Plots of the potential energy vs interatomic spacing, r, are shown below for all diatom sets associated with the interatomic potential. This calculation provides insights into the functional form of the potential's two-body interactions. A system consisting of only two atoms is created, and the potential energy is evaluated for the atoms separated by 0.02 Å <= r <= 6.0> Å in intervals of 0.02 Å. Two plots are shown: one for the "standard" interaction distance range, and one for small values of r. The small r plot is useful for determining whether the potential is suitable for radiation studies.
The calculation method used is available as the iprPy diatom_scan calculation method.
Clicking on the image of a plot will open an interactive version of it in a new tab. The underlying data for the plots can be downloaded by clicking on the links above each plot.
Notes and Disclaimers:
Version Information:
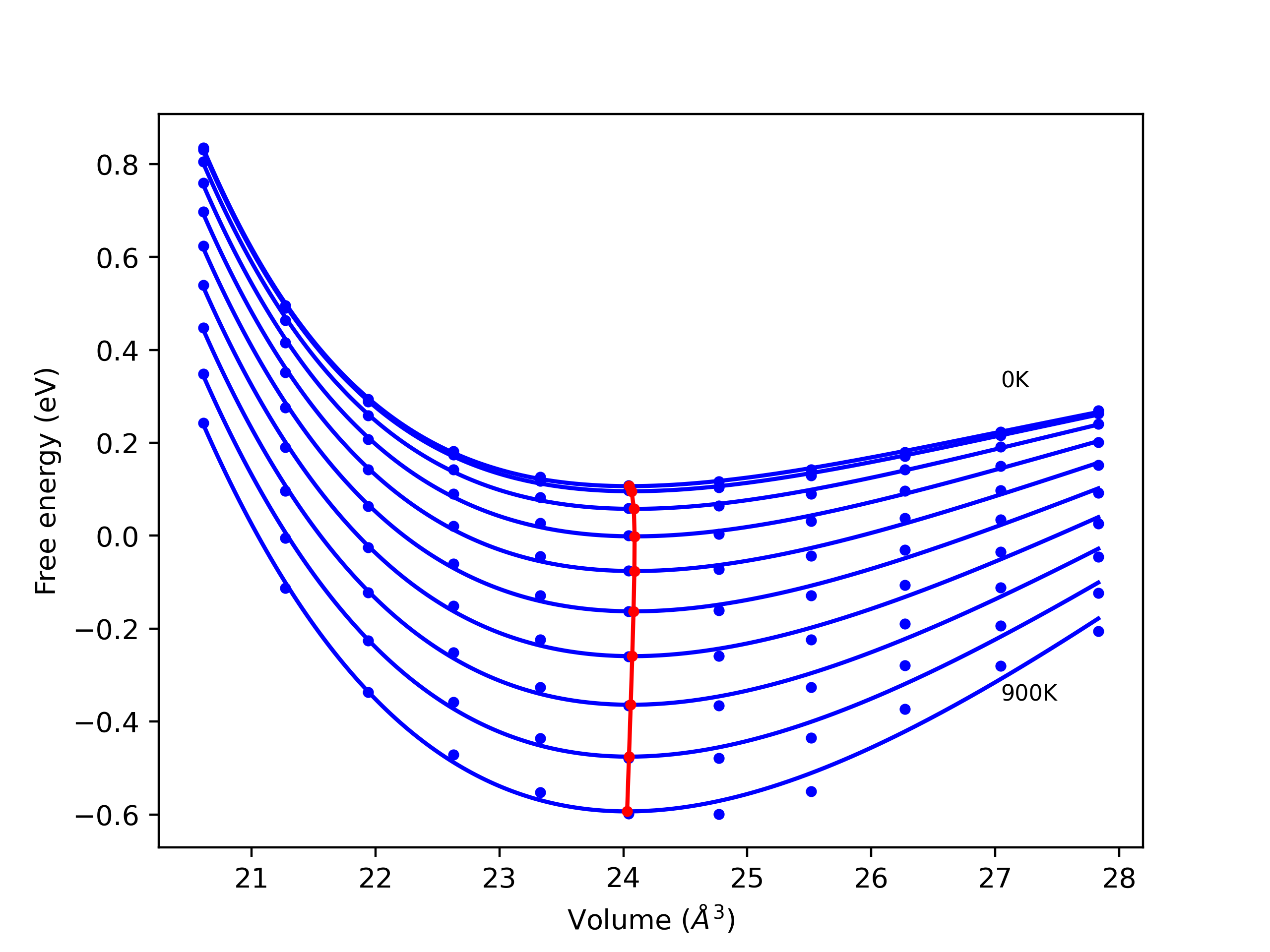
Plots of potential energy vs interatomic spacing, r, are shown below for a number of crystal structures. The structures are generated based on the ideal atomic positions and b/a and c/a lattice parameter ratios for a given crystal prototype. The size of the system is then uniformly scaled, and the energy calculated without relaxing the system. To obtain these plots, values of r are evaluated every 0.02 Å up to 6 Å.
The calculation method used is available as the iprPy E_vs_r_scan calculation method.
Clicking on the image of a plot will open an interactive version of it in a new tab. The underlying data for the plots can be downloaded by clicking on the links above each plot.
Notes and Disclaimers:
Version Information:
Computed lattice constants and cohesive/potential energies are displayed for a variety of crystal structures. The values displayed here are obtained using the following process.
The calculation methods used are implemented into iprPy as the following calculation styles
Notes and Disclaimers:
Version Information:
Download raw data (including filtered results)
Reference structure matches:
A1--Cu--fcc = mp-30, oqmd-592441, oqmd-593869, oqmd-594301, oqmd-594302, oqmd-594517, oqmd-594518, oqmd-594519, oqmd-594520, oqmd-598513, oqmd-635950, oqmd-1214520
A15--beta-W = oqmd-1214965
A2--W--bcc = oqmd-637373, oqmd-1215143
A3'--alpha-La--double-hcp = mp-989695, oqmd-1215411
A3--Mg--hcp = mp-989782, oqmd-1215321
A4--C--dc = oqmd-1215500
A5--beta-Sn = oqmd-1215589
A6--In--bct = mp-998890, mp-1010136, oqmd-1215678
| prototype | method | Ecoh (eV/atom) | Epot (eV/atom) | a0 (Å) | b0 (Å) | c0 (Å) | α (degrees) | β (degrees) | γ (degrees) |
|---|---|---|---|---|---|---|---|---|---|
| A1--Cu--fcc | dynamic | -3.54 | -3.54 | 3.615 | 3.615 | 3.615 | 90.0 | 90.0 | 90.0 |
| A3'--alpha-La--double-hcp | dynamic | -3.5361 | -3.5361 | 2.5561 | 2.5561 | 8.3374 | 90.0 | 90.0 | 120.0 |
| oqmd-1216034 | dynamic | -3.5348 | -3.5348 | 2.5561 | 2.5561 | 18.7497 | 90.0 | 90.0 | 120.0 |
| oqmd-1216034 | box | -3.5347 | -3.5347 | 2.5561 | 2.5561 | 18.7508 | 90.0 | 90.0 | 120.0 |
| A3--Mg--hcp | dynamic | -3.5322 | -3.5322 | 2.5561 | 2.5561 | 4.1624 | 90.0 | 90.0 | 120.0 |
| oqmd-1215232 | box | -3.5318 | -3.5318 | 2.5459 | 4.4447 | 4.1632 | 90.0 | 90.0 | 90.0 |
| A6--In--bct | static | -3.4951 | -3.4951 | 2.941 | 2.941 | 2.7345 | 90.0 | 90.0 | 90.0 |
| A2--W--bcc | static | -3.4945 | -3.4945 | 2.8683 | 2.8683 | 2.8683 | 90.0 | 90.0 | 90.0 |
| oqmd-1214876 | dynamic | -3.4715 | -3.4715 | 6.2347 | 6.2347 | 6.2347 | 90.0 | 90.0 | 90.0 |
| oqmd-1214876 | box | -3.4711 | -3.4711 | 6.2331 | 6.2331 | 6.2331 | 90.0 | 90.0 | 90.0 |
| oqmd-1214787 | dynamic | -3.4701 | -3.4701 | 8.8814 | 8.8814 | 8.8814 | 90.0 | 90.0 | 90.0 |
| oqmd-1214787 | box | -3.47 | -3.47 | 8.8815 | 8.8815 | 8.8815 | 90.0 | 90.0 | 90.0 |
| A15--beta-W | dynamic | -3.4542 | -3.4542 | 4.5959 | 4.5959 | 4.5959 | 90.0 | 90.0 | 90.0 |
| mp-1059259 | box | -3.4016 | -3.4016 | 2.4562 | 8.0243 | 2.5151 | 90.0 | 90.0 | 90.0 |
| mp-1120774 | dynamic | -3.395 | -3.395 | 2.5395 | 2.5395 | 24.7824 | 90.0 | 90.0 | 120.0 |
| mp-1120774 | static | -3.395 | -3.395 | 2.5395 | 2.5395 | 24.7931 | 90.0 | 90.0 | 120.0 |
| mp-1120774 | box | -3.3945 | -3.3945 | 2.5394 | 2.5394 | 24.7422 | 90.0 | 90.0 | 120.0 |
| oqmd-1215054 | box | -3.3826 | -3.3826 | 4.2653 | 9.0835 | 2.5763 | 90.0 | 90.0 | 90.0 |
| oqmd-1214698 | box | -3.3065 | -3.3065 | 3.3449 | 8.5689 | 3.6207 | 90.0 | 90.0 | 90.0 |
| oqmd-1277912 | static | -3.2796 | -3.2796 | 11.4263 | 11.4263 | 11.4263 | 90.0 | 90.0 | 90.0 |
| oqmd-1277912 | box | -3.2792 | -3.2792 | 11.4233 | 11.4233 | 11.4233 | 90.0 | 90.0 | 90.0 |
| A5--beta-Sn | static | -3.2295 | -3.2295 | 4.6353 | 4.6353 | 2.4346 | 90.0 | 90.0 | 90.0 |
| Ah--alpha-Po--sc | static | -3.1069 | -3.1069 | 2.3928 | 2.3928 | 2.3928 | 90.0 | 90.0 | 90.0 |
| A7--alpha-As | box | -2.7848 | -2.7848 | 3.2256 | 3.2256 | 10.3067 | 90.0 | 90.0 | 120.0 |
| oqmd-1215945 | box | -2.754 | -2.754 | 4.041 | 4.041 | 4.4818 | 90.0 | 90.0 | 120.0 |
| A4--C--dc | static | -2.4192 | -2.4192 | 5.3546 | 5.3546 | 5.3546 | 90.0 | 90.0 | 90.0 |
| mp-1056079 | static | -1.4842 | -1.4842 | 11.5703 | 2.2852 | 22.2237 | 90.0 | 101.9 | 90.0 |
| A1--Cu--fcc | box | -0.0 | -0.0 | 7.8059 | 7.8059 | 7.8059 | 90.0 | 90.0 | 90.0 |
| A3'--alpha-La--double-hcp | box | -0.0 | -0.0 | 5.5196 | 5.5196 | 18.0269 | 90.0 | 90.0 | 120.0 |
| A3--Mg--hcp | box | -0.0 | -0.0 | 5.5196 | 5.5196 | 9.0134 | 90.0 | 90.0 | 120.0 |
| A2--W--bcc | box | -0.0 | -0.0 | 6.3735 | 6.3735 | 6.3735 | 90.0 | 90.0 | 90.0 |
| A3--Mg--hcp | dynamic | -0.0 | -0.0 | 5.52 | 5.52 | 9.0141 | 90.0 | 90.0 | 120.0 |
| A3'--alpha-La--double-hcp | dynamic | -0.0 | -0.0 | 5.52 | 5.52 | 18.0282 | 90.0 | 90.0 | 120.0 |
| A1--Cu--fcc | dynamic | -0.0 | -0.0 | 7.8065 | 7.8065 | 7.8065 | 90.0 | 90.0 | 90.0 |
| A2--W--bcc | dynamic | -0.0 | -0.0 | 6.3739 | 6.3739 | 6.3739 | 90.0 | 90.0 | 90.0 |
| A4--C--dc | box | -0.0 | -0.0 | 12.7469 | 12.7469 | 12.7469 | 90.0 | 90.0 | 90.0 |
| Ah--alpha-Po--sc | dynamic | -0.0 | -0.0 | 5.52 | 5.52 | 5.52 | 90.0 | 90.0 | 90.0 |
| A6--In--bct | dynamic | -0.0 | -0.0 | 5.52 | 5.52 | 8.28 | 90.0 | 90.0 | 90.0 |
| A5--beta-Sn | dynamic | -0.0 | -0.0 | 10.6448 | 10.6448 | 5.8547 | 90.0 | 90.0 | 90.0 |
| A4--C--dc | dynamic | -0.0 | -0.0 | 12.7479 | 12.7479 | 12.7479 | 90.0 | 90.0 | 90.0 |
| A7--alpha-As | dynamic | -0.0 | -0.0 | 8.2469 | 8.2469 | 22.9018 | 90.0 | 90.0 | 120.0 |
| A15--beta-W | dynamic | -0.0 | -0.0 | 11.04 | 11.04 | 11.04 | 90.0 | 90.0 | 90.0 |
| A1--Cu--fcc | dynamic | -0.0 | -0.0 | 7.9762 | 7.9762 | 7.9762 | 90.0 | 90.0 | 90.0 |
| A3'--alpha-La--double-hcp | dynamic | -0.0 | -0.0 | 5.64 | 5.64 | 18.4202 | 90.0 | 90.0 | 120.0 |
| A3--Mg--hcp | dynamic | -0.0 | -0.0 | 5.64 | 5.64 | 9.2101 | 90.0 | 90.0 | 120.0 |
| A2--W--bcc | dynamic | -0.0 | -0.0 | 6.5125 | 6.5125 | 6.5125 | 90.0 | 90.0 | 90.0 |
| Ah--alpha-Po--sc | dynamic | -0.0 | -0.0 | 5.64 | 5.64 | 5.64 | 90.0 | 90.0 | 90.0 |
| A6--In--bct | dynamic | -0.0 | -0.0 | 5.64 | 5.64 | 8.46 | 90.0 | 90.0 | 90.0 |
| A4--C--dc | dynamic | -0.0 | -0.0 | 13.025 | 13.025 | 13.025 | 90.0 | 90.0 | 90.0 |
| A5--beta-Sn | dynamic | -0.0 | -0.0 | 10.8762 | 10.8762 | 5.9819 | 90.0 | 90.0 | 90.0 |
| A7--alpha-As | dynamic | -0.0 | -0.0 | 8.4262 | 8.4262 | 23.3996 | 90.0 | 90.0 | 120.0 |
| A15--beta-W | dynamic | -0.0 | -0.0 | 11.28 | 11.28 | 11.28 | 90.0 | 90.0 | 90.0 |
| A1--Cu--fcc | dynamic | -0.0 | -0.0 | 8.1742 | 8.1742 | 8.1742 | 90.0 | 90.0 | 90.0 |
| A3'--alpha-La--double-hcp | dynamic | -0.0 | -0.0 | 5.78 | 5.78 | 18.8774 | 90.0 | 90.0 | 120.0 |
| A3--Mg--hcp | dynamic | -0.0 | -0.0 | 5.78 | 5.78 | 9.4387 | 90.0 | 90.0 | 120.0 |
| A2--W--bcc | dynamic | -0.0 | -0.0 | 6.6742 | 6.6742 | 6.6742 | 90.0 | 90.0 | 90.0 |
| Ah--alpha-Po--sc | dynamic | -0.0 | -0.0 | 5.78 | 5.78 | 5.78 | 90.0 | 90.0 | 90.0 |
| A6--In--bct | dynamic | -0.0 | -0.0 | 5.78 | 5.78 | 8.67 | 90.0 | 90.0 | 90.0 |
| A4--C--dc | dynamic | -0.0 | -0.0 | 13.3483 | 13.3483 | 13.3483 | 90.0 | 90.0 | 90.0 |
| A5--beta-Sn | dynamic | -0.0 | -0.0 | 11.1462 | 11.1462 | 6.1304 | 90.0 | 90.0 | 90.0 |
| A7--alpha-As | dynamic | -0.0 | -0.0 | 8.6354 | 8.6354 | 23.9805 | 90.0 | 90.0 | 120.0 |
| A15--beta-W | dynamic | -0.0 | -0.0 | 11.56 | 11.56 | 11.56 | 90.0 | 90.0 | 90.0 |
| A1--Cu--fcc | dynamic | -0.0 | -0.0 | 8.3439 | 8.3439 | 8.3439 | 90.0 | 90.0 | 90.0 |
| A3'--alpha-La--double-hcp | dynamic | -0.0 | -0.0 | 5.9 | 5.9 | 19.2693 | 90.0 | 90.0 | 120.0 |
| A3--Mg--hcp | dynamic | -0.0 | -0.0 | 5.9 | 5.9 | 9.6347 | 90.0 | 90.0 | 120.0 |
| A2--W--bcc | dynamic | -0.0 | -0.0 | 6.8127 | 6.8127 | 6.8127 | 90.0 | 90.0 | 90.0 |
| Ah--alpha-Po--sc | dynamic | -0.0 | -0.0 | 5.9 | 5.9 | 5.9 | 90.0 | 90.0 | 90.0 |
| A6--In--bct | dynamic | -0.0 | -0.0 | 5.9 | 5.9 | 8.85 | 90.0 | 90.0 | 90.0 |
| A4--C--dc | dynamic | -0.0 | -0.0 | 13.6255 | 13.6255 | 13.6255 | 90.0 | 90.0 | 90.0 |
| A5--beta-Sn | dynamic | -0.0 | -0.0 | 11.3776 | 11.3776 | 6.2577 | 90.0 | 90.0 | 90.0 |
| A7--alpha-As | dynamic | -0.0 | -0.0 | 8.8147 | 8.8147 | 24.4783 | 90.0 | 90.0 | 120.0 |
| A15--beta-W | dynamic | -0.0 | -0.0 | 11.8 | 11.8 | 11.8 | 90.0 | 90.0 | 90.0 |
| A15--beta-W | box | 0.0 | 0.0 | 11.8011 | 11.8011 | 11.8011 | 90.0 | 90.0 | 90.0 |
| A5--beta-Sn | box | 0.0 | 0.0 | 11.386 | 11.386 | 6.2051 | 90.0 | 90.0 | 90.0 |
| Ah--alpha-Po--sc | box | 0.0 | 0.0 | 5.9006 | 5.9006 | 5.9006 | 90.0 | 90.0 | 90.0 |
| A3--Mg--hcp | box | 0.0 | 0.0 | 5.9006 | 5.9006 | 9.6356 | 90.0 | 90.0 | 120.0 |
| A3'--alpha-La--double-hcp | box | 0.0 | 0.0 | 5.9006 | 5.9006 | 19.2712 | 90.0 | 90.0 | 120.0 |
| A1--Cu--fcc | box | 0.0 | 0.0 | 8.3447 | 8.3447 | 8.3447 | 90.0 | 90.0 | 90.0 |
| A15--beta-W | box | 0.0 | 0.0 | 11.5615 | 11.5615 | 11.5615 | 90.0 | 90.0 | 90.0 |
| A5--beta-Sn | box | 0.0 | 0.0 | 11.1474 | 11.1474 | 6.1334 | 90.0 | 90.0 | 90.0 |
| A4--C--dc | box | 0.0 | 0.0 | 13.3501 | 13.3501 | 13.3501 | 90.0 | 90.0 | 90.0 |
| Ah--alpha-Po--sc | box | 0.0 | 0.0 | 5.7807 | 5.7807 | 5.7807 | 90.0 | 90.0 | 90.0 |
| A2--W--bcc | box | 0.0 | 0.0 | 6.675 | 6.675 | 6.675 | 90.0 | 90.0 | 90.0 |
| A1--Cu--fcc | box | 0.0 | 0.0 | 8.1752 | 8.1752 | 8.1752 | 90.0 | 90.0 | 90.0 |
| A3--Mg--hcp | box | 0.0 | 0.0 | 5.7807 | 5.7807 | 9.4399 | 90.0 | 90.0 | 120.0 |
| A15--beta-W | box | 0.0 | 0.0 | 11.2858 | 11.2858 | 11.2858 | 90.0 | 90.0 | 90.0 |
| A5--beta-Sn | box | 0.0 | 0.0 | 10.8661 | 10.8661 | 6.0984 | 90.0 | 90.0 | 90.0 |
| A4--C--dc | box | 0.0 | 0.0 | 13.0317 | 13.0317 | 13.0317 | 90.0 | 90.0 | 90.0 |
| Ah--alpha-Po--sc | box | 0.0 | 0.0 | 5.6429 | 5.6429 | 5.6429 | 90.0 | 90.0 | 90.0 |
| A2--W--bcc | box | 0.0 | 0.0 | 6.5159 | 6.5159 | 6.5159 | 90.0 | 90.0 | 90.0 |
| A3'--alpha-La--double-hcp | box | 0.0 | 0.0 | 5.6429 | 5.6429 | 18.4296 | 90.0 | 90.0 | 120.0 |
| A3--Mg--hcp | box | 0.0 | 0.0 | 5.6429 | 5.6429 | 9.2148 | 90.0 | 90.0 | 120.0 |
Download raw data (including filtered results)
Reference structure matches:
| prototype | method | Ecoh (eV/atom) | Epot (eV/atom) | a0 (Å) | b0 (Å) | c0 (Å) | α (degrees) | β (degrees) | γ (degrees) |
|---|---|---|---|---|---|---|---|---|---|
| C1--CaF2--fluorite | static | -296487.2486 | -296487.2486 | 2.5403 | 2.5403 | 2.5403 | 90.0 | 90.0 | 90.0 |
| C1--CaF2--fluorite | static | -4.1143 | -4.1143 | 6.1132 | 6.1132 | 6.1132 | 90.0 | 90.0 | 90.0 |
| oqmd-1232678 | box | -3.4569 | -3.4569 | 5.7995 | 5.7995 | 4.1496 | 90.0 | 90.0 | 90.0 |
| C1--CaF2--fluorite | box | 1221.4669 | 1221.4669 | 3.3438 | 3.3438 | 3.3438 | 90.0 | 90.0 | 90.0 |
Download raw data (including filtered results)
Reference structure matches:
| prototype | method | Ecoh (eV/atom) | Epot (eV/atom) | a0 (Å) | b0 (Å) | c0 (Å) | α (degrees) | β (degrees) | γ (degrees) |
|---|---|---|---|---|---|---|---|---|---|
| oqmd-426756 | static | -6.176 | -6.176 | 7.8296 | 7.8296 | 9.1707 | 90.0 | 90.0 | 120.0 |
Download raw data (including filtered results)
Reference structure matches:
D0_3--BiF3 = oqmd-309973
L1_2--AuCu3 = oqmd-347894
| prototype | method | Ecoh (eV/atom) | Epot (eV/atom) | a0 (Å) | b0 (Å) | c0 (Å) | α (degrees) | β (degrees) | γ (degrees) |
|---|---|---|---|---|---|---|---|---|---|
| L1_2--AuCu3 | static | -243364.3893 | -243364.3893 | 1.8102 | 1.8102 | 1.8102 | 90.0 | 90.0 | 90.0 |
| A15--Cr3Si | static | -243002.5273 | -243002.5273 | 2.28 | 2.28 | 2.28 | 90.0 | 90.0 | 90.0 |
| D0_3--BiF3 | static | -242656.5978 | -242656.5978 | 2.8637 | 2.8637 | 2.8637 | 90.0 | 90.0 | 90.0 |
| oqmd-323408 | box | -4.4836 | -4.4836 | 5.5993 | 5.5993 | 4.3525 | 90.0 | 90.0 | 120.0 |
| L1_2--AuCu3 | static | -4.4404 | -4.4404 | 3.9167 | 3.9167 | 3.9167 | 90.0 | 90.0 | 90.0 |
| oqmd-299431 | static | -4.3938 | -4.3938 | 3.8918 | 3.8918 | 8.0088 | 90.0 | 90.0 | 90.0 |
| D0_3--BiF3 | static | -4.377 | -4.377 | 6.2654 | 6.2654 | 6.2654 | 90.0 | 90.0 | 90.0 |
| A15--Cr3Si | static | -4.2461 | -4.2461 | 4.9767 | 4.9767 | 4.9767 | 90.0 | 90.0 | 90.0 |
| A15--Cr3Si | dynamic | -0.0 | -0.0 | 11.04 | 11.04 | 11.04 | 90.0 | 90.0 | 90.0 |
| A15--Cr3Si | dynamic | -0.0 | -0.0 | 11.28 | 11.28 | 11.28 | 90.0 | 90.0 | 90.0 |
| A15--Cr3Si | dynamic | -0.0 | -0.0 | 11.56 | 11.56 | 11.56 | 90.0 | 90.0 | 90.0 |
| A15--Cr3Si | dynamic | -0.0 | -0.0 | 11.8 | 11.8 | 11.8 | 90.0 | 90.0 | 90.0 |
| A15--Cr3Si | box | 0.0 | 0.0 | 11.8011 | 11.8011 | 11.8011 | 90.0 | 90.0 | 90.0 |
| A15--Cr3Si | box | 0.0 | 0.0 | 11.5615 | 11.5615 | 11.5615 | 90.0 | 90.0 | 90.0 |
| A15--Cr3Si | box | 0.0 | 0.0 | 11.2858 | 11.2858 | 11.2858 | 90.0 | 90.0 | 90.0 |
| A15--Cr3Si | box | 285.972 | 285.972 | 3.017 | 3.017 | 3.017 | 90.0 | 90.0 | 90.0 |
| D0_3--BiF3 | box | 289.7874 | 289.7874 | 3.7985 | 3.7985 | 3.7985 | 90.0 | 90.0 | 90.0 |
| L1_2--AuCu3 | box | 294.9183 | 294.9183 | 2.3775 | 2.3775 | 2.3775 | 90.0 | 90.0 | 90.0 |
Download raw data (including filtered results)
Reference structure matches:
B1--NaCl--rock-salt = oqmd-1104593
B2--CsCl = oqmd-305408
B3--ZnS--cubic-zinc-blende = oqmd-1222221
L1_0--AuCu = oqmd-336950
| prototype | method | Ecoh (eV/atom) | Epot (eV/atom) | a0 (Å) | b0 (Å) | c0 (Å) | α (degrees) | β (degrees) | γ (degrees) |
|---|---|---|---|---|---|---|---|---|---|
| L1_0--AuCu | static | -476423.3478 | -476423.3478 | 1.2244 | 1.2244 | 1.6035 | 90.0 | 90.0 | 90.0 |
| B2--CsCl | static | -471001.6532 | -471001.6532 | 1.3395 | 1.3395 | 1.3395 | 90.0 | 90.0 | 90.0 |
| B1--NaCl--rock-salt | static | -435252.193 | -435252.193 | 2.12 | 2.12 | 2.12 | 90.0 | 90.0 | 90.0 |
| B4--ZnS--wurtzite | static | -264025.3964 | -264025.3964 | 1.5032 | 1.5032 | 2.4546 | 90.0 | 90.0 | 120.0 |
| B3--ZnS--cubic-zinc-blende | static | -262573.2871 | -262573.2871 | 2.1246 | 2.1246 | 2.1246 | 90.0 | 90.0 | 90.0 |
| B2--CsCl | dynamic | -5.7401 | -5.7401 | 3.1762 | 3.1762 | 3.1762 | 90.0 | 90.0 | 90.0 |
| oqmd-1220027 | box | -5.6267 | -5.6267 | 4.4702 | 3.0169 | 4.6616 | 90.0 | 90.0 | 90.0 |
| oqmd-1229192 | static | -5.6012 | -5.6012 | 2.9479 | 2.9479 | 4.2775 | 90.0 | 90.0 | 120.0 |
| oqmd-326492 | static | -5.5926 | -5.5926 | 2.9436 | 2.9436 | 12.8196 | 90.0 | 90.0 | 120.0 |
| B1--NaCl--rock-salt | static | -5.1242 | -5.1242 | 5.1583 | 5.1583 | 5.1583 | 90.0 | 90.0 | 90.0 |
| B4--ZnS--wurtzite | static | -4.8473 | -4.8473 | 2.822 | 2.822 | 14.9281 | 90.0 | 90.0 | 120.0 |
| oqmd-1225706 | static | -4.5446 | -4.5446 | 4.4535 | 4.4535 | 5.1113 | 90.0 | 90.0 | 120.0 |
| B3--ZnS--cubic-zinc-blende | static | -3.9501 | -3.9501 | 5.9016 | 5.9016 | 5.9016 | 90.0 | 90.0 | 90.0 |
| B4--ZnS--wurtzite | box | -3.9174 | -3.9174 | 4.1718 | 4.1718 | 6.8544 | 90.0 | 90.0 | 120.0 |
| L1_0--AuCu | box | 265.8811 | 265.8811 | 1.1285 | 1.1285 | 3.6015 | 90.0 | 90.0 | 90.0 |
| B2--CsCl | box | 1084.2364 | 1084.2364 | 1.7601 | 1.7601 | 1.7601 | 90.0 | 90.0 | 90.0 |
| B1--NaCl--rock-salt | box | 2547.6179 | 2547.6179 | 2.7429 | 2.7429 | 2.7429 | 90.0 | 90.0 | 90.0 |
Download raw data (including filtered results)
Reference structure matches:
| prototype | method | Ecoh (eV/atom) | Epot (eV/atom) | a0 (Å) | b0 (Å) | c0 (Å) | α (degrees) | β (degrees) | γ (degrees) |
|---|---|---|---|---|---|---|---|---|---|
| C1--CaF2--fluorite | static | -550678.6993 | -550678.6993 | 2.3094 | 2.3094 | 2.3094 | 90.0 | 90.0 | 90.0 |
| C1--CaF2--fluorite | dynamic | -5.9477 | -5.9477 | 6.1788 | 6.1788 | 6.1788 | 90.0 | 90.0 | 90.0 |
| oqmd-1240817 | static | -3.2735 | -3.2735 | 11.8402 | 11.8402 | 11.8402 | 90.0 | 90.0 | 90.0 |
| C1--CaF2--fluorite | box | 5102.9683 | 5102.9683 | 2.9479 | 2.9479 | 2.9479 | 90.0 | 90.0 | 90.0 |
Download raw data (including filtered results)
Reference structure matches:
D0_3--BiF3 = oqmd-312866
L1_2--AuCu3 = oqmd-345001
| prototype | method | Ecoh (eV/atom) | Epot (eV/atom) | a0 (Å) | b0 (Å) | c0 (Å) | α (degrees) | β (degrees) | γ (degrees) |
|---|---|---|---|---|---|---|---|---|---|
| L1_2--AuCu3 | static | -708759.7277 | -708759.7277 | 1.5556 | 1.5556 | 1.5556 | 90.0 | 90.0 | 90.0 |
| A15--Cr3Si | static | -706703.1564 | -706703.1564 | 1.96 | 1.96 | 1.96 | 90.0 | 90.0 | 90.0 |
| D0_3--BiF3 | dynamic | -6.7691 | -6.7691 | 6.4389 | 6.4389 | 6.4389 | 90.0 | 90.0 | 90.0 |
| oqmd-320515 | static | -6.7284 | -6.7284 | 5.808 | 5.808 | 4.5024 | 90.0 | 90.0 | 120.0 |
| L1_2--AuCu3 | static | -6.7241 | -6.7241 | 4.0452 | 4.0452 | 4.0452 | 90.0 | 90.0 | 90.0 |
| oqmd-320515 | box | -6.7151 | -6.7151 | 5.7785 | 5.7785 | 4.5194 | 90.0 | 90.0 | 120.0 |
| oqmd-302324 | static | -6.7053 | -6.7053 | 3.893 | 3.893 | 8.8636 | 90.0 | 90.0 | 90.0 |
| mp-1187227 | box | -6.678 | -6.678 | 4.1051 | 4.1051 | 7.8456 | 90.0 | 90.0 | 90.0 |
| A15--Cr3Si | dynamic | -6.6748 | -6.6748 | 5.2185 | 5.2185 | 5.2185 | 90.0 | 90.0 | 90.0 |
| L1_2--AuCu3 | box | 1657.487 | 1657.487 | 2.0343 | 2.0343 | 2.0343 | 90.0 | 90.0 | 90.0 |
| A15--Cr3Si | box | 1717.517 | 1717.517 | 2.5627 | 2.5627 | 2.5627 | 90.0 | 90.0 | 90.0 |
Download raw data (including filtered results)
Reference structure matches:
A1--Cu--fcc = mp-6986, oqmd-7517, oqmd-1214574
A15--beta-W = oqmd-1215019, oqmd-1280388
A2--W--bcc = mp-50, oqmd-676287, oqmd-676531, oqmd-1215197
A3'--alpha-La--double-hcp = oqmd-1215465
A3--Mg--hcp = oqmd-1215375
A4--C--dc = oqmd-1215554
A5--beta-Sn = oqmd-1215643
A6--In--bct = oqmd-1215732
Ah--alpha-Po--sc = mp-1217756
| prototype | method | Ecoh (eV/atom) | Epot (eV/atom) | a0 (Å) | b0 (Å) | c0 (Å) | α (degrees) | β (degrees) | γ (degrees) |
|---|---|---|---|---|---|---|---|---|---|
| A7--alpha-As | static | -1000520.5298 | -1000520.5298 | 1.1653 | 1.1653 | 3.2361 | 90.0 | 90.0 | 120.0 |
| A3--Mg--hcp | static | -1000519.249 | -1000519.249 | 0.96 | 0.96 | 1.5677 | 90.0 | 90.0 | 120.0 |
| A3'--alpha-La--double-hcp | static | -1000519.2164 | -1000519.2164 | 0.96 | 0.96 | 3.1353 | 90.0 | 90.0 | 120.0 |
| A2--W--bcc | dynamic | -8.1 | -8.1 | 3.304 | 3.304 | 3.304 | 90.0 | 90.0 | 90.0 |
| oqmd-670903 | dynamic | -8.0274 | -8.0274 | 10.2655 | 10.2655 | 5.3993 | 90.0 | 90.0 | 90.0 |
| A15--beta-W | dynamic | -8.0251 | -8.0251 | 5.3482 | 5.3482 | 5.3482 | 90.0 | 90.0 | 90.0 |
| oqmd-9755 | box | -8.0234 | -8.0234 | 10.2825 | 10.2825 | 5.3901 | 90.0 | 90.0 | 90.0 |
| oqmd-9754 | box | -8.0233 | -8.0233 | 10.2828 | 10.2828 | 5.39 | 90.0 | 90.0 | 90.0 |
| mp-569794 | box | -8.0221 | -8.0221 | 10.2854 | 10.2854 | 5.3885 | 90.0 | 90.0 | 90.0 |
| mp-42 | box | -8.0205 | -8.0205 | 10.2846 | 10.2846 | 5.3889 | 90.0 | 90.0 | 90.0 |
| A6--In--bct | static | -7.9858 | -7.9858 | 2.846 | 2.846 | 4.5508 | 90.0 | 90.0 | 90.0 |
| A1--Cu--fcc | static | -7.9757 | -7.9757 | 4.2456 | 4.2456 | 4.2456 | 90.0 | 90.0 | 90.0 |
| oqmd-1215286 | box | -7.9717 | -7.9717 | 2.8049 | 5.4224 | 4.7374 | 90.0 | 90.0 | 90.0 |
| oqmd-1214841 | dynamic | -7.9679 | -7.9679 | 10.3189 | 10.3189 | 10.3189 | 90.0 | 90.0 | 90.0 |
| A3'--alpha-La--double-hcp | static | -7.9622 | -7.9622 | 2.9994 | 2.9994 | 9.736 | 90.0 | 90.0 | 120.0 |
| oqmd-1214841 | box | -7.9593 | -7.9593 | 10.3279 | 10.3279 | 10.3279 | 90.0 | 90.0 | 90.0 |
| A3--Mg--hcp | box | -7.9511 | -7.9511 | 2.9989 | 2.9989 | 4.8007 | 90.0 | 90.0 | 120.0 |
| oqmd-1214930 | dynamic | -7.9375 | -7.9375 | 7.2589 | 7.2589 | 7.2589 | 90.0 | 90.0 | 90.0 |
| oqmd-1214930 | box | -7.9305 | -7.9305 | 7.261 | 7.261 | 7.261 | 90.0 | 90.0 | 90.0 |
| oqmd-1215108 | box | -7.6142 | -7.6142 | 3.1586 | 4.6705 | 9.9671 | 90.0 | 90.0 | 90.0 |
| oqmd-1214752 | box | -7.5726 | -7.5726 | 3.21 | 4.6592 | 9.9994 | 90.0 | 90.0 | 90.0 |
| A5--beta-Sn | static | -7.3559 | -7.3559 | 4.9384 | 4.9384 | 2.7686 | 90.0 | 90.0 | 90.0 |
| oqmd-52302 | box | -7.1559 | -7.1559 | 5.1677 | 5.1677 | 2.5824 | 90.0 | 90.0 | 90.0 |
| oqmd-9753 | box | -7.1521 | -7.1521 | 5.1689 | 5.1689 | 2.5825 | 90.0 | 90.0 | 90.0 |
| A7--alpha-As | box | -7.0591 | -7.0591 | 3.0359 | 3.0359 | 15.0939 | 90.0 | 90.0 | 120.0 |
| Ah--alpha-Po--sc | static | -7.0363 | -7.0363 | 2.592 | 2.592 | 2.592 | 90.0 | 90.0 | 90.0 |
| oqmd-52301 | static | -6.7095 | -6.7095 | 10.5207 | 10.5207 | 3.0804 | 90.0 | 90.0 | 90.0 |
| oqmd-9752 | box | -6.6862 | -6.6862 | 10.3289 | 10.3289 | 4.913 | 90.0 | 90.0 | 90.0 |
| mp-697196 | box | -6.6804 | -6.6804 | 10.3601 | 10.3601 | 4.8953 | 90.0 | 90.0 | 90.0 |
| mp-1095086 | box | -6.5117 | -6.5117 | 4.9605 | 4.9605 | 8.7312 | 90.0 | 90.0 | 120.0 |
| oqmd-1215999 | static | -6.4919 | -6.4919 | 4.3951 | 4.3951 | 4.8198 | 90.0 | 90.0 | 120.0 |
| A4--C--dc | dynamic | -5.5255 | -5.5255 | 4.5815 | 4.5815 | 4.5815 | 90.0 | 90.0 | 90.0 |
| A4--C--dc | static | -5.1694 | -5.1694 | 6.2362 | 6.2362 | 6.2362 | 90.0 | 90.0 | 90.0 |
| oqmd-52301 | box | -5.1454 | -5.1454 | 12.5144 | 12.5144 | 3.0543 | 90.0 | 90.0 | 90.0 |
Static elastic constants are displayed for the unique structures identified in Crystal Structure Predictions above. The values displayed here are obtained by measuring the change in virial stresses due to applying small strains to the relaxed crystals. The initial structure and the strained states are all relaxed using force minimization.
The calculation method used is available as the iprPy elastic_constants_static calculation method.
Notes and Disclaimers:
Version Information:
| 169.897 | 122.621 | 122.621 | -0.000 | -0.000 | -0.000 |
| 122.621 | 169.897 | 122.621 | -0.000 | -0.000 | -0.000 |
| 122.621 | 122.621 | 169.897 | 0.000 | 0.000 | -0.000 |
| 0.000 | 0.000 | 0.000 | 76.189 | -0.000 | -0.000 |
| 0.000 | -0.000 | 0.000 | -0.000 | 76.189 | -0.000 |
| 0.000 | 0.000 | -0.000 | -0.000 | -0.000 | 76.189 |
| 169.897 | 122.621 | 122.621 | 0.000 | 0.000 | -0.000 |
| 122.621 | 169.897 | 122.621 | 0.000 | 0.000 | 0.000 |
| 122.621 | 122.621 | 169.897 | 0.000 | 0.000 | 0.000 |
| 0.000 | -0.000 | -0.000 | 76.189 | 0.000 | 0.000 |
| -0.000 | -0.000 | -0.000 | -0.000 | 76.189 | 0.000 |
| -0.000 | -0.000 | 0.000 | 0.000 | 0.000 | 76.189 |
| 169.897 | 122.621 | 122.621 | -0.000 | -0.000 | -0.000 |
| 122.621 | 169.897 | 122.621 | -0.000 | -0.000 | -0.000 |
| 122.621 | 122.621 | 169.897 | -0.000 | -0.000 | -0.000 |
| -0.000 | 0.000 | 0.000 | 76.189 | -0.000 | -0.000 |
| 0.000 | -0.000 | 0.000 | -0.000 | 76.189 | -0.000 |
| 0.000 | 0.000 | -0.000 | -0.000 | -0.000 | 76.189 |
| 169.897 | 122.621 | 122.621 | 0.000 | 0.000 | 0.000 |
| 122.621 | 169.897 | 122.621 | 0.000 | 0.000 | 0.000 |
| 122.621 | 122.621 | 169.897 | -0.000 | 0.000 | 0.000 |
| 0.000 | -0.000 | -0.000 | 76.189 | 0.000 | 0.000 |
| -0.000 | 0.000 | -0.000 | 0.000 | 76.189 | 0.000 |
| -0.000 | -0.000 | 0.000 | 0.000 | 0.000 | 76.189 |
| 169.897 | 122.621 | 122.621 | -0.000 | -0.000 | -0.000 |
| 122.621 | 169.897 | 122.621 | -0.000 | -0.000 | -0.000 |
| 122.621 | 122.621 | 169.897 | 0.000 | -0.000 | -0.000 |
| -0.000 | 0.000 | 0.000 | 76.189 | -0.000 | -0.000 |
| 0.000 | -0.000 | 0.000 | -0.000 | 76.189 | -0.000 |
| 0.000 | 0.000 | -0.000 | -0.000 | -0.000 | 76.189 |
| 169.896 | 122.621 | 122.621 | 0.000 | 0.000 | -0.000 |
| 122.621 | 169.896 | 122.621 | 0.000 | 0.000 | 0.000 |
| 122.621 | 122.621 | 169.896 | 0.000 | 0.000 | 0.000 |
| 0.000 | -0.000 | -0.000 | 76.189 | 0.000 | 0.000 |
| -0.000 | 0.000 | -0.000 | 0.000 | 76.189 | 0.000 |
| -0.000 | -0.000 | 0.000 | 0.000 | 0.000 | 76.189 |
| 0.000 | 0.000 | 0.000 | 0.000 | -0.000 | -0.000 |
| 0.000 | 0.000 | 0.000 | -0.000 | 0.000 | -0.000 |
| 0.000 | 0.000 | 0.000 | 0.000 | -0.000 | 0.000 |
| -0.000 | 0.000 | 0.000 | 0.000 | 0.000 | 0.000 |
| 0.000 | -0.000 | 0.000 | 0.000 | 0.000 | 0.000 |
| 0.000 | 0.000 | -0.000 | 0.000 | 0.000 | 0.000 |
| 0.000 | 0.000 | 0.000 | -0.000 | -0.000 | -0.000 |
| 0.000 | 0.000 | 0.000 | -0.000 | -0.000 | 0.000 |
| 0.000 | 0.000 | 0.000 | 0.000 | -0.000 | -0.000 |
| 0.000 | -0.000 | -0.000 | 0.000 | 0.000 | 0.000 |
| -0.000 | 0.000 | -0.000 | 0.000 | 0.000 | 0.000 |
| -0.000 | -0.000 | 0.000 | -0.000 | 0.000 | 0.000 |
| 0.000 | 0.000 | 0.000 | -0.000 | 0.000 | 0.000 |
| 0.000 | 0.000 | 0.000 | 0.000 | -0.000 | -0.000 |
| 0.000 | 0.000 | 0.000 | 0.000 | 0.000 | 0.000 |
| -0.000 | 0.000 | 0.000 | 0.000 | -0.000 | 0.000 |
| 0.000 | -0.000 | 0.000 | -0.000 | 0.000 | 0.000 |
| 0.000 | 0.000 | -0.000 | -0.000 | 0.000 | 0.000 |
| 0.000 | 0.000 | 0.000 | 0.000 | 0.000 | 0.000 |
| 0.000 | 0.000 | 0.000 | 0.000 | -0.000 | 0.000 |
| 0.000 | 0.000 | 0.000 | 0.000 | -0.000 | 0.000 |
| 0.000 | -0.000 | -0.000 | 0.000 | 0.000 | -0.000 |
| -0.000 | 0.000 | -0.000 | 0.000 | 0.000 | 0.000 |
| -0.000 | -0.000 | 0.000 | 0.000 | 0.000 | 0.000 |
| 0.000 | 0.000 | 0.000 | -0.000 | 0.000 | -0.000 |
| 0.000 | 0.000 | 0.000 | 0.000 | 0.000 | -0.000 |
| 0.000 | 0.000 | 0.000 | 0.000 | -0.000 | -0.000 |
| -0.000 | 0.000 | 0.000 | 0.000 | -0.000 | -0.000 |
| 0.000 | -0.000 | 0.000 | 0.000 | 0.000 | -0.000 |
| 0.000 | 0.000 | -0.000 | -0.000 | -0.000 | 0.000 |
| 0.000 | 0.000 | 0.000 | 0.000 | 0.000 | -0.000 |
| 0.000 | 0.000 | 0.000 | -0.000 | 0.000 | -0.000 |
| 0.000 | 0.000 | 0.000 | 0.000 | 0.000 | 0.000 |
| 0.000 | -0.000 | -0.000 | 0.000 | 0.000 | 0.000 |
| -0.000 | 0.000 | -0.000 | 0.000 | 0.000 | -0.000 |
| -0.000 | -0.000 | 0.000 | 0.000 | -0.000 | 0.000 |
| 0.000 | 0.000 | 0.000 | -0.000 | -0.000 | -0.000 |
| 0.000 | 0.000 | 0.000 | -0.000 | -0.000 | -0.000 |
| 0.000 | 0.000 | 0.000 | -0.000 | -0.000 | -0.000 |
| -0.000 | 0.000 | 0.000 | 0.000 | -0.000 | -0.000 |
| 0.000 | -0.000 | 0.000 | -0.000 | 0.000 | 0.000 |
| 0.000 | 0.000 | -0.000 | -0.000 | -0.000 | 0.000 |
| 0.000 | 0.000 | 0.000 | 0.000 | 0.000 | 0.000 |
| 0.000 | 0.000 | 0.000 | 0.000 | 0.000 | 0.000 |
| 0.000 | 0.000 | 0.000 | 0.000 | 0.000 | 0.000 |
| 0.000 | -0.000 | -0.000 | 0.000 | 0.000 | 0.000 |
| -0.000 | 0.000 | -0.000 | 0.000 | 0.000 | 0.000 |
| -0.000 | -0.000 | 0.000 | 0.000 | 0.000 | 0.000 |
| 0.000 | 0.000 | 0.000 | -0.000 | -0.000 | -0.000 |
| 0.000 | 0.000 | 0.000 | -0.000 | -0.000 | -0.000 |
| 0.000 | 0.000 | 0.000 | -0.000 | -0.000 | -0.000 |
| -0.000 | 0.000 | 0.000 | 0.000 | -0.000 | -0.000 |
| 0.000 | -0.000 | 0.000 | -0.000 | 0.000 | -0.000 |
| 0.000 | 0.000 | -0.000 | 0.000 | -0.000 | 0.000 |
| 0.000 | 0.000 | 0.000 | 0.000 | 0.000 | -0.000 |
| 0.000 | 0.000 | 0.000 | 0.000 | 0.000 | -0.000 |
| 0.000 | 0.000 | 0.000 | 0.000 | 0.000 | 0.000 |
| 0.000 | -0.000 | -0.000 | 0.000 | 0.000 | -0.000 |
| -0.000 | 0.000 | -0.000 | 0.000 | 0.000 | -0.000 |
| -0.000 | -0.000 | 0.000 | -0.000 | 0.000 | 0.000 |
| 0.000 | 0.000 | 0.000 | -0.000 | -0.000 | -0.000 |
| 0.000 | 0.000 | 0.000 | -0.000 | -0.000 | -0.000 |
| 0.000 | 0.000 | 0.000 | -0.000 | -0.000 | -0.000 |
| -0.000 | 0.000 | 0.000 | 0.000 | -0.000 | 0.000 |
| 0.000 | -0.000 | 0.000 | -0.000 | 0.000 | -0.000 |
| 0.000 | 0.000 | -0.000 | 0.000 | -0.000 | 0.000 |
| 0.000 | 0.000 | 0.000 | 0.000 | 0.000 | -0.000 |
| 0.000 | 0.000 | 0.000 | -0.000 | 0.000 | 0.000 |
| 0.000 | 0.000 | 0.000 | 0.000 | 0.000 | -0.000 |
| 0.000 | -0.000 | -0.000 | 0.000 | 0.000 | -0.000 |
| -0.000 | 0.000 | -0.000 | 0.000 | 0.000 | -0.000 |
| -0.000 | -0.000 | 0.000 | -0.000 | 0.000 | 0.000 |
| -0.000 | -0.000 | -0.000 | -0.000 | -0.000 | 0.000 |
| -0.000 | -0.000 | -0.000 | 0.000 | -0.000 | 0.000 |
| -0.000 | -0.000 | -0.000 | 0.000 | -0.000 | 0.000 |
| 0.000 | 0.000 | 0.000 | -0.000 | -0.000 | 0.000 |
| 0.000 | 0.000 | 0.000 | -0.000 | -0.000 | 0.000 |
| 0.000 | 0.000 | 0.000 | 0.000 | -0.000 | -0.000 |
| -0.000 | -0.000 | -0.000 | -0.000 | 0.000 | -0.000 |
| -0.000 | -0.000 | -0.000 | -0.000 | -0.000 | -0.000 |
| -0.000 | -0.000 | -0.000 | -0.000 | 0.000 | -0.000 |
| -0.000 | -0.000 | -0.000 | -0.000 | 0.000 | -0.000 |
| -0.000 | -0.000 | -0.000 | -0.000 | -0.000 | -0.000 |
| -0.000 | -0.000 | -0.000 | -0.000 | 0.000 | -0.000 |
| -0.000 | -0.000 | -0.000 | -0.000 | -0.000 | 0.000 |
| -0.000 | -0.000 | -0.000 | -0.000 | -0.000 | 0.000 |
| -0.000 | -0.000 | -0.000 | 0.000 | -0.000 | 0.000 |
| 0.000 | 0.000 | 0.000 | -0.000 | -0.000 | 0.000 |
| 0.000 | 0.000 | 0.000 | -0.000 | -0.000 | -0.000 |
| 0.000 | 0.000 | 0.000 | -0.000 | -0.000 | -0.000 |
| -0.000 | -0.000 | -0.000 | -0.000 | 0.000 | -0.000 |
| -0.000 | -0.000 | -0.000 | 0.000 | -0.000 | -0.000 |
| -0.000 | -0.000 | -0.000 | 0.000 | 0.000 | -0.000 |
| -0.000 | -0.000 | -0.000 | -0.000 | 0.000 | -0.000 |
| -0.000 | -0.000 | -0.000 | 0.000 | -0.000 | -0.000 |
| -0.000 | -0.000 | -0.000 | 0.000 | 0.000 | -0.000 |
| -0.000 | -0.000 | -0.000 | 0.000 | -0.000 | 0.000 |
| -0.000 | -0.000 | -0.000 | 0.000 | 0.000 | 0.000 |
| -0.000 | -0.000 | -0.000 | 0.000 | -0.000 | 0.000 |
| 0.000 | 0.000 | 0.000 | -0.000 | -0.000 | 0.000 |
| 0.000 | 0.000 | 0.000 | -0.000 | -0.000 | 0.000 |
| 0.000 | 0.000 | 0.000 | 0.000 | -0.000 | -0.000 |
| -0.000 | -0.000 | -0.000 | -0.000 | 0.000 | -0.000 |
| -0.000 | -0.000 | -0.000 | 0.000 | -0.000 | -0.000 |
| -0.000 | -0.000 | -0.000 | 0.000 | 0.000 | -0.000 |
| -0.000 | -0.000 | -0.000 | -0.000 | 0.000 | -0.000 |
| -0.000 | -0.000 | -0.000 | -0.000 | -0.000 | -0.000 |
| -0.000 | -0.000 | -0.000 | -0.000 | 0.000 | -0.000 |
| -0.000 | -0.000 | -0.000 | 0.000 | 0.000 | 0.000 |
| -0.000 | -0.000 | -0.000 | 0.000 | 0.000 | 0.000 |
| -0.000 | -0.000 | -0.000 | 0.000 | 0.000 | -0.000 |
| 0.000 | 0.000 | 0.000 | -0.000 | 0.000 | -0.000 |
| 0.000 | 0.000 | 0.000 | 0.000 | -0.000 | -0.000 |
| 0.000 | 0.000 | 0.000 | 0.000 | -0.000 | -0.000 |
| -0.000 | -0.000 | -0.000 | -0.000 | 0.000 | 0.000 |
| -0.000 | -0.000 | -0.000 | 0.000 | -0.000 | 0.000 |
| -0.000 | -0.000 | -0.000 | 0.000 | 0.000 | 0.000 |
| 0.000 | -0.000 | -0.000 | -0.000 | -0.000 | 0.000 |
| -0.000 | -0.000 | -0.000 | -0.000 | -0.000 | 0.000 |
| -0.000 | -0.000 | -0.000 | 0.000 | 0.000 | -0.000 |
| -0.000 | -0.000 | -0.000 | -0.000 | 0.000 | -0.000 |
| -0.000 | -0.000 | -0.000 | -0.000 | -0.000 | 0.000 |
| -0.000 | -0.000 | -0.000 | 0.000 | 0.000 | -0.000 |
| 0.000 | 0.000 | 0.000 | -0.000 | 0.000 | -0.000 |
| 0.000 | 0.000 | 0.000 | 0.000 | -0.000 | -0.000 |
| 0.000 | 0.000 | 0.000 | -0.000 | -0.000 | -0.000 |
| -0.000 | -0.000 | -0.000 | 0.000 | -0.000 | -0.000 |
| -0.000 | -0.000 | -0.000 | -0.000 | -0.000 | 0.000 |
| -0.000 | -0.000 | -0.000 | -0.000 | -0.000 | 0.000 |
| -0.000 | -0.000 | -0.000 | -0.000 | -0.000 | -0.000 |
| -0.000 | -0.000 | -0.000 | -0.000 | -0.000 | -0.000 |
| -0.000 | -0.000 | -0.000 | -0.000 | -0.000 | -0.000 |
| -0.000 | -0.000 | -0.000 | 0.000 | 0.000 | -0.000 |
| -0.000 | -0.000 | -0.000 | 0.000 | 0.000 | -0.000 |
| -0.000 | -0.000 | -0.000 | -0.000 | 0.000 | -0.000 |
| 0.000 | 0.000 | 0.000 | -0.000 | 0.000 | -0.000 |
| 0.000 | 0.000 | 0.000 | 0.000 | -0.000 | -0.000 |
| 0.000 | 0.000 | 0.000 | -0.000 | -0.000 | -0.000 |
| -0.000 | -0.000 | -0.000 | -0.000 | -0.000 | 0.000 |
| -0.000 | -0.000 | -0.000 | 0.000 | -0.000 | 0.000 |
| -0.000 | -0.000 | -0.000 | -0.000 | -0.000 | 0.000 |
| -0.000 | -0.000 | -0.000 | -0.000 | -0.000 | 0.000 |
| -0.000 | -0.000 | -0.000 | -0.000 | -0.000 | 0.000 |
| -0.000 | -0.000 | -0.000 | 0.000 | 0.000 | -0.000 |
| -0.000 | -0.000 | -0.000 | 0.000 | 0.000 | 0.000 |
| -0.000 | -0.000 | -0.000 | -0.000 | 0.000 | 0.000 |
| -0.000 | -0.000 | -0.000 | 0.000 | 0.000 | -0.000 |
| -0.000 | -0.000 | -0.000 | -0.000 | 0.000 | 0.000 |
| -0.000 | -0.000 | -0.000 | 0.000 | -0.000 | 0.000 |
| -0.000 | -0.000 | -0.000 | -0.000 | 0.000 | -0.000 |
| -0.000 | -0.000 | -0.000 | -0.000 | -0.000 | -0.000 |
| -0.000 | -0.000 | -0.000 | -0.000 | -0.000 | 0.000 |
| -0.000 | -0.000 | -0.000 | 0.000 | -0.000 | 0.000 |
| 0.000 | 0.000 | 0.000 | -0.000 | 0.000 | 0.000 |
| 0.000 | 0.000 | 0.000 | -0.000 | -0.000 | 0.000 |
| 0.000 | 0.000 | 0.000 | 0.000 | 0.000 | -0.000 |
| -0.000 | -0.000 | -0.000 | -0.000 | -0.000 | -0.000 |
| -0.000 | -0.000 | -0.000 | -0.000 | -0.000 | -0.000 |
| -0.000 | -0.000 | -0.000 | 0.000 | 0.000 | -0.000 |
| 0.000 | -0.000 | -0.000 | -0.000 | -0.000 | -0.000 |
| -0.000 | 0.000 | -0.000 | -0.000 | -0.000 | -0.000 |
| -0.000 | -0.000 | 0.000 | -0.000 | -0.000 | -0.000 |
| -0.000 | -0.000 | -0.000 | 0.000 | 0.000 | 0.000 |
| -0.000 | -0.000 | -0.000 | 0.000 | -0.000 | 0.000 |
| -0.000 | -0.000 | -0.000 | 0.000 | -0.000 | -0.000 |
| -0.000 | 0.000 | 0.000 | -0.000 | -0.000 | 0.000 |
| 0.000 | -0.000 | 0.000 | -0.000 | -0.000 | 0.000 |
| 0.000 | 0.000 | -0.000 | 0.000 | 0.000 | -0.000 |
| -0.000 | -0.000 | -0.000 | -0.000 | -0.000 | -0.000 |
| -0.000 | -0.000 | -0.000 | -0.000 | -0.000 | 0.000 |
| -0.000 | -0.000 | -0.000 | 0.000 | 0.000 | 0.000 |
| 0.000 | -0.000 | -0.000 | -0.000 | 0.000 | 0.000 |
| -0.000 | 0.000 | -0.000 | 0.000 | -0.000 | 0.000 |
| -0.000 | -0.000 | 0.000 | -0.000 | 0.000 | -0.000 |
| -0.000 | -0.000 | -0.000 | 0.000 | 0.000 | -0.000 |
| -0.000 | -0.000 | -0.000 | 0.000 | 0.000 | -0.000 |
| -0.000 | -0.000 | -0.000 | 0.000 | 0.000 | 0.000 |
| -0.000 | 0.000 | 0.000 | -0.000 | 0.000 | 0.000 |
| 0.000 | -0.000 | 0.000 | 0.000 | -0.000 | 0.000 |
| 0.000 | 0.000 | -0.000 | -0.000 | 0.000 | -0.000 |
| -0.000 | -0.000 | -0.000 | 0.000 | 0.000 | 0.000 |
| -0.000 | -0.000 | -0.000 | -0.000 | 0.000 | 0.000 |
| -0.000 | -0.000 | -0.000 | 0.000 | 0.000 | 0.000 |
| -0.000 | -0.000 | -0.000 | -0.000 | 0.000 | -0.000 |
| -0.000 | 0.000 | -0.000 | 0.000 | -0.000 | -0.000 |
| -0.000 | -0.000 | 0.000 | 0.000 | -0.000 | -0.000 |
| -0.000 | -0.000 | -0.000 | -0.000 | -0.000 | -0.000 |
| -0.000 | -0.000 | -0.000 | -0.000 | -0.000 | -0.000 |
| -0.000 | -0.000 | -0.000 | -0.000 | -0.000 | 0.000 |
| -0.000 | 0.000 | 0.000 | -0.000 | -0.000 | 0.000 |
| 0.000 | -0.000 | 0.000 | -0.000 | -0.000 | -0.000 |
| 0.000 | 0.000 | -0.000 | -0.000 | -0.000 | -0.000 |
| -0.000 | -0.000 | -0.000 | -0.000 | 0.000 | 0.000 |
| -0.000 | -0.000 | -0.000 | 0.000 | 0.000 | 0.000 |
| -0.000 | -0.000 | -0.000 | 0.000 | 0.000 | 0.000 |
| 0.000 | -0.000 | -0.000 | -0.000 | 0.000 | 0.000 |
| -0.000 | 0.000 | -0.000 | 0.000 | -0.000 | -0.000 |
| -0.000 | -0.000 | 0.000 | -0.000 | -0.000 | -0.000 |
| -0.000 | -0.000 | -0.000 | -0.000 | -0.000 | -0.000 |
| -0.000 | -0.000 | -0.000 | -0.000 | -0.000 | -0.000 |
| -0.000 | -0.000 | -0.000 | 0.000 | 0.000 | 0.000 |
| -0.000 | 0.000 | 0.000 | -0.000 | -0.000 | -0.000 |
| 0.000 | -0.000 | 0.000 | 0.000 | -0.000 | -0.000 |
| 0.000 | 0.000 | -0.000 | 0.000 | -0.000 | -0.000 |
| -0.000 | -0.000 | -0.000 | 0.000 | 0.000 | 0.000 |
| -0.000 | -0.000 | -0.000 | 0.000 | 0.000 | -0.000 |
| -0.000 | -0.000 | -0.000 | -0.000 | 0.000 | 0.000 |
| 0.000 | -0.000 | -0.000 | -0.000 | -0.000 | -0.000 |
| -0.000 | 0.000 | -0.000 | -0.000 | -0.000 | -0.000 |
| -0.000 | -0.000 | 0.000 | 0.000 | -0.000 | -0.000 |
| -0.000 | -0.000 | -0.000 | -0.000 | -0.000 | -0.000 |
| -0.000 | -0.000 | -0.000 | -0.000 | -0.000 | -0.000 |
| -0.000 | -0.000 | -0.000 | -0.000 | -0.000 | 0.000 |
| -0.000 | 0.000 | 0.000 | -0.000 | -0.000 | 0.000 |
| 0.000 | -0.000 | 0.000 | -0.000 | -0.000 | 0.000 |
| 0.000 | 0.000 | -0.000 | -0.000 | 0.000 | -0.000 |
| -0.000 | -0.000 | -0.000 | -0.000 | 0.000 | 0.000 |
| -0.000 | -0.000 | -0.000 | 0.000 | 0.000 | -0.000 |
| -0.000 | -0.000 | -0.000 | -0.000 | -0.000 | 0.000 |
| -0.000 | -0.000 | -0.000 | -0.000 | 0.000 | -0.000 |
| -0.000 | -0.000 | -0.000 | -0.000 | -0.000 | -0.000 |
| -0.000 | -0.000 | -0.000 | -0.000 | -0.000 | -0.000 |
| -0.000 | -0.000 | -0.000 | 0.000 | 0.000 | 0.000 |
| -0.000 | -0.000 | -0.000 | 0.000 | -0.000 | -0.000 |
| -0.000 | -0.000 | -0.000 | -0.000 | 0.000 | -0.000 |
| 0.000 | 0.000 | 0.000 | -0.000 | -0.000 | 0.000 |
| 0.000 | 0.000 | 0.000 | 0.000 | -0.000 | 0.000 |
| 0.000 | 0.000 | 0.000 | 0.000 | 0.000 | -0.000 |
| -0.000 | -0.000 | -0.000 | -0.000 | 0.000 | 0.000 |
| -0.000 | -0.000 | -0.000 | 0.000 | 0.000 | 0.000 |
| -0.000 | -0.000 | -0.000 | -0.000 | 0.000 | -0.000 |
| 0.000 | -0.000 | -0.000 | -0.000 | -0.000 | -0.000 |
| -0.000 | 0.000 | -0.000 | -0.000 | -0.000 | -0.000 |
| -0.000 | -0.000 | 0.000 | 0.000 | -0.000 | -0.000 |
| -0.000 | -0.000 | -0.000 | 0.000 | -0.000 | -0.000 |
| -0.000 | -0.000 | -0.000 | -0.000 | -0.000 | 0.000 |
| -0.000 | -0.000 | -0.000 | 0.000 | -0.000 | 0.000 |
| -0.000 | 0.000 | 0.000 | -0.000 | -0.000 | 0.000 |
| 0.000 | -0.000 | 0.000 | -0.000 | -0.000 | 0.000 |
| 0.000 | 0.000 | -0.000 | -0.000 | 0.000 | -0.000 |
| -0.000 | -0.000 | -0.000 | 0.000 | 0.000 | 0.000 |
| -0.000 | -0.000 | -0.000 | 0.000 | 0.000 | -0.000 |
| -0.000 | -0.000 | -0.000 | -0.000 | -0.000 | 0.000 |
| 0.000 | -0.000 | -0.000 | -0.000 | 0.000 | -0.000 |
| -0.000 | 0.000 | -0.000 | 0.000 | -0.000 | 0.000 |
| -0.000 | -0.000 | 0.000 | 0.000 | 0.000 | -0.000 |
| -0.000 | -0.000 | -0.000 | 0.000 | -0.000 | -0.000 |
| -0.000 | -0.000 | -0.000 | -0.000 | -0.000 | 0.000 |
| -0.000 | -0.000 | -0.000 | -0.000 | 0.000 | -0.000 |
| -0.000 | 0.000 | 0.000 | -0.000 | 0.000 | 0.000 |
| 0.000 | -0.000 | 0.000 | 0.000 | -0.000 | 0.000 |
| 0.000 | 0.000 | -0.000 | -0.000 | 0.000 | -0.000 |
| 287.815 | 78.696 | 78.696 | 0.000 | 0.000 | 0.000 |
| 78.696 | 287.815 | 78.696 | 0.000 | -0.000 | 0.000 |
| 78.696 | 78.696 | 287.815 | -0.000 | -0.000 | 0.000 |
| 0.000 | -0.000 | 0.000 | 27.611 | -0.000 | 0.000 |
| -0.000 | 0.000 | 0.000 | 0.000 | 27.611 | 0.000 |
| -0.000 | -0.000 | 0.000 | 0.000 | 0.000 | 27.611 |
| 289.215 | 77.997 | 77.997 | -0.000 | -0.000 | -0.000 |
| 77.997 | 289.215 | 77.997 | -0.000 | 0.000 | -0.000 |
| 77.997 | 77.997 | 289.215 | 0.000 | 0.000 | -0.000 |
| 0.000 | 0.000 | -0.000 | 27.611 | 0.000 | -0.000 |
| 0.000 | -0.000 | -0.000 | 0.000 | 27.611 | -0.000 |
| 0.000 | 0.000 | -0.000 | 0.000 | -0.000 | 27.611 |
| 287.816 | 78.696 | 78.696 | -0.000 | 0.000 | 0.000 |
| 78.696 | 287.816 | 78.696 | -0.000 | 0.000 | 0.000 |
| 78.696 | 78.696 | 287.816 | -0.000 | -0.000 | 0.000 |
| 0.000 | 0.000 | -0.000 | 12.076 | -0.000 | -0.000 |
| 0.000 | 0.000 | -0.000 | -0.000 | 12.076 | 0.000 |
| 0.000 | -0.000 | 0.000 | -0.000 | 0.000 | 12.076 |
| 287.815 | 78.696 | 78.696 | 0.000 | 0.000 | -0.000 |
| 78.696 | 287.815 | 78.696 | 0.000 | -0.000 | -0.000 |
| 78.696 | 78.696 | 287.815 | 0.000 | 0.000 | -0.000 |
| -0.000 | -0.000 | 0.000 | 12.076 | 0.000 | -0.000 |
| -0.000 | -0.000 | 0.000 | 0.000 | 12.076 | -0.000 |
| -0.000 | 0.000 | -0.000 | 0.000 | -0.000 | 12.076 |
| 289.216 | 77.997 | 77.997 | 0.000 | 0.000 | 0.000 |
| 77.997 | 289.216 | 77.997 | 0.000 | -0.000 | 0.000 |
| 77.997 | 77.997 | 289.216 | -0.000 | 0.000 | 0.000 |
| 0.000 | 0.000 | -0.000 | 12.076 | -0.000 | 0.000 |
| 0.000 | 0.000 | -0.000 | -0.000 | 12.076 | 0.000 |
| 0.000 | -0.000 | 0.000 | -0.000 | -0.000 | 12.076 |
| 287.814 | 78.696 | 78.696 | 0.000 | 0.000 | -0.000 |
| 78.696 | 287.814 | 78.696 | 0.000 | 0.000 | 0.000 |
| 78.696 | 78.696 | 287.814 | 0.000 | 0.000 | -0.000 |
| -0.000 | -0.000 | 0.000 | 12.076 | 0.000 | -0.000 |
| -0.000 | -0.000 | 0.000 | 0.000 | 12.076 | -0.000 |
| -0.000 | 0.000 | -0.000 | 0.000 | -0.000 | 12.076 |
| 0.000 | -0.000 | -0.000 | 0.000 | -0.000 | 0.000 |
| -0.000 | 0.000 | -0.000 | 0.000 | -0.000 | 0.000 |
| -0.000 | -0.000 | 0.000 | -0.000 | 0.000 | 0.000 |
| 0.000 | -0.000 | -0.000 | 0.000 | -0.000 | -0.000 |
| -0.000 | 0.000 | -0.000 | -0.000 | 0.000 | 0.000 |
| -0.000 | -0.000 | 0.000 | 0.000 | -0.000 | 0.000 |
| 0.000 | -0.000 | -0.000 | -0.000 | 0.000 | -0.000 |
| -0.000 | 0.000 | -0.000 | -0.000 | 0.000 | -0.000 |
| -0.000 | -0.000 | 0.000 | -0.000 | 0.000 | -0.000 |
| -0.000 | 0.000 | 0.000 | 0.000 | 0.000 | 0.000 |
| 0.000 | -0.000 | 0.000 | 0.000 | 0.000 | -0.000 |
| 0.000 | 0.000 | -0.000 | -0.000 | 0.000 | 0.000 |
| 0.000 | -0.000 | -0.000 | 0.000 | -0.000 | 0.000 |
| -0.000 | 0.000 | -0.000 | 0.000 | -0.000 | -0.000 |
| -0.000 | -0.000 | 0.000 | -0.000 | 0.000 | 0.000 |
| 0.000 | -0.000 | -0.000 | 0.000 | 0.000 | -0.000 |
| -0.000 | 0.000 | -0.000 | 0.000 | 0.000 | 0.000 |
| -0.000 | -0.000 | 0.000 | 0.000 | -0.000 | 0.000 |
| 0.000 | -0.000 | -0.000 | -0.000 | 0.000 | -0.000 |
| -0.000 | 0.000 | -0.000 | -0.000 | 0.000 | -0.000 |
| -0.000 | -0.000 | 0.000 | -0.000 | -0.000 | -0.000 |
| -0.000 | 0.000 | 0.000 | 0.000 | -0.000 | -0.000 |
| 0.000 | -0.000 | 0.000 | -0.000 | 0.000 | -0.000 |
| 0.000 | 0.000 | -0.000 | -0.000 | 0.000 | 0.000 |
| 0.000 | -0.000 | -0.000 | 0.000 | -0.000 | 0.000 |
| -0.000 | 0.000 | -0.000 | 0.000 | -0.000 | 0.000 |
| -0.000 | -0.000 | 0.000 | 0.000 | -0.000 | 0.000 |
| 0.000 | -0.000 | -0.000 | 0.000 | -0.000 | 0.000 |
| -0.000 | 0.000 | -0.000 | -0.000 | 0.000 | 0.000 |
| -0.000 | -0.000 | 0.000 | 0.000 | -0.000 | 0.000 |
| 0.000 | -0.000 | -0.000 | -0.000 | 0.000 | -0.000 |
| -0.000 | 0.000 | -0.000 | -0.000 | 0.000 | -0.000 |
| -0.000 | -0.000 | 0.000 | -0.000 | 0.000 | -0.000 |
| -0.000 | 0.000 | 0.000 | 0.000 | 0.000 | -0.000 |
| 0.000 | -0.000 | 0.000 | 0.000 | 0.000 | -0.000 |
| 0.000 | 0.000 | -0.000 | -0.000 | 0.000 | 0.000 |
| -0.000 | -0.000 | -0.000 | -0.000 | -0.000 | 0.000 |
| -0.000 | -0.000 | -0.000 | 0.000 | 0.000 | 0.000 |
| -0.000 | -0.000 | -0.000 | 0.000 | -0.000 | -0.000 |
| 0.000 | -0.000 | 0.000 | 0.000 | 0.000 | 0.000 |
| -0.000 | 0.000 | 0.000 | 0.000 | 0.000 | 0.000 |
| -0.000 | 0.000 | 0.000 | 0.000 | 0.000 | 0.000 |
| -0.000 | -0.000 | -0.000 | -0.000 | 0.000 | 0.000 |
| -0.000 | -0.000 | -0.000 | 0.000 | 0.000 | -0.000 |
| -0.000 | -0.000 | -0.000 | -0.000 | 0.000 | -0.000 |
| -0.000 | 0.000 | -0.000 | 0.000 | -0.000 | -0.000 |
| 0.000 | -0.000 | -0.000 | -0.000 | 0.000 | 0.000 |
| 0.000 | -0.000 | -0.000 | -0.000 | 0.000 | 0.000 |
| -0.000 | -0.000 | -0.000 | -0.000 | -0.000 | 0.000 |
| -0.000 | -0.000 | -0.000 | 0.000 | 0.000 | -0.000 |
| -0.000 | -0.000 | -0.000 | -0.000 | 0.000 | -0.000 |
| 0.000 | -0.000 | 0.000 | 0.000 | -0.000 | 0.000 |
| -0.000 | 0.000 | 0.000 | 0.000 | 0.000 | -0.000 |
| -0.000 | 0.000 | 0.000 | 0.000 | -0.000 | 0.000 |
| -0.000 | -0.000 | -0.000 | -0.000 | 0.000 | -0.000 |
| -0.000 | -0.000 | -0.000 | 0.000 | 0.000 | 0.000 |
| -0.000 | -0.000 | -0.000 | 0.000 | -0.000 | -0.000 |
| -0.000 | 0.000 | -0.000 | 0.000 | 0.000 | -0.000 |
| 0.000 | -0.000 | -0.000 | -0.000 | 0.000 | 0.000 |
| 0.000 | -0.000 | -0.000 | -0.000 | 0.000 | 0.000 |
| -0.000 | -0.000 | -0.000 | -0.000 | -0.000 | -0.000 |
| -0.000 | -0.000 | -0.000 | -0.000 | 0.000 | 0.000 |
| -0.000 | -0.000 | -0.000 | 0.000 | -0.000 | -0.000 |
| 0.000 | -0.000 | 0.000 | 0.000 | -0.000 | 0.000 |
| -0.000 | 0.000 | 0.000 | 0.000 | 0.000 | 0.000 |
| -0.000 | 0.000 | 0.000 | 0.000 | -0.000 | 0.000 |
| -0.000 | -0.000 | -0.000 | -0.000 | 0.000 | -0.000 |
| -0.000 | -0.000 | -0.000 | -0.000 | 0.000 | -0.000 |
| -0.000 | -0.000 | -0.000 | -0.000 | -0.000 | -0.000 |
| -0.000 | 0.000 | -0.000 | 0.000 | 0.000 | -0.000 |
| 0.000 | -0.000 | -0.000 | -0.000 | 0.000 | 0.000 |
| 0.000 | -0.000 | -0.000 | -0.000 | 0.000 | 0.000 |
| -0.000 | -0.000 | -0.000 | -0.000 | 0.000 | 0.000 |
| -0.000 | -0.000 | -0.000 | 0.000 | 0.000 | -0.000 |
| -0.000 | -0.000 | -0.000 | 0.000 | -0.000 | -0.000 |
| 0.000 | 0.000 | 0.000 | 0.000 | 0.000 | 0.000 |
| 0.000 | 0.000 | 0.000 | -0.000 | 0.000 | 0.000 |
| 0.000 | 0.000 | 0.000 | 0.000 | -0.000 | 0.000 |
| -0.000 | -0.000 | -0.000 | -0.000 | 0.000 | -0.000 |
| -0.000 | -0.000 | -0.000 | -0.000 | 0.000 | 0.000 |
| -0.000 | -0.000 | -0.000 | 0.000 | -0.000 | -0.000 |
| -0.000 | -0.000 | -0.000 | 0.000 | -0.000 | -0.000 |
| -0.000 | -0.000 | -0.000 | 0.000 | 0.000 | -0.000 |
| -0.000 | -0.000 | -0.000 | -0.000 | 0.000 | 0.000 |
| -0.000 | -0.000 | -0.000 | -0.000 | -0.000 | 0.000 |
| -0.000 | -0.000 | -0.000 | 0.000 | 0.000 | -0.000 |
| -0.000 | -0.000 | -0.000 | -0.000 | -0.000 | -0.000 |
| 0.000 | 0.000 | 0.000 | 0.000 | -0.000 | 0.000 |
| 0.000 | 0.000 | 0.000 | 0.000 | 0.000 | 0.000 |
| 0.000 | 0.000 | 0.000 | 0.000 | -0.000 | 0.000 |
| -0.000 | -0.000 | -0.000 | -0.000 | 0.000 | -0.000 |
| -0.000 | -0.000 | -0.000 | -0.000 | 0.000 | 0.000 |
| -0.000 | -0.000 | -0.000 | -0.000 | -0.000 | -0.000 |
| -0.000 | -0.000 | -0.000 | 0.000 | 0.000 | -0.000 |
| -0.000 | -0.000 | -0.000 | -0.000 | 0.000 | -0.000 |
| -0.000 | -0.000 | -0.000 | -0.000 | 0.000 | 0.000 |
| -0.000 | -0.000 | -0.000 | -0.000 | -0.000 | -0.000 |
| -0.000 | -0.000 | -0.000 | -0.000 | 0.000 | 0.000 |
| -0.000 | -0.000 | -0.000 | 0.000 | 0.000 | -0.000 |
| 0.000 | 0.000 | 0.000 | -0.000 | 0.000 | 0.000 |
| 0.000 | 0.000 | 0.000 | -0.000 | -0.000 | 0.000 |
| 0.000 | 0.000 | 0.000 | 0.000 | -0.000 | -0.000 |
| -0.000 | -0.000 | -0.000 | -0.000 | 0.000 | -0.000 |
| -0.000 | -0.000 | -0.000 | -0.000 | 0.000 | -0.000 |
| -0.000 | -0.000 | -0.000 | -0.000 | 0.000 | -0.000 |
| -0.000 | -0.000 | -0.000 | -0.000 | -0.000 | -0.000 |
| -0.000 | -0.000 | -0.000 | 0.000 | -0.000 | -0.000 |
| -0.000 | -0.000 | -0.000 | -0.000 | 0.000 | -0.000 |
| -0.000 | -0.000 | -0.000 | -0.000 | 0.000 | 0.000 |
| -0.000 | -0.000 | -0.000 | 0.000 | 0.000 | -0.000 |
| -0.000 | -0.000 | -0.000 | -0.000 | -0.000 | -0.000 |
| 0.000 | 0.000 | 0.000 | 0.000 | 0.000 | -0.000 |
| 0.000 | 0.000 | 0.000 | 0.000 | 0.000 | 0.000 |
| 0.000 | 0.000 | 0.000 | 0.000 | 0.000 | 0.000 |
| -0.000 | -0.000 | -0.000 | -0.000 | -0.000 | 0.000 |
| -0.000 | -0.000 | -0.000 | -0.000 | 0.000 | 0.000 |
| -0.000 | -0.000 | -0.000 | 0.000 | -0.000 | -0.000 |
| -0.000 | -0.000 | -0.000 | 0.000 | -0.000 | -0.000 |
| -0.000 | -0.000 | -0.000 | -0.000 | 0.000 | -0.000 |
| -0.000 | -0.000 | -0.000 | -0.000 | -0.000 | 0.000 |
| -0.000 | -0.000 | -0.000 | -0.000 | 0.000 | 0.000 |
| -0.000 | -0.000 | -0.000 | 0.000 | 0.000 | -0.000 |
| -0.000 | -0.000 | -0.000 | -0.000 | -0.000 | -0.000 |
| 0.000 | 0.000 | 0.000 | 0.000 | 0.000 | 0.000 |
| 0.000 | 0.000 | 0.000 | -0.000 | 0.000 | -0.000 |
| 0.000 | 0.000 | 0.000 | 0.000 | 0.000 | 0.000 |
| -0.000 | -0.000 | -0.000 | -0.000 | -0.000 | 0.000 |
| -0.000 | -0.000 | -0.000 | 0.000 | 0.000 | -0.000 |
| -0.000 | -0.000 | -0.000 | 0.000 | -0.000 | -0.000 |
| -0.000 | -0.000 | -0.000 | 0.000 | -0.000 | 0.000 |
| -0.000 | -0.000 | -0.000 | 0.000 | 0.000 | 0.000 |
| -0.000 | -0.000 | -0.000 | -0.000 | -0.000 | 0.000 |
| -0.000 | -0.000 | -0.000 | -0.000 | -0.000 | -0.000 |
| -0.000 | -0.000 | -0.000 | 0.000 | 0.000 | 0.000 |
| -0.000 | -0.000 | -0.000 | 0.000 | 0.000 | -0.000 |
| 0.000 | -0.000 | 0.000 | 0.000 | -0.000 | -0.000 |
| -0.000 | 0.000 | 0.000 | 0.000 | 0.000 | -0.000 |
| -0.000 | 0.000 | 0.000 | 0.000 | -0.000 | 0.000 |
| -0.000 | -0.000 | -0.000 | -0.000 | -0.000 | -0.000 |
| -0.000 | -0.000 | -0.000 | 0.000 | 0.000 | 0.000 |
| -0.000 | -0.000 | -0.000 | 0.000 | -0.000 | -0.000 |
| -0.000 | 0.000 | -0.000 | 0.000 | 0.000 | 0.000 |
| 0.000 | -0.000 | -0.000 | -0.000 | 0.000 | -0.000 |
| 0.000 | -0.000 | -0.000 | -0.000 | -0.000 | 0.000 |
| -0.000 | -0.000 | -0.000 | 0.000 | 0.000 | 0.000 |
| -0.000 | -0.000 | -0.000 | 0.000 | 0.000 | 0.000 |
| -0.000 | -0.000 | -0.000 | -0.000 | 0.000 | -0.000 |
| 0.000 | -0.000 | 0.000 | 0.000 | 0.000 | -0.000 |
| -0.000 | 0.000 | 0.000 | 0.000 | 0.000 | -0.000 |
| -0.000 | 0.000 | 0.000 | 0.000 | 0.000 | 0.000 |
| -0.000 | -0.000 | -0.000 | 0.000 | -0.000 | 0.000 |
| -0.000 | -0.000 | -0.000 | 0.000 | -0.000 | 0.000 |
| -0.000 | -0.000 | -0.000 | 0.000 | -0.000 | -0.000 |
| -0.000 | -0.000 | -0.000 | 0.000 | -0.000 | -0.000 |
| 0.000 | -0.000 | -0.000 | -0.000 | 0.000 | 0.000 |
| -0.000 | -0.000 | -0.000 | -0.000 | 0.000 | 0.000 |
| -0.000 | -0.000 | -0.000 | 0.000 | -0.000 | 0.000 |
| -0.000 | -0.000 | -0.000 | -0.000 | 0.000 | -0.000 |
| -0.000 | -0.000 | -0.000 | -0.000 | -0.000 | -0.000 |
| 0.000 | -0.000 | 0.000 | 0.000 | 0.000 | 0.000 |
| -0.000 | 0.000 | 0.000 | -0.000 | 0.000 | -0.000 |
| -0.000 | 0.000 | 0.000 | 0.000 | 0.000 | 0.000 |
| -0.000 | -0.000 | -0.000 | 0.000 | 0.000 | 0.000 |
| -0.000 | -0.000 | -0.000 | 0.000 | -0.000 | -0.000 |
| -0.000 | -0.000 | -0.000 | -0.000 | 0.000 | -0.000 |
| -0.000 | 0.000 | -0.000 | 0.000 | -0.000 | -0.000 |
| 0.000 | -0.000 | -0.000 | 0.000 | 0.000 | 0.000 |
| 0.000 | -0.000 | -0.000 | -0.000 | 0.000 | 0.000 |
| -0.000 | -0.000 | -0.000 | 0.000 | 0.000 | 0.000 |
| -0.000 | -0.000 | -0.000 | -0.000 | 0.000 | -0.000 |
| -0.000 | -0.000 | -0.000 | -0.000 | -0.000 | -0.000 |
| 0.000 | -0.000 | 0.000 | 0.000 | 0.000 | 0.000 |
| -0.000 | 0.000 | 0.000 | -0.000 | 0.000 | -0.000 |
| -0.000 | 0.000 | 0.000 | 0.000 | 0.000 | 0.000 |
| -0.000 | -0.000 | -0.000 | 0.000 | 0.000 | 0.000 |
| -0.000 | -0.000 | -0.000 | 0.000 | -0.000 | -0.000 |
| -0.000 | -0.000 | -0.000 | -0.000 | -0.000 | -0.000 |
| -0.000 | 0.000 | -0.000 | 0.000 | -0.000 | 0.000 |
| 0.000 | -0.000 | -0.000 | 0.000 | 0.000 | -0.000 |
| 0.000 | -0.000 | -0.000 | -0.000 | 0.000 | 0.000 |
| -0.000 | -0.000 | -0.000 | 0.000 | 0.000 | 0.000 |
| -0.000 | -0.000 | -0.000 | -0.000 | 0.000 | -0.000 |
| -0.000 | -0.000 | -0.000 | -0.000 | -0.000 | 0.000 |
| 0.000 | -0.000 | 0.000 | 0.000 | 0.000 | -0.000 |
| -0.000 | 0.000 | 0.000 | 0.000 | 0.000 | -0.000 |
| -0.000 | 0.000 | 0.000 | 0.000 | -0.000 | 0.000 |
| -0.000 | -0.000 | -0.000 | 0.000 | 0.000 | 0.000 |
| -0.000 | -0.000 | -0.000 | 0.000 | 0.000 | -0.000 |
| -0.000 | -0.000 | -0.000 | -0.000 | 0.000 | 0.000 |
| -0.000 | 0.000 | -0.000 | 0.000 | -0.000 | 0.000 |
| 0.000 | -0.000 | -0.000 | -0.000 | 0.000 | 0.000 |
| 0.000 | -0.000 | -0.000 | -0.000 | -0.000 | 0.000 |
| -0.000 | -0.000 | -0.000 | 0.000 | -0.000 | -0.000 |
| -0.000 | -0.000 | -0.000 | -0.000 | 0.000 | 0.000 |
| -0.000 | -0.000 | -0.000 | 0.000 | -0.000 | 0.000 |
| 0.000 | -0.000 | 0.000 | 0.000 | 0.000 | -0.000 |
| -0.000 | 0.000 | 0.000 | -0.000 | 0.000 | -0.000 |
| -0.000 | 0.000 | 0.000 | 0.000 | -0.000 | 0.000 |
| -0.000 | -0.000 | -0.000 | 0.000 | 0.000 | 0.000 |
| -0.000 | -0.000 | -0.000 | 0.000 | 0.000 | 0.000 |
| -0.000 | -0.000 | -0.000 | 0.000 | -0.000 | 0.000 |
| -0.000 | 0.000 | -0.000 | 0.000 | -0.000 | 0.000 |
| 0.000 | -0.000 | -0.000 | 0.000 | 0.000 | -0.000 |
| 0.000 | -0.000 | -0.000 | -0.000 | 0.000 | 0.000 |
| -0.000 | -0.000 | -0.000 | 0.000 | -0.000 | -0.000 |
| -0.000 | -0.000 | -0.000 | -0.000 | 0.000 | -0.000 |
| -0.000 | -0.000 | -0.000 | -0.000 | 0.000 | 0.000 |
| 0.000 | -0.000 | 0.000 | 0.000 | 0.000 | -0.000 |
| -0.000 | 0.000 | 0.000 | -0.000 | 0.000 | -0.000 |
| -0.000 | 0.000 | 0.000 | 0.000 | -0.000 | 0.000 |
| -0.000 | -0.000 | -0.000 | 0.000 | 0.000 | 0.000 |
| -0.000 | -0.000 | -0.000 | 0.000 | 0.000 | 0.000 |
| -0.000 | -0.000 | -0.000 | 0.000 | 0.000 | 0.000 |
| -0.000 | 0.000 | -0.000 | 0.000 | -0.000 | 0.000 |
| 0.000 | -0.000 | -0.000 | 0.000 | 0.000 | -0.000 |
| 0.000 | -0.000 | -0.000 | -0.000 | -0.000 | 0.000 |
| -0.000 | -0.000 | -0.000 | -0.000 | -0.000 | 0.000 |
| -0.000 | -0.000 | -0.000 | 0.000 | 0.000 | 0.000 |
| -0.000 | -0.000 | -0.000 | -0.000 | -0.000 | -0.000 |
| 0.000 | -0.000 | 0.000 | 0.000 | 0.000 | 0.000 |
| -0.000 | 0.000 | 0.000 | 0.000 | 0.000 | 0.000 |
| -0.000 | 0.000 | 0.000 | 0.000 | -0.000 | 0.000 |
| -0.000 | -0.000 | -0.000 | -0.000 | 0.000 | -0.000 |
| -0.000 | -0.000 | -0.000 | -0.000 | 0.000 | 0.000 |
| -0.000 | -0.000 | -0.000 | 0.000 | 0.000 | -0.000 |
| -0.000 | -0.000 | -0.000 | 0.000 | -0.000 | 0.000 |
| 0.000 | -0.000 | -0.000 | -0.000 | 0.000 | -0.000 |
| -0.000 | -0.000 | -0.000 | -0.000 | 0.000 | 0.000 |
| -0.000 | -0.000 | -0.000 | -0.000 | 0.000 | 0.000 |
| -0.000 | -0.000 | -0.000 | 0.000 | 0.000 | -0.000 |
| -0.000 | -0.000 | -0.000 | -0.000 | -0.000 | -0.000 |
| 0.000 | -0.000 | 0.000 | 0.000 | -0.000 | 0.000 |
| -0.000 | 0.000 | 0.000 | 0.000 | 0.000 | 0.000 |
| -0.000 | 0.000 | 0.000 | 0.000 | -0.000 | 0.000 |
| -0.000 | -0.000 | -0.000 | -0.000 | 0.000 | 0.000 |
| -0.000 | -0.000 | -0.000 | -0.000 | 0.000 | -0.000 |
| -0.000 | -0.000 | -0.000 | -0.000 | -0.000 | -0.000 |
| -0.000 | 0.000 | -0.000 | 0.000 | 0.000 | -0.000 |
| 0.000 | -0.000 | -0.000 | -0.000 | 0.000 | -0.000 |
| 0.000 | -0.000 | -0.000 | -0.000 | 0.000 | 0.000 |
| -0.000 | -0.000 | -0.000 | -0.000 | -0.000 | 0.000 |
| -0.000 | -0.000 | -0.000 | 0.000 | 0.000 | 0.000 |
| -0.000 | -0.000 | -0.000 | 0.000 | 0.000 | -0.000 |
| 0.000 | -0.000 | 0.000 | 0.000 | 0.000 | 0.000 |
| -0.000 | 0.000 | 0.000 | 0.000 | 0.000 | 0.000 |
| -0.000 | 0.000 | 0.000 | 0.000 | -0.000 | 0.000 |
| -0.000 | -0.000 | -0.000 | -0.000 | 0.000 | -0.000 |
| -0.000 | -0.000 | -0.000 | -0.000 | 0.000 | 0.000 |
| -0.000 | -0.000 | -0.000 | 0.000 | 0.000 | -0.000 |
| -0.000 | -0.000 | -0.000 | 0.000 | -0.000 | 0.000 |
| 0.000 | -0.000 | -0.000 | -0.000 | 0.000 | -0.000 |
| -0.000 | -0.000 | -0.000 | -0.000 | -0.000 | 0.000 |
| 120.973 | 134.991 | 134.991 | -0.000 | -0.000 | -0.000 |
| 134.991 | 120.973 | 134.991 | -0.000 | 0.000 | -0.000 |
| 134.991 | 134.991 | 120.973 | -0.000 | 0.000 | -0.000 |
| 0.000 | 0.000 | -0.000 | 87.711 | 0.000 | 0.000 |
| 0.000 | 0.000 | -0.000 | -0.000 | 87.711 | 0.000 |
| 0.000 | 0.000 | -0.000 | -0.000 | 0.000 | 87.711 |
| 120.973 | 134.991 | 134.991 | 0.000 | 0.000 | 0.000 |
| 134.991 | 120.973 | 134.991 | 0.000 | 0.000 | 0.000 |
| 134.991 | 134.991 | 120.973 | 0.000 | -0.000 | -0.000 |
| -0.000 | -0.000 | 0.000 | 87.711 | -0.000 | -0.000 |
| -0.000 | -0.000 | 0.000 | 0.000 | 87.711 | -0.000 |
| -0.000 | -0.000 | 0.000 | 0.000 | -0.000 | 87.711 |
| 120.973 | 134.991 | 134.991 | -0.000 | -0.000 | 0.000 |
| 134.991 | 120.973 | 134.991 | -0.000 | 0.000 | -0.000 |
| 134.991 | 134.991 | 120.973 | -0.000 | -0.000 | 0.000 |
| 0.000 | 0.000 | 0.000 | 87.711 | 0.000 | 0.000 |
| 0.000 | 0.000 | 0.000 | -0.000 | 87.711 | -0.000 |
| 0.000 | 0.000 | 0.000 | -0.000 | 0.000 | 87.711 |
| 120.973 | 134.991 | 134.991 | 0.000 | 0.000 | -0.000 |
| 134.991 | 120.973 | 134.991 | 0.000 | -0.000 | -0.000 |
| 134.991 | 134.991 | 120.973 | 0.000 | -0.000 | -0.000 |
| -0.000 | -0.000 | -0.000 | 87.711 | -0.000 | 0.000 |
| -0.000 | -0.000 | -0.000 | 0.000 | 87.711 | 0.000 |
| -0.000 | -0.000 | -0.000 | 0.000 | 0.000 | 87.711 |
| 120.974 | 134.992 | 134.992 | -0.000 | -0.000 | 0.000 |
| 134.992 | 120.974 | 134.992 | -0.000 | 0.000 | 0.000 |
| 134.992 | 134.992 | 120.974 | -0.000 | 0.000 | 0.000 |
| 0.000 | 0.000 | 0.000 | 87.711 | 0.000 | 0.000 |
| 0.000 | 0.000 | 0.000 | -0.000 | 87.711 | -0.000 |
| 0.000 | 0.000 | 0.000 | -0.000 | 0.000 | 87.711 |
| 120.973 | 134.991 | 134.991 | 0.000 | -0.000 | 0.000 |
| 134.991 | 120.973 | 134.991 | 0.000 | -0.000 | 0.000 |
| 134.991 | 134.991 | 120.973 | 0.000 | 0.000 | 0.000 |
| -0.000 | -0.000 | -0.000 | 87.711 | -0.000 | -0.000 |
| -0.000 | -0.000 | -0.000 | 0.000 | 87.711 | -0.000 |
| -0.000 | -0.000 | -0.000 | 0.000 | -0.000 | 87.711 |
| 0.000 | 0.000 | 0.000 | -0.000 | 0.000 | 0.000 |
| 0.000 | 0.000 | 0.000 | 0.000 | -0.000 | 0.000 |
| 0.000 | 0.000 | 0.000 | -0.000 | -0.000 | -0.000 |
| 0.000 | 0.000 | 0.000 | 0.000 | 0.000 | 0.000 |
| 0.000 | 0.000 | 0.000 | 0.000 | 0.000 | 0.000 |
| 0.000 | 0.000 | 0.000 | 0.000 | 0.000 | 0.000 |
| 0.000 | 0.000 | 0.000 | -0.000 | -0.000 | -0.000 |
| 0.000 | 0.000 | 0.000 | -0.000 | -0.000 | -0.000 |
| 0.000 | 0.000 | 0.000 | -0.000 | -0.000 | -0.000 |
| -0.000 | -0.000 | -0.000 | 0.000 | -0.000 | 0.000 |
| -0.000 | -0.000 | -0.000 | -0.000 | 0.000 | 0.000 |
| -0.000 | -0.000 | -0.000 | 0.000 | 0.000 | 0.000 |
| 0.000 | 0.000 | 0.000 | 0.000 | 0.000 | 0.000 |
| 0.000 | 0.000 | 0.000 | 0.000 | 0.000 | 0.000 |
| 0.000 | 0.000 | 0.000 | -0.000 | -0.000 | 0.000 |
| 0.000 | 0.000 | 0.000 | 0.000 | 0.000 | 0.000 |
| 0.000 | 0.000 | 0.000 | 0.000 | 0.000 | 0.000 |
| 0.000 | 0.000 | 0.000 | -0.000 | 0.000 | 0.000 |
| 0.000 | 0.000 | 0.000 | -0.000 | -0.000 | 0.000 |
| 0.000 | 0.000 | 0.000 | -0.000 | -0.000 | 0.000 |
| 0.000 | 0.000 | 0.000 | -0.000 | -0.000 | -0.000 |
| -0.000 | -0.000 | -0.000 | 0.000 | -0.000 | 0.000 |
| -0.000 | -0.000 | -0.000 | -0.000 | 0.000 | 0.000 |
| -0.000 | -0.000 | -0.000 | -0.000 | -0.000 | 0.000 |
| 0.000 | 0.000 | 0.000 | -0.000 | 0.000 | 0.000 |
| 0.000 | 0.000 | 0.000 | 0.000 | -0.000 | 0.000 |
| 0.000 | 0.000 | 0.000 | 0.000 | 0.000 | -0.000 |
| 0.000 | 0.000 | 0.000 | 0.000 | 0.000 | 0.000 |
| 0.000 | 0.000 | 0.000 | 0.000 | 0.000 | 0.000 |
| 0.000 | 0.000 | 0.000 | -0.000 | -0.000 | 0.000 |
| 0.000 | 0.000 | 0.000 | 0.000 | 0.000 | 0.000 |
| 0.000 | 0.000 | 0.000 | 0.000 | 0.000 | 0.000 |
| 0.000 | 0.000 | 0.000 | -0.000 | -0.000 | 0.000 |
| -0.000 | -0.000 | -0.000 | 0.000 | -0.000 | -0.000 |
| -0.000 | -0.000 | -0.000 | -0.000 | 0.000 | -0.000 |
| -0.000 | -0.000 | -0.000 | -0.000 | -0.000 | 0.000 |
| 0.000 | 0.000 | 0.000 | -0.000 | -0.000 | 0.000 |
| 0.000 | 0.000 | 0.000 | -0.000 | -0.000 | 0.000 |
| 0.000 | 0.000 | 0.000 | -0.000 | -0.000 | 0.000 |
| 0.000 | 0.000 | 0.000 | 0.000 | -0.000 | 0.000 |
| 0.000 | 0.000 | 0.000 | -0.000 | 0.000 | 0.000 |
| 0.000 | 0.000 | 0.000 | 0.000 | 0.000 | 0.000 |
| 0.000 | 0.000 | 0.000 | 0.000 | -0.000 | -0.000 |
| 0.000 | 0.000 | 0.000 | -0.000 | 0.000 | -0.000 |
| 0.000 | 0.000 | 0.000 | 0.000 | 0.000 | 0.000 |
| -0.000 | -0.000 | -0.000 | 0.000 | 0.000 | -0.000 |
| -0.000 | -0.000 | -0.000 | 0.000 | 0.000 | -0.000 |
| -0.000 | -0.000 | -0.000 | 0.000 | 0.000 | 0.000 |
| 0.000 | 0.000 | 0.000 | 0.000 | 0.000 | 0.000 |
| 0.000 | 0.000 | 0.000 | 0.000 | 0.000 | 0.000 |
| 0.000 | 0.000 | 0.000 | -0.000 | -0.000 | 0.000 |
| 0.000 | 0.000 | 0.000 | 0.000 | -0.000 | -0.000 |
| 0.000 | 0.000 | 0.000 | 0.000 | 0.000 | -0.000 |
| 0.000 | 0.000 | 0.000 | 0.000 | 0.000 | 0.000 |
| 0.000 | 0.000 | 0.000 | 0.000 | 0.000 | 0.000 |
| 0.000 | 0.000 | 0.000 | 0.000 | 0.000 | 0.000 |
| 0.000 | 0.000 | 0.000 | 0.000 | 0.000 | 0.000 |
| -0.000 | -0.000 | -0.000 | 0.000 | 0.000 | -0.000 |
| -0.000 | -0.000 | -0.000 | 0.000 | 0.000 | -0.000 |
| -0.000 | -0.000 | -0.000 | 0.000 | 0.000 | 0.000 |
| 0.000 | 0.000 | 0.000 | -0.000 | -0.000 | 0.000 |
| 0.000 | 0.000 | 0.000 | -0.000 | -0.000 | 0.000 |
| 0.000 | 0.000 | 0.000 | -0.000 | -0.000 | 0.000 |
| 0.000 | 0.000 | 0.000 | 0.000 | 0.000 | -0.000 |
| 0.000 | 0.000 | 0.000 | 0.000 | 0.000 | -0.000 |
| 0.000 | 0.000 | 0.000 | 0.000 | 0.000 | 0.000 |
| 0.000 | 0.000 | 0.000 | -0.000 | 0.000 | -0.000 |
| 0.000 | 0.000 | 0.000 | -0.000 | -0.000 | -0.000 |
| 0.000 | 0.000 | 0.000 | 0.000 | 0.000 | -0.000 |
| -0.000 | -0.000 | -0.000 | 0.000 | 0.000 | -0.000 |
| -0.000 | -0.000 | -0.000 | 0.000 | 0.000 | -0.000 |
| -0.000 | -0.000 | -0.000 | 0.000 | 0.000 | 0.000 |
| -0.000 | -0.000 | -0.000 | -0.000 | 0.000 | -0.000 |
| -0.000 | -0.000 | -0.000 | 0.000 | -0.000 | -0.000 |
| -0.000 | -0.000 | -0.000 | -0.000 | -0.000 | -0.000 |
| 0.000 | 0.000 | 0.000 | -0.000 | -0.000 | -0.000 |
| 0.000 | 0.000 | 0.000 | -0.000 | -0.000 | -0.000 |
| 0.000 | 0.000 | 0.000 | 0.000 | 0.000 | -0.000 |
| -0.000 | -0.000 | -0.000 | 0.000 | 0.000 | -0.000 |
| -0.000 | -0.000 | -0.000 | 0.000 | -0.000 | -0.000 |
| -0.000 | -0.000 | -0.000 | 0.000 | 0.000 | 0.000 |
| -0.000 | -0.000 | -0.000 | -0.000 | -0.000 | 0.000 |
| -0.000 | -0.000 | -0.000 | -0.000 | -0.000 | 0.000 |
| -0.000 | -0.000 | -0.000 | -0.000 | 0.000 | -0.000 |
| -0.000 | -0.000 | -0.000 | -0.000 | -0.000 | -0.000 |
| -0.000 | -0.000 | -0.000 | -0.000 | -0.000 | -0.000 |
| -0.000 | -0.000 | -0.000 | -0.000 | -0.000 | -0.000 |
| 0.000 | 0.000 | 0.000 | -0.000 | -0.000 | -0.000 |
| 0.000 | 0.000 | 0.000 | -0.000 | -0.000 | -0.000 |
| 0.000 | 0.000 | 0.000 | -0.000 | -0.000 | -0.000 |
| -0.000 | -0.000 | -0.000 | -0.000 | -0.000 | -0.000 |
| -0.000 | -0.000 | -0.000 | -0.000 | -0.000 | -0.000 |
| -0.000 | -0.000 | -0.000 | -0.000 | 0.000 | 0.000 |
| -0.000 | -0.000 | -0.000 | -0.000 | 0.000 | -0.000 |
| -0.000 | -0.000 | -0.000 | 0.000 | -0.000 | -0.000 |
| -0.000 | -0.000 | -0.000 | 0.000 | -0.000 | -0.000 |
| -0.000 | -0.000 | -0.000 | -0.000 | -0.000 | -0.000 |
| -0.000 | -0.000 | -0.000 | -0.000 | -0.000 | -0.000 |
| -0.000 | -0.000 | -0.000 | -0.000 | -0.000 | -0.000 |
| 0.000 | 0.000 | 0.000 | -0.000 | -0.000 | -0.000 |
| 0.000 | 0.000 | 0.000 | -0.000 | -0.000 | -0.000 |
| 0.000 | 0.000 | 0.000 | -0.000 | 0.000 | -0.000 |
| -0.000 | -0.000 | -0.000 | 0.000 | 0.000 | 0.000 |
| -0.000 | -0.000 | -0.000 | 0.000 | 0.000 | 0.000 |
| -0.000 | -0.000 | -0.000 | 0.000 | 0.000 | 0.000 |
| -0.000 | -0.000 | -0.000 | -0.000 | 0.000 | 0.000 |
| -0.000 | -0.000 | -0.000 | 0.000 | -0.000 | 0.000 |
| -0.000 | -0.000 | -0.000 | 0.000 | 0.000 | -0.000 |
| -0.000 | -0.000 | -0.000 | 0.000 | 0.000 | 0.000 |
| -0.000 | -0.000 | -0.000 | 0.000 | 0.000 | 0.000 |
| -0.000 | -0.000 | -0.000 | 0.000 | 0.000 | 0.000 |
| -0.000 | -0.000 | -0.000 | -0.000 | -0.000 | 0.000 |
| -0.000 | -0.000 | -0.000 | -0.000 | -0.000 | 0.000 |
| -0.000 | -0.000 | -0.000 | 0.000 | -0.000 | -0.000 |
| -0.000 | -0.000 | -0.000 | -0.000 | 0.000 | -0.000 |
| -0.000 | -0.000 | -0.000 | 0.000 | -0.000 | -0.000 |
| -0.000 | -0.000 | -0.000 | -0.000 | -0.000 | -0.000 |
| 0.000 | 0.000 | 0.000 | -0.000 | 0.000 | -0.000 |
| 0.000 | 0.000 | 0.000 | 0.000 | -0.000 | -0.000 |
| 0.000 | 0.000 | 0.000 | 0.000 | -0.000 | -0.000 |
| -0.000 | -0.000 | -0.000 | -0.000 | 0.000 | 0.000 |
| -0.000 | -0.000 | -0.000 | 0.000 | -0.000 | 0.000 |
| -0.000 | -0.000 | -0.000 | 0.000 | 0.000 | 0.000 |
| -0.000 | -0.000 | -0.000 | -0.000 | 0.000 | 0.000 |
| -0.000 | -0.000 | -0.000 | 0.000 | -0.000 | 0.000 |
| -0.000 | -0.000 | -0.000 | -0.000 | -0.000 | -0.000 |
| -0.000 | -0.000 | -0.000 | 0.000 | -0.000 | -0.000 |
| -0.000 | -0.000 | -0.000 | -0.000 | 0.000 | -0.000 |
| -0.000 | -0.000 | -0.000 | 0.000 | 0.000 | -0.000 |
| 0.000 | 0.000 | 0.000 | -0.000 | -0.000 | -0.000 |
| 0.000 | 0.000 | 0.000 | -0.000 | -0.000 | -0.000 |
| 0.000 | 0.000 | 0.000 | -0.000 | -0.000 | -0.000 |
| -0.000 | -0.000 | -0.000 | -0.000 | 0.000 | 0.000 |
| -0.000 | -0.000 | -0.000 | 0.000 | -0.000 | 0.000 |
| -0.000 | -0.000 | -0.000 | 0.000 | 0.000 | 0.000 |
| 0.000 | 0.000 | 0.000 | -0.000 | 0.000 | 0.000 |
| 0.000 | 0.000 | 0.000 | 0.000 | -0.000 | 0.000 |
| 0.000 | 0.000 | 0.000 | 0.000 | -0.000 | -0.000 |
| -0.000 | -0.000 | -0.000 | -0.000 | -0.000 | -0.000 |
| -0.000 | -0.000 | -0.000 | -0.000 | -0.000 | -0.000 |
| -0.000 | -0.000 | -0.000 | -0.000 | -0.000 | -0.000 |
| -0.000 | -0.000 | -0.000 | -0.000 | -0.000 | -0.000 |
| -0.000 | -0.000 | -0.000 | -0.000 | -0.000 | -0.000 |
| -0.000 | -0.000 | -0.000 | -0.000 | -0.000 | -0.000 |
| -0.000 | -0.000 | -0.000 | 0.000 | 0.000 | 0.000 |
| -0.000 | -0.000 | -0.000 | 0.000 | 0.000 | 0.000 |
| -0.000 | -0.000 | -0.000 | 0.000 | 0.000 | 0.000 |
| 0.000 | 0.000 | 0.000 | -0.000 | 0.000 | 0.000 |
| 0.000 | 0.000 | 0.000 | 0.000 | -0.000 | 0.000 |
| 0.000 | 0.000 | 0.000 | 0.000 | 0.000 | -0.000 |
| -0.000 | -0.000 | -0.000 | -0.000 | -0.000 | 0.000 |
| -0.000 | -0.000 | -0.000 | -0.000 | -0.000 | 0.000 |
| -0.000 | -0.000 | -0.000 | -0.000 | -0.000 | -0.000 |
| -0.000 | -0.000 | -0.000 | -0.000 | -0.000 | -0.000 |
| -0.000 | -0.000 | -0.000 | -0.000 | -0.000 | -0.000 |
| -0.000 | -0.000 | -0.000 | 0.000 | 0.000 | -0.000 |
| -0.000 | -0.000 | -0.000 | 0.000 | 0.000 | 0.000 |
| -0.000 | -0.000 | -0.000 | 0.000 | 0.000 | 0.000 |
| -0.000 | -0.000 | -0.000 | 0.000 | 0.000 | 0.000 |
| -0.000 | -0.000 | -0.000 | -0.000 | 0.000 | 0.000 |
| -0.000 | -0.000 | -0.000 | 0.000 | -0.000 | 0.000 |
| -0.000 | -0.000 | -0.000 | 0.000 | -0.000 | -0.000 |
| -0.000 | -0.000 | -0.000 | 0.000 | 0.000 | 0.000 |
| -0.000 | -0.000 | -0.000 | 0.000 | 0.000 | 0.000 |
| -0.000 | -0.000 | -0.000 | 0.000 | 0.000 | -0.000 |
| 0.000 | 0.000 | 0.000 | -0.000 | 0.000 | -0.000 |
| 0.000 | 0.000 | 0.000 | 0.000 | -0.000 | -0.000 |
| 0.000 | 0.000 | 0.000 | 0.000 | -0.000 | -0.000 |
| -0.000 | -0.000 | -0.000 | 0.000 | 0.000 | 0.000 |
| -0.000 | -0.000 | -0.000 | 0.000 | 0.000 | 0.000 |
| -0.000 | -0.000 | -0.000 | 0.000 | 0.000 | 0.000 |
| -0.000 | -0.000 | -0.000 | -0.000 | 0.000 | 0.000 |
| -0.000 | -0.000 | -0.000 | 0.000 | -0.000 | 0.000 |
| -0.000 | -0.000 | -0.000 | 0.000 | -0.000 | -0.000 |
| -0.000 | -0.000 | -0.000 | -0.000 | -0.000 | -0.000 |
| -0.000 | -0.000 | -0.000 | -0.000 | -0.000 | -0.000 |
| -0.000 | -0.000 | -0.000 | -0.000 | -0.000 | -0.000 |
| 0.000 | 0.000 | 0.000 | -0.000 | 0.000 | -0.000 |
| 0.000 | 0.000 | 0.000 | 0.000 | -0.000 | -0.000 |
| 0.000 | 0.000 | 0.000 | 0.000 | 0.000 | -0.000 |
| -0.000 | -0.000 | -0.000 | -0.000 | 0.000 | 0.000 |
| -0.000 | -0.000 | -0.000 | 0.000 | -0.000 | 0.000 |
| -0.000 | -0.000 | -0.000 | 0.000 | 0.000 | -0.000 |
| -0.000 | -0.000 | -0.000 | -0.000 | -0.000 | 0.000 |
| -0.000 | -0.000 | -0.000 | -0.000 | -0.000 | 0.000 |
| -0.000 | -0.000 | -0.000 | -0.000 | 0.000 | -0.000 |
| -0.000 | -0.000 | -0.000 | -0.000 | -0.000 | -0.000 |
| -0.000 | -0.000 | -0.000 | -0.000 | -0.000 | -0.000 |
| -0.000 | -0.000 | -0.000 | 0.000 | 0.000 | -0.000 |
| 0.000 | 0.000 | 0.000 | -0.000 | -0.000 | 0.000 |
| 0.000 | 0.000 | 0.000 | -0.000 | -0.000 | 0.000 |
| 0.000 | 0.000 | 0.000 | -0.000 | 0.000 | -0.000 |
| -0.000 | -0.000 | -0.000 | 0.000 | 0.000 | 0.000 |
| -0.000 | -0.000 | -0.000 | 0.000 | 0.000 | 0.000 |
| -0.000 | -0.000 | -0.000 | 0.000 | 0.000 | 0.000 |
| -0.000 | -0.000 | -0.000 | -0.000 | 0.000 | -0.000 |
| -0.000 | -0.000 | -0.000 | 0.000 | -0.000 | -0.000 |
| -0.000 | -0.000 | -0.000 | 0.000 | 0.000 | -0.000 |
| -0.000 | -0.000 | -0.000 | 0.000 | 0.000 | 0.000 |
| -0.000 | -0.000 | -0.000 | 0.000 | 0.000 | 0.000 |
| -0.000 | -0.000 | -0.000 | 0.000 | 0.000 | 0.000 |
| 0.000 | 0.000 | 0.000 | -0.000 | 0.000 | 0.000 |
| 0.000 | 0.000 | 0.000 | 0.000 | -0.000 | 0.000 |
| 0.000 | 0.000 | 0.000 | 0.000 | 0.000 | -0.000 |
| 222.255 | 105.018 | 85.542 | 0.000 | 0.000 | 0.000 |
| 120.289 | 206.984 | 85.542 | 0.000 | -0.000 | 0.000 |
| 85.542 | 85.542 | 226.754 | 0.000 | -0.000 | 0.000 |
| -0.000 | -0.000 | 0.000 | 38.899 | 0.000 | 0.000 |
| -0.000 | -0.000 | -0.000 | 0.000 | 38.899 | 0.000 |
| -0.000 | -0.000 | -0.000 | 0.000 | 0.000 | 43.348 |
| 206.984 | 120.289 | 85.542 | -0.000 | -0.000 | -0.000 |
| 105.018 | 222.255 | 85.542 | -0.000 | 0.000 | -0.000 |
| 85.542 | 85.542 | 226.754 | -0.000 | -0.000 | -0.000 |
| 0.000 | 0.000 | 0.000 | 38.899 | -0.000 | -0.000 |
| 0.000 | 0.000 | -0.000 | -0.000 | 38.899 | -0.000 |
| 0.000 | 0.000 | 0.000 | -0.000 | 0.000 | 43.348 |
| 222.255 | 105.018 | 85.542 | 0.000 | -0.000 | 0.000 |
| 105.018 | 222.255 | 85.542 | 0.000 | -0.000 | 0.000 |
| 85.542 | 85.542 | 226.755 | -0.000 | -0.000 | 0.000 |
| 0.000 | -0.000 | 0.000 | 38.899 | -0.000 | 0.000 |
| -0.000 | 0.000 | 0.000 | 0.000 | 38.899 | 0.000 |
| -0.000 | 0.000 | 0.000 | 0.000 | -0.000 | 58.618 |
| 222.255 | 105.018 | 85.542 | -0.000 | 0.000 | -0.000 |
| 120.289 | 206.984 | 85.542 | -0.000 | 0.000 | -0.000 |
| 85.542 | 85.542 | 226.754 | -0.000 | 0.000 | -0.000 |
| -0.000 | 0.000 | -0.000 | 38.899 | 0.000 | -0.000 |
| 0.000 | -0.000 | -0.000 | -0.000 | 38.899 | -0.000 |
| 0.000 | -0.000 | -0.000 | -0.000 | 0.000 | 58.618 |
| 206.985 | 120.289 | 85.542 | 0.000 | 0.000 | 0.000 |
| 105.019 | 222.255 | 85.542 | 0.000 | 0.000 | 0.000 |
| 85.542 | 85.542 | 226.755 | 0.000 | -0.000 | 0.000 |
| 0.000 | -0.000 | 0.000 | 38.899 | -0.000 | 0.000 |
| -0.000 | 0.000 | 0.000 | 0.000 | 38.899 | 0.000 |
| -0.000 | 0.000 | 0.000 | 0.000 | -0.000 | 58.618 |
| 222.254 | 105.018 | 85.542 | -0.000 | 0.000 | -0.000 |
| 120.288 | 206.984 | 85.542 | -0.000 | 0.000 | -0.000 |
| 85.542 | 85.542 | 226.753 | -0.000 | 0.000 | -0.000 |
| -0.000 | 0.000 | -0.000 | 38.899 | 0.000 | -0.000 |
| 0.000 | -0.000 | -0.000 | -0.000 | 38.899 | -0.000 |
| 0.000 | -0.000 | -0.000 | -0.000 | -0.000 | 58.618 |
| 0.000 | 0.000 | 0.000 | 0.000 | 0.000 | -0.000 |
| 0.000 | 0.000 | 0.000 | 0.000 | -0.000 | 0.000 |
| 0.000 | 0.000 | 0.000 | -0.000 | -0.000 | 0.000 |
| 0.000 | 0.000 | 0.000 | 0.000 | 0.000 | 0.000 |
| 0.000 | 0.000 | 0.000 | 0.000 | 0.000 | 0.000 |
| 0.000 | 0.000 | 0.000 | 0.000 | -0.000 | 0.000 |
| 0.000 | 0.000 | 0.000 | 0.000 | 0.000 | 0.000 |
| 0.000 | 0.000 | 0.000 | -0.000 | 0.000 | -0.000 |
| 0.000 | 0.000 | 0.000 | -0.000 | 0.000 | -0.000 |
| -0.000 | -0.000 | -0.000 | 0.000 | -0.000 | -0.000 |
| -0.000 | -0.000 | -0.000 | -0.000 | 0.000 | 0.000 |
| -0.000 | -0.000 | -0.000 | -0.000 | 0.000 | 0.000 |
| 0.000 | 0.000 | 0.000 | 0.000 | -0.000 | -0.000 |
| 0.000 | 0.000 | 0.000 | 0.000 | -0.000 | -0.000 |
| 0.000 | 0.000 | 0.000 | 0.000 | -0.000 | 0.000 |
| 0.000 | 0.000 | 0.000 | 0.000 | 0.000 | 0.000 |
| 0.000 | 0.000 | 0.000 | 0.000 | 0.000 | 0.000 |
| 0.000 | 0.000 | 0.000 | 0.000 | -0.000 | 0.000 |
| 0.000 | 0.000 | 0.000 | -0.000 | 0.000 | 0.000 |
| 0.000 | 0.000 | 0.000 | -0.000 | 0.000 | 0.000 |
| 0.000 | 0.000 | 0.000 | -0.000 | 0.000 | -0.000 |
| -0.000 | -0.000 | -0.000 | 0.000 | 0.000 | -0.000 |
| -0.000 | -0.000 | -0.000 | -0.000 | 0.000 | -0.000 |
| -0.000 | -0.000 | -0.000 | -0.000 | 0.000 | 0.000 |
| 0.000 | 0.000 | 0.000 | 0.000 | -0.000 | -0.000 |
| 0.000 | 0.000 | 0.000 | -0.000 | -0.000 | 0.000 |
| 0.000 | 0.000 | 0.000 | -0.000 | -0.000 | 0.000 |
| 0.000 | 0.000 | 0.000 | 0.000 | 0.000 | 0.000 |
| 0.000 | 0.000 | 0.000 | 0.000 | 0.000 | -0.000 |
| 0.000 | 0.000 | 0.000 | 0.000 | -0.000 | 0.000 |
| 0.000 | 0.000 | 0.000 | 0.000 | 0.000 | 0.000 |
| 0.000 | 0.000 | 0.000 | -0.000 | 0.000 | 0.000 |
| 0.000 | 0.000 | 0.000 | 0.000 | 0.000 | 0.000 |
| -0.000 | -0.000 | -0.000 | 0.000 | 0.000 | -0.000 |
| -0.000 | -0.000 | -0.000 | -0.000 | 0.000 | -0.000 |
| -0.000 | -0.000 | -0.000 | -0.000 | 0.000 | 0.000 |
| 0.000 | 0.000 | 0.000 | -0.000 | 0.000 | 0.000 |
| 0.000 | 0.000 | 0.000 | -0.000 | 0.000 | 0.000 |
| 0.000 | 0.000 | 0.000 | 0.000 | 0.000 | 0.000 |
| 0.000 | 0.000 | 0.000 | 0.000 | -0.000 | 0.000 |
| 0.000 | 0.000 | 0.000 | -0.000 | 0.000 | -0.000 |
| 0.000 | 0.000 | 0.000 | 0.000 | -0.000 | 0.000 |
| 0.000 | 0.000 | 0.000 | -0.000 | -0.000 | -0.000 |
| 0.000 | 0.000 | 0.000 | 0.000 | -0.000 | -0.000 |
| 0.000 | 0.000 | 0.000 | 0.000 | -0.000 | 0.000 |
| -0.000 | -0.000 | -0.000 | 0.000 | -0.000 | -0.000 |
| -0.000 | -0.000 | -0.000 | -0.000 | 0.000 | -0.000 |
| -0.000 | -0.000 | -0.000 | -0.000 | -0.000 | 0.000 |
| 0.000 | 0.000 | 0.000 | -0.000 | 0.000 | 0.000 |
| 0.000 | 0.000 | 0.000 | 0.000 | 0.000 | 0.000 |
| 0.000 | 0.000 | 0.000 | -0.000 | -0.000 | 0.000 |
| 0.000 | 0.000 | 0.000 | 0.000 | -0.000 | 0.000 |
| 0.000 | 0.000 | 0.000 | 0.000 | 0.000 | -0.000 |
| 0.000 | 0.000 | 0.000 | 0.000 | -0.000 | 0.000 |
| 0.000 | 0.000 | 0.000 | -0.000 | -0.000 | -0.000 |
| 0.000 | 0.000 | 0.000 | -0.000 | -0.000 | 0.000 |
| 0.000 | 0.000 | 0.000 | -0.000 | -0.000 | -0.000 |
| -0.000 | -0.000 | -0.000 | 0.000 | 0.000 | -0.000 |
| -0.000 | -0.000 | -0.000 | -0.000 | 0.000 | -0.000 |
| -0.000 | -0.000 | -0.000 | -0.000 | 0.000 | 0.000 |
| 0.000 | 0.000 | 0.000 | -0.000 | 0.000 | 0.000 |
| 0.000 | 0.000 | 0.000 | 0.000 | 0.000 | 0.000 |
| 0.000 | 0.000 | 0.000 | 0.000 | -0.000 | 0.000 |
| 0.000 | 0.000 | 0.000 | 0.000 | -0.000 | 0.000 |
| 0.000 | 0.000 | 0.000 | 0.000 | 0.000 | 0.000 |
| 0.000 | 0.000 | 0.000 | 0.000 | -0.000 | 0.000 |
| 0.000 | 0.000 | 0.000 | -0.000 | -0.000 | -0.000 |
| 0.000 | 0.000 | 0.000 | 0.000 | -0.000 | -0.000 |
| 0.000 | 0.000 | 0.000 | -0.000 | 0.000 | -0.000 |
| -0.000 | -0.000 | -0.000 | 0.000 | 0.000 | -0.000 |
| -0.000 | -0.000 | -0.000 | -0.000 | 0.000 | 0.000 |
| -0.000 | -0.000 | -0.000 | -0.000 | -0.000 | 0.000 |
| -0.000 | -0.000 | -0.000 | 0.000 | -0.000 | 0.000 |
| -0.000 | -0.000 | -0.000 | -0.000 | -0.000 | 0.000 |
| -0.000 | -0.000 | -0.000 | 0.000 | 0.000 | 0.000 |
| 0.000 | 0.000 | 0.000 | -0.000 | 0.000 | 0.000 |
| 0.000 | 0.000 | 0.000 | 0.000 | -0.000 | 0.000 |
| 0.000 | 0.000 | 0.000 | 0.000 | 0.000 | -0.000 |
| -0.000 | -0.000 | -0.000 | -0.000 | 0.000 | 0.000 |
| -0.000 | -0.000 | -0.000 | -0.000 | 0.000 | -0.000 |
| -0.000 | -0.000 | -0.000 | -0.000 | -0.000 | 0.000 |
| -0.000 | -0.000 | -0.000 | -0.000 | 0.000 | -0.000 |
| -0.000 | -0.000 | -0.000 | -0.000 | -0.000 | -0.000 |
| -0.000 | -0.000 | -0.000 | -0.000 | 0.000 | -0.000 |
| -0.000 | -0.000 | -0.000 | 0.000 | 0.000 | 0.000 |
| -0.000 | -0.000 | -0.000 | 0.000 | -0.000 | -0.000 |
| -0.000 | -0.000 | -0.000 | -0.000 | 0.000 | 0.000 |
| 0.000 | 0.000 | 0.000 | -0.000 | -0.000 | -0.000 |
| 0.000 | 0.000 | 0.000 | 0.000 | -0.000 | 0.000 |
| 0.000 | 0.000 | 0.000 | 0.000 | -0.000 | -0.000 |
| -0.000 | -0.000 | -0.000 | -0.000 | -0.000 | -0.000 |
| -0.000 | -0.000 | -0.000 | -0.000 | 0.000 | -0.000 |
| -0.000 | -0.000 | -0.000 | -0.000 | 0.000 | 0.000 |
| -0.000 | -0.000 | -0.000 | -0.000 | -0.000 | 0.000 |
| -0.000 | -0.000 | -0.000 | -0.000 | -0.000 | -0.000 |
| -0.000 | -0.000 | -0.000 | -0.000 | 0.000 | -0.000 |
| -0.000 | -0.000 | -0.000 | 0.000 | -0.000 | 0.000 |
| -0.000 | -0.000 | -0.000 | -0.000 | 0.000 | -0.000 |
| -0.000 | -0.000 | -0.000 | 0.000 | -0.000 | 0.000 |
| 0.000 | 0.000 | 0.000 | -0.000 | 0.000 | 0.000 |
| 0.000 | 0.000 | 0.000 | 0.000 | -0.000 | 0.000 |
| 0.000 | 0.000 | 0.000 | 0.000 | 0.000 | -0.000 |
| -0.000 | -0.000 | -0.000 | 0.000 | -0.000 | -0.000 |
| -0.000 | -0.000 | -0.000 | -0.000 | -0.000 | -0.000 |
| -0.000 | -0.000 | -0.000 | -0.000 | -0.000 | 0.000 |
| -0.000 | -0.000 | -0.000 | -0.000 | 0.000 | -0.000 |
| -0.000 | -0.000 | -0.000 | -0.000 | -0.000 | -0.000 |
| -0.000 | -0.000 | -0.000 | -0.000 | 0.000 | -0.000 |
| -0.000 | -0.000 | -0.000 | 0.000 | -0.000 | -0.000 |
| -0.000 | -0.000 | -0.000 | -0.000 | 0.000 | -0.000 |
| -0.000 | -0.000 | -0.000 | -0.000 | 0.000 | 0.000 |
| -0.000 | -0.000 | -0.000 | -0.000 | 0.000 | -0.000 |
| -0.000 | -0.000 | -0.000 | 0.000 | -0.000 | 0.000 |
| -0.000 | -0.000 | -0.000 | 0.000 | -0.000 | -0.000 |
| -0.000 | -0.000 | -0.000 | -0.000 | 0.000 | 0.000 |
| -0.000 | -0.000 | -0.000 | -0.000 | -0.000 | 0.000 |
| -0.000 | -0.000 | -0.000 | 0.000 | -0.000 | -0.000 |
| 0.000 | 0.000 | 0.000 | -0.000 | -0.000 | 0.000 |
| 0.000 | 0.000 | 0.000 | -0.000 | -0.000 | 0.000 |
| 0.000 | 0.000 | 0.000 | 0.000 | 0.000 | -0.000 |
| -0.000 | -0.000 | -0.000 | -0.000 | -0.000 | -0.000 |
| -0.000 | -0.000 | -0.000 | -0.000 | 0.000 | -0.000 |
| -0.000 | -0.000 | -0.000 | 0.000 | 0.000 | -0.000 |
| -0.000 | -0.000 | -0.000 | -0.000 | 0.000 | 0.000 |
| -0.000 | -0.000 | -0.000 | -0.000 | -0.000 | -0.000 |
| -0.000 | -0.000 | -0.000 | -0.000 | -0.000 | -0.000 |
| -0.000 | -0.000 | -0.000 | -0.000 | 0.000 | 0.000 |
| -0.000 | -0.000 | -0.000 | 0.000 | -0.000 | 0.000 |
| -0.000 | -0.000 | -0.000 | 0.000 | -0.000 | 0.000 |
| 0.000 | 0.000 | 0.000 | -0.000 | -0.000 | 0.000 |
| 0.000 | 0.000 | 0.000 | 0.000 | -0.000 | -0.000 |
| 0.000 | 0.000 | 0.000 | 0.000 | 0.000 | -0.000 |
| -0.000 | -0.000 | -0.000 | -0.000 | -0.000 | -0.000 |
| -0.000 | -0.000 | -0.000 | 0.000 | -0.000 | -0.000 |
| -0.000 | -0.000 | -0.000 | 0.000 | 0.000 | 0.000 |
| -0.000 | -0.000 | -0.000 | -0.000 | 0.000 | -0.000 |
| -0.000 | -0.000 | -0.000 | -0.000 | -0.000 | -0.000 |
| -0.000 | -0.000 | -0.000 | -0.000 | -0.000 | -0.000 |
| -0.000 | -0.000 | -0.000 | -0.000 | 0.000 | 0.000 |
| -0.000 | -0.000 | -0.000 | 0.000 | -0.000 | 0.000 |
| -0.000 | -0.000 | -0.000 | 0.000 | -0.000 | 0.000 |
| 0.000 | 0.000 | 0.000 | -0.000 | 0.000 | 0.000 |
| 0.000 | 0.000 | 0.000 | 0.000 | -0.000 | -0.000 |
| 0.000 | 0.000 | 0.000 | 0.000 | 0.000 | -0.000 |
| -0.000 | -0.000 | -0.000 | 0.000 | -0.000 | 0.000 |
| -0.000 | -0.000 | -0.000 | 0.000 | -0.000 | 0.000 |
| -0.000 | -0.000 | -0.000 | 0.000 | -0.000 | 0.000 |
| 0.000 | 0.000 | 0.000 | -0.000 | -0.000 | 0.000 |
| 0.000 | 0.000 | 0.000 | 0.000 | -0.000 | 0.000 |
| 0.000 | 0.000 | 0.000 | 0.000 | 0.000 | -0.000 |
| -0.000 | -0.000 | -0.000 | -0.000 | 0.000 | -0.000 |
| -0.000 | -0.000 | -0.000 | 0.000 | 0.000 | -0.000 |
| -0.000 | -0.000 | -0.000 | -0.000 | 0.000 | -0.000 |
| -0.000 | -0.000 | -0.000 | -0.000 | 0.000 | -0.000 |
| -0.000 | -0.000 | -0.000 | 0.000 | -0.000 | 0.000 |
| -0.000 | -0.000 | -0.000 | 0.000 | 0.000 | -0.000 |
| -0.000 | -0.000 | -0.000 | 0.000 | -0.000 | 0.000 |
| -0.000 | -0.000 | -0.000 | 0.000 | -0.000 | -0.000 |
| -0.000 | -0.000 | -0.000 | 0.000 | -0.000 | 0.000 |
| 0.000 | 0.000 | 0.000 | -0.000 | -0.000 | 0.000 |
| 0.000 | 0.000 | 0.000 | 0.000 | -0.000 | -0.000 |
| 0.000 | 0.000 | 0.000 | 0.000 | 0.000 | -0.000 |
| -0.000 | -0.000 | -0.000 | 0.000 | 0.000 | -0.000 |
| -0.000 | -0.000 | -0.000 | -0.000 | 0.000 | -0.000 |
| -0.000 | -0.000 | -0.000 | -0.000 | 0.000 | -0.000 |
| -0.000 | -0.000 | -0.000 | -0.000 | -0.000 | -0.000 |
| -0.000 | -0.000 | -0.000 | -0.000 | -0.000 | -0.000 |
| -0.000 | -0.000 | -0.000 | -0.000 | 0.000 | -0.000 |
| -0.000 | -0.000 | -0.000 | 0.000 | -0.000 | 0.000 |
| -0.000 | -0.000 | -0.000 | -0.000 | -0.000 | 0.000 |
| -0.000 | -0.000 | -0.000 | 0.000 | -0.000 | 0.000 |
| 0.000 | 0.000 | 0.000 | -0.000 | -0.000 | 0.000 |
| 0.000 | 0.000 | 0.000 | -0.000 | -0.000 | 0.000 |
| 0.000 | 0.000 | 0.000 | 0.000 | 0.000 | -0.000 |
| -0.000 | -0.000 | -0.000 | 0.000 | 0.000 | -0.000 |
| -0.000 | -0.000 | -0.000 | -0.000 | 0.000 | 0.000 |
| -0.000 | -0.000 | -0.000 | 0.000 | 0.000 | -0.000 |
| -0.000 | -0.000 | -0.000 | -0.000 | -0.000 | -0.000 |
| -0.000 | -0.000 | -0.000 | -0.000 | -0.000 | 0.000 |
| -0.000 | -0.000 | -0.000 | -0.000 | 0.000 | -0.000 |
| -0.000 | -0.000 | -0.000 | 0.000 | -0.000 | 0.000 |
| -0.000 | -0.000 | -0.000 | 0.000 | -0.000 | 0.000 |
| -0.000 | -0.000 | -0.000 | 0.000 | -0.000 | 0.000 |
| -0.000 | -0.000 | -0.000 | -0.000 | 0.000 | 0.000 |
| -0.000 | -0.000 | -0.000 | -0.000 | -0.000 | -0.000 |
| -0.000 | -0.000 | -0.000 | 0.000 | -0.000 | -0.000 |
| -0.000 | -0.000 | -0.000 | -0.000 | 0.000 | -0.000 |
| -0.000 | -0.000 | -0.000 | -0.000 | 0.000 | -0.000 |
| -0.000 | -0.000 | -0.000 | -0.000 | -0.000 | -0.000 |
| 0.000 | 0.000 | 0.000 | -0.000 | -0.000 | -0.000 |
| 0.000 | 0.000 | 0.000 | -0.000 | -0.000 | -0.000 |
| 0.000 | 0.000 | 0.000 | -0.000 | -0.000 | -0.000 |
| -0.000 | -0.000 | -0.000 | 0.000 | 0.000 | -0.000 |
| -0.000 | -0.000 | -0.000 | 0.000 | -0.000 | 0.000 |
| -0.000 | -0.000 | -0.000 | -0.000 | -0.000 | -0.000 |
| -0.000 | -0.000 | -0.000 | -0.000 | -0.000 | 0.000 |
| -0.000 | -0.000 | -0.000 | -0.000 | -0.000 | -0.000 |
| -0.000 | -0.000 | -0.000 | 0.000 | -0.000 | -0.000 |
| -0.000 | -0.000 | -0.000 | -0.000 | 0.000 | -0.000 |
| -0.000 | -0.000 | -0.000 | -0.000 | -0.000 | -0.000 |
| -0.000 | -0.000 | -0.000 | -0.000 | 0.000 | -0.000 |
| 0.000 | 0.000 | 0.000 | -0.000 | 0.000 | -0.000 |
| 0.000 | 0.000 | 0.000 | 0.000 | -0.000 | -0.000 |
| 0.000 | 0.000 | 0.000 | -0.000 | -0.000 | -0.000 |
| -0.000 | -0.000 | -0.000 | -0.000 | 0.000 | -0.000 |
| -0.000 | -0.000 | -0.000 | -0.000 | 0.000 | -0.000 |
| -0.000 | -0.000 | -0.000 | -0.000 | -0.000 | -0.000 |
| -0.000 | -0.000 | -0.000 | -0.000 | -0.000 | -0.000 |
| -0.000 | -0.000 | -0.000 | -0.000 | -0.000 | -0.000 |
| -0.000 | -0.000 | -0.000 | -0.000 | -0.000 | -0.000 |
| -0.000 | -0.000 | -0.000 | -0.000 | 0.000 | -0.000 |
| -0.000 | -0.000 | -0.000 | -0.000 | -0.000 | -0.000 |
| -0.000 | -0.000 | -0.000 | -0.000 | -0.000 | -0.000 |
| 0.000 | 0.000 | 0.000 | -0.000 | -0.000 | 0.000 |
| 0.000 | 0.000 | 0.000 | 0.000 | -0.000 | -0.000 |
| 0.000 | 0.000 | 0.000 | 0.000 | -0.000 | -0.000 |
| -0.000 | -0.000 | -0.000 | 0.000 | -0.000 | 0.000 |
| -0.000 | -0.000 | -0.000 | 0.000 | 0.000 | -0.000 |
| -0.000 | -0.000 | -0.000 | -0.000 | 0.000 | 0.000 |
| -0.000 | -0.000 | -0.000 | -0.000 | 0.000 | -0.000 |
| -0.000 | -0.000 | -0.000 | -0.000 | -0.000 | 0.000 |
| -0.000 | -0.000 | -0.000 | -0.000 | -0.000 | -0.000 |
| -0.000 | -0.000 | -0.000 | -0.000 | -0.000 | -0.000 |
| -0.000 | -0.000 | -0.000 | -0.000 | -0.000 | 0.000 |
| -0.000 | -0.000 | -0.000 | -0.000 | -0.000 | 0.000 |
| 0.000 | 0.000 | 0.000 | -0.000 | -0.000 | 0.000 |
| 0.000 | 0.000 | 0.000 | 0.000 | -0.000 | -0.000 |
| 0.000 | 0.000 | 0.000 | 0.000 | 0.000 | -0.000 |
| -0.000 | -0.000 | -0.000 | 0.000 | -0.000 | -0.000 |
| -0.000 | -0.000 | -0.000 | -0.000 | 0.000 | 0.000 |
| -0.000 | -0.000 | -0.000 | 0.000 | 0.000 | -0.000 |
| -0.000 | -0.000 | -0.000 | -0.000 | 0.000 | -0.000 |
| -0.000 | -0.000 | -0.000 | 0.000 | -0.000 | -0.000 |
| -0.000 | -0.000 | -0.000 | -0.000 | -0.000 | -0.000 |
| -0.000 | -0.000 | -0.000 | 0.000 | 0.000 | 0.000 |
| -0.000 | -0.000 | -0.000 | -0.000 | -0.000 | 0.000 |
| -0.000 | -0.000 | -0.000 | -0.000 | -0.000 | 0.000 |
| 0.000 | 0.000 | 0.000 | -0.000 | -0.000 | 0.000 |
| 0.000 | 0.000 | 0.000 | -0.000 | -0.000 | -0.000 |
| 0.000 | 0.000 | 0.000 | 0.000 | 0.000 | -0.000 |
| -0.000 | -0.000 | -0.000 | 0.000 | -0.000 | -0.000 |
| -0.000 | -0.000 | -0.000 | -0.000 | 0.000 | -0.000 |
| -0.000 | -0.000 | -0.000 | 0.000 | 0.000 | 0.000 |
| -0.000 | -0.000 | -0.000 | -0.000 | 0.000 | -0.000 |
| -0.000 | -0.000 | -0.000 | -0.000 | -0.000 | 0.000 |
| -0.000 | -0.000 | -0.000 | -0.000 | 0.000 | -0.000 |
| -0.000 | -0.000 | -0.000 | 0.000 | -0.000 | -0.000 |
| -0.000 | -0.000 | -0.000 | -0.000 | -0.000 | 0.000 |
| -0.000 | -0.000 | -0.000 | 0.000 | -0.000 | 0.000 |
| 0.000 | 0.000 | 0.000 | -0.000 | 0.000 | 0.000 |
| 0.000 | 0.000 | 0.000 | 0.000 | -0.000 | 0.000 |
| 0.000 | 0.000 | 0.000 | 0.000 | 0.000 | -0.000 |
| 222.270 | 105.032 | 84.033 | 0.000 | -0.000 | 0.000 |
| 120.721 | 206.582 | 84.033 | -0.000 | -0.000 | 0.000 |
| 84.033 | 84.033 | 215.677 | -0.000 | -0.000 | 0.000 |
| -0.000 | 0.000 | 0.000 | 37.138 | -0.000 | 0.000 |
| -0.000 | 0.000 | 0.000 | -0.000 | 37.138 | 0.000 |
| -0.000 | 0.000 | 0.000 | 0.000 | -0.000 | 58.619 |
| 222.270 | 105.032 | 84.033 | -0.000 | 0.000 | 0.000 |
| 120.721 | 206.582 | 84.033 | -0.000 | 0.000 | 0.000 |
| 84.033 | 84.033 | 215.677 | 0.000 | -0.000 | -0.000 |
| 0.000 | -0.000 | -0.000 | 37.138 | -0.000 | -0.000 |
| 0.000 | -0.000 | -0.000 | -0.000 | 37.138 | -0.000 |
| 0.000 | -0.000 | -0.000 | -0.000 | 0.000 | 58.619 |
| 222.270 | 105.032 | 84.033 | 0.000 | -0.000 | 0.000 |
| 120.721 | 206.582 | 84.033 | -0.000 | 0.000 | -0.000 |
| 84.033 | 84.033 | 215.678 | -0.000 | 0.000 | 0.000 |
| 0.000 | -0.000 | 0.000 | 37.138 | -0.000 | 0.000 |
| -0.000 | 0.000 | 0.000 | -0.000 | 37.138 | 0.000 |
| -0.000 | 0.000 | -0.000 | 0.000 | -0.000 | 42.931 |
| 206.582 | 120.721 | 84.033 | -0.000 | -0.000 | 0.000 |
| 105.032 | 222.270 | 84.033 | -0.000 | 0.000 | -0.000 |
| 84.033 | 84.033 | 215.677 | 0.000 | 0.000 | -0.000 |
| -0.000 | 0.000 | -0.000 | 37.138 | 0.000 | -0.000 |
| 0.000 | -0.000 | -0.000 | 0.000 | 37.138 | 0.000 |
| 0.000 | -0.000 | 0.000 | 0.000 | 0.000 | 42.931 |
| 206.583 | 120.721 | 84.034 | 0.000 | 0.000 | 0.000 |
| 120.721 | 206.582 | 84.034 | 0.000 | 0.000 | 0.000 |
| 84.034 | 84.034 | 215.679 | 0.000 | 0.000 | 0.000 |
| 0.000 | -0.000 | 0.000 | 37.138 | 0.000 | -0.000 |
| -0.000 | 0.000 | 0.000 | -0.000 | 37.138 | -0.000 |
| -0.000 | 0.000 | -0.000 | -0.000 | -0.000 | 42.931 |
| 206.581 | 120.720 | 84.033 | 0.000 | 0.000 | -0.000 |
| 120.720 | 206.581 | 84.033 | 0.000 | -0.000 | 0.000 |
| 84.033 | 84.033 | 215.676 | 0.000 | 0.000 | -0.000 |
| -0.000 | 0.000 | -0.000 | 37.138 | -0.000 | 0.000 |
| 0.000 | -0.000 | -0.000 | 0.000 | 37.138 | -0.000 |
| 0.000 | -0.000 | 0.000 | 0.000 | 0.000 | 42.931 |
| 0.000 | 0.000 | 0.000 | 0.000 | -0.000 | -0.000 |
| 0.000 | 0.000 | 0.000 | -0.000 | -0.000 | -0.000 |
| 0.000 | 0.000 | 0.000 | -0.000 | -0.000 | -0.000 |
| 0.000 | 0.000 | 0.000 | 0.000 | -0.000 | 0.000 |
| 0.000 | 0.000 | 0.000 | 0.000 | 0.000 | 0.000 |
| 0.000 | 0.000 | 0.000 | 0.000 | -0.000 | 0.000 |
| 0.000 | 0.000 | 0.000 | -0.000 | -0.000 | -0.000 |
| 0.000 | 0.000 | 0.000 | -0.000 | 0.000 | 0.000 |
| 0.000 | 0.000 | 0.000 | -0.000 | -0.000 | 0.000 |
| -0.000 | -0.000 | -0.000 | 0.000 | 0.000 | -0.000 |
| -0.000 | -0.000 | -0.000 | -0.000 | 0.000 | -0.000 |
| -0.000 | -0.000 | -0.000 | -0.000 | -0.000 | 0.000 |
| 0.000 | 0.000 | 0.000 | 0.000 | -0.000 | 0.000 |
| 0.000 | 0.000 | 0.000 | 0.000 | 0.000 | -0.000 |
| 0.000 | 0.000 | 0.000 | -0.000 | -0.000 | -0.000 |
| 0.000 | 0.000 | 0.000 | 0.000 | -0.000 | 0.000 |
| 0.000 | 0.000 | 0.000 | 0.000 | 0.000 | 0.000 |
| 0.000 | 0.000 | 0.000 | 0.000 | -0.000 | 0.000 |
| 0.000 | 0.000 | 0.000 | -0.000 | 0.000 | -0.000 |
| 0.000 | 0.000 | 0.000 | -0.000 | -0.000 | 0.000 |
| 0.000 | 0.000 | 0.000 | -0.000 | -0.000 | 0.000 |
| -0.000 | -0.000 | -0.000 | 0.000 | -0.000 | 0.000 |
| -0.000 | -0.000 | -0.000 | 0.000 | 0.000 | -0.000 |
| -0.000 | -0.000 | -0.000 | -0.000 | 0.000 | 0.000 |
| 0.000 | 0.000 | 0.000 | 0.000 | -0.000 | 0.000 |
| 0.000 | 0.000 | 0.000 | -0.000 | 0.000 | -0.000 |
| 0.000 | 0.000 | 0.000 | -0.000 | 0.000 | -0.000 |
| 0.000 | 0.000 | 0.000 | 0.000 | 0.000 | 0.000 |
| 0.000 | 0.000 | 0.000 | 0.000 | 0.000 | 0.000 |
| 0.000 | 0.000 | 0.000 | -0.000 | 0.000 | 0.000 |
| 0.000 | 0.000 | 0.000 | -0.000 | 0.000 | -0.000 |
| 0.000 | 0.000 | 0.000 | 0.000 | 0.000 | -0.000 |
| 0.000 | 0.000 | 0.000 | -0.000 | -0.000 | 0.000 |
| -0.000 | -0.000 | -0.000 | 0.000 | 0.000 | -0.000 |
| -0.000 | -0.000 | -0.000 | 0.000 | 0.000 | 0.000 |
| -0.000 | -0.000 | -0.000 | 0.000 | 0.000 | 0.000 |
| 0.000 | 0.000 | 0.000 | -0.000 | -0.000 | 0.000 |
| 0.000 | 0.000 | 0.000 | -0.000 | -0.000 | 0.000 |
| 0.000 | 0.000 | 0.000 | -0.000 | 0.000 | 0.000 |
| 0.000 | 0.000 | 0.000 | 0.000 | 0.000 | 0.000 |
| 0.000 | 0.000 | 0.000 | 0.000 | 0.000 | 0.000 |
| 0.000 | 0.000 | 0.000 | 0.000 | -0.000 | 0.000 |
| 0.000 | 0.000 | 0.000 | 0.000 | -0.000 | -0.000 |
| 0.000 | 0.000 | 0.000 | -0.000 | -0.000 | -0.000 |
| 0.000 | 0.000 | 0.000 | 0.000 | -0.000 | -0.000 |
| -0.000 | -0.000 | -0.000 | 0.000 | -0.000 | -0.000 |
| -0.000 | -0.000 | -0.000 | -0.000 | 0.000 | 0.000 |
| -0.000 | -0.000 | -0.000 | -0.000 | -0.000 | 0.000 |
| 0.000 | 0.000 | 0.000 | -0.000 | 0.000 | 0.000 |
| 0.000 | 0.000 | 0.000 | 0.000 | -0.000 | 0.000 |
| 0.000 | 0.000 | 0.000 | -0.000 | 0.000 | 0.000 |
| 0.000 | 0.000 | 0.000 | 0.000 | 0.000 | 0.000 |
| 0.000 | 0.000 | 0.000 | -0.000 | 0.000 | -0.000 |
| 0.000 | 0.000 | 0.000 | 0.000 | 0.000 | 0.000 |
| 0.000 | 0.000 | 0.000 | 0.000 | 0.000 | -0.000 |
| 0.000 | 0.000 | 0.000 | 0.000 | 0.000 | -0.000 |
| 0.000 | 0.000 | 0.000 | 0.000 | -0.000 | -0.000 |
| -0.000 | -0.000 | -0.000 | 0.000 | 0.000 | -0.000 |
| -0.000 | -0.000 | -0.000 | -0.000 | 0.000 | -0.000 |
| -0.000 | -0.000 | -0.000 | -0.000 | -0.000 | 0.000 |
| 0.000 | 0.000 | 0.000 | -0.000 | -0.000 | 0.000 |
| 0.000 | 0.000 | 0.000 | 0.000 | -0.000 | -0.000 |
| 0.000 | 0.000 | 0.000 | -0.000 | 0.000 | 0.000 |
| 0.000 | 0.000 | 0.000 | 0.000 | 0.000 | 0.000 |
| 0.000 | 0.000 | 0.000 | -0.000 | 0.000 | 0.000 |
| 0.000 | 0.000 | 0.000 | 0.000 | 0.000 | 0.000 |
| 0.000 | 0.000 | 0.000 | 0.000 | -0.000 | -0.000 |
| 0.000 | 0.000 | 0.000 | -0.000 | -0.000 | -0.000 |
| 0.000 | 0.000 | 0.000 | -0.000 | 0.000 | -0.000 |
| -0.000 | -0.000 | -0.000 | 0.000 | -0.000 | -0.000 |
| -0.000 | -0.000 | -0.000 | -0.000 | 0.000 | -0.000 |
| -0.000 | -0.000 | -0.000 | -0.000 | -0.000 | 0.000 |
| -0.000 | -0.000 | -0.000 | -0.000 | -0.000 | -0.000 |
| -0.000 | -0.000 | -0.000 | 0.000 | -0.000 | -0.000 |
| -0.000 | -0.000 | -0.000 | 0.000 | 0.000 | -0.000 |
| 0.000 | 0.000 | 0.000 | -0.000 | -0.000 | -0.000 |
| 0.000 | 0.000 | 0.000 | 0.000 | -0.000 | -0.000 |
| 0.000 | 0.000 | 0.000 | 0.000 | -0.000 | -0.000 |
| -0.000 | -0.000 | -0.000 | 0.000 | 0.000 | 0.000 |
| -0.000 | -0.000 | -0.000 | -0.000 | 0.000 | 0.000 |
| -0.000 | -0.000 | -0.000 | -0.000 | -0.000 | 0.000 |
| -0.000 | -0.000 | -0.000 | -0.000 | 0.000 | 0.000 |
| -0.000 | -0.000 | -0.000 | -0.000 | -0.000 | 0.000 |
| -0.000 | -0.000 | -0.000 | -0.000 | 0.000 | -0.000 |
| -0.000 | -0.000 | -0.000 | 0.000 | -0.000 | -0.000 |
| -0.000 | -0.000 | -0.000 | 0.000 | -0.000 | -0.000 |
| -0.000 | -0.000 | -0.000 | 0.000 | -0.000 | -0.000 |
| 0.000 | 0.000 | 0.000 | -0.000 | -0.000 | -0.000 |
| 0.000 | 0.000 | 0.000 | 0.000 | -0.000 | 0.000 |
| 0.000 | 0.000 | 0.000 | 0.000 | -0.000 | -0.000 |
| -0.000 | -0.000 | -0.000 | 0.000 | -0.000 | 0.000 |
| -0.000 | -0.000 | -0.000 | -0.000 | 0.000 | 0.000 |
| -0.000 | -0.000 | -0.000 | -0.000 | -0.000 | 0.000 |
| -0.000 | -0.000 | -0.000 | -0.000 | 0.000 | 0.000 |
| -0.000 | -0.000 | -0.000 | -0.000 | -0.000 | -0.000 |
| -0.000 | -0.000 | -0.000 | -0.000 | -0.000 | -0.000 |
| -0.000 | -0.000 | -0.000 | 0.000 | -0.000 | -0.000 |
| -0.000 | -0.000 | -0.000 | -0.000 | -0.000 | -0.000 |
| -0.000 | -0.000 | -0.000 | 0.000 | -0.000 | -0.000 |
| 0.000 | 0.000 | 0.000 | -0.000 | -0.000 | -0.000 |
| 0.000 | 0.000 | 0.000 | 0.000 | -0.000 | -0.000 |
| 0.000 | 0.000 | 0.000 | 0.000 | 0.000 | -0.000 |
| -0.000 | -0.000 | -0.000 | 0.000 | -0.000 | 0.000 |
| -0.000 | -0.000 | -0.000 | -0.000 | -0.000 | 0.000 |
| -0.000 | -0.000 | -0.000 | -0.000 | -0.000 | 0.000 |
| -0.000 | -0.000 | -0.000 | -0.000 | -0.000 | 0.000 |
| -0.000 | -0.000 | -0.000 | -0.000 | -0.000 | -0.000 |
| -0.000 | -0.000 | -0.000 | -0.000 | 0.000 | -0.000 |
| -0.000 | -0.000 | -0.000 | -0.000 | 0.000 | -0.000 |
| -0.000 | -0.000 | -0.000 | 0.000 | 0.000 | 0.000 |
| -0.000 | -0.000 | -0.000 | 0.000 | 0.000 | 0.000 |
| -0.000 | -0.000 | -0.000 | -0.000 | -0.000 | -0.000 |
| -0.000 | -0.000 | -0.000 | 0.000 | -0.000 | 0.000 |
| -0.000 | -0.000 | -0.000 | -0.000 | -0.000 | -0.000 |
| -0.000 | -0.000 | -0.000 | 0.000 | 0.000 | -0.000 |
| -0.000 | -0.000 | -0.000 | 0.000 | -0.000 | -0.000 |
| -0.000 | -0.000 | -0.000 | -0.000 | -0.000 | 0.000 |
| 0.000 | 0.000 | 0.000 | -0.000 | 0.000 | 0.000 |
| 0.000 | 0.000 | 0.000 | -0.000 | -0.000 | 0.000 |
| 0.000 | 0.000 | 0.000 | 0.000 | -0.000 | -0.000 |
| -0.000 | -0.000 | -0.000 | -0.000 | 0.000 | 0.000 |
| -0.000 | -0.000 | -0.000 | -0.000 | 0.000 | 0.000 |
| -0.000 | -0.000 | -0.000 | -0.000 | -0.000 | 0.000 |
| -0.000 | -0.000 | -0.000 | -0.000 | -0.000 | 0.000 |
| -0.000 | -0.000 | -0.000 | 0.000 | -0.000 | 0.000 |
| -0.000 | -0.000 | -0.000 | 0.000 | 0.000 | -0.000 |
| -0.000 | -0.000 | -0.000 | 0.000 | -0.000 | -0.000 |
| -0.000 | -0.000 | -0.000 | 0.000 | -0.000 | -0.000 |
| -0.000 | -0.000 | -0.000 | 0.000 | -0.000 | -0.000 |
| 0.000 | 0.000 | 0.000 | -0.000 | -0.000 | -0.000 |
| 0.000 | 0.000 | 0.000 | -0.000 | -0.000 | 0.000 |
| 0.000 | 0.000 | 0.000 | 0.000 | 0.000 | -0.000 |
| -0.000 | -0.000 | -0.000 | -0.000 | 0.000 | 0.000 |
| -0.000 | -0.000 | -0.000 | 0.000 | -0.000 | 0.000 |
| -0.000 | -0.000 | -0.000 | 0.000 | 0.000 | 0.000 |
| -0.000 | -0.000 | -0.000 | -0.000 | 0.000 | 0.000 |
| -0.000 | -0.000 | -0.000 | -0.000 | -0.000 | -0.000 |
| -0.000 | -0.000 | -0.000 | 0.000 | -0.000 | -0.000 |
| -0.000 | -0.000 | -0.000 | -0.000 | -0.000 | 0.000 |
| -0.000 | -0.000 | -0.000 | 0.000 | 0.000 | -0.000 |
| -0.000 | -0.000 | -0.000 | 0.000 | 0.000 | 0.000 |
| 0.000 | 0.000 | 0.000 | -0.000 | -0.000 | 0.000 |
| 0.000 | 0.000 | 0.000 | 0.000 | -0.000 | -0.000 |
| 0.000 | 0.000 | 0.000 | -0.000 | -0.000 | -0.000 |
| -0.000 | -0.000 | -0.000 | 0.000 | 0.000 | 0.000 |
| -0.000 | -0.000 | -0.000 | 0.000 | 0.000 | -0.000 |
| -0.000 | -0.000 | -0.000 | 0.000 | -0.000 | -0.000 |
| 0.000 | 0.000 | 0.000 | -0.000 | 0.000 | -0.000 |
| 0.000 | 0.000 | 0.000 | 0.000 | -0.000 | 0.000 |
| 0.000 | 0.000 | 0.000 | 0.000 | 0.000 | -0.000 |
| -0.000 | -0.000 | -0.000 | 0.000 | 0.000 | -0.000 |
| -0.000 | -0.000 | -0.000 | -0.000 | 0.000 | 0.000 |
| -0.000 | -0.000 | -0.000 | -0.000 | 0.000 | 0.000 |
| -0.000 | -0.000 | -0.000 | -0.000 | -0.000 | -0.000 |
| -0.000 | -0.000 | -0.000 | -0.000 | -0.000 | -0.000 |
| -0.000 | -0.000 | -0.000 | -0.000 | 0.000 | -0.000 |
| -0.000 | -0.000 | -0.000 | 0.000 | -0.000 | -0.000 |
| -0.000 | -0.000 | -0.000 | 0.000 | -0.000 | -0.000 |
| -0.000 | -0.000 | -0.000 | 0.000 | -0.000 | -0.000 |
| 0.000 | 0.000 | 0.000 | -0.000 | -0.000 | 0.000 |
| 0.000 | 0.000 | 0.000 | 0.000 | -0.000 | -0.000 |
| 0.000 | 0.000 | 0.000 | 0.000 | 0.000 | -0.000 |
| -0.000 | -0.000 | -0.000 | 0.000 | -0.000 | 0.000 |
| -0.000 | -0.000 | -0.000 | -0.000 | 0.000 | 0.000 |
| -0.000 | -0.000 | -0.000 | -0.000 | 0.000 | -0.000 |
| -0.000 | -0.000 | -0.000 | -0.000 | 0.000 | 0.000 |
| -0.000 | -0.000 | -0.000 | -0.000 | -0.000 | -0.000 |
| -0.000 | -0.000 | -0.000 | -0.000 | 0.000 | -0.000 |
| -0.000 | -0.000 | -0.000 | 0.000 | -0.000 | 0.000 |
| -0.000 | -0.000 | -0.000 | -0.000 | -0.000 | -0.000 |
| -0.000 | -0.000 | -0.000 | 0.000 | -0.000 | 0.000 |
| 0.000 | 0.000 | 0.000 | -0.000 | -0.000 | -0.000 |
| 0.000 | 0.000 | 0.000 | 0.000 | -0.000 | -0.000 |
| 0.000 | 0.000 | 0.000 | 0.000 | 0.000 | -0.000 |
| -0.000 | -0.000 | -0.000 | 0.000 | -0.000 | 0.000 |
| -0.000 | -0.000 | -0.000 | -0.000 | 0.000 | 0.000 |
| -0.000 | -0.000 | -0.000 | 0.000 | -0.000 | -0.000 |
| -0.000 | -0.000 | -0.000 | -0.000 | -0.000 | -0.000 |
| -0.000 | -0.000 | -0.000 | -0.000 | -0.000 | -0.000 |
| -0.000 | -0.000 | -0.000 | -0.000 | 0.000 | -0.000 |
| -0.000 | -0.000 | -0.000 | -0.000 | 0.000 | 0.000 |
| -0.000 | -0.000 | -0.000 | -0.000 | 0.000 | -0.000 |
| -0.000 | -0.000 | -0.000 | 0.000 | 0.000 | -0.000 |
| -0.000 | -0.000 | -0.000 | -0.000 | 0.000 | 0.000 |
| -0.000 | -0.000 | -0.000 | -0.000 | -0.000 | 0.000 |
| -0.000 | -0.000 | -0.000 | -0.000 | 0.000 | -0.000 |
| -0.000 | -0.000 | -0.000 | 0.000 | -0.000 | -0.000 |
| -0.000 | -0.000 | -0.000 | 0.000 | -0.000 | -0.000 |
| -0.000 | -0.000 | -0.000 | 0.000 | -0.000 | 0.000 |
| 0.000 | 0.000 | 0.000 | -0.000 | -0.000 | -0.000 |
| 0.000 | 0.000 | 0.000 | 0.000 | -0.000 | 0.000 |
| 0.000 | 0.000 | 0.000 | 0.000 | -0.000 | -0.000 |
| -0.000 | -0.000 | -0.000 | -0.000 | 0.000 | 0.000 |
| -0.000 | -0.000 | -0.000 | -0.000 | 0.000 | -0.000 |
| -0.000 | -0.000 | -0.000 | 0.000 | 0.000 | -0.000 |
| -0.000 | -0.000 | -0.000 | -0.000 | 0.000 | 0.000 |
| -0.000 | -0.000 | -0.000 | -0.000 | -0.000 | 0.000 |
| -0.000 | -0.000 | -0.000 | -0.000 | 0.000 | -0.000 |
| -0.000 | -0.000 | -0.000 | 0.000 | -0.000 | -0.000 |
| -0.000 | -0.000 | -0.000 | 0.000 | -0.000 | 0.000 |
| -0.000 | -0.000 | -0.000 | 0.000 | -0.000 | 0.000 |
| 0.000 | 0.000 | 0.000 | -0.000 | -0.000 | -0.000 |
| 0.000 | 0.000 | 0.000 | 0.000 | -0.000 | 0.000 |
| 0.000 | 0.000 | 0.000 | 0.000 | -0.000 | -0.000 |
| -0.000 | -0.000 | -0.000 | -0.000 | 0.000 | 0.000 |
| -0.000 | -0.000 | -0.000 | -0.000 | 0.000 | 0.000 |
| -0.000 | -0.000 | -0.000 | -0.000 | 0.000 | 0.000 |
| -0.000 | -0.000 | -0.000 | -0.000 | 0.000 | 0.000 |
| -0.000 | -0.000 | -0.000 | -0.000 | -0.000 | -0.000 |
| -0.000 | -0.000 | -0.000 | -0.000 | -0.000 | -0.000 |
| -0.000 | -0.000 | -0.000 | 0.000 | -0.000 | -0.000 |
| -0.000 | -0.000 | -0.000 | 0.000 | -0.000 | 0.000 |
| -0.000 | -0.000 | -0.000 | 0.000 | -0.000 | 0.000 |
| 0.000 | 0.000 | 0.000 | -0.000 | -0.000 | -0.000 |
| 0.000 | 0.000 | 0.000 | 0.000 | -0.000 | -0.000 |
| 0.000 | 0.000 | 0.000 | 0.000 | -0.000 | -0.000 |
| -0.000 | -0.000 | -0.000 | -0.000 | 0.000 | -0.000 |
| -0.000 | -0.000 | -0.000 | -0.000 | 0.000 | 0.000 |
| -0.000 | -0.000 | -0.000 | -0.000 | 0.000 | -0.000 |
| -0.000 | -0.000 | -0.000 | -0.000 | 0.000 | 0.000 |
| -0.000 | -0.000 | -0.000 | -0.000 | -0.000 | 0.000 |
| -0.000 | -0.000 | -0.000 | -0.000 | -0.000 | -0.000 |
| -0.000 | -0.000 | -0.000 | 0.000 | -0.000 | -0.000 |
| -0.000 | -0.000 | -0.000 | 0.000 | -0.000 | -0.000 |
| -0.000 | -0.000 | -0.000 | 0.000 | -0.000 | 0.000 |
| 0.000 | 0.000 | 0.000 | -0.000 | -0.000 | 0.000 |
| 0.000 | 0.000 | 0.000 | 0.000 | -0.000 | 0.000 |
| 0.000 | 0.000 | 0.000 | 0.000 | -0.000 | -0.000 |
| -0.000 | -0.000 | -0.000 | -0.000 | 0.000 | -0.000 |
| -0.000 | -0.000 | -0.000 | 0.000 | 0.000 | 0.000 |
| -0.000 | -0.000 | -0.000 | -0.000 | 0.000 | -0.000 |
| -0.000 | -0.000 | -0.000 | -0.000 | 0.000 | 0.000 |
| -0.000 | -0.000 | -0.000 | -0.000 | -0.000 | -0.000 |
| -0.000 | -0.000 | -0.000 | -0.000 | 0.000 | -0.000 |
| -0.000 | -0.000 | -0.000 | -0.000 | -0.000 | -0.000 |
| -0.000 | -0.000 | -0.000 | 0.000 | -0.000 | -0.000 |
| -0.000 | -0.000 | -0.000 | 0.000 | -0.000 | -0.000 |
| 0.000 | 0.000 | 0.000 | -0.000 | -0.000 | 0.000 |
| 0.000 | 0.000 | 0.000 | 0.000 | -0.000 | -0.000 |
| 0.000 | 0.000 | 0.000 | 0.000 | -0.000 | -0.000 |
| -0.000 | -0.000 | -0.000 | -0.000 | -0.000 | -0.000 |
| -0.000 | -0.000 | -0.000 | -0.000 | 0.000 | -0.000 |
| -0.000 | -0.000 | -0.000 | -0.000 | 0.000 | -0.000 |
| -0.000 | -0.000 | -0.000 | -0.000 | -0.000 | -0.000 |
| -0.000 | -0.000 | -0.000 | -0.000 | -0.000 | -0.000 |
| -0.000 | -0.000 | -0.000 | -0.000 | -0.000 | -0.000 |
| -0.000 | -0.000 | -0.000 | -0.000 | -0.000 | -0.000 |
| -0.000 | -0.000 | -0.000 | 0.000 | -0.000 | -0.000 |
| -0.000 | -0.000 | -0.000 | 0.000 | -0.000 | -0.000 |
| 0.000 | 0.000 | 0.000 | -0.000 | -0.000 | 0.000 |
| 0.000 | 0.000 | 0.000 | 0.000 | -0.000 | -0.000 |
| 0.000 | 0.000 | 0.000 | 0.000 | -0.000 | -0.000 |
| -0.000 | -0.000 | -0.000 | -0.000 | 0.000 | 0.000 |
| -0.000 | -0.000 | -0.000 | 0.000 | 0.000 | -0.000 |
| -0.000 | -0.000 | -0.000 | -0.000 | 0.000 | -0.000 |
| -0.000 | -0.000 | -0.000 | -0.000 | -0.000 | -0.000 |
| -0.000 | -0.000 | -0.000 | -0.000 | -0.000 | 0.000 |
| -0.000 | -0.000 | -0.000 | -0.000 | -0.000 | -0.000 |
| -0.000 | -0.000 | -0.000 | -0.000 | -0.000 | -0.000 |
| -0.000 | -0.000 | -0.000 | -0.000 | 0.000 | -0.000 |
| -0.000 | -0.000 | -0.000 | 0.000 | 0.000 | 0.000 |
| 0.000 | 0.000 | 0.000 | -0.000 | -0.000 | 0.000 |
| 0.000 | 0.000 | 0.000 | 0.000 | -0.000 | 0.000 |
| 0.000 | 0.000 | 0.000 | 0.000 | 0.000 | -0.000 |
| -0.000 | -0.000 | -0.000 | 0.000 | -0.000 | 0.000 |
| -0.000 | -0.000 | -0.000 | 0.000 | 0.000 | 0.000 |
| -0.000 | -0.000 | -0.000 | 0.000 | 0.000 | -0.000 |
| -0.000 | -0.000 | -0.000 | -0.000 | 0.000 | -0.000 |
| -0.000 | -0.000 | -0.000 | 0.000 | -0.000 | 0.000 |
| -0.000 | -0.000 | -0.000 | 0.000 | -0.000 | -0.000 |
| -0.000 | -0.000 | -0.000 | 0.000 | 0.000 | -0.000 |
| -0.000 | -0.000 | -0.000 | -0.000 | -0.000 | 0.000 |
| -0.000 | -0.000 | -0.000 | -0.000 | -0.000 | 0.000 |
| 0.000 | 0.000 | 0.000 | -0.000 | 0.000 | 0.000 |
| 0.000 | 0.000 | 0.000 | -0.000 | -0.000 | 0.000 |
| 0.000 | 0.000 | 0.000 | -0.000 | 0.000 | -0.000 |
| -0.000 | -0.000 | -0.000 | 0.000 | -0.000 | -0.000 |
| -0.000 | -0.000 | -0.000 | -0.000 | 0.000 | -0.000 |
| -0.000 | -0.000 | -0.000 | 0.000 | -0.000 | 0.000 |
| -0.000 | -0.000 | -0.000 | -0.000 | 0.000 | -0.000 |
| -0.000 | -0.000 | -0.000 | 0.000 | -0.000 | 0.000 |
| -0.000 | -0.000 | -0.000 | 0.000 | 0.000 | -0.000 |
| -0.000 | -0.000 | -0.000 | 0.000 | -0.000 | 0.000 |
| -0.000 | -0.000 | -0.000 | -0.000 | 0.000 | 0.000 |
| -0.000 | -0.000 | -0.000 | -0.000 | -0.000 | 0.000 |
| 0.000 | 0.000 | 0.000 | -0.000 | 0.000 | 0.000 |
| 0.000 | 0.000 | 0.000 | 0.000 | -0.000 | 0.000 |
| 0.000 | 0.000 | 0.000 | 0.000 | 0.000 | -0.000 |
| 45.509 | 65.540 | 65.540 | 0.000 | -0.000 | -0.000 |
| 65.540 | 45.509 | 65.540 | -0.000 | -0.000 | -0.000 |
| 65.540 | 65.540 | 45.509 | -0.000 | -0.000 | -0.000 |
| -0.000 | 0.000 | -0.000 | -32.541 | 0.000 | -0.000 |
| -0.000 | -0.000 | -0.000 | 0.000 | -32.541 | -0.000 |
| 0.000 | -0.000 | -0.000 | 0.000 | 0.000 | -32.541 |
| 45.509 | 65.540 | 65.540 | -0.000 | 0.000 | 0.000 |
| 65.540 | 45.509 | 65.540 | -0.000 | -0.000 | 0.000 |
| 65.540 | 65.540 | 45.509 | -0.000 | 0.000 | -0.000 |
| 0.000 | 0.000 | 0.000 | -32.541 | -0.000 | 0.000 |
| 0.000 | 0.000 | -0.000 | -0.000 | -32.541 | 0.000 |
| 0.000 | 0.000 | 0.000 | -0.000 | 0.000 | -32.541 |
| 45.509 | 65.540 | 65.540 | 0.000 | -0.000 | -0.000 |
| 65.540 | 45.509 | 65.540 | -0.000 | 0.000 | -0.000 |
| 65.540 | 65.540 | 45.509 | -0.000 | -0.000 | -0.000 |
| -0.000 | -0.000 | -0.000 | -32.541 | 0.000 | -0.000 |
| -0.000 | -0.000 | -0.000 | 0.000 | -32.541 | -0.000 |
| -0.000 | -0.000 | -0.000 | 0.000 | -0.000 | -32.541 |
| 45.509 | 65.540 | 65.540 | -0.000 | 0.000 | 0.000 |
| 65.540 | 45.509 | 65.540 | -0.000 | 0.000 | 0.000 |
| 65.540 | 65.540 | 45.509 | -0.000 | 0.000 | 0.000 |
| 0.000 | 0.000 | 0.000 | -32.541 | -0.000 | -0.000 |
| 0.000 | 0.000 | 0.000 | -0.000 | -32.541 | 0.000 |
| 0.000 | 0.000 | 0.000 | -0.000 | -0.000 | -32.541 |
| 45.510 | 65.540 | 65.540 | 0.000 | -0.000 | -0.000 |
| 65.540 | 45.510 | 65.540 | 0.000 | -0.000 | -0.000 |
| 65.540 | 65.540 | 45.510 | 0.000 | -0.000 | -0.000 |
| -0.000 | -0.000 | -0.000 | -32.541 | -0.000 | -0.000 |
| -0.000 | -0.000 | -0.000 | 0.000 | -32.541 | -0.000 |
| -0.000 | -0.000 | -0.000 | 0.000 | 0.000 | -32.541 |
| 45.509 | 65.539 | 65.539 | -0.000 | 0.000 | 0.000 |
| 65.539 | 45.509 | 65.539 | -0.000 | -0.000 | 0.000 |
| 65.539 | 65.539 | 45.509 | -0.000 | 0.000 | -0.000 |
| 0.000 | 0.000 | 0.000 | -32.541 | -0.000 | -0.000 |
| 0.000 | 0.000 | 0.000 | -0.000 | -32.541 | 0.000 |
| 0.000 | 0.000 | 0.000 | -0.000 | 0.000 | -32.541 |
| 0.000 | 0.000 | 0.000 | -0.000 | -0.000 | -0.000 |
| 0.000 | 0.000 | 0.000 | -0.000 | -0.000 | -0.000 |
| 0.000 | 0.000 | 0.000 | -0.000 | -0.000 | -0.000 |
| 0.000 | 0.000 | 0.000 | 0.000 | 0.000 | -0.000 |
| 0.000 | 0.000 | 0.000 | 0.000 | 0.000 | -0.000 |
| 0.000 | 0.000 | 0.000 | 0.000 | -0.000 | 0.000 |
| 0.000 | 0.000 | 0.000 | -0.000 | 0.000 | 0.000 |
| 0.000 | 0.000 | 0.000 | 0.000 | -0.000 | 0.000 |
| 0.000 | 0.000 | 0.000 | 0.000 | 0.000 | -0.000 |
| -0.000 | -0.000 | -0.000 | 0.000 | 0.000 | 0.000 |
| -0.000 | -0.000 | -0.000 | 0.000 | 0.000 | 0.000 |
| -0.000 | -0.000 | -0.000 | 0.000 | 0.000 | 0.000 |
| 0.000 | 0.000 | 0.000 | -0.000 | -0.000 | -0.000 |
| 0.000 | 0.000 | 0.000 | -0.000 | -0.000 | -0.000 |
| 0.000 | 0.000 | 0.000 | -0.000 | -0.000 | -0.000 |
| 0.000 | 0.000 | 0.000 | 0.000 | -0.000 | -0.000 |
| 0.000 | 0.000 | 0.000 | -0.000 | 0.000 | -0.000 |
| 0.000 | 0.000 | 0.000 | -0.000 | -0.000 | 0.000 |
| 0.000 | 0.000 | 0.000 | 0.000 | 0.000 | 0.000 |
| 0.000 | 0.000 | 0.000 | 0.000 | 0.000 | 0.000 |
| 0.000 | 0.000 | 0.000 | 0.000 | 0.000 | 0.000 |
| -0.000 | -0.000 | -0.000 | 0.000 | 0.000 | 0.000 |
| -0.000 | -0.000 | -0.000 | 0.000 | 0.000 | 0.000 |
| -0.000 | -0.000 | -0.000 | 0.000 | 0.000 | 0.000 |
| 0.000 | 0.000 | 0.000 | -0.000 | -0.000 | -0.000 |
| 0.000 | 0.000 | 0.000 | -0.000 | -0.000 | -0.000 |
| 0.000 | 0.000 | 0.000 | -0.000 | -0.000 | -0.000 |
| 0.000 | 0.000 | 0.000 | 0.000 | 0.000 | -0.000 |
| 0.000 | 0.000 | 0.000 | 0.000 | 0.000 | -0.000 |
| 0.000 | 0.000 | 0.000 | 0.000 | -0.000 | 0.000 |
| 0.000 | 0.000 | 0.000 | -0.000 | 0.000 | 0.000 |
| 0.000 | 0.000 | 0.000 | 0.000 | -0.000 | 0.000 |
| 0.000 | 0.000 | 0.000 | 0.000 | 0.000 | -0.000 |
| -0.000 | -0.000 | -0.000 | 0.000 | 0.000 | 0.000 |
| -0.000 | -0.000 | -0.000 | 0.000 | 0.000 | 0.000 |
| -0.000 | -0.000 | -0.000 | 0.000 | 0.000 | 0.000 |
| 0.000 | 0.000 | 0.000 | -0.000 | -0.000 | -0.000 |
| 0.000 | 0.000 | 0.000 | -0.000 | -0.000 | -0.000 |
| 0.000 | 0.000 | 0.000 | -0.000 | -0.000 | -0.000 |
| 0.000 | 0.000 | 0.000 | 0.000 | -0.000 | -0.000 |
| 0.000 | 0.000 | 0.000 | -0.000 | 0.000 | -0.000 |
| 0.000 | 0.000 | 0.000 | -0.000 | -0.000 | 0.000 |
| 0.000 | 0.000 | 0.000 | 0.000 | 0.000 | 0.000 |
| 0.000 | 0.000 | 0.000 | 0.000 | 0.000 | 0.000 |
| 0.000 | 0.000 | 0.000 | 0.000 | 0.000 | 0.000 |
| -0.000 | -0.000 | -0.000 | 0.000 | 0.000 | 0.000 |
| -0.000 | -0.000 | -0.000 | 0.000 | 0.000 | 0.000 |
| -0.000 | -0.000 | -0.000 | 0.000 | 0.000 | 0.000 |
| 0.000 | 0.000 | 0.000 | -0.000 | -0.000 | -0.000 |
| 0.000 | 0.000 | 0.000 | -0.000 | -0.000 | -0.000 |
| 0.000 | 0.000 | 0.000 | -0.000 | -0.000 | -0.000 |
| 0.000 | 0.000 | 0.000 | 0.000 | -0.000 | -0.000 |
| 0.000 | 0.000 | 0.000 | -0.000 | 0.000 | -0.000 |
| 0.000 | 0.000 | 0.000 | -0.000 | -0.000 | 0.000 |
| 0.000 | 0.000 | 0.000 | 0.000 | 0.000 | 0.000 |
| 0.000 | 0.000 | 0.000 | 0.000 | 0.000 | 0.000 |
| 0.000 | 0.000 | 0.000 | 0.000 | 0.000 | 0.000 |
| -0.000 | -0.000 | -0.000 | 0.000 | 0.000 | 0.000 |
| -0.000 | -0.000 | -0.000 | 0.000 | 0.000 | 0.000 |
| -0.000 | -0.000 | -0.000 | 0.000 | 0.000 | 0.000 |
| 0.000 | 0.000 | 0.000 | -0.000 | -0.000 | -0.000 |
| 0.000 | 0.000 | 0.000 | -0.000 | -0.000 | -0.000 |
| 0.000 | 0.000 | 0.000 | -0.000 | -0.000 | -0.000 |
| 0.000 | 0.000 | 0.000 | 0.000 | -0.000 | -0.000 |
| 0.000 | 0.000 | 0.000 | -0.000 | 0.000 | -0.000 |
| 0.000 | 0.000 | 0.000 | -0.000 | -0.000 | 0.000 |
| 0.000 | 0.000 | 0.000 | 0.000 | 0.000 | 0.000 |
| 0.000 | 0.000 | 0.000 | 0.000 | 0.000 | 0.000 |
| 0.000 | 0.000 | 0.000 | 0.000 | 0.000 | 0.000 |
| -0.000 | -0.000 | -0.000 | 0.000 | 0.000 | 0.000 |
| -0.000 | -0.000 | -0.000 | 0.000 | 0.000 | 0.000 |
| -0.000 | -0.000 | -0.000 | 0.000 | 0.000 | 0.000 |
| -0.000 | -0.000 | -0.000 | 0.000 | 0.000 | 0.000 |
| -0.000 | -0.000 | -0.000 | 0.000 | 0.000 | 0.000 |
| -0.000 | -0.000 | -0.000 | 0.000 | 0.000 | 0.000 |
| 0.000 | 0.000 | 0.000 | -0.000 | -0.000 | 0.000 |
| 0.000 | 0.000 | 0.000 | -0.000 | -0.000 | 0.000 |
| 0.000 | 0.000 | 0.000 | -0.000 | 0.000 | -0.000 |
| -0.000 | -0.000 | -0.000 | -0.000 | -0.000 | -0.000 |
| -0.000 | -0.000 | -0.000 | -0.000 | -0.000 | -0.000 |
| -0.000 | -0.000 | -0.000 | -0.000 | -0.000 | -0.000 |
| -0.000 | -0.000 | -0.000 | -0.000 | -0.000 | -0.000 |
| -0.000 | -0.000 | -0.000 | -0.000 | -0.000 | -0.000 |
| -0.000 | -0.000 | -0.000 | -0.000 | -0.000 | -0.000 |
| -0.000 | -0.000 | -0.000 | 0.000 | 0.000 | 0.000 |
| -0.000 | -0.000 | -0.000 | 0.000 | 0.000 | 0.000 |
| -0.000 | -0.000 | -0.000 | 0.000 | 0.000 | 0.000 |
| 0.000 | 0.000 | 0.000 | -0.000 | 0.000 | 0.000 |
| 0.000 | 0.000 | 0.000 | 0.000 | -0.000 | 0.000 |
| 0.000 | 0.000 | 0.000 | 0.000 | 0.000 | -0.000 |
| -0.000 | -0.000 | -0.000 | 0.000 | -0.000 | -0.000 |
| -0.000 | -0.000 | -0.000 | -0.000 | 0.000 | -0.000 |
| -0.000 | -0.000 | -0.000 | -0.000 | -0.000 | 0.000 |
| -0.000 | -0.000 | -0.000 | -0.000 | -0.000 | -0.000 |
| -0.000 | -0.000 | -0.000 | -0.000 | -0.000 | -0.000 |
| -0.000 | -0.000 | -0.000 | -0.000 | -0.000 | -0.000 |
| -0.000 | -0.000 | -0.000 | 0.000 | 0.000 | 0.000 |
| -0.000 | -0.000 | -0.000 | 0.000 | 0.000 | 0.000 |
| -0.000 | -0.000 | -0.000 | 0.000 | 0.000 | 0.000 |
| 0.000 | 0.000 | 0.000 | -0.000 | -0.000 | 0.000 |
| 0.000 | 0.000 | 0.000 | -0.000 | -0.000 | 0.000 |
| 0.000 | 0.000 | 0.000 | -0.000 | 0.000 | -0.000 |
| -0.000 | -0.000 | -0.000 | 0.000 | -0.000 | -0.000 |
| -0.000 | -0.000 | -0.000 | -0.000 | 0.000 | -0.000 |
| -0.000 | -0.000 | -0.000 | -0.000 | -0.000 | 0.000 |
| -0.000 | -0.000 | -0.000 | -0.000 | -0.000 | -0.000 |
| -0.000 | -0.000 | -0.000 | -0.000 | -0.000 | -0.000 |
| -0.000 | -0.000 | -0.000 | -0.000 | -0.000 | -0.000 |
| -0.000 | -0.000 | -0.000 | 0.000 | 0.000 | 0.000 |
| -0.000 | -0.000 | -0.000 | 0.000 | 0.000 | 0.000 |
| -0.000 | -0.000 | -0.000 | 0.000 | 0.000 | 0.000 |
| -0.000 | -0.000 | -0.000 | -0.000 | 0.000 | 0.000 |
| -0.000 | -0.000 | -0.000 | 0.000 | -0.000 | 0.000 |
| -0.000 | -0.000 | -0.000 | 0.000 | 0.000 | -0.000 |
| -0.000 | -0.000 | -0.000 | 0.000 | -0.000 | -0.000 |
| -0.000 | -0.000 | -0.000 | -0.000 | 0.000 | -0.000 |
| -0.000 | -0.000 | -0.000 | -0.000 | -0.000 | 0.000 |
| 0.000 | 0.000 | 0.000 | -0.000 | -0.000 | -0.000 |
| 0.000 | 0.000 | 0.000 | -0.000 | -0.000 | -0.000 |
| 0.000 | 0.000 | 0.000 | -0.000 | -0.000 | -0.000 |
| -0.000 | -0.000 | -0.000 | 0.000 | 0.000 | 0.000 |
| -0.000 | -0.000 | -0.000 | 0.000 | 0.000 | 0.000 |
| -0.000 | -0.000 | -0.000 | 0.000 | 0.000 | 0.000 |
| -0.000 | -0.000 | -0.000 | -0.000 | 0.000 | 0.000 |
| -0.000 | -0.000 | -0.000 | 0.000 | -0.000 | 0.000 |
| -0.000 | -0.000 | -0.000 | 0.000 | 0.000 | -0.000 |
| -0.000 | -0.000 | -0.000 | 0.000 | -0.000 | -0.000 |
| -0.000 | -0.000 | -0.000 | -0.000 | 0.000 | -0.000 |
| -0.000 | -0.000 | -0.000 | -0.000 | -0.000 | 0.000 |
| 0.000 | 0.000 | 0.000 | -0.000 | -0.000 | -0.000 |
| 0.000 | 0.000 | 0.000 | -0.000 | -0.000 | -0.000 |
| 0.000 | 0.000 | 0.000 | -0.000 | -0.000 | -0.000 |
| -0.000 | -0.000 | -0.000 | -0.000 | 0.000 | 0.000 |
| -0.000 | -0.000 | -0.000 | 0.000 | -0.000 | 0.000 |
| -0.000 | -0.000 | -0.000 | 0.000 | 0.000 | -0.000 |
| -0.000 | -0.000 | -0.000 | -0.000 | 0.000 | 0.000 |
| -0.000 | -0.000 | -0.000 | 0.000 | -0.000 | 0.000 |
| -0.000 | -0.000 | -0.000 | 0.000 | 0.000 | -0.000 |
| -0.000 | -0.000 | -0.000 | 0.000 | -0.000 | -0.000 |
| -0.000 | -0.000 | -0.000 | -0.000 | 0.000 | -0.000 |
| -0.000 | -0.000 | -0.000 | -0.000 | -0.000 | 0.000 |
| 0.000 | 0.000 | 0.000 | -0.000 | -0.000 | -0.000 |
| 0.000 | 0.000 | 0.000 | -0.000 | -0.000 | -0.000 |
| 0.000 | 0.000 | 0.000 | -0.000 | -0.000 | -0.000 |
| -0.000 | -0.000 | -0.000 | 0.000 | 0.000 | 0.000 |
| -0.000 | -0.000 | -0.000 | 0.000 | 0.000 | 0.000 |
| -0.000 | -0.000 | -0.000 | 0.000 | 0.000 | 0.000 |
| 0.000 | 0.000 | 0.000 | -0.000 | 0.000 | 0.000 |
| 0.000 | 0.000 | 0.000 | 0.000 | -0.000 | 0.000 |
| 0.000 | 0.000 | 0.000 | 0.000 | 0.000 | -0.000 |
| -0.000 | -0.000 | -0.000 | -0.000 | 0.000 | -0.000 |
| -0.000 | -0.000 | -0.000 | 0.000 | -0.000 | -0.000 |
| -0.000 | -0.000 | -0.000 | 0.000 | 0.000 | -0.000 |
| -0.000 | -0.000 | -0.000 | -0.000 | 0.000 | -0.000 |
| -0.000 | -0.000 | -0.000 | 0.000 | -0.000 | -0.000 |
| -0.000 | -0.000 | -0.000 | 0.000 | 0.000 | -0.000 |
| -0.000 | -0.000 | -0.000 | 0.000 | 0.000 | 0.000 |
| -0.000 | -0.000 | -0.000 | 0.000 | 0.000 | 0.000 |
| -0.000 | -0.000 | -0.000 | -0.000 | 0.000 | 0.000 |
| 0.000 | 0.000 | 0.000 | -0.000 | -0.000 | 0.000 |
| 0.000 | 0.000 | 0.000 | -0.000 | -0.000 | 0.000 |
| 0.000 | 0.000 | 0.000 | -0.000 | -0.000 | -0.000 |
| -0.000 | -0.000 | -0.000 | 0.000 | 0.000 | -0.000 |
| -0.000 | -0.000 | -0.000 | 0.000 | 0.000 | -0.000 |
| -0.000 | -0.000 | -0.000 | 0.000 | 0.000 | 0.000 |
| -0.000 | -0.000 | -0.000 | -0.000 | 0.000 | -0.000 |
| -0.000 | -0.000 | -0.000 | 0.000 | -0.000 | -0.000 |
| -0.000 | -0.000 | -0.000 | 0.000 | 0.000 | -0.000 |
| -0.000 | -0.000 | -0.000 | -0.000 | -0.000 | 0.000 |
| -0.000 | -0.000 | -0.000 | -0.000 | -0.000 | 0.000 |
| -0.000 | -0.000 | -0.000 | -0.000 | -0.000 | -0.000 |
| 0.000 | 0.000 | 0.000 | -0.000 | -0.000 | 0.000 |
| 0.000 | 0.000 | 0.000 | -0.000 | -0.000 | 0.000 |
| 0.000 | 0.000 | 0.000 | -0.000 | 0.000 | -0.000 |
| -0.000 | -0.000 | -0.000 | -0.000 | 0.000 | -0.000 |
| -0.000 | -0.000 | -0.000 | 0.000 | -0.000 | -0.000 |
| -0.000 | -0.000 | -0.000 | 0.000 | 0.000 | -0.000 |
| -0.000 | -0.000 | -0.000 | -0.000 | 0.000 | -0.000 |
| -0.000 | -0.000 | -0.000 | 0.000 | -0.000 | -0.000 |
| -0.000 | -0.000 | -0.000 | 0.000 | 0.000 | -0.000 |
| -0.000 | -0.000 | -0.000 | -0.000 | -0.000 | -0.000 |
| -0.000 | -0.000 | -0.000 | -0.000 | -0.000 | -0.000 |
| -0.000 | -0.000 | -0.000 | -0.000 | -0.000 | -0.000 |
| -0.000 | -0.000 | -0.000 | -0.000 | 0.000 | 0.000 |
| -0.000 | -0.000 | -0.000 | 0.000 | -0.000 | 0.000 |
| -0.000 | -0.000 | -0.000 | 0.000 | -0.000 | -0.000 |
| -0.000 | -0.000 | -0.000 | 0.000 | -0.000 | 0.000 |
| -0.000 | -0.000 | -0.000 | -0.000 | 0.000 | 0.000 |
| -0.000 | -0.000 | -0.000 | 0.000 | 0.000 | 0.000 |
| 0.000 | 0.000 | 0.000 | -0.000 | -0.000 | 0.000 |
| 0.000 | 0.000 | 0.000 | -0.000 | -0.000 | 0.000 |
| 0.000 | 0.000 | 0.000 | -0.000 | 0.000 | -0.000 |
| -0.000 | -0.000 | -0.000 | -0.000 | 0.000 | 0.000 |
| -0.000 | -0.000 | -0.000 | 0.000 | -0.000 | 0.000 |
| -0.000 | -0.000 | -0.000 | 0.000 | 0.000 | -0.000 |
| -0.000 | -0.000 | -0.000 | -0.000 | 0.000 | 0.000 |
| -0.000 | -0.000 | -0.000 | 0.000 | -0.000 | 0.000 |
| -0.000 | -0.000 | -0.000 | 0.000 | 0.000 | -0.000 |
| -0.000 | -0.000 | -0.000 | -0.000 | -0.000 | -0.000 |
| -0.000 | -0.000 | -0.000 | -0.000 | -0.000 | -0.000 |
| -0.000 | -0.000 | -0.000 | -0.000 | -0.000 | -0.000 |
| 0.000 | 0.000 | 0.000 | -0.000 | -0.000 | -0.000 |
| 0.000 | 0.000 | 0.000 | -0.000 | -0.000 | -0.000 |
| 0.000 | 0.000 | 0.000 | -0.000 | -0.000 | -0.000 |
| -0.000 | -0.000 | -0.000 | 0.000 | 0.000 | 0.000 |
| -0.000 | -0.000 | -0.000 | 0.000 | 0.000 | 0.000 |
| -0.000 | -0.000 | -0.000 | 0.000 | 0.000 | 0.000 |
| -0.000 | -0.000 | -0.000 | -0.000 | 0.000 | 0.000 |
| -0.000 | -0.000 | -0.000 | 0.000 | -0.000 | 0.000 |
| -0.000 | -0.000 | -0.000 | 0.000 | 0.000 | -0.000 |
| -0.000 | -0.000 | -0.000 | 0.000 | -0.000 | -0.000 |
| -0.000 | -0.000 | -0.000 | -0.000 | 0.000 | -0.000 |
| -0.000 | -0.000 | -0.000 | -0.000 | -0.000 | 0.000 |
| 0.000 | 0.000 | 0.000 | -0.000 | -0.000 | 0.000 |
| 0.000 | 0.000 | 0.000 | -0.000 | -0.000 | 0.000 |
| 0.000 | 0.000 | 0.000 | -0.000 | 0.000 | -0.000 |
| -0.000 | -0.000 | -0.000 | 0.000 | 0.000 | 0.000 |
| -0.000 | -0.000 | -0.000 | 0.000 | 0.000 | 0.000 |
| -0.000 | -0.000 | -0.000 | 0.000 | 0.000 | 0.000 |
| -0.000 | -0.000 | -0.000 | -0.000 | 0.000 | 0.000 |
| -0.000 | -0.000 | -0.000 | 0.000 | -0.000 | 0.000 |
| -0.000 | -0.000 | -0.000 | 0.000 | 0.000 | -0.000 |
| -0.000 | -0.000 | -0.000 | -0.000 | -0.000 | -0.000 |
| -0.000 | -0.000 | -0.000 | -0.000 | -0.000 | -0.000 |
| -0.000 | -0.000 | -0.000 | -0.000 | -0.000 | -0.000 |
| 0.000 | 0.000 | 0.000 | -0.000 | -0.000 | 0.000 |
| 0.000 | 0.000 | 0.000 | -0.000 | -0.000 | 0.000 |
| 0.000 | 0.000 | 0.000 | -0.000 | 0.000 | -0.000 |
| -8.155 | 344.002 | 50.093 | -0.000 | 0.000 | 0.000 |
| 344.002 | -8.155 | 50.093 | -0.000 | 0.000 | 0.000 |
| 50.093 | 50.093 | 258.536 | -0.000 | 0.000 | 0.000 |
| -0.000 | -0.000 | -0.000 | -21.510 | 0.000 | -0.000 |
| -0.000 | -0.000 | -0.000 | -0.000 | -21.510 | 0.000 |
| -0.000 | -0.000 | -0.000 | -0.000 | 0.000 | -23.283 |
| -8.155 | 344.002 | 50.093 | 0.000 | 0.000 | -0.000 |
| 344.002 | -8.155 | 50.093 | 0.000 | -0.000 | -0.000 |
| 50.093 | 50.093 | 258.536 | -0.000 | -0.000 | -0.000 |
| 0.000 | 0.000 | 0.000 | -21.510 | -0.000 | -0.000 |
| 0.000 | 0.000 | 0.000 | -0.000 | -21.510 | -0.000 |
| 0.000 | 0.000 | 0.000 | 0.000 | -0.000 | -23.283 |
| 309.871 | 25.976 | 50.093 | 0.000 | 0.000 | 0.000 |
| 25.976 | 309.871 | 50.093 | -0.000 | 0.000 | 0.000 |
| 50.093 | 50.093 | 258.536 | -0.000 | 0.000 | 0.000 |
| -0.000 | 0.000 | -0.000 | -21.510 | 0.000 | 0.000 |
| 0.000 | -0.000 | -0.000 | -0.000 | -21.510 | 0.000 |
| -0.000 | -0.000 | -0.000 | 0.000 | 0.000 | -23.283 |
| 309.871 | 25.976 | 50.093 | 0.000 | -0.000 | -0.000 |
| 25.976 | 309.871 | 50.093 | -0.000 | -0.000 | -0.000 |
| 50.093 | 50.093 | 258.535 | 0.000 | -0.000 | -0.000 |
| 0.000 | -0.000 | 0.000 | -21.510 | -0.000 | 0.000 |
| -0.000 | 0.000 | 0.000 | -0.000 | -21.510 | -0.000 |
| 0.000 | 0.000 | 0.000 | 0.000 | -0.000 | -23.283 |
| -3937.179 | 4273.090 | 50.150 | 0.000 | 0.002 | 0.000 |
| 4273.097 | -3937.186 | 50.150 | 0.002 | 0.001 | 0.000 |
| 50.093 | 50.093 | 258.538 | -0.000 | 0.000 | 0.000 |
| -0.000 | 0.000 | -0.000 | -21.510 | 0.000 | 0.000 |
| 0.000 | -0.000 | -0.000 | 0.000 | -21.510 | -0.000 |
| -0.000 | -0.000 | -0.000 | -0.000 | 0.000 | -23.283 |
| -3936.693 | 4272.477 | 50.036 | -0.000 | -0.002 | -0.000 |
| 4272.460 | -3936.677 | 50.036 | -0.002 | -0.001 | -0.000 |
| 50.093 | 50.093 | 258.534 | -0.000 | -0.000 | -0.000 |
| 0.000 | -0.000 | 0.000 | -21.510 | -0.000 | 0.000 |
| -0.000 | 0.000 | 0.000 | 0.000 | -21.510 | -0.000 |
| 0.000 | 0.000 | 0.000 | 0.000 | 0.000 | -23.283 |
| 0.000 | -0.000 | 0.000 | 0.000 | -0.000 | 0.000 |
| -0.000 | 0.000 | 0.000 | 0.000 | -0.000 | 0.000 |
| 0.000 | 0.000 | 0.000 | 0.000 | -0.000 | -0.000 |
| 0.000 | 0.000 | 0.000 | 0.000 | 0.000 | -0.000 |
| 0.000 | 0.000 | 0.000 | 0.000 | 0.000 | 0.000 |
| 0.000 | -0.000 | -0.000 | -0.000 | 0.000 | 0.000 |
| 0.000 | -0.000 | 0.000 | -0.000 | 0.000 | -0.000 |
| -0.000 | 0.000 | 0.000 | -0.000 | 0.000 | -0.000 |
| 0.000 | 0.000 | 0.000 | -0.000 | -0.000 | -0.000 |
| -0.000 | -0.000 | -0.000 | 0.000 | -0.000 | 0.000 |
| -0.000 | -0.000 | -0.000 | -0.000 | 0.000 | 0.000 |
| -0.000 | 0.000 | 0.000 | -0.000 | 0.000 | 0.000 |
| 0.000 | -0.000 | 0.000 | 0.000 | -0.000 | 0.000 |
| -0.000 | 0.000 | 0.000 | -0.000 | -0.000 | -0.000 |
| 0.000 | 0.000 | 0.000 | 0.000 | -0.000 | 0.000 |
| -0.000 | 0.000 | 0.000 | 0.000 | 0.000 | 0.000 |
| 0.000 | -0.000 | 0.000 | -0.000 | 0.000 | -0.000 |
| 0.000 | -0.000 | -0.000 | -0.000 | 0.000 | 0.000 |
| 0.000 | -0.000 | 0.000 | -0.000 | 0.000 | -0.000 |
| -0.000 | 0.000 | 0.000 | 0.000 | -0.000 | -0.000 |
| 0.000 | 0.000 | 0.000 | -0.000 | 0.000 | -0.000 |
| 0.000 | -0.000 | -0.000 | 0.000 | -0.000 | 0.000 |
| -0.000 | 0.000 | -0.000 | 0.000 | 0.000 | 0.000 |
| -0.000 | 0.000 | 0.000 | -0.000 | 0.000 | 0.000 |
| 0.000 | -0.000 | 0.000 | 0.000 | 0.000 | 0.000 |
| -0.000 | 0.000 | 0.000 | 0.000 | -0.000 | 0.000 |
| 0.000 | 0.000 | 0.000 | 0.000 | 0.000 | -0.000 |
| -0.000 | 0.000 | 0.000 | 0.000 | 0.000 | -0.000 |
| 0.000 | -0.000 | 0.000 | 0.000 | 0.000 | -0.000 |
| -0.000 | -0.000 | -0.000 | -0.000 | -0.000 | 0.000 |
| 0.000 | -0.000 | 0.000 | -0.000 | 0.000 | 0.000 |
| -0.000 | 0.000 | 0.000 | -0.000 | 0.000 | 0.000 |
| 0.000 | 0.000 | 0.000 | 0.000 | 0.000 | 0.000 |
| 0.000 | -0.000 | -0.000 | 0.000 | -0.000 | 0.000 |
| -0.000 | 0.000 | -0.000 | -0.000 | 0.000 | -0.000 |
| 0.000 | 0.000 | 0.000 | 0.000 | -0.000 | 0.000 |
| -0.000 | -0.000 | -0.000 | 0.000 | -0.000 | -0.000 |
| -0.000 | -0.000 | -0.000 | 0.000 | 0.000 | -0.000 |
| -0.000 | -0.000 | -0.000 | 0.000 | 0.000 | 0.000 |
| 0.000 | -0.000 | -0.000 | -0.000 | 0.000 | -0.000 |
| -0.000 | 0.000 | -0.000 | -0.000 | -0.000 | 0.000 |
| 0.000 | 0.000 | 0.000 | -0.000 | -0.000 | 0.000 |
| -0.000 | -0.000 | -0.000 | -0.000 | 0.000 | -0.000 |
| -0.000 | -0.000 | -0.000 | 0.000 | 0.000 | 0.000 |
| -0.000 | -0.000 | -0.000 | 0.000 | -0.000 | 0.000 |
| -0.000 | 0.000 | 0.000 | -0.000 | -0.000 | -0.000 |
| 0.000 | -0.000 | 0.000 | -0.000 | -0.000 | 0.000 |
| -0.000 | -0.000 | -0.000 | 0.000 | -0.000 | 0.000 |
| -0.000 | -0.000 | -0.000 | 0.000 | -0.000 | -0.000 |
| -0.000 | -0.000 | -0.000 | 0.000 | 0.000 | -0.000 |
| -0.000 | -0.000 | -0.000 | 0.000 | -0.000 | 0.000 |
| 0.000 | -0.000 | -0.000 | -0.000 | -0.000 | -0.000 |
| -0.000 | 0.000 | -0.000 | 0.000 | -0.000 | -0.000 |
| -0.000 | 0.000 | 0.000 | -0.000 | -0.000 | 0.000 |
| -0.000 | -0.000 | -0.000 | 0.000 | 0.000 | 0.000 |
| -0.000 | -0.000 | -0.000 | 0.000 | -0.000 | 0.000 |
| -0.000 | -0.000 | -0.000 | -0.000 | 0.000 | 0.000 |
| -0.000 | 0.000 | 0.000 | -0.000 | 0.000 | -0.000 |
| 0.000 | -0.000 | 0.000 | -0.000 | -0.000 | -0.000 |
| -0.000 | -0.000 | -0.000 | 0.000 | 0.000 | 0.000 |
| -0.000 | -0.000 | -0.000 | 0.000 | 0.000 | -0.000 |
| -0.000 | -0.000 | -0.000 | -0.000 | 0.000 | -0.000 |
| -0.000 | -0.000 | -0.000 | 0.000 | -0.000 | -0.000 |
| 0.000 | -0.000 | -0.000 | -0.000 | -0.000 | 0.000 |
| -0.000 | 0.000 | -0.000 | 0.000 | -0.000 | -0.000 |
| 0.000 | 0.000 | 0.000 | 0.000 | -0.000 | -0.000 |
| -0.000 | -0.000 | -0.000 | -0.000 | 0.000 | 0.000 |
| -0.000 | -0.000 | -0.000 | -0.000 | -0.000 | 0.000 |
| -0.000 | -0.000 | -0.000 | 0.000 | 0.000 | -0.000 |
| -0.000 | 0.000 | 0.000 | -0.000 | 0.000 | 0.000 |
| 0.000 | -0.000 | 0.000 | -0.000 | -0.000 | -0.000 |
| -0.000 | -0.000 | -0.000 | -0.000 | -0.000 | -0.000 |
| -0.000 | -0.000 | -0.000 | -0.000 | 0.000 | 0.000 |
| -0.000 | -0.000 | -0.000 | -0.000 | -0.000 | 0.000 |
| -0.000 | -0.000 | -0.000 | 0.000 | 0.000 | 0.000 |
| -0.000 | 0.000 | 0.000 | -0.000 | -0.000 | 0.000 |
| 0.000 | 0.000 | 0.000 | -0.000 | -0.000 | 0.000 |
| -0.000 | 0.000 | 0.000 | -0.000 | 0.000 | 0.000 |
| -0.000 | -0.000 | -0.000 | -0.000 | -0.000 | -0.000 |
| -0.000 | -0.000 | -0.000 | -0.000 | 0.000 | -0.000 |
| -0.000 | -0.000 | -0.000 | -0.000 | 0.000 | 0.000 |
| 0.000 | -0.000 | -0.000 | -0.000 | 0.000 | -0.000 |
| -0.000 | -0.000 | -0.000 | 0.000 | -0.000 | -0.000 |
| 0.000 | -0.000 | -0.000 | 0.000 | 0.000 | 0.000 |
| -0.000 | -0.000 | -0.000 | -0.000 | -0.000 | 0.000 |
| -0.000 | -0.000 | -0.000 | 0.000 | -0.000 | 0.000 |
| -0.000 | -0.000 | -0.000 | -0.000 | 0.000 | 0.000 |
| 0.000 | 0.000 | 0.000 | -0.000 | 0.000 | 0.000 |
| 0.000 | 0.000 | 0.000 | 0.000 | -0.000 | 0.000 |
| -0.000 | 0.000 | 0.000 | -0.000 | -0.000 | 0.000 |
| -0.000 | -0.000 | -0.000 | -0.000 | 0.000 | -0.000 |
| -0.000 | -0.000 | -0.000 | -0.000 | 0.000 | 0.000 |
| -0.000 | -0.000 | -0.000 | -0.000 | -0.000 | -0.000 |
| -0.000 | -0.000 | -0.000 | -0.000 | -0.000 | -0.000 |
| -0.000 | -0.000 | -0.000 | -0.000 | -0.000 | -0.000 |
| 0.000 | -0.000 | -0.000 | 0.000 | -0.000 | 0.000 |
| -0.000 | -0.000 | -0.000 | -0.000 | -0.000 | 0.000 |
| -0.000 | -0.000 | -0.000 | 0.000 | -0.000 | 0.000 |
| -0.000 | -0.000 | -0.000 | -0.000 | 0.000 | 0.000 |
| 0.000 | 0.000 | 0.000 | -0.000 | 0.000 | 0.000 |
| 0.000 | 0.000 | 0.000 | 0.000 | -0.000 | 0.000 |
| -0.000 | 0.000 | 0.000 | 0.000 | 0.000 | 0.000 |
| -0.000 | -0.000 | -0.000 | 0.000 | -0.000 | -0.000 |
| -0.000 | -0.000 | -0.000 | -0.000 | 0.000 | -0.000 |
| -0.000 | -0.000 | -0.000 | -0.000 | -0.000 | -0.000 |
| -0.000 | -0.000 | -0.000 | -0.000 | -0.000 | -0.000 |
| -0.000 | -0.000 | -0.000 | 0.000 | -0.000 | -0.000 |
| 0.000 | -0.000 | -0.000 | -0.000 | 0.000 | 0.000 |
| -0.000 | -0.000 | -0.000 | 0.000 | -0.000 | 0.000 |
| -0.000 | -0.000 | -0.000 | -0.000 | -0.000 | 0.000 |
| -0.000 | -0.000 | -0.000 | -0.000 | -0.000 | -0.000 |
| -0.000 | 0.000 | 0.000 | -0.000 | -0.000 | -0.000 |
| 0.000 | 0.000 | 0.000 | 0.000 | -0.000 | 0.000 |
| -0.000 | 0.000 | 0.000 | 0.000 | 0.000 | 0.000 |
| -0.000 | -0.000 | -0.000 | -0.000 | 0.000 | -0.000 |
| -0.000 | -0.000 | -0.000 | 0.000 | 0.000 | -0.000 |
| -0.000 | -0.000 | -0.000 | -0.000 | 0.000 | -0.000 |
| 0.000 | -0.000 | -0.000 | -0.000 | 0.000 | -0.000 |
| -0.000 | -0.000 | -0.000 | -0.000 | -0.000 | -0.000 |
| 0.000 | -0.000 | -0.000 | -0.000 | 0.000 | 0.000 |
| -0.000 | -0.000 | -0.000 | 0.000 | -0.000 | 0.000 |
| -0.000 | -0.000 | -0.000 | -0.000 | -0.000 | -0.000 |
| -0.000 | -0.000 | -0.000 | -0.000 | 0.000 | -0.000 |
| 0.000 | 0.000 | 0.000 | -0.000 | -0.000 | 0.000 |
| 0.000 | 0.000 | 0.000 | -0.000 | -0.000 | 0.000 |
| -0.000 | 0.000 | 0.000 | -0.000 | 0.000 | 0.000 |
| -0.000 | -0.000 | -0.000 | -0.000 | 0.000 | -0.000 |
| -0.000 | -0.000 | -0.000 | -0.000 | 0.000 | 0.000 |
| -0.000 | -0.000 | -0.000 | 0.000 | 0.000 | -0.000 |
| -0.000 | -0.000 | -0.000 | -0.000 | 0.000 | -0.000 |
| -0.000 | -0.000 | -0.000 | 0.000 | -0.000 | -0.000 |
| 0.000 | -0.000 | -0.000 | 0.000 | 0.000 | 0.000 |
| -0.000 | -0.000 | -0.000 | 0.000 | -0.000 | -0.000 |
| -0.000 | -0.000 | -0.000 | -0.000 | -0.000 | -0.000 |
| -0.000 | -0.000 | -0.000 | -0.000 | 0.000 | 0.000 |
| 0.000 | 0.000 | 0.000 | -0.000 | -0.000 | -0.000 |
| 0.000 | 0.000 | 0.000 | -0.000 | -0.000 | 0.000 |
| -0.000 | 0.000 | 0.000 | 0.000 | 0.000 | 0.000 |
| -0.000 | -0.000 | -0.000 | -0.000 | -0.000 | 0.000 |
| -0.000 | -0.000 | -0.000 | 0.000 | 0.000 | -0.000 |
| -0.000 | -0.000 | -0.000 | 0.000 | 0.000 | 0.000 |
| -0.000 | -0.000 | -0.000 | -0.000 | 0.000 | 0.000 |
| -0.000 | -0.000 | -0.000 | 0.000 | -0.000 | -0.000 |
| 0.000 | -0.000 | -0.000 | -0.000 | -0.000 | 0.000 |
| -0.000 | 0.000 | -0.000 | -0.000 | 0.000 | -0.000 |
| -0.000 | -0.000 | -0.000 | -0.000 | 0.000 | 0.000 |
| -0.000 | -0.000 | -0.000 | -0.000 | 0.000 | -0.000 |
| -0.000 | -0.000 | -0.000 | -0.000 | 0.000 | 0.000 |
| -0.000 | 0.000 | -0.000 | -0.000 | -0.000 | -0.000 |
| -0.000 | 0.000 | 0.000 | 0.000 | 0.000 | 0.000 |
| -0.000 | -0.000 | -0.000 | 0.000 | -0.000 | -0.000 |
| 0.000 | -0.000 | -0.000 | 0.000 | -0.000 | 0.000 |
| -0.000 | -0.000 | -0.000 | 0.000 | -0.000 | 0.000 |
| 0.000 | 0.000 | 0.000 | -0.000 | -0.000 | 0.000 |
| 0.000 | -0.000 | 0.000 | 0.000 | -0.000 | -0.000 |
| 0.000 | -0.000 | -0.000 | -0.000 | 0.000 | 0.000 |
| -0.000 | 0.000 | -0.000 | -0.000 | 0.000 | -0.000 |
| -0.000 | -0.000 | -0.000 | -0.000 | 0.000 | -0.000 |
| -0.000 | -0.000 | -0.000 | -0.000 | 0.000 | 0.000 |
| 0.000 | -0.000 | -0.000 | -0.000 | 0.000 | 0.000 |
| -0.000 | 0.000 | -0.000 | 0.000 | -0.000 | -0.000 |
| -0.000 | 0.000 | 0.000 | -0.000 | 0.000 | 0.000 |
| -0.000 | -0.000 | -0.000 | 0.000 | -0.000 | 0.000 |
| 0.000 | -0.000 | -0.000 | 0.000 | -0.000 | -0.000 |
| -0.000 | -0.000 | -0.000 | 0.000 | -0.000 | -0.000 |
| -0.000 | 0.000 | 0.000 | -0.000 | -0.000 | 0.000 |
| 0.000 | -0.000 | 0.000 | -0.000 | -0.000 | -0.000 |
| 0.000 | -0.000 | -0.000 | 0.000 | 0.000 | 0.000 |
| -0.000 | 0.000 | -0.000 | -0.000 | 0.000 | -0.000 |
| -0.000 | -0.000 | -0.000 | -0.000 | 0.000 | 0.000 |
| -0.000 | -0.000 | -0.000 | -0.000 | 0.000 | -0.000 |
| 0.000 | -0.000 | -0.000 | -0.000 | 0.000 | -0.000 |
| -0.000 | 0.000 | -0.000 | -0.000 | -0.000 | 0.000 |
| -0.000 | 0.000 | 0.000 | -0.000 | 0.000 | 0.000 |
| -0.000 | -0.000 | -0.000 | 0.000 | -0.000 | 0.000 |
| 0.000 | -0.000 | -0.000 | 0.000 | -0.000 | -0.000 |
| -0.000 | -0.000 | -0.000 | 0.000 | -0.000 | -0.000 |
| -0.000 | 0.000 | 0.000 | -0.000 | -0.000 | -0.000 |
| 0.000 | -0.000 | 0.000 | 0.000 | -0.000 | 0.000 |
| 0.000 | -0.000 | -0.000 | 0.000 | -0.000 | 0.000 |
| -0.000 | -0.000 | -0.000 | -0.000 | 0.000 | 0.000 |
| -0.000 | -0.000 | -0.000 | -0.000 | 0.000 | -0.000 |
| -0.000 | -0.000 | -0.000 | -0.000 | -0.000 | -0.000 |
| -0.000 | -0.000 | -0.000 | -0.000 | 0.000 | -0.000 |
| -0.000 | 0.000 | -0.000 | -0.000 | -0.000 | 0.000 |
| -0.000 | 0.000 | 0.000 | -0.000 | -0.000 | 0.000 |
| -0.000 | -0.000 | -0.000 | 0.000 | -0.000 | -0.000 |
| -0.000 | -0.000 | -0.000 | 0.000 | -0.000 | 0.000 |
| -0.000 | -0.000 | -0.000 | 0.000 | -0.000 | 0.000 |
| 0.000 | 0.000 | 0.000 | -0.000 | -0.000 | 0.000 |
| 0.000 | -0.000 | 0.000 | 0.000 | -0.000 | -0.000 |
| 0.000 | -0.000 | -0.000 | 0.000 | 0.000 | 0.000 |
| -0.000 | -0.000 | -0.000 | -0.000 | -0.000 | -0.000 |
| -0.000 | -0.000 | -0.000 | -0.000 | 0.000 | -0.000 |
| -0.000 | -0.000 | -0.000 | -0.000 | 0.000 | -0.000 |
| 0.000 | -0.000 | -0.000 | -0.000 | 0.000 | 0.000 |
| -0.000 | 0.000 | -0.000 | 0.000 | -0.000 | 0.000 |
| -0.000 | 0.000 | 0.000 | 0.000 | -0.000 | 0.000 |
| -0.000 | -0.000 | -0.000 | 0.000 | -0.000 | -0.000 |
| -0.000 | -0.000 | -0.000 | 0.000 | -0.000 | 0.000 |
| -0.000 | -0.000 | -0.000 | 0.000 | -0.000 | 0.000 |
| -0.000 | 0.000 | 0.000 | -0.000 | -0.000 | 0.000 |
| 0.000 | -0.000 | 0.000 | -0.000 | -0.000 | -0.000 |
| 0.000 | -0.000 | -0.000 | -0.000 | 0.000 | 0.000 |
| -0.000 | -0.000 | -0.000 | -0.000 | 0.000 | 0.000 |
| -0.000 | -0.000 | -0.000 | -0.000 | 0.000 | 0.000 |
| -0.000 | -0.000 | -0.000 | -0.000 | 0.000 | -0.000 |
| 0.000 | -0.000 | -0.000 | -0.000 | 0.000 | -0.000 |
| -0.000 | 0.000 | -0.000 | -0.000 | -0.000 | 0.000 |
| -0.000 | 0.000 | 0.000 | -0.000 | -0.000 | 0.000 |
| -0.000 | -0.000 | -0.000 | 0.000 | -0.000 | -0.000 |
| -0.000 | -0.000 | -0.000 | 0.000 | -0.000 | 0.000 |
| -0.000 | -0.000 | -0.000 | 0.000 | -0.000 | -0.000 |
| -0.000 | 0.000 | 0.000 | -0.000 | -0.000 | -0.000 |
| 0.000 | -0.000 | 0.000 | 0.000 | -0.000 | -0.000 |
| 0.000 | -0.000 | -0.000 | 0.000 | 0.000 | 0.000 |
| -0.000 | -0.000 | -0.000 | -0.000 | 0.000 | 0.000 |
| 0.000 | -0.000 | -0.000 | 0.000 | 0.000 | 0.000 |
| -0.000 | -0.000 | -0.000 | 0.000 | 0.000 | 0.000 |
| 0.000 | -0.000 | -0.000 | -0.000 | 0.000 | 0.000 |
| -0.000 | -0.000 | -0.000 | -0.000 | -0.000 | 0.000 |
| 0.000 | -0.000 | -0.000 | -0.000 | -0.000 | 0.000 |
| -0.000 | 0.000 | -0.000 | 0.000 | 0.000 | 0.000 |
| -0.000 | -0.000 | -0.000 | -0.000 | -0.000 | -0.000 |
| -0.000 | -0.000 | -0.000 | -0.000 | -0.000 | -0.000 |
| -0.000 | 0.000 | 0.000 | -0.000 | -0.000 | -0.000 |
| 0.000 | 0.000 | 0.000 | 0.000 | -0.000 | 0.000 |
| -0.000 | 0.000 | 0.000 | 0.000 | -0.000 | 0.000 |
| -0.000 | -0.000 | -0.000 | -0.000 | 0.000 | -0.000 |
| 0.000 | -0.000 | -0.000 | 0.000 | 0.000 | -0.000 |
| -0.000 | -0.000 | -0.000 | 0.000 | 0.000 | -0.000 |
| 0.000 | -0.000 | -0.000 | -0.000 | 0.000 | 0.000 |
| -0.000 | 0.000 | -0.000 | 0.000 | -0.000 | -0.000 |
| 0.000 | 0.000 | 0.000 | 0.000 | -0.000 | 0.000 |
| -0.000 | 0.000 | -0.000 | 0.000 | -0.000 | 0.000 |
| -0.000 | -0.000 | -0.000 | -0.000 | -0.000 | -0.000 |
| -0.000 | -0.000 | -0.000 | -0.000 | -0.000 | -0.000 |
| -0.000 | 0.000 | 0.000 | -0.000 | -0.000 | 0.000 |
| 0.000 | -0.000 | 0.000 | -0.000 | -0.000 | -0.000 |
| -0.000 | -0.000 | -0.000 | -0.000 | 0.000 | 0.000 |
| -0.000 | -0.000 | -0.000 | -0.000 | 0.000 | 0.000 |
| 0.000 | -0.000 | -0.000 | 0.000 | 0.000 | -0.000 |
| -0.000 | -0.000 | -0.000 | 0.000 | 0.000 | 0.000 |
| 0.000 | -0.000 | -0.000 | -0.000 | -0.000 | 0.000 |
| -0.000 | 0.000 | -0.000 | 0.000 | -0.000 | -0.000 |
| 0.000 | 0.000 | 0.000 | 0.000 | 0.000 | -0.000 |
| -0.000 | 0.000 | -0.000 | 0.000 | -0.000 | -0.000 |
| -0.000 | -0.000 | -0.000 | -0.000 | -0.000 | -0.000 |
| -0.000 | -0.000 | -0.000 | -0.000 | 0.000 | 0.000 |
| -0.000 | 0.000 | 0.000 | -0.000 | 0.000 | -0.000 |
| 0.000 | -0.000 | 0.000 | -0.000 | -0.000 | -0.000 |
| -0.000 | -0.000 | -0.000 | -0.000 | 0.000 | -0.000 |
| 101.399 | 141.734 | 126.746 | -0.000 | 0.000 | 0.000 |
| 141.734 | 101.399 | 126.746 | 0.000 | -0.000 | 0.000 |
| 126.746 | 126.746 | 156.319 | 0.000 | -0.000 | 0.000 |
| -0.000 | 0.000 | 0.000 | 79.040 | -0.000 | 0.000 |
| -0.000 | 0.000 | 0.000 | 0.000 | 79.040 | 0.000 |
| -0.000 | 0.000 | 0.000 | 0.000 | 0.000 | 94.103 |
| 101.399 | 141.734 | 126.746 | -0.000 | 0.000 | -0.000 |
| 141.734 | 101.399 | 126.746 | -0.000 | -0.000 | -0.000 |
| 126.746 | 126.746 | 156.319 | -0.000 | -0.000 | -0.000 |
| -0.000 | 0.000 | -0.000 | 79.040 | -0.000 | 0.000 |
| 0.000 | -0.000 | -0.000 | -0.000 | 79.040 | -0.000 |
| 0.000 | -0.000 | -0.000 | -0.000 | 0.000 | 94.103 |
| 101.399 | 141.734 | 126.746 | 0.000 | -0.000 | -0.000 |
| 141.734 | 101.399 | 126.746 | -0.000 | 0.000 | 0.000 |
| 126.746 | 126.746 | 156.320 | 0.000 | 0.000 | 0.000 |
| 0.000 | 0.000 | 0.000 | 79.040 | -0.000 | 0.000 |
| 0.000 | 0.000 | 0.000 | 0.000 | 79.040 | 0.000 |
| 0.000 | 0.000 | 0.000 | -0.000 | -0.000 | 94.103 |
| 101.399 | 141.734 | 126.746 | -0.000 | -0.000 | -0.000 |
| 141.734 | 101.399 | 126.746 | -0.000 | -0.000 | -0.000 |
| 126.746 | 126.746 | 156.319 | -0.000 | -0.000 | -0.000 |
| -0.000 | -0.000 | -0.000 | 79.040 | 0.000 | -0.000 |
| -0.000 | -0.000 | -0.000 | -0.000 | 79.040 | -0.000 |
| -0.000 | -0.000 | -0.000 | 0.000 | 0.000 | 94.103 |
| 101.400 | 141.734 | 126.746 | 0.000 | 0.000 | 0.000 |
| 141.734 | 101.400 | 126.746 | -0.000 | -0.000 | 0.000 |
| 126.746 | 126.746 | 156.320 | 0.000 | -0.000 | 0.000 |
| 0.000 | 0.000 | 0.000 | 79.040 | 0.000 | -0.000 |
| 0.000 | 0.000 | 0.000 | 0.000 | 79.040 | 0.000 |
| 0.000 | 0.000 | 0.000 | 0.000 | 0.000 | 94.103 |
| 101.399 | 141.734 | 126.746 | -0.000 | -0.000 | -0.000 |
| 141.734 | 101.399 | 126.746 | -0.000 | -0.000 | 0.000 |
| 126.746 | 126.746 | 156.319 | -0.000 | 0.000 | 0.000 |
| -0.000 | -0.000 | -0.000 | 79.040 | -0.000 | -0.000 |
| -0.000 | -0.000 | -0.000 | -0.000 | 79.040 | -0.000 |
| -0.000 | -0.000 | -0.000 | -0.000 | 0.000 | 94.103 |
| 0.000 | -0.000 | -0.000 | -0.000 | -0.000 | 0.000 |
| -0.000 | 0.000 | -0.000 | -0.000 | 0.000 | -0.000 |
| -0.000 | -0.000 | -0.000 | -0.000 | -0.000 | 0.000 |
| 0.000 | -0.000 | 0.000 | -0.000 | 0.000 | 0.000 |
| -0.000 | 0.000 | 0.000 | 0.000 | -0.000 | 0.000 |
| -0.000 | 0.000 | 0.000 | -0.000 | 0.000 | 0.000 |
| 0.000 | -0.000 | -0.000 | 0.000 | 0.000 | -0.000 |
| -0.000 | 0.000 | -0.000 | 0.000 | 0.000 | 0.000 |
| -0.000 | -0.000 | -0.000 | -0.000 | -0.000 | -0.000 |
| -0.000 | 0.000 | -0.000 | -0.000 | 0.000 | -0.000 |
| 0.000 | -0.000 | -0.000 | 0.000 | -0.000 | -0.000 |
| 0.000 | -0.000 | -0.000 | 0.000 | 0.000 | 0.000 |
| 0.000 | -0.000 | -0.000 | -0.000 | -0.000 | 0.000 |
| -0.000 | 0.000 | -0.000 | -0.000 | -0.000 | 0.000 |
| -0.000 | -0.000 | -0.000 | 0.000 | 0.000 | 0.000 |
| 0.000 | -0.000 | 0.000 | -0.000 | -0.000 | 0.000 |
| -0.000 | 0.000 | 0.000 | -0.000 | -0.000 | 0.000 |
| -0.000 | -0.000 | 0.000 | -0.000 | -0.000 | 0.000 |
| 0.000 | -0.000 | -0.000 | -0.000 | -0.000 | -0.000 |
| -0.000 | 0.000 | -0.000 | -0.000 | -0.000 | -0.000 |
| -0.000 | -0.000 | -0.000 | 0.000 | 0.000 | -0.000 |
| -0.000 | 0.000 | -0.000 | -0.000 | -0.000 | 0.000 |
| 0.000 | -0.000 | -0.000 | -0.000 | -0.000 | -0.000 |
| 0.000 | 0.000 | -0.000 | -0.000 | -0.000 | 0.000 |
| 0.000 | -0.000 | -0.000 | -0.000 | -0.000 | 0.000 |
| -0.000 | 0.000 | -0.000 | -0.000 | -0.000 | -0.000 |
| -0.000 | -0.000 | -0.000 | -0.000 | -0.000 | 0.000 |
| 0.000 | -0.000 | 0.000 | -0.000 | 0.000 | 0.000 |
| -0.000 | 0.000 | 0.000 | 0.000 | -0.000 | 0.000 |
| -0.000 | -0.000 | 0.000 | -0.000 | -0.000 | 0.000 |
| 0.000 | -0.000 | -0.000 | 0.000 | 0.000 | -0.000 |
| -0.000 | 0.000 | -0.000 | 0.000 | 0.000 | 0.000 |
| -0.000 | -0.000 | -0.000 | 0.000 | 0.000 | -0.000 |
| -0.000 | -0.000 | -0.000 | -0.000 | 0.000 | -0.000 |
| -0.000 | -0.000 | -0.000 | 0.000 | -0.000 | -0.000 |
| 0.000 | 0.000 | -0.000 | 0.000 | -0.000 | 0.000 |
| -0.000 | -0.000 | 0.000 | -0.000 | -0.000 | 0.000 |
| -0.000 | -0.000 | 0.000 | -0.000 | -0.000 | -0.000 |
| -0.000 | -0.000 | 0.000 | -0.000 | -0.000 | -0.000 |
| 0.000 | -0.000 | 0.000 | 0.000 | -0.000 | -0.000 |
| -0.000 | 0.000 | 0.000 | -0.000 | 0.000 | -0.000 |
| -0.000 | 0.000 | 0.000 | -0.000 | -0.000 | 0.000 |
| -0.000 | -0.000 | 0.000 | 0.000 | 0.000 | -0.000 |
| -0.000 | -0.000 | 0.000 | 0.000 | 0.000 | -0.000 |
| -0.000 | -0.000 | 0.000 | 0.000 | 0.000 | -0.000 |
| -0.000 | 0.000 | -0.000 | 0.000 | -0.000 | -0.000 |
| 0.000 | -0.000 | -0.000 | -0.000 | 0.000 | -0.000 |
| 0.000 | -0.000 | -0.000 | 0.000 | 0.000 | 0.000 |
| -0.000 | -0.000 | 0.000 | -0.000 | -0.000 | -0.000 |
| -0.000 | -0.000 | 0.000 | -0.000 | -0.000 | -0.000 |
| -0.000 | -0.000 | 0.000 | 0.000 | 0.000 | -0.000 |
| 0.000 | -0.000 | 0.000 | 0.000 | 0.000 | -0.000 |
| -0.000 | 0.000 | 0.000 | 0.000 | 0.000 | 0.000 |
| -0.000 | 0.000 | 0.000 | -0.000 | -0.000 | 0.000 |
| -0.000 | -0.000 | 0.000 | 0.000 | 0.000 | -0.000 |
| -0.000 | -0.000 | 0.000 | 0.000 | 0.000 | -0.000 |
| -0.000 | -0.000 | 0.000 | 0.000 | 0.000 | -0.000 |
| -0.000 | 0.000 | -0.000 | 0.000 | 0.000 | -0.000 |
| 0.000 | -0.000 | -0.000 | 0.000 | 0.000 | -0.000 |
| 0.000 | -0.000 | -0.000 | 0.000 | -0.000 | 0.000 |
| -0.000 | -0.000 | 0.000 | -0.000 | 0.000 | -0.000 |
| -0.000 | -0.000 | 0.000 | 0.000 | -0.000 | -0.000 |
| -0.000 | -0.000 | 0.000 | -0.000 | -0.000 | -0.000 |
| 0.000 | 0.000 | 0.000 | 0.000 | -0.000 | 0.000 |
| 0.000 | 0.000 | 0.000 | -0.000 | 0.000 | 0.000 |
| -0.000 | 0.000 | 0.000 | -0.000 | 0.000 | 0.000 |
| -0.000 | -0.000 | 0.000 | 0.000 | 0.000 | -0.000 |
| -0.000 | -0.000 | 0.000 | 0.000 | 0.000 | 0.000 |
| -0.000 | -0.000 | 0.000 | -0.000 | -0.000 | -0.000 |
| -0.000 | 0.000 | -0.000 | 0.000 | 0.000 | -0.000 |
| 0.000 | -0.000 | -0.000 | 0.000 | 0.000 | -0.000 |
| 0.000 | -0.000 | -0.000 | 0.000 | 0.000 | 0.000 |
| -0.000 | -0.000 | 0.000 | -0.000 | -0.000 | 0.000 |
| -0.000 | -0.000 | 0.000 | -0.000 | -0.000 | 0.000 |
| -0.000 | -0.000 | 0.000 | 0.000 | 0.000 | -0.000 |
| 0.000 | 0.000 | 0.000 | 0.000 | -0.000 | 0.000 |
| 0.000 | 0.000 | 0.000 | -0.000 | 0.000 | -0.000 |
| 0.000 | 0.000 | 0.000 | -0.000 | -0.000 | 0.000 |
| -0.000 | -0.000 | 0.000 | 0.000 | 0.000 | -0.000 |
| -0.000 | -0.000 | 0.000 | 0.000 | 0.000 | -0.000 |
| -0.000 | -0.000 | 0.000 | 0.000 | 0.000 | -0.000 |
| -0.000 | -0.000 | -0.000 | 0.000 | 0.000 | -0.000 |
| -0.000 | -0.000 | -0.000 | 0.000 | 0.000 | -0.000 |
| -0.000 | -0.000 | -0.000 | 0.000 | 0.000 | 0.000 |
| -0.000 | -0.000 | 0.000 | -0.000 | -0.000 | 0.000 |
| -0.000 | -0.000 | 0.000 | -0.000 | -0.000 | -0.000 |
| -0.000 | -0.000 | 0.000 | -0.000 | -0.000 | -0.000 |
| 0.000 | 0.000 | 0.000 | 0.000 | -0.000 | 0.000 |
| 0.000 | 0.000 | 0.000 | -0.000 | 0.000 | 0.000 |
| 0.000 | 0.000 | 0.000 | -0.000 | -0.000 | 0.000 |
| -0.000 | -0.000 | 0.000 | 0.000 | 0.000 | -0.000 |
| -0.000 | -0.000 | 0.000 | 0.000 | 0.000 | 0.000 |
| -0.000 | -0.000 | 0.000 | 0.000 | 0.000 | -0.000 |
| -0.000 | -0.000 | -0.000 | 0.000 | 0.000 | -0.000 |
| -0.000 | -0.000 | -0.000 | -0.000 | 0.000 | -0.000 |
| -0.000 | -0.000 | -0.000 | 0.000 | 0.000 | 0.000 |
| -0.000 | -0.000 | 0.000 | -0.000 | -0.000 | 0.000 |
| -0.000 | -0.000 | 0.000 | -0.000 | -0.000 | 0.000 |
| -0.000 | -0.000 | 0.000 | -0.000 | -0.000 | -0.000 |
| 0.000 | 0.000 | 0.000 | 0.000 | -0.000 | 0.000 |
| 0.000 | 0.000 | 0.000 | -0.000 | 0.000 | -0.000 |
| -0.000 | 0.000 | 0.000 | 0.000 | -0.000 | 0.000 |
| -0.000 | -0.000 | 0.000 | 0.000 | -0.000 | -0.000 |
| -0.000 | -0.000 | 0.000 | 0.000 | 0.000 | -0.000 |
| -0.000 | -0.000 | 0.000 | 0.000 | 0.000 | -0.000 |
| -0.000 | -0.000 | -0.000 | 0.000 | 0.000 | -0.000 |
| -0.000 | -0.000 | -0.000 | 0.000 | 0.000 | -0.000 |
| 0.000 | -0.000 | -0.000 | 0.000 | -0.000 | 0.000 |
| -0.000 | -0.000 | -0.000 | -0.000 | -0.000 | 0.000 |
| -0.000 | -0.000 | -0.000 | -0.000 | -0.000 | -0.000 |
| -0.000 | -0.000 | -0.000 | -0.000 | -0.000 | 0.000 |
| 0.000 | -0.000 | -0.000 | -0.000 | 0.000 | -0.000 |
| -0.000 | 0.000 | -0.000 | 0.000 | -0.000 | 0.000 |
| -0.000 | 0.000 | -0.000 | 0.000 | -0.000 | 0.000 |
| -0.000 | -0.000 | -0.000 | 0.000 | 0.000 | -0.000 |
| -0.000 | -0.000 | -0.000 | 0.000 | 0.000 | 0.000 |
| -0.000 | -0.000 | -0.000 | 0.000 | 0.000 | 0.000 |
| -0.000 | 0.000 | 0.000 | -0.000 | 0.000 | 0.000 |
| 0.000 | -0.000 | 0.000 | 0.000 | -0.000 | -0.000 |
| 0.000 | -0.000 | 0.000 | 0.000 | 0.000 | 0.000 |
| -0.000 | -0.000 | -0.000 | -0.000 | -0.000 | 0.000 |
| -0.000 | -0.000 | -0.000 | -0.000 | -0.000 | 0.000 |
| -0.000 | -0.000 | -0.000 | 0.000 | -0.000 | 0.000 |
| 0.000 | -0.000 | -0.000 | -0.000 | -0.000 | -0.000 |
| -0.000 | 0.000 | -0.000 | -0.000 | -0.000 | 0.000 |
| -0.000 | 0.000 | -0.000 | -0.000 | -0.000 | 0.000 |
| -0.000 | -0.000 | -0.000 | -0.000 | 0.000 | 0.000 |
| -0.000 | -0.000 | -0.000 | 0.000 | -0.000 | -0.000 |
| -0.000 | -0.000 | -0.000 | 0.000 | 0.000 | 0.000 |
| -0.000 | 0.000 | 0.000 | -0.000 | 0.000 | 0.000 |
| 0.000 | -0.000 | 0.000 | -0.000 | -0.000 | -0.000 |
| 0.000 | -0.000 | 0.000 | 0.000 | -0.000 | 0.000 |
| -0.000 | -0.000 | -0.000 | 0.000 | 0.000 | 0.000 |
| -0.000 | -0.000 | -0.000 | 0.000 | -0.000 | 0.000 |
| -0.000 | -0.000 | -0.000 | -0.000 | -0.000 | 0.000 |
| 0.000 | -0.000 | -0.000 | -0.000 | -0.000 | -0.000 |
| -0.000 | 0.000 | -0.000 | -0.000 | -0.000 | 0.000 |
| -0.000 | 0.000 | -0.000 | 0.000 | -0.000 | 0.000 |
| -0.000 | -0.000 | -0.000 | 0.000 | -0.000 | -0.000 |
| -0.000 | -0.000 | -0.000 | -0.000 | 0.000 | -0.000 |
| -0.000 | -0.000 | -0.000 | 0.000 | 0.000 | 0.000 |
| -0.000 | 0.000 | 0.000 | -0.000 | 0.000 | 0.000 |
| 0.000 | -0.000 | 0.000 | 0.000 | -0.000 | -0.000 |
| 0.000 | -0.000 | 0.000 | -0.000 | 0.000 | 0.000 |
| 39.521 | 14.988 | 62.085 | -31.951 | -0.000 | 0.000 |
| 14.988 | 39.521 | 62.085 | 31.951 | -0.000 | 0.000 |
| 55.912 | 55.912 | 74.617 | 0.000 | 0.000 | 0.000 |
| -31.951 | 31.951 | -0.000 | 44.199 | -0.000 | 0.000 |
| 0.000 | 0.000 | -0.000 | 0.000 | 44.199 | -31.951 |
| 0.000 | 0.000 | 0.000 | 0.000 | -31.951 | 12.266 |
| 39.521 | 14.988 | 62.085 | -31.951 | 0.000 | -0.000 |
| 14.988 | 39.521 | 62.085 | 31.951 | 0.000 | -0.000 |
| 55.912 | 55.912 | 74.617 | -0.000 | -0.000 | -0.000 |
| -31.951 | 31.951 | 0.000 | 44.199 | -0.000 | -0.000 |
| 0.000 | -0.000 | 0.000 | 0.000 | 44.199 | -31.951 |
| -0.000 | -0.000 | -0.000 | -0.000 | -31.951 | 12.266 |
| 39.521 | 14.988 | 62.085 | -31.951 | 0.000 | 0.000 |
| 14.988 | 39.521 | 62.085 | 31.951 | -0.000 | 0.000 |
| 55.912 | 55.912 | 74.617 | 0.000 | -0.000 | 0.000 |
| -31.951 | 31.951 | 0.000 | 44.199 | -0.000 | 0.000 |
| -0.000 | 0.000 | 0.000 | -0.000 | 44.199 | -31.951 |
| -0.000 | 0.000 | 0.000 | -0.000 | -31.951 | 12.266 |
| 39.521 | 14.988 | 62.085 | -31.951 | 0.000 | -0.000 |
| 14.988 | 39.521 | 62.085 | 31.951 | -0.000 | -0.000 |
| 55.912 | 55.912 | 74.617 | -0.000 | -0.000 | -0.000 |
| -31.951 | 31.951 | -0.000 | 44.199 | 0.000 | -0.000 |
| -0.000 | -0.000 | -0.000 | 0.000 | 44.199 | -31.951 |
| 0.000 | -0.000 | -0.000 | 0.000 | -31.951 | 12.266 |
| 39.521 | 14.988 | 62.085 | -31.951 | -0.000 | 0.000 |
| 14.988 | 39.521 | 62.085 | 31.951 | -0.000 | 0.000 |
| 55.912 | 55.912 | 74.617 | 0.000 | -0.000 | 0.000 |
| -31.951 | 31.951 | 0.000 | 44.199 | 0.000 | 0.000 |
| -0.000 | 0.000 | 0.000 | -0.000 | 44.199 | -31.951 |
| -0.000 | -0.000 | 0.000 | -0.000 | -31.951 | 12.266 |
| 39.521 | 14.988 | 62.085 | -31.951 | 0.000 | -0.000 |
| 14.988 | 39.521 | 62.085 | 31.951 | 0.000 | -0.000 |
| 55.912 | 55.912 | 74.617 | -0.000 | 0.000 | -0.000 |
| -31.951 | 31.951 | -0.000 | 44.199 | 0.000 | -0.000 |
| 0.000 | -0.000 | -0.000 | 0.000 | 44.199 | -31.951 |
| 0.000 | 0.000 | -0.000 | 0.000 | -31.951 | 12.266 |
| 0.000 | 0.000 | 0.000 | -0.000 | -0.000 | 0.000 |
| 0.000 | 0.000 | 0.000 | 0.000 | -0.000 | 0.000 |
| 0.000 | 0.000 | 0.000 | 0.000 | -0.000 | 0.000 |
| -0.000 | 0.000 | 0.000 | 0.000 | -0.000 | 0.000 |
| 0.000 | 0.000 | 0.000 | -0.000 | 0.000 | -0.000 |
| 0.000 | 0.000 | 0.000 | -0.000 | -0.000 | 0.000 |
| 0.000 | 0.000 | 0.000 | -0.000 | -0.000 | -0.000 |
| 0.000 | 0.000 | 0.000 | 0.000 | 0.000 | -0.000 |
| 0.000 | 0.000 | 0.000 | -0.000 | -0.000 | -0.000 |
| -0.000 | 0.000 | -0.000 | 0.000 | -0.000 | -0.000 |
| -0.000 | -0.000 | -0.000 | 0.000 | 0.000 | -0.000 |
| -0.000 | -0.000 | -0.000 | 0.000 | -0.000 | 0.000 |
| 0.000 | 0.000 | 0.000 | -0.000 | -0.000 | -0.000 |
| 0.000 | 0.000 | 0.000 | 0.000 | -0.000 | 0.000 |
| 0.000 | 0.000 | 0.000 | 0.000 | 0.000 | -0.000 |
| -0.000 | 0.000 | 0.000 | 0.000 | 0.000 | -0.000 |
| 0.000 | 0.000 | 0.000 | -0.000 | 0.000 | -0.000 |
| 0.000 | 0.000 | 0.000 | -0.000 | -0.000 | 0.000 |
| 0.000 | 0.000 | 0.000 | -0.000 | -0.000 | -0.000 |
| 0.000 | 0.000 | 0.000 | 0.000 | -0.000 | -0.000 |
| 0.000 | 0.000 | 0.000 | -0.000 | 0.000 | 0.000 |
| -0.000 | 0.000 | -0.000 | 0.000 | -0.000 | 0.000 |
| -0.000 | -0.000 | -0.000 | 0.000 | 0.000 | -0.000 |
| -0.000 | -0.000 | -0.000 | 0.000 | -0.000 | 0.000 |
| 0.000 | 0.000 | 0.000 | -0.000 | -0.000 | 0.000 |
| 0.000 | 0.000 | 0.000 | 0.000 | 0.000 | 0.000 |
| 0.000 | 0.000 | 0.000 | 0.000 | 0.000 | -0.000 |
| -0.000 | 0.000 | 0.000 | 0.000 | 0.000 | 0.000 |
| 0.000 | 0.000 | 0.000 | -0.000 | 0.000 | -0.000 |
| 0.000 | 0.000 | 0.000 | -0.000 | -0.000 | 0.000 |
| 0.000 | 0.000 | 0.000 | -0.000 | 0.000 | -0.000 |
| 0.000 | 0.000 | 0.000 | 0.000 | -0.000 | -0.000 |
| 0.000 | 0.000 | 0.000 | -0.000 | 0.000 | -0.000 |
| -0.000 | 0.000 | -0.000 | 0.000 | 0.000 | -0.000 |
| -0.000 | -0.000 | -0.000 | 0.000 | 0.000 | -0.000 |
| -0.000 | -0.000 | -0.000 | 0.000 | -0.000 | 0.000 |
| -0.000 | -0.000 | -0.000 | 0.000 | 0.000 | 0.000 |
| -0.000 | -0.000 | -0.000 | -0.000 | 0.000 | -0.000 |
| -0.000 | -0.000 | -0.000 | 0.000 | 0.000 | 0.000 |
| 0.000 | -0.000 | 0.000 | -0.000 | 0.000 | -0.000 |
| 0.000 | 0.000 | 0.000 | -0.000 | -0.000 | 0.000 |
| 0.000 | 0.000 | 0.000 | -0.000 | 0.000 | -0.000 |
| -0.000 | -0.000 | -0.000 | 0.000 | -0.000 | 0.000 |
| -0.000 | -0.000 | -0.000 | -0.000 | -0.000 | 0.000 |
| -0.000 | -0.000 | -0.000 | -0.000 | -0.000 | 0.000 |
| 0.000 | -0.000 | -0.000 | -0.000 | -0.000 | 0.000 |
| -0.000 | -0.000 | -0.000 | 0.000 | -0.000 | 0.000 |
| -0.000 | -0.000 | -0.000 | 0.000 | 0.000 | -0.000 |
| -0.000 | -0.000 | -0.000 | 0.000 | 0.000 | -0.000 |
| -0.000 | -0.000 | -0.000 | -0.000 | 0.000 | -0.000 |
| -0.000 | -0.000 | -0.000 | 0.000 | 0.000 | -0.000 |
| 0.000 | -0.000 | 0.000 | -0.000 | 0.000 | -0.000 |
| 0.000 | 0.000 | 0.000 | -0.000 | -0.000 | 0.000 |
| 0.000 | 0.000 | 0.000 | -0.000 | 0.000 | -0.000 |
| -0.000 | -0.000 | -0.000 | 0.000 | -0.000 | 0.000 |
| -0.000 | -0.000 | -0.000 | -0.000 | 0.000 | 0.000 |
| -0.000 | -0.000 | -0.000 | -0.000 | -0.000 | 0.000 |
| 0.000 | -0.000 | -0.000 | -0.000 | -0.000 | 0.000 |
| -0.000 | -0.000 | -0.000 | 0.000 | -0.000 | 0.000 |
| -0.000 | -0.000 | -0.000 | 0.000 | 0.000 | -0.000 |
| -0.000 | -0.000 | -0.000 | 0.000 | 0.000 | -0.000 |
| -0.000 | -0.000 | -0.000 | -0.000 | 0.000 | -0.000 |
| -0.000 | -0.000 | -0.000 | -0.000 | 0.000 | -0.000 |
| 0.000 | -0.000 | 0.000 | -0.000 | 0.000 | -0.000 |
| 0.000 | 0.000 | 0.000 | -0.000 | -0.000 | 0.000 |
| 0.000 | 0.000 | 0.000 | -0.000 | 0.000 | -0.000 |
| -0.000 | -0.000 | -0.000 | 0.000 | -0.000 | 0.000 |
| -0.000 | -0.000 | -0.000 | -0.000 | -0.000 | 0.000 |
| -0.000 | -0.000 | -0.000 | -0.000 | 0.000 | 0.000 |
| 0.000 | -0.000 | -0.000 | -0.000 | 0.000 | 0.000 |
| -0.000 | -0.000 | -0.000 | 0.000 | -0.000 | 0.000 |
| -0.000 | -0.000 | -0.000 | 0.000 | 0.000 | -0.000 |
| -0.000 | -0.000 | -0.000 | 0.000 | 0.000 | 0.000 |
| -0.000 | -0.000 | -0.000 | -0.000 | 0.000 | 0.000 |
| -0.000 | -0.000 | -0.000 | 0.000 | 0.000 | 0.000 |
| 0.000 | -0.000 | 0.000 | -0.000 | 0.000 | -0.000 |
| 0.000 | 0.000 | 0.000 | -0.000 | -0.000 | 0.000 |
| 0.000 | 0.000 | 0.000 | -0.000 | 0.000 | -0.000 |
| -0.000 | -0.000 | -0.000 | 0.000 | -0.000 | -0.000 |
| -0.000 | -0.000 | -0.000 | -0.000 | -0.000 | -0.000 |
| -0.000 | -0.000 | -0.000 | 0.000 | -0.000 | -0.000 |
| 0.000 | -0.000 | -0.000 | -0.000 | -0.000 | -0.000 |
| -0.000 | -0.000 | -0.000 | 0.000 | -0.000 | 0.000 |
| -0.000 | -0.000 | -0.000 | 0.000 | 0.000 | -0.000 |
| -0.000 | -0.000 | -0.000 | 0.000 | 0.000 | -0.000 |
| -0.000 | -0.000 | -0.000 | -0.000 | 0.000 | -0.000 |
| -0.000 | -0.000 | -0.000 | 0.000 | 0.000 | 0.000 |
| 0.000 | -0.000 | 0.000 | -0.000 | 0.000 | 0.000 |
| 0.000 | 0.000 | 0.000 | -0.000 | -0.000 | 0.000 |
| 0.000 | 0.000 | 0.000 | -0.000 | 0.000 | -0.000 |
| -0.000 | -0.000 | -0.000 | 0.000 | -0.000 | 0.000 |
| -0.000 | -0.000 | -0.000 | -0.000 | -0.000 | -0.000 |
| -0.000 | -0.000 | -0.000 | -0.000 | -0.000 | -0.000 |
| 0.000 | -0.000 | -0.000 | -0.000 | -0.000 | -0.000 |
| -0.000 | -0.000 | -0.000 | 0.000 | -0.000 | 0.000 |
| -0.000 | -0.000 | -0.000 | 0.000 | 0.000 | -0.000 |
| -0.000 | -0.000 | -0.000 | 0.000 | 0.000 | 0.000 |
| -0.000 | -0.000 | -0.000 | -0.000 | 0.000 | 0.000 |
| -0.000 | -0.000 | -0.000 | 0.000 | 0.000 | 0.000 |
| 0.000 | -0.000 | 0.000 | -0.000 | 0.000 | 0.000 |
| 0.000 | 0.000 | 0.000 | -0.000 | -0.000 | 0.000 |
| 0.000 | 0.000 | 0.000 | -0.000 | 0.000 | -0.000 |
| -0.000 | -0.000 | -0.000 | 0.000 | -0.000 | 0.000 |
| -0.000 | -0.000 | -0.000 | -0.000 | -0.000 | -0.000 |
| -0.000 | -0.000 | -0.000 | -0.000 | -0.000 | 0.000 |
| 0.000 | -0.000 | -0.000 | -0.000 | -0.000 | -0.000 |
| -0.000 | -0.000 | -0.000 | 0.000 | -0.000 | 0.000 |
| -0.000 | -0.000 | -0.000 | 0.000 | 0.000 | -0.000 |
| -0.000 | -0.000 | -0.000 | 0.000 | 0.000 | -0.000 |
| -0.000 | -0.000 | -0.000 | -0.000 | 0.000 | -0.000 |
| -0.000 | -0.000 | -0.000 | -0.000 | 0.000 | -0.000 |
| 0.000 | -0.000 | -0.000 | -0.000 | 0.000 | -0.000 |
| -0.000 | -0.000 | -0.000 | 0.000 | -0.000 | 0.000 |
| -0.000 | -0.000 | -0.000 | 0.000 | 0.000 | -0.000 |
| -0.000 | -0.000 | -0.000 | 0.000 | -0.000 | 0.000 |
| -0.000 | -0.000 | -0.000 | -0.000 | -0.000 | 0.000 |
| -0.000 | -0.000 | -0.000 | 0.000 | -0.000 | 0.000 |
| 0.000 | -0.000 | 0.000 | -0.000 | -0.000 | 0.000 |
| 0.000 | 0.000 | 0.000 | -0.000 | -0.000 | 0.000 |
| 0.000 | 0.000 | 0.000 | -0.000 | 0.000 | -0.000 |
| -0.000 | -0.000 | -0.000 | 0.000 | 0.000 | -0.000 |
| -0.000 | -0.000 | -0.000 | -0.000 | 0.000 | -0.000 |
| -0.000 | -0.000 | -0.000 | -0.000 | 0.000 | 0.000 |
| 0.000 | -0.000 | -0.000 | -0.000 | 0.000 | -0.000 |
| -0.000 | -0.000 | -0.000 | 0.000 | -0.000 | 0.000 |
| -0.000 | -0.000 | -0.000 | 0.000 | 0.000 | -0.000 |
| -0.000 | -0.000 | -0.000 | 0.000 | -0.000 | 0.000 |
| -0.000 | -0.000 | -0.000 | -0.000 | -0.000 | 0.000 |
| -0.000 | -0.000 | -0.000 | 0.000 | -0.000 | 0.000 |
| 0.000 | -0.000 | 0.000 | -0.000 | -0.000 | 0.000 |
| 0.000 | 0.000 | 0.000 | -0.000 | -0.000 | 0.000 |
| 0.000 | 0.000 | 0.000 | -0.000 | 0.000 | -0.000 |
| -0.000 | -0.000 | -0.000 | 0.000 | 0.000 | -0.000 |
| -0.000 | -0.000 | -0.000 | -0.000 | 0.000 | -0.000 |
| -0.000 | -0.000 | -0.000 | 0.000 | 0.000 | -0.000 |
| 0.000 | -0.000 | -0.000 | -0.000 | 0.000 | -0.000 |
| -0.000 | -0.000 | -0.000 | 0.000 | -0.000 | 0.000 |
| -0.000 | -0.000 | -0.000 | 0.000 | 0.000 | -0.000 |
| -0.000 | -0.000 | -0.000 | 0.000 | -0.000 | 0.000 |
| -0.000 | -0.000 | -0.000 | -0.000 | -0.000 | 0.000 |
| -0.000 | -0.000 | -0.000 | 0.000 | -0.000 | 0.000 |
| 0.000 | -0.000 | 0.000 | -0.000 | -0.000 | 0.000 |
| 0.000 | 0.000 | 0.000 | -0.000 | -0.000 | 0.000 |
| 0.000 | 0.000 | 0.000 | -0.000 | 0.000 | -0.000 |
| 321.394 | 24.993 | 24.993 | -0.000 | -0.000 | -0.000 |
| 24.993 | 321.394 | 24.993 | 0.000 | -0.000 | -0.000 |
| 24.993 | 24.993 | 321.394 | 0.000 | 0.000 | 0.000 |
| -0.000 | 0.000 | -0.000 | -19.951 | 0.000 | 0.000 |
| 0.000 | -0.000 | -0.000 | 0.000 | -19.951 | -0.000 |
| 0.000 | -0.000 | -0.000 | -0.000 | -0.000 | -19.951 |
| 321.394 | 24.993 | 24.993 | -0.000 | -0.000 | -0.000 |
| 24.993 | 321.394 | 24.993 | -0.000 | 0.000 | 0.000 |
| 24.993 | 24.993 | 321.394 | -0.000 | 0.000 | 0.000 |
| 0.000 | -0.000 | 0.000 | -19.951 | -0.000 | 0.000 |
| -0.000 | 0.000 | 0.000 | -0.000 | -19.951 | 0.000 |
| -0.000 | 0.000 | 0.000 | 0.000 | 0.000 | -19.951 |
| 321.394 | 24.994 | 24.994 | 0.000 | 0.000 | 0.000 |
| 24.994 | 321.394 | 24.994 | 0.000 | 0.000 | 0.000 |
| 24.994 | 24.994 | 321.394 | -0.000 | 0.000 | -0.000 |
| -0.000 | 0.000 | -0.000 | -19.951 | -0.000 | 0.000 |
| 0.000 | -0.000 | -0.000 | 0.000 | -19.951 | -0.000 |
| 0.000 | -0.000 | -0.000 | -0.000 | -0.000 | -19.951 |
| 321.394 | 24.993 | 24.993 | -0.000 | 0.000 | 0.000 |
| 24.993 | 321.394 | 24.993 | 0.000 | -0.000 | 0.000 |
| 24.993 | 24.993 | 321.394 | -0.000 | 0.000 | -0.000 |
| 0.000 | -0.000 | 0.000 | -19.951 | 0.000 | 0.000 |
| -0.000 | 0.000 | 0.000 | -0.000 | -19.951 | 0.000 |
| -0.000 | 0.000 | 0.000 | 0.000 | 0.000 | -19.951 |
| 321.397 | 24.994 | 24.994 | 0.000 | -0.000 | -0.000 |
| 24.994 | 321.397 | 24.994 | 0.000 | -0.000 | -0.000 |
| 24.994 | 24.994 | 321.397 | 0.000 | 0.000 | -0.000 |
| -0.000 | 0.000 | -0.000 | -19.951 | -0.000 | -0.000 |
| 0.000 | -0.000 | -0.000 | -0.000 | -19.951 | -0.000 |
| 0.000 | -0.000 | -0.000 | 0.000 | -0.000 | -19.951 |
| 321.392 | 24.993 | 24.993 | -0.000 | 0.000 | -0.000 |
| 24.993 | 321.392 | 24.993 | 0.000 | -0.000 | 0.000 |
| 24.993 | 24.993 | 321.392 | 0.000 | 0.000 | 0.000 |
| 0.000 | -0.000 | 0.000 | -19.951 | 0.000 | -0.000 |
| -0.000 | 0.000 | 0.000 | 0.000 | -19.951 | 0.000 |
| -0.000 | 0.000 | 0.000 | -0.000 | 0.000 | -19.951 |
| 0.000 | -0.000 | -0.000 | -0.000 | -0.000 | -0.000 |
| -0.000 | 0.000 | -0.000 | -0.000 | -0.000 | -0.000 |
| -0.000 | -0.000 | 0.000 | -0.000 | 0.000 | -0.000 |
| 0.000 | -0.000 | -0.000 | 0.000 | 0.000 | -0.000 |
| -0.000 | 0.000 | -0.000 | 0.000 | 0.000 | -0.000 |
| -0.000 | -0.000 | 0.000 | -0.000 | -0.000 | 0.000 |
| 0.000 | -0.000 | -0.000 | 0.000 | 0.000 | 0.000 |
| -0.000 | 0.000 | -0.000 | 0.000 | 0.000 | -0.000 |
| -0.000 | -0.000 | 0.000 | -0.000 | -0.000 | 0.000 |
| -0.000 | -0.000 | 0.000 | 0.000 | -0.000 | -0.000 |
| -0.000 | -0.000 | 0.000 | -0.000 | 0.000 | 0.000 |
| -0.000 | 0.000 | -0.000 | 0.000 | 0.000 | 0.000 |
| 0.000 | -0.000 | -0.000 | -0.000 | -0.000 | -0.000 |
| -0.000 | 0.000 | -0.000 | -0.000 | -0.000 | 0.000 |
| -0.000 | -0.000 | 0.000 | 0.000 | 0.000 | -0.000 |
| 0.000 | 0.000 | -0.000 | 0.000 | 0.000 | -0.000 |
| 0.000 | 0.000 | -0.000 | 0.000 | 0.000 | -0.000 |
| 0.000 | -0.000 | 0.000 | -0.000 | -0.000 | 0.000 |
| 0.000 | -0.000 | -0.000 | 0.000 | 0.000 | -0.000 |
| -0.000 | 0.000 | -0.000 | 0.000 | 0.000 | -0.000 |
| -0.000 | -0.000 | 0.000 | -0.000 | -0.000 | 0.000 |
| -0.000 | -0.000 | 0.000 | 0.000 | -0.000 | 0.000 |
| -0.000 | -0.000 | 0.000 | -0.000 | 0.000 | 0.000 |
| -0.000 | 0.000 | -0.000 | 0.000 | 0.000 | 0.000 |
| 0.000 | -0.000 | -0.000 | -0.000 | -0.000 | -0.000 |
| -0.000 | 0.000 | -0.000 | -0.000 | -0.000 | 0.000 |
| -0.000 | -0.000 | 0.000 | 0.000 | 0.000 | -0.000 |
| 0.000 | -0.000 | -0.000 | 0.000 | 0.000 | -0.000 |
| -0.000 | 0.000 | -0.000 | -0.000 | 0.000 | -0.000 |
| -0.000 | -0.000 | 0.000 | -0.000 | -0.000 | 0.000 |
| 0.000 | -0.000 | -0.000 | 0.000 | -0.000 | -0.000 |
| -0.000 | 0.000 | -0.000 | 0.000 | 0.000 | -0.000 |
| -0.000 | -0.000 | 0.000 | -0.000 | -0.000 | 0.000 |
| -0.000 | 0.000 | 0.000 | 0.000 | -0.000 | -0.000 |
| 0.000 | -0.000 | 0.000 | 0.000 | 0.000 | -0.000 |
| 0.000 | 0.000 | -0.000 | 0.000 | 0.000 | 0.000 |
| -0.000 | -0.000 | -0.000 | -0.000 | -0.000 | -0.000 |
| -0.000 | -0.000 | -0.000 | 0.000 | -0.000 | 0.000 |
| -0.000 | -0.000 | -0.000 | 0.000 | 0.000 | -0.000 |
| 0.000 | -0.000 | 0.000 | 0.000 | 0.000 | 0.000 |
| -0.000 | 0.000 | 0.000 | 0.000 | 0.000 | 0.000 |
| -0.000 | 0.000 | 0.000 | 0.000 | 0.000 | 0.000 |
| -0.000 | -0.000 | -0.000 | -0.000 | -0.000 | -0.000 |
| -0.000 | -0.000 | -0.000 | 0.000 | -0.000 | 0.000 |
| -0.000 | -0.000 | -0.000 | 0.000 | 0.000 | -0.000 |
| -0.000 | 0.000 | -0.000 | 0.000 | -0.000 | -0.000 |
| 0.000 | -0.000 | -0.000 | -0.000 | 0.000 | 0.000 |
| 0.000 | -0.000 | -0.000 | -0.000 | -0.000 | 0.000 |
| -0.000 | -0.000 | -0.000 | -0.000 | -0.000 | -0.000 |
| -0.000 | -0.000 | -0.000 | -0.000 | -0.000 | 0.000 |
| -0.000 | -0.000 | -0.000 | 0.000 | 0.000 | -0.000 |
| 0.000 | -0.000 | 0.000 | 0.000 | 0.000 | 0.000 |
| -0.000 | 0.000 | 0.000 | 0.000 | 0.000 | -0.000 |
| -0.000 | 0.000 | 0.000 | 0.000 | 0.000 | 0.000 |
| -0.000 | -0.000 | -0.000 | -0.000 | 0.000 | 0.000 |
| -0.000 | -0.000 | -0.000 | 0.000 | -0.000 | -0.000 |
| -0.000 | -0.000 | -0.000 | 0.000 | -0.000 | -0.000 |
| -0.000 | 0.000 | -0.000 | 0.000 | -0.000 | -0.000 |
| 0.000 | -0.000 | -0.000 | -0.000 | 0.000 | 0.000 |
| 0.000 | -0.000 | -0.000 | -0.000 | 0.000 | 0.000 |
| -0.000 | -0.000 | -0.000 | -0.000 | -0.000 | -0.000 |
| -0.000 | -0.000 | -0.000 | -0.000 | -0.000 | 0.000 |
| -0.000 | -0.000 | -0.000 | 0.000 | 0.000 | -0.000 |
| 0.000 | -0.000 | 0.000 | 0.000 | 0.000 | 0.000 |
| -0.000 | 0.000 | 0.000 | 0.000 | 0.000 | 0.000 |
| -0.000 | 0.000 | 0.000 | 0.000 | 0.000 | 0.000 |
| -0.000 | -0.000 | -0.000 | -0.000 | 0.000 | 0.000 |
| -0.000 | -0.000 | -0.000 | 0.000 | -0.000 | -0.000 |
| -0.000 | -0.000 | -0.000 | 0.000 | -0.000 | -0.000 |
| -0.000 | 0.000 | -0.000 | 0.000 | -0.000 | -0.000 |
| 0.000 | -0.000 | -0.000 | -0.000 | 0.000 | 0.000 |
| 0.000 | -0.000 | -0.000 | -0.000 | 0.000 | 0.000 |
| -0.000 | -0.000 | -0.000 | 0.000 | -0.000 | -0.000 |
| -0.000 | -0.000 | -0.000 | -0.000 | 0.000 | -0.000 |
| -0.000 | -0.000 | -0.000 | -0.000 | -0.000 | -0.000 |
| 0.000 | -0.000 | 0.000 | 0.000 | 0.000 | -0.000 |
| -0.000 | 0.000 | 0.000 | 0.000 | 0.000 | -0.000 |
| -0.000 | 0.000 | 0.000 | 0.000 | -0.000 | 0.000 |
| -0.000 | -0.000 | -0.000 | 0.000 | -0.000 | -0.000 |
| -0.000 | -0.000 | -0.000 | -0.000 | 0.000 | 0.000 |
| -0.000 | -0.000 | -0.000 | 0.000 | 0.000 | -0.000 |
| -0.000 | 0.000 | -0.000 | 0.000 | -0.000 | -0.000 |
| 0.000 | -0.000 | -0.000 | -0.000 | 0.000 | -0.000 |
| 0.000 | -0.000 | -0.000 | -0.000 | -0.000 | 0.000 |
| -0.000 | -0.000 | -0.000 | 0.000 | -0.000 | -0.000 |
| -0.000 | -0.000 | -0.000 | -0.000 | 0.000 | -0.000 |
| -0.000 | -0.000 | -0.000 | -0.000 | -0.000 | -0.000 |
| 0.000 | -0.000 | 0.000 | 0.000 | 0.000 | 0.000 |
| -0.000 | 0.000 | 0.000 | 0.000 | 0.000 | -0.000 |
| -0.000 | 0.000 | 0.000 | 0.000 | -0.000 | 0.000 |
| -0.000 | -0.000 | -0.000 | 0.000 | 0.000 | 0.000 |
| -0.000 | -0.000 | -0.000 | 0.000 | 0.000 | -0.000 |
| -0.000 | -0.000 | -0.000 | -0.000 | -0.000 | -0.000 |
| -0.000 | 0.000 | -0.000 | 0.000 | -0.000 | 0.000 |
| 0.000 | -0.000 | -0.000 | -0.000 | 0.000 | -0.000 |
| 0.000 | -0.000 | -0.000 | -0.000 | 0.000 | 0.000 |
| -0.000 | -0.000 | -0.000 | 0.000 | -0.000 | -0.000 |
| -0.000 | -0.000 | -0.000 | -0.000 | 0.000 | 0.000 |
| -0.000 | -0.000 | -0.000 | 0.000 | 0.000 | -0.000 |
| 0.000 | -0.000 | 0.000 | -0.000 | -0.000 | -0.000 |
| -0.000 | 0.000 | 0.000 | -0.000 | -0.000 | -0.000 |
| -0.000 | 0.000 | 0.000 | 0.000 | -0.000 | -0.000 |
| -0.000 | -0.000 | -0.000 | 0.000 | -0.000 | -0.000 |
| -0.000 | -0.000 | -0.000 | -0.000 | 0.000 | -0.000 |
| -0.000 | -0.000 | -0.000 | -0.000 | -0.000 | -0.000 |
| -0.000 | 0.000 | -0.000 | -0.000 | 0.000 | -0.000 |
| 0.000 | -0.000 | -0.000 | 0.000 | -0.000 | 0.000 |
| 0.000 | -0.000 | -0.000 | -0.000 | 0.000 | -0.000 |
| -0.000 | -0.000 | -0.000 | 0.000 | -0.000 | -0.000 |
| -0.000 | -0.000 | -0.000 | 0.000 | 0.000 | 0.000 |
| -0.000 | -0.000 | -0.000 | 0.000 | 0.000 | 0.000 |
| 0.000 | 0.000 | 0.000 | 0.000 | 0.000 | -0.000 |
| 0.000 | 0.000 | 0.000 | 0.000 | 0.000 | -0.000 |
| 0.000 | 0.000 | 0.000 | 0.000 | -0.000 | 0.000 |
| -0.000 | -0.000 | -0.000 | 0.000 | 0.000 | 0.000 |
| -0.000 | -0.000 | -0.000 | 0.000 | 0.000 | 0.000 |
| -0.000 | -0.000 | -0.000 | 0.000 | 0.000 | 0.000 |
| -0.000 | -0.000 | -0.000 | 0.000 | -0.000 | 0.000 |
| -0.000 | -0.000 | -0.000 | -0.000 | 0.000 | 0.000 |
| -0.000 | -0.000 | -0.000 | -0.000 | 0.000 | 0.000 |
| -0.000 | -0.000 | -0.000 | 0.000 | -0.000 | -0.000 |
| -0.000 | -0.000 | -0.000 | -0.000 | 0.000 | -0.000 |
| -0.000 | -0.000 | -0.000 | -0.000 | -0.000 | 0.000 |
| 0.000 | 0.000 | 0.000 | 0.000 | 0.000 | -0.000 |
| 0.000 | 0.000 | 0.000 | 0.000 | 0.000 | -0.000 |
| 0.000 | 0.000 | 0.000 | 0.000 | -0.000 | 0.000 |
| -0.000 | -0.000 | -0.000 | 0.000 | 0.000 | 0.000 |
| -0.000 | -0.000 | -0.000 | 0.000 | 0.000 | 0.000 |
| -0.000 | -0.000 | -0.000 | 0.000 | 0.000 | 0.000 |
| -0.000 | -0.000 | -0.000 | 0.000 | -0.000 | 0.000 |
| -0.000 | -0.000 | -0.000 | -0.000 | 0.000 | 0.000 |
| -0.000 | -0.000 | -0.000 | -0.000 | 0.000 | 0.000 |
| -0.000 | -0.000 | -0.000 | 0.000 | -0.000 | -0.000 |
| -0.000 | -0.000 | -0.000 | -0.000 | 0.000 | -0.000 |
| -0.000 | -0.000 | -0.000 | 0.000 | 0.000 | 0.000 |
| 0.000 | -0.000 | 0.000 | 0.000 | -0.000 | -0.000 |
| -0.000 | 0.000 | 0.000 | -0.000 | 0.000 | -0.000 |
| -0.000 | 0.000 | 0.000 | 0.000 | -0.000 | 0.000 |
| -0.000 | -0.000 | -0.000 | 0.000 | 0.000 | 0.000 |
| -0.000 | -0.000 | -0.000 | 0.000 | 0.000 | 0.000 |
| -0.000 | -0.000 | -0.000 | 0.000 | 0.000 | 0.000 |
| -0.000 | 0.000 | -0.000 | 0.000 | 0.000 | 0.000 |
| 0.000 | -0.000 | -0.000 | 0.000 | 0.000 | -0.000 |
| 0.000 | -0.000 | -0.000 | -0.000 | 0.000 | 0.000 |
| -0.000 | -0.000 | -0.000 | 0.000 | -0.000 | -0.000 |
| -0.000 | -0.000 | -0.000 | -0.000 | 0.000 | 0.000 |
| -0.000 | -0.000 | -0.000 | 0.000 | 0.000 | -0.000 |
| 0.000 | -0.000 | 0.000 | 0.000 | 0.000 | 0.000 |
| -0.000 | 0.000 | 0.000 | 0.000 | 0.000 | 0.000 |
| -0.000 | 0.000 | 0.000 | 0.000 | -0.000 | 0.000 |
| -0.000 | -0.000 | -0.000 | -0.000 | -0.000 | -0.000 |
| -0.000 | -0.000 | -0.000 | -0.000 | -0.000 | -0.000 |
| -0.000 | -0.000 | -0.000 | 0.000 | 0.000 | 0.000 |
| -0.000 | 0.000 | -0.000 | 0.000 | -0.000 | -0.000 |
| 0.000 | -0.000 | -0.000 | -0.000 | 0.000 | -0.000 |
| 0.000 | -0.000 | -0.000 | -0.000 | -0.000 | 0.000 |
| -0.000 | -0.000 | -0.000 | 0.000 | 0.000 | 0.000 |
| -0.000 | -0.000 | -0.000 | -0.000 | 0.000 | 0.000 |
| -0.000 | -0.000 | -0.000 | 0.000 | 0.000 | -0.000 |
| 0.000 | -0.000 | 0.000 | 0.000 | 0.000 | -0.000 |
| -0.000 | 0.000 | 0.000 | 0.000 | 0.000 | 0.000 |
| -0.000 | 0.000 | 0.000 | 0.000 | 0.000 | 0.000 |
| -0.000 | -0.000 | -0.000 | -0.000 | -0.000 | -0.000 |
| -0.000 | -0.000 | -0.000 | -0.000 | -0.000 | 0.000 |
| -0.000 | -0.000 | -0.000 | -0.000 | 0.000 | 0.000 |
| -0.000 | 0.000 | -0.000 | 0.000 | -0.000 | 0.000 |
| 0.000 | -0.000 | -0.000 | -0.000 | 0.000 | -0.000 |
| 0.000 | -0.000 | -0.000 | -0.000 | 0.000 | 0.000 |
| -0.000 | -0.000 | -0.000 | 0.000 | -0.000 | -0.000 |
| -0.000 | -0.000 | -0.000 | -0.000 | 0.000 | -0.000 |
| -0.000 | -0.000 | -0.000 | -0.000 | -0.000 | -0.000 |
| 0.000 | -0.000 | 0.000 | 0.000 | 0.000 | -0.000 |
| -0.000 | 0.000 | 0.000 | 0.000 | 0.000 | -0.000 |
| -0.000 | 0.000 | 0.000 | 0.000 | -0.000 | 0.000 |
| -0.000 | -0.000 | -0.000 | -0.000 | 0.000 | -0.000 |
| -0.000 | -0.000 | -0.000 | 0.000 | -0.000 | 0.000 |
| -0.000 | -0.000 | -0.000 | -0.000 | 0.000 | 0.000 |
| -0.000 | 0.000 | -0.000 | 0.000 | -0.000 | -0.000 |
| 0.000 | -0.000 | -0.000 | -0.000 | 0.000 | -0.000 |
| 0.000 | -0.000 | -0.000 | -0.000 | -0.000 | 0.000 |
| -0.000 | -0.000 | -0.000 | -0.000 | 0.000 | 0.000 |
| -0.000 | -0.000 | -0.000 | -0.000 | -0.000 | -0.000 |
| -0.000 | -0.000 | -0.000 | -0.000 | -0.000 | -0.000 |
| 0.000 | 0.000 | 0.000 | 0.000 | 0.000 | 0.000 |
| 0.000 | 0.000 | 0.000 | 0.000 | 0.000 | 0.000 |
| 0.000 | 0.000 | 0.000 | 0.000 | 0.000 | 0.000 |
| -0.000 | -0.000 | -0.000 | -0.000 | -0.000 | -0.000 |
| -0.000 | -0.000 | -0.000 | -0.000 | -0.000 | 0.000 |
| -0.000 | -0.000 | -0.000 | 0.000 | 0.000 | -0.000 |
| -0.000 | -0.000 | -0.000 | 0.000 | -0.000 | 0.000 |
| -0.000 | -0.000 | -0.000 | -0.000 | 0.000 | -0.000 |
| -0.000 | -0.000 | -0.000 | -0.000 | -0.000 | 0.000 |
| -0.000 | -0.000 | -0.000 | -0.000 | 0.000 | 0.000 |
| -0.000 | -0.000 | -0.000 | -0.000 | -0.000 | 0.000 |
| -0.000 | -0.000 | -0.000 | -0.000 | -0.000 | -0.000 |
| 0.000 | 0.000 | 0.000 | 0.000 | 0.000 | 0.000 |
| 0.000 | 0.000 | 0.000 | 0.000 | 0.000 | 0.000 |
| 0.000 | 0.000 | 0.000 | 0.000 | 0.000 | 0.000 |
| -0.000 | -0.000 | -0.000 | -0.000 | -0.000 | -0.000 |
| -0.000 | -0.000 | -0.000 | -0.000 | -0.000 | 0.000 |
| -0.000 | -0.000 | -0.000 | -0.000 | -0.000 | -0.000 |
| -0.000 | -0.000 | -0.000 | 0.000 | -0.000 | 0.000 |
| -0.000 | -0.000 | -0.000 | -0.000 | 0.000 | -0.000 |
| -0.000 | -0.000 | -0.000 | -0.000 | -0.000 | 0.000 |
| -0.000 | -0.000 | -0.000 | -0.000 | 0.000 | 0.000 |
| -0.000 | -0.000 | -0.000 | 0.000 | -0.000 | -0.000 |
| -0.000 | -0.000 | -0.000 | -0.000 | -0.000 | -0.000 |
| 0.000 | -0.000 | 0.000 | 0.000 | 0.000 | -0.000 |
| -0.000 | 0.000 | 0.000 | 0.000 | 0.000 | 0.000 |
| -0.000 | 0.000 | 0.000 | 0.000 | 0.000 | 0.000 |
| -0.000 | -0.000 | -0.000 | -0.000 | -0.000 | -0.000 |
| -0.000 | -0.000 | -0.000 | -0.000 | -0.000 | -0.000 |
| -0.000 | -0.000 | -0.000 | -0.000 | -0.000 | -0.000 |
| -0.000 | 0.000 | -0.000 | 0.000 | -0.000 | 0.000 |
| 0.000 | -0.000 | -0.000 | -0.000 | 0.000 | -0.000 |
| 0.000 | -0.000 | -0.000 | -0.000 | -0.000 | 0.000 |
| -0.000 | -0.000 | -0.000 | 0.000 | -0.000 | 0.000 |
| -0.000 | -0.000 | -0.000 | -0.000 | 0.000 | -0.000 |
| -0.000 | -0.000 | -0.000 | 0.000 | -0.000 | -0.000 |
| 0.000 | -0.000 | 0.000 | 0.000 | 0.000 | 0.000 |
| -0.000 | 0.000 | 0.000 | 0.000 | 0.000 | 0.000 |
| -0.000 | 0.000 | 0.000 | 0.000 | -0.000 | 0.000 |
| -0.000 | -0.000 | -0.000 | 0.000 | 0.000 | -0.000 |
| -0.000 | -0.000 | -0.000 | -0.000 | 0.000 | -0.000 |
| -0.000 | -0.000 | -0.000 | -0.000 | -0.000 | -0.000 |
| -0.000 | -0.000 | -0.000 | 0.000 | -0.000 | -0.000 |
| -0.000 | -0.000 | -0.000 | -0.000 | 0.000 | 0.000 |
| -0.000 | -0.000 | -0.000 | -0.000 | 0.000 | 0.000 |
| -0.000 | -0.000 | -0.000 | 0.000 | 0.000 | 0.000 |
| -0.000 | -0.000 | -0.000 | 0.000 | 0.000 | 0.000 |
| -0.000 | -0.000 | -0.000 | 0.000 | 0.000 | -0.000 |
| 0.000 | -0.000 | 0.000 | 0.000 | -0.000 | 0.000 |
| -0.000 | 0.000 | 0.000 | -0.000 | 0.000 | 0.000 |
| -0.000 | 0.000 | 0.000 | 0.000 | 0.000 | 0.000 |
| -0.000 | -0.000 | -0.000 | 0.000 | -0.000 | -0.000 |
| -0.000 | -0.000 | -0.000 | -0.000 | 0.000 | -0.000 |
| -0.000 | -0.000 | -0.000 | -0.000 | -0.000 | -0.000 |
| -0.000 | 0.000 | -0.000 | 0.000 | 0.000 | 0.000 |
| 0.000 | -0.000 | -0.000 | 0.000 | 0.000 | -0.000 |
| 0.000 | -0.000 | -0.000 | -0.000 | -0.000 | 0.000 |
| -0.000 | -0.000 | -0.000 | 0.000 | 0.000 | 0.000 |
| -0.000 | -0.000 | -0.000 | 0.000 | 0.000 | 0.000 |
| -0.000 | -0.000 | -0.000 | 0.000 | 0.000 | -0.000 |
| 0.000 | 0.000 | 0.000 | 0.000 | -0.000 | -0.000 |
| 0.000 | 0.000 | 0.000 | -0.000 | 0.000 | 0.000 |
| 0.000 | 0.000 | 0.000 | 0.000 | -0.000 | 0.000 |
| -0.000 | -0.000 | -0.000 | 0.000 | -0.000 | -0.000 |
| -0.000 | -0.000 | -0.000 | -0.000 | 0.000 | -0.000 |
| -0.000 | -0.000 | -0.000 | -0.000 | -0.000 | -0.000 |
| -0.000 | -0.000 | -0.000 | 0.000 | 0.000 | -0.000 |
| -0.000 | -0.000 | -0.000 | 0.000 | 0.000 | -0.000 |
| -0.000 | -0.000 | -0.000 | -0.000 | -0.000 | 0.000 |
| 0.000 | 0.000 | 0.000 | 0.000 | 0.000 | 0.000 |
| 0.000 | 10.803 | 0.000 | 0.000 | 0.000 | 0.000 |
| 0.000 | 0.000 | 0.000 | 0.000 | 0.000 | -0.000 |
| 0.000 | -0.000 | 0.000 | 0.000 | 0.000 | 0.000 |
| 0.000 | 0.000 | 0.000 | 0.000 | 0.000 | 0.000 |
| -0.000 | 0.000 | 0.000 | 0.000 | 0.000 | 0.000 |
| -0.000 | -0.000 | -0.000 | -0.000 | -0.000 | -0.000 |
| -0.000 | 10.803 | -0.000 | -0.000 | -0.000 | -0.000 |
| -0.000 | -0.000 | -0.000 | -0.000 | -0.000 | -0.000 |
| -0.000 | 0.000 | -0.000 | -0.000 | -0.000 | -0.000 |
| -0.000 | -0.000 | -0.000 | -0.000 | -0.000 | -0.000 |
| -0.000 | -0.000 | -0.000 | -0.000 | -0.000 | -0.000 |
| 0.000 | 0.000 | 0.000 | 0.000 | 0.000 | 0.000 |
| 0.000 | 10.803 | 0.000 | 0.000 | 0.000 | 0.000 |
| 0.000 | 0.000 | 0.000 | 0.000 | 0.000 | 0.000 |
| 0.000 | -0.000 | 0.000 | 0.000 | 0.000 | 0.000 |
| 0.000 | 0.000 | 0.000 | 0.000 | 0.000 | 0.000 |
| 0.000 | -0.000 | 0.000 | 0.000 | 0.000 | -0.000 |
| -0.000 | -0.000 | -0.000 | -0.000 | -0.000 | 0.000 |
| -0.000 | 10.803 | -0.000 | -0.000 | -0.000 | -0.000 |
| -0.000 | -0.000 | -0.000 | -0.000 | -0.000 | 0.000 |
| -0.000 | 0.000 | -0.000 | -0.000 | -0.000 | 0.000 |
| -0.000 | -0.000 | -0.000 | -0.000 | -0.000 | -0.000 |
| -0.000 | 0.000 | -0.000 | -0.000 | -0.000 | -0.000 |
| 0.000 | 0.000 | 0.000 | 0.000 | 0.000 | 0.000 |
| 0.000 | 10.803 | 0.000 | 0.000 | 0.000 | 0.000 |
| 0.000 | 0.000 | 0.000 | 0.000 | 0.000 | 0.000 |
| 0.000 | -0.000 | 0.000 | 0.000 | 0.000 | 0.000 |
| 0.000 | 0.000 | 0.000 | 0.000 | 0.000 | -0.000 |
| -0.000 | -0.000 | 0.000 | 0.000 | 0.000 | 0.000 |
| -0.000 | -0.000 | -0.000 | -0.000 | -0.000 | -0.000 |
| -0.000 | 10.803 | -0.000 | -0.000 | -0.000 | -0.000 |
| -0.000 | -0.000 | -0.000 | -0.000 | -0.000 | -0.000 |
| -0.000 | 0.000 | -0.000 | -0.000 | -0.000 | -0.000 |
| -0.000 | -0.000 | -0.000 | -0.000 | -0.000 | -0.000 |
| 0.000 | 0.000 | -0.000 | -0.000 | -0.000 | 0.000 |
| 207.715 | 71.748 | 115.609 | 0.000 | 1.451 | -0.000 |
| 71.977 | 259.089 | 37.174 | -0.000 | 0.454 | -0.000 |
| 115.648 | 36.983 | 222.961 | 0.000 | 0.278 | -0.000 |
| 0.000 | -0.000 | -0.000 | -10.660 | 0.000 | -0.455 |
| 1.121 | 0.279 | 0.265 | 0.000 | 62.321 | -0.000 |
| 0.000 | -0.000 | -0.000 | -0.343 | 0.000 | -85.514 |
| 208.465 | 68.452 | 114.936 | -0.000 | 1.459 | 0.000 |
| 71.977 | 259.089 | 37.174 | -0.000 | 0.454 | 0.000 |
| 115.648 | 36.983 | 222.961 | 0.000 | 0.278 | 0.000 |
| -0.000 | 0.000 | 0.000 | -10.660 | 0.000 | -0.455 |
| 1.098 | 0.465 | 0.305 | -0.000 | 61.648 | 0.000 |
| -0.000 | 0.000 | 0.000 | -0.343 | -0.000 | -85.514 |
| 207.715 | 71.748 | 115.609 | 0.000 | 1.451 | -0.000 |
| 71.977 | 259.089 | 37.174 | -0.000 | 0.454 | -0.000 |
| 115.648 | 36.983 | 222.961 | 0.000 | 0.278 | -0.000 |
| 0.000 | -0.000 | -0.000 | -10.660 | 0.000 | -0.455 |
| 1.098 | 0.464 | 0.305 | -0.000 | 61.648 | -0.000 |
| -0.000 | -0.000 | -0.000 | -0.343 | 0.000 | -85.514 |
| 207.715 | 71.748 | 115.609 | 0.000 | 1.451 | 0.000 |
| 71.977 | 259.089 | 37.174 | -0.000 | 0.454 | 0.000 |
| 114.975 | 39.943 | 223.565 | 0.000 | 0.265 | 0.000 |
| -0.000 | 0.000 | 0.000 | -10.660 | -0.000 | -0.455 |
| 1.098 | 0.464 | 0.305 | 0.000 | 61.648 | 0.000 |
| 0.000 | 0.000 | 0.000 | -0.343 | -0.000 | -85.514 |
| 207.716 | 71.748 | 115.610 | 0.000 | 1.451 | -0.000 |
| 71.977 | 259.090 | 37.174 | 0.000 | 0.454 | -0.000 |
| 115.648 | 36.983 | 222.962 | 0.000 | 0.278 | 0.000 |
| 0.000 | -0.000 | -0.000 | -10.660 | 0.000 | -0.455 |
| 1.123 | 0.359 | 0.284 | -0.000 | 61.647 | -0.000 |
| -0.000 | -0.000 | -0.000 | -0.343 | 0.000 | -85.514 |
| 208.464 | 68.451 | 114.936 | 0.000 | 1.459 | 0.000 |
| 71.977 | 259.087 | 37.174 | 0.000 | 0.454 | 0.000 |
| 115.648 | 36.983 | 222.959 | 0.000 | 0.278 | 0.000 |
| -0.000 | 0.000 | 0.000 | -10.660 | -0.000 | -0.455 |
| 1.122 | 0.359 | 0.284 | 0.000 | 61.647 | 0.000 |
| 0.000 | 0.000 | 0.000 | -0.343 | -0.000 | -85.514 |
| 1199.334 | 1141.352 | 3007.402 | -8.239 | 0.000 | 0.000 |
| 56.155 | 117.247 | 39.294 | 10.811 | 0.000 | 0.000 |
| 1465.197 | 1465.197 | 4002.228 | -0.000 | 0.000 | -0.000 |
| 1109.988 | 1126.407 | 3059.860 | 13.629 | 0.000 | -0.000 |
| 1471.912 | 1471.912 | 4017.943 | -0.000 | 12.436 | -7.489 |
| 0.000 | 0.000 | 0.000 | -0.000 | -10.811 | 30.546 |
| -1342.332 | -1399.310 | -3948.100 | -7.408 | -0.000 | -0.000 |
| 56.155 | 117.247 | 39.294 | 10.811 | 0.000 | -0.000 |
| 39.302 | 39.302 | 106.506 | 0.000 | 0.000 | -0.000 |
| -1479.400 | -1464.423 | -4017.943 | 12.436 | 0.000 | -0.000 |
| -1471.912 | -1471.912 | -4017.943 | 0.000 | 12.436 | -7.489 |
| -0.000 | -0.000 | -0.000 | 0.000 | -10.811 | 30.546 |
| 244.398 | 187.350 | 393.265 | -7.466 | 0.000 | 0.000 |
| 132.570 | 191.026 | 247.169 | 8.632 | -0.000 | 0.000 |
| 66.404 | 66.404 | 184.235 | -0.000 | -0.000 | 0.000 |
| 103.721 | 120.135 | 306.281 | 13.625 | 0.000 | 0.000 |
| 0.000 | 0.000 | 0.000 | -0.000 | 17.931 | -10.811 |
| -0.000 | 0.000 | 0.000 | -0.000 | -10.811 | 30.546 |
| 117.247 | 56.155 | 39.294 | -10.811 | 0.000 | -0.000 |
| 56.155 | 117.247 | 39.294 | 10.811 | -0.000 | -0.000 |
| 39.302 | 39.302 | 106.506 | 0.000 | 0.000 | 0.000 |
| -154.778 | -139.805 | -402.068 | 12.432 | -0.000 | -0.000 |
| -0.000 | -0.000 | -0.000 | 0.000 | 17.931 | -10.811 |
| 0.000 | -0.000 | -0.000 | 0.000 | -10.811 | 30.546 |
| 117.248 | 56.155 | 39.294 | -10.811 | 0.000 | -0.000 |
| 55.212 | 115.032 | 35.470 | 9.759 | -0.000 | 0.000 |
| 31.424 | 31.424 | 86.147 | -0.000 | -0.000 | 0.000 |
| -10.811 | 10.811 | 0.000 | 17.931 | 0.000 | -0.000 |
| -0.000 | 0.000 | 0.000 | -0.000 | 17.931 | -10.811 |
| 11.548 | 11.548 | 31.599 | -0.000 | -8.124 | 28.922 |
| 100.054 | 40.511 | -4.236 | -9.531 | 0.000 | -0.000 |
| 56.155 | 117.247 | 39.294 | 10.811 | 0.000 | -0.000 |
| 15.731 | 15.731 | 44.431 | 0.000 | 0.000 | -0.000 |
| -22.832 | -8.203 | -42.353 | 12.148 | 0.000 | -0.000 |
| 0.000 | -0.000 | -0.000 | 0.000 | 17.931 | -10.811 |
| -11.548 | -11.548 | -31.599 | 0.000 | -8.124 | 28.922 |
| 135.191 | 82.634 | 145.754 | -0.000 | 0.000 | 0.000 |
| 99.411 | 248.380 | 76.591 | -0.000 | -0.000 | 0.000 |
| 149.318 | 63.368 | 156.728 | 0.000 | 0.000 | -0.000 |
| -0.000 | -0.000 | -0.000 | 12.763 | -0.000 | 0.000 |
| -0.000 | 0.000 | 0.000 | 0.000 | 107.289 | -0.000 |
| -0.910 | 0.277 | -0.650 | -0.000 | -0.000 | -36.019 |
| 117.513 | 88.012 | 133.132 | 0.000 | -0.000 | -0.000 |
| 76.919 | 255.222 | 60.533 | 0.000 | 0.000 | -0.000 |
| 129.593 | 69.368 | 142.645 | -0.000 | -0.000 | 0.000 |
| 0.000 | -0.000 | 0.000 | 12.763 | 0.000 | -0.000 |
| -0.000 | -0.000 | -0.000 | -0.000 | 107.289 | -0.000 |
| 0.910 | -0.277 | 0.650 | 0.000 | 0.000 | -36.019 |
| 147.911 | 78.765 | 154.835 | 0.000 | -0.000 | 0.000 |
| 84.016 | 253.063 | 65.600 | -0.000 | -0.000 | 0.000 |
| 154.306 | 61.850 | 160.289 | 0.000 | -0.000 | 0.000 |
| 1.053 | -0.320 | 0.752 | -63.452 | -0.000 | 0.000 |
| 0.000 | -0.000 | 0.000 | 0.000 | 107.289 | 0.000 |
| 0.000 | 0.000 | -0.000 | 0.000 | -0.000 | 29.268 |
| 124.819 | 85.789 | 138.349 | -0.000 | -0.000 | -0.000 |
| 83.497 | 253.221 | 65.229 | -0.000 | 0.000 | -0.000 |
| 154.306 | 61.850 | 160.289 | 0.000 | 0.000 | -0.000 |
| -1.053 | 0.320 | -0.752 | -63.452 | 0.000 | -0.000 |
| -0.000 | 0.000 | -0.000 | -0.000 | 107.289 | 0.000 |
| -0.000 | -0.000 | 0.000 | -0.000 | 0.000 | 29.268 |
| 128.113 | 84.787 | 140.701 | 0.000 | -0.000 | -0.000 |
| 83.069 | 253.352 | 64.924 | 0.000 | -0.000 | 0.000 |
| 140.180 | 66.148 | 150.204 | -0.000 | -0.000 | 0.000 |
| 0.105 | -0.032 | 0.075 | -63.452 | -0.000 | 0.000 |
| 0.000 | -0.000 | 0.000 | 0.000 | 107.289 | -0.000 |
| -0.063 | 0.019 | -0.045 | -0.000 | -0.000 | -52.036 |
| 147.910 | 78.764 | 154.835 | -0.000 | 0.000 | -0.000 |
| 82.960 | 253.383 | 64.846 | -0.000 | 0.000 | -0.000 |
| 140.013 | 66.198 | 150.085 | 0.000 | 0.000 | -0.000 |
| -0.105 | 0.032 | -0.075 | -63.452 | 0.000 | 0.000 |
| -0.000 | 0.000 | -0.000 | -0.000 | 107.289 | -0.000 |
| 0.063 | -0.019 | 0.045 | 0.000 | 0.000 | -52.036 |
| 234.178 | 89.266 | 89.266 | 0.000 | -0.000 | 0.000 |
| 89.266 | 234.178 | 89.266 | 0.000 | -0.000 | 0.000 |
| 89.266 | 89.266 | 234.178 | 0.000 | -0.000 | 0.000 |
| 73.385 | 73.385 | 73.385 | 22.612 | -0.000 | 0.000 |
| 73.385 | 73.385 | 73.385 | 0.000 | 22.612 | 0.000 |
| 73.385 | 73.385 | 73.385 | 0.000 | -0.000 | 22.612 |
| 141.875 | 25.213 | 25.213 | -0.000 | 0.000 | -0.000 |
| 25.213 | 141.875 | 25.213 | -0.000 | 0.000 | -0.000 |
| 25.213 | 25.213 | 141.875 | -0.000 | 0.000 | -0.000 |
| -73.385 | -73.385 | -73.385 | 22.612 | 0.000 | 0.000 |
| -73.385 | -73.385 | -73.385 | -0.000 | 22.612 | -0.000 |
| -73.385 | -73.385 | -73.385 | 0.000 | 0.000 | 22.612 |
| 234.178 | 89.266 | 89.266 | 0.000 | -0.000 | 0.000 |
| 89.266 | 234.178 | 89.266 | -0.000 | -0.000 | 0.000 |
| 89.266 | 89.266 | 234.178 | 0.000 | -0.000 | 0.000 |
| 0.000 | 0.000 | 0.000 | 39.530 | -0.000 | 0.000 |
| 0.000 | -0.000 | 0.000 | -0.000 | 39.530 | 0.000 |
| 0.000 | 0.000 | 0.000 | 0.000 | -0.000 | 39.530 |
| 234.178 | 89.266 | 89.266 | 0.000 | 0.000 | -0.000 |
| 89.266 | 234.178 | 89.266 | -0.000 | 0.000 | -0.000 |
| 89.266 | 89.266 | 234.178 | -0.000 | 0.000 | -0.000 |
| -0.000 | -0.000 | -0.000 | 39.530 | -0.000 | -0.000 |
| -0.000 | 0.000 | -0.000 | -0.000 | 39.530 | -0.000 |
| -0.000 | -0.000 | 0.000 | 0.000 | 0.000 | 39.530 |
| 234.179 | 89.266 | 89.266 | 0.000 | -0.000 | 0.000 |
| 89.266 | 234.179 | 89.266 | 0.000 | -0.000 | 0.000 |
| 89.266 | 89.266 | 234.179 | 0.000 | -0.000 | 0.000 |
| 0.716 | 0.716 | 0.716 | 23.033 | -0.000 | 0.000 |
| 0.716 | 0.716 | 0.716 | 0.000 | 23.033 | 0.000 |
| 0.716 | 0.716 | 0.716 | 0.000 | -0.000 | 23.033 |
| 234.177 | 89.266 | 89.266 | 0.000 | 0.000 | -0.000 |
| 89.266 | 234.177 | 89.266 | -0.000 | 0.000 | -0.000 |
| 89.266 | 89.266 | 234.177 | -0.000 | 0.000 | -0.000 |
| -0.716 | -0.716 | -0.716 | 23.033 | 0.000 | -0.000 |
| -0.716 | -0.716 | -0.716 | 0.000 | 23.033 | -0.000 |
| -0.716 | -0.716 | -0.716 | 0.000 | 0.000 | 23.033 |
| -388.039 | -496.968 | -496.968 | 0.000 | -0.000 | 0.000 |
| -496.968 | -388.039 | -496.968 | 0.000 | -0.000 | 0.000 |
| -496.968 | -496.968 | -388.039 | 0.000 | 0.000 | 0.000 |
| -1506.578 | -1506.578 | -1506.578 | 26.291 | -0.000 | -0.000 |
| -1506.578 | -1506.578 | -1506.578 | 0.000 | 26.291 | -0.000 |
| -1506.578 | -1506.578 | -1506.578 | 0.000 | -0.000 | 26.291 |
| 808.103 | 699.169 | 699.169 | -0.000 | 0.000 | -0.000 |
| 699.169 | 808.103 | 699.169 | -0.000 | 0.000 | -0.000 |
| 699.169 | 699.169 | 808.103 | -0.000 | 0.000 | 0.000 |
| 1506.578 | 1506.578 | 1506.578 | 26.291 | -0.000 | 0.000 |
| 1506.578 | 1506.578 | 1506.578 | 0.000 | 26.291 | 0.000 |
| 1506.578 | 1506.578 | 1506.578 | -0.000 | 0.000 | 26.291 |
| 234.162 | 89.261 | 89.261 | 0.000 | -0.000 | -0.000 |
| 89.261 | 234.162 | 89.261 | 0.000 | -0.000 | -0.000 |
| 89.261 | 89.261 | 234.162 | 0.000 | 0.000 | -0.000 |
| -106.417 | -106.417 | -106.417 | 22.406 | -0.000 | -0.000 |
| -106.417 | -106.417 | -106.417 | 0.000 | 22.406 | -0.000 |
| -106.417 | -106.417 | -106.417 | 0.000 | -0.000 | 22.406 |
| 269.851 | 160.886 | 160.886 | -0.000 | 0.000 | -0.000 |
| 160.886 | 269.851 | 160.886 | -0.000 | 0.000 | -0.000 |
| 160.886 | 160.886 | 269.851 | -0.000 | -0.000 | 0.000 |
| 106.417 | 106.417 | 106.417 | 22.406 | 0.000 | 0.000 |
| 106.417 | 106.417 | 106.417 | -0.000 | 22.406 | 0.000 |
| 106.417 | 106.417 | 106.417 | -0.000 | 0.000 | 22.406 |
| 193.629 | 86.294 | 86.294 | 0.000 | -0.000 | 0.000 |
| 86.294 | 193.629 | 86.294 | 0.000 | 0.000 | 0.000 |
| 86.294 | 86.294 | 193.629 | 0.000 | -0.000 | 0.000 |
| -10.614 | -10.614 | -10.614 | 22.283 | 0.000 | 0.000 |
| -10.614 | -10.614 | -10.614 | 0.000 | 22.283 | -0.000 |
| -10.614 | -10.614 | -10.614 | 0.000 | -0.000 | 22.283 |
| 222.148 | 110.816 | 110.816 | -0.000 | 0.000 | 0.000 |
| 110.816 | 222.148 | 110.816 | -0.000 | 0.000 | 0.000 |
| 110.816 | 110.816 | 222.148 | -0.000 | 0.000 | 0.000 |
| 10.614 | 10.614 | 10.614 | 22.283 | 0.000 | 0.000 |
| 10.614 | 10.614 | 10.614 | -0.000 | 22.283 | 0.000 |
| 10.614 | 10.614 | 10.614 | -0.000 | 0.000 | 22.283 |
| 107.907 | 41.315 | 41.315 | -0.000 | -0.000 | -0.000 |
| 41.314 | 107.907 | 41.315 | -0.000 | -0.000 | -0.000 |
| 41.314 | 41.315 | 107.907 | -0.000 | -0.000 | -0.000 |
| -36.808 | -36.808 | -36.808 | 40.465 | 0.000 | 0.000 |
| -36.808 | -36.808 | -36.808 | 0.000 | 40.465 | 0.000 |
| -36.808 | -36.808 | -36.808 | 0.000 | 0.000 | 40.465 |
| 204.524 | 146.585 | 146.585 | -0.000 | -0.000 | -0.000 |
| 146.585 | 204.524 | 146.585 | -0.000 | -0.000 | -0.000 |
| 146.585 | 146.585 | 204.524 | -0.000 | -0.000 | -0.000 |
| 36.808 | 36.808 | 36.808 | 40.465 | -0.000 | -0.000 |
| 36.808 | 36.808 | 36.808 | -0.000 | 40.465 | -0.000 |
| 36.808 | 36.808 | 36.808 | -0.000 | -0.000 | 40.465 |
| 175.926 | 106.667 | 106.667 | -0.000 | -0.000 | -0.000 |
| 106.667 | 175.926 | 106.667 | 0.000 | 0.000 | -0.000 |
| 106.667 | 106.667 | 175.926 | -0.000 | 0.000 | -0.000 |
| -3.688 | -3.688 | -3.688 | 40.432 | 0.000 | 0.000 |
| -3.688 | -3.688 | -3.688 | 0.000 | 40.432 | 0.000 |
| -3.688 | -3.688 | -3.688 | 0.000 | 0.000 | 40.432 |
| 175.926 | 106.667 | 106.667 | -0.000 | 0.000 | 0.000 |
| 106.667 | 175.926 | 106.667 | 0.000 | -0.000 | 0.000 |
| 106.667 | 106.667 | 175.926 | -0.000 | 0.000 | -0.000 |
| 3.688 | 3.688 | 3.688 | 40.432 | -0.000 | -0.000 |
| 3.688 | 3.688 | 3.688 | -0.000 | 40.432 | -0.000 |
| 3.688 | 3.688 | 3.688 | -0.000 | -0.000 | 40.432 |
| 175.927 | 106.668 | 106.668 | 0.000 | 0.000 | -0.000 |
| 106.668 | 175.927 | 106.668 | -0.000 | -0.000 | -0.000 |
| 106.668 | 106.668 | 175.927 | -0.000 | -0.000 | -0.000 |
| 0.000 | 0.000 | 0.000 | 56.398 | -0.000 | -0.000 |
| 0.000 | 0.000 | 0.000 | -0.000 | 56.398 | 0.000 |
| 0.000 | 0.000 | 0.000 | -0.000 | -0.000 | 56.398 |
| 169.486 | 109.648 | 109.648 | -0.000 | -0.000 | -0.000 |
| 109.648 | 169.486 | 109.648 | -0.000 | -0.000 | -0.000 |
| 109.648 | 109.648 | 169.486 | -0.000 | -0.000 | -0.000 |
| -0.000 | -0.000 | -0.000 | 56.398 | -0.000 | 0.000 |
| -0.000 | -0.000 | -0.000 | -0.000 | 56.398 | 0.000 |
| -0.000 | -0.000 | -0.000 | -0.000 | -0.000 | 56.398 |
| 129.666 | 80.280 | 80.280 | -0.000 | 0.000 | 0.000 |
| 80.280 | 129.666 | 80.280 | -0.000 | 0.000 | 0.000 |
| 80.280 | 80.280 | 129.666 | -0.000 | 0.000 | 0.000 |
| -21.352 | -21.352 | -21.352 | -8.335 | 0.000 | 0.000 |
| -21.352 | -21.352 | -21.352 | -0.000 | -8.335 | 0.000 |
| -21.352 | -21.352 | -21.352 | -0.000 | 0.000 | -8.335 |
| 162.729 | 144.224 | 144.224 | 0.000 | -0.000 | -0.000 |
| 144.224 | 162.729 | 144.224 | 0.000 | -0.000 | -0.000 |
| 144.224 | 144.224 | 162.729 | 0.000 | -0.000 | -0.000 |
| 21.352 | 21.352 | 21.352 | -8.335 | -0.000 | -0.000 |
| 21.352 | 21.352 | 21.352 | 0.000 | -8.335 | -0.000 |
| 21.352 | 21.352 | 21.352 | 0.000 | -0.000 | -8.335 |
| 175.504 | 106.377 | 106.377 | -0.000 | -0.000 | 0.000 |
| 106.377 | 175.504 | 106.377 | -0.000 | -0.000 | -0.000 |
| 106.377 | 106.377 | 175.504 | -0.000 | -0.000 | 0.000 |
| -0.571 | -0.571 | -0.571 | 38.993 | 0.000 | 0.000 |
| -0.571 | -0.571 | -0.571 | -0.000 | 38.993 | 0.000 |
| -0.571 | -0.571 | -0.571 | -0.000 | 0.000 | 38.993 |
| 165.192 | 114.044 | 114.044 | 0.000 | -0.000 | -0.000 |
| 114.044 | 165.192 | 114.044 | 0.000 | -0.000 | -0.000 |
| 114.044 | 114.044 | 165.192 | 0.000 | -0.000 | -0.000 |
| 0.571 | 0.571 | 0.571 | 38.993 | -0.000 | -0.000 |
| 0.571 | 0.571 | 0.571 | 0.000 | 38.993 | -0.000 |
| 0.571 | 0.571 | 0.571 | 0.000 | -0.000 | 38.993 |
| 175.504 | 106.377 | 106.377 | -0.000 | -0.000 | 0.000 |
| 106.377 | 175.504 | 106.377 | -0.000 | -0.000 | 0.000 |
| 106.377 | 106.377 | 175.504 | -0.000 | -0.000 | 0.000 |
| 0.000 | 0.000 | 0.000 | 56.257 | -0.000 | 0.000 |
| 0.000 | 0.000 | 0.000 | -0.000 | 56.257 | 0.000 |
| 0.000 | 0.000 | 0.000 | -0.000 | -0.000 | 56.257 |
| 163.789 | 110.449 | 110.449 | 0.000 | -0.000 | -0.000 |
| 110.449 | 163.789 | 110.449 | 0.000 | -0.000 | -0.000 |
| 110.449 | 110.449 | 163.789 | 0.000 | -0.000 | -0.000 |
| -0.000 | -0.000 | -0.000 | 56.257 | 0.000 | -0.000 |
| -0.000 | -0.000 | -0.000 | 0.000 | 56.257 | -0.000 |
| -0.000 | -0.000 | -0.000 | 0.000 | 0.000 | 56.257 |
| 374.559 | -1.582 | 1135.437 | -0.000 | -0.000 | 0.000 |
| 177.797 | 240.622 | 1096.666 | 0.000 | 0.000 | -0.000 |
| 161.982 | 65.267 | 487.464 | -0.000 | -0.000 | -0.000 |
| 46.210 | -6.158 | 299.522 | -97.197 | 0.000 | 0.000 |
| 158.306 | -21.102 | 1024.947 | -0.000 | 64.810 | -0.000 |
| 158.306 | -21.102 | 1024.947 | -0.000 | -0.000 | -32.640 |
| 57.950 | 40.621 | -914.443 | 0.000 | 0.000 | -0.000 |
| -138.815 | 282.825 | -953.228 | 0.000 | 0.000 | 0.000 |
| -47.427 | 93.179 | -868.670 | 0.000 | 0.000 | -0.000 |
| -46.210 | 6.158 | -299.522 | -97.197 | 0.000 | 0.000 |
| -158.306 | 21.102 | -1024.947 | -0.000 | 64.810 | -0.000 |
| -158.306 | 21.102 | -1024.947 | 0.000 | -0.000 | -32.640 |
| 217.374 | 19.370 | 117.744 | -0.000 | -0.000 | 0.000 |
| 24.010 | 261.122 | 101.012 | -0.000 | -0.000 | -0.000 |
| 126.270 | 70.026 | 255.930 | -0.000 | -0.000 | -0.000 |
| 15.865 | -2.115 | 102.720 | -21.395 | -0.000 | -0.000 |
| 15.831 | -2.110 | 102.495 | -0.000 | 64.810 | -0.000 |
| 4.619 | -0.615 | 29.936 | -0.000 | 0.000 | -32.698 |
| 212.396 | 20.033 | 85.484 | 0.000 | 0.000 | 0.000 |
| 3.661 | 263.834 | -30.775 | 0.000 | -0.000 | -0.000 |
| 111.152 | 72.041 | 157.996 | 0.000 | 0.000 | -0.000 |
| -15.865 | 2.115 | -102.720 | -21.395 | -0.000 | -0.000 |
| -15.831 | 2.110 | -102.495 | 0.000 | 64.810 | 0.000 |
| -4.619 | 0.615 | -29.936 | 0.000 | 0.000 | -32.698 |
| 217.481 | 19.356 | 118.432 | -0.000 | -0.000 | 0.000 |
| 19.851 | 261.677 | 74.056 | -0.000 | -0.000 | 0.000 |
| 113.839 | 71.683 | 175.441 | -0.000 | -0.000 | -0.000 |
| 0.462 | -0.062 | 2.994 | -97.198 | -0.000 | -0.000 |
| 0.462 | -0.062 | 2.995 | -0.000 | 64.810 | 0.000 |
| 0.438 | -0.058 | 2.837 | -0.000 | -0.000 | -32.700 |
| 217.373 | 19.370 | 117.743 | 0.000 | 0.000 | -0.000 |
| 17.910 | 261.933 | 61.481 | -0.000 | 0.000 | -0.000 |
| 115.310 | 71.486 | 184.952 | 0.000 | 0.000 | -0.000 |
| -0.462 | 0.062 | -2.994 | -97.198 | 0.000 | -0.000 |
| -0.462 | 0.062 | -2.995 | 0.000 | 64.810 | 0.000 |
| -0.438 | 0.058 | -2.837 | 0.000 | 0.000 | -32.700 |
| 210.984 | 118.478 | 82.975 | 0.000 | -0.000 | -0.000 |
| 119.175 | 206.388 | 84.774 | 0.000 | -0.000 | -0.000 |
| 83.389 | 84.442 | 215.307 | 0.000 | -0.000 | -0.000 |
| -0.000 | 0.000 | 0.000 | 37.957 | -0.000 | -0.000 |
| -0.000 | 0.000 | 0.000 | 0.000 | 36.148 | -0.000 |
| -0.000 | 0.000 | -0.000 | 0.000 | 0.000 | 41.433 |
| 210.984 | 118.478 | 82.975 | -0.000 | 0.000 | 0.000 |
| 119.175 | 206.387 | 84.774 | -0.000 | 0.000 | 0.000 |
| 83.389 | 84.442 | 215.307 | -0.000 | 0.000 | 0.000 |
| -0.000 | -0.000 | -0.000 | 37.957 | 0.000 | 0.000 |
| 0.000 | -0.000 | -0.000 | -0.000 | 36.148 | 0.000 |
| 0.000 | -0.000 | 0.000 | -0.000 | 0.000 | 41.433 |
| 210.984 | 118.478 | 82.975 | 0.000 | -0.000 | -0.000 |
| 119.176 | 206.387 | 84.774 | 0.000 | -0.000 | -0.000 |
| 83.366 | 84.464 | 215.307 | 0.000 | -0.000 | -0.000 |
| 0.000 | 0.000 | 0.000 | 37.957 | -0.000 | -0.000 |
| -0.000 | 0.000 | 0.000 | 0.000 | 36.148 | -0.000 |
| -0.000 | 0.000 | -0.000 | 0.000 | -0.000 | 41.433 |
| 210.984 | 118.478 | 82.975 | -0.000 | -0.000 | 0.000 |
| 119.176 | 206.387 | 84.774 | -0.000 | 0.000 | 0.000 |
| 83.366 | 84.464 | 215.306 | -0.000 | 0.000 | 0.000 |
| -0.000 | -0.000 | -0.000 | 37.957 | 0.000 | 0.000 |
| 0.000 | -0.000 | -0.000 | 0.000 | 36.148 | 0.000 |
| 0.000 | -0.000 | 0.000 | -0.000 | 0.000 | 41.433 |
| 210.985 | 118.478 | 82.975 | -0.000 | -0.000 | -0.000 |
| 119.176 | 206.388 | 84.774 | 0.000 | 0.000 | -0.000 |
| 83.365 | 84.466 | 215.308 | 0.000 | -0.000 | -0.000 |
| 0.000 | -0.000 | 0.000 | 37.957 | -0.000 | -0.000 |
| -0.000 | 0.000 | 0.000 | 0.000 | 36.148 | -0.000 |
| -0.000 | 0.000 | -0.000 | 0.000 | 0.000 | 41.433 |
| 210.983 | 118.478 | 82.975 | -0.000 | 0.000 | 0.000 |
| 119.175 | 206.387 | 84.773 | -0.000 | -0.000 | 0.000 |
| 83.401 | 84.428 | 215.305 | -0.000 | 0.000 | 0.000 |
| -0.000 | 0.000 | -0.000 | 37.957 | 0.000 | 0.000 |
| 0.000 | -0.000 | -0.000 | -0.000 | 36.148 | 0.000 |
| 0.000 | -0.000 | 0.000 | 0.000 | -0.000 | 41.433 |
| 222.260 | 105.027 | 85.002 | 8.235 | -0.000 | 0.000 |
| 105.027 | 222.260 | 85.002 | -8.235 | -0.000 | -0.000 |
| 85.012 | 85.012 | 222.974 | 0.000 | -0.000 | -0.000 |
| 5.903 | -10.376 | -16.916 | 38.285 | -0.000 | 0.000 |
| -0.000 | -0.000 | -0.000 | -0.000 | 38.289 | 8.235 |
| -0.000 | -0.000 | -0.000 | -0.000 | 8.235 | 58.616 |
| 222.260 | 105.027 | 85.002 | 8.235 | 0.000 | -0.000 |
| 121.108 | 210.647 | 101.900 | -7.710 | 0.000 | -0.000 |
| 87.230 | 87.230 | 239.750 | 0.000 | 0.000 | -0.000 |
| 10.376 | -5.903 | 16.916 | 38.285 | -0.000 | 0.000 |
| 0.000 | 0.000 | 0.000 | 0.000 | 38.289 | 8.235 |
| 0.000 | 0.000 | 0.000 | 0.000 | 8.235 | 58.616 |
| 222.260 | 105.027 | 85.002 | 8.235 | -0.000 | 0.000 |
| 105.027 | 222.260 | 85.002 | -8.235 | 0.000 | -0.000 |
| 85.012 | 85.012 | 222.974 | 0.000 | -0.000 | -0.000 |
| 7.916 | -8.363 | -1.692 | 38.285 | 0.000 | 0.000 |
| -0.000 | 0.000 | 0.000 | 0.000 | 38.289 | 8.235 |
| -0.224 | -0.224 | -1.692 | -0.000 | 7.710 | 44.769 |
| 219.729 | 108.045 | 86.844 | 8.130 | -0.000 | 0.000 |
| 105.027 | 222.260 | 85.002 | -8.235 | 0.000 | 0.000 |
| 85.012 | 85.012 | 222.973 | -0.000 | 0.000 | 0.000 |
| 8.235 | -8.235 | -0.000 | 38.289 | -0.000 | 0.000 |
| 0.000 | -0.000 | -0.000 | -0.000 | 38.289 | 8.235 |
| 0.224 | 0.224 | 1.692 | 0.000 | 7.710 | 44.769 |
| 222.261 | 105.028 | 85.002 | 8.235 | -0.000 | 0.000 |
| 105.028 | 222.261 | 85.002 | -8.235 | -0.000 | -0.000 |
| 84.971 | 84.971 | 222.665 | -0.000 | -0.000 | 0.000 |
| 8.115 | -8.161 | -0.171 | 38.285 | -0.000 | 0.000 |
| -0.000 | 0.000 | 0.000 | 0.000 | 38.289 | 8.235 |
| -0.092 | -0.092 | -0.695 | 0.000 | 7.843 | 48.261 |
| 211.456 | 116.003 | 85.653 | 7.822 | 0.000 | -0.000 |
| 105.027 | 222.259 | 85.002 | -8.235 | 0.000 | 0.000 |
| 85.012 | 85.012 | 222.973 | -0.000 | 0.000 | 0.000 |
| 8.161 | -8.115 | 0.171 | 38.285 | 0.000 | -0.000 |
| 0.000 | -0.000 | -0.000 | -0.000 | 38.289 | 8.235 |
| 0.092 | 0.092 | 0.695 | -0.000 | 7.843 | 48.261 |
| 208.456 | 118.818 | 84.950 | 7.718 | 0.000 | -0.000 |
| 105.032 | 222.268 | 85.047 | -8.238 | 0.000 | -0.000 |
| 85.047 | 85.047 | 223.068 | 0.000 | 0.000 | -0.000 |
| 8.238 | -8.238 | 0.000 | 38.311 | 0.000 | -0.000 |
| 0.000 | 0.000 | 0.003 | -0.000 | 38.291 | 7.718 |
| -0.000 | 0.000 | 0.000 | -0.000 | 8.238 | 58.618 |
| 222.268 | 105.032 | 85.047 | 8.238 | -0.000 | 0.000 |
| 118.809 | 208.463 | 84.944 | -7.718 | -0.000 | 0.000 |
| 85.029 | 85.029 | 222.928 | -0.000 | -0.000 | 0.000 |
| 8.238 | -8.238 | 0.000 | 38.311 | -0.000 | 0.000 |
| -0.000 | -0.000 | -0.003 | 0.000 | 38.291 | 7.718 |
| 0.000 | -0.000 | 0.000 | -0.000 | 8.238 | 58.618 |
| 222.268 | 105.032 | 85.047 | 8.238 | -0.000 | -0.000 |
| 118.814 | 208.459 | 84.947 | -7.718 | 0.000 | -0.000 |
| 85.029 | 85.029 | 222.929 | -0.000 | 0.000 | -0.000 |
| 8.238 | -8.238 | 0.000 | 38.311 | 0.000 | -0.000 |
| 0.000 | 0.000 | 0.000 | 0.000 | 38.291 | 7.716 |
| 0.000 | 0.000 | 0.000 | -0.000 | 7.716 | 44.763 |
| 208.460 | 118.813 | 84.947 | 7.718 | -0.000 | 0.000 |
| 118.813 | 208.460 | 84.947 | -7.718 | -0.000 | 0.000 |
| 85.029 | 85.029 | 222.929 | 0.000 | 0.000 | 0.000 |
| 8.238 | -8.238 | -0.000 | 38.311 | -0.000 | 0.000 |
| -0.000 | -0.000 | -0.000 | -0.000 | 38.291 | 7.716 |
| -0.000 | -0.000 | -0.000 | 0.000 | 7.716 | 44.763 |
| 208.412 | 118.884 | 85.029 | 7.716 | 0.000 | -0.000 |
| 118.814 | 208.460 | 84.947 | -7.718 | 0.000 | 0.000 |
| 85.029 | 85.029 | 222.930 | -0.000 | 0.000 | -0.000 |
| 8.238 | -8.238 | 0.000 | 38.311 | 0.000 | -0.000 |
| -0.000 | 0.000 | 0.000 | 0.000 | 38.291 | 7.716 |
| -0.000 | 0.000 | -0.000 | -0.000 | 7.716 | 44.763 |
| 222.267 | 105.031 | 85.047 | 8.238 | -0.000 | 0.000 |
| 105.031 | 222.267 | 85.047 | -8.238 | -0.000 | -0.000 |
| 85.029 | 85.029 | 222.928 | -0.000 | -0.000 | 0.000 |
| 7.716 | -7.716 | -0.000 | 38.291 | -0.000 | 0.000 |
| 0.000 | -0.000 | -0.000 | -0.000 | 38.291 | 7.716 |
| 0.000 | -0.000 | 0.000 | 0.000 | 7.716 | 44.763 |
| 180.607 | 90.769 | 90.769 | 0.000 | -0.000 | -0.000 |
| 90.769 | 180.607 | 90.769 | 0.000 | 0.000 | -0.000 |
| 90.769 | 90.769 | 180.607 | 0.000 | -0.000 | 0.000 |
| 0.000 | 0.000 | -0.000 | 44.489 | -0.000 | -0.000 |
| 0.000 | 0.000 | -0.000 | -0.000 | 44.489 | -0.000 |
| 0.000 | 0.000 | -0.000 | 0.000 | -0.000 | 44.489 |
| 162.484 | 92.282 | 92.282 | 0.000 | 0.000 | -0.000 |
| 92.282 | 162.484 | 92.282 | 0.000 | -0.000 | -0.000 |
| 92.282 | 92.282 | 162.484 | -0.000 | 0.000 | -0.000 |
| -0.000 | -0.000 | -0.000 | 44.489 | 0.000 | -0.000 |
| -0.000 | -0.000 | -0.000 | -0.000 | 44.489 | 0.000 |
| -0.000 | -0.000 | 0.000 | -0.000 | 0.000 | 44.489 |
| 163.240 | 92.723 | 92.723 | -0.000 | -0.000 | -0.000 |
| 92.723 | 163.240 | 92.723 | 0.000 | -0.000 | 0.000 |
| 92.723 | 92.723 | 163.240 | -0.000 | -0.000 | 0.000 |
| 0.000 | 0.000 | 0.000 | 44.489 | -0.000 | 0.000 |
| 0.000 | 0.000 | 0.000 | -0.000 | 44.489 | -0.000 |
| 0.000 | 0.000 | 0.000 | 0.000 | -0.000 | 44.489 |
| 180.607 | 90.769 | 90.769 | -0.000 | -0.000 | -0.000 |
| 90.769 | 180.607 | 90.769 | -0.000 | 0.000 | -0.000 |
| 90.769 | 90.769 | 180.607 | -0.000 | -0.000 | -0.000 |
| -0.000 | -0.000 | -0.000 | 44.489 | 0.000 | -0.000 |
| -0.000 | -0.000 | -0.000 | -0.000 | 44.489 | -0.000 |
| -0.000 | -0.000 | -0.000 | -0.000 | 0.000 | 44.489 |
| 180.608 | 90.769 | 90.769 | 0.000 | 0.000 | 0.000 |
| 90.769 | 180.608 | 90.769 | 0.000 | 0.000 | 0.000 |
| 90.769 | 90.769 | 180.608 | 0.000 | 0.000 | 0.000 |
| 0.000 | 0.000 | 0.000 | 44.489 | -0.000 | -0.000 |
| 0.000 | 0.000 | 0.000 | -0.000 | 44.489 | -0.000 |
| 0.000 | 0.000 | 0.000 | 0.000 | -0.000 | 44.489 |
| 180.606 | 90.769 | 90.769 | -0.000 | -0.000 | -0.000 |
| 90.769 | 180.606 | 90.769 | -0.000 | 0.000 | 0.000 |
| 90.769 | 90.769 | 180.606 | -0.000 | 0.000 | -0.000 |
| -0.000 | -0.000 | -0.000 | 44.489 | 0.000 | 0.000 |
| -0.000 | -0.000 | -0.000 | 0.000 | 44.489 | -0.000 |
| -0.000 | -0.000 | -0.000 | -0.000 | 0.000 | 44.489 |
| -336927997.828 | -336637996.054 | -336638995.790 | 1119.237 | 13.249 | -0.996 |
| -336637000.048 | -336927997.828 | -336638995.790 | 776.905 | -277.407 | -27.416 |
| -336637996.054 | -336637996.054 | -336928997.564 | -274.037 | -285.591 | -25.239 |
| 2003.202 | 2003.202 | 1003.466 | -31474203.525 | -222.568 | -24.642 |
| 999.736 | 2003.202 | 1003.466 | 588.361 | -31475056.829 | 20.595 |
| 999.736 | 999.736 | 0.000 | 253.665 | -233.268 | -31474827.276 |
| -336930001.030 | -336641002.722 | -336640002.986 | -542.928 | 897.517 | 49.768 |
| -336639999.256 | -336930001.030 | -336640002.986 | -50.592 | 738.155 | -14.498 |
| -336639999.256 | -336639999.256 | -336929001.294 | -1365.972 | 212.731 | 43.122 |
| -999.736 | -999.736 | -1003.466 | -31475216.073 | 594.139 | 9.485 |
| -999.736 | -999.736 | -0.000 | -441.992 | -31474487.221 | 14.925 |
| -2003.202 | -2003.202 | -0.000 | 18.629 | 336.375 | -31474809.274 |
| -336928999.802 | -336638999.893 | -336639099.867 | 62.146 | 8.533 | 0.590 |
| -336638999.893 | -336928999.802 | -336639099.867 | -14.513 | -48.759 | 2.447 |
| -336639099.867 | -336638999.893 | -336929099.776 | 61.535 | 15.844 | -1.116 |
| 99.974 | 99.974 | 0.000 | -31459294.008 | 20.309 | 0.693 |
| 99.974 | 99.974 | 0.000 | 50.927 | -31459349.881 | -0.266 |
| 99.974 | 99.974 | 0.000 | -18.592 | -86.426 | -31459313.880 |
| -336929300.096 | -336639200.213 | -336639000.266 | -94.285 | 84.827 | -4.545 |
| -336639200.213 | -336929200.123 | -336639000.266 | -24.604 | -100.211 | -2.197 |
| -336639200.213 | -336639200.213 | -336929100.149 | -40.101 | 63.425 | 2.283 |
| -99.974 | -99.974 | -100.347 | -31459358.631 | -17.880 | 2.420 |
| -99.974 | -99.974 | -100.347 | -45.952 | -31459318.510 | -1.616 |
| -99.974 | -99.974 | -0.000 | 5.855 | 66.106 | -31459310.718 |
| -336928900.015 | -336639239.979 | -336639249.976 | -888.088 | 24433.126 | 25267.017 |
| -336639239.979 | -336928900.015 | -336639249.976 | 23672.179 | 13748.928 | 24889.417 |
| -336639250.014 | -336639250.014 | -336928919.973 | 12518.681 | 20874.761 | 5427.349 |
| 110.008 | 60.021 | 160.032 | 48716136.042 | -7.468 | -0.430 |
| 60.021 | 110.008 | 160.032 | 0.802 | 48716131.664 | -0.279 |
| 60.021 | 159.995 | 100.011 | -2.429 | -8.932 | 48716132.676 |
| -336929240.000 | -336638739.999 | -336638730.002 | -6459.606 | -6989.272 | -10293.434 |
| -336638739.999 | -336929240.000 | -336638730.002 | -7193.745 | -10132.616 | -16579.684 |
| -336638739.999 | -336638739.999 | -336929230.003 | -2666.822 | -8482.394 | -21378.526 |
| -110.008 | -70.019 | -160.032 | 48716129.248 | 8.522 | -0.047 |
| -60.021 | -110.008 | -160.032 | 2.620 | 48716135.207 | 0.231 |
| -60.021 | -159.995 | -100.011 | 2.667 | 9.693 | 48716133.338 |
| -4332090.066 | -3916621.704 | -3916621.666 | -0.021 | 0.025 | 0.015 |
| -3916621.719 | -4332090.049 | -3916621.697 | 0.030 | -0.155 | -0.001 |
| -3916621.800 | -3916621.785 | -4332090.076 | -0.211 | -0.220 | -0.003 |
| -0.375 | -0.298 | -0.332 | -496166.962 | -0.079 | 0.042 |
| -0.304 | -0.383 | -0.426 | -0.077 | -496166.974 | -0.010 |
| -0.357 | -0.347 | -0.433 | -0.143 | -0.248 | -496166.942 |
| -4332089.192 | -3916620.836 | -3916620.799 | 0.075 | 0.222 | -0.001 |
| -3916620.784 | -4332089.183 | -3916620.817 | 0.091 | 0.186 | 0.015 |
| -3916620.775 | -3916620.803 | -4332089.297 | -0.053 | 0.065 | 0.004 |
| 0.344 | 0.381 | 0.285 | -496166.920 | 0.063 | 0.049 |
| 0.392 | 0.357 | 0.291 | 0.056 | -496166.837 | 0.001 |
| 0.391 | 0.385 | 0.494 | 0.096 | 0.237 | -496166.942 |
| -4332093.090 | -3916624.663 | -3916624.659 | -0.004 | 0.004 | -0.001 |
| -3916624.664 | -4332093.089 | -3916624.657 | -0.014 | -0.009 | -0.000 |
| -3916624.679 | -3916624.677 | -4332093.100 | -0.013 | -0.018 | 0.001 |
| -0.141 | 0.055 | -0.068 | -681646.673 | -0.015 | 0.001 |
| 0.056 | -0.143 | -0.056 | -0.006 | -681646.648 | 0.000 |
| 0.050 | -0.066 | -0.148 | -0.005 | -0.005 | -681646.662 |
| -4332086.694 | -3916618.391 | -3916618.399 | -0.001 | -0.009 | -0.001 |
| -3916618.393 | -4332086.696 | -3916618.393 | 0.004 | -0.007 | 0.000 |
| -3916618.396 | -3916618.394 | -4332086.704 | 0.011 | -0.003 | 0.001 |
| 0.141 | -0.052 | 0.062 | -681646.657 | 0.012 | 0.003 |
| -0.052 | 0.143 | 0.060 | 0.010 | -681646.668 | 0.002 |
| -0.053 | 0.067 | 0.148 | 0.006 | -0.004 | -681646.662 |
| -4332121.643 | -3916652.652 | -3916652.652 | -0.000 | 0.001 | 0.000 |
| -3916652.652 | -4332121.643 | -3916652.651 | 0.001 | -0.001 | 0.000 |
| -3916652.651 | -3916652.651 | -4332121.643 | -0.002 | -0.003 | -0.000 |
| -0.736 | 0.348 | -0.435 | -495995.149 | -0.002 | -0.000 |
| 0.348 | -0.735 | -0.436 | -0.001 | -495995.148 | -0.000 |
| 0.348 | -0.437 | -0.736 | -0.000 | -0.000 | -495995.148 |
| -4332058.124 | -3916590.385 | -3916590.386 | 0.001 | 0.000 | 0.000 |
| -3916590.386 | -4332058.124 | -3916590.385 | -0.000 | -0.000 | -0.000 |
| -3916590.385 | -3916590.385 | -4332058.123 | 0.001 | 0.002 | 0.000 |
| 0.735 | -0.349 | 0.434 | -495995.148 | 0.001 | 0.000 |
| -0.348 | 0.735 | 0.435 | 0.001 | -495995.149 | -0.000 |
| -0.348 | 0.437 | 0.735 | -0.000 | 0.001 | -495995.148 |
| 125.923 | 135.952 | 135.952 | 0.000 | -0.000 | 0.000 |
| 135.952 | 125.923 | 135.952 | -0.000 | -0.000 | -0.000 |
| 135.952 | 135.952 | 125.923 | 0.000 | -0.000 | 0.000 |
| -0.000 | -0.000 | -0.000 | -26.504 | -0.000 | -0.000 |
| -0.000 | -0.000 | -0.000 | 0.000 | -26.504 | -0.000 |
| -0.000 | -0.000 | -0.000 | -0.000 | -0.000 | -26.504 |
| 125.923 | 135.952 | 135.952 | -0.000 | 0.000 | -0.000 |
| 135.952 | 125.923 | 135.952 | 0.000 | -0.000 | 0.000 |
| 135.952 | 135.952 | 125.923 | 0.000 | 0.000 | 0.000 |
| 0.000 | 0.000 | 0.000 | -26.504 | 0.000 | -0.000 |
| 0.000 | 0.000 | -0.000 | -0.000 | -26.504 | 0.000 |
| 0.000 | 0.000 | 0.000 | 0.000 | 0.000 | -26.504 |
| 125.923 | 135.952 | 135.952 | 0.000 | -0.000 | 0.000 |
| 135.952 | 125.923 | 135.952 | -0.000 | -0.000 | 0.000 |
| 135.952 | 135.952 | 125.923 | 0.000 | -0.000 | -0.000 |
| 0.000 | -0.000 | 0.000 | 99.619 | -0.000 | -0.000 |
| -0.000 | 0.000 | 0.000 | -0.000 | 99.619 | 0.000 |
| -0.000 | 0.000 | 0.000 | -0.000 | -0.000 | 99.619 |
| 125.923 | 135.952 | 135.952 | -0.000 | 0.000 | -0.000 |
| 135.952 | 125.923 | 135.952 | -0.000 | 0.000 | -0.000 |
| 135.952 | 135.952 | 125.923 | 0.000 | 0.000 | 0.000 |
| -0.000 | 0.000 | -0.000 | 99.619 | 0.000 | 0.000 |
| 0.000 | -0.000 | -0.000 | 0.000 | 99.619 | -0.000 |
| 0.000 | -0.000 | -0.000 | 0.000 | 0.000 | 99.619 |
| 125.923 | 135.953 | 135.953 | 0.000 | -0.000 | -0.000 |
| 135.953 | 125.923 | 135.953 | 0.000 | -0.000 | 0.000 |
| 135.953 | 135.953 | 125.923 | -0.000 | -0.000 | -0.000 |
| -0.000 | -0.000 | -0.000 | -26.504 | -0.000 | -0.000 |
| -0.000 | -0.000 | -0.000 | 0.000 | -26.504 | 0.000 |
| -0.000 | -0.000 | -0.000 | -0.000 | -0.000 | -26.504 |
| 125.923 | 135.952 | 135.952 | 0.000 | 0.000 | -0.000 |
| 135.952 | 125.923 | 135.952 | -0.000 | -0.000 | 0.000 |
| 135.952 | 135.952 | 125.923 | -0.000 | -0.000 | -0.000 |
| 0.000 | 0.000 | 0.000 | -26.504 | 0.000 | 0.000 |
| 0.000 | 0.000 | 0.000 | -0.000 | -26.504 | -0.000 |
| 0.000 | 0.000 | 0.000 | 0.000 | 0.000 | -26.504 |
| 79.483 | 93.065 | 81.524 | -0.000 | -0.000 | 0.000 |
| 93.065 | 79.483 | 81.524 | 0.000 | -0.000 | -0.000 |
| 121.266 | 121.266 | 57.865 | 0.000 | -0.000 | -0.000 |
| 0.000 | 0.000 | -0.000 | -27.257 | -0.000 | -0.000 |
| 0.000 | 0.000 | -0.000 | -0.000 | -27.257 | -0.000 |
| 0.000 | 0.000 | -0.000 | 0.000 | -0.000 | 56.190 |
| 60.106 | 74.349 | 130.916 | -0.000 | 0.000 | 0.000 |
| 74.349 | 60.106 | 130.916 | -0.000 | 0.000 | 0.000 |
| 72.776 | 72.776 | 183.612 | -0.000 | 0.000 | 0.000 |
| -0.000 | -0.000 | 0.000 | -27.257 | 0.000 | -0.000 |
| -0.000 | -0.000 | 0.000 | 0.000 | -27.257 | 0.000 |
| -0.000 | -0.000 | 0.000 | -0.000 | 0.000 | 56.190 |
| 79.483 | 93.065 | 81.524 | 0.000 | -0.000 | -0.000 |
| 93.065 | 79.483 | 81.524 | -0.000 | -0.000 | -0.000 |
| 72.776 | 72.776 | 183.612 | 0.000 | -0.000 | -0.000 |
| 0.000 | 0.000 | -0.000 | -27.257 | -0.000 | 0.000 |
| 0.000 | 0.000 | -0.000 | -0.000 | -27.257 | 0.000 |
| 0.000 | 0.000 | 0.000 | 0.000 | -0.000 | 77.800 |
| 54.706 | 79.055 | 131.816 | -0.000 | 0.000 | 0.000 |
| 79.055 | 54.706 | 131.816 | 0.000 | 0.000 | 0.000 |
| 121.266 | 121.266 | 57.865 | -0.000 | 0.000 | 0.000 |
| -0.000 | -0.000 | 0.000 | -27.257 | 0.000 | 0.000 |
| -0.000 | -0.000 | 0.000 | -0.000 | -27.257 | 0.000 |
| -0.000 | -0.000 | -0.000 | 0.000 | 0.000 | 77.800 |
| 1514587.464 | 108666.456 | -8907170.323 | 63132.776 | -56679.643 | 182657.905 |
| -69352.830 | 1578218.035 | -9281249.042 | 8847.730 | -43396.516 | 41210.789 |
| 121.265 | 121.265 | 57.869 | 0.000 | -0.000 | -0.000 |
| -0.000 | -0.000 | -0.000 | -27.257 | -0.000 | 0.000 |
| -0.000 | -0.000 | -0.000 | 0.000 | -27.257 | -0.000 |
| 0.000 | 0.000 | 0.000 | 0.000 | -0.000 | 56.190 |
| -193191.121 | -1679378.751 | 8981009.392 | -28031.729 | 79096.295 | -255396.950 |
| -1849595.429 | 200917.880 | 9230137.183 | 46916.075 | 38725.440 | -124254.652 |
| 121.267 | 121.267 | 57.862 | -0.000 | 0.000 | 0.000 |
| 0.000 | 0.000 | 0.000 | -27.257 | 0.000 | 0.000 |
| 0.000 | 0.000 | 0.000 | -0.000 | -27.257 | 0.000 |
| -0.000 | -0.000 | -0.000 | -0.000 | 0.000 | 56.190 |
| -265298001.587 | -275583000.073 | -275568998.174 | -16542.651 | 6188.077 | -1936.439 |
| -275562000.022 | -265316998.436 | -275571001.376 | -15548.100 | 5842.905 | -1838.323 |
| -275563001.623 | -275584001.675 | -265303998.138 | -15469.141 | 5874.474 | -1834.591 |
| 9999.225 | -11998.697 | 1001.601 | -1705603.038 | 5752.671 | -1824.236 |
| 9001.354 | -11998.697 | 1001.601 | -15129.714 | -1683516.799 | -1803.771 |
| 9999.225 | -11998.697 | 1001.601 | -15262.731 | 5717.349 | -1690993.152 |
| -265386000.736 | -275518000.447 | -275543999.179 | 30846.036 | -11662.893 | 3687.755 |
| -275561998.157 | -265343000.897 | -275543999.179 | 30901.221 | -11660.916 | 3694.195 |
| -275561998.157 | -275519000.183 | -265368999.629 | 30864.347 | -11633.207 | 3679.525 |
| -9999.225 | 11998.697 | -1001.601 | -1674762.895 | -5834.319 | 1827.174 |
| -9999.225 | 11998.697 | -1001.601 | 15507.863 | -1696151.289 | 1834.022 |
| -9999.225 | 11998.697 | -1001.601 | 15510.315 | -5755.556 | -1688583.691 |
| -265243500.121 | -275603299.936 | -275603199.963 | -4.793 | 13.692 | 2.726 |
| -275599400.034 | -265251099.980 | -275599500.007 | -212.376 | 75.963 | -19.100 |
| -275598899.979 | -275599199.900 | -265251999.929 | -239.232 | 81.335 | -22.335 |
| 0.000 | -99.974 | 0.000 | -1630514.721 | 16.375 | -3.808 |
| 0.000 | -99.974 | 0.000 | -84.778 | -1631985.999 | -7.240 |
| 0.000 | -199.947 | 0.000 | -123.741 | 50.708 | -1633664.533 |
| -265273699.982 | -275587599.978 | -275588300.166 | 756.758 | -280.516 | 87.802 |
| -275589199.929 | -265271500.003 | -275588800.034 | 726.035 | -272.023 | 84.750 |
| -275588299.980 | -275587199.897 | -265274100.063 | 777.153 | -286.783 | 91.133 |
| -0.000 | 99.974 | -0.000 | -1633060.163 | -37.627 | 11.199 |
| -0.000 | 99.974 | -0.000 | 48.966 | -1630415.527 | 2.077 |
| -0.000 | 99.974 | -0.000 | 81.320 | -31.699 | -1632062.076 |
| -267078530.004 | -274688349.990 | -274684649.997 | -4602.004 | 1736.148 | -556.103 |
| -274497130.002 | -267454010.007 | -274500399.997 | -5525.653 | 2083.135 | -667.505 |
| -275603589.990 | -275603599.988 | -265244129.992 | -1.159 | 1.350 | 0.295 |
| 3759.996 | -3940.004 | 480.004 | -3841759.608 | 2086.733 | -668.035 |
| 3340.013 | -3530.001 | 400.006 | -4936.885 | -3597157.690 | -596.402 |
| 1660.009 | -1869.991 | 219.998 | -2525.744 | 953.044 | -2636871.374 |
| -265568169.998 | -275439669.995 | -275440330.007 | 811.437 | -305.530 | 97.648 |
| -275482950.002 | -265482639.992 | -275482600.001 | 603.364 | -226.465 | 72.550 |
| -275483519.982 | -275482680.017 | -265481980.017 | 599.596 | -226.483 | 72.112 |
| -960.008 | 1030.008 | -80.016 | -2185913.606 | -528.278 | 168.924 |
| -1869.991 | 2030.005 | -180.008 | 2837.308 | -2762534.583 | 342.754 |
| -2590.006 | 2829.999 | -340.003 | 3878.497 | -1462.081 | -3176239.814 |
| -1565097.115 | -1809914.153 | -1809914.141 | 0.009 | -0.009 | 0.015 |
| -1809914.147 | -1565097.103 | -1809914.150 | 0.010 | 0.010 | 0.007 |
| -1809914.142 | -1809914.126 | -1565097.094 | 0.008 | -0.002 | 0.005 |
| 0.017 | 0.021 | 0.010 | 69997.489 | -0.005 | -0.001 |
| 0.019 | 0.022 | 0.022 | 0.010 | 69997.499 | 0.010 |
| 0.011 | 0.011 | 0.013 | 0.005 | 0.003 | 69997.481 |
| -1769469.728 | -1707727.152 | -1707727.153 | -0.009 | -0.004 | -0.010 |
| -1707727.105 | -1769469.693 | -1707727.108 | -0.006 | 0.001 | -0.006 |
| -1707727.127 | -1707727.133 | -1769469.708 | -0.006 | -0.001 | -0.003 |
| -0.014 | -0.021 | -0.011 | 69997.473 | -0.005 | -0.008 |
| -0.016 | -0.012 | -0.028 | -0.011 | 69997.497 | -0.007 |
| -0.023 | -0.021 | -0.021 | -0.005 | -0.003 | 69997.475 |
| -1770242.906 | -1707344.079 | -1707344.079 | 0.001 | -0.000 | 0.001 |
| -1707344.079 | -1770242.906 | -1707344.079 | 0.001 | -0.000 | 0.001 |
| -1707344.079 | -1707344.079 | -1770242.905 | 0.001 | 0.000 | 0.000 |
| 0.034 | 0.030 | 0.017 | -39627.428 | -0.000 | 0.001 |
| 0.031 | 0.036 | 0.019 | 0.001 | -39627.427 | 0.001 |
| 0.030 | 0.018 | 0.035 | 0.000 | 0.000 | -39627.428 |
| -1565094.849 | -1809911.731 | -1809911.731 | -0.000 | 0.000 | -0.001 |
| -1809911.727 | -1565094.846 | -1809911.728 | -0.001 | -0.000 | 0.000 |
| -1809911.732 | -1809911.732 | -1565094.850 | -0.000 | 0.000 | -0.000 |
| -0.033 | -0.029 | -0.016 | -39627.429 | 0.000 | 0.000 |
| -0.032 | -0.037 | -0.021 | -0.001 | -39627.427 | -0.001 |
| -0.029 | -0.017 | -0.035 | -0.001 | -0.001 | -39627.429 |
| -1769490.813 | -1707748.822 | -1707748.822 | 0.000 | -0.000 | 0.000 |
| -1707748.823 | -1769490.813 | -1707748.823 | 0.000 | -0.000 | 0.000 |
| -1707748.823 | -1707748.823 | -1769490.813 | 0.000 | -0.000 | -0.000 |
| 0.396 | 0.347 | 0.229 | -38947.990 | -0.000 | 0.000 |
| 0.348 | 0.396 | 0.229 | 0.000 | -38947.990 | 0.000 |
| 0.348 | 0.229 | 0.396 | 0.000 | 0.000 | -38947.990 |
| -1769450.698 | -1707705.099 | -1707705.099 | -0.000 | 0.000 | 0.000 |
| -1707705.099 | -1769450.698 | -1707705.099 | -0.000 | -0.000 | -0.000 |
| -1707705.099 | -1707705.099 | -1769450.698 | -0.000 | 0.000 | -0.000 |
| -0.396 | -0.348 | -0.229 | -38947.990 | 0.000 | -0.000 |
| -0.348 | -0.396 | -0.229 | -0.000 | -38947.990 | -0.000 |
| -0.348 | -0.229 | -0.396 | -0.000 | -0.000 | -38947.990 |
| 365.680 | 266.928 | 266.928 | 0.000 | -0.000 | -0.000 |
| 266.928 | 365.680 | 266.928 | -0.000 | -0.000 | -0.000 |
| 266.928 | 266.928 | 365.680 | -0.000 | -0.000 | -0.000 |
| 0.000 | 0.000 | 0.000 | 4.339 | -0.000 | -0.000 |
| 0.000 | 0.000 | 0.000 | -0.000 | 4.339 | -0.000 |
| 0.000 | 0.000 | 0.000 | -0.000 | -0.000 | 4.339 |
| 341.757 | 278.889 | 278.889 | 0.000 | 0.000 | 0.000 |
| 278.889 | 341.757 | 278.889 | 0.000 | 0.000 | 0.000 |
| 278.889 | 278.889 | 341.757 | 0.000 | 0.000 | 0.000 |
| -0.000 | -0.000 | -0.000 | 4.339 | 0.000 | -0.000 |
| -0.000 | -0.000 | -0.000 | 0.000 | 4.339 | 0.000 |
| -0.000 | -0.000 | -0.000 | -0.000 | 0.000 | 4.339 |
| 341.758 | 278.889 | 278.889 | -0.000 | -0.000 | -0.000 |
| 278.889 | 341.758 | 278.889 | 0.000 | -0.000 | -0.000 |
| 278.889 | 278.889 | 341.758 | -0.000 | -0.000 | -0.000 |
| 0.000 | 0.000 | 0.000 | -149.802 | -0.000 | -0.000 |
| 0.000 | 0.000 | 0.000 | -0.000 | -149.802 | -0.000 |
| 0.000 | 0.000 | 0.000 | 0.000 | -0.000 | -149.802 |
| 341.756 | 278.889 | 278.889 | 0.000 | 0.000 | 0.000 |
| 278.889 | 341.756 | 278.889 | 0.000 | 0.000 | 0.000 |
| 278.889 | 278.889 | 341.756 | 0.000 | 0.000 | 0.000 |
| -0.000 | -0.000 | -0.000 | -149.802 | 0.000 | 0.000 |
| -0.000 | -0.000 | -0.000 | 0.000 | -149.802 | 0.000 |
| -0.000 | -0.000 | -0.000 | -0.000 | 0.000 | -149.802 |
| 341.764 | 278.892 | 278.892 | 0.000 | 0.000 | 0.000 |
| 278.892 | 341.764 | 278.892 | 0.000 | -0.000 | -0.000 |
| 278.892 | 278.892 | 341.764 | -0.000 | 0.000 | -0.000 |
| 0.000 | 0.002 | 0.002 | -149.802 | -0.000 | -0.000 |
| 0.002 | 0.000 | 0.002 | -0.000 | -149.802 | -0.000 |
| 0.002 | 0.002 | 0.000 | -0.000 | -0.000 | -149.802 |
| 341.750 | 278.886 | 278.886 | 0.000 | 0.000 | 0.000 |
| 278.886 | 341.750 | 278.886 | 0.000 | 0.000 | 0.000 |
| 278.886 | 278.886 | 341.750 | 0.000 | 0.000 | 0.000 |
| -0.000 | -0.002 | -0.002 | -149.802 | 0.000 | -0.000 |
| -0.002 | -0.000 | -0.002 | 0.000 | -149.802 | 0.000 |
| -0.002 | -0.002 | -0.000 | 0.000 | 0.000 | -149.802 |
| 0.000 | -0.000 | -0.000 | 0.000 | -0.000 | 0.000 |
| -0.000 | 0.000 | -0.000 | 0.000 | -0.000 | 0.000 |
| -0.000 | -0.000 | 0.000 | -0.000 | 0.000 | 0.000 |
| 0.000 | -0.000 | -0.000 | 0.000 | -0.000 | -0.000 |
| -0.000 | 0.000 | -0.000 | -0.000 | 0.000 | 0.000 |
| -0.000 | -0.000 | 0.000 | 0.000 | -0.000 | 0.000 |
| 0.000 | -0.000 | -0.000 | -0.000 | 0.000 | -0.000 |
| -0.000 | 0.000 | -0.000 | -0.000 | 0.000 | -0.000 |
| -0.000 | -0.000 | 0.000 | -0.000 | 0.000 | -0.000 |
| -0.000 | 0.000 | 0.000 | 0.000 | 0.000 | 0.000 |
| 0.000 | -0.000 | 0.000 | 0.000 | 0.000 | -0.000 |
| 0.000 | 0.000 | -0.000 | -0.000 | 0.000 | 0.000 |
| 0.000 | -0.000 | -0.000 | 0.000 | -0.000 | 0.000 |
| -0.000 | 0.000 | -0.000 | 0.000 | -0.000 | -0.000 |
| -0.000 | -0.000 | 0.000 | -0.000 | 0.000 | 0.000 |
| 0.000 | -0.000 | -0.000 | 0.000 | 0.000 | -0.000 |
| -0.000 | 0.000 | -0.000 | 0.000 | 0.000 | 0.000 |
| -0.000 | -0.000 | 0.000 | 0.000 | -0.000 | 0.000 |
| 0.000 | -0.000 | -0.000 | -0.000 | 0.000 | -0.000 |
| -0.000 | 0.000 | -0.000 | -0.000 | 0.000 | -0.000 |
| -0.000 | -0.000 | 0.000 | -0.000 | -0.000 | -0.000 |
| -0.000 | 0.000 | 0.000 | 0.000 | -0.000 | 0.000 |
| 0.000 | -0.000 | 0.000 | -0.000 | 0.000 | -0.000 |
| 0.000 | 0.000 | -0.000 | -0.000 | 0.000 | 0.000 |
| 0.000 | -0.000 | -0.000 | 0.000 | -0.000 | 0.000 |
| -0.000 | 0.000 | -0.000 | 0.000 | -0.000 | 0.000 |
| -0.000 | -0.000 | 0.000 | 0.000 | -0.000 | 0.000 |
| 0.000 | -0.000 | -0.000 | 0.000 | -0.000 | 0.000 |
| -0.000 | 0.000 | -0.000 | -0.000 | 0.000 | 0.000 |
| -0.000 | -0.000 | 0.000 | 0.000 | -0.000 | 0.000 |
| 0.000 | -0.000 | -0.000 | -0.000 | 0.000 | -0.000 |
| -0.000 | 0.000 | -0.000 | -0.000 | 0.000 | -0.000 |
| -0.000 | -0.000 | 0.000 | -0.000 | 0.000 | -0.000 |
| -0.000 | 0.000 | 0.000 | 0.000 | 0.000 | -0.000 |
| 0.000 | -0.000 | 0.000 | 0.000 | 0.000 | -0.000 |
| 0.000 | 0.000 | -0.000 | -0.000 | 0.000 | 0.000 |
| -0.000 | -0.000 | -0.000 | -0.000 | -0.000 | 0.000 |
| -0.000 | -0.000 | -0.000 | 0.000 | 0.000 | 0.000 |
| -0.000 | -0.000 | -0.000 | 0.000 | -0.000 | -0.000 |
| 0.000 | -0.000 | 0.000 | 0.000 | 0.000 | 0.000 |
| -0.000 | 0.000 | 0.000 | 0.000 | 0.000 | 0.000 |
| -0.000 | 0.000 | 0.000 | 0.000 | 0.000 | 0.000 |
| -0.000 | -0.000 | -0.000 | -0.000 | 0.000 | 0.000 |
| -0.000 | -0.000 | -0.000 | 0.000 | 0.000 | -0.000 |
| -0.000 | -0.000 | -0.000 | -0.000 | 0.000 | -0.000 |
| -0.000 | 0.000 | -0.000 | 0.000 | -0.000 | -0.000 |
| 0.000 | -0.000 | -0.000 | -0.000 | 0.000 | 0.000 |
| 0.000 | -0.000 | -0.000 | -0.000 | 0.000 | 0.000 |
| -0.000 | -0.000 | -0.000 | -0.000 | -0.000 | 0.000 |
| -0.000 | -0.000 | -0.000 | 0.000 | 0.000 | -0.000 |
| -0.000 | -0.000 | -0.000 | -0.000 | 0.000 | -0.000 |
| 0.000 | -0.000 | 0.000 | 0.000 | -0.000 | 0.000 |
| -0.000 | 0.000 | 0.000 | 0.000 | 0.000 | -0.000 |
| -0.000 | 0.000 | 0.000 | 0.000 | -0.000 | 0.000 |
| -0.000 | -0.000 | -0.000 | -0.000 | 0.000 | -0.000 |
| -0.000 | -0.000 | -0.000 | 0.000 | 0.000 | 0.000 |
| -0.000 | -0.000 | -0.000 | 0.000 | -0.000 | -0.000 |
| -0.000 | 0.000 | -0.000 | 0.000 | 0.000 | -0.000 |
| 0.000 | -0.000 | -0.000 | -0.000 | 0.000 | 0.000 |
| 0.000 | -0.000 | -0.000 | -0.000 | 0.000 | 0.000 |
| -0.000 | -0.000 | -0.000 | -0.000 | -0.000 | -0.000 |
| -0.000 | -0.000 | -0.000 | -0.000 | 0.000 | 0.000 |
| -0.000 | -0.000 | -0.000 | 0.000 | -0.000 | -0.000 |
| 0.000 | -0.000 | 0.000 | 0.000 | -0.000 | 0.000 |
| -0.000 | 0.000 | 0.000 | 0.000 | 0.000 | 0.000 |
| -0.000 | 0.000 | 0.000 | 0.000 | -0.000 | 0.000 |
| -0.000 | -0.000 | -0.000 | -0.000 | 0.000 | -0.000 |
| -0.000 | -0.000 | -0.000 | -0.000 | 0.000 | -0.000 |
| -0.000 | -0.000 | -0.000 | -0.000 | -0.000 | -0.000 |
| -0.000 | 0.000 | -0.000 | 0.000 | 0.000 | -0.000 |
| 0.000 | -0.000 | -0.000 | -0.000 | 0.000 | 0.000 |
| 0.000 | -0.000 | -0.000 | -0.000 | 0.000 | 0.000 |
| -0.000 | -0.000 | -0.000 | -0.000 | 0.000 | 0.000 |
| -0.000 | -0.000 | -0.000 | 0.000 | 0.000 | -0.000 |
| -0.000 | -0.000 | -0.000 | 0.000 | -0.000 | -0.000 |
| 0.000 | 0.000 | 0.000 | 0.000 | 0.000 | 0.000 |
| 0.000 | 0.000 | 0.000 | -0.000 | 0.000 | 0.000 |
| 0.000 | 0.000 | 0.000 | 0.000 | -0.000 | 0.000 |
| -0.000 | -0.000 | -0.000 | -0.000 | 0.000 | -0.000 |
| -0.000 | -0.000 | -0.000 | -0.000 | 0.000 | 0.000 |
| -0.000 | -0.000 | -0.000 | 0.000 | -0.000 | -0.000 |
| -0.000 | -0.000 | -0.000 | 0.000 | -0.000 | -0.000 |
| -0.000 | -0.000 | -0.000 | 0.000 | 0.000 | -0.000 |
| -0.000 | -0.000 | -0.000 | -0.000 | 0.000 | 0.000 |
| -0.000 | -0.000 | -0.000 | -0.000 | -0.000 | 0.000 |
| -0.000 | -0.000 | -0.000 | 0.000 | 0.000 | -0.000 |
| -0.000 | -0.000 | -0.000 | -0.000 | -0.000 | -0.000 |
| 0.000 | 0.000 | 0.000 | 0.000 | -0.000 | 0.000 |
| 0.000 | 0.000 | 0.000 | 0.000 | 0.000 | 0.000 |
| 0.000 | 0.000 | 0.000 | 0.000 | -0.000 | 0.000 |
| -0.000 | -0.000 | -0.000 | -0.000 | 0.000 | -0.000 |
| -0.000 | -0.000 | -0.000 | -0.000 | 0.000 | 0.000 |
| -0.000 | -0.000 | -0.000 | -0.000 | -0.000 | -0.000 |
| -0.000 | -0.000 | -0.000 | 0.000 | 0.000 | -0.000 |
| -0.000 | -0.000 | -0.000 | -0.000 | 0.000 | -0.000 |
| -0.000 | -0.000 | -0.000 | -0.000 | 0.000 | 0.000 |
| -0.000 | -0.000 | -0.000 | -0.000 | -0.000 | -0.000 |
| -0.000 | -0.000 | -0.000 | -0.000 | 0.000 | 0.000 |
| -0.000 | -0.000 | -0.000 | 0.000 | 0.000 | -0.000 |
| 0.000 | 0.000 | 0.000 | -0.000 | 0.000 | 0.000 |
| 0.000 | 0.000 | 0.000 | -0.000 | -0.000 | 0.000 |
| 0.000 | 0.000 | 0.000 | 0.000 | -0.000 | -0.000 |
| -0.000 | -0.000 | -0.000 | -0.000 | 0.000 | -0.000 |
| -0.000 | -0.000 | -0.000 | -0.000 | 0.000 | -0.000 |
| -0.000 | -0.000 | -0.000 | -0.000 | 0.000 | -0.000 |
| -0.000 | -0.000 | -0.000 | -0.000 | -0.000 | -0.000 |
| -0.000 | -0.000 | -0.000 | 0.000 | -0.000 | -0.000 |
| -0.000 | -0.000 | -0.000 | -0.000 | 0.000 | -0.000 |
| -0.000 | -0.000 | -0.000 | -0.000 | 0.000 | 0.000 |
| -0.000 | -0.000 | -0.000 | 0.000 | 0.000 | -0.000 |
| -0.000 | -0.000 | -0.000 | -0.000 | -0.000 | -0.000 |
| 0.000 | 0.000 | 0.000 | 0.000 | 0.000 | -0.000 |
| 0.000 | 0.000 | 0.000 | 0.000 | 0.000 | 0.000 |
| 0.000 | 0.000 | 0.000 | 0.000 | 0.000 | 0.000 |
| -0.000 | -0.000 | -0.000 | -0.000 | -0.000 | 0.000 |
| -0.000 | -0.000 | -0.000 | -0.000 | 0.000 | 0.000 |
| -0.000 | -0.000 | -0.000 | 0.000 | -0.000 | -0.000 |
| -0.000 | -0.000 | -0.000 | 0.000 | -0.000 | -0.000 |
| -0.000 | -0.000 | -0.000 | -0.000 | 0.000 | -0.000 |
| -0.000 | -0.000 | -0.000 | -0.000 | -0.000 | 0.000 |
| -0.000 | -0.000 | -0.000 | -0.000 | 0.000 | 0.000 |
| -0.000 | -0.000 | -0.000 | 0.000 | 0.000 | -0.000 |
| -0.000 | -0.000 | -0.000 | -0.000 | -0.000 | -0.000 |
| 0.000 | 0.000 | 0.000 | 0.000 | 0.000 | 0.000 |
| 0.000 | 0.000 | 0.000 | -0.000 | 0.000 | -0.000 |
| 0.000 | 0.000 | 0.000 | 0.000 | 0.000 | 0.000 |
| -0.000 | -0.000 | -0.000 | -0.000 | -0.000 | 0.000 |
| -0.000 | -0.000 | -0.000 | 0.000 | 0.000 | -0.000 |
| -0.000 | -0.000 | -0.000 | 0.000 | -0.000 | -0.000 |
| -0.000 | -0.000 | -0.000 | 0.000 | -0.000 | 0.000 |
| -0.000 | -0.000 | -0.000 | 0.000 | 0.000 | 0.000 |
| -0.000 | -0.000 | -0.000 | -0.000 | -0.000 | 0.000 |
| -0.000 | -0.000 | -0.000 | -0.000 | -0.000 | -0.000 |
| -0.000 | -0.000 | -0.000 | 0.000 | 0.000 | 0.000 |
| -0.000 | -0.000 | -0.000 | 0.000 | 0.000 | -0.000 |
| 0.000 | -0.000 | 0.000 | 0.000 | -0.000 | -0.000 |
| -0.000 | 0.000 | 0.000 | 0.000 | 0.000 | -0.000 |
| -0.000 | 0.000 | 0.000 | 0.000 | -0.000 | 0.000 |
| -0.000 | -0.000 | -0.000 | -0.000 | -0.000 | -0.000 |
| -0.000 | -0.000 | -0.000 | 0.000 | 0.000 | 0.000 |
| -0.000 | -0.000 | -0.000 | 0.000 | -0.000 | -0.000 |
| -0.000 | 0.000 | -0.000 | 0.000 | 0.000 | 0.000 |
| 0.000 | -0.000 | -0.000 | -0.000 | 0.000 | -0.000 |
| 0.000 | -0.000 | -0.000 | -0.000 | -0.000 | 0.000 |
| -0.000 | -0.000 | -0.000 | 0.000 | 0.000 | 0.000 |
| -0.000 | -0.000 | -0.000 | 0.000 | 0.000 | 0.000 |
| -0.000 | -0.000 | -0.000 | -0.000 | 0.000 | -0.000 |
| 0.000 | -0.000 | 0.000 | 0.000 | 0.000 | -0.000 |
| -0.000 | 0.000 | 0.000 | 0.000 | 0.000 | -0.000 |
| -0.000 | 0.000 | 0.000 | 0.000 | 0.000 | 0.000 |
| -0.000 | -0.000 | -0.000 | 0.000 | -0.000 | 0.000 |
| -0.000 | -0.000 | -0.000 | 0.000 | -0.000 | 0.000 |
| -0.000 | -0.000 | -0.000 | 0.000 | -0.000 | -0.000 |
| -0.000 | -0.000 | -0.000 | 0.000 | -0.000 | -0.000 |
| 0.000 | -0.000 | -0.000 | -0.000 | 0.000 | 0.000 |
| -0.000 | -0.000 | -0.000 | -0.000 | 0.000 | 0.000 |
| -0.000 | -0.000 | -0.000 | 0.000 | -0.000 | 0.000 |
| -0.000 | -0.000 | -0.000 | -0.000 | 0.000 | -0.000 |
| -0.000 | -0.000 | -0.000 | -0.000 | -0.000 | -0.000 |
| 0.000 | -0.000 | 0.000 | 0.000 | 0.000 | 0.000 |
| -0.000 | 0.000 | 0.000 | -0.000 | 0.000 | -0.000 |
| -0.000 | 0.000 | 0.000 | 0.000 | 0.000 | 0.000 |
| -0.000 | -0.000 | -0.000 | 0.000 | 0.000 | 0.000 |
| -0.000 | -0.000 | -0.000 | 0.000 | -0.000 | -0.000 |
| -0.000 | -0.000 | -0.000 | -0.000 | 0.000 | -0.000 |
| -0.000 | 0.000 | -0.000 | 0.000 | -0.000 | -0.000 |
| 0.000 | -0.000 | -0.000 | 0.000 | 0.000 | 0.000 |
| 0.000 | -0.000 | -0.000 | -0.000 | 0.000 | 0.000 |
| -0.000 | -0.000 | -0.000 | 0.000 | 0.000 | 0.000 |
| -0.000 | -0.000 | -0.000 | -0.000 | 0.000 | -0.000 |
| -0.000 | -0.000 | -0.000 | -0.000 | -0.000 | -0.000 |
| 0.000 | -0.000 | 0.000 | 0.000 | 0.000 | 0.000 |
| -0.000 | 0.000 | 0.000 | -0.000 | 0.000 | -0.000 |
| -0.000 | 0.000 | 0.000 | 0.000 | 0.000 | 0.000 |
| -0.000 | -0.000 | -0.000 | 0.000 | 0.000 | 0.000 |
| -0.000 | -0.000 | -0.000 | 0.000 | -0.000 | -0.000 |
| -0.000 | -0.000 | -0.000 | -0.000 | -0.000 | -0.000 |
| -0.000 | 0.000 | -0.000 | 0.000 | -0.000 | 0.000 |
| 0.000 | -0.000 | -0.000 | 0.000 | 0.000 | -0.000 |
| 0.000 | -0.000 | -0.000 | -0.000 | 0.000 | 0.000 |
| -0.000 | -0.000 | -0.000 | 0.000 | 0.000 | 0.000 |
| -0.000 | -0.000 | -0.000 | -0.000 | 0.000 | -0.000 |
| -0.000 | -0.000 | -0.000 | -0.000 | -0.000 | 0.000 |
| 0.000 | -0.000 | 0.000 | 0.000 | 0.000 | -0.000 |
| -0.000 | 0.000 | 0.000 | 0.000 | 0.000 | -0.000 |
| -0.000 | 0.000 | 0.000 | 0.000 | -0.000 | 0.000 |
| -0.000 | -0.000 | -0.000 | 0.000 | 0.000 | 0.000 |
| -0.000 | -0.000 | -0.000 | 0.000 | 0.000 | -0.000 |
| -0.000 | -0.000 | -0.000 | -0.000 | 0.000 | 0.000 |
| -0.000 | 0.000 | -0.000 | 0.000 | -0.000 | 0.000 |
| 0.000 | -0.000 | -0.000 | -0.000 | 0.000 | 0.000 |
| 0.000 | -0.000 | -0.000 | -0.000 | -0.000 | 0.000 |
| -0.000 | -0.000 | -0.000 | 0.000 | -0.000 | -0.000 |
| -0.000 | -0.000 | -0.000 | -0.000 | 0.000 | 0.000 |
| -0.000 | -0.000 | -0.000 | 0.000 | -0.000 | 0.000 |
| 0.000 | -0.000 | 0.000 | 0.000 | 0.000 | -0.000 |
| -0.000 | 0.000 | 0.000 | -0.000 | 0.000 | -0.000 |
| -0.000 | 0.000 | 0.000 | 0.000 | -0.000 | 0.000 |
| -0.000 | -0.000 | -0.000 | 0.000 | 0.000 | 0.000 |
| -0.000 | -0.000 | -0.000 | 0.000 | 0.000 | 0.000 |
| -0.000 | -0.000 | -0.000 | 0.000 | -0.000 | 0.000 |
| -0.000 | 0.000 | -0.000 | 0.000 | -0.000 | 0.000 |
| 0.000 | -0.000 | -0.000 | 0.000 | 0.000 | -0.000 |
| 0.000 | -0.000 | -0.000 | -0.000 | 0.000 | 0.000 |
| -0.000 | -0.000 | -0.000 | 0.000 | -0.000 | -0.000 |
| -0.000 | -0.000 | -0.000 | -0.000 | 0.000 | -0.000 |
| -0.000 | -0.000 | -0.000 | -0.000 | 0.000 | 0.000 |
| 0.000 | -0.000 | 0.000 | 0.000 | 0.000 | -0.000 |
| -0.000 | 0.000 | 0.000 | -0.000 | 0.000 | -0.000 |
| -0.000 | 0.000 | 0.000 | 0.000 | -0.000 | 0.000 |
| -0.000 | -0.000 | -0.000 | 0.000 | 0.000 | 0.000 |
| -0.000 | -0.000 | -0.000 | 0.000 | 0.000 | 0.000 |
| -0.000 | -0.000 | -0.000 | 0.000 | 0.000 | 0.000 |
| -0.000 | 0.000 | -0.000 | 0.000 | -0.000 | 0.000 |
| 0.000 | -0.000 | -0.000 | 0.000 | 0.000 | -0.000 |
| 0.000 | -0.000 | -0.000 | -0.000 | -0.000 | 0.000 |
| -0.000 | -0.000 | -0.000 | -0.000 | -0.000 | 0.000 |
| -0.000 | -0.000 | -0.000 | 0.000 | 0.000 | 0.000 |
| -0.000 | -0.000 | -0.000 | -0.000 | -0.000 | -0.000 |
| 0.000 | -0.000 | 0.000 | 0.000 | 0.000 | 0.000 |
| -0.000 | 0.000 | 0.000 | 0.000 | 0.000 | 0.000 |
| -0.000 | 0.000 | 0.000 | 0.000 | -0.000 | 0.000 |
| -0.000 | -0.000 | -0.000 | -0.000 | 0.000 | -0.000 |
| -0.000 | -0.000 | -0.000 | -0.000 | 0.000 | 0.000 |
| -0.000 | -0.000 | -0.000 | 0.000 | 0.000 | -0.000 |
| -0.000 | -0.000 | -0.000 | 0.000 | -0.000 | 0.000 |
| 0.000 | -0.000 | -0.000 | -0.000 | 0.000 | -0.000 |
| -0.000 | -0.000 | -0.000 | -0.000 | 0.000 | 0.000 |
| -0.000 | -0.000 | -0.000 | -0.000 | 0.000 | 0.000 |
| -0.000 | -0.000 | -0.000 | 0.000 | 0.000 | -0.000 |
| -0.000 | -0.000 | -0.000 | -0.000 | -0.000 | -0.000 |
| 0.000 | -0.000 | 0.000 | 0.000 | -0.000 | 0.000 |
| -0.000 | 0.000 | 0.000 | 0.000 | 0.000 | 0.000 |
| -0.000 | 0.000 | 0.000 | 0.000 | -0.000 | 0.000 |
| -0.000 | -0.000 | -0.000 | -0.000 | 0.000 | 0.000 |
| -0.000 | -0.000 | -0.000 | -0.000 | 0.000 | -0.000 |
| -0.000 | -0.000 | -0.000 | -0.000 | -0.000 | -0.000 |
| -0.000 | 0.000 | -0.000 | 0.000 | 0.000 | -0.000 |
| 0.000 | -0.000 | -0.000 | -0.000 | 0.000 | -0.000 |
| 0.000 | -0.000 | -0.000 | -0.000 | 0.000 | 0.000 |
| -0.000 | -0.000 | -0.000 | -0.000 | -0.000 | 0.000 |
| -0.000 | -0.000 | -0.000 | 0.000 | 0.000 | 0.000 |
| -0.000 | -0.000 | -0.000 | 0.000 | 0.000 | -0.000 |
| 0.000 | -0.000 | 0.000 | 0.000 | 0.000 | 0.000 |
| -0.000 | 0.000 | 0.000 | 0.000 | 0.000 | 0.000 |
| -0.000 | 0.000 | 0.000 | 0.000 | -0.000 | 0.000 |
| -0.000 | -0.000 | -0.000 | -0.000 | 0.000 | -0.000 |
| -0.000 | -0.000 | -0.000 | -0.000 | 0.000 | 0.000 |
| -0.000 | -0.000 | -0.000 | 0.000 | 0.000 | -0.000 |
| -0.000 | -0.000 | -0.000 | 0.000 | -0.000 | 0.000 |
| 0.000 | -0.000 | -0.000 | -0.000 | 0.000 | -0.000 |
| -0.000 | -0.000 | -0.000 | -0.000 | -0.000 | 0.000 |
| -271001999.005 | -263810000.882 | -263807999.545 | -448.483 | -385.961 | 62.349 |
| -263809001.146 | -271002998.741 | -263807999.545 | -692.742 | -197.487 | 41.842 |
| -263809001.146 | -263810000.882 | -271001999.005 | -712.071 | 432.569 | 50.440 |
| 0.000 | -999.736 | 0.000 | 15233048.808 | -141.492 | 45.983 |
| 0.000 | -999.736 | 0.000 | -679.773 | 15233638.912 | 43.844 |
| 0.000 | -999.736 | 0.000 | -419.597 | 26.244 | 15233707.845 |
| -271003000.606 | -263807001.674 | -263808001.410 | 826.909 | 440.353 | -55.018 |
| -263808999.281 | -271002000.870 | -263808001.410 | 444.066 | 316.732 | -40.638 |
| -263808999.281 | -263807001.674 | -271002000.870 | 206.806 | 276.939 | -49.495 |
| -0.000 | 999.736 | -0.000 | 15234339.108 | 298.420 | -30.747 |
| -0.000 | 999.736 | -0.000 | 703.375 | 15233627.164 | -48.488 |
| -0.000 | 999.736 | -0.000 | 409.360 | 292.086 | 15233601.289 |
| -271002499.992 | -263808399.999 | -263808300.025 | -776.701 | 1451.901 | 7695.250 |
| -263808300.025 | -271002599.965 | -263808300.025 | -913.185 | 462.255 | 199.056 |
| -263808300.025 | -263808399.999 | -271002499.992 | -109.102 | -932.431 | 7287.772 |
| 0.000 | -99.974 | 0.000 | 15268116.674 | 13.161 | 1.710 |
| 0.000 | -99.974 | 0.000 | 7.435 | 15268148.925 | 3.413 |
| 0.000 | -99.974 | 0.000 | -87.385 | -39.121 | 15268150.944 |
| -271002499.992 | -263808200.051 | -263808300.025 | -166.231 | 1510.800 | -10034.859 |
| -263808300.025 | -271002400.018 | -263808300.025 | -24.948 | 823.294 | -9161.774 |
| -263808300.025 | -263808200.051 | -271002499.992 | -196.582 | -751.681 | 3880.327 |
| -0.000 | 99.974 | -0.000 | 15268173.492 | 1.676 | -4.431 |
| -0.000 | 99.974 | -0.000 | 16.633 | 15268136.868 | -3.122 |
| -0.000 | 99.974 | -0.000 | 94.772 | 13.163 | 15268141.381 |
| -271002699.995 | -263808700.013 | -263808699.994 | 0.334 | 0.580 | 0.389 |
| -263808699.994 | -271002709.992 | -263808699.994 | -5.216 | 2.004 | 0.559 |
| -263808699.994 | -263808700.013 | -271002710.011 | -6.253 | 1.757 | 0.615 |
| -9.997 | -39.989 | 0.000 | 13012774.554 | -0.890 | 0.075 |
| -29.992 | -19.995 | 0.000 | -5.560 | 13012778.219 | 0.665 |
| -29.992 | -9.997 | -9.997 | -1.132 | -1.143 | 13012776.567 |
| -271002280.013 | -263807929.992 | -263807950.005 | 5.519 | -3.723 | -0.820 |
| -263807950.005 | -271002279.994 | -263807950.005 | -1.253 | 0.215 | -0.629 |
| -263807950.005 | -263807940.008 | -271002280.013 | 0.827 | -0.764 | -0.626 |
| 9.997 | 39.989 | -0.000 | 13012781.723 | -0.160 | -0.339 |
| 29.992 | 19.995 | -0.000 | 4.255 | 13012774.304 | -0.611 |
| 29.992 | 9.997 | 9.997 | 2.914 | 0.205 | 13012775.312 |
| -1741596.998 | -1734210.503 | -1734210.494 | -0.014 | 0.057 | -0.010 |
| -1734210.484 | -1741596.983 | -1734210.482 | -0.010 | 0.085 | -0.021 |
| -1734210.457 | -1734210.464 | -1741596.992 | -0.011 | 0.070 | -0.008 |
| 0.172 | 0.166 | 0.172 | 159884.260 | 0.045 | 0.002 |
| 0.163 | 0.153 | 0.170 | -0.003 | 159884.321 | -0.006 |
| 0.143 | 0.138 | 0.137 | -0.007 | 0.029 | 159884.264 |
| -1741596.832 | -1734210.306 | -1734210.286 | 0.018 | -0.034 | 0.007 |
| -1734210.320 | -1741596.825 | -1734210.310 | 0.029 | -0.044 | 0.016 |
| -1734210.352 | -1734210.344 | -1741596.871 | 0.017 | -0.030 | 0.007 |
| -0.165 | -0.162 | -0.166 | 159884.272 | -0.045 | 0.013 |
| -0.160 | -0.139 | -0.154 | 0.009 | 159884.231 | 0.008 |
| -0.152 | -0.143 | -0.144 | 0.005 | -0.033 | 159884.269 |
| -1741598.961 | -1734212.473 | -1734212.472 | -0.001 | 0.006 | 0.000 |
| -1734212.470 | -1741598.958 | -1734212.470 | -0.002 | 0.006 | -0.001 |
| -1734212.469 | -1734212.470 | -1741598.957 | -0.003 | 0.003 | -0.001 |
| 0.044 | 0.052 | 0.044 | -47545.688 | 0.007 | -0.001 |
| 0.053 | 0.043 | 0.043 | -0.001 | -47545.682 | -0.001 |
| 0.053 | 0.043 | 0.045 | -0.001 | 0.005 | -47545.688 |
| -1741594.756 | -1734208.215 | -1734208.213 | -0.001 | -0.005 | 0.001 |
| -1734208.215 | -1741594.755 | -1734208.213 | 0.002 | -0.006 | 0.001 |
| -1734208.217 | -1734208.216 | -1741594.757 | 0.001 | -0.012 | 0.000 |
| -0.046 | -0.054 | -0.047 | -47545.686 | -0.005 | 0.000 |
| -0.054 | -0.045 | -0.044 | 0.002 | -47545.693 | 0.001 |
| -0.054 | -0.044 | -0.046 | -0.000 | -0.006 | -47545.687 |
| -1741617.976 | -1734231.717 | -1734231.717 | -0.000 | 0.000 | 0.000 |
| -1734231.717 | -1741617.976 | -1734231.717 | -0.000 | 0.001 | -0.000 |
| -1734231.716 | -1734231.716 | -1741617.976 | -0.000 | 0.000 | -0.000 |
| 0.401 | 0.492 | 0.401 | -47531.289 | 0.001 | -0.000 |
| 0.492 | 0.401 | 0.401 | -0.000 | -47531.289 | -0.000 |
| 0.492 | 0.401 | 0.401 | -0.000 | 0.001 | -47531.289 |
| -1741575.734 | -1734188.963 | -1734188.963 | 0.000 | -0.001 | 0.000 |
| -1734188.963 | -1741575.735 | -1734188.963 | 0.000 | -0.001 | -0.000 |
| -1734188.963 | -1734188.963 | -1741575.735 | 0.000 | -0.001 | -0.000 |
| -0.401 | -0.492 | -0.401 | -47531.289 | -0.000 | 0.000 |
| -0.492 | -0.401 | -0.401 | 0.000 | -47531.289 | 0.000 |
| -0.492 | -0.401 | -0.401 | 0.000 | -0.000 | -47531.289 |
| 425.668 | 366.266 | 366.266 | -0.000 | -0.000 | -0.000 |
| 366.266 | 425.668 | 366.266 | -0.000 | 0.000 | -0.000 |
| 366.266 | 366.266 | 425.668 | -0.000 | -0.000 | -0.000 |
| 0.000 | -0.000 | -0.000 | 49.627 | -0.000 | -0.000 |
| 0.000 | 0.000 | -0.000 | -0.000 | 49.627 | 0.000 |
| 0.000 | -0.000 | -0.000 | -0.000 | -0.000 | 49.627 |
| 425.668 | 366.266 | 366.266 | 0.000 | -0.000 | -0.000 |
| 366.266 | 425.668 | 366.266 | 0.000 | -0.000 | 0.000 |
| 366.266 | 366.266 | 425.668 | 0.000 | 0.000 | 0.000 |
| -0.000 | 0.000 | 0.000 | 49.627 | 0.000 | 0.000 |
| -0.000 | -0.000 | 0.000 | 0.000 | 49.627 | 0.000 |
| -0.000 | 0.000 | 0.000 | 0.000 | 0.000 | 49.627 |
| 425.668 | 366.266 | 366.266 | 0.000 | 0.000 | 0.000 |
| 366.266 | 425.668 | 366.266 | -0.000 | 0.000 | 0.000 |
| 366.266 | 366.266 | 425.668 | -0.000 | -0.000 | 0.000 |
| -0.000 | -0.000 | -0.000 | 49.627 | -0.000 | -0.000 |
| -0.000 | -0.000 | -0.000 | -0.000 | 49.627 | -0.000 |
| -0.000 | -0.000 | -0.000 | -0.000 | -0.000 | 49.627 |
| 425.668 | 366.266 | 366.266 | 0.000 | 0.000 | 0.000 |
| 366.266 | 425.668 | 366.266 | 0.000 | -0.000 | -0.000 |
| 366.266 | 366.266 | 425.668 | 0.000 | 0.000 | -0.000 |
| 0.000 | 0.000 | 0.000 | 49.627 | 0.000 | -0.000 |
| 0.000 | 0.000 | 0.000 | 0.000 | 49.627 | 0.000 |
| 0.000 | 0.000 | 0.000 | 0.000 | -0.000 | 49.627 |
| 425.671 | 366.269 | 366.269 | 0.000 | 0.000 | -0.000 |
| 366.269 | 425.671 | 366.269 | -0.000 | 0.000 | -0.000 |
| 366.269 | 366.269 | 425.671 | -0.000 | 0.000 | 0.000 |
| 0.000 | -0.000 | 0.000 | 110.834 | 0.000 | -0.000 |
| -0.000 | 0.000 | 0.000 | -0.000 | 110.834 | 0.000 |
| -0.000 | 0.000 | 0.000 | -0.000 | 0.000 | 110.834 |
| 425.666 | 366.263 | 366.263 | -0.000 | 0.000 | -0.000 |
| 366.263 | 425.666 | 366.263 | 0.000 | -0.000 | -0.000 |
| 366.263 | 366.263 | 425.666 | 0.000 | -0.000 | -0.000 |
| -0.000 | 0.000 | -0.000 | 110.834 | -0.000 | -0.000 |
| 0.000 | -0.000 | -0.000 | 0.000 | 110.834 | -0.000 |
| 0.000 | -0.000 | -0.000 | 0.000 | -0.000 | 110.834 |
| -270135998.221 | -265170997.813 | -265169999.942 | 67.843 | -16.229 | 10.935 |
| -265169999.942 | -270135998.221 | -265169002.071 | 5.854 | 33.127 | 22.734 |
| -265169999.942 | -265169999.942 | -270134002.479 | 114.378 | 83.216 | 40.652 |
| -997.871 | 0.000 | 0.000 | 14396345.880 | -118.478 | 36.354 |
| 0.000 | -997.871 | 0.000 | -28.843 | 14396395.837 | 26.279 |
| 0.000 | 0.000 | 0.000 | 49.692 | 144.900 | 14396453.893 |
| -270202001.313 | -265236001.169 | -265236999.040 | -90.741 | -46.473 | -62.300 |
| -265237002.770 | -270202001.313 | -265236999.040 | -109.056 | 3.828 | -43.047 |
| -265237002.770 | -265237002.770 | -270202999.184 | -84.593 | 25.149 | -33.434 |
| -0.000 | -0.000 | -0.000 | 14396358.062 | 54.939 | -1.237 |
| -0.000 | -0.000 | -0.000 | -37.851 | 14396364.445 | -12.345 |
| -0.000 | -0.000 | -0.000 | -30.392 | -9.250 | 14396377.753 |
| -270168299.765 | -265202499.941 | -265202400.154 | 2.501 | -15.807 | 1.402 |
| -265202499.941 | -270168299.765 | -265202400.154 | -1.948 | -3.134 | 0.573 |
| -265202499.941 | -265202499.941 | -270168199.978 | 5.577 | -4.933 | 1.419 |
| 799.975 | 799.975 | 899.762 | 14396397.031 | -5.909 | 0.384 |
| 2999.954 | 3100.114 | 3199.901 | -6.646 | 14396374.194 | 0.535 |
| 799.975 | 799.975 | 899.762 | -1.506 | -5.325 | 14396402.026 |
| -270168999.953 | -265203200.129 | -265203299.917 | -6.463 | -3.336 | 0.665 |
| -265203200.129 | -270168999.953 | -265203299.917 | -20.856 | 8.196 | -1.314 |
| -265203200.129 | -265203200.129 | -270169099.741 | 9.168 | 3.169 | -0.441 |
| -2999.954 | -2900.167 | -3099.741 | 14396398.607 | -4.503 | 0.245 |
| -2999.954 | -2999.954 | -3099.741 | 3.242 | 14396401.499 | -1.489 |
| -2999.954 | -2999.954 | -3099.741 | 0.318 | -3.249 | 14396395.480 |
| -270169390.000 | -265203600.005 | -265203590.026 | 0.772 | 0.527 | 0.209 |
| -265203600.005 | -270169390.000 | -265203590.026 | -0.084 | -0.206 | -0.024 |
| -265203600.005 | -265203600.005 | -270169380.021 | -0.020 | -1.121 | 0.025 |
| -19.995 | 10.016 | 49.987 | 14396404.557 | -0.128 | 0.139 |
| 10.016 | -19.995 | 49.987 | 0.876 | 14396403.930 | 0.072 |
| 10.016 | 40.008 | -10.016 | -0.284 | 0.478 | 14396404.226 |
| -270168780.012 | -265202900.003 | -265202899.985 | 0.468 | 1.455 | 0.287 |
| -265202890.006 | -270168780.012 | -265202899.985 | -1.038 | 0.285 | -0.630 |
| -265202890.006 | -265202900.003 | -270168779.993 | 0.876 | -0.251 | -0.204 |
| 19.995 | -10.016 | -49.987 | 14396403.491 | 1.112 | -0.182 |
| -10.016 | 19.995 | -49.987 | 0.580 | 14396404.106 | -0.108 |
| -10.016 | -40.008 | 10.016 | -0.078 | 0.287 | 14396403.958 |
| -1766214.775 | -1870950.876 | -1870950.875 | -0.006 | -0.010 | -0.006 |
| -1870950.878 | -1766214.778 | -1870950.877 | -0.007 | -0.008 | -0.006 |
| -1870950.886 | -1870950.885 | -1766214.779 | -0.002 | -0.007 | -0.002 |
| -0.074 | -0.071 | -0.071 | 111717.588 | -0.002 | -0.008 |
| -0.062 | -0.066 | -0.061 | -0.002 | 111717.589 | 0.001 |
| -0.066 | -0.068 | -0.070 | -0.001 | -0.002 | 111717.589 |
| -1766214.253 | -1870950.328 | -1870950.340 | -0.005 | -0.007 | -0.001 |
| -1870950.331 | -1766214.257 | -1870950.345 | -0.005 | -0.003 | 0.005 |
| -1870950.368 | -1870950.370 | -1766214.294 | 0.004 | 0.004 | 0.008 |
| 0.061 | 0.055 | 0.056 | 111717.588 | 0.002 | -0.004 |
| 0.055 | 0.060 | 0.053 | 0.001 | 111717.593 | -0.003 |
| 0.066 | 0.062 | 0.071 | 0.002 | 0.005 | 111717.590 |
| -1766216.752 | -1870952.954 | -1870952.954 | -0.000 | -0.000 | 0.000 |
| -1870952.954 | -1766216.751 | -1870952.954 | -0.000 | -0.000 | 0.000 |
| -1870952.948 | -1870952.949 | -1766216.746 | -0.000 | -0.000 | 0.001 |
| -0.048 | -0.008 | 0.009 | 111717.589 | -0.000 | -0.000 |
| -0.009 | -0.049 | 0.009 | -0.000 | 111717.589 | -0.001 |
| -0.008 | 0.008 | -0.047 | 0.000 | 0.000 | 111717.588 |
| -1766212.248 | -1870948.224 | -1870948.223 | 0.000 | 0.000 | 0.001 |
| -1870948.226 | -1766212.249 | -1870948.226 | 0.000 | 0.001 | 0.001 |
| -1870948.230 | -1870948.230 | -1766212.254 | 0.000 | 0.001 | 0.001 |
| 0.049 | 0.010 | -0.008 | 111717.589 | 0.000 | 0.000 |
| 0.009 | 0.049 | -0.008 | -0.000 | 111717.589 | -0.000 |
| 0.008 | -0.009 | 0.047 | 0.000 | 0.000 | 111717.589 |
| -1766236.868 | -1870974.092 | -1870974.092 | -0.000 | 0.000 | 0.000 |
| -1870974.092 | -1766236.868 | -1870974.092 | -0.000 | -0.000 | -0.000 |
| -1870974.091 | -1870974.091 | -1766236.867 | -0.000 | -0.000 | -0.000 |
| -0.344 | 0.053 | 0.224 | 111717.589 | -0.000 | -0.000 |
| 0.053 | -0.344 | 0.224 | -0.000 | 111717.589 | -0.000 |
| 0.053 | 0.224 | -0.345 | -0.000 | -0.000 | 111717.589 |
| -1766192.149 | -1870927.104 | -1870927.104 | -0.000 | -0.000 | -0.000 |
| -1870927.104 | -1766192.149 | -1870927.104 | 0.000 | 0.000 | -0.000 |
| -1870927.104 | -1870927.104 | -1766192.149 | -0.000 | 0.000 | -0.000 |
| 0.344 | -0.053 | -0.224 | 111717.589 | 0.000 | -0.000 |
| -0.053 | 0.344 | -0.224 | 0.000 | 111717.589 | -0.000 |
| -0.053 | -0.224 | 0.345 | 0.000 | 0.000 | 111717.589 |
| 510.772 | 462.791 | 462.791 | 0.000 | -0.000 | 0.000 |
| 462.791 | 510.772 | 462.790 | 0.000 | 0.000 | 0.000 |
| 462.791 | 462.791 | 510.772 | 0.000 | 0.000 | 0.000 |
| 0.000 | 0.000 | 0.000 | 73.609 | -0.000 | -0.000 |
| 0.000 | 0.000 | 0.000 | -0.000 | 73.609 | 0.000 |
| 0.000 | 0.000 | 0.000 | -0.000 | -0.000 | 73.609 |
| 510.772 | 462.790 | 462.790 | -0.000 | -0.000 | -0.000 |
| 462.790 | 510.772 | 462.790 | 0.000 | -0.000 | -0.000 |
| 462.790 | 462.790 | 510.772 | -0.000 | -0.000 | -0.000 |
| -0.000 | -0.000 | -0.000 | 73.609 | -0.000 | -0.000 |
| -0.000 | -0.000 | -0.000 | -0.000 | 73.609 | 0.000 |
| -0.000 | -0.000 | -0.000 | 0.000 | 0.000 | 73.609 |
| 510.772 | 462.791 | 462.791 | -0.000 | -0.000 | 0.000 |
| 462.791 | 510.772 | 462.791 | -0.000 | 0.000 | 0.000 |
| 462.791 | 462.791 | 510.772 | 0.000 | -0.000 | 0.000 |
| 0.000 | 0.000 | 0.000 | 73.609 | -0.000 | 0.000 |
| 0.000 | 0.000 | 0.000 | -0.000 | 73.609 | 0.000 |
| 0.000 | 0.000 | 0.000 | -0.000 | -0.000 | 73.609 |
| 510.771 | 462.790 | 462.790 | -0.000 | -0.000 | -0.000 |
| 462.790 | 510.771 | 462.790 | 0.000 | 0.000 | -0.000 |
| 462.790 | 462.790 | 510.771 | 0.000 | -0.000 | -0.000 |
| -0.000 | -0.000 | -0.000 | 73.609 | 0.000 | -0.000 |
| -0.000 | -0.000 | -0.000 | 0.000 | 73.609 | -0.000 |
| -0.000 | -0.000 | -0.000 | 0.000 | 0.000 | 73.609 |
| 510.776 | 462.795 | 462.795 | 0.000 | -0.000 | 0.000 |
| 462.795 | 510.776 | 462.795 | -0.000 | 0.000 | 0.000 |
| 462.795 | 462.795 | 510.776 | 0.000 | -0.000 | -0.000 |
| 0.000 | 0.000 | 0.000 | 73.609 | -0.000 | 0.000 |
| 0.000 | 0.000 | 0.000 | -0.000 | 73.609 | 0.000 |
| 0.000 | 0.000 | 0.000 | 0.000 | 0.000 | 73.609 |
| 510.767 | 462.786 | 462.786 | -0.000 | -0.000 | -0.000 |
| 462.786 | 510.767 | 462.786 | 0.000 | 0.000 | -0.000 |
| 462.786 | 462.786 | 510.767 | -0.000 | -0.000 | -0.000 |
| -0.000 | -0.000 | -0.000 | 73.609 | 0.000 | -0.000 |
| -0.000 | -0.000 | -0.000 | 0.000 | 73.609 | -0.000 |
| -0.000 | -0.000 | -0.000 | -0.000 | 0.000 | 73.609 |
| 172.121 | 202.646 | -304.140 | 0.000 | -0.000 | -0.000 |
| 300.428 | 396.405 | 250.303 | -0.000 | -0.000 | -0.000 |
| 255.401 | 255.401 | 392.543 | -0.000 | -0.000 | -0.000 |
| -155.818 | -155.818 | -536.489 | 47.284 | -0.000 | 0.000 |
| -155.899 | -155.899 | -536.766 | 0.000 | 53.543 | 0.000 |
| -156.125 | -156.125 | -537.543 | 0.000 | -0.000 | 35.952 |
| 535.323 | 463.422 | 770.050 | 0.000 | 0.000 | -0.000 |
| 300.428 | 396.405 | 250.303 | 0.000 | 0.000 | -0.000 |
| 255.401 | 255.401 | 392.543 | -0.000 | 0.000 | -0.000 |
| 155.818 | 155.818 | 536.489 | 47.284 | 0.000 | 0.000 |
| 155.899 | 155.899 | 536.766 | -0.000 | 53.543 | 0.000 |
| 156.125 | 156.125 | 537.543 | -0.000 | 0.000 | 35.952 |
| 360.118 | 290.742 | 171.158 | -0.000 | -0.000 | 0.000 |
| 300.428 | 396.406 | 250.303 | 0.000 | -0.000 | 0.000 |
| 221.988 | 221.988 | 277.499 | 0.000 | -0.000 | 0.000 |
| -16.363 | -16.363 | -56.338 | 53.347 | -0.000 | -0.000 |
| 0.000 | 0.000 | 0.000 | 0.000 | 57.507 | -0.000 |
| 0.000 | 0.000 | 0.000 | -0.000 | -0.000 | 47.989 |
| 396.405 | 300.427 | 250.302 | -0.000 | 0.000 | 0.000 |
| 300.427 | 396.405 | 250.302 | 0.000 | 0.000 | -0.000 |
| 253.151 | 253.151 | 384.796 | -0.000 | 0.000 | -0.000 |
| 16.363 | 16.363 | 56.338 | 53.347 | 0.000 | -0.000 |
| -0.000 | -0.000 | -0.000 | -0.000 | 57.507 | -0.000 |
| -0.000 | -0.000 | -0.000 | 0.000 | 0.000 | 47.989 |
| 362.696 | 309.916 | 208.596 | 0.000 | -0.000 | 0.000 |
| 300.431 | 396.410 | 250.305 | 0.000 | -0.000 | -0.000 |
| 255.404 | 255.404 | 392.545 | 0.000 | -0.000 | -0.000 |
| 0.000 | 0.000 | 0.000 | 57.507 | -0.000 | -0.000 |
| 0.000 | 0.000 | 0.000 | 0.000 | 57.507 | -0.000 |
| -5.966 | -5.966 | -20.541 | -0.000 | -0.000 | 1.993 |
| 396.401 | 300.424 | 250.300 | 0.000 | 0.000 | 0.000 |
| 323.358 | 353.679 | 216.234 | 0.000 | 0.000 | -0.000 |
| 239.125 | 239.125 | 336.510 | -0.000 | 0.000 | 0.000 |
| -0.000 | -0.000 | -0.000 | 57.507 | 0.000 | 0.000 |
| -0.000 | -0.000 | -0.000 | -0.000 | 57.507 | -0.000 |
| 5.966 | 5.966 | 20.541 | -0.000 | 0.000 | 1.993 |
| -242356002.281 | -639557997.112 | -639557997.112 | 622.325 | -330.493 | -273.998 |
| -639560000.315 | -242355998.551 | -639558996.848 | 218.600 | 262.875 | -280.193 |
| -639560000.315 | -639560000.315 | -242354998.815 | 49.951 | -268.369 | -241.284 |
| -1003.466 | -999.736 | 0.000 | 16778118.123 | 83.307 | -433.300 |
| -2003.202 | 0.000 | 0.000 | -184.509 | 16777756.188 | -363.297 |
| -2003.202 | 0.000 | 0.000 | -45.546 | 39.966 | 16777674.666 |
| -242353999.079 | -639557004.837 | -639558004.573 | -322.919 | 380.120 | 345.194 |
| -639557997.112 | -242355002.545 | -639558004.573 | 398.592 | -627.805 | 288.895 |
| -639557997.112 | -639557004.837 | -242355002.545 | 299.463 | 325.750 | 196.768 |
| 1003.466 | -0.000 | -0.000 | 16777885.444 | 307.426 | 272.916 |
| 1003.466 | -0.000 | -0.000 | 81.310 | 16778415.434 | 258.627 |
| 1003.466 | -0.000 | -0.000 | 240.766 | 90.793 | 16778309.475 |
| -242354899.961 | -639558899.859 | -639558799.512 | -14.403 | -110.480 | -10.684 |
| -639559000.206 | -242354600.040 | -639558799.512 | -93.017 | 8.797 | -56.828 |
| -639559000.206 | -639558899.859 | -242354699.640 | 28.099 | -34.718 | -50.883 |
| -100.347 | -99.974 | 0.000 | 16778014.003 | 25.795 | -33.269 |
| -100.347 | 0.000 | 0.000 | 4.776 | 16778030.644 | -34.105 |
| -200.320 | -99.974 | 0.000 | -5.830 | 2.743 | 16777953.849 |
| -242354899.588 | -639558700.285 | -639558700.285 | 2.081 | -41.363 | 38.283 |
| -639558599.938 | -242354700.386 | -639558700.285 | -42.045 | 14.853 | 39.023 |
| -639558599.938 | -639558800.259 | -242354899.961 | 39.615 | 6.513 | 33.528 |
| 100.347 | -100.347 | -0.000 | 16777997.842 | 17.746 | 22.567 |
| 100.347 | -0.000 | -0.000 | 22.253 | 16777958.129 | 35.504 |
| 100.347 | 99.974 | -0.000 | 16.709 | 25.208 | 16778017.574 |
| -242354100.023 | -639559879.973 | -639559879.973 | 3.473 | 2.024 | -4.218 |
| -639559900.005 | -242354079.953 | -639559879.973 | -5.157 | -2.920 | -4.146 |
| -639559900.005 | -639559889.971 | -242354089.988 | -0.394 | 1.654 | -2.741 |
| 9.997 | -219.942 | -389.972 | 16777982.986 | -3.757 | -4.157 |
| -229.977 | 10.035 | -379.974 | -2.107 | 16777981.635 | -3.226 |
| -220.017 | -389.972 | 20.032 | 0.996 | -0.553 | 16777978.730 |
| -242355520.021 | -639557600.016 | -639557580.058 | -8.936 | -3.236 | 3.075 |
| -639557579.984 | -242355520.021 | -639557580.058 | 1.642 | -6.273 | 3.275 |
| -639557579.984 | -639557590.018 | -242355520.021 | 12.772 | 13.451 | 3.411 |
| -9.997 | 219.942 | 379.974 | 16777979.560 | -0.940 | 4.034 |
| 240.011 | -10.035 | 389.972 | 2.256 | 16777979.759 | 3.755 |
| 229.977 | 389.972 | -20.032 | -3.668 | 0.026 | 16777986.063 |
| -3993970.745 | -12458791.213 | -12458791.632 | 0.235 | 0.608 | 0.774 |
| -12458790.685 | -3993971.136 | -12458791.446 | 0.234 | 0.322 | 0.722 |
| -12458790.528 | -12458791.036 | -3993970.735 | 0.262 | 0.203 | 0.873 |
| 0.873 | 0.355 | -0.088 | -755086.817 | 0.036 | 0.538 |
| 0.726 | 0.403 | 0.626 | 0.312 | -755086.840 | 0.535 |
| 0.773 | 0.325 | 0.158 | 0.142 | 0.174 | -755086.615 |
| -3993971.717 | -12458790.051 | -12458789.949 | -0.297 | -0.103 | -0.607 |
| -12458790.461 | -3993971.320 | -12458790.176 | -0.410 | -0.457 | -0.449 |
| -12458790.699 | -12458790.239 | -3993971.087 | -0.484 | 0.130 | -0.555 |
| -0.925 | -0.447 | -0.313 | -755087.383 | -0.121 | -0.521 |
| -0.904 | -0.450 | -0.391 | -0.073 | -755087.241 | -0.580 |
| -0.830 | -0.383 | -0.391 | -0.132 | -0.224 | -755087.718 |
| -3993974.018 | -12458799.260 | -12458799.271 | 0.010 | -0.036 | 0.061 |
| -12458799.217 | -3993974.059 | -12458799.264 | -0.017 | 0.010 | 0.061 |
| -12458799.201 | -12458799.246 | -3993974.069 | 0.002 | -0.042 | 0.064 |
| 0.037 | -0.033 | -0.623 | -755087.085 | 0.013 | 0.061 |
| 0.014 | -0.015 | -0.617 | 0.025 | -755087.057 | 0.059 |
| 0.012 | -0.607 | -0.021 | 0.006 | 0.038 | -755087.039 |
| -3993968.407 | -12458782.001 | -12458782.014 | -0.040 | -0.023 | -0.069 |
| -12458782.044 | -3993968.359 | -12458781.976 | 0.032 | -0.051 | -0.038 |
| -12458782.054 | -12458782.000 | -3993968.387 | -0.036 | -0.058 | -0.041 |
| -0.028 | 0.018 | 0.625 | -755087.158 | -0.009 | -0.067 |
| -0.025 | 0.019 | 0.600 | -0.027 | -755087.141 | -0.060 |
| -0.004 | 0.609 | 0.031 | -0.002 | -0.012 | -755087.148 |
| -3994000.324 | -12458877.498 | -12458877.503 | 0.001 | 0.000 | 0.006 |
| -12458877.494 | -3994000.329 | -12458877.500 | 0.000 | -0.003 | 0.006 |
| -12458877.493 | -12458877.498 | -3994000.330 | 0.004 | -0.003 | 0.006 |
| -0.341 | -0.398 | -6.142 | -755087.095 | -0.003 | 0.007 |
| -0.393 | -0.345 | -6.146 | 0.000 | -755087.095 | 0.006 |
| -0.395 | -6.142 | -0.348 | 0.000 | 0.000 | -755087.090 |
| -3993942.050 | -12458703.715 | -12458703.712 | -0.002 | 0.003 | -0.008 |
| -12458703.719 | -3993942.045 | -12458703.711 | -0.000 | -0.005 | -0.005 |
| -12458703.722 | -12458703.717 | -3993942.045 | -0.004 | -0.007 | -0.008 |
| 0.341 | 0.401 | 6.143 | -755087.099 | 0.001 | -0.004 |
| 0.395 | 0.345 | 6.143 | -0.002 | -755087.100 | -0.005 |
| 0.396 | 6.143 | 0.348 | 0.000 | -0.002 | -755087.102 |
| 360.880 | -57.711 | -57.711 | -0.000 | -0.000 | 0.000 |
| -57.711 | 360.880 | -57.711 | -0.000 | -0.000 | 0.000 |
| -57.711 | -57.711 | 360.880 | -0.000 | 0.000 | -0.000 |
| 0.000 | -0.000 | -0.000 | -92.852 | -0.000 | 0.000 |
| 0.000 | 0.000 | -0.000 | -0.000 | -92.852 | 0.000 |
| 0.000 | -0.000 | -0.000 | -0.000 | -0.000 | -92.852 |
| 360.880 | -57.711 | -57.711 | 0.000 | 0.000 | -0.000 |
| -57.711 | 360.880 | -57.711 | 0.000 | 0.000 | -0.000 |
| -57.711 | -57.711 | 360.880 | 0.000 | 0.000 | -0.000 |
| -0.000 | 0.000 | 0.000 | -92.852 | 0.000 | 0.000 |
| -0.000 | 0.000 | 0.000 | 0.000 | -92.852 | -0.000 |
| -0.000 | 0.000 | 0.000 | 0.000 | 0.000 | -92.852 |
| 360.881 | -57.711 | -57.711 | -0.000 | -0.000 | 0.000 |
| -57.711 | 360.881 | -57.711 | -0.000 | -0.000 | 0.000 |
| -57.711 | -57.711 | 360.881 | -0.000 | 0.000 | 0.000 |
| -0.000 | -0.000 | -0.000 | -92.852 | -0.000 | -0.000 |
| -0.000 | -0.000 | -0.000 | -0.000 | -92.852 | 0.000 |
| -0.000 | -0.000 | -0.000 | -0.000 | -0.000 | -92.852 |
| 360.880 | -57.711 | -57.711 | 0.000 | 0.000 | -0.000 |
| -57.711 | 360.880 | -57.711 | 0.000 | 0.000 | 0.000 |
| -57.711 | -57.711 | 360.880 | 0.000 | 0.000 | -0.000 |
| 0.000 | 0.000 | 0.000 | -92.852 | 0.000 | -0.000 |
| 0.000 | 0.000 | 0.000 | 0.000 | -92.852 | -0.000 |
| 0.000 | 0.000 | 0.000 | 0.000 | 0.000 | -92.852 |
| 360.885 | -57.712 | -57.712 | -0.000 | -0.000 | 0.000 |
| -57.712 | 360.885 | -57.712 | -0.000 | -0.000 | 0.000 |
| -57.712 | -57.712 | 360.885 | 0.000 | 0.000 | 0.000 |
| -0.000 | -0.000 | -0.001 | -92.852 | -0.000 | -0.000 |
| -0.000 | -0.000 | -0.001 | -0.000 | -92.852 | -0.000 |
| -0.000 | -0.001 | -0.000 | -0.000 | -0.000 | -92.852 |
| 360.875 | -57.709 | -57.709 | 0.000 | 0.000 | -0.000 |
| -57.709 | 360.875 | -57.709 | 0.000 | 0.000 | -0.000 |
| -57.709 | -57.709 | 360.875 | -0.000 | 0.000 | 0.000 |
| 0.000 | 0.000 | 0.001 | -92.852 | 0.000 | 0.000 |
| 0.000 | 0.000 | 0.001 | 0.000 | -92.852 | 0.000 |
| 0.000 | 0.001 | 0.000 | 0.000 | 0.000 | -92.852 |
| -758925000.756 | -661207999.922 | -661208999.658 | 121.064 | 478.859 | 3.849 |
| -661207999.922 | -758925000.756 | -661208999.658 | 293.521 | 490.769 | -26.594 |
| -661207999.922 | -661207999.922 | -758925000.756 | 60.976 | 151.007 | -13.086 |
| 0.000 | 0.000 | 0.000 | 19707338.935 | 417.182 | -1.697 |
| 0.000 | 0.000 | 0.000 | 209.487 | 19707568.141 | 5.041 |
| 0.000 | 0.000 | 0.000 | 227.493 | 377.790 | 19707156.746 |
| -758925000.756 | -661207999.922 | -661207999.922 | -214.759 | -783.838 | 16.950 |
| -661207999.922 | -758925000.756 | -661207999.922 | -307.076 | -618.389 | 10.470 |
| -661207999.922 | -661207999.922 | -758925000.756 | -396.591 | -611.965 | -11.270 |
| -0.000 | -0.000 | -0.000 | 19706904.976 | -473.276 | 8.479 |
| -0.000 | -0.000 | -0.000 | -231.533 | 19706696.364 | 13.050 |
| -0.000 | -0.000 | -0.000 | -249.758 | -436.571 | 19707169.610 |
| -758922099.283 | -661205499.836 | -661205599.810 | 67.690 | 74.829 | 11.448 |
| -661205999.704 | -758922599.897 | -661205999.704 | 52.970 | 74.316 | 5.358 |
| -661208399.816 | -661208399.816 | -758924900.036 | 29.878 | 42.717 | -2.659 |
| 300.667 | 300.667 | 300.667 | 19707188.205 | 48.231 | -0.555 |
| 499.868 | 499.868 | 499.868 | 32.660 | 19707224.709 | 5.521 |
| 1300.403 | 1400.376 | 1300.403 | 26.275 | 64.274 | 19707213.538 |
| -758925099.983 | -661208199.869 | -661208199.869 | -17.401 | -67.139 | 1.421 |
| -661208199.869 | -758925099.983 | -661208099.896 | -37.292 | -37.631 | -0.445 |
| -661208099.896 | -661208199.869 | -758925099.983 | -16.497 | -47.487 | 1.188 |
| -400.640 | -400.640 | -400.640 | 19707155.928 | -42.105 | -4.747 |
| -0.000 | -0.000 | -0.000 | -23.201 | 19707105.524 | 0.320 |
| -1300.403 | -1400.376 | -1300.403 | -54.518 | -47.125 | 19707195.327 |
| -758923639.996 | -661208989.959 | -661208989.959 | 5.341 | 4.518 | 0.477 |
| -661209019.951 | -758923669.988 | -661209029.949 | 1.736 | 6.019 | 0.208 |
| -661209019.951 | -661209019.951 | -758923669.988 | 2.759 | 4.732 | 0.274 |
| 210.019 | 150.035 | 240.011 | 19707163.000 | 6.345 | 0.033 |
| 150.035 | 220.017 | 240.011 | 4.756 | 19707165.734 | 0.033 |
| 160.032 | 250.009 | 210.019 | 7.364 | 4.879 | 19707161.746 |
| -758926249.978 | -661207459.990 | -661207459.990 | -3.387 | -4.058 | 0.079 |
| -661207459.990 | -758926249.978 | -661207459.990 | -4.429 | -4.844 | 0.031 |
| -661207459.990 | -661207459.990 | -758926249.978 | -0.080 | -5.288 | 0.146 |
| -270.003 | -200.022 | -299.995 | 19707160.486 | -4.762 | -0.103 |
| -170.030 | -230.014 | -260.006 | -0.772 | 19707158.279 | -0.027 |
| -180.027 | -270.003 | -240.011 | -2.776 | -4.401 | 19707162.221 |
| -6155279.507 | -5611286.668 | -5611286.581 | 0.038 | 0.056 | -0.006 |
| -5611286.567 | -6155279.446 | -5611286.517 | 0.038 | 0.104 | -0.012 |
| -5611286.674 | -5611286.694 | -6155279.487 | 0.031 | 0.018 | -0.011 |
| 0.119 | 0.080 | 0.155 | 961239.608 | 0.008 | -0.010 |
| 0.040 | 0.049 | 0.107 | 0.049 | 961239.647 | -0.005 |
| -0.050 | -0.042 | 0.019 | 0.026 | 0.031 | 961239.567 |
| -6155278.302 | -5611285.493 | -5611285.558 | -0.022 | -0.062 | 0.007 |
| -5611285.582 | -6155278.351 | -5611285.625 | -0.037 | -0.073 | 0.015 |
| -5611285.457 | -5611285.448 | -6155278.303 | -0.059 | -0.048 | 0.003 |
| -0.110 | -0.062 | -0.149 | 961239.523 | -0.047 | 0.005 |
| -0.027 | -0.032 | -0.093 | -0.032 | 961239.537 | 0.008 |
| 0.068 | 0.048 | -0.005 | -0.046 | -0.028 | 961239.586 |
| -6155284.822 | -5611291.630 | -5611291.626 | 0.004 | 0.003 | -0.001 |
| -5611291.637 | -6155284.830 | -5611291.631 | 0.005 | 0.004 | -0.001 |
| -5611291.611 | -5611291.610 | -6155284.799 | 0.002 | 0.001 | -0.001 |
| 0.267 | 0.049 | 0.276 | 961239.585 | 0.007 | -0.001 |
| 0.048 | 0.265 | 0.274 | 0.006 | 961239.586 | -0.001 |
| 0.039 | 0.257 | 0.264 | 0.008 | 0.005 | 961239.579 |
| -6155272.778 | -5611280.335 | -5611280.342 | -0.004 | -0.009 | 0.000 |
| -5611280.338 | -6155272.779 | -5611280.343 | -0.008 | -0.007 | -0.000 |
| -5611280.344 | -5611280.343 | -6155272.788 | -0.003 | -0.002 | 0.001 |
| -0.263 | -0.045 | -0.274 | 961239.572 | -0.008 | 0.001 |
| -0.048 | -0.264 | -0.274 | -0.007 | 961239.572 | 0.001 |
| -0.048 | -0.265 | -0.273 | -0.006 | -0.005 | 961239.580 |
| -6155339.123 | -5611342.548 | -5611342.548 | 0.001 | 0.001 | -0.000 |
| -5611342.549 | -6155339.124 | -5611342.548 | 0.000 | 0.001 | -0.000 |
| -5611342.546 | -5611342.546 | -6155339.120 | 0.001 | 0.000 | -0.000 |
| 2.649 | 0.476 | 2.671 | 961239.579 | 0.000 | -0.000 |
| 0.476 | 2.649 | 2.671 | 0.000 | 961239.579 | -0.000 |
| 0.476 | 2.670 | 2.650 | 0.000 | 0.000 | 961239.579 |
| -6155218.482 | -5611229.424 | -5611229.425 | -0.001 | -0.001 | 0.000 |
| -5611229.424 | -6155218.482 | -5611229.425 | -0.000 | -0.000 | 0.000 |
| -5611229.425 | -5611229.425 | -6155218.482 | -0.001 | -0.000 | 0.000 |
| -2.649 | -0.476 | -2.671 | 961239.579 | -0.000 | 0.000 |
| -0.476 | -2.649 | -2.671 | -0.000 | 961239.579 | 0.000 |
| -0.476 | -2.670 | -2.649 | -0.000 | -0.000 | 961239.579 |
| 520.667 | 285.910 | 285.910 | 0.000 | -0.000 | -0.000 |
| 285.910 | 520.667 | 285.910 | 0.000 | -0.000 | -0.000 |
| 285.910 | 285.910 | 520.667 | 0.000 | -0.000 | 0.000 |
| -0.000 | -0.000 | -0.000 | 134.589 | -0.000 | 0.000 |
| -0.000 | -0.000 | -0.000 | 0.000 | 134.589 | 0.000 |
| -0.000 | -0.000 | -0.000 | 0.000 | -0.000 | 134.589 |
| 520.667 | 285.910 | 285.910 | -0.000 | 0.000 | -0.000 |
| 285.910 | 520.667 | 285.910 | -0.000 | -0.000 | -0.000 |
| 285.910 | 285.910 | 520.667 | -0.000 | 0.000 | -0.000 |
| 0.000 | 0.000 | 0.000 | 134.589 | 0.000 | -0.000 |
| 0.000 | 0.000 | 0.000 | -0.000 | 134.589 | -0.000 |
| 0.000 | 0.000 | -0.000 | -0.000 | 0.000 | 134.589 |
| 520.667 | 285.910 | 285.910 | 0.000 | -0.000 | 0.000 |
| 285.910 | 520.667 | 285.910 | 0.000 | 0.000 | 0.000 |
| 285.910 | 285.910 | 520.667 | 0.000 | 0.000 | 0.000 |
| 0.000 | -0.000 | 0.000 | 134.589 | 0.000 | 0.000 |
| -0.000 | 0.000 | 0.000 | 0.000 | 134.589 | 0.000 |
| -0.000 | 0.000 | 0.000 | 0.000 | 0.000 | 134.589 |
| 520.667 | 285.909 | 285.909 | -0.000 | -0.000 | -0.000 |
| 285.909 | 520.667 | 285.909 | -0.000 | -0.000 | -0.000 |
| 285.909 | 285.909 | 520.667 | -0.000 | -0.000 | 0.000 |
| -0.000 | 0.000 | -0.000 | 134.589 | 0.000 | -0.000 |
| 0.000 | -0.000 | -0.000 | -0.000 | 134.589 | -0.000 |
| 0.000 | -0.000 | -0.000 | -0.000 | 0.000 | 134.589 |
| 520.669 | 285.912 | 285.912 | 0.000 | 0.000 | 0.000 |
| 285.912 | 520.669 | 285.912 | 0.000 | -0.000 | 0.000 |
| 285.912 | 285.912 | 520.669 | 0.000 | -0.000 | 0.000 |
| 0.000 | -0.000 | 0.000 | 134.589 | -0.000 | 0.000 |
| -0.000 | 0.000 | 0.000 | 0.000 | 134.589 | 0.000 |
| -0.000 | 0.000 | 0.000 | 0.000 | 0.000 | 134.589 |
| 520.665 | 285.907 | 285.907 | -0.000 | 0.000 | 0.000 |
| 285.907 | 520.665 | 285.907 | -0.000 | 0.000 | 0.000 |
| 285.907 | 285.907 | 520.665 | -0.000 | 0.000 | -0.000 |
| -0.000 | 0.000 | -0.000 | 134.589 | 0.000 | 0.000 |
| 0.000 | -0.000 | -0.000 | -0.000 | 134.589 | -0.000 |
| 0.000 | -0.000 | -0.000 | -0.000 | -0.000 | 134.589 |
| -706344998.040 | -770145996.467 | -769205002.427 | 976169.998 | 1119057.401 | -124566.200 |
| -769556999.024 | -707535996.953 | -769914001.762 | 2397916.001 | 724422.401 | 273626.200 |
| -769649996.853 | -770946997.625 | -699661997.963 | 1473427.001 | 1599626.701 | 241692.700 |
| 664000.024 | 1778000.614 | 1469003.856 | 56302050.999 | 247739.101 | 542766.200 |
| 1021998.767 | 673001.378 | 1592001.226 | 247588.997 | 56750080.901 | 358533.100 |
| -152000.904 | 273002.532 | 228003.222 | 587305.000 | 358887.901 | 58964625.500 |
| -706340999.096 | -770143000.989 | -769201999.489 | 976435.997 | 1118990.800 | -124539.100 |
| -769555999.288 | -707537000.420 | -769914001.762 | 2398370.999 | 724414.599 | 273659.100 |
| -769638999.758 | -770938000.001 | -699653000.339 | 1473588.004 | 1599048.399 | 241833.400 |
| 672001.642 | 1785002.497 | 1475998.278 | 56302225.000 | 247333.500 | 542943.600 |
| 1031000.121 | 680999.266 | 1600002.844 | 247910.999 | 56749866.700 | 358651.400 |
| -142999.550 | 280000.684 | 235001.374 | 587329.000 | 358434.400 | 58964695.200 |
| -706343800.222 | -770144900.115 | -769204300.001 | 976205.800 | 1118845.880 | -124577.940 |
| -769555300.219 | -707535400.096 | -769913000.161 | 2398111.100 | 724397.370 | 273596.230 |
| -769643600.035 | -770941900.090 | -699656699.735 | 1473457.500 | 1599371.840 | 241731.840 |
| 668399.981 | 1782800.093 | 1473300.110 | 56302234.500 | 247673.960 | 542829.230 |
| 1029900.039 | 679900.302 | 1599400.391 | 247640.700 | 56749929.960 | 358630.460 |
| -150800.102 | 273700.109 | 228700.053 | 587309.900 | 358681.560 | 58964574.820 |
| -706345800.067 | -770146900.333 | -769206300.219 | 976227.700 | 1118801.830 | -124497.490 |
| -769556399.929 | -707536800.099 | -769914200.217 | 2398160.000 | 724329.880 | 273688.090 |
| -769644900.065 | -770943300.094 | -699658100.112 | 1473498.600 | 1599283.830 | 241822.110 |
| 668699.902 | 1783000.040 | 1473500.057 | 56302296.000 | 247622.830 | 542880.420 |
| 1030599.854 | 680500.144 | 1599899.886 | 247617.100 | 56749898.610 | 358681.760 |
| -150199.887 | 274099.631 | 229199.921 | 587339.200 | 358608.760 | 58964628.650 |
| -706334469.999 | -770135650.020 | -769195319.984 | 976234.360 | 1118924.629 | -124742.666 |
| -769545730.023 | -707525350.026 | -769903479.988 | 2398153.820 | 724441.722 | 273425.538 |
| -769634180.023 | -770932250.027 | -699646939.999 | 1473520.910 | 1599435.997 | 241577.312 |
| 668679.982 | 1783040.030 | 1473640.020 | 56302271.340 | 247637.404 | 542874.406 |
| 1030019.970 | 679980.020 | 1599509.989 | 247629.110 | 56749910.076 | 358630.303 |
| -150720.011 | 273749.984 | 228690.018 | 587320.970 | 358635.017 | 58964617.890 |
| -706355069.969 | -770156109.990 | -769215230.025 | 976184.800 | 1118758.722 | -124375.649 |
| -769566739.997 | -707547730.011 | -769924519.992 | 2398080.200 | 724277.735 | 273798.542 |
| -769654050.000 | -770952699.999 | -699667670.010 | 1473478.430 | 1599261.247 | 241939.323 |
| 668619.998 | 1782959.976 | 1473390.011 | 56302280.140 | 247633.312 | 542879.044 |
| 1029890.041 | 679850.017 | 1599199.996 | 247632.810 | 56749902.486 | 358636.149 |
| -150789.993 | 273490.015 | 228629.996 | 587323.090 | 358629.008 | 58964612.661 |
| 29.054 | 80.984 | 80.984 | 0.000 | 0.000 | 0.000 |
| 80.984 | 29.054 | 80.984 | 0.000 | 0.000 | 0.000 |
| 80.984 | 80.984 | 29.054 | 0.000 | 0.000 | 0.000 |
| -0.000 | 0.000 | -0.000 | -56.816 | 0.000 | 0.000 |
| 0.000 | 0.000 | 0.000 | 0.000 | -56.816 | 0.000 |
| 0.000 | -0.000 | 0.000 | 0.000 | 0.000 | -56.816 |
| 29.054 | 80.984 | 80.984 | -0.000 | -0.000 | -0.000 |
| 80.984 | 29.054 | 80.984 | -0.000 | -0.000 | -0.000 |
| 80.984 | 80.984 | 29.054 | -0.000 | -0.000 | -0.000 |
| 0.000 | -0.000 | -0.000 | -56.816 | -0.000 | -0.000 |
| -0.000 | -0.000 | -0.000 | -0.000 | -56.816 | -0.000 |
| -0.000 | -0.000 | -0.000 | -0.000 | -0.000 | -56.816 |
| 29.054 | 80.984 | 80.984 | 0.000 | 0.000 | 0.000 |
| 80.984 | 29.054 | 80.984 | 0.000 | 0.000 | 0.000 |
| 80.984 | 80.984 | 29.054 | 0.000 | 0.000 | 0.000 |
| -0.000 | -0.000 | -0.000 | -56.816 | 0.000 | 0.000 |
| -0.000 | -0.000 | -0.000 | 0.000 | -56.816 | 0.000 |
| -0.000 | -0.000 | -0.000 | 0.000 | 0.000 | -56.816 |
| 29.054 | 80.984 | 80.984 | -0.000 | -0.000 | -0.000 |
| 80.984 | 29.054 | 80.984 | -0.000 | -0.000 | -0.000 |
| 80.984 | 80.984 | 29.054 | -0.000 | -0.000 | -0.000 |
| 0.000 | 0.000 | 0.000 | -56.816 | -0.000 | -0.000 |
| 0.000 | 0.000 | 0.000 | -0.000 | -56.816 | -0.000 |
| 0.000 | 0.000 | 0.000 | -0.000 | -0.000 | -56.816 |
| 29.054 | 80.984 | 80.984 | 0.000 | 0.000 | 0.000 |
| 80.984 | 29.054 | 80.984 | 0.000 | 0.000 | 0.000 |
| 80.984 | 80.984 | 29.054 | 0.000 | 0.000 | 0.000 |
| -0.000 | -0.000 | -0.000 | -56.816 | 0.000 | 0.000 |
| -0.000 | -0.000 | -0.000 | 0.000 | -56.816 | 0.000 |
| -0.000 | -0.000 | -0.000 | 0.000 | 0.000 | -56.816 |
| 29.055 | 80.984 | 80.984 | -0.000 | -0.000 | -0.000 |
| 80.984 | 29.055 | 80.984 | -0.000 | -0.000 | -0.000 |
| 80.984 | 80.984 | 29.055 | -0.000 | -0.000 | -0.000 |
| 0.000 | 0.000 | 0.000 | -56.816 | -0.000 | -0.000 |
| 0.000 | 0.000 | 0.000 | -0.000 | -56.816 | -0.000 |
| 0.000 | 0.000 | 0.000 | -0.000 | -0.000 | -56.816 |
| -2252225.652 | -2313799.098 | -4276085.158 | -0.000 | -0.001 | -0.002 |
| -2313799.115 | -2252225.680 | -4276085.198 | 0.001 | -0.000 | 0.005 |
| -887279991382458.750 | -887328730297988.625 | -562307387259227.250 | 59804687911.479 | 43546098761.508 | 306965039278.344 |
| -965533500798078.625 | -965340320565808.375 | -617465426532317.375 | 79913111380.599 | 112059057695.770 | -190928776422.276 |
| -1278694624272398.750 | -1278526224733198.750 | -680536802499987.250 | 77014960189.561 | 166630507433.630 | 979728060060.654 |
| 0.064 | 0.067 | 0.112 | 0.001 | -0.001 | -4295.411 |
| 1297303383333198.750 | 1296736170040298.750 | 681799284343927.250 | -211032684655.010 | -213172140966.290 | -569011014707.424 |
| 1271433104007398.750 | 1271486190871998.500 | 690892597990217.375 | -207603834006.640 | -193353849505.580 | -858845067663.374 |
| 867310825339998.500 | 867070321555148.625 | 536287541263567.375 | -122950517471.590 | -107685386164.560 | -334662063290.784 |
| 1346787500966498.500 | 1345957983329298.500 | 710722397243847.250 | 4327896451.962 | -40406475825.280 | 89718187701.659 |
| 1245874444441098.500 | 1246369681510198.500 | 698814179204057.375 | -38964082915.148 | -8104443160.768 | -363259115841.804 |
| -0.050 | -0.049 | -0.087 | -0.001 | -0.001 | -4295.418 |
| -124869466635959.875 | -124876927023429.859 | -69466608237329.742 | 9861622390.205 | 8748498589.898 | 26603522140.152 |
| -127042934691589.859 | -126984416513779.875 | -69026169558931.742 | 12464979036.343 | 13629445583.127 | 52906220965.810 |
| -4276098.893 | -4276098.893 | -7681427.389 | 0.000 | -0.000 | 0.000 |
| -130740589714689.875 | -130649627557979.859 | -67594161610732.742 | 7200760827.383 | 9373434870.262 | 24626634151.461 |
| -130191013888269.859 | -130205111314969.859 | -67947983886638.727 | 13362492819.276 | 11611932340.477 | 57430647767.437 |
| -0.004 | -0.008 | -0.030 | 0.000 | -0.000 | -4295.414 |
| -2252220.746 | -2313794.140 | -4276075.941 | 0.000 | 0.000 | -0.001 |
| -2313794.140 | -2252220.747 | -4276075.941 | -0.000 | 0.000 | 0.000 |
| -4276069.663 | -4276069.664 | -7681373.473 | -0.000 | -0.000 | -0.001 |
| 131315916825829.875 | 131601096150479.859 | 69687638195554.727 | -10193412518.940 | -8669225051.616 | -51083098565.417 |
| 131786826067679.859 | 131432027153219.859 | 69193385091052.727 | -9721378027.593 | -3968211811.063 | -89576374966.764 |
| 0.003 | 0.008 | 0.028 | -0.000 | -0.000 | -4295.414 |
| -12803223347365.988 | -12808599073298.986 | -7166419285603.875 | -1684851834.612 | -1927995512.896 | 452070046.111 |
| -13259940478729.986 | -13248758846260.988 | -7141112380371.574 | -735123896.029 | -1057046847.325 | 648416147.820 |
| -4276230.430 | -4276230.430 | -7681670.018 | -0.000 | 0.000 | 0.000 |
| -0.018 | -0.037 | -0.609 | 12961.580 | -0.000 | 0.000 |
| -0.037 | -0.018 | -0.609 | -0.000 | 12961.580 | 0.000 |
| -12667106806831.986 | -12657746638776.986 | -6941147852345.974 | 2463520356.821 | 1469606951.808 | 4253415828.287 |
| -2252180.742 | -2313753.747 | -4276000.825 | 0.000 | -0.000 | -0.000 |
| -2313753.747 | -2252180.742 | -4276000.825 | -0.000 | -0.000 | -0.000 |
| 12963368755155.986 | 12962881447834.986 | 6922538521376.474 | -1261257211.828 | -1504643028.736 | -5624549521.869 |
| 0.019 | 0.037 | 0.609 | 12961.580 | -0.000 | -0.000 |
| 0.037 | 0.018 | 0.609 | 0.000 | 12961.580 | -0.000 |
| 12530739716895.988 | 12518150639465.988 | 6921874967181.974 | -2077456422.922 | -1437640649.861 | -3629476145.398 |
| -555668997.561 | -634754000.828 | -601384999.492 | 1.175 | -10.326 | -24.447 |
| -634754000.828 | -555667997.825 | -601384999.492 | -66.150 | -25.026 | -5.772 |
| -613644000.936 | -613643001.201 | -531294997.687 | 12.120 | 52.642 | 2.549 |
| 0.000 | 0.000 | 0.000 | 58069093.932 | 40.773 | 36.474 |
| 0.000 | 0.000 | 0.000 | 23.132 | 58069218.216 | -7.567 |
| 0.000 | 0.000 | 0.000 | -51.126 | -35.973 | 49215425.612 |
| -555667997.825 | -634754000.828 | -601384999.492 | 21.185 | -74.146 | -20.011 |
| -634752993.631 | -555667997.825 | -601384999.492 | 90.100 | -58.299 | 1.923 |
| -613642993.740 | -613642993.740 | -531296001.154 | 9.055 | -10.762 | 7.184 |
| -0.000 | -0.000 | -0.000 | 58069231.355 | -50.495 | -20.998 |
| -0.000 | -0.000 | -0.000 | 101.065 | 58069067.192 | 16.108 |
| -0.000 | -0.000 | -0.000 | 118.014 | -30.483 | 49215435.257 |
| -555668299.984 | -634753900.108 | -601385299.785 | -13.684 | -9.993 | 1.368 |
| -634753900.108 | -555668299.984 | -601385299.785 | 7.065 | -3.676 | 1.072 |
| -613643200.402 | -613643200.402 | -531295499.794 | 6.208 | 15.495 | 0.692 |
| 0.000 | 0.000 | 0.000 | 58069109.233 | 8.634 | -0.451 |
| -99.974 | 0.000 | 0.000 | -1.492 | 58069093.042 | 0.770 |
| 0.000 | 0.000 | 0.000 | -17.045 | 1.719 | 49215424.494 |
| -555668599.905 | -634754300.003 | -601385299.785 | 10.442 | 0.325 | -1.088 |
| -634754300.003 | -555668599.905 | -601385299.785 | -5.024 | -9.114 | -2.901 |
| -613643099.682 | -613643099.682 | -531295400.193 | -2.686 | -17.579 | -1.225 |
| -0.000 | -0.000 | -0.000 | 58069094.438 | -5.745 | -0.045 |
| -0.000 | -0.000 | -0.000 | 13.009 | 58069107.440 | -0.157 |
| -0.000 | -0.000 | -0.000 | 10.136 | -0.836 | 49215422.294 |
| -555668829.993 | -634754530.017 | -601386249.982 | 0.304 | 0.096 | 0.169 |
| -634754530.017 | -555668829.993 | -601386249.982 | -1.560 | 0.666 | -0.201 |
| -613643840.009 | -613643840.009 | -531295810.010 | 0.797 | -0.382 | -0.031 |
| 229.939 | -89.976 | 79.979 | 58069102.375 | -0.201 | -0.090 |
| -100.048 | 220.017 | 90.014 | -1.307 | 58069101.601 | -0.164 |
| 170.030 | 229.939 | 100.011 | 0.229 | 0.257 | 49215424.182 |
| -555667509.969 | -634753129.938 | -601384190.004 | 0.678 | -1.157 | -0.157 |
| -634753129.938 | -555667509.969 | -601384190.004 | -0.257 | -0.435 | -0.167 |
| -613642509.987 | -613642509.987 | -531295130.003 | -0.558 | -1.642 | -0.460 |
| -220.017 | 100.048 | -90.014 | 58069103.439 | 0.543 | 0.214 |
| 110.046 | -210.019 | -90.014 | -1.530 | 58069101.464 | -0.028 |
| -170.030 | -229.939 | -100.011 | 1.167 | -1.789 | 49215424.386 |
| 747.093 | 439.677 | 362.051 | 0.000 | -0.000 | 0.000 |
| 432.284 | 541.262 | 353.747 | 0.000 | -0.000 | 0.000 |
| 376.025 | 375.114 | 655.070 | 0.000 | 0.000 | 0.000 |
| 0.000 | 0.000 | 0.000 | 116.265 | 0.000 | 0.000 |
| 0.000 | 0.000 | 0.000 | 0.000 | 115.188 | 0.000 |
| 0.000 | 0.000 | 0.000 | 0.000 | -0.000 | 149.920 |
| 747.093 | 439.677 | 362.050 | -0.000 | -0.000 | -0.000 |
| 432.284 | 541.262 | 353.747 | -0.000 | 0.000 | -0.000 |
| 376.024 | 375.114 | 655.070 | -0.000 | 0.000 | 0.000 |
| -0.000 | -0.000 | -0.000 | 116.265 | 0.000 | -0.000 |
| -0.000 | -0.000 | -0.000 | 0.000 | 115.188 | -0.000 |
| -0.000 | -0.000 | -0.000 | -0.000 | 0.000 | 149.920 |
| 747.094 | 439.677 | 362.051 | 0.000 | -0.000 | -0.000 |
| 432.284 | 541.263 | 353.747 | 0.000 | -0.000 | -0.000 |
| 376.025 | 375.114 | 655.070 | 0.000 | -0.000 | 0.000 |
| 0.000 | 0.000 | 0.000 | 116.265 | -0.000 | 0.000 |
| -0.000 | -0.000 | 0.000 | 0.000 | 115.188 | 0.000 |
| 0.000 | 0.000 | 0.000 | 0.000 | 0.000 | 149.920 |
| 747.093 | 439.676 | 362.050 | -0.000 | -0.000 | -0.000 |
| 432.283 | 541.262 | 353.746 | -0.000 | -0.000 | -0.000 |
| 376.024 | 375.114 | 655.069 | -0.000 | 0.000 | -0.000 |
| -0.000 | -0.000 | -0.000 | 116.265 | 0.000 | -0.000 |
| 0.000 | 0.000 | -0.000 | -0.000 | 115.188 | -0.000 |
| -0.000 | -0.000 | -0.000 | -0.000 | -0.000 | 149.920 |
| 747.098 | 439.681 | 362.054 | 0.000 | 0.000 | 0.000 |
| 432.287 | 541.265 | 353.750 | 0.000 | -0.000 | 0.000 |
| 376.028 | 375.118 | 655.075 | 0.000 | 0.000 | 0.000 |
| 0.000 | -0.000 | 0.001 | 116.265 | -0.000 | -0.000 |
| -0.000 | -0.000 | 0.000 | 0.000 | 115.188 | 0.000 |
| 0.001 | 0.000 | 0.000 | 0.000 | -0.000 | 149.920 |
| 747.089 | 439.672 | 362.047 | -0.000 | 0.000 | -0.000 |
| 432.280 | 541.260 | 353.743 | -0.000 | 0.000 | -0.000 |
| 376.021 | 375.110 | 655.064 | -0.000 | 0.000 | -0.000 |
| -0.000 | 0.000 | -0.001 | 116.265 | 0.000 | -0.000 |
| 0.000 | 0.000 | -0.000 | -0.000 | 115.188 | 0.000 |
| -0.001 | -0.000 | -0.000 | -0.000 | 0.000 | 149.920 |
| 282.792 | 101.814 | 22.137 | 0.000 | -0.000 | -0.000 |
| 101.814 | 282.792 | 22.137 | 0.000 | -0.000 | -0.000 |
| 22.138 | 22.138 | 333.815 | 0.000 | 0.000 | -0.000 |
| 0.000 | 0.000 | 0.000 | -48.154 | -0.000 | -0.000 |
| -0.000 | -0.000 | 0.000 | -0.000 | -48.154 | -0.000 |
| 0.000 | -0.000 | 0.000 | -0.000 | -0.000 | 90.489 |
| 282.792 | 101.814 | 22.137 | 0.000 | -0.000 | 0.000 |
| 101.814 | 282.792 | 22.137 | 0.000 | 0.000 | 0.000 |
| 22.138 | 22.138 | 333.815 | 0.000 | 0.000 | 0.000 |
| 0.000 | -0.000 | -0.000 | -48.154 | 0.000 | 0.000 |
| 0.000 | 0.000 | -0.000 | 0.000 | -48.154 | 0.000 |
| 0.000 | -0.000 | -0.000 | 0.000 | 0.000 | 90.489 |
| 282.792 | 101.814 | 22.137 | 0.000 | -0.000 | -0.000 |
| 101.814 | 282.792 | 22.137 | -0.000 | -0.000 | -0.000 |
| 22.138 | 22.138 | 333.816 | -0.000 | 0.000 | -0.000 |
| 0.000 | 0.000 | 0.000 | -48.154 | -0.000 | -0.000 |
| 0.000 | 0.000 | 0.000 | -0.000 | -48.154 | -0.000 |
| 0.000 | 0.000 | -0.000 | -0.000 | 0.000 | 90.489 |
| 282.792 | 101.813 | 22.137 | 0.000 | 0.000 | 0.000 |
| 101.813 | 282.792 | 22.137 | 0.000 | 0.000 | 0.000 |
| 22.138 | 22.138 | 333.814 | 0.000 | -0.000 | 0.000 |
| -0.000 | -0.000 | -0.000 | -48.154 | 0.000 | 0.000 |
| -0.000 | -0.000 | -0.000 | 0.000 | -48.154 | 0.000 |
| -0.000 | -0.000 | 0.000 | 0.000 | 0.000 | 90.489 |
| -5684375.220 | -5355663.422 | -6599442.345 | -47382.110 | -38677.977 | 34839.141 |
| 101.814 | 282.794 | 22.137 | -0.000 | -0.000 | -0.000 |
| 22.139 | 22.139 | 333.825 | -0.000 | -0.000 | -0.000 |
| 0.000 | 0.000 | 0.000 | -48.154 | -0.000 | -0.000 |
| 0.000 | 0.000 | 0.000 | -0.000 | -48.154 | -0.000 |
| 0.000 | 0.000 | -0.000 | -0.000 | -0.000 | 90.489 |
| 185.999 | 198.605 | 22.137 | 0.000 | 0.000 | 0.000 |
| 196.744 | 187.861 | 22.137 | 0.000 | 0.000 | 0.000 |
| 22.137 | 22.137 | 333.805 | 0.000 | 0.000 | 0.000 |
| -0.000 | -0.000 | -0.000 | -48.154 | 0.000 | 0.000 |
| -0.000 | -0.000 | -0.000 | 0.000 | -48.154 | 0.000 |
| -0.000 | -0.000 | 0.000 | 0.000 | 0.000 | 90.489 |
| 230.316 | 119.943 | 194.261 | 0.000 | -0.000 | 0.000 |
| 143.466 | 206.792 | 194.261 | 0.000 | 0.000 | 0.000 |
| 194.261 | 194.261 | 439.615 | 0.000 | 0.000 | 0.000 |
| -0.000 | 0.000 | 0.000 | 87.868 | 0.000 | 0.000 |
| -0.000 | 0.000 | 0.000 | -0.000 | 87.868 | 0.000 |
| 0.000 | -0.000 | 0.000 | -0.000 | 0.000 | 55.186 |
| 206.792 | 143.466 | 194.261 | -0.000 | 0.000 | -0.000 |
| 143.466 | 206.792 | 194.261 | -0.000 | 0.000 | -0.000 |
| 194.261 | 194.261 | 439.615 | -0.000 | -0.000 | -0.000 |
| 0.000 | -0.000 | -0.000 | 87.868 | -0.000 | -0.000 |
| 0.000 | -0.000 | -0.000 | -0.000 | 87.868 | -0.000 |
| -0.000 | 0.000 | -0.000 | -0.000 | -0.000 | 55.186 |
| 230.316 | 119.943 | 194.261 | 0.000 | 0.000 | 0.000 |
| 143.466 | 206.792 | 194.261 | -0.000 | -0.000 | 0.000 |
| 194.261 | 194.261 | 439.615 | 0.000 | 0.000 | 0.000 |
| 0.000 | -0.000 | 0.000 | 87.868 | 0.000 | 0.000 |
| -0.000 | 0.000 | 0.000 | 0.000 | 87.868 | 0.000 |
| -0.000 | -0.000 | -0.000 | 0.000 | -0.000 | 31.663 |
| 230.316 | 119.943 | 194.261 | -0.000 | -0.000 | -0.000 |
| 143.466 | 206.792 | 194.261 | -0.000 | 0.000 | -0.000 |
| 194.260 | 194.260 | 439.615 | -0.000 | -0.000 | -0.000 |
| -0.000 | 0.000 | -0.000 | 87.868 | -0.000 | -0.000 |
| 0.000 | -0.000 | -0.000 | 0.000 | 87.868 | -0.000 |
| 0.000 | 0.000 | 0.000 | -0.000 | 0.000 | 31.663 |
| 206.793 | 143.466 | 194.261 | -0.000 | 0.000 | 0.000 |
| 143.467 | 206.792 | 194.261 | -0.000 | -0.000 | 0.000 |
| 194.262 | 194.262 | 439.616 | 0.000 | 0.000 | 0.000 |
| 0.000 | -0.000 | 0.000 | 87.868 | 0.000 | 0.000 |
| -0.000 | 0.000 | 0.000 | 0.000 | 87.868 | 0.000 |
| -0.000 | -0.000 | -0.000 | 0.000 | 0.000 | 31.663 |
| 206.792 | 143.466 | 194.260 | -0.000 | -0.000 | -0.000 |
| 143.465 | 206.792 | 194.260 | -0.000 | -0.000 | -0.000 |
| 194.259 | 194.259 | 439.614 | -0.000 | 0.000 | -0.000 |
| -0.000 | 0.000 | -0.000 | 87.868 | -0.000 | -0.000 |
| 0.000 | -0.000 | -0.000 | -0.000 | 87.868 | -0.000 |
| 0.000 | 0.000 | 0.000 | -0.000 | 0.000 | 31.663 |
| -769550000.872 | -680544005.604 | -680544997.879 | 32.920 | -333.088 | -9.395 |
| -680545005.340 | -769550000.872 | -680543990.682 | 60.905 | -616.527 | 13.881 |
| -680544005.604 | -680544005.604 | -769549993.412 | 435.063 | -455.165 | -17.806 |
| 0.000 | 0.000 | 0.000 | 254889182.484 | -201.707 | 16.568 |
| 0.000 | 0.000 | 0.000 | 154.347 | 254888774.357 | 4.744 |
| 0.000 | 992.275 | 0.000 | 485.315 | 40.483 | 254889211.695 |
| -769550000.872 | -680544997.879 | -680545005.340 | -250.803 | 373.799 | 13.416 |
| -680544997.879 | -769550993.148 | -680545005.340 | 165.193 | -115.884 | -20.551 |
| -680544997.879 | -680544997.879 | -769550000.872 | -114.985 | 286.750 | -20.249 |
| -0.000 | -0.000 | -0.000 | 254888985.569 | 220.958 | -35.988 |
| -0.000 | -0.000 | -0.000 | -770.494 | 254889566.586 | 32.902 |
| -0.000 | -992.275 | -0.000 | 58.420 | 457.740 | 254889191.323 |
| -769550799.915 | -680544800.170 | -680544899.398 | -1.646 | -10.649 | 2.450 |
| -680544900.890 | -769550700.688 | -680544899.398 | 26.210 | -30.367 | 3.380 |
| -680544900.890 | -680544800.170 | -769550799.169 | 36.298 | -21.558 | 2.318 |
| 99.228 | 0.000 | 0.000 | 254889223.644 | -26.697 | -2.343 |
| 0.000 | 99.228 | 0.000 | -24.379 | 254889110.824 | 10.187 |
| 0.000 | 0.000 | 100.720 | -10.524 | -15.472 | 254889188.763 |
| -769549499.512 | -680544700.197 | -680544700.197 | 3.399 | -31.171 | -1.233 |
| -680544700.197 | -769549499.512 | -680544700.197 | -17.141 | 29.131 | 1.109 |
| -680544700.197 | -680544799.424 | -769549500.258 | -19.071 | 55.138 | 3.991 |
| -99.228 | -0.000 | -0.000 | 254889178.803 | 23.804 | -1.673 |
| -0.000 | -99.228 | -0.000 | -12.324 | 254889192.082 | 12.498 |
| -0.000 | -0.000 | -100.720 | 10.413 | 60.257 | 254889186.492 |
| -769556580.030 | -680545790.058 | -680545789.909 | 20.015 | -10.093 | 3.968 |
| -680545790.058 | -769556580.030 | -680545799.981 | 26.277 | -11.519 | 4.223 |
| -680545800.055 | -680545790.058 | -769556579.956 | 23.932 | -5.029 | 3.731 |
| -2750.020 | -2230.008 | -2679.964 | -276999832.903 | 1624222.241 | -1155400.106 |
| -1410.075 | -1020.029 | -1519.972 | -3373572.279 | -103883616.714 | -789101.933 |
| -1410.075 | -1560.110 | -979.965 | -3375019.024 | 1109732.760 | -105937996.593 |
| -769543679.930 | -680543799.987 | -680543800.061 | 15.132 | -2.437 | 4.344 |
| -680543799.987 | -769543679.930 | -680543800.061 | 16.292 | 2.468 | 4.140 |
| -680543799.987 | -680543799.987 | -769543680.004 | 19.271 | 0.449 | 3.741 |
| 1040.024 | 1390.081 | 1519.972 | -101413771.200 | -1108629.558 | 788636.482 |
| 1410.075 | 1020.029 | 1519.972 | 3372122.052 | -105948218.807 | 788733.137 |
| 1410.075 | 1560.110 | 979.965 | 3370662.713 | -1108329.138 | -103894298.171 |
| -21387222.522 | -17705285.552 | -17705285.558 | 0.086 | 3.486 | 0.119 |
| -17705285.574 | -21387222.563 | -17705285.445 | -0.414 | 2.517 | 0.092 |
| -17705286.167 | -17705286.238 | -21387222.317 | 0.106 | 2.587 | -0.220 |
| -2.558 | -2.223 | -1.995 | -6990652.481 | 1.997 | -0.298 |
| -2.180 | -2.501 | -1.146 | 0.136 | -6990650.142 | -0.107 |
| -2.159 | -2.333 | -2.288 | 0.776 | 2.416 | -6990652.497 |
| -21387216.411 | -17705279.770 | -17705279.366 | -0.641 | -4.057 | 0.523 |
| -17705279.161 | -21387216.464 | -17705278.625 | 0.055 | -1.153 | -0.067 |
| -17705278.861 | -17705278.934 | -21387216.542 | -0.731 | -3.332 | -0.105 |
| 2.799 | 1.783 | 1.515 | -6990652.234 | -1.894 | -0.231 |
| 2.180 | 2.449 | 2.531 | 0.975 | -6990655.282 | 0.180 |
| 2.184 | 2.550 | 3.317 | -0.627 | -2.264 | -6990652.473 |
| -21387232.986 | -17705293.600 | -17705293.567 | 0.002 | 0.334 | 0.027 |
| -17705293.578 | -21387232.920 | -17705293.591 | 0.178 | 0.147 | -0.026 |
| -17705293.591 | -17705293.568 | -21387232.797 | -0.043 | 0.470 | 0.034 |
| -0.955 | 0.117 | -0.354 | -3557311.958 | 0.282 | -0.025 |
| 0.092 | -0.980 | -0.427 | 0.025 | -3557311.764 | -0.026 |
| 0.106 | -0.449 | -0.907 | 0.039 | 0.263 | -3557312.010 |
| -21387203.900 | -17705268.975 | -17705268.997 | -0.042 | -0.226 | 0.007 |
| -17705268.959 | -21387203.909 | -17705269.104 | 0.059 | -0.258 | -0.018 |
| -17705268.941 | -17705268.977 | -21387203.879 | -0.009 | -0.328 | 0.020 |
| 0.978 | -0.090 | 0.373 | -3557312.054 | -0.309 | 0.020 |
| -0.093 | 0.981 | 0.424 | -0.072 | -3557312.248 | 0.010 |
| -0.102 | 0.437 | 0.917 | 0.021 | -0.210 | -3557311.994 |
| -21387362.260 | -17705403.092 | -17705403.086 | 0.006 | 0.033 | -0.000 |
| -17705403.093 | -21387362.255 | -17705403.078 | 0.004 | 0.038 | -0.001 |
| -17705403.094 | -17705403.090 | -21387362.241 | 0.012 | 0.024 | -0.004 |
| -7.540 | 3.021 | -2.260 | -3556448.865 | 0.023 | 0.001 |
| 3.021 | -7.534 | -2.252 | 0.010 | -3556448.844 | -0.001 |
| 3.024 | -2.247 | -7.536 | -0.002 | 0.025 | -3556448.867 |
| -21387074.614 | -17705159.477 | -17705159.492 | -0.010 | -0.012 | -0.008 |
| -17705159.474 | -21387074.618 | -17705159.477 | -0.008 | -0.033 | -0.002 |
| -17705159.473 | -17705159.468 | -21387074.613 | 0.012 | 0.008 | 0.003 |
| 7.530 | -3.024 | 2.243 | -3556448.870 | -0.035 | 0.003 |
| -3.023 | 7.529 | 2.246 | 0.006 | -3556448.895 | -0.000 |
| -3.022 | 2.252 | 7.536 | 0.001 | -0.025 | -3556448.863 |
| 244.724 | 94.045 | 94.045 | 0.000 | -0.000 | 0.000 |
| 94.045 | 244.724 | 94.045 | 0.000 | -0.000 | 0.000 |
| 94.045 | 94.045 | 244.724 | 0.000 | -0.000 | -0.000 |
| 0.000 | -0.000 | 0.000 | 80.798 | -0.000 | 0.000 |
| -0.000 | 0.000 | -0.000 | 0.000 | 80.798 | 0.000 |
| -0.000 | -0.000 | 0.000 | 0.000 | 0.000 | 80.798 |
| 244.724 | 94.045 | 94.045 | -0.000 | 0.000 | -0.000 |
| 94.045 | 244.724 | 94.045 | -0.000 | 0.000 | -0.000 |
| 94.045 | 94.045 | 244.724 | -0.000 | 0.000 | -0.000 |
| -0.000 | 0.000 | -0.000 | 80.798 | 0.000 | -0.000 |
| 0.000 | -0.000 | 0.000 | -0.000 | 80.798 | -0.000 |
| 0.000 | 0.000 | -0.000 | -0.000 | 0.000 | 80.798 |
| 244.724 | 94.045 | 94.045 | 0.000 | -0.000 | 0.000 |
| 94.045 | 244.724 | 94.045 | 0.000 | -0.000 | 0.000 |
| 94.045 | 94.045 | 244.724 | 0.000 | -0.000 | 0.000 |
| 0.000 | -0.000 | -0.000 | 80.798 | -0.000 | 0.000 |
| -0.000 | 0.000 | -0.000 | 0.000 | 80.798 | 0.000 |
| -0.000 | -0.000 | 0.000 | 0.000 | -0.000 | 80.798 |
| 244.724 | 94.045 | 94.045 | -0.000 | 0.000 | -0.000 |
| 94.045 | 244.724 | 94.045 | -0.000 | 0.000 | -0.000 |
| 94.045 | 94.045 | 244.724 | -0.000 | 0.000 | -0.000 |
| -0.000 | 0.000 | 0.000 | 80.798 | 0.000 | -0.000 |
| 0.000 | -0.000 | 0.000 | -0.000 | 80.798 | -0.000 |
| 0.000 | 0.000 | -0.000 | -0.000 | 0.000 | 80.798 |
| 244.723 | 94.045 | 94.045 | 0.000 | -0.000 | 0.000 |
| 94.045 | 244.723 | 94.045 | 0.000 | -0.000 | 0.000 |
| 94.045 | 94.045 | 244.723 | 0.000 | -0.000 | 0.000 |
| 0.000 | -0.000 | -0.000 | 41.096 | -0.000 | 0.000 |
| -0.000 | 0.000 | -0.000 | 0.000 | 41.096 | 0.000 |
| -0.000 | -0.000 | 0.000 | 0.000 | -0.000 | 41.096 |
| 244.724 | 94.045 | 94.045 | -0.000 | 0.000 | -0.000 |
| 94.045 | 244.724 | 94.045 | -0.000 | -0.000 | -0.000 |
| 94.045 | 94.045 | 244.724 | -0.000 | 0.000 | -0.000 |
| -0.000 | 0.000 | 0.000 | 41.096 | -0.000 | -0.000 |
| 0.000 | -0.000 | 0.000 | -0.000 | 41.096 | -0.000 |
| 0.000 | 0.000 | -0.000 | -0.000 | 0.000 | 41.096 |
| 9.571 | 18.005 | 18.005 | -0.000 | -0.000 | 0.000 |
| 18.005 | 9.571 | 18.005 | 0.000 | -0.000 | 0.000 |
| 18.005 | 18.005 | 9.571 | 0.000 | 0.000 | -0.000 |
| 0.000 | -0.000 | -0.000 | -10.151 | 0.000 | 0.000 |
| 0.000 | 0.000 | -0.000 | 0.000 | -10.151 | 0.000 |
| 0.000 | -0.000 | -0.000 | 0.000 | 0.000 | -10.151 |
| 9.571 | 18.005 | 18.005 | -0.000 | 0.000 | -0.000 |
| 18.005 | 9.571 | 18.005 | -0.000 | 0.000 | -0.000 |
| 18.005 | 18.005 | 9.571 | -0.000 | 0.000 | -0.000 |
| -0.000 | 0.000 | 0.000 | -10.151 | -0.000 | -0.000 |
| -0.000 | -0.000 | 0.000 | -0.000 | -10.151 | -0.000 |
| -0.000 | 0.000 | -0.000 | -0.000 | -0.000 | -10.151 |
| 9.571 | 18.005 | 18.005 | 0.000 | -0.000 | 0.000 |
| 18.005 | 9.571 | 18.005 | 0.000 | 0.000 | 0.000 |
| 18.005 | 18.005 | 9.571 | 0.000 | 0.000 | 0.000 |
| 0.000 | -0.000 | -0.000 | 16.906 | -0.000 | 0.000 |
| -0.000 | 0.000 | -0.000 | -0.000 | 16.906 | -0.000 |
| -0.000 | -0.000 | 0.000 | -0.000 | -0.000 | 16.906 |
| 9.571 | 18.005 | 18.005 | -0.000 | 0.000 | -0.000 |
| 18.005 | 9.571 | 18.005 | -0.000 | -0.000 | -0.000 |
| 18.005 | 18.005 | 9.571 | -0.000 | -0.000 | -0.000 |
| -0.000 | 0.000 | 0.000 | 16.906 | 0.000 | -0.000 |
| 0.000 | -0.000 | 0.000 | -0.000 | 16.906 | -0.000 |
| 0.000 | 0.000 | -0.000 | -0.000 | 0.000 | 16.906 |
| 9.571 | 18.005 | 18.005 | 0.000 | 0.000 | 0.000 |
| 18.005 | 9.571 | 18.005 | 0.000 | 0.000 | 0.000 |
| 18.005 | 18.005 | 9.571 | 0.000 | 0.000 | 0.000 |
| -0.000 | -0.000 | -0.000 | -10.151 | 0.000 | 0.000 |
| -0.000 | -0.000 | -0.000 | 0.000 | -10.151 | 0.000 |
| -0.000 | -0.000 | -0.000 | 0.000 | 0.000 | -10.151 |
| 9.571 | 18.005 | 18.005 | -0.000 | 0.000 | -0.000 |
| 18.005 | 9.571 | 18.005 | -0.000 | -0.000 | -0.000 |
| 18.005 | 18.005 | 9.571 | -0.000 | 0.000 | -0.000 |
| 0.000 | 0.000 | 0.000 | -10.151 | 0.000 | -0.000 |
| 0.000 | 0.000 | 0.000 | -0.000 | -10.151 | -0.000 |
| 0.000 | 0.000 | 0.000 | -0.000 | -0.000 | -10.151 |
| -1468817002.400 | -1103544001.123 | -1103542001.651 | -721.166 | -2308.203 | -46.708 |
| -1103542001.651 | -1468819001.872 | -1103542001.651 | -99.044 | -1104.449 | 143.632 |
| -1103540994.455 | -1103542993.927 | -1468817002.400 | -3281.968 | -1319.604 | 90.431 |
| 0.000 | -992.275 | 0.000 | -84840191.823 | -654.289 | -57.282 |
| 1007.197 | 0.000 | 1007.197 | -940.804 | -84840970.193 | 46.854 |
| 1007.197 | 0.000 | 0.000 | 1125.794 | -1323.820 | -84839137.185 |
| -1468820001.608 | -1103540002.180 | -1103542001.651 | 691.164 | 2095.943 | -76.061 |
| -1103544001.123 | -1468817002.400 | -1103542993.927 | -301.939 | 290.540 | -35.838 |
| -1103542001.651 | -1103540994.455 | -1468819001.872 | 632.844 | 1386.714 | -19.364 |
| -1007.197 | 992.275 | -0.000 | -84837566.204 | 818.063 | 8.339 |
| -0.000 | -0.000 | -1007.197 | 332.929 | -84838026.381 | -11.428 |
| -1007.197 | 992.275 | -0.000 | -512.128 | 1215.207 | -84839273.947 |
| -1571448500.188 | -1052226999.948 | -1052226800.001 | -118.801 | -18.744 | 36.839 |
| -1052226899.229 | -1571448499.442 | -1052226899.229 | 122.657 | -193.333 | -69.941 |
| -1052226800.001 | -1052226999.948 | -1571448299.495 | -288.764 | -60.492 | 13.232 |
| 100.720 | -99.228 | 100.720 | -84839256.011 | 32.656 | 7.074 |
| 199.947 | 0.000 | 199.947 | 21.534 | -84839413.694 | 9.029 |
| 299.921 | 0.000 | 0.000 | 18.495 | -160.287 | -84839223.214 |
| -1468818999.634 | -1103542400.800 | -1103542500.027 | 133.293 | 85.024 | -2.390 |
| -1103542500.027 | -1468818700.459 | -1103542500.027 | 200.362 | 42.891 | 12.482 |
| -2024758600.361 | -2024292300.367 | 373072199.871 | -9549135.366 | -9089722.944 | -6218618.524 |
| 99.974 | -99.974 | -100.720 | -84839047.652 | -52.642 | 2.292 |
| -199.947 | 99.228 | -199.947 | 50.928 | -84839087.689 | -2.002 |
| -199.947 | -0.000 | -0.000 | -6.753 | 83.472 | -84839208.466 |
| -1117470670.006 | -1279216279.980 | -1279216259.985 | 6.499 | -15.454 | 1.164 |
| -1279216259.985 | -1117470709.921 | -1279216270.057 | 0.963 | -14.424 | 0.329 |
| -1279216249.988 | -1279216279.980 | -1117470670.006 | 1.677 | -27.303 | 0.517 |
| -309.993 | 800.013 | 830.005 | -84839233.635 | -12.965 | -0.217 |
| 860.071 | -289.998 | 790.015 | -0.270 | -84839233.292 | 0.213 |
| 830.005 | 830.005 | -309.993 | -9.357 | -3.255 | -84839219.759 |
| -1117475590.050 | -1279213809.961 | -1279213820.033 | 6.391 | 12.532 | -1.313 |
| -1279213820.033 | -1117475559.983 | -1279213820.033 | 6.798 | 0.463 | 0.200 |
| -1279213810.035 | -1279213800.038 | -1117475579.978 | 9.139 | 8.379 | -0.036 |
| 309.993 | -810.010 | -830.005 | -84839209.448 | -0.213 | 0.370 |
| -849.999 | 289.998 | -790.015 | 1.625 | -84839214.261 | -0.601 |
| -830.005 | -830.005 | 309.993 | 9.599 | 16.498 | -84839220.666 |
| -9292511.407 | -12066122.689 | -12066122.767 | 0.033 | -0.225 | 0.071 |
| -12066122.712 | -9292511.389 | -12066122.486 | 0.121 | -0.050 | 0.551 |
| -12066122.614 | -12066122.805 | -9292511.304 | -0.013 | -0.057 | 0.082 |
| 2.195 | 2.078 | 2.293 | -919135.450 | 0.022 | 0.227 |
| 2.144 | 2.058 | 2.127 | 0.081 | -919135.659 | 0.369 |
| 2.083 | 2.006 | 2.137 | 0.042 | -0.037 | -919135.388 |
| -13613479.168 | -9905638.456 | -9905638.421 | -0.007 | -0.025 | -0.271 |
| -9905638.548 | -13613479.128 | -9905638.639 | 0.063 | 0.093 | -0.196 |
| -9905638.697 | -9905638.612 | -13613479.231 | -0.014 | 0.307 | -0.252 |
| -1.931 | -1.912 | -1.654 | -919135.527 | 0.216 | -0.379 |
| -1.936 | -1.955 | -2.087 | -0.041 | -919135.407 | -0.295 |
| -2.051 | -2.074 | -2.101 | -0.068 | 0.004 | -919135.729 |
| -9292521.040 | -12066133.467 | -12066133.456 | 0.004 | -0.020 | 0.036 |
| -12066133.479 | -9292521.057 | -12066133.487 | -0.013 | -0.020 | 0.029 |
| -12066133.458 | -12066133.469 | -9292521.026 | 0.005 | -0.005 | 0.028 |
| -0.185 | -0.209 | -0.333 | -919136.866 | -0.013 | 0.016 |
| -0.194 | -0.179 | -0.321 | 0.002 | -919136.872 | 0.026 |
| -0.198 | -0.335 | -0.170 | 0.002 | -0.014 | -919136.842 |
| -13614002.445 | -9905359.307 | -9905359.328 | -0.012 | 0.012 | -0.039 |
| -9905359.304 | -13614002.445 | -9905359.325 | -0.008 | 0.011 | -0.044 |
| -9905359.324 | -9905359.328 | -13614002.463 | 0.008 | 0.017 | -0.033 |
| 0.178 | 0.192 | 0.326 | -919136.860 | 0.011 | -0.030 |
| 0.189 | 0.171 | 0.324 | -0.002 | -919136.848 | -0.029 |
| 0.194 | 0.342 | 0.167 | 0.000 | 0.013 | -919136.886 |
| -13615004.074 | -9905058.289 | -9905058.287 | 0.001 | 0.000 | 0.006 |
| -9905058.288 | -13615004.074 | -9905058.289 | -0.000 | -0.001 | 0.003 |
| -9905058.287 | -9905058.287 | -13615004.071 | -0.001 | -0.003 | -0.001 |
| -3.401 | -3.724 | -4.856 | -919139.627 | -0.001 | 0.001 |
| -3.725 | -3.402 | -4.856 | -0.001 | -919139.629 | 0.003 |
| -3.726 | -4.858 | -3.401 | 0.000 | -0.002 | -919139.624 |
| -13613309.065 | -9905542.033 | -9905542.034 | 0.000 | 0.001 | -0.003 |
| -9905542.034 | -13613309.064 | -9905542.035 | -0.000 | 0.002 | -0.003 |
| -9905542.151 | -9905542.150 | -13613308.838 | 0.000 | 0.000 | 0.001 |
| 3.401 | 3.725 | 4.856 | -919139.626 | 0.001 | -0.001 |
| 3.725 | 3.401 | 4.856 | -0.000 | -919139.626 | -0.002 |
| 3.725 | 4.859 | 3.401 | 0.000 | 0.003 | -919139.630 |
| 293.234 | 91.395 | 91.395 | -0.000 | -0.000 | -0.000 |
| 91.395 | 293.234 | 91.395 | -0.000 | 0.000 | 0.000 |
| 91.395 | 91.395 | 293.234 | -0.000 | -0.000 | 0.000 |
| 0.000 | 0.000 | -0.000 | 36.337 | -0.000 | 0.000 |
| 0.000 | 0.000 | -0.000 | -0.000 | 36.337 | -0.000 |
| 0.000 | 0.000 | -0.000 | -0.000 | -0.000 | 36.337 |
| 293.234 | 91.395 | 91.395 | 0.000 | -0.000 | 0.000 |
| 91.395 | 293.234 | 91.395 | 0.000 | -0.000 | -0.000 |
| 91.395 | 91.395 | 293.234 | -0.000 | 0.000 | -0.000 |
| -0.000 | -0.000 | 0.000 | 36.337 | 0.000 | -0.000 |
| 0.000 | -0.000 | 0.000 | 0.000 | 36.337 | 0.000 |
| -0.000 | 0.000 | 0.000 | 0.000 | 0.000 | 36.337 |
| 294.390 | 90.817 | 90.817 | -0.000 | -0.000 | -0.000 |
| 90.817 | 294.390 | 90.817 | -0.000 | -0.000 | -0.000 |
| 90.817 | 90.817 | 294.390 | -0.000 | -0.000 | -0.000 |
| 0.000 | 0.000 | -0.000 | 28.525 | 0.000 | 0.000 |
| 0.000 | 0.000 | -0.000 | -0.000 | 28.525 | 0.000 |
| 0.000 | -0.000 | 0.000 | -0.000 | 0.000 | 28.525 |
| 293.233 | 91.395 | 91.395 | 0.000 | -0.000 | 0.000 |
| 91.395 | 293.233 | 91.395 | 0.000 | -0.000 | 0.000 |
| 91.395 | 91.395 | 293.233 | 0.000 | 0.000 | -0.000 |
| -0.000 | -0.000 | 0.000 | 28.525 | 0.000 | -0.000 |
| -0.000 | -0.000 | 0.000 | 0.000 | 28.525 | -0.000 |
| -0.000 | 0.000 | -0.000 | 0.000 | 0.000 | 28.525 |
| 294.391 | 90.817 | 90.817 | -0.000 | -0.000 | 0.000 |
| 90.817 | 294.391 | 90.817 | -0.000 | 0.000 | 0.000 |
| 90.817 | 90.817 | 294.391 | -0.000 | -0.000 | 0.000 |
| 0.000 | -0.000 | -0.000 | 36.337 | 0.000 | 0.000 |
| -0.000 | 0.000 | -0.000 | -0.000 | 36.337 | -0.000 |
| -0.000 | -0.000 | 0.000 | -0.000 | 0.000 | 36.337 |
| 293.233 | 91.395 | 91.395 | 0.000 | -0.000 | -0.000 |
| 91.395 | 293.233 | 91.395 | 0.000 | -0.000 | 0.000 |
| 91.395 | 91.395 | 293.233 | 0.000 | 0.000 | 0.000 |
| -0.000 | 0.000 | 0.000 | 36.337 | -0.000 | -0.000 |
| 0.000 | -0.000 | 0.000 | 0.000 | 36.337 | -0.000 |
| 0.000 | 0.000 | -0.000 | 0.000 | 0.000 | 36.337 |
| 323.493 | 183.511 | 183.511 | -0.000 | -0.000 | 0.000 |
| 183.511 | 323.493 | 183.511 | -0.000 | -0.000 | 0.000 |
| 183.511 | 183.511 | 323.493 | -0.000 | 0.000 | 0.000 |
| -0.000 | 0.000 | -0.000 | 119.099 | 0.000 | 0.000 |
| -0.000 | 0.000 | -0.000 | -0.000 | 119.099 | 0.000 |
| -0.000 | 0.000 | -0.000 | -0.000 | -0.000 | 119.099 |
| 323.493 | 183.511 | 183.511 | 0.000 | 0.000 | -0.000 |
| 183.511 | 323.493 | 183.511 | 0.000 | 0.000 | -0.000 |
| 183.511 | 183.511 | 323.493 | 0.000 | 0.000 | -0.000 |
| 0.000 | -0.000 | 0.000 | 119.099 | 0.000 | -0.000 |
| -0.000 | -0.000 | 0.000 | 0.000 | 119.099 | -0.000 |
| -0.000 | -0.000 | 0.000 | -0.000 | 0.000 | 119.099 |
| 323.493 | 183.511 | 183.511 | -0.000 | -0.000 | 0.000 |
| 183.511 | 323.493 | 183.511 | -0.000 | -0.000 | 0.000 |
| 183.511 | 183.511 | 323.493 | -0.000 | -0.000 | 0.000 |
| 0.000 | 0.000 | 0.000 | 127.071 | 0.000 | 0.000 |
| 0.000 | 0.000 | 0.000 | 0.000 | 127.071 | 0.000 |
| 0.000 | 0.000 | 0.000 | 0.000 | -0.000 | 127.071 |
| 323.493 | 183.511 | 183.511 | 0.000 | 0.000 | -0.000 |
| 183.511 | 323.493 | 183.511 | 0.000 | 0.000 | -0.000 |
| 183.511 | 183.511 | 323.493 | 0.000 | 0.000 | 0.000 |
| -0.000 | -0.000 | -0.000 | 127.071 | -0.000 | 0.000 |
| -0.000 | -0.000 | -0.000 | 0.000 | 127.071 | -0.000 |
| -0.000 | -0.000 | -0.000 | -0.000 | -0.000 | 127.071 |
| 323.494 | 183.512 | 183.512 | -0.000 | -0.000 | 0.000 |
| 183.512 | 323.494 | 183.512 | -0.000 | -0.000 | -0.000 |
| 183.512 | 183.512 | 323.494 | -0.000 | -0.000 | 0.000 |
| 0.000 | 0.000 | 0.000 | 119.099 | 0.000 | 0.000 |
| 0.000 | 0.000 | 0.000 | 0.000 | 119.099 | 0.000 |
| 0.000 | 0.000 | 0.000 | -0.000 | -0.000 | 119.099 |
| 323.493 | 183.510 | 183.510 | 0.000 | -0.000 | -0.000 |
| 183.510 | 323.493 | 183.510 | 0.000 | 0.000 | -0.000 |
| 183.510 | 183.510 | 323.493 | 0.000 | 0.000 | -0.000 |
| -0.000 | -0.000 | -0.000 | 119.099 | -0.000 | -0.000 |
| -0.000 | -0.000 | -0.000 | -0.000 | 119.099 | -0.000 |
| -0.000 | -0.000 | -0.000 | 0.000 | 0.000 | 119.099 |
| -1311217994.330 | -1276731004.651 | -1276729997.454 | -683.251 | 912.363 | 22.358 |
| -1276730997.190 | -1311217994.330 | -1276730997.190 | -522.953 | -264.249 | 22.198 |
| -1276729997.454 | -1276732004.387 | -1311216987.134 | 947.139 | 592.548 | 28.620 |
| 1007.197 | -1007.197 | 1007.197 | -3747048.770 | -513.131 | 124.595 |
| 1007.197 | 0.000 | 1007.197 | -292.671 | -3746704.870 | 32.075 |
| 1007.197 | 0.000 | 0.000 | 47.577 | 1121.304 | -3746830.776 |
| -1311219008.988 | -1276729997.454 | -1276731004.651 | 271.867 | 635.509 | -75.216 |
| -1276731004.651 | -1311217002.055 | -1276731004.651 | 337.836 | -639.171 | -9.063 |
| -1276731004.651 | -1276729997.454 | -1311218009.252 | -270.959 | -672.076 | 32.109 |
| -1007.197 | -0.000 | -0.000 | -3746698.695 | 127.896 | 2.068 |
| -0.000 | 1007.197 | -0.000 | 572.744 | -3746912.439 | -65.778 |
| -1007.197 | -999.736 | -0.000 | -91.976 | -501.096 | -3747027.691 |
| -1311217398.965 | -1276731000.174 | -1276731099.402 | -41.878 | -56.735 | -6.863 |
| -1276730999.428 | -1311217600.405 | -1276730999.428 | -16.648 | 44.854 | -1.096 |
| -1276730999.428 | -1276731100.148 | -1311217499.685 | -6.038 | -28.355 | -3.164 |
| 100.720 | 0.000 | 100.720 | -3746939.080 | 14.119 | 4.947 |
| 100.720 | 0.000 | 100.720 | -51.166 | -3746955.019 | 8.331 |
| 0.000 | 99.974 | 0.000 | -80.852 | 29.351 | -3746903.617 |
| -1311217801.098 | -1276730800.227 | -1276730900.947 | -4.130 | -31.985 | 0.525 |
| -1276730900.947 | -1311217700.378 | -1276730900.947 | 0.840 | 9.803 | -3.183 |
| -1276730900.947 | -1276730800.227 | -1311217900.325 | -76.738 | 12.758 | -0.137 |
| -100.720 | -0.000 | -100.720 | -3746894.581 | 54.668 | -3.985 |
| -100.720 | -0.000 | -100.720 | 62.689 | -3746882.338 | -2.482 |
| -100.720 | -0.000 | -100.720 | 16.367 | 31.907 | -3746909.999 |
| -1311215739.926 | -1276731699.989 | -1276731699.989 | 2.130 | 12.500 | 0.767 |
| -1276731699.989 | -1311215760.070 | -1276731699.989 | -2.226 | 0.153 | 0.968 |
| -1276731689.917 | -1276731719.984 | -1311215749.998 | 0.274 | -3.358 | -0.214 |
| 340.059 | 1039.949 | 1060.093 | -3746747.057 | -5.645 | 0.814 |
| 1050.021 | 339.985 | 1060.093 | 4.297 | -3746750.774 | 0.419 |
| 1060.093 | 1050.021 | 340.059 | -1.171 | 2.511 | -3746746.240 |
| -1311218870.069 | -1276729859.953 | -1276729870.025 | -4.012 | -1.147 | -0.322 |
| -1276729870.025 | -1311218859.997 | -1276729870.025 | -1.304 | 2.476 | 0.459 |
| -1276729880.097 | -1276729859.953 | -1311218860.072 | -2.002 | -3.536 | -0.563 |
| -340.059 | -1039.949 | -1060.093 | -3746747.280 | -1.295 | -0.483 |
| -1050.021 | -329.987 | -1060.093 | 5.675 | -3746746.073 | -0.580 |
| -1060.093 | -1059.944 | -340.059 | -0.449 | -3.634 | -3746748.131 |
| -10611070.296 | -11510382.183 | -11510382.319 | -0.073 | -0.060 | 0.027 |
| -11510382.200 | -10611070.322 | -11510382.327 | -0.078 | -0.072 | -0.038 |
| -11510382.367 | -11510382.315 | -10611070.708 | -0.166 | -0.144 | 0.046 |
| -1.303 | -1.165 | -1.397 | 1316003.803 | -0.047 | -0.043 |
| -1.252 | -1.422 | -1.519 | -0.079 | 1316003.773 | 0.010 |
| -1.313 | -1.207 | -1.513 | -0.045 | -0.047 | 1316003.901 |
| -10611065.339 | -11510377.045 | -11510376.879 | 0.109 | 0.064 | 0.019 |
| -11510377.080 | -10611065.423 | -11510376.928 | 0.038 | 0.072 | -0.049 |
| -11510376.964 | -11510377.082 | -10611065.200 | 0.050 | 0.033 | -0.034 |
| 1.382 | 1.333 | 1.534 | 1316003.978 | 0.069 | -0.035 |
| 1.284 | 1.383 | 1.477 | 0.071 | 1316003.940 | -0.029 |
| 1.300 | 1.221 | 1.478 | 0.019 | 0.011 | 1316003.831 |
| -10611077.990 | -11510390.455 | -11510390.469 | -0.000 | -0.006 | 0.007 |
| -11510390.457 | -10611077.988 | -11510390.469 | -0.005 | -0.003 | -0.005 |
| -11510390.455 | -11510390.446 | -10611077.999 | -0.011 | -0.010 | -0.000 |
| -0.163 | 0.255 | 0.449 | 1316003.869 | -0.011 | -0.001 |
| 0.243 | -0.165 | 0.442 | -0.007 | 1316003.871 | 0.003 |
| 0.232 | 0.451 | -0.205 | -0.016 | -0.012 | 1316003.883 |
| -10611057.909 | -11510369.038 | -11510369.026 | 0.000 | 0.004 | -0.003 |
| -11510369.032 | -10611057.897 | -11510369.021 | 0.002 | -0.002 | -0.002 |
| -11510369.020 | -11510369.022 | -10611057.867 | 0.003 | 0.003 | -0.000 |
| 0.176 | -0.238 | -0.431 | 1316003.887 | 0.008 | 0.006 |
| -0.244 | 0.175 | -0.439 | 0.008 | 1316003.893 | -0.002 |
| -0.236 | -0.446 | 0.203 | 0.010 | 0.008 | 1316003.874 |
| -10611166.998 | -11510485.483 | -11510485.485 | -0.000 | -0.001 | 0.001 |
| -11510485.483 | -10611166.998 | -11510485.485 | -0.000 | -0.000 | 0.000 |
| -11510485.482 | -11510485.481 | -10611166.998 | -0.001 | -0.000 | -0.001 |
| -0.509 | 3.591 | 5.771 | 1316003.877 | -0.001 | -0.000 |
| 3.591 | -0.509 | 5.772 | -0.001 | 1316003.877 | -0.000 |
| 3.594 | 5.777 | -0.508 | -0.002 | -0.001 | 1316003.879 |
| -10610968.776 | -11510273.926 | -11510273.923 | 0.001 | 0.001 | 0.001 |
| -11510273.926 | -10610968.777 | -11510273.924 | 0.001 | 0.001 | -0.000 |
| -11510273.926 | -11510273.927 | -10610968.775 | -0.000 | -0.000 | -0.000 |
| 0.508 | -3.593 | -5.773 | 1316003.879 | 0.001 | -0.000 |
| -3.592 | 0.508 | -5.772 | 0.001 | 1316003.879 | -0.000 |
| -3.594 | -5.777 | 0.508 | 0.001 | 0.001 | 1316003.878 |
| 118.463 | 165.824 | 165.824 | 0.000 | -0.000 | 0.000 |
| 165.824 | 118.463 | 165.824 | 0.000 | -0.000 | 0.000 |
| 165.824 | 165.824 | 118.463 | 0.000 | -0.000 | 0.000 |
| -0.000 | 0.000 | 0.000 | 97.519 | -0.000 | -0.000 |
| -0.000 | 0.000 | 0.000 | -0.000 | 97.519 | 0.000 |
| 0.000 | 0.000 | 0.000 | 0.000 | -0.000 | 97.519 |
| 118.463 | 165.824 | 165.824 | -0.000 | 0.000 | -0.000 |
| 165.824 | 118.463 | 165.824 | -0.000 | 0.000 | 0.000 |
| 165.824 | 165.824 | 118.463 | -0.000 | 0.000 | -0.000 |
| 0.000 | -0.000 | -0.000 | 97.519 | 0.000 | -0.000 |
| 0.000 | 0.000 | -0.000 | -0.000 | 97.519 | -0.000 |
| 0.000 | -0.000 | -0.000 | -0.000 | 0.000 | 97.519 |
| 118.463 | 165.824 | 165.824 | 0.000 | -0.000 | 0.000 |
| 165.824 | 118.463 | 165.824 | 0.000 | -0.000 | 0.000 |
| 165.824 | 165.824 | 118.463 | 0.000 | -0.000 | -0.000 |
| -0.000 | 0.000 | 0.000 | 97.519 | -0.000 | 0.000 |
| 0.000 | -0.000 | 0.000 | 0.000 | 97.519 | 0.000 |
| 0.000 | 0.000 | -0.000 | 0.000 | -0.000 | 97.519 |
| 118.462 | 165.823 | 165.823 | -0.000 | 0.000 | -0.000 |
| 165.823 | 118.462 | 165.823 | -0.000 | 0.000 | -0.000 |
| 165.823 | 165.823 | 118.462 | -0.000 | 0.000 | -0.000 |
| 0.000 | -0.000 | -0.000 | 97.519 | 0.000 | 0.000 |
| -0.000 | 0.000 | -0.000 | -0.000 | 97.519 | -0.000 |
| -0.000 | -0.000 | 0.000 | -0.000 | 0.000 | 97.519 |
| 118.464 | 165.824 | 165.824 | 0.000 | -0.000 | -0.000 |
| 165.824 | 118.464 | 165.824 | 0.000 | -0.000 | 0.000 |
| 165.824 | 165.824 | 118.464 | 0.000 | -0.000 | 0.000 |
| -0.000 | 0.000 | 0.000 | 97.519 | -0.000 | 0.000 |
| 0.000 | -0.000 | 0.000 | 0.000 | 97.519 | 0.000 |
| 0.000 | 0.000 | -0.000 | 0.000 | -0.000 | 97.519 |
| 118.461 | 165.823 | 165.823 | -0.000 | 0.000 | -0.000 |
| 165.823 | 118.461 | 165.823 | -0.000 | 0.000 | -0.000 |
| 165.823 | 165.823 | 118.461 | -0.000 | 0.000 | -0.000 |
| 0.000 | -0.000 | -0.000 | 97.519 | 0.000 | -0.000 |
| -0.000 | 0.000 | -0.000 | -0.000 | 97.519 | -0.000 |
| -0.000 | -0.000 | 0.000 | -0.000 | 0.000 | 97.519 |
| 56.423 | 140.625 | 137.003 | -0.000 | -0.000 | 0.000 |
| 140.625 | 56.423 | 137.003 | 0.000 | -0.000 | -0.000 |
| 137.003 | 137.003 | 128.051 | -0.000 | -0.000 | 0.000 |
| -0.000 | 0.000 | 0.000 | 66.315 | -0.000 | 0.000 |
| 0.000 | -0.000 | 0.000 | -0.000 | 66.315 | -0.000 |
| -0.000 | 0.000 | -0.000 | -0.000 | -0.000 | 85.281 |
| 56.423 | 140.625 | 137.003 | 0.000 | 0.000 | -0.000 |
| 140.625 | 56.423 | 137.003 | -0.000 | 0.000 | 0.000 |
| 137.003 | 137.003 | 128.051 | 0.000 | 0.000 | 0.000 |
| 0.000 | -0.000 | -0.000 | 66.315 | 0.000 | -0.000 |
| -0.000 | 0.000 | -0.000 | 0.000 | 66.315 | -0.000 |
| 0.000 | -0.000 | 0.000 | 0.000 | 0.000 | 85.281 |
| 40.513 | 156.535 | 137.003 | -0.000 | -0.000 | -0.000 |
| 156.535 | 40.513 | 137.003 | -0.000 | -0.000 | -0.000 |
| 137.003 | 137.003 | 128.051 | -0.000 | -0.000 | 0.000 |
| -0.000 | 0.000 | 0.000 | 70.783 | 0.000 | 0.000 |
| 0.000 | -0.000 | 0.000 | -0.000 | 70.783 | 0.000 |
| 0.000 | 0.000 | -0.000 | -0.000 | -0.000 | 85.281 |
| 40.513 | 156.535 | 137.003 | 0.000 | 0.000 | -0.000 |
| 156.535 | 40.513 | 137.003 | 0.000 | 0.000 | 0.000 |
| 137.003 | 137.003 | 128.051 | 0.000 | 0.000 | -0.000 |
| 0.000 | -0.000 | -0.000 | 70.783 | -0.000 | -0.000 |
| -0.000 | 0.000 | -0.000 | 0.000 | 70.783 | 0.000 |
| -0.000 | -0.000 | 0.000 | 0.000 | 0.000 | 85.281 |
| 56.426 | 140.626 | 137.005 | -0.000 | 0.000 | -0.000 |
| 140.626 | 56.426 | 137.005 | -0.000 | -0.000 | 0.000 |
| 137.005 | 137.005 | 128.054 | -0.000 | -0.000 | 0.000 |
| -0.000 | 0.001 | 0.001 | 70.783 | -0.000 | -0.000 |
| 0.001 | -0.000 | 0.001 | -0.000 | 70.783 | 0.000 |
| 0.000 | 0.000 | -0.000 | -0.000 | 0.000 | 85.281 |
| 40.510 | 156.535 | 137.001 | 0.000 | 0.000 | -0.000 |
| 156.535 | 40.510 | 137.001 | 0.000 | 0.000 | 0.000 |
| 137.002 | 137.002 | 128.048 | 0.000 | -0.000 | -0.000 |
| 0.000 | -0.001 | -0.001 | 70.783 | 0.000 | -0.000 |
| -0.001 | 0.000 | -0.001 | 0.000 | 70.783 | -0.000 |
| -0.000 | -0.000 | 0.000 | 0.000 | 0.000 | 85.281 |
| 155.645 | 229.568 | 131.366 | -0.000 | -0.000 | -0.000 |
| 229.568 | 155.645 | 131.366 | 0.000 | -0.000 | -0.000 |
| 131.366 | 131.366 | 235.215 | 0.000 | -0.000 | -0.000 |
| -0.000 | -0.000 | -0.000 | 58.937 | -0.000 | -0.000 |
| -0.000 | -0.000 | -0.000 | -0.000 | 58.937 | -0.000 |
| 0.000 | 0.000 | -0.000 | 0.000 | -0.000 | 162.958 |
| 177.587 | 207.626 | 131.366 | 0.000 | 0.000 | 0.000 |
| 207.626 | 177.587 | 131.366 | 0.000 | 0.000 | 0.000 |
| 131.366 | 131.366 | 235.215 | -0.000 | 0.000 | 0.000 |
| 0.000 | -0.000 | 0.000 | 58.937 | 0.000 | 0.000 |
| 0.000 | 0.000 | 0.000 | -0.000 | 58.937 | 0.000 |
| -0.000 | -0.000 | 0.000 | -0.000 | 0.000 | 162.958 |
| 155.645 | 229.568 | 131.366 | 0.000 | 0.000 | -0.000 |
| 229.568 | 155.645 | 131.366 | -0.000 | -0.000 | -0.000 |
| 131.366 | 131.366 | 235.215 | 0.000 | -0.000 | -0.000 |
| -0.000 | -0.000 | -0.000 | 54.363 | -0.000 | -0.000 |
| -0.000 | -0.000 | -0.000 | -0.000 | 54.363 | -0.000 |
| 0.000 | 0.000 | -0.000 | 0.000 | -0.000 | 162.958 |
| 155.645 | 229.568 | 131.366 | -0.000 | 0.000 | 0.000 |
| 229.568 | 155.645 | 131.366 | 0.000 | 0.000 | 0.000 |
| 131.366 | 131.366 | 235.215 | -0.000 | 0.000 | 0.000 |
| 0.000 | 0.000 | 0.000 | 54.363 | 0.000 | 0.000 |
| 0.000 | 0.000 | 0.000 | -0.000 | 54.363 | 0.000 |
| -0.000 | -0.000 | 0.000 | -0.000 | -0.000 | 162.958 |
| 155.646 | 229.569 | 131.366 | 0.000 | -0.000 | -0.000 |
| 229.569 | 155.646 | 131.366 | -0.000 | -0.000 | -0.000 |
| 131.366 | 131.366 | 235.215 | 0.000 | -0.000 | -0.000 |
| -0.000 | -0.000 | -0.000 | 58.937 | -0.000 | -0.000 |
| -0.000 | -0.000 | -0.000 | 0.000 | 58.937 | -0.000 |
| 0.000 | 0.001 | -0.000 | 0.000 | -0.000 | 162.958 |
| 177.586 | 207.625 | 131.365 | 0.000 | -0.000 | 0.000 |
| 207.625 | 177.586 | 131.365 | 0.000 | 0.000 | 0.000 |
| 131.365 | 131.365 | 235.215 | -0.000 | 0.000 | 0.000 |
| 0.000 | 0.000 | 0.000 | 58.937 | 0.000 | 0.000 |
| 0.000 | 0.000 | 0.000 | 0.000 | 58.937 | 0.000 |
| -0.000 | -0.001 | 0.000 | -0.000 | 0.000 | 162.958 |
| 144.565 | 139.362 | 104.414 | 0.000 | -0.000 | 0.000 |
| 686.577 | -358.543 | 102.042 | 0.000 | 0.000 | 0.000 |
| 105.258 | 105.258 | 381.464 | 0.000 | -0.000 | 0.000 |
| 4.835 | 4.835 | -0.520 | 53.110 | 0.000 | 0.000 |
| 4.835 | 4.835 | -0.520 | 0.000 | 53.110 | 0.000 |
| -0.000 | 0.000 | 0.000 | 0.000 | -0.000 | 55.483 |
| 155.293 | 129.783 | 104.352 | 0.000 | 0.000 | -0.000 |
| 116.082 | 227.048 | 101.230 | -0.000 | 0.000 | -0.000 |
| 102.812 | 102.812 | 381.727 | -0.000 | -0.000 | -0.000 |
| -4.835 | -4.835 | 0.520 | 53.110 | 0.000 | -0.000 |
| -4.835 | -4.835 | 0.520 | -0.000 | 53.110 | -0.000 |
| 0.000 | -0.000 | -0.000 | -0.000 | 0.000 | 55.483 |
| 150.169 | 134.493 | 104.374 | 0.000 | -0.000 | 0.000 |
| 1595.242 | -1275.828 | 102.515 | 0.000 | -0.000 | 0.000 |
| 104.217 | 104.217 | 381.576 | 0.000 | -0.000 | 0.000 |
| 0.660 | 0.660 | -0.071 | 51.105 | 0.000 | 0.000 |
| 0.660 | 0.660 | -0.071 | 0.000 | 51.105 | 0.000 |
| 2.323 | 2.322 | -0.249 | 0.000 | -0.000 | -332.970 |
| 227.048 | 116.082 | 101.230 | -0.000 | 0.000 | -0.000 |
| 133.549 | 151.225 | 104.368 | -0.000 | 0.000 | -0.000 |
| 103.986 | 103.986 | 381.600 | -0.000 | 0.000 | -0.000 |
| -0.660 | -0.660 | 0.071 | 51.105 | 0.000 | -0.000 |
| -0.660 | -0.660 | 0.071 | -0.000 | 51.105 | -0.000 |
| -2.323 | -2.322 | 0.249 | -0.000 | 0.000 | -332.970 |
| -359.779 | 684.925 | 102.215 | 0.000 | -0.000 | 0.000 |
| 1531.009 | -1212.198 | 102.624 | 0.000 | -0.000 | 0.000 |
| 102.813 | 102.813 | 381.729 | 0.000 | 0.000 | 0.000 |
| 0.012 | 0.011 | -0.001 | 51.075 | -0.000 | 0.000 |
| 0.012 | 0.012 | -0.001 | 0.000 | 51.075 | 0.000 |
| 2.611 | 2.560 | -0.197 | 0.000 | -0.000 | -1354.798 |
| 227.047 | 116.081 | 101.229 | -0.000 | 0.000 | -0.000 |
| 1595.294 | -1276.365 | 102.438 | -0.000 | 0.000 | -0.000 |
| 102.812 | 102.812 | 381.725 | -0.000 | 0.000 | -0.000 |
| -0.012 | -0.011 | 0.001 | 51.075 | -0.000 | -0.000 |
| -0.012 | -0.012 | 0.001 | -0.000 | 51.075 | -0.000 |
| -2.611 | -2.560 | 0.197 | -0.000 | 0.000 | -1354.798 |
| 84.896 | 136.883 | 136.883 | 0.000 | 0.000 | -0.000 |
| 136.883 | 84.896 | 136.883 | 0.000 | 0.000 | -0.000 |
| 136.883 | 136.883 | 84.896 | 0.000 | 0.000 | -0.000 |
| -0.000 | -0.000 | 0.000 | 83.897 | -0.000 | -0.000 |
| -0.000 | -0.000 | 0.000 | 0.000 | 83.897 | -0.000 |
| -0.000 | -0.000 | -0.000 | 0.000 | -0.000 | 83.897 |
| 84.896 | 136.883 | 136.883 | -0.000 | -0.000 | 0.000 |
| 136.883 | 84.896 | 136.883 | -0.000 | -0.000 | 0.000 |
| 136.883 | 136.883 | 84.896 | -0.000 | -0.000 | 0.000 |
| 0.000 | 0.000 | -0.000 | 83.897 | -0.000 | 0.000 |
| 0.000 | 0.000 | -0.000 | -0.000 | 83.897 | 0.000 |
| 0.000 | 0.000 | 0.000 | -0.000 | 0.000 | 83.897 |
| 84.896 | 136.883 | 136.883 | 0.000 | 0.000 | -0.000 |
| 136.883 | 84.896 | 136.883 | 0.000 | -0.000 | -0.000 |
| 136.883 | 136.883 | 84.896 | 0.000 | 0.000 | -0.000 |
| -0.000 | -0.000 | 0.000 | 83.897 | -0.000 | -0.000 |
| -0.000 | -0.000 | 0.000 | 0.000 | 83.897 | -0.000 |
| -0.000 | 0.000 | -0.000 | 0.000 | 0.000 | 83.897 |
| 84.896 | 136.883 | 136.883 | -0.000 | -0.000 | 0.000 |
| 136.883 | 84.896 | 136.883 | -0.000 | 0.000 | 0.000 |
| 136.883 | 136.883 | 84.896 | -0.000 | -0.000 | 0.000 |
| 0.000 | 0.000 | -0.000 | 83.897 | -0.000 | 0.000 |
| 0.000 | 0.000 | -0.000 | -0.000 | 83.897 | 0.000 |
| 0.000 | -0.000 | 0.000 | -0.000 | 0.000 | 83.897 |
| 84.894 | 136.883 | 136.883 | 0.000 | 0.000 | -0.000 |
| 136.883 | 84.894 | 136.883 | 0.000 | 0.000 | -0.000 |
| 136.883 | 136.883 | 84.894 | 0.000 | 0.000 | -0.000 |
| -0.000 | -0.000 | 0.000 | 83.897 | -0.000 | -0.000 |
| -0.000 | -0.000 | 0.000 | 0.000 | 83.897 | -0.000 |
| -0.000 | 0.000 | -0.000 | 0.000 | 0.000 | 83.897 |
| 84.898 | 136.883 | 136.883 | -0.000 | 0.000 | 0.000 |
| 136.883 | 84.898 | 136.883 | 0.000 | -0.000 | 0.000 |
| 136.883 | 136.883 | 84.898 | -0.000 | 0.000 | 0.000 |
| 0.000 | 0.000 | -0.000 | 83.897 | -0.000 | 0.000 |
| 0.000 | 0.000 | -0.000 | -0.000 | 83.897 | 0.000 |
| 0.000 | -0.000 | 0.000 | -0.000 | 0.000 | 83.897 |
| 325.200 | 96.378 | 96.378 | -0.000 | -0.000 | -0.000 |
| 96.378 | 325.200 | 96.378 | -0.000 | -0.000 | -0.000 |
| 96.378 | 96.378 | 325.200 | -0.000 | 0.000 | -0.000 |
| 0.000 | -0.000 | 0.000 | 50.662 | 0.000 | -0.000 |
| 0.000 | 0.000 | 0.000 | 0.000 | 50.662 | -0.000 |
| 0.000 | 0.000 | 0.000 | 0.000 | 0.000 | 50.662 |
| 325.496 | 96.231 | 96.231 | -0.000 | -0.000 | -0.000 |
| 96.231 | 325.496 | 96.231 | -0.000 | -0.000 | 0.000 |
| 96.231 | 96.231 | 325.496 | -0.000 | -0.000 | 0.000 |
| -0.000 | -0.000 | -0.000 | 50.662 | -0.000 | 0.000 |
| 0.000 | -0.000 | -0.000 | -0.000 | 50.662 | -0.000 |
| -0.000 | 0.000 | -0.000 | -0.000 | -0.000 | 50.662 |
| 325.200 | 96.378 | 96.378 | -0.000 | 0.000 | -0.000 |
| 96.378 | 325.200 | 96.378 | 0.000 | 0.000 | -0.000 |
| 96.378 | 96.378 | 325.200 | 0.000 | 0.000 | -0.000 |
| -0.000 | -0.000 | -0.000 | 52.224 | 0.000 | -0.000 |
| -0.000 | -0.000 | -0.000 | 0.000 | 52.224 | -0.000 |
| -0.000 | -0.000 | 0.000 | 0.000 | 0.000 | 52.224 |
| 325.496 | 96.231 | 96.231 | 0.000 | -0.000 | 0.000 |
| 96.231 | 325.496 | 96.231 | -0.000 | -0.000 | 0.000 |
| 96.231 | 96.231 | 325.496 | -0.000 | -0.000 | 0.000 |
| 0.000 | 0.000 | 0.000 | 52.224 | -0.000 | 0.000 |
| 0.000 | 0.000 | 0.000 | -0.000 | 52.224 | 0.000 |
| 0.000 | 0.000 | -0.000 | 0.000 | -0.000 | 52.224 |
| 325.496 | 96.231 | 96.231 | 0.000 | 0.000 | -0.000 |
| 96.231 | 325.496 | 96.231 | -0.000 | 0.000 | 0.000 |
| 96.231 | 96.231 | 325.496 | 0.000 | 0.000 | -0.000 |
| -0.000 | -0.000 | -0.000 | 52.224 | 0.000 | -0.000 |
| -0.000 | -0.000 | -0.000 | -0.000 | 52.224 | -0.000 |
| -0.000 | -0.000 | -0.000 | 0.000 | 0.000 | 52.224 |
| 325.199 | 96.378 | 96.378 | 0.000 | -0.000 | 0.000 |
| 96.378 | 325.199 | 96.378 | 0.000 | -0.000 | 0.000 |
| 96.378 | 96.378 | 325.199 | -0.000 | -0.000 | 0.000 |
| 0.000 | 0.000 | 0.000 | 52.224 | -0.000 | 0.000 |
| 0.000 | 0.000 | 0.000 | -0.000 | 52.224 | 0.000 |
| 0.000 | 0.000 | 0.000 | -0.000 | -0.000 | 52.224 |
| 268.906 | 157.598 | 157.598 | 0.000 | -0.000 | -0.000 |
| 157.598 | 268.906 | 157.598 | 0.000 | -0.000 | -0.000 |
| 157.598 | 157.598 | 268.906 | -0.000 | -0.000 | -0.000 |
| 0.000 | 0.000 | 0.000 | 90.415 | -0.000 | -0.000 |
| 0.000 | 0.000 | 0.000 | 0.000 | 90.415 | -0.000 |
| 0.000 | 0.000 | -0.000 | -0.000 | -0.000 | 90.415 |
| 268.906 | 157.598 | 157.598 | -0.000 | 0.000 | 0.000 |
| 157.598 | 268.906 | 157.598 | -0.000 | 0.000 | 0.000 |
| 157.598 | 157.598 | 268.906 | -0.000 | 0.000 | 0.000 |
| -0.000 | -0.000 | -0.000 | 90.415 | 0.000 | 0.000 |
| -0.000 | -0.000 | 0.000 | 0.000 | 90.415 | 0.000 |
| -0.000 | -0.000 | -0.000 | -0.000 | 0.000 | 90.415 |
| 268.906 | 157.598 | 157.598 | 0.000 | -0.000 | -0.000 |
| 157.598 | 268.906 | 157.598 | 0.000 | -0.000 | -0.000 |
| 157.598 | 157.598 | 268.906 | -0.000 | -0.000 | -0.000 |
| 0.000 | 0.000 | 0.000 | 90.415 | 0.000 | -0.000 |
| 0.000 | 0.000 | 0.000 | -0.000 | 90.415 | -0.000 |
| 0.000 | 0.000 | 0.000 | -0.000 | -0.000 | 90.415 |
| 268.906 | 157.598 | 157.598 | 0.000 | 0.000 | 0.000 |
| 157.598 | 268.906 | 157.598 | -0.000 | 0.000 | 0.000 |
| 157.598 | 157.598 | 268.906 | 0.000 | 0.000 | 0.000 |
| -0.000 | -0.000 | -0.000 | 90.415 | 0.000 | 0.000 |
| -0.000 | -0.000 | -0.000 | -0.000 | 90.415 | 0.000 |
| -0.000 | -0.000 | -0.000 | 0.000 | 0.000 | 90.415 |
| 268.907 | 157.599 | 157.599 | -0.000 | 0.000 | -0.000 |
| 157.599 | 268.907 | 157.599 | 0.000 | -0.000 | -0.000 |
| 157.599 | 157.599 | 268.907 | -0.000 | -0.000 | -0.000 |
| 0.000 | 0.000 | 0.000 | 90.415 | 0.000 | -0.000 |
| 0.000 | 0.000 | 0.000 | 0.000 | 90.415 | -0.000 |
| 0.000 | 0.000 | 0.000 | 0.000 | -0.000 | 90.415 |
| 268.905 | 157.598 | 157.598 | -0.000 | 0.000 | 0.000 |
| 157.598 | 268.905 | 157.598 | -0.000 | 0.000 | 0.000 |
| 157.598 | 157.598 | 268.905 | -0.000 | 0.000 | 0.000 |
| -0.000 | -0.000 | -0.000 | 90.415 | 0.000 | 0.000 |
| -0.000 | -0.000 | -0.000 | 0.000 | 90.415 | 0.000 |
| -0.000 | -0.000 | -0.000 | -0.000 | 0.000 | 90.415 |
| -2609349996.653 | -2696980019.467 | -2670509994.755 | -1221.832 | 1396.806 | -674.933 |
| -2696969992.265 | -2609349996.653 | -2670509994.755 | -176.465 | -153.225 | -490.675 |
| -2662530012.559 | -2662540009.918 | -2762370004.991 | -943.537 | -622.007 | -419.116 |
| 0.000 | 0.000 | 0.000 | 86219794.194 | 131.137 | -342.840 |
| 0.000 | 0.000 | 0.000 | -1334.973 | 86222655.671 | -420.595 |
| 0.000 | 0.000 | 0.000 | 10.972 | 290.026 | 43810146.146 |
| -13573080004.789 | 8858250023.958 | -2459469994.921 | -23948.802 | 4199.988 | 5302446.017 |
| 8722249998.590 | -13437079979.420 | -2459469994.921 | -31848.483 | 4309.115 | 5302403.865 |
| -2662540009.918 | -2662529982.716 | -2762370004.991 | 274.442 | -2136.103 | -64.866 |
| -0.000 | -0.000 | -0.000 | 86221519.226 | -2680.024 | 136.963 |
| -0.000 | -0.000 | -0.000 | -523.607 | 86220946.266 | 300.948 |
| -0.000 | -0.000 | -0.000 | 299.975 | 1128.377 | 43812405.469 |
| -13823762001.623 | 8457922999.162 | -2691254000.253 | 9009.051 | -533.249 | -530288.200 |
| -2670748000.559 | -2635578001.696 | -2670504999.059 | -60.899 | 158.726 | -1306.396 |
| -2685309000.061 | -2698907000.142 | -2783473999.005 | 2829.965 | -402.856 | -530220.073 |
| -22768999.096 | -36376999.521 | -21106999.191 | 86223655.165 | -482.567 | -530289.091 |
| -22778999.440 | -36367002.161 | -21106999.191 | 2810.130 | 86220482.183 | -530279.898 |
| -23080000.549 | -36471001.562 | -20756999.082 | 1781.786 | 4281.874 | -11148202797.116 |
| -24888298000.822 | 19818376001.759 | -2586119999.894 | 18943.761 | 1819.838 | 1058931.389 |
| 19790012999.332 | -24859980998.188 | -2586121999.366 | -35473.760 | 1747.494 | 1059044.746 |
| -2639760998.541 | -2626161998.725 | -2741259000.887 | -2718.345 | 305.939 | 530207.147 |
| 22767999.360 | 36376999.521 | 21106999.191 | 86217944.577 | 226.703 | 530298.446 |
| 22778999.440 | 36367002.161 | 21106999.191 | -2758.131 | 86220895.435 | 530193.052 |
| 23080000.549 | 36471001.562 | 20756999.082 | -1726.791 | 5103.043 | -11147141904.904 |
| -13734716200.150 | 8420243500.024 | -2668824199.940 | 11118.065 | -46.802 | -52711.624 |
| 133695799.839 | -5440793300.148 | -2670444099.917 | -475.163 | -8.904 | -13428.611 |
| -2672912899.896 | -2675705400.064 | -2770946499.809 | 705.350 | -158.277 | -105901.110 |
| 31300.092 | -217000.008 | -63999.815 | 86220976.855 | 15.819 | -9334.646 |
| 12999.851 | -198700.065 | -63999.815 | -7.528 | 86221001.799 | -9361.604 |
| -31300.092 | -82699.952 | -6700.022 | -18.796 | 23.042 | -745771731.152 |
| -5439777400.069 | 134220100.188 | -2670565200.176 | 450.639 | -7.077 | 13423.577 |
| 19559096700.080 | -24836347299.979 | -2677813799.993 | -41187.443 | 161.083 | 105254.654 |
| -2662552500.053 | -2662322399.922 | -2762305299.988 | 1.137 | -1.667 | 9340.203 |
| -31400.066 | 217099.982 | 63999.815 | 86220985.935 | 5.001 | 9333.946 |
| -12999.851 | 198700.065 | 63999.815 | 7.419 | 86220967.443 | 9308.073 |
| 31400.066 | 82900.197 | 6700.022 | 7.654 | 36.500 | -747504391.478 |
| 187.699 | 99.109 | 51.853 | -0.000 | 0.000 | 0.000 |
| 224.671 | 62.137 | 51.853 | -0.000 | 0.000 | 0.000 |
| 51.853 | 51.853 | 162.820 | 0.000 | 0.000 | -0.000 |
| 0.000 | -0.000 | 0.000 | -5.207 | 0.000 | -0.000 |
| 0.000 | -0.000 | 0.000 | -0.000 | -5.207 | 0.000 |
| -0.000 | -0.000 | -0.000 | -0.000 | 0.000 | -182.087 |
| 187.699 | 99.109 | 51.853 | 0.000 | 0.000 | -0.000 |
| 99.109 | 187.699 | 51.853 | 0.000 | 0.000 | 0.000 |
| 51.853 | 51.853 | 162.820 | -0.000 | 0.000 | -0.000 |
| -0.000 | 0.000 | -0.000 | -5.207 | -0.000 | 0.000 |
| -0.000 | 0.000 | -0.000 | 0.000 | -5.207 | 0.000 |
| 0.000 | 0.000 | 0.000 | 0.000 | -0.000 | -182.087 |
| 187.699 | 99.109 | 51.853 | -0.000 | 0.000 | -0.000 |
| 325.491 | -38.685 | 51.853 | -0.000 | -0.000 | -0.000 |
| 51.853 | 51.853 | 162.820 | 0.000 | 0.000 | 0.000 |
| 0.000 | -0.000 | -0.000 | -5.207 | 0.000 | -0.000 |
| -0.000 | 0.000 | -0.000 | -0.000 | -5.207 | -0.000 |
| -0.000 | -0.000 | -0.000 | 0.000 | 0.000 | -81.267 |
| 62.137 | 224.671 | 51.853 | -0.000 | 0.000 | 0.000 |
| 99.109 | 187.699 | 51.853 | 0.000 | -0.000 | 0.000 |
| 51.853 | 51.853 | 162.820 | 0.000 | 0.000 | -0.000 |
| -0.000 | 0.000 | 0.000 | -5.207 | -0.000 | 0.000 |
| 0.000 | -0.000 | 0.000 | 0.000 | -5.207 | 0.000 |
| 0.000 | 0.000 | 0.000 | 0.000 | -0.000 | -81.267 |
| 124.916 | 161.889 | 51.852 | -0.000 | 0.000 | -0.000 |
| 175.952 | 110.853 | 51.852 | -0.000 | 0.000 | -0.000 |
| 51.853 | 51.853 | 162.821 | 0.000 | -0.000 | -0.000 |
| 0.000 | -0.001 | -0.000 | -5.207 | 0.000 | -0.000 |
| -0.000 | -0.000 | -0.000 | -0.000 | -5.207 | -0.000 |
| -0.005 | -0.000 | -0.003 | -0.000 | 0.000 | -106.472 |
| 0.370 | 286.446 | 51.857 | 0.000 | -0.000 | 0.000 |
| 106.956 | 179.852 | 51.853 | 0.000 | 0.000 | 0.000 |
| 51.853 | 51.853 | 162.820 | 0.000 | -0.000 | -0.000 |
| -0.000 | 0.001 | 0.000 | -5.207 | 0.000 | 0.000 |
| 0.000 | 0.000 | 0.000 | 0.000 | -5.207 | 0.000 |
| 0.005 | 0.000 | 0.003 | 0.000 | -0.000 | -106.472 |
| -11108322310006.367 | 10481168470006.182 | -166184500004.256 | -17726.011 | -4050.487 | -94766.434 |
| 60137549991.062 | -65237419991.895 | -2686860005.397 | -635.139 | -3513.943 | 1053.333 |
| -2675129998.583 | -2675129998.583 | -2830590019.278 | -4162.842 | -4151.164 | 388.463 |
| 0.000 | -9997.360 | 0.000 | 65080168.048 | -4675.890 | 143.919 |
| 0.000 | 0.000 | 0.000 | 656.454 | 65072739.791 | 404.224 |
| -465673569999.886 | -157401100004.924 | -163657100008.013 | -433.739 | 3060.744 | -10948947662576.924 |
| -65216320011.745 | 60159159985.780 | -2675259994.105 | 1030.004 | 2993.325 | -686.327 |
| 11103240829984.926 | -10486243660017.053 | 160822380004.755 | 5342.813 | 7316.720 | -15194.098 |
| -2675129998.583 | -2675120001.223 | -2830579992.076 | 2015.507 | 10755.921 | 353.190 |
| -0.000 | 9997.360 | -0.000 | 65079587.769 | 7083.706 | -639.545 |
| -0.000 | -0.000 | -0.000 | -1078.519 | 65084333.085 | -439.988 |
| 465675439983.672 | 157399269980.735 | 163657120002.732 | 486.516 | 14348.532 | -10948948137691.080 |
| -46420940999.901 | 41239692000.107 | -2708599001.869 | -119.432 | -313.745 | 21.372 |
| 44463053000.778 | -49660336998.880 | -2712951001.845 | -227.600 | -572.885 | -6.204 |
| -2675130998.319 | -2675130998.319 | -2830586002.429 | 308.664 | -214.660 | 118.782 |
| 0.000 | -999.736 | -1002.720 | 65077668.674 | -114.301 | 19.172 |
| 0.000 | 0.000 | -1002.720 | 151.087 | 65077165.871 | 24.966 |
| -17035955999.040 | -5749634998.746 | -6045496002.007 | -215.255 | -928.188 | -661924731839.112 |
| -49643441001.079 | 44684209000.817 | -2649032997.750 | 203.862 | 634.673 | 63.433 |
| 81535576999.276 | -86245345000.458 | -2580996997.554 | 172.001 | 534.163 | 39.846 |
| -3033250999.010 | -2178904000.311 | -2747479999.835 | -56803.020 | -1331.724 | 15886917.198 |
| -0.000 | -0.000 | 1002.720 | 65078342.958 | 638.294 | -63.495 |
| 999.736 | -0.000 | -0.000 | 16.771 | 65078338.957 | -40.692 |
| 17035946998.432 | 5749641999.882 | 6045495002.271 | 88.545 | 775.525 | -661924700795.778 |
| -10725152800.039 | 5610637500.175 | -2690864500.127 | -41.609 | -21.718 | 4.569 |
| 1497706700.065 | -6585551099.906 | -2683583600.183 | 13.698 | -17.411 | 4.584 |
| -2675136399.878 | -2675136399.878 | -2830591300.134 | -24.442 | 39.230 | 6.351 |
| 4196532500.158 | -4205990899.993 | -2540400.175 | 65013882.318 | -70.012 | 185944.973 |
| -80247499.857 | 80241300.001 | -3100.077 | 13.825 | 65076522.373 | -1335.475 |
| -6951500.067 | -2356099.890 | -2521800.012 | -28.602 | -64.722 | -4040272185.802 |
| -6983789400.174 | 1916494000.015 | -2678027599.951 | 13.113 | 79.400 | -3.924 |
| -2620602000.145 | -2457891199.910 | -2681054299.763 | 92.178 | 19.787 | 0.673 |
| -2681160700.023 | -2668242700.070 | -2830076699.911 | 1135.238 | -51.165 | -446846.642 |
| -4191999700.166 | 4201437999.936 | 2535100.082 | 65013353.740 | 62.385 | 183184.167 |
| 80243699.965 | -80237500.109 | 3100.077 | -4.661 | 65076638.161 | 1658.018 |
| 6951500.067 | 2356099.890 | 2521800.012 | 25.933 | 50.602 | -4040272189.904 |
| -474.188 | 753.290 | 50.888 | 0.000 | -0.000 | -0.000 |
| 97.975 | 181.128 | 50.888 | -0.000 | -0.000 | -0.000 |
| 50.888 | 50.888 | 147.869 | 0.000 | -0.000 | 0.000 |
| 0.000 | -0.000 | 0.000 | -12.700 | -0.000 | -0.000 |
| -0.000 | -0.000 | -0.000 | -0.000 | -12.700 | 0.000 |
| -0.000 | -0.000 | -0.000 | -0.000 | -0.000 | -289.661 |
| -1101.491 | 1380.596 | 50.889 | 0.000 | 0.000 | -0.000 |
| 97.975 | 181.128 | 50.888 | 0.000 | 0.000 | -0.000 |
| 50.888 | 50.888 | 147.869 | 0.000 | 0.000 | -0.000 |
| -0.000 | 0.000 | 0.000 | -12.700 | 0.000 | -0.000 |
| 0.000 | 0.000 | -0.000 | -0.000 | -12.700 | 0.000 |
| 0.000 | 0.000 | 0.000 | -0.000 | 0.000 | -289.661 |
| 181.128 | 97.975 | 50.888 | -0.000 | -0.000 | 0.000 |
| 97.975 | 181.128 | 50.888 | 0.000 | -0.000 | 0.000 |
| 50.888 | 50.888 | 147.870 | -0.000 | -0.000 | 0.000 |
| 0.000 | -0.000 | 0.000 | -12.700 | -0.000 | 0.000 |
| -0.000 | 0.000 | 0.000 | 0.000 | -12.700 | -0.000 |
| -0.000 | -0.000 | -0.000 | -0.000 | -0.000 | 41.576 |
| 181.128 | 97.975 | 50.888 | -0.000 | 0.000 | -0.000 |
| 429.212 | -150.108 | 50.889 | -0.000 | 0.000 | -0.000 |
| 50.888 | 50.888 | 147.869 | 0.000 | 0.000 | -0.000 |
| -0.000 | 0.000 | -0.000 | -12.700 | 0.000 | -0.000 |
| 0.000 | -0.000 | -0.000 | 0.000 | -12.700 | -0.000 |
| 0.000 | 0.000 | 0.000 | 0.000 | 0.000 | 41.576 |
| -12604.569 | 12865.655 | 45.593 | 0.000 | -0.000 | -0.000 |
| -2568273.794 | -4113171.394 | -5790860.503 | 85015.360 | -2240.478 | 380085.475 |
| 50.888 | 50.888 | 147.871 | 0.000 | 0.000 | 0.000 |
| 0.001 | -0.002 | 0.000 | -12.700 | -0.000 | 0.000 |
| -0.002 | 0.001 | 0.000 | 0.000 | -12.700 | 0.000 |
| 10736.879 | -6458486.978 | -6642018.868 | 0.000 | 0.000 | -5602444.013 |
| -312.149 | 591.284 | 50.900 | 0.000 | 0.000 | -0.000 |
| 429.212 | -150.094 | 50.895 | 0.000 | 0.000 | -0.000 |
| 50.888 | 50.888 | 147.867 | -0.000 | 0.000 | 0.000 |
| -0.001 | 0.002 | -0.000 | -12.700 | 0.000 | -0.000 |
| 0.002 | -0.001 | -0.000 | -0.000 | -12.700 | 0.000 |
| 4155386.021 | 5373146.892 | 8665208.828 | 0.407 | -0.529 | 1422207.488 |
| 311.880 | 145.925 | 145.925 | -0.000 | -0.000 | 0.000 |
| 145.925 | 311.880 | 145.925 | 0.000 | -0.000 | 0.000 |
| 145.925 | 145.925 | 311.880 | -0.000 | -0.000 | 0.000 |
| -0.000 | -0.000 | 0.000 | 29.939 | -0.000 | 0.000 |
| -0.000 | -0.000 | -0.000 | 0.000 | 29.939 | 0.000 |
| -0.000 | -0.000 | 0.000 | 0.000 | -0.000 | 29.939 |
| 311.880 | 145.925 | 145.925 | 0.000 | 0.000 | -0.000 |
| 145.925 | 311.880 | 145.925 | 0.000 | 0.000 | -0.000 |
| 145.925 | 145.925 | 311.880 | 0.000 | 0.000 | -0.000 |
| 0.000 | 0.000 | -0.000 | 29.939 | 0.000 | -0.000 |
| 0.000 | 0.000 | -0.000 | -0.000 | 29.939 | -0.000 |
| 0.000 | 0.000 | -0.000 | -0.000 | 0.000 | 29.939 |
| 311.880 | 145.925 | 145.925 | 0.000 | 0.000 | 0.000 |
| 145.925 | 311.880 | 145.925 | -0.000 | -0.000 | 0.000 |
| 145.925 | 145.925 | 311.880 | -0.000 | -0.000 | 0.000 |
| -0.000 | 0.000 | 0.000 | 168.368 | -0.000 | 0.000 |
| 0.000 | 0.000 | 0.000 | 0.000 | 168.368 | 0.000 |
| 0.000 | 0.000 | 0.000 | -0.000 | -0.000 | 168.368 |
| 311.879 | 145.925 | 145.925 | -0.000 | 0.000 | -0.000 |
| 145.925 | 311.879 | 145.925 | 0.000 | 0.000 | -0.000 |
| 145.925 | 145.925 | 311.879 | 0.000 | 0.000 | -0.000 |
| 0.000 | -0.000 | -0.000 | 168.368 | 0.000 | -0.000 |
| -0.000 | -0.000 | -0.000 | -0.000 | 168.368 | -0.000 |
| -0.000 | -0.000 | -0.000 | -0.000 | 0.000 | 168.368 |
| 311.883 | 145.926 | 145.926 | 0.000 | -0.000 | 0.000 |
| 145.926 | 311.883 | 145.926 | 0.000 | -0.000 | 0.000 |
| 145.926 | 145.926 | 311.883 | 0.000 | 0.000 | 0.000 |
| 0.000 | 0.001 | 0.001 | 29.939 | -0.000 | 0.000 |
| 0.001 | 0.000 | 0.001 | 0.000 | 29.939 | 0.000 |
| 0.001 | 0.001 | 0.000 | -0.000 | -0.000 | 29.939 |
| 311.877 | 145.924 | 145.924 | -0.000 | 0.000 | -0.000 |
| 145.924 | 311.877 | 145.924 | 0.000 | 0.000 | -0.000 |
| 145.924 | 145.924 | 311.877 | -0.000 | 0.000 | -0.000 |
| -0.000 | -0.001 | -0.001 | 29.939 | 0.000 | -0.000 |
| -0.001 | -0.000 | -0.001 | -0.000 | 29.939 | -0.000 |
| -0.001 | -0.001 | -0.000 | -0.000 | 0.000 | 29.939 |
| 36.684 | 39.039 | 39.039 | -0.000 | -0.000 | -0.000 |
| 39.039 | 36.684 | 39.039 | -0.000 | -0.000 | -0.000 |
| 39.039 | 39.039 | 36.684 | -0.000 | -0.000 | -0.000 |
| -0.000 | 0.000 | -0.000 | 56.283 | 0.000 | 0.000 |
| -0.000 | -0.000 | -0.000 | 0.000 | 56.283 | 0.000 |
| -0.000 | -0.000 | -0.000 | -0.000 | 0.000 | 56.283 |
| 36.684 | 39.039 | 39.039 | 0.000 | 0.000 | 0.000 |
| 39.039 | 36.684 | 39.039 | 0.000 | 0.000 | 0.000 |
| 39.039 | 39.039 | 36.684 | 0.000 | 0.000 | 0.000 |
| 0.000 | 0.000 | -0.000 | 56.283 | -0.000 | -0.000 |
| 0.000 | -0.000 | 0.000 | -0.000 | 56.283 | -0.000 |
| 0.000 | -0.000 | -0.000 | -0.000 | -0.000 | 56.283 |
| 36.684 | 39.039 | 39.039 | -0.000 | -0.000 | -0.000 |
| 39.039 | 36.684 | 39.039 | -0.000 | -0.000 | -0.000 |
| 39.039 | 39.039 | 36.684 | -0.000 | -0.000 | -0.000 |
| -0.000 | -0.000 | -0.000 | -12.698 | -0.000 | -0.000 |
| -0.000 | -0.000 | -0.000 | -0.000 | -12.698 | -0.000 |
| -0.000 | -0.000 | -0.000 | -0.000 | -0.000 | -12.698 |
| 36.684 | 39.039 | 39.039 | 0.000 | 0.000 | 0.000 |
| 39.039 | 36.684 | 39.039 | 0.000 | 0.000 | 0.000 |
| 39.039 | 39.039 | 36.684 | 0.000 | 0.000 | 0.000 |
| 0.000 | 0.000 | 0.000 | -12.698 | 0.000 | 0.000 |
| 0.000 | 0.000 | 0.000 | 0.000 | -12.698 | 0.000 |
| 0.000 | 0.000 | 0.000 | -0.000 | 0.000 | -12.698 |
| 36.684 | 39.039 | 39.039 | -0.000 | -0.000 | -0.000 |
| 39.039 | 36.684 | 39.039 | -0.000 | -0.000 | -0.000 |
| 39.039 | 39.039 | 36.684 | -0.000 | -0.000 | -0.000 |
| -0.000 | -0.000 | -0.000 | -12.698 | -0.000 | -0.000 |
| -0.000 | -0.000 | -0.000 | -0.000 | -12.698 | -0.000 |
| -0.000 | -0.000 | -0.000 | -0.000 | -0.000 | -12.698 |
| 36.684 | 39.039 | 39.039 | 0.000 | 0.000 | 0.000 |
| 39.039 | 36.684 | 39.039 | 0.000 | 0.000 | 0.000 |
| 39.039 | 39.039 | 36.684 | 0.000 | 0.000 | 0.000 |
| 0.000 | 0.000 | 0.000 | -12.698 | 0.000 | 0.000 |
| 0.000 | 0.000 | 0.000 | 0.000 | -12.698 | 0.000 |
| 0.000 | 0.000 | 0.000 | 0.000 | 0.000 | -12.698 |
| -41.439 | 353.961 | 43.177 | 0.000 | 0.000 | -0.000 |
| 353.961 | -41.439 | 43.177 | 0.000 | 0.000 | -0.000 |
| 43.177 | 43.177 | 207.540 | -0.000 | 0.000 | -0.000 |
| 0.000 | 0.000 | -0.000 | -2.344 | 0.000 | -0.000 |
| 0.000 | 0.000 | -0.000 | 0.000 | -2.344 | -0.000 |
| 0.000 | -0.000 | 0.000 | -0.000 | 0.000 | -42.953 |
| -41.439 | 353.961 | 43.177 | -0.000 | -0.000 | 0.000 |
| 353.961 | -41.439 | 43.177 | -0.000 | -0.000 | 0.000 |
| 43.177 | 43.177 | 207.540 | 0.000 | -0.000 | 0.000 |
| -0.000 | -0.000 | 0.000 | -2.344 | -0.000 | -0.000 |
| -0.000 | -0.000 | 0.000 | -0.000 | -2.344 | 0.000 |
| -0.000 | -0.000 | -0.000 | -0.000 | -0.000 | -42.953 |
| -41.439 | 353.961 | 43.176 | -0.000 | 0.000 | -0.000 |
| 353.961 | -41.439 | 43.176 | 0.000 | 0.000 | -0.000 |
| 43.177 | 43.177 | 207.540 | -0.000 | -0.000 | -0.000 |
| -0.000 | 0.000 | -0.000 | -2.344 | 0.000 | -0.000 |
| 0.000 | -0.000 | -0.000 | -0.000 | -2.344 | -0.000 |
| 0.000 | 0.000 | 0.000 | -0.000 | 0.000 | -42.953 |
| -41.439 | 353.961 | 43.178 | 0.000 | -0.000 | 0.000 |
| 353.961 | -41.439 | 43.178 | 0.000 | -0.000 | 0.000 |
| 43.177 | 43.177 | 207.540 | -0.000 | -0.000 | 0.000 |
| 0.000 | -0.000 | 0.000 | -2.344 | -0.000 | -0.000 |
| -0.000 | 0.000 | 0.000 | 0.000 | -2.344 | 0.000 |
| -0.000 | -0.000 | -0.000 | 0.000 | -0.000 | -42.953 |
| -41.443 | 353.963 | 43.168 | 0.000 | 0.000 | 0.000 |
| 353.963 | -41.443 | 43.168 | 0.000 | 0.000 | -0.000 |
| 43.177 | 43.177 | 207.540 | 0.000 | 0.000 | -0.000 |
| -0.000 | 0.000 | -0.000 | -2.344 | 0.000 | 0.000 |
| 0.000 | -0.000 | -0.000 | -0.000 | -2.344 | -0.000 |
| 0.000 | 0.000 | 0.000 | 0.000 | 0.000 | -42.953 |
| -41.436 | 353.959 | 43.187 | -0.000 | -0.000 | 0.000 |
| 353.959 | -41.436 | 43.187 | -0.000 | -0.000 | 0.000 |
| 43.178 | 43.178 | 207.539 | 0.000 | -0.000 | 0.000 |
| 0.000 | -0.000 | 0.000 | -2.344 | -0.000 | 0.000 |
| -0.000 | 0.000 | 0.000 | -0.000 | -2.344 | 0.000 |
| -0.000 | -0.000 | -0.000 | -0.000 | -0.000 | -42.953 |
| 229.951 | 2.339 | 136.526 | -0.000 | 0.000 | -0.000 |
| 2.339 | 229.951 | 136.526 | -0.000 | -0.000 | -0.000 |
| 136.526 | 136.526 | 271.514 | 0.000 | 0.000 | -0.000 |
| -0.000 | -0.000 | 0.000 | 84.467 | -0.000 | -0.000 |
| -0.000 | -0.000 | 0.000 | -0.000 | 84.467 | -0.000 |
| 0.000 | -0.000 | 0.000 | -0.000 | -0.000 | -41.822 |
| 229.951 | 2.339 | 136.526 | 0.000 | 0.000 | 0.000 |
| 2.339 | 229.951 | 136.526 | 0.000 | 0.000 | 0.000 |
| 136.526 | 136.526 | 271.514 | 0.000 | -0.000 | 0.000 |
| 0.000 | 0.000 | -0.000 | 84.467 | 0.000 | 0.000 |
| 0.000 | 0.000 | -0.000 | 0.000 | 84.467 | 0.000 |
| 0.000 | 0.000 | -0.000 | 0.000 | -0.000 | -41.822 |
| 229.951 | 2.339 | 136.526 | -0.000 | 0.000 | -0.000 |
| 2.339 | 229.951 | 136.526 | -0.000 | -0.000 | -0.000 |
| 136.526 | 136.526 | 271.514 | -0.000 | 0.000 | -0.000 |
| -0.000 | -0.000 | 0.000 | 84.467 | -0.000 | -0.000 |
| -0.000 | -0.000 | 0.000 | -0.000 | 84.467 | -0.000 |
| 0.000 | 0.000 | 0.000 | -0.000 | -0.000 | -41.822 |
| 229.951 | 2.339 | 136.526 | 0.000 | 0.000 | 0.000 |
| 2.339 | 229.951 | 136.526 | 0.000 | 0.000 | 0.000 |
| 136.526 | 136.526 | 271.514 | 0.000 | 0.000 | 0.000 |
| 0.000 | 0.000 | -0.000 | 84.467 | 0.000 | 0.000 |
| 0.000 | 0.000 | -0.000 | 0.000 | 84.467 | 0.000 |
| -0.000 | -0.000 | -0.000 | 0.000 | 0.000 | -41.822 |
| 229.953 | 2.339 | 136.526 | -0.000 | 0.000 | -0.000 |
| 2.339 | 229.953 | 136.526 | -0.000 | -0.000 | -0.000 |
| 136.526 | 136.526 | 271.513 | -0.000 | 0.000 | -0.000 |
| -0.000 | -0.000 | 0.000 | 84.467 | -0.000 | -0.000 |
| -0.000 | -0.000 | 0.000 | -0.000 | 84.467 | -0.000 |
| 0.000 | 0.000 | 0.000 | -0.000 | 0.000 | -41.822 |
| 229.949 | 2.339 | 136.526 | 0.000 | 0.000 | 0.000 |
| 2.339 | 229.949 | 136.526 | 0.000 | -0.000 | 0.000 |
| 136.526 | 136.526 | 271.514 | 0.000 | -0.000 | 0.000 |
| 0.000 | 0.000 | -0.000 | 84.467 | -0.000 | 0.000 |
| 0.000 | 0.000 | -0.000 | 0.000 | 84.467 | 0.000 |
| -0.000 | -0.000 | -0.000 | 0.000 | 0.000 | -41.822 |
| -2302640007.649 | -2573169998.839 | -2588960008.113 | -127546668.723 | -18466.294 | 1031.374 |
| -2573189993.559 | -2302630010.289 | -2588960008.113 | 127526965.479 | -10908.750 | -720.648 |
| -2585409990.379 | -2585399993.019 | -2607710011.830 | -11190.207 | 3383.693 | 2639.659 |
| -127549988.200 | 127539990.841 | 0.000 | 126606061.781 | -5752.980 | -264.161 |
| -9997.360 | 0.000 | 0.000 | -2163.774 | 126612332.424 | -127542822.696 |
| -9997.360 | 0.000 | 0.000 | -846.658 | -127542421.279 | 135273638.758 |
| -2302620012.929 | -2573169998.839 | -2588960008.113 | -127541346.272 | -7344.558 | -2142.885 |
| -2573169998.839 | -2302620012.929 | -2588960008.113 | 127551835.262 | -774.331 | 3291.058 |
| -2585389995.659 | -2585409990.379 | -2607720009.190 | 4749.853 | -1620.111 | 896.861 |
| -127529993.481 | 127549988.200 | -9997.360 | 126622276.340 | 13158.978 | 1124.063 |
| 9997.360 | -0.000 | -0.000 | 429.306 | 126609021.827 | -127540500.193 |
| 9997.360 | -0.000 | -0.000 | 304.689 | -127541916.724 | 135273643.855 |
| -2302629998.352 | -2573176000.239 | -2588956999.952 | -127541639.371 | -537.228 | 61.641 |
| -2573177999.711 | -2302627998.880 | -2588956999.952 | 127540205.045 | 1304.353 | 104.016 |
| -2585398999.251 | -2585396999.779 | -2607721999.709 | -751.820 | -1162.513 | -15.920 |
| -127542999.001 | 127540999.529 | 999.736 | 126612119.835 | 2.758 | 152.064 |
| -999.736 | 0.000 | 999.736 | -215.885 | 126612963.896 | -127541447.723 |
| -999.736 | 0.000 | 0.000 | -264.600 | -127540772.034 | 135273881.687 |
| -2302624999.672 | -2573176999.975 | -2588956999.952 | -127540028.009 | 305.422 | 70.044 |
| -2573175000.503 | -2302625999.408 | -2588956999.952 | 127541695.788 | -1430.881 | -109.501 |
| -2585396000.043 | -2585396000.043 | -2607720999.973 | 1032.187 | -2050.886 | -36.457 |
| -127539999.793 | 127541999.265 | -0.000 | 126613181.289 | -571.068 | 55.618 |
| 999.736 | -0.000 | -999.736 | 212.778 | 126612577.012 | -127541299.329 |
| 999.736 | -0.000 | -0.000 | 213.353 | -127541047.012 | 135274059.462 |
| -2302635199.963 | -2573180499.946 | -2588960299.976 | -127542717.237 | -25.756 | 15.177 |
| -2573180899.841 | -2302634800.069 | -2588960299.976 | 127543112.222 | -24.858 | 4.784 |
| -2585400799.970 | -2585400600.023 | -2607720899.999 | -66.168 | 72.233 | -13.750 |
| -127541300.047 | 127541599.968 | 800.087 | 126613308.060 | 43.427 | 30.312 |
| 299.921 | 199.947 | 900.061 | -650.936 | 126612784.104 | -127541347.935 |
| -1499.902 | -1699.850 | 199.947 | -514.696 | -127541263.500 | 135274766.584 |
| -2302616700.073 | -2573170700.146 | -2588954100.121 | -127540026.260 | -58.404 | 10.187 |
| -2573170299.954 | -2302617199.941 | -2588954200.094 | 127539480.871 | 81.459 | 6.531 |
| -2585394700.088 | -2585394800.062 | -2607724699.891 | -41.582 | -76.066 | 0.781 |
| -127541400.021 | 127541000.126 | -900.061 | 126612202.266 | -90.851 | 6.133 |
| -199.947 | -299.921 | -900.061 | 625.998 | 126612732.795 | -127541343.773 |
| 1499.902 | 1699.850 | -199.947 | 521.988 | -127541316.494 | 135274771.590 |
| 239.334 | 120.280 | 92.433 | -33.871 | 0.000 | 0.000 |
| 120.280 | 239.334 | 92.433 | 33.871 | 0.000 | 0.000 |
| 94.961 | 94.961 | 268.191 | -0.000 | -0.000 | 0.000 |
| -33.871 | 33.871 | 0.000 | 35.635 | -0.000 | -0.000 |
| -0.000 | -0.000 | 0.000 | -0.000 | 35.635 | -33.871 |
| -0.000 | -0.000 | 0.000 | -0.000 | -33.871 | 59.527 |
| 239.334 | 120.280 | 92.433 | -33.871 | 0.000 | -0.000 |
| 120.280 | 239.334 | 92.433 | 33.871 | -0.000 | -0.000 |
| 94.961 | 94.961 | 268.191 | -0.000 | 0.000 | -0.000 |
| -33.871 | 33.871 | -0.000 | 35.635 | 0.000 | -0.000 |
| 0.000 | 0.000 | -0.000 | 0.000 | 35.635 | -33.871 |
| 0.000 | 0.000 | -0.000 | 0.000 | -33.871 | 59.527 |
| 239.334 | 120.280 | 92.433 | -33.871 | -0.000 | 0.000 |
| 120.280 | 239.334 | 92.433 | 33.871 | -0.000 | 0.000 |
| 94.961 | 94.961 | 268.191 | -0.000 | -0.000 | 0.000 |
| -33.871 | 33.871 | -0.000 | 35.635 | -0.000 | 0.000 |
| -0.000 | -0.000 | -0.000 | -0.000 | 35.635 | -33.871 |
| -0.000 | -0.000 | -0.000 | -0.000 | -33.871 | 59.527 |
| 239.334 | 120.280 | 92.433 | -33.871 | -0.000 | -0.000 |
| 120.280 | 239.334 | 92.433 | 33.871 | -0.000 | -0.000 |
| 94.961 | 94.961 | 268.192 | -0.000 | 0.000 | 0.000 |
| -33.871 | 33.871 | 0.000 | 35.635 | 0.000 | 0.000 |
| 0.000 | 0.000 | 0.000 | 0.000 | 35.635 | -33.871 |
| 0.000 | 0.000 | 0.000 | 0.000 | -33.871 | 59.527 |
| 239.334 | 120.280 | 92.432 | -33.871 | -0.000 | 0.000 |
| 120.280 | 239.334 | 92.432 | 33.871 | -0.000 | 0.000 |
| 94.961 | 94.961 | 268.191 | 0.000 | -0.000 | 0.000 |
| -33.871 | 33.870 | -0.000 | 35.635 | 0.000 | 0.000 |
| -0.000 | -0.000 | -0.000 | -0.000 | 35.635 | -33.871 |
| -0.000 | -0.000 | -0.000 | -0.000 | -33.871 | 59.527 |
| 239.335 | 120.280 | 92.433 | -33.870 | 0.000 | -0.000 |
| 120.280 | 239.335 | 92.433 | 33.870 | 0.000 | -0.000 |
| 94.961 | 94.961 | 268.192 | -0.000 | 0.000 | 0.000 |
| -33.871 | 33.871 | 0.000 | 35.635 | 0.000 | -0.000 |
| 0.000 | 0.000 | 0.000 | 0.000 | 35.635 | -33.871 |
| 0.000 | 0.000 | 0.000 | 0.000 | -33.871 | 59.527 |
| 427.260 | -95.192 | -95.192 | 0.000 | -0.000 | -0.000 |
| -95.192 | 427.260 | -95.192 | 0.000 | -0.000 | 0.000 |
| -95.192 | -95.192 | 427.260 | 0.000 | -0.000 | -0.000 |
| -0.000 | 0.000 | 0.000 | -30.104 | -0.000 | -0.000 |
| -0.000 | 0.000 | 0.000 | 0.000 | -30.104 | 0.000 |
| -0.000 | -0.000 | 0.000 | -0.000 | -0.000 | -30.104 |
| 427.260 | -95.192 | -95.192 | -0.000 | -0.000 | 0.000 |
| -95.192 | 427.260 | -95.192 | -0.000 | 0.000 | -0.000 |
| -95.192 | -95.192 | 427.260 | -0.000 | 0.000 | -0.000 |
| 0.000 | -0.000 | 0.000 | -30.104 | 0.000 | 0.000 |
| 0.000 | -0.000 | 0.000 | -0.000 | -30.104 | -0.000 |
| 0.000 | 0.000 | -0.000 | 0.000 | 0.000 | -30.104 |
| 427.260 | -95.192 | -95.192 | 0.000 | -0.000 | 0.000 |
| -95.192 | 427.260 | -95.192 | 0.000 | -0.000 | 0.000 |
| -95.192 | -95.192 | 427.260 | 0.000 | -0.000 | 0.000 |
| 0.000 | 0.000 | -0.000 | -30.104 | -0.000 | -0.000 |
| 0.000 | 0.000 | -0.000 | 0.000 | -30.104 | 0.000 |
| 0.000 | -0.000 | 0.000 | 0.000 | -0.000 | -30.104 |
| 427.260 | -95.192 | -95.192 | -0.000 | 0.000 | -0.000 |
| -95.192 | 427.260 | -95.192 | -0.000 | 0.000 | 0.000 |
| -95.192 | -95.192 | 427.260 | -0.000 | 0.000 | -0.000 |
| -0.000 | -0.000 | 0.000 | -30.104 | 0.000 | -0.000 |
| -0.000 | -0.000 | 0.000 | -0.000 | -30.104 | -0.000 |
| -0.000 | 0.000 | -0.000 | -0.000 | 0.000 | -30.104 |
| 427.261 | -95.192 | -95.192 | 0.000 | -0.000 | 0.000 |
| -95.192 | 427.261 | -95.192 | 0.000 | -0.000 | 0.000 |
| -95.192 | -95.192 | 427.261 | 0.000 | 0.000 | 0.000 |
| 0.000 | 0.000 | -0.000 | -30.104 | -0.000 | -0.000 |
| 0.000 | 0.000 | -0.000 | 0.000 | -30.104 | 0.000 |
| 0.000 | -0.000 | 0.000 | 0.000 | -0.000 | -30.104 |
| 427.259 | -95.191 | -95.191 | -0.000 | 0.000 | -0.000 |
| -95.191 | 427.259 | -95.191 | 0.000 | 0.000 | -0.000 |
| -95.191 | -95.191 | 427.259 | -0.000 | 0.000 | -0.000 |
| -0.000 | -0.000 | 0.000 | -30.104 | 0.000 | -0.000 |
| -0.000 | -0.000 | 0.000 | -0.000 | -30.104 | -0.000 |
| -0.000 | 0.000 | -0.000 | -0.000 | 0.000 | -30.104 |
| 0.000 | 0.000 | -0.000 | 0.000 | 0.000 | 0.000 |
| 0.000 | 0.000 | -0.000 | -0.000 | 0.000 | 0.000 |
| 0.000 | 0.000 | 47.430 | -0.000 | 0.000 | 0.000 |
| 0.000 | 0.000 | -0.000 | 0.000 | 0.000 | -0.000 |
| -0.000 | 0.000 | -0.000 | 0.000 | 0.000 | 0.000 |
| 0.000 | 0.000 | -0.000 | 0.000 | 0.000 | 0.000 |
| -0.000 | -0.000 | 0.000 | -0.000 | -0.000 | -0.000 |
| -0.000 | -0.000 | 0.000 | -0.000 | -0.000 | -0.000 |
| -0.000 | -0.000 | 47.430 | 0.000 | -0.000 | -0.000 |
| -0.000 | 0.000 | 0.000 | 0.000 | -0.000 | -0.000 |
| 0.000 | -0.000 | 0.000 | 0.000 | -0.000 | -0.000 |
| -0.000 | -0.000 | 0.000 | -0.000 | -0.000 | -0.000 |
| 0.000 | 0.000 | -0.000 | 0.000 | 0.000 | 0.000 |
| 0.000 | 0.000 | -0.000 | 0.000 | 0.000 | 0.000 |
| 0.000 | 0.000 | 47.430 | 0.000 | 0.000 | 0.000 |
| 0.000 | -0.000 | -0.000 | 0.000 | 0.000 | -0.000 |
| 0.000 | 0.000 | -0.000 | 0.000 | 0.000 | 0.000 |
| 0.000 | 0.000 | -0.000 | 0.000 | 0.000 | 0.000 |
| -0.000 | -0.000 | 0.000 | -0.000 | -0.000 | -0.000 |
| -0.000 | -0.000 | 0.000 | -0.000 | -0.000 | -0.000 |
| -0.000 | -0.000 | 47.430 | 0.000 | -0.000 | -0.000 |
| -0.000 | -0.000 | 0.000 | -0.000 | -0.000 | -0.000 |
| -0.000 | -0.000 | 0.000 | -0.000 | -0.000 | -0.000 |
| -0.000 | -0.000 | 0.000 | -0.000 | -0.000 | -0.000 |
| 0.000 | 0.000 | -0.000 | 0.000 | 0.000 | 0.000 |
| 0.000 | 0.000 | -0.000 | 0.000 | 0.000 | 0.000 |
| 0.000 | 0.000 | 47.430 | -0.000 | 0.000 | 0.000 |
| 0.000 | 0.000 | -0.000 | 0.000 | 0.000 | 0.000 |
| -0.000 | 0.000 | -0.000 | 0.000 | 0.000 | 0.000 |
| 0.000 | 0.000 | -0.000 | 0.000 | 0.000 | 0.000 |
| -0.000 | -0.000 | 0.000 | -0.000 | -0.000 | -0.000 |
| -0.000 | -0.000 | 0.000 | -0.000 | -0.000 | -0.000 |
| -0.000 | -0.000 | 47.430 | -0.000 | -0.000 | -0.000 |
| -0.000 | 0.000 | 0.000 | -0.000 | -0.000 | 0.000 |
| 0.000 | -0.000 | 0.000 | -0.000 | -0.000 | -0.000 |
| -0.000 | -0.000 | 0.000 | -0.000 | -0.000 | -0.000 |
| 361.250 | 278.172 | -531.222 | 0.000 | -0.000 | 0.000 |
| 127.789 | 218.717 | 102.274 | 0.000 | -0.000 | 0.000 |
| 254.414 | 254.414 | -448.669 | 0.000 | 0.000 | 0.000 |
| -1534281406.111 | -1932737489.718 | -2423460575.611 | -365398344.101 | -0.000 | -0.000 |
| 147.366 | 147.366 | -637.424 | 0.000 | -69.888 | 0.000 |
| 0.000 | 0.000 | -0.000 | 0.000 | -0.000 | 45.464 |
| 66.503 | -16.575 | 743.690 | -0.000 | 0.000 | -0.000 |
| 127.789 | 218.717 | 102.274 | -0.000 | 0.000 | -0.000 |
| -40.298 | -40.298 | 826.093 | -0.000 | 0.000 | -0.000 |
| 1534281772.804 | 1932736826.008 | 2423460690.971 | -365398058.880 | -0.002 | 0.007 |
| -147.366 | -147.366 | 637.424 | -0.000 | -69.888 | -0.000 |
| -0.000 | -0.000 | 0.000 | 0.000 | 0.000 | 45.464 |
| 228.745 | 145.771 | 41.698 | 0.000 | -0.000 | 0.000 |
| 145.771 | 228.745 | 41.698 | 0.000 | -0.000 | 0.000 |
| 103.097 | 103.097 | 205.843 | 0.000 | -0.000 | 0.000 |
| 15.009 | 15.009 | -64.920 | 26.472 | -0.000 | 0.000 |
| 15.009 | 15.009 | -64.920 | 0.000 | 26.472 | 0.000 |
| 14.909 | 14.909 | -64.487 | 0.000 | -0.000 | 41.493 |
| 218.717 | 127.789 | 102.274 | -0.000 | 0.000 | -0.000 |
| 115.940 | 198.937 | 170.678 | -0.000 | 0.000 | -0.000 |
| 92.322 | 92.322 | 252.450 | -0.000 | 0.000 | -0.000 |
| -15.009 | -15.009 | 64.920 | 26.472 | 0.000 | -0.000 |
| -15.009 | -15.009 | 64.920 | -0.000 | 26.472 | -0.000 |
| -14.909 | -14.909 | 64.487 | -0.000 | -0.000 | 41.493 |
| 218.718 | 127.790 | 102.274 | 0.000 | -0.000 | 0.000 |
| 140.850 | 208.909 | 95.243 | 0.000 | -0.000 | 0.000 |
| 108.532 | 108.532 | 182.339 | 0.000 | -0.000 | 0.000 |
| -15342826.216 | -19327396.432 | -24234647.709 | -3653948.207 | -0.000 | 0.000 |
| -20315178.315 | -20538107.005 | -17299839.470 | 14622.890 | -11172.368 | -42491.401 |
| 0.000 | 0.000 | 0.000 | 0.000 | -0.000 | 45.464 |
| 201.558 | 140.286 | 112.353 | -0.000 | 0.000 | -0.000 |
| 129.909 | 209.999 | 116.542 | -0.000 | 0.000 | -0.000 |
| 105.584 | 105.584 | 195.085 | -0.000 | 0.000 | -0.000 |
| 15342826.216 | 19327396.432 | 24234647.709 | -3653948.207 | -0.000 | 0.000 |
| 20501433.070 | 20621398.532 | 17344841.384 | -79062.357 | 6610.471 | -4969.145 |
| -0.000 | -0.000 | -0.000 | -0.000 | 0.000 | 45.464 |
| 215.079 | 125.969 | 103.910 | 0.000 | 0.000 | -0.000 |
| 125.969 | 215.079 | 103.910 | 0.000 | 0.000 | -0.000 |
| 103.910 | 103.910 | 206.720 | 0.000 | -0.000 | -0.000 |
| -0.000 | -0.000 | -0.000 | 37.527 | 0.000 | -0.000 |
| -0.000 | -0.000 | 0.000 | 0.000 | 37.527 | -0.000 |
| 0.000 | -0.000 | 0.000 | 0.000 | -0.000 | 44.555 |
| 215.079 | 125.969 | 103.910 | 0.000 | 0.000 | 0.000 |
| 125.969 | 215.079 | 103.910 | 0.000 | 0.000 | 0.000 |
| 108.007 | 108.007 | 188.591 | -0.000 | -0.000 | 0.000 |
| 0.000 | 0.000 | -0.000 | 37.527 | 0.000 | 0.000 |
| -0.000 | 0.000 | -0.000 | -0.000 | 37.527 | 0.000 |
| -0.000 | 0.000 | 0.000 | 0.000 | -0.000 | 44.555 |
| 202.694 | 133.941 | 113.673 | 0.000 | -0.000 | -0.000 |
| 133.941 | 202.694 | 113.673 | 0.000 | 0.000 | -0.000 |
| 103.910 | 103.910 | 206.720 | 0.000 | -0.000 | -0.000 |
| -0.000 | 0.000 | 0.000 | 37.527 | 0.000 | -0.000 |
| 0.000 | -0.000 | 0.000 | -0.000 | 37.527 | -0.000 |
| 0.000 | 0.000 | -0.000 | 0.000 | -0.000 | 30.018 |
| 202.694 | 133.941 | 113.674 | -0.000 | 0.000 | 0.000 |
| 133.941 | 202.694 | 113.674 | -0.000 | 0.000 | 0.000 |
| 103.910 | 103.910 | 206.720 | 0.000 | -0.000 | 0.000 |
| 0.000 | -0.000 | -0.000 | 37.527 | 0.000 | 0.000 |
| -0.000 | 0.000 | -0.000 | -0.000 | 37.527 | 0.000 |
| -0.000 | -0.000 | 0.000 | -0.000 | 0.000 | 30.018 |
| 198.728 | 140.777 | 107.327 | -0.000 | -0.000 | -0.000 |
| 125.969 | 215.080 | 103.910 | -0.000 | -0.000 | -0.000 |
| 103.910 | 103.910 | 206.720 | 0.000 | 0.000 | -0.000 |
| -0.000 | 0.000 | 0.000 | 37.527 | -0.000 | -0.000 |
| 0.000 | -0.000 | 0.000 | 0.000 | 37.527 | -0.000 |
| 0.000 | 0.000 | -0.000 | 0.000 | -0.000 | 30.018 |
| 198.726 | 140.776 | 107.327 | -0.000 | 0.000 | 0.000 |
| 125.969 | 215.077 | 103.910 | 0.000 | 0.000 | 0.000 |
| 108.006 | 108.006 | 188.593 | 0.000 | -0.000 | 0.000 |
| 0.000 | -0.000 | -0.000 | 37.527 | -0.000 | 0.000 |
| -0.000 | 0.000 | -0.000 | 0.000 | 37.527 | 0.000 |
| -0.000 | -0.000 | 0.000 | -0.000 | 0.000 | 30.018 |
| 0.000 | 0.000 | 0.000 | 0.000 | -0.000 | 0.000 |
| 0.000 | 0.000 | 0.000 | 0.000 | -0.000 | 0.000 |
| 0.000 | 0.000 | 25.907 | 0.000 | 0.000 | 0.000 |
| 0.000 | -0.000 | 0.000 | -0.000 | -0.000 | -0.000 |
| -0.000 | 0.000 | 0.000 | 0.000 | -0.000 | 0.000 |
| 0.000 | 0.000 | 0.000 | 0.000 | -0.000 | 0.000 |
| -0.000 | -0.000 | -0.000 | -0.000 | 0.000 | -0.000 |
| -0.000 | -0.000 | -0.000 | -0.000 | 0.000 | -0.000 |
| -0.000 | -0.000 | 25.907 | -0.000 | 0.000 | -0.000 |
| -0.000 | 0.000 | -0.000 | -0.000 | 0.000 | 0.000 |
| -0.000 | -0.000 | -0.000 | -0.000 | 0.000 | -0.000 |
| -0.000 | -0.000 | -0.000 | -0.000 | 0.000 | -0.000 |
| 0.000 | 0.000 | 0.000 | 0.000 | -0.000 | 0.000 |
| 0.000 | 0.000 | 0.000 | 0.000 | -0.000 | 0.000 |
| 0.000 | 0.000 | 25.907 | 0.000 | 0.000 | 0.000 |
| 0.000 | 0.000 | -0.000 | 0.000 | -0.000 | -0.000 |
| 0.000 | 0.000 | -0.000 | 0.000 | 0.000 | 0.000 |
| 0.000 | 0.000 | 0.000 | 0.000 | -0.000 | 0.000 |
| -0.000 | -0.000 | -0.000 | -0.000 | 0.000 | -0.000 |
| -0.000 | -0.000 | -0.000 | -0.000 | 0.000 | -0.000 |
| -0.000 | -0.000 | 25.907 | -0.000 | 0.000 | -0.000 |
| -0.000 | 0.000 | 0.000 | -0.000 | 0.000 | -0.000 |
| 0.000 | -0.000 | 0.000 | -0.000 | 0.000 | -0.000 |
| -0.000 | -0.000 | -0.000 | -0.000 | 0.000 | -0.000 |
| 0.000 | 0.000 | 0.000 | 0.000 | -0.000 | 0.000 |
| 0.000 | 0.000 | 0.000 | 0.000 | -0.000 | 0.000 |
| 0.000 | 0.000 | 25.907 | 0.000 | -0.000 | 0.000 |
| 0.000 | 0.000 | -0.000 | 0.000 | 0.000 | -0.000 |
| 0.000 | 0.000 | -0.000 | 0.000 | -0.000 | 0.000 |
| 0.000 | 0.000 | 0.000 | 0.000 | -0.000 | 0.000 |
| -0.000 | -0.000 | -0.000 | -0.000 | -0.000 | -0.000 |
| -0.000 | -0.000 | -0.000 | -0.000 | 0.000 | -0.000 |
| -0.000 | -0.000 | 25.907 | 0.000 | 0.000 | -0.000 |
| -0.000 | 0.000 | 0.000 | -0.000 | -0.000 | -0.000 |
| -0.000 | -0.000 | 0.000 | -0.000 | -0.000 | -0.000 |
| -0.000 | -0.000 | -0.000 | -0.000 | 0.000 | -0.000 |
| 265.229 | 112.419 | 97.626 | -0.000 | -0.000 | 0.000 |
| 112.419 | 265.229 | 97.626 | -0.000 | 0.000 | 0.000 |
| -333.845 | -333.845 | 532.058 | -0.000 | -0.000 | -0.000 |
| -45.848 | -45.848 | 86.839 | 49.302 | 0.000 | 0.000 |
| -45.848 | -45.848 | 86.839 | -0.000 | 49.302 | 0.000 |
| 0.000 | -0.000 | -0.000 | -0.000 | -0.000 | 63.321 |
| 306.810 | 158.916 | 11.853 | 0.000 | 0.000 | -0.000 |
| 158.916 | 306.810 | 11.853 | 0.000 | -0.000 | -0.000 |
| 143.886 | 143.886 | 244.341 | 0.000 | -0.000 | -0.000 |
| 45.848 | 45.848 | -86.839 | 49.302 | 0.000 | 0.000 |
| 45.848 | 45.848 | -86.839 | 0.000 | 49.302 | -0.000 |
| -0.000 | -0.000 | -0.000 | 0.000 | 0.000 | 63.321 |
| 212.654 | 70.857 | 119.934 | -0.000 | -0.000 | 0.000 |
| 70.857 | 212.654 | 119.934 | -0.000 | 0.000 | -0.000 |
| 93.453 | 93.453 | 339.864 | -0.000 | -0.000 | 0.000 |
| -4.585 | -4.585 | 8.684 | 49.302 | -0.000 | -0.000 |
| -4.585 | -4.585 | 8.684 | -0.000 | 49.302 | 0.000 |
| -0.000 | 0.000 | -0.000 | -0.000 | -0.000 | 63.321 |
| 265.557 | 117.652 | 90.004 | 0.000 | 0.000 | -0.000 |
| 117.652 | 265.557 | 90.004 | -0.000 | 0.000 | 0.000 |
| 142.448 | 142.448 | 310.219 | 0.000 | -0.000 | 0.000 |
| 4.585 | 4.585 | -8.684 | 49.302 | -0.000 | 0.000 |
| 4.585 | 4.585 | -8.684 | 0.000 | 49.302 | -0.000 |
| 0.000 | -0.000 | 0.000 | 0.000 | 0.000 | 63.321 |
| 250.744 | 110.358 | 101.551 | -0.000 | 0.000 | -0.000 |
| 110.358 | 250.744 | 101.551 | -0.000 | 0.000 | 0.000 |
| 94.829 | 94.829 | 332.403 | -0.000 | -0.000 | -0.000 |
| -4.328 | -4.329 | 2.016 | 48.626 | 0.000 | -0.000 |
| -4.329 | -4.328 | 2.016 | -0.000 | 48.626 | 0.000 |
| -0.463 | -0.463 | 0.876 | -0.000 | 0.000 | 61.052 |
| 265.229 | 112.418 | 97.626 | 0.000 | 0.000 | -0.000 |
| 112.418 | 265.229 | 97.626 | 0.000 | -0.000 | 0.000 |
| 98.506 | 98.506 | 330.301 | 0.000 | -0.000 | 0.000 |
| 4.328 | 4.329 | -2.016 | 48.626 | -0.000 | 0.000 |
| 4.329 | 4.328 | -2.016 | 0.000 | 48.626 | -0.000 |
| 0.463 | 0.463 | -0.876 | 0.000 | 0.000 | 61.052 |
| 265.175 | 112.397 | 97.633 | -0.000 | -0.000 | 0.000 |
| 112.397 | 265.175 | 97.633 | 0.000 | -0.000 | -0.000 |
| 96.980 | 96.980 | 332.058 | 0.000 | 0.000 | -0.000 |
| -59.479 | -59.479 | 123.151 | 48.764 | -0.000 | 0.000 |
| -59.479 | -59.479 | 123.151 | -0.000 | 48.764 | -0.000 |
| 0.000 | -0.000 | 0.000 | -0.000 | 0.000 | 63.318 |
| 265.175 | 112.397 | 97.633 | 0.000 | -0.000 | 0.000 |
| 112.397 | 265.175 | 97.633 | 0.000 | -0.000 | 0.000 |
| 158.442 | 158.442 | 207.356 | 0.000 | 0.000 | -0.000 |
| 59.479 | 59.479 | -123.151 | 48.764 | 0.000 | 0.000 |
| 59.479 | 59.479 | -123.151 | 0.000 | 48.764 | -0.000 |
| 0.000 | -0.000 | -0.000 | -0.000 | -0.000 | 63.317 |
| 265.175 | 112.398 | 97.633 | -0.000 | 0.000 | 0.000 |
| 112.397 | 265.175 | 97.633 | 0.000 | -0.000 | -0.000 |
| 89.229 | 89.229 | 341.299 | 0.000 | 0.000 | -0.000 |
| -10.220 | -10.220 | 10.995 | 48.274 | -0.000 | 0.000 |
| -10.220 | -10.220 | 10.995 | -0.000 | 48.274 | -0.000 |
| -14.146 | -14.146 | 14.265 | -0.000 | 0.000 | 54.835 |
| 265.175 | 112.397 | 97.633 | -0.000 | -0.000 | 0.000 |
| 112.397 | 265.175 | 97.633 | 0.000 | 0.000 | -0.000 |
| 96.980 | 96.980 | 332.058 | -0.000 | 0.000 | -0.000 |
| 10.220 | 10.220 | -10.995 | 48.274 | -0.000 | -0.000 |
| 10.220 | 10.220 | -10.995 | 0.000 | 48.274 | 0.000 |
| 14.146 | 14.146 | -14.265 | 0.000 | 0.000 | 54.835 |
| 256.120 | 113.099 | 100.970 | -0.000 | -0.000 | 0.000 |
| 113.099 | 256.120 | 100.970 | -0.000 | 0.000 | -0.000 |
| 98.652 | 98.652 | 331.250 | 0.000 | -0.000 | 0.000 |
| -0.000 | -0.000 | -0.000 | 49.862 | -0.000 | -0.000 |
| -0.000 | -0.000 | -0.000 | 0.000 | 49.862 | -0.000 |
| -1.330 | -1.330 | 1.351 | -0.000 | -0.000 | 55.332 |
| 265.175 | 112.397 | 97.633 | 0.000 | -0.000 | 0.000 |
| 112.397 | 265.175 | 97.633 | 0.000 | -0.000 | -0.000 |
| 96.980 | 96.980 | 332.057 | 0.000 | 0.000 | -0.000 |
| 0.000 | 0.000 | 0.000 | 49.862 | 0.000 | -0.000 |
| 0.000 | 0.000 | 0.000 | 0.000 | 49.862 | -0.000 |
| 1.330 | 1.330 | -1.351 | -0.000 | -0.000 | 55.332 |
| 92.990 | 59.271 | 49.252 | 0.000 | -0.000 | 16.146 |
| 59.271 | 92.990 | 49.252 | 0.000 | -0.000 | -16.146 |
| -240.642 | -240.642 | 69.266 | -0.000 | -0.000 | 0.000 |
| 0.000 | 0.000 | 0.000 | 33.574 | -0.000 | 0.000 |
| 0.000 | 0.000 | 0.000 | -0.000 | 33.574 | 0.000 |
| 16.147 | -16.146 | 0.000 | 0.000 | -0.000 | 49.961 |
| 92.990 | 59.271 | 49.252 | -0.000 | 0.000 | 16.146 |
| 59.271 | 92.990 | 49.252 | -0.000 | 0.000 | -16.146 |
| 240.592 | 240.592 | 37.655 | -0.000 | 0.000 | -0.000 |
| -0.000 | -0.000 | -0.000 | 33.574 | 0.000 | -0.000 |
| -0.000 | -0.000 | 0.000 | 0.000 | 33.574 | -0.000 |
| 16.146 | -16.147 | -0.000 | -0.000 | 0.000 | 49.961 |
| 92.990 | 59.271 | 49.252 | 0.000 | -0.000 | 16.146 |
| 59.271 | 92.990 | 49.252 | 0.000 | -0.000 | -16.146 |
| 49.387 | 49.387 | 86.513 | 0.000 | -0.000 | 0.000 |
| -29.469 | -29.469 | -0.876 | 27.963 | -0.000 | 0.000 |
| -29.469 | -29.469 | -0.876 | -0.000 | 27.963 | -0.000 |
| 16.146 | -16.146 | 0.000 | 0.000 | -0.000 | 49.961 |
| 86.844 | 75.143 | 37.557 | 0.000 | 0.000 | 16.482 |
| 75.143 | 86.844 | 37.557 | 0.000 | 0.000 | -16.482 |
| 49.387 | 49.387 | 86.513 | -0.000 | 0.000 | -0.000 |
| 29.469 | 29.469 | 0.876 | 27.963 | 0.000 | -0.000 |
| 29.469 | 29.469 | 0.876 | 0.000 | 27.963 | 0.000 |
| 16.146 | -16.146 | -0.000 | -0.000 | 0.000 | 49.961 |
| 54.683 | 45.934 | 40.385 | 0.000 | -0.000 | 14.866 |
| 45.934 | 54.683 | 40.385 | 0.000 | -0.000 | -14.866 |
| 49.388 | 49.388 | 86.514 | 0.000 | -0.000 | 0.000 |
| 0.000 | 0.000 | 0.000 | 33.574 | -0.000 | 0.000 |
| 0.000 | 0.000 | 0.000 | 0.000 | 33.574 | -0.000 |
| 11.911 | -17.269 | -0.173 | -0.000 | -0.000 | 37.029 |
| 64.420 | 49.775 | 42.653 | -0.000 | -0.000 | 14.670 |
| 49.775 | 64.420 | 42.653 | -0.000 | 0.000 | -14.670 |
| 43.301 | 43.301 | 52.785 | -0.000 | 0.000 | -0.000 |
| -0.000 | -0.000 | -0.000 | 33.574 | 0.000 | -0.000 |
| -0.000 | -0.000 | -0.000 | 0.000 | 33.574 | 0.000 |
| 17.269 | -11.911 | 0.173 | -0.000 | 0.000 | 37.029 |
| 120.339 | 107.275 | 29.189 | -0.000 | -0.000 | 0.000 |
| 103.291 | 251.634 | 36.668 | 0.000 | -0.000 | 0.000 |
| 27.816 | 37.346 | 342.493 | -0.000 | -0.000 | 0.000 |
| 0.000 | 0.000 | -0.000 | 2.589 | -0.000 | 0.000 |
| -0.002 | -0.001 | -0.000 | -0.000 | -952.363 | 0.000 |
| -0.000 | -0.000 | -0.000 | -0.000 | -0.000 | 93.446 |
| 174.506 | 136.272 | 33.348 | 0.000 | 0.000 | -0.000 |
| 132.288 | 267.157 | 38.895 | 0.000 | 0.000 | 0.000 |
| 23.656 | 35.119 | 342.173 | 0.000 | 0.000 | -0.000 |
| -0.000 | -0.000 | 0.000 | 2.589 | 0.000 | -0.000 |
| 0.002 | 0.001 | 0.000 | -0.000 | -952.363 | -0.000 |
| 0.000 | 0.000 | 0.000 | 0.000 | 0.000 | 93.446 |
| 120.339 | 107.275 | 29.189 | -0.000 | -0.000 | -0.000 |
| 132.288 | 267.157 | 38.895 | 0.000 | -0.000 | 0.000 |
| 27.816 | 37.346 | 342.493 | -0.000 | -0.000 | 0.000 |
| 0.000 | 0.000 | 0.000 | 2.589 | -0.000 | -0.000 |
| 0.000 | 0.000 | 0.000 | 0.000 | -6.539 | 0.000 |
| -0.000 | 0.000 | -0.000 | -0.000 | -0.000 | 93.446 |
| 174.506 | 136.272 | 33.348 | -0.000 | 0.000 | 0.000 |
| 132.288 | 267.157 | 38.895 | 0.000 | 0.000 | -0.000 |
| 27.816 | 37.346 | 342.493 | 0.000 | 0.000 | 0.000 |
| -0.000 | -0.000 | -0.000 | 2.589 | 0.000 | 0.000 |
| -0.000 | -0.000 | -0.000 | 0.000 | -6.539 | -0.000 |
| 0.000 | -0.000 | 0.000 | 0.000 | 0.000 | 93.446 |
| 120.340 | 107.276 | 29.189 | -0.000 | -0.000 | -0.000 |
| 132.289 | 267.158 | 38.895 | 0.000 | -0.000 | 0.000 |
| 23.656 | 35.119 | 342.175 | 0.000 | -0.000 | 0.000 |
| 8062692.177 | 3870864.851 | -8488594.010 | -519623.903 | 1105284.123 | 17043.838 |
| 8003130.873 | 3711856.540 | -8531122.035 | -0.000 | -2187765.458 | 0.000 |
| -0.000 | 0.001 | -0.000 | -0.000 | -0.000 | 93.446 |
| 174.506 | 136.272 | 33.348 | 0.000 | 0.000 | 0.000 |
| 132.288 | 267.156 | 38.894 | -0.000 | 0.000 | -0.000 |
| 23.656 | 35.119 | 342.171 | 0.000 | 0.000 | -0.000 |
| -8071969.577 | -3691602.427 | 8609322.195 | 21.932 | 0.000 | 0.000 |
| -8003130.873 | -3711856.540 | 8531122.035 | 0.000 | -2187765.458 | -0.000 |
| 0.000 | -0.001 | 0.000 | 0.000 | 0.000 | 93.446 |
| 225.214 | 84.483 | 84.483 | -0.000 | -0.000 | 0.000 |
| 84.483 | 225.214 | 84.483 | -0.000 | -0.000 | 0.000 |
| 84.483 | 84.483 | 225.214 | 0.000 | -0.000 | -0.000 |
| -20.555 | -20.555 | -20.555 | 44.582 | -0.000 | 0.000 |
| -20.555 | -20.555 | -20.555 | -0.000 | 44.582 | -0.000 |
| -20.555 | -20.555 | -20.555 | -0.000 | -0.000 | 44.582 |
| 267.334 | 134.506 | 134.506 | 0.000 | 0.000 | 0.000 |
| 134.506 | 267.334 | 134.506 | 0.000 | 0.000 | 0.000 |
| 134.506 | 134.506 | 267.334 | -0.000 | 0.000 | 0.000 |
| 20.555 | 20.555 | 20.555 | 44.582 | 0.000 | 0.000 |
| 20.555 | 20.555 | 20.555 | 0.000 | 44.582 | 0.000 |
| 20.555 | 20.555 | 20.555 | -0.000 | 0.000 | 44.582 |
| 254.357 | 102.667 | 102.667 | -0.000 | -0.000 | 0.000 |
| 102.667 | 254.357 | 102.667 | -0.000 | -0.000 | 0.000 |
| 102.667 | 102.667 | 254.357 | 0.000 | -0.000 | 0.000 |
| -0.000 | -0.000 | -0.000 | 51.209 | -0.000 | 0.000 |
| -0.000 | -0.000 | -0.000 | 0.000 | 51.209 | 0.000 |
| -0.000 | -0.000 | -0.000 | -0.000 | -0.000 | 51.209 |
| 254.357 | 102.667 | 102.667 | -0.000 | 0.000 | -0.000 |
| 102.667 | 254.357 | 102.667 | 0.000 | 0.000 | -0.000 |
| 102.667 | 102.667 | 254.357 | -0.000 | 0.000 | 0.000 |
| 0.000 | 0.000 | 0.000 | 51.209 | 0.000 | 0.000 |
| 0.000 | 0.000 | 0.000 | 0.000 | 51.209 | 0.000 |
| 0.000 | 0.000 | 0.000 | 0.000 | 0.000 | 51.209 |
| 240.068 | 106.131 | 106.131 | 0.000 | -0.000 | 0.000 |
| 106.131 | 240.068 | 106.131 | 0.000 | -0.000 | 0.000 |
| 106.131 | 106.131 | 240.068 | -0.000 | -0.000 | 0.000 |
| -0.000 | -0.000 | -0.000 | 51.209 | -0.000 | 0.000 |
| -0.000 | -0.000 | -0.000 | 0.000 | 51.209 | 0.000 |
| -0.000 | -0.000 | -0.000 | -0.000 | -0.000 | 51.209 |
| 254.356 | 102.667 | 102.667 | -0.000 | 0.000 | -0.000 |
| 102.667 | 254.356 | 102.667 | 0.000 | 0.000 | -0.000 |
| 102.667 | 102.667 | 254.356 | 0.000 | 0.000 | 0.000 |
| 0.000 | 0.000 | 0.000 | 51.209 | -0.000 | -0.000 |
| 0.000 | 0.000 | 0.000 | -0.000 | 51.209 | -0.000 |
| 0.000 | 0.000 | 0.000 | -0.000 | 0.000 | 51.209 |
| 894.796 | 755.281 | 755.281 | 0.000 | 0.000 | -0.000 |
| 755.281 | 894.796 | 755.281 | 0.000 | -0.000 | 0.000 |
| 755.281 | 755.281 | 894.796 | 0.000 | -0.000 | 0.000 |
| 649.817 | 649.817 | 649.817 | 44.181 | 0.000 | 0.000 |
| 649.817 | 649.817 | 649.817 | 0.000 | 44.181 | 0.000 |
| 649.817 | 649.817 | 649.817 | 0.000 | -0.000 | 44.181 |
| -404.835 | -544.355 | -544.355 | 0.000 | 0.000 | -0.000 |
| -544.355 | -404.835 | -544.355 | -0.000 | 0.000 | 0.000 |
| -544.355 | -544.355 | -404.835 | 0.000 | 0.000 | -0.000 |
| -649.817 | -649.817 | -649.817 | 44.181 | 0.000 | -0.000 |
| -649.817 | -649.817 | -649.817 | -0.000 | 44.181 | 0.000 |
| -649.817 | -649.817 | -649.817 | 0.000 | 0.000 | 44.181 |
| 309.956 | 170.463 | 170.463 | 0.000 | -0.000 | 0.000 |
| 170.463 | 309.956 | 170.463 | 0.000 | -0.000 | 0.000 |
| 170.463 | 170.463 | 309.956 | 0.000 | -0.000 | 0.000 |
| 53.029 | 53.029 | 53.029 | 39.166 | -0.000 | 0.000 |
| 53.029 | 53.029 | 53.029 | 0.000 | 39.166 | -0.000 |
| 53.029 | 53.029 | 53.029 | 0.000 | -0.000 | 39.166 |
| 180.001 | 40.464 | 40.464 | 0.000 | -0.000 | 0.000 |
| 40.464 | 180.001 | 40.464 | -0.000 | 0.000 | -0.000 |
| 40.464 | 40.464 | 180.001 | -0.000 | 0.000 | -0.000 |
| -53.029 | -53.029 | -53.029 | 39.166 | 0.000 | -0.000 |
| -53.029 | -53.029 | -53.029 | 0.000 | 39.166 | 0.000 |
| -53.029 | -53.029 | -53.029 | -0.000 | -0.000 | 39.166 |
| 251.257 | 112.199 | 112.199 | 0.000 | 0.000 | 0.000 |
| 112.199 | 251.257 | 112.199 | 0.000 | -0.000 | -0.000 |
| 112.199 | 112.199 | 251.257 | 0.000 | -0.000 | 0.000 |
| -0.000 | -0.000 | -0.000 | 51.361 | -0.000 | -0.000 |
| -0.000 | -0.000 | -0.000 | 0.000 | 51.361 | -0.000 |
| -0.000 | -0.000 | -0.000 | 0.000 | -0.000 | 51.361 |
| 235.978 | 102.290 | 102.290 | -0.000 | 0.000 | -0.000 |
| 102.290 | 235.978 | 102.290 | 0.000 | -0.000 | -0.000 |
| 102.290 | 102.290 | 235.978 | -0.000 | -0.000 | -0.000 |
| 0.000 | 0.000 | 0.000 | 51.361 | 0.000 | -0.000 |
| 0.000 | 0.000 | 0.000 | -0.000 | 51.361 | 0.000 |
| 0.000 | 0.000 | 0.000 | 0.000 | 0.000 | 51.361 |
| 197.755 | 125.287 | 125.287 | -0.000 | 0.000 | -0.000 |
| 125.287 | 197.755 | 125.287 | -0.000 | 0.000 | -0.000 |
| 125.287 | 125.287 | 197.755 | -0.000 | -0.000 | -0.000 |
| 18.723 | 18.723 | 18.723 | 44.700 | -0.000 | 0.000 |
| 18.723 | 18.723 | 18.723 | 0.000 | 44.700 | -0.000 |
| 18.723 | 18.723 | 18.723 | 0.000 | -0.000 | 44.700 |
| 174.621 | 107.891 | 107.891 | 0.000 | -0.000 | 0.000 |
| 107.891 | 174.621 | 107.891 | 0.000 | -0.000 | 0.000 |
| 107.891 | 107.891 | 174.621 | 0.000 | -0.000 | 0.000 |
| -18.723 | -18.723 | -18.723 | 44.700 | 0.000 | -0.000 |
| -18.723 | -18.723 | -18.723 | -0.000 | 44.700 | 0.000 |
| -18.723 | -18.723 | -18.723 | -0.000 | 0.000 | 44.700 |
| 201.857 | 116.846 | 116.846 | 0.000 | 0.000 | -0.000 |
| 116.846 | 201.857 | 116.846 | -0.000 | 0.000 | -0.000 |
| 116.846 | 116.846 | 201.857 | -0.000 | -0.000 | -0.000 |
| 1.140 | 1.140 | 1.140 | 49.318 | 0.000 | 0.000 |
| 1.140 | 1.140 | 1.140 | 0.000 | 49.318 | 0.000 |
| 1.140 | 1.140 | 1.140 | 0.000 | -0.000 | 49.318 |
| 201.857 | 116.846 | 116.846 | 0.000 | 0.000 | -0.000 |
| 116.846 | 201.857 | 116.846 | -0.000 | -0.000 | -0.000 |
| 116.846 | 116.846 | 201.857 | 0.000 | -0.000 | -0.000 |
| -1.140 | -1.140 | -1.140 | 49.318 | 0.000 | -0.000 |
| -1.140 | -1.140 | -1.140 | 0.000 | 49.318 | 0.000 |
| -1.140 | -1.140 | -1.140 | -0.000 | 0.000 | 49.318 |
| 201.857 | 116.846 | 116.846 | 0.000 | 0.000 | 0.000 |
| 116.846 | 201.857 | 116.846 | -0.000 | -0.000 | -0.000 |
| 116.846 | 116.846 | 201.857 | 0.000 | -0.000 | 0.000 |
| -0.000 | -0.000 | -0.000 | 61.306 | 0.000 | 0.000 |
| -0.000 | -0.000 | -0.000 | 0.000 | 61.306 | 0.000 |
| -0.000 | -0.000 | -0.000 | 0.000 | -0.000 | 61.306 |
| 196.547 | 117.344 | 117.344 | 0.000 | -0.000 | -0.000 |
| 117.344 | 196.547 | 117.344 | 0.000 | -0.000 | -0.000 |
| 117.344 | 117.344 | 196.547 | 0.000 | 0.000 | -0.000 |
| 0.000 | 0.000 | 0.000 | 61.306 | -0.000 | -0.000 |
| 0.000 | 0.000 | 0.000 | -0.000 | 61.306 | 0.000 |
| 0.000 | 0.000 | 0.000 | -0.000 | 0.000 | 61.306 |
| 191.860 | 111.136 | 111.136 | -0.000 | 0.000 | -0.000 |
| 111.136 | 191.860 | 111.136 | -0.000 | -0.000 | -0.000 |
| 111.136 | 111.136 | 191.860 | -0.000 | -0.000 | 0.000 |
| -6.107 | -6.107 | -6.107 | 53.909 | -0.000 | -0.000 |
| -6.107 | -6.107 | -6.107 | -0.000 | 53.909 | -0.000 |
| -6.107 | -6.107 | -6.107 | -0.000 | -0.000 | 53.909 |
| 201.907 | 116.770 | 116.770 | -0.000 | 0.000 | 0.000 |
| 116.770 | 201.907 | 116.770 | 0.000 | -0.000 | 0.000 |
| 116.770 | 116.770 | 201.907 | 0.000 | 0.000 | 0.000 |
| 6.107 | 6.107 | 6.107 | 53.909 | -0.000 | 0.000 |
| 6.107 | 6.107 | 6.107 | 0.000 | 53.909 | 0.000 |
| 6.107 | 6.107 | 6.107 | 0.000 | 0.000 | 53.909 |
| 201.907 | 116.770 | 116.770 | 0.000 | -0.000 | -0.000 |
| 116.770 | 201.907 | 116.770 | 0.000 | -0.000 | -0.000 |
| 116.770 | 116.770 | 201.907 | -0.000 | 0.000 | 0.000 |
| -0.809 | -0.809 | -0.809 | 51.499 | -0.000 | -0.000 |
| -0.809 | -0.809 | -0.809 | 0.000 | 51.499 | -0.000 |
| -0.809 | -0.809 | -0.809 | -0.000 | -0.000 | 51.499 |
| 197.265 | 118.120 | 118.120 | 0.000 | -0.000 | 0.000 |
| 118.120 | 197.265 | 118.120 | 0.000 | 0.000 | 0.000 |
| 118.120 | 118.120 | 197.265 | 0.000 | 0.000 | 0.000 |
| 0.809 | 0.809 | 0.809 | 51.499 | -0.000 | 0.000 |
| 0.809 | 0.809 | 0.809 | 0.000 | 51.499 | 0.000 |
| 0.809 | 0.809 | 0.809 | 0.000 | 0.000 | 51.499 |
| 196.678 | 117.195 | 117.195 | -0.000 | -0.000 | 0.000 |
| 117.195 | 196.678 | 117.195 | -0.000 | -0.000 | -0.000 |
| 117.195 | 117.195 | 196.678 | -0.000 | -0.000 | -0.000 |
| -0.063 | -0.063 | -0.063 | 49.887 | 0.000 | 0.000 |
| -0.063 | -0.063 | -0.063 | -0.000 | 49.887 | -0.000 |
| -0.063 | -0.063 | -0.063 | -0.000 | -0.000 | 49.887 |
| 193.423 | 117.794 | 117.794 | -0.000 | -0.000 | 0.000 |
| 117.794 | 193.423 | 117.794 | 0.000 | -0.000 | 0.000 |
| 117.794 | 117.794 | 193.423 | -0.000 | -0.000 | 0.000 |
| 0.063 | 0.063 | 0.063 | 49.887 | 0.000 | 0.000 |
| 0.063 | 0.063 | 0.063 | 0.000 | 49.887 | 0.000 |
| 0.063 | 0.063 | 0.063 | 0.000 | 0.000 | 49.887 |
| -90.480 | -9.854 | 40.494 | -0.000 | 0.000 | 0.000 |
| -117.260 | 145.702 | 40.846 | -0.000 | -0.000 | -0.000 |
| 31.306 | 35.324 | 369.241 | -0.000 | 0.000 | 0.000 |
| 0.000 | -0.000 | -0.000 | 3.674 | 0.000 | 0.000 |
| 0.000 | 0.000 | 0.000 | -0.000 | -2.203 | 0.000 |
| -224.881 | -120.815 | 3.247 | 0.000 | 0.000 | 94.828 |
| 183.449 | 137.311 | 36.539 | -0.000 | -0.000 | -0.000 |
| 332.503 | 387.333 | 34.353 | 0.000 | 0.000 | -0.000 |
| 31.306 | 35.324 | 369.241 | 0.000 | 0.000 | -0.000 |
| -0.000 | 0.000 | -0.000 | 3.674 | 0.000 | -0.000 |
| -0.000 | -0.000 | -0.000 | 0.000 | -2.203 | -0.000 |
| 224.881 | 120.815 | -3.247 | -0.000 | -0.000 | 94.828 |
| 111.913 | 98.879 | 37.572 | -0.000 | 0.000 | 0.000 |
| 133.972 | 280.674 | 37.219 | -0.000 | 0.000 | -0.000 |
| 9.526 | 23.623 | 369.555 | -0.000 | 0.000 | 0.000 |
| 0.000 | 0.000 | 0.000 | 3.674 | 0.000 | -0.000 |
| -113.081 | -60.752 | 1.633 | -0.000 | -200.891 | 0.000 |
| -22.488 | -12.081 | 0.325 | -0.000 | 0.000 | 94.828 |
| 156.889 | 123.042 | 36.923 | 0.000 | -0.000 | -0.000 |
| 133.972 | 280.674 | 37.219 | 0.000 | -0.000 | -0.000 |
| 54.502 | 47.786 | 368.906 | 0.000 | -0.000 | -0.000 |
| -0.000 | -0.000 | -0.000 | 3.674 | -0.000 | -0.000 |
| 113.081 | 60.752 | -1.633 | 0.000 | -200.891 | -0.000 |
| 22.488 | 12.081 | -0.325 | 0.000 | 0.000 | 94.828 |
| 132.153 | 109.753 | 37.280 | -0.000 | 0.000 | -0.000 |
| 133.973 | 280.675 | 37.219 | -0.000 | -0.000 | 0.000 |
| 29.766 | 34.497 | 369.265 | -0.000 | -0.000 | 0.000 |
| 0.000 | 0.000 | 0.000 | 3.674 | 0.000 | -0.000 |
| 10611870.240 | 4648549.789 | -7909541.181 | -0.000 | -2189326.057 | 0.000 |
| -2.249 | -1.208 | 0.032 | -0.000 | 0.000 | 94.828 |
| 136.649 | 112.168 | 37.215 | -0.000 | -0.000 | -0.000 |
| 109.870 | 267.724 | 37.567 | 0.000 | -0.000 | 0.000 |
| 34.262 | 36.913 | 369.196 | 0.000 | -0.000 | -0.000 |
| -0.000 | -0.000 | -0.000 | 3.674 | 0.000 | 0.000 |
| -10611870.240 | -4648549.789 | 7909541.181 | 0.000 | -2189326.057 | -0.000 |
| 2.249 | 1.208 | -0.032 | 0.000 | -0.000 | 94.828 |
| 229.989 | 112.692 | 52.250 | 0.000 | 0.000 | -0.000 |
| 105.425 | 292.422 | 123.734 | 0.000 | 0.000 | -0.000 |
| 53.933 | 123.681 | 251.696 | 0.000 | -0.000 | -0.000 |
| -15.906 | 2.038 | -0.120 | 63.007 | -0.000 | -0.000 |
| 0.000 | 0.000 | 0.000 | -0.000 | -2.323 | -0.000 |
| 0.000 | 0.000 | 0.000 | 0.000 | -0.000 | 51.183 |
| 264.502 | 108.271 | 52.510 | -0.000 | -0.000 | 0.000 |
| 105.425 | 292.422 | 123.734 | -0.000 | -0.000 | 0.000 |
| 70.820 | 121.517 | 251.823 | -0.000 | -0.000 | 0.000 |
| 15.906 | -2.038 | 0.120 | 63.007 | -0.000 | 0.000 |
| -0.000 | -0.000 | -0.000 | -0.000 | -2.323 | 0.000 |
| -0.000 | -0.000 | -0.000 | -0.000 | -0.000 | 51.183 |
| 245.520 | 110.703 | 52.367 | 0.000 | -0.000 | -0.000 |
| 109.993 | 291.837 | 123.768 | 0.000 | -0.000 | -0.000 |
| 53.933 | 123.681 | 251.696 | -0.000 | 0.000 | -0.000 |
| 0.000 | 0.000 | 0.000 | 63.211 | 0.000 | -0.000 |
| 0.000 | 0.000 | 0.000 | 0.000 | -2.323 | -0.000 |
| -0.000 | 0.000 | 0.000 | -0.000 | 0.000 | 51.183 |
| 248.971 | 110.260 | 52.393 | -0.000 | -0.000 | 0.000 |
| 105.425 | 292.422 | 123.734 | -0.000 | -0.000 | 0.000 |
| 53.933 | 123.680 | 251.696 | -0.000 | 0.000 | 0.000 |
| -0.000 | -0.000 | -0.000 | 63.211 | -0.000 | 0.000 |
| -0.000 | -0.000 | -0.000 | 0.000 | -2.323 | 0.000 |
| 0.000 | -0.000 | -0.000 | -0.000 | -0.000 | 51.183 |
| 247.076 | 110.504 | 52.379 | 0.000 | 0.000 | -0.000 |
| 111.546 | 291.638 | 123.780 | 0.000 | -0.000 | -0.000 |
| 53.391 | 123.751 | 251.693 | 0.000 | -0.000 | -0.000 |
| -0.051 | 0.007 | 0.000 | 63.146 | 0.000 | -0.000 |
| 0.000 | 0.000 | 0.000 | 0.000 | -2.323 | -0.000 |
| 2382095.838 | 1381948.643 | 2316599.533 | 0.000 | -0.000 | -10318359.129 |
| 247.416 | 110.459 | 52.381 | -0.000 | -0.000 | 0.000 |
| 111.891 | 291.593 | 123.783 | -0.000 | -0.000 | 0.000 |
| 53.735 | 123.705 | 251.693 | -0.000 | -0.000 | 0.000 |
| 0.051 | -0.007 | -0.000 | 63.146 | -0.000 | 0.000 |
| -0.000 | -0.000 | -0.000 | -0.000 | -2.323 | 0.000 |
| -2382095.838 | -1381948.643 | -2316599.533 | -0.000 | -0.000 | -10318359.129 |
| 223.086 | 106.134 | 18.899 | -0.000 | -0.000 | -0.000 |
| 106.134 | 223.086 | 18.899 | -0.000 | -0.000 | -0.000 |
| 18.899 | 18.899 | 512.912 | -0.000 | -0.000 | 0.000 |
| 0.000 | -0.000 | -0.000 | 15.578 | -0.000 | -0.000 |
| 0.000 | -0.000 | -0.000 | -0.000 | 15.578 | -0.000 |
| -1241899048.212 | -1188486747.047 | -1301045562.475 | 2488984.654 | -2557993.029 | 13699371.750 |
| 223.086 | 106.134 | 18.899 | 0.000 | 0.000 | -0.000 |
| 106.134 | 223.086 | 18.899 | 0.000 | 0.000 | 0.000 |
| 18.899 | 18.899 | 512.912 | 0.000 | 0.000 | 0.000 |
| -0.000 | -0.000 | 0.000 | 15.578 | 0.000 | 0.000 |
| -0.000 | -0.000 | -0.000 | 0.000 | 15.579 | -0.000 |
| 1320799954.338 | 1251463127.064 | 1349214159.691 | 4300510.263 | 2288394.542 | 29741822.735 |
| 223.086 | 106.134 | 18.899 | -0.000 | -0.000 | -0.000 |
| 106.134 | 223.087 | 18.899 | -0.000 | -0.000 | 0.000 |
| 18.899 | 18.899 | 512.912 | -0.000 | -0.000 | -0.000 |
| 0.000 | 0.000 | 0.000 | 15.578 | -0.000 | 0.000 |
| 0.000 | 0.000 | 0.000 | -0.000 | 15.578 | 0.000 |
| 0.000 | 0.000 | 0.000 | -0.000 | -0.000 | -20.712 |
| 223.086 | 106.134 | 18.899 | 0.000 | 0.000 | 0.000 |
| 117851153.331 | 118701401.175 | 124219382.937 | 351487.670 | 367760.814 | 119474.401 |
| 18.899 | 18.899 | 512.912 | 0.000 | 0.000 | 0.000 |
| -0.000 | -0.000 | -0.000 | 15.578 | 0.000 | 0.000 |
| -0.000 | -0.000 | -0.000 | 0.000 | 15.578 | -0.000 |
| -0.000 | -0.000 | -0.000 | 0.000 | 0.000 | -20.712 |
| 223.087 | 106.134 | 18.899 | -0.000 | -0.000 | 0.000 |
| 106.134 | 223.087 | 18.899 | -0.000 | -0.000 | -0.000 |
| 18.899 | 18.899 | 512.914 | -0.000 | -0.000 | -0.000 |
| 0.000 | 0.000 | 0.000 | 15.578 | -0.000 | 0.000 |
| 0.000 | 0.000 | 0.000 | -0.000 | 15.578 | 0.000 |
| 0.000 | -0.000 | 0.000 | -0.000 | -0.000 | 58.476 |
| 223.086 | 106.133 | 18.899 | 0.000 | 0.000 | -0.000 |
| 106.134 | 223.085 | 18.899 | 0.000 | 0.000 | -0.000 |
| 18.899 | 18.899 | 512.911 | 0.000 | 0.000 | 0.000 |
| -0.000 | -0.000 | -0.000 | 15.578 | 0.000 | 0.000 |
| -0.000 | -0.000 | -0.000 | 0.000 | 15.578 | 0.000 |
| -0.000 | 0.000 | -0.000 | 0.000 | 0.000 | 58.476 |
| 148.694 | 43.657 | 81.150 | -0.000 | -0.000 | 0.000 |
| 43.657 | 148.694 | 81.150 | -0.000 | -0.000 | 0.000 |
| 323.593 | 323.593 | 325.961 | -0.002 | 0.001 | -0.022 |
| 0.000 | 0.000 | 0.000 | 36.517 | -0.000 | 0.000 |
| 0.000 | 0.000 | 0.000 | -0.000 | 36.517 | 0.000 |
| 0.000 | 0.000 | 0.000 | -0.000 | -0.000 | 31.118 |
| 148.694 | 43.657 | 81.150 | -0.000 | 0.000 | -0.000 |
| 43.657 | 148.694 | 81.150 | 0.000 | 0.000 | -0.000 |
| 71.486 | 71.486 | 286.680 | 0.000 | 0.000 | -0.000 |
| -0.000 | -0.000 | -0.000 | 36.517 | 0.000 | -0.000 |
| -0.000 | -0.000 | -0.000 | 0.000 | 36.517 | -0.000 |
| 28.048 | 28.048 | 218.339 | 0.007 | -0.004 | 21.125 |
| 148.694 | 43.657 | 81.150 | -0.000 | -0.000 | 0.000 |
| 43.657 | 148.694 | 81.150 | -0.000 | -0.000 | 0.000 |
| 71.486 | 71.486 | 286.680 | -0.000 | -0.000 | 0.000 |
| 0.000 | 0.000 | -0.000 | 36.517 | -0.000 | 0.000 |
| 0.000 | 0.000 | -0.000 | -0.000 | 36.517 | 0.000 |
| 0.000 | 0.000 | 0.000 | -0.000 | -0.000 | 31.118 |
| 148.694 | 43.657 | 81.150 | 0.000 | 0.000 | -0.000 |
| 43.657 | 148.694 | 81.150 | 0.000 | 0.000 | -0.000 |
| 99.239 | 99.239 | 388.207 | -0.001 | 0.000 | -0.006 |
| -0.000 | -0.000 | 0.000 | 36.517 | -0.000 | -0.000 |
| -0.000 | -0.000 | 0.000 | 0.000 | 36.517 | -0.000 |
| -0.000 | -0.000 | -0.000 | 0.000 | 0.000 | 31.118 |
| 24.297 | 51.768 | -8.658 | 0.000 | -0.000 | 0.001 |
| 51.768 | 24.297 | -8.658 | 0.000 | -0.000 | 0.001 |
| -4.840 | -4.840 | 154.483 | 0.000 | -0.000 | 0.001 |
| 0.000 | 0.000 | -0.000 | 36.517 | -0.000 | 0.000 |
| 0.000 | 0.000 | -0.000 | -0.000 | 36.517 | 0.000 |
| -9.907 | -9.907 | -24.220 | 0.000 | -0.000 | -5.074 |
| 135.442 | 37.184 | 76.107 | 0.000 | -0.000 | 0.000 |
| 37.184 | 135.442 | 76.107 | 0.000 | -0.000 | 0.000 |
| 19.935 | 19.935 | 207.676 | -0.000 | 0.000 | -0.000 |
| -0.000 | -0.000 | 0.000 | 36.517 | 0.000 | -0.000 |
| -0.000 | -0.000 | 0.000 | 0.000 | 36.517 | -0.000 |
| 14.690 | 14.690 | 32.091 | -0.000 | 0.000 | -20.475 |
| 336.926 | 61.497 | -109.194 | -0.000 | 0.000 | -0.000 |
| 61.497 | 336.926 | -109.194 | -0.000 | -0.000 | -0.000 |
| -109.444 | -109.444 | 437.741 | 0.000 | 0.000 | -0.000 |
| 0.000 | 0.000 | 0.000 | -56.957 | 0.000 | -0.000 |
| 0.000 | 0.000 | 0.000 | 0.000 | -56.957 | -0.000 |
| 0.003 | 0.003 | -0.000 | -0.000 | 0.000 | 40.395 |
| -771.633 | 1187.620 | -110.474 | -0.000 | -0.000 | -0.008 |
| 1187.620 | -771.633 | -110.474 | -0.000 | -0.000 | -0.008 |
| -109.482 | -109.482 | 437.747 | -0.000 | 0.000 | 0.000 |
| -0.000 | -0.000 | -0.000 | -56.957 | -0.000 | 0.000 |
| -0.000 | -0.000 | -0.000 | 0.000 | -56.957 | 0.000 |
| -0.003 | -0.002 | 0.000 | 0.000 | -0.000 | 40.395 |
| 100642000.857 | 113282195.924 | 148264860.006 | 2643308.995 | -5847213.873 | 46336.541 |
| 102544848.273 | 98532910.183 | 156209374.059 | -4219311.177 | 667566.594 | 5574150.856 |
| -109.482 | -109.482 | 437.747 | -0.000 | 0.000 | -0.000 |
| 0.007 | 0.007 | -0.001 | -66.826 | 0.000 | -0.000 |
| 0.007 | 0.007 | -0.001 | 0.000 | -66.826 | -0.000 |
| 0.000 | 0.000 | -0.000 | -0.000 | -0.000 | 40.395 |
| 336.926 | 61.497 | -109.194 | 0.000 | -0.000 | 0.000 |
| 61.497 | 336.926 | -109.194 | -0.000 | -0.000 | 0.000 |
| -109.452 | -109.452 | 437.742 | -0.000 | -0.000 | 0.000 |
| -0.007 | -0.007 | 0.001 | -66.826 | -0.000 | 0.000 |
| -0.007 | -0.007 | 0.001 | -0.000 | -66.826 | 0.000 |
| -0.000 | -0.000 | 0.000 | 0.000 | -0.000 | 40.395 |
| 9909960.056 | 10686744.120 | 15021181.124 | 237309.857 | 590357.759 | -125406.045 |
| 9962348.574 | 10334623.529 | 15081588.908 | -470341.329 | 117117.456 | 853029.625 |
| -109.452 | -109.452 | 437.743 | 0.000 | 0.000 | -0.000 |
| 7659901.770 | 14484032.696 | 11507628.685 | -375327.132 | 589277.130 | 495236.738 |
| 13730286.988 | 9373420.963 | 12216352.002 | 179394.182 | -44413.717 | -33540.400 |
| 0.000 | 0.000 | -0.000 | -0.000 | 0.000 | 40.395 |
| -6609421.772 | -11480959.561 | -16146265.852 | 524966.837 | -450667.338 | -300777.120 |
| -13266233.095 | -9701507.306 | -11850189.708 | 295378.613 | 732502.214 | 27807.470 |
| -109.451 | -109.451 | 437.741 | -0.000 | -0.000 | 0.000 |
| -12864189.230 | -10829553.645 | -11394505.929 | 118431.631 | -336102.636 | 588050.859 |
| -12708630.488 | -12173228.811 | -10509317.390 | -89933.055 | -151445.958 | -85817.162 |
| -0.000 | -0.000 | 0.000 | 0.000 | -0.000 | 40.395 |
| 261.264 | 117.471 | 98.010 | -0.000 | -0.000 | 0.000 |
| 117.471 | 261.264 | 98.010 | -0.000 | -0.000 | 0.000 |
| 101.671 | 101.671 | 328.032 | -0.000 | -0.000 | 0.000 |
| 0.000 | -0.000 | 0.000 | 50.162 | -0.000 | 0.000 |
| -0.000 | -0.000 | 0.000 | -0.000 | 50.162 | 0.000 |
| 3.370 | 3.370 | -1.610 | -0.000 | -0.000 | 57.184 |
| 266.950 | 113.101 | 97.388 | 0.000 | -0.000 | -0.000 |
| 113.101 | 266.950 | 97.388 | -0.000 | -0.000 | -0.000 |
| 97.388 | 97.388 | 330.613 | 0.000 | 0.000 | -0.000 |
| -0.000 | 0.000 | -0.000 | 50.162 | 0.000 | -0.000 |
| -0.000 | 0.000 | 0.000 | 0.000 | 50.162 | -0.000 |
| -3.370 | -3.370 | 1.610 | 0.000 | -0.000 | 57.184 |
| 266.950 | 113.101 | 97.388 | -0.000 | 0.000 | 0.000 |
| 113.101 | 266.950 | 97.388 | -0.000 | -0.000 | 0.000 |
| 99.547 | 99.547 | 329.126 | -0.000 | -0.000 | 0.000 |
| -0.000 | -0.000 | -0.000 | 50.162 | -0.000 | 0.000 |
| -0.000 | -0.000 | -0.000 | -0.000 | 50.162 | 0.000 |
| -0.000 | 0.000 | -0.000 | -0.000 | 0.000 | 63.423 |
| 257.025 | 114.707 | 99.597 | 0.000 | -0.000 | -0.000 |
| 114.707 | 257.025 | 99.597 | 0.000 | 0.000 | -0.000 |
| 97.388 | 97.388 | 330.613 | 0.000 | 0.000 | -0.000 |
| 0.000 | 0.000 | 0.000 | 50.162 | -0.000 | -0.000 |
| 0.000 | 0.000 | 0.000 | 0.000 | 50.162 | -0.000 |
| 0.000 | -0.000 | 0.000 | -0.000 | -0.000 | 63.423 |
| 266.951 | 113.101 | 97.388 | -0.000 | 0.000 | 0.000 |
| 113.101 | 266.951 | 97.388 | 0.000 | 0.000 | 0.000 |
| 97.388 | 97.388 | 330.614 | -0.000 | -0.000 | 0.000 |
| -0.000 | -0.000 | -0.000 | 50.162 | -0.000 | 0.000 |
| -0.000 | -0.000 | -0.000 | -0.000 | 50.162 | 0.000 |
| 0.039 | 0.039 | -0.019 | -0.000 | 0.000 | 57.530 |
| 258.359 | 114.395 | 99.451 | 0.000 | -0.000 | -0.000 |
| 114.395 | 258.359 | 99.451 | 0.000 | 0.000 | -0.000 |
| 99.246 | 99.246 | 329.273 | 0.000 | 0.000 | -0.000 |
| 0.000 | 0.000 | 0.000 | 50.162 | 0.000 | -0.000 |
| 0.000 | 0.000 | 0.000 | 0.000 | 50.162 | -0.000 |
| -0.039 | -0.039 | 0.019 | 0.000 | 0.000 | 57.530 |
| 93.647 | 59.842 | 49.681 | -0.000 | 0.000 | 16.234 |
| 59.842 | 93.647 | 49.681 | -0.000 | 0.000 | -16.234 |
| -1578.393 | -1578.393 | 324.856 | -0.000 | 0.000 | 0.000 |
| -15.330 | -15.330 | 512.490 | 30.597 | -0.000 | 0.000 |
| -15.330 | -15.330 | 512.490 | 0.000 | 30.597 | 0.000 |
| 16.234 | -16.234 | 0.000 | -0.000 | 0.000 | 49.920 |
| 1648.153 | 1643.240 | -248.679 | 0.000 | -0.000 | 17.956 |
| 1643.240 | 1648.153 | -248.679 | -0.000 | 0.000 | -17.956 |
| 49.857 | 49.857 | 87.089 | 0.000 | 0.000 | -0.000 |
| 15.330 | 15.330 | -512.490 | 30.597 | 0.000 | -0.000 |
| 15.330 | 15.330 | -512.490 | -0.000 | 30.597 | -0.000 |
| 1156.302 | 1127.905 | -696.752 | -0.000 | 0.000 | 32.046 |
| 93.647 | 59.842 | 49.681 | -0.000 | -0.000 | 16.234 |
| 59.842 | 93.647 | 49.681 | -0.000 | 0.000 | -16.234 |
| -126.888 | -126.888 | 118.087 | 0.000 | -0.000 | -0.000 |
| -160.062 | -160.062 | 32.395 | 23.453 | 0.000 | 0.000 |
| -160.062 | -160.062 | 32.395 | -0.000 | 23.453 | -0.000 |
| 16.234 | -16.234 | 0.000 | -0.000 | 0.000 | 49.920 |
| 201.598 | 196.847 | 1.500 | 0.000 | -0.000 | 17.567 |
| 196.847 | 201.598 | 1.500 | 0.000 | 0.000 | -17.567 |
| 49.857 | 49.857 | 87.089 | 0.000 | -0.000 | -0.000 |
| 190.597 | 190.597 | 17.285 | 29.495 | -0.000 | -0.000 |
| 160.062 | 160.062 | -32.395 | -0.000 | 23.453 | 0.000 |
| 16.234 | -16.234 | -0.000 | 0.000 | -0.000 | 49.920 |
| 47.327 | 35.376 | 47.856 | -0.000 | 0.000 | 14.621 |
| 35.376 | 47.327 | 47.856 | -0.000 | 0.000 | -14.621 |
| 20.105 | 20.105 | 43.750 | -0.000 | 0.000 | 0.000 |
| -15.297 | -15.297 | 5.775 | 28.356 | 0.000 | 0.000 |
| -15.297 | -15.297 | 5.775 | -0.000 | 28.356 | -0.000 |
| 15.701 | -16.029 | 5.480 | -0.000 | 0.000 | 45.674 |
| 67.354 | 52.783 | 37.135 | 0.000 | 0.000 | 14.834 |
| 52.783 | 67.354 | 37.135 | -0.000 | -0.000 | -14.834 |
| 49.856 | 49.856 | 87.088 | 0.000 | 0.000 | -0.000 |
| 15.297 | 15.297 | -5.775 | 28.356 | 0.000 | -0.000 |
| 15.297 | 15.297 | -5.775 | -0.000 | 28.356 | 0.000 |
| 16.029 | -15.701 | -5.480 | 0.000 | -0.000 | 45.674 |
| 336.448 | 61.274 | -108.961 | -0.000 | -0.000 | 0.000 |
| 61.274 | 336.448 | -108.961 | -0.000 | -0.000 | -0.000 |
| -86.614 | -86.614 | 434.407 | 0.000 | -0.000 | -0.000 |
| 22.738 | 22.738 | -3.256 | -58.207 | -0.000 | -0.000 |
| 22.738 | 22.738 | -3.256 | 0.000 | -58.207 | 0.000 |
| 0.000 | 0.000 | -0.000 | -0.000 | -0.000 | 45.623 |
| 281.712 | 69.535 | -105.633 | 0.000 | 0.000 | -0.000 |
| 69.535 | 281.712 | -105.633 | -0.000 | 0.000 | -0.000 |
| -132.061 | -132.061 | 440.916 | 0.000 | 0.000 | -0.000 |
| -22.738 | -22.738 | 3.256 | -58.207 | 0.000 | 0.000 |
| -22.738 | -22.738 | 3.256 | 0.000 | -58.207 | -0.000 |
| -0.000 | -0.000 | 0.000 | 0.000 | 0.000 | 45.623 |
| 336.448 | 61.274 | -108.961 | -0.000 | -0.000 | 0.000 |
| 61.274 | 336.448 | -108.961 | -0.000 | -0.000 | 0.000 |
| -109.367 | -109.367 | 437.666 | -0.000 | 0.000 | 0.000 |
| 2.423 | 2.423 | -0.347 | -58.284 | -0.000 | -0.000 |
| 2.423 | 2.423 | -0.347 | -0.000 | -58.284 | 0.000 |
| 1.218 | 1.218 | -0.174 | -0.000 | -0.000 | 36.711 |
| 336.448 | 61.274 | -108.961 | 0.000 | 0.000 | -0.000 |
| 61.274 | 336.448 | -108.961 | 0.000 | 0.000 | -0.000 |
| -111.610 | -111.610 | 437.987 | -0.000 | 0.000 | -0.000 |
| -2.423 | -2.423 | 0.347 | -58.284 | 0.000 | -0.000 |
| -2.423 | -2.423 | 0.347 | -0.000 | -58.284 | -0.000 |
| -1.218 | -1.218 | 0.174 | 0.000 | 0.000 | 36.711 |
| 9860027.532 | 10501210.565 | 14934698.241 | -129723.552 | -462815.986 | 538358.322 |
| 9853171.549 | 11355126.475 | 13653040.703 | -522536.843 | -39703.327 | 382656.784 |
| -109.111 | -109.111 | 437.629 | 0.000 | -0.000 | -0.000 |
| 0.000 | 0.000 | -0.000 | -57.034 | -0.000 | 0.000 |
| 0.000 | 0.000 | -0.000 | 0.000 | -57.034 | -0.000 |
| 0.227 | 0.227 | -0.033 | 0.000 | -0.000 | 40.354 |
| -9905904.547 | -10917005.830 | -14411523.589 | -3764.509 | -101812.103 | 2471.687 |
| -11054483.396 | -9709684.784 | -13279830.154 | -183628.677 | 55439.130 | -308598.593 |
| -109.565 | -109.565 | 437.693 | 0.000 | 0.000 | -0.000 |
| -0.000 | -0.000 | 0.000 | -57.034 | 0.000 | -0.000 |
| -0.000 | -0.000 | 0.000 | -0.000 | -57.034 | 0.000 |
| -0.227 | -0.227 | 0.033 | 0.000 | 0.000 | 40.354 |
| 265.070 | 112.356 | 97.646 | -0.000 | 0.000 | -0.000 |
| 112.356 | 265.070 | 97.646 | -0.000 | -0.000 | -0.000 |
| 96.958 | 96.958 | 332.128 | -0.000 | -0.000 | -0.000 |
| -0.000 | 0.000 | 0.000 | 49.845 | -0.000 | -0.000 |
| -0.000 | 0.000 | 0.000 | 0.000 | 49.845 | -0.000 |
| -0.000 | 0.000 | -0.000 | 0.000 | -0.000 | 63.311 |
| 265.070 | 112.356 | 97.646 | -0.000 | 0.000 | -0.000 |
| 112.356 | 265.070 | 97.646 | 0.000 | 0.000 | 0.000 |
| 96.958 | 96.958 | 332.128 | -0.000 | 0.000 | -0.000 |
| 0.000 | 0.000 | -0.000 | 49.845 | 0.000 | -0.000 |
| 0.000 | -0.000 | 0.000 | -0.000 | 49.845 | 0.000 |
| -0.000 | 0.000 | -0.000 | 0.000 | 0.000 | 63.311 |
| 265.070 | 112.356 | 97.646 | -0.000 | -0.000 | -0.000 |
| 112.356 | 265.070 | 97.646 | -0.000 | -0.000 | 0.000 |
| 96.958 | 96.958 | 332.128 | -0.000 | -0.000 | -0.000 |
| -9.507 | -9.507 | 4.073 | 48.257 | 0.000 | -0.000 |
| -9.507 | -9.507 | 4.073 | -0.000 | 48.257 | -0.000 |
| -9.497 | -9.497 | 4.073 | -0.000 | 0.000 | 55.744 |
| 264.153 | 122.642 | 94.627 | 0.000 | 0.000 | -0.000 |
| 122.642 | 264.153 | 94.627 | 0.000 | 0.000 | 0.000 |
| 96.958 | 96.958 | 332.128 | -0.000 | 0.000 | -0.000 |
| 9.507 | 9.507 | -4.073 | 48.257 | 0.000 | 0.000 |
| 9.507 | 9.507 | -4.073 | -0.000 | 48.257 | 0.000 |
| 9.497 | 9.497 | -4.073 | -0.000 | -0.000 | 55.744 |
| 255.799 | 112.909 | 100.207 | 0.000 | 0.000 | -0.000 |
| 112.909 | 255.799 | 100.207 | -0.000 | -0.000 | 0.000 |
| 96.958 | 96.958 | 332.129 | 0.000 | -0.000 | -0.000 |
| -0.000 | -0.000 | -0.000 | 49.845 | -0.000 | 0.000 |
| -0.000 | -0.000 | -0.000 | -0.000 | 49.845 | -0.000 |
| -0.000 | 0.000 | -0.000 | -0.000 | 0.000 | 63.311 |
| 255.431 | 115.316 | 99.580 | 0.000 | -0.000 | -0.000 |
| 115.316 | 255.431 | 99.580 | 0.000 | 0.000 | 0.000 |
| 96.958 | 96.958 | 332.127 | 0.000 | -0.000 | 0.000 |
| 0.000 | 0.000 | 0.000 | 49.845 | 0.000 | 0.000 |
| 0.000 | 0.000 | 0.000 | 0.000 | 49.845 | 0.000 |
| 0.000 | -0.000 | 0.000 | 0.000 | -0.000 | 63.311 |
| 585.206 | 449.213 | -45.937 | 0.000 | -0.000 | -0.000 |
| 449.213 | 585.206 | -45.937 | 0.000 | -0.000 | -0.000 |
| 167.605 | 167.605 | 258.978 | 0.000 | -0.000 | -0.000 |
| 0.000 | 0.000 | -0.000 | 49.850 | 0.000 | -0.000 |
| 0.000 | 0.000 | 0.000 | 0.000 | 49.850 | -0.000 |
| 333.721 | 333.721 | -146.601 | 0.000 | 0.000 | 54.916 |
| 190.660 | 43.637 | 171.098 | -0.000 | -0.000 | 0.000 |
| 43.637 | 190.660 | 171.098 | 0.000 | -0.000 | 0.000 |
| 28.765 | 28.765 | 403.287 | -0.000 | -0.000 | 0.000 |
| -0.000 | -0.000 | -0.000 | 49.850 | 0.000 | 0.000 |
| -0.000 | -0.000 | 0.000 | -0.000 | 49.850 | -0.000 |
| -333.721 | -333.721 | 146.601 | -0.000 | 0.000 | 54.916 |
| 267.091 | 120.001 | 91.702 | 0.000 | 0.000 | -0.000 |
| 120.001 | 267.091 | 91.702 | 0.000 | -0.000 | -0.000 |
| 96.965 | 96.965 | 332.113 | 0.000 | -0.000 | -0.000 |
| -0.000 | -0.000 | -0.000 | 49.850 | 0.000 | -0.000 |
| -0.000 | -0.000 | -0.000 | 0.000 | 49.850 | -0.000 |
| 6.949 | 6.949 | -7.223 | 0.000 | 0.000 | 60.701 |
| 221.088 | 85.029 | 105.976 | -0.000 | -0.000 | -0.000 |
| 85.029 | 221.088 | 105.976 | -0.000 | 0.000 | -0.000 |
| 91.241 | 91.241 | 338.350 | -0.000 | 0.000 | 0.000 |
| 0.000 | 0.000 | 0.000 | 49.850 | -0.000 | -0.000 |
| 0.000 | 0.000 | 0.000 | -0.000 | 49.850 | 0.000 |
| -6.949 | -6.949 | 7.223 | -0.000 | -0.000 | 60.701 |
| 255.820 | 117.426 | 99.126 | 0.000 | 0.000 | -0.000 |
| 117.426 | 255.820 | 99.126 | 0.000 | -0.000 | 0.000 |
| 102.594 | 102.594 | 328.760 | 0.000 | 0.000 | -0.000 |
| -0.000 | -0.000 | -0.000 | 49.850 | -0.000 | -0.000 |
| -0.000 | -0.000 | -0.000 | 0.000 | 49.850 | -0.000 |
| -0.000 | 0.000 | -0.000 | 0.000 | 0.000 | 63.313 |
| 251.076 | 111.827 | 101.428 | -0.000 | -0.000 | 0.000 |
| 111.827 | 251.076 | 101.428 | -0.000 | -0.000 | -0.000 |
| 96.965 | 96.965 | 332.112 | -0.000 | -0.000 | 0.000 |
| 0.000 | 0.000 | 0.000 | 49.850 | -0.000 | 0.000 |
| 0.000 | 0.000 | 0.000 | -0.000 | 49.850 | 0.000 |
| 0.000 | -0.000 | 0.000 | -0.000 | 0.000 | 63.313 |
Phonon band structures and crystal properties estimated from quasi-harmonic approximation (QHA) calculations are displayed for select crystals. The calculations were performed using phonopy and LAMMPS. For the phonon calculations, 3x3 supercells of the potential-specific relaxed crystals were used. The QHA calculations were based on 11 strain states ranging from -0.05 to 0.05.
The calculation method used is available as the iprPy phonon calculation method.
Notes and Disclaimers:
Version Information:





































































































































































































Static free surface formation energies are displayed for select crystals. The values displayed here are obtained by taking a perfect periodic bulk crystal, slicing along a crystallographic plane, and using force minimization to statically relax the surfaces. The free surface formation energy is computed by comparing the energy of the defect system to the bulk system and dividing by the total surface area created by the cut.
The calculation method used is available as the iprPy surface_energy_static calculation method.
Notes and Disclaimers:
Version Information:
| Surface | γfs (mJ/m2) |
|---|---|
| (111) | 1239.46 |
| (100) | 1345.25 |
| (332) | 1359.89 |
| (322) | 1372.02 |
| (221) | 1411.21 |
| (211) | 1433.92 |
| (331) | 1451.68 |
| (311) | 1471.89 |
| (110) | 1475.39 |
| (321) | 1499.95 |
| (310) | 1515.56 |
| (320) | 1534.49 |
| (210) | 1543.03 |
| Surface | γfs (mJ/m2) |
|---|---|
| (111) | 0.00 |
| (332) | 0.00 |
| (322) | 0.00 |
| (100) | 0.00 |
| (221) | 0.00 |
| (211) | 0.00 |
| (331) | 0.00 |
| (311) | 0.00 |
| (110) | 0.00 |
| (321) | 0.00 |
| (310) | 0.00 |
| (320) | 0.00 |
| (210) | 0.00 |
| Surface | γfs (mJ/m2) |
|---|---|
| (111) | 0.00 |
| (332) | 0.00 |
| (322) | 0.00 |
| (221) | 0.00 |
| (211) | 0.00 |
| (331) | 0.00 |
| (311) | 0.00 |
| (110) | 0.00 |
| (321) | 0.00 |
| (310) | 0.00 |
| (320) | 0.00 |
| (210) | 0.00 |
| Surface | γfs (mJ/m2) |
|---|---|
| (111) | 0.00 |
| (332) | 0.00 |
| (322) | 0.00 |
| (221) | 0.00 |
| (100) | 0.00 |
| (211) | 0.00 |
| (331) | 0.00 |
| (311) | 0.00 |
| (110) | 0.00 |
| (321) | 0.00 |
| (310) | 0.00 |
| (320) | 0.00 |
| (210) | 0.00 |
| Surface | γfs (mJ/m2) |
|---|---|
| (111) | 0.00 |
| (332) | 0.00 |
| (322) | 0.00 |
| (221) | 0.00 |
| (100) | 0.00 |
| (211) | 0.00 |
| (331) | 0.00 |
| (311) | 0.00 |
| (110) | 0.00 |
| (321) | 0.00 |
| (310) | 0.00 |
| (320) | 0.00 |
| (210) | 0.00 |
| Surface | γfs (mJ/m2) |
|---|---|
| (322) | 993.56 |
| (211) 2 | 1149.15 |
| (211) 1 | 1185.45 |
| (310) | 1196.39 |
| (332) 2 | 1198.41 |
| (210) | 1210.17 |
| (221) | 1211.61 |
| (320) | 1213.67 |
| (321) 2 | 1215.56 |
| (331) | 1216.24 |
| (332) 1 | 1222.98 |
| (321) 1 | 1225.86 |
| (111) | 1227.33 |
| (311) | 1232.88 |
| (100) | 1275.85 |
| (110) | 1317.78 |
| Surface | γfs (mJ/m2) |
|---|---|
| (100) | 0.00 |
| (310) | 0.00 |
| (210) | 0.00 |
| (320) | 0.00 |
| (110) | 0.00 |
| (311) | 0.00 |
| (321) 1 | 0.00 |
| (321) 2 | 0.00 |
| (331) | 0.00 |
| (211) 2 | 0.00 |
| (211) 1 | 0.00 |
| (221) | 0.00 |
| (322) | 0.00 |
| (332) 1 | 0.00 |
| (332) 2 | 0.00 |
| (111) | 0.00 |
| Surface | γfs (mJ/m2) |
|---|---|
| (100) | 0.00 |
| (310) | 0.00 |
| (210) | 0.00 |
| (320) | 0.00 |
| (110) | 0.00 |
| (311) | 0.00 |
| (321) 2 | 0.00 |
| (321) 1 | 0.00 |
| (331) | 0.00 |
| (211) 2 | 0.00 |
| (211) 1 | 0.00 |
| (221) | 0.00 |
| (322) | 0.00 |
| (332) 1 | 0.00 |
| (332) 2 | 0.00 |
| (111) | 0.00 |
| Surface | γfs (mJ/m2) |
|---|---|
| (100) | 0.00 |
| (310) | 0.00 |
| (210) | 0.00 |
| (320) | 0.00 |
| (110) | 0.00 |
| (311) | 0.00 |
| (321) 1 | 0.00 |
| (321) 2 | 0.00 |
| (331) | 0.00 |
| (211) 1 | 0.00 |
| (211) 2 | 0.00 |
| (221) | 0.00 |
| (322) | 0.00 |
| (332) 1 | 0.00 |
| (332) 2 | 0.00 |
| (111) | 0.00 |
| Surface | γfs (mJ/m2) |
|---|---|
| (100) | 0.00 |
| (310) | 0.00 |
| (210) | 0.00 |
| (320) | 0.00 |
| (110) | 0.00 |
| (311) | 0.00 |
| (321) 1 | 0.00 |
| (321) 2 | 0.00 |
| (331) | 0.00 |
| (211) 2 | 0.00 |
| (211) 1 | 0.00 |
| (221) | 0.00 |
| (322) | 0.00 |
| (332) 2 | 0.00 |
| (332) 1 | 0.00 |
| (111) | 0.00 |
| Surface | γfs (mJ/m2) |
|---|---|
| (321) | 0.00 |
| (331) | 0.00 |
| (211) | 0.00 |
| (320) | 0.00 |
| (221) | 0.00 |
| (322) | 0.00 |
| (332) | 0.00 |
| (111) | 0.00 |
| (210) | 0.00 |
| (311) | 0.00 |
| (310) | 0.00 |
| (100) | 0.00 |
| Surface | γfs (mJ/m2) |
|---|---|
| (110) | 0.00 |
| (321) | 0.00 |
| (331) | 0.00 |
| (211) | 0.00 |
| (320) | 0.00 |
| (221) | 0.00 |
| (322) | 0.00 |
| (332) | 0.00 |
| (111) | 0.00 |
| (210) | 0.00 |
| (311) | 0.00 |
| (310) | 0.00 |
| (100) | 0.00 |
| Surface | γfs (mJ/m2) |
|---|---|
| (110) | 0.00 |
| (321) | 0.00 |
| (331) | 0.00 |
| (211) | 0.00 |
| (320) | 0.00 |
| (221) | 0.00 |
| (322) | 0.00 |
| (332) | 0.00 |
| (111) | 0.00 |
| (210) | 0.00 |
| (311) | 0.00 |
| (310) | 0.00 |
| (100) | 0.00 |
| Surface | γfs (mJ/m2) |
|---|---|
| (110) | 0.00 |
| (321) | 0.00 |
| (331) | 0.00 |
| (211) | 0.00 |
| (320) | 0.00 |
| (221) | 0.00 |
| (322) | 0.00 |
| (332) | 0.00 |
| (111) | 0.00 |
| (210) | 0.00 |
| (311) | 0.00 |
| (310) | 0.00 |
| (100) | 0.00 |
| Surface | γfs (mJ/m2) |
|---|---|
| (0001) | 0.00 |
| (1012) 2 | 0.00 |
| (2021) 1 | 0.00 |
| (1011) 1 | 0.00 |
| (2021) 2 | 0.00 |
| (1120) | 0.00 |
| (2131) 1 | 0.00 |
| (1010) | 0.00 |
| (2132) 2 | 0.00 |
| (2132) 1 | 0.00 |
| (2241) | 0.00 |
| (1012) 1 | 0.00 |
| (1121) | 0.00 |
| (2112) | 0.00 |
| (2130) | 0.00 |
| (1011) 2 | 0.00 |
| (2131) 2 | 0.00 |
| Surface | γfs (mJ/m2) |
|---|---|
| (0001) | 0.00 |
| (1012) 2 | 0.00 |
| (2021) 1 | 0.00 |
| (1011) 1 | 0.00 |
| (2021) 2 | 0.00 |
| (1120) | 0.00 |
| (2131) 1 | 0.00 |
| (1010) | 0.00 |
| (2132) 2 | 0.00 |
| (2132) 1 | 0.00 |
| (2241) | 0.00 |
| (1012) 1 | 0.00 |
| (1121) | 0.00 |
| (2112) | 0.00 |
| (2130) | 0.00 |
| (1011) 2 | 0.00 |
| (2131) 2 | 0.00 |
| Surface | γfs (mJ/m2) |
|---|---|
| (0001) | 0.00 |
| (1012) 2 | 0.00 |
| (2021) 1 | 0.00 |
| (1011) 1 | 0.00 |
| (2021) 2 | 0.00 |
| (1120) | 0.00 |
| (2131) 1 | 0.00 |
| (1010) | 0.00 |
| (2132) 1 | 0.00 |
| (2132) 2 | 0.00 |
| (2241) | 0.00 |
| (1012) 1 | 0.00 |
| (1121) | 0.00 |
| (2112) | 0.00 |
| (2130) | 0.00 |
| (1011) 2 | 0.00 |
| (2131) 2 | 0.00 |
| Surface | γfs (mJ/m2) |
|---|---|
| (0001) | 0.00 |
| (1012) 2 | 0.00 |
| (2021) 1 | 0.00 |
| (1011) 1 | 0.00 |
| (2021) 2 | 0.00 |
| (1120) | 0.00 |
| (2131) 1 | 0.00 |
| (1010) | 0.00 |
| (2132) 2 | 0.00 |
| (2132) 1 | 0.00 |
| (2241) | 0.00 |
| (1012) 1 | 0.00 |
| (1121) | 0.00 |
| (2112) | 0.00 |
| (2130) | 0.00 |
| (1011) 2 | 0.00 |
| (2131) 2 | 0.00 |
| Surface | γfs (mJ/m2) |
|---|---|
| (0001) | 1215.50 |
| (1011) 2 | 1297.64 |
| (1010) 1 | 1308.77 |
| (2021) 1 | 1340.45 |
| (1012) 1 | 1421.11 |
| (2130) 1 | 1449.72 |
| (1120) | 1458.48 |
| (2112) | 1459.86 |
| (1012) 2 | 1464.52 |
| (2132) 2 | 1485.68 |
| (2132) 1 | 1487.15 |
| (2131) 2 | 1491.06 |
| (2241) | 1509.90 |
| (2131) 1 | 1511.64 |
| (2021) 2 | 1517.43 |
| (1121) | 1527.42 |
| (2130) 2 | 1589.98 |
| (1010) 2 | 1672.57 |
| (1011) 1 | 1727.70 |
| Surface | γfs (mJ/m2) |
|---|---|
| (0001) | 0.00 |
| (1010) 1 | 0.00 |
| (1011) 2 | 0.00 |
| (2021) 1 | 0.00 |
| (2130) 1 | 0.00 |
| (1012) 2 | 0.00 |
| (1012) 1 | 0.00 |
| (2112) | 0.00 |
| (1120) | 0.00 |
| (2132) 1 | 0.00 |
| (2132) 2 | 0.00 |
| (2131) 2 | 0.00 |
| (2131) 1 | 0.00 |
| (2241) | 0.00 |
| (1121) | 0.00 |
| (2021) 2 | 0.00 |
| (2130) 2 | 0.00 |
| (1011) 1 | 0.00 |
| (1010) 2 | 0.00 |
| Surface | γfs (mJ/m2) |
|---|---|
| (0001) | 0.00 |
| (1010) 1 | 0.00 |
| (1011) 2 | 0.00 |
| (2021) 1 | 0.00 |
| (2130) 1 | 0.00 |
| (1012) 2 | 0.00 |
| (2112) | 0.00 |
| (1120) | 0.00 |
| (2132) 1 | 0.00 |
| (2132) 2 | 0.00 |
| (2131) 2 | 0.00 |
| (2131) 1 | 0.00 |
| (2241) | 0.00 |
| (1121) | 0.00 |
| (2021) 2 | 0.00 |
| (2130) 2 | 0.00 |
| (1011) 1 | 0.00 |
| (1010) 2 | 0.00 |
| Surface | γfs (mJ/m2) |
|---|---|
| (0001) | 0.00 |
| (1010) 1 | 0.00 |
| (1011) 2 | 0.00 |
| (2021) 1 | 0.00 |
| (2130) 1 | 0.00 |
| (1012) 1 | 0.00 |
| (1012) 2 | 0.00 |
| (2112) | 0.00 |
| (1120) | 0.00 |
| (2132) 1 | 0.00 |
| (2132) 2 | 0.00 |
| (2131) 2 | 0.00 |
| (2241) | 0.00 |
| (1121) | 0.00 |
| (2021) 2 | 0.00 |
| (2130) 2 | 0.00 |
| (1011) 1 | 0.00 |
| (1010) 2 | 0.00 |
| Surface | γfs (mJ/m2) |
|---|---|
| (0001) | 0.00 |
| (1010) 1 | 0.00 |
| (1011) 2 | 0.00 |
| (2021) 1 | 0.00 |
| (2130) 1 | 0.00 |
| (1012) 1 | 0.00 |
| (1012) 2 | 0.00 |
| (2112) | 0.00 |
| (1120) | 0.00 |
| (2132) 2 | 0.00 |
| (2132) 1 | 0.00 |
| (2131) 1 | 0.00 |
| (2131) 2 | 0.00 |
| (2241) | 0.00 |
| (1121) | 0.00 |
| (2021) 2 | 0.00 |
| (2130) 2 | 0.00 |
| (1011) 1 | 0.00 |
| (1010) 2 | 0.00 |
| Surface | γfs (mJ/m2) |
|---|---|
| (111) 2 | 0.00 |
| (331) 2 | 0.00 |
| (110) | 0.00 |
| (321) | 0.00 |
| (211) | 0.00 |
| (320) | 0.00 |
| (332) | 0.00 |
| (210) | 0.00 |
| (311) 2 | 0.00 |
| (311) 1 | 0.00 |
| (310) | 0.00 |
| (322) | 0.00 |
| (100) | 0.00 |
| (221) | 0.00 |
| (331) 1 | 0.00 |
| (111) 1 | 0.00 |
| Surface | γfs (mJ/m2) |
|---|---|
| (111) 2 | 0.00 |
| (331) 2 | 0.00 |
| (110) | 0.00 |
| (321) | 0.00 |
| (211) | 0.00 |
| (320) | 0.00 |
| (332) | 0.00 |
| (210) | 0.00 |
| (311) 2 | 0.00 |
| (311) 1 | 0.00 |
| (310) | 0.00 |
| (322) | 0.00 |
| (221) | 0.00 |
| (100) | 0.00 |
| (331) 1 | 0.00 |
| (111) 1 | 0.00 |
| Surface | γfs (mJ/m2) |
|---|---|
| (111) 2 | 0.00 |
| (331) 2 | 0.00 |
| (110) | 0.00 |
| (321) | 0.00 |
| (211) | 0.00 |
| (320) | 0.00 |
| (332) | 0.00 |
| (210) | 0.00 |
| (311) 2 | 0.00 |
| (311) 1 | 0.00 |
| (310) | 0.00 |
| (322) | 0.00 |
| (100) | 0.00 |
| (221) | 0.00 |
| (331) 1 | 0.00 |
| (111) 1 | 0.00 |
| Surface | γfs (mJ/m2) |
|---|---|
| (111) 2 | 0.00 |
| (331) 2 | 0.00 |
| (110) | 0.00 |
| (321) | 0.00 |
| (211) | 0.00 |
| (320) | 0.00 |
| (332) | 0.00 |
| (210) | 0.00 |
| (311) 2 | 0.00 |
| (311) 1 | 0.00 |
| (310) | 0.00 |
| (322) | 0.00 |
| (100) | 0.00 |
| (221) | 0.00 |
| (331) 1 | 0.00 |
| (111) 1 | 0.00 |
| Surface | γfs (mJ/m2) |
|---|---|
| (101) 1 | 0.00 |
| (112) | 0.00 |
| (001) | 0.00 |
| (201) | 0.00 |
| (111) | 0.00 |
| (100) | 0.00 |
| (211) 2 | 0.00 |
| (211) 1 | 0.00 |
| (110) | 0.00 |
| (101) 2 | 0.00 |
| Surface | γfs (mJ/m2) |
|---|---|
| (101) 1 | 0.00 |
| (112) | 0.00 |
| (001) | 0.00 |
| (201) | 0.00 |
| (111) | 0.00 |
| (100) | 0.00 |
| (211) 2 | 0.00 |
| (211) 1 | 0.00 |
| (110) | 0.00 |
| (101) 2 | 0.00 |
| Surface | γfs (mJ/m2) |
|---|---|
| (101) 1 | 0.00 |
| (112) | 0.00 |
| (001) | 0.00 |
| (201) | 0.00 |
| (111) | 0.00 |
| (100) | 0.00 |
| (211) 1 | 0.00 |
| (211) 2 | 0.00 |
| (110) | 0.00 |
| (101) 2 | 0.00 |
| Surface | γfs (mJ/m2) |
|---|---|
| (101) 1 | 0.00 |
| (112) | 0.00 |
| (001) | 0.00 |
| (201) | 0.00 |
| (111) | 0.00 |
| (100) | 0.00 |
| (211) 2 | 0.00 |
| (211) 1 | 0.00 |
| (110) | 0.00 |
| (101) 2 | 0.00 |
| Surface | γfs (mJ/m2) |
|---|---|
| (001) | 0.00 |
| (101) | 0.00 |
| (201) | 0.00 |
| (100) | 0.00 |
| (112) | 0.00 |
| (111) | 0.00 |
| (211) | 0.00 |
| (110) | 0.00 |
| Surface | γfs (mJ/m2) |
|---|---|
| (001) | 0.00 |
| (101) | 0.00 |
| (201) | 0.00 |
| (100) | 0.00 |
| (112) | 0.00 |
| (111) | 0.00 |
| (211) | 0.00 |
| (110) | 0.00 |
| Surface | γfs (mJ/m2) |
|---|---|
| (001) | 0.00 |
| (101) | 0.00 |
| (201) | 0.00 |
| (100) | 0.00 |
| (112) | 0.00 |
| (111) | 0.00 |
| (211) | 0.00 |
| (110) | 0.00 |
| Surface | γfs (mJ/m2) |
|---|---|
| (001) | 0.00 |
| (101) | 0.00 |
| (201) | 0.00 |
| (100) | 0.00 |
| (112) | 0.00 |
| (111) | 0.00 |
| (211) | 0.00 |
| (110) | 0.00 |
| Surface | γfs (mJ/m2) |
|---|---|
| (0001) 2 | 0.00 |
| (1011) 2 | 0.00 |
| (2112) 2 | 0.00 |
| (2131) 2 | 0.00 |
| (1012) 2 | 0.00 |
| (1121) 2 | 0.00 |
| (2241) 2 | 0.00 |
| (1120) | 0.00 |
| (2132) 2 | 0.00 |
| (2241) 1 | 0.00 |
| (2130) | 0.00 |
| (2112) 1 | 0.00 |
| (2021) 2 | 0.00 |
| (1121) 1 | 0.00 |
| (1010) | 0.00 |
| (2132) 1 | 0.00 |
| (1012) 1 | 0.00 |
| (2021) 1 | 0.00 |
| (2131) 1 | 0.00 |
| (1011) 1 | 0.00 |
| (0001) 1 | 0.00 |
| Surface | γfs (mJ/m2) |
|---|---|
| (0001) 2 | 0.00 |
| (1011) 2 | 0.00 |
| (2112) 2 | 0.00 |
| (2131) 2 | 0.00 |
| (1012) 2 | 0.00 |
| (1121) 2 | 0.00 |
| (2241) 2 | 0.00 |
| (1120) | 0.00 |
| (2132) 2 | 0.00 |
| (2241) 1 | 0.00 |
| (2130) | 0.00 |
| (2112) 1 | 0.00 |
| (2021) 2 | 0.00 |
| (1121) 1 | 0.00 |
| (2132) 1 | 0.00 |
| (1012) 1 | 0.00 |
| (2021) 1 | 0.00 |
| (2131) 1 | 0.00 |
| (1011) 1 | 0.00 |
| (0001) 1 | 0.00 |
| Surface | γfs (mJ/m2) |
|---|---|
| (0001) 2 | -0.00 |
| (1011) 2 | 0.00 |
| (2112) 2 | 0.00 |
| (2131) 2 | 0.00 |
| (1012) 2 | 0.00 |
| (1121) 2 | 0.00 |
| (2241) 2 | 0.00 |
| (1120) | 0.00 |
| (2132) 2 | 0.00 |
| (2241) 1 | 0.00 |
| (2130) | 0.00 |
| (2112) 1 | 0.00 |
| (2021) 2 | 0.00 |
| (1121) 1 | 0.00 |
| (1010) | 0.00 |
| (2132) 1 | 0.00 |
| (1012) 1 | 0.00 |
| (2131) 1 | 0.00 |
| (1011) 1 | 0.00 |
| (0001) 1 | 0.00 |
| Surface | γfs (mJ/m2) |
|---|---|
| (0001) 2 | 0.00 |
| (1011) 2 | 0.00 |
| (2112) 2 | 0.00 |
| (2131) 2 | 0.00 |
| (1012) 2 | 0.00 |
| (1121) 2 | 0.00 |
| (2241) 2 | 0.00 |
| (1120) | 0.00 |
| (2132) 2 | 0.00 |
| (2241) 1 | 0.00 |
| (2130) | 0.00 |
| (2112) 1 | 0.00 |
| (2021) 2 | 0.00 |
| (1121) 1 | 0.00 |
| (1010) | 0.00 |
| (2132) 1 | 0.00 |
| (1012) 1 | 0.00 |
| (2021) 1 | 0.00 |
| (2131) 1 | 0.00 |
| (1011) 1 | 0.00 |
| (0001) 1 | 0.00 |
| Surface | γfs (mJ/m2) |
|---|---|
| (100) | 0.00 |
| (310) | 0.00 |
| (210) | 0.00 |
| (320) | 0.00 |
| (110) | 0.00 |
| (311) | 0.00 |
| (321) | 0.00 |
| (331) | 0.00 |
| (211) | 0.00 |
| (221) | 0.00 |
| (322) | 0.00 |
| (332) | 0.00 |
| (111) | 0.00 |
| Surface | γfs (mJ/m2) |
|---|---|
| (100) | 0.00 |
| (310) | 0.00 |
| (210) | 0.00 |
| (320) | 0.00 |
| (110) | 0.00 |
| (311) | 0.00 |
| (321) | 0.00 |
| (331) | 0.00 |
| (211) | 0.00 |
| (221) | 0.00 |
| (322) | 0.00 |
| (332) | 0.00 |
| (111) | 0.00 |
| Surface | γfs (mJ/m2) |
|---|---|
| (100) | 0.00 |
| (310) | 0.00 |
| (210) | 0.00 |
| (320) | 0.00 |
| (110) | 0.00 |
| (311) | 0.00 |
| (321) | 0.00 |
| (331) | 0.00 |
| (211) | 0.00 |
| (221) | 0.00 |
| (322) | 0.00 |
| (332) | 0.00 |
| (111) | 0.00 |
| Surface | γfs (mJ/m2) |
|---|---|
| (100) | 0.00 |
| (310) | 0.00 |
| (210) | 0.00 |
| (320) | 0.00 |
| (110) | 0.00 |
| (311) | 0.00 |
| (321) | 0.00 |
| (331) | 0.00 |
| (211) | 0.00 |
| (221) | 0.00 |
| (322) | 0.00 |
| (332) | 0.00 |
| (111) | 0.00 |
| Surface | γfs (mJ/m2) |
|---|---|
| (211) 2 | 2829.15 |
| (210) | 2864.97 |
| (100) | 2896.63 |
| (332) 2 | 2929.22 |
| (321) 2 | 2943.11 |
| (111) | 2952.72 |
| (311) | 2956.13 |
| (321) 1 | 2972.86 |
| (221) | 2979.23 |
| (322) | 2986.92 |
| (310) | 3011.15 |
| (331) | 3013.92 |
| (320) | 3020.94 |
| (332) 1 | 3042.62 |
| (110) | 3052.47 |
| (211) 1 | 3089.89 |
| Surface | γfs (mJ/m2) |
|---|---|
| (110) | 2755.00 |
| (320) | 2960.01 |
| (100) | 2991.03 |
| (210) | 3037.26 |
| (331) | 3065.94 |
| (321) | 3073.94 |
| (310) | 3081.51 |
| (211) | 3112.69 |
| (311) | 3163.45 |
| (221) | 3164.11 |
| (322) | 3213.17 |
| (332) | 3215.32 |
| (111) | 3236.19 |
| Surface | γfs (mJ/m2) |
|---|---|
| (332) | -286960.04 |
| (331) 1 | -265548.47 |
| (331) 2 | -264129.03 |
| (322) | -250206.38 |
| (321) | -229063.09 |
| (320) | -221431.84 |
| (311) 1 | -204529.21 |
| (311) 2 | -203184.97 |
| (310) | -192206.70 |
| (221) | -183376.46 |
| (211) | -147808.09 |
| (210) | -133376.12 |
| (111) 1 | -104503.09 |
| (111) 2 | -103580.79 |
| (110) | -85690.90 |
| (100) | -59692.07 |
Stacking fault energy plots and maps are displayed for select crystals. The values are computed by
The calculation method used is available as the iprPy stacking_fault_map_2D calculation method.
Notes and Disclaimers:
Version Information:
| E_usf a/2 [0 -1 1] | 741.42 |
| τ_ideal a/2 [0 -1 1] | 10.15 |




| E_isf | 44.39 |
| E_usf a/2 [0 -1 1] | 162.08 |
| τ_ideal a/2 [0 -1 1] | 3.25 |




| E_isf | -44.20 |
| E_usf a/3 [-2 1 1 0] | 117.68 |
| τ_ideal a/3 [-2 1 1 0] | 3.23 |




| E_usf a/3 [-1 2 -1 0] | 402.59 |
| τ_ideal a/3 [-1 2 -1 0] | 5.30 |




| E_usf a/3 [-1 2 -1 0] | 940.22 |
| τ_ideal a/3 [-1 2 -1 0] | 12.77 |




| E_usf a/3 [-1 2 -1 0] | 604.82 |
| E_usf a/3 [-2 1 1 3] | 2542.48 |
| τ_ideal a/3 [-1 2 -1 0] | 7.52 |
| τ_ideal a/3 [-2 1 1 3] | 44.23 |





| E_usf a/3 [-1 2 -1 0] | 558.70 |
| E_usf a/3 [-2 1 1 3] | 764.67 |
| τ_ideal a/3 [-1 2 -1 0] | 7.53 |
| τ_ideal a/3 [-2 1 1 3] | 9.97 |





| E_usf a/3 [-2 1 1 3] | 1224.93 |
| τ_ideal a/3 [-2 1 1 3] | 12.82 |




| E_usf a/2 [-1 1 -1] | 777.36 |
| τ_ideal a/2 [-1 1 -1] | 9.06 |




| E_usf a/2 [-1 -1 1] | 919.10 |
| τ_ideal a/2 [-1 -1 1] | 11.03 |




| E_usf a/2 [-1 -1 1] | 898.29 |
| τ_ideal a/2 [-1 -1 1] | 10.77 |




Static point defect formation energies, Ef, and elastic dipole tensors, pij, are displayed for select crystals. Relaxed defect configurations are obtained by taking a 12x12x12 supercell of a perfect periodic bulk crystal, inserting the point defect, and using force minimization to statically relax the atomic positions while keeping the system dimensions constant. Ef is computed by comparing the energy of the defect system to the same number of atoms in a perfect bulk crystal. pij is estimated as the difference in the system's global pressure with and without the defect multiplied by the system's volume.
Simple structural comparisons of the unrelaxed and relaxed defect configurations are used to help determine if the defect structure has relaxed to a different configuration. Relaxed structures that are identified as no longer consistent with the ideal defect definition are excluded from the table below. The only exception to this is if the lowest energy interstitial configuration does not coincide with a known ideal defect, its energies and pressure tensor are included under the listing "relaxed interstitial". The full list of calculation results including the transformed structures and the structural comparison values is included in the csv file available from the "Download raw data" link.
The calculation method used is available as the iprPy point_defect_static calculation method.
Notes and Disclaimers:
| Point Defect | Ef (eV) | p11 (eV) | p22 (eV) | p33 (eV) | p12 (eV) | p13 (eV) | p23 (eV) |
|---|---|---|---|---|---|---|---|
| vacancy | 1.272 | -3.050 | -3.050 | -3.050 | 0.000 | -0.000 | -0.000 |
| 1nn divacancy | 2.399 | -7.088 | -5.882 | -5.882 | 0.000 | -0.000 | -0.024 |
| 2nn divacancy | 2.530 | -6.400 | -6.400 | -6.339 | 0.000 | -0.000 | -0.000 |
| 100 dumbbell | 3.076 | 18.951 | 18.951 | 18.497 | 0.000 | -0.000 | -0.000 |
| octahedral interstitial | 3.251 | 19.354 | 19.354 | 19.354 | 0.000 | -0.000 | -0.000 |
| Point Defect | Ef (eV) | p11 (eV) | p22 (eV) | p33 (eV) | p12 (eV) | p13 (eV) | p23 (eV) |
|---|---|---|---|---|---|---|---|
| relaxed interstitial | -44.631 | 0.000 | 0.000 | -0.000 | -0.000 | 0.000 | -0.000 |
| 111 dumbbell | -30.746 | 0.000 | 0.000 | 0.000 | 0.000 | 0.000 | 0.000 |
| 100 dumbbell | -25.730 | -0.000 | -0.000 | 0.000 | 0.000 | 0.000 | 0.000 |
| octahedral interstitial | -11.957 | -0.000 | -0.000 | -0.000 | 0.000 | -0.000 | -0.000 |
| tetrahedral interstitial | -6.627 | -0.000 | -0.000 | -0.000 | 0.000 | 0.000 | 0.000 |
| vacancy | 0.000 | 0.000 | 0.000 | 0.000 | -0.000 | -0.000 | 0.000 |
| 1nn divacancy | 0.000 | 0.000 | 0.000 | 0.000 | -0.000 | -0.000 | -0.000 |
| 2nn divacancy | 0.000 | 0.000 | 0.000 | 0.000 | -0.000 | 0.000 | 0.000 |
| Point Defect | Ef (eV) | p11 (eV) | p22 (eV) | p33 (eV) | p12 (eV) | p13 (eV) | p23 (eV) |
|---|---|---|---|---|---|---|---|
| 100 dumbbell | -25.730 | -0.000 | -0.000 | 0.000 | -0.000 | -0.000 | -0.000 |
| 111 dumbbell | -14.532 | 0.000 | 0.000 | 0.000 | -0.000 | -0.000 | -0.000 |
| octahedral interstitial | -11.957 | -0.000 | -0.000 | -0.000 | -0.000 | -0.000 | -0.000 |
| tetrahedral interstitial | -6.627 | -0.000 | -0.000 | -0.000 | 0.000 | 0.000 | 0.000 |
| vacancy | 0.000 | 0.000 | 0.000 | 0.000 | 0.000 | -0.000 | 0.000 |
| 1nn divacancy | 0.000 | 0.000 | 0.000 | 0.000 | 0.000 | -0.000 | -0.000 |
| 2nn divacancy | 0.000 | 0.000 | 0.000 | 0.000 | 0.000 | -0.000 | 0.000 |
| Point Defect | Ef (eV) | p11 (eV) | p22 (eV) | p33 (eV) | p12 (eV) | p13 (eV) | p23 (eV) |
|---|---|---|---|---|---|---|---|
| 110 dumbbell | -26.216 | -0.000 | -0.000 | -0.000 | 0.000 | 0.000 | -0.000 |
| 100 dumbbell | -25.730 | -0.000 | -0.000 | -0.000 | 0.000 | 0.000 | 0.000 |
| 111 dumbbell | -14.532 | 0.000 | 0.000 | 0.000 | 0.000 | 0.000 | 0.000 |
| octahedral interstitial | -11.957 | -0.000 | -0.000 | -0.000 | -0.000 | -0.000 | -0.000 |
| tetrahedral interstitial | -6.627 | -0.000 | -0.000 | -0.000 | 0.000 | 0.000 | 0.000 |
| vacancy | 0.000 | 0.000 | 0.000 | 0.000 | -0.000 | -0.000 | -0.000 |
| 1nn divacancy | 0.000 | 0.000 | 0.000 | 0.000 | -0.000 | -0.000 | -0.000 |
| 2nn divacancy | 0.000 | 0.000 | 0.000 | 0.000 | -0.000 | -0.000 | -0.000 |
| Point Defect | Ef (eV) | p11 (eV) | p22 (eV) | p33 (eV) | p12 (eV) | p13 (eV) | p23 (eV) |
|---|---|---|---|---|---|---|---|
| 110 dumbbell | -26.216 | 0.000 | 0.000 | 0.000 | 0.000 | 0.000 | -0.000 |
| 100 dumbbell | -25.730 | 0.000 | 0.000 | 0.000 | -0.000 | 0.000 | 0.000 |
| 111 dumbbell | -14.532 | 0.000 | 0.000 | 0.000 | 0.000 | 0.000 | 0.000 |
| octahedral interstitial | -11.957 | -0.000 | -0.000 | -0.000 | -0.000 | -0.000 | -0.000 |
| tetrahedral interstitial | -6.627 | -0.000 | -0.000 | -0.000 | 0.000 | -0.000 | -0.000 |
| vacancy | 0.000 | 0.000 | 0.000 | 0.000 | -0.000 | 0.000 | -0.000 |
| 1nn divacancy | 0.000 | 0.000 | 0.000 | 0.000 | -0.000 | 0.000 | -0.000 |
| 2nn divacancy | 0.000 | 0.000 | 0.000 | 0.000 | -0.000 | 0.000 | -0.000 |
| Point Defect | Ef (eV) | p11 (eV) | p22 (eV) | p33 (eV) | p12 (eV) | p13 (eV) | p23 (eV) |
|---|---|---|---|---|---|---|---|
| 111 dumbbell | -39.887 | 0.000 | 0.000 | 0.000 | 0.000 | 0.000 | 0.000 |
| 100 dumbbell | -26.216 | 0.000 | 0.000 | 0.000 | -0.000 | 0.000 | 0.000 |
| 110 dumbbell | -25.730 | 0.000 | 0.000 | 0.000 | -0.000 | -0.000 | 0.000 |
| octahedral interstitial | -11.957 | -0.000 | 0.000 | 0.000 | 0.000 | -0.000 | 0.000 |
| vacancy | 0.000 | 0.000 | 0.000 | 0.000 | 0.000 | 0.000 | 0.000 |
| 1nn divacancy | 0.000 | 0.000 | 0.000 | 0.000 | -0.000 | -0.000 | -0.000 |
| 2nn divacancy | 0.000 | 0.000 | 0.000 | 0.000 | 0.000 | 0.000 | 0.000 |
| Point Defect | Ef (eV) | p11 (eV) | p22 (eV) | p33 (eV) | p12 (eV) | p13 (eV) | p23 (eV) |
|---|---|---|---|---|---|---|---|
| 100 dumbbell | -26.216 | -0.000 | -0.000 | -0.000 | -0.000 | -0.000 | -0.000 |
| 110 dumbbell | -25.730 | 0.000 | 0.000 | 0.000 | -0.000 | -0.000 | -0.000 |
| octahedral interstitial | -11.957 | -0.000 | 0.000 | 0.000 | -0.000 | -0.000 | 0.000 |
| 111 dumbbell | -3.851 | 0.000 | 0.000 | 0.000 | -0.000 | -0.000 | -0.000 |
| vacancy | 0.000 | 0.000 | 0.000 | 0.000 | -0.000 | 0.000 | 0.000 |
| 1nn divacancy | 0.000 | 0.000 | 0.000 | 0.000 | -0.000 | -0.000 | -0.000 |
| 2nn divacancy | 0.000 | 0.000 | 0.000 | 0.000 | -0.000 | 0.000 | 0.000 |
| Point Defect | Ef (eV) | p11 (eV) | p22 (eV) | p33 (eV) | p12 (eV) | p13 (eV) | p23 (eV) |
|---|---|---|---|---|---|---|---|
| 100 dumbbell | -26.216 | -0.000 | -0.000 | -0.000 | 0.000 | 0.000 | 0.000 |
| 110 dumbbell | -25.730 | 0.000 | 0.000 | 0.000 | -0.000 | -0.000 | 0.000 |
| octahedral interstitial | -11.957 | -0.000 | 0.000 | 0.000 | -0.000 | -0.000 | 0.000 |
| 111 dumbbell | -3.851 | 0.000 | 0.000 | 0.000 | -0.000 | -0.000 | -0.000 |
| crowdion interstitial | -3.395 | -0.000 | -0.000 | -0.000 | -0.000 | -0.000 | -0.000 |
| vacancy | 0.000 | 0.000 | 0.000 | 0.000 | 0.000 | 0.000 | 0.000 |
| 1nn divacancy | 0.000 | 0.000 | 0.000 | 0.000 | -0.000 | -0.000 | -0.000 |
| 2nn divacancy | 0.000 | 0.000 | 0.000 | 0.000 | 0.000 | 0.000 | 0.000 |
| Point Defect | Ef (eV) | p11 (eV) | p22 (eV) | p33 (eV) | p12 (eV) | p13 (eV) | p23 (eV) |
|---|---|---|---|---|---|---|---|
| 100 dumbbell | -26.216 | -0.000 | -0.000 | -0.000 | -0.000 | 0.000 | -0.000 |
| 110 dumbbell | -25.730 | 0.000 | 0.000 | 0.000 | -0.000 | 0.000 | -0.000 |
| octahedral interstitial | -11.957 | 0.000 | -0.000 | -0.000 | 0.000 | -0.000 | -0.000 |
| 111 dumbbell | -3.851 | -0.000 | -0.000 | -0.000 | -0.000 | -0.000 | -0.000 |
| crowdion interstitial | -3.395 | -0.000 | -0.000 | -0.000 | -0.000 | -0.000 | -0.000 |
| vacancy | 0.000 | 0.000 | 0.000 | 0.000 | 0.000 | 0.000 | 0.000 |
| 1nn divacancy | 0.000 | 0.000 | 0.000 | 0.000 | -0.000 | -0.000 | -0.000 |
| 2nn divacancy | 0.000 | 0.000 | 0.000 | 0.000 | 0.000 | 0.000 | 0.000 |
| Point Defect | Ef (eV) | p11 (eV) | p22 (eV) | p33 (eV) | p12 (eV) | p13 (eV) | p23 (eV) |
|---|---|---|---|---|---|---|---|
| vacancy | 1.255 | -3.012 | -3.012 | -3.034 | 0.000 | 0.000 | -0.000 |
| 0001 dumbbell | 3.352 | 18.962 | 18.962 | 24.109 | 0.000 | 0.000 | 0.000 |
| Point Defect | Ef (eV) | p11 (eV) | p22 (eV) | p33 (eV) | p12 (eV) | p13 (eV) | p23 (eV) |
|---|---|---|---|---|---|---|---|
| relaxed interstitial | -56.580 | 0.000 | 0.000 | 0.000 | -0.000 | 0.000 | -0.000 |
| vacancy | 0.000 | 0.000 | 0.000 | 0.000 | -0.000 | -0.000 | 0.000 |
| Point Defect | Ef (eV) | p11 (eV) | p22 (eV) | p33 (eV) | p12 (eV) | p13 (eV) | p23 (eV) |
|---|---|---|---|---|---|---|---|
| vacancy | 0.000 | 0.000 | 0.000 | 0.000 | -0.000 | 0.000 | -0.000 |
| Point Defect | Ef (eV) | p11 (eV) | p22 (eV) | p33 (eV) | p12 (eV) | p13 (eV) | p23 (eV) |
|---|---|---|---|---|---|---|---|
| 0001 dumbbell | -15.102 | 0.000 | 0.000 | 0.000 | -0.000 | 0.000 | 0.000 |
| vacancy | 0.000 | 0.000 | 0.000 | 0.000 | 0.000 | -0.000 | -0.000 |
| Point Defect | Ef (eV) | p11 (eV) | p22 (eV) | p33 (eV) | p12 (eV) | p13 (eV) | p23 (eV) |
|---|---|---|---|---|---|---|---|
| 0001 dumbbell | -15.102 | -0.000 | -0.000 | -0.000 | 0.000 | 0.000 | 0.000 |
| vacancy | 0.000 | 0.000 | 0.000 | 0.000 | -0.000 | -0.000 | 0.000 |
| Point Defect | Ef (eV) | p11 (eV) | p22 (eV) | p33 (eV) | p12 (eV) | p13 (eV) | p23 (eV) |
|---|---|---|---|---|---|---|---|
| 100 dumbbell | -12.865 | 0.000 | 0.000 | -0.000 | -0.000 | 0.000 | 0.000 |
| 110 dumbbell | -3.851 | 0.000 | 0.000 | 0.000 | 0.000 | 0.000 | 0.000 |
| bond centered interstitial | -3.395 | -0.000 | -0.000 | -0.000 | -0.000 | -0.000 | -0.000 |
| tetragonal interstitial | -0.000 | -0.000 | -0.000 | -0.000 | -0.000 | -0.000 | -0.000 |
| vacancy | 0.000 | 0.000 | 0.000 | 0.000 | -0.000 | -0.000 | -0.000 |
| 1nn divacancy | 0.000 | 0.000 | 0.000 | 0.000 | -0.000 | -0.000 | -0.000 |
| Point Defect | Ef (eV) | p11 (eV) | p22 (eV) | p33 (eV) | p12 (eV) | p13 (eV) | p23 (eV) |
|---|---|---|---|---|---|---|---|
| 100 dumbbell | -12.865 | -0.000 | -0.000 | 0.000 | -0.000 | -0.000 | -0.000 |
| 110 dumbbell | -3.851 | -0.000 | -0.000 | -0.000 | -0.000 | -0.000 | -0.000 |
| bond centered interstitial | -3.395 | -0.000 | -0.000 | -0.000 | -0.000 | -0.000 | -0.000 |
| tetragonal interstitial | -0.000 | -0.000 | -0.000 | -0.000 | -0.000 | -0.000 | -0.000 |
| vacancy | 0.000 | 0.000 | 0.000 | 0.000 | -0.000 | -0.000 | -0.000 |
| 1nn divacancy | 0.000 | 0.000 | 0.000 | 0.000 | -0.000 | -0.000 | -0.000 |
| Point Defect | Ef (eV) | p11 (eV) | p22 (eV) | p33 (eV) | p12 (eV) | p13 (eV) | p23 (eV) |
|---|---|---|---|---|---|---|---|
| 110 dumbbell | -3.851 | -0.000 | -0.000 | -0.000 | 0.000 | 0.000 | -0.000 |
| bond centered interstitial | -3.395 | -0.000 | -0.000 | -0.000 | -0.000 | -0.000 | -0.000 |
| tetragonal interstitial | -0.000 | -0.000 | -0.000 | -0.000 | -0.000 | -0.000 | -0.000 |
| vacancy | 0.000 | 0.000 | 0.000 | 0.000 | -0.000 | -0.000 | -0.000 |
| 1nn divacancy | 0.000 | 0.000 | 0.000 | 0.000 | -0.000 | -0.000 | -0.000 |
| hexagonal interstitial | 0.000 | -0.000 | -0.000 | -0.000 | 0.000 | 0.000 | 0.000 |
| Point Defect | Ef (eV) | p11 (eV) | p22 (eV) | p33 (eV) | p12 (eV) | p13 (eV) | p23 (eV) |
|---|---|---|---|---|---|---|---|
| 110 dumbbell | -3.851 | 0.000 | 0.000 | 0.000 | -0.000 | -0.000 | 0.000 |
| bond centered interstitial | -3.395 | -0.000 | -0.000 | -0.000 | -0.000 | -0.000 | -0.000 |
| 100 dumbbell | -1.925 | 0.000 | 0.000 | 0.000 | 0.000 | -0.000 | -0.000 |
| hexagonal interstitial | -0.000 | -0.000 | -0.000 | -0.000 | 0.000 | 0.000 | 0.000 |
| tetragonal interstitial | -0.000 | -0.000 | -0.000 | -0.000 | 0.000 | 0.000 | 0.000 |
| vacancy | 0.000 | 0.000 | 0.000 | 0.000 | 0.000 | 0.000 | 0.000 |
| 1nn divacancy | 0.000 | 0.000 | 0.000 | 0.000 | -0.000 | -0.000 | -0.000 |
| Point Defect | Ef (eV) | p11 (eV) | p22 (eV) | p33 (eV) | p12 (eV) | p13 (eV) | p23 (eV) |
|---|---|---|---|---|---|---|---|
| vacancy | 3.059 | -6.516 | -6.516 | -6.516 | 0.000 | 0.000 | -0.000 |
| crowdion interstitial | 5.622 | 25.429 | 25.429 | 25.429 | 8.335 | 8.335 | 8.335 |
| 111 dumbbell | 5.626 | 25.484 | 25.484 | 25.484 | 8.175 | 8.175 | 8.175 |
| 2nn divacancy | 5.659 | -13.699 | -13.699 | -16.910 | -0.000 | 0.000 | 0.000 |
| 110 dumbbell | 5.699 | 29.764 | 28.498 | 28.498 | -0.000 | -0.000 | 7.571 |
| tetrahedral interstitial | 5.766 | 23.643 | 22.711 | 23.643 | -0.000 | 0.000 | -0.000 |
| 100 dumbbell | 5.861 | 14.926 | 14.926 | 23.364 | -0.000 | 0.000 | -0.000 |
| 1nn divacancy | 5.992 | -11.953 | -11.953 | -11.953 | 1.444 | 1.444 | 1.444 |
| Point Defect | Ef (eV) | p11 (eV) | p22 (eV) | p33 (eV) | p12 (eV) | p13 (eV) | p23 (eV) |
|---|---|---|---|---|---|---|---|
| relaxed interstitial | -8077.493 | 82875.564 | 82969.969 | 82947.162 | -6.574 | 202.956 | -32.326 |
| vacancy | -3.710 | 16.615 | 16.615 | 16.615 | 0.000 | 0.000 | 0.000 |
Plots of the atomic structure of dislocation cores are shown here. The dislocations were constructed using dislocation monopole configurations in which a straight dislocation is created in the center of the system using anisotropic elasticity and the elastic constants computed above. A cylindrical region centered around the dislocation is allowed to relax while the remaining atoms are held fixed. The relaxation consists of 1 million NVT steps at 10 K followed by an energy/force minimization. The final plots show the atomic configuration near the center of the monopole system, and display differential displacement arrows and Nye tensor color maps that are both taken with respect to the Burgers vector direction.
These plots show a wide range of final structures, some corresponding to expected dislocation structures and others not. While the characterizations are dislocation-type dependent, some general classification guidelines are listed here.
The calculation method used is available as the iprPy dislocation_monopole calculation method.
Links are provided above the images allowing for users to download the final defect configuration and a corresponding defect-free configuration if they wish to further analyze the structures or use them for subsequent simulations.
Notes and Disclaimers:
Version Information:
Plots of lattice and elastic constants are shown as a function of temperature. The 0K points were taken from the Crystal Structure Predictions and the Elastic Constants Predictions sections above for the unique crystal structures relaxed with the "dynamic" method. Starting from the 0 K relaxed crystal unit cells, supercell systems are created by replicating all three dimensions by the same multiplier to achieve at least 4000 atoms. The systems are then relaxed at 50 K and zero pressure using 1 million NPT steps. Lattice constants are estimated by averaging the measured box dimensions. Temperatures are iteratively increased by 50 K, with each subsequent relaxation calculation starting from the final atomic configuration at the previous temperature and relaxing for another 1 million steps.
The elastic constants are calculated using the deformation–fluctuation hybrid method. Starting from the final atomic configurations of the dynamic relaxations, the system is allowed to evolve at constant volume with a Langevin thermostat. The Born matrix is computed during this run by evaluating how the atomic forces would vary due to applied linear strain fields. The elastic constants can then be estimated using the averaged Born matrix values and the averaged stresses on the system.
The calculation methods used are available as the iprPy relax_dynamic and elastic_constants_dynamic calculation methods.
Clicking on the image of a plot will open an interactive version of it in a new tab. The underlying data for the plots can be downloaded by clicking on the links above each plot.
Notes and Disclaimers:
Version Information:
Plots of radial distribution functions at different temperatures and the temperature-dependent diffusion and viscosity are shown here for elemental liquids. Melt phases are constructed by starting with a 10x10x10 fcc super cell and relaxing with 50,000 NPT steps at zero pressure and a high melting temperature (3000 K for most potentials and elements). Following the melt, liquid structures are relaxed by running NPT for 10,000 steps over which the temperature is dropped by 50 K, then 50,000 NPT at the target temperature to estimate the equilibrium volume, followed by 20,000 NVT steps at the averaged equilibrium volume and target temperature. Structures from the NVT run are sampled to compute the radial distribution function of the liquid at the corresponding temperature.
The final relaxed configurations at each temperature explored are used as the initial configurations for the diffusion and viscosity calculations. For diffusion, the system is integrated for 100 runs of 2,000 NVT steps during which both the mean squared displacement (MSD) and the velocity auto correlation function (VACF) are computed. From these simulations, three estimates of diffusion are computed: one from the MSD of the full 200,000 step run, one in which the MSD is reset for each short run and then averaged, and one from the VACF computed for each short run and averaged. For viscosity, the Green-Kubo method is used which is evaluated during a 1 million step NVT run.
The calculation methods used are available as the iprPy relax_liquid_redo, diffusion_liquid, and viscosity_green_kubo calculation methods.
Clicking on the image of a plot will open an interactive version of it in a new tab. The underlying data for the plots can be downloaded by clicking on the links above each plot.
Notes and Disclaimers:
Version Information:
Plots of internal energy, Gibbs free energy, entropy, heat capacity and volume are shown here as a function of temperature for various crystal structures and liquid phases. The included crystal structures correspond to those in the Solid Structures vs. Temperature section, and the liquid phases to those in the Liquid Properties section. Internal energy and volume are taken from the associated structure relaxations mentioned in those previous sections. Constant pressure heat capacity is estimated using 3-point numerical derivatives of enthalpy versus temperature. Note that since all simulations done here are at 0 pressure, internal energy and enthalpy are equivalent.
The Gibbs energies of the phases are estimated using thermodynamic integration between the interatomic potential in question and a simpler model with known Gibbs free energy values. For solids, the reference model is an Einstein solid, while for liquids it is the Uhlenbeck-Ford potential. Besides a short run at the start of the solid calculations to estimate Einstein model spring constants, the two calculations proceed similarly. Starting with the final relaxation configurations, the systems are stabilized for 25,000 steps. Then, over the next 50,000 steps the potential is swapped out for the reference potential. The system is then stabilized for another 25,000 steps with the reference model before a reverse swap of 50,000 steps is performed. The simulation ends with one final 25,000 step stabilization period. From the simulation, the irreversible work of transformation is estimated and used to compute the absolute Gibbs free energy of the target phase and potential relative to the reference potential. Entropy is estimated as the difference in enthalpy and Gibbs free energy and divided by temperature.
The calculation methods used are available as the iprPy relax_dynamic, relax_liquid_redo, free_energy, and free_energy_liquid calculation methods.
Clicking on the image of a plot will open an interactive version of it in a new tab. The underlying data for the plots can be downloaded by clicking on the links above each plot.
Notes and Disclaimers:
Version Information:






