.509 | 239.648 | 137.509 | 0.000 | 0.000 | -0.000 |
| 137.509 | 137.509 | 239.648 | 0.000 | 0.000 | -0.000 |
| 0.000 | 0.000 | -0.000 | 70.698 | -0.000 | -0.000 |
| 0.000 | 0.000 | -0.000 | -0.000 | 70.698 | -0.000 |
| 0.000 | -0.000 | 0.000 | -0.000 | 0.000 | 70.698 |
| -649.037 | -541.098 | -541.098 | 0.000 | 0.000 | 0.000 |
| -541.098 | -649.037 | -541.098 | 0.000 | 0.000 | 0.000 |
| -541.098 | -541.098 | -649.038 | 0.000 | 0.000 | 0.000 |
| -720.146 | -720.146 | -720.146 | -16.417 | 0.000 | 0.000 |
| -720.146 | -720.146 | -720.146 | 0.000 | -16.417 | 0.000 |
| -720.146 | -720.146 | -720.146 | 0.000 | 0.000 | -16.417 |
| 288.737 | 117.431 | 117.431 | -0.000 | -0.000 | 0.000 |
| 117.431 | 288.737 | 117.431 | -0.000 | -0.000 | 0.000 |
| 117.431 | 117.431 | 288.737 | -0.000 | -0.000 | 0.000 |
| 720.146 | 720.146 | 720.146 | -16.417 | -0.000 | -0.000 |
| 720.146 | 720.146 | 720.146 | -0.000 | -16.417 | -0.000 |
| 720.146 | 720.146 | 720.146 | -0.000 | -0.000 | -16.417 |
| 79.205 | 106.916 | 106.916 | 0.000 | 0.000 | 0.000 |
| 106.916 | 79.205 | 106.916 | 0.000 | 0.000 | 0.000 |
| 106.916 | 106.916 | 79.205 | 0.000 | 0.000 | 0.000 |
| -0.000 | -0.000 | 0.000 | 70.963 | 0.000 | -0.000 |
| -0.000 | -0.000 | 0.000 | 0.000 | 70.963 | -0.000 |
| -0.000 | 0.000 | -0.000 | 0.000 | -0.000 | 70.963 |
| 288.737 | 117.431 | 117.431 | -0.000 | 0.000 | 0.000 |
| 117.431 | 288.737 | 117.431 | 0.000 | 0.000 | 0.000 |
| 117.431 | 117.431 | 288.737 | 0.000 | 0.000 | 0.000 |
| 0.000 | 0.000 | -0.000 | 70.963 | -0.000 | 0.000 |
| 0.000 | 0.000 | -0.000 | -0.000 | 70.963 | -0.000 |
| 0.000 | -0.000 | 0.000 | -0.000 | -0.000 | 70.963 |
| 240.837 | 130.450 | 130.450 | 0.000 | 0.000 | 0.000 |
| 130.450 | 240.837 | 130.450 | 0.000 | 0.000 | 0.000 |
| 130.450 | 130.450 | 240.837 | 0.000 | 0.000 | 0.000 |
| -0.000 | -0.000 | 0.000 | 70.963 | -0.000 | 0.000 |
| -0.000 | -0.000 | 0.000 | -0.000 | 70.963 | -0.000 |
| -0.000 | 0.000 | -0.000 | -0.000 | -0.000 | 70.963 |
| 288.735 | 117.430 | 117.430 | 0.000 | -0.000 | 0.000 |
| 117.430 | 288.735 | 117.430 | -0.000 | 0.000 | -0.000 |
| 117.430 | 117.430 | 288.735 | 0.000 | 0.000 | -0.000 |
| 0.000 | 0.000 | -0.000 | 70.963 | 0.000 | 0.000 |
| 0.000 | 0.000 | -0.000 | -0.000 | 70.963 | -0.000 |
| 0.000 | -0.000 | 0.000 | 0.000 | -0.000 | 70.963 |
| 331.440 | 195.542 | 195.542 | -0.000 | -0.000 | -0.000 |
| 195.542 | 331.440 | 195.542 | -0.000 | -0.000 | -0.000 |
| 195.542 | 195.542 | 331.440 | -0.000 | -0.000 | -0.000 |
| 8.069 | 8.069 | 8.069 | 122.413 | -0.000 | -0.000 |
| 8.069 | 8.069 | 8.069 | -0.000 | 122.413 | -0.000 |
| 8.069 | 8.069 | 8.069 | -0.000 | -0.000 | 122.413 |
| 383.091 | 201.652 | 201.652 | 0.000 | 0.000 | -0.000 |
| 201.652 | 383.091 | 201.652 | 0.000 | 0.000 | -0.000 |
| 201.652 | 201.652 | 383.091 | 0.000 | 0.000 | -0.000 |
| -8.069 | -8.069 | -8.069 | 122.413 | 0.000 | 0.000 |
| -8.069 | -8.069 | -8.069 | 0.000 | 122.413 | 0.000 |
| -8.069 | -8.069 | -8.069 | 0.000 | 0.000 | 122.413 |
| 309.008 | 214.307 | 214.307 | -0.000 | -0.000 | -0.000 |
| 214.307 | 309.008 | 214.307 | -0.000 | -0.000 | -0.000 |
| 214.307 | 214.307 | 309.008 | -0.000 | -0.000 | 0.000 |
| 0.848 | 0.848 | 0.848 | 124.546 | -0.000 | -0.000 |
| 0.848 | 0.848 | 0.848 | -0.000 | 124.546 | -0.000 |
| 0.848 | 0.848 | 0.848 | -0.000 | -0.000 | 124.546 |
| 338.479 | 185.299 | 185.299 | 0.000 | 0.000 | 0.000 |
| 185.299 | 338.479 | 185.299 | 0.000 | 0.000 | 0.000 |
| 185.299 | 185.299 | 338.479 | 0.000 | 0.000 | -0.000 |
| -0.848 | -0.848 | -0.848 | 124.546 | 0.000 | 0.000 |
| -0.848 | -0.848 | -0.848 | 0.000 | 124.546 | 0.000 |
| -0.848 | -0.848 | -0.848 | 0.000 | 0.000 | 124.546 |
| 308.349 | 213.707 | 213.707 | -0.000 | -0.000 | 0.000 |
| 213.707 | 308.349 | 213.707 | -0.000 | -0.000 | 0.000 |
| 213.707 | 213.707 | 308.349 | -0.000 | -0.000 | 0.000 |
| 0.000 | 0.000 | 0.000 | 133.976 | -0.000 | 0.000 |
| 0.000 | 0.000 | 0.000 | -0.000 | 133.976 | -0.000 |
| 0.000 | 0.000 | 0.000 | -0.000 | -0.000 | 133.976 |
| 383.088 | 201.651 | 201.651 | 0.000 | 0.000 | -0.000 |
| 201.651 | 383.088 | 201.651 | 0.000 | 0.000 | -0.000 |
| 201.651 | 201.651 | 383.088 | -0.000 | 0.000 | 0.000 |
| -0.000 | -0.000 | -0.000 | 133.976 | 0.000 | -0.000 |
| -0.000 | -0.000 | -0.000 | -0.000 | 133.976 | -0.000 |
| -0.000 | -0.000 | -0.000 | 0.000 | 0.000 | 133.976 |
| 150.591 | 158.264 | 158.264 | -0.000 | -0.000 | 0.000 |
| 158.264 | 150.591 | 158.264 | 0.000 | -0.000 | -0.000 |
| 158.264 | 158.264 | 150.591 | 0.000 | -0.000 | 0.000 |
| -0.000 | 0.000 | 0.000 | 115.242 | -0.000 | -0.000 |
| -0.000 | 0.000 | 0.000 | -0.000 | 115.242 | -0.000 |
| 0.000 | 0.000 | 0.000 | -0.000 | -0.000 | 115.242 |
| 213.938 | 132.555 | 132.555 | -0.000 | 0.000 | -0.000 |
| 132.555 | 213.938 | 132.555 | 0.000 | 0.000 | -0.000 |
| 132.555 | 132.555 | 213.938 | -0.000 | 0.000 | -0.000 |
| 0.000 | -0.000 | -0.000 | 115.242 | 0.000 | 0.000 |
| 0.000 | -0.000 | -0.000 | 0.000 | 115.242 | 0.000 |
| 0.000 | -0.000 | -0.000 | 0.000 | 0.000 | 115.242 |
| 166.840 | 159.025 | 159.025 | -0.000 | -0.000 | -0.000 |
| 159.025 | 166.840 | 159.025 | -0.000 | -0.000 | -0.000 |
| 159.025 | 159.025 | 166.840 | 0.000 | -0.000 | -0.000 |
| -0.479 | -0.479 | -0.479 | 100.922 | -0.000 | 0.000 |
| -0.479 | -0.479 | -0.479 | -0.000 | 100.922 | -0.000 |
| -0.479 | -0.479 | -0.479 | -0.000 | -0.000 | 100.922 |
| 297.544 | 161.484 | 161.484 | 0.000 | 0.000 | 0.000 |
| 161.484 | 297.544 | 161.484 | 0.000 | 0.000 | 0.000 |
| 161.484 | 161.484 | 297.544 | 0.000 | 0.000 | 0.000 |
| 0.479 | 0.479 | 0.479 | 100.922 | 0.000 | 0.000 |
| 0.479 | 0.479 | 0.479 | 0.000 | 100.922 | 0.000 |
| 0.479 | 0.479 | 0.479 | -0.000 | 0.000 | 100.922 |
| 213.515 | 128.856 | 128.856 | 0.000 | -0.000 | -0.000 |
| 128.856 | 213.515 | 128.856 | -0.000 | -0.000 | -0.000 |
| 128.856 | 128.856 | 213.515 | 0.000 | -0.000 | 0.000 |
| 0.000 | 0.000 | 0.001 | 115.242 | -0.000 | -0.000 |
| 0.000 | 0.000 | 0.001 | -0.000 | 115.242 | -0.000 |
| 0.000 | 0.001 | 0.000 | -0.000 | -0.000 | 115.242 |
| 167.256 | 159.448 | 159.448 | 0.000 | 0.000 | 0.000 |
| 159.448 | 167.256 | 159.448 | 0.000 | 0.000 | 0.000 |
| 159.448 | 159.448 | 167.256 | -0.000 | -0.000 | 0.000 |
| -0.000 | -0.000 | -0.001 | 115.242 | 0.000 | 0.000 |
| -0.000 | -0.000 | -0.001 | 0.000 | 115.242 | 0.000 |
| -0.000 | -0.001 | -0.000 | 0.000 | 0.000 | 115.242 |
| 286.143 | 211.602 | 122.714 | -0.000 | -0.000 | 0.000 |
| 211.602 | 437.197 | 119.859 | -0.000 | 0.000 | 0.000 |
| 115.054 | 105.581 | 574.154 | 0.000 | 0.000 | -0.000 |
| 0.000 | -0.000 | -0.000 | 28.330 | 0.000 | 0.000 |
| 0.000 | 0.000 | -0.004 | -0.000 | 34.906 | 0.000 |
| 0.000 | 0.000 | -0.000 | 0.000 | 0.000 | 134.493 |
| 286.519 | 212.304 | 115.051 | 0.000 | 0.000 | -0.000 |
| 211.602 | 437.197 | 119.859 | 0.000 | 0.000 | 0.000 |
| 115.054 | 105.581 | 574.154 | 0.000 | -0.000 | -0.000 |
| -0.000 | 0.000 | -0.000 | 28.330 | -0.000 | -0.000 |
| -0.000 | -0.000 | 0.004 | 0.000 | 34.906 | -0.000 |
| -0.000 | -0.000 | 0.000 | -0.000 | -0.000 | 134.493 |
| 286.143 | 211.602 | 122.715 | -0.000 | 0.000 | 0.000 |
| 212.305 | 438.506 | 105.577 | -0.000 | 0.000 | -0.000 |
| 122.718 | 119.862 | 418.255 | -0.000 | 0.000 | 0.000 |
| -0.000 | -0.000 | -0.000 | 28.330 | -0.000 | -0.000 |
| 0.000 | -0.000 | 0.000 | -0.000 | 34.906 | 0.000 |
| 0.000 | 0.000 | -0.000 | -0.000 | -0.000 | 134.493 |
| 286.519 | 212.304 | 115.051 | 0.000 | -0.000 | -0.000 |
| 212.304 | 438.506 | 105.578 | 0.000 | 0.000 | -0.000 |
| 115.054 | 105.581 | 574.154 | 0.000 | 0.000 | -0.000 |
| 0.000 | 0.000 | 0.000 | 28.330 | 0.000 | 0.000 |
| -0.000 | 0.000 | -0.000 | 0.000 | 34.906 | -0.000 |
| -0.000 | -0.000 | 0.000 | 0.000 | 0.000 | 134.493 |
| 286.144 | 211.603 | 122.715 | -0.000 | -0.000 | 0.000 |
| 212.306 | 438.505 | 105.577 | -0.000 | -0.000 | -0.000 |
| 122.724 | 119.869 | 418.175 | -0.000 | 0.000 | 0.000 |
| -10831866.731 | 12172792.183 | -14971776.494 | -11926867.282 | 0.000 | 0.000 |
| 0.000 | -0.000 | 0.000 | -0.000 | 37.748 | 0.000 |
| 0.000 | 0.001 | -0.000 | -0.000 | 0.000 | 134.493 |
| 286.518 | 212.304 | 115.050 | 0.000 | -0.000 | 0.000 |
| 211.601 | 437.198 | 119.860 | 0.000 | -0.000 | -0.000 |
| 122.717 | 119.864 | 418.239 | -0.000 | -0.000 | -0.000 |
| 10831866.731 | -12172792.183 | 14971776.494 | -11926867.282 | 0.000 | 0.000 |
| -0.000 | 0.000 | -0.000 | 0.000 | 37.748 | -0.000 |
| -0.000 | -0.001 | 0.000 | 0.000 | 0.000 | 134.493 |
| 286.483 | 203.330 | 139.717 | -0.000 | -0.000 | -0.000 |
| 204.174 | 411.278 | 93.311 | -0.000 | -0.000 | -0.000 |
| 138.869 | 101.153 | 474.243 | -0.000 | -0.000 | -0.000 |
| -0.000 | -0.000 | -0.000 | 10.544 | -0.000 | -0.000 |
| -0.000 | 0.000 | -0.000 | -0.000 | 44.881 | -0.000 |
| 0.243 | 0.181 | -1.938 | 0.000 | -0.000 | 126.904 |
| 285.996 | 202.967 | 143.593 | 0.000 | 0.000 | 0.000 |
| 202.623 | 410.123 | 105.656 | -0.000 | 0.000 | 0.000 |
| 138.382 | 100.790 | 478.118 | 0.000 | 0.000 | 0.000 |
| 0.000 | -0.000 | 0.000 | 10.544 | 0.000 | 0.000 |
| 0.000 | -0.000 | 0.000 | 0.000 | 44.881 | 0.000 |
| -0.243 | -0.181 | 1.938 | -0.000 | 0.000 | 126.904 |
| 286.264 | 203.167 | 141.461 | -0.000 | -0.000 | -0.000 |
| 202.890 | 410.322 | 103.524 | -0.000 | -0.000 | -0.000 |
| 138.650 | 100.989 | 475.988 | -0.000 | -0.000 | -0.000 |
| -0.000 | -0.000 | -0.000 | 10.544 | -0.000 | -0.000 |
| 0.024 | 0.018 | -0.194 | -0.000 | 28.974 | -0.000 |
| 0.024 | 0.018 | -0.194 | -0.000 | -0.000 | 126.904 |
| 286.215 | 203.130 | 141.849 | 0.000 | 0.000 | 0.000 |
| 202.842 | 410.286 | 103.912 | 0.000 | 0.000 | 0.000 |
| 138.602 | 100.953 | 476.374 | -0.000 | 0.000 | 0.000 |
| 0.000 | 0.000 | 0.000 | 10.544 | 0.000 | -0.000 |
| -0.024 | -0.018 | 0.194 | 0.000 | 28.974 | 0.000 |
| -0.024 | -0.018 | 0.194 | 0.000 | 0.000 | 126.904 |
| 286.242 | 203.151 | 141.635 | -0.000 | -0.000 | -0.000 |
| 202.870 | 410.305 | 103.697 | -0.000 | -0.000 | -0.000 |
| 138.639 | 100.978 | 476.093 | 0.000 | -0.000 | -0.000 |
| -10776980.798 | 12390016.150 | -14453160.722 | -12149192.223 | -0.000 | -0.000 |
| 0.000 | -0.000 | 0.001 | 0.000 | 44.881 | -0.000 |
| 0.000 | 0.001 | -0.000 | -0.000 | -0.000 | 126.904 |
| 287.995 | 204.455 | 127.678 | 0.000 | 0.000 | 0.000 |
| 204.172 | 411.279 | 93.312 | -0.000 | 0.000 | 0.000 |
| 138.623 | 100.972 | 476.190 | 0.000 | 0.000 | 0.000 |
| 10776980.798 | -12390016.150 | 14453160.722 | -12149192.223 | 0.000 | 0.000 |
| -0.000 | 0.000 | -0.001 | 0.000 | 44.881 | 0.000 |
| -0.000 | -0.001 | 0.000 | 0.000 | 0.000 | 126.904 |
| 616.392 | 235.884 | 148.232 | 0.000 | -0.000 | -0.000 |
| 235.884 | 522.949 | 277.001 | -0.000 | -0.000 | 0.000 |
| 153.888 | 264.722 | 574.682 | -0.000 | -0.000 | 0.000 |
| -0.000 | -0.000 | 0.000 | 208.116 | -0.000 | -0.000 |
| -0.000 | -0.000 | -0.000 | -0.000 | 79.657 | -0.000 |
| -0.000 | -0.000 | -0.000 | -0.000 | -0.000 | 168.184 |
| 606.896 | 256.500 | 153.888 | 0.000 | -0.000 | 0.000 |
| 256.500 | 478.193 | 264.722 | 0.000 | -0.000 | 0.000 |
| 148.232 | 277.001 | 578.051 | 0.000 | 0.000 | 0.000 |
| 0.000 | 0.000 | -0.000 | 208.116 | 0.000 | 0.000 |
| 0.000 | 0.000 | 0.000 | 0.000 | 79.657 | 0.000 |
| 0.000 | 0.000 | 0.000 | 0.000 | 0.000 | 168.184 |
| 616.392 | 235.884 | 148.232 | -0.000 | -0.000 | 0.000 |
| 256.500 | 478.192 | 264.721 | -0.000 | 0.000 | -0.000 |
| 153.888 | 264.722 | 574.682 | -0.000 | 0.000 | 0.000 |
| -0.000 | -0.000 | 0.000 | 209.301 | -0.000 | 0.000 |
| -0.000 | -0.000 | -0.000 | -0.000 | 79.657 | -0.000 |
| -0.000 | -0.000 | -0.000 | -0.000 | 0.000 | 149.628 |
| 606.895 | 256.500 | 153.888 | 0.000 | 0.000 | 0.000 |
| 235.884 | 522.950 | 277.001 | -0.000 | 0.000 | 0.000 |
| 153.888 | 264.722 | 574.682 | 0.000 | 0.000 | -0.000 |
| 0.000 | 0.000 | -0.000 | 209.301 | -0.000 | 0.000 |
| 0.000 | 0.000 | 0.000 | 0.000 | 79.657 | 0.000 |
| 0.000 | 0.000 | 0.000 | 0.000 | 0.000 | 149.628 |
| 606.896 | 256.500 | 153.888 | -0.000 | -0.000 | -0.000 |
| 256.499 | 478.185 | 264.721 | -0.000 | 0.000 | -0.000 |
| 153.888 | 264.722 | 574.681 | -0.000 | -0.000 | -0.000 |
| -0.000 | -0.001 | 0.001 | 208.116 | -0.000 | -0.000 |
| -0.001 | -0.000 | -0.001 | -0.000 | 79.657 | -0.000 |
| -0.001 | -0.001 | -0.000 | -0.000 | -0.000 | 149.628 |
| 606.895 | 256.500 | 153.888 | 0.000 | -0.000 | -0.000 |
| 256.501 | 478.200 | 264.722 | 0.000 | 0.000 | -0.000 |
| 153.888 | 264.721 | 574.684 | 0.000 | 0.000 | -0.000 |
| 0.000 | 0.001 | -0.001 | 208.116 | -0.000 | -0.000 |
| 0.001 | 0.000 | 0.001 | 0.000 | 79.657 | -0.000 |
| 0.001 | 0.001 | 0.000 | 0.000 | 0.000 | 149.628 |
| 599.127 | 226.098 | 180.144 | 0.000 | -0.000 | 0.000 |
| 221.701 | 183.399 | 224.194 | 0.000 | -0.000 | 0.000 |
| 173.925 | 247.930 | 624.488 | 0.000 | -0.000 | 0.000 |
| 0.000 | 0.000 | 0.000 | 171.695 | -0.000 | 0.000 |
| -0.000 | 0.000 | -0.000 | 0.000 | 101.558 | 0.000 |
| -0.000 | -0.000 | -0.000 | 0.000 | -0.000 | 120.930 |
| 599.152 | 225.994 | 180.124 | -0.000 | 0.000 | -0.000 |
| 221.727 | 183.295 | 224.174 | -0.000 | 0.000 | -0.000 |
| 179.010 | 227.328 | 620.424 | -0.000 | 0.000 | -0.000 |
| 0.000 | -0.000 | -0.000 | 171.695 | 0.000 | -0.000 |
| 0.000 | -0.000 | 0.000 | -0.000 | 101.558 | -0.000 |
| 0.000 | 0.000 | 0.000 | -0.000 | 0.000 | 120.929 |
| 605.486 | 200.332 | 175.062 | 0.000 | -0.000 | 0.000 |
| 221.713 | 183.351 | 224.185 | 0.000 | -0.000 | 0.000 |
| 178.996 | 227.385 | 620.435 | 0.000 | -0.000 | 0.000 |
| -0.000 | 0.002 | 0.000 | 170.490 | -0.000 | 0.000 |
| -0.000 | -0.000 | -0.000 | 0.000 | 101.558 | 0.000 |
| -0.002 | 0.008 | 0.001 | 0.000 | -0.000 | 111.251 |
| 599.140 | 226.041 | 180.133 | -0.000 | 0.000 | -0.000 |
| 196.000 | 287.527 | 244.735 | -0.000 | 0.000 | -0.000 |
| 178.999 | 227.375 | 620.434 | -0.000 | 0.000 | -0.000 |
| 0.000 | -0.002 | -0.000 | 170.490 | 0.000 | -0.000 |
| 0.000 | 0.000 | 0.000 | -0.000 | 101.558 | -0.000 |
| 0.002 | -0.008 | -0.001 | -0.000 | 0.000 | 111.251 |
| 599.142 | 226.047 | 180.134 | 0.000 | -0.000 | 0.000 |
| 221.715 | 183.339 | 224.183 | 0.000 | -0.000 | 0.000 |
| 178.997 | 227.380 | 620.431 | 0.000 | -0.000 | 0.000 |
| -0.000 | -0.000 | 0.001 | 170.490 | -0.000 | 0.000 |
| -0.001 | 0.000 | -0.002 | 0.000 | 101.558 | 0.000 |
| -0.001 | -0.001 | -0.000 | 0.000 | -0.000 | 120.929 |
| 605.483 | 200.332 | 175.062 | -0.000 | 0.000 | -0.000 |
| 221.714 | 183.355 | 224.185 | -0.000 | 0.000 | -0.000 |
| 178.999 | 227.380 | 620.438 | -0.000 | 0.000 | -0.000 |
| 0.000 | 0.000 | -0.001 | 170.490 | 0.000 | -0.000 |
| 0.001 | -0.000 | 0.002 | -0.000 | 101.558 | -0.000 |
| 0.001 | 0.001 | 0.000 | -0.000 | 0.000 | 120.929 |
| 63.620 | 73.599 | 35.159 | 71.489 | -0.000 | 0.000 |
| 73.599 | 63.620 | 35.159 | -71.489 | 0.000 | -0.000 |
| 35.159 | 35.159 | -55.884 | 0.000 | -0.000 | 0.000 |
| 71.489 | -71.489 | -0.000 | -42.912 | -0.000 | 0.000 |
| 0.000 | 0.000 | -0.000 | 0.000 | -42.912 | 71.489 |
| 0.000 | 0.000 | 0.000 | 0.000 | 71.489 | -4.990 |
| 63.620 | 73.599 | 35.159 | 71.489 | 0.000 | -0.000 |
| 73.599 | 63.620 | 35.159 | -71.489 | -0.000 | 0.000 |
| 35.159 | 35.159 | -55.884 | -0.000 | -0.000 | 0.000 |
| 71.489 | -71.489 | 0.000 | -42.912 | -0.000 | 0.000 |
| -0.000 | -0.000 | 0.000 | -0.000 | -42.912 | 71.489 |
| -0.000 | -0.000 | 0.000 | -0.000 | 71.489 | -4.990 |
| 63.620 | 73.600 | 35.160 | 71.489 | 0.000 | 0.000 |
| 73.599 | 63.620 | 35.160 | -71.489 | 0.000 | -0.000 |
| 35.159 | 35.159 | -55.884 | 0.000 | 0.000 | -0.000 |
| 71.489 | -71.489 | -0.000 | -42.912 | -0.000 | -0.000 |
| 0.000 | 0.000 | -0.000 | 0.000 | -42.912 | 71.489 |
| 0.000 | 0.000 | 0.000 | 0.000 | 71.489 | -4.990 |
| 63.620 | 73.599 | 35.159 | 71.489 | 0.000 | -0.000 |
| 73.599 | 63.619 | 35.159 | -71.489 | -0.000 | 0.000 |
| 35.159 | 35.159 | -55.884 | -0.000 | 0.000 | 0.000 |
| 71.489 | -71.489 | 0.000 | -42.912 | -0.000 | -0.000 |
| -0.000 | -0.000 | 0.000 | -0.000 | -42.912 | 71.489 |
| -0.000 | -0.000 | -0.000 | -0.000 | 71.489 | -4.990 |
| 63.623 | 73.601 | 35.160 | 71.490 | -0.000 | -0.000 |
| 73.600 | 63.624 | 35.160 | -71.490 | 0.000 | -0.000 |
| 35.159 | 35.159 | -55.883 | 0.000 | -0.000 | -0.000 |
| 71.489 | -71.488 | -0.000 | -42.913 | 0.000 | 0.000 |
| 0.001 | 0.000 | -0.000 | 0.000 | -42.912 | 71.489 |
| 0.001 | 0.000 | 0.000 | 0.000 | 71.489 | -4.990 |
| 63.617 | 73.598 | 35.159 | 71.489 | -0.000 | 0.000 |
| 73.599 | 63.616 | 35.159 | -71.488 | -0.000 | 0.000 |
| 35.160 | 35.160 | -55.886 | -0.000 | 0.000 | 0.000 |
| 71.489 | -71.490 | 0.000 | -42.912 | -0.000 | 0.000 |
| -0.001 | -0.000 | 0.000 | -0.000 | -42.912 | 71.489 |
| -0.001 | -0.000 | -0.000 | -0.000 | 71.489 | -4.990 |
| -1603677302.403 | -509836811.343 | -3617984372.532 | -4525760.484 | -71737717.219 | -2863238.282 |
| -54.826 | 135.081 | 18.793 | 0.000 | 9.955 | -0.000 |
| -1591673230.972 | -498306889.058 | -3639172322.280 | -2294059.440 | -63190244.210 | 961486.422 |
| -1595609641.295 | -554965397.192 | -3607390685.913 | -4288432.198 | -64559831.514 | -469154.382 |
| -9.955 | -1.467 | 8.118 | -0.000 | -90.232 | -0.000 |
| -11.460 | -12.738 | -2.268 | 3.758 | -0.455 | 19.574 |
| -55.285 | -150.956 | 194.110 | -0.000 | -1.970 | 0.000 |
| 1638781070.191 | 539649301.886 | 3658855471.021 | 5338206.331 | 69098903.058 | 7900447.635 |
| 185.212 | 9.154 | 124.536 | -0.000 | 9.051 | 0.000 |
| 77.942 | 86.633 | 15.428 | -78.035 | 3.093 | 13.009 |
| 126.287 | 97.359 | -29.213 | -0.000 | -96.278 | 0.000 |
| 11.460 | 12.738 | 2.268 | 3.758 | 0.455 | 19.574 |
| 55.191 | -40.939 | 196.900 | 0.000 | -47.787 | 0.000 |
| -161364620.012 | -49824984.053 | -362903607.263 | 661424.437 | -8844854.927 | 533633.441 |
| 163.999 | -11.802 | 122.318 | 0.000 | 14.563 | 0.000 |
| -148282052.384 | -41173731.047 | -349633787.494 | 661153.217 | -6779275.603 | -6936.024 |
| 11.481 | 19.625 | 13.890 | 0.000 | -96.556 | -0.000 |
| -4.984 | -5.093 | -0.356 | 7.935 | 1.240 | 26.012 |
| 59.482 | -36.368 | 197.612 | -0.000 | -48.471 | 0.000 |
| 160847468.766 | 49253056.699 | 362045030.333 | -572490.829 | 6513304.592 | 48323.761 |
| 170.435 | -5.015 | 124.081 | -0.000 | 9.815 | 0.000 |
| 157290792.221 | 48366133.828 | 359318141.379 | 1186419.124 | 6144055.397 | -30204.509 |
| 158147992.986 | 49451963.766 | 362493724.743 | -85208.263 | 7306900.467 | -658912.338 |
| 4.984 | 5.093 | 0.356 | 7.935 | -1.240 | 26.012 |
| 57.846 | -38.198 | 197.274 | 0.000 | -48.546 | -0.000 |
| -31.741 | 165.814 | 28.214 | -0.000 | 9.518 | 0.000 |
| 171.417 | -3.971 | 124.267 | 0.000 | 8.248 | -0.000 |
| -15198487.190 | -5706199.293 | -35252993.312 | -80042.260 | -109535.048 | 41998.193 |
| 1.521 | 8.368 | 9.377 | -0.000 | -91.757 | 0.000 |
| -16503692.582 | -5478067.593 | -36575632.150 | -47274.871 | -853796.880 | 38682.378 |
| 58.168 | -37.922 | 197.107 | -0.000 | -48.262 | -0.000 |
| -31.387 | 166.194 | 28.271 | -0.000 | 9.499 | -0.000 |
| 171.725 | -3.629 | 124.327 | -0.000 | 8.237 | 0.000 |
| 15471035.424 | 5722829.867 | 35827627.804 | -38147.547 | 242149.087 | -1754.369 |
| 1.895 | 8.778 | 9.444 | -0.000 | -91.798 | -0.000 |
| 13999871.264 | 3975554.437 | 34419540.999 | -1529.208 | 630246.183 | -72185.838 |
| 390.736 | 216.431 | 168.810 | 14.332 | -0.000 | -0.000 |
| 190.989 | 417.600 | 172.804 | -6.051 | -0.000 | -0.000 |
| 169.563 | 169.563 | 443.076 | -0.000 | 0.000 | -0.000 |
| 6.051 | -6.051 | 0.000 | 96.687 | 0.000 | 0.000 |
| 0.543 | 0.543 | 3.051 | 0.000 | 94.018 | 14.479 |
| 1.615 | 1.615 | 9.077 | 0.000 | 13.686 | 89.193 |
| 396.907 | 205.937 | 156.666 | 11.694 | 0.000 | 0.000 |
| 205.937 | 396.907 | 156.666 | -11.694 | 0.000 | 0.000 |
| 168.477 | 168.477 | 436.973 | -0.000 | 0.000 | 0.000 |
| 6.051 | -6.051 | -0.000 | 96.687 | 0.000 | 0.000 |
| -0.543 | -0.543 | -3.051 | 0.000 | 94.018 | 14.479 |
| -1.615 | -1.615 | -9.077 | -0.000 | 13.686 | 89.193 |
| 417.600 | 190.989 | 172.804 | 6.051 | -0.000 | 0.000 |
| 190.989 | 417.600 | 172.804 | -6.051 | 0.000 | -0.000 |
| 169.074 | 169.074 | 440.330 | 0.000 | -0.000 | -0.000 |
| 6.051 | -6.051 | 0.000 | 96.687 | 0.000 | 0.000 |
| 0.176 | 0.176 | 0.991 | -0.000 | 94.046 | 14.389 |
| 0.000 | 0.000 | 0.000 | -0.000 | 6.051 | 113.306 |
| 417.599 | 190.989 | 172.803 | 6.051 | 0.000 | 0.000 |
| 210.563 | 393.633 | 160.464 | -12.944 | 0.000 | 0.000 |
| 168.965 | 168.965 | 439.719 | 0.000 | -0.000 | 0.000 |
| 14.213 | -14.566 | -0.991 | 94.046 | 0.000 | 0.000 |
| -0.176 | -0.176 | -0.991 | 0.000 | 94.046 | 14.389 |
| -0.000 | -0.000 | -0.000 | 0.000 | 6.051 | 113.306 |
| 393.228 | 211.198 | 161.092 | 13.110 | 0.000 | -0.000 |
| 211.198 | 393.228 | 161.092 | -13.109 | 0.000 | -0.000 |
| 169.026 | 169.026 | 440.059 | 0.000 | 0.000 | -0.000 |
| 14.496 | -14.460 | 0.101 | 94.018 | 0.000 | -0.000 |
| 0.000 | 0.000 | 0.000 | 0.000 | 96.687 | 6.051 |
| 0.019 | 0.019 | 0.100 | -0.000 | 14.479 | 86.688 |
| 393.291 | 211.081 | 160.973 | 13.080 | 0.000 | 0.000 |
| 190.987 | 417.595 | 172.803 | -6.051 | 0.000 | 0.000 |
| 169.013 | 169.013 | 439.991 | 0.000 | -0.000 | 0.000 |
| 6.051 | -6.051 | -0.000 | 96.687 | -0.000 | 0.000 |
| -0.000 | -0.000 | -0.000 | -0.000 | 96.687 | 6.051 |
| -0.019 | -0.019 | -0.100 | 0.000 | 14.479 | 86.688 |
| 416.823 | 190.589 | 174.379 | 6.068 | 0.000 | -0.000 |
| 200.224 | 400.467 | 155.323 | -9.843 | -0.000 | -0.000 |
| 169.275 | 169.275 | 437.903 | -0.000 | -0.000 | -0.000 |
| 7.096 | -10.379 | -9.309 | 96.635 | -0.000 | -0.000 |
| -0.000 | 0.000 | -0.000 | 0.000 | 97.411 | 6.068 |
| -0.000 | 0.000 | -0.000 | 0.000 | 6.068 | 113.117 |
| 416.823 | 190.589 | 174.379 | 6.068 | 0.000 | 0.000 |
| 217.882 | 391.123 | 178.896 | -13.765 | 0.000 | -0.000 |
| 174.379 | 174.379 | 466.849 | -0.000 | 0.000 | 0.000 |
| 10.379 | -7.096 | 9.309 | 96.635 | -0.000 | 0.000 |
| 0.000 | -0.000 | -0.000 | -0.000 | 97.411 | 6.068 |
| 0.000 | 0.000 | 0.000 | -0.000 | 6.068 | 113.117 |
| 389.538 | 216.295 | 169.899 | 13.765 | 0.000 | 0.000 |
| 190.589 | 416.824 | 174.379 | -6.068 | 0.000 | -0.000 |
| 174.379 | 174.379 | 466.849 | 0.000 | -0.000 | -0.000 |
| 13.621 | -13.909 | -0.818 | 95.175 | 0.000 | -0.000 |
| -0.144 | -0.144 | -0.818 | 0.000 | 95.175 | 13.765 |
| -0.469 | -0.469 | -2.660 | -0.000 | 13.696 | 86.859 |
| 416.823 | 190.588 | 174.379 | 6.068 | 0.000 | 0.000 |
| 216.583 | 389.825 | 171.535 | -13.765 | 0.000 | 0.000 |
| 174.379 | 174.379 | 466.849 | -0.000 | 0.000 | 0.000 |
| 6.068 | -6.068 | -0.000 | 97.411 | 0.000 | 0.000 |
| 0.144 | 0.144 | 0.818 | -0.000 | 95.175 | 13.765 |
| 0.469 | 0.469 | 2.660 | 0.000 | 13.696 | 86.859 |
| 416.828 | 190.589 | 174.380 | 6.068 | -0.000 | -0.000 |
| 216.425 | 389.673 | 170.636 | -13.764 | 0.000 | -0.000 |
| 174.379 | 174.379 | 466.849 | 0.000 | 0.000 | -0.000 |
| 13.750 | -13.779 | -0.081 | 95.175 | 0.000 | -0.000 |
| -0.047 | -0.047 | -0.267 | -0.000 | 95.177 | 13.757 |
| -0.013 | -0.013 | -0.082 | -0.000 | 13.765 | 86.621 |
| 416.818 | 190.588 | 174.379 | 6.068 | 0.000 | 0.000 |
| 211.608 | 392.232 | 164.268 | -12.692 | -0.000 | 0.000 |
| 170.731 | 170.731 | 446.161 | -0.000 | 0.000 | -0.000 |
| 6.068 | -6.068 | -0.000 | 97.411 | 0.000 | 0.000 |
| 0.047 | 0.047 | 0.267 | 0.000 | 95.177 | 13.757 |
| 0.013 | 0.013 | 0.082 | 0.000 | 13.765 | 86.621 |
| 548.697 | 353.933 | 165.843 | -0.000 | -0.000 | -0.000 |
| 353.933 | 548.697 | 165.843 | 0.000 | -0.000 | -0.000 |
| 128.192 | 128.192 | 367.446 | 0.000 | 0.000 | -0.000 |
| -0.000 | 0.000 | -0.000 | 107.825 | 0.000 | -0.000 |
| -0.000 | -0.000 | -0.000 | -0.000 | 107.825 | 0.000 |
| 181.456 | 181.456 | 9.738 | 0.000 | 0.000 | 79.727 |
| 370.361 | 119.951 | 128.192 | 0.000 | -0.000 | 0.000 |
| 119.951 | 370.361 | 128.192 | 0.000 | -0.000 | 0.000 |
| -54.199 | -54.199 | 328.919 | 0.000 | -0.000 | -0.000 |
| 0.000 | -0.000 | 0.000 | 107.825 | -0.000 | 0.000 |
| 0.000 | -0.000 | 0.000 | -0.000 | 107.825 | 0.000 |
| -181.456 | -181.456 | -9.738 | -0.000 | -0.000 | 79.727 |
| 370.361 | 119.951 | 128.192 | -0.000 | 0.000 | -0.000 |
| 119.951 | 370.361 | 128.192 | 0.000 | 0.000 | 0.000 |
| 145.212 | 145.212 | 342.643 | -0.000 | -0.000 | -0.000 |
| -0.000 | 0.000 | -0.000 | 107.825 | 0.000 | 0.000 |
| 0.000 | -0.000 | -0.000 | -0.000 | 107.825 | -0.000 |
| 20.028 | 20.028 | 1.075 | 0.000 | 0.000 | 77.582 |
| 298.378 | 110.984 | 123.657 | -0.000 | -0.000 | 0.000 |
| 110.984 | 298.378 | 123.657 | -0.000 | -0.000 | 0.000 |
| 110.237 | 110.237 | 337.164 | -0.000 | -0.000 | 0.000 |
| 0.000 | -0.000 | 0.000 | 107.825 | 0.000 | 0.000 |
| -0.000 | 0.000 | 0.000 | 0.000 | 107.825 | 0.000 |
| -20.028 | -20.028 | -1.075 | -0.000 | -0.000 | 77.582 |
| 370.363 | 119.952 | 128.192 | -0.000 | 0.000 | -0.000 |
| 119.952 | 370.363 | 128.192 | 0.000 | 0.000 | -0.000 |
| 130.464 | 130.464 | 341.879 | 0.000 | 0.000 | 0.000 |
| -0.000 | 0.000 | -0.000 | 107.825 | 0.000 | -0.000 |
| 0.000 | -0.000 | -0.000 | -0.000 | 107.825 | 0.000 |
| -0.000 | -0.000 | -0.000 | 0.000 | 0.000 | 100.408 |
| 370.360 | 119.950 | 128.191 | -0.000 | -0.000 | 0.000 |
| 119.950 | 370.360 | 128.191 | 0.000 | 0.000 | -0.000 |
| 124.568 | 124.568 | 336.618 | -0.000 | 0.000 | 0.000 |
| -1.717 | -1.717 | -0.840 | 64.112 | -0.000 | 0.000 |
| -1.717 | -1.717 | -0.840 | -0.000 | 64.112 | 0.000 |
| 0.000 | 0.000 | 0.000 | -0.000 | -0.000 | 100.408 |
| 504.909 | 306.671 | 1816.623 | -0.000 | 0.000 | -0.000 |
| 306.671 | 504.909 | 1816.623 | -0.000 | -0.000 | -0.000 |
| 214.151 | 214.151 | 1709.571 | 0.000 | -0.000 | -0.000 |
| 91.907 | 91.907 | 1360.219 | 95.702 | 0.000 | -0.000 |
| 91.907 | 91.907 | 1360.219 | -0.000 | 95.702 | -0.000 |
| 185.800 | 185.800 | 1695.644 | -0.000 | -0.000 | 73.765 |
| 133.173 | -64.945 | -1574.857 | -0.000 | -0.000 | 0.000 |
| -64.945 | 133.173 | -1574.857 | -0.000 | -0.000 | 0.000 |
| 30.315 | 30.315 | -1011.269 | -0.000 | -0.000 | 0.000 |
| -91.907 | -91.907 | -1360.219 | 95.702 | 0.000 | 0.000 |
| -91.907 | -91.907 | -1360.219 | 0.000 | 95.702 | 0.000 |
| -185.800 | -185.800 | -1695.644 | 0.000 | -0.000 | 73.765 |
| 358.827 | 114.413 | 122.554 | -0.000 | -0.000 | -0.000 |
| 114.413 | 358.827 | 122.554 | -0.000 | 0.000 | -0.000 |
| 122.547 | 122.547 | 373.857 | -0.000 | 0.000 | -0.000 |
| 9.247 | 9.247 | 136.860 | 95.628 | -0.000 | -0.000 |
| 9.247 | 9.247 | 136.860 | -0.000 | 95.628 | -0.000 |
| 9.239 | 9.239 | 136.744 | -0.000 | 0.000 | 85.677 |
| 358.827 | 114.413 | 122.554 | -0.000 | -0.000 | 0.000 |
| 114.413 | 358.827 | 122.554 | 0.000 | 0.000 | 0.000 |
| 103.432 | 103.432 | 176.043 | 0.000 | -0.000 | 0.000 |
| -9.247 | -9.247 | -136.860 | 95.628 | -0.000 | 0.000 |
| -9.247 | -9.247 | -136.860 | 0.000 | 95.628 | 0.000 |
| -9.239 | -9.239 | -136.744 | 0.000 | 0.000 | 85.677 |
| 358.828 | 114.413 | 122.554 | -0.000 | 0.000 | -0.000 |
| 114.413 | 358.828 | 122.554 | -0.000 | 0.000 | -0.000 |
| 123.901 | 123.901 | 357.708 | -0.000 | 0.000 | -0.000 |
| 1.347 | 1.347 | 19.942 | 90.074 | -0.000 | -0.000 |
| 1.347 | 1.347 | 19.942 | -0.000 | 90.074 | -0.000 |
| 1.223 | 1.223 | 18.098 | -0.000 | -0.000 | 80.902 |
| 325.810 | 114.120 | 103.549 | 0.000 | 0.000 | 0.000 |
| 114.120 | 325.810 | 103.549 | 0.000 | -0.000 | 0.000 |
| 121.367 | 121.367 | 334.110 | 0.000 | -0.000 | 0.000 |
| -1.347 | -1.347 | -19.942 | 90.074 | -0.000 | 0.000 |
| -1.347 | -1.347 | -19.942 | 0.000 | 90.074 | 0.000 |
| -1.223 | -1.223 | -18.098 | -0.000 | 0.000 | 80.902 |
| 377.973 | 172.923 | 172.923 | -0.000 | -0.000 | 0.000 |
| 172.923 | 377.973 | 172.923 | -0.000 | 0.000 | -0.000 |
| 172.923 | 172.923 | 377.973 | -0.000 | -0.000 | -0.000 |
| 0.000 | -0.000 | -0.000 | 121.368 | -0.000 | -0.000 |
| -0.000 | 0.000 | -0.000 | 0.000 | 121.368 | 0.000 |
| -0.000 | -0.000 | 0.000 | 0.000 | -0.000 | 121.368 |
| 377.973 | 172.923 | 172.923 | -0.000 | -0.000 | 0.000 |
| 172.923 | 377.973 | 172.923 | -0.000 | -0.000 | -0.000 |
| 172.923 | 172.923 | 377.973 | -0.000 | -0.000 | -0.000 |
| -0.000 | 0.000 | -0.000 | 121.368 | 0.000 | -0.000 |
| 0.000 | -0.000 | 0.000 | 0.000 | 121.368 | -0.000 |
| 0.000 | 0.000 | -0.000 | 0.000 | -0.000 | 121.368 |
| 377.973 | 172.923 | 172.923 | -0.000 | -0.000 | -0.000 |
| 172.923 | 377.973 | 172.923 | 0.000 | -0.000 | -0.000 |
| 172.923 | 172.923 | 377.973 | -0.000 | 0.000 | 0.000 |
| 0.000 | -0.000 | -0.000 | 121.368 | 0.000 | 0.000 |
| -0.000 | 0.000 | -0.000 | -0.000 | 121.368 | 0.000 |
| -0.000 | -0.000 | 0.000 | -0.000 | 0.000 | 121.368 |
| 377.973 | 172.923 | 172.923 | -0.000 | -0.000 | -0.000 |
| 172.923 | 377.973 | 172.923 | 0.000 | 0.000 | 0.000 |
| 172.923 | 172.923 | 377.973 | 0.000 | 0.000 | -0.000 |
| -0.000 | 0.000 | 0.000 | 121.368 | -0.000 | 0.000 |
| 0.000 | -0.000 | 0.000 | -0.000 | 121.368 | 0.000 |
| 0.000 | 0.000 | -0.000 | 0.000 | 0.000 | 121.368 |
| 377.972 | 172.924 | 172.924 | 0.000 | 0.000 | -0.000 |
| 172.924 | 377.972 | 172.924 | -0.000 | 0.000 | 0.000 |
| 172.924 | 172.924 | 377.972 | -0.000 | -0.000 | -0.000 |
| 0.000 | -0.000 | -0.000 | 121.368 | -0.000 | 0.000 |
| -0.000 | 0.000 | -0.000 | -0.000 | 121.368 | -0.000 |
| -0.000 | -0.000 | 0.000 | 0.000 | -0.000 | 121.368 |
| 377.974 | 172.922 | 172.922 | -0.000 | 0.000 | 0.000 |
| 172.922 | 377.974 | 172.922 | 0.000 | -0.000 | -0.000 |
| 172.922 | 172.922 | 377.974 | -0.000 | 0.000 | 0.000 |
| -0.000 | 0.000 | 0.000 | 121.368 | -0.000 | 0.000 |
| 0.000 | -0.000 | 0.000 | 0.000 | 121.368 | -0.000 |
| 0.000 | 0.000 | -0.000 | 0.000 | 0.000 | 121.368 |
| 414.777 | 245.906 | 245.906 | 0.000 | 0.000 | -0.000 |
| 245.906 | 414.777 | 245.906 | 0.000 | 0.000 | -0.000 |
| 245.906 | 245.906 | 414.777 | 0.000 | 0.000 | -0.000 |
| 0.000 | 0.000 | 0.000 | 147.434 | 0.000 | -0.000 |
| 0.000 | 0.000 | 0.000 | -0.000 | 147.434 | -0.000 |
| 0.000 | 0.000 | 0.000 | -0.000 | -0.000 | 147.434 |
| 414.777 | 245.906 | 245.906 | -0.000 | 0.000 | 0.000 |
| 245.906 | 414.777 | 245.906 | 0.000 | -0.000 | 0.000 |
| 245.906 | 245.906 | 414.777 | -0.000 | -0.000 | 0.000 |
| -0.000 | -0.000 | -0.000 | 147.434 | 0.000 | 0.000 |
| -0.000 | -0.000 | -0.000 | 0.000 | 147.434 | 0.000 |
| -0.000 | -0.000 | -0.000 | -0.000 | -0.000 | 147.434 |
| 414.778 | 245.906 | 245.906 | -0.000 | 0.000 | -0.000 |
| 245.906 | 414.778 | 245.906 | 0.000 | -0.000 | -0.000 |
| 245.906 | 245.906 | 414.778 | -0.000 | 0.000 | -0.000 |
| 0.000 | 0.000 | 0.000 | 140.191 | 0.000 | -0.000 |
| 0.000 | 0.000 | 0.000 | 0.000 | 140.191 | -0.000 |
| 0.000 | 0.000 | 0.000 | -0.000 | -0.000 | 140.191 |
| 414.776 | 245.906 | 245.906 | 0.000 | -0.000 | 0.000 |
| 245.906 | 414.776 | 245.906 | 0.000 | -0.000 | 0.000 |
| 245.906 | 245.906 | 414.776 | -0.000 | -0.000 | 0.000 |
| -0.000 | -0.000 | -0.000 | 140.191 | -0.000 | 0.000 |
| -0.000 | -0.000 | -0.000 | 0.000 | 140.191 | 0.000 |
| -0.000 | -0.000 | -0.000 | 0.000 | -0.000 | 140.191 |
| 414.786 | 245.908 | 245.908 | 0.000 | -0.000 | -0.000 |
| 245.908 | 414.786 | 245.908 | -0.000 | 0.000 | -0.000 |
| 245.908 | 245.908 | 414.786 | 0.000 | -0.000 | -0.000 |
| 0.000 | 0.001 | 0.001 | 140.191 | -0.000 | -0.000 |
| 0.001 | 0.000 | 0.001 | 0.000 | 140.191 | -0.000 |
| 0.001 | 0.001 | 0.000 | -0.000 | 0.000 | 140.191 |
| 414.768 | 245.905 | 245.905 | -0.000 | 0.000 | 0.000 |
| 245.905 | 414.768 | 245.905 | 0.000 | -0.000 | 0.000 |
| 245.905 | 245.905 | 414.768 | 0.000 | -0.000 | 0.000 |
| -0.000 | -0.001 | -0.001 | 140.191 | -0.000 | 0.000 |
| -0.001 | -0.000 | -0.001 | -0.000 | 140.191 | 0.000 |
| -0.001 | -0.001 | -0.000 | 0.000 | -0.000 | 140.191 |
| 258.156 | 117.319 | 585.708 | -65.251 | -0.000 | -0.000 |
| 117.319 | 258.156 | 585.708 | 65.251 | -0.000 | 0.000 |
| 132.942 | 132.942 | 605.451 | 0.000 | 0.000 | 0.000 |
| -42.612 | 80.830 | 455.808 | 84.637 | -0.000 | 0.000 |
| -0.000 | 0.000 | -0.000 | 0.000 | 102.822 | -66.527 |
| 19.111 | 19.111 | 455.848 | -0.000 | -65.251 | 70.418 |
| 239.511 | 98.000 | 132.942 | -66.527 | 0.000 | 0.000 |
| 98.000 | 239.511 | 132.942 | 66.527 | 0.000 | 0.000 |
| 132.942 | 132.942 | 605.452 | -0.000 | 0.000 | 0.000 |
| -66.527 | 66.527 | 0.000 | 102.822 | 0.000 | 0.000 |
| 0.000 | 0.000 | 0.000 | -0.000 | 102.822 | -66.527 |
| -19.111 | -19.111 | -455.848 | -0.000 | -65.251 | 70.418 |
| 239.511 | 98.000 | 132.942 | -66.527 | -0.000 | 0.000 |
| 98.000 | 239.511 | 132.942 | 66.527 | -0.000 | -0.000 |
| 131.771 | 131.771 | 577.524 | 0.000 | -0.000 | -0.000 |
| -66.527 | 66.527 | -0.000 | 102.822 | -0.000 | -0.000 |
| 1.911 | 1.911 | 45.581 | 0.000 | 84.637 | -61.721 |
| 0.000 | 0.000 | -0.000 | 0.000 | -66.527 | 70.756 |
| 237.116 | 96.284 | 83.906 | -65.242 | 0.000 | -0.000 |
| 98.000 | 239.511 | 132.942 | 66.527 | 0.000 | 0.000 |
| 127.949 | 127.949 | 486.364 | -0.000 | 0.000 | 0.000 |
| -66.527 | 66.527 | 0.000 | 102.822 | 0.000 | -0.000 |
| -1.911 | -1.911 | -45.581 | -0.000 | 84.637 | -61.721 |
| -0.000 | -0.000 | 0.000 | -0.000 | -66.527 | 70.756 |
| 239.512 | 97.999 | 132.940 | -66.527 | -0.000 | -0.000 |
| 97.999 | 239.512 | 132.940 | 66.527 | -0.000 | 0.000 |
| 132.939 | 132.939 | 605.443 | 0.000 | -0.000 | -0.000 |
| -66.527 | 66.526 | -0.002 | 102.822 | -0.000 | 0.000 |
| -0.001 | -0.000 | -0.002 | 0.000 | 102.822 | -66.527 |
| 0.318 | 0.319 | 7.592 | 0.000 | -64.402 | 70.194 |
| 238.669 | 98.023 | 123.162 | -64.894 | 0.000 | 0.000 |
| 98.951 | 237.920 | 125.303 | 61.721 | 0.000 | -0.000 |
| 129.671 | 129.671 | 527.398 | -0.000 | -0.000 | 0.000 |
| -66.527 | 66.528 | 0.002 | 102.822 | 0.000 | -0.000 |
| 0.001 | 0.000 | 0.002 | -0.000 | 102.822 | -66.527 |
| -0.318 | -0.319 | -7.592 | -0.000 | -64.402 | 70.194 |
| 8.416 | 12.115 | 12.115 | 0.000 | -0.000 | -0.000 |
| 12.115 | 8.416 | 12.115 | -0.000 | -0.000 | -0.000 |
| 12.115 | 12.115 | 8.416 | 0.000 | -0.000 | -0.000 |
| -0.000 | -0.000 | -0.000 | -4.129 | -0.000 | -0.000 |
| -0.000 | -0.000 | -0.000 | -0.000 | -4.129 | -0.000 |
| -0.000 | -0.000 | -0.000 | -0.000 | -0.000 | -4.129 |
| 8.416 | 12.115 | 12.115 | -0.000 | 0.000 | 0.000 |
| 12.115 | 8.416 | 12.115 | 0.000 | 0.000 | 0.000 |
| 12.115 | 12.115 | 8.416 | -0.000 | 0.000 | -0.000 |
| 0.000 | 0.000 | 0.000 | -4.129 | 0.000 | 0.000 |
| 0.000 | 0.000 | 0.000 | 0.000 | -4.129 | 0.000 |
| 0.000 | 0.000 | 0.000 | 0.000 | 0.000 | -4.129 |
| 8.416 | 12.115 | 12.115 | -0.000 | -0.000 | -0.000 |
| 12.115 | 8.416 | 12.115 | -0.000 | -0.000 | -0.000 |
| 12.115 | 12.115 | 8.416 | 0.000 | -0.000 | -0.000 |
| -0.000 | -0.000 | -0.000 | -4.129 | -0.000 | -0.000 |
| -0.000 | -0.000 | -0.000 | -0.000 | -4.129 | -0.000 |
| -0.000 | -0.000 | -0.000 | -0.000 | -0.000 | -4.129 |
| 8.416 | 12.115 | 12.115 | 0.000 | 0.000 | 0.000 |
| 12.115 | 8.416 | 12.115 | 0.000 | 0.000 | 0.000 |
| 12.115 | 12.115 | 8.416 | 0.000 | 0.000 | 0.000 |
| 0.000 | 0.000 | 0.000 | -4.129 | 0.000 | 0.000 |
| 0.000 | 0.000 | 0.000 | 0.000 | -4.129 | 0.000 |
| 0.000 | 0.000 | 0.000 | 0.000 | 0.000 | -4.129 |
| 8.416 | 12.115 | 12.115 | -0.000 | -0.000 | -0.000 |
| 12.115 | 8.416 | 12.115 | -0.000 | -0.000 | -0.000 |
| 12.115 | 12.115 | 8.416 | -0.000 | -0.000 | -0.000 |
| -0.000 | -0.000 | -0.000 | -4.129 | -0.000 | -0.000 |
| -0.000 | -0.000 | -0.000 | -0.000 | -4.129 | -0.000 |
| -0.000 | -0.000 | -0.000 | -0.000 | -0.000 | -4.129 |
| 8.416 | 12.115 | 12.115 | 0.000 | 0.000 | 0.000 |
| 12.115 | 8.416 | 12.115 | 0.000 | 0.000 | 0.000 |
| 12.115 | 12.115 | 8.416 | 0.000 | 0.000 | 0.000 |
| 0.000 | 0.000 | 0.000 | -4.129 | 0.000 | 0.000 |
| 0.000 | 0.000 | 0.000 | 0.000 | -4.129 | 0.000 |
| 0.000 | 0.000 | 0.000 | 0.000 | 0.000 | -4.129 |
| 198.628 | 144.545 | 165.321 | -5.469 | 0.000 | -0.000 |
| 144.545 | 198.628 | 165.321 | 5.469 | 0.000 | -0.000 |
| 167.720 | 167.720 | 433.641 | 0.000 | -0.000 | -0.000 |
| -8.855 | -57.003 | 74.652 | -34.662 | 0.000 | -0.000 |
| -36.537 | -36.537 | 85.048 | -0.000 | -14.980 | -8.545 |
| 0.000 | -0.000 | 0.000 | 0.000 | -5.469 | 27.041 |
| 82.872 | 331.397 | 84.625 | 11.044 | -0.000 | 0.000 |
| 196.099 | 161.561 | 166.392 | 9.018 | -0.000 | 0.000 |
| 203.319 | 203.319 | 381.361 | -0.000 | 0.000 | 0.000 |
| -5.469 | 5.469 | -0.000 | 45.555 | -0.000 | 0.000 |
| 36.537 | 36.537 | -85.048 | 0.000 | -14.980 | -8.545 |
| -0.000 | 0.000 | -0.000 | 0.000 | -5.469 | 27.041 |
| 115.884 | 207.267 | 189.932 | -11.295 | 0.000 | -0.000 |
| 240.409 | 50.136 | 240.171 | 4.227 | 0.000 | 0.000 |
| 185.847 | 185.847 | 392.465 | 0.000 | 0.000 | -0.000 |
| -5.469 | 5.469 | 0.000 | 45.555 | 0.000 | -0.000 |
| -3.401 | -3.400 | 3.548 | 0.000 | -8.574 | -15.419 |
| -5.588 | -5.588 | 17.267 | 0.000 | 49.927 | -244.893 |
| 123.026 | 208.572 | 184.956 | -11.061 | -0.000 | -0.000 |
| 260.859 | 47.179 | 213.291 | 3.642 | -0.000 | 0.000 |
| 202.840 | 202.840 | 350.663 | -0.000 | -0.000 | 0.000 |
| -5.469 | 5.469 | -0.000 | 45.555 | -0.000 | 0.000 |
| 3.401 | 3.400 | -3.548 | 0.000 | -8.574 | -15.419 |
| 5.588 | 5.588 | -17.267 | -0.000 | 49.927 | -244.893 |
| -44.059 | 332.688 | 240.902 | 25.142 | -0.000 | -0.000 |
| 144.546 | 198.630 | 165.321 | 5.469 | 0.000 | -0.000 |
| 193.370 | 193.370 | 372.981 | -0.000 | 0.000 | -0.000 |
| -17.348 | 16.563 | 0.409 | -16.931 | 0.000 | -0.000 |
| -0.393 | -0.393 | 0.409 | -0.000 | -16.932 | -16.956 |
| 0.000 | 0.000 | -0.000 | -0.000 | -5.469 | 27.041 |
| 118.346 | 209.236 | 187.572 | -11.275 | -0.000 | 0.000 |
| 251.506 | 46.909 | 227.988 | 3.207 | 0.000 | 0.000 |
| 195.173 | 195.173 | 368.492 | -0.000 | 0.000 | -0.000 |
| -16.563 | 17.349 | -0.409 | -16.933 | -0.000 | 0.000 |
| 0.393 | 0.393 | -0.409 | 0.000 | -16.932 | -16.956 |
| -0.000 | -0.000 | 0.000 | 0.000 | -5.469 | 27.041 |
| 427.814 | 163.464 | 163.464 | -0.000 | -0.000 | -0.000 |
| 163.464 | 427.814 | 163.464 | -0.000 | -0.000 | -0.000 |
| 163.464 | 163.464 | 427.814 | -0.000 | -0.000 | -0.000 |
| 0.000 | -0.000 | -0.000 | 120.862 | -0.000 | 0.000 |
| -0.000 | 0.000 | -0.000 | -0.000 | 120.862 | -0.000 |
| -0.000 | -0.000 | -0.000 | -0.000 | -0.000 | 120.862 |
| 427.814 | 163.464 | 163.464 | 0.000 | 0.000 | 0.000 |
| 163.464 | 427.814 | 163.464 | 0.000 | 0.000 | 0.000 |
| 163.464 | 163.464 | 427.814 | 0.000 | 0.000 | 0.000 |
| -0.000 | 0.000 | 0.000 | 120.862 | 0.000 | 0.000 |
| 0.000 | 0.000 | 0.000 | 0.000 | 120.862 | 0.000 |
| 0.000 | 0.000 | 0.000 | 0.000 | 0.000 | 120.862 |
| 436.672 | 159.035 | 159.035 | -0.000 | -0.000 | -0.000 |
| 159.035 | 436.672 | 159.035 | -0.000 | -0.000 | -0.000 |
| 159.035 | 159.035 | 436.672 | -0.000 | -0.000 | -0.000 |
| -0.000 | -0.000 | -0.000 | 53.283 | -0.000 | -0.000 |
| -0.000 | -0.000 | -0.000 | -0.000 | 53.283 | -0.000 |
| -0.000 | -0.000 | -0.000 | -0.000 | -0.000 | 53.283 |
| 427.814 | 163.464 | 163.464 | 0.000 | 0.000 | 0.000 |
| 163.464 | 427.814 | 163.464 | 0.000 | 0.000 | 0.000 |
| 163.464 | 163.464 | 427.814 | 0.000 | 0.000 | 0.000 |
| 0.000 | 0.000 | 0.000 | 53.283 | 0.000 | 0.000 |
| 0.000 | 0.000 | 0.000 | 0.000 | 53.283 | 0.000 |
| 0.000 | 0.000 | 0.000 | 0.000 | 0.000 | 53.283 |
| 436.670 | 159.035 | 159.035 | -0.000 | -0.000 | -0.000 |
| 159.035 | 436.670 | 159.035 | -0.000 | -0.000 | -0.000 |
| 159.035 | 159.035 | 436.670 | -0.000 | -0.000 | -0.000 |
| -0.000 | -0.000 | -0.000 | 53.283 | -0.000 | -0.000 |
| -0.000 | -0.000 | -0.000 | -0.000 | 53.283 | -0.000 |
| -0.000 | -0.000 | -0.000 | -0.000 | -0.000 | 53.283 |
| 436.673 | 159.034 | 159.034 | 0.000 | 0.000 | 0.000 |
| 159.034 | 436.673 | 159.034 | 0.000 | 0.000 | 0.000 |
| 159.034 | 159.034 | 436.673 | 0.000 | 0.000 | 0.000 |
| 0.000 | 0.000 | 0.000 | 53.283 | 0.000 | 0.000 |
| 0.000 | 0.000 | 0.000 | 0.000 | 53.283 | 0.000 |
| 0.000 | 0.000 | 0.000 | 0.000 | 0.000 | 53.283 |
| 939.725 | 461.433 | 461.433 | 0.000 | -0.000 | 0.000 |
| 461.433 | 939.725 | 461.433 | 0.000 | -0.000 | -0.000 |
| 461.433 | 461.433 | 939.725 | 0.000 | -0.000 | 0.000 |
| 0.000 | -0.000 | 0.000 | 296.564 | -0.000 | -0.000 |
| -0.000 | 0.000 | 0.000 | -0.000 | 296.564 | 0.000 |
| -0.000 | -0.000 | -0.000 | -0.000 | -0.000 | 296.564 |
| 939.725 | 461.433 | 461.433 | -0.000 | 0.000 | -0.000 |
| 461.433 | 939.725 | 461.433 | -0.000 | -0.000 | -0.000 |
| 461.433 | 461.433 | 939.725 | -0.000 | 0.000 | 0.000 |
| -0.000 | 0.000 | -0.000 | 296.564 | 0.000 | -0.000 |
| 0.000 | -0.000 | -0.000 | 0.000 | 296.564 | 0.000 |
| 0.000 | 0.000 | 0.000 | 0.000 | 0.000 | 296.564 |
| 939.726 | 461.434 | 461.434 | 0.000 | -0.000 | 0.000 |
| 461.434 | 939.726 | 461.434 | 0.000 | -0.000 | -0.000 |
| 461.434 | 461.434 | 939.726 | 0.000 | -0.000 | 0.000 |
| 0.000 | -0.000 | -0.000 | 296.564 | -0.000 | 0.000 |
| -0.000 | 0.000 | -0.000 | -0.000 | 296.564 | 0.000 |
| -0.000 | -0.000 | 0.000 | 0.000 | -0.000 | 296.564 |
| 939.724 | 461.432 | 461.432 | -0.000 | 0.000 | -0.000 |
| 461.432 | 939.724 | 461.432 | -0.000 | 0.000 | 0.000 |
| 461.432 | 461.432 | 939.724 | -0.000 | 0.000 | -0.000 |
| -0.000 | 0.000 | 0.000 | 296.564 | 0.000 | -0.000 |
| 0.000 | -0.000 | 0.000 | 0.000 | 296.564 | -0.000 |
| 0.000 | 0.000 | -0.000 | -0.000 | 0.000 | 296.564 |
| 939.734 | 461.446 | 461.446 | 0.000 | 0.000 | 0.000 |
| 461.446 | 939.734 | 461.446 | 0.000 | -0.000 | 0.000 |
| 461.446 | 461.446 | 939.734 | 0.000 | -0.000 | 0.000 |
| 0.000 | -0.001 | -0.000 | 295.847 | -0.000 | 0.000 |
| -0.001 | 0.000 | -0.000 | 0.000 | 295.847 | 0.000 |
| -0.001 | -0.000 | 0.000 | 0.000 | -0.000 | 295.847 |
| 939.716 | 461.420 | 461.420 | -0.000 | 0.000 | -0.000 |
| 461.420 | 939.716 | 461.420 | -0.000 | 0.000 | -0.000 |
| 461.420 | 461.420 | 939.716 | -0.000 | 0.000 | -0.000 |
| -0.000 | 0.001 | 0.000 | 295.847 | 0.000 | -0.000 |
| 0.001 | -0.000 | 0.000 | -0.000 | 295.847 | -0.000 |
| 0.001 | 0.000 | -0.000 | -0.000 | 0.000 | 295.847 |
| 248.487 | 77.560 | 77.560 | 0.000 | 0.000 | 0.000 |
| 77.560 | 248.487 | 77.560 | -0.000 | 0.000 | -0.000 |
| 77.560 | 77.560 | 248.487 | -0.000 | -0.000 | -0.000 |
| -0.000 | 0.000 | 0.000 | 100.142 | 0.000 | 0.000 |
| 0.000 | 0.000 | 0.000 | -0.000 | 100.142 | 0.000 |
| 0.000 | 0.000 | -0.000 | -0.000 | 0.000 | 100.142 |
| 248.487 | 77.560 | 77.560 | 0.000 | 0.000 | 0.000 |
| 77.560 | 248.487 | 77.560 | 0.000 | 0.000 | 0.000 |
| 77.560 | 77.560 | 248.487 | 0.000 | -0.000 | -0.000 |
| 0.000 | -0.000 | -0.000 | 100.142 | 0.000 | -0.000 |
| -0.000 | -0.000 | -0.000 | 0.000 | 100.142 | -0.000 |
| -0.000 | -0.000 | 0.000 | 0.000 | 0.000 | 100.142 |
| 248.487 | 77.560 | 77.560 | 0.000 | -0.000 | 0.000 |
| 77.560 | 248.487 | 77.560 | 0.000 | 0.000 | 0.000 |
| 77.560 | 77.560 | 248.487 | -0.000 | -0.000 | 0.000 |
| -0.000 | 0.000 | 0.000 | 100.142 | -0.000 | 0.000 |
| 0.000 | -0.000 | 0.000 | -0.000 | 100.142 | 0.000 |
| 0.000 | 0.000 | -0.000 | -0.000 | -0.000 | 100.142 |
| 248.487 | 77.560 | 77.560 | -0.000 | -0.000 | 0.000 |
| 77.560 | 248.487 | 77.560 | -0.000 | 0.000 | 0.000 |
| 77.560 | 77.560 | 248.487 | 0.000 | 0.000 | -0.000 |
| 0.000 | -0.000 | -0.000 | 100.142 | 0.000 | -0.000 |
| -0.000 | 0.000 | -0.000 | 0.000 | 100.142 | -0.000 |
| -0.000 | -0.000 | 0.000 | 0.000 | 0.000 | 100.142 |
| 248.489 | 77.559 | 77.559 | -0.000 | -0.000 | -0.000 |
| 77.559 | 248.489 | 77.559 | 0.000 | -0.000 | 0.000 |
| 77.559 | 77.559 | 248.489 | -0.000 | -0.000 | -0.000 |
| -0.000 | 0.001 | 0.002 | 100.142 | -0.000 | 0.000 |
| 0.001 | -0.000 | 0.002 | -0.000 | 100.142 | 0.000 |
| 0.001 | 0.002 | -0.000 | 0.000 | -0.000 | 100.142 |
| 248.485 | 77.562 | 77.562 | 0.000 | -0.000 | -0.000 |
| 77.562 | 248.485 | 77.562 | 0.000 | -0.000 | -0.000 |
| 77.562 | 77.562 | 248.485 | -0.000 | -0.000 | 0.000 |
| 0.000 | -0.001 | -0.002 | 100.142 | 0.000 | -0.000 |
| -0.001 | 0.000 | -0.002 | 0.000 | 100.142 | -0.000 |
| -0.001 | -0.002 | 0.000 | -0.000 | 0.000 | 100.142 |
| 491.190 | 123.541 | 230.742 | 0.000 | -0.000 | 0.000 |
| 123.541 | 596.253 | 185.976 | 0.000 | -0.000 | -0.000 |
| -1903.482 | -3199.013 | -2463.188 | 0.000 | -0.000 | -0.000 |
| -2116.057 | -3356.175 | -3264.100 | 254.641 | -0.000 | -0.000 |
| -0.000 | -0.000 | 0.000 | -0.000 | 329.422 | 0.000 |
| -2116.057 | -3356.175 | -3264.100 | 0.000 | -0.000 | 220.079 |
| 2595.471 | 3461.037 | 3476.675 | -0.000 | -0.000 | 0.000 |
| 2220.903 | 3922.778 | 3421.239 | 0.000 | -0.000 | 0.000 |
| 2328.632 | 3513.337 | 4065.012 | 0.000 | 0.000 | 0.000 |
| 2116.057 | 3356.175 | 3264.100 | 254.641 | 0.000 | 0.000 |
| 0.000 | 0.000 | -0.000 | -0.000 | 329.422 | 0.000 |
| 2116.057 | 3356.175 | 3264.100 | -0.000 | 0.000 | 220.079 |
| 267.809 | -230.755 | -113.834 | -0.000 | -0.000 | 0.000 |
| 123.541 | 596.254 | 185.976 | -0.000 | 0.000 | -0.000 |
| 0.971 | -178.454 | 474.503 | 0.000 | -0.000 | -0.000 |
| -0.000 | -0.000 | -0.000 | 284.472 | -0.000 | 0.000 |
| -211.637 | -335.667 | -326.458 | -0.000 | 328.537 | -0.000 |
| -211.606 | -335.617 | -326.410 | -0.000 | -0.000 | 220.079 |
| 491.190 | 123.540 | 230.741 | 0.000 | 0.000 | 0.000 |
| 123.540 | 596.253 | 185.975 | 0.000 | 0.000 | 0.000 |
| 424.180 | 492.779 | 1127.321 | 0.000 | 0.000 | 0.000 |
| 0.000 | 0.000 | 0.000 | 284.472 | 0.000 | 0.000 |
| 211.637 | 335.667 | 326.458 | 0.000 | 328.537 | 0.000 |
| 211.606 | 335.617 | 326.410 | 0.000 | 0.000 | 220.079 |
| 491.195 | 123.549 | 230.749 | -0.000 | -0.000 | 0.000 |
| 123.550 | 596.262 | 185.984 | 0.000 | -0.000 | 0.000 |
| 191.425 | 123.610 | 768.279 | 0.000 | -0.000 | -0.000 |
| -0.000 | -0.000 | -0.000 | 284.472 | 0.000 | 0.000 |
| -21.473 | -34.056 | -33.121 | -0.000 | 328.524 | -0.000 |
| -21.161 | -33.561 | -32.641 | -0.000 | -0.000 | 220.079 |
| 500.568 | 138.414 | 245.207 | 0.000 | 0.000 | 0.000 |
| 126.013 | 600.180 | 189.795 | 0.000 | 0.000 | -0.000 |
| 230.732 | 185.967 | 828.928 | 0.000 | 0.000 | -0.000 |
| 0.000 | 0.000 | 0.000 | 284.472 | -0.000 | 0.000 |
| 21.473 | 34.056 | 33.121 | 0.000 | 328.524 | 0.000 |
| 21.161 | 33.561 | 32.641 | 0.000 | 0.000 | 220.079 |
| 283.538 | 125.106 | 138.501 | 56.447 | -0.000 | 0.000 |
| 125.106 | 283.538 | 138.501 | -56.447 | -0.000 | 0.000 |
| 138.506 | 138.506 | 509.250 | -0.000 | -0.000 | 0.000 |
| 49.708 | -49.714 | -0.071 | 77.540 | -0.000 | 0.000 |
| -0.003 | -0.003 | -0.071 | -0.000 | 77.540 | 49.711 |
| -0.003 | -0.003 | -0.071 | 0.000 | 49.711 | 75.895 |
| 280.921 | 126.857 | 128.716 | 52.018 | -0.000 | -0.000 |
| 125.106 | 283.538 | 138.501 | -56.447 | 0.000 | -0.000 |
| 134.914 | 134.914 | 428.034 | 0.000 | 0.000 | -0.000 |
| 56.447 | -56.447 | -0.000 | 91.203 | 0.000 | -0.000 |
| 0.003 | 0.003 | 0.071 | 0.000 | 77.540 | 49.711 |
| 0.003 | 0.003 | 0.071 | 0.000 | 49.711 | 75.895 |
| 283.538 | 125.106 | 138.501 | 56.447 | -0.000 | 0.000 |
| 128.268 | 280.058 | 134.906 | -49.711 | 0.000 | 0.000 |
| 134.913 | 134.913 | 428.015 | 0.000 | -0.000 | 0.000 |
| 56.447 | -56.447 | -0.000 | 91.203 | -0.000 | 0.000 |
| -0.000 | -0.000 | -0.000 | -0.000 | 91.203 | 56.447 |
| -0.000 | -0.000 | -0.007 | 0.000 | 49.711 | 75.895 |
| 283.537 | 125.106 | 138.501 | 56.447 | 0.000 | -0.000 |
| 125.106 | 283.538 | 138.501 | -56.447 | 0.000 | -0.000 |
| 138.506 | 138.506 | 509.250 | -0.000 | 0.000 | -0.000 |
| 49.711 | -49.711 | 0.007 | 77.540 | 0.000 | -0.000 |
| 0.000 | 0.000 | 0.000 | 0.000 | 91.203 | 56.447 |
| 0.000 | 0.000 | 0.007 | -0.000 | 49.711 | 75.895 |
| 283.539 | 125.105 | 138.499 | 56.446 | -0.000 | 0.000 |
| 126.850 | 280.928 | 128.696 | -52.029 | 0.000 | 0.000 |
| 134.912 | 134.912 | 427.997 | -0.000 | -0.000 | 0.000 |
| 49.711 | -49.711 | 0.001 | 77.540 | 0.000 | 0.000 |
| -0.000 | -0.000 | -0.001 | -0.000 | 91.203 | 56.447 |
| 0.000 | 0.001 | -0.000 | 0.000 | 49.711 | 75.895 |
| 280.925 | 126.850 | 128.697 | 52.030 | 0.000 | -0.000 |
| 125.106 | 283.536 | 138.502 | -56.447 | -0.000 | -0.000 |
| 134.914 | 134.914 | 428.036 | 0.000 | 0.000 | -0.000 |
| 56.447 | -56.446 | 0.001 | 91.203 | 0.000 | -0.000 |
| 0.000 | 0.000 | 0.001 | 0.000 | 91.203 | 56.447 |
| -0.000 | -0.001 | 0.000 | -0.000 | 49.711 | 75.895 |
| 546.308 | 268.947 | 305.050 | 0.000 | 0.000 | -0.000 |
| 268.947 | 546.308 | 305.050 | -0.000 | 0.000 | -0.000 |
| 305.050 | 305.050 | 563.220 | -0.000 | 0.000 | -0.000 |
| -0.000 | -0.000 | -0.000 | 220.903 | -0.000 | 0.000 |
| -0.000 | 0.000 | -0.000 | 0.000 | 220.903 | -0.000 |
| 0.000 | -0.000 | -0.000 | -0.000 | -0.000 | 183.236 |
| 532.870 | 282.385 | 305.050 | -0.000 | 0.000 | -0.000 |
| 282.385 | 532.870 | 305.050 | 0.000 | -0.000 | 0.000 |
| 305.050 | 305.050 | 563.220 | 0.000 | -0.000 | -0.000 |
| 0.000 | 0.000 | 0.000 | 220.903 | 0.000 | 0.000 |
| 0.000 | 0.000 | 0.000 | -0.000 | 220.903 | 0.000 |
| -0.000 | 0.000 | 0.000 | 0.000 | -0.000 | 183.236 |
| 546.308 | 268.947 | 305.050 | -0.000 | -0.000 | 0.000 |
| 268.947 | 546.308 | 305.050 | -0.000 | -0.000 | 0.000 |
| 305.050 | 305.050 | 563.220 | 0.000 | -0.000 | 0.000 |
| -0.000 | -0.000 | -0.000 | 220.903 | -0.000 | 0.000 |
| -0.000 | -0.000 | -0.000 | -0.000 | 220.903 | -0.000 |
| 0.000 | 0.000 | -0.000 | -0.000 | 0.000 | 183.236 |
| 532.870 | 282.385 | 305.050 | -0.000 | 0.000 | 0.000 |
| 282.385 | 532.870 | 305.050 | 0.000 | -0.000 | 0.000 |
| 305.050 | 305.050 | 563.221 | 0.000 | 0.000 | 0.000 |
| 0.000 | 0.000 | 0.000 | 220.903 | 0.000 | 0.000 |
| 0.000 | 0.000 | 0.000 | 0.000 | 220.903 | -0.000 |
| -0.000 | -0.000 | 0.000 | 0.000 | 0.000 | 183.236 |
| 546.309 | 268.948 | 305.050 | -0.000 | 0.000 | -0.000 |
| 268.948 | 546.309 | 305.050 | -0.000 | 0.000 | 0.000 |
| 305.049 | 305.049 | 563.216 | -0.000 | 0.000 | 0.000 |
| -0.000 | -0.001 | -0.001 | 208.942 | -0.000 | -0.000 |
| -0.001 | -0.000 | -0.001 | -0.000 | 208.942 | 0.000 |
| 0.001 | 0.001 | -0.000 | 0.000 | -0.000 | 183.236 |
| 546.308 | 268.946 | 305.051 | 0.000 | 0.000 | 0.000 |
| 268.946 | 546.308 | 305.051 | -0.000 | 0.000 | -0.000 |
| 305.051 | 305.051 | 563.225 | 0.000 | 0.000 | 0.000 |
| 0.000 | 0.001 | 0.001 | 208.942 | 0.000 | -0.000 |
| 0.001 | 0.000 | 0.001 | 0.000 | 208.942 | 0.000 |
| -0.001 | -0.001 | 0.000 | -0.000 | -0.000 | 183.236 |
| 78.293 | 138.562 | 81.958 | -0.000 | -0.000 | -0.000 |
| 138.562 | 78.293 | 81.958 | -0.000 | -0.000 | -0.000 |
| 81.958 | 81.958 | -199.094 | -0.000 | 0.000 | -0.000 |
| -0.000 | 0.000 | 0.000 | 58.503 | -0.000 | -0.000 |
| 0.000 | 0.000 | 0.000 | -0.000 | 58.503 | -0.000 |
| -0.000 | -0.000 | 0.000 | -0.000 | -0.000 | 114.468 |
| 78.292 | 138.562 | 81.958 | 0.000 | 0.000 | 0.000 |
| 138.562 | 78.292 | 81.958 | 0.000 | 0.000 | 0.000 |
| 81.958 | 81.958 | -199.094 | 0.000 | 0.000 | 0.000 |
| 0.000 | -0.000 | -0.000 | 58.503 | 0.000 | 0.000 |
| -0.000 | -0.000 | -0.000 | 0.000 | 58.503 | 0.000 |
| 0.000 | 0.000 | 0.000 | 0.000 | 0.000 | 114.468 |
| 78.293 | 138.562 | 81.958 | -0.000 | 0.000 | -0.000 |
| 138.562 | 78.293 | 81.958 | -0.000 | -0.000 | -0.000 |
| 81.958 | 81.958 | -199.094 | 0.000 | -0.000 | -0.000 |
| -0.000 | 0.000 | 0.000 | 58.503 | -0.000 | -0.000 |
| 0.000 | -0.000 | 0.000 | -0.000 | 58.503 | -0.000 |
| -0.000 | -0.000 | -0.000 | -0.000 | -0.000 | 114.468 |
| 78.292 | 138.562 | 81.958 | -0.000 | 0.000 | 0.000 |
| 138.562 | 78.292 | 81.958 | 0.000 | 0.000 | 0.000 |
| 81.958 | 81.958 | -199.094 | 0.000 | 0.000 | 0.000 |
| 0.000 | -0.000 | -0.000 | 58.503 | 0.000 | 0.000 |
| -0.000 | 0.000 | -0.000 | 0.000 | 58.503 | 0.000 |
| 0.000 | 0.000 | 0.000 | 0.000 | 0.000 | 114.468 |
| 78.295 | 138.560 | 81.960 | -0.000 | -0.000 | -0.000 |
| 138.560 | 78.295 | 81.960 | 0.000 | 0.000 | -0.000 |
| 81.959 | 81.959 | -199.095 | -0.000 | -0.000 | -0.000 |
| -0.000 | 0.002 | 0.002 | 58.503 | -0.000 | -0.000 |
| 0.002 | -0.000 | 0.002 | -0.000 | 58.503 | -0.000 |
| -0.002 | -0.002 | -0.000 | -0.000 | -0.000 | 114.468 |
| 78.290 | 138.564 | 81.955 | 0.000 | 0.000 | 0.000 |
| 138.564 | 78.290 | 81.955 | 0.000 | -0.000 | 0.000 |
| 81.956 | 81.956 | -199.092 | 0.000 | 0.000 | 0.000 |
| 0.000 | -0.002 | -0.002 | 58.503 | 0.000 | 0.000 |
| -0.002 | 0.000 | -0.002 | 0.000 | 58.503 | 0.000 |
| 0.002 | 0.002 | 0.000 | 0.000 | 0.000 | 114.468 |
| 969.176 | 598.033 | 679.123 | -0.000 | -0.000 | 0.000 |
| 598.033 | 969.176 | 679.123 | -0.000 | -0.000 | 0.000 |
| 683.108 | 683.108 | 1264.662 | -0.000 | -0.000 | -0.000 |
| 1.618 | 1.618 | 0.410 | 296.269 | -0.000 | 0.000 |
| 1.618 | 1.618 | 0.410 | -0.000 | 296.269 | 0.000 |
| -0.000 | 0.000 | 0.000 | -0.000 | -0.000 | 208.128 |
| 1007.460 | 591.203 | 683.107 | 0.000 | 0.000 | 0.000 |
| 591.203 | 1007.460 | 683.107 | -0.000 | -0.000 | -0.000 |
| 678.603 | 678.603 | 1263.521 | 0.000 | -0.000 | 0.000 |
| -1.618 | -1.618 | -0.410 | 296.269 | 0.000 | -0.000 |
| -1.618 | -1.618 | -0.410 | -0.000 | 296.269 | -0.000 |
| -0.000 | -0.000 | -0.000 | 0.000 | 0.000 | 208.128 |
| 1007.462 | 591.205 | 683.109 | -0.000 | -0.000 | -0.000 |
| 595.954 | 968.884 | 678.824 | -0.000 | -0.000 | 0.000 |
| 680.175 | 680.175 | 1263.921 | -0.000 | 0.000 | 0.000 |
| 0.000 | -0.000 | 0.000 | 296.349 | 0.000 | 0.000 |
| -0.000 | 0.000 | 0.000 | -0.000 | 296.349 | 0.000 |
| -0.000 | 0.000 | 0.000 | -0.000 | 0.000 | 208.128 |
| 1007.458 | 591.201 | 683.105 | 0.000 | -0.000 | -0.000 |
| 591.201 | 1007.458 | 683.105 | 0.000 | 0.000 | -0.000 |
| 679.886 | 679.886 | 1263.845 | 0.000 | 0.000 | -0.000 |
| -0.000 | 0.000 | -0.000 | 296.349 | -0.000 | -0.000 |
| 0.000 | -0.000 | -0.000 | 0.000 | 296.349 | 0.000 |
| 0.000 | -0.000 | -0.000 | 0.000 | -0.000 | 208.128 |
| 1007.478 | 591.220 | 683.125 | -0.000 | 0.000 | 0.000 |
| 595.771 | 968.865 | 678.810 | -0.000 | -0.000 | 0.000 |
| 680.063 | 680.063 | 1263.906 | -0.000 | 0.000 | 0.000 |
| 0.000 | -0.000 | 0.001 | 296.349 | -0.000 | -0.000 |
| -0.000 | 0.000 | 0.001 | -0.000 | 296.349 | 0.000 |
| -0.000 | 0.001 | 0.000 | -0.000 | 0.000 | 208.128 |
| 1007.441 | 591.186 | 683.090 | -0.000 | 0.000 | 0.000 |
| 595.693 | 968.823 | 678.769 | 0.000 | 0.000 | 0.000 |
| 679.998 | 679.998 | 1263.859 | 0.000 | 0.000 | 0.000 |
| -0.000 | 0.000 | -0.001 | 296.349 | 0.000 | 0.000 |
| 0.000 | -0.000 | -0.001 | 0.000 | 296.349 | -0.000 |
| 0.000 | -0.001 | -0.000 | 0.000 | 0.000 | 208.128 |
| 132.172 | 55.875 | -3.019 | 0.000 | 0.000 | 0.000 |
| 55.876 | 132.172 | -3.019 | 0.000 | 0.000 | 0.000 |
| -1.845 | -1.845 | -161.092 | 0.000 | 0.000 | 0.000 |
| 0.015 | 0.016 | -0.010 | -84.289 | 0.000 | -0.000 |
| 0.000 | -0.000 | -0.000 | 0.000 | -18.964 | 0.000 |
| 0.000 | 0.000 | 0.000 | 0.000 | 0.000 | 38.148 |
| 132.172 | 55.876 | -3.019 | 0.000 | -0.000 | -0.000 |
| 55.876 | 132.172 | -3.019 | -0.000 | -0.000 | -0.000 |
| 6.810 | 6.810 | -166.584 | -0.000 | -0.000 | -0.000 |
| -0.015 | -0.016 | 0.010 | -84.289 | -0.000 | 0.000 |
| -0.000 | 0.000 | 0.000 | -0.000 | -18.964 | -0.000 |
| -0.000 | -0.000 | -0.000 | -0.000 | -0.000 | 38.148 |
| 89.498 | 52.233 | 11.677 | 0.000 | 0.000 | -0.000 |
| 55.875 | 132.173 | -3.019 | 0.000 | 0.000 | 0.000 |
| 6.811 | 6.811 | -166.585 | 0.000 | 0.000 | 0.000 |
| -0.000 | -0.000 | -0.000 | -18.964 | 0.000 | 0.000 |
| -0.000 | -0.000 | -0.000 | 0.000 | -18.964 | 0.000 |
| -30012144.770 | -31845730.717 | -171048987.358 | 6685798.470 | -4671628.757 | -6127247.311 |
| 132.172 | 55.876 | -3.019 | -0.000 | -0.000 | -0.000 |
| 55.876 | 132.172 | -3.019 | -0.000 | -0.000 | -0.000 |
| 6.811 | 6.811 | -166.584 | -0.000 | -0.000 | 0.000 |
| 0.000 | 0.000 | 0.000 | -18.964 | -0.000 | -0.000 |
| 0.000 | 0.000 | 0.000 | -0.000 | -18.964 | -0.000 |
| 30012151.903 | 31845715.345 | 171048981.348 | -6685795.659 | -4671631.314 | -6127234.927 |
| -3031736.865 | -2542710.513 | -15876558.313 | -429730.085 | 142184.142 | -23633.985 |
| 55.875 | 132.175 | -3.021 | 0.000 | 0.000 | 0.000 |
| 6.809 | 6.809 | -166.593 | 0.000 | -0.000 | 0.000 |
| 0.002 | 0.004 | -0.017 | -141.134 | 0.000 | -0.000 |
| 0.000 | -0.001 | -0.002 | 0.000 | -66.774 | -0.000 |
| -3001226.315 | -3184573.352 | -17104906.787 | 668585.546 | -467151.317 | -612664.654 |
| 2481611.131 | 2921275.565 | 15665898.219 | -76709.185 | 173166.608 | 63330.094 |
| 55.876 | 132.170 | -3.017 | -0.000 | -0.000 | -0.000 |
| -1.841 | -1.841 | -161.084 | -0.000 | -0.000 | -0.000 |
| 0.005 | 0.003 | 0.006 | -112.250 | -0.000 | 0.000 |
| -0.000 | 0.001 | 0.002 | -0.000 | -66.774 | 0.000 |
| 3001227.375 | 3184574.648 | 17104909.922 | -668585.573 | -467150.997 | -612664.401 |
| 520.920 | 216.140 | 326.901 | 0.000 | -0.000 | 0.000 |
| 216.140 | 520.920 | 326.901 | -0.000 | 0.000 | 0.000 |
| 332.825 | 332.825 | 547.593 | -0.000 | -0.000 | 0.000 |
| -0.000 | 0.000 | -0.000 | 254.096 | 0.000 | 0.000 |
| -0.000 | 0.000 | -0.000 | -0.000 | 254.096 | 0.000 |
| 17.483 | 17.483 | -56.651 | -0.000 | 0.000 | 142.907 |
| 493.909 | 189.130 | 356.322 | -0.000 | -0.000 | -0.000 |
| 189.130 | 493.909 | 356.322 | 0.000 | -0.000 | -0.000 |
| 326.901 | 326.901 | 648.614 | 0.000 | 0.000 | -0.000 |
| 0.000 | -0.000 | 0.000 | 254.096 | -0.000 | -0.000 |
| 0.000 | -0.000 | 0.000 | 0.000 | 254.096 | -0.000 |
| -17.483 | -17.483 | 56.651 | 0.000 | 0.000 | 142.907 |
| 516.920 | 212.140 | 306.077 | -0.000 | 0.000 | 0.000 |
| 212.140 | 516.920 | 306.077 | -0.000 | 0.000 | -0.000 |
| 318.725 | 318.725 | 595.422 | -0.000 | -0.000 | 0.000 |
| 0.000 | -0.000 | -0.000 | 254.096 | -0.000 | 0.000 |
| -0.000 | 0.000 | -0.000 | -0.000 | 254.096 | 0.000 |
| 0.000 | 0.000 | 0.000 | -0.000 | 0.000 | 142.907 |
| 520.920 | 216.140 | 326.901 | 0.000 | 0.000 | 0.000 |
| 216.140 | 520.920 | 326.901 | 0.000 | -0.000 | -0.000 |
| 326.901 | 326.901 | 648.614 | 0.000 | -0.000 | -0.000 |
| -0.000 | 0.000 | 0.000 | 254.096 | 0.000 | -0.000 |
| 0.000 | -0.000 | 0.000 | 0.000 | 254.096 | -0.000 |
| -0.000 | -0.000 | -0.000 | 0.000 | -0.000 | 142.907 |
| 514.972 | 210.190 | 312.504 | -0.000 | 0.000 | 0.000 |
| 210.190 | 514.972 | 312.504 | -0.000 | 0.000 | 0.000 |
| 326.900 | 326.900 | 648.613 | -0.000 | 0.000 | 0.000 |
| 0.059 | 0.059 | 0.598 | 236.984 | -0.000 | 0.000 |
| 0.059 | 0.059 | 0.598 | -0.000 | 236.984 | 0.000 |
| 0.000 | 0.000 | 0.000 | -0.000 | -0.000 | 142.907 |
| 514.835 | 210.058 | 314.535 | 0.000 | -0.000 | -0.000 |
| 210.058 | 514.835 | 314.535 | 0.000 | -0.000 | -0.000 |
| 310.997 | 310.997 | 584.463 | 0.000 | -0.000 | -0.000 |
| -0.059 | -0.059 | -0.598 | 236.984 | 0.000 | -0.000 |
| -0.059 | -0.059 | -0.598 | 0.000 | 236.984 | -0.000 |
| -0.000 | -0.000 | -0.000 | 0.000 | -0.000 | 142.907 |
| 2550.201 | 368.675 | 368.675 | -0.000 | -0.000 | 0.000 |
| 368.675 | 2550.201 | 368.675 | -0.000 | -0.000 | -0.000 |
| 368.675 | 368.675 | 2550.201 | -0.000 | -0.000 | 0.000 |
| 0.000 | 0.000 | -0.000 | -73.854 | -0.000 | -0.000 |
| 0.000 | -0.000 | -0.000 | -0.000 | -73.854 | 0.000 |
| 0.000 | -0.000 | 0.000 | -0.000 | -0.000 | -73.854 |
| 2550.199 | 368.674 | 368.674 | -0.000 | 0.000 | -0.000 |
| 368.674 | 2550.199 | 368.674 | 0.000 | 0.000 | -0.000 |
| 368.674 | 368.675 | 2550.199 | -0.000 | 0.000 | -0.000 |
| -0.000 | -0.000 | -0.000 | -73.854 | 0.000 | -0.000 |
| -0.000 | 0.000 | -0.000 | 0.000 | -73.854 | -0.000 |
| -0.000 | 0.000 | -0.000 | 0.000 | 0.000 | -73.854 |
| 2550.210 | 368.676 | 368.676 | 0.000 | -0.000 | 0.000 |
| 368.676 | 2550.210 | 368.676 | 0.000 | -0.000 | 0.000 |
| 368.676 | 368.676 | 2550.210 | 0.000 | -0.000 | 0.000 |
| -0.000 | 0.000 | 0.000 | -73.854 | -0.000 | 0.000 |
| 0.000 | -0.000 | 0.000 | -0.000 | -73.854 | 0.000 |
| 0.000 | 0.000 | -0.000 | -0.000 | -0.000 | -73.854 |
| 2550.190 | 368.673 | 368.673 | 0.000 | 0.000 | -0.000 |
| 368.673 | 2550.190 | 368.673 | -0.000 | 0.000 | -0.000 |
| 368.673 | 368.673 | 2550.190 | 0.000 | 0.000 | -0.000 |
| 0.000 | -0.000 | -0.000 | -73.854 | 0.000 | -0.000 |
| -0.000 | 0.000 | -0.000 | 0.000 | -73.854 | -0.000 |
| -0.000 | -0.000 | 0.000 | 0.000 | 0.000 | -73.854 |
| 2550.304 | 368.691 | 368.691 | -0.000 | -0.000 | 0.000 |
| 368.691 | 2550.304 | 368.691 | -0.000 | -0.000 | 0.000 |
| 368.691 | 368.691 | 2550.304 | -0.000 | -0.000 | 0.000 |
| -0.000 | 0.003 | 0.002 | -73.854 | -0.000 | 0.000 |
| 0.003 | -0.000 | 0.002 | -0.000 | -73.854 | 0.000 |
| 0.003 | 0.002 | -0.000 | -0.000 | -0.000 | -73.854 |
| 2550.096 | 368.659 | 368.659 | 0.000 | 0.000 | -0.000 |
| 368.659 | 2550.096 | 368.659 | 0.000 | 0.000 | -0.000 |
| 368.659 | 368.659 | 2550.096 | 0.000 | 0.000 | -0.000 |
| 0.000 | -0.003 | -0.002 | -73.854 | 0.000 | -0.000 |
| -0.003 | 0.000 | -0.002 | 0.000 | -73.854 | -0.000 |
| -0.003 | -0.002 | 0.000 | 0.000 | 0.000 | -73.854 |
| 517.698 | 29.898 | 29.898 | -0.000 | -0.000 | 0.000 |
| 29.898 | 517.698 | 29.898 | 0.000 | 0.000 | 0.000 |
| 29.898 | 29.898 | 517.698 | 0.000 | -0.000 | 0.000 |
| -0.000 | -0.000 | -0.000 | 28.960 | -0.000 | 0.000 |
| 0.000 | -0.000 | -0.000 | 0.000 | 28.960 | 0.000 |
| -0.000 | -0.000 | -0.000 | -0.000 | -0.000 | 28.960 |
| 517.698 | 29.898 | 29.898 | -0.000 | -0.000 | -0.000 |
| 29.898 | 517.698 | 29.898 | -0.000 | 0.000 | -0.000 |
| 29.898 | 29.898 | 517.698 | -0.000 | -0.000 | -0.000 |
| 0.000 | 0.000 | 0.000 | 28.960 | 0.000 | -0.000 |
| 0.000 | 0.000 | 0.000 | -0.000 | 28.960 | -0.000 |
| 0.000 | 0.000 | 0.000 | 0.000 | -0.000 | 28.960 |
| 517.698 | 29.898 | 29.898 | 0.000 | -0.000 | 0.000 |
| 29.898 | 517.698 | 29.898 | 0.000 | -0.000 | 0.000 |
| 29.898 | 29.898 | 517.698 | 0.000 | 0.000 | 0.000 |
| 0.000 | -0.000 | -0.000 | 28.960 | 0.000 | 0.000 |
| -0.000 | 0.000 | -0.000 | 0.000 | 28.960 | 0.000 |
| -0.000 | -0.000 | 0.000 | 0.000 | -0.000 | 28.960 |
| 517.697 | 29.898 | 29.898 | -0.000 | 0.000 | 0.000 |
| 29.898 | 517.697 | 29.898 | -0.000 | -0.000 | 0.000 |
| 29.898 | 29.898 | 517.697 | -0.000 | -0.000 | -0.000 |
| -0.000 | 0.000 | 0.000 | 28.960 | -0.000 | 0.000 |
| 0.000 | -0.000 | 0.000 | -0.000 | 28.960 | -0.000 |
| 0.000 | 0.000 | -0.000 | -0.000 | 0.000 | 28.960 |
| 517.703 | 29.899 | 29.899 | 0.000 | 0.000 | 0.000 |
| 29.899 | 517.703 | 29.899 | 0.000 | -0.000 | -0.000 |
| 29.899 | 29.899 | 517.703 | 0.000 | 0.000 | 0.000 |
| 0.000 | -0.000 | -0.000 | 28.960 | 0.000 | 0.000 |
| -0.000 | 0.000 | -0.000 | 0.000 | 28.960 | 0.000 |
| -0.000 | -0.000 | 0.000 | 0.000 | -0.000 | 28.960 |
| 517.693 | 29.898 | 29.898 | -0.000 | 0.000 | -0.000 |
| 29.898 | 517.693 | 29.898 | -0.000 | -0.000 | -0.000 |
| 29.898 | 29.898 | 517.693 | 0.000 | 0.000 | -0.000 |
| -0.000 | 0.000 | 0.000 | 28.960 | -0.000 | 0.000 |
| 0.000 | -0.000 | 0.000 | -0.000 | 28.960 | -0.000 |
| 0.000 | 0.000 | -0.000 | -0.000 | 0.000 | 28.960 |
| 683.625 | 412.970 | 412.970 | 0.000 | 0.000 | -0.000 |
| 412.970 | 683.625 | 412.970 | 0.000 | 0.000 | -0.000 |
| 412.970 | 412.970 | 683.625 | -0.000 | 0.000 | -0.000 |
| 0.000 | -0.000 | -0.000 | 281.343 | 0.000 | -0.000 |
| -0.000 | 0.000 | -0.000 | 0.000 | 281.343 | -0.000 |
| -0.000 | -0.000 | 0.000 | 0.000 | 0.000 | 281.343 |
| 683.625 | 412.969 | 412.969 | -0.000 | 0.000 | 0.000 |
| 412.969 | 683.625 | 412.969 | -0.000 | 0.000 | 0.000 |
| 412.969 | 412.969 | 683.625 | -0.000 | -0.000 | 0.000 |
| 0.000 | 0.000 | 0.000 | 281.343 | 0.000 | -0.000 |
| 0.000 | -0.000 | 0.000 | -0.000 | 281.343 | -0.000 |
| 0.000 | 0.000 | -0.000 | -0.000 | -0.000 | 281.343 |
| 683.626 | 412.970 | 412.970 | 0.000 | 0.000 | 0.000 |
| 412.970 | 683.626 | 412.970 | 0.000 | 0.000 | 0.000 |
| 412.970 | 412.970 | 683.626 | 0.000 | 0.000 | -0.000 |
| 0.000 | -0.000 | -0.000 | 281.343 | -0.000 | -0.000 |
| -0.000 | 0.000 | -0.000 | 0.000 | 281.343 | -0.000 |
| -0.000 | -0.000 | 0.000 | 0.000 | -0.000 | 281.343 |
| 683.625 | 412.969 | 412.969 | -0.000 | -0.000 | 0.000 |
| 412.969 | 683.625 | 412.969 | -0.000 | -0.000 | 0.000 |
| 412.969 | 412.969 | 683.625 | -0.000 | -0.000 | 0.000 |
| -0.000 | 0.000 | 0.000 | 281.343 | -0.000 | 0.000 |
| 0.000 | -0.000 | 0.000 | -0.000 | 281.343 | -0.000 |
| 0.000 | 0.000 | -0.000 | 0.000 | -0.000 | 281.343 |
| 683.630 | 412.978 | 412.978 | -0.000 | 0.000 | -0.000 |
| 412.978 | 683.630 | 412.978 | 0.000 | -0.000 | -0.000 |
| 412.978 | 412.978 | 683.630 | -0.000 | -0.000 | -0.000 |
| 0.000 | -0.001 | -0.001 | 281.343 | 0.000 | -0.000 |
| -0.001 | 0.000 | -0.001 | 0.000 | 281.343 | -0.000 |
| -0.001 | -0.001 | 0.000 | 0.000 | -0.000 | 281.343 |
| 683.621 | 412.961 | 412.961 | 0.000 | 0.000 | 0.000 |
| 412.961 | 683.621 | 412.961 | 0.000 | 0.000 | 0.000 |
| 412.961 | 412.961 | 683.621 | -0.000 | -0.000 | 0.000 |
| -0.000 | 0.001 | 0.001 | 281.343 | -0.000 | 0.000 |
| 0.001 | -0.000 | 0.001 | -0.000 | 281.343 | -0.000 |
| 0.001 | 0.001 | -0.000 | -0.000 | -0.000 | 281.343 |
| 112.978 | 167.192 | 167.192 | -0.000 | 0.000 | -0.000 |
| 167.192 | 112.978 | 167.192 | -0.000 | 0.000 | -0.000 |
| 167.192 | 167.192 | 112.978 | -0.000 | 0.000 | -0.000 |
| 0.000 | -0.000 | -0.000 | 173.772 | 0.000 | 0.000 |
| -0.000 | 0.000 | -0.000 | -0.000 | 173.772 | -0.000 |
| -0.000 | -0.000 | 0.000 | 0.000 | 0.000 | 173.772 |
| 112.978 | 167.192 | 167.192 | 0.000 | -0.000 | -0.000 |
| 167.192 | 112.978 | 167.192 | 0.000 | -0.000 | -0.000 |
| 167.192 | 167.192 | 112.978 | -0.000 | -0.000 | 0.000 |
| -0.000 | 0.000 | 0.000 | 173.772 | -0.000 | 0.000 |
| 0.000 | -0.000 | 0.000 | 0.000 | 173.772 | 0.000 |
| 0.000 | 0.000 | -0.000 | -0.000 | -0.000 | 173.772 |
| 112.978 | 167.192 | 167.192 | -0.000 | 0.000 | -0.000 |
| 167.192 | 112.978 | 167.192 | -0.000 | 0.000 | 0.000 |
| 167.192 | 167.192 | 112.978 | -0.000 | 0.000 | -0.000 |
| 0.000 | -0.000 | -0.000 | 173.772 | 0.000 | -0.000 |
| -0.000 | 0.000 | -0.000 | 0.000 | 173.772 | -0.000 |
| -0.000 | -0.000 | 0.000 | 0.000 | 0.000 | 173.772 |
| 112.979 | 167.192 | 167.192 | 0.000 | -0.000 | -0.000 |
| 167.192 | 112.979 | 167.192 | 0.000 | -0.000 | -0.000 |
| 167.192 | 167.192 | 112.979 | 0.000 | -0.000 | 0.000 |
| -0.000 | 0.000 | 0.000 | 173.772 | -0.000 | 0.000 |
| 0.000 | -0.000 | 0.000 | 0.000 | 173.772 | 0.000 |
| 0.000 | 0.000 | -0.000 | 0.000 | -0.000 | 173.772 |
| 112.972 | 167.191 | 167.191 | -0.000 | 0.000 | -0.000 |
| 167.191 | 112.972 | 167.191 | -0.000 | 0.000 | -0.000 |
| 167.191 | 167.191 | 112.972 | -0.000 | 0.000 | -0.000 |
| 0.000 | -0.001 | -0.000 | 173.772 | 0.000 | -0.000 |
| -0.001 | 0.000 | -0.000 | -0.000 | 173.772 | -0.000 |
| -0.001 | -0.000 | 0.000 | -0.000 | 0.000 | 173.772 |
| 112.985 | 167.192 | 167.192 | 0.000 | -0.000 | 0.000 |
| 167.192 | 112.985 | 167.192 | 0.000 | -0.000 | 0.000 |
| 167.192 | 167.192 | 112.985 | 0.000 | -0.000 | 0.000 |
| -0.000 | 0.001 | 0.000 | 173.772 | -0.000 | -0.000 |
| 0.001 | -0.000 | 0.000 | 0.000 | 173.772 | 0.000 |
| 0.001 | 0.000 | -0.000 | 0.000 | -0.000 | 173.772 |
| 105.159 | 89.691 | 89.691 | -0.000 | -0.000 | -0.000 |
| 89.691 | 105.159 | 89.691 | -0.000 | -0.000 | -0.000 |
| 89.691 | 89.691 | 105.159 | -0.000 | -0.000 | -0.000 |
| -0.000 | -0.000 | -0.000 | 0.433 | -0.000 | -0.000 |
| -0.000 | -0.000 | 0.000 | -0.000 | 0.433 | -0.000 |
| -0.000 | -0.000 | 0.000 | -0.000 | -0.000 | 0.433 |
| 105.159 | 89.691 | 89.691 | 0.000 | 0.000 | 0.000 |
| 89.691 | 105.159 | 89.691 | 0.000 | 0.000 | 0.000 |
| 89.691 | 89.691 | 105.159 | 0.000 | 0.000 | 0.000 |
| 0.000 | 0.000 | 0.000 | 0.433 | 0.000 | 0.000 |
| 0.000 | 0.000 | -0.000 | 0.000 | 0.433 | 0.000 |
| 0.000 | 0.000 | -0.000 | 0.000 | 0.000 | 0.433 |
| 105.159 | 89.691 | 89.691 | -0.000 | -0.000 | -0.000 |
| 89.691 | 105.159 | 89.691 | -0.000 | -0.000 | -0.000 |
| 89.691 | 89.691 | 105.159 | -0.000 | -0.000 | -0.000 |
| 0.000 | -0.000 | -0.000 | 75.779 | -0.000 | 0.000 |
| -0.000 | 0.000 | -0.000 | -0.000 | 75.779 | -0.000 |
| -0.000 | -0.000 | 0.000 | 0.000 | -0.000 | 75.779 |
| 105.159 | 89.691 | 89.691 | 0.000 | 0.000 | 0.000 |
| 89.691 | 105.159 | 89.691 | 0.000 | 0.000 | 0.000 |
| 89.691 | 89.691 | 105.159 | 0.000 | 0.000 | 0.000 |
| -0.000 | 0.000 | 0.000 | 75.779 | 0.000 | -0.000 |
| 0.000 | -0.000 | 0.000 | 0.000 | 75.779 | 0.000 |
| 0.000 | 0.000 | -0.000 | 0.000 | -0.000 | 75.779 |
| 105.157 | 89.691 | 89.691 | -0.000 | -0.000 | -0.000 |
| 89.691 | 105.157 | 89.691 | -0.000 | -0.000 | -0.000 |
| 89.691 | 89.691 | 105.157 | -0.000 | -0.000 | -0.000 |
| -0.000 | -0.000 | -0.000 | 0.433 | -0.000 | -0.000 |
| -0.000 | -0.000 | -0.000 | -0.000 | 0.433 | -0.000 |
| -0.000 | -0.000 | -0.000 | -0.000 | -0.000 | 0.433 |
| 105.161 | 89.691 | 89.691 | 0.000 | 0.000 | 0.000 |
| 89.691 | 105.161 | 89.691 | 0.000 | 0.000 | 0.000 |
| 89.691 | 89.691 | 105.161 | 0.000 | 0.000 | 0.000 |
| 0.000 | 0.000 | 0.000 | 0.433 | 0.000 | 0.000 |
| 0.000 | 0.000 | 0.000 | 0.000 | 0.433 | 0.000 |
| 0.000 | 0.000 | 0.000 | 0.000 | 0.000 | 0.433 |
| 682.668 | 366.630 | 444.603 | 0.000 | -0.000 | -0.000 |
| 366.630 | 682.668 | 444.603 | 0.000 | 0.000 | -0.000 |
| 444.603 | 444.603 | 1014.475 | 0.000 | -0.000 | 0.000 |
| 0.000 | 0.000 | 0.000 | 234.234 | 0.000 | -0.000 |
| -0.000 | 0.000 | 0.000 | 0.000 | 234.234 | -0.000 |
| -0.000 | 0.000 | 0.000 | 0.000 | 0.000 | 162.017 |
| 682.668 | 366.630 | 444.602 | -0.000 | 0.000 | 0.000 |
| 366.630 | 682.668 | 444.602 | -0.000 | -0.000 | -0.000 |
| 444.602 | 444.602 | 1014.474 | -0.000 | -0.000 | 0.000 |
| -0.000 | -0.000 | -0.000 | 234.234 | -0.000 | -0.000 |
| -0.000 | -0.000 | -0.000 | -0.000 | 234.234 | 0.000 |
| 0.000 | -0.000 | -0.000 | -0.000 | -0.000 | 162.017 |
| 682.669 | 366.631 | 444.604 | 0.000 | -0.000 | -0.000 |
| 366.631 | 682.669 | 444.604 | 0.000 | 0.000 | 0.000 |
| 444.604 | 444.604 | 1014.476 | 0.000 | -0.000 | -0.000 |
| 0.000 | 0.000 | 0.000 | 234.234 | 0.000 | 0.000 |
| 0.000 | 0.000 | 0.000 | 0.000 | 234.234 | -0.000 |
| -0.000 | 0.000 | 0.000 | 0.000 | 0.000 | 162.017 |
| 682.666 | 366.629 | 444.601 | -0.000 | -0.000 | -0.000 |
| 366.629 | 682.666 | 444.601 | -0.000 | -0.000 | 0.000 |
| 444.601 | 444.601 | 1014.473 | -0.000 | -0.000 | 0.000 |
| -0.000 | -0.000 | -0.000 | 234.234 | -0.000 | 0.000 |
| -0.000 | -0.000 | -0.000 | -0.000 | 234.234 | -0.000 |
| 0.000 | -0.000 | -0.000 | -0.000 | -0.000 | 162.017 |
| 682.679 | 366.640 | 444.614 | 0.000 | -0.000 | 0.000 |
| 366.640 | 682.679 | 444.614 | 0.000 | -0.000 | 0.000 |
| 444.615 | 444.615 | 1014.490 | 0.000 | 0.000 | -0.000 |
| 0.001 | 0.000 | 0.002 | 234.234 | 0.000 | -0.000 |
| 0.000 | 0.001 | 0.002 | 0.000 | 234.234 | 0.000 |
| -0.000 | 0.000 | 0.001 | 0.000 | -0.000 | 162.017 |
| 682.656 | 366.620 | 444.591 | -0.000 | 0.000 | 0.000 |
| 366.620 | 682.656 | 444.591 | -0.000 | -0.000 | 0.000 |
| 444.590 | 444.590 | 1014.459 | -0.000 | -0.000 | -0.000 |
| -0.001 | -0.000 | -0.002 | 234.234 | -0.000 | 0.000 |
| -0.000 | -0.001 | -0.002 | -0.000 | 234.234 | -0.000 |
| 0.000 | -0.000 | -0.001 | -0.000 | -0.000 | 162.017 |
| 220.329 | -5.917 | 103.318 | 0.000 | -0.000 | 0.000 |
| -5.917 | 220.329 | 103.318 | 0.000 | 0.000 | 0.000 |
| 103.318 | 103.318 | 402.563 | 0.000 | 0.000 | 0.000 |
| -0.000 | -0.000 | -0.000 | 192.457 | 0.000 | 0.000 |
| -0.000 | -0.000 | -0.000 | 0.000 | 192.457 | 0.000 |
| -0.000 | 0.000 | -0.000 | 0.000 | -0.000 | 94.223 |
| 220.329 | -5.917 | 103.318 | -0.000 | -0.000 | -0.000 |
| -5.917 | 220.329 | 103.318 | -0.000 | -0.000 | -0.000 |
| 103.318 | 103.318 | 402.563 | -0.000 | 0.000 | -0.000 |
| 0.000 | 0.000 | 0.000 | 192.457 | -0.000 | -0.000 |
| 0.000 | 0.000 | 0.000 | -0.000 | 192.457 | 0.000 |
| -0.000 | 0.000 | 0.000 | -0.000 | -0.000 | 94.223 |
| 220.328 | -5.918 | 103.317 | 0.000 | 0.000 | 0.000 |
| -5.918 | 220.328 | 103.317 | 0.000 | 0.000 | -0.000 |
| 103.317 | 103.317 | 402.563 | 0.000 | 0.000 | 0.000 |
| -0.000 | -0.000 | -0.000 | 192.457 | 0.000 | 0.000 |
| -0.000 | -0.000 | -0.000 | 0.000 | 192.457 | 0.000 |
| -0.000 | -0.000 | -0.000 | -0.000 | -0.000 | 94.223 |
| 220.329 | -5.917 | 103.318 | -0.000 | 0.000 | -0.000 |
| -5.917 | 220.329 | 103.318 | 0.000 | 0.000 | -0.000 |
| 103.318 | 103.318 | 402.564 | -0.000 | -0.000 | 0.000 |
| 0.000 | 0.000 | 0.000 | 192.457 | -0.000 | 0.000 |
| 0.000 | 0.000 | 0.000 | -0.000 | 192.457 | -0.000 |
| 0.000 | 0.000 | 0.000 | -0.000 | 0.000 | 94.223 |
| 220.325 | -5.922 | 103.313 | -0.000 | -0.000 | 0.000 |
| -5.922 | 220.325 | 103.313 | -0.000 | -0.000 | -0.000 |
| 103.313 | 103.313 | 402.555 | 0.000 | 0.000 | -0.000 |
| -0.000 | -0.001 | -0.002 | 192.457 | 0.000 | 0.000 |
| -0.001 | -0.000 | -0.002 | 0.000 | 192.457 | 0.000 |
| -0.000 | -0.000 | -0.000 | 0.000 | 0.000 | 94.223 |
| 220.332 | -5.913 | 103.322 | -0.000 | 0.000 | 0.000 |
| -5.913 | 220.332 | 103.322 | -0.000 | -0.000 | 0.000 |
| 103.323 | 103.323 | 402.572 | -0.000 | -0.000 | 0.000 |
| 0.000 | 0.001 | 0.002 | 192.457 | -0.000 | 0.000 |
| 0.001 | 0.000 | 0.002 | -0.000 | 192.457 | -0.000 |
| 0.000 | 0.000 | 0.000 | 0.000 | 0.000 | 94.223 |
| 709.325 | 667.764 | 675.098 | 0.000 | 0.000 | -0.000 |
| 667.764 | 709.325 | 675.098 | -0.000 | -0.000 | 0.000 |
| 675.098 | 675.098 | -324.703 | 0.000 | -0.000 | -0.000 |
| 0.000 | 0.000 | 0.000 | 210.966 | -0.000 | -0.000 |
| 0.000 | 0.000 | 0.000 | -0.000 | 210.966 | 0.000 |
| 0.000 | 0.000 | 0.000 | -0.000 | -0.000 | 210.614 |
| 709.325 | 667.764 | 675.098 | 0.000 | 0.000 | -0.000 |
| 667.764 | 709.325 | 675.098 | -0.000 | 0.000 | 0.000 |
| 675.098 | 675.098 | -324.704 | 0.000 | 0.000 | -0.000 |
| -0.000 | -0.000 | -0.000 | 210.966 | 0.000 | -0.000 |
| -0.000 | -0.000 | -0.000 | 0.000 | 210.966 | -0.000 |
| -0.000 | -0.000 | -0.000 | 0.000 | 0.000 | 210.614 |
| 709.327 | 667.765 | 675.100 | -0.000 | -0.000 | 0.000 |
| 667.765 | 709.327 | 675.100 | -0.000 | 0.000 | -0.000 |
| 675.100 | 675.100 | -324.703 | 0.000 | -0.000 | -0.000 |
| 0.000 | 0.000 | 0.000 | 210.966 | -0.000 | 0.000 |
| 0.000 | 0.000 | 0.000 | -0.000 | 210.966 | -0.000 |
| 0.000 | 0.000 | 0.000 | -0.000 | 0.000 | 210.614 |
| 709.324 | 667.762 | 675.097 | -0.000 | -0.000 | -0.000 |
| 667.762 | 709.324 | 675.097 | -0.000 | -0.000 | -0.000 |
| 675.097 | 675.097 | -324.705 | 0.000 | -0.000 | -0.000 |
| -0.000 | -0.000 | -0.000 | 210.966 | -0.000 | -0.000 |
| -0.000 | -0.000 | -0.000 | 0.000 | 210.966 | -0.000 |
| -0.000 | -0.000 | -0.000 | 0.000 | 0.000 | 210.614 |
| 709.343 | 667.780 | 675.113 | 0.000 | 0.000 | 0.000 |
| 667.780 | 709.343 | 675.113 | 0.000 | -0.000 | 0.000 |
| 675.113 | 675.113 | -324.694 | 0.000 | 0.000 | 0.000 |
| 0.001 | 0.000 | 0.001 | 210.966 | -0.000 | 0.000 |
| 0.000 | 0.001 | 0.001 | -0.000 | 210.966 | -0.000 |
| 0.001 | 0.002 | 0.001 | -0.000 | 0.000 | 210.614 |
| 709.307 | 667.748 | 675.083 | -0.000 | -0.000 | -0.000 |
| 667.748 | 709.307 | 675.083 | 0.000 | -0.000 | -0.000 |
| 675.083 | 675.083 | -324.713 | -0.000 | 0.000 | 0.000 |
| -0.001 | -0.000 | -0.001 | 210.966 | 0.000 | -0.000 |
| -0.000 | -0.001 | -0.001 | -0.000 | 210.966 | -0.000 |
| -0.001 | -0.002 | -0.001 | -0.000 | 0.000 | 210.614 |
| 615.906 | 259.301 | 384.598 | 0.000 | 0.000 | 0.000 |
| 259.301 | 765.558 | 399.893 | 0.000 | 0.000 | 0.000 |
| 384.598 | 399.893 | 913.457 | 0.000 | 0.000 | 0.000 |
| -0.000 | -0.000 | -0.000 | 356.844 | 0.000 | 0.000 |
| -0.000 | -0.000 | -0.000 | 0.000 | 341.436 | 0.000 |
| -0.000 | 0.000 | -0.000 | -0.000 | 0.000 | 217.328 |
| 615.906 | 259.300 | 384.597 | -0.000 | -0.000 | -0.000 |
| 259.300 | 765.558 | 399.893 | -0.000 | -0.000 | -0.000 |
| 384.597 | 399.893 | 913.457 | 0.000 | -0.000 | -0.000 |
| 0.000 | 0.000 | 0.000 | 356.844 | -0.000 | -0.000 |
| 0.000 | -0.000 | 0.000 | 0.000 | 341.436 | -0.000 |
| 0.000 | -0.000 | 0.000 | -0.000 | -0.000 | 217.328 |
| 615.907 | 259.301 | 384.598 | 0.000 | 0.000 | 0.000 |
| 259.301 | 765.558 | 399.893 | 0.000 | 0.000 | 0.000 |
| 384.598 | 399.893 | 913.458 | 0.000 | 0.000 | 0.000 |
| -0.000 | -0.000 | 0.000 | 356.844 | 0.000 | 0.000 |
| -0.000 | -0.000 | 0.000 | 0.000 | 341.436 | 0.000 |
| -0.000 | 0.000 | -0.000 | 0.000 | 0.000 | 217.328 |
| 615.905 | 259.300 | 384.597 | -0.000 | -0.000 | -0.000 |
| 259.300 | 765.557 | 399.892 | -0.000 | -0.000 | -0.000 |
| 384.597 | 399.892 | 913.456 | -0.000 | -0.000 | -0.000 |
| 0.000 | 0.000 | -0.000 | 356.844 | -0.000 | -0.000 |
| 0.000 | 0.000 | -0.000 | -0.000 | 341.436 | -0.000 |
| 0.000 | -0.000 | 0.000 | -0.000 | -0.000 | 217.328 |
| 615.913 | 259.308 | 384.605 | 0.000 | 0.000 | 0.000 |
| 259.308 | 765.562 | 399.900 | 0.000 | 0.000 | 0.000 |
| 384.606 | 399.902 | 913.466 | 0.000 | 0.000 | 0.000 |
| -0.000 | -0.001 | 0.001 | 356.844 | 0.000 | 0.000 |
| -0.001 | -0.000 | 0.000 | 0.000 | 341.436 | 0.000 |
| -0.000 | 0.000 | -0.000 | -0.000 | 0.000 | 217.328 |
| 615.899 | 259.293 | 384.590 | -0.000 | -0.000 | -0.000 |
| 259.293 | 765.553 | 399.885 | -0.000 | -0.000 | -0.000 |
| 384.589 | 399.884 | 913.448 | -0.000 | -0.000 | -0.000 |
| 0.000 | 0.001 | -0.001 | 356.844 | -0.000 | -0.000 |
| 0.001 | 0.000 | -0.000 | 0.000 | 341.436 | -0.000 |
| 0.000 | -0.000 | 0.000 | 0.000 | -0.000 | 217.328 |
| 384.334 | 186.223 | 85.499 | -15.546 | 0.000 | -0.000 |
| 186.223 | 384.334 | 85.499 | 15.546 | 0.000 | -0.000 |
| 85.499 | 85.499 | 144.136 | -0.000 | 0.000 | -0.000 |
| -15.546 | 15.546 | 0.000 | 6.173 | 0.000 | -0.000 |
| 0.000 | -0.000 | 0.000 | 0.000 | 6.173 | -15.546 |
| 0.000 | -0.000 | 0.000 | 0.000 | -15.546 | 99.055 |
| 384.334 | 186.223 | 85.499 | -15.546 | -0.000 | 0.000 |
| 186.223 | 384.334 | 85.499 | 15.546 | 0.000 | 0.000 |
| 85.499 | 85.499 | 144.136 | -0.000 | 0.000 | 0.000 |
| -15.546 | 15.546 | -0.000 | 6.173 | -0.000 | 0.000 |
| 0.000 | 0.000 | -0.000 | -0.000 | 6.173 | -15.546 |
| -0.000 | 0.000 | -0.000 | -0.000 | -15.546 | 99.055 |
| 384.335 | 186.224 | 85.500 | -15.545 | 0.000 | -0.000 |
| 186.224 | 384.335 | 85.500 | 15.545 | 0.000 | -0.000 |
| 85.500 | 85.500 | 144.135 | 0.000 | 0.000 | -0.000 |
| -15.546 | 15.545 | -0.000 | 6.173 | 0.000 | -0.000 |
| -0.000 | -0.000 | -0.000 | 0.000 | 6.173 | -15.546 |
| 0.000 | 0.000 | -0.000 | 0.000 | -15.546 | 99.055 |
| 384.333 | 186.222 | 85.498 | -15.546 | -0.000 | 0.000 |
| 186.222 | 384.333 | 85.498 | 15.546 | -0.000 | 0.000 |
| 85.499 | 85.499 | 144.136 | -0.000 | 0.000 | 0.000 |
| -15.546 | 15.546 | 0.000 | 6.173 | -0.000 | 0.000 |
| 0.000 | 0.000 | 0.000 | -0.000 | 6.173 | -15.546 |
| -0.000 | -0.000 | 0.000 | -0.000 | -15.546 | 99.055 |
| 384.346 | 186.231 | 85.506 | -15.545 | -0.000 | -0.000 |
| 186.232 | 384.345 | 85.506 | 15.545 | 0.000 | 0.000 |
| 85.504 | 85.504 | 144.135 | 0.000 | -0.000 | -0.000 |
| -15.546 | 15.545 | -0.002 | 6.172 | 0.000 | -0.000 |
| -0.000 | -0.000 | -0.002 | 0.001 | 6.173 | -15.546 |
| 0.000 | 0.001 | -0.000 | 0.000 | -15.546 | 99.055 |
| 384.322 | 186.215 | 85.493 | -15.546 | -0.000 | 0.000 |
| 186.214 | 384.323 | 85.493 | 15.546 | -0.000 | 0.000 |
| 85.495 | 85.495 | 144.136 | -0.000 | 0.000 | 0.000 |
| -15.545 | 15.546 | 0.002 | 6.174 | -0.000 | 0.000 |
| 0.000 | 0.000 | 0.002 | -0.001 | 6.173 | -15.546 |
| -0.000 | -0.001 | 0.000 | -0.000 | -15.546 | 99.055 |
| 1351.803 | 680.375 | 714.565 | -0.000 | 0.000 | 0.000 |
| 680.034 | 873.720 | 594.618 | -0.000 | 0.000 | 0.000 |
| 721.513 | 603.768 | 938.552 | -0.000 | -0.000 | -0.000 |
| -4.203 | -5.466 | -13.520 | 93.148 | 0.001 | -0.000 |
| 1.549 | 2.004 | 4.688 | 0.000 | 265.596 | 0.000 |
| 1.123 | 1.454 | 3.435 | 0.000 | -0.000 | 235.474 |
| 1349.467 | 677.357 | 707.653 | -0.000 | -0.000 | -0.000 |
| 751.415 | 962.491 | 704.691 | 0.000 | 0.000 | -0.000 |
| 719.282 | 600.879 | 931.721 | 0.000 | 0.000 | -0.000 |
| 4.203 | 5.466 | 13.520 | 93.148 | -0.001 | -0.000 |
| -1.549 | -2.004 | -4.688 | -0.000 | 265.596 | -0.000 |
| -1.123 | -1.454 | -3.435 | 0.000 | 0.000 | 235.474 |
| 1350.753 | 679.018 | 711.456 | 0.000 | 0.000 | 0.000 |
| 689.118 | 883.923 | 576.353 | -0.000 | -0.000 | 0.000 |
| 720.510 | 602.469 | 935.481 | -0.000 | -0.000 | 0.000 |
| 0.000 | 0.000 | 0.000 | 190.606 | -0.000 | 0.000 |
| -0.000 | 0.000 | 0.000 | 0.000 | 277.461 | 0.000 |
| 0.000 | 0.000 | 0.000 | -0.000 | 0.000 | 235.474 |
| 1409.006 | 751.414 | 799.858 | -0.000 | -0.000 | -0.000 |
| 688.975 | 883.734 | 575.777 | 0.000 | 0.000 | -0.000 |
| 710.991 | 591.010 | 931.967 | 0.000 | -0.000 | 0.000 |
| -0.000 | -0.000 | -0.000 | 190.606 | 0.000 | 0.000 |
| 0.000 | -0.000 | -0.000 | -0.000 | 277.461 | -0.000 |
| -0.000 | -0.000 | -0.000 | 0.000 | 0.000 | 235.474 |
| 1350.659 | 678.895 | 711.156 | -0.000 | 0.000 | 0.000 |
| 678.891 | 872.240 | 591.210 | -0.000 | 0.000 | 0.000 |
| 711.134 | 591.193 | 932.373 | -0.000 | 0.000 | -0.000 |
| -0.046 | -0.058 | -0.143 | 91.952 | 0.000 | 0.000 |
| 0.015 | 0.020 | 0.047 | -0.000 | 265.570 | 0.000 |
| 0.002 | 0.001 | 0.000 | -0.000 | 0.000 | 235.474 |
| 1350.612 | 678.837 | 711.061 | 0.000 | -0.000 | -0.000 |
| 689.026 | 883.805 | 576.022 | -0.000 | 0.000 | -0.000 |
| 720.373 | 602.293 | 935.080 | 0.000 | 0.000 | 0.000 |
| 0.046 | 0.058 | 0.143 | 91.952 | -0.000 | 0.000 |
| -0.015 | -0.020 | -0.047 | 0.000 | 265.570 | -0.000 |
| -0.002 | -0.001 | -0.000 | 0.000 | 0.000 | 235.474 |
| 376.934 | 189.617 | 98.116 | 0.000 | -0.000 | -0.000 |
| 189.617 | 376.934 | 98.116 | -0.000 | -0.000 | -0.000 |
| 98.116 | 98.116 | 280.640 | 0.000 | -0.000 | 0.000 |
| -0.000 | 0.000 | -0.000 | 34.056 | -0.000 | 0.000 |
| -0.000 | -0.000 | -0.000 | -0.000 | 34.056 | 0.000 |
| 0.000 | 0.000 | 0.000 | 0.000 | -0.000 | 93.658 |
| 389.875 | 176.676 | 98.116 | 0.000 | 0.000 | -0.000 |
| 176.676 | 389.875 | 98.116 | 0.000 | 0.000 | 0.000 |
| 98.116 | 98.116 | 280.640 | 0.000 | 0.000 | -0.000 |
| 0.000 | 0.000 | 0.000 | 34.056 | 0.000 | 0.000 |
| 0.000 | 0.000 | 0.000 | -0.000 | 34.056 | -0.000 |
| -0.000 | -0.000 | -0.000 | 0.000 | 0.000 | 93.658 |
| 389.876 | 176.677 | 98.117 | -0.000 | -0.000 | 0.000 |
| 189.618 | 376.935 | 98.117 | -0.000 | -0.000 | 0.000 |
| 98.116 | 98.116 | 280.640 | 0.000 | -0.000 | 0.000 |
| -0.000 | -0.000 | -0.000 | 34.056 | -0.000 | 0.000 |
| -0.000 | -0.000 | -0.000 | 0.000 | 34.056 | 0.000 |
| 0.000 | 0.000 | -0.000 | -0.000 | -0.000 | 93.658 |
| 376.932 | 189.616 | 98.115 | 0.000 | 0.000 | -0.000 |
| 176.675 | 389.873 | 98.115 | 0.000 | 0.000 | -0.000 |
| 98.115 | 98.115 | 280.640 | -0.000 | 0.000 | -0.000 |
| 0.000 | 0.000 | 0.000 | 34.056 | 0.000 | 0.000 |
| 0.000 | 0.000 | 0.000 | -0.000 | 34.056 | -0.000 |
| -0.000 | -0.000 | 0.000 | 0.000 | 0.000 | 93.658 |
| 389.887 | 176.684 | 98.123 | -0.000 | -0.000 | 0.000 |
| 189.625 | 376.946 | 98.123 | -0.000 | -0.000 | -0.000 |
| 98.121 | 98.121 | 280.640 | -0.000 | -0.000 | 0.000 |
| -0.000 | -0.000 | -0.002 | 34.056 | -0.000 | 0.000 |
| -0.000 | -0.000 | -0.002 | -0.000 | 34.056 | 0.000 |
| 0.001 | 0.001 | -0.000 | 0.000 | -0.000 | 93.658 |
| 389.863 | 176.667 | 98.109 | -0.000 | 0.000 | -0.000 |
| 176.666 | 389.863 | 98.109 | -0.000 | 0.000 | 0.000 |
| 98.111 | 98.111 | 280.641 | -0.000 | 0.000 | -0.000 |
| 0.000 | 0.000 | 0.002 | 34.056 | 0.000 | -0.000 |
| 0.000 | 0.000 | 0.002 | 0.000 | 34.056 | 0.000 |
| -0.001 | -0.001 | 0.000 | -0.000 | 0.000 | 93.658 |
| 311.824 | 173.098 | -29.057 | -0.000 | 0.000 | -0.000 |
| 173.098 | 311.824 | -29.057 | 0.000 | 0.000 | -0.000 |
| -29.056 | -29.056 | -330.793 | 0.000 | 0.000 | -0.000 |
| 0.000 | 0.000 | 0.000 | -114.616 | 0.000 | -0.000 |
| -0.000 | 0.000 | 0.000 | 0.000 | -114.616 | -0.000 |
| -0.000 | 0.000 | 0.000 | 0.000 | 0.000 | 57.624 |
| 311.824 | 173.098 | -29.056 | -0.000 | -0.000 | 0.000 |
| 173.098 | 311.824 | -29.056 | -0.000 | -0.000 | 0.000 |
| -29.056 | -29.056 | -330.793 | -0.000 | -0.000 | 0.000 |
| 0.000 | -0.000 | -0.000 | -114.616 | -0.000 | 0.000 |
| 0.000 | -0.000 | -0.000 | -0.000 | -114.616 | 0.000 |
| 0.000 | -0.000 | -0.000 | -0.000 | -0.000 | 57.624 |
| 311.824 | 173.097 | -29.057 | 0.000 | 0.000 | -0.000 |
| 173.097 | 311.824 | -29.057 | 0.000 | 0.000 | -0.000 |
| -29.057 | -29.057 | -330.793 | 0.000 | 0.000 | -0.000 |
| 0.000 | 0.000 | 0.000 | -114.616 | 0.000 | -0.000 |
| 0.000 | 0.000 | 0.000 | 0.000 | -114.616 | -0.000 |
| 12728658.301 | 16777609.783 | -24397204.264 | 7.141 | -12.369 | 3506569.145 |
| 311.824 | 173.098 | -29.056 | -0.000 | -0.000 | 0.000 |
| -18801879.627 | -10703784.598 | 24397250.098 | 6.486 | -0.000 | 0.091 |
| -29.056 | -29.056 | -330.792 | -0.000 | -0.000 | 0.000 |
| -0.000 | -0.000 | -0.000 | -114.616 | -0.000 | 0.000 |
| -0.000 | -0.000 | -0.000 | -0.000 | -114.616 | 0.000 |
| -12728658.309 | -16777609.785 | 24397204.245 | -7.143 | -12.372 | 3506569.133 |
| 311.823 | 173.092 | -29.062 | 0.000 | 0.000 | -0.000 |
| -3580759.435 | -1912178.809 | -3519285.038 | 0.010 | -0.000 | 0.000 |
| -29.062 | -29.062 | -330.799 | 0.000 | 0.000 | -0.000 |
| -0.000 | 0.001 | 0.000 | -114.616 | 0.000 | -0.000 |
| 0.000 | 0.000 | 0.000 | 0.000 | -114.616 | -0.000 |
| 0.001 | 0.001 | 0.000 | 0.000 | 0.000 | 69.363 |
| 311.825 | 173.103 | -29.051 | -0.000 | -0.000 | 0.000 |
| 173.102 | 311.826 | -29.051 | -0.000 | -0.000 | 0.000 |
| -29.051 | -29.051 | -330.787 | -0.000 | -0.000 | 0.000 |
| 0.000 | -0.001 | -0.000 | -114.616 | -0.000 | 0.000 |
| -0.000 | -0.000 | -0.000 | -0.000 | -114.616 | 0.000 |
| -0.001 | -0.001 | -0.000 | -0.000 | -0.000 | 69.363 |
| 352.109 | 258.271 | 258.271 | 0.000 | 0.000 | -0.000 |
| 258.271 | 352.109 | 258.271 | 0.000 | -0.000 | 0.000 |
| 258.271 | 258.271 | 352.109 | 0.000 | 0.000 | -0.000 |
| 0.000 | -0.000 | 0.000 | 32.516 | -0.000 | -0.000 |
| -0.000 | 0.000 | -0.000 | -0.000 | 32.516 | 0.000 |
| -0.000 | -0.000 | 0.000 | 0.000 | -0.000 | 32.516 |
| 352.109 | 258.271 | 258.271 | 0.000 | 0.000 | 0.000 |
| 258.271 | 352.109 | 258.271 | -0.000 | 0.000 | 0.000 |
| 258.271 | 258.271 | 352.109 | 0.000 | 0.000 | 0.000 |
| -0.000 | 0.000 | -0.000 | 32.516 | 0.000 | -0.000 |
| 0.000 | -0.000 | 0.000 | -0.000 | 32.516 | 0.000 |
| 0.000 | 0.000 | -0.000 | -0.000 | 0.000 | 32.516 |
| 352.109 | 258.271 | 258.271 | 0.000 | -0.000 | -0.000 |
| 258.271 | 352.109 | 258.271 | 0.000 | -0.000 | -0.000 |
| 258.271 | 258.271 | 352.109 | -0.000 | 0.000 | -0.000 |
| -0.000 | -0.000 | -0.000 | 32.516 | -0.000 | 0.000 |
| -0.000 | -0.000 | -0.000 | -0.000 | 32.516 | 0.000 |
| -0.000 | -0.000 | -0.000 | 0.000 | -0.000 | 32.516 |
| 352.109 | 258.271 | 258.271 | 0.000 | -0.000 | 0.000 |
| 258.271 | 352.109 | 258.271 | -0.000 | 0.000 | -0.000 |
| 258.271 | 258.271 | 352.109 | -0.000 | 0.000 | 0.000 |
| 0.000 | 0.000 | 0.000 | 32.516 | 0.000 | 0.000 |
| 0.000 | 0.000 | 0.000 | -0.000 | 32.516 | 0.000 |
| 0.000 | 0.000 | 0.000 | -0.000 | 0.000 | 32.516 |
| 352.108 | 258.273 | 258.273 | 0.000 | -0.000 | 0.000 |
| 258.273 | 352.108 | 258.273 | 0.000 | -0.000 | 0.000 |
| 258.273 | 258.273 | 352.108 | 0.000 | 0.000 | -0.000 |
| 0.000 | -0.001 | -0.000 | 161.192 | -0.000 | 0.000 |
| -0.001 | 0.000 | -0.000 | 0.000 | 161.192 | -0.000 |
| -0.001 | -0.000 | 0.000 | -0.000 | -0.000 | 161.192 |
| 352.110 | 258.270 | 258.270 | -0.000 | 0.000 | 0.000 |
| 258.270 | 352.110 | 258.270 | -0.000 | 0.000 | 0.000 |
| 258.270 | 258.270 | 352.110 | -0.000 | -0.000 | -0.000 |
| -0.000 | 0.001 | 0.000 | 161.192 | 0.000 | 0.000 |
| 0.001 | -0.000 | 0.000 | -0.000 | 161.192 | 0.000 |
| 0.001 | 0.000 | -0.000 | 0.000 | 0.000 | 161.192 |
| 917.128 | 528.801 | 528.801 | 0.000 | 0.000 | -0.000 |
| 528.801 | 917.128 | 528.801 | 0.000 | 0.000 | 0.000 |
| 528.801 | 528.801 | 917.128 | 0.000 | 0.000 | 0.000 |
| 0.000 | 0.000 | 0.000 | 208.289 | 0.000 | 0.000 |
| 0.000 | -0.000 | 0.000 | 0.000 | 208.289 | 0.000 |
| 0.000 | 0.000 | -0.000 | 0.000 | 0.000 | 208.289 |
| 917.128 | 528.801 | 528.801 | -0.000 | -0.000 | -0.000 |
| 528.801 | 917.128 | 528.801 | -0.000 | -0.000 | 0.000 |
| 528.801 | 528.801 | 917.128 | -0.000 | -0.000 | -0.000 |
| -0.000 | -0.000 | -0.000 | 208.289 | -0.000 | -0.000 |
| -0.000 | 0.000 | -0.000 | -0.000 | 208.289 | -0.000 |
| -0.000 | -0.000 | 0.000 | -0.000 | -0.000 | 208.289 |
| 917.128 | 528.800 | 528.800 | 0.000 | 0.000 | 0.000 |
| 528.800 | 917.128 | 528.800 | 0.000 | 0.000 | 0.000 |
| 528.800 | 528.800 | 917.128 | 0.000 | 0.000 | -0.000 |
| -0.000 | 0.000 | 0.000 | 182.713 | 0.000 | -0.000 |
| 0.000 | -0.000 | 0.000 | 0.000 | 182.713 | 0.000 |
| 0.000 | 0.000 | -0.000 | 0.000 | -0.000 | 182.713 |
| 917.128 | 528.801 | 528.801 | 0.000 | -0.000 | -0.000 |
| 528.801 | 917.128 | 528.801 | -0.000 | 0.000 | 0.000 |
| 528.801 | 528.801 | 917.128 | -0.000 | -0.000 | -0.000 |
| 0.000 | -0.000 | -0.000 | 182.713 | -0.000 | 0.000 |
| -0.000 | 0.000 | -0.000 | -0.000 | 182.713 | 0.000 |
| -0.000 | -0.000 | 0.000 | -0.000 | -0.000 | 182.713 |
| 917.128 | 528.798 | 528.798 | 0.000 | 0.000 | 0.000 |
| 528.798 | 917.128 | 528.798 | 0.000 | 0.000 | 0.000 |
| 528.798 | 528.798 | 917.128 | 0.000 | 0.000 | 0.000 |
| -0.000 | 0.000 | 0.000 | 182.713 | 0.000 | -0.000 |
| 0.000 | -0.000 | 0.000 | 0.000 | 182.713 | 0.000 |
| 0.000 | 0.000 | -0.000 | 0.000 | 0.000 | 182.713 |
| 917.129 | 528.803 | 528.803 | -0.000 | -0.000 | -0.000 |
| 528.803 | 917.129 | 528.803 | -0.000 | -0.000 | -0.000 |
| 528.803 | 528.803 | 917.129 | -0.000 | -0.000 | -0.000 |
| 0.000 | -0.000 | -0.000 | 182.713 | -0.000 | 0.000 |
| -0.000 | 0.000 | -0.000 | -0.000 | 182.713 | -0.000 |
| -0.000 | -0.000 | 0.000 | -0.000 | 0.000 | 182.713 |
| 17.444 | 17.128 | 17.128 | -0.000 | 0.000 | -0.000 |
| 17.128 | 17.444 | 17.128 | -0.000 | 0.000 | -0.000 |
| 17.128 | 17.128 | 17.444 | -0.000 | 0.000 | -0.000 |
| 0.000 | 0.000 | -0.000 | -0.591 | 0.000 | -0.000 |
| 0.000 | 0.000 | -0.000 | -0.000 | -0.591 | -0.000 |
| 0.000 | -0.000 | -0.000 | -0.000 | 0.000 | -0.591 |
| 17.444 | 17.128 | 17.128 | -0.000 | -0.000 | 0.000 |
| 17.128 | 17.444 | 17.128 | 0.000 | -0.000 | 0.000 |
| 17.128 | 17.128 | 17.444 | 0.000 | -0.000 | 0.000 |
| -0.000 | -0.000 | 0.000 | -0.591 | -0.000 | 0.000 |
| -0.000 | -0.000 | 0.000 | 0.000 | -0.591 | 0.000 |
| -0.000 | 0.000 | 0.000 | 0.000 | -0.000 | -0.591 |
| 17.444 | 17.128 | 17.128 | -0.000 | -0.000 | -0.000 |
| 17.128 | 17.444 | 17.128 | -0.000 | 0.000 | -0.000 |
| 17.128 | 17.128 | 17.444 | -0.000 | -0.000 | -0.000 |
| -0.000 | -0.000 | -0.000 | -0.591 | -0.000 | -0.000 |
| -0.000 | -0.000 | -0.000 | -0.000 | -0.591 | -0.000 |
| -0.000 | -0.000 | -0.000 | -0.000 | 0.000 | -0.591 |
| 17.444 | 17.128 | 17.128 | -0.000 | -0.000 | 0.000 |
| 17.128 | 17.444 | 17.128 | 0.000 | -0.000 | 0.000 |
| 17.128 | 17.128 | 17.444 | 0.000 | 0.000 | 0.000 |
| 0.000 | 0.000 | 0.000 | -0.591 | 0.000 | 0.000 |
| 0.000 | 0.000 | 0.000 | 0.000 | -0.591 | 0.000 |
| 0.000 | 0.000 | 0.000 | 0.000 | -0.000 | -0.591 |
| 17.444 | 17.129 | 17.129 | -0.000 | 0.000 | -0.000 |
| 17.129 | 17.444 | 17.129 | -0.000 | 0.000 | -0.000 |
| 17.129 | 17.129 | 17.444 | -0.000 | 0.000 | -0.000 |
| -0.000 | -0.000 | -0.000 | -0.591 | 0.000 | -0.000 |
| -0.000 | -0.000 | -0.000 | -0.000 | -0.591 | -0.000 |
| -0.000 | -0.000 | -0.000 | -0.000 | -0.000 | -0.591 |
| 17.444 | 17.128 | 17.128 | 0.000 | -0.000 | 0.000 |
| 17.128 | 17.444 | 17.128 | 0.000 | -0.000 | 0.000 |
| 17.128 | 17.128 | 17.444 | 0.000 | -0.000 | 0.000 |
| 0.000 | 0.000 | 0.000 | -0.591 | -0.000 | 0.000 |
| 0.000 | 0.000 | 0.000 | 0.000 | -0.591 | 0.000 |
| 0.000 | 0.000 | 0.000 | 0.000 | -0.000 | -0.591 |
| 313.203 | 221.572 | 221.572 | -0.000 | -0.000 | 0.000 |
| 221.572 | 313.203 | 221.572 | 0.000 | 0.000 | 0.000 |
| 221.572 | 221.572 | 313.203 | -0.000 | -0.000 | 0.000 |
| 0.000 | 0.000 | 0.000 | -284.376 | 0.000 | 0.000 |
| 0.000 | 0.000 | 0.000 | -0.000 | -284.376 | 0.000 |
| 0.000 | 0.000 | 0.000 | 0.000 | 0.000 | -284.376 |
| 313.203 | 221.571 | 221.571 | -0.000 | 0.000 | -0.000 |
| 221.571 | 313.203 | 221.571 | -0.000 | -0.000 | -0.000 |
| 221.571 | 221.571 | 313.203 | 0.000 | -0.000 | -0.000 |
| 0.000 | -0.000 | -0.000 | -284.376 | -0.000 | -0.000 |
| -0.000 | -0.000 | -0.000 | 0.000 | -284.376 | -0.000 |
| -0.000 | -0.000 | -0.000 | -0.000 | -0.000 | -284.376 |
| 302.478 | 226.935 | 226.935 | -0.000 | 0.000 | 0.000 |
| 226.935 | 302.478 | 226.935 | -0.000 | -0.000 | 0.000 |
| 226.935 | 226.935 | 302.478 | -0.000 | -0.000 | 0.000 |
| 0.000 | 0.000 | 0.000 | -105.210 | -0.000 | 0.000 |
| 0.000 | 0.000 | 0.000 | 0.000 | -105.210 | 0.000 |
| 0.000 | 0.000 | 0.000 | -0.000 | 0.000 | -105.210 |
| 313.201 | 221.571 | 221.571 | -0.000 | -0.000 | -0.000 |
| 221.571 | 313.201 | 221.571 | 0.000 | 0.000 | -0.000 |
| 221.571 | 221.571 | 313.201 | -0.000 | -0.000 | -0.000 |
| -0.000 | -0.000 | -0.000 | -105.210 | -0.000 | -0.000 |
| -0.000 | -0.000 | -0.000 | 0.000 | -105.210 | -0.000 |
| -0.000 | -0.000 | -0.000 | 0.000 | -0.000 | -105.210 |
| 302.490 | 226.944 | 226.944 | -0.000 | -0.000 | 0.000 |
| 226.944 | 302.490 | 226.944 | 0.000 | 0.000 | 0.000 |
| 226.944 | 226.944 | 302.490 | -0.000 | -0.000 | 0.000 |
| 0.002 | 0.004 | 0.003 | -284.376 | -0.000 | 0.000 |
| 0.004 | 0.002 | 0.003 | -0.000 | -284.376 | 0.000 |
| 0.004 | 0.003 | 0.002 | 0.000 | 0.000 | -284.376 |
| 302.463 | 226.926 | 226.926 | 0.000 | -0.000 | -0.000 |
| 226.926 | 302.463 | 226.926 | 0.000 | 0.000 | -0.000 |
| 226.926 | 226.926 | 302.463 | -0.000 | -0.000 | -0.000 |
| -0.002 | -0.004 | -0.003 | -284.376 | -0.000 | -0.000 |
| -0.004 | -0.002 | -0.003 | -0.000 | -284.376 | -0.000 |
| -0.004 | -0.003 | -0.002 | 0.000 | -0.000 | -284.376 |
| 473.399 | 226.303 | 226.303 | 0.000 | 0.000 | 0.000 |
| 226.303 | 473.399 | 226.303 | 0.000 | 0.000 | 0.000 |
| 226.303 | 226.303 | 473.399 | 0.000 | 0.000 | 0.000 |
| -0.000 | 0.000 | 0.000 | 59.329 | 0.000 | 0.000 |
| 0.000 | -0.000 | 0.000 | 0.000 | 59.329 | 0.000 |
| 0.000 | 0.000 | 0.000 | 0.000 | 0.000 | 59.329 |
| 473.399 | 226.303 | 226.303 | -0.000 | -0.000 | -0.000 |
| 226.303 | 473.399 | 226.303 | -0.000 | -0.000 | 0.000 |
| 226.303 | 226.303 | 473.399 | -0.000 | 0.000 | -0.000 |
| -0.000 | -0.000 | -0.000 | 59.329 | -0.000 | -0.000 |
| -0.000 | -0.000 | -0.000 | -0.000 | 59.329 | -0.000 |
| -0.000 | -0.000 | -0.000 | -0.000 | 0.000 | 59.329 |
| 473.399 | 226.303 | 226.303 | 0.000 | 0.000 | 0.000 |
| 226.303 | 473.399 | 226.303 | 0.000 | 0.000 | 0.000 |
| 226.303 | 226.303 | 473.399 | 0.000 | 0.000 | 0.000 |
| -0.000 | -0.000 | -0.000 | 92.004 | -0.000 | -0.000 |
| -0.000 | -0.000 | -0.000 | 0.000 | 92.004 | 0.000 |
| -0.000 | -0.000 | -0.000 | 0.000 | 0.000 | 92.004 |
| 473.399 | 226.303 | 226.303 | -0.000 | -0.000 | -0.000 |
| 226.303 | 473.399 | 226.303 | -0.000 | -0.000 | -0.000 |
| 226.303 | 226.303 | 473.399 | -0.000 | 0.000 | -0.000 |
| 0.000 | 0.000 | 0.000 | 92.004 | 0.000 | -0.000 |
| 0.000 | 0.000 | 0.000 | -0.000 | 92.004 | -0.000 |
| 0.000 | 0.000 | 0.000 | 0.000 | 0.000 | 92.004 |
| 483.081 | 221.460 | 221.460 | -0.000 | 0.000 | 0.000 |
| 221.460 | 483.081 | 221.460 | -0.000 | 0.000 | 0.000 |
| 221.460 | 221.460 | 483.081 | 0.000 | 0.000 | 0.000 |
| -0.000 | 0.000 | 0.000 | 59.329 | 0.000 | 0.000 |
| 0.000 | -0.000 | 0.000 | 0.000 | 59.329 | 0.000 |
| 0.000 | 0.000 | -0.000 | 0.000 | 0.000 | 59.329 |
| 483.087 | 221.461 | 221.461 | 0.000 | -0.000 | -0.000 |
| 221.461 | 483.087 | 221.461 | -0.000 | 0.000 | 0.000 |
| 221.461 | 221.461 | 483.087 | 0.000 | 0.000 | -0.000 |
| 0.000 | -0.000 | -0.000 | 59.329 | -0.000 | 0.000 |
| -0.000 | 0.000 | -0.000 | -0.000 | 59.329 | 0.000 |
| -0.000 | -0.000 | 0.000 | -0.000 | -0.000 | 59.329 |
| 901.927 | 528.758 | 528.758 | 0.000 | -0.000 | -0.000 |
| 528.758 | 901.927 | 528.758 | 0.000 | 0.000 | -0.000 |
| 528.758 | 528.758 | 901.927 | 0.000 | -0.000 | 0.000 |
| 0.000 | 0.000 | -0.000 | 285.066 | 0.000 | 0.000 |
| 0.000 | 0.000 | -0.000 | -0.000 | 285.066 | 0.000 |
| 0.000 | 0.000 | -0.000 | -0.000 | 0.000 | 285.066 |
| 901.926 | 528.758 | 528.758 | -0.000 | -0.000 | 0.000 |
| 528.758 | 901.926 | 528.758 | -0.000 | -0.000 | 0.000 |
| 528.758 | 528.758 | 901.926 | -0.000 | -0.000 | 0.000 |
| -0.000 | -0.000 | 0.000 | 285.066 | -0.000 | 0.000 |
| -0.000 | -0.000 | 0.000 | 0.000 | 285.066 | 0.000 |
| -0.000 | -0.000 | 0.000 | -0.000 | -0.000 | 285.066 |
| 901.927 | 528.759 | 528.759 | 0.000 | 0.000 | -0.000 |
| 528.759 | 901.927 | 528.759 | 0.000 | 0.000 | 0.000 |
| 528.759 | 528.759 | 901.927 | -0.000 | -0.000 | -0.000 |
| 0.000 | -0.000 | -0.000 | 267.468 | 0.000 | -0.000 |
| -0.000 | 0.000 | -0.000 | 0.000 | 267.468 | -0.000 |
| -0.000 | -0.000 | 0.000 | 0.000 | 0.000 | 267.468 |
| 901.925 | 528.757 | 528.757 | 0.000 | -0.000 | -0.000 |
| 528.757 | 901.925 | 528.757 | 0.000 | -0.000 | -0.000 |
| 528.757 | 528.757 | 901.925 | 0.000 | -0.000 | 0.000 |
| -0.000 | 0.000 | 0.000 | 267.468 | -0.000 | -0.000 |
| 0.000 | -0.000 | 0.000 | -0.000 | 267.468 | 0.000 |
| 0.000 | 0.000 | -0.000 | -0.000 | -0.000 | 267.468 |
| 901.936 | 528.765 | 528.765 | 0.000 | 0.000 | 0.000 |
| 528.765 | 901.936 | 528.765 | 0.000 | 0.000 | -0.000 |
| 528.765 | 528.765 | 901.936 | -0.000 | 0.000 | 0.000 |
| 0.000 | -0.001 | -0.000 | 285.066 | -0.000 | -0.000 |
| -0.001 | 0.000 | -0.000 | 0.000 | 285.066 | 0.000 |
| -0.001 | -0.000 | 0.000 | 0.000 | 0.000 | 285.066 |
| 901.917 | 528.750 | 528.750 | -0.000 | 0.000 | -0.000 |
| 528.750 | 901.917 | 528.750 | 0.000 | 0.000 | 0.000 |
| 528.750 | 528.750 | 901.917 | -0.000 | -0.000 | -0.000 |
| -0.000 | 0.001 | 0.000 | 285.066 | 0.000 | 0.000 |
| 0.001 | -0.000 | 0.000 | 0.000 | 285.066 | 0.000 |
| 0.001 | 0.000 | -0.000 | -0.000 | -0.000 | 285.066 |
| 498.569 | 223.395 | 223.395 | -0.000 | -0.000 | 0.000 |
| 223.395 | 498.569 | 223.395 | -0.000 | 0.000 | -0.000 |
| 223.395 | 223.395 | 498.569 | -0.000 | -0.000 | -0.000 |
| 0.000 | 0.000 | 0.000 | 147.516 | -0.000 | -0.000 |
| 0.000 | -0.000 | 0.000 | 0.000 | 147.516 | 0.000 |
| 0.000 | 0.000 | -0.000 | -0.000 | -0.000 | 147.516 |
| 498.568 | 223.395 | 223.395 | 0.000 | 0.000 | -0.000 |
| 223.395 | 498.568 | 223.395 | 0.000 | -0.000 | -0.000 |
| 223.395 | 223.395 | 498.568 | 0.000 | 0.000 | -0.000 |
| -0.000 | -0.000 | -0.000 | 147.516 | 0.000 | 0.000 |
| -0.000 | 0.000 | -0.000 | 0.000 | 147.516 | 0.000 |
| -0.000 | -0.000 | 0.000 | 0.000 | 0.000 | 147.516 |
| 498.569 | 223.396 | 223.396 | -0.000 | -0.000 | 0.000 |
| 223.396 | 498.569 | 223.396 | -0.000 | -0.000 | 0.000 |
| 223.396 | 223.396 | 498.569 | 0.000 | -0.000 | -0.000 |
| -0.000 | 0.000 | 0.000 | 147.516 | -0.000 | 0.000 |
| 0.000 | -0.000 | 0.000 | -0.000 | 147.516 | 0.000 |
| 0.000 | 0.000 | -0.000 | -0.000 | -0.000 | 147.516 |
| 498.568 | 223.395 | 223.395 | 0.000 | 0.000 | 0.000 |
| 223.395 | 498.568 | 223.395 | 0.000 | -0.000 | -0.000 |
| 223.395 | 223.395 | 498.568 | 0.000 | -0.000 | -0.000 |
| 0.000 | -0.000 | -0.000 | 147.516 | 0.000 | -0.000 |
| -0.000 | 0.000 | -0.000 | 0.000 | 147.516 | 0.000 |
| -0.000 | -0.000 | 0.000 | -0.000 | 0.000 | 147.516 |
| 498.577 | 223.401 | 223.401 | -0.000 | -0.000 | 0.000 |
| 223.401 | 498.577 | 223.401 | -0.000 | -0.000 | 0.000 |
| 223.401 | 223.401 | 498.577 | 0.000 | -0.000 | 0.000 |
| -0.000 | 0.001 | 0.001 | 147.516 | -0.000 | 0.000 |
| 0.001 | -0.000 | 0.001 | -0.000 | 147.516 | 0.000 |
| 0.001 | 0.001 | -0.000 | 0.000 | -0.000 | 147.516 |
| 498.560 | 223.389 | 223.389 | -0.000 | 0.000 | 0.000 |
| 223.389 | 498.560 | 223.389 | 0.000 | 0.000 | -0.000 |
| 223.389 | 223.389 | 498.560 | -0.000 | 0.000 | 0.000 |
| 0.000 | -0.001 | -0.001 | 147.516 | 0.000 | -0.000 |
| -0.001 | 0.000 | -0.001 | 0.000 | 147.516 | 0.000 |
| -0.001 | -0.001 | 0.000 | -0.000 | 0.000 | 147.516 |
| 608.484 | 356.775 | 314.485 | 0.000 | 0.000 | -0.000 |
| 356.775 | 608.484 | 314.485 | -0.000 | 0.000 | -0.000 |
| 314.485 | 314.485 | 580.253 | 0.000 | 0.000 | -0.000 |
| 0.000 | 0.000 | 0.000 | 126.968 | 0.000 | -0.000 |
| 0.000 | -0.000 | 0.000 | -0.000 | 126.968 | -0.000 |
| 0.000 | 0.000 | 0.000 | -0.000 | 0.000 | 170.308 |
| 608.484 | 356.775 | 314.484 | -0.000 | -0.000 | 0.000 |
| 356.775 | 608.484 | 314.484 | -0.000 | -0.000 | 0.000 |
| 314.484 | 314.484 | 580.253 | -0.000 | -0.000 | 0.000 |
| 0.000 | -0.000 | -0.000 | 126.968 | -0.000 | 0.000 |
| -0.000 | 0.000 | -0.000 | 0.000 | 126.968 | 0.000 |
| -0.000 | -0.000 | -0.000 | -0.000 | -0.000 | 170.308 |
| 608.485 | 356.776 | 314.485 | 0.000 | 0.000 | -0.000 |
| 356.776 | 608.485 | 314.485 | 0.000 | 0.000 | -0.000 |
| 314.485 | 314.485 | 580.254 | -0.000 | 0.000 | -0.000 |
| -0.000 | 0.000 | 0.000 | 126.968 | 0.000 | -0.000 |
| 0.000 | -0.000 | 0.000 | -0.000 | 126.968 | -0.000 |
| 0.000 | 0.000 | -0.000 | -0.000 | 0.000 | 170.308 |
| 608.483 | 356.774 | 314.484 | -0.000 | -0.000 | 0.000 |
| 356.774 | 608.483 | 314.484 | -0.000 | -0.000 | 0.000 |
| 314.484 | 314.484 | 580.251 | -0.000 | -0.000 | 0.000 |
| 0.000 | -0.000 | -0.000 | 126.968 | -0.000 | 0.000 |
| -0.000 | 0.000 | -0.000 | 0.000 | 126.968 | 0.000 |
| -0.000 | -0.000 | 0.000 | 0.000 | -0.000 | 170.308 |
| 608.515 | 356.763 | 314.494 | 0.000 | 0.000 | -0.000 |
| 356.763 | 608.515 | 314.494 | 0.000 | 0.000 | -0.000 |
| 314.494 | 314.494 | 580.265 | -0.000 | 0.000 | -0.000 |
| -0.000 | 0.003 | 0.003 | 126.968 | 0.000 | -0.000 |
| 0.003 | -0.000 | 0.003 | 0.000 | 126.968 | -0.000 |
| 0.001 | 0.001 | -0.000 | 0.000 | 0.000 | 170.308 |
| 608.473 | 356.767 | 314.475 | -0.000 | -0.000 | 0.000 |
| 356.767 | 608.473 | 314.475 | -0.000 | -0.000 | 0.000 |
| 314.475 | 314.475 | 580.241 | -0.000 | -0.000 | 0.000 |
| 0.000 | -0.003 | -0.003 | 126.968 | -0.000 | 0.000 |
| -0.003 | 0.000 | -0.003 | -0.000 | 126.968 | 0.000 |
| -0.001 | -0.001 | 0.000 | -0.000 | -0.000 | 170.308 |
| -252.343 | 23.158 | 958.008 | 0.000 | 0.000 | -0.000 |
| 292.038 | 549.247 | 304.869 | -0.000 | 0.000 | -0.000 |
| -718.641 | 34.466 | 1222.394 | 0.000 | 0.000 | -0.000 |
| -1219.188 | -126.267 | 579.565 | 148.613 | 0.000 | -0.000 |
| -995.064 | -261.397 | 678.957 | 0.000 | 174.613 | -0.000 |
| -1219.140 | -126.280 | 579.565 | 0.000 | 0.000 | 166.372 |
| 774.705 | 292.039 | 316.368 | -0.000 | -0.000 | 0.000 |
| 1281.964 | 789.990 | -384.013 | -0.000 | -0.000 | 0.000 |
| 316.368 | 304.870 | 624.050 | -0.000 | -0.000 | 0.000 |
| 1219.188 | 126.267 | -579.565 | 148.613 | -0.000 | 0.000 |
| 995.064 | 261.397 | -678.957 | -0.000 | 174.613 | 0.000 |
| 1219.140 | 126.280 | -579.565 | -0.000 | -0.000 | 166.372 |
| 774.706 | 292.040 | 316.369 | -0.000 | 0.000 | -0.000 |
| 184.946 | 519.016 | 389.077 | 0.000 | 0.000 | -0.000 |
| 316.369 | 304.871 | 624.051 | -0.000 | 0.000 | -0.000 |
| -99.771 | -26.209 | 68.076 | 155.668 | 0.000 | -0.000 |
| 0.000 | 0.000 | 0.000 | 0.000 | 192.722 | -0.000 |
| -99.510 | -26.141 | 67.898 | 0.000 | -0.000 | 166.406 |
| 877.196 | 319.361 | 247.706 | -0.000 | -0.000 | 0.000 |
| 385.715 | 554.323 | 227.360 | -0.000 | 0.000 | 0.000 |
| 417.858 | 341.273 | 524.864 | -0.000 | -0.000 | 0.000 |
| 99.771 | 26.209 | -68.076 | 155.668 | -0.000 | 0.000 |
| -0.000 | -0.000 | -0.000 | -0.000 | 192.722 | 0.000 |
| 99.510 | 26.141 | -67.898 | -0.000 | -0.000 | 166.406 |
| 774.711 | 292.045 | 316.375 | 0.000 | 0.000 | -0.000 |
| 284.359 | 528.191 | 323.764 | 0.000 | 0.000 | -0.000 |
| 316.374 | 304.876 | 624.058 | -0.000 | 0.000 | -0.000 |
| -10.946 | -2.875 | 7.468 | 153.030 | 0.000 | -0.000 |
| -7.845 | -2.061 | 5.353 | 0.000 | 178.445 | -0.000 |
| -9.929 | -2.608 | 6.776 | 0.000 | 0.000 | 166.408 |
| 758.200 | 300.375 | 280.998 | -0.000 | -0.000 | 0.000 |
| 311.981 | 530.059 | 311.873 | -0.000 | -0.000 | 0.000 |
| 299.549 | 320.685 | 555.872 | -0.000 | -0.000 | 0.000 |
| 10.946 | 2.875 | -7.468 | 153.030 | 0.000 | 0.000 |
| 7.845 | 2.061 | -5.353 | -0.000 | 178.445 | 0.000 |
| 9.929 | 2.608 | -6.776 | -0.000 | 0.000 | 166.408 |
| 705.358 | 405.582 | 1148.254 | 36.494 | 0.000 | -0.000 |
| 408.072 | 702.841 | 1148.199 | -29.428 | 0.000 | -0.000 |
| 197.902 | 197.902 | 610.835 | 0.000 | -0.000 | 0.000 |
| 38.736 | -38.735 | 0.000 | 183.171 | 0.000 | 0.000 |
| 244.827 | 244.827 | 972.557 | 0.000 | 176.842 | 36.493 |
| 0.000 | 0.000 | -0.000 | 0.000 | 38.735 | 150.682 |
| 466.916 | 165.552 | 197.905 | 38.736 | -0.000 | -0.000 |
| 165.552 | 466.916 | 197.905 | -38.736 | -0.000 | -0.000 |
| -68.652 | -68.652 | -448.030 | -0.000 | -0.000 | 0.000 |
| -208.334 | -281.320 | -972.557 | 176.842 | -0.000 | 0.000 |
| -244.827 | -244.827 | -972.557 | 0.000 | 176.842 | 36.493 |
| -0.000 | 0.000 | -0.000 | -0.000 | 38.736 | 150.682 |
| 482.595 | 187.825 | 273.283 | 29.428 | 0.000 | -0.000 |
| 187.825 | 482.595 | 273.283 | -29.428 | 0.000 | 0.000 |
| 200.539 | 200.539 | 621.311 | 0.000 | 0.000 | 0.000 |
| 38.736 | -38.735 | 0.000 | 183.171 | -0.000 | 0.000 |
| 0.000 | 0.000 | 0.000 | 0.000 | 183.171 | 38.736 |
| 24.472 | 24.472 | 97.213 | 0.000 | 29.428 | 147.385 |
| 466.915 | 165.551 | 197.904 | 38.735 | 0.000 | -0.000 |
| 136.270 | 436.040 | 78.418 | -36.486 | -0.000 | -0.000 |
| 151.595 | 151.595 | 426.885 | 0.000 | 0.000 | -0.000 |
| 38.735 | -38.736 | -0.000 | 183.171 | 0.000 | -0.000 |
| -0.000 | -0.000 | -0.000 | -0.000 | 183.171 | 38.736 |
| -24.472 | -24.472 | -97.213 | -0.000 | 29.428 | 147.385 |
| 466.923 | 165.556 | 197.909 | 38.736 | -0.000 | 0.000 |
| 165.556 | 466.922 | 197.909 | -38.736 | -0.000 | 0.000 |
| 178.517 | 178.517 | 533.824 | 0.000 | -0.000 | -0.000 |
| 39.321 | -25.428 | 27.595 | 165.213 | 0.000 | 0.000 |
| 0.001 | 0.000 | 0.002 | 0.001 | 183.171 | 38.736 |
| 0.000 | 0.001 | 0.000 | 0.000 | 38.736 | 150.682 |
| 466.909 | 165.548 | 197.900 | 38.735 | -0.000 | -0.000 |
| 158.030 | 457.721 | 164.716 | -36.379 | -0.000 | -0.000 |
| 197.896 | 197.896 | 610.823 | -0.000 | 0.000 | -0.000 |
| 38.735 | -38.736 | -0.002 | 183.172 | 0.000 | -0.000 |
| -0.001 | -0.000 | -0.002 | -0.001 | 183.171 | 38.736 |
| -0.000 | -0.001 | -0.000 | -0.000 | 38.736 | 150.682 |
| 335.157 | 189.065 | 74.258 | -2.344 | 0.000 | 0.000 |
| 21179.144 | 21307.904 | 59758.981 | 35.005 | -0.000 | 0.000 |
| 20710.086 | 20710.086 | 58664.736 | 0.000 | 0.000 | 0.000 |
| -2.344 | 2.344 | 0.000 | -46.576 | 0.000 | 0.000 |
| 0.000 | 0.000 | -0.000 | -0.000 | -46.576 | -2.344 |
| 21166.079 | 21166.079 | 60210.031 | 0.000 | -35.004 | 64.380 |
| 335.157 | 189.065 | 74.258 | -2.344 | -0.000 | -0.000 |
| -21152.543 | -21021.951 | -60657.140 | 31.552 | -0.000 | -0.000 |
| 69.400 | 69.400 | -50.738 | -0.000 | -0.000 | -0.000 |
| -21202.459 | -21131.840 | -60213.078 | -170.815 | 0.000 | -0.000 |
| -0.000 | -0.000 | 0.000 | 0.000 | -46.576 | -2.344 |
| -21166.079 | -21166.079 | -60210.031 | -0.000 | -35.004 | 64.380 |
| 335.157 | 189.065 | 74.257 | -2.344 | 0.000 | 0.000 |
| 189.065 | 335.157 | 74.257 | 2.344 | 0.000 | 0.000 |
| 69.399 | 69.399 | -50.739 | -0.000 | -0.000 | 0.000 |
| -2.344 | 2.344 | -0.000 | -46.576 | 0.000 | 0.000 |
| 0.000 | 0.000 | -0.000 | -0.000 | -46.576 | -2.344 |
| 0.000 | 0.000 | 0.000 | -0.000 | -2.344 | 73.046 |
| 335.157 | 189.065 | 74.258 | -2.344 | 0.000 | -0.000 |
| 42130726.721 | 41474794.076 | 91750461.174 | -1013021.759 | 932052.550 | 281402.771 |
| 69.400 | 69.400 | -50.738 | -0.000 | -0.000 | -0.000 |
| -2.344 | 2.344 | 0.000 | -46.576 | 0.000 | -0.000 |
| -0.000 | -0.000 | 0.000 | 0.000 | -46.576 | -2.344 |
| -0.000 | -0.000 | -0.000 | 0.000 | -2.344 | 73.046 |
| 335.156 | 189.062 | 74.254 | -2.344 | -0.000 | 0.000 |
| -3648849.318 | -3836307.130 | -8320211.602 | 547687.975 | -30096.941 | -8864.707 |
| 69.395 | 69.395 | -50.745 | 0.000 | -0.000 | 0.000 |
| -2.344 | 2.344 | -0.000 | -46.575 | 0.000 | 0.000 |
| 0.000 | 0.000 | -0.000 | -0.000 | -46.576 | -2.344 |
| 0.000 | 0.001 | 0.000 | -0.000 | -2.344 | 73.046 |
| 3826209.109 | 4005631.484 | 8433096.585 | -514090.689 | -1828.882 | 4211.616 |
| -198.894 | -77.374 | -1064.301 | 48.645 | -0.000 | -0.000 |
| -667.332 | -667.332 | -2146.487 | -0.000 | -0.000 | -0.000 |
| -2.344 | 2.344 | 0.000 | -46.576 | -0.000 | -0.000 |
| -0.000 | -0.000 | 0.000 | 0.000 | -46.576 | -2.344 |
| -0.000 | -0.001 | -0.000 | 0.000 | -2.344 | 73.046 |
| 114.314 | 50.267 | -133.111 | 0.000 | -0.000 | -0.000 |
| 50.267 | 114.314 | -133.111 | 0.000 | -0.000 | -0.000 |
| -133.111 | -133.111 | -289.560 | 0.000 | -0.000 | -0.000 |
| -0.000 | -0.000 | 0.000 | -44.917 | -0.000 | -0.000 |
| -0.000 | -0.000 | 0.000 | 0.000 | -44.917 | -0.000 |
| 0.000 | 0.000 | 0.000 | 0.000 | -0.000 | 137.576 |
| 114.314 | 50.267 | -133.111 | -0.000 | -0.000 | 0.000 |
| 50.267 | 114.314 | -133.111 | -0.000 | 0.000 | 0.000 |
| -133.111 | -133.111 | -289.560 | -0.000 | -0.000 | 0.000 |
| 0.000 | 0.000 | -0.000 | -44.917 | 0.000 | 0.000 |
| 0.000 | 0.000 | -0.000 | -0.000 | -44.917 | 0.000 |
| -0.000 | -0.000 | -0.000 | -0.000 | 0.000 | 137.576 |
| 114.314 | 50.267 | -133.111 | 0.000 | -0.000 | -0.000 |
| 50.267 | 114.314 | -133.111 | 0.000 | -0.000 | -0.000 |
| -133.111 | -133.111 | -289.560 | 0.000 | -0.000 | -0.000 |
| 0.000 | 0.000 | -0.000 | -44.917 | -0.000 | -0.000 |
| 0.000 | 0.000 | -0.000 | 0.000 | -44.917 | -0.000 |
| 0.000 | 0.000 | 0.000 | 0.000 | -0.000 | 137.576 |
| 114.314 | 50.267 | -133.111 | -0.000 | 0.000 | 0.000 |
| 50.267 | 114.314 | -133.111 | -0.000 | 0.000 | 0.000 |
| -133.111 | -133.111 | -289.560 | -0.000 | 0.000 | 0.000 |
| -0.000 | -0.000 | 0.000 | -44.917 | -0.000 | 0.000 |
| -0.000 | -0.000 | 0.000 | -0.000 | -44.917 | 0.000 |
| -0.000 | -0.000 | -0.000 | -0.000 | 0.000 | 137.576 |
| -3390493.866 | 3820613.247 | 1316370.096 | 0.000 | -0.000 | -0.000 |
| 3820613.247 | -3390493.866 | 1316370.096 | 0.000 | -0.000 | -0.000 |
| -133.113 | -133.113 | -289.562 | 0.000 | -0.000 | -0.000 |
| 0.000 | 0.000 | -0.000 | -44.917 | -0.000 | -0.000 |
| 0.000 | 0.000 | -0.000 | 0.000 | -44.917 | -0.000 |
| 0.001 | 0.001 | 0.000 | 0.000 | -0.000 | 137.576 |
| 632701.251 | 632470.060 | 1511852.163 | -0.001 | 0.015 | 0.000 |
| 632470.049 | 632701.245 | 1511852.151 | 0.015 | -0.001 | 0.000 |
| -133.109 | -133.109 | -289.559 | -0.000 | 0.000 | 0.000 |
| -0.000 | -0.000 | 0.000 | -44.917 | 0.000 | 0.000 |
| -0.000 | -0.000 | 0.000 | -0.000 | -44.917 | 0.000 |
| -0.001 | -0.001 | -0.000 | -0.000 | -0.000 | 137.576 |
| 672.967 | 442.889 | 470.174 | -0.000 | -0.000 | -0.000 |
| 451.915 | 723.305 | 507.039 | -0.000 | -0.000 | -0.000 |
| 470.050 | 470.050 | 1019.083 | 0.000 | -0.000 | -0.000 |
| 0.000 | 0.000 | 0.000 | 172.641 | -0.000 | -0.000 |
| 0.000 | -0.000 | -0.000 | -0.000 | 186.255 | -0.000 |
| 0.000 | 0.000 | 0.000 | 0.000 | -0.000 | 119.223 |
| 723.304 | 451.914 | 507.038 | 0.000 | 0.000 | 0.000 |
| 451.914 | 723.304 | 507.038 | 0.000 | 0.000 | 0.000 |
| 506.709 | 506.709 | 1064.614 | 0.000 | 0.000 | 0.000 |
| -0.000 | -0.000 | -0.000 | 172.641 | 0.000 | 0.000 |
| -0.000 | 0.000 | 0.000 | 0.000 | 186.255 | 0.000 |
| -0.000 | -0.000 | -0.000 | -0.000 | 0.000 | 119.223 |
| 723.306 | 451.915 | 507.039 | -0.000 | -0.000 | -0.000 |
| 442.730 | 674.260 | 470.877 | -0.000 | -0.000 | -0.000 |
| 506.710 | 506.710 | 1064.615 | -0.000 | -0.000 | -0.000 |
| -0.000 | -0.000 | -0.000 | 172.641 | -0.000 | -0.000 |
| 0.000 | 0.000 | 0.000 | -0.000 | 186.255 | -0.000 |
| 0.000 | 0.000 | 0.000 | -0.000 | -0.000 | 135.695 |
| 672.966 | 442.888 | 470.173 | 0.000 | 0.000 | 0.000 |
| 442.728 | 674.258 | 470.876 | 0.000 | 0.000 | 0.000 |
| 506.708 | 506.708 | 1064.614 | 0.000 | 0.000 | 0.000 |
| 0.000 | 0.000 | 0.000 | 172.641 | 0.000 | -0.000 |
| -0.000 | -0.000 | -0.000 | 0.000 | 186.255 | 0.000 |
| -0.000 | -0.000 | -0.000 | 0.000 | 0.000 | 135.695 |
| 674.272 | 442.736 | 470.883 | -0.000 | -0.000 | -0.000 |
| 451.924 | 723.318 | 507.047 | -0.000 | -0.000 | -0.000 |
| 470.058 | 470.058 | 1019.089 | -0.000 | -0.000 | -0.000 |
| 0.000 | 0.000 | 0.001 | 186.255 | -0.000 | -0.000 |
| 0.000 | 0.000 | 0.001 | -0.000 | 186.255 | -0.000 |
| 0.000 | 0.002 | 0.000 | -0.000 | -0.000 | 135.695 |
| 683.797 | 425.348 | 466.012 | 0.000 | 0.000 | 0.000 |
| 442.880 | 672.954 | 470.166 | 0.000 | 0.000 | 0.000 |
| 506.700 | 506.700 | 1064.606 | 0.000 | 0.000 | 0.000 |
| -0.000 | -0.000 | -0.001 | 186.255 | 0.000 | 0.000 |
| -0.000 | -0.000 | -0.001 | 0.000 | 186.255 | 0.000 |
| -0.000 | -0.002 | -0.000 | 0.000 | 0.000 | 135.695 |
| 640.783 | 383.850 | 442.525 | 0.000 | 0.000 | -0.000 |
| 363.337 | 607.134 | 409.082 | 0.000 | 0.000 | -0.000 |
| 442.525 | 442.525 | 999.534 | 0.000 | 0.000 | 0.000 |
| 0.000 | -0.000 | 0.000 | 183.699 | 0.000 | -0.000 |
| 0.000 | -0.000 | 0.000 | 0.000 | 183.699 | -0.000 |
| 0.000 | 0.000 | 0.000 | -0.000 | 0.000 | 128.466 |
| 598.748 | 381.208 | 414.939 | -0.000 | -0.000 | 0.000 |
| 364.220 | 607.891 | 410.095 | -0.000 | -0.000 | 0.000 |
| 442.524 | 442.524 | 999.534 | -0.000 | -0.000 | 0.000 |
| -0.000 | 0.000 | -0.000 | 183.699 | -0.000 | -0.000 |
| -0.000 | 0.000 | -0.000 | -0.000 | 183.699 | 0.000 |
| -0.000 | -0.000 | -0.000 | 0.000 | -0.000 | 128.466 |
| 598.225 | 380.685 | 414.292 | 0.000 | 0.000 | -0.000 |
| 383.851 | 640.784 | 442.525 | 0.000 | 0.000 | -0.000 |
| 413.785 | 413.785 | 964.043 | -0.000 | -0.000 | 0.000 |
| 0.000 | 0.000 | 0.000 | 183.699 | 0.000 | 0.000 |
| 0.000 | 0.000 | 0.000 | 0.000 | 183.699 | 0.000 |
| -0.133 | -0.133 | -0.165 | 0.000 | 0.000 | 112.073 |
| 607.551 | 363.822 | 409.639 | -0.000 | -0.000 | 0.000 |
| 381.141 | 596.817 | 413.706 | -0.000 | -0.000 | -0.000 |
| 413.877 | 413.877 | 964.158 | -0.000 | -0.000 | 0.000 |
| -0.000 | -0.000 | -0.000 | 183.699 | -0.000 | 0.000 |
| -0.000 | -0.000 | -0.000 | -0.000 | 183.699 | 0.000 |
| 0.133 | 0.133 | 0.165 | -0.000 | -0.000 | 112.073 |
| 598.280 | 380.734 | 414.351 | 0.000 | 0.000 | -0.000 |
| 380.737 | 598.283 | 414.355 | 0.000 | 0.000 | 0.000 |
| 413.833 | 413.833 | 964.100 | 0.000 | 0.000 | -0.000 |
| -0.012 | -0.012 | -0.014 | 171.462 | 0.000 | 0.000 |
| 0.000 | 0.000 | 0.001 | 0.000 | 183.699 | -0.000 |
| 0.000 | 0.002 | 0.000 | 0.000 | 0.000 | 128.466 |
| 598.264 | 380.729 | 414.350 | -0.000 | -0.000 | 0.000 |
| 380.728 | 598.264 | 414.349 | -0.000 | -0.000 | 0.000 |
| 413.829 | 413.829 | 964.101 | 0.000 | -0.000 | 0.000 |
| 0.012 | 0.012 | 0.014 | 171.462 | -0.000 | 0.000 |
| -0.000 | -0.000 | -0.001 | -0.000 | 183.699 | 0.000 |
| -0.000 | -0.002 | -0.000 | -0.000 | -0.000 | 128.466 |
| 242.895 | 139.126 | 139.126 | 0.000 | 0.000 | -0.000 |
| 139.126 | 242.895 | 139.126 | 0.000 | -0.000 | -0.000 |
| 139.126 | 139.126 | 242.895 | 0.000 | 0.000 | -0.000 |
| -0.000 | -0.000 | -0.000 | 118.800 | 0.000 | -0.000 |
| -0.000 | 0.000 | -0.000 | 0.000 | 118.800 | -0.000 |
| -0.000 | 0.000 | -0.000 | -0.000 | 0.000 | 118.800 |
| 242.895 | 139.126 | 139.126 | -0.000 | -0.000 | 0.000 |
| 139.126 | 242.895 | 139.126 | -0.000 | -0.000 | 0.000 |
| 139.126 | 139.126 | 242.895 | -0.000 | -0.000 | 0.000 |
| 0.000 | 0.000 | 0.000 | 118.800 | -0.000 | 0.000 |
| 0.000 | -0.000 | 0.000 | 0.000 | 118.800 | 0.000 |
| 0.000 | -0.000 | 0.000 | 0.000 | -0.000 | 118.800 |
| 242.895 | 139.126 | 139.126 | 0.000 | 0.000 | -0.000 |
| 139.126 | 242.895 | 139.126 | 0.000 | -0.000 | -0.000 |
| 139.126 | 139.126 | 242.895 | 0.000 | 0.000 | -0.000 |
| 0.000 | 0.000 | 0.000 | 118.800 | 0.000 | -0.000 |
| 0.000 | 0.000 | 0.000 | -0.000 | 118.800 | -0.000 |
| 0.000 | 0.000 | 0.000 | -0.000 | 0.000 | 118.800 |
| 242.895 | 139.126 | 139.126 | -0.000 | -0.000 | 0.000 |
| 139.126 | 242.895 | 139.126 | -0.000 | 0.000 | 0.000 |
| 139.126 | 139.126 | 242.895 | 0.000 | -0.000 | 0.000 |
| -0.000 | -0.000 | -0.000 | 118.800 | -0.000 | 0.000 |
| -0.000 | -0.000 | -0.000 | 0.000 | 118.800 | 0.000 |
| -0.000 | -0.000 | -0.000 | 0.000 | -0.000 | 118.800 |
| 242.897 | 139.126 | 139.126 | -0.000 | 0.000 | -0.000 |
| 139.126 | 242.897 | 139.126 | 0.000 | -0.000 | -0.000 |
| 139.126 | 139.126 | 242.897 | 0.000 | -0.000 | -0.000 |
| 0.000 | 0.000 | 0.000 | 118.800 | 0.000 | -0.000 |
| 0.000 | 0.000 | 0.000 | 0.000 | 118.800 | -0.000 |
| 0.000 | 0.000 | 0.000 | 0.000 | 0.000 | 118.800 |
| 242.894 | 139.126 | 139.126 | 0.000 | -0.000 | 0.000 |
| 139.126 | 242.894 | 139.126 | -0.000 | -0.000 | 0.000 |
| 139.126 | 139.126 | 242.894 | -0.000 | -0.000 | 0.000 |
| -0.000 | -0.000 | -0.000 | 118.800 | -0.000 | 0.000 |
| -0.000 | -0.000 | -0.000 | -0.000 | 118.800 | 0.000 |
| -0.000 | -0.000 | -0.000 | -0.000 | -0.000 | 118.800 |
| 584.680 | 371.495 | 371.495 | -0.000 | 0.000 | 0.000 |
| 371.495 | 584.680 | 371.495 | -0.000 | 0.000 | -0.000 |
| 371.495 | 371.495 | 584.680 | -0.000 | -0.000 | -0.000 |
| -0.000 | -0.000 | -0.000 | -35.667 | 0.000 | -0.000 |
| -0.000 | -0.000 | -0.000 | -0.000 | -35.667 | -0.000 |
| -0.000 | -0.000 | -0.000 | -0.000 | 0.000 | -35.667 |
| 584.680 | 371.496 | 371.496 | 0.000 | 0.000 | 0.000 |
| 371.496 | 584.680 | 371.496 | 0.000 | -0.000 | 0.000 |
| 371.496 | 371.496 | 584.680 | 0.000 | -0.000 | 0.000 |
| 0.000 | 0.000 | 0.000 | -35.667 | -0.000 | 0.000 |
| 0.000 | -0.000 | 0.000 | 0.000 | -35.667 | 0.000 |
| 0.000 | 0.000 | 0.000 | 0.000 | -0.000 | -35.667 |
| 578.508 | 374.580 | 374.580 | -0.000 | 0.000 | -0.000 |
| 374.580 | 578.508 | 374.580 | -0.000 | 0.000 | 0.000 |
| 374.580 | 374.580 | 578.508 | -0.000 | 0.000 | -0.000 |
| 0.000 | -0.000 | -0.000 | -35.667 | 0.000 | -0.000 |
| -0.000 | 0.000 | -0.000 | -0.000 | -35.667 | -0.000 |
| -0.000 | -0.000 | 0.000 | -0.000 | 0.000 | -35.667 |
| 578.510 | 374.582 | 374.582 | 0.000 | -0.000 | 0.000 |
| 374.582 | 578.510 | 374.582 | 0.000 | -0.000 | 0.000 |
| 374.582 | 374.582 | 578.510 | 0.000 | -0.000 | 0.000 |
| -0.000 | 0.000 | 0.000 | -35.667 | -0.000 | 0.000 |
| 0.000 | -0.000 | 0.000 | 0.000 | -35.667 | 0.000 |
| 0.000 | 0.000 | -0.000 | 0.000 | -0.000 | -35.667 |
| 578.502 | 374.573 | 374.573 | -0.000 | 0.000 | -0.000 |
| 374.573 | 578.502 | 374.573 | -0.000 | -0.000 | -0.000 |
| 374.573 | 374.573 | 578.502 | -0.000 | 0.000 | 0.000 |
| 0.000 | -0.001 | -0.001 | -35.667 | 0.000 | -0.000 |
| -0.001 | 0.000 | -0.001 | -0.000 | -35.667 | 0.000 |
| -0.001 | -0.001 | 0.000 | -0.000 | 0.000 | -35.667 |
| 578.516 | 374.589 | 374.589 | 0.000 | -0.000 | 0.000 |
| 374.589 | 578.516 | 374.589 | 0.000 | -0.000 | 0.000 |
| 374.589 | 374.589 | 578.516 | 0.000 | -0.000 | 0.000 |
| -0.000 | 0.001 | 0.001 | -35.667 | -0.000 | -0.000 |
| 0.001 | -0.000 | 0.001 | 0.000 | -35.667 | 0.000 |
| 0.001 | 0.001 | -0.000 | 0.000 | -0.000 | -35.667 |
| 217.907 | 161.576 | 161.576 | -0.000 | -0.000 | -0.000 |
| 161.576 | 217.907 | 161.576 | -0.000 | 0.000 | -0.000 |
| 161.576 | 161.576 | 217.907 | -0.000 | 0.000 | -0.000 |
| 0.000 | -0.000 | 0.000 | 141.801 | 0.000 | -0.000 |
| -0.000 | 0.000 | 0.000 | 0.000 | 141.801 | -0.000 |
| -0.000 | 0.000 | 0.000 | 0.000 | 0.000 | 141.801 |
| 217.907 | 161.576 | 161.576 | 0.000 | 0.000 | 0.000 |
| 161.576 | 217.907 | 161.576 | 0.000 | 0.000 | 0.000 |
| 161.576 | 161.576 | 217.907 | -0.000 | 0.000 | 0.000 |
| -0.000 | 0.000 | -0.000 | 141.801 | -0.000 | 0.000 |
| 0.000 | -0.000 | -0.000 | 0.000 | 141.801 | 0.000 |
| 0.000 | -0.000 | -0.000 | -0.000 | -0.000 | 141.801 |
| 217.907 | 161.576 | 161.576 | -0.000 | 0.000 | -0.000 |
| 161.576 | 217.907 | 161.576 | 0.000 | -0.000 | -0.000 |
| 161.576 | 161.576 | 217.907 | -0.000 | -0.000 | -0.000 |
| 0.000 | 0.000 | 0.000 | 141.801 | 0.000 | -0.000 |
| 0.000 | 0.000 | 0.000 | -0.000 | 141.801 | -0.000 |
| 0.000 | 0.000 | 0.000 | -0.000 | -0.000 | 141.801 |
| 217.907 | 161.576 | 161.576 | -0.000 | -0.000 | 0.000 |
| 161.576 | 217.907 | 161.576 | -0.000 | 0.000 | 0.000 |
| 161.576 | 161.576 | 217.907 | 0.000 | -0.000 | 0.000 |
| -0.000 | -0.000 | -0.000 | 141.801 | -0.000 | 0.000 |
| -0.000 | -0.000 | -0.000 | -0.000 | 141.801 | 0.000 |
| -0.000 | -0.000 | -0.000 | 0.000 | -0.000 | 141.801 |
| 217.908 | 161.576 | 161.576 | -0.000 | 0.000 | -0.000 |
| 161.576 | 217.908 | 161.576 | -0.000 | 0.000 | -0.000 |
| 161.576 | 161.576 | 217.908 | -0.000 | 0.000 | -0.000 |
| 0.000 | 0.000 | 0.000 | 141.801 | -0.000 | 0.000 |
| 0.000 | 0.000 | 0.000 | -0.000 | 141.801 | -0.000 |
| 0.000 | 0.000 | 0.000 | -0.000 | 0.000 | 141.801 |
| 217.905 | 161.575 | 161.575 | -0.000 | -0.000 | 0.000 |
| 161.575 | 217.905 | 161.575 | -0.000 | -0.000 | 0.000 |
| 161.575 | 161.575 | 217.905 | -0.000 | 0.000 | 0.000 |
| -0.000 | -0.000 | -0.000 | 141.801 | 0.000 | 0.000 |
| -0.000 | -0.000 | -0.000 | 0.000 | 141.801 | 0.000 |
| -0.000 | -0.000 | -0.000 | 0.000 | 0.000 | 141.801 |
| 295.196 | 135.715 | 96.608 | -0.000 | -0.000 | 0.000 |
| 135.715 | 295.196 | 96.608 | 0.000 | -0.000 | 0.000 |
| 96.608 | 96.608 | 323.714 | -0.000 | -0.000 | 0.000 |
| -0.000 | -0.000 | -0.000 | 76.690 | -0.000 | -0.000 |
| -0.000 | 0.000 | 0.000 | 0.000 | 76.690 | 0.000 |
| -0.000 | 0.000 | 0.000 | -0.000 | -0.000 | 97.798 |
| 295.196 | 135.715 | 96.608 | 0.000 | 0.000 | -0.000 |
| 135.715 | 295.196 | 96.608 | -0.000 | 0.000 | 0.000 |
| 96.608 | 96.608 | 323.714 | -0.000 | 0.000 | 0.000 |
| 0.000 | 0.000 | 0.000 | 76.690 | 0.000 | 0.000 |
| 0.000 | -0.000 | -0.000 | 0.000 | 76.690 | 0.000 |
| 0.000 | -0.000 | -0.000 | 0.000 | 0.000 | 97.798 |
| 295.196 | 135.715 | 96.608 | 0.000 | -0.000 | 0.000 |
| 135.715 | 295.196 | 96.608 | -0.000 | -0.000 | 0.000 |
| 96.608 | 96.608 | 323.714 | 0.000 | -0.000 | 0.000 |
| 0.000 | 0.000 | 0.000 | 76.690 | -0.000 | -0.000 |
| 0.000 | 0.000 | 0.000 | -0.000 | 76.690 | 0.000 |
| 0.000 | 0.000 | 0.000 | 0.000 | -0.000 | 97.798 |
| 295.195 | 135.715 | 96.608 | -0.000 | 0.000 | -0.000 |
| 117.657 | 313.253 | 96.608 | -0.000 | 0.000 | -0.000 |
| 96.608 | 96.608 | 323.714 | 0.000 | 0.000 | -0.000 |
| -0.000 | -0.000 | -0.000 | 76.690 | 0.000 | -0.000 |
| -0.000 | -0.000 | -0.000 | 0.000 | 76.690 | -0.000 |
| -0.000 | -0.000 | -0.000 | 0.000 | 0.000 | 97.798 |
| 295.197 | 135.715 | 96.609 | -0.000 | -0.000 | -0.000 |
| 135.715 | 295.197 | 96.609 | -0.000 | -0.000 | -0.000 |
| 96.609 | 96.609 | 323.716 | 0.000 | -0.000 | 0.000 |
| 0.000 | 0.000 | 0.000 | 76.690 | -0.000 | 0.000 |
| 0.000 | 0.000 | 0.000 | -0.000 | 76.690 | 0.000 |
| 0.000 | 0.000 | 0.000 | -0.000 | -0.000 | 79.740 |
| 313.251 | 117.657 | 96.608 | 0.000 | 0.000 | 0.000 |
| 135.714 | 295.194 | 96.608 | -0.000 | 0.000 | 0.000 |
| 96.608 | 96.608 | 323.713 | 0.000 | 0.000 | -0.000 |
| -0.000 | -0.000 | -0.000 | 76.690 | 0.000 | -0.000 |
| -0.000 | -0.000 | -0.000 | 0.000 | 76.690 | -0.000 |
| -0.000 | -0.000 | -0.000 | -0.000 | 0.000 | 79.740 |
| 313.735 | 117.739 | 97.299 | -0.000 | 0.000 | 0.000 |
| 117.739 | 313.735 | 97.299 | -0.000 | 0.000 | -0.000 |
| 97.299 | 97.299 | 319.348 | 0.000 | 0.000 | 0.000 |
| -0.000 | -0.000 | -0.000 | 77.438 | 0.000 | 0.000 |
| -0.000 | 0.000 | -0.000 | 0.000 | 77.438 | 0.000 |
| 0.000 | -0.000 | -0.000 | -0.000 | 0.000 | 72.572 |
| 288.309 | 143.165 | 97.299 | -0.000 | -0.000 | -0.000 |
| 117.739 | 313.735 | 97.299 | 0.000 | -0.000 | 0.000 |
| 97.299 | 97.299 | 319.348 | 0.000 | -0.000 | -0.000 |
| -0.000 | 0.000 | 0.000 | 77.438 | -0.000 | -0.000 |
| -0.000 | 0.000 | 0.000 | -0.000 | 77.438 | -0.000 |
| -0.000 | 0.000 | 0.000 | 0.000 | -0.000 | 72.572 |
| 288.309 | 143.165 | 97.299 | -0.000 | 0.000 | 0.000 |
| 117.739 | 313.736 | 97.299 | -0.000 | 0.000 | 0.000 |
| 97.299 | 97.299 | 319.348 | -0.000 | -0.000 | 0.000 |
| 0.000 | -0.000 | 0.000 | 77.438 | 0.000 | -0.000 |
| -0.000 | 0.000 | 0.000 | 0.000 | 77.438 | 0.000 |
| 0.000 | 0.000 | 0.000 | -0.000 | 0.000 | 97.998 |
| 288.309 | 143.165 | 97.299 | 0.000 | -0.000 | 0.000 |
| 143.165 | 288.309 | 97.299 | 0.000 | -0.000 | -0.000 |
| 97.299 | 97.299 | 319.348 | 0.000 | -0.000 | -0.000 |
| -0.000 | 0.000 | -0.000 | 77.438 | -0.000 | -0.000 |
| 0.000 | -0.000 | -0.000 | 0.000 | 77.438 | -0.000 |
| -0.000 | -0.000 | -0.000 | 0.000 | -0.000 | 97.998 |
| 288.311 | 143.166 | 97.300 | -0.000 | 0.000 | 0.000 |
| 117.739 | 313.737 | 97.300 | 0.000 | 0.000 | -0.000 |
| 97.300 | 97.300 | 319.350 | -0.000 | 0.000 | -0.000 |
| 0.000 | -0.000 | 0.000 | 77.438 | 0.000 | 0.000 |
| -0.000 | 0.000 | 0.000 | -0.000 | 77.438 | 0.000 |
| 0.000 | 0.000 | -0.000 | -0.000 | 0.000 | 72.572 |
| 288.307 | 143.165 | 97.299 | 0.000 | -0.000 | -0.000 |
| 143.165 | 288.307 | 97.299 | 0.000 | -0.000 | -0.000 |
| 97.299 | 97.299 | 319.347 | 0.000 | -0.000 | -0.000 |
| -0.000 | 0.000 | -0.000 | 77.438 | -0.000 | -0.000 |
| 0.000 | -0.000 | -0.000 | 0.000 | 77.438 | -0.000 |
| -0.000 | -0.000 | 0.000 | 0.000 | -0.000 | 72.572 |
| 70.539 | 67.598 | 67.598 | 0.000 | 0.000 | 0.000 |
| 67.598 | 70.540 | 67.598 | 0.000 | 0.000 | 0.000 |
| 67.598 | 67.598 | 70.539 | 0.000 | 0.000 | 0.000 |
| -0.000 | -0.000 | 0.000 | -7.086 | 0.000 | 0.000 |
| -0.000 | -0.000 | 0.000 | 0.000 | -7.086 | 0.000 |
| -0.000 | -0.000 | 0.000 | 0.000 | 0.000 | -7.086 |
| 70.539 | 67.598 | 67.598 | -0.000 | -0.000 | -0.000 |
| 67.598 | 70.539 | 67.598 | -0.000 | -0.000 | -0.000 |
| 67.598 | 67.598 | 70.539 | -0.000 | -0.000 | -0.000 |
| 0.000 | -0.000 | -0.000 | -7.086 | -0.000 | -0.000 |
| 0.000 | 0.000 | -0.000 | -0.000 | -7.086 | 0.000 |
| 0.000 | 0.000 | -0.000 | -0.000 | -0.000 | -7.086 |
| 70.539 | 67.598 | 67.598 | 0.000 | 0.000 | 0.000 |
| 67.598 | 70.539 | 67.598 | 0.000 | 0.000 | 0.000 |
| 67.598 | 67.598 | 70.539 | 0.000 | 0.000 | 0.000 |
| 0.000 | -0.000 | 0.000 | 48.275 | 0.000 | -0.000 |
| -0.000 | 0.000 | 0.000 | 0.000 | 48.275 | -0.000 |
| -0.000 | 0.000 | 0.000 | 0.000 | 0.000 | 48.275 |
| 70.539 | 67.598 | 67.598 | -0.000 | -0.000 | -0.000 |
| 67.598 | 70.539 | 67.598 | -0.000 | -0.000 | -0.000 |
| 67.598 | 67.598 | 70.539 | -0.000 | -0.000 | -0.000 |
| -0.000 | 0.000 | -0.000 | 48.275 | 0.000 | -0.000 |
| 0.000 | -0.000 | -0.000 | 0.000 | 48.275 | 0.000 |
| 0.000 | -0.000 | -0.000 | 0.000 | 0.000 | 48.275 |
| 70.539 | 67.598 | 67.598 | 0.000 | 0.000 | 0.000 |
| 67.598 | 70.539 | 67.598 | 0.000 | 0.000 | 0.000 |
| 67.598 | 67.598 | 70.539 | 0.000 | 0.000 | 0.000 |
| -0.000 | -0.000 | -0.000 | -7.086 | 0.000 | -0.000 |
| -0.000 | -0.000 | -0.000 | 0.000 | -7.086 | -0.000 |
| -0.000 | -0.000 | -0.000 | 0.000 | 0.000 | -7.086 |
| 70.540 | 67.598 | 67.598 | -0.000 | -0.000 | -0.000 |
| 67.598 | 70.540 | 67.598 | -0.000 | -0.000 | -0.000 |
| 67.598 | 67.598 | 70.540 | -0.000 | -0.000 | -0.000 |
| 0.000 | 0.000 | 0.000 | -7.086 | -0.000 | -0.000 |
| 0.000 | 0.000 | 0.000 | -0.000 | -7.086 | -0.000 |
| 0.000 | 0.000 | 0.000 | -0.000 | -0.000 | -7.086 |
| 228.841 | 780.355 | 496.046 | -0.000 | -0.000 | 0.000 |
| 780.355 | 228.841 | 496.046 | -0.000 | -0.000 | 0.000 |
| 496.046 | 496.046 | 864.176 | 0.000 | -0.000 | 0.000 |
| -0.000 | -0.000 | -0.000 | -58.338 | -0.000 | 0.000 |
| -0.000 | -0.000 | -0.000 | 0.000 | -58.338 | 0.000 |
| -0.000 | -0.000 | -0.000 | 0.000 | -0.000 | -73.724 |
| 573.809 | 435.388 | 496.046 | 0.000 | -0.000 | -0.000 |
| 435.388 | 573.809 | 496.046 | 0.000 | -0.000 | -0.000 |
| 496.046 | 496.046 | 864.176 | -0.000 | -0.000 | -0.000 |
| 0.000 | 0.000 | 0.000 | -58.338 | 0.000 | 0.000 |
| 0.000 | 0.000 | 0.000 | 0.000 | -58.338 | -0.000 |
| 0.000 | 0.000 | 0.000 | -0.000 | 0.000 | -73.724 |
| 573.809 | 435.387 | 496.046 | 0.000 | -0.000 | 0.000 |
| 435.387 | 573.809 | 496.046 | -0.000 | -0.000 | 0.000 |
| 496.046 | 496.046 | 864.176 | -0.000 | -0.000 | 0.000 |
| -0.000 | -0.000 | -0.000 | -31.277 | -0.000 | 0.000 |
| -0.000 | -0.000 | -0.000 | -0.000 | -31.277 | 0.000 |
| -0.000 | -0.000 | -0.000 | 0.000 | -0.000 | -73.724 |
| 228.842 | 780.356 | 496.046 | 0.000 | 0.000 | -0.000 |
| 780.356 | 228.842 | 496.046 | 0.000 | 0.000 | -0.000 |
| 496.046 | 496.046 | 864.176 | -0.000 | 0.000 | -0.000 |
| 0.000 | 0.000 | 0.000 | -31.277 | 0.000 | -0.000 |
| 0.000 | 0.000 | 0.000 | 0.000 | -31.277 | -0.000 |
| 0.000 | 0.000 | 0.000 | -0.000 | 0.000 | -73.724 |
| -15507459.527 | -16605791.257 | -13186497.765 | 21745.311 | 95709.269 | 283822.375 |
| -17953087.355 | -15929543.983 | -13992900.563 | -209914.241 | 401867.278 | -230711.830 |
| 496.044 | 496.044 | 864.177 | 0.000 | -0.000 | 0.000 |
| -0.000 | -0.000 | 0.000 | -58.338 | -0.000 | 0.000 |
| -0.000 | -0.000 | 0.000 | 0.000 | -58.338 | 0.000 |
| -0.000 | -0.000 | -0.000 | 0.000 | -0.000 | -73.724 |
| 15798878.030 | 16823487.917 | 13531611.464 | -40214.213 | 20493.514 | 130349.864 |
| 15856447.738 | 16239938.302 | 13660905.968 | 167272.422 | -71466.429 | 384366.823 |
| 496.049 | 496.049 | 864.175 | 0.000 | 0.000 | -0.000 |
| 0.000 | 0.000 | -0.000 | -58.338 | 0.000 | 0.000 |
| 0.000 | 0.000 | -0.000 | 0.000 | -58.338 | -0.000 |
| 0.000 | 0.000 | 0.000 | -0.000 | 0.000 | -73.724 |
| -220.841 | -374.937 | -385.783 | 0.000 | -0.000 | -0.000 |
| -374.937 | -220.841 | -385.783 | -0.000 | 0.000 | -0.000 |
| -385.783 | -385.783 | -161.597 | 0.000 | -0.000 | -0.000 |
| 0.000 | 0.000 | 0.000 | -38.379 | -0.000 | -0.000 |
| 0.000 | 0.000 | -0.000 | -0.000 | -38.379 | -0.000 |
| 0.000 | 0.000 | 0.000 | -0.000 | -0.000 | -27.531 |
| -220.841 | -374.936 | -385.783 | 0.000 | -0.000 | 0.000 |
| -374.936 | -220.841 | -385.783 | 0.000 | -0.000 | 0.000 |
| -385.783 | -385.783 | -161.597 | 0.000 | 0.000 | 0.000 |
| -0.000 | -0.000 | 0.000 | -38.379 | 0.000 | -0.000 |
| -0.000 | -0.000 | 0.000 | 0.000 | -38.379 | 0.000 |
| -0.000 | -0.000 | -0.000 | 0.000 | 0.000 | -27.531 |
| -220.841 | -374.937 | -385.784 | -0.000 | -0.000 | -0.000 |
| -374.937 | -220.841 | -385.784 | 0.000 | -0.000 | -0.000 |
| -385.784 | -385.784 | -161.597 | 0.000 | -0.000 | -0.000 |
| -0.000 | -0.000 | 0.000 | -38.379 | -0.000 | 0.000 |
| -0.000 | -0.000 | 0.000 | -0.000 | -38.379 | -0.000 |
| -0.000 | -0.000 | 0.000 | 0.000 | -0.000 | -27.531 |
| -421.284 | -174.491 | -385.783 | 0.000 | 0.000 | 0.000 |
| -174.491 | -421.284 | -385.783 | -0.000 | 0.000 | 0.000 |
| -385.783 | -385.783 | -161.597 | -0.000 | 0.000 | 0.000 |
| 0.000 | 0.000 | -0.000 | -38.379 | 0.000 | 0.000 |
| 0.000 | 0.000 | -0.000 | -0.000 | -38.379 | 0.000 |
| 0.000 | 0.000 | -0.000 | 0.000 | -0.000 | -27.531 |
| -15112331.274 | -14680760.521 | -16989377.379 | -230765.989 | -56533.791 | -160508.086 |
| -14750398.310 | -15111609.121 | -15284282.319 | -121938.352 | -38427.283 | 145202.403 |
| -385.790 | -385.790 | -161.601 | 0.000 | 0.000 | -0.000 |
| -0.000 | -0.000 | 0.000 | -38.379 | -0.000 | -0.000 |
| -0.000 | -0.000 | 0.000 | -0.000 | -38.379 | -0.000 |
| -0.000 | -0.000 | 0.000 | 0.000 | -0.000 | -27.531 |
| 14761389.478 | 14907634.031 | 15239751.803 | 103907.489 | -159677.317 | 18408.597 |
| 14277679.788 | 13620677.456 | 17227797.154 | 40437.051 | 17925.215 | -46728.862 |
| -385.777 | -385.777 | -161.593 | 0.000 | 0.000 | 0.000 |
| 0.000 | 0.000 | -0.000 | -38.379 | 0.000 | 0.000 |
| 0.000 | 0.000 | -0.000 | 0.000 | -38.379 | 0.000 |
| 0.000 | 0.000 | -0.000 | -0.000 | 0.000 | -27.531 |
| 276.090 | 119.546 | 117.614 | -0.000 | -0.000 | 0.000 |
| 119.546 | 276.090 | 117.615 | -0.000 | -0.000 | 0.000 |
| 117.614 | 117.614 | 267.946 | 0.000 | -0.000 | 0.000 |
| 0.000 | 0.000 | 0.000 | -39.851 | -0.000 | 0.000 |
| 0.000 | 0.000 | -0.000 | -0.000 | -39.851 | -0.000 |
| 0.000 | -0.000 | -0.000 | -0.000 | -0.000 | -16.055 |
| 112.906 | 282.730 | 117.614 | 0.000 | 0.000 | -0.000 |
| 282.730 | 112.906 | 117.614 | 0.000 | 0.000 | -0.000 |
| 117.614 | 117.614 | 267.946 | 0.000 | 0.000 | -0.000 |
| -0.000 | -0.000 | 0.000 | -39.851 | -0.000 | -0.000 |
| -0.000 | -0.000 | -0.000 | -0.000 | -39.851 | 0.000 |
| -0.000 | 0.000 | -0.000 | 0.000 | 0.000 | -16.055 |
| 276.090 | 119.546 | 117.614 | -0.000 | -0.000 | 0.000 |
| 119.546 | 276.090 | 117.614 | -0.000 | -0.000 | 0.000 |
| 117.614 | 117.614 | 267.946 | -0.000 | -0.000 | 0.000 |
| 0.000 | 0.000 | 0.000 | -39.851 | -0.000 | 0.000 |
| 0.000 | 0.000 | 0.000 | -0.000 | -39.851 | 0.000 |
| -0.000 | -0.000 | 0.000 | -0.000 | -0.000 | -16.055 |
| 276.090 | 119.546 | 117.615 | 0.000 | 0.000 | -0.000 |
| 119.546 | 276.090 | 117.615 | -0.000 | 0.000 | -0.000 |
| 117.615 | 117.615 | 267.946 | 0.000 | 0.000 | 0.000 |
| -0.000 | -0.000 | -0.000 | -39.851 | 0.000 | 0.000 |
| -0.000 | -0.000 | -0.000 | 0.000 | -39.851 | -0.000 |
| 0.000 | 0.000 | -0.000 | 0.000 | 0.000 | -16.055 |
| -12319492.422 | -12319600.922 | 2078469.508 | -0.000 | -0.000 | 0.000 |
| -12319600.922 | -12319492.422 | 2078469.508 | -0.000 | -0.000 | 0.000 |
| 117.614 | 117.614 | 267.947 | -0.000 | -0.000 | -0.000 |
| 0.000 | 0.000 | 0.000 | -39.851 | -0.000 | -0.000 |
| 0.000 | 0.000 | 0.000 | 0.000 | -39.851 | 0.000 |
| -0.000 | -0.000 | 0.000 | -0.000 | -0.000 | -16.055 |
| 12319994.732 | 12319886.235 | -2078068.439 | 0.000 | 0.000 | -0.000 |
| 12319886.235 | 12319994.732 | -2078068.439 | 0.000 | 0.000 | 0.000 |
| 117.615 | 117.615 | 267.945 | -0.000 | 0.000 | 0.000 |
| -0.000 | -0.000 | -0.000 | -39.851 | 0.000 | -0.000 |
| -0.000 | -0.000 | -0.000 | 0.000 | -39.851 | -0.000 |
| 0.000 | 0.000 | -0.000 | 0.000 | 0.000 | -16.055 |
| 510.849 | 315.982 | 315.982 | -0.000 | -0.000 | -0.000 |
| 315.982 | 510.849 | 315.982 | -0.000 | -0.000 | -0.000 |
| 315.982 | 315.982 | 510.849 | 0.000 | -0.000 | -0.000 |
| 0.000 | 0.000 | -0.000 | -47.657 | -0.000 | -0.000 |
| 0.000 | -0.000 | 0.000 | 0.000 | -47.657 | -0.000 |
| 0.000 | -0.000 | 0.000 | -0.000 | -0.000 | -47.657 |
| 510.849 | 315.982 | 315.982 | 0.000 | 0.000 | 0.000 |
| 315.982 | 510.849 | 315.982 | 0.000 | 0.000 | -0.000 |
| 315.982 | 315.982 | 510.849 | 0.000 | -0.000 | 0.000 |
| -0.000 | -0.000 | 0.000 | -47.657 | 0.000 | 0.000 |
| -0.000 | 0.000 | 0.000 | -0.000 | -47.657 | 0.000 |
| -0.000 | 0.000 | -0.000 | 0.000 | 0.000 | -47.657 |
| 510.850 | 315.983 | 315.983 | 0.000 | -0.000 | -0.000 |
| 315.983 | 510.850 | 315.983 | -0.000 | -0.000 | -0.000 |
| 315.983 | 315.983 | 510.850 | 0.000 | 0.000 | -0.000 |
| 0.000 | 0.000 | -0.000 | -47.657 | -0.000 | -0.000 |
| 0.000 | 0.000 | -0.000 | 0.000 | -47.657 | -0.000 |
| 0.000 | -0.000 | 0.000 | 0.000 | -0.000 | -47.657 |
| 510.848 | 315.981 | 315.981 | -0.000 | 0.000 | 0.000 |
| 315.981 | 510.848 | 315.981 | 0.000 | 0.000 | 0.000 |
| 315.981 | 315.981 | 510.848 | 0.000 | 0.000 | -0.000 |
| -0.000 | -0.000 | 0.000 | -47.657 | 0.000 | 0.000 |
| -0.000 | -0.000 | 0.000 | -0.000 | -47.657 | 0.000 |
| -0.000 | 0.000 | -0.000 | -0.000 | 0.000 | -47.657 |
| 510.861 | 315.992 | 315.992 | 0.000 | -0.000 | -0.000 |
| 315.992 | 510.861 | 315.992 | -0.000 | -0.000 | -0.000 |
| 315.992 | 315.992 | 510.861 | -0.000 | -0.000 | 0.000 |
| 0.000 | 0.000 | -0.000 | -47.657 | -0.000 | -0.000 |
| 0.000 | 0.000 | -0.000 | -0.000 | -47.657 | -0.000 |
| 0.000 | -0.000 | 0.000 | 0.000 | -0.000 | -47.657 |
| 510.837 | 315.972 | 315.972 | 0.000 | 0.000 | 0.000 |
| 315.972 | 510.837 | 315.972 | -0.000 | 0.000 | 0.000 |
| 315.972 | 315.972 | 510.837 | 0.000 | 0.000 | -0.000 |
| -0.000 | -0.000 | 0.000 | -47.657 | -0.000 | 0.000 |
| -0.000 | -0.000 | 0.000 | -0.000 | -47.657 | 0.000 |
| -0.000 | 0.000 | -0.000 | -0.000 | 0.000 | -47.657 |
| 159.057 | 10.485 | 10.485 | 0.000 | -0.000 | -0.000 |
| 10.485 | 159.057 | 10.485 | 0.000 | -0.000 | -0.000 |
| 10.485 | 10.485 | 159.057 | -0.000 | -0.000 | -0.000 |
| -0.000 | -0.000 | -0.000 | 1.009 | -0.000 | -0.000 |
| -0.000 | -0.000 | -0.000 | -0.000 | 1.009 | -0.000 |
| -0.000 | -0.000 | -0.000 | -0.000 | -0.000 | 1.009 |
| 159.057 | 10.484 | 10.484 | -0.000 | -0.000 | 0.000 |
| 10.484 | 159.057 | 10.484 | -0.000 | 0.000 | 0.000 |
| 10.484 | 10.484 | 159.057 | -0.000 | 0.000 | 0.000 |
| 0.000 | 0.000 | 0.000 | 1.009 | 0.000 | 0.000 |
| 0.000 | 0.000 | -0.000 | -0.000 | 1.009 | 0.000 |
| 0.000 | 0.000 | 0.000 | 0.000 | 0.000 | 1.009 |
| 159.057 | 10.485 | 10.485 | 0.000 | -0.000 | 0.000 |
| 10.485 | 159.057 | 10.485 | 0.000 | 0.000 | -0.000 |
| 10.485 | 10.485 | 159.057 | 0.000 | -0.000 | 0.000 |
| -0.000 | -0.000 | -0.000 | 1.009 | -0.000 | -0.000 |
| -0.000 | -0.000 | -0.000 | -0.000 | 1.009 | -0.000 |
| -0.000 | -0.000 | -0.000 | 0.000 | -0.000 | 1.009 |
| 159.057 | 10.484 | 10.484 | -0.000 | 0.000 | 0.000 |
| 10.484 | 159.057 | 10.484 | -0.000 | 0.000 | -0.000 |
| 10.484 | 10.484 | 159.057 | 0.000 | 0.000 | 0.000 |
| 0.000 | 0.000 | 0.000 | 1.009 | 0.000 | 0.000 |
| 0.000 | 0.000 | 0.000 | -0.000 | 1.009 | 0.000 |
| 0.000 | 0.000 | 0.000 | -0.000 | 0.000 | 1.009 |
| 159.059 | 10.486 | 10.486 | 0.000 | -0.000 | 0.000 |
| 10.486 | 159.059 | 10.486 | 0.000 | -0.000 | -0.000 |
| 10.486 | 10.486 | 159.059 | 0.000 | -0.000 | -0.000 |
| -0.000 | -0.000 | -0.000 | 1.009 | 0.000 | -0.000 |
| -0.000 | -0.000 | -0.000 | 0.000 | 1.009 | -0.000 |
| -0.000 | -0.000 | -0.000 | 0.000 | -0.000 | 1.009 |
| 159.056 | 10.483 | 10.483 | -0.000 | 0.000 | 0.000 |
| 10.483 | 159.056 | 10.483 | -0.000 | 0.000 | 0.000 |
| 10.483 | 10.483 | 159.056 | -0.000 | 0.000 | 0.000 |
| 0.000 | 0.000 | 0.000 | 1.009 | -0.000 | 0.000 |
| 0.000 | 0.000 | 0.000 | -0.000 | 1.009 | 0.000 |
| 0.000 | 0.000 | 0.000 | -0.000 | 0.000 | 1.009 |
| 633.450 | 428.393 | 595.584 | -0.000 | 0.000 | 0.000 |
| 428.393 | 633.450 | 595.584 | -0.000 | 0.000 | -0.000 |
| 523.461 | 523.461 | 920.978 | -0.000 | 0.000 | 0.000 |
| -73.796 | -73.797 | -1.674 | -46.399 | 0.000 | 0.000 |
| -73.797 | -73.797 | -1.674 | -0.000 | -46.399 | 0.000 |
| -73.797 | -73.797 | -1.674 | 0.000 | 0.000 | 34.431 |
| 781.043 | 575.986 | 598.931 | 0.000 | -0.000 | 0.000 |
| 575.986 | 781.043 | 598.931 | 0.000 | -0.000 | 0.000 |
| 598.594 | 598.594 | 922.682 | 0.000 | 0.000 | -0.000 |
| 73.797 | 73.797 | 1.674 | -46.399 | -0.000 | -0.000 |
| 73.797 | 73.797 | 1.674 | 0.000 | -46.399 | -0.000 |
| 73.797 | 73.797 | 1.674 | -0.000 | -0.000 | 34.431 |
| 699.867 | 494.810 | 597.090 | -0.000 | 0.000 | -0.000 |
| 494.810 | 699.867 | 597.090 | -0.000 | 0.000 | 0.000 |
| 598.595 | 598.595 | 922.683 | -0.000 | 0.000 | -0.000 |
| 0.000 | -0.000 | 0.000 | 71.523 | 0.000 | -0.000 |
| -0.000 | 0.000 | 0.000 | -0.000 | 71.523 | -0.000 |
| -0.000 | -0.000 | 0.000 | -0.000 | 0.000 | 34.431 |
| 766.213 | 561.156 | 598.595 | 0.000 | 0.000 | -0.000 |
| 561.156 | 766.213 | 598.595 | 0.000 | -0.000 | -0.000 |
| 598.594 | 598.594 | 922.682 | -0.000 | -0.000 | -0.000 |
| -0.000 | 0.000 | -0.000 | 71.523 | -0.000 | 0.000 |
| 0.000 | -0.000 | -0.000 | 0.000 | 71.523 | 0.000 |
| 0.000 | 0.000 | -0.000 | 0.000 | -0.000 | 34.431 |
| 706.512 | 501.454 | 597.242 | -0.000 | -0.000 | 0.000 |
| 501.454 | 706.512 | 597.242 | -0.000 | 0.000 | 0.000 |
| 598.596 | 598.596 | 922.686 | -0.000 | -0.000 | 0.000 |
| -0.738 | -0.739 | -0.017 | -46.399 | 0.000 | -0.000 |
| -0.739 | -0.738 | -0.017 | -0.000 | -46.399 | 0.000 |
| -0.738 | -0.738 | -0.017 | -0.000 | 0.000 | 34.431 |
| 707.982 | 502.926 | 597.273 | 0.000 | -0.000 | -0.000 |
| 502.926 | 707.982 | 597.273 | 0.000 | -0.000 | -0.000 |
| 598.593 | 598.593 | 922.679 | 0.000 | -0.000 | -0.000 |
| 0.738 | 0.739 | 0.017 | -46.399 | -0.000 | 0.000 |
| 0.739 | 0.738 | 0.017 | 0.000 | -46.399 | 0.000 |
| 0.738 | 0.738 | 0.017 | 0.000 | -0.000 | 34.431 |
| 745.682 | 548.951 | 588.026 | -0.000 | 0.000 | 0.000 |
| 548.951 | 745.682 | 588.026 | -0.000 | 0.000 | 0.000 |
| 585.477 | 585.477 | 918.460 | 0.000 | -0.000 | 0.000 |
| -543.590 | -543.590 | 23.977 | -38.980 | 0.000 | 0.000 |
| -543.590 | -543.590 | 23.977 | -0.000 | -38.980 | 0.000 |
| -543.590 | -543.590 | 23.977 | -0.000 | 0.000 | 40.098 |
| 1231.703 | 1034.972 | 566.588 | 0.000 | -0.000 | -0.000 |
| 1034.972 | 1231.703 | 566.588 | 0.000 | -0.000 | -0.000 |
| 1131.607 | 1131.607 | 894.371 | 0.000 | -0.000 | -0.000 |
| 543.590 | 543.590 | -23.977 | -38.980 | -0.000 | -0.000 |
| 543.590 | 543.590 | -23.977 | 0.000 | -38.980 | -0.000 |
| 543.590 | 543.590 | -23.977 | 0.000 | -0.000 | 40.098 |
| 633.754 | 437.023 | 592.963 | -0.000 | 0.000 | 0.000 |
| 437.023 | 633.754 | 592.963 | 0.000 | 0.000 | 0.000 |
| 533.658 | 533.658 | 920.746 | -0.000 | -0.000 | 0.000 |
| -71.001 | -71.001 | 3.132 | 45.907 | 0.000 | 0.000 |
| -71.001 | -71.001 | 3.132 | -0.000 | 45.907 | 0.000 |
| -0.000 | -0.000 | 0.000 | 0.000 | 0.000 | 40.098 |
| 745.681 | 548.951 | 588.026 | 0.000 | -0.000 | -0.000 |
| 548.951 | 745.681 | 588.026 | -0.000 | -0.000 | -0.000 |
| 585.477 | 585.477 | 918.459 | -0.000 | -0.000 | -0.000 |
| 71.001 | 71.001 | -3.132 | 45.907 | -0.000 | -0.000 |
| 71.001 | 71.001 | -3.132 | 0.000 | 45.907 | -0.000 |
| 0.000 | 0.000 | -0.000 | -0.000 | -0.000 | 40.098 |
| 682.682 | 485.950 | 590.809 | -0.000 | -0.000 | 0.000 |
| 485.950 | 682.682 | 590.809 | -0.000 | 0.000 | 0.000 |
| 585.481 | 585.481 | 918.466 | -0.000 | 0.000 | 0.000 |
| -5.436 | -5.437 | 0.239 | -38.981 | 0.000 | 0.000 |
| -5.437 | -5.436 | 0.239 | -0.000 | -38.981 | 0.000 |
| -5.436 | -5.436 | 0.240 | 0.000 | 0.000 | 40.098 |
| 693.556 | 496.826 | 590.321 | -0.000 | 0.000 | -0.000 |
| 496.826 | 693.556 | 590.321 | 0.000 | -0.000 | -0.000 |
| 593.448 | 593.448 | 918.102 | 0.000 | 0.000 | -0.000 |
| 5.436 | 5.437 | -0.239 | -38.981 | 0.000 | -0.000 |
| 5.437 | 5.436 | -0.239 | 0.000 | -38.981 | -0.000 |
| 5.436 | 5.436 | -0.240 | -0.000 | -0.000 | 40.098 |
| 360.985 | 206.934 | 206.934 | 0.000 | 0.000 | -0.000 |
| 206.934 | 360.985 | 206.934 | -0.000 | -0.000 | -0.000 |
| 206.934 | 206.934 | 360.985 | -0.000 | 0.000 | -0.000 |
| -0.000 | 0.000 | 0.000 | 49.052 | 0.000 | -0.000 |
| -0.000 | -0.000 | 0.000 | -0.000 | 49.052 | -0.000 |
| 0.000 | 0.000 | -0.000 | -0.000 | -0.000 | 49.052 |
| 264.577 | 142.950 | 142.950 | -0.000 | -0.000 | 0.000 |
| 142.950 | 264.577 | 142.950 | 0.000 | 0.000 | 0.000 |
| 142.950 | 142.950 | 264.577 | 0.000 | -0.000 | 0.000 |
| 0.000 | -0.000 | 0.000 | 49.052 | 0.000 | 0.000 |
| 0.000 | -0.000 | 0.000 | -0.000 | 49.052 | 0.000 |
| 0.000 | -0.000 | -0.000 | -0.000 | 0.000 | 49.052 |
| 360.985 | 206.934 | 206.934 | 0.000 | 0.000 | -0.000 |
| 206.934 | 360.985 | 206.934 | 0.000 | -0.000 | -0.000 |
| 206.934 | 206.934 | 360.985 | -0.000 | 0.000 | -0.000 |
| -0.000 | 0.000 | 0.000 | 49.052 | -0.000 | -0.000 |
| 0.000 | -0.000 | 0.000 | -0.000 | 49.052 | -0.000 |
| 0.000 | 0.000 | -0.000 | -0.000 | 0.000 | 49.052 |
| 347.376 | 208.248 | 208.248 | -0.000 | -0.000 | 0.000 |
| 208.248 | 347.376 | 208.248 | -0.000 | -0.000 | 0.000 |
| 208.248 | 208.248 | 347.376 | -0.000 | -0.000 | 0.000 |
| 0.000 | -0.000 | -0.000 | 49.052 | -0.000 | 0.000 |
| -0.000 | 0.000 | -0.000 | -0.000 | 49.052 | 0.000 |
| -0.000 | -0.000 | 0.000 | -0.000 | 0.000 | 49.052 |
| 344.648 | 210.781 | 210.781 | -0.000 | -0.000 | -0.000 |
| 210.781 | 344.648 | 210.781 | -0.000 | -0.000 | -0.000 |
| 210.781 | 210.781 | 344.648 | -0.000 | -0.000 | -0.000 |
| -0.000 | 0.000 | 0.000 | 49.052 | 0.000 | -0.000 |
| 0.000 | -0.000 | 0.000 | -0.000 | 49.052 | -0.000 |
| 0.000 | 0.000 | -0.000 | -0.000 | 0.000 | 49.052 |
| 330.105 | 209.965 | 209.965 | -0.000 | -0.000 | 0.000 |
| 209.965 | 330.105 | 209.965 | 0.000 | -0.000 | 0.000 |
| 209.965 | 209.965 | 330.105 | 0.000 | -0.000 | 0.000 |
| 0.000 | -0.000 | -0.000 | 49.052 | 0.000 | 0.000 |
| -0.000 | 0.000 | -0.000 | 0.000 | 49.052 | 0.000 |
| -0.000 | -0.000 | 0.000 | 0.000 | -0.000 | 49.052 |
| 348.062 | 243.355 | 243.355 | -0.000 | -0.000 | -0.000 |
| 243.355 | 348.062 | 243.355 | -0.000 | -0.000 | -0.000 |
| 243.355 | 243.355 | 348.062 | -0.000 | -0.000 | -0.000 |
| 23.597 | 23.597 | 23.597 | 13.889 | -0.000 | 0.000 |
| 23.597 | 23.597 | 23.597 | -0.000 | 13.889 | -0.000 |
| 23.597 | 23.597 | 23.597 | -0.000 | 0.000 | 13.889 |
| 307.817 | 193.485 | 193.485 | 0.000 | -0.000 | 0.000 |
| 193.485 | 307.817 | 193.485 | 0.000 | -0.000 | 0.000 |
| 193.485 | 193.485 | 307.817 | 0.000 | 0.000 | -0.000 |
| -23.597 | -23.597 | -23.597 | 13.889 | 0.000 | -0.000 |
| -23.597 | -23.597 | -23.597 | 0.000 | 13.889 | -0.000 |
| -23.597 | -23.597 | -23.597 | 0.000 | -0.000 | 13.889 |
| 333.552 | 220.054 | 220.054 | -0.000 | -0.000 | -0.000 |
| 220.054 | 333.552 | 220.054 | -0.000 | 0.000 | -0.000 |
| 220.054 | 220.054 | 333.552 | -0.000 | 0.000 | -0.000 |
| 2.277 | 2.277 | 2.277 | 24.081 | -0.000 | -0.000 |
| 2.277 | 2.277 | 2.277 | -0.000 | 24.081 | -0.000 |
| 2.277 | 2.277 | 2.277 | -0.000 | -0.000 | 24.081 |
| 329.781 | 216.158 | 216.158 | 0.000 | -0.000 | 0.000 |
| 216.158 | 329.781 | 216.158 | 0.000 | -0.000 | 0.000 |
| 216.158 | 216.158 | 329.781 | 0.000 | -0.000 | 0.000 |
| -2.277 | -2.277 | -2.277 | 24.081 | 0.000 | -0.000 |
| -2.277 | -2.277 | -2.277 | 0.000 | 24.081 | 0.000 |
| -2.277 | -2.277 | -2.277 | 0.000 | 0.000 | 24.081 |
| 364.535 | 210.758 | 210.758 | -0.000 | 0.000 | -0.000 |
| 210.758 | 364.535 | 210.758 | -0.000 | 0.000 | -0.000 |
| 210.758 | 210.758 | 364.535 | -0.000 | 0.000 | -0.000 |
| 0.243 | 0.243 | 0.243 | 23.935 | 0.000 | 0.000 |
| 0.243 | 0.243 | 0.243 | -0.000 | 23.935 | -0.000 |
| 0.243 | 0.243 | 0.243 | -0.000 | 0.000 | 23.935 |
| 340.795 | 215.899 | 215.899 | 0.000 | -0.000 | -0.000 |
| 215.899 | 340.795 | 215.899 | 0.000 | -0.000 | 0.000 |
| 215.899 | 215.899 | 340.795 | 0.000 | -0.000 | -0.000 |
| -0.243 | -0.243 | -0.243 | 23.935 | 0.000 | 0.000 |
| -0.243 | -0.243 | -0.243 | 0.000 | 23.935 | -0.000 |
| -0.243 | -0.243 | -0.243 | 0.000 | -0.000 | 23.935 |
| 386.601 | 257.870 | 257.870 | 0.000 | -0.000 | -0.000 |
| 257.870 | 386.601 | 257.870 | 0.000 | -0.000 | 0.000 |
| 257.870 | 257.870 | 386.601 | 0.000 | -0.000 | -0.000 |
| -92.003 | -92.003 | -92.003 | 67.282 | -0.000 | -0.000 |
| -92.003 | -92.003 | -92.003 | 0.000 | 67.282 | -0.000 |
| -92.003 | -92.003 | -92.003 | 0.000 | -0.000 | 67.282 |
| 271.385 | 142.576 | 142.576 | -0.000 | 0.000 | 0.000 |
| 142.576 | 271.385 | 142.576 | -0.000 | 0.000 | 0.000 |
| 142.576 | 142.576 | 271.385 | -0.000 | 0.000 | 0.000 |
| 92.003 | 92.003 | 92.003 | 67.282 | 0.000 | 0.000 |
| 92.003 | 92.003 | 92.003 | -0.000 | 67.282 | 0.000 |
| 92.003 | 92.003 | 92.003 | -0.000 | 0.000 | 67.282 |
| 334.959 | 199.593 | 199.593 | -0.000 | -0.000 | -0.000 |
| 199.593 | 334.959 | 199.593 | -0.000 | -0.000 | 0.000 |
| 199.593 | 199.593 | 334.959 | -0.000 | -0.000 | -0.000 |
| 5.951 | 5.951 | 5.951 | 74.035 | -0.000 | -0.000 |
| 5.951 | 5.951 | 5.951 | 0.000 | 74.035 | -0.000 |
| 5.951 | 5.951 | 5.951 | 0.000 | -0.000 | 74.035 |
| 323.237 | 194.276 | 194.276 | -0.000 | 0.000 | 0.000 |
| 194.276 | 323.237 | 194.276 | -0.000 | 0.000 | 0.000 |
| 194.276 | 194.276 | 323.237 | -0.000 | 0.000 | 0.000 |
| -5.951 | -5.951 | -5.951 | 74.035 | 0.000 | 0.000 |
| -5.951 | -5.951 | -5.951 | -0.000 | 74.035 | 0.000 |
| -5.951 | -5.951 | -5.951 | -0.000 | 0.000 | 74.035 |
| 334.957 | 199.590 | 199.590 | -0.000 | -0.000 | -0.000 |
| 199.590 | 334.957 | 199.590 | 0.000 | -0.000 | 0.000 |
| 199.590 | 199.590 | 334.957 | -0.000 | -0.000 | -0.000 |
| 0.000 | 0.000 | 0.000 | 83.932 | -0.000 | -0.000 |
| 0.000 | 0.000 | 0.000 | -0.000 | 83.932 | -0.000 |
| 0.000 | 0.000 | 0.000 | -0.000 | -0.000 | 83.932 |
| 334.962 | 199.597 | 199.597 | 0.000 | 0.000 | 0.000 |
| 199.597 | 334.962 | 199.597 | -0.000 | 0.000 | -0.000 |
| 199.597 | 199.597 | 334.962 | 0.000 | -0.000 | -0.000 |
| -0.000 | -0.000 | -0.000 | 83.932 | -0.000 | 0.000 |
| -0.000 | -0.000 | -0.000 | -0.000 | 83.932 | 0.000 |
| -0.000 | -0.000 | -0.000 | 0.000 | 0.000 | 83.932 |
| 434.062 | 358.669 | 294.999 | -0.000 | -0.000 | -0.000 |
| 358.702 | 504.506 | 239.641 | -0.000 | -0.000 | -0.000 |
| 295.037 | 239.646 | 484.325 | -0.000 | -0.000 | 0.000 |
| -13.609 | -4.339 | -2.736 | -32.863 | -0.000 | -0.000 |
| -0.000 | 0.000 | 0.000 | -0.000 | 25.885 | -0.000 |
| -5.621 | -1.792 | -1.130 | -0.000 | -0.000 | 84.167 |
| 398.432 | 347.310 | 287.836 | 0.000 | 0.000 | 0.000 |
| 351.172 | 502.105 | 238.128 | -0.000 | -0.000 | 0.000 |
| 292.365 | 238.794 | 483.788 | 0.000 | 0.000 | 0.000 |
| 13.609 | 4.339 | 2.736 | -32.863 | 0.000 | 0.000 |
| 0.000 | -0.000 | -0.000 | 0.000 | 25.885 | 0.000 |
| 5.621 | 1.792 | 1.130 | -0.000 | 0.000 | 84.167 |
| 434.061 | 358.668 | 294.998 | -0.000 | -0.000 | -0.000 |
| 358.702 | 504.505 | 239.641 | -0.000 | -0.000 | -0.000 |
| 295.036 | 239.645 | 484.325 | -0.000 | -0.000 | -0.000 |
| -11.073 | -3.530 | -2.226 | -47.370 | -0.000 | -0.000 |
| -0.562 | -0.179 | -0.113 | -0.000 | -406.550 | -0.000 |
| -0.000 | 0.000 | 0.000 | 0.000 | -0.000 | 84.167 |
| 434.062 | 358.669 | 295.000 | -0.000 | 0.000 | 0.000 |
| 346.114 | 500.493 | 237.111 | -0.000 | 0.000 | 0.000 |
| 295.037 | 239.646 | 484.326 | -0.000 | 0.000 | 0.000 |
| 11.073 | 3.530 | 2.226 | -47.370 | 0.000 | 0.000 |
| 0.562 | 0.179 | 0.113 | -0.000 | -406.550 | 0.000 |
| 0.000 | -0.000 | 0.000 | -0.000 | 0.000 | 84.167 |
| 392.745 | 345.492 | 286.687 | -0.000 | 0.000 | -0.000 |
| 345.489 | 500.290 | 236.979 | -0.000 | -0.000 | -0.000 |
| 286.681 | 236.977 | 482.643 | -0.000 | -0.000 | 0.000 |
| -9479818.681 | 9706482.672 | -11886383.532 | -11908500.465 | -0.000 | -0.000 |
| -0.056 | -0.019 | -0.013 | 0.000 | -406.550 | -0.000 |
| -0.000 | 0.000 | -0.000 | 0.000 | -0.000 | 84.167 |
| 434.068 | 358.676 | 295.006 | 0.000 | 0.000 | 0.000 |
| 345.614 | 500.336 | 237.016 | -0.000 | 0.000 | 0.000 |
| 295.043 | 239.653 | 484.330 | 0.000 | 0.000 | 0.000 |
| 9479818.681 | -9706482.672 | 11886383.532 | -11908500.465 | 0.000 | 0.000 |
| 0.056 | 0.019 | 0.013 | -0.000 | -406.550 | 0.000 |
| 0.000 | -0.000 | 0.000 | -0.000 | 0.000 | 84.167 |
| 320.929 | 116.269 | 96.435 | -0.000 | -0.000 | -0.000 |
| 143.284 | 280.540 | 98.580 | -0.000 | -0.000 | -0.000 |
| 97.019 | 97.519 | 319.306 | 0.000 | 0.000 | -0.000 |
| 0.000 | 0.000 | 0.000 | 78.282 | -0.000 | -0.000 |
| -0.000 | 0.000 | -0.000 | -0.000 | 76.576 | -0.000 |
| -0.000 | 0.000 | -0.000 | -0.000 | -0.000 | 72.647 |
| 296.065 | 142.096 | 95.995 | 0.000 | 0.000 | 0.000 |
| 143.284 | 280.540 | 98.580 | 0.000 | 0.000 | 0.000 |
| 96.584 | 97.970 | 319.299 | 0.000 | 0.000 | 0.000 |
| -0.000 | -0.000 | -0.000 | 78.282 | 0.000 | 0.000 |
| 0.000 | -0.000 | -0.000 | 0.000 | 76.576 | -0.000 |
| 0.000 | -0.000 | -0.000 | 0.000 | 0.000 | 72.647 |
| 320.930 | 116.269 | 96.435 | 0.000 | -0.000 | -0.000 |
| 143.284 | 280.540 | 98.580 | -0.000 | -0.000 | -0.000 |
| 96.579 | 97.976 | 319.299 | -0.000 | -0.000 | -0.000 |
| 0.000 | -0.000 | 0.000 | 78.281 | 0.000 | -0.000 |
| -0.000 | 0.000 | 0.000 | -0.000 | 76.576 | -0.000 |
| 0.000 | 0.000 | -0.000 | -0.000 | -0.000 | 72.647 |
| 296.065 | 142.096 | 95.995 | 0.000 | 0.000 | 0.000 |
| 117.457 | 307.368 | 98.123 | 0.000 | 0.000 | 0.000 |
| 96.579 | 97.976 | 319.298 | 0.000 | 0.000 | 0.000 |
| -0.000 | 0.000 | -0.000 | 78.281 | 0.000 | 0.000 |
| 0.000 | -0.000 | -0.000 | 0.000 | 76.576 | -0.000 |
| -0.000 | -0.000 | 0.000 | 0.000 | 0.000 | 72.647 |
| 296.067 | 142.096 | 95.995 | -0.000 | -0.000 | -0.000 |
| 117.457 | 307.370 | 98.123 | 0.000 | -0.000 | -0.000 |
| 97.019 | 97.519 | 319.308 | 0.000 | -0.000 | -0.000 |
| 0.000 | -0.000 | 0.000 | 78.282 | -0.000 | -0.000 |
| -0.000 | 0.000 | 0.000 | -0.000 | 76.576 | 0.000 |
| 0.000 | 0.000 | -0.000 | -0.000 | -0.000 | 72.647 |
| 296.064 | 142.096 | 95.995 | 0.000 | 0.000 | 0.000 |
| 143.284 | 280.539 | 98.580 | 0.000 | 0.000 | 0.000 |
| 96.578 | 97.976 | 319.297 | 0.000 | 0.000 | 0.000 |
| -0.000 | 0.000 | -0.000 | 78.282 | -0.000 | 0.000 |
| 0.000 | -0.000 | -0.000 | 0.000 | 76.576 | 0.000 |
| -0.000 | -0.000 | 0.000 | 0.000 | 0.000 | 72.647 |
| 86.369 | 158.687 | -11.569 | -0.000 | -0.000 | 0.000 |
| 158.687 | 86.369 | -11.569 | -0.000 | -0.000 | 0.000 |
| -11.569 | -11.569 | 191.232 | 0.000 | -0.000 | 0.000 |
| -0.000 | 0.000 | 0.000 | -58.098 | -0.000 | 0.000 |
| -0.000 | 0.000 | 0.000 | -0.000 | -58.098 | 0.000 |
| -0.000 | 0.000 | 0.000 | -0.000 | -0.000 | -36.159 |
| 86.369 | 158.687 | -11.569 | 0.000 | 0.000 | -0.000 |
| 158.687 | 86.369 | -11.569 | 0.000 | 0.000 | -0.000 |
| -11.569 | -11.569 | 191.232 | 0.000 | 0.000 | -0.000 |
| 0.000 | -0.000 | -0.000 | -58.098 | 0.000 | -0.000 |
| 0.000 | -0.000 | -0.000 | 0.000 | -58.097 | -0.000 |
| 0.000 | -0.000 | -0.000 | 0.000 | 0.000 | -36.159 |
| 86.369 | 158.687 | -11.569 | 0.000 | -0.000 | 0.000 |
| 76.441 | 168.615 | -11.569 | -0.000 | -0.000 | 0.000 |
| -11.569 | -11.569 | 191.232 | -0.000 | -0.000 | 0.000 |
| -0.000 | 0.000 | -0.000 | -58.098 | -0.000 | 0.000 |
| 0.000 | 0.000 | -0.000 | -0.000 | -58.098 | 0.000 |
| -0.000 | 0.000 | 0.000 | -0.000 | -0.000 | -36.159 |
| 168.615 | 76.441 | -11.569 | 0.000 | 0.000 | -0.000 |
| 158.687 | 86.369 | -11.569 | 0.000 | 0.000 | -0.000 |
| -11.569 | -11.569 | 191.232 | 0.000 | 0.000 | -0.000 |
| 0.000 | -0.000 | 0.000 | -58.098 | 0.000 | -0.000 |
| -0.000 | -0.000 | 0.000 | 0.000 | -58.098 | -0.000 |
| 0.000 | -0.000 | -0.000 | 0.000 | 0.000 | -36.159 |
| 86.372 | 158.685 | -11.568 | -0.000 | -0.000 | 0.000 |
| 76.442 | 168.616 | -11.568 | 0.000 | -0.000 | 0.000 |
| -11.568 | -11.568 | 191.234 | -0.000 | -0.000 | 0.000 |
| -0.000 | 0.000 | -0.000 | -58.098 | -0.000 | 0.000 |
| 0.000 | -0.000 | -0.000 | -0.000 | -58.098 | 0.000 |
| -0.000 | -0.000 | -0.000 | -0.000 | -0.000 | -36.159 |
| 86.347 | 158.707 | -11.569 | 0.000 | 0.000 | -0.000 |
| 76.440 | 168.614 | -11.569 | -0.000 | 0.000 | -0.000 |
| -11.569 | -11.569 | 191.230 | 0.000 | 0.000 | -0.000 |
| 0.000 | -0.000 | 0.000 | -58.098 | 0.000 | -0.000 |
| -0.000 | 0.000 | 0.000 | 0.000 | -58.098 | -0.000 |
| 0.000 | 0.000 | 0.000 | 0.000 | 0.000 | -36.159 |
Phonon band structures and crystal properties estimated from quasi-harmonic approximation (QHA) calculations are displayed for select crystals. The calculations were performed using phonopy and LAMMPS. For the phonon calculations, 3x3 supercells of the potential-specific relaxed crystals were used. The QHA calculations were based on 11 strain states ranging from -0.05 to 0.05.
The calculation method used is available as the iprPy phonon calculation method.
Notes and Disclaimers:
Version Information:











































































































































































































































































































































































































Static free surface formation energies are displayed for select crystals. The values displayed here are obtained by taking a perfect periodic bulk crystal, slicing along a crystallographic plane, and using force minimization to statically relax the surfaces. The free surface formation energy is computed by comparing the energy of the defect system to the bulk system and dividing by the total surface area created by the cut.
The calculation method used is available as the iprPy surface_energy_static calculation method.
Notes and Disclaimers:
Version Information:
| Surface | γfs (mJ/m2) |
|---|---|
| (111) | 2543.75 |
| (100) | 2664.83 |
| (110) | 2684.90 |
| (332) | 2688.56 |
| (322) | 2702.62 |
| (221) | 2734.88 |
| (311) | 2740.17 |
| (211) | 2749.94 |
| (210) | 2751.99 |
| (331) | 2753.64 |
| (320) | 2758.77 |
| (321) | 2777.25 |
| (310) | 2786.19 |
| Surface | γfs (mJ/m2) |
|---|---|
| (211) 2 | 2628.84 |
| (111) | 2685.39 |
| (332) 2 | 2695.33 |
| (321) 2 | 2700.85 |
| (210) | 2712.84 |
| (322) | 2717.34 |
| (221) | 2732.45 |
| (321) 1 | 2734.88 |
| (332) 1 | 2743.98 |
| (110) | 2744.70 |
| (331) | 2749.47 |
| (311) | 2752.74 |
| (320) | 2779.10 |
| (310) | 2784.07 |
| (100) | 2789.96 |
| (211) 1 | 2794.52 |
| Surface | γfs (mJ/m2) |
|---|---|
| (100) | 2727.97 |
| (310) | 2838.55 |
| (210) | 2876.87 |
| (311) | 2883.11 |
| (320) | 2912.47 |
| (110) | 2914.40 |
| (211) | 2925.54 |
| (111) | 2977.86 |
| (321) | 2992.01 |
| (322) | 2992.54 |
| (332) | 3007.74 |
| (221) | 3028.87 |
| (331) | 3029.34 |
| Surface | γfs (mJ/m2) |
|---|---|
| (0001) | 2536.73 |
| (1012) 2 | 2623.85 |
| (1011) 1 | 2664.56 |
| (2021) 1 | 2675.66 |
| (1120) | 2683.93 |
| (2241) | 2729.43 |
| (2021) 2 | 2739.62 |
| (1121) | 2758.95 |
| (2132) 2 | 2759.73 |
| (2131) 1 | 2762.37 |
| (2130) | 2771.51 |
| (2112) | 2773.22 |
| (1010) | 2774.57 |
| (2132) 1 | 2790.16 |
| (2131) 2 | 2794.80 |
| (1012) 1 | 2837.65 |
| (1011) 2 | 2878.62 |
| Surface | γfs (mJ/m2) |
|---|---|
| (0001) | 2535.17 |
| (1010) 1 | 2592.62 |
| (1011) 2 | 2614.28 |
| (2021) 1 | 2679.51 |
| (1120) | 2682.89 |
| (1012) 1 | 2694.96 |
| (2112) | 2720.31 |
| (2130) 1 | 2737.40 |
| (2241) | 2759.48 |
| (2131) 2 | 2760.76 |
| (2132) 1 | 2766.25 |
| (1121) | 2776.09 |
| (2132) 2 | 2798.19 |
| (2130) 2 | 2801.36 |
| (1012) 2 | 2818.93 |
| (2131) 1 | 2822.99 |
| (2021) 2 | 2844.66 |
| (1010) 2 | 2945.11 |
| (1011) 1 | 3048.10 |
| Surface | γfs (mJ/m2) |
|---|---|
| (332) | -82113.85 |
| (331) 1 | -72098.89 |
| (322) | -71174.11 |
| (321) | -63579.67 |
| (311) 2 | -55164.72 |
| (310) | -53884.46 |
| (221) | -52330.95 |
| (211) | -40265.48 |
| (210) | -37154.45 |
| (111) 2 | 926.81 |
| (331) 2 | 969.88 |
| (320) | 976.12 |
| (110) | 1033.84 |
| (311) 1 | 1073.99 |
| (100) | 1122.10 |
| (111) 1 | 1313.36 |
| Surface | γfs (mJ/m2) |
|---|---|
| (100) | 1221.61 |
| (110) | 1316.67 |
| (310) | 1361.23 |
| (320) | 1371.11 |
| (111) | 1378.52 |
| (210) | 1379.40 |
| (331) | 1402.97 |
| (311) | 1415.11 |
| (332) | 1417.54 |
| (211) | 1417.87 |
| (221) | 1419.97 |
| (322) | 1420.61 |
| (321) | 1426.39 |
| Surface | γfs (mJ/m2) |
|---|---|
| (211) 2 | 1993.38 |
| (210) | 2041.81 |
| (310) | 2079.32 |
| (321) 2 | 2082.76 |
| (332) 2 | 2084.83 |
| (311) | 2085.62 |
| (100) | 2087.55 |
| (321) 1 | 2095.10 |
| (322) | 2106.74 |
| (111) | 2107.29 |
| (110) | 2111.52 |
| (221) | 2112.61 |
| (331) | 2126.05 |
| (320) | 2126.96 |
| (332) 1 | 2142.40 |
| (211) 1 | 2185.89 |
| Surface | γfs (mJ/m2) |
|---|---|
| (322) | -3084.94 |
| (310) | -2569.59 |
| (311) | -2564.58 |
| (221) | -1651.21 |
| (332) | -1422.25 |
| (210) | -229.95 |
| (100) | 814.35 |
| (320) | 2584.57 |
| (331) | 2860.85 |
| (211) | 2872.54 |
| (111) | 2903.16 |
| (321) | 2956.23 |
| (110) | 3069.30 |
| Surface | γfs (mJ/m2) |
|---|---|
| (2241) | 2283.60 |
| (1121) | 2322.91 |
| (1120) | 2388.66 |
| (1012) 2 | 2402.66 |
| (0001) | 2405.31 |
| (2130) | 2410.77 |
| (2131) 2 | 2427.55 |
| (1011) 1 | 2451.72 |
| (2131) 1 | 2470.87 |
| (2132) 2 | 2472.80 |
| (2021) 1 | 2478.21 |
| (2112) | 2497.18 |
| (2021) 2 | 2503.09 |
| (2132) 1 | 2508.75 |
| (1010) | 2522.14 |
| (1012) 1 | 2577.71 |
| (1011) 2 | 2600.43 |
| Surface | γfs (mJ/m2) |
|---|---|
| (1010) 1 | 2374.25 |
| (1011) 2 | 2374.34 |
| (2241) | 2376.71 |
| (1120) | 2377.28 |
| (0001) | 2406.80 |
| (1121) | 2406.92 |
| (2130) 1 | 2425.66 |
| (2021) 1 | 2440.53 |
| (1012) 1 | 2464.31 |
| (2131) 2 | 2465.90 |
| (2112) | 2479.95 |
| (2130) 2 | 2494.23 |
| (2132) 2 | 2501.42 |
| (2132) 1 | 2508.40 |
| (2131) 1 | 2544.21 |
| (1012) 2 | 2563.18 |
| (2021) 2 | 2574.99 |
| (1010) 2 | 2663.75 |
| (1011) 1 | 2766.91 |
| Surface | γfs (mJ/m2) |
|---|---|
| (111) | 3016.56 |
| (210) | 3031.77 |
| (110) | 3041.06 |
| (320) | 3061.63 |
| (100) | 3073.23 |
| (311) | 3076.99 |
| (310) | 3093.40 |
| (332) | 3109.24 |
| (321) | 3113.92 |
| (331) | 3121.66 |
| (221) | 3125.55 |
| (322) | 3133.97 |
| (211) | 3144.39 |
| Surface | γfs (mJ/m2) |
|---|---|
| (320) | 752.18 |
| (332) | 909.43 |
| (322) | 1371.91 |
| (321) | 1735.83 |
| (211) | 2402.93 |
| (100) | 2877.51 |
| (310) | 2915.11 |
| (311) | 2962.44 |
| (210) | 2985.79 |
| (111) | 3036.86 |
| (221) | 3068.60 |
| (331) | 3099.89 |
| (110) | 3100.10 |
| Surface | γfs (mJ/m2) |
|---|---|
| (0001) | 3002.36 |
| (1120) | 3034.57 |
| (1012) 2 | 3071.18 |
| (2241) | 3071.84 |
| (2132) 2 | 3087.13 |
| (1121) | 3090.97 |
| (2130) | 3093.55 |
| (2112) | 3094.69 |
| (2131) 2 | 3099.39 |
| (1011) 1 | 3101.66 |
| (2131) 1 | 3106.93 |
| (1010) | 3118.35 |
| (2021) 2 | 3129.22 |
| (2132) 1 | 3134.62 |
| (2021) 1 | 3142.81 |
| (1012) 1 | 3179.28 |
| (1011) 2 | 3245.37 |
| Surface | γfs (mJ/m2) |
|---|---|
| (0001) | 2994.99 |
| (1120) | 3040.50 |
| (1012) 1 | 3051.63 |
| (1010) 1 | 3057.03 |
| (1011) 2 | 3071.61 |
| (2112) | 3077.42 |
| (2130) 2 | 3099.09 |
| (2241) | 3099.37 |
| (2131) 2 | 3102.21 |
| (2130) 1 | 3105.20 |
| (1121) | 3116.65 |
| (2132) 1 | 3126.52 |
| (2132) 2 | 3146.22 |
| (2021) 1 | 3160.72 |
| (2021) 2 | 3187.16 |
| (2131) 1 | 3194.40 |
| (1010) 2 | 3221.05 |
| (1012) 2 | 3222.26 |
| (1011) 1 | 3340.48 |
Stacking fault energy plots and maps are displayed for select crystals. The values are computed by
The calculation method used is available as the iprPy stacking_fault_map_2D calculation method.
Notes and Disclaimers:
Version Information:
| E_usf a/2 [0 -1 1] | 1541.50 |
| τ_ideal a/2 [0 -1 1] | 19.44 |




| E_isf | 14.92 |
| E_usf a/2 [0 -1 1] | 288.13 |
| τ_ideal a/2 [0 -1 1] | 9.29 |




| E_usf a/2 [-1 1 -1] | 1093.91 |
| τ_ideal a/2 [-1 1 -1] | 12.44 |




| E_usf a/2 [-1 -1 1] | 1219.48 |
| τ_ideal a/2 [-1 -1 1] | 16.74 |




| E_usf a/2 [-1 -1 1] | 1216.83 |
| τ_ideal a/2 [-1 -1 1] | 15.89 |




| E_isf | -8.81 |
| E_usf a/3 [-2 1 1 0] | 273.37 |
| τ_ideal a/3 [-2 1 1 0] | 9.27 |




| E_usf a/3 [-1 2 -1 0] | 1064.48 |
| τ_ideal a/3 [-1 2 -1 0] | 11.89 |




| E_usf a/3 [-1 2 -1 0] | 1971.69 |
| τ_ideal a/3 [-1 2 -1 0] | 24.75 |




| E_usf a/3 [-1 2 -1 0] | 1245.32 |
| E_usf a/3 [-2 1 1 3] | 4549.47 |
| τ_ideal a/3 [-1 2 -1 0] | 13.97 |
| τ_ideal a/3 [-2 1 1 3] | 65.22 |





| E_usf a/3 [-1 2 -1 0] | 1260.60 |
| E_usf a/3 [-2 1 1 3] | 1795.75 |
| τ_ideal a/3 [-1 2 -1 0] | 14.73 |
| τ_ideal a/3 [-2 1 1 3] | 21.60 |





| E_usf a/3 [-2 1 1 3] | 2094.74 |
| τ_ideal a/3 [-2 1 1 3] | 22.90 |




| E_usf a/2 [-1 1 -1] | 1146.77 |
| τ_ideal a/2 [-1 1 -1] | 15.97 |




| E_usf a/2 [-1 -1 1] | 999.67 |
| τ_ideal a/2 [-1 -1 1] | 19.24 |




| E_usf a/2 [-1 -1 1] | 1097.84 |
| τ_ideal a/2 [-1 -1 1] | 19.37 |




| E_isf | -53.60 |
| E_usf a/3 [-2 1 1 0] | 347.13 |
| τ_ideal a/3 [-2 1 1 0] | 10.30 |




| E_usf a/3 [-1 2 -1 0] | 400.96 |
| τ_ideal a/3 [-1 2 -1 0] | 10.37 |




| E_usf a/3 [-1 2 -1 0] | 1430.06 |
| τ_ideal a/3 [-1 2 -1 0] | 24.50 |




| E_usf a/3 [-1 2 -1 0] | 573.50 |
| E_usf a/3 [-2 1 1 3] | 4272.12 |
| τ_ideal a/3 [-1 2 -1 0] | 11.71 |
| τ_ideal a/3 [-2 1 1 3] | 62.34 |





| E_usf a/3 [-1 2 -1 0] | 879.88 |
| E_usf a/3 [-2 1 1 3] | 1361.43 |
| τ_ideal a/3 [-1 2 -1 0] | 16.32 |
| τ_ideal a/3 [-2 1 1 3] | 17.04 |





| E_usf a/3 [-2 1 1 3] | 1814.37 |
| τ_ideal a/3 [-2 1 1 3] | 18.68 |




| E_usf a/2 [0 -1 1] | 1174.45 |
| τ_ideal a/2 [0 -1 1] | 15.43 |




| E_isf | 65.77 |
| E_usf a/2 [0 -1 1] | 335.88 |
| τ_ideal a/2 [0 -1 1] | 6.72 |




| E_usf a/2 [-1 1 -1] | 493.23 |
| τ_ideal a/2 [-1 1 -1] | 7.67 |




| E_usf a/2 [-1 -1 1] | 599.32 |
| τ_ideal a/2 [-1 -1 1] | 9.92 |




| E_usf a/2 [-1 -1 1] | 585.97 |
| τ_ideal a/2 [-1 -1 1] | 9.90 |




| E_isf | -55.33 |
| E_usf a/3 [-2 1 1 0] | 277.54 |
| τ_ideal a/3 [-2 1 1 0] | 6.87 |




| E_usf a/3 [-1 2 -1 0] | 652.20 |
| τ_ideal a/3 [-1 2 -1 0] | 8.52 |




| E_usf a/3 [-1 2 -1 0] | 1476.12 |
| τ_ideal a/3 [-1 2 -1 0] | 21.07 |




| E_usf a/3 [-1 2 -1 0] | 873.57 |
| E_usf a/3 [-2 1 1 3] | 4741.08 |
| τ_ideal a/3 [-1 2 -1 0] | 11.58 |
| τ_ideal a/3 [-2 1 1 3] | 60.79 |





| E_usf a/3 [-1 2 -1 0] | 861.34 |
| E_usf a/3 [-2 1 1 3] | 1162.28 |
| τ_ideal a/3 [-1 2 -1 0] | 12.55 |
| τ_ideal a/3 [-2 1 1 3] | 14.82 |





| E_usf a/3 [-2 1 1 3] | 1526.23 |
| τ_ideal a/3 [-2 1 1 3] | 17.47 |




Static point defect formation energies, Ef, and elastic dipole tensors, pij, are displayed for select crystals. Relaxed defect configurations are obtained by taking a 12x12x12 supercell of a perfect periodic bulk crystal, inserting the point defect, and using force minimization to statically relax the atomic positions while keeping the system dimensions constant. Ef is computed by comparing the energy of the defect system to the same number of atoms in a perfect bulk crystal. pij is estimated as the difference in the system's global pressure with and without the defect multiplied by the system's volume.
Simple structural comparisons of the unrelaxed and relaxed defect configurations are used to help determine if the defect structure has relaxed to a different configuration. Relaxed structures that are identified as no longer consistent with the ideal defect definition are excluded from the table below. The only exception to this is if the lowest energy interstitial configuration does not coincide with a known ideal defect, its energies and pressure tensor are included under the listing "relaxed interstitial". The full list of calculation results including the transformed structures and the structural comparison values is included in the csv file available from the "Download raw data" link.
The calculation method used is available as the iprPy point_defect_static calculation method.
Notes and Disclaimers:
| Point Defect | Ef (eV) | p11 (eV) | p22 (eV) | p33 (eV) | p12 (eV) | p13 (eV) | p23 (eV) |
|---|---|---|---|---|---|---|---|
| vacancy | 2.388 | -5.307 | -5.307 | -5.307 | -0.000 | -0.000 | -0.000 |
| 100 dumbbell | 3.923 | 18.170 | 18.170 | 21.645 | -0.000 | -0.000 | 0.000 |
| 111 dumbbell | 4.244 | 12.930 | 12.930 | 12.930 | 9.073 | 9.073 | 9.073 |
| crowdion interstitial | 4.289 | 10.424 | 10.424 | 20.176 | 11.955 | -0.000 | -0.000 |
| octahedral interstitial | 4.483 | 12.215 | 12.215 | 12.215 | -0.000 | -0.000 | 0.000 |
| 1nn divacancy | 4.632 | -10.120 | -8.962 | -8.962 | -0.000 | -0.000 | 0.875 |
| tetrahedral interstitial | 4.679 | 9.812 | 9.812 | 9.812 | 0.000 | 0.000 | 0.000 |
| 2nn divacancy | 4.700 | -9.783 | -9.783 | -9.369 | -0.000 | -0.000 | 0.000 |
| Point Defect | Ef (eV) | p11 (eV) | p22 (eV) | p33 (eV) | p12 (eV) | p13 (eV) | p23 (eV) |
|---|---|---|---|---|---|---|---|
| vacancy | 1.417 | 0.508 | 0.508 | 0.508 | -0.000 | 0.000 | 0.000 |
| 2nn divacancy | 2.743 | 0.443 | 0.443 | -4.001 | 0.000 | 0.000 | 0.000 |
| 1nn divacancy | 3.091 | -1.112 | -1.112 | -1.112 | 1.215 | 1.215 | 1.215 |
| 110 dumbbell | 5.239 | 34.832 | 27.188 | 27.188 | 0.000 | 0.000 | 10.281 |
| crowdion interstitial | 5.591 | 23.161 | 23.161 | 23.161 | 10.549 | 10.549 | 10.549 |
| 111 dumbbell | 5.601 | 22.783 | 22.783 | 22.783 | 10.619 | 10.619 | 10.619 |
| octahedral interstitial | 6.188 | 23.646 | 13.866 | 13.866 | -0.000 | 0.000 | 0.000 |
| 100 dumbbell | 6.300 | 9.210 | 9.210 | 17.586 | -0.000 | 0.000 | 0.000 |
| Point Defect | Ef (eV) | p11 (eV) | p22 (eV) | p33 (eV) | p12 (eV) | p13 (eV) | p23 (eV) |
|---|---|---|---|---|---|---|---|
| vacancy | 2.413 | -4.912 | -4.912 | -4.796 | -0.000 | 0.000 | -0.000 |
| 0001 dumbbell | 3.947 | 0.844 | 0.844 | 16.840 | -0.000 | -0.000 | -0.000 |
| Point Defect | Ef (eV) | p11 (eV) | p22 (eV) | p33 (eV) | p12 (eV) | p13 (eV) | p23 (eV) |
|---|---|---|---|---|---|---|---|
| relaxed interstitial | -12901.798 | -4349.267 | -4189.098 | -4565.473 | 428.270 | 118.657 | 164.482 |
| bond centered interstitial | -5.003 | -17.749 | -17.749 | -17.749 | 2.084 | 2.084 | 2.084 |
| tetragonal interstitial | -1.818 | 0.429 | 0.429 | 0.429 | -0.000 | -0.000 | -0.000 |
| Point Defect | Ef (eV) | p11 (eV) | p22 (eV) | p33 (eV) | p12 (eV) | p13 (eV) | p23 (eV) |
|---|---|---|---|---|---|---|---|
| vacancy | 2.723 | 10.926 | 10.926 | 10.926 | 0.000 | 0.000 | -0.000 |
| 2nn divacancy | 4.507 | 29.220 | 29.220 | 26.550 | -0.000 | 0.000 | -0.000 |
| 1nn divacancy | 5.061 | 31.703 | 31.703 | 31.703 | 2.784 | 2.784 | 2.784 |
| 111 dumbbell | 6.295 | 39.285 | 39.285 | 39.285 | 9.955 | 9.955 | 9.955 |
| 100 dumbbell | 6.405 | 28.400 | 28.400 | 42.239 | -0.000 | 0.000 | 0.000 |
| tetrahedral interstitial | 6.453 | 36.909 | 27.055 | 36.909 | 0.000 | 0.000 | -0.000 |
| Point Defect | Ef (eV) | p11 (eV) | p22 (eV) | p33 (eV) | p12 (eV) | p13 (eV) | p23 (eV) |
|---|---|---|---|---|---|---|---|
| vacancy | 1.705 | -2.870 | -2.870 | -7.627 | 0.000 | -0.000 | 0.000 |
| relaxed interstitial | 3.359 | 22.976 | 22.444 | 18.325 | -0.461 | 2.821 | -1.629 |
| 0001 dumbbell | 3.594 | 29.797 | 29.797 | 21.539 | 0.000 | -0.000 | 0.000 |
| Point Defect | Ef (eV) | p11 (eV) | p22 (eV) | p33 (eV) | p12 (eV) | p13 (eV) | p23 (eV) |
|---|---|---|---|---|---|---|---|
| vacancy | 1.486 | -5.918 | -5.918 | -5.918 | -0.000 | -0.000 | 0.000 |
| 2nn divacancy | 2.991 | -14.358 | -14.358 | -13.643 | -0.000 | -0.000 | 0.000 |
| 1nn divacancy | 3.102 | -15.741 | -13.792 | -13.792 | -0.000 | -0.000 | 0.695 |
| 100 dumbbell | 3.946 | 19.892 | 19.892 | 18.145 | -0.000 | 0.000 | 0.000 |
| octahedral interstitial | 4.066 | 19.996 | 19.996 | 19.996 | -0.000 | -0.000 | -0.000 |
| 110 dumbbell | 4.302 | 23.636 | 18.452 | 18.452 | -0.000 | -0.000 | 14.161 |
| 111 dumbbell | 4.482 | 19.438 | 19.438 | 19.438 | 4.770 | 4.770 | 4.770 |
| tetrahedral interstitial | 4.542 | 19.566 | 19.566 | 19.566 | -0.000 | -0.000 | -0.000 |
| Point Defect | Ef (eV) | p11 (eV) | p22 (eV) | p33 (eV) | p12 (eV) | p13 (eV) | p23 (eV) |
|---|---|---|---|---|---|---|---|
| vacancy | 0.649 | -1.129 | -1.129 | -1.129 | -0.000 | 0.000 | -0.000 |
| 2nn divacancy | 1.245 | -0.685 | -0.685 | 2.072 | 0.000 | 0.000 | -0.000 |
| 1nn divacancy | 1.770 | -3.085 | -3.085 | -3.085 | 2.647 | 2.647 | 2.647 |
| relaxed interstitial | 3.149 | 39.970 | 40.426 | 40.417 | 9.648 | 9.614 | 10.164 |
| 111 dumbbell | 3.242 | 28.349 | 28.349 | 28.349 | 10.204 | 10.204 | 10.204 |
| Point Defect | Ef (eV) | p11 (eV) | p22 (eV) | p33 (eV) | p12 (eV) | p13 (eV) | p23 (eV) |
|---|---|---|---|---|---|---|---|
| vacancy | 1.408 | -3.729 | -3.729 | -4.067 | -0.000 | -0.000 | 0.000 |
| 0001 dumbbell | 4.401 | 17.953 | 17.953 | 24.321 | 0.000 | -0.000 | -0.000 |
Plots of the atomic structure of dislocation cores are shown here. The dislocations were constructed using dislocation monopole configurations in which a straight dislocation is created in the center of the system using anisotropic elasticity and the elastic constants computed above. A cylindrical region centered around the dislocation is allowed to relax while the remaining atoms are held fixed. The relaxation consists of 1 million NVT steps at 10 K followed by an energy/force minimization. The final plots show the atomic configuration near the center of the monopole system, and display differential displacement arrows and Nye tensor color maps that are both taken with respect to the Burgers vector direction.
These plots show a wide range of final structures, some corresponding to expected dislocation structures and others not. While the characterizations are dislocation-type dependent, some general classification guidelines are listed here.
The calculation method used is available as the iprPy dislocation_monopole calculation method.
Links are provided above the images allowing for users to download the final defect configuration and a corresponding defect-free configuration if they wish to further analyze the structures or use them for subsequent simulations.
Notes and Disclaimers:
Version Information:
Plots of lattice and elastic constants are shown as a function of temperature. The 0K points were taken from the Crystal Structure Predictions and the Elastic Constants Predictions sections above for the unique crystal structures relaxed with the "dynamic" method. Starting from the 0 K relaxed crystal unit cells, supercell systems are created by replicating all three dimensions by the same multiplier to achieve at least 4000 atoms. The systems are then relaxed at 50 K and zero pressure using 1 million NPT steps. Lattice constants are estimated by averaging the measured box dimensions. Temperatures are iteratively increased by 50 K, with each subsequent relaxation calculation starting from the final atomic configuration at the previous temperature and relaxing for another 1 million steps.
The elastic constants are calculated using the deformation–fluctuation hybrid method. Starting from the final atomic configurations of the dynamic relaxations, the system is allowed to evolve at constant volume with a Langevin thermostat. The Born matrix is computed during this run by evaluating how the atomic forces would vary due to applied linear strain fields. The elastic constants can then be estimated using the averaged Born matrix values and the averaged stresses on the system.
The calculation methods used are available as the iprPy relax_dynamic and elastic_constants_dynamic calculation methods.
Clicking on the image of a plot will open an interactive version of it in a new tab. The underlying data for the plots can be downloaded by clicking on the links above each plot.
Notes and Disclaimers:
Version Information:
Plots of radial distribution functions at different temperatures and the temperature-dependent diffusion and viscosity are shown here for elemental liquids. Melt phases are constructed by starting with a 10x10x10 fcc super cell and relaxing with 50,000 NPT steps at zero pressure and a high melting temperature (3000 K for most potentials and elements). Following the melt, liquid structures are relaxed by running NPT for 10,000 steps over which the temperature is dropped by 50 K, then 50,000 NPT at the target temperature to estimate the equilibrium volume, followed by 20,000 NVT steps at the averaged equilibrium volume and target temperature. Structures from the NVT run are sampled to compute the radial distribution function of the liquid at the corresponding temperature.
The final relaxed configurations at each temperature explored are used as the initial configurations for the diffusion and viscosity calculations. For diffusion, the system is integrated for 100 runs of 2,000 NVT steps during which both the mean squared displacement (MSD) and the velocity auto correlation function (VACF) are computed. From these simulations, three estimates of diffusion are computed: one from the MSD of the full 200,000 step run, one in which the MSD is reset for each short run and then averaged, and one from the VACF computed for each short run and averaged. For viscosity, the Green-Kubo method is used which is evaluated during a 1 million step NVT run.
The calculation methods used are available as the iprPy relax_liquid_redo, diffusion_liquid, and viscosity_green_kubo calculation methods.
Clicking on the image of a plot will open an interactive version of it in a new tab. The underlying data for the plots can be downloaded by clicking on the links above each plot.
Notes and Disclaimers:
Version Information:
Estimated melting temperatures are tabulated below. The melting temperature is computed here using a two-phase solid-liquid atomic configuration. The two-phase configuration is created by starting with a crystalline system in which the c box vector is roughly twice the length of the other two box vectors. Based on some input temperature Tinit, an NPH plus a Berensen thermostat simulation is performed for 10,000 steps in which half the system is subjected to a temperature of 1.25*Tinit and the other half to a temperature of 0.5*Tinit. This is then followed by 10,000 steps during which the temperature of the two regions are both scaled to Tinit. The system is then ran for 200,000 NPH steps to equilibrate the system. For the second half of the final NPH run, the average temperature of the system is calculated and the polyhedral template matching algorithm is used to estimate the number of solid and liquid atoms for a number of configuration snapshots. If the averaged fraction of solid atoms is found to be between 0.25-0.75, then the averaged temperature provides an estimate of the melting temperature.
This calculation is iteratively performed where the Tinit value is adjusted up or down if the fraction of solid atoms is outside the range 0.25-0.75. Iterations are repeated until 10 calculations are performed that produce solid fractions in the target range, or 30 total calculations are performed.
The calculation method used is available as the iprPy melting_temperature calculation method.
Notes and Disclaimers:
Version Information:
| prototype | Tmelt | stderr |
|---|---|---|
| A2--W--bcc | 2152.72 | 1.8 |
| A3--Mg--hcp | 1978.56 | 1.39 |
| prototype | Tmelt | stderr |
|---|---|---|
| A2--W--bcc | 1832.04 | 10.1 |
| A3--Mg--hcp | 1777.82 | 3.05 |
| prototype | Tmelt | stderr |
|---|---|---|
| A1--Cu--fcc | 1722.71 | 1.26 |
| A3--Mg--hcp | 1683.14 | 2.78 |
Plots of internal energy, Gibbs free energy, entropy, heat capacity and volume are shown here as a function of temperature for various crystal structures and liquid phases. The included crystal structures correspond to those in the Solid Structures vs. Temperature section, and the liquid phases to those in the Liquid Properties section. Internal energy and volume are taken from the associated structure relaxations mentioned in those previous sections. Constant pressure heat capacity is estimated using 3-point numerical derivatives of enthalpy versus temperature. Note that since all simulations done here are at 0 pressure, internal energy and enthalpy are equivalent.
The Gibbs energies of the phases are estimated using thermodynamic integration between the interatomic potential in question and a simpler model with known Gibbs free energy values. For solids, the reference model is an Einstein solid, while for liquids it is the Uhlenbeck-Ford potential. Besides a short run at the start of the solid calculations to estimate Einstein model spring constants, the two calculations proceed similarly. Starting with the final relaxation configurations, the systems are stabilized for 25,000 steps. Then, over the next 50,000 steps the potential is swapped out for the reference potential. The system is then stabilized for another 25,000 steps with the reference model before a reverse swap of 50,000 steps is performed. The simulation ends with one final 25,000 step stabilization period. From the simulation, the irreversible work of transformation is estimated and used to compute the absolute Gibbs free energy of the target phase and potential relative to the reference potential. Entropy is estimated as the difference in enthalpy and Gibbs free energy and divided by temperature.
The calculation methods used are available as the iprPy relax_dynamic, relax_liquid_redo, free_energy, and free_energy_liquid calculation methods.
Clicking on the image of a plot will open an interactive version of it in a new tab. The underlying data for the plots can be downloaded by clicking on the links above each plot.
Notes and Disclaimers:
Version Information:






