Plots of the potential energy vs interatomic spacing, r, are shown below for all diatom sets associated with the interatomic potential. This calculation provides insights into the functional form of the potential's two-body interactions. A system consisting of only two atoms is created, and the potential energy is evaluated for the atoms separated by 0.02 Å <= r <= 6.0> Å in intervals of 0.02 Å. Two plots are shown: one for the "standard" interaction distance range, and one for small values of r. The small r plot is useful for determining whether the potential is suitable for radiation studies.
The calculation method used is available as the iprPy diatom_scan calculation method.
Clicking on the image of a plot will open an interactive version of it in a new tab. The underlying data for the plots can be downloaded by clicking on the links above each plot.
Notes and Disclaimers:
Version Information:
Plots of potential energy vs interatomic spacing, r, are shown below for a number of crystal structures. The structures are generated based on the ideal atomic positions and b/a and c/a lattice parameter ratios for a given crystal prototype. The size of the system is then uniformly scaled, and the energy calculated without relaxing the system. To obtain these plots, values of r are evaluated every 0.02 Å up to 6 Å.
The calculation method used is available as the iprPy E_vs_r_scan calculation method.
Clicking on the image of a plot will open an interactive version of it in a new tab. The underlying data for the plots can be downloaded by clicking on the links above each plot.
Notes and Disclaimers:
Version Information:
Computed lattice constants and cohesive/potential energies are displayed for a variety of crystal structures. The values displayed here are obtained using the following process.
The calculation methods used are implemented into iprPy as the following calculation styles
Notes and Disclaimers:
Version Information:
Download raw data (including filtered results)
Reference structure matches:
A1--Cu--fcc = mp-134, oqmd-8100, oqmd-1214503
A15--beta-W = oqmd-1214948, oqmd-1280406
A2--W--bcc = mp-998860, oqmd-1215126
A3'--alpha-La--double-hcp = mp-1183144, oqmd-1215394
A3--Mg--hcp = oqmd-1215215, oqmd-1215304
A4--C--dc = oqmd-1215483
A5--beta-Sn = oqmd-1215572
A6--In--bct = oqmd-1215661
| prototype | method | Ecoh (eV/atom) | Epot (eV/atom) | a0 (Å) | b0 (Å) | c0 (Å) | α (degrees) | β (degrees) | γ (degrees) |
|---|---|---|---|---|---|---|---|---|---|
| A1--Cu--fcc | dynamic | -3.36 | -3.36 | 4.0447 | 4.0447 | 4.0447 | 90.0 | 90.0 | 90.0 |
| A3'--alpha-La--double-hcp | dynamic | -3.3444 | -3.3444 | 2.8445 | 2.8445 | 9.4759 | 90.0 | 90.0 | 120.0 |
| oqmd-1216017 | dynamic | -3.3397 | -3.3397 | 2.8404 | 2.8404 | 21.4079 | 90.0 | 90.0 | 120.0 |
| A3--Mg--hcp | dynamic | -3.3305 | -3.3305 | 2.8326 | 2.8326 | 4.7946 | 90.0 | 90.0 | 120.0 |
| oqmd-1215037 | box | -3.2724 | -3.2724 | 2.7178 | 4.858 | 10.4584 | 90.0 | 90.0 | 90.0 |
| mp-1245129 | dynamic | -3.2703 | -3.2703 | 11.4335 | 12.0926 | 12.6969 | 88.1 | 88.7 | 79.0 |
| mp-1244953 | dynamic | -3.2686 | -3.2686 | 11.9572 | 12.0046 | 12.4536 | 84.5 | 85.4 | 76.0 |
| mp-1245152 | dynamic | -3.268 | -3.268 | 11.8649 | 12.0078 | 12.3124 | 88.8 | 80.0 | 89.5 |
| mp-1245307 | dynamic | -3.2626 | -3.2626 | 11.8033 | 12.1804 | 12.2061 | 89.9 | 86.9 | 81.5 |
| mp-1245067 | dynamic | -3.2614 | -3.2614 | 11.6853 | 12.0791 | 12.4823 | 92.2 | 94.0 | 99.9 |
| oqmd-1214859 | dynamic | -3.255 | -3.255 | 6.9969 | 6.9969 | 6.9969 | 90.0 | 90.0 | 90.0 |
| oqmd-1214859 | box | -3.2525 | -3.2525 | 7.002 | 7.002 | 7.002 | 90.0 | 90.0 | 90.0 |
| mp-1244953 | static | -3.2499 | -3.2499 | 11.9602 | 12.1522 | 12.2035 | 86.3 | 78.5 | 86.5 |
| mp-1245129 | static | -3.2484 | -3.2484 | 11.6761 | 11.9151 | 12.5181 | 85.0 | 88.1 | 85.2 |
| mp-1245152 | static | -3.2466 | -3.2466 | 11.5612 | 12.1372 | 12.4434 | 89.2 | 83.6 | 89.7 |
| A2--W--bcc | static | -3.2417 | -3.2417 | 3.2269 | 3.2269 | 3.2269 | 90.0 | 90.0 | 90.0 |
| mp-1245307 | static | -3.2375 | -3.2375 | 12.0045 | 12.0923 | 12.111 | 91.7 | 94.3 | 92.5 |
| oqmd-1214770 | static | -3.2369 | -3.2369 | 9.9759 | 9.9759 | 9.9759 | 90.0 | 90.0 | 90.0 |
| A5--beta-Sn | static | -3.2367 | -3.2367 | 5.1324 | 5.1324 | 2.6256 | 90.0 | 90.0 | 90.0 |
| Ah--alpha-Po--sc | dynamic | -3.2332 | -3.2332 | 2.6014 | 2.6014 | 2.6014 | 90.0 | 90.0 | 90.0 |
| oqmd-1214770 | box | -3.2302 | -3.2302 | 9.9715 | 9.9715 | 9.9715 | 90.0 | 90.0 | 90.0 |
| mp-1245067 | static | -3.2269 | -3.2269 | 12.0218 | 12.149 | 12.1922 | 92.0 | 93.4 | 97.7 |
| mp-1244953 | box | -3.2225 | -3.2225 | 11.965 | 12.0821 | 12.2811 | 86.0 | 80.2 | 86.7 |
| mp-1245129 | box | -3.2206 | -3.2206 | 11.7134 | 12.0273 | 12.4596 | 93.5 | 91.6 | 96.6 |
| mp-1245152 | box | -3.2185 | -3.2185 | 11.8907 | 12.0969 | 12.2051 | 91.8 | 91.6 | 95.8 |
| mp-1245307 | box | -3.208 | -3.208 | 11.9863 | 12.1319 | 12.1375 | 90.2 | 92.6 | 94.3 |
| A15--beta-W | static | -3.2034 | -3.2034 | 5.1648 | 5.1648 | 5.1648 | 90.0 | 90.0 | 90.0 |
| mp-1245067 | box | -3.1979 | -3.1979 | 11.9305 | 12.2384 | 12.2863 | 92.7 | 98.2 | 93.8 |
| A7--alpha-As | box | -3.0979 | -3.0979 | 2.7822 | 2.7822 | 19.1922 | 90.0 | 90.0 | 120.0 |
| mp-1239196 | box | -2.8668 | -2.8668 | 3.6475 | 3.6475 | 14.5231 | 90.0 | 90.0 | 90.0 |
| oqmd-1215928 | box | -2.7174 | -2.7174 | 4.5961 | 4.5961 | 4.8311 | 90.0 | 90.0 | 120.0 |
| A4--C--dc | dynamic | -2.4145 | -2.4145 | 6.2978 | 6.2978 | 6.2978 | 90.0 | 90.0 | 90.0 |
Download raw data (including filtered results)
Reference structure matches:
| prototype | method | Ecoh (eV/atom) | Epot (eV/atom) | a0 (Å) | b0 (Å) | c0 (Å) | α (degrees) | β (degrees) | γ (degrees) |
|---|---|---|---|---|---|---|---|---|---|
| mp-1217111 | dynamic | -4.1727 | -4.1727 | 4.0319 | 4.0319 | 16.1874 | 90.0 | 90.0 | 90.0 |
| mp-1217111 | box | -4.1566 | -4.1566 | 4.0412 | 4.0412 | 16.1998 | 90.0 | 90.0 | 90.0 |
Download raw data (including filtered results)
Reference structure matches:
| prototype | method | Ecoh (eV/atom) | Epot (eV/atom) | a0 (Å) | b0 (Å) | c0 (Å) | α (degrees) | β (degrees) | γ (degrees) |
|---|---|---|---|---|---|---|---|---|---|
| mp-567705 | dynamic | -4.2162 | -4.2162 | 4.0448 | 4.0448 | 24.175 | 90.0 | 90.0 | 90.0 |
| mp-11809 | dynamic | -4.2159 | -4.2159 | 4.0431 | 12.0882 | 4.0461 | 90.0 | 90.0 | 90.0 |
| oqmd-18195 | box | -4.1976 | -4.1976 | 4.0285 | 12.182 | 4.0711 | 90.0 | 90.0 | 90.0 |
| mp-11809 | box | -4.1976 | -4.1976 | 4.0317 | 12.174 | 4.0697 | 90.0 | 90.0 | 90.0 |
| mp-567705 | box | -4.1949 | -4.1949 | 4.0516 | 4.0516 | 24.3659 | 90.0 | 90.0 | 90.0 |
| oqmd-18487 | box | -4.1948 | -4.1948 | 4.0508 | 4.0508 | 24.3802 | 90.0 | 90.0 | 90.0 |
| C1--CaF2--fluorite | static | -3.5658 | -3.5658 | 6.3365 | 6.3365 | 6.3365 | 90.0 | 90.0 | 90.0 |
| oqmd-1231523 | box | -3.1699 | -3.1699 | 5.6547 | 5.6547 | 4.7004 | 90.0 | 90.0 | 90.0 |
Download raw data (including filtered results)
Reference structure matches:
| prototype | method | Ecoh (eV/atom) | Epot (eV/atom) | a0 (Å) | b0 (Å) | c0 (Å) | α (degrees) | β (degrees) | γ (degrees) |
|---|---|---|---|---|---|---|---|---|---|
| oqmd-425601 | dynamic | -4.3284 | -4.3284 | 5.0227 | 5.0227 | 26.5139 | 90.0 | 90.0 | 120.0 |
| oqmd-425601 | box | -4.3242 | -4.3242 | 5.0278 | 5.0278 | 26.5354 | 90.0 | 90.0 | 120.0 |
Download raw data (including filtered results)
Reference structure matches:
D0_3--BiF3 = oqmd-312158
L1_2--AuCu3 = mp-998981, oqmd-21316
| prototype | method | Ecoh (eV/atom) | Epot (eV/atom) | a0 (Å) | b0 (Å) | c0 (Å) | α (degrees) | β (degrees) | γ (degrees) |
|---|---|---|---|---|---|---|---|---|---|
| mp-542915 | dynamic | -4.0651 | -4.0651 | 4.0375 | 4.0375 | 8.0497 | 90.0 | 90.0 | 90.0 |
| L1_2--AuCu3 | dynamic | -4.0613 | -4.0613 | 4.0341 | 4.0341 | 4.0341 | 90.0 | 90.0 | 90.0 |
| oqmd-323620 | dynamic | -4.0549 | -4.0549 | 5.6988 | 5.6988 | 4.6512 | 90.0 | 90.0 | 120.0 |
| oqmd-323620 | box | -4.0516 | -4.0516 | 5.694 | 5.694 | 4.6747 | 90.0 | 90.0 | 120.0 |
| mp-1217027 | dynamic | -4.0023 | -4.0023 | 2.8821 | 4.664 | 4.9109 | 90.0 | 90.0 | 90.0 |
| mp-1217027 | box | -3.9996 | -3.9996 | 2.8737 | 4.6707 | 4.9181 | 90.0 | 90.0 | 90.0 |
| D0_3--BiF3 | static | -3.9248 | -3.9248 | 6.4112 | 6.4112 | 6.4112 | 90.0 | 90.0 | 90.0 |
| A15--Cr3Si | static | -3.9154 | -3.9154 | 5.1267 | 5.1267 | 5.1267 | 90.0 | 90.0 | 90.0 |
| A15--Cr3Si | static | -1.2391 | -1.2391 | 7.8179 | 7.8179 | 7.8179 | 90.0 | 90.0 | 90.0 |
Download raw data (including filtered results)
Reference structure matches:
| prototype | method | Ecoh (eV/atom) | Epot (eV/atom) | a0 (Å) | b0 (Å) | c0 (Å) | α (degrees) | β (degrees) | γ (degrees) |
|---|---|---|---|---|---|---|---|---|---|
| mp-1208324 | static | -4.1465 | -4.1465 | 6.1795 | 6.1795 | 18.1556 | 90.0 | 90.0 | 90.0 |
| mp-1208324 | box | -4.1181 | -4.1181 | 6.2211 | 6.2211 | 18.1397 | 90.0 | 90.0 | 90.0 |
Download raw data (including filtered results)
Reference structure matches:
| prototype | method | Ecoh (eV/atom) | Epot (eV/atom) | a0 (Å) | b0 (Å) | c0 (Å) | α (degrees) | β (degrees) | γ (degrees) |
|---|---|---|---|---|---|---|---|---|---|
| oqmd-753883 | dynamic | -4.5899 | -4.5899 | 7.6375 | 7.6375 | 4.6369 | 90.0 | 90.0 | 120.0 |
| oqmd-753883 | box | -4.5668 | -4.5668 | 7.6937 | 7.6937 | 4.6027 | 90.0 | 90.0 | 120.0 |
| oqmd-753871 | dynamic | -4.4758 | -4.4758 | 7.5868 | 7.5868 | 4.707 | 90.0 | 90.0 | 120.0 |
| oqmd-753871 | box | -4.4722 | -4.4722 | 7.5989 | 7.5989 | 4.7143 | 90.0 | 90.0 | 120.0 |
Download raw data (including filtered results)
Reference structure matches:
| prototype | method | Ecoh (eV/atom) | Epot (eV/atom) | a0 (Å) | b0 (Å) | c0 (Å) | α (degrees) | β (degrees) | γ (degrees) |
|---|---|---|---|---|---|---|---|---|---|
| mp-1217092 | dynamic | -4.2869 | -4.2869 | 4.0425 | 4.0514 | 8.0617 | 90.0 | 90.0 | 90.0 |
| mp-1217081 | dynamic | -4.2822 | -4.2822 | 4.0265 | 4.0265 | 8.1322 | 90.0 | 90.0 | 90.0 |
| mp-1217081 | box | -4.2816 | -4.2816 | 4.0286 | 4.0286 | 8.134 | 90.0 | 90.0 | 90.0 |
| mp-1217092 | box | -4.2729 | -4.2729 | 4.0272 | 4.0673 | 8.1236 | 90.0 | 90.0 | 90.0 |
Download raw data (including filtered results)
Reference structure matches:
B1--NaCl--rock-salt = oqmd-1105682
B2--CsCl = mp-1061123, oqmd-306497
B3--ZnS--cubic-zinc-blende = oqmd-1218357
L1_0--AuCu = mp-1953, oqmd-18721
| prototype | method | Ecoh (eV/atom) | Epot (eV/atom) | a0 (Å) | b0 (Å) | c0 (Å) | α (degrees) | β (degrees) | γ (degrees) |
|---|---|---|---|---|---|---|---|---|---|
| oqmd-753881 | dynamic | -4.5406 | -4.5406 | 5.0003 | 4.6351 | 5.7076 | 90.0 | 90.0 | 90.0 |
| oqmd-1217571 | dynamic | -4.52 | -4.52 | 4.6336 | 2.8736 | 4.9745 | 90.0 | 90.0 | 90.0 |
| oqmd-753881 | box | -4.5126 | -4.5126 | 5.0416 | 4.6733 | 5.6665 | 90.0 | 90.0 | 90.0 |
| oqmd-1217571 | box | -4.5097 | -4.5097 | 4.6437 | 2.844 | 4.9973 | 90.0 | 90.0 | 90.0 |
| L1_0--AuCu | dynamic | -4.5016 | -4.5016 | 2.8414 | 2.8414 | 4.0994 | 90.0 | 90.0 | 90.0 |
| oqmd-753889 | dynamic | -4.4725 | -4.4725 | 4.665 | 11.4091 | 5.0066 | 90.0 | 90.0 | 90.0 |
| oqmd-753894 | dynamic | -4.4688 | -4.4688 | 4.6577 | 8.5846 | 4.9899 | 90.0 | 90.0 | 90.0 |
| oqmd-753872 | dynamic | -4.4652 | -4.4652 | 4.6495 | 8.5669 | 4.9996 | 90.0 | 90.0 | 90.0 |
| oqmd-753874 | dynamic | -4.4561 | -4.4561 | 4.6668 | 11.4185 | 4.9843 | 90.0 | 90.0 | 90.0 |
| oqmd-1228037 | dynamic | -4.449 | -4.449 | 2.9155 | 2.9155 | 4.5551 | 90.0 | 90.0 | 120.0 |
| oqmd-753875 | dynamic | -4.4469 | -4.4469 | 4.6682 | 14.3011 | 4.9823 | 90.0 | 90.0 | 90.0 |
| oqmd-753872 | box | -4.4453 | -4.4453 | 4.641 | 8.5722 | 5.0401 | 90.0 | 90.0 | 90.0 |
| oqmd-753874 | box | -4.4443 | -4.4443 | 4.6704 | 11.4702 | 4.9646 | 90.0 | 90.0 | 90.0 |
| oqmd-753880 | dynamic | -4.4439 | -4.4439 | 5.7388 | 5.7388 | 4.6747 | 90.0 | 90.0 | 120.0 |
| oqmd-327581 | dynamic | -4.4419 | -4.4419 | 2.9108 | 2.9108 | 13.7215 | 90.0 | 90.0 | 120.0 |
| oqmd-753880 | box | -4.4409 | -4.4409 | 5.7394 | 5.7394 | 4.6678 | 90.0 | 90.0 | 120.0 |
| oqmd-753898 | dynamic | -4.4374 | -4.4374 | 4.6716 | 5.7416 | 4.9776 | 90.0 | 90.0 | 90.0 |
| oqmd-753870 | dynamic | -4.4365 | -4.4365 | 5.7626 | 4.6796 | 7.5865 | 90.0 | 100.9 | 90.0 |
| oqmd-753878 | dynamic | -4.4364 | -4.4364 | 4.6779 | 14.1889 | 5.0212 | 90.0 | 90.0 | 90.0 |
| oqmd-753875 | box | -4.4324 | -4.4324 | 4.6739 | 14.2941 | 4.9999 | 90.0 | 90.0 | 90.0 |
| oqmd-753888 | dynamic | -4.43 | -4.43 | 5.6765 | 5.0012 | 4.7105 | 90.0 | 90.0 | 90.0 |
| oqmd-753889 | box | -4.4215 | -4.4215 | 4.6313 | 11.3077 | 5.0799 | 90.0 | 90.0 | 90.0 |
| oqmd-753894 | box | -4.4208 | -4.4208 | 4.6331 | 8.652 | 5.0221 | 90.0 | 90.0 | 90.0 |
| oqmd-753873 | dynamic | -4.41 | -4.41 | 4.6551 | 5.6976 | 10.0477 | 90.0 | 90.0 | 90.0 |
| oqmd-753878 | box | -4.4043 | -4.4043 | 4.6852 | 14.2789 | 4.9815 | 90.0 | 90.0 | 90.0 |
| oqmd-753898 | box | -4.4 | -4.4 | 4.0682 | 8.1063 | 4.0674 | 90.0 | 90.0 | 90.0 |
| oqmd-753868 | dynamic | -4.3982 | -4.3982 | 5.7572 | 14.9287 | 4.6956 | 90.0 | 90.0 | 90.0 |
| oqmd-753870 | box | -4.3944 | -4.3944 | 5.8678 | 4.6791 | 7.441 | 90.0 | 101.2 | 90.0 |
| oqmd-753873 | box | -4.3878 | -4.3878 | 4.6628 | 5.6607 | 10.1511 | 90.0 | 90.0 | 90.0 |
| oqmd-753897 | dynamic | -4.3846 | -4.3846 | 5.7547 | 4.7013 | 7.5438 | 90.0 | 101.0 | 90.0 |
| oqmd-753888 | box | -4.3762 | -4.3762 | 5.7084 | 4.9394 | 4.7544 | 90.0 | 90.0 | 90.0 |
| B2--CsCl | box | -4.375 | -4.375 | 3.2332 | 3.2332 | 3.2332 | 90.0 | 90.0 | 90.0 |
| oqmd-753876 | dynamic | -4.3747 | -4.3747 | 5.6861 | 4.6914 | 7.6825 | 90.0 | 100.4 | 90.0 |
| oqmd-753876 | box | -4.3538 | -4.3538 | 5.6733 | 4.7027 | 7.6296 | 90.0 | 100.3 | 90.0 |
| oqmd-753897 | box | -4.3393 | -4.3393 | 5.6975 | 4.7464 | 7.5631 | 90.0 | 100.9 | 90.0 |
| oqmd-753868 | box | -4.3107 | -4.3107 | 5.9737 | 14.2557 | 4.7121 | 90.0 | 90.0 | 90.0 |
| oqmd-753882 | dynamic | -4.2852 | -4.2852 | 2.8393 | 4.6691 | 10.1401 | 90.0 | 90.0 | 90.0 |
| oqmd-753882 | box | -4.2679 | -4.2679 | 2.8165 | 4.6793 | 10.1513 | 90.0 | 90.0 | 90.0 |
| B1--NaCl--rock-salt | static | -3.6136 | -3.6136 | 5.5157 | 5.5157 | 5.5157 | 90.0 | 90.0 | 90.0 |
| oqmd-1224551 | box | -3.2582 | -3.2582 | 4.6721 | 4.6721 | 5.3658 | 90.0 | 90.0 | 120.0 |
| B4--ZnS--wurtzite | box | -2.7303 | -2.7303 | 4.3786 | 4.3786 | 6.8377 | 90.0 | 90.0 | 120.0 |
| B3--ZnS--cubic-zinc-blende | static | -2.6391 | -2.6391 | 6.1437 | 6.1437 | 6.1437 | 90.0 | 90.0 | 90.0 |
Download raw data (including filtered results)
Reference structure matches:
| prototype | method | Ecoh (eV/atom) | Epot (eV/atom) | a0 (Å) | b0 (Å) | c0 (Å) | α (degrees) | β (degrees) | γ (degrees) |
|---|---|---|---|---|---|---|---|---|---|
| oqmd-753879 | dynamic | -4.6956 | -4.6956 | 8.5634 | 5.0283 | 4.6674 | 90.0 | 90.0 | 90.0 |
| oqmd-753892 | dynamic | -4.6746 | -4.6746 | 5.0238 | 5.0238 | 4.6207 | 90.0 | 90.0 | 120.0 |
| oqmd-753869 | dynamic | -4.6703 | -4.6703 | 4.6685 | 8.7056 | 4.9614 | 90.0 | 90.0 | 90.0 |
| oqmd-753879 | box | -4.6675 | -4.6675 | 8.7327 | 4.9162 | 4.723 | 90.0 | 90.0 | 90.0 |
| oqmd-753869 | box | -4.6418 | -4.6418 | 4.6331 | 8.7817 | 4.9841 | 90.0 | 90.0 | 90.0 |
| oqmd-753892 | box | -4.637 | -4.637 | 5.0669 | 5.0669 | 4.6107 | 90.0 | 90.0 | 120.0 |
| oqmd-753893 | dynamic | -4.589 | -4.589 | 7.6571 | 4.6742 | 11.5117 | 90.0 | 100.6 | 90.0 |
| oqmd-753885 | box | -4.5777 | -4.5777 | 2.8116 | 4.6602 | 15.3249 | 90.0 | 90.0 | 90.0 |
| oqmd-753893 | box | -4.5765 | -4.5765 | 7.5925 | 4.6818 | 11.5796 | 90.0 | 100.8 | 90.0 |
| C1--CaF2--fluorite | dynamic | -4.4052 | -4.4052 | 6.1417 | 6.1417 | 6.1417 | 90.0 | 90.0 | 90.0 |
| mp-1008753 | dynamic | -4.178 | -4.178 | 6.1918 | 6.1918 | 6.1918 | 90.0 | 90.0 | 90.0 |
Download raw data (including filtered results)
Reference structure matches:
D0_3--BiF3 = mp-999027, oqmd-313078
L1_2--AuCu3 = oqmd-347186
| prototype | method | Ecoh (eV/atom) | Epot (eV/atom) | a0 (Å) | b0 (Å) | c0 (Å) | α (degrees) | β (degrees) | γ (degrees) |
|---|---|---|---|---|---|---|---|---|---|
| oqmd-10598 | dynamic | -4.7757 | -4.7757 | 5.8045 | 5.8045 | 4.6546 | 90.0 | 90.0 | 120.0 |
| mp-1823 | box | -4.7755 | -4.7755 | 5.8027 | 5.8027 | 4.655 | 90.0 | 90.0 | 120.0 |
| oqmd-10598 | box | -4.7749 | -4.7749 | 5.8012 | 5.8012 | 4.6553 | 90.0 | 90.0 | 120.0 |
| A15--Cr3Si | dynamic | -4.7651 | -4.7651 | 5.1323 | 5.1323 | 5.1323 | 90.0 | 90.0 | 90.0 |
| oqmd-753899 | dynamic | -4.743 | -4.743 | 4.6426 | 5.697 | 5.1317 | 90.0 | 90.0 | 90.0 |
| oqmd-753899 | box | -4.7405 | -4.7405 | 4.6502 | 5.6878 | 5.1293 | 90.0 | 90.0 | 90.0 |
| L1_2--AuCu3 | dynamic | -4.7326 | -4.7326 | 4.0807 | 4.0807 | 4.0807 | 90.0 | 90.0 | 90.0 |
| oqmd-302536 | dynamic | -4.7033 | -4.7033 | 4.0298 | 4.0298 | 8.3671 | 90.0 | 90.0 | 90.0 |
| D0_3--BiF3 | static | -4.6687 | -4.6687 | 6.4395 | 6.4395 | 6.4395 | 90.0 | 90.0 | 90.0 |
| mp-1217072 | dynamic | -4.6606 | -4.6606 | 2.9316 | 2.9316 | 9.2476 | 90.0 | 90.0 | 120.0 |
| mp-1217072 | box | -4.6552 | -4.6552 | 2.9333 | 2.9333 | 9.2054 | 90.0 | 90.0 | 120.0 |
| A15--Cr3Si | box | -0.4868 | -0.4868 | 8.5243 | 8.5243 | 8.5243 | 90.0 | 90.0 | 90.0 |
Download raw data (including filtered results)
Reference structure matches:
| prototype | method | Ecoh (eV/atom) | Epot (eV/atom) | a0 (Å) | b0 (Å) | c0 (Å) | α (degrees) | β (degrees) | γ (degrees) |
|---|---|---|---|---|---|---|---|---|---|
| oqmd-753884 | dynamic | -4.7314 | -4.7314 | 5.0451 | 5.0451 | 4.6689 | 90.0 | 90.0 | 120.0 |
| oqmd-753884 | box | -4.7313 | -4.7313 | 5.044 | 5.044 | 4.6692 | 90.0 | 90.0 | 120.0 |
Download raw data (including filtered results)
Reference structure matches:
A1--Cu--fcc = mp-6985, oqmd-676147
A15--beta-W = oqmd-1215024
A2--W--bcc = mp-73, oqmd-8390
A3'--alpha-La--double-hcp = oqmd-1215470
A3--Mg--hcp = mp-46, oqmd-8079, oqmd-755820, oqmd-755821, oqmd-755822, oqmd-755823, oqmd-755827, oqmd-755834, oqmd-755836, oqmd-755845
A4--C--dc = oqmd-1215559
A5--beta-Sn = oqmd-1215648
A6--In--bct = oqmd-1215737
| prototype | method | Ecoh (eV/atom) | Epot (eV/atom) | a0 (Å) | b0 (Å) | c0 (Å) | α (degrees) | β (degrees) | γ (degrees) |
|---|---|---|---|---|---|---|---|---|---|
| A3--Mg--hcp | dynamic | -4.8727 | -4.8727 | 2.9453 | 2.9453 | 4.6874 | 90.0 | 90.0 | 120.0 |
| A3--Mg--hcp | box | -4.8727 | -4.8727 | 2.9452 | 2.9452 | 4.6874 | 90.0 | 90.0 | 120.0 |
| oqmd-1215291 | box | -4.871 | -4.871 | 2.9356 | 5.1164 | 4.6896 | 90.0 | 90.0 | 90.0 |
| oqmd-1216096 | dynamic | -4.8561 | -4.8561 | 2.9371 | 2.9371 | 21.2287 | 90.0 | 90.0 | 120.0 |
| A2--W--bcc | dynamic | -4.8489 | -4.8489 | 3.2661 | 3.2661 | 3.2661 | 90.0 | 90.0 | 90.0 |
| A3'--alpha-La--double-hcp | dynamic | -4.8479 | -4.8479 | 2.9331 | 2.9331 | 9.4641 | 90.0 | 90.0 | 120.0 |
| A1--Cu--fcc | dynamic | -4.8245 | -4.8245 | 4.133 | 4.133 | 4.133 | 90.0 | 90.0 | 90.0 |
| oqmd-1215915 | box | -4.8244 | -4.8244 | 2.9225 | 2.9225 | 7.1586 | 90.0 | 90.0 | 120.0 |
| oqmd-1214935 | dynamic | -4.8237 | -4.8237 | 7.085 | 7.085 | 7.085 | 90.0 | 90.0 | 90.0 |
| oqmd-1214846 | dynamic | -4.8015 | -4.8015 | 10.0909 | 10.0909 | 10.0909 | 90.0 | 90.0 | 90.0 |
| A15--beta-W | dynamic | -4.7966 | -4.7966 | 5.2081 | 5.2081 | 5.2081 | 90.0 | 90.0 | 90.0 |
| oqmd-1214846 | box | -4.7858 | -4.7858 | 10.093 | 10.093 | 10.093 | 90.0 | 90.0 | 90.0 |
| oqmd-1214935 | box | -4.7658 | -4.7658 | 7.111 | 7.111 | 7.111 | 90.0 | 90.0 | 90.0 |
| mp-1245320 | dynamic | -4.7453 | -4.7453 | 11.9387 | 12.1109 | 12.486 | 89.7 | 88.5 | 88.5 |
| mp-1245006 | dynamic | -4.7343 | -4.7343 | 12.1353 | 12.1462 | 12.2378 | 93.9 | 90.7 | 91.5 |
| oqmd-9315 | dynamic | -4.7291 | -4.7291 | 4.6611 | 4.6611 | 2.8299 | 90.0 | 90.0 | 120.0 |
| mp-1245170 | dynamic | -4.7277 | -4.7277 | 11.736 | 12.1337 | 12.7783 | 92.3 | 92.0 | 94.7 |
| mp-1245164 | dynamic | -4.7238 | -4.7238 | 12.1656 | 12.221 | 12.5 | 81.6 | 80.4 | 81.9 |
| mp-1245320 | static | -4.7211 | -4.7211 | 11.995 | 12.0022 | 12.5395 | 88.1 | 89.1 | 89.3 |
| mp-1245164 | static | -4.7201 | -4.7201 | 12.1528 | 12.2289 | 12.4963 | 81.3 | 80.7 | 82.3 |
| mp-1245006 | static | -4.712 | -4.712 | 12.0242 | 12.0838 | 12.4356 | 93.5 | 91.0 | 92.0 |
| mp-1244924 | dynamic | -4.7016 | -4.7016 | 11.545 | 12.254 | 12.8814 | 91.3 | 90.4 | 92.9 |
| mp-1245170 | static | -4.6887 | -4.6887 | 11.9228 | 12.1574 | 12.5637 | 92.2 | 92.1 | 93.2 |
| mp-1244924 | static | -4.6875 | -4.6875 | 11.5906 | 12.2806 | 12.8182 | 91.2 | 90.3 | 93.3 |
| mp-1245164 | box | -4.6545 | -4.6545 | 12.1699 | 12.2274 | 12.4954 | 80.5 | 82.5 | 82.9 |
| mp-1245006 | box | -4.6323 | -4.6323 | 11.8865 | 12.1977 | 12.5124 | 92.8 | 91.1 | 92.2 |
| mp-1245320 | box | -4.6304 | -4.6304 | 11.9548 | 12.1117 | 12.5368 | 88.9 | 87.9 | 89.9 |
| mp-1244924 | box | -4.6015 | -4.6015 | 11.666 | 12.3938 | 12.6618 | 91.8 | 91.6 | 93.0 |
| mp-1245170 | box | -4.5999 | -4.5999 | 12.0166 | 12.107 | 12.5636 | 93.1 | 91.3 | 91.5 |
| oqmd-1214757 | dynamic | -4.3306 | -4.3306 | 3.4951 | 4.6584 | 9.5161 | 90.0 | 90.0 | 90.0 |
| oqmd-1214757 | box | -4.3293 | -4.3293 | 3.4908 | 4.6643 | 9.5562 | 90.0 | 90.0 | 90.0 |
| oqmd-1215113 | box | -4.3049 | -4.3049 | 3.1251 | 4.8368 | 9.9446 | 90.0 | 90.0 | 90.0 |
| A5--beta-Sn | box | -4.2463 | -4.2463 | 5.3221 | 5.3221 | 2.7018 | 90.0 | 90.0 | 90.0 |
| Ah--alpha-Po--sc | static | -3.6235 | -3.6235 | 2.7734 | 2.7734 | 2.7734 | 90.0 | 90.0 | 90.0 |
| oqmd-1216004 | box | -3.418 | -3.418 | 4.5232 | 4.5232 | 4.9661 | 90.0 | 90.0 | 120.0 |
| A4--C--dc | static | -2.6084 | -2.6084 | 5.8457 | 5.8457 | 5.8457 | 90.0 | 90.0 | 90.0 |
| A15--beta-W | box | -0.3887 | -0.3887 | 8.5644 | 8.5644 | 8.5644 | 90.0 | 90.0 | 90.0 |
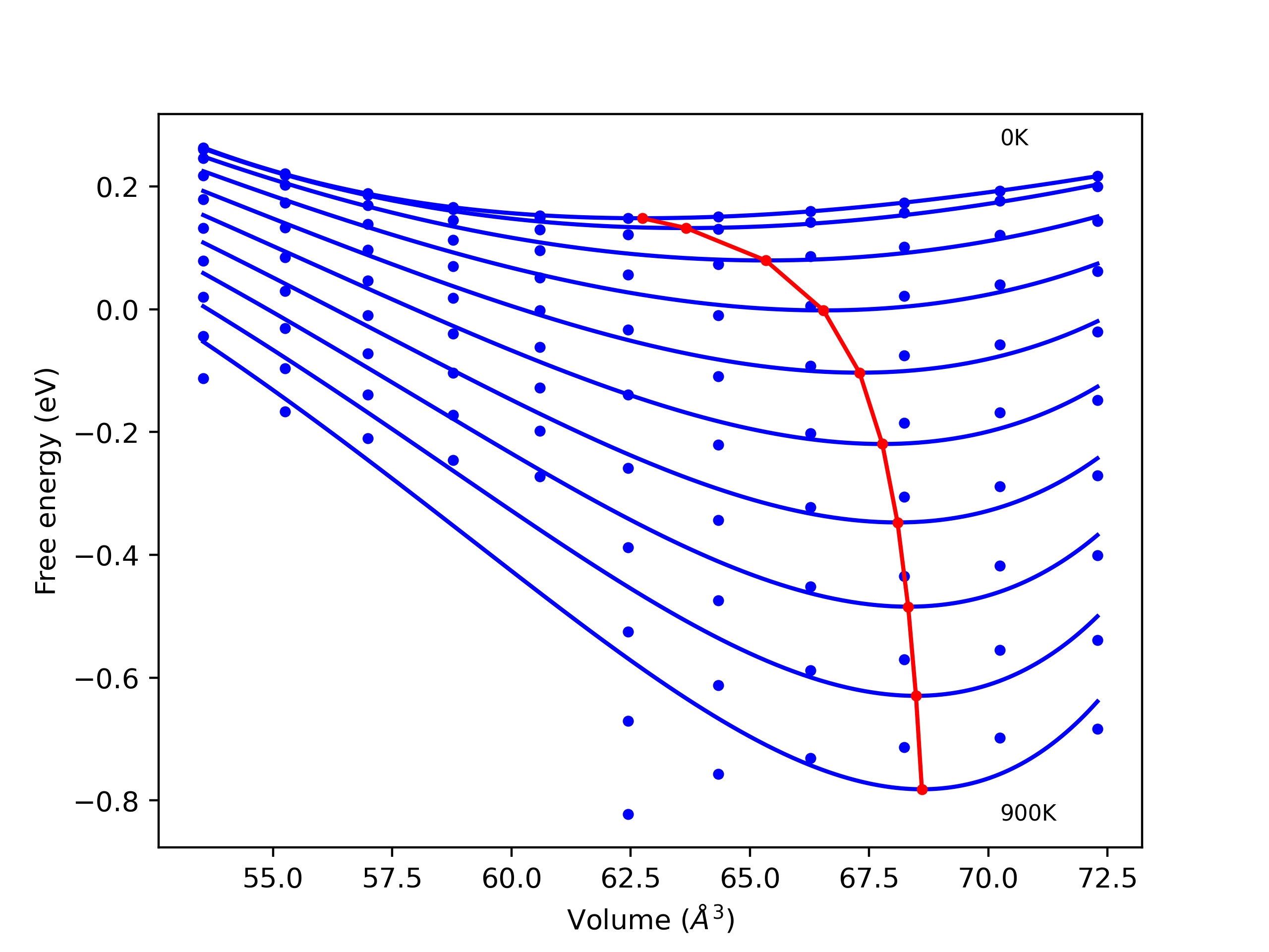
Static elastic constants are displayed for the unique structures identified in Crystal Structure Predictions above. The values displayed here are obtained by measuring the change in virial stresses due to applying small strains to the relaxed crystals. The initial structure and the strained states are all relaxed using force minimization.
The calculation method used is available as the iprPy elastic_constants_static calculation method.
Notes and Disclaimers:
Version Information:
| 114.334 | 61.916 | 61.916 | -0.000 | 0.000 | -0.000 |
| 61.916 | 114.334 | 61.916 | -0.000 | 0.000 | 0.000 |
| 61.916 | 61.916 | 114.334 | 0.000 | 0.000 | 0.000 |
| 0.000 | 0.000 | 0.000 | 31.566 | -0.000 | -0.000 |
| 0.000 | 0.000 | 0.000 | 0.000 | 31.566 | 0.000 |
| 0.000 | 0.000 | 0.000 | 0.000 | 0.000 | 31.566 |
| 114.334 | 61.916 | 61.916 | -0.000 | -0.000 | 0.000 |
| 61.916 | 114.334 | 61.916 | 0.000 | -0.000 | 0.000 |
| 61.916 | 61.916 | 114.334 | 0.000 | -0.000 | -0.000 |
| -0.000 | -0.000 | -0.000 | 31.566 | -0.000 | -0.000 |
| -0.000 | -0.000 | -0.000 | 0.000 | 31.566 | -0.000 |
| -0.000 | -0.000 | -0.000 | 0.000 | -0.000 | 31.566 |
| 114.334 | 61.916 | 61.916 | 0.000 | 0.000 | 0.000 |
| 61.916 | 114.334 | 61.916 | 0.000 | 0.000 | -0.000 |
| 61.916 | 61.916 | 114.334 | -0.000 | -0.000 | -0.000 |
| -0.000 | 0.000 | 0.000 | 31.566 | 0.000 | 0.000 |
| 0.000 | -0.000 | 0.000 | 0.000 | 31.566 | -0.000 |
| 0.000 | 0.000 | -0.000 | -0.000 | 0.000 | 31.566 |
| 114.334 | 61.916 | 61.916 | -0.000 | -0.000 | -0.000 |
| 61.916 | 114.334 | 61.916 | 0.000 | -0.000 | -0.000 |
| 61.916 | 61.916 | 114.334 | -0.000 | -0.000 | -0.000 |
| 0.000 | -0.000 | -0.000 | 31.566 | 0.000 | 0.000 |
| -0.000 | 0.000 | -0.000 | -0.000 | 31.566 | -0.000 |
| -0.000 | -0.000 | 0.000 | 0.000 | -0.000 | 31.566 |
| 114.334 | 61.916 | 61.916 | 0.000 | 0.000 | 0.000 |
| 61.916 | 114.334 | 61.916 | -0.000 | 0.000 | 0.000 |
| 61.916 | 61.916 | 114.334 | -0.000 | -0.000 | 0.000 |
| -0.000 | 0.000 | 0.000 | 31.566 | 0.000 | 0.000 |
| 0.000 | -0.000 | 0.000 | 0.000 | 31.566 | 0.000 |
| 0.000 | 0.000 | -0.000 | 0.000 | 0.000 | 31.566 |
| 114.334 | 61.915 | 61.915 | 0.000 | 0.000 | 0.000 |
| 61.915 | 114.334 | 61.915 | 0.000 | -0.000 | 0.000 |
| 61.915 | 61.915 | 114.334 | 0.000 | 0.000 | -0.000 |
| 0.000 | -0.000 | -0.000 | 31.566 | -0.000 | -0.000 |
| -0.000 | 0.000 | -0.000 | -0.000 | 31.566 | -0.000 |
| -0.000 | -0.000 | 0.000 | -0.000 | -0.000 | 31.566 |
| 125.140 | 46.501 | 46.501 | 0.000 | 0.000 | 0.000 |
| 46.501 | 125.140 | 46.501 | -0.000 | -0.000 | -0.000 |
| 46.501 | 46.501 | 125.140 | -0.000 | -0.000 | -0.000 |
| -0.000 | 0.000 | 0.000 | -23.563 | -0.000 | 0.000 |
| 0.000 | 0.000 | 0.000 | -0.000 | -23.563 | 0.000 |
| 0.000 | 0.000 | 0.000 | -0.000 | -0.000 | -23.563 |
| 124.137 | 47.002 | 47.002 | 0.000 | 0.000 | 0.000 |
| 47.002 | 124.137 | 47.002 | 0.000 | 0.000 | 0.000 |
| 47.002 | 47.002 | 124.137 | 0.000 | 0.000 | 0.000 |
| 0.000 | -0.000 | -0.000 | -23.563 | 0.000 | -0.000 |
| -0.000 | -0.000 | -0.000 | 0.000 | -23.563 | -0.000 |
| -0.000 | -0.000 | -0.000 | 0.000 | 0.000 | -23.563 |
| 124.137 | 47.002 | 47.002 | -0.000 | -0.000 | -0.000 |
| 47.002 | 124.137 | 47.002 | -0.000 | -0.000 | -0.000 |
| 47.002 | 47.002 | 124.137 | -0.000 | -0.000 | -0.000 |
| -0.000 | 0.000 | -0.000 | -23.563 | -0.000 | -0.000 |
| 0.000 | -0.000 | -0.000 | -0.000 | -23.563 | 0.000 |
| 0.000 | -0.000 | -0.000 | -0.000 | -0.000 | -23.563 |
| 124.137 | 47.002 | 47.002 | 0.000 | 0.000 | 0.000 |
| 47.002 | 124.137 | 47.002 | 0.000 | 0.000 | -0.000 |
| 47.002 | 47.002 | 124.137 | 0.000 | 0.000 | 0.000 |
| 0.000 | -0.000 | 0.000 | -23.563 | 0.000 | -0.000 |
| -0.000 | 0.000 | 0.000 | 0.000 | -23.563 | -0.000 |
| -0.000 | 0.000 | 0.000 | 0.000 | 0.000 | -23.563 |
| 125.140 | 46.501 | 46.501 | -0.000 | 0.000 | 0.000 |
| 46.501 | 125.140 | 46.501 | -0.000 | -0.000 | -0.000 |
| 46.501 | 46.501 | 125.140 | -0.000 | -0.000 | 0.000 |
| -0.000 | 0.000 | -0.000 | -23.563 | -0.000 | 0.000 |
| 0.000 | -0.000 | -0.000 | -0.000 | -23.563 | 0.000 |
| 0.000 | -0.000 | -0.000 | -0.000 | -0.000 | -23.563 |
| 124.136 | 47.002 | 47.002 | 0.000 | 0.000 | -0.000 |
| 47.002 | 124.136 | 47.002 | 0.000 | 0.000 | 0.000 |
| 47.002 | 47.002 | 124.136 | 0.000 | 0.000 | 0.000 |
| 0.000 | -0.000 | 0.000 | -23.563 | 0.000 | -0.000 |
| -0.000 | 0.000 | 0.000 | 0.000 | -23.563 | -0.000 |
| -0.000 | 0.000 | 0.000 | 0.000 | 0.000 | -23.563 |
| 26.017 | 100.151 | 100.151 | 0.000 | 0.000 | -0.000 |
| 100.151 | 26.017 | 100.151 | 0.000 | -0.000 | 0.000 |
| 100.151 | 100.151 | 26.017 | -0.000 | 0.000 | -0.000 |
| 0.000 | 0.000 | 0.000 | 31.201 | 0.000 | -0.000 |
| 0.000 | 0.000 | 0.000 | 0.000 | 31.201 | -0.000 |
| 0.000 | 0.000 | 0.000 | 0.000 | -0.000 | 31.201 |
| 26.017 | 100.151 | 100.151 | -0.000 | 0.000 | 0.000 |
| 100.151 | 26.017 | 100.151 | -0.000 | 0.000 | 0.000 |
| 100.151 | 100.151 | 26.017 | -0.000 | -0.000 | 0.000 |
| -0.000 | -0.000 | -0.000 | 31.201 | 0.000 | -0.000 |
| -0.000 | -0.000 | 0.000 | -0.000 | 31.201 | 0.000 |
| -0.000 | -0.000 | -0.000 | 0.000 | -0.000 | 31.201 |
| 26.017 | 100.151 | 100.151 | 0.000 | -0.000 | -0.000 |
| 100.151 | 26.017 | 100.151 | 0.000 | 0.000 | -0.000 |
| 100.151 | 100.151 | 26.017 | 0.000 | -0.000 | -0.000 |
| 0.000 | -0.000 | 0.000 | 31.201 | -0.000 | -0.000 |
| -0.000 | 0.000 | 0.000 | -0.000 | 31.201 | -0.000 |
| -0.000 | 0.000 | 0.000 | -0.000 | -0.000 | 31.201 |
| 26.017 | 100.151 | 100.151 | -0.000 | 0.000 | 0.000 |
| 100.151 | 26.017 | 100.151 | 0.000 | 0.000 | 0.000 |
| 100.151 | 100.151 | 26.017 | -0.000 | 0.000 | 0.000 |
| -0.000 | 0.000 | -0.000 | 31.201 | -0.000 | -0.000 |
| 0.000 | -0.000 | -0.000 | -0.000 | 31.201 | 0.000 |
| 0.000 | -0.000 | -0.000 | 0.000 | 0.000 | 31.201 |
| 26.017 | 100.151 | 100.151 | 0.000 | -0.000 | -0.000 |
| 100.151 | 26.017 | 100.151 | 0.000 | 0.000 | -0.000 |
| 100.151 | 100.151 | 26.017 | 0.000 | -0.000 | 0.000 |
| 0.000 | -0.000 | 0.000 | 31.201 | -0.000 | 0.000 |
| -0.000 | 0.000 | 0.000 | 0.000 | 31.201 | -0.000 |
| -0.000 | 0.000 | 0.000 | -0.000 | 0.000 | 31.201 |
| 26.017 | 100.151 | 100.151 | -0.000 | 0.000 | 0.000 |
| 100.151 | 26.017 | 100.151 | 0.000 | -0.000 | -0.000 |
| 100.151 | 100.151 | 26.017 | 0.000 | -0.000 | 0.000 |
| -0.000 | 0.000 | -0.000 | 31.201 | -0.000 | 0.000 |
| 0.000 | -0.000 | -0.000 | -0.000 | 31.201 | 0.000 |
| 0.000 | -0.000 | -0.000 | 0.000 | 0.000 | 31.201 |
| 124.578 | 60.201 | 53.676 | 0.000 | -0.000 | 0.000 |
| 60.201 | 124.578 | 53.676 | -0.000 | -0.000 | 0.000 |
| 53.676 | 53.676 | 123.296 | -0.000 | -0.000 | -0.000 |
| 0.000 | 0.000 | 0.000 | 27.289 | -0.000 | -0.000 |
| -0.000 | 0.000 | 0.000 | 0.000 | 27.289 | 0.000 |
| 0.000 | 0.000 | 0.000 | 0.000 | -0.000 | 32.349 |
| 124.578 | 60.201 | 53.676 | 0.000 | 0.000 | 0.000 |
| 60.041 | 124.738 | 53.676 | 0.000 | 0.000 | 0.000 |
| 53.676 | 53.676 | 123.296 | -0.000 | 0.000 | -0.000 |
| -0.000 | -0.000 | -0.000 | 27.289 | 0.000 | -0.000 |
| 0.000 | -0.000 | -0.000 | 0.000 | 27.289 | -0.000 |
| -0.000 | -0.000 | -0.000 | 0.000 | 0.000 | 32.188 |
| 124.578 | 60.201 | 53.676 | -0.000 | -0.000 | 0.000 |
| 60.041 | 124.738 | 53.676 | 0.000 | -0.000 | -0.000 |
| 53.676 | 53.676 | 123.296 | -0.000 | -0.000 | 0.000 |
| -0.000 | -0.000 | 0.000 | 27.289 | -0.000 | 0.000 |
| -0.000 | -0.000 | 0.000 | -0.000 | 27.289 | 0.000 |
| -0.000 | 0.000 | 0.000 | -0.000 | -0.000 | 32.188 |
| 124.578 | 60.201 | 53.676 | 0.000 | 0.000 | 0.000 |
| 60.041 | 124.738 | 53.676 | -0.000 | 0.000 | 0.000 |
| 53.676 | 53.676 | 123.296 | 0.000 | 0.000 | -0.000 |
| 0.000 | 0.000 | -0.000 | 27.289 | 0.000 | -0.000 |
| 0.000 | 0.000 | -0.000 | -0.000 | 27.289 | -0.000 |
| 0.000 | -0.000 | -0.000 | 0.000 | 0.000 | 32.188 |
| 124.739 | 60.041 | 53.676 | 0.000 | -0.000 | -0.000 |
| 60.041 | 124.739 | 53.676 | -0.000 | -0.000 | 0.000 |
| 53.676 | 53.676 | 123.297 | -0.000 | -0.000 | 0.000 |
| -0.000 | -0.000 | 0.000 | 27.289 | -0.000 | -0.000 |
| -0.000 | -0.000 | 0.000 | 0.000 | 27.289 | 0.000 |
| -0.000 | 0.000 | 0.000 | 0.000 | -0.000 | 32.349 |
| 124.738 | 60.041 | 53.676 | -0.000 | 0.000 | -0.000 |
| 60.041 | 124.738 | 53.676 | 0.000 | 0.000 | -0.000 |
| 53.676 | 53.676 | 123.296 | 0.000 | 0.000 | -0.000 |
| 0.000 | 0.000 | -0.000 | 27.289 | 0.000 | -0.000 |
| 0.000 | 0.000 | -0.000 | 0.000 | 27.289 | -0.000 |
| 0.000 | -0.000 | -0.000 | 0.000 | 0.000 | 32.349 |
| 128.775 | 59.969 | 49.767 | 0.000 | -0.000 | 0.000 |
| 59.969 | 128.775 | 49.767 | -0.000 | -0.000 | -0.000 |
| 49.767 | 49.767 | 124.476 | 0.000 | -0.000 | -0.000 |
| -0.000 | -0.000 | -0.000 | 26.802 | -0.000 | 0.000 |
| -0.000 | 0.000 | -0.000 | -0.000 | 26.802 | -0.000 |
| 0.000 | 0.000 | 0.000 | 0.000 | 0.000 | 34.529 |
| 128.775 | 59.969 | 49.767 | -0.000 | -0.000 | 0.000 |
| 59.969 | 128.775 | 49.767 | -0.000 | 0.000 | -0.000 |
| 49.767 | 49.767 | 124.476 | 0.000 | 0.000 | -0.000 |
| 0.000 | -0.000 | 0.000 | 26.802 | 0.000 | -0.000 |
| 0.000 | -0.000 | 0.000 | -0.000 | 26.802 | 0.000 |
| -0.000 | -0.000 | -0.000 | -0.000 | -0.000 | 34.529 |
| 128.775 | 59.969 | 49.767 | -0.000 | -0.000 | 0.000 |
| 59.969 | 128.775 | 49.767 | -0.000 | -0.000 | 0.000 |
| 49.767 | 49.767 | 124.476 | -0.000 | -0.000 | 0.000 |
| -0.000 | -0.000 | 0.000 | 26.802 | 0.000 | -0.000 |
| -0.000 | -0.000 | 0.000 | -0.000 | 26.802 | 0.000 |
| -0.000 | 0.000 | 0.000 | -0.000 | -0.000 | 34.403 |
| 128.775 | 59.969 | 49.767 | -0.000 | 0.000 | 0.000 |
| 59.843 | 128.901 | 49.767 | -0.000 | -0.000 | -0.000 |
| 49.767 | 49.767 | 124.476 | 0.000 | 0.000 | -0.000 |
| 0.000 | 0.000 | -0.000 | 26.802 | 0.000 | -0.000 |
| 0.000 | 0.000 | -0.000 | 0.000 | 26.802 | 0.000 |
| 0.000 | -0.000 | -0.000 | -0.000 | -0.000 | 34.529 |
| 128.776 | 59.969 | 49.768 | -0.000 | 0.000 | -0.000 |
| 59.843 | 128.902 | 49.768 | 0.000 | 0.000 | 0.000 |
| 49.768 | 49.768 | 124.476 | -0.000 | -0.000 | 0.000 |
| -0.000 | -0.000 | 0.000 | 26.802 | 0.000 | 0.000 |
| -0.000 | -0.000 | 0.000 | 0.000 | 26.802 | 0.000 |
| -0.000 | 0.000 | 0.000 | 0.000 | 0.000 | 34.403 |
| 128.900 | 59.843 | 49.767 | -0.000 | -0.000 | -0.000 |
| 59.968 | 128.775 | 49.767 | 0.000 | 0.000 | -0.000 |
| 49.767 | 49.767 | 124.475 | 0.000 | 0.000 | -0.000 |
| 0.000 | 0.000 | -0.000 | 26.802 | -0.000 | 0.000 |
| 0.000 | 0.000 | -0.000 | 0.000 | 26.802 | -0.000 |
| 0.000 | -0.000 | -0.000 | 0.000 | 0.000 | 34.403 |
| 20.509 | 19.971 | 19.971 | -0.000 | -0.000 | -0.000 |
| 19.971 | 20.509 | 19.971 | -0.000 | -0.000 | -0.000 |
| 19.971 | 19.971 | 20.509 | -0.000 | -0.000 | -0.000 |
| -0.000 | -0.000 | -0.000 | 0.984 | -0.000 | -0.000 |
| -0.000 | -0.000 | -0.000 | -0.000 | 0.984 | -0.000 |
| -0.000 | -0.000 | -0.000 | -0.000 | -0.000 | 0.984 |
| 20.509 | 19.971 | 19.971 | 0.000 | 0.000 | 0.000 |
| 19.971 | 20.509 | 19.971 | 0.000 | 0.000 | 0.000 |
| 19.971 | 19.971 | 20.509 | 0.000 | 0.000 | 0.000 |
| 0.000 | 0.000 | 0.000 | 0.984 | 0.000 | 0.000 |
| 0.000 | 0.000 | 0.000 | 0.000 | 0.984 | 0.000 |
| 0.000 | 0.000 | 0.000 | 0.000 | 0.000 | 0.984 |
| 20.509 | 19.971 | 19.971 | -0.000 | -0.000 | -0.000 |
| 19.971 | 20.509 | 19.971 | -0.000 | -0.000 | -0.000 |
| 19.971 | 19.971 | 20.509 | -0.000 | -0.000 | -0.000 |
| -0.000 | -0.000 | -0.000 | 0.984 | -0.000 | -0.000 |
| -0.000 | -0.000 | -0.000 | -0.000 | 0.984 | -0.000 |
| -0.000 | -0.000 | -0.000 | -0.000 | -0.000 | 0.984 |
| 20.509 | 19.971 | 19.971 | 0.000 | 0.000 | 0.000 |
| 19.971 | 20.509 | 19.971 | 0.000 | 0.000 | 0.000 |
| 19.971 | 19.971 | 20.509 | 0.000 | 0.000 | 0.000 |
| 0.000 | 0.000 | 0.000 | 0.984 | 0.000 | 0.000 |
| 0.000 | 0.000 | 0.000 | 0.000 | 0.984 | 0.000 |
| 0.000 | 0.000 | 0.000 | 0.000 | 0.000 | 0.984 |
| 20.509 | 19.971 | 19.971 | -0.000 | -0.000 | -0.000 |
| 19.971 | 20.509 | 19.971 | -0.000 | -0.000 | -0.000 |
| 19.971 | 19.971 | 20.509 | -0.000 | -0.000 | -0.000 |
| -0.000 | -0.000 | -0.000 | 0.984 | -0.000 | -0.000 |
| -0.000 | -0.000 | -0.000 | -0.000 | 0.984 | -0.000 |
| -0.000 | -0.000 | -0.000 | -0.000 | -0.000 | 0.984 |
| 20.509 | 19.970 | 19.970 | 0.000 | 0.000 | 0.000 |
| 19.970 | 20.509 | 19.970 | 0.000 | 0.000 | 0.000 |
| 19.970 | 19.970 | 20.509 | 0.000 | 0.000 | 0.000 |
| 0.000 | 0.000 | 0.000 | 0.984 | 0.000 | 0.000 |
| 0.000 | 0.000 | 0.000 | 0.000 | 0.984 | 0.000 |
| 0.000 | 0.000 | 0.000 | 0.000 | 0.000 | 0.984 |
| 149.554 | 15.723 | 23.173 | 0.000 | 0.000 | -0.000 |
| 15.723 | 149.554 | 23.173 | -0.000 | 0.000 | -0.000 |
| 23.173 | 23.173 | 181.690 | 0.000 | -0.000 | 0.000 |
| -0.000 | 0.000 | -0.000 | -0.895 | 0.000 | 0.000 |
| -0.000 | 0.000 | -0.000 | 0.000 | -0.895 | -0.000 |
| -0.000 | 0.000 | 0.000 | 0.000 | 0.000 | 29.562 |
| 149.554 | 15.723 | 23.173 | -0.000 | -0.000 | 0.000 |
| 15.723 | 149.554 | 23.173 | -0.000 | -0.000 | -0.000 |
| 23.173 | 23.173 | 181.690 | -0.000 | -0.000 | 0.000 |
| 0.000 | -0.000 | 0.000 | -0.895 | -0.000 | 0.000 |
| 0.000 | -0.000 | 0.000 | -0.000 | -0.895 | -0.000 |
| 0.000 | -0.000 | -0.000 | -0.000 | -0.000 | 29.562 |
| 149.554 | 15.723 | 23.173 | 0.000 | 0.000 | -0.000 |
| 15.723 | 149.554 | 23.173 | 0.000 | 0.000 | 0.000 |
| 23.173 | 23.173 | 181.690 | -0.000 | 0.000 | 0.000 |
| -0.000 | 0.000 | -0.000 | -0.895 | 0.000 | 0.000 |
| 0.000 | -0.000 | -0.000 | 0.000 | -0.895 | -0.000 |
| -0.000 | -0.000 | 0.000 | 0.000 | 0.000 | 29.562 |
| 149.554 | 15.723 | 23.173 | 0.000 | -0.000 | -0.000 |
| 15.723 | 149.554 | 23.173 | 0.000 | -0.000 | -0.000 |
| 23.173 | 23.173 | 181.690 | -0.000 | -0.000 | -0.000 |
| 0.000 | -0.000 | 0.000 | -0.895 | -0.000 | 0.000 |
| -0.000 | 0.000 | 0.000 | -0.000 | -0.895 | 0.000 |
| 0.000 | 0.000 | -0.000 | -0.000 | -0.000 | 29.562 |
| -7218491.720 | 5535650.582 | 1057747.788 | -0.000 | 0.000 | 0.000 |
| 5535650.582 | -7218491.720 | 1057747.788 | 0.000 | -0.000 | -0.000 |
| 23.173 | 23.173 | 181.691 | -0.000 | -0.000 | 0.000 |
| -0.000 | 0.000 | -0.000 | -0.895 | -0.000 | -0.000 |
| 0.000 | -0.000 | -0.000 | -0.000 | -0.895 | -0.000 |
| -0.000 | -0.000 | 0.000 | 0.000 | 0.000 | 29.562 |
| -5535429.219 | 7218582.508 | -1057690.341 | 0.000 | -0.000 | -0.000 |
| 7218582.508 | -5535429.219 | -1057690.341 | -0.000 | -0.000 | 0.000 |
| 23.173 | 23.173 | 181.689 | -0.000 | -0.000 | -0.000 |
| 0.000 | -0.000 | 0.000 | -0.895 | -0.000 | -0.000 |
| -0.000 | 0.000 | 0.000 | 0.000 | -0.895 | 0.000 |
| 0.000 | 0.000 | -0.000 | -0.000 | -0.000 | 29.562 |
| 136.950 | 84.132 | 88.291 | 2.678 | -0.000 | -0.000 |
| 84.132 | 136.950 | 88.291 | -2.678 | 0.000 | -0.000 |
| 19.015 | 19.015 | 14.780 | 0.000 | -0.000 | -0.000 |
| 2.844 | -2.844 | -0.000 | 2.003 | 0.000 | -0.000 |
| 0.000 | 0.000 | 0.000 | -0.000 | 2.003 | 2.844 |
| 41.721 | 41.721 | 98.626 | -0.000 | 2.678 | 26.409 |
| 106.719 | 53.889 | 16.813 | 2.844 | 0.000 | 0.000 |
| 0.690 | 53.508 | -108.962 | -2.678 | -0.000 | 0.000 |
| 19.015 | 19.015 | 14.780 | 0.000 | 0.000 | 0.000 |
| -39.741 | -44.467 | -99.532 | -11.533 | -0.000 | 0.000 |
| -42.687 | -42.687 | -100.910 | 0.000 | -2.774 | 2.674 |
| -41.721 | -41.721 | -98.626 | 0.000 | 2.678 | 26.409 |
| 99.394 | 46.575 | -0.491 | 2.678 | 0.000 | -0.000 |
| 53.889 | 106.719 | 16.813 | -2.844 | 0.000 | -0.000 |
| 19.015 | 19.015 | 14.780 | 0.000 | 0.000 | -0.000 |
| 2.844 | -2.844 | 0.000 | 2.003 | 0.000 | -0.000 |
| 0.000 | -0.000 | 0.000 | -0.000 | 2.003 | 2.844 |
| -0.000 | 0.000 | 0.000 | 0.000 | 2.844 | 26.415 |
| 91.053 | 38.235 | -20.206 | 2.678 | -0.000 | 0.000 |
| 53.889 | 106.719 | 16.813 | -2.844 | 0.000 | 0.000 |
| -12.306 | -12.306 | -59.261 | 0.000 | -0.000 | 0.000 |
| -2.014 | -6.330 | -9.862 | -17.306 | -0.000 | 0.000 |
| -0.000 | 0.000 | -0.000 | 0.000 | 2.003 | 2.844 |
| 0.000 | -0.000 | -0.000 | -0.000 | 2.844 | 26.415 |
| 106.720 | 53.889 | 16.813 | 2.844 | -0.000 | -0.000 |
| 42.841 | 95.625 | -9.359 | -2.194 | 0.000 | -0.000 |
| -7.717 | -7.717 | -48.414 | 0.000 | -0.000 | 0.000 |
| 3.150 | -2.134 | 1.201 | -3.684 | -0.000 | -0.000 |
| 0.400 | 0.400 | 0.946 | -0.000 | -17.320 | 2.157 |
| 0.530 | 0.530 | 1.252 | 0.000 | 2.633 | 26.407 |
| 94.807 | 41.989 | -11.333 | 2.678 | 0.000 | -0.000 |
| 41.989 | 94.807 | -11.333 | -2.678 | 0.000 | 0.000 |
| -8.551 | -8.551 | -50.384 | -0.000 | 0.000 | 0.000 |
| 2.134 | -3.150 | -1.201 | -3.684 | -0.000 | -0.000 |
| -0.400 | -0.400 | -0.946 | 0.000 | -17.320 | 2.157 |
| -0.530 | -0.530 | -1.252 | -0.000 | 2.633 | 26.407 |
| 169.438 | 9.488 | 9.488 | 0.000 | 0.000 | 0.000 |
| 9.488 | 169.438 | 9.488 | 0.000 | 0.000 | 0.000 |
| 9.488 | 9.488 | 169.438 | -0.000 | 0.000 | -0.000 |
| 0.000 | 0.000 | -0.000 | -0.417 | 0.000 | -0.000 |
| 0.000 | 0.000 | -0.000 | 0.000 | -0.417 | 0.000 |
| 0.000 | -0.000 | 0.000 | -0.000 | 0.000 | -0.417 |
| 169.438 | 9.488 | 9.488 | 0.000 | -0.000 | -0.000 |
| 9.488 | 169.438 | 9.488 | 0.000 | -0.000 | -0.000 |
| 9.488 | 9.488 | 169.438 | 0.000 | -0.000 | -0.000 |
| -0.000 | -0.000 | 0.000 | -0.417 | -0.000 | 0.000 |
| -0.000 | -0.000 | 0.000 | -0.000 | -0.417 | -0.000 |
| -0.000 | -0.000 | -0.000 | 0.000 | -0.000 | -0.417 |
| 169.438 | 9.488 | 9.488 | 0.000 | 0.000 | 0.000 |
| 9.488 | 169.438 | 9.488 | 0.000 | 0.000 | 0.000 |
| 9.488 | 9.488 | 169.438 | 0.000 | 0.000 | 0.000 |
| 0.000 | 0.000 | -0.000 | -0.417 | 0.000 | -0.000 |
| 0.000 | 0.000 | -0.000 | -0.000 | -0.417 | -0.000 |
| 0.000 | -0.000 | 0.000 | 0.000 | -0.000 | -0.417 |
| 169.437 | 9.488 | 9.488 | -0.000 | -0.000 | -0.000 |
| 9.488 | 169.437 | 9.488 | -0.000 | -0.000 | -0.000 |
| 9.488 | 9.488 | 169.437 | 0.000 | 0.000 | -0.000 |
| -0.000 | -0.000 | 0.000 | -0.417 | -0.000 | -0.000 |
| -0.000 | -0.000 | 0.000 | -0.000 | -0.417 | -0.000 |
| -0.000 | 0.000 | -0.000 | -0.000 | -0.000 | -0.417 |
| 169.439 | 9.488 | 9.488 | 0.000 | 0.000 | -0.000 |
| 9.488 | 169.439 | 9.488 | -0.000 | 0.000 | -0.000 |
| 9.488 | 9.488 | 169.439 | 0.000 | 0.000 | -0.000 |
| 0.000 | 0.000 | -0.000 | -0.417 | 0.000 | 0.000 |
| 0.000 | 0.000 | -0.000 | 0.000 | -0.417 | 0.000 |
| 0.000 | -0.000 | 0.000 | 0.000 | -0.000 | -0.417 |
| 169.436 | 9.488 | 9.488 | -0.000 | -0.000 | 0.000 |
| 9.488 | 169.436 | 9.488 | -0.000 | -0.000 | -0.000 |
| 9.488 | 9.488 | 169.436 | -0.000 | -0.000 | -0.000 |
| -0.000 | -0.000 | 0.000 | -0.417 | 0.000 | -0.000 |
| -0.000 | -0.000 | 0.000 | -0.000 | -0.417 | -0.000 |
| -0.000 | 0.000 | -0.000 | -0.000 | -0.000 | -0.417 |
| -8.058 | 10.283 | 22.731 | -0.000 | -0.000 | -0.000 |
| 10.283 | -8.058 | 22.731 | -0.000 | -0.000 | 0.000 |
| -10.601 | -10.601 | 87.230 | -0.000 | -0.000 | -0.000 |
| -30.780 | -30.780 | 2.940 | 6.402 | -0.000 | -0.000 |
| -30.780 | -30.780 | 2.940 | -0.000 | 6.402 | -0.000 |
| 0.000 | 0.000 | 0.000 | -0.000 | -0.000 | 37.324 |
| 53.706 | 72.061 | 16.830 | 0.000 | -0.000 | 0.000 |
| 72.061 | 53.706 | 16.830 | 0.000 | 0.000 | 0.000 |
| 50.818 | 50.818 | 81.363 | -0.000 | 0.000 | 0.000 |
| 30.780 | 30.780 | -2.940 | 6.402 | 0.000 | -0.000 |
| 30.780 | 30.780 | -2.940 | 0.000 | 6.402 | 0.000 |
| -0.000 | -0.000 | -0.000 | 0.000 | 0.000 | 37.324 |
| 16.275 | 41.540 | 20.075 | -0.000 | -0.000 | -0.000 |
| 41.540 | 16.275 | 20.075 | 0.000 | -0.000 | 0.000 |
| 17.038 | 17.038 | 84.590 | -0.000 | -0.000 | -0.000 |
| -2.276 | -2.276 | 0.217 | 6.100 | 0.000 | -0.000 |
| -2.276 | -2.276 | 0.217 | -0.000 | 6.100 | -0.000 |
| 0.000 | 0.000 | -0.000 | 0.000 | -0.000 | 37.324 |
| 22.109 | 47.206 | 19.526 | 0.000 | 0.000 | 0.000 |
| 47.206 | 22.109 | 19.526 | 0.000 | 0.000 | 0.000 |
| 23.179 | 23.179 | 84.003 | -0.000 | 0.000 | 0.000 |
| 2.276 | 2.276 | -0.217 | 6.100 | 0.000 | 0.000 |
| 2.276 | 2.276 | -0.217 | 0.000 | 6.100 | 0.000 |
| -0.000 | -0.000 | 0.000 | 0.000 | -0.000 | 37.324 |
| 19.039 | 44.304 | 19.811 | 0.000 | -0.000 | -0.000 |
| 44.304 | 19.039 | 19.811 | -0.000 | -0.000 | -0.000 |
| 19.801 | 19.801 | 84.326 | -0.000 | -0.000 | -0.000 |
| 0.520 | 0.520 | -0.050 | 2.313 | -0.000 | -0.000 |
| 0.520 | 0.520 | -0.050 | -0.000 | 2.313 | -0.000 |
| 0.000 | 0.000 | -0.000 | -0.000 | -0.000 | 37.324 |
| 19.653 | 44.918 | 19.753 | -0.000 | -0.000 | 0.000 |
| 44.918 | 19.653 | 19.753 | 0.000 | -0.000 | -0.000 |
| 19.783 | 19.783 | 84.327 | 0.000 | 0.000 | -0.000 |
| -0.520 | -0.520 | 0.050 | 2.313 | 0.000 | 0.000 |
| -0.520 | -0.520 | 0.050 | 0.000 | 2.313 | 0.000 |
| -0.000 | -0.000 | 0.000 | 0.000 | -0.000 | 37.324 |
| -151.661 | -52.556 | -234.339 | 282.824 | -40.011 | 75.807 |
| 28.838 | 118.015 | -2.997 | 2.573 | -12.958 | -34.965 |
| 44.205 | 56.995 | 84.962 | 1.055 | -0.753 | -4.328 |
| -347.012 | 61.776 | -246.370 | 240.582 | -55.150 | 48.162 |
| -11.623 | 20.831 | -34.671 | -2.165 | 13.547 | -14.818 |
| -28.554 | 34.837 | -60.035 | 3.569 | -13.860 | -21.120 |
| 417.996 | 50.697 | 291.630 | -272.790 | 4.833 | -85.967 |
| 81.152 | 51.547 | 116.824 | -5.462 | 15.630 | 38.538 |
| 382.632 | 14.872 | 326.499 | -239.461 | 28.411 | -69.243 |
| -1.579 | -0.143 | 2.668 | 29.731 | 0.455 | -1.250 |
| 54.465 | -63.680 | 95.527 | -25.220 | 34.075 | 47.499 |
| 3.217 | -7.806 | 18.107 | 1.221 | 0.757 | 31.492 |
| 108.800 | 48.193 | 47.654 | -1.666 | -3.906 | -3.482 |
| 23.113 | 84.882 | 24.502 | 31.019 | -0.388 | 10.129 |
| 27.121 | 68.279 | 58.098 | 23.956 | 0.811 | -6.939 |
| -4.060 | 2.605 | -0.237 | 15.993 | -0.936 | -3.951 |
| -30.608 | -0.541 | -21.942 | 28.773 | 13.940 | 12.906 |
| -4.830 | 4.486 | -5.787 | -0.118 | -1.129 | 13.149 |
| 91.791 | 51.055 | 55.460 | -2.129 | -0.900 | -0.582 |
| 52.700 | 93.688 | 56.833 | -1.440 | 1.814 | 1.185 |
| 62.013 | 51.964 | 88.827 | 2.989 | 5.978 | 2.241 |
| 22.893 | 12.430 | 36.406 | -12.677 | 4.260 | -8.892 |
| 0.844 | 0.328 | 3.518 | 0.524 | 25.492 | 0.325 |
| 25.956 | 5.153 | 22.753 | -30.563 | 1.566 | 8.238 |
| 87.617 | 55.932 | 47.033 | -2.049 | -2.408 | -4.303 |
| 53.999 | 87.768 | 53.465 | -0.486 | 0.148 | 1.661 |
| 49.607 | 54.546 | 91.313 | 4.588 | 1.844 | -0.172 |
| -3.960 | 0.330 | 6.621 | 16.080 | 0.228 | -0.618 |
| -1.469 | -0.586 | 0.816 | 3.247 | 16.456 | 4.244 |
| -3.597 | 2.138 | -2.790 | 0.156 | 0.650 | 17.235 |
| 89.951 | 55.388 | 50.882 | -3.696 | -1.242 | -5.141 |
| 56.871 | 87.357 | 54.398 | -1.356 | -0.080 | 1.144 |
| 51.110 | 53.292 | 86.917 | 6.877 | 2.746 | -2.336 |
| 1.497 | 2.101 | 11.526 | 12.024 | 0.782 | -1.693 |
| 0.501 | 0.245 | 3.102 | -0.038 | 17.748 | 1.163 |
| -1.252 | 1.673 | -1.432 | -1.258 | 2.050 | 16.092 |
| 40.899 | 134.211 | -58.750 | -102.362 | 18.130 | -90.825 |
| 30.295 | 145.758 | 28.756 | -39.519 | 0.229 | -29.483 |
| 31.101 | 87.292 | 81.217 | -34.936 | 5.146 | -33.355 |
| -0.409 | 0.130 | -1.450 | 29.905 | -0.480 | -1.298 |
| -17.170 | 31.645 | -22.310 | -33.298 | 26.568 | -31.834 |
| -0.355 | 3.039 | -1.250 | -1.178 | -6.304 | 25.221 |
| 130.848 | 14.047 | 73.839 | 32.776 | -3.713 | 30.170 |
| 47.810 | 117.342 | 51.882 | -7.281 | -2.430 | 2.729 |
| 114.262 | -28.700 | 206.137 | 99.623 | -15.720 | 87.745 |
| -0.409 | 0.130 | -1.450 | 29.905 | -0.480 | -1.298 |
| 104.333 | -141.126 | 195.721 | 129.299 | -74.755 | 96.753 |
| 17.780 | -31.059 | 23.136 | 31.799 | -8.154 | 53.625 |
| 118.655 | 47.681 | 47.691 | -0.249 | -1.404 | -2.591 |
| 46.525 | 115.038 | 51.047 | -9.766 | -2.179 | -0.439 |
| 44.508 | 64.650 | 85.702 | -12.712 | 4.719 | -10.687 |
| -2.244 | 3.546 | -4.318 | 23.078 | 0.040 | -4.576 |
| 0.783 | -2.551 | 2.400 | -0.480 | 27.441 | 0.497 |
| -9.828 | 16.985 | -22.438 | -14.154 | 6.920 | 2.893 |
| 118.655 | 47.681 | 47.690 | -0.249 | -1.404 | -2.591 |
| 50.157 | 108.096 | 56.047 | -3.111 | -2.716 | 6.047 |
| 50.940 | 49.679 | 108.569 | 1.467 | 2.199 | 2.179 |
| -0.409 | 0.130 | -1.450 | 29.905 | -0.480 | -1.298 |
| 2.683 | -5.941 | 4.958 | 3.095 | 23.601 | 3.689 |
| -0.355 | 3.039 | -1.250 | -1.178 | -6.304 | 25.221 |
| 98.307 | 51.917 | 49.580 | -1.527 | 0.532 | -1.519 |
| 47.810 | 117.342 | 51.882 | -7.281 | -2.430 | 2.729 |
| 50.578 | 59.970 | 90.074 | -3.777 | 5.527 | -3.357 |
| -1.049 | 0.222 | -4.024 | 18.811 | 0.811 | -2.039 |
| 0.783 | -2.551 | 2.400 | -0.480 | 27.441 | 0.497 |
| -0.583 | 3.930 | -3.431 | -2.210 | -3.803 | 15.516 |
| 106.672 | 48.358 | 51.405 | 0.761 | -0.749 | -0.622 |
| 50.093 | 102.153 | 57.826 | -4.988 | -2.007 | 3.881 |
| 50.973 | 54.753 | 99.934 | -1.439 | 2.628 | -0.791 |
| 0.716 | -2.126 | -0.715 | 21.932 | -0.874 | -0.427 |
| 0.783 | -2.551 | 2.400 | -0.480 | 27.441 | 0.497 |
| -0.355 | 3.039 | -1.250 | -1.178 | -6.304 | 25.221 |
| 59.951 | 40.498 | 25.867 | -34.169 | 20.720 | 28.483 |
| 2.993 | 95.135 | 88.564 | -119.907 | 79.862 | 81.651 |
| 52.135 | 52.828 | 108.652 | 0.362 | -1.816 | -2.795 |
| -40.763 | -11.843 | -26.150 | -9.365 | 16.663 | 23.019 |
| -45.074 | -8.365 | -28.786 | -40.794 | 49.132 | 20.711 |
| 2.761 | 2.035 | -2.898 | 2.292 | 2.407 | 28.621 |
| 109.727 | 50.631 | 51.458 | 3.791 | 1.881 | 8.460 |
| 50.253 | 110.812 | 52.849 | 1.087 | 2.802 | 2.006 |
| 52.135 | 52.828 | 108.652 | 0.362 | -1.816 | -2.795 |
| 52.211 | 0.215 | -30.527 | 143.423 | -79.403 | -75.371 |
| 37.634 | 5.642 | -115.389 | 186.165 | -120.472 | -48.004 |
| 2.761 | 2.035 | -2.898 | 2.292 | 2.407 | 28.621 |
| 91.657 | 52.873 | 57.800 | -8.658 | 8.157 | 15.052 |
| 46.804 | 103.581 | 51.662 | -2.927 | 4.519 | 4.078 |
| 52.135 | 52.828 | 108.652 | 0.362 | -1.816 | -2.795 |
| -0.477 | -7.731 | 13.792 | -5.914 | 20.175 | 6.509 |
| -6.166 | 2.841 | 1.442 | -14.362 | 32.294 | 7.987 |
| -1.267 | 0.938 | -5.843 | -1.371 | 3.887 | 26.710 |
| 109.727 | 50.631 | 51.458 | 3.791 | 1.881 | 8.460 |
| 56.816 | 93.070 | 46.581 | 18.054 | -10.601 | -0.161 |
| 58.834 | 63.878 | 78.651 | 26.651 | -22.499 | -7.789 |
| 3.519 | -0.724 | 0.362 | 32.331 | -3.057 | 2.463 |
| -0.571 | 2.972 | -1.816 | -3.057 | 33.533 | 0.530 |
| 8.240 | 3.201 | -6.837 | 14.898 | -6.057 | 11.621 |
| 93.197 | 52.303 | 56.590 | -1.439 | 2.821 | 8.124 |
| 50.841 | 103.926 | 54.208 | 0.431 | 2.767 | 2.263 |
| 54.720 | 56.176 | 97.262 | 0.133 | -0.999 | -2.771 |
| 2.365 | -1.040 | 1.628 | 22.562 | -1.723 | 3.873 |
| -1.322 | 2.605 | -2.220 | -3.179 | 29.733 | 0.490 |
| 2.761 | 2.035 | -2.898 | 2.292 | 2.407 | 28.621 |
| 97.968 | 52.832 | 54.090 | 4.383 | -0.104 | 6.594 |
| 50.253 | 110.811 | 52.849 | 1.087 | 2.802 | 2.006 |
| 54.275 | 54.757 | 102.245 | 1.275 | -2.196 | -3.365 |
| 3.986 | -0.617 | 1.041 | 28.869 | -2.984 | 2.360 |
| -0.385 | 2.826 | -1.648 | -2.334 | 29.006 | 0.028 |
| 3.815 | 4.348 | -5.050 | 4.837 | 0.326 | 17.211 |
| 78.211 | 45.695 | 96.008 | -48.062 | -26.814 | 11.876 |
| 89.517 | 15.940 | 39.078 | -48.956 | -166.910 | 15.882 |
| 42.891 | 44.255 | 104.751 | 0.784 | -2.920 | 1.120 |
| -0.965 | 0.252 | 0.784 | 28.419 | 1.422 | -0.308 |
| -15.981 | -3.746 | 49.762 | -46.027 | -5.822 | 10.880 |
| -1.345 | -1.647 | 1.163 | -0.362 | 0.126 | 29.670 |
| 99.754 | 47.929 | 42.849 | -0.714 | 6.015 | -0.156 |
| 140.686 | 84.876 | 172.694 | 121.461 | 311.262 | -5.063 |
| 42.891 | 44.255 | 104.751 | 0.784 | -2.920 | 1.120 |
| 270.118 | 48.678 | 454.262 | 239.044 | 616.594 | 457.307 |
| 20.032 | 3.072 | -56.034 | 48.503 | 59.004 | -13.982 |
| -37.332 | 57.012 | 14.416 | 49.082 | 164.869 | -13.060 |
| 94.409 | 48.763 | 48.415 | -5.538 | 2.348 | 0.691 |
| 46.577 | 103.103 | 49.871 | -2.850 | -3.655 | -0.841 |
| 41.366 | 44.724 | 106.346 | -4.084 | -6.422 | 2.650 |
| 2.649 | -6.011 | -1.537 | 4.752 | -16.120 | 1.540 |
| 2.158 | -0.404 | -2.920 | 1.422 | 28.581 | -1.511 |
| -3.386 | -2.432 | 6.730 | -5.123 | -3.281 | 28.433 |
| 98.004 | 49.453 | 37.804 | 3.943 | 8.848 | -1.805 |
| 52.026 | 86.035 | 50.591 | 5.895 | 16.020 | -7.852 |
| 69.223 | 61.843 | 114.144 | 21.872 | 53.404 | 34.293 |
| -0.965 | 0.252 | 0.784 | 28.419 | 1.422 | -0.308 |
| -2.556 | 6.188 | -3.297 | 5.210 | 28.941 | -4.436 |
| -1.345 | -1.647 | 1.163 | -0.362 | 0.126 | 29.670 |
| 95.263 | 49.306 | 43.818 | -1.399 | 5.112 | -0.484 |
| 48.464 | 102.532 | 45.428 | 1.271 | -0.793 | -2.047 |
| 44.445 | 47.491 | 87.518 | -0.380 | -4.681 | 2.700 |
| -0.965 | 0.252 | 0.784 | 28.419 | 1.422 | -0.308 |
| 1.798 | -0.364 | -2.570 | 0.669 | 25.888 | -1.416 |
| -2.368 | -4.188 | 2.616 | -0.967 | -1.719 | 18.580 |
| 81.488 | 53.241 | 47.689 | 0.185 | 6.097 | -1.385 |
| 51.456 | 92.761 | 46.862 | 1.840 | 0.650 | -3.947 |
| 45.143 | 49.558 | 84.539 | 0.676 | -1.510 | 3.215 |
| -0.965 | 0.252 | 0.784 | 28.419 | 1.422 | -0.308 |
| 2.217 | -0.287 | -3.789 | 1.766 | 26.681 | -1.703 |
| -1.345 | -1.647 | 1.163 | -0.362 | 0.126 | 29.670 |
| 216.409 | -2.793 | -1.360 | -93.482 | -4.318 | 44.380 |
| 49.237 | 104.205 | 43.039 | -37.748 | 14.420 | 11.887 |
| 52.842 | 49.879 | 104.558 | -1.009 | -0.252 | -1.400 |
| -2.309 | 1.714 | -1.009 | 28.692 | -1.342 | 2.300 |
| 1.282 | -0.721 | -7.616 | -42.192 | 39.148 | 11.086 |
| 291.292 | -113.701 | -133.943 | -135.837 | -58.073 | 64.339 |
| 106.283 | 50.313 | 52.599 | -2.019 | 5.055 | 3.216 |
| 19.016 | 118.210 | 73.234 | 68.721 | 1.930 | -17.626 |
| 55.510 | 56.343 | 106.924 | 39.657 | -9.087 | -13.591 |
| -2.309 | 1.714 | -1.009 | 28.692 | -1.342 | 2.300 |
| 4.431 | 10.545 | 7.162 | 40.007 | 21.409 | -13.417 |
| -129.994 | 56.584 | 58.904 | 94.865 | 10.836 | -22.676 |
| 101.178 | 50.611 | 52.958 | -6.433 | 6.051 | 4.628 |
| 49.991 | 113.846 | 49.621 | 3.533 | 5.403 | -0.513 |
| 53.801 | 50.158 | 98.665 | -5.625 | 0.686 | -0.094 |
| 0.327 | 0.301 | -4.378 | 15.887 | -0.496 | 4.240 |
| 6.274 | 3.879 | -2.152 | -7.543 | 27.147 | 0.969 |
| 0.744 | -0.353 | -1.085 | 2.910 | 0.686 | 28.952 |
| 90.634 | 53.730 | 57.849 | 4.168 | 4.736 | 1.790 |
| 49.991 | 113.846 | 49.621 | 3.533 | 5.403 | -0.513 |
| 52.842 | 49.879 | 104.558 | -1.009 | -0.252 | -1.400 |
| -2.526 | 2.293 | -0.671 | 30.066 | -1.954 | 1.186 |
| 3.015 | 5.480 | 0.518 | 3.050 | 29.382 | -2.400 |
| -1.536 | 1.204 | 1.225 | 9.743 | 0.526 | 21.552 |
| 99.415 | 51.419 | 54.006 | -3.061 | 5.340 | 3.659 |
| 53.711 | 97.312 | 50.945 | 1.145 | 5.136 | -0.071 |
| 56.359 | 51.380 | 91.509 | -2.993 | 0.222 | -1.171 |
| -2.309 | 1.714 | -1.009 | 28.692 | -1.342 | 2.300 |
| 2.916 | 4.889 | -0.315 | -1.535 | 29.228 | -0.886 |
| 1.416 | -0.229 | -1.114 | 2.517 | 0.925 | 25.650 |
| 98.218 | 51.802 | 54.500 | -1.921 | 5.105 | 3.343 |
| 49.991 | 113.845 | 49.621 | 3.533 | 5.403 | -0.513 |
| 52.842 | 49.879 | 104.558 | -1.009 | -0.252 | -1.400 |
| -2.309 | 1.714 | -1.009 | 28.692 | -1.342 | 2.300 |
| 2.935 | 5.028 | -0.116 | -0.440 | 29.338 | -1.257 |
| 0.847 | 0.261 | -0.759 | 3.874 | 1.081 | 21.566 |
| 163.593 | -7.811 | 79.572 | 27.261 | 23.089 | -21.087 |
| 55.527 | 107.558 | 53.516 | 1.763 | -1.289 | 0.348 |
| 48.443 | 53.590 | 113.639 | -2.625 | 2.091 | 0.909 |
| 1.400 | 0.840 | -2.625 | 33.188 | 2.589 | -1.680 |
| -0.290 | -1.363 | 2.091 | 2.589 | 28.104 | 1.697 |
| 150.032 | -116.675 | 18.269 | 48.535 | 70.211 | -11.798 |
| 116.792 | 55.550 | 48.651 | 1.106 | 0.411 | 8.835 |
| 55.527 | 107.558 | 53.516 | 1.763 | -1.289 | 0.348 |
| -3.560 | 119.296 | 79.801 | -29.139 | -20.351 | 30.144 |
| 1.400 | 0.840 | -2.625 | 33.188 | 2.589 | -1.680 |
| -53.313 | 62.687 | -27.544 | -24.225 | 2.358 | 30.611 |
| -145.680 | 115.919 | -15.133 | -51.465 | -65.727 | 61.565 |
| 115.747 | 50.063 | 52.839 | 3.326 | 2.813 | 4.939 |
| 72.662 | 83.245 | 59.027 | 6.028 | 4.577 | -3.968 |
| 48.443 | 53.590 | 113.639 | -2.625 | 2.091 | 0.909 |
| 1.400 | 0.840 | -2.625 | 33.188 | 2.589 | -1.680 |
| 5.225 | -8.077 | 5.132 | 5.041 | 27.156 | -1.204 |
| 7.496 | -6.306 | 4.271 | 1.103 | 4.631 | 26.277 |
| 68.572 | 78.056 | 52.417 | 0.163 | -10.263 | 18.600 |
| 51.143 | 108.904 | 51.964 | -1.248 | -3.853 | 3.018 |
| 24.410 | 79.031 | 97.227 | -1.820 | -8.995 | 13.254 |
| -4.366 | 7.025 | -5.527 | 27.487 | 0.130 | 1.275 |
| -5.430 | 4.804 | -0.816 | -0.288 | 22.619 | 4.588 |
| 2.617 | 0.357 | 0.970 | -1.607 | 2.487 | 32.202 |
| 102.991 | 57.555 | 52.122 | -1.825 | 1.467 | 4.959 |
| 61.062 | 89.637 | 59.107 | 0.762 | -1.791 | -1.718 |
| 48.443 | 53.590 | 113.640 | -2.625 | 2.091 | 0.909 |
| 1.508 | -0.169 | -2.210 | 30.087 | 2.615 | -1.939 |
| -0.290 | -1.363 | 2.091 | 2.589 | 28.104 | 1.697 |
| 2.721 | -0.586 | 1.646 | -1.266 | 2.614 | 28.643 |
| 108.862 | 57.337 | 49.737 | 0.310 | 0.339 | 7.987 |
| 55.527 | 107.557 | 53.516 | 1.763 | -1.289 | 0.348 |
| 49.699 | 58.252 | 103.935 | -2.830 | 1.435 | 1.775 |
| 1.399 | 0.840 | -2.625 | 33.188 | 2.589 | -1.680 |
| -2.225 | -1.382 | 3.131 | 2.572 | 16.763 | 2.849 |
| 1.530 | 0.811 | 1.013 | -1.846 | 2.114 | 29.111 |
| -60.888 | 18.626 | 88.093 | 157.827 | -206.417 | 2.304 |
| -8.634 | 85.274 | 42.803 | 21.528 | -97.075 | 19.836 |
| -99.120 | 17.554 | 124.033 | 160.317 | -203.534 | -3.065 |
| -1.308 | -0.409 | 2.266 | 30.642 | -2.031 | 2.650 |
| -2.195 | 3.260 | 0.340 | -2.031 | 32.242 | -0.478 |
| -61.001 | -18.957 | -12.424 | 24.404 | -99.432 | 47.256 |
| 112.208 | 52.362 | 52.805 | -1.088 | -1.802 | 4.624 |
| 52.347 | 109.431 | 51.924 | 0.508 | 3.199 | -0.662 |
| 52.993 | 51.857 | 109.941 | 2.266 | 0.340 | -2.059 |
| -1.308 | -0.409 | 2.266 | 30.642 | -2.031 | 2.650 |
| 242.424 | 62.078 | -84.415 | -217.320 | 348.382 | 9.518 |
| 159.012 | 35.623 | -31.666 | -155.054 | 204.293 | 20.862 |
| 67.014 | 51.313 | 68.491 | 21.053 | -34.678 | 2.025 |
| 47.779 | 101.316 | 52.275 | 2.048 | -7.426 | 0.990 |
| 48.842 | 51.483 | 102.553 | 4.198 | -9.116 | 0.167 |
| -25.313 | -8.422 | 11.199 | 42.085 | -35.528 | 2.015 |
| -17.645 | -2.327 | 4.231 | 13.705 | 2.601 | -1.193 |
| -38.213 | 5.610 | 8.870 | 17.490 | -45.049 | 6.905 |
| 112.207 | 52.362 | 52.805 | -1.088 | -1.802 | 4.624 |
| 60.337 | 104.890 | 54.382 | -2.288 | 12.532 | -3.205 |
| 52.992 | 51.857 | 109.941 | 2.266 | 0.340 | -2.059 |
| -1.308 | -0.409 | 2.266 | 30.642 | -2.031 | 2.650 |
| 4.192 | 4.397 | 1.878 | -4.107 | 38.574 | -2.722 |
| 1.707 | -0.643 | -2.049 | 2.589 | 0.487 | 30.576 |
| 96.072 | 55.806 | 58.062 | 1.094 | -3.563 | 3.632 |
| 54.729 | 91.809 | 56.517 | 0.488 | -1.719 | -2.273 |
| 56.405 | 54.735 | 95.589 | 3.630 | -0.733 | -1.821 |
| -1.554 | -1.101 | 1.938 | 27.515 | -2.925 | 3.012 |
| -2.737 | 2.374 | 0.750 | -1.704 | 27.275 | -0.415 |
| -0.580 | -2.974 | -1.029 | 4.846 | -3.808 | 17.891 |
| 106.142 | 54.365 | 55.256 | -0.894 | -0.644 | 3.951 |
| 59.267 | 91.348 | 55.488 | -3.185 | 3.723 | -2.277 |
| 56.117 | 53.670 | 102.806 | 1.758 | 2.034 | -2.142 |
| -1.308 | -0.409 | 2.266 | 30.642 | -2.031 | 2.650 |
| -0.387 | 1.909 | 0.885 | -3.670 | 25.523 | -1.016 |
| 2.374 | -0.953 | -1.776 | 2.530 | 1.270 | 25.815 |
| 152.909 | -16.546 | 37.565 | -21.284 | -11.614 | -18.070 |
| 48.577 | 102.141 | 49.994 | 0.662 | -0.529 | -1.028 |
| 313.866 | 42.622 | -184.878 | -22.079 | 164.782 | -51.549 |
| 1.069 | -0.102 | -1.048 | 29.645 | -3.168 | -0.722 |
| 51.822 | -64.567 | -12.583 | -24.740 | 15.165 | -19.533 |
| 0.604 | -1.016 | -2.377 | -0.863 | 1.851 | 29.670 |
| -5.888 | 103.792 | 115.043 | 8.747 | -14.512 | 34.806 |
| -729.530 | -94.380 | 1078.773 | -152.345 | -454.532 | 245.543 |
| 51.729 | 48.966 | 108.600 | -1.048 | 3.062 | -2.757 |
| 1.069 | -0.102 | -1.048 | 29.645 | -3.168 | -0.722 |
| -778.070 | -167.245 | 1021.529 | -158.144 | -438.437 | 250.109 |
| -255.242 | 13.928 | 265.490 | 19.943 | -157.179 | 56.093 |
| 105.403 | 41.603 | 51.828 | -1.820 | -1.248 | 0.357 |
| 48.577 | 102.141 | 49.994 | 0.662 | -0.529 | -1.028 |
| 58.718 | 43.960 | 101.777 | -3.085 | 2.102 | -5.156 |
| 5.937 | -6.442 | -2.487 | 24.335 | -4.266 | -2.972 |
| -1.091 | -0.388 | 3.062 | -3.168 | 29.632 | 0.832 |
| 0.604 | -1.016 | -2.377 | -0.863 | 1.851 | 29.670 |
| 82.721 | 53.978 | 61.419 | 0.539 | -1.455 | 4.776 |
| 48.577 | 102.141 | 49.994 | 0.662 | -0.529 | -1.028 |
| 48.109 | 56.906 | 105.014 | 1.252 | 4.411 | -1.045 |
| 1.069 | -0.102 | -1.048 | 29.645 | -3.168 | -0.722 |
| -25.752 | 2.726 | 31.715 | -1.323 | -0.504 | 6.381 |
| -5.026 | 5.539 | -1.113 | 1.101 | 3.012 | 27.999 |
| 106.051 | 47.581 | 51.790 | 0.767 | -0.153 | 3.121 |
| 48.577 | 102.141 | 49.994 | 0.662 | -0.529 | -1.028 |
| 56.776 | 52.265 | 95.446 | -0.850 | 4.024 | -3.932 |
| 2.215 | 2.131 | -5.169 | 16.435 | -1.640 | -1.645 |
| -0.370 | -0.629 | 3.108 | -3.345 | 26.314 | 0.726 |
| 0.830 | -1.692 | -2.951 | -1.363 | 1.721 | 25.010 |
| 106.050 | 47.581 | 51.790 | 0.767 | -0.153 | 3.121 |
| 48.577 | 102.140 | 49.994 | 0.662 | -0.529 | -1.028 |
| 51.729 | 48.966 | 108.599 | -1.048 | 3.062 | -2.757 |
| -1.117 | 0.980 | -0.145 | 22.348 | -3.404 | -0.821 |
| -1.549 | 0.870 | 3.484 | -2.852 | 26.298 | 1.199 |
| -1.326 | -0.250 | -2.488 | -1.243 | 1.724 | 20.557 |
| 117.540 | 67.559 | 61.829 | 12.937 | -17.677 | -1.468 |
| 58.542 | 122.530 | 64.812 | 14.108 | -15.146 | -8.692 |
| 50.012 | 52.614 | 110.820 | 0.565 | -0.091 | 0.147 |
| 8.283 | 17.630 | 11.233 | 41.779 | -16.256 | -4.634 |
| -1.472 | 1.588 | -0.091 | 0.459 | 29.318 | -0.255 |
| 2.690 | -3.748 | 0.144 | 0.955 | 0.714 | 29.088 |
| 115.587 | 49.013 | 50.014 | 0.272 | -0.327 | 3.846 |
| 26.440 | 28.964 | 142.737 | 59.436 | 244.128 | -212.167 |
| -29.854 | 44.681 | 166.925 | -76.376 | 74.864 | -142.693 |
| -7.518 | -16.372 | -9.675 | 16.765 | 17.798 | 5.994 |
| -52.299 | -42.876 | 44.301 | -49.406 | 41.962 | -58.701 |
| -5.084 | -20.368 | -10.031 | -11.824 | 17.433 | 30.714 |
| 110.451 | 52.262 | 52.421 | 1.688 | -2.360 | 3.313 |
| 49.103 | 110.933 | 52.633 | 1.389 | 1.604 | -3.770 |
| 52.222 | 56.104 | 106.404 | 2.066 | -2.285 | -0.078 |
| 5.246 | 5.740 | -3.439 | 29.412 | -0.978 | 6.168 |
| -1.472 | 1.588 | -0.091 | 0.459 | 29.318 | -0.255 |
| 3.607 | -1.668 | 1.467 | 1.939 | -1.297 | 24.922 |
| 95.195 | 48.900 | 57.904 | -4.792 | 0.784 | -2.239 |
| 49.103 | 110.932 | 52.633 | 1.389 | 1.604 | -3.770 |
| 50.012 | 52.614 | 110.820 | 0.565 | -0.091 | 0.147 |
| -0.408 | -1.072 | -0.267 | 27.991 | 2.481 | 1.210 |
| -2.454 | 0.143 | -1.593 | -0.495 | 27.387 | 0.063 |
| 2.027 | -5.065 | -0.620 | -0.577 | 2.108 | 25.870 |
| 98.198 | 54.735 | 53.385 | 0.461 | -2.193 | 4.243 |
| 51.066 | 104.599 | 54.854 | 1.805 | 1.727 | -3.361 |
| 53.380 | 56.659 | 98.588 | 1.534 | -1.231 | 1.307 |
| 0.497 | 0.871 | 0.931 | 29.027 | 0.606 | 0.584 |
| -1.520 | 2.423 | -1.961 | 1.631 | 17.305 | 0.640 |
| 3.130 | -2.400 | 0.341 | 0.866 | -0.084 | 22.064 |
| 97.675 | 54.227 | 54.307 | -0.800 | -0.827 | 2.005 |
| 50.910 | 104.050 | 54.640 | 1.504 | 2.150 | -3.222 |
| 51.481 | 54.371 | 104.615 | 0.674 | -0.407 | 0.559 |
| -0.827 | 0.583 | 2.221 | 22.409 | 1.666 | -0.401 |
| -1.472 | 1.588 | -0.091 | 0.459 | 29.318 | -0.255 |
| 2.690 | -3.748 | 0.144 | 0.955 | 0.714 | 29.088 |
| 138.732 | -27.362 | -67.081 | -82.831 | -82.963 | 65.121 |
| 46.153 | 110.618 | 47.116 | 0.194 | 0.306 | 0.629 |
| 80.921 | 23.182 | 27.348 | -35.764 | -17.422 | 10.988 |
| 176.789 | -239.965 | -183.412 | -141.841 | -70.565 | 197.447 |
| 183.547 | -367.371 | -83.582 | -200.719 | -111.119 | 243.554 |
| 174.295 | -237.332 | -183.316 | -149.758 | -68.605 | 207.312 |
| 29.879 | 126.504 | 177.079 | 81.483 | 82.492 | -69.282 |
| -127.104 | 317.997 | 238.284 | 146.831 | 70.992 | -196.402 |
| 20.617 | 72.735 | 181.764 | 33.105 | 9.323 | -9.746 |
| -184.560 | 366.320 | 78.896 | 214.937 | 124.913 | -241.423 |
| 0.033 | 0.731 | -4.097 | 0.168 | 28.664 | 0.337 |
| -32.500 | 25.253 | 77.951 | 34.512 | 14.055 | 14.808 |
| 89.857 | 41.896 | 42.801 | -8.847 | -8.458 | 4.615 |
| 46.154 | 110.618 | 47.116 | 0.194 | 0.306 | 0.629 |
| 59.406 | 44.406 | 78.005 | -9.097 | -12.044 | 6.981 |
| 18.210 | -38.773 | -7.631 | -4.229 | -14.217 | 26.410 |
| 0.033 | 0.731 | -4.097 | 0.168 | 28.664 | 0.337 |
| 0.669 | -2.003 | -6.984 | -3.368 | -0.656 | 26.214 |
| 78.938 | 57.221 | 67.152 | 7.510 | 7.995 | -8.759 |
| 33.378 | 104.791 | 73.060 | 11.860 | 8.199 | -19.069 |
| 47.751 | 50.443 | 112.280 | 2.119 | -2.710 | -0.417 |
| -2.668 | 2.463 | 6.393 | 28.303 | 1.491 | -0.539 |
| -5.714 | 9.165 | 8.327 | 8.020 | 25.951 | -5.866 |
| -2.170 | 0.631 | 0.710 | 0.105 | 0.557 | 27.261 |
| 85.043 | 45.915 | 53.403 | -1.400 | -1.857 | -0.746 |
| 52.858 | 83.151 | 53.765 | -4.231 | 0.611 | 2.468 |
| 49.781 | 46.872 | 108.593 | -1.292 | -4.097 | 0.599 |
| 2.348 | -6.337 | -0.447 | 11.463 | -2.650 | 4.212 |
| 0.033 | 0.731 | -4.097 | 0.168 | 28.664 | 0.337 |
| -2.170 | 0.631 | 0.710 | 0.105 | 0.557 | 27.261 |
| 87.334 | 49.686 | 55.192 | 0.210 | 0.551 | -2.266 |
| 46.472 | 106.539 | 49.213 | 0.183 | 0.652 | 0.333 |
| 52.515 | 54.278 | 89.293 | 1.611 | -3.604 | -2.043 |
| -0.819 | -0.366 | 0.043 | 18.613 | 0.558 | -0.183 |
| -0.395 | 1.182 | -3.217 | 0.522 | 26.367 | 0.377 |
| -4.923 | 2.152 | 1.639 | 1.353 | 1.339 | 13.866 |
| 122.163 | 48.497 | 48.497 | -0.000 | -0.000 | -0.000 |
| 48.497 | 122.163 | 48.497 | -0.000 | 0.000 | -0.000 |
| 48.497 | 48.497 | 122.163 | -0.000 | -0.000 | -0.000 |
| -0.112 | -0.112 | -0.112 | 3.439 | 0.000 | 0.000 |
| -0.112 | -0.112 | -0.112 | 0.000 | 3.439 | 0.000 |
| -0.112 | -0.112 | -0.112 | 0.000 | 0.000 | 3.439 |
| 122.163 | 48.497 | 48.497 | -0.000 | 0.000 | 0.000 |
| 48.497 | 122.163 | 48.497 | -0.000 | -0.000 | 0.000 |
| 48.497 | 48.497 | 122.163 | 0.000 | -0.000 | 0.000 |
| 0.112 | 0.112 | 0.112 | 3.439 | -0.000 | -0.000 |
| 0.112 | 0.112 | 0.112 | -0.000 | 3.439 | -0.000 |
| 0.112 | 0.112 | 0.112 | -0.000 | -0.000 | 3.439 |
| 110.633 | 53.308 | 53.308 | 0.000 | 0.000 | 0.000 |
| 53.308 | 110.633 | 53.308 | 0.000 | -0.000 | 0.000 |
| 53.308 | 53.308 | 110.633 | 0.000 | 0.000 | 0.000 |
| -0.084 | -0.084 | -0.084 | 1.835 | 0.000 | 0.000 |
| -0.084 | -0.084 | -0.084 | 0.000 | 1.835 | 0.000 |
| -0.084 | -0.084 | -0.084 | 0.000 | 0.000 | 1.835 |
| 122.163 | 48.497 | 48.497 | 0.000 | -0.000 | 0.000 |
| 48.497 | 122.163 | 48.497 | -0.000 | 0.000 | 0.000 |
| 48.497 | 48.497 | 122.163 | 0.000 | 0.000 | 0.000 |
| 0.084 | 0.084 | 0.084 | 1.835 | -0.000 | -0.000 |
| -0.086 | -0.086 | -0.086 | -0.000 | 4.028 | -0.000 |
| -0.086 | -0.086 | -0.086 | -0.000 | -0.000 | 4.028 |
| 109.778 | 53.556 | 53.556 | 0.000 | 0.000 | 0.000 |
| 53.556 | 109.778 | 53.556 | 0.000 | 0.000 | 0.000 |
| 53.556 | 53.556 | 109.778 | 0.000 | 0.000 | 0.000 |
| 0.019 | 0.019 | 0.019 | -0.189 | 0.000 | 0.000 |
| 0.019 | 0.019 | 0.019 | 0.000 | -0.189 | 0.000 |
| 0.019 | 0.019 | 0.019 | 0.000 | 0.000 | -0.189 |
| 122.162 | 48.497 | 48.497 | -0.000 | 0.000 | 0.000 |
| 48.497 | 122.162 | 48.497 | 0.000 | 0.000 | 0.000 |
| 48.497 | 48.497 | 122.162 | -0.000 | -0.000 | 0.000 |
| -0.019 | -0.019 | -0.019 | -0.189 | -0.000 | -0.000 |
| -0.019 | -0.019 | -0.019 | -0.000 | -0.189 | -0.000 |
| -0.019 | -0.019 | -0.019 | -0.000 | -0.000 | -0.189 |
| 85.712 | 68.119 | 68.119 | -0.000 | -0.000 | -0.000 |
| 68.119 | 85.712 | 68.119 | -0.000 | -0.000 | -0.000 |
| 68.119 | 68.119 | 85.712 | -0.000 | -0.000 | -0.000 |
| -0.000 | -0.000 | -0.000 | 19.722 | -0.000 | -0.000 |
| -0.000 | -0.000 | -0.000 | -0.000 | 19.722 | -0.000 |
| -0.000 | -0.000 | -0.000 | -0.000 | -0.000 | 19.722 |
| 88.800 | 66.678 | 66.678 | -0.000 | -0.000 | 0.000 |
| 66.678 | 88.800 | 66.678 | 0.000 | 0.000 | -0.000 |
| 66.678 | 66.678 | 88.800 | -0.000 | 0.000 | -0.000 |
| 0.000 | 0.000 | 0.000 | 19.722 | 0.000 | 0.000 |
| 0.000 | 0.000 | 0.000 | 0.000 | 19.722 | 0.000 |
| 0.000 | 0.000 | 0.000 | 0.000 | 0.000 | 19.722 |
| 85.712 | 68.119 | 68.119 | -0.000 | -0.000 | -0.000 |
| 68.119 | 85.712 | 68.119 | -0.000 | -0.000 | -0.000 |
| 68.119 | 68.119 | 85.712 | -0.000 | -0.000 | -0.000 |
| -0.000 | -0.000 | -0.000 | 19.722 | -0.000 | -0.000 |
| -0.000 | -0.000 | -0.000 | -0.000 | 19.722 | -0.000 |
| -0.000 | -0.000 | -0.000 | -0.000 | -0.000 | 19.722 |
| 85.712 | 68.119 | 68.119 | 0.000 | -0.000 | 0.000 |
| 68.119 | 85.712 | 68.119 | 0.000 | -0.000 | 0.000 |
| 68.119 | 68.119 | 85.712 | 0.000 | 0.000 | 0.000 |
| 0.000 | 0.000 | 0.000 | 19.722 | 0.000 | 0.000 |
| 0.000 | 0.000 | 0.000 | 0.000 | 19.722 | 0.000 |
| 0.000 | 0.000 | 0.000 | 0.000 | 0.000 | 19.722 |
| 85.713 | 68.119 | 68.119 | -0.000 | -0.000 | -0.000 |
| 68.119 | 85.713 | 68.119 | -0.000 | -0.000 | -0.000 |
| 68.119 | 68.119 | 85.713 | -0.000 | -0.000 | -0.000 |
| -0.000 | 0.000 | 0.000 | 18.774 | -0.000 | -0.000 |
| 0.000 | -0.000 | 0.000 | -0.000 | 18.774 | -0.000 |
| 0.000 | 0.000 | -0.000 | -0.000 | -0.000 | 18.774 |
| 84.399 | 68.698 | 68.698 | 0.000 | 0.000 | 0.000 |
| 68.698 | 84.399 | 68.698 | 0.000 | 0.000 | 0.000 |
| 68.698 | 68.698 | 84.399 | 0.000 | 0.000 | 0.000 |
| 0.000 | -0.000 | -0.000 | 18.774 | 0.000 | 0.000 |
| -0.000 | 0.000 | -0.000 | 0.000 | 18.774 | 0.000 |
| -0.000 | -0.000 | 0.000 | 0.000 | 0.000 | 18.774 |
| 87.911 | 65.992 | 65.992 | 0.000 | -0.000 | -0.000 |
| 65.992 | 87.911 | 65.992 | -0.000 | -0.000 | -0.000 |
| 65.992 | 65.992 | 87.911 | 0.000 | -0.000 | 0.000 |
| 0.000 | 0.000 | 0.000 | 28.299 | -0.000 | 0.000 |
| 0.000 | 0.000 | 0.000 | 0.000 | 28.299 | 0.000 |
| 0.000 | 0.000 | -0.000 | -0.000 | -0.000 | 28.299 |
| 87.911 | 65.992 | 65.992 | -0.000 | 0.000 | 0.000 |
| 65.992 | 87.911 | 65.992 | 0.000 | -0.000 | -0.000 |
| 65.992 | 65.992 | 87.911 | -0.000 | 0.000 | -0.000 |
| -0.000 | -0.000 | -0.000 | 28.299 | 0.000 | 0.000 |
| -0.000 | -0.000 | -0.000 | -0.000 | 28.299 | -0.000 |
| -0.000 | -0.000 | 0.000 | -0.000 | 0.000 | 28.299 |
| 84.681 | 67.299 | 67.299 | 0.000 | 0.000 | -0.000 |
| 67.299 | 84.681 | 67.299 | 0.000 | -0.000 | -0.000 |
| 67.299 | 67.299 | 84.681 | 0.000 | -0.000 | -0.000 |
| 0.000 | 0.000 | 0.000 | 28.299 | -0.000 | 0.000 |
| 0.000 | 0.000 | 0.000 | 0.000 | 28.299 | 0.000 |
| 0.000 | 0.000 | 0.000 | -0.000 | -0.000 | 28.299 |
| 84.988 | 67.553 | 67.553 | -0.000 | 0.000 | -0.000 |
| 67.553 | 84.988 | 67.553 | -0.000 | 0.000 | -0.000 |
| 67.553 | 67.553 | 84.988 | -0.000 | 0.000 | -0.000 |
| -0.000 | -0.000 | -0.000 | 28.299 | 0.000 | 0.000 |
| -0.000 | -0.000 | -0.000 | -0.000 | 28.299 | -0.000 |
| -0.000 | -0.000 | -0.000 | -0.000 | 0.000 | 28.299 |
| 84.825 | 67.412 | 67.412 | 0.000 | -0.000 | -0.000 |
| 67.412 | 84.825 | 67.412 | 0.000 | -0.000 | 0.000 |
| 67.412 | 67.412 | 84.825 | 0.000 | -0.000 | -0.000 |
| 0.000 | 0.000 | 0.000 | 28.299 | -0.000 | 0.000 |
| 0.000 | 0.000 | 0.000 | 0.000 | 28.299 | 0.000 |
| 0.000 | 0.000 | 0.000 | 0.000 | -0.000 | 28.299 |
| 84.855 | 67.437 | 67.437 | -0.000 | 0.000 | -0.000 |
| 67.437 | 84.855 | 67.437 | -0.000 | 0.000 | 0.000 |
| 67.437 | 67.437 | 84.855 | -0.000 | 0.000 | -0.000 |
| -0.000 | -0.000 | -0.000 | 28.299 | -0.000 | -0.000 |
| -0.000 | -0.000 | -0.000 | -0.000 | 28.299 | -0.000 |
| -0.000 | -0.000 | -0.000 | -0.000 | 0.000 | 28.299 |
| 147.674 | 64.351 | 22.002 | -0.000 | -0.000 | -0.000 |
| 60.055 | 129.890 | 20.270 | 0.000 | -0.000 | -0.000 |
| 22.037 | 17.945 | 129.920 | -0.000 | -0.000 | -0.000 |
| 0.000 | -0.000 | -0.000 | 2.348 | -0.000 | -0.000 |
| -1.651 | -1.005 | 1.078 | -0.000 | 2.541 | -0.000 |
| -1.650 | -1.005 | 1.078 | 0.000 | -0.000 | 21.641 |
| 145.703 | 63.150 | 23.290 | 0.000 | -0.000 | 0.000 |
| 63.356 | 131.900 | 18.114 | -0.000 | 0.000 | 0.000 |
| 25.337 | 19.956 | 127.764 | 0.000 | 0.000 | 0.000 |
| -0.000 | 0.000 | 0.000 | 2.348 | -0.000 | -0.000 |
| 1.651 | 1.005 | -1.078 | -0.000 | 2.541 | 0.000 |
| 1.650 | 1.005 | -1.078 | -0.000 | 0.000 | 21.641 |
| 147.674 | 64.351 | 22.002 | 0.000 | -0.000 | 0.000 |
| 61.540 | 130.795 | 19.299 | 0.000 | -0.000 | -0.000 |
| 23.522 | 18.850 | 128.950 | 0.000 | -0.000 | -0.000 |
| 0.000 | -0.000 | -0.000 | 2.348 | -0.000 | 0.000 |
| -0.000 | 0.000 | -0.000 | 0.000 | 2.541 | -0.000 |
| -0.165 | -0.100 | 0.108 | -0.000 | -0.000 | 21.641 |
| 144.217 | 62.246 | 24.260 | 0.000 | 0.000 | 0.000 |
| 61.870 | 130.995 | 19.084 | 0.000 | 0.000 | 0.000 |
| 23.852 | 19.051 | 128.734 | 0.000 | 0.000 | 0.000 |
| -0.000 | 0.000 | 0.000 | 2.348 | 0.000 | 0.000 |
| 0.000 | -0.000 | 0.000 | -0.000 | 2.541 | 0.000 |
| 0.165 | 0.100 | -0.108 | 0.000 | 0.000 | 21.641 |
| 144.037 | 62.135 | 24.379 | 0.000 | -0.000 | -0.000 |
| 61.689 | 130.886 | 19.202 | -0.000 | -0.000 | -0.000 |
| 23.671 | 18.941 | 128.853 | 0.000 | -0.000 | -0.000 |
| 0.000 | -0.000 | -0.000 | 2.348 | -0.000 | -0.000 |
| -0.032 | -0.019 | 0.021 | 0.000 | 2.541 | -0.000 |
| -0.017 | -0.010 | 0.011 | 0.000 | -0.000 | 21.641 |
| 144.068 | 62.155 | 24.357 | 0.000 | 0.000 | 0.000 |
| 63.911 | 132.238 | 17.751 | -0.000 | 0.000 | 0.000 |
| 23.703 | 18.961 | 128.830 | 0.000 | 0.000 | 0.000 |
| -0.000 | 0.000 | 0.000 | 2.348 | -0.000 | -0.000 |
| 0.032 | 0.019 | -0.021 | -0.000 | 2.541 | 0.000 |
| 0.017 | 0.010 | -0.011 | -0.000 | -0.000 | 21.641 |
| -0.978 | 119.058 | -3.737 | -0.000 | -0.000 | -0.000 |
| 102.372 | 15.709 | -3.737 | -0.000 | -0.000 | -0.000 |
| -3.737 | -3.737 | 127.853 | -0.000 | -0.000 | -0.000 |
| -0.000 | 0.000 | 0.000 | -15.072 | 0.000 | -0.000 |
| -0.000 | 0.000 | 0.000 | -0.000 | -15.072 | -0.000 |
| -0.000 | 0.000 | 0.000 | -0.000 | 0.000 | -43.331 |
| 81.016 | 37.065 | -3.737 | -0.000 | -0.000 | 0.000 |
| 37.065 | 81.016 | -3.737 | -0.000 | -0.000 | 0.000 |
| -3.737 | -3.737 | 127.853 | 0.000 | 0.000 | 0.000 |
| 0.000 | -0.000 | -0.000 | -15.072 | -0.000 | 0.000 |
| 0.000 | -0.000 | -0.000 | 0.000 | -15.072 | 0.000 |
| 0.000 | -0.000 | -0.000 | 0.000 | -0.000 | -43.331 |
| 81.016 | 37.065 | -3.737 | 0.000 | 0.000 | -0.000 |
| 102.372 | 15.709 | -3.737 | -0.000 | 0.000 | -0.000 |
| -3.737 | -3.737 | 127.853 | 0.000 | 0.000 | -0.000 |
| 0.000 | 0.000 | -0.000 | -15.072 | 0.000 | -0.000 |
| 0.000 | 0.000 | -0.000 | -0.000 | -15.072 | 0.000 |
| -0.000 | -0.000 | -0.000 | -0.000 | 0.000 | -43.331 |
| 81.016 | 37.065 | -3.737 | -0.000 | -0.000 | 0.000 |
| 102.371 | 15.709 | -3.737 | 0.000 | -0.000 | 0.000 |
| -3.737 | -3.737 | 127.853 | 0.000 | -0.000 | 0.000 |
| -0.000 | -0.000 | 0.000 | -15.072 | -0.000 | 0.000 |
| -0.000 | -0.000 | 0.000 | 0.000 | -15.072 | 0.000 |
| 0.000 | 0.000 | 0.000 | 0.000 | -0.000 | -43.331 |
| 7.368 | 110.713 | -3.737 | 0.000 | 0.000 | -0.000 |
| -2593801.180 | -2835966.457 | -3044563.579 | 24281.823 | -3641.248 | -11435.057 |
| -3.737 | -3.737 | 127.854 | -0.000 | 0.000 | -0.000 |
| 0.000 | 0.000 | -0.000 | -15.072 | 0.000 | -0.000 |
| -0.000 | 0.000 | -0.000 | -0.000 | -15.072 | -0.000 |
| -0.000 | 0.000 | -0.000 | -0.000 | 0.000 | -48.568 |
| 2671894.505 | 2832609.705 | 3209536.654 | -3986.544 | -11148.624 | 12410.342 |
| 3237445.930 | 3316058.880 | 3010110.114 | 25811.943 | -1035.709 | -18463.006 |
| -3.737 | -3.737 | 127.853 | 0.000 | -0.000 | 0.000 |
| -0.000 | -0.000 | 0.000 | -15.072 | -0.000 | 0.000 |
| 0.000 | -0.000 | 0.000 | 0.000 | -15.072 | 0.000 |
| 0.000 | -0.000 | 0.000 | 0.000 | -0.000 | -48.568 |
| 146.812 | 68.535 | 71.701 | 0.000 | -0.000 | -0.000 |
| 68.535 | 146.812 | 71.701 | -0.000 | -0.000 | -0.000 |
| 84.293 | 84.293 | 182.464 | -0.000 | -0.000 | -0.000 |
| -0.000 | 0.000 | 0.000 | 69.951 | -0.000 | -0.000 |
| 0.000 | 0.000 | 0.000 | -0.000 | 69.951 | -0.000 |
| 0.000 | 0.000 | -0.000 | -0.000 | -0.000 | 62.981 |
| 186.814 | 90.525 | 105.218 | -0.000 | 0.000 | 0.000 |
| 90.525 | 186.814 | 105.218 | 0.000 | 0.000 | 0.000 |
| 124.605 | 124.605 | 215.754 | 0.000 | 0.000 | 0.000 |
| 0.000 | -0.000 | -0.000 | 69.951 | 0.000 | 0.000 |
| -0.000 | -0.000 | -0.000 | -0.000 | 69.951 | 0.000 |
| -0.000 | -0.000 | 0.000 | -0.000 | 0.000 | 62.981 |
| 173.796 | 94.724 | 100.551 | -0.000 | -0.000 | -0.000 |
| 94.724 | 173.796 | 100.551 | 0.000 | -0.000 | -0.000 |
| 100.749 | 100.749 | 195.097 | 0.000 | -0.000 | -0.000 |
| -2.201 | -2.201 | -2.332 | 66.550 | -0.000 | -0.000 |
| -2.201 | -2.201 | -2.332 | 0.000 | 66.550 | -0.000 |
| 0.000 | 0.000 | -0.000 | 0.000 | -0.000 | 62.981 |
| 183.708 | 96.207 | 106.166 | 0.000 | 0.000 | 0.000 |
| 96.207 | 183.708 | 106.166 | 0.000 | 0.000 | 0.000 |
| 106.746 | 106.746 | 201.596 | 0.000 | 0.000 | 0.000 |
| 2.201 | 2.201 | 2.332 | 66.550 | 0.000 | 0.000 |
| 2.201 | 2.201 | 2.332 | -0.000 | 66.550 | 0.000 |
| -0.000 | -0.000 | 0.000 | -0.000 | 0.000 | 62.981 |
| 177.928 | 96.681 | 103.857 | 0.000 | -0.000 | -0.000 |
| 96.681 | 177.928 | 103.857 | 0.000 | -0.000 | -0.000 |
| 104.106 | 104.106 | 198.808 | -0.000 | 0.000 | -0.000 |
| -0.393 | -0.393 | -0.416 | 66.854 | -0.000 | -0.000 |
| -0.393 | -0.393 | -0.416 | -0.000 | 66.854 | -0.000 |
| -0.222 | -0.222 | -0.237 | 0.000 | -0.000 | 62.981 |
| 178.932 | 96.368 | 104.196 | 0.000 | 0.000 | 0.000 |
| 96.368 | 178.932 | 104.196 | 0.000 | 0.000 | 0.000 |
| 104.441 | 104.441 | 199.057 | 0.000 | 0.000 | 0.000 |
| 0.393 | 0.393 | 0.416 | 66.854 | 0.000 | 0.000 |
| 0.393 | 0.393 | 0.416 | 0.000 | 66.854 | 0.000 |
| 0.222 | 0.222 | 0.237 | -0.000 | 0.000 | 62.981 |
| 186.517 | 104.435 | 112.654 | 0.000 | -0.000 | 0.000 |
| 104.435 | 186.517 | 112.654 | 0.000 | -0.000 | -0.000 |
| 102.192 | 102.192 | 194.669 | -0.000 | 0.000 | -0.000 |
| 12.063 | 12.063 | 11.564 | 66.411 | -0.000 | -0.000 |
| 12.063 | 12.063 | 11.564 | 0.000 | 66.411 | -0.000 |
| 12.047 | 12.047 | 11.548 | 0.000 | -0.000 | 61.226 |
| 182.421 | 87.053 | 102.267 | -0.000 | -0.000 | -0.000 |
| 87.053 | 182.421 | 102.267 | -0.000 | 0.000 | -0.000 |
| 102.192 | 102.192 | 194.669 | 0.000 | 0.000 | 0.000 |
| -12.063 | -12.063 | -11.564 | 66.411 | 0.000 | -0.000 |
| -12.063 | -12.063 | -11.564 | 0.000 | 66.411 | -0.000 |
| -12.047 | -12.047 | -11.548 | 0.000 | 0.000 | 61.226 |
| 182.421 | 87.053 | 102.267 | -0.000 | 0.000 | -0.000 |
| 87.053 | 182.421 | 102.267 | -0.000 | 0.000 | -0.000 |
| 102.192 | 102.192 | 194.669 | -0.000 | -0.000 | -0.000 |
| 1.296 | 1.296 | 1.243 | 66.257 | 0.000 | 0.000 |
| 1.296 | 1.296 | 1.243 | -0.000 | 66.257 | -0.000 |
| 0.000 | 0.000 | -0.000 | 0.000 | 0.000 | 61.226 |
| 173.441 | 90.919 | 99.906 | 0.000 | -0.000 | 0.000 |
| 90.919 | 173.441 | 99.906 | 0.000 | 0.000 | 0.000 |
| 99.862 | 99.862 | 192.475 | -0.000 | -0.000 | 0.000 |
| -1.296 | -1.296 | -1.243 | 66.257 | 0.000 | 0.000 |
| -1.296 | -1.296 | -1.243 | 0.000 | 66.257 | 0.000 |
| -0.000 | -0.000 | 0.000 | 0.000 | -0.000 | 61.226 |
| 174.615 | 92.295 | 101.129 | -0.000 | -0.000 | -0.000 |
| 92.295 | 174.615 | 101.129 | -0.000 | -0.000 | -0.000 |
| 100.985 | 100.985 | 193.511 | -0.000 | -0.000 | -0.000 |
| 0.187 | 0.187 | 0.188 | 65.482 | -0.000 | 0.000 |
| 0.187 | 0.187 | 0.188 | -0.000 | 65.482 | 0.000 |
| 0.121 | 0.121 | 0.115 | -0.000 | -0.000 | 61.226 |
| 173.815 | 92.402 | 100.723 | 0.000 | -0.000 | 0.000 |
| 92.402 | 173.815 | 100.723 | -0.000 | 0.000 | 0.000 |
| 101.023 | 101.023 | 193.584 | 0.000 | 0.000 | 0.000 |
| -0.187 | -0.187 | -0.188 | 65.482 | -0.000 | 0.000 |
| -0.187 | -0.187 | -0.188 | 0.000 | 65.482 | -0.000 |
| -0.121 | -0.121 | -0.115 | 0.000 | 0.000 | 61.226 |
| 73.956 | 89.171 | 89.171 | 0.000 | 0.000 | 0.000 |
| 89.171 | 73.956 | 89.171 | 0.000 | 0.000 | 0.000 |
| 89.171 | 89.171 | 73.956 | 0.000 | 0.000 | 0.000 |
| 0.000 | 0.000 | 0.000 | -5.895 | 0.000 | 0.000 |
| -0.000 | 0.000 | 0.000 | 0.000 | -5.895 | 0.000 |
| 0.000 | 0.000 | 0.000 | 0.000 | -0.000 | -5.895 |
| 73.956 | 89.171 | 89.171 | -0.000 | 0.000 | -0.000 |
| 89.171 | 73.956 | 89.171 | -0.000 | 0.000 | -0.000 |
| 89.171 | 89.171 | 73.956 | 0.000 | 0.000 | -0.000 |
| -0.000 | -0.000 | -0.000 | -5.895 | -0.000 | -0.000 |
| -0.000 | 0.000 | -0.000 | -0.000 | -5.895 | -0.000 |
| -0.000 | -0.000 | -0.000 | -0.000 | 0.000 | -5.895 |
| 73.956 | 89.171 | 89.171 | 0.000 | -0.000 | -0.000 |
| 89.171 | 73.956 | 89.171 | 0.000 | 0.000 | 0.000 |
| 89.171 | 89.171 | 73.956 | 0.000 | 0.000 | 0.000 |
| -0.000 | -0.000 | -0.000 | -5.895 | -0.000 | 0.000 |
| -0.000 | -0.000 | -0.000 | 0.000 | -5.895 | 0.000 |
| -0.000 | -0.000 | 0.000 | 0.000 | -0.000 | -5.895 |
| 73.956 | 89.171 | 89.171 | -0.000 | -0.000 | 0.000 |
| 89.171 | 73.956 | 89.171 | -0.000 | -0.000 | -0.000 |
| 89.171 | 89.171 | 73.956 | -0.000 | 0.000 | -0.000 |
| 0.000 | 0.000 | 0.000 | -5.895 | -0.000 | -0.000 |
| 0.000 | 0.000 | 0.000 | -0.000 | -5.895 | -0.000 |
| 0.000 | 0.000 | -0.000 | -0.000 | 0.000 | -5.895 |
| 73.956 | 89.171 | 89.171 | 0.000 | 0.000 | 0.000 |
| 89.171 | 73.956 | 89.171 | 0.000 | 0.000 | -0.000 |
| 89.171 | 89.171 | 73.956 | 0.000 | -0.000 | 0.000 |
| -0.000 | -0.000 | -0.000 | -5.895 | -0.000 | 0.000 |
| -0.000 | -0.000 | -0.000 | 0.000 | -5.895 | 0.000 |
| -0.000 | -0.000 | -0.000 | 0.000 | 0.000 | -5.895 |
| 73.955 | 89.171 | 89.171 | -0.000 | -0.000 | -0.000 |
| 89.171 | 73.955 | 89.171 | -0.000 | -0.000 | 0.000 |
| 89.171 | 89.171 | 73.955 | -0.000 | 0.000 | -0.000 |
| 0.000 | 0.000 | 0.000 | -5.895 | 0.000 | 0.000 |
| 0.000 | 0.000 | 0.000 | -0.000 | -5.895 | -0.000 |
| 0.000 | 0.000 | 0.000 | -0.000 | 0.000 | -5.895 |
| 179.991 | 85.006 | 105.160 | 0.000 | -0.000 | -0.000 |
| 84.142 | 182.721 | 96.207 | -0.000 | -0.000 | -0.000 |
| 103.373 | 96.119 | 200.648 | -0.000 | -0.000 | -0.000 |
| -0.564 | 1.400 | 1.694 | 64.894 | -0.000 | -0.000 |
| -0.740 | 1.836 | 2.222 | -0.000 | 69.678 | -0.000 |
| -0.339 | 0.842 | 1.019 | -0.000 | -0.000 | 61.405 |
| 181.183 | 82.984 | 102.601 | 0.000 | -0.000 | 0.000 |
| 84.142 | 182.721 | 96.207 | 0.000 | 0.000 | 0.000 |
| 106.518 | 84.478 | 187.021 | 0.000 | 0.000 | 0.000 |
| 0.564 | -1.400 | -1.694 | 64.894 | 0.000 | 0.000 |
| 0.740 | -1.836 | -2.222 | 0.000 | 69.678 | 0.000 |
| 0.339 | -0.842 | -1.019 | 0.000 | 0.000 | 61.405 |
| 182.261 | 83.262 | 102.582 | -0.000 | -0.000 | -0.000 |
| 84.142 | 182.721 | 96.207 | -0.000 | -0.000 | -0.000 |
| 103.373 | 96.119 | 200.648 | -0.000 | -0.000 | -0.000 |
| -0.064 | 0.200 | 0.238 | 64.527 | -0.000 | -0.000 |
| -0.074 | 0.184 | 0.222 | -0.000 | 69.678 | -0.000 |
| -0.030 | 0.075 | 0.091 | -0.000 | -0.000 | 61.511 |
| 182.261 | 83.262 | 102.581 | 0.000 | 0.000 | 0.000 |
| 85.399 | 174.441 | 86.807 | 0.000 | 0.000 | 0.000 |
| 103.373 | 96.119 | 200.648 | 0.000 | 0.000 | 0.000 |
| 0.064 | -0.200 | -0.238 | 64.527 | 0.000 | 0.000 |
| 0.074 | -0.184 | -0.222 | 0.000 | 69.678 | 0.000 |
| 0.030 | -0.075 | -0.091 | 0.000 | 0.000 | 61.511 |
| 182.262 | 83.263 | 102.582 | -0.000 | -0.000 | -0.000 |
| 84.142 | 182.722 | 96.207 | -0.000 | -0.000 | -0.000 |
| 103.373 | 96.119 | 200.648 | -0.000 | -0.000 | -0.000 |
| -0.005 | 0.014 | 0.017 | 64.979 | -0.000 | -0.000 |
| -0.007 | 0.018 | 0.022 | -0.000 | 69.678 | -0.000 |
| 0.000 | 0.000 | -0.000 | -0.000 | -0.000 | 62.346 |
| 182.261 | 83.262 | 102.581 | 0.000 | 0.000 | 0.000 |
| 86.007 | 174.353 | 86.529 | 0.000 | 0.000 | 0.000 |
| 105.935 | 86.445 | 189.339 | 0.000 | 0.000 | 0.000 |
| 0.005 | -0.014 | -0.017 | 64.979 | 0.000 | 0.000 |
| 0.007 | -0.018 | -0.022 | 0.000 | 69.678 | 0.000 |
| -0.000 | -0.000 | 0.000 | 0.000 | 0.000 | 62.346 |
| 194.808 | 110.451 | 98.077 | -0.000 | -0.000 | -0.000 |
| 110.451 | 194.808 | 98.077 | -0.000 | -0.000 | -0.000 |
| 96.513 | 96.513 | 191.101 | 0.000 | -0.000 | -0.000 |
| 0.891 | 0.891 | 4.759 | 65.907 | -0.000 | -0.000 |
| 0.891 | 0.891 | 4.759 | -0.000 | 65.907 | -0.000 |
| 0.912 | 0.912 | 4.873 | -0.000 | -0.000 | 70.910 |
| 192.881 | 108.592 | 87.720 | 0.000 | 0.000 | 0.000 |
| 108.592 | 192.881 | 87.720 | 0.000 | 0.000 | -0.000 |
| 92.168 | 92.168 | 179.506 | -0.000 | 0.000 | 0.000 |
| -0.891 | -0.891 | -4.759 | 65.907 | 0.000 | 0.000 |
| -0.891 | -0.891 | -4.759 | -0.000 | 65.907 | 0.000 |
| -0.912 | -0.912 | -4.873 | 0.000 | 0.000 | 70.910 |
| 199.691 | 107.829 | 96.513 | -0.000 | -0.000 | -0.000 |
| 107.829 | 199.691 | 96.513 | -0.000 | -0.000 | -0.000 |
| 96.513 | 96.513 | 191.101 | 0.000 | 0.000 | -0.000 |
| -0.000 | 0.000 | 0.000 | 68.481 | 0.000 | -0.000 |
| 0.000 | -0.000 | 0.000 | -0.000 | 68.481 | -0.000 |
| 0.091 | 0.091 | 0.487 | -0.000 | -0.000 | 70.910 |
| 199.691 | 107.829 | 96.513 | -0.000 | 0.000 | 0.000 |
| 107.829 | 199.691 | 96.513 | 0.000 | -0.000 | 0.000 |
| 96.513 | 96.513 | 191.101 | 0.000 | 0.000 | 0.000 |
| 0.000 | -0.000 | -0.000 | 68.481 | 0.000 | 0.000 |
| -0.000 | 0.000 | -0.000 | 0.000 | 68.481 | 0.000 |
| -0.091 | -0.091 | -0.487 | 0.000 | 0.000 | 70.910 |
| 199.692 | 107.830 | 96.513 | 0.000 | -0.000 | -0.000 |
| 107.830 | 199.692 | 96.513 | 0.000 | 0.000 | -0.000 |
| 92.557 | 92.557 | 183.102 | -0.000 | -0.000 | -0.000 |
| -0.000 | 0.000 | 0.000 | 68.481 | -0.000 | -0.000 |
| 0.000 | -0.000 | 0.000 | -0.000 | 68.481 | -0.000 |
| 0.009 | 0.009 | 0.049 | -0.000 | -0.000 | 70.910 |
| 194.215 | 109.451 | 93.410 | -0.000 | 0.000 | 0.000 |
| 109.451 | 194.215 | 93.410 | 0.000 | 0.000 | 0.000 |
| 92.473 | 92.473 | 183.283 | -0.000 | 0.000 | 0.000 |
| 0.000 | -0.000 | -0.000 | 68.481 | 0.000 | 0.000 |
| -0.000 | 0.000 | -0.000 | -0.000 | 68.481 | 0.000 |
| -0.009 | -0.009 | -0.049 | 0.000 | -0.000 | 70.910 |
| 184.321 | 105.136 | 85.551 | -0.000 | 0.000 | 0.000 |
| 105.136 | 184.321 | 85.551 | -0.000 | 0.000 | 0.000 |
| 89.736 | 89.736 | 182.326 | -0.000 | 0.000 | 0.000 |
| 0.000 | 0.000 | 0.000 | 64.932 | 0.000 | 0.000 |
| 0.000 | 0.000 | 0.000 | -0.000 | 64.932 | 0.000 |
| 0.000 | 0.000 | 0.000 | -0.000 | 0.000 | 69.142 |
| 190.266 | 103.076 | 89.198 | 0.000 | -0.000 | -0.000 |
| 103.076 | 190.266 | 89.198 | -0.000 | -0.000 | -0.000 |
| 89.736 | 89.736 | 182.326 | 0.000 | -0.000 | -0.000 |
| -0.000 | -0.000 | -0.000 | 64.932 | -0.000 | -0.000 |
| -0.000 | -0.000 | -0.000 | 0.000 | 64.932 | -0.000 |
| -0.000 | -0.000 | -0.000 | -0.000 | -0.000 | 69.142 |
| 185.119 | 104.702 | 86.228 | -0.000 | 0.000 | 0.000 |
| 104.702 | 185.119 | 86.228 | 0.000 | 0.000 | 0.000 |
| 85.822 | 85.822 | 173.846 | -0.000 | 0.000 | 0.000 |
| 0.006 | 0.006 | 0.009 | 63.268 | 0.000 | 0.000 |
| 0.006 | 0.006 | 0.009 | -0.000 | 63.268 | 0.000 |
| 0.000 | 0.000 | -0.000 | 0.000 | 0.000 | 69.142 |
| 190.266 | 103.076 | 89.198 | 0.000 | -0.000 | -0.000 |
| 103.076 | 190.266 | 89.198 | 0.000 | -0.000 | -0.000 |
| 85.731 | 85.731 | 174.088 | 0.000 | -0.000 | -0.000 |
| -0.006 | -0.006 | -0.009 | 63.268 | -0.000 | -0.000 |
| -0.006 | -0.006 | -0.009 | -0.000 | 63.268 | -0.000 |
| -0.000 | -0.000 | 0.000 | 0.000 | -0.000 | 69.142 |
| 190.267 | 103.077 | 89.198 | -0.000 | 0.000 | 0.000 |
| 103.077 | 190.267 | 89.198 | -0.000 | 0.000 | 0.000 |
| 85.740 | 85.740 | 174.101 | -0.000 | 0.000 | 0.000 |
| 0.001 | 0.001 | 0.001 | 63.269 | 0.000 | 0.000 |
| 0.001 | 0.001 | 0.001 | -0.000 | 63.269 | 0.000 |
| 0.000 | 0.000 | -0.000 | -0.000 | 0.000 | 69.142 |
| 190.266 | 103.076 | 89.197 | 0.000 | -0.000 | -0.000 |
| 103.076 | 190.266 | 89.197 | 0.000 | -0.000 | -0.000 |
| 85.738 | 85.738 | 174.098 | 0.000 | -0.000 | 0.000 |
| -0.001 | -0.001 | -0.001 | 63.269 | -0.000 | -0.000 |
| -0.001 | -0.001 | -0.001 | 0.000 | 63.269 | -0.000 |
| -0.000 | -0.000 | 0.000 | 0.000 | -0.000 | 69.142 |
| 10.717 | 78.106 | 53.768 | -0.000 | -0.000 | -0.000 |
| 78.106 | 10.717 | 53.768 | 0.000 | 0.000 | -0.000 |
| 51.117 | 51.117 | 135.687 | -0.000 | 0.000 | -0.000 |
| -0.000 | -0.000 | 0.000 | -57.914 | 0.000 | -0.000 |
| -0.000 | -0.000 | 0.000 | -0.000 | -57.914 | -0.000 |
| -0.000 | -0.000 | 0.000 | -0.000 | -0.000 | 33.600 |
| 10.717 | 78.106 | 53.768 | 0.000 | -0.000 | 0.000 |
| 78.106 | 10.717 | 53.768 | 0.000 | 0.000 | 0.000 |
| 51.117 | 51.117 | 135.687 | -0.000 | -0.000 | 0.000 |
| 0.000 | 0.000 | -0.000 | -57.914 | 0.000 | 0.000 |
| 0.000 | 0.000 | -0.000 | -0.000 | -57.914 | 0.000 |
| 0.000 | 0.000 | -0.000 | 0.000 | -0.000 | 33.600 |
| -18619340.041 | -643431.320 | -32414797.637 | 153720.618 | 194068.133 | -66171.345 |
| -1233965.051 | -18719161.732 | -33158343.999 | 147918.624 | -23253.154 | 73032.724 |
| 51.117 | 51.117 | 135.687 | -0.000 | -0.000 | -0.000 |
| -0.000 | -0.000 | -0.000 | -57.914 | 0.000 | -0.000 |
| -0.000 | -0.000 | -0.000 | -0.000 | -57.914 | -0.000 |
| 0.000 | 0.000 | 0.000 | -0.000 | 0.000 | 33.600 |
| 1.835 | 85.185 | 58.411 | 0.000 | 0.000 | 0.000 |
| 85.185 | 1.835 | 58.411 | 0.000 | 0.000 | 0.000 |
| 44.785 | 44.785 | 168.321 | 0.000 | -0.000 | 0.000 |
| 0.000 | 0.000 | 0.000 | -57.914 | -0.000 | 0.000 |
| 0.000 | 0.000 | 0.000 | 0.000 | -57.914 | 0.000 |
| -0.000 | -0.000 | -0.000 | -0.000 | -0.000 | 33.600 |
| 10.717 | 78.106 | 53.768 | -0.000 | 0.000 | -0.000 |
| 78.106 | 10.717 | 53.768 | -0.000 | -0.000 | -0.000 |
| 51.117 | 51.117 | 135.687 | -0.000 | -0.000 | -0.000 |
| -0.000 | -0.000 | -0.000 | -57.914 | 0.000 | -0.000 |
| -0.000 | -0.000 | -0.000 | 0.000 | -57.914 | -0.000 |
| 0.000 | 0.000 | 0.000 | 0.000 | 0.000 | 33.600 |
| 10.717 | 78.106 | 53.768 | -0.000 | -0.000 | 0.000 |
| 78.106 | 10.717 | 53.768 | -0.000 | -0.000 | 0.000 |
| 51.117 | 51.117 | 135.687 | 0.000 | 0.000 | 0.000 |
| 0.000 | 0.000 | 0.000 | -57.914 | 0.000 | 0.000 |
| 0.000 | 0.000 | 0.000 | 0.000 | -57.914 | 0.000 |
| -0.000 | -0.000 | -0.000 | 0.000 | 0.000 | 33.600 |
| 182.730 | 83.575 | 103.107 | -0.000 | 0.000 | 0.000 |
| 86.782 | 175.232 | 87.140 | 0.000 | -0.000 | 0.000 |
| 103.930 | 96.280 | 201.190 | -0.000 | -0.000 | 0.000 |
| -0.000 | 0.000 | 0.000 | 67.799 | 0.000 | 0.000 |
| 0.422 | 0.300 | 0.199 | 0.000 | 70.008 | 0.000 |
| -0.000 | 0.000 | 0.000 | -0.000 | 0.000 | 62.541 |
| 182.730 | 83.575 | 103.107 | -0.000 | -0.000 | -0.000 |
| 86.024 | 174.280 | 86.334 | -0.000 | 0.000 | -0.000 |
| 103.930 | 96.280 | 201.190 | 0.000 | 0.000 | -0.000 |
| 0.000 | -0.000 | -0.000 | 67.799 | 0.000 | -0.000 |
| -0.422 | -0.300 | -0.199 | -0.000 | 70.008 | -0.000 |
| 0.000 | -0.000 | -0.000 | -0.000 | 0.000 | 62.541 |
| 182.730 | 83.575 | 103.107 | -0.000 | -0.000 | 0.000 |
| 85.813 | 175.019 | 87.200 | 0.000 | 0.000 | 0.000 |
| 103.930 | 96.280 | 201.190 | -0.000 | -0.000 | 0.000 |
| -0.000 | 0.000 | 0.000 | 67.799 | -0.000 | 0.000 |
| 0.000 | -0.000 | 0.000 | -0.000 | 70.008 | 0.000 |
| 0.000 | 0.000 | -0.000 | 0.000 | 0.000 | 62.541 |
| 182.730 | 83.575 | 103.107 | 0.000 | -0.000 | -0.000 |
| 84.525 | 183.139 | 96.407 | 0.000 | -0.000 | -0.000 |
| 106.455 | 86.561 | 189.873 | -0.000 | -0.000 | -0.000 |
| 0.000 | -0.000 | -0.000 | 67.799 | 0.000 | -0.000 |
| -0.000 | 0.000 | -0.000 | 0.000 | 70.008 | -0.000 |
| -0.000 | -0.000 | 0.000 | 0.000 | -0.000 | 62.541 |
| 182.730 | 83.575 | 103.107 | -0.000 | -0.000 | 0.000 |
| 86.394 | 174.756 | 86.739 | 0.000 | 0.000 | 0.000 |
| 106.312 | 86.586 | 189.943 | -0.000 | -0.000 | 0.000 |
| -0.000 | 0.000 | 0.000 | 67.799 | 0.000 | 0.000 |
| 0.004 | 0.003 | 0.002 | -0.000 | 70.008 | 0.000 |
| 0.004 | 0.003 | 0.002 | 0.000 | -0.000 | 61.706 |
| 180.945 | 85.435 | 105.664 | -0.000 | 0.000 | -0.000 |
| 85.694 | 175.045 | 87.264 | 0.000 | 0.000 | -0.000 |
| 103.929 | 96.280 | 201.189 | 0.000 | 0.000 | -0.000 |
| 0.000 | -0.000 | -0.000 | 67.799 | 0.000 | -0.000 |
| -0.004 | -0.003 | -0.002 | -0.000 | 70.008 | -0.000 |
| -0.004 | -0.003 | -0.002 | -0.000 | 0.000 | 61.706 |
| 188.817 | 88.048 | 109.172 | -0.000 | -0.000 | -0.000 |
| 88.637 | 183.546 | 96.464 | 0.000 | -0.000 | -0.000 |
| 110.575 | 95.834 | 195.906 | 0.000 | -0.000 | -0.000 |
| 0.000 | -0.000 | -0.000 | 70.486 | -0.000 | -0.000 |
| 0.000 | -0.000 | -0.000 | 0.000 | 70.953 | -0.000 |
| 0.000 | -0.000 | -0.000 | 0.000 | -0.000 | 62.656 |
| 188.817 | 88.048 | 109.172 | 0.000 | 0.000 | 0.000 |
| 88.637 | 183.546 | 96.465 | -0.000 | 0.000 | 0.000 |
| 110.575 | 95.834 | 195.906 | 0.000 | 0.000 | 0.000 |
| -0.000 | 0.000 | 0.000 | 70.486 | 0.000 | 0.000 |
| -0.000 | 0.000 | 0.000 | -0.000 | 70.953 | 0.000 |
| -0.000 | 0.000 | 0.000 | -0.000 | 0.000 | 62.656 |
| 190.466 | 87.449 | 107.918 | -0.000 | -0.000 | 0.000 |
| 88.637 | 183.546 | 96.465 | 0.000 | -0.000 | -0.000 |
| 110.575 | 95.834 | 195.906 | -0.000 | -0.000 | -0.000 |
| 0.000 | -0.000 | 0.000 | 70.055 | -0.000 | -0.000 |
| 0.000 | -0.000 | 0.000 | 0.000 | 70.953 | -0.000 |
| 0.000 | 0.000 | -0.000 | 0.000 | -0.000 | 62.656 |
| 190.466 | 87.449 | 107.918 | 0.000 | 0.000 | 0.000 |
| 88.637 | 183.546 | 96.464 | -0.000 | 0.000 | 0.000 |
| 107.918 | 105.693 | 208.432 | 0.000 | 0.000 | 0.000 |
| -0.000 | 0.000 | -0.000 | 70.055 | 0.000 | 0.000 |
| -0.000 | 0.000 | -0.000 | -0.000 | 70.953 | 0.000 |
| -0.000 | -0.000 | 0.000 | -0.000 | 0.000 | 62.656 |
| 190.467 | 87.449 | 107.918 | -0.000 | -0.000 | -0.000 |
| 88.637 | 183.547 | 96.465 | 0.000 | -0.000 | -0.000 |
| 107.918 | 105.694 | 208.432 | 0.000 | -0.000 | -0.000 |
| -0.000 | 0.000 | 0.000 | 70.055 | -0.000 | -0.000 |
| 0.000 | -0.000 | 0.000 | 0.000 | 70.953 | -0.000 |
| 0.000 | 0.000 | -0.000 | -0.000 | -0.000 | 62.646 |
| 190.466 | 87.449 | 107.917 | 0.000 | 0.000 | 0.000 |
| 89.355 | 183.240 | 95.864 | 0.000 | 0.000 | 0.000 |
| 110.574 | 95.834 | 195.906 | -0.000 | 0.000 | 0.000 |
| 0.000 | -0.000 | -0.000 | 70.055 | 0.000 | 0.000 |
| -0.000 | 0.000 | -0.000 | -0.000 | 70.953 | 0.000 |
| -0.000 | -0.000 | 0.000 | 0.000 | 0.000 | 62.646 |
| 190.683 | 103.541 | 89.424 | 0.000 | -0.000 | 0.000 |
| 103.541 | 190.683 | 89.424 | -0.000 | -0.000 | -0.000 |
| 85.960 | 85.960 | 174.361 | -0.000 | -0.000 | -0.000 |
| -0.018 | -0.018 | -0.042 | 63.384 | -0.000 | -0.000 |
| -0.018 | -0.018 | -0.042 | 0.000 | 63.384 | -0.000 |
| 0.000 | 0.000 | 0.000 | 0.000 | -0.000 | 69.397 |
| 190.683 | 103.541 | 89.424 | -0.000 | -0.000 | -0.000 |
| 103.541 | 190.683 | 89.424 | -0.000 | 0.000 | -0.000 |
| 86.040 | 86.040 | 174.549 | -0.000 | 0.000 | 0.000 |
| 0.018 | 0.018 | 0.042 | 63.384 | 0.000 | -0.000 |
| 0.018 | 0.018 | 0.042 | -0.000 | 63.384 | 0.000 |
| -0.000 | -0.000 | -0.000 | -0.000 | 0.000 | 69.397 |
| 185.516 | 105.167 | 86.434 | -0.000 | -0.000 | -0.000 |
| 105.167 | 185.516 | 86.434 | 0.000 | -0.000 | -0.000 |
| 85.996 | 85.996 | 174.446 | 0.000 | -0.000 | -0.000 |
| -0.000 | 0.000 | 0.000 | 65.046 | -0.000 | 0.000 |
| 0.000 | -0.000 | 0.000 | 0.000 | 65.046 | -0.000 |
| 0.000 | 0.000 | -0.000 | -0.000 | -0.000 | 69.397 |
| 185.524 | 105.170 | 86.448 | -0.000 | 0.000 | -0.000 |
| 105.170 | 185.524 | 86.448 | -0.000 | 0.000 | 0.000 |
| 86.004 | 86.004 | 174.464 | 0.000 | 0.000 | 0.000 |
| 0.000 | -0.000 | -0.000 | 65.046 | 0.000 | 0.000 |
| -0.000 | 0.000 | -0.000 | -0.000 | 65.046 | 0.000 |
| -0.000 | -0.000 | 0.000 | -0.000 | 0.000 | 69.397 |
| 185.520 | 105.169 | 86.440 | -0.000 | 0.000 | -0.000 |
| 105.169 | 185.520 | 86.440 | 0.000 | -0.000 | -0.000 |
| 86.000 | 86.000 | 174.455 | -0.000 | -0.000 | -0.000 |
| -0.000 | 0.000 | 0.000 | 65.046 | -0.000 | 0.000 |
| 0.000 | -0.000 | 0.000 | 0.000 | 65.046 | -0.000 |
| 0.000 | 0.000 | -0.000 | 0.000 | 0.000 | 69.397 |
| 190.683 | 103.540 | 89.424 | 0.000 | 0.000 | -0.000 |
| 103.540 | 190.683 | 89.424 | 0.000 | -0.000 | -0.000 |
| 86.000 | 86.000 | 174.456 | -0.000 | 0.000 | 0.000 |
| 0.000 | -0.000 | -0.000 | 65.046 | 0.000 | -0.000 |
| -0.000 | 0.000 | -0.000 | -0.000 | 65.046 | -0.000 |
| -0.000 | -0.000 | 0.000 | -0.000 | -0.000 | 69.397 |
| 152.415 | 64.865 | 68.903 | 1.031 | 0.000 | 0.000 |
| 78.403 | 160.190 | 85.787 | -0.961 | -0.000 | 0.000 |
| 68.904 | 68.904 | 240.874 | -0.000 | 0.000 | 0.000 |
| 12.174 | 10.250 | 17.029 | 55.505 | 0.000 | 0.000 |
| -0.000 | -0.000 | -0.000 | -0.000 | 57.691 | 1.031 |
| 11.239 | 11.239 | 17.071 | 0.000 | 0.962 | 40.905 |
| 152.415 | 64.865 | 68.903 | 1.031 | 0.000 | -0.000 |
| 55.900 | 137.729 | 51.635 | -0.962 | -0.000 | -0.000 |
| 68.904 | 68.904 | 240.874 | -0.000 | 0.000 | -0.000 |
| -10.250 | -12.174 | -17.029 | 55.505 | 0.000 | -0.000 |
| -0.000 | 0.000 | -0.000 | 0.000 | 57.691 | 1.031 |
| -11.239 | -11.239 | -17.071 | -0.000 | 0.962 | 40.905 |
| 152.415 | 64.866 | 68.903 | 1.031 | 0.000 | 0.000 |
| 64.866 | 152.415 | 68.903 | -1.031 | 0.000 | 0.000 |
| 70.417 | 70.417 | 231.298 | -0.000 | 0.000 | 0.000 |
| 2.364 | 0.477 | 2.157 | 54.921 | 0.000 | 0.000 |
| 1.420 | 1.420 | 2.157 | -0.000 | 54.921 | 0.943 |
| 0.000 | -0.000 | 0.000 | 0.000 | 1.031 | 43.775 |
| 152.415 | 64.865 | 68.903 | 1.031 | 0.000 | -0.000 |
| 64.865 | 152.415 | 68.903 | -1.031 | -0.000 | -0.000 |
| 68.904 | 68.904 | 240.874 | 0.000 | 0.000 | -0.000 |
| 1.031 | -1.031 | -0.000 | 57.691 | -0.000 | -0.000 |
| -1.420 | -1.420 | -2.157 | 0.000 | 54.921 | 0.943 |
| -0.000 | 0.000 | -0.000 | -0.000 | 1.031 | 43.775 |
| 146.226 | 69.175 | 68.748 | 0.904 | 0.000 | 0.000 |
| 64.866 | 152.415 | 68.904 | -1.031 | -0.000 | 0.000 |
| 69.016 | 69.016 | 227.687 | -0.000 | 0.000 | 0.000 |
| 1.031 | -1.031 | 0.000 | 57.691 | -0.000 | 0.000 |
| 0.195 | 0.195 | 0.297 | -0.000 | 53.886 | 0.911 |
| 0.000 | -0.000 | 0.000 | 0.000 | 1.031 | 43.775 |
| 139.474 | 77.552 | 69.635 | 2.670 | -0.000 | -0.000 |
| 68.384 | 146.456 | 68.199 | -0.917 | -0.000 | -0.000 |
| 68.251 | 68.251 | 227.811 | 0.000 | -0.000 | -0.000 |
| 0.716 | -1.106 | -0.297 | 53.886 | 0.000 | -0.000 |
| -0.195 | -0.195 | -0.297 | 0.000 | 53.886 | 0.911 |
| -0.000 | 0.000 | -0.000 | -0.000 | 1.031 | 43.775 |
| 143.414 | 81.868 | 100.565 | 5.226 | 0.000 | 0.000 |
| 63.932 | 151.057 | 67.549 | -1.023 | 0.000 | 0.000 |
| 67.598 | 67.598 | 238.632 | -0.000 | 0.000 | 0.000 |
| 1.023 | -1.023 | -0.000 | 57.296 | -0.000 | 0.000 |
| 7.334 | 7.334 | 22.310 | 0.000 | 54.879 | 0.956 |
| 0.000 | 0.000 | -0.000 | -0.000 | 1.023 | 43.563 |
| 151.057 | 63.932 | 67.549 | 1.023 | -0.000 | -0.000 |
| 63.932 | 151.057 | 67.549 | -1.023 | -0.000 | 0.000 |
| 67.598 | 67.598 | 238.632 | -0.000 | 0.000 | 0.000 |
| -6.378 | -8.290 | -22.310 | 54.879 | -0.000 | 0.000 |
| -7.334 | -7.334 | -22.310 | -0.000 | 54.879 | 0.956 |
| -0.000 | -0.000 | 0.000 | -0.000 | 1.023 | 43.563 |
| 145.306 | 69.685 | 71.159 | 0.901 | 0.000 | 0.000 |
| 63.932 | 151.057 | 67.549 | -1.023 | 0.000 | -0.000 |
| 68.232 | 68.232 | 228.428 | 0.000 | -0.000 | -0.000 |
| 1.023 | -1.023 | 0.000 | 57.296 | 0.000 | 0.000 |
| -0.000 | 0.000 | 0.000 | -0.000 | 57.296 | 1.023 |
| 0.000 | -0.000 | 0.000 | 0.000 | 1.023 | 43.563 |
| 151.057 | 63.932 | 67.549 | 1.023 | -0.000 | 0.000 |
| 65.932 | 145.579 | 64.603 | -0.944 | 0.000 | 0.000 |
| 67.076 | 67.076 | 221.974 | -0.000 | -0.000 | 0.000 |
| 1.023 | -1.023 | -0.000 | 57.296 | -0.000 | -0.000 |
| 0.000 | -0.000 | -0.000 | 0.000 | 57.296 | 1.023 |
| -0.000 | 0.000 | -0.000 | -0.000 | 1.023 | 43.563 |
| 151.057 | 63.932 | 67.550 | 1.023 | 0.000 | 0.000 |
| 67.869 | 145.037 | 67.503 | -0.918 | 0.000 | -0.000 |
| 67.308 | 67.308 | 225.748 | 0.000 | -0.000 | -0.000 |
| 1.023 | -1.023 | 0.000 | 57.296 | 0.000 | 0.000 |
| 0.113 | 0.113 | 0.344 | -0.000 | 53.569 | 0.920 |
| 0.000 | -0.000 | 0.000 | 0.000 | 1.023 | 43.563 |
| 151.057 | 63.931 | 67.549 | 1.023 | 0.000 | 0.000 |
| 63.931 | 151.057 | 67.549 | -1.023 | 0.000 | 0.000 |
| 67.598 | 67.598 | 238.631 | -0.000 | 0.000 | -0.000 |
| 1.023 | -1.023 | -0.000 | 57.296 | -0.000 | 0.000 |
| -0.113 | -0.113 | -0.344 | 0.000 | 53.569 | 0.920 |
| -0.000 | 0.000 | -0.000 | -0.000 | 1.023 | 43.563 |
| 216.393 | 72.687 | 72.687 | -0.000 | 0.000 | 0.000 |
| 72.687 | 216.393 | 72.687 | -0.000 | 0.000 | 0.000 |
| 72.687 | 72.687 | 216.393 | 0.000 | 0.000 | 0.000 |
| 0.000 | 0.000 | -0.000 | -13.168 | 0.000 | 0.000 |
| 0.000 | 0.000 | -0.000 | 0.000 | -13.168 | 0.000 |
| 0.000 | -0.000 | 0.000 | 0.000 | 0.000 | -13.168 |
| 216.393 | 72.687 | 72.687 | -0.000 | -0.000 | -0.000 |
| 72.687 | 216.393 | 72.687 | -0.000 | -0.000 | -0.000 |
| 72.687 | 72.687 | 216.393 | 0.000 | -0.000 | -0.000 |
| -0.000 | 0.000 | 0.000 | -13.168 | -0.000 | 0.000 |
| -0.000 | -0.000 | 0.000 | 0.000 | -13.168 | -0.000 |
| -0.000 | 0.000 | -0.000 | 0.000 | -0.000 | -13.168 |
| 216.393 | 72.687 | 72.687 | -0.000 | 0.000 | 0.000 |
| 72.687 | 216.393 | 72.687 | 0.000 | 0.000 | 0.000 |
| 72.687 | 72.687 | 216.393 | -0.000 | -0.000 | 0.000 |
| 0.000 | -0.000 | -0.000 | -13.168 | 0.000 | -0.000 |
| -0.000 | 0.000 | -0.000 | -0.000 | -13.168 | 0.000 |
| -0.000 | -0.000 | 0.000 | -0.000 | 0.000 | -13.168 |
| 220.873 | 70.447 | 70.447 | 0.000 | 0.000 | -0.000 |
| 70.447 | 220.873 | 70.447 | -0.000 | -0.000 | -0.000 |
| 70.447 | 70.447 | 220.873 | -0.000 | 0.000 | -0.000 |
| -0.000 | 0.000 | 0.000 | -13.168 | -0.000 | -0.000 |
| 0.000 | -0.000 | 0.000 | 0.000 | -13.168 | -0.000 |
| 0.000 | 0.000 | -0.000 | -0.000 | -0.000 | -13.168 |
| 216.394 | 72.687 | 72.687 | -0.000 | 0.000 | 0.000 |
| 72.687 | 216.394 | 72.687 | -0.000 | -0.000 | 0.000 |
| 72.687 | 72.687 | 216.394 | -0.000 | -0.000 | 0.000 |
| 0.000 | -0.000 | -0.000 | -13.168 | 0.000 | -0.000 |
| -0.000 | 0.000 | -0.000 | -0.000 | -13.168 | -0.000 |
| -0.000 | -0.000 | 0.000 | 0.000 | 0.000 | -13.168 |
| 216.392 | 72.687 | 72.687 | 0.000 | -0.000 | 0.000 |
| 72.687 | 216.392 | 72.687 | 0.000 | -0.000 | -0.000 |
| 72.687 | 72.687 | 216.392 | 0.000 | 0.000 | -0.000 |
| -0.000 | 0.000 | 0.000 | -13.168 | -0.000 | -0.000 |
| 0.000 | -0.000 | 0.000 | -0.000 | -13.168 | -0.000 |
| 0.000 | 0.000 | -0.000 | -0.000 | -0.000 | -13.168 |
| 1037.950 | 882.135 | 882.135 | -0.000 | 0.000 | -0.000 |
| 882.135 | 1037.950 | 882.135 | -0.000 | -0.000 | -0.000 |
| 882.135 | 882.135 | 1037.950 | 0.000 | -0.000 | -0.000 |
| -0.000 | 0.000 | 0.000 | 42.442 | -0.000 | -0.000 |
| 0.000 | -0.000 | 0.000 | -0.000 | 42.442 | -0.000 |
| 0.000 | 0.000 | -0.000 | -0.000 | -0.000 | 42.442 |
| 901.599 | 950.311 | 950.311 | 0.000 | 0.000 | 0.000 |
| 950.311 | 901.599 | 950.311 | 0.000 | 0.000 | 0.000 |
| 950.311 | 950.311 | 901.599 | 0.000 | 0.000 | 0.000 |
| 0.000 | -0.000 | -0.000 | 42.442 | 0.000 | -0.000 |
| -0.000 | 0.000 | -0.000 | 0.000 | 42.442 | 0.000 |
| -0.000 | -0.000 | 0.000 | 0.000 | 0.000 | 42.442 |
| 901.610 | 950.302 | 950.302 | -0.000 | -0.000 | -0.000 |
| 950.302 | 901.610 | 950.302 | -0.000 | -0.000 | 0.000 |
| 950.302 | 950.302 | 901.610 | -0.000 | -0.000 | -0.000 |
| -0.004 | 0.001 | 0.001 | 42.442 | -0.000 | 0.000 |
| 0.001 | -0.004 | 0.001 | -0.000 | 42.442 | -0.000 |
| 0.001 | 0.001 | -0.004 | -0.000 | -0.000 | 42.442 |
| 901.589 | 950.318 | 950.318 | 0.000 | 0.000 | 0.000 |
| 950.318 | 901.589 | 950.318 | 0.000 | 0.000 | 0.000 |
| 950.318 | 950.318 | 901.589 | 0.000 | 0.000 | 0.000 |
| 0.004 | -0.001 | -0.001 | 42.442 | -0.000 | 0.000 |
| -0.001 | 0.004 | -0.001 | 0.000 | 42.442 | -0.000 |
| -0.001 | -0.001 | 0.004 | 0.000 | 0.000 | 42.442 |
| 901.582 | 950.296 | 950.296 | -0.000 | -0.000 | -0.000 |
| 950.296 | 901.582 | 950.296 | -0.000 | 0.000 | -0.000 |
| 950.296 | 950.296 | 901.582 | -0.000 | -0.000 | -0.000 |
| -0.035 | 0.006 | 0.006 | 42.443 | -0.000 | -0.000 |
| 0.006 | -0.035 | 0.006 | -0.000 | 42.443 | -0.000 |
| 0.006 | 0.006 | -0.035 | -0.000 | -0.000 | 42.443 |
| 901.617 | 950.325 | 950.325 | 0.000 | 0.000 | 0.000 |
| 950.325 | 901.617 | 950.325 | 0.000 | 0.000 | 0.000 |
| 950.325 | 950.325 | 901.617 | 0.000 | -0.000 | 0.000 |
| 0.035 | -0.006 | -0.006 | 42.443 | 0.000 | 0.000 |
| -0.006 | 0.035 | -0.006 | 0.000 | 42.443 | 0.000 |
| -0.006 | -0.006 | 0.035 | 0.000 | 0.000 | 42.443 |
| 86.002 | 140.656 | 140.656 | 0.000 | 0.000 | -0.000 |
| 140.656 | 86.002 | 140.656 | -0.000 | 0.000 | -0.000 |
| 140.656 | 140.656 | 86.002 | -0.000 | 0.000 | -0.000 |
| 0.000 | 0.000 | 0.000 | 82.050 | -0.000 | -0.000 |
| 0.000 | 0.000 | 0.000 | 0.000 | 82.050 | -0.000 |
| 0.000 | 0.000 | 0.000 | -0.000 | -0.000 | 82.050 |
| 86.002 | 140.656 | 140.656 | -0.000 | -0.000 | 0.000 |
| 140.656 | 86.002 | 140.656 | -0.000 | -0.000 | 0.000 |
| 140.656 | 140.656 | 86.002 | -0.000 | 0.000 | 0.000 |
| -0.000 | -0.000 | -0.000 | 82.050 | -0.000 | 0.000 |
| -0.000 | -0.000 | -0.000 | -0.000 | 82.050 | 0.000 |
| -0.000 | -0.000 | -0.000 | 0.000 | 0.000 | 82.050 |
| 86.002 | 140.656 | 140.656 | 0.000 | 0.000 | -0.000 |
| 140.656 | 86.002 | 140.656 | 0.000 | -0.000 | -0.000 |
| 140.656 | 140.656 | 86.002 | 0.000 | 0.000 | -0.000 |
| 0.000 | -0.000 | 0.000 | 82.050 | -0.000 | -0.000 |
| -0.000 | 0.000 | 0.000 | -0.000 | 82.050 | -0.000 |
| -0.000 | 0.000 | 0.000 | -0.000 | -0.000 | 82.050 |
| 86.002 | 140.656 | 140.656 | 0.000 | -0.000 | 0.000 |
| 140.656 | 86.002 | 140.656 | 0.000 | -0.000 | 0.000 |
| 140.656 | 140.656 | 86.002 | 0.000 | 0.000 | 0.000 |
| -0.000 | 0.000 | -0.000 | 82.050 | -0.000 | 0.000 |
| 0.000 | -0.000 | -0.000 | -0.000 | 82.050 | 0.000 |
| 0.000 | -0.000 | -0.000 | 0.000 | 0.000 | 82.050 |
| 86.003 | 140.656 | 140.656 | 0.000 | 0.000 | -0.000 |
| 140.656 | 86.003 | 140.656 | -0.000 | 0.000 | -0.000 |
| 140.656 | 140.656 | 86.003 | 0.000 | 0.000 | 0.000 |
| 0.000 | -0.000 | 0.000 | 71.013 | 0.000 | -0.000 |
| -0.000 | 0.000 | 0.000 | -0.000 | 71.013 | -0.000 |
| -0.000 | 0.000 | 0.000 | -0.000 | -0.000 | 71.013 |
| 86.001 | 140.655 | 140.655 | 0.000 | -0.000 | 0.000 |
| 140.655 | 86.001 | 140.655 | 0.000 | -0.000 | 0.000 |
| 140.655 | 140.655 | 86.001 | 0.000 | 0.000 | 0.000 |
| -0.000 | 0.000 | -0.000 | 71.013 | 0.000 | 0.000 |
| 0.000 | -0.000 | -0.000 | 0.000 | 71.013 | 0.000 |
| 0.000 | -0.000 | -0.000 | 0.000 | -0.000 | 71.013 |
| 188.708 | 94.452 | 94.452 | -0.000 | 0.000 | 0.000 |
| 94.452 | 188.708 | 94.452 | 0.000 | -0.000 | -0.000 |
| 94.452 | 94.452 | 188.708 | -0.000 | -0.000 | -0.000 |
| -0.000 | 0.000 | 0.000 | 63.697 | 0.000 | 0.000 |
| 0.000 | -0.000 | 0.000 | -0.000 | 63.697 | 0.000 |
| 0.000 | 0.000 | 0.000 | 0.000 | 0.000 | 63.697 |
| 188.708 | 94.452 | 94.452 | 0.000 | 0.000 | 0.000 |
| 94.452 | 188.708 | 94.452 | 0.000 | 0.000 | -0.000 |
| 94.452 | 94.452 | 188.708 | 0.000 | -0.000 | 0.000 |
| 0.000 | -0.000 | -0.000 | 63.697 | -0.000 | 0.000 |
| -0.000 | 0.000 | -0.000 | 0.000 | 63.697 | -0.000 |
| -0.000 | -0.000 | -0.000 | -0.000 | 0.000 | 63.697 |
| 188.708 | 94.452 | 94.452 | -0.000 | -0.000 | 0.000 |
| 94.452 | 188.708 | 94.452 | -0.000 | -0.000 | 0.000 |
| 94.452 | 94.452 | 188.708 | -0.000 | 0.000 | -0.000 |
| -0.000 | 0.000 | 0.000 | 63.697 | 0.000 | 0.000 |
| 0.000 | -0.000 | 0.000 | -0.000 | 63.697 | 0.000 |
| 0.000 | 0.000 | -0.000 | 0.000 | 0.000 | 63.697 |
| 188.708 | 94.452 | 94.452 | 0.000 | 0.000 | -0.000 |
| 94.452 | 188.708 | 94.452 | 0.000 | 0.000 | -0.000 |
| 94.452 | 94.452 | 188.708 | 0.000 | 0.000 | -0.000 |
| 0.000 | -0.000 | -0.000 | 63.697 | -0.000 | -0.000 |
| -0.000 | 0.000 | -0.000 | 0.000 | 63.697 | -0.000 |
| -0.000 | -0.000 | 0.000 | -0.000 | 0.000 | 63.697 |
| 188.709 | 94.453 | 94.453 | -0.000 | -0.000 | 0.000 |
| 94.453 | 188.709 | 94.453 | -0.000 | -0.000 | 0.000 |
| 94.453 | 94.453 | 188.709 | -0.000 | 0.000 | 0.000 |
| -0.000 | 0.000 | 0.000 | 63.697 | -0.000 | -0.000 |
| 0.000 | -0.000 | 0.000 | -0.000 | 63.697 | 0.000 |
| 0.000 | 0.000 | -0.000 | -0.000 | -0.000 | 63.697 |
| 188.708 | 94.452 | 94.452 | 0.000 | -0.000 | 0.000 |
| 94.452 | 188.708 | 94.452 | 0.000 | 0.000 | -0.000 |
| 94.452 | 94.452 | 188.708 | 0.000 | 0.000 | -0.000 |
| 0.000 | -0.000 | -0.000 | 63.697 | 0.000 | -0.000 |
| -0.000 | 0.000 | -0.000 | -0.000 | 63.697 | 0.000 |
| -0.000 | -0.000 | 0.000 | 0.000 | -0.000 | 63.697 |
| 150.560 | 77.998 | 88.709 | 0.000 | 0.000 | 0.000 |
| 74.425 | 207.150 | 78.794 | -0.000 | 0.000 | 0.000 |
| 86.487 | 79.763 | 204.236 | 0.000 | 0.000 | 0.000 |
| -3.074 | 1.102 | 0.508 | 43.564 | 0.000 | -0.000 |
| -2.519 | 0.903 | 0.416 | 0.000 | 57.381 | 0.000 |
| -1.483 | 0.532 | 0.245 | 0.000 | 0.000 | 50.418 |
| 152.831 | 76.508 | 88.046 | -0.000 | -0.000 | -0.000 |
| 79.767 | 207.008 | 78.785 | 0.000 | 0.000 | -0.000 |
| 91.034 | 78.078 | 203.446 | -0.000 | 0.000 | -0.000 |
| 3.074 | -1.102 | -0.508 | 43.564 | -0.000 | -0.000 |
| 2.519 | -0.903 | -0.416 | -0.000 | 57.381 | -0.000 |
| 1.483 | -0.532 | -0.245 | -0.000 | -0.000 | 50.418 |
| 150.096 | 76.136 | 89.081 | 0.000 | 0.000 | 0.000 |
| 76.185 | 206.308 | 78.319 | 0.000 | 0.000 | 0.000 |
| 89.180 | 78.210 | 202.543 | 0.000 | 0.000 | 0.000 |
| -0.179 | 0.062 | 0.062 | 40.847 | -0.000 | -0.000 |
| -0.210 | 0.072 | 0.073 | 0.000 | 55.699 | 0.000 |
| -0.148 | 0.053 | 0.025 | 0.000 | 0.000 | 50.418 |
| 150.457 | 76.009 | 88.951 | -0.000 | -0.000 | 0.000 |
| 76.493 | 206.179 | 78.227 | -0.000 | -0.000 | -0.000 |
| 89.541 | 78.082 | 202.413 | -0.000 | 0.000 | -0.000 |
| 0.179 | -0.062 | -0.062 | 40.847 | -0.000 | -0.000 |
| 0.210 | -0.072 | -0.073 | -0.000 | 55.699 | -0.000 |
| 0.148 | -0.053 | -0.025 | -0.000 | -0.000 | 50.418 |
| 150.259 | 76.079 | 89.023 | 0.000 | 0.000 | 0.000 |
| 76.436 | 206.245 | 78.190 | 0.000 | 0.000 | 0.000 |
| 89.343 | 78.153 | 202.485 | 0.000 | 0.000 | 0.000 |
| -0.017 | 0.006 | 0.006 | 40.847 | 0.000 | -0.000 |
| -0.018 | 0.006 | 0.007 | 0.000 | 55.670 | 0.000 |
| -0.015 | 0.005 | 0.002 | 0.000 | 0.000 | 50.418 |
| 150.294 | 76.066 | 89.009 | -0.000 | 0.000 | -0.000 |
| 76.472 | 206.231 | 78.177 | -0.000 | -0.000 | -0.000 |
| 89.378 | 78.140 | 202.471 | -0.000 | -0.000 | -0.000 |
| 0.017 | -0.006 | -0.006 | 40.847 | 0.000 | -0.000 |
| 0.018 | -0.006 | -0.007 | -0.000 | 55.670 | -0.000 |
| 0.015 | -0.005 | -0.002 | -0.000 | 0.000 | 50.418 |
| 149.671 | 78.166 | 89.106 | -0.000 | 0.000 | -0.000 |
| 77.923 | 207.486 | 79.069 | 0.000 | 0.000 | -0.000 |
| 88.939 | 78.119 | 202.978 | 0.000 | 0.000 | 0.000 |
| -0.000 | 0.000 | -0.000 | 41.847 | 0.000 | -0.000 |
| -0.000 | 0.000 | -0.000 | 0.000 | 56.485 | 0.000 |
| -0.000 | 0.000 | -0.000 | 0.000 | 0.000 | 50.656 |
| 149.671 | 78.166 | 89.106 | 0.000 | -0.000 | 0.000 |
| 77.923 | 207.486 | 79.069 | -0.000 | -0.000 | 0.000 |
| 88.939 | 78.119 | 202.978 | -0.000 | -0.000 | 0.000 |
| 0.000 | -0.000 | 0.000 | 41.847 | -0.000 | 0.000 |
| 0.000 | -0.000 | 0.000 | 0.000 | 56.485 | 0.000 |
| 0.000 | -0.000 | 0.000 | -0.000 | -0.000 | 50.656 |
| 148.092 | 76.905 | 89.753 | 0.000 | 0.000 | 0.000 |
| 76.746 | 207.151 | 78.772 | 0.000 | 0.000 | 0.000 |
| 89.753 | 78.651 | 202.533 | 0.000 | 0.000 | 0.000 |
| 0.000 | 0.000 | -0.000 | 41.274 | 0.000 | 0.000 |
| 0.000 | -0.000 | 0.000 | 0.000 | 55.883 | 0.000 |
| -0.000 | 0.000 | -0.000 | -0.000 | 0.000 | 50.656 |
| 148.092 | 76.905 | 89.753 | -0.000 | -0.000 | -0.000 |
| 76.746 | 207.151 | 78.772 | -0.000 | -0.000 | -0.000 |
| 89.753 | 78.651 | 202.533 | -0.000 | -0.000 | -0.000 |
| -0.000 | -0.000 | 0.000 | 41.274 | -0.000 | 0.000 |
| -0.000 | 0.000 | -0.000 | -0.000 | 55.883 | -0.000 |
| 0.000 | -0.000 | 0.000 | -0.000 | -0.000 | 50.656 |
| 148.093 | 76.905 | 89.753 | 0.000 | 0.000 | 0.000 |
| 76.905 | 207.141 | 78.651 | 0.000 | 0.000 | 0.000 |
| 89.753 | 78.651 | 202.534 | 0.000 | 0.000 | 0.000 |
| -0.000 | 0.000 | 0.000 | 41.274 | 0.000 | -0.000 |
| -0.000 | 0.000 | 0.000 | -0.000 | 55.839 | -0.000 |
| -0.000 | 0.000 | 0.000 | 0.000 | 0.000 | 50.656 |
| 148.350 | 76.126 | 88.886 | -0.000 | -0.000 | -0.000 |
| 76.905 | 207.139 | 78.650 | 0.000 | -0.000 | -0.000 |
| 89.752 | 78.650 | 202.532 | -0.000 | -0.000 | 0.000 |
| 0.000 | -0.000 | -0.000 | 41.274 | -0.000 | -0.000 |
| 0.000 | -0.000 | -0.000 | 0.000 | 55.839 | 0.000 |
| 0.000 | -0.000 | -0.000 | -0.000 | -0.000 | 50.656 |
| 189.357 | 95.299 | 95.488 | 0.000 | -0.000 | 0.000 |
| 95.299 | 189.357 | 95.488 | 0.000 | 0.000 | 0.000 |
| 95.488 | 95.488 | 190.377 | 0.000 | -0.000 | 0.000 |
| -0.000 | 0.000 | 0.000 | 60.409 | 0.000 | 0.000 |
| 0.000 | -0.000 | 0.000 | 0.000 | 60.409 | 0.000 |
| 0.000 | 0.000 | -0.000 | 0.000 | -0.000 | 63.013 |
| 169.817 | 114.840 | 95.488 | -0.000 | -0.000 | -0.000 |
| 114.840 | 169.817 | 95.488 | -0.000 | 0.000 | -0.000 |
| 95.488 | 95.488 | 190.377 | -0.000 | -0.000 | -0.000 |
| 0.000 | -0.000 | -0.000 | 60.409 | 0.000 | -0.000 |
| -0.000 | 0.000 | -0.000 | -0.000 | 60.409 | -0.000 |
| -0.000 | -0.000 | 0.000 | -0.000 | -0.000 | 63.013 |
| 169.817 | 114.840 | 95.488 | 0.000 | -0.000 | 0.000 |
| 114.840 | 169.817 | 95.488 | 0.000 | 0.000 | 0.000 |
| 95.488 | 95.488 | 190.377 | 0.000 | 0.000 | 0.000 |
| 0.000 | 0.000 | 0.000 | 60.409 | 0.000 | 0.000 |
| 0.000 | 0.000 | 0.000 | 0.000 | 60.409 | 0.000 |
| 0.000 | 0.000 | -0.000 | 0.000 | 0.000 | 63.013 |
| 169.816 | 114.840 | 95.488 | -0.000 | -0.000 | -0.000 |
| 114.840 | 169.816 | 95.488 | -0.000 | 0.000 | -0.000 |
| 95.488 | 95.488 | 190.377 | -0.000 | -0.000 | -0.000 |
| -0.000 | -0.000 | -0.000 | 60.409 | -0.000 | -0.000 |
| -0.000 | -0.000 | -0.000 | -0.000 | 60.409 | -0.000 |
| -0.000 | -0.000 | 0.000 | -0.000 | -0.000 | 63.013 |
| 169.817 | 114.840 | 95.488 | 0.000 | 0.000 | 0.000 |
| 114.840 | 169.817 | 95.488 | 0.000 | 0.000 | 0.000 |
| 95.488 | 95.488 | 190.378 | 0.000 | 0.000 | 0.000 |
| 0.000 | 0.000 | 0.000 | 60.409 | 0.000 | 0.000 |
| 0.000 | 0.000 | 0.000 | 0.000 | 60.409 | 0.000 |
| 0.000 | 0.000 | -0.000 | 0.000 | 0.000 | 63.013 |
| 169.816 | 114.839 | 95.488 | -0.000 | -0.000 | -0.000 |
| 114.839 | 169.816 | 95.488 | -0.000 | -0.000 | -0.000 |
| 95.487 | 95.487 | 190.377 | -0.000 | -0.000 | -0.000 |
| -0.000 | -0.000 | -0.000 | 60.409 | -0.000 | -0.000 |
| -0.000 | -0.000 | -0.000 | -0.000 | 60.409 | -0.000 |
| -0.000 | -0.000 | 0.000 | -0.000 | -0.000 | 63.013 |
| 209.744 | 88.797 | 78.642 | 0.000 | 0.000 | 0.000 |
| 93.137 | 205.143 | 72.812 | -0.000 | -0.000 | -0.000 |
| 79.359 | 79.359 | 206.719 | -0.000 | -0.000 | -0.000 |
| -0.180 | -0.180 | -8.045 | 41.787 | -0.000 | 0.000 |
| -0.180 | -0.180 | -8.045 | -0.000 | 41.787 | -0.000 |
| -0.126 | -0.126 | -5.611 | -0.000 | 0.000 | 56.021 |
| 205.430 | 93.353 | 84.036 | -0.000 | 0.000 | 0.000 |
| 93.353 | 205.430 | 84.036 | 0.000 | 0.000 | -0.000 |
| 79.279 | 79.279 | 203.141 | 0.000 | -0.000 | 0.000 |
| 0.180 | 0.180 | 8.045 | 41.787 | 0.000 | 0.000 |
| 0.180 | 0.180 | 8.045 | 0.000 | 41.787 | 0.000 |
| 0.126 | 0.126 | 5.611 | 0.000 | 0.000 | 56.021 |
| 209.744 | 88.797 | 78.642 | -0.000 | 0.000 | -0.000 |
| 92.831 | 205.680 | 77.954 | -0.000 | -0.000 | -0.000 |
| 79.120 | 79.120 | 196.068 | -0.000 | -0.000 | -0.000 |
| 0.000 | -0.000 | 0.000 | 49.692 | -0.000 | 0.000 |
| -0.000 | 0.000 | 0.000 | -0.000 | 49.692 | -0.000 |
| -0.000 | 0.000 | 0.000 | -0.000 | -0.000 | 60.473 |
| 205.712 | 92.844 | 78.973 | 0.000 | 0.000 | -0.000 |
| 88.797 | 209.744 | 78.642 | 0.000 | 0.000 | 0.000 |
| 79.149 | 79.149 | 197.354 | 0.000 | -0.000 | 0.000 |
| -0.000 | 0.000 | -0.000 | 49.692 | 0.000 | 0.000 |
| 0.000 | -0.000 | -0.000 | -0.000 | 49.692 | 0.000 |
| 0.000 | -0.000 | -0.000 | 0.000 | 0.000 | 60.473 |
| 200.585 | 97.944 | 78.354 | -0.000 | -0.000 | -0.000 |
| 92.831 | 205.702 | 78.414 | 0.000 | 0.000 | -0.000 |
| 79.134 | 79.134 | 196.647 | -0.000 | -0.000 | -0.000 |
| -0.002 | -0.002 | -0.096 | 40.235 | -0.000 | -0.000 |
| -0.000 | 0.000 | 0.000 | -0.000 | 49.692 | -0.000 |
| -0.001 | -0.001 | -0.051 | -0.000 | -0.000 | 56.437 |
| 209.743 | 88.797 | 78.642 | 0.000 | 0.000 | 0.000 |
| 97.934 | 200.590 | 78.303 | 0.000 | 0.000 | 0.000 |
| 79.136 | 79.136 | 196.774 | -0.000 | 0.000 | 0.000 |
| 0.002 | 0.002 | 0.096 | 40.235 | 0.000 | 0.000 |
| 0.000 | -0.000 | -0.000 | 0.000 | 49.692 | -0.000 |
| 0.001 | 0.001 | 0.051 | 0.000 | 0.000 | 56.437 |
| 205.774 | 93.476 | 81.534 | -0.000 | -0.000 | -0.000 |
| 89.083 | 210.170 | 81.640 | -0.000 | -0.000 | -0.000 |
| 81.640 | 81.640 | 212.254 | 0.000 | 0.000 | -0.000 |
| -0.000 | -0.000 | 0.000 | 50.906 | -0.000 | 0.000 |
| -0.000 | -0.000 | -0.000 | -0.000 | 50.906 | 0.000 |
| -0.000 | 0.000 | 0.000 | -0.000 | -0.000 | 60.543 |
| 210.170 | 89.083 | 81.640 | 0.000 | -0.000 | -0.000 |
| 89.083 | 210.170 | 81.640 | 0.000 | 0.000 | 0.000 |
| 81.640 | 81.640 | 212.254 | 0.000 | 0.000 | 0.000 |
| 0.000 | 0.000 | -0.000 | 50.906 | -0.000 | 0.000 |
| 0.000 | 0.000 | 0.000 | 0.000 | 50.906 | 0.000 |
| 0.000 | -0.000 | -0.000 | 0.000 | -0.000 | 60.543 |
| 205.774 | 93.476 | 81.534 | -0.000 | -0.000 | -0.000 |
| 93.476 | 205.774 | 81.534 | -0.000 | -0.000 | -0.000 |
| 81.510 | 81.510 | 201.924 | -0.000 | 0.000 | -0.000 |
| 0.000 | -0.000 | 0.000 | 50.906 | -0.000 | -0.000 |
| -0.000 | 0.000 | 0.000 | -0.000 | 50.906 | 0.000 |
| -0.000 | 0.000 | -0.000 | -0.000 | -0.000 | 56.149 |
| 205.774 | 93.476 | 81.534 | 0.000 | 0.000 | 0.000 |
| 89.083 | 210.170 | 81.640 | 0.000 | -0.000 | -0.000 |
| 81.639 | 81.639 | 212.254 | 0.000 | 0.000 | 0.000 |
| -0.000 | 0.000 | -0.000 | 50.906 | 0.000 | 0.000 |
| 0.000 | -0.000 | -0.000 | 0.000 | 50.906 | 0.000 |
| 0.000 | -0.000 | 0.000 | 0.000 | 0.000 | 56.149 |
| 210.171 | 89.083 | 81.640 | -0.000 | -0.000 | -0.000 |
| 99.002 | 200.245 | 81.365 | 0.000 | -0.000 | -0.000 |
| 81.640 | 81.640 | 212.255 | 0.000 | 0.000 | 0.000 |
| 0.000 | -0.000 | 0.000 | 41.530 | 0.000 | -0.000 |
| -0.000 | 0.000 | 0.000 | 0.000 | 41.530 | -0.000 |
| -0.000 | 0.000 | 0.000 | -0.000 | -0.000 | 60.543 |
| 210.169 | 89.083 | 81.639 | 0.000 | 0.000 | -0.000 |
| 99.001 | 200.244 | 81.365 | 0.000 | -0.000 | 0.000 |
| 81.639 | 81.639 | 212.253 | -0.000 | 0.000 | -0.000 |
| -0.000 | 0.000 | -0.000 | 41.530 | -0.000 | 0.000 |
| 0.000 | -0.000 | -0.000 | 0.000 | 41.530 | 0.000 |
| 0.000 | -0.000 | -0.000 | 0.000 | 0.000 | 60.543 |
| 150.048 | 77.377 | 84.425 | 0.000 | 0.000 | -0.000 |
| 77.377 | 150.048 | 84.425 | -0.000 | 0.000 | -0.000 |
| 83.937 | 83.937 | 209.898 | -0.000 | -0.000 | -0.000 |
| 0.000 | -0.000 | -0.000 | 57.085 | -0.000 | -0.000 |
| 0.000 | 0.000 | 0.000 | 0.000 | 57.085 | -0.000 |
| 2.180 | 2.180 | 0.363 | -0.000 | -0.000 | 47.916 |
| 141.481 | 72.624 | 79.718 | -0.000 | 0.000 | 0.000 |
| 72.624 | 141.481 | 79.718 | 0.000 | 0.000 | 0.000 |
| 83.937 | 83.937 | 209.898 | 0.000 | -0.000 | 0.000 |
| 0.000 | 0.000 | -0.000 | 57.085 | 0.000 | 0.000 |
| 0.000 | -0.000 | -0.000 | 0.000 | 57.085 | 0.000 |
| -2.180 | -2.180 | -0.363 | 0.000 | 0.000 | 47.916 |
| 150.048 | 77.377 | 84.425 | 0.000 | -0.000 | -0.000 |
| 77.377 | 150.048 | 84.425 | -0.000 | 0.000 | -0.000 |
| 83.937 | 83.937 | 209.898 | -0.000 | -0.000 | -0.000 |
| -0.368 | -0.368 | 0.521 | -1.632 | 0.000 | 0.000 |
| -0.368 | -0.368 | 0.521 | -0.000 | -1.632 | -0.000 |
| 0.232 | 0.232 | 0.039 | -0.000 | -0.000 | 46.839 |
| 143.851 | 73.427 | 84.112 | -0.000 | 0.000 | 0.000 |
| 73.427 | 143.851 | 84.112 | -0.000 | -0.000 | 0.000 |
| 83.369 | 83.369 | 200.812 | 0.000 | 0.000 | 0.000 |
| 0.368 | 0.368 | -0.521 | -1.632 | 0.000 | 0.000 |
| 0.368 | 0.368 | -0.521 | 0.000 | -1.632 | 0.000 |
| -0.232 | -0.232 | -0.039 | 0.000 | 0.000 | 46.839 |
| 143.904 | 73.484 | 84.123 | 0.000 | -0.000 | -0.000 |
| 73.484 | 143.904 | 84.123 | -0.000 | 0.000 | -0.000 |
| 83.479 | 83.479 | 200.979 | -0.000 | -0.000 | -0.000 |
| 0.000 | 0.000 | 0.000 | 57.085 | -0.000 | -0.000 |
| 0.000 | 0.000 | 0.000 | 0.000 | 57.085 | -0.000 |
| -0.009 | -0.009 | 0.021 | -0.000 | -0.000 | 45.364 |
| 142.581 | 73.273 | 81.654 | 0.000 | -0.000 | -0.000 |
| 73.273 | 142.581 | 81.654 | -0.000 | -0.000 | -0.000 |
| 83.459 | 83.459 | 200.947 | 0.000 | 0.000 | 0.000 |
| -0.000 | -0.000 | -0.000 | 57.085 | 0.000 | 0.000 |
| -0.000 | -0.000 | -0.000 | -0.000 | 57.085 | 0.000 |
| 0.009 | 0.009 | -0.021 | 0.000 | 0.000 | 45.364 |
| 234.003 | 110.796 | 88.860 | 0.000 | 0.000 | -0.000 |
| 110.796 | 234.003 | 88.860 | 0.000 | 0.000 | -0.000 |
| 90.659 | 90.659 | 217.016 | -0.000 | -0.000 | -0.000 |
| 18.401 | 18.401 | 16.780 | 37.958 | 0.000 | -0.000 |
| 18.401 | 18.401 | 16.780 | -0.000 | 37.958 | -0.000 |
| 0.000 | -0.000 | 0.000 | -0.000 | -0.000 | 66.713 |
| 227.335 | 93.908 | 78.197 | 0.000 | 0.000 | 0.000 |
| 72.736 | 196.197 | 54.393 | -0.000 | -0.000 | 0.000 |
| 78.197 | 78.197 | 205.751 | -0.000 | -0.000 | 0.000 |
| -18.401 | -18.401 | -16.780 | 37.958 | 0.000 | 0.000 |
| -18.401 | -18.401 | -16.780 | -0.000 | 37.958 | 0.000 |
| 0.000 | -0.000 | 0.000 | 0.000 | 0.000 | 66.713 |
| 216.872 | 93.437 | 73.191 | 0.000 | 0.000 | -0.000 |
| 93.908 | 227.335 | 78.197 | -0.000 | -0.000 | -0.000 |
| 78.197 | 78.197 | 205.751 | 0.000 | 0.000 | -0.000 |
| 2.704 | 2.704 | 2.457 | 40.669 | -0.000 | -0.000 |
| -0.000 | 0.000 | 0.000 | -0.000 | 47.513 | -0.000 |
| 0.000 | 0.000 | -0.000 | -0.000 | -0.000 | 66.713 |
| 212.426 | 87.766 | 68.532 | -0.000 | -0.000 | 0.000 |
| 89.771 | 213.460 | 69.977 | -0.000 | -0.000 | 0.000 |
| 68.724 | 68.724 | 197.023 | -0.000 | -0.000 | 0.000 |
| -2.704 | -2.704 | -2.457 | 40.669 | -0.000 | 0.000 |
| 0.000 | -0.000 | -0.000 | -0.000 | 47.513 | 0.000 |
| -1.675 | -1.675 | -1.522 | -0.000 | -0.000 | 62.279 |
| 215.407 | 91.781 | 71.773 | 0.000 | 0.000 | -0.000 |
| 91.781 | 215.407 | 71.773 | 0.000 | 0.000 | -0.000 |
| 70.761 | 70.761 | 198.885 | 0.000 | 0.000 | -0.000 |
| 0.188 | 0.188 | 0.174 | 37.449 | -0.000 | -0.000 |
| 0.188 | 0.188 | 0.174 | 0.000 | 37.449 | 0.000 |
| 0.160 | 0.160 | 0.145 | -0.000 | 0.000 | 62.489 |
| 213.692 | 90.430 | 70.312 | -0.000 | -0.000 | 0.000 |
| 89.441 | 213.916 | 69.980 | -0.000 | -0.000 | 0.000 |
| 70.392 | 70.392 | 198.550 | -0.000 | -0.000 | 0.000 |
| -0.188 | -0.188 | -0.174 | 37.449 | -0.000 | 0.000 |
| -0.188 | -0.188 | -0.174 | 0.000 | 37.449 | -0.000 |
| -0.185 | -0.185 | -0.169 | -0.000 | -0.000 | 61.516 |
| 223.092 | 91.589 | 76.432 | -0.000 | -0.000 | -0.000 |
| 54.411 | 175.970 | 41.672 | -0.000 | -0.000 | -0.000 |
| 76.370 | 76.370 | 202.036 | 0.000 | -0.000 | -0.000 |
| 0.000 | 0.000 | 0.000 | 47.005 | -0.000 | -0.000 |
| 0.000 | -0.000 | 0.000 | -0.000 | 47.005 | -0.000 |
| -35.168 | -35.168 | -28.327 | 0.000 | -0.000 | 60.717 |
| 223.092 | 91.589 | 76.432 | 0.000 | 0.000 | 0.000 |
| 124.760 | 246.044 | 98.204 | 0.000 | 0.000 | -0.000 |
| 76.370 | 76.370 | 202.036 | 0.000 | 0.000 | 0.000 |
| -0.000 | 0.000 | -0.000 | 47.005 | 0.000 | 0.000 |
| 0.000 | -0.000 | -0.000 | -0.000 | 47.005 | 0.000 |
| 23.849 | 23.849 | 17.564 | 0.000 | 0.000 | 61.755 |
| 223.092 | 91.589 | 76.432 | 0.000 | -0.000 | -0.000 |
| 91.589 | 223.092 | 76.432 | 0.000 | -0.000 | -0.000 |
| 76.370 | 76.370 | 202.036 | 0.000 | -0.000 | -0.000 |
| 0.000 | -0.000 | 0.000 | 47.005 | -0.000 | -0.000 |
| -0.000 | 0.000 | 0.000 | -0.000 | 47.005 | 0.000 |
| -2.260 | -2.260 | -1.641 | 0.000 | -0.000 | 60.835 |
| 212.613 | 89.906 | 70.394 | -0.000 | 0.000 | 0.000 |
| 92.714 | 213.274 | 72.041 | 0.000 | 0.000 | 0.000 |
| 76.370 | 76.370 | 202.036 | -0.000 | -0.000 | 0.000 |
| -0.000 | 0.000 | -0.000 | 47.005 | -0.000 | 0.000 |
| 0.000 | -0.000 | -0.000 | 0.000 | 47.005 | 0.000 |
| 3.347 | 3.347 | 2.696 | -0.000 | 0.000 | 60.960 |
| 223.093 | 91.590 | 76.432 | -0.000 | -0.000 | -0.000 |
| 91.590 | 223.093 | 76.432 | -0.000 | -0.000 | -0.000 |
| 76.371 | 76.371 | 202.037 | 0.000 | -0.000 | -0.000 |
| -0.591 | -0.591 | -0.476 | 38.743 | 0.000 | -0.000 |
| -0.591 | -0.591 | -0.476 | -0.000 | 38.743 | 0.000 |
| 0.000 | 0.000 | 0.000 | -0.000 | -0.000 | 65.751 |
| 223.091 | 91.589 | 76.432 | -0.000 | 0.000 | 0.000 |
| 89.503 | 211.145 | 69.978 | 0.000 | 0.000 | 0.000 |
| 68.870 | 68.870 | 195.114 | 0.000 | 0.000 | -0.000 |
| 0.591 | 0.591 | 0.476 | 38.743 | 0.000 | 0.000 |
| 0.591 | 0.591 | 0.476 | -0.000 | 38.743 | -0.000 |
| 0.292 | 0.292 | 0.235 | -0.000 | 0.000 | 61.571 |
| 202.383 | 97.994 | 92.090 | -0.000 | 0.000 | -0.000 |
| 97.176 | 231.053 | 92.729 | -0.000 | -0.000 | -0.000 |
| 91.397 | 91.397 | 233.324 | 0.000 | -0.000 | 0.000 |
| 0.000 | 0.000 | 0.000 | 58.073 | -0.000 | 0.000 |
| 0.000 | 0.000 | 0.000 | 0.000 | 58.073 | 0.000 |
| 0.146 | 0.146 | 0.008 | 0.000 | 0.000 | 52.795 |
| 231.053 | 97.176 | 92.729 | 0.000 | 0.000 | -0.000 |
| 97.176 | 231.053 | 92.729 | 0.000 | 0.000 | -0.000 |
| 93.036 | 93.036 | 232.898 | -0.000 | 0.000 | -0.000 |
| -0.000 | -0.000 | -0.000 | 58.073 | 0.000 | 0.000 |
| -0.000 | 0.000 | -0.000 | -0.000 | 58.073 | -0.000 |
| -0.146 | -0.146 | -0.008 | -0.000 | -0.000 | 52.795 |
| 206.933 | 93.510 | 91.363 | 0.000 | 0.000 | -0.000 |
| 93.510 | 206.933 | 91.363 | -0.000 | 0.000 | -0.000 |
| 92.729 | 92.729 | 240.550 | -0.000 | -0.000 | 0.000 |
| -0.003 | -0.003 | 0.002 | 50.839 | -0.000 | -0.000 |
| -0.000 | 0.000 | 0.000 | 0.000 | 58.073 | 0.000 |
| 0.015 | 0.015 | 0.001 | 0.000 | 0.000 | 52.790 |
| 231.053 | 97.176 | 92.729 | 0.000 | 0.000 | 0.000 |
| 97.176 | 231.053 | 92.729 | 0.000 | 0.000 | 0.000 |
| 92.729 | 92.729 | 240.550 | -0.000 | -0.000 | -0.000 |
| 0.003 | 0.003 | -0.002 | 50.839 | -0.000 | 0.000 |
| 0.000 | -0.000 | -0.000 | -0.000 | 58.073 | -0.000 |
| -0.000 | -0.000 | -0.000 | 0.000 | 0.000 | 66.938 |
| 202.340 | 97.941 | 92.072 | 0.000 | -0.000 | -0.000 |
| 97.177 | 231.054 | 92.729 | -0.000 | -0.000 | -0.000 |
| 92.933 | 92.933 | 232.921 | 0.000 | -0.000 | -0.000 |
| 0.001 | 0.001 | 0.000 | 52.625 | 0.000 | -0.000 |
| -0.000 | 0.000 | 0.000 | 0.000 | 58.073 | -0.000 |
| 0.002 | 0.002 | 0.000 | -0.000 | -0.000 | 52.790 |
| 206.943 | 93.501 | 91.364 | -0.000 | -0.000 | 0.000 |
| 93.502 | 206.943 | 91.364 | -0.000 | -0.000 | 0.000 |
| 92.728 | 92.728 | 240.549 | 0.000 | 0.000 | -0.000 |
| -0.001 | -0.001 | -0.000 | 52.625 | -0.000 | 0.000 |
| 0.000 | -0.000 | -0.000 | -0.000 | 58.073 | 0.000 |
| -0.000 | -0.000 | -0.000 | 0.000 | 0.000 | 66.938 |
| 2291.573 | 2194.439 | -4010.853 | 0.000 | -0.000 | -0.000 |
| 2121.663 | 2230.186 | -2805.992 | 0.000 | 0.000 | 0.000 |
| 2124.535 | 2124.535 | -2666.951 | 0.000 | 0.000 | 0.000 |
| 2103.351 | 2103.351 | -4106.377 | 52.962 | 0.000 | 0.000 |
| 2033.167 | 2033.167 | -2897.601 | -0.000 | 54.087 | 0.000 |
| 2103.059 | 2103.059 | -4105.961 | -0.000 | -0.000 | 48.558 |
| -1914.681 | -2011.780 | 4201.211 | 0.000 | 0.000 | -0.000 |
| -2011.675 | -1914.575 | 4201.065 | 0.000 | -0.000 | 0.000 |
| -1941.612 | -1941.612 | 3127.994 | -0.000 | -0.000 | -0.000 |
| -2103.351 | -2103.351 | 4106.377 | 52.962 | -0.000 | 0.000 |
| -2033.167 | -2033.167 | 2897.601 | -0.000 | 54.087 | 0.000 |
| -2861.547 | -2861.547 | 3892.898 | -0.000 | -0.000 | 47.548 |
| 400.531 | 292.062 | -198.524 | 0.000 | -0.000 | -0.000 |
| 292.054 | 400.523 | -198.512 | 0.000 | 0.000 | 0.000 |
| 300.770 | 300.770 | -179.807 | -0.000 | -0.000 | -0.000 |
| 210.306 | 210.306 | -410.606 | 52.963 | 0.000 | -0.000 |
| 210.306 | 210.306 | -410.606 | -0.000 | 52.963 | 0.000 |
| 286.151 | 286.151 | -389.284 | -0.000 | -0.000 | 47.548 |
| -97.693 | -192.793 | 483.130 | 0.000 | 0.000 | 0.000 |
| -114.582 | -6.001 | 381.046 | 0.000 | 0.000 | 0.000 |
| -111.898 | -111.898 | 520.391 | 0.000 | -0.000 | -0.000 |
| -210.306 | -210.306 | 410.606 | 52.963 | 0.000 | 0.000 |
| -210.306 | -210.306 | 410.606 | -0.000 | 52.963 | -0.000 |
| -210.308 | -210.309 | 410.607 | 0.000 | 0.000 | 48.558 |
| 217.065 | 121.922 | 55.008 | -0.000 | -0.000 | -0.000 |
| 109.265 | 216.922 | 61.754 | 0.000 | -0.000 | -0.000 |
| 120.839 | 120.839 | 191.791 | 0.000 | -0.000 | 0.000 |
| 20.345 | 20.345 | -28.995 | 54.084 | 0.000 | -0.000 |
| 21.035 | 21.035 | -41.156 | -0.000 | 52.954 | 0.000 |
| 21.054 | 21.054 | -41.158 | 0.000 | 0.000 | 48.516 |
| 176.947 | 68.145 | 120.693 | -0.000 | -0.000 | 0.000 |
| 68.145 | 176.947 | 120.693 | -0.000 | -0.000 | 0.000 |
| 69.317 | 69.317 | 271.797 | 0.000 | -0.000 | -0.000 |
| -20.345 | -20.345 | 28.995 | 54.084 | 0.000 | 0.000 |
| -21.035 | -21.035 | 41.156 | -0.000 | 52.954 | -0.000 |
| -21.054 | -21.054 | 41.158 | 0.000 | -0.000 | 48.516 |
| 178.847 | 88.380 | 112.627 | 0.000 | 0.000 | -0.000 |
| 88.380 | 178.847 | 112.627 | 0.000 | 0.000 | -0.000 |
| 112.924 | 112.924 | 209.395 | 0.000 | 0.000 | -0.000 |
| -0.000 | -0.000 | -0.000 | 72.785 | -0.000 | -0.000 |
| -0.000 | -0.000 | -0.000 | 0.000 | 72.785 | -0.000 |
| -0.000 | -0.000 | -0.000 | -0.000 | 0.000 | 62.781 |
| 178.847 | 88.380 | 112.627 | 0.000 | -0.000 | 0.000 |
| 88.380 | 178.847 | 112.627 | 0.000 | -0.000 | 0.000 |
| 112.924 | 112.924 | 209.395 | 0.000 | -0.000 | 0.000 |
| 0.000 | 0.000 | 0.000 | 72.785 | -0.000 | 0.000 |
| 0.000 | 0.000 | 0.000 | 0.000 | 72.785 | 0.000 |
| 0.000 | 0.000 | 0.000 | 0.000 | -0.000 | 62.781 |
| 178.782 | 88.965 | 112.924 | -0.000 | 0.000 | -0.000 |
| 88.965 | 178.782 | 112.924 | -0.000 | 0.000 | -0.000 |
| 114.869 | 114.869 | 211.619 | -0.000 | 0.000 | -0.000 |
| -0.000 | 0.000 | 0.000 | 72.455 | 0.000 | -0.000 |
| 0.000 | -0.000 | 0.000 | -0.000 | 72.455 | -0.000 |
| 0.000 | 0.000 | -0.000 | -0.000 | 0.000 | 62.781 |
| 178.782 | 88.965 | 112.924 | 0.000 | -0.000 | -0.000 |
| 88.965 | 178.782 | 112.924 | 0.000 | -0.000 | 0.000 |
| 112.924 | 112.924 | 209.395 | -0.000 | -0.000 | 0.000 |
| 0.000 | -0.000 | -0.000 | 72.455 | -0.000 | 0.000 |
| -0.000 | 0.000 | -0.000 | 0.000 | 72.455 | 0.000 |
| -0.000 | -0.000 | 0.000 | -0.000 | -0.000 | 62.781 |
| 178.782 | 88.965 | 112.925 | -0.000 | 0.000 | -0.000 |
| 88.965 | 178.782 | 112.925 | -0.000 | 0.000 | 0.000 |
| 112.925 | 112.925 | 209.395 | -0.000 | 0.000 | -0.000 |
| -0.000 | 0.000 | 0.000 | 72.455 | 0.000 | -0.000 |
| 0.000 | -0.000 | 0.000 | -0.000 | 72.455 | -0.000 |
| 0.000 | 0.000 | -0.000 | 0.000 | -0.000 | 62.781 |
| 178.781 | 88.965 | 112.924 | 0.000 | -0.000 | 0.000 |
| 88.965 | 178.781 | 112.924 | 0.000 | -0.000 | 0.000 |
| 112.924 | 112.924 | 209.394 | 0.000 | -0.000 | 0.000 |
| 0.000 | -0.000 | -0.000 | 72.455 | 0.000 | 0.000 |
| -0.000 | 0.000 | -0.000 | -0.000 | 72.455 | 0.000 |
| -0.000 | -0.000 | 0.000 | 0.000 | -0.000 | 62.781 |
| 176.941 | 86.658 | 111.381 | 0.000 | 0.000 | 0.000 |
| 86.658 | 176.941 | 111.381 | 0.000 | 0.000 | 0.000 |
| 111.654 | 111.654 | 206.746 | 0.000 | 0.000 | 0.000 |
| -0.171 | -0.171 | -0.189 | 72.158 | 0.000 | 0.000 |
| -0.171 | -0.171 | -0.189 | 0.000 | 72.158 | 0.000 |
| -0.096 | -0.096 | -0.106 | 0.000 | 0.000 | 62.018 |
| 177.095 | 86.900 | 111.599 | -0.000 | -0.000 | -0.000 |
| 86.900 | 177.095 | 111.599 | -0.000 | -0.000 | -0.000 |
| 111.846 | 111.846 | 206.958 | -0.000 | 0.000 | -0.000 |
| 0.171 | 0.171 | 0.189 | 72.158 | -0.000 | -0.000 |
| 0.171 | 0.171 | 0.189 | -0.000 | 72.158 | -0.000 |
| 0.096 | 0.096 | 0.106 | -0.000 | -0.000 | 62.018 |
| 176.942 | 87.366 | 111.772 | 0.000 | 0.000 | 0.000 |
| 87.366 | 176.942 | 111.772 | 0.000 | 0.000 | 0.000 |
| 111.740 | 111.740 | 206.842 | 0.000 | 0.000 | 0.000 |
| -0.006 | -0.006 | -0.006 | 71.826 | -0.000 | 0.000 |
| -0.006 | -0.006 | -0.006 | 0.000 | 71.826 | 0.000 |
| -0.010 | -0.010 | -0.011 | 0.000 | 0.000 | 62.018 |
| 176.961 | 87.385 | 111.793 | -0.000 | 0.000 | -0.000 |
| 87.385 | 176.961 | 111.793 | -0.000 | -0.000 | -0.000 |
| 113.690 | 113.690 | 208.993 | -0.000 | -0.000 | -0.000 |
| 0.006 | 0.006 | 0.006 | 71.826 | 0.000 | -0.000 |
| 0.006 | 0.006 | 0.006 | 0.000 | 71.826 | -0.000 |
| 0.010 | 0.010 | 0.011 | -0.000 | -0.000 | 62.018 |
| 176.951 | 87.375 | 111.782 | 0.000 | 0.000 | 0.000 |
| 87.375 | 176.951 | 111.782 | 0.000 | 0.000 | 0.000 |
| 111.749 | 111.749 | 206.852 | 0.000 | 0.000 | 0.000 |
| -0.001 | -0.000 | -0.000 | 71.826 | 0.000 | 0.000 |
| -0.000 | -0.001 | -0.000 | 0.000 | 71.826 | 0.000 |
| -0.001 | -0.001 | -0.001 | 0.000 | -0.000 | 62.018 |
| 176.952 | 87.376 | 111.783 | -0.000 | -0.000 | -0.000 |
| 87.376 | 176.952 | 111.783 | -0.000 | -0.000 | -0.000 |
| 111.750 | 111.750 | 206.853 | -0.000 | 0.000 | -0.000 |
| 0.001 | 0.000 | 0.000 | 71.826 | 0.000 | -0.000 |
| 0.000 | 0.001 | 0.000 | -0.000 | 71.826 | -0.000 |
| 0.001 | 0.001 | 0.001 | -0.000 | -0.000 | 62.018 |
| 180.856 | 115.327 | 80.485 | -0.000 | -0.000 | 0.000 |
| 116.789 | 196.188 | 98.547 | -0.000 | -0.000 | -0.000 |
| 81.549 | 100.563 | 176.584 | -0.000 | -0.000 | -0.000 |
| 0.000 | 0.000 | 0.000 | 70.175 | -0.000 | -0.000 |
| 0.000 | 0.000 | 0.000 | -0.000 | 60.984 | -0.000 |
| 0.000 | 0.000 | 0.000 | -0.000 | -0.000 | 75.219 |
| 180.855 | 115.327 | 80.485 | 0.000 | 0.000 | 0.000 |
| 116.789 | 196.188 | 98.547 | 0.000 | 0.000 | 0.000 |
| 81.549 | 100.563 | 176.583 | 0.000 | 0.000 | 0.000 |
| -0.000 | -0.000 | -0.000 | 70.175 | 0.000 | 0.000 |
| -0.000 | -0.000 | -0.000 | -0.000 | 60.984 | 0.000 |
| -0.000 | -0.000 | -0.000 | 0.000 | 0.000 | 75.219 |
| 180.715 | 116.277 | 81.443 | -0.000 | -0.000 | 0.000 |
| 116.980 | 196.144 | 98.747 | 0.000 | -0.000 | 0.000 |
| 82.485 | 99.086 | 176.050 | -0.000 | -0.000 | 0.000 |
| 0.000 | 0.000 | 0.000 | 69.135 | -0.000 | -0.000 |
| 0.000 | 0.000 | 0.000 | -0.000 | 60.984 | -0.000 |
| 0.000 | 0.000 | 0.000 | 0.000 | -0.000 | 75.219 |
| 180.855 | 115.327 | 80.485 | 0.000 | 0.000 | -0.000 |
| 116.980 | 196.144 | 98.747 | -0.000 | 0.000 | 0.000 |
| 82.485 | 99.086 | 176.050 | -0.000 | 0.000 | -0.000 |
| -0.000 | -0.000 | -0.000 | 69.135 | 0.000 | 0.000 |
| -0.000 | -0.000 | -0.000 | 0.000 | 60.984 | 0.000 |
| -0.000 | -0.000 | -0.000 | 0.000 | 0.000 | 75.219 |
| 180.715 | 116.277 | 81.444 | 0.000 | -0.000 | -0.000 |
| 116.980 | 196.144 | 98.748 | -0.000 | -0.000 | 0.000 |
| 82.486 | 99.086 | 176.050 | 0.000 | -0.000 | -0.000 |
| -0.000 | 0.000 | 0.000 | 69.135 | -0.000 | 0.000 |
| 0.000 | -0.000 | 0.000 | 0.000 | 60.953 | -0.000 |
| 0.000 | 0.000 | -0.000 | -0.000 | -0.000 | 75.219 |
| 180.714 | 116.276 | 81.443 | 0.000 | 0.000 | 0.000 |
| 116.979 | 196.143 | 98.747 | 0.000 | 0.000 | -0.000 |
| 82.485 | 99.086 | 176.049 | 0.000 | 0.000 | 0.000 |
| 0.000 | -0.000 | -0.000 | 69.135 | 0.000 | -0.000 |
| -0.000 | 0.000 | -0.000 | -0.000 | 60.953 | 0.000 |
| -0.000 | -0.000 | 0.000 | -0.000 | 0.000 | 75.219 |
| 186.561 | 118.182 | 83.816 | -0.000 | -0.000 | 0.000 |
| 118.934 | 201.684 | 107.188 | -0.000 | -0.000 | -0.000 |
| 83.831 | 108.797 | 183.275 | -0.000 | 0.000 | -0.000 |
| 0.000 | -0.000 | -0.000 | 74.831 | -0.000 | -0.000 |
| 0.000 | -0.000 | -0.000 | -0.000 | 61.699 | 0.000 |
| 0.000 | -0.000 | -0.000 | -0.000 | -0.000 | 75.191 |
| 186.561 | 118.182 | 83.816 | 0.000 | 0.000 | -0.000 |
| 118.934 | 201.684 | 107.188 | 0.000 | 0.000 | 0.000 |
| 83.831 | 108.797 | 183.275 | 0.000 | 0.000 | 0.000 |
| -0.000 | 0.000 | 0.000 | 74.831 | -0.000 | -0.000 |
| -0.000 | 0.000 | 0.000 | 0.000 | 61.699 | 0.000 |
| -0.000 | 0.000 | 0.000 | 0.000 | -0.000 | 75.191 |
| 186.428 | 119.115 | 84.711 | -0.000 | 0.000 | -0.000 |
| 119.115 | 201.645 | 107.381 | -0.000 | -0.000 | 0.000 |
| 83.503 | 114.101 | 188.914 | -0.000 | 0.000 | 0.000 |
| 0.000 | 0.000 | 0.000 | 73.854 | -0.000 | -0.000 |
| 0.000 | -0.000 | 0.000 | -0.000 | 61.638 | 0.000 |
| 0.000 | 0.000 | -0.000 | -0.000 | 0.000 | 75.191 |
| 186.428 | 119.115 | 84.710 | 0.000 | -0.000 | -0.000 |
| 119.115 | 201.644 | 107.381 | 0.000 | -0.000 | -0.000 |
| 83.503 | 114.101 | 188.914 | 0.000 | 0.000 | -0.000 |
| -0.000 | -0.000 | -0.000 | 73.854 | 0.000 | -0.000 |
| -0.000 | 0.000 | -0.000 | 0.000 | 61.638 | 0.000 |
| -0.000 | -0.000 | 0.000 | 0.000 | 0.000 | 75.191 |
| 186.429 | 119.116 | 84.711 | -0.000 | -0.000 | 0.000 |
| 119.116 | 201.645 | 107.382 | -0.000 | -0.000 | -0.000 |
| 84.711 | 107.382 | 182.812 | -0.000 | -0.000 | 0.000 |
| -0.000 | 0.000 | 0.000 | 73.854 | -0.000 | 0.000 |
| 0.000 | -0.000 | 0.000 | -0.000 | 61.638 | -0.000 |
| 0.000 | 0.000 | -0.000 | -0.000 | -0.000 | 75.191 |
| 186.428 | 119.115 | 84.710 | -0.000 | 0.000 | -0.000 |
| 119.115 | 201.644 | 107.381 | 0.000 | 0.000 | -0.000 |
| 84.710 | 107.381 | 182.811 | 0.000 | -0.000 | -0.000 |
| 0.000 | -0.000 | -0.000 | 73.854 | -0.000 | -0.000 |
| -0.000 | 0.000 | -0.000 | 0.000 | 61.638 | 0.000 |
| -0.000 | -0.000 | 0.000 | 0.000 | 0.000 | 75.191 |
| 193.587 | 11.010 | 11.010 | -0.000 | -0.000 | 0.000 |
| 11.010 | 193.587 | 11.010 | -0.000 | -0.000 | 0.000 |
| 11.010 | 11.010 | 193.587 | -0.000 | 0.000 | 0.000 |
| -0.000 | -0.000 | -0.000 | -8.318 | -0.000 | -0.000 |
| -0.000 | -0.000 | -0.000 | -0.000 | -8.318 | -0.000 |
| -0.000 | -0.000 | -0.000 | -0.000 | -0.000 | -8.318 |
| 193.587 | 11.010 | 11.010 | 0.000 | 0.000 | -0.000 |
| 11.010 | 193.587 | 11.010 | 0.000 | -0.000 | -0.000 |
| 11.010 | 11.010 | 193.587 | 0.000 | 0.000 | -0.000 |
| 0.000 | 0.000 | 0.000 | -8.318 | 0.000 | 0.000 |
| 0.000 | 0.000 | 0.000 | 0.000 | -8.318 | 0.000 |
| 0.000 | 0.000 | 0.000 | 0.000 | 0.000 | -8.318 |
| 193.587 | 11.010 | 11.010 | -0.000 | -0.000 | -0.000 |
| 11.010 | 193.587 | 11.010 | -0.000 | -0.000 | 0.000 |
| 11.010 | 11.010 | 193.587 | -0.000 | -0.000 | 0.000 |
| -0.000 | -0.000 | -0.000 | -8.318 | -0.000 | 0.000 |
| -0.000 | -0.000 | -0.000 | -0.000 | -8.318 | -0.000 |
| -0.000 | -0.000 | -0.000 | -0.000 | -0.000 | -8.318 |
| 193.587 | 11.010 | 11.010 | 0.000 | -0.000 | 0.000 |
| 11.010 | 193.587 | 11.010 | 0.000 | -0.000 | -0.000 |
| 11.010 | 11.010 | 193.587 | 0.000 | 0.000 | -0.000 |
| 0.000 | 0.000 | 0.000 | -8.318 | 0.000 | -0.000 |
| 0.000 | 0.000 | 0.000 | 0.000 | -8.318 | -0.000 |
| 0.000 | 0.000 | 0.000 | 0.000 | 0.000 | -8.318 |
| 193.586 | 11.008 | 11.008 | -0.000 | -0.000 | 0.000 |
| 11.008 | 193.586 | 11.008 | -0.000 | -0.000 | 0.000 |
| 11.008 | 11.008 | 193.586 | -0.000 | -0.000 | -0.000 |
| -0.003 | -0.003 | -0.003 | -8.318 | 0.000 | 0.000 |
| -0.003 | -0.003 | -0.003 | -0.000 | -8.318 | -0.000 |
| -0.003 | -0.003 | -0.003 | -0.000 | -0.000 | -8.318 |
| 193.588 | 11.012 | 11.012 | 0.000 | 0.000 | -0.000 |
| 11.012 | 193.588 | 11.012 | 0.000 | 0.000 | -0.000 |
| 11.012 | 11.012 | 193.588 | 0.000 | 0.000 | 0.000 |
| 0.003 | 0.003 | 0.003 | -8.318 | 0.000 | -0.000 |
| 0.003 | 0.003 | 0.003 | 0.000 | -8.318 | -0.000 |
| 0.003 | 0.003 | 0.003 | 0.000 | 0.000 | -8.318 |
| 53.702 | 187.065 | 187.065 | 0.000 | 0.000 | 0.000 |
| 187.065 | 53.702 | 187.065 | 0.000 | 0.000 | 0.000 |
| 187.065 | 187.065 | 53.702 | 0.000 | 0.000 | 0.000 |
| 0.000 | 0.000 | 0.000 | 127.230 | 0.000 | 0.000 |
| -0.000 | 0.000 | 0.000 | 0.000 | 127.230 | 0.000 |
| -0.000 | 0.000 | 0.000 | 0.000 | 0.000 | 127.230 |
| 53.702 | 187.065 | 187.065 | -0.000 | -0.000 | -0.000 |
| 187.065 | 53.702 | 187.065 | -0.000 | -0.000 | -0.000 |
| 187.065 | 187.065 | 53.702 | -0.000 | -0.000 | -0.000 |
| -0.000 | -0.000 | -0.000 | 127.230 | -0.000 | -0.000 |
| 0.000 | -0.000 | -0.000 | -0.000 | 127.230 | -0.000 |
| 0.000 | -0.000 | -0.000 | -0.000 | -0.000 | 127.230 |
| 53.702 | 187.065 | 187.065 | 0.000 | 0.000 | 0.000 |
| 187.065 | 53.702 | 187.065 | 0.000 | 0.000 | 0.000 |
| 187.065 | 187.065 | 53.702 | 0.000 | 0.000 | 0.000 |
| 0.000 | -0.000 | 0.000 | 127.230 | 0.000 | 0.000 |
| -0.000 | 0.000 | 0.000 | 0.000 | 127.230 | 0.000 |
| -0.000 | 0.000 | 0.000 | 0.000 | 0.000 | 127.230 |
| 53.702 | 187.065 | 187.065 | -0.000 | -0.000 | -0.000 |
| 187.065 | 53.702 | 187.065 | -0.000 | -0.000 | -0.000 |
| 187.065 | 187.065 | 53.702 | -0.000 | -0.000 | -0.000 |
| -0.000 | 0.000 | -0.000 | 127.230 | -0.000 | -0.000 |
| 0.000 | -0.000 | -0.000 | -0.000 | 127.230 | -0.000 |
| 0.000 | -0.000 | -0.000 | -0.000 | -0.000 | 127.230 |
| 53.703 | 187.065 | 187.065 | 0.000 | 0.000 | 0.000 |
| 187.065 | 53.703 | 187.065 | 0.000 | -0.000 | 0.000 |
| 187.065 | 187.065 | 53.703 | 0.000 | 0.000 | 0.000 |
| 0.000 | -0.000 | 0.000 | 127.230 | 0.000 | 0.000 |
| -0.000 | 0.000 | 0.000 | 0.000 | 127.230 | 0.000 |
| -0.000 | 0.000 | 0.000 | 0.000 | 0.000 | 127.230 |
| 53.700 | 187.065 | 187.065 | -0.000 | -0.000 | -0.000 |
| 187.065 | 53.700 | 187.065 | -0.000 | -0.000 | -0.000 |
| 187.065 | 187.065 | 53.700 | -0.000 | -0.000 | -0.000 |
| -0.000 | 0.000 | -0.000 | 127.230 | -0.000 | -0.000 |
| 0.000 | -0.000 | -0.000 | -0.000 | 127.230 | -0.000 |
| 0.000 | -0.000 | -0.000 | -0.000 | -0.000 | 127.230 |
| 52.953 | 43.988 | 43.988 | 0.000 | 0.000 | 0.000 |
| 43.988 | 52.953 | 43.988 | 0.000 | 0.000 | 0.000 |
| 43.988 | 43.988 | 52.953 | 0.000 | 0.000 | 0.000 |
| -0.000 | -0.000 | -0.000 | 1.170 | 0.000 | 0.000 |
| -0.000 | -0.000 | -0.000 | 0.000 | 1.170 | 0.000 |
| -0.000 | -0.000 | -0.000 | 0.000 | 0.000 | 1.170 |
| 52.953 | 43.988 | 43.988 | -0.000 | -0.000 | -0.000 |
| 43.988 | 52.953 | 43.988 | -0.000 | -0.000 | -0.000 |
| 43.988 | 43.988 | 52.953 | -0.000 | -0.000 | -0.000 |
| 0.000 | 0.000 | 0.000 | 1.170 | -0.000 | -0.000 |
| 0.000 | 0.000 | 0.000 | -0.000 | 1.170 | -0.000 |
| 0.000 | 0.000 | 0.000 | -0.000 | -0.000 | 1.170 |
| 52.953 | 43.988 | 43.988 | 0.000 | 0.000 | 0.000 |
| 43.988 | 52.953 | 43.988 | 0.000 | 0.000 | 0.000 |
| 43.988 | 43.988 | 52.953 | 0.000 | 0.000 | 0.000 |
| 0.000 | -0.000 | -0.000 | 1.170 | 0.000 | 0.000 |
| -0.000 | 0.000 | -0.000 | 0.000 | 1.170 | 0.000 |
| -0.000 | -0.000 | 0.000 | 0.000 | 0.000 | 1.170 |
| 52.953 | 43.988 | 43.988 | -0.000 | -0.000 | -0.000 |
| 43.988 | 52.953 | 43.988 | -0.000 | -0.000 | -0.000 |
| 43.988 | 43.988 | 52.953 | -0.000 | -0.000 | -0.000 |
| -0.000 | 0.000 | 0.000 | 1.170 | -0.000 | -0.000 |
| 0.000 | -0.000 | 0.000 | -0.000 | 1.170 | -0.000 |
| 0.000 | 0.000 | -0.000 | -0.000 | -0.000 | 1.170 |
| 52.953 | 43.989 | 43.989 | 0.000 | 0.000 | 0.000 |
| 43.989 | 52.953 | 43.989 | 0.000 | 0.000 | 0.000 |
| 43.989 | 43.989 | 52.953 | 0.000 | 0.000 | 0.000 |
| 0.000 | -0.000 | -0.000 | 1.170 | 0.000 | 0.000 |
| -0.000 | 0.000 | -0.000 | 0.000 | 1.170 | 0.000 |
| -0.000 | -0.000 | 0.000 | 0.000 | 0.000 | 1.170 |
| 52.953 | 43.988 | 43.988 | -0.000 | -0.000 | -0.000 |
| 43.988 | 52.953 | 43.988 | -0.000 | -0.000 | -0.000 |
| 43.988 | 43.988 | 52.953 | -0.000 | -0.000 | -0.000 |
| -0.000 | 0.000 | 0.000 | 1.170 | -0.000 | -0.000 |
| 0.000 | -0.000 | 0.000 | -0.000 | 1.170 | -0.000 |
| 0.000 | 0.000 | -0.000 | -0.000 | -0.000 | 1.170 |
| 190.247 | 67.131 | 133.746 | 0.000 | -0.000 | -0.000 |
| 67.131 | 190.247 | 133.746 | -0.000 | 0.000 | -0.000 |
| 133.746 | 133.746 | 234.391 | 0.000 | 0.000 | -0.000 |
| 0.000 | -0.000 | 0.000 | 86.004 | 0.000 | -0.000 |
| -0.000 | 0.000 | 0.000 | 0.000 | 86.004 | -0.000 |
| -0.000 | 0.000 | 0.000 | 0.000 | -0.000 | 52.416 |
| 190.247 | 67.131 | 133.746 | -0.000 | -0.000 | 0.000 |
| 67.131 | 190.247 | 133.746 | -0.000 | -0.000 | 0.000 |
| 133.746 | 133.746 | 234.391 | -0.000 | -0.000 | 0.000 |
| -0.000 | 0.000 | -0.000 | 86.004 | -0.000 | 0.000 |
| 0.000 | -0.000 | -0.000 | -0.000 | 86.004 | 0.000 |
| 0.000 | -0.000 | -0.000 | 0.000 | -0.000 | 52.416 |
| 190.247 | 67.131 | 133.746 | 0.000 | 0.000 | -0.000 |
| 67.131 | 190.247 | 133.746 | 0.000 | -0.000 | -0.000 |
| 133.746 | 133.746 | 234.391 | 0.000 | -0.000 | -0.000 |
| 0.000 | -0.000 | 0.000 | 86.004 | 0.000 | -0.000 |
| -0.000 | 0.000 | 0.000 | 0.000 | 86.004 | -0.000 |
| -0.000 | 0.000 | 0.000 | -0.000 | 0.000 | 52.416 |
| 190.247 | 67.131 | 133.746 | 0.000 | 0.000 | 0.000 |
| 67.131 | 190.247 | 133.746 | 0.000 | -0.000 | 0.000 |
| 133.745 | 133.745 | 234.391 | -0.000 | -0.000 | 0.000 |
| -0.000 | 0.000 | -0.000 | 86.004 | 0.000 | 0.000 |
| 0.000 | -0.000 | -0.000 | -0.000 | 86.004 | 0.000 |
| 0.000 | -0.000 | -0.000 | -0.000 | -0.000 | 52.416 |
| 190.248 | 67.131 | 133.746 | -0.000 | -0.000 | -0.000 |
| 67.131 | 190.248 | 133.746 | 0.000 | 0.000 | -0.000 |
| 133.746 | 133.746 | 234.391 | 0.000 | 0.000 | -0.000 |
| 0.000 | -0.000 | 0.000 | 86.004 | 0.000 | -0.000 |
| -0.000 | 0.000 | 0.000 | 0.000 | 86.004 | -0.000 |
| -0.000 | 0.000 | 0.000 | 0.000 | -0.000 | 52.416 |
| 190.246 | 67.131 | 133.745 | -0.000 | 0.000 | 0.000 |
| 67.131 | 190.246 | 133.745 | -0.000 | -0.000 | 0.000 |
| 133.745 | 133.745 | 234.391 | 0.000 | 0.000 | 0.000 |
| -0.000 | 0.000 | -0.000 | 86.004 | 0.000 | 0.000 |
| 0.000 | -0.000 | -0.000 | 0.000 | 86.004 | 0.000 |
| 0.000 | -0.000 | -0.000 | -0.000 | 0.000 | 52.416 |
| 236.638 | 83.771 | 97.173 | 0.000 | 0.000 | -0.000 |
| 83.771 | 158.654 | 118.366 | 0.000 | 0.000 | -0.000 |
| 94.538 | 114.223 | 256.522 | 0.000 | 0.000 | -0.000 |
| -0.000 | -0.000 | 0.000 | 48.682 | 0.000 | -0.000 |
| -0.000 | -0.000 | 0.000 | 0.000 | 33.845 | 0.000 |
| -0.000 | -0.000 | 0.000 | 0.000 | 0.000 | 64.208 |
| 236.638 | 83.771 | 97.173 | -0.000 | -0.000 | -0.000 |
| 83.771 | 158.654 | 118.366 | 0.000 | -0.000 | -0.000 |
| 94.538 | 114.223 | 256.522 | -0.000 | -0.000 | -0.000 |
| 0.000 | 0.000 | -0.000 | 48.682 | -0.000 | 0.000 |
| 0.000 | 0.000 | -0.000 | -0.000 | 33.845 | -0.000 |
| 0.000 | 0.000 | -0.000 | -0.000 | -0.000 | 64.208 |
| 236.638 | 83.771 | 97.173 | 0.000 | 0.000 | -0.000 |
| 83.771 | 158.654 | 118.366 | 0.000 | 0.000 | 0.000 |
| 97.173 | 118.366 | 255.804 | -0.000 | 0.000 | 0.000 |
| -0.000 | 0.000 | 0.000 | 48.495 | -0.000 | 0.000 |
| 0.000 | 0.000 | -0.000 | 0.000 | 29.649 | -0.000 |
| 0.000 | -0.000 | 0.000 | -0.000 | 0.000 | 64.208 |
| 236.638 | 83.771 | 97.173 | -0.000 | -0.000 | -0.000 |
| 83.771 | 158.654 | 118.366 | -0.000 | -0.000 | 0.000 |
| 97.173 | 118.366 | 255.803 | -0.000 | -0.000 | 0.000 |
| 0.000 | -0.000 | -0.000 | 48.495 | 0.000 | 0.000 |
| -0.000 | -0.000 | 0.000 | -0.000 | 29.649 | 0.000 |
| -0.000 | 0.000 | -0.000 | -0.000 | -0.000 | 64.208 |
| 236.639 | 83.771 | 97.174 | 0.000 | 0.000 | -0.000 |
| 83.771 | 158.655 | 118.366 | 0.000 | 0.000 | 0.000 |
| 97.173 | 118.366 | 255.804 | 0.000 | 0.000 | 0.000 |
| -0.000 | 0.000 | 0.000 | 48.495 | -0.000 | 0.000 |
| 0.000 | 0.000 | -0.000 | 0.000 | 29.649 | 0.000 |
| 0.000 | -0.000 | 0.000 | -0.000 | 0.000 | 64.208 |
| 236.637 | 83.770 | 97.173 | -0.000 | -0.000 | 0.000 |
| 83.770 | 158.653 | 118.366 | -0.000 | -0.000 | 0.000 |
| 97.173 | 118.365 | 255.803 | -0.000 | -0.000 | -0.000 |
| 0.000 | -0.000 | -0.000 | 48.495 | 0.000 | 0.000 |
| -0.000 | -0.000 | 0.000 | 0.000 | 29.649 | -0.000 |
| -0.000 | 0.000 | -0.000 | -0.000 | -0.000 | 64.208 |
| 237.057 | 83.675 | 96.546 | 0.000 | -0.000 | 0.000 |
| 82.481 | 171.867 | 112.870 | -0.000 | -0.000 | 0.000 |
| 94.716 | 111.913 | 261.123 | 0.000 | 0.000 | 0.000 |
| -0.845 | -0.030 | 0.439 | 48.399 | 0.000 | -0.000 |
| -0.829 | -0.684 | 0.243 | 0.000 | 30.563 | 0.000 |
| -0.379 | -0.014 | 0.197 | 0.000 | 0.000 | 61.775 |
| 238.524 | 84.946 | 96.133 | -0.000 | 0.000 | -0.000 |
| 83.949 | 173.138 | 112.456 | 0.000 | 0.000 | -0.000 |
| 95.263 | 111.837 | 260.811 | -0.000 | -0.000 | -0.000 |
| 0.845 | 0.030 | -0.439 | 48.399 | -0.000 | -0.000 |
| 0.829 | 0.684 | -0.243 | 0.000 | 30.563 | -0.000 |
| 0.379 | 0.014 | -0.197 | -0.000 | -0.000 | 61.775 |
| 237.717 | 84.247 | 96.360 | -0.000 | -0.000 | 0.000 |
| 83.141 | 172.439 | 112.683 | -0.000 | -0.000 | 0.000 |
| 96.368 | 113.797 | 260.788 | -0.000 | -0.000 | 0.000 |
| -0.043 | -0.150 | -0.020 | 48.166 | -0.000 | -0.000 |
| -0.083 | -0.068 | 0.024 | -0.000 | 30.555 | 0.000 |
| -0.038 | -0.001 | 0.020 | 0.000 | 0.000 | 61.775 |
| 237.864 | 84.374 | 96.319 | -0.000 | -0.000 | 0.000 |
| 83.288 | 172.566 | 112.642 | 0.000 | 0.000 | -0.000 |
| 96.515 | 113.924 | 260.746 | 0.000 | 0.000 | -0.000 |
| 0.043 | 0.150 | 0.020 | 48.166 | 0.000 | -0.000 |
| 0.083 | 0.068 | -0.024 | -0.000 | 30.555 | -0.000 |
| 0.038 | 0.001 | -0.020 | -0.000 | -0.000 | 61.775 |
| 237.784 | 84.305 | 96.342 | -0.000 | 0.000 | 0.000 |
| 83.208 | 172.497 | 112.665 | -0.000 | -0.000 | -0.000 |
| 96.434 | 113.855 | 260.770 | -0.000 | -0.000 | 0.000 |
| -0.004 | -0.015 | -0.002 | 48.164 | -0.000 | -0.000 |
| -0.008 | -0.007 | 0.002 | -0.000 | 30.555 | 0.000 |
| -0.004 | -0.000 | 0.002 | 0.000 | 0.000 | 61.775 |
| 237.797 | 84.317 | 96.337 | 0.000 | 0.000 | -0.000 |
| 83.222 | 172.508 | 112.661 | 0.000 | 0.000 | -0.000 |
| 96.448 | 113.866 | 260.764 | 0.000 | 0.000 | -0.000 |
| 0.004 | 0.015 | 0.002 | 48.164 | 0.000 | -0.000 |
| 0.008 | 0.007 | -0.002 | 0.000 | 30.555 | -0.000 |
| 0.004 | 0.000 | -0.002 | -0.000 | -0.000 | 61.775 |
| 65.393 | 101.721 | 3.370 | -0.000 | -0.000 | 0.000 |
| 101.721 | 65.393 | 3.370 | -0.000 | -0.000 | -0.000 |
| 3.370 | 3.370 | 255.862 | -0.000 | -0.000 | -0.000 |
| 0.000 | -0.000 | -0.000 | -17.520 | -0.000 | -0.000 |
| 0.000 | -0.000 | -0.000 | -0.000 | -17.520 | 0.000 |
| 0.000 | -0.000 | -0.000 | -0.000 | -0.000 | -18.164 |
| 65.393 | 101.721 | 3.370 | 0.000 | 0.000 | 0.000 |
| 101.721 | 65.393 | 3.370 | 0.000 | 0.000 | 0.000 |
| 3.370 | 3.370 | 255.862 | 0.000 | 0.000 | -0.000 |
| -0.000 | 0.000 | 0.000 | -17.520 | 0.000 | 0.000 |
| -0.000 | 0.000 | 0.000 | 0.000 | -17.520 | 0.000 |
| -0.000 | 0.000 | 0.000 | 0.000 | 0.000 | -18.164 |
| 117.127 | 49.986 | 3.370 | 0.000 | -0.000 | -0.000 |
| 49.986 | 117.127 | 3.370 | 0.000 | 0.000 | -0.000 |
| 3.370 | 3.370 | 255.862 | -0.000 | 0.000 | -0.000 |
| -0.000 | 0.000 | -0.000 | -17.520 | -0.000 | -0.000 |
| 0.000 | -0.000 | -0.000 | -0.000 | -17.520 | 0.000 |
| 0.000 | 0.000 | 0.000 | 0.000 | 0.000 | 33.570 |
| 65.392 | 101.721 | 3.370 | 0.000 | 0.000 | 0.000 |
| 49.986 | 117.127 | 3.370 | -0.000 | 0.000 | 0.000 |
| 3.370 | 3.370 | 255.862 | 0.000 | -0.000 | 0.000 |
| 0.000 | -0.000 | 0.000 | -17.520 | 0.000 | 0.000 |
| -0.000 | 0.000 | 0.000 | 0.000 | -17.520 | -0.000 |
| -0.000 | -0.000 | -0.000 | -0.000 | 0.000 | 33.570 |
| -813892.625 | -335161.085 | -9126791.150 | -0.007 | 0.000 | -0.000 |
| 101.723 | 65.391 | 3.370 | -0.000 | -0.000 | -0.000 |
| 3.370 | 3.370 | 255.864 | -0.000 | 0.000 | -0.000 |
| -0.000 | 0.000 | -0.000 | -17.520 | -0.000 | -0.000 |
| 0.000 | -0.000 | -0.000 | -0.000 | -17.520 | -0.000 |
| -6353728.120 | -6347205.405 | -7758812.179 | -25481.152 | 62658.184 | 127503.481 |
| 65.391 | 101.722 | 3.370 | 0.000 | 0.000 | 0.000 |
| 814054.025 | 335327.457 | 9126765.678 | 0.007 | 0.000 | 0.000 |
| 3.370 | 3.370 | 255.861 | 0.000 | -0.000 | 0.000 |
| 0.000 | -0.000 | 0.000 | -17.520 | -0.000 | 0.000 |
| -0.000 | 0.000 | 0.000 | 0.000 | -17.520 | 0.000 |
| 6363647.200 | 6295834.228 | 7867382.381 | 56931.810 | 55659.191 | 82401.116 |
| 163.925 | 78.147 | 104.938 | -0.000 | 0.000 | 0.000 |
| 78.147 | 163.925 | 104.938 | -0.000 | 0.000 | -0.000 |
| 104.938 | 104.938 | 287.049 | 0.000 | 0.000 | -0.000 |
| 0.000 | -0.000 | 0.000 | 75.976 | 0.000 | 0.000 |
| -0.000 | -0.000 | 0.000 | 0.000 | 75.976 | -0.000 |
| -0.000 | -0.000 | -0.000 | 0.000 | 0.000 | 42.889 |
| 163.925 | 78.147 | 104.938 | -0.000 | -0.000 | -0.000 |
| 78.147 | 163.925 | 104.938 | -0.000 | -0.000 | 0.000 |
| 104.938 | 104.938 | 287.049 | -0.000 | -0.000 | 0.000 |
| -0.000 | 0.000 | -0.000 | 75.976 | -0.000 | 0.000 |
| 0.000 | 0.000 | -0.000 | -0.000 | 75.976 | -0.000 |
| -0.000 | 0.000 | 0.000 | -0.000 | -0.000 | 42.889 |
| 163.925 | 78.147 | 104.938 | 0.000 | 0.000 | -0.000 |
| 78.147 | 163.925 | 104.938 | 0.000 | 0.000 | -0.000 |
| 104.938 | 104.938 | 287.049 | 0.000 | 0.000 | 0.000 |
| 0.000 | -0.000 | 0.000 | 75.976 | 0.000 | -0.000 |
| -0.000 | 0.000 | 0.000 | 0.000 | 75.976 | 0.000 |
| -0.000 | 0.000 | -0.000 | 0.000 | 0.000 | 42.889 |
| 167.886 | 74.186 | 104.938 | 0.000 | -0.000 | -0.000 |
| 78.147 | 163.925 | 104.938 | -0.000 | -0.000 | 0.000 |
| 104.938 | 104.938 | 287.049 | -0.000 | -0.000 | 0.000 |
| -0.000 | 0.000 | -0.000 | 75.976 | -0.000 | -0.000 |
| 0.000 | -0.000 | -0.000 | -0.000 | 75.976 | -0.000 |
| 0.000 | -0.000 | 0.000 | -0.000 | -0.000 | 42.889 |
| 163.926 | 78.147 | 104.938 | 0.000 | 0.000 | 0.000 |
| 78.147 | 163.926 | 104.938 | 0.000 | 0.000 | -0.000 |
| 104.938 | 104.938 | 287.050 | 0.000 | 0.000 | -0.000 |
| 0.000 | -0.000 | 0.000 | 75.976 | 0.000 | 0.000 |
| -0.000 | -0.000 | 0.000 | 0.000 | 75.976 | 0.000 |
| -0.000 | 0.000 | -0.000 | 0.000 | 0.000 | 42.889 |
| 163.925 | 78.146 | 104.937 | -0.000 | -0.000 | -0.000 |
| 74.186 | 167.885 | 104.937 | -0.000 | -0.000 | -0.000 |
| 104.937 | 104.937 | 287.048 | 0.000 | 0.000 | -0.000 |
| -0.000 | 0.000 | -0.000 | 75.976 | -0.000 | -0.000 |
| 0.000 | 0.000 | -0.000 | 0.000 | 75.976 | 0.000 |
| 0.000 | -0.000 | 0.000 | -0.000 | -0.000 | 42.889 |
| 167.730 | 73.411 | 103.121 | -18.368 | 0.000 | 0.000 |
| 73.411 | 167.730 | 103.121 | 18.368 | 0.000 | 0.000 |
| 103.121 | 103.121 | 289.234 | -0.000 | 0.000 | 0.000 |
| -18.368 | 18.368 | 0.000 | 77.678 | 0.000 | 0.000 |
| -0.000 | 0.000 | 0.000 | -0.000 | 77.678 | -18.368 |
| -0.000 | 0.000 | -0.000 | -0.000 | -18.368 | 47.160 |
| 167.730 | 73.411 | 103.121 | -18.368 | -0.000 | -0.000 |
| 73.411 | 167.730 | 103.121 | 18.368 | -0.000 | -0.000 |
| 103.121 | 103.121 | 289.234 | 0.000 | -0.000 | -0.000 |
| -18.368 | 18.368 | -0.000 | 77.678 | -0.000 | -0.000 |
| 0.000 | -0.000 | -0.000 | 0.000 | 77.678 | -18.368 |
| 0.000 | -0.000 | -0.000 | 0.000 | -18.368 | 47.160 |
| 167.730 | 73.411 | 103.121 | -18.368 | 0.000 | 0.000 |
| 73.411 | 167.730 | 103.121 | 18.368 | 0.000 | 0.000 |
| 103.121 | 103.121 | 289.234 | -0.000 | 0.000 | 0.000 |
| -18.368 | 18.368 | 0.000 | 77.678 | 0.000 | 0.000 |
| -0.000 | 0.000 | 0.000 | -0.000 | 77.678 | -18.368 |
| -0.000 | 0.000 | 0.000 | -0.000 | -18.368 | 47.160 |
| 167.730 | 73.411 | 103.121 | -18.368 | -0.000 | -0.000 |
| 73.411 | 167.730 | 103.121 | 18.368 | -0.000 | -0.000 |
| 103.121 | 103.121 | 289.234 | -0.000 | -0.000 | -0.000 |
| -18.368 | 18.368 | -0.000 | 77.678 | -0.000 | -0.000 |
| 0.000 | -0.000 | -0.000 | 0.000 | 77.678 | -18.368 |
| 0.000 | -0.000 | -0.000 | 0.000 | -18.368 | 47.160 |
| 167.731 | 73.411 | 103.122 | -18.368 | 0.000 | 0.000 |
| 73.412 | 167.731 | 103.122 | 18.368 | 0.000 | 0.000 |
| 103.122 | 103.122 | 289.235 | -0.000 | 0.000 | 0.000 |
| -18.368 | 18.368 | 0.000 | 77.678 | -0.000 | 0.000 |
| -0.000 | 0.000 | 0.000 | -0.000 | 77.678 | -18.368 |
| -0.000 | 0.000 | 0.000 | -0.000 | -18.368 | 47.160 |
| 167.730 | 73.411 | 103.121 | -18.368 | 0.000 | -0.000 |
| 73.411 | 167.730 | 103.121 | 18.368 | -0.000 | -0.000 |
| 103.121 | 103.121 | 289.233 | -0.000 | -0.000 | -0.000 |
| -18.368 | 18.368 | -0.000 | 77.678 | -0.000 | -0.000 |
| 0.000 | -0.000 | -0.000 | 0.000 | 77.678 | -18.368 |
| 0.000 | -0.000 | -0.000 | 0.000 | -18.368 | 47.160 |
| 173.069 | 135.229 | 81.069 | 0.000 | 0.000 | -0.000 |
| 100.363 | 234.996 | 82.873 | 0.000 | -0.000 | -0.000 |
| 78.726 | 82.872 | 208.066 | -0.000 | 0.000 | 0.000 |
| 0.000 | 0.000 | 0.000 | 44.246 | 0.000 | 0.000 |
| -7.640 | 48.608 | 9.142 | 0.000 | 47.098 | -0.000 |
| -10.544 | 62.404 | 13.025 | -0.000 | 0.000 | 56.931 |
| 188.666 | 39.811 | 63.257 | 0.000 | -0.000 | 0.000 |
| 100.363 | 234.996 | 82.873 | -0.000 | 0.000 | 0.000 |
| 79.561 | 22.835 | 192.380 | -0.000 | -0.000 | 0.000 |
| -0.000 | -0.000 | -0.000 | 44.246 | -0.000 | -0.000 |
| 7.640 | -48.608 | -9.142 | 0.000 | 47.098 | 0.000 |
| 10.544 | -62.404 | -13.025 | -0.000 | -0.000 | 56.931 |
| 182.201 | 95.475 | 73.282 | -0.000 | 0.000 | -0.000 |
| 88.742 | 209.302 | 72.517 | 0.000 | 0.000 | 0.000 |
| 71.202 | 76.967 | 202.291 | 0.000 | 0.000 | -0.000 |
| 0.000 | -0.000 | 0.000 | 44.246 | -0.000 | 0.000 |
| -0.000 | 0.000 | 0.000 | -0.000 | 47.188 | -0.000 |
| -0.000 | 0.000 | 0.000 | -0.000 | -0.000 | 69.155 |
| 197.335 | 100.363 | 78.726 | -0.000 | -0.000 | -0.000 |
| 88.835 | 203.595 | 71.923 | -0.000 | 0.000 | -0.000 |
| 73.630 | 65.628 | 199.727 | -0.000 | 0.000 | 0.000 |
| -0.000 | 0.000 | -0.000 | 44.246 | 0.000 | -0.000 |
| 0.000 | -0.000 | -0.000 | -0.000 | 47.188 | -0.000 |
| 0.000 | -0.000 | -0.000 | 0.000 | 0.000 | 69.155 |
| 185.108 | 90.578 | 73.797 | 0.000 | 0.000 | -0.000 |
| 89.120 | 204.322 | 70.880 | 0.000 | -0.000 | -0.000 |
| 72.157 | 72.377 | 201.894 | 0.000 | -0.000 | -0.000 |
| -0.070 | 0.445 | 0.084 | 40.562 | -0.000 | -0.000 |
| -0.096 | 0.610 | 0.115 | -0.000 | 47.075 | -0.000 |
| -0.115 | 0.522 | 0.101 | -0.000 | 0.000 | 57.842 |
| 197.335 | 100.363 | 78.726 | -0.000 | 0.000 | -0.000 |
| 89.722 | 202.569 | 70.844 | -0.000 | 0.000 | 0.000 |
| 72.288 | 71.422 | 201.703 | -0.000 | 0.000 | 0.000 |
| 0.070 | -0.445 | -0.084 | 40.562 | -0.000 | 0.000 |
| 0.096 | -0.610 | -0.115 | -0.000 | 47.075 | 0.000 |
| 0.115 | -0.522 | -0.101 | -0.000 | 0.000 | 57.842 |
| 196.942 | 118.954 | 54.196 | 0.000 | 0.000 | -0.000 |
| 108.122 | 250.696 | 44.233 | -0.000 | -0.000 | -0.000 |
| 89.293 | 6.963 | 161.149 | 0.000 | -0.000 | -0.000 |
| 34.454 | -25.107 | -29.751 | 44.808 | -0.000 | -0.000 |
| 0.000 | 0.000 | 0.000 | 0.000 | 45.383 | -0.000 |
| 0.000 | 0.000 | 0.000 | 0.000 | 0.000 | 83.039 |
| 186.886 | 113.667 | 79.890 | 0.000 | -0.000 | 0.000 |
| 104.726 | 276.311 | 79.426 | -0.000 | -0.000 | 0.000 |
| 77.667 | 86.144 | 206.780 | 0.000 | -0.000 | 0.000 |
| -34.454 | 25.107 | 29.751 | 44.808 | 0.000 | 0.000 |
| -0.000 | -0.000 | -0.000 | -0.000 | 45.383 | 0.000 |
| -0.000 | -0.000 | -0.000 | 0.000 | 0.000 | 83.039 |
| 186.886 | 113.667 | 79.890 | -0.000 | 0.000 | -0.000 |
| 91.715 | 236.573 | 65.993 | 0.000 | 0.000 | -0.000 |
| 77.667 | 86.144 | 206.780 | 0.000 | 0.000 | -0.000 |
| 2.030 | 2.227 | -2.177 | 48.379 | -0.000 | -0.000 |
| 2.003 | 2.198 | -2.148 | 0.000 | 45.237 | -0.000 |
| 1.982 | 2.174 | -2.125 | 0.000 | 0.000 | 70.951 |
| 186.886 | 113.667 | 79.890 | -0.000 | -0.000 | 0.000 |
| 104.726 | 276.311 | 79.426 | -0.000 | -0.000 | 0.000 |
| 71.756 | 71.529 | 203.559 | -0.000 | 0.000 | 0.000 |
| -2.030 | -2.227 | 2.177 | 48.379 | 0.000 | 0.000 |
| -2.003 | -2.198 | 2.148 | -0.000 | 45.237 | 0.000 |
| -1.982 | -2.174 | 2.125 | -0.000 | -0.000 | 70.951 |
| 175.803 | 99.982 | 75.683 | -0.000 | 0.000 | -0.000 |
| 94.758 | 247.999 | 71.427 | -0.000 | 0.000 | -0.000 |
| 74.426 | 75.645 | 202.094 | 0.000 | -0.000 | -0.000 |
| -0.000 | -0.000 | 0.000 | 52.638 | -0.000 | -0.000 |
| 0.213 | 0.233 | -0.228 | -0.000 | 45.228 | -0.000 |
| 0.188 | 0.206 | -0.201 | 0.000 | 0.000 | 71.587 |
| 174.586 | 99.769 | 76.065 | -0.000 | 0.000 | 0.000 |
| 92.215 | 244.555 | 69.365 | 0.000 | 0.000 | 0.000 |
| 74.321 | 75.965 | 202.716 | 0.000 | -0.000 | 0.000 |
| 0.000 | 0.000 | -0.000 | 52.638 | 0.000 | 0.000 |
| -0.213 | -0.233 | 0.228 | -0.000 | 45.228 | 0.000 |
| -0.188 | -0.206 | 0.201 | 0.000 | 0.000 | 71.587 |
| 180.297 | 88.841 | 117.297 | 0.000 | 28.165 | -0.000 |
| 76.724 | 222.226 | 85.340 | 0.000 | 0.039 | 0.000 |
| 82.910 | 81.799 | 228.254 | 0.000 | 13.245 | -0.000 |
| -6.851 | 6.160 | 23.625 | 57.343 | 13.941 | -0.238 |
| 5.383 | -5.563 | 19.977 | 0.000 | 69.094 | -0.000 |
| -4.840 | 13.457 | 28.105 | -0.094 | 16.903 | 48.021 |
| 184.413 | 81.772 | 73.539 | -0.000 | 11.072 | 0.000 |
| 81.621 | 201.422 | 47.758 | -0.000 | -15.897 | 0.000 |
| 94.081 | 63.073 | 180.737 | -0.000 | -16.668 | 0.000 |
| 6.851 | -6.160 | -23.625 | 57.343 | -13.941 | -0.238 |
| -4.740 | 5.659 | -20.066 | -0.000 | 64.344 | 0.000 |
| 4.840 | -13.457 | -28.105 | -0.094 | -16.903 | 48.021 |
| 187.137 | 75.374 | 94.411 | 0.000 | 13.427 | -0.000 |
| 74.964 | 216.338 | 79.136 | 0.000 | 1.775 | -0.000 |
| 88.820 | 77.778 | 211.757 | 0.000 | 1.805 | -0.000 |
| 0.000 | 0.000 | 0.000 | 58.699 | 0.000 | -0.147 |
| 1.055 | -0.730 | 2.723 | 0.000 | 66.356 | -0.000 |
| -0.621 | 0.555 | 2.260 | -0.236 | 1.304 | 47.874 |
| 188.072 | 76.828 | 90.663 | -0.000 | 13.019 | 0.000 |
| 75.259 | 217.952 | 75.519 | -0.000 | -0.473 | 0.000 |
| 89.759 | 75.214 | 206.154 | -0.000 | -1.487 | 0.000 |
| -0.000 | -0.000 | -0.000 | 58.699 | 0.000 | -0.147 |
| -0.186 | 0.725 | -2.484 | -0.000 | 64.192 | 0.000 |
| 0.621 | -0.555 | -2.260 | -0.236 | -1.304 | 47.874 |
| 185.291 | 75.592 | 89.661 | 0.000 | 11.529 | -0.000 |
| 76.724 | 222.227 | 85.340 | 0.000 | 0.039 | 0.000 |
| 90.533 | 78.150 | 211.389 | 0.000 | 0.601 | -0.000 |
| -0.060 | 0.088 | 0.245 | 57.279 | 0.137 | -0.147 |
| -0.484 | 0.022 | 0.192 | 0.000 | 58.012 | -0.000 |
| -0.000 | 0.000 | -0.000 | -0.147 | -0.000 | 51.059 |
| 185.377 | 75.342 | 89.083 | -0.000 | 11.200 | 0.000 |
| 74.951 | 215.088 | 75.271 | 0.000 | -0.343 | -0.000 |
| 90.541 | 78.506 | 211.539 | -0.000 | 0.515 | 0.000 |
| 0.060 | -0.088 | -0.245 | 57.279 | -0.137 | -0.147 |
| 0.049 | -0.045 | 0.030 | -0.000 | 57.599 | 0.000 |
| 0.000 | -0.000 | 0.000 | -0.147 | 0.000 | 51.059 |
| 182.811 | 78.370 | 107.263 | -0.000 | 15.504 | 0.000 |
| 76.853 | 224.187 | 87.780 | 0.000 | -0.076 | 0.000 |
| 103.480 | 85.279 | 256.571 | 0.000 | -1.129 | 0.000 |
| 0.314 | -4.073 | -10.437 | 53.103 | 11.731 | -0.047 |
| 1.098 | -3.438 | -9.922 | -0.000 | 77.224 | 0.000 |
| 4.235 | -3.376 | -5.279 | -0.325 | 4.010 | 49.500 |
| 182.811 | 78.370 | 107.263 | 0.000 | 15.504 | -0.000 |
| 76.948 | 217.883 | 86.788 | -0.000 | -13.571 | -0.000 |
| 103.480 | 85.279 | 256.571 | 0.000 | -1.129 | -0.000 |
| -0.314 | 4.073 | 10.437 | 53.104 | -11.731 | -0.047 |
| -1.011 | 3.566 | 5.499 | 0.000 | 47.876 | -0.000 |
| -4.235 | 3.376 | 5.279 | -0.325 | -4.010 | 49.500 |
| 173.630 | 77.831 | 99.522 | -0.000 | 14.436 | 0.000 |
| 76.307 | 213.501 | 74.409 | 0.000 | 1.116 | 0.000 |
| 103.480 | 85.279 | 256.571 | -0.000 | -1.129 | 0.000 |
| 0.184 | -0.350 | -0.764 | 52.615 | 0.783 | -0.097 |
| 0.313 | 0.059 | -1.129 | -0.000 | 77.972 | 0.000 |
| 0.433 | -0.345 | -0.540 | -0.330 | 0.410 | 49.428 |
| 172.909 | 78.494 | 100.821 | 0.000 | 12.249 | -0.000 |
| 76.853 | 224.186 | 87.780 | 0.000 | -0.076 | -0.000 |
| 95.903 | 74.628 | 221.198 | 0.000 | -2.845 | -0.000 |
| -0.184 | 0.350 | 0.764 | 52.615 | -0.783 | -0.097 |
| 0.808 | 0.351 | 0.418 | 0.000 | 65.867 | -0.000 |
| -0.433 | 0.345 | 0.540 | -0.330 | -0.410 | 49.428 |
| 174.583 | 78.726 | 101.595 | -0.000 | 14.928 | 0.000 |
| 77.526 | 216.336 | 79.278 | -0.000 | -0.201 | 0.000 |
| 96.254 | 74.008 | 220.349 | -0.000 | -1.032 | 0.000 |
| 0.000 | 0.000 | 0.000 | 54.883 | 0.000 | 0.035 |
| -0.187 | -0.094 | -2.613 | 0.000 | 65.012 | -0.000 |
| -0.013 | -0.033 | -0.097 | -0.107 | 0.117 | 49.019 |
| 173.219 | 78.301 | 99.969 | 0.000 | 13.147 | -0.000 |
| 77.427 | 216.356 | 79.340 | 0.000 | -0.300 | -0.000 |
| 96.201 | 74.106 | 220.495 | 0.000 | -1.298 | -0.000 |
| -0.000 | -0.000 | -0.000 | 54.883 | -0.000 | 0.035 |
| 0.353 | -0.034 | -1.362 | 0.000 | 64.115 | -0.000 |
| -0.012 | 0.036 | 0.071 | -0.117 | -0.155 | 49.016 |
| 216.787 | 83.173 | 81.033 | -0.000 | 0.000 | -0.000 |
| 84.142 | 217.764 | 82.953 | -0.000 | 0.001 | -0.000 |
| 81.893 | 86.804 | 193.787 | -0.000 | 0.001 | -0.000 |
| -5.324 | -2.492 | -3.279 | 49.055 | -0.000 | -0.000 |
| -4.974 | -2.791 | -3.262 | -0.000 | 46.907 | -0.000 |
| 0.000 | 0.000 | 0.000 | 0.000 | -0.000 | 61.559 |
| 231.283 | 87.843 | 85.730 | 0.000 | 0.000 | 0.000 |
| 88.215 | 233.020 | 85.465 | 0.000 | -0.000 | 0.000 |
| 88.857 | 89.885 | 205.355 | 0.000 | -0.001 | 0.000 |
| 5.324 | 2.492 | 3.279 | 49.055 | 0.000 | 0.000 |
| 4.973 | 2.792 | 3.262 | 0.000 | 46.907 | 0.000 |
| -0.000 | -0.000 | -0.000 | -0.000 | -0.000 | 61.559 |
| 231.283 | 87.843 | 85.730 | 0.000 | -0.000 | -0.000 |
| 86.845 | 218.468 | 85.311 | -0.000 | 0.000 | -0.000 |
| 87.447 | 90.148 | 195.856 | -0.000 | 0.000 | -0.000 |
| -0.547 | -0.284 | -0.358 | 49.118 | 0.000 | -0.000 |
| -0.475 | -0.295 | -0.324 | -0.000 | 46.991 | -0.000 |
| -0.424 | -0.403 | -0.348 | -0.000 | 0.000 | 56.306 |
| 221.756 | 84.545 | 87.009 | -0.000 | 0.000 | 0.000 |
| 87.565 | 218.530 | 85.948 | 0.000 | -0.000 | 0.000 |
| 88.457 | 90.666 | 196.556 | 0.000 | -0.000 | 0.000 |
| 0.547 | 0.284 | 0.358 | 49.118 | -0.000 | 0.000 |
| 0.475 | 0.295 | 0.324 | 0.000 | 46.991 | 0.000 |
| 0.424 | 0.403 | 0.348 | 0.000 | -0.000 | 56.306 |
| 221.726 | 84.971 | 85.454 | 0.000 | -0.000 | -0.000 |
| 85.872 | 215.655 | 87.144 | -0.000 | -0.000 | -0.000 |
| 86.896 | 86.260 | 208.135 | 0.000 | -0.000 | -0.000 |
| -0.054 | -0.018 | -0.030 | 49.344 | -0.000 | -0.000 |
| -0.051 | -0.023 | -0.032 | 0.000 | 46.794 | -0.000 |
| -0.054 | -0.035 | -0.039 | -0.000 | 0.000 | 55.303 |
| 231.282 | 87.843 | 85.730 | 0.000 | -0.000 | 0.000 |
| 85.968 | 215.707 | 87.220 | -0.000 | 0.000 | 0.000 |
| 86.010 | 89.034 | 197.473 | -0.000 | 0.000 | 0.000 |
| 0.054 | 0.018 | 0.030 | 49.344 | 0.000 | 0.000 |
| 0.051 | 0.023 | 0.032 | -0.000 | 46.794 | 0.000 |
| 0.054 | 0.035 | 0.039 | 0.000 | -0.000 | 55.303 |
| 235.474 | 89.753 | 88.043 | 0.000 | 0.000 | 0.000 |
| 94.833 | 227.161 | 98.596 | -0.000 | 0.000 | -0.000 |
| 92.313 | 93.416 | 220.552 | -0.000 | 0.000 | 0.000 |
| 7.823 | -0.077 | 5.492 | 53.185 | 0.000 | 0.000 |
| 8.331 | 1.253 | 7.324 | -0.000 | 45.125 | 0.000 |
| 7.785 | -0.053 | 5.505 | 0.000 | 0.000 | 56.110 |
| 235.474 | 89.753 | 88.043 | -0.000 | -0.000 | -0.000 |
| 79.307 | 219.360 | 86.465 | -0.000 | -0.000 | -0.000 |
| 81.086 | 90.231 | 207.230 | -0.000 | -0.000 | -0.000 |
| -7.823 | 0.077 | -5.492 | 53.185 | -0.000 | 0.000 |
| -8.331 | -1.253 | -7.324 | 0.000 | 45.125 | -0.000 |
| -7.785 | 0.053 | -5.505 | -0.000 | -0.000 | 56.110 |
| 227.083 | 87.466 | 87.450 | 0.000 | -0.000 | 0.000 |
| 87.568 | 219.356 | 96.741 | 0.000 | -0.000 | -0.000 |
| 88.043 | 91.883 | 218.806 | 0.000 | 0.000 | -0.000 |
| 0.000 | -0.000 | 0.000 | 64.567 | 0.000 | 0.000 |
| 0.830 | 0.079 | 0.662 | -0.000 | 45.271 | -0.000 |
| 0.000 | 0.000 | 0.000 | 0.000 | 0.000 | 61.808 |
| 228.090 | 88.736 | 85.287 | 0.000 | -0.000 | -0.000 |
| 89.752 | 237.417 | 91.883 | -0.000 | -0.000 | -0.000 |
| 85.663 | 91.598 | 211.953 | 0.000 | -0.000 | 0.000 |
| -0.000 | 0.000 | -0.000 | 64.567 | 0.000 | -0.000 |
| -0.830 | -0.079 | -0.662 | 0.000 | 45.271 | 0.000 |
| -0.000 | -0.000 | -0.000 | -0.000 | -0.000 | 61.808 |
| 226.405 | 87.080 | 87.833 | 0.000 | -0.000 | -0.000 |
| 86.860 | 219.362 | 95.864 | 0.000 | -0.000 | 0.000 |
| 85.910 | 91.789 | 211.010 | -0.000 | 0.000 | -0.000 |
| 0.088 | -0.011 | 0.045 | 52.122 | -0.000 | -0.000 |
| 0.081 | 0.005 | 0.067 | -0.000 | 45.553 | -0.000 |
| 0.081 | -0.002 | 0.088 | 0.000 | -0.000 | 55.403 |
| 227.468 | 88.768 | 85.714 | 0.000 | -0.000 | 0.000 |
| 88.945 | 223.064 | 91.708 | -0.000 | -0.000 | -0.000 |
| 85.833 | 91.744 | 211.146 | 0.000 | -0.000 | -0.000 |
| -0.088 | 0.011 | -0.045 | 52.122 | 0.000 | -0.000 |
| -0.081 | -0.005 | -0.067 | 0.000 | 45.553 | -0.000 |
| -0.081 | 0.002 | -0.088 | -0.000 | 0.000 | 55.403 |
| 227.599 | 83.078 | 89.360 | 0.000 | -0.000 | 0.000 |
| -123.142 | 295.136 | -345.496 | -0.000 | -0.000 | 0.000 |
| -113.594 | 165.575 | -239.766 | -0.000 | 0.000 | 0.000 |
| -226.558 | 205.398 | -298.594 | 45.081 | -0.000 | 0.000 |
| -203.937 | 74.776 | -439.094 | -0.000 | 50.656 | -0.000 |
| -203.936 | 74.776 | -439.093 | -0.000 | 0.000 | 42.982 |
| 445.099 | -127.358 | 388.828 | 0.000 | 0.000 | -0.000 |
| 284.710 | 145.522 | 532.705 | 0.000 | 0.000 | -0.000 |
| 294.347 | 15.979 | 638.240 | 0.000 | -0.000 | -0.000 |
| 226.558 | -205.398 | 298.594 | 45.081 | 0.000 | 0.000 |
| 203.937 | -74.776 | 439.094 | 0.000 | 50.656 | 0.000 |
| 203.936 | -74.776 | 439.093 | 0.000 | -0.000 | 42.982 |
| 227.599 | 83.078 | 89.360 | -0.000 | 0.000 | 0.000 |
| 60.442 | 228.105 | 49.533 | -0.000 | 0.000 | 0.000 |
| 69.646 | 98.456 | 155.903 | -0.000 | 0.000 | 0.000 |
| -20.441 | 7.495 | -44.011 | 49.108 | -0.000 | -0.000 |
| -24.256 | 20.930 | -30.583 | -0.000 | 48.756 | -0.000 |
| 0.000 | -0.000 | 0.000 | -0.000 | -0.000 | 45.572 |
| 241.196 | 57.506 | 120.068 | 0.000 | 0.000 | -0.000 |
| 100.813 | 197.019 | 123.269 | 0.000 | 0.000 | 0.000 |
| 89.360 | 92.080 | 212.709 | -0.000 | -0.000 | 0.000 |
| 20.441 | -7.495 | 44.011 | 49.108 | 0.000 | -0.000 |
| 24.256 | -20.930 | 30.583 | 0.000 | 48.756 | -0.000 |
| -0.000 | 0.000 | -0.000 | 0.000 | -0.000 | 45.572 |
| 216.563 | 80.206 | 87.336 | -0.000 | -0.000 | 0.000 |
| 76.593 | 220.319 | 90.306 | 0.000 | -0.000 | -0.000 |
| 88.538 | 95.408 | 191.411 | -0.000 | -0.000 | 0.000 |
| -2.405 | 2.376 | -2.866 | 43.671 | 0.000 | 0.000 |
| -2.189 | 2.130 | -2.662 | -0.000 | 48.724 | 0.000 |
| -2.118 | 1.866 | -2.874 | -0.000 | -0.000 | 42.096 |
| 221.331 | 76.367 | 93.480 | 0.000 | -0.000 | -0.000 |
| 80.449 | 215.941 | 96.057 | 0.000 | 0.000 | -0.000 |
| 93.046 | 91.600 | 196.724 | 0.000 | 0.000 | -0.000 |
| 2.405 | -2.376 | 2.866 | 43.671 | 0.000 | -0.000 |
| 2.189 | -2.130 | 2.662 | 0.000 | 48.724 | -0.000 |
| 2.118 | -1.866 | 2.874 | 0.000 | 0.000 | 42.096 |
| -149.832 | -342.447 | 491.439 | -0.000 | -0.000 | -0.000 |
| -300.505 | -164.738 | 553.472 | -0.000 | 0.000 | -0.000 |
| 87.286 | 86.561 | 205.440 | 0.000 | 0.000 | -0.000 |
| -396.097 | -421.868 | 442.605 | 42.094 | 0.000 | -0.000 |
| -381.301 | -394.413 | 475.424 | 0.000 | 50.557 | -0.000 |
| -363.137 | -419.235 | 403.483 | 0.000 | -0.000 | 39.966 |
| 576.436 | 496.025 | -315.516 | 0.000 | -0.000 | 0.000 |
| 80.158 | 233.946 | 84.652 | 0.000 | -0.000 | 0.000 |
| 453.791 | 509.246 | -215.705 | 0.000 | -0.000 | 0.000 |
| 277.041 | 235.069 | -112.901 | 48.360 | -0.000 | 0.000 |
| 381.301 | 394.413 | -475.424 | 0.000 | 50.557 | 0.000 |
| 363.137 | 419.235 | -403.483 | -0.000 | -0.000 | 39.966 |
| 187.992 | 54.418 | 97.066 | -0.000 | 0.000 | -0.000 |
| 39.189 | 184.098 | 125.584 | -0.000 | 0.000 | -0.000 |
| 87.286 | 86.561 | 205.441 | -0.000 | -0.000 | -0.000 |
| -27.742 | -23.539 | 11.305 | 48.346 | -0.000 | -0.000 |
| -39.670 | -42.234 | 44.373 | 0.000 | 50.699 | -0.000 |
| -27.720 | -23.521 | 11.297 | 0.000 | -0.000 | 41.143 |
| 243.527 | 101.518 | 74.474 | -0.000 | 0.000 | 0.000 |
| 80.158 | 233.946 | 84.652 | 0.000 | -0.000 | 0.000 |
| 87.286 | 86.561 | 205.440 | 0.000 | -0.000 | 0.000 |
| 27.742 | 23.539 | -11.305 | 48.346 | 0.000 | 0.000 |
| 39.670 | 42.234 | -44.373 | -0.000 | 50.699 | 0.000 |
| 27.720 | 23.521 | -11.297 | -0.000 | -0.000 | 41.143 |
| 209.817 | 72.537 | 91.749 | -0.000 | 0.000 | -0.000 |
| 71.560 | 222.122 | 90.329 | -0.000 | 0.000 | -0.000 |
| 85.039 | 83.531 | 192.904 | 0.000 | 0.000 | -0.000 |
| -3.956 | -4.427 | 4.074 | 43.593 | 0.000 | -0.000 |
| -2.931 | -2.487 | 1.194 | -0.000 | 52.825 | -0.000 |
| -2.906 | -2.466 | 1.184 | 0.000 | 0.000 | 41.029 |
| 218.458 | 80.396 | 84.417 | 0.000 | -0.000 | -0.000 |
| 80.158 | 233.945 | 84.651 | 0.000 | -0.000 | 0.000 |
| 89.308 | 88.146 | 188.005 | 0.000 | 0.000 | 0.000 |
| 3.956 | 4.427 | -4.074 | 43.593 | -0.000 | 0.000 |
| 2.931 | 2.487 | -1.194 | 0.000 | 52.825 | 0.000 |
| 2.906 | 2.466 | -1.184 | -0.000 | 0.000 | 41.029 |
| 229.999 | 85.973 | 84.865 | -0.000 | -0.000 | 0.000 |
| 132.878 | 151.531 | 274.078 | -0.000 | -0.000 | 0.000 |
| 115.892 | 93.937 | 307.977 | -0.000 | -0.000 | -0.000 |
| -0.000 | 0.000 | 0.000 | 64.116 | -0.000 | 0.000 |
| 0.000 | 0.000 | -0.000 | -0.000 | 51.838 | 0.000 |
| 35.874 | 4.986 | 104.770 | -0.000 | -0.000 | 49.358 |
| 163.352 | 146.858 | -105.518 | 0.000 | 0.000 | -0.000 |
| 85.973 | 240.887 | 91.864 | 0.000 | 0.000 | -0.000 |
| 84.865 | 91.864 | 216.254 | 0.000 | 0.000 | -0.000 |
| 0.000 | 0.000 | -0.000 | 64.116 | 0.000 | 0.000 |
| -0.000 | -0.000 | -0.000 | 0.000 | 51.838 | -0.000 |
| -35.874 | -4.986 | -104.770 | 0.000 | 0.000 | 49.358 |
| 226.202 | 68.178 | 98.182 | -0.000 | -0.000 | 0.000 |
| 80.517 | 225.145 | 100.382 | -0.000 | -0.000 | 0.000 |
| 85.104 | 82.851 | 218.160 | -0.000 | -0.000 | 0.000 |
| 5.719 | -7.003 | 18.440 | 54.979 | -0.000 | -0.000 |
| 0.000 | -0.000 | 0.000 | -0.000 | 51.838 | 0.000 |
| 3.472 | 0.483 | 10.141 | -0.000 | -0.000 | 49.538 |
| 229.999 | 85.973 | 84.865 | 0.000 | -0.000 | -0.000 |
| 70.057 | 230.474 | 70.439 | 0.000 | 0.000 | 0.000 |
| 84.865 | 91.864 | 216.254 | 0.000 | 0.000 | -0.000 |
| -5.719 | 7.003 | -18.440 | 54.979 | -0.000 | 0.000 |
| -0.000 | 0.000 | -0.000 | 0.000 | 51.838 | -0.000 |
| -3.472 | -0.483 | -10.141 | 0.000 | 0.000 | 49.538 |
| 222.016 | 76.081 | 82.563 | -0.000 | -0.000 | 0.000 |
| 77.455 | 225.651 | 89.919 | -0.000 | 0.000 | -0.000 |
| 80.812 | 89.126 | 205.494 | -0.000 | -0.000 | 0.000 |
| 0.309 | 0.043 | 0.903 | 56.484 | -0.000 | -0.000 |
| 0.259 | -0.804 | 2.562 | -0.000 | 50.202 | -0.000 |
| 0.497 | -0.403 | 1.557 | -0.000 | 0.000 | 50.913 |
| 229.998 | 85.973 | 84.865 | 0.000 | 0.000 | -0.000 |
| 76.880 | 226.771 | 87.700 | 0.000 | 0.000 | -0.000 |
| 79.265 | 89.121 | 198.730 | 0.000 | -0.000 | -0.000 |
| -0.309 | -0.043 | -0.903 | 56.484 | 0.000 | -0.000 |
| -0.259 | 0.804 | -2.562 | 0.000 | 50.202 | -0.000 |
| -0.497 | 0.403 | -1.557 | 0.000 | 0.000 | 50.913 |
| 229.790 | 84.213 | 88.168 | 0.000 | -0.000 | -0.000 |
| 83.548 | 226.051 | 98.196 | 0.000 | -0.000 | -0.000 |
| 83.981 | 92.403 | 217.494 | 0.000 | -0.000 | -0.000 |
| 5.671 | 3.775 | 6.250 | 59.887 | -0.000 | -0.000 |
| 5.562 | 3.702 | 6.130 | 0.000 | 50.161 | -0.000 |
| 0.000 | 0.000 | 0.000 | 0.000 | -0.000 | 55.245 |
| 218.455 | 76.676 | 75.666 | -0.000 | 0.000 | 0.000 |
| 85.464 | 233.075 | 93.425 | -0.000 | 0.000 | 0.000 |
| 83.981 | 92.403 | 217.494 | -0.000 | 0.000 | 0.000 |
| -5.671 | -3.775 | -6.250 | 59.887 | 0.000 | 0.000 |
| -5.562 | -3.702 | -6.130 | -0.000 | 50.161 | 0.000 |
| -0.000 | -0.000 | 0.000 | -0.000 | 0.000 | 55.245 |
| 228.528 | 84.959 | 84.498 | 0.000 | -0.000 | -0.000 |
| 85.464 | 233.075 | 93.425 | 0.000 | -0.000 | -0.000 |
| 83.981 | 92.403 | 217.494 | 0.000 | -0.000 | -0.000 |
| 0.665 | 0.714 | 0.839 | 55.772 | -0.000 | -0.000 |
| 0.730 | 0.486 | 0.804 | 0.000 | 49.891 | -0.000 |
| 0.628 | 0.418 | 0.692 | 0.000 | -0.000 | 51.930 |
| 221.610 | 78.159 | 80.030 | -0.000 | 0.000 | 0.000 |
| 76.847 | 219.159 | 89.623 | -0.000 | 0.000 | 0.000 |
| 83.981 | 92.403 | 217.494 | -0.000 | 0.000 | 0.000 |
| -0.665 | -0.714 | -0.839 | 55.772 | 0.000 | 0.000 |
| -0.730 | -0.486 | -0.804 | -0.000 | 49.891 | 0.000 |
| -0.628 | -0.418 | -0.692 | -0.000 | 0.000 | 51.930 |
| 221.106 | 77.326 | 80.189 | 0.000 | -0.000 | -0.000 |
| 76.893 | 218.150 | 91.456 | 0.000 | -0.000 | -0.000 |
| 79.875 | 90.540 | 200.793 | 0.000 | -0.000 | -0.000 |
| 0.073 | 0.070 | 0.088 | 55.745 | -0.000 | -0.000 |
| 0.097 | 0.064 | 0.106 | 0.000 | 49.525 | -0.000 |
| 0.000 | 0.000 | 0.000 | 0.000 | -0.000 | 55.245 |
| 220.574 | 76.268 | 79.681 | -0.000 | 0.000 | 0.000 |
| 85.464 | 233.074 | 93.424 | -0.000 | 0.000 | 0.000 |
| 83.981 | 92.403 | 217.493 | -0.000 | 0.000 | 0.000 |
| -0.073 | -0.070 | -0.088 | 55.745 | 0.000 | 0.000 |
| -0.097 | -0.064 | -0.106 | -0.000 | 49.525 | 0.000 |
| -0.000 | -0.000 | -0.000 | -0.000 | 0.000 | 55.245 |
| 224.233 | 85.928 | 84.462 | 0.000 | -0.000 | -0.000 |
| 79.932 | 212.449 | 91.538 | 0.000 | -0.000 | -0.000 |
| 83.062 | 90.663 | 222.013 | 0.000 | -0.000 | -0.000 |
| 0.000 | -0.000 | 0.000 | 68.034 | -0.000 | -0.000 |
| 0.000 | 0.000 | -0.000 | 0.000 | 36.906 | -0.000 |
| 0.000 | 0.000 | -0.000 | -0.000 | 0.000 | 55.379 |
| 214.962 | 76.326 | 84.766 | -0.000 | 0.000 | 0.000 |
| 77.734 | 210.781 | 90.836 | 0.000 | 0.000 | 0.000 |
| 84.462 | 96.033 | 228.617 | 0.000 | 0.000 | 0.000 |
| -0.000 | -0.000 | -0.000 | 68.034 | 0.000 | 0.000 |
| -0.000 | -0.000 | 0.000 | -0.000 | 36.906 | 0.000 |
| -0.000 | -0.000 | 0.000 | -0.000 | -0.000 | 55.379 |
| 214.962 | 76.326 | 84.766 | 0.000 | -0.000 | -0.000 |
| 85.928 | 230.499 | 96.033 | 0.000 | -0.000 | -0.000 |
| 83.062 | 90.663 | 222.013 | 0.000 | -0.000 | -0.000 |
| 0.000 | -0.000 | 0.000 | 55.199 | -0.000 | -0.000 |
| 0.000 | -0.000 | -0.000 | 0.000 | 38.747 | -0.000 |
| 0.000 | 0.000 | 0.000 | 0.000 | -0.000 | 60.033 |
| 214.552 | 76.933 | 85.729 | -0.000 | 0.000 | 0.000 |
| 79.932 | 212.449 | 91.538 | -0.000 | 0.000 | 0.000 |
| 83.062 | 90.663 | 222.013 | -0.000 | 0.000 | 0.000 |
| -0.000 | 0.000 | -0.000 | 55.199 | 0.000 | 0.000 |
| -0.000 | 0.000 | 0.000 | -0.000 | 38.747 | 0.000 |
| -0.000 | -0.000 | -0.000 | -0.000 | 0.000 | 60.033 |
| 214.963 | 76.327 | 84.767 | 0.000 | -0.000 | -0.000 |
| 79.932 | 212.450 | 91.538 | 0.000 | -0.000 | -0.000 |
| 84.462 | 96.033 | 228.618 | -0.000 | -0.000 | -0.000 |
| 0.000 | -0.000 | 0.000 | 68.034 | -0.000 | -0.000 |
| 0.000 | 0.000 | -0.000 | 0.000 | 36.868 | -0.000 |
| 0.000 | 0.000 | 0.000 | 0.000 | -0.000 | 60.033 |
| 214.961 | 76.326 | 84.766 | 0.000 | 0.000 | 0.000 |
| 85.928 | 230.497 | 96.032 | -0.000 | 0.000 | 0.000 |
| 84.462 | 96.032 | 228.616 | -0.000 | 0.000 | 0.000 |
| -0.000 | 0.000 | -0.000 | 68.034 | 0.000 | 0.000 |
| -0.000 | -0.000 | 0.000 | -0.000 | 36.868 | 0.000 |
| -0.000 | -0.000 | -0.000 | -0.000 | 0.000 | 60.033 |
| 220.382 | 84.245 | 82.404 | 0.000 | -0.000 | 0.000 |
| 84.032 | 229.408 | 92.544 | 0.000 | -0.000 | -0.000 |
| 190.633 | 124.093 | 171.070 | -0.000 | -0.000 | 0.000 |
| 24.240 | 32.587 | -29.707 | 52.167 | -0.000 | -0.000 |
| 107.352 | 38.305 | -42.476 | 0.000 | 34.540 | 0.000 |
| -0.000 | 0.000 | 0.000 | -0.000 | -0.000 | 59.075 |
| 220.382 | 84.245 | 82.404 | -0.000 | 0.000 | 0.000 |
| 84.032 | 229.407 | 92.544 | -0.000 | 0.000 | -0.000 |
| 82.712 | 93.064 | 223.194 | -0.000 | 0.000 | 0.000 |
| -24.240 | -32.587 | 29.707 | 52.167 | 0.000 | -0.000 |
| -107.352 | -38.305 | 42.476 | -0.000 | 34.540 | 0.000 |
| 0.000 | -0.000 | -0.000 | -0.000 | 0.000 | 59.075 |
| 215.962 | 81.261 | 78.765 | 0.000 | 0.000 | -0.000 |
| 83.787 | 207.995 | 82.175 | 0.000 | -0.000 | 0.000 |
| 93.677 | 89.427 | 209.325 | 0.000 | -0.000 | -0.000 |
| 2.367 | 3.183 | -2.901 | 52.500 | -0.000 | -0.000 |
| 0.000 | 0.000 | -0.000 | 0.000 | 46.732 | -0.000 |
| 10.678 | 3.798 | -4.215 | 0.000 | -0.000 | 53.966 |
| 208.328 | 72.234 | 84.337 | -0.000 | -0.000 | -0.000 |
| 63.171 | 199.209 | 89.549 | -0.000 | 0.000 | -0.000 |
| 78.892 | 84.657 | 220.115 | -0.000 | 0.000 | 0.000 |
| -2.367 | -3.183 | 2.901 | 52.500 | 0.000 | 0.000 |
| -0.000 | -0.000 | 0.000 | -0.000 | 46.732 | -0.000 |
| -10.678 | -3.798 | 4.215 | -0.000 | 0.000 | 53.966 |
| 214.075 | 78.747 | 81.005 | 0.000 | -0.000 | 0.000 |
| 76.487 | 209.906 | 86.972 | 0.000 | -0.000 | -0.000 |
| 82.712 | 93.065 | 223.194 | 0.000 | -0.000 | 0.000 |
| 0.214 | 0.288 | -0.263 | 53.811 | -0.000 | 0.000 |
| 0.000 | 0.000 | -0.000 | 0.000 | 46.732 | -0.000 |
| 0.000 | -0.000 | 0.000 | 0.000 | -0.000 | 59.075 |
| 220.381 | 84.245 | 82.404 | -0.000 | 0.000 | 0.000 |
| 77.727 | 210.844 | 88.288 | -0.000 | 0.000 | -0.000 |
| 82.815 | 88.245 | 216.255 | -0.000 | -0.000 | 0.000 |
| -0.214 | -0.288 | 0.263 | 53.811 | -0.000 | 0.000 |
| -0.000 | -0.000 | 0.000 | -0.000 | 46.732 | 0.000 |
| -0.000 | 0.000 | -0.000 | -0.000 | 0.000 | 59.075 |
| 195.353 | 366.927 | 333.980 | 0.000 | 90.586 | 0.000 |
| 75.616 | 210.555 | 86.248 | 0.000 | 0.026 | -0.000 |
| 103.022 | 85.108 | 236.784 | 0.000 | -1.873 | 0.000 |
| -40.572 | 231.955 | 134.009 | 36.593 | 27.983 | -0.407 |
| -36.833 | 233.415 | 126.739 | 0.000 | 229.281 | -0.000 |
| -28.556 | 219.689 | 66.243 | -0.444 | 190.173 | 39.444 |
| 216.045 | 74.932 | 103.097 | -0.000 | 12.565 | -0.000 |
| 101.476 | -15.507 | 9.752 | -0.000 | -188.322 | -0.000 |
| 123.155 | -146.079 | 129.266 | -0.000 | -199.517 | 0.000 |
| 40.572 | -231.955 | -134.009 | 36.593 | -27.983 | -0.407 |
| 36.905 | -231.809 | -142.887 | -0.000 | -128.479 | -0.000 |
| 28.556 | -219.689 | -66.243 | -0.444 | -190.173 | 39.444 |
| 200.295 | 94.494 | 102.770 | 0.000 | 28.830 | 0.000 |
| 68.565 | 225.352 | 81.875 | -0.000 | 21.481 | 0.000 |
| 103.022 | 85.108 | 236.784 | 0.000 | -1.873 | 0.000 |
| -3.464 | 23.734 | 14.349 | 38.516 | 17.265 | -0.283 |
| -2.898 | 25.334 | 10.227 | 0.000 | 57.014 | -0.000 |
| -0.000 | 0.000 | 0.000 | 0.023 | 0.000 | 40.265 |
| 205.807 | 50.501 | 89.360 | -0.000 | -9.111 | 0.000 |
| 75.626 | 182.197 | 68.906 | -0.000 | -17.143 | -0.000 |
| 99.942 | 52.965 | 189.913 | -0.000 | -24.108 | -0.000 |
| 3.464 | -23.734 | -14.349 | 38.516 | -17.265 | -0.283 |
| 3.720 | -19.947 | -10.147 | -0.000 | 33.271 | -0.000 |
| 0.000 | -0.000 | -0.000 | 0.023 | 0.000 | 40.265 |
| 205.172 | 73.483 | 96.764 | 0.000 | 11.404 | -0.000 |
| 75.616 | 210.556 | 86.248 | 0.000 | 0.026 | 0.000 |
| 95.968 | 76.889 | 198.806 | 0.000 | -3.645 | -0.000 |
| -0.283 | 2.489 | 1.672 | 38.579 | 1.344 | -0.239 |
| 0.637 | 4.814 | -1.484 | -0.000 | 55.403 | -0.000 |
| -0.449 | 2.174 | 0.726 | -0.469 | 1.966 | 39.470 |
| 216.044 | 74.932 | 103.096 | -0.000 | 12.565 | -0.000 |
| 73.554 | 201.818 | 74.366 | 0.000 | 1.682 | -0.000 |
| 95.076 | 71.908 | 198.121 | -0.000 | -3.579 | -0.000 |
| 0.283 | -2.489 | -1.672 | 38.579 | -1.344 | -0.239 |
| 0.792 | -0.304 | -6.679 | 0.000 | 50.049 | -0.000 |
| 0.449 | -2.174 | -0.726 | -0.469 | -1.966 | 39.470 |
| 210.475 | 74.167 | 97.396 | 0.000 | 12.967 | -0.000 |
| 78.291 | 202.534 | 66.782 | 0.000 | -1.447 | -0.000 |
| 93.746 | 76.411 | 192.124 | 0.000 | -3.317 | 0.000 |
| 4.632 | 1.139 | -3.450 | 40.391 | -1.666 | -0.367 |
| 8.058 | 5.005 | -7.317 | 0.000 | 46.437 | 0.000 |
| 7.318 | 2.617 | -5.101 | -0.359 | -4.046 | 39.281 |
| 190.431 | 68.674 | 92.799 | -0.000 | 14.169 | 0.000 |
| 64.536 | 198.468 | 78.181 | -0.000 | 6.074 | 0.000 |
| 82.501 | 71.505 | 195.393 | -0.000 | 1.181 | -0.000 |
| -4.632 | -1.139 | 3.450 | 40.391 | 1.666 | -0.367 |
| -5.926 | 0.080 | 2.513 | -0.000 | 54.255 | -0.000 |
| -7.318 | -2.617 | 5.101 | -0.359 | 4.046 | 39.281 |
| 198.405 | 71.403 | 87.193 | 0.000 | 9.897 | 0.000 |
| 70.866 | 202.202 | 75.417 | 0.000 | 1.741 | 0.000 |
| 97.457 | 84.803 | 227.069 | 0.000 | -0.333 | 0.000 |
| 0.000 | 0.000 | -0.000 | 46.258 | -0.000 | 0.034 |
| 1.938 | 1.856 | -4.118 | 0.000 | 50.268 | -0.000 |
| -0.000 | 0.000 | 0.000 | 0.034 | -0.000 | 40.424 |
| 210.475 | 74.167 | 97.396 | -0.000 | 12.967 | -0.000 |
| 70.563 | 201.314 | 75.023 | -0.000 | 2.455 | -0.000 |
| 97.457 | 84.803 | 227.069 | -0.000 | -0.333 | 0.000 |
| -0.000 | -0.000 | 0.000 | 46.258 | 0.000 | 0.034 |
| 0.763 | 0.075 | -0.333 | -0.000 | 66.394 | 0.000 |
| 0.000 | -0.000 | -0.000 | 0.034 | 0.000 | 40.424 |
| 197.487 | 71.395 | 89.105 | 0.000 | 10.323 | 0.000 |
| 71.074 | 201.446 | 73.863 | 0.000 | 1.822 | 0.000 |
| 88.744 | 73.398 | 189.792 | 0.000 | -2.269 | 0.000 |
| 0.056 | 0.018 | -0.040 | 40.490 | -0.028 | -0.328 |
| 1.094 | 2.461 | -2.288 | 0.000 | 51.221 | 0.000 |
| 0.048 | 0.012 | -0.036 | -0.386 | -0.017 | 39.536 |
| 197.426 | 71.258 | 88.515 | -0.000 | 10.176 | -0.000 |
| 70.258 | 201.912 | 75.558 | -0.000 | 1.972 | -0.000 |
| 88.797 | 75.200 | 195.837 | -0.000 | -1.534 | -0.000 |
| -0.056 | -0.018 | 0.040 | 40.490 | 0.028 | -0.328 |
| 0.960 | 2.415 | -2.192 | -0.000 | 51.306 | -0.000 |
| -0.048 | -0.012 | 0.036 | -0.386 | 0.017 | 39.536 |
| 218.134 | 83.205 | 76.871 | 0.000 | -0.000 | 0.000 |
| 85.331 | 243.024 | 94.923 | 0.000 | -0.000 | 0.000 |
| 85.035 | 94.923 | 219.271 | 0.000 | 0.000 | 0.000 |
| 0.000 | 0.000 | 0.000 | 61.937 | -0.000 | 0.000 |
| -0.000 | -0.000 | -0.001 | -0.000 | 43.424 | 0.000 |
| -0.000 | -0.000 | -0.001 | 0.000 | -0.000 | 45.829 |
| 218.133 | 83.206 | 76.872 | -0.000 | 0.000 | -0.000 |
| 85.331 | 243.024 | 94.923 | -0.000 | 0.000 | -0.000 |
| 85.035 | 94.923 | 219.271 | 0.000 | -0.000 | -0.000 |
| -0.000 | -0.000 | -0.000 | 61.937 | 0.000 | -0.000 |
| 0.000 | 0.000 | 0.001 | -0.000 | 43.424 | -0.000 |
| 0.000 | 0.000 | 0.001 | -0.000 | 0.000 | 45.829 |
| 218.133 | 83.206 | 76.871 | -0.000 | -0.000 | 0.000 |
| 85.331 | 243.024 | 94.923 | -0.000 | -0.000 | 0.000 |
| 76.550 | 104.386 | 199.257 | -0.000 | -0.000 | 0.000 |
| 0.000 | -0.000 | 0.000 | 61.937 | -0.000 | 0.000 |
| 0.000 | 0.000 | -0.000 | -0.000 | 43.172 | 0.000 |
| 0.000 | -0.000 | -0.000 | 0.000 | -0.000 | 45.829 |
| 217.710 | 83.809 | 76.827 | -0.000 | 0.000 | -0.000 |
| 83.367 | 227.517 | 99.381 | -0.000 | 0.000 | -0.000 |
| 85.035 | 94.923 | 219.271 | 0.000 | 0.000 | -0.000 |
| -0.000 | 0.000 | -0.000 | 61.937 | 0.000 | -0.000 |
| -0.000 | -0.000 | 0.000 | 0.000 | 43.172 | 0.000 |
| -0.000 | 0.000 | 0.000 | -0.000 | 0.000 | 45.829 |
| 218.134 | 83.206 | 76.872 | 0.000 | -0.000 | 0.000 |
| 83.367 | 227.519 | 99.381 | 0.000 | -0.000 | 0.000 |
| 75.708 | 100.434 | 200.884 | -0.000 | -0.000 | 0.000 |
| 0.000 | 0.000 | 0.000 | 46.754 | -0.000 | 0.000 |
| 0.000 | 0.000 | -0.000 | -0.000 | 43.105 | 0.000 |
| 0.000 | 0.000 | 0.000 | -0.000 | -0.000 | 45.267 |
| 218.133 | 83.205 | 76.871 | -0.000 | -0.000 | -0.000 |
| 83.255 | 222.047 | 106.136 | 0.000 | 0.000 | -0.000 |
| 75.708 | 100.433 | 200.883 | -0.000 | 0.000 | -0.000 |
| -0.000 | -0.000 | -0.000 | 46.754 | 0.000 | 0.000 |
| -0.000 | -0.000 | 0.000 | 0.000 | 43.105 | -0.000 |
| -0.000 | -0.000 | -0.000 | 0.000 | -0.000 | 45.267 |
| 224.002 | 85.167 | 84.159 | 0.000 | -0.000 | 0.000 |
| 85.536 | 233.917 | 100.317 | 0.000 | 0.000 | 0.000 |
| 68.732 | 125.415 | 196.475 | 0.000 | -0.000 | 0.000 |
| -4.846 | 12.749 | 1.595 | 47.566 | -0.000 | 0.000 |
| -0.000 | 0.000 | -0.000 | 0.000 | 41.526 | 0.000 |
| -0.000 | 0.000 | -0.000 | 0.000 | -0.000 | 52.711 |
| 224.002 | 85.167 | 84.159 | -0.000 | 0.000 | -0.000 |
| 89.300 | 197.026 | 112.720 | 0.000 | -0.000 | -0.000 |
| 81.595 | 96.350 | 209.772 | 0.000 | 0.000 | -0.000 |
| 4.846 | -12.749 | -1.595 | 47.566 | 0.000 | -0.000 |
| -0.000 | -0.000 | 0.000 | -0.000 | 41.526 | -0.000 |
| -0.000 | -0.000 | 0.000 | -0.000 | 0.000 | 52.711 |
| 224.002 | 85.167 | 84.159 | 0.000 | -0.000 | 0.000 |
| 83.833 | 212.242 | 113.986 | -0.000 | -0.000 | 0.000 |
| 83.146 | 98.935 | 222.278 | -0.000 | 0.000 | 0.000 |
| 0.000 | -0.000 | 0.000 | 64.104 | -0.000 | 0.000 |
| -0.535 | 0.791 | -0.205 | 0.000 | 38.829 | 0.000 |
| -0.591 | 0.873 | -0.227 | -0.000 | -0.000 | 47.504 |
| 217.478 | 82.578 | 76.265 | -0.000 | -0.000 | -0.000 |
| 84.540 | 215.905 | 106.224 | -0.000 | 0.000 | -0.000 |
| 74.267 | 104.922 | 201.460 | -0.000 | 0.000 | -0.000 |
| -0.000 | 0.000 | -0.000 | 64.104 | 0.000 | -0.000 |
| 0.535 | -0.791 | 0.205 | -0.000 | 38.829 | -0.000 |
| 0.591 | -0.873 | 0.227 | 0.000 | 0.000 | 47.504 |
| 216.300 | 83.578 | 76.765 | -0.000 | -0.000 | 0.000 |
| 83.613 | 209.852 | 114.534 | 0.000 | 0.000 | 0.000 |
| 74.391 | 111.242 | 198.845 | -0.000 | -0.000 | 0.000 |
| -0.080 | 0.120 | -0.033 | 48.961 | -0.000 | 0.000 |
| -0.058 | 0.085 | -0.022 | 0.000 | 38.615 | 0.000 |
| -0.064 | 0.095 | -0.025 | 0.000 | -0.000 | 47.047 |
| 224.001 | 85.167 | 84.159 | -0.000 | -0.000 | -0.000 |
| 84.458 | 210.565 | 114.404 | -0.000 | -0.000 | 0.000 |
| 74.570 | 111.125 | 198.885 | -0.000 | 0.000 | -0.000 |
| 0.080 | -0.120 | 0.033 | 48.961 | 0.000 | -0.000 |
| 0.058 | -0.085 | 0.022 | -0.000 | 38.615 | -0.000 |
| 0.064 | -0.095 | 0.025 | 0.000 | 0.000 | 47.047 |
| 279.503 | 157.341 | 370.167 | -0.000 | -0.000 | -0.000 |
| 156.199 | 281.658 | 370.711 | -0.000 | -0.000 | -0.000 |
| 84.453 | 84.453 | 230.412 | -0.000 | -0.000 | -0.000 |
| 0.000 | -0.000 | 0.000 | 58.459 | -0.000 | -0.000 |
| 66.562 | 66.562 | 288.002 | -0.000 | 57.436 | -0.000 |
| 0.000 | 0.000 | 0.000 | -0.000 | 0.000 | 64.640 |
| 148.533 | 23.074 | -205.298 | 0.000 | 0.000 | 0.000 |
| 89.188 | 218.468 | 84.453 | -0.000 | 0.000 | 0.000 |
| 84.453 | 84.453 | 230.412 | 0.000 | 0.000 | -0.000 |
| -66.562 | -66.562 | -288.002 | 57.436 | 0.000 | 0.000 |
| -66.562 | -66.562 | -288.002 | 0.000 | 57.436 | 0.000 |
| -0.000 | -0.000 | 0.000 | 0.000 | -0.000 | 64.640 |
| 218.468 | 89.188 | 84.453 | -0.000 | 0.000 | -0.000 |
| 89.188 | 218.468 | 84.453 | 0.000 | -0.000 | 0.000 |
| 84.453 | 84.453 | 230.412 | -0.000 | -0.000 | 0.000 |
| -0.000 | -0.000 | 0.000 | 58.459 | -0.000 | -0.000 |
| 6.818 | 6.818 | 28.972 | -0.000 | 55.581 | -0.000 |
| -0.000 | 0.000 | 0.000 | -0.000 | 0.000 | 64.640 |
| 208.421 | 82.969 | 53.852 | 0.000 | 0.000 | 0.000 |
| 89.188 | 218.468 | 84.453 | 0.000 | -0.000 | 0.000 |
| 84.453 | 84.453 | 230.412 | 0.000 | 0.000 | 0.000 |
| 0.000 | 0.000 | -0.000 | 58.459 | 0.000 | 0.000 |
| -6.818 | -6.818 | -28.972 | 0.000 | 55.581 | 0.000 |
| 0.000 | -0.000 | -0.000 | 0.000 | -0.000 | 64.640 |
| 215.312 | 90.489 | 85.780 | -0.000 | -0.000 | -0.000 |
| 90.489 | 215.312 | 85.780 | -0.000 | -0.000 | -0.000 |
| 84.453 | 84.453 | 230.413 | -0.000 | -0.000 | 0.000 |
| -0.000 | -0.000 | 0.000 | 58.459 | -0.000 | 0.000 |
| -0.000 | -0.000 | 0.000 | -0.000 | 58.459 | -0.000 |
| 0.669 | 0.670 | 2.849 | -0.000 | -0.000 | 61.069 |
| 218.467 | 89.187 | 84.453 | 0.000 | -0.000 | 0.000 |
| 88.943 | 213.908 | 79.232 | 0.000 | -0.000 | -0.000 |
| 84.453 | 84.453 | 230.411 | 0.000 | 0.000 | -0.000 |
| 0.000 | 0.000 | -0.000 | 58.459 | 0.000 | 0.000 |
| 0.000 | 0.000 | -0.000 | 0.000 | 58.459 | -0.000 |
| -0.669 | -0.670 | -2.849 | 0.000 | 0.000 | 61.069 |
| 218.866 | 89.469 | 85.518 | 0.000 | 0.000 | -0.000 |
| 89.469 | 218.866 | 85.518 | 0.000 | 0.000 | -0.000 |
| 84.290 | 84.290 | 230.438 | -0.000 | 0.000 | -0.000 |
| -0.000 | -0.000 | 0.000 | 58.825 | -0.000 | -0.000 |
| -0.000 | -0.000 | 0.000 | 0.000 | 58.825 | -0.000 |
| -0.000 | 0.000 | -0.000 | -0.000 | -0.000 | 64.699 |
| 210.787 | 88.706 | 80.217 | -0.000 | -0.000 | 0.000 |
| 87.640 | 210.321 | 79.664 | 0.000 | -0.000 | 0.000 |
| 79.734 | 79.734 | 225.443 | -0.000 | -0.000 | 0.000 |
| 0.000 | -0.000 | -0.000 | 58.825 | -0.000 | 0.000 |
| 0.000 | -0.000 | -0.000 | 0.000 | 58.825 | 0.000 |
| 0.000 | -0.000 | 0.000 | -0.000 | -0.000 | 64.699 |
| 218.867 | 89.469 | 85.518 | -0.000 | -0.000 | -0.000 |
| 89.812 | 212.402 | 82.051 | 0.000 | -0.000 | -0.000 |
| 85.287 | 85.287 | 232.371 | -0.000 | 0.000 | -0.000 |
| 0.245 | 0.245 | 0.288 | 55.971 | -0.000 | -0.000 |
| -0.000 | -0.000 | 0.000 | -0.000 | 58.825 | 0.000 |
| -0.000 | 0.000 | 0.000 | -0.000 | 0.000 | 64.699 |
| 212.027 | 89.411 | 81.615 | -0.000 | -0.000 | 0.000 |
| 90.176 | 212.768 | 82.251 | -0.000 | 0.000 | 0.000 |
| 85.287 | 85.287 | 232.370 | 0.000 | 0.000 | 0.000 |
| -0.245 | -0.245 | -0.288 | 55.971 | 0.000 | 0.000 |
| 0.000 | 0.000 | -0.000 | -0.000 | 58.825 | 0.000 |
| 0.000 | -0.000 | -0.000 | -0.000 | -0.000 | 64.699 |
| 218.868 | 89.469 | 85.518 | 0.000 | 0.000 | -0.000 |
| 89.469 | 218.867 | 85.518 | 0.000 | 0.000 | -0.000 |
| 85.288 | 85.288 | 232.371 | -0.000 | 0.000 | -0.000 |
| -0.000 | -0.000 | 0.000 | 58.825 | 0.000 | -0.000 |
| -0.000 | -0.000 | 0.000 | -0.000 | 58.825 | -0.000 |
| 0.014 | 0.014 | 0.016 | -0.000 | 0.000 | 61.727 |
| 212.961 | 90.310 | 82.445 | 0.000 | -0.000 | 0.000 |
| 89.469 | 218.866 | 85.518 | 0.000 | 0.000 | 0.000 |
| 82.638 | 82.638 | 228.274 | 0.000 | 0.000 | 0.000 |
| 0.000 | 0.000 | -0.000 | 58.825 | 0.000 | 0.000 |
| 0.000 | 0.000 | -0.000 | 0.000 | 58.825 | 0.000 |
| -0.014 | -0.014 | -0.016 | 0.000 | -0.000 | 61.727 |
| 222.117 | 95.702 | 93.871 | 0.000 | 0.000 | 0.000 |
| 102.183 | 244.306 | 90.017 | 0.000 | 0.000 | 0.000 |
| 93.871 | 91.941 | 270.038 | -0.000 | -0.000 | 0.000 |
| 0.000 | -0.000 | -0.000 | 45.645 | 0.000 | 0.000 |
| 0.000 | -0.000 | 0.000 | 0.000 | 39.449 | -0.000 |
| -0.000 | 0.000 | 0.000 | -0.000 | -0.000 | 69.163 |
| 198.765 | 101.939 | 101.847 | -0.000 | -0.000 | -0.000 |
| 102.183 | 244.306 | 90.017 | -0.000 | -0.000 | -0.000 |
| 102.237 | 89.999 | 266.569 | 0.000 | -0.000 | -0.000 |
| -0.000 | 0.000 | 0.000 | 45.645 | -0.000 | -0.000 |
| -0.000 | 0.000 | -0.000 | -0.000 | 39.448 | 0.000 |
| 0.000 | -0.000 | -0.000 | -0.000 | 0.000 | 69.163 |
| 197.962 | 100.003 | 102.426 | 0.000 | 0.000 | -0.000 |
| 100.104 | 244.035 | 90.872 | -0.000 | 0.000 | -0.000 |
| 102.476 | 90.906 | 266.310 | 0.000 | 0.000 | 0.000 |
| 0.000 | 0.000 | -0.000 | 45.479 | 0.000 | -0.000 |
| 0.000 | -0.000 | -0.000 | 0.000 | 38.813 | 0.000 |
| -0.000 | 0.000 | 0.000 | 0.000 | 0.000 | 62.117 |
| 222.117 | 95.702 | 93.871 | -0.000 | 0.000 | -0.000 |
| 95.702 | 250.716 | 91.941 | -0.000 | 0.000 | -0.000 |
| 102.643 | 90.687 | 266.328 | 0.000 | -0.000 | 0.000 |
| -0.000 | -0.000 | 0.000 | 45.479 | -0.000 | 0.000 |
| -0.000 | 0.000 | 0.000 | 0.000 | 38.813 | -0.000 |
| 0.000 | -0.000 | -0.000 | -0.000 | -0.000 | 62.117 |
| 197.958 | 100.025 | 102.481 | 0.000 | 0.000 | -0.000 |
| 100.025 | 244.030 | 90.910 | 0.000 | 0.000 | -0.000 |
| 93.871 | 91.941 | 270.040 | -0.000 | -0.000 | 0.000 |
| 0.000 | 0.000 | -0.000 | 45.479 | 0.000 | -0.000 |
| 0.000 | -0.000 | -0.000 | 0.000 | 44.677 | 0.000 |
| -0.000 | 0.000 | 0.000 | -0.000 | 0.000 | 65.136 |
| 197.956 | 100.024 | 102.481 | -0.000 | -0.000 | 0.000 |
| 102.183 | 244.305 | 90.017 | 0.000 | -0.000 | -0.000 |
| 102.476 | 90.906 | 266.309 | -0.000 | -0.000 | -0.000 |
| -0.000 | -0.000 | 0.000 | 45.479 | -0.000 | 0.000 |
| -0.000 | 0.000 | 0.000 | -0.000 | 44.677 | -0.000 |
| 0.000 | -0.000 | -0.000 | -0.000 | -0.000 | 65.136 |
| 188.613 | 95.399 | 97.977 | -0.000 | -0.000 | 0.000 |
| 95.828 | 230.848 | 85.184 | 0.000 | -0.000 | 0.000 |
| 96.021 | 82.529 | 275.291 | -0.000 | 0.000 | 0.000 |
| -0.195 | -0.047 | 0.037 | 40.535 | 0.000 | 0.000 |
| -0.288 | -0.093 | 0.055 | -0.000 | 35.597 | -0.000 |
| -0.329 | -0.100 | 0.063 | -0.000 | 0.000 | 59.622 |
| 212.750 | 88.467 | 89.821 | -0.000 | 0.000 | 0.000 |
| 96.059 | 231.032 | 85.155 | 0.000 | -0.000 | -0.000 |
| 87.749 | 84.839 | 278.553 | 0.000 | -0.000 | 0.000 |
| 0.195 | 0.047 | -0.037 | 40.535 | -0.000 | -0.000 |
| 0.288 | 0.093 | -0.055 | -0.000 | 35.597 | 0.000 |
| 0.329 | 0.100 | -0.063 | 0.000 | 0.000 | 59.622 |
| 187.923 | 93.820 | 98.589 | -0.000 | 0.000 | -0.000 |
| 95.932 | 230.932 | 85.171 | -0.000 | 0.000 | 0.000 |
| 87.749 | 84.839 | 278.553 | 0.000 | 0.000 | -0.000 |
| -0.020 | -0.006 | 0.004 | 40.335 | 0.000 | -0.000 |
| -0.021 | -0.008 | 0.004 | 0.000 | 34.767 | -0.000 |
| -0.033 | -0.010 | 0.006 | -0.000 | 0.000 | 59.614 |
| 188.850 | 95.434 | 97.926 | 0.000 | 0.000 | -0.000 |
| 94.364 | 230.772 | 85.748 | 0.000 | -0.000 | 0.000 |
| 96.236 | 82.575 | 275.248 | 0.000 | 0.000 | -0.000 |
| 0.020 | 0.006 | -0.004 | 40.335 | -0.000 | 0.000 |
| 0.021 | 0.008 | -0.004 | -0.000 | 34.767 | 0.000 |
| 0.033 | 0.010 | -0.006 | 0.000 | -0.000 | 59.614 |
| 187.942 | 93.828 | 98.586 | -0.000 | 0.000 | -0.000 |
| 95.943 | 230.942 | 85.170 | -0.000 | 0.000 | -0.000 |
| 87.749 | 84.839 | 278.555 | -0.000 | -0.000 | -0.000 |
| -0.002 | -0.001 | 0.000 | 40.335 | 0.000 | -0.000 |
| -0.002 | -0.001 | 0.000 | 0.000 | 34.767 | -0.000 |
| -0.003 | -0.001 | 0.001 | -0.000 | -0.000 | 59.614 |
| 187.944 | 93.833 | 98.580 | 0.000 | 0.000 | -0.000 |
| 95.944 | 230.942 | 85.169 | 0.000 | 0.000 | -0.000 |
| 96.510 | 83.253 | 275.018 | 0.000 | 0.000 | -0.000 |
| 0.002 | 0.001 | -0.000 | 40.335 | -0.000 | 0.000 |
| 0.002 | 0.001 | -0.000 | 0.000 | 34.767 | 0.000 |
| 0.003 | 0.001 | -0.001 | -0.000 | 0.000 | 59.614 |
| 187.865 | 75.550 | 86.753 | -0.000 | -0.000 | -0.000 |
| 68.129 | 198.387 | 70.111 | 0.000 | -0.000 | 0.000 |
| 71.453 | 73.259 | 182.795 | 0.000 | -0.000 | 0.000 |
| -1.873 | -1.027 | -1.467 | 45.316 | -0.000 | 0.000 |
| -2.717 | -1.489 | -2.128 | 0.000 | 39.200 | 0.000 |
| -2.853 | -1.564 | -2.234 | 0.000 | -0.000 | 40.643 |
| 187.864 | 75.550 | 86.753 | 0.000 | 0.000 | 0.000 |
| 75.550 | 203.750 | 81.148 | 0.000 | 0.000 | 0.000 |
| 74.011 | 74.677 | 184.349 | -0.000 | 0.000 | -0.000 |
| 1.873 | 1.027 | 1.467 | 45.316 | 0.000 | 0.000 |
| 2.717 | 1.489 | 2.128 | -0.000 | 39.200 | 0.000 |
| 2.853 | 1.564 | 2.234 | -0.000 | 0.000 | 40.643 |
| 173.815 | 70.061 | 74.380 | -0.000 | -0.000 | -0.000 |
| 70.500 | 199.823 | 72.518 | 0.000 | -0.000 | 0.000 |
| 73.999 | 74.420 | 183.434 | 0.000 | -0.000 | -0.000 |
| -0.269 | -0.231 | 0.095 | 41.923 | -0.000 | -0.000 |
| -0.201 | -0.096 | -0.004 | -0.000 | 34.253 | -0.000 |
| -0.285 | -0.156 | -0.223 | 0.000 | -0.000 | 40.643 |
| 187.864 | 75.550 | 86.753 | 0.000 | 0.000 | 0.000 |
| 70.538 | 199.497 | 74.545 | -0.000 | 0.000 | 0.000 |
| 74.496 | 74.777 | 183.567 | -0.000 | 0.000 | -0.000 |
| 0.269 | 0.231 | -0.095 | 41.923 | 0.000 | -0.000 |
| 0.201 | 0.096 | 0.004 | 0.000 | 34.253 | 0.000 |
| 0.285 | 0.156 | 0.223 | -0.000 | 0.000 | 40.643 |
| 174.029 | 70.192 | 74.263 | -0.000 | -0.000 | -0.000 |
| 70.718 | 199.957 | 72.744 | 0.000 | -0.000 | -0.000 |
| 74.244 | 74.546 | 183.492 | -0.000 | -0.000 | -0.000 |
| -0.037 | -0.022 | -0.013 | 41.819 | -0.000 | -0.000 |
| -0.026 | -0.022 | -0.013 | 0.000 | 34.240 | -0.000 |
| 0.000 | 0.000 | -0.000 | 0.000 | -0.000 | 40.643 |
| 176.313 | 71.188 | 71.893 | -0.000 | 0.000 | -0.000 |
| 70.851 | 199.389 | 74.635 | 0.000 | 0.000 | 0.000 |
| 74.295 | 74.580 | 183.504 | 0.000 | 0.000 | 0.000 |
| 0.037 | 0.022 | 0.013 | 41.819 | 0.000 | -0.000 |
| 0.026 | 0.022 | 0.013 | -0.000 | 34.240 | 0.000 |
| -0.000 | -0.000 | 0.000 | 0.000 | -0.000 | 40.643 |
| 263.503 | 92.374 | 78.751 | -0.000 | 0.000 | 0.000 |
| 92.374 | 201.607 | 67.457 | -0.000 | -0.000 | 0.000 |
| 77.441 | 67.104 | 199.609 | -0.000 | -0.000 | 0.000 |
| -0.000 | -0.000 | -0.000 | 36.945 | 0.000 | 0.000 |
| -0.000 | -0.000 | -0.000 | -0.000 | 45.561 | -0.000 |
| 0.000 | -0.000 | -0.000 | -0.000 | 0.000 | 45.350 |
| 263.503 | 92.374 | 78.751 | 0.000 | 0.000 | -0.000 |
| 92.374 | 201.608 | 67.457 | 0.000 | 0.000 | -0.000 |
| 77.441 | 67.104 | 199.609 | 0.000 | -0.000 | -0.000 |
| 0.000 | 0.000 | 0.000 | 36.945 | -0.000 | -0.000 |
| 0.000 | 0.000 | 0.000 | 0.000 | 45.561 | -0.000 |
| 0.000 | 0.000 | 0.000 | 0.000 | -0.000 | 45.350 |
| 263.503 | 92.374 | 78.751 | -0.000 | 0.000 | 0.000 |
| 92.371 | 218.510 | 77.359 | -0.000 | 0.000 | -0.000 |
| 75.691 | 69.469 | 198.832 | -0.000 | -0.000 | 0.000 |
| 0.000 | -0.000 | 0.000 | 36.193 | -0.000 | 0.000 |
| -0.000 | -0.000 | 0.000 | -0.000 | 45.561 | 0.000 |
| -0.000 | 0.000 | 0.000 | -0.000 | 0.000 | 45.169 |
| 270.541 | 92.371 | 82.564 | 0.000 | -0.000 | -0.000 |
| 93.669 | 199.754 | 69.475 | 0.000 | 0.000 | -0.000 |
| 75.691 | 69.469 | 198.832 | 0.000 | -0.000 | -0.000 |
| -0.000 | 0.000 | -0.000 | 36.193 | 0.000 | -0.000 |
| 0.000 | 0.000 | -0.000 | 0.000 | 45.561 | -0.000 |
| 0.000 | -0.000 | -0.000 | 0.000 | -0.000 | 45.169 |
| 261.851 | 91.701 | 75.608 | -0.000 | 0.000 | 0.000 |
| 93.669 | 199.754 | 69.475 | -0.000 | -0.000 | 0.000 |
| 75.901 | 68.338 | 199.090 | -0.000 | 0.000 | 0.000 |
| 0.000 | -0.000 | 0.000 | 36.193 | -0.000 | 0.000 |
| -0.000 | 0.000 | 0.000 | -0.000 | 43.302 | 0.000 |
| -0.000 | 0.000 | 0.000 | -0.000 | -0.000 | 45.157 |
| 263.502 | 92.373 | 78.751 | 0.000 | 0.000 | -0.000 |
| 91.597 | 200.365 | 67.780 | 0.000 | 0.000 | -0.000 |
| 75.691 | 69.468 | 198.832 | 0.000 | -0.000 | -0.000 |
| -0.000 | 0.000 | -0.000 | 36.193 | 0.000 | -0.000 |
| 0.000 | -0.000 | -0.000 | 0.000 | 43.302 | -0.000 |
| 0.000 | -0.000 | -0.000 | 0.000 | 0.000 | 45.157 |
| 258.921 | 98.766 | 78.605 | 0.000 | -0.000 | 0.000 |
| 95.854 | 210.858 | 62.727 | 0.000 | -0.000 | 0.000 |
| 74.129 | 64.607 | 191.577 | -0.000 | 0.000 | -0.000 |
| -0.300 | 0.472 | -0.582 | 34.311 | -0.000 | 0.000 |
| -1.473 | 2.014 | -1.562 | 0.000 | 42.789 | -0.000 |
| -0.000 | 0.000 | 0.000 | 0.000 | -0.000 | 67.969 |
| 252.668 | 98.161 | 76.349 | -0.000 | -0.000 | -0.000 |
| 96.489 | 204.785 | 64.381 | -0.000 | 0.000 | 0.000 |
| 75.667 | 65.415 | 194.745 | -0.000 | 0.000 | 0.000 |
| 0.300 | -0.472 | 0.582 | 34.311 | 0.000 | -0.000 |
| 1.473 | -2.014 | 1.562 | -0.000 | 42.789 | 0.000 |
| -0.000 | -0.000 | -0.000 | -0.000 | 0.000 | 67.969 |
| 258.921 | 98.766 | 78.605 | 0.000 | -0.000 | 0.000 |
| 96.482 | 227.236 | 72.256 | 0.000 | -0.000 | -0.000 |
| 79.071 | 75.006 | 202.199 | -0.000 | -0.000 | 0.000 |
| -0.089 | 0.127 | -0.116 | 33.850 | -0.000 | 0.000 |
| -0.153 | 0.209 | -0.159 | 0.000 | 43.015 | -0.000 |
| -0.000 | 0.000 | 0.000 | 0.000 | -0.000 | 67.969 |
| 249.954 | 99.686 | 72.910 | -0.000 | 0.000 | -0.000 |
| 95.440 | 207.291 | 63.329 | -0.000 | 0.000 | -0.000 |
| 75.051 | 65.097 | 193.476 | -0.000 | 0.000 | -0.000 |
| 0.089 | -0.127 | 0.116 | 33.850 | 0.000 | 0.000 |
| 0.153 | -0.209 | 0.159 | -0.000 | 43.015 | 0.000 |
| 0.000 | -0.000 | -0.000 | -0.000 | 0.000 | 67.969 |
| 249.780 | 99.225 | 72.419 | 0.000 | 0.000 | -0.000 |
| 97.617 | 206.948 | 64.759 | 0.000 | -0.000 | -0.000 |
| 73.157 | 66.561 | 192.738 | -0.000 | 0.000 | -0.000 |
| 0.000 | -0.000 | 0.000 | 37.079 | -0.000 | -0.000 |
| -0.000 | 0.000 | 0.000 | 0.000 | 56.539 | -0.000 |
| -0.018 | 0.022 | -0.017 | 0.000 | -0.000 | 49.665 |
| 251.941 | 98.519 | 75.682 | -0.000 | 0.000 | -0.000 |
| 97.655 | 206.900 | 64.795 | -0.000 | 0.000 | -0.000 |
| 73.217 | 66.501 | 192.778 | -0.000 | 0.000 | 0.000 |
| -0.000 | 0.000 | -0.000 | 37.079 | 0.000 | 0.000 |
| 0.000 | -0.000 | -0.000 | -0.000 | 56.539 | -0.000 |
| 0.018 | -0.022 | 0.017 | -0.000 | 0.000 | 49.665 |
| -792.369 | -100.356 | -349.761 | 0.000 | 0.000 | 0.000 |
| -147.960 | -50.327 | -433.211 | -0.000 | -0.000 | 0.000 |
| -1203.037 | -463.925 | 299.793 | -0.000 | -0.000 | 0.000 |
| -1175.425 | -487.694 | 53.737 | 45.208 | -0.000 | 0.000 |
| -1295.076 | -555.932 | 93.305 | -0.000 | 54.332 | 0.000 |
| -1294.831 | -556.184 | 93.396 | -0.000 | -0.000 | 51.713 |
| 1222.832 | 259.667 | 526.545 | -0.000 | -0.000 | -0.000 |
| 87.029 | 265.558 | 86.617 | -0.000 | 0.000 | -0.000 |
| 1384.927 | 662.448 | 114.716 | 0.000 | -0.000 | -0.000 |
| 1175.425 | 487.694 | -53.737 | 45.208 | 0.000 | -0.000 |
| 1295.076 | 555.933 | -93.305 | 0.000 | 54.332 | -0.000 |
| 1294.831 | 556.184 | -93.396 | 0.000 | 0.000 | 51.713 |
| 236.191 | 87.404 | 88.922 | -0.000 | -0.000 | 0.000 |
| 87.029 | 265.558 | 86.617 | -0.000 | -0.000 | 0.000 |
| 91.515 | 89.586 | 218.868 | -0.000 | 0.000 | 0.000 |
| -129.298 | -57.118 | 9.160 | 48.999 | 0.000 | 0.000 |
| -129.835 | -55.275 | 10.752 | -0.000 | 56.335 | 0.000 |
| -129.333 | -57.017 | 9.162 | -0.000 | 0.000 | 50.982 |
| 340.445 | 129.681 | 84.955 | 0.000 | 0.000 | -0.000 |
| 201.021 | 298.491 | 79.925 | 0.000 | 0.000 | -0.000 |
| 211.713 | 137.946 | 201.352 | 0.000 | 0.000 | -0.000 |
| 129.298 | 57.118 | -9.160 | 48.999 | -0.000 | -0.000 |
| 129.835 | 55.275 | -10.751 | 0.000 | 56.335 | -0.000 |
| 129.333 | 57.017 | -9.162 | 0.000 | -0.000 | 50.982 |
| 210.568 | 77.578 | 89.927 | -0.000 | 0.000 | 0.000 |
| 70.460 | 243.127 | 91.060 | -0.000 | -0.000 | 0.000 |
| 82.013 | 89.236 | 204.341 | -0.000 | -0.000 | 0.000 |
| -12.717 | -5.745 | 1.055 | 49.181 | -0.000 | 0.000 |
| -12.928 | -5.322 | 0.584 | -0.000 | 55.334 | 0.000 |
| -12.930 | -5.667 | 0.944 | -0.000 | -0.000 | 51.026 |
| 231.244 | 88.622 | 89.376 | 0.000 | 0.000 | -0.000 |
| 95.820 | 254.879 | 88.233 | 0.000 | 0.000 | -0.000 |
| 104.537 | 97.895 | 205.372 | 0.000 | -0.000 | -0.000 |
| 12.717 | 5.745 | -1.055 | 49.181 | 0.000 | -0.000 |
| 12.928 | 5.322 | -0.584 | 0.000 | 55.334 | -0.000 |
| 12.930 | 5.667 | -0.944 | 0.000 | 0.000 | 51.026 |
| 230.212 | 84.738 | 88.632 | 0.000 | -0.000 | 0.000 |
| 90.841 | 244.336 | 82.851 | 0.000 | 0.000 | 0.000 |
| 88.632 | 93.152 | 227.112 | -0.000 | -0.000 | 0.000 |
| 8.085 | 8.134 | -11.013 | 51.987 | -0.000 | 0.000 |
| 7.990 | 8.059 | -10.995 | 0.000 | 54.644 | 0.000 |
| 0.000 | 0.000 | -0.000 | 0.000 | -0.000 | 57.506 |
| 220.331 | 78.536 | 100.467 | 0.000 | -0.000 | 0.000 |
| 75.861 | 228.896 | 105.412 | -0.000 | -0.000 | 0.000 |
| 79.245 | 86.364 | 224.648 | 0.000 | -0.000 | -0.000 |
| -8.085 | -8.134 | 11.013 | 51.987 | -0.000 | -0.000 |
| -7.990 | -8.059 | 10.995 | -0.000 | 54.645 | 0.000 |
| -0.000 | -0.000 | 0.000 | 0.000 | 0.000 | 57.506 |
| 221.445 | 83.299 | 85.878 | -0.000 | -0.000 | 0.000 |
| 84.054 | 236.708 | 93.009 | -0.000 | 0.000 | -0.000 |
| 88.632 | 93.152 | 227.112 | -0.000 | 0.000 | -0.000 |
| 0.467 | 0.608 | -1.396 | 53.297 | 0.000 | 0.000 |
| 0.000 | 0.000 | 0.000 | -0.000 | 57.437 | 0.000 |
| 0.000 | -0.000 | 0.000 | 0.000 | -0.000 | 57.506 |
| 230.211 | 84.738 | 88.632 | 0.000 | -0.000 | -0.000 |
| 82.213 | 234.854 | 96.129 | -0.000 | -0.000 | -0.000 |
| 88.632 | 93.152 | 227.112 | 0.000 | 0.000 | 0.000 |
| -0.467 | -0.608 | 1.396 | 53.297 | -0.000 | 0.000 |
| -0.895 | -0.785 | 0.444 | -0.000 | 52.122 | -0.000 |
| -0.000 | 0.000 | 0.000 | 0.000 | -0.000 | 57.506 |
| 230.212 | 84.738 | 88.633 | -0.000 | 0.000 | -0.000 |
| 82.994 | 235.737 | 95.084 | 0.000 | 0.000 | 0.000 |
| 88.632 | 93.153 | 227.113 | 0.000 | -0.000 | 0.000 |
| 0.000 | -0.000 | 0.000 | 65.954 | -0.000 | 0.000 |
| 0.000 | -0.000 | 0.000 | 0.000 | 57.437 | 0.000 |
| 0.045 | 0.059 | -0.136 | 0.000 | 0.000 | 51.805 |
| 222.780 | 84.427 | 85.964 | 0.000 | -0.000 | 0.000 |
| 83.199 | 235.880 | 94.310 | 0.000 | -0.000 | -0.000 |
| 86.715 | 94.521 | 212.208 | -0.000 | -0.000 | -0.000 |
| -0.000 | 0.000 | -0.000 | 65.954 | 0.000 | 0.000 |
| -0.000 | 0.000 | -0.000 | 0.000 | 57.437 | -0.000 |
| -0.045 | -0.059 | 0.136 | 0.000 | -0.000 | 51.805 |
| 200.381 | 53.779 | 78.767 | -0.000 | -0.000 | 0.000 |
| 90.833 | 226.399 | 85.924 | -0.000 | 0.000 | 0.000 |
| 58.229 | 68.010 | 180.840 | 0.000 | -0.000 | 0.000 |
| -24.951 | -34.335 | -0.564 | 47.541 | -0.000 | 0.000 |
| -24.779 | -34.605 | -0.186 | -0.000 | 53.582 | 0.000 |
| -25.075 | -34.643 | -0.415 | 0.000 | -0.000 | 57.850 |
| 250.327 | 122.594 | 79.796 | 0.000 | 0.000 | 0.000 |
| 90.833 | 226.399 | 85.924 | -0.000 | 0.000 | -0.000 |
| 85.365 | 85.641 | 203.700 | -0.000 | -0.000 | -0.000 |
| 24.951 | 34.335 | 0.564 | 47.541 | 0.000 | -0.000 |
| 24.779 | 34.605 | 0.186 | 0.000 | 53.582 | -0.000 |
| 25.075 | 34.643 | 0.415 | -0.000 | 0.000 | 57.850 |
| 222.972 | 84.443 | 79.636 | 0.000 | 0.000 | -0.000 |
| 87.428 | 205.487 | 96.642 | 0.000 | -0.000 | 0.000 |
| 77.086 | 90.112 | 188.062 | 0.000 | -0.000 | 0.000 |
| 0.000 | -0.000 | 0.000 | 62.264 | -0.000 | -0.000 |
| -1.827 | -2.054 | -0.777 | 0.000 | 53.876 | 0.000 |
| 0.000 | 0.000 | 0.000 | 0.000 | -0.000 | 64.516 |
| 228.564 | 90.819 | 78.678 | -0.000 | 0.000 | -0.000 |
| 92.951 | 212.894 | 96.765 | 0.000 | -0.000 | 0.000 |
| 80.917 | 97.358 | 187.106 | -0.000 | 0.000 | -0.000 |
| -0.000 | 0.000 | -0.000 | 62.264 | 0.000 | -0.000 |
| 1.827 | 2.054 | 0.777 | -0.000 | 53.876 | -0.000 |
| -0.000 | -0.000 | -0.000 | -0.000 | -0.000 | 64.516 |
| 225.207 | 87.742 | 79.464 | -0.000 | -0.000 | -0.000 |
| 89.486 | 208.572 | 96.758 | 0.000 | -0.000 | 0.000 |
| 78.639 | 93.020 | 187.701 | 0.000 | -0.000 | 0.000 |
| -0.262 | -0.314 | -0.050 | 48.084 | 0.000 | 0.000 |
| -0.262 | -0.331 | -0.035 | 0.000 | 53.643 | 0.000 |
| 0.000 | 0.000 | 0.000 | 0.000 | -0.000 | 64.516 |
| 225.910 | 88.766 | 78.368 | -0.000 | -0.000 | -0.000 |
| 90.235 | 212.204 | 93.335 | -0.000 | 0.000 | -0.000 |
| 80.098 | 96.736 | 185.114 | -0.000 | -0.000 | -0.000 |
| 0.262 | 0.314 | 0.050 | 48.084 | -0.000 | 0.000 |
| 0.262 | 0.331 | 0.035 | -0.000 | 53.643 | -0.000 |
| -0.000 | -0.000 | -0.000 | -0.000 | -0.000 | 64.516 |
| 230.286 | 90.636 | 79.393 | -0.000 | -0.000 | 0.000 |
| 91.035 | 242.414 | 92.629 | -0.000 | -0.000 | 0.000 |
| 79.965 | 103.498 | 197.621 | -0.000 | -0.000 | -0.000 |
| 0.000 | -0.000 | 0.000 | 52.467 | -0.000 | 0.000 |
| 0.000 | 0.000 | -0.000 | -0.000 | 54.204 | 0.000 |
| 0.000 | -0.000 | 0.000 | -0.000 | 0.000 | 56.611 |
| 230.286 | 90.636 | 79.393 | 0.000 | -0.000 | 0.000 |
| 90.680 | 225.048 | 103.505 | 0.000 | 0.000 | 0.000 |
| 79.035 | 100.699 | 200.218 | 0.000 | 0.000 | 0.000 |
| -0.000 | 0.000 | -0.000 | 52.467 | 0.000 | -0.000 |
| -0.000 | -0.000 | -0.000 | -0.000 | 54.204 | 0.000 |
| -0.000 | 0.000 | -0.000 | 0.000 | -0.000 | 56.611 |
| 229.444 | 90.170 | 81.228 | -0.000 | -0.000 | 0.000 |
| 90.637 | 227.734 | 100.241 | 0.000 | 0.000 | -0.000 |
| 81.036 | 103.766 | 197.103 | -0.000 | 0.000 | -0.000 |
| 0.000 | -0.000 | 0.000 | 65.077 | -0.000 | 0.000 |
| 0.000 | 0.000 | 0.000 | -0.000 | 51.753 | 0.000 |
| 0.000 | 0.000 | 0.000 | 0.000 | -0.000 | 62.407 |
| 229.653 | 90.698 | 79.992 | 0.000 | 0.000 | 0.000 |
| 90.038 | 224.635 | 103.716 | 0.000 | 0.000 | -0.000 |
| 85.663 | 92.629 | 216.995 | 0.000 | 0.000 | -0.000 |
| -0.000 | 0.000 | -0.000 | 65.077 | 0.000 | -0.000 |
| -0.000 | -0.000 | -0.000 | 0.000 | 51.753 | -0.000 |
| -0.000 | -0.000 | -0.000 | 0.000 | 0.000 | 62.407 |
| 238.066 | 91.036 | 85.663 | -0.000 | -0.000 | -0.000 |
| 90.161 | 224.697 | 103.548 | -0.000 | 0.000 | -0.000 |
| 79.035 | 100.700 | 200.218 | -0.000 | 0.000 | -0.000 |
| -0.000 | -0.000 | 0.000 | 50.138 | 0.000 | 0.000 |
| 0.000 | 0.000 | -0.000 | -0.000 | 52.265 | -0.000 |
| 0.000 | -0.000 | 0.000 | -0.000 | 0.000 | 54.797 |
| 229.429 | 90.034 | 81.382 | 0.000 | 0.000 | -0.000 |
| 90.636 | 227.732 | 100.241 | -0.000 | -0.000 | 0.000 |
| 79.035 | 100.699 | 200.217 | 0.000 | -0.000 | 0.000 |
| 0.000 | 0.000 | -0.000 | 50.138 | 0.000 | 0.000 |
| -0.000 | -0.000 | 0.000 | 0.000 | 52.265 | 0.000 |
| -0.000 | 0.000 | -0.000 | 0.000 | 0.000 | 54.797 |
| 207.787 | 70.700 | 110.033 | -0.000 | -3.479 | 0.000 |
| 72.061 | 194.549 | 82.769 | -0.000 | -14.747 | 0.000 |
| 97.502 | 68.808 | 232.136 | -0.000 | -13.562 | 0.000 |
| 0.000 | 0.000 | 0.000 | 49.138 | 0.000 | -0.175 |
| -0.050 | -0.312 | 0.271 | -0.000 | 68.836 | 0.000 |
| 0.000 | 0.000 | 0.000 | -0.097 | -0.000 | 42.051 |
| 207.106 | 71.551 | 90.130 | 0.000 | 22.785 | 0.000 |
| 71.536 | 192.192 | 55.235 | 0.000 | 13.909 | -0.000 |
| 96.361 | 72.832 | 219.501 | 0.000 | 13.179 | 0.000 |
| -0.000 | -0.000 | -0.000 | 49.138 | -0.000 | -0.175 |
| -0.050 | -0.312 | 0.271 | 0.000 | 68.836 | -0.000 |
| -0.000 | -0.000 | -0.000 | -0.097 | -0.000 | 42.051 |
| 208.333 | 69.924 | 97.313 | -0.000 | 9.962 | 0.000 |
| 76.028 | 200.856 | 76.664 | -0.000 | -0.234 | 0.000 |
| 95.886 | 69.684 | 225.394 | -0.000 | -0.430 | 0.000 |
| -0.340 | -0.492 | 0.593 | 38.629 | -0.963 | -0.640 |
| -0.120 | -0.528 | 1.510 | -0.000 | 58.371 | 0.000 |
| 0.024 | -0.205 | 0.722 | -0.453 | -1.115 | 37.063 |
| 215.094 | 73.542 | 96.954 | 0.000 | 13.387 | -0.000 |
| 76.028 | 200.856 | 76.664 | 0.000 | -0.234 | -0.000 |
| 96.462 | 70.205 | 224.170 | 0.000 | 1.934 | -0.000 |
| 0.340 | 0.492 | -0.593 | 38.629 | 0.963 | -0.640 |
| -0.050 | -0.312 | 0.271 | 0.000 | 68.836 | -0.000 |
| -0.024 | 0.205 | -0.722 | -0.453 | 1.115 | 37.063 |
| 208.936 | 70.161 | 96.264 | -0.000 | 11.322 | 0.000 |
| 71.228 | 194.087 | 71.127 | -0.000 | -0.330 | 0.000 |
| 98.308 | 75.643 | 238.782 | -0.000 | 0.271 | 0.000 |
| 0.000 | 0.000 | -0.000 | 49.138 | -0.000 | -0.175 |
| -0.050 | -0.312 | 0.271 | -0.000 | 68.836 | 0.000 |
| -0.000 | 0.000 | 0.000 | -0.097 | 0.000 | 42.051 |
| 207.744 | 68.446 | 94.894 | 0.000 | 11.982 | -0.000 |
| 72.625 | 194.812 | 70.108 | 0.000 | 0.040 | -0.000 |
| 96.309 | 70.148 | 224.958 | 0.000 | 0.704 | -0.000 |
| -0.000 | -0.000 | 0.000 | 49.138 | 0.000 | -0.175 |
| -0.194 | -0.264 | 0.794 | 0.000 | 59.483 | -0.000 |
| 0.000 | -0.000 | -0.000 | -0.097 | -0.000 | 42.051 |
| 183.920 | 77.503 | 108.468 | 0.000 | 3.391 | -0.000 |
| 60.529 | 204.573 | 85.100 | -0.000 | -8.813 | -0.000 |
| 75.600 | 66.773 | 227.850 | -0.000 | -6.904 | 0.000 |
| 0.000 | 0.000 | 0.000 | 50.794 | 0.000 | 0.024 |
| 0.042 | -0.254 | -0.411 | -0.000 | 69.535 | -0.000 |
| -14.284 | 1.804 | 10.094 | -0.133 | -8.269 | 41.217 |
| 217.904 | 80.600 | 91.823 | 0.000 | 18.830 | 0.000 |
| 96.427 | 207.225 | 67.203 | -0.000 | 6.663 | 0.000 |
| 111.954 | 73.122 | 215.162 | -0.000 | 8.161 | -0.000 |
| -0.000 | -0.000 | -0.000 | 50.794 | -0.000 | 0.024 |
| 0.042 | -0.254 | -0.411 | 0.000 | 69.535 | 0.000 |
| 14.284 | -1.804 | -10.094 | -0.133 | 8.269 | 41.217 |
| 203.903 | 78.290 | 98.491 | -0.000 | 13.539 | -0.000 |
| 71.389 | 199.802 | 74.749 | 0.000 | -0.888 | -0.000 |
| 96.402 | 74.325 | 224.309 | -0.000 | -0.715 | -0.000 |
| -1.980 | 0.250 | 1.399 | 44.443 | -1.146 | -0.194 |
| 0.042 | -0.254 | -0.411 | -0.000 | 69.535 | -0.000 |
| -0.000 | 0.000 | 0.000 | 0.024 | 0.000 | 44.241 |
| 197.923 | 74.068 | 96.828 | -0.000 | 12.085 | -0.000 |
| 77.128 | 202.585 | 73.508 | 0.000 | 0.763 | 0.000 |
| 99.596 | 74.679 | 222.054 | -0.000 | 0.904 | -0.000 |
| 1.980 | -0.250 | -1.399 | 44.443 | 1.146 | -0.194 |
| 1.337 | -0.279 | -0.870 | 0.000 | 62.849 | 0.000 |
| 0.000 | -0.000 | -0.000 | 0.024 | -0.000 | 44.241 |
| 203.904 | 78.290 | 98.491 | -0.000 | 13.539 | -0.000 |
| 73.145 | 200.382 | 74.083 | -0.000 | -0.349 | -0.000 |
| 97.196 | 73.948 | 222.849 | 0.000 | 0.159 | -0.000 |
| -0.239 | 0.030 | 0.169 | 43.115 | -0.139 | -0.240 |
| -0.242 | -0.084 | 0.233 | 0.000 | 62.157 | -0.000 |
| -0.234 | -0.053 | 0.091 | -0.384 | -0.073 | 39.336 |
| 197.363 | 74.900 | 97.835 | 0.000 | 11.562 | -0.000 |
| 75.133 | 201.360 | 73.055 | -0.000 | 0.057 | -0.000 |
| 97.598 | 74.054 | 222.712 | 0.000 | 0.254 | 0.000 |
| 0.239 | -0.030 | -0.169 | 43.115 | 0.139 | -0.240 |
| 0.042 | -0.254 | -0.411 | 0.000 | 69.535 | 0.000 |
| 0.234 | 0.053 | -0.091 | -0.384 | 0.073 | 39.336 |
| 180.062 | 95.087 | 98.166 | -0.000 | 0.000 | 0.000 |
| 94.858 | 179.401 | 94.962 | -0.000 | 0.000 | 0.000 |
| 98.151 | 95.176 | 180.024 | 0.000 | 0.000 | 0.000 |
| 0.560 | 0.671 | 0.560 | 69.007 | 0.000 | 0.000 |
| 1.249 | 1.496 | 1.250 | 0.000 | 68.198 | 0.000 |
| 0.560 | 0.671 | 0.560 | -0.000 | 0.000 | 68.635 |
| 178.032 | 92.633 | 96.134 | 0.000 | -0.000 | -0.000 |
| 92.839 | 176.956 | 92.942 | 0.000 | -0.000 | -0.000 |
| 96.121 | 92.723 | 177.992 | 0.000 | -0.000 | -0.000 |
| -0.560 | -0.671 | -0.560 | 69.007 | -0.000 | -0.000 |
| -1.249 | -1.496 | -1.250 | -0.000 | 68.198 | 0.000 |
| -0.560 | -0.671 | -0.560 | 0.000 | -0.000 | 68.635 |
| 178.908 | 93.804 | 97.011 | 0.000 | 0.000 | -0.000 |
| 93.472 | 177.860 | 93.576 | 0.000 | 0.000 | -0.000 |
| 96.997 | 93.893 | 178.869 | 0.000 | 0.000 | 0.000 |
| 0.129 | 0.153 | 0.129 | 68.858 | 0.000 | 0.000 |
| 0.125 | 0.150 | 0.125 | 0.000 | 68.198 | -0.000 |
| 0.129 | 0.154 | 0.129 | -0.000 | 0.000 | 68.485 |
| 178.718 | 93.577 | 96.821 | -0.000 | -0.000 | -0.000 |
| 93.282 | 177.633 | 93.385 | -0.000 | -0.000 | 0.000 |
| 96.806 | 93.666 | 178.678 | -0.000 | -0.000 | 0.000 |
| -0.129 | -0.153 | -0.129 | 68.858 | -0.000 | 0.000 |
| -0.125 | -0.150 | -0.125 | -0.000 | 68.198 | 0.000 |
| -0.129 | -0.154 | -0.129 | 0.000 | -0.000 | 68.485 |
| 178.824 | 93.703 | 96.927 | -0.000 | 0.000 | -0.000 |
| 93.388 | 177.759 | 93.491 | -0.000 | 0.000 | 0.000 |
| 97.241 | 94.078 | 179.113 | 0.000 | 0.000 | 0.000 |
| 0.005 | 0.006 | 0.006 | 69.127 | 0.000 | 0.000 |
| 0.013 | 0.015 | 0.013 | 0.000 | 68.198 | -0.000 |
| 0.013 | 0.016 | 0.013 | -0.000 | 0.000 | 68.484 |
| 178.804 | 93.679 | 96.907 | 0.000 | -0.000 | 0.000 |
| 93.368 | 177.735 | 93.472 | 0.000 | -0.000 | 0.000 |
| 96.892 | 93.768 | 178.764 | 0.000 | -0.000 | -0.000 |
| -0.005 | -0.006 | -0.006 | 69.127 | -0.000 | 0.000 |
| -0.013 | -0.015 | -0.013 | -0.000 | 68.198 | 0.000 |
| -0.013 | -0.016 | -0.013 | 0.000 | -0.000 | 68.484 |
| 222.686 | 78.291 | 77.209 | 0.000 | -0.000 | -0.000 |
| 80.313 | 204.830 | 89.169 | 0.000 | -0.000 | -0.000 |
| 77.214 | 87.381 | 205.534 | 0.000 | -0.000 | 0.000 |
| -0.000 | -0.000 | 0.000 | 65.078 | -0.000 | 0.000 |
| 0.000 | 0.000 | -0.000 | 0.000 | 52.126 | 0.000 |
| 0.000 | 0.000 | -0.000 | 0.000 | -0.000 | 54.306 |
| 222.686 | 78.291 | 77.209 | -0.000 | -0.000 | -0.000 |
| 80.313 | 204.830 | 89.169 | -0.000 | 0.000 | -0.000 |
| 77.214 | 87.381 | 205.534 | -0.000 | 0.000 | -0.000 |
| 0.000 | 0.000 | -0.000 | 65.078 | -0.000 | -0.000 |
| -0.000 | -0.000 | 0.000 | -0.000 | 52.126 | -0.000 |
| -0.000 | -0.000 | 0.000 | -0.000 | 0.000 | 54.306 |
| 222.481 | 79.002 | 77.032 | 0.000 | -0.000 | 0.000 |
| 78.957 | 203.802 | 88.142 | 0.000 | -0.000 | 0.000 |
| 77.107 | 88.222 | 205.262 | 0.000 | -0.000 | 0.000 |
| 0.000 | -0.000 | 0.000 | 56.388 | -0.000 | 0.000 |
| 0.000 | 0.000 | -0.000 | 0.000 | 51.917 | 0.000 |
| 0.000 | 0.000 | -0.000 | -0.000 | -0.000 | 58.030 |
| 222.481 | 79.002 | 77.031 | -0.000 | 0.000 | -0.000 |
| 78.957 | 203.802 | 88.142 | -0.000 | 0.000 | -0.000 |
| 77.106 | 88.222 | 205.262 | -0.000 | 0.000 | -0.000 |
| -0.000 | 0.000 | -0.000 | 56.388 | 0.000 | 0.000 |
| -0.000 | -0.000 | 0.000 | -0.000 | 51.917 | -0.000 |
| -0.000 | -0.000 | 0.000 | -0.000 | 0.000 | 58.030 |
| 224.186 | 78.931 | 79.437 | 0.000 | -0.000 | 0.000 |
| 79.061 | 203.835 | 88.071 | 0.000 | -0.000 | 0.000 |
| 77.107 | 88.223 | 205.263 | 0.000 | -0.000 | 0.000 |
| -0.000 | -0.000 | 0.000 | 56.383 | -0.000 | 0.000 |
| 0.000 | 0.000 | -0.000 | 0.000 | 51.916 | 0.000 |
| 0.000 | -0.000 | 0.000 | 0.000 | -0.000 | 53.966 |
| 222.479 | 78.968 | 77.077 | -0.000 | 0.000 | -0.000 |
| 78.968 | 203.798 | 88.215 | -0.000 | 0.000 | -0.000 |
| 78.152 | 87.653 | 207.759 | 0.000 | 0.000 | 0.000 |
| 0.000 | 0.000 | -0.000 | 56.383 | 0.000 | -0.000 |
| -0.000 | -0.000 | 0.000 | -0.000 | 51.916 | -0.000 |
| -0.000 | 0.000 | -0.000 | -0.000 | 0.000 | 53.966 |
| 216.970 | 72.160 | 72.160 | 0.000 | 0.000 | -0.000 |
| 72.160 | 216.970 | 72.160 | -0.000 | 0.000 | -0.000 |
| 72.160 | 72.160 | 216.970 | -0.000 | -0.000 | 0.000 |
| -0.000 | -0.000 | -0.000 | 118.338 | 0.000 | 0.000 |
| -0.000 | -0.000 | -0.000 | 0.000 | 118.338 | 0.000 |
| -0.000 | -0.000 | -0.000 | -0.000 | -0.000 | 118.338 |
| 216.969 | 72.160 | 72.160 | -0.000 | -0.000 | 0.000 |
| 72.160 | 216.970 | 72.160 | -0.000 | -0.000 | 0.000 |
| 72.160 | 72.160 | 216.969 | 0.000 | 0.000 | -0.000 |
| 0.000 | 0.000 | 0.000 | 118.338 | -0.000 | 0.000 |
| 0.000 | 0.000 | 0.000 | -0.000 | 118.338 | 0.000 |
| 0.000 | 0.000 | 0.000 | -0.000 | -0.000 | 118.338 |
| 216.970 | 72.160 | 72.160 | 0.000 | 0.000 | 0.000 |
| 72.160 | 216.970 | 72.160 | 0.000 | 0.000 | 0.000 |
| 72.160 | 72.160 | 216.970 | -0.000 | 0.000 | 0.000 |
| 0.000 | -0.000 | -0.000 | 118.338 | 0.000 | -0.000 |
| -0.000 | 0.000 | -0.000 | 0.000 | 118.338 | -0.000 |
| -0.000 | -0.000 | 0.000 | 0.000 | -0.000 | 118.338 |
| 216.969 | 72.160 | 72.160 | -0.000 | -0.000 | -0.000 |
| 72.160 | 216.969 | 72.160 | -0.000 | -0.000 | 0.000 |
| 72.160 | 72.160 | 216.969 | 0.000 | 0.000 | 0.000 |
| -0.000 | 0.000 | 0.000 | 118.338 | -0.000 | -0.000 |
| 0.000 | -0.000 | 0.000 | -0.000 | 118.338 | 0.000 |
| 0.000 | 0.000 | -0.000 | -0.000 | -0.000 | 118.338 |
| 216.971 | 72.160 | 72.160 | 0.000 | 0.000 | 0.000 |
| 72.160 | 216.971 | 72.160 | 0.000 | 0.000 | 0.000 |
| 72.160 | 72.160 | 216.971 | 0.000 | -0.000 | 0.000 |
| 0.000 | -0.000 | 0.000 | 118.338 | 0.000 | -0.000 |
| -0.000 | 0.000 | 0.000 | 0.000 | 118.338 | -0.000 |
| -0.000 | 0.000 | 0.000 | 0.000 | -0.000 | 118.338 |
| 216.968 | 72.160 | 72.160 | -0.000 | -0.000 | -0.000 |
| 72.160 | 216.968 | 72.160 | -0.000 | -0.000 | -0.000 |
| 72.160 | 72.160 | 216.968 | -0.000 | -0.000 | -0.000 |
| -0.000 | 0.000 | -0.000 | 118.338 | -0.000 | 0.000 |
| 0.000 | -0.000 | -0.000 | -0.000 | 118.338 | 0.000 |
| 0.000 | -0.000 | -0.000 | -0.000 | 0.000 | 118.338 |
| 125.783 | 91.977 | 91.977 | 0.000 | 0.000 | -0.000 |
| 91.977 | 125.783 | 91.977 | -0.000 | 0.000 | 0.000 |
| 91.977 | 91.977 | 125.783 | -0.000 | 0.000 | 0.000 |
| -0.000 | -0.000 | -0.000 | 42.993 | -0.000 | 0.000 |
| -0.000 | -0.000 | -0.000 | -0.000 | 42.993 | -0.000 |
| -0.000 | -0.000 | -0.000 | -0.000 | 0.000 | 42.993 |
| 125.783 | 91.977 | 91.977 | 0.000 | -0.000 | 0.000 |
| 91.977 | 125.783 | 91.977 | 0.000 | 0.000 | 0.000 |
| 91.977 | 91.977 | 125.783 | 0.000 | -0.000 | -0.000 |
| 0.000 | 0.000 | 0.000 | 42.993 | -0.000 | 0.000 |
| 0.000 | 0.000 | 0.000 | -0.000 | 42.993 | 0.000 |
| 0.000 | 0.000 | 0.000 | 0.000 | 0.000 | 42.993 |
| 125.783 | 91.977 | 91.977 | -0.000 | 0.000 | -0.000 |
| 91.977 | 125.783 | 91.977 | -0.000 | -0.000 | 0.000 |
| 91.977 | 91.977 | 125.783 | -0.000 | -0.000 | 0.000 |
| 0.000 | -0.000 | 0.000 | 80.371 | -0.000 | 0.000 |
| -0.000 | 0.000 | 0.000 | -0.000 | 80.371 | 0.000 |
| -0.000 | 0.000 | 0.000 | 0.000 | -0.000 | 80.371 |
| 125.783 | 91.977 | 91.977 | 0.000 | 0.000 | -0.000 |
| 91.977 | 125.783 | 91.977 | 0.000 | -0.000 | -0.000 |
| 91.977 | 91.977 | 125.783 | 0.000 | 0.000 | -0.000 |
| -0.000 | 0.000 | -0.000 | 80.371 | 0.000 | -0.000 |
| 0.000 | -0.000 | -0.000 | 0.000 | 80.371 | -0.000 |
| 0.000 | -0.000 | -0.000 | 0.000 | 0.000 | 80.371 |
| 125.783 | 91.977 | 91.977 | 0.000 | 0.000 | 0.000 |
| 91.977 | 125.783 | 91.977 | 0.000 | -0.000 | -0.000 |
| 91.977 | 91.977 | 125.783 | 0.000 | 0.000 | 0.000 |
| 0.000 | -0.000 | -0.000 | 42.993 | 0.000 | -0.000 |
| -0.000 | 0.000 | -0.000 | -0.000 | 42.993 | -0.000 |
| -0.000 | -0.000 | 0.000 | 0.000 | -0.000 | 42.993 |
| 125.782 | 91.977 | 91.977 | 0.000 | 0.000 | 0.000 |
| 91.977 | 125.782 | 91.977 | 0.000 | -0.000 | 0.000 |
| 91.977 | 91.977 | 125.782 | 0.000 | 0.000 | 0.000 |
| -0.000 | 0.000 | 0.000 | 42.993 | 0.000 | 0.000 |
| 0.000 | -0.000 | 0.000 | 0.000 | 42.993 | 0.000 |
| 0.000 | 0.000 | -0.000 | 0.000 | 0.000 | 42.993 |
| 251.778 | 27.743 | 146.477 | -0.000 | -0.000 | -0.000 |
| 122.389 | 107.763 | 171.543 | -0.000 | -0.000 | 0.000 |
| 103.559 | 114.999 | 219.678 | 0.000 | -0.000 | 0.000 |
| 16.666 | 15.240 | -5.547 | 67.781 | -0.000 | -0.000 |
| 0.000 | 0.000 | 0.000 | -0.000 | 63.715 | -0.000 |
| 0.000 | 0.000 | 0.000 | -0.000 | 0.000 | 55.859 |
| 209.550 | 70.716 | 90.791 | 0.000 | 0.000 | -0.000 |
| 71.415 | 167.094 | 105.448 | 0.000 | 0.000 | -0.000 |
| 89.982 | 95.118 | 231.881 | 0.000 | 0.000 | 0.000 |
| -16.666 | -15.240 | 5.547 | 67.781 | 0.000 | -0.000 |
| -0.000 | -0.000 | -0.000 | -0.000 | 63.715 | 0.000 |
| -0.000 | -0.000 | -0.000 | 0.000 | 0.000 | 55.859 |
| 225.249 | 84.538 | 88.156 | -0.000 | -0.000 | -0.000 |
| 84.764 | 194.046 | 95.135 | -0.000 | -0.000 | 0.000 |
| 87.470 | 100.305 | 224.205 | -0.000 | -0.000 | 0.000 |
| 1.718 | 1.571 | -0.572 | 67.659 | -0.000 | 0.000 |
| 1.699 | 1.553 | -0.565 | 0.000 | 61.272 | -0.000 |
| 0.000 | 0.000 | 0.000 | -0.000 | -0.000 | 55.859 |
| 229.501 | 82.890 | 88.124 | 0.000 | 0.000 | 0.000 |
| 89.935 | 178.305 | 99.500 | 0.000 | 0.000 | -0.000 |
| 79.702 | 113.881 | 207.554 | 0.000 | 0.000 | 0.000 |
| -1.718 | -1.571 | 0.572 | 67.659 | 0.000 | -0.000 |
| -1.699 | -1.553 | 0.565 | -0.000 | 61.272 | 0.000 |
| -0.000 | -0.000 | -0.000 | -0.000 | 0.000 | 55.859 |
| 223.759 | 88.962 | 82.624 | -0.000 | -0.000 | 0.000 |
| 93.613 | 171.640 | 108.163 | 0.000 | -0.000 | 0.000 |
| 85.868 | 102.818 | 221.453 | -0.000 | -0.000 | -0.000 |
| 0.242 | 0.221 | -0.080 | 65.990 | -0.000 | -0.000 |
| 0.543 | -1.018 | 1.072 | -0.000 | 55.336 | -0.000 |
| 0.196 | 0.179 | -0.065 | -0.000 | -0.000 | 50.905 |
| 221.561 | 91.923 | 80.900 | -0.000 | 0.000 | 0.000 |
| 92.223 | 173.117 | 105.205 | 0.000 | 0.000 | 0.000 |
| 83.221 | 108.067 | 215.005 | 0.000 | -0.000 | 0.000 |
| -0.242 | -0.221 | 0.080 | 65.990 | 0.000 | 0.000 |
| -0.543 | 1.018 | -1.072 | 0.000 | 55.336 | -0.000 |
| -0.196 | -0.179 | 0.065 | 0.000 | 0.000 | 50.905 |
| 173.927 | 110.924 | 32.763 | 0.000 | 0.000 | 0.000 |
| -8.746 | 312.326 | -46.138 | -0.000 | 0.000 | 0.000 |
| 88.728 | 100.473 | 243.983 | -0.000 | 0.000 | 0.000 |
| -99.627 | 130.142 | -157.776 | 66.647 | 0.000 | 0.000 |
| -99.788 | 130.387 | -158.055 | -0.000 | 56.364 | -0.000 |
| 0.000 | -0.000 | -0.000 | 0.000 | 0.000 | 52.356 |
| 316.982 | -38.213 | 241.402 | -0.000 | 0.000 | -0.000 |
| 82.767 | 205.321 | 100.473 | 0.000 | -0.000 | -0.000 |
| 88.728 | 100.473 | 243.983 | -0.000 | -0.000 | -0.000 |
| 99.627 | -130.142 | 157.776 | 66.647 | -0.000 | 0.000 |
| 99.788 | -130.387 | 158.055 | 0.000 | 56.364 | -0.000 |
| -0.000 | 0.000 | -0.000 | -0.000 | -0.000 | 52.356 |
| 213.438 | 103.480 | 67.194 | -0.000 | 0.000 | 0.000 |
| 81.748 | 195.930 | 101.078 | -0.000 | 0.000 | 0.000 |
| 76.141 | 112.838 | 224.606 | -0.000 | 0.000 | 0.000 |
| -5.298 | 2.460 | -5.321 | 69.490 | 0.000 | 0.000 |
| -5.317 | 2.469 | -5.340 | -0.000 | 58.628 | 0.000 |
| -5.175 | 2.403 | -5.198 | -0.000 | 0.000 | 46.890 |
| 230.150 | 82.767 | 88.728 | 0.000 | -0.000 | -0.000 |
| 100.203 | 170.369 | 126.862 | 0.000 | -0.000 | -0.000 |
| 92.068 | 99.119 | 244.717 | 0.000 | -0.000 | -0.000 |
| 5.298 | -2.460 | 5.321 | 69.490 | 0.000 | 0.000 |
| 5.317 | -2.469 | 5.340 | 0.000 | 58.628 | -0.000 |
| 5.175 | -2.403 | 5.198 | 0.000 | -0.000 | 46.890 |
| 230.150 | 82.768 | 88.728 | 0.000 | 0.000 | 0.000 |
| 82.767 | 205.322 | 100.474 | 0.000 | 0.000 | 0.000 |
| 81.591 | 113.722 | 227.545 | -0.000 | 0.000 | 0.000 |
| -0.939 | 1.267 | -1.553 | 68.232 | -0.000 | -0.000 |
| -1.024 | 1.473 | -1.809 | 0.000 | 51.034 | 0.000 |
| -0.954 | 1.297 | -1.585 | -0.000 | 0.000 | 46.235 |
| 224.963 | 88.329 | 84.287 | 0.000 | -0.000 | -0.000 |
| 91.715 | 183.480 | 113.586 | -0.000 | -0.000 | -0.000 |
| 83.498 | 111.044 | 230.718 | 0.000 | -0.000 | -0.000 |
| 0.939 | -1.267 | 1.553 | 68.232 | 0.000 | -0.000 |
| 1.024 | -1.473 | 1.809 | -0.000 | 51.034 | -0.000 |
| 0.954 | -1.297 | 1.585 | 0.000 | -0.000 | 46.235 |
| 240.836 | 97.797 | 86.156 | -0.000 | -0.000 | 0.000 |
| 98.175 | 235.093 | 89.166 | 0.000 | 0.000 | 0.000 |
| 86.156 | 88.192 | 230.207 | -0.000 | -0.000 | 0.000 |
| 0.000 | 0.000 | 0.000 | 43.459 | 0.000 | 0.000 |
| 0.000 | 0.000 | 0.000 | -0.000 | 61.605 | -0.000 |
| -0.000 | 0.000 | -0.000 | 0.000 | 0.000 | 57.305 |
| 231.415 | 98.283 | 82.946 | -0.000 | -0.000 | -0.000 |
| 97.797 | 235.989 | 88.192 | 0.000 | 0.000 | -0.000 |
| 86.156 | 88.192 | 230.207 | -0.000 | 0.000 | -0.000 |
| -0.000 | 0.000 | -0.000 | 43.459 | -0.000 | -0.000 |
| -0.000 | -0.000 | -0.000 | -0.000 | 61.605 | -0.000 |
| 0.000 | -0.000 | -0.000 | -0.000 | -0.000 | 57.305 |
| 240.836 | 97.797 | 86.156 | -0.000 | -0.000 | 0.000 |
| 99.903 | 234.805 | 90.362 | 0.000 | -0.000 | 0.000 |
| 83.106 | 89.384 | 224.835 | 0.000 | 0.000 | 0.000 |
| 0.000 | -0.000 | 0.000 | 43.459 | 0.000 | 0.000 |
| -0.000 | 0.000 | 0.000 | 0.000 | 61.372 | 0.000 |
| -0.000 | 0.000 | -0.000 | -0.000 | -0.000 | 55.602 |
| 228.924 | 99.973 | 79.810 | -0.000 | 0.000 | -0.000 |
| 97.797 | 235.989 | 88.192 | -0.000 | 0.000 | -0.000 |
| 79.782 | 90.374 | 223.388 | -0.000 | -0.000 | -0.000 |
| -0.000 | 0.000 | -0.000 | 43.459 | -0.000 | -0.000 |
| 0.000 | -0.000 | -0.000 | -0.000 | 61.372 | -0.000 |
| 0.000 | -0.000 | 0.000 | 0.000 | 0.000 | 55.602 |
| 231.416 | 98.283 | 82.946 | 0.000 | -0.000 | 0.000 |
| 99.956 | 234.804 | 90.323 | 0.000 | -0.000 | 0.000 |
| 79.616 | 90.323 | 223.378 | 0.000 | -0.000 | 0.000 |
| 0.000 | -0.000 | 0.000 | 36.010 | -0.000 | 0.000 |
| -0.000 | 0.000 | 0.000 | 0.000 | 61.372 | 0.000 |
| -0.000 | 0.000 | 0.000 | -0.000 | -0.000 | 69.725 |
| 228.923 | 99.973 | 79.810 | -0.000 | 0.000 | -0.000 |
| 97.796 | 235.988 | 88.191 | 0.000 | 0.000 | -0.000 |
| 83.105 | 89.384 | 224.834 | -0.000 | 0.000 | -0.000 |
| -0.000 | 0.000 | -0.000 | 36.010 | 0.000 | -0.000 |
| 0.000 | -0.000 | -0.000 | -0.000 | 61.372 | -0.000 |
| 0.000 | -0.000 | -0.000 | 0.000 | 0.000 | 69.725 |
| 196.275 | 112.128 | 77.484 | 0.000 | -0.000 | -0.000 |
| 106.988 | 240.999 | 79.531 | 0.000 | -0.000 | -0.000 |
| 81.127 | 83.057 | 216.953 | 0.000 | 0.000 | 0.000 |
| -0.590 | -0.332 | -0.803 | 28.797 | 0.000 | 0.000 |
| -0.632 | -0.356 | -0.860 | 0.000 | 62.870 | -0.000 |
| 0.000 | 0.000 | 0.000 | 0.000 | -0.000 | 77.769 |
| 193.006 | 117.383 | 75.032 | -0.000 | -0.000 | 0.000 |
| 108.672 | 240.647 | 82.173 | -0.000 | 0.000 | 0.000 |
| 74.704 | 87.562 | 211.919 | 0.000 | -0.000 | -0.000 |
| 0.590 | 0.332 | 0.803 | 28.797 | -0.000 | 0.000 |
| 0.632 | 0.356 | 0.860 | -0.000 | 62.870 | -0.000 |
| -0.000 | 0.000 | -0.000 | -0.000 | 0.000 | 77.769 |
| 206.929 | 111.905 | 81.634 | 0.000 | -0.000 | 0.000 |
| 112.601 | 239.054 | 83.059 | -0.000 | -0.000 | 0.000 |
| 78.325 | 85.003 | 212.893 | 0.000 | -0.000 | 0.000 |
| -0.060 | -0.034 | -0.082 | 28.716 | -0.000 | 0.000 |
| -0.095 | -0.053 | -0.129 | -0.000 | 62.684 | 0.000 |
| -0.088 | 0.006 | -0.063 | 0.000 | -0.000 | 63.673 |
| 206.929 | 111.905 | 81.634 | 0.000 | 0.000 | -0.000 |
| 107.806 | 240.694 | 80.850 | -0.000 | -0.000 | 0.000 |
| 78.365 | 85.175 | 212.936 | -0.000 | 0.000 | -0.000 |
| 0.060 | 0.034 | 0.082 | 28.716 | -0.000 | -0.000 |
| 0.095 | 0.053 | 0.129 | 0.000 | 62.684 | 0.000 |
| 0.088 | -0.006 | 0.063 | -0.000 | 0.000 | 63.673 |
| 196.514 | 112.640 | 78.436 | 0.000 | -0.000 | -0.000 |
| 112.693 | 239.051 | 83.141 | 0.000 | -0.000 | 0.000 |
| 73.592 | 87.546 | 210.898 | 0.000 | -0.000 | -0.000 |
| -0.009 | -0.002 | -0.009 | 27.748 | -0.000 | 0.000 |
| -0.010 | -0.005 | -0.013 | 0.000 | 62.677 | 0.000 |
| -0.010 | -0.000 | -0.010 | 0.000 | -0.000 | 63.663 |
| 192.003 | 117.507 | 74.120 | -0.000 | -0.000 | -0.000 |
| 107.725 | 240.722 | 80.721 | -0.000 | -0.000 | -0.000 |
| 78.347 | 85.095 | 212.916 | 0.000 | -0.000 | 0.000 |
| 0.009 | 0.002 | 0.009 | 27.748 | -0.000 | 0.000 |
| 0.010 | 0.005 | 0.013 | -0.000 | 62.677 | 0.000 |
| 0.010 | 0.000 | 0.010 | -0.000 | -0.000 | 63.663 |
| 219.797 | 84.018 | 97.008 | 0.000 | -0.000 | -0.000 |
| 164.476 | 226.826 | 76.647 | 0.000 | -0.000 | 0.000 |
| 97.468 | 92.979 | 248.038 | 0.000 | -0.000 | 0.000 |
| 85.031 | -0.390 | -13.112 | 43.982 | -0.000 | 0.000 |
| 57.063 | -31.059 | -5.287 | 0.000 | 53.518 | -0.000 |
| 56.930 | -30.987 | -5.275 | 0.000 | -0.000 | 44.588 |
| 137.880 | 85.957 | 114.262 | -0.000 | 0.000 | 0.000 |
| 85.635 | 231.886 | 94.136 | 0.000 | 0.000 | 0.000 |
| 16.322 | 95.382 | 260.076 | -0.000 | 0.000 | -0.000 |
| -85.031 | 0.390 | 13.112 | 43.982 | 0.000 | -0.000 |
| -57.063 | 31.059 | 5.287 | 0.000 | 53.518 | -0.000 |
| -56.930 | 30.987 | 5.275 | -0.000 | 0.000 | 44.588 |
| 219.797 | 84.018 | 97.008 | 0.000 | -0.000 | -0.000 |
| 87.062 | 226.033 | 87.219 | 0.000 | -0.000 | -0.000 |
| 97.468 | 92.979 | 248.038 | -0.000 | 0.000 | -0.000 |
| 8.493 | 0.010 | -1.246 | 38.892 | -0.000 | 0.000 |
| 8.368 | -0.068 | -1.283 | 0.000 | 33.380 | 0.000 |
| 5.693 | -3.099 | -0.527 | 0.000 | -0.000 | 44.588 |
| 194.929 | 77.816 | 83.751 | 0.000 | -0.000 | -0.000 |
| 70.901 | 226.485 | 90.273 | -0.000 | 0.000 | -0.000 |
| 74.528 | 87.871 | 229.856 | -0.000 | 0.000 | -0.000 |
| -8.493 | -0.010 | 1.246 | 38.892 | 0.000 | 0.000 |
| -8.368 | 0.068 | 1.283 | -0.000 | 33.380 | -0.000 |
| -5.693 | 3.099 | 0.527 | -0.000 | 0.000 | 44.588 |
| 204.421 | 77.945 | 81.519 | 0.000 | -0.000 | 0.000 |
| 80.251 | 226.438 | 88.853 | 0.000 | -0.000 | 0.000 |
| 84.570 | 88.195 | 229.791 | 0.000 | -0.000 | 0.000 |
| 0.848 | 0.000 | -0.128 | 38.856 | -0.000 | -0.000 |
| 1.724 | -0.938 | -0.160 | 0.000 | 35.411 | 0.000 |
| -0.000 | 0.000 | 0.000 | 0.000 | -0.000 | 44.588 |
| 205.849 | 82.008 | 84.353 | -0.000 | 0.000 | 0.000 |
| 81.740 | 227.142 | 90.514 | -0.000 | 0.000 | -0.000 |
| 83.919 | 90.348 | 231.231 | -0.000 | 0.000 | -0.000 |
| -0.848 | -0.000 | 0.128 | 38.856 | 0.000 | -0.000 |
| -1.724 | 0.938 | 0.160 | -0.000 | 35.411 | 0.000 |
| 0.000 | -0.000 | -0.000 | -0.000 | 0.000 | 44.588 |
| 190.607 | 96.951 | 94.391 | -0.000 | -0.000 | -0.000 |
| 86.976 | 205.421 | 95.420 | 0.000 | -0.000 | 0.000 |
| 95.420 | 95.420 | 258.732 | 0.000 | -0.000 | 0.000 |
| 0.138 | 0.138 | 0.059 | 66.565 | -0.000 | 0.000 |
| 0.138 | 0.138 | 0.059 | -0.000 | 66.565 | 0.000 |
| 0.000 | -0.000 | 0.000 | 0.000 | 0.000 | 59.222 |
| 188.801 | 98.098 | 94.251 | 0.000 | 0.000 | -0.000 |
| 86.976 | 205.421 | 95.420 | 0.000 | 0.000 | -0.000 |
| 94.279 | 94.279 | 258.247 | 0.000 | 0.000 | -0.000 |
| -0.138 | -0.138 | -0.059 | 66.565 | 0.000 | 0.000 |
| -0.138 | -0.138 | -0.059 | -0.000 | 66.565 | -0.000 |
| 0.000 | -0.000 | -0.000 | -0.000 | 0.000 | 59.222 |
| 188.934 | 98.289 | 94.319 | -0.000 | -0.000 | 0.000 |
| 98.289 | 188.934 | 94.319 | -0.000 | -0.000 | 0.000 |
| 94.431 | 94.431 | 258.312 | 0.000 | -0.000 | 0.000 |
| 0.014 | 0.014 | 0.006 | 66.565 | -0.000 | -0.000 |
| 0.014 | 0.014 | 0.006 | -0.000 | 66.565 | 0.000 |
| 0.000 | 0.000 | 0.000 | 0.000 | 0.000 | 59.222 |
| 188.910 | 98.254 | 94.307 | -0.000 | 0.000 | 0.000 |
| 96.766 | 190.470 | 94.323 | 0.000 | 0.000 | -0.000 |
| 94.403 | 94.403 | 258.300 | 0.000 | 0.000 | -0.000 |
| -0.014 | -0.014 | -0.006 | 66.565 | 0.000 | 0.000 |
| -0.014 | -0.014 | -0.006 | -0.000 | 66.565 | 0.000 |
| -0.000 | -0.000 | -0.000 | 0.000 | -0.000 | 59.222 |
| 205.422 | 86.977 | 95.420 | 0.000 | -0.000 | -0.000 |
| 86.976 | 205.422 | 95.420 | -0.000 | 0.000 | 0.000 |
| 95.421 | 95.421 | 258.733 | 0.000 | -0.000 | 0.000 |
| 0.000 | -0.000 | 0.000 | 66.659 | -0.000 | 0.000 |
| -0.000 | 0.000 | 0.000 | -0.000 | 66.659 | 0.000 |
| 0.002 | 0.002 | 0.001 | -0.000 | -0.000 | 46.620 |
| 205.420 | 86.976 | 95.420 | -0.000 | -0.000 | 0.000 |
| 86.976 | 205.420 | 95.420 | 0.000 | 0.000 | -0.000 |
| 95.420 | 95.420 | 258.732 | 0.000 | 0.000 | -0.000 |
| -0.000 | 0.000 | -0.000 | 66.659 | 0.000 | -0.000 |
| 0.000 | -0.000 | -0.000 | 0.000 | 66.659 | -0.000 |
| -0.002 | -0.002 | -0.001 | 0.000 | 0.000 | 46.620 |
| 189.792 | 78.391 | 91.800 | -0.000 | -0.000 | 0.000 |
| 78.391 | 189.792 | 91.800 | -0.000 | -0.000 | 0.000 |
| 89.609 | 89.609 | 247.071 | -0.000 | -0.000 | 0.000 |
| 0.000 | -0.000 | 0.000 | 65.839 | 0.000 | 0.000 |
| 0.000 | -0.000 | 0.000 | -0.000 | 65.839 | 0.000 |
| 0.000 | -0.000 | 0.000 | -0.000 | -0.000 | 42.436 |
| 173.967 | 88.533 | 90.622 | 0.000 | -0.000 | -0.000 |
| 78.391 | 189.792 | 91.800 | 0.000 | -0.000 | -0.000 |
| 89.609 | 89.609 | 247.071 | 0.000 | -0.000 | -0.000 |
| -0.000 | 0.000 | -0.000 | 65.839 | -0.000 | -0.000 |
| 0.000 | 0.000 | -0.000 | 0.000 | 65.839 | -0.000 |
| -0.000 | 0.000 | -0.000 | 0.000 | 0.000 | 42.436 |
| 189.792 | 78.391 | 91.800 | -0.000 | 0.000 | 0.000 |
| 87.294 | 175.323 | 90.646 | -0.000 | -0.000 | 0.000 |
| 89.609 | 89.609 | 247.071 | -0.000 | 0.000 | 0.000 |
| 0.000 | -0.000 | 0.000 | 65.741 | 0.000 | 0.000 |
| -0.000 | 0.000 | 0.000 | -0.000 | 65.741 | 0.000 |
| 0.000 | 0.000 | 0.000 | -0.000 | -0.000 | 55.700 |
| 173.967 | 88.533 | 90.622 | 0.000 | -0.000 | -0.000 |
| 78.391 | 189.792 | 91.800 | 0.000 | 0.000 | -0.000 |
| 90.684 | 90.684 | 247.517 | 0.000 | 0.000 | -0.000 |
| -0.000 | 0.000 | -0.000 | 65.741 | 0.000 | -0.000 |
| 0.000 | -0.000 | -0.000 | 0.000 | 65.741 | -0.000 |
| -0.000 | -0.000 | -0.000 | 0.000 | 0.000 | 55.700 |
| 173.967 | 88.534 | 90.622 | -0.000 | -0.000 | 0.000 |
| 78.391 | 189.793 | 91.801 | -0.000 | 0.000 | 0.000 |
| 89.609 | 89.609 | 247.072 | -0.000 | 0.000 | 0.000 |
| 0.000 | -0.000 | 0.000 | 65.741 | -0.000 | 0.000 |
| -0.000 | 0.000 | 0.000 | -0.000 | 65.741 | 0.000 |
| 0.000 | 0.000 | -0.000 | -0.000 | 0.000 | 43.804 |
| 189.791 | 78.390 | 91.800 | 0.000 | -0.000 | -0.000 |
| 78.391 | 189.791 | 91.800 | 0.000 | -0.000 | -0.000 |
| 89.608 | 89.608 | 247.070 | 0.000 | -0.000 | -0.000 |
| -0.000 | 0.000 | -0.000 | 65.741 | -0.000 | -0.000 |
| 0.000 | -0.000 | -0.000 | 0.000 | 65.741 | -0.000 |
| -0.000 | -0.000 | -0.000 | 0.000 | 0.000 | 55.700 |
| 222.812 | 81.130 | 98.567 | -0.000 | 9.458 | -0.000 |
| 69.399 | 195.720 | 79.364 | -0.000 | -1.590 | -0.000 |
| 112.364 | 64.993 | 192.616 | -0.000 | 2.457 | 0.000 |
| -0.000 | 0.000 | -0.000 | 45.544 | -0.000 | -1.989 |
| -3.340 | 0.115 | 3.283 | -0.000 | 64.917 | 0.000 |
| -8.684 | -16.105 | 2.312 | -1.461 | -2.475 | 41.628 |
| 190.081 | 88.108 | 100.500 | 0.000 | 6.966 | 0.000 |
| 82.170 | 215.871 | 80.106 | 0.000 | 0.346 | -0.000 |
| 99.262 | 80.364 | 210.568 | 0.000 | 3.283 | -0.000 |
| -0.000 | -0.000 | -0.000 | 45.544 | 0.000 | -1.989 |
| -3.340 | 0.115 | 3.283 | 0.000 | 64.917 | 0.000 |
| 8.684 | 16.105 | -2.312 | -1.461 | 2.475 | 41.628 |
| 222.812 | 81.130 | 98.567 | -0.000 | 9.458 | 0.000 |
| 78.588 | 209.906 | 76.267 | -0.000 | 1.407 | 0.000 |
| 99.262 | 80.364 | 210.568 | -0.000 | 3.283 | 0.000 |
| -0.000 | 0.000 | -0.000 | 45.544 | -0.000 | -1.989 |
| -3.340 | 0.115 | 3.283 | -0.000 | 64.917 | 0.000 |
| -0.000 | 0.000 | 0.000 | -1.758 | -0.000 | 43.778 |
| 195.144 | 77.425 | 101.961 | 0.000 | 5.201 | -0.000 |
| 82.170 | 215.871 | 80.106 | 0.000 | 0.346 | -0.000 |
| 100.378 | 78.829 | 197.579 | 0.000 | 3.142 | -0.000 |
| 0.000 | -0.000 | 0.000 | 45.544 | 0.000 | -1.989 |
| -3.340 | 0.115 | 3.283 | 0.000 | 64.917 | -0.000 |
| 0.000 | -0.000 | -0.000 | -1.758 | 0.000 | 43.778 |
| 222.813 | 81.131 | 98.567 | -0.000 | 9.458 | 0.000 |
| 82.171 | 215.872 | 80.107 | -0.000 | 0.346 | 0.000 |
| 99.263 | 80.364 | 210.569 | -0.000 | 3.283 | 0.000 |
| -0.080 | -0.148 | 0.021 | 44.335 | -0.023 | -1.717 |
| -3.551 | 1.043 | 1.856 | -0.000 | 54.538 | -0.000 |
| -0.091 | -0.168 | 0.024 | -1.447 | -0.026 | 41.529 |
| 199.835 | 76.142 | 100.252 | 0.000 | 7.227 | 0.000 |
| 78.000 | 211.765 | 76.964 | 0.000 | 0.906 | -0.000 |
| 101.387 | 76.899 | 192.408 | 0.000 | 1.795 | 0.000 |
| 0.080 | 0.148 | -0.021 | 44.335 | 0.023 | -1.717 |
| -3.065 | 1.139 | 2.680 | -0.000 | 56.256 | -0.000 |
| 0.091 | 0.168 | -0.024 | -1.447 | 0.026 | 41.529 |
| 176.110 | 128.349 | 144.971 | 0.000 | 72.144 | -0.000 |
| 82.259 | 215.843 | 79.863 | 0.000 | 0.345 | 0.000 |
| 72.675 | 127.636 | 251.907 | 0.000 | 64.182 | -0.000 |
| -22.051 | 50.560 | 49.535 | 43.199 | 63.194 | -1.115 |
| -1.944 | 0.346 | 0.142 | -0.000 | 62.169 | 0.000 |
| -22.051 | 50.561 | 49.536 | -1.115 | 63.195 | 42.861 |
| 220.452 | 27.293 | 45.898 | -0.000 | -54.228 | 0.000 |
| 82.259 | 215.843 | 79.863 | -0.000 | 0.345 | -0.000 |
| 116.790 | 26.602 | 153.353 | -0.000 | -62.266 | 0.000 |
| 22.051 | -50.560 | -49.535 | 43.199 | -63.194 | -1.115 |
| -1.944 | 0.346 | 0.142 | -0.000 | 62.169 | -0.000 |
| 22.051 | -50.561 | -49.536 | -1.115 | -63.195 | 42.861 |
| 216.984 | 82.324 | 94.869 | 0.000 | 9.709 | 0.000 |
| 82.259 | 215.843 | 79.863 | 0.000 | 0.345 | 0.000 |
| 92.537 | 81.482 | 204.443 | 0.000 | 7.361 | -0.000 |
| 0.000 | 0.000 | -0.000 | 44.867 | -0.000 | -1.455 |
| -3.868 | 5.697 | 4.359 | -0.000 | 61.597 | -0.000 |
| -0.000 | 0.000 | 0.000 | -1.455 | 0.000 | 45.460 |
| 216.983 | 82.324 | 94.869 | -0.000 | 9.709 | -0.000 |
| 82.259 | 215.842 | 79.863 | -0.000 | 0.345 | -0.000 |
| 97.018 | 72.296 | 199.443 | 0.000 | -5.662 | 0.000 |
| -0.000 | -0.000 | 0.000 | 44.867 | 0.000 | -1.455 |
| -1.944 | 0.346 | 0.142 | -0.000 | 62.169 | -0.000 |
| 0.000 | -0.000 | -0.000 | -1.455 | -0.000 | 45.460 |
| 198.604 | 78.090 | 95.592 | 0.000 | 9.191 | -0.000 |
| 77.388 | 211.334 | 76.819 | 0.000 | 1.592 | -0.000 |
| 95.918 | 76.103 | 198.510 | 0.000 | 0.084 | 0.000 |
| -0.174 | 0.400 | 0.392 | 43.547 | 0.500 | -1.186 |
| -1.944 | 0.346 | 0.143 | 0.000 | 62.170 | 0.000 |
| -0.878 | 0.267 | -0.414 | -1.086 | 1.386 | 43.059 |
| 194.883 | 78.075 | 97.656 | 0.000 | 4.995 | 0.000 |
| 79.627 | 210.666 | 76.488 | -0.000 | 0.318 | 0.000 |
| 95.315 | 76.167 | 203.114 | -0.000 | -0.778 | 0.000 |
| 0.174 | -0.400 | -0.392 | 43.547 | -0.500 | -1.186 |
| -2.419 | 1.313 | -1.729 | -0.000 | 49.857 | -0.000 |
| 0.878 | -0.267 | 0.414 | -1.086 | -1.386 | 43.059 |
| 279.977 | 66.897 | 66.897 | -0.000 | 0.000 | -0.000 |
| 66.897 | 279.977 | 66.897 | -0.000 | 0.000 | 0.000 |
| 66.897 | 66.897 | 279.977 | -0.000 | 0.000 | 0.000 |
| 0.000 | -0.000 | 0.000 | 101.695 | 0.000 | -0.000 |
| 0.000 | 0.000 | -0.000 | -0.000 | 101.695 | 0.000 |
| -0.000 | -0.000 | -0.000 | -0.000 | 0.000 | 101.695 |
| 279.977 | 66.897 | 66.897 | 0.000 | -0.000 | -0.000 |
| 66.897 | 279.977 | 66.897 | 0.000 | -0.000 | -0.000 |
| 66.897 | 66.897 | 279.977 | 0.000 | -0.000 | -0.000 |
| 0.000 | 0.000 | -0.000 | 101.695 | -0.000 | -0.000 |
| 0.000 | -0.000 | 0.000 | 0.000 | 101.695 | -0.000 |
| 0.000 | -0.000 | 0.000 | 0.000 | -0.000 | 101.695 |
| 279.977 | 66.897 | 66.897 | -0.000 | 0.000 | 0.000 |
| 66.897 | 279.977 | 66.897 | -0.000 | 0.000 | 0.000 |
| 66.897 | 66.897 | 279.977 | -0.000 | 0.000 | 0.000 |
| 0.000 | -0.000 | 0.000 | 101.695 | 0.000 | 0.000 |
| -0.000 | 0.000 | 0.000 | -0.000 | 101.695 | -0.000 |
| -0.000 | 0.000 | 0.000 | 0.000 | 0.000 | 101.695 |
| 280.754 | 66.508 | 66.508 | 0.000 | 0.000 | -0.000 |
| 66.508 | 280.754 | 66.508 | -0.000 | 0.000 | -0.000 |
| 66.508 | 66.508 | 280.754 | -0.000 | -0.000 | -0.000 |
| -0.000 | 0.000 | -0.000 | 101.695 | -0.000 | 0.000 |
| 0.000 | -0.000 | -0.000 | 0.000 | 101.695 | -0.000 |
| 0.000 | -0.000 | -0.000 | 0.000 | -0.000 | 101.695 |
| 279.978 | 66.897 | 66.897 | -0.000 | 0.000 | 0.000 |
| 66.897 | 279.978 | 66.897 | -0.000 | 0.000 | -0.000 |
| 66.897 | 66.897 | 279.978 | -0.000 | 0.000 | 0.000 |
| 0.000 | -0.000 | 0.000 | 101.695 | 0.000 | 0.000 |
| -0.000 | 0.000 | 0.000 | -0.000 | 101.695 | 0.000 |
| -0.000 | 0.000 | 0.000 | -0.000 | 0.000 | 101.695 |
| 279.976 | 66.897 | 66.897 | 0.000 | -0.000 | -0.000 |
| 66.897 | 279.976 | 66.897 | 0.000 | -0.000 | -0.000 |
| 66.897 | 66.897 | 279.976 | 0.000 | -0.000 | -0.000 |
| -0.000 | 0.000 | -0.000 | 101.695 | -0.000 | 0.000 |
| 0.000 | -0.000 | -0.000 | 0.000 | 101.695 | -0.000 |
| 0.000 | -0.000 | -0.000 | 0.000 | 0.000 | 101.695 |
| 7260123.914 | 8031405.792 | 7659853.457 | -83936.196 | -486373.427 | 222050.021 |
| 7063617.656 | 8002726.934 | 7503623.758 | -101914.394 | -492343.725 | 106248.927 |
| 7645200.027 | 8442607.380 | 7917039.768 | -202395.259 | -519994.085 | 264802.328 |
| 7301880.805 | 8048257.247 | 7905466.987 | -140512.834 | -436317.840 | 142024.971 |
| 7327668.986 | 8114419.446 | 7618832.058 | -152050.246 | -528240.752 | 190046.974 |
| 7154667.568 | 8452617.090 | 7618991.361 | -111621.249 | -553505.122 | 37888.043 |
| -7298121.657 | -7986312.734 | -7776446.764 | 67437.359 | 406768.104 | -183114.753 |
| -7147459.188 | -7920445.927 | -7764150.795 | 176634.597 | 473626.638 | -231974.985 |
| -7189650.714 | -8061422.272 | -7743890.030 | 222189.444 | 520831.683 | -80496.937 |
| -7476171.036 | -8077305.688 | -7553153.034 | 106972.478 | 571512.282 | -181551.174 |
| -7599374.017 | -8168025.349 | -8346732.535 | 231686.417 | 362379.981 | -191256.631 |
| -7124797.101 | -8190475.407 | -7786965.733 | 244058.269 | 493046.264 | -57414.780 |
| 728030.427 | 815800.645 | 796613.038 | -18861.691 | -47169.060 | 16219.093 |
| 715028.118 | 793889.000 | 784427.839 | -11368.769 | -58721.029 | 14104.880 |
| 712775.093 | 782757.979 | 787934.426 | -18476.592 | -36743.488 | 16031.283 |
| 735351.817 | 829933.430 | 770282.953 | 1385.228 | -41226.502 | 10757.684 |
| 744823.905 | 815215.218 | 762829.069 | -13856.622 | -60546.572 | 22315.858 |
| 724791.198 | 788486.591 | 770560.385 | -4432.042 | -41435.018 | 14202.105 |
| -741450.841 | -812187.033 | -809324.902 | 16552.522 | 40633.963 | -14164.259 |
| -719331.958 | -793190.916 | -789434.720 | 5806.944 | 42852.747 | -24100.843 |
| -718726.043 | -798847.131 | -770658.205 | 20561.571 | 31250.516 | -13576.427 |
| -703400.830 | -781372.174 | -758085.418 | 10313.938 | 42481.601 | -19780.660 |
| -727375.476 | -814586.050 | -786525.014 | 18762.207 | 43454.188 | -7581.132 |
| -731503.792 | -809187.326 | -787650.059 | 10517.662 | 44384.777 | -9947.817 |
| 74195.618 | 80453.718 | 77674.270 | -511.530 | -6753.230 | 1658.476 |
| 72499.916 | 81216.623 | 77778.775 | -2264.303 | -5039.351 | 168.572 |
| 73474.418 | 81141.886 | 79205.766 | -1176.905 | -5966.193 | 758.772 |
| 72197.731 | 77892.352 | 76009.634 | -1654.424 | -4115.111 | 1073.166 |
| 71497.590 | 78484.392 | 77145.174 | -1910.782 | -4734.664 | 2590.745 |
| 72697.017 | 78706.845 | 77453.021 | -227.084 | -4612.655 | 1976.274 |
| -70385.798 | -78559.498 | -77318.062 | 1166.273 | 3455.030 | -1613.921 |
| -75131.726 | -82147.270 | -78278.682 | -46.439 | 4193.753 | -1159.428 |
| -73814.482 | -84680.488 | -78768.861 | 121.593 | 5779.480 | 141.131 |
| -72313.018 | -79507.644 | -76539.402 | 1340.844 | 4246.393 | -255.074 |
| -75223.235 | -80810.085 | -79316.192 | 727.819 | 4297.465 | -1971.574 |
| -72040.021 | -80914.313 | -77084.156 | 1449.952 | 4329.911 | -832.894 |
| 142.999 | 133.288 | 133.288 | 0.000 | 0.000 | 0.000 |
| 133.288 | 142.999 | 133.288 | 0.000 | 0.000 | 0.000 |
| 133.288 | 133.288 | 142.999 | 0.000 | 0.000 | 0.000 |
| 0.000 | 0.000 | 0.000 | 100.407 | 0.000 | 0.000 |
| 0.000 | 0.000 | 0.000 | 0.000 | 100.407 | 0.000 |
| 0.000 | 0.000 | 0.000 | 0.000 | 0.000 | 100.407 |
| 142.999 | 133.288 | 133.288 | -0.000 | -0.000 | -0.000 |
| 133.288 | 142.999 | 133.288 | -0.000 | 0.000 | -0.000 |
| 133.288 | 133.288 | 142.999 | -0.000 | -0.000 | 0.000 |
| -0.000 | 0.000 | -0.000 | 100.407 | -0.000 | -0.000 |
| -0.000 | -0.000 | -0.000 | -0.000 | 100.407 | -0.000 |
| -0.000 | -0.000 | -0.000 | -0.000 | -0.000 | 100.407 |
| 142.999 | 133.289 | 133.289 | 0.000 | 0.000 | 0.000 |
| 133.289 | 142.999 | 133.289 | 0.000 | 0.000 | 0.000 |
| 133.289 | 133.289 | 142.999 | 0.000 | 0.000 | 0.000 |
| 0.000 | -0.000 | 0.000 | 99.935 | 0.000 | 0.000 |
| -0.000 | 0.000 | 0.000 | 0.000 | 99.935 | 0.000 |
| -0.000 | 0.000 | 0.000 | 0.000 | 0.000 | 99.935 |
| 142.999 | 133.288 | 133.288 | -0.000 | -0.000 | 0.000 |
| 133.288 | 142.999 | 133.288 | -0.000 | -0.000 | 0.000 |
| 133.288 | 133.288 | 142.999 | -0.000 | -0.000 | -0.000 |
| -0.000 | 0.000 | -0.000 | 99.935 | -0.000 | -0.000 |
| 0.000 | -0.000 | -0.000 | -0.000 | 99.935 | -0.000 |
| 0.000 | -0.000 | -0.000 | -0.000 | -0.000 | 99.935 |
| 143.000 | 133.289 | 133.289 | 0.000 | 0.000 | -0.000 |
| 133.289 | 143.000 | 133.289 | 0.000 | 0.000 | -0.000 |
| 133.289 | 133.289 | 143.000 | 0.000 | 0.000 | -0.000 |
| 0.000 | -0.000 | 0.000 | 99.935 | 0.000 | -0.000 |
| -0.000 | 0.000 | 0.000 | 0.000 | 99.935 | 0.000 |
| -0.000 | 0.000 | 0.000 | 0.000 | 0.000 | 99.935 |
| 142.998 | 133.288 | 133.288 | -0.000 | 0.000 | 0.000 |
| 133.288 | 142.998 | 133.288 | 0.000 | -0.000 | 0.000 |
| 133.288 | 133.288 | 142.998 | -0.000 | 0.000 | -0.000 |
| -0.000 | 0.000 | -0.000 | 99.935 | -0.000 | -0.000 |
| 0.000 | -0.000 | -0.000 | -0.000 | 99.935 | -0.000 |
| 0.000 | -0.000 | -0.000 | -0.000 | -0.000 | 99.935 |
| 165.582 | 119.548 | 119.548 | 0.000 | 0.000 | 0.000 |
| 119.548 | 165.582 | 119.548 | 0.000 | 0.000 | 0.000 |
| 119.548 | 119.548 | 165.582 | -0.000 | 0.000 | 0.000 |
| 0.000 | 0.000 | 0.000 | 76.119 | 0.000 | -0.000 |
| 0.000 | 0.000 | 0.000 | 0.000 | 76.119 | -0.000 |
| 0.000 | 0.000 | 0.000 | 0.000 | -0.000 | 76.119 |
| 165.582 | 119.548 | 119.548 | -0.000 | 0.000 | -0.000 |
| 119.548 | 165.582 | 119.548 | 0.000 | -0.000 | -0.000 |
| 119.548 | 119.548 | 165.582 | 0.000 | 0.000 | -0.000 |
| -0.000 | -0.000 | -0.000 | 76.119 | -0.000 | -0.000 |
| -0.000 | -0.000 | -0.000 | -0.000 | 76.119 | -0.000 |
| -0.000 | -0.000 | -0.000 | -0.000 | -0.000 | 76.119 |
| 165.582 | 119.548 | 119.548 | 0.000 | 0.000 | 0.000 |
| 119.548 | 165.582 | 119.548 | 0.000 | 0.000 | -0.000 |
| 119.548 | 119.548 | 165.582 | -0.000 | 0.000 | 0.000 |
| -0.000 | 0.000 | 0.000 | 76.119 | 0.000 | 0.000 |
| 0.000 | -0.000 | 0.000 | 0.000 | 76.119 | 0.000 |
| 0.000 | 0.000 | -0.000 | 0.000 | 0.000 | 76.119 |
| 165.582 | 119.548 | 119.548 | 0.000 | -0.000 | -0.000 |
| 119.548 | 165.582 | 119.548 | -0.000 | 0.000 | -0.000 |
| 119.548 | 119.548 | 165.582 | -0.000 | -0.000 | -0.000 |
| 0.000 | -0.000 | -0.000 | 76.119 | -0.000 | -0.000 |
| -0.000 | 0.000 | -0.000 | -0.000 | 76.119 | -0.000 |
| -0.000 | -0.000 | 0.000 | -0.000 | -0.000 | 76.119 |
| 165.582 | 119.548 | 119.548 | 0.000 | 0.000 | 0.000 |
| 119.548 | 165.582 | 119.548 | 0.000 | 0.000 | -0.000 |
| 119.548 | 119.548 | 165.582 | 0.000 | -0.000 | 0.000 |
| -0.000 | 0.000 | 0.000 | 76.119 | -0.000 | 0.000 |
| 0.000 | -0.000 | 0.000 | -0.000 | 76.119 | 0.000 |
| 0.000 | 0.000 | -0.000 | 0.000 | 0.000 | 76.119 |
| 165.582 | 119.547 | 119.547 | 0.000 | 0.000 | -0.000 |
| 119.547 | 165.582 | 119.547 | -0.000 | 0.000 | 0.000 |
| 119.547 | 119.547 | 165.582 | 0.000 | 0.000 | -0.000 |
| 0.000 | -0.000 | -0.000 | 76.119 | 0.000 | -0.000 |
| -0.000 | 0.000 | -0.000 | 0.000 | 76.119 | -0.000 |
| -0.000 | -0.000 | 0.000 | -0.000 | -0.000 | 76.119 |
| 169.936 | 81.194 | 91.554 | -0.000 | 0.000 | 0.000 |
| 77.664 | 173.677 | 91.918 | -0.000 | 0.000 | 0.000 |
| 91.206 | 91.206 | 249.577 | -0.000 | 0.000 | 0.000 |
| 1.878 | 1.878 | 6.471 | 58.464 | 0.000 | 0.000 |
| 0.000 | 0.000 | 0.000 | -0.000 | 60.451 | 0.000 |
| 0.000 | 0.000 | 0.000 | -0.000 | 0.000 | 48.006 |
| 168.256 | 77.588 | 82.447 | -0.000 | -0.000 | -0.000 |
| 77.588 | 168.256 | 82.447 | 0.000 | -0.000 | -0.000 |
| 85.727 | 85.727 | 230.703 | 0.000 | 0.000 | -0.000 |
| -1.878 | -1.878 | -6.471 | 58.464 | -0.000 | -0.000 |
| -0.000 | -0.000 | -0.000 | 0.000 | 60.451 | -0.000 |
| -0.000 | -0.000 | 0.000 | 0.000 | 0.000 | 48.006 |
| 169.054 | 79.293 | 86.761 | -0.000 | 0.000 | 0.000 |
| 77.664 | 173.677 | 91.918 | -0.000 | 0.000 | 0.000 |
| 87.025 | 87.025 | 235.172 | -0.000 | 0.000 | 0.000 |
| -0.000 | -0.000 | 0.000 | 60.451 | 0.000 | 0.000 |
| -0.000 | -0.000 | 0.000 | -0.000 | 60.451 | 0.000 |
| -0.000 | 0.000 | 0.000 | -0.000 | -0.000 | 48.006 |
| 173.677 | 77.664 | 91.918 | 0.000 | -0.000 | -0.000 |
| 77.664 | 173.677 | 91.918 | 0.000 | -0.000 | -0.000 |
| 86.789 | 86.789 | 234.359 | 0.000 | -0.000 | -0.000 |
| 0.000 | 0.000 | -0.000 | 60.451 | -0.000 | -0.000 |
| 0.000 | 0.000 | -0.000 | 0.000 | 60.451 | -0.000 |
| 0.000 | -0.000 | -0.000 | 0.000 | -0.000 | 48.006 |
| 173.678 | 77.665 | 91.918 | -0.000 | 0.000 | 0.000 |
| 77.665 | 173.678 | 91.918 | -0.000 | 0.000 | 0.000 |
| 86.919 | 86.919 | 234.807 | -0.000 | 0.000 | 0.000 |
| 0.012 | 0.012 | 0.041 | 56.229 | 0.000 | 0.000 |
| -0.000 | -0.000 | 0.000 | -0.000 | 60.451 | 0.000 |
| -0.005 | -0.005 | -0.018 | -0.000 | 0.000 | 44.324 |
| 168.735 | 80.087 | 87.578 | 0.000 | -0.000 | -0.000 |
| 79.089 | 168.986 | 86.293 | 0.000 | -0.000 | -0.000 |
| 91.205 | 91.205 | 249.576 | 0.000 | -0.000 | -0.000 |
| -0.012 | -0.012 | -0.041 | 56.229 | -0.000 | -0.000 |
| 0.000 | 0.000 | -0.000 | 0.000 | 60.451 | -0.000 |
| 0.005 | 0.005 | 0.018 | 0.000 | -0.000 | 44.324 |
| 214.723 | 99.832 | 92.363 | -0.000 | -0.000 | 0.000 |
| 99.832 | 214.723 | 92.363 | -0.000 | -0.000 | 0.000 |
| 92.446 | 92.446 | 239.940 | 0.000 | -0.000 | 0.000 |
| -0.000 | 0.000 | 0.000 | 45.570 | -0.000 | 0.000 |
| -0.000 | 0.000 | 0.000 | -0.000 | 45.570 | 0.000 |
| 242.968 | 242.968 | 104.046 | -0.000 | -0.000 | 53.711 |
| -41.366 | -134.634 | -12.672 | 0.000 | 0.000 | 0.000 |
| -141.734 | -34.311 | -12.682 | 0.000 | 0.000 | -0.000 |
| -151.497 | -151.497 | 135.476 | -0.000 | 0.000 | -0.000 |
| -0.000 | 0.000 | -0.000 | 45.570 | 0.000 | -0.000 |
| 0.000 | -0.000 | -0.000 | 0.000 | 45.570 | -0.000 |
| -242.968 | -242.968 | -104.046 | 0.000 | 0.000 | 53.711 |
| 214.723 | 99.832 | 92.363 | -0.000 | -0.000 | 0.000 |
| 125.824 | 233.162 | 101.876 | -0.000 | -0.000 | 0.000 |
| 92.446 | 92.446 | 239.940 | -0.000 | -0.000 | 0.000 |
| 0.000 | -0.000 | 0.000 | 45.570 | -0.000 | 0.000 |
| -0.000 | 0.000 | 0.000 | -0.000 | 45.570 | 0.000 |
| 24.524 | 24.524 | 10.502 | -0.000 | -0.000 | 53.677 |
| 177.285 | 84.018 | 80.961 | 0.000 | 0.000 | -0.000 |
| 99.832 | 214.722 | 92.363 | 0.000 | 0.000 | -0.000 |
| 67.153 | 67.153 | 229.108 | 0.000 | 0.000 | -0.000 |
| -0.000 | 0.000 | -0.000 | 45.570 | 0.000 | -0.000 |
| 0.000 | -0.000 | -0.000 | 0.000 | 45.570 | -0.000 |
| -24.524 | -24.524 | -10.502 | 0.000 | 0.000 | 53.677 |
| 204.572 | 110.526 | 92.479 | -0.000 | -0.000 | 0.000 |
| 110.527 | 204.572 | 92.479 | -0.000 | -0.000 | -0.000 |
| 93.877 | 93.877 | 240.553 | -0.000 | -0.000 | 0.000 |
| 0.000 | -0.000 | 0.000 | 45.570 | -0.000 | -0.000 |
| -0.000 | 0.000 | 0.000 | -0.000 | 45.570 | -0.000 |
| 2.418 | 2.419 | 1.036 | 0.000 | -0.000 | 46.634 |
| 214.722 | 99.832 | 92.363 | 0.000 | 0.000 | -0.000 |
| 98.580 | 204.384 | 89.881 | 0.000 | 0.000 | -0.000 |
| 89.018 | 89.018 | 238.471 | 0.000 | 0.000 | -0.000 |
| -0.000 | 0.000 | -0.000 | 45.570 | 0.000 | -0.000 |
| 0.000 | -0.000 | -0.000 | 0.000 | 45.570 | -0.000 |
| -2.418 | -2.419 | -1.036 | -0.000 | 0.000 | 46.634 |
| 214.898 | 99.928 | 92.395 | -0.000 | 0.000 | -0.000 |
| 99.928 | 214.898 | 92.395 | -0.000 | 0.000 | -0.000 |
| 92.130 | 92.130 | 239.880 | -0.000 | -0.000 | -0.000 |
| 0.000 | -0.000 | -0.000 | 45.571 | 0.000 | -0.000 |
| 0.000 | 0.000 | -0.000 | -0.000 | 45.571 | -0.000 |
| -0.000 | 0.000 | -0.000 | 0.000 | 0.000 | 57.485 |
| 205.055 | 101.056 | 90.529 | 0.000 | -0.000 | 0.000 |
| 99.928 | 214.898 | 92.395 | 0.000 | -0.000 | 0.000 |
| 92.493 | 92.493 | 240.036 | 0.000 | 0.000 | 0.000 |
| 0.000 | -0.000 | 0.000 | 45.571 | -0.000 | 0.000 |
| -0.000 | -0.000 | 0.000 | 0.000 | 45.571 | 0.000 |
| 0.000 | -0.000 | 0.000 | 0.000 | -0.000 | 57.485 |
| 214.898 | 99.928 | 92.395 | -0.000 | 0.000 | -0.000 |
| 102.388 | 204.833 | 90.767 | -0.000 | 0.000 | -0.000 |
| 92.493 | 92.493 | 240.036 | -0.000 | 0.000 | -0.000 |
| 0.064 | 0.064 | 0.028 | 45.571 | -0.000 | -0.000 |
| -0.000 | 0.000 | 0.000 | -0.000 | 45.571 | -0.000 |
| 0.177 | 0.177 | 0.076 | -0.000 | 0.000 | 47.050 |
| 204.897 | 102.114 | 90.722 | -0.000 | -0.000 | 0.000 |
| 108.357 | 201.682 | 91.370 | 0.000 | -0.000 | 0.000 |
| 92.493 | 92.493 | 240.036 | 0.000 | 0.000 | 0.000 |
| -0.064 | -0.064 | -0.028 | 45.571 | -0.000 | 0.000 |
| 0.000 | -0.000 | -0.000 | 0.000 | 45.571 | 0.000 |
| -0.177 | -0.177 | -0.076 | 0.000 | 0.000 | 47.050 |
| 214.899 | 99.928 | 92.395 | -0.000 | 0.000 | -0.000 |
| 99.928 | 214.899 | 92.395 | -0.000 | 0.000 | -0.000 |
| 92.494 | 92.494 | 240.037 | -0.000 | -0.000 | -0.000 |
| 0.000 | -0.000 | 0.000 | 45.571 | 0.000 | -0.000 |
| -0.000 | 0.000 | 0.000 | -0.000 | 45.571 | 0.000 |
| 0.018 | 0.018 | 0.008 | -0.000 | 0.000 | 47.041 |
| 204.869 | 102.235 | 90.742 | 0.000 | -0.000 | 0.000 |
| 102.234 | 204.869 | 90.742 | 0.000 | -0.000 | 0.000 |
| 92.493 | 92.493 | 240.035 | 0.000 | 0.000 | 0.000 |
| -0.000 | 0.000 | -0.000 | 45.571 | -0.000 | 0.000 |
| 0.000 | -0.000 | -0.000 | 0.000 | 45.571 | 0.000 |
| -0.018 | -0.018 | -0.008 | 0.000 | -0.000 | 47.041 |
| 213.683 | 99.266 | 92.159 | -0.000 | -0.000 | 0.000 |
| 101.563 | 203.641 | 90.501 | -0.000 | -0.000 | -0.000 |
| 91.155 | 91.155 | 238.918 | -0.000 | -0.000 | -0.000 |
| -0.000 | 0.000 | 0.000 | 45.555 | -0.000 | -0.000 |
| 0.000 | 0.000 | 0.000 | -0.000 | 45.555 | -0.000 |
| 0.000 | 0.000 | 0.000 | -0.000 | -0.000 | 46.776 |
| 213.683 | 99.266 | 92.158 | 0.000 | 0.000 | 0.000 |
| 99.266 | 213.683 | 92.158 | 0.000 | 0.000 | -0.000 |
| 92.158 | 92.158 | 239.348 | 0.000 | 0.000 | 0.000 |
| -0.000 | 0.000 | -0.000 | 45.555 | 0.000 | 0.000 |
| -0.000 | -0.000 | -0.000 | 0.000 | 45.555 | -0.000 |
| -0.000 | -0.000 | -0.000 | -0.000 | 0.000 | 46.776 |
| 200.546 | 107.687 | 91.149 | -0.000 | -0.000 | -0.000 |
| 99.266 | 213.683 | 92.159 | -0.000 | -0.000 | -0.000 |
| 91.155 | 91.155 | 238.918 | 0.000 | -0.000 | -0.000 |
| 0.000 | -0.000 | 0.000 | 45.555 | -0.000 | 0.000 |
| -0.000 | 0.000 | 0.000 | -0.000 | 45.555 | -0.000 |
| 0.000 | 0.000 | 0.000 | -0.000 | -0.000 | 46.776 |
| 213.683 | 99.266 | 92.158 | 0.000 | 0.000 | -0.000 |
| 99.266 | 213.683 | 92.158 | 0.000 | 0.000 | 0.000 |
| 91.154 | 91.154 | 238.918 | 0.000 | 0.000 | 0.000 |
| -0.000 | 0.000 | -0.000 | 45.555 | 0.000 | -0.000 |
| 0.000 | -0.000 | -0.000 | 0.000 | 45.555 | -0.000 |
| -0.000 | -0.000 | -0.000 | 0.000 | 0.000 | 46.776 |
| 203.642 | 101.563 | 90.501 | -0.000 | -0.000 | -0.000 |
| 99.266 | 213.684 | 92.159 | -0.000 | -0.000 | 0.000 |
| 92.159 | 92.159 | 239.348 | -0.000 | -0.000 | -0.000 |
| 0.000 | -0.000 | 0.000 | 45.555 | -0.000 | 0.000 |
| -0.000 | 0.000 | 0.000 | -0.000 | 45.555 | -0.000 |
| -0.000 | 0.000 | -0.000 | -0.000 | -0.000 | 46.776 |
| 213.682 | 99.266 | 92.158 | 0.000 | 0.000 | 0.000 |
| 101.562 | 203.640 | 90.501 | 0.000 | 0.000 | -0.000 |
| 92.158 | 92.158 | 239.347 | 0.000 | 0.000 | 0.000 |
| -0.000 | 0.000 | -0.000 | 45.555 | 0.000 | -0.000 |
| 0.000 | -0.000 | -0.000 | 0.000 | 45.555 | -0.000 |
| 0.000 | -0.000 | 0.000 | 0.000 | 0.000 | 46.776 |
| 152.107 | 138.746 | 116.560 | 0.000 | -0.000 | -0.000 |
| 138.746 | 152.107 | 116.560 | 0.000 | -0.000 | 0.000 |
| 116.560 | 116.560 | 154.958 | -0.000 | -0.000 | 0.000 |
| -0.000 | -0.000 | 0.000 | 71.347 | -0.000 | 0.000 |
| 0.000 | -0.000 | 0.000 | 0.000 | 71.347 | -0.000 |
| 0.000 | 0.000 | -0.000 | 0.000 | -0.000 | 87.592 |
| 152.214 | 138.639 | 116.560 | -0.000 | -0.000 | -0.000 |
| 138.639 | 152.214 | 116.560 | -0.000 | -0.000 | -0.000 |
| 116.560 | 116.560 | 154.957 | -0.000 | 0.000 | -0.000 |
| 0.000 | -0.000 | -0.000 | 71.347 | -0.000 | -0.000 |
| 0.000 | 0.000 | -0.000 | 0.000 | 71.347 | 0.000 |
| -0.000 | -0.000 | 0.000 | -0.000 | 0.000 | 87.592 |
| 152.214 | 138.639 | 116.560 | 0.000 | 0.000 | -0.000 |
| 138.639 | 152.214 | 116.560 | 0.000 | -0.000 | 0.000 |
| 116.560 | 116.560 | 154.957 | 0.000 | -0.000 | 0.000 |
| -0.000 | 0.000 | 0.000 | 71.347 | -0.000 | 0.000 |
| 0.000 | -0.000 | 0.000 | 0.000 | 71.347 | -0.000 |
| 0.000 | 0.000 | -0.000 | 0.000 | -0.000 | 87.592 |
| 152.214 | 138.639 | 116.560 | -0.000 | -0.000 | -0.000 |
| 138.639 | 152.214 | 116.560 | -0.000 | -0.000 | 0.000 |
| 116.560 | 116.560 | 154.958 | -0.000 | 0.000 | -0.000 |
| 0.000 | -0.000 | -0.000 | 71.347 | 0.000 | -0.000 |
| -0.000 | 0.000 | -0.000 | -0.000 | 71.347 | 0.000 |
| -0.000 | -0.000 | 0.000 | -0.000 | 0.000 | 87.592 |
| 152.214 | 138.640 | 116.561 | 0.000 | 0.000 | -0.000 |
| 138.640 | 152.214 | 116.561 | 0.000 | -0.000 | -0.000 |
| 116.561 | 116.561 | 154.957 | 0.000 | 0.000 | -0.000 |
| -0.000 | 0.000 | 0.000 | 71.347 | 0.000 | 0.000 |
| 0.000 | -0.000 | 0.000 | 0.000 | 71.347 | -0.000 |
| 0.000 | 0.000 | -0.000 | 0.000 | -0.000 | 87.592 |
| 152.107 | 138.745 | 116.560 | -0.000 | -0.000 | 0.000 |
| 138.745 | 152.107 | 116.560 | -0.000 | 0.000 | 0.000 |
| 116.560 | 116.560 | 154.958 | 0.000 | 0.000 | 0.000 |
| 0.000 | -0.000 | -0.000 | 71.347 | 0.000 | -0.000 |
| -0.000 | 0.000 | -0.000 | -0.000 | 71.347 | -0.000 |
| -0.000 | -0.000 | 0.000 | -0.000 | -0.000 | 87.592 |
| 239.068 | 108.497 | 67.564 | 0.000 | -0.000 | 0.000 |
| 79.278 | 286.371 | 36.060 | 0.000 | -0.000 | -0.000 |
| 91.269 | 155.454 | 134.430 | 0.000 | -0.000 | -0.000 |
| 3.649 | 24.605 | -28.120 | 48.755 | -0.000 | 0.000 |
| 0.000 | -0.000 | -0.000 | 0.000 | 55.808 | 0.000 |
| 0.000 | -0.000 | 0.000 | 0.000 | -0.000 | 35.771 |
| 240.320 | 26.981 | 157.869 | -0.000 | 0.000 | 0.000 |
| 83.335 | 239.407 | 89.128 | -0.000 | 0.000 | -0.000 |
| 96.234 | 89.311 | 207.923 | -0.000 | 0.000 | 0.000 |
| -3.649 | -24.605 | 28.120 | 48.755 | 0.000 | -0.000 |
| -0.000 | 0.000 | 0.000 | -0.000 | 55.808 | 0.000 |
| -0.000 | 0.000 | 0.000 | -0.000 | 0.000 | 35.771 |
| 234.528 | 90.920 | 90.496 | 0.000 | -0.000 | -0.000 |
| 83.402 | 234.928 | 90.530 | 0.000 | -0.000 | -0.000 |
| 95.843 | 103.101 | 189.559 | 0.000 | -0.000 | 0.000 |
| -0.000 | 0.000 | 0.000 | 55.215 | -0.000 | -0.000 |
| -0.540 | 5.784 | -6.146 | 0.000 | 55.615 | -0.000 |
| 0.000 | -0.000 | 0.000 | 0.000 | -0.000 | 35.771 |
| 237.868 | 83.810 | 96.525 | -0.000 | 0.000 | -0.000 |
| 85.044 | 222.360 | 103.443 | -0.000 | 0.000 | 0.000 |
| 96.962 | 91.663 | 201.611 | -0.000 | -0.000 | -0.000 |
| 0.000 | -0.000 | -0.000 | 55.215 | 0.000 | -0.000 |
| 0.540 | -5.784 | 6.146 | -0.000 | 55.615 | -0.000 |
| -0.000 | 0.000 | -0.000 | -0.000 | 0.000 | 35.771 |
| 235.647 | 83.780 | 95.887 | 0.000 | -0.000 | 0.000 |
| 84.518 | 228.806 | 96.587 | 0.000 | -0.000 | 0.000 |
| 96.416 | 97.937 | 195.050 | 0.000 | -0.000 | 0.000 |
| -0.063 | 0.595 | -0.616 | 40.130 | -0.000 | 0.000 |
| -0.055 | 0.598 | -0.606 | 0.000 | 55.617 | -0.000 |
| 0.000 | -0.000 | 0.000 | 0.000 | -0.000 | 35.771 |
| 237.867 | 83.809 | 96.525 | -0.000 | 0.000 | 0.000 |
| 84.636 | 227.640 | 97.794 | 0.000 | 0.000 | -0.000 |
| 96.234 | 89.311 | 207.922 | -0.000 | 0.000 | 0.000 |
| 0.063 | -0.595 | 0.616 | 40.130 | 0.000 | 0.000 |
| 0.055 | -0.598 | 0.606 | -0.000 | 55.617 | -0.000 |
| -0.000 | 0.000 | -0.000 | -0.000 | 0.000 | 35.771 |
| 165.154 | 118.061 | 83.175 | -0.000 | -0.000 | 0.000 |
| 95.460 | 191.871 | 83.999 | -0.000 | -0.000 | 0.000 |
| 83.179 | 83.179 | 221.195 | -0.000 | -0.000 | 0.000 |
| 0.000 | -0.000 | -0.000 | 31.507 | -0.000 | -0.000 |
| 0.000 | 0.000 | 0.000 | 0.000 | 30.912 | 0.000 |
| -0.000 | -0.000 | -0.000 | -0.000 | -0.000 | 48.206 |
| 191.871 | 95.460 | 83.999 | 0.000 | 0.000 | -0.000 |
| 108.274 | 170.573 | 82.302 | -0.000 | 0.000 | -0.000 |
| 83.179 | 83.179 | 221.195 | -0.000 | -0.000 | 0.000 |
| -0.000 | 0.000 | 0.000 | 31.507 | 0.000 | -0.000 |
| -0.000 | 0.000 | 0.000 | -0.000 | 31.507 | -0.000 |
| -0.000 | -0.000 | 0.000 | 0.000 | 0.000 | 48.206 |
| 191.871 | 95.460 | 83.999 | -0.000 | -0.000 | 0.000 |
| 95.460 | 191.871 | 83.999 | -0.000 | -0.000 | 0.000 |
| 83.179 | 83.179 | 221.195 | 0.000 | -0.000 | 0.000 |
| 0.000 | -0.000 | 0.000 | 31.507 | -0.000 | 0.000 |
| -0.000 | 0.000 | 0.000 | 0.000 | 31.507 | 0.000 |
| 0.000 | -0.000 | -0.000 | -0.000 | -0.000 | 48.206 |
| 165.154 | 118.060 | 83.175 | 0.000 | 0.000 | -0.000 |
| 95.460 | 191.871 | 83.999 | 0.000 | 0.000 | -0.000 |
| 84.035 | 84.035 | 221.537 | 0.000 | 0.000 | -0.000 |
| -0.000 | 0.000 | -0.000 | 31.507 | 0.000 | -0.000 |
| 0.000 | -0.000 | -0.000 | -0.000 | 31.507 | -0.000 |
| -0.000 | -0.000 | 0.000 | 0.000 | 0.000 | 48.206 |
| 165.154 | 118.061 | 83.176 | 0.000 | -0.000 | 0.000 |
| 95.460 | 191.872 | 83.999 | -0.000 | -0.000 | 0.000 |
| 84.035 | 84.035 | 221.538 | -0.000 | -0.000 | 0.000 |
| 0.000 | -0.000 | 0.000 | 31.507 | 0.000 | -0.000 |
| -0.000 | 0.000 | 0.000 | 0.000 | 31.507 | 0.000 |
| 0.000 | -0.000 | -0.000 | 0.000 | -0.000 | 23.612 |
| 170.572 | 108.274 | 82.302 | -0.000 | -0.000 | -0.000 |
| 118.203 | 164.918 | 83.157 | -0.000 | 0.000 | -0.000 |
| 83.179 | 83.179 | 221.194 | 0.000 | -0.000 | 0.000 |
| -0.000 | 0.000 | -0.000 | 31.507 | -0.000 | -0.000 |
| 0.000 | -0.000 | -0.000 | -0.000 | 31.507 | -0.000 |
| -0.000 | 0.000 | 0.000 | 0.000 | 0.000 | 23.612 |
| 170.173 | 108.007 | 82.224 | -0.000 | -0.000 | -0.000 |
| 95.224 | 191.444 | 83.922 | -0.000 | 0.000 | 0.000 |
| 83.921 | 83.921 | 221.291 | -0.000 | -0.000 | -0.000 |
| -0.000 | -0.000 | 0.000 | 31.520 | -0.000 | -0.000 |
| 0.000 | -0.000 | 0.000 | -0.000 | 31.520 | -0.000 |
| 0.000 | 0.000 | 0.000 | -0.000 | 0.000 | 48.110 |
| 191.444 | 95.224 | 83.921 | 0.000 | -0.000 | 0.000 |
| 117.765 | 164.776 | 83.096 | 0.000 | 0.000 | 0.000 |
| 83.064 | 83.064 | 220.948 | 0.000 | 0.000 | 0.000 |
| -0.000 | -0.000 | -0.000 | 31.520 | 0.000 | -0.000 |
| 0.000 | -0.000 | -0.000 | 0.000 | 31.520 | 0.000 |
| -0.000 | -0.000 | -0.000 | 0.000 | -0.000 | 48.110 |
| 191.444 | 95.224 | 83.922 | 0.000 | 0.000 | -0.000 |
| 95.224 | 191.444 | 83.922 | 0.000 | 0.000 | 0.000 |
| 83.064 | 83.064 | 220.948 | -0.000 | -0.000 | -0.000 |
| 0.000 | -0.000 | 0.000 | 30.927 | -0.000 | -0.000 |
| -0.000 | 0.000 | 0.000 | -0.000 | 31.520 | -0.000 |
| 0.000 | -0.000 | -0.000 | -0.000 | -0.000 | 23.570 |
| 191.444 | 95.224 | 83.921 | -0.000 | -0.000 | 0.000 |
| 95.224 | 191.444 | 83.921 | -0.000 | -0.000 | 0.000 |
| 83.064 | 83.064 | 220.948 | 0.000 | 0.000 | 0.000 |
| -0.000 | 0.000 | -0.000 | 30.927 | 0.000 | 0.000 |
| 0.000 | -0.000 | -0.000 | 0.000 | 31.520 | -0.000 |
| -0.000 | 0.000 | 0.000 | 0.000 | 0.000 | 23.570 |
| 170.173 | 108.008 | 82.224 | -0.000 | -0.000 | -0.000 |
| 117.765 | 164.777 | 83.096 | -0.000 | -0.000 | -0.000 |
| 83.064 | 83.064 | 220.948 | -0.000 | -0.000 | -0.000 |
| 0.000 | -0.000 | 0.000 | 31.520 | -0.000 | 0.000 |
| -0.000 | 0.000 | 0.000 | -0.000 | 31.520 | -0.000 |
| 0.000 | -0.000 | -0.000 | -0.000 | -0.000 | 23.570 |
| 164.776 | 117.764 | 83.096 | 0.000 | 0.000 | 0.000 |
| 108.007 | 170.172 | 82.224 | 0.000 | 0.000 | 0.000 |
| 83.064 | 83.064 | 220.947 | 0.000 | 0.000 | 0.000 |
| -0.000 | 0.000 | -0.000 | 31.520 | 0.000 | 0.000 |
| 0.000 | -0.000 | -0.000 | 0.000 | 31.520 | 0.000 |
| -0.000 | 0.000 | 0.000 | 0.000 | 0.000 | 23.570 |
| 148.386 | 88.652 | 88.652 | 0.000 | 0.000 | 0.000 |
| 88.652 | 148.386 | 88.652 | 0.000 | 0.000 | 0.000 |
| 88.652 | 88.652 | 148.386 | 0.000 | 0.000 | 0.000 |
| -0.000 | 0.000 | 0.000 | 62.625 | 0.000 | 0.000 |
| 0.000 | -0.000 | 0.000 | 0.000 | 62.625 | -0.000 |
| 0.000 | 0.000 | -0.000 | 0.000 | -0.000 | 62.625 |
| 148.386 | 88.652 | 88.652 | -0.000 | -0.000 | -0.000 |
| 88.652 | 148.386 | 88.652 | -0.000 | -0.000 | -0.000 |
| 88.652 | 88.652 | 148.386 | -0.000 | -0.000 | -0.000 |
| -0.000 | -0.000 | -0.000 | 62.625 | -0.000 | -0.000 |
| -0.000 | -0.000 | -0.000 | -0.000 | 62.625 | 0.000 |
| -0.000 | -0.000 | 0.000 | 0.000 | 0.000 | 62.625 |
| 148.386 | 88.652 | 88.652 | 0.000 | 0.000 | 0.000 |
| 88.652 | 148.386 | 88.652 | -0.000 | 0.000 | 0.000 |
| 88.652 | 88.652 | 148.386 | 0.000 | 0.000 | 0.000 |
| -0.000 | 0.000 | 0.000 | 62.625 | 0.000 | 0.000 |
| 0.000 | -0.000 | 0.000 | 0.000 | 62.625 | -0.000 |
| 0.000 | 0.000 | -0.000 | 0.000 | -0.000 | 62.625 |
| 148.386 | 88.652 | 88.652 | -0.000 | -0.000 | -0.000 |
| 88.652 | 148.386 | 88.652 | -0.000 | -0.000 | -0.000 |
| 88.652 | 88.652 | 148.386 | -0.000 | -0.000 | -0.000 |
| 0.000 | -0.000 | -0.000 | 62.625 | -0.000 | -0.000 |
| -0.000 | 0.000 | -0.000 | -0.000 | 62.625 | 0.000 |
| -0.000 | -0.000 | 0.000 | -0.000 | 0.000 | 62.625 |
| 148.386 | 88.653 | 88.653 | 0.000 | -0.000 | 0.000 |
| 88.653 | 148.386 | 88.653 | -0.000 | 0.000 | 0.000 |
| 88.653 | 88.653 | 148.386 | 0.000 | 0.000 | 0.000 |
| -0.000 | 0.000 | 0.000 | 62.625 | 0.000 | 0.000 |
| 0.000 | -0.000 | 0.000 | 0.000 | 62.625 | 0.000 |
| 0.000 | 0.000 | -0.000 | 0.000 | 0.000 | 62.625 |
| 148.385 | 88.652 | 88.652 | -0.000 | -0.000 | -0.000 |
| 88.652 | 148.385 | 88.652 | 0.000 | -0.000 | -0.000 |
| 88.652 | 88.652 | 148.385 | -0.000 | -0.000 | -0.000 |
| 0.000 | -0.000 | -0.000 | 62.625 | -0.000 | -0.000 |
| -0.000 | 0.000 | -0.000 | -0.000 | 62.625 | 0.000 |
| -0.000 | -0.000 | 0.000 | -0.000 | 0.000 | 62.625 |
| 210.812 | 59.830 | 59.830 | 0.000 | 0.000 | 0.000 |
| 59.830 | 210.812 | 59.830 | 0.000 | 0.000 | 0.000 |
| 59.830 | 59.830 | 210.812 | 0.000 | 0.000 | 0.000 |
| 0.000 | 0.000 | 0.000 | 18.125 | 0.000 | 0.000 |
| 0.000 | 0.000 | 0.000 | 0.000 | 18.125 | 0.000 |
| 0.000 | -0.000 | 0.000 | -0.000 | 0.000 | 18.125 |
| 210.812 | 59.830 | 59.830 | -0.000 | -0.000 | -0.000 |
| 59.830 | 210.812 | 59.830 | -0.000 | -0.000 | -0.000 |
| 59.830 | 59.830 | 210.812 | 0.000 | -0.000 | -0.000 |
| -0.000 | -0.000 | -0.000 | 18.125 | -0.000 | -0.000 |
| -0.000 | -0.000 | -0.000 | -0.000 | 18.125 | -0.000 |
| -0.000 | -0.000 | -0.000 | 0.000 | -0.000 | 18.125 |
| 212.288 | 59.092 | 59.092 | -0.000 | 0.000 | 0.000 |
| 59.092 | 212.288 | 59.092 | -0.000 | 0.000 | 0.000 |
| 59.092 | 59.092 | 212.288 | -0.000 | 0.000 | 0.000 |
| 0.000 | 0.000 | 0.000 | 18.125 | 0.000 | 0.000 |
| 0.000 | 0.000 | 0.000 | -0.000 | 18.125 | 0.000 |
| 0.000 | 0.000 | 0.000 | 0.000 | 0.000 | 18.125 |
| 210.812 | 59.830 | 59.830 | -0.000 | -0.000 | -0.000 |
| 59.830 | 210.812 | 59.830 | -0.000 | -0.000 | 0.000 |
| 59.830 | 59.830 | 210.812 | 0.000 | -0.000 | -0.000 |
| -0.000 | -0.000 | -0.000 | 18.125 | -0.000 | -0.000 |
| -0.000 | -0.000 | -0.000 | 0.000 | 18.125 | -0.000 |
| -0.000 | -0.000 | -0.000 | 0.000 | -0.000 | 18.125 |
| 210.813 | 59.830 | 59.830 | 0.000 | 0.000 | 0.000 |
| 59.830 | 210.813 | 59.830 | 0.000 | 0.000 | 0.000 |
| 59.830 | 59.830 | 210.813 | -0.000 | 0.000 | 0.000 |
| 0.000 | 0.000 | 0.000 | 18.125 | 0.000 | 0.000 |
| 0.000 | 0.000 | 0.000 | -0.000 | 18.125 | 0.000 |
| 0.000 | 0.000 | 0.000 | 0.000 | 0.000 | 18.125 |
| 210.812 | 59.829 | 59.829 | -0.000 | -0.000 | -0.000 |
| 59.829 | 210.812 | 59.829 | -0.000 | -0.000 | -0.000 |
| 59.829 | 59.829 | 210.812 | -0.000 | -0.000 | -0.000 |
| -0.000 | -0.000 | -0.000 | 18.125 | -0.000 | -0.000 |
| -0.000 | -0.000 | -0.000 | -0.000 | 18.125 | -0.000 |
| -0.000 | -0.000 | -0.000 | -0.000 | -0.000 | 18.125 |
| 7765279.029 | 7349826.652 | 8860966.566 | 191856.934 | 560695.293 | -21084.021 |
| 7534110.155 | 7368827.791 | 8645800.577 | 203955.822 | 367719.843 | -96390.018 |
| 7403979.351 | 7325589.195 | 8898289.139 | 315196.532 | 568361.933 | -125849.098 |
| 7782322.459 | 7338970.146 | 8897531.206 | 155146.387 | 421063.236 | 16708.785 |
| 7803207.608 | 7399214.068 | 9006384.536 | 285167.985 | 447692.499 | 5276.776 |
| 7634274.142 | 7243303.339 | 9267130.871 | 278167.946 | 523085.663 | 10404.887 |
| -7777074.344 | -7482773.551 | -8857177.631 | -218281.395 | -476768.122 | 120865.224 |
| -7361896.710 | -7302801.446 | -8974035.324 | -245442.204 | -537761.861 | 178686.942 |
| -7564095.486 | -7274556.631 | -8967231.377 | -220803.384 | -470948.499 | 59946.502 |
| -7893448.247 | -7406903.452 | -8851315.240 | -282422.769 | -385215.082 | -81653.793 |
| -7943122.320 | -7395220.859 | -9345496.327 | -188496.362 | -405581.553 | -106122.046 |
| -7594693.729 | -7328399.604 | -8885012.613 | -227858.041 | -546656.154 | 60891.675 |
| 756098.734 | 769000.918 | 923274.590 | 36021.214 | 54581.117 | -8136.332 |
| 796008.544 | 764677.864 | 891718.665 | 33578.573 | 51994.360 | 5958.257 |
| 750736.061 | 738151.374 | 885412.973 | 28167.622 | 50901.803 | -5082.253 |
| 775012.960 | 731623.152 | 891690.572 | 20504.289 | 41221.825 | -659.613 |
| 761197.286 | 732366.405 | 884277.568 | 21196.768 | 47802.730 | -8872.167 |
| 738639.149 | 721188.986 | 887866.975 | 22683.455 | 59650.173 | -15342.328 |
| -749353.258 | -736717.029 | -879498.575 | -19615.460 | -54351.823 | 10722.455 |
| -760854.716 | -737493.982 | -887680.437 | -22328.387 | -44853.366 | 4226.573 |
| -771193.598 | -749240.615 | -885405.734 | -29202.928 | -46362.669 | 6900.604 |
| -787462.059 | -738158.751 | -879452.229 | -21137.870 | -43561.079 | -2599.546 |
| -759544.045 | -729655.491 | -882882.667 | -18126.630 | -42621.992 | 5840.780 |
| -750373.319 | -762761.991 | -924758.720 | -36376.678 | -46191.827 | 20147.795 |
| 75720.672 | 76964.012 | 95644.673 | 4093.098 | 6255.563 | -1370.577 |
| 77930.110 | 74495.803 | 91977.160 | 2292.701 | 5388.915 | -288.036 |
| 77214.960 | 74891.156 | 91818.749 | 2689.026 | 5197.870 | -85.121 |
| 77602.587 | 73341.644 | 88558.785 | 2044.856 | 4545.414 | -196.657 |
| 77272.565 | 74133.818 | 88472.002 | 1745.169 | 4211.123 | -49.284 |
| 75694.163 | 74332.514 | 87437.823 | 2565.209 | 4972.583 | -1420.235 |
| -77824.897 | -75277.928 | -90606.833 | -4250.721 | -4313.397 | 46.883 |
| -79684.486 | -76272.944 | -92855.781 | -1691.482 | -4022.793 | 483.004 |
| -76835.721 | -73777.660 | -89147.096 | -2347.976 | -3620.533 | 313.608 |
| -73908.069 | -73637.100 | -89939.268 | -3090.456 | -5474.719 | 1286.622 |
| -75484.625 | -75195.072 | -90640.392 | -3057.416 | -4429.740 | 869.208 |
| -77670.208 | -73966.123 | -88660.601 | -2120.310 | -5213.091 | -119.678 |
| 129.728 | 105.916 | 105.916 | -0.000 | -0.000 | 0.000 |
| 105.916 | 129.728 | 105.916 | -0.000 | -0.000 | 0.000 |
| 105.916 | 105.916 | 129.728 | -0.000 | -0.000 | -0.000 |
| 0.000 | 0.000 | 0.000 | 78.125 | -0.000 | 0.000 |
| 0.000 | 0.000 | 0.000 | 0.000 | 78.125 | 0.000 |
| 0.000 | 0.000 | 0.000 | -0.000 | -0.000 | 78.125 |
| 129.728 | 105.916 | 105.916 | 0.000 | 0.000 | -0.000 |
| 105.916 | 129.728 | 105.916 | 0.000 | 0.000 | 0.000 |
| 105.916 | 105.916 | 129.728 | -0.000 | -0.000 | -0.000 |
| -0.000 | -0.000 | -0.000 | 78.125 | 0.000 | -0.000 |
| -0.000 | -0.000 | -0.000 | 0.000 | 78.125 | -0.000 |
| -0.000 | -0.000 | -0.000 | -0.000 | 0.000 | 78.125 |
| 129.728 | 105.916 | 105.916 | 0.000 | 0.000 | -0.000 |
| 105.916 | 129.728 | 105.916 | 0.000 | -0.000 | -0.000 |
| 105.916 | 105.916 | 129.728 | 0.000 | 0.000 | 0.000 |
| 0.000 | -0.000 | 0.000 | 78.125 | 0.000 | 0.000 |
| -0.000 | 0.000 | 0.000 | 0.000 | 78.125 | 0.000 |
| -0.000 | 0.000 | 0.000 | 0.000 | 0.000 | 78.125 |
| 129.727 | 105.916 | 105.916 | -0.000 | -0.000 | 0.000 |
| 105.916 | 129.727 | 105.916 | -0.000 | -0.000 | -0.000 |
| 105.916 | 105.916 | 129.727 | -0.000 | 0.000 | 0.000 |
| -0.000 | 0.000 | -0.000 | 78.125 | -0.000 | 0.000 |
| 0.000 | -0.000 | -0.000 | -0.000 | 78.125 | -0.000 |
| 0.000 | -0.000 | -0.000 | 0.000 | 0.000 | 78.125 |
| 129.728 | 105.916 | 105.916 | 0.000 | 0.000 | -0.000 |
| 105.916 | 129.728 | 105.916 | 0.000 | 0.000 | -0.000 |
| 105.916 | 105.916 | 129.728 | 0.000 | 0.000 | 0.000 |
| 0.000 | -0.000 | 0.000 | 78.125 | 0.000 | -0.000 |
| -0.000 | 0.000 | 0.000 | 0.000 | 78.125 | 0.000 |
| -0.000 | 0.000 | 0.000 | 0.000 | -0.000 | 78.125 |
| 129.727 | 105.916 | 105.916 | 0.000 | -0.000 | -0.000 |
| 105.916 | 129.727 | 105.916 | -0.000 | -0.000 | 0.000 |
| 105.916 | 105.916 | 129.727 | -0.000 | -0.000 | -0.000 |
| -0.000 | 0.000 | -0.000 | 78.125 | 0.000 | -0.000 |
| 0.000 | -0.000 | -0.000 | 0.000 | 78.125 | -0.000 |
| 0.000 | -0.000 | -0.000 | -0.000 | -0.000 | 78.125 |
| 173.093 | 81.833 | 70.613 | -0.000 | -0.000 | -0.000 |
| 81.833 | 173.093 | 70.613 | -0.000 | -0.000 | -0.000 |
| 70.613 | 70.613 | 189.814 | 0.000 | 0.000 | -0.000 |
| 0.000 | 0.000 | 0.000 | 41.352 | 0.000 | 0.000 |
| -0.000 | 0.000 | 0.000 | 0.000 | 41.352 | -0.000 |
| -0.000 | 0.000 | -0.000 | 0.000 | 0.000 | 49.925 |
| 173.093 | 81.833 | 70.613 | 0.000 | 0.000 | 0.000 |
| 77.538 | 177.388 | 70.613 | -0.000 | -0.000 | 0.000 |
| 70.613 | 70.613 | 189.814 | -0.000 | -0.000 | -0.000 |
| -0.000 | -0.000 | -0.000 | 41.352 | -0.000 | 0.000 |
| 0.000 | -0.000 | -0.000 | -0.000 | 41.352 | 0.000 |
| 0.000 | -0.000 | 0.000 | -0.000 | -0.000 | 49.925 |
| 177.388 | 77.538 | 70.613 | 0.000 | 0.000 | -0.000 |
| 81.833 | 173.093 | 70.613 | -0.000 | -0.000 | -0.000 |
| 70.613 | 70.613 | 189.814 | 0.000 | 0.000 | -0.000 |
| 0.000 | -0.000 | 0.000 | 41.352 | 0.000 | -0.000 |
| -0.000 | 0.000 | 0.000 | 0.000 | 41.352 | -0.000 |
| -0.000 | 0.000 | -0.000 | 0.000 | 0.000 | 49.925 |
| 173.093 | 81.833 | 70.613 | 0.000 | -0.000 | 0.000 |
| 77.538 | 177.388 | 70.613 | -0.000 | -0.000 | 0.000 |
| 70.613 | 70.613 | 189.813 | 0.000 | -0.000 | 0.000 |
| -0.000 | 0.000 | -0.000 | 41.352 | -0.000 | 0.000 |
| 0.000 | -0.000 | -0.000 | -0.000 | 41.352 | -0.000 |
| 0.000 | -0.000 | 0.000 | -0.000 | 0.000 | 49.925 |
| 177.389 | 77.539 | 70.613 | 0.000 | 0.000 | -0.000 |
| 81.834 | 173.094 | 70.613 | -0.000 | -0.000 | -0.000 |
| 70.614 | 70.614 | 189.814 | 0.000 | 0.000 | -0.000 |
| -0.000 | -0.000 | 0.000 | 41.352 | 0.000 | 0.000 |
| -0.000 | -0.000 | 0.000 | 0.000 | 41.352 | -0.000 |
| -0.000 | 0.000 | -0.000 | 0.000 | 0.000 | 49.925 |
| 173.092 | 81.833 | 70.613 | 0.000 | 0.000 | 0.000 |
| 81.833 | 173.093 | 70.613 | 0.000 | 0.000 | 0.000 |
| 70.613 | 70.613 | 189.813 | -0.000 | -0.000 | -0.000 |
| 0.000 | 0.000 | -0.000 | 41.352 | -0.000 | 0.000 |
| 0.000 | 0.000 | -0.000 | -0.000 | 41.352 | 0.000 |
| 0.000 | -0.000 | 0.000 | -0.000 | -0.000 | 49.925 |
| 170.091 | 80.443 | 74.799 | 0.000 | -0.000 | -0.000 |
| 77.248 | 173.286 | 74.799 | -0.000 | -0.000 | -0.000 |
| 74.802 | 74.802 | 187.123 | 0.000 | -0.000 | -0.000 |
| 0.000 | -0.000 | 0.000 | 42.085 | -0.000 | -0.000 |
| 0.000 | -0.000 | 0.000 | 0.000 | 42.085 | -0.000 |
| 0.000 | 0.000 | 0.000 | 0.000 | -0.000 | 44.824 |
| 173.286 | 77.248 | 74.799 | -0.000 | 0.000 | 0.000 |
| 80.443 | 170.091 | 74.799 | -0.000 | 0.000 | 0.000 |
| 74.802 | 74.802 | 187.123 | 0.000 | 0.000 | 0.000 |
| -0.000 | 0.000 | -0.000 | 42.085 | 0.000 | 0.000 |
| -0.000 | 0.000 | -0.000 | -0.000 | 42.085 | 0.000 |
| -0.000 | -0.000 | -0.000 | -0.000 | 0.000 | 44.824 |
| 170.091 | 80.443 | 74.799 | -0.000 | -0.000 | -0.000 |
| 80.443 | 170.091 | 74.799 | 0.000 | -0.000 | -0.000 |
| 74.802 | 74.802 | 187.123 | -0.000 | -0.000 | -0.000 |
| 0.000 | -0.000 | 0.000 | 42.085 | -0.000 | -0.000 |
| -0.000 | 0.000 | 0.000 | 0.000 | 42.085 | -0.000 |
| -0.000 | 0.000 | -0.000 | -0.000 | -0.000 | 44.824 |
| 170.091 | 80.443 | 74.799 | -0.000 | 0.000 | 0.000 |
| 80.443 | 170.091 | 74.799 | -0.000 | 0.000 | 0.000 |
| 74.802 | 74.802 | 187.123 | 0.000 | 0.000 | 0.000 |
| -0.000 | 0.000 | -0.000 | 42.085 | 0.000 | 0.000 |
| 0.000 | -0.000 | -0.000 | -0.000 | 42.085 | 0.000 |
| 0.000 | -0.000 | 0.000 | 0.000 | 0.000 | 44.824 |
| 170.092 | 80.443 | 74.799 | 0.000 | -0.000 | -0.000 |
| 77.249 | 173.286 | 74.799 | 0.000 | -0.000 | -0.000 |
| 74.802 | 74.802 | 187.123 | 0.000 | -0.000 | -0.000 |
| 0.000 | -0.000 | 0.000 | 42.085 | -0.000 | -0.000 |
| -0.000 | 0.000 | 0.000 | 0.000 | 42.085 | -0.000 |
| -0.000 | 0.000 | -0.000 | 0.000 | -0.000 | 44.824 |
| 170.091 | 80.443 | 74.799 | 0.000 | 0.000 | 0.000 |
| 80.442 | 170.091 | 74.799 | -0.000 | 0.000 | 0.000 |
| 74.802 | 74.802 | 187.122 | -0.000 | 0.000 | 0.000 |
| -0.000 | 0.000 | -0.000 | 42.085 | 0.000 | 0.000 |
| 0.000 | -0.000 | -0.000 | -0.000 | 42.085 | 0.000 |
| 0.000 | -0.000 | 0.000 | -0.000 | -0.000 | 44.824 |
| 173.239 | 77.222 | 74.785 | 0.000 | 0.000 | 0.000 |
| 77.222 | 173.239 | 74.785 | 0.000 | -0.000 | -0.000 |
| 74.785 | 74.785 | 187.088 | 0.000 | 0.000 | -0.000 |
| 0.000 | -0.000 | 0.000 | 42.082 | 0.000 | 0.000 |
| 0.000 | -0.000 | 0.000 | 0.000 | 42.082 | -0.000 |
| 0.000 | 0.000 | 0.000 | 0.000 | 0.000 | 44.815 |
| 173.239 | 77.222 | 74.785 | -0.000 | -0.000 | 0.000 |
| 80.415 | 170.046 | 74.785 | -0.000 | -0.000 | 0.000 |
| 74.785 | 74.785 | 187.088 | -0.000 | -0.000 | -0.000 |
| -0.000 | 0.000 | -0.000 | 42.082 | -0.000 | 0.000 |
| -0.000 | 0.000 | -0.000 | -0.000 | 42.082 | 0.000 |
| -0.000 | -0.000 | -0.000 | -0.000 | -0.000 | 44.815 |
| 170.046 | 80.415 | 74.785 | -0.000 | 0.000 | 0.000 |
| 80.415 | 170.046 | 74.785 | 0.000 | 0.000 | 0.000 |
| 74.785 | 74.785 | 187.088 | 0.000 | 0.000 | 0.000 |
| 0.000 | -0.000 | 0.000 | 42.082 | 0.000 | -0.000 |
| -0.000 | 0.000 | 0.000 | 0.000 | 42.082 | 0.000 |
| -0.000 | 0.000 | -0.000 | 0.000 | 0.000 | 48.009 |
| 170.046 | 80.415 | 74.785 | -0.000 | 0.000 | -0.000 |
| 80.415 | 170.046 | 74.785 | -0.000 | -0.000 | 0.000 |
| 74.785 | 74.785 | 187.088 | -0.000 | -0.000 | 0.000 |
| -0.000 | 0.000 | -0.000 | 42.082 | -0.000 | -0.000 |
| 0.000 | -0.000 | -0.000 | -0.000 | 42.082 | 0.000 |
| 0.000 | -0.000 | 0.000 | -0.000 | 0.000 | 48.009 |
| 173.240 | 77.222 | 74.785 | 0.000 | 0.000 | -0.000 |
| 77.222 | 173.240 | 74.785 | 0.000 | -0.000 | 0.000 |
| 74.785 | 74.785 | 187.088 | 0.000 | 0.000 | -0.000 |
| 0.000 | -0.000 | 0.000 | 42.082 | 0.000 | -0.000 |
| -0.000 | 0.000 | 0.000 | 0.000 | 42.082 | 0.000 |
| -0.000 | 0.000 | -0.000 | 0.000 | 0.000 | 44.815 |
| 170.045 | 80.415 | 74.785 | 0.000 | -0.000 | 0.000 |
| 80.415 | 170.045 | 74.785 | -0.000 | -0.000 | -0.000 |
| 74.785 | 74.785 | 187.087 | -0.000 | -0.000 | 0.000 |
| -0.000 | 0.000 | -0.000 | 42.082 | -0.000 | -0.000 |
| 0.000 | -0.000 | -0.000 | -0.000 | 42.082 | 0.000 |
| 0.000 | -0.000 | 0.000 | -0.000 | 0.000 | 44.815 |
| 109.128 | 88.672 | 30.353 | -0.000 | 0.000 | 0.000 |
| 88.671 | 109.128 | 30.353 | -0.000 | -0.000 | 0.000 |
| 30.353 | 30.353 | 217.913 | 0.000 | -0.000 | -0.000 |
| -0.000 | 0.000 | -0.000 | -15.053 | -0.000 | 0.000 |
| 0.000 | 0.000 | 0.000 | 0.000 | -15.053 | 0.000 |
| -0.000 | 0.000 | -0.000 | -0.000 | -0.000 | -6.570 |
| 109.128 | 88.671 | 30.353 | 0.000 | 0.000 | -0.000 |
| 88.671 | 109.128 | 30.353 | 0.000 | 0.000 | 0.000 |
| 30.353 | 30.353 | 217.913 | 0.000 | -0.000 | 0.000 |
| 0.000 | -0.000 | -0.000 | -15.053 | -0.000 | -0.000 |
| -0.000 | -0.000 | 0.000 | 0.000 | -15.053 | -0.000 |
| 0.000 | -0.000 | 0.000 | -0.000 | 0.000 | -6.570 |
| 109.128 | 88.672 | 30.353 | -0.000 | -0.000 | 0.000 |
| 88.672 | 109.128 | 30.353 | -0.000 | -0.000 | 0.000 |
| 30.353 | 30.353 | 217.913 | -0.000 | -0.000 | 0.000 |
| -0.000 | 0.000 | -0.000 | -15.053 | -0.000 | 0.000 |
| 0.000 | -0.000 | -0.000 | -0.000 | -15.053 | 0.000 |
| -0.000 | -0.000 | -0.000 | 0.000 | 0.000 | -6.570 |
| 109.128 | 88.671 | 30.353 | 0.000 | 0.000 | 0.000 |
| 88.671 | 109.128 | 30.353 | 0.000 | -0.000 | 0.000 |
| 30.353 | 30.353 | 217.913 | 0.000 | 0.000 | 0.000 |
| 0.000 | -0.000 | 0.000 | -15.053 | 0.000 | 0.000 |
| -0.000 | 0.000 | 0.000 | 0.000 | -15.053 | -0.000 |
| 0.000 | 0.000 | 0.000 | -0.000 | -0.000 | -6.570 |
| 109.128 | 88.672 | 30.354 | -0.000 | 0.000 | 0.000 |
| 88.672 | 109.128 | 30.354 | -0.000 | -0.000 | -0.000 |
| 30.353 | 30.353 | 217.914 | -0.000 | 0.000 | 0.000 |
| -0.000 | 0.000 | -0.000 | -15.053 | -0.000 | 0.000 |
| 0.000 | -0.000 | -0.000 | -0.000 | -15.053 | 0.000 |
| -0.000 | -0.000 | -0.000 | -0.000 | 0.000 | -6.570 |
| 109.128 | 88.671 | 30.353 | 0.000 | 0.000 | 0.000 |
| 88.671 | 109.128 | 30.353 | 0.000 | 0.000 | 0.000 |
| 30.353 | 30.353 | 217.912 | 0.000 | -0.000 | -0.000 |
| 0.000 | -0.000 | 0.000 | -15.053 | 0.000 | -0.000 |
| -0.000 | 0.000 | 0.000 | 0.000 | -15.053 | -0.000 |
| 0.000 | 0.000 | 0.000 | 0.000 | 0.000 | -6.570 |
| 142.142 | 14.207 | 14.207 | -0.000 | -0.000 | 0.000 |
| 14.207 | 142.142 | 14.207 | 0.000 | -0.000 | -0.000 |
| 14.207 | 14.207 | 142.142 | 0.000 | 0.000 | 0.000 |
| 0.000 | -0.000 | 0.000 | -2.930 | 0.000 | 0.000 |
| -0.000 | 0.000 | 0.000 | -0.000 | -2.930 | -0.000 |
| -0.000 | 0.000 | 0.000 | 0.000 | -0.000 | -2.930 |
| 142.142 | 14.207 | 14.207 | 0.000 | -0.000 | 0.000 |
| 14.207 | 142.142 | 14.207 | -0.000 | 0.000 | 0.000 |
| 14.207 | 14.207 | 142.142 | 0.000 | -0.000 | -0.000 |
| -0.000 | 0.000 | -0.000 | -2.930 | 0.000 | -0.000 |
| 0.000 | -0.000 | -0.000 | -0.000 | -2.930 | -0.000 |
| 0.000 | -0.000 | -0.000 | -0.000 | -0.000 | -2.930 |
| 142.142 | 14.207 | 14.207 | -0.000 | -0.000 | -0.000 |
| 14.207 | 142.142 | 14.207 | -0.000 | -0.000 | -0.000 |
| 14.207 | 14.207 | 142.142 | -0.000 | -0.000 | -0.000 |
| -0.000 | -0.000 | -0.000 | -2.930 | 0.000 | 0.000 |
| -0.000 | -0.000 | -0.000 | 0.000 | -2.930 | 0.000 |
| -0.000 | -0.000 | -0.000 | 0.000 | -0.000 | -2.930 |
| 142.141 | 14.207 | 14.207 | 0.000 | 0.000 | 0.000 |
| 14.207 | 142.141 | 14.207 | 0.000 | 0.000 | 0.000 |
| 14.207 | 14.207 | 142.141 | -0.000 | 0.000 | -0.000 |
| 0.000 | 0.000 | 0.000 | -2.930 | -0.000 | -0.000 |
| 0.000 | 0.000 | 0.000 | -0.000 | -2.930 | -0.000 |
| 0.000 | 0.000 | 0.000 | -0.000 | -0.000 | -2.930 |
| 142.142 | 14.207 | 14.207 | -0.000 | -0.000 | -0.000 |
| 14.207 | 142.142 | 14.207 | 0.000 | -0.000 | -0.000 |
| 14.207 | 14.207 | 142.142 | -0.000 | -0.000 | -0.000 |
| -0.000 | -0.000 | -0.000 | -2.930 | 0.000 | 0.000 |
| -0.000 | -0.000 | -0.000 | 0.000 | -2.930 | 0.000 |
| -0.000 | -0.000 | -0.000 | 0.000 | -0.000 | -2.930 |
| 142.141 | 14.207 | 14.207 | 0.000 | 0.000 | 0.000 |
| 14.207 | 142.141 | 14.207 | -0.000 | 0.000 | 0.000 |
| 14.207 | 14.207 | 142.141 | 0.000 | 0.000 | 0.000 |
| 0.000 | 0.000 | 0.000 | -2.930 | 0.000 | -0.000 |
| 0.000 | 0.000 | 0.000 | -0.000 | -2.930 | -0.000 |
| 0.000 | 0.000 | 0.000 | 0.000 | 0.000 | -2.930 |
| 107.478 | 320.788 | -204.122 | -3.726 | 100.399 | -14.216 |
| -36.632 | -190.379 | 314.612 | -161.111 | -284.898 | -340.355 |
| 159.466 | -317.804 | 251.753 | -108.251 | 106.472 | -178.813 |
| -75.106 | -459.086 | 486.185 | 368.530 | 173.078 | -233.369 |
| 5.377 | -2.081 | -1.689 | -2.351 | 66.314 | 0.514 |
| -187.199 | -216.918 | 180.380 | -99.549 | -378.736 | -199.435 |
| 62.030 | 459.170 | -25.338 | 110.490 | -107.844 | 180.728 |
| 68.327 | 193.429 | 44.387 | 3.256 | -2.161 | 7.850 |
| 14.469 | 454.571 | 30.586 | 111.479 | -108.096 | 173.312 |
| 55.828 | 334.258 | -269.641 | -113.315 | 118.467 | 91.507 |
| -74.819 | 387.663 | -111.166 | 111.352 | -70.992 | 176.734 |
| 56.107 | 334.174 | -270.895 | -151.802 | 124.075 | 130.397 |
| 140.988 | 34.492 | 97.345 | -9.510 | 8.595 | -12.331 |
| 66.962 | 182.984 | 41.491 | -0.972 | 9.621 | -2.076 |
| 63.268 | 17.222 | 216.600 | 31.337 | 19.398 | -26.232 |
| -17.711 | -20.525 | 15.709 | 27.973 | -36.790 | -22.643 |
| 4.393 | -36.320 | 10.256 | -8.997 | 45.368 | -16.733 |
| -5.935 | -43.637 | 45.524 | 31.152 | 19.106 | 26.769 |
| 191.760 | 68.761 | 46.718 | 1.005 | 5.636 | 7.077 |
| 75.667 | 219.356 | 14.008 | -31.005 | -19.132 | 25.596 |
| 79.650 | 106.791 | 129.957 | 11.493 | -9.818 | 14.087 |
| 6.446 | -25.556 | 27.601 | 35.047 | -12.450 | -0.450 |
| 9.714 | 28.468 | -26.694 | -20.292 | 56.771 | 9.501 |
| 9.337 | 48.180 | -51.823 | -33.375 | -15.988 | 72.773 |
| 157.381 | 69.931 | 69.145 | 3.516 | 2.697 | 2.684 |
| 71.495 | 155.132 | 67.396 | -0.820 | -4.607 | 0.053 |
| 67.988 | 63.538 | 165.358 | -1.007 | -0.014 | -3.690 |
| 1.097 | -3.069 | 1.551 | 39.886 | -4.136 | -0.217 |
| 2.973 | -6.886 | 2.410 | -2.279 | 44.901 | -0.991 |
| 1.670 | 3.323 | -5.331 | -2.267 | 2.335 | 42.668 |
| 152.765 | 75.387 | 69.086 | 2.047 | 1.592 | 6.248 |
| 72.259 | 161.975 | 64.168 | 2.196 | -2.264 | 2.105 |
| 71.727 | 66.652 | 159.036 | 1.366 | 3.838 | -1.615 |
| 2.397 | 2.779 | -2.627 | 38.103 | -0.196 | 2.798 |
| 1.126 | 2.357 | -3.313 | 1.349 | 44.774 | 3.768 |
| 2.017 | 5.191 | -5.992 | -4.454 | -0.099 | 50.006 |
| 264.948 | 134.062 | -146.341 | 48.998 | 30.550 | -94.692 |
| -156.174 | 480.971 | -170.619 | 335.726 | 100.273 | -14.948 |
| -102.904 | 286.852 | 108.126 | 46.281 | -102.543 | -63.055 |
| -224.557 | 327.972 | -239.323 | 372.435 | 100.027 | -17.482 |
| 1.617 | -0.002 | 1.663 | 1.718 | 69.728 | -2.795 |
| -0.026 | 3.307 | -3.629 | 2.391 | -0.439 | 58.546 |
| 51.610 | 1.439 | 281.337 | -52.703 | -31.830 | 99.368 |
| 56.424 | 190.411 | 51.570 | 13.025 | 0.708 | 3.364 |
| 232.445 | -164.424 | 242.280 | -44.595 | 98.330 | 66.513 |
| -106.386 | -63.340 | 211.248 | -4.834 | -29.985 | 98.000 |
| 360.916 | -503.767 | 381.218 | -370.327 | 3.824 | -76.822 |
| -0.026 | 3.307 | -3.629 | 2.391 | -0.439 | 58.546 |
| 168.226 | 74.651 | 46.526 | 4.428 | 4.135 | -7.700 |
| 50.895 | 189.194 | 55.409 | 5.654 | -9.358 | -8.464 |
| 43.462 | 97.924 | 139.436 | 30.045 | 8.754 | -3.866 |
| -6.382 | 9.601 | -1.473 | 65.780 | 1.718 | 1.681 |
| 11.516 | 7.842 | -21.209 | 4.569 | 50.312 | -12.662 |
| -0.026 | 3.307 | -3.629 | 2.391 | -0.439 | 58.546 |
| 184.754 | 57.312 | 56.692 | -5.608 | 4.800 | 2.385 |
| 56.424 | 190.411 | 51.570 | 13.025 | 0.708 | 3.364 |
| 55.124 | 50.402 | 197.639 | -1.473 | 1.663 | -3.965 |
| 18.339 | -23.254 | 7.297 | 39.350 | 6.249 | 5.361 |
| -9.293 | -5.764 | 21.385 | -5.634 | 44.928 | 6.852 |
| 15.741 | -23.897 | 8.764 | -5.055 | 12.375 | 54.230 |
| 159.589 | 67.634 | 65.745 | 1.232 | 4.313 | 0.646 |
| 64.716 | 172.262 | 59.773 | 3.611 | 0.215 | -1.265 |
| 65.631 | 65.467 | 164.126 | -0.184 | -0.206 | -1.809 |
| 0.842 | 3.601 | -4.329 | 43.857 | -0.825 | -0.485 |
| 0.102 | 2.263 | -0.748 | -1.035 | 41.030 | -2.333 |
| 0.542 | 1.608 | -2.836 | 1.666 | -0.289 | 46.007 |
| 162.262 | 63.701 | 68.065 | -0.565 | 4.754 | 2.613 |
| 66.089 | 171.332 | 59.679 | 4.181 | 1.755 | 0.295 |
| 63.836 | 61.985 | 173.755 | -1.309 | -0.035 | -0.210 |
| -0.928 | 1.383 | 0.958 | 43.988 | -1.673 | 1.117 |
| 3.324 | -1.837 | 2.612 | -3.858 | 42.409 | -1.709 |
| -0.340 | -0.764 | 1.141 | 0.598 | -0.635 | 45.885 |
| 145.659 | 73.812 | 71.483 | 20.867 | 9.824 | 24.912 |
| 80.922 | 121.799 | 43.283 | 74.191 | 27.557 | 17.147 |
| 71.063 | 84.350 | 132.318 | 18.566 | 61.566 | 43.911 |
| -39.037 | 0.101 | -21.635 | 115.975 | -2.739 | 6.015 |
| 5.705 | 11.908 | -60.485 | 90.954 | 79.430 | 17.888 |
| 1.633 | 3.664 | -3.284 | 0.945 | 2.436 | 55.581 |
| 166.577 | 52.819 | 98.617 | -21.173 | -61.604 | -40.112 |
| 85.082 | 141.962 | 121.222 | -80.748 | -41.656 | -16.692 |
| 84.048 | 71.994 | 149.324 | -22.628 | -7.791 | -21.243 |
| 19.476 | -26.710 | 29.547 | 28.882 | -38.910 | -30.872 |
| -3.162 | 6.636 | -3.974 | -0.296 | 60.100 | -0.564 |
| -2.048 | -12.594 | 30.408 | -16.695 | -59.149 | 5.368 |
| 169.300 | 68.663 | 65.038 | -2.062 | 3.211 | 7.840 |
| 69.178 | 157.493 | 74.125 | 2.918 | 0.658 | 3.539 |
| 67.973 | 70.627 | 161.830 | 2.438 | 7.609 | 4.222 |
| -5.480 | -1.350 | -3.462 | 42.055 | 2.999 | 0.190 |
| -7.705 | 1.435 | 2.688 | 6.905 | 39.229 | 0.761 |
| -0.722 | 7.296 | -7.371 | 2.457 | 5.066 | 42.946 |
| 159.321 | 67.868 | 74.568 | -10.451 | -0.662 | 1.225 |
| 69.056 | 156.192 | 75.190 | -1.528 | -0.144 | 0.708 |
| 69.218 | 69.028 | 164.205 | -0.145 | -2.582 | -3.719 |
| 2.330 | -3.701 | 1.414 | 35.540 | -6.811 | -2.268 |
| -3.552 | 0.464 | 4.357 | -1.093 | 42.709 | -6.165 |
| 1.161 | 2.147 | -0.492 | -4.427 | -3.415 | 40.592 |
| 160.387 | 69.054 | 68.958 | -1.305 | -1.756 | 3.400 |
| 68.720 | 157.327 | 73.785 | 0.734 | 1.616 | 2.215 |
| 70.693 | 73.944 | 151.264 | -0.229 | 2.698 | 0.255 |
| -2.105 | -0.267 | 0.028 | 39.389 | 0.230 | 0.328 |
| -3.001 | 1.635 | 1.874 | 0.599 | 41.126 | -1.741 |
| -0.372 | 2.587 | -0.506 | 0.700 | 0.230 | 41.891 |
| 161.709 | 69.024 | 69.230 | -1.590 | -2.175 | 3.266 |
| 68.494 | 156.392 | 75.144 | 0.130 | 1.078 | 2.132 |
| 70.116 | 73.918 | 152.378 | -0.565 | 1.843 | -0.374 |
| -1.299 | -0.730 | -0.027 | 39.153 | -0.564 | 0.195 |
| -2.901 | 1.167 | 2.606 | -0.349 | 40.643 | -2.323 |
| 0.400 | 2.046 | -0.517 | 0.207 | -0.203 | 44.550 |
| 362.446 | 31.062 | -34.550 | 80.655 | 12.194 | 69.655 |
| 62.782 | 186.691 | 64.826 | 4.435 | 4.054 | -0.341 |
| 93.185 | 107.095 | 172.561 | 19.644 | 2.710 | 47.484 |
| 194.483 | -38.280 | -105.196 | 128.554 | 15.674 | 67.100 |
| -1.815 | 3.872 | -0.404 | 2.478 | 61.798 | -2.223 |
| 22.238 | 27.028 | 13.582 | 20.748 | 1.198 | 89.638 |
| 185.064 | 62.705 | 63.836 | 1.927 | -0.752 | 3.553 |
| 62.782 | 186.691 | 64.826 | 4.435 | 4.054 | -0.341 |
| 53.871 | 49.341 | 142.638 | -19.141 | 3.678 | -50.090 |
| -18.627 | -28.949 | -14.223 | 21.418 | 0.909 | -47.830 |
| -1.815 | 3.872 | -0.404 | 2.478 | 61.798 | -2.223 |
| -192.958 | 36.719 | 105.844 | -79.476 | -13.933 | -18.244 |
| 159.809 | 75.374 | 74.540 | 4.589 | -0.074 | 7.649 |
| 74.619 | 161.684 | 80.311 | 4.418 | -0.117 | 3.282 |
| 89.448 | 72.023 | 156.116 | 8.679 | 3.606 | 4.862 |
| 1.862 | 0.209 | -1.611 | 57.532 | 2.478 | 0.715 |
| 15.557 | -1.115 | -7.872 | 8.602 | 50.076 | 4.050 |
| 21.790 | -6.029 | -11.214 | 9.999 | 2.615 | 52.646 |
| 151.168 | 72.251 | 81.049 | -8.387 | -3.976 | -2.163 |
| 62.782 | 186.691 | 64.826 | 4.435 | 4.054 | -0.341 |
| 63.901 | 64.945 | 185.958 | -1.611 | -0.404 | -2.076 |
| -20.206 | 4.385 | 11.767 | 40.035 | -0.762 | -4.543 |
| -3.596 | -2.696 | 1.758 | -1.422 | 43.773 | -6.362 |
| -17.053 | 1.870 | 9.810 | -6.253 | -0.273 | 40.815 |
| 169.547 | 68.417 | 71.108 | -0.981 | -2.516 | 3.587 |
| 69.645 | 170.560 | 72.972 | 4.934 | 3.286 | -1.056 |
| 73.135 | 76.441 | 160.001 | 1.193 | 2.352 | -1.154 |
| 1.862 | 0.209 | -1.611 | 57.532 | 2.478 | 0.715 |
| -1.179 | 0.908 | 2.464 | 1.118 | 46.879 | -1.253 |
| 1.869 | -0.109 | -2.105 | 0.897 | 2.316 | 57.715 |
| 169.731 | 67.935 | 71.208 | -1.506 | -2.406 | 2.769 |
| 67.167 | 169.972 | 75.191 | 3.730 | 3.000 | -2.099 |
| 70.353 | 76.948 | 162.181 | -0.768 | 2.597 | -2.145 |
| 1.329 | -0.485 | 0.046 | 43.738 | 0.712 | 0.847 |
| -1.989 | 0.738 | 2.409 | 0.681 | 47.177 | -2.151 |
| 0.860 | -0.480 | -1.047 | 0.191 | 1.233 | 41.780 |
| 97.046 | -33.667 | 169.427 | 87.046 | 68.098 | -86.188 |
| -73.120 | 80.355 | 250.218 | 169.956 | 78.665 | 33.071 |
| 65.335 | 67.520 | 177.211 | 1.343 | 1.739 | 2.192 |
| -62.703 | -99.949 | 95.056 | 122.071 | 73.795 | -85.544 |
| -64.753 | -100.796 | 95.802 | 85.334 | 117.550 | -86.511 |
| -135.287 | -87.762 | 179.699 | 178.239 | 69.953 | 85.929 |
| 224.061 | 170.168 | -21.058 | -80.909 | -78.073 | 87.243 |
| 209.620 | 245.177 | -109.333 | -184.035 | -74.864 | -41.934 |
| 211.756 | 151.634 | -11.232 | -176.316 | -75.701 | -38.337 |
| 142.608 | 81.781 | -179.169 | -130.446 | -75.333 | -37.332 |
| 138.922 | 84.381 | -179.144 | -175.955 | -27.822 | -37.350 |
| 2.254 | -3.390 | 1.747 | 0.911 | -8.443 | 54.520 |
| 154.033 | 58.595 | 83.391 | 10.812 | 1.883 | -8.230 |
| 62.376 | 172.179 | 68.139 | -9.744 | -0.397 | -3.592 |
| 56.887 | 61.137 | 185.457 | 18.366 | 8.688 | 2.528 |
| -13.166 | -8.951 | 18.901 | 63.518 | 9.260 | 3.881 |
| -16.781 | -6.332 | 18.810 | 18.956 | 56.578 | 3.963 |
| 2.254 | -3.390 | 1.747 | 0.911 | -8.443 | 54.520 |
| 178.636 | 62.631 | 65.346 | 0.831 | -7.121 | -4.383 |
| 62.376 | 172.179 | 68.139 | -9.744 | -0.397 | -3.592 |
| 84.402 | 77.444 | 150.906 | -17.238 | -6.677 | -4.432 |
| 15.516 | 7.592 | -17.491 | 29.245 | -6.298 | -3.560 |
| 14.825 | 15.701 | -21.740 | -21.131 | 28.461 | 5.757 |
| 31.651 | -1.419 | -19.946 | -8.624 | -7.216 | 37.067 |
| 159.806 | 68.684 | 73.823 | 1.700 | -5.314 | -0.965 |
| 66.256 | 161.897 | 72.755 | -4.773 | 2.858 | -3.919 |
| 70.945 | 71.874 | 162.118 | 1.681 | 0.956 | 0.026 |
| -0.967 | 0.468 | 2.114 | 40.737 | 1.906 | 0.832 |
| -4.710 | 2.150 | 2.245 | 2.885 | 47.654 | 0.845 |
| 3.232 | -4.409 | 2.156 | 3.316 | -5.620 | 38.235 |
| 159.708 | 70.561 | 72.587 | 1.152 | -5.423 | 0.290 |
| 69.917 | 162.334 | 69.390 | -8.027 | 1.595 | -4.795 |
| 76.567 | 74.675 | 153.411 | -0.280 | -0.033 | 0.239 |
| 4.239 | 0.794 | -1.462 | 34.091 | 1.672 | 0.940 |
| 1.817 | 1.635 | -2.204 | 1.119 | 40.607 | -0.100 |
| 7.646 | -3.770 | -2.552 | -1.515 | -8.235 | 48.774 |
| 223.792 | -38.567 | -6.270 | 49.512 | 5.564 | 64.919 |
| 65.870 | 416.341 | -217.435 | 50.773 | -190.937 | -65.795 |
| 136.983 | -33.271 | 79.252 | 48.658 | 7.959 | 73.704 |
| -5.432 | 255.835 | -293.187 | 103.363 | -192.959 | -73.750 |
| -0.191 | -1.244 | 1.131 | -1.215 | 53.694 | 0.698 |
| 61.133 | -104.703 | -80.260 | 47.986 | 5.177 | 116.770 |
| 299.499 | 87.982 | 150.537 | 103.362 | -108.967 | -129.221 |
| 68.280 | 178.358 | 65.022 | -6.828 | -1.111 | 1.526 |
| 6.571 | 188.721 | 237.895 | -48.041 | -14.742 | -74.277 |
| 7.813 | -256.254 | 291.336 | -8.268 | 193.073 | 72.008 |
| 140.820 | 17.388 | 98.462 | 157.032 | -205.690 | -122.280 |
| -51.105 | -60.442 | 306.491 | 58.142 | -57.944 | 131.935 |
| 157.798 | 80.486 | 43.848 | -4.914 | -1.106 | -18.535 |
| 58.024 | 155.472 | 61.541 | -25.230 | 21.533 | 10.823 |
| 78.341 | 66.046 | 151.150 | 4.876 | -1.672 | 6.888 |
| -14.091 | -2.091 | -8.393 | 28.604 | 11.599 | 11.289 |
| 4.775 | -7.858 | -8.929 | 5.984 | 38.879 | 7.126 |
| 2.538 | -4.962 | -8.894 | 4.333 | -4.747 | 50.202 |
| 148.984 | 67.776 | 104.334 | 6.855 | -11.847 | -0.269 |
| 69.888 | 149.232 | 104.508 | 0.854 | -3.272 | 12.243 |
| 70.958 | 51.134 | 192.296 | -6.737 | 17.432 | 4.507 |
| 1.031 | -0.955 | 0.092 | 53.326 | -1.215 | 0.308 |
| 13.463 | 3.817 | 6.089 | 11.845 | 23.847 | -12.621 |
| -3.036 | -18.939 | 27.362 | -6.616 | 13.995 | 53.476 |
| 158.307 | 71.308 | 72.844 | 1.470 | -5.463 | -8.353 |
| 73.558 | 161.802 | 70.533 | -5.087 | 0.024 | 3.597 |
| 69.247 | 74.325 | 167.477 | -0.048 | -2.554 | -0.975 |
| 1.856 | -1.998 | -1.144 | 43.381 | 1.223 | 0.076 |
| -0.644 | 0.741 | -1.150 | 1.135 | 40.725 | 0.761 |
| -3.726 | 7.726 | -3.291 | -0.094 | -7.118 | 48.417 |
| 155.901 | 73.765 | 75.405 | 1.671 | -6.465 | -10.840 |
| 72.804 | 160.395 | 74.682 | -6.140 | 1.855 | 3.760 |
| 75.663 | 73.427 | 158.253 | -0.198 | -1.664 | 0.620 |
| 0.600 | -1.661 | 2.530 | 42.018 | 0.678 | 0.371 |
| -2.309 | 3.181 | 0.976 | 1.275 | 36.270 | -0.825 |
| -3.572 | 1.696 | 3.028 | 0.441 | -5.214 | 56.735 |
| -256.481 | 129.454 | 218.645 | -297.768 | 637.027 | -121.204 |
| -138.114 | 555.635 | -377.904 | -262.572 | 377.649 | 36.297 |
| -131.787 | 434.200 | -263.879 | -251.439 | 373.192 | 32.761 |
| 7.904 | 44.670 | -116.201 | -132.373 | 771.385 | 88.275 |
| -115.739 | -264.995 | -1.079 | -98.591 | 372.259 | -82.297 |
| -401.561 | 59.149 | 138.613 | -303.023 | 635.487 | -86.307 |
| 164.160 | 23.853 | 181.605 | 180.910 | -760.511 | -86.363 |
| 430.766 | -114.611 | -27.112 | 505.895 | -486.898 | 342.813 |
| 64.576 | 48.375 | 192.777 | 5.515 | -1.019 | 4.213 |
| 451.311 | -455.548 | 16.660 | 403.937 | -382.491 | 264.374 |
| 449.219 | -454.908 | 18.695 | 366.616 | -348.904 | 266.039 |
| -3.471 | 0.183 | 4.174 | 2.273 | 4.738 | 58.580 |
| 129.871 | 108.687 | 36.310 | -20.143 | 41.158 | 3.488 |
| 51.807 | 210.005 | 13.473 | -32.094 | 41.541 | 5.939 |
| 70.749 | 72.436 | 155.969 | -22.544 | 75.049 | 12.022 |
| 3.293 | 6.200 | -15.678 | 28.184 | 78.832 | 10.188 |
| 3.981 | 2.581 | -13.935 | -16.339 | 132.211 | 10.557 |
| -15.300 | -26.754 | 4.576 | -8.775 | 34.621 | 29.535 |
| 171.552 | 32.945 | 122.323 | 30.383 | -32.846 | -3.112 |
| 76.806 | 150.523 | 105.698 | 30.332 | -31.170 | 7.547 |
| 64.576 | 48.375 | 192.777 | 5.515 | -1.019 | 4.213 |
| 2.271 | -2.241 | 6.540 | 63.672 | -74.892 | -7.155 |
| 17.042 | 21.403 | -1.008 | 11.163 | 1.299 | 7.353 |
| 13.067 | -20.936 | 41.324 | 41.491 | -40.703 | 46.776 |
| 180.958 | 61.196 | 64.721 | 2.737 | 10.800 | -0.602 |
| 66.840 | 163.720 | 64.158 | -1.856 | 2.083 | -0.599 |
| 74.923 | 66.600 | 155.754 | -4.627 | 4.249 | 3.611 |
| 2.075 | 2.211 | -7.876 | 34.627 | 4.430 | -0.365 |
| 1.793 | 1.717 | -4.901 | 0.838 | 53.513 | 2.517 |
| -4.394 | 2.090 | 0.177 | -3.338 | 6.144 | 37.888 |
| 169.133 | 66.051 | 71.391 | 4.812 | -0.591 | -0.666 |
| 69.807 | 169.335 | 65.004 | 1.684 | -9.008 | -0.211 |
| 81.649 | 63.816 | 153.793 | 0.919 | -5.292 | 4.554 |
| 5.498 | -2.233 | -1.139 | 39.600 | -0.636 | -0.018 |
| 5.147 | -2.642 | -0.589 | 4.911 | 32.561 | 1.471 |
| -1.770 | 0.629 | 4.960 | 2.432 | -2.343 | 39.964 |
| 192.910 | 115.041 | -38.200 | -24.103 | -111.580 | 30.107 |
| 95.357 | 192.329 | -22.191 | -16.797 | -103.694 | 23.688 |
| -23.234 | 104.029 | 218.728 | -7.458 | -236.170 | -23.421 |
| -4.288 | 3.623 | -2.754 | 67.604 | -0.692 | -1.666 |
| -74.045 | 13.501 | 42.309 | -86.963 | -85.287 | 99.742 |
| 6.763 | -9.762 | 0.888 | -2.029 | 2.382 | 62.472 |
| 257.583 | 28.549 | 14.080 | 3.099 | 233.935 | 26.750 |
| 42.778 | 99.920 | 175.032 | 21.945 | 103.464 | -33.209 |
| 154.246 | 34.123 | 114.180 | -0.833 | 225.201 | 25.445 |
| 88.894 | -33.573 | -56.590 | 56.474 | 229.716 | 24.334 |
| -2.931 | 1.213 | -0.102 | -0.692 | 67.773 | -1.318 |
| 6.763 | -9.762 | 0.888 | -2.029 | 2.382 | 62.472 |
| 162.820 | 66.334 | 69.670 | -0.983 | -19.834 | 0.395 |
| 55.702 | 164.004 | 75.416 | 3.343 | -23.065 | -9.487 |
| 46.392 | 64.651 | 191.676 | -2.754 | -0.102 | 0.093 |
| -8.918 | 4.838 | 1.167 | 52.702 | -24.162 | -2.554 |
| -18.392 | 6.429 | 8.980 | 1.128 | 21.889 | 6.487 |
| 4.794 | -0.436 | -9.724 | -2.553 | -9.969 | 43.544 |
| 195.963 | 58.183 | 47.046 | -4.604 | -1.944 | 6.912 |
| 73.609 | 157.104 | 64.724 | 4.061 | 23.641 | -4.584 |
| 68.831 | 72.067 | 150.049 | 2.079 | 19.747 | -10.294 |
| 8.866 | -2.140 | -9.347 | 53.541 | 22.119 | 2.331 |
| -7.459 | -4.207 | 10.608 | 5.711 | 49.034 | -4.194 |
| -0.177 | -9.346 | 9.216 | 1.201 | 10.408 | 37.474 |
| 160.876 | 66.963 | 66.084 | -2.738 | -3.122 | 3.443 |
| 67.114 | 151.209 | 73.331 | 3.837 | 0.153 | -5.691 |
| 62.106 | 68.369 | 170.848 | -3.912 | -4.892 | 0.820 |
| -3.893 | 1.906 | -1.357 | 46.994 | 1.564 | -0.601 |
| -0.525 | 1.203 | -2.583 | -0.878 | 48.925 | -1.203 |
| 3.830 | -5.835 | -0.864 | -1.193 | 0.221 | 46.654 |
| 174.867 | 62.245 | 62.153 | -1.177 | 2.423 | 3.364 |
| 67.668 | 145.889 | 75.863 | 2.560 | 3.855 | -7.608 |
| 63.802 | 71.620 | 163.054 | -1.787 | 0.639 | -0.077 |
| -0.195 | -0.430 | -3.313 | 40.703 | 3.120 | -1.880 |
| -1.981 | 0.114 | -0.689 | 1.622 | 45.808 | -1.290 |
| 1.880 | -6.343 | 1.465 | 0.219 | 4.635 | 49.899 |
| 225.595 | 141.807 | -70.202 | -162.612 | 52.371 | -84.843 |
| 64.004 | 182.377 | 63.854 | -4.698 | -2.824 | -4.432 |
| 19.205 | 122.971 | 140.562 | -75.950 | -76.881 | -53.477 |
| 65.653 | 70.091 | -150.542 | -120.196 | 55.819 | -81.374 |
| 5.214 | -2.834 | -3.585 | -1.212 | 62.307 | -1.139 |
| 41.122 | 70.197 | -150.448 | -122.974 | 77.896 | 71.625 |
| 91.702 | 0.066 | 233.239 | 156.359 | -60.909 | 78.745 |
| 64.004 | 182.377 | 63.854 | -4.698 | -2.824 | -4.432 |
| 15.512 | -1.447 | 309.402 | 161.664 | -53.465 | 79.929 |
| -69.183 | -71.287 | 153.316 | 197.771 | -57.768 | 82.144 |
| -70.338 | -71.778 | 153.928 | 156.993 | -7.050 | 76.737 |
| -1.294 | -4.382 | 6.690 | 2.834 | -1.692 | 65.531 |
| 184.469 | 64.168 | 65.413 | -2.211 | 3.772 | -2.945 |
| 77.157 | 173.744 | 55.411 | -15.912 | 3.804 | -4.242 |
| 80.805 | 75.482 | 143.218 | -8.344 | 1.626 | 0.550 |
| -2.165 | -4.141 | 6.779 | 62.790 | -1.212 | 2.824 |
| -4.594 | 3.756 | -6.483 | -8.806 | 47.698 | -2.450 |
| -1.294 | -4.382 | 6.690 | 2.834 | -1.692 | 65.531 |
| 184.469 | 64.168 | 65.413 | -2.211 | 3.772 | -2.945 |
| 63.061 | 161.924 | 84.385 | 14.796 | -7.479 | 10.721 |
| 87.340 | 61.600 | 156.533 | 9.856 | 1.032 | -0.310 |
| 0.284 | -5.627 | 7.292 | 51.847 | 2.215 | -0.371 |
| 7.098 | -9.546 | 2.457 | 6.841 | 55.187 | 5.407 |
| -1.294 | -4.382 | 6.690 | 2.834 | -1.692 | 65.531 |
| 168.975 | 67.816 | 75.593 | -2.002 | -1.221 | -2.623 |
| 69.326 | 170.260 | 68.593 | -1.586 | -1.853 | 1.852 |
| 78.410 | 70.934 | 152.683 | 0.902 | -0.425 | -1.321 |
| -2.887 | 0.140 | 1.941 | 41.651 | -2.610 | -3.049 |
| 1.484 | -2.130 | -1.542 | -3.574 | 51.358 | -2.731 |
| -0.458 | 0.894 | -0.364 | -0.575 | -2.789 | 51.008 |
| 156.832 | 70.638 | 80.138 | -0.660 | -0.567 | -1.357 |
| 67.896 | 170.051 | 70.595 | 0.651 | -2.801 | 2.657 |
| 78.635 | 68.931 | 158.097 | 3.435 | -0.054 | -0.016 |
| -2.165 | -4.141 | 6.779 | 62.790 | -1.212 | 2.824 |
| -0.234 | -2.887 | 1.663 | 0.442 | 54.590 | -2.080 |
| -0.265 | 1.771 | -1.222 | -1.955 | -2.018 | 46.840 |
| 180.725 | -36.303 | 199.892 | -70.550 | 40.774 | 128.084 |
| 119.666 | 174.196 | 4.662 | 49.701 | -121.638 | 38.899 |
| 60.095 | 62.361 | 182.954 | -5.057 | -0.000 | 2.771 |
| 48.057 | 17.206 | -67.607 | 99.320 | -118.798 | 34.491 |
| 55.587 | 27.244 | -13.200 | -78.193 | -48.552 | 24.724 |
| 53.926 | 18.211 | -69.718 | 45.704 | -122.178 | 85.079 |
| 140.264 | 173.761 | -62.109 | 65.320 | -54.489 | -120.816 |
| 56.013 | 251.520 | -58.696 | 73.531 | -49.049 | -122.812 |
| -68.044 | 144.863 | 226.423 | 3.112 | 131.632 | -17.309 |
| -53.079 | -12.790 | 68.649 | 4.240 | 120.566 | -36.662 |
| -49.469 | -15.668 | 63.283 | -46.505 | 164.792 | -37.075 |
| -47.258 | -11.841 | 66.642 | -49.548 | 117.286 | 13.974 |
| 189.776 | 60.134 | 58.864 | -3.391 | -8.875 | 1.888 |
| 74.254 | 160.151 | 66.361 | 6.610 | -13.832 | 6.827 |
| 75.298 | 73.216 | 152.060 | 4.882 | -16.050 | 3.036 |
| 2.443 | 3.611 | -6.091 | 56.266 | -10.847 | 2.437 |
| 5.751 | 0.999 | -11.309 | 5.924 | 34.323 | 2.232 |
| 14.880 | -10.014 | 0.061 | -5.659 | -8.131 | 50.022 |
| 189.776 | 60.134 | 58.864 | -3.391 | -8.875 | 1.888 |
| 63.712 | 158.571 | 79.178 | -2.353 | 10.201 | -0.213 |
| 65.946 | 70.634 | 164.342 | -4.056 | 6.700 | -3.864 |
| -3.631 | 9.285 | -5.057 | 69.969 | 4.101 | -6.012 |
| -3.819 | -2.078 | 1.741 | -3.484 | 56.774 | -4.917 |
| -9.872 | 5.724 | 9.717 | -3.684 | 14.322 | 44.723 |
| 189.777 | 60.134 | 58.865 | -3.391 | -8.875 | 1.888 |
| 68.949 | 160.384 | 71.890 | 2.736 | -2.345 | 3.532 |
| 68.805 | 71.948 | 158.947 | -0.548 | -0.488 | 2.474 |
| -1.194 | 3.401 | -2.368 | 52.216 | 0.529 | -1.747 |
| -1.806 | -1.689 | -0.006 | 1.915 | 45.293 | 1.090 |
| 3.159 | 3.328 | -1.470 | -2.410 | -2.529 | 52.270 |
| 168.336 | 70.267 | 66.913 | -2.154 | -4.944 | 3.972 |
| 71.166 | 152.432 | 73.984 | 4.928 | 0.430 | 2.297 |
| 67.778 | 73.291 | 158.246 | -0.663 | 1.981 | 1.634 |
| -3.288 | 3.816 | -0.191 | 55.825 | 2.863 | -2.659 |
| -1.712 | -1.366 | -0.502 | 2.084 | 40.633 | -0.812 |
| 2.274 | 3.084 | -0.294 | -3.274 | -0.482 | 51.920 |
| 138.055 | 73.622 | 18.681 | 0.000 | 0.000 | -0.000 |
| 73.816 | 146.386 | 20.846 | 0.000 | 0.000 | -0.000 |
| 19.507 | 21.478 | 187.716 | 0.000 | 0.000 | -0.000 |
| 0.002 | 0.003 | 0.011 | 11.261 | 0.000 | -0.000 |
| 0.001 | 0.001 | 0.003 | 0.000 | 17.004 | -0.000 |
| 0.000 | 0.000 | 0.001 | -0.000 | 0.000 | 44.431 |
| 138.055 | 73.621 | 18.678 | -0.000 | -0.000 | 0.000 |
| 73.816 | 146.385 | 20.844 | -0.000 | -0.000 | 0.000 |
| 19.507 | 21.477 | 187.713 | -0.000 | -0.000 | 0.000 |
| -0.002 | -0.003 | -0.011 | 11.261 | -0.000 | 0.000 |
| -0.001 | -0.001 | -0.003 | 0.000 | 17.004 | 0.000 |
| -0.000 | -0.000 | -0.001 | 0.000 | -0.000 | 44.431 |
| 138.055 | 73.621 | 18.680 | 0.000 | 0.000 | -0.000 |
| 73.816 | 146.386 | 20.845 | 0.000 | 0.000 | -0.000 |
| 19.507 | 21.478 | 187.714 | -0.000 | 0.000 | -0.000 |
| 0.000 | 0.000 | 0.001 | 11.261 | 0.000 | -0.000 |
| 0.000 | 0.000 | 0.000 | 0.000 | 17.004 | -0.000 |
| 0.000 | 0.000 | 0.000 | 0.000 | 0.000 | 44.431 |
| 138.055 | 73.621 | 18.679 | -0.000 | -0.000 | 0.000 |
| 73.816 | 146.386 | 20.845 | -0.000 | -0.000 | 0.000 |
| 19.507 | 21.478 | 187.714 | -0.000 | -0.000 | 0.000 |
| -0.000 | -0.000 | -0.001 | 11.261 | -0.000 | 0.000 |
| -0.000 | -0.000 | -0.000 | -0.000 | 17.004 | 0.000 |
| -0.000 | -0.000 | -0.000 | -0.000 | -0.000 | 44.431 |
| 138.054 | 73.621 | 18.680 | 0.000 | 0.000 | -0.000 |
| 73.816 | 146.386 | 20.845 | 0.000 | 0.000 | 0.000 |
| 19.506 | 21.477 | 187.714 | 0.000 | 0.000 | -0.000 |
| 0.000 | 0.000 | 0.000 | 11.261 | 0.000 | -0.000 |
| -0.000 | -0.000 | -0.000 | 0.000 | 17.004 | -0.000 |
| 0.000 | 0.000 | 0.000 | 0.000 | 0.000 | 44.431 |
| 138.056 | 73.621 | 18.679 | -0.000 | -0.000 | 0.000 |
| 73.816 | 146.385 | 20.845 | -0.000 | -0.000 | 0.000 |
| 19.508 | 21.478 | 187.715 | -0.000 | -0.000 | 0.000 |
| -0.000 | -0.000 | -0.000 | 11.261 | -0.000 | 0.000 |
| 0.000 | 0.000 | 0.000 | -0.000 | 17.004 | 0.000 |
| -0.000 | -0.000 | -0.000 | -0.000 | -0.000 | 44.431 |
| 147.692 | 75.889 | 14.347 | -0.000 | 0.000 | 0.000 |
| 76.218 | 149.642 | 28.640 | 0.000 | -0.000 | -0.000 |
| 15.614 | 28.640 | 225.675 | -0.000 | -0.000 | 0.000 |
| -0.000 | -0.000 | -0.000 | 10.721 | -0.000 | -0.000 |
| 0.000 | -0.000 | -0.000 | -0.000 | 16.109 | 0.000 |
| -0.000 | -0.000 | -0.000 | -0.000 | -0.000 | 44.740 |
| 147.692 | 75.889 | 14.347 | 0.000 | -0.000 | 0.000 |
| 75.889 | 147.777 | 21.457 | -0.000 | 0.000 | 0.000 |
| 14.347 | 21.457 | 198.000 | 0.000 | -0.000 | 0.000 |
| 0.000 | 0.000 | 0.000 | 10.721 | -0.000 | 0.000 |
| -0.000 | 0.000 | 0.000 | 0.000 | 16.109 | 0.000 |
| 0.000 | 0.000 | 0.000 | 0.000 | 0.000 | 44.740 |
| 147.692 | 75.889 | 14.347 | 0.000 | 0.000 | -0.000 |
| 75.889 | 147.777 | 21.457 | 0.000 | -0.000 | -0.000 |
| 14.347 | 21.457 | 198.000 | -0.000 | 0.000 | 0.000 |
| -0.000 | -0.000 | -0.000 | 10.721 | -0.000 | -0.000 |
| -0.000 | -0.000 | -0.000 | -0.000 | 16.109 | -0.000 |
| 0.000 | 0.000 | -0.000 | -0.000 | -0.000 | 44.740 |
| 147.692 | 75.889 | 14.347 | -0.000 | 0.000 | 0.000 |
| 76.218 | 149.642 | 28.640 | 0.000 | 0.000 | 0.000 |
| 15.614 | 28.640 | 225.675 | -0.000 | 0.000 | -0.000 |
| 0.000 | 0.000 | 0.000 | 10.721 | -0.000 | 0.000 |
| 0.000 | 0.000 | 0.000 | 0.000 | 16.109 | 0.000 |
| -0.000 | -0.000 | 0.000 | 0.000 | 0.000 | 44.740 |
| 147.692 | 75.889 | 14.348 | -0.000 | 0.000 | -0.000 |
| 75.889 | 147.778 | 21.457 | 0.000 | -0.000 | -0.000 |
| 14.346 | 21.456 | 197.999 | -0.000 | -0.000 | -0.000 |
| -0.000 | 0.000 | -0.000 | 10.721 | -0.000 | -0.000 |
| -0.000 | -0.000 | -0.000 | 0.000 | 16.109 | 0.000 |
| 0.000 | 0.000 | -0.000 | -0.000 | -0.000 | 44.740 |
| 147.693 | 75.889 | 14.346 | -0.000 | 0.000 | 0.000 |
| 76.218 | 149.641 | 28.640 | 0.000 | 0.000 | -0.000 |
| 14.347 | 21.457 | 198.001 | 0.000 | -0.000 | 0.000 |
| 0.000 | -0.000 | 0.000 | 10.721 | 0.000 | 0.000 |
| 0.000 | 0.000 | 0.000 | -0.000 | 16.109 | 0.000 |
| -0.000 | -0.000 | 0.000 | 0.000 | 0.000 | 44.740 |
| 22.763 | -53.748 | -53.748 | 0.000 | 0.000 | 0.000 |
| -53.748 | 22.763 | -53.748 | 0.000 | 0.000 | 0.000 |
| -53.748 | -53.748 | 22.763 | 0.000 | 0.000 | 0.000 |
| -205.697 | -205.697 | -205.697 | 51.480 | -0.000 | -0.000 |
| -191.636 | -191.636 | -191.636 | 0.000 | 27.538 | -0.000 |
| -205.697 | -205.697 | -205.697 | -0.000 | -0.000 | 51.480 |
| 361.552 | 265.036 | 265.036 | -0.000 | -0.000 | 0.000 |
| 265.036 | 361.552 | 265.036 | -0.000 | -0.000 | 0.000 |
| 265.036 | 265.036 | 361.552 | -0.000 | -0.000 | -0.000 |
| 205.697 | 205.697 | 205.697 | 51.480 | 0.000 | 0.000 |
| 205.697 | 205.697 | 205.697 | 0.000 | 51.480 | 0.000 |
| 205.697 | 205.697 | 205.697 | 0.000 | 0.000 | 51.480 |
| 145.759 | 69.132 | 69.132 | 0.000 | 0.000 | 0.000 |
| 69.132 | 145.759 | 69.132 | 0.000 | 0.000 | 0.000 |
| 69.132 | 69.132 | 145.759 | 0.000 | 0.000 | 0.000 |
| 0.000 | -0.000 | 0.000 | 44.751 | -0.000 | -0.000 |
| -0.000 | 0.000 | 0.000 | 0.000 | 44.751 | -0.000 |
| -0.000 | 0.000 | 0.000 | 0.000 | 0.000 | 44.751 |
| 191.646 | 94.709 | 94.709 | -0.000 | -0.000 | 0.000 |
| 94.709 | 191.646 | 94.709 | -0.000 | -0.000 | 0.000 |
| 94.709 | 94.709 | 191.646 | -0.000 | -0.000 | 0.000 |
| -0.000 | 0.000 | -0.000 | 44.751 | -0.000 | 0.000 |
| 0.000 | -0.000 | -0.000 | -0.000 | 44.751 | 0.000 |
| 0.000 | -0.000 | -0.000 | -0.000 | -0.000 | 44.751 |
| 165.506 | 76.622 | 76.622 | 0.000 | 0.000 | -0.000 |
| 76.622 | 165.506 | 76.622 | 0.000 | 0.000 | -0.000 |
| 76.622 | 76.622 | 165.506 | 0.000 | 0.000 | -0.000 |
| 0.000 | -0.000 | 0.000 | 44.751 | 0.000 | -0.000 |
| -0.000 | 0.000 | 0.000 | 0.000 | 44.751 | -0.000 |
| -0.000 | 0.000 | 0.000 | 0.000 | -0.000 | 44.751 |
| 171.602 | 79.642 | 79.642 | -0.000 | -0.000 | 0.000 |
| 79.642 | 171.602 | 79.642 | -0.000 | -0.000 | 0.000 |
| 79.642 | 79.642 | 171.602 | -0.000 | -0.000 | 0.000 |
| -0.000 | 0.000 | -0.000 | 44.751 | 0.000 | 0.000 |
| 0.000 | -0.000 | -0.000 | 0.000 | 44.751 | 0.000 |
| 0.000 | -0.000 | -0.000 | -0.000 | -0.000 | 44.751 |
| 174.133 | 79.591 | 79.591 | -0.000 | -0.000 | -0.000 |
| 79.591 | 174.133 | 79.591 | -0.000 | 0.000 | -0.000 |
| 79.591 | 79.591 | 174.133 | 0.000 | 0.000 | -0.000 |
| 0.000 | -0.000 | 0.000 | 44.712 | -0.000 | -0.000 |
| -0.000 | -0.000 | 0.000 | -0.000 | 44.712 | -0.000 |
| 0.000 | 0.000 | 0.000 | -0.000 | -0.000 | 44.712 |
| 188.204 | 69.114 | 69.114 | -0.000 | 0.000 | -0.000 |
| 69.114 | 188.204 | 69.114 | -0.000 | 0.000 | 0.000 |
| 69.114 | 69.114 | 188.204 | -0.000 | -0.000 | 0.000 |
| -0.000 | 0.000 | -0.000 | 44.712 | -0.000 | 0.000 |
| 0.000 | -0.000 | -0.000 | -0.000 | 44.712 | 0.000 |
| 0.000 | 0.000 | -0.000 | 0.000 | -0.000 | 44.712 |
| 169.109 | 78.349 | 78.349 | -0.000 | -0.000 | -0.000 |
| 78.349 | 169.109 | 78.349 | -0.000 | 0.000 | 0.000 |
| 78.349 | 78.349 | 169.109 | 0.000 | -0.000 | -0.000 |
| 0.000 | -0.000 | 0.000 | 44.712 | -0.000 | -0.000 |
| -0.000 | 0.000 | 0.000 | 0.000 | 44.712 | -0.000 |
| -0.000 | 0.000 | 0.000 | 0.000 | 0.000 | 44.712 |
| 188.204 | 69.114 | 69.114 | 0.000 | 0.000 | 0.000 |
| 69.114 | 188.204 | 69.114 | 0.000 | 0.000 | 0.000 |
| 69.114 | 69.114 | 188.204 | 0.000 | 0.000 | 0.000 |
| -0.000 | 0.000 | -0.000 | 44.712 | 0.000 | 0.000 |
| 0.000 | -0.000 | -0.000 | -0.000 | 44.712 | 0.000 |
| 0.000 | -0.000 | -0.000 | 0.000 | 0.000 | 44.712 |
| 171.322 | 76.889 | 76.889 | 0.000 | 0.000 | -0.000 |
| 76.889 | 171.322 | 76.889 | 0.000 | 0.000 | -0.000 |
| 76.889 | 76.889 | 171.322 | -0.000 | -0.000 | -0.000 |
| 0.044 | 0.044 | 0.044 | 26.586 | 0.000 | 0.000 |
| 0.044 | 0.044 | 0.044 | 0.000 | 26.586 | 0.000 |
| 0.044 | 0.044 | 0.044 | 0.000 | -0.000 | 26.586 |
| 168.573 | 78.056 | 78.056 | -0.000 | 0.000 | 0.000 |
| 78.056 | 168.573 | 78.056 | -0.000 | 0.000 | -0.000 |
| 78.056 | 78.056 | 168.573 | 0.000 | -0.000 | -0.000 |
| -0.044 | -0.044 | -0.044 | 26.586 | -0.000 | 0.000 |
| -0.044 | -0.044 | -0.044 | -0.000 | 26.586 | -0.000 |
| -0.044 | -0.044 | -0.044 | -0.000 | 0.000 | 26.586 |
| 158.618 | 83.511 | 83.511 | 0.000 | 0.000 | 0.000 |
| 83.511 | 158.618 | 83.511 | 0.000 | 0.000 | 0.000 |
| 83.511 | 83.511 | 158.618 | 0.000 | 0.000 | 0.000 |
| 0.000 | 0.000 | 0.000 | 55.307 | 0.000 | -0.000 |
| 0.000 | 0.000 | 0.000 | -0.000 | 55.307 | 0.000 |
| 0.000 | 0.000 | 0.000 | -0.000 | 0.000 | 55.307 |
| 158.622 | 83.514 | 83.514 | -0.000 | -0.000 | -0.000 |
| 83.514 | 158.622 | 83.514 | -0.000 | 0.000 | -0.000 |
| 83.514 | 83.514 | 158.622 | -0.000 | 0.000 | -0.000 |
| -0.000 | -0.000 | -0.000 | 55.307 | -0.000 | 0.000 |
| -0.000 | -0.000 | -0.000 | 0.000 | 55.307 | -0.000 |
| -0.000 | -0.000 | -0.000 | 0.000 | -0.000 | 55.307 |
| 158.620 | 83.512 | 83.512 | 0.000 | 0.000 | 0.000 |
| 83.512 | 158.620 | 83.512 | 0.000 | 0.000 | -0.000 |
| 83.512 | 83.512 | 158.620 | 0.000 | 0.000 | 0.000 |
| -0.000 | -0.000 | -0.000 | 46.816 | 0.000 | 0.000 |
| -0.000 | -0.000 | -0.000 | 0.000 | 46.816 | 0.000 |
| -0.000 | -0.000 | -0.000 | 0.000 | 0.000 | 46.816 |
| 158.620 | 83.513 | 83.513 | -0.000 | 0.000 | 0.000 |
| 83.513 | 158.620 | 83.513 | -0.000 | -0.000 | -0.000 |
| 83.513 | 83.513 | 158.620 | -0.000 | -0.000 | -0.000 |
| 0.000 | 0.000 | 0.000 | 46.816 | -0.000 | -0.000 |
| 0.000 | 0.000 | 0.000 | -0.000 | 46.816 | -0.000 |
| 0.000 | 0.000 | 0.000 | -0.000 | -0.000 | 46.816 |
| 157.848 | 83.488 | 83.488 | 0.000 | 0.000 | 0.000 |
| 83.488 | 157.848 | 83.488 | 0.000 | 0.000 | 0.000 |
| 83.488 | 83.488 | 157.848 | 0.000 | 0.000 | 0.000 |
| 0.000 | 0.000 | 0.000 | 55.307 | 0.000 | -0.000 |
| 0.000 | 0.000 | 0.000 | -0.000 | 55.307 | -0.000 |
| 0.000 | 0.000 | 0.000 | -0.000 | 0.000 | 55.307 |
| 158.619 | 83.512 | 83.512 | -0.000 | 0.000 | 0.000 |
| 83.512 | 158.619 | 83.512 | -0.000 | -0.000 | -0.000 |
| 83.512 | 83.512 | 158.619 | -0.000 | -0.000 | -0.000 |
| -0.000 | -0.000 | -0.000 | 55.307 | -0.000 | 0.000 |
| -0.000 | -0.000 | -0.000 | 0.000 | 55.307 | 0.000 |
| -0.000 | -0.000 | -0.000 | 0.000 | -0.000 | 55.307 |
| 152.423 | 79.192 | 79.192 | -0.000 | -0.000 | 0.000 |
| 79.192 | 152.423 | 79.192 | 0.000 | -0.000 | 0.000 |
| 79.192 | 79.192 | 152.423 | 0.000 | 0.000 | 0.000 |
| 0.000 | 0.000 | 0.000 | 53.751 | -0.000 | 0.000 |
| 0.000 | 0.000 | 0.000 | -0.000 | 53.751 | 0.000 |
| 0.000 | 0.000 | 0.000 | -0.000 | 0.000 | 53.751 |
| 152.425 | 79.194 | 79.194 | -0.000 | 0.000 | 0.000 |
| 79.194 | 152.425 | 79.194 | 0.000 | 0.000 | -0.000 |
| 79.194 | 79.194 | 152.425 | 0.000 | -0.000 | -0.000 |
| -0.000 | -0.000 | -0.000 | 53.751 | -0.000 | -0.000 |
| -0.000 | -0.000 | -0.000 | -0.000 | 53.751 | -0.000 |
| -0.000 | -0.000 | -0.000 | -0.000 | 0.000 | 53.751 |
| 152.424 | 79.193 | 79.193 | 0.000 | 0.000 | -0.000 |
| 79.193 | 152.424 | 79.193 | 0.000 | -0.000 | -0.000 |
| 79.193 | 79.193 | 152.424 | 0.000 | -0.000 | 0.000 |
| 0.000 | 0.000 | 0.000 | 53.751 | -0.000 | 0.000 |
| 0.000 | 0.000 | 0.000 | 0.000 | 53.751 | 0.000 |
| 0.000 | 0.000 | 0.000 | -0.000 | -0.000 | 53.751 |
| 155.812 | 78.379 | 78.379 | 0.000 | 0.000 | -0.000 |
| 78.379 | 155.812 | 78.379 | 0.000 | 0.000 | -0.000 |
| 78.379 | 78.379 | 155.812 | 0.000 | 0.000 | -0.000 |
| -0.000 | -0.000 | -0.000 | 53.751 | 0.000 | -0.000 |
| -0.000 | -0.000 | -0.000 | 0.000 | 53.751 | 0.000 |
| -0.000 | -0.000 | -0.000 | -0.000 | 0.000 | 53.751 |
| 151.569 | 79.482 | 79.482 | -0.000 | -0.000 | 0.000 |
| 79.482 | 151.569 | 79.482 | 0.000 | -0.000 | 0.000 |
| 79.482 | 79.482 | 151.569 | -0.000 | -0.000 | -0.000 |
| 0.000 | 0.000 | 0.000 | 53.751 | -0.000 | 0.000 |
| 0.000 | 0.000 | 0.000 | -0.000 | 53.751 | 0.000 |
| 0.000 | 0.000 | 0.000 | 0.000 | -0.000 | 53.751 |
| 151.691 | 79.119 | 79.119 | -0.000 | 0.000 | -0.000 |
| 79.119 | 151.691 | 79.119 | 0.000 | -0.000 | -0.000 |
| 79.119 | 79.119 | 151.691 | 0.000 | -0.000 | 0.000 |
| -0.000 | -0.000 | -0.000 | 53.751 | 0.000 | -0.000 |
| -0.000 | -0.000 | -0.000 | -0.000 | 53.751 | -0.000 |
| -0.000 | -0.000 | -0.000 | -0.000 | -0.000 | 53.751 |
| 84.196 | 67.417 | 77.207 | 0.000 | 0.000 | 0.000 |
| 68.974 | 167.408 | 25.533 | 0.000 | 0.000 | 0.000 |
| 79.253 | 26.022 | 164.419 | 0.000 | -0.000 | 0.000 |
| -0.138 | -0.027 | -0.013 | -3.100 | -0.000 | 0.000 |
| -0.023 | -0.005 | -0.002 | 0.000 | 8.914 | 0.000 |
| -0.011 | -0.002 | -0.001 | 0.000 | 0.000 | 48.156 |
| 84.218 | 67.421 | 77.209 | -0.000 | -0.000 | -0.000 |
| 68.996 | 167.412 | 25.535 | -0.000 | -0.000 | -0.000 |
| 79.275 | 26.026 | 164.421 | 0.000 | -0.000 | -0.000 |
| 0.138 | 0.027 | 0.013 | -3.100 | -0.000 | -0.000 |
| 0.023 | 0.005 | 0.002 | -0.000 | 8.914 | -0.000 |
| 0.011 | 0.002 | 0.001 | -0.000 | -0.000 | 48.156 |
| 84.206 | 67.419 | 77.208 | 0.000 | -0.000 | 0.000 |
| 68.984 | 167.410 | 25.534 | 0.000 | 0.000 | 0.000 |
| 79.263 | 26.023 | 164.420 | -0.000 | -0.000 | 0.000 |
| -0.000 | 0.000 | -0.000 | -0.038 | 0.000 | 0.000 |
| -0.002 | -0.000 | -0.000 | -0.000 | 8.914 | 0.000 |
| -0.001 | -0.000 | -0.000 | 0.000 | 0.000 | 48.156 |
| 117.752 | 73.888 | 80.421 | -0.000 | -0.000 | -0.000 |
| 68.986 | 167.410 | 25.534 | -0.000 | -0.000 | -0.000 |
| 79.265 | 26.024 | 164.420 | -0.000 | 0.000 | -0.000 |
| 0.000 | -0.000 | 0.000 | -0.038 | 0.000 | -0.000 |
| 0.002 | 0.000 | 0.000 | 0.000 | 8.914 | -0.000 |
| 0.001 | 0.000 | 0.000 | 0.000 | -0.000 | 48.156 |
| 84.208 | 67.419 | 77.208 | 0.000 | -0.000 | 0.000 |
| 68.985 | 167.410 | 25.534 | -0.000 | -0.000 | 0.000 |
| 79.264 | 26.024 | 164.420 | 0.000 | -0.000 | 0.000 |
| 0.017 | 0.003 | 0.002 | -5.203 | 0.000 | 0.000 |
| -0.000 | -0.000 | -0.000 | -0.000 | 8.914 | 0.000 |
| -0.000 | 0.000 | -0.000 | 0.000 | 0.000 | 48.156 |
| 84.207 | 67.419 | 77.208 | 0.000 | -0.000 | -0.000 |
| 68.985 | 167.410 | 25.534 | -0.000 | -0.000 | -0.000 |
| 79.264 | 26.024 | 164.419 | -0.000 | -0.000 | -0.000 |
| -0.017 | -0.003 | -0.002 | -5.203 | -0.000 | -0.000 |
| 0.000 | 0.000 | 0.000 | 0.000 | 8.914 | -0.000 |
| 0.000 | -0.000 | 0.000 | -0.000 | -0.000 | 48.156 |
| 169.526 | 82.370 | 74.235 | -0.000 | -0.000 | -0.000 |
| 76.517 | 172.752 | 74.798 | -0.000 | -0.000 | -0.000 |
| 71.412 | 77.828 | 186.836 | -0.000 | -0.000 | -0.000 |
| -3.254 | 3.147 | -0.081 | 42.184 | -0.000 | -0.000 |
| -3.262 | 3.155 | -0.081 | -0.000 | 41.853 | -0.000 |
| -3.274 | 3.167 | -0.081 | -0.000 | -0.000 | 44.196 |
| 176.051 | 76.059 | 74.397 | 0.000 | 0.000 | 0.000 |
| 83.042 | 166.441 | 74.960 | 0.000 | 0.000 | 0.000 |
| 77.937 | 71.517 | 186.998 | 0.000 | 0.000 | 0.000 |
| 3.254 | -3.147 | 0.081 | 42.184 | 0.000 | 0.000 |
| 3.262 | -3.155 | 0.081 | 0.000 | 41.853 | 0.000 |
| 3.274 | -3.167 | 0.081 | 0.000 | 0.000 | 44.196 |
| 172.462 | 79.530 | 74.308 | -0.000 | -0.000 | -0.000 |
| 79.453 | 169.912 | 74.871 | -0.000 | -0.000 | -0.000 |
| 74.348 | 74.988 | 186.909 | -0.000 | -0.000 | -0.000 |
| -0.267 | 0.258 | -0.007 | 42.185 | -0.000 | -0.000 |
| -0.326 | 0.316 | -0.008 | -0.000 | 41.853 | -0.000 |
| -0.329 | 0.318 | -0.008 | -0.000 | 0.000 | 44.185 |
| 173.114 | 78.899 | 74.324 | 0.000 | -0.000 | 0.000 |
| 80.106 | 169.281 | 74.887 | 0.000 | 0.000 | 0.000 |
| 75.000 | 74.357 | 186.925 | 0.000 | 0.000 | 0.000 |
| 0.267 | -0.258 | 0.007 | 42.185 | 0.000 | 0.000 |
| 0.326 | -0.316 | 0.008 | 0.000 | 41.853 | 0.000 |
| 0.329 | -0.318 | 0.008 | 0.000 | 0.000 | 44.185 |
| 172.756 | 79.246 | 74.315 | -0.000 | -0.000 | -0.000 |
| 79.747 | 169.629 | 74.879 | -0.000 | -0.000 | -0.000 |
| 74.642 | 74.704 | 186.917 | -0.000 | -0.000 | -0.000 |
| -0.015 | 0.014 | -0.000 | 42.188 | 0.000 | -0.000 |
| -0.033 | 0.032 | -0.001 | -0.000 | 41.853 | -0.000 |
| -0.033 | 0.032 | -0.001 | -0.000 | -0.000 | 44.184 |
| 172.820 | 79.183 | 74.317 | 0.000 | 0.000 | 0.000 |
| 79.812 | 169.564 | 74.880 | 0.000 | 0.000 | 0.000 |
| 74.707 | 74.641 | 186.917 | 0.000 | -0.000 | 0.000 |
| 0.015 | -0.014 | 0.000 | 42.188 | -0.000 | 0.000 |
| 0.033 | -0.032 | 0.001 | 0.000 | 41.853 | 0.000 |
| 0.033 | -0.032 | 0.001 | 0.000 | -0.000 | 44.184 |
| 181.145 | 77.733 | 66.811 | -15.442 | 0.000 | -0.000 |
| 77.733 | 181.145 | 66.811 | 15.442 | 0.000 | -0.000 |
| 66.812 | 66.812 | 192.061 | -0.000 | 0.000 | -0.000 |
| -15.442 | 15.442 | 0.000 | 40.785 | 0.000 | -0.000 |
| -0.000 | -0.000 | 0.000 | -0.000 | 40.785 | -15.442 |
| -0.000 | 0.000 | 0.000 | -0.000 | -15.442 | 51.706 |
| 181.145 | 77.733 | 66.811 | -15.442 | -0.000 | -0.000 |
| 77.733 | 181.145 | 66.811 | 15.442 | -0.000 | 0.000 |
| 66.812 | 66.812 | 192.061 | 0.000 | -0.000 | 0.000 |
| -15.442 | 15.442 | -0.000 | 40.785 | -0.000 | -0.000 |
| 0.000 | 0.000 | -0.000 | 0.000 | 40.785 | -15.442 |
| 0.000 | -0.000 | -0.000 | 0.000 | -15.442 | 51.706 |
| 181.145 | 77.733 | 66.811 | -15.442 | 0.000 | -0.000 |
| 77.733 | 181.145 | 66.811 | 15.442 | 0.000 | -0.000 |
| 66.812 | 66.812 | 192.061 | -0.000 | 0.000 | -0.000 |
| -15.442 | 15.442 | 0.000 | 40.785 | 0.000 | -0.000 |
| -0.000 | -0.000 | 0.000 | -0.000 | 40.785 | -15.442 |
| -0.000 | 0.000 | -0.000 | -0.000 | -15.442 | 51.706 |
| 181.145 | 77.733 | 66.811 | -15.442 | -0.000 | 0.000 |
| 77.733 | 181.145 | 66.811 | 15.442 | -0.000 | 0.000 |
| 66.812 | 66.812 | 192.061 | 0.000 | -0.000 | 0.000 |
| -15.442 | 15.442 | -0.000 | 40.785 | -0.000 | 0.000 |
| 0.000 | 0.000 | -0.000 | 0.000 | 40.785 | -15.442 |
| 0.000 | -0.000 | 0.000 | 0.000 | -15.442 | 51.706 |
| 181.146 | 77.733 | 66.812 | -15.442 | 0.000 | -0.000 |
| 77.734 | 181.146 | 66.812 | 15.442 | 0.000 | -0.000 |
| 66.812 | 66.812 | 192.061 | -0.000 | 0.000 | -0.000 |
| -15.442 | 15.442 | 0.000 | 40.786 | -0.000 | -0.000 |
| -0.000 | -0.000 | 0.000 | -0.000 | 40.785 | -15.442 |
| -0.000 | 0.000 | -0.000 | -0.000 | -15.442 | 51.706 |
| 181.144 | 77.733 | 66.811 | -15.442 | -0.000 | 0.000 |
| 77.733 | 181.144 | 66.811 | 15.442 | -0.000 | 0.000 |
| 66.812 | 66.812 | 192.060 | 0.000 | -0.000 | 0.000 |
| -15.442 | 15.442 | -0.000 | 40.785 | -0.000 | 0.000 |
| 0.000 | 0.000 | -0.000 | 0.000 | 40.785 | -15.442 |
| 0.000 | -0.000 | 0.000 | 0.000 | -15.442 | 51.706 |
| -79977556.612 | 354748845.304 | -1246730770.338 | 0.310 | 0.000 | -0.002 |
| 145009566.469 | 745138387.527 | -821860122.380 | -2.262 | 0.000 | 0.083 |
| 8.370 | 8.370 | 139.272 | -0.000 | -0.000 | -0.000 |
| -19547351.280 | 779963638.795 | -798621973.588 | 2128850.032 | -595517.048 | 100197.698 |
| -79977687.965 | 354748776.264 | -1246730768.273 | 0.001 | 0.838 | -0.001 |
| 0.000 | 0.000 | -0.000 | -0.000 | 0.000 | 34.008 |
| -145009372.856 | -745138206.987 | 821860162.432 | 2.251 | -0.000 | -0.109 |
| 79977752.050 | -354748668.478 | 1246730792.891 | -0.320 | -0.000 | 0.001 |
| 8.370 | 8.370 | 139.272 | 0.000 | 0.000 | 0.000 |
| -145009458.091 | -745138322.034 | 821860139.464 | -74.225 | 0.000 | 0.276 |
| 79977670.741 | -354748765.656 | 1246730759.879 | -0.037 | 0.838 | -0.044 |
| -0.000 | -0.000 | 0.000 | 0.000 | -0.000 | 34.008 |
| -7997638.870 | 35474947.545 | -124673079.588 | 0.001 | 0.000 | -0.000 |
| 14501064.154 | 74513888.317 | -82185995.368 | -0.027 | 0.000 | 0.001 |
| 8.370 | 8.370 | 139.272 | 0.000 | -0.000 | -0.000 |
| 14500944.713 | 74513833.232 | -82186014.115 | -37.968 | 0.000 | -0.003 |
| -7997768.639 | 35474877.530 | -124673076.751 | -0.000 | 0.838 | -0.000 |
| 63664843.402 | 17332074.762 | -76176154.482 | -2306.338 | -4011.824 | 40235752.411 |
| -14500870.530 | -74513707.801 | 82186035.402 | 0.027 | 0.000 | -0.001 |
| 7997834.308 | -35474770.719 | 124673102.141 | -0.001 | 0.000 | 0.000 |
| 8.370 | 8.370 | 139.272 | 0.000 | 0.000 | 0.000 |
| -14500944.713 | -74513833.232 | 82186014.115 | -37.968 | -0.000 | 0.003 |
| 7997768.639 | -35474877.530 | 124673076.751 | 0.000 | 0.838 | -0.000 |
| -63742455.725 | -17340786.868 | 76142929.949 | -139.374 | 241.577 | 40266074.742 |
| -799645.178 | 3547556.588 | -12467309.578 | 0.000 | 0.000 | -0.000 |
| 1450213.925 | 7451438.386 | -8218582.677 | -0.000 | 0.000 | 0.000 |
| 8.370 | 8.370 | 139.273 | 0.000 | 0.000 | -0.000 |
| 1450094.461 | 7451383.335 | -8218601.407 | -37.897 | 0.000 | -0.000 |
| -799776.864 | 3547487.753 | -12467307.675 | -0.000 | 0.838 | -0.000 |
| 6380122.182 | 1730796.855 | -7613164.615 | 57.007 | 98.728 | 4025605.663 |
| -1450019.965 | -7451258.550 | 8218622.239 | 0.000 | -0.000 | -0.000 |
| 799840.615 | -3547379.761 | 12467332.131 | -0.000 | 0.000 | 0.000 |
| 8.370 | 8.370 | 139.272 | -0.000 | -0.000 | 0.000 |
| -1450094.461 | -7451383.335 | 8218601.407 | -37.897 | -0.000 | 0.000 |
| 799776.864 | -3547487.753 | 12467307.675 | 0.000 | 0.838 | 0.000 |
| -6352927.110 | -1683479.271 | 7534651.000 | 366.508 | 552.040 | 4046266.134 |
| 173.723 | 95.174 | 52.754 | 0.000 | -0.000 | -0.000 |
| 82.296 | 186.601 | 52.754 | 0.000 | 0.000 | 0.000 |
| 52.754 | 52.754 | 197.321 | -0.000 | -0.000 | -0.000 |
| 0.000 | -0.000 | -0.000 | 19.935 | 0.000 | -0.000 |
| 0.000 | -0.000 | -0.000 | 0.000 | 19.935 | -0.000 |
| 0.000 | 0.000 | 0.000 | 0.000 | 0.000 | 52.153 |
| 173.723 | 95.174 | 52.754 | -0.000 | 0.000 | 0.000 |
| 82.296 | 186.601 | 52.754 | -0.000 | -0.000 | 0.000 |
| 52.754 | 52.754 | 197.321 | -0.000 | 0.000 | 0.000 |
| 0.000 | 0.000 | 0.000 | 19.935 | -0.000 | 0.000 |
| -0.000 | 0.000 | 0.000 | -0.000 | 19.935 | 0.000 |
| -0.000 | -0.000 | -0.000 | -0.000 | -0.000 | 52.153 |
| 173.724 | 95.174 | 52.754 | 0.000 | 0.000 | -0.000 |
| 95.174 | 173.724 | 52.754 | 0.000 | -0.000 | -0.000 |
| 52.754 | 52.754 | 197.321 | -0.000 | -0.000 | -0.000 |
| -0.000 | 0.000 | -0.000 | 19.935 | -0.000 | -0.000 |
| 0.000 | -0.000 | -0.000 | 0.000 | 19.935 | -0.000 |
| 0.000 | -0.000 | 0.000 | 0.000 | 0.000 | 39.275 |
| 186.601 | 82.296 | 52.754 | -0.000 | -0.000 | 0.000 |
| 82.296 | 186.601 | 52.754 | -0.000 | -0.000 | 0.000 |
| 52.754 | 52.754 | 197.321 | -0.000 | -0.000 | 0.000 |
| 0.000 | -0.000 | 0.000 | 19.935 | 0.000 | 0.000 |
| -0.000 | 0.000 | 0.000 | -0.000 | 19.935 | 0.000 |
| -0.000 | 0.000 | -0.000 | -0.000 | 0.000 | 39.275 |
| 186.602 | 82.296 | 52.754 | 0.000 | 0.000 | -0.000 |
| 95.174 | 173.724 | 52.754 | 0.000 | 0.000 | -0.000 |
| 52.754 | 52.754 | 197.322 | -0.000 | -0.000 | -0.000 |
| 0.000 | 0.000 | -0.000 | 19.935 | 0.000 | -0.000 |
| 0.000 | 0.000 | -0.000 | 0.000 | 19.935 | -0.000 |
| 0.000 | -0.000 | 0.000 | 0.000 | -0.000 | 39.275 |
| 186.601 | 82.296 | 52.754 | -0.000 | -0.000 | 0.000 |
| 95.173 | 173.723 | 52.754 | -0.000 | 0.000 | 0.000 |
| 52.754 | 52.754 | 197.320 | -0.000 | -0.000 | 0.000 |
| -0.000 | -0.000 | 0.000 | 19.935 | 0.000 | 0.000 |
| -0.000 | -0.000 | 0.000 | -0.000 | 19.935 | 0.000 |
| -0.000 | 0.000 | -0.000 | -0.000 | 0.000 | 39.275 |
Phonon band structures and crystal properties estimated from quasi-harmonic approximation (QHA) calculations are displayed for select crystals. The calculations were performed using phonopy and LAMMPS. For the phonon calculations, 3x3 supercells of the potential-specific relaxed crystals were used. The QHA calculations were based on 11 strain states ranging from -0.05 to 0.05.
The calculation method used is available as the iprPy phonon calculation method.
Notes and Disclaimers:
Version Information:





















































































































































































































































Static free surface formation energies are displayed for select crystals. The values displayed here are obtained by taking a perfect periodic bulk crystal, slicing along a crystallographic plane, and using force minimization to statically relax the surfaces. The free surface formation energy is computed by comparing the energy of the defect system to the bulk system and dividing by the total surface area created by the cut.
The calculation method used is available as the iprPy surface_energy_static calculation method.
Notes and Disclaimers:
Version Information:
| Surface | γfs (mJ/m2) |
|---|---|
| (111) | 627.87 |
| (332) | 724.83 |
| (322) | 741.56 |
| (221) | 778.28 |
| (211) | 817.10 |
| (331) | 832.70 |
| (100) | 848.02 |
| (321) | 885.50 |
| (311) | 889.73 |
| (110) | 917.40 |
| (310) | 956.40 |
| (320) | 964.24 |
| (210) | 982.93 |
| Surface | γfs (mJ/m2) |
|---|---|
| (0001) | 584.23 |
| (2021) 1 | 688.48 |
| (1011) 1 | 716.05 |
| (1012) 2 | 734.15 |
| (2021) 2 | 780.61 |
| (1010) | 831.77 |
| (1012) 1 | 834.31 |
| (2131) 1 | 843.44 |
| (2132) 1 | 852.43 |
| (2132) 2 | 864.64 |
| (1011) 2 | 876.18 |
| (1120) | 877.29 |
| (2241) | 889.31 |
| (2130) | 894.19 |
| (1121) | 896.40 |
| (2112) | 898.16 |
| (2131) 2 | 922.21 |
| Surface | γfs (mJ/m2) |
|---|---|
| (0001) | 547.62 |
| (1010) 1 | 608.48 |
| (2021) 1 | 702.51 |
| (1011) 2 | 719.29 |
| (2130) 1 | 783.95 |
| (2131) 1 | 806.05 |
| (2132) 2 | 823.77 |
| (2021) 2 | 827.65 |
| (2131) 2 | 829.31 |
| (1012) 1 | 842.85 |
| (2132) 1 | 842.98 |
| (2112) | 849.00 |
| (1011) 1 | 856.93 |
| (1121) | 860.31 |
| (1120) | 860.53 |
| (2241) | 867.30 |
| (1010) 2 | 922.08 |
| (2130) 2 | 926.65 |
| Surface | γfs (mJ/m2) |
|---|---|
| (111) | 2049.89 |
| (332) | 2168.68 |
| (322) | 2201.77 |
| (221) | 2217.03 |
| (331) | 2253.84 |
| (211) | 2264.28 |
| (321) | 2270.56 |
| (110) | 2271.59 |
| (311) | 2293.57 |
| (320) | 2346.98 |
| (210) | 2351.00 |
| (310) | 2440.48 |
| (100) | 2482.27 |
| Surface | γfs (mJ/m2) |
|---|---|
| (100) | 2310.63 |
| (210) | 2357.80 |
| (211) 2 | 2370.44 |
| (310) | 2373.50 |
| (111) | 2374.22 |
| (211) 1 | 2374.25 |
| (321) 2 | 2376.57 |
| (320) | 2376.81 |
| (110) | 2380.60 |
| (332) 1 | 2388.73 |
| (322) | 2389.98 |
| (331) | 2396.91 |
| (221) | 2396.92 |
| (332) 2 | 2406.98 |
| (311) | 2407.28 |
| (321) 1 | 2414.86 |
| Surface | γfs (mJ/m2) |
|---|---|
| (211) | 2568.62 |
| (310) | 2588.12 |
| (311) | 2594.22 |
| (110) | 2607.03 |
| (100) | 2612.75 |
| (332) | 2617.44 |
| (111) | 2617.80 |
| (322) | 2620.19 |
| (221) | 2643.76 |
| (321) | 2645.13 |
| (210) | 2654.12 |
| (331) | 2660.02 |
| (320) | 2667.71 |
| Surface | γfs (mJ/m2) |
|---|---|
| (0001) | 2144.13 |
| (1010) 1 | 2145.76 |
| (2021) 1 | 2331.68 |
| (2130) 1 | 2340.55 |
| (1120) | 2352.16 |
| (1011) 2 | 2364.10 |
| (2112) | 2373.51 |
| (2131) 1 | 2385.69 |
| (1121) | 2388.28 |
| (2241) | 2394.40 |
| (2131) 2 | 2409.77 |
| (2132) 1 | 2415.49 |
| (1012) 2 | 2421.12 |
| (2130) 2 | 2447.65 |
| (2132) 2 | 2450.74 |
| (1012) 1 | 2451.18 |
| (1011) 1 | 2461.36 |
| (2021) 2 | 2597.25 |
| (1010) 2 | 2709.45 |
Static point defect formation energies, Ef, and elastic dipole tensors, pij, are displayed for select crystals. Relaxed defect configurations are obtained by taking a 12x12x12 supercell of a perfect periodic bulk crystal, inserting the point defect, and using force minimization to statically relax the atomic positions while keeping the system dimensions constant. Ef is computed by comparing the energy of the defect system to the same number of atoms in a perfect bulk crystal. pij is estimated as the difference in the system's global pressure with and without the defect multiplied by the system's volume.
Simple structural comparisons of the unrelaxed and relaxed defect configurations are used to help determine if the defect structure has relaxed to a different configuration. Relaxed structures that are identified as no longer consistent with the ideal defect definition are excluded from the table below. The only exception to this is if the lowest energy interstitial configuration does not coincide with a known ideal defect, its energies and pressure tensor are included under the listing "relaxed interstitial". The full list of calculation results including the transformed structures and the structural comparison values is included in the csv file available from the "Download raw data" link.
The calculation method used is available as the iprPy point_defect_static calculation method.
Notes and Disclaimers:
| Point Defect | Ef (eV) | p11 (eV) | p22 (eV) | p33 (eV) | p12 (eV) | p13 (eV) | p23 (eV) |
|---|---|---|---|---|---|---|---|
| vacancy | 0.680 | -2.263 | -2.263 | -2.263 | 0.000 | 0.000 | 0.000 |
| 1nn divacancy | 1.370 | -3.889 | -4.268 | -4.268 | 0.000 | 0.000 | -0.076 |
| 2nn divacancy | 1.449 | -4.754 | -4.754 | -4.497 | 0.000 | 0.000 | 0.000 |
| crowdion interstitial | 2.500 | 13.933 | 13.933 | 14.166 | 3.304 | 0.000 | 0.000 |
| 110 dumbbell | 2.500 | 14.149 | 13.939 | 13.939 | 0.000 | 0.000 | 3.309 |
| 100 dumbbell | 2.593 | 15.985 | 15.985 | 11.665 | 0.000 | -0.000 | -0.000 |
| octahedral interstitial | 2.706 | 14.081 | 14.081 | 14.081 | 0.000 | 0.000 | 0.000 |
| Point Defect | Ef (eV) | p11 (eV) | p22 (eV) | p33 (eV) | p12 (eV) | p13 (eV) | p23 (eV) |
|---|---|---|---|---|---|---|---|
| vacancy | 0.634 | -2.243 | -2.243 | -2.325 | 0.000 | 0.000 | -0.000 |
| relaxed interstitial | 1.962 | 14.366 | 14.366 | 10.200 | 0.000 | 0.000 | 0.000 |
| Point Defect | Ef (eV) | p11 (eV) | p22 (eV) | p33 (eV) | p12 (eV) | p13 (eV) | p23 (eV) |
|---|---|---|---|---|---|---|---|
| vacancy | 1.692 | -2.554 | -2.554 | -2.554 | -0.000 | -0.000 | -0.000 |
| 100 dumbbell | 3.105 | 15.783 | 15.783 | 19.717 | -0.000 | -0.000 | -0.000 |
| 110 dumbbell | 3.334 | 24.444 | 13.305 | 13.305 | 0.000 | 0.000 | 13.759 |
| 2nn divacancy | 3.583 | -6.278 | -6.278 | -4.006 | -0.000 | -0.000 | -0.000 |
| 1nn divacancy | 3.671 | -3.628 | -3.946 | -3.946 | -0.000 | -0.000 | -0.190 |
| tetrahedral interstitial | 3.805 | 15.808 | 15.808 | 15.808 | -0.000 | 0.000 | 0.000 |
| 111 dumbbell | 4.131 | 17.036 | 17.036 | 17.036 | 2.945 | 2.945 | 2.945 |
| Point Defect | Ef (eV) | p11 (eV) | p22 (eV) | p33 (eV) | p12 (eV) | p13 (eV) | p23 (eV) |
|---|---|---|---|---|---|---|---|
| vacancy | 1.439 | -4.244 | -4.244 | -4.244 | -0.000 | -0.000 | 0.000 |
| 2nn divacancy | 3.293 | -8.512 | -8.512 | -8.236 | 0.000 | 0.000 | 0.000 |
| 1nn divacancy | 3.454 | -7.022 | -7.022 | -7.022 | 0.019 | 0.019 | 0.019 |
| relaxed interstitial | 3.525 | 18.213 | 19.825 | 17.930 | -1.814 | -5.978 | 2.750 |
| 110 dumbbell | 3.541 | 19.447 | 17.777 | 17.777 | 0.000 | 0.000 | 6.174 |
| crowdion interstitial | 3.615 | 18.827 | 18.827 | 18.827 | 7.042 | 7.042 | 7.042 |
| tetrahedral interstitial | 4.185 | 21.052 | 16.523 | 21.052 | -0.000 | -0.000 | 0.000 |
| 100 dumbbell | 4.674 | 16.210 | 16.210 | 28.092 | -0.000 | 0.000 | 0.000 |
| Point Defect | Ef (eV) | p11 (eV) | p22 (eV) | p33 (eV) | p12 (eV) | p13 (eV) | p23 (eV) |
|---|---|---|---|---|---|---|---|
| vacancy | 1.790 | -2.978 | -2.978 | -2.781 | 0.000 | -0.000 | 0.000 |
| 0001 dumbbell | 4.334 | 8.536 | 8.536 | 35.056 | 0.000 | -0.000 | -0.000 |
Plots of the atomic structure of dislocation cores are shown here. The dislocations were constructed using dislocation monopole configurations in which a straight dislocation is created in the center of the system using anisotropic elasticity and the elastic constants computed above. A cylindrical region centered around the dislocation is allowed to relax while the remaining atoms are held fixed. The relaxation consists of 1 million NVT steps at 10 K followed by an energy/force minimization. The final plots show the atomic configuration near the center of the monopole system, and display differential displacement arrows and Nye tensor color maps that are both taken with respect to the Burgers vector direction.
These plots show a wide range of final structures, some corresponding to expected dislocation structures and others not. While the characterizations are dislocation-type dependent, some general classification guidelines are listed here.
The calculation method used is available as the iprPy dislocation_monopole calculation method.
Links are provided above the images allowing for users to download the final defect configuration and a corresponding defect-free configuration if they wish to further analyze the structures or use them for subsequent simulations.
Notes and Disclaimers:
Version Information:
Plots of lattice and elastic constants are shown as a function of temperature. The 0K points were taken from the Crystal Structure Predictions and the Elastic Constants Predictions sections above for the unique crystal structures relaxed with the "dynamic" method. Starting from the 0 K relaxed crystal unit cells, supercell systems are created by replicating all three dimensions by the same multiplier to achieve at least 4000 atoms. The systems are then relaxed at 50 K and zero pressure using 1 million NPT steps. Lattice constants are estimated by averaging the measured box dimensions. Temperatures are iteratively increased by 50 K, with each subsequent relaxation calculation starting from the final atomic configuration at the previous temperature and relaxing for another 1 million steps.
The elastic constants are calculated using the deformation–fluctuation hybrid method. Starting from the final atomic configurations of the dynamic relaxations, the system is allowed to evolve at constant volume with a Langevin thermostat. The Born matrix is computed during this run by evaluating how the atomic forces would vary due to applied linear strain fields. The elastic constants can then be estimated using the averaged Born matrix values and the averaged stresses on the system.
The calculation methods used are available as the iprPy relax_dynamic and elastic_constants_dynamic calculation methods.
Clicking on the image of a plot will open an interactive version of it in a new tab. The underlying data for the plots can be downloaded by clicking on the links above each plot.
Notes and Disclaimers:
Version Information:
Plots of radial distribution functions at different temperatures and the temperature-dependent diffusion and viscosity are shown here for elemental liquids. Melt phases are constructed by starting with a 10x10x10 fcc super cell and relaxing with 50,000 NPT steps at zero pressure and a high melting temperature (3000 K for most potentials and elements). Following the melt, liquid structures are relaxed by running NPT for 10,000 steps over which the temperature is dropped by 50 K, then 50,000 NPT at the target temperature to estimate the equilibrium volume, followed by 20,000 NVT steps at the averaged equilibrium volume and target temperature. Structures from the NVT run are sampled to compute the radial distribution function of the liquid at the corresponding temperature.
The final relaxed configurations at each temperature explored are used as the initial configurations for the diffusion and viscosity calculations. For diffusion, the system is integrated for 100 runs of 2,000 NVT steps during which both the mean squared displacement (MSD) and the velocity auto correlation function (VACF) are computed. From these simulations, three estimates of diffusion are computed: one from the MSD of the full 200,000 step run, one in which the MSD is reset for each short run and then averaged, and one from the VACF computed for each short run and averaged. For viscosity, the Green-Kubo method is used which is evaluated during a 1 million step NVT run.
The calculation methods used are available as the iprPy relax_liquid_redo, diffusion_liquid, and viscosity_green_kubo calculation methods.
Clicking on the image of a plot will open an interactive version of it in a new tab. The underlying data for the plots can be downloaded by clicking on the links above each plot.
Notes and Disclaimers:
Version Information:
Plots of internal energy, Gibbs free energy, entropy, heat capacity and volume are shown here as a function of temperature for various crystal structures and liquid phases. The included crystal structures correspond to those in the Solid Structures vs. Temperature section, and the liquid phases to those in the Liquid Properties section. Internal energy and volume are taken from the associated structure relaxations mentioned in those previous sections. Constant pressure heat capacity is estimated using 3-point numerical derivatives of enthalpy versus temperature. Note that since all simulations done here are at 0 pressure, internal energy and enthalpy are equivalent.
The Gibbs energies of the phases are estimated using thermodynamic integration between the interatomic potential in question and a simpler model with known Gibbs free energy values. For solids, the reference model is an Einstein solid, while for liquids it is the Uhlenbeck-Ford potential. Besides a short run at the start of the solid calculations to estimate Einstein model spring constants, the two calculations proceed similarly. Starting with the final relaxation configurations, the systems are stabilized for 25,000 steps. Then, over the next 50,000 steps the potential is swapped out for the reference potential. The system is then stabilized for another 25,000 steps with the reference model before a reverse swap of 50,000 steps is performed. The simulation ends with one final 25,000 step stabilization period. From the simulation, the irreversible work of transformation is estimated and used to compute the absolute Gibbs free energy of the target phase and potential relative to the reference potential. Entropy is estimated as the difference in enthalpy and Gibbs free energy and divided by temperature.
The calculation methods used are available as the iprPy relax_dynamic, relax_liquid_redo, free_energy, and free_energy_liquid calculation methods.
Clicking on the image of a plot will open an interactive version of it in a new tab. The underlying data for the plots can be downloaded by clicking on the links above each plot.
Notes and Disclaimers:
Version Information:






