Plots of the potential energy vs interatomic spacing, r, are shown below for all diatom sets associated with the interatomic potential. This calculation provides insights into the functional form of the potential's two-body interactions. A system consisting of only two atoms is created, and the potential energy is evaluated for the atoms separated by 0.02 Å <= r <= 6.0> Å in intervals of 0.02 Å. Two plots are shown: one for the "standard" interaction distance range, and one for small values of r. The small r plot is useful for determining whether the potential is suitable for radiation studies.
The calculation method used is available as the iprPy diatom_scan calculation method.
Clicking on the image of a plot will open an interactive version of it in a new tab. The underlying data for the plots can be downloaded by clicking on the links above each plot.
Notes and Disclaimers:
Version Information:
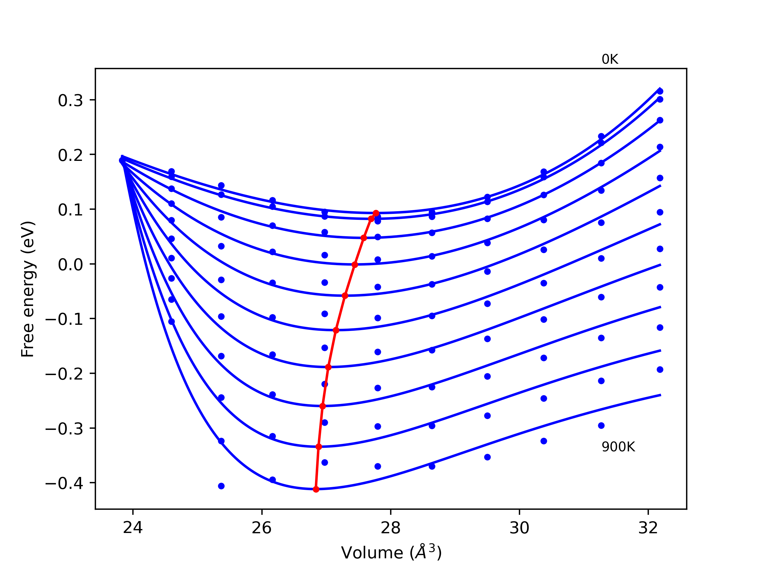
Plots of potential energy vs interatomic spacing, r, are shown below for a number of crystal structures. The structures are generated based on the ideal atomic positions and b/a and c/a lattice parameter ratios for a given crystal prototype. The size of the system is then uniformly scaled, and the energy calculated without relaxing the system. To obtain these plots, values of r are evaluated every 0.02 Å up to 6 Å.
The calculation method used is available as the iprPy E_vs_r_scan calculation method.
Clicking on the image of a plot will open an interactive version of it in a new tab. The underlying data for the plots can be downloaded by clicking on the links above each plot.
Notes and Disclaimers:
Version Information:
Computed lattice constants and cohesive/potential energies are displayed for a variety of crystal structures. The values displayed here are obtained using the following process.
The calculation methods used are implemented into iprPy as the following calculation styles
Notes and Disclaimers:
Version Information:
Download raw data (including filtered results)
Reference structure matches:
A1--Cu--fcc = mp-8637, oqmd-676152, oqmd-1214544
A15--beta-W = oqmd-1214989, oqmd-1280332
A2--W--bcc = mp-129, oqmd-676469, oqmd-1215167
A3'--alpha-La--double-hcp = mp-1066523, oqmd-1215435
A3--Mg--hcp = oqmd-1215345
A4--C--dc = oqmd-1215524
A5--beta-Sn = oqmd-1215613
A6--In--bct = oqmd-1215702
| prototype | method | Ecoh (eV/atom) | Epot (eV/atom) | a0 (Å) | b0 (Å) | c0 (Å) | α (degrees) | β (degrees) | γ (degrees) |
|---|---|---|---|---|---|---|---|---|---|
| A2--W--bcc | dynamic | -6.8803 | -6.8803 | 3.1491 | 3.1491 | 3.1491 | 90.0 | 90.0 | 90.0 |
| oqmd-1214811 | dynamic | -6.6737 | -6.6737 | 9.7252 | 9.7252 | 9.7252 | 90.0 | 90.0 | 90.0 |
| oqmd-1214811 | box | -6.6418 | -6.6418 | 9.7159 | 9.7159 | 9.7159 | 90.0 | 90.0 | 90.0 |
| oqmd-1215256 | static | -6.631 | -6.631 | 2.7807 | 5.2359 | 4.4935 | 90.0 | 90.0 | 90.0 |
| oqmd-1215256 | box | -6.6223 | -6.6223 | 2.804 | 5.2156 | 4.4938 | 90.0 | 90.0 | 90.0 |
| A3--Mg--hcp | box | -6.6018 | -6.6018 | 2.9638 | 2.9638 | 4.4602 | 90.0 | 90.0 | 120.0 |
| mp-1181019 | static | -6.5977 | -6.5977 | 4.8103 | 5.1519 | 10.297 | 90.0 | 96.4 | 90.0 |
| A15--beta-W | dynamic | -6.5968 | -6.5968 | 4.9955 | 4.9955 | 4.9955 | 90.0 | 90.0 | 90.0 |
| oqmd-1214900 | static | -6.5959 | -6.5959 | 6.855 | 6.855 | 6.855 | 90.0 | 90.0 | 90.0 |
| A6--In--bct | static | -6.5677 | -6.5677 | 2.679 | 2.679 | 4.5024 | 90.0 | 90.0 | 90.0 |
| oqmd-1214900 | box | -6.5629 | -6.5629 | 6.8334 | 6.8334 | 6.8334 | 90.0 | 90.0 | 90.0 |
| A3'--alpha-La--double-hcp | static | -6.553 | -6.553 | 2.8535 | 2.8535 | 9.0905 | 90.0 | 90.0 | 120.0 |
| mp-1181019 | box | -6.5465 | -6.5465 | 5.0581 | 5.0678 | 10.231 | 90.0 | 102.3 | 90.0 |
| A1--Cu--fcc | static | -6.5168 | -6.5168 | 3.9821 | 3.9821 | 3.9821 | 90.0 | 90.0 | 90.0 |
| mp-1180307 | static | -6.5114 | -6.5114 | 9.5513 | 3.0706 | 9.6759 | 90.0 | 113.1 | 90.0 |
| oqmd-1215791 | static | -6.4786 | -6.4786 | 3.0659 | 3.0659 | 6.009 | 90.0 | 90.0 | 120.0 |
| mp-1190217 | dynamic | -6.4306 | -6.4306 | 7.7139 | 2.6777 | 13.5188 | 90.0 | 101.1 | 90.0 |
| mp-1190217 | static | -6.4306 | -6.4306 | 7.7139 | 2.6777 | 13.5189 | 90.0 | 101.1 | 90.0 |
| oqmd-1215078 | box | -6.4198 | -6.4198 | 4.4254 | 9.7258 | 3.0685 | 90.0 | 90.0 | 90.0 |
| mp-1190217 | box | -6.4141 | -6.4141 | 7.7301 | 2.6682 | 13.4567 | 90.0 | 101.0 | 90.0 |
| A5--beta-Sn | static | -6.1286 | -6.1286 | 4.9833 | 4.9833 | 2.7312 | 90.0 | 90.0 | 90.0 |
| mp-1056004 | box | -5.989 | -5.989 | 2.8133 | 2.8133 | 2.5002 | 90.0 | 90.0 | 120.0 |
| mp-1180307 | box | -5.9596 | -5.9596 | 11.8554 | 2.9839 | 12.4193 | 90.0 | 115.2 | 90.0 |
| oqmd-1214722 | box | -5.8458 | -5.8458 | 4.3387 | 7.6842 | 4.3385 | 90.0 | 90.0 | 90.0 |
| Ah--alpha-Po--sc | static | -5.7384 | -5.7384 | 2.5435 | 2.5435 | 2.5435 | 90.0 | 90.0 | 90.0 |
| oqmd-1215969 | static | -5.612 | -5.612 | 4.3058 | 4.3058 | 4.4527 | 90.0 | 90.0 | 120.0 |
| A7--alpha-As | box | -5.5708 | -5.5708 | 3.6996 | 3.6996 | 9.3835 | 90.0 | 90.0 | 120.0 |
| oqmd-1215969 | box | -5.4759 | -5.4759 | 4.6012 | 4.6012 | 3.1025 | 90.0 | 90.0 | 120.0 |
| A4--C--dc | static | -4.902 | -4.902 | 5.6497 | 5.6497 | 5.6497 | 90.0 | 90.0 | 90.0 |
| A7--alpha-As | dynamic | -4.8225 | -4.8225 | 3.1081 | 3.1081 | 7.4455 | 90.0 | 90.0 | 120.0 |
| A4--C--dc | dynamic | -4.3379 | -4.3379 | 4.1308 | 4.1308 | 4.1308 | 90.0 | 90.0 | 90.0 |
| A3--Mg--hcp | dynamic | -1.7968 | -1.7968 | 1.8493 | 1.8493 | 2.7193 | 90.0 | 90.0 | 120.0 |
| A3'--alpha-La--double-hcp | dynamic | -1.7679 | -1.7679 | 1.8601 | 1.8601 | 6.0738 | 90.0 | 90.0 | 120.0 |
| A2--W--bcc | static | -1.5806 | -1.5806 | 2.0314 | 2.0314 | 2.0314 | 90.0 | 90.0 | 90.0 |
| A3'--alpha-La--double-hcp | dynamic | -1.141 | -1.141 | 5.4274 | 5.4274 | 17.7258 | 90.0 | 90.0 | 120.0 |
| A3--Mg--hcp | dynamic | -1.141 | -1.141 | 5.4274 | 5.4274 | 8.8629 | 90.0 | 90.0 | 120.0 |
| A1--Cu--fcc | dynamic | -1.141 | -1.141 | 7.6755 | 7.6755 | 7.6755 | 90.0 | 90.0 | 90.0 |
| A15--beta-W | dynamic | -0.9087 | -0.9087 | 9.2488 | 9.2488 | 9.2488 | 90.0 | 90.0 | 90.0 |
| A2--W--bcc | dynamic | -0.9033 | -0.9033 | 5.4435 | 5.4435 | 5.4435 | 90.0 | 90.0 | 90.0 |
| A2--W--bcc | dynamic | -0.8002 | -0.8002 | 6.2684 | 6.2684 | 6.2684 | 90.0 | 90.0 | 90.0 |
| Ah--alpha-Po--sc | dynamic | -0.616 | -0.616 | 5.4291 | 5.4291 | 5.4291 | 90.0 | 90.0 | 90.0 |
| A5--beta-Sn | dynamic | -0.6159 | -0.6159 | 10.514 | 10.514 | 5.4286 | 90.0 | 90.0 | 90.0 |
| A5--beta-Sn | dynamic | -0.5237 | -0.5237 | 8.9307 | 8.9307 | 4.6121 | 90.0 | 90.0 | 90.0 |
| A3--Mg--hcp | dynamic | -0.5004 | -0.5004 | 4.7316 | 4.7316 | 7.7266 | 90.0 | 90.0 | 120.0 |
| A1--Cu--fcc | dynamic | -0.5004 | -0.5004 | 6.6914 | 6.6914 | 6.6914 | 90.0 | 90.0 | 90.0 |
| A3'--alpha-La--double-hcp | dynamic | -0.5004 | -0.5004 | 4.7316 | 4.7316 | 15.4532 | 90.0 | 90.0 | 120.0 |
| A5--beta-Sn | box | -0.481 | -0.481 | 9.025 | 9.025 | 4.3435 | 90.0 | 90.0 | 90.0 |
| A6--In--bct | box | -0.4775 | -0.4775 | 4.7356 | 4.7356 | 7.1145 | 90.0 | 90.0 | 90.0 |
| A7--alpha-As | static | -0.4405 | -0.4405 | 7.0197 | 7.0197 | 18.1899 | 90.0 | 90.0 | 120.0 |
| A4--C--dc | dynamic | -0.4216 | -0.4216 | 12.5393 | 12.5393 | 12.5393 | 90.0 | 90.0 | 90.0 |
| A15--beta-W | static | -0.3984 | -0.3984 | 7.6154 | 7.6154 | 7.6154 | 90.0 | 90.0 | 90.0 |
| A7--alpha-As | dynamic | -0.3176 | -0.3176 | 9.2214 | 9.2214 | 15.3885 | 90.0 | 90.0 | 120.0 |
| Ah--alpha-Po--sc | dynamic | -0.2592 | -0.2592 | 4.7332 | 4.7332 | 4.7332 | 90.0 | 90.0 | 90.0 |
| A4--C--dc | dynamic | -0.1749 | -0.1749 | 10.932 | 10.932 | 10.932 | 90.0 | 90.0 | 90.0 |
| A1--Cu--fcc | dynamic | -0.0976 | -0.0976 | 6.0902 | 6.0902 | 6.0902 | 90.0 | 90.0 | 90.0 |
| A3--Mg--hcp | dynamic | -0.0976 | -0.0976 | 4.3064 | 4.3064 | 7.0323 | 90.0 | 90.0 | 120.0 |
| A3'--alpha-La--double-hcp | dynamic | -0.0976 | -0.0976 | 4.3064 | 4.3064 | 14.0646 | 90.0 | 90.0 | 120.0 |
Download raw data (including filtered results)
Reference structure matches:
| prototype | method | Ecoh (eV/atom) | Epot (eV/atom) | a0 (Å) | b0 (Å) | c0 (Å) | α (degrees) | β (degrees) | γ (degrees) |
|---|---|---|---|---|---|---|---|---|---|
| C1--CaF2--fluorite | static | -4.9966 | -4.9966 | 6.235 | 6.235 | 6.235 | 90.0 | 90.0 | 90.0 |
| oqmd-1233863 | box | -4.4531 | -4.4531 | 5.9597 | 5.9597 | 3.8259 | 90.0 | 90.0 | 90.0 |
| oqmd-1240542 | static | -3.7404 | -3.7404 | 11.2491 | 11.2491 | 11.2491 | 90.0 | 90.0 | 90.0 |
| C1--CaF2--fluorite | dynamic | -0.2983 | -0.2983 | 11.1949 | 11.1949 | 11.1949 | 90.0 | 90.0 | 90.0 |
| C1--CaF2--fluorite | dynamic | -0.05 | -0.05 | 12.7016 | 12.7016 | 12.7016 | 90.0 | 90.0 | 90.0 |
Download raw data (including filtered results)
Reference structure matches:
| prototype | method | Ecoh (eV/atom) | Epot (eV/atom) | a0 (Å) | b0 (Å) | c0 (Å) | α (degrees) | β (degrees) | γ (degrees) |
|---|---|---|---|---|---|---|---|---|---|
| oqmd-427941 | static | -4.5392 | -4.5392 | 6.1462 | 6.1462 | 20.5376 | 90.0 | 90.0 | 120.0 |
Download raw data (including filtered results)
Reference structure matches:
D0_3--BiF3 = oqmd-313964
L1_2--AuCu3 = oqmd-344809
| prototype | method | Ecoh (eV/atom) | Epot (eV/atom) | a0 (Å) | b0 (Å) | c0 (Å) | α (degrees) | β (degrees) | γ (degrees) |
|---|---|---|---|---|---|---|---|---|---|
| D0_3--BiF3 | dynamic | -6.0889 | -6.0889 | 6.5377 | 6.5377 | 6.5377 | 90.0 | 90.0 | 90.0 |
| oqmd-320323 | dynamic | -5.9902 | -5.9902 | 6.0287 | 6.0287 | 4.6043 | 90.0 | 90.0 | 120.0 |
| oqmd-320323 | box | -5.9797 | -5.9797 | 6.0204 | 6.0204 | 4.6144 | 90.0 | 90.0 | 120.0 |
| oqmd-303422 | static | -5.9364 | -5.9364 | 4.1128 | 4.1128 | 8.4139 | 90.0 | 90.0 | 90.0 |
| A15--Cr3Si | static | -5.9324 | -5.9324 | 5.1591 | 5.1591 | 5.1591 | 90.0 | 90.0 | 90.0 |
| L1_2--AuCu3 | static | -5.8579 | -5.8579 | 4.1669 | 4.1669 | 4.1669 | 90.0 | 90.0 | 90.0 |
| A15--Cr3Si | dynamic | -0.5846 | -0.5846 | 8.9892 | 8.9892 | 8.9892 | 90.0 | 90.0 | 90.0 |
| L1_2--AuCu3 | box | -0.5737 | -0.5737 | 6.2893 | 6.2893 | 6.2893 | 90.0 | 90.0 | 90.0 |
| L1_2--AuCu3 | static | -0.56 | -0.56 | 7.6527 | 7.6527 | 7.6527 | 90.0 | 90.0 | 90.0 |
| D0_3--BiF3 | box | -0.37 | -0.37 | 12.4797 | 12.4797 | 12.4797 | 90.0 | 90.0 | 90.0 |
| D0_3--BiF3 | static | -0.3484 | -0.3484 | 11.1416 | 11.1416 | 11.1416 | 90.0 | 90.0 | 90.0 |
| A15--Cr3Si | dynamic | -0.1549 | -0.1549 | 10.979 | 10.979 | 10.979 | 90.0 | 90.0 | 90.0 |
Download raw data (including filtered results)
Reference structure matches:
B1--NaCl--rock-salt = oqmd-1106610
B2--CsCl = oqmd-307425, oqmd-338967
B3--ZnS--cubic-zinc-blende = oqmd-1223406
| prototype | method | Ecoh (eV/atom) | Epot (eV/atom) | a0 (Å) | b0 (Å) | c0 (Å) | α (degrees) | β (degrees) | γ (degrees) |
|---|---|---|---|---|---|---|---|---|---|
| mp-1178856 | dynamic | -5.4519 | -5.4519 | 5.6189 | 2.6973 | 9.4557 | 90.0 | 91.3 | 90.0 |
| mp-1178856 | static | -5.4519 | -5.4519 | 5.6148 | 2.6982 | 9.456 | 90.0 | 91.3 | 90.0 |
| B2--CsCl | dynamic | -5.394 | -5.394 | 3.3739 | 3.3739 | 3.3739 | 90.0 | 90.0 | 90.0 |
| mp-1178856 | box | -5.3459 | -5.3459 | 5.5918 | 2.7188 | 9.5136 | 90.0 | 90.6 | 90.0 |
| mp-1079710 | static | -5.2701 | -5.2701 | 5.3399 | 2.8137 | 10.5351 | 90.0 | 115.5 | 90.0 |
| L1_0--AuCu | box | -5.2687 | -5.2687 | 3.094 | 3.094 | 4.0124 | 90.0 | 90.0 | 90.0 |
| mp-1079710 | box | -5.2132 | -5.2132 | 5.3704 | 2.7904 | 10.6954 | 90.0 | 115.8 | 90.0 |
| B1--NaCl--rock-salt | static | -4.7174 | -4.7174 | 5.5356 | 5.5356 | 5.5356 | 90.0 | 90.0 | 90.0 |
| oqmd-1226891 | box | -3.9884 | -3.9884 | 3.8924 | 3.8924 | 9.0123 | 90.0 | 90.0 | 120.0 |
| oqmd-1226891 | static | -3.9767 | -3.9767 | 3.9569 | 3.9569 | 7.1938 | 90.0 | 90.0 | 120.0 |
| B4--ZnS--wurtzite | static | -3.9766 | -3.9766 | 3.9572 | 3.9572 | 7.1943 | 90.0 | 90.0 | 120.0 |
| B4--ZnS--wurtzite | static | -3.9766 | -3.9766 | 3.9572 | 3.9572 | 7.1944 | 90.0 | 90.0 | 120.0 |
| B4--ZnS--wurtzite | box | -3.9175 | -3.9175 | 4.0653 | 4.0653 | 6.8838 | 90.0 | 90.0 | 120.0 |
| B3--ZnS--cubic-zinc-blende | static | -3.9026 | -3.9026 | 5.7937 | 5.7937 | 5.7937 | 90.0 | 90.0 | 90.0 |
| L1_0--AuCu | dynamic | -1.9111 | -1.9111 | 4.8273 | 4.8273 | 6.0378 | 90.0 | 90.0 | 90.0 |
| B1--NaCl--rock-salt | dynamic | -1.3566 | -1.3566 | 9.0311 | 9.0311 | 9.0311 | 90.0 | 90.0 | 90.0 |
| B2--CsCl | dynamic | -0.5973 | -0.5973 | 6.3595 | 6.3595 | 6.3595 | 90.0 | 90.0 | 90.0 |
| B3--ZnS--cubic-zinc-blende | dynamic | -0.2389 | -0.2389 | 10.4424 | 10.4424 | 10.4424 | 90.0 | 90.0 | 90.0 |
| B4--ZnS--wurtzite | dynamic | -0.2389 | -0.2389 | 7.3838 | 7.3838 | 12.0584 | 90.0 | 90.0 | 120.0 |
| B4--ZnS--wurtzite | static | -0.2389 | -0.2389 | 7.3835 | 7.3835 | 12.0593 | 90.0 | 90.0 | 120.0 |
| B4--ZnS--wurtzite | static | -0.2389 | -0.2389 | 7.3834 | 7.3834 | 12.0597 | 90.0 | 90.0 | 120.0 |
| B4--ZnS--wurtzite | box | -0.2389 | -0.2389 | 7.382 | 7.382 | 12.0643 | 90.0 | 90.0 | 120.0 |
| B1--NaCl--rock-salt | dynamic | -0.2221 | -0.2221 | 11.0109 | 11.0109 | 11.0109 | 90.0 | 90.0 | 90.0 |
| B2--CsCl | box | -0.1353 | -0.1353 | 5.2214 | 5.2214 | 5.2214 | 90.0 | 90.0 | 90.0 |
| L1_0--AuCu | static | -0.09 | -0.09 | 5.2444 | 5.2444 | 6.8504 | 90.0 | 90.0 | 90.0 |
| B3--ZnS--cubic-zinc-blende | dynamic | -0.0389 | -0.0389 | 12.6983 | 12.6983 | 12.6983 | 90.0 | 90.0 | 90.0 |
| B4--ZnS--wurtzite | dynamic | -0.0389 | -0.0389 | 8.9791 | 8.9791 | 14.6628 | 90.0 | 90.0 | 120.0 |
| B4--ZnS--wurtzite | dynamic | -0.0389 | -0.0389 | 8.979 | 8.979 | 14.663 | 90.0 | 90.0 | 120.0 |
| B4--ZnS--wurtzite | static | -0.0389 | -0.0389 | 8.9784 | 8.9784 | 14.6648 | 90.0 | 90.0 | 120.0 |
| B4--ZnS--wurtzite | box | -0.0389 | -0.0389 | 8.9767 | 8.9767 | 14.6705 | 90.0 | 90.0 | 120.0 |
| B2--CsCl | static | -0.0283 | -0.0283 | 5.7543 | 5.7543 | 5.7543 | 90.0 | 90.0 | 90.0 |
| B3--ZnS--cubic-zinc-blende | dynamic | -0.0023 | -0.0023 | 11.6902 | 11.6902 | 11.6902 | 90.0 | 90.0 | 90.0 |
| B4--ZnS--wurtzite | dynamic | -0.0023 | -0.0023 | 8.2662 | 8.2662 | 13.4987 | 90.0 | 90.0 | 120.0 |
| B4--ZnS--wurtzite | static | -0.0023 | -0.0023 | 8.2661 | 8.2661 | 13.499 | 90.0 | 90.0 | 120.0 |
| B4--ZnS--wurtzite | static | -0.0023 | -0.0023 | 8.266 | 8.266 | 13.4993 | 90.0 | 90.0 | 120.0 |
| B4--ZnS--wurtzite | box | -0.0023 | -0.0023 | 8.264 | 8.264 | 13.506 | 90.0 | 90.0 | 120.0 |
| L1_0--AuCu | box | 0.0454 | 0.0454 | 5.8413 | 5.8413 | 8.3371 | 90.0 | 90.0 | 90.0 |
Download raw data (including filtered results)
Reference structure matches:
| prototype | method | Ecoh (eV/atom) | Epot (eV/atom) | a0 (Å) | b0 (Å) | c0 (Å) | α (degrees) | β (degrees) | γ (degrees) |
|---|---|---|---|---|---|---|---|---|---|
| mp-30789 | static | -5.0513 | -5.0513 | 3.3871 | 3.3871 | 9.756 | 90.0 | 90.0 | 90.0 |
| mp-30789 | box | -5.0502 | -5.0502 | 3.3866 | 3.3866 | 9.7447 | 90.0 | 90.0 | 90.0 |
| oqmd-17717 | box | -5.0501 | -5.0501 | 3.3866 | 3.3866 | 9.7437 | 90.0 | 90.0 | 90.0 |
| C1--CaF2--fluorite | static | -4.2446 | -4.2446 | 6.7556 | 6.7556 | 6.7556 | 90.0 | 90.0 | 90.0 |
| oqmd-1240541 | dynamic | -3.1771 | -3.1771 | 11.2905 | 11.2905 | 11.2905 | 90.0 | 90.0 | 90.0 |
| C1--CaF2--fluorite | static | -1.5038 | -1.5038 | 10.3927 | 10.3927 | 10.3927 | 90.0 | 90.0 | 90.0 |
| C1--CaF2--fluorite | dynamic | -0.4 | -0.4 | 12.7182 | 12.7182 | 12.7182 | 90.0 | 90.0 | 90.0 |
Download raw data (including filtered results)
Reference structure matches:
D0_3--BiF3 = oqmd-309781
L1_2--AuCu3 = oqmd-348992
| prototype | method | Ecoh (eV/atom) | Epot (eV/atom) | a0 (Å) | b0 (Å) | c0 (Å) | α (degrees) | β (degrees) | γ (degrees) |
|---|---|---|---|---|---|---|---|---|---|
| A15--Cr3Si | dynamic | -7.0553 | -7.0553 | 8.0701 | 8.0701 | 8.0701 | 90.0 | 90.0 | 90.0 |
| D0_3--BiF3 | static | -4.8188 | -4.8188 | 6.8066 | 6.8066 | 6.8066 | 90.0 | 90.0 | 90.0 |
| A15--Cr3Si | dynamic | -4.7735 | -4.7735 | 5.4305 | 5.4305 | 5.4305 | 90.0 | 90.0 | 90.0 |
| oqmd-299239 | static | -4.7204 | -4.7204 | 4.0069 | 4.0069 | 9.863 | 90.0 | 90.0 | 90.0 |
| oqmd-324506 | box | -4.6811 | -4.6811 | 5.9987 | 5.9987 | 4.9656 | 90.0 | 90.0 | 120.0 |
| L1_2--AuCu3 | static | -4.6305 | -4.6305 | 4.2449 | 4.2449 | 4.2449 | 90.0 | 90.0 | 90.0 |
| A15--Cr3Si | dynamic | -1.016 | -1.016 | 9.8884 | 9.8884 | 9.8884 | 90.0 | 90.0 | 90.0 |
| L1_2--AuCu3 | box | 0.0601 | 0.0601 | 7.4562 | 7.4562 | 7.4562 | 90.0 | 90.0 | 90.0 |
| L1_2--AuCu3 | static | 0.0858 | 0.0858 | 7.0763 | 7.0763 | 7.0763 | 90.0 | 90.0 | 90.0 |
| D0_3--BiF3 | box | 0.1274 | 0.1274 | 11.7955 | 11.7955 | 11.7955 | 90.0 | 90.0 | 90.0 |
Download raw data (including filtered results)
Reference structure matches:
| prototype | method | Ecoh (eV/atom) | Epot (eV/atom) | a0 (Å) | b0 (Å) | c0 (Å) | α (degrees) | β (degrees) | γ (degrees) |
|---|---|---|---|---|---|---|---|---|---|
| mp-1216893 | static | -4.4473 | -4.4473 | 3.516 | 4.8928 | 9.443 | 90.0 | 90.0 | 90.0 |
| mp-1216893 | box | -4.4294 | -4.4294 | 3.4779 | 4.8825 | 9.5742 | 90.0 | 90.0 | 90.0 |
Download raw data (including filtered results)
Reference structure matches:
A1--Cu--fcc = mp-1008669, oqmd-22309, oqmd-1214582
A15--beta-W = oqmd-1215027
A2--W--bcc = mp-108, oqmd-8391, oqmd-1215205
A3'--alpha-La--double-hcp = oqmd-1215473
A3--Mg--hcp = oqmd-1215383
A4--C--dc = oqmd-1215562
A5--beta-Sn = oqmd-1215651
A6--In--bct = oqmd-1215740
Ah--alpha-Po--sc = mp-1056699, oqmd-1215829, oqmd-1215918
| prototype | method | Ecoh (eV/atom) | Epot (eV/atom) | a0 (Å) | b0 (Å) | c0 (Å) | α (degrees) | β (degrees) | γ (degrees) |
|---|---|---|---|---|---|---|---|---|---|
| oqmd-686734 | dynamic | -4.2233 | -4.2233 | 2.8554 | 5.8457 | 4.9747 | 90.0 | 90.0 | 90.0 |
| oqmd-1215294 | box | -4.2233 | -4.2233 | 2.8553 | 5.8465 | 4.9755 | 90.0 | 90.0 | 90.0 |
| mp-44 | box | -4.2232 | -4.2232 | 2.8555 | 5.8442 | 4.9738 | 90.0 | 90.0 | 90.0 |
| oqmd-686734 | box | -4.2229 | -4.2229 | 2.8546 | 5.8481 | 4.978 | 90.0 | 90.0 | 90.0 |
| A6--In--bct | static | -4.1571 | -4.1571 | 2.8061 | 2.8061 | 5.2482 | 90.0 | 90.0 | 90.0 |
| A2--W--bcc | static | -4.1513 | -4.1513 | 3.5114 | 3.5114 | 3.5114 | 90.0 | 90.0 | 90.0 |
| oqmd-1214849 | dynamic | -4.1511 | -4.1511 | 10.7629 | 10.7629 | 10.7629 | 90.0 | 90.0 | 90.0 |
| oqmd-1214849 | static | -4.1498 | -4.1498 | 10.7461 | 10.7461 | 10.7461 | 90.0 | 90.0 | 90.0 |
| oqmd-1214849 | box | -4.1424 | -4.1424 | 10.7078 | 10.7078 | 10.7078 | 90.0 | 90.0 | 90.0 |
| A15--beta-W | static | -4.1295 | -4.1295 | 5.4965 | 5.4965 | 5.4965 | 90.0 | 90.0 | 90.0 |
| oqmd-1214760 | dynamic | -4.1267 | -4.1267 | 4.9696 | 10.7707 | 3.3183 | 90.0 | 90.0 | 90.0 |
| oqmd-8009 | static | -4.1231 | -4.1231 | 10.5093 | 10.5093 | 5.6587 | 90.0 | 90.0 | 90.0 |
| mp-93 | static | -4.1231 | -4.1231 | 10.5094 | 10.5094 | 5.6583 | 90.0 | 90.0 | 90.0 |
| mp-43 | static | -4.1227 | -4.1227 | 10.555 | 10.555 | 5.6036 | 90.0 | 90.0 | 90.0 |
| oqmd-2472 | static | -4.1226 | -4.1226 | 10.5544 | 10.5544 | 5.6037 | 90.0 | 90.0 | 90.0 |
| oqmd-8009 | box | -4.1184 | -4.1184 | 10.5107 | 10.5107 | 5.668 | 90.0 | 90.0 | 90.0 |
| mp-93 | box | -4.1179 | -4.1179 | 10.5208 | 10.5208 | 5.6546 | 90.0 | 90.0 | 90.0 |
| mp-1178958 | box | -4.1142 | -4.1142 | 6.6634 | 4.905 | 5.1307 | 90.0 | 90.0 | 90.0 |
| oqmd-2472 | box | -4.1086 | -4.1086 | 10.5342 | 10.5342 | 5.6763 | 90.0 | 90.0 | 90.0 |
| mp-43 | box | -4.1071 | -4.1071 | 10.5378 | 10.5378 | 5.6683 | 90.0 | 90.0 | 90.0 |
| A5--beta-Sn | dynamic | -4.0972 | -4.0972 | 5.171 | 5.171 | 3.1557 | 90.0 | 90.0 | 90.0 |
| oqmd-1215116 | box | -4.0662 | -4.0662 | 2.7974 | 2.7974 | 10.7551 | 90.0 | 90.0 | 90.0 |
| mp-1077335 | static | -4.0557 | -4.0557 | 7.7277 | 7.4641 | 5.3482 | 90.0 | 125.5 | 90.0 |
| oqmd-1214938 | static | -4.043 | -4.043 | 7.4745 | 7.4745 | 7.4745 | 90.0 | 90.0 | 90.0 |
| oqmd-1214938 | box | -4.0146 | -4.0146 | 7.5241 | 7.5241 | 7.5241 | 90.0 | 90.0 | 90.0 |
| mp-1076920 | static | -3.965 | -3.965 | 3.0188 | 3.0188 | 2.6837 | 90.0 | 90.0 | 120.0 |
| A1--Cu--fcc | static | -3.9364 | -3.9364 | 4.2475 | 4.2475 | 4.2475 | 90.0 | 90.0 | 90.0 |
| A3--Mg--hcp | box | -3.9282 | -3.9282 | 2.9664 | 2.9664 | 5.1139 | 90.0 | 90.0 | 120.0 |
| A3'--alpha-La--double-hcp | box | -3.9276 | -3.9276 | 2.9793 | 2.9793 | 10.0322 | 90.0 | 90.0 | 120.0 |
| oqmd-1216099 | box | -3.9258 | -3.9258 | 2.9735 | 2.9735 | 22.7341 | 90.0 | 90.0 | 120.0 |
| A7--alpha-As | static | -3.8988 | -3.8988 | 3.8946 | 3.8946 | 9.9772 | 90.0 | 90.0 | 120.0 |
| Ah--alpha-Po--sc | static | -3.8873 | -3.8873 | 2.7762 | 2.7762 | 2.7762 | 90.0 | 90.0 | 90.0 |
| mp-1200324 | box | -3.8433 | -3.8433 | 24.0317 | 5.6145 | 5.0755 | 90.0 | 90.0 | 90.0 |
| mp-1197206 | box | -3.8083 | -3.8083 | 34.9358 | 5.7656 | 3.4289 | 90.0 | 90.0 | 90.0 |
| A3--Mg--hcp | dynamic | -3.8011 | -3.8011 | 3.4519 | 3.4519 | 5.1347 | 90.0 | 90.0 | 120.0 |
| A3'--alpha-La--double-hcp | dynamic | -3.7657 | -3.7657 | 3.4173 | 3.4173 | 10.8425 | 90.0 | 90.0 | 120.0 |
| A1--Cu--fcc | dynamic | -3.7574 | -3.7574 | 4.8086 | 4.8086 | 4.8086 | 90.0 | 90.0 | 90.0 |
| oqmd-1216007 | box | -3.7437 | -3.7437 | 4.5811 | 4.5811 | 5.0422 | 90.0 | 90.0 | 120.0 |
| A4--C--dc | static | -3.3685 | -3.3685 | 5.8789 | 5.8789 | 5.8789 | 90.0 | 90.0 | 90.0 |
| Ah--alpha-Po--sc | dynamic | -2.2798 | -2.2798 | 3.4618 | 3.4618 | 3.4618 | 90.0 | 90.0 | 90.0 |
| A5--beta-Sn | static | -1.6045 | -1.6045 | 7.727 | 7.727 | 3.9267 | 90.0 | 90.0 | 90.0 |
| A4--C--dc | dynamic | -1.4501 | -1.4501 | 8.9375 | 8.9375 | 8.9375 | 90.0 | 90.0 | 90.0 |
| A5--beta-Sn | box | -1.2448 | -1.2448 | 7.1354 | 7.1354 | 3.9465 | 90.0 | 90.0 | 90.0 |
| A7--alpha-As | dynamic | -1.0694 | -1.0694 | 6.1809 | 6.1809 | 15.1511 | 90.0 | 90.0 | 120.0 |
| A7--alpha-As | box | -0.8838 | -0.8838 | 6.0307 | 6.0307 | 15.9459 | 90.0 | 90.0 | 120.0 |
| A7--alpha-As | dynamic | 0.0616 | 0.0616 | 7.2673 | 7.2673 | 22.8146 | 90.0 | 90.0 | 120.0 |
| A4--C--dc | dynamic | 0.0967 | 0.0967 | 11.544 | 11.544 | 11.544 | 90.0 | 90.0 | 90.0 |
| Ah--alpha-Po--sc | dynamic | 0.2068 | 0.2068 | 5.0006 | 5.0006 | 5.0006 | 90.0 | 90.0 | 90.0 |
| A5--beta-Sn | dynamic | 0.2299 | 0.2299 | 9.7195 | 9.7195 | 5.0193 | 90.0 | 90.0 | 90.0 |
| A1--Cu--fcc | dynamic | 1.0325 | 1.0325 | 7.0745 | 7.0745 | 7.0745 | 90.0 | 90.0 | 90.0 |
| A3'--alpha-La--double-hcp | dynamic | 1.0325 | 1.0325 | 5.0025 | 5.0025 | 16.338 | 90.0 | 90.0 | 120.0 |
| A3--Mg--hcp | dynamic | 1.0325 | 1.0325 | 5.0025 | 5.0025 | 8.169 | 90.0 | 90.0 | 120.0 |
| A2--W--bcc | dynamic | 4.5039 | 4.5039 | 5.8953 | 5.8953 | 5.8953 | 90.0 | 90.0 | 90.0 |
| A15--beta-W | box | 25.2502 | 25.2502 | 8.5366 | 8.5366 | 8.5366 | 90.0 | 90.0 | 90.0 |
Static elastic constants are displayed for the unique structures identified in Crystal Structure Predictions above. The values displayed here are obtained by measuring the change in virial stresses due to applying small strains to the relaxed crystals. The initial structure and the strained states are all relaxed using force minimization.
The calculation method used is available as the iprPy elastic_constants_static calculation method.
Notes and Disclaimers:
Version Information:
| 195.719 | 299.157 | 299.157 | 0.000 | -0.000 | 0.000 |
| 299.157 | 195.719 | 299.157 | 0.000 | 0.000 | 0.000 |
| 299.157 | 299.157 | 195.719 | 0.000 | 0.000 | 0.000 |
| 0.000 | 0.000 | 0.000 | 63.743 | 0.000 | 0.000 |
| 0.000 | 0.000 | 0.000 | -0.000 | 63.743 | 0.000 |
| 0.000 | 0.000 | 0.000 | -0.000 | 0.000 | 63.743 |
| 195.719 | 299.157 | 299.157 | -0.000 | -0.000 | -0.000 |
| 299.157 | 195.719 | 299.157 | -0.000 | 0.000 | 0.000 |
| 299.157 | 299.157 | 195.719 | -0.000 | 0.000 | -0.000 |
| -0.000 | -0.000 | -0.000 | 63.743 | -0.000 | 0.000 |
| -0.000 | -0.000 | -0.000 | 0.000 | 63.743 | -0.000 |
| -0.000 | -0.000 | -0.000 | -0.000 | -0.000 | 63.743 |
| 195.719 | 299.157 | 299.157 | 0.000 | 0.000 | 0.000 |
| 299.157 | 195.719 | 299.157 | 0.000 | 0.000 | 0.000 |
| 299.157 | 299.157 | 195.719 | -0.000 | 0.000 | 0.000 |
| 0.000 | 0.000 | 0.000 | 63.743 | 0.000 | 0.000 |
| 0.000 | 0.000 | 0.000 | -0.000 | 63.743 | 0.000 |
| 0.000 | 0.000 | 0.000 | 0.000 | 0.000 | 63.743 |
| 195.719 | 299.157 | 299.157 | 0.000 | -0.000 | 0.000 |
| 299.157 | 195.719 | 299.157 | -0.000 | -0.000 | -0.000 |
| 299.157 | 299.157 | 195.719 | -0.000 | -0.000 | -0.000 |
| -0.000 | -0.000 | -0.000 | 63.743 | -0.000 | -0.000 |
| -0.000 | -0.000 | -0.000 | -0.000 | 63.743 | -0.000 |
| -0.000 | -0.000 | -0.000 | -0.000 | -0.000 | 63.743 |
| 195.720 | 299.158 | 299.158 | 0.000 | 0.000 | 0.000 |
| 299.158 | 195.720 | 299.158 | -0.000 | -0.000 | 0.000 |
| 299.158 | 299.158 | 195.720 | 0.000 | 0.000 | 0.000 |
| 0.001 | 0.000 | 0.001 | 63.743 | -0.000 | 0.000 |
| 0.000 | 0.001 | 0.001 | 0.000 | 63.743 | 0.000 |
| 0.000 | 0.001 | 0.001 | -0.000 | -0.000 | 63.743 |
| 195.718 | 299.155 | 299.155 | 0.000 | -0.000 | -0.000 |
| 299.155 | 195.718 | 299.155 | -0.000 | -0.000 | -0.000 |
| 299.155 | 299.155 | 195.718 | 0.000 | 0.000 | -0.000 |
| -0.001 | -0.000 | -0.001 | 63.743 | -0.000 | -0.000 |
| -0.000 | -0.001 | -0.001 | -0.000 | 63.743 | -0.000 |
| -0.000 | -0.001 | -0.001 | -0.000 | -0.000 | 63.743 |
| 758.291 | 229.359 | 229.359 | -0.000 | -0.000 | -0.000 |
| 229.359 | 758.291 | 229.359 | -0.000 | -0.000 | -0.000 |
| 229.359 | 229.359 | 758.291 | -0.000 | -0.000 | -0.000 |
| -0.000 | -0.000 | -0.000 | 246.196 | -0.000 | -0.000 |
| -0.000 | -0.000 | -0.000 | -0.000 | 246.196 | -0.000 |
| -0.000 | -0.000 | -0.000 | -0.000 | -0.000 | 246.196 |
| 758.291 | 229.359 | 229.359 | 0.000 | 0.000 | 0.000 |
| 229.359 | 758.291 | 229.359 | 0.000 | 0.000 | 0.000 |
| 229.359 | 229.359 | 758.291 | 0.000 | 0.000 | 0.000 |
| 0.000 | 0.000 | 0.000 | 246.196 | 0.000 | 0.000 |
| 0.000 | 0.000 | 0.000 | 0.000 | 246.196 | 0.000 |
| 0.000 | 0.000 | 0.000 | 0.000 | 0.000 | 246.196 |
| 758.291 | 229.358 | 229.358 | -0.000 | -0.000 | -0.000 |
| 229.358 | 758.291 | 229.358 | -0.000 | -0.000 | -0.000 |
| 229.358 | 229.358 | 758.291 | -0.000 | -0.000 | -0.000 |
| -0.000 | -0.000 | -0.000 | 246.196 | -0.000 | -0.000 |
| -0.000 | -0.000 | -0.000 | -0.000 | 246.196 | -0.000 |
| -0.000 | -0.000 | -0.000 | -0.000 | -0.000 | 246.196 |
| 758.291 | 229.359 | 229.359 | -0.000 | 0.000 | 0.000 |
| 229.359 | 758.291 | 229.359 | 0.000 | 0.000 | 0.000 |
| 229.359 | 229.359 | 758.291 | 0.000 | 0.000 | 0.000 |
| 0.000 | 0.000 | 0.000 | 246.196 | 0.000 | 0.000 |
| 0.000 | 0.000 | 0.000 | 0.000 | 246.196 | 0.000 |
| 0.000 | 0.000 | 0.000 | -0.000 | 0.000 | 246.196 |
| 758.287 | 229.357 | 229.357 | -0.000 | -0.000 | -0.000 |
| 229.357 | 758.287 | 229.357 | 0.000 | -0.000 | -0.000 |
| 229.357 | 229.357 | 758.287 | 0.000 | -0.000 | -0.000 |
| -0.000 | -0.002 | -0.001 | 246.196 | -0.000 | -0.000 |
| -0.002 | -0.000 | -0.001 | -0.000 | 246.196 | -0.000 |
| -0.002 | -0.001 | -0.000 | -0.000 | -0.000 | 246.196 |
| 758.295 | 229.360 | 229.360 | 0.000 | 0.000 | 0.000 |
| 229.360 | 758.295 | 229.360 | 0.000 | 0.000 | 0.000 |
| 229.360 | 229.360 | 758.295 | 0.000 | 0.000 | 0.000 |
| 0.000 | 0.002 | 0.001 | 246.196 | 0.000 | 0.000 |
| 0.002 | 0.000 | 0.001 | 0.000 | 246.196 | 0.000 |
| 0.002 | 0.001 | 0.000 | 0.000 | 0.000 | 246.196 |
| 69.486 | 34.250 | 34.250 | 0.000 | 0.000 | 0.000 |
| 34.250 | 69.486 | 34.250 | 0.000 | 0.000 | 0.000 |
| 34.250 | 34.250 | 69.486 | 0.000 | 0.000 | 0.000 |
| 0.000 | 0.000 | 0.000 | 36.661 | 0.000 | 0.000 |
| 0.000 | 0.000 | 0.000 | 0.000 | 36.661 | -0.000 |
| 0.000 | 0.000 | 0.000 | 0.000 | -0.000 | 36.661 |
| 69.486 | 34.250 | 34.250 | -0.000 | -0.000 | -0.000 |
| 34.250 | 69.486 | 34.250 | -0.000 | -0.000 | -0.000 |
| 34.250 | 34.250 | 69.486 | -0.000 | -0.000 | -0.000 |
| -0.000 | -0.000 | -0.000 | 36.661 | -0.000 | -0.000 |
| -0.000 | -0.000 | -0.000 | -0.000 | 36.661 | 0.000 |
| -0.000 | -0.000 | -0.000 | -0.000 | 0.000 | 36.661 |
| 69.486 | 34.250 | 34.250 | 0.000 | 0.000 | 0.000 |
| 34.250 | 69.486 | 34.250 | 0.000 | 0.000 | 0.000 |
| 34.250 | 34.250 | 69.486 | 0.000 | 0.000 | 0.000 |
| -0.000 | 0.000 | 0.000 | 36.661 | 0.000 | 0.000 |
| 0.000 | -0.000 | 0.000 | 0.000 | 36.661 | -0.000 |
| 0.000 | 0.000 | -0.000 | 0.000 | -0.000 | 36.661 |
| 69.486 | 34.250 | 34.250 | -0.000 | -0.000 | -0.000 |
| 34.250 | 69.486 | 34.250 | -0.000 | -0.000 | -0.000 |
| 34.250 | 34.250 | 69.486 | -0.000 | -0.000 | -0.000 |
| 0.000 | -0.000 | -0.000 | 36.661 | -0.000 | -0.000 |
| -0.000 | 0.000 | -0.000 | -0.000 | 36.661 | 0.000 |
| -0.000 | -0.000 | 0.000 | -0.000 | -0.000 | 36.661 |
| 69.487 | 34.251 | 34.251 | 0.000 | 0.000 | 0.000 |
| 34.251 | 69.487 | 34.251 | 0.000 | 0.000 | 0.000 |
| 34.251 | 34.251 | 69.487 | 0.000 | 0.000 | 0.000 |
| -0.000 | 0.000 | 0.001 | 36.661 | 0.000 | 0.000 |
| 0.000 | -0.000 | 0.001 | 0.000 | 36.661 | 0.000 |
| 0.000 | 0.001 | -0.000 | 0.000 | 0.000 | 36.661 |
| 69.485 | 34.250 | 34.250 | -0.000 | -0.000 | -0.000 |
| 34.250 | 69.485 | 34.250 | -0.000 | -0.000 | -0.000 |
| 34.250 | 34.250 | 69.485 | -0.000 | -0.000 | -0.000 |
| 0.000 | -0.000 | -0.001 | 36.661 | -0.000 | -0.000 |
| -0.000 | 0.000 | -0.001 | -0.000 | 36.661 | -0.000 |
| -0.000 | -0.001 | 0.000 | -0.000 | -0.000 | 36.661 |
| 60.080 | 29.826 | 29.826 | -0.000 | -0.000 | -0.000 |
| 29.826 | 60.080 | 29.826 | -0.000 | -0.000 | -0.000 |
| 29.826 | 29.826 | 60.080 | -0.000 | -0.000 | -0.000 |
| -0.000 | -0.000 | -0.000 | 30.132 | -0.000 | -0.000 |
| -0.000 | -0.000 | -0.000 | -0.000 | 30.132 | -0.000 |
| -0.000 | -0.000 | -0.000 | -0.000 | -0.000 | 30.132 |
| 60.080 | 29.826 | 29.826 | 0.000 | 0.000 | 0.000 |
| 29.826 | 60.080 | 29.826 | 0.000 | 0.000 | 0.000 |
| 29.826 | 29.826 | 60.080 | 0.000 | 0.000 | 0.000 |
| 0.000 | 0.000 | 0.000 | 30.132 | 0.000 | 0.000 |
| 0.000 | 0.000 | 0.000 | 0.000 | 30.132 | 0.000 |
| 0.000 | 0.000 | 0.000 | 0.000 | 0.000 | 30.132 |
| 60.080 | 29.826 | 29.826 | -0.000 | -0.000 | -0.000 |
| 29.826 | 60.080 | 29.826 | -0.000 | -0.000 | -0.000 |
| 29.826 | 29.826 | 60.080 | -0.000 | -0.000 | -0.000 |
| -0.000 | -0.000 | -0.000 | 30.132 | -0.000 | -0.000 |
| -0.000 | -0.000 | -0.000 | -0.000 | 30.132 | -0.000 |
| -0.000 | -0.000 | -0.000 | -0.000 | -0.000 | 30.132 |
| 60.080 | 29.826 | 29.826 | 0.000 | 0.000 | 0.000 |
| 29.826 | 60.080 | 29.826 | 0.000 | 0.000 | 0.000 |
| 29.826 | 29.826 | 60.080 | 0.000 | 0.000 | 0.000 |
| 0.000 | 0.000 | 0.000 | 30.132 | 0.000 | 0.000 |
| 0.000 | 0.000 | 0.000 | 0.000 | 30.132 | 0.000 |
| 0.000 | 0.000 | 0.000 | 0.000 | 0.000 | 30.132 |
| 60.079 | 29.826 | 29.826 | -0.000 | -0.000 | -0.000 |
| 29.826 | 60.079 | 29.826 | -0.000 | -0.000 | -0.000 |
| 29.826 | 29.826 | 60.079 | -0.000 | -0.000 | -0.000 |
| -0.000 | -0.000 | -0.000 | 30.132 | -0.000 | -0.000 |
| -0.000 | -0.000 | -0.000 | -0.000 | 30.132 | -0.000 |
| -0.000 | -0.000 | -0.000 | -0.000 | -0.000 | 30.132 |
| 60.080 | 29.826 | 29.826 | 0.000 | -0.000 | -0.000 |
| 29.826 | 60.080 | 29.826 | -0.000 | 0.000 | 0.000 |
| 29.826 | 29.826 | 60.080 | 0.000 | 0.000 | 0.000 |
| 0.000 | 0.000 | 0.000 | 30.132 | 0.000 | 0.000 |
| 0.000 | 0.000 | 0.000 | 0.000 | 30.132 | 0.000 |
| 0.000 | 0.000 | 0.000 | 0.000 | 0.000 | 30.132 |
| 317.774 | 145.529 | 145.529 | 0.000 | 0.000 | 0.000 |
| 145.529 | 317.774 | 145.529 | 0.000 | 0.000 | 0.000 |
| 145.529 | 145.529 | 317.774 | 0.000 | -0.000 | 0.000 |
| 0.000 | -0.000 | 0.000 | 19.108 | -0.000 | 0.000 |
| 0.000 | 0.000 | 0.000 | -0.000 | 19.108 | 0.000 |
| 0.000 | -0.000 | 0.000 | -0.000 | -0.000 | 19.108 |
| 317.774 | 145.529 | 145.529 | 0.000 | 0.000 | -0.000 |
| 145.529 | 317.774 | 145.529 | -0.000 | -0.000 | -0.000 |
| 145.529 | 145.529 | 317.774 | -0.000 | 0.000 | -0.000 |
| -0.000 | -0.000 | -0.000 | 19.108 | -0.000 | -0.000 |
| -0.000 | 0.000 | -0.000 | -0.000 | 19.108 | -0.000 |
| -0.000 | 0.000 | -0.000 | -0.000 | 0.000 | 19.108 |
| 317.774 | 145.529 | 145.529 | 0.000 | -0.000 | 0.000 |
| 145.529 | 317.774 | 145.529 | 0.000 | 0.000 | 0.000 |
| 145.529 | 145.529 | 317.774 | 0.000 | -0.000 | 0.000 |
| 0.000 | 0.000 | 0.000 | 19.108 | -0.000 | 0.000 |
| 0.000 | 0.000 | 0.000 | 0.000 | 19.108 | 0.000 |
| 0.000 | 0.000 | 0.000 | 0.000 | -0.000 | 19.108 |
| 319.129 | 144.852 | 144.852 | 0.000 | 0.000 | -0.000 |
| 144.852 | 319.129 | 144.852 | -0.000 | 0.000 | -0.000 |
| 144.852 | 144.852 | 319.129 | -0.000 | 0.000 | -0.000 |
| -0.000 | -0.000 | -0.000 | 19.108 | 0.000 | 0.000 |
| -0.000 | -0.000 | -0.000 | -0.000 | 19.108 | -0.000 |
| -0.000 | -0.000 | -0.000 | -0.000 | 0.000 | 19.108 |
| 319.131 | 144.852 | 144.852 | -0.000 | 0.000 | 0.000 |
| 144.852 | 319.131 | 144.852 | 0.000 | 0.000 | 0.000 |
| 144.852 | 144.852 | 319.131 | 0.000 | -0.000 | 0.000 |
| 0.000 | 0.000 | 0.000 | 19.108 | 0.000 | 0.000 |
| 0.000 | 0.000 | 0.000 | 0.000 | 19.108 | 0.000 |
| 0.000 | 0.000 | 0.000 | 0.000 | -0.000 | 19.108 |
| 319.127 | 144.851 | 144.851 | 0.000 | 0.000 | -0.000 |
| 144.851 | 319.127 | 144.851 | -0.000 | 0.000 | -0.000 |
| 144.851 | 144.851 | 319.127 | -0.000 | 0.000 | -0.000 |
| -0.000 | -0.000 | -0.000 | 19.108 | -0.000 | -0.000 |
| -0.000 | -0.000 | -0.000 | -0.000 | 19.108 | -0.000 |
| -0.000 | -0.000 | -0.000 | -0.000 | 0.000 | 19.108 |
| 137.846 | 48.978 | 48.978 | -0.000 | 0.000 | -0.000 |
| 48.978 | 137.846 | 48.978 | 0.000 | 0.000 | -0.000 |
| 48.978 | 48.978 | 137.846 | -0.000 | 0.000 | 0.000 |
| -0.000 | -0.000 | -0.000 | 61.627 | 0.000 | -0.000 |
| -0.000 | 0.000 | -0.000 | -0.000 | 61.627 | -0.000 |
| -0.000 | -0.000 | -0.000 | -0.000 | 0.000 | 61.627 |
| 137.846 | 48.978 | 48.978 | 0.000 | -0.000 | -0.000 |
| 48.978 | 137.846 | 48.978 | 0.000 | -0.000 | 0.000 |
| 48.978 | 48.978 | 137.846 | 0.000 | -0.000 | 0.000 |
| 0.000 | 0.000 | 0.000 | 61.627 | -0.000 | 0.000 |
| 0.000 | -0.000 | 0.000 | 0.000 | 61.627 | -0.000 |
| 0.000 | 0.000 | 0.000 | 0.000 | -0.000 | 61.627 |
| 137.846 | 48.978 | 48.978 | -0.000 | 0.000 | 0.000 |
| 48.978 | 137.846 | 48.978 | -0.000 | 0.000 | 0.000 |
| 48.978 | 48.978 | 137.846 | -0.000 | 0.000 | 0.000 |
| -0.000 | -0.000 | -0.000 | 61.627 | 0.000 | 0.000 |
| -0.000 | -0.000 | -0.000 | -0.000 | 61.627 | -0.000 |
| -0.000 | -0.000 | -0.000 | -0.000 | 0.000 | 61.627 |
| 137.846 | 48.978 | 48.978 | 0.000 | -0.000 | 0.000 |
| 48.978 | 137.846 | 48.978 | 0.000 | -0.000 | -0.000 |
| 48.978 | 48.978 | 137.846 | 0.000 | -0.000 | -0.000 |
| 0.000 | 0.000 | 0.000 | 61.627 | -0.000 | 0.000 |
| 0.000 | 0.000 | 0.000 | 0.000 | 61.627 | 0.000 |
| 0.000 | 0.000 | 0.000 | 0.000 | -0.000 | 61.627 |
| 137.843 | 48.977 | 48.977 | -0.000 | 0.000 | -0.000 |
| 48.977 | 137.843 | 48.977 | -0.000 | 0.000 | -0.000 |
| 48.977 | 48.977 | 137.843 | -0.000 | 0.000 | -0.000 |
| -0.000 | -0.000 | -0.000 | 61.627 | 0.000 | -0.000 |
| -0.000 | -0.000 | -0.000 | -0.000 | 61.627 | 0.000 |
| -0.000 | -0.000 | -0.000 | 0.000 | 0.000 | 61.627 |
| 137.849 | 48.978 | 48.978 | 0.000 | -0.000 | 0.000 |
| 48.978 | 137.849 | 48.978 | 0.000 | -0.000 | 0.000 |
| 48.978 | 48.978 | 137.849 | -0.000 | -0.000 | -0.000 |
| 0.000 | 0.000 | 0.000 | 61.627 | -0.000 | -0.000 |
| 0.000 | 0.000 | 0.000 | 0.000 | 61.627 | 0.000 |
| 0.000 | 0.000 | 0.000 | 0.000 | -0.000 | 61.627 |
| 60.836 | 13.737 | 13.737 | -0.000 | 0.000 | 0.000 |
| 13.737 | 60.836 | 13.737 | -0.000 | 0.000 | 0.000 |
| 13.737 | 13.737 | 60.836 | -0.000 | -0.000 | 0.000 |
| 0.000 | 0.000 | -0.000 | 12.317 | -0.000 | 0.000 |
| -0.000 | 0.000 | -0.000 | 0.000 | 12.317 | 0.000 |
| -0.000 | 0.000 | -0.000 | -0.000 | -0.000 | 12.317 |
| 60.836 | 13.737 | 13.737 | 0.000 | -0.000 | -0.000 |
| 13.737 | 60.836 | 13.737 | -0.000 | 0.000 | -0.000 |
| 13.737 | 13.737 | 60.836 | -0.000 | -0.000 | -0.000 |
| -0.000 | -0.000 | 0.000 | 12.317 | 0.000 | -0.000 |
| 0.000 | -0.000 | 0.000 | 0.000 | 12.317 | -0.000 |
| 0.000 | -0.000 | -0.000 | 0.000 | 0.000 | 12.317 |
| 60.836 | 13.737 | 13.737 | -0.000 | -0.000 | 0.000 |
| 13.737 | 60.836 | 13.737 | -0.000 | -0.000 | 0.000 |
| 13.737 | 13.737 | 60.836 | -0.000 | 0.000 | 0.000 |
| 0.000 | -0.000 | -0.000 | 12.317 | 0.000 | -0.000 |
| -0.000 | 0.000 | -0.000 | -0.000 | 12.317 | 0.000 |
| -0.000 | -0.000 | 0.000 | -0.000 | -0.000 | 12.317 |
| 60.836 | 13.737 | 13.737 | 0.000 | 0.000 | -0.000 |
| 13.737 | 60.836 | 13.737 | 0.000 | -0.000 | -0.000 |
| 13.737 | 13.737 | 60.836 | 0.000 | 0.000 | -0.000 |
| -0.000 | 0.000 | 0.000 | 12.317 | 0.000 | -0.000 |
| 0.000 | -0.000 | 0.000 | 0.000 | 12.317 | -0.000 |
| 0.000 | 0.000 | -0.000 | 0.000 | 0.000 | 12.317 |
| 60.835 | 13.737 | 13.737 | -0.000 | 0.000 | 0.000 |
| 13.737 | 60.835 | 13.737 | -0.000 | 0.000 | 0.000 |
| 13.737 | 13.737 | 60.835 | 0.000 | -0.000 | 0.000 |
| 0.000 | -0.000 | -0.000 | 12.317 | -0.000 | 0.000 |
| -0.000 | 0.000 | -0.000 | -0.000 | 12.317 | 0.000 |
| -0.000 | -0.000 | 0.000 | -0.000 | -0.000 | 12.317 |
| 60.837 | 13.737 | 13.737 | 0.000 | 0.000 | 0.000 |
| 13.737 | 60.837 | 13.737 | 0.000 | -0.000 | -0.000 |
| 13.737 | 13.737 | 60.837 | 0.000 | -0.000 | 0.000 |
| -0.000 | 0.000 | 0.000 | 12.317 | 0.000 | -0.000 |
| 0.000 | -0.000 | 0.000 | 0.000 | 12.317 | -0.000 |
| 0.000 | 0.000 | -0.000 | 0.000 | 0.000 | 12.317 |
| 1728.480 | 39.605 | 39.605 | -0.000 | 0.000 | 0.000 |
| 39.605 | 1728.480 | 39.605 | -0.000 | 0.000 | 0.000 |
| 39.605 | 39.605 | 1728.480 | 0.000 | 0.000 | -0.000 |
| 0.000 | -0.001 | -0.001 | 1741.114 | 0.000 | -0.000 |
| -0.001 | 0.000 | -0.001 | -0.000 | 1741.114 | 0.000 |
| -0.001 | -0.001 | -0.000 | -0.000 | 0.000 | 1741.114 |
| 1728.483 | 39.605 | 39.605 | -0.000 | 0.000 | -0.000 |
| 39.605 | 1728.483 | 39.605 | 0.000 | -0.000 | -0.000 |
| 39.605 | 39.605 | 1728.483 | -0.000 | -0.000 | -0.000 |
| -0.000 | 0.001 | 0.001 | 1741.114 | 0.000 | -0.000 |
| 0.001 | -0.000 | 0.001 | 0.000 | 1741.114 | -0.000 |
| 0.001 | 0.001 | 0.000 | 0.000 | -0.000 | 1741.114 |
| 1728.469 | 39.605 | 39.605 | 0.000 | 0.000 | -0.000 |
| 39.605 | 1728.469 | 39.605 | -0.000 | 0.000 | 0.000 |
| 39.605 | 39.605 | 1728.469 | -0.000 | 0.000 | 0.000 |
| 0.000 | -0.006 | -0.006 | 1741.114 | 0.000 | 0.000 |
| -0.006 | 0.000 | -0.006 | -0.000 | 1741.114 | 0.000 |
| -0.006 | -0.006 | 0.000 | 0.000 | 0.000 | 1741.114 |
| 1728.494 | 39.605 | 39.605 | 0.000 | 0.000 | -0.000 |
| 39.605 | 1728.494 | 39.605 | 0.000 | -0.000 | -0.000 |
| 39.605 | 39.605 | 1728.494 | -0.000 | -0.000 | -0.000 |
| -0.000 | 0.006 | 0.006 | 1741.114 | 0.000 | -0.000 |
| 0.006 | -0.000 | 0.006 | 0.000 | 1741.114 | -0.000 |
| 0.006 | 0.006 | -0.000 | 0.000 | -0.000 | 1741.114 |
| 1728.358 | 39.610 | 39.610 | -0.000 | 0.000 | 0.000 |
| 39.610 | 1728.358 | 39.610 | 0.000 | -0.000 | 0.000 |
| 39.610 | 39.610 | 1728.358 | -0.000 | 0.000 | -0.000 |
| 0.005 | -0.064 | -0.061 | 1741.114 | 0.000 | -0.000 |
| -0.064 | 0.005 | -0.061 | -0.000 | 1741.114 | 0.000 |
| -0.064 | -0.061 | 0.005 | 0.000 | 0.000 | 1741.114 |
| 1728.604 | 39.600 | 39.600 | 0.000 | 0.000 | -0.000 |
| 39.600 | 1728.604 | 39.600 | 0.000 | 0.000 | -0.000 |
| 39.600 | 39.600 | 1728.604 | 0.000 | -0.000 | -0.000 |
| -0.005 | 0.064 | 0.061 | 1741.114 | -0.000 | -0.000 |
| 0.064 | -0.005 | 0.061 | -0.000 | 1741.114 | -0.000 |
| 0.064 | 0.061 | -0.005 | -0.000 | -0.000 | 1741.114 |
| 547.040 | 167.488 | 167.488 | 0.000 | -0.000 | 0.000 |
| 167.488 | 547.040 | 167.488 | 0.000 | -0.000 | 0.000 |
| 167.488 | 167.488 | 547.040 | 0.000 | -0.000 | 0.000 |
| 0.000 | -0.000 | 0.000 | 159.624 | 0.000 | 0.000 |
| -0.000 | -0.000 | -0.000 | 0.000 | 159.624 | 0.000 |
| -0.000 | -0.000 | -0.000 | 0.000 | -0.000 | 159.624 |
| 547.040 | 167.488 | 167.488 | -0.000 | -0.000 | -0.000 |
| 167.488 | 547.040 | 167.489 | -0.000 | -0.000 | -0.000 |
| 167.488 | 167.488 | 547.040 | -0.000 | 0.000 | 0.000 |
| -0.000 | 0.000 | 0.000 | 159.624 | -0.000 | -0.000 |
| 0.000 | 0.000 | -0.000 | -0.000 | 159.624 | -0.000 |
| 0.000 | 0.000 | 0.000 | -0.000 | 0.000 | 159.624 |
| 547.040 | 167.489 | 167.489 | -0.000 | -0.000 | 0.000 |
| 167.489 | 547.040 | 167.489 | -0.000 | -0.000 | 0.000 |
| 167.489 | 167.489 | 547.040 | 0.000 | 0.000 | 0.000 |
| 0.000 | 0.000 | 0.000 | 159.624 | 0.000 | 0.000 |
| 0.000 | 0.000 | 0.000 | 0.000 | 159.624 | 0.000 |
| 0.000 | 0.000 | 0.000 | 0.000 | -0.000 | 159.624 |
| 547.040 | 167.488 | 167.488 | -0.000 | 0.000 | -0.000 |
| 167.488 | 547.040 | 167.488 | -0.000 | -0.000 | -0.000 |
| 167.488 | 167.488 | 547.040 | -0.000 | 0.000 | -0.000 |
| -0.000 | -0.000 | -0.000 | 159.624 | -0.000 | -0.000 |
| -0.000 | -0.000 | -0.000 | -0.000 | 159.624 | -0.000 |
| -0.000 | -0.000 | -0.000 | -0.000 | 0.000 | 159.624 |
| 547.041 | 167.489 | 167.489 | 0.000 | -0.000 | 0.000 |
| 167.489 | 547.041 | 167.489 | 0.000 | -0.000 | 0.000 |
| 167.489 | 167.489 | 547.041 | 0.000 | -0.000 | 0.000 |
| 0.000 | 0.000 | 0.000 | 159.624 | -0.000 | 0.000 |
| 0.000 | 0.000 | 0.000 | 0.000 | 159.624 | 0.000 |
| 0.000 | 0.000 | 0.000 | 0.000 | 0.000 | 159.624 |
| 547.038 | 167.488 | 167.488 | 0.000 | 0.000 | -0.000 |
| 167.488 | 547.038 | 167.488 | -0.000 | 0.000 | -0.000 |
| 167.488 | 167.488 | 547.038 | -0.000 | -0.000 | -0.000 |
| -0.000 | -0.000 | -0.000 | 159.624 | 0.000 | -0.000 |
| -0.000 | -0.000 | -0.000 | 0.000 | 159.624 | -0.000 |
| -0.000 | -0.000 | -0.000 | -0.000 | 0.000 | 159.624 |
| 121.682 | 30.395 | 30.395 | 0.000 | 0.000 | 0.000 |
| 30.395 | 121.682 | 30.395 | 0.000 | 0.000 | 0.000 |
| 30.395 | 30.395 | 121.682 | -0.000 | -0.000 | 0.000 |
| 0.000 | 0.000 | 0.000 | 32.557 | -0.000 | 0.000 |
| 0.000 | 0.000 | 0.000 | -0.000 | 32.557 | 0.000 |
| 0.000 | 0.000 | 0.000 | 0.000 | 0.000 | 32.557 |
| 121.682 | 30.395 | 30.395 | -0.000 | -0.000 | -0.000 |
| 30.395 | 121.682 | 30.395 | -0.000 | -0.000 | -0.000 |
| 30.395 | 30.395 | 121.682 | -0.000 | -0.000 | -0.000 |
| -0.000 | -0.000 | -0.000 | 32.557 | -0.000 | -0.000 |
| -0.000 | -0.000 | -0.000 | -0.000 | 32.557 | -0.000 |
| -0.000 | -0.000 | -0.000 | -0.000 | 0.000 | 32.557 |
| 121.682 | 30.395 | 30.395 | 0.000 | 0.000 | -0.000 |
| 30.395 | 121.682 | 30.395 | 0.000 | 0.000 | 0.000 |
| 30.395 | 30.395 | 121.682 | 0.000 | 0.000 | 0.000 |
| 0.000 | 0.000 | 0.000 | 32.557 | 0.000 | 0.000 |
| 0.000 | 0.000 | 0.000 | 0.000 | 32.557 | 0.000 |
| 0.000 | 0.000 | 0.000 | 0.000 | 0.000 | 32.557 |
| 121.682 | 30.395 | 30.395 | -0.000 | 0.000 | -0.000 |
| 30.395 | 121.682 | 30.395 | 0.000 | 0.000 | -0.000 |
| 30.395 | 30.395 | 121.682 | 0.000 | 0.000 | -0.000 |
| -0.000 | -0.000 | -0.000 | 32.557 | -0.000 | -0.000 |
| -0.000 | -0.000 | -0.000 | -0.000 | 32.557 | -0.000 |
| -0.000 | -0.000 | -0.000 | -0.000 | 0.000 | 32.557 |
| 121.682 | 30.395 | 30.395 | 0.000 | 0.000 | -0.000 |
| 30.395 | 121.682 | 30.395 | -0.000 | 0.000 | 0.000 |
| 30.395 | 30.395 | 121.682 | -0.000 | -0.000 | 0.000 |
| 0.000 | 0.000 | 0.000 | 32.557 | 0.000 | 0.000 |
| 0.000 | 0.000 | 0.000 | -0.000 | 32.557 | 0.000 |
| 0.000 | 0.000 | 0.000 | 0.000 | 0.000 | 32.557 |
| 121.682 | 30.395 | 30.395 | -0.000 | -0.000 | -0.000 |
| 30.395 | 121.682 | 30.395 | -0.000 | -0.000 | -0.000 |
| 30.395 | 30.395 | 121.682 | -0.000 | 0.000 | -0.000 |
| -0.000 | -0.000 | -0.000 | 32.557 | -0.000 | -0.000 |
| -0.000 | -0.000 | -0.000 | -0.000 | 32.557 | -0.000 |
| -0.000 | -0.000 | -0.000 | -0.000 | -0.000 | 32.557 |
| 27.112 | 27.009 | 27.009 | 0.000 | -0.000 | 0.000 |
| 27.009 | 27.112 | 27.009 | -0.000 | 0.000 | 0.000 |
| 27.009 | 27.009 | 27.112 | -0.000 | -0.000 | -0.000 |
| -0.000 | -0.000 | -0.000 | 27.135 | -0.000 | 0.000 |
| -0.000 | -0.000 | -0.000 | -0.000 | 27.135 | 0.000 |
| -0.000 | -0.000 | -0.000 | 0.000 | 0.000 | 27.135 |
| 27.112 | 27.009 | 27.009 | -0.000 | 0.000 | -0.000 |
| 27.009 | 27.112 | 27.009 | 0.000 | -0.000 | -0.000 |
| 27.009 | 27.009 | 27.112 | -0.000 | -0.000 | 0.000 |
| 0.000 | 0.000 | 0.000 | 27.135 | -0.000 | 0.000 |
| 0.000 | 0.000 | 0.000 | -0.000 | 27.135 | 0.000 |
| 0.000 | 0.000 | 0.000 | -0.000 | -0.000 | 27.135 |
| 27.112 | 27.009 | 27.009 | 0.000 | -0.000 | -0.000 |
| 27.009 | 27.112 | 27.009 | -0.000 | 0.000 | -0.000 |
| 27.009 | 27.009 | 27.112 | -0.000 | -0.000 | -0.000 |
| -0.000 | -0.000 | -0.000 | 27.135 | 0.000 | -0.000 |
| -0.000 | -0.000 | -0.000 | 0.000 | 27.135 | -0.000 |
| -0.000 | -0.000 | -0.000 | 0.000 | 0.000 | 27.135 |
| 27.112 | 27.009 | 27.009 | -0.000 | -0.000 | 0.000 |
| 27.009 | 27.112 | 27.009 | -0.000 | -0.000 | 0.000 |
| 27.009 | 27.009 | 27.112 | -0.000 | -0.000 | 0.000 |
| 0.000 | 0.000 | 0.000 | 27.135 | 0.000 | 0.000 |
| 0.000 | 0.000 | 0.000 | 0.000 | 27.135 | 0.000 |
| 0.000 | 0.000 | 0.000 | -0.000 | -0.000 | 27.135 |
| 27.112 | 27.009 | 27.009 | 0.000 | 0.000 | -0.000 |
| 27.009 | 27.112 | 27.009 | 0.000 | 0.000 | -0.000 |
| 27.009 | 27.009 | 27.112 | 0.000 | 0.000 | -0.000 |
| -0.000 | -0.000 | -0.000 | 27.135 | -0.000 | -0.000 |
| -0.000 | -0.000 | -0.000 | -0.000 | 27.135 | -0.000 |
| -0.000 | -0.000 | -0.000 | 0.000 | 0.000 | 27.135 |
| 27.112 | 27.009 | 27.009 | -0.000 | 0.000 | 0.000 |
| 27.009 | 27.112 | 27.009 | 0.000 | -0.000 | 0.000 |
| 27.009 | 27.009 | 27.112 | 0.000 | 0.000 | 0.000 |
| 0.000 | 0.000 | 0.000 | 27.135 | -0.000 | 0.000 |
| 0.000 | 0.000 | 0.000 | -0.000 | 27.135 | 0.000 |
| 0.000 | 0.000 | 0.000 | -0.000 | -0.000 | 27.135 |
| 176.705 | 163.311 | 175.886 | -0.000 | -0.000 | 0.000 |
| 224.422 | 115.594 | 175.886 | -0.000 | 0.000 | -0.000 |
| 175.886 | 175.886 | 391.078 | -0.000 | 0.000 | -0.000 |
| 0.000 | 0.000 | 0.000 | 0.530 | 0.000 | 0.000 |
| 0.000 | 0.000 | 0.000 | 0.000 | 0.530 | -0.000 |
| -0.000 | 0.000 | 0.000 | -0.000 | -0.000 | -54.414 |
| 176.705 | 163.311 | 175.886 | -0.000 | 0.000 | -0.000 |
| 1523.624 | -1183.616 | 175.885 | 0.000 | 0.000 | 0.000 |
| 175.886 | 175.886 | 391.078 | 0.000 | -0.000 | -0.000 |
| -0.000 | -0.000 | -0.000 | 0.530 | 0.000 | 0.000 |
| -0.000 | -0.000 | -0.000 | 0.000 | 0.530 | -0.000 |
| 0.000 | -0.000 | -0.000 | 0.000 | -0.000 | -54.414 |
| 115.594 | 224.423 | 175.886 | -0.000 | 0.000 | -0.000 |
| 224.423 | 115.594 | 175.886 | -0.000 | 0.000 | -0.000 |
| 175.886 | 175.886 | 391.078 | -0.000 | 0.000 | -0.000 |
| 0.000 | 0.000 | 0.000 | 0.530 | -0.000 | -0.000 |
| 0.000 | 0.000 | 0.000 | 0.000 | 0.530 | -0.000 |
| 0.000 | 0.000 | 0.000 | 0.000 | -0.000 | 6.697 |
| 176.705 | 163.311 | 175.885 | -0.000 | 0.000 | -0.000 |
| 430.850 | -90.837 | 175.885 | -0.000 | -0.000 | 0.000 |
| 175.885 | 175.885 | 391.077 | 0.000 | 0.000 | 0.000 |
| -0.000 | -0.000 | -0.000 | 0.530 | -0.000 | 0.000 |
| -0.000 | -0.000 | -0.000 | -0.000 | 0.530 | -0.000 |
| -0.000 | -0.000 | -0.000 | 0.000 | 0.000 | 6.697 |
| 146.151 | 193.869 | 175.887 | -0.000 | 0.000 | -0.000 |
| -560947.548 | -3954004.990 | -8174416.660 | 106490.863 | -412665.769 | 3287208.263 |
| 175.887 | 175.887 | 391.080 | 0.000 | 0.000 | -0.000 |
| 0.000 | 0.000 | 0.000 | 0.530 | -0.000 | 0.000 |
| 0.000 | 0.000 | 0.000 | -0.000 | 0.530 | -0.000 |
| 0.000 | 0.000 | 0.000 | 0.000 | 0.000 | 6.697 |
| -10608861.126 | 115706.872 | -1268077.085 | 0.000 | 0.000 | 0.001 |
| 13688069.412 | -9936136.104 | 8022143.107 | -57.357 | 26.737 | 149134.106 |
| 175.884 | 175.884 | 391.076 | 0.000 | -0.000 | 0.000 |
| -0.000 | -0.000 | -0.000 | 0.530 | -0.000 | -0.000 |
| -0.000 | -0.000 | -0.000 | 0.000 | 0.530 | 0.000 |
| -0.000 | -0.000 | -0.000 | -0.000 | -0.000 | 6.697 |
| 738.670 | 236.799 | 241.539 | 0.000 | 0.000 | -0.000 |
| 236.799 | 738.670 | 241.539 | 0.000 | 0.000 | 0.000 |
| 241.539 | 241.539 | 733.931 | 0.000 | -0.000 | 0.000 |
| -0.000 | -0.000 | -0.000 | 256.683 | 0.000 | 0.000 |
| -0.000 | -0.000 | -0.000 | 0.000 | 256.683 | -0.000 |
| -0.000 | -0.000 | -0.000 | 0.000 | 0.000 | 250.936 |
| 738.670 | 236.799 | 241.539 | 0.000 | -0.000 | -0.000 |
| 236.799 | 738.670 | 241.539 | -0.000 | -0.000 | 0.000 |
| 241.539 | 241.539 | 733.931 | -0.000 | 0.000 | 0.000 |
| 0.000 | 0.000 | 0.000 | 256.683 | -0.000 | 0.000 |
| 0.000 | 0.000 | 0.000 | -0.000 | 256.683 | 0.000 |
| 0.000 | 0.000 | 0.000 | 0.000 | -0.000 | 250.936 |
| 738.670 | 236.799 | 241.539 | 0.000 | 0.000 | 0.000 |
| 236.799 | 738.670 | 241.539 | -0.000 | 0.000 | -0.000 |
| 241.538 | 241.538 | 733.930 | -0.000 | 0.000 | -0.000 |
| -0.000 | -0.000 | -0.000 | 256.683 | 0.000 | 0.000 |
| -0.000 | -0.000 | -0.000 | -0.000 | 256.683 | -0.000 |
| -0.000 | -0.000 | -0.000 | 0.000 | 0.000 | 250.936 |
| 738.671 | 236.799 | 241.539 | -0.000 | -0.000 | 0.000 |
| 236.799 | 738.671 | 241.539 | -0.000 | -0.000 | 0.000 |
| 241.539 | 241.539 | 733.931 | 0.000 | -0.000 | 0.000 |
| 0.000 | 0.000 | 0.000 | 256.683 | -0.000 | 0.000 |
| 0.000 | 0.000 | 0.000 | -0.000 | 256.683 | 0.000 |
| 0.000 | 0.000 | 0.000 | -0.000 | -0.000 | 250.936 |
| 738.664 | 236.798 | 241.538 | -0.000 | 0.000 | -0.000 |
| 236.797 | 738.665 | 241.538 | 0.000 | 0.000 | 0.000 |
| 241.537 | 241.537 | 733.925 | 0.000 | 0.000 | 0.000 |
| -0.000 | -0.001 | -0.001 | 256.683 | 0.000 | -0.000 |
| -0.001 | -0.000 | -0.001 | 0.000 | 256.683 | -0.000 |
| -0.001 | -0.001 | -0.000 | 0.000 | 0.000 | 250.936 |
| 738.677 | 236.800 | 241.540 | -0.000 | -0.000 | 0.000 |
| 236.801 | 738.676 | 241.540 | -0.000 | -0.000 | -0.000 |
| 241.540 | 241.540 | 733.936 | -0.000 | -0.000 | 0.000 |
| 0.000 | 0.001 | 0.001 | 256.683 | -0.000 | -0.000 |
| 0.001 | 0.000 | 0.001 | -0.000 | 256.683 | 0.000 |
| 0.001 | 0.001 | 0.000 | -0.000 | -0.000 | 250.936 |
| 85.189 | 31.242 | 21.555 | -0.000 | 0.000 | 0.000 |
| 31.242 | 85.189 | 21.555 | -0.000 | -0.000 | 0.000 |
| 21.555 | 21.555 | 94.877 | 0.000 | 0.000 | 0.000 |
| 0.000 | 0.000 | 0.000 | 23.883 | 0.000 | 0.000 |
| 0.000 | 0.000 | 0.000 | -0.000 | 23.883 | -0.000 |
| 0.000 | 0.000 | -0.000 | -0.000 | 0.000 | 26.973 |
| 85.189 | 31.242 | 21.555 | -0.000 | -0.000 | -0.000 |
| 31.242 | 85.189 | 21.555 | -0.000 | -0.000 | -0.000 |
| 21.555 | 21.555 | 94.877 | 0.000 | -0.000 | -0.000 |
| -0.000 | -0.000 | -0.000 | 23.883 | -0.000 | -0.000 |
| -0.000 | -0.000 | -0.000 | 0.000 | 23.883 | -0.000 |
| -0.000 | -0.000 | 0.000 | 0.000 | -0.000 | 26.973 |
| 85.190 | 31.242 | 21.555 | -0.000 | 0.000 | 0.000 |
| 31.243 | 85.190 | 21.555 | -0.000 | 0.000 | 0.000 |
| 21.555 | 21.555 | 94.877 | 0.000 | 0.000 | 0.000 |
| 0.000 | 0.000 | 0.000 | 23.883 | 0.000 | 0.000 |
| 0.000 | 0.000 | 0.000 | -0.000 | 23.883 | 0.000 |
| 0.000 | 0.000 | -0.000 | -0.000 | 0.000 | 26.973 |
| 85.189 | 31.242 | 21.555 | 0.000 | -0.000 | -0.000 |
| 31.242 | 85.189 | 21.555 | 0.000 | -0.000 | -0.000 |
| 21.555 | 21.555 | 94.877 | 0.000 | -0.000 | -0.000 |
| -0.000 | -0.000 | -0.000 | 23.883 | -0.000 | -0.000 |
| -0.000 | -0.000 | -0.000 | 0.000 | 23.883 | -0.000 |
| -0.000 | -0.000 | 0.000 | 0.000 | -0.000 | 26.973 |
| 85.192 | 31.243 | 21.555 | -0.000 | 0.000 | 0.000 |
| 31.243 | 85.191 | 21.555 | -0.000 | 0.000 | 0.000 |
| 21.556 | 21.556 | 94.879 | -0.000 | 0.000 | 0.000 |
| 0.000 | 0.000 | 0.000 | 23.883 | 0.000 | 0.000 |
| 0.000 | 0.000 | 0.000 | -0.000 | 23.883 | 0.000 |
| 0.000 | 0.001 | -0.000 | -0.000 | 0.000 | 26.973 |
| 85.187 | 31.242 | 21.555 | 0.000 | -0.000 | -0.000 |
| 31.242 | 85.188 | 21.555 | 0.000 | -0.000 | -0.000 |
| 21.554 | 21.554 | 94.875 | -0.000 | -0.000 | -0.000 |
| -0.000 | -0.000 | -0.000 | 23.883 | -0.000 | -0.000 |
| -0.000 | -0.000 | -0.000 | 0.000 | 23.883 | -0.000 |
| -0.000 | -0.001 | 0.000 | -0.000 | -0.000 | 26.973 |
| 72.606 | 27.303 | 19.823 | 0.000 | 0.000 | 0.000 |
| 27.303 | 72.606 | 19.823 | 0.000 | -0.000 | 0.000 |
| 19.823 | 19.823 | 80.087 | 0.000 | 0.000 | 0.000 |
| -0.000 | -0.000 | -0.000 | 20.128 | 0.000 | 0.000 |
| -0.000 | -0.000 | -0.000 | -0.000 | 20.128 | 0.000 |
| -0.000 | -0.000 | -0.000 | -0.000 | 0.000 | 22.651 |
| 75.096 | 24.814 | 19.823 | -0.000 | -0.000 | -0.000 |
| 27.303 | 72.606 | 19.823 | -0.000 | -0.000 | -0.000 |
| 19.823 | 19.823 | 80.087 | 0.000 | -0.000 | -0.000 |
| 0.000 | 0.000 | 0.000 | 20.128 | -0.000 | -0.000 |
| 0.000 | 0.000 | 0.000 | 0.000 | 20.128 | -0.000 |
| 0.000 | 0.000 | 0.000 | -0.000 | 0.000 | 22.651 |
| 72.606 | 27.303 | 19.823 | -0.000 | -0.000 | 0.000 |
| 27.303 | 72.606 | 19.823 | -0.000 | -0.000 | 0.000 |
| 19.823 | 19.823 | 80.087 | -0.000 | 0.000 | 0.000 |
| -0.000 | -0.000 | -0.000 | 20.128 | -0.000 | 0.000 |
| -0.000 | -0.000 | -0.000 | -0.000 | 20.128 | 0.000 |
| -0.000 | -0.000 | -0.000 | -0.000 | -0.000 | 22.651 |
| 72.606 | 27.303 | 19.823 | 0.000 | 0.000 | -0.000 |
| 27.303 | 72.606 | 19.823 | 0.000 | 0.000 | -0.000 |
| 19.823 | 19.823 | 80.087 | 0.000 | -0.000 | -0.000 |
| 0.000 | 0.000 | 0.000 | 20.128 | 0.000 | -0.000 |
| 0.000 | 0.000 | 0.000 | 0.000 | 20.128 | -0.000 |
| 0.000 | 0.000 | 0.000 | -0.000 | -0.000 | 22.651 |
| 72.606 | 27.303 | 19.823 | -0.000 | -0.000 | 0.000 |
| 24.813 | 75.095 | 19.823 | 0.000 | 0.000 | 0.000 |
| 19.823 | 19.823 | 80.086 | -0.000 | 0.000 | 0.000 |
| -0.000 | -0.000 | -0.000 | 20.128 | -0.000 | 0.000 |
| -0.000 | -0.000 | -0.000 | -0.000 | 20.128 | 0.000 |
| -0.000 | -0.000 | -0.000 | -0.000 | -0.000 | 25.141 |
| 72.607 | 27.303 | 19.823 | 0.000 | -0.000 | -0.000 |
| 27.303 | 72.607 | 19.823 | -0.000 | -0.000 | -0.000 |
| 19.823 | 19.823 | 80.087 | 0.000 | -0.000 | -0.000 |
| 0.000 | 0.000 | 0.000 | 20.128 | 0.000 | -0.000 |
| 0.000 | 0.000 | 0.000 | 0.000 | 20.128 | -0.000 |
| 0.000 | 0.000 | 0.000 | 0.000 | 0.000 | 25.141 |
| 61.299 | 66.881 | 81.902 | -0.000 | -0.000 | 0.000 |
| 36.374 | 91.805 | 81.902 | 0.000 | -0.000 | -0.000 |
| 81.902 | 81.902 | 313.598 | 0.000 | -0.000 | 0.000 |
| 0.000 | -0.000 | 0.000 | 29.307 | -0.000 | 0.000 |
| -0.000 | -0.000 | 0.000 | 0.000 | 29.307 | 0.000 |
| -0.000 | -0.000 | -0.000 | 0.000 | 0.000 | -2.791 |
| 91.805 | 36.374 | 81.902 | -0.000 | 0.000 | -0.000 |
| 66.881 | 61.299 | 81.902 | -0.000 | 0.000 | -0.000 |
| 81.902 | 81.902 | 313.598 | -0.000 | -0.000 | -0.000 |
| 0.000 | 0.000 | 0.000 | 29.307 | -0.000 | -0.000 |
| 0.000 | 0.000 | -0.000 | -0.000 | 29.307 | -0.000 |
| 0.000 | 0.000 | 0.000 | -0.000 | 0.000 | -2.791 |
| 91.805 | 36.374 | 81.902 | 0.000 | -0.000 | -0.000 |
| 36.374 | 91.805 | 81.902 | -0.000 | -0.000 | -0.000 |
| 81.902 | 81.902 | 313.598 | 0.000 | -0.000 | 0.000 |
| -0.000 | -0.000 | 0.000 | 29.307 | 0.000 | 0.000 |
| -0.000 | -0.000 | 0.000 | 0.000 | 29.307 | -0.000 |
| -0.000 | -0.000 | -0.000 | 0.000 | -0.000 | -2.791 |
| 147698191.871 | 176243364.431 | 101488698.078 | -48580.409 | -111174.120 | -2203923.100 |
| 18552419.870 | -21503759.439 | 6685013.087 | 0.002 | 0.000 | -0.374 |
| 81.902 | 81.902 | 313.598 | -0.000 | 0.000 | -0.000 |
| 0.000 | 0.000 | -0.000 | 29.307 | 0.000 | -0.000 |
| 0.000 | 0.000 | -0.000 | -0.000 | 29.307 | -0.000 |
| 0.000 | 0.000 | 0.000 | -0.000 | -0.000 | -2.791 |
| -1855122.562 | 2150482.547 | -668372.306 | -0.001 | -0.000 | 0.006 |
| -16373980.600 | -18419630.823 | -11369185.611 | -4282.799 | -45971.979 | 181344.990 |
| 81.903 | 81.903 | 313.600 | 0.000 | 0.000 | 0.000 |
| -0.000 | -0.000 | 0.000 | 29.307 | 0.000 | 0.000 |
| -0.000 | -0.000 | 0.000 | 0.000 | 29.307 | -0.000 |
| 1148877.383 | -853774.906 | -668507.465 | 0.000 | -0.000 | -1734485.991 |
| 91.809 | 36.375 | 81.902 | -0.000 | 0.000 | -0.000 |
| 1855312.993 | -2150136.497 | 668651.753 | 0.000 | 0.000 | -0.004 |
| 81.901 | 81.901 | 313.597 | -0.000 | 0.000 | -0.000 |
| 0.000 | 0.000 | -0.000 | 29.307 | -0.000 | -0.000 |
| 0.000 | 0.000 | -0.000 | -0.000 | 29.307 | 0.000 |
| -1148877.382 | 853774.906 | 668507.465 | -0.000 | -0.000 | -1734485.991 |
| 737.561 | 237.908 | 241.539 | 0.000 | 0.000 | -0.000 |
| 237.908 | 737.561 | 241.539 | 0.000 | 0.000 | -0.000 |
| 241.539 | 241.539 | 733.931 | 0.000 | 0.000 | -0.000 |
| -0.000 | -0.000 | -0.000 | 254.991 | 0.000 | 0.000 |
| -0.000 | -0.000 | -0.000 | 0.000 | 254.991 | -0.000 |
| -0.000 | -0.000 | 0.000 | 0.000 | 0.000 | 249.827 |
| 737.562 | 237.908 | 241.539 | -0.000 | -0.000 | 0.000 |
| 237.908 | 737.562 | 241.539 | -0.000 | -0.000 | 0.000 |
| 241.539 | 241.539 | 733.931 | -0.000 | -0.000 | 0.000 |
| 0.000 | 0.000 | 0.000 | 254.991 | -0.000 | 0.000 |
| 0.000 | 0.000 | 0.000 | -0.000 | 254.991 | 0.000 |
| 0.000 | 0.000 | -0.000 | -0.000 | -0.000 | 249.827 |
| 737.561 | 237.908 | 241.539 | 0.000 | 0.000 | -0.000 |
| 237.908 | 737.561 | 241.539 | 0.000 | 0.000 | 0.000 |
| 241.538 | 241.538 | 733.930 | 0.000 | 0.000 | 0.000 |
| -0.000 | -0.000 | -0.000 | 254.991 | 0.000 | 0.000 |
| -0.000 | -0.000 | -0.000 | 0.000 | 254.991 | -0.000 |
| -0.000 | -0.000 | -0.000 | 0.000 | 0.000 | 249.827 |
| 737.562 | 237.908 | 241.539 | -0.000 | -0.000 | 0.000 |
| 237.908 | 737.562 | 241.539 | -0.000 | -0.000 | 0.000 |
| 241.539 | 241.539 | 733.931 | -0.000 | -0.000 | -0.000 |
| 0.000 | 0.000 | 0.000 | 254.991 | -0.000 | 0.000 |
| 0.000 | 0.000 | 0.000 | -0.000 | 254.991 | 0.000 |
| 0.000 | 0.000 | 0.000 | -0.000 | -0.000 | 249.827 |
| 737.555 | 237.907 | 241.538 | 0.000 | 0.000 | 0.000 |
| 237.906 | 737.556 | 241.538 | 0.000 | 0.000 | -0.000 |
| 241.537 | 241.537 | 733.925 | -0.000 | 0.000 | -0.000 |
| -0.000 | -0.001 | -0.001 | 254.991 | 0.000 | -0.000 |
| -0.001 | -0.000 | -0.001 | 0.000 | 254.991 | -0.000 |
| -0.001 | -0.001 | -0.000 | 0.000 | 0.000 | 249.827 |
| 737.568 | 237.909 | 241.540 | -0.000 | -0.000 | 0.000 |
| 237.910 | 737.567 | 241.540 | -0.000 | -0.000 | -0.000 |
| 241.540 | 241.540 | 733.936 | 0.000 | -0.000 | -0.000 |
| 0.000 | 0.001 | 0.001 | 254.991 | -0.000 | 0.000 |
| 0.001 | 0.000 | 0.001 | -0.000 | 254.991 | 0.000 |
| 0.001 | 0.001 | 0.000 | -0.000 | -0.000 | 249.827 |
| 85.211 | 31.221 | 21.555 | 0.000 | 0.000 | -0.000 |
| 31.221 | 85.211 | 21.555 | 0.000 | 0.000 | -0.000 |
| 21.555 | 21.555 | 94.877 | -0.000 | -0.000 | -0.000 |
| 0.000 | 0.000 | 0.000 | 23.801 | -0.000 | -0.000 |
| 0.000 | 0.000 | 0.000 | 0.000 | 23.801 | -0.000 |
| 0.000 | 0.000 | -0.000 | -0.000 | 0.000 | 26.995 |
| 85.211 | 31.221 | 21.555 | 0.000 | -0.000 | 0.000 |
| 31.221 | 85.211 | 21.555 | -0.000 | -0.000 | 0.000 |
| 21.555 | 21.555 | 94.877 | -0.000 | 0.000 | 0.000 |
| -0.000 | -0.000 | -0.000 | 23.801 | 0.000 | 0.000 |
| -0.000 | -0.000 | -0.000 | 0.000 | 23.801 | 0.000 |
| -0.000 | -0.000 | 0.000 | 0.000 | -0.000 | 26.995 |
| 85.211 | 31.221 | 21.555 | 0.000 | -0.000 | -0.000 |
| 31.221 | 85.211 | 21.555 | -0.000 | 0.000 | -0.000 |
| 21.555 | 21.555 | 94.877 | 0.000 | -0.000 | -0.000 |
| 0.000 | 0.000 | 0.000 | 23.801 | 0.000 | -0.000 |
| 0.000 | 0.000 | 0.000 | 0.000 | 23.801 | -0.000 |
| 0.000 | 0.000 | -0.000 | 0.000 | 0.000 | 26.995 |
| 85.211 | 31.221 | 21.555 | -0.000 | -0.000 | 0.000 |
| 28.061 | 88.370 | 21.555 | -0.000 | 0.000 | -0.000 |
| 21.555 | 21.555 | 94.877 | -0.000 | 0.000 | 0.000 |
| -0.000 | -0.000 | -0.000 | 23.801 | -0.000 | 0.000 |
| -0.000 | -0.000 | -0.000 | 0.000 | 23.801 | 0.000 |
| -0.000 | -0.000 | 0.000 | -0.000 | -0.000 | 26.995 |
| 85.213 | 31.221 | 21.555 | 0.000 | 0.000 | -0.000 |
| 31.222 | 85.213 | 21.555 | -0.000 | 0.000 | -0.000 |
| 21.556 | 21.556 | 94.879 | -0.000 | -0.000 | -0.000 |
| 0.000 | 0.000 | 0.000 | 23.801 | 0.000 | -0.000 |
| 0.000 | 0.000 | 0.000 | 0.000 | 23.801 | -0.000 |
| 0.000 | 0.001 | -0.000 | -0.000 | 0.000 | 26.995 |
| 85.209 | 31.221 | 21.555 | -0.000 | -0.000 | 0.000 |
| 31.220 | 85.209 | 21.555 | 0.000 | -0.000 | 0.000 |
| 21.554 | 21.554 | 94.875 | -0.000 | 0.000 | 0.000 |
| -0.000 | -0.000 | -0.000 | 23.801 | -0.000 | 0.000 |
| -0.000 | -0.000 | -0.000 | -0.000 | 23.801 | 0.000 |
| -0.000 | -0.001 | 0.000 | 0.000 | -0.000 | 26.995 |
| 75.107 | 24.803 | 19.823 | 0.000 | -0.000 | 0.000 |
| 27.296 | 72.613 | 19.823 | -0.000 | -0.000 | 0.000 |
| 19.823 | 19.823 | 80.087 | -0.000 | 0.000 | 0.000 |
| -0.000 | -0.000 | -0.000 | 20.128 | 0.000 | 0.000 |
| -0.000 | -0.000 | -0.000 | 0.000 | 20.128 | 0.000 |
| -0.000 | -0.000 | -0.000 | 0.000 | 0.000 | 22.658 |
| 72.613 | 27.296 | 19.823 | 0.000 | -0.000 | -0.000 |
| 27.296 | 72.613 | 19.823 | -0.000 | 0.000 | -0.000 |
| 19.823 | 19.823 | 80.087 | 0.000 | -0.000 | -0.000 |
| 0.000 | 0.000 | 0.000 | 20.128 | -0.000 | -0.000 |
| 0.000 | 0.000 | 0.000 | -0.000 | 20.128 | 0.000 |
| 0.000 | 0.000 | 0.000 | -0.000 | -0.000 | 22.658 |
| 75.107 | 24.803 | 19.823 | 0.000 | -0.000 | 0.000 |
| 24.803 | 75.107 | 19.823 | -0.000 | 0.000 | 0.000 |
| 19.823 | 19.823 | 80.087 | 0.000 | 0.000 | 0.000 |
| -0.000 | -0.000 | -0.000 | 20.128 | 0.000 | 0.000 |
| -0.000 | -0.000 | -0.000 | -0.000 | 20.128 | 0.000 |
| -0.000 | -0.000 | -0.000 | 0.000 | 0.000 | 22.658 |
| 72.613 | 27.296 | 19.823 | 0.000 | -0.000 | -0.000 |
| 27.296 | 72.613 | 19.823 | -0.000 | 0.000 | -0.000 |
| 19.823 | 19.823 | 80.087 | 0.000 | -0.000 | -0.000 |
| 0.000 | 0.000 | 0.000 | 20.128 | -0.000 | -0.000 |
| 0.000 | 0.000 | 0.000 | 0.000 | 20.128 | -0.000 |
| 0.000 | 0.000 | 0.000 | -0.000 | -0.000 | 22.658 |
| 72.613 | 27.296 | 19.823 | 0.000 | 0.000 | 0.000 |
| 27.296 | 72.613 | 19.823 | 0.000 | -0.000 | 0.000 |
| 19.823 | 19.823 | 80.086 | 0.000 | 0.000 | 0.000 |
| -0.000 | -0.000 | -0.000 | 20.128 | -0.000 | 0.000 |
| -0.000 | -0.000 | -0.000 | -0.000 | 20.128 | 0.000 |
| -0.000 | -0.000 | -0.000 | 0.000 | 0.000 | 22.658 |
| 72.614 | 27.296 | 19.823 | -0.000 | -0.000 | -0.000 |
| 27.296 | 72.614 | 19.823 | -0.000 | 0.000 | -0.000 |
| 19.823 | 19.823 | 80.087 | -0.000 | -0.000 | -0.000 |
| 0.000 | 0.000 | 0.000 | 20.128 | 0.000 | -0.000 |
| 0.000 | 0.000 | 0.000 | -0.000 | 20.128 | -0.000 |
| 0.000 | 0.000 | 0.000 | -0.000 | -0.000 | 22.658 |
| 551.173 | 189.753 | 189.753 | -0.000 | 0.000 | 0.000 |
| 189.753 | 551.173 | 189.753 | -0.000 | 0.000 | 0.000 |
| 189.753 | 189.753 | 551.173 | -0.000 | 0.000 | 0.000 |
| 0.000 | -0.000 | -0.000 | 260.631 | 0.000 | 0.000 |
| -0.000 | -0.000 | -0.000 | -0.000 | 260.631 | 0.000 |
| -0.000 | -0.000 | -0.000 | 0.000 | 0.000 | 260.631 |
| 551.173 | 189.753 | 189.753 | 0.000 | -0.000 | -0.000 |
| 189.753 | 551.173 | 189.753 | -0.000 | -0.000 | -0.000 |
| 189.753 | 189.753 | 551.173 | -0.000 | -0.000 | -0.000 |
| 0.000 | -0.000 | 0.000 | 260.631 | 0.000 | -0.000 |
| 0.000 | -0.000 | 0.000 | 0.000 | 260.631 | -0.000 |
| 0.000 | 0.000 | 0.000 | -0.000 | -0.000 | 260.631 |
| 551.172 | 189.753 | 189.753 | 0.000 | -0.000 | 0.000 |
| 189.753 | 551.172 | 189.753 | -0.000 | -0.000 | 0.000 |
| 189.753 | 189.753 | 551.172 | -0.000 | 0.000 | 0.000 |
| -0.000 | -0.000 | -0.000 | 248.260 | 0.000 | 0.000 |
| -0.000 | -0.000 | -0.000 | -0.000 | 248.260 | 0.000 |
| -0.000 | -0.000 | -0.000 | 0.000 | 0.000 | 248.260 |
| 551.173 | 189.753 | 189.753 | 0.000 | -0.000 | -0.000 |
| 189.753 | 551.173 | 189.753 | -0.000 | -0.000 | -0.000 |
| 189.753 | 189.753 | 551.173 | 0.000 | 0.000 | -0.000 |
| 0.000 | 0.000 | 0.000 | 248.260 | -0.000 | -0.000 |
| 0.000 | 0.000 | 0.000 | 0.000 | 248.260 | -0.000 |
| 0.000 | 0.000 | 0.000 | 0.000 | -0.000 | 248.260 |
| 551.170 | 189.752 | 189.752 | -0.000 | 0.000 | 0.000 |
| 189.752 | 551.170 | 189.752 | 0.000 | 0.000 | 0.000 |
| 189.752 | 189.752 | 551.170 | -0.000 | 0.000 | 0.000 |
| -0.002 | -0.002 | -0.001 | 248.260 | 0.000 | 0.000 |
| -0.002 | -0.002 | -0.001 | -0.000 | 248.260 | 0.000 |
| -0.002 | -0.001 | -0.002 | -0.000 | 0.000 | 248.260 |
| 551.175 | 189.754 | 189.754 | 0.000 | -0.000 | -0.000 |
| 189.754 | 551.175 | 189.754 | 0.000 | -0.000 | -0.000 |
| 189.754 | 189.754 | 551.175 | 0.000 | -0.000 | -0.000 |
| 0.002 | 0.002 | 0.001 | 248.260 | -0.000 | -0.000 |
| 0.002 | 0.002 | 0.001 | 0.000 | 248.260 | -0.000 |
| 0.002 | 0.001 | 0.002 | 0.000 | -0.000 | 248.260 |
| 242.751 | 286.208 | 286.208 | -0.000 | -0.000 | 0.000 |
| 286.208 | 242.751 | 286.208 | -0.000 | -0.000 | 0.000 |
| 286.208 | 286.208 | 242.751 | -0.000 | -0.000 | 0.000 |
| 0.000 | 0.000 | 0.000 | 73.093 | -0.000 | -0.000 |
| 0.000 | 0.000 | 0.000 | -0.000 | 73.093 | -0.000 |
| 0.000 | 0.000 | 0.000 | -0.000 | -0.000 | 73.093 |
| 242.751 | 286.208 | 286.208 | 0.000 | 0.000 | 0.000 |
| 286.208 | 242.751 | 286.208 | 0.000 | 0.000 | 0.000 |
| 286.208 | 286.208 | 242.751 | 0.000 | 0.000 | -0.000 |
| -0.000 | -0.000 | -0.000 | 73.093 | 0.000 | 0.000 |
| -0.000 | -0.000 | -0.000 | 0.000 | 73.093 | 0.000 |
| -0.000 | -0.000 | -0.000 | 0.000 | 0.000 | 73.093 |
| 242.751 | 286.208 | 286.208 | -0.000 | -0.000 | -0.000 |
| 286.208 | 242.751 | 286.208 | -0.000 | -0.000 | -0.000 |
| 286.208 | 286.208 | 242.751 | -0.000 | -0.000 | 0.000 |
| 0.000 | 0.000 | 0.000 | 73.093 | -0.000 | -0.000 |
| 0.000 | 0.000 | 0.000 | -0.000 | 73.093 | -0.000 |
| 0.000 | 0.000 | 0.000 | -0.000 | -0.000 | 73.093 |
| 242.751 | 286.209 | 286.209 | 0.000 | 0.000 | -0.000 |
| 286.209 | 242.751 | 286.209 | 0.000 | 0.000 | -0.000 |
| 286.209 | 286.209 | 242.751 | 0.000 | 0.000 | -0.000 |
| -0.000 | -0.000 | -0.000 | 73.093 | 0.000 | 0.000 |
| -0.000 | -0.000 | -0.000 | 0.000 | 73.093 | -0.000 |
| -0.000 | -0.000 | -0.000 | 0.000 | 0.000 | 73.093 |
| 242.750 | 286.208 | 286.208 | -0.000 | -0.000 | 0.000 |
| 286.208 | 242.750 | 286.208 | -0.000 | 0.000 | 0.000 |
| 286.208 | 286.208 | 242.750 | -0.000 | -0.000 | 0.000 |
| -0.001 | -0.001 | -0.001 | -53.219 | -0.000 | -0.000 |
| -0.001 | -0.001 | -0.001 | -0.000 | -53.219 | 0.000 |
| -0.001 | -0.001 | -0.001 | -0.000 | -0.000 | -53.219 |
| 242.752 | 286.209 | 286.209 | 0.000 | 0.000 | -0.000 |
| 286.209 | 242.752 | 286.209 | 0.000 | 0.000 | -0.000 |
| 286.209 | 286.209 | 242.752 | 0.000 | 0.000 | -0.000 |
| 0.001 | 0.001 | 0.001 | -53.219 | 0.000 | 0.000 |
| 0.001 | 0.001 | 0.001 | 0.000 | -53.219 | -0.000 |
| 0.001 | 0.001 | 0.001 | 0.000 | 0.000 | -53.219 |
| 7.644 | 7.639 | 7.639 | -0.000 | -0.000 | -0.000 |
| 7.639 | 7.644 | 7.639 | -0.000 | -0.000 | -0.000 |
| 7.639 | 7.639 | 7.644 | -0.000 | -0.000 | -0.000 |
| -0.000 | -0.000 | -0.000 | 0.037 | -0.000 | -0.000 |
| -0.000 | -0.000 | -0.000 | -0.000 | 0.037 | -0.000 |
| -0.000 | -0.000 | -0.000 | -0.000 | -0.000 | 0.037 |
| 7.644 | 7.639 | 7.639 | 0.000 | 0.000 | 0.000 |
| 7.639 | 7.644 | 7.639 | 0.000 | 0.000 | 0.000 |
| 7.639 | 7.639 | 7.644 | 0.000 | 0.000 | 0.000 |
| 0.000 | 0.000 | 0.000 | 0.037 | 0.000 | 0.000 |
| 0.000 | 0.000 | 0.000 | 0.000 | 0.037 | 0.000 |
| 0.000 | 0.000 | 0.000 | 0.000 | 0.000 | 0.037 |
| 7.644 | 7.639 | 7.639 | -0.000 | -0.000 | -0.000 |
| 7.639 | 7.644 | 7.639 | -0.000 | -0.000 | -0.000 |
| 7.639 | 7.639 | 7.644 | -0.000 | -0.000 | -0.000 |
| -0.000 | -0.000 | -0.000 | 0.037 | -0.000 | -0.000 |
| -0.000 | -0.000 | -0.000 | -0.000 | 0.037 | -0.000 |
| -0.000 | -0.000 | -0.000 | -0.000 | -0.000 | 0.037 |
| 7.644 | 7.639 | 7.639 | -0.000 | 0.000 | 0.000 |
| 7.639 | 7.644 | 7.639 | 0.000 | -0.000 | 0.000 |
| 7.639 | 7.639 | 7.644 | 0.000 | 0.000 | -0.000 |
| 0.000 | 0.000 | 0.000 | 0.037 | 0.000 | 0.000 |
| 0.000 | 0.000 | 0.000 | 0.000 | 0.037 | 0.000 |
| 0.000 | 0.000 | 0.000 | 0.000 | 0.000 | 0.037 |
| 7.644 | 7.639 | 7.639 | -0.000 | -0.000 | -0.000 |
| 7.639 | 7.644 | 7.639 | -0.000 | -0.000 | -0.000 |
| 7.639 | 7.639 | 7.644 | -0.000 | -0.000 | -0.000 |
| -0.000 | -0.000 | -0.000 | 0.037 | -0.000 | -0.000 |
| -0.000 | -0.000 | -0.000 | -0.000 | 0.037 | -0.000 |
| -0.000 | -0.000 | -0.000 | -0.000 | -0.000 | 0.037 |
| 7.644 | 7.639 | 7.639 | 0.000 | 0.000 | 0.000 |
| 7.639 | 7.644 | 7.639 | 0.000 | 0.000 | 0.000 |
| 7.639 | 7.639 | 7.644 | 0.000 | 0.000 | 0.000 |
| 0.000 | 0.000 | 0.000 | 0.037 | 0.000 | 0.000 |
| 0.000 | 0.000 | 0.000 | 0.000 | 0.037 | 0.000 |
| 0.000 | 0.000 | 0.000 | 0.000 | 0.000 | 0.037 |
| 7.512 | 7.500 | 7.500 | -0.000 | -0.000 | -0.000 |
| 7.500 | 7.512 | 7.500 | -0.000 | -0.000 | -0.000 |
| 7.500 | 7.500 | 7.512 | -0.000 | -0.000 | -0.000 |
| -0.000 | -0.000 | -0.000 | 0.031 | -0.000 | -0.000 |
| -0.000 | -0.000 | -0.000 | -0.000 | 0.031 | -0.000 |
| -0.000 | -0.000 | -0.000 | -0.000 | -0.000 | 0.031 |
| 7.512 | 7.500 | 7.500 | 0.000 | 0.000 | 0.000 |
| 7.500 | 7.512 | 7.500 | 0.000 | 0.000 | 0.000 |
| 7.500 | 7.500 | 7.512 | 0.000 | 0.000 | 0.000 |
| 0.000 | 0.000 | 0.000 | 0.031 | 0.000 | 0.000 |
| 0.000 | 0.000 | 0.000 | 0.000 | 0.031 | 0.000 |
| 0.000 | 0.000 | 0.000 | 0.000 | 0.000 | 0.031 |
| 7.512 | 7.500 | 7.500 | -0.000 | -0.000 | -0.000 |
| 7.500 | 7.512 | 7.500 | -0.000 | -0.000 | -0.000 |
| 7.500 | 7.500 | 7.512 | -0.000 | -0.000 | -0.000 |
| -0.000 | -0.000 | -0.000 | 0.031 | -0.000 | -0.000 |
| -0.000 | -0.000 | -0.000 | -0.000 | 0.031 | -0.000 |
| -0.000 | -0.000 | -0.000 | -0.000 | -0.000 | 0.031 |
| 7.512 | 7.500 | 7.500 | 0.000 | 0.000 | 0.000 |
| 7.500 | 7.512 | 7.500 | 0.000 | 0.000 | 0.000 |
| 7.500 | 7.500 | 7.512 | 0.000 | 0.000 | 0.000 |
| 0.000 | 0.000 | 0.000 | 0.031 | 0.000 | 0.000 |
| 0.000 | 0.000 | 0.000 | 0.000 | 0.031 | 0.000 |
| 0.000 | 0.000 | 0.000 | 0.000 | 0.000 | 0.031 |
| 7.512 | 7.500 | 7.500 | -0.000 | -0.000 | -0.000 |
| 7.500 | 7.512 | 7.500 | -0.000 | -0.000 | -0.000 |
| 7.500 | 7.500 | 7.512 | -0.000 | -0.000 | -0.000 |
| -0.000 | -0.000 | -0.000 | 0.031 | -0.000 | -0.000 |
| -0.000 | -0.000 | -0.000 | -0.000 | 0.031 | -0.000 |
| -0.000 | -0.000 | -0.000 | -0.000 | -0.000 | 0.031 |
| 7.513 | 7.500 | 7.500 | 0.000 | 0.000 | 0.000 |
| 7.500 | 7.513 | 7.500 | 0.000 | 0.000 | 0.000 |
| 7.500 | 7.500 | 7.513 | 0.000 | 0.000 | 0.000 |
| 0.000 | 0.000 | 0.000 | 0.031 | 0.000 | 0.000 |
| 0.000 | 0.000 | 0.000 | 0.000 | 0.031 | 0.000 |
| 0.000 | 0.000 | 0.000 | 0.000 | 0.000 | 0.031 |
| 381.595 | 201.260 | 278.482 | 0.000 | -0.000 | 0.000 |
| 201.260 | 381.595 | 278.482 | 0.000 | -0.000 | 0.000 |
| 278.482 | 278.482 | 539.533 | 0.000 | -0.000 | -0.000 |
| -0.000 | 0.000 | 0.000 | 17.813 | -0.000 | -0.000 |
| 0.000 | -0.000 | 0.000 | 0.000 | 17.813 | 0.000 |
| -0.000 | -0.000 | -0.000 | 0.000 | 0.000 | -120.300 |
| 381.595 | 201.260 | 278.482 | -0.000 | -0.000 | -0.000 |
| 201.260 | 381.595 | 278.482 | -0.000 | 0.000 | -0.000 |
| 278.482 | 278.482 | 539.533 | 0.000 | 0.000 | -0.000 |
| 0.000 | -0.000 | -0.000 | 17.813 | 0.000 | -0.000 |
| -0.000 | 0.000 | -0.000 | -0.000 | 17.813 | 0.000 |
| 0.000 | 0.000 | 0.000 | -0.000 | -0.000 | -120.300 |
| 381.595 | 201.260 | 278.482 | 0.000 | -0.000 | 0.000 |
| 201.260 | 381.595 | 278.482 | 0.000 | 0.000 | 0.000 |
| 278.482 | 278.482 | 539.534 | -0.000 | -0.000 | 0.000 |
| -0.000 | 0.000 | 0.000 | 17.813 | -0.000 | -0.000 |
| 0.000 | -0.000 | 0.000 | 0.000 | 17.813 | 0.000 |
| -0.000 | -0.000 | -0.000 | 0.000 | 0.000 | -120.300 |
| 377.253 | 205.603 | 278.483 | 0.000 | -0.000 | -0.000 |
| 205.603 | 377.253 | 278.483 | -0.000 | -0.000 | -0.000 |
| 278.482 | 278.482 | 539.533 | -0.000 | -0.000 | -0.000 |
| 0.000 | -0.000 | -0.000 | 17.813 | 0.000 | -0.000 |
| -0.000 | 0.000 | -0.000 | 0.000 | 17.813 | 0.000 |
| 0.000 | 0.000 | 0.000 | 0.000 | 0.000 | -120.300 |
| 377.254 | 205.600 | 278.482 | 0.000 | -0.000 | 0.000 |
| 205.600 | 377.254 | 278.482 | 0.000 | 0.000 | -0.000 |
| 278.482 | 278.482 | 539.536 | -0.000 | -0.000 | -0.000 |
| -0.000 | 0.000 | 0.000 | 20.286 | 0.000 | 0.000 |
| 0.000 | -0.000 | 0.000 | 0.000 | 20.286 | 0.000 |
| -0.001 | -0.001 | -0.000 | 0.000 | 0.000 | -120.300 |
| 377.252 | 205.605 | 278.483 | 0.000 | 0.000 | 0.000 |
| 205.605 | 377.252 | 278.483 | -0.000 | 0.000 | -0.000 |
| 278.483 | 278.483 | 539.531 | 0.000 | 0.000 | -0.000 |
| 0.000 | -0.000 | -0.000 | 20.286 | -0.000 | -0.000 |
| -0.000 | 0.000 | -0.000 | -0.000 | 20.286 | -0.000 |
| 0.001 | 0.001 | 0.000 | -0.000 | -0.000 | -120.300 |
| 125.019 | 1.256 | 19.849 | -0.000 | -0.000 | 0.000 |
| 1.257 | 125.019 | 19.849 | -0.000 | -0.000 | 0.000 |
| 19.849 | 19.849 | 136.260 | -0.000 | 0.000 | 0.000 |
| 0.000 | 0.000 | 0.000 | 20.257 | 0.000 | 0.000 |
| 0.000 | -0.000 | -0.000 | 0.000 | 20.257 | -0.000 |
| 0.000 | -0.000 | -0.000 | -0.000 | 0.000 | 0.001 |
| 125.019 | 1.257 | 19.849 | 0.000 | -0.000 | -0.000 |
| 1.256 | 125.019 | 19.849 | 0.000 | -0.000 | 0.000 |
| 19.849 | 19.849 | 136.260 | 0.000 | -0.000 | -0.000 |
| -0.000 | -0.000 | -0.000 | 20.257 | -0.000 | -0.000 |
| -0.000 | 0.000 | 0.000 | 0.000 | 20.257 | 0.000 |
| -0.000 | 0.000 | 0.000 | 0.000 | -0.000 | 0.001 |
| 125.019 | 1.256 | 19.849 | -0.000 | 0.000 | 0.000 |
| 1.256 | 125.019 | 19.849 | -0.000 | 0.000 | 0.000 |
| 19.849 | 19.849 | 136.260 | 0.000 | -0.000 | 0.000 |
| -0.000 | 0.000 | 0.000 | 20.257 | -0.000 | 0.000 |
| 0.000 | -0.000 | 0.000 | 0.000 | 20.257 | -0.000 |
| 0.000 | -0.000 | -0.000 | -0.000 | 0.000 | 0.001 |
| 125.019 | 1.257 | 19.849 | 0.000 | -0.000 | -0.000 |
| 1.257 | 125.019 | 19.849 | -0.000 | -0.000 | -0.000 |
| 19.849 | 19.849 | 136.261 | 0.000 | 0.000 | -0.000 |
| 0.000 | -0.000 | -0.000 | 20.257 | 0.000 | -0.000 |
| -0.000 | 0.000 | -0.000 | 0.000 | 20.257 | 0.000 |
| -0.000 | 0.000 | 0.000 | 0.000 | -0.000 | 0.001 |
| 125.018 | 1.256 | 19.849 | -0.000 | 0.000 | 0.000 |
| 1.256 | 125.018 | 19.849 | -0.000 | 0.000 | 0.000 |
| 19.849 | 19.849 | 136.258 | 0.000 | 0.000 | 0.000 |
| -0.000 | 0.000 | 0.000 | 20.257 | 0.000 | 0.000 |
| 0.000 | -0.000 | 0.000 | -0.000 | 20.257 | -0.000 |
| -0.000 | -0.000 | -0.000 | 0.000 | 0.000 | 0.001 |
| 125.020 | 1.257 | 19.848 | 0.000 | -0.000 | -0.000 |
| 1.257 | 125.020 | 19.848 | 0.000 | -0.000 | -0.000 |
| 19.848 | 19.848 | 136.262 | 0.000 | -0.000 | -0.000 |
| 0.000 | -0.000 | -0.000 | 20.257 | -0.000 | 0.000 |
| -0.000 | 0.000 | -0.000 | -0.000 | 20.257 | 0.000 |
| 0.000 | 0.000 | 0.000 | -0.000 | -0.000 | 0.001 |
| 161.814 | -0.827 | 30.800 | -0.000 | -0.000 | -0.000 |
| -0.827 | 161.814 | 30.800 | -0.000 | -0.000 | 0.000 |
| 30.800 | 30.800 | -111.266 | 0.000 | -0.000 | -0.000 |
| 0.000 | 0.000 | 0.000 | 30.764 | 0.000 | -0.000 |
| 0.000 | 0.000 | 0.000 | 0.000 | 30.764 | 0.000 |
| -0.000 | -0.000 | -0.000 | -0.000 | -0.000 | 0.000 |
| 161.814 | -0.827 | 30.800 | -0.000 | 0.000 | 0.000 |
| -0.827 | 161.814 | 30.800 | -0.000 | 0.000 | 0.000 |
| 30.800 | 30.800 | -111.266 | -0.000 | 0.000 | 0.000 |
| -0.000 | -0.000 | -0.000 | 30.764 | 0.000 | 0.000 |
| 0.000 | -0.000 | -0.000 | -0.000 | 30.764 | -0.000 |
| 0.000 | 0.000 | 0.000 | 0.000 | 0.000 | 0.000 |
| 161.814 | -0.827 | 30.800 | -0.000 | -0.000 | -0.000 |
| -0.827 | 161.814 | 30.800 | 0.000 | -0.000 | 0.000 |
| 30.800 | 30.800 | -111.266 | 0.000 | -0.000 | -0.000 |
| -0.000 | 0.000 | 0.000 | 30.764 | 0.000 | 0.000 |
| 0.000 | -0.000 | 0.000 | 0.000 | 30.764 | 0.000 |
| 0.000 | -0.000 | -0.000 | -0.000 | -0.000 | 0.000 |
| 161.814 | -0.827 | 30.800 | -0.000 | -0.000 | 0.000 |
| -0.827 | 161.814 | 30.800 | 0.000 | 0.000 | -0.000 |
| 30.800 | 30.800 | -111.266 | 0.000 | 0.000 | -0.000 |
| 0.000 | -0.000 | -0.000 | 30.764 | -0.000 | 0.000 |
| -0.000 | 0.000 | -0.000 | -0.000 | 30.764 | -0.000 |
| -0.000 | 0.000 | 0.000 | 0.000 | 0.000 | 0.000 |
| 161.816 | -0.827 | 30.800 | -0.000 | 0.000 | -0.000 |
| -0.827 | 161.816 | 30.800 | 0.000 | -0.000 | 0.000 |
| 30.800 | 30.800 | -111.268 | 0.000 | -0.000 | -0.000 |
| -0.000 | 0.000 | 0.000 | 30.764 | -0.000 | -0.000 |
| 0.000 | -0.000 | 0.000 | 0.000 | 30.764 | -0.000 |
| 0.000 | -0.000 | -0.000 | -0.000 | 0.000 | 0.000 |
| 161.813 | -0.827 | 30.800 | 0.000 | 0.000 | 0.000 |
| -0.827 | 161.813 | 30.800 | 0.000 | 0.000 | -0.000 |
| 30.800 | 30.800 | -111.264 | 0.000 | 0.000 | -0.000 |
| 0.000 | -0.000 | -0.000 | 30.764 | -0.000 | -0.000 |
| -0.000 | 0.000 | -0.000 | 0.000 | 30.764 | -0.000 |
| -0.000 | 0.000 | 0.000 | 0.000 | 0.000 | 0.000 |
| 27.177 | 19.205 | 3.056 | -0.000 | -0.000 | -0.000 |
| 19.205 | 27.177 | 3.056 | -0.000 | -0.000 | -0.000 |
| 3.056 | 3.056 | 52.817 | -0.000 | -0.000 | -0.000 |
| -0.000 | 0.000 | -0.000 | 0.033 | -0.000 | 0.000 |
| -0.000 | 0.000 | -0.000 | -0.000 | 0.033 | 0.000 |
| -0.000 | 0.000 | 0.000 | -0.000 | -0.000 | 0.021 |
| 27.177 | 19.205 | 3.056 | 0.000 | 0.000 | -0.000 |
| 19.205 | 27.177 | 3.056 | 0.000 | 0.000 | -0.000 |
| 3.056 | 3.056 | 52.817 | 0.000 | 0.000 | -0.000 |
| 0.000 | -0.000 | 0.000 | 0.033 | 0.000 | 0.000 |
| 0.000 | -0.000 | 0.000 | 0.000 | 0.033 | 0.000 |
| 0.000 | -0.000 | -0.000 | 0.000 | 0.000 | 0.021 |
| 46.458 | -0.076 | 3.056 | -0.000 | 0.000 | 0.000 |
| -0.076 | 46.458 | 3.056 | 0.000 | 0.000 | 0.000 |
| 3.056 | 3.056 | 52.817 | -0.000 | -0.000 | 0.000 |
| -0.000 | 0.000 | -0.000 | 0.033 | -0.000 | 0.000 |
| 0.000 | -0.000 | -0.000 | -0.000 | 0.033 | 0.000 |
| -0.000 | -0.000 | -0.000 | -0.000 | -0.000 | 0.021 |
| 27.177 | 19.205 | 3.056 | 0.000 | 0.000 | 0.000 |
| 19.205 | 27.177 | 3.056 | 0.000 | 0.000 | -0.000 |
| 3.056 | 3.056 | 52.817 | 0.000 | 0.000 | -0.000 |
| 0.000 | -0.000 | 0.000 | 0.033 | 0.000 | 0.000 |
| -0.000 | 0.000 | 0.000 | 0.000 | 0.033 | 0.000 |
| 0.000 | 0.000 | 0.000 | 0.000 | -0.000 | 0.021 |
| 27.177 | 19.205 | 3.056 | -0.000 | 0.000 | 0.000 |
| 19.205 | 27.177 | 3.056 | 0.000 | -0.000 | -0.000 |
| 3.056 | 3.056 | 52.817 | -0.000 | -0.000 | 0.000 |
| -0.000 | 0.000 | -0.000 | 0.033 | -0.000 | 0.000 |
| 0.000 | -0.000 | -0.000 | -0.000 | 0.033 | 0.000 |
| -0.000 | -0.000 | -0.000 | -0.000 | 0.000 | 0.021 |
| 27.177 | 19.205 | 3.056 | 0.000 | 0.000 | 0.000 |
| 19.205 | 27.177 | 3.056 | 0.000 | 0.000 | -0.000 |
| 3.056 | 3.056 | 52.818 | 0.000 | 0.000 | 0.000 |
| 0.000 | -0.000 | 0.000 | 0.033 | 0.000 | 0.000 |
| -0.000 | 0.000 | 0.000 | 0.000 | 0.033 | 0.000 |
| 0.000 | 0.000 | 0.000 | 0.000 | -0.000 | 0.021 |
| 598.081 | 351.271 | 211.220 | 0.000 | 0.000 | 0.000 |
| 351.271 | 598.081 | 211.220 | 0.000 | 0.000 | 0.000 |
| 211.220 | 211.220 | 319.942 | 0.000 | 0.000 | 0.000 |
| -0.000 | -0.000 | -0.000 | 46.734 | -0.000 | -0.000 |
| -0.000 | -0.000 | -0.000 | 0.000 | 46.734 | 0.000 |
| -0.000 | -0.000 | -0.000 | 0.000 | 0.000 | 130.728 |
| 598.081 | 351.272 | 211.220 | 0.000 | -0.000 | -0.000 |
| 351.272 | 598.081 | 211.220 | -0.000 | -0.000 | -0.000 |
| 211.220 | 211.220 | 319.943 | -0.000 | -0.000 | 0.000 |
| 0.000 | 0.000 | 0.000 | 46.734 | -0.000 | -0.000 |
| 0.000 | 0.000 | 0.000 | -0.000 | 46.734 | -0.000 |
| 0.000 | 0.000 | 0.000 | -0.000 | -0.000 | 130.728 |
| 598.082 | 351.271 | 211.220 | -0.000 | 0.000 | 0.000 |
| 351.271 | 598.082 | 211.220 | 0.000 | 0.000 | 0.000 |
| 211.220 | 211.220 | 319.942 | 0.000 | 0.000 | -0.000 |
| -0.000 | -0.000 | -0.000 | 46.734 | -0.000 | 0.000 |
| -0.000 | -0.000 | -0.000 | -0.000 | 46.734 | -0.000 |
| -0.000 | -0.000 | -0.000 | 0.000 | 0.000 | 130.728 |
| 598.079 | 351.272 | 211.220 | 0.000 | -0.000 | -0.000 |
| 351.272 | 598.079 | 211.220 | -0.000 | -0.000 | -0.000 |
| 211.220 | 211.220 | 319.943 | -0.000 | -0.000 | 0.000 |
| 0.000 | 0.000 | 0.000 | 46.734 | -0.000 | 0.000 |
| 0.000 | 0.000 | 0.000 | -0.000 | 46.734 | -0.000 |
| 0.000 | 0.000 | 0.000 | -0.000 | -0.000 | 130.728 |
| 598.093 | 351.269 | 211.219 | 0.000 | 0.000 | -0.000 |
| 351.269 | 598.093 | 211.219 | 0.000 | 0.000 | 0.000 |
| 211.220 | 211.220 | 319.939 | 0.000 | 0.000 | -0.000 |
| -0.000 | -0.000 | -0.001 | 46.734 | 0.000 | 0.000 |
| -0.000 | -0.000 | -0.001 | 0.000 | 46.734 | 0.000 |
| -0.003 | -0.003 | -0.000 | 0.000 | 0.000 | 130.728 |
| 598.069 | 351.274 | 211.222 | -0.000 | -0.000 | 0.000 |
| 351.274 | 598.069 | 211.222 | -0.000 | -0.000 | -0.000 |
| 211.220 | 211.220 | 319.946 | -0.000 | -0.000 | 0.000 |
| 0.000 | 0.000 | 0.001 | 46.734 | 0.000 | -0.000 |
| 0.000 | 0.000 | 0.001 | -0.000 | 46.734 | 0.000 |
| 0.003 | 0.003 | 0.000 | -0.000 | -0.000 | 130.728 |
| 48.022 | -18.147 | -36.059 | 0.000 | 0.000 | -0.000 |
| -18.147 | 48.022 | -36.059 | 0.000 | 0.000 | -0.000 |
| -36.059 | -36.059 | -78.578 | 0.000 | 0.000 | -0.000 |
| 0.000 | 0.000 | 0.000 | -33.033 | 0.000 | -0.000 |
| 0.000 | 0.000 | 0.000 | 0.000 | -33.033 | -0.000 |
| 0.000 | 0.000 | 0.000 | 0.000 | 0.000 | -15.467 |
| 48.022 | -18.147 | -36.059 | -0.000 | -0.000 | 0.000 |
| -18.147 | 48.022 | -36.059 | -0.000 | -0.000 | 0.000 |
| -36.059 | -36.059 | -78.578 | -0.000 | -0.000 | 0.000 |
| -0.000 | -0.000 | -0.000 | -33.033 | -0.000 | 0.000 |
| -0.000 | -0.000 | -0.000 | -0.000 | -33.033 | 0.000 |
| -0.000 | -0.000 | -0.000 | -0.000 | -0.000 | -15.467 |
| 48.023 | -18.147 | -36.059 | 0.000 | 0.000 | -0.000 |
| -18.147 | 48.023 | -36.059 | 0.000 | 0.000 | 0.000 |
| -36.059 | -36.059 | -78.578 | 0.000 | 0.000 | -0.000 |
| 0.000 | 0.000 | 0.000 | -33.033 | 0.000 | -0.000 |
| 0.000 | 0.000 | 0.000 | 0.000 | -33.033 | -0.000 |
| 0.000 | 0.000 | 0.000 | 0.000 | 0.000 | -15.467 |
| 48.022 | -18.147 | -36.059 | -0.000 | -0.000 | 0.000 |
| -18.147 | 48.022 | -36.059 | -0.000 | -0.000 | 0.000 |
| -36.059 | -36.059 | -78.578 | -0.000 | -0.000 | 0.000 |
| -0.000 | -0.000 | -0.000 | -33.033 | -0.000 | 0.000 |
| -0.000 | -0.000 | -0.000 | -0.000 | -33.033 | 0.000 |
| -0.000 | -0.000 | -0.000 | -0.000 | -0.000 | -15.467 |
| 48.024 | -18.147 | -36.059 | 0.000 | 0.000 | -0.000 |
| -18.147 | 48.024 | -36.059 | 0.000 | 0.000 | -0.000 |
| -36.059 | -36.059 | -78.577 | 0.000 | 0.000 | 0.000 |
| 0.000 | 0.000 | 0.001 | -33.033 | 0.000 | 0.000 |
| 0.000 | 0.000 | 0.001 | 0.000 | -33.033 | 0.000 |
| 0.000 | 0.000 | 0.000 | 0.000 | 0.000 | -15.467 |
| 48.020 | -18.147 | -36.060 | -0.000 | -0.000 | 0.000 |
| -18.147 | 48.020 | -36.060 | -0.000 | -0.000 | 0.000 |
| -36.060 | -36.060 | -78.580 | -0.000 | -0.000 | 0.000 |
| -0.000 | -0.000 | -0.001 | -33.033 | -0.000 | 0.000 |
| -0.000 | -0.000 | -0.001 | -0.000 | -33.033 | 0.000 |
| -0.000 | -0.000 | -0.000 | -0.000 | -0.000 | -15.467 |
| 80.793 | 227.792 | 259.648 | -40.565 | 0.000 | -0.000 |
| -136.548 | -291.191 | -21.886 | 34.408 | 0.000 | -0.000 |
| 255.132 | 255.132 | 91.282 | 0.000 | 0.000 | -0.000 |
| -40.565 | 40.565 | 0.000 | -19.165 | 0.000 | -0.000 |
| 0.000 | -0.000 | 0.000 | 0.000 | -60.059 | -15.176 |
| 0.000 | 0.000 | 0.000 | 0.000 | -40.565 | -73.499 |
| -300.256 | -121.734 | -19.688 | -15.177 | 0.000 | 0.000 |
| 227.792 | 80.793 | 259.648 | 40.565 | -0.000 | -0.000 |
| -24.205 | -24.205 | -122.326 | -0.000 | -0.000 | 0.000 |
| -15.177 | 15.176 | -0.000 | -60.059 | -0.000 | -0.000 |
| -0.000 | -0.000 | -0.000 | -0.000 | -60.059 | -15.176 |
| -0.000 | -0.000 | -0.000 | -0.000 | -40.565 | -73.499 |
| -300.233 | -121.711 | -19.670 | -15.177 | -0.000 | -0.000 |
| 227.792 | 80.793 | 259.648 | 40.565 | 0.000 | -0.000 |
| -24.210 | -24.210 | -122.330 | 0.000 | -0.000 | -0.000 |
| -40.565 | 40.565 | 0.000 | -19.165 | -0.000 | -0.000 |
| -0.000 | -0.000 | -0.000 | 0.000 | -60.059 | -15.176 |
| -0.000 | -0.000 | -0.000 | 0.000 | -15.176 | -89.261 |
| 80.793 | 227.792 | 259.648 | -40.565 | 0.000 | 0.000 |
| 227.792 | 80.793 | 259.648 | 40.565 | -0.000 | -0.000 |
| -24.200 | -24.200 | -122.323 | -0.000 | -0.000 | 0.000 |
| -40.565 | 40.565 | -0.000 | -19.165 | 0.000 | 0.000 |
| 0.000 | 0.000 | 0.000 | -0.000 | -60.059 | -15.176 |
| 0.000 | 0.000 | 0.000 | -0.000 | -15.176 | -89.261 |
| -291.280 | -136.632 | -21.951 | -34.406 | -0.000 | -0.000 |
| -136.633 | -291.280 | -21.951 | 34.406 | -0.000 | -0.000 |
| -24.069 | -24.069 | -122.221 | 0.000 | 0.000 | -0.000 |
| -40.565 | 40.565 | 0.001 | -19.165 | 0.000 | -0.000 |
| 0.000 | 0.000 | 0.001 | -0.000 | -19.165 | -40.565 |
| 0.000 | -0.000 | 0.000 | 0.000 | -40.565 | -73.499 |
| -291.423 | -136.777 | -22.064 | -34.405 | -0.000 | 0.000 |
| -121.650 | -300.163 | -19.622 | 15.183 | -0.000 | 0.000 |
| -24.222 | -24.222 | -122.342 | -0.000 | 0.000 | -0.000 |
| -15.175 | 15.180 | 0.002 | -60.057 | 0.000 | 0.000 |
| -0.000 | -0.000 | -0.001 | 0.000 | -19.165 | -40.565 |
| -0.000 | 0.000 | -0.000 | -0.000 | -40.565 | -73.499 |
| 23.444 | 7.670 | -2758691.374 | -3.145 | 0.000 | -0.000 |
| 7.716 | 23.491 | 1.363 | 3.145 | 0.000 | 0.000 |
| -5.971 | -5.971 | -0.323 | 0.000 | 0.000 | 0.000 |
| -3.199 | 3.092 | -2758692.616 | 1.258 | 0.000 | 0.000 |
| -0.046 | -0.046 | -2758692.616 | 0.000 | 1.258 | -3.145 |
| -0.046 | -0.046 | -2758692.616 | 0.000 | -3.145 | 7.887 |
| 23.491 | 7.716 | 1.363 | -3.145 | 0.000 | -0.000 |
| 7.762 | 23.537 | 2758693.857 | 3.145 | 0.000 | -0.000 |
| -5.941 | -5.941 | 2758692.124 | -0.000 | -0.000 | 0.000 |
| -3.099 | 3.192 | 2758692.616 | 1.258 | 0.000 | -0.000 |
| 0.046 | 0.046 | 2758692.616 | -0.000 | 1.258 | -3.145 |
| 0.046 | 0.046 | 2758692.616 | -0.000 | -3.145 | 7.887 |
| 23.486 | 7.711 | -275868.020 | -3.145 | 0.000 | -0.000 |
| 7.711 | 23.486 | -275868.020 | 3.145 | 0.000 | -0.000 |
| -5.974 | -5.974 | -275869.752 | 0.000 | 0.000 | -0.000 |
| -3.145 | 3.145 | -0.000 | 1.230 | 0.000 | 0.000 |
| -0.000 | -0.000 | -0.000 | 0.000 | 1.230 | -3.145 |
| -0.005 | -0.005 | -275869.262 | 0.000 | -3.145 | 7.887 |
| 23.495 | 7.721 | 275870.503 | -3.145 | -0.000 | 0.000 |
| 7.721 | 23.496 | 275870.503 | 3.145 | -0.000 | -0.000 |
| -5.968 | -5.968 | 275868.771 | -0.000 | -0.000 | -0.000 |
| -3.141 | 3.150 | 275869.262 | 1.258 | -0.000 | -0.000 |
| 0.000 | 0.000 | 0.000 | -0.000 | 1.230 | -3.145 |
| 0.005 | 0.005 | 275869.262 | -0.000 | -3.145 | 7.887 |
| 23.491 | 7.716 | 1.363 | -3.145 | 0.000 | -0.000 |
| 7.716 | 23.490 | -27585.685 | 3.145 | 0.000 | -0.000 |
| -5.972 | -5.972 | -27587.416 | 0.000 | 0.000 | 0.000 |
| -3.146 | 3.145 | -0.001 | 1.230 | 0.000 | 0.000 |
| -0.000 | -0.000 | -0.000 | 0.000 | 1.230 | -3.145 |
| -0.000 | -0.000 | -0.000 | 0.000 | -3.145 | 7.887 |
| 23.491 | 7.716 | 1.363 | -3.145 | -0.000 | 0.000 |
| 7.717 | 23.492 | 27588.168 | 3.145 | 0.000 | 0.000 |
| -5.970 | -5.970 | 27586.436 | -0.000 | 0.000 | 0.000 |
| -3.145 | 3.146 | 27586.926 | 1.258 | -0.000 | -0.000 |
| 0.000 | 0.000 | 0.000 | -0.000 | 1.230 | -3.145 |
| 0.000 | 0.000 | 0.000 | -0.000 | -3.145 | 7.887 |
| 285.749 | 108.245 | 108.245 | 0.000 | -0.000 | -0.000 |
| 108.245 | 285.749 | 108.245 | 0.000 | -0.000 | -0.000 |
| 108.245 | 108.245 | 285.749 | 0.000 | -0.000 | 0.000 |
| 0.000 | 0.000 | 0.000 | -66.595 | -0.000 | -0.000 |
| 0.000 | 0.000 | 0.000 | -0.000 | -66.595 | -0.000 |
| 0.000 | 0.000 | 0.000 | -0.000 | -0.000 | -66.595 |
| 285.749 | 108.245 | 108.245 | 0.000 | 0.000 | -0.000 |
| 108.245 | 285.749 | 108.245 | -0.000 | 0.000 | 0.000 |
| 108.245 | 108.245 | 285.749 | -0.000 | 0.000 | 0.000 |
| -0.000 | -0.000 | 0.000 | -66.595 | 0.000 | 0.000 |
| -0.000 | -0.000 | 0.000 | -0.000 | -66.595 | 0.000 |
| -0.000 | -0.000 | -0.000 | 0.000 | 0.000 | -66.595 |
| 285.749 | 108.245 | 108.245 | -0.000 | -0.000 | -0.000 |
| 108.245 | 285.749 | 108.245 | -0.000 | -0.000 | -0.000 |
| 108.245 | 108.245 | 285.749 | -0.000 | -0.000 | -0.000 |
| 0.000 | 0.000 | 0.000 | -66.595 | 0.000 | -0.000 |
| 0.000 | 0.000 | 0.000 | 0.000 | -66.595 | -0.000 |
| 0.000 | 0.000 | 0.000 | 0.000 | -0.000 | -66.595 |
| 285.749 | 108.245 | 108.245 | -0.000 | 0.000 | -0.000 |
| 108.245 | 285.749 | 108.245 | -0.000 | 0.000 | 0.000 |
| 108.245 | 108.245 | 285.749 | 0.000 | 0.000 | 0.000 |
| -0.000 | -0.000 | -0.000 | -66.595 | 0.000 | 0.000 |
| -0.000 | -0.000 | -0.000 | 0.000 | -66.595 | 0.000 |
| -0.000 | -0.000 | -0.000 | -0.000 | 0.000 | -66.595 |
| 285.751 | 108.244 | 108.244 | 0.000 | -0.000 | -0.000 |
| 108.244 | 285.751 | 108.244 | 0.000 | -0.000 | 0.000 |
| 108.244 | 108.244 | 285.751 | 0.000 | -0.000 | -0.000 |
| 0.000 | 0.000 | 0.000 | -66.595 | -0.000 | -0.000 |
| 0.000 | 0.000 | 0.000 | 0.000 | -66.595 | -0.000 |
| 0.000 | 0.000 | 0.000 | -0.000 | -0.000 | -66.595 |
| 285.746 | 108.245 | 108.245 | -0.000 | 0.000 | 0.000 |
| 108.245 | 285.746 | 108.245 | -0.000 | -0.000 | 0.000 |
| 108.245 | 108.245 | 285.746 | 0.000 | 0.000 | -0.000 |
| -0.000 | -0.000 | -0.000 | -66.595 | 0.000 | 0.000 |
| -0.000 | -0.000 | -0.000 | 0.000 | -66.595 | 0.000 |
| -0.000 | -0.000 | -0.000 | -0.000 | 0.000 | -66.595 |
| 54.266 | -1.207 | -1.207 | -0.000 | -0.000 | -0.000 |
| -1.207 | 54.266 | -1.207 | -0.000 | -0.000 | 0.000 |
| -1.207 | -1.207 | 54.266 | -0.000 | -0.000 | -0.000 |
| 0.000 | -0.000 | -0.000 | 0.009 | 0.000 | -0.000 |
| -0.000 | 0.000 | -0.000 | 0.000 | 0.009 | 0.000 |
| -0.000 | -0.000 | 0.000 | 0.000 | -0.000 | 0.009 |
| 54.266 | -1.207 | -1.207 | 0.000 | 0.000 | -0.000 |
| -1.207 | 54.266 | -1.207 | 0.000 | 0.000 | 0.000 |
| -1.207 | -1.207 | 54.266 | 0.000 | 0.000 | -0.000 |
| -0.000 | 0.000 | 0.000 | 0.009 | -0.000 | -0.000 |
| 0.000 | -0.000 | 0.000 | -0.000 | 0.009 | -0.000 |
| 0.000 | 0.000 | -0.000 | -0.000 | 0.000 | 0.009 |
| 54.266 | -1.207 | -1.207 | -0.000 | -0.000 | 0.000 |
| -1.207 | 54.266 | -1.207 | 0.000 | -0.000 | 0.000 |
| -1.207 | -1.207 | 54.266 | 0.000 | 0.000 | -0.000 |
| 0.000 | 0.000 | -0.000 | 0.009 | 0.000 | 0.000 |
| 0.000 | 0.000 | -0.000 | 0.000 | 0.009 | 0.000 |
| 0.000 | -0.000 | 0.000 | 0.000 | 0.000 | 0.009 |
| 54.266 | -1.207 | -1.207 | 0.000 | -0.000 | 0.000 |
| -1.207 | 54.266 | -1.207 | -0.000 | 0.000 | 0.000 |
| -1.207 | -1.207 | 54.266 | 0.000 | 0.000 | -0.000 |
| -0.000 | -0.000 | 0.000 | 0.009 | -0.000 | -0.000 |
| -0.000 | -0.000 | 0.000 | -0.000 | 0.009 | -0.000 |
| -0.000 | 0.000 | -0.000 | 0.000 | 0.000 | 0.009 |
| 54.268 | -1.207 | -1.207 | 0.000 | 0.000 | 0.000 |
| -1.207 | 54.268 | -1.207 | 0.000 | 0.000 | -0.000 |
| -1.207 | -1.207 | 54.268 | -0.000 | -0.000 | 0.000 |
| 0.000 | 0.000 | -0.000 | 0.009 | 0.000 | -0.000 |
| 0.000 | 0.000 | -0.000 | -0.000 | 0.009 | 0.000 |
| 0.000 | -0.000 | 0.000 | -0.000 | -0.000 | 0.009 |
| 54.265 | -1.207 | -1.207 | -0.000 | -0.000 | -0.000 |
| -1.207 | 54.265 | -1.207 | -0.000 | -0.000 | -0.000 |
| -1.207 | -1.207 | 54.265 | -0.000 | -0.000 | -0.000 |
| -0.000 | -0.000 | 0.000 | 0.009 | -0.000 | 0.000 |
| -0.000 | -0.000 | 0.000 | -0.000 | 0.009 | -0.000 |
| -0.000 | 0.000 | -0.000 | -0.000 | -0.000 | 0.009 |
| 49.398 | -0.034 | -0.034 | -0.000 | -0.000 | -0.000 |
| -0.034 | 49.398 | -0.034 | 0.000 | -0.000 | 0.000 |
| -0.034 | -0.034 | 49.398 | 0.000 | 0.000 | -0.000 |
| -0.000 | -0.000 | -0.000 | 0.022 | 0.000 | -0.000 |
| -0.000 | -0.000 | -0.000 | 0.000 | 0.022 | 0.000 |
| -0.000 | -0.000 | -0.000 | 0.000 | -0.000 | 0.022 |
| 49.398 | -0.034 | -0.034 | 0.000 | 0.000 | -0.000 |
| -0.034 | 49.398 | -0.034 | 0.000 | 0.000 | 0.000 |
| -0.034 | -0.034 | 49.398 | -0.000 | -0.000 | -0.000 |
| 0.000 | 0.000 | 0.000 | 0.022 | -0.000 | 0.000 |
| 0.000 | 0.000 | 0.000 | 0.000 | 0.022 | -0.000 |
| 0.000 | 0.000 | 0.000 | -0.000 | -0.000 | 0.022 |
| 49.398 | -0.034 | -0.034 | 0.000 | -0.000 | -0.000 |
| -0.034 | 49.398 | -0.034 | -0.000 | 0.000 | 0.000 |
| -0.034 | -0.034 | 49.398 | 0.000 | 0.000 | 0.000 |
| -0.000 | -0.000 | -0.000 | 0.022 | -0.000 | -0.000 |
| -0.000 | -0.000 | -0.000 | 0.000 | 0.022 | 0.000 |
| -0.000 | -0.000 | -0.000 | 0.000 | 0.000 | 0.022 |
| 49.398 | -0.034 | -0.034 | -0.000 | 0.000 | 0.000 |
| -0.034 | 49.398 | -0.034 | 0.000 | -0.000 | 0.000 |
| -0.034 | -0.034 | 49.398 | -0.000 | -0.000 | 0.000 |
| 0.000 | 0.000 | 0.000 | 0.022 | -0.000 | 0.000 |
| 0.000 | 0.000 | 0.000 | 0.000 | 0.022 | -0.000 |
| 0.000 | 0.000 | 0.000 | -0.000 | -0.000 | 0.022 |
| 49.397 | -0.034 | -0.034 | 0.000 | 0.000 | 0.000 |
| -0.034 | 49.397 | -0.034 | 0.000 | 0.000 | -0.000 |
| -0.034 | -0.034 | 49.397 | -0.000 | -0.000 | 0.000 |
| 0.000 | -0.000 | -0.000 | 0.022 | 0.000 | 0.000 |
| -0.000 | 0.000 | -0.000 | 0.000 | 0.022 | 0.000 |
| -0.000 | -0.000 | 0.000 | 0.000 | 0.000 | 0.022 |
| 49.398 | -0.034 | -0.034 | -0.000 | 0.000 | 0.000 |
| -0.034 | 49.398 | -0.034 | 0.000 | -0.000 | 0.000 |
| -0.034 | -0.034 | 49.398 | 0.000 | -0.000 | -0.000 |
| -0.000 | 0.000 | 0.000 | 0.022 | -0.000 | -0.000 |
| 0.000 | -0.000 | 0.000 | 0.000 | 0.022 | -0.000 |
| 0.000 | 0.000 | -0.000 | 0.000 | -0.000 | 0.022 |
| 305.509 | 249.137 | 231.549 | -0.000 | 0.000 | -0.000 |
| 249.137 | 305.509 | 231.549 | -0.000 | -0.000 | -0.000 |
| 231.549 | 231.549 | 525.436 | -0.000 | -0.000 | -0.000 |
| 0.000 | 0.000 | 0.000 | -61.506 | -0.000 | 0.000 |
| 0.000 | 0.000 | 0.000 | -0.000 | -61.506 | -0.000 |
| -0.000 | -0.000 | 0.000 | -0.000 | -0.000 | 28.186 |
| 305.510 | 249.137 | 231.549 | 0.000 | 0.000 | 0.000 |
| 249.137 | 305.510 | 231.549 | 0.000 | 0.000 | 0.000 |
| 231.549 | 231.549 | 525.436 | -0.000 | -0.000 | 0.000 |
| -0.000 | -0.000 | -0.000 | -61.506 | -0.000 | 0.000 |
| -0.000 | 0.000 | -0.000 | -0.000 | -61.506 | 0.000 |
| 0.000 | 0.000 | -0.000 | 0.000 | 0.000 | 28.186 |
| 305.509 | 249.137 | 231.549 | -0.000 | -0.000 | -0.000 |
| 249.137 | 305.509 | 231.549 | -0.000 | -0.000 | 0.000 |
| 231.549 | 231.549 | 525.436 | 0.000 | -0.000 | -0.000 |
| 0.000 | 0.000 | 0.000 | -61.506 | -0.000 | -0.000 |
| 0.000 | 0.000 | 0.000 | 0.000 | -61.506 | -0.000 |
| -0.000 | -0.000 | 0.000 | -0.000 | -0.000 | 28.186 |
| 305.510 | 249.137 | 231.549 | 0.000 | -0.000 | 0.000 |
| 249.137 | 305.510 | 231.549 | 0.000 | 0.000 | 0.000 |
| 231.549 | 231.549 | 525.436 | 0.000 | 0.000 | 0.000 |
| -0.000 | -0.000 | -0.000 | -61.506 | 0.000 | 0.000 |
| -0.000 | -0.000 | -0.000 | -0.000 | -61.506 | 0.000 |
| 0.000 | 0.000 | -0.000 | 0.000 | 0.000 | 28.186 |
| 305.507 | 249.137 | 231.548 | -0.000 | -0.000 | -0.000 |
| 249.136 | 305.507 | 231.548 | -0.000 | -0.000 | -0.000 |
| 231.547 | 231.547 | 525.438 | -0.000 | -0.000 | -0.000 |
| 0.000 | 0.001 | 0.000 | -61.506 | -0.000 | 0.000 |
| 0.001 | 0.000 | 0.000 | -0.000 | -61.506 | -0.000 |
| -0.000 | -0.001 | 0.000 | -0.000 | -0.000 | 28.186 |
| 305.512 | 249.137 | 231.550 | 0.000 | 0.000 | 0.000 |
| 249.137 | 305.512 | 231.550 | 0.000 | 0.000 | -0.000 |
| 231.551 | 231.551 | 525.435 | -0.000 | -0.000 | 0.000 |
| -0.000 | -0.001 | -0.000 | -61.506 | 0.000 | -0.000 |
| -0.001 | -0.000 | -0.000 | 0.000 | -61.506 | 0.000 |
| 0.000 | 0.001 | -0.000 | 0.000 | 0.000 | 28.186 |
| 22.971 | 689.238 | -256.113 | 0.000 | -188.450 | 0.000 |
| 176.935 | 1340.033 | 233.563 | 0.000 | 130.743 | 0.000 |
| 97.520 | 904.160 | 211.000 | -0.000 | -141.243 | 0.000 |
| -34.284 | 722.222 | 28.001 | 93.345 | 135.165 | -15.842 |
| -150.601 | 683.440 | -246.427 | 0.000 | -41.611 | 0.000 |
| 0.000 | 0.000 | 0.000 | -8.369 | -0.000 | 91.634 |
| 871.276 | -50.814 | 409.175 | 0.000 | -53.153 | -0.000 |
| 687.766 | 349.365 | 404.548 | 0.000 | -56.447 | -0.000 |
| 234.061 | -508.454 | 367.490 | 0.000 | -186.752 | -0.000 |
| 34.284 | -722.222 | -28.001 | 93.345 | -135.165 | -15.842 |
| -16.886 | 7.074 | -16.563 | 0.000 | 83.739 | -0.000 |
| -0.000 | -0.000 | -0.000 | -8.369 | -0.000 | 91.634 |
| 331.487 | 277.946 | 172.275 | -0.000 | -9.550 | -0.000 |
| 242.317 | 641.541 | 232.282 | -0.000 | 7.947 | -0.000 |
| 188.838 | 279.066 | 390.185 | -0.000 | -42.702 | -0.000 |
| -45.945 | 27.998 | -18.474 | 104.600 | 6.072 | -10.947 |
| -16.886 | 7.074 | -16.563 | -0.000 | 83.739 | -0.000 |
| -34.389 | 46.244 | -44.656 | -15.953 | -17.055 | 42.796 |
| 453.973 | 194.879 | 238.547 | 0.000 | -1.711 | 0.000 |
| 218.288 | 548.388 | 205.830 | 0.000 | -16.249 | 0.000 |
| 281.715 | 189.286 | 456.177 | 0.000 | -35.485 | 0.000 |
| 45.945 | -27.998 | 18.474 | 104.600 | -6.072 | -10.947 |
| -16.886 | 7.074 | -16.563 | 0.000 | 83.739 | 0.000 |
| 34.389 | -46.244 | 44.656 | -15.953 | 17.055 | 42.796 |
| 373.238 | 229.032 | 198.287 | -0.000 | -9.386 | -0.000 |
| 242.318 | 641.536 | 232.283 | -0.000 | 7.947 | -0.000 |
| 225.895 | 222.136 | 433.010 | -0.000 | -28.715 | -0.000 |
| 0.000 | 0.000 | 0.000 | 109.011 | 0.000 | -9.242 |
| -33.017 | 5.613 | -35.079 | 0.000 | 67.199 | -0.000 |
| -1.586 | 5.674 | -2.123 | -14.949 | -0.983 | 50.998 |
| 386.892 | 218.368 | 205.842 | 0.000 | -0.346 | 0.000 |
| 232.446 | 622.493 | 220.035 | -0.000 | 2.573 | 0.000 |
| 262.444 | 232.432 | 467.805 | -0.000 | -16.564 | 0.000 |
| -0.000 | -0.000 | -0.000 | 109.011 | -0.000 | -9.242 |
| -20.134 | -1.876 | -29.515 | 0.000 | 66.093 | 0.000 |
| 1.586 | -5.674 | 2.123 | -14.949 | 0.983 | 50.998 |
| -24920093.006 | -24114555.572 | 2849395.864 | 665863.390 | 6215184.270 | 2143459.258 |
| -24893063.567 | -23161915.083 | 922512.600 | 2122781.389 | 6246851.076 | 970203.924 |
| -25614260.122 | -25153643.590 | 235077.221 | 2705941.412 | 7036450.582 | 3301059.665 |
| -24854989.757 | -24695769.584 | 1520513.432 | 822750.188 | 5614280.778 | 2915787.454 |
| -26129035.061 | -26122292.484 | 1405159.847 | 2727993.743 | 5196638.590 | 3761690.466 |
| -25208702.394 | -24332490.617 | 1138157.764 | 2592018.772 | 6246568.965 | 3817035.336 |
| 25743529.376 | 22220527.255 | -1312660.637 | -2327847.209 | -6149310.932 | -3274002.763 |
| 23775970.520 | 23660531.731 | -1048672.700 | -1799970.997 | -5850476.238 | -3582108.687 |
| 28008120.246 | 26841068.413 | 27135.587 | -2837674.839 | -6553019.947 | -3970215.146 |
| 24671942.066 | 24621465.128 | -1207732.922 | -1823072.246 | -5559474.405 | -3255851.067 |
| 25348175.067 | 23533668.014 | 371937.200 | -2233295.472 | -7052911.423 | -3030773.546 |
| 25126943.645 | 25686737.395 | -1784518.694 | -2441625.557 | -5966854.898 | -3142600.302 |
| -2557426.384 | -2426134.839 | 164471.530 | 249652.368 | 527333.253 | 392822.357 |
| -2639263.721 | -2352449.705 | -18405.729 | 170905.835 | 694101.361 | 242745.220 |
| -2538532.769 | -2359195.365 | -59374.777 | 203722.933 | 647227.104 | 279422.347 |
| -2393928.916 | -2259327.844 | 176768.709 | 173266.070 | 526899.692 | 394517.023 |
| -2658000.421 | -2317654.250 | -16810.134 | 225847.675 | 679629.261 | 221311.349 |
| -2597299.518 | -2451267.770 | 141419.495 | 227778.995 | 504611.397 | 377952.009 |
| 2750957.292 | 2271359.124 | 153744.940 | -147201.621 | -650730.422 | -241277.468 |
| 2414795.138 | 2152073.954 | -207420.721 | -200873.026 | -717372.958 | -339772.330 |
| 2563391.310 | 2328781.654 | -154348.891 | -197029.910 | -566448.835 | -275868.736 |
| 2631390.950 | 2436715.053 | -47245.244 | -315067.644 | -543002.910 | -316897.088 |
| 2558275.745 | 2485425.340 | -169223.120 | -272918.947 | -514314.439 | -378602.735 |
| 2490907.322 | 2438390.159 | -160605.001 | -161623.806 | -450244.630 | -303860.046 |
| -252148.522 | -242427.491 | 14912.308 | 19453.218 | 53258.455 | 33448.416 |
| -249865.209 | -232603.242 | -5177.317 | 20131.304 | 60089.199 | 21137.166 |
| -242037.482 | -224772.444 | 10457.841 | 22546.229 | 51416.862 | 34902.006 |
| -275440.821 | -249696.032 | -8828.018 | 25850.609 | 66276.042 | 39186.053 |
| -270667.123 | -252296.008 | -11026.097 | 22747.380 | 71193.504 | 29041.590 |
| -248978.196 | -229585.217 | 20067.404 | 26218.790 | 53784.444 | 34109.999 |
| 256318.185 | 232546.836 | 3743.499 | -16946.227 | -63442.985 | -26068.432 |
| 274235.104 | 254976.125 | 6002.258 | -22017.002 | -68462.187 | -36485.648 |
| 263228.985 | 245532.688 | -6263.235 | -23983.542 | -68206.782 | -30089.556 |
| 247381.985 | 233337.669 | -21870.108 | -20946.004 | -55634.086 | -35644.965 |
| 240935.241 | 220706.589 | -6074.526 | -16910.044 | -61552.414 | -32432.935 |
| 259355.256 | 241979.407 | -2017.410 | -23324.718 | -64133.054 | -31193.823 |
| 293.979 | 352.893 | 429.897 | 0.000 | -264.876 | 0.000 |
| 1168.474 | 756.852 | 1576.149 | -0.000 | -709.474 | 0.000 |
| 240.902 | 246.396 | 456.524 | -0.000 | -15.584 | 0.000 |
| 0.000 | 0.000 | 0.000 | 50.818 | -0.000 | 8.423 |
| 28.794 | 11.066 | -15.584 | -0.000 | 49.087 | 0.000 |
| -4.376 | 155.784 | 214.029 | 15.571 | -296.408 | 19.097 |
| -230.671 | -284.392 | -919.472 | -0.000 | 541.457 | -0.000 |
| 199.126 | 168.588 | 2.610 | 0.000 | 303.473 | -0.000 |
| 240.902 | 246.396 | 456.524 | 0.000 | -15.584 | -0.000 |
| -0.000 | -0.000 | 0.000 | 50.818 | 0.000 | 8.423 |
| -474.289 | -445.229 | -1132.097 | 0.000 | 548.085 | 0.000 |
| 4.376 | -155.784 | -214.029 | 15.571 | 296.408 | 19.097 |
| 377.472 | 200.694 | 292.962 | -0.000 | -82.519 | -0.000 |
| 218.134 | 358.596 | 246.088 | 0.000 | 9.499 | -0.000 |
| 247.784 | 230.946 | 487.717 | -0.000 | -76.749 | 0.000 |
| -0.437 | 15.559 | 21.376 | 25.723 | -29.604 | 17.127 |
| 70.927 | 51.364 | 88.889 | 0.000 | -20.292 | 0.000 |
| 49.601 | 45.168 | 111.049 | 16.142 | -51.654 | 6.993 |
| 297.884 | 180.631 | 193.611 | -0.000 | 61.145 | -0.000 |
| 218.134 | 358.596 | 246.088 | -0.000 | 9.499 | 0.000 |
| 240.902 | 246.396 | 456.524 | -0.000 | -15.584 | -0.000 |
| 0.437 | -15.559 | -21.376 | 25.723 | 29.604 | 17.127 |
| 25.223 | -7.259 | -43.657 | 0.000 | 71.346 | -0.000 |
| -49.601 | -45.168 | -111.049 | 16.142 | 51.654 | 6.993 |
| 296.076 | 197.208 | 216.936 | 0.000 | 27.097 | 0.000 |
| 176.093 | 295.407 | 202.027 | -0.000 | -0.137 | -0.000 |
| 221.477 | 219.935 | 417.274 | -0.000 | -24.834 | 0.000 |
| -0.000 | -0.000 | -0.001 | 50.818 | -0.000 | 8.423 |
| 28.794 | 11.066 | -15.584 | 0.000 | 49.087 | 0.000 |
| -0.046 | 1.627 | 2.236 | 15.961 | -3.097 | 18.411 |
| 243.792 | 156.350 | 176.733 | 0.000 | 25.344 | -0.000 |
| 186.906 | 310.960 | 204.145 | 0.000 | 9.773 | -0.000 |
| 199.896 | 191.526 | 379.408 | 0.000 | -18.419 | -0.000 |
| 0.000 | 0.000 | 0.001 | 50.818 | 0.000 | 8.423 |
| 15.635 | 1.223 | -35.005 | 0.000 | 37.913 | -0.000 |
| 0.046 | -1.627 | -2.236 | 15.961 | 3.097 | 18.411 |
| 400.957 | 207.128 | 203.892 | -0.000 | 25.278 | -0.000 |
| 206.890 | 483.731 | 249.055 | 0.000 | 1.215 | -0.000 |
| 202.330 | 249.056 | 470.020 | 0.000 | 7.976 | -0.000 |
| 3.555 | 5.189 | 4.182 | 94.196 | -2.543 | 1.511 |
| 5.650 | 3.350 | 12.428 | 0.000 | 96.734 | 0.000 |
| 0.000 | 0.000 | 0.000 | 3.673 | 0.000 | 98.093 |
| 400.957 | 207.128 | 203.892 | -0.000 | 25.278 | -0.000 |
| 181.641 | 445.823 | 205.923 | -0.000 | 9.984 | -0.000 |
| 202.330 | 249.055 | 470.020 | 0.000 | 7.975 | -0.000 |
| -3.555 | -5.189 | -4.182 | 94.196 | 2.543 | 1.511 |
| 0.511 | 1.215 | 7.975 | -0.000 | 126.456 | 0.000 |
| -0.000 | -0.000 | 0.000 | 3.673 | -0.000 | 98.093 |
| 400.957 | 207.129 | 203.892 | 0.000 | 25.278 | 0.000 |
| 206.891 | 483.731 | 249.056 | 0.000 | 1.216 | -0.000 |
| 178.330 | 211.049 | 406.759 | 0.000 | 12.574 | 0.000 |
| 0.424 | 0.618 | 0.499 | 91.763 | -0.302 | 1.099 |
| 5.862 | 8.990 | 16.102 | 0.000 | 107.036 | 0.000 |
| 0.185 | 0.270 | 0.217 | 2.550 | -0.132 | 93.716 |
| 400.956 | 207.128 | 203.892 | 0.000 | 25.278 | -0.000 |
| 206.890 | 483.730 | 249.055 | -0.000 | 1.215 | 0.000 |
| 202.330 | 249.055 | 470.019 | -0.000 | 7.975 | 0.000 |
| -0.424 | -0.618 | -0.499 | 91.763 | 0.302 | 1.099 |
| 0.511 | 1.215 | 7.975 | -0.000 | 126.456 | -0.000 |
| -0.185 | -0.270 | -0.217 | 2.550 | 0.132 | 93.716 |
| 383.784 | 184.023 | 177.863 | 0.000 | 26.138 | 0.000 |
| 206.892 | 483.736 | 249.061 | 0.000 | 1.218 | -0.000 |
| 179.558 | 212.210 | 413.932 | 0.000 | 12.677 | 0.000 |
| 0.003 | 0.005 | 0.008 | 106.962 | 0.005 | 3.673 |
| 5.445 | 8.380 | 15.619 | 0.000 | 107.263 | 0.000 |
| 0.001 | 0.001 | 0.003 | 3.673 | 0.002 | 98.093 |
| 384.828 | 185.667 | 178.052 | -0.000 | 25.476 | -0.000 |
| 189.386 | 456.477 | 223.560 | -0.000 | 4.272 | -0.000 |
| 178.255 | 211.149 | 407.038 | -0.000 | 12.903 | -0.000 |
| -0.003 | -0.005 | -0.008 | 106.962 | -0.005 | 3.673 |
| 0.509 | 1.213 | 7.971 | -0.000 | 126.453 | -0.000 |
| -0.001 | -0.001 | -0.003 | 3.673 | -0.002 | 98.093 |
| 401.619 | 207.058 | 209.752 | -0.000 | 24.858 | -0.000 |
| 205.797 | 494.218 | 251.451 | -0.000 | -1.450 | -0.000 |
| 207.555 | 251.476 | 474.505 | -0.000 | 3.809 | 0.000 |
| 43.600 | -85.344 | -410.188 | 96.989 | 370.000 | 0.811 |
| 46.047 | -83.371 | -402.938 | -0.000 | 490.208 | 0.000 |
| -0.000 | -0.000 | -0.000 | 1.678 | 0.000 | 93.839 |
| 345.974 | 275.763 | 605.364 | 0.000 | -345.153 | 0.000 |
| 14.765 | -469.728 | -66.563 | 0.000 | -963.206 | -0.000 |
| 148.222 | 310.250 | 847.203 | 0.000 | -363.835 | -0.000 |
| -43.600 | 85.344 | 410.188 | 96.989 | -370.000 | 0.811 |
| -41.151 | 87.321 | 417.444 | 0.000 | -249.805 | -0.000 |
| 0.000 | 0.000 | 0.000 | 1.678 | -0.000 | 93.839 |
| 394.079 | 182.092 | 154.358 | -0.000 | 61.826 | 0.000 |
| 217.109 | 533.073 | 208.211 | -0.000 | 75.062 | 0.000 |
| 196.496 | 216.836 | 396.531 | -0.000 | 43.275 | 0.000 |
| 30.381 | 131.314 | 59.040 | 84.359 | 117.134 | 3.198 |
| 6.802 | -6.591 | -33.848 | -0.000 | 157.309 | 0.000 |
| 34.471 | 83.594 | 4.892 | 1.593 | 75.054 | 87.312 |
| 401.619 | 207.058 | 209.752 | 0.000 | 24.857 | -0.000 |
| 183.430 | 473.404 | 266.238 | 0.000 | -36.480 | 0.000 |
| 207.554 | 251.476 | 474.505 | 0.000 | 3.809 | -0.000 |
| -30.381 | -131.314 | -59.040 | 84.359 | -117.134 | 3.198 |
| 0.447 | -1.156 | 3.808 | 0.000 | 128.988 | 0.000 |
| -34.471 | -83.594 | -4.892 | 1.593 | -75.054 | 87.312 |
| 389.460 | 192.502 | 184.865 | -0.000 | 31.275 | 0.000 |
| 191.474 | 469.132 | 225.305 | -0.000 | 4.295 | 0.000 |
| 188.707 | 220.059 | 415.955 | -0.000 | 13.872 | 0.000 |
| 0.491 | -0.962 | -4.620 | 95.969 | 4.168 | 0.664 |
| 7.008 | 10.481 | 9.301 | -0.000 | 115.389 | 0.000 |
| -0.000 | -0.000 | 0.000 | 1.678 | 0.000 | 93.839 |
| 382.860 | 173.638 | 181.179 | 0.000 | 14.765 | -0.000 |
| 179.329 | 439.787 | 202.275 | 0.000 | -7.744 | -0.000 |
| 180.316 | 201.713 | 405.238 | 0.000 | 1.833 | -0.000 |
| -0.491 | 0.962 | 4.620 | 95.969 | -4.168 | 0.664 |
| 0.399 | -6.579 | 8.773 | 0.000 | 95.770 | -0.000 |
| 0.000 | 0.000 | -0.000 | 1.678 | -0.000 | 93.839 |
| 436.077 | 163.614 | 225.749 | 0.000 | -0.000 | -0.000 |
| 148.596 | 532.512 | 148.537 | 0.000 | -0.000 | -0.000 |
| 225.741 | 163.547 | 435.863 | -0.000 | -0.000 | -0.000 |
| -0.000 | 0.000 | -0.000 | 48.735 | -0.000 | -0.000 |
| -27.804 | 329.678 | -27.715 | -0.000 | 251.490 | 0.000 |
| -30.472 | 361.314 | -30.375 | 0.000 | -0.000 | -34.084 |
| 436.077 | 163.614 | 225.749 | -0.000 | 0.000 | 0.000 |
| 148.596 | 532.512 | 148.537 | -0.000 | 0.000 | 0.000 |
| 225.741 | 163.547 | 435.863 | -0.000 | 0.000 | 0.000 |
| 0.000 | -0.000 | 0.000 | 48.735 | 0.000 | 0.000 |
| 27.804 | -329.678 | 27.715 | 0.000 | 251.490 | 0.000 |
| 30.472 | -361.314 | 30.375 | -0.000 | 0.000 | -34.084 |
| 432.144 | 210.243 | 221.829 | -0.000 | -0.000 | 0.000 |
| 165.393 | 333.348 | 165.280 | 0.000 | -0.000 | 0.000 |
| 221.814 | 210.115 | 431.948 | 0.000 | -0.000 | -0.000 |
| -63439404.325 | -277678356.651 | -100884084.355 | -16366340.326 | -852543.993 | 1286631.137 |
| -2.781 | 32.968 | -2.772 | -0.000 | 251.490 | -0.000 |
| -0.000 | -0.000 | -0.000 | -0.000 | -0.000 | 33.815 |
| 436.078 | 163.614 | 225.749 | -0.000 | 0.000 | -0.000 |
| 148.596 | 532.511 | 148.537 | -0.000 | 0.000 | -0.000 |
| 226.862 | 150.258 | 436.981 | 0.000 | 0.000 | 0.000 |
| 103075573.107 | 284050038.639 | 100664377.384 | -10633225.126 | -4191394.835 | -11463246.585 |
| 2.781 | -32.968 | 2.772 | 0.000 | 251.490 | 0.000 |
| 0.000 | 0.000 | 0.000 | 0.000 | 0.000 | 33.815 |
| 436.074 | 163.614 | 225.748 | 0.000 | -0.000 | 0.000 |
| 167.404 | 309.511 | 167.285 | 0.000 | -0.000 | -0.000 |
| 223.899 | 185.379 | 434.024 | 0.000 | -0.000 | -0.000 |
| -7480929.638 | -28700549.513 | -7594945.438 | -1363303.699 | -683039.941 | -524025.843 |
| -0.279 | 3.297 | -0.278 | 0.000 | 251.490 | 0.000 |
| -9236009.300 | -28618393.053 | -10984840.063 | -54825.400 | -59662.533 | -723132.579 |
| 436.081 | 163.614 | 225.750 | 0.000 | 0.000 | 0.000 |
| 167.860 | 304.081 | 167.740 | 0.000 | 0.000 | 0.000 |
| 224.375 | 179.763 | 434.504 | 0.000 | 0.000 | 0.000 |
| 7532529.992 | 29105456.418 | 7633620.086 | -43980.590 | 873003.393 | -327402.505 |
| 0.279 | -3.297 | 0.278 | -0.000 | 251.490 | -0.000 |
| 7684953.280 | 28776962.444 | 9205658.952 | 1107680.558 | -91258.796 | -25079.193 |
| 262.371 | 62.342 | 62.342 | 0.000 | 0.000 | 0.000 |
| 62.342 | 262.371 | 62.342 | 0.000 | 0.000 | 0.000 |
| 62.342 | 62.342 | 262.371 | 0.000 | 0.000 | 0.000 |
| -116.108 | -116.108 | -116.108 | 59.620 | -0.000 | 0.000 |
| -116.108 | -116.108 | -116.108 | 0.000 | 59.620 | 0.000 |
| -116.108 | -116.108 | -116.108 | 0.000 | 0.000 | 59.620 |
| 396.654 | 176.699 | 176.699 | -0.000 | -0.000 | -0.000 |
| 176.699 | 396.654 | 176.699 | -0.000 | -0.000 | -0.000 |
| 176.699 | 176.699 | 396.654 | -0.000 | -0.000 | -0.000 |
| 116.108 | 116.108 | 116.108 | 59.620 | 0.000 | -0.000 |
| 116.108 | 116.108 | 116.108 | -0.000 | 59.620 | -0.000 |
| 116.108 | 116.108 | 116.108 | 0.000 | 0.000 | 59.620 |
| 367.085 | 166.844 | 166.844 | -0.000 | 0.000 | 0.000 |
| 166.844 | 367.085 | 166.844 | -0.000 | 0.000 | 0.000 |
| 166.844 | 166.844 | 367.085 | 0.000 | 0.000 | 0.000 |
| 3.401 | 3.401 | 3.401 | 62.639 | 0.000 | 0.000 |
| 3.401 | 3.401 | 3.401 | -0.000 | 62.639 | 0.000 |
| 3.401 | 3.401 | 3.401 | 0.000 | -0.000 | 62.639 |
| 396.654 | 176.699 | 176.699 | -0.000 | -0.000 | -0.000 |
| 176.699 | 396.654 | 176.699 | 0.000 | -0.000 | -0.000 |
| 176.699 | 176.699 | 396.654 | 0.000 | -0.000 | -0.000 |
| -3.401 | -3.401 | -3.401 | 62.639 | -0.000 | -0.000 |
| -3.401 | -3.401 | -3.401 | -0.000 | 62.639 | -0.000 |
| -3.401 | -3.401 | -3.401 | -0.000 | -0.000 | 62.639 |
| 396.656 | 176.700 | 176.700 | -0.000 | 0.000 | 0.000 |
| 176.700 | 396.656 | 176.700 | 0.000 | -0.000 | 0.000 |
| 176.700 | 176.700 | 396.656 | 0.000 | 0.000 | 0.000 |
| 0.000 | 0.000 | 0.000 | 79.728 | 0.000 | 0.000 |
| 0.000 | 0.000 | 0.000 | 0.000 | 79.728 | 0.000 |
| 0.000 | 0.000 | 0.000 | -0.000 | 0.000 | 79.728 |
| 396.652 | 176.699 | 176.699 | -0.000 | -0.000 | -0.000 |
| 176.699 | 396.652 | 176.699 | -0.000 | -0.000 | -0.000 |
| 176.699 | 176.699 | 396.652 | 0.000 | -0.000 | -0.000 |
| -0.000 | -0.000 | -0.000 | 79.728 | -0.000 | -0.000 |
| -0.000 | -0.000 | -0.000 | -0.000 | 79.728 | -0.000 |
| -0.000 | -0.000 | -0.000 | -0.000 | -0.000 | 79.728 |
| 391.816 | 175.705 | 175.705 | 0.000 | 0.000 | -0.000 |
| 175.705 | 391.816 | 175.705 | 0.000 | 0.000 | -0.000 |
| 175.705 | 175.705 | 391.816 | 0.000 | 0.000 | -0.000 |
| -0.000 | -0.000 | 0.000 | 78.972 | 0.000 | 0.000 |
| -0.000 | 0.000 | 0.000 | 0.000 | 78.972 | -0.000 |
| -0.000 | 0.000 | 0.000 | 0.000 | 0.000 | 78.972 |
| 391.816 | 175.705 | 175.705 | -0.000 | -0.000 | 0.000 |
| 175.705 | 391.816 | 175.705 | 0.000 | -0.000 | 0.000 |
| 175.705 | 175.705 | 391.816 | -0.000 | -0.000 | 0.000 |
| -0.000 | 0.000 | -0.000 | 78.972 | -0.000 | 0.000 |
| 0.000 | 0.000 | -0.000 | -0.000 | 78.972 | 0.000 |
| 0.000 | 0.000 | -0.000 | 0.000 | -0.000 | 78.972 |
| 391.817 | 175.705 | 175.705 | 0.000 | 0.000 | -0.000 |
| 175.705 | 391.817 | 175.705 | 0.000 | 0.000 | 0.000 |
| 175.705 | 175.705 | 391.817 | 0.000 | 0.000 | -0.000 |
| 0.000 | 0.000 | 0.000 | 78.972 | -0.000 | 0.000 |
| 0.000 | 0.000 | 0.000 | 0.000 | 78.972 | -0.000 |
| 0.000 | 0.000 | 0.000 | 0.000 | 0.000 | 78.972 |
| 391.816 | 175.705 | 175.705 | -0.000 | 0.000 | 0.000 |
| 175.705 | 391.816 | 175.705 | -0.000 | -0.000 | 0.000 |
| 175.705 | 175.705 | 391.816 | -0.000 | 0.000 | 0.000 |
| -0.000 | -0.000 | -0.000 | 78.972 | -0.000 | -0.000 |
| -0.000 | -0.000 | -0.000 | -0.000 | 78.972 | 0.000 |
| -0.000 | -0.000 | -0.000 | 0.000 | -0.000 | 78.972 |
| 371.846 | 173.975 | 173.975 | -0.000 | 0.000 | -0.000 |
| 173.975 | 371.846 | 173.975 | 0.000 | -0.000 | 0.000 |
| 173.975 | 173.975 | 371.846 | 0.000 | 0.000 | -0.000 |
| 0.209 | 0.209 | 0.209 | 64.526 | 0.000 | -0.000 |
| 0.209 | 0.209 | 0.209 | -0.000 | 64.526 | -0.000 |
| 0.209 | 0.209 | 0.209 | 0.000 | 0.000 | 64.526 |
| 377.924 | 176.657 | 176.657 | 0.000 | -0.000 | 0.000 |
| 176.657 | 377.924 | 176.657 | 0.000 | -0.000 | 0.000 |
| 176.657 | 176.657 | 377.924 | -0.000 | -0.000 | 0.000 |
| -0.209 | -0.209 | -0.209 | 64.526 | -0.000 | 0.000 |
| -0.209 | -0.209 | -0.209 | 0.000 | 64.526 | 0.000 |
| -0.209 | -0.209 | -0.209 | 0.000 | -0.000 | 64.526 |
| 298.535 | 209.818 | 209.818 | 0.000 | -0.000 | 0.000 |
| 209.818 | 298.535 | 209.818 | 0.000 | -0.000 | 0.000 |
| 209.818 | 209.818 | 298.535 | 0.000 | -0.000 | 0.000 |
| -0.000 | 0.000 | 0.000 | 100.011 | -0.000 | 0.000 |
| -0.000 | 0.000 | 0.000 | 0.000 | 100.011 | 0.000 |
| -0.000 | 0.000 | 0.000 | 0.000 | -0.000 | 100.011 |
| 318.651 | 230.265 | 230.265 | -0.000 | 0.000 | -0.000 |
| 230.265 | 318.651 | 230.265 | -0.000 | 0.000 | -0.000 |
| 230.265 | 230.265 | 318.651 | 0.000 | 0.000 | -0.000 |
| -0.000 | -0.000 | -0.000 | 100.011 | 0.000 | -0.000 |
| 0.000 | -0.000 | -0.000 | -0.000 | 100.011 | -0.000 |
| -0.000 | -0.000 | -0.000 | -0.000 | 0.000 | 100.011 |
| 319.190 | 222.389 | 222.389 | 0.000 | -0.000 | 0.000 |
| 222.389 | 319.190 | 222.389 | 0.000 | -0.000 | 0.000 |
| 222.389 | 222.389 | 319.190 | 0.000 | -0.000 | 0.000 |
| -1.460 | -1.460 | -1.460 | 77.011 | -0.000 | 0.000 |
| -1.460 | -1.460 | -1.460 | 0.000 | 77.011 | 0.000 |
| -1.460 | -1.460 | -1.460 | 0.000 | -0.000 | 77.011 |
| 274.972 | 206.177 | 206.177 | -0.000 | 0.000 | -0.000 |
| 206.177 | 274.972 | 206.177 | -0.000 | 0.000 | -0.000 |
| 206.177 | 206.177 | 274.972 | -0.000 | 0.000 | -0.000 |
| 1.460 | 1.460 | 1.460 | 77.011 | 0.000 | -0.000 |
| 1.460 | 1.460 | 1.460 | 0.000 | 77.011 | -0.000 |
| 1.460 | 1.460 | 1.460 | -0.000 | 0.000 | 77.011 |
| 319.191 | 222.390 | 222.390 | 0.000 | -0.000 | 0.000 |
| 222.390 | 319.191 | 222.390 | 0.000 | -0.000 | 0.000 |
| 222.390 | 222.390 | 319.191 | 0.000 | -0.000 | 0.000 |
| -0.115 | -0.115 | -0.115 | 64.216 | -0.000 | 0.000 |
| -0.115 | -0.115 | -0.115 | 0.000 | 64.216 | 0.000 |
| -0.115 | -0.115 | -0.115 | -0.000 | -0.000 | 64.216 |
| 277.124 | 206.472 | 206.472 | -0.000 | 0.000 | 0.000 |
| 206.472 | 277.124 | 206.472 | -0.000 | 0.000 | 0.000 |
| 206.472 | 206.472 | 277.124 | -0.000 | 0.000 | -0.000 |
| 0.115 | 0.115 | 0.115 | 64.216 | 0.000 | -0.000 |
| 0.115 | 0.115 | 0.115 | -0.000 | 64.216 | -0.000 |
| 0.115 | 0.115 | 0.115 | 0.000 | 0.000 | 64.216 |
| 434.586 | 239.458 | 261.434 | 0.000 | 0.000 | -0.000 |
| 278.027 | 590.283 | 264.741 | 0.000 | 0.000 | 0.000 |
| 285.777 | 264.729 | 573.140 | 0.000 | -0.000 | -0.000 |
| 0.002 | 0.001 | 0.001 | -112.545 | -0.000 | 0.000 |
| 0.000 | 0.000 | 0.000 | 0.000 | 54.186 | -0.000 |
| -0.000 | -0.000 | -0.000 | -0.000 | 0.000 | 56.369 |
| 434.585 | 239.457 | 261.433 | -0.000 | 0.000 | 0.000 |
| 278.027 | 590.283 | 264.741 | 0.000 | -0.000 | 0.000 |
| 285.777 | 264.729 | 573.140 | 0.000 | -0.000 | 0.000 |
| -0.002 | -0.001 | -0.001 | -112.545 | 0.000 | -0.000 |
| -0.000 | -0.000 | -0.000 | -0.000 | 54.186 | 0.000 |
| 0.000 | 0.000 | 0.000 | 0.000 | 0.000 | 56.369 |
| 434.516 | 239.399 | 261.397 | 0.000 | -0.000 | 0.000 |
| 278.027 | 590.283 | 264.741 | -0.000 | 0.000 | 0.000 |
| 261.372 | 244.361 | 560.275 | 0.000 | -0.000 | 0.000 |
| 0.000 | 0.001 | 0.000 | -112.545 | -0.000 | -0.000 |
| 0.000 | -0.000 | 0.000 | -0.000 | 54.186 | 0.000 |
| -0.000 | -0.000 | -0.000 | -0.000 | 0.000 | 56.369 |
| 434.515 | 239.399 | 261.396 | 0.000 | 0.000 | 0.000 |
| 278.027 | 590.283 | 264.741 | -0.000 | -0.000 | 0.000 |
| 261.371 | 244.361 | 560.276 | -0.000 | 0.000 | -0.000 |
| -0.000 | -0.001 | -0.000 | -112.545 | 0.000 | -0.000 |
| -0.000 | 0.000 | -0.000 | -0.000 | 54.186 | 0.000 |
| 0.000 | 0.000 | 0.000 | 0.000 | 0.000 | 56.369 |
| 434.520 | 239.402 | 261.399 | 0.000 | 0.000 | 0.000 |
| 239.390 | 558.037 | 244.374 | 0.000 | 0.000 | 0.000 |
| 285.779 | 264.730 | 573.137 | -0.000 | 0.000 | 0.000 |
| 0.001 | 0.004 | 0.002 | -112.545 | -0.000 | -0.000 |
| 0.000 | -0.000 | 0.000 | 0.000 | 54.186 | 0.000 |
| -0.022 | -0.011 | -0.008 | 0.000 | 0.000 | -547.186 |
| 480.816 | 278.040 | 285.801 | -0.000 | -0.000 | -0.000 |
| 239.385 | 558.035 | 244.373 | -0.000 | 0.000 | 0.000 |
| 285.775 | 264.727 | 573.142 | -0.000 | 0.000 | -0.000 |
| -0.001 | -0.004 | -0.002 | -112.545 | 0.000 | 0.000 |
| -0.000 | 0.000 | -0.000 | -0.000 | 54.186 | 0.000 |
| 0.022 | 0.011 | 0.008 | 0.000 | -0.000 | -547.186 |
| 117.003 | 82.255 | 124.219 | -0.000 | 0.000 | 0.000 |
| 81.598 | 319.818 | 158.505 | -0.000 | 0.000 | -0.000 |
| 124.560 | 159.503 | 469.918 | -0.000 | 0.000 | 0.000 |
| 0.000 | 0.003 | 0.000 | 25.171 | 0.000 | -0.000 |
| -0.000 | 0.000 | 0.000 | 0.000 | 29.061 | 0.000 |
| -0.000 | -0.000 | 0.000 | 0.000 | 0.000 | 50.455 |
| 117.007 | 82.345 | 124.222 | -0.000 | -0.000 | 0.000 |
| 81.691 | 322.096 | 158.582 | -0.000 | -0.000 | 0.000 |
| 124.563 | 159.577 | 469.920 | -0.000 | -0.000 | 0.000 |
| -0.000 | -0.003 | -0.000 | 25.171 | -0.000 | 0.000 |
| 0.000 | -0.000 | -0.000 | -0.000 | 29.061 | 0.000 |
| 0.000 | 0.000 | -0.000 | -0.000 | -0.000 | 50.455 |
| 117.003 | 82.252 | 124.219 | -0.000 | 0.000 | -0.000 |
| 81.691 | 322.096 | 158.582 | 0.000 | 0.000 | -0.000 |
| 124.560 | 159.500 | 469.918 | 0.000 | 0.000 | 0.000 |
| 0.000 | 0.000 | 0.000 | 25.171 | 0.000 | 0.000 |
| -0.000 | 0.000 | 0.000 | -0.000 | 29.061 | 0.000 |
| -0.000 | -0.000 | 0.000 | 0.000 | 0.000 | 50.455 |
| 117.006 | 82.345 | 124.222 | -0.000 | -0.000 | 0.000 |
| 81.691 | 322.096 | 158.582 | -0.000 | -0.000 | 0.000 |
| 124.560 | 159.499 | 469.917 | 0.000 | -0.000 | -0.000 |
| -0.000 | -0.000 | -0.000 | 25.171 | -0.000 | 0.000 |
| 0.000 | -0.000 | -0.000 | 0.000 | 29.061 | 0.000 |
| 0.000 | 0.000 | -0.000 | -0.000 | -0.000 | 50.455 |
| 117.010 | 82.345 | 124.223 | 0.000 | 0.000 | 0.000 |
| 81.691 | 322.094 | 158.583 | 0.000 | 0.000 | -0.000 |
| 124.560 | 159.501 | 469.920 | -0.000 | 0.000 | -0.000 |
| 0.001 | 0.001 | 0.001 | 25.171 | 0.000 | -0.000 |
| -0.000 | -0.000 | 0.000 | 0.000 | 29.061 | 0.000 |
| 228978.422 | 336753.669 | -223935.230 | 0.000 | 0.000 | -4895146.791 |
| 117.003 | 82.344 | 124.221 | -0.000 | -0.000 | 0.000 |
| 81.598 | 319.817 | 158.504 | 0.000 | -0.000 | 0.000 |
| 124.562 | 159.576 | 469.918 | -0.000 | -0.000 | 0.000 |
| -0.001 | -0.001 | -0.001 | 25.171 | -0.000 | 0.000 |
| 0.000 | 0.000 | -0.000 | -0.000 | 29.061 | 0.000 |
| -228978.422 | -336753.669 | 223935.230 | -0.000 | 0.000 | -4895146.791 |
| 836.654 | 339.355 | 226.529 | 31.758 | 0.000 | 0.000 |
| 339.355 | 836.654 | 226.529 | -31.758 | 0.000 | 0.000 |
| 226.529 | 226.529 | 1383.091 | 0.000 | 0.000 | 0.000 |
| 31.758 | -31.758 | 0.000 | 7.972 | 0.000 | 0.000 |
| 0.000 | 0.000 | -0.000 | -0.000 | 7.972 | 31.758 |
| -0.000 | -0.000 | -0.000 | 0.000 | 31.758 | 248.650 |
| 836.654 | 339.355 | 226.529 | 31.758 | 0.000 | -0.000 |
| 339.355 | 836.654 | 226.529 | -31.758 | 0.000 | -0.000 |
| 226.529 | 226.529 | 1383.090 | -0.000 | 0.000 | -0.000 |
| 31.758 | -31.758 | 0.000 | 7.972 | -0.000 | -0.000 |
| -0.000 | -0.000 | 0.000 | -0.000 | 7.972 | 31.758 |
| 0.000 | 0.000 | 0.000 | -0.000 | 31.758 | 248.650 |
| 836.653 | 339.355 | 226.529 | 31.758 | -0.000 | 0.000 |
| 339.355 | 836.653 | 226.529 | -31.758 | -0.000 | 0.000 |
| 226.529 | 226.529 | 1383.096 | 0.000 | -0.000 | 0.000 |
| 31.758 | -31.758 | 0.000 | 7.972 | -0.000 | 0.000 |
| 0.000 | 0.000 | 0.000 | -0.000 | 7.972 | 31.758 |
| -0.000 | -0.000 | 0.000 | -0.000 | 31.758 | 248.650 |
| 836.656 | 339.355 | 226.529 | 31.759 | 0.000 | -0.000 |
| 339.356 | 836.655 | 226.529 | -31.759 | -0.000 | -0.000 |
| 226.529 | 226.529 | 1383.085 | -0.000 | 0.000 | -0.000 |
| 31.758 | -31.759 | -0.000 | 7.972 | 0.000 | -0.000 |
| -0.000 | -0.000 | -0.000 | 0.000 | 7.972 | 31.758 |
| 0.000 | 0.000 | -0.000 | 0.000 | 31.758 | 248.650 |
| 836.641 | 339.354 | 226.530 | 31.757 | 0.000 | 0.000 |
| 339.351 | 836.644 | 226.530 | -31.757 | -0.000 | 0.000 |
| 226.532 | 226.532 | 1383.149 | 0.000 | -0.000 | 0.000 |
| 31.759 | -31.757 | 0.002 | 7.973 | -0.000 | 0.000 |
| 0.001 | 0.000 | 0.002 | -0.001 | 7.972 | 31.758 |
| -0.001 | -0.004 | 0.000 | -0.000 | 31.758 | 248.650 |
| 836.668 | 339.356 | 226.528 | 31.760 | 0.000 | -0.000 |
| 339.359 | 836.665 | 226.528 | -31.760 | -0.000 | -0.000 |
| 226.526 | 226.526 | 1383.032 | -0.000 | 0.000 | -0.000 |
| 31.758 | -31.759 | -0.002 | 7.971 | 0.000 | 0.000 |
| -0.001 | -0.000 | -0.002 | 0.001 | 7.972 | 31.758 |
| 0.001 | 0.004 | -0.000 | 0.000 | 31.758 | 248.650 |
| 560.704 | 308.904 | 253.695 | -0.000 | -0.000 | -0.000 |
| 308.904 | 560.704 | 253.695 | -0.000 | -0.000 | -0.000 |
| 253.696 | 253.696 | 765.597 | -0.000 | -0.000 | -0.000 |
| 0.000 | 0.001 | 0.002 | 167.000 | -0.000 | -0.000 |
| 0.001 | 0.000 | 0.002 | -0.000 | 167.000 | -0.000 |
| 0.000 | 0.000 | 0.000 | 0.000 | -0.000 | 125.900 |
| 560.702 | 308.903 | 253.693 | 0.000 | -0.000 | 0.000 |
| 308.903 | 560.702 | 253.693 | 0.000 | 0.000 | 0.000 |
| 253.692 | 253.692 | 765.590 | 0.000 | 0.000 | 0.000 |
| -0.000 | -0.001 | -0.002 | 167.000 | 0.000 | 0.000 |
| -0.001 | -0.000 | -0.002 | 0.000 | 167.000 | 0.000 |
| -0.000 | -0.000 | -0.000 | -0.000 | -0.000 | 125.900 |
| -35457733.090 | 142988320.195 | -90583159.663 | -0.001 | -0.000 | -0.002 |
| -174625439.551 | -198459196.857 | -145544485.306 | 93619.379 | 96442.461 | -2725302.682 |
| 253.712 | 253.712 | 765.632 | -0.000 | 0.000 | -0.000 |
| 0.004 | 0.012 | 0.018 | 167.000 | -0.000 | -0.000 |
| 0.012 | 0.004 | 0.018 | -0.000 | 167.000 | -0.000 |
| 0.001 | 0.003 | 0.004 | -0.000 | -0.000 | 125.900 |
| 477.621 | 391.973 | 253.681 | 0.000 | 0.000 | 0.000 |
| 35458484.097 | -142987899.551 | 90583805.595 | 0.001 | 0.000 | 0.005 |
| 253.676 | 253.676 | 765.556 | 0.000 | 0.000 | 0.000 |
| -0.004 | -0.012 | -0.018 | 167.000 | 0.000 | 0.000 |
| -0.012 | -0.004 | -0.018 | 0.000 | 167.000 | 0.000 |
| -0.001 | -0.003 | -0.004 | 0.000 | 0.000 | 125.900 |
| -3545335.773 | 14299125.253 | -9058024.472 | -0.000 | -0.000 | -0.000 |
| 13520949.541 | 904946.127 | 490953.849 | 0.000 | -0.000 | -0.009 |
| 253.873 | 253.873 | 765.973 | -0.000 | -0.000 | -0.000 |
| 0.042 | 0.124 | 0.176 | 167.000 | -0.000 | -0.000 |
| 0.124 | 0.042 | 0.176 | -0.000 | 167.000 | -0.000 |
| 0.010 | 0.028 | 0.041 | 0.000 | -0.000 | 125.900 |
| 560.596 | 308.892 | 253.568 | 0.000 | 0.000 | 0.000 |
| 3546083.465 | -14298363.613 | 9058596.345 | 0.000 | 0.000 | 0.000 |
| 253.515 | 253.515 | 765.214 | 0.000 | 0.000 | 0.000 |
| -0.042 | -0.124 | -0.176 | 167.000 | 0.000 | 0.000 |
| -0.124 | -0.042 | -0.176 | 0.000 | 167.000 | 0.000 |
| -0.010 | -0.028 | -0.041 | -0.000 | 0.000 | 125.900 |
| 532.374 | 206.132 | 138.563 | 0.000 | -0.000 | 0.000 |
| 215.249 | 523.257 | 138.563 | 0.000 | -0.000 | 0.000 |
| 138.563 | 138.563 | 509.109 | 0.000 | -0.000 | 0.000 |
| 0.000 | -0.000 | -0.000 | 144.254 | -0.000 | 0.000 |
| -0.000 | 0.000 | -0.000 | -0.000 | 144.254 | 0.000 |
| -0.000 | 0.000 | -0.000 | -0.000 | -0.000 | 163.121 |
| 518.234 | 220.271 | 138.563 | 0.000 | 0.000 | -0.000 |
| 206.132 | 532.374 | 138.563 | 0.000 | 0.000 | -0.000 |
| 138.563 | 138.563 | 509.109 | 0.000 | 0.000 | -0.000 |
| -0.000 | 0.000 | 0.000 | 144.254 | 0.000 | -0.000 |
| 0.000 | -0.000 | 0.000 | 0.000 | 144.254 | -0.000 |
| 0.000 | 0.000 | 0.000 | 0.000 | 0.000 | 163.121 |
| 518.234 | 220.271 | 138.562 | -0.000 | -0.000 | 0.000 |
| 220.271 | 518.234 | 138.562 | -0.000 | -0.000 | 0.000 |
| 138.563 | 138.563 | 509.109 | -0.000 | 0.000 | 0.000 |
| 0.000 | -0.000 | -0.000 | 144.254 | -0.000 | 0.000 |
| -0.000 | 0.000 | -0.000 | -0.000 | 144.254 | 0.000 |
| -0.000 | -0.000 | -0.000 | -0.000 | -0.000 | 148.981 |
| 523.257 | 215.249 | 138.563 | 0.000 | 0.000 | -0.000 |
| 220.271 | 518.234 | 138.563 | 0.000 | 0.000 | -0.000 |
| 138.563 | 138.563 | 509.108 | 0.000 | 0.000 | -0.000 |
| -0.000 | 0.000 | 0.000 | 144.254 | 0.000 | -0.000 |
| 0.000 | -0.000 | 0.000 | 0.000 | 144.254 | -0.000 |
| 0.000 | 0.000 | 0.000 | 0.000 | 0.000 | 148.981 |
| 523.257 | 215.249 | 138.562 | -0.000 | -0.000 | 0.000 |
| 215.249 | 523.257 | 138.562 | -0.000 | 0.000 | 0.000 |
| 138.562 | 138.562 | 509.112 | -0.000 | -0.000 | 0.000 |
| 0.000 | -0.001 | -0.000 | 144.254 | -0.000 | 0.000 |
| -0.001 | 0.000 | -0.000 | 0.000 | 144.254 | 0.000 |
| -0.001 | 0.000 | -0.000 | 0.000 | -0.000 | 163.121 |
| 523.257 | 215.248 | 138.563 | 0.000 | 0.000 | -0.000 |
| 220.271 | 518.235 | 138.563 | -0.000 | -0.000 | -0.000 |
| 138.563 | 138.563 | 509.105 | 0.000 | 0.000 | -0.000 |
| -0.000 | 0.001 | 0.000 | 144.254 | 0.000 | -0.000 |
| 0.001 | -0.000 | 0.000 | 0.000 | 144.254 | -0.000 |
| 0.001 | -0.000 | 0.000 | 0.000 | 0.000 | 163.121 |
| 152.767 | 136.783 | 136.783 | -0.000 | -0.000 | -0.000 |
| 136.783 | 152.767 | 136.783 | -0.000 | 0.000 | -0.000 |
| 136.783 | 136.783 | 152.767 | -0.000 | 0.000 | -0.000 |
| 0.000 | 0.000 | 0.000 | -29.413 | 0.000 | -0.000 |
| 0.000 | 0.000 | 0.000 | -0.000 | -29.413 | -0.000 |
| 0.000 | 0.000 | 0.000 | -0.000 | 0.000 | -29.413 |
| 152.767 | 136.783 | 136.783 | 0.000 | -0.000 | 0.000 |
| 136.783 | 152.767 | 136.783 | 0.000 | -0.000 | 0.000 |
| 136.783 | 136.783 | 152.767 | 0.000 | -0.000 | 0.000 |
| -0.000 | -0.000 | -0.000 | -29.413 | -0.000 | 0.000 |
| -0.000 | -0.000 | -0.000 | 0.000 | -29.413 | 0.000 |
| -0.000 | -0.000 | -0.000 | 0.000 | -0.000 | -29.413 |
| 152.766 | 136.782 | 136.782 | -0.000 | 0.000 | -0.000 |
| 136.782 | 152.766 | 136.782 | 0.000 | 0.000 | -0.000 |
| 136.782 | 136.782 | 152.766 | -0.000 | 0.000 | -0.000 |
| 0.000 | 0.000 | 0.000 | -28.709 | 0.000 | -0.000 |
| 0.000 | 0.000 | 0.000 | -0.000 | -28.709 | -0.000 |
| 0.000 | 0.000 | 0.000 | -0.000 | -0.000 | -28.709 |
| 152.767 | 136.783 | 136.783 | 0.000 | -0.000 | 0.000 |
| 136.783 | 152.767 | 136.783 | 0.000 | -0.000 | 0.000 |
| 136.783 | 136.783 | 152.767 | 0.000 | 0.000 | 0.000 |
| -0.000 | -0.000 | -0.000 | -28.709 | -0.000 | 0.000 |
| -0.000 | -0.000 | -0.000 | 0.000 | -28.709 | 0.000 |
| -0.000 | -0.000 | -0.000 | 0.000 | 0.000 | -28.709 |
| 152.765 | 136.781 | 136.781 | -0.000 | -0.000 | -0.000 |
| 136.781 | 152.765 | 136.781 | -0.000 | -0.000 | -0.000 |
| 136.781 | 136.781 | 152.765 | -0.000 | -0.000 | -0.000 |
| 0.000 | 0.000 | 0.000 | -29.413 | 0.000 | -0.000 |
| 0.000 | 0.000 | 0.000 | -0.000 | -29.413 | -0.000 |
| 0.000 | 0.000 | 0.000 | -0.000 | 0.000 | -29.413 |
| 152.768 | 136.784 | 136.784 | 0.000 | -0.000 | 0.000 |
| 136.784 | 152.768 | 136.784 | 0.000 | 0.000 | 0.000 |
| 136.784 | 136.784 | 152.768 | -0.000 | 0.000 | 0.000 |
| -0.000 | -0.000 | -0.000 | -29.413 | -0.000 | 0.000 |
| -0.000 | -0.000 | -0.000 | 0.000 | -29.413 | 0.000 |
| -0.000 | -0.000 | -0.000 | 0.000 | -0.000 | -29.413 |
| 58.582 | 11.533 | 11.532 | 0.000 | -0.000 | -0.000 |
| 11.533 | 58.582 | 11.532 | 0.000 | -0.000 | -0.000 |
| 11.533 | 11.533 | 58.582 | 0.000 | -0.000 | -0.000 |
| 0.000 | -0.000 | -0.000 | 9.939 | -0.000 | -0.000 |
| 0.000 | 0.000 | -0.000 | 0.000 | 9.939 | -0.000 |
| 0.000 | -0.000 | -0.000 | 0.000 | -0.000 | 9.939 |
| 58.582 | 11.533 | 11.533 | -0.000 | 0.000 | 0.000 |
| 11.533 | 58.582 | 11.533 | -0.000 | 0.000 | 0.000 |
| 11.533 | 11.533 | 58.582 | -0.000 | -0.000 | 0.000 |
| -0.000 | 0.000 | 0.000 | 9.939 | 0.000 | 0.000 |
| -0.000 | -0.000 | 0.000 | -0.000 | 9.939 | 0.000 |
| -0.000 | 0.000 | 0.000 | -0.000 | 0.000 | 9.939 |
| 58.582 | 11.533 | 11.533 | 0.000 | -0.000 | -0.000 |
| 11.533 | 58.582 | 11.533 | 0.000 | 0.000 | -0.000 |
| 11.533 | 11.533 | 58.582 | 0.000 | 0.000 | -0.000 |
| 0.000 | -0.000 | -0.000 | 9.939 | -0.000 | -0.000 |
| -0.000 | 0.000 | -0.000 | -0.000 | 9.939 | -0.000 |
| -0.000 | -0.000 | 0.000 | 0.000 | 0.000 | 9.939 |
| 58.582 | 11.533 | 11.533 | -0.000 | 0.000 | 0.000 |
| 11.533 | 58.582 | 11.533 | -0.000 | 0.000 | 0.000 |
| 11.533 | 11.533 | 58.582 | -0.000 | 0.000 | 0.000 |
| -0.000 | 0.000 | 0.000 | 9.939 | 0.000 | 0.000 |
| 0.000 | -0.000 | 0.000 | -0.000 | 9.939 | 0.000 |
| 0.000 | 0.000 | -0.000 | -0.000 | 0.000 | 9.939 |
| 58.583 | 11.532 | 11.532 | 0.000 | 0.000 | -0.000 |
| 11.532 | 58.583 | 11.532 | 0.000 | -0.000 | -0.000 |
| 11.532 | 11.532 | 58.583 | 0.000 | -0.000 | -0.000 |
| 0.000 | -0.000 | -0.000 | 9.939 | -0.000 | 0.000 |
| -0.000 | 0.000 | -0.000 | 0.000 | 9.939 | -0.000 |
| -0.000 | -0.000 | 0.000 | 0.000 | -0.000 | 9.939 |
| 58.581 | 11.533 | 11.533 | -0.000 | 0.000 | 0.000 |
| 11.533 | 58.581 | 11.533 | -0.000 | -0.000 | 0.000 |
| 11.533 | 11.533 | 58.581 | -0.000 | -0.000 | 0.000 |
| -0.000 | 0.000 | 0.000 | 9.939 | 0.000 | 0.000 |
| 0.000 | -0.000 | 0.000 | -0.000 | 9.939 | 0.000 |
| 0.000 | 0.000 | -0.000 | -0.000 | 0.000 | 9.939 |
| 9.606 | 9.506 | 9.506 | -0.000 | -0.000 | -0.000 |
| 9.506 | 9.606 | 9.506 | -0.000 | -0.000 | -0.000 |
| 9.506 | 9.506 | 9.606 | -0.000 | -0.000 | 0.000 |
| -0.000 | -0.000 | -0.000 | 0.061 | -0.000 | 0.000 |
| -0.000 | -0.000 | -0.000 | -0.000 | 0.061 | 0.000 |
| -0.000 | -0.000 | -0.000 | -0.000 | -0.000 | 0.061 |
| 9.606 | 9.506 | 9.506 | 0.000 | 0.000 | 0.000 |
| 9.506 | 9.606 | 9.506 | 0.000 | 0.000 | 0.000 |
| 9.506 | 9.506 | 9.606 | 0.000 | 0.000 | -0.000 |
| 0.000 | 0.000 | 0.000 | 0.061 | 0.000 | 0.000 |
| 0.000 | 0.000 | 0.000 | 0.000 | 0.061 | 0.000 |
| 0.000 | 0.000 | 0.000 | 0.000 | 0.000 | 0.061 |
| 9.606 | 9.506 | 9.506 | -0.000 | -0.000 | -0.000 |
| 9.506 | 9.606 | 9.506 | -0.000 | -0.000 | -0.000 |
| 9.506 | 9.506 | 9.606 | -0.000 | -0.000 | -0.000 |
| -0.000 | -0.000 | -0.000 | 0.061 | -0.000 | -0.000 |
| -0.000 | -0.000 | -0.000 | -0.000 | 0.061 | 0.000 |
| -0.000 | -0.000 | -0.000 | -0.000 | 0.000 | 0.061 |
| 9.606 | 9.506 | 9.506 | 0.000 | -0.000 | 0.000 |
| 9.506 | 9.606 | 9.506 | 0.000 | 0.000 | 0.000 |
| 9.506 | 9.506 | 9.606 | 0.000 | 0.000 | 0.000 |
| 0.000 | 0.000 | 0.000 | 0.061 | 0.000 | 0.000 |
| 0.000 | 0.000 | 0.000 | 0.000 | 0.061 | 0.000 |
| 0.000 | 0.000 | 0.000 | 0.000 | 0.000 | 0.061 |
| 9.606 | 9.506 | 9.506 | -0.000 | -0.000 | 0.000 |
| 9.506 | 9.606 | 9.506 | -0.000 | -0.000 | 0.000 |
| 9.506 | 9.506 | 9.606 | -0.000 | -0.000 | -0.000 |
| -0.000 | -0.000 | -0.000 | 0.061 | -0.000 | -0.000 |
| -0.000 | -0.000 | -0.000 | -0.000 | 0.061 | -0.000 |
| -0.000 | -0.000 | -0.000 | -0.000 | -0.000 | 0.061 |
| 9.606 | 9.506 | 9.506 | -0.000 | 0.000 | 0.000 |
| 9.506 | 9.606 | 9.506 | 0.000 | -0.000 | 0.000 |
| 9.506 | 9.506 | 9.606 | 0.000 | 0.000 | 0.000 |
| 0.000 | 0.000 | 0.000 | 0.061 | 0.000 | 0.000 |
| 0.000 | 0.000 | 0.000 | 0.000 | 0.061 | 0.000 |
| 0.000 | 0.000 | 0.000 | 0.000 | 0.000 | 0.061 |
| 103.721 | 163.820 | 909.415 | -0.000 | -0.000 | 0.000 |
| 163.820 | 103.721 | 909.415 | -0.000 | -0.000 | 0.000 |
| 111.849 | 111.849 | 906.918 | -0.000 | -0.000 | -0.000 |
| 0.000 | 0.000 | 0.000 | 36.876 | -0.000 | 0.000 |
| 0.000 | 0.000 | 0.000 | 0.000 | 36.876 | 0.000 |
| 37.948 | 37.948 | 837.466 | 0.000 | -0.000 | 92.476 |
| 66.006 | 126.099 | 77.031 | 0.000 | 0.000 | -0.000 |
| 126.099 | 66.006 | 77.031 | 0.000 | 0.000 | -0.000 |
| 35.952 | 35.952 | -768.029 | -0.000 | 0.000 | -0.000 |
| -0.000 | -0.000 | -0.000 | 36.876 | 0.000 | -0.000 |
| -0.000 | -0.000 | -0.000 | -0.000 | 36.876 | -0.000 |
| -37.948 | -37.948 | -837.466 | -0.000 | 0.000 | 92.476 |
| 69.567 | 129.666 | 155.692 | 0.000 | -0.000 | 0.000 |
| 129.666 | 69.567 | 155.692 | -0.000 | -0.000 | 0.000 |
| 77.696 | 77.696 | 153.192 | -0.000 | -0.000 | 0.000 |
| 0.000 | 0.000 | 0.000 | 36.876 | -0.000 | 0.000 |
| 0.000 | 0.000 | 0.000 | -0.000 | 36.876 | 0.000 |
| -0.000 | -0.000 | 0.000 | 0.000 | -0.000 | 92.674 |
| 61.977 | 122.076 | -11.810 | 0.000 | 0.000 | -0.000 |
| 122.076 | 61.977 | -11.810 | 0.000 | 0.000 | -0.000 |
| 78.991 | 78.991 | 181.786 | 0.000 | 0.000 | -0.000 |
| -0.000 | -0.000 | -0.000 | 36.876 | 0.000 | -0.000 |
| -0.000 | -0.000 | -0.000 | -0.000 | 36.876 | -0.000 |
| 0.000 | 0.000 | -0.000 | -0.000 | 0.000 | 92.674 |
| 66.007 | 126.100 | 77.033 | -0.000 | -0.000 | 0.000 |
| 126.100 | 66.007 | 77.033 | 0.000 | -0.000 | 0.000 |
| 74.282 | 74.282 | 77.818 | 0.000 | -0.000 | 0.000 |
| 0.381 | 0.380 | 8.376 | -64.859 | -0.000 | 0.000 |
| 0.380 | 0.381 | 8.376 | -0.000 | -64.859 | 0.000 |
| -0.000 | -0.000 | 0.000 | 0.000 | -0.000 | 92.674 |
| 65.392 | 125.490 | 63.541 | 0.000 | 0.000 | -0.000 |
| 125.490 | 65.392 | 63.541 | -0.000 | 0.000 | -0.000 |
| 73.520 | 73.520 | 61.071 | 0.000 | 0.000 | -0.000 |
| -0.381 | -0.380 | -8.376 | -64.859 | 0.000 | -0.000 |
| -0.380 | -0.381 | -8.376 | 0.000 | -64.859 | -0.000 |
| 0.000 | 0.000 | -0.000 | 0.000 | 0.000 | 92.674 |
| 340.581 | 155.565 | 155.565 | 0.000 | 0.000 | 0.000 |
| 155.565 | 340.581 | 155.565 | 0.000 | 0.000 | 0.000 |
| 155.565 | 155.565 | 340.581 | 0.000 | 0.000 | 0.000 |
| -0.000 | 0.000 | 0.000 | 7.325 | 0.000 | 0.000 |
| -0.000 | 0.000 | 0.000 | 0.000 | 7.325 | 0.000 |
| -0.000 | 0.000 | 0.000 | 0.000 | 0.000 | 7.325 |
| 340.581 | 155.565 | 155.565 | -0.000 | -0.000 | -0.000 |
| 155.565 | 340.581 | 155.565 | -0.000 | -0.000 | -0.000 |
| 155.565 | 155.565 | 340.581 | -0.000 | -0.000 | -0.000 |
| 0.000 | -0.000 | -0.000 | 7.325 | -0.000 | -0.000 |
| 0.000 | -0.000 | 0.000 | -0.000 | 7.325 | -0.000 |
| 0.000 | -0.000 | -0.000 | -0.000 | -0.000 | 7.325 |
| 340.582 | 155.565 | 155.565 | 0.000 | 0.000 | 0.000 |
| 155.565 | 340.582 | 155.565 | 0.000 | 0.000 | 0.000 |
| 155.565 | 155.565 | 340.582 | 0.000 | 0.000 | 0.000 |
| -0.000 | 0.000 | -0.000 | 7.325 | 0.000 | 0.000 |
| 0.000 | -0.000 | -0.000 | 0.000 | 7.325 | 0.000 |
| 0.000 | -0.000 | -0.000 | 0.000 | 0.000 | 7.325 |
| 337.951 | 156.879 | 156.879 | -0.000 | -0.000 | -0.000 |
| 156.880 | 337.951 | 156.879 | -0.000 | -0.000 | -0.000 |
| 156.880 | 156.879 | 337.951 | -0.000 | -0.000 | -0.000 |
| 0.000 | -0.000 | 0.000 | 7.325 | -0.000 | -0.000 |
| -0.000 | 0.000 | 0.000 | -0.000 | 7.325 | -0.000 |
| -0.000 | 0.000 | 0.000 | -0.000 | -0.000 | 7.325 |
| 340.585 | 155.567 | 155.567 | 0.000 | 0.000 | 0.000 |
| 155.567 | 340.585 | 155.567 | 0.000 | 0.000 | 0.000 |
| 155.567 | 155.567 | 340.585 | 0.000 | 0.000 | 0.000 |
| -0.000 | 0.000 | -0.000 | 7.325 | 0.000 | 0.000 |
| 0.000 | -0.000 | -0.000 | 0.000 | 7.325 | 0.000 |
| 0.000 | -0.000 | -0.000 | 0.000 | 0.000 | 7.325 |
| 337.948 | 156.878 | 156.878 | -0.000 | -0.000 | -0.000 |
| 156.878 | 337.948 | 156.878 | -0.000 | -0.000 | -0.000 |
| 156.878 | 156.878 | 337.948 | -0.000 | -0.000 | -0.000 |
| 0.000 | -0.000 | 0.000 | 7.325 | -0.000 | -0.000 |
| -0.000 | 0.000 | 0.000 | -0.000 | 7.325 | -0.000 |
| -0.000 | 0.000 | 0.000 | -0.000 | -0.000 | 7.325 |
| 70.660 | 31.094 | 31.094 | -0.000 | -0.000 | -0.000 |
| 31.094 | 70.660 | 31.094 | -0.000 | -0.000 | -0.000 |
| 31.094 | 31.094 | 70.660 | 0.000 | -0.000 | -0.000 |
| -0.000 | -0.000 | 0.000 | 28.130 | -0.000 | -0.000 |
| -0.000 | -0.000 | 0.000 | 0.000 | 28.130 | -0.000 |
| -0.000 | -0.000 | -0.000 | -0.000 | -0.000 | 28.130 |
| 70.660 | 31.094 | 31.094 | 0.000 | 0.000 | 0.000 |
| 31.094 | 70.660 | 31.094 | 0.000 | -0.000 | 0.000 |
| 31.094 | 31.094 | 70.660 | -0.000 | 0.000 | 0.000 |
| 0.000 | 0.000 | 0.000 | 28.130 | 0.000 | 0.000 |
| 0.000 | 0.000 | -0.000 | 0.000 | 28.130 | 0.000 |
| 0.000 | -0.000 | 0.000 | -0.000 | 0.000 | 28.130 |
| 70.660 | 31.094 | 31.094 | -0.000 | -0.000 | -0.000 |
| 31.094 | 70.660 | 31.094 | -0.000 | -0.000 | -0.000 |
| 31.094 | 31.094 | 70.660 | -0.000 | -0.000 | -0.000 |
| -0.000 | -0.000 | 0.000 | 28.130 | -0.000 | -0.000 |
| -0.000 | -0.000 | 0.000 | -0.000 | 28.130 | -0.000 |
| -0.000 | 0.000 | -0.000 | -0.000 | -0.000 | 28.130 |
| 75.037 | 28.906 | 28.906 | 0.000 | 0.000 | 0.000 |
| 28.906 | 75.037 | 28.906 | 0.000 | 0.000 | 0.000 |
| 28.906 | 28.906 | 75.037 | -0.000 | 0.000 | 0.000 |
| 0.000 | 0.000 | -0.000 | 28.130 | 0.000 | 0.000 |
| 0.000 | 0.000 | -0.000 | 0.000 | 28.130 | 0.000 |
| 0.000 | -0.000 | 0.000 | 0.000 | 0.000 | 28.130 |
| 70.660 | 31.094 | 31.094 | 0.000 | -0.000 | -0.000 |
| 31.094 | 70.660 | 31.094 | -0.000 | -0.000 | -0.000 |
| 31.094 | 31.094 | 70.660 | -0.000 | -0.000 | -0.000 |
| -0.000 | -0.000 | 0.000 | 28.130 | -0.000 | -0.000 |
| -0.000 | -0.000 | 0.000 | -0.000 | 28.130 | -0.000 |
| -0.000 | 0.000 | -0.000 | -0.000 | -0.000 | 28.130 |
| 70.660 | 31.095 | 31.095 | -0.000 | 0.000 | 0.000 |
| 31.095 | 70.660 | 31.095 | -0.000 | 0.000 | 0.000 |
| 31.095 | 31.095 | 70.660 | 0.000 | 0.000 | 0.000 |
| 0.000 | 0.000 | -0.000 | 28.130 | 0.000 | 0.000 |
| 0.000 | 0.000 | -0.000 | 0.000 | 28.130 | 0.000 |
| 0.000 | -0.000 | 0.000 | 0.000 | 0.000 | 28.130 |
| 25.455 | 1.978 | 1.978 | -0.000 | -0.000 | 0.000 |
| 1.978 | 25.455 | 1.978 | -0.000 | -0.000 | 0.000 |
| 1.978 | 1.978 | 25.455 | -0.000 | -0.000 | -0.000 |
| 0.000 | -0.000 | -0.000 | 2.822 | -0.000 | -0.000 |
| -0.000 | -0.000 | -0.000 | -0.000 | 2.822 | -0.000 |
| -0.000 | -0.000 | -0.000 | 0.000 | -0.000 | 2.822 |
| 25.455 | 1.978 | 1.978 | 0.000 | 0.000 | 0.000 |
| 1.978 | 25.455 | 1.978 | 0.000 | 0.000 | -0.000 |
| 1.978 | 1.978 | 25.455 | 0.000 | 0.000 | -0.000 |
| -0.000 | 0.000 | 0.000 | 2.822 | 0.000 | -0.000 |
| 0.000 | -0.000 | 0.000 | 0.000 | 2.822 | -0.000 |
| 0.000 | 0.000 | 0.000 | -0.000 | -0.000 | 2.822 |
| 25.455 | 1.978 | 1.978 | -0.000 | -0.000 | -0.000 |
| 1.978 | 25.455 | 1.978 | -0.000 | -0.000 | -0.000 |
| 1.978 | 1.978 | 25.455 | -0.000 | -0.000 | 0.000 |
| -0.000 | -0.000 | -0.000 | 0.606 | 0.000 | 0.000 |
| -0.000 | -0.000 | -0.000 | -0.000 | 0.606 | 0.000 |
| -0.000 | -0.000 | -0.000 | -0.000 | -0.000 | 0.606 |
| 25.455 | 1.978 | 1.978 | 0.000 | 0.000 | 0.000 |
| 1.978 | 25.455 | 1.978 | 0.000 | 0.000 | -0.000 |
| 1.978 | 1.978 | 25.455 | 0.000 | 0.000 | -0.000 |
| 0.000 | 0.000 | 0.000 | 0.606 | -0.000 | 0.000 |
| 0.000 | 0.000 | 0.000 | -0.000 | 0.606 | -0.000 |
| 0.000 | 0.000 | 0.000 | -0.000 | 0.000 | 0.606 |
| 25.455 | 1.978 | 1.978 | -0.000 | -0.000 | 0.000 |
| 1.978 | 25.455 | 1.978 | 0.000 | -0.000 | -0.000 |
| 1.978 | 1.978 | 25.455 | -0.000 | -0.000 | -0.000 |
| -0.000 | -0.000 | -0.000 | 0.606 | 0.000 | 0.000 |
| -0.000 | -0.000 | -0.000 | 0.000 | 0.606 | 0.000 |
| -0.000 | -0.000 | -0.000 | 0.000 | -0.000 | 0.606 |
| 25.455 | 1.978 | 1.978 | 0.000 | 0.000 | -0.000 |
| 1.978 | 25.455 | 1.978 | -0.000 | 0.000 | -0.000 |
| 1.978 | 1.978 | 25.455 | 0.000 | 0.000 | -0.000 |
| 0.000 | 0.000 | 0.000 | 0.606 | -0.000 | -0.000 |
| 0.000 | 0.000 | 0.000 | 0.000 | 0.606 | -0.000 |
| 0.000 | 0.000 | 0.000 | 0.000 | 0.000 | 0.606 |
| 322.583 | 178.214 | 178.214 | -0.000 | -0.000 | -0.000 |
| 178.214 | 322.583 | 178.214 | 0.000 | -0.000 | 0.000 |
| 178.214 | 178.214 | 322.583 | -0.000 | -0.000 | -0.000 |
| 0.000 | -0.000 | 0.000 | 61.918 | -0.000 | -0.000 |
| 0.000 | 0.000 | 0.000 | -0.000 | 61.918 | -0.000 |
| 0.000 | -0.000 | 0.000 | -0.000 | -0.000 | 61.918 |
| 322.583 | 178.214 | 178.214 | 0.000 | 0.000 | 0.000 |
| 178.214 | 322.583 | 178.214 | 0.000 | 0.000 | 0.000 |
| 178.214 | 178.214 | 322.583 | -0.000 | -0.000 | 0.000 |
| -0.000 | -0.000 | -0.000 | 61.918 | 0.000 | -0.000 |
| -0.000 | -0.000 | -0.000 | 0.000 | 61.918 | 0.000 |
| -0.000 | -0.000 | -0.000 | 0.000 | 0.000 | 61.918 |
| 322.583 | 178.214 | 178.214 | -0.000 | -0.000 | -0.000 |
| 178.214 | 322.583 | 178.214 | 0.000 | -0.000 | 0.000 |
| 178.214 | 178.214 | 322.583 | 0.000 | -0.000 | -0.000 |
| 0.000 | -0.000 | -0.000 | 62.078 | -0.000 | -0.000 |
| -0.000 | 0.000 | -0.000 | -0.000 | 62.078 | -0.000 |
| -0.000 | -0.000 | 0.000 | -0.000 | -0.000 | 62.078 |
| 322.583 | 178.214 | 178.214 | 0.000 | 0.000 | 0.000 |
| 178.214 | 322.583 | 178.214 | 0.000 | 0.000 | 0.000 |
| 178.214 | 178.214 | 322.583 | 0.000 | 0.000 | 0.000 |
| -0.000 | 0.000 | 0.000 | 62.078 | 0.000 | 0.000 |
| 0.000 | -0.000 | 0.000 | 0.000 | 62.078 | 0.000 |
| 0.000 | 0.000 | -0.000 | 0.000 | 0.000 | 62.078 |
| 322.582 | 178.213 | 178.213 | -0.000 | -0.000 | -0.000 |
| 178.213 | 322.582 | 178.213 | -0.000 | -0.000 | -0.000 |
| 178.213 | 178.213 | 322.582 | 0.000 | 0.000 | -0.000 |
| 0.000 | -0.000 | -0.000 | 61.918 | -0.000 | -0.000 |
| -0.000 | 0.000 | -0.000 | -0.000 | 61.918 | -0.000 |
| -0.000 | -0.000 | 0.000 | -0.000 | -0.000 | 61.918 |
| 322.585 | 178.215 | 178.215 | 0.000 | 0.000 | 0.000 |
| 178.215 | 322.585 | 178.215 | 0.000 | 0.000 | 0.000 |
| 178.215 | 178.215 | 322.585 | 0.000 | -0.000 | -0.000 |
| -0.000 | 0.000 | 0.000 | 61.918 | 0.000 | 0.000 |
| 0.000 | -0.000 | 0.000 | 0.000 | 61.918 | 0.000 |
| 0.000 | 0.000 | -0.000 | 0.000 | 0.000 | 61.918 |
| 64.899 | 6.724 | 6.724 | -0.000 | -0.000 | 0.000 |
| 6.724 | 64.899 | 6.724 | -0.000 | -0.000 | -0.000 |
| 6.724 | 6.724 | 64.899 | 0.000 | 0.000 | -0.000 |
| -0.000 | -0.000 | -0.000 | 8.496 | -0.000 | -0.000 |
| -0.000 | -0.000 | -0.000 | -0.000 | 8.496 | -0.000 |
| -0.000 | -0.000 | -0.000 | -0.000 | -0.000 | 8.496 |
| 64.899 | 6.724 | 6.724 | 0.000 | 0.000 | 0.000 |
| 6.724 | 64.899 | 6.724 | 0.000 | 0.000 | 0.000 |
| 6.724 | 6.724 | 64.899 | 0.000 | 0.000 | 0.000 |
| 0.000 | 0.000 | 0.000 | 8.496 | 0.000 | -0.000 |
| 0.000 | 0.000 | 0.000 | 0.000 | 8.496 | 0.000 |
| 0.000 | 0.000 | 0.000 | 0.000 | 0.000 | 8.496 |
| 64.899 | 6.724 | 6.724 | -0.000 | -0.000 | -0.000 |
| 6.724 | 64.899 | 6.724 | -0.000 | -0.000 | -0.000 |
| 6.724 | 6.724 | 64.899 | -0.000 | -0.000 | -0.000 |
| 0.000 | 0.000 | 0.000 | 6.110 | -0.000 | -0.000 |
| 0.000 | 0.000 | 0.000 | -0.000 | 6.110 | -0.000 |
| 0.000 | 0.000 | 0.000 | -0.000 | -0.000 | 6.110 |
| 64.899 | 6.724 | 6.724 | 0.000 | -0.000 | 0.000 |
| 6.724 | 64.899 | 6.724 | 0.000 | -0.000 | 0.000 |
| 6.724 | 6.724 | 64.899 | 0.000 | 0.000 | 0.000 |
| -0.000 | -0.000 | -0.000 | 6.110 | 0.000 | 0.000 |
| -0.000 | -0.000 | -0.000 | 0.000 | 6.110 | 0.000 |
| -0.000 | -0.000 | -0.000 | 0.000 | 0.000 | 6.110 |
| 64.900 | 6.724 | 6.724 | -0.000 | 0.000 | -0.000 |
| 6.724 | 64.900 | 6.724 | -0.000 | -0.000 | 0.000 |
| 6.724 | 6.724 | 64.900 | 0.000 | 0.000 | -0.000 |
| 0.000 | 0.000 | 0.000 | 6.110 | -0.000 | -0.000 |
| 0.000 | 0.000 | 0.000 | -0.000 | 6.110 | -0.000 |
| 0.000 | 0.000 | 0.000 | -0.000 | -0.000 | 6.110 |
| 64.899 | 6.723 | 6.723 | 0.000 | -0.000 | 0.000 |
| 6.723 | 64.899 | 6.723 | -0.000 | 0.000 | 0.000 |
| 6.723 | 6.723 | 64.899 | 0.000 | 0.000 | 0.000 |
| -0.000 | -0.000 | -0.000 | 6.110 | 0.000 | 0.000 |
| -0.000 | -0.000 | -0.000 | 0.000 | 6.110 | 0.000 |
| -0.000 | -0.000 | -0.000 | 0.000 | 0.000 | 6.110 |
| 12.131 | 11.930 | 11.930 | -0.000 | -0.000 | -0.000 |
| 11.930 | 12.131 | 11.930 | -0.000 | -0.000 | -0.000 |
| 11.930 | 11.930 | 12.131 | -0.000 | -0.000 | 0.000 |
| -0.000 | -0.000 | -0.000 | -13.145 | -0.000 | -0.000 |
| -0.000 | -0.000 | -0.000 | -0.000 | -13.145 | -0.000 |
| -0.000 | -0.000 | -0.000 | -0.000 | -0.000 | -13.145 |
| 12.131 | 11.930 | 11.930 | 0.000 | 0.000 | 0.000 |
| 11.930 | 12.131 | 11.930 | 0.000 | 0.000 | 0.000 |
| 11.930 | 11.930 | 12.131 | 0.000 | 0.000 | 0.000 |
| 0.000 | 0.000 | 0.000 | -13.145 | 0.000 | 0.000 |
| 0.000 | 0.000 | 0.000 | 0.000 | -13.145 | 0.000 |
| 0.000 | 0.000 | 0.000 | 0.000 | 0.000 | -13.145 |
| 12.131 | 11.930 | 11.930 | -0.000 | -0.000 | -0.000 |
| 11.930 | 12.131 | 11.930 | -0.000 | -0.000 | -0.000 |
| 11.930 | 11.930 | 12.131 | -0.000 | -0.000 | 0.000 |
| -0.000 | -0.000 | -0.000 | -13.145 | -0.000 | 0.000 |
| -0.000 | -0.000 | -0.000 | -0.000 | -13.145 | -0.000 |
| -0.000 | -0.000 | -0.000 | -0.000 | -0.000 | -13.145 |
| 12.131 | 11.930 | 11.930 | 0.000 | 0.000 | 0.000 |
| 11.930 | 12.131 | 11.930 | 0.000 | 0.000 | 0.000 |
| 11.930 | 11.930 | 12.131 | 0.000 | 0.000 | 0.000 |
| 0.000 | 0.000 | 0.000 | -13.145 | 0.000 | 0.000 |
| 0.000 | 0.000 | 0.000 | 0.000 | -13.145 | 0.000 |
| 0.000 | 0.000 | 0.000 | 0.000 | 0.000 | -13.145 |
| 12.131 | 11.930 | 11.930 | 0.000 | -0.000 | 0.000 |
| 11.930 | 12.131 | 11.930 | -0.000 | -0.000 | 0.000 |
| 11.930 | 11.930 | 12.131 | 0.000 | -0.000 | -0.000 |
| -0.000 | -0.000 | -0.000 | -13.145 | -0.000 | 0.000 |
| -0.000 | -0.000 | -0.000 | -0.000 | -13.145 | 0.000 |
| -0.000 | -0.000 | -0.000 | -0.000 | -0.000 | -13.145 |
| 12.131 | 11.930 | 11.930 | -0.000 | 0.000 | -0.000 |
| 11.930 | 12.131 | 11.930 | 0.000 | 0.000 | -0.000 |
| 11.930 | 11.930 | 12.131 | 0.000 | 0.000 | 0.000 |
| 0.000 | 0.000 | 0.000 | -13.145 | 0.000 | 0.000 |
| 0.000 | 0.000 | 0.000 | 0.000 | -13.145 | 0.000 |
| 0.000 | 0.000 | 0.000 | 0.000 | 0.000 | -13.145 |
| 153.043 | 187.392 | 187.392 | 0.000 | 0.000 | 0.000 |
| 187.392 | 153.043 | 187.392 | 0.000 | 0.000 | 0.000 |
| 187.392 | 187.392 | 153.043 | 0.000 | -0.000 | 0.000 |
| -0.000 | -0.000 | -0.000 | 0.476 | -0.000 | 0.000 |
| -0.000 | -0.000 | -0.000 | 0.000 | 0.476 | 0.000 |
| -0.000 | -0.000 | 0.000 | 0.000 | -0.000 | 0.476 |
| 153.043 | 187.392 | 187.392 | -0.000 | -0.000 | -0.000 |
| 187.392 | 153.043 | 187.392 | -0.000 | -0.000 | -0.000 |
| 187.392 | 187.392 | 153.043 | -0.000 | 0.000 | -0.000 |
| 0.000 | 0.000 | 0.000 | 0.476 | 0.000 | -0.000 |
| 0.000 | 0.000 | 0.000 | -0.000 | 0.476 | -0.000 |
| 0.000 | 0.000 | -0.000 | -0.000 | -0.000 | 0.476 |
| 153.043 | 187.392 | 187.392 | 0.000 | 0.000 | 0.000 |
| 187.392 | 153.043 | 187.392 | 0.000 | 0.000 | 0.000 |
| 187.392 | 187.392 | 153.043 | 0.000 | -0.000 | 0.000 |
| 0.000 | -0.000 | -0.000 | 0.476 | -0.000 | -0.000 |
| -0.000 | 0.000 | -0.000 | 0.000 | 0.476 | 0.000 |
| -0.000 | -0.000 | 0.000 | 0.000 | -0.000 | 0.476 |
| 153.043 | 187.392 | 187.392 | -0.000 | -0.000 | -0.000 |
| 187.392 | 153.043 | 187.392 | -0.000 | -0.000 | -0.000 |
| 187.392 | 187.392 | 153.043 | -0.000 | 0.000 | -0.000 |
| -0.000 | 0.000 | 0.000 | 0.476 | 0.000 | -0.000 |
| 0.000 | -0.000 | 0.000 | -0.000 | 0.476 | -0.000 |
| 0.000 | 0.000 | -0.000 | -0.000 | -0.000 | 0.476 |
| 153.044 | 187.392 | 187.392 | 0.000 | -0.000 | 0.000 |
| 187.392 | 153.044 | 187.392 | 0.000 | 0.000 | 0.000 |
| 187.392 | 187.392 | 153.044 | 0.000 | -0.000 | 0.000 |
| 0.000 | -0.001 | -0.001 | 0.476 | -0.000 | -0.000 |
| -0.001 | 0.000 | -0.001 | 0.000 | 0.476 | 0.000 |
| -0.001 | -0.001 | 0.000 | 0.000 | 0.000 | 0.476 |
| 153.043 | 187.391 | 187.391 | -0.000 | -0.000 | -0.000 |
| 187.391 | 153.043 | 187.391 | -0.000 | -0.000 | -0.000 |
| 187.391 | 187.391 | 153.043 | -0.000 | -0.000 | -0.000 |
| -0.000 | 0.001 | 0.001 | 0.476 | -0.000 | -0.000 |
| 0.001 | -0.000 | 0.001 | -0.000 | 0.476 | -0.000 |
| 0.001 | 0.001 | -0.000 | -0.000 | -0.000 | 0.476 |
| 1346.163 | 1238.966 | 1238.966 | 0.000 | -0.000 | -0.000 |
| 1238.966 | 1346.163 | 1238.966 | -0.000 | 0.000 | 0.000 |
| 1238.966 | 1238.966 | 1346.163 | 0.000 | 0.000 | 0.000 |
| 0.000 | 0.000 | 0.000 | 406.710 | -0.000 | 0.000 |
| 0.000 | 0.000 | 0.000 | -0.000 | 406.710 | 0.000 |
| 0.000 | 0.000 | 0.000 | -0.000 | -0.000 | 406.710 |
| 1346.163 | 1238.966 | 1238.966 | 0.000 | 0.000 | -0.000 |
| 1238.966 | 1346.163 | 1238.966 | 0.000 | 0.000 | -0.000 |
| 1238.966 | 1238.966 | 1346.163 | -0.000 | -0.000 | -0.000 |
| -0.000 | -0.000 | -0.000 | 406.710 | -0.000 | -0.000 |
| -0.000 | -0.000 | -0.000 | -0.000 | 406.710 | -0.000 |
| -0.000 | -0.000 | -0.000 | 0.000 | 0.000 | 406.710 |
| 1346.164 | 1238.967 | 1238.967 | 0.000 | -0.000 | 0.000 |
| 1238.967 | 1346.164 | 1238.967 | 0.000 | -0.000 | 0.000 |
| 1238.967 | 1238.967 | 1346.164 | 0.000 | 0.000 | 0.000 |
| 0.000 | 0.000 | 0.000 | 406.710 | 0.000 | 0.000 |
| 0.000 | 0.000 | 0.000 | 0.000 | 406.710 | 0.000 |
| 0.000 | 0.000 | 0.000 | 0.000 | -0.000 | 406.710 |
| 1346.162 | 1238.965 | 1238.965 | -0.000 | 0.000 | -0.000 |
| 1238.965 | 1346.162 | 1238.965 | 0.000 | -0.000 | -0.000 |
| 1238.965 | 1238.965 | 1346.162 | 0.000 | -0.000 | -0.000 |
| -0.000 | -0.000 | -0.000 | 406.710 | -0.000 | -0.000 |
| -0.000 | -0.000 | -0.000 | 0.000 | 406.710 | -0.000 |
| -0.000 | -0.000 | -0.000 | -0.000 | 0.000 | 406.710 |
| 1346.172 | 1238.980 | 1238.980 | -0.000 | -0.000 | 0.000 |
| 1238.980 | 1346.172 | 1238.980 | -0.000 | 0.000 | 0.000 |
| 1238.980 | 1238.980 | 1346.172 | 0.000 | 0.000 | 0.000 |
| 0.001 | 0.001 | 0.001 | 406.710 | -0.000 | 0.000 |
| 0.001 | 0.001 | 0.001 | 0.000 | 406.710 | 0.000 |
| 0.001 | 0.001 | 0.001 | 0.000 | -0.000 | 406.710 |
| 1346.154 | 1238.952 | 1238.952 | -0.000 | -0.000 | -0.000 |
| 1238.952 | 1346.154 | 1238.952 | -0.000 | -0.000 | -0.000 |
| 1238.952 | 1238.952 | 1346.154 | -0.000 | 0.000 | -0.000 |
| -0.001 | -0.001 | -0.001 | 406.710 | -0.000 | -0.000 |
| -0.001 | -0.001 | -0.001 | 0.000 | 406.710 | -0.000 |
| -0.001 | -0.001 | -0.001 | 0.000 | 0.000 | 406.710 |
| 30.906 | 15.212 | 15.212 | -0.000 | -0.000 | -0.000 |
| 15.212 | 30.906 | 15.212 | -0.000 | -0.000 | -0.000 |
| 15.212 | 15.212 | 30.906 | -0.000 | -0.000 | -0.000 |
| -0.000 | -0.000 | -0.000 | 15.430 | 0.000 | -0.000 |
| -0.000 | -0.000 | -0.000 | -0.000 | 15.430 | -0.000 |
| -0.000 | -0.000 | -0.000 | -0.000 | -0.000 | 15.430 |
| 30.906 | 15.212 | 15.212 | 0.000 | 0.000 | 0.000 |
| 15.212 | 30.906 | 15.212 | 0.000 | 0.000 | 0.000 |
| 15.212 | 15.212 | 30.906 | -0.000 | 0.000 | 0.000 |
| 0.000 | 0.000 | 0.000 | 15.430 | 0.000 | 0.000 |
| 0.000 | 0.000 | 0.000 | 0.000 | 15.430 | 0.000 |
| 0.000 | 0.000 | 0.000 | 0.000 | 0.000 | 15.430 |
| 30.906 | 15.212 | 15.212 | -0.000 | -0.000 | -0.000 |
| 15.212 | 30.906 | 15.212 | -0.000 | -0.000 | -0.000 |
| 15.212 | 15.212 | 30.906 | -0.000 | -0.000 | -0.000 |
| -0.000 | -0.000 | -0.000 | 15.430 | -0.000 | -0.000 |
| -0.000 | -0.000 | -0.000 | -0.000 | 15.430 | -0.000 |
| -0.000 | -0.000 | -0.000 | -0.000 | -0.000 | 15.430 |
| 30.906 | 15.212 | 15.212 | 0.000 | 0.000 | 0.000 |
| 15.212 | 30.906 | 15.212 | 0.000 | 0.000 | 0.000 |
| 15.212 | 15.212 | 30.906 | 0.000 | 0.000 | 0.000 |
| 0.000 | 0.000 | 0.000 | 15.430 | 0.000 | 0.000 |
| 0.000 | 0.000 | 0.000 | 0.000 | 15.430 | 0.000 |
| 0.000 | 0.000 | 0.000 | 0.000 | -0.000 | 15.430 |
| 30.906 | 15.212 | 15.212 | -0.000 | -0.000 | -0.000 |
| 15.212 | 30.906 | 15.212 | -0.000 | -0.000 | -0.000 |
| 15.212 | 15.212 | 30.906 | -0.000 | -0.000 | -0.000 |
| -0.000 | -0.000 | -0.000 | 15.430 | 0.000 | -0.000 |
| -0.000 | -0.000 | -0.000 | -0.000 | 15.430 | -0.000 |
| -0.000 | -0.000 | -0.000 | -0.000 | 0.000 | 15.430 |
| 30.906 | 15.212 | 15.212 | 0.000 | 0.000 | 0.000 |
| 15.212 | 30.906 | 15.212 | -0.000 | 0.000 | 0.000 |
| 15.212 | 15.212 | 30.906 | 0.000 | 0.000 | 0.000 |
| 0.000 | 0.000 | 0.000 | 15.430 | 0.000 | 0.000 |
| 0.000 | 0.000 | 0.000 | 0.000 | 15.430 | 0.000 |
| 0.000 | 0.000 | 0.000 | 0.000 | 0.000 | 15.430 |
| 176.659 | 180.305 | 194.475 | -0.000 | -0.000 | -0.000 |
| 180.305 | 176.659 | 194.475 | -0.000 | -0.000 | -0.000 |
| 194.475 | 194.475 | 243.647 | -0.000 | -0.000 | 0.000 |
| -0.000 | -0.000 | -0.000 | 30.694 | -0.000 | -0.000 |
| -0.000 | 0.000 | 0.000 | -0.000 | 30.694 | -0.000 |
| -0.000 | -0.000 | 0.000 | -0.000 | -0.000 | -4.155 |
| 176.659 | 180.305 | 194.475 | 0.000 | 0.000 | -0.000 |
| 180.305 | 176.659 | 194.475 | 0.000 | 0.000 | 0.000 |
| 194.475 | 194.475 | 243.647 | 0.000 | 0.000 | -0.000 |
| 0.000 | 0.000 | 0.000 | 30.694 | 0.000 | 0.000 |
| 0.000 | -0.000 | -0.000 | -0.000 | 30.694 | 0.000 |
| 0.000 | 0.000 | -0.000 | 0.000 | 0.000 | -4.155 |
| 176.660 | 180.305 | 194.475 | -0.000 | -0.000 | -0.000 |
| 180.305 | 176.660 | 194.475 | -0.000 | -0.000 | -0.000 |
| 194.475 | 194.475 | 243.647 | -0.000 | -0.000 | -0.000 |
| 0.000 | 0.000 | 0.000 | 23.589 | -0.000 | -0.000 |
| 0.000 | 0.000 | 0.000 | -0.000 | 23.589 | -0.000 |
| -0.000 | -0.000 | 0.000 | -0.000 | -0.000 | -4.155 |
| 176.659 | 180.304 | 194.475 | 0.000 | 0.000 | 0.000 |
| 180.304 | 176.659 | 194.475 | 0.000 | 0.000 | 0.000 |
| 194.475 | 194.475 | 243.646 | 0.000 | 0.000 | 0.000 |
| -0.000 | -0.000 | -0.000 | 23.589 | 0.000 | 0.000 |
| -0.000 | -0.000 | -0.000 | -0.000 | 23.589 | 0.000 |
| 0.000 | 0.000 | -0.000 | 0.000 | 0.000 | -4.155 |
| 176.662 | 180.307 | 194.477 | -0.000 | -0.000 | 0.000 |
| 180.307 | 176.662 | 194.477 | 0.000 | -0.000 | -0.000 |
| 194.478 | 194.478 | 243.649 | -0.000 | -0.000 | -0.000 |
| 0.000 | 0.000 | 0.000 | 30.694 | -0.000 | -0.000 |
| 0.000 | 0.000 | 0.000 | -0.000 | 30.694 | -0.000 |
| -0.000 | -0.000 | 0.000 | 0.000 | -0.000 | -4.155 |
| 176.657 | 180.302 | 194.473 | 0.000 | 0.000 | 0.000 |
| 180.302 | 176.657 | 194.473 | 0.000 | 0.000 | 0.000 |
| 194.472 | 194.472 | 243.644 | 0.000 | 0.000 | 0.000 |
| -0.000 | -0.000 | -0.000 | 30.694 | 0.000 | -0.000 |
| -0.000 | -0.000 | -0.000 | 0.000 | 30.694 | 0.000 |
| 0.000 | 0.000 | -0.000 | 0.000 | 0.000 | -4.155 |
| 242.206 | 194.895 | 244.360 | 0.000 | 0.000 | -0.000 |
| 194.895 | 242.206 | 244.360 | -0.000 | -0.000 | -0.000 |
| 247.064 | 247.064 | 413.630 | 0.000 | 0.000 | -0.000 |
| -0.000 | -0.000 | 0.000 | 35.761 | -0.000 | -0.000 |
| -0.000 | -0.000 | 0.000 | 0.000 | 35.761 | -0.000 |
| -0.000 | -0.000 | -0.000 | -0.000 | 0.000 | 23.656 |
| 242.207 | 194.895 | 244.360 | -0.000 | -0.000 | 0.000 |
| 193.063 | 237.958 | 243.410 | 0.000 | 0.000 | 0.000 |
| 244.668 | 244.668 | 412.881 | 0.000 | -0.000 | 0.000 |
| 0.000 | -0.000 | 0.000 | 35.761 | 0.000 | 0.000 |
| 0.000 | 0.000 | -0.000 | -0.000 | 35.761 | -0.000 |
| 0.000 | 0.000 | 0.000 | -0.000 | -0.000 | 23.656 |
| 242.206 | 194.895 | 244.360 | 0.000 | -0.000 | -0.000 |
| 194.894 | 242.206 | 244.360 | 0.000 | 0.000 | -0.000 |
| 244.668 | 244.668 | 412.881 | 0.000 | -0.000 | -0.000 |
| 0.000 | -0.000 | -0.000 | 35.761 | -0.000 | -0.000 |
| 0.288 | 0.288 | 0.090 | 0.000 | 35.724 | 0.000 |
| -0.000 | -0.000 | -0.000 | 0.000 | -0.000 | 23.656 |
| 242.207 | 194.895 | 244.360 | 0.000 | 0.000 | 0.000 |
| 194.895 | 242.207 | 244.360 | 0.000 | -0.000 | 0.000 |
| 244.296 | 244.296 | 412.765 | 0.000 | 0.000 | 0.000 |
| -0.000 | 0.000 | 0.000 | 35.761 | 0.000 | 0.000 |
| -0.288 | -0.288 | -0.090 | -0.000 | 35.724 | 0.000 |
| 0.000 | 0.000 | 0.000 | 0.000 | -0.000 | 23.656 |
| 242.199 | 194.894 | 244.360 | 0.000 | 0.000 | -0.000 |
| 197.529 | 237.165 | 243.985 | 0.000 | -0.000 | -0.000 |
| 244.668 | 244.668 | 412.880 | 0.000 | -0.000 | -0.000 |
| 0.000 | -0.000 | -0.000 | 35.761 | -0.000 | -0.000 |
| 0.095 | 0.095 | 0.030 | 0.000 | 35.640 | -0.000 |
| -0.001 | -0.002 | -0.000 | 0.000 | 0.000 | 23.656 |
| 242.214 | 194.895 | 244.361 | -0.000 | -0.000 | 0.000 |
| 197.049 | 237.676 | 243.988 | -0.000 | -0.000 | 0.000 |
| 244.522 | 244.522 | 412.837 | -0.000 | -0.000 | 0.000 |
| -0.000 | 0.000 | 0.000 | 35.761 | 0.000 | 0.000 |
| -0.095 | -0.095 | -0.030 | -0.000 | 35.640 | 0.000 |
| 0.001 | 0.002 | 0.000 | 0.000 | -0.000 | 23.656 |
| 258.687 | 203.046 | 244.449 | 0.000 | 0.000 | -0.000 |
| 215.092 | 248.350 | 244.757 | -0.000 | -0.000 | -0.000 |
| 244.752 | 244.752 | 405.225 | 0.000 | -0.000 | -0.000 |
| -0.000 | -0.000 | -0.000 | 35.272 | -0.000 | -0.000 |
| -0.000 | 0.000 | -0.000 | 0.000 | 35.380 | -0.000 |
| -0.000 | -0.000 | -0.000 | -0.000 | 0.000 | 17.503 |
| 263.036 | 201.317 | 244.921 | -0.000 | -0.000 | 0.000 |
| 201.317 | 263.036 | 244.921 | -0.000 | -0.000 | 0.000 |
| 244.921 | 244.921 | 405.286 | 0.000 | -0.000 | 0.000 |
| 0.000 | 0.000 | 0.000 | 35.272 | -0.000 | 0.000 |
| 0.000 | -0.000 | 0.000 | -0.000 | 35.380 | 0.000 |
| 0.000 | 0.000 | 0.000 | 0.000 | 0.000 | 17.503 |
| 258.686 | 203.046 | 244.449 | 0.000 | -0.000 | -0.000 |
| 201.317 | 263.036 | 244.921 | 0.000 | 0.000 | -0.000 |
| 244.921 | 244.921 | 405.286 | 0.000 | 0.000 | -0.000 |
| -0.000 | -0.000 | -0.000 | 35.272 | -0.000 | -0.000 |
| -0.000 | -0.000 | -0.000 | 0.000 | 35.272 | 0.000 |
| -0.000 | -0.000 | -0.000 | 0.000 | 0.000 | 30.860 |
| 263.037 | 201.317 | 244.921 | -0.000 | -0.000 | 0.000 |
| 203.046 | 258.687 | 244.449 | 0.000 | -0.000 | 0.000 |
| 244.921 | 244.921 | 405.286 | -0.000 | -0.000 | 0.000 |
| 0.000 | 0.000 | 0.000 | 35.272 | -0.000 | 0.000 |
| 0.000 | 0.000 | 0.000 | -0.000 | 35.272 | 0.000 |
| 0.000 | 0.000 | 0.000 | -0.000 | -0.000 | 30.860 |
| 258.679 | 203.046 | 244.449 | 0.000 | -0.000 | -0.000 |
| 203.044 | 258.680 | 244.449 | -0.000 | -0.000 | -0.000 |
| 244.752 | 244.752 | 405.223 | -0.000 | -0.000 | -0.000 |
| 0.000 | -0.000 | -0.000 | 35.380 | 0.000 | -0.000 |
| -0.000 | -0.000 | -0.000 | 0.000 | 35.272 | -0.000 |
| -0.000 | -0.002 | 0.000 | -0.000 | 0.000 | 17.503 |
| 263.044 | 201.317 | 244.921 | -0.000 | -0.000 | 0.000 |
| 203.047 | 258.693 | 244.449 | -0.000 | -0.000 | 0.000 |
| 244.752 | 244.752 | 405.227 | -0.000 | -0.000 | 0.000 |
| -0.000 | 0.000 | 0.000 | 35.380 | -0.000 | 0.000 |
| 0.000 | 0.000 | 0.000 | 0.000 | 35.272 | 0.000 |
| 0.000 | 0.002 | -0.000 | -0.000 | -0.000 | 17.503 |
| 231.702 | 10.108 | 10.108 | -0.000 | -0.000 | 0.000 |
| 10.108 | 231.702 | 10.108 | -0.000 | -0.000 | 0.000 |
| 10.108 | 10.108 | 231.702 | -0.000 | -0.000 | 0.000 |
| 0.000 | -0.000 | -0.000 | 25.704 | -0.000 | 0.000 |
| 0.000 | -0.000 | -0.000 | 0.000 | 25.704 | 0.000 |
| 0.000 | -0.000 | -0.000 | 0.000 | -0.000 | 25.704 |
| 231.702 | 10.108 | 10.108 | -0.000 | 0.000 | -0.000 |
| 10.108 | 231.702 | 10.108 | 0.000 | 0.000 | -0.000 |
| 10.108 | 10.108 | 231.702 | 0.000 | 0.000 | -0.000 |
| -0.000 | 0.000 | 0.000 | 25.704 | -0.000 | -0.000 |
| -0.000 | 0.000 | 0.000 | -0.000 | 25.704 | -0.000 |
| -0.000 | 0.000 | 0.000 | -0.000 | 0.000 | 25.704 |
| 231.702 | 10.108 | 10.108 | 0.000 | -0.000 | 0.000 |
| 10.108 | 231.702 | 10.108 | 0.000 | 0.000 | 0.000 |
| 10.108 | 10.108 | 231.702 | -0.000 | -0.000 | 0.000 |
| -0.000 | -0.000 | -0.000 | 25.704 | -0.000 | 0.000 |
| -0.000 | -0.000 | -0.000 | 0.000 | 25.704 | 0.000 |
| -0.000 | -0.000 | -0.000 | -0.000 | -0.000 | 25.704 |
| 231.702 | 10.108 | 10.108 | 0.000 | 0.000 | -0.000 |
| 10.108 | 231.702 | 10.108 | 0.000 | -0.000 | -0.000 |
| 10.108 | 10.108 | 231.702 | -0.000 | -0.000 | -0.000 |
| 0.000 | 0.000 | 0.000 | 25.704 | 0.000 | -0.000 |
| 0.000 | 0.000 | 0.000 | -0.000 | 25.704 | -0.000 |
| 0.000 | 0.000 | 0.000 | 0.000 | 0.000 | 25.704 |
| 231.702 | 10.106 | 10.106 | -0.000 | -0.000 | 0.000 |
| 10.106 | 231.702 | 10.106 | -0.000 | -0.000 | 0.000 |
| 10.106 | 10.106 | 231.702 | -0.000 | -0.000 | 0.000 |
| -0.000 | -0.000 | -0.000 | 25.704 | -0.000 | 0.000 |
| -0.000 | -0.000 | -0.000 | -0.000 | 25.704 | 0.000 |
| -0.000 | -0.000 | -0.000 | 0.000 | -0.000 | 25.704 |
| 231.702 | 10.109 | 10.109 | 0.000 | 0.000 | -0.000 |
| 10.109 | 231.702 | 10.109 | -0.000 | 0.000 | -0.000 |
| 10.109 | 10.109 | 231.702 | 0.000 | 0.000 | -0.000 |
| 0.000 | 0.000 | 0.000 | 25.704 | 0.000 | -0.000 |
| 0.000 | 0.000 | 0.000 | 0.000 | 25.704 | -0.000 |
| 0.000 | 0.000 | 0.000 | -0.000 | 0.000 | 25.704 |
| 1391.729 | -27.782 | -27.782 | -0.000 | 0.000 | 0.000 |
| -27.782 | 1391.729 | -27.782 | 0.000 | -0.000 | -0.000 |
| -27.782 | -27.782 | 1391.729 | -0.000 | -0.000 | -0.000 |
| -0.000 | -0.000 | -0.000 | 0.150 | 0.000 | 0.000 |
| -0.000 | -0.000 | -0.000 | 0.000 | 0.150 | -0.000 |
| -0.000 | -0.000 | -0.000 | 0.000 | 0.000 | 0.150 |
| 1391.728 | -27.782 | -27.782 | -0.000 | 0.000 | 0.000 |
| -27.782 | 1391.728 | -27.782 | 0.000 | -0.000 | 0.000 |
| -27.782 | -27.782 | 1391.728 | -0.000 | -0.000 | 0.000 |
| 0.000 | 0.000 | 0.000 | 0.150 | 0.000 | -0.000 |
| 0.000 | 0.000 | 0.000 | 0.000 | 0.150 | 0.000 |
| 0.000 | 0.000 | 0.000 | -0.000 | -0.000 | 0.150 |
| 1391.730 | -27.782 | -27.782 | 0.000 | 0.000 | 0.000 |
| -27.782 | 1391.730 | -27.782 | 0.000 | 0.000 | 0.000 |
| -27.782 | -27.782 | 1391.730 | 0.000 | 0.000 | 0.000 |
| 0.000 | 0.000 | -0.000 | 0.150 | 0.000 | 0.000 |
| 0.000 | 0.000 | -0.000 | -0.000 | 0.150 | -0.000 |
| 0.000 | -0.000 | 0.000 | 0.000 | -0.000 | 0.150 |
| 1391.727 | -27.782 | -27.782 | -0.000 | 0.000 | 0.000 |
| -27.782 | 1391.727 | -27.782 | 0.000 | -0.000 | -0.000 |
| -27.782 | -27.782 | 1391.727 | 0.000 | 0.000 | -0.000 |
| -0.000 | -0.000 | 0.000 | 0.150 | 0.000 | -0.000 |
| -0.000 | -0.000 | 0.000 | -0.000 | 0.150 | 0.000 |
| -0.000 | 0.000 | -0.000 | -0.000 | -0.000 | 0.150 |
| 1391.747 | -27.780 | -27.780 | -0.000 | 0.000 | 0.000 |
| -27.780 | 1391.747 | -27.780 | 0.000 | -0.000 | -0.000 |
| -27.780 | -27.780 | 1391.747 | 0.000 | 0.000 | -0.000 |
| 0.000 | 0.000 | -0.001 | 0.150 | -0.000 | 0.000 |
| 0.000 | 0.000 | -0.001 | -0.000 | 0.150 | 0.000 |
| 0.000 | -0.001 | 0.000 | 0.000 | 0.000 | 0.150 |
| 1391.710 | -27.784 | -27.784 | 0.000 | -0.000 | -0.000 |
| -27.784 | 1391.710 | -27.784 | -0.000 | -0.000 | 0.000 |
| -27.784 | -27.784 | 1391.710 | -0.000 | -0.000 | 0.000 |
| -0.000 | -0.000 | 0.001 | 0.150 | 0.000 | 0.000 |
| -0.000 | -0.000 | 0.001 | 0.000 | 0.150 | 0.000 |
| -0.000 | 0.001 | -0.000 | -0.000 | -0.000 | 0.150 |
| 86.113 | -0.123 | -0.123 | -0.000 | -0.000 | -0.000 |
| -0.123 | 86.113 | -0.123 | -0.000 | -0.000 | 0.000 |
| -0.123 | -0.123 | 86.113 | 0.000 | 0.000 | -0.000 |
| 0.000 | -0.000 | 0.000 | 0.057 | -0.000 | 0.000 |
| -0.000 | 0.000 | 0.000 | 0.000 | 0.057 | -0.000 |
| -0.000 | 0.000 | 0.000 | -0.000 | 0.000 | 0.057 |
| 86.113 | -0.123 | -0.123 | 0.000 | -0.000 | -0.000 |
| -0.123 | 86.113 | -0.123 | -0.000 | 0.000 | -0.000 |
| -0.123 | -0.123 | 86.113 | -0.000 | -0.000 | 0.000 |
| -0.000 | 0.000 | -0.000 | 0.057 | 0.000 | 0.000 |
| 0.000 | -0.000 | -0.000 | 0.000 | 0.057 | 0.000 |
| 0.000 | -0.000 | -0.000 | 0.000 | 0.000 | 0.057 |
| 86.113 | -0.123 | -0.123 | 0.000 | 0.000 | 0.000 |
| -0.123 | 86.113 | -0.123 | 0.000 | 0.000 | 0.000 |
| -0.123 | -0.123 | 86.113 | -0.000 | -0.000 | -0.000 |
| 0.000 | 0.000 | -0.000 | 0.057 | 0.000 | 0.000 |
| 0.000 | 0.000 | -0.000 | 0.000 | 0.057 | 0.000 |
| 0.000 | -0.000 | 0.000 | -0.000 | 0.000 | 0.057 |
| 86.113 | -0.123 | -0.123 | 0.000 | 0.000 | 0.000 |
| -0.123 | 86.113 | -0.123 | 0.000 | 0.000 | 0.000 |
| -0.123 | -0.123 | 86.113 | 0.000 | 0.000 | 0.000 |
| -0.000 | 0.000 | 0.000 | 0.057 | 0.000 | -0.000 |
| 0.000 | -0.000 | 0.000 | 0.000 | 0.057 | 0.000 |
| 0.000 | 0.000 | -0.000 | 0.000 | -0.000 | 0.057 |
| 86.113 | -0.123 | -0.123 | -0.000 | 0.000 | 0.000 |
| -0.123 | 86.113 | -0.123 | -0.000 | -0.000 | -0.000 |
| -0.123 | -0.123 | 86.113 | -0.000 | -0.000 | -0.000 |
| 0.000 | 0.000 | -0.000 | 0.057 | -0.000 | 0.000 |
| 0.000 | 0.000 | -0.000 | -0.000 | 0.057 | -0.000 |
| 0.000 | -0.000 | 0.000 | -0.000 | 0.000 | 0.057 |
| 86.114 | -0.123 | -0.123 | 0.000 | -0.000 | 0.000 |
| -0.123 | 86.114 | -0.123 | -0.000 | 0.000 | 0.000 |
| -0.123 | -0.123 | 86.114 | 0.000 | 0.000 | -0.000 |
| -0.000 | -0.000 | 0.000 | 0.057 | 0.000 | 0.000 |
| -0.000 | -0.000 | 0.000 | -0.000 | 0.057 | 0.000 |
| -0.000 | 0.000 | -0.000 | -0.000 | -0.000 | 0.057 |
| 414.215 | 228.761 | 228.761 | -0.000 | -0.000 | -0.000 |
| 228.761 | 414.215 | 228.761 | -0.000 | -0.000 | -0.000 |
| 228.761 | 228.761 | 414.215 | -0.000 | -0.000 | -0.000 |
| 0.000 | 0.000 | 0.000 | 51.115 | -0.000 | -0.000 |
| 0.000 | 0.000 | 0.000 | -0.000 | 51.115 | -0.000 |
| 0.000 | 0.000 | 0.000 | -0.000 | -0.000 | 51.115 |
| 414.215 | 228.761 | 228.761 | 0.000 | 0.000 | 0.000 |
| 228.761 | 414.215 | 228.761 | 0.000 | 0.000 | 0.000 |
| 228.761 | 228.761 | 414.215 | 0.000 | 0.000 | 0.000 |
| -0.000 | -0.000 | -0.000 | 51.115 | 0.000 | -0.000 |
| -0.000 | -0.000 | -0.000 | 0.000 | 51.115 | 0.000 |
| -0.000 | -0.000 | -0.000 | 0.000 | 0.000 | 51.115 |
| 414.215 | 228.761 | 228.761 | -0.000 | -0.000 | -0.000 |
| 228.761 | 414.215 | 228.761 | -0.000 | -0.000 | -0.000 |
| 228.761 | 228.761 | 414.215 | 0.000 | -0.000 | -0.000 |
| 0.000 | 0.000 | 0.000 | 51.115 | -0.000 | 0.000 |
| 0.000 | 0.000 | 0.000 | -0.000 | 51.115 | -0.000 |
| 0.000 | 0.000 | 0.000 | -0.000 | -0.000 | 51.115 |
| 414.215 | 228.761 | 228.761 | 0.000 | 0.000 | 0.000 |
| 228.761 | 414.215 | 228.761 | 0.000 | 0.000 | -0.000 |
| 228.761 | 228.761 | 414.215 | -0.000 | 0.000 | 0.000 |
| -0.000 | -0.000 | -0.000 | 51.115 | 0.000 | 0.000 |
| -0.000 | -0.000 | -0.000 | 0.000 | 51.115 | 0.000 |
| -0.000 | -0.000 | -0.000 | 0.000 | 0.000 | 51.115 |
| 414.218 | 228.762 | 228.762 | -0.000 | -0.000 | -0.000 |
| 228.762 | 414.218 | 228.762 | 0.000 | -0.000 | -0.000 |
| 228.762 | 228.762 | 414.218 | -0.000 | -0.000 | 0.000 |
| 0.000 | 0.000 | 0.000 | 51.115 | 0.000 | 0.000 |
| 0.000 | 0.000 | 0.000 | -0.000 | 51.115 | -0.000 |
| 0.000 | 0.000 | 0.000 | -0.000 | -0.000 | 51.115 |
| 414.212 | 228.760 | 228.760 | 0.000 | 0.000 | 0.000 |
| 228.760 | 414.212 | 228.760 | 0.000 | 0.000 | 0.000 |
| 228.760 | 228.760 | 414.212 | 0.000 | -0.000 | 0.000 |
| -0.000 | -0.000 | -0.000 | 51.115 | 0.000 | 0.000 |
| -0.000 | -0.000 | -0.000 | 0.000 | 51.115 | 0.000 |
| -0.000 | -0.000 | -0.000 | 0.000 | 0.000 | 51.115 |
| 325.723 | 685.061 | 685.061 | 0.000 | -0.000 | 0.000 |
| 685.061 | 325.723 | 685.061 | 0.000 | 0.000 | -0.000 |
| 685.061 | 685.061 | 325.723 | 0.000 | 0.000 | -0.000 |
| 0.000 | -0.000 | 0.000 | 633.638 | 0.000 | 0.000 |
| -0.000 | 0.000 | 0.000 | -0.000 | 633.638 | -0.000 |
| -0.000 | 0.000 | 0.000 | 0.000 | 0.000 | 633.638 |
| 325.722 | 685.061 | 685.061 | 0.000 | -0.000 | 0.000 |
| 685.061 | 325.722 | 685.061 | -0.000 | -0.000 | 0.000 |
| 685.061 | 685.061 | 325.722 | 0.000 | -0.000 | 0.000 |
| -0.000 | 0.000 | -0.000 | 633.638 | -0.000 | 0.000 |
| 0.000 | -0.000 | -0.000 | 0.000 | 633.638 | 0.000 |
| 0.000 | -0.000 | -0.000 | -0.000 | -0.000 | 633.638 |
| 325.725 | 685.061 | 685.061 | 0.000 | 0.000 | -0.000 |
| 685.061 | 325.725 | 685.061 | 0.000 | 0.000 | 0.000 |
| 685.061 | 685.061 | 325.725 | 0.000 | 0.000 | -0.000 |
| 0.000 | 0.000 | 0.000 | 633.638 | -0.000 | 0.000 |
| 0.000 | 0.000 | 0.000 | 0.000 | 633.638 | -0.000 |
| 0.000 | 0.000 | 0.000 | 0.000 | 0.000 | 633.638 |
| 325.720 | 685.060 | 685.060 | 0.000 | -0.000 | 0.000 |
| 685.060 | 325.720 | 685.060 | 0.000 | -0.000 | 0.000 |
| 685.060 | 685.060 | 325.720 | -0.000 | -0.000 | 0.000 |
| -0.000 | -0.000 | -0.000 | 633.638 | 0.000 | -0.000 |
| -0.000 | -0.000 | -0.000 | 0.000 | 633.638 | 0.000 |
| -0.000 | -0.000 | -0.000 | -0.000 | -0.000 | 633.638 |
| 325.748 | 685.066 | 685.066 | 0.000 | 0.000 | 0.000 |
| 685.066 | 325.748 | 685.066 | 0.000 | 0.000 | -0.000 |
| 685.066 | 685.066 | 325.748 | 0.000 | 0.000 | -0.000 |
| 0.002 | 0.000 | 0.002 | 633.638 | 0.000 | -0.000 |
| 0.000 | 0.002 | 0.002 | -0.000 | 633.638 | -0.000 |
| 0.000 | 0.002 | 0.002 | 0.000 | 0.000 | 633.638 |
| 325.697 | 685.056 | 685.056 | 0.000 | -0.000 | 0.000 |
| 685.056 | 325.697 | 685.056 | -0.000 | -0.000 | 0.000 |
| 685.056 | 685.056 | 325.697 | -0.000 | -0.000 | 0.000 |
| -0.002 | -0.000 | -0.002 | 633.638 | -0.000 | 0.000 |
| -0.000 | -0.002 | -0.002 | -0.000 | 633.638 | 0.000 |
| -0.000 | -0.002 | -0.002 | -0.000 | -0.000 | 633.638 |
| 87.935 | 98.757 | 98.757 | -0.000 | 0.000 | 0.000 |
| 98.757 | 87.935 | 98.757 | -0.000 | -0.000 | 0.000 |
| 98.757 | 98.757 | 87.935 | 0.000 | 0.000 | -0.000 |
| -0.000 | -0.000 | -0.000 | 28.209 | 0.000 | 0.000 |
| -0.000 | -0.000 | -0.000 | 0.000 | 28.209 | 0.000 |
| -0.000 | -0.000 | -0.000 | -0.000 | 0.000 | 28.209 |
| 87.935 | 98.757 | 98.757 | -0.000 | -0.000 | -0.000 |
| 98.757 | 87.935 | 98.757 | 0.000 | -0.000 | -0.000 |
| 98.757 | 98.757 | 87.935 | 0.000 | -0.000 | -0.000 |
| 0.000 | 0.000 | 0.000 | 28.209 | -0.000 | -0.000 |
| 0.000 | 0.000 | 0.000 | 0.000 | 28.209 | -0.000 |
| 0.000 | 0.000 | 0.000 | -0.000 | 0.000 | 28.209 |
| 87.935 | 98.757 | 98.757 | -0.000 | 0.000 | 0.000 |
| 98.757 | 87.935 | 98.757 | 0.000 | 0.000 | 0.000 |
| 98.757 | 98.757 | 87.935 | -0.000 | 0.000 | 0.000 |
| -0.000 | -0.000 | -0.000 | 28.209 | 0.000 | 0.000 |
| -0.000 | -0.000 | -0.000 | -0.000 | 28.209 | 0.000 |
| -0.000 | -0.000 | -0.000 | -0.000 | 0.000 | 28.209 |
| 87.934 | 98.756 | 98.756 | 0.000 | -0.000 | -0.000 |
| 98.756 | 87.934 | 98.756 | -0.000 | -0.000 | -0.000 |
| 98.756 | 98.756 | 87.934 | 0.000 | -0.000 | -0.000 |
| 0.000 | 0.000 | 0.000 | 28.209 | -0.000 | -0.000 |
| 0.000 | 0.000 | 0.000 | 0.000 | 28.209 | -0.000 |
| 0.000 | 0.000 | 0.000 | -0.000 | -0.000 | 28.209 |
| 87.938 | 98.760 | 98.760 | -0.000 | 0.000 | 0.000 |
| 98.760 | 87.938 | 98.760 | 0.000 | 0.000 | 0.000 |
| 98.760 | 98.760 | 87.938 | -0.000 | 0.000 | 0.000 |
| -0.000 | -0.000 | -0.000 | 28.209 | 0.000 | 0.000 |
| -0.000 | -0.000 | -0.000 | -0.000 | 28.209 | 0.000 |
| -0.000 | -0.000 | -0.000 | -0.000 | 0.000 | 28.209 |
| 87.931 | 98.753 | 98.753 | -0.000 | -0.000 | -0.000 |
| 98.753 | 87.931 | 98.753 | 0.000 | -0.000 | -0.000 |
| 98.753 | 98.753 | 87.931 | 0.000 | -0.000 | -0.000 |
| 0.000 | 0.000 | 0.000 | 28.209 | -0.000 | -0.000 |
| 0.000 | 0.000 | 0.000 | 0.000 | 28.209 | -0.000 |
| 0.000 | 0.000 | 0.000 | -0.000 | -0.000 | 28.209 |
| 91.287 | 91.023 | 91.023 | -0.000 | -0.000 | -0.000 |
| 91.023 | 91.287 | 91.023 | -0.000 | -0.000 | -0.000 |
| 91.023 | 91.023 | 91.287 | -0.000 | -0.000 | -0.000 |
| -0.000 | -0.000 | -0.000 | 91.181 | -0.000 | -0.000 |
| -0.000 | -0.000 | -0.000 | -0.000 | 91.181 | -0.000 |
| -0.000 | -0.000 | -0.000 | -0.000 | -0.000 | 91.181 |
| 91.287 | 91.023 | 91.023 | 0.000 | 0.000 | 0.000 |
| 91.023 | 91.287 | 91.023 | 0.000 | 0.000 | 0.000 |
| 91.023 | 91.023 | 91.287 | 0.000 | 0.000 | 0.000 |
| 0.000 | 0.000 | 0.000 | 91.181 | 0.000 | 0.000 |
| 0.000 | 0.000 | 0.000 | 0.000 | 91.181 | 0.000 |
| 0.000 | 0.000 | 0.000 | 0.000 | 0.000 | 91.181 |
| 91.287 | 91.023 | 91.023 | -0.000 | -0.000 | -0.000 |
| 91.023 | 91.287 | 91.023 | -0.000 | -0.000 | -0.000 |
| 91.023 | 91.023 | 91.287 | -0.000 | -0.000 | -0.000 |
| -0.000 | -0.000 | -0.000 | 91.181 | -0.000 | -0.000 |
| -0.000 | -0.000 | -0.000 | -0.000 | 91.181 | -0.000 |
| -0.000 | -0.000 | -0.000 | -0.000 | -0.000 | 91.181 |
| 91.287 | 91.023 | 91.023 | 0.000 | 0.000 | 0.000 |
| 91.023 | 91.287 | 91.023 | 0.000 | 0.000 | 0.000 |
| 91.023 | 91.023 | 91.287 | 0.000 | 0.000 | 0.000 |
| 0.000 | 0.000 | 0.000 | 91.181 | 0.000 | 0.000 |
| 0.000 | 0.000 | 0.000 | 0.000 | 91.181 | 0.000 |
| 0.000 | 0.000 | 0.000 | 0.000 | 0.000 | 91.181 |
| 91.287 | 91.022 | 91.022 | -0.000 | -0.000 | -0.000 |
| 91.022 | 91.287 | 91.022 | -0.000 | -0.000 | -0.000 |
| 91.022 | 91.022 | 91.287 | -0.000 | -0.000 | -0.000 |
| -0.000 | -0.000 | -0.000 | 91.181 | -0.000 | -0.000 |
| -0.000 | -0.000 | -0.000 | -0.000 | 91.181 | -0.000 |
| -0.000 | -0.000 | -0.000 | -0.000 | -0.000 | 91.181 |
| 91.287 | 91.023 | 91.023 | 0.000 | 0.000 | 0.000 |
| 91.023 | 91.287 | 91.023 | 0.000 | 0.000 | 0.000 |
| 91.023 | 91.023 | 91.287 | 0.000 | 0.000 | 0.000 |
| 0.000 | 0.000 | 0.000 | 91.181 | 0.000 | 0.000 |
| 0.000 | 0.000 | 0.000 | 0.000 | 91.181 | 0.000 |
| 0.000 | 0.000 | 0.000 | 0.000 | 0.000 | 91.181 |
| 114.636 | 142.550 | 142.550 | 0.000 | -0.000 | 0.000 |
| 142.550 | 114.636 | 142.550 | 0.000 | 0.000 | 0.000 |
| 142.550 | 142.550 | 114.636 | 0.000 | -0.000 | 0.000 |
| 0.000 | 0.000 | 0.000 | 95.659 | -0.000 | 0.000 |
| -0.000 | 0.000 | 0.000 | -0.000 | 95.659 | 0.000 |
| -0.000 | 0.000 | 0.000 | -0.000 | -0.000 | 95.659 |
| 114.637 | 142.550 | 142.550 | -0.000 | -0.000 | -0.000 |
| 142.550 | 114.637 | 142.550 | -0.000 | 0.000 | -0.000 |
| 142.550 | 142.550 | 114.637 | 0.000 | 0.000 | -0.000 |
| -0.000 | -0.000 | -0.000 | 95.659 | 0.000 | -0.000 |
| 0.000 | -0.000 | -0.000 | -0.000 | 95.659 | -0.000 |
| 0.000 | -0.000 | 0.000 | -0.000 | 0.000 | 95.659 |
| 114.636 | 142.550 | 142.550 | 0.000 | 0.000 | 0.000 |
| 142.550 | 114.636 | 142.550 | 0.000 | 0.000 | 0.000 |
| 142.550 | 142.550 | 114.636 | -0.000 | -0.000 | 0.000 |
| 0.000 | 0.000 | 0.000 | 56.234 | -0.000 | 0.000 |
| 0.000 | 0.000 | 0.000 | 0.000 | 56.234 | 0.000 |
| 0.000 | 0.000 | 0.000 | -0.000 | -0.000 | 56.234 |
| 114.637 | 142.551 | 142.551 | 0.000 | -0.000 | -0.000 |
| 142.551 | 114.637 | 142.551 | -0.000 | -0.000 | -0.000 |
| 142.551 | 142.551 | 114.637 | 0.000 | -0.000 | -0.000 |
| -0.000 | -0.000 | -0.000 | 56.234 | 0.000 | -0.000 |
| -0.000 | -0.000 | -0.000 | 0.000 | 56.234 | -0.000 |
| -0.000 | -0.000 | -0.000 | -0.000 | -0.000 | 56.234 |
| 114.631 | 142.545 | 142.545 | 0.000 | -0.000 | 0.000 |
| 142.545 | 114.631 | 142.545 | 0.000 | -0.000 | 0.000 |
| 142.545 | 142.545 | 114.631 | 0.000 | -0.000 | 0.000 |
| 0.000 | 0.000 | 0.000 | 56.234 | 0.000 | 0.000 |
| 0.000 | 0.000 | 0.000 | 0.000 | 56.234 | 0.000 |
| 0.000 | 0.000 | 0.000 | -0.000 | -0.000 | 56.234 |
| 114.642 | 142.556 | 142.556 | 0.000 | -0.000 | -0.000 |
| 142.556 | 114.642 | 142.556 | -0.000 | 0.000 | -0.000 |
| 142.556 | 142.556 | 114.642 | 0.000 | 0.000 | -0.000 |
| -0.000 | -0.000 | -0.000 | 56.234 | 0.000 | -0.000 |
| -0.000 | -0.000 | -0.000 | 0.000 | 56.234 | -0.000 |
| -0.000 | -0.000 | -0.000 | -0.000 | 0.000 | 56.234 |
| 71.985 | 71.898 | 71.898 | 0.000 | 0.000 | 0.000 |
| 71.898 | 71.985 | 71.898 | 0.000 | 0.000 | 0.000 |
| 71.898 | 71.898 | 71.985 | 0.000 | 0.000 | 0.000 |
| 0.000 | 0.000 | 0.000 | 0.052 | 0.000 | 0.000 |
| 0.000 | 0.000 | 0.000 | 0.000 | 0.052 | 0.000 |
| 0.000 | 0.000 | 0.000 | 0.000 | 0.000 | 0.052 |
| 71.985 | 71.898 | 71.898 | -0.000 | -0.000 | -0.000 |
| 71.898 | 71.985 | 71.898 | -0.000 | -0.000 | -0.000 |
| 71.898 | 71.898 | 71.985 | -0.000 | -0.000 | -0.000 |
| -0.000 | -0.000 | -0.000 | 0.052 | -0.000 | -0.000 |
| -0.000 | -0.000 | -0.000 | -0.000 | 0.052 | -0.000 |
| -0.000 | -0.000 | -0.000 | -0.000 | -0.000 | 0.052 |
| 71.985 | 71.898 | 71.898 | 0.000 | 0.000 | 0.000 |
| 71.898 | 71.985 | 71.898 | 0.000 | 0.000 | 0.000 |
| 71.898 | 71.898 | 71.985 | 0.000 | 0.000 | 0.000 |
| -0.000 | -0.000 | -0.000 | 0.052 | 0.000 | 0.000 |
| -0.000 | -0.000 | -0.000 | 0.000 | 0.052 | 0.000 |
| -0.000 | -0.000 | -0.000 | 0.000 | 0.000 | 0.052 |
| 71.985 | 71.898 | 71.898 | -0.000 | -0.000 | -0.000 |
| 71.898 | 71.985 | 71.898 | -0.000 | -0.000 | -0.000 |
| 71.898 | 71.898 | 71.985 | -0.000 | -0.000 | -0.000 |
| 0.000 | 0.000 | 0.000 | 0.052 | -0.000 | -0.000 |
| 0.000 | 0.000 | 0.000 | -0.000 | 0.052 | -0.000 |
| 0.000 | 0.000 | 0.000 | -0.000 | -0.000 | 0.052 |
| 71.986 | 71.898 | 71.898 | 0.000 | 0.000 | 0.000 |
| 71.898 | 71.986 | 71.898 | 0.000 | 0.000 | 0.000 |
| 71.898 | 71.898 | 71.986 | 0.000 | 0.000 | 0.000 |
| -0.000 | -0.000 | -0.000 | 0.052 | 0.000 | 0.000 |
| -0.000 | -0.000 | -0.000 | 0.000 | 0.052 | 0.000 |
| -0.000 | -0.000 | -0.000 | 0.000 | 0.000 | 0.052 |
| 71.984 | 71.897 | 71.897 | -0.000 | -0.000 | -0.000 |
| 71.897 | 71.984 | 71.897 | -0.000 | -0.000 | -0.000 |
| 71.897 | 71.897 | 71.984 | -0.000 | -0.000 | -0.000 |
| 0.000 | 0.000 | 0.000 | 0.052 | -0.000 | -0.000 |
| 0.000 | 0.000 | 0.000 | -0.000 | 0.052 | -0.000 |
| 0.000 | 0.000 | 0.000 | -0.000 | -0.000 | 0.052 |
| 3.203 | 3.142 | 3.142 | -0.000 | -0.000 | -0.000 |
| 3.142 | 3.203 | 3.142 | -0.000 | -0.000 | -0.000 |
| 3.142 | 3.142 | 3.203 | -0.000 | -0.000 | -0.000 |
| -0.000 | -0.000 | -0.000 | 0.048 | -0.000 | -0.000 |
| -0.000 | -0.000 | -0.000 | -0.000 | 0.048 | -0.000 |
| -0.000 | -0.000 | -0.000 | -0.000 | -0.000 | 0.048 |
| 3.203 | 3.142 | 3.142 | 0.000 | 0.000 | 0.000 |
| 3.142 | 3.203 | 3.142 | 0.000 | 0.000 | 0.000 |
| 3.142 | 3.142 | 3.203 | 0.000 | 0.000 | 0.000 |
| 0.000 | 0.000 | 0.000 | 0.048 | 0.000 | 0.000 |
| 0.000 | 0.000 | 0.000 | 0.000 | 0.048 | 0.000 |
| 0.000 | 0.000 | 0.000 | 0.000 | 0.000 | 0.048 |
| 3.203 | 3.142 | 3.142 | -0.000 | -0.000 | -0.000 |
| 3.142 | 3.203 | 3.142 | -0.000 | -0.000 | -0.000 |
| 3.142 | 3.142 | 3.203 | -0.000 | -0.000 | -0.000 |
| -0.000 | -0.000 | -0.000 | 0.048 | -0.000 | -0.000 |
| -0.000 | -0.000 | -0.000 | -0.000 | 0.048 | -0.000 |
| -0.000 | -0.000 | -0.000 | -0.000 | -0.000 | 0.048 |
| 3.203 | 3.142 | 3.142 | 0.000 | 0.000 | 0.000 |
| 3.142 | 3.203 | 3.142 | 0.000 | 0.000 | 0.000 |
| 3.142 | 3.142 | 3.203 | 0.000 | 0.000 | 0.000 |
| 0.000 | 0.000 | 0.000 | 0.048 | 0.000 | 0.000 |
| 0.000 | 0.000 | 0.000 | 0.000 | 0.048 | 0.000 |
| 0.000 | 0.000 | 0.000 | 0.000 | 0.000 | 0.048 |
| 3.203 | 3.142 | 3.142 | -0.000 | -0.000 | -0.000 |
| 3.142 | 3.203 | 3.142 | -0.000 | -0.000 | -0.000 |
| 3.142 | 3.142 | 3.203 | -0.000 | -0.000 | -0.000 |
| -0.000 | -0.000 | -0.000 | 0.048 | -0.000 | -0.000 |
| -0.000 | -0.000 | -0.000 | -0.000 | 0.048 | -0.000 |
| -0.000 | -0.000 | -0.000 | -0.000 | -0.000 | 0.048 |
| 3.203 | 3.142 | 3.142 | 0.000 | 0.000 | 0.000 |
| 3.142 | 3.203 | 3.142 | 0.000 | 0.000 | 0.000 |
| 3.142 | 3.142 | 3.203 | 0.000 | 0.000 | 0.000 |
| 0.000 | 0.000 | 0.000 | 0.048 | 0.000 | 0.000 |
| 0.000 | 0.000 | 0.000 | 0.000 | 0.048 | 0.000 |
| 0.000 | 0.000 | 0.000 | 0.000 | 0.000 | 0.048 |
| 4.894 | 4.860 | 4.860 | -0.000 | -0.000 | -0.000 |
| 4.860 | 4.894 | 4.860 | -0.000 | -0.000 | -0.000 |
| 4.860 | 4.860 | 4.894 | -0.000 | -0.000 | -0.000 |
| -0.000 | -0.000 | -0.000 | 0.028 | -0.000 | -0.000 |
| -0.000 | -0.000 | -0.000 | -0.000 | 0.028 | -0.000 |
| -0.000 | -0.000 | -0.000 | -0.000 | -0.000 | 0.028 |
| 4.894 | 4.860 | 4.860 | 0.000 | 0.000 | 0.000 |
| 4.860 | 4.894 | 4.860 | 0.000 | 0.000 | 0.000 |
| 4.860 | 4.860 | 4.894 | 0.000 | 0.000 | 0.000 |
| 0.000 | 0.000 | 0.000 | 0.028 | 0.000 | 0.000 |
| 0.000 | 0.000 | 0.000 | 0.000 | 0.028 | 0.000 |
| 0.000 | 0.000 | 0.000 | 0.000 | 0.000 | 0.028 |
| 4.894 | 4.860 | 4.860 | -0.000 | -0.000 | -0.000 |
| 4.860 | 4.894 | 4.860 | -0.000 | -0.000 | -0.000 |
| 4.860 | 4.860 | 4.894 | -0.000 | -0.000 | -0.000 |
| -0.000 | -0.000 | -0.000 | 0.028 | -0.000 | -0.000 |
| -0.000 | -0.000 | -0.000 | -0.000 | 0.028 | -0.000 |
| -0.000 | -0.000 | -0.000 | -0.000 | -0.000 | 0.028 |
| 4.894 | 4.860 | 4.860 | 0.000 | 0.000 | 0.000 |
| 4.860 | 4.894 | 4.860 | 0.000 | 0.000 | 0.000 |
| 4.860 | 4.860 | 4.894 | 0.000 | 0.000 | 0.000 |
| 0.000 | 0.000 | 0.000 | 0.028 | 0.000 | 0.000 |
| 0.000 | 0.000 | 0.000 | 0.000 | 0.028 | 0.000 |
| 0.000 | 0.000 | 0.000 | 0.000 | 0.000 | 0.028 |
| 4.894 | 4.860 | 4.860 | -0.000 | -0.000 | -0.000 |
| 4.860 | 4.894 | 4.860 | -0.000 | -0.000 | -0.000 |
| 4.860 | 4.860 | 4.894 | -0.000 | -0.000 | -0.000 |
| -0.000 | -0.000 | -0.000 | 0.028 | -0.000 | -0.000 |
| -0.000 | -0.000 | -0.000 | -0.000 | 0.028 | -0.000 |
| -0.000 | -0.000 | -0.000 | -0.000 | -0.000 | 0.028 |
| 4.894 | 4.860 | 4.860 | 0.000 | 0.000 | 0.000 |
| 4.860 | 4.894 | 4.860 | 0.000 | 0.000 | 0.000 |
| 4.860 | 4.860 | 4.894 | 0.000 | 0.000 | 0.000 |
| 0.000 | 0.000 | 0.000 | 0.028 | 0.000 | 0.000 |
| 0.000 | 0.000 | 0.000 | 0.000 | 0.028 | 0.000 |
| 0.000 | 0.000 | 0.000 | 0.000 | 0.000 | 0.028 |
| 460.336 | 133.197 | 288.013 | -0.000 | -0.000 | 0.000 |
| 133.197 | 460.336 | 288.013 | 0.000 | -0.000 | -0.000 |
| 288.013 | 288.013 | 509.184 | -0.000 | 0.000 | -0.000 |
| 0.000 | -0.000 | 0.000 | 32.497 | -0.000 | -0.000 |
| 0.000 | 0.000 | 0.000 | 0.000 | 32.497 | 0.000 |
| 0.000 | -0.000 | -0.000 | -0.000 | -0.000 | -69.610 |
| 460.336 | 133.197 | 288.013 | 0.000 | 0.000 | -0.000 |
| 133.197 | 460.336 | 288.013 | 0.000 | 0.000 | -0.000 |
| 288.013 | 288.013 | 509.184 | -0.000 | 0.000 | 0.000 |
| -0.000 | 0.000 | -0.000 | 32.497 | -0.000 | -0.000 |
| -0.000 | -0.000 | -0.000 | -0.000 | 32.497 | -0.000 |
| -0.000 | 0.000 | 0.000 | 0.000 | -0.000 | -69.610 |
| 460.336 | 133.197 | 288.013 | -0.000 | -0.000 | 0.000 |
| 133.197 | 460.336 | 288.013 | -0.000 | -0.000 | -0.000 |
| 288.013 | 288.013 | 509.184 | -0.000 | -0.000 | -0.000 |
| 0.000 | -0.000 | 0.000 | 32.497 | 0.000 | 0.000 |
| -0.000 | 0.000 | 0.000 | -0.000 | 32.497 | -0.000 |
| -0.000 | -0.000 | 0.000 | -0.000 | -0.000 | -69.610 |
| 460.336 | 133.197 | 288.013 | 0.000 | -0.000 | -0.000 |
| 133.197 | 460.336 | 288.013 | 0.000 | 0.000 | 0.000 |
| 288.013 | 288.013 | 509.184 | 0.000 | 0.000 | -0.000 |
| -0.000 | 0.000 | -0.000 | 32.497 | -0.000 | 0.000 |
| 0.000 | -0.000 | -0.000 | -0.000 | 32.497 | -0.000 |
| 0.000 | 0.000 | -0.000 | 0.000 | 0.000 | -69.610 |
| 460.335 | 133.198 | 288.015 | -0.000 | -0.000 | 0.000 |
| 133.198 | 460.335 | 288.015 | -0.000 | 0.000 | -0.000 |
| 288.014 | 288.014 | 509.186 | -0.000 | -0.000 | -0.000 |
| 0.000 | -0.000 | 0.000 | 32.497 | -0.000 | 0.000 |
| -0.000 | 0.000 | 0.000 | 0.000 | 32.497 | 0.000 |
| -0.000 | -0.000 | 0.000 | -0.000 | -0.000 | -69.610 |
| 460.336 | 133.195 | 288.011 | 0.000 | 0.000 | -0.000 |
| 133.195 | 460.336 | 288.011 | -0.000 | -0.000 | -0.000 |
| 288.012 | 288.012 | 509.182 | 0.000 | 0.000 | -0.000 |
| -0.000 | 0.000 | -0.000 | 32.497 | 0.000 | 0.000 |
| 0.000 | -0.000 | -0.000 | 0.000 | 32.497 | -0.000 |
| 0.000 | 0.000 | -0.000 | 0.000 | 0.000 | -69.610 |
| 30.031 | 13.136 | 22.235 | 0.000 | -0.000 | -0.000 |
| 13.136 | 30.031 | 22.235 | -0.000 | 0.000 | -0.000 |
| 22.235 | 22.235 | 39.951 | 0.000 | 0.000 | 0.000 |
| 0.000 | 0.000 | 0.000 | 22.760 | 0.000 | 0.000 |
| 0.000 | 0.000 | 0.000 | 0.000 | 22.760 | 0.000 |
| 0.000 | 0.000 | 0.000 | 0.000 | 0.000 | 13.417 |
| 30.031 | 13.136 | 22.235 | -0.000 | 0.000 | 0.000 |
| 13.136 | 30.031 | 22.235 | 0.000 | -0.000 | 0.000 |
| 22.235 | 22.235 | 39.951 | -0.000 | -0.000 | 0.000 |
| -0.000 | -0.000 | -0.000 | 22.760 | -0.000 | 0.000 |
| -0.000 | -0.000 | -0.000 | -0.000 | 22.760 | 0.000 |
| -0.000 | -0.000 | -0.000 | -0.000 | -0.000 | 13.417 |
| 30.031 | 13.136 | 22.235 | 0.000 | 0.000 | -0.000 |
| 13.136 | 30.031 | 22.235 | 0.000 | 0.000 | -0.000 |
| 22.235 | 22.235 | 39.951 | 0.000 | 0.000 | 0.000 |
| 0.000 | 0.000 | 0.000 | 22.760 | 0.000 | -0.000 |
| 0.000 | 0.000 | 0.000 | 0.000 | 22.760 | -0.000 |
| 0.000 | 0.000 | 0.000 | 0.000 | 0.000 | 13.417 |
| 30.031 | 13.136 | 22.235 | -0.000 | -0.000 | -0.000 |
| 13.136 | 30.031 | 22.235 | -0.000 | -0.000 | 0.000 |
| 22.235 | 22.235 | 39.951 | -0.000 | -0.000 | 0.000 |
| -0.000 | -0.000 | -0.000 | 22.760 | -0.000 | 0.000 |
| -0.000 | -0.000 | -0.000 | -0.000 | 22.760 | -0.000 |
| -0.000 | -0.000 | -0.000 | -0.000 | -0.000 | 13.417 |
| 30.031 | 13.136 | 22.235 | 0.000 | 0.000 | -0.000 |
| 13.136 | 30.031 | 22.235 | 0.000 | 0.000 | -0.000 |
| 22.235 | 22.235 | 39.951 | 0.000 | 0.000 | -0.000 |
| 0.000 | 0.000 | 0.000 | 22.760 | 0.000 | -0.000 |
| 0.000 | 0.000 | 0.000 | 0.000 | 22.760 | -0.000 |
| 0.000 | 0.000 | 0.000 | 0.000 | 0.000 | 13.417 |
| 30.031 | 13.136 | 22.235 | -0.000 | 0.000 | 0.000 |
| 13.136 | 30.031 | 22.235 | 0.000 | -0.000 | 0.000 |
| 22.235 | 22.235 | 39.951 | -0.000 | -0.000 | -0.000 |
| -0.000 | -0.000 | -0.000 | 22.760 | -0.000 | 0.000 |
| -0.000 | -0.000 | -0.000 | -0.000 | 22.760 | 0.000 |
| -0.000 | -0.000 | -0.000 | -0.000 | -0.000 | 13.417 |
| -12.214 | -1.275 | -1.181 | -0.000 | -0.000 | 0.000 |
| -1.275 | -12.214 | -1.181 | -0.000 | -0.000 | 0.000 |
| -1.181 | -1.181 | -45.113 | 0.000 | 0.000 | 0.000 |
| 0.000 | 0.000 | 0.000 | -1.676 | 0.000 | 0.000 |
| 0.000 | 0.000 | 0.000 | 0.000 | -1.676 | -0.000 |
| 0.000 | 0.000 | 0.000 | 0.000 | -0.000 | -1.126 |
| -12.214 | -1.275 | -1.181 | -0.000 | -0.000 | 0.000 |
| -1.275 | -12.214 | -1.181 | -0.000 | -0.000 | 0.000 |
| -1.181 | -1.181 | -45.113 | -0.000 | -0.000 | -0.000 |
| -0.000 | -0.000 | -0.000 | -1.676 | -0.000 | 0.000 |
| -0.000 | -0.000 | -0.000 | -0.000 | -1.676 | 0.000 |
| -0.000 | -0.000 | -0.000 | -0.000 | 0.000 | -1.126 |
| -12.214 | -1.275 | -1.181 | -0.000 | -0.000 | 0.000 |
| -1.275 | -12.214 | -1.181 | -0.000 | -0.000 | 0.000 |
| -1.181 | -1.181 | -45.114 | 0.000 | 0.000 | 0.000 |
| 0.000 | 0.000 | 0.000 | -1.676 | 0.000 | -0.000 |
| 0.000 | 0.000 | 0.000 | 0.000 | -1.676 | 0.000 |
| 0.000 | 0.000 | -0.000 | -0.000 | -0.000 | -1.126 |
| -12.214 | -1.275 | -1.181 | 0.000 | 0.000 | -0.000 |
| -1.275 | -12.214 | -1.181 | 0.000 | 0.000 | -0.000 |
| -1.181 | -1.181 | -45.113 | -0.000 | -0.000 | -0.000 |
| -0.000 | -0.000 | -0.000 | -1.676 | 0.000 | 0.000 |
| -0.000 | -0.000 | -0.000 | 0.000 | -1.676 | -0.000 |
| -0.000 | -0.000 | 0.000 | 0.000 | 0.000 | -1.126 |
| -12.213 | -1.275 | -1.181 | 0.000 | 0.000 | -0.000 |
| -1.275 | -12.213 | -1.181 | 0.000 | 0.000 | 0.000 |
| -1.181 | -1.181 | -45.115 | 0.000 | 0.000 | -0.000 |
| 0.000 | 0.000 | 0.000 | -1.676 | 0.000 | 0.000 |
| 0.000 | 0.000 | 0.000 | 0.000 | -1.676 | 0.000 |
| 0.000 | 0.000 | -0.000 | -0.000 | -0.000 | -1.126 |
| -12.214 | -1.275 | -1.181 | -0.000 | -0.000 | 0.000 |
| -1.275 | -12.214 | -1.181 | -0.000 | -0.000 | -0.000 |
| -1.181 | -1.181 | -45.112 | 0.000 | -0.000 | -0.000 |
| -0.000 | -0.000 | -0.000 | -1.676 | -0.000 | -0.000 |
| -0.000 | -0.000 | -0.000 | -0.000 | -1.676 | 0.000 |
| -0.000 | -0.000 | 0.000 | -0.000 | 0.000 | -1.126 |
| -106190.949 | 71030.772 | -162840.923 | 0.000 | -36298.178 | -0.000 |
| 178.998 | 348.896 | 139.275 | 0.000 | -0.098 | -0.000 |
| -106331.247 | 70973.294 | -162672.748 | 0.000 | -36292.526 | -0.000 |
| -138.059 | 179.425 | -272.673 | 40.949 | 36.616 | -9.682 |
| -92115.516 | 120452.169 | -185194.631 | 0.000 | 24114.698 | -0.000 |
| 39.099 | -14.581 | -62.148 | 45.128 | -12.550 | 31.371 |
| 92464.157 | -120281.519 | 185394.318 | 0.000 | -23989.718 | 0.000 |
| 106731.461 | -70467.373 | 163185.647 | -0.000 | 36299.408 | -0.000 |
| 228.894 | 163.842 | 364.769 | -0.000 | 3.174 | 0.000 |
| 138.059 | -179.425 | 272.673 | 40.949 | -36.616 | -9.682 |
| 92164.571 | -120440.911 | 185139.936 | 0.000 | -23936.016 | 0.000 |
| -39.099 | 14.581 | 62.148 | 45.128 | 12.550 | 31.371 |
| 343.771 | 225.488 | 201.046 | 0.000 | 10.543 | -0.000 |
| -9082.663 | 12338.195 | -18372.159 | -0.000 | 2402.777 | -0.000 |
| 221.643 | 171.634 | 356.706 | 0.000 | 5.190 | -0.000 |
| 12.043 | -3.309 | -23.759 | 24.560 | -3.978 | -5.850 |
| -9221.883 | 12060.736 | -18574.722 | 0.000 | 2468.869 | -0.000 |
| -57.473 | 77.345 | -124.686 | -1.959 | 14.551 | 42.393 |
| 11057.694 | -6852.113 | 16533.949 | -0.000 | 3643.746 | 0.000 |
| 10900.748 | -6724.880 | 16472.809 | -0.000 | 3632.634 | 0.000 |
| 9434.256 | -11875.809 | 18847.743 | -0.000 | -2408.804 | 0.000 |
| -12.043 | 3.309 | 23.759 | 24.560 | 3.978 | -5.850 |
| 18.762 | -19.413 | 17.993 | -0.000 | 100.818 | 0.000 |
| 57.473 | -77.345 | 124.686 | -1.959 | -14.551 | 42.393 |
| 343.938 | 224.002 | 201.819 | 0.000 | 10.342 | -0.000 |
| 184.638 | 341.838 | 146.098 | 0.000 | -1.726 | -0.000 |
| -158191.377 | -107554.577 | -47581.140 | 0.000 | 85373.016 | -0.000 |
| -25.747 | 33.156 | -51.616 | 39.996 | 5.891 | -10.715 |
| -945.102 | 1231.219 | -1938.931 | -0.000 | 291.882 | -0.000 |
| -72.095 | 94.268 | -248.750 | 84.914 | -47.674 | 88.858 |
| 2072.855 | -270.246 | 2032.187 | -0.000 | 338.162 | 0.000 |
| 1101.857 | -939.933 | 2072.996 | 0.000 | -205.453 | 0.000 |
| 1306.375 | -538.868 | 1994.112 | -0.000 | 364.135 | 0.000 |
| 25.747 | -33.156 | 51.616 | 39.996 | -5.891 | -10.715 |
| 18.110 | -18.605 | 17.070 | -0.000 | 100.867 | 0.000 |
| 72.095 | -94.268 | 248.750 | 84.914 | 47.674 | 88.858 |
| -14985760.932 | -9893940.638 | -4236208.214 | 0.000 | 7967944.753 | 0.000 |
| 204.140 | 398.219 | 184.008 | 0.000 | 5.001 | 0.000 |
| 234.287 | 183.838 | 384.554 | 0.000 | 9.425 | -0.000 |
| 1.361 | -0.766 | -0.553 | 49.822 | -0.637 | -9.110 |
| 12.784 | -1.205 | 5.737 | -0.000 | 106.561 | -0.000 |
| 1.527 | -0.115 | -0.510 | -4.824 | -0.756 | 44.601 |
| 14986474.261 | 9894363.782 | 4236686.477 | -0.000 | -7967913.880 | -0.000 |
| 202.396 | 398.561 | 184.622 | -0.000 | 5.853 | -0.000 |
| 233.890 | 183.695 | 384.661 | -0.000 | 9.631 | 0.000 |
| -1.361 | 0.766 | 0.553 | 49.822 | 0.637 | -9.110 |
| 9.893 | -0.186 | 6.821 | 0.000 | 107.947 | 0.000 |
| -1.527 | 0.115 | 0.510 | -4.824 | 0.756 | 44.601 |
| -1498254.474 | -989203.104 | -423405.740 | 0.000 | 796808.027 | -0.000 |
| 203.016 | 399.318 | 184.535 | -0.000 | 5.502 | -0.000 |
| 234.186 | 183.970 | 384.605 | -0.000 | 9.468 | 0.000 |
| 0.381 | 0.123 | -0.105 | 49.649 | -0.197 | -9.146 |
| -1498598.338 | -989413.771 | -423637.678 | 0.000 | 796898.999 | -0.000 |
| 0.623 | 0.402 | -0.141 | -4.299 | -0.333 | 44.707 |
| 1498968.245 | 989626.347 | 423883.830 | -0.000 | -796777.383 | -0.000 |
| 202.534 | 398.680 | 184.595 | -0.000 | 5.777 | -0.000 |
| 233.799 | 183.808 | 384.707 | -0.000 | 9.670 | -0.000 |
| -0.381 | -0.123 | 0.105 | 49.649 | 0.197 | -9.146 |
| 1498624.829 | 989416.068 | 423651.794 | -0.000 | -796686.657 | 0.000 |
| -0.623 | -0.402 | 0.141 | -4.299 | 0.333 | 44.707 |
| 361.715 | 215.268 | 240.334 | 0.000 | 12.651 | 0.000 |
| 202.907 | 399.170 | 184.556 | 0.000 | 5.563 | 0.000 |
| 234.121 | 184.060 | 384.631 | 0.000 | 9.493 | 0.000 |
| 0.328 | 0.362 | -0.051 | 49.526 | -0.184 | -9.177 |
| 11.233 | -0.171 | 6.388 | 0.000 | 107.276 | -0.000 |
| 0.618 | 0.758 | -0.083 | -4.307 | -0.353 | 44.707 |
| 361.067 | 214.455 | 240.425 | 0.000 | 13.022 | -0.000 |
| 202.248 | 398.335 | 184.634 | -0.000 | 5.935 | 0.000 |
| 233.811 | 183.668 | 384.670 | -0.000 | 9.667 | -0.000 |
| -0.328 | -0.362 | 0.051 | 49.526 | 0.184 | -9.177 |
| 10.834 | -0.661 | 6.441 | -0.000 | 107.497 | -0.000 |
| -0.618 | -0.758 | 0.083 | -4.307 | 0.353 | 44.707 |
| 434.058 | 243.783 | 237.364 | -0.000 | 0.000 | -0.000 |
| 237.127 | 388.371 | 188.053 | 0.000 | 0.000 | 0.000 |
| 231.493 | 188.839 | 183.275 | 0.000 | 0.000 | -0.000 |
| 0.000 | 0.000 | 0.000 | 61.871 | -0.000 | 0.000 |
| 1238.391 | 311.223 | 1074.205 | 0.000 | -13.919 | -0.000 |
| 0.000 | 0.000 | 0.000 | 0.000 | 0.000 | 66.549 |
| 434.058 | 243.783 | 237.364 | 0.000 | 0.000 | -0.000 |
| 237.127 | 388.371 | 188.053 | 0.000 | -0.000 | 0.000 |
| -168.852 | 140.872 | -1196.085 | -0.000 | 0.000 | 0.000 |
| -0.000 | -0.000 | -0.000 | 61.871 | -0.000 | 0.000 |
| -1238.391 | -311.223 | -1074.205 | -0.000 | -13.919 | 0.000 |
| -0.000 | -0.000 | -0.000 | -0.000 | 0.000 | 66.549 |
| 432.762 | 241.228 | 279.942 | 0.000 | 0.000 | 0.000 |
| 237.127 | 388.371 | 188.053 | 0.000 | -0.000 | 0.000 |
| 270.549 | 196.240 | 264.472 | 0.000 | -0.000 | -0.000 |
| 31.494 | 6.614 | 52.810 | 61.871 | -0.000 | 0.000 |
| 124.077 | 31.182 | 107.627 | 0.000 | -14.008 | -0.000 |
| 0.000 | 0.000 | 0.000 | 0.000 | -0.000 | 66.549 |
| 434.058 | 243.783 | 237.364 | -0.000 | 0.000 | 0.000 |
| 237.127 | 388.371 | 188.053 | -0.000 | 0.000 | -0.000 |
| 121.070 | 163.518 | 39.860 | -0.000 | 0.000 | 0.000 |
| -0.000 | 0.000 | -0.000 | 61.871 | 0.000 | 0.000 |
| -124.077 | -31.182 | -107.627 | -0.000 | -14.008 | 0.000 |
| -0.000 | -0.000 | -0.000 | -0.000 | 0.000 | 66.549 |
| 401.086 | 234.716 | 224.055 | 0.000 | -0.000 | -0.000 |
| 237.126 | 388.370 | 188.053 | 0.000 | 0.000 | 0.000 |
| 221.271 | 187.271 | 154.757 | 0.000 | 0.000 | -0.000 |
| 0.000 | -0.000 | 0.000 | 61.871 | 0.000 | 0.000 |
| 0.000 | -0.000 | -0.000 | 0.000 | 32.007 | 0.000 |
| 0.000 | 0.000 | 0.000 | -0.000 | -0.000 | 66.549 |
| 396.198 | 233.645 | 216.778 | -0.000 | 0.000 | 0.000 |
| 223.386 | 384.395 | 186.377 | -0.000 | 0.000 | 0.000 |
| 221.013 | 187.653 | 145.814 | -0.000 | -0.000 | 0.000 |
| -0.000 | 0.000 | -0.000 | 61.871 | 0.000 | 0.000 |
| -0.000 | 0.000 | 0.000 | 0.000 | 32.007 | 0.000 |
| -0.000 | -0.000 | -0.000 | 0.000 | 0.000 | 66.549 |
| 1390.158 | 1290.655 | 622.045 | -0.000 | 0.000 | 0.000 |
| 57.050 | 162.199 | 66.482 | -0.000 | -0.000 | 0.000 |
| 62.238 | 62.238 | 127.812 | -0.000 | 0.000 | 0.000 |
| 0.000 | 0.000 | 0.000 | 15.031 | -0.000 | -0.000 |
| 1303.042 | 1303.042 | 588.181 | -0.000 | -3.974 | -0.000 |
| 1303.069 | 1303.069 | 588.194 | -0.000 | 0.000 | 49.752 |
| 162.199 | 57.050 | 66.482 | 0.000 | -0.000 | 0.000 |
| 57.050 | 162.199 | 66.482 | 0.000 | -0.000 | 0.000 |
| 62.238 | 62.238 | 127.812 | 0.000 | -0.000 | 0.000 |
| 0.000 | 0.000 | -0.000 | 15.031 | 0.000 | 0.000 |
| -1303.042 | -1303.042 | -588.181 | 0.000 | -3.974 | 0.000 |
| -1303.069 | -1303.069 | -588.194 | 0.000 | 0.000 | 49.752 |
| 162.199 | 57.050 | 66.482 | -0.000 | -0.000 | -0.000 |
| 120.323 | 219.597 | 93.717 | -0.000 | 0.000 | -0.000 |
| 62.238 | 62.238 | 127.812 | -0.000 | 0.000 | -0.000 |
| 0.000 | 0.000 | 0.000 | 15.031 | 0.000 | -0.000 |
| 130.299 | 130.299 | 58.816 | -0.000 | -3.974 | -0.000 |
| -0.000 | -0.000 | 0.000 | -0.000 | 0.000 | 52.575 |
| -43.932 | -143.416 | -25.286 | 0.000 | -0.000 | 0.000 |
| -143.435 | -43.951 | -25.294 | 0.000 | -0.000 | 0.000 |
| 62.238 | 62.238 | 127.812 | 0.000 | -0.000 | 0.000 |
| -0.000 | -0.000 | -0.000 | 15.031 | -0.000 | 0.000 |
| -130.299 | -130.299 | -58.816 | 0.000 | -3.974 | -0.000 |
| 0.000 | 0.000 | -0.000 | 0.000 | -0.000 | 52.575 |
| 94.022 | 6.642 | 39.718 | -0.000 | -0.000 | -0.000 |
| 6.681 | 94.059 | 39.735 | -0.000 | 0.000 | 0.000 |
| 62.238 | 62.238 | 127.813 | -0.000 | -0.000 | 0.000 |
| 13.029 | 13.029 | 5.881 | -3.974 | 0.000 | -0.000 |
| 13.029 | 13.029 | 5.881 | -0.000 | -3.974 | -0.000 |
| 13.034 | 13.034 | 5.883 | -0.000 | 0.000 | 43.687 |
| 67.975 | -19.407 | 27.959 | 0.000 | 0.000 | 0.000 |
| -27.033 | 72.365 | 27.229 | 0.000 | -0.000 | 0.000 |
| 16.565 | 16.565 | 107.195 | 0.000 | -0.000 | 0.000 |
| -13.029 | -13.029 | -5.881 | -3.974 | -0.000 | 0.000 |
| -13.029 | -13.029 | -5.881 | 0.000 | -3.974 | 0.000 |
| -13.034 | -13.034 | -5.883 | 0.000 | -0.000 | 43.687 |
| 174.913 | 64.035 | 191.085 | 0.000 | -0.000 | 0.000 |
| 84.464 | 230.665 | 63.687 | 0.000 | -0.000 | 0.000 |
| 92.638 | 92.638 | 206.033 | -0.000 | -0.000 | 0.000 |
| 0.000 | 0.000 | 0.000 | 31.261 | 0.000 | 0.000 |
| 0.000 | 0.000 | 0.000 | 0.000 | 31.261 | 0.000 |
| 0.000 | 0.000 | 0.000 | 0.000 | -0.000 | 73.100 |
| 197.917 | 136.508 | 31.421 | -0.000 | 0.000 | -0.000 |
| 134.708 | 187.517 | 51.822 | 0.000 | 0.000 | -0.000 |
| 60.817 | 60.817 | 312.462 | -0.000 | 0.000 | -0.000 |
| -0.000 | -0.000 | -0.000 | 31.261 | -0.000 | -0.000 |
| -0.000 | -0.000 | -0.000 | -0.000 | 31.261 | -0.000 |
| -0.000 | -0.000 | -0.000 | -0.000 | 0.000 | 73.100 |
| 184.108 | 82.591 | 144.676 | 0.000 | 0.000 | 0.000 |
| 114.207 | 167.016 | 120.388 | 0.000 | -0.000 | 0.000 |
| 60.816 | 60.816 | 312.461 | 0.000 | -0.000 | 0.000 |
| 0.000 | 0.000 | 0.000 | 31.261 | -0.000 | 0.000 |
| -2.208 | -2.208 | 7.386 | -0.000 | 31.159 | 0.000 |
| -0.000 | -0.000 | -0.000 | 0.000 | -0.000 | 73.100 |
| 183.958 | 88.378 | 135.253 | 0.000 | -0.000 | -0.000 |
| 117.938 | 170.747 | 107.911 | -0.000 | -0.000 | -0.000 |
| 113.162 | 113.162 | 137.396 | 0.000 | 0.000 | -0.000 |
| -0.000 | -0.000 | -0.000 | 31.261 | 0.000 | -0.000 |
| 2.208 | 2.208 | -7.386 | 0.000 | 31.159 | -0.000 |
| 0.000 | 0.000 | 0.000 | -0.000 | 0.000 | 73.100 |
| 184.211 | 85.014 | 140.440 | -0.000 | -0.000 | 0.000 |
| 84.462 | 230.663 | 63.683 | 0.000 | 0.000 | 0.000 |
| 111.103 | 111.103 | 144.232 | 0.000 | -0.000 | 0.000 |
| 0.000 | 0.000 | 0.000 | 31.261 | -0.000 | 0.000 |
| 0.000 | 0.000 | 0.000 | 0.000 | 31.261 | 0.000 |
| -0.000 | -0.000 | -0.000 | 0.000 | -0.000 | 73.100 |
| 169.070 | 116.260 | 113.534 | -0.000 | 0.000 | -0.000 |
| 116.262 | 169.069 | 113.532 | 0.000 | 0.000 | -0.000 |
| 111.475 | 111.475 | 143.078 | 0.000 | 0.000 | -0.000 |
| -0.000 | -0.000 | -0.000 | 31.261 | 0.000 | -0.000 |
| -0.000 | -0.000 | -0.000 | -0.000 | 31.261 | -0.000 |
| 0.000 | 0.000 | 0.000 | -0.000 | 0.000 | 73.100 |
| 227.346 | 92.422 | 92.422 | -0.000 | 0.000 | 0.000 |
| 92.422 | 227.346 | 92.422 | -0.000 | 0.000 | 0.000 |
| 92.422 | 92.422 | 227.346 | 0.000 | 0.000 | 0.000 |
| -0.000 | -0.000 | -0.000 | 21.367 | 0.000 | 0.000 |
| -0.000 | -0.000 | -0.000 | -0.000 | 21.367 | 0.000 |
| -0.000 | -0.000 | -0.000 | -0.000 | 0.000 | 21.367 |
| 227.346 | 92.422 | 92.422 | 0.000 | 0.000 | -0.000 |
| 92.422 | 227.346 | 92.422 | 0.000 | 0.000 | -0.000 |
| 92.422 | 92.422 | 227.346 | 0.000 | -0.000 | -0.000 |
| 0.000 | 0.000 | 0.000 | 21.367 | -0.000 | -0.000 |
| 0.000 | 0.000 | 0.000 | 0.000 | 21.367 | -0.000 |
| 0.000 | 0.000 | 0.000 | 0.000 | 0.000 | 21.367 |
| 227.346 | 92.422 | 92.422 | -0.000 | -0.000 | 0.000 |
| 92.422 | 227.346 | 92.422 | -0.000 | 0.000 | 0.000 |
| 92.422 | 92.422 | 227.346 | -0.000 | -0.000 | 0.000 |
| -0.000 | -0.000 | -0.000 | 19.756 | 0.000 | 0.000 |
| -0.000 | -0.000 | -0.000 | -0.000 | 19.756 | 0.000 |
| -0.000 | -0.000 | -0.000 | -0.000 | 0.000 | 19.756 |
| 227.346 | 92.422 | 92.422 | 0.000 | 0.000 | -0.000 |
| 92.422 | 227.346 | 92.422 | 0.000 | 0.000 | -0.000 |
| 92.422 | 92.422 | 227.346 | -0.000 | -0.000 | -0.000 |
| 0.000 | 0.000 | 0.000 | 19.756 | -0.000 | -0.000 |
| 0.000 | 0.000 | 0.000 | 0.000 | 19.756 | -0.000 |
| 0.000 | 0.000 | 0.000 | 0.000 | 0.000 | 19.756 |
| 227.348 | 92.422 | 92.422 | 0.000 | 0.000 | 0.000 |
| 92.422 | 227.348 | 92.422 | -0.000 | 0.000 | 0.000 |
| 92.422 | 92.422 | 227.348 | 0.000 | 0.000 | 0.000 |
| -0.000 | -0.000 | -0.000 | 21.367 | -0.000 | 0.000 |
| -0.000 | -0.000 | -0.000 | -0.000 | 21.367 | 0.000 |
| -0.000 | -0.000 | -0.000 | -0.000 | 0.000 | 21.367 |
| 227.344 | 92.422 | 92.422 | 0.000 | -0.000 | -0.000 |
| 92.422 | 227.344 | 92.422 | 0.000 | -0.000 | -0.000 |
| 92.422 | 92.422 | 227.344 | -0.000 | -0.000 | -0.000 |
| 0.000 | 0.000 | 0.000 | 21.367 | 0.000 | -0.000 |
| 0.000 | 0.000 | 0.000 | -0.000 | 21.367 | -0.000 |
| 0.000 | 0.000 | 0.000 | 0.000 | 0.000 | 21.367 |
| 853.225 | 841.260 | 841.260 | -0.000 | -0.000 | -0.000 |
| 841.260 | 853.225 | 841.260 | -0.000 | -0.000 | -0.000 |
| 841.260 | 841.260 | 853.225 | -0.000 | -0.000 | -0.000 |
| 0.000 | -0.000 | 0.000 | 67.688 | 0.000 | -0.000 |
| -0.000 | 0.000 | -0.000 | -0.000 | 67.688 | -0.000 |
| -0.000 | -0.000 | 0.000 | -0.000 | -0.000 | 67.688 |
| 853.225 | 841.260 | 841.260 | 0.000 | 0.000 | 0.000 |
| 841.260 | 853.225 | 841.260 | 0.000 | 0.000 | -0.000 |
| 841.260 | 841.260 | 853.225 | -0.000 | -0.000 | 0.000 |
| -0.000 | 0.000 | 0.000 | 67.688 | 0.000 | 0.000 |
| 0.000 | -0.000 | -0.000 | 0.000 | 67.688 | 0.000 |
| 0.000 | 0.000 | -0.000 | 0.000 | 0.000 | 67.688 |
| 853.226 | 841.260 | 841.260 | -0.000 | 0.000 | 0.000 |
| 841.260 | 853.226 | 841.260 | 0.000 | 0.000 | -0.000 |
| 841.260 | 841.260 | 853.226 | -0.000 | 0.000 | -0.000 |
| 0.000 | -0.000 | 0.000 | 833.994 | -0.000 | -0.000 |
| -0.000 | 0.000 | 0.000 | -0.000 | 833.994 | -0.000 |
| -0.000 | 0.000 | 0.000 | -0.000 | -0.000 | 833.994 |
| 853.224 | 841.260 | 841.260 | 0.000 | 0.000 | 0.000 |
| 841.260 | 853.224 | 841.260 | 0.000 | -0.000 | 0.000 |
| 841.260 | 841.260 | 853.224 | 0.000 | 0.000 | 0.000 |
| -0.000 | 0.000 | -0.000 | 833.994 | 0.000 | -0.000 |
| 0.000 | -0.000 | -0.000 | 0.000 | 833.994 | 0.000 |
| 0.000 | -0.000 | -0.000 | 0.000 | 0.000 | 833.994 |
| 853.239 | 841.261 | 841.261 | -0.000 | -0.000 | 0.000 |
| 841.261 | 853.239 | 841.261 | -0.000 | -0.000 | -0.000 |
| 841.261 | 841.261 | 853.239 | 0.000 | 0.000 | -0.000 |
| 0.012 | -0.001 | -0.001 | 67.688 | -0.000 | -0.000 |
| -0.001 | 0.012 | -0.001 | 0.000 | 67.688 | -0.000 |
| -0.001 | -0.001 | 0.012 | -0.000 | -0.000 | 67.688 |
| 853.211 | 841.259 | 841.259 | 0.000 | 0.000 | 0.000 |
| 841.259 | 853.211 | 841.259 | 0.000 | 0.000 | 0.000 |
| 841.259 | 841.259 | 853.211 | 0.000 | 0.000 | -0.000 |
| -0.012 | 0.001 | 0.001 | 67.688 | -0.000 | 0.000 |
| 0.001 | -0.012 | 0.001 | 0.000 | 67.688 | 0.000 |
| 0.001 | 0.001 | -0.012 | 0.000 | 0.000 | 67.688 |
| 45.822 | 45.722 | 45.722 | -0.000 | -0.000 | 0.000 |
| 45.722 | 45.822 | 45.722 | -0.000 | -0.000 | 0.000 |
| 45.722 | 45.722 | 45.822 | -0.000 | -0.000 | 0.000 |
| -0.000 | -0.000 | -0.000 | 0.061 | -0.000 | -0.000 |
| -0.000 | -0.000 | -0.000 | -0.000 | 0.061 | -0.000 |
| -0.000 | -0.000 | -0.000 | -0.000 | -0.000 | 0.061 |
| 45.822 | 45.722 | 45.722 | -0.000 | 0.000 | -0.000 |
| 45.722 | 45.822 | 45.722 | 0.000 | -0.000 | -0.000 |
| 45.722 | 45.722 | 45.822 | -0.000 | -0.000 | 0.000 |
| 0.000 | 0.000 | 0.000 | 0.061 | 0.000 | 0.000 |
| 0.000 | 0.000 | 0.000 | 0.000 | 0.061 | 0.000 |
| 0.000 | 0.000 | 0.000 | 0.000 | 0.000 | 0.061 |
| 45.822 | 45.722 | 45.722 | -0.000 | 0.000 | 0.000 |
| 45.722 | 45.822 | 45.722 | 0.000 | -0.000 | 0.000 |
| 45.722 | 45.722 | 45.822 | 0.000 | 0.000 | 0.000 |
| -0.000 | -0.000 | -0.000 | 45.901 | 0.000 | 0.000 |
| -0.000 | -0.000 | -0.000 | 0.000 | 45.901 | 0.000 |
| -0.000 | -0.000 | -0.000 | 0.000 | -0.000 | 45.901 |
| 45.822 | 45.722 | 45.722 | 0.000 | 0.000 | 0.000 |
| 45.722 | 45.822 | 45.722 | 0.000 | 0.000 | 0.000 |
| 45.722 | 45.722 | 45.822 | 0.000 | 0.000 | -0.000 |
| 0.000 | 0.000 | 0.000 | 45.901 | -0.000 | -0.000 |
| 0.000 | 0.000 | 0.000 | -0.000 | 45.901 | -0.000 |
| 0.000 | 0.000 | 0.000 | -0.000 | 0.000 | 45.901 |
| 45.822 | 45.722 | 45.722 | 0.000 | -0.000 | 0.000 |
| 45.722 | 45.822 | 45.722 | -0.000 | 0.000 | 0.000 |
| 45.722 | 45.722 | 45.822 | 0.000 | 0.000 | 0.000 |
| -0.000 | -0.000 | -0.000 | 0.061 | -0.000 | 0.000 |
| -0.000 | -0.000 | -0.000 | -0.000 | 0.061 | 0.000 |
| -0.000 | -0.000 | -0.000 | -0.000 | -0.000 | 0.061 |
| 45.822 | 45.723 | 45.723 | -0.000 | 0.000 | 0.000 |
| 45.723 | 45.822 | 45.723 | 0.000 | -0.000 | 0.000 |
| 45.723 | 45.723 | 45.822 | -0.000 | -0.000 | -0.000 |
| 0.000 | 0.000 | 0.000 | 0.061 | 0.000 | -0.000 |
| 0.000 | 0.000 | 0.000 | 0.000 | 0.061 | -0.000 |
| 0.000 | 0.000 | 0.000 | 0.000 | 0.000 | 0.061 |
| 254.369 | 129.995 | 175.966 | -0.000 | 0.000 | 0.000 |
| 129.995 | 254.369 | 175.966 | 0.000 | -0.000 | 0.000 |
| 175.509 | 175.509 | 327.394 | 0.000 | 0.000 | 0.000 |
| 14.287 | 14.287 | 18.329 | -41.429 | -0.000 | -0.000 |
| 14.287 | 14.287 | 18.329 | 0.000 | -41.429 | 0.000 |
| 0.000 | 0.000 | 0.000 | 0.000 | 0.000 | 51.355 |
| 252.311 | 127.938 | 173.327 | -0.000 | 0.000 | -0.000 |
| 127.938 | 252.311 | 173.327 | -0.000 | -0.000 | -0.000 |
| 185.467 | 185.467 | 340.169 | 0.000 | -0.000 | -0.000 |
| -14.287 | -14.287 | -18.329 | -41.429 | 0.000 | -0.000 |
| -14.287 | -14.287 | -18.329 | -0.000 | -41.429 | -0.000 |
| -0.000 | -0.000 | -0.000 | -0.000 | -0.000 | 51.355 |
| 253.442 | 129.068 | 174.778 | 0.000 | 0.000 | 0.000 |
| 129.068 | 253.442 | 174.778 | -0.000 | 0.000 | -0.000 |
| 174.582 | 174.582 | 326.205 | -0.000 | -0.000 | 0.000 |
| 0.000 | -0.000 | -0.000 | 62.252 | 0.000 | 0.000 |
| -0.000 | 0.000 | -0.000 | 0.000 | 62.252 | 0.000 |
| 0.103 | 0.103 | 0.132 | -0.000 | 0.000 | 51.355 |
| 253.238 | 128.865 | 174.516 | -0.000 | 0.000 | -0.000 |
| 128.865 | 253.238 | 174.516 | -0.000 | -0.000 | -0.000 |
| 185.467 | 185.467 | 340.169 | -0.000 | -0.000 | -0.000 |
| -0.000 | 0.000 | 0.000 | 62.252 | -0.000 | 0.000 |
| 0.000 | -0.000 | 0.000 | -0.000 | 62.252 | -0.000 |
| -0.103 | -0.103 | -0.132 | 0.000 | 0.000 | 51.355 |
| 253.340 | 128.965 | 174.649 | 0.000 | -0.000 | 0.000 |
| 128.965 | 253.340 | 174.649 | -0.000 | 0.000 | 0.000 |
| 174.480 | 174.480 | 326.078 | -0.000 | -0.000 | 0.000 |
| 550340.203 | 332473.200 | 439305.434 | -1437243.942 | 0.000 | 0.000 |
| 332473.200 | 550340.203 | 439305.434 | 0.000 | -1437243.942 | 0.000 |
| 0.010 | 0.010 | 0.013 | 0.000 | 0.000 | 51.355 |
| 253.340 | 128.969 | 174.645 | 0.000 | 0.000 | -0.000 |
| 128.969 | 253.340 | 174.645 | -0.000 | 0.000 | -0.000 |
| 174.467 | 174.467 | 326.053 | -0.000 | -0.000 | -0.000 |
| -550340.203 | -332473.200 | -439305.434 | -1437243.942 | -0.000 | -0.000 |
| -332473.200 | -550340.203 | -439305.434 | -0.000 | -1437243.942 | -0.000 |
| -0.010 | -0.010 | -0.013 | -0.000 | -0.000 | 51.355 |
| 46.158 | 31.461 | 31.461 | -0.000 | 0.000 | -0.000 |
| 31.461 | 46.158 | 31.461 | 0.000 | 0.000 | -0.000 |
| 31.461 | 31.461 | 46.158 | 0.000 | 0.000 | 0.000 |
| -0.000 | -0.000 | -0.000 | 8.226 | -0.000 | -0.000 |
| -0.000 | -0.000 | -0.000 | 0.000 | 8.226 | -0.000 |
| -0.000 | -0.000 | -0.000 | 0.000 | -0.000 | 8.226 |
| 46.158 | 31.461 | 31.461 | -0.000 | 0.000 | 0.000 |
| 31.461 | 46.158 | 31.461 | 0.000 | 0.000 | 0.000 |
| 31.461 | 31.461 | 46.158 | -0.000 | -0.000 | 0.000 |
| 0.000 | 0.000 | 0.000 | 8.226 | 0.000 | 0.000 |
| 0.000 | 0.000 | 0.000 | -0.000 | 8.226 | 0.000 |
| 0.000 | 0.000 | 0.000 | -0.000 | 0.000 | 8.226 |
| 46.158 | 31.461 | 31.461 | -0.000 | 0.000 | -0.000 |
| 31.461 | 46.158 | 31.461 | -0.000 | 0.000 | -0.000 |
| 31.461 | 31.461 | 46.158 | -0.000 | 0.000 | 0.000 |
| -0.000 | -0.000 | -0.000 | 8.226 | -0.000 | -0.000 |
| -0.000 | -0.000 | -0.000 | 0.000 | 8.226 | -0.000 |
| -0.000 | -0.000 | -0.000 | 0.000 | -0.000 | 8.226 |
| 46.158 | 31.461 | 31.461 | 0.000 | -0.000 | -0.000 |
| 31.461 | 46.158 | 31.461 | 0.000 | -0.000 | -0.000 |
| 31.461 | 31.461 | 46.158 | 0.000 | -0.000 | -0.000 |
| 0.000 | 0.000 | 0.000 | 8.226 | 0.000 | 0.000 |
| 0.000 | 0.000 | 0.000 | -0.000 | 8.226 | 0.000 |
| 0.000 | 0.000 | 0.000 | -0.000 | 0.000 | 8.226 |
| 46.158 | 31.461 | 31.461 | -0.000 | 0.000 | -0.000 |
| 31.461 | 46.158 | 31.461 | -0.000 | 0.000 | -0.000 |
| 31.461 | 31.461 | 46.158 | -0.000 | 0.000 | 0.000 |
| -0.000 | -0.000 | -0.000 | 35.939 | 0.000 | 0.000 |
| -0.000 | -0.000 | -0.000 | -0.000 | 35.939 | 0.000 |
| -0.000 | -0.000 | -0.000 | -0.000 | 0.000 | 35.939 |
| 46.159 | 31.462 | 31.462 | -0.000 | -0.000 | 0.000 |
| 31.462 | 46.159 | 31.462 | 0.000 | 0.000 | 0.000 |
| 31.462 | 31.462 | 46.159 | 0.000 | -0.000 | 0.000 |
| 0.000 | 0.000 | 0.000 | 35.939 | -0.000 | -0.000 |
| 0.000 | 0.000 | 0.000 | 0.000 | 35.939 | -0.000 |
| 0.000 | 0.000 | 0.000 | 0.000 | -0.000 | 35.939 |
| 253.564 | 129.198 | 175.752 | 0.000 | -0.000 | -0.000 |
| 129.198 | 253.564 | 175.752 | 0.000 | 0.000 | -0.000 |
| 184.543 | 184.543 | 339.442 | 0.000 | 0.000 | -0.000 |
| -0.000 | 0.000 | 0.000 | 62.229 | 0.000 | -0.000 |
| -0.000 | 0.000 | -0.000 | 0.000 | 62.229 | -0.000 |
| 2.252 | 2.252 | 2.850 | 0.000 | 0.000 | 51.393 |
| 249.060 | 124.695 | 170.053 | -0.000 | 0.000 | 0.000 |
| 124.695 | 249.060 | 170.053 | -0.000 | -0.000 | 0.000 |
| 170.468 | 170.468 | 321.630 | -0.000 | -0.000 | 0.000 |
| 0.000 | 0.000 | 0.000 | 62.229 | -0.000 | 0.000 |
| 0.000 | -0.000 | -0.000 | -0.000 | 62.229 | 0.000 |
| -2.252 | -2.252 | -2.850 | -0.000 | -0.000 | 51.393 |
| 251.536 | 127.170 | 173.186 | 0.000 | 0.000 | -0.000 |
| 127.170 | 251.536 | 173.186 | 0.000 | 0.000 | -0.000 |
| 172.944 | 172.944 | 324.764 | 0.000 | -0.000 | -0.000 |
| 0.000 | -0.000 | -0.000 | 62.229 | 0.000 | -0.000 |
| -0.000 | 0.000 | 0.000 | 0.000 | 62.229 | -0.000 |
| 0.225 | 0.225 | 0.285 | 0.000 | 0.000 | 51.393 |
| 251.088 | 126.723 | 172.618 | -0.000 | -0.000 | 0.000 |
| 126.723 | 251.088 | 172.618 | -0.000 | -0.000 | 0.000 |
| 172.496 | 172.496 | 324.196 | -0.000 | -0.000 | 0.000 |
| -0.000 | 0.000 | 0.000 | 62.229 | -0.000 | 0.000 |
| 0.000 | -0.000 | 0.000 | -0.000 | 62.229 | 0.000 |
| -0.225 | -0.225 | -0.285 | -0.000 | -0.000 | 51.393 |
| 251.333 | 126.966 | 172.931 | 0.000 | 0.000 | -0.000 |
| 126.966 | 251.333 | 172.931 | 0.000 | -0.000 | -0.000 |
| 172.732 | 172.732 | 324.498 | 0.000 | 0.000 | -0.000 |
| 548994.892 | 332351.943 | 438203.193 | -1433729.958 | 0.000 | -0.000 |
| 332351.943 | 548994.893 | 438203.193 | 0.000 | -1433729.958 | -0.000 |
| 0.000 | 0.000 | 0.000 | 0.000 | 0.000 | 51.393 |
| 251.300 | 126.937 | 172.885 | -0.000 | -0.000 | 0.000 |
| 126.937 | 251.300 | 172.885 | -0.000 | -0.000 | 0.000 |
| 172.708 | 172.708 | 324.462 | -0.000 | -0.000 | 0.000 |
| -548994.889 | -332351.940 | -438203.189 | -1433729.955 | -0.000 | 0.000 |
| -332351.940 | -548994.889 | -438203.190 | -0.000 | -1433729.955 | 0.000 |
| -0.000 | -0.000 | -0.000 | -0.000 | -0.000 | 51.393 |
| 321.831 | 148.500 | 148.500 | 0.000 | -0.000 | 0.000 |
| 148.500 | 321.831 | 148.500 | 0.000 | -0.000 | 0.000 |
| 148.500 | 148.500 | 321.831 | 0.000 | 0.000 | 0.000 |
| -0.000 | -0.000 | -0.000 | 53.551 | 0.000 | 0.000 |
| -0.000 | -0.000 | 0.000 | 0.000 | 53.551 | 0.000 |
| -0.000 | 0.000 | -0.000 | 0.000 | -0.000 | 53.551 |
| 297.024 | 160.903 | 160.903 | -0.000 | 0.000 | -0.000 |
| 160.903 | 297.024 | 160.903 | -0.000 | 0.000 | -0.000 |
| 160.903 | 160.903 | 297.024 | -0.000 | 0.000 | -0.000 |
| 0.000 | 0.000 | 0.000 | 53.551 | 0.000 | -0.000 |
| 0.000 | 0.000 | 0.000 | -0.000 | 53.551 | -0.000 |
| 0.000 | 0.000 | -0.000 | -0.000 | 0.000 | 53.551 |
| 297.025 | 160.903 | 160.903 | 0.000 | -0.000 | 0.000 |
| 160.903 | 297.025 | 160.903 | 0.000 | -0.000 | 0.000 |
| 160.903 | 160.903 | 297.025 | 0.000 | -0.000 | 0.000 |
| -0.000 | -0.000 | -0.000 | 52.080 | -0.000 | 0.000 |
| -0.000 | -0.000 | -0.000 | 0.000 | 52.080 | 0.000 |
| -0.000 | -0.000 | -0.000 | 0.000 | -0.000 | 52.080 |
| 321.830 | 148.499 | 148.499 | -0.000 | 0.000 | -0.000 |
| 148.499 | 321.830 | 148.499 | -0.000 | 0.000 | -0.000 |
| 148.499 | 148.499 | 321.830 | -0.000 | 0.000 | -0.000 |
| 0.000 | 0.000 | 0.000 | 52.080 | 0.000 | -0.000 |
| 0.000 | 0.000 | 0.000 | -0.000 | 52.080 | -0.000 |
| 0.000 | 0.000 | 0.000 | -0.000 | 0.000 | 52.080 |
| 321.839 | 148.502 | 148.502 | 0.000 | -0.000 | 0.000 |
| 148.502 | 321.839 | 148.502 | 0.000 | -0.000 | 0.000 |
| 148.502 | 148.502 | 321.839 | 0.000 | -0.000 | 0.000 |
| -0.000 | -0.000 | -0.000 | 52.080 | -0.000 | 0.000 |
| -0.000 | -0.000 | -0.000 | 0.000 | 52.080 | 0.000 |
| -0.000 | -0.000 | -0.000 | 0.000 | -0.000 | 52.080 |
| 297.019 | 160.899 | 160.899 | -0.000 | 0.000 | -0.000 |
| 160.899 | 297.019 | 160.899 | -0.000 | 0.000 | -0.000 |
| 160.899 | 160.899 | 297.019 | -0.000 | 0.000 | -0.000 |
| 0.000 | 0.000 | 0.000 | 52.080 | 0.000 | -0.000 |
| 0.000 | 0.000 | 0.000 | -0.000 | 52.080 | -0.000 |
| 0.000 | 0.000 | 0.000 | -0.000 | 0.000 | 52.080 |
| 4286.907 | 2336.090 | 2336.090 | -0.000 | -0.000 | 0.000 |
| 2336.090 | 4286.907 | 2336.090 | 0.000 | -0.000 | -0.000 |
| 2336.090 | 2336.090 | 4286.907 | -0.000 | -0.000 | -0.000 |
| 0.000 | -0.000 | -0.000 | 225.176 | 0.000 | -0.000 |
| -0.000 | 0.000 | -0.000 | 0.000 | 225.176 | 0.000 |
| -0.000 | -0.000 | 0.000 | 0.000 | 0.000 | 225.176 |
| 6092.788 | 1433.150 | 1433.150 | -0.000 | 0.000 | 0.000 |
| 1433.150 | 6092.788 | 1433.150 | -0.000 | -0.000 | 0.000 |
| 1433.150 | 1433.150 | 6092.788 | -0.000 | 0.000 | 0.000 |
| -0.000 | 0.000 | 0.000 | 225.176 | -0.000 | 0.000 |
| 0.000 | -0.000 | 0.000 | -0.000 | 225.176 | 0.000 |
| 0.000 | 0.000 | -0.000 | -0.000 | -0.000 | 225.176 |
| 4286.914 | 2336.089 | 2336.089 | -0.000 | -0.000 | -0.000 |
| 2336.089 | 4286.914 | 2336.089 | 0.000 | -0.000 | -0.000 |
| 2336.089 | 2336.089 | 4286.914 | 0.000 | -0.000 | -0.000 |
| 0.000 | -0.000 | -0.000 | 225.176 | 0.000 | -0.000 |
| -0.000 | 0.000 | -0.000 | 0.000 | 225.176 | -0.000 |
| -0.000 | -0.000 | 0.000 | 0.000 | 0.000 | 225.176 |
| 6092.783 | 1433.149 | 1433.149 | -0.000 | 0.000 | 0.000 |
| 1433.149 | 6092.783 | 1433.149 | -0.000 | -0.000 | 0.000 |
| 1433.149 | 1433.149 | 6092.783 | -0.000 | 0.000 | 0.000 |
| -0.000 | 0.000 | 0.000 | 225.176 | -0.000 | 0.000 |
| 0.000 | -0.000 | 0.000 | 0.000 | 225.176 | 0.000 |
| 0.000 | 0.000 | -0.000 | -0.000 | -0.000 | 225.176 |
| 4286.822 | 2336.159 | 2336.159 | -0.000 | -0.000 | -0.000 |
| 2336.159 | 4286.822 | 2336.159 | -0.000 | -0.000 | 0.000 |
| 2336.159 | 2336.159 | 4286.822 | 0.000 | -0.000 | -0.000 |
| -0.002 | -0.000 | -0.001 | 225.176 | -0.000 | -0.000 |
| -0.000 | -0.002 | -0.001 | -0.000 | 225.176 | -0.000 |
| -0.000 | -0.001 | -0.002 | -0.000 | -0.000 | 225.176 |
| 4286.780 | 2336.127 | 2336.127 | 0.000 | 0.000 | 0.000 |
| 2336.127 | 4286.780 | 2336.127 | 0.000 | 0.000 | 0.000 |
| 2336.127 | 2336.127 | 4286.780 | 0.000 | 0.000 | 0.000 |
| 0.002 | 0.000 | 0.001 | 225.176 | 0.000 | 0.000 |
| 0.000 | 0.002 | 0.001 | 0.000 | 225.176 | 0.000 |
| 0.000 | 0.001 | 0.002 | 0.000 | 0.000 | 225.176 |
| 365.889 | 118.085 | 118.085 | -0.000 | -0.000 | -0.000 |
| 118.085 | 365.889 | 118.085 | -0.000 | -0.000 | -0.000 |
| 118.085 | 118.085 | 365.889 | -0.000 | -0.000 | -0.000 |
| -0.000 | -0.000 | -0.000 | 40.810 | -0.000 | 0.000 |
| -0.000 | -0.000 | -0.000 | -0.000 | 40.810 | -0.000 |
| -0.000 | -0.000 | -0.000 | -0.000 | -0.000 | 40.810 |
| 365.889 | 118.085 | 118.085 | 0.000 | 0.000 | -0.000 |
| 118.085 | 365.889 | 118.085 | 0.000 | 0.000 | -0.000 |
| 118.085 | 118.085 | 365.889 | 0.000 | 0.000 | 0.000 |
| 0.000 | 0.000 | 0.000 | 40.810 | 0.000 | -0.000 |
| 0.000 | 0.000 | 0.000 | 0.000 | 40.810 | 0.000 |
| 0.000 | 0.000 | 0.000 | -0.000 | 0.000 | 40.810 |
| 412.322 | 94.868 | 94.868 | -0.000 | -0.000 | -0.000 |
| 94.868 | 412.322 | 94.868 | -0.000 | -0.000 | -0.000 |
| 94.868 | 94.868 | 412.322 | -0.000 | -0.000 | -0.000 |
| -0.000 | -0.000 | -0.000 | 40.810 | -0.000 | -0.000 |
| -0.000 | -0.000 | -0.000 | -0.000 | 40.810 | -0.000 |
| -0.000 | -0.000 | -0.000 | 0.000 | -0.000 | 40.810 |
| 365.889 | 118.085 | 118.085 | 0.000 | 0.000 | 0.000 |
| 118.085 | 365.889 | 118.085 | 0.000 | 0.000 | 0.000 |
| 118.085 | 118.085 | 365.889 | 0.000 | 0.000 | 0.000 |
| 0.000 | 0.000 | 0.000 | 40.810 | 0.000 | 0.000 |
| 0.000 | 0.000 | 0.000 | 0.000 | 40.810 | 0.000 |
| 0.000 | 0.000 | 0.000 | 0.000 | 0.000 | 40.810 |
| 365.887 | 118.085 | 118.085 | -0.000 | -0.000 | -0.000 |
| 118.085 | 365.887 | 118.085 | -0.000 | -0.000 | -0.000 |
| 118.085 | 118.085 | 365.887 | -0.000 | -0.000 | -0.000 |
| -0.000 | -0.000 | -0.000 | 40.810 | -0.000 | 0.000 |
| -0.000 | -0.000 | -0.000 | 0.000 | 40.810 | -0.000 |
| -0.000 | -0.000 | -0.000 | 0.000 | -0.000 | 40.810 |
| 365.890 | 118.084 | 118.084 | 0.000 | 0.000 | 0.000 |
| 118.084 | 365.890 | 118.084 | 0.000 | 0.000 | 0.000 |
| 118.084 | 118.084 | 365.890 | 0.000 | 0.000 | -0.000 |
| 0.000 | 0.000 | 0.000 | 40.810 | 0.000 | 0.000 |
| 0.000 | 0.000 | 0.000 | -0.000 | 40.810 | 0.000 |
| 0.000 | 0.000 | 0.000 | -0.000 | 0.000 | 40.810 |
| 243.133 | 111.033 | 111.033 | 0.000 | 0.000 | 0.000 |
| 111.033 | 243.133 | 111.033 | 0.000 | 0.000 | 0.000 |
| 111.033 | 111.033 | 243.133 | -0.000 | 0.000 | 0.000 |
| -0.000 | -0.000 | -0.000 | 52.531 | 0.000 | 0.000 |
| -0.000 | -0.000 | 0.000 | 0.000 | 52.531 | 0.000 |
| -0.000 | -0.000 | 0.000 | 0.000 | 0.000 | 52.531 |
| 243.133 | 111.033 | 111.033 | -0.000 | -0.000 | -0.000 |
| 111.033 | 243.133 | 111.033 | -0.000 | -0.000 | -0.000 |
| 111.033 | 111.033 | 243.133 | -0.000 | -0.000 | -0.000 |
| 0.000 | 0.000 | -0.000 | 52.531 | -0.000 | -0.000 |
| 0.000 | 0.000 | -0.000 | -0.000 | 52.531 | -0.000 |
| 0.000 | 0.000 | 0.000 | -0.000 | -0.000 | 52.531 |
| 243.133 | 111.033 | 111.033 | 0.000 | 0.000 | 0.000 |
| 111.033 | 243.133 | 111.033 | 0.000 | 0.000 | 0.000 |
| 111.033 | 111.033 | 243.133 | 0.000 | 0.000 | 0.000 |
| 0.000 | -0.000 | -0.000 | 52.531 | 0.000 | 0.000 |
| -0.000 | 0.000 | -0.000 | 0.000 | 52.531 | 0.000 |
| -0.000 | -0.000 | 0.000 | 0.000 | 0.000 | 52.531 |
| 243.133 | 111.033 | 111.033 | -0.000 | -0.000 | -0.000 |
| 111.033 | 243.133 | 111.033 | -0.000 | -0.000 | -0.000 |
| 111.033 | 111.033 | 243.133 | 0.000 | -0.000 | -0.000 |
| -0.000 | 0.000 | 0.000 | 52.531 | -0.000 | -0.000 |
| 0.000 | -0.000 | 0.000 | -0.000 | 52.531 | -0.000 |
| 0.000 | 0.000 | -0.000 | -0.000 | -0.000 | 52.531 |
| 243.134 | 111.033 | 111.033 | 0.000 | 0.000 | 0.000 |
| 111.033 | 243.134 | 111.033 | 0.000 | 0.000 | 0.000 |
| 111.033 | 111.033 | 243.134 | 0.000 | 0.000 | 0.000 |
| 0.000 | -0.000 | -0.000 | 52.531 | 0.000 | 0.000 |
| -0.000 | 0.000 | -0.000 | 0.000 | 52.531 | 0.000 |
| -0.000 | -0.000 | 0.000 | 0.000 | 0.000 | 52.531 |
| 243.132 | 111.033 | 111.033 | -0.000 | -0.000 | -0.000 |
| 111.033 | 243.132 | 111.033 | -0.000 | -0.000 | -0.000 |
| 111.033 | 111.033 | 243.132 | -0.000 | -0.000 | -0.000 |
| -0.000 | 0.000 | 0.000 | 52.531 | -0.000 | -0.000 |
| 0.000 | -0.000 | 0.000 | -0.000 | 52.531 | -0.000 |
| 0.000 | 0.000 | -0.000 | -0.000 | -0.000 | 52.531 |
| 273.685 | 277.511 | 277.511 | -0.000 | 0.000 | -0.000 |
| 277.511 | 273.685 | 277.511 | 0.000 | -0.000 | 0.000 |
| 277.511 | 277.511 | 273.685 | 0.000 | -0.000 | -0.000 |
| -0.000 | -0.000 | -0.000 | -53.321 | 0.000 | -0.000 |
| -0.000 | -0.000 | -0.000 | 0.000 | -53.321 | -0.000 |
| -0.000 | -0.000 | -0.000 | 0.000 | 0.000 | -53.321 |
| 273.685 | 277.511 | 277.511 | -0.000 | 0.000 | -0.000 |
| 277.511 | 273.685 | 277.511 | -0.000 | 0.000 | -0.000 |
| 277.511 | 277.511 | 273.685 | -0.000 | -0.000 | 0.000 |
| 0.000 | 0.000 | 0.000 | -53.321 | -0.000 | -0.000 |
| 0.000 | 0.000 | 0.000 | -0.000 | -53.321 | -0.000 |
| 0.000 | 0.000 | 0.000 | 0.000 | -0.000 | -53.321 |
| 273.685 | 277.511 | 277.511 | 0.000 | -0.000 | 0.000 |
| 277.511 | 273.685 | 277.511 | -0.000 | -0.000 | -0.000 |
| 277.511 | 277.511 | 273.685 | 0.000 | 0.000 | 0.000 |
| -0.000 | -0.000 | -0.000 | -53.321 | 0.000 | 0.000 |
| -0.000 | -0.000 | -0.000 | 0.000 | -53.321 | -0.000 |
| -0.000 | -0.000 | -0.000 | 0.000 | -0.000 | -53.321 |
| 273.685 | 277.512 | 277.512 | 0.000 | -0.000 | -0.000 |
| 277.512 | 273.685 | 277.512 | -0.000 | 0.000 | -0.000 |
| 277.512 | 277.512 | 273.685 | -0.000 | 0.000 | -0.000 |
| 0.000 | 0.000 | 0.000 | -53.321 | 0.000 | 0.000 |
| 0.000 | 0.000 | 0.000 | 0.000 | -53.321 | -0.000 |
| 0.000 | 0.000 | 0.000 | -0.000 | 0.000 | -53.321 |
| 273.684 | 277.509 | 277.509 | 0.000 | -0.000 | -0.000 |
| 277.509 | 273.684 | 277.509 | 0.000 | -0.000 | -0.000 |
| 277.509 | 277.509 | 273.684 | 0.000 | 0.000 | -0.000 |
| -0.002 | -0.001 | -0.001 | -53.321 | 0.000 | -0.000 |
| -0.001 | -0.002 | -0.001 | -0.000 | -53.321 | 0.000 |
| -0.001 | -0.001 | -0.002 | 0.000 | -0.000 | -53.321 |
| 273.686 | 277.514 | 277.514 | 0.000 | -0.000 | -0.000 |
| 277.514 | 273.686 | 277.514 | 0.000 | 0.000 | -0.000 |
| 277.514 | 277.514 | 273.686 | 0.000 | -0.000 | -0.000 |
| 0.002 | 0.001 | 0.001 | -53.321 | -0.000 | -0.000 |
| 0.001 | 0.002 | 0.001 | 0.000 | -53.321 | 0.000 |
| 0.001 | 0.001 | 0.002 | -0.000 | -0.000 | -53.321 |
| 256.440 | 383.794 | 383.794 | -0.000 | 0.000 | -0.000 |
| 383.794 | 256.440 | 383.794 | 0.000 | -0.000 | -0.000 |
| 383.794 | 383.794 | 256.440 | -0.000 | 0.000 | -0.000 |
| 0.000 | 0.000 | 0.000 | 38.588 | 0.000 | -0.000 |
| 0.000 | 0.000 | 0.000 | -0.000 | 38.588 | -0.000 |
| 0.000 | 0.000 | 0.000 | -0.000 | 0.000 | 38.588 |
| 256.439 | 383.794 | 383.794 | 0.000 | 0.000 | 0.000 |
| 383.794 | 256.439 | 383.794 | 0.000 | -0.000 | 0.000 |
| 383.794 | 383.794 | 256.439 | 0.000 | 0.000 | 0.000 |
| -0.000 | 0.000 | -0.000 | 38.588 | 0.000 | 0.000 |
| 0.000 | -0.000 | -0.000 | 0.000 | 38.588 | 0.000 |
| 0.000 | -0.000 | -0.000 | -0.000 | -0.000 | 38.588 |
| 256.442 | 383.795 | 383.795 | -0.000 | 0.000 | -0.000 |
| 383.795 | 256.442 | 383.795 | -0.000 | -0.000 | -0.000 |
| 383.795 | 383.795 | 256.442 | -0.000 | -0.000 | -0.000 |
| 0.000 | -0.000 | -0.000 | 38.588 | -0.000 | -0.000 |
| -0.000 | 0.000 | -0.000 | -0.000 | 38.588 | -0.000 |
| -0.000 | -0.000 | 0.000 | -0.000 | -0.000 | 38.588 |
| 256.437 | 383.792 | 383.792 | 0.000 | -0.000 | 0.000 |
| 383.792 | 256.437 | 383.792 | 0.000 | -0.000 | 0.000 |
| 383.792 | 383.792 | 256.437 | 0.000 | -0.000 | 0.000 |
| -0.000 | 0.000 | 0.000 | 38.588 | 0.000 | 0.000 |
| 0.000 | -0.000 | 0.000 | 0.000 | 38.588 | 0.000 |
| 0.000 | 0.000 | -0.000 | 0.000 | -0.000 | 38.588 |
| 256.460 | 383.811 | 383.811 | -0.000 | -0.000 | -0.000 |
| 383.811 | 256.460 | 383.811 | -0.000 | -0.000 | -0.000 |
| 383.811 | 383.811 | 256.460 | -0.000 | -0.000 | -0.000 |
| 0.000 | -0.000 | -0.000 | 38.588 | 0.000 | -0.000 |
| -0.000 | 0.000 | -0.000 | -0.000 | 38.588 | -0.000 |
| -0.000 | -0.000 | 0.000 | 0.000 | 0.000 | 38.588 |
| 256.419 | 383.777 | 383.777 | 0.000 | 0.000 | 0.000 |
| 383.777 | 256.419 | 383.777 | 0.000 | -0.000 | 0.000 |
| 383.777 | 383.777 | 256.419 | -0.000 | 0.000 | 0.000 |
| -0.000 | 0.000 | 0.000 | 38.588 | 0.000 | 0.000 |
| 0.000 | -0.000 | 0.000 | 0.000 | 38.588 | 0.000 |
| 0.000 | 0.000 | -0.000 | 0.000 | -0.000 | 38.588 |
| 53.201 | 26.512 | 26.512 | -0.000 | -0.000 | -0.000 |
| 26.512 | 53.201 | 26.512 | -0.000 | -0.000 | -0.000 |
| 26.512 | 26.512 | 53.201 | -0.000 | -0.000 | -0.000 |
| -0.000 | 0.000 | 0.000 | 26.185 | -0.000 | -0.000 |
| 0.000 | -0.000 | 0.000 | -0.000 | 26.185 | -0.000 |
| 0.000 | 0.000 | -0.000 | -0.000 | -0.000 | 26.185 |
| 53.201 | 26.512 | 26.512 | 0.000 | 0.000 | 0.000 |
| 26.512 | 53.201 | 26.512 | 0.000 | 0.000 | 0.000 |
| 26.512 | 26.512 | 53.201 | 0.000 | 0.000 | 0.000 |
| 0.000 | -0.000 | -0.000 | 26.185 | 0.000 | 0.000 |
| -0.000 | 0.000 | -0.000 | 0.000 | 26.185 | 0.000 |
| -0.000 | -0.000 | 0.000 | 0.000 | 0.000 | 26.185 |
| 53.201 | 26.512 | 26.512 | -0.000 | 0.000 | -0.000 |
| 26.512 | 53.201 | 26.512 | 0.000 | -0.000 | -0.000 |
| 26.512 | 26.512 | 53.201 | -0.000 | -0.000 | -0.000 |
| 0.000 | 0.000 | 0.000 | 26.185 | -0.000 | -0.000 |
| 0.000 | 0.000 | 0.000 | -0.000 | 26.185 | -0.000 |
| 0.000 | 0.000 | 0.000 | -0.000 | -0.000 | 26.185 |
| 53.201 | 26.512 | 26.512 | 0.000 | 0.000 | 0.000 |
| 26.512 | 53.201 | 26.512 | 0.000 | 0.000 | 0.000 |
| 26.512 | 26.512 | 53.201 | 0.000 | 0.000 | 0.000 |
| -0.000 | -0.000 | -0.000 | 26.185 | 0.000 | 0.000 |
| -0.000 | -0.000 | -0.000 | 0.000 | 26.185 | 0.000 |
| -0.000 | -0.000 | -0.000 | 0.000 | 0.000 | 26.185 |
| 53.202 | 26.512 | 26.512 | -0.000 | -0.000 | -0.000 |
| 26.512 | 53.202 | 26.512 | -0.000 | -0.000 | -0.000 |
| 26.512 | 26.512 | 53.202 | -0.000 | -0.000 | -0.000 |
| 0.000 | 0.000 | 0.000 | 26.185 | -0.000 | -0.000 |
| 0.000 | 0.000 | 0.000 | -0.000 | 26.185 | -0.000 |
| 0.000 | 0.000 | 0.000 | -0.000 | -0.000 | 26.185 |
| 53.201 | 26.512 | 26.512 | 0.000 | 0.000 | 0.000 |
| 26.512 | 53.201 | 26.512 | -0.000 | 0.000 | 0.000 |
| 26.512 | 26.512 | 53.201 | 0.000 | 0.000 | 0.000 |
| -0.000 | -0.000 | -0.000 | 26.185 | 0.000 | 0.000 |
| -0.000 | -0.000 | -0.000 | 0.000 | 26.185 | 0.000 |
| -0.000 | -0.000 | -0.000 | 0.000 | 0.000 | 26.185 |
| 191.476 | -3.787 | -3.787 | -0.000 | -0.000 | -0.000 |
| -3.787 | 191.476 | -3.787 | -0.000 | 0.000 | -0.000 |
| -3.787 | -3.787 | 191.476 | -0.000 | -0.000 | -0.000 |
| -0.000 | 0.000 | 0.000 | 10.194 | 0.000 | 0.000 |
| 0.000 | 0.000 | 0.000 | 0.000 | 10.194 | -0.000 |
| 0.000 | 0.000 | -0.000 | -0.000 | -0.000 | 10.194 |
| 191.476 | -3.787 | -3.787 | -0.000 | -0.000 | 0.000 |
| -3.787 | 191.476 | -3.787 | -0.000 | -0.000 | 0.000 |
| -3.787 | -3.787 | 191.476 | 0.000 | 0.000 | 0.000 |
| 0.000 | -0.000 | -0.000 | 10.194 | -0.000 | 0.000 |
| -0.000 | -0.000 | -0.000 | -0.000 | 10.194 | 0.000 |
| -0.000 | -0.000 | 0.000 | -0.000 | 0.000 | 10.194 |
| 191.476 | -3.787 | -3.787 | 0.000 | 0.000 | -0.000 |
| -3.787 | 191.476 | -3.787 | -0.000 | -0.000 | -0.000 |
| -3.787 | -3.787 | 191.476 | 0.000 | 0.000 | -0.000 |
| -0.000 | 0.000 | 0.000 | 10.194 | -0.000 | 0.000 |
| 0.000 | -0.000 | 0.000 | -0.000 | 10.194 | -0.000 |
| 0.000 | 0.000 | -0.000 | -0.000 | -0.000 | 10.194 |
| 191.477 | -3.787 | -3.787 | -0.000 | 0.000 | 0.000 |
| -3.787 | 191.477 | -3.787 | 0.000 | 0.000 | 0.000 |
| -3.787 | -3.787 | 191.477 | 0.000 | 0.000 | 0.000 |
| 0.000 | -0.000 | -0.000 | 10.194 | -0.000 | 0.000 |
| -0.000 | 0.000 | -0.000 | -0.000 | 10.194 | 0.000 |
| -0.000 | -0.000 | 0.000 | 0.000 | 0.000 | 10.194 |
| 191.476 | -3.786 | -3.786 | -0.000 | -0.000 | -0.000 |
| -3.786 | 191.476 | -3.786 | -0.000 | 0.000 | -0.000 |
| -3.786 | -3.786 | 191.476 | -0.000 | 0.000 | -0.000 |
| -0.001 | 0.000 | 0.000 | 10.194 | -0.000 | -0.000 |
| 0.000 | -0.001 | 0.000 | 0.000 | 10.194 | -0.000 |
| 0.000 | 0.000 | -0.001 | -0.000 | -0.000 | 10.194 |
| 191.477 | -3.787 | -3.787 | 0.000 | -0.000 | 0.000 |
| -3.787 | 191.477 | -3.787 | -0.000 | 0.000 | 0.000 |
| -3.787 | -3.787 | 191.477 | 0.000 | 0.000 | 0.000 |
| 0.001 | -0.000 | -0.000 | 10.194 | -0.000 | 0.000 |
| -0.000 | 0.001 | -0.000 | 0.000 | 10.194 | 0.000 |
| -0.000 | -0.000 | 0.001 | 0.000 | 0.000 | 10.194 |
| 313.992 | 218.520 | 126.727 | 0.000 | -0.000 | -0.000 |
| 218.520 | 313.992 | 126.727 | -0.000 | 0.000 | -0.000 |
| 126.727 | 126.727 | 115.394 | -0.000 | -0.000 | -0.000 |
| -0.000 | -0.000 | 0.000 | 27.469 | 0.000 | -0.000 |
| 0.000 | -0.000 | 0.000 | -0.000 | 27.469 | -0.000 |
| 0.000 | 0.000 | 0.000 | -0.000 | 0.000 | 25.785 |
| 329.010 | 203.502 | 126.727 | -0.000 | 0.000 | 0.000 |
| 203.502 | 329.010 | 126.727 | 0.000 | -0.000 | -0.000 |
| 126.727 | 126.727 | 115.394 | 0.000 | -0.000 | 0.000 |
| -0.000 | 0.000 | -0.000 | 27.469 | -0.000 | -0.000 |
| -0.000 | 0.000 | -0.000 | 0.000 | 27.469 | 0.000 |
| -0.000 | -0.000 | -0.000 | 0.000 | 0.000 | 25.785 |
| 313.992 | 218.520 | 126.727 | 0.000 | 0.000 | -0.000 |
| 218.520 | 313.992 | 126.727 | 0.000 | 0.000 | -0.000 |
| 126.727 | 126.727 | 115.394 | -0.000 | 0.000 | -0.000 |
| 5465590.154 | 4292632.892 | 193647.621 | -17048105.409 | -0.000 | -0.000 |
| 4292632.892 | 5465590.154 | 193647.621 | 0.000 | -17048105.409 | -0.000 |
| 0.000 | 0.000 | 0.000 | 0.000 | -0.000 | 25.785 |
| 313.992 | 218.520 | 126.727 | -0.000 | 0.000 | 0.000 |
| 218.520 | 313.992 | 126.727 | 0.000 | -0.000 | 0.000 |
| 126.727 | 126.727 | 115.394 | 0.000 | 0.000 | 0.000 |
| -5465590.154 | -4292632.892 | -193647.621 | -17048105.409 | -0.000 | 0.000 |
| -4292632.892 | -5465590.154 | -193647.621 | 0.000 | -17048105.409 | 0.000 |
| -0.000 | -0.000 | -0.000 | -0.000 | -0.000 | 25.785 |
| 329.010 | 203.502 | 126.727 | 0.000 | 0.000 | -0.000 |
| 203.502 | 329.010 | 126.727 | -0.000 | 0.000 | -0.000 |
| 126.727 | 126.727 | 115.395 | -0.000 | 0.000 | -0.000 |
| 546577.765 | 429247.426 | 19350.542 | -1704796.696 | -0.000 | -0.000 |
| 429247.426 | 546577.765 | 19350.542 | -0.000 | -1704796.696 | -0.000 |
| 0.000 | 0.000 | 0.000 | 0.000 | 0.000 | 25.785 |
| 313.991 | 218.520 | 126.727 | 0.000 | -0.000 | 0.000 |
| 218.520 | 313.991 | 126.727 | -0.000 | 0.000 | 0.000 |
| 126.727 | 126.727 | 115.393 | -0.000 | -0.000 | 0.000 |
| -546577.765 | -429247.426 | -19350.542 | -1704796.696 | 0.000 | 0.000 |
| -429247.426 | -546577.765 | -19350.542 | -0.000 | -1704796.696 | 0.000 |
| -0.000 | -0.000 | -0.000 | 0.000 | 0.000 | 25.785 |
| 4547.865 | 4543.768 | 4633.886 | -0.000 | -0.000 | -0.000 |
| 4606.469 | 4485.317 | 4633.965 | -0.000 | -0.000 | -0.000 |
| 4484.935 | 4484.935 | 4795.092 | 0.000 | -0.000 | -0.000 |
| 4373.170 | 4373.170 | 4522.280 | 18.755 | -0.000 | -0.000 |
| 4373.170 | 4373.170 | 4522.280 | -0.000 | 18.755 | -0.000 |
| 4377.619 | 4377.619 | 4526.881 | 0.000 | -0.000 | -60.573 |
| -4385.824 | -4011.905 | -4408.958 | -0.000 | 0.000 | -0.000 |
| 255.758 | 276.991 | 208.529 | -0.000 | 0.000 | 0.000 |
| -4261.334 | -4261.334 | -4249.395 | 0.000 | 0.000 | 0.000 |
| -4373.170 | -4373.170 | -4522.280 | 18.755 | 0.000 | 0.000 |
| -4373.170 | -4373.170 | -4522.280 | 0.000 | 18.755 | 0.000 |
| -4377.619 | -4377.619 | -4526.881 | -0.000 | 0.000 | -60.572 |
| 38616602.520 | -36012689.141 | -5412871.677 | -0.000 | -0.000 | -105.483 |
| 609.522 | 613.536 | 565.453 | -0.000 | -0.000 | -0.000 |
| 549.098 | 549.098 | 725.057 | -0.000 | -0.000 | -0.000 |
| 0.000 | 0.000 | 0.000 | 20.779 | -0.000 | -0.000 |
| 0.000 | 0.000 | 0.000 | -0.000 | 20.779 | -0.000 |
| -0.000 | -0.000 | 0.000 | -0.000 | -0.000 | 10.617 |
| -327.236 | -205.769 | -342.516 | 0.000 | 0.000 | 0.000 |
| -267.916 | -263.854 | -341.878 | 0.000 | 0.000 | 0.000 |
| -325.514 | -325.514 | -179.376 | 0.000 | 0.000 | 0.000 |
| -0.000 | -0.000 | -0.000 | 20.779 | 0.000 | 0.000 |
| -0.000 | -0.000 | -0.000 | -0.000 | 20.779 | 0.000 |
| 0.000 | 0.000 | -0.000 | 0.000 | 0.000 | 10.617 |
| 205.553 | 205.190 | 145.449 | -0.000 | -0.000 | -0.000 |
| -328798.426 | -8411684.618 | -4260159.170 | -0.000 | -0.000 | 0.000 |
| 208.827 | 208.827 | 373.184 | 0.000 | -0.000 | -0.000 |
| 0.000 | 0.000 | 0.000 | 20.779 | -0.000 | -0.000 |
| 43.731 | 43.731 | 45.222 | -0.000 | 9.009 | -0.000 |
| -0.000 | -0.001 | 0.000 | 0.000 | -0.000 | 10.617 |
| 277.000 | 255.764 | 208.533 | 0.000 | 0.000 | 0.000 |
| 122.764 | 126.332 | 61.866 | 0.000 | 0.000 | 0.000 |
| 208.833 | 208.833 | 373.187 | 0.000 | 0.000 | 0.000 |
| -0.000 | -0.000 | -0.000 | 20.779 | 0.000 | 0.000 |
| -43.731 | -43.731 | -45.222 | 0.000 | 9.009 | 0.000 |
| 0.000 | 0.001 | -0.000 | -0.000 | 0.000 | 10.617 |
| 174.505 | 84.031 | 113.962 | 0.000 | -0.000 | -0.000 |
| 75.516 | 203.830 | 67.429 | -0.000 | 0.000 | -0.000 |
| 98.098 | 68.159 | 167.530 | -0.000 | -0.000 | -0.000 |
| 0.002 | 0.002 | 0.002 | 45.177 | 0.000 | -0.000 |
| 0.005 | 0.004 | 0.005 | -0.000 | 73.671 | -0.000 |
| 0.001 | 0.001 | 0.001 | -0.000 | -0.000 | 57.460 |
| 174.505 | 84.031 | 113.962 | 0.000 | -0.000 | 0.000 |
| 84.308 | 212.544 | 76.924 | -0.000 | -0.000 | 0.000 |
| 115.563 | 78.248 | 188.048 | -0.000 | 0.000 | 0.000 |
| -0.002 | -0.002 | -0.002 | 45.177 | -0.000 | 0.000 |
| -0.005 | -0.004 | -0.005 | 0.000 | 73.671 | 0.000 |
| -0.001 | -0.001 | -0.001 | 0.000 | -0.000 | 57.460 |
| 159.859 | 74.909 | 96.908 | -0.000 | 0.000 | -0.000 |
| 84.308 | 212.544 | 76.924 | -0.000 | -0.000 | -0.000 |
| 115.563 | 78.248 | 188.045 | 0.000 | -0.000 | -0.000 |
| 0.000 | 0.000 | 0.000 | 45.177 | 0.000 | -0.000 |
| 0.000 | 0.000 | 0.000 | -0.000 | 73.671 | -0.000 |
| 0.000 | 0.000 | 0.000 | -0.000 | 0.000 | 57.460 |
| 174.505 | 84.031 | 113.962 | -0.000 | 0.000 | 0.000 |
| 84.308 | 212.544 | 76.924 | -0.000 | -0.000 | 0.000 |
| 115.563 | 78.248 | 188.049 | -0.000 | 0.000 | 0.000 |
| -0.000 | -0.000 | -0.000 | 45.177 | -0.000 | 0.000 |
| -0.000 | -0.000 | -0.000 | -0.000 | 73.671 | 0.000 |
| -0.000 | -0.000 | -0.000 | 0.000 | -0.000 | 57.460 |
| 159.860 | 74.909 | 96.908 | -0.000 | 0.000 | -0.000 |
| 84.308 | 212.543 | 76.924 | -0.000 | -0.000 | -0.000 |
| 115.562 | 78.247 | 188.043 | 0.000 | 0.000 | -0.000 |
| 0.000 | 0.000 | 0.000 | 45.177 | -0.000 | -0.000 |
| -0.001 | -0.001 | -0.001 | 0.000 | 73.671 | -0.000 |
| -0.000 | -0.000 | 0.000 | -0.000 | 0.000 | 57.460 |
| 159.603 | 75.794 | 96.374 | -0.000 | -0.000 | 0.000 |
| 75.515 | 203.830 | 67.429 | -0.000 | 0.000 | 0.000 |
| 115.564 | 78.248 | 188.050 | 0.000 | -0.000 | 0.000 |
| -0.000 | -0.000 | -0.000 | 45.177 | 0.000 | 0.000 |
| 0.001 | 0.001 | 0.001 | -0.000 | 73.671 | 0.000 |
| 0.000 | 0.000 | -0.000 | 0.000 | -0.000 | 57.460 |
| 192.482 | 364.900 | 364.900 | -0.000 | 0.000 | -0.000 |
| 364.900 | 192.482 | 364.900 | 0.000 | 0.000 | -0.000 |
| 364.900 | 364.900 | 192.482 | -0.000 | 0.000 | -0.000 |
| -0.000 | -0.000 | 0.000 | 61.791 | 0.000 | 0.000 |
| -0.000 | -0.000 | 0.000 | -0.000 | 61.791 | -0.000 |
| -0.000 | 0.000 | -0.000 | -0.000 | 0.000 | 61.791 |
| 192.482 | 364.899 | 364.899 | -0.000 | -0.000 | 0.000 |
| 364.899 | 192.482 | 364.899 | 0.000 | -0.000 | 0.000 |
| 364.899 | 364.899 | 192.482 | 0.000 | -0.000 | 0.000 |
| 0.000 | 0.000 | -0.000 | 61.791 | -0.000 | 0.000 |
| 0.000 | 0.000 | -0.000 | 0.000 | 61.791 | 0.000 |
| 0.000 | -0.000 | 0.000 | 0.000 | -0.000 | 61.791 |
| 192.486 | 364.903 | 364.903 | -0.000 | 0.000 | -0.000 |
| 364.903 | 192.486 | 364.903 | -0.000 | 0.000 | -0.000 |
| 364.903 | 364.903 | 192.486 | -0.000 | 0.000 | -0.000 |
| 0.000 | 0.000 | 0.000 | 61.791 | 0.000 | -0.000 |
| 0.000 | 0.000 | 0.000 | -0.000 | 61.791 | -0.000 |
| 0.000 | 0.000 | 0.000 | -0.000 | 0.000 | 61.791 |
| 192.478 | 364.895 | 364.895 | 0.000 | -0.000 | 0.000 |
| 364.895 | 192.478 | 364.895 | 0.000 | -0.000 | 0.000 |
| 364.895 | 364.895 | 192.478 | 0.000 | -0.000 | 0.000 |
| -0.000 | -0.000 | -0.000 | 61.791 | -0.000 | 0.000 |
| -0.000 | -0.000 | -0.000 | 0.000 | 61.791 | 0.000 |
| -0.000 | -0.000 | -0.000 | 0.000 | -0.000 | 61.791 |
| 192.524 | 364.937 | 364.937 | -0.000 | 0.000 | -0.000 |
| 364.937 | 192.524 | 364.937 | -0.000 | 0.000 | -0.000 |
| 364.937 | 364.937 | 192.524 | -0.000 | 0.000 | -0.000 |
| 0.000 | 0.000 | 0.000 | 61.791 | 0.000 | -0.000 |
| 0.000 | 0.000 | 0.000 | -0.000 | 61.791 | -0.000 |
| 0.000 | 0.000 | 0.000 | -0.000 | 0.000 | 61.791 |
| 192.440 | 364.861 | 364.861 | 0.000 | -0.000 | 0.000 |
| 364.861 | 192.440 | 364.861 | 0.000 | -0.000 | 0.000 |
| 364.861 | 364.861 | 192.440 | 0.000 | -0.000 | 0.000 |
| -0.000 | -0.000 | -0.000 | 61.791 | -0.000 | 0.000 |
| -0.000 | -0.000 | -0.000 | 0.000 | 61.791 | 0.000 |
| -0.000 | -0.000 | -0.000 | 0.000 | -0.000 | 61.791 |
| -324.386 | -93.483 | -93.483 | 0.000 | -0.000 | 0.000 |
| -93.483 | -324.386 | -93.483 | 0.000 | 0.000 | 0.000 |
| -93.483 | -93.483 | -324.386 | 0.000 | -0.000 | 0.000 |
| 0.000 | -0.000 | -0.000 | -70.203 | 0.000 | 0.000 |
| -0.000 | 0.000 | -0.000 | 0.000 | -70.203 | 0.000 |
| -0.000 | -0.000 | 0.000 | 0.000 | 0.000 | -70.203 |
| -324.386 | -93.483 | -93.483 | -0.000 | -0.000 | 0.000 |
| -93.483 | -324.386 | -93.483 | -0.000 | -0.000 | -0.000 |
| -93.483 | -93.483 | -324.386 | -0.000 | -0.000 | 0.000 |
| -0.000 | 0.000 | 0.000 | -70.203 | -0.000 | -0.000 |
| 0.000 | -0.000 | 0.000 | -0.000 | -70.203 | 0.000 |
| 0.000 | 0.000 | -0.000 | 0.000 | -0.000 | -70.203 |
| -324.386 | -93.483 | -93.483 | 0.000 | 0.000 | -0.000 |
| -93.483 | -324.386 | -93.483 | 0.000 | -0.000 | -0.000 |
| -93.483 | -93.483 | -324.386 | 0.000 | 0.000 | 0.000 |
| -0.000 | -0.000 | -0.000 | -70.203 | 0.000 | -0.000 |
| -0.000 | -0.000 | -0.000 | 0.000 | -70.203 | -0.000 |
| -0.000 | -0.000 | -0.000 | 0.000 | -0.000 | -70.203 |
| -324.385 | -93.483 | -93.483 | -0.000 | -0.000 | 0.000 |
| -93.483 | -324.385 | -93.483 | -0.000 | -0.000 | -0.000 |
| -93.483 | -93.483 | -324.385 | -0.000 | -0.000 | 0.000 |
| 0.000 | 0.000 | 0.000 | -70.203 | 0.000 | -0.000 |
| 0.000 | 0.000 | 0.000 | 0.000 | -70.203 | -0.000 |
| 0.000 | 0.000 | 0.000 | 0.000 | 0.000 | -70.203 |
| -324.390 | -93.484 | -93.484 | 0.000 | 0.000 | -0.000 |
| -93.484 | -324.390 | -93.484 | 0.000 | 0.000 | 0.000 |
| -93.484 | -93.484 | -324.390 | 0.000 | 0.000 | -0.000 |
| -0.000 | -0.000 | -0.000 | -70.203 | -0.000 | 0.000 |
| -0.000 | -0.000 | -0.000 | -0.000 | -70.203 | -0.000 |
| -0.000 | -0.000 | -0.000 | -0.000 | -0.000 | -70.203 |
| -324.381 | -93.482 | -93.482 | -0.000 | 0.000 | -0.000 |
| -93.482 | -324.381 | -93.482 | -0.000 | -0.000 | -0.000 |
| -93.482 | -93.482 | -324.381 | -0.000 | -0.000 | 0.000 |
| 0.000 | 0.000 | 0.000 | -70.203 | 0.000 | -0.000 |
| 0.000 | 0.000 | 0.000 | 0.000 | -70.203 | 0.000 |
| 0.000 | 0.000 | 0.000 | 0.000 | -0.000 | -70.203 |
| 210.276 | 76.485 | 76.485 | -0.000 | -0.000 | -0.000 |
| 76.485 | 210.276 | 76.485 | -0.000 | -0.000 | -0.000 |
| 76.485 | 76.485 | 210.276 | -0.000 | 0.000 | -0.000 |
| -0.000 | 0.000 | 0.000 | 77.728 | -0.000 | -0.000 |
| 0.000 | -0.000 | 0.000 | -0.000 | 77.728 | -0.000 |
| 0.000 | 0.000 | -0.000 | -0.000 | -0.000 | 77.728 |
| 210.276 | 76.485 | 76.485 | 0.000 | 0.000 | 0.000 |
| 76.485 | 210.276 | 76.485 | 0.000 | 0.000 | -0.000 |
| 76.485 | 76.485 | 210.276 | 0.000 | 0.000 | 0.000 |
| 0.000 | 0.000 | -0.000 | 77.728 | 0.000 | -0.000 |
| -0.000 | 0.000 | -0.000 | 0.000 | 77.728 | 0.000 |
| -0.000 | -0.000 | -0.000 | 0.000 | 0.000 | 77.728 |
| 210.276 | 76.485 | 76.485 | -0.000 | -0.000 | 0.000 |
| 76.485 | 210.276 | 76.485 | -0.000 | -0.000 | 0.000 |
| 76.485 | 76.485 | 210.276 | -0.000 | 0.000 | -0.000 |
| -0.000 | 0.000 | 0.000 | 77.728 | -0.000 | 0.000 |
| 0.000 | -0.000 | 0.000 | -0.000 | 77.728 | -0.000 |
| 0.000 | 0.000 | -0.000 | -0.000 | -0.000 | 77.728 |
| 210.276 | 76.485 | 76.485 | 0.000 | -0.000 | -0.000 |
| 76.485 | 210.276 | 76.485 | 0.000 | 0.000 | -0.000 |
| 76.485 | 76.485 | 210.276 | 0.000 | 0.000 | 0.000 |
| 0.000 | -0.000 | -0.000 | 77.728 | 0.000 | 0.000 |
| -0.000 | 0.000 | -0.000 | 0.000 | 77.728 | 0.000 |
| -0.000 | -0.000 | 0.000 | 0.000 | 0.000 | 77.728 |
| 210.275 | 76.485 | 76.485 | -0.000 | -0.000 | -0.000 |
| 76.485 | 210.275 | 76.485 | 0.000 | -0.000 | 0.000 |
| 76.485 | 76.485 | 210.275 | 0.000 | 0.000 | -0.000 |
| -0.000 | 0.000 | 0.000 | 77.728 | -0.000 | -0.000 |
| 0.000 | -0.000 | 0.000 | -0.000 | 77.728 | -0.000 |
| 0.000 | 0.000 | -0.000 | -0.000 | -0.000 | 77.728 |
| 210.277 | 76.484 | 76.484 | -0.000 | -0.000 | 0.000 |
| 76.484 | 210.277 | 76.484 | 0.000 | -0.000 | -0.000 |
| 76.484 | 76.484 | 210.277 | 0.000 | 0.000 | -0.000 |
| 0.000 | -0.000 | -0.000 | 77.728 | 0.000 | 0.000 |
| -0.000 | 0.000 | -0.000 | 0.000 | 77.728 | 0.000 |
| -0.000 | -0.000 | 0.000 | 0.000 | -0.000 | 77.728 |
| 1969.793 | 984.984 | 984.984 | -0.000 | -0.000 | -0.000 |
| 984.984 | 1969.793 | 984.984 | -0.000 | -0.000 | -0.000 |
| 984.984 | 984.984 | 1969.793 | -0.000 | -0.000 | -0.000 |
| -0.000 | 0.000 | 0.000 | 984.979 | -0.000 | -0.000 |
| 0.000 | -0.000 | 0.000 | -0.000 | 984.979 | -0.000 |
| 0.000 | 0.000 | -0.000 | -0.000 | -0.000 | 984.979 |
| 1969.792 | 984.983 | 984.983 | 0.000 | 0.000 | 0.000 |
| 984.983 | 1969.792 | 984.983 | 0.000 | 0.000 | 0.000 |
| 984.983 | 984.983 | 1969.792 | 0.000 | 0.000 | 0.000 |
| 0.000 | -0.000 | -0.000 | 984.979 | 0.000 | 0.000 |
| -0.000 | 0.000 | -0.000 | 0.000 | 984.979 | 0.000 |
| -0.000 | -0.000 | 0.000 | 0.000 | 0.000 | 984.979 |
| 1969.794 | 984.984 | 984.984 | -0.000 | -0.000 | -0.000 |
| 984.984 | 1969.794 | 984.984 | -0.000 | -0.000 | -0.000 |
| 984.984 | 984.984 | 1969.794 | -0.000 | -0.000 | -0.000 |
| -0.000 | 0.000 | 0.001 | 984.979 | -0.000 | -0.000 |
| 0.000 | -0.000 | 0.001 | -0.000 | 984.979 | -0.000 |
| 0.000 | 0.001 | -0.000 | -0.000 | -0.000 | 984.979 |
| 1969.791 | 984.983 | 984.983 | 0.000 | 0.000 | 0.000 |
| 984.983 | 1969.791 | 984.983 | 0.000 | 0.000 | 0.000 |
| 984.983 | 984.983 | 1969.791 | 0.000 | 0.000 | 0.000 |
| 0.000 | -0.000 | -0.001 | 984.979 | 0.000 | 0.000 |
| -0.000 | 0.000 | -0.001 | 0.000 | 984.979 | 0.000 |
| -0.000 | -0.001 | 0.000 | 0.000 | 0.000 | 984.979 |
| 1969.804 | 984.991 | 984.991 | -0.000 | -0.000 | -0.000 |
| 984.991 | 1969.804 | 984.991 | -0.000 | -0.000 | -0.000 |
| 984.991 | 984.991 | 1969.804 | -0.000 | -0.000 | -0.000 |
| -0.000 | 0.005 | 0.006 | 984.979 | -0.000 | -0.000 |
| 0.005 | -0.000 | 0.006 | -0.000 | 984.979 | -0.000 |
| 0.005 | 0.006 | -0.000 | -0.000 | -0.000 | 984.979 |
| 1969.781 | 984.975 | 984.975 | 0.000 | 0.000 | 0.000 |
| 984.975 | 1969.781 | 984.975 | 0.000 | 0.000 | 0.000 |
| 984.975 | 984.975 | 1969.781 | 0.000 | 0.000 | 0.000 |
| 0.000 | -0.005 | -0.006 | 984.979 | 0.000 | 0.000 |
| -0.005 | 0.000 | -0.006 | 0.000 | 984.979 | 0.000 |
| -0.005 | -0.006 | 0.000 | 0.000 | 0.000 | 984.979 |
| 269.495 | 158.643 | 158.643 | -0.000 | -0.000 | 0.000 |
| 158.643 | 269.495 | 158.643 | 0.000 | 0.000 | 0.000 |
| 158.643 | 158.643 | 269.495 | 0.000 | 0.000 | 0.000 |
| -0.000 | -0.000 | 0.000 | 51.608 | 0.000 | 0.000 |
| -0.000 | -0.000 | -0.000 | 0.000 | 51.608 | 0.000 |
| -0.000 | 0.000 | -0.000 | 0.000 | 0.000 | 51.608 |
| 269.495 | 158.643 | 158.643 | -0.000 | -0.000 | -0.000 |
| 158.643 | 269.495 | 158.643 | -0.000 | -0.000 | -0.000 |
| 158.643 | 158.643 | 269.495 | -0.000 | -0.000 | -0.000 |
| 0.000 | -0.000 | 0.000 | 51.608 | -0.000 | -0.000 |
| 0.000 | 0.000 | 0.000 | -0.000 | 51.608 | -0.000 |
| 0.000 | -0.000 | 0.000 | -0.000 | -0.000 | 51.608 |
| 269.496 | 158.643 | 158.643 | 0.000 | -0.000 | 0.000 |
| 158.643 | 269.496 | 158.643 | -0.000 | 0.000 | 0.000 |
| 158.643 | 158.643 | 269.496 | -0.000 | 0.000 | 0.000 |
| -0.000 | 0.000 | 0.000 | 51.608 | 0.000 | 0.000 |
| 0.000 | -0.000 | 0.000 | 0.000 | 51.608 | 0.000 |
| 0.000 | 0.000 | -0.000 | 0.000 | 0.000 | 51.608 |
| 271.444 | 157.669 | 157.669 | -0.000 | 0.000 | -0.000 |
| 157.669 | 271.444 | 157.669 | -0.000 | -0.000 | -0.000 |
| 157.669 | 157.669 | 271.444 | -0.000 | -0.000 | -0.000 |
| 0.000 | -0.000 | -0.000 | 51.608 | -0.000 | -0.000 |
| -0.000 | 0.000 | -0.000 | 0.000 | 51.608 | -0.000 |
| -0.000 | -0.000 | 0.000 | -0.000 | -0.000 | 51.608 |
| 269.499 | 158.645 | 158.645 | 0.000 | 0.000 | 0.000 |
| 158.645 | 269.499 | 158.645 | -0.000 | 0.000 | 0.000 |
| 158.645 | 158.645 | 269.499 | 0.000 | 0.000 | 0.000 |
| -0.000 | 0.000 | 0.000 | 51.608 | 0.000 | 0.000 |
| 0.000 | -0.000 | 0.000 | -0.000 | 51.608 | 0.000 |
| 0.000 | 0.000 | -0.000 | 0.000 | 0.000 | 51.608 |
| 269.491 | 158.641 | 158.641 | -0.000 | -0.000 | -0.000 |
| 158.641 | 269.491 | 158.641 | -0.000 | -0.000 | -0.000 |
| 158.641 | 158.641 | 269.491 | -0.000 | -0.000 | -0.000 |
| 0.000 | -0.000 | -0.000 | 51.608 | -0.000 | -0.000 |
| -0.000 | 0.000 | -0.000 | 0.000 | 51.608 | -0.000 |
| -0.000 | -0.000 | 0.000 | -0.000 | -0.000 | 51.608 |
| 5839059.998 | 7903465.530 | 11557669.260 | -4448858.785 | 2005943.414 | -282054.448 |
| 5851711.550 | 7900542.280 | 11564555.230 | -4443864.439 | 2001137.594 | -272790.767 |
| 5854864.107 | 7924456.708 | 11583686.457 | -4436792.838 | 1990903.470 | -265799.134 |
| 5856129.644 | 7931587.012 | 11592884.479 | -4431909.904 | 1986622.283 | -251714.391 |
| 5854590.741 | 7920428.281 | 11584089.754 | -4436929.517 | 1989459.443 | -254327.139 |
| 5851935.925 | 7899783.031 | 11569792.231 | -4443215.258 | 1988618.240 | -256994.308 |
| -5858725.899 | -7900827.171 | -11569555.069 | 4442705.033 | -1988770.993 | 248268.086 |
| -5856894.953 | -7905871.676 | -11566367.954 | 4445469.388 | -1997921.945 | 266599.138 |
| -5856354.671 | -7922894.377 | -11585172.367 | 4433131.666 | -1987143.933 | 256142.128 |
| -5859072.160 | -7895260.186 | -11556410.370 | 4445408.259 | -1993641.100 | 262127.185 |
| -5859027.367 | -7915047.192 | -11575280.402 | 4439330.622 | -1991388.606 | 257654.592 |
| -5861693.958 | -7916066.812 | -11570064.783 | 4439037.674 | -1992321.186 | 261346.901 |
| 578153.520 | 797256.148 | 1159325.249 | -439646.561 | 205096.281 | -25656.525 |
| 579376.541 | 798574.704 | 1163200.627 | -439969.131 | 201623.987 | -24448.586 |
| 583543.811 | 793147.418 | 1159246.781 | -443283.057 | 200215.119 | -28865.522 |
| 581231.727 | 790339.809 | 1158194.119 | -442092.762 | 198633.160 | -24823.074 |
| 584487.716 | 791140.602 | 1158101.207 | -443794.656 | 199733.623 | -27042.833 |
| 576034.143 | 797433.385 | 1166109.404 | -438745.231 | 198919.006 | -25846.620 |
| -596718.364 | -795325.671 | -1170305.730 | 434445.583 | -207239.783 | 17072.109 |
| -580658.581 | -789965.812 | -1159107.447 | 443739.074 | -197776.239 | 22572.556 |
| -580069.886 | -787339.550 | -1155957.442 | 444457.524 | -199671.845 | 24815.093 |
| -585197.189 | -788849.656 | -1154440.325 | 445662.382 | -199858.061 | 27750.170 |
| -586715.951 | -788950.609 | -1154563.086 | 445495.949 | -198987.855 | 25355.384 |
| -584663.538 | -793966.876 | -1160274.365 | 442340.126 | -198921.912 | 26869.500 |
| 58901.232 | 80264.441 | 118122.790 | -43998.204 | 20291.336 | -1289.967 |
| 61124.948 | 75117.259 | 115865.774 | -43437.012 | 20779.596 | -3822.377 |
| 57822.672 | 80425.201 | 116514.974 | -43730.346 | 20421.445 | -2871.954 |
| 60359.746 | 78887.970 | 116278.409 | -44524.451 | 19676.998 | -3432.796 |
| 57568.861 | 79405.961 | 116713.992 | -43866.302 | 19979.367 | -2273.707 |
| 57320.941 | 79940.786 | 116737.305 | -43880.914 | 20199.358 | -2436.391 |
| -60057.242 | -75467.814 | -116730.494 | 42968.748 | -17649.325 | 2857.017 |
| -61234.864 | -75114.664 | -118453.277 | 43911.050 | -17910.904 | 2883.564 |
| -56628.439 | -79783.010 | -117083.430 | 43886.385 | -19937.921 | 2190.272 |
| -58939.595 | -77324.599 | -114952.069 | 45216.976 | -19783.933 | 2425.537 |
| -58732.232 | -78831.713 | -115100.486 | 44688.348 | -19899.735 | 2439.940 |
| -58026.339 | -80928.003 | -117070.440 | 43412.935 | -20012.945 | 2858.151 |
| 181.176 | 91.984 | 91.984 | 0.000 | -0.000 | 0.000 |
| 91.984 | 181.176 | 91.984 | -0.000 | 0.000 | -0.000 |
| 91.984 | 91.984 | 181.176 | -0.000 | -0.000 | 0.000 |
| -0.000 | -0.000 | 0.000 | 78.039 | 0.000 | -0.000 |
| -0.000 | -0.000 | -0.000 | 0.000 | 78.039 | -0.000 |
| -0.000 | -0.000 | 0.000 | 0.000 | -0.000 | 78.039 |
| 181.176 | 91.984 | 91.984 | -0.000 | -0.000 | -0.000 |
| 91.984 | 181.176 | 91.984 | -0.000 | 0.000 | -0.000 |
| 91.984 | 91.984 | 181.176 | -0.000 | 0.000 | 0.000 |
| 0.000 | 0.000 | -0.000 | 78.039 | -0.000 | 0.000 |
| 0.000 | 0.000 | -0.000 | 0.000 | 78.039 | 0.000 |
| 0.000 | 0.000 | -0.000 | -0.000 | 0.000 | 78.039 |
| 181.176 | 91.984 | 91.984 | 0.000 | -0.000 | -0.000 |
| 91.984 | 181.176 | 91.984 | 0.000 | 0.000 | -0.000 |
| 91.984 | 91.984 | 181.176 | 0.000 | 0.000 | 0.000 |
| -0.000 | -0.000 | -0.000 | 78.039 | -0.000 | 0.000 |
| -0.000 | -0.000 | -0.000 | 0.000 | 78.039 | 0.000 |
| -0.000 | -0.000 | -0.000 | -0.000 | -0.000 | 78.039 |
| 181.176 | 91.984 | 91.984 | -0.000 | 0.000 | 0.000 |
| 91.984 | 181.176 | 91.984 | -0.000 | 0.000 | 0.000 |
| 91.984 | 91.984 | 181.176 | -0.000 | 0.000 | -0.000 |
| 0.000 | 0.000 | 0.000 | 78.039 | 0.000 | 0.000 |
| 0.000 | 0.000 | 0.000 | -0.000 | 78.039 | 0.000 |
| 0.000 | 0.000 | 0.000 | -0.000 | 0.000 | 78.039 |
| 181.176 | 91.985 | 91.985 | 0.000 | -0.000 | -0.000 |
| 91.985 | 181.176 | 91.985 | 0.000 | -0.000 | 0.000 |
| 91.985 | 91.985 | 181.176 | 0.000 | -0.000 | -0.000 |
| -0.000 | -0.000 | -0.000 | 78.039 | -0.000 | 0.000 |
| -0.000 | -0.000 | -0.000 | 0.000 | 78.039 | 0.000 |
| -0.000 | -0.000 | -0.000 | 0.000 | 0.000 | 78.039 |
| 181.177 | 91.983 | 91.983 | 0.000 | 0.000 | -0.000 |
| 91.983 | 181.177 | 91.983 | -0.000 | -0.000 | 0.000 |
| 91.983 | 91.983 | 181.177 | -0.000 | 0.000 | -0.000 |
| 0.000 | 0.000 | 0.000 | 78.039 | 0.000 | -0.000 |
| 0.000 | 0.000 | 0.000 | -0.000 | 78.039 | -0.000 |
| 0.000 | 0.000 | 0.000 | 0.000 | 0.000 | 78.039 |
| 1902.781 | 1009.823 | 1009.823 | -0.000 | -0.000 | -0.000 |
| 1009.823 | 1902.781 | 1009.823 | -0.000 | -0.000 | -0.000 |
| 1009.823 | 1009.823 | 1902.781 | -0.000 | -0.000 | -0.000 |
| 0.000 | 0.000 | 0.000 | 1010.062 | -0.000 | -0.000 |
| 0.000 | 0.000 | 0.000 | -0.000 | 1010.062 | -0.000 |
| 0.000 | 0.000 | 0.000 | -0.000 | -0.000 | 1010.062 |
| 1902.782 | 1009.823 | 1009.823 | 0.000 | 0.000 | 0.000 |
| 1009.823 | 1902.782 | 1009.823 | 0.000 | 0.000 | -0.000 |
| 1009.823 | 1009.823 | 1902.782 | 0.000 | 0.000 | -0.000 |
| -0.000 | -0.000 | -0.000 | 1010.062 | 0.000 | -0.000 |
| -0.000 | -0.000 | -0.000 | 0.000 | 1010.062 | 0.000 |
| -0.000 | -0.000 | -0.000 | 0.000 | 0.000 | 1010.062 |
| 1902.780 | 1009.824 | 1009.824 | -0.000 | -0.000 | -0.000 |
| 1009.824 | 1902.780 | 1009.824 | -0.000 | -0.000 | -0.000 |
| 1009.824 | 1009.824 | 1902.780 | -0.000 | -0.000 | -0.000 |
| 0.001 | 0.001 | 0.001 | 1010.062 | -0.000 | -0.000 |
| 0.001 | 0.001 | 0.001 | -0.000 | 1010.062 | -0.000 |
| 0.001 | 0.001 | 0.001 | -0.000 | -0.000 | 1010.062 |
| 1902.783 | 1009.822 | 1009.822 | 0.000 | 0.000 | 0.000 |
| 1009.822 | 1902.783 | 1009.822 | 0.000 | 0.000 | -0.000 |
| 1009.822 | 1009.822 | 1902.783 | 0.000 | 0.000 | -0.000 |
| -0.001 | -0.001 | -0.001 | 1010.062 | 0.000 | -0.000 |
| -0.001 | -0.001 | -0.001 | 0.000 | 1010.062 | 0.000 |
| -0.001 | -0.001 | -0.001 | 0.000 | 0.000 | 1010.062 |
| 1902.766 | 1009.833 | 1009.833 | -0.000 | -0.000 | -0.000 |
| 1009.833 | 1902.766 | 1009.833 | -0.000 | -0.000 | -0.000 |
| 1009.833 | 1009.833 | 1902.766 | -0.000 | -0.000 | -0.000 |
| 0.009 | 0.007 | 0.009 | 1010.062 | -0.000 | -0.000 |
| 0.007 | 0.009 | 0.009 | -0.000 | 1010.062 | 0.000 |
| 0.007 | 0.009 | 0.009 | -0.000 | -0.000 | 1010.062 |
| 1902.797 | 1009.813 | 1009.813 | 0.000 | 0.000 | 0.000 |
| 1009.813 | 1902.797 | 1009.813 | 0.000 | 0.000 | 0.000 |
| 1009.813 | 1009.813 | 1902.797 | 0.000 | 0.000 | 0.000 |
| -0.009 | -0.007 | -0.009 | 1010.062 | 0.000 | 0.000 |
| -0.007 | -0.009 | -0.009 | 0.000 | 1010.062 | 0.000 |
| -0.007 | -0.009 | -0.009 | 0.000 | 0.000 | 1010.062 |
| 196.990 | 510.257 | 221.141 | -0.000 | -0.000 | 0.000 |
| 510.257 | 196.990 | 221.141 | -0.000 | -0.000 | 0.000 |
| 221.141 | 221.141 | 314.115 | -0.000 | -0.000 | 0.000 |
| 0.000 | 0.000 | -0.000 | -51.016 | -0.000 | 0.000 |
| 0.000 | -0.000 | -0.000 | -0.000 | -51.016 | 0.000 |
| 0.000 | 0.000 | 0.000 | -0.000 | -0.000 | -156.634 |
| 359.155 | 348.093 | 221.141 | 0.000 | 0.000 | -0.000 |
| 348.093 | 359.155 | 221.141 | 0.000 | 0.000 | -0.000 |
| 221.141 | 221.141 | 314.115 | 0.000 | 0.000 | -0.000 |
| -0.000 | 0.000 | 0.000 | -51.016 | 0.000 | -0.000 |
| -0.000 | 0.000 | 0.000 | 0.000 | -51.016 | -0.000 |
| -0.000 | -0.000 | -0.000 | 0.000 | 0.000 | -156.634 |
| 26879072.850 | 189354578.993 | 85074208.317 | -0.000 | -0.000 | 0.001 |
| 125877487.905 | 112380953.701 | 54964027.986 | 405601.075 | 482484.709 | -3079228.545 |
| 221.139 | 221.139 | 314.113 | -0.000 | -0.000 | 0.000 |
| -0.000 | 0.000 | 0.000 | -51.016 | -0.000 | 0.000 |
| 0.000 | -0.000 | 0.000 | -0.000 | -51.016 | 0.000 |
| 0.000 | 0.000 | 0.000 | -0.000 | -0.000 | 5.531 |
| -120827655.538 | -114218057.780 | -52348879.061 | -20897.980 | -192121.500 | 3036842.880 |
| 348.096 | 359.157 | 221.143 | 0.000 | 0.000 | -0.000 |
| 221.143 | 221.143 | 314.116 | 0.000 | 0.000 | -0.000 |
| 0.000 | -0.000 | -0.000 | -51.016 | 0.000 | -0.000 |
| -0.000 | 0.000 | -0.000 | 0.000 | -51.016 | -0.000 |
| -0.000 | -0.000 | -0.000 | 0.000 | 0.000 | 5.531 |
| 359.128 | 348.065 | 221.117 | -0.000 | -0.000 | 0.000 |
| 348.064 | 359.128 | 221.117 | -0.000 | -0.000 | 0.000 |
| 221.121 | 221.121 | 314.099 | -0.000 | -0.000 | 0.000 |
| 0.000 | 0.001 | 0.000 | -51.016 | -0.000 | 0.000 |
| 0.001 | -0.000 | 0.000 | -0.000 | -51.016 | 0.000 |
| 14873562.965 | 6749782.416 | 8507397.405 | -0.000 | -0.000 | -7035364.855 |
| -12461125.624 | -10792647.369 | -5679895.141 | -5146.324 | -1095.373 | 307988.217 |
| -2687681.080 | -18935191.455 | -8507242.388 | 0.000 | 0.000 | -0.000 |
| 221.160 | 221.160 | 314.131 | 0.000 | 0.000 | -0.000 |
| -0.000 | -0.001 | -0.000 | -51.016 | 0.000 | -0.000 |
| -0.001 | 0.000 | -0.000 | 0.000 | -51.016 | -0.000 |
| -14873572.537 | -6749772.183 | -8507396.317 | 0.000 | 0.000 | -7035359.371 |
| 207.823 | 70.222 | 65.132 | 0.000 | 0.000 | -0.000 |
| 68.725 | 209.319 | 65.132 | 0.000 | -0.000 | -0.000 |
| 65.132 | 65.132 | 125.778 | 0.000 | 0.000 | -0.000 |
| -0.000 | -0.000 | -0.000 | 66.312 | 0.000 | -0.000 |
| -0.000 | -0.000 | -0.000 | 0.000 | 66.312 | -0.000 |
| -0.000 | -0.000 | -0.000 | 0.000 | 0.000 | 70.297 |
| 209.319 | 68.725 | 65.132 | -0.000 | -0.000 | 0.000 |
| 68.725 | 209.319 | 65.132 | -0.000 | -0.000 | 0.000 |
| 65.132 | 65.132 | 125.778 | -0.000 | -0.000 | 0.000 |
| 0.000 | 0.000 | 0.000 | 66.312 | -0.000 | 0.000 |
| 0.000 | 0.000 | 0.000 | -0.000 | 66.312 | 0.000 |
| 0.000 | -0.000 | 0.000 | -0.000 | -0.000 | 70.297 |
| 207.823 | 70.222 | 65.131 | 0.000 | 0.000 | -0.000 |
| 70.222 | 207.823 | 65.131 | 0.000 | 0.000 | 0.000 |
| 65.131 | 65.131 | 125.777 | 0.000 | 0.000 | -0.000 |
| -0.000 | -0.000 | -0.000 | 66.312 | 0.000 | -0.000 |
| -0.000 | -0.000 | -0.000 | 0.000 | 66.312 | -0.000 |
| -0.000 | 0.000 | -0.000 | 0.000 | 0.000 | 68.800 |
| 209.319 | 68.725 | 65.132 | -0.000 | 0.000 | -0.000 |
| 68.725 | 209.319 | 65.132 | -0.000 | -0.000 | 0.000 |
| 65.132 | 65.132 | 125.778 | -0.000 | -0.000 | 0.000 |
| 0.000 | 0.000 | 0.000 | 66.312 | -0.000 | 0.000 |
| 0.000 | 0.000 | 0.000 | -0.000 | 66.312 | 0.000 |
| 0.000 | -0.000 | 0.000 | -0.000 | -0.000 | 68.800 |
| 209.318 | 68.725 | 65.131 | 0.000 | 0.000 | 0.000 |
| 70.222 | 207.822 | 65.131 | 0.000 | 0.000 | -0.000 |
| 65.131 | 65.131 | 125.774 | 0.000 | 0.000 | -0.000 |
| -0.000 | -0.001 | -0.001 | 66.312 | 0.000 | -0.000 |
| -0.001 | -0.000 | -0.001 | 0.000 | 66.312 | -0.000 |
| -0.000 | 0.000 | -0.000 | 0.000 | 0.000 | 70.297 |
| 207.823 | 70.222 | 65.132 | -0.000 | -0.000 | 0.000 |
| 70.222 | 207.824 | 65.132 | -0.000 | -0.000 | -0.000 |
| 65.132 | 65.132 | 125.781 | -0.000 | -0.000 | 0.000 |
| 0.000 | 0.001 | 0.001 | 66.312 | -0.000 | 0.000 |
| 0.001 | 0.000 | 0.001 | -0.000 | 66.312 | 0.000 |
| 0.000 | -0.000 | 0.000 | -0.000 | -0.000 | 70.297 |
| 2462.350 | 820.809 | 656.600 | -0.000 | 0.000 | 0.000 |
| 820.809 | 2462.350 | 656.600 | -0.000 | 0.000 | 0.000 |
| 656.600 | 656.600 | 2626.559 | -0.000 | 0.000 | 0.000 |
| 0.000 | 0.000 | 0.000 | 656.577 | -0.000 | 0.000 |
| 0.000 | 0.000 | 0.000 | -0.000 | 656.577 | 0.000 |
| -0.000 | 0.000 | -0.000 | -0.000 | 0.000 | 738.660 |
| 2462.349 | 820.809 | 656.600 | 0.000 | -0.000 | -0.000 |
| 902.919 | 2380.240 | 656.600 | 0.000 | -0.000 | -0.000 |
| 656.600 | 656.600 | 2626.558 | -0.000 | 0.000 | -0.000 |
| -0.000 | -0.000 | -0.000 | 656.577 | 0.000 | -0.000 |
| -0.000 | -0.000 | -0.000 | 0.000 | 656.577 | -0.000 |
| 0.000 | -0.000 | 0.000 | 0.000 | -0.000 | 738.660 |
| 2462.352 | 820.810 | 656.601 | -0.000 | 0.000 | 0.000 |
| 902.920 | 2380.242 | 656.601 | -0.000 | 0.000 | 0.000 |
| 656.601 | 656.601 | 2626.561 | -0.000 | 0.000 | 0.000 |
| 0.000 | 0.000 | 0.000 | 656.577 | 0.000 | 0.000 |
| 0.000 | 0.000 | 0.000 | -0.000 | 656.577 | 0.000 |
| 0.000 | 0.001 | -0.000 | -0.000 | 0.000 | 738.660 |
| 2462.347 | 820.809 | 656.600 | 0.000 | -0.000 | -0.000 |
| 902.927 | 2380.229 | 656.600 | 0.000 | -0.000 | -0.000 |
| 656.600 | 656.600 | 2626.556 | 0.000 | 0.000 | -0.000 |
| -0.000 | -0.000 | -0.000 | 656.577 | -0.000 | -0.000 |
| -0.000 | -0.000 | -0.000 | 0.000 | 656.577 | 0.000 |
| -0.000 | -0.001 | 0.000 | 0.000 | -0.000 | 738.660 |
| 2380.270 | 902.919 | 656.603 | -0.000 | 0.000 | 0.000 |
| 902.932 | 2380.257 | 656.603 | -0.000 | 0.000 | 0.000 |
| 656.607 | 656.607 | 2626.580 | -0.000 | -0.000 | 0.000 |
| 0.001 | -0.000 | 0.005 | 656.577 | 0.000 | 0.000 |
| -0.000 | 0.001 | 0.005 | -0.000 | 656.577 | 0.000 |
| 0.001 | 0.007 | -0.000 | -0.000 | 0.000 | 738.660 |
| 2380.209 | 902.919 | 656.598 | 0.000 | 0.000 | -0.000 |
| 902.906 | 2380.223 | 656.598 | 0.000 | -0.000 | -0.000 |
| 656.593 | 656.593 | 2626.537 | 0.000 | -0.000 | -0.000 |
| -0.001 | 0.000 | -0.005 | 656.577 | -0.000 | -0.000 |
| 0.000 | -0.001 | -0.005 | 0.000 | 656.577 | -0.000 |
| -0.001 | -0.007 | 0.000 | 0.000 | -0.000 | 738.660 |
| 399563529.108 | 1869723618.316 | 219858706.958 | -0.012 | -0.000 | -0.031 |
| 1080650166.380 | 1001713035.717 | 469241839.394 | -1103594.756 | -1177244.648 | 6952341.433 |
| 174.307 | 174.307 | 277.394 | 0.000 | 0.000 | 0.000 |
| 0.000 | 0.000 | 0.000 | -64.161 | -0.000 | -0.000 |
| 0.000 | 0.000 | 0.000 | -0.000 | -64.161 | -0.000 |
| 0.000 | 0.000 | 0.000 | -0.000 | 0.000 | -3.535 |
| -1090226268.622 | -927720980.092 | -541314486.284 | 2184528.841 | 5901.031 | -7628027.556 |
| 359.403 | 352.333 | 174.307 | -0.000 | -0.000 | 0.000 |
| 174.307 | 174.307 | 277.394 | 0.000 | 0.000 | -0.000 |
| 0.000 | -0.000 | -0.000 | -64.161 | -0.000 | 0.000 |
| -0.000 | -0.000 | -0.000 | -0.000 | -64.161 | 0.000 |
| -0.000 | -0.000 | -0.000 | -0.000 | 0.000 | -3.535 |
| 352.334 | 359.404 | 174.307 | -0.000 | -0.000 | -0.000 |
| 104681783.519 | 102415592.834 | 42826922.198 | 608285.147 | -261137.392 | 1488284.679 |
| 174.307 | 174.307 | 277.394 | -0.000 | -0.000 | -0.000 |
| 0.000 | 0.000 | 0.000 | -64.161 | 0.000 | -0.000 |
| 0.000 | 0.000 | 0.000 | -0.000 | -64.161 | -0.000 |
| 0.000 | 0.000 | 0.000 | 0.000 | -0.000 | -3.535 |
| -120188367.273 | -106388937.678 | -33943350.407 | 779797.728 | -294199.106 | -2734471.730 |
| -39956113.913 | -186972095.369 | -21985705.614 | 0.000 | 0.000 | -0.002 |
| 174.306 | 174.306 | 277.393 | -0.000 | 0.000 | -0.000 |
| -0.000 | -0.000 | -0.000 | -64.161 | 0.000 | 0.000 |
| -0.000 | -0.000 | -0.000 | 0.000 | -64.161 | 0.000 |
| -0.000 | -0.000 | -0.000 | -0.000 | 0.000 | -3.535 |
| 3995945.296 | 18697456.473 | 2198739.046 | 0.000 | -0.000 | 0.000 |
| 10498231.914 | 9778368.811 | 5005639.912 | -78920.726 | -203338.734 | 131935.960 |
| 174.312 | 174.312 | 277.398 | -0.000 | 0.000 | 0.000 |
| -0.000 | 0.002 | 0.000 | -64.161 | -0.000 | 0.000 |
| 0.002 | -0.000 | 0.000 | 0.000 | -64.161 | 0.000 |
| 15021860.729 | 7671041.661 | 2198587.185 | -0.000 | 0.000 | -6365943.305 |
| -11088246.225 | -9753883.901 | -5289837.507 | 104129.989 | 371435.530 | -111158.107 |
| -3995424.408 | -18696989.861 | -2198435.879 | -0.000 | 0.000 | -0.000 |
| 174.302 | 174.302 | 277.389 | -0.000 | 0.000 | 0.000 |
| 0.000 | -0.002 | -0.000 | -64.161 | -0.000 | -0.000 |
| -0.002 | 0.000 | -0.000 | 0.000 | -64.161 | -0.000 |
| -15021860.729 | -7671041.661 | -2198587.185 | 0.000 | 0.000 | -6365943.305 |
| 180.410 | 58.986 | 81.847 | 0.000 | -0.000 | 0.000 |
| 58.986 | 180.410 | 81.847 | 0.000 | -0.000 | 0.000 |
| 81.847 | 81.847 | 298.073 | 0.000 | -0.000 | 0.000 |
| -0.000 | -0.000 | -0.000 | 83.044 | -0.000 | 0.000 |
| -0.000 | -0.000 | -0.000 | 0.000 | 83.044 | 0.000 |
| -0.000 | 0.000 | -0.000 | 0.000 | -0.000 | 60.712 |
| 181.075 | 58.322 | 81.847 | -0.000 | 0.000 | -0.000 |
| 58.322 | 181.075 | 81.847 | -0.000 | 0.000 | -0.000 |
| 81.847 | 81.847 | 298.073 | -0.000 | 0.000 | -0.000 |
| 0.000 | 0.000 | 0.000 | 83.044 | 0.000 | -0.000 |
| 0.000 | -0.000 | 0.000 | 0.000 | 83.044 | -0.000 |
| 0.000 | -0.000 | 0.000 | -0.000 | 0.000 | 60.712 |
| 180.410 | 58.986 | 81.847 | 0.000 | 0.000 | 0.000 |
| 58.322 | 181.075 | 81.847 | 0.000 | -0.000 | 0.000 |
| 81.847 | 81.847 | 298.073 | 0.000 | -0.000 | 0.000 |
| -0.000 | -0.000 | -0.000 | 83.044 | -0.000 | 0.000 |
| -0.000 | -0.000 | -0.000 | 0.000 | 83.044 | 0.000 |
| -0.000 | 0.000 | -0.000 | 0.000 | -0.000 | 61.376 |
| 181.075 | 58.322 | 81.847 | 0.000 | -0.000 | -0.000 |
| 58.322 | 181.075 | 81.847 | 0.000 | 0.000 | -0.000 |
| 81.847 | 81.847 | 298.073 | 0.000 | 0.000 | -0.000 |
| 0.000 | 0.000 | 0.000 | 83.044 | 0.000 | -0.000 |
| 0.000 | 0.000 | 0.000 | -0.000 | 83.044 | -0.000 |
| 0.000 | -0.000 | 0.000 | -0.000 | 0.000 | 61.376 |
| 181.075 | 58.322 | 81.846 | 0.000 | -0.000 | 0.000 |
| 58.322 | 181.074 | 81.846 | -0.000 | -0.000 | 0.000 |
| 81.846 | 81.846 | 298.072 | 0.000 | -0.000 | 0.000 |
| -0.000 | -0.001 | -0.001 | 83.044 | -0.000 | 0.000 |
| -0.001 | -0.000 | -0.001 | 0.000 | 83.044 | 0.000 |
| -0.000 | 0.000 | -0.000 | -0.000 | -0.000 | 61.376 |
| 180.410 | 58.987 | 81.848 | -0.000 | -0.000 | -0.000 |
| 58.322 | 181.075 | 81.848 | 0.000 | 0.000 | -0.000 |
| 81.848 | 81.848 | 298.075 | -0.000 | 0.000 | -0.000 |
| 0.000 | 0.001 | 0.001 | 83.044 | 0.000 | -0.000 |
| 0.001 | 0.000 | 0.001 | -0.000 | 83.044 | -0.000 |
| 0.000 | -0.000 | 0.000 | 0.000 | 0.000 | 61.376 |
| 2380.230 | 902.929 | 656.600 | 0.000 | 0.000 | 0.000 |
| 902.929 | 2380.230 | 656.600 | -0.000 | 0.000 | 0.000 |
| 656.600 | 656.600 | 2626.559 | -0.000 | 0.000 | 0.000 |
| 0.000 | 0.000 | 0.000 | 656.557 | 0.000 | 0.000 |
| -0.000 | 0.000 | 0.000 | 0.000 | 656.557 | -0.000 |
| 0.000 | 0.000 | 0.000 | 0.000 | 0.000 | 820.753 |
| 2380.229 | 902.929 | 656.600 | -0.000 | -0.000 | -0.000 |
| 902.929 | 2380.229 | 656.600 | -0.000 | -0.000 | -0.000 |
| 656.600 | 656.600 | 2626.558 | -0.000 | -0.000 | -0.000 |
| 0.000 | -0.000 | -0.000 | 656.557 | -0.000 | -0.000 |
| 0.000 | -0.000 | -0.000 | -0.000 | 656.557 | -0.000 |
| -0.000 | -0.000 | -0.000 | -0.000 | -0.000 | 820.753 |
| 2380.233 | 902.929 | 656.601 | 0.000 | 0.000 | 0.000 |
| 902.895 | 2380.267 | 656.601 | 0.000 | 0.000 | 0.000 |
| 656.601 | 656.601 | 2626.561 | -0.000 | -0.000 | 0.000 |
| 0.000 | 0.000 | 0.000 | 656.557 | 0.000 | 0.000 |
| 0.000 | 0.000 | 0.000 | -0.000 | 656.557 | 0.000 |
| 0.000 | 0.001 | 0.000 | 0.000 | 0.000 | 820.753 |
| 2380.226 | 902.930 | 656.600 | -0.000 | -0.000 | -0.000 |
| 902.928 | 2380.228 | 656.600 | 0.000 | -0.000 | -0.000 |
| 656.600 | 656.600 | 2626.556 | 0.000 | -0.000 | -0.000 |
| -0.000 | -0.000 | -0.000 | 656.557 | 0.000 | -0.000 |
| -0.000 | -0.000 | -0.000 | 0.000 | 656.557 | 0.000 |
| -0.000 | -0.001 | -0.000 | -0.000 | -0.000 | 820.753 |
| 2380.264 | 902.925 | 656.603 | 0.000 | 0.000 | 0.000 |
| 902.947 | 2380.242 | 656.603 | 0.000 | 0.000 | 0.000 |
| 656.607 | 656.607 | 2626.580 | -0.000 | 0.000 | 0.000 |
| 0.001 | -0.000 | 0.005 | 656.557 | 0.000 | 0.000 |
| 0.001 | 0.001 | 0.005 | -0.000 | 656.557 | 0.000 |
| 0.001 | 0.007 | -0.000 | 0.000 | 0.000 | 738.650 |
| 2380.195 | 902.934 | 656.598 | 0.000 | -0.000 | -0.000 |
| 902.912 | 2380.217 | 656.598 | -0.000 | -0.000 | -0.000 |
| 656.593 | 656.593 | 2626.537 | -0.000 | -0.000 | -0.000 |
| -0.001 | 0.000 | -0.005 | 656.557 | -0.000 | -0.000 |
| -0.001 | -0.001 | -0.005 | 0.000 | 656.557 | 0.000 |
| -0.001 | -0.007 | 0.000 | -0.000 | -0.000 | 738.650 |
| 187.081 | 201.838 | 201.838 | -0.000 | -0.000 | 0.000 |
| 201.838 | 187.081 | 201.838 | -0.000 | 0.000 | 0.000 |
| 201.838 | 201.838 | 187.081 | -0.000 | 0.000 | 0.000 |
| 0.000 | 0.000 | -0.000 | -16.591 | 0.000 | 0.000 |
| -0.000 | 0.000 | -0.000 | -0.000 | -16.591 | 0.000 |
| -0.000 | 0.000 | -0.000 | -0.000 | 0.000 | -16.591 |
| 187.080 | 201.837 | 201.837 | 0.000 | -0.000 | 0.000 |
| 201.837 | 187.080 | 201.837 | 0.000 | -0.000 | 0.000 |
| 201.837 | 201.837 | 187.080 | 0.000 | -0.000 | 0.000 |
| 0.000 | -0.000 | 0.000 | -16.591 | -0.000 | -0.000 |
| 0.000 | -0.000 | 0.000 | 0.000 | -16.591 | -0.000 |
| 0.000 | -0.000 | 0.000 | 0.000 | 0.000 | -16.591 |
| 187.084 | 201.842 | 201.842 | -0.000 | 0.000 | 0.000 |
| 201.842 | 187.084 | 201.842 | -0.000 | 0.000 | 0.000 |
| 201.842 | 201.842 | 187.084 | -0.000 | -0.000 | 0.000 |
| -0.000 | 0.000 | -0.000 | -16.591 | -0.000 | 0.000 |
| 0.000 | -0.000 | -0.000 | -0.000 | -16.591 | 0.000 |
| 0.000 | 0.000 | -0.000 | -0.000 | -0.000 | -16.591 |
| 187.076 | 201.834 | 201.834 | 0.000 | 0.000 | -0.000 |
| 201.834 | 187.076 | 201.834 | 0.000 | -0.000 | 0.000 |
| 201.834 | 201.834 | 187.076 | 0.000 | -0.000 | -0.000 |
| 0.000 | -0.000 | -0.000 | -16.591 | 0.000 | 0.000 |
| -0.000 | 0.000 | -0.000 | 0.000 | -16.591 | -0.000 |
| -0.000 | -0.000 | 0.000 | 0.000 | 0.000 | -16.591 |
| 187.122 | 201.880 | 201.880 | 0.000 | 0.000 | -0.000 |
| 201.880 | 187.122 | 201.880 | -0.000 | 0.000 | 0.000 |
| 201.880 | 201.880 | 187.122 | -0.000 | -0.000 | 0.000 |
| -0.000 | 0.000 | -0.000 | -16.591 | -0.000 | 0.000 |
| 0.000 | -0.000 | -0.000 | -0.000 | -16.591 | 0.000 |
| 0.000 | -0.000 | -0.000 | -0.000 | -0.000 | -16.591 |
| 187.038 | 201.795 | 201.795 | 0.000 | 0.000 | -0.000 |
| 201.795 | 187.038 | 201.795 | 0.000 | 0.000 | 0.000 |
| 201.795 | 201.795 | 187.038 | 0.000 | 0.000 | -0.000 |
| 0.000 | -0.000 | 0.000 | -16.591 | -0.000 | -0.000 |
| -0.000 | 0.000 | 0.000 | 0.000 | -16.591 | 0.000 |
| -0.000 | 0.000 | 0.000 | 0.000 | 0.000 | -16.591 |
| 29.167 | 29.164 | 29.164 | 0.000 | 0.000 | 0.000 |
| 29.164 | 29.167 | 29.164 | 0.000 | 0.000 | 0.000 |
| 29.164 | 29.164 | 29.167 | 0.000 | 0.000 | 0.000 |
| -0.000 | -0.000 | -0.000 | 0.023 | 0.000 | 0.000 |
| -0.000 | -0.000 | -0.000 | 0.000 | 0.023 | 0.000 |
| -0.000 | -0.000 | -0.000 | 0.000 | 0.000 | 0.023 |
| 29.167 | 29.164 | 29.164 | 0.000 | -0.000 | -0.000 |
| 29.164 | 29.167 | 29.164 | -0.000 | 0.000 | -0.000 |
| 29.164 | 29.164 | 29.167 | -0.000 | -0.000 | 0.000 |
| 0.000 | 0.000 | 0.000 | 0.023 | -0.000 | -0.000 |
| 0.000 | 0.000 | 0.000 | -0.000 | 0.023 | -0.000 |
| 0.000 | 0.000 | 0.000 | -0.000 | -0.000 | 0.023 |
| 29.167 | 29.164 | 29.164 | 0.000 | 0.000 | 0.000 |
| 29.164 | 29.167 | 29.164 | 0.000 | 0.000 | 0.000 |
| 29.164 | 29.164 | 29.167 | 0.000 | 0.000 | 0.000 |
| -0.000 | -0.000 | -0.000 | 29.348 | -0.000 | -0.000 |
| -0.000 | -0.000 | -0.000 | -0.000 | 29.348 | -0.000 |
| -0.000 | -0.000 | -0.000 | -0.000 | -0.000 | 29.348 |
| 29.168 | 29.165 | 29.165 | 0.000 | -0.000 | -0.000 |
| 29.165 | 29.168 | 29.165 | -0.000 | 0.000 | -0.000 |
| 29.165 | 29.165 | 29.168 | -0.000 | -0.000 | 0.000 |
| 0.000 | 0.000 | 0.000 | 29.348 | 0.000 | 0.000 |
| 0.000 | 0.000 | 0.000 | 0.000 | 29.348 | 0.000 |
| 0.000 | 0.000 | 0.000 | 0.000 | 0.000 | 29.348 |
| 29.167 | 29.164 | 29.164 | 0.000 | 0.000 | 0.000 |
| 29.164 | 29.167 | 29.164 | 0.000 | 0.000 | 0.000 |
| 29.164 | 29.164 | 29.167 | 0.000 | 0.000 | 0.000 |
| -0.000 | -0.000 | -0.000 | 0.023 | 0.000 | 0.000 |
| -0.000 | -0.000 | -0.000 | 0.000 | 0.023 | 0.000 |
| -0.000 | -0.000 | -0.000 | 0.000 | 0.000 | 0.023 |
| 29.168 | 29.165 | 29.165 | -0.000 | -0.000 | -0.000 |
| 29.165 | 29.168 | 29.165 | -0.000 | -0.000 | -0.000 |
| 29.165 | 29.165 | 29.168 | -0.000 | -0.000 | -0.000 |
| 0.000 | 0.000 | 0.000 | 0.023 | -0.000 | -0.000 |
| 0.000 | 0.000 | 0.000 | -0.000 | 0.023 | -0.000 |
| 0.000 | 0.000 | 0.000 | -0.000 | -0.000 | 0.023 |
| 38.312 | 38.294 | 38.294 | -0.000 | -0.000 | -0.000 |
| 38.294 | 38.312 | 38.294 | -0.000 | -0.000 | -0.000 |
| 38.294 | 38.294 | 38.312 | -0.000 | -0.000 | -0.000 |
| 0.000 | 0.000 | 0.000 | 0.011 | -0.000 | -0.000 |
| 0.000 | 0.000 | 0.000 | -0.000 | 0.011 | -0.000 |
| 0.000 | 0.000 | 0.000 | -0.000 | -0.000 | 0.011 |
| 38.312 | 38.294 | 38.294 | -0.000 | 0.000 | 0.000 |
| 38.294 | 38.312 | 38.294 | 0.000 | -0.000 | 0.000 |
| 38.294 | 38.294 | 38.312 | 0.000 | 0.000 | -0.000 |
| 0.000 | 0.000 | 0.000 | 0.011 | 0.000 | 0.000 |
| 0.000 | 0.000 | 0.000 | 0.000 | 0.011 | 0.000 |
| 0.000 | 0.000 | 0.000 | 0.000 | 0.000 | 0.011 |
| 38.312 | 38.294 | 38.294 | -0.000 | -0.000 | -0.000 |
| 38.294 | 38.312 | 38.294 | -0.000 | -0.000 | -0.000 |
| 38.294 | 38.294 | 38.312 | -0.000 | -0.000 | -0.000 |
| -0.000 | -0.000 | -0.000 | 0.011 | -0.000 | -0.000 |
| -0.000 | -0.000 | -0.000 | -0.000 | 0.011 | -0.000 |
| -0.000 | -0.000 | -0.000 | -0.000 | -0.000 | 0.011 |
| 38.312 | 38.294 | 38.294 | 0.000 | 0.000 | 0.000 |
| 38.294 | 38.312 | 38.294 | 0.000 | 0.000 | 0.000 |
| 38.294 | 38.294 | 38.312 | 0.000 | 0.000 | 0.000 |
| 0.000 | 0.000 | 0.000 | 0.011 | 0.000 | 0.000 |
| 0.000 | 0.000 | 0.000 | 0.000 | 0.011 | 0.000 |
| 0.000 | 0.000 | 0.000 | 0.000 | 0.000 | 0.011 |
| 38.312 | 38.294 | 38.294 | -0.000 | -0.000 | -0.000 |
| 38.294 | 38.312 | 38.294 | -0.000 | -0.000 | -0.000 |
| 38.294 | 38.294 | 38.312 | -0.000 | -0.000 | -0.000 |
| -0.000 | -0.000 | -0.000 | 0.011 | -0.000 | -0.000 |
| -0.000 | -0.000 | -0.000 | -0.000 | 0.011 | -0.000 |
| -0.000 | -0.000 | -0.000 | -0.000 | -0.000 | 0.011 |
| 38.312 | 38.293 | 38.293 | -0.000 | 0.000 | 0.000 |
| 38.293 | 38.312 | 38.293 | 0.000 | -0.000 | 0.000 |
| 38.293 | 38.293 | 38.312 | 0.000 | 0.000 | -0.000 |
| 0.000 | 0.000 | 0.000 | 0.011 | 0.000 | 0.000 |
| 0.000 | 0.000 | 0.000 | 0.000 | 0.011 | 0.000 |
| 0.000 | 0.000 | 0.000 | 0.000 | 0.000 | 0.011 |
| 283.778 | 115.238 | 78.284 | 0.000 | -0.000 | -0.000 |
| 115.238 | 283.778 | 78.284 | 0.000 | -0.000 | 0.000 |
| 78.284 | 78.284 | 205.500 | 0.000 | -0.000 | 0.000 |
| -0.000 | 0.000 | -0.000 | 50.005 | 0.000 | -0.000 |
| -0.000 | -0.000 | -0.000 | 0.000 | 50.005 | -0.000 |
| -0.000 | -0.000 | -0.000 | 0.000 | 0.000 | 25.625 |
| 283.778 | 115.237 | 78.284 | -0.000 | -0.000 | 0.000 |
| 115.237 | 283.778 | 78.284 | -0.000 | 0.000 | 0.000 |
| 78.284 | 78.284 | 205.500 | -0.000 | 0.000 | 0.000 |
| 0.000 | -0.000 | 0.000 | 50.005 | 0.000 | -0.000 |
| 0.000 | 0.000 | 0.000 | -0.000 | 50.005 | 0.000 |
| 0.000 | 0.000 | 0.000 | -0.000 | -0.000 | 25.625 |
| 283.779 | 115.239 | 78.284 | 0.000 | 0.000 | -0.000 |
| 115.239 | 283.779 | 78.284 | 0.000 | 0.000 | 0.000 |
| 78.284 | 78.284 | 205.500 | -0.000 | 0.000 | 0.000 |
| -0.000 | -0.000 | -0.000 | 50.005 | -0.000 | 0.000 |
| -0.000 | -0.000 | -0.000 | -0.000 | 50.005 | -0.000 |
| -0.000 | -0.000 | -0.000 | 0.000 | -0.000 | 25.625 |
| 283.776 | 115.236 | 78.283 | -0.000 | -0.000 | 0.000 |
| 115.236 | 283.776 | 78.283 | -0.000 | -0.000 | 0.000 |
| 78.284 | 78.284 | 205.500 | -0.000 | -0.000 | -0.000 |
| 0.000 | 0.000 | 0.000 | 50.005 | 0.000 | 0.000 |
| 0.000 | 0.000 | 0.000 | -0.000 | 50.005 | 0.000 |
| 0.000 | 0.000 | 0.000 | -0.000 | 0.000 | 25.625 |
| 283.790 | 115.249 | 78.287 | -0.000 | -0.000 | -0.000 |
| 115.249 | 283.790 | 78.287 | 0.000 | -0.000 | -0.000 |
| 78.285 | 78.285 | 205.500 | -0.000 | -0.000 | 0.000 |
| -0.000 | -0.000 | -0.000 | 50.005 | -0.000 | -0.000 |
| -0.000 | -0.000 | -0.000 | -0.000 | 50.005 | -0.000 |
| -0.001 | -0.001 | -0.000 | 0.000 | -0.000 | 25.625 |
| 283.765 | 115.226 | 78.280 | 0.000 | 0.000 | 0.000 |
| 115.226 | 283.765 | 78.280 | -0.000 | -0.000 | -0.000 |
| 78.283 | 78.283 | 205.499 | -0.000 | -0.000 | 0.000 |
| 0.000 | 0.000 | 0.000 | 50.005 | 0.000 | -0.000 |
| 0.000 | 0.000 | 0.000 | -0.000 | 50.005 | 0.000 |
| 0.001 | 0.001 | 0.000 | -0.000 | -0.000 | 25.625 |
| -392.013 | -91.476 | -49.907 | -0.000 | -0.000 | -0.000 |
| -91.476 | -392.013 | -49.907 | -0.000 | -0.000 | -0.000 |
| -49.907 | -49.907 | 609.138 | -0.000 | -0.000 | -0.000 |
| 0.000 | -0.000 | -0.000 | -49.533 | -0.000 | 0.000 |
| -0.000 | 0.000 | -0.000 | -0.000 | -49.533 | -0.000 |
| 0.000 | 0.000 | 0.000 | -0.000 | 0.000 | -87.031 |
| 1055737071.436 | 8754262.164 | 552909972.385 | 0.791 | -0.000 | -0.312 |
| 13372226.261 | 1055879659.087 | 553099973.452 | -0.346 | 14664.222 | 1.271 |
| -49.907 | -49.907 | 609.139 | 0.000 | 0.000 | 0.000 |
| 0.000 | 0.000 | 0.000 | -49.533 | 0.000 | 0.000 |
| 0.000 | -0.000 | 0.000 | 0.000 | -49.533 | 0.000 |
| -0.000 | -0.000 | -0.000 | 0.000 | 0.000 | -87.031 |
| 38862.095 | -103218908.140 | -56695899.286 | 1392.804 | -1108.437 | 2585.938 |
| -108291483.932 | 10051863.417 | -57336974.677 | -9268.043 | -39136.139 | 148373.071 |
| -49.907 | -49.907 | 609.138 | -0.000 | -0.000 | -0.000 |
| -17936492.493 | -15548629.573 | -43523457.848 | 176433.924 | 121251.035 | -684702.457 |
| -15578889.452 | -18405855.250 | -45167472.069 | -15241.705 | 101911.033 | 235278.184 |
| 0.000 | 0.000 | 0.000 | -0.000 | -0.000 | -87.031 |
| 108291013.694 | -10054038.244 | 57335358.625 | -8446.456 | -38828.402 | -148717.029 |
| -128043.643 | 96004590.156 | 56039486.858 | -130647.439 | 10078.378 | -206390.541 |
| -49.907 | -49.907 | 609.139 | 0.000 | 0.000 | 0.000 |
| 20675950.830 | 15429028.221 | 45598015.438 | 462774.798 | -204768.958 | 282740.295 |
| 15366183.070 | 19865605.494 | 46011805.517 | -21268.062 | 760161.828 | -80007.958 |
| -0.000 | -0.000 | -0.000 | 0.000 | 0.000 | -87.031 |
| 995159.950 | -10829909.910 | -5737771.861 | 4359.552 | 20858.067 | 28785.203 |
| -10318805.858 | 4609.805 | -5666354.600 | 3.328 | -482.446 | -11.436 |
| -49.907 | -49.907 | 609.130 | -0.000 | -0.000 | -0.000 |
| -1745195.799 | -1555734.452 | -4419418.711 | 16666.923 | 17999.929 | -9858.319 |
| -1629908.238 | -2092751.258 | -4588119.099 | -4603.642 | 51745.252 | -32991.043 |
| 0.000 | 0.000 | 0.000 | -0.000 | 0.000 | -87.031 |
| 10589183.668 | -160138.644 | 5714022.980 | 19.446 | -4.659 | -42481.931 |
| -976591.188 | 10825080.433 | 5739849.003 | -36.678 | -14673.759 | 43598.408 |
| -49.906 | -49.906 | 609.147 | 0.000 | 0.000 | 0.000 |
| 1982445.079 | 1580820.117 | 4554460.481 | 16389.123 | -3338.757 | -31605.345 |
| 1603264.240 | 2086132.005 | 4587767.153 | -34480.504 | 55225.025 | 58396.986 |
| -0.000 | -0.000 | -0.000 | 0.000 | 0.000 | -87.031 |
| 527.138 | 0.415 | 100.052 | 0.000 | 0.000 | 0.000 |
| 0.415 | 527.138 | 100.052 | 0.000 | 0.000 | 0.000 |
| 100.052 | 100.052 | 552.598 | 0.000 | 0.000 | -0.000 |
| -0.000 | 0.000 | -0.000 | 99.897 | -0.000 | 0.000 |
| -0.000 | -0.000 | -0.000 | 0.000 | 99.897 | 0.000 |
| 0.000 | -0.000 | 0.000 | 0.000 | 0.000 | 0.029 |
| 527.138 | 0.415 | 100.051 | -0.000 | -0.000 | -0.000 |
| 0.415 | 527.138 | 100.051 | -0.000 | -0.000 | 0.000 |
| 100.052 | 100.052 | 552.598 | -0.000 | -0.000 | 0.000 |
| 0.000 | 0.000 | 0.000 | 99.897 | 0.000 | -0.000 |
| 0.000 | 0.000 | 0.000 | 0.000 | 99.897 | 0.000 |
| 0.000 | 0.000 | -0.000 | -0.000 | -0.000 | 0.029 |
| 527.138 | 0.415 | 100.052 | 0.000 | 0.000 | 0.000 |
| 0.415 | 527.138 | 100.052 | 0.000 | 0.000 | -0.000 |
| 100.052 | 100.052 | 552.598 | 0.000 | 0.000 | 0.000 |
| -0.000 | -0.000 | -0.000 | 99.897 | -0.000 | -0.000 |
| -0.000 | -0.000 | -0.000 | 0.000 | 99.897 | 0.000 |
| 0.000 | -0.000 | -0.000 | 0.000 | 0.000 | 0.029 |
| 527.137 | 0.415 | 100.051 | -0.000 | -0.000 | -0.000 |
| 0.415 | 527.137 | 100.051 | -0.000 | -0.000 | -0.000 |
| 100.051 | 100.051 | 552.597 | -0.000 | -0.000 | -0.000 |
| 0.000 | 0.000 | 0.000 | 99.897 | -0.000 | -0.000 |
| 0.000 | 0.000 | 0.000 | -0.000 | 99.897 | -0.000 |
| -0.000 | 0.000 | 0.000 | -0.000 | -0.000 | 0.029 |
| 527.142 | 0.416 | 100.052 | 0.000 | 0.000 | 0.000 |
| 0.416 | 527.142 | 100.052 | 0.000 | 0.000 | 0.000 |
| 100.052 | 100.052 | 552.604 | 0.000 | 0.000 | 0.000 |
| -0.000 | -0.000 | -0.000 | 99.897 | 0.000 | 0.000 |
| -0.000 | -0.000 | -0.000 | 0.000 | 99.897 | 0.000 |
| -0.000 | -0.000 | -0.000 | 0.000 | 0.000 | 0.029 |
| 527.133 | 0.415 | 100.051 | -0.000 | -0.000 | -0.000 |
| 0.415 | 527.133 | 100.051 | -0.000 | -0.000 | -0.000 |
| 100.051 | 100.051 | 552.591 | -0.000 | -0.000 | 0.000 |
| 0.000 | 0.000 | 0.000 | 99.897 | 0.000 | -0.000 |
| 0.000 | 0.000 | 0.000 | -0.000 | 99.897 | -0.000 |
| 0.000 | 0.000 | 0.000 | -0.000 | -0.000 | 0.029 |
| 277.248 | 127.070 | 101.013 | 0.000 | 0.000 | 0.000 |
| 127.070 | 277.248 | 101.013 | 0.000 | -0.000 | -0.000 |
| 101.013 | 101.013 | 198.163 | 0.000 | -0.000 | -0.000 |
| -0.000 | 0.000 | -0.000 | 47.909 | -0.000 | 0.000 |
| -0.000 | 0.000 | -0.000 | 0.000 | 47.909 | -0.000 |
| -0.000 | -0.000 | -0.000 | 0.000 | 0.000 | 43.693 |
| 277.247 | 127.069 | 101.013 | -0.000 | -0.000 | 0.000 |
| 127.069 | 277.247 | 101.013 | -0.000 | -0.000 | -0.000 |
| 101.013 | 101.013 | 198.163 | -0.000 | -0.000 | 0.000 |
| 0.000 | -0.000 | 0.000 | 47.909 | 0.000 | 0.000 |
| 0.000 | 0.000 | 0.000 | -0.000 | 47.909 | 0.000 |
| 0.000 | 0.000 | 0.000 | -0.000 | -0.000 | 43.693 |
| 277.250 | 127.071 | 101.014 | 0.000 | -0.000 | -0.000 |
| 127.071 | 277.250 | 101.014 | 0.000 | 0.000 | -0.000 |
| 101.013 | 101.013 | 198.163 | -0.000 | 0.000 | -0.000 |
| -0.000 | -0.000 | -0.000 | 47.909 | 0.000 | -0.000 |
| -0.000 | -0.000 | -0.000 | -0.000 | 47.909 | -0.000 |
| -0.000 | -0.000 | -0.000 | 0.000 | 0.000 | 43.693 |
| 277.245 | 127.067 | 101.012 | 0.000 | 0.000 | 0.000 |
| 127.067 | 277.245 | 101.012 | 0.000 | -0.000 | 0.000 |
| 101.013 | 101.013 | 198.163 | -0.000 | 0.000 | -0.000 |
| 0.000 | 0.000 | 0.000 | 47.909 | -0.000 | -0.000 |
| 0.000 | 0.000 | 0.000 | -0.000 | 47.909 | -0.000 |
| 0.000 | 0.000 | 0.000 | -0.000 | 0.000 | 43.693 |
| 277.270 | 127.090 | 101.021 | 0.000 | 0.000 | 0.000 |
| 127.090 | 277.270 | 101.021 | 0.000 | 0.000 | 0.000 |
| 101.016 | 101.016 | 198.164 | 0.000 | 0.000 | 0.000 |
| -0.000 | -0.000 | -0.000 | 47.909 | -0.000 | 0.000 |
| -0.000 | -0.000 | -0.000 | 0.000 | 47.909 | -0.000 |
| -0.001 | -0.001 | -0.000 | 0.000 | 0.000 | 43.693 |
| 277.226 | 127.049 | 101.005 | -0.000 | 0.000 | 0.000 |
| 127.049 | 277.226 | 101.005 | -0.000 | 0.000 | 0.000 |
| 101.010 | 101.010 | 198.162 | -0.000 | 0.000 | 0.000 |
| 0.000 | 0.000 | 0.000 | 47.909 | 0.000 | 0.000 |
| 0.000 | 0.000 | 0.000 | -0.000 | 47.909 | 0.000 |
| 0.001 | 0.001 | 0.000 | -0.000 | -0.000 | 43.693 |
| 155.297 | 56.816 | 48.030 | -35.088 | 0.000 | -0.000 |
| 62.244 | 141.739 | 54.514 | 29.449 | 0.000 | -0.000 |
| 51.323 | 51.323 | 66.585 | -0.000 | 0.000 | -0.000 |
| -29.450 | 29.448 | 0.002 | 45.271 | 0.000 | -0.000 |
| -0.001 | -0.001 | 0.002 | -0.000 | 45.271 | -29.449 |
| -0.001 | -0.001 | 0.002 | -0.000 | -29.449 | 39.747 |
| 155.297 | 56.816 | 48.030 | -35.088 | -0.000 | 0.000 |
| 62.246 | 141.741 | 54.510 | 29.449 | 0.000 | 0.000 |
| 51.323 | 51.323 | 66.585 | 0.000 | -0.000 | 0.000 |
| -29.448 | 29.450 | -0.002 | 45.271 | -0.000 | 0.000 |
| 0.001 | 0.001 | -0.002 | 0.000 | 45.271 | -29.449 |
| 0.001 | 0.001 | -0.002 | 0.000 | -29.449 | 39.747 |
| 141.739 | 62.245 | 54.512 | -29.449 | 0.000 | -0.000 |
| 63.207 | 141.828 | 53.674 | 29.189 | 0.000 | -0.000 |
| 51.323 | 51.323 | 66.585 | -0.000 | -0.000 | -0.000 |
| -29.449 | 29.449 | 0.000 | 45.271 | 0.000 | -0.000 |
| -0.000 | -0.000 | 0.000 | -0.000 | 45.271 | -29.449 |
| -0.000 | -0.000 | 0.000 | -0.000 | -29.449 | 39.747 |
| 141.740 | 62.245 | 54.512 | -29.449 | -0.000 | 0.000 |
| 63.208 | 141.828 | 53.674 | 29.189 | 0.000 | 0.000 |
| 51.323 | 51.323 | 66.585 | 0.000 | -0.000 | 0.000 |
| -29.449 | 29.449 | -0.000 | 45.271 | 0.000 | 0.000 |
| 0.000 | 0.000 | -0.000 | 0.000 | 45.271 | -29.449 |
| 0.000 | 0.000 | -0.000 | 0.000 | -29.449 | 39.747 |
| 141.744 | 62.243 | 54.510 | -29.451 | -0.000 | -0.000 |
| 62.240 | 141.748 | 54.508 | 29.453 | 0.000 | -0.000 |
| 57.804 | 57.804 | 56.248 | 0.000 | 0.000 | -0.000 |
| -29.450 | 29.450 | 0.000 | 45.272 | 0.000 | -0.000 |
| 0.000 | -0.000 | 0.000 | -0.000 | 45.272 | -29.450 |
| -0.000 | -0.000 | 0.000 | -0.000 | -29.451 | 39.750 |
| 141.741 | 62.245 | 54.512 | -29.449 | -0.000 | 0.000 |
| 63.208 | 141.827 | 53.674 | 29.189 | 0.000 | 0.000 |
| 57.806 | 57.806 | 56.245 | 0.000 | 0.000 | 0.000 |
| -29.449 | 29.449 | -0.000 | 45.271 | -0.000 | 0.000 |
| -0.000 | 0.000 | -0.000 | 0.000 | 45.272 | -29.450 |
| 0.000 | 0.000 | -0.000 | 0.000 | -29.451 | 39.750 |
| 103.871 | 44.839 | 44.839 | -0.000 | -0.000 | 0.000 |
| 44.839 | 103.871 | 44.839 | -0.000 | -0.000 | 0.000 |
| 44.839 | 44.839 | 103.871 | 0.000 | 0.000 | 0.000 |
| 0.000 | 0.000 | 0.000 | 2.655 | -0.000 | 0.000 |
| 0.000 | 0.000 | 0.000 | 0.000 | 2.655 | 0.000 |
| 0.000 | 0.000 | 0.000 | -0.000 | -0.000 | 2.655 |
| 103.871 | 44.839 | 44.839 | 0.000 | -0.000 | -0.000 |
| 44.839 | 103.871 | 44.839 | 0.000 | 0.000 | -0.000 |
| 44.839 | 44.839 | 103.871 | -0.000 | -0.000 | -0.000 |
| -0.000 | -0.000 | -0.000 | 2.655 | 0.000 | -0.000 |
| 0.000 | -0.000 | -0.000 | 0.000 | 2.655 | -0.000 |
| -0.000 | -0.000 | 0.000 | 0.000 | -0.000 | 2.655 |
| 103.872 | 44.840 | 44.840 | -0.000 | -0.000 | 0.000 |
| 44.840 | 103.872 | 44.840 | 0.000 | -0.000 | 0.000 |
| 44.840 | 44.840 | 103.872 | -0.000 | -0.000 | 0.000 |
| -0.000 | 0.000 | 0.000 | 2.655 | -0.000 | 0.000 |
| 0.000 | -0.000 | 0.000 | 0.000 | 2.655 | 0.000 |
| 0.000 | 0.000 | -0.000 | -0.000 | -0.000 | 2.655 |
| 103.870 | 44.838 | 44.838 | -0.000 | 0.000 | -0.000 |
| 44.838 | 103.870 | 44.838 | -0.000 | 0.000 | -0.000 |
| 44.838 | 44.838 | 103.870 | -0.000 | 0.000 | -0.000 |
| 0.000 | -0.000 | -0.000 | 2.655 | -0.000 | -0.000 |
| -0.000 | 0.000 | -0.000 | -0.000 | 2.655 | -0.000 |
| -0.000 | -0.000 | 0.000 | -0.000 | -0.000 | 2.655 |
| 103.884 | 44.851 | 44.851 | -0.000 | -0.000 | 0.000 |
| 44.851 | 103.884 | 44.851 | -0.000 | -0.000 | 0.000 |
| 44.851 | 44.851 | 103.884 | -0.000 | -0.000 | 0.000 |
| -0.000 | 0.000 | 0.000 | 2.655 | -0.000 | 0.000 |
| 0.000 | -0.000 | 0.000 | -0.000 | 2.655 | 0.000 |
| 0.000 | 0.000 | -0.000 | -0.000 | -0.000 | 2.655 |
| 103.858 | 44.826 | 44.826 | 0.000 | 0.000 | -0.000 |
| 44.826 | 103.858 | 44.826 | -0.000 | 0.000 | -0.000 |
| 44.826 | 44.826 | 103.858 | 0.000 | 0.000 | -0.000 |
| 0.000 | -0.000 | -0.000 | 2.655 | 0.000 | -0.000 |
| -0.000 | 0.000 | -0.000 | -0.000 | 2.655 | -0.000 |
| -0.000 | -0.000 | 0.000 | 0.000 | 0.000 | 2.655 |
| 223.415 | 138.793 | 138.793 | 0.000 | -0.000 | 0.000 |
| 138.793 | 223.415 | 138.793 | 0.000 | -0.000 | 0.000 |
| 138.793 | 138.793 | 223.415 | 0.000 | -0.000 | 0.000 |
| -0.000 | -0.000 | -0.000 | 139.112 | -0.000 | 0.000 |
| -0.000 | 0.000 | -0.000 | 0.000 | 139.112 | 0.000 |
| -0.000 | -0.000 | -0.000 | 0.000 | -0.000 | 139.112 |
| 223.415 | 138.793 | 138.793 | -0.000 | -0.000 | -0.000 |
| 138.793 | 223.415 | 138.793 | -0.000 | 0.000 | -0.000 |
| 138.793 | 138.793 | 223.415 | -0.000 | 0.000 | -0.000 |
| 0.000 | 0.000 | 0.000 | 139.112 | -0.000 | -0.000 |
| 0.000 | -0.000 | 0.000 | -0.000 | 139.112 | -0.000 |
| 0.000 | 0.000 | 0.000 | -0.000 | 0.000 | 139.112 |
| 223.415 | 138.793 | 138.793 | 0.000 | 0.000 | 0.000 |
| 138.793 | 223.415 | 138.793 | 0.000 | 0.000 | 0.000 |
| 138.793 | 138.793 | 223.415 | 0.000 | 0.000 | 0.000 |
| -0.000 | -0.000 | -0.000 | 139.112 | -0.000 | 0.000 |
| -0.000 | -0.000 | -0.000 | 0.000 | 139.112 | 0.000 |
| -0.000 | -0.000 | -0.000 | 0.000 | 0.000 | 139.112 |
| 223.415 | 138.793 | 138.793 | -0.000 | 0.000 | -0.000 |
| 138.793 | 223.415 | 138.793 | -0.000 | 0.000 | -0.000 |
| 138.793 | 138.793 | 223.415 | -0.000 | -0.000 | -0.000 |
| 0.000 | 0.000 | 0.000 | 139.112 | 0.000 | -0.000 |
| 0.000 | 0.000 | 0.000 | -0.000 | 139.112 | -0.000 |
| 0.000 | 0.000 | 0.000 | -0.000 | -0.000 | 139.112 |
| 223.415 | 138.793 | 138.793 | 0.000 | 0.000 | 0.000 |
| 138.793 | 223.415 | 138.793 | 0.000 | -0.000 | -0.000 |
| 138.793 | 138.793 | 223.415 | 0.000 | 0.000 | -0.000 |
| -0.000 | -0.001 | -0.001 | 139.112 | -0.000 | 0.000 |
| -0.001 | -0.000 | -0.001 | 0.000 | 139.112 | 0.000 |
| -0.001 | -0.001 | -0.000 | 0.000 | -0.000 | 139.112 |
| 223.415 | 138.794 | 138.794 | -0.000 | -0.000 | -0.000 |
| 138.794 | 223.415 | 138.794 | -0.000 | -0.000 | -0.000 |
| 138.794 | 138.794 | 223.415 | -0.000 | -0.000 | -0.000 |
| 0.000 | 0.001 | 0.001 | 139.112 | 0.000 | 0.000 |
| 0.001 | 0.000 | 0.001 | -0.000 | 139.112 | -0.000 |
| 0.001 | 0.001 | 0.000 | -0.000 | -0.000 | 139.112 |
| 449.002 | -0.024 | -0.024 | -0.000 | 0.000 | 0.000 |
| -0.024 | 449.002 | -0.024 | -0.000 | -0.000 | -0.000 |
| -0.024 | -0.024 | 449.002 | -0.000 | -0.000 | -0.000 |
| -0.000 | 0.000 | 0.000 | 0.032 | -0.000 | -0.000 |
| 0.000 | -0.000 | 0.000 | 0.000 | 0.032 | 0.000 |
| 0.000 | 0.000 | -0.000 | 0.000 | -0.000 | 0.032 |
| 449.002 | -0.024 | -0.024 | -0.000 | 0.000 | -0.000 |
| -0.024 | 449.002 | -0.024 | -0.000 | -0.000 | 0.000 |
| -0.024 | -0.024 | 449.002 | -0.000 | 0.000 | 0.000 |
| 0.000 | -0.000 | 0.000 | 0.032 | 0.000 | -0.000 |
| -0.000 | 0.000 | 0.000 | -0.000 | 0.032 | 0.000 |
| -0.000 | 0.000 | 0.000 | -0.000 | 0.000 | 0.032 |
| 449.003 | -0.024 | -0.024 | -0.000 | 0.000 | -0.000 |
| -0.024 | 449.003 | -0.024 | 0.000 | 0.000 | 0.000 |
| -0.024 | -0.024 | 449.003 | 0.000 | 0.000 | -0.000 |
| 0.000 | 0.000 | -0.000 | 0.032 | -0.000 | -0.000 |
| 0.000 | 0.000 | -0.000 | -0.000 | 0.032 | 0.000 |
| 0.000 | -0.000 | 0.000 | 0.000 | -0.000 | 0.032 |
| 449.002 | -0.024 | -0.024 | 0.000 | -0.000 | 0.000 |
| -0.024 | 449.002 | -0.024 | 0.000 | 0.000 | 0.000 |
| -0.024 | -0.024 | 449.002 | 0.000 | 0.000 | 0.000 |
| -0.000 | -0.000 | 0.000 | 0.032 | 0.000 | 0.000 |
| -0.000 | -0.000 | 0.000 | -0.000 | 0.032 | -0.000 |
| -0.000 | 0.000 | -0.000 | -0.000 | 0.000 | 0.032 |
| 449.008 | -0.024 | -0.024 | 0.000 | 0.000 | -0.000 |
| -0.024 | 449.008 | -0.024 | -0.000 | 0.000 | -0.000 |
| -0.024 | -0.024 | 449.008 | 0.000 | 0.000 | -0.000 |
| 0.000 | 0.000 | -0.000 | 0.032 | 0.000 | 0.000 |
| 0.000 | 0.000 | -0.000 | 0.000 | 0.032 | 0.000 |
| 0.000 | -0.000 | 0.000 | 0.000 | -0.000 | 0.032 |
| 448.996 | -0.024 | -0.024 | -0.000 | 0.000 | 0.000 |
| -0.024 | 448.996 | -0.024 | 0.000 | 0.000 | -0.000 |
| -0.024 | -0.024 | 448.996 | -0.000 | 0.000 | -0.000 |
| -0.000 | -0.000 | 0.000 | 0.032 | 0.000 | 0.000 |
| -0.000 | -0.000 | 0.000 | 0.000 | 0.032 | 0.000 |
| -0.000 | 0.000 | -0.000 | -0.000 | 0.000 | 0.032 |
| 253.010 | 118.171 | 90.790 | -0.000 | 0.054 | 0.000 |
| 112.044 | 214.526 | 15.416 | 0.000 | 0.037 | 0.000 |
| 92.760 | 22.296 | 186.227 | 0.000 | 0.037 | 0.000 |
| 0.048 | -0.659 | -0.391 | 17.034 | 0.043 | 0.000 |
| 295080427.572 | 54085444.312 | 360402438.275 | 0.000 | -67441489.422 | 0.001 |
| 0.068 | -1.729 | -1.054 | -0.000 | 1.733 | 39.868 |
| 253.016 | 119.658 | 91.727 | -0.000 | -0.053 | -0.000 |
| 111.965 | 215.649 | 16.083 | 0.000 | -0.038 | -0.000 |
| 92.677 | 23.438 | 186.904 | -0.000 | -0.037 | -0.000 |
| -0.048 | 0.659 | 0.391 | 17.034 | -0.043 | -0.000 |
| -0.137 | 1.881 | 1.115 | -0.000 | -1.440 | -0.000 |
| -0.068 | 1.729 | 1.054 | -0.000 | -1.733 | 39.868 |
| 252.961 | 117.870 | 90.576 | 0.000 | 0.010 | 0.000 |
| 107.648 | 245.076 | 32.457 | -0.000 | 0.000 | 0.000 |
| 92.722 | 22.817 | 186.536 | 0.000 | 0.004 | 0.000 |
| 0.005 | -0.066 | -0.039 | 17.034 | 0.004 | 0.000 |
| 29508048.625 | 5408545.035 | 36040252.613 | -0.000 | -6744097.493 | -0.000 |
| 0.010 | -0.201 | -0.122 | 0.000 | 0.150 | 42.987 |
| 252.955 | 117.984 | 90.645 | -0.000 | -0.010 | -0.000 |
| 112.834 | 214.991 | 16.098 | -0.000 | -0.010 | -0.000 |
| 92.714 | 22.931 | 186.604 | 0.000 | -0.004 | -0.000 |
| -0.005 | 0.066 | 0.039 | 17.034 | -0.004 | -0.000 |
| -29512405.764 | -5407793.813 | -36049517.122 | -0.000 | -6748345.021 | 0.000 |
| -0.010 | 0.201 | 0.122 | 0.000 | -0.150 | 42.987 |
| 252.952 | 117.918 | 90.602 | 0.000 | 0.001 | 0.000 |
| 112.836 | 214.933 | 16.062 | 0.000 | 0.001 | 0.000 |
| 92.489 | 23.029 | 186.555 | -0.000 | 0.001 | 0.000 |
| 0.001 | -0.007 | -0.004 | 17.034 | 0.000 | -0.000 |
| 1540044.278 | 428081.858 | 1639373.649 | 0.000 | -2931149.385 | -0.000 |
| 0.003 | -0.019 | -0.012 | 0.000 | 0.015 | 43.014 |
| 252.964 | 117.934 | 90.618 | 0.000 | -0.001 | -0.000 |
| 112.838 | 214.938 | 16.066 | 0.000 | -0.001 | -0.000 |
| 92.494 | 23.041 | 186.565 | -0.000 | -0.001 | -0.000 |
| -0.001 | 0.007 | 0.004 | 17.034 | -0.000 | -0.000 |
| -2950810.670 | -540855.130 | -3604033.905 | -0.000 | -674358.285 | 0.000 |
| -0.003 | 0.019 | 0.012 | 0.000 | -0.015 | 43.014 |
| -2920770.242 | -211326.636 | 3167042.865 | 1145.517 | 624377.954 | -682552.164 |
| -2976430.635 | -277908.458 | 3103878.890 | 82844.351 | 527294.688 | -693400.320 |
| -3555459.501 | 251121.286 | 3485693.586 | 513780.287 | 1214873.420 | -938657.679 |
| -3802862.317 | 285272.582 | 3681530.680 | 786626.388 | 1042243.525 | -1150786.773 |
| -3037226.402 | 490921.407 | 3527636.533 | -244844.642 | 398571.270 | -782069.646 |
| -3228444.259 | 91374.143 | 3240123.814 | -443399.776 | 523709.220 | -683006.141 |
| 3788856.984 | -521533.215 | -3952409.434 | -391136.720 | -1157915.352 | 1070252.919 |
| 3887795.412 | -586767.529 | -3246962.621 | -425551.348 | -761969.254 | 1147837.399 |
| 3364583.248 | 496150.693 | -3103966.503 | -303715.690 | -595811.204 | 911094.948 |
| 2961636.508 | 337561.467 | -2840303.839 | 54197.681 | -618003.835 | 825780.830 |
| 3688297.048 | -371626.616 | -3787941.311 | -577622.982 | -1171741.885 | 979999.222 |
| 3058971.283 | -10487.617 | -3509186.772 | 169037.416 | -738652.727 | 701632.797 |
| -298196.277 | -18253.430 | 303885.368 | 2355.160 | 58685.556 | -69262.591 |
| -307964.067 | 20345.619 | 340003.862 | -18829.093 | 78614.726 | -75253.033 |
| -310831.797 | 53774.776 | 324190.844 | -11692.843 | 36452.329 | -79617.067 |
| -318545.127 | 7211.980 | 331718.293 | -22509.657 | 66327.745 | -77884.413 |
| -375593.706 | 62678.192 | 353165.350 | 7626.581 | 101532.484 | -73115.483 |
| -293197.802 | -27321.940 | 319961.184 | 4859.419 | 56048.063 | -70358.332 |
| 381857.826 | -61646.411 | -325302.346 | -32206.646 | -103942.486 | 89519.147 |
| 415985.966 | -6361.970 | -337735.004 | -44417.007 | -98282.479 | 100058.152 |
| 303964.753 | 30866.865 | -276700.388 | -5150.213 | -51724.019 | 72089.123 |
| 295661.447 | -28129.930 | -330588.352 | 29904.531 | -69439.480 | 78117.922 |
| 333169.550 | 52889.851 | -281896.352 | -13768.287 | -63448.775 | 75949.177 |
| 388924.844 | -81927.837 | -381280.685 | -76206.961 | -122498.062 | 127917.353 |
| -30595.086 | -2422.820 | 29820.122 | 962.549 | 5488.160 | -7014.471 |
| -38930.120 | 5536.713 | 33429.571 | 2435.722 | 11706.800 | -8663.489 |
| -30186.648 | 2264.499 | 33629.215 | -1545.701 | 6376.652 | -7249.975 |
| -28905.005 | -2584.441 | 32299.068 | -326.698 | 6451.579 | -7898.006 |
| -30433.551 | 1657.828 | 32308.029 | -2520.735 | 5977.784 | -8054.597 |
| -31117.135 | 1877.113 | 33069.050 | -2251.813 | 6002.397 | -7874.510 |
| 40303.114 | -4136.042 | -42365.518 | -4500.930 | -12394.212 | 8836.059 |
| 30838.809 | -2896.722 | -32789.157 | 3124.371 | -4990.160 | 8058.433 |
| 39184.940 | -6043.150 | -32997.275 | -3895.811 | -7500.682 | 11718.175 |
| 31895.632 | -1041.454 | -32250.972 | 2930.363 | -6661.851 | 7733.046 |
| 29927.013 | 3473.990 | -31841.681 | -634.763 | -6224.846 | 7071.122 |
| 24056.179 | 96.921 | -40280.850 | 2884.132 | -8097.944 | 4760.435 |
| 331.233 | 215.136 | 262.718 | 0.000 | -0.000 | 0.000 |
| -113732092.592 | 1392858454.171 | -237762126.758 | -710800.327 | 2026228.205 | 3323901.463 |
| -114988584.321 | 1390117510.533 | -238157272.116 | -2731263.366 | 2335666.324 | 3690026.454 |
| -115295413.001 | 1388981035.725 | -239758224.802 | 913487.441 | 904032.929 | 5515590.126 |
| 0.000 | 0.000 | -0.000 | -0.000 | 31.913 | 0.000 |
| 0.000 | 0.000 | -0.000 | 0.000 | -0.000 | 24.672 |
| 331.233 | 215.136 | 262.718 | 0.000 | 0.000 | -0.000 |
| 114704497.955 | -1390589947.494 | 235021210.972 | 927617.173 | -2395656.906 | -5129574.843 |
| 112596943.204 | -1390679037.129 | 237690423.952 | -222973.186 | -2021427.704 | -4171009.599 |
| 113810519.060 | -1388902269.302 | 239595574.995 | 1739659.410 | -1149604.741 | -5212460.778 |
| -0.000 | -0.000 | 0.000 | 0.000 | 31.913 | -0.000 |
| -0.000 | -0.000 | 0.000 | -0.000 | 0.000 | 24.672 |
| 331.233 | 215.135 | 262.718 | 0.000 | -0.000 | 0.000 |
| 228.647 | 379.233 | 230.974 | 0.000 | -0.000 | 0.000 |
| 261.186 | 215.854 | 311.482 | -0.000 | -0.000 | 0.000 |
| -11578769.406 | 139091901.271 | -23922368.537 | -63021.516 | 197639.515 | 382375.799 |
| -0.000 | 0.000 | 0.000 | 0.000 | 31.913 | 0.000 |
| -0.000 | 0.000 | -0.000 | -0.000 | -0.000 | 24.672 |
| 331.233 | 215.136 | 262.718 | 0.000 | 0.000 | -0.000 |
| 228.681 | 379.348 | 230.956 | -0.000 | 0.000 | -0.000 |
| 261.218 | 215.959 | 311.465 | -0.000 | 0.000 | -0.000 |
| 11487050.610 | -138948334.725 | 23993996.633 | 72836.912 | -184170.599 | -273292.394 |
| 0.000 | -0.000 | -0.000 | -0.000 | 31.913 | -0.000 |
| 0.000 | -0.000 | 0.000 | -0.000 | 0.000 | 24.672 |
| 331.230 | 215.131 | 262.715 | -0.000 | -0.000 | 0.000 |
| 228.644 | 379.236 | 230.967 | -0.000 | -0.000 | -0.000 |
| 261.212 | 215.944 | 311.463 | -0.000 | -0.000 | 0.000 |
| -1120540.878 | 13879152.474 | -2343894.991 | 22896.736 | 25167.716 | 52924.938 |
| -0.000 | 0.000 | 0.000 | -0.000 | 31.913 | -0.000 |
| -0.000 | -0.000 | -0.000 | -0.000 | -0.000 | 24.672 |
| 331.236 | 215.140 | 262.721 | 0.000 | 0.000 | -0.000 |
| 228.657 | 379.254 | 230.978 | 0.000 | 0.000 | -0.000 |
| 261.220 | 215.963 | 311.467 | -0.000 | 0.000 | -0.000 |
| 0.003 | 0.011 | -0.002 | 20.440 | 0.000 | -0.000 |
| 0.000 | -0.000 | -0.000 | 0.000 | 31.913 | -0.000 |
| 0.000 | 0.000 | 0.000 | 0.000 | 0.000 | 24.672 |
| 546061.639 | 545954.118 | 4593161.166 | -0.000 | 0.000 | 0.000 |
| 545954.118 | 546061.639 | 4593161.166 | -0.000 | -0.000 | 0.000 |
| 104.718 | 104.718 | 228.833 | -0.000 | -0.000 | -0.000 |
| 545826.197 | 545826.197 | 4593051.671 | 42.980 | -0.000 | 0.000 |
| 545826.197 | 545826.197 | 4593051.671 | -0.000 | 42.980 | 0.000 |
| 545826.704 | 545826.704 | 4593068.866 | -0.000 | -0.000 | 52.089 |
| -545587.294 | -545694.815 | -4592942.353 | 0.000 | 0.000 | -0.000 |
| -545694.815 | -545587.294 | -4592942.353 | 0.000 | 0.000 | -0.000 |
| 81.121 | 81.121 | 123.506 | 0.000 | -0.000 | 0.000 |
| -545826.197 | -545826.197 | -4593051.671 | 42.980 | 0.000 | -0.000 |
| -545826.197 | -545826.197 | -4593051.671 | 0.000 | 42.980 | -0.000 |
| -272919.540 | -272919.546 | -2296557.503 | 0.000 | 0.000 | 272949.624 |
| 27753.208 | 27201.291 | 229763.524 | -0.000 | -0.000 | 0.000 |
| 27201.291 | 27753.208 | 229763.524 | -0.000 | -0.000 | 0.000 |
| 102.823 | 102.823 | 252.651 | -0.000 | -0.000 | -0.000 |
| 54591.894 | 54591.894 | 459367.721 | 46.483 | 0.000 | 0.000 |
| 54591.894 | 54591.894 | 459367.721 | -0.000 | 46.483 | 0.000 |
| 27292.134 | 27292.140 | 229656.972 | -0.000 | -0.000 | 27342.777 |
| 237.826 | 130.296 | 103.350 | 0.000 | 0.000 | 0.000 |
| 130.296 | 237.826 | 103.350 | 0.000 | 0.000 | 0.000 |
| -54496.054 | -54496.054 | -459156.943 | 0.000 | 0.000 | -0.000 |
| -54591.894 | -54591.894 | -459367.721 | 46.483 | 0.000 | -0.000 |
| -54591.894 | -54591.894 | -459367.721 | 0.000 | 46.483 | -0.000 |
| -1973.714 | -1972.713 | -16597.732 | 178.364 | 177.881 | -1918.668 |
| 2991.687 | 2839.747 | 23081.485 | -0.000 | -0.000 | 0.000 |
| 2839.747 | 2991.687 | 23081.485 | -0.000 | -0.000 | 0.000 |
| 103.094 | 103.094 | 258.458 | -0.000 | 0.000 | -0.000 |
| 1357.076 | 1379.479 | 11506.161 | -3927.593 | -0.000 | 0.000 |
| 1379.479 | 1357.076 | 11506.161 | -0.000 | -3927.593 | 0.000 |
| 5459.966 | 5459.966 | 45941.492 | -0.000 | -0.000 | 53.060 |
| -2468.498 | -2620.447 | -22861.318 | 0.000 | 0.000 | -0.000 |
| -2620.447 | -2468.498 | -22861.318 | 0.000 | 0.000 | -0.000 |
| -5370.099 | -5370.099 | -45769.646 | 0.000 | 0.000 | -0.000 |
| -1357.076 | -1379.479 | -11506.161 | -3927.593 | -0.000 | -0.000 |
| -1379.479 | -1357.076 | -11506.161 | -0.000 | -3927.593 | -0.000 |
| -5459.966 | -5459.966 | -45941.492 | 0.000 | 0.000 | 53.060 |
| 239.696 | 130.068 | 114.927 | -0.000 | -0.000 | -0.000 |
| 130.068 | 239.696 | 114.927 | -0.000 | 0.000 | 0.000 |
| 732285.264 | 732285.264 | 4548344.035 | -0.000 | -0.000 | 0.000 |
| -0.711 | -0.272 | 0.181 | 46.501 | 0.000 | 0.000 |
| -0.272 | -0.711 | 0.181 | -0.000 | 46.501 | -0.000 |
| 3.721 | 3.721 | -4.774 | -0.000 | -0.000 | 49.460 |
| 233.114 | 123.487 | 123.367 | -0.000 | -0.000 | -0.000 |
| 123.487 | 233.114 | 123.367 | 0.000 | 0.000 | -0.000 |
| 114.933 | 114.933 | 226.190 | 0.000 | 0.000 | 0.000 |
| 0.711 | 0.272 | -0.181 | 46.501 | -0.000 | 0.000 |
| 0.272 | 0.711 | -0.181 | -0.000 | 46.501 | -0.000 |
| -3.721 | -3.721 | 4.774 | 0.000 | 0.000 | 49.460 |
| 238.377 | 128.023 | 116.192 | -0.000 | 0.000 | 0.000 |
| 128.023 | 238.377 | 116.192 | 0.000 | -0.000 | 0.000 |
| 102.259 | 102.259 | 236.240 | -0.000 | -0.000 | -0.000 |
| -2.718 | -2.718 | 2.046 | 47.642 | -0.000 | -0.000 |
| -2.718 | -2.718 | 2.046 | -0.000 | 47.642 | 0.000 |
| 36608.541 | 36608.537 | 227405.256 | 0.000 | -0.000 | -19464.722 |
| 238.646 | 128.932 | 116.413 | 0.000 | 0.000 | 0.000 |
| 128.932 | 238.646 | 116.413 | 0.000 | 0.000 | -0.000 |
| 101.942 | 101.942 | 242.617 | 0.000 | 0.000 | -0.000 |
| 2.718 | 2.718 | -2.046 | 47.642 | 0.000 | -0.000 |
| 2.718 | 2.718 | -2.046 | 0.000 | 47.642 | 0.000 |
| -36608.541 | -36608.537 | -227405.256 | 0.000 | -0.000 | -19464.722 |
| 237.618 | 127.504 | 115.197 | -0.000 | -0.000 | -0.000 |
| 127.504 | 237.618 | 115.197 | -0.000 | -0.000 | -0.000 |
| 7423.651 | 7423.651 | 45711.246 | -0.000 | 0.000 | 0.000 |
| 3377.760 | 280.236 | 11369.649 | -1739.235 | 0.000 | 0.000 |
| 280.236 | 3377.760 | 11369.649 | -0.000 | -1739.235 | -0.000 |
| 0.044 | 0.044 | -0.602 | -0.000 | -0.000 | 50.199 |
| 238.426 | 128.330 | 117.266 | 0.000 | 0.000 | -0.000 |
| 128.330 | 238.426 | 117.266 | 0.000 | 0.000 | -0.000 |
| 101.997 | 101.997 | 239.656 | 0.000 | 0.000 | -0.000 |
| -3377.760 | -280.236 | -11369.649 | -1739.235 | 0.000 | 0.000 |
| -280.236 | -3377.760 | -11369.649 | 0.000 | -1739.235 | -0.000 |
| -0.044 | -0.044 | 0.602 | 0.000 | 0.000 | 50.199 |
| 213.273 | 86.919 | 91.188 | -0.000 | -0.000 | 0.000 |
| 86.123 | 202.053 | 99.985 | 0.000 | -0.000 | 0.000 |
| 89.971 | 99.564 | 259.136 | 0.000 | -0.000 | -0.000 |
| 0.595 | 1.119 | 1.397 | 66.603 | 0.000 | -0.000 |
| 0.918 | 1.727 | 2.155 | 0.000 | 54.131 | -0.000 |
| 1.066 | 2.006 | 2.503 | 0.000 | 0.000 | 45.215 |
| 211.437 | 83.465 | 86.878 | 0.000 | -0.000 | -0.000 |
| 84.287 | 198.598 | 95.675 | -0.000 | -0.000 | -0.000 |
| 88.135 | 96.110 | 254.826 | -0.000 | -0.000 | 0.000 |
| -0.595 | -1.119 | -1.397 | 66.603 | -0.000 | 0.000 |
| -0.918 | -1.727 | -2.155 | -0.000 | 54.131 | -0.000 |
| -1.066 | -2.006 | -2.503 | -0.000 | 0.000 | 45.215 |
| 212.445 | 85.364 | 89.247 | 0.000 | 0.000 | 0.000 |
| 85.297 | 200.498 | 98.045 | 0.000 | -0.000 | -0.000 |
| 89.144 | 98.009 | 257.196 | -0.000 | -0.000 | 0.000 |
| 0.058 | 0.110 | 0.137 | 66.840 | 0.000 | 0.000 |
| 0.092 | 0.173 | 0.215 | 0.000 | 54.131 | 0.000 |
| 0.117 | 0.220 | 0.274 | -0.000 | 0.000 | 44.999 |
| 212.265 | 85.020 | 88.819 | -0.000 | 0.000 | -0.000 |
| 85.114 | 200.153 | 97.615 | -0.000 | 0.000 | 0.000 |
| 88.962 | 97.665 | 256.766 | 0.000 | -0.000 | -0.000 |
| -0.058 | -0.110 | -0.137 | 66.840 | -0.000 | -0.000 |
| -0.092 | -0.173 | -0.215 | -0.000 | 54.131 | -0.000 |
| -0.117 | -0.220 | -0.274 | 0.000 | -0.000 | 44.999 |
| 212.350 | 85.202 | 89.042 | 0.000 | -0.000 | 0.000 |
| 85.211 | 200.340 | 97.849 | 0.000 | 0.000 | 0.000 |
| 89.051 | 97.850 | 256.997 | 0.000 | -0.000 | 0.000 |
| 0.006 | 0.011 | 0.015 | 66.842 | 0.000 | 0.000 |
| 0.009 | 0.017 | 0.021 | 0.000 | 54.131 | 0.000 |
| 0.011 | 0.022 | 0.027 | 0.000 | 0.000 | 44.995 |
| 212.361 | 85.182 | 89.024 | -0.000 | 0.000 | -0.000 |
| 85.200 | 200.311 | 97.811 | -0.000 | -0.000 | 0.000 |
| 89.055 | 97.824 | 256.965 | -0.000 | -0.000 | 0.000 |
| -0.006 | -0.011 | -0.015 | 66.842 | -0.000 | -0.000 |
| -0.009 | -0.017 | -0.021 | -0.000 | 54.131 | -0.000 |
| -0.011 | -0.022 | -0.027 | -0.000 | -0.000 | 44.995 |
| 249.108 | 140.564 | 112.111 | -0.000 | 0.000 | 0.000 |
| 140.564 | 249.108 | 112.111 | -0.000 | 0.000 | 0.000 |
| 130.388 | 130.388 | -547.223 | 0.000 | 0.000 | 0.000 |
| 82.465 | 82.465 | 107.819 | 36.301 | 0.000 | 0.000 |
| 82.465 | 82.465 | 107.819 | -0.000 | 36.301 | 0.000 |
| 0.000 | -0.000 | -0.000 | 0.000 | 0.000 | 56.335 |
| 249.108 | 140.564 | 112.111 | -0.000 | -0.000 | -0.000 |
| 140.564 | 249.108 | 112.111 | -0.000 | -0.000 | -0.000 |
| 112.101 | 112.101 | 200.183 | 0.000 | -0.000 | -0.000 |
| -82.465 | -82.465 | -107.819 | 36.301 | -0.000 | -0.000 |
| -82.465 | -82.465 | -107.819 | 0.000 | 36.301 | -0.000 |
| 0.000 | 0.000 | 0.000 | -0.000 | -0.000 | 56.335 |
| 235.566 | 150.748 | 32.652 | 0.000 | 0.000 | 0.000 |
| 150.748 | 235.566 | 32.652 | 0.000 | 0.000 | 0.000 |
| 102.844 | 102.844 | 56.285 | -0.000 | -0.000 | 0.000 |
| -0.000 | -0.000 | -0.000 | 43.917 | 0.000 | 0.000 |
| -0.000 | -0.000 | -0.000 | 0.000 | 43.917 | 0.000 |
| 8.259 | 8.259 | 10.798 | 0.000 | 0.000 | 50.546 |
| 231.471 | 136.239 | 85.760 | -0.000 | -0.000 | -0.000 |
| 136.239 | 231.471 | 85.760 | -0.000 | -0.000 | -0.000 |
| 112.101 | 112.101 | 200.184 | -0.000 | -0.000 | -0.000 |
| 0.000 | 0.000 | 0.000 | 43.917 | -0.000 | -0.000 |
| 0.000 | 0.000 | 0.000 | -0.000 | 43.917 | -0.000 |
| -8.259 | -8.259 | -10.798 | 0.000 | -0.000 | 50.546 |
| 249.107 | 140.563 | 112.109 | 0.000 | 0.000 | 0.000 |
| 140.563 | 249.107 | 112.109 | 0.000 | 0.000 | 0.000 |
| 95.698 | 95.698 | 86.555 | 0.000 | 0.000 | 0.000 |
| -0.000 | -0.000 | -0.000 | 43.917 | 0.000 | 0.000 |
| -0.000 | -0.000 | -0.000 | 0.000 | 43.917 | 0.000 |
| 0.000 | 0.000 | -0.000 | 0.000 | 0.000 | 56.335 |
| 249.109 | 140.564 | 112.114 | -0.000 | -0.000 | -0.000 |
| 140.564 | 249.109 | 112.114 | -0.000 | -0.000 | -0.000 |
| 104.739 | 104.739 | 134.204 | -0.000 | -0.000 | -0.000 |
| 0.000 | 0.000 | 0.000 | 43.917 | -0.000 | -0.000 |
| 0.000 | 0.000 | 0.000 | 0.000 | 43.917 | -0.000 |
| -0.000 | -0.000 | 0.000 | -0.000 | -0.000 | 56.335 |
| 161.553 | 5.429 | 76.653 | -0.000 | -0.000 | 0.000 |
| 27.846 | 213.076 | 36.756 | -0.000 | 0.000 | 0.000 |
| 82.046 | 36.756 | 165.345 | 0.000 | 0.000 | 0.000 |
| 0.000 | 0.000 | -0.000 | 29.024 | 0.000 | 0.000 |
| 0.000 | -0.000 | -0.000 | -0.000 | -0.541 | 0.000 |
| -0.000 | -0.000 | -0.000 | -0.000 | -0.000 | 36.015 |
| 168.423 | 27.846 | 82.046 | 0.000 | -0.000 | -0.000 |
| 5.272 | 139.146 | 18.252 | 0.000 | 0.000 | -0.000 |
| 74.325 | 10.448 | 156.105 | 0.000 | -0.000 | -0.000 |
| -0.000 | -0.000 | 0.000 | 29.024 | -0.000 | -0.000 |
| -0.000 | 0.000 | 0.000 | 0.000 | -0.541 | -0.000 |
| 0.000 | 0.000 | 0.000 | 0.000 | 0.000 | 36.015 |
| 161.553 | 5.429 | 76.653 | -0.000 | -0.000 | 0.000 |
| 5.103 | 136.897 | 13.290 | -0.000 | 0.000 | 0.000 |
| 76.023 | 13.290 | 149.761 | -0.000 | 0.000 | 0.000 |
| -0.000 | -0.000 | -0.000 | 21.847 | 0.000 | 0.000 |
| 0.001 | 0.000 | 0.000 | -0.000 | -0.541 | 0.000 |
| -0.000 | 0.000 | -0.000 | -0.000 | -0.000 | 36.015 |
| 168.423 | 27.846 | 82.046 | 0.000 | -0.000 | -0.000 |
| 5.104 | 136.899 | 13.290 | 0.000 | -0.000 | -0.000 |
| 74.325 | 10.448 | 156.105 | 0.000 | 0.000 | -0.000 |
| 0.000 | 0.000 | 0.000 | 21.847 | 0.000 | -0.000 |
| -0.001 | -0.000 | -0.000 | 0.000 | -0.541 | -0.000 |
| 0.000 | -0.000 | 0.000 | 0.000 | 0.000 | 36.015 |
| 161.556 | 5.433 | 76.655 | -0.000 | 0.000 | 0.000 |
| 27.845 | 213.077 | 36.756 | -0.000 | 0.000 | 0.000 |
| 82.046 | 36.756 | 165.344 | -0.000 | 0.000 | 0.000 |
| -0.000 | -0.000 | -0.000 | 21.844 | 0.000 | 0.000 |
| 0.012 | 0.001 | 0.003 | -0.000 | -0.541 | 0.000 |
| -0.000 | -0.000 | -0.000 | -0.000 | 0.000 | 42.274 |
| 161.516 | 5.104 | 76.022 | 0.000 | -0.000 | -0.000 |
| 5.106 | 136.906 | 13.292 | 0.000 | -0.000 | -0.000 |
| 74.325 | 10.448 | 156.105 | 0.000 | -0.000 | -0.000 |
| 0.000 | 0.000 | 0.000 | 21.844 | -0.000 | -0.000 |
| -0.012 | -0.001 | -0.003 | 0.000 | -0.541 | -0.000 |
| 0.000 | 0.000 | 0.000 | 0.000 | -0.000 | 42.274 |
| 473.172 | 399.000 | 399.000 | -0.000 | 0.000 | 0.000 |
| 399.000 | 473.172 | 399.000 | 0.000 | 0.000 | 0.000 |
| 399.000 | 399.000 | 473.172 | -0.000 | 0.000 | 0.000 |
| -0.000 | 0.000 | 0.000 | 48.153 | 0.000 | 0.000 |
| 0.000 | 0.000 | 0.000 | 0.000 | 48.153 | 0.000 |
| 0.000 | 0.000 | 0.000 | -0.000 | 0.000 | 48.153 |
| 211.673 | 96.657 | 96.657 | 0.000 | -0.000 | -0.000 |
| 96.657 | 211.673 | 96.657 | 0.000 | -0.000 | -0.000 |
| 96.657 | 96.657 | 211.673 | -0.000 | -0.000 | -0.000 |
| -0.000 | -0.000 | -0.000 | 48.153 | -0.000 | -0.000 |
| -0.000 | -0.000 | -0.000 | -0.000 | 48.153 | -0.000 |
| -0.000 | -0.000 | -0.000 | 0.000 | -0.000 | 48.153 |
| 163.071 | 82.716 | 82.716 | 0.000 | 0.000 | 0.000 |
| 82.716 | 163.071 | 82.716 | -0.000 | 0.000 | 0.000 |
| 82.716 | 82.716 | 163.071 | 0.000 | 0.000 | 0.000 |
| 0.000 | 0.000 | 0.000 | 48.153 | 0.000 | 0.000 |
| 0.000 | 0.000 | 0.000 | -0.000 | 48.153 | 0.000 |
| 0.000 | 0.000 | 0.000 | -0.000 | 0.000 | 48.153 |
| 211.672 | 96.657 | 96.657 | 0.000 | -0.000 | -0.000 |
| 96.657 | 211.672 | 96.657 | 0.000 | -0.000 | -0.000 |
| 96.657 | 96.657 | 211.672 | 0.000 | 0.000 | 0.000 |
| -0.000 | -0.000 | -0.000 | 48.153 | -0.000 | -0.000 |
| -0.000 | -0.000 | -0.000 | -0.000 | 48.153 | -0.000 |
| -0.000 | -0.000 | -0.000 | -0.000 | -0.000 | 48.153 |
| 157.835 | 63.008 | 63.008 | -0.000 | 0.000 | 0.000 |
| 63.008 | 157.835 | 63.008 | -0.000 | 0.000 | -0.000 |
| 63.008 | 63.008 | 157.835 | -0.000 | 0.000 | 0.000 |
| 0.000 | 0.000 | 0.000 | 48.153 | 0.000 | 0.000 |
| 0.000 | 0.000 | 0.000 | -0.000 | 48.153 | 0.000 |
| 0.000 | 0.000 | 0.000 | 0.000 | 0.000 | 48.153 |
| 211.667 | 96.652 | 96.652 | 0.000 | -0.000 | -0.000 |
| 96.652 | 211.667 | 96.652 | -0.000 | -0.000 | -0.000 |
| 96.652 | 96.652 | 211.667 | -0.000 | -0.000 | -0.000 |
| -0.000 | -0.000 | -0.000 | 48.153 | -0.000 | -0.000 |
| -0.000 | -0.000 | -0.000 | 0.000 | 48.153 | -0.000 |
| -0.000 | -0.000 | -0.000 | -0.000 | -0.000 | 48.153 |
| 212.173 | 91.115 | 91.115 | -0.000 | -0.000 | 0.000 |
| 91.115 | 212.173 | 91.115 | 0.000 | -0.000 | 0.000 |
| 91.115 | 91.115 | 212.173 | -0.000 | -0.000 | -0.000 |
| 0.000 | 0.000 | 0.000 | 45.657 | -0.000 | 0.000 |
| 0.000 | 0.000 | 0.000 | -0.000 | 45.657 | 0.000 |
| 0.000 | 0.000 | 0.000 | -0.000 | -0.000 | 45.657 |
| 212.173 | 91.115 | 91.115 | 0.000 | 0.000 | -0.000 |
| 91.115 | 212.173 | 91.115 | 0.000 | 0.000 | -0.000 |
| 91.115 | 91.115 | 212.173 | 0.000 | 0.000 | 0.000 |
| -0.000 | -0.000 | -0.000 | 45.657 | -0.000 | -0.000 |
| -0.000 | -0.000 | -0.000 | -0.000 | 45.657 | -0.000 |
| -0.000 | -0.000 | -0.000 | 0.000 | 0.000 | 45.657 |
| 156.089 | 59.339 | 59.339 | 0.000 | -0.000 | 0.000 |
| 59.339 | 156.089 | 59.339 | 0.000 | -0.000 | 0.000 |
| 59.339 | 59.339 | 156.089 | 0.000 | 0.000 | 0.000 |
| 0.000 | 0.000 | 0.000 | 45.657 | 0.000 | 0.000 |
| 0.000 | 0.000 | 0.000 | -0.000 | 45.657 | 0.000 |
| 0.000 | 0.000 | 0.000 | 0.000 | -0.000 | 45.657 |
| 212.173 | 91.114 | 91.114 | 0.000 | 0.000 | -0.000 |
| 91.114 | 212.173 | 91.114 | -0.000 | 0.000 | -0.000 |
| 91.114 | 91.114 | 212.173 | -0.000 | 0.000 | -0.000 |
| -0.000 | -0.000 | -0.000 | 45.657 | 0.000 | -0.000 |
| -0.000 | -0.000 | -0.000 | 0.000 | 45.657 | -0.000 |
| -0.000 | -0.000 | -0.000 | 0.000 | 0.000 | 45.657 |
| 156.055 | 59.318 | 59.318 | -0.000 | 0.000 | -0.000 |
| 59.318 | 156.055 | 59.318 | -0.000 | 0.000 | 0.000 |
| 59.318 | 59.318 | 156.055 | -0.000 | -0.000 | -0.000 |
| 0.000 | 0.000 | 0.000 | 45.657 | -0.000 | 0.000 |
| 0.000 | 0.000 | 0.000 | 0.000 | 45.657 | 0.000 |
| 0.000 | 0.000 | 0.000 | -0.000 | -0.000 | 45.657 |
| 155.882 | 59.221 | 59.221 | -0.000 | 0.000 | -0.000 |
| 59.221 | 155.882 | 59.221 | 0.000 | 0.000 | -0.000 |
| 59.221 | 59.221 | 155.882 | 0.000 | 0.000 | -0.000 |
| -0.000 | -0.000 | -0.000 | 45.657 | 0.000 | -0.000 |
| -0.000 | -0.000 | -0.000 | -0.000 | 45.657 | -0.000 |
| -0.000 | -0.000 | -0.000 | 0.000 | 0.000 | 45.657 |
| 184.768 | 161.084 | 161.084 | -0.000 | 0.000 | -0.000 |
| 161.084 | 184.768 | 161.084 | 0.000 | 0.000 | -0.000 |
| 161.084 | 161.084 | 184.768 | -0.000 | -0.000 | -0.000 |
| -0.350 | -0.350 | -0.350 | 44.784 | -0.000 | 0.000 |
| -0.349 | -0.350 | -0.350 | -0.000 | 44.784 | -0.000 |
| -0.349 | -0.350 | -0.350 | -0.000 | 0.000 | 44.784 |
| 184.557 | 162.572 | 162.572 | -0.000 | -0.000 | 0.000 |
| 162.572 | 184.557 | 162.572 | -0.000 | -0.000 | 0.000 |
| 162.572 | 162.572 | 184.557 | -0.000 | 0.000 | -0.000 |
| 0.350 | 0.350 | 0.350 | 44.784 | -0.000 | 0.000 |
| 0.349 | 0.350 | 0.350 | 0.000 | 44.784 | 0.000 |
| 0.349 | 0.350 | 0.350 | 0.000 | 0.000 | 44.784 |
| 115.963 | 205.567 | 205.567 | -0.000 | -0.000 | -0.000 |
| 205.567 | 115.963 | 205.567 | -0.000 | 0.000 | -0.000 |
| 205.567 | 205.567 | 115.963 | 0.000 | 0.000 | -0.000 |
| 0.000 | -0.000 | -0.000 | 48.124 | -0.000 | -0.000 |
| -0.000 | 0.000 | -0.000 | 0.000 | 48.124 | -0.000 |
| -0.000 | -0.000 | 0.000 | -0.000 | 0.000 | 48.124 |
| 115.557 | 206.106 | 206.106 | 0.000 | 0.000 | 0.000 |
| 206.106 | 115.557 | 206.106 | -0.000 | 0.000 | 0.000 |
| 206.106 | 206.106 | 115.557 | 0.000 | -0.000 | 0.000 |
| -0.000 | 0.000 | 0.000 | 48.124 | -0.000 | 0.000 |
| 0.000 | -0.000 | 0.000 | -0.000 | 48.124 | 0.000 |
| 0.000 | 0.000 | -0.000 | 0.000 | -0.000 | 48.124 |
| -295.482 | 408.842 | 408.842 | -0.000 | 0.000 | 0.000 |
| 408.842 | -295.482 | 408.842 | 0.000 | -0.000 | -0.000 |
| 408.842 | 408.842 | -295.482 | 0.000 | -0.000 | -0.000 |
| -0.003 | -0.003 | -0.003 | 44.808 | 0.000 | 0.000 |
| -0.003 | -0.003 | -0.003 | 0.000 | 44.808 | -0.000 |
| -0.003 | -0.003 | -0.003 | 0.000 | -0.000 | 44.808 |
| 102.871 | 211.849 | 211.849 | -0.000 | -0.000 | 0.000 |
| 203.187 | 102.873 | 203.187 | -0.000 | -0.000 | 0.000 |
| 203.187 | 203.187 | 102.873 | -0.000 | -0.000 | 0.000 |
| 0.003 | 0.003 | 0.003 | 44.808 | 0.000 | 0.000 |
| 0.003 | 0.003 | 0.003 | 0.000 | 44.808 | 0.000 |
| 0.003 | 0.003 | 0.003 | -0.000 | -0.000 | 44.808 |
| 191.059 | 83.277 | 72.100 | -0.000 | 0.000 | -0.000 |
| 83.277 | 191.059 | 72.100 | 0.000 | -0.000 | -0.000 |
| 72.586 | 72.586 | 225.624 | -0.000 | 0.000 | -0.000 |
| -0.000 | -0.000 | 0.000 | 22.305 | 0.000 | -0.000 |
| -0.000 | -0.000 | 0.000 | -0.000 | 22.305 | -0.000 |
| -0.000 | -0.000 | 0.000 | -0.000 | 0.000 | 25.318 |
| 192.230 | 84.448 | 69.916 | 0.000 | -0.000 | 0.000 |
| 84.448 | 192.230 | 69.916 | 0.000 | -0.000 | 0.000 |
| 72.585 | 72.585 | 225.624 | 0.000 | -0.000 | 0.000 |
| 0.000 | 0.000 | -0.000 | 22.305 | -0.000 | 0.000 |
| 0.000 | 0.000 | -0.000 | 0.000 | 22.305 | 0.000 |
| 0.000 | 0.000 | -0.000 | 0.000 | -0.000 | 25.318 |
| 191.061 | 83.278 | 72.101 | -0.000 | 0.000 | -0.000 |
| 83.278 | 191.061 | 72.101 | -0.000 | 0.000 | -0.000 |
| 72.586 | 72.586 | 225.624 | -0.000 | 0.000 | -0.000 |
| -0.000 | -0.000 | 0.000 | 22.305 | 0.000 | -0.000 |
| -0.000 | -0.000 | 0.000 | -0.000 | 22.305 | -0.000 |
| -0.000 | -0.000 | -0.000 | -0.000 | 0.000 | 25.318 |
| 191.057 | 83.275 | 72.099 | -0.000 | -0.000 | 0.000 |
| 83.275 | 191.057 | 72.099 | 0.000 | 0.000 | 0.000 |
| 72.585 | 72.585 | 225.623 | 0.000 | -0.000 | 0.000 |
| 0.000 | 0.000 | -0.000 | 22.305 | -0.000 | -0.000 |
| 0.000 | 0.000 | -0.000 | 0.000 | 22.305 | 0.000 |
| 0.000 | 0.000 | -0.000 | 0.000 | -0.000 | 25.318 |
| 191.077 | 83.294 | 72.109 | -0.000 | 0.000 | -0.000 |
| 83.294 | 191.077 | 72.109 | -0.000 | 0.000 | 0.000 |
| 72.591 | 72.591 | 225.628 | -0.000 | 0.000 | -0.000 |
| -0.000 | -0.000 | 0.000 | 22.305 | 0.000 | -0.000 |
| -0.000 | -0.000 | 0.000 | -0.000 | 22.305 | -0.000 |
| -0.000 | -0.000 | -0.000 | -0.000 | 0.000 | 25.318 |
| 191.041 | 83.259 | 72.091 | 0.000 | -0.000 | 0.000 |
| 83.259 | 191.041 | 72.091 | 0.000 | -0.000 | 0.000 |
| 72.580 | 72.580 | 225.620 | 0.000 | -0.000 | 0.000 |
| 0.000 | 0.000 | -0.000 | 22.305 | -0.000 | 0.000 |
| 0.000 | 0.000 | -0.000 | 0.000 | 22.305 | 0.000 |
| 0.000 | 0.000 | 0.000 | 0.000 | -0.000 | 25.318 |
| 218.043 | 94.286 | 100.693 | 0.000 | -0.000 | -0.000 |
| 90.195 | 209.144 | 108.754 | 0.000 | -0.000 | -0.000 |
| 94.504 | 106.655 | 267.940 | 0.000 | -0.000 | -0.000 |
| 3.464 | 6.772 | 8.469 | 63.378 | -0.000 | -0.000 |
| 4.308 | 8.422 | 10.533 | 0.000 | 54.164 | -0.000 |
| 4.374 | 8.550 | 10.693 | 0.000 | -0.000 | 45.519 |
| 209.426 | 77.441 | 79.628 | -0.000 | 0.000 | 0.000 |
| 87.289 | 203.463 | 101.649 | 0.000 | 0.000 | 0.000 |
| 91.950 | 101.662 | 261.695 | 0.000 | 0.000 | 0.000 |
| -3.464 | -6.772 | -8.469 | 63.377 | 0.000 | 0.000 |
| -4.308 | -8.422 | -10.533 | -0.000 | 54.164 | 0.000 |
| -4.374 | -8.550 | -10.693 | -0.000 | 0.000 | 45.519 |
| 214.451 | 87.265 | 91.913 | -0.000 | -0.000 | -0.000 |
| 86.317 | 201.564 | 99.274 | 0.000 | -0.000 | -0.000 |
| 90.626 | 99.075 | 258.459 | 0.000 | -0.000 | -0.000 |
| 0.431 | 0.842 | 1.053 | 66.611 | -0.000 | -0.000 |
| 0.431 | 0.842 | 1.053 | 0.000 | 54.164 | -0.000 |
| 0.532 | 1.039 | 1.300 | 0.000 | -0.000 | 45.097 |
| 213.305 | 85.022 | 89.108 | -0.000 | 0.000 | 0.000 |
| 85.456 | 199.880 | 97.168 | -0.000 | 0.000 | 0.000 |
| 89.766 | 97.391 | 256.354 | -0.000 | 0.000 | 0.000 |
| -0.431 | -0.842 | -1.053 | 66.611 | 0.000 | 0.000 |
| -0.431 | -0.842 | -1.053 | -0.000 | 54.164 | 0.000 |
| -0.532 | -1.039 | -1.300 | -0.000 | 0.000 | 45.097 |
| 213.763 | 85.941 | 90.253 | 0.000 | -0.000 | -0.000 |
| 85.926 | 200.803 | 98.323 | 0.000 | -0.000 | -0.000 |
| 90.228 | 98.313 | 257.506 | 0.000 | -0.000 | -0.000 |
| 0.043 | 0.084 | 0.107 | 66.611 | -0.000 | -0.000 |
| 0.043 | 0.084 | 0.105 | 0.000 | 54.164 | -0.000 |
| 0.055 | 0.107 | 0.134 | 0.000 | -0.000 | 45.021 |
| 214.466 | 87.272 | 91.926 | 0.000 | 0.000 | 0.000 |
| 85.847 | 200.640 | 98.118 | -0.000 | 0.000 | 0.000 |
| 90.164 | 98.153 | 257.307 | -0.000 | 0.000 | 0.000 |
| -0.043 | -0.084 | -0.107 | 66.611 | 0.000 | 0.000 |
| -0.043 | -0.084 | -0.105 | -0.000 | 54.164 | -0.000 |
| -0.055 | -0.107 | -0.134 | -0.000 | 0.000 | 45.021 |
| -471975932.541 | -454702837.968 | -437067822.008 | -1122862.517 | 2314238.203 | -2413934.065 |
| 148.539 | 96.565 | -15.374 | -0.000 | -0.000 | -0.000 |
| -15.375 | -15.375 | 242.966 | -0.000 | -0.000 | -0.000 |
| 0.000 | 0.000 | 0.000 | -8.648 | -0.000 | -0.000 |
| 0.000 | 0.000 | 0.000 | -0.000 | -8.648 | -0.000 |
| 0.000 | -0.000 | 0.000 | -0.000 | -0.000 | -29.325 |
| 96.565 | 148.539 | -15.374 | 0.000 | 0.000 | 0.000 |
| 151.877 | 93.227 | -15.374 | 0.000 | 0.000 | 0.000 |
| -15.375 | -15.375 | 242.966 | 0.000 | 0.000 | 0.000 |
| -0.000 | -0.000 | -0.000 | -8.648 | 0.000 | 0.000 |
| -0.000 | -0.000 | -0.000 | 0.000 | -8.648 | 0.000 |
| -0.000 | 0.000 | -0.000 | 0.000 | 0.000 | -29.325 |
| 156.344 | 88.760 | -15.375 | -0.000 | -0.000 | -0.000 |
| 88.760 | 156.344 | -15.375 | -0.000 | -0.000 | -0.000 |
| -15.375 | -15.375 | 242.965 | -0.000 | -0.000 | -0.000 |
| 0.000 | 0.000 | 0.000 | -8.648 | -0.000 | -0.000 |
| 0.000 | 0.000 | 0.000 | -0.000 | -8.648 | -0.000 |
| 0.000 | -0.000 | 0.000 | -0.000 | -0.000 | -25.987 |
| 93.227 | 151.877 | -15.374 | 0.000 | 0.000 | 0.000 |
| 148.539 | 96.565 | -15.374 | 0.000 | 0.000 | 0.000 |
| -15.374 | -15.374 | 242.966 | 0.000 | 0.000 | 0.000 |
| -0.000 | -0.000 | -0.000 | -8.648 | 0.000 | 0.000 |
| -0.000 | -0.000 | -0.000 | 0.000 | -8.648 | 0.000 |
| -0.000 | 0.000 | -0.000 | 0.000 | 0.000 | -25.987 |
| 156.344 | 88.760 | -15.377 | -0.000 | -0.000 | -0.000 |
| -4371658.927 | -4845972.714 | -4365755.589 | -7833.167 | 10595.085 | 25407.545 |
| -15.379 | -15.379 | 242.961 | -0.000 | -0.000 | -0.000 |
| 0.000 | 0.000 | 0.000 | -8.648 | -0.000 | -0.000 |
| 0.001 | 0.000 | 0.000 | -0.000 | -8.648 | -0.000 |
| -4624072.124 | -4696403.093 | -4369499.465 | 35219.861 | 28079.866 | -57946.684 |
| 96.562 | 148.542 | -15.371 | 0.000 | 0.000 | 0.000 |
| 148.537 | 96.567 | -15.371 | 0.000 | 0.000 | 0.000 |
| -15.370 | -15.370 | 242.971 | 0.000 | 0.000 | 0.000 |
| -0.000 | -0.000 | -0.000 | -8.648 | 0.000 | 0.000 |
| -0.001 | -0.000 | -0.000 | 0.000 | -8.648 | 0.000 |
| 4621194.644 | 4625723.221 | 4404908.925 | -9204.240 | 10891.801 | -78734.219 |
| 775027317.071 | 1159934134.680 | 731112755.159 | -49221575.771 | -1547174.697 | -12901847.706 |
| -282.396 | -367.901 | -229.604 | -1.234 | -0.000 | 0.000 |
| -441.134 | -441.134 | -115.867 | 0.000 | -0.000 | -0.000 |
| 17.032 | -17.032 | 0.000 | -54.785 | -0.000 | 0.000 |
| -600.244 | -600.244 | -383.482 | 0.000 | -60.219 | 1.373 |
| 0.000 | 0.000 | 0.000 | -0.000 | 17.032 | 2.772 |
| 845.442 | 931.328 | 545.694 | 1.167 | 0.000 | -0.000 |
| 328.821 | 334.364 | 189.972 | -17.032 | 0.000 | -0.000 |
| 190.561 | 190.561 | 287.708 | 0.000 | 0.000 | -0.000 |
| 17.032 | -17.032 | -0.000 | -54.785 | 0.000 | -0.000 |
| 600.244 | 600.244 | 383.482 | -0.000 | -60.219 | 1.373 |
| -0.000 | -0.000 | -0.000 | 0.000 | 17.032 | 2.772 |
| 334.362 | 328.817 | 189.970 | 17.032 | -0.000 | -0.000 |
| 110798382.807 | 82264498.383 | 68409438.466 | -2924757.321 | 254068.446 | 1583857.464 |
| 98.293 | 98.293 | 228.760 | 0.000 | -0.000 | 0.000 |
| 17.032 | -17.032 | 0.000 | -54.785 | -0.000 | 0.000 |
| 98734932.417 | 94600865.755 | 74567787.428 | 3614792.330 | -1744444.743 | -17076981.851 |
| 0.000 | 0.000 | 0.000 | -0.000 | 17.032 | 2.772 |
| 334.367 | 328.823 | 189.974 | 17.032 | 0.000 | -0.000 |
| -15195595.048 | -157520577.700 | -58845671.184 | -40549446.641 | 0.000 | -0.000 |
| 218.167 | 218.167 | 305.345 | -0.000 | 0.000 | -0.000 |
| -111431449.609 | -82525712.971 | -68113979.138 | 2456923.705 | -100821.835 | -741407.711 |
| -100501756.587 | -94127650.156 | -76100107.435 | -4004448.085 | -2119236.561 | -18914162.838 |
| -0.000 | -0.000 | -0.000 | 0.000 | 17.032 | 2.772 |
| 1519886.355 | 15752310.397 | 5884719.044 | 4054931.548 | 0.000 | -0.000 |
| 10980803.222 | 8087452.694 | 7048193.313 | -260080.218 | 6762.068 | 32018.472 |
| 152.224 | 152.224 | 263.215 | 0.000 | -0.000 | 0.000 |
| 4.331 | -11.369 | -2.248 | -57.971 | -0.000 | -0.000 |
| 9864459.252 | 9523896.522 | 7501600.139 | 374028.756 | -136937.955 | -1661235.972 |
| 12193982.997 | 5077717.931 | 5884569.942 | -2027471.702 | 3511698.519 | -6162827.783 |
| -10913798.566 | -8055207.166 | -7021529.128 | 235858.604 | -36048.179 | -58872.293 |
| -1519365.569 | -15751850.432 | -5884421.448 | -4054985.405 | 0.000 | -0.000 |
| 164.229 | 164.229 | 270.886 | -0.000 | -0.000 | -0.000 |
| -10896671.952 | -8178153.038 | -6976091.245 | 251030.113 | -22433.841 | -34987.409 |
| -12193921.346 | -5077683.043 | -5884576.820 | 2027478.766 | 3511709.171 | -6162835.632 |
| -12193982.999 | -5077717.928 | -5884569.934 | 2027471.703 | 3511698.518 | -6162827.782 |
| 238.706 | 131.176 | 117.196 | 0.000 | -0.000 | 0.000 |
| 131.176 | 238.706 | 117.196 | 0.000 | 0.000 | 0.000 |
| 95.827 | 95.827 | 217.570 | -0.000 | -0.000 | -0.000 |
| 546757.033 | 546757.033 | 4599589.588 | 45.997 | -0.000 | 0.000 |
| 546757.033 | 546757.033 | 4599589.588 | -0.000 | 45.997 | 0.000 |
| 273378.106 | 273378.111 | 2299792.656 | -0.000 | 0.000 | 273421.092 |
| -546518.263 | -546625.782 | -4599482.483 | 0.000 | -0.000 | -0.000 |
| -546625.782 | -546518.263 | -4599482.483 | 0.000 | 0.000 | -0.000 |
| -546660.949 | -546660.949 | -4599386.111 | -0.000 | 0.000 | -0.000 |
| -546757.033 | -546757.033 | -4599589.588 | 45.997 | -0.000 | -0.000 |
| -546757.033 | -546757.033 | -4599589.588 | 0.000 | 45.997 | -0.000 |
| -273378.106 | -273378.111 | -2299792.656 | 0.000 | 0.000 | 273421.092 |
| 54915.220 | 54807.702 | 460068.808 | -0.000 | 0.000 | 0.000 |
| 54807.702 | 54915.220 | 460068.808 | -0.000 | -0.000 | 0.000 |
| 54771.231 | 54771.231 | 460174.747 | 0.000 | -0.000 | 0.000 |
| 54676.375 | 54676.375 | 459962.851 | 46.426 | 0.000 | 0.000 |
| 54676.375 | 54676.375 | 459962.851 | 0.000 | 46.426 | 0.000 |
| 54676.394 | 54676.394 | 459957.806 | -0.000 | -0.000 | 52.937 |
| -54436.688 | -54544.204 | -459851.259 | 0.000 | -0.000 | -0.000 |
| -54544.204 | -54436.688 | -459851.259 | 0.000 | 0.000 | -0.000 |
| 93.856 | 93.856 | 184.780 | 0.000 | 0.000 | 0.000 |
| -54676.375 | -54676.375 | -459962.851 | 46.426 | 0.000 | -0.000 |
| -54676.375 | -54676.375 | -459962.851 | 0.000 | 46.426 | -0.000 |
| -54676.394 | -54676.394 | -459957.806 | 0.000 | 0.000 | 52.937 |
| 5716.190 | 5634.557 | 47297.519 | 0.000 | 0.000 | 0.000 |
| 5634.557 | 5716.190 | 47297.519 | 0.000 | -0.000 | 0.000 |
| 5562.709 | 5562.709 | 46209.172 | -0.000 | -0.000 | 0.000 |
| 4112.236 | 4090.006 | 34505.332 | 4027.104 | 0.000 | 0.000 |
| 4090.006 | 4112.236 | 34505.332 | 0.000 | 4027.104 | 0.000 |
| 5467.723 | 5467.723 | 45997.209 | -0.000 | 0.000 | 53.009 |
| -5228.198 | -5335.675 | -45888.310 | 0.000 | -0.000 | -0.000 |
| -5335.675 | -5228.198 | -45888.310 | 0.000 | 0.000 | -0.000 |
| 94.094 | 94.094 | 192.230 | -0.000 | 0.000 | -0.000 |
| -4112.236 | -4090.006 | -34505.332 | 4027.104 | 0.000 | -0.000 |
| -4090.006 | -4112.236 | -34505.332 | 0.000 | 4027.104 | -0.000 |
| -5467.723 | -5467.723 | -45997.209 | 0.000 | 0.000 | 53.009 |
| 224.523 | 91.868 | 99.970 | -0.000 | -0.000 | 0.000 |
| 91.084 | 203.380 | 101.235 | -0.000 | -0.000 | -0.000 |
| 98.995 | 101.312 | 260.882 | -0.000 | 0.000 | 0.000 |
| -0.010 | -0.029 | -0.037 | 64.831 | -0.000 | 0.000 |
| -0.016 | -0.044 | -0.057 | -0.000 | 54.563 | 0.000 |
| -0.020 | -0.056 | -0.073 | -0.000 | 0.000 | 45.239 |
| 224.233 | 91.057 | 98.917 | 0.000 | 0.000 | -0.000 |
| 91.955 | 205.822 | 104.405 | -0.000 | -0.000 | -0.000 |
| 100.121 | 104.469 | 264.980 | -0.000 | -0.000 | -0.000 |
| 0.010 | 0.029 | 0.037 | 64.831 | 0.000 | -0.000 |
| 0.016 | 0.044 | 0.057 | 0.000 | 54.563 | -0.000 |
| 0.020 | 0.056 | 0.073 | 0.000 | -0.000 | 45.239 |
| 224.214 | 91.007 | 98.853 | -0.000 | -0.000 | 0.000 |
| 91.098 | 203.419 | 101.286 | -0.000 | 0.000 | 0.000 |
| 99.008 | 101.351 | 260.933 | -0.000 | 0.000 | 0.000 |
| -0.001 | -0.003 | -0.004 | 64.831 | -0.000 | 0.000 |
| -0.002 | -0.004 | -0.006 | -0.000 | 54.563 | 0.000 |
| -0.002 | -0.006 | -0.007 | -0.000 | -0.000 | 45.239 |
| 224.220 | 91.017 | 98.867 | 0.000 | -0.000 | -0.000 |
| 91.102 | 203.429 | 101.299 | 0.000 | 0.000 | -0.000 |
| 99.013 | 101.361 | 260.946 | 0.000 | 0.000 | -0.000 |
| 0.001 | 0.003 | 0.004 | 64.831 | 0.000 | -0.000 |
| 0.002 | 0.004 | 0.006 | 0.000 | 54.563 | -0.000 |
| 0.002 | 0.006 | 0.007 | 0.000 | -0.000 | 45.239 |
| 224.203 | 91.005 | 98.846 | -0.000 | -0.000 | 0.000 |
| 91.096 | 203.421 | 101.289 | -0.000 | 0.000 | 0.000 |
| 100.112 | 104.465 | 264.975 | 0.000 | -0.000 | 0.000 |
| -0.000 | -0.000 | 0.000 | 78.389 | -0.000 | 0.000 |
| -0.001 | -0.001 | -0.001 | -0.000 | 54.563 | 0.000 |
| -0.000 | -0.001 | -0.001 | -0.000 | -0.000 | 45.239 |
| 224.536 | 91.874 | 99.982 | 0.000 | 0.000 | -0.000 |
| 91.104 | 203.427 | 101.296 | 0.000 | -0.000 | -0.000 |
| 99.022 | 101.361 | 260.946 | 0.000 | -0.000 | -0.000 |
| 0.000 | 0.000 | -0.000 | 78.389 | -0.000 | -0.000 |
| 0.001 | 0.001 | 0.001 | 0.000 | 54.563 | -0.000 |
| 0.000 | 0.001 | 0.001 | 0.000 | -0.000 | 45.239 |
| 209.435 | 83.760 | 86.604 | -0.000 | -0.000 | 0.000 |
| 83.760 | 199.495 | 96.890 | -0.000 | 0.000 | 0.000 |
| 86.604 | 96.890 | 255.744 | -0.000 | 0.000 | 0.000 |
| -0.000 | 0.000 | 0.000 | 67.181 | -0.000 | 0.000 |
| -0.000 | 0.000 | -0.000 | -0.000 | 54.059 | 0.000 |
| 0.000 | 0.000 | 0.000 | -0.000 | -0.000 | 44.946 |
| 210.379 | 85.411 | 88.662 | 0.000 | -0.000 | -0.000 |
| 83.760 | 199.495 | 96.890 | 0.000 | -0.000 | -0.000 |
| 88.662 | 100.488 | 260.228 | -0.000 | 0.000 | 0.000 |
| 0.000 | -0.000 | -0.000 | 67.181 | -0.000 | -0.000 |
| 0.000 | -0.000 | 0.000 | 0.000 | 54.059 | -0.000 |
| -0.000 | -0.000 | -0.000 | 0.000 | 0.000 | 44.946 |
| 209.433 | 83.759 | 86.602 | -0.000 | 0.000 | 0.000 |
| 83.759 | 199.495 | 96.889 | -0.000 | -0.000 | 0.000 |
| 86.603 | 96.889 | 255.743 | -0.000 | 0.000 | -0.000 |
| -0.000 | 0.000 | 0.000 | 67.181 | -0.000 | -0.000 |
| -0.000 | -0.000 | -0.000 | -0.000 | 54.059 | 0.000 |
| -0.000 | -0.000 | -0.000 | -0.000 | -0.000 | 44.946 |
| 209.436 | 83.760 | 86.605 | 0.000 | -0.000 | 0.000 |
| 83.760 | 199.496 | 96.890 | 0.000 | -0.000 | -0.000 |
| 88.662 | 100.488 | 260.228 | -0.000 | 0.000 | 0.000 |
| 0.000 | -0.000 | -0.000 | 67.181 | -0.000 | -0.000 |
| 0.000 | 0.000 | 0.000 | 0.000 | 54.059 | -0.000 |
| 0.000 | 0.000 | 0.000 | 0.000 | 0.000 | 44.946 |
| 209.420 | 83.752 | 86.591 | -0.000 | 0.000 | 0.000 |
| 83.756 | 199.492 | 96.887 | -0.000 | 0.000 | 0.000 |
| 86.593 | 96.886 | 255.738 | -0.000 | -0.000 | 0.000 |
| -0.000 | 0.000 | 0.001 | 67.181 | 0.000 | 0.000 |
| -0.001 | -0.000 | -0.000 | -0.000 | 54.059 | 0.000 |
| -0.000 | -0.000 | -0.000 | -0.000 | -0.000 | 44.946 |
| 209.450 | 83.767 | 86.617 | 0.000 | 0.000 | -0.000 |
| 83.763 | 199.498 | 96.893 | 0.000 | -0.000 | -0.000 |
| 86.615 | 96.894 | 255.749 | 0.000 | 0.000 | 0.000 |
| 0.000 | -0.000 | -0.001 | 67.181 | 0.000 | -0.000 |
| 0.001 | 0.000 | 0.000 | 0.000 | 54.059 | -0.000 |
| 0.000 | 0.000 | 0.000 | 0.000 | 0.000 | 44.946 |
| 316.266 | 213.508 | 944.829 | 0.000 | 0.000 | -0.000 |
| 213.508 | 316.266 | 944.829 | 0.000 | -0.000 | -0.000 |
| 110.210 | 110.210 | 196.688 | 0.000 | 0.000 | -0.000 |
| 73.221 | 73.221 | 839.023 | 40.772 | 0.000 | -0.000 |
| 73.221 | 73.221 | 839.023 | 0.000 | 40.772 | -0.000 |
| 15.595 | 15.595 | 378.357 | 0.000 | 0.000 | 44.306 |
| 169.831 | 67.042 | -733.371 | -0.000 | -0.000 | 0.000 |
| 67.042 | 169.831 | -733.371 | -0.000 | -0.000 | 0.000 |
| 32.136 | 32.136 | -688.915 | -0.000 | -0.000 | 0.000 |
| -73.221 | -73.221 | -839.023 | 40.772 | -0.000 | 0.000 |
| -73.221 | -73.221 | -839.023 | -0.000 | 40.772 | 0.000 |
| -15.595 | -15.595 | -378.357 | -0.000 | 0.000 | 44.306 |
| 250.309 | 147.796 | 190.810 | 0.000 | 0.000 | -0.000 |
| 147.796 | 250.309 | 190.810 | 0.000 | 0.000 | 0.000 |
| 111.489 | 111.489 | 230.508 | -0.000 | -0.000 | -0.000 |
| -0.000 | -0.000 | -0.000 | 43.843 | 0.000 | -0.000 |
| -0.000 | -0.000 | -0.000 | -0.000 | 43.843 | -0.000 |
| 0.000 | 0.000 | -0.000 | 0.000 | 0.000 | 56.145 |
| 232.037 | 147.823 | 50.854 | -0.000 | -0.000 | 0.000 |
| 147.823 | 232.037 | 50.854 | -0.000 | -0.000 | 0.000 |
| 97.676 | 97.676 | 61.326 | 0.000 | 0.000 | 0.000 |
| 0.000 | 0.000 | 0.000 | 43.843 | -0.000 | 0.000 |
| 0.000 | 0.000 | 0.000 | -0.000 | 43.843 | 0.000 |
| -0.000 | -0.000 | 0.000 | -0.000 | -0.000 | 56.145 |
| 231.343 | 145.693 | 99.106 | 0.000 | -0.000 | -0.000 |
| 145.693 | 231.343 | 99.106 | 0.000 | -0.000 | -0.000 |
| 110.205 | 110.205 | 196.680 | 0.000 | 0.000 | -0.000 |
| -0.000 | -0.000 | -0.000 | 43.843 | 0.000 | -0.000 |
| -0.000 | -0.000 | -0.000 | 0.000 | 43.843 | -0.000 |
| 0.000 | 0.000 | -0.000 | 0.000 | 0.000 | 56.145 |
| 240.211 | 139.681 | 89.474 | -0.000 | -0.000 | 0.000 |
| 139.681 | 240.211 | 89.474 | -0.000 | -0.000 | 0.000 |
| 96.698 | 96.698 | 87.237 | -0.000 | 0.000 | 0.000 |
| 0.000 | 0.000 | 0.000 | 43.843 | -0.000 | 0.000 |
| 0.000 | 0.000 | 0.000 | -0.000 | 43.843 | 0.000 |
| -0.000 | -0.000 | 0.000 | -0.000 | -0.000 | 56.145 |
Phonon band structures and crystal properties estimated from quasi-harmonic approximation (QHA) calculations are displayed for select crystals. The calculations were performed using phonopy and LAMMPS. For the phonon calculations, 3x3 supercells of the potential-specific relaxed crystals were used. The QHA calculations were based on 11 strain states ranging from -0.05 to 0.05.
The calculation method used is available as the iprPy phonon calculation method.
Notes and Disclaimers:
Version Information:























































































































































































































Static free surface formation energies are displayed for select crystals. The values displayed here are obtained by taking a perfect periodic bulk crystal, slicing along a crystallographic plane, and using force minimization to statically relax the surfaces. The free surface formation energy is computed by comparing the energy of the defect system to the bulk system and dividing by the total surface area created by the cut.
The calculation method used is available as the iprPy surface_energy_static calculation method.
Notes and Disclaimers:
Version Information:
| Surface | γfs (mJ/m2) |
|---|---|
| (100) | 184.96 |
| (111) | 187.48 |
| (110) | 189.21 |
| (210) | 191.81 |
| (320) | 193.22 |
| (311) | 193.43 |
| (310) | 194.03 |
| (332) | 195.58 |
| (322) | 196.00 |
| (211) | 197.27 |
| (331) | 197.47 |
| (221) | 197.56 |
| (321) | 197.79 |
| Surface | γfs (mJ/m2) |
|---|---|
| (111) | 115.02 |
| (332) | 126.59 |
| (322) | 127.90 |
| (221) | 131.52 |
| (100) | 133.12 |
| (211) | 133.97 |
| (331) | 135.34 |
| (311) | 137.83 |
| (110) | 138.15 |
| (321) | 139.36 |
| (320) | 144.13 |
| (310) | 144.65 |
| (210) | 145.04 |
| Surface | γfs (mJ/m2) |
|---|---|
| (111) | 172.81 |
| (332) | 191.43 |
| (322) | 193.57 |
| (221) | 199.53 |
| (100) | 200.99 |
| (211) | 203.64 |
| (331) | 205.99 |
| (311) | 210.56 |
| (110) | 211.63 |
| (321) | 213.12 |
| (310) | 221.31 |
| (320) | 221.37 |
| (210) | 223.10 |
| Surface | γfs (mJ/m2) |
|---|---|
| (211) 2 | 4015.13 |
| (210) | 4019.18 |
| (311) | 4028.16 |
| (100) | 4042.78 |
| (221) | 4044.49 |
| (332) 2 | 4045.29 |
| (321) 2 | 4055.38 |
| (331) | 4059.27 |
| (111) | 4061.15 |
| (322) | 4069.36 |
| (321) 1 | 4076.21 |
| (211) 1 | 4078.78 |
| (332) 1 | 4099.48 |
| (320) | 4110.41 |
| (310) | 4113.56 |
| (110) | 4122.53 |
| Surface | γfs (mJ/m2) |
|---|---|
| (322) | -31338.63 |
| (321) 1 | -25660.47 |
| (321) 2 | -22330.18 |
| (221) | -17267.97 |
| (210) | -16479.01 |
| (332) 2 | -13771.40 |
| (332) 1 | -12671.16 |
| (111) | -12213.02 |
| (110) | -9964.58 |
| (100) | -9464.54 |
| (211) 2 | -4540.67 |
| (211) 1 | -4512.78 |
| Surface | γfs (mJ/m2) |
|---|---|
| (110) | 4832.54 |
| (320) | 4969.02 |
| (210) | 4984.22 |
| (321) | 4986.38 |
| (331) | 5023.45 |
| (310) | 5036.10 |
| (221) | 5067.32 |
| (211) | 5072.49 |
| (311) | 5090.92 |
| (100) | 5091.11 |
| (332) | 5128.68 |
| (322) | 5133.82 |
| (111) | 5225.10 |
| Surface | γfs (mJ/m2) |
|---|---|
| (100) | 195.52 |
| (110) | 216.87 |
| (310) | 218.59 |
| (210) | 223.11 |
| (320) | 223.42 |
| (311) | 240.81 |
| (321) | 244.05 |
| (331) | 244.64 |
| (211) | 247.62 |
| (221) | 253.23 |
| (322) | 257.39 |
| (332) | 258.57 |
| (111) | 262.48 |
| Surface | γfs (mJ/m2) |
|---|---|
| (110) | 112.31 |
| (321) | 127.25 |
| (331) | 127.43 |
| (211) | 129.53 |
| (221) | 132.20 |
| (320) | 133.01 |
| (322) | 134.63 |
| (332) | 135.24 |
| (111) | 137.28 |
| (210) | 143.44 |
| (311) | 144.51 |
| (310) | 152.63 |
| (100) | 161.95 |
| Surface | γfs (mJ/m2) |
|---|---|
| (2132) 1 | -72735.62 |
| (2132) 2 | -68132.30 |
| (2021) 2 | -47937.55 |
| (2241) | -26830.70 |
| (1120) | -26804.30 |
| (2130) 2 | -26733.89 |
| (2131) 2 | -26389.27 |
| (2131) 1 | -26157.63 |
| (1121) | -25905.93 |
| (0001) | 187.48 |
| (1011) 2 | 188.61 |
| (1012) 1 | 190.07 |
| (1010) 1 | 190.64 |
| (2112) | 194.04 |
| (1010) 2 | 194.38 |
| (2130) 1 | 195.11 |
| (2021) 1 | 195.25 |
| (1012) 2 | 203.30 |
| (1011) 1 | 211.19 |
| Surface | γfs (mJ/m2) |
|---|---|
| (311) 1 | -240425.32 |
| (310) | -222334.16 |
| (221) | -212555.85 |
| (211) | -170958.96 |
| (210) | -153301.91 |
| (111) 2 | -122590.44 |
| (110) | -91033.66 |
| (111) 1 | -20077.93 |
| (100) | -1567.50 |
| Surface | γfs (mJ/m2) |
|---|---|
| (111) 2 | 14.41 |
| (331) 2 | 17.08 |
| (110) | 17.66 |
| (321) | 19.72 |
| (211) | 20.07 |
| (320) | 20.50 |
| (332) | 20.84 |
| (210) | 21.97 |
| (311) 2 | 22.03 |
| (311) 1 | 22.25 |
| (310) | 23.29 |
| (322) | 23.61 |
| (221) | 24.36 |
| (100) | 24.46 |
| (331) 1 | 27.91 |
| (111) 1 | 41.48 |
| Surface | γfs (mJ/m2) |
|---|---|
| (111) 2 | 24.84 |
| (331) 2 | 29.58 |
| (110) | 30.43 |
| (321) | 34.44 |
| (211) | 35.08 |
| (320) | 35.75 |
| (332) | 36.63 |
| (210) | 38.43 |
| (311) 2 | 38.81 |
| (311) 1 | 38.89 |
| (310) | 40.77 |
| (322) | 41.67 |
| (221) | 42.96 |
| (100) | 43.00 |
| (331) 1 | 49.31 |
| (111) 1 | 74.43 |
| Surface | γfs (mJ/m2) |
|---|---|
| (111) | -41925.95 |
| (101) 2 | -12923.23 |
| (100) | 80.41 |
| (211) 2 | 103.35 |
| (201) | 123.88 |
| (101) 1 | 124.05 |
| (112) | 127.21 |
| (110) | 131.65 |
| (001) | 139.81 |
| (211) 1 | 141.11 |
| Surface | γfs (mJ/m2) |
|---|---|
| (100) | 56.45 |
| (101) 1 | 78.12 |
| (110) | 80.34 |
| (201) | 81.44 |
| (112) | 82.56 |
| (001) | 87.60 |
| (111) | 95.12 |
| (211) 1 | 95.99 |
| (211) 2 | 96.68 |
| (101) 2 | 131.02 |
| Surface | γfs (mJ/m2) |
|---|---|
| (0001) 1 | 0.00 |
| (1011) 1 | 32.00 |
| (1012) 1 | 33.31 |
| (2112) 1 | 35.71 |
| (1121) 1 | 39.88 |
| (2131) 1 | 40.12 |
| (2241) 1 | 41.17 |
| (1012) 2 | 41.60 |
| (2112) 2 | 41.63 |
| (1120) | 41.63 |
| (2132) 1 | 42.26 |
| (2241) 2 | 44.59 |
| (2130) | 45.40 |
| (2021) 1 | 46.47 |
| (2132) 2 | 46.47 |
| (1121) 2 | 46.49 |
| (1010) | 48.01 |
| (2021) 2 | 52.25 |
| (2131) 2 | 53.42 |
| (1011) 2 | 63.82 |
| (0001) 2 | 69.10 |
| Surface | γfs (mJ/m2) |
|---|---|
| (100) | 32.57 |
| (310) | 41.24 |
| (210) | 43.76 |
| (320) | 45.26 |
| (110) | 46.18 |
| (311) | 49.25 |
| (321) | 52.40 |
| (331) | 52.50 |
| (211) | 53.39 |
| (221) | 54.50 |
| (322) | 55.54 |
| (332) | 55.81 |
| (111) | 56.72 |
| Surface | γfs (mJ/m2) |
|---|---|
| (100) | 54.50 |
| (310) | 69.23 |
| (210) | 73.52 |
| (320) | 76.09 |
| (110) | 77.73 |
| (311) | 83.00 |
| (321) | 88.38 |
| (331) | 88.58 |
| (211) | 90.13 |
| (221) | 92.06 |
| (322) | 93.88 |
| (332) | 94.34 |
| (111) | 96.01 |
| Surface | γfs (mJ/m2) |
|---|---|
| (311) | 29.44 |
| (110) | 139.38 |
| (310) | 154.74 |
| (210) | 294.66 |
| (211) | 318.68 |
| (331) | 397.52 |
| (321) | 521.37 |
| (221) | 534.83 |
| (322) | 537.09 |
| (320) | 603.77 |
| (332) | 647.38 |
| (111) | 828.53 |
| (100) | 1016.02 |
| Surface | γfs (mJ/m2) |
|---|---|
| (111) 2 | 155.50 |
| (331) 2 | 185.33 |
| (110) | 190.43 |
| (321) | 218.21 |
| (211) | 223.40 |
| (320) | 226.45 |
| (332) | 234.83 |
| (210) | 244.71 |
| (311) 2 | 248.79 |
| (311) 1 | 248.80 |
| (310) | 260.93 |
| (322) | 269.24 |
| (221) | 277.39 |
| (100) | 277.96 |
| (331) 1 | 320.06 |
| (111) 1 | 494.53 |
| Surface | γfs (mJ/m2) |
|---|---|
| (111) 1 | -22.28 |
| (331) 1 | -16.47 |
| (221) | -14.74 |
| (100) | -14.51 |
| (310) | -14.43 |
| (322) | -14.25 |
| (210) | -13.92 |
| (311) 2 | -13.78 |
| (311) 1 | -13.76 |
| (320) | -13.23 |
| (332) | -12.97 |
| (321) | -12.76 |
| (211) | -12.71 |
| (110) | -11.73 |
| (331) 2 | -11.42 |
| (111) 2 | -9.57 |
| Surface | γfs (mJ/m2) |
|---|---|
| (100) | 828.11 |
| (101) 1 | 902.79 |
| (110) | 947.83 |
| (211) 2 | 948.34 |
| (201) | 960.17 |
| (112) | 960.65 |
| (111) | 991.10 |
| (211) 1 | 1070.09 |
| (001) | 1138.19 |
| (101) 2 | 1383.33 |
| Surface | γfs (mJ/m2) |
|---|---|
| (101) 2 | -80.19 |
| (211) 1 | -68.62 |
| (111) | -66.76 |
| (211) 2 | -64.16 |
| (001) | -63.92 |
| (112) | -62.40 |
| (201) | -61.08 |
| (101) 1 | -58.85 |
| (110) | -57.13 |
| (100) | -46.49 |
| Surface | γfs (mJ/m2) |
|---|---|
| (332) | -41192.56 |
| (322) | -36757.09 |
| (111) | -16400.26 |
| (211) | -4144.12 |
| (331) | -2846.71 |
| (221) | -2778.98 |
| (321) | -2305.11 |
| (311) | -1306.67 |
| (100) | 357.74 |
| (310) | 457.62 |
| (210) | 493.54 |
| (320) | 525.66 |
| (110) | 575.78 |
| Surface | γfs (mJ/m2) |
|---|---|
| (322) | -54.61 |
| (332) | -54.49 |
| (221) | -54.20 |
| (211) | -53.95 |
| (321) | -53.92 |
| (111) | -53.70 |
| (331) | -53.27 |
| (311) | -51.64 |
| (320) | -49.45 |
| (110) | -49.20 |
| (210) | -48.62 |
| (310) | -46.76 |
| (100) | -39.13 |
Stacking fault energy plots and maps are displayed for select crystals. The values are computed by
The calculation method used is available as the iprPy stacking_fault_map_2D calculation method.
Notes and Disclaimers:
Version Information:
| E_usf a/2 [0 -1 1] | 977.48 |
| τ_ideal a/2 [0 -1 1] | 893.13 |




| E_usf a/2 [0 -1 1] | 195.30 |
| τ_ideal a/2 [0 -1 1] | 4.06 |




| E_isf | -0.00 |
| E_usf a/2 [0 -1 1] | 109.08 |
| τ_ideal a/2 [0 -1 1] | 1.89 |




| E_usf a/2 [-1 1 -1] | 1392.62 |
| τ_ideal a/2 [-1 1 -1] | 15.84 |




| E_usf a/2 [-1 1 -1] | 423.83 |
| τ_ideal a/2 [-1 1 -1] | 140.40 |




| E_usf a/2 [0 -1 1] | 405.80 |
| τ_ideal a/2 [0 -1 1] | 147.04 |




| E_isf | -307.44 |
| E_usf a/2 [0 -1 1] | 122.85 |
| τ_ideal a/2 [0 -1 1] | 93.77 |




Static point defect formation energies, Ef, and elastic dipole tensors, pij, are displayed for select crystals. Relaxed defect configurations are obtained by taking a 12x12x12 supercell of a perfect periodic bulk crystal, inserting the point defect, and using force minimization to statically relax the atomic positions while keeping the system dimensions constant. Ef is computed by comparing the energy of the defect system to the same number of atoms in a perfect bulk crystal. pij is estimated as the difference in the system's global pressure with and without the defect multiplied by the system's volume.
Simple structural comparisons of the unrelaxed and relaxed defect configurations are used to help determine if the defect structure has relaxed to a different configuration. Relaxed structures that are identified as no longer consistent with the ideal defect definition are excluded from the table below. The only exception to this is if the lowest energy interstitial configuration does not coincide with a known ideal defect, its energies and pressure tensor are included under the listing "relaxed interstitial". The full list of calculation results including the transformed structures and the structural comparison values is included in the csv file available from the "Download raw data" link.
The calculation method used is available as the iprPy point_defect_static calculation method.
Notes and Disclaimers:
| Point Defect | Ef (eV) | p11 (eV) | p22 (eV) | p33 (eV) | p12 (eV) | p13 (eV) | p23 (eV) |
|---|---|---|---|---|---|---|---|
| relaxed interstitial | -39474.784 | -1433.904 | -1336.979 | -815.223 | -44.539 | -175.837 | -4.705 |
| octahedral interstitial | -25.064 | -28.661 | -28.661 | -28.661 | -0.000 | -0.000 | -0.000 |
| tetrahedral interstitial | -15.704 | -14.064 | -14.064 | -14.064 | -0.000 | -0.000 | -0.000 |
| vacancy | 0.889 | -0.820 | -0.820 | -0.820 | 0.000 | -0.000 | -0.000 |
| 1nn divacancy | 1.573 | -1.318 | -1.853 | -1.853 | -0.000 | -0.000 | -0.181 |
| 2nn divacancy | 1.719 | -1.575 | -1.575 | -0.164 | 0.000 | -0.000 | -0.000 |
| Point Defect | Ef (eV) | p11 (eV) | p22 (eV) | p33 (eV) | p12 (eV) | p13 (eV) | p23 (eV) |
|---|---|---|---|---|---|---|---|
| 110 dumbbell | -50.025 | 6.062 | 6.255 | 6.255 | 0.000 | -0.000 | 2.025 |
| 111 dumbbell | -33.575 | 40.703 | 40.703 | 40.703 | 5.861 | 5.861 | 5.861 |
| octahedral interstitial | -32.706 | -42.118 | -42.118 | -42.118 | 0.000 | 0.000 | 0.000 |
| vacancy | 0.511 | 0.172 | 0.172 | 0.172 | 0.000 | 0.000 | 0.000 |
| 1nn divacancy | 0.952 | 0.353 | 0.337 | 0.337 | 0.000 | 0.000 | 0.026 |
| 2nn divacancy | 1.023 | 0.320 | 0.320 | 0.317 | 0.000 | 0.000 | 0.000 |
| Point Defect | Ef (eV) | p11 (eV) | p22 (eV) | p33 (eV) | p12 (eV) | p13 (eV) | p23 (eV) |
|---|---|---|---|---|---|---|---|
| 110 dumbbell | -11.521 | -0.752 | -2.353 | -2.353 | 0.000 | 0.000 | 2.507 |
| octahedral interstitial | -0.424 | -7.472 | -7.472 | -7.472 | 0.000 | 0.000 | 0.000 |
| 100 dumbbell | 0.031 | -56.903 | -56.903 | -13.608 | -0.000 | 0.000 | 0.000 |
| vacancy | 1.036 | 0.060 | 0.060 | 0.060 | 0.000 | 0.000 | 0.000 |
| 1nn divacancy | 1.920 | 0.139 | 0.114 | 0.114 | 0.000 | 0.000 | 0.004 |
| 2nn divacancy | 2.076 | 0.111 | 0.111 | 0.146 | 0.000 | 0.000 | 0.000 |
| Point Defect | Ef (eV) | p11 (eV) | p22 (eV) | p33 (eV) | p12 (eV) | p13 (eV) | p23 (eV) |
|---|---|---|---|---|---|---|---|
| vacancy | 2.813 | -6.259 | -6.259 | -6.259 | 0.000 | 0.000 | -0.000 |
| 2nn divacancy | 5.740 | -12.409 | -12.409 | -15.063 | 0.000 | -0.000 | -0.000 |
| 1nn divacancy | 5.861 | -10.533 | -10.533 | -10.533 | 0.223 | 0.223 | 0.223 |
| tetrahedral interstitial | 7.811 | 34.284 | 29.052 | 34.284 | -0.000 | 0.000 | 0.000 |
| 111 dumbbell | 7.944 | 25.451 | 25.451 | 25.451 | 4.763 | 4.763 | 4.763 |
| 100 dumbbell | 7.949 | 16.790 | 16.790 | 28.272 | 0.000 | 0.000 | -0.000 |
| 110 dumbbell | 7.955 | 23.023 | 28.031 | 28.031 | 0.000 | -0.000 | 6.365 |
| crowdion interstitial | 8.189 | 13.514 | 13.514 | 13.514 | 1.015 | 1.015 | 1.015 |
| Point Defect | Ef (eV) | p11 (eV) | p22 (eV) | p33 (eV) | p12 (eV) | p13 (eV) | p23 (eV) |
|---|---|---|---|---|---|---|---|
| 110 dumbbell | -44.572 | -11.282 | 11.898 | 11.898 | 0.000 | 0.000 | -2.288 |
| octahedral interstitial | -21.885 | -2.733 | 11.179 | 11.179 | 0.000 | 0.000 | 0.000 |
| 111 dumbbell | -12.648 | 2.616 | 2.616 | 2.616 | -1.419 | -1.419 | -1.419 |
| crowdion interstitial | -9.076 | 0.471 | 0.471 | 0.471 | -1.186 | -1.186 | -1.186 |
| 100 dumbbell | -6.861 | -3.027 | -3.027 | 3.003 | -0.000 | -0.000 | -0.000 |
| vacancy | 0.856 | 0.230 | 0.230 | 0.230 | 0.000 | -0.000 | -0.000 |
| 2nn divacancy | 1.538 | 0.342 | 0.342 | 0.044 | 0.000 | -0.000 | -0.000 |
| 1nn divacancy | 1.665 | 0.565 | 0.565 | 0.565 | 0.083 | 0.083 | 0.083 |
| Point Defect | Ef (eV) | p11 (eV) | p22 (eV) | p33 (eV) | p12 (eV) | p13 (eV) | p23 (eV) |
|---|---|---|---|---|---|---|---|
| relaxed interstitial | -761.702 | -4885.525 | -4882.176 | -4888.363 | -0.958 | 0.539 | -0.042 |
| 111 dumbbell | -13.701 | 2.162 | 2.162 | 2.162 | -1.339 | -1.339 | -1.339 |
| vacancy | 0.762 | 0.184 | 0.184 | 0.184 | 0.000 | 0.000 | 0.000 |
| 1nn divacancy | 1.334 | 0.278 | 0.278 | 0.278 | -0.038 | -0.038 | -0.038 |
| 2nn divacancy | 1.541 | 0.411 | 0.411 | 0.458 | 0.000 | 0.000 | 0.000 |
| Point Defect | Ef (eV) | p11 (eV) | p22 (eV) | p33 (eV) | p12 (eV) | p13 (eV) | p23 (eV) |
|---|---|---|---|---|---|---|---|
| relaxed interstitial | -20691.636 | -861.332 | -772.663 | -7.326 | 27.611 | 0.973 | 6.731 |
| vacancy | 0.889 | -0.839 | -0.839 | -0.866 | -0.000 | 0.000 | 0.000 |
| Point Defect | Ef (eV) | p11 (eV) | p22 (eV) | p33 (eV) | p12 (eV) | p13 (eV) | p23 (eV) |
|---|---|---|---|---|---|---|---|
| vacancy | 1.092 | -2.616 | -2.616 | -2.616 | 0.000 | 0.000 | 0.000 |
| 100 dumbbell | 3.841 | 6.947 | 6.947 | 7.978 | 0.000 | -0.000 | -0.000 |
| 1nn divacancy | 3.873 | -2.659 | -2.659 | -2.659 | 0.348 | 0.348 | 0.348 |
| bond centered interstitial | 4.362 | 5.478 | 5.478 | 5.478 | 6.300 | 6.300 | 6.300 |
| Point Defect | Ef (eV) | p11 (eV) | p22 (eV) | p33 (eV) | p12 (eV) | p13 (eV) | p23 (eV) |
|---|---|---|---|---|---|---|---|
| relaxed interstitial | -32.260 | -25.817 | -25.786 | -26.164 | 0.006 | 0.062 | 0.025 |
| bond centered interstitial | -11.636 | -12.911 | -12.911 | -12.911 | -0.118 | -0.118 | -0.118 |
| tetragonal interstitial | -1.346 | -0.452 | -0.452 | -0.452 | 0.000 | 0.000 | 0.000 |
| vacancy | 0.179 | 7.593 | 7.593 | 7.593 | 0.000 | 0.000 | -0.000 |
| 1nn divacancy | 0.269 | 11.682 | 11.682 | 11.682 | 0.001 | 0.001 | 0.001 |
| Point Defect | Ef (eV) | p11 (eV) | p22 (eV) | p33 (eV) | p12 (eV) | p13 (eV) | p23 (eV) |
|---|---|---|---|---|---|---|---|
| bond centered interstitial | -10.446 | -8.212 | -8.212 | -8.212 | 0.044 | 0.044 | 0.044 |
| 100 dumbbell | -7.388 | 4.159 | 4.159 | 4.199 | -0.000 | -0.000 | -0.000 |
| tetragonal interstitial | -0.376 | 0.040 | 0.040 | 0.040 | -0.000 | -0.000 | -0.000 |
| vacancy | 0.419 | 8.088 | 8.088 | 8.088 | -0.000 | -0.000 | -0.000 |
| 1nn divacancy | 0.628 | 12.098 | 12.098 | 12.098 | 0.004 | 0.004 | 0.004 |
| Point Defect | Ef (eV) | p11 (eV) | p22 (eV) | p33 (eV) | p12 (eV) | p13 (eV) | p23 (eV) |
|---|---|---|---|---|---|---|---|
| 100 dumbbell | -1.213 | -5.466 | -5.466 | -3.343 | 0.000 | 0.000 | 0.000 |
| 111 dumbbell | -1.099 | -2.980 | -2.980 | -2.980 | 4.171 | 4.171 | 4.171 |
| tetrahedral interstitial | -0.691 | -7.521 | -7.521 | -7.521 | 0.000 | -0.000 | -0.000 |
| octahedral interstitial | -0.579 | 1.498 | 1.498 | 1.498 | 0.000 | 0.000 | -0.000 |
| vacancy | 2.124 | 1.279 | 1.279 | 1.279 | 0.000 | 0.000 | 0.000 |
| 1nn divacancy | 3.890 | 2.656 | 1.850 | 1.850 | 0.000 | 0.000 | -1.094 |
| 2nn divacancy | 4.330 | 2.705 | 2.705 | 3.542 | 0.000 | 0.000 | -0.000 |
| Point Defect | Ef (eV) | p11 (eV) | p22 (eV) | p33 (eV) | p12 (eV) | p13 (eV) | p23 (eV) |
|---|---|---|---|---|---|---|---|
| 100 dumbbell | -6.602 | -23.984 | -23.984 | -24.186 | -0.008 | -0.001 | -0.000 |
| vacancy | 1.342 | 3.625 | 3.625 | 3.625 | -0.000 | -0.000 | -0.000 |
| 1nn divacancy | 2.013 | 5.379 | 5.379 | 5.379 | 0.024 | 0.024 | 0.024 |
| Point Defect | Ef (eV) | p11 (eV) | p22 (eV) | p33 (eV) | p12 (eV) | p13 (eV) | p23 (eV) |
|---|---|---|---|---|---|---|---|
| 1nn divacancy | -0.208 | -20.159 | -20.159 | -20.159 | -0.004 | -0.004 | -0.004 |
| vacancy | -0.138 | -16.892 | -16.892 | -16.892 | 0.000 | 0.000 | 0.000 |
| tetragonal interstitial | 1.710 | 17.554 | 17.554 | 17.554 | 0.000 | 0.000 | -0.000 |
Plots of the atomic structure of dislocation cores are shown here. The dislocations were constructed using dislocation monopole configurations in which a straight dislocation is created in the center of the system using anisotropic elasticity and the elastic constants computed above. A cylindrical region centered around the dislocation is allowed to relax while the remaining atoms are held fixed. The relaxation consists of 1 million NVT steps at 10 K followed by an energy/force minimization. The final plots show the atomic configuration near the center of the monopole system, and display differential displacement arrows and Nye tensor color maps that are both taken with respect to the Burgers vector direction.
These plots show a wide range of final structures, some corresponding to expected dislocation structures and others not. While the characterizations are dislocation-type dependent, some general classification guidelines are listed here.
The calculation method used is available as the iprPy dislocation_monopole calculation method.
Links are provided above the images allowing for users to download the final defect configuration and a corresponding defect-free configuration if they wish to further analyze the structures or use them for subsequent simulations.
Notes and Disclaimers:
Version Information:
Plots of lattice and elastic constants are shown as a function of temperature. The 0K points were taken from the Crystal Structure Predictions and the Elastic Constants Predictions sections above for the unique crystal structures relaxed with the "dynamic" method. Starting from the 0 K relaxed crystal unit cells, supercell systems are created by replicating all three dimensions by the same multiplier to achieve at least 4000 atoms. The systems are then relaxed at 50 K and zero pressure using 1 million NPT steps. Lattice constants are estimated by averaging the measured box dimensions. Temperatures are iteratively increased by 50 K, with each subsequent relaxation calculation starting from the final atomic configuration at the previous temperature and relaxing for another 1 million steps.
The elastic constants are calculated using the deformation–fluctuation hybrid method. Starting from the final atomic configurations of the dynamic relaxations, the system is allowed to evolve at constant volume with a Langevin thermostat. The Born matrix is computed during this run by evaluating how the atomic forces would vary due to applied linear strain fields. The elastic constants can then be estimated using the averaged Born matrix values and the averaged stresses on the system.
The calculation methods used are available as the iprPy relax_dynamic and elastic_constants_dynamic calculation methods.
Clicking on the image of a plot will open an interactive version of it in a new tab. The underlying data for the plots can be downloaded by clicking on the links above each plot.
Notes and Disclaimers:
Version Information:
Plots of radial distribution functions at different temperatures and the temperature-dependent diffusion and viscosity are shown here for elemental liquids. Melt phases are constructed by starting with a 10x10x10 fcc super cell and relaxing with 50,000 NPT steps at zero pressure and a high melting temperature (3000 K for most potentials and elements). Following the melt, liquid structures are relaxed by running NPT for 10,000 steps over which the temperature is dropped by 50 K, then 50,000 NPT at the target temperature to estimate the equilibrium volume, followed by 20,000 NVT steps at the averaged equilibrium volume and target temperature. Structures from the NVT run are sampled to compute the radial distribution function of the liquid at the corresponding temperature.
The final relaxed configurations at each temperature explored are used as the initial configurations for the diffusion and viscosity calculations. For diffusion, the system is integrated for 100 runs of 2,000 NVT steps during which both the mean squared displacement (MSD) and the velocity auto correlation function (VACF) are computed. From these simulations, three estimates of diffusion are computed: one from the MSD of the full 200,000 step run, one in which the MSD is reset for each short run and then averaged, and one from the VACF computed for each short run and averaged. For viscosity, the Green-Kubo method is used which is evaluated during a 1 million step NVT run.
The calculation methods used are available as the iprPy relax_liquid_redo, diffusion_liquid, and viscosity_green_kubo calculation methods.
Clicking on the image of a plot will open an interactive version of it in a new tab. The underlying data for the plots can be downloaded by clicking on the links above each plot.
Notes and Disclaimers:
Version Information:
Plots of internal energy, Gibbs free energy, entropy, heat capacity and volume are shown here as a function of temperature for various crystal structures and liquid phases. The included crystal structures correspond to those in the Solid Structures vs. Temperature section, and the liquid phases to those in the Liquid Properties section. Internal energy and volume are taken from the associated structure relaxations mentioned in those previous sections. Constant pressure heat capacity is estimated using 3-point numerical derivatives of enthalpy versus temperature. Note that since all simulations done here are at 0 pressure, internal energy and enthalpy are equivalent.
The Gibbs energies of the phases are estimated using thermodynamic integration between the interatomic potential in question and a simpler model with known Gibbs free energy values. For solids, the reference model is an Einstein solid, while for liquids it is the Uhlenbeck-Ford potential. Besides a short run at the start of the solid calculations to estimate Einstein model spring constants, the two calculations proceed similarly. Starting with the final relaxation configurations, the systems are stabilized for 25,000 steps. Then, over the next 50,000 steps the potential is swapped out for the reference potential. The system is then stabilized for another 25,000 steps with the reference model before a reverse swap of 50,000 steps is performed. The simulation ends with one final 25,000 step stabilization period. From the simulation, the irreversible work of transformation is estimated and used to compute the absolute Gibbs free energy of the target phase and potential relative to the reference potential. Entropy is estimated as the difference in enthalpy and Gibbs free energy and divided by temperature.
The calculation methods used are available as the iprPy relax_dynamic, relax_liquid_redo, free_energy, and free_energy_liquid calculation methods.
Clicking on the image of a plot will open an interactive version of it in a new tab. The underlying data for the plots can be downloaded by clicking on the links above each plot.
Notes and Disclaimers:
Version Information:






